32017R1221[1]
A Bizottság (EU) 2017/1221 rendelete (2017. június 22.) a 692/2008/EK rendeletnek a párolgási kibocsátások meghatározására szolgáló módszer (4. típusú mérés) tekintetében történő módosításáról
A BIZOTTSÁG (EU) 2017/1221 RENDELETE
(2017. június 22.)
a 692/2008/EK rendeletnek a párolgási kibocsátások meghatározására szolgáló módszer (4. típusú mérés) tekintetében történő módosításáról
(EGT-vonatkozású szöveg)
1. cikk
A 692/2008/EK rendelet módosítása
A 692/2008/EK rendelet a következőképpen módosul:
1. A 2. cikk a következő 45-48. pontokkal egészül ki:
"45. »tüzelőanyag-tároló rendszer« : a tüzelőanyag tárolására szolgáló eszközök, beleértve a tüzelőanyag-tartályt, a tüzelőanyag-töltő csövet, a tanksapkát és a tüzelőanyag-szivattyút;
46. »áteresztési tényező (PF)« : a tüzelőanyag-tároló rendszer által áteresztett szénhidrogén-kibocsátások;
47. »egyrétegű tartály« : egyetlen anyagrétegből álló tüzelőanyag-tartály;
48. »többrétegű tartály« : legalább két különböző anyagréteg használatával kialakított tüzelőanyag-tartály, melyben a rétegek egyikének anyaga a szénhidrogének, így az etanol számára is áthatolhatatlan."
2. A 17. cikk a második albekezdés után a következő bekezdéssel egészül ki:
"Az (EU) 2017/1221 bizottsági rendelettel ( *1 ) módosított VI. melléklet 2019. szeptember 1-jétől alkalmazandó minden, ezen a napon és ettől fogva nyilvántartásba vett új járműre.
3. A VI. melléklet helyébe e rendelet mellékletének szövege lép.
2. cikk
Hatálybelépés és alkalmazás
Ez a rendelet az Európai Unió Hivatalos Lapjában való kihirdetését követő huszadik napon lép hatályba.
Ezt a rendeletet 2019. szeptember 1-jétől kell alkalmazni.
Ez a rendelet teljes egészében kötelező és közvetlenül alkalmazandó valamennyi tagállamban.
MELLÉKLET
"VI. MELLÉKLET
1. Bevezetés
1.1. Ez a melléklet a szikragyújtású motorral felszerelt járművek tüzelőanyag-rendszeréből párolgás révén távozó szénhidrogén-kibocsátások meghatározására szolgáló 4. típusú mérés folyamatát ismerteti.
2. Műszaki előírások
2.1. Bevezetés
Az eljárás a párolgási kibocsátások vizsgálatából és két kiegészítő vizsgálatból áll, melyek közül az egyik az 5.1. pontnak megfelelően az aktívszéntartály öregítésére, a másik az 5.2. pontnak megfelelően a tüzelőanyag-tároló rendszer áteresztésére vonatkozik.
A párolgási kibocsátások vizsgálata (1. ábra) a napi hőmérsékletváltozás, a jármű parkolás közbeni átforrósodása, illetve a városi közlekedés sajátosságai miatt bekövetkező párolgási szénhidrogén-kibocsátások meghatározására szolgál.
2.2. A párolgási kibocsátások vizsgálata a következőkből áll:
a) egy városi (első rész), egy országúti (második rész), majd két újabb városi vezetési ciklusból (első rész) összetevődő tesztút;
b) az átforrósodási veszteség meghatározása;
c) a napi párolgási veszteség meghatározása.
A vizsgálat végeredményének kiszámításához összesíteni kell az átmelegedéskor felszabaduló és a napi párolgási szénhidrogén-kibocsátásokat, valamint az áteresztési tényezőt.
3. A jármű és a tüzelőanyag
3.1. A jármű
3.1.1. A járművet jó műszaki állapotban, bejáratva kell a vizsgálatra átadni, és a vizsgálat előtt legalább 3 000 km-t kell futnia. A párolgási kibocsátások meghatározásának céljára használt jármű kilométerórájának állását és korát fel kell jegyezni. A párolgási kibocsátást szabályozó rendszernek bekapcsolt állapotban kell lennie; és a bejáratási időszak alatt annak mindvégig kifogástalanul kell működnie, az aktívszéntartály(ok) pedig csak a szokásos használatnak lehetett (lehettek) kitéve, és nem kerülhetett sor a normálistól eltérő átöblítési műveletre vagy terhelésre. Az 5.1. pontnak megfelelően öregített aktívszéntartály(oka)t az 1. ábrának megfelelően kell bekötni.
3.2. A tüzelőanyag
3.2.1. Az 1. típusú vizsgálatokhoz a 692/2008/EK rendelet IX. mellékletében meghatározott E10 referencia-tüzelőanyagot kell használni. E rendelet alkalmazásában az 1. típusú vizsgálatok referencia-tüzelőanyaga az E10 referencia-tüzelőanyag, kivéve az aktívszéntartály öregítésének céljára az 5.1. pontnak megfelelően.
4. A párolgási kibocsátás vizsgálatához használt eszközök
4.1. A görgős fékpad
A görgős fékpadnak meg kell felelnie a 83. sz. ENSZ EGB-előírás 4a. mellékletének 1. függelékében meghatározott követelményeknek.
4.2. A párolgási kibocsátás mérésére szolgáló kamra
A párolgási kibocsátás mérésére szolgáló kamrának meg kell felelnie a 83. sz. ENSZ EGB-előírás 7. mellékletének 4.2. pontjában meghatározott követelményeknek.
1. ábra
A párolgási kibocsátások meghatározása
3 000 km-es bejáratási időszak (nincs a normálistól eltérő átöblítés vagy terhelés)
Öregített tartály(ok) használata
A jármű gőztisztítása (ha szükséges)
A tüzelőanyagtól eltérő háttérkibocsátási források korlátozása vagy eltávolítása (megállapodás függvényében)

Megjegyzések:
1. Párolgási kibocsátást szabályozó rendszer szerinti családok - az I. melléklet 3.2. pontjának megfelelően
2. A kipufogógáz-kibocsátás mérhető az 1. típusú tesztút alatt, de az így kapott értékek nem használhatók a jogszabályi rendelkezéseknek való megfelelés céljára. A jogszabályok által előírt kipufogógáz-kibocsátási vizsgálat külön kezelendő.
4.3. Analitikai rendszerek
Az analitikai rendszereknek meg kell felelniük a 83. sz. ENSZ EGB-előírás 7. mellékletének 4.3. pontjában meghatározott követelményeknek.
4.4. A hőmérsékleti adatok rögzítése
A hőmérsékleti adatok rögzítésének meg kell felelnie a 83. sz. ENSZ EGB-előírás 7. mellékletének 4.5. pontjában meghatározott követelményeknek.
4.5. A nyomásértékek rögzítése
A nyomásértékek rögzítésének meg kell felelnie a 83. sz. ENSZ EGB-előírás 7. mellékletének 4.6. pontjában meghatározott követelményeknek.
4.6. Ventilátorok
A ventilátoroknak meg kell felelniük a 83. sz. ENSZ EGB-előírás 7. mellékletének 4.7. pontjában meghatározott követelményeknek.
4.7. Gázok
A használt gázoknak meg kell felelniük a 83. sz. ENSZ EGB-előírás 7. mellékletének 4.8. pontjában meghatározott követelményeknek.
4.8. Egyéb eszközök
Az egyéb eszközöknek meg kell felelniük a 83. sz. ENSZ EGB-előírás 7. mellékletének 4.9. pontjában meghatározott követelményeknek.
5. A vizsgálati eljárás
5.1. Az aktívszéntartály(ok) öregítése
Az átforrósodási vizsgálat és a napi veszteség vizsgálata előtt az aktívszéntartály(oka)t öregíteni kell az alábbi 2. ábrán ismertetett eljárással.
2. ábra
Az aktívszéntartály öregítése

5.1.1. Hőkondicionálás
A tartály(oka)t egy erre a célra kialakított hőkamrában többször - 15 °C-ról 60 °C-ra melegítik és hűtik, a végpontokon 30 percig tartva. Az egyes ciklusok hossza 210 perc a 3. ábrának megfelelően. A hőmérséklet-változás üteme a lehető legjobban közelít az 1 °C/perchez. A tartály(ok)on nem szabad átfújatni a levegőt.
A ciklust 50 egymást követő alkalommal kell megismételni. A művelet teljes hossza 175 óra.
3. ábra
Hőkondicionálási ciklus

5.1.2. Az aktívszéntartály rezgési kondicionálása
A hőkondicionálást követően a tartály(oka)t a vertikális tengely mentén, a gépjárműben elfoglalt helyzetbe állítva 30 ± 10 Hz frekvencián összesen több mint 1,5 m/sec2 Grms-nek ( 1 ) kell kitenni. A művelet hossza 12 óra.
5.1.3. Az aktívszéntartály tüzelőanyaggal való öregítése
5.1.3.1. Tüzelőanyaggal való öregítés 300 cikluson keresztül
5.1.3.1.1. A hőkondicionálás és a rezgési kondicionálás után a tartály(oka)t az alábbi 5.1.3.1.1.1. pontban leírt, 1. típusú vizsgálatokhoz használt E10 kereskedelmi tüzelőanyag és nitrogén vagy levegő 50 ± 15 % tüzelőanyaggőz-térfogatarányú keverékében kell öregíteni. A keverék tüzelőanyaggőzzel való telítettségének arányát 60 ± 20 g/órán kell tartani.
A tartály(oka)t áttörésig kell terhelni. Áttörésről akkor beszélünk, amikor a kibocsátott szénhidrogének halmozott mennyisége eléri a 2 grammot. Ettől eltérve a terhelés végpontja lehet az, amikor a szellőzőnyílásnál az egyenértékű koncentráció eléri a 3 000 ppm-t.
5.1.3.1.1.1. A vizsgálathoz használt E10 kereskedelmi tüzelőanyagnak az alábbiak tekintetében ugyanazon követelményeknek kell megfelelnie, mint az E10 referencia-tüzelőanyagnak:
- sűrűség 15 °C-on,
- gőznyomás (DVPE),
- desztilláció (csak párolgás),
- szénhidrogén-elemzés (olefinek, aromás vegyületek, benzol),
- oxigéntartalom,
- etanoltartalom.
5.1.3.1.2. A tartály(ok) tisztítását a 83. sz. ENSZ EGB-előírás 7. mellékletének 5.1.3.8. pontjában ismertetett eljárásnak megfelelően kell végezni. Normál állapot alatt 273,2 K hőmérséklet és 101,33 kPa nyomás értendő.
A tartály(ok) tisztítását a terhelést követő 5 perc és egy óra eltelte között kell elvégezni.
5.1.3.1.3. Az eljárás 5.1.3.1.1. és 5.1.3.1.2. pontban leírt lépéseit 50 alkalommal kell megismételni, ezután 5 butáncikluson keresztül az alábbi 5.1.3.1.4. pontnak megfelelően meg kell mérni a bután-feldolgozási kapacitást (BWC), ami az aktivált széntartály képessége a száraz levegőben található bután abszorpciójára és deszorpciójára meghatározott körülmények között. A tüzelőanyaggal való öregítést folytatni kell a 300. ciklus végéig. A 300 ciklus után el kell végezni a bután-feldolgozási kapacitás mérését 5 butáncikluson keresztül az 5.1.3.1.4. pontnak megfelelően.
5.1.3.1.4. A BWC mérését a tüzelőanyaggal való öregítés 50. és 300. ciklusa után kell elvégezni. A méréshez áttörésig kell terhelni a tartályt a 83. sz. ENSZ EGB-előírás 7. melléklete 5.1.6.3. pontjának megfelelően. A BWC értékét fel kell jegyezni.
Ezután el kell végezni a tartály(ok) tisztítását a 83. sz. ENSZ EGB-előírás 7. mellékletének 5.1.3.8. pontjában ismertetett eljárásnak megfelelően.
A tartály(ok) tisztítását a terhelést követő 5 perc és egy óra eltelte között kell végezni.
A butánterhelést öt alkalommal kell megismételni. A BWC értékét minden alkalom után fel kell jegyezni. A BWC50 értékét az öt terhelési eredmény átlagaként kell kiszámítani és fel kell jegyezni.
A tartály(ok) összesen 300 tüzelőanyaggal való öregítési cikluson és 10 butáncikluson megy (mennek) keresztül, ezután stabilizáltnak tekinthető(k).
5.1.3.2. Amennyiben a tartály(oka)t a beszállító adja, a gyártó erről előzetesen tájékoztatja a típusjóváhagyásért felelős hatóságot, hogy az megtekinthesse a beszállító létesítményében végzett öregítési eljárás bármely szakaszát.
5.1.3.3. A gyártó eljuttatja a típusjóváhagyásért felelős hatósághoz a vizsgálati jelentést, amely legalább a következőket tartalmazza:
- az aktivált szén típusa,
- a terhelési ráta,
- a tüzelőanyag műszaki adatai,
- BWC-mérések eredményei.
5.2. A tüzelőanyag-rendszer áteresztési tényezőjének meghatározása (4. ábra)
4. ábra
Az áteresztési tényező meghatározása

A vizsgálathoz a családra jellemző tüzelőanyag-tároló rendszert kell kiválasztani, próbapadra kell erősíteni, majd E10 referencia-tüzelőanyaggal feltöltve 20 héten át 40 °C ± 2 °C-on kell tartani. A tüzelőanyag-tároló rendszert a járműben elfoglalt szokásos helyzetéhez hasonlóan kell pozicionálni a próbapadon.
5.2.1. A tartályt friss E10 referencia-tüzelőanyaggal kell feltölteni. A feltöltést a névleges kapacitás 40 ± 2 %-áig kell elvégezni 18 °C ± 8 °C-on. A tüzelőanyag-rendszert tartó próbapadot egy biztonságos, erre a célra kialakított, szabályozott hőmérsékletű helyiségben 40 °C ± 2 °C-on kell tartani 3 héten át.
5.2.2. A 3. hét végén a tartályt ki kell üríteni, és friss E10 referencia-tüzelőanyaggal kell újratölteni a névleges kapacitás 40 ± 2 %-áig 18 °C ± 8 °C-on.
6-36 órán belül (melynek utolsó hat órájában a hőmérséklet 20 °C ± 2 °C) a tüzelőanyag-rendszert tartó próbapadot változtatható hőmérsékletű SHED-kamrába kell helyezni, és a 83. sz. ENSZ EGB-előírás 7. mellékletének 5.7. pontjának megfelelően 24 órás egész napos eljárásnak kell alávetni. A tüzelőanyag-rendszer szellőzését a kamrán kívülre kell vezetni, ezzel kizárva az áteresztés méréséből a tartály szellőzési kibocsátásait. A szénhidrogén-kibocsátást mérni kell, és értékét HC3W-ként kell feljegyezni.
5.2.3. A tüzelőanyag-rendszert tartó próbapadot ismét egy biztonságos, erre a célra kialakított szabályozott hőmérsékletű helyiségbe kell helyezni, és ott 40 °C ± 2 °C-on kell tartani a fennmaradó 17 héten át.
5.2.4. A 17. hét végén a tartályt ki kell üríteni, és friss E10 referencia-tüzelőanyaggal kell újratölteni a névleges kapacitás 40 ± 2 %-áig 18 °C ± 8 °C-on.
6-36 órán belül (melynek utolsó hat órájában a hőmérséklet 20 °C ± 2 °C) a tüzelőanyag-rendszert tartó próbapadot változtatható hőmérsékletű SHED-kamrába kell helyezni, és a 83. sz. ENSZ EGB-előírás 7. mellékletének 5.7. pontjának megfelelően 24 órás egész napos eljárásnak kell alávetni. A tüzelőanyag-rendszer szellőzését a kamrán kívülre kell vezetni, ezzel kizárva az áteresztés méréséből a tartály szellőzési kibocsátásait. A szénhidrogén-kibocsátást mérni kell, és értékét HC20W-ként kell feljegyezni.
5.2.5. Az áteresztési tényező a HC20W és a HC3W különbsége g/24 órában, 3 helyértékben megadva.
5.2.6. Amennyiben az áteresztési tényezőt a beszállító állapítja meg, a gyártó erről előzetesen tájékoztatja a típusjóváhagyásért felelős hatóságot, hogy az megtekinthesse a beszállító létesítményében végzett eljárást.
5.2.7. A gyártó eljuttatja a típusjóváhagyásért felelős hatósághoz a vizsgálati jelentést, amely legalább a következőket tartalmazza:
a) a vizsgált tüzelőanyag-tároló rendszer teljes leírása, beleértve a vizsgált tartály típusát, hogy az egy- vagy többrétegű-e, valamint hogy milyen anyagból készült a tartály és a rendszer többi eleme;
b) az öregítés során mért heti átlaghőmérsékletek;
c) a 3. héten mért HC-érték (HC3W);
d) a 20. héten mért HC-érték (HC20W);
e) az eredményül kapott áteresztési tényező (PF).
5.2.8. A fenti 5.2.1-5.2.7. pontoktól eltérve a többrétegű tartályokat használó gyártók a fent leírt teljes mérési eljárás elvégzése helyett használhatják a következő névleges áteresztési tényezőt (APF):
többrétegű tartály esetén APF = 120 mg/24 óra.
5.2.8.1. Amennyiben egy gyártó úgy dönt, hogy névleges áteresztési tényezőt használ, a típusjóváhagyásért felelős hatósághoz nyilatkozatot nyújt be a tartály típusának és az ahhoz felhasznált anyagoknak a pontos megjelölésével.
5.3. Az átforrósodási és a napi veszteség mérésének folyamata
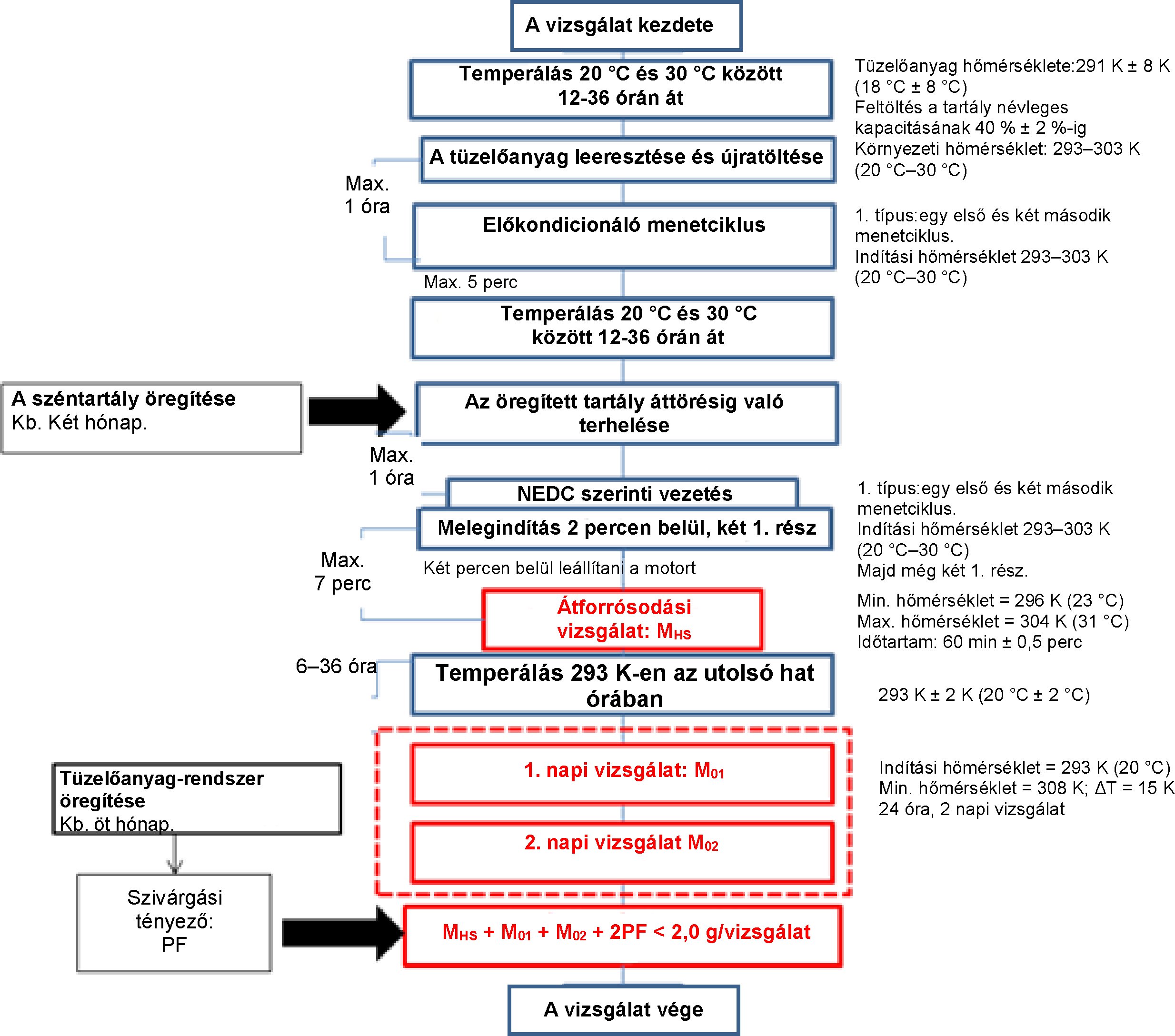
A járművet a 83. sz. ENSZ EGB-előírás 7. melléklete 5.1.1. és 5.1.2. pontjának megfelelően kell előkészíteni. A gyártó kérésére és a felelős hatóság jóváhagyásával a tüzelőanyagtól eltérő háttérkibocsátási források korlátozhatók vagy eltávolíthatók a vizsgálat előtt (pl. a gumiabroncsok vagy a jármű hevítése, az ablakmosó folyadék eltávolítása).
5.3.1. Temperálás
A járművet leállított állapotban legalább 12, de legfeljebb 36 órán keresztül temperálni kell egy temperáló helyiségben. Ennek az időtartamnak a végére a motorolajnak és a hűtőközegnek ± 3 °C-os pontossággal fel kell vennie a környezet hőmérsékletét.
5.3.2. A tüzelőanyag leeresztése és újratöltése
A 83. sz. ENSZ EGB-előírás 7. melléklete 5.1.7. pontjának megfelelően ki kell üríteni és újra kell tölteni a tüzelőanyagot.
5.3.3. Előkondicionáló menetciklus
A tüzelőanyag cseréjétől számított egy órán belül görgős fékpadra kell tenni a járművet, és alá kell vetni a 83. sz. ENSZ EGB-előírás 4a. melléklete szerinti I. típusú próbaút első része szerinti egy menetciklusnak és második része szerinti két menetciklusnak.
E művelet alatt a kipufogógáz-kibocsátásból nem kell mintát venni.
5.3.4. Temperálás
Az előkondicionálás végét követő öt percen belül a járművet leállított állapotban legalább 12, de legfeljebb 36 órán keresztül temperálni kell egy temperáló helyiségben. Ennek az időtartamnak a végére a motorolajnak és a hűtőközegnek ± 3 °C -os pontossággal fel kell vennie a környezet hőmérsékletét.
5.3.5. A széntartály áttörése
Az 5.1. pontnak megfelelően öregített aktívszéntartályt a 83. sz. ENSZ EGB-előírás 7. melléklete 5.1.4. pontjában ismertetett eljárásnak megfelelően áttörésig kell terhelni.
5.3.6. Vizsgálat fékpadon
5.3.6.1. A tartály telítésétől számított egy órán belül görgős fékpadra kell tenni a járművet, és alá kell vetni a 83. sz. ENSZ EGB-előírás 4a. melléklete szerinti I. típusú próbaút első része szerinti egy menetciklusnak és második része szerinti egy menetciklusnak. Ezután a motort le kell állítani. A művelet során mintát lehet venni a kipufogógáz-kibocsátásból, de az eredmények nem használhatók a kipufogógáz-kibocsátás tekintetében történő típusjóváhagyás céljára.
5.3.6.2. Az 5.3.6.1. pont szerinti I. típusú próbaút végétől számított két percen belül a járművel újabb kondicionáló menetciklust kell megtenni, amely az I. típusú próbaút első részének (melegindítás) kétszeri ismétléséből áll. Ezután a motort ismét le kell állítani. E művelet alatt nem szükséges mintát venni a kipufogógáz-kibocsátásból.
5.3.7. Meleg levegővel való átitatás
A görgős fékpadon végzett vizsgálat után a járművet alá kell vetni a parkolás közbeni átforrósodáskor keletkező párolgási kibocsátások vizsgálatának a 83. sz. ENSZ EGB-előírás 7. mellékletének 5.5. pontjával összhangban. Az átforrósodáskor keletkező veszteséget a 83. sz. ENSZ EGB-előírás 7. mellékletének 6. pontjával összhangban kell kiszámítani, és MHS-ként kell feljegyezni.
5.3.8. Temperálás
A parkolás közbeni átforrósodáskor keletkező párolgási kibocsátások vizsgálata után a járművet a 83. sz. ENSZ EGB-előírás 7. mellékletének 5.6. pontjával összhangban temperálni kell.
5.3.9. Napi vizsgálat
5.3.9.1. A temperálás után el kell végezni a napi veszteség első 24 órás mérését a 83. sz. ENSZ EGB-előírás 7. mellékletének 5.7. pontjával összhangban. A kibocsátásokat a 83. sz. ENSZ EGB-előírás 7. mellékletének 6. pontjában meghatározott módon kell kiszámítani. A kapott értéket MD1-ként kell feljegyezni.
5.3.9.2. A napi kibocsátások első 24 órás mérése után el kell végezni a napi kibocsátások második 24 órás mérését a 83. sz. ENSZ EGB-előírás 7. mellékletének 5.7. pontjával összhangban. A kibocsátásokat a 83. sz. ENSZ EGB-előírás 7. mellékletének 6. pontjában meghatározott módon kell kiszámítani. A kapott értéket MD2-ként kell feljegyezni.
5.3.10. Számítás
Az MHS + MD1 + MD2 + 2PF eredménye el kell maradjon a 715/2007/EK rendelet I. mellékletének 3. táblázatában meghatározott határértéktől.
5.3.11. A gyártó eljuttatja a típusjóváhagyásért felelős hatósághoz a vizsgálati jelentést, amely legalább a következőket tartalmazza:
a) a temperálási időszakok ismertetése, megadva hosszukat és az elért átlaghőmérsékleteket;
b) a használt öregített tartály leírása és hivatkozás a részletes öregítési jelentésre;
c) a meleg levegővel végzett átitatáskor alkalmazott átlaghőmérséklet;
d) a meleg levegővel végzett átitatáskor mért érték, HSL;
e) az első napi kibocsátási érték, DL1st day;
f) a második napi kibocsátási érték, DL2nd day;
g) a párolgási kibocsátások végeredménye, amelyet az MHS + MD1 + MD2 + 2PF képlet használatával kell kiszámítani."
( *1 ) HL L 174., 2017.7.7., 3. o."
( 1 )
Lábjegyzetek:
[1] A dokumentum eredetije megtekinthető CELEX: 32017R1221 - https://eur-lex.europa.eu/legal-content/HU/ALL/?uri=CELEX:32017R1221&locale=hu Utolsó elérhető, magyar nyelvű konszolidált változat CELEX: 02017R1221-20170727 - https://eur-lex.europa.eu/legal-content/HU/ALL/?uri=CELEX:02017R1221-20170727&locale=hu