32008R0692[1]
A Bizottság 692/2008/EK rendelete ( 2008. július 18. ) a könnyű személygépjárművek és haszongépjárművek (Euro 5 és Euro 6) kibocsátás tekintetében történő típusjóváhagyásáról és a járműjavítási és -karbantartási információk elérhetőségéről szóló 715/2007/EK európai parlamenti és tanács rendelet módosításáról és végrehajtásáról
A BIZOTTSÁG 692/2008/EK RENDELETE
(2008. július 18.)
a könnyű személygépjárművek és haszongépjárművek (Euro 5 és Euro 6) kibocsátás tekintetében történő típusjóváhagyásáról és a járműjavítási és -karbantartási információk elérhetőségéről szóló 715/2007/EK európai parlamenti és tanács rendelet módosításáról és végrehajtásáról
(EGT-vonatkozású szöveg)
1. cikk
Tárgy
Ez a rendelet a 715/2007/EK rendelet 4., 5. és 8. cikkének végrehajtására határoz meg intézkedéseket.
2. cikk
Fogalommeghatározások
E rendelet alkalmazásában:
1. "járműtípus a kibocsátások és a járműjavítási és -karbantartási információk tekintetében": olyan járművek csoportja, amelyek a következő szempontok tekintetében nem különböznek egymástól:
a) a referenciatömeggel ekvivalens tehetetlenségi nyomaték, az ENSZ-EGB 83. sz. előírása ( 1 ) 4. mellékletének 5.1. szakaszában előírtak szerint,
b) a motor és a jármű jellemzői az I. melléklet 3. függelékében meghatározottak alapján,
2. "jármű EK-típusjóváhagyása a kibocsátások és a járműjavítási és -karbantartási információk tekintetében": egy jármű EK-típusjóváhagyása a kipufogócsőből, a forgattyúházból, a párolgásból származó kibocsátások, az üzemanyag-fogyasztás és a jármű fedélzeti diagnosztikai információihoz és a járműjavítási és -karbantartási információkhoz való hozzáférés tekintetében,
3. "gáznemű káros anyag": a kipufogógázzal kibocsátott szén-monoxid, nitrogén-oxidok (nitrogén-dioxid-egyenértékben kifejezve) és szénhidrogének az alábbi sztöchiometriai összetételeket feltételezve:
a) C1H1,89O0,016 benzin esetében (E5),
b) C1H1,86O0,005 dízel esetében (B5),
c) C1H2,525 PB-gáz (cseppfolyósított szénhidrogén gázok) (LPG) esetében,
d) CH4 földgáz (NG) és biometán esetében,
e) C1H2,74O0,385 etanol esetében (E85),
4. "indítássegítés": a motor indításának segítése a levegő/üzemanyag keverék dúsítása nélkül, például izzítógyertyák, az injektálás vezérlésének módosítása és más eszközök,
5. "motor űrtartalma": az alábbiak valamelyike:
a) dugattyús motornál a névleges lökettérfogat,
b) forgómotoroknál (Wankel) a névleges lökettérfogat kétszerese,
6. "időszakos regenerálású rendszer": olyan katalizátoros átalakító, részecskeszűrő vagy más szennyezéscsökkentő eszköz, amely szabályos időközönként (mielőtt a jármű normál üzemben 4 000 km utat tenne meg) regenerálást igényel,
7. "cserekomponensként szolgáló eredeti szennyezéscsökkentő eszköz": az e rendelet I. mellékletének 4. függelékében felsorolt típusú szennyezéscsökkentő eszköz vagy azokból álló rendszer, amelyeket a jármű típusjóváhagyásának birtokosa a piacon önálló műszaki egységként kínál,
8. "szennyezéscsökkentő eszköz típusa" olyan katalizátoros átalakítók és részecskeszűrők, amelyek a következő alapvető szempontokból nem különböznek egymástól:
a) hordozórétegek száma, szerkezete és anyaga,
b) az egyes hordozórétegek működésének típusa,
c) térfogat, a homlokfelület és a hordozóréteg hosszának aránya,
d) a katalizátor mennyisége,
e) a katalizátor aránya,
f) cellasűrűség,
g) méretek és alak,
h) hővédelem,
9. "egyfajta üzemanyaggal működő jármű": olyan jármű, amely tervezése alapján elsődlegesen egyfajta üzemanyagot használ,
10. "egyfajta üzemanyaggal működő gázüzemű jármű": olyan jármű, amely elsődlegesen PB-gázt, földgázt/biometánt vagy hidrogént használ, de esetleg - csak szükséghelyzetek esetére vagy indításra - benzinrendszerrel is rendelkezik, ha a benzintartálya legfeljebb 15 liter benzin tárolására alkalmas,
11. "kétfajta üzemanyaggal működő jármű": olyan jármű, két különálló üzemanyag-tároló rendszerrel, amely adott ideig két különböző üzemanyagot használhat és tervezése alapján szerint egyszerre csak az egyik üzemanyagot használja,
12. "kétfajta üzemanyaggal működő gázüzemű jármű" olyan jármű, amely benzinnel is, és PB-gázzal, földgázzal/biometánnal, vagy hidrogénnel is működik,
13. "rugalmas üzemanyag-felhasználású jármű": olyan jármű, amely egy üzemanyag-tároló rendszerrel rendelkezik és több üzemanyag különböző keverékeivel működik,
14. "rugalmas üzemanyag-felhasználású etanolmotoros jármű" olyan rugalmas üzemanyag-felhasználású jármű, amely benzinnel, vagy legfeljebb 85 % etanolt tartalmazó benzin/etanol keverékkel (E85) működik,
15. "rugalmas üzemanyag-felhasználású biodízel-motoros jármű" olyan rugalmas üzemanyag-felhasználású jármű, amely ásványi dízellel, vagy ásványi dízel/biodízel keverékkel működik,
16. "hibridhajtású elektromos jármű (HEV)": olyan jármű, amely a mechanikus hajtáshoz a járműben lévő mindkét következő tárolt energiaforrásból kap energiát (ideértve azokat a járműveket is, amelyek fogyó üzemanyagból csak arra vesznek fel energiát, hogy feltöltsék a villamos energiát tároló eszközt):
a) fogyó üzemanyag,
b) akkumulátor, kondenzátor, lendkerék/generátor vagy villamos energiát tároló más eszköz,
17. "megfelelően karbantartott és használt": a vizsgált jármű tekintetében azt jelenti, hogy az ilyen jármű teljesíti egy kiválasztott járműre a II. melléklet 1. függelékének 2. pontjában megállapított elfogadási kritériumokat,
18. "kibocsátáscsökkentő rendszer": a fedélzeti diagnosztikai rendszerrel összefüggésben: az elektronikus motorvezérlő egység és a kipufogórendszerben vagy párolgásveszélyes rendszerben lévő azon kibocsátással kapcsolatos komponensek, amelyek ennek a vezérlőnek bemenő jeleket adnak vagy attól kimenő jeleket kapnak,
19. "hibajelző (MI)": olyan optikai kijelző vagy hangjelzés, amely a fedélzeti diagnosztikai rendszer által ellenőrzött, kibocsátással kapcsolatos komponens működési hibája, vagy magának a diagnosztikai rendszernek a működési hibája esetén egyértelműen tájékoztatja a járművezetőt,
20. "működési hiba": kibocsátással kapcsolatos komponens vagy rendszer olyan meghibásodása, amely a XI. melléklet 3.3.2. szakászában meghatározott határértékeket meghaladó kibocsátást eredményezhet, vagy azt okozhatja, hogy a fedélzeti diagnosztikai rendszer nem képes eleget tenni a XI. mellékletben meghatározott alapvető ellenőrzési követelményeknek,
21. "másodlagos levegő": a kipufogó rendszerbe szivattyú, szívószelep vagy más eszköz segítségével bevezetett levegő azzal a céllal, hogy segítse a kipufogógáz-áramban lévő CH és CO oxidációját.
22. "menetciklus": a jármű fedélzeti diagnosztikai rendszerei tekintetében a motor indításából, egy olyan menetből, amelynek során egy esetleg fennálló működési hiba észlelhető, és a motor leállításából álló folyamat,
23. "információhoz való hozzáférés": a jármű fedélzeti diagnosztikai információihoz és a járműjavítási és -karbantartási információkhoz való hozzáférés, amely szükséges a jármű ellenőrzéséhez, diagnosztizálásához, szervizeléséhez vagy javításához,
24. "hiányosság": a fedélzeti diagnosztikai rendszer szempontjából az, ha az ellenőrzött komponensek vagy rendszerek közül legfeljebb kettő olyan ideiglenes vagy állandó működési jellemzőket mutat, amelyek hátrányosan befolyásolják e komponenseknek vagy rendszereknek a fedélzeti diagnosztika által történő, egyébként hatékony ellenőrzését, vagy nem felelnek meg a fedélzeti diagnosztikai rendszerrel szemben támasztott összes többi követelménynek,
25. "lerontott szennyezéscsökkentő egység cserekomponensként": olyan mértékben elöregített vagy mesterségesen lerontott, a 715/2007/EK rendelet 3. cikkének (11) bekezdése értelmében vett szennyezéscsökkentő egység, amely többé nem képes eleget tenni az ENSZ-EGB 83. sz. előírása XI. melléklete 1. függelékének 1. szakaszában meghatározott követelményeknek,
26. "jármű fedélzeti diagnosztikai információi": a jármű elektronikus rendszereit ellenőrző fedélzeti diagnosztikai rendszerre vonatkozó információk,
27. "reagens": a járműben tárolt anyag, az üzemanyag kivételével, amelynek a kipufogógáz-utókezelő rendszerbe történő adagolását a kibocsátáscsökkentő rendszer szabályozza,
28. "a menetkész jármű tömege": a 2007/46/EK irányelv I. mellékletének 2.6. pontjában meghatározott tömeg,
29. "gyújtáshiba": szikragyújtású motor hengerében szikra hiánya, rossz üzemanyag-adagolás, gyenge kompresszió vagy más ok miatt az égés elmaradása,
30. "hidegindító rendszer vagy berendezés": olyan rendszer, amely ideiglenesen dúsítja a levegő/üzemanyag keveréket, ezzel segítve a motor indulását,
31. "mellékhajtás vagy annak működése": a motor általi hajtás, amely a járműre szerelt segédberendezéseket hajtja,
32. "kis termelésű gyártók": olyan járműgyártók, amelyeknek éves termelése világviszonylatban nem éri el a 10 000 darabot,
33. "villamos erőátviteli rendszer": olyan rendszer, amely egy vagy több energiatároló eszközből, egy vagy több áramkondicionáló eszközből és egy vagy több olyan villamos gépből áll, amely a tárolt energiát a jármű hajtása céljából a jármű kerekeire juttatott mechanikus energiává alakítja át,
34. "tisztán elektromos meghajtású jármű": olyan jármű, amely csak villamos erőátviteli rendszerrel rendelkezik,
35. "rugalmas üzemanyag-felhasználású H2NG-üzemű jármű": olyan rugalmas üzemanyag-felhasználású jármű, amely képes hidrogén és földgáz/biometán különböző keverékeivel működni,
36. "hidrogéncellás jármű": olyan jármű, amely a jármű hajtásához hidrogénből származó kémiai energiát villamos energiává átalakító üzemanyagcellából kapja az energiát,
37. "hasznos teljesítmény": próbapadon a forgattyústengely vagy annak megfelelője végén adott motorsebességnél vagy fordulatszámnál a XX. melléklet (Az elektromos hajtóművek hasznos motorteljesítményének, hasznos teljesítményének és legnagyobb 30 perces teljesítményének mérése) szerinti segédberendezésekkel mérhető és a légköri referenciaviszonyok mellett meghatározott teljesítmény,
38. "legnagyobb hasznos teljesítmény": a motor teljes terhelés mellett mért legnagyobb hasznos teljesítménye,
39. "legnagyobb 30 perces teljesítmény": az elektromos hajtóműnek a 85. sz. ENSZ-EGB-előírás 5.3.2. szakasza szerint meghatározott, egyenáramon mért legnagyobb hasznos teljesítménye ( 2 ),
40. "hidegindítás": a motor hűtőfolyadékának hőmérséklete (vagy azzal egyenértékű hőmérséklet) a motor indításakor legfeljebb 35 °C, és legfeljebb 7 K-nel magasabb a motor indításakor mérhető környezeti hőmérsékletnél (amennyiben ismert),
41. "valós vezetési feltételek melletti kibocsátás (RDE)": a gépjármű szokásos használati körülmények között keletkező kibocsátása,
42. "hordozható kibocsátásmérő rendszer (PEMS)": az e rendelet IIIA. mellékletének 1. függelékében meghatározott követelményeknek megfelelő, hordozható kibocsátásmérő rendszer,
43. "kibocsátáscsökkentési alapstratégia": olyan kibocsátáscsökkentési stratégia, amely a gépjármű teljes sebesség- és terheléstartományában mindenkor kifejti hatását, ha egy kibocsátáscsökkentési segédstratégia nem lép életbe;
44. "kibocsátáscsökkentési segédstratégia": olyan kibocsátáscsökkentési stratégia, amely valamilyen konkrét cél érdekében és a környezeti és/vagy üzemállapotok valamely együttesére válaszként lép életbe, és kizárólag e feltételek fennállásának ideje alatt felváltja vagy módosítja a kibocsátáscsökkentési alapstratégiát;
45. "tüzelőanyag-tároló rendszer": a tüzelőanyag tárolására szolgáló eszközök, beleértve a tüzelőanyag-tartályt, a tüzelőanyag-töltő csövet, a tanksapkát és a tüzelőanyag-szivattyút;
46. "áteresztési tényező (PF)": a tüzelőanyag-tároló rendszer által áteresztett szénhidrogén-kibocsátások;
47. "egyrétegű tartály": egyetlen anyagrétegből álló tüzelőanyag-tartály;
48. "többrétegű tartály": legalább két különböző anyagréteg használatával kialakított tüzelőanyag-tartály, melyben a rétegek egyikének anyaga a szénhidrogének, így az etanol számára is áthatolhatatlan.
3. cikk
A típusjóváhagyásra vonatkozó előírások
1. A kibocsátás és a járműjavítási és -karbantartási információk tekintetében történő EK-típusjóváhagyás megszerzéséhez a gyártónak igazolnia kell, hogy a járművek megfelelnek az e rendelet III-VIII., X-XII., XIV., XVI. és XX. mellékletében ismertetett vizsgálati eljárásoknak. A gyártónak arról is gondoskodnia kell, hogy a járművek megfeleljenek a referencia-tüzelőanyagok e rendelet IX. mellékletében ismertetett specifikációinak.
2. A járművön az I. melléklet I.2.4. ábráján ismertetett méréseket kell elvégezni.
3. A II., III., V.-XI. és XVI. melléklet előírásai alternatívájaként a kis termelésű gyártók kérhetnek EK-típusjóváhagyást olyan járműtípusra, amelyet egy harmadik ország hatósága már jóváhagyott, az I. melléklet 2.1. pontjában szereplő jogszabályok alapján.
A kibocsátások és a járműjavítási és -karbantartási információk tekintetében történő EK-típusjóváhagyás e bekezdés szerinti megszerzéséhez ugyanakkor ez esetben is el kell végezni a IV. mellékletben előírt, a közúti közlekedésre való alkalmasság megállapításához szükséges kibocsátásméréseket, a XII. mellékletben az üzemanyag-fogyasztásra és a CO2-kibocsátásra előírt méréseket, illetve teljesíteni kell a XIV. mellékletben a jármű fedélzeti diagnosztikai információinak és a járműjavítási és -karbantartási információknak az elérhetőségére vonatkozó előírásokat.
A jóváhagyó hatóság tájékoztatja a Bizottságot az e bekezdés alapján megadott minden egyes típusjóváhagyás feltételeiről.
4. Az üzemanyagtartály töltőelemeire és az elektronikus rendszerek biztonságára vonatkozó egyedi előírásokat az I. melléklet 2.2. és 2.3. pontja tartalmazza.
5. A gyártónak olyan műszaki megoldásokat kell alkalmaznia, amelyek biztosítják a kipufogócsőből és a párolgásból származó kibocsátások hatékony korlátozását, e rendeletnek megfelelően, a jármű teljes szokásos élettartama alatt és szokásos üzemi körülmények között.
Ezek közé tartozik a kibocsátáscsökkentő rendszerekben használt tömlők és csatlakozók biztonsága is, amelyeket úgy kell kialakítani, hogy megfeleljenek az eredetileg tervezett célnak.
6. A gyártó biztosítja, hogy az e rendeletben meghatározott mérési feltételek között végzett kibocsátásmérés eredményei megfeleljenek a vonatkozó határértékeknek.
7. A IV. melléklet 1. függelékében ismertetett 2. típusú mérés esetében a normál üresjárati fordulatszámon a kipufogógáz legnagyobb megengedett szén-monoxid-tartalma az, amit a járműgyártó megad. A legnagyobb megengedett szén-monoxid-tartalom azonban nem haladhatja meg a 0,3 térfogatszázalékot.
Nagyobb üresjárati fordulatszámon a szén-monoxidnak a kipufogógáz térfogatára vonatkoztatott mennyisége nem haladhatja meg a 0,2 %-ot akkor, amikor a fordulatszám legalább 2 000 min-1 és a lambda 1 ± 0,03 vagy a gyártó specifikációi szerinti.
8. A gyártó biztosítja, hogy az V. mellékletben ismertetett 3. típusú mérés esetében a motor forgattyúházának szellőztető rendszere ne engedjen gázt a levegőbe.
9. A VIII. mellékletben ismertetett, kibocsátásokat kis hőmérsékleten mérő 6. típusú mérést nem kell alkalmazni dízelüzemű járművekre.
A típusjóváhagyás kérésekor azonban a gyártónak be kell nyújtania a jóváhagyó hatósághoz olyan információkat, amelyek bizonyítják, hogy az NOx-utókezelő elegendően nagy hőmérsékletet ér el ahhoz, hogy a 6. típusú mérésben leírt - 7 °C-os hidegindítás után 400 s-on belül hatékonyan működjön.
Ezenkívül a gyártónak információkat kell szolgáltatnia a jóváhagyó hatósághoz a kipufogógáz-visszavezető rendszer működési stratégiájáról, beleértve a kis hőmérsékleteken való működését is.
Az információknak tartalmazniuk kell a kibocsátásokra gyakorolt hatások leírását is.
A jóváhagyó hatóság nem adhat meg típusjóváhagyást, ha a beadott információ nem elégséges annak igazolására, hogy az utókezelő a megadott időn belül ténylegesen eléri a hatékony működéshez elegendően nagy hőmérsékletet.
A Bizottság kérésére a jóváhagyó hatóság információkat ad az NOx-utókezelő és a kipufogógáz-visszavezető rendszer kis hőmérsékleteken való működéséről.
10. A gyártónak biztosítania kell, hogy a 715/2007/EK rendelet szerinti típusjóváhagyással rendelkező gépjárművek szokásos élettartama alatt a gépjárműveknek az e rendelet IIIA. mellékletében foglalt követelmények alapján meghatározott és az említett mellékletnek megfelelően elvégzett RDE-vizsgálat során keletkező kibocsátásai ne haladják meg az említett mellékletben foglalt értékeket.
A 715/2007/EK rendelet szerinti típusjóváhagyást csak akkor lehet megadni, ha a gépjármű a IIIA. melléklet 7. függeléke alapján tagja a hitelesített PEMS-vizsgálati családok valamelyikének.
A 715/2007/EK rendelet 10. cikkének (4) bekezdésében meghatározott dátumoktól számított három évig, valamint 10. cikkének (5) bekezdésében meghatározott dátumoktól számított négy évig a következő rendelkezéseket kell alkalmazni:
a) A IIIA. melléklet 2.1. pontjának követelményei nem alkalmazandók.
b) a IIIA. melléklet egyéb követelményeit, különösen az RDE-vizsgálatok elvégzése, valamint az adatok rögzítése és rendelkezésre bocsátása tekintetében, csak a 715/2007/EK rendelet szerint, a IIIA. mellékletnek az Európai Unió Hivatalos Lapjában való közzétételét követő huszadik nap után megadott új típusjóváhagyások esetében kell alkalmazni;
c) a IIIA. melléklet követelményei nem vonatkoznak a 715/2007/EK rendelet 2. cikkének 32. pontja szerinti kis sorozatú gyártók számára megadott típusjóváhagyásokra;
d) amennyiben a IIIA. melléklet 5. és 6. függelékében meghatározott követelmények az e függelékekben leírt két adatértékelési módszer közül csak az egyik alkalmazásával teljesülnek, a következő eljárásokat kell követni:
i. egy újabb RDE-vizsgálatot kell elvégezni;
ii. ha az említett követelmények újfent csak egy módszer esetében teljesülnek, mindkét módszerre vonatkozóan rögzíteni kell a teljesség és a normalitás elemzését, és ezt követően a IIIA. melléklet 9.3. pontjában előírt számítást arra a módszerre lehet korlátozni, amely esetében teljesülnek a teljességre és a normalitásra vonatkozó követelmények.
Mindkét RDE-vizsgálat, valamint a teljességre és a normalitásra vonatkozó elemzés adatait rögzíteni kell, és rendelkezésre kell bocsátani a két adatértékelési módszer eredményei közötti különbség vizsgálata céljából;
e) A vizsgálati gépjármű kerekeire jutó teljesítményt vagy a kerékagy forgatónyomatékának mérésével, vagy a IIIA. melléklet 6. függeléke 4. pontjának megfelelően a CO2 tömegáramából, "Veline-ok" használatával kell meghatározni.
4. cikk
A fedélzeti diagnosztikai rendszer tekintetében történő típusjóváhagyásra vonatkozó előírások
1. A gyártó biztosítja, hogy az összes jármű el legyen látva fedélzeti diagnosztikai rendszerrel.
2. A fedélzeti diagnosztikai rendszereket úgy kell kialakítani, legyártani és a járműbe beépíteni, hogy képesek legyenek a jármű teljes élettartama alatt a funkciócsökkenések vagy működési hibák típusainak felismerésére.
3. A fedélzeti diagnosztikai rendszernek a szokásos használati körülmények között meg kell felelnie e rendelet előírásainak.
4. A XI. melléklet 1. függeléke szerinti hibás komponenssel történő tesztelés során a fedélzeti diagnosztikai rendszer hibajelzőjének be kell kapcsolódnia.
A fedélzeti diagnosztikai rendszer hibajelzője a XI. mellékletben megadott diagnosztikai küszöbértékek alatti kibocsátások esetén is bekapcsolódhat ebben a tesztben.
5. A gyártó biztosítja, hogy a fedélzeti diagnosztikai rendszer az ésszerűen feltételezhető vezetési körülmények között megfeleljen a használat közbeni működésre e rendelet XI. melléklete 1. függelékének 3. pontjában előírt követelményeknek.
6. A gyártó biztosítja a használat közbeni működésre vonatkozó, a jármű fedélzeti diagnosztikai rendszere által a XI. melléklet 1. függelékének 3.6. pontja szerint tárolt és továbbított adatok kódolás nélküli könnyű elérhetőségét a nemzeti hatóságok és független gazdasági szereplők számára.
5. cikk
Jármű EK-típusjóváhagyási kérelme a kibocsátások és a járműjavítási és -karbantartási információk elérhetősége tekintetében
1. A gyártó benyújtja a jóváhagyó hatósághoz a járműnek a kibocsátások és a járműjavítási és -karbantartási információk elérhetősége tekintetében történő EK-típusjóváhagyása iránti kérelmét.
2. Az (1) bekezdésben említett kérelmet az I. melléklet 3. függelékében mintaként szereplő adatközlő lapoknak megfelelően kell összeállítani.
3. A gyártó benyújtja továbbá a következő információkat:
a) szikragyújtású motorral felszerelt járművek esetében a gyártó nyilatkozata a gyújtáshibáknak arról a legkisebb számáról az összes gyújtási esemény százalékában, amelyek - ha az e rendelet III. mellékletében leírt 1. típusú mérésnél a mérés kezdetétől fogva előfordulnak - a XI. melléklet 2.3. pontjában megadott kibocsátási határértékek túllépését okozhatják, vagy pedig a kipufogórendszer katalizátorának vagy katalizátorainak visszafordíthatatlan károsodáshoz vezető túlhevülését okozhatják,
b) részletes írásos információ, amely teljeskörűen leírja a fedélzeti diagnosztikai rendszer funkcionális működési jellemzőit, beleértve a jármű kibocsátáscsökkentő rendszere minden olyan elemének felsorolását is, amelyet a fedélzeti diagnosztikai rendszer ellenőriz,
c) leírás arról a hibajelzőről, amellyel a fedélzeti diagnosztikai rendszer hiba előfordulását jelzi a járművezetőnek,
d) a gyártó nyilatkozata arról, hogy a fedélzeti diagnosztikai rendszer az ésszerűen feltételezhető vezetési körülmények között megfelel a használat közbeni működésre a XI. melléklet 1. függelékének 3. pontjában előírt követelményeknek,
e) egy terv, amely részletesen leírja azokban az ellenőrző rutinokban a számláló és a nevező megnövelésének műszaki kritériumait és ezek indoklását, amelyeknek meg kell felelniük a XI. melléklet 1. függelékének 3.2. és 3.3. pontjában előírt követelményeknek, valamint a számlálóknak, a nevezőknek és az általános nevezőnek a XI. melléklet 1. függelékének 3.7. pontjában ismertetett feltételek miatti letiltásának műszaki kritériumait és ezek indoklását,
f) leírás azokról az intézkedésekről, amelyek megakadályozzák a kibocsátáscsökkentő számítógép manipulálását és beállításainak megváltoztatását,
g) szükség szerint a XI. melléklet 2. függelékében említett járműcsalád adatai,
h) adott esetben más típusjóváhagyások másolatai, olyan megfelelő adatokkal, melyek lehetővé teszik a jóváhagyás kiterjesztését és a romlási tényezők meghatározását.
4. A (3) bekezdés d) pontja esetében a gyártó az I. melléklet 7. függelékében a fedélzeti diagnosztikai rendszer használat közbeni működésére vonatkozó előírásoknak való megfelelést igazoló gyártói megfelelőségi tanúsítványra megadott mintát használja.
5. A (3) bekezdés e) pontja esetében a jóváhagyást megadó jóváhagyó hatóság az e pontban említett információkat kérésre a jóváhagyó hatóságok vagy a Bizottság rendelkezésére bocsátja.
6. A (3) bekezdés d) és e) pontja esetében a jóváhagyó hatóságok nem adhatnak jóváhagyást a járműre, ha a gyártó által beadott információk nem felelnek meg a XI. melléklet 1. függelékének 3. pontjában előírt követelményeknek.
A XI. melléklet 1. függelékének 3.2., 3.3. és 3.7. pontja alkalmazandó minden ésszerűen feltételezhető vezetési körülményre.
Az első és második albekezdésben ismertetett előírások végrehajtásának értékelésekor a jóváhagyó hatóságoknak figyelembe kell venniük a technológia mindenkori fejlettségi szintjét.
7. A (3) bekezdés f) pontja esetében a kibocsátáscsökkentő számítógép manipulálásának és beállításai megváltoztatásának megakadályozására tett intézkedések között lennie kell olyan frissítési lehetőségnek, amely a gyártó által jóváhagyott programot vagy kalibrációt használja.
8. Az I. melléklet I.2.4. ábráján ismertetett mérésekhez a gyártó a típus-jóváhagyási vizsgálat végrehajtásáért felelős műszaki szolgálat rendelkezésére bocsát egy, a jóváhagyandó járműtípus szempontjából reprezentatív járművet.
9. Az egyfajta üzemanyaggal működő, a kétfajta üzemanyaggal működő és a rugalmas üzemanyag-felhasználású járművekre vonatkozó típus-jóváhagyási kérelemnek meg kell felelnie az I. melléklet 1.1. és 1.2. pontjában előírt kiegészítő követelményeknek.
10. Egy rendszer, komponens vagy önálló műszaki egység gyártmányának a típusjóváhagyás utáni megváltozása nem jár automatikusan a típusjóváhagyás érvénytelenítésével, kivéve ha eredeti jellemzőik vagy műszaki paramétereik oly mértékben megváltoztak, hogy az érinti a motor működését vagy a kibocsátáscsökkentő rendszert.
11. A gyártó részletes dokumentációcsomagot bocsát rendelkezésre, amely tartalmazza az alábbi információkat:
a) információk az összes kibocsátáscsökkentési segédstratégia és kibocsátáscsökkentési alapstratégia működéséről, ideértve mindazon paraméterek ismertetését, melyeket valamely kibocsátáscsökkentési segédstratégia módosít, és azokat a peremfeltételeket, melyek mellett a kibocsátáscsökkentési segédstratégia működik, valamint annak megjelölését, hogy az e rendeletben meghatározott vizsgálati eljárások feltételei mellett a kibocsátáscsökkentési segédstratégia vagy a kibocsátáscsökkentési alapstratégia lép valószínűleg működésbe;
b) a tüzelőanyag-rendszer szabályozásának logikája, az időzítési stratégiák és a "ki-be" kapcsolási pontok valamennyi üzemmódra.
12. A (11) bekezdésben említett részletes dokumentációcsomagot szigorúan bizalmasan kell kezelni. A csomagot őrizheti a jóváhagyó hatóság vagy a jóváhagyó hatóság döntése alapján a gyártó. Amennyiben a dokumentációcsomagot a gyártó őrzi, a jóváhagyó hatóság azt az áttekintést és jóváhagyást követően azonosító számmal és keltezéssel látja el. A dokumentációt a jóváhagyás során, illetve a jóváhagyás érvényességének időtartama alatt bármikor hozzáférhetővé kell tenni a típusjóváhagyó hatóság számára.
6. cikk
Jármű kibocsátások és a járműjavítási és -karbantartási információk elérhetősége tekintetében történő EK-típus-jóváhagyására vonatkozó közigazgatási rendelkezések
1. Ha az összes vonatkozó követelmény teljesül, a jóváhagyó hatóság megadja az EK-típusjóváhagyást és a 2007/46/EK irányelv VII. mellékletében meghatározott számozási rendszerrel összhangban típusjóváhagyási számot ad ki.
A 2007/46/EK irányelv VII. mellékletében foglalt rendelkezések sérelme nélkül a típusjóváhagyási szám 3. részét az e rendelet I. mellékletének 6. függeléke szerint kell meghatározni.
A jóváhagyó hatóság nem adhatja ugyanazt a számot másik járműtípusnak.
A 715/2007/EK rendelet követelményei akkor tekinthetők teljesítettnek, ha az összes alábbi feltétel teljesül:
a) az e rendelet 3. cikkének (10) bekezdésében foglalt előírások teljesülnek;
b) az e rendelet 13. cikkében foglalt előírások teljesülnek;
c) a gépjárművet a 07. módosítássorozattal módosított 83. sz. ENSZ EGB-előírás, a 85. sz. ENSZ EGB-előírás és kiegészítései, a 101. sz. ENSZ EGB-előírás 3. javított változata (amely magában foglalja a 01. módosítássorozatot és annak kiegészítéseit) és kompressziós gyújtású járművek esetében a 03. módosítássorozattal módosított 24. sz. ENSZ EGB-előírás III. része alapján hagyták jóvá;
d) az 5. cikk (11) és (12) bekezdésében foglalt előírások teljesülnek.
2. Az (1) bekezdés rendelkezéseitől eltérően a gyártó kérésére fedélzeti diagnosztikai rendszerrel ellátott jármű kaphat típusjóváhagyást a kibocsátások és a jármű javítására és karbantartására vonatkozó információk tekintetében akkor is, ha a rendszernek egy vagy több hiányossága van - például ha a XI. melléklet egyedi előírásai nem teljesülnek maradéktalanul -, feltéve hogy az említett melléklet 3. pontjában előírt egyedi közigazgatási rendelkezések teljesülnek.
A jóváhagyó hatóság az ilyen típusjóváhagyás megadásáról szóló döntéséről a 2007/46/EK irányelv 8. cikke szerint tájékoztatja a többi tagország összes jóváhagyó hatóságát.
3. Az EK-típusjóváhagyásnak az (1) bekezdés szerinti megadásakor a jóváhagyó hatóság az I. melléklet 4. függelékében megadott minta felhasználásával állítja ki az EK-típusjóváhagyási tanúsítványt.
7. cikk
A típusjóváhagyások módosításai
A 2007/46/EK irányelv 13., 14. és 16. cikke vonatkozik a típusjóváhagyások módosítására.
A gyártó kérésére az I. melléklet 3. pontjában előírt rendelkezések csak ugyanolyan típusú járművekre vonatkoznak anélkül, hogy szükség lenne további vizsgálatra.
8. cikk
Gyártásmegfelelőség
1. A gyártás megfelelőségének biztosítása érdekében hozott intézkedéseknek meg kell felelniük a 2007/46/EK irányelv 12. cikkében foglalt rendelkezéseknek.
2. A gyártás megfelelőségét az e rendelet I. mellékletének 4. függelékében meghatározott típus-jóváhagyási tanúsítványban szereplő leírás alapján kell ellenőrizni.
3. A gyártásmegfelelőségre vonatkozó egyedi rendelkezéseket e rendelet I. mellékletének 4. pontja, a vonatkozó statisztikai módszereket pedig az említett melléklet 1. és 2. függeléke tartalmazza.
9. cikk
Használatban lévő járművek megfelelősége
1. A használatban lévő járművek megfelelőségére vonatkozó rendelkezéseket e rendelet II. melléklete, a 70/220/EGK tanácsi irányelv ( 3 ) szerint típusjóváhagyást kapott járművekre vonatkozókat pedig e rendelet XV. melléklete tartalmazza.
2. Az e rendelet vagy a 70/220/EGK irányelv szerint típusjóváhagyást kapott használatban lévő járművek megfelelőségének ellenőrzésére a 2007/46/EK irányelv 12. cikke szerint kell intézkedéseket hozni.
3. A használatban lévő járművek megfelelőségének ellenőrzésére hozott intézkedéseknek alkalmasaknak kell lenniük a kibocsátáscsökkentő rendszerek működésének ellenőrzésére a jármű hasznos élettartama alatt, a szokásos használati körülmények között, az e rendelet II. mellékletében meghatározottak szerint.
4. A használatban lévő járművek megfelelőségének ellenőrzésére hozott intézkedéseket a jármű ötéves koráig, illetve 100 000 km megtételéig kell ellenőrizni (amelyik hamarabb bekövetkezik).
5. A gyártó nem kötelezhető a használatban lévő járművek megfelelőségének ellenőrzésére, ha az értékesített járművek száma miatt nem lehet a vizsgálathoz megfelelő méretű mintát venni. Nem írható ezért elő ellenőrzés, ha az adott járműtípusból a Közösségen belül évente 5 000 -nél kevesebbet értékesítenek.
Az ilyen kis sorozatú járművek gyártójának azonban jelentést kell beadnia a jóváhagyó hatósághoz a kibocsátással kapcsolatos garanciális és javítási igénybejelentésekről és a fedélzeti diagnosztika meghibásodásairól, e rendelet II. mellékletének 2.3. pontja szerint. Ezenkívül a jóváhagyó hatóság előírhatja az ilyen járműtípusok e rendelet II. mellékletének 1. függeléke szerinti vizsgálatát.
6. Ha az e rendelet szerint típusjóváhagyást kapott járművek tekintetében a jóváhagyó hatóság nem fogadja el a II. melléklet 2. függelékében meghatározott kritériumok szerinti mérések eredményeit, akkor a 2007/46/EK irányelv 30. cikke (1) bekezdésében és X. mellékletében említett javítási intézkedések a II. melléklet 1. függelékének 6. pontja szerint kiterjesztendők az ugyanolyan járműtípushoz tartozó, használatban lévő olyan járművekre, amelyeket ugyanezek a hibák valószínűleg szintén érintenek.
A gyártó által az e rendelet II. melléklete 1. függelékének 6.1. pontja szerint készített javítási intézkedési tervet a jóváhagyó hatóságnak jóvá kell hagynia. A gyártó felelős a jóváhagyott javítási terv végrehajtásáért.
A jóváhagyó hatóság döntéséről 30 napon belül értesíti az összes tagállamot. A tagállamok kérhetik, hogy ugyanezeket a javítási intézkedéseket hajtsák végre a területükön regisztrált összes ugyanilyen típusú járművön is.
7. Ha a jóváhagyó hatóság megállapítja, hogy egy járműtípus nem felel meg az 1. függelék vonatkozó előírásainak, akkor erről késedelem nélkül értesíti azt a tagállamot, amely az eredeti típusjóváhagyást a 2007/46/EK irányelv 30. cikkének (3) bekezdése szerint kiadta.
Az értesítés után és a 2007/46/EK irányelv 30. cikkének (6) bekezdésétől függően az eredeti típusjóváhagyást kiadó jóváhagyó hatóság tájékoztatja a gyártót, hogy a járműtípus nem felel meg e rendelkezések előírásainak, és hogy a gyártótól intézkedéseket várnak. A gyártó a fenti értesítéstől számított két hónapon belül beadja a hatóságnak a hibák kiküszöbölését célzó intézkedések tervét, amelynek lényegét tekintve meg kell felelnie az 1. függelék 6.1.-6.8. pontjában foglalt előírásoknak. Az eredeti típusjóváhagyást kiadó jóváhagyó hatóság két hónapon belül konzultál a gyártóval, hogy megállapodjanak egy intézkedési tervről és a terv végrehajtásáról. Ha az eredeti típusjóváhagyást kiadó jóváhagyó hatóság megállapítja, hogy nem lehet megállapodást elérni, akkor kezdeményezni kell a 2007/46/EK irányelv 30. cikkének (3) és (4) bekezdésében előírt eljárást.
10. cikk
Szennyezéscsökkentő komponensek
1. A gyártónak biztosítani kell, hogy a 715/2007/EK rendelet hatálya alá tartozó EK-típusjóváhagyással rendelkező járművekbe a 2007/46/EK irányelv 10. cikkének (2) bekezdése értelmében vett önálló műszaki egységként beszerelendő szennyezéscsökkentő cserekomponensek rendelkezzenek EK-típusjóváhagyással, e rendelet 12. és 13. cikke, valamint XIII. mellékletének megfelelően.
E rendelet értelmezésében a katalizátoros átalakítók és a részecskeszűrők szennyezéscsökkentő komponenseknek minősülnek.
A vonatkozó előírások akkor tekinthetők teljesítettnek, ha az összes alábbi feltétel teljesül:
a) a 13. cikkben foglalt előírások teljesülnek;
b) a szennyezéscsökkentő cserekomponenst a 103. sz. ENSZ-EGB előírás alapján hagyták jóvá.
A harmadik albekezdésben hivatkozott esetben a 14. cikk rendelkezéseit is alkalmazni kell.
2. Az I. melléklet 4. függelékéhez fűzött kiegészítés 2.3. pontjában megadott típusú, és a vonatkozó típus-jóváhagyási tanúsítványban szereplő járműbe való beszerelésre tervezett eredeti szennyezéscsökkentő cserekomponenseknek nem kell megfelelniük a XIII. melléklet előírásainak, feltéve hogy eleget tesznek az említett melléklet 2.1. és 2.2. pontja előírásainak.
3. A gyártónak gondoskodnia kell arról, hogy az eredeti szennyezéscsökkentő komponenseken fel legyenek tüntetve az azonosító jelölések.
4. A (3) bekezdésben említett azonosító jelölések a következőket tartalmazzák:
a) a jármű vagy motor gyártójának neve vagy védjegye,
b) az eredeti szennyezéscsökkentő komponens gyártmánya és termékazonosító száma, ahogy az az I. melléklet 3. függelékének 3.2.12.2. pontja szerint megadott információkban szerepel.
11. cikk
Szennyezéscsökkentő cserekomponens egy típusának önálló műszaki egységként való EK-típusjóváhagyására vonatkozó kérelem
1. A gyártó benyújtja a jóváhagyó hatósághoz a szennyezéscsökkentő cserekomponens egy típusának önálló műszaki egységként való EK-típusjóváhagyására vonatkozó kérelmét.
A kérelmet a XIII. melléklet 1. függelékében mintaként szereplő adatközlő lapoknak megfelelően kell összeállítani.
2. Az (1) bekezdésben előírtak mellett a gyártó a típus-jóváhagyási vizsgálatért felelős műszaki szolgálatnak átadja a következőket is:
a) az e rendelet szerint jóváhagyott típusú jármű vagy járművek új eredeti szennyezéscsökkentő cserekomponenssel felszerelve,
b) a szennyezéscsökkentő cserekomponens típusának egy mintapéldánya,
c) a szennyezéscsökkentő cserekomponens típusának egy további mintapéldánya, ha a szennyezéscsökkentő cserekomponenst fedélzeti diagnosztikai rendszerrel ellátott járműbe tervezik beszerelni.
3. A (2) bekezdés a) pontja esetében a vizsgálandó járműveket a műszaki szolgálattal egyeztetve a kérelmező választja ki.
A vizsgált járműveknek meg kell felelniük az ENSZ-EGB 83. sz. előírása 4. mellékletének 3.1. szakaszában előírt követelményeknek.
A vizsgált járműveknek meg kell felelniük a következő követelményeknek is:
a) nem lehetnek hibák a kibocsátáscsökkentő rendszerben,
b) minden túlzott mértékben elhasználódott vagy hibásan működő, kibocsátással kapcsolatos eredeti alkatrészt meg kell javítani vagy ki kell cserélni,
c) a vizsgált járművet a kibocsátásmérés előtt a gyártó specifikációinak megfelelően be kell állítani és be kell szabályozni,
4. A (2) bekezdés b) és c) pontja esetében a mintapéldányon egyértelműen és eltávolíthatatlanul fel kell tüntetni a kérelmező kereskedelmi nevét vagy védjegyét, és a kereskedelmi megnevezést.
5. A (2) bekezdés c) pontja esetében a mintapéldánynak a 2. cikk 25. pontjában meghatározottak szerint lerontott komponensnek kell lennie.
12. cikk
Szennyezéscsökkentő cserekomponens önálló műszaki egységként való EK-típusjóváhagyására vonatkozó közigazgatási rendelkezések
1. Ha az összes vonatkozó előírás teljesült, a jóváhagyó hatóság megadja a szennyezéscsökkentő cserekomponensre mint önálló műszaki egységre az EK-típusjóváhagyást és a 2007/46/EK irányelv VII. mellékletében meghatározott számozási rendszerrel összhangban kiad egy típus-jóváhagyási számot.
A jóváhagyó hatóság nem adhatja ugyanazt a számot a szennyezéscsökkentő cserekomponens másik típusának.
Ugyanaz a típus-jóváhagyási szám vonatkozhat a szennyezéscsökkentő cserekomponens adott típusának több különböző járműtípuson való használatára is.
2. Az (1) bekezdés esetében a jóváhagyó hatóság a XIII. melléklet 2. függelékében megadott minta szerint állítja ki az EK-típusjóváhagyási tanúsítványt.
3. Ha a típusjóváhagyást kérelmező igazolni tudja a jóváhagyó hatóság vagy a műszaki szolgálat felé, hogy a szennyezéscsökkentő cserekomponens az I. melléklet 4. függelékéhez fűzött kiegészítés 2.3. pontjában meghatározott típusba tartozik, akkor a típusjóváhagyás megadása nem függ a XIII. melléklet 4. pontjában meghatározott követelmények teljesülésének ellenőrzésétől.
13. cikk
Hozzáférés a jármű fedélzeti diagnosztikai információhoz és a járműjavítási és -karbantartási információkhoz
1. A gyártók az e rendelet XIV. mellékletének és a 715/2007/EK rendelet 6. és 7. cikkének megfelelően olyan szervezési és eljárási intézkedéseket alkalmaznak, amelyek biztosítják, hogy a jármű fedélzeti diagnosztikai információihoz és a járműjavítási és -karbantartási információkhoz könnyen hozzá lehessen férni.
2. A jóváhagyó hatóságok csak akkor adhatnak meg típusjóváhagyást, ha a gyártótól kaptak egy "Hozzáférés a jármű fedélzeti diagnosztikai infromációihoz és a járműjavítási és -karbantartási információkhoz" bizonylatot.
3. A "Hozzáférés a jármű fedélzeti diagnosztikai infromációihoz és a járműjavítási és -karbantartási információkhoz" bizonylat igazolja a 715/2007/EK rendelet 6. cikke (7) bekezdésének való megfelelőséget.
4. A "Hozzáférés a jármű fedélzeti diagnosztikai infromációihoz és a járműjavítási és -karbantartási információkhoz" bizonylatot a XIV. mellékletben előírt mintának megfelelően kell elkészíteni.
5. Ha típus-jóváhagyási kérelem készítésekor a jármű fedélzeti diagnosztikai információi és a járműjavítási és -karbantartási információk nem állnak rendelkezésre vagy nem felelnek meg az e rendelet XIV. mellékletének és a 715/2007/EK rendelet 6. és 7. cikkének, akkor a gyártó a 715/2007/EK rendelet 10. cikkének (2) bekezdésében előírt vonatkozó időponttól számított hat hónapon belül, illetve a típusjóváhagyástól számított hat hónapon belül (amelyik későbbi) szolgáltatja ezeket az információkat.
6. Az információknak az (5) bekezdésben meghatározott határidőkre való benyújtását előíró kötelezettség csak akkor alkalmazandó, ha a típusjóváhagyást követően a járművet forgalomba hozzák.
Ha a jármű forgalomba hozatala a típusjóváhagyástól számított hat hónap után történik, akkor az információkat abban az időpontban kell szolgáltatni, amikor a járművet forgalomba hozták.
7. A jóváhagyó hatóság a beadott "Hozzáférés a jármű fedélzeti diagnosztikai infromációihoz és a járműjavítási és -karbantartási információkhoz" bizonylat alapján feltételezheti, hogy a gyártó a jármű fedélzeti diagnosztikájára és a jármű javítására és karbantartására vonatkozó információkhoz való hozzáférés tekintetében megtette a megfelelő szervezési és eljárási intézkedéseket, feltéve hogy nem érkezett panasz, és hogy a gyártó az (5) bekezdésben előírt határidőre szolgáltatja ezeket az információkat.
8. A fedélzeti diagnosztikára vonatkozó információkhoz való hozzáférésre a XI. melléklet 4. szakaszában előírt követelmények mellett a gyártó az érdekelt felek rendelkezésére bocsátja a következő információkat is:
a) olyan cserekomponensek kifejlesztését lehetővé tévő fontos információk, melyek kritikus fontosságúak a fedélzeti diagnosztikai rendszer helyes működése szempontjából,
b) általános diagnosztikai műszerek kifejlesztését lehetővé tévő információk.
Az a) pont esetében a cserekomponensek kifejlesztését nem korlátozhatják a következők: a vonatkozó információ hiánya, a működési hiba jelzésére szolgáló stratégiákra vonatkozó műszaki követelmények akkor, amikor a kibocsátások túllépik a diagnosztikai küszöbértékeket vagy akkor, amikor a fedélzeti diagnosztikai rendszer nem képes az e rendeletben előírt alapvető ellenőrzési követelmények teljesítésére; a benzin- vagy gázüzemű járművek eltérő kezelése céljából a diagnosztikára vonatkozó információ kezelésének konkrét módosításai; és az olyan gázüzemű járművek típusjóváhagyása, amelyek korlátozott számban kisebb hiányosságokat mutatnak.
A b) pont esetében, ha a gyártó az ISO 22900 szabvány (Modulrendszerű kommunikációs interfész járművekhez - MVCI) és az ISO 22901 szabvány (Nyílt diagnosztikai adatcsere - ODX) szerinti diagnosztikai eszközöket és mérőműszereket használ a saját franchise-rendszerű hálózatán belül, akkor a ODX fájlokat a független gazdasági szereplők számára a gyártó weboldalán keresztül kell elérhetővé tenni.
9. A rendelet létrehozza a jármű-információkhoz való hozzáférés fórumát (a továbbiakban: fórum).
A fórum mérlegelni fogja, hogy az információkhoz való hozzáférés érinti-e a járműlopások csökkentésében elért haladást, és ajánlásokat készít az információkhoz való hozzáférésre vonatkozó előírások fejlesztésére. A fórum kiemelt feladata, hogy tanácsot adjon a Bizottságnak egy olyan eljárás bevezetésével kapcsolatban, amely során akkreditált szervezetek független gazdasági szereplőket hagynak jóvá, illetve engedélyezik számukra, hogy hozzáférjenek a járműbiztonsági információkhoz.
A Bizottság dönthet úgy, hogy a fórumon folytatott megbeszéléseket és azok eredményeit bizalmasan kezeli.
14. cikk
A jármű fedélzeti diagnosztikai információihoz és a járműjavítási és karbantartási információkhoz való hozzáférésre vonatkozó kötelezettségek teljesítése
1. A jóváhagyó hatáság akár saját kezdeményezésére, akár panasz alapján, akár a műszaki szolgálattól kapott értékelés alapján bármikor dönthet úgy, hogy ellenőrzi, hogy egy gyártó betartja-e e rendelet, illetve a 715/2007/EK rendelet rendelkezéseit és a "Hozzáférés a jármű fedélzeti diagnosztikai infromációihoz és a járműjavítási és -karbantartási információkhoz" bizonylatban leírtakat.
2. Ha a jóváhagyó hatóság megállapítja, hogy a gyártó nem teljesítette a jármű fedélzeti diagnosztikai infromációihoz és a járműjavítási és -karbantartási információkhoz való hozzáférésre vonatkozó kötelezettségeit, akkor a vonatkozó típusjóváhagyást megadó jóváhagyó hatóság megfelelő lépéseket tesz a helyzet orvoslására.
3. Ezek közé tartozhat a típusjóváhagyás visszavonása vagy felfüggesztése, bírság, vagy a 715/2007/EK rendelet 13. cikke szerint elfogadott más intézkedés.
4. A jóváhagyó hatóságnak ellenőrzést kell végeznie, megvizsgálva, hogy a gyártó teljesítette-e a jármű fedélzeti diagnosztikai információihoz és a járműjavítási és -karbantartási információkhoz való hozzáférésre vonatkozó kötelezettségeit, ha független gazdasági szereplő, vagy a független gazdasági szereplők érdekképviseleti szervezete panaszt nyújt be a jóváhagyó hatósághoz.
5. Az ellenőrzés során a jóváhagyó hatóság felkérhet egy műszaki szolgálatot vagy más független szakértőt annak értékelésére, hogy a gyártó teljesítette-e e kötelezettségeket.
15. cikk
A típus-jóváhagyási információkra vonatkozó egyedi előírások
1. Eltérve a 70/156/EGK tanácsi irányelv ( 4 ) I. mellékletétől, 2009. április 29-ig az e rendelet XVIII. mellékletében ismertetett kiegészítő előírások is alakmazandók.
2. Eltérve a 70/156/EGK tanácsi irányelv III. mellékletétől, 2009. április 29-ig az e rendelet XIX. mellékletében ismertetett kiegészítő előírások is alakmazandók.
16. cikk
Az 715/2007/EK rendelet módosítása
A 715/2007/EK rendelet e rendelet XVII. mellékletének megfelelően módosul.
16a. cikk
Átmeneti rendelkezések
Az M1 és az M2 kategóriájú járművek, valamint az N1 kategóriájú I. osztályú járművek esetében 2017. szeptember 1-jétől, az N1 kategóriájú II. és III. osztályú járművek és az N2 kategóriájú járművek esetében pedig 2018. szeptember 1-jétől ezt a rendeletet csak az említett időpontok előtt e rendelet alapján típusjóváhagyásban részesített járművek alábbi követelményeknek való megfelelésének értékelésére kell alkalmazni:
a) gyártásmegfelelőség a 8. cikknek megfelelően;
b) a használatban lévő járművek megfelelősége a 9. cikknek megfelelően;
c) hozzáférés a jármű fedélzeti diagnosztikai információihoz, valamint a járműjavítási és -karbantartási információkhoz a 13. cikknek megfelelően;
d) az e rendelet alapján megadott típusjóváhagyások kiterjesztései, amíg új követelmények nem válnak alkalmazhatóvá az új járművekre.
Ezt a rendeletet kell alkalmazni továbbá az (EU) 2017/1152 ( 5 ) és (EU) 2017/1153 végrehajtási rendeletben meghatározott megfeleltetési eljárás céljából is ( 6 ).
17. cikk
Hatálybalépés
Ez a rendelet az Európai Unió Hivatalos Lapjában való kihirdetését követő harmadik napon lép hatályba.
A 4. cikk (5) bekezdésében, a 4. cikk (6) bekezdésében, az 5. cikk (3) bekezdésének d) pontjában és az 5. cikk (3) bekezdésének e) pontjában előírt kötelezettségek azonban 2011. szeptember 1-jétől alkalmazandóak a járművek új típusainak típusjóváhagyására és 2014. január 1-jétől a Közösségen belül értékesített, regisztrált vagy üzembe helyezett összes új járműre.
Az (EU) 2017/1221 bizottsági rendelettel ( 7 ) módosított VI. melléklet 2019. szeptember 1-jétől alkalmazandó minden, ezen a napon és ettől fogva nyilvántartásba vett új járműre.
Ez a rendelet teljes egészében kötelező és közvetlenül alkalmazandó valamennyi tagállamban.
A MELLÉKLETEK JEGYZÉKE
I. MELLÉKLET
AZ EK-TÍPUSJÓVÁHAGYÁSRA VONATKOZÓ KÖZIGAZGATÁSI RENDELKEZÉSEK
1. KIEGÉSZÍTŐ ELŐÍRÁSOK EK-TÍPUSJÓVÁHAGYÁS MEGADÁSÁRA
1.1. Kiegészítő előírások egyfajta üzemanyaggal működő gázüzemű járművekre, kétfajta üzemanyaggal működő gázüzemű járművekre és rugalmas üzemanyag-felhasználású H2NG-üzemű járművekre
1.1.1. Az 1.1. pont alkalmazásában:
1.1.1.1. A járműcsalád olyan PB-üzemű, földgáz/biometán-üzemű, H2NG-üzemű járműtípusok csoportját jelenti, amelyeket egy alapjármű határoz meg.
1.1.1.2. Az alapjármű olyan jármű, amelyet arra választottak ki, hogy az üzemanyagadagoló rendszer alkalmazkodási képességét e járművön igazolják, és amely reprezentálja a járműcsalád tagjait. Egy járműcsaládban több alapjármű is lehet.
1.1.1.3. A járműcsalád tagja olyan jármű, amely az alábbi lényeges jellemzők tekintetében megegyezik az alapjárművel:
a) ugyanaz a járműgyártó gyártotta,
b) ugyanazok a kibocsátási határértékek vonatkoznak rá,
c) ha a gáznemű üzemanyag adagolórendszerében egy központi adagolás van az egész motorra, akkor annak a hitelesített teljesítménye az alapjármű motorteljesítményének 0,7-szerese és 1,15-szöröse közé esik,
d) ha a gáznemű üzemanyag adagolórendszerében hengerenként egyedi adagolás van, akkor annak hengerenkénti hitelesített teljesítménye az alapjármű motorteljesítményének 0,7-szerese és 1,15-szöröse közé esik,
e) ha a gépjármű katalizátorrendszerrel van ellátva, akkor a katalizátor típusa ugyanaz, azaz háromutas, oxidációs, NOx-mentesítő,
f) A gáznemű üzemanyag adagolórendszere (beleértve a nyomásszabályozót) ugyanattól a rendszergyártótól származik, és ugyanolyan típusú: indukciós, gázinjektálásos (egypontos, többpontos), folyadékinjektálásos (egypontos, többpontos),
g) A gáznemű üzemanyag adagolórendszerét ugyanolyan típusú és műszaki specifikációjú elektronikus vezérlőegység (ECU) vezéreli, amely ugyanazokat a szoftveralapelveket és szabályozási stratégiát használja. A járműnek az alapjárműhöz képest lehet egy második elektronikus vezérlőegysége is - feltéve, hogy az elektronikus vezérlőegység csak az injektorokat vezérli -, illetve lehetnek további elzárószelepei, és további érzékelőktől is történhet adatgyűjtés.
A c) és d) pontokban említett követelmények tekintetében ha az igazolás során az mutatkozik, hogy két gázüzemű jármű csak a hitelesített teljesítményük, P1 és P2 (P1 < P2 ) miatt nem lehet ugyanazon járműcsalád tagja, és mindkettőt úgy vizsgálják, mintha alapjármű lenne, akkor a családhoz tartozást minden olyan gépjárműre érvényesnek kell tekinteni, amelynek hitelesített teljesítménye 0,7·× P1 és 1,15·× P2 között van.
1.1.2. PB-üzemű, földgáz/biometán-üzemű, H2NG-üzemű járművek esetében EK-típusjóváhagyás az alábbi követelmények teljesítése esetén adható:
1.1.2.1. Alapjármű típusjóváhagyásához az alapjárműről igazolni kell, hogy az alkalmazkodni tud a kereskedelemben kapható tetszőleges összetételű üzemanyaghoz. PB-gáz esetében a C3/C4 összetétel változó. Földgáz esetében általában két üzemanyag-fajta létezik: a nagy fűtőértékű üzemanyag (H-tartományú gáz) és a kis fűtőértékű üzemanyag (L-tartományú gáz), de mindkét tartományon belül nagyok az eltérések; a Wobbe index tekintetében jelentősek a különbségek. A referencia-üzemanyagok tükrözik ezeket a változatokat.
Rugalmas üzemanyag-felhasználású H2NG-üzemű járművek esetében az összetétel 0 % hidrogéntől a gyártó által a keverékben lévő hidrogén részarányára meghatározott felső határértékig terjedhet. Igazolni kell, hogy az alapjármű a gyártó által megadott összetétel-tartományon belül képes bármilyen összetételű üzemanyaggal működni. Azt is igazolni kell, hogy a jármű képes működni a kereskedelemben kapható tetszőleges összetételű földgáz/biometán üzemanyagokkal, függetlenül a keverékben lévő hidrogén részarányától.
1.1.2.2. PB-üzemű, földgáz/biometán-üzemű járművek esetében az alapjárművet az 1. típusú méréssel kell vizsgálni a IX. mellékletben előírt két szélsőértékű referencia-üzemanyaggal. Földgáz/biometán esetében, ha az egyik üzemanyagról a másikra való átváltás a gyakorlatban kapcsoló segítségével történik, ezt a kapcsolót nem szabad használni a típus-jóváhagyási vizsgálat alatt.
Rugalmas üzemanyag-felhasználású H2NG-üzemű járművek esetében az alapjárművet az 1. típusú méréssel kell vizsgálni a következő összetételű üzemanyagokkal:
- 100 % H tartományú gáz,
- 100 % L tartományú gáz,
- A H tartományú gáz és a gyártó által előírt felső határértéknek megfelelő részarányú hidrogént tartalmazó gáz keveréke,
- Az L tartományú gáz és a gyártó által előírt felső határértéknek megfelelő részarányú hidrogént tartalmazó gáz keveréke.
1.1.2.3. A járművet megfelelőnek kell tekinteni, ha a mérések alatt az 1.1.2.2. pontban leírt üzemanyagokkal megfelel a kibocsátási határértékeknek.
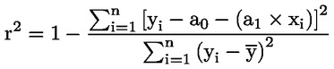
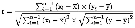
1.1.2.4. PB- vagy földgáz/biometán-üzemű járművek esetében meg kell határozni az egyes káros anyagokra a mért kibocsátások "r" viszonyszámát az alábbiak szerint:
Üzemanyag típusa | Referencia-üzemanyagok | Az „r” kiszámítása |
PB | A üzemanyag | [Kép #1] |
B üzemanyag | ||
Földgáz/biometán | G20 üzemanyag | [Kép #2] |
G25 üzemanyag |

Kép #1

Kép #2
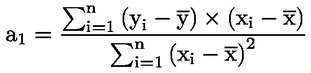
1.1.2.5. Rugalmas üzemanyag-felhasználású H2NG-járművek esetében az egyes káros anyagokra a mért kibocsátások két viszonyszámát ("r1 " és "r2 ") kell meghatározni az alábbiak szerint:
Üzemanyag típusa | Referencia-üzemanyagok | Az „r” kiszámítása |
Földgáz/biometán | G20 üzemanyag | [Kép #3] |
G25 üzemanyag | ||
H2NG | Hidrogén és a gyártó által előírt felső határértéknek megfelelő részarányú hidrogént tartalmazó G20 üzemanyag keveréke | [Kép #4] |
Hidrogén és a gyártó által előírt felső határértéknek megfelelő részarányú hidrogént tartalmazó G25 üzemanyag keveréke |

Kép #3

Kép #4
1.1.3. Egy járműcsalád tagjaként egyfajta üzemanyagot használó gázüzemű jármű, illetve kétfajta üzemanyagot használó, gázüzemmódban PB-vel vagy földgáz/biometán keverékkel működő jármű típusjóváhagyásához 1. típusú mérést kell végezni az egyik referencia-üzemanyaggal. Ez bármelyik referencia-üzemanyag lehet. A jármű megfelelőnek tekinthető, ha teljesíti az alábbi követelményeket:
a) a jármű megfelel a járműcsaládhoz tartozás 1.1.1.3. pont szerinti meghatározásának,
b) ha a méréshez használt üzemanyag PB-gáz esetében az A referencia-üzemanyag, illetve földgáz/biometán esetében a G20 referencia-üzemanyag, akkor a mért kibocsátásokat mindegyik káros anyagra meg kell szorozni az 1.1.2.4. pont szerint kiszámított megfelelő "r" tényezővel, ha r > 1; ha r < 1, akkor korrigálás nem szükséges,
c) ha a méréshez használt üzemanyag PB-gáz esetében a B referencia-üzemanyag, illetve földgáz/biometán esetében a G25 referencia-üzemanyag, akkor a mért kibocsátásokat mindegyik káros anyagra el kell osztani az 1.1.2.4. pont szerint kiszámított megfelelő "r" tényezővel, ha r < 1; ha r > 1, akkor korrigálás nem szükséges,
d) a gyártó kérésére az 1. típusú mérést mindkét referencia-üzemanyaggal is el lehet végezni, hogy ne legyen szükség korrekcióra,
e) a járműnek meg kell felelnie az adott kategóriára érvényes kibocsátási határértékeknek, mind a mért, mind a számított kibocsátási értékek vonatkozásában,
f) ha a méréseket ugyanazon a motoron megismétlik, a G20 vagy az A referencia-üzemanyaggal, illetve a G25 vagy a B referencia-üzemanyaggal kapott eredményeket először átlagolni kell, az "r" tényezőt ezután ezekből az átlagolt értékekből kell kiszámítani,
g) az 1. típusú mérés alatt a jármű - amikor gázüzemmódban működik - benzint csak legfeljebb 60 másodpercig használhat.
1.1.4. Egy járműcsalád tagjaként rugalmas üzemanyag-felhasználású H2NG-jármű típusjóváhagyásához két 1. típusú mérést kell elvégezni, ez egyiket vagy 100 %-os G20 vagy 100 %-os G25 üzemanyaggal, a másodikat pedig olyan keverékkel, amely hidrogénből és az első méréshez használt földgáz/biometán üzemanyagból áll, ez utóbbiban a hidrogén részaránya a gyártó által meghatározott felső határérték.
Az első bekezdés szerint vizsgált jármű megfelelőnek tekinthető, ha az 1.1.3. pont a), e), és g) alpontjaiban előírt követelményeken túl teljesíti az alábbi követelményeket is:
a) ha a földgáz/biometán üzemanyag a G20 referencia-üzemanyag, akkor a mért kibocsátásokat mindegyik káros anyagnál meg kell szorozni az 1.1.2.5. pont szerint kiszámított megfelelő "r" tényezővel (r1 az első mérésnél, r2 a második mérésnél), ha ez a tényező > 1; ha a vonatkozó tényező < 1, akkor korrekció nem szükséges;
b) ha a földgáz/biometán üzemanyag a G25 referencia-üzemanyag, akkor a mért kibocsátásokat mindegyik káros anyagnál el kell osztani az 1.1.2.5. pont szerint kiszámított megfelelő "r" tényezővel (r1 az első mérésnél, r2 a második mérésnél), ha ez a tényező < 1; ha a vonatkozó tényező > 1, akkor korrekció nem szükséges;
c) a gyártó kérésére az 1. típusú mérést a referencia-üzemanyagoknak az 1.1.2.5. pont szerinti négy lehetséges kombinációjával is el kell végezni, hogy ne legyen szükség korrekcióra;
d) ha a méréseket ugyanazon a motoron megismétlik, akkor a G20 vagy a H2G20 referencia-üzemanyaggal, illetve a G25 vagy a H2G25 referencia-üzemanyaggal (a hidrogén részaránya a gyártó által előírt felső határérték) kapott eredményeket először átlagolni kell; az "r1 " és "r2 " tényezőt ezután ezekből az átlagolt értékekből kell kiszámítani.
1.2. Kiegészítő előírások rugalmas üzemanyag-felhasználású járművekre
1.2.1. Rugalmas üzemanyag-felhasználású, etanol- vagy biodízel-üzemű jármű típusjóváhagyásához a járműgyártónak ismertetnie kell a jármű azon képességét, hogy alkalmazkodni tud a kereskedelemben kapható tetszőleges összetételű benzin és etanol (legfeljebb 85 % etanolt tartalmazó keverék) üzemanyaghoz vagy dízel és biodízel üzemanyaghoz.
1.2.2. A rugalmas üzemanyag-felhasználású járműveknél a mérések között az egyik referencia-üzemanyagról a másikra való átállásnak a motorbeállítások kézi megváltoztatása nélkül kell megtörténnie.
2. KIEGÉSZÍTŐ MŰSZAKI ELŐÍRÁSOK ÉS MÉRÉSEK
2.1. Kis termelésű gyártók
2.1.1. A 3. cikk (3) bekezdésében említett jogszabályok felsorolása:
Jogszabály | Előírások |
Kaliforniai Törvénykönyv (California Code of Regulations), 13. cím, a 2001. és későbbi években gyártott járművekre alkalmazandó 1961 (a) és 1961(b) (1)(C)(1) pontok, 1968.1., 1968.2., 1968.5., 1976. és 1975.. Kiadó: Barclay’s Publishing. | A típusjóváhagyást a Kalifornai Törvénykönyvnek a könnyű járművek legutóbbi modellévére vonatkozó előírásai szerint kell megadni. |
A gyártónak a kaliforniai rendeletnek a modellévekre a típusjóváhagyáskor hatályos előírásait kell alkalmaznia.
2.2. Az üzemanyagtartály töltőelemei
2.2.1. A benzin- vagy etanoltartály töltőnyílását úgy kell kialakítani, hogy a tartályt ne lehessen 23,6 mm vagy nagyobb külső átmérőjű benzinkúti töltőpisztollyal feltölteni.
2.2.2. A 2.2.1. pont nem vonatkozik olyan járművekre, amelyek mind a két következő feltételt teljesítik:
a) a járművet úgy tervezték és gyártották, hogy a gáznemű károsanyag-kibocsátás csökkentésére szolgáló eszközöket nem érinti hátrányosan az ólmozott benzin, és
b) a járművet feltűnően, olvashatóan és letörölhetetlenül megjelölték az ólmozatlan benzinnek az ISO 2575:2004 szabványban előírt jelzésével, az üzemanyag-tartályba üzemanyagot töltő személy számára közvetlenül látható helyen. Kiegészítő jelölések használata megengedett.
2.2.3. Gondoskodni kell annak megakadályozásáról, hogy a tanksapka hiánya esetén túl nagy párolgási kibocsátás vagy üzemanyag-kiömlés következhessen be. Ez az alábbi megoldások egyikével érhető el:
a) automatikusan nyíló és záródó, nem levehető tanksapka,
b) olyan tervezési jellemzők, amelyekkel elkerülhető a túl nagy párolgási kibocsátás a tanksapka hiánya esetén,
c) minden más megoldás, amellyel ugyanez a hatás érhető el. Ilyen megoldások lehetnek például (a teljesség igénye nélkül) a rögzített vagy láncra fűzött tanksapka, vagy a tanksapkához ugyanannak a kulcsnak a használata, mint amelyik a jármű indítására is szolgál. Ebben az esetben gondoskodni kell arról, hogy a kulcsot csak akkor lehessen kivenni a tanksapkából, ha az zárt állásban van.
2.3. Az elektronikus rendszer biztonságára vonatkozó rendelkezések
2.3.1. Kibocsátásszabályozó számítógéppel felszerelt járműnek rendelkeznie kell a gyártó által nem engedélyezett módosításokat megakadályozó funkciókkal. A gyártó akkor engedélyezhet módosításokat, ha azok a jármű diagnosztikájához, szervizeléséhez, ellenőrzéséhez, feljavításához vagy javításához szükségesek. Az átprogramozható számítógépes programoknak és működési paramétereknek védetteknek kell lenniük az illetéktelen beavatkozással szemben, és legalább olyan szintű védelmet kell biztosítaniuk, mint a 2001. március 15-i kiadású ISO 15031-7 szabvány (SAE J2186, 1996. október) rendelkezéseinek. Minden kivehető kalibrálási memóriachipet tokozva, leplombált tartóban kell elhelyezni vagy elektronikus algoritmusokkal kell védeni, és biztosítani kell, hogy ezeket csak speciális eszközökkel és különleges eljárásokkal lehessen kicserélni. Csak a kibocsátási kalibrációval vagy a járműlopás elleni védekezéssel közvetlenül kapcsolatos funkciók kaphatnak ilyen védelmet.
2.3.2. Gondoskodni kell arról, hogy a motor számítógépes programozású működési paramétereit különleges eszköz vagy eljárás nélkül ne lehessen megváltoztatni (például forrasztott vagy tokozott számítógép-komponensek vagy leplombált (vagy leforrasztott) számítógépház).
2.3.3. Mechanikus üzemanyag-injektáló szivattyúval felszerelt kompressziós gyújtású motor esetében a gyártóknak megfelelő intézkedésekkel meg kell akadályozniuk, hogy használatban lévő járműnél illetéktelenül meg lehessen változtatni a maximális üzemanyag-szállítás értékét.
2.3.4. A gyártó kérheti a jóváhagyó hatóságot, hogy mentesítse a 2.3. pont követelményeinek egyike alól olyan járművek esetében, amelyeknél valószínűleg nem szükséges ilyen védelem. A mentesítési kérelem elbírálásakor a jóváhagyó hatóság által figyelembe veendő kritériumok közé tartozik a teljesítménychipek mindenkori beszerezhetősége, a jármű teljesítőképessége, és a jármű tervezett eladási mennyisége.
2.3.5. A programozható számítástechnikai eszközöket (például elektromosan törölhető, programozható, csak olvasható memória: EEPROM) alkalmazó gyártóknak meg kell akadályozniuk az illetéktelen átprogramozást. A gyártóknak fejlett manipulálás elleni védelmi stratégiákat és olyan írásvédelmi funkciókat kell használniuk, amelyekhez a gyártó által kezelt külső számítógépen, elektronikusan lehet hozzáférni, és amelyekhez független gazdasági szereplők számára is hozzáférést kell biztosítani a XIV. melléklet 2.3.1. és 2.2. pontjában említett védelemmel. A manipulálás elleni védelem megfelelő szintjét nyújtó módszereket a jóváhagyó hatóságnak jóvá kell hagynia.
2.4. A vizsgálatok végrehajtása
2.4.1. Az I.2.4. ábrán láthatók a jármű típusjóváhagyásához szükséges vizsgálatok. A konkrét vizsgálati eljárások leírása a II., III., IV., V., VI., VII., VIII., X., XI., XII., XVI ( 8 ). és XX. mellékletben található.
I.
2.4. ábra
A típusjóváhagyásokhoz és kiterjesztésekhez szükséges vizsgálatok
Jármű-kategória | Szikragyújtású motorral felszerelt járművek, ideértve a hibrid járműveket is | Kompressziós gyújtású motorral felszerelt járművek, ideértve a hibrid járműveket is | Tisztán elektromos jármű | Hidrogéncellás járművek | |||||||||
Egyfajta tüzelőanyag | Kétfajta tüzelőanyag (1) | Rugalmas tüzelőanyag-felhasználás (1) | Rugalmas tüzelőanyag-felhasználás | Egyfajta tüzelőanyag | |||||||||
Referencia-tüzelőanyag | Benzin (E5/E10) (5) | PB-gáz | Földgáz/biometán | Hidrogén | Benzin (E5/E10) (5) | Benzin (E5/E10) (5) | Benzin (E5/E10) (5) | Benzin (E5/E10) (5) | Földgáz/biometán | Dízel (B5/B7) (5) | Dízel (B5/B7) (5) | – | – |
PB-gáz | Földgáz/biometán | Hidrogén | Etanol (E85) | H2NG | Biodízel | ||||||||
Gáznemű káros anyagok (1. típusú vizsgálat) | Igen | Igen | Igen | Igen (4) | Igen (mindkét tüzelőanyag) | Igen (mindkét tüzelőanyag) | Igen (mindkét tüzelőanyag) (4) | Igen (mindkét tüzelőanyag) | Igen (mindkét tüzelőanyag) | Igen (csak B5/B7) (2) (5) | Igen | — | — |
Részecskék tömege és száma (1. típusú vizsgálat) | Igen | — | — | — | Igen (csak benzin) | Igen (csak benzin) | Igen (csak benzin) | Igen (mindkét tüzelőanyag) | — | Igen (csak B5/B7) (2) (5) | Igen | — | — |
Gáz-halmazállapotú szennyező anyagok, RDE (1A. típusú vizsgálat) | Igen | Igen | Igen | Igen (4) | Igen (mindkét tüzelő-anyag) | Igen (mindkét tüzelő-anyag) | Igen (mindkét tüzelő-anyag) | Igen (mindkét tüzelő-anyag) | Igen (mindkét tüzelő-anyag) | Igen (mindkét tüzelő-anyag) | Igen | — | — |
Részecskék száma, RDE (1A. típusú vizsgálat) (6) | Igen | — | — | — | Igen (mindkét tüzelő-anyag) | Igen (mindkét tüzelő-anyag) | Igen (mindkét tüzelő-anyag) | Igen (mindkét tüzelő-anyag) | — | Igen (mindkét tüzelő-anyag) | Igen | — | — |
Üresjárati kibocsátás (2. típusú vizsgálat) | Igen | Igen | Igen | — | Igen (mindkét tüzelőanyag) | Igen (mindkét tüzelőanyag) | Igen (csak benzin) | Igen (mindkét tüzelőanyag) | Igen (csak földgáz/biometán) | — | — | — | — |
Forgattyúházból származó kibocsátás (3. típusú vizsgálat) | Igen | Igen | Igen | — | Igen (csak benzin) | Igen (csak benzin) | Igen (csak benzin) | Igen (csak benzin) | Igen (csak földgáz/biometán) | — | — | — | — |
Párolgási kibocsátás (4. típusú vizsgálat) | Igen | — | — | — | Igen (csak benzin) | Igen (csak benzin) | Igen (csak benzin) | Igen (csak benzin) | — | — | — | — | — |
Tartósság (5. típusú vizsgálat) | Igen | Igen | Igen | Igen | Igen (csak benzin) | Igen (csak benzin) | Igen (csak benzin) | Igen (csak benzin) | Igen (csak földgáz/biometán) | Igen (csak B5/B7) (2) (5) | Igen | — | — |
Kibocsátás kis hőmérsékleten (6. típusú vizsgálat) | Igen | — | — | — | Igen (csak benzin) | Igen (csak benzin) | Igen (csak benzin) | Igen (3) (mindkét tüzelőanyag) | — | — | — | — | — |
Használatban lévő járművek megfelelősége | Igen | Igen | Igen | Igen | Igen (mindkét tüzelőanyag) | Igen (mindkét tüzelőanyag) | Igen (mindkét tüzelőanyag) | Igen (mindkét tüzelőanyag) | Igen (mindkét tüzelőanyag) | Igen (csak B5/B7) (2) (5) | Igen | — | — |
Fedélzeti diagnosztika | Igen | Igen | Igen | Igen | Igen | Igen | Igen | Igen | Igen | Igen | Igen | — | — |
CO2-kibocsátás, tüzelőanyag-fogyasztás, áramfogyasztás és elektromos hatósugár | Igen | Igen | Igen | Igen | Igen (mindkét tüzelőanyag) | Igen (mindkét tüzelőanyag) | Igen (mindkét tüzelőanyag) | Igen (mindkét tüzelőanyag) | Igen (mindkét tüzelőanyag) | Igen (csak B5/B7) (2) (5) | Igen | Igen | Igen |
Füst opacitása | — | — | — | — | — | — | — | — | — | Igen (csak B5/B7) (2) (5) | Igen | — | — |
Motorteljesítmény | Igen | Igen | Igen | Igen | Igen | Igen | Igen | Igen | Igen | Igen | Igen | Igen | Igen |
(1) Egy kétfajta tüzelőanyaggal működő jármű és egy rugalmas tüzelőanyag-felhasználású jármű kombinációja esetén mindkét vizsgálatot el kell végezni. (2) Ez a rendelkezés ideiglenes, a biodízelre vonatkozó további követelményekre később készül javaslat. (3) Benzinnel kapcsolatos vizsgálat a 715/2007/EK rendelet 10. cikkének (6) bekezdésében megállapított dátumokig végezhető. Ezen dátumok után a vizsgálatot mindkét tüzelőanyaggal el kell végezni. A vizsgálathoz a IX. melléklet B. részében meghatározott E75-ös referencia-tüzelőanyagot kell használni. (4) Ha a jármű hidrogénnel működik, csak az NOx-kibocsátást kell meghatározni. (5) A gyártó döntésétől függően a szikra- vagy kompressziós gyújtású motorral felszerelt járművek vizsgálhatók E5-ös vagy E10-es, illetve B5-ös vagy B7-es tüzelőanyaggal. Ugyanakkor: — Legkésőbb a 715/2007/EK rendelet 10. cikkének (4) bekezdésében meghatározott dátumokat követő tizenhat hónappal új típusjóváhagyások csak az E10-es és B7-es tüzelőanyaggal végezhetők. — Legkésőbb a 715/2007/EK rendelet 10. cikkének (5) bekezdésében meghatározott dátumokat követő három évvel minden új jármű típusjóváhagyásához az E10-es és a B7-es tüzelőanyagot kell használni. (6) A részecskék számára vonatkozó RDE-vizsgálatot csak azon járművek esetében kell elvégezni, amelyekre a 715/2007/EK rendelet I. mellékletének 2. táblázatában szereplő Euro 6 részecskeszám-kibocsátási határértékek vonatkoznak. |
Magyarázó megjegyzés:
Az E10-es és B7-es referencia-tüzelőanyag alkalmazásának időpontjait minden új jármű esetében a mérési teher minimalizálása érdekében jelölték ki. Ha azonban a műszaki információk igazolják, hogy az E5-ös vagy B5-ös referencia-tüzelőanyaggal vizsgált járművek kibocsátása sokkal magasabb E10-es vagy B7-es referencia-tüzelőanyag használata esetén, akkor a Bizottságnak javaslatot kell tennie ezeknek a bevezetésre vonatkozó időpontoknak az előrehozatalára.
3. A TÍPUSJÓVÁHAGYÁS KITERJESZTÉSE
3.1. Kiterjesztés a kipufogócsőből származó kibocsátások tekintetében (1. típusú, 2. típusú és 6. típusú mérés)
3.1.1. Különböző referenciatömegű járművek
3.1.1.1. A jóváhagyást csak olyan referenciatömegű járművekre szabad kiterjeszteni, amelyeknél a használandó ekvivalens tehetetlenségi nyomaték a két következő nagyobb, vagy bármely kisebb osztályba esik.
3.1.1.2. N kategóriájú járművek esetében a jóváhagyást csak kisebb referenciatömegű járművekre szabad kiterjeszteni, ha a már jóváhagyott jármű kibocsátásai arra a járműre előírt határértékeken belül vannak, amelyre a jóváhagyás kiterjesztését kérik.
3.1.2. Különböző össz-áttételű járművek
3.1.2.1. A típusjóváhagyást csak bizonyos feltételek mellett szabad kiterjeszteni különböző áttételű járművekre.
3.1.2.2. Annak eldöntéséhez, hogy a típusjóváhagyás kiterjeszthető-e, az 1. típusú és a 6. típusú mérésnél használt mindegyik áttételre meg kell határozni az alábbi arányt:

ahol 1 000 ford./perc fordulatszám mellett a V1 a típusjóváhagyást kapott jármű sebessége, a V2 pedig annak a járműtípusnak a sebessége, amelyre a jóváhagyás kiterjesztését kérik.
3.1.2.3. Ha minden áttételnél az E ≤ 8 %, akkor a kiterjesztés az 1. típusú és a 6. típusú mérés megismétlése nélkül megadható.
3.1.2.4. Ha legalább egy áttételnél az E > 8 %, és ha minden áttételnél az E ≤ 13 %, az 1. típusú és a 6. típusú mérést meg kell ismételni. A méréseket végezheti a gyártó által a műszaki szolgálat jóváhagyásával kiválasztott laboratórium. A mérési jegyzőkönyvet meg kell küldeni a típus-jóváhagyási vizsgálatért felelős műszaki szolgálatnak.
3.1.3. Különböző áttételű és különböző referenciatömegű járművek
A típusjóváhagyás kiterjeszthető különböző referenciatömegű és különböző áttételű járművekre, feltéve hogy a 3.1.1. és 3.1.2. pontban leírt összes feltétel teljesül.
3.1.4. Időszakos regenerálálású rendszerrel rendelkező járművek
Időszakos regenerálású rendszerrel rendelkező járműtípusok típusjóváhagyása kiterjeszthető időszakos regenerálálású rendszerrel rendelkező más olyan járművekre, melyek az alább ismertetett paraméterek tekintetében azonosak, vagy a megadott tűréseken belül vannak. A kiterjesztés csak a megnevezett időszakos regenerálású rendszerre specifikus mérésekre vonatkozik.
3.1.4.1. A jóváhagyás kiterjesztéséhez a következő paramétereknek kell azonosnak lenniük:
(1) motor,
(2) égési folyamat,
(3) időszakos regenerálású rendszer (azaz katalizátor, részecskecsapda),
(4) szerkezeti kialakítás (azaz a védőburkolat típusa, a nemesfém típusa, a hordozó típusa, cellasűrűség),
(5) típus és működési elv,
(6) adagolás és adalékrendszer,
(7) térfogat ± 10 %,
(8) elhelyezkedés (120 km/h sebességnél ± 50 °C hőmérséklet vagy a legnagyobb hőmérséklet/legnagyobb nyomás 5 %-on belül).
3.1.4.2. A Ki tényezők használata különböző referenciatömegű járművekhez
Az időszakos regenerálású rendszerrel rendelkező járműtípus típusjóváhagyásához az ENSZ-EGB 83. sz. előírása 13. mellékletének 3. szakaszában leírt eljárással előállított Ki tényező más olyan járművekhez is használható, amelyek megfelelnek a 3.1.4.1. pontban említett kritériumoknak, és amelyek referenciatömege olyan, hogy az ekvivalens tehetetlenségi nyomaték a két következő nagyobb, vagy bármely kisebb osztályba esik.
3.1.5. A kiterjesztések alkalmazása más járművekre
Ha egy kiterjesztést a 3.1.1-3.1.4. pont szerint megadtak, az ilyen típusjóváhagyás nem terjeszthető ki tovább más járművekre.
3.2. Kiterjesztések a párolgási kibocsátások tekintetében (4. típusú mérés)
3.2.1. A típusjóváhagyás kiterjeszthető párolgási kibocsátást csökkentő rendszerrel felszerelt olyan járművekre, amelyek megfelelnek az alábbi feltételeknek:
3.2.1.1. Az üzemanyag/levegő adagolás alapelvei (például egypontos injektálás) ugyanazok.
3.2.1.2. Az üzemanyag-tartály alakjai, valamint az üzemanyag-tartály és a folyékony üzemanyagot szállító tömlők anyagai ugyanolyanok.
3.2.1.3. A tömlők keresztmetszete és megközelítő hosszúsága tekintetében a legkedvezőtlenebb járművön méréseket kell végezni. A típus-jóváhagyási vizsgálatért felelős műszaki szolgálat határozza meg, hogy nem ugyanolyan gőz/folyadék szétválasztók elfogadhatók-e.
3.2.1.4. Az üzemanyag-tartályok térfogata ± 10 % tűréssel megegyezik.
3.2.1.5. Az üzemanyag-tartály biztonsági szelepének beállításai ugyanolyanok.
3.2.1.6. Az üzemanyag-gőzök tárolási módszerei azonosak, azaz a csapda alakja és térfogata, tárolóközeg, levegőszűrő (ha használják a párolgási kibocsátás csökkentésére) stb.
3.2.1.7. A tárolt gőz kifúvatási módszerei azonosak (például levegőáram, kiindulási pont vagy kifúvatási térfogat az előkondicionálási ciklusban).
3.2.1.8. Az üzemanyag-adagoló rendszer tömítési és szellőztetési módjai azonosak.
3.2.2. A típusjóváhagyás kiterjeszthető olyan járművekre is, amelyek:
3.2.2.1. motormérete különböző,
3.2.2.2. motorteljesítménye különböző,
3.2.2.3. automata és kézi sebességváltóval rendelkeznek,
3.2.2.4. két- és négykerék-meghajtásúak,
3.2.2.5. karosszériakialakítása különböző, és
3.2.2.6. kerék- és gumiabroncs mérete különböző.
3.3. Kiterjesztések a szennyezéscsökkentő rendszerek tartóssága tekintetében (5. típusú mérés)
3.3.1. A típusjóváhagyás kiterjeszthető más járműtípusokra, feltéve hogy a jármű, a motor vagy a szennyezéscsökkentő rendszer alább ismertetett paraméterei azonosak, vagy a megadott tűréseken belül vannak.
3.3.1.1. Jármű:
Tehetetlenségi nyomaték: a két következő nagyobb, vagy bármely kisebb osztály
Teljes közúti terhelés 80 km/h sebességnél: + 5 % felette és bármilyen érték alatta.
3.3.1.2. Motor
a) hengerek űrtartalma (± 15 %),
b) szelepek száma és vezérlése,
c) üzemanyagrendszer,
d) hűtőrendszer típusa,
e) égési folyamat.
3.3.1.3. A szennyezéscsökkentő rendszer paraméterei:
a) Katalizátoros átalakítók és részecskeszűrők:
a katalizátoros átalakítók, szűrők és elemek darabszáma
a katalizátoros átalakítók és szűrők mérete (monolit-térfogat ± 10 %),
a katalitikus reakció típusa (oxidáció, háromutas, NOx-csapda, szelektív redukció, NOx-katalizátoros vagy más),
nemesfémtöltet (azonos vagy nagyobb),
nemesfém típusa és aránya (± 15 %),
hordozó (szerkezet és anyag),
cellasűrűség,
a hőmérséklet-változás nem lehet több, mint 50 K a katalizátoros átalakító vagy a szűrő bemeneténél. Ezt a hőmérséklet-változást 120 km/h sebességnél a stabil állapot kialakulása után és az 1. típusú mérés szerinti terhelési beállítások mellett kell ellenőrizni.
b) Levegőinjektálás:
van vagy nincs
típus (szakaszos levegőadagoló, levegőszivattyúk, más(ok)).
c) Kipufogógáz-visszavezető rendszer:
van vagy nincs
típus (hűtött vagy nem hűtött, aktív vagy passzív szabályozás, nagy nyomás vagy kis nyomás).
3.3.1.4. A tartóssági vizsgálat lefolytatható olyan járművel, amelynek karosszériakialakítása, sebességváltója (automata vagy kézi kapcsolású), valamint kerék- és gumiabroncsméretei mások, mint annak a járműtípusnak, amelyre a típusjóváhagyást kérik.
3.4. Kiterjesztések a fedélzeti diagnosztika tekintetében
3.4.1. A típusjóváhagyás kiterjeszthető azonos motorral és kibocsátáscsökkentő rendszerrel rendelkező más járművekre is, a XI. melléklet 2. függelékében meghatározottak szerint. A típusjóváhagyást a jármű következő jellemzőitől függetlenül kell kiterjeszteni:
a) motortartozékok,
b) gumiabroncsok,
c) ekvivalens tehetetlenségi nyomaték
d) hűtőrendszer
e) össz-áttétel,
f) erőátvitel típusa, és
g) karosszéria típusa.
3.5. Kiterjesztések a CO2-kibocsátás és üzemanyag-fogyasztás tekintetében
3.5.1. Csak belső égésű motorral felszerelt járművek, kivéve az időszakos regenerálású kibocsátáscsökkentő rendszerrel felszerelt járművek
3.5.1.1. A típusjóváhagyást ki lehet terjeszteni a következő jellemzők tekintetében különböző járművekre, abban az esetben, ha a műszaki szolgálat által mért CO2-kibocsátás nem lépi túl több mint 4 %-kal a típusjóváhagyásra meghatározott értéket az M kategóriájú járműveknél, illetve több mint 6 %-kal az N kategóriájú járműveknél:
- referenciatömeg,
- a műszakilag megengedett legnagyobb terhelt tömeg,
- a 2007/46/EK irányelv II. melléklete C. szakaszának meghatározása szerinti karosszériatípus,
- össz-áttétel,
- a motor felszerelései és tartozékai.
3.5.2. Csak belső égésű motorral felszerelt és időszakos regenerálású kibocsátáscsökkentő rendszerrel rendelkező járművek
3.5.2.1. A típusjóváhagyást ki lehet terjeszteni azokra a járművekre, melyek a fenti 3.5.1.1. pontban megadott jellemzők tekintetében különböznek, de nem haladják meg az ENSZ-EGB 101. sz. előírás ( 9 ) 10. mellékletében a járműcsaládra megadott jellemzőket, abban az esetben, ha a műszaki szolgálat által mért CO2-kibocsátás nem lépi túl több mint 4 %-kal a típusjóváhagyásra meghatározott értéket az M kategóriájú járműveknél, illetve több mint 6 %-kal az N kategóriájú járműveknél, és ha ugyanaz a Ki tényező használható.
3.5.2.2. A típusjóváhagyást ki lehet terjeszteni más Ki tényezőkkel rendelkező járművekre is, ha a műszaki szolgálat által mért CO2-kibocsátás nem lépi túl több mint 4 %-kal a típusjóváhagyásra meghatározott értéket az M kategóriájú járműveknél, illetve több mint 6 %-kal az N kategóriájú járműveknél.
3.5.3. Csak elektromos meghajtással működő járművek
A vizsgálatért felelős műszaki szolgálattal történt megállapodás alapján a kiterjesztés megadható.
3.5.4. Hibridhajtású elektromos járművek
A típusjóváhagyást ki lehet terjeszteni a következő jellemzők tekintetében különböző járművekre, abban az esetben, ha a műszaki szolgálat által mért CO2-kibocsátás és áramfogyasztás nem lépi túl több mint 4 %-kal a típusjóváhagyásra meghatározott értéket az M kategóriájú járműveknél, illetve több mint 6 %-kal az N kategóriájú járműveknél:
- referenciatömeg,
- a műszakilag megengedett legnagyobb terhelt tömeg,
- a 2007/46/EK irányelv II. melléklete C. szakaszának meghatározása szerinti karosszériatípus,
- más jellemzők változása tekintetében a vizsgálatért felelős műszaki szolgálattal történt megállapodás alapján a kiterjesztés megadható.
3.5.5. N kategóriájú járművek típusjóváhagyásának kiterjesztése egy járműcsaládon belül
3.5.5.1. A 3.6.2. pontban meghatározott eljárással járműcsalád tagjaként jóváhagyott N kategóriájú járművekre a típusjóváhagyás az ugyanazon járműcsaládhoz tartozó más járművekre csak akkor terjeszthető ki, ha a műszaki szolgálat véleménye szerint az új jármű üzemanyag-fogyasztása nem haladja meg annak a járműnek az üzemanyag-fogyasztását, amelyen a járműcsalád üzemanyag-fogyasztása alapul.
A típusjóváhagyások kiterjeszthetőek olyan járművekre is, amelyek:
- tömege legfeljebb 110 kg-mal haladja meg a járműcsalád vizsgált járművének tömegét, amennyiben a járműcsalád legkönnyebb járművénél legfeljebb 220 kg-mal nagyobb tömegűek,
- össz-áttétele kizárólag az abroncsméret változása következtében kisebb, mint a járműcsalád vizsgált járművéé, és
- minden más szempontból megfelelnek a járműcsaládnak.
3.5.5.2. A 3.6.3. pontban meghatározott eljárással járműcsalád tagjaként típusjóváhagyást kapott N kategóriájú járművekre a típusjóváhagyás az ugyanazon járműcsaládhoz tartozó más járművekre további vizsgálat nélkül kiterjeszthető, ha a műszaki szolgálat véleménye szerint az új jármű üzemanyag-fogyasztása azon járművek fogyasztása közé esik, amelyeknek a járműcsaládon belül a legkisebb, illetve a legnagyobb az üzemanyag-fogyasztása.
3.6. N kategóriájú járművek típusjóváhagyásának kiterjesztése egy járműcsaládon belül az üzemanyag-fogyasztás és a CO2-kibocsátás tekintetében
N kategóriájú járművek a 3.6.1. pontban meghatározott járműcsaládon belül a 3.6.2. és a 3.6.3. pontban leírt két módszer egyikének alkalmazásával kaphatnak típusjóváhagyást.
3.6.1. Az N kategóriájú járművek egy járműcsaládba csoportosíthatók az üzemanyag-fogyasztás és a CO2-kibocsátás mérése céljából, ha a következő paraméterek azonosak vagy a meghatározott határértékeken belül vannak.
3.6.1.1. A következő paramétereknek kell azonosaknak lenniük:
- a gyártó és a típus a 4. függelék I. szakaszában meghatározottak szerint,
- a motor űrtartalma,
- a kibocsátáscsökkentő rendszer típusa,
- az üzemanyagrendszer típusa a 4. függelék 1.10.2. pontjának meghatározása szerint.
3.6.1.2. A következő paramétereknek az alábbi határértékeken belül kell lenniük:
- össz-áttétel (legfeljebb 8 %-kal lehet nagyobb, mint a legkisebb érték) a 4. függelék 1.13.3. pontjának meghatározása szerint,
- referenciatömeg (legfeljebb 220 kg-mal lehet kisebb, mint a legnehezebb változat),
- elülső felület (legfeljebb 15 %-kal lehet kisebb, mint a legnagyobb változatnál),
- motorteljesítmény (legfeljebb 10 %-kal lehet kisebb, mint a legnagyobb érték).
3.6.2. A 3.6.1. pont meghatározása szerinti járműcsaládra jóváhagyás adható, ha a CO2-kibocsátás és az üzemanyag-fogyasztás adatai azonosak a járműcsalád összes tagjára. A műszaki szolgálat vizsgálatra a járműcsaládnak azt a tagját választja ki, amelynek a szolgálat véleménye szerint a legnagyobb a CO2-kibocsátása. A méréseket a XII. melléklet szerint kell végezni és az ENSZ-EGB 101. sz. előírásának 5.5. szakaszában ismertetett módszerrel kapott eredményeket kell használni típus-jóváhagyási értékekként, amelyek a járműcsalád összes tagjára azonosak.
3.6.3. A 3.6.1. pont meghatározása szerint egy járműcsaládba csoportosított járművek jóváhagyása megadható a járműcsalád minden egyes tagjának egyedi CO2-kibocsátási és üzemanyag-fogyasztási adatai alapján. A műszaki szolgálat vizsgálatra a járműcsaládnak azt a két járművét választja ki, amelynek a szolgálat véleménye szerint a legnagyobb, illetve a legkisebb a CO2-kibocsátása. A méréseket a XII. mellékletben leírtak szerint kell végezni. Ha a gyártó által erre a két járműre megadott adatok az ENSZ-EGB 101. sz. előírásának 5.5. szakaszában meghatározott tűréshatárok közé esnek, akkor a gyártó által a járműcsalád összes tagjára megadott CO2-kibocsátási érték alkalmazható típus-jóváhagyási értékként. Ha a gyártó adatai nem esnek a tűréshatárok közé, akkor az ENSZ-EGB 101. sz. előírásának 5.5. szakaszában leírt módszerrel kapott eredmények használhatók típus-jóváhagyási értékekként, és a műszaki szolgálat a járműcsaládból megfelelő számú járművet választ ki további vizsgálatra.
4. A GYÁRTÁS MEGFELELŐSÉGE
4.1. Bevezetés
4.1.1. Értelemszerűen az 1., 2., 3., 4. típusú mérést, a fedélzeti diagnosztika tesztelését, a CO2-kibocsátás és az üzemanyag-fogyasztás mérését és a füst opacitásának mérését kell elvégezni, a 2.4. pontban leírtak szerint. A gyártás megfelelőségére vonatkozó konkrét eljárásokat a 4.2.-4.10. pont írja le.
4.2. A jármű megfelelőségének ellenőrzése az 1. típusú mérés tekintetében
4.2.1. Az 1. típusú mérést a típus-jóváhagyási tanúsítványban leírt specifikációjú járművön kell elvégezni. Ha az 1. típusú mérést olyan típusjóváhagyásra kell elvégezni, amelynek egy vagy több kiterjesztése van, akkor a mérést vagy az eredeti adatcsomagban leírt járművel vagy az adott kiterjesztéshez kiállított adatcsomagban leírt járművel kell elvégezni.
4.2.2. A jóváhagyó hatóság által végzett kiválasztás után a gyártó már nem végezhet semmilyen beállítást a kiválasztott járműveken.
4.2.2.1. Szúrópróbaszerűen három járművet kell kiválasztani a sorozatból és azokon kell elvégezni a méréseket e rendelet III. melléklete szerint. A romlási tényezőket mindig ugyanúgy kell alkalmazni. A határértékeket a 715/2007/EK rendelet I. mellékletének 1. és 2. táblázata sorolja fel.
4.2.2.2. Ha a jóváhagyó hatóság egyetért a gyártó által a 2007/46/EK irányelv X. melléklete szerint megadott gyártástechnológiai szórás értékével, akkor a méréseket e melléklet 1. függeléke szerint kell elvégezni.
Ha a jóváhagyó hatóság nem ért egyet a gyártó által a 2007/46/EK irányelv X. melléklete szerint megadott gyártástechnológiai szórás értékével, akkor a méréseket e melléklet 2. függeléke szerint kell elvégezni.
4.2.2.3. A szúrópróbák alapján akkor minősül a sorozatgyártás az előírásnak megfelelőnek, ha a vonatkozó függelékben foglalt kritériumok alapján elfogadó döntés születik az összes káros anyagra, illetve akkor minősül az előírástól eltérőnek, ha a kibocsátott káros anyagok egyikére nézve elutasító döntés születik.
Ha egy káros anyagra nézve elfogadó döntés született, akkor ezt a döntést a más káros anyagokra vonatkozó döntés céljából végzett további mérések már nem változtathatják meg.
Ha nem született elfogadó döntés valamennyi káros anyagra, és nem született elutasító döntés egyetlen káros anyagra sem, a vizsgálatot egy másik járművön is el kell végezni (lásd I.4.2. ábra).
I.
4.2. ábra

4.2.3. A III. melléklet előírásait is figyelembe véve, a méréseket közvetlenül a gyártósorról érkező járműveken kell elvégezni.
4.2.3.1. A gyártó kérésére azonban a mérések elvégezhetők olyan járművön is, amely
a) legfeljebb 3 000 kilométert tett meg, szikragyújtású motorral rendelkező jármű esetén,
b) legfeljebb 15 000 kilométert tett meg, kompressziós gyújtású motorral rendelkező jármű esetén.
A bejáratást a gyártó végzi el, akinek vállalnia kell, hogy semmiféle beállítást sem végez ezeken a járműveken.
4.2.3.2. Ha a gyártó be kívánja járatni a járművet ("x" km, ahol x = 3 000 km szikragyújtású motorral, illetve x = 15 000 km kompressziós gyújtású motorral felszerelt járműre), akkor a következő eljárást kell alkalmazni:
a) az első vizsgált járművön mérik a károsanyag-kibocsátást (1. típusú mérés) nulla km-nél, majd "x" km-nél,
b) minden káros anyagra ki kell számítani a károsanyag-kibocsátásnak a nulla és az "x" km közötti távolságra vonatkozó változási együtthatóját:
kibocsátás "x" km-nél/kibocsátás nulla km-nél
Ez 1-nél kisebb lehet, és
c) a többi járművet nem járatják be, de a 0 km-nél mért kibocsátásokat meg kell szorozni a változási együtthatóval. Ebben az esetben tehát a következő értékeket kell használni:
i. az első jármű "x" km-nél mért értékei,
ii. a többi jármű nulla km-nél mért értékei szorozva a változási együtthatóval.
4.2.3.3. Az összes ilyen mérést kereskedelmi forgalomban kapható üzemanyaggal kell elvégezni. A gyártó kérésére azonban a IX. mellékletben leírt referencia-üzemanyagok is használhatók.
4.3. Jármű megfelelőségének ellenőrzése a CO2-kibocsátás tekintetében
4.3.1. Ha a járműtípus egy vagy több kiterjesztéssel rendelkezik, akkor a méréseket az első típus-jóváhagyási kérelmet kísérő, vagy pedig a vonatkozó kiterjesztési kérelmet kísérő adatcsomagban leírt járművön kell elvégezni.
4.3.2. Ha a jóváhagyó hatóság nem találja megfelelőnek a gyártó ellenőrzési eljárását, akkor a 2007/46/EK irányelv X. mellékletének 3.3. és 3.4. pontját kell alkalmazni.
4.3.3. E pontban és az 1. és 2. függelékben a "káros anyag" kifejezés az e rendelet hatálya alá eső káros anyagokat (a 715/2007/EK rendelet I. mellékletének 1. és 2. táblázata) és a CO2-kibocsátást foglalja magában.
4.3.4. Egy járműnek a CO2-kibocsátás tekintetében való megfelelőségét a 4.2.2. pontban leírt eljárással kell meghatározni, az alábbi kivételekkel:
4.3.4.1. A 4.2.2.1. pont rendelkezései helyébe az alábbi szöveg lép:
Szúrópróbaszerűen három járművet kell kiválasztani a sorozatból és azokon kell elvégezni a méréseket a XII. melléklet szerint.
4.3.4.2. A 4.2.3.1. pont rendelkezései helyébe az alábbi szöveg lép:
A gyártó kérésére azonban a mérések elvégezhetők olyan járművön is, amely már megtett legfeljebb 15 000 km-t.
Ebben az esetben a bejáratást a gyártó végzi el, akinek vállalnia kell, hogy semmiféle beállítást sem végez ezeken a járműveken.
4.3.4.3. A 4.2.3.2. pont rendelkezései helyébe az alábbi szöveg lép:
Ha a gyártó be kívánja járatni a járművet ("x" km, ahol x ≤ 15 000 km), akkor a következő eljárást kell alkalmazni:
a) az első vizsgált járművön mérni kell a károsanyag-kibocsátást nulla km-nél, majd "x" km-nél,
b) minden káros anyagra ki kell számítani a károsanyag-kibocsátásnak a nulla és az "x" km közötti távolságra vonatkozó változási együtthatóját (EC):
kibocsátás "x" km-nél/kibocsátás nulla km-nél
Ez 1-nél kisebb lehet, és
c) a többi járművet nem járatják be, de a 0 km-nél mért kibocsátásokat meg kell szorozni a változási együtthatóval. Ebben az esetben tehát a következő értékeket kell használni:
i) az első jármű "x" km-nél mért értékei,
ii) a többi jármű nulla km-nél mért értékei szorozva a változási együtthatóval.
4.3.4.4. A 4.2.3.3. pont rendelkezései helyébe az alábbi szöveg lép:
A mérésekhez az e rendelet IX. mellékletében leírt referencia-üzemanyagot kell használni.
4.3.4.5. Egy jármű CO2-kibocsátás tekintetében való megfelelőségének ellenőrzésekor a 4.3.4.3. pontban említett eljárás alternatívájaként a járműgyártó alkalmazhat rögzített változási együtthatót (EC = 0,92), minden 0 km-nél mért CO2-értéket ezzel az együtthatóval szorozva.
4.3.5. Ökoinnovációs technológiákkal felszerelt járművek
4.3.5.1. Egy vagy több - M1 kategóriájú járművek esetében a 443/2009/EK rendelet 12. cikke, illetve N1 kategóriájú járművek esetében az 510/2011/EU rendelet 12. cikke szerinti - ökoinnovációs technológiával felszerelt jármű esetében a gyártás megfelelőségét az ökoinnovációs technológiák tekintetében a szóban forgó ökoinnovációs technológiákat jóváhagyó bizottsági határozat(ok)ban előírt vizsgálatok elvégzésével kell igazolni.
4.3.5.2. A 4.3.1., a 4.3.2. és a 4.3.4. pont előírásait is be kell tartani.
4.4. Csak elektromos meghajtással működő járművek
A gyártás áramfogyasztás tekintetében való megfelelőségét biztosító intézkedéseket az e melléklet 4. függelékében meghatározott típus-jóváhagyási tanúsítványban szereplő leírás alapján kell ellenőrizni.
4.4.1. A jóváhagyás birtokosa:
4.4.1.1. biztosítja a gyártásminőség hatékony ellenőrzésére szolgáló eljárások meglétét,
4.4.1.2. hozzáféréssel rendelkezik az egyes jóváhagyott típusok megfelelőségének ellenőrzéséhez szükséges berendezésekhez,
4.4.1.3. biztosítja, hogy a vizsgálati adatokat rögzítsék, és a csatolt dokumentumok a szakhatósággal egyeztetett ideig rendelkezésre álljanak,
4.4.1.4. elemzi az egyes méréstípusok eredményeit, hogy figyelemmel kísérhesse és biztosítsa a termék jellemzőinek állandóságát az ipari termelésben elfogadott tűréseken belül,
4.4.1.5. biztosítja, hogy minden egyes járműtípuson legalább az e rendelet XII. mellékletében említett méréseket elvégezzék, az ENSZ-EGB 101. sz. előírása 7. melléklete 2.3.1.6. szakaszának követelményeit is figyelembe véve a gyártó kérésére a méréseket olyan járművökön kell elvégezni, amelyek még egyáltalán nem futottak,
4.4.1.6. biztosítja, hogy minden olyan mintavétel vagy vizsgált komponens esetében, ahol a szóban forgó vizsgálat kimutatja a megfelelőség hiányát, egy újabb mintavétel és további vizsgálat történjen. Minden szükséges lépést meg kell tenni a gyártás megfelelőségének helyreállítása érdekében.
4.4.2. A jóváhagyó hatóságok bármikor ellenőrizhetik azokat a módszereket, amelyeket az egyes termelési egységekben alkalmaznak.
4.4.2.1. Az ellenőrzések alkalmával az ellenőrnek betekintést kell kapnia a gyártás ellenőrzésének és a vizsgálatok nyilvántartásaiba.
4.4.2.2. Az ellenőr szúrópróbaszerűen mintákat vehet a gyártó laboratóriumában történő vizsgálat céljára. A minták legkisebb számát a gyártó által végzett saját ellenőrzések eredményei alapján kell meghatározni.
4.4.2.3. Ha a minőség színvonala nem kielégítő, vagy ha a 4.4.2.2. pont szerint elvégzett vizsgálatok érvényességét ellenőrizni kell, az ellenőr mintákat vesz, amelyeket elküld a jóváhagyási vizsgálatot végező műszaki szolgálatnak.
4.4.2.4. A jóváhagyó hatóságok elvégezhetik az összes olyan vizsgálatot, amely szerepel e rendeletben.
4.5. Hibridhajtású elektromos járművek
4.5.1. A gyártásnak a hibridhajtású elektromos járművek CO2-kibocsátása és áramfogyasztása tekintetében való megfelelőségét biztosító intézkedéseket az e melléklet 4. függelékében lévő mintának megfelelő típus-jóváhagyási tanúsítványban szereplő leírás alapján kell ellenőrizni.
4.5.2. A gyártásmegfelelőség ellenőrzése a gyártó által a járműtípus CO2-kibocsátás és áramfogyasztás szempontjából való megfelelőségének biztosítására alkalmazott ellenőrzési eljárásának a jóváhagyó hatóság általi értékelésén alapul.
4.5.3. Ha a jóváhagyó hatóság nem találja megfelelőnek a gyártó ellenőrző eljárásának színvonalát, akkor ellenőrző vizsgálat végrehajtását írja elő a gyártásban levő járművekre.
4.5.4. A CO2-kibocsátás tekintetében való megfelelőséget az 1. és 2. függelék 4.3. pontjában leírt statisztikai eljárásokkal kell ellenőrizni. A járműveket a XII. mellékletében említett eljárással kell vizsgálni.
4.6. A jármű megfelelőségének ellenőrzése a 3. típusú mérés tekintetében
4.6.1. Ha 3. típusú mérést kell végezni, akkor azt el kell végezni a 4.2. pontban leírt, az 1. típusú mérés tekintetében való gyártásmegfelelőség vizsgálatára kiválasztott összes járművön. Az V. mellékletben megállapított feltételeket kell alkalmazni.
4.7. A jármű megfelelőségének ellenőrzése a 4. típusú mérés tekintetében
4.7.1. Ha 4. típusú mérést kell végezni, akkor azt a VI. melléklet szerint kell végezni.
4.8. A gépjármű megfelelőségének ellenőrzése a fedélzeti diagnosztika tekintetében
4.8.1. Ha ellenőrizni kell a fedélzeti diagnosztikai rendszer működésének megfelelőségét, akkor a következők szerint kell eljárni.
4.8.1.1. Ha a jóváhagyó hatóság megállapítja, hogy a gyártás minősége nem tűnik kielégítőnek, akkor szúrópróbaszerűen kiválasztanak egy járművet a sorozatból, és elvégzik rajta a XI. melléklet 1. függelékében leírt vizsgálatot.
4.8.1.2. A gyártást megfelelőnek kell tekinteni, ha ez a jármű kielégíti a XI. melléklet 1. függelékében leírt követelményeket.
4.8.1.3. Ha a sorozatból kiválasztott jármű nem teljesíti a 4.8.1.1. pont előírásait, akkor a sorozatból egy további, négy járműből álló véletlen mintát kell venni, és ezeken kell elvégezni a XI. melléklet 1. függelékében leírt vizsgálatot. A mérések végezhetők olyan járműveken, amelyeket 15 000 km-nél nem hosszabb távon már bejárattak.
4.8.1.4. A gyártást megfelelőnek kell tekinteni, ha legalább 3 jármű kielégíti a XI. melléklet 1. függelékében leírt követelményeket.
4.9. PB-üzemű, földgázüzemű, vagy H2NG-üzemű jármű megfelelőségének ellenőrzése
4.9.1. A gyártás megfelelőségére vonatkozó méréseket el lehet végezni kereskedelemben kapható olyan üzemanyaggal, amelynek PB-gáz esetében a C3/C4 aránya a referencia-üzemanyagok aránya közé esik, illetve amelynek földgáz vagy H2NG esetében a Wobbe-indexe a két szélső értékű referencia-üzemanyag Wobbe-indexe között van. Ilyenkor a jóváhagyó hatósághoz üzemanyag-elemzést kell beadni.
4.10. Jármű megfelelőségének ellenőrzése a füst opacitása tekintetében
4.10.1. A járműnek a kompressziós gyújtású motorok károsanyag-kibocsátása tekintetében a jóváhagyott típusnak való megfelelőségét a 4. függelék 2.4. pontjában előírt típus-jóváhagyási tanúsítványhoz fűzött kiegészítésben felsorolt eredmények alapján kell igazolni.
4.10.2. Ha a 10.1. pont mellett a sorozatból vett járművön ellenőrzést hajtanak végre, a méréseket az alábbiak szerint kell elvégezni:
4.10.2.1. A még nem be nem járatott járművön a IV. melléklet 2. függelékének 4.3. pontjában leírt, terhelés nélküli gyorsítás melletti méréseket kell elvégezni. A jármű akkor felel meg a jóváhagyott típusnak, ha a kapott fényelnyelési együttható a jóváhagyási jelben feltüntetett számadatot nem haladja meg 0,5 m-1-nél nagyobb mértékben.
4.10.2. 2 Ha a 4.10.2.1. pontban említett méréssel meghatározott érték 0,5 m-1-nél nagyobb mértékben haladja meg a jóváhagyási jelben feltüntetett számot, akkor az érintett típusú járművön vagy annak motorján el kell végezni a IV. melléklet 2. függelékének 4.2. pontjában leírtak szerint a teljes terhelési görbe mentén, állandósult fordulatszám-értékek melletti méréseket. A kibocsátási értékek nem haladhatják meg az ENSZ-EGB 24. sz. előírásának ( 10 ) 7. mellékletében előírt határértékeket.
1. függelék
A gyártásmegfelelőség ellenőrzése - Első statisztikai módszer
1. Az első statisztikai módszert kell használni a gyártásnak az 1. típusú mérés tekintetében való megfelelőségének az ellenőrzésére, ha a gyártó által megadott gyártástechnológiai szórás elfogadható. A vonatkozó statisztikai módszert az ENSZ-EGB 83. sz. előírásának 1. függeléke írja le. Ezen eljárások alól a következők a kivételek:
1.1. A 3. szakaszt illetően: az 5.3.1.4. szakaszra való hivatkozás a 715/2007/EK rendelet I. mellékletének vonatkozó táblázatára való hivatkozásként értendő.
1.2. A 3. szakaszt illetően: az 2. ábrára való hivatkozás e rendelet I.4.2. ábrájára való hivatkozásként értendő.
2. függelék
A gyártásmegfelelőség ellenőrzése - Második statisztikai módszer
1. A második statisztikai módszert kell használni a gyártásnak az 1. típusú mérés tekintetében való megfelelőségének az ellenőrzésére, ha a gyártó által megadott gyártástechnológiai szórás nem elfogadható, vagy ha nincs ilyen. A vonatkozó statisztikai módszert az ENSZ-EGB 83. sz. előírásának 2. függeléke írja le. Ezen eljárások alól a következők a kivételek:
1.1. A 3. szakaszt illetően: az 5.3.1.4. szakaszra való hivatkozás a 715/2007/EK rendelet I. mellékletének vonatkozó táblázatára való hivatkozásként értendő.
3. függelék
MINTA
... sz. ADATKÖZLŐ LAP
jármű EK-típus-jóváhagyása a kibocsátások, valamint a járműjavítási és -karbantartási információk elérhetősége tekintetében
A következő adatokat adott esetben három példányban kell megadni, tartalomjegyzékkel együtt. Ha rajzokat is mellékelnek, akkor azokat megfelelő méretarányban és elegendő részletességgel kidolgozva kell benyújtani, A4-es formátumban vagy A4-es formátumú mappában. A fényképeknek, ha vannak, megfelelő részletességűnek kell lenniük.
Ha a rendszerek, komponensek vagy önálló műszaki egységek elektronikus vezérléssel rendelkeznek, az azok működésére vonatkozó adatokat is meg kell adni.
0. ÁLTALÁNOS ELŐÍRÁSOK
0.1. Gyártmány (a gyártó márkaneve):
0.2. Típus:
0.2.1. Kereskedelmi név vagy nevek, ha vannak:
0.3. A típusazonosítás módja, ha a típus fel van tüntetve a járművön ( 11 ) ( 12 )
0.3.1. A jelölés helye:
0.4. A jármű kategóriája ( 13 )
0.5. A gyártó neve és címe:
0.8. Az összeszerelő üzem/üzemek neve/nevei és címe/címei:
0.9. A gyártó képviselőjének (ha van) neve és címe:
1. A JÁRMŰ ÁLTALÁNOS SZERKEZETI FELÉPÍTÉSÉRE VONATKOZÓ JELLEMZŐK
1.1. Egy reprezentatív jármű fényképei, illetve rajzai:
1.3.3. Hajtott tengelyek (szám, elhelyezés, összekapcsolás):
2. TÖMEGEK ÉS MÉRETEK ( 14 ) (kg és mm)
(adott esetben utalással a rajzra)
2.6. A jármű tömege karosszériával és az M1 kategória kivételével a vontató járművek esetében a gyári felszerelésű vonóeszközzel együtt, menetkész állapotban, vagy az alváz tömege vagy az alváz és a kocsiszekrény együttes tömege, karosszéria, illetve vonóeszköz nélkül, ha a karosszériát, illetve a vonóeszközt nem a gyártó szereli fel (ideértve a folyadékokat, szerszámokat, pótkereket, ha van, és a járművezetőt, valamint városi és távolsági buszoknál az utaskísérőt, ha van utaskísérői ülés a járműben) ( 15 ) (legnagyobb és legkisebb mindegyik variánsra):
2.8. A gyártó által megadott műszakilag megengedett legnagyobb terhelt tömeg ( 16 ) ( *1 ):
2.17. Többlépcsős típus-jóváhagyási eljárásra átadott jármű (csak a 715/2007/EK rendelet hatálya alá tartozó N1 kategóriájú nem teljes vagy befejezett jármű esetében): igen/nem (11)
2.17.1. A menetkész jármű tömege: kg
2.17.2. A 692/2008/EK rendelet XII. mellékletének 5. szakasza szerint kiszámított átlagos terhelés: ... kg
3. MEGHAJTÓENERGIA-ÁTALAKÍTÓ (k)
3.1. A meghajtóenergia-átalakító(k) gyártója:
3.1.1. A gyártó kódja (a meghajtóenergia-átalakítón feltüntetett jelölés szerint vagy más azonosító jelölés):
3.2. Belsőégésű motor
3.2.1.1. Működési elv: szikragyújtású/kompressziós gyújtású (11) ,...
négyütemű/kétütemű/forgó ciklusú (11) ...
3.2.1.2. A hengerek száma és elrendezése:
3.2.1.2.1. Furat ( 17 ) mm
3.2.1.2.2. Lökethossz (17) : mm
3.2.1.2.3. Gyújtási sorrend:
3.2.1.3. Motor űrtartalma(s): ... cm3
3.2.1.4. Térfogati sűrítési viszony ( 18 ):
3.2.1.5. Az égéstér, a dugattyúfenék és szikragyújtású motornál a dugattyúgyűrűk rajzai:
3.2.1.6. Normál üresjárati fordulatszám (18) : min-1
3.2.1.6.1. Nagy üresjárati fordulatszám (18) : min-1
3.2.1.7. A kipufogógáz térfogatra vonatkoztatott szénmonoxid-tartalma üresjáratban (18) : ... %, a gyártó adja meg (csak szikragyújtású motoroknál)
3.2.1.8. Névleges motorteljesítmény (n): ... kW ... min-1 fordulatszámon (a gyártó által megadott érték)
3.2.1.9. A gyártó által megadott megengedett legnagyobb fordulatszám: ... min-1
3.2.1.10. Legnagyobb hasznos nyomaték ( 19 ) Nm a következő fordulatszámon: ... min-1 (a gyártó adja meg)
3.2.2. Üzemanyag
3.2.2.1. Könnyű járművek: dízel/benzin/PB-gáz/földgáz vagy biometán/etanol (E85)/biodízel/hidrogén/H2NG ( 20 ) ( 21 )
3.2.2.1.1. Kísérleti oktánszám (RON), ólmozatlan:
3.2.2.3. Üzemanyagtartály töltése: korlátozott méretű töltőnyílás/címke (11)
3.2.2.4. A jármű üzemanyagának típusa: egyfajta üzemanyag, kétfajta üzemanyag, rugalmas felhasználás
3.2.2.5. A bioüzemanyag legnagyobb megengedett mennyisége az üzemanyagban (a gyártó adja meg): ... térfogatszázalék
3.2.4. Üzemanyag-adagolás
3.2.4.2. Üzemanyag-injektálással (csak kompressziós gyújtás): igen/nem (11)
3.2.4.2.1. A rendszer leírása (közös nyomócső/egyedi befecskendezők/elosztószivattyú stb.):
3.2.4.2.2. Működési elv: közvetlen injektálás/előkamrás/örvénykamrás (11)
3.2.4.2.3. Befecskendező/továbbítószivattyú
3.2.4.2.3.1. Gyártmány(ok):
3.2.4.2.3.2. Típus(ok):
3.2.4.2.3.3. Legnagyobb üzemanyag-szállítás (11) (18) mm3/ütem vagy ciklus ... min-1 fordulatszámon, vagy választhatóan szállítási jelleggörbe:
3.2.4.2.3.5. Előinjektálási görbe (18) :
3.2.4.2.4. Motorfordulatszám-szabályozó
3.2.4.2.4.2. Határfordulatszám
3.2.4.2.4.2.1. Határfordulatszám terhelés alatt: ...min-1
3.2.4.2.4.2.2. Határfordulatszám terhelés nélkül: ...min-1
3.2.4.2.6. Injektor(ok)
3.2.4.2.6.1. Gyártmány(ok):
3.2.4.2.6.2. Típus(ok):
3.2.4.2.7. Hidegindító rendszer
3.2.4.2.7.1. Gyártmány(ok):
3.2.4.2.7.2. Típus(ok):
3.2.4.2.7.3. Leírás:
3.2.4.2.8. Kiegészítő indítássegítés
3.2.4.2.8.1. Gyártmány(ok):
3.2.4.2.8.2. Típus(ok):
3.2.4.2.8.3. A rendszer leírása:
3.2.4.2.9. Elektronikusan vezérelt injektálás: igen/nem (11)
3.2.4.2.9.1. Gyártmány(ok):
3.2.4.2.9.2. Típus(ok):
3.2.4.2.9.3. A rendszer leírása
3.2.4.2.9.3. 1 A vezérlőegység gyártmánya és típusa:
3.2.4.2.9.3. 2 Az üzemanyag-szabályozó gyártmánya és típusa:
3.2.4.2.9.3. 3 A levegőáram-érzékelő típusa:
3.2.4.2.9.3. 4 Az üzemanyag-elosztó gyártmánya és típusa:
3.2.4.2.9.3. 5 A gázszelep házának gyártmánya és típusa:
3.2.4.2.9.3. 6 A vízhőmérséklet-érzékelő gyártmánya és típusa vagy működési elve:
3.2.4.2.9.3. 7 A levegőhőmérséklet-érzékelő gyártmánya és típusa vagy működési elve:
3.2.4.2.9.3. 8 A levegőnyomás-érzékelő gyártmánya és típusa vagy működési elve:
3.2.4.3. Üzemanyag-injektálással (csak szikragyújtás): igen/nem (11)
3.2.4.3.1. Működési elv: szívócső (egypontos/többpontos (11) )/közvetlen injektálás/egyéb (leírás) (11) :
3.2.4.3.2. Gyártmány(ok):
3.2.4.3.3. Típus(ok):
3.2.4.3.4. A rendszer leírása; nem folyamatos injektálású rendszerek esetében is hasonló adatokat kell megadni:
3.2.4.3.4.1. A vezérlőegység gyártmánya és típusa:
3.2.4.3.4.3. A levegőáramlás-érzékelő gyártmánya és típusa vagy működési elve:
3.2.4.3.4.6. A mikrokapcsoló gyártmánya és típusa:
3.2.4.3.4.8. A gázszelep házának gyártmánya és típusa:
3.2.4.3.4.9. A vízhőmérséklet-érzékelő gyártmánya és típusa vagy működési elve:
3.2.4.3.4.10. A levegőhőmérséklet-érzékelő gyártmánya és típusa vagy működési elve:
3.2.4.3.4.11. A levegőnyomás-érzékelő gyártmánya és típusa vagy működési elve:
3.2.4.3.5. Befecskendező fúvókák
3.2.4.3.5.1. Gyártmány(ok):
3.2.4.3.5.2. Típus(ok):
3.2.4.3.6. Az injektálás vezérlése:
3.2.4.3.7. Hidegindító rendszer
3.2.4.3.7.1. Működési elv(ek):
3.2.4.3.7.2. Működési határértékek/beállítások (11) (18) :
3.2.4.4. Tápszivattyú
3.2.4.4.1. Nyomás (18) : ... kPa vagy jelleggörbe (18) :
3.2.5. Villamos rendszer
3.2.5.1. Névleges feszültség: V, pozitív/negatív földelés (11)
3.2.5.2. Generátor
3.2.5.2.1. Típus:
3.2.5.2.2. Névleges teljesítmény: ...VA
3.2.6. Gyújtás
3.2.6.1. Gyártmány(ok):
3.2.6.2. Típus(ok):
3.2.6.3. Működési elv:
3.2.6.4. Előgyújtási jelleggörbe (18) :
3.2.6.5. Statikus gyújtásvezérlés (18) : ... fok a felső holtpont előtt
3.2.7. Hűtőrendszer: folyadék/levegő (11)
3.2.7.1. A motorhőmérséklet-szabályozó rendszer névleges beállítási értéke:
3.2.7.2. Folyadékos
3.2.7.2.1. A folyadék jellege:
3.2.7.2.2. Keringető szivattyú(k): van/nincs (11)
3.2.7.2.3. Jellemzők , vagy
3.2.7.2.3.1. Gyártmány(ok):
3.2.7.2.3.2. Típus(ok):
3.2.7.2.4. Áttétel(ek):
3.2.7.2.5. A ventilátor és hajtómechanizmusának leírása:
3.2.7.3. Levegő
3.2.7.3.1. Ventilátor: van/nincs (11)
3.2.7.3.2. Jellemzők , vagy
3.2.7.3.2.1. Gyártmány(ok):
3.2.7.3.2.2. Típus(ok):
3.2.7.3.3. Áttétel(ek):
3.2.8. Szívórendszer
3.2.8.1. Feltöltő: van/nincs (11)
3.2.8.1.1. Gyártmány(ok):
3.2.8.1.2. Típus(ok):
3.2.8.1.3. A rendszer leírása (például a legnagyobb feltöltőnyomás: ... kPa, feltöltéshatároló szelep, ha van):
3.2.8.2. Közbenső hűtő: van/nincs (11)
3.2.8.2.1. Típus: levegő-levegő/levegő-víz (11) :...
3.2.8.3. Szívási nyomásesés névleges fordulatszámon és 100 % terhelésnél (csak kompressziós gyújtású motoroknál)
legkisebb megengedett: kPa
legnagyobb megengedett: kPa
3.2.8.4. A szívóvezetékek és tartozékaik leírása és rajzai (csillapító kamra, előmelegítő, kiegészítő levegőnyílások stb.):
3.2.8.4.1. A szívócső leírása (rajzokkal, illetve fényképekkel együtt):
3.2.8.4.2. Levegőszűrő, rajzok: ..., vagy
3.2.8.4.2.1. Gyártmány(ok):
3.2.8.4.2.2. Típus(ok):
3.2.8.4.3. Szíváshangtompító, rajzok: ..., vagy
3.2.8.4.3.1. Gyártmány(ok):
3.2.8.4.3.2. Típus(ok):
3.2.9. Kipufogórendszer
3.2.9.1. A kipufogó-gyűjtőcső leírása, illetve rajzai:
3.2.9.2. A kipufogórendszer leírása, illetve rajzai:
3.2.9.3. Legnagyobb megengedett ellennyomás a kipufogórendszerben névleges fordulatszámon és 100 %-os terhelésnél (csak kompressziós gyújtású motoroknál): ... kPa
3.2.10. A szívó- és kipufogónyílások legkisebb keresztmetszete:
3.2.11. Szelepvezérlés vagy hasonló adatok
3.2.11.1. Legnagyobb szelepemelkedés, nyitási és zárási szögek vagy az alternatív elosztó rendszerek vezérlési adatai a holtpontokhoz képest. Állítható vezérlőrendszer esetében a vezérlés legnagyobb és legkisebb értékei:
3.2.11.2. Referencia-, illetve beállítási tartományok (11)
3.2.12. Légszennyezés-csökkentő megoldások
3.2.12.1. A forgattyúházból a gázok visszavezetésére szolgáló rendszer (leírás és rajzok):
3.2.12.2. Kibocsátáscsökkentő berendezések (amennyiben más pontban nem szerepelnek)
3.2.12.2.1. Katalitikus átalakító
3.2.12.2.1.1. A katalizátoros átalakítók és elemek darabszáma (az alábbi adatokat meg kell adni minden külön egységre):
3.2.12.2.1.2. A katalizátoros átalakító mérete, alakja és térfogata:
3.2.12.2.1.3. A katalitikus folyamat típusa:
3.2.12.2.1.4. Teljes nemesfémtöltet:
3.2.12.2.1.5. Relatív koncentráció:
3.2.12.2.1.6. Hordozó (szerkezet és anyag):
3.2.12.2.1.7. Cellasűrűség:
3.2.12.2.1.8. A katalizátoros átalakító(k) házának típusa:
3.2.12.2.1.9. A katalizátoros átalakító(k) elhelyezése (helye és vonatkoztatási távolsága a kipufogócsőben):
3.2.12.2.1.10. Hővédelem: van/nincs (11)
3.2.12.2.1.12. A katalizátoros átalakító gyártmánya:...
3.2.12.2.1.13. Termékazonosító szám:...
3.2.12.2.2. Érzékelők
3.2.12.2.2.1. Oxigénérzékelő: van/nincs (11)
3.2.12.2.2.1.1. Gyártmány:
3.2.12.2.2.1.2. Hely:
3.2.12.2.2.1.3. Szabályozási tartomány:
3.2.12.2.2.1.4. Típus vagy működési elv:...
3.2.12.2.2.1.5. Termékazonosító szám:...
3.2.12.2.3. Levegőinjektálás: van/nincs (11)
3.2.12.2.3.1. Típus (szakaszos levegőadagoló, levegőszivattyú stb.):
3.2.12.2.4. Kipufogógáz-visszavezető rendszer: van/nincs (11)
3.2.12.2.4.1. Jellemzők (gyártmány, típus, áramlás, magas nyomás/alacsony nyomás/kettős nyomás stb.):
3.2.12.2.4.2. Vízhűtéses rendszer (minden egyes pl. alacsony nyomású/magas nyomású/kettős nyomású kipufogógáz-visszavezetési rendszerre meg kell adni): van/nincs (11)
3.2.12.2.5. Párolgási kibocsátást csökkentő rendszer (csak benzinnel és etanollal működő motorok esetében): van/nincs (11)
3.2.12.2.5.1. A berendezések részletes leírása:
3.2.12.2.5.2. A párolgási kibocsátást csökkentő rendszer rajza:
3.2.12.2.5.3. Az aktívszéntartály rajza:
3.2.12.2.5.4. A száraz aktív szén tömege: ...g
3.2.12.2.5.5. A tüzelőanyag-tartály vázlatos rajza, a befogadóképesség és a tartályanyag feltüntetésével (csak benzinnel és etanollal működő motorok esetében):
3.2.12.2.5.6. A tüzelőanyag-tartály és a kipufogórendszer közötti hőpajzs leírása és vázlatos rajza:
3.2.12.2.5.7. Áteresztési tényező (11) :...
3.2.12.2.6. Részecskecsapda: van/nincs (11)
3.2.12.2.6.1. A részecskecsapda mérete, alakja és térfogata:
3.2.12.2.6.2. A részecskecsapda típusa és kialakítása:
3.2.12.2.6.3. Elhelyezés (vonatkoztatási távolság a kipufogócsőben):
3.2.12.2.6.4. A részecskeszűrő gyártmánya:...
3.2.12.2.6.5. Termékazonosító szám:...
3.2.12.2.7. Fedélzeti diagnosztikai rendszer: van/nincs (11)
3.2.12.2.7.1. A hibajelző szöveges leírása, illetve rajza:
3.2.12.2.7.2. A fedélzeti diagnosztikai rendszer által ellenőrzött összes komponens felsorolása, a rendeltetésükkel együtt:
3.2.12.2.7.3. Szöveges leírás (általános működési elvek) a következőkre:
3.2.12.2.7.3.1. Szikragyújtású motorok (11)
3.2.12.2.7.3.1.1. A katalizátor ellenőrzése (11) :
3.2.12.2.7.3.1.2. Gyújtáshiba észlelése (11) :
3.2.12.2.7.3.1.3. Az oxigénérzékelő ellenőrzése (11) :
3.2.12.2.7.3.1.4. A fedélzeti diagnosztikai rendszer által ellenőrzött más komponensek (11) :
3.2.12.2.7.3.2. Kompressziós gyújtású motorok (11)
3.2.12.2.7.3.2.1. A katalizátor ellenőrzése (11) :
3.2.12.2.7.3.2.2. A részecskecsapda ellenőrzése (11) :
3.2.12.2.7.3.2.3. Az elektronikusan szabályozott üzemanyag-adagoló rendszer ellenőrzése (11) :
3.2.12.2.7.3.2.4. A fedélzeti diagnosztikai rendszer által ellenőrzött más komponensek (11) :
3.2.12.2.7.4. A hibajelző bekapcsolódásának kritériumai (a menetciklusok rögzített száma vagy statisztikai módszer):
3.2.12.2.7.5. A használt összes fedélzeti diagnosztikai kimeneti kód és formátum felsorolása (tételes magyarázattal együtt):
3.2.12.2.7.6. Az alábbi kiegészítő információkat a jármű gyártója szolgáltatja abból a célból, hogy lehetőség legyen a fedélzeti diagnosztikai rendszerrel kompatibilis csere- vagy szervizkomponenseknek, valamint diagnosztikai műszereknek és mérőkészülékeknek a gyártására.
Az e pontban megadott információt e melléklet 5. függelékében (az EK-típusjóváhagyási tanúsítványnak a jármű diagnosztikai információira vonatkozó függeléke) meg kell ismételni:
3.2.12.2.7.6.1. A jármű eredeti típusjóváhagyásakor alkalmazott előkondicionálási ciklusok száma és típusának leírása.
3.2.12.2.7.6.2. A jármű eredeti típusjóváhagyása során a diagnosztikai rendszer által ellenőrzött komponensekre alkalmazott fedélzeti diagnosztikai tesztciklus típusának leírása.
3.2.12.2.7.6.3. Az összes ellenőrzött komponens átfogó leírása a hibaészlelés és a hibajelző bekapcsolásának stratégiájával (a menetciklusok rögzített száma vagy statisztikai módszer) együtt, beleértve a fedélzeti diagnosztikai rendszer által ellenőrzött egyes komponensek másodlagos paramétereinek felsorolását is. A fedélzeti diagnosztika összes olyan használt kimeneti kódjának és formátumának felsorolása (és ezek tételes magyarázata), amelyek a kibocsátással kapcsolatos egyedi erőátviteli komponensekhez és a kibocsátással nem kapcsolatos ható egyedi erőátviteli komponensekhez kapcsolódnak, ha az adott komponens ellenőrzése szerepet játszik a hibajelző bekapcsolásában. Átfogó ismertetést kell adni különösen a $05 mód (Test ID $21-FF) adatairól, illetve a $06 mód adatairól. Az ISO 15765-4: 2001: "Közúti járművek - Diagnosztika az ellenőrzőfelület-hálózaton (CAN). 4. rész: Az emisszióval összefüggő rendszerek követelményei." szabvány szerinti adatátviteli kapcsolattal rendelkező járműtípusok esetében a $06 módnak (Test ID $00-FF) az OBD-rendszer által ellenőrzött egyes ID-kre vonatkozó adatairól kell átfogó ismertetést adni.
3.2.12.2.7.6.4. Az e pontban előírt információ például megadható egy táblázatnak a következők szerinti kitöltésével, amelyet csatolni kell e melléklethez.
Komponens | Hiba-kód | Ellenőrzési stratégia | Hibaészlelési kritériumok | Hibajelző bekapcsolási kritériumai | Másodlagos paraméterek | Előkondicionálás | Igazolási eljárás |
Katalizátor | PO420 | Az 1. és a 2. oxigénérzékelőtől jövő jelek | Az 1. és a 2. érzékelőtől jövő jelek közötti különbség | 3. ciklus | Fordulatszám, motorterhelés, levegő/üzemanyag arány, katalizátor-hőmérséklet | Két 1. típusú ciklus | 1. típus |
3.2.12.2.8. Egyéb rendszer:
3.2.12.2.10. Periodikusan regeneráló rendszer: (az alábbi adatokat meg kell adni minden önálló egységre)
3.2.12.2.10.1. A regenerálás módja vagy rendszere, leírás és/vagy rajz:...
3.2.12.2.10.2. Az 1. típusú működési ciklusok vagy hasonló próbapadi ciklusok száma, amelyek két olyan ciklus között játszódnak le, amelyek alatt regenerálás történik az 1. típusú vizsgálatnak megfelelő körülmények között (a "D" távolság az (EU) 2017/1151 rendelet XXI. melléklet 6. almelléklete 1. függelékének A6.App1/1. ábráján vagy (adott esetben) a 83. sz. ENSZ EGB-előírás 13. mellékletének A13/1. ábráján):...
3.2.12.2.10.2.1. Az alkalmazandó 1. típusú ciklus: (adja meg az alkalmazandó eljárást: a 83. sz. ENSZ EGB-előírás XXI. mellékletének 4. almelléklete):...
3.2.12.2.10.3. A regenerálási fázist tartalmazó két ciklus közötti ciklusok számának megállapítására használt módszer leírása:...
3.2.12.2.10.4. Azok a paraméterek, amelyek meghatározzák a regenerálás kiváltásához szükséges terhelés mértékét (azaz hőmérséklet, nyomás stb.):...
3.2.12.2.10.5. A 83. sz. ENSZ EGB-előírás 13. mellékletének 3.1. szakasza szerinti vizsgálati eljárásban a rendszer terhelésére alkalmazott módszer leírása:...
3.2.12.2.11. Fogyó reagenseket használó katalitikus átalakító rendszerek (az információkat az alábbiakban minden egységre külön meg kell adni): vannak/nincsenek (11)
3.2.12.2.11.1. A szükséges reagens típusa és koncentrációja:...
3.2.12.2.11.2. A reagens szokásos üzemi hőmérsékleti tartománya:...
3.2.12.2.11.3. Nemzetközi szabvány:...
3.2.12.2.11.4. A reagens újratöltési gyakorisága: folyamatos/karbantartáskor (adott esetben):
3.2.12.2.11.5. Reagenskijelző: (leírás és elhelyezkedés)
3.2.12.2.11.6. Reagenstartály
3.2.12.2.11.6.1. Befogadóképesség:...
3.2.12.2.11.6.2. Fűtési rendszer: van/nincs (11)
3.2.12.2.11.6.2.1. Leírás vagy rajz
3.2.12.2.11.7. Reagensadagoló egység: van/nincs (11)
3.2.12.2.11.7.1. Gyártmány:...
3.2.12.2.11.7.2. Típus:...
3.2.12.2.11.8. Reagensbefecskendező (gyártmány, típus és elhelyezkedés):...
3.2.13. A fényelnyelési együttható jelének helye (csak kompressziós gyújtású motoroknál):
3.2.14. Az üzemanyag-felhasználás gazdaságosságának befolyásolására tervezett komponensek részletes ismertetése (ha még nem szerepelnek más tételek alatt):
3.2.15. Üzemanyag-adagoló rendszer, PB-gáz: van/nincs (11)
3.2.15.1. Típusjóváhagyási szám a 661/2009/EK rendelet szerint (HL L 200., 2009.7.31., 1. o.)
3.2.15.2. Elektronikus motorvezérlő a PB-adagoló rendszerhez
3.2.15.2.1. Gyártmány(ok):
3.2.15.2.2. Típus(ok):
3.2.15.2.3. Kibocsátással kapcsolatos beállítási lehetőségek:
3.2.15.3. További dokumentáció:
3.2.15.3.1. A katalizátorvédelem leírása a benzinüzemről PB-üzemre és vissza történő átkapcsolás során:
3.2.15.3.2. A rendszer elrendezési rajza (villamos csatlakozások, vákuumcsatlakozások, kiegyenlítő tömlők stb.):
3.2.15.3.3. A jel rajza:
3.2.16. Üzemanyag-adagoló rendszer, földgáz: van/nincs (11)
3.2.16.1. Típusjóváhagyási szám a 661/2009/EK rendelet szerint (HL L 200., 2009.7.31., 1. o.)
3.2.16.2. Elektronikus motorvezérlő egység földgáz-adagoló rendszerhez
3.2.16.2.1. Gyártmány(ok):
3.2.16.2.2. Típus(ok):
3.2.16.2.3. Kibocsátással kapcsolatos beállítási lehetőségek:
3.2.16.3. További dokumentáció:...
3.2.16.3.1. A katalizátorvédelem leírása a benzinüzemről földgázüzemre és vissza történő átkapcsolás során:
3.2.16.3.2. A rendszer elrendezési rajza (villamos csatlakozások, vákuumcsatlakozások, kiegyenlítő tömlők stb.):
3.2.16.3.3. A jel rajza:
3.2.18. Üzemanyag-adagoló rendszer, hidrogén: van/nincs
(20)
3.2.18.1. EK-típusjóváhagyási szám a 79/2009/EK rendelet szerint:
3.2.18.2. Elektronikus motorvezérlő a hidrogénadagoló rendszerhez
3.2.18.2.1. Gyártmány(ok):
3.2.18.2.2. Típus(ok):
3.2.18.2.3. Kibocsátással kapcsolatos beállítási lehetőségek:
3.2.18.3. További dokumentáció:
3.2.18.3.1. A katalizátorvédelem leírása a benzinüzemről hidrogénüzemre és vissza történő átkapcsolás során:
3.2.18.3.2. A rendszer elrendezési rajza (villamos csatlakozások, vákuumcsatlakozások, kiegyenlítő tömlők stb.):
3.2.18.3.3. A jel rajza:
3.2.19. Üzemanyag-adagoló rendszer, H2NG van/nincs
(20)
3.2.19.1. A hidrogén százalékos részaránya az üzemanyagban (a gyártó által előírt felső határérték):
3.2.19.2. EK-típusjóváhagyási szám az ENSZ-EGB 110. sz. előírása szerint ( 22 )
3.2.19.3. Elektronikus motorvezérlő a H2NG-adagoló rendszerhez
3.2.19.3.1. Gyártmány(ok):
3.2.19.3.2. Típus(ok):
3.2.19.3.3. Kibocsátással kapcsolatos beállítási lehetőségek:
3.2.19.4. További dokumentáció:
3.2.19.4.1. A katalizátorvédelem leírása a benzinüzemről H2NG-üzemre és vissza történő átkapcsolás során:
3.2.19.4.2. A rendszer elrendezési rajza (villamos csatlakozások, vákuumcsatlakozások, kiegyenlítő tömlők stb.):
3.2.19.4.3. A jel rajza:
3.3. Elektromos gép
3.3.1. Típus (tekercselés, gerjesztés):...
3.3.1.1. Legnagyobb óránkénti teljesítmény: ... kW
(a gyártó által megadott érték)
3.3.1.1.1. Legnagyobb hasznos teljesítmény (a) ... kW
(a gyártó által megadott érték)
3.3.1.1.2. Legnagyobb 30 perces teljesítmény (a) ... kW
(a gyártó által megadott érték)
3.3.1.2. Üzemi feszültség: ... V
3.3.2. REESS
3.3.2.1. Cellák száma:
3.3.2.2. Tömeg: ... kg
3.3.2.3. Kapacitás: Ah (amperóra)
3.3.2.4. Elhelyezés:
3.4. Meghajtóenergia-átalakítók kombinációi
3.4.1. Hibridhajtású elektromos jármű: igen/nem (11)
3.4.2. A hibridhajtású elektromos jármű kategóriája
Külső feltöltés/Nem külső feltöltés (11)
3.4.3. Üzemmód-kapcsoló: van/nincs (11)
3.4.3.1. Választható üzemmódok
3.4.3.1.1. Tisztán elektromos: igen/nem (11)
3.4.3.1.2. Tisztán üzemanyag-felhasználású: igen/nem (11)
3.4.3.1.3. Hibrid üzemmódok: vannak/nincsenek (11)
(ha van, rövid leírás)
3.4.4. Az energiatároló eszköz leírása: (REESS, kondenzátor, lendkerék/generátor)
3.4.4.1. Gyártmány(ok):
3.4.4.2. Típus(ok):
3.4.4.3. Azonosító szám:
3.4.4.4. Az elektrokémiai rendszer típusa:
3.4.4.5. Energia: ... (REESS esetében: feszültség és kapacitás, amperóra 2 órára, kondenzátor esetében: J, ...)
3.4.4.6. Töltő: a járművön/külső/nincs (11)
3.4.5. Villamos gép (külön részletezze az egyes villamos gépek típusát)
3.4.5.1. Gyártmány:
3.4.5.2. Típus:
3.4.5.3. Elsődleges alkalmazás: hajtómotor/generátor
3.4.5.3.1. Hajtómotorként való használat esetén: egy motor/több motor (darabszám):
3.4.5.4. Legnagyobb teljesítmény: ...kW
3.4.5.5. Működési elv:...
3.4.5.5.1. egyenáram/váltóáram/fázisok száma:...
3.4.5.5.2. külön gerjesztés/soros/egybeépített (11)
3.4.5.5.3. szinkron/aszinkron (11)
3.4.6. Vezérlőegység
3.4.6.1. Gyártmány(ok):
3.4.6.2. Típus(ok):
3.4.6.3. Azonosító szám:
3.4.7. Teljesítményszabályozó
3.4.7.1. Gyártmány:
3.4.7.2. Típus:
3.4.7.3. Azonosító szám:
3.4.8. A jármű hatósugara elektromos hajtás esetén: ... ... km (az ENSZ-EGB 101. sz. előírásának 9. melléklete szerint) ( 23 )
3.4.9. Gyártó javaslata az előkondicionálásra:
3.5. A szén-dioxid-kibocsátás/tüzelőanyag-fogyasztás/elektromos fogyasztás/elektromos hatósugár meghatározásához a gyártó által megadott értékek és (adott esetben) az ökoinnovációk adatai ( 24 )
3.5.1. A kibocsátott CO2 tömege (a méréshez használt mindegyik referencia-üzemanyagra meg kell adni)
3.5.1.1. A kibocsátott CO2 tömege (városi közlekedés): ... g/km
3.5.1.2. A kibocsátott CO2 tömege (lakott területen kívüli közlekedés): ... g/km
3.5.1.3. A kibocsátott CO2 tömege (vegyes): ... g/km
3.5.2. Üzemanyag-fogyasztás (a méréshez használt mindegyik referencia-üzemanyagra meg kell adni)
3.5.2.1. Üzemanyag-fogyasztás (városi közlekedés) ... l/100 km vagy m3/100 km vagy kg/100 km (20)
3.5.2.2. Üzemanyag-fogyasztás (lakott területen kívüli közlekedés) ... l/100 km vagy m3/100 km vagy kg/100 km (20)
3.5.2.3. Üzemanyag-fogyasztás (vegyes) ... l/100 km vagy m3/100 km vagy kg/100 km (20)
3.5.3. Elektromos járművek áramfogyasztása
3.5.3.1. A 725/2011/EU végrehajtási rendelet 5. cikkében található meghatározás szerinti, viszonyítási alapul vett gépjármű típusa/változata/kivitele ( 25 )
3.5.3.1. Tisztán elektromos járművek áramfogyasztása ... Wh/km
3.5.3.2. Kölcsönhatások a különböző ökoinnovációs technológiák között: vannak/nincsenek ( 26 )
3.5.3.2. Külső töltésű hibrid elektromos járművek áramfogyasztása
3.5.3.2.1. Áramfogyasztás (A. feltétel, vegyes) ... Wh/km
3.5.3.2.2. Áramfogyasztás (B. feltétel, vegyes) ... Wh/km
3.5.3.2.3. Áramfogyasztás (súlyozott vegyes) ... Wh/km
3.5.3.3. Az ökoinnovációs technológiák használatával kapcsolatos kibocsátási adatok ( 27 ) ( 28 )
Az ökoinnovációs technológiát jóváhagyó határozat (1) | Az ökoinnovációs technológia kódja (2) | 1. A viszonyítási alapul vett gépjármű CO2-kibocsátása (g/km) | 2. Az ökoinnovációs technológiával felszerelt gépjármű CO2-kibocsátása (g/km) | 3. A viszonyítási alapul vett gépjármű CO2-kibocsátása az 1. típusú vizsgálati ciklusban (3) | 4. Az ökoinnovációs technológiával felszerelt gépjármű CO2-kibocsátása az 1. típusú vizsgálati ciklusban (= 3.5.1.3.) | 5. Használati tényező (usage factor, UF), azaz a technológia használatának időbeli részaránya a szokásos üzemeltetési körülmények között | Megtakarított CO2-kibocsátás [Kép #5] |
xxxx/201x (1) | |||||||
Megtakarított CO2-kibocsátás összesen (g/km) (4) | |||||||
(1) Az ökoinnovációs technológiát jóváhagyó bizottsági határozat száma. (2) Az ökoinnovációs technológiát jóváhagyó bizottsági határozatban a technológiához rendelt kód. (3) Ha a típusjóváhagyó hatóság beleegyezésével az 1. típusú vizsgálati ciklus helyett a modellezés módszerét választják, ez az érték a modellezéssel kapott érték. (4) Az egyes ökoinnovációs technológiák révén megtakarított kibocsátások összege. |

Kép #5
3.5.6. M1 kategóriájú járművek esetében a 443/2009/EK rendelet 12. cikke, illetve N1 kategóriájú járművek esetében az 510/2011/EU rendelet 12. cikke szerinti ökoinnovációs technológiával felszerelt jármű: igen/nem ( 29 )
3.5.6.1. M1 kategóriájú járművek esetében a 725/2011/EK végrehajtási rendelet 5. cikkében, illetve N1 kategóriájú járművek esetében a 427/2014/EU végrehajtási rendelet 5. cikkében említett, viszonyítási alapul vett gépjármű típusa/változata/kivitele ( 30 ).
3.5.6.2. Kölcsönhatások a különböző ökoinnovációs technológiák között: vannak/nincsenek (29)
3.5.6.3. Az ökoinnovációs technológiák használatával kapcsolatos kibocsátási adatok ( 31 ) ( 32 )
Az ökoinnovációs technológiát jóváhagyó határozat (1) | Az ökoinnovációs technológia kódja (2) | 1. A viszonyítási alapul vett gépjármű szén-dioxid-kibocsátása (g/km) | 2. Az ökoinnovációs technológiával felszerelt gépjármű szén-dioxid-kibocsátása (g/km) | 3. A viszonyítási alapul vett gépjármű szén-dioxid-kibocsátása az 1. típusú vizsgálati ciklusban (3) | 4. Az ökoinnovációs technológiával felszerelt gépjármű szén-dioxid-kibocsátása az 1. típusú vizsgálati ciklusban (= 3.5.1.3.) | 5. Használati tényező (usage factor, UF), azaz a technológia használatának időbeli részaránya a szokásos üzemeltetési körülmények között | Megtakarított szén-dioxid-kibocsátás [Kép #6] |
xxxx/201x (1) | |||||||
Megtakarított szén-dioxid-kibocsátás összesen (g/km) (4) | |||||||
(1) Az ökoinnovációs technológiát jóváhagyó bizottsági határozat száma. (2) Az ökoinnovációs technológiát jóváhagyó bizottsági határozatban a technológiához rendelt kód. (3) Ha a típusjóváhagyó hatóság beleegyezésével az 1. típusú vizsgálati ciklus helyett a modellezés módszerét választják, ez az érték a modellezéssel kapott érték. (4) Az egyes ökoinnovációs technológiák révén megtakarított kibocsátások összege. |

Kép #6
3.6. A gyártó által megengedett hőmérséklet
3.6.1. Hűtőrendszer
3.6.1.1. Folyadékhűtés
Legnagyobb kilépő hőmérséklet: K
3.6.1.2. Léghűtés
3.6.1.2.1. Vonatkoztatási pont:...
3.6.1.2.2. Legnagyobb hőmérséklet a vonatkoztatási pontnál: ...K
3.6.2. A közbenső hűtő legnagyobb kilépő hőmérséklete: K
3.6.3. A kipufogógáz legnagyobb hőmérséklete a kipufogócsőnek a gyűjtőcső külső karimájával szomszédos pontján: K
3.6.4. Az üzemanyag hőmérséklete
Legkisebb: K
Legnagyobb: K
3.6.5. Kenőanyag hőmérséklete
Legkisebb: K
Legnagyobb: K
3.8. Kenőrendszer
3.8.1. A rendszer leírása
3.8.1.1. A kenőanyag-tartály elhelyezése:
3.8.1.2. Adagolórendszer (szivattyú/injektálás a szívórendszerbe/üzemanyagba keverve stb (11) .
3.8.2. Kenőszivattyú
3.8.2.1. Gyártmány(ok):
3.8.2.2. Típus(ok):
3.8.3. Üzemanyagba keverve
3.8.3.1. Százalék:
3.8.4. Olajhűtő: van/nincs (11)
3.8.4.1. Rajz(ok):
3.8.4.1.1. Gyártmány(ok):
3.8.4.1.2. Típus(ok):
4. ERŐÁTVITEL ( 33 )
4.3. A lendkerék tehetetlenségi nyomatéka:
4.3.1. Kiegészítő tehetetlenségi nyomaték, sebességbe kapcsolás nélkül:
4.4. Tengelykapcsoló(k)
4.4.1. Legnagyobb nyomatékátalakítás:
4.5. Sebességváltó:...
4.5.1. Típus (kézi/automata/fokozatmentes automata sebességváltó (CVT)) (11)
4.6. Áttételi viszonyszámok
Sebességfokozat | Belső áttételi viszonyszámok (a sebességváltó kimenőtengelyének fordulatszáma a motoréhoz viszonyítva) | Végáttételi arány(ok) (a sebességváltó kimenőtengelyének fordulatszáma a hajtott kerék fordulatszámához viszonyítva) | Összáttételi viszonyszám |
CVT váltó esetében a legnagyobb érték | |||
1 | |||
2 | |||
3 | |||
… | |||
CVT váltó esetében a legkisebb érték |
6. FELFÜGGESZTÉS
6.6. Gumiabroncsok és kerekek
6.6.1. Gumiabroncs/keréktárcsa kombináció(k)
6.6.1.1. Tengelyek
6.6.1.1.1.
1. tengely:
6.6.1.1.1.1. Gumiabroncs méretjelölése
6.6.1.1.2.
2. tengely:
6.6.1.1.2.1. Gumiabroncs méretjelölése
stb.
6.6.2. A gördülési sugarak alsó és felső határértékei
6.6.2.1.
1. tengely:
6.6.2.2.
2. tengely:
stb.
6.6.3. A jármű gyártója által ajánlott abroncsnyomásérték(ek): ... kPa
9. KAROSSZÉRIA
9.1. A felépítmény típusa a 2007/46/EK irányelv II. mellékletének C. részében meghatározott kódok szerint:
9.10.3. Ülések:...
9.10.3.1. Darabszám:
16. A JÁRMŰJAVÍTÁSI ÉS -KARBANTARTÁSI INFORMÁCIÓK ELÉRHETŐSÉGE
16.1. Annak a honlapnak a címe, ahol a járműjavítási és -karbantartási információk elérhetők:
16.1.1. Az elérhetőség kezdetének időpontja (legkésőbb a típusjóváhagyástól számított hat hónap):
16.2. A 16.1. pontban említett weboldal elérhetőségének feltételei:
16.3. A 16.1. pontban említett weboldalon keresztül elérhető járműjavítási és -karbantartási információk formátuma:
Függelék az adatközlő lapokhoz
INFORMÁCIÓK A MÉRÉSI KÖRÜLMÉNYEKRŐL
1. Gyújtógyertyák
1.1. Gyártmány:
1.2. Típus:
1.3. A gyújtógyertya hézaga:
2. Gyújtótekercs
2.1. Gyártmány:
2.2. Típus:
3. A használt kenőanyag
3.1. Gyártmány:
3.2. Típus:
(Ha a kenőanyag az üzemanyaghoz van keverve, az olaj százalékos aránya a keverékben)
4. A teljesítménymérő fékpad terhelésbeállításai (ezt az információt külön meg kell adni minden fékpados mérésnél)
4.1. A jármű karosszériájának típusa (variáns/változat)
4.2. A sebességváltó típusa (kézi/automata/fokozatmentes)
4.3. Rögzített terhelési görbéjű teljesítménymérő fékpad beállításai (ha használják a méréshez)
4.3.1. A teljesítménymérő fékpad alternatív terhelésbeállítási módszere (igen/nem)
4.3.2. Ellensúly (kg)
4.3.3. Felvett effektív teljesítmény 80 km/h sebességnél, beleértve a jármű menetveszteségeit is a fékpadon (kW)
4.3.4. Felvett effektív teljesítmény 50 km/h sebességnél, beleértve a jármű menetveszteségeit is a fékpadon (kW)
4.4. Változtatható terhelési görbéjű teljesítménymérő fékpad beállításai (ha használják a méréshez)
4.4.1. A kigurulásra vonatkozó információk a próbapályáról
4.4.2. A gumik gyártmánya és típusa:
4.4.3. Gumiabroncs-méretek (első/hátsó):
4.4.4. Gumiabroncs-nyomás (első/hátsó) (kPa):
4.4.5. A vizsgált jármű tömege a járművezetővel együtt (kg):
4.4.6. Közúti kigurulási adatok (ha volt)
V (km/h) | V2 (km/h) | V1 (km/h) | Átlagos korrigált kigurulási idő (s) |
120 | |||
100 | |||
80 | |||
60 | |||
40 | |||
20 |
4.4.7. Átlagos korrigált közúti teljesítmény (ha használatos)
V (km/h) | Korrigált teljesítmény (kW) |
120 | |
100 | |
80 | |
60 | |
40 | |
20 |
4. függelék
EK-TÍPUS-JÓVÁHAGYÁSI TANÚSÍTVÁNY MINTÁJA
(Legnagyobb megengedett formátum: A4 (210 × 297 mm))
EK-TÍPUS-JÓVÁHAGYÁSI TANÚSÍTVÁNY
A szakhatóság bélyegzője
Értesítés
- EK-típusjóváhagyásról ( 34 )
- EK-típusjóváhagyás kiterjesztéséről (34)
- EK-típusjóváhagyás elutasításáról (34)
- EK-típusjóváhagyás visszavonásáról (34)
- egy rendszertípus/egy járműtípus egy rendszere (34) tekintetében való típusjóváhagyását illetően, a 715/2007/EK rendelet ( 35 ) és 692/2008/EK rendelet ( 36 ) alapján.
EK-típusjóváhagyás száma:
A kiterjesztés oka:
I. RÉSZ
0.1. Gyártmány (a gyártó kereskedelmi neve): A szakhatóság bélyegzője
0.2. Típus: A szakhatóság bélyegzője
0.2.1. Kereskedelmi név vagy nevek, ha vannak: A szakhatóság bélyegzője
0.3. A típusazonosítás módja, ha a típus fel van tüntetve a járművön ( 37 )
0.3.1. A jelölés helye: A szakhatóság bélyegzője
0.4. A jármű kategóriája ( 38 )
0.5. A gyártó neve és címe: A szakhatóság bélyegzője
0.8. Az összeszerelő üzem/üzemek neve/nevei és címe/címei: A szakhatóság bélyegzője
0.9. A gyártó képviselője: A szakhatóság bélyegzője
II. RÉSZ
1. Kiegészítő adatok (értelemszerűen): (lásd a kiegészítést)
2. A jóváhagyási vizsgálat elvégzéséért felelős műszaki szolgálat: A szakhatóság bélyegzője
3. A mérési jegyzőkönyv kelte: A szakhatóság bélyegzője
4. A mérési jegyzőkönyv száma: A szakhatóság bélyegzője
5. Megjegyzések: (lásd a kiegészítést)
6. Hely: A szakhatóság bélyegzője
7. Kelt: A szakhatóság bélyegzője
8. Aláírás: A szakhatóság bélyegzője
Mellékletek: | Adatcsomag. Mérési jegyzőkönyv. |
Kiegészítés a ... számú EK-típusjóváhagyási tanúsítványhoz
jármű típus-jóváhagyása a kibocsátások és a járműjavítási és -karbantartási információk elérhetősége tekintetében a 715/2007/EK rendelet szerint
1. Kiegészítő információk
1.1. A menetkész jármű tömege:
1.2. Legnagyobb tömeg:
1.3. Referenciatömeg:
1.4. Az ülések száma:
1.6. A karosszéria típusa:...
1.6.1. M1, M2 kategória esetében: lépcsőshátú limuzin, ferdehátú limuzin, kombi, kupé, kabrió, többcélú jármű ( 39 )
1.6.2. N1, N2 kategória esetében: teherautó, zárt kisteherautó (39)
1.7. Kerékmeghajtás: első, hátsó, 4 x 4 (39) :
1.8. Tisztán elektromos jármű: igen/nem (39)
1.9. Hibridhajtású elektromos jármű: igen/nem (39)
1.9.1. A hibridhajtású elektromos jármű kategóriája: Külső feltöltés/Nem külső feltöltés (39)
1.9.2. Üzemmód-kapcsoló: van/nincs (39)
1.10. A motor azonosítása:
1.10.1. A motor űrtartalma:
1.10.2. Üzemanyagrendszer: közvetlen injektálásos/közvetett injektálásos (39)
1.10.3. A gyártó által ajánlott üzemanyag:
1.10.4. Legnagyobb teljesítmény: kW a következő fordulatszámon: min-1
1.10.5. Feltöltő: van/nincs (39)
1.10.6. Gyújtásrendszer: kompressziós gyújtás/szikragyújtás (39)
1.11. Erőátvitel (tisztán elektromos járműnél vagy hibridhajtású elektromos járműnél) (39)
1.11.1. Legnagyobb hasznos teljesítmény: ... kW, a következő fordulatszám-tartományban: ... - ... min-1
1.11.2. Legnagyobb 30 perces teljesítmény: kW.
1.11. 3 Legnagyobb hasznos nyomaték: ... Nm ... min-1 fordulatszámon.
1.12. Hajtóakkumulátor (tisztán elektromos járműnél vagy hibridhajtású elektromos járműnél)
1.12.1. Névleges feszültség: V
1.12.2. Kapacitás (2 órás): Ah
1.13. Erőátvitel: ...,
1.13.1. A sebességváltó típusa: kézi/automata/fokozatmentes (39)
1.13.2. Sebességfokozatok száma:
1.13.3. Össz-áttétel (beleértve a gumiabroncsok terhelés alatti gördülőkerületét is): a jármű sebessége (km/h) a motor 1 000 min-1 fordulatszámára vetítve
1. Első fokozatban: | 6. Hatodik fokozatban: |
2. Második fokozatban: | 7. Hetedik fokozatban: |
3. Harmadik fokozatban: | 8. Nyolcadik fokozatban: |
4. Negyedik fokozatban: | Gyorsító fokozatban: |
5. Ötödik fokozatban: |
1.13.4. Végáttétel:
1.14. Gumiabroncsok: , ...,...
Típus: ... Méretek:
Gördülőkerület terhelés alatt:
Az I. típusú méréshez használt gumiabroncsok gördülőkerülete:
2. Mérési eredmények:
2.1. A kipufogócsőből származó kibocsátások mérési eredményei
A kibocsátások besorolása: Euro 5/Euro 6 (39)
Az 1. típusú mérés eredményei, értelemszerűen
A típusjóváhagyás száma, ha nem alapjármű (39) :
1. típusú mérés eredményei | Mérés | CO (mg/km) | Összes szénhidrogén (THC) (mg/km) | Metántól különböző szénhidrogének (NMHC) (mg/km) | NOx (mg/km) | Összes szénhidrogén + NOx (mg/km) | Részecskék (mg/km) | Részecskék száma (darab/km) |
Mért () () | 1 | |||||||
2 | ||||||||
3 | ||||||||
Mért átlagérték, M () () | ||||||||
Ki () () | () | |||||||
Ki-vel számított átlagérték, (M.Ki) () | () | |||||||
DF () () | ||||||||
Ki-vel és DF-fel számított végső átlagérték, (M.Ki.DF) () | ||||||||
Határérték | ||||||||
(1) ha vonatkozik (2) nem vonatkozik (3) az összes szénhidrogénre és NOx-re kiszámított átlagértékek (M.Ki) összeadásával kapott átlagérték (4) kerekítés 2 tizedesjegyre (5) kerekítés 4 tizedesjegyre (6) kerekítés eggyel több tizedesjegyre, mint a határérték |
Információk a regenerálási stratégiáról
D = a működési ciklusok száma két olyan ciklus között, amelyben regenerálás történt:
d = a regeneráláshoz szükséges működési ciklusok száma:
2. típus: ... %
3. típus:...
4. típus: ... g/mérés
5. típus: | — Tartóssági vizsgálat: teljes jármű vizsgálata/próbapadi öregedési vizsgálat/egyik sem () — DF romlási tényező: számított/rögzített () — Értékek: |
(1) A nem kívánt rész törlendő (előfordulhat, hogy nincs szükség törlése, ha több tétel is vonatkozik). |
6. típus | CO (g/km) | Összes szénhidrogén (THC) (g/km) |
Mért érték |
2.1.1. Kétfajta tüzelőanyaggal üzemelő járművek esetében az 1. típusú táblázatot mindkét tüzelőanyag tekintetében meg kell ismételni. A rugalmas tüzelőanyag-felhasználású járművek esetében az 1. típusú vizsgálatot mindkét tüzelőanyag tekintetében el kell végezni a 692/2008/EK rendelet I. mellékletének I.2.4. ábrája szerint, a cseppfolyós propángázzal, illetve földgázzal/biometánnal (vagy egy-, vagy kétfajta tüzelőanyaggal) üzemelő járművek esetében a táblázatot meg kell ismételni a vizsgálat során használt különböző referenciagázok tekintetében, és a legrosszabb eredményeket egy külön táblázatban kell összefoglalni. Adott esetben a 692/2008/EK rendelet I. mellékletének 1.1.2.4. és 1.1.2.5. pontjának megfelelően azt is meg kell adni, hogy az eredmények mérésen vagy számításon alapulnak-e.
2.1.2. A hibajelző szöveges leírása, illetve rajza:
2.1.3. A fedélzeti diagnosztikai rendszer által ellenőrzött összes komponens felsorolása, a funkciókkal együtt:
2.1.4. Szöveges leírás (általános működési elvek) a következőkre:
2.1.4.1. Gyújtáshiba észlelése ( 40 ):
2.1.4.2. A katalizátor ellenőrzése (40) :
2.1.4.3. Az oxigénérzékelő ellenőrzése (40) :
2.1.4.4. A fedélzeti diagnosztikai rendszer által ellenőrzött más komponensek (40) :
2.1.4.5. A katalizátor ellenőrzése ( 41 ):
2.1.4.6. A részecskecsapda ellenőrzése (41) :
2.1.4.7. Az elektronikus üzemanyag-adagoló rendszer működtetőjének ellenőrzése (41) :
2.1.4.8. A fedélzeti diagnosztikai rendszer által ellenőrzött más komponensek:
2.1.5. A hibajelző bekapcsolódásának kritériumai (a menetciklusok rögzített száma vagy statisztikai módszer):
2.1.6. A használt összes fedélzeti diagnosztikai kimeneti kód és formátum felsorolása (tételes magyarázattal együtt):
2.2. A közúti közlekedésre való alkalmasság vizsgálatához szükséges kibocsátási adatok
Mérés | CO-érték (térfogat%) | Lambda (1) | Fordulatszám (min-1) | A motorolaj hőmérséklete (°C) |
Mérés kis üresjárati fordulatszámon | nem alkalmazandó | |||
Mérés nagy üresjárati fordulatszámon | ||||
(1) Mérés nagy üresjárati fordulatszámon |
2.3. Katalizátoros átalakítók, vannak/nincsenek (39)
2.3.1. E rendelet összes vonatkozó követelményének megfelelően vizsgált eredeti katalizátoros átalakító, igen/nem (39)
2.4. A füst opacitásmérésének eredményei (39)
2.4.1. Állandósult fordulatszámon: lásd a műszaki szolgálat ... sz. mérési jegyzőkönyvét
2.4.2. Terhelés nélküli gyorsítással végzett mérések
2.4.2.1. A fényelnyelési együttható mért értéke: ... m-1
2.4.2.2. A fényelnyelési együttható korrigált értéke: ... m-1
2.4.2.3. A fényelnyelési együttható jelének helye a járművön:
2.5. A CO2-kibocsátás és az üzemanyag-fogyasztás mérési eredményei
2.5.1. Belső égésű motorral felszerelt és nem külső feltöltésű (NOVC) hibridhajtású elektromos jármű
2.5.1.1. A kibocsátott CO2 tömege (a méréshez használt mindegyik referencia-üzemanyagra meg kell adni)
2.5.1.1.1. A kibocsátott CO2 tömege (városi közlekedés): ... g/km
2.5.1.1.2. A kibocsátott CO2 tömege (lakott területen kívüli közlekedés): ... g/km
2.5.1.1.3. A kibocsátott CO2 tömege (vegyes): ... g/km
2.5.1.2. Üzemanyag-fogyasztás (a méréshez használt mindegyik referencia-üzemanyagra meg kell adni)
2.5.1.2.1. Üzemanyag-fogyasztás (városi közlekedés): ... liter/100 km ( 42 ))
2.5.1.2.2. Üzemanyag-fogyasztás (lakott területen kívüli közlekedés): ... liter/100 km
2.5.1.2.3. Üzemanyag-fogyasztás (vegyes): ... liter/100 km (42)
2.5.1.3. Az e rendelet 2. cikkének (6) bekezdése szerinti időszakos regenerálású rendszerrel felszerelt, csak belső égésű motorral hajtott járműveknél a mérési eredményeket meg kell szorozni az ENSZ-EGB 101. sz. előírásának a 10. mellékletében megadott Ki tényezővel.
2.5.1.3.1. Információk a regenerálási stratégiáról a CO2-kibocsátás és üzemanyag-fogyasztás tekintetében
D= a működési ciklusok száma két olyan ciklus között, amelyben regenerálás történt:
d = a regeneráláshoz szükséges működési ciklusok száma:
városi közlekedés | lakott területen kívül | vegyes | |
Ki Értékek a CO2-re és az üzemanyag-fogyasztásra (1) | |||
(1) kerekítés 4 tizedesjegyre |
2.5.2. Tisztán elektromos jármű (39)
2.5.2.1. Áramfogyasztás (a gyártó által megadott érték)
2.5.2.1.1. Áramfogyasztás: Wh/km
2.5.2.1.2. A ciklusban az összes olyan idő, amikor az értékek tűrésen kívül voltak: s
2.5.2.2. Hatósugár (a gyártó által megadott érték): ... km
2.5.3. Külső feltöltésű (OVC) hibridhajtású elektromos jármű:
2.5.3.1. A kibocsátott CO2 tömege (A. feltétel, vegyes) ( 43 ): g/km
2.5.3.2. A kibocsátott CO2 tömege (B. feltétel, vegyes) (43) : g/km
2.5.3.3. A kibocsátott CO2 tömege (súlyozott, vegyes) (43) : g/km
2.5.3.4. Üzemanyag-fogyasztás (A. feltétel, vegyes) (43) : ... liter/100 km
2.5.3.5. Üzemanyag-fogyasztás (B. feltétel, vegyes) (43) : ... liter/100 km
2.5.3.6. Üzemanyag-fogyasztás (súlyozott, vegyes) (43) : ... liter/100 km
2.5.3.7. Áramfogyasztás (A. feltétel, vegyes) (43) : Wh/km
2.5.3.8. Áramfogyasztás (B. feltétel, vegyes) (43) : Wh/km
2.5.3.9. Áramfogyasztás (súlyozott és vegyes) (43) : Wh/km
2.5.3.10. Hatósugár tisztán elektromos hajtással: km
2.6. Az ökoinnovációs technológiákkal kapcsolatban végzett vizsgálatok eredményei (
44
) (
45
)
Az ökoinnovációs technológiát jóváhagyó határozat (1) | Az ökoinnovációs technológia kódja (2) | 1. A viszonyítási alapul vett gépjármű szén-dioxid-kibocsátása (g/km) | 2. Az ökoinnovációs technológiával felszerelt gépjármű szén-dioxid-kibocsátása (g/km) | 3. A viszonyítási alapul vett gépjármű szén-dioxid-kibocsátása az 1. típusú vizsgálati ciklusban (3) | 4. Az ökoinnovációs technológiával felszerelt gépjármű szén-dioxid-kibocsátása az 1. típusú vizsgálati ciklusban (= 3.5.1.3.) | 5. Használati tényező (usage factor, UF), azaz a technológia használatának időbeli részaránya a szokásos üzemeltetési körülmények között | Megtakarított szén-dioxid-kibocsátás [Kép #7] |
xxxx/201x | |||||||
Megtakarított szén-dioxid-kibocsátás összesen (g/km) (4) | |||||||
(1) Az ökoinnovációs technológiát jóváhagyó bizottsági határozat száma. (2) Az ökoinnovációs technológiát jóváhagyó bizottsági határozatban a technológiához rendelt kód. (3) Ha az 1. típusú vizsgálati ciklus helyett a modellezés módszerét választják, ez az érték a modellezéssel kapott érték. (4) Az egyes ökoinnovációs technológiák révén megtakarított kibocsátások összege. |

Kép #7
2.6.1. Az ökoinnovációs technológia (technológiák) általános kódja ( 46 ): ...
3. Járműjavítási információk
3.1. Annak a weboldalnak a címe, ahol a járműjavítási és -karbantartási információk elérhetők:...
3.1.1. Az elérhetőség kezdetének időpontja (legkésőbb a típusjóváhagyástól számított hat hónap):
3.2. A 3.1. pontban említett weboldal elérhetőségének feltételei (azaz meddig érhetők el az információk, az elérhetőség óránkénti, napi, havi, éves és tranzakciónkénti díja):
3.3. A 3.1. pontban említett weboldalon keresztül elérhető járműjavítási és -karbantartási információk formátuma:
3.4. A gyártó által adott bizonylat a járműjavítási és -karbantartási információk elérhetőségéről:...
4. Teljesítménymérés
Belső égésű motorok legnagyobb hasznos motorteljesítménye, elektromos hajtóművek hasznos teljesítménye és legnagyobb 30 perces teljesítménye
4.1. A belső égésű motor hasznos teljesítménye
4.1.1. A motor fordulatszáma (ford./perc)
4.1.2. Mért tüzelőanyag-áram (g/h)
4.1.3. Mért nyomaték (Nm)
4.1.4. Mért teljesítmény (kW)
4.1.5. Légnyomás (kPa)
4.1.6. Gőznyomás (kPa)
4.1.7. A beszívott levegő hőmérséklete (K)
4.1.8. Teljesítménykorrekciós tényező (adott esetben)
4.1.9. Korrigált teljesítmény (kW)
4.1.10. A segédberendezések teljesítménye (kW)
4.1.11. Hasznos teljesítmény (kW)
4.1.12. Hasznos nyomaték (Nm)
4.1.13. Korrigált fajlagos tüzelőanyag-fogyasztás (g/kWh)
4.2. Elektromos hajtómű(vek):
4.2.1. A gyártó által megadott értékek
4.2.2. Legnagyobb hasznos teljesítmény: ... kW ... min-1 fordulatszámon
4.2.3. Legnagyobb hasznos nyomaték: ... Nm ... min-1 fordulatszámon
4.2.4. Legnagyobb hasznos nyomaték nulla sebességen: ... Nm
4.2.5. Legnagyobb 30 perces teljesítmény: ... kW
4.2.6. Az elektromos hajtómű alapvető jellemzői
4.2.7. Vizsgálati egyenfeszültség V
4.2.8. Működési elv:
4.2.9. Hűtőrendszer:
4.2.10. Motor: folyadék/levegő ( 47 )
4.2.11. Variátor: folyadék/levegő (47)
5. Megjegyzések:
5. függelék
A jármű fedélzeti diagnosztikai információi
1. Az e függelékben előírt információkat a jármű gyártója szolgáltatja abból a célból, hogy lehetőség legyen a fedélzeti diagnosztikai rendszerrel kompatibilis csere- vagy szervizkomponenseknek, valamint diagnosztikai műszereknek és mérőkészülékeknek a gyártására.
2. Kérésre a következő információkat a komponensek, diagnosztikai műszerek vagy mérőkészülékek bármely érdekelt gyártójának a rendelkezésére kell bocsátani, megkülönböztetés nélkül.
2.1. A jármű eredeti típusjóváhagyásakor alkalmazott előkondicionálási ciklusok száma és típusának leírása.
2.2. A járműnek a fedélzeti diagnosztikai rendszer által ellenőrzött komponensek tekintetében történt eredeti jóváhagyásakor a fedélzeti diagnosztika igazolására használt eljárás típusának leírása.
2.3. Az összes ellenőrzött komponens átfogó leírása a hibaészlelés és a hibajelző bekapcsolásának stratégiájával (a menetciklusok rögzített száma vagy statisztikai módszer) együtt, beleértve a fedélzeti diagnosztikai rendszer által ellenőrzött egyes komponensek másodlagos paramétereinek felsorolását is, valamint a fedélzeti diagnosztika összes olyan használt kimeneti kódjának és formátumának felsorolása (és ezek tételes magyarázata), amelyek a kibocsátással kapcsolatos egyedi erőátviteli komponensekhez és a kibocsátással nem kapcsolatos egyedi erőátviteli komponensekhez kapcsolódnak, ha az adott komponens ellenőrzése szerepet játszik a hibajelző bekapcsolásában. Átfogó ismertetést kell adni különösen a $05 mód (Test ID $21-FF) adatairól, illetve a $06 mód adatairól. Az ISO 15765-4: 2001: "Közúti járművek - Diagnosztika az ellenőrzőfelület-hálózaton (CAN). 4. rész: Az emisszióval összefüggő rendszerek követelményei." szabvány szerinti adatátviteli kapcsolattal rendelkező járműtípusok esetében a $06 módnak (Test ID $00-FF) az OBD-rendszer által ellenőrzött egyes ID-kre vonatkozó adatairól kell átfogó ismertetést adni.
Ezeket az adatokat táblázat formájában is meg lehet adni az alábbiak szerint:
Komponens | Hiba-kód | Ellenőrzési stratégia | Hibaészlelési kritériumok | Hibajelző bekapcsolási kritériumai | Másodlagos paraméterek | Előkondicionálás | Igazolási eljárás |
Katalizátor | P0420 | Az 1. és a 2. oxigénérzékelőtől jövő jelek | Az 1. és a 2. érzékelőtől jövő jelek közötti különbség | 3. ciklus | Fordulatszám, motorterhelés, levegő/üzemanyag arány, katalizátor-hőmérséklet | Két 1. típusú ciklus | 1. típus |
3. Diagnosztikai műszerek gyártásához szükséges információk
A járműgyártóknak a javítási információkról szóló weboldalukon elérhetővé kell tenniük a 3.1.-3.3. pontban meghatározott információkat, hogy megkönnyítsék a többféle gyártmánnyal foglalkozó szervizek ellátását általános diagnosztikai műszerekkel. Az információknak tartalmazniuk kell a diagnosztikai műszerek összes funkcióját, és a javítási információk és a hibaelhárítási utasítások összes elérhetőségét. Az információk elérhetőségéért a gyártó méltányos díjat kérhet.
3.1. A kommunikációs protokollra vonatkozó információk
A következő információkat kell megadni, mindegyikhez feltüntetve a jármű gyártmányát, modelljét és variánsát, vagy más használható meghatározást, mint például a járműazonosító számot (VIN) vagy a jármű és a rendszerek megnevezését.
a) a XI. melléklet 4. pontjában előírtak mellett a teljes diagnosztikát lehetővé tévő kiegészítő kommunikációs protokollra vonatkozó információrendszer, beleértve a kiegészítő hardver- vagy szoftverprotokollra vonatkozó információkat, a paraméterazonosítást, a továbbítási funkciókat, a működésben tartási feltételeket vagy a hibaállapotokat,
b) részletes ismertetése annak, hogyan lehet megszerezni és értelmezni az összes olyan hibakódot, amelyek eltérnek a XI. melléklet 4. pontjában előírtaktól.
c) az összes érvényes adatparaméter felsorolása, beleértve az arányosítási és hozzáférési információkat is,
d) az összes lehetséges működéspróba felsorolása, beleértve az eszközök bekapcsolását vagy szabályozását is, valamint az ezek megvalósításához szükséges eszközök,
e) részletes ismertetés annak, hogyan lehet megszerezni a komponensekre és állapotokra vonatkozó információkat, az időbélyegeket, a függő hibakódokat és a pillanatfelvételeket,
f) az adaptív tanulási paramétereknek, a variánskódolásnak, a cserekomponensek paramétertáblázatának, valamint a felhasználói preferenciáknak a visszaállítása az alapállapotba,
g) a motorvezérlő egység azonosítása és variáns programozás,
h) részletes ismertetése annak, hogyan lehet visszaállítani a szervizlámpákat,
i) a diagnosztikai csatlakozó helye és a csatlakozó részletes ismertetése,
j) a motorkód azonosítása.
3.2. A fedélzeti diagnosztika által ellenőrzött komponensek tesztelése és diagnosztizálása
Az alábbi információkat kell megadni:
a) a működőképességet ellenőrző tesztelés leírása, a komponens vagy a kábelgyűjtő szintjén,
b) teszteljárás, beleértve a tesztelési paramétereket és a komponensre vonatkozó információkat is,
c) a csatlakozások részletes ismertetése, beleértve a bementek és kimenetek legnagyobb és legkisebb értékeit, és a menet- és terhelési értékeket is,
d) adott menetviszonyok között - többek között üresjáratban - várható értékek,
e) a komponensek villamos értékei, statikus és dinamikus állapotukban,
f) meghibásodási módok az összes fenti mechanizmusra,
g) meghibásodási módok diagnosztizálási eljárása, beleértve a hibafákat és az irányított diagnosztikai kizárást is
3.3. A javításhoz szükséges adatok
Az alábbi információkat kell megadni:
a) a motorvezérlő egység és a komponensek inicializálása (cserekomponens beszerelésekor)
b) adott esetben új vagy csereként beépített motorvezérlő egység inicializálása átadásos (át)programozási eljárásokkal.
6. függelék
Az EK-típusjóváhagyási tanúsítványok számozási rendszere
1. A 6. cikk (1) bekezdése szerint kiadott EK-típusjóváhagyási szám 3. része az EK-típusjóváhagyásra vonatkozó végrehajtási jogszabály vagy a legutóbbi módosító jogszabály számából áll. Ezt a számot egy vagy több betűjel követi, amely(ek) a különböző járműkategóriákat jelöli(k), az alábbi 1. táblázat szerint. Ezek a betűk különbséget tesznek a jóváhagyás alapját képező Euro 5 és Euro 6 kibocsátási határértékek között is.
1. táblázat
Betűjel | Kibocsátási előírás | A fedélzeti diagnosztikára vonatkozó előírás | Jármű kategóriája és osztálya | Motor | Hatálybalépés: új típusok | Hatálybalépés: új járművek | A nyilvántartásba vétel utolsó dátuma |
A | Euro 5a | Euro 5 | M, N1 I. osztály | PI, CI | 2009.9.1. | 2011.1.1. | 2012.12.31. |
B | Euro 5a | Euro 5 | Speciális szociális igényeket kielégítő M1 (kivéve M1G) | CI | 2009.9.1. | 2012.1.1. | 2012.12.31. |
C | Euro 5a | Euro 5 | Speciális szociális igényeket kielégítő M1G | CI | 2009.9.1. | 2012.1.1. | 2012.8.31. |
D | Euro 5a | Euro 5 | N1 II. osztály | PI, CI | 2010.9.1. | 2012.1.1. | 2012.12.31. |
E | Euro 5a | Euro 5 | N1 III. osztály, N2 | PI, CI | 2010.9.1. | 2012.1.1. | 2012.12.31. |
F | Euro 5b | Euro 5 | M, N1 I. osztály | PI, CI | 2011.9.1. | 2013.1.1. | 2013.12.31. |
G | Euro 5b | Euro 5 | Speciális szociális igényeket kielégítő M1 (kivéve M1G) | CI | 2011.9.1. | 2013.1.1. | 2013.12.31. |
H | Euro 5b | Euro 5 | N1 II. osztály | PI, CI | 2011.9.1. | 2013.1.1. | 2013.12.31. |
I | Euro 5b | Euro 5 | N1 III. osztály, N2 | PI, CI | 2011.9.1. | 2013.1.1. | 2013.12.31. |
J | Euro 5b | Euro 5+ | M, N1 I. osztály | PI, CI | 2011.9.1. | 2014.1.1. | 2015.8.31. |
K | Euro 5b | Euro 5+ | Speciális szociális igényeket kielégítő M1 (kivéve M1G) | CI | 2011.9.1. | 2014.1.1. | 2015.8.31. |
L | Euro 5b | Euro 5+ | N1 II. osztály | PI, CI | 2011.9.1. | 2014.1.1. | 2016.8.31. |
M | Euro 5b | Euro 5+ | N1 III. osztály, N2 | PI, CI | 2011.9.1. | 2014.1.1. | 2016.8.31. |
N | Euro 6a | Euro 6- | M, N1 I. osztály | CI | 2012.12.31. | ||
O | Euro 6a | Euro 6- | N1 II. osztály | CI | 2012.12.31. | ||
P | Euro 6a | Euro 6- | N1 III. osztály, N2 | CI | 2012.12.31. | ||
Q | Euro 6b | Euro 6- | M, N1 I. osztály | CI | 2013.12.31. | ||
R | Euro 6b | Euro 6- | N1 II. osztály | CI | 2013.12.31. | ||
S | Euro 6b | Euro 6- | N1 III. osztály, N2 | CI | 2013.12.31. | ||
T | Euro 6b | Euro 6-plusz IUPR | M, N1 I. osztály | CI | 2015.8.31. | ||
U | Euro 6b | Euro 6-plusz IUPR | N1 II. osztály | CI | 2016.8.31. | ||
V | Euro 6b | Euro 6-plusz IUPR | N1 III. osztály, N2 | CI | 2016.8.31. | ||
W | Euro 6b | Euro 6-1 | M, N1 I. osztály | PI, CI | 2014.9.1. | 2015.9.1. | 2018.8.31. |
X | Euro 6b | Euro 6-1 | N1 II. osztály | PI, CI | 2015.9.1. | 2016.9.1. | 2019.8.31. |
Y | Euro 6b | Euro 6-1 | N1 III. osztály, N2 | PI, CI | 2015.9.1. | 2016.9.1. | 2019.8.31. |
ZA | Euro 6c | Euro 6-1 | M, N1 I. osztály | PI, CI | 2018.8.31. | ||
ZB | Euro 6c | Euro 6-1 | N1 II. osztály | PI, CI | 2019.8.31. | ||
ZC | Euro 6c | Euro 6-1 | N1 III. osztály, N2 | PI, CI | 2019.8.31. | ||
ZD | Euro 6c | Euro 6-2 | M, N1 I. osztály | PI, CI | 2018.8.31. | ||
ZE | Euro 6c | Euro 6-2 | N1 II. osztály | PI, CI | 2019.8.31. | ||
ZF | Euro 6c | Euro 6-2 | N1 III. osztály, N2 | PI, CI | 2019.8.31. | ||
ZG | Euro 6d-TEMP | Euro 6-2 | M, N1 I. osztály | PI, CI | 2018.8.31. | ||
ZH | Euro 6d-TEMP | Euro 6-2 | N1 II. osztály | PI, CI | 2019.8.31. | ||
ZI | Euro 6d-TEMP | Euro 6-2 | N1 III. osztály, N2 | PI, CI | 2019.8.31. | ||
ZJ | Euro 6d | Euro 6-2 | M, N1 I. osztály | PI, CI | 2018.8.31. | ||
ZK | Euro 6d | Euro 6-2 | N1 II. osztály | PI, CI | 2019.8.31. | ||
ZL | Euro 6d | Euro 6-2 | N1 III. osztály, N2 | PI, CI | 2019.8.31. | ||
ZX | n. a. | n. a. | Összes jármű | Akkumulátor – teljesen elektromos | 2009.9.1. | 2011.1.1. | 2019.8.31. |
ZY | n. a. | n. a. | Összes jármű | Akkumulátor – teljesen elektromos | 2009.9.1. | 2011.1.1. | 2019.8.31. |
ZZ | n. a. | n. a. | Az I. melléklet 2.1.1. pontja szerinti tanúsítvánnyal rendelkező összes jármű | PI, CI | 2009.9.1. | 2011.1.1. | 2019.8.31. |
Magyarázat: „Euro 5a” kibocsátási előírás = nem tartalmazza a részecskékre vonatkozó módosított mérési eljárást, a részecskeszámra vonatkozó előírást és a rugalmas tüzelőanyag-felhasználású járművek bio-tüzelőanyaggal kis hőmérsékleten végzett kibocsátásméréseit. „Euro 5b” kibocsátási előírás = a teljes Euro 5 kibocsátási előírások, beleértve a részecskékre vonatkozó módosított mérési eljárást, a kompressziós gyújtású járművek által kibocsátott részecskék számára vonatkozó előírást és a rugalmas tüzelőanyag-felhasználású járművek bio-tüzelőanyaggal kis hőmérsékleten végzett kibocsátásméréseit. „Euro 6a” kibocsátási előírás = nem tartalmazza a részecskékre vonatkozó módosított mérési eljárást, a részecskeszámra vonatkozó előírást és a rugalmas tüzelőanyag-felhasználású járművek bio-tüzelőanyaggal kis hőmérsékleten végzett kibocsátásméréseit. „Euro 6b” kibocsátási előírás = a teljes Euro 6 kibocsátási előírások, beleértve a részecskékre vonatkozó módosított mérési eljárást, a részecskeszámra vonatkozó előírást (a szikragyújtású járművekre vonatkozó előzetes értékeket) és a rugalmas tüzelőanyag-felhasználású járművek bio-tüzelőanyaggal kis hőmérsékleten végzett kibocsátásméréseit. „Euro 6c” kibocsátási előírás = a kvantitatív RDE-követelmények nélküli teljes Euro 6 kibocsátási előírás, azaz az Euro 6b kibocsátási előírás és a szikragyújtású járművek által kibocsátott részecskék számára vonatkozó végleges előírás, (adott esetben) az E10-es és a B7-es referencia-tüzelőanyag használata az előírt laborvizsgálati ciklus alapján értékelve, és csak nyomon követésre szolgáló RDE-vizsgálat (a nem túllépendő NTE-határértékek alkalmazása nélkül). „Euro 6d-TEMP” kibocsátási előírás = a teljes Euro 6 kibocsátási előírás, azaz az Euro 6b kibocsátási előírás és a szikragyújtású járművek által kibocsátott részecskék számára vonatkozó végleges előírás, (adott esetben) az E10-es és a B7-es referencia-tüzelőanyag használata az előírt laborvizsgálati ciklus alapján értékelve és az átmeneti megfelelési tényezőkkel való összevetés révén végzett RDE-vizsgálat. „Euro 6d” kibocsátási előírás = a teljes Euro 6 kibocsátási előírás, azaz az Euro 6b kibocsátási előírás és a szikragyújtású járművek által kibocsátott részecskék számára vonatkozó végleges előírás, (adott esetben) az E10-es és a B7-es referencia-tüzelőanyag használata az előírt laborvizsgálati ciklus alapján értékelve és a végső megfelelési tényezőkkel való összevetés révén végzett RDE-vizsgálat. „Euro 5” OBD-előírás = „Euro 5” OBD-alapelőírások, kivéve a használat közbeni működési arányt (IUPR), a NOx-ellenőrzést a benzinüzemű járműveknél és a dízelre vonatkozó szigorított részecskekibocsátási küszöbértékeket. „Euro 5+” OBD-előírás = kevésbé szigorú használat közbeni működési arány (IUPR), NOx-ellenőrzés benzinüzemű járműveknél és a dízelre vonatkozóan szigorított részecskekibocsátási küszöbértékek. „Euro 6-” OBD-előírás = kevésbé szigorú fedélzeti diagnosztikai küszöbértékek. „Euro 6- plusz IUPR” OBD-előírás = kevésbé szigorú fedélzeti diagnosztikai küszöbértékek és kevésbé szigorú használat közbeni működési arány (IUPR). „Euro 6-1” OBD-előírás = a teljes Euro 6 OBD-előírások, viszont a XI. melléklet 2.3.4. pontjában meghatározott előzetes fedélzeti diagnosztikai küszöbértékekkel és részben kevésbé szigorú használat közbeni működési aránnyal (IUPR). „Euro 6-2” OBD-előírás = a teljes Euro 6 OBD-előírások, viszont a XI. melléklet 2.3.3. pontjában meghatározott végleges fedélzeti diagnosztikai küszöbértékekkel. |
2. Példák az EK-típusjóváhagyási tanúsítvány számára
2.1. Az alábbi példában egy Euro 5 könnyű személygépjármű kiterjesztés nélküli első jóváhagyása szerepel. A jóváhagyás megadása az alaprendelet és annak végrehajtási rendelete alapján történt, így a negyedik komponens 0001. A jármű kategóriája M1, amit az A betű jelöl. A jóváhagyási tanúsítványt Hollandia állította ki:
e4*715/2007*692/2008A*0001*00
2.2. A második példában egy speciális szociális igényeket kielégítő M1G kategóriájú Euro 5 könnyű személygépjármű (C betű) második kiterjesztésének negyedik jóváhagyása szerepel. A jóváhagyás megadása az alaprendelet és annak 2009. évi módosító rendelete alapján történt, és a tanúsítványt Németország állította ki.
e1*715/2007*.../2009C*0004*02
7. függelék

II. MELLÉKLET
HASZNÁLATBAN LÉVŐ JÁRMŰVEK MEGFELELŐSÉGE
1. BEVEZETÉS
1.1. Ez a melléklet az e rendelet szerint típusjóváhagyást kapott járművek kipufogócsőből származó kibocsátásának és fedélzeti diagnosztikai rendszerének (beleértve az IUPRM-et) használat közbeni megfelelőségére vonatkozó előírásokat állapítja meg.
2. A HASZNÁLATBAN LÉVŐ JÁRMŰVEK MEGFELELŐSÉGÉNEK ELLENŐRZÉSE
2.1. A használatban lévő járművek megfelelőségének a jóváhagyó hatóság által történő ellenőrzése a 2007/46/EK irányelv 12. cikkének (1) és (2) bekezdésében, és az ezen irányelv X. mellékletének 1. és 2. pontjában a gyártási eljárások megfelelőségére vonatkozóan meghatározottakhoz hasonló eljárásokkal a gyártó rendelkezésére álló információk alapján történik. A jóváhagyó hatóságtól és a tagállamok által végzett felügyeleti vizsgálatokból származó információk kiegészíthetik a gyártó által a használat közbeni megfigyelésről szolgáltatott jelentéseket.
2.2. A használatban lévő járművek megfelelőségének ellenőrzési eljárása az e melléklet 2. függelékének 9. pontjában említett ábrán és (csak a kipufogócsőből származó kibocsátások tekintetében) a 83. sz. ENSZ-EGB előírás 4. függelékének 4/2. ábráján látható. A használatban lévő járművek megfelelőségének ellenőrzési eljárását e melléklet 3. függeléke írja le.
2.3. A használatban lévő járművek megfelelőségének ellenőrzéséhez szolgáltatott információk részeként a jóváhagyó hatóság kérésére a gyártó a típusjóváhagyáskor elfogadott formátumban tájékoztatja a típusjóváhagyó hatóságot a garanciális igénybejelentésekről, a garanciális javításokról és a fedélzeti diagnosztikai rendszer szervizeléskor rögzített hibáiról. Az információknak részletesen kell tartalmazniuk a kibocsátással kapcsolatos komponensek és rendszerek észlelt hibáinak gyakoriságát és lényegét. Az e rendelet 9. cikkének (4) bekezdésében meghatározott időszak alatt mindegyik járműmodellre évente legalább egyszer be kell adni egy ilyen tájékoztatást.
2.4. A használatban lévő járműcsalád kipufogócsőből származó kibocsátásait meghatározó paraméterek
A használatban lévő járműcsaládot olyan alapvető tervezési paraméterekkel lehet meghatározni, amelyek a járműcsaládba tartozó járművek tekintetében azonosak. Ennek megfelelően azok a járműtípusok, amelyeknek az alábbi paraméterei azonosak, vagy a megadott tűréshatárokon belül azonosak, ugyanahhoz a használatban lévő járműcsaládhoz tartozónak tekinthetők:
2.4.1. égési folyamat (kétütemű/négyütemű/forgó ciklus);
2.4.2. hengerek száma;
2.4.3. hengerek elrendezése (soros, V elrendezésű, sugárirányú, vízszintesen egymással szemben levő, egyéb. A hengerek dőlése vagy iránya nem tartozik a kritériumok közé);
2.4.4. üzemanyag-adagolás módja (például közvetett vagy közvetlen befecskendezés);
2.4.5. hűtőrendszer típusa (levegő, víz, olaj);
2.4.6. levegőbeszívás módja (feltöltés nélküli, feltöltéses);
2.4.7. az üzemanyag, amelynek használatára a motort tervezték (benzin, dízel, földgáz, PB-gáz stb.). Kétfajta üzemanyaggal működő járművek egy csoportba vehetők csak egyfajta üzemanyaggal működő járművekkel, ha az egyik üzemanyag közös;
2.4.8. a katalizátoros átalakító típusa (háromutas katalizátor, NOx-csapda, szelektív redukciós katalizátor, NOx-katalizátor vagy más(ok));
2.4.9. a részecskecsapda típusa (van vagy nincs);
2.4.10. kipufogógáz-visszavezetés (van vagy nincs, hűtött vagy hűtés nélküli); és
2.4.11. a családon belüli legnagyobb motor hengerűrtartalma mínusz 30 %.
2.5. Az információkra vonatkozó előírások
A használatban lévő járművek megfelelőségének ellenőrzését a gyártó által szolgáltatott információk alapján a jóváhagyó hatóság végzi. Az információknak különösen a következőket kell tartalmazniuk:
2.5.1. a gyártó neve és címe;
2.5.2. a gyártó által szolgáltatott információk által lefedett területekre vonatkozóan a gyártó által meghatalmazott képviselő neve, címe, telefon- és telefaxszáma, valamint e-mail címe;
2.5.3. a járműnek a gyártó által szolgáltatott információkban szereplő modellneve(i);
2.5.4. adott esetben a gyártó által szolgáltatott információkban szereplő járműtípusok felsorolása, azaz a kipufogócsőből származó kibocsátások tekintetében a 2.4. pont szerinti használatban lévő járműcsaládcsoport, illetve a fedélzeti diagnosztika és az IUPRM tekintetében a fedélzeti diagnosztika szerinti járműcsalád a XI. melléklet 2. függeléke szerint;
2.5.5. a használatban lévő járműcsaládba tartozó, e járműtípusokra vonatkozó jármű-azonosító szám (VIN) kódjai (VIN-előtag);
2.5.6. a használatban lévő járműcsaládon belüli járműtípusokra vonatkozó típusjóváhagyások száma, beleértve értelemszerűen az összes kiterjesztés és helyszíni javítás/visszahívás (átalakítás) számát;
2.5.7. a gyártó által szolgáltatott információkban szereplő járművek típusjóváhagyásaira vonatkozóan a kiterjesztések, helyszíni javítások/visszahívások részletes ismertetése (a jóváhagyó hatóság kérésére);
2.5.8. az az időszak, amelyről a gyártó az információkat gyűjtötte;
2.5.9. a gyártó által szolgáltatott információk által lefedett járműgyártási időszak (például a 2007-es naptári év során gyártott járművek);
2.5.10. a gyártó által a használatban lévő járművek megfelelőségének ellenőrzésére alkalmazott eljárás, beleértve a következőket:
i. a járművek helyének meghatározására használt módszer;
ii. a járművek kiválasztásának és elutasításának kritériumai;
iii. a programhoz használt vizsgálattípusok és eljárások;
iv. a használatban lévő járműcsalád gyártó általi elfogadásának/elutasításának kritériumai;
v. az(ok) a földrajzi terület(ek), ahol a gyártó az információkat gyűjtötte;
vi. az alkalmazott mintaméret és mintavételi terv;
2.5.11. a használatban lévő járművek gyártó által lefolytatott megfelelőségi ellenőrzésének eredményei, beleértve az alábbiakat:
i. a programba felvett járművek azonosítása (függetlenül attól, hogy a járművet vizsgálták-e). Az azonosításnak a következőket kell tartalmaznia:
- a modell neve,
- a jármű-azonosító szám (VIN),
- a jármű hatósági rendszáma,
- a gyártás időpontja,
- a használat földrajzi területe (ha ismert),
- a felszerelt gumiabroncsok (csak a kipufogócsőből származó kibocsátások tekintetében);
ii. a jármű mintába történő bevétele elutasításának indokolása;
iii. a mintában lévő összes jármű üzemi előzményei (beleértve bármilyen átalakítást);
iv. a mintában lévő összes jármű javítási előzményei (ha ismertek);
v. mérési adatok, beleértve az alábbiakat:
- a mérés/letöltés időpontja,
- a mérés/letöltés helye,
- a jármű kilométeróráján kijelzett távolság;
vi. mérési adatok csak a kipufogócsőből származó kibocsátások tekintetében:
- a méréshez használt üzemanyag specifikációi (például referencia-üzemanyag vagy kereskedelemben kapható üzemanyag),
- mérési feltételek (hőmérséklet, páratartalom, teljesítménymérő fékpad ellensúlya),
- a fékpad beállításai (például teljesítményérték),
- mérési eredmények (járműcsaládonként legalább három különböző járműre);
vii. mérési adatok kizárólag az ellenőrző rutin használat közbeni működési aránya (IUPRM) tekintetében:
- a járműből letöltött összes előírt adat,
- minden olyan ellenőrző rutin tekintetében, amelynek az adatait ki kell adni, az IUPRM használat közbeni működési arány;
2.5.12. a fedélzeti diagnosztikai rendszer kijelzései;
2.5.13. az ellenőrző rutin használat közbeni működési arányára (IUPRM) vonatkozó mintavétel tekintetében a következők:
- a XI. melléklet 1. függelékének 3.1.4. és 3.1.5. pontja szerint minden egyes ellenőrző rutin tekintetében az összes kiválasztott jármű használat közbeni működési arányának (IUPRM) az átlaga,
- azon kiválasztott járművek százaléka, amelyeknél az ellenőrző rutin használat közbeni működési aránya legalább akkora, mint a XI. melléklet 1. függelékének 3.1.4. és 3.1.5. pontja szerint az ellenőrző rutinra vonatkozó minimumérték.
3. JÁRMŰVEK KIVÁLASZTÁSA A HASZNÁLATBAN LÉVŐ JÁRMŰVEK MEGFELELŐSÉGÉNEK ELLENŐRZÉSÉHEZ
3.1. A gyártó által összegyűjtött információnak elegendően átfogónak kell lennie annak biztosítására, hogy a használat közbeni működést a szokásos használati körülmények között értékelni lehessen. A gyártónak a mintát legalább két olyan tagállamból kell összeállítania, ahol a járművek működési viszonyai jelentősen különböznek (kivéve, ha a járművet csak egy tagállamban értékesítik). A tagállamok kiválasztásakor olyan szempontokat kell figyelembe venni, mint az üzemanyagok különbözősége, a környezeti viszonyok, az átlagos sebesség a közutakon, valamint a városi és a lakott területen kívüli közlekedés megoszlása.
A fedélzeti diagnosztika használat közbeni működési arányának (IUPRM) vizsgálatakor csak az 1. függelék 2.2.1. pontjában szereplő kritériumokat teljesítő járműveket lehet bevenni a vizsgált mintába.
3.2. A minta összeállítása során a tagállamok kiválasztásakor a gyártó választhat járműveket egy olyan tagállamból, amelyet különösen reprezentatívnak tart. Ebben az esetben a gyártónak igazolnia kell a típusjóváhagyást megadó hatóságnak, hogy a kiválasztás reprezentatív (például az Unión belül az adott járműcsaládnak éves szinten ez a legnagyobb felvevő piaca). Ha a 3.5. pont szerint egy járműcsalád esetében egynél több mintát kell vizsgálni, akkor a második és harmadik mintában lévő járműveknek az első mintában lévőktől eltérő működési körülményeket kell tükrözniük.
3.3. A kibocsátásmérések végezhetők olyan vizsgálati létesítményben, amely nem azon a piacon, vagy nem abban a régióban van, ahonnan a járműveket kiválasztották.
3.4. A használatban lévő járművek kipufogócsőből származó kibocsátásának megfelelőségét ellenőrző méréseket a gyártónak folyamatosan kell végeznie, tükrözve a vizsgált járműcsaládba tartozó járműtípusokra vonatkozó gyártási ciklust. A használatban lévő járművek két ellenőrzésének megkezdése között legfeljebb 18 hónap telhet el. Kibocsátásmérést nem igénylő típusjóváhagyás kiterjesztése alá tartozó járműtípusok esetében ez az idő legfeljebb 24 hónapra meghosszabbítható.
3.5. A minta mérete
3.5.1. A 2. függelékben meghatározott statisztikai eljárás (pl. kipufogócsőből származó kibocsátásra való) alkalmazása esetén a minták száma a használatban lévő járműcsaládba tartozó járműveknek az Unióban egy évben értékesített darabszámától függ, az alábbi táblázat szerint:
Az EU-ban történt nyilvántartásba vételek — naptári évenként (a kipufogócsõbõl származó kibocsátás mérése tekintetében) — azonos fedélzeti diagnosztikai családba tartozó járműveket illetően a mintavételi időszakra vonatkozó, használat közbeni működési aránnyal | Minták száma |
100 000 -ig | 1 |
100 001 –200 000 | 2 |
200 000 fölött | 3 |
3.5.2. A használat közbeni működési arány tekintetében a 3.5.1. pontban található táblázat adja meg a minták számát, amely az IUPR-rel jóváhagyott (a mintavétel alapjául szolgáló) fedélzeti diagnosztikai családba tartozó járművek számától függ.
Egy fedélzeti diagnosztikai család első mintavételi időszakát illetően a családba tartozó összes olyan járműtípus a mintavétel hatálya alá tartozik, amelyet IUPR-rel hagytak jóvá. A későbbi mintavételi időszakok tekintetében csak azok a járműtípusok tartoznak a mintavétel hatálya alá, amelyeket korábban nem vizsgáltak, vagy amelyekre olyan kibocsátás-jóváhagyás vonatkozik, amelyet az előző mintavételi időszak óta meghosszabbítottak.
A mintavételi időszakban mintavétel hatálya alá eső olyan járműcsaládok esetében, amelyeket ötezernél kevesebb, az EU-ban nyilvántartásba vett jármű alkot, a minta legalább hat járműből áll. Minden más járműcsalád esetében egy mintába legalább tizenöt járművet kell kiválasztani.
Minden mintának kellően reprezentatívnak kell lennie az értékesítési modellre nézve, azaz legalább a nagy volumenben értékesített járműtípusoknak (≥ a járműcsalád összmennyiségének 20 %-a) jelen kell benne lenniük.
4. A 2. Pontban említett ellenőrzés alapján a jóváhagyó hatóságnak a következő döntések és intézkedések egyikét kell hoznia:
a) úgy dönt, hogy a járműtípus vagy a használatban lévő járműcsalád vagy fedélzeti járműdiagnosztikai család használat közbeni megfelelősége kielégítő, és nem tesz további intézkedéseket;
b) úgy dönt, hogy a gyártó által szolgáltatott információk nem elegendőek a döntés meghozatalához, és a gyártótól további információkat vagy mérési adatokat kér;
c) úgy dönt, hogy a jóváhagyó hatóságtól vagy a tagállamok által végzett felügyeleti ellenőrző programokból származó adatok alapján a gyártó által szolgáltatott információk nem elegendőek a döntés meghozatalához, és a gyártótól további információkat vagy mérési adatokat kér;
d) úgy dönt, hogy a használatban lévő járműcsaládba vagy fedélzeti jármű-diagnosztikai családba tartozó egyik járműtípus megfelelősége nem kielégítő, és az 1. függelék szerint lefolytatja e járműtípus vagy fedélzeti diagnosztikai család vizsgálatát.
Ha az ellenőrző rutin használat közbeni működési arányának (IUPRM) ellenőrzése szerint a mintába tartozó járművek teljesítik az 1. függelék 6.1.2. pontjának a) vagy b) pontjában foglalt vizsgálati kritériumokat, a típusjóváhagyó hatóságnak az e pont d) pontjában leírt intézkedést kell hoznia.
4.1. Ha annak ellenőrzéséhez, hogy a kibocsátáscsökkentő rendszerek megfelelnek-e a használat közbeni működésre vonatkozó előírásoknak, 1. típusú mérések szükségesek, akkor ezeket a méréseket a 2. függelékben meghatározott statisztikai kritériumoknak megfelelő mérési eljárással kell elvégezni.
4.2. A jóváhagyó hatóságnak a gyártóval együttműködve össze kell állítania egy elegendő kilométert lefutott olyan járművekből álló mintát, amelyeknél valószínűsíthető a szokásos körülmények közötti használat. A járművek mintába való beválasztásáról ki kell kérni a gyártó véleményét, és lehetővé kell tenni számára a járművek igazoló ellenőrzésén való részvételt.
4.3. A típusjóváhagyást kiadó hatóság felügyelete alatt a gyártó jogosult ellenőrzéseket végezni, akár roncsolásos jellegűeket is, azokon a járműveken, amelyeknél a kibocsátások meghaladják a határértékeket, hogy megállapítsák, nincs-e olyan oka a funkciócsökkenésnek, ami nem a gyártónak róható fel (pl. ólmozott benzin használata a mérés előtt). Ha az ellenőrzés igazolja, hogy ilyen okok állnak fenn, akkor az érintett mérési eredményeket ki kell zárni az igazoló vizsgálatból.
1. függelék
Használatban lévő járművek megfelelőségének ellenőrzése
1. BEVEZETÉS
1.1. E függelék a vizsgálandó járművek kiválasztására és a használatban lévő járművek megfelelőségének ellenőrzési eljárásaira vonatkozó, a 4. pontban említett kritériumokat határozza meg.
2. KIVÁLASZTÁSI KRITÉRIUMOK
A kiválasztott jármű elfogadására vonatkozó kritériumokat a kipufogócsőből származó kibocsátás tekintetében a 2.1-2.8. pont, míg az ellenőrző rutin használat közbeni működési aránya (IUPRM) tekintetében a 2.1-2.5. pont határozza meg.
2.1. A járműnek az e rendelet alapján típusjóváhagyást kapott és a 2007/46/EK irányelv szerinti megfelelőségi nyilatkozattal rendelkező járműtípushoz kell tartoznia. Az ellenőrző rutin használat közbeni működési arányának (IUPRM) ellenőrzéséhez a járművet az Euro 5+, Euro 6- plus IUPR vagy későbbi fedélzeti diagnosztikai szabvány szerint kell jóváhagyni. A járműnek az Unióban nyilvántartásba vett és használt járműnek kell lennie.
2.2. A járműnek már legalább 15 000 km-t, illetve hat hónapot (amelyik későbbi), de legfeljebb 100 000 km-t, illetve öt évet (amelyik korábbi) futnia kellett.
2.2.1. Az ellenőrző rutin használat közbeni működési arányának (IUPRM) ellenőrzéséhez a vizsgált minta kizárólag olyan járműveket tartalmazhat, amelyek(et):
a) már elegendő adatot gyűjtöttek a járműműködésről ahhoz, hogy az ellenőrző rutint vizsgálni lehessen.
Olyan ellenőrző rutinok esetében, amelyeknek teljesíteniük kell a használat közbeni működési arányt, valamint a XI. melléklet 1. függelékének 3.6.1. pontja szerint rögzíteniük és továbbítaniuk kell az arányra vonatkozó adatokat, a jármű működéséről rendelkezésre álló elegendő adat azt jelenti, hogy a nevező megfelel az alábbiakban megállapított kritériumoknak. A vizsgálandó ellenőrző rutin XI. melléklet 1. függeléke 3.3. és 3.5. pontjában lévő meghatározás szerinti nevezőjének legalább a következő értékek egyikét el kell érnie:
i. a párolgási kibocsátásokat csökkentő rendszer ellenőrző rutinja, a másodlagos levegőrendszer ellenőrző rutinja, valamint a XI. melléklet 1. függeléke 3.3.2. pontjának a), b) vagy c) alpontja szerint megnövelt nevezőt alkalmazó ellenőrző rutinok (pl. a hidegindítás ellenőrző rutinja, a légkondicionáló rendszer ellenőrző rutinjai stb.) esetében 75; vagy
ii. a részecskeszűrőknek és oxidációs katalizátoroknak a XI. melléklet 1. függeléke 3.3.2. pontjának d) alpontja szerint megnövelt nevezőt alkalmazó ellenőrző rutinjai esetében 25; vagy
iii. katalizátor, oxigénérzékelő, kipufogógáz-visszavezető rendszer, állítható szelepvezérlés, valamint minden egyéb komponens esetében 150;
b) nem manipulálták vagy szerelték fel olyan kiegészítő vagy módosított alkatrésszel, amelynek következtében a fedélzeti diagnosztikai rendszer nem felelne meg a XI. melléklet követelményeinek.
2.3. A járműnek rendelkeznie kell olyan karbantartási nyilvántartással, amely igazolja, hogy a járművet megfelelő módon karbantartották (például a gyártó ajánlásainak megfelelően szervizelték).
2.4. A jármű nem mutathatja helytelen használat jeleit (például túlhajtás, túlterhelés, nem megfelelő üzemanyag használata vagy más helytelen használat), vagy olyan más tényezőket (például illetéktelen beavatkozás), amelyek hatással lehetnek a károsanyag-kibocsátásra. A számítógépben tárolt hibakódot és a kilométer-teljesítményre vonatkozó adatokat figyelembe kell venni. Ha a számítógépben tárolt információk azt mutatják, hogy a járművet egy hibakód elmentése után tovább üzemeltették, és viszonylag rövid időn belül nem végezték el a szükséges javításokat, akkor ez a jármű nem választható ki a vizsgálatra.
2.5. Nem választható ki olyan jármű (sem), amelyen vagy amelynek motorján engedély nélkül nagyobb javítást végeztek.
2.6. A jármű üzemanyag-tartályából származó üzemanyagminta ólom- és kéntartalmának meg kell felelnie a 98/70/EK európai parlamenti és tanácsi irányelvben ( 48 ) megállapított vonatkozó előírásoknak, és az előírásoktól eltérő üzemanyag-használatnak más jele sem lehet. Ellenőrzések végezhetők a kipufogócsőben.
2.7. Nem mutatkozhatnak olyan problémákra utaló jelek, amelyek veszélyeztethetik a laboratóriumi személyzet biztonságát.
2.8. A járműben használt szennyezéscsökkentő rendszer valamennyi komponensének meg kell felelnie az érvényes típusjóváhagyásnak.
3. DIAGNOSZTIKA ÉS KARBANTARTÁS
A kibocsátásmérések előtt a 3.1-3.7. pontban előírt eljárással el kell végezni a vizsgált jármű diagnosztizálását és szükség esetén minden szokásos karbantartást.
3.1. A következő ellenőrzéseket kell elvégezni: a levegőszűrő, az összes hajtószíj, az összes folyadékszint, a hűtősapka, a szennyezéscsökkentő rendszerrel kapcsolatos összes vákuumtömlő és villamos vezeték épségének ellenőrzése; a gyújtás, az üzemanyag-adagoló és a szennyezéscsökkentő rendszerek komponenseinek ellenőrzése helytelen beállítás vagy illetéktelen beavatkozás szempontjából. Minden rendellenességet fel kell jegyezni.
3.2. Ellenőrizni kell a fedélzeti diagnosztikai rendszer megfelelő működését. A fedélzeti diagnosztikai rendszer memóriájában található hibaüzeneteket fel kell jegyezni, és a szükséges javításokat el kell végezni. Ha a fedélzeti diagnosztikai rendszer hibajelzője előkondicionáló ciklus alatt jelez hibát, megengedett a hiba azonosítása és kijavítása. A vizsgálatot meg lehet ismételni és a megjavított jármű eredményei felhasználhatóak.
3.3. Ellenőrizni kell a gyújtásrendszert, és ki kell cserélni a hibás komponenseket, például gyújtógyertyákat, kábeleket stb.
3.4. Ellenőrizni kell a kompressziót. Ha az eredmény nem kielégítő, a járművet el kell utasítani.
3.5. A gyártó előírásai szerint ellenőrizni kell a motor paramétereit, és ha szükséges, el kell végezni a beállításokat.
3.6. Ha a jármű esedékes tervszerű karbantartásához már csak 800 km vagy kevesebb hiányzik, akkor a szervizelést a gyártó utasításai szerint el kell végezni. A gyártó kérésére az olaj- és a levegőszűrő a kilométeróra állásától függetlenül kicserélhető.
3.7. A jármű elfogadása után az üzemanyagot ki kell cserélni a kibocsátásméréshez használandó referencia-üzemanyagra, kivéve, ha a gyártó elfogadja a kereskedelemben kapható üzemanyag használatát.
4. HASZNÁLATBAN LÉVŐ JÁRMŰVEK VIZSGÁLATA
4.1. Ha szükségesnek mutatkozik a járművek ellenőrzése, akkor a III. melléklet szerinti kibocsátásméréseket kell elvégezni az e függelék 2. és 3. pontjai szerint kiválasztott, előkondicionált járműveken. Az Euro 6 kibocsátási előírások alapján jóváhagyott járműveknél ez csak a kibocsátott részecskék számának mérését jelenti az I. melléklet 6. függelékének 1. táblázatában meghatározott W, X és Y kategóriákban. A 83. sz. ENSZ-EGB előírás 4. mellékletének 5.3. szakaszában ismertetett előkondicionálási ciklusoknál több előkondicionálás csak akkor megengedett, ha az reprezentatív a szokásos járműhasználati körülményekre.
4.2. A fedélzeti diagnosztikai rendszerrel ellátott járműveken a kibocsátásokkal összefüggésben (például a hibajelzés XI. mellékletben meghatározott határértékeire vonatkozóan) a típusjóváhagyás specifikációjának szempontjából ellenőrizhető a hibajelző használat közbeni megfelelő működése stb.
4.3. A fedélzeti diagnosztikai rendszernél ellenőrizhetők például a következők: a hibajelzés nem kapcsol be a vonatkozó határértékek feletti kibocsátás esetén, a hibajelzés rendszeresen tévesen bekapcsolódik, illetve a fedélzeti diagnosztikai rendszer azonosított hibás vagy tönkrement komponensei.
4.4. Ha egy komponens vagy rendszer nem úgy működik, ahogyan azt az ilyen járműtípus típusbizonyítványának, illetve adatcsomagjának részletes adatai leírják, és ezt az eltérést a 2007/46/EK 13. cikkének (1) vagy (2) bekezdése nem engedélyezi, valamint a fedélzeti diagnosztikai rendszer nem jelez hibát, akkor a komponenst vagy a rendszert csak akkor szabad kicserélni a kibocsátásmérés előtt, ha megállapítják, hogy a komponensbe vagy rendszerbe olyan módon avatkoztak be illetéktelenül vagy használták azt helytelenül, hogy a fedélzeti diagnosztikai rendszer nem észleli az adott működési hibát.
5. A KIBOCSÁTÁSVIZSGÁLAT EREDMÉNYEINEK ÉRTÉKELÉSE
5.1. A mérési eredményeket a 2. függelék szerint kell értékelni.
5.2. A mérési eredményeket nem kell romlási tényezőkkel szorozni.
6. JAVÍTÁSI INTÉZKEDÉSI TERV
6.1. A jóváhagyó hatóságnak elő kell írnia, hogy a gyártó a hiányosságok megszüntetésére javítási intézkedési tervet nyújtson be, amennyiben:
6.1.1. a kipufogócsőből származó kibocsátás esetében egynél több járműről állapítják meg, hogy túlzott kibocsátást mutat, és megfelel a következő feltételek valamelyikének:
a) a 83. sz. ENSZ-EGB előírás 4. függelékének 3.2.3. szakaszában előírt feltételek, és ha a jóváhagyó hatóság és a gyártó egyaránt egyetértenek abban, hogy a túlzott kibocsátás ugyanazon oknak tulajdonítható; vagy
b) a 83. sz. ENSZ-EGB előírás 4. függelékének 3.2.4. szakaszában előírt feltételek, ha a jóváhagyó hatóság megállapította, hogy a túlzott kibocsátás ugyanazon oknak tulajdonítható;
6.1.2. egy adott M ellenőrző rutin használat közbeni működési arányának (IUPRM) esetében a vizsgálati minták megfelelnek a következő statisztikai feltételeknek; a minták méretét e melléklet 3.5. pontja szerint határozzák meg:
a) a XI. melléklet 1. függeléke 3.1.5. pontjának megfelelően 0,1-es arány szerint jóváhagyott járművek esetében a járművekből gyűjtött adatok a vizsgálati mintában legalább egy M ellenőrző rutinnál vagy azt jelzik, hogy a vizsgálati minta átlagos használat közbeni működési aránya kisebb, mint 0,1, vagy azt, hogy a vizsgálati mintában a járművek legalább 66 százalékának 0,1-nél kisebb a használat közbeni működési aránya;
b) a XI. melléklet 1. függeléke 3.1.4. pontjának megfelelően teljes arány szerint jóváhagyott járművek esetében a járművekből gyűjtött adatok a vizsgálati mintában legalább egy M ellenőrző rutinnál vagy azt jelzik, hogy a vizsgálati minta átlagos használat közbeni működési aránya kisebb, mint a Testmin(M) érték, vagy azt, hogy a vizsgálati mintában a járművek legalább 66 százalékának a Testmin(M) értéknél kisebb a használat közbeni működési aránya.
A Testmin(M) értéke a következő:
i. 0,230, ha az M ellenőrző rutin előírt használat közbeni működési aránya 0,26;
ii. 0,460, ha az M ellenőrző rutin előírt használat közbeni működési aránya 0,52;
iii. 0,297, ha az M ellenőrző rutin előírt használat közbeni működési aránya 0,336,
a XI. melléklet 1. függelékének 3.1.4. pontja szerint.
6.2. A javítási intézkedési tervet a típusjóváhagyó hatósághoz kell benyújtani a 6.1. pontban említett értesítés keltétől számítva legkésőbb 60 munkanapon belül. A típusjóváhagyó hatóság 30 munkanapon belül nyilatkozik, hogy elfogadja-e a javítási intézkedési tervet. Ha azonban a gyártó az illetékes jóváhagyó hatóság számára elfogadható módon igazolni tudja, hogy több időre van szüksége az eltérésnek a javítási intézkedési terv benyújtásához szükséges kivizsgálásához, akkor a határidőt meg kell hosszabbítani.
6.3. A javítási intézkedéseknek ki kell terjedniük minden olyan járműre, amelyeknél valószínű, hogy ugyanez a hiba érinti őket. Meg kell vizsgálni, hogy szükséges-e a típus-jóváhagyási dokumentumok módosítása.
6.4. A gyártónak be kell adnia a javítási intézkedési tervvel kapcsolatos összes közlemény másolatát, valamint nyilvántartást kell vezetnie a visszahívási akcióról, és rendszeresen helyzetjelentést kell adnia a jóváhagyó hatóságnak.
6.5. A javítási intézkedési tervnek tartalmaznia kell a 6.5.1-6.5.11. pontban előírtakat. A gyártónak egyedi azonosító nevet vagy számot kell adnia a javítási intézkedési tervnek.
6.5.1. A javítási intézkedési terv által érintett összes járműtípus leírása.
6.5.2. Minden olyan egyedi módosítás, változtatás, javítás, korrekció, beállítás vagy más beavatkozás leírása, melynek célja, hogy a jármű ismét megfeleljen az előírásoknak, beleértve azoknak az adatoknak és műszaki vizsgálatoknak a rövid összegzését, amelyek alapján a gyártó a megfelelőség helyreállítását célzó adott intézkedések mellett döntött.
6.5.3. Annak az eljárásnak a leírása, amellyel a gyártó tájékoztatja a járműtulajdonosokat.
6.5.4. Adott esetben az olyan megfelelő karbantartásnak vagy használatnak a leírása, amelyet a gyártó annak a feltételeként ír elő, hogy a jármű a javítási intézkedési terv keretében jogosult legyen a javításra, és a gyártó indoklása, hogy miért köti ki e feltételt. Karbantartási vagy használati feltétel csak akkor köthető ki, ha az igazoltan kapcsolódik ahhoz a tényhez, hogy a jármű nem felel meg az előírásoknak, valamint a javítási intézkedésekhez.
6.5.5. Annak az eljárásnak a leírása, amelyet a járműtulajdonosoknak a javítás elvégeztetéséhez követniük kell. Ennek a leírásnak tartalmaznia kell azt az időpontot, amikortól a javítást el lehet végeztetni, a műhelyben a javítás elvégzéséhez szükséges idő becslését, valamint azt, hogy hol végeznek ilyen javításokat. A javítást a jármű átadása után felesleges késedelem nélkül el kell végezni.
6.5.6. A járműtulajdonosoknak küldött tájékoztató másolata.
6.5.7. Annak a rendszernek a rövid leírása, amellyel a gyártó biztosítja, hogy a komponensek vagy rendszerek megfelelő mennyiségben rendelkezésre álljanak a javítások elvégzéséhez. Fel kell tüntetni azt az időpontot, amikortól megfelelő mennyiségű komponens vagy rendszer áll rendelkezésre az akció elkezdéséhez.
6.5.8. A javítást végző szakembereknek megküldendő összes utasítás másolata.
6.5.9. A javasolt javító intézkedéseknek a javítási intézkedési terv által érintett összes járműtípus károsanyag-kibocsátására, üzemanyag-fogyasztására, menettulajdonságára és biztonságára gyakorolt hatásának leírása, a következtetéseket alátámasztó adatokkal és műszaki tanulmányokkal együtt.
6.5.10. Minden olyan más információ, jelentés vagy adat, amelyet a típusjóváhagyó hatóság az ésszerűség határain belül szükségesnek ítél a javítási intézkedési terv értékeléséhez.
6.5.11. Ha a javítási intézkedési terv visszahívást is tartalmaz, akkor a javítások nyilvántartásának módszerét ismertető leírást is be kell adni a típusjóváhagyó hatósághoz. Címke használata esetén annak egy példányát is be kell nyújtani.
6.6. A gyártótól megkövetelhető, hogy gondosan megtervezett és szükséges vizsgálatokat végezzen a javasolt változtatás, javítás vagy módosítás által érintett komponenseken és járműveken, hogy igazolja a változtatás, javítás vagy módosítás eredményességét.
6.7. A gyártónak nyilvántartást kell vezetnie minden visszahívott és javított járműről, valamint a javítást végző műhelyekről. A gyártónak a típusjóváhagyó hatóság számára kérésre a javítási intézkedési terv végrehajtásától számított öt éven keresztül betekintést kell biztosítania a nyilvántartásba.
6.8. A javítást és módosítást vagy új komponensek beépítését a gyártó által a jármű tulajdonosának adott bizonylatban fel kell tüntetni.
2. függelék
Statisztikai eljárás a használatban lévő járműveknek a kipufogócsőből származó kibocsátások tekintetében vett megfelelőségének vizsgálatára
1. Ez az eljárás a használatban lévő járműveket illetően az 1. típusú mérés tekintetében való megfelelőség ellenőrzésére használandó. A 83. sz. ENSZ-EGB előírás 4. függelékében leírt vonatkozó statisztikai módszert kell alkalmazni, az e függelék 2-9. pontjában felsorolt kivételekkel.
2. Az 1. jegyzetet nem kell alkalmazni.
3. A 3.2. szakasz a következőképpen értendő:
Egy jármű akkor minősül túlzott kibocsátást mutató járműnek, ha a 3.2.2. szakaszban megadott feltételek teljesülnek.
4. A 3.2.1. szakaszt nem kell alkalmazni.
5. A 3.2.2. szakaszban az 5.3.1.4. szakasz táblázatának B. sorára való hivatkozás az Euro 5 alá tartozó járművek esetében a 715/2007/EK rendelet I. mellékletének 1. táblázatára való hivatkozásként, az Euro 6 alá tartozó járművek esetében pedig a 715/2007/EK rendelet I. mellékletének 2. táblázatára való hivatkozásként értendő.
6. A 3.2.3.2.1. és a 3.2.4.2. szakaszban a 3. függelék 6. szakaszára való hivatkozás az e rendelet II. melléklete 1. függelékének 6. pontjára való hivatkozásként értendő.
7. A 2. és 3. jegyzetben az 5.3.1.4. szakasz táblázatának A sorára való hivatkozás az Euro 5 alá tartozó járművek esetében a 715/2007/EK rendelet I. mellékletének 1. táblázatára való hivatkozásként, az Euro 6 alá tartozó járművek esetében pedig a 715/2007/EK rendelet I. mellékletének 2. táblázatára való hivatkozásként értendő.
8. A 4.2. szakaszban az 5.3.1.4. szakaszra való hivatkozás az Euro 5 alá tartozó járművek esetében a 715/2007/EK rendelet I. mellékletének 1. táblázatára való hivatkozásként, az Euro 6 alá tartozó járművek esetében pedig a 715/2007/EK rendelet I. mellékletének 2. táblázatára való hivatkozásként értendő.
9. A 4/1. ábra helyébe a következő ábra lép:
"4/1. ábra [Kép #8]

Kép #8
3. függelék
Használatban lévő járművek megfelelőségére vonatkozó felelősségek
1. Az 1. ábrán a használatban lévő járművek megfelelőségét vizsgáló ellenőrzési eljárás látható.
2. A gyártónak össze kell gyűjtenie az összes olyan információt, amely e melléklet előírásainak betartásához szükséges. A jóváhagyó hatóság figyelembe veheti a felügyeleti programokból származó információkat is.
3. A jóváhagyó hatóságnak le kell folytatnia az összes olyan eljárást és el kell végeznie az összes olyan vizsgálatot, amelyek szükségesek ahhoz, hogy a használatban lévő járművek megfelelőségére vonatkozó előírások teljesüljenek (2-4. fázis).
4. Ha a szolgáltatott információk értékelése során ellentmondások vagy véleménykülönbségek merülnek fel, akkor a jóváhagyó hatóság szakvéleményt kér a típus-jóváhagyási vizsgálatot végző műszaki szolgálattól.
5. A gyártónak el kell készítenie és végre kell hajtania egy javítási intézkedési tervet. A tervet végrehajtása előtt jóvá kell hagyatni a jóváhagyó hatósággal (5. fázis).
1. ábra
A használatban lévő járművek megfelelőségének ellenőrzési folyamata

III. MELLÉKLET
ÁTLAGOS KIPUFOGÓGÁZ-KIBOCSÁTÁS ELLENŐRZÉSE SZOKÁSOS KÖRNYEZETI VISZONYOK KÖZÖTT
(1. TÍPUSÚ MÉRÉS)
1. BEVEZETÉS
Ez a melléklet a szokásos környezeti viszonyok közötti átlagos kipufogógáz-kibocsátást ellenőrző 1. típusú mérés eljárását írja le.
2. ÁLTALÁNOS ELŐÍRÁSOK
2.1. Az általános előírások ugyanazok, mint az ENSZ-EGB 83. sz. előírásának 5.3.1. szakaszában leírt előírások, a 2.2.-2.5. pontban felsorolt kivételekkel.
2.2. Az 5.3.1.1. szakaszban előírt méréssel vizsgálandó járművek az e rendelet hatálya alá tartozó összes járműként értendők.
2.3. Az 5.3.1.2.4. szakaszban meghatározott káros anyagok a 715/2007/EK rendelet I. mellékletének 1. és 2. táblázatában felsorolt anyagokként értendők.
2.4. Az 5.3.1.4. szakaszban az 5.3.6. szakaszból származó romlási tényezőkre való hivatkozás az e rendelet VII. mellékletében ismertetett romlási tényezőkre való hivatkozásként értendő.
2.5. Az 5.3.1.4. szakaszban a kibocsátási határértékekre való hivatkozás az Euro 5 alá tartozó járművek esetében a 715/2007/EK rendelet 1. mellékletének 1. táblázatában felsorolt kibocsátási határértékekre való hivatkozásként, az Euro 6 alá tartozó járművek esetében pedig a 715/2007/EK rendelet 1. mellékletének 2. táblázatában felsorolt kibocsátási határértékekre való hivatkozásként értendő.
2.6. PB-, földgáz- vagy biometán-üzemű járművekre vonatkozó előírások
2.6.1. A PB-, földgáz- vagy biometán-üzemű járművek mérésére vonatkozó általános előírások ugyanazok, mint az ENSZ-EGB 83. sz. előírása 12. mellékletének 1. szakaszában szereplő előírások.
3. MŰSZAKI ELŐÍRÁSOK
3.1. A műszaki előírások megegyeznek a 83. sz. ENSZ-EGB előírás 4. mellékletében szereplő előírásokkal, a 3.2-3.12. pontokban felsorolt kivételekkel. A 715/2007/EK rendelet 10. cikke (6) bekezdésének második mondatában megállapított dátumoktól kezdődően a részecskék tömegét és a részecskék számát a 83. sz. ENSZ-EGB előírás 05. módosítássorozata 07. kiegészítése 4a. mellékletének 6. szakaszában megállapított kibocsátásvizsgálati eljárással kell meghatározni, ugyanezen dokumentum 4.4., illetve 4.5. szakaszában leírt vizsgálati berendezés alkalmazásával.
3.2. A 3.2. szakaszban ismertetett referencia-üzemanyagok az e rendelet IX. mellékletében ismertetett megfelelő referencia-üzemanyag specifikációira való hivatkozásként értendők.
3.3. A 4.3.1.1. szakaszban említett kipufogógázok úgy értendők, hogy a metán, a víz és a hidrogén is közéjük tartozik:
"... (HFID). Hitelesítése szénatom-egyenértékben (C1) kifejezett propángázzal történik.
Metánelemzés (CH4):
A gázelemző készüléknek lángionizációs detektoros vagy metánkiválasztóval felszerelt lángionizációs detektoros gázkromatográfnak kell lennie, szénatom-egyenértékben (C1) kifejezett metángázzal kalibrálva.
Vízelemzés (H2O):
Az elemző készüléknek abszorpciós típusú, nem diszperzív infravörös (NDIR) készüléknek kell lennie. Az NDIR-készüléket vízgőzzel vagy propilénnel (C3H6) kell kalibrálni. Vízgőzzel történő kalibrálás esetén biztosítani kell, hogy a kalibrálás során ne csapódjon le víz a csövekben és a csatlakozókban. Propilénnel történő kalibrálás esetén a készülék gyártójának információkat kell adnia a propilénkoncentráció és a vízgőzkoncentráció közötti átszámításhoz. Az átszámítási értékeket a készülék gyártójának rendszeresen, évente legalább egyszer ellenőriznie kell
Hidrogénelemzés (H2):
A készüléknek hidrogénnel kalibrált, szektorteres tömegspektrométernek kell lennie.
Nitrogén-oxid (NOx) ..."
3.3. a. A 4.5.1. szakaszban említett tiszta gázok úgy értendők, hogy a propilén is közéjük tartozik:
"...propán: (legalább 99,5 %-os tisztaság).
propilén: (legalább 99,5 %-os tisztaság)."
3.4. A 8.2. szakaszban említett sztöchiometriai arányok a következőképpen értendők:
Benzin (E5) (C1H1,89O0,016) esetében | d = 0,631 g/l |
Benzin (E10) (C1H1,93O0,033) esetében | d = 0,645 g/l |
Dízel (B5) (C1H1,86O 0,005) esetében | d = 0,622 g/l |
Dízel (B7) (C1H1,86O 0,007) esetében | d = 0,623 g/l |
PB-gáz (C1H2,525) esetében | d = 0,649 g/l |
Földgáz/biometán (CH4) esetében | d = 0,714 g/l |
Etanol (E85) (C1H2,74O0,385) esetében | d = 0,932 g/l |
Etanol (E75) (C1H2,61O0,329) esetében | d = 0,886 g/l |
H2NG esetében | [Kép #9] g/l |

Kép #9
"A" földgáz/biometán mennyisége a H2NG keverékben, térfogatszázalékban kifejezve.
3.5. A 715/2007/EK rendelet 10. cikkének (4) és (5) bekezdésében megállapított vonatkozó időpontoktól a 4. melléklet 3. függelékének 4.1.2. pontja a következőképpen értendő:
"Gumiabroncsok
A gumiabroncsokat a gördülő-ellenállás alapján kell kiválasztani. A legnagyobb gördülő-ellenállású (az ISO 28580 szabvány szerint mérve) gumiabroncsokat kell választani.
Háromnál többféle gördülő-ellenállású gumiabroncs esetén a második legnagyobb gördülő-ellenállásút kell választani.
A sorozatgyártású járművekre felszerelt gumiabroncsok gördülő-ellenállási jellemzőinek tükrözniük kell a típusjóváhagyáshoz használt abroncsokét."
3.6. A 4. melléklet 5. függelékének 2.2.2. szakasza úgy értendő, hogy magában foglalja a következőket:
"... a CO2, a CO, az összes szénhidrogén (THC), a CH4 és az NOX koncentrációi ..."
3.7. A 4. melléklet 8. függelékének 1. szakasza a következőre módosul:
"... Az összes szénhidrogén, a CH4 és a CO esetében nincs páratartalom miatti korrekció, ..."
3.8. A 4. melléklet 8. függeléke 1.3. szakaszának második bekezdése a következőképpen értendő:
"... A hígítási tényezőt az alábbiak szerint kell kiszámítani:
Mindegyik referencia-üzemanyagra, kivéve a hidrogént:

CxHyOz összetételű üzemanyagra az általános képlet a következő:

Kifejezetten a H2NG esetében a képlet a következő:

A hígítási tényezőt hidrogén esetében a következőképpen kell kiszámítani:

A IX. mellékletben szereplő referencia-üzemanyagoknál az X értékei a következők:
Tüzelőanyag | X |
Benzin (E5) | 13,4 |
Benzin (E10) | 13,4 |
Dízel (B5) | 13,5 |
Dízel (B7) | 13,5 |
PB-gáz | 11,9 |
Földgáz/biometán | 9,5 |
Etanol (E85) | 12,5 |
Etanol (E75) | 12,7 |
Ezekben az egyenletekben:
CCO2 = a mintavevő zsákban lévő hígított kipufogógázban a CO2 koncentrációja, térfogatszázalék
CHC = a mintavevő zsákban lévő hígított kipufogógázban a szénhidrogének koncentrációja, ppm, szénegyenérték
CCO = a mintavevő zsákban lévő hígított kipufogógázban a CO koncentrációja, ppm
CH2O = a mintavevő zsákban lévő hígított kipufogógázban a H2O koncentrációja, térfogatszázalék
CH2O-DA = a H2O koncentrációja a hígító levegőben, térfogatszázalék
CH2 = a mintavevő zsákban lévő hígított kipufogógázban a hidrogén koncentrációja, ppm
A = a földgáz/biometán mennyisége a H2NG keverékben, térfogatszázalék."
3.9. A 4. melléklet 8. függeléke 1.3. szakaszának előírásai mellett a következő előírások is alkalmazandók.
A metántól különböző szénhidrogének (NMHC) koncentrációját az alábbiak szerint kell kiszámítani:
CNMHC = CTHC - (Rf CH4 ×CCH4)
ahol
CNMHC = a metántól különböző szénhidrogének korrigált koncentrációja a hígított kipufogógázban, ppm, C-egyenértékben kifejezve,
CTHC = az összes szénhidrogén koncentrációja a hígított kipufogógázban, ppm, C-egyenértékben kifejezve, és a hígító levegőben lévő szénhidrogének mennyiségével korrigálva,
CCH4 = a CH4 koncentrációja a hígított kipufogógázban, ppm, C-egyenértékben kifejezve, és a hígító levegőben lévő CH4 mennyiségével korrigálva,
Rf CH4 = a lángionizációs detektor választényezője a metán esetében, a 4. melléklet 6. függelékének 2.3. szakaszában meghatározottak szerint.
3.10. A 4. melléklet 8. függelékének 1.5.2.3. szakasza úgy értendő, hogy az taralmazza a következőt:
QTHC = 0,932 | etanol (E85) esetében |
QTHC = 0,886 | etanol (E75) esetében |
3.11. Az alábbi szakaszokban a szénhidrogénre való hivatkozás az összes szénhidrogénre való hivatkozásként értendő:
a) 4.3.1.1. szakasz,
b) 4.3.2. szakasz,
c) 6. függelék - 2.2. szakasz,
d) 8. függelék - 1.3. szakasz,
e) 8. függelék - 1.5.1.3. szakasz,
f) 8. függelék - 1.5.2.3. szakasz,
g) 8. függelék - 2.1. szakasz.
3.12. Az alábbi szakaszokban a szénhidrogénekre való hivatkozás az összes szénhidrogénre való hivatkozásként értendő:
a) 4.3.1.1. szakasz,
b) 4.3.2. szakasz,
c) 7.2.8. szakasz.
3.13. Időszakos regeneráló rendszerrel felszerelt járművekre vonatkozó műszaki előírások
3.13.1. A műszaki előírások ugyanazok, mint az ENSZ-EGB 83. sz. előírása 13. mellékletének 3. szakaszában szereplő előírások, a 3.13.2.-3.13.4. pontban felsorolt kivételekkel.
3.13.2. A 3.1.3. szakaszban az 1. melléklet 4.2.11.2.1.10.1.-4.2.11.2.1.10.4. vagy 4.2.11.2.5.4.1.-4.2.11.2.5.4.4. tételeire való hivatkozás a 692/2008/EK rendelet I. melléklete 3. függelékének 3.2.12.2.1.11.1.-3.2.12.2.1.11.4 vagy 3.2.12.2.6.4.1-3.2.12.2.6.4.4 tételére való hivatkozásként értendő.
3.13.3. A gyártó kérésére az időszakos regeneráló rendszerre vonatkozó külön vizsgálatot nem kell elvégezni a regeneráló rendszeren, ha a gyártó, a műszaki szolgálattal egyeztetve, a jóváhagyó hatóságnak adatokkal bizonyítja, hogy a kibocsátások a regenerálási ciklusok alatt a 715/2007/EK rendelet I. mellékletének 1. és 2. táblázatában az adott járműkategóriára előírt értékek alatt maradnak.
3.13.4. Időszakos regenerálás esetén a regenerálásos ciklusokban előfordulhat az előírt kibocsátási határértékek túllépése. Ha a szennyezéscsökkentő rendszer regenerálására legalább egyszer sor kerül az 1. típusú mérés során, és a jármű előkészítési ciklusa alatt is volt már legalább egy regenerálás, akkor ez folyamatos regenerálású rendszernek tekintendő, amelynél nem szükséges speciális mérési eljárás.
3.14. A 2008/89/EK bizottsági irányelv ( 49 ) 2. cikkében megállapított dátumoktól kezdődően a járműnek a 48. sz. ENSZ-EGB előírás ( 50 ) 2. szakaszában meghatározott nappali menetjelző lámpáit a vizsgálati ciklus alatt be kell kapcsolni. A vizsgált járművet a típusjóváhagyásra benyújtott jármű által képviselt csoportba tartozó járművekre a gyártó által felszerelt nappali menetjelző lámparendszerek közül a legnagyobb áramfogyasztású nappali menetjelző lámparendszerrel kell felszerelni. A gyártónak erről megfelelő műszaki dokumentációt kell benyújtania a típusjóváhagyó hatósághoz.
IIIA. MELLÉKLET
A VALÓS VEZETÉSI FELTÉTELEK MELLETTI KIBOCSÁTÁSOK ELLENŐRZÉSE
1. BEVEZETÉS, FOGALOMMEGHATÁROZÁSOK ÉS RÖVIDÍTÉSEK
1.1. Bevezetés
Ez a melléklet a könnyű személy- és haszongépjárművek valós vezetési feltételek melletti kibocsátási (RDE) teljesítményének ellenőrzésére szolgáló eljárást mutatja be.
1.2. Fogalommeghatározások
1.2.1. "Pontosság" : egy mért vagy számított érték és egy visszavezethető referenciaérték közötti eltérés.
1.2.2. "Elemzőkészülék" : bármely olyan mérőberendezés, amely nem része a járműnek, hanem utólag beépítették a járműbe, és amely a gáz-halmazállapotú vagy szilárd szennyező anyagok koncentrációjának vagy mennyiségének mérésére szolgál.
1.2.3. Egy lineáris regressziós egyenes (
a
0
) "
tengelymetszete
" :

ahol:
a 1 a regressziós egyenes meredeksége
[Kép #10] a referenciaparaméter átlagos értéke

Kép #10
[Kép #11] az ellenőrizni kívánt paraméter átlagos értéke

Kép #11
1.2.4. "Kalibrálás" : az elemzőkészülék, az áramlásmérő műszer, az érzékelő vagy a jeladó válaszának beállítási eljárása abból a célból, hogy a kimeneti jel megegyezzen egy vagy több referenciajellel.
1.2.5. "
Determinációs együttható
" (
r
2
) :

ahol:
a 0 a lineáris regressziós egyenes tengelymetszete
a 1 a lineáris regressziós egyenes meredeksége
x i a mért referenciaérték
y i az ellenőrizni kívánt paraméter mért értéke
[Kép #12] az ellenőrizni kívánt paraméter átlagos értéke

Kép #12
n az értékek száma
1.2.6. "
Keresztkorrelációs együttható
" (
r
) :

ahol:
x i a mért referenciaérték
y i az ellenőrizni kívánt paraméter mért értéke
[Kép #13] a referenciaérték átlaga

Kép #13
[Kép #14] az ellenőrizni kívánt paraméter átlagos értéke

Kép #14
n az értékek száma
1.2.7. "Késedelmi idő" : az az időtartam, amely a gázáram bekapcsolásától (t 0) addig eltelik, amíg a válasz eléri a mért végérték 10 százalékát (t 10).
1.2.8. "A motorvezérlő egység (ECU) jelei és adatai" : a jármű rendszeréből az 1. függelék 3.4.5. pontja szerinti protokollok használatával rögzített bármilyen, a gépjárműre vonatkozó információ és jel.
1.2.9. "Motorvezérlő egység" : az az elektronikus egység, amely többféle működtető vezérlésével biztosítja az erőátviteli rendszer optimális teljesítményét.
1.2.10. "Kibocsátás" (más néven összetevők, szennyezőanyag-összetevők vagy szennyezőanyag-kibocsátás) : a kipufogógáz szabályozott, gáz-halmazállapotú vagy szilárd összetevője.
1.2.11. "Kipufogógáz" : a tüzelőanyagnak a jármű belső égésű motorjában történő elégetése következtében a kipufogónyílásnál vagy a kipufogócsőnél kibocsátott valamennyi gáz-halmazállapotú és szilárd összetevő teljes mennyisége.
1.2.12. "Kipufo5.gógáz-kibocsátás" : a részecskék tömegével és számával jellemezhető szilárd szennyező anyagok és a gáz-halmazállapotú összetevők kibocsátása a jármű kipufogócsövénél.
1.2.13. "Teljes skála" : az elemzőkészülék, az áramlásmérő műszer vagy az érzékelő teljes mérési tartománya a berendezés gyártójának meghatározása alapján. Ha a mérésekhez az elemzőkészülék, az áramlásmérő műszer vagy az érzékelő egy résztartományát használják, a teljes skála alatt a legnagyobb mért értéket kell érteni.
1.2.14. Egy adott "szénhidrogénre vonatkozó választényező" : a lángionizációs detektorral mért érték és az adott szénhidrogénnek a referencia-gázpalackban fennálló, ppmC1-ben kifejezett koncentrációja közötti arány.
1.2.15. "Jelentős karbantartás" : az elemzőkészülék, az áramlásmérő műszer vagy az érzékelő olyan módosítása, javítása vagy cseréje, amely befolyásolhatja a mérések pontosságát.
1.2.16. "Zaj" : tíz szórás négyzetes középértékének a kétszerese, ahol a szórásokat állandó, legalább 1,0 Hz-es adatfelvételi gyakorisággal 30 másodpercen át mért nullpontválaszokból számítják ki.
1.2.17. "Metántól különböző szénhidrogének" (NMHC) : a metánon (CH4) kívüli összes szénhidrogén (THC).
1.2.18. "Részecskék száma" : a jármű kipufogójából kibocsátott szilárd részecskék teljes száma a 715/2007/EK rendelet I. mellékletének 2. táblázatában meghatározott, vonatkozó Euro 6 kibocsátási határérték mérésére szolgáló, e rendeletben meghatározott mérési eljárás szerint.
1.2.19. "Ismételhetőség" : egy visszavezethető, szabványos értékre adott, 10-szer megismételt válasz szórásának 2,5-szerese.
1.2.20. "Mért érték" : az elemzőkészülék, az áramlásmérő műszer, az érzékelő vagy a jármű kibocsátásának mérése keretében használt bármely más mérőeszköz által kijelzett számérték.
1.2.21. "Válaszidő" (t 90) : a késedelmi idő és a felfutási idő összege.
1.2.22. "Felfutási idő" : a mért végérték 10 %-ának és 90 %-ának megfelelő válasz megjelenése között eltelt idő (t 90 - t 10).
1.2.23. "
Négyzetes középérték
" (
x
rms
) :
az értékek négyzetéből számított számtani átlag négyzetgyöke, melynek meghatározása:

ahol:
x a mért vagy számított érték
n az értékek száma
1.2.24. "Érzékelő" : bármely olyan mérőberendezés, amely nem része a járműnek, hanem beépítették a járműbe, és amely a gáz-halmazállapotú vagy szilárd szennyező anyagok koncentrációjától és a kipufogógáz tömegáramától eltérő paraméterek meghatározására szolgál.
1.2.25. "Mérőtartomány-kalibrálás" : az elemzőkészülék, az áramlásmérő műszer vagy az érzékelő kalibrálása, melynek célja, hogy az adott berendezés pontos választ adjon egy olyan szabványra, amely a valós kibocsátási vizsgálat során várható legnagyobb értékhez lehető legközelebb áll.
1.2.26. "Mérőtartomány-kalibráló válasz" : a mérőtartomány-kalibrálási jelre egy legalább 30 másodperces időtartam során adott átlagos válasz.
1.2.27. "A mérőtartomány-kalibráló válasz eltolódása" : a mérőtartomány-kalibráló jelre adott átlagos válasz és a tényleges mérőtartomány-kalibráló jel közötti különbség, amelynek mérése az elemzőkészülék, az áramlásmérő műszer vagy az érzékelő helyes mérőtartomány-kalibrálása után meghatározott idővel történik.
1.2.28. Egy lineáris regressziós egyenes "
meredeksége
" (
a
1
) :

ahol:
[Kép #15] a referenciaparaméter átlagos értéke

Kép #15
[Kép #16] az ellenőrizni kívánt paraméter átlagos értéke

Kép #16
x i a referenciaparaméter tényleges értéke
y i az ellenőrizni kívánt paraméter tényleges értéke
n az értékek száma
1.2.29. "
A becslés standard hibája
" (
SEE
) :

ahol:
ý az ellenőrizni kívánt paraméter becsült értéke
y i az ellenőrizni kívánt paraméter tényleges értéke
x max a referenciaparaméter legnagyobb tényleges értéke
n az értékek száma
1.2.30. "Összes szénhidrogén" (THC) : a lángionizációs detektorral (FID-del) mérhető valamennyi illékony anyag összessége.
1.2.31. "Visszavezethetőség" : egy mérés vagy leolvasás azon tulajdonsága, hogy a mérés vagy a leolvasás összehasonlítások folyamatos láncolata révén egy ismert és általánosan elfogadott szabvánnyal összekapcsolható.
1.2.32. "Átalakítási idő" : a koncentráció vagy az áramlás vonatkoztatási pontnál való megváltozása (t 0) és a mért végérték 50 %-ának megfelelő rendszerválasz (t 50) között eltelt idő.
1.2.33. "Elemzőkészülék-típus" : azonos gyártó által előállított elemzőkészülékek csoportja, amelyek azonos elv alapján határozzák meg egy adott gáz-halmazállapotú összetevő koncentrációját vagy a részecskék számát.
1.2.34. "Tömegárammérő-típus" : azonos gyártó által előállított olyan tömegárammérők csoportja, amelyek csöve hasonló belső átmérővel rendelkezik, és amelyek azonos elv alapján határozzák meg a kipufogógáz áramlási sebességét.
1.2.35. "Hitelesítés" : olyan eljárás, melynek célja egy hordozható kibocsátásmérő rendszer helyes beépítésének és működésének, valamint a kipufogógáz-tömegáramra vonatkozó, egy vagy több nem visszavezethető kipufogógáz-tömegárammérővel végzett mérések, illetve az érzékelők vagy a motorvezérlő egység jelei alapján kiszámított értékek helyességének értékelése.
1.2.36. "Ellenőrzés" : olyan eljárás, melynek célja annak értékelése, hogy egy elemzőkészülék, áramlásmérő műszer, érzékelő vagy jel által adott, mért vagy számított eredmény egy vagy több előre meghatározott elfogadási küszöbértéken belül megegyezik-e a referenciajellel.
1.2.37. "Nullázás" : egy elemzőkészülék, áramlásmérő műszer vagy érzékelő kalibrálása annak érdekében, hogy a berendezés pontos választ adjon a nullapontjelre.
1.2.38. "Nullapontválasz" : a nullapontjelre egy legalább 30 másodperces időtartam során adott átlagos válasz.
1.2.39. "A nullapontválasz eltolódása" : a nullapontjelre adott átlagos válasz és a tényleges nullapontjel közötti különbség, amelynek mérése az elemzőkészülék, az áramlásmérő műszer vagy az érzékelő helyes nullázása után meghatározott idővel történik.
1.3. Rövidítések
A rövidítések az adott kifejezés egyes és többes számára is vonatkozhatnak.
CH4 - Metán
CLD - Kemilumineszcens detektor
CO - Szén-monoxid
CO2 - Szén-dioxid
CVS - Állandó térfogatú mintavevő rendszer
DCT - Duplakuplungos sebességváltó
ECU - Motorvezérlő egység
EFM - Kipufogógáz-tömegárammérő
FID - Lángionizációs detektor
FS - Teljes skála
GPS - Globális helymeghatározó rendszer
H2O - Víz
HC - Szénhidrogének
HCLD - Fűtött kemilumineszcens detektor
HEV - Hibrid elektromos jármű
ICE - Belső égésű motor
ID - Azonosító szám vagy kód
LPG - Cseppfolyósított szénhidrogéngáz
MAW - Mozgóátlagolási ablak
max - Legnagyobb érték
N2 - Nitrogén
NDIR - Nem diszperzív infravörös elemzőkészülék
NDUV - Nem diszperzív ultraibolya elemzőkészülék
NEDC - Új európai menetciklus
NG - Földgáz
NMC - Metánkiválasztó
NMC-FID - Lángionizációs detektorral kombinált metánkiválasztó
NMHC - Metántól különböző szénhidrogének
NO - Nitrogén-monoxid
No. - Szám
NO2 - Nitrogén-dioxid
NOX - Nitrogén-oxidok
NTE - Nem túllépendő
O2 - Oxigén
OBD - Fedélzeti diagnosztikai rendszer
PEMS - Hordozható kibocsátásmérő rendszer
PHEV - Hálózatról tölthető hibrid elektromos jármű
PN - Részecskeszám
RDE - Valós vezetési feltételek melletti kibocsátás
SCR - Szelektív katalitikus redukció
SEE - Becslés standard hibája
THC - Összes szénhidrogén
UN/ECE - Az ENSZ Európai Gazdasági Bizottsága
VIN - Jármű-azonosító szám
WLTC - A könnyű gépjárművekre vonatkozó, világszinten harmonizált vizsgálati ciklus
WWH-OBD - Világszinten harmonizált fedélzeti diagnosztika
2. ÁLTALÁNOS KÖVETELMÉNYEK
2.1. Nem túllépendő kibocsátási határértékek
A 715/2007/EK rendelet szerinti típusjóváhagyással rendelkező járművek szokásos élettartama alatt e járműveknek az e mellékletben foglalt követelmények alapján meghatározott és az e mellékletnek megfelelően elvégzett bármely, valós vezetési feltételek melletti kibocsátásra vonatkozó vizsgálat (RDE-vizsgálat) során keletkező kibocsátásai nem haladhatják meg a következő, nem túllépendő értékeket (NTE-értékeket):
NTEpollutant = CFpollutant × TF(p1,..., pn) × EURO-6
ahol az EURO-6 a 715/2007/EK rendelet I. mellékletének 2. táblázatában megadott Euro 6 2.
2.1.1. Végső megfelelési tényezők
Az adott szennyező anyagra vonatkozó CFpollutant megfelelési tényező a következők szerint kerül meghatározásra:
Szennyező anyag | Nitrogén-oxidok tömege (NOx) | Részecskék száma (PN) | Szén-monoxid tömege (CO) (1) | Összes szénhidrogén tömege (THC) | Összes szénhidrogén és nitrogén-oxid együttes tömege (THC + NOx) |
CFpollutant | 1 + margin ahol margin = 0,5 | később meghatározandó | — | — | — |
(1) Az RDE-vizsgálat során mérni és rögzíteni kell a szén-monoxid-kibocsátást. |
margin : a PEMS berendezésből adódó további mérési bizonytalanságot figyelembe vevő paraméter, amelyet évente felül kell vizsgálni, és a PEMS-eljárás minőségi javulása, illetve a műszaki fejlődés függvényében módosítani kell.
2.1.2. Átmeneti megfelelési tényezők
A 2.1.1. pont rendelkezéseitől eltérve, a 715/2007/EK rendelet 10. cikkének (4) és (5) bekezdésében említett időponttól számított 5 év és 4 hónap során a gyártó kérésére a következő átmeneti megfelelési tényezők alkalmazhatók:
Szennyező anyag | Nitrogén-oxidok tömege (NOx) | Részecskék száma (PN) | Szén-monoxid tömege (CO) (1) | Összes szénhidrogén tömege (THC) | Összes szénhidrogén és nitrogén-oxid együttes tömege (THC + NOx) |
CFpollutant | 2,1 | később meghatározandó | — | — | — |
(1) Az RDE-vizsgálat során mérni és rögzíteni kell a szén-monoxid-kibocsátást. |
Az átmeneti megfelelési tényezők alkalmazását fel kell tüntetni a jármű megfelelőségi nyilatkozatában.
2.1.3. Átviteli függvények
A 2.1. pontban említett TF(p1,..., pn) átviteli függvény értéke a pi (i = 1,...,n) paraméterek mindegyike vonatkozásában 1.
Amennyiben a TF(p1,..., pn) átviteli függvény módosításra kerül, a módosítás csak oly módon történhet, hogy ne érintse hátrányosan az RDE-vizsgálati eljárások környezeti hatásait és hatékonyságát. Különösen ügyelni kell arra, hogy a következő feltétel továbbra is teljesüljön:
∫ TF (p1,..., pn) * Q (p1,..., pn) dp = ∫ Q (p1,..., pn) dp
ahol:
- dp a pi (i = 1,...,n) paraméterek teljes paramétertér szerinti integrálja
- Q(p1,..., pn) a pi (i = 1,...,n) paramétereknek megfelelő esemény valószínűségi sűrűsége valós vezetési feltételek mellett.
2.2. A 2.1. pontnak való megfelelést a gyártónak a 9. függelékben található tanúsítvány kitöltésével kell igazolnia.
2.3. Az e melléklet által előírt, a típusjóváhagyáskor és a jármű élettartama során elvégzendő RDE-vizsgálatok alapján feltételezhető a 2.1. pontban foglalt követelményeknek való megfelelés. A feltételezett megfelelés újraértékelhető további RDE-vizsgálatok alapján.
2.4. A tagállamoknak gondoskodniuk kell arról, hogy el lehessen végezni a járművek PEMS-szel való vizsgálatát közúton, a tagállami jogszabályokban előírt eljárásoknak megfelelően, betartva a helyi közlekedési jogszabályokat és biztonsági előírásokat.
2.5. A gyártóknak biztosítaniuk kell azt, hogy a járműveknek a 2.4. pont követelményeinek megfelelő, PEMS-szel való közúti vizsgálatát egy független fél végezhesse el, például oly módon, hogy a rendelkezésére bocsátják a különböző kipufogócsövekhez való megfelelő átalakítókat, hozzáférést biztosítanak az ECU jeleihez, és elvégzik a szükséges adminisztratív intézkedéseket. Ha e rendelet nem teszi kötelezővé a PEMS-vizsgálatot, a gyártó a 715/2007/EK rendelet 7. cikkének (1) bekezdésével összhangban ésszerű díjat számolhat fel.
3. AZ ELVÉGZENDŐ RDE-VIZSGÁLAT
3.1. A következő előírások a 3. cikk (10) bekezdésének második albekezdésében említett PEMS-vizsgálatokra vonatkoznak.
3.1.0. A 2.1. pont követelményeinek teljesülniük kell a városi szakaszra és a PEMS-szel vizsgált teljes útra. A következő két pontban szereplő feltétel közül legalább egy, a gyártó választott feltételnek teljesülnie kell:
3.1.0.1. Mgas,d,t ≤ NTEpollutant és Mgas,d,u ≤ NTEpollutant, ahol e melléklet 2.1. pontjának és az 5. függelék 6.1. és 6.3. pontjának fogalommeghatározásai érvényesek, és gas = pollutant.
3.1.0.2. Mw,gas,d ≤ NTEpollutant és Mw,gas,d,U ≤ NTEpollutant , ahol e melléklet 2.1. pontjának és a 6. függelék 3.9. pontjának fogalommeghatározásai érvényesek, és gas = pollutant.
3.1.1. Típusjóváhagyás céljából a kipufogógáz tömegáramát olyan mérőberendezéssel kell meghatározni, amely a járműtől függetlenül működik, és e tekintetben a jármű ECU-jának semmilyen adata nem használható fel. A típusjóváhagyástól eltérő célokra a kipufogógáz tömegáramának meghatározásához a 2. függelék 7.2. pontja szerinti alternatív módszerek is használhatók.
3.1.2. Ha a jóváhagyó hatóság nem elégedett az 1. és 4. függelék szerinti PEMS-vizsgálatok adatminőség-ellenőrzésével és hitelesítési eredményeivel, érvénytelennek nyilváníthatja a PEMS-vizsgálatot. Ilyen esetben a jóváhagyó hatóságnak rögzítenie kell a vizsgálat adatait és az érvénytelenítés indokát.
3.1.3. Az RDE-vizsgálat adatainak jelentése és megosztása
3.1.3.1. A 8. függeléknek megfelelően a gyártó által elkészített műszaki jelentést a jóváhagyó hatóság rendelkezésére kell bocsátani.
3.1.3.2. A gyártónak gondoskodnia kell arról, hogy a következő adatok ingyenesen hozzáférhetők legyenek egy nyilvános weboldalon:
3.1.3.2.1. a jármű típus-jóváhagyási számának és a járműnek a 2007/46/EK irányelv IX. melléklete szerinti EK-megfelelőségi nyilatkozata 0.10. és 0.2. szakaszában meghatározott járműtípus, -változat és verzió megadásával annak a PEMS-vizsgálati családnak az egyedi azonosító száma, amelyhez a 7. függelék 5.2. pontjában foglaltak szerint a kibocsátás szerinti járműtípus tartozik;
3.1.3.2.2. a PEMS-vizsgálati család egyedi azonosító számának megadásával:
- a 7. függelék 5.1. pontjában előírt összes információ,
- a 7. függelék 5.3. és 5.4. pontjában szereplő felsorolások,
- a PEMS-vizsgálatok eredménye az 5. függelék 6.3. pontja és a 6. függelék 3.9. pontja szerint a 7. függelék 5.4. pontjában felsorolt valamennyi kibocsátás szerinti járműtípusra vonatkozóan.
3.1.3.3. Kérésre a gyártónak 30 napon belül ingyenesen hozzáférhetővé kell tennie a 3.1.3.1. pontban említett műszaki jelentést bármely érdekelt fél számára.
3.1.3.4. Kérésre a típusjóváhagyó hatóságnak hozzáférhetővé kell tennie a 3.1.3.1. és 3.1.3.2. pontban felsorolt információkat a kérés beérkezésétől számított 30 napon belül. A típusjóváhagyó hatóság ésszerű és arányos díjat számíthat fel, amely azonban nem lehet olyan mértékű, hogy eltántorítsa a megalapozott érdekeltséggel rendelkező érdeklődőket az információigényléstől, és amelynek összege nem haladhatja meg a hatóságnak a kért információk hozzáférhetővé tételével kapcsolatban felmerült belső költségeit.
4. ÁLTALÁNOS KÖVETELMÉNYEK
4.1. Az RDE-teljesítményt a szokásos vezetési módok, a szokásos körülmények és a szokásos hasznos terhelés mellett közúton üzemeltetett járművek vizsgálatával kell igazolni. Az RDE-vizsgálatnak reprezentatívnak kell lennie a járművek valós útvonalakon és szokásos terheléssel való üzemeltetése tekintetében.
4.2. A gyártónak igazolnia kell a típusjóváhagyó hatóság előtt, hogy a választott jármű, a vezetési módok, a feltételek és a hasznos terhelés reprezentatívak a járműcsalád tekintetében. Annak előzetes meghatározására, hogy a körülmények elfogadhatók-e az RDE-vizsgálathoz, a hasznos terhelésre és a tengerszint feletti magasságra vonatkozó, az 5.1. és az 5.2. pontban megadott követelményeket kell használni.
4.3. A jóváhagyó hatóságnak javaslatot kell tennie a 6. pont követelményeinek megfelelő városi, országúti és autópályán történő vizsgálati útra. A vizsgálati út kiválasztása céljából topográfiai térkép alapján kell meghatározni a városi, országúti és autópályán történő üzemeltetés fogalmát.
4.4. Ha egy jármű esetében az ECU adatainak gyűjtése befolyásolja a jármű kibocsátását vagy teljesítményét, akkor azt a 7. függelék alapján meghatározott PEMS-vizsgálati családot, amelybe a jármű tartozik, teljes egészében nem megfelelőnek kell tekinteni. Az ilyen funkciót a 715/2007/EK rendelet 3. cikkének 10. pontjában meghatározott "hatástalanító berendezésnek" kell tekinteni.
5. HATÁRFELTÉTELEK
5.1. A jármű hasznos terhelése és vizsgálati tömege
5.1.1. A jármű alapvető hasznos terhelésének magában kell foglalnia a járművezetőt, (adott esetben) a vizsgálati tanút, valamint a mérőkészülékeket, beleértve a rögzítő és áramszolgáltató eszközöket is.
5.1.2. A vizsgálat céljából mesterséges hasznos terhelés is hozzáadható a járműhöz, amennyiben az alapvető és a mesterséges hasznos terhelés teljes tömege nem haladja meg az 1230/2012/EU bizottsági rendelet ( 51 ) 2. cikkének 19. és 21. pontjában meghatározott "utasok tömege" és "többletterhelés tömege" összegének 90 %-át.
5.2. Környezeti feltételek
5.2.1. A vizsgálatot az e szakaszban meghatározott környezeti feltételek mellett kell végrehajtani. A környezeti feltételek akkor számítanak "kiterjesztettnek", ha a hőmérsékletre és a tengerszint feletti magasságra vonatkozó feltételek közül legalább egy kiterjesztett.
5.2.2. Mérsékelt magassági feltételek: 700 méteres vagy annál kisebb tengerszint feletti magasság.
5.2.3. Kiterjesztett magassági feltételek: 700 méternél nagyobb, de legfeljebb 1 300 méteres tengerszint feletti magasság.
5.2.4. Mérsékelt hőmérsékleti feltételek: 273K (0 °C) értéknél nagyobb vagy azzal egyenlő, és 303K (30 °C) értéknél kisebb vagy azzal egyenlő.
5.2.5. Kiterjesztett hőmérsékleti feltételek: 266 K (- 7 °C) értéknél nagyobb vagy azzal egyenlő és 273 K (0 °C) értéknél kisebb vagy azzal egyenlő, vagy 303 K (30 °C) értéknél nagyobb és 308 K (35 °C) értéknél kisebb vagy azzal egyenlő
5.2.6. Az 5.2.4. és az 5.2.5. pont rendelkezéseitől eltérve a mérsékelt feltételek esetében az alsó hőmérsékleti értéknek legalább 276 K-nek (3 °C), a kiterjesztett feltételek esetében pedig legalább 271 K-nek (- 2 °C) kell lennie a 2.1. pont szerinti kötelező érvényű kibocsátási határértékek alkalmazásától kezdve a 715/2007/EU rendelet 10. cikkének (4) és (5) bekezdésében megadott dátumoktól számított öt év leteltéig.
5.4. Dinamikus feltételek
A dinamikus feltételek az út lejtésének, az ellenszélnek és a vezetési dinamikának (gyorsításnak, lassításnak), valamint a kiegészítő rendszereknek a vizsgálati jármű energiafogyasztására és kibocsátására gyakorolt hatásait foglalják magukban. A dinamikus feltételek normalitásának ellenőrzését a vizsgálat után, a PEMS rögzített adatai alapján kell elvégezni. Az ellenőrzést két lépésben kell végrehajtani:
5.4.1. Az e melléklet 7a. függelékében leírt módszerrel ellenőrizni kell, hogy az út során a dinamika általában túl nagy vagy hiányos-e.
5.4.2. Amennyiben az út eredményei az 5.4.1. pontnak megfelelő ellenőrzések alapján érvényesnek bizonyulnak, a dinamikus feltételek normalitásának ellenőrzésére az e melléklet 5. és 6. függelékében meghatározott módszereket kell alkalmazni. Valamennyi módszer tartalmazza a dinamikus feltételek referenciáit, a referencia körüli tartományokat és az érvényes vizsgálat teljesítéséhez szükséges minimális lefedettségi követelményeket.
5.5. A jármű állapota és üzemeltetése
5.5.1. Kiegészítő rendszerek
A légkondicionáló rendszert vagy az egyéb kiegészítő berendezéseket oly módon kell működtetni, amely megfelel a fogyasztók tényleges közúti vezetése közbeni valószínűsíthető használatnak.
5.5.2. Periodikusan regeneráló rendszerekkel rendelkező járművek
5.5.2.1. Periodikusan regeneráló rendszer alatt a 2. cikk 6. pontjában meghatározott fogalmat kell érteni.
5.5.2.2. Ha periodikus regenerálás történik a vizsgálat során, a vizsgálatot a gyártó kérésére érvénytelennek lehet nyilvánítani és egy alkalommal meg lehet ismételni.
5.5.2.3. A gyártó a második vizsgálat előtt gondoskodhat a regenerálás befejezéséről és a jármű megfelelő előkondicionálásáról.
5.5.2.4. Ha a megismételt RDE-vizsgálat során is regenerálás történik, a megismételt vizsgálat alatt kibocsátott szennyező anyagokat figyelembe kell venni a kibocsátások értékelésekor.
6. A VIZSGÁLATI ÚTRA VONATKOZÓ KÖVETELMÉNYEK
6.1. A 6.3-6.5. pont szerint a pillanatnyi sebesség alapján osztályozott városi, országúti és autópályán való vezetés arányát a teljes vizsgálati út hosszának százalékában kell kifejezni.
6.2. A vizsgálati útnak városi vezetésből, majd országúti és autópályán történő vezetésből kell állnia, a 6.6. pontban megadott részarányoknak megfelelően. A városi, országúti és autópályán történő vezetést megszakítás nélkül kell lefolytatni. Az országúti vezetést mindazonáltal megszakíthatják rövid, a városi területeken való áthaladás miatti városi vezetési szakaszok. Az autópályán történő vezetést is megszakíthatják rövid városi vagy országúti vezetési szakaszok, például a fizetőkapukon való áthaladás vagy útépítési munkálatok miatt. Ha gyakorlati okokból más vizsgálati sorrend indokolt, a jóváhagyó hatóság beleegyezésével a városi, országúti és autópályán történő vezetés más sorrendben is végrehajtható.
6.3. A városi üzemmódot a 60 km/h alatti,
6.4. az országúti üzemmódot a 60 és 90 km/h közötti,
6.5. az autópálya üzemmódot pedig a 90 km/h feletti sebesség jellemzi.
6.6. A vizsgálati útnak megközelítőleg 34 % városi vezetésből, 33 % országúti vezetésből és 33 % autópályán történő vezetésből kell állnia, a fenti 6.3-6.5. pontokban meghatározott sebességek mellett. A "megközelítőleg" kifejezés itt a megadott százalékoktól való ±10 %-os eltérést jelenti. A városi vezetés aránya azonban soha nem lehet kevesebb, mint a teljes vizsgálati út 29 %-a.
6.7. A jármű sebessége normális esetben nem haladhatja meg a 145 km/h-t. A legnagyobb sebességet 15 km/h-s tűrés mellett túl lehet lépni az autópályán történő vezetés idejének legfeljebb 3 %-ában. A PEMS-vizsgálat során a helyi sebességkorlátozások érvényesek, függetlenül az egyéb jogi következményektől. A helyi sebességkorlátozások túllépése önmagában nem érvényteleníti a PEMS-vizsgálat eredményét.
6.8. A vizsgálati út városi része során az átlagos sebességnek (a megállásokat is beleszámítva) 15 és 40 km/h között kell lennie. A városi vezetés időtartamának 6-30 %-ban megállásokból kell állnia, amelyek alatt az 1 km/h-nál alacsonyabb sebességgel megtett időszakok értendők. A városi vezetésnek tartalmaznia kell több, legalább 10 másodperces megállást. Ha a megállás meghaladja a 180 másodpercet, az ilyen túlzottan hosszú megállást követő 180 másodperc kibocsátási eseményeit ki kell zárni az értékelésből.
6.9. Az autópályán történő vezetés sebességtartományának le kell fednie a 90 km/h és legalább 110 km/h közötti tartományt. A jármű sebességének legalább 5 percen át meg kell haladnia a 100 km/h-t.
6.10. A vizsgálati út időtartamának 90 és 120 perc közöttinek kell lennie.
6.11. A kezdő- és végpont tengerszinthez viszonyított magassága közötti különbség nem lehet több 100 méternél.
Emellett az arányos összesített pozitív magasságnövekedés, melyet a 7b. függeléknek megfelelően kell meghatározni, nem érheti el az 1 200 m/100 km-t.
6.12. Az egyes vezetési szakaszok hossza, azaz a városi, az országúti és az autópályán megtett távolság is el kell érje legalább a 16 km-t.
7. ÜZEMELTETÉSI KÖVETELMÉNYEK
7.1. A vizsgálati utat úgy kell megválasztani, hogy a vizsgálat megszakításmentes, az adatok rögzítése pedig folyamatos legyen a 6.10. pontban meghatározott minimális vizsgálati időtartam eléréséig.
7.2. A PEMS áramellátását külső tápegységről kell biztosítani, nem pedig olyan forrásból, mely az energiát közvetlenül vagy közvetve a vizsgált jármű motorjától származtatja.
7.3. A PEMS beépítését oly módon kell végrehajtani, hogy az a lehető legkevésbé befolyásolja a jármű kibocsátását vagy teljesítményét vagy a kettő kombinációját. Ügyelni kell arra, hogy a beépített berendezés tömege, valamint a vizsgálati járművön bekövetkező esetleges aerodinamikai módosítás a lehető legkisebb legyen. A jármű hasznos terhelésének meg kell felelnie az 5.1. pont követelményeinek.
7.4. Az RDE-vizsgálatokat az 1182/71/EGK, Euratom tanácsi rendelet ( 52 ) szerint az Unió vonatkozásában meghatározott munkanapokon kell elvégezni.
7.5. Az RDE-vizsgálatokat szilárd burkolattal ellátott utakon kell elvégezni (vagyis a terepen való vezetés nem megengedett).
7.6. A kibocsátási vizsgálat kezdetekor, a belső égésű motor első gyújtása után el kell kerülni az alapjárat hosszas fenntartását. Ha a vizsgálat közben a motor leáll, újra lehet indítani, de a mintavételnek nem szabad megszakadnia.
8. KENŐOLAJ, TÜZELŐANYAG ÉS REAGENS
8.1. Az RDE-vizsgálathoz használt tüzelőanyagnak, kenőanyagnak és (adott esetben) reagensnek meg kell felelnie a jármű gyártója által a fogyasztók számára megadott járműüzemeltetési specifikációknak.
8.2. A tüzelőanyagból, a kenőanyagból és (adott esetben) a reagensből mintát kell venni, és a mintát legalább 1 évig meg kell őrizni.
9. A KIBOCSÁTÁSOK ÉS A VIZSGÁLATI ÚT ÉRTÉKELÉSE
9.1. A vizsgálatot e melléklet 1. függelékének megfelelően kell elvégezni.
9.2. A vizsgálati útnak teljesítenie kell a 4-8. pontban foglalt követelményeket.
9.3. A különböző vizsgálati utakból származó adatok kombinálása, illetve a vizsgálati út adatainak módosítása vagy figyelmen kívül hagyása tilos.
9.4. Miután megállapították a vizsgálati út érvényességét a 9.2. pont alapján, az e melléklet 5. és 6. függelékében meghatározott módszerekkel ki kell számítani a kibocsátási eredményeket.
9.5. Ha egy adott időszakon belül a környezeti feltételek az 5.2. pont alapján kiterjesztettnek minősülnek, akkor ezen időszaknak a 4. függelék szerint kiszámított kibocsátásait el kell osztani 1,6-tal, mielőtt a kibocsátások e melléklet szerinti megfelelőségének értékelésére sor kerülne.
9.6. A hidegindítás definícióját e melléklet 4. függelékének 4. pontja tartalmazza. Amíg a hidegindítás során keletkező kibocsátásokra nem vonatkoznak speciális követelmények, addig ezeket a kibocsátásokat fel kell jegyezni, de az értékelésből ki kell zárni őket.
1. függelék
Vizsgálati eljárás a járművek hordozható kibocsátásmérő rendszerrel (PEMS) történő kibocsátásméréséhez
1. BEVEZETÉS
Ez a függelék a könnyű személy- és haszongépjárművek kipufogógáz-kibocsátásainak hordozható kibocsátásmérő rendszerrel történő meghatározására szolgáló vizsgálati eljárást ismerteti.
2. SZIMBÓLUMOK
≤ - kisebb vagy egyenlő
# - szám
#/m3 - köbméterenkénti szám
% - százalék
°C - Celsius-fok
g - gramm
g/s - gramm/másodperc
h - óra
Hz - hertz
K - kelvin
kg - kilogramm
kg/s - kilogramm/másodperc
km - kilométer
km/h - kilométer/óra
kPa - kilopascal
kPa/min - kilopascal/perc
l - liter
l/min - liter/perc
m - méter
m3 - köbméter
mg - milligramm
min - perc
p e - vákuum [kPa]
qvs - a rendszer térfogatárama [l/min]
ppm - milliomodrész
ppmC1 - milliomodrész szénegyenértékben
rpm - fordulat/perc
s - másodperc
V s - a rendszer térfogata [l]
3. ÁLTALÁNOS KÖVETELMÉNYEK
3.1. A PEMS
A vizsgálatot PEMS-szel kell elvégezni, melynek részeit a 3.1.1-3.1.5. pontok ismertetik. Adott esetben összeköttetést lehet létrehozni a jármű ECU-jával a 3.2. pontban meghatározott, vonatkozó motor- és járműparaméterek meghatározása céljából.
3.1.1. A kipufogógázban található szennyező anyagok koncentrációjának meghatározására szolgáló elemzőkészülékek.
3.1.2. A kipufogógáz tömegáramának mérésére vagy meghatározására szolgáló egy vagy több műszer vagy érzékelő.
3.1.3. A jármű helyzetének, tengerszint feletti magasságának és sebességének meghatározására szolgáló GPS.
3.1.4. Adott esetben a jármű részét nem képező érzékelők és más berendezések, például a környezeti hőmérséklet, a relatív páratartalom, a légnyomás és a járműsebesség méréséhez.
3.1.5. A járműtől független energiaforrás a PEMS áramellátásához.
3.2. Vizsgálati paraméterek
Az 1. táblázatban meghatározott vizsgálati paramétereket 1,0 Hz-es vagy nagyobb, állandó gyakorisággal kell mérni és rögzíteni, és a 8. függelék követelményeinek megfelelően kell jelenteni őket. Ha az ECU paraméterei is rendelkezésre állnak, a helyes mintavétel érdekében ezeket a PEMS által rögzített paramétereknél jelentősen nagyobb gyakorisággal kell hozzáférhetővé tenni. A PEMS elemzőkészülékeinek, áramlásmérő műszereinek és érzékelőinek meg kell felelniük az e melléklet 2. és a 3. függelékében foglalt követelményeknek.
1. táblázat
Vizsgálati paraméterek
Paraméter | Ajánlott mértékegység | Forrás (8) |
A THC koncentrációja (1) (4) | ppm | Elemzőkészülék |
CH4-koncentráció (1) (4) | ppm | Elemzőkészülék |
NMHC-koncentráció (1) (4) | ppm | Elemzőkészülék (6) |
CO-koncentráció (1) (4) | ppm | Elemzőkészülék |
CO2-koncentráció (1) | ppm | Elemzőkészülék |
NOx-koncentráció (1) (4) | ppm | Elemzőkészülék (7) |
PN-koncentráció (4) | #/m (3) | Elemzőkészülék |
Kipufogógáz-tömegáram | kg/s | Kipufogógáz-tömegárammérő, a 2. függelék 7. pontjában leírt bármely módszerrel |
Környezeti páratartalom | % | Érzékelő |
Környezeti hőmérséklet | K | Érzékelő |
Környezeti légnyomás | kPa | Érzékelő |
Járműsebesség | km/h | Érzékelő, GPS vagy ECU (3) |
A jármű helyzetének földrajzi szélessége | fok | GPS |
A jármű helyzetének földrajzi hosszúsága | fok | GPS |
A jármű tengerszint feletti magassága (5) (9) | M | GPS vagy érzékelő |
A kipufogógáz hőmérséklete (5) | K | Érzékelő |
A hűtőközeg hőmérséklete (5) | K | Érzékelő vagy ECU |
Motorfordulatszám (5) | rpm | Érzékelő vagy ECU |
A motor nyomatéka (5) | Nm | Érzékelő vagy ECU |
A hajtott tengely nyomatéka (5) | Nm | Kerékpántnyomaték-mérő |
Pedálhelyzet (5) | % | Érzékelő vagy ECU |
A motor tüzelőanyag-árama (2) | g/s | Érzékelő vagy ECU |
A motor által beszívott légáram (2) | g/s | Érzékelő vagy ECU |
Hibaállapot (5) | — | ECU |
A beszívott levegőáram hőmérséklete | K | Érzékelő vagy ECU |
Regenerálási állapot (5) | — | ECU |
A motorolaj hőmérséklete (5) | K | Érzékelő vagy ECU |
Aktuális sebességfokozat (5) | # | ECU |
Kívánt sebességfokozat (pl. sebességváltás-jelző) (5) | # | ECU |
Egyéb járműadatok (5) | nincs meghatározva | ECU |
(1) Nedves alapon kell mérni vagy a 4. függelék 8.1. pontja szerint korrigálni kell. (2) Csak akkor kell meghatározni, ha a kipufogógáz-tömegáram kiszámításához a 4. függelék 10.2. és 10.3. bekezdésében leírt közvetett módszereket alkalmazzák. (3) A jármű sebességének meghatározásához alkalmazott módszert a 4.7. pont alapján kell kiválasztani. (4) A paramétert csak akkor kell alkalmazni, ha a IIIA. melléklet 2.1. pontja előírja a mérés elvégzését. (5) Csak akkor kell meghatározni, ha a jármű állapotának és üzemállapotának ellenőrzéséhez szükséges. (6) Kiszámítható a THC és a CH4 koncentrációjából a 4. függelék 9.2. pontja szerint. (7) Kiszámítható a NO és NO2 koncentrációjának mért értékéből. (8) Több paraméterforrás is használható. (9) Ajánlott a környezeti légnyomás érzékelőjét használni forrásként. |
3.3. A jármű előkészítése
A jármű előkészítésének magában kell foglalnia az általános műszaki és működési ellenőrzést.
3.4. A PEMS beépítése
3.4.1. Általános követelmények
A PEMS beépítése során a rendszer gyártójának utasításai és a helyi egészségügyi és biztonsági előírások szerint kell eljárni. A PEMS-et oly módon kell beépíteni, hogy a vizsgálat során a lehető legkisebb legyen az elektromágneses interferencia, valamint az a lehető legkevésbé legyen kitéve ütődésnek, rezgésnek, szennyeződésnek és hőmérséklet-változásnak. A PEMS beépítését és működtetését szivárgásmentesen és a hőveszteséget a lehető legkisebbre csökkentve kell végrehajtani. A PEMS beépítése és működtetése nem változtathatja meg a kipufogógáz jellegét, és nem növelheti meg túlzottan a kipufogócső hosszát. A részecskék létrehozásának elkerülése érdekében a csatlakozóknak termikusan stabilnak kell lenniük a kipufogógáznak a vizsgálat során várható hőmérsékletén. A jármű kipufogónyílása és az összekötő cső összekapcsolásához nem ajánlott elasztomer anyagú csatlakozókat használni. Amennyiben elasztomer anyagú csatlakozókat használnak, a nagy motorterhelés mellett keletkező műtermékek elkerülése érdekében a csatlakozókat a lehető legkisebb mértékben szabad kitenni kipufogógáznak.
3.4.2. A megengedett ellennyomás
A PEMS beépítése és működtetése nem növelheti túlzott mértékben a kipufogónyílásnál uralkodó statikus nyomást. Amennyiben műszakilag lehetséges, a mintavételt vagy a kipufogógáz-tömegárammérővel való összeköttetést elősegítő bármilyen csőtoldatnak legalább a kipufogócsőével megegyező keresztmetszettel kell rendelkeznie.
3.4.3. A kipufogógáz-tömegárammérő
A kipufogógáz-tömegárammérőt mindig a mérőeszköz gyártójának utasításai alapján kell a jármű kipufogócsövéhez (kipufogócsöveihez) csatlakoztatni. A kipufogógáz-tömegárammérő mérési tartományának illeszkednie kell a kipufogógáz-tömegáramnak a vizsgálat során várható tartományához. A kipufogógáz-tömegárammérő és a kipufogócső-toldalékok vagy -elosztók beépítése nem befolyásolhatja kedvezőtlenül a motor vagy a kipufogógáz-utókezelő rendszer működését. Legalább négy csőátmérő vagy 150 mm hosszúságú (attól függően, hogy melyik a nagyobb) egyenes csövet kell helyezni az áramlásérzékelő elem mindkét oldalára. Ha elágazó kipufogó-gyűjtőcsővel rendelkező többhengeres motort vizsgálnak, ajánlott a gyűjtőcsöveket a kipufogógáz-tömegárammérő előtt összevezetni és a csövek keresztmetszetét a megfelelő mértékben megnövelni a kipufogógáz ellennyomásának csökkentése érdekében. Ha ez nem valósítható meg, megfontolandó a kipufogógáz-áram mérését több kipufogógáz-tömegárammérővel végezni. A kipufogócsövek változatos konfigurációi és méretei, valamint a számos lehetséges kipufogógáz-tömegáram miatt a kipufogógáz-tömegárammérő kiválasztása és beépítése során a műszaki szempontokat figyelembe vevő kompromisszumokra lehet szükség. Ha a mérés pontossága megköveteli, engedélyezett az olyan kipufogógáz-tömegárammérő beépítése, amelynek átmérője kisebb a kipufogónyílásnál vagy a kipufogónyílások összesített keresztmetszeténél, amennyiben ez a 3.4.2. pontnak megfelelően nem érinti hátrányosan a működést vagy a kipufogógáz-utókezelést.
3.4.4. A globális helymeghatározó rendszer
A GPS antennáját úgy kell felszerelni (például a lehető legmagasabb pontra), hogy biztosítsa a műholdas jel megfelelő vételét. A felszerelt GPS-antennának a lehető legkisebb mértékben szabad befolyásolnia a jármű működését.
3.4.5. Az ECU-val való összeköttetés
Az 1. táblázatban felsorolt releváns jármű- és motorparaméterek igény szerint rögzíthetők az ECU-hoz vagy például az ISO 15031-5 vagy SAE J1979, OBD-II, EOBD vagy WWH-OBD szabványnak megfelelő járműhálózathoz csatlakoztatott adatgyűjtő egység segítségével. A szükséges paraméterek azonosítása érdekében a gyártóknak adott esetben meg kell adniuk a paramétercímkéket.
3.4.6. Érzékelők és kiegészítő berendezések
A járműsebesség-érzékelőket, hőmérséklet-érzékelőket, hűtőközeg-termoelemeket vagy egyéb mérőberendezéseket, amelyek nem részei a járműnek, úgy kell beépíteni, hogy a vizsgálat tárgyát képező paramétert reprezentatívan, megbízhatóan és pontosan mérjék, anélkül hogy indokolatlanul zavarnák a jármű és az egyéb elemzőkészülékek, áramlásmérő műszerek, érzékelők és jelek működését. Az érzékelők és a kiegészítő berendezések áramellátásának függetlennek kell lennie a járműtől.
A vezetőfülkén kívül található PEMS-részek szerelvényeinek és berendezéseinek biztonsággal összefüggő okokból való világítását megengedett a jármű akkumulátoráról működtetni.
3.5. Kibocsátási mintavétel
A kibocsátási mintavételnek reprezentatívnak kell lennie, jól összekevert kipufogógázból kell történnie, és olyan helyeken kell elvégezni, ahol a környezeti levegőnek a mintavételi pont utáni hatása a lehető legkisebb. Adott esetben a kibocsátást a kipufogógáz-tömegárammérő után kell mérni, az áramlásérzékelő elemtől legalább 150 mm-es távolságot tartva. A mintavevő szondákat a jármű kipufogónyílása - vagyis azon pont, ahol a kipufogógáz kilép a PEMS mintavételi rendszerből a környezetbe - előtt legalább 200 mm-es vagy a kipufogócső-átmérő háromszorosának megfelelő távolságban kell felszerelni, attól függően, hogy melyik a nagyobb. Ha a PEMS visszavezet egy kipufogógáz-áramot a kipufogócsőbe, ennek a mintavevő szonda után, oly módon kell történnie, hogy a motor üzemeltetése során ne befolyásolja a kipufogógáz tulajdonságait a mintavételi pont(ok)on. Ha a mintavevő vezeték hosszát megváltoztatják, ellenőrizni és szükség esetén korrigálni kell a rendszer szállítási idejét.
Ha a motor kipufogógáz-utókezelő rendszerrel van felszerelve, a kipufogógáz-mintát az utókezelő rendszer utáni szakaszból kell venni. Többhengeres motorral és elágazó kipufogó-gyűjtőcsővel rendelkező járművek vizsgálata során a mintavevő szondát a motortól elegendően messze kell elhelyezni ahhoz, hogy a minta az összes henger átlagos kipufogógáz-kibocsátása vonatkozásában reprezentatív legyen. Különálló kipufogó-gyűjtőrendszerekkel rendelkező többhengeres motoroknál, például a V motoroknál a gyűjtőrendszereket össze kell vezetni a mintavevő szonda előtt. Ha ez műszakilag nem megvalósítható, akkor megfontolandó a környezeti levegőtől mentes, jól összekevert kipufogógázból több helyen mintát venni. Ebben az esetben a mintavevő szondák számának és elhelyezkedésének a lehető leginkább illeszkednie kell a kipufogógáz-tömegárammérők számához és elhelyezkedéséhez. Egyenlőtlen kipufogógáz-áramok esetén megfontolandó az arányos mintavétel vagy a több elemzőkészülékkel végzett mintavétel lehetősége.
Részecskék mérése esetén a mintát a kipufogógáz-áram közepéből kell venni. Ha a kibocsátási mintavételhez több szondát használnak, a részecske-mintavevő szondát a többi mintavevő szonda előtt kell elhelyezni.
Szénhidrogének méréséhez a mintavevő vezetéket 463 ± 10 K (190 ± 10 °C) hőmérsékletűre kell melegíteni. A többi gáz-halmazállapotú összetevő hűtővel vagy anélkül való méréséhez a kondenzáció elkerülése és a különböző gázok megfelelő penetrációs hatékonyságának biztosítása érdekében a mintavevő vezeték hőmérsékletét legalább 333 K (60 °C) szinten kell tartani. A kisnyomású mintavevő rendszerek esetében a hőmérséklet a nyomáscsökkenésnek megfelelően csökkenthető, amennyiben a mintavevő rendszer minden szabályozott gáz-halmazállapotú szennyező anyagra vonatkozóan 95 %-os penetrációs hatékonyságot biztosít. A részecskék mintavétele esetében a hígítatlan kipufogógázból való mintavételi ponttól induló mintavevő vezetéket legalább 373 K (100 °C) hőmérsékletűre kell melegíteni. A mintának a részecske-mintavevő vezetékben való tartózkodási ideje az első hígítás vagy a részecskeszámláló előtt legfeljebb 3 másodperc lehet.
4. VIZSGÁLAT ELŐTTI ELJÁRÁSOK
4.1. A PEMS szivárgásvizsgálata
A PEMS-nek a járműbe való beépítése után minden esetben legalább egyszer szivárgásvizsgálatot kell végezni a PEMS gyártójának utasításai alapján vagy a következőkben leírt módszerrel. A szondát ki kell venni a kipufogórendszerből, és a végét dugóval le kell zárni. Az elemzőkészülék szivattyúját be kell kapcsolni. A kezdeti stabilizálódási időszak után szivárgásmentes rendszer esetében minden áramlásmérőnek nullához közeli értéket kell mutatnia. Ellenkező esetben ellenőrizni kell a mintavevő vezetékeket, és a hibát ki kell javítani.
A szivárgási sebesség a vákuumoldalon nem haladhatja meg a rendszer vizsgált részén jellemző áramlási sebesség 0,5 %-át. A használat alatti áramlási sebesség becsléséhez használható az elemzőkészüléken és a kerülőn átáramló mennyiség.
Alternatív megoldásként a rendszerben legalább 20 kPa vákuumot (80 kPa abszolút nyomást) kell létrehozni. A kezdeti stabilizációs időszak után a rendszerben a Dp nyomásnövekedés (kPa/min) nem haladhatja meg a következőt:

Alternatív megoldásként a mintavevő vezeték elején meg kell változtatni a koncentráció szintjét a nullázógázról a mérőtartomány-kalibráló gázra való átváltással, a szokásos rendszerműködés melletti nyomást fenntartva. Ha megfelelő idő eltelte után egy megfelelően kalibrált elemzőkészüléknél a mért érték ≤ 99 %, akkor ez szivárgási problémára utal, amit meg kell szüntetni.
4.2. A PEMS beindítása és stabilizálása
A PEMS-et a rendszer gyártójának utasításai szerint be kell kapcsolni, be kell melegíteni és stabilizálni kell addig, amíg a nyomás, a hőmérséklet és az áramlás el nem éri az üzemi beállítási értéket.
4.3. A mintavevő rendszer előkészítése
A mintavevő szondából, mintavevő vezetékekből és elemzőkészülékekből álló mintavevő rendszert a PEMS gyártójának utasításai szerint elő kell készíteni a vizsgálathoz. Biztosítani kell, hogy a mintavevő rendszer tiszta és páralecsapódástól mentes legyen.
4.4. A kipufogógáz-tömegárammérő előkészítése
Ha kipufogógáz-tömegárammérőt használnak a kipufogógáz-tömegáram méréséhez, a berendezést át kell öblíteni és elő kell készíteni az üzemeltetéshez a kipufogógáz-tömegárammérő gyártójának utasításai szerint. Adott esetben ennek az eljárásnak el kell távolítania a vezetékekből és a kapcsolódó mérési pontokról a kondenzációt és a lerakódásokat.
4.5. A gáz-halmazállapotú kibocsátások mérésére szolgáló elemzőkészülékek ellenőrzése és kalibrálása
Az elemzőkészülékek nullázását és mérőtartomány-kalibrálását a 2. függelék 5. pontjában foglalt követelményeknek megfelelő kalibráló gáz használatával kell elvégezni. A kalibráló gázokat úgy kell megválasztani, hogy illeszkedjenek a szennyező anyagoknak a vizsgálat során várható koncentrációtartományaihoz.
Hogy minimalizálni lehessen az elemzőkészülék válaszának eltolódását, az elemzőkészülék nullázását és mérőtartomány-kalibrálását a mérőkészülék által az RDE-út alatt érzékelt hőmérsékletet leginkább megközelítő környezeti hőmérsékleten kell elvégezni.
4.6. A részecskekibocsátás mérésére szolgáló elemzőkészülék ellenőrzése
Az elemzőkészülék nullapontját HEPA-szűrővel szűrt környezeti levegő mintavételével kell feljegyezni. A jelet 2 percen át állandó, legalább 1,0 Hz-es gyakorisággal kell rögzíteni, és átlagolni kell, a megengedett koncentráció értéke a megfelelő mérőberendezések rendelkezésre állását követően kerül meghatározásra.
4.7. A jármű sebességének mérése
A jármű sebességét a következő módszerek közül legalább egy használatával kell meghatározni:
a) GPS-szel. Ha a jármű sebességét GPS-szel határozzák meg, a teljes vizsgálati út hosszát össze kell vetni a 4. függelék 7. pontjában megadott valamelyik másik módszer méréseivel;
b) érzékelővel (például optikai vagy mikrohullámú érzékelővel). Ha a jármű sebességét érzékelővel határozzák meg, a sebességméréseknek teljesíteniük kell a 2. függelék 8. pontjában foglalt követelményeket, vagy alternatív megoldásként a teljes vizsgálati út érzékelővel meghatározott távolságát össze kell vetni egy digitális közúthálózati vagy topografikus térkép alapján megállapított referenciatávolsággal. A teljes vizsgálati út érzékelővel meghatározott távolsága legfeljebb 4 %-kal térhet el a referenciatávolságtól;
c) az ECU-val. Ha a jármű sebességét az ECU-val határozzák meg, a teljes vizsgálati út hosszát hitelesíteni kell a 3. függelék 3. pontjának megfelelően, és amennyiben a 3. függelék 3.3. pontja szerinti követelményeknek való megfelelés szükségessé teszi, módosítani kell az ECU jelének beállítását. Alternatív megoldásként a teljes vizsgálati út ECU-val meghatározott hosszát össze kell hasonlítani egy digitális közúthálózati vagy topografikus térkép alapján megállapított referenciatávolsággal. A teljes vizsgálati út ECU-val meghatározott távolsága legfeljebb 4 %-kal térhet el a referenciatávolságtól.
4.8. A PEMS beállításainak ellenőrzése
Ellenőrizni kell az összes érzékelővel és adott esetben az ECU-val való kapcsolat megfelelőségét. Ha a motorparaméterek lehívásra kerülnek, biztosítani kell, hogy az ECU helyesen adja ki az értékeket (például nulla motorfordulatszámot [rpm] jelezzen, ha a belső égésű motor állapota "gyújtás bekapcsolva - motor nem jár"). A PEMS-nek a figyelmeztető jelzésektől és hibajelzésektől mentesen kell működnie.
5. KIBOCSÁTÁSVIZSGÁLAT
5.1. A vizsgálat kezdete
A mintavételt, a mérést és a paraméterek rögzítését a motor elindítása előtt el kell kezdeni. A szinkronizálás elősegítése érdekében ajánlott a szinkronizálandó paraméterek rögzítését egyetlen adatrögzítő berendezéssel vagy szinkronizált időbélyegzővel végrehajtani. A motorindítás előtt és közvetlenül utána meg kell győződni arról, hogy az adatgyűjtő egység minden szükséges paramétert rögzít-e.
5.2. Vizsgálat
A mintavételt, a mérést és a paraméterek rögzítését a jármű közúti vizsgálata során végig folytatni kell. A motort le lehet állítani és újra lehet indítani, de a kibocsátási mintavétel és a paraméterek rögzítése nem szakadhat meg. Fel kell jegyezni és ellenőrizni kell minden figyelmeztető jelzést, amely a PEMS működési hibájára utal. A paraméterek rögzítése során 99 %-nál nagyobb adatteljességet kell elérni. A mérést és az adatrögzítést csak a jel nem szándékos elvesztése vagy a PEMS karbantartása esetén lehet megszakítani, a teljes vizsgálati idő 1 %-ánál rövidebb időtartamra, de egybefüggően legfeljebb 30 másodpercre. A megszakításokat közvetlenül a PEMS-szel lehet rögzíteni, de nem megengedett a rögzített adatokba az adatok előfeldolgozása, cseréje vagy utófeldolgozása révén megszakításokat bevinni. Ha automatikus nullázást végeznek, azt az elemzőkészülék nullázásához használthoz hasonló, visszavezethető nullapontszabvány alapján kell végrehajtani. Erősen ajánlott a PEMS karbantartását olyan időszakokban elindítani, amikor a jármű sebessége nulla.
5.3. A vizsgálat vége
A vizsgálat akkor ér véget, amikor a jármű végighaladt a vizsgálati úton, és leállítják a belső égésű motort. Az adatrögzítést addig kell folytatni, amíg a mintavevő rendszerek válaszideje le nem telik.
6. A VIZSGÁLAT UTÁNI ELJÁRÁSOK
6.1. A gáz-halmazállapotú kibocsátás mérésére szolgáló elemzőkészülékek ellenőrzése
Az gáz-halmazállapotú összetevők mérésére szolgáló elemzőkészülékek válaszeltolódásának a vizsgálat előtti állapothoz viszonyított értékelése céljából ellenőrizni kell az elemzőkészülékek nullapontját és mérőtartományát a 4.5. pontban használt gázokkal megegyező kalibráló gázokkal. A mérőtartomány-kalibráló válasz eltolódásának ellenőrzése előtt le lehet nullázni az elemzőkészüléket, ha a nullapontválasz eltolódása a megengedett tartományon belül volt. A vizsgálatot követő eltolódás-ellenőrzést a vizsgálat után a lehető leghamarabb, és mindenképpen azelőtt kell elvégezni, hogy a PEMS-et, az egyes elemzőkészülékeket vagy az érzékelőket kikapcsolnák vagy üzemen kívüli állapotba állítanák. A vizsgálat előtti és utáni eredmények különbségének meg kell felelnie a 2. táblázatban előírt követelményeknek.
2. táblázat
Az elemzőkészülék válaszának megengedett eltolódása a PEMS-vizsgálat során
Szennyező anyag | A nullapontválasz eltolódása | A mérőtartomány-kalibráló válasz eltolódása (1) |
CO2 | ≤ 2 000 ppm/vizsgálat | ≤ a mért érték 2 %-a vagy ≤2 000 ppm/vizsgálat, attól függően, hogy melyik a nagyobb |
CO | ≤ 75 ppm/vizsgálat | ≤ a mért érték 2 %-a vagy ≤75 ppm/vizsgálat, attól függően, hogy melyik a nagyobb |
NO2 | ≤ 5 ppm/vizsgálat | ≤ a mért érték 2 %-a vagy ≤5 ppm/vizsgálat, attól függően, hogy melyik a nagyobb |
NO/NOX | ≤ 5 ppm/vizsgálat | ≤ a mért érték 2 %-a vagy ≤5 ppm/vizsgálat, attól függően, hogy melyik a nagyobb |
CH4 | ≤10 ppmC1/vizsgálat | ≤ a mért érték 2 %-a vagy ≤10 ppmC1/vizsgálat, attól függően, hogy melyik a nagyobb |
THC | ≤10 ppmC1/vizsgálat | ≤ a mért érték 2 %-a vagy ≤10 ppmC1/vizsgálat, attól függően, hogy melyik a nagyobb |
(1) Ha a nullapontválasz eltolódása a megengedett tartományon belül van, akkor megengedett az elemzőkészülék nullázása a mérőtartomány-kalibráló válasz eltolódásának ellenőrzése előtt. |
Ha a nullapontválasz és a mérőtartomány-kalibráló válasz eltolódására vonatkozó vizsgálat előtti és utáni eredmények különbsége a megengedettnél nagyobb, minden vizsgálati eredményt érvénytelennek kell tekinteni, és meg kell ismételni a vizsgálatot.
6.2. A részecskekibocsátás mérésére szolgáló elemzőkészülék ellenőrzése
Az elemzőkészülék nullapontját HEPA-szűrővel szűrt környezeti levegő mintavételével kell feljegyezni. A jelet 2 percen át kell rögzíteni és átlagolni kell; a megengedett végső koncentrációérték a megfelelő mérőberendezések rendelkezésre állását követően kerül meghatározásra. Ha a vizsgálat előtti és utáni nullázás és a mérőtartomány-kalibrálás ellenőrzésének eredménye közötti különbség a megengedettnél nagyobb, minden vizsgálati eredményt érvénytelennek kell tekinteni, és meg kell ismételni a vizsgálatot.
6.3. A közúti kibocsátásmérés ellenőrzése
Az elemzőkészülékek kalibrált tartományának a kibocsátási vizsgálat érvényes részeiben végzett mérések 99 %-ából származó koncentrációértékek legalább 90 %-át le kell fednie. Az értékeléshez használt mérések teljes számának 1 %-a meghaladhatja az elemzőkészülékek kalibrált tartományát, de legfeljebb annak kétszeresét érheti el. Ha ezek a követelmények nem teljesülnek, akkor a vizsgálatot érvénytelennek kell tekinteni.
2. függelék
A PEMS részei és jelei: előírások és kalibrálás
1. BEVEZETÉS
Ez a függelék a PEMS részeire és jeleire vonatkozó előírásokat, valamint kalibrálást ismerteti.
2. SZIMBÓLUMOK
> - nagyobb mint
≥ - nagyobb vagy egyenlő mint
% - százalék
≤ - kisebb vagy egyenlő mint
A - hígítatlan CO2-koncentráció [ %]
a 0 - a lineáris regressziós egyenes y-tengelymetszete
a 1 - a lineáris regressziós egyenes meredeksége
B - hígított CO2-koncentráció [ %]
C - hígított NO-koncentráció [ppm]
c - az elemzőkészüléknek az oxigéninterferencia vizsgálata során adott válasza
c FS,b - a teljes skála értéke a b) lépésben szereplő HC-koncentrációra [ppmC1]
c FS,d - a teljes skála értéke a d) lépésben szereplő HC-koncentrációra [ppmC1]
c HC(w/NMC) - HC-koncentráció, amikor a CH4 vagy a C2H6 áthalad az NMC-n [ppmC1]
c HC(w/o NMC) - HC-koncentráció, amikor a CH4 vagy a C2H6 kikerüli az NMC-t [ppmC1]
c m,b - a b) lépésben mért HC-koncentráció [ppmC1]
c m,d - a d) lépésben mért HC-koncentráció [ppmC1]
c ref,b - a b) lépésben használt, HC-koncentrációra vonatkozó referenciaérték [ppmC1]
c ref,d - a d) lépésben használt, HC-koncentrációra vonatkozó referenciaérték [ppmC1]
oC - Celsius-fok
D - hígítatlan NO-koncentráció [ppm]
D e - a várható hígított NO-koncentráció [ppm]
E - abszolút üzemi nyomás [kPa]
E CO2 - a CO2 százalékos keresztérzékenysége
E E - etánhatásfok
E H2O - a víz százalékos keresztérzékenysége
E M - metánhatásfok
EO2 - oxigéninterferencia
F - vízhőmérséklet [K]
G - telített gőznyomás [kPa]
g - gramm
gH2O/kg - gramm/víz kilogrammja
h - óra
H - vízgőz-koncentráció [ %]
H m - a legnagyobb vízgőz-koncentráció [ %]
Hz - hertz
K - kelvin
kg - kilogramm
km/h - kilométer/óra
kPa - kilopascal
max - legnagyobb érték
NOX,dry - a stabilizált NOX-adatok nedvességgel korrigált átlagos koncentrációja
NOX,m - a stabilizált NOX-adatok átlagos koncentrációja
NOX,ref - a stabilizált NOX-adatok átlagos referenciakoncentrációja
ppm - milliomodrész
ppmC1 - milliomodrész szénegyenértékben
r2 - determinációs együttható
s - másodperc
t0 - a gázáram bekapcsolásának időpontja [s]
t10 - a mért végérték 10 %-ának megfelelő válasz időpontja [s]
t50 - a mért végérték 50 %-ának megfelelő válasz időpontja [s]
t90 - a mért végérték 90 %-ának megfelelő válasz időpontja [s]
x - független változó vagy referenciaérték
χmin - legkisebb érték
y - függő változó vagy mért érték
3. A LINEARITÁS ELLENŐRZÉSE
3.1. Általános követelmények
Az elemzőkészülékek, áramlásmérő műszerek, érzékelők és jelek linearitásának visszavezethetőnek kell lennie nemzetközi vagy nemzeti szabványokra. Bármely olyan érzékelőt vagy jelet, amely nem visszavezethető (például az egyszerűsített áramlásmérő műszereket), alternatív megoldásként olyan laboratóriumi görgős fékpad segítségével kell kalibrálni, amelyet nemzetközi vagy nemzeti szabványok alapján kalibráltak.
3.2. Linearitási követelmények
Minden elemzőkészüléknek, áramlásmérő műszernek, érzékelőnek és jelnek teljesítenie kell az 1. táblázat linearitási követelményeit. Ha a levegőáram, a tüzelőanyag-áram, a levegő-tüzelőanyag arány vagy a kipufogógáz-tömegáram adatai az ECU-ból származnak, a számított kipufogógáz-tömegáramnak teljesítenie kell az 1. táblázat linearitási követelményeit.
1. táblázat
A mérési paraméterek és rendszerek linearitási követelményei
Mérési paraméter/műszer | [Kép #17] | Meredekség a1 | Standard hiba SEE | Determinációs együttható r2 |
A tüzelőanyag árama (1) | ≤ 1 % max | 0,98–1,02 | ≤ 2 % max | ≥ 0,990 |
A levegő árama (1) | ≤ 1 % max | 0,98–1,02 | ≤ 2 % max | ≥ 0,990 |
Kipufogógáz-tömegáram | ≤ 2 % max | 0,97–1,03 | ≤ 2 % max | ≥ 0,990 |
Elemzőkészülékek | ≤ 0,5 % max | 0,99–1,01 | ≤ 1 % max | ≥ 0,998 |
Nyomaték (2) | ≤ 1 % max | 0,98–1,02 | ≤ 2 % max | ≥ 0,990 |
PN-elemzőkészülékek (3) | meghatározandó | meghatározandó | meghatározandó | meghatározandó |
(1) opcionális a kipufogógáz-tömegáram meghatározásához (2) opcionális paraméter (3) a mérőberendezések rendelkezésre állását követően kerül meghatározásra |

Kép #17
3.3. A linearitás ellenőrzésének gyakorisága
A 3.2. pont szerinti linearitási követelményeket a következők szerint kell ellenőrizni:
a) valamennyi elemzőkészülék esetében legalább háromhavonta, vagy ha olyan rendszerjavítást vagy -módosítást végeznek, amely befolyásolhatja a kalibrálást;
b) a többi releváns műszer, például a kipufogógáz-tömegárammérők és a visszavezethető módon kalibrált érzékelők esetében kár észlelése esetén, valamint a belső ellenőrzési eljárásoknak, a műszergyártó előírásainak vagy az ISO 9000 szabvány követelményeinek megfelelően, de a tényleges vizsgálat előtt nem több mint egy évvel.
A nem közvetlenül visszavezethető érzékelők és ECU-jelek esetében a 3.2. pont szerinti linearitási követelményeket a PEMS minden beállításakor ellenőrizni kell egy visszavezethető módon kalibrált mérőberendezéssel a görgős fékpadon.
3.4. A linearitás ellenőrzésének eljárása
3.4.1. Általános követelmények
A releváns elemzőkészülékeket, műszereket és érzékelőket a gyártójuk ajánlásainak megfelelő szokásos üzemállapotba kell állítani. Az elemzőkészülékeket, műszereket és érzékelőket a számukra előírt hőmérsékleteken, nyomásokon és anyagáramokkal kell használni.
3.4.2. Általános eljárás
A linearitást minden szokásos üzemi tartományra vonatkozóan a következő lépések végrehajtásával kell ellenőrizni:
a) az elemzőkészüléket, az áramlásmérő műszert vagy az érzékelőt nullapontjellel nullázni kell. Az elemzőkészülékek esetében tisztított szintetikus levegőt vagy nitrogént kell bevezetni a készülékbe a lehető legrövidebb és legközvetlenebb útvonalon;
b) el kell végezni az elemzőkészülék, az áramlásmérő műszer vagy az érzékelő mérőtartományának kalibrálását mérőtartomány-kalibráló jel beadásával. Az elemzőkészülékek esetében megfelelő kalibráló gázt kell bevezetni a készülékbe a lehető legrövidebb és legközvetlenebb útvonalon;
c) meg kell ismételni az a) pontban leírt nullázási eljárást;
d) az ellenőrzés úgy történik, hogy meg kell adni legalább 10 érvényes referenciaértéket (beleértve a nulla értéket is), amelyek között megközelítőleg azonos különbség van. Az összetevők koncentrációjára, a kipufogógáz-tömegáramra vagy bármely más releváns paraméterre vonatkozó referenciaértékeket úgy kell kiválasztani, hogy illeszkedjenek a kibocsátási vizsgálat során várható értékek tartományához. A kipufogógáz-tömegáram mérése esetében a legnagyobb kalibrált érték 5 %-ánál kisebb referenciapontok kizárhatók a linearitás ellenőrzéséből;
e) Az elemzőkészülékek esetében az ismert gázkoncentrációkat az 5. pontnak megfelelően be kell vezetni az elemzőkészülékbe. Elegendő időt kell biztosítani a jel stabilizálódásához;
f) az értékelés tárgyát képező értékeket és szükség esetén a referenciaértékeket 30 másodpercen át állandó, legalább 1,0 Hz-es gyakorisággal rögzíteni kell;
g) a 30 másodperces intervallum számtani átlagaiból ki kell számítani a legkisebb négyzetek módszerén alapuló lineáris regresszió paramétereit a következő képletű regressziós egyenlet segítségével:
y = a 1 x + a 0
ahol:
y a mérési rendszer tényleges értéke
a 1 a regressziós egyenes meredeksége
x a referenciaérték
a 0 a regressziós egyenes y-tengelymetszete
Minden mérési paraméterre és rendszerre vonatkozóan ki kell számítani az x alapján becsült y-értékek standard hibáját (SEE) és a determinációs együtthatót (r2).
h) a lineáris regresszió paramétereinek teljesíteniük kell az 1. táblázatban megadott követelményeket.
3.4.3. A linearitás görgős fékpadon végzett ellenőrzésére vonatkozó követelmények
A nem visszavezethető áramlásmérő műszereket, érzékelőket és ECU-jeleket, amelyek kalibrálását nem lehet közvetlenül visszavezethető szabványok alapján elvégezni, a görgős fékpadon kell kalibrálni. Amennyire csak lehetséges, az eljárásnak a 83. sz. ENSZ EGB-előírás 4a. melléklete szerinti követelményeket kell követnie. Ha szükséges, a kalibrálandó műszert vagy érzékelőt be kell építeni a járműbe és az 1. függelék követelményeinek megfelelően működtetni kell. Amennyire csak lehetséges, a kalibrálási eljárásnak a 3.4.2. pontban foglalt követelményeket kell követnie; legalább 10 megfelelő referenciaértéket kell kiválasztani úgy, hogy a kibocsátási vizsgálat során várható legnagyobb érték legalább 90 %-a le legyen fedve.
Ha a kipufogógáz-tömegáram meghatározására szolgáló, nem közvetlenül visszavezethető áramlásmérő műszert, érzékelőt vagy ECU-jelet kalibrálnak, referenciaként egy visszavezethető módon kalibrált kipufogógáz-tömegárammérőt vagy az állandó térfogatú mintavevő rendszert kell csatlakoztatni a jármű kipufogócsövéhez. Biztosítani kell, hogy a kipufogógáz-tömegárammérő pontos kipufogógáz-mérést végezzen az 1. függelék 3.4.3. pontjának megfelelően. A jármű üzemeltetése közben a fojtószelepállásnak, a sebességfokozatnak és a görgős fékpad terhelésének állandónak kell lennie.
4. A GÁZ-HALMAZÁLLAPOTÚ ÖSSZETEVŐK MÉRÉSÉRE SZOLGÁLÓ ELEMZŐKÉSZÜLÉKEK
4.1. Az elemzőkészülékek elfogadott típusai
4.1.1. Szokványos elemzőkészülékek
A gáz-halmazállapotú összetevőket a 83. sz. ENSZ EGB-előírás 07. módosítássorozatának 4a. mellékletében szereplő 3. függelék 1.3.1-1.3.5. szakaszában meghatározott elemzőkészülékekkel kell mérni. Ha az NDUV elemzőkészülék a NO és a NO2 mérésére is alkalmas, nincs szükség NO2-NO-átalakító használatára.
4.1.2. Alternatív elemzőkészülékek
Megengedhető a 4.1.1. pontban meghatározott tervezési követelményeket nem teljesítő elemzőkészülékek használata is, ha azok megfelelnek a 4.2. pont előírásainak. A gyártónak biztosítania kell azt, hogy az alternatív elemzőkészülék a szabványos elemzőkészülékekkel egyenértékű vagy magasabb mérési teljesítményt nyújtson azon szennyezőanyag-koncentrációk és a velük együtt jelentkező gázok tartományában, amelyek a megengedett tüzelőanyagokkal, az érvényes közúti vizsgálatoknak az 5., 6. és 7. pontban meghatározott mérsékelt és kiterjesztett feltételei mellett működtetett járművek esetében várhatóan jelentkeznek. Kérésre az elemzőkészülék gyártójának írásos kiegészítő információkat kell benyújtania annak igazolására, hogy az alternatív elemzőkészülék mérési teljesítménye következetesen és megbízhatóan összhangban van a szabványos elemzőkészülékek mérési teljesítményével. A kiegészítő információknak a következőket kell tartalmazniuk:
a) az elemzőkészülék működési elvének és műszaki alkotóelemeinek leírása;
b) a 4.1.1. pontban meghatározott, megfelelő szabványos elemzőkészülékkel való egyenértékűség igazolása a szennyezőanyag-koncentrációk várható tartománya és a 83. sz. ENSZ EGB-előírás 07. módosítássorozatának 4a. mellékletében meghatározott típus-jóváhagyási vizsgálat környezeti feltételei tekintetében, valamint a szikragyújtású és a kompressziós gyújtású motorral felszerelt járművek esetében a 3. függelék 3. pontja szerinti hitelesítési vizsgálat; az elemzőkészülék gyártójának igazolnia kell az egyenértékűség szignifikanciáját a 3. függelék 3.3. pontjában megadott megengedett tűréseken belül;
c) a 4.1.1. pontban meghatározott, megfelelő szabványos elemzőkészülékkel való egyenértékűség igazolása a légköri nyomásnak az elemzőkészülék mérési teljesítményére gyakorolt hatása tekintetében; a tengerszint feletti magasságra vonatkozó, az 5.2. pontban meghatározott mérsékelt és kiterjesztett feltételek melletti környezeti légnyomás hatásának ellenőrzése céljából az igazoló vizsgálattal meg kell határozni az elemzőkészülék mérési tartományán belüli koncentrációval rendelkező mérőtartomány-kalibráló gázra adott választ; ezt a vizsgálatot a tengerszint feletti magasságon uralkodó viszonyokat reprodukáló vizsgálókamrában is el lehet végezni;
d) a 4.1.1. pontban meghatározott, megfelelő szabványos elemzőkészülékkel való egyenértékűség igazolása legalább három olyan közúti vizsgálat során, amelyek megfelelnek e melléklet követelményeinek;
e) annak igazolása, hogy a rezgéseknek, a gyorsulásoknak és környezeti hőmérsékletnek az elemzőkészülék által mért értékre gyakorolt hatása nem haladja meg a 4.2.4. pontban foglalt, az elemzőkészülékre vonatkozóan a zaj tekintetében előírt értékeket.
A jóváhagyó hatóságok további információkat kérhetnek az egyenértékűség alátámasztása érdekében, vagy megtagadhatják a jóváhagyást, ha mérésekkel igazolható, hogy az alternatív elemzőkészülék nem egyenértékű a szabványos elemzőkészülékkel.
4.2. Az elemzőkészülékre vonatkozó előírások
4.2.1. Általános követelmények
A 3. pontban meghatározott, valamennyi elemzőkészülékre vonatkozó linearitási követelményeken túl az elemzőkészülék gyártójának azt is igazolnia kell, hogy az elemzőkészülék típusa megfelel a 4.2.2-4.2.8. pont szerinti követelményeknek. Az elemzőkészülékeknek olyan méréstartománnyal és válaszidővel kell rendelkezniük, amelyek alkalmasak a vonatkozó kibocsátási határértékek mellett a kipufogógázban lévő összetevők koncentrációinak megfelelő pontosságú mérésére a motorok mind tranziens, mind állandósult üzemállapotában. Az elemzőkészülék érzékenységének a jármű és az elemzőkészülék működésével kapcsolatos ütődésekkel, rezgésekkel, elhasználódással, hőmérséklet- és légnyomásváltozással és elektromágneses interferenciával szemben a lehető legkisebbnek kell lennie.
4.2.2. Pontosság
A pontosság, ami definíció szerint a készülék által mért érték és az etalonérték közötti különbség, nem lehet rosszabb a mért érték 2 %-ánál, illetve a teljes skála 0,3 %-ánál (attól függően, hogy melyik a nagyobb).
4.2.3. Ismételhetőség
Az ismételhetőség, ami egy kalibráló gázra vagy mérőtartomány-kalibráló gázra adott, 10-szer megismételt válaszból számított szórás 2,5-szerese, a 155 ppm-es (vagy ppmC1) vagy afeletti mérési tartományokban nem lehet nagyobb, mint a teljes skála 1 %-a, a 155 ppm (vagy ppmC1) alatti mérési tartományokban pedig nem lehet nagyobb, mint a teljes skála 2 %-a.
4.2.4. Zaj
A zaj, amely definíció szerint tíz szórás négyzetes középértékének a kétszerese, ahol a szórásokat állandó, legalább 1,0 Hz-es adatfelvételi gyakorisággal 30 másodpercen át mért nullpontválaszokból számítják ki, nem haladhatja meg a teljes skála 2 %-át. A 10 mérési időtartam mindegyike után be kell iktatni egy 30 másodperces szakaszt, melynek során az elemzőkészülék a megfelelő mérőtartomány-kalibráló gáznak van kitéve. Minden egyes mintavételi szakasz előtt és minden egyes mérőtartomány-kalibrálási szakasz után elegendő időt kell hagyni az elemzőkészülék és a mintavevő vezetékek átöblítésére.
4.2.5. A nullapontválasz eltolódása
A legalább 30 másodpercen át tartó nullázógáz hatására adott átlagos válaszként definiált nullapontválasz eltolódásának teljesítenie kell a 2. táblázatban szereplő előírásokat.
4.2.6. A mérőtartomány-kalibráló válasz eltolódása
A legalább 30 másodpercen át tartó mérőtartomány-kalibráló gáz hatására adott átlagos válaszként definiált mérőtartomány-kalibráló válasz eltolódásának teljesítenie kell a 2. táblázatban szereplő előírásokat.
2. táblázat
A gáz-halmazállapotú összetevők laboratóriumi körülmények között való elemzésére szolgáló elemzőkészülékek nullapontválaszának és mérőtartomány-kalibráló válaszának megengedhető eltolódása
Szennyező anyag | A nullapontválasz eltolódása | A mérőtartomány-kalibráló válasz eltolódása |
CO2 | ≤1 000 ppm 4 óra alatt | ≤ a mért érték 2 %-a vagy ≤1 000 ppm 4 óra alatt (attól függően, hogy melyik a nagyobb) |
CO | ≤50 ppm 4 óra alatt | ≤ a mért érték 2 %-a vagy ≤50 ppm 4 óra alatt (attól függően, hogy melyik a nagyobb) |
NO2 | ≤5 ppm 4 óra alatt | ≤ a mért érték 2 %-a vagy ≤5 ppm 4 óra alatt (attól függően, hogy melyik a nagyobb) |
NO/NOX | ≤5 ppm 4 óra alatt | ≤ a mért érték 2 %-a vagy ≤5 ppm 4 óra alatt (attól függően, hogy melyik a nagyobb) |
CH4 | ≤10 ppmC1 | ≤ a mért érték 2 %-a vagy ≤10 ppmC1 4 óra alatt (attól függően, hogy melyik a nagyobb) |
THC | ≤10 ppmC1 | ≤ a mért érték 2 %-a vagy ≤10 ppmC1 4 óra alatt (attól függően, hogy melyik a nagyobb) |
4.2.7. Felfutási idő
A felfutási idő a mért végérték 10 %-ának és 90 %-ának megfelelő válasz között eltelő idő (t 90 - t 10; lásd a 4.4. pontot). A PEMS elemzőkészülékének felfutási ideje legfeljebb 3 másodperc lehet.
4.2.8. Gázszárítás
A kipufogógázok nedvesen és szárazon is mérhetők. A gázszárító készülék használata csak a lehető legkisebb mértékben befolyásolhatja a mért gázok összetételét. A kémiai szárítók használata nem megengedett.
4.3. További követelmények
4.3.1. Általános követelmények
Mivel a 4.3.2-4.3.5. pont rendelkezései kiegészítő teljesítménykövetelményeket határoznak meg egyes elemzőkészülék-típusokra vonatkozóan, ezeket csak olyan esetekben kell alkalmazni, ahol az adott elemzőkészüléket használják a PEMS-szel végzett kibocsátási mérésekhez.
4.3.2. A NOX-átalakítók hatékonysági vizsgálata
Ha NOX-átalakítót használnak például a NO2 NO-vá való átalakítására a kemilumineszcens elemzőkészülékkel történő elemzés céljából, az átalakító hatékonyságát a 83. sz. ENSZ EGB-előírás 07. módosítássorozatának 4a. mellékletében szereplő 3. függelék 2.4. szakasza szerinti követelmények alapján kell ellenőrizni. A NOX-átalakító hatékonyságát a kibocsátási vizsgálatot megelőző egy hónapon belül kell ellenőrizni.
4.3.3. A lángionizációs detektor beállítása
a) A detektor válaszadásának optimalizálása
A szénhidrogének mérésekor a FID-et az elemzőkészülék gyártója által meghatározott időközönként be kell állítani a 83. sz. ENSZ EGB-előírás 07. módosítássorozatának 4a. mellékletében szereplő 3. függelék 2.3.1. szakasza szerint. A leggyakrabban használt mérési tartományban a válaszadás optimalizálására mérőtartomány-kalibráló gázként levegővel kevert propánt vagy nitrogénnel kevert propánt kell használni.
b) Választényezők szénhidrogénekre
A szénhidrogének mérésekor a FID-nek a szénhidrogénekre adott választényezőjét a 83. sz. ENSZ EGB-előírás 07. módosítássorozatának 4a. mellékletében szereplő 3. függelék 2.3.3. szakasza szerint kell ellenőrizni, levegővel kevert propánt vagy nitrogénnel kevert propánt használva mérőtartomány-kalibráló gázként, és tisztított szintetikus levegőt vagy nitrogént használva nullázógázként.
c) Az oxigéninterferencia ellenőrzése
Az oxigén keresztérzékenységet az elemzőkészülék üzembe állításakor és a jelentős karbantartások után kell ellenőrizni. Olyan mérési tartományt kell kiválasztani, ahol az oxigéninterferencia ellenőrzésére használt gázok a felső 50 %-ba esnek. A vizsgálatot az előírt fűtőkamra-hőmérsékleten kell elvégezni. Az oxigéninterferencia ellenőrzéséhez használt gázokra vonatkozó előírásokat az 5.3. pont határozza meg.
A következő eljárást kell alkalmazni:
i. az elemzőkészüléket a nullapontra kell állítani;
ii. az elemzőkészülék mérőtartományát szikragyújtású motorok esetében 0 százalékos oxigénkeverékkel, kompressziós gyújtású motorok esetében 21 százalékos oxigénkeverékkel kell kalibrálni;
iii. meg kell ismételni a nullapontválasz ellenőrzését. Ha a nullapont a teljes skála 0,5 %-át meghaladó mértékben változott, akkor meg kell ismételni az i. és ii. pontban leírt lépéseket;
iv. be kell vezetni a készülékbe az oxigéninterferencia ellenőrzésére szolgáló 5 %-os és 10 %-os gázt;
v. meg kell ismételni a nullapontválasz ellenőrzését. Ha a nullapont a teljes skála ±1 %-át meghaladó mértékben változott, akkor meg kell ismételni a vizsgálatot;
vi. az oxigéninterferenciát (E O2) a d) lépésben említett mindegyik oxigéninterferencia-ellenőrző gázra vonatkozóan ki kell számítani, a következőképpen:

ahol az elemzőkészülék válasza:

ahol:
c ref,b a b) lépésben használt, HC-koncentrációra vonatkozó referenciaérték [ppmC1]
c ref,d a d) lépésben használt, HC-koncentrációra vonatkozó referenciaérték [ppmC1]
c FS,b a teljes skála értéke a b) lépésben szereplő HC-koncentrációra [ppmC1]
c FS,d a teljes skála értéke a d) lépésben szereplő HC-koncentrációra [ppmC1]
c m,b a b) lépésben használt, HC-koncentrációra vonatkozó mért érték [ppmC1]
c m,d a d) lépésben használt, HC-koncentrációra vonatkozó mért érték [ppmC1]
vii. az oxigéninterferenciának (E O2) az összes előírt, az oxigéninterferenciát ellenőrző gáz tekintetében kevesebbnek kell lennie ±1,5 %-nál;
viii. ha az oxigéninterferencia (E O2) nagyobb, mint ±1,5 %, akkor helyesbíteni lehet úgy, hogy a levegőáramot fokozatosan a gyártó által megadott érték fölé, illetve alá kell állítani, valamint a tüzelőanyag-áramot és a mintaáramot fokozatosan módosítani kell;
ix. az oxigéninterferencia ellenőrzését minden egyes új beállításra meg kell ismételni.
4.3.4. A metánkiválasztó (NMC) átalakítási hatásfoka
Szénhidrogének vizsgálata esetében a metánon kívül minden szénhidrogént oxidáló NMC-vel távolíthatók el a gázmintából a metántól különböző szénhidrogének. Ideális esetben az átalakulás metánra 0 %, és az etán által képviselt összes többi szénhidrogénre 100 %. Az NMHC pontos méréséhez meg kell határozni a két hatásfokot, és fel kell használni őket az NMHC-kibocsátás kiszámításához (lásd a 4. függelék 9.2. szakaszát). Ha az NMC-FID-et a 4. függelék 9.2. b) pontjában leírt módszerrel, azaz a metán-levegő keverékből álló mérőtartomány-kalibráló gáznak az NMC-n való áteresztésével kalibrálták, akkor nem szükséges meghatározni a metánátalakítási hatásfokot.
a) A metánátalakítás hatásfoka
Kalibráló gázként metánt kell átvezetni a FID-en, egyszer az NMC-n keresztül és egyszer azt megkerülve; a két koncentráció értékét rögzíteni kell. A metánhatásfokot az alábbi képlettel kell meghatározni:

ahol:
cHC(w/NMC) a HC-koncentráció, amikor a CH4 átáramlik az NMC-n [ppmC1]
cHC(w/o NMC) a HC-koncentráció, amikor a CH4 kikerüli az NMC-t [ppmC1]
b) Az etánátalakítás hatásfoka
Kalibráló gázként etánt kell átvezetni a FID-en, egyszer az NMC-n keresztül és egyszer azt megkerülve; a két koncentráció értékét rögzíteni kell. Az etánhatásfokot az alábbi képlettel kell meghatározni:

ahol:
c HC(w/NMC) a HC-koncentráció, amikor a C2H6 áthalad az NMC-n [ppmC1]
c HC(w/o NMC) a HC-koncentráció, amikor a C2H6 kikerüli az NMC-t [ppmC1]
4.3.5. Interferencia
a) Általános követelmények
Az éppen elemzett gázoktól különböző gázok befolyásolhatják az elemzőkészülék által mért értéket. Az interferencia hatásainak és az elemzőkészülék helyes működésének ellenőrzését az elemzőkészülék gyártójának kell elvégeznie a piaci bevezetés előtt, a b)-f) pontban említett valamennyi elemzőkészülék- vagy berendezéstípus esetében legalább egyszer.
b) Az interferencia ellenőrzése a CO-elemzőkészülékeken
A víz és a CO2 interferálhat a CO-elemzőkészülék méréseivel. Ezért a vizsgálat során használt CO-elemzőkészülék legszélesebb működési tartományára vonatkozó teljes skálaérték 80-100 %-ának megfelelő koncentrációjú, mérőtartomány-kalibráló gázként használt CO2-t kell szobahőmérsékleten vízen átbuborékoltatni, és regisztrálni kell az elemzőkészülékkel mért értékeket. Az elemzőkészülékkel mért érték nem lehet nagyobb a szokásos közúti vizsgálat alatt várható átlagos CO-koncentráció 2 %-ánál vagy ±50 ppm-nél, attól függően, hogy melyik a nagyobb. A H2O-ra és a CO2-re vonatkozó interferencia-ellenőrzéstét két külön eljárással is el lehet végezni. Ha az interferencia ellenőrzéséhez használt H2O- és CO2-szintek magasabbak a vizsgálat során várható maximális szinteknél, a mért interferenciaértéket arányosan csökkenteni kell a mért interferenciának a vizsgálat során várható legnagyobb koncentrációérték és az ellenőrzés során használt tényleges koncentrációérték közötti aránnyal való megszorzásával. Olyan külön interferencia-ellenőrzések is alkalmazhatók, amelyeknél a H2O-koncentrációk alacsonyabbak a vizsgálat során várható legnagyobb koncentrációnál - ilyenkor a mért H2O-interferenciát arányosan növelni kell a mért interferenciának a vizsgálat során várható maximális H2O-koncentrációérték és az ellenőrzés során használt tényleges koncentrációérték közötti aránnyal való megszorzásával. A két arányosított interferenciaérték összegének eleget kell tennie az ebben a pontban meghatározott tűrésnek.
c) A NOx-elemzőkészülék keresztérzékenységének ellenőrzése
A CLD és a HCLD elemzőkészülékeknél a CO2 és a vízgőz okozhat problémát. Az ezekre a gázokra adott keresztérzékenységi válasz arányos a gázok koncentrációjával. A vizsgálat során várható legnagyobb koncentrációkra adott keresztérzékenységi válasz meghatározása céljából vizsgálatot kell végezni. Ha a CLD és a HCLD elemzőkészülékek olyan keresztérzékenység-kiegyenlítő algoritmusokat használnak, amelyek H2O-t vagy CO2-t vagy mindkettőt mérő elemzőkészülékeken alapulnak, a keresztérzékenység értékelésekor ezeknek az elemzőkészülékeknek aktívnak kell lenniük, és a kiegyenlítési algoritmusokat is alkalmazni kell.
i. A CO2 keresztérzékenységének vizsgálata
A legnagyobb működési tartomány 80-100 %-ának megfelelő koncentrációjú mérőtartomány-kalibráló CO2-t kell átereszteni az NDIR elemzőkészüléken; a CO2-értéket A-val jelölve kell feljegyezni. A CO2 mérőtartomány-kalibráló gázt ezután körülbelül 50 %-ra kell felhígítani NO mérőtartomány-kalibráló gázzal, és át kell ereszteni az NDIR-en és a CLD-n vagy a HCLD-n; a CO2-értéket B-vel, a NO-értéket C-vel jelölve kell feljegyezni. Ekkor a CO2 gázáramot el kell zárni, és csak a NO mérőtartomány-kalibráló gázt kell a CLD-n vagy a HCLD-n átbocsátani, majd a NO-értéket D-vel jelölve fel kell jegyezni. A százalékos keresztérzékenységet a következőképpen kell kiszámítani:

ahol:
A az NDIR-rel mért hígítatlan CO2-koncentráció [ %]
B az NDIR-rel mért hígított CO2-koncentráció [ %]
C a CLD-vel vagy HCLD-vel mért hígított NO-koncentráció [ppm]
D a CLD-vel vagy HCLD-vel mért hígítatlan NO-koncentráció [ppm]
A CO2 és NO mérőtartomány-kalibráló gáz hígítására és mennyiségi meghatározására más módszerek, pl. a dinamikus keverés is használható, ha azt a jóváhagyó hatóság engedélyezi.
ii. A víz keresztérzékenységi vizsgálata
Ez az ellenőrzés csak a nedves alapú gázkoncentrációk mérésére vonatkozik. A víz keresztérzékenységének kiszámításánál figyelembe kell venni a mérőtartomány-kalibráló NO gáz vízgőzzel való hígulását, és el kell végezni a gázkeverék vízgőz-koncentrációjának a kibocsátási vizsgálatok alatt várható koncentrációszintekre való arányosítását. A szokásos működési tartomány teljes skálaértéke 80-100 %-ának megfelelő koncentrációjú mérőtartomány-kalibráló NO-t kell átereszteni a kemilumineszcens detektoron vagy a fűtött kemilumineszcens detektoron; a NO-értéket D-vel jelölve fel kell jegyezni. Ezután a NO mérőtartomány-kalibráló gázt szobahőmérsékleten vízen kell átbuborékoltatni, át kell bocsátani a kemilumineszcens detektoron vagy a fűtött kemilumineszcens detektoron, és C-vel jelölve fel kell jegyezni a NO értékét. Meg kell határozni az elemzőkészülék abszolút üzemi nyomását és a víz hőmérsékletét, és E-vel, illetve F-fel jelölünk. Meg kell állapítani a keveréknek a buborékoltató víz F hőmérsékletének megfelelő telített gőznyomását, és G-vel jelölve fel kell jegyezni. A gázkeverék vízgőz-koncentrációját (H [ %]) az alábbi módon kell kiszámítani:

A hígított NO-ból és vízgőzből álló mérőtartomány-kalibráló gáz várható koncentrációját D e-vel jelölve kell feljegyezni, a következő számítás elvégzése után:

Dízelmotorok kipufogógázai esetében a kipufogógázban lévő vízgőznek a vizsgálat alatt várható legnagyobb koncentrációját ( %) H m -mel jelölve kell feljegyezni, miután a tüzelőanyagban H:C = 1,8:1 arányt feltételezve a kipufogógáz maximális CO2-koncentrációja (A) alapján a következő képlet segítségével megbecsülték:

A víz százalékos keresztérzékenységét a következőképpen kell kiszámítani:

ahol:
D e a várható hígított NO-koncentráció [ppm]
C a mért hígított NO-koncentráció [ppm]
H m a legnagyobb vízgőz-koncentráció [ %]
H a tényleges vízgőz-koncentráció [ %]
iii. A legnagyobb megengedett keresztérzékenység
A CO2 és a víz együttes keresztérzékenysége nem lehet több, mint a teljes skála 2 százaléka.
d) Az NDUV elemzőkészülékek keresztérzékenységének ellenőrzése
A szénhidrogének és a víz pozitívan interferálhatnak az NDUV elemzőkészülékekkel azáltal, hogy a NOx-hoz hasonló választ váltanak ki. Az NDUV elemzőkészülék gyártójának a következő eljárással kell ellenőriznie, hogy a keresztérzékenységi hatások korlátozottak:
i. az elemzőkészüléket és a hűtőt a gyártó használati utasításainak megfelelően kell beállítani; az elemzőkészülék és a hűtő teljesítményének optimalizálása érdekében el kell végezni a szükséges módosításokat;
ii. el kell végezni az elemzőkészülék nullázását és mérőtartomány-kalibrálását a kibocsátási vizsgálat során várható koncentrációértékek mellett;
iii. olyan NO2 kalibráló gázt kell választani, amely a lehető leginkább megfelel a kibocsátási vizsgálat során várható legnagyobb NO2-koncentrációnak;
iv. a NO2 mérőtartomány-kalibráló gáznak túl kell árasztania a gázmintavevő rendszer szondáját, amíg az elemzőkészülék NOX-válasza stabilizálódik;
v. ki kell számítani a stabilizált NOX-koncentráció 30 másodpercen át rögzített értékeinek átlagát, és NOX,ref-fel jelölve fel kell jegyezni;
vi. a NO2 kalibráló gáz áramát le kell állítani, és telíteni kell a mintavevő rendszert egy harmatponti generátor által előállított, 50 oC-os harmatpontra állított gázzal. A harmatponti generátor által előállított gázt legalább 10 perc hosszan át kell vezetni a mintavevő rendszeren és a hűtőn, és mintát kell venni belőle, amíg a hűtő vélhetően egyenletes mennyiségű vizet nem távolít el;
vii. a iv. lépés befejezését követően a mintavevő rendszert ismét el kell árasztani a NOX,ref meghatározásához használt NO2 kalibráló gázzal mindaddig, amíg a teljes NOX,-válasz stabilizálódik;
viii. ki kell számítani a stabilizált NOX-koncentráció 30 másodpercen át rögzített értékeinek átlagát, és NOX,m-mel jelölve fel kell jegyezni;
ix. a NOX,m-et t NOX,dry-ra kell korrigálni a hűtő kimeneti hőmérsékletén és nyomásán a hűtőn keresztülhaladó maradék vízgőz alapján.
A kiszámított NOX,dry értékének el kell érni a NOX,ref érték legalább 95 %-át.
e) Mintaszárító
A mintaszárító eltávolítja a vizet, amely egyébként interferálhatna a NOx-méréssel. CLD elemzőkészülékeknél igazolni kell, hogy a legnagyobb várható vízgőz-koncentrációnál (H m) a mintaszárító biztosítja, hogy a CLD páratartalma ≤ 5 g víz/kg száraz levegő (azaz mintegy 0,8 % H2O) legyen, ami 3,9 oC hőmérsékleten és 101,3 kPa nyomáson 100 %-os relatív páratartalmat vagy 25 oC hőmérsékleten és 101,3 kPa nyomáson megközelítőleg 25 %-os relatív páratartalmat jelent. A megfelelés igazolható a termikus mintaszárító kimeneténél történő hőmérsékletméréssel vagy a páratartalomnak a közvetlenül a CLD előtt történő mérésével. A CLD kimeneténél is mérhető a páratartalom, feltéve, hogy a CLD-be csak a mintaszárítóból jön anyagáram.
f) A mintaszárító NO2-penetrációja
A nem megfelelően kialakított mintaszárítóban maradó folyékony víz eltávolíthatja a mintából a NO2-t. Ezért ha a mintaszárítót NDUV elemzőkészülékkel használják együtt úgy, hogy előtte nem található NO2-NO átalakító, előfordulhat, hogy a víz a NOx mérése előtt eltávolítja a mintából a NO2-t. A mintaszárítónak lehetővé kell tennie a vízgőzzel telített és a jármű vizsgálata során várható legnagyobb NO2-koncentrációval rendelkező gázban lévő NO2 legalább 95 %-ának mérését.
4.4. Az analitikai rendszer válaszidejének ellenőrzése
A válaszidő ellenőrzéséhez az analitikai rendszer beállításainak (pl. a nyomásnak, a tömegáramoknak, az elemzőkészülékek szűrőbeállításainak és a válaszidőt befolyásoló minden egyéb paraméternek) pontosan meg kell egyezniük a kibocsátási vizsgálat során alkalmazott beállításokkal. A válaszidőt a gáznak közvetlenül a mintavevő szonda bemeneténél történő bekapcsolásával kell meghatározni. A gázt kevesebb mint 0,1 másodperc alatt kell bekapcsolni. A vizsgálathoz használt gázoknak legalább az elemzőkészülék teljes skálájának 60 %-át elérő koncentrációváltozást kell okozniuk.
Az egyes gáz-halmazállapotú összetevők koncentrációjának alakulását folyamatosan fel kell jegyezni. A késedelmi idő az az időtartam, amely a gázáram bekapcsolásától (t 0) addig telik el, amíg a válasz eléri a mért végérték 10 százalékát (t 10). A felfutási idő a mért végérték 10 %-ának és 90 %-ának megfelelő válasz között eltelt idő (t 90 - t 10). A rendszer válaszideje (t 90) a mérődetektor késedelmi idejéből és a detektor felfutási idejéből áll.
Az elemzőkészülék és a kipufogógáz-áram jeleinek szinkronizálásához használandó jelátalakítási idő az az idő, ami a változástól (t 0) addig telik el, amíg a válasz a mért végérték 50 %-a nem lesz (t 50).
A rendszer válaszidejének az összes összetevő esetében és minden használt tartományban ≤ 12 másodpercnek kell lennie, ≤ 3 másodperc felfutási idővel. Ha az NMHC méréséhez NMC-t használnak, akkor a rendszer válaszideje meghaladhatja a 12 másodpercet.
5. GÁZOK
5.1. Általános követelmények
A kalibráló gázok és mérőtartomány-kalibráló gázok eltarthatóságát figyelembe kell venni. A tiszta és kevert kalibráló gázoknak és mérőtartomány-kalibráló gázoknak meg kell felelniük a 83. sz. ENSZ EGB-előírás 07. módosítássorozatának 4a. mellékletében szereplő 3. függelék 3.1. és 3.2. pontja szerinti előírásoknak. Ezenkívül megengedett a NO2 kalibráló gáz használata. A NO2 kalibráló gáz koncentrációjának a megadott koncentrációérték 2 %-án belül kell lennie. A NO2 kalibráló gázban található NO mennyisége nem haladhatja meg a NO2-tartalom 5 %-át.
5.2. Gázmegosztók
A kalibráló és mérőtartomány-kalibráló gázok előállításához gázmegosztókat, vagyis N2-vel vagy szintetikus levegővel hígító, precíziós keverőberendezéseket lehet használni. A gázmegosztó pontosságának olyannak kell lennie, hogy a kevert kalibráló gázok koncentrációja ±2 %-os pontosságú legyen. A hitelesítést a gázmegosztót használó kalibrálások esetében a teljes skála 15 és 50 %-a között kell elvégezni. Ha az első kalibrálás sikertelen, új kalibrálás végezhető más kalibráló gázzal.
A gázmegosztó ellenőrzésére választható olyan műszer is, amely természeténél fogva lineáris, például NO gáz CLD-vel. A műszer mérőtartományát úgy kell beállítani, hogy a mérőtartomány-kalibráló gáz közvetlenül van rákötve a műszerre. A gázmegosztót a szokásosan használt beállításokkal kell ellenőrizni, és a névleges értéket össze kell hasonlítani a műszer által mért koncentrációval. Az eltérésnek minden pontban a névleges koncentrációérték ±1 %-án belül kell maradnia.
5.3. Az oxigéninterferencia ellenőrzéséhez használt gázok
Az oxigéninterferencia ellenőrzéséhez használt gázoknak propán, oxigén és nitrogén keverékéből kell állniuk, és 350 ± 75 ppmC1 koncentrációval kell rendelkezniük. A koncentrációt gravimetriás módszerekkel, dinamikus keveréssel vagy az összes szénhidrogén és szennyeződés kromatográfiás elemzésével kell meghatározni. Az oxigéninterferencia ellenőrzéséhez használt gázok oxigénkoncentrációjának meg kell felelnie a 3. táblázatban foglalt követelményeknek; az oxigéninterferencia ellenőrzéséhez használt gáz fennmaradó részének pedig tisztított nitrogénből kell állnia.
3. táblázat
Az oxigéninterferencia ellenőrzéséhez használt gázok
Motortípus | ||
Kompressziós gyújtás | Szikragyújtás | |
O2-koncentráció | 21 ± 1 % | 10 ± 1 % |
10 ± 1 % | 5 ± 1 % | |
5 ± 1 % | 0,5 ± 0,5 % |
6. A RÉSZECSKEKIBOCSÁTÁSOK MÉRÉSÉRE SZOLGÁLÓ ELEMZŐKÉSZÜLÉKEK
Miután a részecskekibocsátások mérése kötelezővé válik, e szakasz fogja meghatározni a részecskekibocsátások mérésére szolgáló elemzőkészülékekre vonatkozó követelményeket.
7. A KIPUFOGÓGÁZ-TÖMEGÁRAM MÉRÉSÉRE SZOLGÁLÓ MŰSZEREK
7.1. Általános követelmények
A kipufogógáz-tömegáram mérésére szolgáló műszereknek, érzékelőknek vagy jeleknek olyan méréstartománnyal és válaszidővel kell rendelkezniük, amely alkalmas a kipufogógáz-tömegáram előírt pontosságú mérésére, tranziens és állandósult üzemállapotban egyaránt. A műszerek, érzékelők és jelek érzékenységének a jármű és a műszer működésével kapcsolatos ütődésekkel, rezgésekkel, öregedéssel, hőmérséklet- és légnyomásváltozással, elektromágneses interferenciával és egyéb hatásokkal szemben olyan mértékűnek kell lennie, hogy a járulékos hibák száma a lehető legkisebb legyen.
7.2. A műszerekre vonatkozó előírások
A kipufogógáz tömegáramát közvetlen méréssel kell megállapítani a következő műszerek valamelyikének alkalmazásával:
a) Pitot-csöves áramlásmérő;
b) nyomáskülönbség-mérő készülékek, például mérőtorok (részletesen lásd az ISO 5167 szabványt);
c) ultrahangos áramlásmérő;
d) örvényáramú áramlásmérő.
Minden egyedi kipufogógáz-tömegárammérőnek teljesítenie kell a 3. pontban foglalt linearitási követelményeket. A műszer gyártójának továbbá igazolnia kell, hogy a kipufogógáz-tömegárammérők egyes típusai megfelelnek a 7.2.3-7.2.9. pontok szerinti követelményeknek.
A kipufogógáz-tömegáramot megengedett a levegő tömegáramának és a tüzelőanyag tömegáramának visszavezethető módon kalibrált érzékelőkkel végzett mérései alapján kiszámítani, amennyiben ezek az érzékelők megfelelnek a 3. pont szerinti linearitási követelményeknek és a 8. pont szerinti pontossági követelményeknek, és amennyiben az eredményként kapott kipufogógáz-tömegáramot a 3. függelék 4. pontja szerint hitelesítik.
Emellett a kipufogógáz-tömegáram meghatározására egyéb olyan módszerek is használhatók, amelyek nem közvetlenül visszavezethető műszereken és jeleken - például egyszerűsített kipufogógáz-tömegárammérőn vagy ECU-jeleken - alapulnak, amennyiben az eredményként kapott kipufogógáz-tömegáram megfelel a 3. pont szerinti linearitási követelményeknek és a 3. függelék 4. pontja szerint hitelesítik.
7.2.1. Kalibrálási és ellenőrzési szabványok
A kipufogógáz-tömegárammérők mérési teljesítményét levegővel vagy kipufogógázzal kell ellenőrizni egy visszavezethető szabvány alapján, például kalibrált kipufogógáz-tömegárammérő vagy teljes áramú hígítórendszerhez tartozó hígítóalagút segítségével.
7.2.2. Az ellenőrzés gyakorisága
A kipufogógáz-tömegárammérőknek a 7.2.3. és 7.2.9. pont szerinti megfelelőségét a tényleges vizsgálat előtt legfeljebb egy évvel kell ellenőrizni.
7.2.3. Pontosság
A pontosság, ami a kipufogógáz-tömegárammérő által mért érték és a tömegáram referenciaértékének különbsége, nem haladhatja meg ±2 %-nál nagyobb mértékben a mért értéket, a teljes skála 0,5 %-át vagy annak a legnagyobb tömegáramnak az 1,0 %-át, amellyel a kipufogógáz-tömegárammérőt kalibrálták, attól függően, hogy melyik a nagyobb.
7.2.4. Ismételhetőség
Az ismételhetőség, ami egy meghatározott névleges tömegáramra adott, 10-szer megismételt válaszból számított szórás 2,5-szerese, a kalibrálási tartománynak körülbelül a közepén nem lehet nagyobb, mint annak a legnagyobb tömegáramnak az 1 %-a, amellyel a kipufogógáz-tömegárammérőt kalibrálták.
7.2.5. Zaj
A zaj, amely tíz szórás négyzetes középértékének a kétszerese, ahol a szórásokat állandó, legalább 1,0 Hz-es adatfelvételi gyakorisággal 30 másodpercen át mért nullpontválaszokból számítják ki, nem haladhatja meg a legnagyobb kalibrált tömegáramérték 2 %-át. A 10 mérési időtartam mindegyike után be kell iktatni egy 30 másodperces szakaszt, melynek során az elemzőkészülék a legnagyobb kalibrált tömegáramnak van kitéve.
7.2.6. A nullapontválasz eltolódása
A nullapontválasz a legalább 30 másodpercen át tartó nullázó áram hatására adott átlagos válasz. A nullapontválasz eltolódása a rögzített elsődleges jelek, például a nyomás alapján ellenőrizhető. Az elsődleges jelek 4 óra alatti eltolódásának kisebbnek kell lennie a kipufogógáz-tömegárammérő kalibrálásához használt tömegáram mellett rögzített elsődleges jel legnagyobb értékének ±2 százalékánál
7.2.7. A mérőtartomány-kalibráló válasz eltolódása
A mérőtartomány-kalibráló válasz a legalább 30 másodpercen át tartó mérőtartomány-kalibráló áram hatására adott átlagos válasz. A mérőtartomány-kalibráló válasz eltolódása a rögzített elsődleges jelek, például a nyomás alapján ellenőrizhető. Az elsődleges jelek 4 óra alatti eltolódásának kisebbnek kell lennie a kipufogógáz-tömegárammérő kalibrálásához használt tömegáram mellett rögzített elsődleges jel legnagyobb értékének ±2 százalékánál
7.2.8. Felfutási idő
A kipufogógáz-tömegáramot mérő műszerek és módszerek felfutási idejének a lehető leginkább meg kell felelnie az elemzőkészülékek 4.2.7. pontban meghatározott felfutási idejének, de nem haladhatja meg az 1 másodpercet.
7.2.9. A válaszidő ellenőrzése
A kipufogógáz-tömegárammérő felfutási idejét a kibocsátási vizsgálatoknál használt paraméterekhez hasonló paraméterek (nyomás, tömegáramok, szűrőbeállítások és minden egyéb, a felfutási időt befolyásoló paraméter) használatával kell meghatározni. A válaszidőt a gáznak közvetlenül a kipufogógáz-tömegárammérő bemeneténél történő bekapcsolásával kell meghatározni. A gázáramot a lehető leggyorsabban kell bekapcsolni, erősen ajánlott, hogy a bekapcsolás ideje kevesebb legyen 0,1 másodpercnél. A gáz vizsgálathoz használt áramlási sebességének legalább a kipufogógáz-tömegárammérő teljes skálájának 60 %-át elérő változást kell kiváltania az áramlási sebességben. A gázáram értékét regisztrálni kell. A késedelmi idő az az időtartam, amely a gázáram átkapcsolásától (t 0) addig eltelik, amíg a válasz eléri a mért végérték 10 százalékát (t 10). A felfutási idő a mért végérték 10 %-ának és 90 %-ának megfelelő válasz között eltelt idő (t 90 - t 10). A válaszidő (t 90) a késedelmi idő és a felfutási idő összege. A kipufogógáz-tömegárammérő válaszideje (t90 ) ≤ 3 másodperc, ≤ 1 másodperc hosszúságú felfutási idővel (t 90 - t 10) a 7.2.8. ponttal összhangban.
8. ÉRZÉKELŐK ÉS KIEGÉSZÍTŐ BERENDEZÉSEK
A például a hőmérséklet, légnyomás, környezeti páratartalom, járműsebesség, tüzelőanyag-áram vagy beszívottlevegő-áram meghatározásához használt érzékelők és kiegészítő berendezések nem változtathatják meg és nem befolyásolhatják túlzottan a jármű motorjának és kipufogógáz-utókezelő rendszerének teljesítményét. Az érzékelők és kiegészítő berendezések pontosságának meg kell felelnie a 4. táblázat szerinti követelményeknek. A 4. táblázat követelményeinek való megfelelést a műszer gyártója által meghatározott időközönként kell igazolni, a belső ellenőrzési eljárások vagy az ISO 9000 szabvány követelményei szerint.
4. táblázat
A mérési paraméterekre vonatkozó pontossági követelmények
Mérési paraméter | Pontosság |
Tüzelőanyag-áram (1) | A mért érték ± 1 %-a (3) |
Levegőáram (1) | A mért érték ± 2 %-a |
A jármű földhöz viszonyított sebessége (2) | ± 1,0 km/h, abszolút érték |
Hőmérséklet ≤ 600 K | ± 2 K, abszolút érték |
Hőmérséklet > 600 K | a kelvinben mért érték ± 0,4 %-a |
Környezeti légnyomás | ± 0,2 kPa, abszolút érték |
Relatív páratartalom | ± 5 %, abszolút érték |
Abszolút páratartalom | a mért érték 10 %-a vagy 1 g H2O/kg száraz levegő, attól függően, hogy melyik a nagyobb |
(1) Opcionális a kipufogógáz-tömegáram meghatározásához. (2) Ez az általános követelmény csak a sebességérzékelőre vonatkozik; ha az olyan paraméterek, mint a gyorsulás, a sebességnek a pozitív gyorsulással való szorzata vagy az RPA (relatív pozitív gyorsulás) meghatározásához a járműsebességet veszik figyelembe, a járműsebességre vonatkozó jelnek 3 km/óra felett 0,1 %-os pontosságúnak és 1 Hz-es mintavételi gyakoriságúnak kell lennie. Ez a pontossági követelmény teljesíthető egy kerékfordulatszám-érzékelő jelének alkalmazásával. (3) A pontosságnak a mért érték 0,02 %-ának kell lennie, ha a levegőnek és a kipufogógáz-tömegáramnak a tüzelőanyag-áramból való kiszámításához használják a 4. függelék 10. pontja szerint. |
3. függelék
A PEMS és a nem visszavezethető kipufogógáz-tömegáram hitelesítése
1. BEVEZETÉS
Ez a függelék azokat a követelményeket ismerteti, amelyek a beépített PEMS tranziens körülmények közötti működésének, valamint a nem visszavezethető kipufogógáz-tömegárammérők által adott vagy ECU-jelek alapján kiszámított kipufogógáz-tömegáram helyességének hitelesítéséhez szükségesek.
2. SZIMBÓLUMOK
% - százalék
#/km - kilométerenkénti szám
a 0 - a regressziós egyenes y-tengelymetszete
a 1 - a regressziós egyenes meredeksége
g/km - gramm/kilométer
Hz - hertz
km - kilométer
m - méter
mg/km - milligramm/kilométer
r2 - determinációs együttható
x - a referenciajel tényleges értéke
y - a hitelesítendő jel tényleges értéke
3. A PEMS HITELESÍTÉSI ELJÁRÁSA
3.1. A PEMS hitelesítésének gyakorisága
A beépített PEMS hitelesítését ajánlott minden egyes PEMS-ből és járműből álló kombináció esetében elvégezni a vizsgálat előtt vagy alternatív megoldásként a közúti vizsgálat befejezése után. A PEMS beépítésén nem szabad változtatni a közúti vizsgálat és a hitelesítés közötti időben.
3.2. A PEMS hitelesítési eljárása
3.2.1. A PEMS beépítése
A PEMS-et az 1. függelék előírásainak megfelelően kell beépíteni és előkészíteni. A hitelesítési vizsgálat befejezésétől a közúti vizsgálat megkezdéséig nem szabad változtatni a PEMS beépítésén.
3.2.2. Vizsgálati feltételek
A hitelesítési vizsgálatot görgős fékpadon kell elvégezni lehetőség szerint a típusjóváhagyásra vonatkozó körülmények között, a 83. sz. ENSZ EGB-előírás 07. módosítássorozatának 4a. mellékletében foglalt előírásokat vagy bármely egyéb, megfelelő mérési módszert követve. A hitelesítési vizsgálatot ajánlott az ENSZ EGB 15. sz. globális műszaki előírásának 1. mellékletében meghatározott, a könnyű gépjárművekre vonatkozó, világszinten harmonizált vizsgálati ciklus (WLTC) szerint elvégezni. A környezeti hőmérsékletnek az e melléklet 5.2. pontjában meghatározott tartományon belül kell lennie.
A PEMS által a hitelesítési vizsgálat során kivont kipufogógáz-áramot ajánlott visszavezetni az állandó térfogatú mintavevő rendszerbe. Ha ez nem valósítható meg, akkor az állandó térfogatú mintavevő rendszer eredményeit korrigálni kell a kivont kipufogógáz tömegével. Ha a kipufogógáz-tömegáramot kipufogógáz-tömegárammérővel hitelesítették, az érzékelők vagy az ECU adatait ajánlott összehasonlítani a tömegárammérések eredményével.
3.2.3. Az adatok értelmezése
A laboratóriumi eszközökkel mért, teljes távolságspecifikus kibocsátást [g/km] a 83. sz. ENSZ EGB-előírás 07. módosítássorozatának 4a. melléklete szerint kell kiszámítani. A PEMS-szel mért kibocsátásokat a 4. függelék 9. pontja alapján kell kiszámítani: a szennyezőanyag-kibocsátások teljes tömegét össze kell adni [g], és el kell osztani a görgős fékpad által mért teljes vizsgálati távolsággal [km]. A szennyező anyagoknak a PEMS-szel és a laboratóriumi referenciarendszerrel meghatározott teljes távolságspecifikus tömegét [g/km] össze kell hasonlítani és a 3.3. pontnak megfelelően értékelni kell. A NOX-kibocsátási mérések hitelesítéséhez páratartalom-korrekciót kell végezni a 83. sz. ENSZ EGB-előírás 07. módosítássorozatában szereplő 4a. melléklet 6.6.5. szakasza szerint.
3.3. A PEMS hitelesítésénél megengedett tűrések
A PEMS hitelesítésének teljesítenie kell az 1. táblázatban megadott követelményeket. Ha bármelyik megengedett tűrés nem teljesül, akkor helyesbítő lépéseket kell végrehajtani, és meg kell ismételni a PEMS hitelesítését.
1. táblázat
Megengedett tűrések
Paraméter [mértékegység] | Megengedett tűrés |
Távolság [km] (1) | ± 250 m eltérés a laboratóriumi referenciától |
THC (2) [mg/km] | ± 15 mg/km vagy a laboratóriumi referencia 15 %-a, attól függően, hogy melyik a nagyobb |
CH4 (2) [mg/km] | ± 15 mg/km vagy a laboratóriumi referencia 15 %-a, attól függően, hogy melyik a nagyobb |
NMHC (2) [mg/km] | ± 20 mg/km vagy a laboratóriumi referencia 20 %-a, attól függően, hogy melyik a nagyobb |
PN (2) [#/km] | (3) |
CO (2) [mg/km] | ± 150 mg/km vagy a laboratóriumi referencia 15 %-a, attól függően, hogy melyik a nagyobb |
CO2 [g/km] | ± 10 g/km vagy a laboratóriumi referencia 10 %-a, attól függően, hogy melyik a nagyobb |
NOx (2) [mg/km] | ± 15 mg/km vagy a laboratóriumi referencia 15 %-a, attól függően, hogy melyik a nagyobb |
(1) Csak akkor alkalmazandó, ha a jármű sebességét az ECU segítségével állapítják meg; a megengedett tűrés teljesítéséhez az ECU által mért járműsebességet módosítani lehet a hitelesítési vizsgálat eredménye alapján. (2) A paramétert csak akkor kell alkalmazni, ha a IIIA. melléklet 2.1. pontja előírja a mérés elvégzését. (3) Később kerül meghatározásra. |
4. A NEM VISSZAVEZETHETŐ MŰSZEREK ÉS ÉRZÉKELŐK ÁLTAL MEGHATÁROZOTT KIPUFOGÓGÁZ-TÖMEGÁRAM HITELESÍTÉSI ELJÁRÁSA
4.1. A hitelesítés gyakorisága
A 2. függelék 3. pontja szerinti, állandósult állapot melletti linearitási követelmények teljesítése mellett a nem visszavezethető kipufogógáz-tömegárammérők vagy a nem visszavezethető érzékelők vagy ECU-jelek alapján számított kipufogógáz-tömegáramok linearitását tranziens körülmények között hitelesíteni kell valamennyi vizsgálati járműre vonatkozóan, egy kalibrált kipufogógáz-tömegárammérő vagy az állandó térfogatú mintavevő rendszer segítségével. A hitelesítési vizsgálatot a PEMS beépítése nélkül is végre lehet hajtani, de általánosságban a 83. sz. ENSZ EGB-előírás 07. módosítássorozatának 4a. mellékletében foglalt előírásokat és az 1. függelékben a kipufogógáz-tömegárammérőkre vonatkozóan meghatározott követelményeket kell követni.
4.2. A hitelesítési eljárás
A hitelesítési vizsgálatot görgős fékpadon kell elvégezni, lehetőség szerint a típusjóváhagyásra vonatkozó körülmények között, a 83. sz. ENSZ EGB-előírás 07. módosítássorozatának 4a. mellékletében foglalt előírásokat követve. Vizsgálati ciklusként az ENSZ EGB 15. sz. globális műszaki előírásának 1. mellékletében meghatározott, a könnyű gépjárművekre vonatkozó, világszinten harmonizált vizsgálati ciklust (WLTC) kell használni. Referenciaként egy visszavezethető módon kalibrált áramlásmérőt kell használni. A környezeti hőmérséklet az e melléklet 5.2. pontjában meghatározott tartományon belül bármilyen értéket felvehet. A kipufogógáz-tömegárammérő beépítésének és a vizsgálat végrehajtásának meg kell felelnie az e melléklet 1. függelékének 3.4.3. pontjában foglalt követelményeknek.
A linearitás hitelesítéséhez a következő számításokat kell elvégezni:
a) A hitelesítendő jelet és a referenciajelet korrigálni kell az idővel, amennyire csak lehetséges, a 4. függelék 3. pontjának követelményeit követve.
b) A legnagyobb áramlási érték 10 %-a alatti értékeket ki kell zárni a további elemzésből.
c) Legalább 1,0 Hz-es, állandó gyakoriság mellett a hitelesítendő jelet és a referenciajelet korrelálni kell a következő képletű regressziós egyenlet segítségével:
y = a 1 x + a 0
ahol:
y a hitelesítendő jel tényleges értéke
a 1 a regressziós egyenes meredeksége
x a referenciajel tényleges értéke
a 0 a regressziós egyenes y-tengelymetszete
Minden mérési paraméterre és rendszerre vonatkozóan ki kell számítani az x alapján becsült y-értékek standard hibáját (SEE) és a determinációs együtthatót (r2).
d) A lineáris regresszió paramétereinek teljesíteniük kell a 2. táblázatban megadott követelményeket.
4.3. Követelmények
A 2. táblázatban megadott linearitási követelményeknek teljesülniük kell. Ha bármelyik megengedett tűrés nem teljesül, akkor helyesbítő lépéseket kell végrehajtani, és meg kell ismételni a hitelesítést.
2. táblázat
A számított és mért kipufogógáz-tömegáramra vonatkozó linearitási követelmények
Mérési paraméter/rendszer | a0 | a1 meredekség | Standard hiba SEE | Determinációs együttható r2 |
Kipufogógáz-tömegáram | 0,0 ± 3,0 kg/h | 1,00 ± 0,075 | ≤ 10 % max | ≥0,90 |
4. függelék
A kibocsátások meghatározása
1. BEVEZETÉS
Ez a függelék a pillanatnyi tömeg- és a részecskeszám-kibocsátások [g/s; #/s] meghatározásának eljárását ismerteti, amelyet később a vizsgálati út értékeléséhez és a végső kibocsátási eredmény kiszámításához kell használni az 5. és 6. függelékben leírtak szerint.
2. SZIMBÓLUMOK
% - százalék
< - kisebb mint
#/s - másodpercenkénti szám
α - a hidrogén mólaránya (H/C)
β - a szén mólaránya (C/C)
γ - a kén mólaránya (S/C)
δ - a nitrogén mólaránya (N/C)
Δtt,i - az elemzőkészülék t jelátalakítási ideje [s]
Δtt,m - a kipufogógáz-tömegárammérő t jelátalakítási ideje [s]
ε - az oxigén mólaránya (O/C)
r e - a kipufogógáz sűrűsége
r gas - a "gas" kipufogógáz-összetevő sűrűsége
l - levegőfelesleg-arány
l i - pillanatnyi levegőfelesleg-arány
A/F st - sztöchiometrikus levegő-tüzelőanyag arány [kg/kg]
°C - Celsius-fok
c CH4 - a metán koncentrációja
c CO - a CO száraz koncentrációja [ %]
c CO2 - a CO2 száraz koncentrációja [ %]
c dry - egy szennyező anyag száraz koncentrációja ppm-ben vagy térfogatszázalékban
c gas,i - a "gas" kipufogógáz-összetevő pillanatnyi koncentrációja [ppm]
c HCw - nedves HC-koncentráció [ppm]
c HC(w/NMC) - HC-koncentráció, amikor a CH4 vagy a C2H6 áthalad az NMC-n [ppmC1]
c HC(w/oNMC) - HC-koncentráció, amikor a CH4 vagy a C2H6 kikerüli az NMC-t [ppmC1]
c i,c - az i összetevő idővel korrigált koncentrációja [ppm]
c i,r - az i összetevő koncentrációja a kipufogógázban [ppm]
c NMHC - a metántól különböző szénhidrogének koncentrációja
c wet - egy szennyező anyag nedves koncentrációja ppm-ben vagy térfogatszázalékban
E E - etánhatásfok
E M - metánhatásfok
g - gramm
g/s - gramm/másodperc
H a - a beszívott levegő páratartalma [g víz/kg száraz levegő]
i - a mérés sorszáma
kg - kilogramm
kg/h - kilogramm/óra
kg/s - kilogramm/másodperc
k w - száraz-nedves korrekciós tényező
m - méter
m gas,i - a "gas" kipufogógáz-összetevő tömege [g/s]
qm aw,i - a beszívott levegő pillanatnyi tömegárama [kg/s]
q m,c - a kipufogógáz idővel korrigált tömegárama [kg/s]
qm ew,i - a kipufogógáz pillanatnyi tömegárama [kg/s]
qm f,i - a tüzelőanyag pillanatnyi tömegárama [kg/s]
q m,r - a kipufogógáz nyers tömegárama [kg/s]
r - keresztkorrelációs együttható
r2 - determinációs együttható
r h - a szénhidrogénekre vonatkozó választényező
rpm - fordulat/perc
s - másodperc
u gas - a "gas" kipufogógáz-összetevő u értéke
3. A PARAMÉTEREK IDŐVEL VALÓ KORRIGÁLÁSA
A távolságspecifikus kibocsátások helyes kiszámítása érdekében az összetevő-koncentrációk, a kipufogógáz-tömegáram, a járműsebesség és az egyéb járműadatok rögzített értékeit korrigálni kell az idővel. Az idővel való korrigálás megkönnyítése érdekében a szinkronizálandó adatokat vagy egyetlen adatrögzítő berendezés segítségével vagy az 1. függelék 5.1. pontjának megfelelő, szinkronizált időbélyegzővel kell rögzíteni. A paraméterek idővel való korrigálását és szinkronizálását a következő, 3.1-3.3. pont szerinti eljárással kell elvégezni.
3.1. Az összetevők koncentrációjának idővel való korrigálása
Az összes összetevő-koncentráció rögzített értékét korrigálni kell az idővel oly módon, hogy a vonatkozó elemzőkészülékek jelátalakítási idejének megfelelő visszafelé történő eltolást alkalmaznak. Az elemzőkészülékek jelátalakítási idejét a 2. függelék 4.4. pontja szerint kell meghatározni:
c i,c (t - Δt t,i ) = c i,r (t)
ahol:
c i,c az i összetevő idővel korrigált koncentrációja az idő (t) függvényében
c i,r az i összetevő korrigálatlan koncentrációja az idő (t) függvényében
Δtt,i az i összetevőt mérő elemzőkészülék jelátalakítási ideje
3.2. A kipufogógáz-tömegáram idővel való korrigálása
A kipufogógáz-tömegárammérővel mért kipufogógáz-tömegáramot korrigálni kell az idővel, a kipufogógáz-tömegárammérő jelátalakítási idejének megfelelő visszafelé történő eltolás alkalmazásával. A tömegárammérő jelátalakítási idejét a 2. függelék 4.4.9. pontja szerint kell meghatározni:
q m,c (t - Δt t,m ) = qm , r (t)
ahol:
q m,c a kipufogógáz-tömegáram idővel korrigált értéke az idő (t) függvényében
q m,r a kipufogógáz-tömegáram idővel korrigálatlan értéke az idő (t) függvényében
Δtt,m a kipufogógáz-tömegárammérő t jelátalakítási ideje
Ha kipufogógáz-tömegáram meghatározása a ECU vagy egy érzékelő adatai alapján történik, megfontolandó egy kiegészítő jelátalakítási idő alkalmazása, amelyet a számított kipufogógáz-tömegáram és a 3. függelék 4. pontja szerint mért kipufogógáz-tömegáram keresztkorrelációjával lehet meghatározni.
3.3. A járműadatok szinkronizálása
Az érzékelők vagy az ECU által adott adatokat keresztkorreláció segítségével szinkronizálni kell a megfelelő kibocsátási adatokkal (pl. az összetevő-koncentrációkkal).
3.3.1. A különböző forrásokból származó járműsebesség-adatok
A jármű sebességének a kipufogógáz-tömegárammal való szinkronizálásához először egy érvényes sebességgörbét kell meghatározni. Ha a jármű sebességére vonatkozóan több forrásból is (pl. a GPS-től, az érzékelőktől vagy az ECU-tól) származik adat, akkor a sebességértékeket keresztkorreláció segítségével szinkronizálni kell.
3.3.2. A jármű sebessége és a kipufogógáz-tömegáram
A kipufogógáz-tömegáram és a járműsebességnek a pozitív gyorsulással való szorzata közötti keresztkorreláció segítségével szinkronizálni kell a járműsebességet a kipufogógáz-tömegárammal.
3.3.3. További jelek
A lassan és kis tartományon belül változó értékű jelek, például a környezeti hőmérséklet szinkronizálása elhagyható.
4. HIDEGINDÍTÁS
A hidegindítási szakasz a belső égésű motor első elindítását követő 5 percet foglalja magában. Ha a hűtőközeg hőmérséklete megbízhatóan megállapítható, a hidegindítási szakasz akkor ér véget, amikor a hűtőközeg először eléri a 343 K (70 °C) hőmérsékletet, de mindenképp befejeződik legkésőbb az első motorindítás után 5 perccel. A hidegindítás alatti kibocsátásokat rögzíteni kell.
5. KIBOCSÁTÁSMÉRÉS MOTORLEÁLLÍTÁS SORÁN
A leállított belső égésű motor mellett keletkező pillanatnyi kibocsátások vagy kipufogógáz-tömegáram méréseit rögzíteni kell. Ezt követően egy külön lépésben a rögzített értékeket nullára kell állítani az adatok utófeldolgozása során. A belső égésű motort leállított állapotúnak kell tekinteni, ha a következő feltételek közül kettő teljesül: a rögzített fordulatszám < 50 rpm; a mért kipufogógáz-tömegáram <3 kg/h; a mért kipufogógáz-tömegáram az alapjáraton állandósult állapot melletti kipufogógáz-tömegáram értékének 15 %-a alá csökken.
6. A JÁRMŰ TENGERSZINT FELETTI MAGASSÁGÁNAK KONZISZTENCIA-ELLENŐRZÉSE
Ha megalapozott kétség merül fel azzal kapcsolatban, hogy a vizsgálati utat a IIIA. melléklet 5.2. pontjában meghatározott megengedett tengerszint feletti magasság felett folytatták le, és ha a tengerszint feletti magasság mérése csak GPS-szel történt, a GPS magassági adatain konzisztencia-ellenőrzést kell végezni, és szükség esetén korrigálni kell őket. Az adatok konzisztenciájának ellenőrzéséhez a földrajzi szélességre, a földrajzi hosszúságra és a tengerszint feletti magasságra vonatkozó GPS-adatokat egy digitális domborzatmodellnek vagy egy megfelelő léptékű topografikus térképnek a tengerszint feletti magasságra vonatkozó adataival kell összevetni. A topografikus térkép által jelzett tengerszint feletti magasságtól több mint 40 méterrel eltérő méréseket manuálisan korrigálni kell és meg kell jelölni.
7. A GPS ÁLTAL JELZETT JÁRMŰSEBESSÉG KONZISZTENCIA-ELLENŐRZÉSE
A GPS által megállapított járműsebesség konzisztenciáját ellenőrizni kell oly módon, hogy kiszámítják és összehasonlítják a vizsgálati út teljes hosszát az érzékelők, a hitelesített ECU vagy alternatív megoldásként egy digitális közúthálózati vagy topografikus térkép alapján végzett referenciamérésekkel. A GPS-adatok nyilvánvaló hibáit kötelező kijavítani, például egy közvetlen helyszámító érzékelőnek a konzisztencia-ellenőrzés előtti alkalmazása révén. Az eredeti és korrigálatlan adatfájlt is meg kell őrizni, és a javított adatokat meg kell jelölni. A javított adatok nem vonatkozhatnak 120 másodpercnél hosszabb egybefüggő időszakra vagy összesen 300 másodpercnél hosszabb időszakra. A teljes vizsgálati útnak a javított GPS-adatok alapján kiszámított távolsága legfeljebb 4 %-kal térhet el a referenciatávolságtól. Ha a GPS-adatok nem teljesítik ezeket a követelményeket, és más megbízható forrás nem áll rendelkezésre a sebesség megállapításához, a vizsgálat eredményeit érvénytelennek kell tekinteni.
8. A KIBOCSÁTÁSOK KORRIGÁLÁSA
8.1. Száraz-nedves korrekció
Ha a kibocsátások mérése száraz alapon történik, akkor a mért koncentrációkat át kell számítani nedves alapú koncentrációkra az alábbi módon:
c wet= k w· c dry
ahol:
c wet egy szennyező anyag nedves koncentrációja ppm-ben vagy térfogatszázalékban
c dry egy szennyező anyag száraz koncentrációja ppm-ben vagy térfogatszázalékban
k w a száraz-nedves korrekciós tényező
A k w kiszámításához az alábbi képletet kell használni:

ahol:

ahol:
H a a beszívott levegő páratartalma [g víz/kg száraz levegő]
c CO2 a CO2 száraz koncentrációja [ %]
c CO a CO száraz koncentrációja [ %]
α a hidrogén mólaránya
8.2. A NOx-kibocsátásoknak a környezeti páratartalommal és hőmérséklettel való korrigálása
A NOx-kibocsátásokat nem szabad korrigálni a környezeti hőmérséklet és a páratartalom függvényében.
9. A PILLANATNYI GÁZ-HALMAZÁLLAPOTÚ KIPUFOGÓGÁZ-ÖSSZETEVŐK MEGHATÁROZÁSA
9.1. Bevezetés
A hígítatlan kipufogógáz összetevőit a 2. függelékben leírt mérési módszerrel és mintavevő elemzőkészülékkel kell mérni. A releváns összetevők hígítatlan koncentrációját az 1. függelék alapján kell megmérni. Az adatokat a 3. pontnak megfelelően korrigálni kell az idővel és szinkronizálni kell őket.
9.2. Az NMHC és a CH4 koncentrációjának kiszámítása
Az NMC-FID-del végzett metánmérések esetében az NMHC számítási módszere a nullázási/kalibrálási beállításhoz használt kalibráló gáztól és módszertől függ. Ha a FID-et NMC nélkül használják a THC mérésére, a FID-et propán és levegő vagy propán és N2 keverékével kell kalibrálni a szokásos módon. Az NMC-vel sorba kapcsolt FID kalibrálásához a következő módszerek használhatók:
a) a propánból és levegőből álló kalibráló gáz kikerüli az NMC-t;
b) a metánból és levegőből álló kalibráló gáz áthalad az NMC-t.
Erősen ajánlott, hogy a FID kalibrálását az NMC-n áthaladó metán-levegő keverékkel végezzék el.
Az a) módszer esetében a CH4 és az NMHC koncentrációját a következőképpen kell kiszámítani:


A b) pont esetében a CH4 és az NMHC koncentrációját a következőképpen kell kiszámítani:


ahol:
c HC(w/oNMC) a HC-koncentráció, amikor a CH4 vagy a C2H6 kikerüli az NMC-t [ppmC1]
c HC(w/NMC) a HC-koncentráció, amikor a CH4 vagy a C2H6 áthalad az NMC-n [ppmC1]
r h a 2. függelék 4.3.3. b) pont szerinti, szénhidrogénekre vonatkozó választényező
E M a 2. függelék 4.3.4. a) pontja szerinti metánhatásfok
E E a 2. függelék 4.3.4. b) pontja szerinti etánhatásfok
Ha a FID kalibrálását a metánkiválasztón áthaladó gázzal (a b) módszer szerint) végezték, akkor a metánátalakításnak a 2. függelék 4.3.4. a) pontja szerinti hatásfoka nulla. Az NMHC tömegének kiszámításához használt sűrűség egyenlő az összes szénhidrogén 273,15 K és 101,325 kPa melletti sűrűségével, és függ a tüzelőanyagtól.
10. A KIPUFOGÓGÁZ TÖMEGÁRAMÁNAK MEGHATÁROZÁSA
10.1. Bevezetés
A pillanatnyi tömegkibocsátásoknak a 11. és 12. pont szerinti kiszámításához szükség van a kipufogógáz-tömegáram meghatározására. A kipufogógáz tömegáramát a 2. függelék 7.2. pontja szerinti közvetlen mérési módszerek valamelyikével kell megállapítani. Alternatív megoldásként megengedett a kipufogógáz-tömegáramot a 10.2-10.4. pontoknak megfelelően kiszámítani.
10.2. A levegő és a tüzelőanyag tömegáramát használó számítási módszer
A kipufogógáz pillanatnyi tömegáramát a levegő és a tüzelőanyag tömegáramából a következőképpen lehet kiszámítani:
q mew,i = q maw,i + q mf,i
ahol:
qm ew,i a kipufogógáz pillanatnyi tömegárama [kg/s]
qm aw,i a beszívott levegő pillanatnyi tömegárama [kg/s]
qm f,i a tüzelőanyag pillanatnyi tömegárama [kg/s]
Ha a levegő és a tüzelőanyag tömegáramát vagy a kipufogógáz-tömegáramot az ECU rögzített adatai alapján határozzák meg, a számított pillanatnyi kipufogógáz-tömegáramnak teljesítenie kell a 2. függelék 3. pontjában a kipufogógáz-tömegáramra vonatkozóan meghatározott linearitási követelményeket és a 3. függelék 4.3. pontjában meghatározott hitelesítési követelményeket.
10.3. A levegő tömegáramát és a levegő-tüzelőanyag arányt használó számítási módszer
A kipufogógáz pillanatnyi tömegáramát a levegő tömegáramából és a levegő-tüzelőanyag arányból a következőképpen lehet kiszámítani:

ahol:


ahol:
qm aw,i a beszívott levegő pillanatnyi tömegárama [kg/s]
A/F st a sztöchiometrikus levegő-tüzelőanyag arány [kg/kg]
l i a pillanatnyi levegőfelesleg-arány
c CO2 a CO2 száraz koncentrációja [ %]
c CO a CO száraz koncentrációja [ppm]
c HCw a HC nedves koncentrációja [ppm]
α a hidrogén mólaránya (H/C)
β a szén mólaránya (C/C)
γ a kén mólaránya (S/C)
δ a nitrogén mólaránya (N/C)
ε az oxigén mólaránya (O/C)
Az együtthatók Cβ Hα Oε Nδ Sγ tüzelőanyagra vonatkoznak, ahol β = 1 a szénalapú tüzelőanyagok esetében. A HC-kibocsátások koncentrációja jellemzően alacsony, és a l i számítása során figyelmen kívül hagyható.
Ha a levegő tömegáramát és a levegő-tüzelőanyag arányt az ECU által rögzített adatok alapján határozzák meg, a számított pillanatnyi kipufogógáz-tömegáramnak teljesítenie kell a 2. függelék 3. pontjában a kipufogógáz-tömegáramra vonatkozóan meghatározott linearitási követelményeket és a 3. függelék 4.3. pontjában meghatározott hitelesítési követelményeket.
10.4. A tüzelőanyag tömegáramát és a levegő-tüzelőanyag arányt használó számítási módszer
A pillanatnyi kipufogógáz-tömegáram a következőképpen számítható ki a tüzelőanyag tömegáramából és a levegő-tüzelőanyag arányból (amelyet a 10.3. pont szerint, az A/Fst és l i használatával számoltak ki):
q mew,i = q mf,i × (1 + A/F st × λ i)
A számított pillanatnyi kipufogógáz-tömegáramnak teljesítenie kell a 2. függelék 3. pontjában a kipufogógáz-tömegáramra vonatkozóan meghatározott linearitási követelményeket és a 3. függelék 4.3. pontjában meghatározott hitelesítési követelményeket.
11. A PILLANATNYI TÖMEGKIBOCSÁTÁSOK KISZÁMÍTÁSA
A pillanatnyi tömegkibocsátások [g/s] meghatározásához az adott szennyező anyag pillanatnyi koncentrációját [ppm] meg kell szorozni a pillanatnyi kipufogógáz-tömegárammal [kg/s] - miután a pillanatnyi koncentrációt és a tömegáramot is korrigálták és szinkronizálták van a jelátalakítási idővel -, majd meg kell szorozni az 1. táblázat vonatkozó u értékével. Ha a mérés száraz alapon történik, akkor a 8.1. pont szerinti száraz-nedves korrekciót el kell végezni az összetevők pillanatnyi koncentrációértékén a további számítások megkezdése előtt Adott esetben a negatív pillanatnyi kibocsátásértékeket is be kell vonni minden további adatértékelésbe. A közbenső értékek minden értékes számjegyét be kell vonni a pillanatnyi kibocsátások számításába. Az alábbi egyenletet kell használni:
m gas,i = u gas · c gas,i · q mew,i
ahol:
m gas,i a "gas" kipufogógáz-összetevő tömege [g/s]
u gas a "gas" kipufogógáz-összetevő sűrűségének és a kipufogógáz 1. táblázat szerinti összesített sűrűségének aránya
c gas,i a "gas" kipufogógáz-összetevő mért koncentrációja a kipufogógázban [ppm]
qm ew,i a kipufogógáz mért tömegárama [kg/s]
gas a megfelelő összetevő
i a mérés sorszáma
1. táblázat
A hígítatlan kipufogógázra vonatkozó, az i kipufogógáz-összetevő vagy szennyező anyag sűrűsége [kg/m3] és a kipufogógáz sűrűsége [kg/m3] közötti arányt kifejező u értékek (6)
Tüzelőanyag | ρ e [kg/m3] | Az i összetevő vagy szennyező anyag | |||||
NOx | CO | HC | CO2 | O2 | CH4 | ||
ρ gas [kg/m3] | |||||||
2,053 | 1,250 | (1) | 1,9636 | 1,4277 | 0,716 | ||
u gas (2) (6) | |||||||
Dízel (B7) | 1,2943 | 0,001586 | 0,000966 | 0,000482 | 0,001517 | 0,001103 | 0,000553 |
Etanol (ED95) | 1,2768 | 0,001609 | 0,000980 | 0,000780 | 0,001539 | 0,001119 | 0,000561 |
CNG (3) | 1,2661 | 0,001621 | 0,000987 | 0,000528 (4) | 0,001551 | 0,001128 | 0,000565 |
Propán | 1,2805 | 0,001603 | 0,000976 | 0,000512 | 0,001533 | 0,001115 | 0,000559 |
Bután | 1,2832 | 0,001600 | 0,000974 | 0,000505 | 0,001530 | 0,001113 | 0,000558 |
LPG (5) | 1,2811 | 0,001602 | 0,000976 | 0,000510 | 0,001533 | 0,001115 | 0,000559 |
Benzin (E10) | 1,2931 | 0,001587 | 0,000966 | 0,000499 | 0,001518 | 0,001104 | 0,000553 |
Etanol (E85) | 1,2797 | 0,001604 | 0,000977 | 0,000730 | 0,001534 | 0,001116 | 0,000559 |
(1) A tüzelőanyagtól függően. (2) Ha l = 2, száraz levegő, 273 K, 101,3 kPa. (3) Az u értékek 0,2 %-os pontosságúak a következő tömegösszetételek esetében: C=66–76 %; H=22–25 %; N=0–12 %. (4) NMHC a CH2,93 alapján (a THC-re a CH4 u gas tényezőjét kell használni). (5) Az u értékek 0,2 %-os pontosságúak a következő tömegösszetételek esetében: C3=70–90 %; C4=10–30 %. (6) Az ugas mértékegység nélküli paraméter; az u gas értékek magukban foglalják a mértékegységek átváltását annak biztosítása érdekében, hogy a pillanatnyi kibocsátások a meghatározott fizikai mértékegységben, azaz g/s-ben legyenek megadva. |
12. A KIBOCSÁTÁSOK PILLANATNYI RÉSZECSKESZÁMÁNAK KISZÁMÍTÁSA
Miután a kibocsátások pillanatnyi részecskeszámának kiszámítása kötelezővé válik, e szakasz fogja meghatározni a vonatkozó követelményeket.
13. ADATJELENTÉS ÉS ADATCSERE
A mérési rendszerek és az adatértékelő szoftverek közötti adatcserét a 8. függelék 2. pontjában meghatározott szabványos adatjelentési fájl segítségével kell megvalósítani. Az adatok mindenfajta előfeldolgozását (pl. a 3. pont szerinti, idővel való korrigálását vagy a GPS járműsebességre vonatkozó jelének a 7. pont szerinti korrigálását) a mérési rendszerek vezérlőszoftverével kell végrehajtani, és az adatjelentési fájl létrehozása előtt kell elvégezni. Ha az adatokat korrigálják vagy feldolgozzák az adatjelentési fájlba való bevitelük előtt, az eredeti korrigálatlan adatokat is meg kell őrizni a minőségbiztosítás és -ellenőrzés céljából. A közbenső értékek kerekítése tilos. Ehelyett a közbenső értékeket úgy kell bevonni a pillanatnyi kibocsátások számításaiba [g/s; #/s], ahogy az elemzőkészülék, az áramlásmérő műszer, az érzékelő vagy az ECU kiadja őket.
5. függelék
A vizsgálati út dinamikus feltételeinek ellenőrzése az 1. módszerrel (mozgóablakos átlagolással)
1. BEVEZETÉS
A mozgóablakos átlagolást használó módszer információkat nyújt a vizsgálat során egy meghatározott skála mellett keletkező valós vezetési feltételek melletti kibocsátásokról (RDE). A vizsgálat szakaszokra (ablakokra) tagolódik, az ezt követő statisztikai eljárással pedig azonosíthatók azok az ablakok, amelyek alkalmasak a jármű RDE-teljesítményének értékelésére.
Az ablakok "normalitását" az ablakok távolságspecifikus CO2-kibocsátásának ( 53 ) a referenciagörbével való összehasonlítása adja meg. A vizsgálat akkor teljes, ha elegendő számú normális ablakot tartalmaz, és ezek lefedik a különböző haladási sebességgel jellemezhető területeket (város, országút, autópálya).
1. lépés Az adatok szegmentálása és a hidegindítási kibocsátások kizárása
2. lépés A kibocsátások szakaszok vagy "ablakok" szerinti kiszámítása (3.1. pont)
3. lépés A normális ablakok azonosítása (4. pont)
4. lépés A vizsgálat teljességének és normalitásának ellenőrzése (5. pont)
5. lépés A kibocsátások kiszámítása a normális ablakok segítségével (6. pont)
2. SZIMBÓLUMOK, PARAMÉTEREK ÉS MÉRTÉKEGYSÉGEK
Az (i) index az időközre utal
A (j) index az ablakra utal
A (k) index a kategóriára (t=összes, u=város, r=országút, m=autópálya) vagy a CO2-jelleggörbére (cc) utal.
A "gas" index a szabályozott kipufogógáz-összetevőkre utal (pl.. NOx, CO, PN)
Δ - különbség
≥ - nagyobb vagy egyenlő
# - szám
% - százalék
≤ - kisebb vagy egyenlő
a 1, b 1 - a CO2-jelleggörbe együtthatói
a 2, b 2 - a CO2-jelleggörbe együtthatói
dj - a j ablak által lefedett távolság [km]
fk - a városi, országúti és autópályán történő vezetési szakaszokra vonatkozó súlyozó tényezők
h - az ablakoknak a CO2-jelleggörbétől való távolsága [ %]
hj - a j ablaknak a CO2-jelleggörbétől való távolsága [ %]
[Kép #18] - a városi, országúti és autópályán történő vezetési szakaszok részarányaira és a teljes vizsgálati útra vonatkozó súlyossági mutató

Kép #18
k 11, k 12 - a súlyozó függvény együtthatói
k 21, k 21 - a súlyozó függvény együtthatói
M CO2,ref - a CO2 referenciatömege [g]
Mgas - a "gas" kipufogógáz-összetevő tömege vagy részecskeszáma, [g] vagy [#]
Mgas,j - a "gas" kipufogógáz-összetevő tömege vagy részecskeszáma a j ablakban, [g] vagy [#]
Mgas,d - a "gas" kipufogógáz-összetevő távolságspecifikus kibocsátása, [g/km] vagy [#/km]
Mgas,d,j - a "gas" kipufogógáz-összetevő távolságspecifikus kibocsátása a j ablakban, [g/km] vagy [#/km]
N k - a városi, országúti és autópályán történő vezetési szakaszok ablakainak száma
P 1, P 2, P 3 - referenciapontok
t - idő [s]
t 1,j - a j sorszámú átlagoló ablak első másodperce [s]
t 2,j - a j sorszámú átlagoló ablak utolsó másodperce [s]
ti - a teljes idő i az időközben [s]
t i,j - a teljes idő az i időközben a j ablak tekintetében [s]
tol 1 - a jármű CO2-jelleggörbéjének elsődleges tűrése [ %]
tol 2 - a jármű CO2-jelleggörbéjének másodlagos tűrése [ %]
tt - a vizsgálat időtartama [s]
v - a jármű sebessége [km/h]
[Kép #19] - az ablakok átlagos sebessége [km/h]

Kép #19
vi - a jármű tényleges sebessége az i időközben [km/h]
[Kép #20] - a jármű átlagos sebessége a j ablakban [km/h]

Kép #20
[Kép #21] - a WLTP ciklus alacsony sebességű szakaszának átlagos sebessége

Kép #21
[Kép #22] - a WLTP ciklus nagy sebességű szakaszának átlagos sebessége

Kép #22
[Kép #23] - a WLTP ciklus extranagy sebességű szakaszának átlagos sebessége

Kép #23
w - az ablakokra vonatkozó súlyozó tényező
wj - a j ablakra vonatkozó súlyozó tényező
3. ÁTLAGOLÓ MOZGÓABLAKOK
3.1. Az átlagoló mozgóablakok meghatározása
A 4. függelék szerint kiszámított pillanatnyi kibocsátásokat a mozgóablakos átlagolás módszerével kell integrálni, a CO2 referenciatömege alapján. A számítás elve a következő: a kibocsátás tömegét nem a teljes adatkészletre, hanem annak részeire kell elvégezni, a részadatkészletek hosszúságát úgy meghatározva, hogy megegyezzenek a jármű által a laboratóriumi referenciaciklus során kibocsátott CO2-tömeggel. A mozgóablakos átlagolási számításokat az adat-mintavételezési gyakoriságnak megfelelő időnöveléssel kell elvégezni. A kibocsátási adatok átlagolásához használt részadatkészletek megnevezése a továbbiakban "átlagoló ablak". Az ebben a pontban leírt számítást az utolsó ponttól (visszafelé) vagy az első ponttól (előrefelé) is el lehet végezni.
A következő adatokat nem kell figyelembe venni a CO2 tömegének, a kibocsátásoknak és az átlagoló ablakok távolságának kiszámítása során:
- a műszerek időszakos ellenőrzésének adatai és/vagy a nullpontválasz eltolódásának ellenőrzése utáni adatok,
- a 4. függelék 4.4. pontja szerinti hidegindítási kibocsátások,
- a jármű földhöz viszonyított sebessége < 1 km/h,
- a vizsgálat bármely olyan szakasza, melynek során a belső égésű motor ki volt kapcsolva.
A kibocsátások M gas,j tömegét (vagy részecskeszámát) a g/s-ban (vagy részecskeszámok esetében #/s-ban) megadott, a 4. függelék szerint kiszámított pillanatnyi kibocsátások integrálásával kell meghatározni.
1. ábra
Járműsebesség az idő függvényében - A jármű átlagolt kibocsátásai az idő függvényében, az első átlagoló ablaktól kezdve

2. ábra
A CO2-tömeg meghatározása az átlagoló ablakok alapján

A j sorszámú átlagoló ablak (t2,j - t1,j ) időtartamának meghatározása az alábbi egyenlettel történik:

ahol:
[Kép #24] a vizsgálat kezdete és a (t i,j ) időpont között mért CO 2 -kibocsátás tömege [g];

Kép #24
[Kép #25] a jármű által a WLTP ciklus (hidegindítást is magában foglaló I. típusú vizsgálat) alatt kibocsátott CO2 tömegének fele [g];

Kép #25
t 2,j a -t úgy kell megválasztani, hogy az alábbi egyenlőtlenség igaz legyen:

ahol Δt az adat-mintavételi időszak.
Az ablakokban a CO2-kibocsátás tömegének kiszámítása az e melléklet 4. függeléke szerint kiszámított pillanatnyi kibocsátások integrálásával történik.
3.2. Az ablakok kibocsátásának és átlagainak kiszámítása
A 3.1. pont szerint meghatározott valamennyi ablakra vonatkozóan a következőket kell kiszámítani:
- Mgas,d,j : az e mellékletben meghatározott valamennyi szennyező anyag távolságspecifikus kibocsátása,
- M CO2,d,j : a távolságspecifikus CO 2 -kibocsátások,
- [Kép #26] : a jármű átlagos sebessége.

Kép #26
4. AZ ABLAKOK ÉRTÉKELÉSE
4.1. Bevezetés
A vizsgálati jármű dinamikai referenciaviszonyait a járműnek a típusjóváhagyás során mért átlagos sebességéhez viszonyított CO2-kibocsátása, más néven "a jármű CO2-jelleggörbéje" alapján kell meghatározni.
A távolságspecifikus CO2-kibocsátások megállapításához a jármű vizsgálatát az ENSZ EGB 15. sz. globális műszaki előírásában (ECE/TRANS/180/Add.15) meghatározott, a könnyű gépjárművekre vonatkozó világszinten harmonizált vizsgálati eljárás szerinti közúti terhelési beállításokkal kell elvégezni.
4.2. A CO2-jelleggörbe referenciapontjai
A görbe meghatározásához szükséges P 1, P 2 és P 3 referenciapontokat a következőképpen kell megállapítani:
4.2.1. P1 pont

(a WLTP ciklus alacsony sebességű szakaszának átlagos sebessége)
[Kép #27] = a járműnek a WLTP ciklus alacsony sebességű szakasza alatti CO2-kibocsátása szorozva 1,2-del [g/km]

Kép #27
4.2.2. P2 pont
KÉP HIÁNYZIK
(a WLTP ciklus nagy sebességű szakaszának átlagos sebessége)
[Kép #28] = a járműnek a WLTP ciklus nagy sebességű szakasza alatti CO2-kibocsátása szorozva 1,1-del [g/km]

Kép #28
4.2.4. P3 pont
KÉP HIÁNYZIK
(a WLTP ciklus extranagy sebességű szakaszának átlagos sebessége)
[Kép #29] = a járműnek a WLTP ciklus extranagy sebességű szakasza alatti CO2-kibocsátása szorozva 1,05-dal [g/km]

Kép #29
4.3. A CO2-jelleggörbe meghatározása
A 4.2. pont szerinti referenciapontok segítségével a CO2-kibocsátások jelleggörbéjét az átlagos sebesség függvényeként, két lineáris szakasz (P1, P2) és (P2, P3) használatával kell kiszámítani. A (P2, P3) szakasz a jármű sebességét ábrázoló tengelyen 145 km/h-ra van korlátozva. A jelleggörbét a következő egyenletek alapján kell meghatározni:
A (P1, P2) szakaszra vonatkozóan:

with [Kép #30]

Kép #30
and [Kép #31]

Kép #31
A (P2, P3) szakaszra vonatkozóan:

with [Kép #32]

Kép #32
and [Kép #33]

Kép #33
3. ábra
A jármű CO2-jelleggörbéje

4.4. A városi, országúti és autópályán történő vezetés szakaszainak ablakai
4.4.1. A városi szakasz ablakait 45 km/h-nál alacsonyabb [Kép #34] átlagos földhöz viszonyított járműsebesség jellemzi.

Kép #34
4.4.2. Az országúti szakasz ablakait 45 km/h-nál nagyobb vagy egyenlő és 80 km/h-nál kisebb [Kép #35] átlagos földhöz viszonyított járműsebesség jellemzi.

Kép #35
4.4.3. Az autópályán történő vezetési szakasz ablakait 80 km/h-nál nagyobb vagy egyenlő és 145 km/h-nál kisebb [Kép #36] átlagos földhöz viszonyított járműsebesség jellemzi.

Kép #36
4. ábra
A jármű CO2-jelleggörbéje: a városi, országúti és autópályán történő vezetés meghatározása

5. A VIZSGÁLATI ÚT TELJESSÉGÉNEK ÉS NORMALITÁSÁNAK ELLENŐRZÉSE
5.1. A jármű CO2-jelleggörbéjének tűrései
A jármű CO2-jelleggörbéjének elsődleges és másodlagos tűrése: tol 1= 25 % és tol2 = 50 %.
5.2. A vizsgálat teljességének ellenőrzése
A vizsgálat akkor teljes, ha az ablakok teljes számának legalább 15 %-a a városi, országúti és autópályán történő vezetés ablakaiból áll.
5.3. A vizsgálat normalitásának ellenőrzése
A vizsgálat akkor tekinthető normálisnak, ha a városi, országúti és autópályán történő vezetés ablakainak legalább 50 %-a a jelleggörbére vonatkozóan meghatározott elsődleges tűrésen belül van.
Ha az 50 %-os minimális követelmény nem teljesül, a tol 1 felső pozitív tűrést 1 %-os lépésekben meg lehet növelni, amíg a normális ablakokra vonatkozó 50 %-os célértéket el nem érik. Ezen eljárás alkalmazása esetén a tol1 soha nem haladhatja meg a 30 %-ot.
6. A KIBOCSÁTÁSOK KISZÁMÍTÁSA
6.1. A súlyozott távolságspecifikus kibocsátások kiszámítása
A kibocsátásokat az ablakok távolságspecifikus kibocsátásainak súlyozott átlagaként kell kiszámítani külön-külön a városi, az országúti és az autópályán történő vezetési szakaszra, valamint a teljes vizsgálati útra.

A w j súlyozó tényezőt minden ablakra vonatkozóan a következőképpen kell meghatározni:
Ha

Akkor w j = 1
Ha

Akkor wj = k11hj + k12
ahol: k11 = 1/(tol1 - tol2)
és k12: tol2/(tol2-tol1)
Ha

Akkor wj = k21hj + K22
ahol k21 = 1/(tol2 - tol1)
és k22 = k21 = tol2/(tol2-tol1)
Ha

vagy

Akkor w j = 0
ahol:

5. ábra
Az átlagoló ablak súlyozó függvénye

6.2. A súlyossági mutatók kiszámítása
A súlyossági mutatókat külön-külön kell kiszámítani a városi, az országúti és az autópályán történő vezetési szakaszra:

és a teljes vizsgálati útra:

ahol, fu, fr fm értéke 0,34, 0,33, illetve 0,33.
6.3. A teljes vizsgálati útra vonatkozó kibocsátások kiszámítása
A 6.1. pont szerint kiszámított, súlyozott távolságspecifikus kibocsátások segítségével a következő módon kell kiszámítani minden gáz-halmazállapotú szennyező anyag tekintetében a teljes vizsgálati útra vonatkozó távolságspecifikus kibocsátást [mg/km]-ben:

és a részecskeszámokra vonatkozóan:

ahol, fu, fr fm értéke 0,34, 0,33, illetve 0,33.
7. SZÁMSZERŰ PÉLDÁK
7.1. Számítások az átlagoló ablakokkal
1. táblázat
A fő számítási adatok
[Kép #37] [g] | 610 |
A mozgóablakos átlagolás iránya | Előrefelé |
Adatrögzítés gyakorisága [Hz] | 1 |

Kép #37
A 6. ábra azt mutatja, hogy a PEMS-szel végzett közúti vizsgálat során rögzített adatok alapján hogyan kell meghatározni az átlagoló ablakokat. Az egyértelműség kedvéért a továbbiakban csak a vizsgálati út első 1 200 másodperce szerepel.
A 0-43. másodperc és a 81-86. másodperc közötti időszak kizárásra kerül, mert a jármű sebessége nulla.
Az első átlagoló ablak t 1,1 = 0 másodpercnél kezdődik és t 2,1 = 524 másodpercnél fejeződik be (3. táblázat). Az ablak átlagos járműsebességét, valamint a kibocsátott CO és NOx integrált és az első átlagoló ablak érvényes adatainak megfelelő tömegét [g] a 4. táblázat adja meg.



6. ábra
A PEMS-szel végzett közúti vizsgálat során mért pillanatnyi CO2-kibocsátások az idő függvényében. A téglalap alakú keretek a j sorszámú ablak időtartamát jelölik. Az "Érvényes=100 / Érvénytelen=0" elnevezésű adatkészlet másodperc alapon mutatja az elemzésből kizárandó adatokat.

7.2. Az ablakok értékelése
2. táblázat
A CO2-jelleggörbére vonatkozó számítási adatok
CO2 a WLTC ciklus alacsony sebességű szakasza alatt (P1) [g/km] | 154 |
CO2 a WLTC ciklus nagy sebességű szakasza alatt (P2) [g/km] | 96 |
CO2 a WLTC ciklus extranagy sebességű szakasza alatt (P3) [g/km] | 120 |
Referenciapont | ||
P 1 | [Kép #38] | [Kép #39] |
P 2 | [Kép #40] | [Kép #41] |
P 3 | [Kép #42] | [Kép #43] |

Kép #38

Kép #39

Kép #40

Kép #41

Kép #42

Kép #43
A CO2-jelleggörbe meghatározása a következőképpen történik:
A (P 1, P 2) szakaszra vonatkozóan:

ahol:

és b1 = 154 - (- 1,543) × 19,0 = 154 + 29,317 = 183,317
A (P 2, P 3) szakaszra vonatkozóan:

ahol

és b2 = 96 - 0,672 × 56,6 = 96 - 38,035 = 57,965
Számítási példák a súlyozási tényezőkre és az ablakoknak a városi, közúti vagy autópályán történő vezetési szakaszként való kategorizálására vonatkozóan:
A 45. számú ablakra:


A jelleggörbére:

Az ellenőrzésre:


124,498 × (1 - 25/100) ≤ 122,62 ≤ 124,498 × (1 + 25/100)
93,373 ≤ 122,62 ≤ 155,622
Ami a következőt adja eredményül: w 45= 1
A 556. számú ablakra:


A jelleggörbére:

Az ellenőrzésre:


105,982 × (1 - 50/100) ≤ 72,15 ≤ 105,982 × (1 + 25/100)
52,991 ≤ 72,15 ≤ 79,487
Ami a következőt adja eredményül:

w 556 = k 21 h 556 + k 22 = 0,04 · (- 31,922) + 2 = 0,723
ahol k 21 = 1/(tol 2 - tol 1) = 1/(50 - 25) = 0,04
és k 22 = k 21 = tol 2/(tol 2 - tol 1) = 50/(50 - 25) = 2
3. táblázat
A kibocsátások számadatai
[#]. ablak | t 1,j [s] | t 2,j – Δt [s] | t 2,j [s] | [Kép #44] [g] | [Kép #45] [g] |
1 | 0 | 523 | 524 | 609,06 | 610,22 |
2 | 1 | 523 | 524 | 609,06 | 610,22 |
… | … | … | … | … | |
43 | 42 | 523 | 524 | 609,06 | 610,22 |
44 | 43 | 523 | 524 | 609,06 | 610,22 |
45 | 44 | 523 | 524 | 609,06 | 610,22 |
46 | 45 | 524 | 525 | 609,68 | 610,86 |
47 | 46 | 524 | 525 | 609,17 | 610,34 |
… | … | … | … | … | |
100 | 99 | 563 | 564 | 609,69 | 612,74 |
… | … | … | … | … | |
200 | 199 | 686 | 687 | 608,44 | 610,01 |
… | … | … | … | … | |
474 | 473 | 1 024 | 1 025 | 609,84 | 610,60 |
475 | 474 | 1 029 | 1 030 | 609,80 | 610,49 |
… | … | … | … | ||
556 | 555 | 1 173 | 1 174 | 609,96 | 610,59 |
557 | 556 | 1 174 | 1 175 | 609,09 | 610,08 |
558 | 557 | 1 176 | 1 177 | 609,09 | 610,59 |
559 | 558 | 1 180 | 1 181 | 609,79 | 611,23 |

Kép #44

Kép #45
4. táblázat
Az ablakok számadatai
[#]. ablak | t1,j [s] | t2,j [s] | dj [km] | [Kép #46] [km/h] | MCO2,j [g] | MCO,j [g] | MNOx,j [g] | MCO2,d,j [g/km] | MCO,d,j [g/km] | MNOx,d,j [g/km] | MCO2,d,cc( [Kép #47] ) [g/km] | Ablak (városi/országúti/autópálya) | hj [%] | wj [%] |
1 | 0 | 524 | 4,98 | 38,12 | 610,22 | 2,25 | 3,51 | 122,61 | 0,45 | 0,71 | 124,51 | VÁROSI | – 1,53 | 1,00 |
2 | 1 | 524 | 4,98 | 38,12 | 610,22 | 2,25 | 3,51 | 122,61 | 0,45 | 0,71 | 124,51 | VÁROSI | – 1,53 | 1,00 |
… | … | … | … | … | … | … | … | … | … | … | … | … | … | … |
43 | 42 | 524 | 4,98 | 38,12 | 610,22 | 2,25 | 3,51 | 122,61 | 0,45 | 0,71 | 124,51 | VÁROSI | – 1,53 | 1,00 |
44 | 43 | 524 | 4,98 | 38,12 | 610,22 | 2,25 | 3,51 | 122,61 | 0,45 | 0,71 | 124,51 | VÁROSI | – 1,53 | 1,00 |
45 | 44 | 524 | 4,98 | 38,12 | 610,22 | 2,25 | 3,51 | 122,62 | 0,45 | 0,71 | 124,51 | VÁROSI | – 1,51 | 1,00 |
46 | 45 | 525 | 4,99 | 38,25 | 610,86 | 2,25 | 3,52 | 122,36 | 0,45 | 0,71 | 124,30 | VÁROSI | – 1,57 | 1,00 |
… | … | … | … | … | … | … | … | … | … | … | … | … | … | … |
100 | 99 | 564 | 5,25 | 41,23 | 612,74 | 2,00 | 3,68 | 116,77 | 0,38 | 0,70 | 119,70 | VÁROSI | – 2,45 | 1,00 |
… | … | … | … | … | … | … | … | … | … | … | … | … | … | … |
200 | 199 | 687 | 6,17 | 46,32 | 610,01 | 2,07 | 4,32 | 98,93 | 0,34 | 0,70 | 111,85 | ORSZÁGÚTI | – 11,55 | 1,00 |
… | … | … | … | … | … | … | … | … | … | … | … | … | … | … |
474 | 473 | 1 025 | 7,82 | 52,00 | 610,60 | 2,05 | 4,82 | 78,11 | 0,26 | 0,62 | 103,10 | ORSZÁGÚTI | – 24,24 | 1,00 |
475 | 474 | 1 030 | 7,87 | 51,98 | 610,49 | 2,06 | 4,82 | 77,57 | 0,26 | 0,61 | 103,13 | ORSZÁGÚTI | – 24,79 | 1,00 |
… | … | … | … | … | … | … | … | … | … | … | … | … | … | |
556 | 555 | 1 174 | 8,46 | 50,12 | 610,59 | 2,23 | 4,98 | 72,15 | 0,26 | 0,59 | 105,99 | ORSZÁGÚTI | – 31,93 | 0,72 |
557 | 556 | 1 175 | 8,46 | 50,12 | 610,08 | 2,23 | 4,98 | 72,10 | 0,26 | 0,59 | 106,00 | ORSZÁGÚTI | – 31,98 | 0,72 |
558 | 557 | 1 177 | 8,46 | 50,07 | 610,59 | 2,23 | 4,98 | 72,13 | 0,26 | 0,59 | 106,08 | ORSZÁGÚTI | – 32,00 | 0,72 |
559 | 558 | 1 181 | 8,48 | 49,93 | 611,23 | 2,23 | 5,00 | 72,06 | 0,26 | 0,59 | 106,28 | ORSZÁGÚTI | – 32,20 | 0,71 |

Kép #46

Kép #47
7.3. A városi, országúti és autópályán történő vezetés szakaszainak ablakai - A vizsgálati út teljessége
Ebben a számszerű példában a vizsgálati út 7 036 átlagoló ablakból áll. Az 5. táblázat az átlagos járműsebességük alapján városi, közúti vagy autópályán történő vezetési szakaszként kategorizált és a CO2-jelleggörbétől való távolságuk alapján területekre felosztott ablakok számát tartalmazza. A vizsgálati út teljes, mivel az ablakok teljes számának legalább 15 %-a a városi, országúti és autópályán történő vezetés ablakaiból áll. Emellett a vizsgálati út normálisnak tekinthető, mivel a városi, országúti és autópályán történő vezetés ablakainak legalább 50 %-a a jelleggörbére vonatkozóan meghatározott elsődleges tűréseken belül van.
5. táblázat
A vizsgálati út teljességének és normalitásának ellenőrzése
Vezetési feltételek | Számok | Az ablakok százalékos aránya |
Minden ablak | ||
Városi | 1 909 | 1 909 /7 036 × 100=27,1 >15 |
Országúti | 2 011 | 2 011 /7 036 × 100=28,6 >15 |
Autópálya | 3 116 | 3 116 /7 036 × 100=44,3 >15 |
Összesen | 1 909 +2 011 +3 116 =7 036 | |
Normális ablakok | ||
Városi | 1 514 | 1 514 /1 909 × 100=79,3 >50 |
Országúti | 1 395 | 1 395 /2 011 × 100=69,4 >50 |
Autópálya | 2 708 | 2 708 /3 116 × 100=86,9 >50 |
Összesen | 1 514 +1 395 +2 708 =5 617 |
6. függelék
A vizsgálati út dinamikus feltételeinek ellenőrzése a 2. módszerrel (a teljesítménykategorizálás módszerével)
1. BEVEZETÉS
Ez a függelék a teljesítménykategorizálás módszerével végzett adatértékelési eljárást ismerteti, melynek elnevezése ebben a függelékben "a standardizált teljesítményfrekvencia-eloszlásra történt normalizálás segítségével végzett értékelés".
2. SZIMBÓLUMOK, PARAMÉTEREK ÉS MÉRTÉKEGYSÉGEK
aref A Pdrive-ra vonatkozó referenciagyorsulás [0,45 m/s2]
DWLTC A WLTC ciklus (a könnyűgépjárművekre vonatkozó, világszinten harmonizált vizsgálati ciklus) szerinti Veline metszete
f0, f1, f2 Menet-ellenállási együtthatók
i A pillanatnyi mérések időköze, minimális felbontás: 1 Hz
j Kerékteljesítmény-osztály, j=1-9
kWLTC A WLTC ciklus szerinti Veline meredeksége
mgas, i A "gas" kipufogógáz-összetevő pillanatnyi tömege az i időközben, [g/s]
mgas, 3s, k A "gas" kipufogógáz-összetevő tömegáramának 3 másodperces mozgóátlaga a k időközben, 1 Hz-es felbontás mellett, [g/s]
[Kép #48] A kipufogógáz-összetevő átlagos kibocsátási értéke a j kerékteljesítmény-osztályban, g/s

Kép #48
Mgas,d A "gas" kipufogógáz-összetevő távolságspecifikus kibocsátása, [g/km]
[Kép #49] a "gas" kipufogógáz-összetevő súlyozott kibocsátási értéke az összes olyan i másodpercet tartalmazó részmintára, amelynél vi < 60 km/h, g/s

Kép #49
Mw,gas,d,U a "gas" kipufogógáz-összetevő súlyozott távolságspecifikus kibocsátása az összes olyan i másodpercet tartalmazó részmintára, amelynél vi < 60 km/h, g/km
[Kép #50] A jármű súlyozott sebessége a j kerékteljesítmény-osztályban, km/h

Kép #50
p A WLTC ciklus szakasza (alacsony, közepes, nagy és extranagy sebességű), p=1-4
Pdrag A motor ellenállási teljesítménye a Veline alapú megközelítésben, ha a tüzelőanyag-befecskendezés mennyisége nulla, [kW]
Prated A gyártó által megadott legnagyobb névleges motorteljesítmény, [kW]
Prequired,i A jármű közúti terhelésének és tehetetlenségének leküzdéséhez szükséges teljesítmény az i időközben, [kW]
Pr,i A fent meghatározott Prequired,i -vel azonos, hosszabb egyenletekben használt paraméter
Pwot(nnorm) A teljes terhelés melletti teljesítménygörbe, [kW]
Pc,j A j kerékteljesítmény-osztályra vonatkozó határértékek, [kW] (a Pc,j, lower bound jelöli az alsó, a Pc,j, upper bound pedig a felső határértéket)
Pc,norm, j A j kerékteljesítmény-osztályra vonatkozó határértékek normalizált teljesítményértékként kifejezve, [-]
Pr, i A menetellenállás leküzdéséhez szükséges, a jármű kerekénél fellépő teljesítményigény az i időközben, [kW]
Pw,3s,k A menetellenállás leküzdéséhez szükséges, a jármű kerekénél fellépő teljesítményigény 3 másodperces mozgóátlaga az i időközben, 1 Hz-es felbontás mellett [kW]
Pdrive A referenciasebesség és referenciagyorsulás melletti teljesítményigény a jármű kerékagyánál, [kW]
Pnorm A normalizált teljesítményigény a kerékagynál, [-]
ti Az i időköz teljes hossza, [s]
tc,j A j kerékteljesítmény-osztály időbeli aránya, [ %]
ts A WLTC ciklus p szakaszának kezdete, [s]
te A WLTC ciklus p szakaszának vége, [s]
TM A jármű vizsgálati tömege, [kg]; szakaszonként kell meghatározni: a tényleges vizsgálati tömeg a PEMS-vizsgálat során, az NEDC szerinti tehetetlenségi osztály tömege vagy a WLTP ciklus szerinti tömegek (TML, TMH vagy TMind)
SPF Standardizált teljesítményfrekvencia-eloszlás
vi A jármű tényleges sebessége az i időközben [km/h]
[Kép #51] A jármű átlagos sebessége a j kerékteljesítmény-osztályban, km/h

Kép #51
vref A Pdrive-ra vonatkozó referenciasebesség, [70 km/h]
v3s,k A jármű sebességének 3 másodperces mozgóátlaga a k időközben, [km/h]
3. A MÉRT KIBOCSÁTÁSOK ÉRTÉKELÉSE A STANDARDIZÁLT KERÉKTELJESÍTMÉNYFREKVENCIA-ELOSZLÁS HASZNÁLATÁVAL
A teljesítménykategorizálás módszere a szennyező anyagoknak a 4. függelék szerint kiszámított pillanatnyi mgas, i (g/s) kibocsátását használja.
A normális teljesítményeloszlású vizsgálat kibocsátási értékeinek megállapításához az mgas, i értékeket a kerekeknél fellépő megfelelő teljesítmény alapján kell osztályozni, és a teljesítményosztály szerint besorolt átlagos kibocsátásokat súlyozni kell a következő pontokban leírt eljárást követve.
3.1. A kerekeknél fellépő tényleges teljesítmény forrásai
A kerekeknél fellépő tényleges Pr,i teljesítmény az az összesített teljesítmény, amely a légellenállásnak, a gördülési ellenállásnak, az út meredekségének, a jármű hosszanti irányú tehetetlenségének és a kerekek gördülési tehetetlenségének leküzdéséhez szükséges.
A mérés és a rögzítés során a kerékteljesítmény jelének a 2. függelék 3.2. pontja szerinti linearitási követelményeknek megfelelő nyomatékjelet kell alkalmaznia.
Alternatív megoldásként a tényleges kerékteljesítményt a pillanatnyi CO2-kibocsátásokból is meg lehet határozni az e függelék 4. pontjában leírt eljárással.
3.2. A mozgóátlagok besorolása városi, országúti és autópályán történő vezetési szakaszokba
A standardizált teljesítményfrekvenciákat a városi szakaszra és a teljes vizsgálati útra vonatkozóan kell meghatározni (lásd a 3.4. bekezdést), és külön kibocsátásértékelést kell végezni a teljes vizsgálati útra és a városi szakaszra vonatkozóan. A 3.3. bekezdés szerint kiszámított három másodperces mozgóátlagokat ezért később a tényleges i másodpercre vonatkozó sebesség jele (vi) alapján hozzá kell rendelni az 1-1. táblázatban megadott városi és városon kívüli vezetési feltételekhez.
1-1. táblázat
Sebességtartományok a vizsgálati adatoknak a városi, országúti és autópályán történő feltételekhez való hozzárendeléséhez a teljesítménykategorizálás módszere keretében
Városi | Országúti | Autópálya | |
vi [km/h] | 0-tól ≤ 60 | > 60-tól ≤ 90 | > 90 |
3.3. A pillanatnyi vizsgálati adatok mozgóátlagainak kiszámítása
A kibocsátások tömegárama és a kerékteljesítmény közötti esetlegesen helytelen szinkronizálás hatásainak csökkentése érdekében a három másodperces mozgóátlagokat a vizsgálat összes releváns pillanatnyi adatából kell kiszámítani. A mozgóátlagértékeket 1 Hz-es gyakoriság mellett kell kiszámítani:



ahol:
k a mozgóátlagértékekre vonatkozó időköz
i a pillanatnyi vizsgálati adatok időköze
3.4. A kerékteljesítmény-osztályok meghatározása a kibocsátások osztályozásához
3.4.1. A teljesítményosztályok és a teljesítményosztályoknak a szokásos vezetés melletti megfelelő időarányai úgy vannak meghatározva a normalizált teljesítményértékekre, hogy bármely könnyűgépjárműre nézve reprezentatívak legyenek (1-2. táblázat).
1-2. táblázat
Normalizált és standardizált teljesítményfrekvenciák a városi vezetésre és az 1/3 városi, 1/3 országúti és 1/3 autópályán történő vezetésből álló teljes vizsgálati út súlyozott átlagára vonatkozóan
A teljesítményosztály száma | Pc,norm,j [-] | Városi | Teljes vizsgálati út | |
Kezdeti érték > | Záró érték ≤ | Időarány, tC,j | ||
1 | – 0,1 | 21,9700 % | 18,5611 % | |
2 | – 0,1 | 0,1 | 28,7900 % | 21,8580 % |
3 | 0,1 | 1 | 44,0000 % | 43,45 % |
4 | 1 | 1,9 | 4,7400 % | 13,2690 % |
5 | 1,9 | 2,8 | 0,4500 % | 2,3767 % |
6 | 2,8 | 3,7 | 0,0450 % | 0,4232 % |
7 | 3,7 | 4,6 | 0,0040 % | 0,0511 % |
8 | 4,6 | 5,5 | 0,0004 % | 0,0024 % |
9 | 5,5 | 0,0003 % | 0,0003 % |
Az 1-2. táblázat Pc,norm oszlopait denormalizálni kell a Pdrive-val való megszorzás révén, ahol a Pdrive a vizsgált jármű tényleges kerékteljesítménye a típus-jóváhagyási beállítások mellett a görgős fékpadon, vref és aref mellett.
Pc,j [kW] = Pc,norm, j × Pdrive

ahol:
- j az 1-2. táblázat szerinti teljesítményosztály száma
- Az f0, f1, f2 menet-ellenállási együtthatókat a következő képletből kell kiszámítani a legkisebb négyzetek módszerén alapuló regresszióanalízissel:
- PCorrected/v = f0 + f1 × v + f2 × v2
- ahol a (PCorrected/v) a 07. módosítássorozattal módosított 83. sz. ENSZ-EGB-előírás 4a. melléklete 7. függelékének 5.1.1.2.8. szakaszában meghatározott NEDC vizsgálati ciklusra vonatkozó v járműsebesség melletti menetellenállás
- TMNEDC a jármű tehetetlenségi osztálya a típus-jóváhagyási vizsgálat során, [kg]
3.4.2. A kerékteljesítmény-osztályok korrigálása
A legnagyobb kerékteljesítmény-osztály, amelyet figyelembe kell venni, az 1-2. táblázatban szereplő legnagyobb osztály, amely magában foglalja a (Prated × 0,9) értéket. Az összes kizárt osztály időarányát hozzá kell adni a legnagyobb fennmaradó osztályhoz.
A vizsgált jármű egyes kerékteljesítmény-osztályainak felső és alsó határértékét úgy kell meghatározni, hogy valamennyi Pc,norm,j értékből ki kell számítani a megfelelő Pc,j értékét az 1. ábrának megfelelően.
1. ábra
A normalizált és standardizált teljesítményfrekvencia átalakítása járműspecifikus teljesítményfrekvenciává (vázlatos ábra)

A denormalizálásra az alábbiakban látható példa.
Példa a bemeneti adatokra:
Paraméter | Érték |
f0 [N] | 79,19 |
f1 [N/(km/h)] | 0,73 |
f2 [N/(km/h)2] | 0,03 |
TM [kg] | 1 470 |
Prated [kW] | 120 (1. példa) |
Prated [kW] | 75 (2. példa) |
A kapcsolódó eredmények:
Pdrive = 70 [km/h] / 3,6 × (79,19 + 0,73 [N/(km/h)] × 70 [km/h] + 0,03 [N/(km/h)2] × (70 [km/h])2 + 1 470 [kg] × 0,45 [m/s2]) × 0,001
Pdrive = 18,25 kW
2. táblázat
Denormalizált és standardizált teljesítményfrekvencia-értékek az 1-2. táblázatból (az 1. példára vonatkozóan)
A teljesítményosztály száma | Pc,j [kW] | Városi | Teljes vizsgálati út | |
Kezdeti érték > | Záró érték ≤ | Időarány, tC,j [%] | ||
1 | Összes < – 1,825 | – 1,825 | 21,97 % | 18,5611 % |
2 | – 1,825 | 1,825 | 28,79 % | 21,8580 % |
3 | 1,825 | 18,25 | 44,00 % | 43,4583 % |
4 | 18,25 | 34,675 | 4,74 % | 13,2690 % |
5 | 34,675 | 51,1 | 0,45 % | 2,3767 % |
6 | 51,1 | 67,525 | 0,045 % | 0,4232 % |
7 | 67,525 | 83,95 | 0,004 % | 0,0511 % |
8 | 83,95 | 100,375 | 0,0004 % | 0,0024 % |
9 (1) | 100,375 | Összes > 100,375 | 0,00025 % | 0,0003 % |
(1) A legnagyobb kerékteljesítmény-osztály, amelyet figyelembe kell venni, az 0,9 × Prated értéket tartalmazó osztály. Itt 0,9 × 120 = 108. |
3. táblázat
Denormalizált és standardizált teljesítményfrekvencia-értékek az 1-2. táblázatból (a 2. példára vonatkozóan)
A teljesítményosztály száma | Pc,j [kW] | Városi | Teljes vizsgálati út | |
Kezdeti érték > | Záró érték ≤ | Időarány, tC,j [%] | ||
1 | Összes < – 1,825 | – 1,825 | 21,97 % | 18,5611 % |
2 | – 1,825 | 1,825 | 28,79 % | 21,8580 % |
3 | 1,825 | 18,25 | 44,00 % | 43,4583 % |
4 | 18,25 | 34,675 | 4,74 % | 13,2690 % |
5 | 34,675 | 51,1 | 0,45 % | 2,3767 % |
6 (1) | 51,1 | Összes >51,1 | 0,04965 % | 0,4770 % |
7 | 67,525 | 83,95 | — | — |
8 | 83,95 | 100,375 | — | — |
9 | 100,375 | Összes >100,375 | — | — |
(1) A legnagyobb kerékteljesítmény-osztály, amelyet figyelembe kell venni, az 0,9 × Prated értéket tartalmazó osztály. Itt 0,9 × 75 = 67,5. |
3.5. A mozgóátlagértékek osztályozása
A 3.2. pont szerint kiszámított valamennyi mozgóátlagértéket be kell sorolni abba a denormalizált kerékteljesítmény-osztályba, amelybe a Pw,3s,k kerékteljesítmény tényleges 3 másodperces mozgóátlaga tartozik. A denormalizált kerékteljesítmény-osztályok határértékeit a 3.3. pont alapján kell kiszámítani.
A besorolást a teljes érvényes vizsgálati út és az összes városi szakasz adataiból számított valamennyi három másodperces mozgóátlag esetében el kell végezni. Emellett az 1-1. táblázatban meghatározott sebességi határértékek alapján városiként osztályozott összes mozgóátlagot be kell sorolni egy városi teljesítményosztályba, függetlenül attól, hogy a mozgóátlag milyen időpontban jelentkezett a vizsgálati út során.
Ezután az egy kerékteljesítmény-osztályba tartozó valamennyi három másodperces mozgóátlagérték átlagát ki kell számítani a paraméter szerinti valamennyi kerékteljesítmény-osztályra vonatkozóan. Az alábbi egyenleteket, egyszer kell alkalmazni a városi adatkészletre és egyszer a teljes adatkészletre vonatkozóan.
A 3 másodperces mozgóátlagértékek j teljesítményosztályba való besorolása (j = 1-9):
if [Kép #52]

Kép #52
akkor: a kibocsátásokra és sebességre vonatkozó osztály száma = j
Meg kell számlálni a 3 másodperces mozgóátlagértékek számát minden teljesítményosztály esetében:
if [Kép #53]

Kép #53
akkor: darabszámj = n + 1 (a darabszámj a kibocsátások 3 másodperces mozgóátlagértékeinek száma egy teljesítményosztályban a minimális lefedettségi követelmények későbbi ellenőrzéséhez)
3.6. A teljesítményosztályok lefedettségének és a teljesítményeloszlás normalitásának ellenőrzése
Érvényes vizsgálat esetében az egyes kerékteljesítmény-osztályok időarányának a 4. táblázatban megadott tartományokon belül kell lennie.
4. táblázat
A teljesítményosztályok legkisebb és legnagyobb aránya érvényes vizsgálat esetében
Pc,norm,j [-] | Teljes vizsgálati út | Városi szakaszok | ||||
A teljesít-mény-osztály száma | Kezdeti érték > | Záró érték ≤ | Alsó határ | Felső határ | Alsó határ | Felső határ |
1+2 összesen (1) | 0,1 | 15 % | 60 % | 5 % (1) | 60 % | |
3 | 0,1 | 1 | 35 % | 50 % | 28 % | 50 % |
4 | 1 | 1,9 | 7 % | 25 % | 0,7 % | 25 % |
5 | 1,9 | 2,8 | 1,0 % | 10 % | > 5 darab | 5 % |
6 | 2,8 | 3,7 | > 5 darab | 2,5 % | 0 % | 2 % |
7 | 3,7 | 4,6 | 0 % | 1,0 % | 0 % | 1 % |
8 | 4,6 | 5,5 | 0 % | 0,5 % | 0 % | 0,5 % |
9 | 5,5 | 0 % | 0,25 % | 0 % | 0,25 % | |
(1) Az összes hajtási és alacsony teljesítmény melletti feltételt reprezentálja. |
A 4. táblázatban foglalt követelmények mellett a kellő lefedettséghez a teljes vizsgálati út során minden kerékteljesítmény-osztályból öt példa szükséges a névleges teljesítmény 90 %-át lefedő osztályig bezárólag, annak érdekében, hogy a mintaméret megfelelő legyen.
Az 5 darabnyi minimális lefedettség követelménye a vizsgálati út városi szakaszára, az 5. kerékteljesítmény-osztályig valamennyi osztályra vonatkozik. Ha az 5. kerékteljesítmény-osztály feletti osztályban a vizsgálati út városi szakaszán a darabszám kevesebb, mint 5, akkor az osztály átlagos kibocsátási értékét le kell nullázni.
3.7. A mért értékek átlagolása kerékteljesítmény-osztályonként
Az egyes kerékteljesítmény-osztályokba sorolt mozgóátlagokat a következőképpen kell átlagolni:


ahol:
j az 1. táblázat szerinti kerékteljesítmény-osztály száma (1-9)
[Kép #54] a kipufogógáz-összetevő átlagos kibocsátási értéke egy kerékteljesítmény-osztályban (külön érték a teljes vizsgálati útra és a városi szakaszokra vonatkozóan), [g/s]

Kép #54
[Kép #55] átlagos sebesség egy kerékteljesítmény-osztályban (külön érték a teljes vizsgálati útra és a városi szakaszokra vonatkozóan), [km/h]

Kép #55
k a mozgóátlagértékekre vonatkozó időköz
3.8. Az átlagos értékek súlyozása kerékteljesítmény-osztályonként
Minden kerékteljesítmény-osztály átlagos értékét meg kell szorozni az osztályonkénti tC,j időaránnyal az 1-2. táblázatnak megfelelően, és össze kell adni őket az egyes paraméterek súlyozott átlagának meghatározása céljából. Ez az érték mutatja a vizsgálati út súlyozott eredményét a standardizált teljesítményfrekvenciák mellett. A súlyozott átlagokat ki kell számítani a vizsgálati adatok városi szakaszára a városi teljesítményeloszlás időarányainak segítségével, valamint a teljes vizsgálati útra a teljes időarány segítségével.
Az alábbi egyenleteket, egyszer kell alkalmazni a városi adatkészletre és egyszer a teljes adatkészletre vonatkozóan.


3.9. A súlyozott távolságspecifikus kibocsátásérték kiszámítása
A vizsgálat kibocsátásainak időalapú súlyozott átlagát át kell alakítani távolságspecifikus kibocsátássá külön a városi adatkészletre és a teljes adatkészletre vonatkozóan, a következőképpen:
A teljes vizsgálati útra:

A vizsgálati út városi részére:

E képletek segítségével ki kell számítani a következő szennyező anyagokra vonatkozó súlyozott átlagot a teljes vizsgálati útra és a vizsgálati út városi részére:
Mw,NOx,d a NOx-ra vonatkozó súlyozott vizsgálati eredmény [mg/km]
Mw,NOx,d,U a NOx-ra vonatkozó súlyozott vizsgálati eredmény [mg/km]
Mw,CO,d a CO-ra vonatkozó súlyozott vizsgálati eredmény [mg/km]
Mw,CO,d,U a CO-ra vonatkozó súlyozott vizsgálati eredmény [mg/km]
4. A KERÉKTELJESÍTMÉNY ÉRTÉKELÉSE A PILLANATNYI CO2-TÖMEGÁRAM ALAPJÁN
A Pw,i kerékteljesítményt az 1 Hz-es alapon mért CO2-tömegáramból lehet kiszámítani. Ehhez a számításhoz a járműspecifikus CO2-egyeneseket ("Veline") kell használni.
A Veline-t az ENSZ EGB 15. sz. globális műszaki előírásában (ECE/TRANS/180/Add.15) meghatározott, a könnyűgépjárművekre vonatkozó világszinten harmonizált vizsgálati eljárás szerinti jármű-típusjóváhagyási vizsgálat eljárásából kell kiszámítani.
A WLTC ciklus egyes szakaszaira vonatkozó átlagos kerékteljesítményt 1 Hz-es alapon a vezetési sebességből és a görgős fékpad beállításaiból kell kiszámítani. Az ellenállási teljesítmény értéke alatti összes kerékteljesítmény-értéket az ellenállási teljesítmény értékre kell kiigazítani.

ahol:
f0, f1, f2 a járművel elvégzett WLTP vizsgálat során használt közúti terhelési együtthatók
TM a járművel elvégzett WLTP vizsgálat során használt jármű vizsgálati tömege [kg]
P drag = - 0,04 × P rated
if Pw,i < Pdrag then Pw,i = Pdrag
A WLTC ciklus egyes szakaszaira vonatkozó átlagos teljesítményt az 1 Hz-es alapú kerékteljesítményből kell kiszámítani a következő módon:

ahol:
p A WLTC ciklus szakasza (alacsony, közepes, nagy és extranagy sebességű)
ts A WLTC ciklus p szakaszának kezdete, [s]
te A WLTC ciklus p szakaszának vége, [s]
Ezután lineáris regressziót kell végezni a WLTC ciklus zsákos értékei szerinti CO2-tömegárammal az y-tengelyen és a szakaszonkénti Pw,p átlagos kerékteljesítménnyel az x-tengelyen a 2. ábrának megfelelően.
Az eredményül kapott Veline-egyenlet a kerékteljesítmény függvényében határozza meg a CO2-tömegáramot:
[Kép #56] | CO2, [g/h] |

Kép #56
ahol:
kWLTC a Veline meredeksége a WLTC ciklusból, [g/kWh]
DWLTC a Veline metszete a WLTC ciklusból, [g/h]
2. ábra
Vázlatos ábra a járműspecifikus Veline meghatározása a WLTC ciklus 4 szakaszából származó, CO2-re vonatkozó vizsgálati eredmények alapján

A tényleges kerékteljesítményt a mért CO2-tömegáramból kell kiszámítani a következőképpen:

ahol:
CO2, [g/h]
PW,j, [kW]
A fenti egyenlet alapján meghatározható a PWi a mért kibocsátásoknak a 3. pont szerinti osztályba sorolásához, a következő kiegészítő feltételekkel:
ha vi < 0,5 és ha ai < 0, akkor P w,i = 0 | a v [m/s]-ban van megadva |
ha CO2i < 0,5 X DWLTC, akkor P w,i = Pdrag | a v [m/s]-ban van megadva |
7. függelék
A járművek kiválasztása a kezdeti típusjóváhagyáskor lefolytatott PEMS-vizsgálathoz
1. BEVEZETÉS
A PEMS-vizsgálatokat a vizsgálatok egyedi jellemzői miatt nem kell az e rendelet 2. cikkének 1. pontja szerinti, a "kibocsátások és a járműjavítási és -karbantartási információk tekintetében" meghatározott valamennyi járműtípus (a továbbiakban: "kibocsátás szerinti járműtípus") esetében elvégezni. Bizonyos kibocsátás szerinti járműtípusokat a jármű gyártója a 3. pont követelményeinek megfelelően "PEMS-vizsgálati családokba" rendezhet, melyeket a 4. pont követelményei alapján kell hitelesíteni.
2. SZIMBÓLUMOK, PARAMÉTEREK ÉS MÉRTÉKEGYSÉGEK
N - A kibocsátás szerinti járműtípusok száma
NT - A kibocsátás szerinti járműtípusok minimális száma
PMRH - A PEMS-vizsgálati család összes járművének legnagyobb fajlagos teljesítménymutatója
PMRL - A PEMS-vizsgálati család összes járművének legkisebb fajlagos teljesítménymutatója
V_eng_max - A PEMS-vizsgálati család összes járművének legnagyobb motortérfogata
3. A PEMS-VIZSGÁLATI CSALÁD LÉTREHOZÁSA
A PEMS-vizsgálati családnak hasonló kibocsátási jellemzőkkel rendelkező járművekből kell állnia. A kibocsátás szerinti járműtípusokat a gyártó döntése alapján csak akkor lehet besorolni egy PEMS-vizsgálati családba, ha a 3.1. és a 3.2. pont szerinti jellemzőik megegyeznek.
3.1. Adminisztratív feltételek
3.1.1. A 715/2007/EK rendelet szerinti típusjóváhagyást megadó jóváhagyó hatóság
3.1.2. Azonos járműgyártó
3.2. Műszaki feltételek
3.2.1. Meghajtás típusa (pl. belső égésű motor, HEV, PHEV)
3.2.2. Tüzelőanyag(ok) típusa(i) (pl. benzin, dízel, LPG, földgáz, ...). A kétfajta tüzelőanyaggal működő vagy rugalmas tüzelőanyag-felhasználású járművek egy csoportba sorolhatók olyan járművekkel, amelyekkel egy vagy több azonos tüzelőanyagot használnak.
3.2.3. Égési folyamat (pl. kétütemű, négyütemű)
3.2.4. A hengerek száma
3.2.5. A hengerek elrendezése (pl. soros, V elrendezésű, csillag elrendezésű, vízszintesen egymással szemben levő)
3.2.6. Motortérfogat A jármű gyártójának meg kell határoznia a V_eng_max értékét (a PEMS-vizsgálati családba tartozó összes jármű legnagyobb motortérfogata). A PEMS-vizsgálati családba tartozó járművek motortérfogata nem térhet el - 22 %-nál nagyobb mértékben a V_eng_max-tól, ha V_eng_max ≥ 1 500 cm3, és nem térhet el - 32 %-nál nagyobb mértékben a V_eng_max-tól, ha V_eng_max < 1 500 cm3.
3.2.7. A tüzelőanyag-adagolás módja (pl. közvetett vagy közvetlen, vagy kombinált befecskendezés)
3.2.8. A hűtőrendszer típusa (pl. levegő, víz, olaj)
3.2.9. A levegőbeszívás módja, pl. természetes beszívás, feltöltés, a feltöltő típusa (pl. kívülről meghajtott, egyszeres vagy többszörös turbó, változó geometriájú...)
3.2.10. A kipufogógáz-utókezelő rendszer komponenseinek típusa és sorrendje (pl. hármas hatású katalizátor, oxidációs katalizátor, soványkeverékes NOx-csapda, szelektív redukciós katalizátor, soványkeverékes NOx-katalizátor, részecskeszűrő).
3.2.11. Kipufogógáz-visszavezetés (van vagy nincs, belső/külső, hűtött/nem hűtött, alacsony/magas nyomáson)
3.3. A PEMS-vizsgálati család kiterjesztése
A meglévő PEMS-vizsgálati családok kiterjeszthetők új kibocsátás szerinti járműtípus hozzáadása révén. A kiterjesztett PEMS-vizsgálati családnak és hitelesítésének szintén teljesítenie kell a 3. és a 4. pont szerinti követelményeket. A kiterjesztett PEMS-vizsgálati család 4. pont szerinti hitelesítése különösen a kiegészítő járművek PEMS-vizsgálatát teheti szükségessé.
3.4. Alternatív PEMS-vizsgálati család
A 3.1. és 3.2. pontok rendelkezéseinek alkalmazása helyett a jármű gyártója olyan PEMS-vizsgálati családot is meghatározhat, amely egyetlen kibocsátás szerinti járműtípusnak felel meg. Ez esetben a 4.1.2. pontban szereplő, a PEMS-vizsgálati család hitelesítésére vonatkozó követelményt nem kell alkalmazni.
4. A PEMS-VIZSGÁLATI CSALÁD HITELESÍTÉSE
4.1. A PEMS-vizsgálati családok hitelesítésére vonatkozó általános követelmények
4.1.1. A jármű gyártójának be kell mutatnia a PEMS-vizsgálati családot képviselő reprezentatív járművet a típusjóváhagyó hatóságnak. A járművön a műszaki szolgálatnak PEMS-vizsgálatot kell végrehajtania annak igazolása érdekében, hogy a reprezentatív jármű megfelel az e melléklet szerinti követelményeknek.
4.1.2. A 715/2007/EK rendelet szerint a kibocsátásra vonatkozó típusjóváhagyás megadásáért felelős hatóságnak az e függelék 4.2. pontjában meghatározott követelmények alapján további járműveket kell kiválasztania a műszaki szolgálat által elvégzendő PEMS-vizsgálathoz annak igazolása érdekében, hogy a kiválasztott járművek megfelelnek az e melléklet szerinti követelményeknek. A kiegészítő járművek kiválasztása során alkalmazott, e függelék 4.2. pontjának megfelelő műszaki feltételeket a vizsgálati eredményekkel együtt rögzíteni kell.
4.1.3. A típusjóváhagyó hatóság engedélyével a PEMS-vizsgálatot más szolgáltató is elvégezheti a műszaki szolgálat jelenlétében, ha legalább az e függelék 4.2.2. és 4.2.6. pontjában előírt járművizsgálatokat és az e függelék alapján a PEMS-vizsgálati család hitelesítéséhez előírt összes PEMS-vizsgálat legalább 50 %-át a műszaki szolgálat végzi el. Ilyen esetben is a műszaki szolgálat felel valamennyi PEMS-vizsgálatnak az e melléklet követelményei szerinti, megfelelő végrehajtásáért.
4.1.4. Egy adott jármű PEMS-vizsgálatának eredményei felhasználhatók más PEMS-vizsgálati családoknak az e függelék követelményei tekintetében való hitelesítéséhez is a következő feltételek mellett:
- a PEMS-vizsgálat szerinti összes hitelesítendő családba tartozó járművet ugyanaz a hatóság hagyta jóvá a 715/2007/EK rendelet követelményei alapján, és ez a hatóság hozzájárult ahhoz, hogy a szóban forgó jármű PEMS-vizsgálatának eredményeit felhasználják más PEMS-vizsgálati családok hitelesítéséhez,
- minden hitelesítendő PEMS-vizsgálati család magában foglal egy olyan kibocsátás szerinti járműtípust, amelybe a jármű tartozik.
Minden egyes hitelesítés esetében a vonatkozó felelősséget az adott családba tartozó járművek gyártója viseli, függetlenül attól, hogy ez a gyártó részt vett-e az adott kibocsátás szerinti járműtípus PEMS-vizsgálatában.
4.2. A járművek kiválasztása a PEMS-vizsgálatra a PEMS-vizsgálati család hitelesítése során
A PEMS-vizsgálati családból való járműválasztásnál gondoskodni kell arról, hogy a következő, a szennyező anyagok kibocsátása szempontjából releváns műszaki jellemzők le legyenek fedve egy PEMS-vizsgálattal. Egy vizsgálatra kiválasztott jármű több műszaki jellemzőt is képviselhet. A PEMS-vizsgálati család hitelesítéséhez a járműveket a következő módon kell kiválasztani a vizsgálathoz:
4.2.1. Minden olyan tüzelőanyag-kombinációra vonatkozóan (pl. benzin-LPG, benzin-földgáz, csak benzin), amellyel a PEMS-vizsgálati család egyes járművei üzemelni tudnak, legalább egy olyan járművet kell kiválasztani a PEMS-vizsgálathoz, amely az adott tüzelőanyag-kombinációval üzemel.
4.2.2. A gyártónak meg kell határoznia a PMRH (a PEMS-vizsgálati család összes járművének legnagyobb fajlagos teljesítménymutatója) és a PMRL (a PEMS-vizsgálati család összes járművének legkisebb fajlagos teljesítménymutatója) értékét. A fajlagos teljesítménymutató ebben az esetben az e rendelet I. melléklete 3. függelékének 3.2.1.8. pontjában meghatározott legnagyobb hasznos teljesítmény és a 715/2007/EK rendelet 3. cikkének 3. pontjában meghatározott referenciatömeg arányát jelenti. A PEMS-vizsgálati családból legalább egy-egy olyan járműkonfigurációt ki kell választani a vizsgálatra, amely a PMRH, illetve a PMRL meghatározott értékét képviseli. Ha a jármű fajlagos teljesítménymutatója legfeljebb 5 %-kal tér el a PMRH vagy a PMRL meghatározott értékétől, akkor a járművet az adott értéket képviselő járműnek kell tekinteni.
4.2.3. A PEMS-vizsgálati családból az erőátvitel egyes típusai szerint (pl. manuális, automatikus, duplakuplungos sebességváltó) legalább egy-egy járművet ki kell választani a vizsgálatra.
4.2.4. Ha a PEMS-vizsgálati családban négykerék-meghajtású jármű is van, akkor legalább egy ilyen (4 × 4) járművet ki kell választani a vizsgálatra.
4.2.5. A PEMS-vizsgálati család járműveiben előforduló valamennyi motortérfogatra vonatkozóan legalább egy reprezentatív járművet meg kell vizsgálni.
4.2.6. A kipufogógáz-utókezelő rendszer beépített komponenseinek száma szerint legalább egy-egy járművet ki kell választani a vizsgálatra.
4.2.7. A 4.2.1-4.2.6. pontokban foglalt rendelkezésektől függetlenül egy adott PEMS-vizsgálati családból legalább a következő számú kibocsátás szerinti járműtípust ki kell választani a vizsgálatra:
N: a PEMS-vizsgálati családba tartozó kibocsátás szerinti járműtípusok száma | NT: a PEMS-vizsgálatra kiválasztott kibocsátás szerinti járműtípusok minimális száma |
1 | 1 |
2-től 4-ig | 2 |
5-től 7-ig | 3 |
8-tól 10-ig | 4 |
11-től 49-ig | NT = 3 + 0,1 × N (1) |
49-nél nagyobb | NT = 0,15 × N (1) |
(*1) Az NT-t a legközelebbi egész számra kell felfelé kerekíteni. |
5. JELENTÉSTÉTEL
5.1. A gyártónak teljes körű leírást kell adnia a PEMS-vizsgálati családról, amelyben ismertetnie kell különösen a 3.2. pont szerinti műszaki feltételeket, és a leírást be kell nyújtania az illetékes típusjóváhagyó hatóságnak.
5.2. A gyártónak MS-OEM-X-Y formátumú, egyedi azonosító számot kell rendelnie a PEMS-vizsgálati családhoz, és közölnie kell azt a típusjóváhagyó hatósággal. Ebben az esetben az MS a típusjóváhagyást megadó tagállam megkülönböztető száma ( 54 ), az OEM a gyártó 3 karakterből álló azonosítója, az X az eredeti PEMS-vizsgálati családot azonosító sorszám, az Y pedig a kiterjesztéseket jelölő szám (ez 0 az olyan PEMS-vizsgálati család esetében, amelyet még nem terjesztettek ki).
5.3. A típusjóváhagyó hatóságnak és a jármű gyártójának listát kell vezetnie az egy adott PEMS-vizsgálati családba tartozó kibocsátás szerinti járműtípusokról a kibocsátási típus-jóváhagyási szám alapján. Minden kibocsátástípusra vonatkozóan meg kell adni a jármű típus-jóváhagyási számából, típusából, változatából és kiviteléből álló valamennyi kombinációt is a jármű EK-megfelelőségi nyilatkozatának 0.10. és 0.2. szakaszában meghatározottak szerint.
5.4. A típusjóváhagyó hatóságnak és a jármű gyártójának listát kell vezetnie a PEMS-vizsgálati család hitelesítése céljából a PEMS-vizsgálatra a 4. pont szerint kiválasztott kibocsátás szerinti járműtípusokról, melyben a 4.2. pont szerinti kiválasztási kritériumok teljesülésével kapcsolatban szükséges információkat is fel kell tüntetni. A listában szerepeltetni kell azt is, hogy alkalmazták-e a 4.1.3. pont rendelkezéseit az adott PEMS-vizsgálat esetében.
7a. függelék
A vizsgálati út általános dinamikájának ellenőrzése
1. BEVEZETÉS
Ez a függelék a vizsgálati út általános dinamikájának ellenőrzésére szolgáló számítási eljárásokat mutatja be, melyek segítségével meghatározható, hogy a városi, országúti és autópályán való vezetés során a dinamika általában túl nagy vagy hiányos-e.
2. SZIMBÓLUMOK
RPA Relatív pozitív gyorsulás
"gyorsulási felbontás ares ": a 0-nál nagyobb minimális gyorsulás m/s2-ben mérve
T4253H összetettadat-simító
"pozitív gyorsulás apos ": a 0,1 m/s2-nél nagyobb gyorsulás [m/s2]
Az (i) index az időközre utal
A (j) index a pozitív gyorsulást tartalmazó adatkészletek időközére utal
A (k) index a kategóriára utal (t = teljes, u = város, r = országút, m = autópálya)
Δ - különbség
> - nagyobb
≥ - nagyobb vagy egyenlő
% - százalék
< - kisebb
≤ - kisebb vagy egyenlő
a - gyorsulás [m/s2]
ai - gyorsulás az i időközben [m/s2]
apos - a 0,1 m/s2-nél nagyobb pozitív gyorsulás [m/s2]
apos,i,k - a 0,1 m/s2-nél nagyobb pozitív gyorsulás az i időközben a városi, országúti és autópályán történő vezetés szakaszait figyelembe véve [m/s2]
ares - gyorsulási felbontás [m/s2]
di - az i időközben megtett távolság [m]
di,k - az i időközben megtett távolság a városi, országúti és autópályán történő vezetés szakaszait figyelembe véve [m]
Mk - a 0,1 m/s2-nél nagyobb pozitív gyorsulást tartalmazó városi, országúti és autópályán történő vezetési szakaszok mintáinak száma
Nk - a városi, országúti és autópályán történő vezetési szakaszok és a teljes vizsgálati út mintáinak teljes száma
RPAk - a városi, országúti és autópályán történő vezetési szakaszokra vonatkozó relatív pozitív gyorsulás [m/s2 vagy kWs/(kg × km)]
tk - a városi, országúti és autópályán történő vezetési szakaszok és a teljes vizsgálati út időtartama [s]
v - a jármű sebessége [km/h]
vi - a jármű tényleges sebessége az i időközben [km/h]
vi,k - a jármű tényleges sebessége az i időközben a városi, országúti és autópályán történő vezetés szakaszait figyelembe véve [km/h]
(v · a)i - a gyorsulásra jutó tényleges járműsebesség az i időközben [m2/s3 vagy W/kg]
(v · apos)j,k - a 0,1 m/s2-nél nagyobb pozitív gyorsulásra jutó tényleges járműsebesség a j időközben a városi, országúti és autópályán történő vezetés szakaszait figyelembe véve [m2/s3 vagy W/kg]
(v · apos)k_[95] - a 0,1 m/s2-nél nagyobb pozitív gyorsulásra jutó járműsebesség szorzatának 95 %-os percentilise a városi, országúti és autópályán történő vezetés szakaszaira vonatkozóan [m2/s3 vagy W/kg]
[Kép #57] - a városi, országúti és autópályán történő vezetés szakaszaira vonatkozó átlagos járműsebesség [km/h]

Kép #57
3. A VIZSGÁLATI ÚT MUTATÓI
3.1. Számítások
3.1.1. Az adatok előfeldolgozása
A dinamikus paraméterek, például a gyorsulás, a v · apos és az RPA meghatározásához a járműsebességre vonatkozó jelnek 3 km/óra felett 0,1 %-os pontosságúnak és 1 Hz-es mintavételi gyakoriságúnak kell lennie. Ez a pontossági követelményt a kerékfordulatszámon alapuló jelek általában teljesítik.
Ellenőrizni kell, hogy a sebességgörbe nem tartalmaz-e hibás vagy valószínűtlen szakaszokat. Az ilyen szakaszok járműsebesség-görbéjét ugrások, lépcsőzetes szakaszok vagy hiányzó értékek jellemzik. A rövid hibás szakaszokat korrigálni kell, például az adatok interpolációjával vagy egy másodlagos sebességjellel való összehasonlítással. Alternatív megoldásként a hibás szakaszokat tartalmazó rövid vizsgálati utak kizárhatók a következő adatelemzésből. Második lépésként a gyorsulási értékeket emelkedő sorrendbe kell állítani az ares gyorsulási felbontás meghatározása érdekében (minimális gyorsulási érték > 0).
Ha ares ≤ 0,01 m/s 2, akkor a járműsebesség mérésének pontossága megfelelő.
Ha 0,01 < ares ≤ rmax m/s2, akkor T4253 Hanning-ablakkal való simítást kell alkalmazni.
Ha ares > rmax m/s2, akkor a vizsgálati út érvénytelen.
A T4253 Hanning-ablak a következő számításokat végzi el: a simítás egy 2-es mozgó medián centrummal rendelkező 4-es mozgó mediánnal kezdődik. Ezután ezen értékek újból simításra kerülnek 5-ös és 3-as mozgó medián, valamint Hanning-ablak (mozgó súlyozott átlagok) alkalmazásával. A különbözetek kiszámítása a simított sorozatnak az eredeti sorozatból való kivonásával történik. Ezután az egész folyamat megismétlődik a kiszámított különbözeteken. Végezetül a folyamat során először kapott simított értékek kivonása révén sor kerül a simított különbözetek kiszámítására.
A helyes sebességgörbe képezi a további számítások és a 3.1.2. bekezdésben ismertetett kategorizálás alapját.
3.1.2. A távolság, a gyorsulás és a v · a kiszámítása
A következő számításokat a teljes időn alapuló (1 Hz-es felbontású) sebességgörbén el kell végezni az 1. másodperctől a tt sorszámú (utolsó) másodpercig.
Az adatmintánkénti távolságnövekményt a következőképpen kell kiszámítani:
di = vi /3,6, i = 1-től Nt-ig
ahol:
di az i időközben megtett távolság [m]
v i a jármű tényleges sebessége az i időközben [km/h]
N t a minták teljes száma
A gyorsulást a következőképpen kell számítani:
ai = (v i + 1 - v i - 1)/(2 · 3,6), i = 1-től Nt-ig
ahol:
ai a gyorsulás az i időközben [m/s2]. Ahol i = 1: vi - 1 = 0, ahol i = Nt : vi + 1 = 0.
A gyorsulásra jutó tényleges járműsebesség szorzatát a következőképpen kell kiszámítani:
(v · a)i = vi · ai /3,6, i = 1-től Nt-ig
ahol:
(v · a)i a gyorsulásra jutó tényleges járműsebesség szorzata az i időközben [m2/s3 vagy W/kg].
3.1.3. Az eredmények kategorizálása
Az ai és a (v · a)i kiszámítása után a vi , di , ai és (v · a)i értékeket a járműsebesség alapján növekvő sorrendbe kell állítani.
A vi ≤ 60 km/h által jellemzett valamennyi adatkészlet a "városi" sebességkategóriába, a 60 km/h < vi ≤ 90 km/h által jellemzett valamennyi adatkészlet az "országúti" és a vi > 90 km/h által jellemzett valamennyi adatkészlet az "autópályán történő vezetési" sebességkategóriába tartozik.
Az ai > 0,1 m/s 2 gyorsulási értékekkel rendelkező adatkészletek száma egyik sebességkategóriában sem lehet kevesebb 150-nél.
A

átlagos járműsebességet a következőképpen kell kiszámítani valamennyi sebességkategóriában:
[Kép #58] , i = 1-től Nk-ig, k = u,r,m

Kép #58
ahol:
Nk a városi, országúti és autópályán történő vezetési szakaszok mintáinak teljes száma.
3.1.4. A sebességkategóriánkénti v · apos_[95] kiszámítása
A v · apos értékek 95 %-os percentilisét a következőképpen kell kiszámítani:
Minden egyes sebességkategória The (v · a) i,k értékeit növekvő sorrendbe kell rendezni valamennyi olyan adatkészletre vonatkozóan, amely ai,k ≥ 0,1 m/s2 értékkel rendelkezik, és meg kell határozni e minták teljes számát (Mk ).
Ezután az ai,k ≥ 0,1 m/s2 értékkel rendelkező (v · apos ) j,k értékekhez hozzá kell rendelni a percentilisértékeket a következőképpen:
a legkisebb v · apos értékhez az 1/Mk percentilist, a második legkisebb értékhez a 2/Mk percentilist, a harmadik legkisebb értékhez a 3/Mk percentilist, a legnagyobb értékhez pedig az Mk /Mk = 100 % percentilist kell hozzárendelni.
(v · apos ) k _[95] a (v · apos ) j,k értéke, ha j/Mk = 95 %. Ha a j/Mk = 95 % feltétel nem teljesül, a (v · apos ) k _[95] értékét a j és a j + 1 egymást követő minták lineáris interpolációjával kell kiszámítani, ahol j/Mk < 95 % és (j + 1)/Mk > 95 %.
A sebességkategóriánkénti relatív pozitív gyorsulást a következőképpen kell kiszámítani:
RPAk = Σ j (Δt · (v · apos ) j,k )/Σ idi,k , j = 1-től Mk-ig, i = 1-től Nk-ig, k = u,r,m
ahol:
RPAk a városi, országúti és autópályán történő vezetés szakaszaira vonatkozó relatív pozitív gyorsulás [m/s2 vagy kWs/(kg × km)]
Δt 1 másodpercnek megfelelő időkülönbség
Mk a pozitív gyorsulást tartalmazó városi, országúti és autópályán történő vezetési szakaszok mintáinak száma
Nk a városi, országúti és autópályán történő vezetési szakaszok mintáinak teljes száma
4. A VIZSGÁLATI ÚT ÉRVÉNYESSÉGÉNEK ELLENŐRZÉSE
4.1.1. A sebességkategóriánkénti v*apos_[95] ellenőrzése (ahol v [km/h]-ban van megadva)
Ha

és,

akkor a vizsgálati út érvénytelen.
Ha

és

, akkor a vizsgálati út érvénytelen.
4.1.2. A sebességkategóriánkénti RPA ellenőrzése
Ha

és

, akkor a vizsgálati út érvénytelen.
Ha [Kép #59] és RPAk < 0,025, akkor a vizsgálati út érvénytelen.

Kép #59
7b. függelék
A vizsgálati út összesített pozitív magasságnövekedésének meghatározására szolgáló eljárás
1. BEVEZETÉS
Ez a függelék az RDE-vizsgálati út összesített magasságnövekedésének meghatározására szolgáló eljárást ismerteti.
2. SZIMBÓLUMOK
d(0) - távolság a vizsgálati út kezdetén [m]
d - az út figyelembe vett diszkrét pontjáig megtett összesített távolság [m]
d0 - az út vonatkozó d pontja előtt közvetlenül végzett mérésig megtett összesített távolság [m]
d1 - az út vonatkozó d pontja után közvetlenül végzett mérésig megtett összesített távolság [m]
da - az út referenciapontja d(0)-nál [m]
de - az út utolsó diszkrét pontjáig megtett összesített távolság [m]
di - pillanatnyi távolság [m]
dtot - a vizsgálati út teljes hossza [m]
h(0) - a járműnek az adatminőség vizsgálata és elvi alapú ellenőrzése utáni tengerszint feletti magassága a vizsgálati út kezdetén [m]
h(t) - a járműnek az adatminőség vizsgálata és elvi alapú ellenőrzése utáni tengerszint feletti magassága a t ponton [m]
h(d) - a jármű tengerszint feletti magassága az út d pontján [m]
h(t-1) - a járműnek az adatminőség vizsgálata és elvi alapú ellenőrzése utáni tengerszint feletti magassága a t-1 ponton [m]
hcorr(0) - a jármű korrigált tengerszint feletti magassága közvetlenül az út vonatkozó d pontja előtt [m]
hcorr(1) - a jármű korrigált tengerszint feletti magassága közvetlenül az út vonatkozó d pontja után [m]
hcorr(t) - a jármű korrigált pillanatnyi tengerszint feletti magassága a t adatpontnál [m]
hcorr(t-1) - a jármű korrigált pillanatnyi tengerszint feletti magassága a t-1 adatpontnál [m]
hGPS, i - a jármű GPS-szel mért pillanatnyi tengerszint feletti magassága [m]
hGPS(t) - a jármű GPS-szel mért tengerszint feletti magassága a t adatpontnál [m]
hint(d) - interpolált tengerszint feletti magasság az út vizsgált diszkrét d pontján [m]
hint,sm,1(d) - simított interpolált tengerszint feletti magasság az első simítás elvégzése után az út vizsgált diszkrét d pontján [m]
hmap(t) - a jármű topográfiai térkép szerinti tengerszint feletti magassága a t adatpontnál [m]
Hz - Hertz
km/h - kilométer/óra
m - méter
roadgrade,1(d) - az út simított lejtése az első simítás elvégzése után az út vizsgált diszkrét d pontján [m/m]
roadgrade,2(d) - az út simított lejtése a második simítás elvégzése után az út vizsgált diszkrét d pontján [m/m]
sin - trigonometriai szinuszfüggvény
t - a vizsgálat kezdete óta eltelt idő [s]
t0 - az út vonatkozó d pontja előtt közvetlenül végzett mérésig eltelt idő [s]
vi - a jármű pillanatnyi sebessége [km/h]
v(t) - a jármű sebessége a t adatpontnál [km/h]
3. ÁLTALÁNOS KÖVETELMÉNYEK
Az RDE-vizsgálati út összesített pozitív magasságnövekedését a következő három paraméter alapján kell meghatározni: a jármű GPS-szel mért pillanatnyi tengerszint feletti magassága (hGPS,i , [m]), a jármű 1 Hz-es gyakorisággal rögzített pillanatnyi sebessége (v i, [km/h]) és a vizsgálat kezdete óta eltelt idő (t, [s]).
4. AZ ÖSSZESÍTETT POZITÍV MAGASSÁGNÖVEKEDÉS KISZÁMÍTÁSA
4.1. Általános követelmények
Egy RDE-vizsgálati út összesített pozitív magasságnövekedését egy háromlépéses eljárással kell kiszámítani, melynek lépései: i. az adatminőség vizsgálata és elvi alapú ellenőrzése, ii. a jármű pillanatnyi tengerszint feletti magasságára vonatkozó adatok korrigálása, és iii. az összesített pozitív magasságnövekedés kiszámítása.
4.2. Az adatminőség vizsgálata és elvi alapú ellenőrzése
Ellenőrizni kell a jármű pillanatnyi sebességére vonatkozó adatok teljességét. A hiányzó adatok korrigálása megengedett, ha a hiányosságok a 4. függelék 7. pontja szerinti követelményeken belül maradnak, egyéb esetben a vizsgálat eredményeit érvénytelennek kell tekinteni. Ellenőrizni kell a jármű pillanatnyi tengerszint feletti magasságára vonatkozó adatok teljességét. A hiányos adatokat ki kell egészíteni az adatok interpolációja révén. Az interpolált adatok helyességét topográfiai térképpel kell ellenőrizni. A következő feltétel teljesülése esetén ajánlott korrigálni az interpolált adatokat:
|hGPS(t) - hmap(t)| > 40 m
A tengerszint feletti magasság korrigálását a következő módon kell elvégezni:
h(t) = hmap(t)
ahol:
h(t) - a járműnek az adatminőség vizsgálata és elvi alapú ellenőrzése utáni tengerszint feletti magassága a t adatponton [m]
hGPS(t) - a jármű GPS-szel mért tengerszint feletti magassága a t adatpontnál [m]
hmap(t) - a jármű topográfiai térkép szerinti tengerszint feletti magassága a t adatpontnál [m]
4.3. A jármű pillanatnyi tengerszint feletti magasságára vonatkozó adatok korrigálása
A vizsgálat kezdetén GPS-szel kell megállapítani a d(0) pont h(0) tengerszint feletti magasságát, és a topográfiai térkép alapján ellenőrizni kell az adat helyességét. Az eltérés nem lehet nagyobb 40 m-nél. A pillanatnyi tengerszint feletti magasságra vonatkozó valamennyi h(t) értéket korrigálni kell, ha a következő feltétel teljesül:
|h(t) - h(t - 1)| > (v(t)/3,6 * sin45°)
A tengerszint feletti magasság korrigálását a következő módon kell elvégezni:
hcorr(t) = hcorr (t-1)
ahol:
h(t) - a járműnek az adatminőség vizsgálata és elvi alapú ellenőrzése utáni tengerszint feletti magassága a t adatponton [m]
h(t-1) - a járműnek az adatminőség vizsgálata és elvi alapú ellenőrzése utáni tengerszint feletti magassága a t-1 adatponton [m]
v(t) - a jármű sebessége a t adatpontnál [km/h]
hcorr(t) - a jármű korrigált pillanatnyi tengerszint feletti magassága a t adatpontnál [m]
hcorr(t-1) - a jármű korrigált pillanatnyi tengerszint feletti magassága a t-1 adatpontnál [m]
A korrigálási eljárás után megkapjuk a tengerszint feletti magasságra vonatkozó érvényes adatkészletet. Ezt az adatkészletet kell használni az összesített pozitív magasságnövekedés 4.4. pont szerinti kiszámításához.
4.4. Az összesített pozitív magasságnövekedés végső kiszámítása
4.4.1. Egységes térbeli felbontás meghatározása
A vizsgálati út során megtett dtot [m] teljes távolságot a pillanatnyi d i távolságok összegeként kell meghatározni. A d i pillanatnyi távolság meghatározása a következőképpen történik:

ahol:
di - pillanatnyi távolság [m]
vi - a jármű pillanatnyi sebessége [km/h]
Az összesített magasságnövekedést 1 m-es állandó térbeli felbontású adatokból kell kiszámítani, a vizsgálati út kezdetén, d(0)-nál végzett első méréstől kezdve. Az 1 m-es felbontású diszkrét adatpontokat, más néven az út pontjait, meghatározott távolsági érték (pl. 0, 1, 2, 3 m ...) és az annak megfelelő tengerszint feletti magasság (h(d), [m]) jellemzi.
Az út egyes diszkrét d pontjainak tengerszint feletti magasságát a pillanatnyi hcorr(t) tengerszint feletti magasság interpolációjával kell kiszámítani a következőképpen:

ahol:
hint(d) - interpolált tengerszint feletti magasság az út vizsgált diszkrét d pontján [m]
hcorr(0) - a jármű korrigált tengerszint feletti magassága közvetlenül az út vonatkozó d pontja előtt [m]
hcorr(1) - a jármű korrigált tengerszint feletti magassága közvetlenül az út vonatkozó d pontja után [m]
d - az út figyelembe vett d diszkrét pontjáig megtett összesített távolság [m]
d0 - az út vonatkozó d pontja előtt közvetlenül végzett mérésig megtett összesített távolság [m]
d1 - az út vonatkozó d pontja után közvetlenül végzett mérésig megtett összesített távolság [m]
4.4.2. Kiegészítő adatsimítás
Az út egyes diszkrét pontjaira kapott, a tengerszint feletti magasságra vonatkozó adatokat egy kétlépéses eljárással simítani kell, ahol d a jelöli az első, d e pedig az utolsó adatpontot (lásd: 1. ábra). Az első simítást a következőképpen kell elvégezni:
[Kép #60] ahol d ≤ 200 m

Kép #60
[Kép #61] ahol 200 m < d < (de - 200 m)

Kép #61
[Kép #62] ahol d ≥ (de - 200 m)

Kép #62
h int,sm,1(d) = h int,sm,1(d - 1 m) + road grade,1(d), d = da + 1-től de-ig
h int,sm,1(da ) = hint (da ) + road grade,1(da )
ahol:
roadgrade,1(d) - az út simított lejtése az első simítás elvégzése után az út vizsgált diszkrét pontján [m/m]
hint(d) - interpolált tengerszint feletti magasság az út vizsgált diszkrét d pontján [m]
hint,sm,1(d) - simított interpolált tengerszint feletti magasság az első simítás elvégzése után az út vizsgált diszkrét d pontján [m]
d - az út figyelembe vett diszkrét pontjáig megtett összesített távolság [m]
da - az út referenciapontja 0 m távolságnál [m]
de - az út utolsó diszkrét pontjáig megtett összesített távolság [m]
A második simítást a következőképpen kell elvégezni:
[Kép #63] ahol d ≤ 200 m

Kép #63
[Kép #64] ahol 200 m < d < (de - 200 m)

Kép #64
[Kép #65] ahol d ≥ (de - 200 m)

Kép #65
ahol:
roadgrade,2(d) - az út simított lejtése a második simítás elvégzése után az út vizsgált diszkrét pontján [m/m]
hint,sm,1(d) - simított interpolált tengerszint feletti magasság az első simítás elvégzése után az út vizsgált diszkrét d pontján [m]
d - az út figyelembe vett diszkrét pontjáig megtett összesített távolság [m]
da - az út referenciapontja 0 m távolságnál [m]
de - az út utolsó diszkrét pontjáig megtett összesített távolság [m]
1. ábra
A tengerszint feletti magasságra vonatkozó interpolált jelek simítási eljárásának bemutatása

4.4.3. A végleges eredmény kiszámítása
A vizsgálati út összesített pozitív magasságnövekedését az út összes pozitív, interpolált és simított lejtésadatának (roadgrade,2(d)) integrálásával kell kiszámítani. Az eredményt normalizálni kell a vizsgálati út d tot teljes távolságára, és az összesített magasságnövekedést méterben kell megadni a távolság száz kilométerére vetítve.
5. SZÁMSZERŰ PÉLDA
Az 1. és a 2. táblázat egy PEMS-szel folytatott közúti vizsgálat rögzített adatai alapján mutatja be a pozitív magasságnövekedés kiszámításához szükséges lépéseket. Az egyszerűség kedvéért a 800 m-es és 160 s-os kivonat kerül bemutatásra.
5.1. Az adatminőség vizsgálata és elvi alapú ellenőrzése
Az adatminőség vizsgálata és elvi alapú ellenőrzése két lépésből áll. Először ellenőrizni kell a jármű sebességére vonatokozó adatok teljességét. A bemutatott adatmintában a járműsebességgel kapcsolatban nincs adathiány (lásd: 1. táblázat). Ezután ellenőrizni kell a tengerszint feletti magasságra vonatkozó adatok teljességét. Az adatmintában a 2. és 3. másodpercnél hiányoznak a tengerszint feletti magasság adatai. Ezeket a hiányokat a GPS-jel interpolációjával kell kitölteni. Emellett a GPS szerinti tengerszint feletti magasságot topográfiai térképpel kell ellenőrizni, és ezen ellenőrzésbe bele kell venni a vizsgálati út kezdeti h(0) tengerszint feletti magasságát is. A 112-114. másodperchez tartozó, tengerszint feletti magasságra vonatkozó adatokat korrigálni kell a topográfiai térkép alapján, hogy a következő feltétel teljesüljön:
hGPS(t) - hmap(t) < - 40 m
Az adatellenőrzés eredményeként az ötödik oszlopban szereplő h(t) adatokat kapjuk.
5.2. A jármű pillanatnyi tengerszint feletti magasságára vonatkozó adatok korrigálása
A következő lépés az 1-4., 111-112. és 159-160. másodperchez tartozó, tengerszint feletti magasságra vonatkozó h(t) adatok korrigálása a 0., 110. és 158. másodperchez tartozó, tengerszint feletti magasságra vonatkozó adatok feltételezésével, mivel az alábbi feltétel teljesül:
|h(t) - h(t - 1)| > (v(t)/3,6 * sin45°)
Az adatok korrigálásának eredményeként a hatodik oszlopban szereplő hcorr(t) adatokat kapjuk. A tengerszint feletti magasságra vonatkozó adatokon alkalmazott ellenőrzési és korrigálási lépések hatása a 2. ábrán látható.
5.3. Az összesített pozitív magasságnövekedés kiszámítása
5.3.1. Egységes térbeli felbontás meghatározása
A di pillanatnyi távolság kiszámításához a km/h-ban mért pillanatnyi járműsebességet el kell osztani 3,6-tal (lásd: az 1. táblázat 7. oszlopa). A tengerszint feletti magasságra vonatkozó adatokat újra kell számítani az 1 m-es egységes térbeli felbontás meghatározása érdekében; ennek eredményeként megkapjuk az út diszkrét d pontjait (lásd: a 2. táblázat 1. oszlopa) és az azoknak megfelelő, a tengerszint feletti magasságra vonatkozó hint(d) értékeket (lásd: a 2. táblázat 7. oszlopa). Az út egyes diszkrét d pontjainak tengerszint feletti magasságát a pillanatnyi mért hcorr(t) tengerszint feletti magasság interpolációjával kell kiszámítani a következőképpen:


5.3.2. Kiegészítő adatsimítás
A 2. táblázat első és utolsó diszkrét pontjai a következők: d a = 0 m és d e = 799 m. Az út egyes diszkrét pontjaira kapott, a tengerszint feletti magasságra vonatkozó adatokat egy kétlépéses eljárással simítani kell. Az első simítás a következőkből áll:

a fenti számítás a következő feltétel melletti simítás példája: d ≤ 200 m

a fenti számítás a következő feltétel melletti simítás példája: 200 m < d <(599 m)

a fenti számítás a következő feltétel melletti simítás példája: d ≥ (599 m)
A simított és interpolált tengerszint feletti magasságot a következőképpen kell kiszámítani:
h int,sm,1(0) = hint (0) + road grade,1(0) = 120,3 + 0,0033 ≈ 120,3033 m
h int,sm,1(799) = h int,sm,1(798) + road grade,1(799) = 121,2550 - 0,0220 = 121,2330 m
Második simítás:

a fenti számítás a következő feltétel melletti simítás példája: d ≤ 200 m

a fenti számítás a következő feltétel melletti simítás példája: 200 m < d < (599)

a fenti számítás a következő feltétel melletti simítás példája: d ≥ (599 m)
5.3.3. A végleges eredmény kiszámítása
A vizsgálati út összesített pozitív magasságnövekedését az út összes pozitív, interpolált és simított lejtésadatának (roadgrade,2(d)) integrálásával kell kiszámítani. A bemutatott példában a teljes megtett távolság dtot = 139,7 km, és az út összes pozitív, interpolált és simított lejtésének értéke 516 m. Ezért a pozitív összesített magasságnövekedés 516 × 100/139,7 = 370 m/100 km.
1. táblázat
A jármű pillanatnyi tengerszint feletti magasságára vonatkozó adatok korrigálása
Idő, t [s] | v(t) [km/h] | hGPS(t) [m] | hmap(t) [m] | h(t) [m] | hcorr(t) [m] | di [m] | Össz. d [m] |
0 | 0,00 | 122,7 | 129,0 | 122,7 | 122,7 | 0,0 | 0,0 |
1 | 0,00 | 122,8 | 129,0 | 122,8 | 122,7 | 0,0 | 0,0 |
2 | 0,00 | - | 129,1 | 123,6 | 122,7 | 0,0 | 0,0 |
3 | 0,00 | - | 129,2 | 124,3 | 122,7 | 0,0 | 0,0 |
4 | 0,00 | 125,1 | 129,0 | 125,1 | 122,7 | 0,0 | 0,0 |
… | … | … | … | … | … | … | … |
18 | 0,00 | 120,2 | 129,4 | 120,2 | 120,2 | 0,0 | 0,0 |
19 | 0,32 | 120,2 | 129,4 | 120,2 | 120,2 | 0,1 | 0,1 |
… | … | … | … | … | … | … | … |
37 | 24,31 | 120,9 | 132,7 | 120,9 | 120,9 | 6,8 | 117,9 |
38 | 28,18 | 121,2 | 133,0 | 121,2 | 121,2 | 7,8 | 125,7 |
… | … | … | … | … | … | … | … |
46 | 13,52 | 121,4 | 131,9 | 121,4 | 121,4 | 3,8 | 193,4 |
47 | 38,48 | 120,7 | 131,5 | 120,7 | 120,7 | 10,7 | 204,1 |
… | … | … | … | … | … | … | … |
56 | 42,67 | 119,8 | 125,2 | 119,8 | 119,8 | 11,9 | 308,4 |
57 | 41,70 | 119,7 | 124,8 | 119,7 | 119,7 | 11,6 | 320,0 |
… | … | … | … | … | … | … | … |
110 | 10,95 | 125,2 | 132,2 | 125,2 | 125,2 | 3,0 | 509,0 |
111 | 11,75 | 100,8 | 132,3 | 100,8 | 125,2 | 3,3 | 512,2 |
112 | 13,52 | 0,0 | 132,4 | 132,4 | 125,2 | 3,8 | 516,0 |
113 | 14,01 | 0,0 | 132,5 | 132,5 | 132,5 | 3.9 | 519,9 |
114 | 13,36 | 24,30 | 132,6 | 132,6 | 132,6 | 3,7 | 523,6 |
… | … | … | … | … | … | … | |
149 | 39,93 | 123,6 | 129,6 | 123,6 | 123,6 | 11,1 | 719,2 |
150 | 39,61 | 123,4 | 129,5 | 123,4 | 123,4 | 11,0 | 730,2 |
… | … | … | … | … | … | … | |
157 | 14,81 | 121,3 | 126,1 | 121,3 | 121,3 | 4,1 | 792,1 |
158 | 14,19 | 121,2 | 126,2 | 121,2 | 121,2 | 3.9 | 796,1 |
159 | 10,00 | 128,5 | 126,1 | 128,5 | 121,2 | 2,8 | 798,8 |
160 | 4,10 | 130,6 | 126,0 | 130,6 | 121,2 | 1,2 | 800,0 |
a – jel az adathiányokat jelöli |
2. táblázat
Az út lejtésének kiszámítása
d [m] | t0 [s] | d0 [m] | d1 [m] | h0 [m] | h1 [m] | hint(d) [m] | roadgrade,1(d) [m/m] | hint,sm,1(d) [m] | roadgrade,2(d) [m/m] |
0 | 18 | 0,0 | 0,1 | 120,3 | 120,4 | 120,3 | 0,0035 | 120,3 | – 0,0015 |
… | … | … | … | … | … | … | … | … | … |
120 | 37 | 117,9 | 125,7 | 120,9 | 121,2 | 121,0 | – 0,0019 | 120,2 | 0,0035 |
… | … | … | … | … | … | … | … | … | … |
200 | 46 | 193,4 | 204,1 | 121,4 | 120,7 | 121,0 | – 0,0040 | 120,0 | 0,0051 |
… | … | … | … | … | … | … | … | … | … |
320 | 56 | 308,4 | 320,0 | 119,8 | 119,7 | 119,7 | 0,0288 | 121,4 | 0,0088 |
… | … | … | … | … | … | … | … | … | … |
520 | 113 | 519,9 | 523,6 | 132,5 | 132,6 | 132,5 | 0,0097 | 123,7 | 0,0037 |
… | … | … | … | … | … | … | … | … | … |
720 | 149 | 719,2 | 730,2 | 123,6 | 123,4 | 123,6 | – 0,0405 | 122,9 | – 0,0086 |
… | … | … | … | … | … | … | … | … | … |
798 | 158 | 796,1 | 798,8 | 121,2 | 121,2 | 121,2 | – 0,0219 | 121,3 | – 0,0151 |
799 | 159 | 798,8 | 800,0 | 121,2 | 121,2 | 121,2 | – 0,0220 | 121,3 | – 0,0152 |
2. ábra
Az adatokon alkalmazott ellenőrzési és korrigálási lépések hatása - A GPS-szel mért hGPS(t) tengerszint feletti magasságra vonatkozó profilt, a topográfiai térkép szerinti hmap(t) tengerszint feletti magasságra vonatkozó profilt, az adatminőség vizsgálata és elvi alapú ellenőrzése után kapott h(t) tengerszint feletti magasságra vonatkozó profilt és az adatok hcorr(t) korrekcióját az 1. táblázat tartalmazza

3. ábra
A tengerszint feletti magasságra vonatkozó hcorr(t) korrigált profil és a simított, valamint interpolált hint,sm,1 tengerszint feletti magasság összehasonlítása

2. táblázat
A pozitív magasságnövekedés kiszámítása
d [m] | t0 [s] | d0 [m] | d1 [m] | h0 [m] | h1 [m] | hint(d) [m] | roadgrade,1(d) [m/m] | hint,sm,1(d) [m] | roadgrade,2(d) [m/m] |
0 | 18 | 0,0 | 0,1 | 120,3 | 120,4 | 120,3 | 0,0035 | 120,3 | – 0,0015 |
… | … | … | … | … | … | … | … | … | … |
120 | 37 | 117,9 | 125,7 | 120,9 | 121,2 | 121,0 | – 0,0019 | 120,2 | 0,0035 |
… | … | … | … | … | … | … | … | … | … |
200 | 46 | 193,4 | 204,1 | 121,4 | 120,7 | 121,0 | – 0,0040 | 120,0 | 0,0051 |
… | … | … | … | … | … | … | … | … | … |
320 | 56 | 308,4 | 320,0 | 119,8 | 119,7 | 119,7 | 0,0288 | 121,4 | 0,0088 |
… | … | … | … | … | … | … | … | … | … |
520 | 113 | 519,9 | 523,6 | 132,5 | 132,6 | 132,5 | 0,0097 | 123,7 | 0,0037 |
… | … | … | … | … | … | … | … | … | … |
720 | 149 | 719,2 | 730,2 | 123,6 | 123,4 | 123,6 | – 0,0405 | 122,9 | – 0,0086 |
… | … | … | … | … | … | … | … | … | … |
798 | 158 | 796,1 | 798,8 | 121,2 | 121,2 | 121,2 | – 0,0219 | 121,3 | – 0,0151 |
799 | 159 | 798,8 | 800,0 | 121,2 | 121,2 | 121,2 | – 0,0220 | 121,3 | – 0,0152 |
8. függelék
Az adatcserére és adatjelentésre vonatkozó követelmények
1. BEVEZETÉS
Ez a függelék a mérési rendszerek és az adatértékelő szoftver közötti adatcserére, valamint a közbenső és végső eredményeknek az adatértékelés utáni jelentésére és cseréjére vonatkozó követelményeket határozza meg.
A kötelező és opcionális paraméterek cseréjének és jelentésének az 1. függelék 3.2. pontjában foglalt követelményeknek megfelelően kell lezajlania. A 3. pont szerinti csere- és jelentési fájlokban szereplő adatokról jelentést kell készíteni a végső eredmények teljes nyomonkövethetősége érdekében.
2. SZIMBÓLUMOK, PARAMÉTEREK ÉS MÉRTÉKEGYSÉGEK
a 1 - a CO2-jelleggörbe együtthatója
b 1 - a CO2-jelleggörbe együtthatója
a 2 - a CO2-jelleggörbe együtthatója
b 2 - a CO2-jelleggörbe együtthatója
k 11 - a súlyozó függvény együtthatója
k 12 - a súlyozó függvény együtthatója
k 21 - a súlyozó függvény együtthatója
k 22 - a súlyozó függvény együtthatója
tol 1 - elsődleges tűrés
tol 2 - másodlagos tűrés
3. AZ ADATCSERE ÉS AZ ADATJELENTÉS FORMÁTUMA
3.1. Általános követelmények
A kibocsátási értékek és minden egyéb releváns paraméter jelentését és cseréjét csv formátumú adatfájlban kell elvégezni. A paraméterértékeket vesszővel kell elválasztani (ASCII-kód: #h2C). A számértékek tizedes jegyét ponttal kell jelölni (ASCII-kód: #h2E). A sorokat "kocsi vissza" karakterrel kell elválasztani (ASCII-kód: #h0D). Az ezres értékeket elválasztás nélkül kell feltüntetni.
3.2. Adatcsere
A mérési rendszerek és az adatértékelő szoftver közötti adatcserét olyan szabványos adatjelentési fájl segítségével kell megvalósítani, amely tartalmazza a kötelező és opcionális paraméterek minimális készletét. Az adatcserefájl a következőképpen épül fel: az első 195 sor a fejléc számára van fenntartva, amely többek között a vizsgálati feltételekre, valamint a PEMS azonosítására és kalibrálására vonatkozó konkrét információkat tartalmaz (1. táblázat). A 198-200. sorban kell szerepelnie a paraméterek címkéinek és mértékegységeinek. A 201. sortól kezdődik az adatcserefájl törzse, amely a paraméterek értékeit tartalmazza (2. táblázat). Az adatcserefájl törzsének legalább annyi adatsorból kell állnia, amennyi a vizsgálat időtartama másodpercben szorozva a Hertzben megadott rögzítési gyakorisággal.
3.3. Közbenső és végső eredmények
A gyártónak a 3. táblázat szerint kell rögzítenie a közbenső eredmények összefoglaló paramétereit. A 3. táblázat szerinti információkat az 5. és a 6. függelékben leírt adatértékelési módszerek alkalmazása előtt kell rögzíteni.
A gyártónak külön fájlokban kell rögzítenie a két adatértékelési módszer eredményét. Az 5. függelékben leírt módszerrel végzett adatértékelés eredményét a 4., az 5. és a 6. táblázatnak megfelelően kell jelenteni. A 6. függelékben leírt módszerrel végzett adatértékelés eredményét a 7., az 8. és a 9. táblázatnak megfelelően kell jelenteni. Az adatjelentési fájl fejlécének három részből kell állnia. Az első 95 sor az adatértékelési módszer beállításainak konkrét adatai számára van fenntartva. A 101-195. sorban az adatértékelési módszer eredményeit kell feltüntetni. A 201-490. sor a végső kibocsátási értékek számára van fenntartva. Az 501. sortól kezdődik az adatjelentési fájl törzse, amely az adatértékelés részletes eredményeit tartalmazza.
4. MŰSZAKI ADATJELENTÉSI FÁJLOK
4.1. Adatcsere
1. táblázat
Az adatcserefájl fejléce
Sor | Paraméter | Leírás/mértékegység |
1 | A VIZSGÁLAT AZONOSÍTÓJA | [kód] |
2 | A vizsgálat dátuma | [nap.hónap.év] |
3 | A vizsgálatot felügyelő szervezet | [a szervezet neve] |
4 | A vizsgálat helyszíne | [város, ország] |
5 | A vizsgálatot felügyelő személy | [a fő felügyelő személy neve] |
6 | A jármű vezetője | [a járművezető neve] |
7 | A jármű típusa | [a jármű neve] |
8 | A jármű gyártója | [név] |
9 | A járműmodell éve | [év] |
10 | Jármű-azonosító | [Jármű-azonosító (VIN) kód] |
11 | A kilométer-számláló állása a vizsgálat kezdetekor | [km] |
12 | A kilométer-számláló állása a vizsgálat végén | [km] |
13 | A jármű kategóriája | [kategória] |
14 | Típus-jóváhagyási kibocsátási határérték | [Euro X] |
15 | Motortípus | [pl. szikragyújtás, kompressziós gyújtás] |
16 | A motor névleges teljesítménye | [kW] |
17 | Legnagyobb nyomaték | [Nm] |
18 | Motor lökettérfogata | [cm3] |
19 | Erőátvitel | [pl. manuális, automatikus] |
20 | Előremeneti sebességfokozatok száma | [#] |
21 | Tüzelőanyag | [pl. benzin, dízel] |
22 | Kenőanyag | [terméknév] |
23 | A gumiabroncs mérete | [szélesség/magasság/átmérő] |
24 | Gumiabroncsnyomás az első és a hátsó tengelyen | [bar; bar] |
25 | A közúti terhelés paraméterei | [F0, F1, F2] |
26 | Típus-jóváhagyási ciklus | [NEDC, WLTC] |
27 | CO2-kibocsátás a típus-jóváhagyás során | [g/km] |
28 | CO2-kibocsátás a WLTC ciklus alacsony sebességű szakaszában | [g/km] |
29 | CO2-kibocsátás a WLTC ciklus közepes sebességű szakaszában | [g/km] |
30 | CO2-kibocsátás a WLTC ciklus nagy sebességű szakaszában | [g/km] |
31 | CO2-kibocsátás a WLTC ciklus extranagy sebességű szakaszában | [g/km] |
32 | A jármű vizsgálati tömege (1) | [kg;% (2)] |
33 | A PEMS gyártója | [név] |
34 | A PEMS típusa | [A PEMS neve] |
35 | A PEMS sorozatszáma | [szám] |
36 | A PEMS energiaellátása | [pl. akkumulátor típusa] |
37 | Az elemzőkészülék gyártója | [név] |
38 | Az elemzőkészülék típusa | [típus] |
39 | Az elemzőkészülék sorozatszáma | [szám] |
40–50 (3) | … | … |
51 | Az EFM gyártója (4) | [név] |
52 | Az EFM érzékelőjének típusa (4) | [működési elv] |
53 | Az EFM sorozatszáma (4) | [szám] |
54 | A kipufogógáz-tömegáram forrása | [EFM/ECU/érzékelő] |
55 | Levegőnyomás-érzékelő | [típus, gyártó] |
56 | A vizsgálat dátuma | [nap.hónap.év] |
57 | A vizsgálat előtti eljárás kezdete | [óra:perc] |
58 | A vizsgálati út kezdete | [óra:perc] |
59 | A vizsgálat utáni eljárás kezdete | [óra:perc] |
60 | A vizsgálat előtti eljárás vége | [óra:perc] |
61 | A vizsgálati út vége | [óra:perc] |
62 | A vizsgálat utáni eljárás vége | [óra:perc] |
63–70 (5) | … | … |
71 | Időhelyesbítés: a THC eltolása | [s] |
72 | Időhelyesbítés: CH4-eltolás | [s] |
73 | Időhelyesbítés: az NMHC eltolása | [s] |
74 | Időhelyesbítés: O2-eltolás | [s] |
75 | Időhelyesbítés: a PN eltolása | [s] |
76 | Időhelyesbítés: CO-eltolás | [s] |
77 | Időhelyesbítés: CO2-eltolás | [s] |
78 | Időhelyesbítés: NO-eltolás | [s] |
79 | Időhelyesbítés: NO2-eltolás | [s] |
80 | Időhelyesbítés: a kipufogógáz-tömegáram eltolása | [s] |
81 | A THC mérőtartomány-kalibrálási referenciaértéke | [ppm] |
82 | A CH4 mérőtartomány-kalibrálási referenciaértéke | [ppm] |
83 | Az NMHC mérőtartomány-kalibrálási referenciaértéke | [ppm] |
84 | Az O2 mérőtartomány-kalibrálási referenciaértéke | [%] |
85 | A PN mérőtartomány-kalibrálási referenciaértéke | [#] |
86 | A CO mérőtartomány-kalibrálási referenciaértéke | [ppm] |
87 | A CO2 mérőtartomány-kalibrálási referenciaértéke | [%] |
88 | A NO mérőtartomány-kalibrálási referenciaértéke | [ppm] |
89 | A NO2 mérőtartomány-kalibrálási referenciaértéke | [ppm] |
90–95 (5) | … | … |
96 | A THC-re adott vizsgálat előtti nullapontválasz | [ppm] |
97 | A CH4-re adott vizsgálat előtti nullapontválasz | [ppm] |
98 | Az NMHC-re adott vizsgálat előtti nullapontválasz | [ppm] |
99 | Az O2-re adott vizsgálat előtti nullapontválasz | [%] |
100 | A PN-re adott vizsgálat előtti nullapontválasz | [#] |
101 | A CO-ra adott vizsgálat előtti nullapontválasz | [ppm] |
102 | A CO2-re adott vizsgálat előtti nullapontválasz | [%] |
103 | A NO-ra adott vizsgálat előtti nullapontválasz | [ppm] |
104 | A NO2-re adott vizsgálat előtti nullapontválasz | [ppm] |
105 | A THC-re adott vizsgálat előtti mérőtartomány-kalibráló válasz | [ppm] |
106 | A CH4-re adott vizsgálat előtti mérőtartomány-kalibráló válasz | [ppm] |
107 | Az NMHC-re adott vizsgálat előtti mérőtartomány-kalibráló válasz | [ppm] |
108 | Az O2-re adott vizsgálat előtti mérőtartomány-kalibráló válasz | [%] |
109 | A PN-re adott vizsgálat előtti mérőtartomány-kalibráló válasz | [#] |
110 | A CO-ra adott vizsgálat előtti mérőtartomány-kalibráló válasz | [ppm] |
111 | A CO2-re adott vizsgálat előtti mérőtartomány-kalibráló válasz | [%] |
112 | A NO-ra adott vizsgálat előtti mérőtartomány-kalibráló válasz | [ppm] |
113 | A NO2-re adott vizsgálat előtti mérőtartomány-kalibráló válasz | [ppm] |
114 | A THC-re adott vizsgálat utáni nullapontválasz | [ppm] |
115 | A CH4-re adott vizsgálat utáni nullapontválasz | [ppm] |
116 | Az NMHC-re adott vizsgálat utáni nullapontválasz | [ppm] |
117 | Az O2-re adott vizsgálat utáni nullapontválasz | [%] |
118 | A PN-re adott vizsgálat utáni nullapontválasz | [#] |
119 | A CO-ra adott vizsgálat utáni nullapontválasz | [ppm] |
120 | A CO2-re adott vizsgálat utáni nullapontválasz | [%] |
121 | A NO-ra adott vizsgálat utáni nullapontválasz | [ppm] |
122 | A NO2-re adott vizsgálat utáni nullapontválasz | [ppm] |
123 | A THC-re adott vizsgálat utáni mérőtartomány-kalibráló válasz | [ppm] |
124 | A CH4-re adott vizsgálat utáni mérőtartomány-kalibráló válasz | [ppm] |
125 | Az NMHC-re adott vizsgálat utáni mérőtartomány-kalibráló válasz | [ppm] |
126 | Az O2-re adott vizsgálat utáni mérőtartomány-kalibráló válasz | [%] |
127 | A PN-re adott vizsgálat utáni mérőtartomány-kalibráló válasz | [#] |
128 | A CO-ra adott vizsgálatutáni mérőtartomány-kalibráló válasz | [ppm] |
129 | A CO2-re adott vizsgálat utáni mérőtartomány-kalibráló válasz | [%] |
130 | A NO-ra adott vizsgálat utáni mérőtartomány-kalibráló válasz | [ppm] |
131 | A NO2-re adott vizsgálat utáni mérőtartomány-kalibráló válasz | [ppm] |
132 | A PEMS hitelesítésének eredménye a THC-re vonatkozóan | [mg/km;%] (6) |
133 | A PEMS hitelesítésének eredménye a CH4-re vonatkozóan | [mg/km;%] (6) |
134 | A PEMS hitelesítésének eredménye az NMHC-re vonatkozóan | [mg/km;%] (6) |
135 | A PEMS hitelesítésének eredménye a PN-re vonatkozóan | [#/km;%] (6) |
136 | A PEMS hitelesítésének eredménye a CO-ra vonatkozóan | [mg/km;%] (6) |
137 | A PEMS hitelesítésének eredménye a CO2-re vonatkozóan | [g/km;%] (6) |
138 | A PEMS hitelesítésének eredménye a NOX-ra vonatkozóan | [mg/km;%] (6) |
… (7) | … (7) | … (7) |
(1) A jármű tömege a közúti vizsgálat során, a vezető tömegét és a PEMS komponenseinek tömegét is beleértve. (2) A százalékos értékkel a jármű össztömegétől való eltérést kell kifejezni. (3) Helyőrzők az elemzőkészülék gyártójára és sorozatszámára vonatkozó kiegészítő adatok számára, arra az esetre, ha több elemzőkészüléket alkalmaznak. A fenntartott sorok száma csak jelzésértékű, a kész adatjelentési fájlban nem szerepelhet üres sor. (4) Kötelező megadni, ha a kipufogógáz-tömegáramot EFM-mel határozzák meg. (5) Ha szükséges, a kiegészítő információkat itt lehet megadni. (6) A PEMS hitelesítése opcionális; a PEMS-szel mért távolságspecifikus kibocsátások; a százalékos értékkel a laboratóriumi referenciától való eltérést kell kifejezni. (7) A vizsgálat jellemzése és címkézése céljából a 195. sorig kiegészítő paraméterek adhatók hozzá a táblázathoz. |
2. táblázat
Az adatcserefájl törzse; az alábbi táblázat sorait és oszlopait át kell emelni az adatcserefájl törzsébe
Sor | 198 | 199 (1) | 200 | 201 |
Idő | Vizsgálati út | [s] | (2) | |
Járműsebesség (3) | Érzékelő | [km/h] | (2) | |
Járműsebesség (3) | GPS | [km/h] | (2) | |
Járműsebesség (3) | ECU | [km/h] | (2) | |
Földrajzi szélesség | GPS | [fok:perc:másodperc] | (2) | |
Földrajzi hosszúság | GPS | [fok:perc:másodperc] | (2) | |
Tengerszint feletti magasság (3) | GPS | [m] | (2) | |
Tengerszint feletti magasság (3) | Érzékelő | [m] | (2) | |
Környezeti légnyomás | Érzékelő | [kPa] | (2) | |
Környezeti hőmérséklet | Érzékelő | [K] | (2) | |
Környezeti páratartalom | Érzékelő | [g/kg; %] | (2) | |
A THC koncentrációja | Elemzőkészülék | [ppm] | (2) | |
CH4-koncentráció | Elemzőkészülék | [ppm] | (2) | |
Az NMHC koncentrációja | Elemzőkészülék | [ppm] | (2) | |
CO-koncentráció | Elemzőkészülék | [ppm] | (2) | |
CO2-koncentráció | Elemzőkészülék | [ppm] | (2) | |
NOx-koncentráció | Elemzőkészülék | [ppm] | (2) | |
NO-koncentráció | Elemzőkészülék | [ppm] | (2) | |
NO2-koncentráció | Elemzőkészülék | [ppm] | (2) | |
O2-koncentráció | Elemzőkészülék | [ppm] | (2) | |
PN-koncentráció | Elemzőkészülék | [#/m3] | (2) | |
Kipufogógáz-tömegáram | EFM | [kg/s] | (2) | |
A kipufogógáz hőmérséklete az EFM-nél | EFM | [K] | (2) | |
Kipufogógáz-tömegáram | Érzékelő | [kg/s] | (2) | |
Kipufogógáz-tömegáram | ECU | [kg/s] | (2) | |
A THC tömege | Elemzőkészülék | [g/s] | (2) | |
A CH4 tömege | Elemzőkészülék | [g/s] | (2) | |
Az NMHC tömege | Elemzőkészülék | [g/s] | (2) | |
A CO tömege | Elemzőkészülék | [g/s] | (2) | |
A CO2 tömege | Elemzőkészülék | [g/s] | (2) | |
A NOx tömege | Elemzőkészülék | [g/s] | (2) | |
A NO tömege | Elemzőkészülék | [g/s] | (2) | |
A NO2 tömege | Elemzőkészülék | [g/s] | (2) | |
Az O2 tömege | Elemzőkészülék | [g/s] | (2) | |
PN | Elemzőkészülék | [#/s] | (2) | |
Gázmérés bekapcsolva | PEMS | [bekapcsolva (1); kikapcsolva (0); hiba (>1)] | (2) | |
A motor fordulatszáma | ECU | [rpm] | (2) | |
A motor nyomatéka | ECU | [Nm] | (2) | |
Nyomaték a hajtott tengelyen | Érzékelő | [Nm] | (2) | |
A kerék fordulatszáma | Érzékelő | [rad/s] | (2) | |
A tüzelőanyag árama | ECU | [g/s] | (2) | |
A motor tüzelőanyag-árama | ECU | [g/s] | (2) | |
A motor által beszívott légáram | ECU | [g/s] | (2) | |
Hűtőközeg-hőmérséklet | ECU | [K] | (2) | |
Olajhőmérséklet | ECU | [K] | (2) | |
Regenerálási állapot | ECU | — | (2) | |
Pedálhelyzet | ECU | [%] | (2) | |
A jármű állapota | ECU | [hiba: (1); normális: (0)] | (2) | |
Százalékos nyomaték | ECU | [%] | (2) | |
Százalékos súrlódási nyomaték | ECU | [%] | (2) | |
Töltési állapot | ECU | [%] | (2) | |
… (4) | … (4) | … (4) | (2) (4) | |
(1) Ez az oszlop elhagyható, ha a paraméter forrása a 198. oszlop címkéi között szerepel. (2) A tényleges értékeket a 201. sortól kezdve kell megadni az adatok végéig. (3) Legalább egy módszerrel kell meghatározni. (4) A jármű és a vizsgálati feltételek jellemzése céljából kiegészítő paraméterek adhatók hozzá a táblázathoz. |
4.2. Közbenső és végső eredmények
4.2.1. Közbenső eredmények
3. táblázat
1. adatjelentési fájl - A közbenső eredmények összefoglaló paraméterei
Sor | Paraméter | Leírás/mértékegység |
1 | A teljes vizsgálati út hossza | [km] |
2 | A teljes vizsgálati út időtartama | [óra:perc:másodperc] |
3 | A megállások teljes ideje | [perc:másodperc] |
4 | A vizsgálati út átlagos sebessége | [km/h] |
5 | A vizsgálati út legnagyobb sebessége | [km/h] |
6 | A THC átlagos koncentrációja | [ppm] |
7 | Átlagos CH4-koncentráció | [ppm] |
8 | Az NMHC átlagos koncentrációja | [ppm] |
9 | Átlagos CO-koncentráció | [ppm] |
10 | Átlagos CO2-koncentráció | [ppm] |
11 | Átlagos NOX-koncentráció | [ppm] |
12 | A PN átlagos koncentrációja | [#/m3] |
13 | Átlagos kipufogógáz-tömegáram | [kg/s] |
14 | A kipufogógáz átlagos hőmérséklete | [K] |
15 | A kipufogógáz legnagyobb hőmérséklete | [K] |
16 | A THC összesített tömege | [g] |
17 | A CH4 összesített tömege | [g] |
18 | Az NMHC összesített tömege | [g] |
19 | A CO összesített tömege | [g] |
20 | A CO2 összesített tömege | [g] |
21 | A NOX összesített tömege | [g] |
22 | Összesített PN | [#] |
23 | Teljes vizsgálati út – A THC kibocsátása | [mg/km] |
24 | Teljes vizsgálati út – CH4-kibocsátás | [mg/km] |
25 | Teljes vizsgálati út – Az NMHC kibocsátása | [mg/km] |
26 | Teljes vizsgálati út – CO-kibocsátás | [mg/km] |
27 | Teljes vizsgálati út – CO2-kibocsátás | [g/km] |
28 | Teljes vizsgálati út – NOX-kibocsátás | [mg/km] |
29 | Teljes vizsgálati út – PN-kibocsátás | [#/km] |
30 | A városi szakasz hossza | [km] |
31 | A városi szakasz időtartama | [óra:perc:másodperc] |
32 | A városi szakasz alatti megállások időtartama | [perc:másodperc] |
33 | A városi szakasz átlagos sebessége | [km/h] |
34 | A városi szakasz legnagyobb sebessége | [km/h] |
35 | Városi szakasz – A THC átlagos koncentrációja | [ppm] |
36 | Városi szakasz – A CH4 átlagos koncentrációja | [ppm] |
37 | Városi szakasz – Az NMHC átlagos koncentrációja | [ppm] |
38 | Városi szakasz – A CO átlagos koncentrációja | [ppm] |
39 | Városi szakasz – A CO2 átlagos koncentrációja | [ppm] |
40 | Városi szakasz – A NOX átlagos koncentrációja | [ppm] |
41 | Városi szakasz – A PN átlagos koncentrációja | [#/m3] |
42 | Városi szakasz – Az átlagos kipufogógáz-tömegáram | [kg/s] |
43 | Városi szakasz – A kipufogógáz átlagos hőmérséklete | [K] |
44 | Városi szakasz – A kipufogógáz legnagyobb hőmérséklete | [K] |
45 | Városi szakasz – A THC összesített tömege | [g] |
46 | Városi szakasz – A CH4 összesített tömege | [g] |
47 | Városi szakasz – Az NMHC összesített tömege | [g] |
48 | Városi szakasz – A CO összesített tömege | [g] |
49 | Városi szakasz – A CO2 összesített tömege | [g] |
50 | Városi szakasz – A NOX összesített tömege | [g] |
51 | Városi szakasz – Összesített PN | [#] |
52 | Városi szakasz – A THC kibocsátása | [mg/km] |
53 | Városi szakasz – CH4-kibocsátás | [mg/km] |
54 | Városi szakasz – Az NMHC kibocsátása | [mg/km] |
55 | Városi szakasz – CO-kibocsátás | [mg/km] |
56 | Városi szakasz – CO2-kibocsátás | [g/km] |
57 | Városi szakasz – NOX-kibocsátás | [mg/km] |
58 | Városi szakasz – PN-kibocsátás | [#/km] |
59 | Az országúti szakasz hossza | [km] |
60 | Az országúti szakasz időtartama | [óra:perc:másodperc] |
61 | Az országúti szakasz alatti megállások időtartama | [perc:másodperc] |
62 | Az országúti szakasz átlagos sebessége | [km/h] |
63 | Az országúti szakasz legnagyobb sebessége | [km/h] |
64 | Országúti szakasz – A THC átlagos koncentrációja | [ppm] |
65 | Országúti szakasz – A CH4 átlagos koncentrációja | [ppm] |
66 | Országúti szakasz – Az NMHC átlagos koncentrációja | [ppm] |
67 | Országúti szakasz – A CO átlagos koncentrációja | [ppm] |
68 | Országúti szakasz – A CO2 átlagos koncentrációja | [ppm] |
69 | Országúti szakasz – A NOX átlagos koncentrációja | [ppm] |
70 | Országúti szakasz – A PN átlagos koncentrációja | [#/m3] |
71 | Országúti szakasz – Az átlagos kipufogógáz-tömegáram | [kg/s] |
72 | Országúti szakasz – A kipufogógáz átlagos hőmérséklete | [K] |
73 | Országúti szakasz – A kipufogógáz legnagyobb hőmérséklete | [K] |
74 | Országúti szakasz – A THC összesített tömege | [g] |
75 | Országúti szakasz – A CH4 összesített tömege | [g] |
76 | Országúti szakasz – Az NMHC összesített tömege | [g] |
77 | Országúti szakasz – A CO összesített tömege | [g] |
78 | Országúti szakasz – A CO2 összesített tömege | [g] |
79 | Országúti szakasz – A NOX összesített tömege | [g] |
80 | Országúti szakasz – Összesített PN | [#] |
81 | Országúti szakasz – A THC kibocsátása | [mg/km] |
82 | Országúti szakasz – CH4-kibocsátás | [mg/km] |
83 | Országúti szakasz – Az NMHC kibocsátása | [mg/km] |
84 | Országúti szakasz – CO-kibocsátás | [mg/km] |
85 | Országúti szakasz – CO2-kibocsátás | [g/km] |
86 | Országúti szakasz – NOX-kibocsátás | [mg/km] |
87 | Országúti szakasz – PN-kibocsátás | [#/km] |
88 | Az autópályán történő vezetési szakasz hossza | [km] |
89 | Az autópályán történő vezetési szakasz időtartama | [óra:perc:másodperc] |
90 | Az autópályán történő vezetési szakasz alatti megállások időtartama | [perc:másodperc] |
91 | Az autópályán történő vezetési szakasz átlagos sebessége | [km/h] |
92 | Az autópályán történő vezetési szakasz legnagyobb sebessége | [km/h] |
93 | Autópályán történő vezetési szakasz – A THC átlagos koncentrációja az során | [ppm] |
94 | Autópályán történő vezetési szakasz – A CH4 átlagos koncentrációja | [ppm] |
95 | Autópályán történő vezetési szakasz – Az NMHC átlagos koncentrációja | [ppm] |
96 | Autópályán történő vezetési szakasz – A CO átlagos koncentrációja | [ppm] |
97 | Autópályán történő vezetési szakasz – A CO2 átlagos koncentrációja | [ppm] |
98 | Autópályán történő vezetési szakasz – A NOX átlagos koncentrációja | [ppm] |
99 | Autópályán történő vezetési szakasz – A PN átlagos koncentrációja | [#/m3] |
100 | Autópályán történő vezetési szakasz – Az átlagos kipufogógáz-tömegáram | [kg/s] |
101 | Autópályán történő vezetési szakasz – A kipufogógáz átlagos hőmérséklete | [K] |
102 | Autópályán történő vezetési szakasz – A kipufogógáz legnagyobb hőmérséklete | [K] |
103 | Autópályán történő vezetési szakasz – A THC összesített tömege | [g] |
104 | Autópályán történő vezetési szakasz – A CH4 összesített tömege | [g] |
105 | Autópályán történő vezetési szakasz – Az NMHC összesített tömege | [g] |
106 | Autópályán történő vezetési szakasz – A CO összesített tömege | [g] |
107 | Autópályán történő vezetési szakasz – A CO2 összesített tömege | [g] |
108 | Autópályán történő vezetési szakasz – A NOX összesített tömege | [g] |
109 | Autópályán történő vezetési szakasz – Összesített PN | [#] |
110 | Autópályán történő vezetési szakasz – A THC kibocsátása | [mg/km] |
111 | Autópályán történő vezetési szakasz – CH4-kibocsátás | [mg/km] |
112 | Autópályán történő vezetési szakasz – Az NMHC kibocsátása | [mg/km] |
113 | Autópályán történő vezetési szakasz – CO-kibocsátás | [mg/km] |
114 | Autópályán történő vezetési szakasz – CO2-kibocsátás | [g/km] |
115 | Autópályán történő vezetési szakasz – NOX-kibocsátás | [mg/km] |
116 | Autópályán történő vezetési szakasz – PN-kibocsátás | [#/km] |
… (1) | … (1) | … (1) |
(1) A kiegészítő elemek jellemzése céljából kiegészítő paraméterek adhatók hozzá a táblázathoz. |
4.2.2. Az adatértékelés eredménye
4. táblázat
A 2. adatjelentési fájl fejléce - Az 5. függelék szerinti adatértékelési módszer számítási adatai
Sor | Paraméter | Mértékegység |
1 | A CO2 referenciatömege | [g] |
2 | A CO2-jelleggörbe a 1 együtthatója | |
3 | A CO2-jelleggörbe b 1 együtthatója | |
4 | A CO2-jelleggörbe a 2 együtthatója | |
5 | A CO2-jelleggörbe b 2 együtthatója | |
6 | A súlyozó függvény k 11 együtthatója | |
7 | A súlyozó függvény k 12 együtthatója | |
8 | A súlyozó függvény k 22 = k 21 együtthatója | |
9 | Elsődleges tűrés tol 1 | [%] |
10 | Másodlagos tűrés tol 2 | [%] |
11 | A számításokhoz használt szoftver neve és verziószáma | (pl. EMROAD 5.8) |
… (1) | … (1) | … (1) |
(1) A számítási adatok jellemzése céljából a 95. sorig kiegészítő paraméterek adhatók hozzá a táblázathoz. |
5a. táblázat
A 2. adatjelentési fájl fejléce - Az 5. függelék szerinti adatértékelési módszer eredményei
Sor | Paraméter | Mértékegység |
101 | Ablakok száma | |
102 | A városi szakasz ablakainak száma | |
103 | Az országúti szakasz ablakainak száma | |
104 | Az autópályán történő vezetési szakasz ablakainak száma | |
105 | A városi szakasz ablakainak aránya | [%] |
106 | Az országúti szakasz ablakainak aránya | [%] |
107 | Az autópályán történő vezetési szakasz ablakainak aránya | [%] |
108 | A városi szakasz ablakainak aránya 15 %-nál nagyobb | (1=igen, 0=nem) |
109 | Az országúti szakasz ablakainak aránya 15 %-nál nagyobb | (1=igen, 0=nem) |
110 | Az autópályán történő vezetési szakasz ablakainak aránya 15 %-nál nagyobb | (1=igen, 0=nem) |
111 | A ± tol 1 tűrésen belüli ablakok száma | |
112 | A ± tol 1 tűrésen belüli városi ablakok száma | |
113 | A ± tol 1 tűrésen belüli országúti ablakok száma | |
114 | A ± tol 1 tűrésen belüli autópályán történő vezetési ablakok száma | |
115 | A ± tol 2 tűrésen belüli ablakok száma | |
116 | A ± tol 2 tűrésen belüli városi ablakok száma | |
117 | A ± tol 2 tűrésen belüli országúti ablakok száma | |
118 | A ± tol 2 tűrésen belüli autópályán történő vezetési ablakok száma | |
119 | A ± tol 1 tűrésen belüli városi ablakok aránya | [%] |
120 | A ± tol 1 tűrésen belüli országúti ablakok aránya | [%] |
121 | A ± tol 1 tűrésen belüli autópályán történő vezetési ablakok aránya | [%] |
122 | A ± tol 1 tűrésen belüli városi ablakok aránya 50 %-nál nagyobb | (1=igen, 0=nem) |
123 | A ± tol 1 tűrésen belüli országúti ablakok aránya 50 %-nál nagyobb | (1=igen, 0=nem) |
124 | A ± tol 1 tűrésen belüli autópályán történő vezetési ablakok aránya 50 %-nál nagyobb | (1=igen, 0=nem) |
125 | Az összes ablak átlagos súlyossági mutatója | [%] |
126 | A városi ablakok átlagos súlyossági mutatója | [%] |
127 | Az országúti ablakok átlagos súlyossági mutatója | [%] |
128 | Az autópályán történő vezetési ablakok átlagos súlyossági mutatója | [%] |
129 | A THC súlyozott kibocsátása a városi ablakokban | [mg/km] |
130 | A THC súlyozott kibocsátása az országúti ablakokban | [mg/km] |
131 | A THC súlyozott kibocsátása az autópályán történő vezetési ablakokban | [mg/km] |
132 | A CH4 súlyozott kibocsátása a városi ablakokban | [mg/km] |
133 | A CH4 súlyozott kibocsátása az országúti ablakokban | [mg/km] |
134 | A CH4 súlyozott kibocsátása az autópályán történő vezetési ablakokban | [mg/km] |
135 | Az NMHC súlyozott kibocsátása a városi ablakokban | [mg/km] |
136 | Az NMHC súlyozott kibocsátása az országúti ablakokban | [mg/km] |
137 | Az NMHC súlyozott kibocsátása az autópályán történő vezetési ablakokban | [mg/km] |
138 | A CO súlyozott kibocsátása a városi ablakokban | [mg/km] |
139 | A CO súlyozott kibocsátása az országúti ablakokban | [mg/km] |
140 | A CO súlyozott kibocsátása az autópályán történő vezetési ablakokban | [mg/km] |
141 | A NOX súlyozott kibocsátása a városi ablakokban | [mg/km] |
142 | A NOX súlyozott kibocsátása az országúti ablakokban | [mg/km] |
143 | A NOX súlyozott kibocsátása az autópályán történő vezetési ablakokban | [mg/km] |
144 | A NO súlyozott kibocsátása a városi ablakokban | [mg/km] |
145 | A NO súlyozott kibocsátása az országúti ablakokban | [mg/km] |
146 | A NO súlyozott kibocsátása az autópályán történő vezetési ablakokban | [mg/km] |
147 | A NO2 súlyozott kibocsátása a városi ablakokban | [mg/km] |
148 | A NO2 súlyozott kibocsátása az országúti ablakokban | [mg/km] |
149 | A NO2 súlyozott kibocsátása az autópályán történő vezetési ablakokban | [mg/km] |
150 | A PN súlyozott kibocsátása a városi ablakokban | [#/km] |
151 | A PN súlyozott kibocsátása az országúti ablakokban | [#/km] |
152 | A PN súlyozott kibocsátása az autópályán történő vezetési ablakokban | [#/km] |
… (1) | … (1) | … (1) |
(1) A 195. sorig kiegészítő paraméterek adhatók hozzá a táblázathoz. |
5b. táblázat
A 2. adatjelentési fájl fejléce - Az 5. függelék szerinti végső kibocsátási eredmények
Sor | Paraméter | Mértékegység |
201 | Teljes vizsgálati út – A THC kibocsátása | [mg/km] |
202 | Teljes vizsgálati út – CH4-kibocsátás | [mg/km] |
203 | Teljes vizsgálati út – Az NMHC kibocsátása | [mg/km] |
204 | Teljes vizsgálati út – CO-kibocsátás | [mg/km] |
205 | Teljes vizsgálati út – NOx-kibocsátás | [mg/km] |
206 | Teljes vizsgálati út – PN-kibocsátás | [#/km] |
… (1) | … (1) | … (1) |
(1) Kiegészítő paraméterek hozzáadhatók a táblázathoz. |
6. táblázat
A 2. adatjelentési fájl törzse - Az 5. függelék szerinti adatértékelési módszer részletes eredményei; az alábbi táblázat sorait és oszlopait át kell emelni az adatjelentési fájl törzsébe
Sor | 498 | 499 | 500 | 501 |
Az ablak kezdetének ideje | [s] | (1) | ||
Az ablak végének ideje | [s] | (1) | ||
Az ablak időtartama | [s] | (1) | ||
Az ablak távolsága | Forrás (1=GPS, 2=ECU, 3=érzékelő) | [km] | (1) | |
A THC kibocsátása az ablakban | [g] | (1) | ||
CH4-kibocsátás az ablakban | [g] | (1) | ||
Az NMHC kibocsátása az ablakban | [g] | (1) | ||
CO-kibocsátás az ablakban | [g] | (1) | ||
CO2-kibocsátás az ablakban | [g] | (1) | ||
NOX-kibocsátás az ablakban | [g] | (1) | ||
NO-kibocsátás az ablakban | [g] | (1) | ||
NO2-kibocsátás az ablakban | [g] | (1) | ||
O2-kibocsátás az ablakban | [g] | (1) | ||
PN-kibocsátás az ablakban | [#] | (1) | ||
A THC kibocsátása az ablakban | [mg/km] | (1) | ||
CH4-kibocsátás az ablakban | [mg/km] | (1) | ||
Az NMHC kibocsátása az ablakban | [mg/km] | (1) | ||
CO-kibocsátás az ablakban | [mg/km] | (1) | ||
CO2-kibocsátás az ablakban | [g/km] | (1) | ||
NOX-kibocsátás az ablakban | [mg/km] | (1) | ||
NO-kibocsátás az ablakban | [mg/km] | (1) | ||
NO2-kibocsátás az ablakban | [mg/km] | (1) | ||
O2-kibocsátás az ablakban | [mg/km] | (1) | ||
PN-kibocsátás az ablakban | [#/km] | (1) | ||
Az ablak távolsága a h j CO2-jelleggörbétől | [%] | (1) | ||
Az ablak w j súlyozó tényezője | [-] | (1) | ||
Átlagos járműsebesség az ablakban | Forrás (1=GPS, 2=ECU, 3=érzékelő) | [km/h] | (1) | |
… (2) | … (2) | … (2) | (1) (2) | |
(1) A tényleges értékeket az 501. sortól kezdve kell megadni az adatok végéig. (2) Az ablak tulajdonságainak jellemzése céljából kiegészítő paraméterek adhatók hozzá a táblázathoz. |
7. táblázat
A 3. adatjelentési fájl fejléce - A 6. függelék szerinti adatértékelési módszer számítási adatai
Sor | Paraméter | Mértékegység |
1 | A kerekekre jutó teljesítmény nyomatékának forrása | Érzékelő/ECU/„Veline” |
2 | A Veline meredeksége | [g/kWh] |
3 | A Veline metszete | [g/h] |
4 | Mozgóátlagolás időtartama | [s] |
5 | Referenciasebesség a célminta (az elérendő normalizált teljesítményeloszlás) denormalizálásához | [km/h] |
6 | Referenciagyorsulás | [m/s2] |
7 | A referenciasebesség és referenciagyorsulás melletti teljesítményigény a jármű kerékagyánál | [kW] |
8 | A Prated 90 %-át magában foglaló teljesítményosztályok száma | - |
9 | A célminta elrendezése | (nyújtott/zsugorított) |
10 | A számításokhoz használt szoftver neve és verziószáma | (pl. CLEAR 1.8) |
… (1) | … (1) | … (1) |
(1) A számítási adatok jellemzése céljából a 95. sorig kiegészítő paraméterek adhatók hozzá a táblázathoz. |
8a. táblázat
A 3. adatjelentési fájl fejléce - A 6. függelék szerinti adatértékelési módszer eredményei
Sor | Paraméter | Mértékegység |
101 | A teljesítményosztály lefedettsége (darabszám >5) | (1=igen, 0=nem) |
102 | A teljesítményosztály normalitása | (1=igen, 0=nem) |
103 | Teljes vizsgálati út – A THC kibocsátásának súlyozott átlaga | [g/s] |
104 | Teljes vizsgálati út – A CH4-kibocsátás súlyozott átlaga | [g/s] |
105 | Teljes vizsgálati út – Az NMHC kibocsátásának súlyozott átlaga | [g/s] |
106 | Teljes vizsgálati út – A CO-kibocsátás súlyozott átlaga | [g/s] |
107 | Teljes vizsgálati út – A CO2-kibocsátás súlyozott átlaga | [g/s] |
108 | Teljes vizsgálati út – A NOX-kibocsátás súlyozott átlaga | [g/s] |
109 | Teljes vizsgálati út – A NO-kibocsátás súlyozott átlaga | [g/s] |
110 | Teljes vizsgálati út – A NO2-kibocsátás súlyozott átlaga | [g/s] |
111 | Teljes vizsgálati út – Az O2-kibocsátás súlyozott átlaga | [g/s] |
112 | Teljes vizsgálati út – A PN-kibocsátás súlyozott átlaga | [#/s] |
113 | Teljes vizsgálati út – A járműsebesség súlyozott átlaga | [km/h] |
114 | Városi szakasz – A THC kibocsátásának súlyozott átlaga | [g/s] |
115 | Városi szakasz – A CH4-kibocsátás súlyozott átlaga | [g/s] |
116 | Városi szakasz – Az NMHC kibocsátásának súlyozott átlaga | [g/s] |
117 | Városi szakasz – A CO-kibocsátás súlyozott átlaga | [g/s] |
118 | Városi szakasz – A CO2-kibocsátás súlyozott átlaga | [g/s] |
119 | Városi szakasz – A NOX-kibocsátás súlyozott átlaga | [g/s] |
120 | Városi szakasz – A NO-kibocsátás súlyozott átlaga | [g/s] |
121 | Városi szakasz – A NO2-kibocsátás súlyozott átlaga | [g/s] |
122 | Városi szakasz – Az O2-kibocsátás súlyozott átlaga | [g/s] |
123 | Városi szakasz – A PN-kibocsátás súlyozott átlaga | [#/s] |
124 | Városi szakasz – A járműsebesség súlyozott átlaga | [km/h] |
… (1) | … (1) | … (1) |
(1) A 195. sorig kiegészítő paraméterek adhatók hozzá a táblázathoz. |
8b. táblázat
A 3. adatjelentési fájl fejléce - A 6. függelék szerinti végső kibocsátási eredmények
Sor | Paraméter | Mértékegység |
201 | Teljes vizsgálati út – A THC kibocsátása | [mg/km] |
202 | Teljes vizsgálati út – CH4-kibocsátás | [mg/km] |
203 | Teljes vizsgálati út – Az NMHC kibocsátása | [mg/km] |
204 | Teljes vizsgálati út – CO-kibocsátás | [mg/km] |
205 | Teljes vizsgálati út – NOx-kibocsátás | [mg/km] |
206 | Teljes vizsgálati út – PN-kibocsátás | [#/km] |
… (1) | … (1) | … (1) |
(1) Kiegészítő paraméterek hozzáadhatók a táblázathoz. |
9. táblázat
A 3. adatjelentési fájl törzse - A 6. függelék szerinti adatértékelési módszer részletes eredményei; az alábbi táblázat sorait és oszlopait át kell emelni az adatjelentési fájl törzsébe
Sor | 498 | 499 | 500 | 501 |
Teljes vizsgálati út – A teljesítményosztály száma (1) | — | |||
Teljes vizsgálati út – A teljesítményosztály alsó határa (1) | [kW] | |||
Teljes vizsgálati út – A teljesítményosztály felső határa (1) | [kW] | |||
Teljes vizsgálati út – Az alkalmazott célminta (eloszlás) (1) | [%] | (2) | ||
Teljes vizsgálati út – A teljesítményosztály előfordulása (1) | — | (2) | ||
Teljes vizsgálati út – A teljesítményosztály lefedettsége >5 darabszám (1) | — | (1=igen, 0=nem) (2) | ||
Teljes vizsgálati út – A teljesítményosztály normalitása (1) | — | (1=igen, 0=nem) (2) | ||
Teljes vizsgálati út – A THC átlagos kibocsátása a teljesítményosztályban (1) | [g/s] | (2) | ||
Teljes vizsgálati út – A CH4 átlagos kibocsátása a teljesítményosztályban (1) | [g/s] | (2) | ||
Teljes vizsgálati út – Az NMHC átlagos kibocsátása a teljesítményosztályban (1) | [g/s] | (2) | ||
Teljes vizsgálati út – A CO átlagos kibocsátása a teljesítményosztályban (1) | [g/s] | (2) | ||
Teljes vizsgálati út – A CO2 átlagos kibocsátása a teljesítményosztályban (1) | [g/s] | (2) | ||
Teljes vizsgálati út – A NOX átlagos kibocsátása a teljesítményosztályban (1) | [g/s] | (2) | ||
Teljes vizsgálati út – A NO átlagos kibocsátása a teljesítményosztályban (1) | [g/s] | (2) | ||
Teljes vizsgálati út – A NO2 átlagos kibocsátása a teljesítményosztályban (1) | [g/s] | (2) | ||
Teljes vizsgálati út – Az O2 átlagos kibocsátása a teljesítményosztályban (1) | [g/s] | (2) | ||
Teljes vizsgálati út – Az átlagos PN-kibocsátás a teljesítményosztályban (1) | [#/s] | (2) | ||
Teljes vizsgálati út – Az átlagos járműsebesség a teljesítményosztályban (1) | Forrás (1=GPS, 2=ECU, 3=érzékelő) | [km/h] | (2) | |
Városi szakasz – A teljesítményosztály száma (1) | — | |||
Városi szakasz – A teljesítményosztály alsó határa (1) | [kW] | |||
Városi szakasz – A teljesítményosztály felső határa (1) | [kW] | |||
Városi szakasz – Az alkalmazott célminta (eloszlás) (1) | [%] | (2) | ||
Városi szakasz – A teljesítményosztály előfordulása (1) | — | (2) | ||
Városi szakasz – A teljesítményosztály lefedettsége >5 darabszám (3) | — | (1=igen, 0=nem) (2) | ||
Városi szakasz – A teljesítményosztály normalitása (1) | — | (1=igen, 0=nem) (2) | ||
Városi szakasz – A THC átlagos kibocsátása a teljesítményosztályban (1) | [g/s] | (2) | ||
Városi szakasz – A CH4 átlagos kibocsátása a teljesítményosztályban (1) | [g/s] | (2) | ||
Városi szakasz – Az NMHC átlagos kibocsátása a teljesítményosztályban (1) | [g/s] | (2) | ||
Városi szakasz – A CO átlagos kibocsátása a teljesítményosztályban (1) | [g/s] | (2) | ||
Városi szakasz – A CO2 átlagos kibocsátása a teljesítményosztályban (1) | [g/s] | (2) | ||
Városi szakasz – A NOX átlagos kibocsátása a teljesítményosztályban (1) | [g/s] | (2) | ||
Városi szakasz – A NO átlagos kibocsátása a teljesítményosztályban (1) | [g/s] | (2) | ||
Városi szakasz – A NO2 átlagos kibocsátása (1) | [g/s] | (2) | ||
Városi szakasz – Az O2 átlagos kibocsátása a teljesítményosztályban (1) | [g/s] | (2) | ||
Városi szakasz – Az átlagos PN-kibocsátás a teljesítményosztályban (1) | [#/s] | (2) | ||
Városi szakasz – Az átlagos járműsebesség a teljesítményosztályban (1) | Forrás (1=GPS, 2=ECU, 3=érzékelő) | [km/h] | (2) | |
… (4) | … (4) | … (4) | (2) (4) | |
(1) Az egyes teljesítményosztályokra vonatkozóan jelentett eredmények az 1. teljesítményosztálytól addig a teljesítményosztályig, amely magában foglalja a Prated 90 %-át. (2) A tényleges értékeket az 501. sortól kezdve kell megadni az adatok végéig. (3) Az egyes teljesítményosztályokra vonatkozóan jelentett eredmények az 1. teljesítményosztálytól az 5. teljesítményosztályig. (4) Kiegészítő paraméterek hozzáadhatók a táblázathoz. |
4.3. A jármű és a motor leírása
A gyártónak rendelkezésre kell bocsátania az I. melléklet 4. függelékének megfelelő leírást a járműről és a motorról.
9. függelék
A gyártó tanúsítványa
A gyártó tanúsítványa a valós vezetési feltételek melletti kibocsátásokra vonatkozó követelmények teljesüléséről
(Gyártó):
(A gyártó címe):
tanúsítja, hogy
az e tanúsítvány mellékletében felsorolt járműtípusok valamennyi lehetséges, e melléklet követelményeinek megfelelő RDE-vizsgálat tekintetében megfelelnek a 692/2008/EK rendelet IIIA. mellékletének 2.1. pontjában meghatározott, a valós vezetési feltételek melletti kibocsátásokra vonatkozó követelményeknek.
Kelt: [ ...(hely)]
[ ...(dátum)]
(A gyártó képviselőjének pecsétje és aláírása)
Melléklet:
- Azon járműtípusok listája, amelyekre e tanúsítvány vonatkozik
IV. MELLÉKLET
A KÖZÚTI KÖZLEKEDÉSRE VALÓ ALKALMASSÁG TEKINTETÉBEN TÖRTÉNŐ TÍPUSJÓVÁHAGYÁSHOZ SZÜKSÉGES KIBOCSÁTÁSI ADATOK
1. függelék
(SZÉN-MONOXID-KIBOCSÁTÁS MÉRÉSE ÜRESJÁRATI FORDULATSZÁMOKON)
(2. TÍPUSÚ MÉRÉS)
1. BEVEZETÉS
1.1. Ez a függelék a 2. típusú mérés eljárását írja le, amely a szén-monoxid-kibocsátásokat méri üresjárati fordulatszámokon (normál és nagy üresjárati fordulatszám)
2. ÁLTALÁNOS ELŐÍRÁSOK
2.1. A általános előírások ugyanazok, mint az ENSZ-EGB 83. sz. előírásának 5.3.7.1.-5.3.7.4. szakaszában leírt előírások, a 2.2., 2.3 és 2.4. pontban felsorolt kivételekkel.
2.2. Az 5.3.7.3. szakaszban leírt atomszámarányok a következőképpen értendők:
Hcv
=
hidrogén/szén atomszámarány
- benzin (E5) esetében: 1,89
- benzin (E10) esetében: 1,93
- PB-gáz esetében: 2,53
- földgáz/biometán esetében: 4,0
- etanol (E85) esetében: 2,74
- etanol (E75) esetében: 2,61
Ocv
=
oxigén/szén atomszámarány
- benzin (E5) esetében: 0,016
- benzin (E10) esetében: 0,033
- PB-gáz esetében: 0,0
- földgáz/biometán esetében: 0,0
- etanol (E85) esetében: 0,39
- etanol (E75) esetében: 0 329.
2.3. Az e rendelet I. melléklete 4. függelékének 2.2. pontjában lévő táblázat kiegészítendő az e melléklet 2.2. és 2.4. pontjában előírtak alapján.
2.4. A műszaki szolgálat által megadott típusjóváhagyás időpontjától számított 24 hónapon belül a gyártónak meg kell erősítenie a típusjóváhagyáskor feljegyzett, az e függelék 2.1. pontja szerinti lambda érték pontosságát, hogy az reprezentatív a jellemző sorozatgyártású járművekre is. Értékelést kell készíteni a sorozatgyártású járműveken végzett felmérések és vizsgálatok alapján.
3. MŰSZAKI ELŐÍRÁSOK
3.1. A műszaki előírások ugyanazok, mint az ENSZ-EGB 83. sz. előírásának 5. mellékletében szereplő előírások, a 3.2. pontban felsorolt kivételekkel.
3.2. Az ENSZ-EGB 83. sz. előírása 5. mellékletének 2.1. szakaszában ismertetett referencia-üzemanyagok az e rendelet IX. mellékletében ismertetett megfelelő referencia-üzemanyag specifikációira való hivatkozásként értendők.
2. függelék
FÜST OPACITÁSÁNAK MÉRÉSE
1. BEVEZETÉS
1.1. Ez a függelék a kibocsátott kipufogógáz opacitásának mérésére vonatkozó előírásokat írja le.
2. A KORRIGÁLT FÉNYELNYELÉSI EGYÜTTHATÓ JELE
2.1. A korrigált fényelnyelési együttható jelét el kell helyezni minden olyan járművön, amely megfelel annak a járműtípusnak, amelyre ez a mérés vonatkozik. A jel egy téglalapban elhelyezett szám, amely a jóváhagyáskor a terhelés nélküli gyorsítással végzett méréssel kapott korrigált fényelnyelési együttható m-1-ben kifejezve. A mérési módszert a 4. pont írja le.
2.2. A jelnek jól olvashatónak és eltávolíthatatlannak kell lennie. A jelet szembetűnő és könnyen hozzáférhető helyen kell rögzíteni, amit az e melléklet 4. függelékében bemutatott típus-jóváhagyási tanúsítványhoz fűzött kiegészítésben fel kell tüntetni.
2.3. A IV.2.1. ábrán példa látható a fényelnyelési együttható jelére.
IV.
2.1. ábra

A fenti jel azt mutatja, hogy a korrigált fényabszropciós együttható 1,30 m-1.
3. SPECIFIKÁCIÓK ÉS MÉRÉSEK
3.1. A specifikációk és a mérések ugyanazok, mint az ENSZ-EGB 24. sz. előírása III. részének 24. szakaszában leírtak, az ezen eljárások alól a 3.2. pontban megadott kivétellel.
3.2. Az ENSZ-EGB 24. sz. előírása 24.1. szakaszában a 2. mellékletre való hivatkozás az e rendelet X. mellékletének 2. függelékére való hivatkozásként értendő.
4. MŰSZAKI ELŐÍRÁSOK
4.1. A műszaki előírások ugyanazok, mint az ENSZ-EGB 24. sz. előírásának 4., 5., 7., 8., 9. és 10. mellékletében szereplő előírások, a 4.2., 4.3. és 4.4. pontban felsorolt kivételekkel.
4.2. Mérés állandósult fordulatszámok mellett, a teljes terhelési görbe mentén
4.2.1. Az ENSZ-EGB 24. sz. előírása 4. mellékletének 3.1. szakaszában az 1. mellékletre való hivatkozás az e rendelet I. mellékletének 3. függelékére való hivatkozásként értendő.
4.2.2. Az ENSZ-EGB 24. sz. előírása 4. mellékletének 3.2. szakaszában ismertetett referencia-üzemanyag az e rendelet IX. mellékletében ismertetett azon referencia-üzemanyagra való hivatkozásként értendő, amely megfelelő azoknak a kibocsátási határértékeknek a szempontjából, amelyek alapján a jármű típusjóváhagyása történik.
4.3. Mérés terhelés nélküli gyorsítással
4.3.1. Az ENSZ-EGB 24. sz. előírása 5. mellékletének 2.2 szakaszában a 2. melléklet 2. táblázatára való hivatkozások az e rendelet I. melléklete 4. függelékének 2.4.2.1. pontja alatti táblázatokra való hivatkozásokként értendők.
4.3.2. Az ENSZ-EGB 24. sz. előírása 5. mellékletének 2.3. szakaszában az 1. melléklet 7.3. szakaszára való hivatkozások az e rendelet I. mellékletének 3. függelékére való hivatkozásokként értendők.
4.4. A kompressziós gyújtású motorok hasznos teljesítményének mérésére szolgáló EGB-módszer
4.4.1. Az ENSZ-EGB 24. sz. előírása 10. mellékletének 7. szakaszában az "e melléklet függeléke" hivatkozások és az ENSZ-EGB 24. sz. előírása 10. mellékletének 7. és 8. szakaszában az "1. melléklet" hivatkozások az e rendelet I. mellékletének 3. függelékére való hivatkozásokként értendők.
V. MELLÉKLET
A FORGATTYÚHÁZBÓL SZÁRMAZÓ KIBOCSÁTÁSOK ELLENŐRZÉSE
(3. TÍPUSÚ MÉRÉS)
1. BEVEZETÉS
1.1. Ez a melléklet a forgattyúházból származó kibocsátásokat ellenőrző 3. típusú mérés eljárását írja le.
2. ÁLTALÁNOS ELŐÍRÁSOK
2.1. A 3. típusú mérés végrehajtására az általános előírások ugyanazok, mint az ENSZ-EGB 83. sz. előírása 6. mellékletének 2. szakaszában szereplő előírások.
3. MŰSZAKI ELŐÍRÁSOK
3.1. A műszaki előírások ugyanazok, mint az ENSZ-EGB 83. sz. előírása 6. mellékletének 3.-6. szakaszában szereplő előírások.
VI. MELLÉKLET
1. Bevezetés
1.1. Ez a melléklet a szikragyújtású motorral felszerelt járművek tüzelőanyag-rendszeréből párolgás révén távozó szénhidrogén-kibocsátások meghatározására szolgáló 4. típusú mérés folyamatát ismerteti.
2. Műszaki előírások
2.1. Bevezetés
Az eljárás a párolgási kibocsátások vizsgálatából és két kiegészítő vizsgálatból áll, melyek közül az egyik az 5.1. pontnak megfelelően az aktívszéntartály öregítésére, a másik az 5.2. pontnak megfelelően a tüzelőanyag-tároló rendszer áteresztésére vonatkozik.
A párolgási kibocsátások vizsgálata (1. ábra) a napi hőmérsékletváltozás, a jármű parkolás közbeni átforrósodása, illetve a városi közlekedés sajátosságai miatt bekövetkező párolgási szénhidrogén-kibocsátások meghatározására szolgál.
2.2. A párolgási kibocsátások vizsgálata a következőkből áll:
a) egy városi (első rész), egy országúti (második rész), majd két újabb városi vezetési ciklusból (első rész) összetevődő tesztút;
b) az átforrósodási veszteség meghatározása;
c) a napi párolgási veszteség meghatározása.
A vizsgálat végeredményének kiszámításához összesíteni kell az átmelegedéskor felszabaduló és a napi párolgási szénhidrogén-kibocsátásokat, valamint az áteresztési tényezőt.
3. A jármű és a tüzelőanyag
3.1. A jármű
3.1.1. A járművet jó műszaki állapotban, bejáratva kell a vizsgálatra átadni, és a vizsgálat előtt legalább 3 000 km-t kell futnia. A párolgási kibocsátások meghatározásának céljára használt jármű kilométerórájának állását és korát fel kell jegyezni. A párolgási kibocsátást szabályozó rendszernek bekapcsolt állapotban kell lennie; és a bejáratási időszak alatt annak mindvégig kifogástalanul kell működnie, az aktívszéntartály(ok) pedig csak a szokásos használatnak lehetett (lehettek) kitéve, és nem kerülhetett sor a normálistól eltérő átöblítési műveletre vagy terhelésre. Az 5.1. pontnak megfelelően öregített aktívszéntartály(oka)t az 1. ábrának megfelelően kell bekötni.
3.2. A tüzelőanyag
3.2.1. Az 1. típusú vizsgálatokhoz a 692/2008/EK rendelet IX. mellékletében meghatározott E10 referencia-tüzelőanyagot kell használni. E rendelet alkalmazásában az 1. típusú vizsgálatok referencia-tüzelőanyaga az E10 referencia-tüzelőanyag, kivéve az aktívszéntartály öregítésének céljára az 5.1. pontnak megfelelően.
4. A párolgási kibocsátás vizsgálatához használt eszközök
4.1. A görgős fékpad
A görgős fékpadnak meg kell felelnie a 83. sz. ENSZ EGB-előírás 4a. mellékletének 1. függelékében meghatározott követelményeknek.
4.2. A párolgási kibocsátás mérésére szolgáló kamra
A párolgási kibocsátás mérésére szolgáló kamrának meg kell felelnie a 83. sz. ENSZ EGB-előírás 7. mellékletének 4.2. pontjában meghatározott követelményeknek.
1. ábra
A párolgási kibocsátások meghatározása
3 000 km-es bejáratási időszak (nincs a normálistól eltérő átöblítés vagy terhelés)
Öregített tartály(ok) használata
A jármű gőztisztítása (ha szükséges)
A tüzelőanyagtól eltérő háttérkibocsátási források korlátozása vagy eltávolítása (megállapodás függvényében)

Megjegyzések:
1. Párolgási kibocsátást szabályozó rendszer szerinti családok - az I. melléklet 3.2. pontjának megfelelően
2. A kipufogógáz-kibocsátás mérhető az 1. típusú tesztút alatt, de az így kapott értékek nem használhatók a jogszabályi rendelkezéseknek való megfelelés céljára. A jogszabályok által előírt kipufogógáz-kibocsátási vizsgálat külön kezelendő.
4.3. Analitikai rendszerek
Az analitikai rendszereknek meg kell felelniük a 83. sz. ENSZ EGB-előírás 7. mellékletének 4.3. pontjában meghatározott követelményeknek.
4.4. A hőmérsékleti adatok rögzítése
A hőmérsékleti adatok rögzítésének meg kell felelnie a 83. sz. ENSZ EGB-előírás 7. mellékletének 4.5. pontjában meghatározott követelményeknek.
4.5. A nyomásértékek rögzítése
A nyomásértékek rögzítésének meg kell felelnie a 83. sz. ENSZ EGB-előírás 7. mellékletének 4.6. pontjában meghatározott követelményeknek.
4.6. Ventilátorok
A ventilátoroknak meg kell felelniük a 83. sz. ENSZ EGB-előírás 7. mellékletének 4.7. pontjában meghatározott követelményeknek.
4.7. Gázok
A használt gázoknak meg kell felelniük a 83. sz. ENSZ EGB-előírás 7. mellékletének 4.8. pontjában meghatározott követelményeknek.
4.8. Egyéb eszközök
Az egyéb eszközöknek meg kell felelniük a 83. sz. ENSZ EGB-előírás 7. mellékletének 4.9. pontjában meghatározott követelményeknek.
5. A vizsgálati eljárás
5.1. Az aktívszéntartály(ok) öregítése
Az átforrósodási vizsgálat és a napi veszteség vizsgálata előtt az aktívszéntartály(oka)t öregíteni kell az alábbi 2. ábrán ismertetett eljárással.
2. ábra
Az aktívszéntartály öregítése

5.1.1. Hőkondicionálás
A tartály(oka)t egy erre a célra kialakított hőkamrában többször - 15 °C-ról 60 °C-ra melegítik és hűtik, a végpontokon 30 percig tartva. Az egyes ciklusok hossza 210 perc a 3. ábrának megfelelően. A hőmérséklet-változás üteme a lehető legjobban közelít az 1 °C/perchez. A tartály(ok)on nem szabad átfújatni a levegőt.
A ciklust 50 egymást követő alkalommal kell megismételni. A művelet teljes hossza 175 óra.
3. ábra
Hőkondicionálási ciklus

5.1.2. Az aktívszéntartály rezgési kondicionálása
A hőkondicionálást követően a tartály(oka)t a vertikális tengely mentén, a gépjárműben elfoglalt helyzetbe állítva 30 ± 10 Hz frekvencián összesen több mint 1,5 m/sec2 Grms-nek ( 55 ) kell kitenni. A művelet hossza 12 óra.
5.1.3. Az aktívszéntartály tüzelőanyaggal való öregítése
5.1.3.1. Tüzelőanyaggal való öregítés 300 cikluson keresztül
5.1.3.1.1. A hőkondicionálás és a rezgési kondicionálás után a tartály(oka)t az alábbi 5.1.3.1.1.1. pontban leírt, 1. típusú vizsgálatokhoz használt E10 kereskedelmi tüzelőanyag és nitrogén vagy levegő 50 ± 15 % tüzelőanyaggőz-térfogatarányú keverékében kell öregíteni. A keverék tüzelőanyaggőzzel való telítettségének arányát 60 ± 20 g/órán kell tartani.
A tartály(oka)t áttörésig kell terhelni. Áttörésről akkor beszélünk, amikor a kibocsátott szénhidrogének halmozott mennyisége eléri a 2 grammot. Ettől eltérve a terhelés végpontja lehet az, amikor a szellőzőnyílásnál az egyenértékű koncentráció eléri a 3 000 ppm-t.
5.1.3.1.1.1. A vizsgálathoz használt E10 kereskedelmi tüzelőanyagnak az alábbiak tekintetében ugyanazon követelményeknek kell megfelelnie, mint az E10 referencia-tüzelőanyagnak:
- sűrűség 15 °C-on,
- gőznyomás (DVPE),
- desztilláció (csak párolgás),
- szénhidrogén-elemzés (olefinek, aromás vegyületek, benzol),
- oxigéntartalom,
- etanoltartalom.
5.1.3.1.2. A tartály(ok) tisztítását a 83. sz. ENSZ EGB-előírás 7. mellékletének 5.1.3.8. pontjában ismertetett eljárásnak megfelelően kell végezni. Normál állapot alatt 273,2 K hőmérséklet és 101,33 kPa nyomás értendő.
A tartály(ok) tisztítását a terhelést követő 5 perc és egy óra eltelte között kell elvégezni.
5.1.3.1.3. Az eljárás 5.1.3.1.1. és 5.1.3.1.2. pontban leírt lépéseit 50 alkalommal kell megismételni, ezután 5 butáncikluson keresztül az alábbi 5.1.3.1.4. pontnak megfelelően meg kell mérni a bután-feldolgozási kapacitást (BWC), ami az aktivált széntartály képessége a száraz levegőben található bután abszorpciójára és deszorpciójára meghatározott körülmények között. A tüzelőanyaggal való öregítést folytatni kell a 300. ciklus végéig. A 300 ciklus után el kell végezni a bután-feldolgozási kapacitás mérését 5 butáncikluson keresztül az 5.1.3.1.4. pontnak megfelelően.
5.1.3.1.4. A BWC mérését a tüzelőanyaggal való öregítés 50. és 300. ciklusa után kell elvégezni. A méréshez áttörésig kell terhelni a tartályt a 83. sz. ENSZ EGB-előírás 7. melléklete 5.1.6.3. pontjának megfelelően. A BWC értékét fel kell jegyezni.
Ezután el kell végezni a tartály(ok) tisztítását a 83. sz. ENSZ EGB-előírás 7. mellékletének 5.1.3.8. pontjában ismertetett eljárásnak megfelelően.
A tartály(ok) tisztítását a terhelést követő 5 perc és egy óra eltelte között kell végezni.
A butánterhelést öt alkalommal kell megismételni. A BWC értékét minden alkalom után fel kell jegyezni. A BWC50 értékét az öt terhelési eredmény átlagaként kell kiszámítani és fel kell jegyezni.
A tartály(ok) összesen 300 tüzelőanyaggal való öregítési cikluson és 10 butáncikluson megy (mennek) keresztül, ezután stabilizáltnak tekinthető(k).
5.1.3.2. Amennyiben a tartály(oka)t a beszállító adja, a gyártó erről előzetesen tájékoztatja a típusjóváhagyásért felelős hatóságot, hogy az megtekinthesse a beszállító létesítményében végzett öregítési eljárás bármely szakaszát.
5.1.3.3. A gyártó eljuttatja a típusjóváhagyásért felelős hatósághoz a vizsgálati jelentést, amely legalább a következőket tartalmazza:
- az aktivált szén típusa,
- a terhelési ráta,
- a tüzelőanyag műszaki adatai,
- BWC-mérések eredményei.
5.2. A tüzelőanyag-rendszer áteresztési tényezőjének meghatározása (4. ábra)
4. ábra
Az áteresztési tényező meghatározása

A vizsgálathoz a családra jellemző tüzelőanyag-tároló rendszert kell kiválasztani, próbapadra kell erősíteni, majd E10 referencia-tüzelőanyaggal feltöltve 20 héten át 40 °C ± 2 °C-on kell tartani. A tüzelőanyag-tároló rendszert a járműben elfoglalt szokásos helyzetéhez hasonlóan kell pozicionálni a próbapadon.
5.2.1. A tartályt friss E10 referencia-tüzelőanyaggal kell feltölteni. A feltöltést a névleges kapacitás 40 ± 2 %-áig kell elvégezni 18 °C ± 8 °C-on. A tüzelőanyag-rendszert tartó próbapadot egy biztonságos, erre a célra kialakított, szabályozott hőmérsékletű helyiségben 40 °C ± 2 °C-on kell tartani 3 héten át.
5.2.2. A 3. hét végén a tartályt ki kell üríteni, és friss E10 referencia-tüzelőanyaggal kell újratölteni a névleges kapacitás 40 ± 2 %-áig 18 °C ± 8 °C-on.
6-36 órán belül (melynek utolsó hat órájában a hőmérséklet 20 °C ± 2 °C) a tüzelőanyag-rendszert tartó próbapadot változtatható hőmérsékletű SHED-kamrába kell helyezni, és a 83. sz. ENSZ EGB-előírás 7. mellékletének 5.7. pontjának megfelelően 24 órás egész napos eljárásnak kell alávetni. A tüzelőanyag-rendszer szellőzését a kamrán kívülre kell vezetni, ezzel kizárva az áteresztés méréséből a tartály szellőzési kibocsátásait. A szénhidrogén-kibocsátást mérni kell, és értékét HC3W-ként kell feljegyezni.
5.2.3. A tüzelőanyag-rendszert tartó próbapadot ismét egy biztonságos, erre a célra kialakított szabályozott hőmérsékletű helyiségbe kell helyezni, és ott 40 °C ± 2 °C-on kell tartani a fennmaradó 17 héten át.
5.2.4. A 17. hét végén a tartályt ki kell üríteni, és friss E10 referencia-tüzelőanyaggal kell újratölteni a névleges kapacitás 40 ± 2 %-áig 18 °C ± 8 °C-on.
6-36 órán belül (melynek utolsó hat órájában a hőmérséklet 20 °C ± 2 °C) a tüzelőanyag-rendszert tartó próbapadot változtatható hőmérsékletű SHED-kamrába kell helyezni, és a 83. sz. ENSZ EGB-előírás 7. mellékletének 5.7. pontjának megfelelően 24 órás egész napos eljárásnak kell alávetni. A tüzelőanyag-rendszer szellőzését a kamrán kívülre kell vezetni, ezzel kizárva az áteresztés méréséből a tartály szellőzési kibocsátásait. A szénhidrogén-kibocsátást mérni kell, és értékét HC20W-ként kell feljegyezni.
5.2.5. Az áteresztési tényező a HC20W és a HC3W különbsége g/24 órában, 3 helyértékben megadva.
5.2.6. Amennyiben az áteresztési tényezőt a beszállító állapítja meg, a gyártó erről előzetesen tájékoztatja a típusjóváhagyásért felelős hatóságot, hogy az megtekinthesse a beszállító létesítményében végzett eljárást.
5.2.7. A gyártó eljuttatja a típusjóváhagyásért felelős hatósághoz a vizsgálati jelentést, amely legalább a következőket tartalmazza:
a) a vizsgált tüzelőanyag-tároló rendszer teljes leírása, beleértve a vizsgált tartály típusát, hogy az egy- vagy többrétegű-e, valamint hogy milyen anyagból készült a tartály és a rendszer többi eleme;
b) az öregítés során mért heti átlaghőmérsékletek;
c) a 3. héten mért HC-érték (HC3W);
d) a 20. héten mért HC-érték (HC20W);
e) az eredményül kapott áteresztési tényező (PF).
5.2.8. A fenti 5.2.1-5.2.7. pontoktól eltérve a többrétegű tartályokat használó gyártók a fent leírt teljes mérési eljárás elvégzése helyett használhatják a következő névleges áteresztési tényezőt (APF):
többrétegű tartály esetén APF = 120 mg/24 óra.
5.2.8.1. Amennyiben egy gyártó úgy dönt, hogy névleges áteresztési tényezőt használ, a típusjóváhagyásért felelős hatósághoz nyilatkozatot nyújt be a tartály típusának és az ahhoz felhasznált anyagoknak a pontos megjelölésével.
5.3. Az átforrósodási és a napi veszteség mérésének folyamata
A járművet a 83. sz. ENSZ EGB-előírás 7. melléklete 5.1.1. és 5.1.2. pontjának megfelelően kell előkészíteni. A gyártó kérésére és a felelős hatóság jóváhagyásával a tüzelőanyagtól eltérő háttérkibocsátási források korlátozhatók vagy eltávolíthatók a vizsgálat előtt (pl. a gumiabroncsok vagy a jármű hevítése, az ablakmosó folyadék eltávolítása).
5.3.1. Temperálás
A járművet leállított állapotban legalább 12, de legfeljebb 36 órán keresztül temperálni kell egy temperáló helyiségben. Ennek az időtartamnak a végére a motorolajnak és a hűtőközegnek ± 3 °C-os pontossággal fel kell vennie a környezet hőmérsékletét.
5.3.2. A tüzelőanyag leeresztése és újratöltése
A 83. sz. ENSZ EGB-előírás 7. melléklete 5.1.7. pontjának megfelelően ki kell üríteni és újra kell tölteni a tüzelőanyagot.
5.3.3. Előkondicionáló menetciklus
A tüzelőanyag cseréjétől számított egy órán belül görgős fékpadra kell tenni a járművet, és alá kell vetni a 83. sz. ENSZ EGB-előírás 4a. melléklete szerinti I. típusú próbaút első része szerinti egy menetciklusnak és második része szerinti két menetciklusnak.
E művelet alatt a kipufogógáz-kibocsátásból nem kell mintát venni.
5.3.4. Temperálás
Az előkondicionálás végét követő öt percen belül a járművet leállított állapotban legalább 12, de legfeljebb 36 órán keresztül temperálni kell egy temperáló helyiségben. Ennek az időtartamnak a végére a motorolajnak és a hűtőközegnek ± 3 °C -os pontossággal fel kell vennie a környezet hőmérsékletét.
5.3.5. A széntartály áttörése
Az 5.1. pontnak megfelelően öregített aktívszéntartályt a 83. sz. ENSZ EGB-előírás 7. melléklete 5.1.4. pontjában ismertetett eljárásnak megfelelően áttörésig kell terhelni.
5.3.6. Vizsgálat fékpadon
5.3.6.1. A tartály telítésétől számított egy órán belül görgős fékpadra kell tenni a járművet, és alá kell vetni a 83. sz. ENSZ EGB-előírás 4a. melléklete szerinti I. típusú próbaút első része szerinti egy menetciklusnak és második része szerinti egy menetciklusnak. Ezután a motort le kell állítani. A művelet során mintát lehet venni a kipufogógáz-kibocsátásból, de az eredmények nem használhatók a kipufogógáz-kibocsátás tekintetében történő típusjóváhagyás céljára.
5.3.6.2. Az 5.3.6.1. pont szerinti I. típusú próbaút végétől számított két percen belül a járművel újabb kondicionáló menetciklust kell megtenni, amely az I. típusú próbaút első részének (melegindítás) kétszeri ismétléséből áll. Ezután a motort ismét le kell állítani. E művelet alatt nem szükséges mintát venni a kipufogógáz-kibocsátásból.
5.3.7. Meleg levegővel való átitatás
A görgős fékpadon végzett vizsgálat után a járművet alá kell vetni a parkolás közbeni átforrósodáskor keletkező párolgási kibocsátások vizsgálatának a 83. sz. ENSZ EGB-előírás 7. mellékletének 5.5. pontjával összhangban. Az átforrósodáskor keletkező veszteséget a 83. sz. ENSZ EGB-előírás 7. mellékletének 6. pontjával összhangban kell kiszámítani, és MHS-ként kell feljegyezni.
5.3.8. Temperálás
A parkolás közbeni átforrósodáskor keletkező párolgási kibocsátások vizsgálata után a járművet a 83. sz. ENSZ EGB-előírás 7. mellékletének 5.6. pontjával összhangban temperálni kell.
5.3.9. Napi vizsgálat
5.3.9.1. A temperálás után el kell végezni a napi veszteség első 24 órás mérését a 83. sz. ENSZ EGB-előírás 7. mellékletének 5.7. pontjával összhangban. A kibocsátásokat a 83. sz. ENSZ EGB-előírás 7. mellékletének 6. pontjában meghatározott módon kell kiszámítani. A kapott értéket MD1-ként kell feljegyezni.
5.3.9.2. A napi kibocsátások első 24 órás mérése után el kell végezni a napi kibocsátások második 24 órás mérését a 83. sz. ENSZ EGB-előírás 7. mellékletének 5.7. pontjával összhangban. A kibocsátásokat a 83. sz. ENSZ EGB-előírás 7. mellékletének 6. pontjában meghatározott módon kell kiszámítani. A kapott értéket MD2-ként kell feljegyezni.
5.3.10. Számítás
Az MHS + MD1 + MD2 + 2PF eredménye el kell maradjon a 715/2007/EK rendelet I. mellékletének 3. táblázatában meghatározott határértéktől.
5.3.11. A gyártó eljuttatja a típusjóváhagyásért felelős hatósághoz a vizsgálati jelentést, amely legalább a következőket tartalmazza:
a) a temperálási időszakok ismertetése, megadva hosszukat és az elért átlaghőmérsékleteket;
b) a használt öregített tartály leírása és hivatkozás a részletes öregítési jelentésre;
c) a meleg levegővel végzett átitatáskor alkalmazott átlaghőmérséklet;
d) a meleg levegővel végzett átitatáskor mért érték, HSL;
e) az első napi kibocsátási érték, DL1st day;
f) a második napi kibocsátási érték, DL2nd day;
g) a párolgási kibocsátások végeredménye, amelyet az MHS + MD1 + MD2 + 2PF képlet használatával kell kiszámítani.
VII. MELLÉKLET
A KIBOCSÁTÁSCSÖKKENTŐ RENSZEREK TARTÓSSÁGÁNAK ELLENŐRZÉSE
(5. TÍPUSÚ MÉRÉS)
1. BEVEZETÉS
1.1. Ez a melléklet a kibocsátáscsökkentő rendszerek tartósságának ellenőrzésére szolgáló méréseket írja le. A tartósságra vonatkozó előírások teljesülését az 1.2., 1.3. és 1.4 pontokban leírt három módszer egyikével kell igazolni.
1.2. A teljes járműre vonatkozó tartóssági vizsgálat egy 160 000 km-es öregítési vizsgálatot jelent, amelyet próbapályán, közúton vagy járműfékpadon kell elvégezni.
1.3. A gyártó választhatja próbapadi öregítési tartóssági vizsgálat használatát is.
1.4. A tartóssági vizsgálat alternatívájaként a gyártó választhatja a következő táblázatban megadott rögzített romlási tényezők alkalmazását.
Motorkategória | Rögzített romlási tényezők | ||||||
CO | Összes szénhidrogén | Metántól különböző szénhidrogének | NOx | Szénhidrogének + NOx | Részecskék tömege | Részecskék száma | |
Szikragyújtás | 1,5 | 1,3 | 1,3 | 1,6 | — | 1,0 | 1,0 |
Kompressziós gyújtás (Euro 5) | 1,5 | — | — | 1,1 | 1,1 | 1,0 | 1,0 |
Kompressziós gyújtás (Euro 6) (1) | |||||||
(1) Az Euro 6-ra vonatkozó romlási tényezők meghatározása egy későbbi időpontban történik. |
1.5. A gyártó kérésére a műszaki szolgálat elvégezheti az 1. típusú mérést, mielőtt még sor kerülne a teljes jármű tartóssági vizsgálatára vagy a próbapadi öregítési tartóssági vizsgálatra, a fenti táblázatban megadott romlási tényezőket használva. A teljes jármű tartóssági vizsgálatának vagy a próbapadi öregítési tartóssági vizsgálatnak a befejezése után a műszaki szolgálat módosíthatja az 1. melléklet 4. függelékében rögzített típus-jóváhagyási eredményeket úgy, hogy a fenti táblázat romlási tényezőit felváltja a teljes jármű tartóssági vizsgálata vagy a próbapadi öregítési tartóssági vizsgálat során mért értékekkel.
1.6. Ha nincsenek az Euro 6 alá tartozó kompressziós gyújtású járművekre rögzített romlási tényezők, akkor a gyártó a teljes jármű tartóssági vizsgálatát vagy a próbapadi öregítési tartóssági vizsgálatot használja a romlási tényezők meghatározására.
1.7. A romlási tényezőket vagy az 1.2. és 1.3. pont szerinti eljárással vagy az 1.4. pontban lévő táblázatban szereplő rögzített értékek felhasználásával kell meghatározni. A romlási tényezőket annak megállapítására kell használni, hogy a 715/2007/EK rendelet I. mellékletének 1. és 2. táblázatában felsorolt vonatkozó kibocsátási határértékek alapján az előírások teljesülnek-e.
2. MŰSZAKI ELŐÍRÁSOK
2.1. A műszaki előírások és specifikációk ugyanazok, mint az ENSZ-EGB 83. sz. előírása 9. mellékletének 2.-6. szakaszában szereplő előírások, a 2.1.1.-2.1.4. pontban felsorolt kivételekkel.
2.1.1. Az ENSZ-EGB 83. sz. előírása 9. mellékletének 5.1. szakaszában a teljes jármű tartóssági vizsgálatára leírt működési ciklus helyett a járműgyártó használhatja az e melléklet 3. függelékében leírt normál közúti ciklust (SRC). Ebben a mérési ciklusban a járműnek meg kell tennie legalább 160 000 km-t.
2.1.2. Az ENSZ-EGB 83. sz. előírása 9. mellékletének 5.3. és 6. szakaszában említett 80 000 km 160 000 km-ként értendő.
2.1.3. Az ENSZ-EGB 83. sz. előírása 9. melléklete 6. szakasza első bekezdésében az 5.3.1.4. szakaszra való hivatkozás az Euro 5 alá tartozó járművek esetében a 715/2007/EK rendelet I. mellékletének 1. táblázatára való hivatkozásként, az Euro 6 alá tartozó járművek esetében pedig a 715/2007/EK rendelet I. mellékletének 2. táblázatára való hivatkozásként értendő.
2.1.4. Az ENSZ-EGB 83. sz. előírása 9. mellékletének 6. szakaszában a hatodik albekezdés a következőképpen értendő:
A kipufogógáz-kibocsátásnál minden káros anyagra ki kell számítani egy romlási szorzótényezőt a következőképpen:

A gyártó kérésére a kipufogógáz-kibocsátásnál minden káros anyagra ki kell számítani egy additív romlási tényezőt a következőképpen:

2.2. Próbapadi öregítési tartóssági vizsgálat
2.2.1. Az 1.3. pontban a próbapadi öregítési vizsgálatra meghatározott műszaki előírások mellett az e pontban meghatározott műszaki előírások is vonatkoznak.
A vizsgálathoz használandó üzemanyagnak a 83. sz. előírás 9. mellékletének 3. szakaszában leírt üzemanyagnak kell lennie.
2.3.1. Szikragyújtású motorral felszerelt járművek
2.3.1.1. A következő próbapadi öregítési eljárást kell alkalmazni az olyan szikragyújtású járművekre, ideértve a hibridhajtású járműveket is, melyek meghatározó utókezelő kibocsátáscsökkentő eszköze katalizátor.
A próbapadi öregítési eljáráshoz fel kell szerelni a katalizátor/oxigénérzékelő rendszert a katalizátoröregítő próbapadra.
A próbapadi öregítést a normál próbapadi ciklus (SBC) szerint kell lefolytatni a próbapadi öregítési idő egyenletéből kiszámított ideig. A próbapadi öregítési idő egyenletében szükség van a katalizátornak az e melléklet 3. függelékében leírt normál közúti ciklusban mért idő-hőmérséklet adataira.
2.3.1.2. Normál próbapadi ciklus (SBC). A katalizátor normál próbapadi öregítését kell elvégezni az SBC ciklus szerint. Az SBC ciklus idejét a próbapadi öregítési idő egyenletéből kell kiszámítani. Az SBC ciklust e melléklet 1. függeléke írja le.
2.3.1.3. A katalizátor idő-hőmérséklet adatai. A katalizátor hőmérsékletét az e melléklet 3. függelékében leírt SRC ciklussal kell mérni, legalább két teljes ciklusban.
A katalizátor hőmérsékletét a vizsgált jármű legmelegebb katalizátorának legnagyobb hőmérsékletű helyén kell mérni. Más megoldásként a hőmérséklet mérhető másik helyen is, feltéve hogy az műszakilag megalapozottan úgy van meghatározva, hogy a legmelegebb helyen mért hőmérsékletet reprezentálja.
A katalizátor hőmérsékletét legalább 1 másodperces gyakorisággal kell mérni (másodpercenként egy mérés).
A mért katalizátor-hőmérsékleteket legfeljebb 25 °C nagyságú osztályközzel jellemezhető hisztogramba kell foglalni.
2.3.1.4. Próbapadi öregítési idő. A próbapadi öregítési időt a próbapadi öregítési idő egyenletéből kell kiszámítani a következők szerint:
te egy osztályközre = th e((R/Tr)-(R/Tv))
Összes te = az összes osztályköz te- értékének összege
Próbapadi öregítési idő = A (összes te)
ahol
A = 1,1. Ez az érték korrigálja a katalizátor öregítési idejét a katalizátor termikus öregedésétől különböző okokból bekövetkező funkciócsökkenések számításba vétele céljából.
R = a katalizátor termikus aktivitása = 17 500
th = a katalizátor hőmérséklet-hisztogramjának előírt osztályközében mért idő (óra), a teljes hasznos élettartamra vetítve, például ha a hisztogram 400 km-t reprezentál és a hasznos élettartam 160 000 km; az összes időtételt meg kell szorozni 400-zal (160 000 /400).
Összeste = a katalizátoröregítő próbapadon Tr hőmérsékleten a katalizátor olyan katalizátoröregítő ciklussal való öregítéséhez szükséges ekvivalens idő (óra), amely ugyanakkora funkciócsökkenést okoz, mint a katalizátor 160 000 km alatt bekövetkező termikus aktivitásvesztése.
teegy osztályközre = a katalizátoröregítő próbapadon Tr hőmérsékleten a katalizátor olyan katalizátoröregítő ciklussal való öregítéséhez szükséges ekvivalens idő (óra), amely ugyanakkora funkciócsökkenést okoz, mint a katalizátor Tv hőmérsékleten 160 000 km alatt bekövetkező termikus aktivitásvesztése.
Tr = a katalizátor effektív referencia-hőmérséklete (K) a próbapadi öregítési ciklusban a próbapadon. Az effektív hőmérséklet az az állandó hőmérséklet, amely ugyanolyan öregedést idézne elő, mint a próbapadi öregítési ciklusban a különféle hőmérsékleteken történő öregedés.
Tv = a jármű közúti katalizátor-hőmérsékleti hisztogramjában a hőmérséklet-osztályköz középső értéke (K).
2.3.1.5. Effektív referencia-hőmérséklet az SBC ciklusban. Meg kell határozni a normál próbapadi ciklus (SBC) effektív referencia-hőmérsékletét a katalizátorrendszer tényleges kialakítására és a tényleges öregítő próbapadra, és azt a következő eljárásokkal kell használni.
a) az idő-hőmérséklet adatok SBC ciklus szerinti mérése a katalizátorrendszerben a katalizátoröregítő próbapadon. A katalizátor hőmérsékletét a rendszer legmelegebb katalizátorának legnagyobb hőmérsékletű helyén kell mérni. Más megoldásként a hőmérséklet mérhető másik helyen is, feltéve hogy az úgy van meghatározva, hogy a legmelegebb helyen mért hőmérsékletet reprezentálja.
A katalizátor hőmérsékletét legalább 1 másodperces gyakorisággal kell mérni (másodpercenként egy mérés) legalább 20 perces próbapadi öregítés alatt. A mért katalizátor-hőmérsékleteket legfeljebb 10 °C nagyságú osztályközzel jellemezhető hisztogramba kell foglalni.
b) a próbapadi öregítési idő egyenletét kell használni az effektív referencia-hőmérséklet kiszámítására, a referencia-hőmérséklet (Tr) iterációjával úgy, hogy a kiszámított öregedési idő egyenlő legyen a katalizátor-hőmérsékleti hisztogramban szereplő tényleges idővel, vagy meghaladja azt. a kapott hőmérséklet az effektív referencia-hőmérséklet az SBC ciklusban az adott katalizátorrendszerre és öregítő próbapadra.
2.3.1.6. Katalizátoröregítő próbapad. A katalizátoröregítő próbapadnak az SBC ciklus szerint kell működnie, és biztosítania kell a megfelelő kipufogógáz-áramot, kipufogógáz-komponenseket és hőmérsékletet a katalizátor felületén.
Az összes próbapadi öregítő rendszernek és eljárásnak regisztrálnia kell a megfelelő információkat (mint például a mért levegő/üzemanyag arány és az idő-hőmérséklet adatok a katalizátorban), biztosítandó, hogy az öregedés valóban kielégítően megtörténjen.
2.3.1.7. Szükséges mérések. A romlási tényezők kiszámításához a vizsgált járművön el kell végezni legalább két 1. típusú mérést a kibocsátáscsökkentő rendszer próbapadi öregítése előtt, majd legalább két 1. típusú mérést a próbapadon öregített kibocsátáscsökkentő rendszer visszaszerelése után
A gyártó végezhet további méréseket. A romlási tényezőket az e rendelettel módosított ENSZ-EGB 83. sz. előírása 9. mellékletének 6. szakaszában ismertetett számítási módszerrel kell kiszámítani.
2.3.2. Kompressziós gyújtású motorral felszerelt járművek
2.3.2.1. A következő próbapadi öregítési eljárás vonatkozik a kompressziós gyújtású járművekre, beleértve a hibridhajtású járműveket is.
A próbapadi öregítési eljáráshoz fel kell szerelni az utókezelő rendszert az erre a célra szolgáló öregítő próbapadra.
A próbapadi öregítést a normál próbapadi ciklusnak (dízel) (SDBC) megfelelően kell lefolytatni a regenerálási/kéntelenítési ciklusoknak a próbapadi öregítési tartam egyenletéből kiszámított száma szerint.
2.3.2.2. Normál próbapadi ciklus (dízel) (SDBC) A normál próbapadi öregítés az SDBC ciklus szerint történik. Az SDBC ciklus idejét a próbapadi öregítési tartam egyenletéből kell kiszámítani. Az SDBC ciklust e melléklet 2. függeléke írja le
2.3.2.3. Regenerálási adatok. A regenerálási intervallumokat a 3. függelékben leírt SRC legalább tíz teljes ciklusa alatt kell mérni. Más megoldásként használhatók a Ki meghatározásából adódó intervallumok.
Adott esetben a kéntelenítési intervallumokat is figyelembe kell venni a gyártó adatai alapján.
2.3.2.4. Próbapadi öregítési időtartam (dízel). A próbapadi öregítési tartamot a próbapadi öregítési tartam egyenletéből kell kiszámítani a következők szerint:
Próbapadi öregítési tartam = a regenerálások, illetve a kéntelenítési ciklusok 160 000 km megtételével ekvivalens száma (amelyik nagyobb).
2.3.2.5. Öregítő próbapad. Az öregítő próbapadnak az SDBC szerint kell működnie és biztosítania kell a megfelelő kipufogógáz-áramot, kipufogógáz-komponenseket és hőmérsékletet az utókezelő rendszer bemeneténél.
A gyártónak regisztrálnia kell a regenerálási/kéntelenítési ciklusok számát, ellenőrizendő, hogy az öregedés valóban kielégítően megtörtént-e.
2.3.2.6. Szükséges mérések. A romlási tényezők kiszámításához el kell végezni legalább két 1. típusú mérést a kibocsátáscsökkentő rendszer próbapadi öregítése előtt, majd legalább két 1. típusú mérést a próbapadon öregített kibocsátáscsökkentő rendszer visszaszerelése után. A gyártó végezhet további méréseket. A romlási tényezőket az ENSZ-EGB 83. sz. előírása 9. mellékletének 6. szakaszában ismertetett számítási módszerrel és az e rendeletben előírt kiegészítő előírásoknak megfelelően kell kiszámítani.
1. függelék
Normál próbapadi ciklus (SBC)
1. Bevezetés
A normál öregítési tartóssági eljárás egy katalizátor/oxigénérzékelő rendszer öregítő próbapadon történő öregítéséből áll, az e függelékben leírt normál próbapadi ciklus (SBC) szerint. Az SBC ciklushoz olyan öregítő próbapadot kell használni, amely rendelkezik egy motorral, amely szállítja a katalizátor számára a belépő gázokat. Az SBC egy 60 másodperces ciklus, amely szükség szerint ismétlődik az öregítő próbapadon, hogy előidézze az előírt időnek megfelelő öregedést. Az SBC ciklust a katalizátor-hőmérséklet, a motor levegő/üzemanyag aránya és az első katalizátor előtt beadott másodlagos levegő mennyisége alapján kell meghatározni.
2. A katalizátor hőmérsékletének szabályozása
2.1. A katalizátor hőmérsékletét a katalizátorágyban a legmelegebb katalizátor legnagyobb hőmérsékletű helyén kell mérni. Más megoldásként mérhető a belépő gáz hőmérséklete és ezt lehet átszámítani a katalizátorágy hőmérsékletére az öregítési folyamatban használandó öregítő próbapadról és a katalizátor kialakításáról rendelkezésre álló korrelációs adatokon alapuló lineáris transzformációval.
2.2. Sztöchiometriai levegő/üzemanyag összetételnél (01-40 másodperc a ciklusban) a katalizátor hőmérsékletét úgy kell szabályozni, hogy legalább 800 °C (± 10 °C) legyen, megfelelően megválasztva a motor fordulatszámát, terhelését és a gyújtásvezérlését. A hőmérsékletet úgy kell szabályozni, hogy a katalizátornak a ciklusban a legnagyobb hőmérséklete 890 °C (± 10 °C) legyen, megfelelően megválasztva a motor levegő/üzemanyag arányát az alábbi táblázatban leírt "dús" fázis során.
2.3. Ha a hőmérséklet úgy van szabályozva, hogy a legkisebb hőmérséklet kisebb, mint 800 °C, akkor a legnagyobb hőmérsékletnek 90 °C-kal kell nagyobbnak lennie a legkisebb hőmérsékletnél.
Normál próbapadi ciklus (SBC)
Idő (másodperc) | Levegő/üzemanyag arány | másodlagos levegőbeadás |
1–40 | Sztöchiometriai, a terhelés, a gyújtás és a fordulatszám olyan szabályozásával, hogy a katalizátor elérje legalább a 800 °C hőmérsékletet | Nincs |
41–45 | „Dús” (a levegő/üzemanyag arányt úgy kell kiválasztani, hogy a katalizátor hőmérséklete a ciklusban végig elérje a 890 °C-ot, illetve a legkisebb szabályozási hőmérsékletnél 90 °C-kal nagyobb legnagyobb hőmérsékletet | Nincs |
46–55 | „Dús” (a levegő/üzemanyag arányt úgy kell kiválasztani, hogy a katalizátor hőmérséklete a ciklusban végig elérje a 890 °C-ot, illetve a legkisebb szabályozási hőmérsékletnél 90 °C-kal nagyobb legnagyobb hőmérsékletet | 3 % (± 1 %) |
56–60 | Sztöchiometriai, a terhelés, a gyújtás és a fordulatszám olyan szabályozásával, hogy a katalizátor elérje legalább a 800 °C hőmérsékletet | 3 % (± 1 %) |

3. Az öregítő próbapad felszerelése és eljárások
3.1. Az öregítő próbapad összeállítása. Az öregítő próbapadnak megfelelő kipufogógáz-áramot, hőmérsékletet, levegő/üzemanyag arányt, kipufogógáz-komponenseket és másodlagos levegőbeadást kell biztosítania a katalizátor bevezető felületén.
A normál öregítő próbapad egy motorból, motorvezérlőből és motorfékpadból áll. Más összeállítás is elfogadható (például a teljes jármű a fékpadon, vagy egy égő, amely pontosan előállítja a kipufogási viszonyokat), feltéve hogy az e függelékben a katalizátor bemenetére megadott feltételek és a szabályozási előírások teljesülnek.
Egy öregítő próbapad használható úgy, hogy megosztja a kipufogógáz-áramot több részre, feltéve hogy az egyes részáramok megfelelnek e függelék előírásainak. Ha a próbapadon egynél több kipufogógáz-részáram van, akkor egyszerre több katalizátorrendszer is öregíthető.
3.2. A kipufogórendszer felszerelése. A próbapadra fel kell szerelni a teljes katalizátor/oxigénérzékelő rendszert, az ezeket a komponenseket összekötő összes kipufogó-vezetékkel együtt. Több külön kipufogórendszerrel rendelkező motor esetében (mint például néhány V6 és V8 motor) az egyes rendszereket külön, párhuzamosan kell felszerelni a próbapadra.
Több beépített katalizátort tartalmazó kipufogórendszer esetében az öregítéshez egy egységként kell felszerelni az összes katalizátort, összes oxigénérzékelőt és a kapcsolódó kipufogó-vezetékeket magában foglaló teljes katalizátorrendszert. Más megoldásként az egyes katalizátorok öregítése történhet külön-külön, megfelelő ideig.
3.3. Hőmérsékletmérés. A katalizátor hőmérsékletét a katalizátorágyban a legmelegebb katalizátornak a legnagyobb hőmérsékletű helyén elhelyezett hőelemmel kell mérni. Más megoldásként mérhető a belépő gáz hőmérséklete közvetlenül a katalizátor bevezető felülete előtt, és ezt lehet átszámítani a katalizátorágy hőmérsékletére az öregítési folyamatban használandó öregítő próbapadról és a katalizátor kialakításáról rendelkezésre álló korrelációs adatok alapján kiszámított lineáris transzformációval. A katalizátor hőmérsékletét digitálisan kell regisztrálni legalább 1 másodperces gyakorisággal (másodpercenként egy mérés).
3.4. Levegő/üzemanyag arány mérése. Gondoskodni kell arról, hogy a levegő/üzemanyag arány mérése (például szélestartományú oxigénérzékelővel) a katalizátor belépő- és kilépőkarimájához a lehető legközelebb történjen. Az ezektől az érzékelőktől jövő adatokat digitálisan kell regisztrálni legalább 1 másodperces gyakorisággal (másodpercenként egy mérés).
3.5. A kipufogógáz-áram szabályozása. Gondoskodni kell arról, hogy a megfelelő mennyiségű kipufogógáz (gramm/s-ben mérve sztöchiometriai aránynál, ± 5 gramm/s tűréssel) áramoljon át a próbapadon öregített mindegyik katalizátoron.
A megfelelő áramlási sebesség meghatározása olyan kipufogógáz-áramon alapul, amely az eredeti jármű motorjában fordul elő az e függelék 3.6. pontjában leírt próbapadi öregítéshez kiválasztott állandósult fordulatszámon és terhelésen.
3.6. Összeállítás. A fordulatszámot, terhelést, és gyújtásvezérlést úgy kell megválasztani, hogy a katalizátorágy sztöchiometriai levegő/üzemanyag arány és állandósult állapotú működés mellett elérje a 800 °C (± 10 °C) hőmérsékletet.
A levegőinjektáló rendszert úgy kell beállítani, hogy biztosítsa az ahhoz szükséges levegőáramot, hogy sztöchiometriai levegő/üzemanyag arány és állandósult állapotú működés mellett a kipufogógáz-áramban közvetlenül az első katalizátor előtt 3,0 % oxigén (± 0,1 %) legyen. A levegő/üzemanyag arány mérési pontja (az 5. pont előírása) előtt a jellemző mért érték: lambda = 1,16 (ami közelítőleg 3 % oxigénnek felel meg).
Levegőbeadás mellett be kell állítani a "dús" levegő/üzemanyag arányt úgy, hogy a katalizátorágy hőmérséklete elérje a 890 °C-ot (± 10 °C). Erre a lépésre a levegő/üzemanyag arány jellemző értéke lambda = 0,94 (közelítőleg 2 % CO).
3.7. Öregítési ciklus. A normál próbapadi öregítési eljárások a normál próbapadi ciklust használják. Az SBC ciklust addig kell ismételni, amíg meg nem történik a próbapadi öregítési idő egyenletéből kiszámított öregedés.
3.8. Minőségbiztosítás. Az öregítés alatt az e függelék 3.3. és 3.4. pontjában említett hőmérsékleteket és levegő/üzemanyag arányt rendszeresen (legalább 50 óránként) ellenőrizni kell. El kell végezni a szükséges beállításokat annak biztosítására, hogy az öregítés mindvégig az SBC ciklusnak megfelelően történjen.
Az öregítés befejezése után a katalizátornak az öregítési folyamat során felvett idő-hőmérséklet adatait legfeljebb 10 °C nagyságú osztályközzel jellemezhető hisztogramba kell foglalni. Az öregítési ciklusnak a VII. melléklet 2.3.1.4. pontja szerint számított effektív referencia-hőmérséklete és a próbapadi öregítési idő egyenlete használandó annak meghatározására, hogy megtörtént-e a katalizátor megfelelő mértékű termikus öregedése. A próbapadi öregítést meg kell hosszabbítani, ha a kiszámított öregítési idő hőhatása nem éri el legalább a megcélzott termikus öregítés 95 %-át.
3.9. Indítás és leállítás. Gondot kell fordítani arra, hogy a katalizátor gyors leromlását okozó nagy katalizátor-hőmérséklet (például 1 050 °C) ne forduljon elő indításkor vagy leálláskor. E probléma kiküszöbölésére használhatók speciális kishőmérsékletű indítási és leállítási eljárások.
4. A próbapadi öregítési tartóssági eljárások R-tényezőjének kísérleti meghatározása
4.1. Az R-tényező a katalizátornak a próbapadi öregítési idő egyenletében használt aktivitási együtthatója. A gyártó az R értékét kísérletileg meghatározhatja a következő eljárásokkal.
4.1.1. A megfelelő próbapadi ciklussal és az öregítő próbapad megfelelő felszerelésével el kell végezni több katalizátor (adott kialakítású katalizátorokból legalább 3) öregítését különböző beállított hőmérsékleteken, a szokásos működési hőmérséklet és a károsodást okozó határhőmérséklet között. Meg kell mérni a kibocsátásokat (azaz a katalizátor hatékonytalanságát = 1 - a katalizátor hatásfoka) mindegyik kipufogógáz-komponensre. Biztosítani kell, hogy a végső mérésekkel kapott adatok a kibocsátási határértékek egyszerese és kétszerese közé essenek.
4.1.2. Meg kell becsülni az R értékét és ki kell számítani az effektív referencia-hőmérsékletet (Tr) a próbapadi öregítési ciklusra mindegyik beállított hőmérsékletre a VII. melléklet 2.4.4. pontja szerint.
4.1.3. Grafikonon ábrázolni kell a kibocsátásokat (azaz a katalizátor hatékonytalanságát) az öregedési idő függvényében mindegyik katalizátorra. A legkisebb négyzetek módszerével ki kell számítani az adatokra a regressziós egyenest. Az erre a célra hasznos adathalmaz azokból az adatokból áll, amelyekre a közös állandó 0 és 6 400 km között van. Példaként lásd az alábbi grafikont.
4.1.4. Mindegyik öregítési hőmérsékletre ki kell számítani a regressziós egyenes meredekségét.
4.1.5. Grafikonon ábrázolni kell az egyes regressziós egyenesek meredekségének (4.1.4. lépés) természetes logaritmusát (ln) a függőleges tengely mentén, az öregítési hőmérsékletnek a vízszintes tengelyre felvett reciproka (1/(öregítési hőmérséklet, K)) függvényében, és az adatokra a legkisebb négyzetek módszerével ki kell számítani a regressziós egyenest. Az R-tényező ennek az egyenesnek a meredeksége. Példaként lásd az alábbi grafikont. [Kép #66]

Kép #66
4.1.6. Össze kell hasonlítani az R-tényezőt a 4.1.2. lépésben használt kiindulási értékkel. Ha a számított R-tényező 5 %-nál nagyobb mértékben eltér a kiindulási értéktől, akkor olyan új R-tényezőt kell választani, amely a kiindulási és a számított érték között van, majd meg kell ismételni a 2.-6. lépéseket az új R-tényező kiszámításához. Ezt a műveletsort addig kell ismételni, amíg a számított R-tényező 5 %-os tűréssel egyenlő nem lesz az eredetileg feltételezett R-tényezővel.
4.1.7. Össze kell hasonlítani az egyes kipufogógáz-komponensekre külön meghatározott R-tényezőket. A próbapadi öregítési idő egyenletéhez a legkisebb R-tényezőt (legkedvezőtlenebb eset) kell használni. [Kép #67]

Kép #67
2. függelék
Normál próbapadi ciklus (dízel) (SDBC)
1. Bevezetés
A részecskeszűrőknél az öregedési folyamat kritikus tényezője a regenerálások száma. Azoknál a rendszereknél, ahol kéntelenítési ciklus is szükséges (például NOx-tároló katalizátorok), ott ez a folyamat is jelentős.
A normál öregítési tartóssági eljárás (dízel) egy utókezelő rendszernek öregítő próbapadon történő öregítéséből áll, az e függelékben leírt normál próbapadi ciklus (SDBC) szerint. Az SDBC ciklushoz olyan öregítő próbapadot kell használni, amely rendelkezik egy motorral, amely szállítja a rendszer számára a belépő gázokat.
Az SDBC ciklus alatt a rendszer regenerálási/kéntelenítési stratégiáinak a szokásos állapotban kell lenniük.
2. Az SDBC ciklus azokat a fordulatszám- és terhelésviszonyokat állítja elő, amelyek az SRC ciklusban megfelelnek annak az időtartamnak, amelyre a tartósságot meg kell határozni. Az öregedési folyamat felgyorsításához a próbapadon a motorbeállítások módosíthatók, hogy csökkenjen a rendszerek terhelési ideje. Módosítható például az üzemanyag-injektálás vezérlése vagy a kipufogógáz-visszavezetési stratégia.
3. Az öregítő próbapad felszerelése és eljárások
3.1. A normál öregítő próbapad egy motorból, motorvezérlőből és motorfékpadból áll. Más összeállítás is elfogadható (például a teljes jármű a fékpadon, vagy egy égő, amely pontosan előállítja a kipufogási viszonyokat), feltéve hogy az e függelékben az utókezelő rendszer bemenetére megadott feltételek és a szabályozási előírások teljesülnek.
Egy öregítő próbapad használható úgy, hogy megosztja a kipufogógáz-áramot több részre, feltéve hogy az egyes részáramok megfelelnek e függelék előírásainak. Ha a próbapadon egynél több kipufogógáz-részáram van, akkor egyszerre több utókezelő rendszer is öregíthető.
3.2. A kipufogórendszer felszerelése. A próbapadra fel kell szerelni a teljes utókezelő rendszert, az ezeket a komponenseket összekötő összes kipufogó-vezetékkel együtt. Több külön kipufogórendszerrel rendelkező motor esetében (mint például néhány V6 és V8 motor) az egyes rendszereket külön kell felszerelni a próbapadra.
Az öregítéshez a teljes utókezelő rendszert egy egységként kell felszerelni. Más megoldásként az egyes komponensek öregítése történhet külön-külön, megfelelő ideig.
3. függelék
Normál közúti ciklus (SRC)
Bevezetés
A normál közúti ciklus (SRC) az összegződő kilométer-teljesítményt használó ciklus. A jármű futtatható próbapályán vagy kilométer-összesítő fékpadon.
A ciklus egy 6 km-es pálya 7 köréből áll. Egy kör hossza változtatható, hogy megfeleljen a tartampróbához használt pálya hosszának.
Normál közúti ciklus (SRC)
Kör | Leírás | Jellemző gyorsulás, m/s2 |
1 | (A motor indítása) üresjárat 10 másodpercig | 0 |
1 | Mérsékelt gyorsulás 48 km/h-ig | 1,79 |
1 | Normál menet 48 km/h sebességgel 1/4 körig | 0 |
1 | Mérsékelt lassulás 32 km/h-ig | – 2,23 |
1 | Mérsékelt gyorsulás 48 km/h-ig | 1,79 |
1 | Normál menet 48 km/h sebességgel 1/4 körig | 0 |
1 | Mérsékelt lassulás leállásig | – 2,23 |
1 | Üresjárat 5 másodpercig | 0 |
1 | Mérsékelt gyorsulás 56 km/h-ig | 1,79 |
1 | Normál menet 56 km/h sebességgel 1/4 körig | 0 |
1 | Mérsékelt lassulás 40 km/h-ig | – 2,23 |
1 | Mérsékelt gyorsulás 56 km/h-ig | 1,79 |
1 | Normál menet 56 km/h sebességgel 1/4 körig | 0 |
1 | Mérsékelt lassulás leállásig | – 2,23 |
2 | Üresjárat 10 másodpercig | 0 |
2 | Mérsékelt gyorsulás 64 km/h-ig | 1,34 |
2 | Normál menet 64 km/h sebességgel 1/4 körig | 0 |
2 | Mérsékelt lassulás 48 km/h-ig | – 2,23 |
2 | Mérsékelt gyorsulás 64 km/h-ig | 1,34 |
2 | Normál menet 64 km/h sebességgel 1/4 körig | 0 |
2 | Mérsékelt lassulás leállásig | – 2,23 |
2 | Üresjárat 5 másodpercig | 0 |
2 | Mérsékelt gyorsulás 72 km/h-ig | 1,34 |
2 | Normál menet 72 km/h sebességgel 1/4 körig | 0 |
2 | Mérsékelt lassulás 56 km/h-ig | – 2,23 |
2 | Mérsékelt gyorsulás 72 km/h-ig | 1,34 |
2 | Normál menet 72 km/h sebességgel 1/4 körig | 0 |
2 | Mérsékelt lassulás leállásig | – 2,23 |
3 | Üresjárat 10 másodpercig | 0 |
3 | Erős gyorsulás 88 km/h-ig | 1,79 |
3 | Normál menet 88 km/h sebességgel 1/4 körig | 0 |
3 | Mérsékelt lassulás 72 km/h-ig | – 2,23 |
3 | Mérsékelt gyorsulás 88 km/h-ig | 0,89 |
3 | Normál menet 88 km/h sebességgel 1/4 körig | 0 |
3 | Mérsékelt lassulás 72 km/h-ig | – 2,23 |
3 | Mérsékelt gyorsulás 97 km/h-ig | 0,89 |
3 | Normál menet 97 km/h sebességgel 1/4 körig | 0 |
3 | Mérsékelt lassulás 80 km/h-ig | – 2,23 |
3 | Mérsékelt gyorsulás 97 km/h-ig | 0,89 |
3 | Normál menet 97 km/h sebességgel 1/4 körig | 0 |
3 | Mérsékelt lassulás leállásig | – 1,79 |
4 | Üresjárat 10 másodpercig | 0 |
4 | Erős gyorsulás 129 km/h-ig | 1,34 |
4 | Kigurulás 113 km/h-ig | – 0,45 |
4 | Normál menet 113 km/h sebességgel 1/2 körig | 0 |
4 | Mérsékelt lassulás 80 km/h-ig | – 1,34 |
4 | Mérsékelt gyorsulás 105 km/h-ig | 0,89 |
4 | Normál menet 105 km/h sebességgel 1/2 körig | 0 |
4 | Mérsékelt lassulás 80 km/h-ig | – 1,34 |
5 | Mérsékelt gyorsulás 121 km/h-ig | 0,45 |
5 | Normál menet 121 km/h sebességgel 1/2 körig | 0 |
5 | Mérsékelt lassulás 80 km/h-ig | – 1,34 |
5 | Gyenge gyorsulás 113 km/h-ig | 0,45 |
5 | Normál menet 113 km/h sebességgel 1/2 körig | 0 |
5 | Mérsékelt lassulás 80 km/h-ig | – 1,34 |
6 | Mérsékelt gyorsulás 113 km/h-ig | 0,89 |
6 | Kigurulás 97 km/h-ig | – 0,45 |
6 | Normál menet 97 km/h sebességgel 1/2 körig | 0 |
6 | Mérsékelt lassulás 80 km/h-ig | – 1,79 |
6 | Mérsékelt gyorsulás 104 km/h-ig | 0,45 |
6 | Normál menet 104 km/h sebességgel 1/2 körig | 0 |
6 | Mérsékelt lassulás leállásig | – 1,79 |
7 | Üresjárat 45 másodpercig | 0 |
7 | Erős gyorsulás 88 km/h-ig | 1,79 |
7 | Normál menet 88 km/h sebességgel 1/4 körig | 0 |
7 | Mérsékelt lassulás 64 km/h-ig | – 2,23 |
7 | Mérsékelt gyorsulás 88 km/h-ig | 0,89 |
7 | Normál menet 88 km/h sebességgel 1/4 körig | 0 |
7 | Mérsékelt lassulás 64 km/h-ig | – 2,23 |
7 | Mérsékelt gyorsulás 80 km/h-ig | 0,89 |
7 | Normál menet 80 km/h sebességgel 1/4 körig | 0 |
7 | Mérsékelt lassulás 64 km/h-ig | – 2,23 |
7 | Mérsékelt gyorsulás 80 km/h-ig | 0,89 |
7 | Normál menet 80 km/h sebességgel 1/4 körig | 0 |
7 | Mérsékelt lassulás leállásig | – 2,23 |
A normál közúti ciklus grafikusan a következő ábrán látható.

VIII. MELLÉKLET
AZ ÁTLAGOS KIBOCSÁTÁS ELLENŐRZÉSE KIS KÖRNYEZETI HŐMÉRSÉKLETEN
(6. TÍPUSÚ MÉRÉS)
1. BEVEZETÉS
1.1. Ez a melléklet a kis környezeti hőmérséklet (hideg időjárás) melletti átlagos kibocsátásokat ellenőrző 6. típusú mérés eljárását írja le.
2. ÁLTALÁNOS ELŐÍRÁSOK
2.1. A általános előírások ugyanazok, mint az ENSZ-EGB 83. sz. előírásának 5.3.5.1.1.-5.3.5.3.2. szakaszában leírt előírások, az alább felsorolt kivételekkel.
2.2. Az ENSZ-EGB 83. sz. előírásának 5.3.5.1.4. szakaszában a "szénhidrogének" hivatkozás "összes szénhidrogén" hivatkozásként értendő.
2.3. A 83. sz. ENSZ-EGB előírás 5.3.5.2. szakaszában hivatkozott határértékek a 715/2007/EK rendelet I. mellékletének 4. táblázatában megállapított határértékekként értendők.
3. MŰSZAKI ELŐÍRÁSOK
3.1. A műszaki előírások és specifikációk ugyanazok, mint az ENSZ-EGB 83. sz. előírása 8. mellékletének 2.-6. szakaszában szereplő előírások és specifikációk, az alábbi pontokban felsorolt kivételekkel.
3.2. A ENSZ-EGB 83. sz. előírása 8. mellékletének 3.4.1. szakaszában a 10. melléklet 3. szakaszára való hivatkozás az e rendelet IX. mellékletének B. részére való hivatkozásként értendő.
3.3. Az ENSZ-EGB 83. sz. előírása 8. mellékletének alábbi szakaszaiban a "szénhidrogének"-re való hivatkozások "összes szénhidrogén"-ként értendők.
2.4.1. szakasz
5.1.1. szakasz
IX. MELLÉKLET
A REFERENCIA-ÜZEMANYAGOK SPECIFIKÁCIÓI
A. REFERENCIA-ÜZEMANYAGOK
1. A szikragyújtású motorral felszerelt járművek vizsgálatához használandó referencia-üzemanyagok műszaki adatai
Típus: Benzin (E5)
Paraméter | Mértékegység | Határértékek (1) | Mérési módszer | |
alsó | felső | |||
Kísérleti oktánszám (RON) | 95,0 | — | EN 25164 prEN ISO 5164 | |
Motoroktánszám (MON) | 85,0 | — | EN 25163 prEN ISO 5163 | |
Sűrűség 15 °C-on | kg/m3 | 743 | 756 | EN ISO 3675 EN ISO 12185 |
Gőznyomás | kPa | 56,0 | 60,0 | EN ISO 13016–1 (DVPE) |
Víztartalom | térf.% | 0,015 | ASTM E 1064 | |
Desztilláció: | ||||
– frakció 70 °C-on | térf.% | 24,0 | 44,0 | EN-ISO 3405 |
– frakció 100 °C-on | térf.% | 48,0 | 60,0 | EN-ISO 3405 |
– frakció 150 °C-on | térf.% | 82,0 | 90,0 | EN-ISO 3405 |
– végforrpont | °C | 190 | 210 | EN-ISO 3405 |
Maradék | térf.% | — | 2,0 | EN-ISO 3405 |
Szénhidrogén-összetétel: | ||||
– olefinek | térf.% | 3,0 | 13,0 | ASTM D 1319 |
– aromásak | térf.% | 29,0 | 35,0 | ASTM D 1319 |
– benzol | térf.% | — | 1,0 | EN 12177 |
– telítettek | térf.% | Jegyzőkönyv | ASTM 1319 | |
Szén/hidrogén arány | Jegyzőkönyv | |||
Szén/oxigén arány | Jegyzőkönyv | |||
Indukciós periódus (2) | perc | 480 | — | EN-ISO 7536 |
Oxigéntartalom (3) | tömeg% | Jegyzőkönyv | EN 1601 | |
Gyantamaradék | mg/ml | — | 0,04 | EN-ISO 6246 |
Kéntartalom (4) | mg/kg | — | 10 | EN ISO 20846 EN ISO 20884 |
Rézkorrózió | — | 1. osztály | EN-ISO 2160 | |
Ólomtartalom | mg/l | — | 5 | EN 237 |
Foszfortartalom (5) | mg/l | — | 1,3 | ASTM D 3231 |
Etanol (3) | térf.% | 4,7 | 5,3 | EN 1601 EN 13132 |
(1) A specifikációban szereplő értékek „valódi értékek”. A határértékek megállapításánál az „Olajtermékek – Pontossági adatok meghatározása és alkalmazása a vizsgálati módszerek viszonylatában” című ISO 4259 szabvány feltételeit alkalmazzák, és a legkisebb érték meghatározásához a nulla érték feletti 2R legkisebb különbséget, a felső és alsó határérték meghatározásához pedig a 4R (R = reprodukálhatóság) legkisebb különbséget veszik figyelembe. E statisztikai okokból szükséges megoldástól függetlenül az üzemanyag gyártójának törekednie kell a nulla értékre ott, ahol a megadott legnagyobb érték 2R, és az átlagértékre a felső és alsó határértékek megadásakor. Ha nem egyértelmű, hogy egy üzemanyag megfelel-e a specifikáció követelményeinek, akkor ennek eldöntéséhez az ISO 4259 szabvány előírásait kell alkalmazni. (2) Az üzemanyag tartalmazhat rendes körülmények között a finomítókban a benzin stabilizálására használt antioxidánsokat és fémdezaktivátorokat, de detergens/diszpergáló adalékokat és oldó olajokat nem szabad alkalmazni. (3) Az EN 15376 szabvány specifikációinak megfelelő etanol az egyetlen olyan oxigéntartalmú vegyület, amelyet szándékosan hozzá szabad adni a referencia-üzemanyaghoz. (4) Meg kell adni az 1. típusú mérésekhez használt üzemanyag tényleges kéntartalmát. (5) Ehhez a referencia-üzemanyaghoz tilos szándékosan olyan vegyületeket adni, amelyek foszfort, vasat, mangánt vagy ólmot tartalmaznak. |
Típus: Benzin (E10):
Paraméter | Mértékegység | Határértékek (1) | Vizsgálati módszer | |
alsó | felső | |||
Kísérleti oktánszám (RON) (2) | 95,0 | 98,0 | EN ISO 5164 | |
Motoroktánszám (MON) (2) | 85,0 | 89,0 | EN ISO 5163 | |
Sűrűség 15 °C-on | kg/m3 | 743,0 | 756,0 | EN ISO 12185 |
Gőznyomás (DVPE) | kPa | 56,0 | 60,0 | EN 13016-1 |
Víztartalom | max. 0,05 Megjelenés –7 °C-on: áttetsző és világos | EN 12937 | ||
Desztilláció: | ||||
— 70 °C-os frakció | térf.% | 34,0 | 46,0 | EN ISO 3405 |
— 100 °C-os frakció | térf.% | 54,0 | 62,0 | EN ISO 3405 |
— 150 °C-os frakció | térf.% | 86,0 | 94,0 | EN ISO 3405 |
— végforrpont | °C | 170 | 195 | EN ISO 3405 |
Maradék | térf.% | — | 2,0 | EN ISO 3405 |
Szénhidrogén-összetétel: | ||||
— olefinek | térf.% | 6,0 | 13,0 | EN 22854 |
— aromásak | térf.% | 25,0 | 32,0 | EN 22854 |
— benzol | térf.% | — | 1,00 | EN 22854 EN 238 |
— telítettek | térf.% | jegyzőkönyv | EN 22854 | |
Szén-hidrogén arány | jegyzőkönyv | |||
Szén-oxigén arány | jegyzőkönyv | |||
Indukciós periódus (3) | perc | 480 | — | EN ISO 7536 |
Oxigéntartalom (4) | tömeg% | 3,3 | 3,7 | EN 22854 |
Oldószerrel kimosott gyanta (Gyantamaradék) | mg/100 ml | — | 4 | EN ISO 6246 |
Kéntartalom (5) | mg/kg | — | 10 | EN ISO 20846 EN ISO 20884 |
Rézkorrózió, 3 óra, 50 °C | — | 1. osztály | EN ISO 2160 | |
Ólomtartalom | mg/l | — | 5 | EN 237 |
Foszfortartalom (6) | mg/l | — | 1,3 | ASTM D 3231 |
Etanol (4) | térf.% | 9,0 | 10,0 | EN 22854 |
(1) A specifikációban szereplő értékek „valódi értékek”. A határértékek megállapításánál az „Olajtermékek – Pontossági adatok meghatározása és alkalmazása a vizsgálati módszerek viszonylatában” című ISO 4259 szabvány feltételeit alkalmazzák, és a legkisebb érték meghatározásához a nulla érték feletti 2R legkisebb különbséget, a felső és alsó határérték meghatározásához pedig a 4R (R = reprodukálhatóság) legkisebb különbséget veszik figyelembe. E statisztikai okokból szükséges megoldástól függetlenül a tüzelőanyag gyártójának törekednie kell a nulla értékre ott, ahol a megadott legnagyobb érték 2R, és az átlagértékre a felső és alsó határértékek megadásakor. Ha nem egyértelmű, hogy a tüzelőanyag megfelel-e a specifikáció követelményeinek, akkor ennek eldöntéséhez az ISO 4259 szabvány előírásait kell alkalmazni. (2) A MON-ra és a RON-ra vonatkozó, 0,2 értékű korrekciós tényezőt kell majd levonni a végeredmény EN 228:2008 szabvány szerinti kiszámításához. (3) A tüzelőanyag tartalmazhat rendes körülmények között a finomítókban a benzin stabilizálására használt antioxidánsokat és fémdezaktivátorokat, de detergens/diszpergáló adalékokat és oldó olajokat nem szabad alkalmazni. (4) Az etanol az egyetlen olyan oxigéntartalmú vegyület, amelyet szándékosan hozzá szabad adni a referencia-tüzelőanyaghoz. A felhasznált etanolnak meg kell felelnie az EN 15376 szabványnak. (5) Meg kell adni az 1. típusú vizsgálatokhoz használt tüzelőanyag tényleges kéntartalmát. (6) Ehhez a referencia-tüzelőanyaghoz tilos szándékosan olyan vegyületeket adni, amelyek foszfort, vasat, mangánt vagy ólmot tartalmaznak. (2) Egyenértékű EN/ISO-módszereket kell majd alkalmazni, amikor azok kiadásra kerülnek a fenti jellemzőkre vonatkozóan. |
Típus: Etanol (E85)
Paraméter | Mértékegység | Határértékek (1) | Mérési módszer (2) | |
alsó | felső | |||
Kísérleti oktánszám (RON) | 95,0 | — | EN ISO 5164 | |
Oktánszám (MON) | 85,0 | — | EN ISO 5163 | |
Sűrűség 15 oC-on | kg/m3 | jegyzőkönyv | ISO 3675 | |
Gőznyomás | kPa | 40,0 | 60,0 | EN ISO 13016–1 (DVPE) |
Kéntartalom (3) (4) | mg/kg | — | 10 | EN ISO 20846 EN ISO 20884 |
Oxidációs stabilitás | perc | 360 | EN ISO 7536 | |
Gyantamaradék (oldószerrel kimosva) | mg/100 ml | — | 5 | EN-ISO 6246 |
Megjelenés Ezt környezeti hőmérsékleten, illetve 15 °C hőmérsékleten (amelyik nagyobb) kell meghatározni. | Áttetsző és világos, láthatóan mentes lebegő vagy lecsapódott szennyeződésektől | szemrevételezés | ||
Etanol és nagyobb szénatomszámú alkoholok (7) | térf.% | 83 | 85 | EN 1601 EN 13132 EN 14517 |
Nagyobb szénatomszámú alkoholok (C3–C8) | térf.% | — | 2,0 | |
Metanol | térf.% | 0,5 | ||
Benzin (5) | térf.% | a többi | EN 228 | |
Foszfor | mg/l | 0,3 (6) | ASTM D 3231 | |
Víztartalom | térf.% | 0,3 | ASTM E 1064 | |
Szervetlen kloridok | mg/l | 1 | ISO 6227 | |
pHe | 6,5 | 9,0 | ASTM D 6423 | |
Rézszalagos korrózió (3 óra 50 °C-on) | Osztályozás | 1. osztály | EN ISO 2160 | |
Savasság (ecetsavként – CH3COOH) | tömeg% (mg/l) | — | 0,005(40) | ASTM D 1613 |
Szén/hidrogén arány | jegyzőkönyv | |||
Szén/oxigén arány | jegyzőkönyv | |||
(1) A specifikációban szereplő értékek „valódi értékek”. A határértékek megállapításánál az „Olajtermékek – Pontossági adatok meghatározása és alkalmazása a vizsgálati módszerek viszonylatában” című ISO 4259 szabvány feltételeit alkalmazzák, és a legkisebb érték meghatározásához a nulla érték feletti 2R legkisebb különbséget, a felső és alsó határérték meghatározásához pedig a 4R (R = reprodukálhatóság) legkisebb különbséget veszik figyelembe. E statisztikai okokból szükséges megoldástól függetlenül az üzemanyag gyártójának törekednie kell a nulla értékre ott, ahol a megadott legnagyobb érték 2R, és az átlagértékre a felső és alsó határértékek megadásakor. Ha nem egyértelmű, hogy egy üzemanyag megfelel-e a specifikáció követelményeinek, akkor ennek eldöntéséhez az ISO 4259 szabvány előírásait kell alkalmazni. (2) Vita esetén a vita rendezésére és az eredményeknek a mérési módszer pontossága alapján való értelmezésére az EN ISO 4259 szabványban leírt eljárások alkalmazandók. (3) A kéntartalmat illető nemzeti viták esetében az EN 228 szabvány nemzeti mellékletében szereplő hivatkozáshoz hasonlóan az EN ISO 20846 szabványra, vagy az EN ISO 20884 szabványt kell alkalmazni. (4) Meg kell adni az 1. típusú mérésekhez használt üzemanyag tényleges kéntartalmát. (5) Az ólmozatlan benzin részaránya úgy határozható meg, mint 100 mínusz a víz és alkoholok százalékos részarányának összege. (6) Ehhez a referencia-üzemanyaghoz tilos szándékosan olyan vegyületeket adni, amelyek foszfort, vasat, mangánt vagy ólmot tartalmaznak. (7) Az EN 15376 szabvány specifikációinak megfelelő etanol az egyetlen olyan oxigéntartalmú vegyület, amelyet szándékosan hozzá szabad adni a referencia-üzemanyaghoz. |
Típus: PB-gáz
Paraméter | Mértékegység | A üzemanyag | B üzemanyag | Mérési módszer |
Összetétel: | ISO 7941 | |||
C3-tartalom | térf.% | 30 ± 2 | 85 ± 2 | |
C4-tartalom | térf.% | a többi | a többi | |
< C3, > C4 | térf.% | legfeljebb 2 | legfeljebb 2 | |
Olefinek | térf.% | legfeljebb 12 | legfeljebb 15 | |
Bepárlási maradék | mg/kg | legfeljebb 50 | legfeljebb 50 | prEN 15470 |
Víz 0 °C-on | mentes | mentes | prEN 15469 | |
Összes kéntartalom | mg/kg | legfeljebb 10 | legfeljebb 10 | ASTM 6667 |
Hidrogén-szulfid | nincs | nincs | ISO 8819 | |
Rézszalagos korrózió | Osztályozás | 1. osztály | 1. osztály | ISO 6251 (1) |
Szag | jellegzetes | jellegzetes | ||
Motoroktánszám | legalább 89 | legalább 89 | EN 589, B. melléklet | |
(1) Előfordulhat, hogy ez a módszer nem határozza meg pontosan a korrodáló anyagok jelenlétét, ha a minta korróziógátló vagy más olyan vegyületeket tartalmaz, amelyek csökkentik a minta korrodáló hatását a rézszalagra. Ezért az ilyen vegyületek felhasználása tilos, ha az kizárólag a mérés befolyásolása céljából történne. |
Típus: Földgáz/biometán
Jellemzők | Mértékegység | Alap | Határértékek | Mérési módszer | |
alsó | felső | ||||
G20 referencia-üzemanyag | |||||
Összetétel: | |||||
Metán | mól% | 100 | 99 | 100 | ISO 6974 |
A többi (1) | mól% | — | — | 1 | ISO 6974 |
N2 | mól% | ISO 6974 | |||
Kéntartalom | mg/m3 (2) | — | — | 10 | ISO 6326–5 |
Wobbe-index (nettó) | MJ/m3 (3) | 48,2 | 47,2 | 49,2 | |
G25 referencia-üzemanyag | |||||
Összetétel: | |||||
Metán | mól% | 86 | 84 | 88 | ISO 6974 |
A többi (1) | mól% | — | — | 1 | ISO 6974 |
N2 | mól% | 14 | 12 | 16 | ISO 6974 |
Kéntartalom | mg/m3 (2) | — | — | 10 | ISO 6326–5 |
Wobbe-index (nettó) | MJ/m3 (3) | 39,4 | 38,2 | 40,6 | |
(1) Inert gázok (N2-től eltérő) + C2 + C2+ (2) Az értéket 293,2 K (20 °C) hőmérsékleten és 101,3 kPa nyomáson kell meghatározni. (3) Az értéket 273,2 K (0 °C) hőmérsékleten és 101,3 kPa nyomáson kell meghatározni. |
Típus: Hidrogén belső égésű motorokhoz
Jellemzők | Mértékegység | Határérték | Mérési módszer | |
alsó | felső | |||
A hidrogén tisztasága | mól% | 98 | 100 | ISO 14687-1 |
Összes szénhidrogén | μmól/mól | 0 | 100 | ISO 14687-1 |
Víz (1) | μmól/mól | 0 | (2) | ISO 14687-1 |
Oxigén | μmól/mól | 0 | (2) | ISO 14687-1 |
Argon | μmól/mól | 0 | (2) | ISO 14687-1 |
Nitrogén | μmól/mól | 0 | (2) | ISO 14687-1 |
CO | μmól/mól | 0 | 1 | ISO 14687-1 |
Kén | μmól/mól | 0 | 2 | ISO 14687-1 |
Maradó részecskék (3) | ISO 14687-1 | |||
(1) Nem kondenzálódó. (2) Víz, oxigén, nitrogén és argon együtt: 1 900 μmól/mól. (3) A hidrogén nem tartalmazhat port, homokot, szennyeződést, kátrányt, olajat vagy más anyagokat olyan mennyiségben, hogy azok a töltés alatt álló jármű (motor) töltőkészülékének sérülését okozhatnák. |
Típus: Hidrogén üzemanyagcellás járművekhez
Jellemzők | Mértékegység | Határérték | Mérési módszer | |
alsó | felső | |||
Hidrogén üzemanyag (1) | mól% | 99,99 | 100 | ISO 14687-2 |
Összes gáz (2) | μmól/mól | 0 | 100 | |
Összes szénhidrogén | μmól/mól | 0 | 2 | ISO 14687-2 |
Víz | μmól/mól | 0 | 5 | ISO 14687-2 |
Oxigén | μmól/mól | 0 | 5 | ISO 14687-2 |
Hélium (He), nitrogén (N2), argon (Ar) | μmól/mól | 0 | 100 | ISO 14687-2 |
CO2 | μmól/mól | 0 | 2 | ISO 14687-2 |
CO | μmól/mól | 0 | 0,2 | ISO 14687-2 |
Összes kénvegyület | μmól/mól | 0 | 0,004 | ISO 14687-2 |
Formaldehid (HCHO) | μmól/mól | 0 | 0,01 | ISO 14687-2 |
Hangyasav (HCOOH) | μmól/mól | 0 | 0,2 | ISO 14687-2 |
Ammónia (NH3) | μmól/mól | 0 | 0,1 | ISO 14687-2 |
Összes halogénezett vegyület | μmól/mól | 0 | 0,05 | ISO 14687-2 |
Részecskeméret | μm | 0 | 10 | ISO 14687-2 |
Részecskekoncentráció | μg/l | 0 | 1 | ISO 14687-2 |
(1) A hidrogén üzemanyag mutatóját úgy kell meghatározni, hogy a táblázatban felsorolt, hidrogéntől különböző gáznemű összetevők mólszázalékban megadott összmennyiségét (Összes gáz) kivonjuk 100 mólszázalékból. Ez kevesebb, mint a táblázatban szereplő, hidrogéntől különböző összetevők legnagyobb megengedett határértékeinek összege. (2) Az „összes gáz” mennyisége a táblázatban felsorolt, hidrogéntől különböző összetevők – kivéve a részecskéket – mennyiségeinek összege. |
Típus: H2NG
A H2NG keveréket alkotó hidrogén és földgáz/biometán üzemanyagoknak külön-külön is meg kell felelniük az e mellékletben felsorolt, vonatkozó jellemzőknek.
2. A kompressziós gyújtású motorral felszerelt járművek vizsgálatához használandó referencia-üzemanyagok műszaki adatai
Típus: Dízel (B5)
Paraméter | Mértékegység | Határértékek (1) | Mérési módszer | |
alsó | felső | |||
Cetánszám (2) | 52,0 | 54,0 | EN-ISO 5165 | |
Sűrűség 15 °C-on | kg/m3 | 833 | 837 | EN-ISO 3675 |
Desztilláció: | ||||
– 50 %-os frakció | °C | 245 | — | EN-ISO 3405 |
– 95 %-os frakció | °C | 345 | 350 | EN-ISO 3405 |
– végforrpont | °C | — | 370 | EN-ISO 3405 |
Lobbanáspont | °C | 55 | — | EN 22719 |
Hidegszűrhetőségi határhőmérséklet | °C | — | – 5 | EN 116 |
Viszkozitás 40 °C-on | mm2/s | 2,3 | 3,3 | EN-ISO 3104 |
Többgyűrűs aromás szénhidrogének | tömeg% | 2,0 | 6,0 | EN 12916 |
Kéntartalom (3) | mg/kg | — | 10 | EN ISO 20846/EN ISO 20884 |
Rézkorrózió | — | 1. osztály | EN-ISO 2160 | |
Conradson-szám (10 % DR) | tömeg% | — | 0,2 | EN-ISO 10370 |
Hamutartalom | tömeg% | — | 0,01 | EN-ISO 6245 |
Víztartalom | tömeg% | — | 0,02 | EN-ISO 12937 |
Közömbösítési szám (erős sav) | mg KOH/g | — | 0,02 | ASTM D 974 |
Oxidációs stabilitás (4) | mg/ml | — | 0,025 | EN-ISO 12205 |
Kenőképesség (HFRR, kopáskontúr átmérője 60 °C-on) | μm | — | 400 | EN ISO 12156 |
Oxidációs stabilitás 110 °C-on (4) (6) | óra | 20,0 | EN 14112 | |
Zsírsav-metil-észter (FAME) (5) | térf.% | 4,5 | 5,5 | EN 14078 |
(1) A specifikációban szereplő értékek „valódi értékek”. A határértékek megállapításánál az „Olajtermékek – Pontossági adatok meghatározása és alkalmazása a vizsgálati módszerek viszonylatában” című ISO 4259 szabvány feltételeit alkalmazzák, és a legkisebb érték meghatározásához a nulla érték feletti 2R legkisebb különbséget, a felső és alsó határérték meghatározásához pedig a 4R (R = reprodukálhatóság) legkisebb különbséget veszik figyelembe. E statisztikai okokból szükséges megoldástól függetlenül az üzemanyag gyártójának törekednie kell a nulla értékre ott, ahol a megadott legnagyobb érték 2R, és az átlagértékre a felső és alsó határértékek megadásakor. Ha nem egyértelmű, hogy egy üzemanyag megfelel-e a specifikáció követelményeinek, akkor ennek eldöntéséhez az ISO 4259 szabvány előírásait kell alkalmazni. (2) A cetánszám tartománya nincs összhangban azzal a követelménnyel, hogy a tartomány legalább 4R legyen. Az üzemanyag szállítója és felhasználója közötti viták esetén azonban az ISO 4259 előírásait lehet használni az ilyen viták megoldására, feltéve hogy egyszeri meghatározások helyett inkább annyi ismételt mérést végeznek, amennyi elegendő a szükséges pontosság eléréséhez. (3) Meg kell adni az 1. típusú mérésekhez használt üzemanyag tényleges kéntartalmát. (4) Az oxidációs stabilitás ellenőrzése mellett is szükséges lehet az eltarthatóság korlátozása. Ki kell kérni a szállító tanácsát a tárolási körülményekre és az eltarthatóságra vonatkozóan. (5) A zsírsav-metil-észter (FAME) részarányának meg kell felelnie az EN 14214 szabvány specifikációjának. (6) Az oxidációs stabilitás az EN-ISO 12205 vagy EN 14112 szabvány szerint igazolható. Ezt az előírást felül kell vizsgálni az oxidációs stabilitásnak és a mérési határértékeknek a CEN/TC19 bizottság által végzendő értékelései alapján. |
Típus: Dízel (B7):
Paraméter | Mértékegység | Határértékek (1) | Vizsgálati módszer | |
alsó | felső | |||
Cetánindex | 46,0 | EN ISO 4264 | ||
Cetánszám (2) | 52,0 | 56,0 | EN ISO 5165 | |
Sűrűség 15 °C-on | kg/m3 | 833,0 | 837,0 | EN ISO 12185 |
Desztilláció: | ||||
— 50 %-os frakció | °C | 245,0 | — | EN ISO 3405 |
— 95 %-os frakció | °C | 345,0 | 360,0 | EN ISO 3405 |
— végforrpont | °C | — | 370,0 | EN ISO 3405 |
Lobbanáspont | °C | 55 | — | EN ISO 2719 |
Zavarosodási pont | °C | — | — 10 | EN 23015 |
Viszkozitás 40 °C-on | mm2/s | 2,30 | 3,30 | EN ISO 3104 |
Többgyűrűs aromás szénhidrogének | tömeg% | 2,0 | 4,0 | EN 12916 |
Kéntartalom | mg/kg | — | 10,0 | EN ISO 20846 EN ISO 20884 |
Rézkorrózió, 3 óra, 50 °C | — | 1. osztály | EN ISO 2160 | |
Conradson-szám (10 % DR) | tömeg% | — | 0,20 | EN ISO 10370 |
Hamutartalom | tömeg% | — | 0,010 | EN ISO 6245 |
Összes szennyeződés | mg/kg | — | 24 | EN 12662 |
Víztartalom | mg/kg | — | 200 | EN ISO 12937 |
Savszám | mg KOH/g | — | 0,10 | EN ISO 6618 |
Kenőképesség (HFRR, kopáskontúr átmérője 60 °C-on) | μm | — | 400 | EN ISO 12156 |
Oxidációs stabilitás 110 °C-on (3) | óra | 20,0 | EN 15751 | |
Zsírsav-metil-észter (FAME) (4) | térf.% | 6,0 | 7,0 | EN 14078 |
(1) A specifikációban szereplő értékek „valódi értékek”. A határértékek megállapításánál az „Olajtermékek – Pontossági adatok meghatározása és alkalmazása a vizsgálati módszerek viszonylatában” című ISO 4259 szabvány feltételeit alkalmazzák, és a legkisebb érték meghatározásához a nulla érték feletti 2R legkisebb különbséget, a felső és alsó határérték meghatározásához pedig a 4R (R = reprodukálhatóság) legkisebb különbséget veszik figyelembe. E statisztikai okokból szükséges megoldástól függetlenül a tüzelőanyag gyártójának törekednie kell a nulla értékre ott, ahol a megadott legnagyobb érték 2R, és az átlagértékre a felső és alsó határértékek megadásakor. Ha nem egyértelmű, hogy a tüzelőanyag megfelel-e a specifikáció követelményeinek, akkor ennek eldöntéséhez az ISO 4259 szabvány előírásait kell alkalmazni. (2) A cetánszám tartománya nincs összhangban azzal a követelménnyel, hogy a tartomány legalább 4R legyen. A tüzelőanyag szállítója és felhasználója közötti viták esetén azonban az ISO 4259 előírásait lehet használni az ilyen viták megoldására, feltéve, hogy egyszeri meghatározások helyett inkább annyi ismételt mérést végeznek, amennyi elegendő a szükséges pontosság eléréséhez. (3) Az oxidációs stabilitás ellenőrzése mellett is szükséges lehet az eltarthatóság korlátozása. Ki kell kérni a szállító tanácsát a tárolási körülményekre és az eltarthatóságra vonatkozóan. (4) A zsírsav-metil-észter (FAME) részarányának meg kell felelnie az EN 14214 szabvány specifikációjának. |
B. AZ ÁTLAGOS KIBOCSÁTÁSOK KIS KÖRNYEZETI HŐMÉRSÉKLETEN TÖRTÉNŐ MÉRÉSÉHEZ (6. TÍPUSÚ MÉRÉS) HASZNÁLANDÓ REFERENCIA-ÜZEMANYAGOK
Típus: Benzin (E5)
Paraméter | Mértékegység | Határértékek (1) | Mérési módszer | |
alsó | felső | |||
Kísérleti oktánszám (RON) | 95,0 | — | EN 25164 prEN ISO 5164 | |
Oktánszám (MON) | 85,0 | — | EN 25163 prEN ISO 5163 | |
Sűrűség 15 °C-on | kg/m3 | 743 | 756 | ISO 3675 EN ISO 12185 |
Gőznyomás | kPa | 56,0 | 95,0 | EN ISO 13016–1 (DVPE) |
Víztartalom | térf.% | 0,015 | ASTM E 1064 | |
Desztilláció: | ||||
– 70 °C-os frakció | térf.% | 24,0 | 44,0 | EN-ISO 3405 |
– 100 °C-os frakció | térf.% | 50,0 | 60,0 | EN-ISO 3405 |
– 150 °C-os frakció | térf.% | 82,0 | 90,0 | EN-ISO 3405 |
– végforrpont | °C | 190 | 210 | EN-ISO 3405 |
Maradék | térf.% | — | 2,0 | EN-ISO 3405 |
Szénhidrogén-elemzés: | ||||
– olefinek | térf.% | 3,0 | 13,0 | ASTM D 1319 |
– aromás vegyületek | térf.% | 29,0 | 35,0 | ASTM D 1319 |
– benzol | térf.% | — | 1,0 | EN 12177 |
– telített szénhidrogének | térf.% | jegyzőkönyv | ASTM D 1319 | |
Szén/hidrogén arány | jegyzőkönyv | |||
Szén/oxigén arány | jegyzőkönyv | |||
Indukciós preriódus (2) | perc | 480 | — | EN-ISO 7536 |
Oxigéntartalom (3) | tömeg% | jegyzőkönyv | EN 1601 | |
Gyantamaradék | mg/ml | — | 0,04 | EN-ISO 6246 |
Kéntartalom (4) | mg/kg | — | 10 | EN ISO 20846 EN ISO 20884 |
Rézkorrózió | — | 1. osztály | EN-ISO 2160 | |
Ólomtartalom | mg/l | — | 5 | EN 237 |
Foszfortartalom (5) | mg/l | — | 1,3 | ASTM D 3231 |
Etanol (3) | térf.% | 4,7 | 5,3 | EN 1601 EN 13132 |
(1) A specifikációban szereplő értékek „valódi értékek”. A határértékek megállapításánál az „Olajtermékek – Pontossági adatok meghatározása és alkalmazása a vizsgálati módszerek viszonylatában” című ISO 4259 szabvány feltételeit alkalmazzák, és a legkisebb érték meghatározásához a nulla érték feletti 2R legkisebb különbséget, a felső és alsó határérték meghatározásához pedig a 4R (R = reprodukálhatóság) legkisebb különbséget veszik figyelembe. E statisztikai okokból szükséges megoldástól függetlenül az üzemanyag gyártójának törekednie kell a nulla értékre ott, ahol a megadott legnagyobb érték 2R, és az átlagértékre a felső és alsó határértékek megadásakor. Ha nem egyértelmű, hogy egy üzemanyag megfelel-e a specifikáció követelményeinek, akkor ennek eldöntéséhez az ISO 4259 szabvány előírásait kell alkalmazni. (2) Az üzemanyag tartalmazhat rendes körülmények között a finomítókban a benzin stabilizálására használt antioxidánsokat és fémdezaktivátorokat, de detergens/diszpergáló adalékokat és oldó olajokat nem szabad alkalmazni. (3) Az EN 15376 szabvány specifikációinak megfelelő etanol az egyetlen olyan oxigéntartalmú vegyület, amelyet szándékosan hozzá szabad adni a referencia-üzemanyaghoz. (4) Meg kell adni a 6. típusú mérésekhez használt üzemanyag tényleges kéntartalmát. (5) Ehhez a referencia-üzemanyaghoz tilos szándékosan olyan vegyületeket adni, amelyek foszfort, vasat, mangánt vagy ólmot tartalmaznak. |
Típus: Benzin (E10):
Paraméter | Mértékegység | Határértékek (1) | Vizsgálati módszer | |
alsó | felső | |||
Kísérleti oktánszám (RON) (2) | 95,0 | 98,0 | EN ISO 5164 | |
Motoroktánszám (MON) (2) | 85,0 | 89,0 | EN ISO 5163 | |
Sűrűség 15 °C-on | kg/m3 | 743,0 | 756,0 | EN ISO 12185 |
Gőznyomás (DVPE) | kPa | 56,0 | 95,0 | EN 13016-1 |
Víztartalom | max. 0,05 Megjelenés – 7 °C-on: áttetsző és világos | EN 12937 | ||
Desztilláció: | ||||
— 70 °C-os frakció | térf.% | 34,0 | 46,0 | EN ISO 3405 |
— 100 °C-os frakció | térf.% | 54,0 | 62,0 | EN ISO 3405 |
— 150 °C-os frakció | térf.% | 86,0 | 94,0 | EN ISO 3405 |
— végforrpont | °C | 170 | 195 | EN ISO 3405 |
Maradék | térf.% | — | 2,0 | EN ISO 3405 |
Szénhidrogén-összetétel: | ||||
— olefinek | térf.% | 6,0 | 13,0 | EN 22854 |
— aromásak | térf.% | 25,0 | 32,0 | EN 22854 |
— benzol | térf.% | — | 1,00 | EN 22854 EN 238 |
— telítettek | térf.% | jegyzőkönyv | EN 22854 | |
Szén-hidrogén arány | jegyzőkönyv | |||
Szén-oxigén arány | jegyzőkönyv | |||
Indukciós periódus (3) | perc | 480 | — | EN ISO 7536 |
Oxigéntartalom (4) | tömeg% | 3,3 | 3,7 | EN 22854 |
Oldószerrel kimosott gyanta (Gyantamaradék) | mg/100 ml | — | 4 | EN ISO 6246 |
Kéntartalom (5) | mg/kg | — | 10 | EN ISO 20846 EN ISO 20884 |
Rézkorrózió, 3 óra, 50 °C | — | 1. osztály | EN ISO 2160 | |
Ólomtartalom | mg/l | — | 5 | EN 237 |
Foszfortartalom (6) | mg/l | — | 1,3 | ASTM D 3231 |
Etanol (4) | térf.% | 9,0 | 10,0 | EN 22854 |
(1) A specifikációban szereplő értékek „valódi értékek”. A határértékek megállapításánál az „Olajtermékek – Pontossági adatok meghatározása és alkalmazása a vizsgálati módszerek viszonylatában” című ISO 4259 szabvány feltételeit alkalmazzák, és a legkisebb érték meghatározásához a nulla érték feletti 2R legkisebb különbséget, a felső és alsó határérték meghatározásához pedig a 4R (R = reprodukálhatóság) legkisebb különbséget veszik figyelembe. E statisztikai okokból szükséges megoldástól függetlenül a tüzelőanyag gyártójának törekednie kell a nulla értékre ott, ahol a megadott legnagyobb érték 2R, és az átlagértékre a felső és alsó határértékek megadásakor. Ha nem egyértelmű, hogy a tüzelőanyag megfelel-e a specifikáció követelményeinek, akkor ennek eldöntéséhez az ISO 4259 szabvány előírásait kell alkalmazni. (2) A MON-ra és a RON-ra vonatkozó, 0,2 értékű korrekciós tényezőt kell majd levonni a végeredmény EN 228:2008 szabvány szerinti kiszámításához. (3) A tüzelőanyag tartalmazhat rendes körülmények között a finomítókban a benzin stabilizálására használt antioxidánsokat és fémdezaktivátorokat, de detergens/diszpergáló adalékokat és oldó olajokat nem szabad alkalmazni. (4) Az etanol az egyetlen olyan oxigéntartalmú vegyület, amelyet szándékosan hozzá szabad adni a referencia-tüzelőanyaghoz. A felhasznált etanolnak meg kell felelnie az EN 15376 szabványnak. (5) Meg kell adni az 6. típusú vizsgálatokhoz használt tüzelőanyag tényleges kéntartalmát. (6) Ehhez a referencia-tüzelőanyaghoz tilos szándékosan olyan vegyületeket adni, amelyek foszfort, vasat, mangánt vagy ólmot tartalmaznak. (2) Egyenértékű EN/ISO-módszereket kell majd alkalmazni, amikor azok kiadásra kerülnek a fenti jellemzőkre vonatkozóan. |
Típus: Etanol (E75)
Paraméter | Mértékegység | Határértékek (1) | Mérési módszer (2) | |
minimum | maximum | |||
Kísérleti oktánszám (RON) | 95 | — | EN ISO 5164 | |
Motoroktánszám (MON) | 85 | — | EN ISO 5163 | |
Sűrűség 15 °C-on | kg/m3 | jegyzőkönyv | EN ISO 12185 | |
Gőznyomás | kPa | 50 | 60 | EN ISO 13016-1 (DVPE) |
Kéntartalom (3) (4) | mg/kg | — | 10 | EN ISO 20846 EN ISO 20884 |
Oxidációs stabilitás | perc | 360 | — | EN ISO 7536 |
Gyantamaradék (oldószerrel kimosva) | mg/100 ml | — | 4 | EN ISO 6246 |
Megjelenés: környezeti hőmérsékleten, illetve 15 °C hőmérsékleten (amelyik nagyobb) kell meghatározni. | Áttetsző és világos, lebegő vagy lecsapódott szennyeződésektől láthatóan mentes | Szemrevételezés | ||
Etanol és nagyobb szénatomszámú alkoholok (7) | térf.% | 70 | 80 | EN 1601 EN 13132 EN 14517 |
Nagyobb szénatomszámú alkoholok (C3–C8) | térf.% | — | 2 | |
Metanol | — | 0,5 | ||
Benzin (5) | térf.% | a többi | EN 228 | |
Foszfor | mg/l | 0,30 (6) | ASTM D 3231 EN 15487 | |
Víztartalom | térf.% | — | 0,3 | ASTM E 1064 EN 15489 |
Szervetlen kloridok | mg/l | — | 1 | ISO 6227 – EN 15492 |
pHe | 6,50 | 9 | ASTM D 6423 EN 15490 | |
Rézszalagos korrózió (3 óra 50 °C-on) | Osztályozás | 1. osztály | EN ISO 2160 | |
Savasság (ecetsavként – CH3COOH) | tömeg% | 0,005 | ASTM D1613 EN 15491 | |
mg/l | 40 | |||
Szén-hidrogén arány | jegyzőkönyv | |||
Szén-oxigén arány | jegyzőkönyv | |||
(1) A specifikációban szereplő értékek „valódi értékek”. A határértékek megállapításánál az „Olajtermékek – Pontossági adatok meghatározása és alkalmazása a vizsgálati módszerek viszonylatában” című ISO 4259 szabvány feltételeit alkalmazták. A legkisebb érték meghatározásához a nulla érték feletti 2R legkisebb különbséget vették figyelembe. A felső és alsó érték meghatározásához a 4R (R = reprodukálhatóság) legkisebb különbséget használták. E technikai okokból szükséges eljárástól függetlenül az üzemanyaggyártóknak a nulla értékre kell törekedniük ott, ahol a megadott legnagyobb érték 2R, a felső és alsó határértékek megadásakor pedig az átlagértékre. Ha nem egyértelmű, hogy egy üzemanyag megfelel-e a specifikáció követelményeinek, akkor az ISO 4259 szabvány előírásait kell alkalmazni. (2) Vita esetén a vita rendezésére és az eredményeknek a mérési módszer pontossága alapján való értelmezésére az EN ISO 4259 szabványban leírt eljárások alkalmazandók. (3) A kéntartalmat illető nemzeti viták esetén az EN 228 szabvány nemzeti mellékletében szereplő hivatkozáshoz hasonlóan az EN ISO 20846 szabványt vagy az EN ISO 20884 szabványt kell alkalmazni. (4) Meg kell adni az 6. típusú méréshez használt üzemanyag tényleges kéntartalmát. (5) Az ólmozatlan benzin részaránya úgy határozható meg, hogy 100-ból levonjuk a víz és az alkoholok százalékos részarányának összegét. (6) Ehhez a referencia-üzemanyaghoz tilos szándékosan olyan vegyületeket adni, amelyek foszfort, vasat, mangánt vagy ólmot tartalmaznak. (7) Az EN 15376 szabvány specifikációjának megfelelő etanol az egyetlen olyan oxigéntartalmú vegyület, amelyet szándékosan hozzá szabad adni a referencia-üzemanyaghoz. |
X. MELLÉKLET
KIBOCSÁTÁSMÉRÉSI ELJÁRÁS HIBRIDHAJTÁSÚ ELEKTROMOS JÁRMŰVEKHEZ (HEV)
1. BEVEZETÉS
1.1. Ez a melléklet meghatározza a hibridhajtású elektromos járművek típusjóváhagyására vonatkozó kiegészítő egyedi rendelkezéseket.
2. MŰSZAKI ELŐÍRÁSOK
2.1. A műszaki előírások és specifikációk ugyanazok, mint az ENSZ-EGB 83. sz. előírásának 14. mellékletében szereplő előírások és specifikációk, az alábbi pontban leírt kivételekkel.
2.2. Az ENSZ-EGB 83. sz. előírása 14. melléklete 3.1.2.6., 3.1.3.5., 3.2.2.7. és 3.2.3.5. szakaszában az 5.3.1.4. szakaszra való hivatkozás az Euro 5 alá tartozó járművek esetében a 715/2007/EK rendelet I. mellékletének 1. táblázatára való hivatkozásként, az Euro 6 alá tartozó járművek esetében pedig a 715/2007/EK rendelet I. mellékletének 2. táblázatára való hivatkozásként értendő.
XI. MELLÉKLET
FEDÉLZETI DIAGNOSZTIKA (OBD) GÉPJÁRMŰVEKHEZ
1. BEVEZETÉS
1.1. Ez a melléklet a gépjárművekből származó kibocsátások csökkentésére szolgáló fedélzeti diagnosztikai rendszerekre vonatkozó működési szempontokat írja le.
2. ELŐÍRÁSOK ÉS TESZTEK
2.1. A fedélzeti diagnosztikai rendszerre vonatkozó előírások és tesztek ugyanazok, mint amelyeket az ENSZ-EGB 83. sz. előírása 11. mellékletének 3. szakasza ismertet. A következő pontok a fenti előírások alóli kivételeket, illetve kiegészítő előírásokat írnak le.
2.2. Az ENSZ-EGB 83. sz. előírása 11. mellékletének 3.1. és 3.3.1. szakaszában említett tartóssági vizsgálati távolság az e rendelet VII. mellékletének előírásaira való hivatkozásként értendő.
2.3. Az ENSZ-EGB 83. sz. előírása 11. mellékletének 3.3.2. szakaszában ismertetett küszöbértékek az alábbi táblázatokra való hivatkozásként értendők.
2.3.1. A következő táblázat a 715/2007/EK rendelet I. mellékletének 1. táblázatában megadott kibocsátási határértékek alapján típusjóváhagyást kapott járművekre vonatkozó diagnosztikai küszöbértékeket tartalmazza.
Euro 5 diagnosztikai küszöbértékek
Referenciatömeg (RW) (kg) | Szén-monoxid tömege | Metántól különböző szénhidrogének tömege | Nitrogénoxidok tömege | Részecskék tömege | ||||||
(CO) (mg/km) | (NMHC) (mg/km) | (NOx) (mg/km) | (PM) (mg/km) | |||||||
Kategória | Osztály | PI | CI | PI | CI | PI | CI | PI (1) | CI (2) | |
M | — | összes | 1 900 | 1 900 | 250 | 320 | 300 | 540 | 50 | 50 |
N1 (3) | I. | RW ≤ 1 305 | 1 900 | 1 900 | 250 | 320 | 300 | 540 | 50 | 50 |
II. | 1 305 < RW ≤ 1 760 | 3 400 | 2 400 | 330 | 360 | 375 | 705 | 50 | 50 | |
III. | 1 760 < RW | 4 300 | 2 800 | 400 | 400 | 410 | 840 | 50 | 50 | |
N2 | — | összes | 4 300 | 2 800 | 400 | 400 | 410 | 840 | 50 | 50 |
(1) A szikragyújtású motorokra vonatkozó részecsketömeg-előírások csak a közvetlen injektálású motorokra vonatkoznak. (2) A 17. cikkben előírt időpontokig a részecskék tömegére előírt 80 mg/km-es küszöbérték csak az 1 760 kg-nál nagyobb referenciatömegű M és N kategóriájú járművekre vonatkozik. (3) Tartalmazza a 715/2007/EK rendelet fogalommeghatározása értelmében vett „speciális szociális igényeket” kielégítő M1 kategóriájú járműveket is. Magyarázatok: PI = szikragyújtás, CI = kompressziós gyújtás |
2.3.2. A következő táblázat a 715/2007/EK rendelet I. mellékletének 2. táblázatában megadott Euro 6 kibocsátási határértékeknek megfelelő, és a 715/2007/EK rendelet 10. cikkének (4) bekezdésében meghatározott időpontok előtt típusjóváhagyást kapott kompressziós gyújtású járművekre vonatkozó diagnosztikai küszöbértékeket tartalmazza. E küszöbértékek alkalmazása a 715/2007/EK rendelet 10. cikkének (5) bekezdésében említett időpontokkal megszűnik a nyilvántartásba veendő, értékesítendő és üzembe helyezendő új járművekre.
Átmeneti Euro 6 diagnosztikai küszöbértékek
Referenciatömeg (RW) (kg) | Szén-monoxid tömege | Metántól különböző szénhidrogének tömege | Nitrogénoxidok tömege | Részecskék tömege | ||
(CO) (mg/km) | (NMHC) (mg/km) | (NOx) (mg/km) | (PM) (mg/km) | |||
Kategória | Osztály | CI | CI | CI | CI | |
M | — | összes | 1900 | 320 | 240 | 50 |
N1 | I. | RW ≤ 1 305 | 1900 | 320 | 240 | 50 |
II. | 1 305 < RW ≤ 1 760 | 2 400 | 360 | 315 | 50 | |
III. | 1 760 < RW | 2 800 | 400 | 375 | 50 | |
N2 | — | összes | 2 800 | 400 | 375 | 50 |
Magyarázat: CI = kompressziós gyújtás |
2.3.3. A 715/2007/EK rendelet I. mellékletének 2. táblázatában megállapított Euro 6 kibocsátási határértékek alapján az említett rendelet 10. cikkének (4) és (5) bekezdésében meghatározott időpontokat követő 3 év elteltével jóváhagyott típusú járművekre vonatkozó diagnosztikai küszöbértékeket a következő táblázat tartalmazza:
Végleges Euro 6 fedélzeti diagnosztikai küszöbértékek
Referenciatömeg (RM) (kg) | Szén-moNOxid tömege | Metántól különböző szén-hidrogének tömege | Nitrogén-oxidok tömege | Részecskék tömege (1) | Részecskék száma (1) | |||||||
(CO) (mg/km) | (NMHC) (mg/km) | (NOx) (mg/km) | (PM) (mg/km) | (PN) (#/km) | ||||||||
Kategória | Osztály | PI | CI | PI | CI | PI | CI | CI | PI | CI | PI | |
M | — | összes | 1 900 | 1 750 | 170 | 290 | 90 | 140 | 12 | 12 | ||
N1 | I. | RM ≤ 1 305 | 1 900 | 1 750 | 170 | 290 | 90 | 140 | 12 | 12 | ||
II. | 1 305 < RM ≤ 1 760 | 3 400 | 2 200 | 225 | 320 | 110 | 180 | 12 | 12 | |||
III. | 1 760 < RM | 4 300 | 2 500 | 270 | 350 | 120 | 220 | 12 | 12 | |||
N2 | — | összes | 4 300 | 2 500 | 270 | 350 | 120 | 220 | 12 | 12 | ||
(1) A szikragyújtású motorokra vonatkozó részecsketömeg- és részecskeszám-határértékek csak a közvetlen befecskendezésű motorokra vonatkoznak. Magyarázat: PI = szikragyújtás, CI = kompressziós gyújtás |
Magyarázó feljegyzés:
A táblázatban megállapított OBD küszöbértékeket a Bizottság 2014. szeptember 1-jéig felül fogja vizsgálni. Amennyiben az derül ki, hogy a küszöbértékek betartása műszakilag nem kivitelezhető, a küszöbértékeket vagy kötelező alkalmazásuk időpontját - az Euro 6 kibocsátási osztályba tartozó járművekre bevezetésre kerülő egyéb új előírások és vizsgálatok hatásait figyelembe véve - módosítani kell. Amennyiben a felülvizsgálat arra a következtetésre jut, hogy az említett küszöbértékek környezetvédelmi szempontból szükségesek, betartásuk műszaki szempontból kivitelezhető, és összességében pénzben kifejezhető előnnyel járnak, szigorúbb küszöbértékeket kell elfogadni, és a részecskeszámra vagy adott esetben egyéb, szabályozás alá eső szennyező anyagra vonatkozóan fedélzeti diagnosztikai küszöbértékeket kell bevezetni. Ebben az esetben elegendő átfutási időt kell biztosítani az ágazatnak a műszaki fejlesztések bevezetésére.
2.3.4. A 715/2007/EK rendelet 10. cikkének (4) és (5) bekezdésében az új típusok jóváhagyására, illetve új járművekre megállapított időpontokat követő három évig a gyártó döntésétől függően a következő fedélzeti diagnosztikai küszöbértékeket kell alkalmazni a 715/2007/EK rendelet I. mellékletének 2. táblázatában megállapított Euro 6 kibocsátási határértékek szerint jóváhagyott típusú járművekre:
Előzetes Euro 6 fedélzeti diagnosztikai küszöbértékek
Referenciatömeg (RM) (kg) (RM) (kg) | Szén-moNOxid tömege | Metántól különböző szén-hidrogének tömege | Nitrogén-oxidok tömege | Részecskék tömege (1) | ||||||
(CO) (mg/km) | (NMHC) (mg/km) | (NOx) (mg/km) | (PM) (mg/km) | |||||||
Kategória | Osztály | PI | CI | PI | CI | PI | CI | CI | PI | |
M | – | összes | 1 900 | 1 750 | 170 | 290 | 150 | 180 | 25 | 25 |
N1 | I. | RM ≤ 1 305 | 1 900 | 1 750 | 170 | 290 | 150 | 180 | 25 | 25 |
II. | 1 305 < RM ≤ 1 760 | 3 400 | 2 200 | 225 | 320 | 190 | 220 | 25 | 25 | |
III. | 1 760 < RM | 4 300 | 2 500 | 270 | 350 | 210 | 280 | 30 | 30 | |
N2 | — | összes | 4 300 | 2 500 | 270 | 350 | 210 | 280 | 30 | 30 |
(1) A szikragyújtású motorokra vonatkozó részecsketömeg-határértékek csak a közvetlen befecskendezésű motorokra vonatkoznak. Magyarázat: PI = szikragyújtás, CI = kompressziós gyújtás |
2.4. Az ENSZ-EGB 83. sz. előírása 11. mellékletének 3.2.1. szakaszában előírt rendelkezéseken túl a gyártó az alábbi feltételek mellett is ideiglenesen letilthatja a fedélzeti diagnosztikai rendszert:
a) rugalmas üzemanyag-felhasználású vagy egyfajta/kétfajta üzemanyaggal működő gázüzemű járművek esetében a tankolás után 1 percig, hogy a motorvezérlő felismerhesse az üzemanyag minőségét és összetételét,
b) kétfajta üzemanyaggal működő járművek esetében az üzemanyag átkapcsolása után 5 másodpercig, a motorparaméterek átállítása céljából.
A gyártó eltérhet ezektől az időkeretektől, ha megalapozott műszaki érvekkel igazolni tudja, hogy az üzemanyag-adagoló rendszer tankolás vagy üzemanyag-átkapcsolás után hosszabb időt igényel a stabilizálódáshoz. Mindenestre a fedélzeti diagnosztikai rendszernek a lehető leghamarabb vissza kell állnia engedélyezett állapotba azután, hogy megtörtént az üzemanyag minőségének és összetételének felismerése, illetve a motorparaméterek átállítása.
2.5. A 83. sz. ENSZ-EGB-előírás 11. mellékletének 3.3.3.1. szakasza a következőképp értendő:
A fedélzeti diagnosztikai rendszernek ellenőriznie kell a katalizátor hatékonyságának csökkenését a metántól különböző szénhidrogének és az NOx kibocsátása tekintetében. A gyártó dönthet úgy, hogy csak az első katalizátort vagy az első és az utána következő katalizátor(ok) együttesét ellenőrzi. Minden ellenőrzött katalizátort vagy katalizátorkombinációt hibás működésűnek kell tekinteni, ha a kibocsátások meghaladják ez e melléklet 2.3. pontjában a metántól különböző szénhidrogénekre vagy az NOx-re vonatkozóan megadott küszöbértékeket. A katalizátoros átalakító hatékonyságának az összes szénhidrogén és az NOx kibocsátása tekintetében történő csökkenésének ellenőrzésére vonatkozó előírás azonban csak a 17. cikkben meghatározott időponttól alkalmazandó.
2.6. Az ENSZ-EGB 83. előírása 11. mellékletének 3.3.3.3. szakasza azt jelenti, hogy a katalizátoros átalakító működési hibáinak az e melléklet előírásai szerinti ellenőrzésére beszerelt és használt összes oxigénérzékelő funkciócsökkenését ellenőrizni kell.
2.7. Az ENSZ-EGB 83. előírása 11. mellékletének 3.3.3. szakaszában foglalt előírásokon túl a közvetlen injektálásos szikragyújtású motorok esetében minden olyan működési hibát is ellenőrizni kell, amely az e melléklet 2.3. pontjában a részecskékre megadott küszöbértékeket meghaladó kibocsátásokhoz vezethet, és amelyet e melléklet előírásai szerint a kompressziós gyújtású motorok esetében ellenőrizni kell.
2.8. Az ENSZ-EGB 83. sz. előírása 11. mellékletének 3.3.4. szakaszában előírt rendelkezéseken túl ellenőrizni kell a kipufogógáz-visszavezető rendszer hatékonyságának csökkenését és működési hibáit is.
2.9. Az ENSZ-EGB 83. sz. előírása 11. mellékletének 3.3.4. szakaszában előírt rendelkezéseken túl ellenőrizni kell a reagenst használó NOx-utókezelő rendszer, valamint a reagensadagoló alrendszer hatékonyságának csökkenését és működési hibáit is.
2.10. Az ENSZ-EGB 83. sz. előírása 11. mellékletének 3.3.4. szakaszában előírt rendelkezéseken túl ellenőrizni kell a reagens nélküli NOx-utókezelő rendszer hatékonyságának csökkenését és működési hibáit is.
2.11. Az ENSZ-EGB 83. sz. előírása 11. mellékletének 6.3.2. szakaszában előírt rendelkezéseken túl a gyártónak igazolnia kell, hogy a jóváhagyási vizsgálat során a fedélzeti diagnosztikai rendszer észleli a kipufogógáz-utókezelő áramának és a hűtőjének rendellenességeit is.
2.12. Az ENSZ-EGB 83. sz. előírása 11. melléklete 1. függelékének 6.4.1.2. szakaszában a "szénhidrogének"-re való hivatkozások "metántól különböző szénhidrogének"-ként értendők.
2.13. Az ENSZ-EGB 83. sz. előírása 11. mellékletének 6.5.1.3. szakaszában előírt rendelkezéseken túl a fedélzeti diagnosztika használat közbeni működésére vonatkozó, e melléklet 1. függelékének 3.6. pontja szerint tárolandó összes adatnak elérhetőnek kell lennie az ENSZ-EGB 83. sz. előírása 11. melléklete 1. függelékének 6.5.3. szakaszában megadott specifikációk szerinti szabványosított adatkapcsolat soros adatportján keresztül.
2.14. A 83. számú ENSZ-EGB előírás 11. mellékletének 3.3.5. szakaszával ellentétben, a következő berendezéseket figyelemmel kell kísérni a teljes meghibásodás vagy az eltávolítás szempontjából, amennyiben ez utóbbi a vonatkozó határértékeket meghaladó kibocsátást eredményez:
- 2011. szeptember 1-jétől a kompressziós gyújtású motorokba önálló egységként beszerelt vagy kombinált kibocsátáscsökkentő rendszerbe beépített részecskecsapdák,
- a 2.3.3. vagy a 2.3.4. pontban megadott táblázatokban szereplő fedélzeti diagnosztikai küszöbértékek szerint tanúsított járművek esetében a kompressziós gyújtású motorokba önálló egységként beszerelt vagy kombinált kibocsátáscsökkentő rendszerbe beépített, NOx-utókezelő rendszerek,
- a 2.3.3. vagy a 2.3.4. pontban megadott táblázatokban szereplő fedélzeti diagnosztikai küszöbértékek szerint tanúsított járművek esetében a kompressziós gyújtású motorokba önálló egységként beszerelt vagy kombinált kibocsátáscsökkentő rendszerbe beépített, dízel üzemű motorhoz való oxidációs katalizátor (diesel oxidation catalyst, DOC),
az első bekezdésben említett berendezéseket minden olyan meghibásodás szempontjából is figyelemmel kell kísérni, amely a fedélzeti diagnosztikai rendszer vonatkozó küszöbértékeit meghaladó kibocsátást eredményez.
3. A FEDÉLZETI DIAGNOSZTIKAI RENDSZEREK HIÁNYOSSÁGÁRA VONATKOZÓ KÖZIGAZGATÁSI RENDELKEZÉSEK
3.1. A 6. cikk (2) bekezdése szerinti, hiányosságot vagy hiányosságokat mutató jármű típusjóváhagyására irányuló kérelem elbírálásakor a jóváhagyó hatóság meghatározza, hogy az e melléklet előírásainak való megfelelés megvalósíthatatlan vagy ésszerűtlen lenne-e.
3.2. A jóváhagyó hatóság figyelembe veszi a gyártótól származó olyan adatokat, amelyek részletesen ismertetik az olyan tényezőket, mint például - a teljesség igénye nélkül - műszaki megvalósíthatóság, átfutási idő és gyártási ciklusok (ideértve egy adott tervezésű motor vagy jármű bevezetését és kivezetését és az átdolgozott számítógépes programokat), annak mértékét, hogy az ennek eredményeképpen megvalósuló fedélzeti diagnosztikai rendszer mennyire fog megfelelni e rendelet követelményeinek, és hogy a gyártó megfelelően törekedett-e e rendelet betartására.
3.3. A jóváhagyó hatóság nem fogad el hiányossággal kapcsolatos kérelmet, ha valamely előírt diagnosztikai ellenőrzés vagy az ellenőrzéssel összefüggő adatok kötelező rögzítése és továbbítása teljes egészében hiányzik.
3.4. A jóváhagyó hatóság nem fogad el hiányossággal kapcsolatos kérelmet olyan rendszerre, amely nem veszi figyelembe a 2.3. pontban megadott diagnosztikai küszöbértékeket.
3.5. A hiányosságok azonosítása során a szikragyújtású motorok esetében elsőként az ENSZ-EGB 83. sz. előírása 11. mellékletének 3.3.3.1., 3.3.3.2. és 3.3.3.3. szakasza tekintetében fennálló hiányosságokat, kompressziós gyújtású motorok esetében pedig az ENSZ-EGB 83. sz. előírása 11. mellékletének 3.3.4.1, 3.3.4.2. és 3.3.4.3. szakasza tekintetében fennálló hiányosságokat kell azonosítani.
3.6. A típusjóváhagyás előtt vagy a típusjóváhagyáskor nem engedélyezhető hiányosság a 6.5. pont előírásai tekintetében, kivéve az ENSZ-EGB 83. sz. előírása 11. melléklete 1. függelékének 6.5.3.4. szakaszát.
3.6. A hiányosság fennállásának időtartama
3.6.1. A hiányosság a járműtípus típusjóváhagyásától számítva két évig maradhat fenn, kivéve ha megfelelően igazolható, hogy a jármű nagy mértékű fizikai módosítása és két évnél hosszabb átfutási idő lenne szükséges ahhoz, hogy a hiányosságot megszüntessék. Ilyen esetben a hiányosság legfeljebb három éven keresztül fennmaradhat.
3.6.2. A gyártó kérheti, hogy a jóváhagyó hatóság visszamenőleg engedélyezzen egy hiányosságot, ha ezt a hiányosságot az eredeti típusjóváhagyás megadása után fedezték fel. Ebben az esetben a hiányosság a jóváhagyó hatóság értesítésének időpontjától számítva két évig tartható fenn, kivéve ha megfelelően igazolható, hogy a jármű nagy mértékű fizikai módosítása és két évnél hosszabb átfutási idő lenne szükséges ahhoz, hogy a hiányosságot megszüntessék. Ilyen esetben a hiányosság legfeljebb három éven keresztül fennmaradhat.
3.7. A hiányosságot engedélyező hatóságnak a 6. cikk (2) bekezdése szerint értesítést kell adnia erről a döntéséről.
4. HOZZÁFÉRÉS A FEDÉLZETI DIAGNOSZTIKAI RENDSZERRE VONATKOZÓ INFORMÁCIÓKHOZ
4.1. A fedélzeti diagnosztikára vonatkozó információk elérhetőségére vonatkozó előírásokat az ENSZ-EGB 83. sz. előírása 11. mellékletének 5. szakasza állapítja meg. Az ezen előírások alóli kivételeket a következők pontok írják le:
4.2. Az ENSZ-EGB 83. sz. előírása 2. mellékletének 1. függelékére való hivatkozások az e rendelet I. mellékletének 5. függelékére való hivatkozásokként értendők.
4.3. Az ENSZ-EGB 83. sz. előírása 1. mellékletének 4.2.11.2.7.6. szakaszára való hivatkozások az e rendelet I. melléklete 3. függelékének 3.2.12.2.7.6. pontjára való hivatkozásokként értendők.
4.4. A "szerződő felek"-re való hivatkozások a "tagállamok"-ra való hivatkozásokként értendők.
4.5. A 83. sz. előírás alapján megadott jóváhagyásra való hivatkozások az e rendelet és a 70/220/EGK tanácsi irányelv ( 56 ) alapján megadott típusjóváhagyásokra való hivatkozásokként értendők.
4.6. Az ENSZ-EGB-típusjóváhagyás EK-típusjóváhagyásként értendő.
1. függelék
A FEDÉLZETI DIAGNOSZTIKAI RENDSZEREK MŰKÖDÉSI SZEMPONTJAI
1. BEVEZETÉS
1.1. E függelék az e melléklet 2. pontja szerinti vizsgálati eljárást írja le.
2. MŰSZAKI ELŐÍRÁSOK
2.1. A műszaki előírások és specifikációk ugyanazok, mint az ENSZ-EGB 83. sz. előírása 11. mellékletének 1. függelékében szereplő előírások és specifikációk, az alábbi pontokban leírt kivételekkel, illetve kiegészítő előírásokkal.
2.2. A ENSZ-EGB 83. sz. előírása 11. mellékletének 3.3.2. szakaszában a diagnosztikai küszöbértékekre való hivatkozások az e melléklet 2.3. pontjában megadott határértékekre való hivatkozásokként értendők.
2.3. Az ENSZ-EGB 83. sz. előírása 11. melléklete 1. függelékének 3.2. szakaszában ismertetett referencia-üzemanyagok az e rendelet IX. mellékletében ismertetett megfelelő referencia-üzemanyag specifikációira való hivatkozásként értendő.
2.4. Az ENSZ-EGB 83. sz. előírása 11. melléklete 1. függelékének 6.5.1.4. szakaszában a 11. mellékletre való hivatkozás az e rendelet XI. mellékletére való hivatkozásként értendő.
2.5. A 715/2007/EK rendelet I. mellékletének 2. táblázatában szereplő Euro 6 határértékek alapján jóváhagyott járművek esetében az ENSZ-EGB 83. sz. előírása 11. melléklete 1. függelékének 6.5.3.1. szakasza helyébe a következő szöveg lép:
"A kibocsátásellenőrző diagnosztika esetében fedélzeti-külső kommunikációs kapcsolatra a következő szabvány alkalmazandó:
"ISO 15765-4 "Közúti járművek - Diagnosztika az ellenőrzőfelület-hálózaton (CAN). 4. rész: Az emisszióval összefüggő rendszerek követelményei. 2005. január 10."
3. HASZNÁLAT KÖZBENI MŰKÖDÉS
3.1. Általános előírások
3.1.1. A fedélzeti diagnosztikai rendszer minden ellenőrző rutinjának legalább egyszer le kell futnia egy olyan menetciklusban, amelyben fennállnak a 3.2. pontban leírt ellenőrzési feltételek. A gyártó egyik ellenőrző rutinnál sem használhatja ellenőrzési feltételként az ellenőrzési gyakoriság számított arányát (vagy annak bármely elemét) vagy bármilyen más adatát.
3.1.2. Az 5. cikk (3) bekezdésében említett fedélzeti diagnosztikai rendszer egy adott M ellenőrzési rutinjának a használat közbeni működési aránya (IUPR) a következő:
IUPRM = számlálóM/nevezőM
3.1.3. A tört számlálójának és nevezőjének összehasonlítása mutatja, hogy egy adott ellenőrző rutin a jármű működéséhez képest milyen gyakran lép működésbe. Annak biztosítása érdekében, hogy az összes gyártó ugyanolyan módon kövesse nyomon az IUPRM-et, az alábbiak részletes előírásokat tartalmaznak e számlálók meghatározására és növelésére.
3.1.4. Ha e melléklet előírásai szerint a jármű rendelkezik egy adott M ellenőrző rutinnal, akkor az IUPRM-nek legalább a következő minimumértékeket kell felvennie:
i. 0,260 a másodlagos levegőrendszert ellenőrző rutin és más hidegindítással kapcsolatos rutinok esetében,
ii. 0,520 a párolgási kibocsátás kifúvatásellenőrző rutinjai esetében,
iii. 0,336 az összes többi ellenőrző rutin esetében.
3.1.5. A 3.1.4. pont előírásait a járműveknek legalább 160 000 kilométer-teljesítményre teljesíteniük kell. A 715/2007/EK rendelet 10. cikkének (4) és (5) bekezdésében említett időpontok előtt típusjóváhagyást kapott, nyilvántartásba vett, értékesített vagy üzembe helyezett járművekre azonban az IUPRM-nek az összes M ellenőrző rutin esetében legalább 0,1 értéket kell felvennie. Az új típusjóváhagyások és az új járművek esetében az ezen melléklet 2.9. pontja által előírt ellenőrző funkció IUPR értékének a 715/2007/EK rendelet 10. cikkének (4) és (5) bekezdésében megállapított időpontokat követő 3 évig legalább 0,1-nek kell lennie.
3.1.6. E pont előírásai teljesítettnek tekintendők egy adott M ellenőrző rutin esetében, ha egy adott naptári évben gyártott, a fedélzeti diagnosztika szerint egy adott járműcsaládba tartozó összes járműre érvényesek az alábbi statisztikák:
a) az átlag IUPRM egyenlő az ellenőrző rutinra vonatkozó minimumértékkel, vagy nagyobb,
b) az összes jármű több mint 50 %-ánál az IUPRM egyenlő az ellenőrző rutinra vonatkozó minimumértékkel, vagy nagyobb,
3.1.7. A gyártónak egy fedélzeti diagnosztikai családban a használat közbeni működési arány ellenőrzésének funkciójával ellátott első járműtípus forgalomba hozatala után legkésőbb tizennyolc hónappal, majd azt követően másfél évente bizonyítania kell a jóváhagyó hatóságnak és kérésre a Bizottságnak, hogy ezek a statisztikai feltételek az e függelék 3.6. pontja szerint a fedélzeti diagnosztikai rendszerbe tartozó összes ellenőrzés tekintetében teljesülnek. E pont alkalmazásában az Unióban 1 000 -nél több regisztrációval rendelkező azon fedélzeti diagnosztikai családok esetében, amelyekből a mintavételi időszak alatt mintát kell venni, a II. mellékletben leírt eljárást kell követni az e függelék 3.1.9. pontjában foglalt rendelkezések sérelme nélkül.
A II. mellékletben megállapított követelményeken kívül és a II. melléklet 2. pontjában leírt ellenőrzés eredményeitől függetlenül az engedélyt kiadó jóváhagyó hatóság a II. melléklet 1. függelékében leírt, használat közbeni működési arány vizsgálatához megfelelő számú, véletlenszerűen kiválasztott esetben elvégzi a használatban lévő járművek megfelelőségének vizsgálatát. A "megfelelő számú, véletlenszerűen kiválasztott eset" azt jelenti, hogy az e melléklet 3. pontjában megállapított követelmények nem teljesítése és a az audit céljára szolgáló manipulált, hamis vagy nem reprezentatív adatok szolgáltatása tekintetében ez az intézkedés visszatartó erővel bír. Amennyiben semmilyen különleges körülmény nem merül fel, és a típusjóváhagyó hatóság sem tud ilyet bizonyítani, a használat közbeni működési arány vizsgálata a típusjóváhagyásban részesült fedélzeti diagnosztikai családok véletlenszerűen kiválasztott 5 %-án elegendőnek tekintendő e követelménynek való megfeleléshez. Ebből a célból a típusjóváhagyó hatóságok a fedélzeti diagnosztikai családok kétszeri vizsgálatának csökkentése érdekében megállapodást köthetnek a gyártóval, feltéve, hogy ezek a megállapodások nem gyengítik az e melléklet 3. pontjában megállapított követelményeknek való meg nem felelés felderítése érdekében maga a típusjóváhagyó hatóság által végrehajtott, a használatban lévő járművek megfelelőségét vizsgáló ellenőrzés visszatartó erejét. A tagállamok által a felügyeleti ellenőrző programok során gyűjtött adatok felhasználhatók a használatban lévő járművek megfelelőségét vizsgáló ellenőrzéshez. A típusjóváhagyó hatóságok kérésre átadják a Bizottságnak és más típusjóváhagyó hatóságoknak az auditokra és a használatban lévő járművek megfelelőségét vizsgáló, véletlenszerűen elvégzett ellenőrzésekre vonatkozó adatokat, beleértve a használatban lévő járművek megfelelőségét vizsgáló, véletlenszerűen elvégzett ellenőrzések tárgyát képező esetek kiválasztására alkalmazott módszertant.
3.1.8. A gyártónak a vizsgálandó járművek teljes mintájára vonatkozóan meg kell adnia az illetékes hatóságoknak a fedélzeti diagnosztikai rendszer által az e függelék 3.6. pontja szerint kiadandó, a használat közbeni működésre vonatkozó összes adatot, a vizsgált jármű azonosításával és a vizsgált járműveknek a flottából való kiválasztására alkalmazott módszertannal együtt. Kérésre a jóváhagyást megadó típusjóváhagyó hatóság ezeket az adatokat és a statisztikai értékelés eredményét a Bizottság és más jóváhagyó hatóságok rendelkezésére bocsátja.
3.1.9. Hatóságok és ezek megbízottja további vizsgálatokat végeztethetnek a járműveken vagy összegyűjthetik a járművek által regisztrált megfelelő adatokat az e melléklet előírásai betartása ellenőrzésének céljából.
3.1.10. A 3.1.6. pont előírásainak való meg nem felelés, melyet az e függelék 3.1.7. vagy 3.1.9. pontjában leírt vizsgálatok igazolnak, jogsértésnek tekintendő, amelyre a 715/2007/EK rendelet 13. cikkében megállapított szankciók alkalmazandók. Ez a hivatkozás nem korlátozza az említett szankciók alkalmazását a 715/2007/EK rendelet vagy e rendelet egyéb olyan rendelkezéseinek megsértésére, amelyek nem hivatkoznak kifejezetten a 715/2007/EK rendelet 13. cikkére.
3.2. SzámlálóM
3.2.1. Egy adott ellenőrző rutin törtbeli számlálója egy olyan számláló, amely méri, hogy egy jármű hányszor működött úgy, hogy fennállt az összes olyan ellenőrzési feltétel, amely szükséges ahhoz, hogy az adott ellenőrző rutin működési hibát észleljen a járművezető figyelmeztetése céljából, ahogy ezeket a gyártó alkalmazta. Menetciklusonként a számláló csak legfeljebb egyszer növekedhet, kivéve ha megalapozott műszaki érv támasztja alá ennek ellenkezőjét.
3.3. NevezőM
3.3.1. A nevező célja, hogy számolja a jármű meneteseményeinek számát, figyelembe véve egy adott ellenőrzési rutin speciális feltételeit. A nevezőnek menetciklusonként legalább egyszer növekednie kell, ha e menetciklusban ilyen feltételek teljesülnek és az általános nevező a 3.5. pontban leírtak szerint növekszik, kivéve ha a nevező e függelék 3.7. pontja szerint le van tiltva.
3.3.2. A 3.3.1 pont előírásain túl:
a) A másodlagos levegőrendszer ellenőrző rutinjának nevezője (nevezői) megnövekszik (megnövekednek), ha a másodlagos levegőrendszer bekapcsoló vezérlőjele legalább 10 másodpercig fennáll. E bekapcsoló vezérlőjel fennállási idejének meghatározásához a fedélzeti diagnosztikai rendszer nem számíthatja be azt az időt, ami alatt a másodlagos levegőrendszer levegőbeadása kizárólag az ellenőrzés céljára történik.
b) A csak hideg indítás alatt működő rendszerek ellenőrző rutinjainak nevezői megnövekednek, ha a komponens vagy stratégia bekapcsoló vezérlőjele legalább 10 másodpercig fennáll.
c) Az állítható szelepvezérlés és/vagy a vezérlőrendszerek ellenőrző rutinjainak nevezői megnövekednek, ha a komponens bekapcsoló vezérlőjelet kapott (például "bekapcsolás", "nyitás", "zárás", "lezárás" stb.) a menetciklus alatt kettő vagy több alkalommal vagy legalább 10 másodpercen keresztül (amelyik hamarabb bekövetkezik).
d) Az összes következő ellenőrző rutinnál a nevező(k)nek eggyel kell növekedni, ha az e pont előírásainak teljesülése mellett legalább egy menetciklusban, a jármű összesítetten legalább 800 km-t tett meg azóta, hogy a nevező értéke a legutóbb megnőtt.
i. oxidációs katalizátor (dízel)
ii. részecskeszűrő (dízel).
e) Az egyéb ellenőrző rutinok nevezőinek megnövekedésére vonatkozó követelmények sérelme nélkül a következő komponenseket ellenőrző rutinok nevezőinek akkor és csak akkor kell növekedniük, ha a menetciklus hidegindítással kezdődött:
i. folyadék- (olaj-, motor-hűtőfolyadék, üzemanyag, SCR-reagens) hőmérséklet-érzékelők;
ii. a tiszta levegő (környezeti levegő, beszívott levegő, töltőlevegő, szívócső) hőmérsékletére irányuló érzékelők;
iii. a kipufogógáz (kipufogógáz-visszavezetés/-hűtés, kipufogógáz turbófeltöltése, katalizátor) hőmérsékletére irányuló érzékelők.
f) A feltöltőnyomást szabályozó rendszert ellenőrző rutinok nevezőinek akkor kell növekedniük, ha az összes alábbi feltétel teljesül:
i. ha a nevezőre vonatkozó általános feltételek teljesülnek;
ii. ha a feltöltőnyomást szabályozó rendszer legalább 15 másodpercig működik.
3.3.3. Hibridhajtású járműveknél, az alternatív motorindítási rendszert vagy stratégiákat (például beépített indítómotor és generátorok) alkalmazó járműveknél, vagy alternatív üzemanyagot használó járműveknél (például csak egyfajta üzemanyagot, kétfajta üzemanyagot vagy két külön üzemanyagot használó alkalmazások) a gyártó kérheti a jóváhagyó hatóság jóváhagyását az e pontban a nevező megnövelésére megadottakhoz képest alternatív kritériumok használatára. A jóváhagyó hatóság általában nem hagy jóvá alternatív kritériumokat olyan járművekre, amelyek motorleállítást csak üresjáratban vagy álló járműnél, vagy ezekhez közeli állapotokban alkalmaznak. A jóváhagyó hatóság által az alternatív kritériumokra adott jóváhagyásnak azon kell alapulnia, hogy az alternatív kritériumok ugyanolyan jól meghatározzák a járműműködés mértékét a hagyományos járműműködés mértékéhez képest, mint az e pontban ismertetett kritériumok.
3.4. A gyújtási ciklusok számlálója
3.4.1. A gyújtási ciklusok számlálója a járműben lejátszódott gyújtási ciklusok számát mutatja. A gyújtási ciklusok számlálója menetciklusonként legfeljebb egyszer növekedhet.
3.5. Általános nevező
3.5.1. Az általános nevező egy olyan számláló, amely azt méri, hogy a jármű hányszor működött. Ennek 10 másodpercen belül növekednie kell akkor és csak akkor, ha a következő kritériumok egy egyszeri menetciklusban teljesülnek:
- a motor indulása óta eltelt összesített idő legalább 600 másodperc, 2 440 m-nél kisebb tengerszint feletti magasságon és legalább - 7 °C környezeti hőmérsékleten,
- a jármű legalább 40 km/h sebességgel történő haladásának összesített ideje legalább 300 másodperc, 2 440 m-nél kisebb tengerszint feletti magasságon és legalább - 7 °C környezeti hőmérsékleten,
- a jármű folyamatos működése üresjáratban (azaz a vezető teljesen felengedte a gázpedált és a jármű sebessége legfeljebb 1,6 km/h) legalább 30 másodperc, 2 440 m-nél kisebb tengerszint feletti magasságon és legalább - 7 °C környezeti hőmérsékleten.
3.6. A számlálók értékének kiadása és növelése
3.6.1. A fedélzeti diagnosztikai rendszernek az ISO 15031-5 szabvány specifikációi szerint ki kell adnia a gyújtási ciklusok számlálójának és az általános nevezőnek az értékét, valamint külön-külön a következő ellenőrző rutinok számlálóinak és nevezőinek értékét, ha e melléklet előírja azok meglétét a járműben.
- katalizátorok (mindegyik telepről külön kell adatot kiadni),
- oxigén-/kipufogógáz-érzékelők, ideértve a másodlagos oxigénérzékelőket is (minden érzékelőről külön kell adatot kiadni),
- párolgási kibocsátásokat csökkentő rendszer,
- kipufogógáz-visszavezető rendszer,
- állítható szelepvezérlő rendszer,
- másodlagos levegőrendszer,
- részecskeszűrő,
- NOx-utókezelő rendszer (például NOx-abszorber, NOx-reagens/katalizátor rendszer),
- feltöltőnyomást szabályozó rendszer.
3.6.2. Olyan konkrét komponensek vagy rendszerek esetében, melyekhez több olyan ellenőrző rutin is tartozik, amelyek adatait e pont szerint ki kell adni (például az 1. oxigénérzékelő-telepnek lehet több ellenőrző rutinja az érzékelők válaszára vagy az érzékelők más jellemzőjére), a fedélzeti diagnosztikai rendszernek az áramkör rövidzárlatát vagy megszakadását figyelő ellenőrző rutinok kivételével minden egyes ellenőrző rutin számlálóját és nevezőjét külön követnie kell, és csak azon ellenőrző rutin megfelelő számlálójának és nevezőjének értékét kell kiadnia, amelyiknek a legkisebb a számaránya. Ha két vagy több ellenőrző rutinnak azonosak a számarányai, akkor a fedélzeti diagnosztikai rendszernek az adott komponens vonatkozásában azon ellenőrző rutin megfelelő számlálójának és nevezőjének értékét kell kiadnia, amelyiknek a legnagyobb a nevezője.
3.6.3. Növeléskor minden számlálónak egy egésszel kell növekednie.
3.6.4. Mindegyik számlálónál a legkisebb értéknek 0-nak kell lennie, a legnagyobb érték pedig nem lehet kisebb 65 535 -nél, figyelembe véve a fedélzeti diagnosztika szabványosított adattárolására és az adatok kiadására vonatkozó más előírásokat is.
3.6.5. Ha egy adott ellenőrző rutin számlálója vagy nevezője eléri a legnagyobb értékét, akkor az ellenőrző rutin mindkét számlálóját osztani kell kettővel a 3.2. és 3.3. pont szerinti következő növelés előtt. Ha a gyújtási ciklusok számlálója vagy az általános nevező eléri a legnagyobb értékét, akkor az illető számlálót a 3.4., illetve a 3.5. pont szerinti következő növeléskor le kell nullázni.
3.6.6. Az egyes számlálók csak akkor nullázhatók le, ha nem felejtő memória visszaállítása történik (például átprogramozás stb.), vagy - ha a számokat a diagnosztikai memória (KAM) tárolja - akkor, amikor a KAM kiesik a vezérlő modul áramellátásának megszakadása miatt (például az akkumulátor lekötése stb.).
3.6.7. A gyártónak intézkedéseket kell tennie, annak biztosítására, hogy a számláló és a nevező értékeit ne lehessen visszaállítani vagy módosítani, kivéve ha azt e pont kifejezetten előírja.
3.7. A számlálók, nevezők és az általános nevező letiltása
3.7.1. Olyan működési hiba észlelésétől számított 10 másodpercen belül, amely letilt egy, az e mellékletben meghatározott ellenőrzési feltételek teljesítéséhez szükséges ellenőrző rutint (azaz függő vagy megerősített kód elmentése), a fedélzeti diagnosztikai rendszernek le kell tiltania az összes letiltott ellenőrző rutin megfelelő számlálójának és nevezőjének további növelését. Ha a rendszer már nem észleli a működési hibát (azaz a függő kód automatikusan törlődött, vagy kiolvasóval törölve lett), az összes megfelelő számláló és nevező növelésének 10 másodpercen belül folytatódnia kell.
3.7.2. Olyan mellékhajtás elindulásától számított 10 másodpercen belül, amely letilt egy, az e mellékletben meghatározott ellenőrzési feltételek teljesítéséhez szükséges ellenőrző rutint, a fedélzeti diagnosztikai rendszernek le kell tiltania az összes letiltott ellenőrző rutin megfelelő számlálójának és nevezőjének további növelését. Amikor a mellékhajtás működése megszűnik, az összes megfelelő számláló és nevező növelésének 10 másodpercen belül folytatódnia kell.
3.7.3. A fedélzeti diagnosztikai rendszernek 10 másodpercen belül le kell tiltania egy adott ellenőrző rutin számlálójának és nevezőjének további növelését, ha az adott ellenőrző rutin nevezőjét meghatározó kritériumok (azaz a jármű sebessége, környezeti hőmérséklet, tengerszint feletti magasság, üresjárati működés, a motor hideg indítása, vagy a működés ideje) meghatározására használt komponens működési hibáját észlelte és elmentette a megfelelő függő hibakódot. Ha a működési hiba már nem áll fenn (például a függő kód automatikusan törlődött, vagy kiolvasóval törölve lett), a számláló és nevező növelésének 10 másodpercen belül folytatódnia kell.
3.7.4. A fedélzeti diagnosztikai rendszernek 10 másodpercen belül le kell tiltania az általános nevező további növelését, ha a 3.5 pontban megadott kritériumok (azaz a jármű sebessége, környezeti hőmérséklet, tengerszint feletti magasság, üresjárati működés vagy a működés ideje) teljesülésének meghatározására használt komponens működési hibáját észlelte és elmentette a megfelelő függő hibakódot. Az általános nevező növelése semmilyen más esetben nem tiltható le. Ha a működési hiba már nem áll fenn (például a függő kód automatikusan törlődött, vagy kiolvasóval törölve lett), az általános nevező növelésének 10 másodpercen belül folytatódnia kell.
2. függelék
A JÁRMŰCSALÁD ALAPVETŐ JELLEMZŐI
1. A FEDÉLZETI DIAGNOSZTIKA SZERINTI JÁRMŰCSALÁDOT MEGHATÁROZÓ PARAMÉTEREK
1.1. A fedélzeti diagnosztika szerinti járműcsalád a gyártó által csoportosított olyan járműveket jelent, amelyek tervezésük folytán a kipufogógáz-kibocsátás és a fedélzeti diagnosztikai rendszer jellemzői tekintetében várhatóan hasonlóak. Az ilyen járműcsalád minden motorjának meg kell felelnie az e rendeletben foglalt előírásoknak.
1.2. A fedélzeti diagnosztika szerinti járműcsaládot olyan alapvető tervezési paraméterekkel lehet meghatározni, amelyek a járműcsaládba tartozó járművek tekintetében közösek. Egyes esetekben a paraméterek kölcsönhatásban lehetnek egymással. Ezeket a hatásokat is figyelembe kell venni annak biztosítására, hogy csak a kipufogógáz-kibocsátás tekintetében azonos jellemzőkkel rendelkező járművek kerüljenek be egy fedélzeti diagnosztika szerinti járműcsaládba.
2. E célból azok a járműtípusok, amelyek alábbi paraméterei azonosak, ugyanahhoz a motor/kibocsátáscsökkentő rendszer/fedélzeti diagnosztikai rendszer kombinációhoz tartozónak tekintendők.
Motor:
- égési folyamat (azaz szikragyújtású/kompressziós gyújtású, kétütemű/négyütemű/forgó ciklusú),
- üzemanyag-adagolás módja (azaz egypontos vagy többpontos üzemanyag-injektálás),
- üzemanyag típusa (azaz benzin, dízel, rugalmas felhasználású benzin/etanol, rugalmas felhasználású dízel/biodízel, földgáz/biometán, PB-gáz, kétfajta üzemanyag: benzin/földgáz/biometán, kétfajta üzemanyag: benzin/PB-gáz).
Kibocsátáscsökkentő rendszer:
- katalizátoros átalakító típusa (azaz oxidációs, háromutas, fűtött katalizátoros, szelektív redukciós katalizátoros, egyéb),
- részecskecsapda típusa,
- másodlagos levegőinjektálás (azaz van vagy nincs),
- kipufogógáz-visszavezetés (azaz van vagy nincs).
A fedélzeti diagnosztika komponenseinek működése:
- azok a módszerek, amelyeket a fedélzeti diagnosztika a működésellenőrzéshez, a működési hibák észleléséhez és a hibáknak a jármű vezetője számára való jelzéséhez használ.
XII. MELLÉKLET
A CO2-KIBOCSÁTÁS, AZ ÜZEMANYAG-FOGYASZTÁS, AZ ÁRAMFOGYASZTÁS ÉS AZ ELEKTROMOS HATÓSUGÁR MEGHATÁROZÁSA
1. BEVEZETÉS
Ez a melléklet a CO2-kibocsátás, az üzemanyag-fogyasztás, az áramfogyasztás és az elektromos hatósugár mérésére vonatkozó előírásokat állapítja meg.
2. ÁLTALÁNOS ELŐÍRÁSOK
2.1. A mérések lefolytatására és az eredmények értelmezésére vonatkozó általános specifikációk ugyanazok, mint az ENSZ-EGB 101. sz. előírásának 5. szakaszában leírt specifikációk, az alább felsorolt kivételekkel.
2.2. A mérésekhez használt üzemanyag
2.2.1. A mérésekhez az e rendelet IX. mellékletében leírt megfelelő referencia-üzemanyagokat kell használni.
2.2.2. A PB-gáz- és földgázüzemű járművek esetében azt a tüzelőanyagot kell használni, amelyet a gyártó a hasznos teljesítménynek az e rendelet XX. melléklete szerinti méréséhez választott. A választott tüzelőanyag jellemzőit az e rendelet I. mellékletének 3. függeléke szerinti adatközlő lapon kell megadni.
2.3. A 101. sz. ENSZ-EGB-előírás 5.2.4. szakasza a következőképpen értendő:
(1) Sűrűség: a vizsgálathoz használt tüzelőanyag sűrűsége az ISO 3675 szabvány szerinti vagy más hasonló módszerrel mérve. Benzin, dízel, biodízel és etanol (E85 és E75) esetében a 15 °C-on mért sűrűséget, PB-gáz és földgáz/biometán esetében pedig az alábbi rögzített sűrűségértéket kell használni:
PB-gáz esetében 0,538 kg/liter;
földgáz esetében 0,654 kg/m3 (a G20 és G23 referencia-tüzelőanyag középértéke 15 °C-on).
(2) A hidrogén-szén-oxigén arányra a következő rögzített értékeket kell használni:
C1H1,89O0,016 benzin (E5) esetében,
C1H1,93O0,033 benzin (E10) esetében,
C1H1,86O0,005 dízel (B5) esetében,
C1H1,86O0,007 dízel (B7) esetében,
C1H2,525 PB-gáz (cseppfolyósított szénhidrogén gáz) esetében,
CH4 földgáz és biometán esetében,
C1H2,74O0,385 etanol (E85) esetében,
C1H2,61O0,329 etanol (E75) esetében.
3. MŰSZAKI ELŐÍRÁSOK
3.1. A CO2-kibocsátás, az üzemanyag-fogyasztás, az áramfogyasztás és az elektromos hatósugár mérésére vonatkozó műszaki előírások és specifikációk ugyanazok, mint az ENSZ-EGB 101. sz. előírásának 6-10. mellékletében szereplő előírások és specifikációk, az alábbiakban leírt kivételekkel.
3.2. Az ENSZ-EGB 101. sz. előírása 6. mellékletének 1.3.5. szakaszában az alkalmazott gumiabroncsoknak ugyanazoknak a kiválasztási kritériumoknak kell megfelelniük, mint az e rendelet III. mellékletének 3.5. pontjában az 1. típusú kibocsátásmérésre megadott kritériumok.
3.3. Az ENSZ-EGB 101. sz. előírása 6. mellékletének 1.4.3. szakasza helyébe a következő szöveg lép:
1.4.3. A liter/100 km (benzin [E5/E10], PB-gáz, etanol [E85] és dízel [B5/B7] esetében), illetve a m3/100 km (földgáz/biometán és H2NG esetében) mértékegységben kifejezett tüzelőanyag-fogyasztást az alábbi képletekkel kell kiszámítani:
a) szikragyújtású benzinmotorral (E5) felszerelt járművek esetében:

b) szikragyújtású benzinmotorral (E10) felszerelt járművek esetében:

c) szikragyújtású PB-motorral felszerelt járművek esetében:

Ha a vizsgálathoz használt tüzelőanyag összetétele különbözik az átlagfogyasztás kiszámításához feltételezett összetételtől, a gyártó kérésére az alábbiak szerinti cf korrekciós tényezőt lehet alkalmazni:

Az alkalmazható cf korrekciós tényezőt az alábbiak szerint kell meghatározni:

ahol:
nactual = az alkalmazott tüzelőanyag tényleges H/C aránya
d) földgáz-/biometán-üzemű, szikragyújtású motorral felszerelt járművek esetében:

e) szikragyújtású etanolmotorral (E85) felszerelt járművek esetében:

f) kompressziós gyújtású dízelmotorral (B5) felszerelt járművek esetében:

g) kompressziós gyújtású dízelmotorral (B7) felszerelt járművek esetében:

h) a H2NG-üzemű, szikragyújtású motorral felszerelt járművekre:

i) a hidrogéngázzal üzemelő járművekre:

A típusjóváhagyó hatósággal kötött előzetes megállapodás alapján és az akár gáznemű, akár folyékony hidrogénnel üzemelő járművek esetében a gyártó a fenti módszer helyett választhatja vagy az alábbi képletet:

vagy pedig egy megfelelő szabvány, például a SAE J2572 szerinti módszert is.
Ezekben a képletekben:
FC = a tüzelőanyag-fogyasztás liter/100 km (benzin, etanol, PB-gáz, dízel vagy biodízel esetében), m3/100 km (földgáz és H2NG esetében) vagy kg/100 km (hidrogén esetében) mértékegységben
HC = a mért szénhidrogén-kibocsátás, g/km
CO = a mért szén-moNOxid-kibocsátás, g/km
CO2 = a mért szén-dioxid-kibocsátás, g/km
H2O = a mért H2O-kibocsátás, g/km
H2 = a mért H2-kibocsátás, g/km
A = a földgáz/biometán mennyisége a H2NG keverékben, térfogatszázalék
D = a vizsgálathoz használt tüzelőanyag sűrűsége.
Gáznemű tüzelőanyagok esetében a 15 °C hőmérsékleten mért sűrűséget jelenti.
d = a vizsgált jármű által az 1. típusú vizsgálat során elméletileg megtett távolság, km
p1 = a gáznemű tüzelőanyag tartályában a működési ciklus előtt mért nyomás, Pa
p2 = a gáznemű tüzelőanyag tartályában a működési ciklus után mért nyomás, Pa
T1 = a gáznemű tüzelőanyag tartályában a működési ciklus előtt mért hőmérséklet, K
T2 = a gáznemű tüzelőanyag tartályában a működési ciklus után mért hőmérséklet, K
Z1 = a gáznemű tüzelőanyag kompresszibilitási tényezője p1 nyomáson és T1 hőmérsékleten
Z2 = a gáznemű tüzelőanyag kompresszibilitási tényezője p2 nyomáson és T2 hőmérsékleten
V = a gáznemű tüzelőanyag tartályának beltérfogata, m3
A kompresszibilitási tényezőt az alábbi táblázatból kell meghatározni:
T(k) p(bar)\ | 33 | 53 | 73 | 93 | 113 | 133 | 153 | 173 | 193 | 213 | 233 | 248 | 263 | 278 | 293 | 308 | 323 | 338 | 353 |
5 | 0,8589 | 0,9651 | 0,9888 | 0,9970 | 1,0004 | 1,0019 | 1,0026 | 1,0029 | 1,0030 | 1,0028 | 1,0035 | 1,0034 | 1,0033 | 1,0032 | 1,0031 | 1,0030 | 1,0029 | 1,0028 | 1,0027 |
100 | 1,0508 | 0,9221 | 0,9911 | 1,0422 | 1,0659 | 1,0757 | 1,0788 | 1,0785 | 1,0765 | 1,0705 | 1,0712 | 1,0687 | 1,0663 | 1,0640 | 1,0617 | 1,0595 | 1,0574 | 1,0554 | 1,0535 |
200 | 1,8854 | 1,4158 | 1,2779 | 1,2334 | 1,2131 | 1,1990 | 1,1868 | 1,1757 | 1,1653 | 1,1468 | 1,1475 | 1,1413 | 1,1355 | 1,1300 | 1,1249 | 1,1201 | 1,1156 | 1,1113 | 1,1073 |
300 | 2,6477 | 1,8906 | 1,6038 | 1,4696 | 1,3951 | 1,3471 | 1,3123 | 1,2851 | 1,2628 | 1,2276 | 1,2282 | 1,2173 | 1,2073 | 1,1982 | 1,1897 | 1,1819 | 1,1747 | 1,1680 | 1,1617 |
400 | 3,3652 | 2,3384 | 1,9225 | 1,7107 | 1,5860 | 1,5039 | 1,4453 | 1,4006 | 1,3651 | 1,3111 | 1,3118 | 1,2956 | 1,2811 | 1,2679 | 1,2558 | 1,2448 | 1,2347 | 1,2253 | 1,2166 |
500 | 4,0509 | 2,7646 | 2,2292 | 1,9472 | 1,7764 | 1,6623 | 1,5804 | 1,5183 | 1,4693 | 1,3962 | 1,3968 | 1,3752 | 1,3559 | 1,3385 | 1,3227 | 1,3083 | 1,2952 | 1,2830 | 1,2718 |
600 | 4,7119 | 3,1739 | 2,5247 | 2,1771 | 1,9633 | 1,8190 | 1,7150 | 1,6361 | 1,5739 | 1,4817 | 1,4823 | 1,4552 | 1,4311 | 1,4094 | 1,3899 | 1,3721 | 1,3559 | 1,3410 | 1,3272 |
700 | 5,3519 | 3,5697 | 2,8104 | 2,4003 | 2,1458 | 1,9730 | 1,8479 | 1,7528 | 1,6779 | 1,5669 | 1,5675 | 1,5350 | 1,5062 | 1,4803 | 1,4570 | 1,4358 | 1,4165 | 1,3988 | 1,3826 |
800 | 5,9730 | 3,9541 | 3,0877 | 2,6172 | 2,3239 | 2,1238 | 1,9785 | 1,8679 | 1,7807 | 1,6515 | 1,6521 | 1,6143 | 1,5808 | 1,5508 | 1,5237 | 1,4992 | 1,4769 | 1,4565 | 1,4377 |
900 | 6,5759 | 4,3287 | 3,3577 | 2,8286 | 2,4978 | 2,2714 | 2,1067 | 1,9811 | 1,8820 | 1,7352 | 1,7358 | 1,6929 | 1,6548 | 1,6207 | 1,5900 | 1,5623 | 1,5370 | 1,5138 | 1,4926 |
Ha a keresett p és T érték nem szerepel a táblázatban, akkor azt lineáris interpolációval kell meghatározni a táblázatban szereplő, a keresett kompresszibilitási tényezővel szomszédos értékekből.
3.4. Az ENSZ-EGB 101. sz. előírásának 8. mellékletében a 4. mellékletre való hivatkozás az e rendelet I. mellékletének 4. függelékére való hivatkozásként értendő.
3.5. A jármű CO2-kibocsátásának és üzemanyag-fogyasztásának meghatározására szolgáló vizsgálati ciklus alatt a III. melléklet 3.14. pontjának rendelkezéseit kell alkalmazni.
4. AZ ÖKOINNOVÁCIÓS TECHNOLÓGIÁKKAL FELSZERELT JÁRMŰVEK TÍPUSJÓVÁHAGYÁSA
4.1. M1 kategóriájú járművek esetében a 725/2011/EU rendelet 11. cikkének (1) bekezdése, illetve N1 kategóriájú járművek esetében a 427/2014/EU rendelet 11. cikkének (1) bekezdése szerint annak a gyártónak, amely élni kíván az átlagos fajlagos szén-dioxid-kibocsátásának a járműbe szerelt egy vagy több ökoinnovációs technológia alkalmazásából adódó csökkentésének lehetőségével, EK-típusbizonyítvány iránti kérelmet kell benyújtania valamely jóváhagyó hatósághoz az adott ökoinnovációs technológiával felszerelt gépjármű vonatkozásában.
4.2. A járműbe szerelt ökoinnovációs technológia révén megtakarított szén-dioxid-kibocsátásokat a típusjóváhagyás céljára az ökoinnovációs technológiát jóváhagyó bizottsági határozatban meghatározott eljárásnak és vizsgálati módszertannak megfelelően kell meghatározni, M1 kategóriájú járművek esetében a 725/2011/EU rendelet 10. cikke, illetve N1 kategóriájú járművek esetében a 427/2014/EU rendelet 10. cikke szerint.
4.3. Az ökoinnovációs technológiák révén megtakarított szén-dioxid-kibocsátások meghatározásához szükséges vizsgálatok elvégzése nem érinti azt a kötelezettséget, hogy adott esetben igazolni kell, hogy az ökoinnovációs technológiák megfelelnek a 2007/46/EK irányelvben meghatározott műszaki előírásoknak.
5. A TÖBBLÉPCSŐS TÍPUS-JÓVÁHAGYÁSI ELJÁRÁSRA BENYÚJTOTT N1 KATEGÓRIÁJÚ JÁRMŰVEK SZÉN-DIOXID-KIBOCSÁTÁSÁNAK ÉS TÜZELŐANYAG-FOGYASZTÁSÁNAK MEGHATÁROZÁSA
5.1. A 2007/46/EK irányelv 3. cikkének (7) bekezdésében meghatározott többlépcsős típus-jóváhagyási eljárásra benyújtott járművek szén-dioxid-kibocsátásának és tüzelőanyag-fogyasztásának meghatározása céljából az említett irányelv 3. cikke (18) bekezdésében meghatározott alapjárművet e melléklet 2. és 3. pontja szerint kell vizsgálni.
5.2. A vizsgálathoz a következő képlettel kapott referenciatömeget kell használni:

Ebben a képletben:
RM = a vizsgálathoz használandó referenciatömeg kg-ban.
RMAlapjármű = az alapjárműnek a 715/2007/EK rendelet 3. cikkének (3) bekezdésében meghatározott referenciatömege kg-ban.
DAM = az 5.3. pontban megadott képlettel számított, az alapjárműre felszerelt felépítmény becsült tömegének megfelelő átlagos terhelés kg-ban.
5.3. Az átlagos terhelést a következő képlettel kell kiszámítani:
DAM: [Kép #68]

Kép #68
Ebben a képletben:
DAM = átlagos terhelés kg-ban,
a = az 5.4. pontban megadott képlettel kiszámított szorzótényező,
TPMLM = az alapjármű gyártója által megadott, műszakilag megengedett legnagyobb össztömeg kg-ban,
RMAlapjármű = az alapjárműnek a 715/2007/EK rendelet 3. cikkének (3) bekezdésében meghatározott referenciatömege kg-ban.
5.4. A szorzótényezőt a következő képlettel kell kiszámítani:

Ebben a képletben:
a = szorzótényező
RMAlapjármű = az alapjárműnek a 715/2007/EK rendelet 3. cikkének (3) bekezdésében meghatározott referenciatömege kg-ban.
5.5. Az alapjármű gyártóját terheli a felelősség az 5.1-5.4. pontban meghatározott követelmények helyes alkalmazásáért.
5.6. A befejezett jármű gyártója a megfelelőségi nyilatkozatban a 2007/46/EK irányelv IX. mellékletének megfelelően feltünteti az alapjárműre vonatkozó adatokat.
5.7. Egyedi járműjóváhagyásra benyújtott járművek esetében az egyedi jóváhagyási bizonyítványban a következő adatoknak kell szerepelniük:
a) az 5.1-5.4. pontban megadott módszertan szerint mért szén-dioxid-kibocsátási értékek;
b) a menetkész befejezett jármű tömege;
c) az alapjármű típusának, változatának és kivitelének megfelelő azonosító kód;
d) az alapjármű típus-jóváhagyási száma, beleértve a kiterjesztés számát;
e) az alapjármű gyártójának neve és címe;
f) a menetkész alapjármű tömege.
5.8. Az 5.1-5.7. pontban meghatározott eljárás a 715/2007/EK rendelet hatálya alá tartozó, a 2007/46/EK irányelv II. melléklete A. részének 1.2.1. pontjában meghatározott N1 kategóriájú alapjárművekre vonatkozik.
XIII. MELLÉKLET
CSEREKOMPONENSKÉNT HASZNÁLANDÓ SZENNYEZÉSCSÖKKENTŐ KOMPONENSEK ÖNÁLLÓ MŰSZAKI EGYSÉGKÉNT TÖRTÉNŐ EK-TÍPUSJÓVÁHAGYÁSA
1. BEVEZETÉS
1.1. Ez a melléklet szennyezéscsökkentő komponensek önálló műszaki egységként való EK-típusjóváhagyásának kiegészítő előírásait tartalmazza.
2. ÁLTALÁNOS ELŐÍRÁSOK
2.1. Jelölések
Az eredeti szennyezéscsökkentő cserekomponensen azonosítás céljából fel kell tüntetni legalább a következőket:
a) a jármű gyártójának neve vagy védjegye,
b) az eredeti szennyezéscsökkentő cserekomponens gyártmánya és termékazonosító száma, a 2.3. pontban említett adatközlés szerinti formában.
2.2. Dokumentáció
Az eredeti szennyezéscsökkentő cserekomponenst a következő információknak kell kísérniük:
a) a jármű gyártójának neve vagy védjegye,
b) az eredeti szennyezéscsökkentő cserekomponens gyártmánya és termékazonosító száma, a 2.3. pontban említett adatközlés szerinti formában.
c) azoknak a járműveknek a felsorolása, amelyekhez az eredeti szennyezéscsökkentő cserekomponens olyan típusú, amelyre az I. melléklet 4. függelékéhez fűzött kiegészítés 2.3. pontja kiterjed, beleértve adott esetben annak jelölését, hogy az eredeti szennyezéscsökkentő cserekomponens felszerelhető-e fedélzeti diagnosztikai rendszerrel rendelkező járműre,
d) beszerelési útmutató, ha szükséges.
Ezeknek az információknak szerepelniük kell a járműgyártó által az értékesítési helyeken terjesztett termékkatalógusban.
2.3. A jármű gyártója a műszaki szolgálat, illetve a jóváhagyó hatóság számára elektronikus formában biztosítja azokat a szükséges információkat, amelyek összekapcsolják a szóban forgó termékszámokat és a típus-jóváhagyási dokumentációt.
Ezek az információk az alábbiakat tartalmazzák:
a) a jármű(vek) gyártmánya és típusa,
b) az eredeti szennyezéscsökkentő cserekomponens gyártmánya és típusa,
c) az eredeti szennyezéscsökkentő cserekomponens termékazonosító száma,
d) a vonatkozó járműtípus(ok) típus-jóváhagyási száma.
3. ÖNÁLLÓ MŰSZAKI EGYSÉG EK-TÍPUS-JÓVÁHAGYÁSI JELE
3.1. Az e rendelet alapján önálló műszaki egységként jóváhagyott típusnak megfelelő minden szennyezéscsökkentő cserekomponenst EK-típusjóváhagyási jellel kell ellátni.
3.2. Ez a jel egy téglalapban lévő "e" betűből és az azt követő, az EK-típusjóváhagyást megadó tagállam megkülönböztető szám- vagy betűjelzéséből áll:
1. Németország
2. Franciaország
3. Olaszország
4. Hollandia
5. Svédország
6. Belgium
7. Magyarország
8. Cseh Köztársaság
9. Spanyolország
11. Egyesült Királyság
12. Ausztria
13. Luxemburg
17. Finnország
18. Dánia
19. Románia
20. Lengyelország
21. Portugália
23. Görögország
24. Írország
25. Horvátország
26. Szlovénia
27. Szlovákia
29. Észtország
32. Lettország
34. Bulgária
36. Litvánia
49. Ciprus
50. Málta
A jelnek a téglalap közelében a 2007/46/EK irányelv VII. mellékletében említett típus-jóváhagyási szám 4. részében található "alap-jóváhagyási számot" is tartalmaznia kell, amelyet az EK-típusjóváhagyás megadása időpontjához képest a 715/2007/EK irányelv vagy e rendelet legutóbbi jelentős műszaki módosításának sorszámát jelölő két szám előz meg. E rendelet esetében ez a szám a 00.
3.3. Az EK-típusjóváhagyási jelet jól olvashatóan és eltávolíthatatlanul kell elhelyezni a szennyezéscsökkentő cserekomponensen. Lehetőség szerint láthatónak kell lennie a szennyezéscsökkentő cserekomponens beépített állapotában is.
3.4. E melléklet 3. függeléke példákat tartalmaz az EK-típusjóváhagyási jelekre.
4. MŰSZAKI ELŐÍRÁSOK
4.1. A szennyezéscsökkentő cserekomponensekre vonatkozó előírások ugyanazok, mint az ENSZ-EGB 103. sz. előírásának 5. szakaszában leírt előírások, a 4.1.1.-4.1.4. pontban felsorolt kivételekkel.
4.1.1. Az ENSZ-EGB 103. sz. előírásának 5. szakaszában használt "katalizátoros átalakító" és "átalakító" kifejezések "szennyezéscsökkentő komponens"-ként értendők.
4.1.2. A 715/2007/EK rendelet alapján típusjóváhagyást kapott járművekbe szerelendő szennyezéscsökkentő cserekomponensek esetében az ENSZ-EGB 103. sz. előírásának 5.2.3. szakaszában többször említett "az előírás hatálya alá tartozó káros anyagok" helyett a 715/2007/EK rendelet I. mellékletének 1. és 2. táblázatában megadott összes káros anyag értendő.
4.1.3. A 715/2007/EK rendelet alapján típusjóváhagyást kapott járművekbe szerelendő szennyezéscsökkentő cserekomponensek esetében az ENSZ-EGB 103. sz. előírásának 5. szakaszában meghatározott tartóssági előírások és a hozzájuk kapcsolódó romlási tényezők az e rendelet VII. mellékletében meghatározott tartóssági előírásokként és romlási tényezőkként értendők.
4.1.4. Az ENSZ-EGB 103. sz. előírásának 5.5.3. szakaszában a típus-jóváhagyási adatközlés 1. függelékére való hivatkozás az EK-típusjóváhagyási tanúsítványhoz fűzött, a jármű diagnosztikai információira vonatkozó kiegészítésre (e melléklet 5. függeléke) való hivatkozásként értendő.
4.2. Szikragyújtású motorral felszerelt járművek esetében, ha az új eredeti katalizátoros csereátalakító az ENSZ-EGB 103. sz. előírásának 5.2.1. szakasza szerinti igazoló mérése során az összes szénhidrogén és a metántól különböző szénhidrogének mért kibocsátásai nagyobbak a jármű típusjóváhagyásakor mért értékeknél, akkor a különbséget hozzá kell adni a diagnosztikai küszöbértékekhez. A diagnosztikai küszöbértékek meghatározása:
a) a 70/220/EGK irányelv alapján típusjóváhagyást kapott járművekbe beszerelendő cserekomponensekre az ENSZ-EGB 83. sz. előírása 11. mellékletének 3.3.2. szakaszában található, vagy
b) a 715/2007/EK rendelet alapján típusjóváhagyást kapott járművekbe beszerelendő cserekomponensekre e rendelet XI. mellékletének 2.3. pontjában található.
4.3. A módosított diagnosztikai küszöbértékek alkalmazandók az ENSZ-EGB 103. sz. előírásának 5.5-5.5.5. szakaszában a fedélzeti diagnosztikai rendszer kompatibilitására vonatkozó vizsgálathoz, különösen az ENSZ-EGB 83. sz. előírása 11. melléklete 1 függeléke 1. szakaszában megengedett túllépés esetében.
4.4. A cserekomponensként használandó időszakos regeneráló rendszerekre vonatkozó előírások
4.4.1. A kibocsátásokra vonatkozó előírások
4.4.1.1. A 11. cikk (3) bekezdésében említett járműveket, amelyek olyan típusú időszakos regeneráló rendszerrel vannak felszerelve, mint amelyre a típusjóváhagyást kérik, az ENSZ-EGB 83. sz. előírása 13. mellékletének 3. szakaszában leírt mérésekkel kell vizsgálni, hogy a teljesítményüket össze lehessen hasonlítani az eredeti időszakos regeneráló rendszerrel felszerelt ugyanazon jármű teljesítményével.
4.4.2. Az összehasonlítási alap meghatározása
4.4.2.1. A járművet fel kell szerelni új eredeti időszakos regeneráló rendszerrel. Meg kell határozni a rendszer kibocsátáscsökkentő teljesítményét az ENSZ-EGB 83. sz. előírása 13. mellékletének 3. szakaszában leírt mérési eljárással.
4.4.2.2. A cserekomponens jóváhagyási kérelmét benyújtó kérelmező kérésére a jóváhagyó hatóság diszkriminációmentesen rendelkezésre bocsátja mindegyik vizsgált járműre az e rendelet I. mellékletének 3. függelékében szereplő adatközlő lap 3.2.12.2.1.11.1. és 3.2.12.2.6.4.1. pontjában említett információkat.
4.4.3. Kipufogógáz-mérés cserekomponensként használandó időszakos regeneráló rendszerrel
4.4.3.1. A vizsgált jármű(vek) eredeti időszakos regeneráló rendszerét ki kell cserélni a cserekomponensként használandó időszakos regeneráló rendszerrel. Meg kell határozni a rendszer kibocsátáscsökkentő teljesítményét az ENSZ-EGB 83. sz. előírása 13. mellékletének 3. szakaszában leírt mérési eljárással.
4.4.3.2. A cserekomponensként használandó időszakos regeneráló rendszer romlási tényezőjének meghatározásához az ENSZ-EGB 83. sz. előírása 13. mellékletének 3. szakaszában említett bármelyik motorfékpados módszer használható.
4.4.4. További előírások
Az ENSZ-EGB 103. sz. előírása 5.2.3., 5.3., 5.4. és 5.5. szakaszának előírásai vonatkoznak a cserekomponensként használandó időszakos regeneráló rendszerekre. Ezekben a szakaszokban a "katalizátoros átalakító" kifejezés "időszakos regeneráló rendszer"-ként értendő. Ezenkívül az e melléklet 4.1. pontjában leírt, az e szakaszok alóli kivételek vonatkoznak az időszakos regeneráló rendszerekre.
5. DOKUMENTÁCIÓ
5.1. Mindegyik cserekomponensként használandó időszakos regeneráló rendszert egyértelműen és eltávolíthatatlanul meg kell jelölni a gyártó kereskedelmi nevével vagy védjegyével, és kísérnie kell a következő információknak:
a) azon járművek felsorolása (a gyártás évével együtt), amelyekhez a szennyezéscsökkentő cserekomponenst jóváhagyták, beleértve adott esetben egy jelölést, amely mutatja, hogy a szennyezéscsökkentő cserekomponens fedélzeti diagnosztikai rendszerrel ellátott járműbe is beépíthető,
b) beszerelési útmutató, ha szükséges.
Ezeknek az információknak szerepelniük kell a járműgyártó által a szennyezéscsökkentő cserekomponens értékesítési helyein terjesztett termékkatalógusban.
6. A GYÁRTÁS MEGFELELŐSÉGE
6.1. A 2007/46/EK irányelv 12. cikkében megállapított rendelkezéseknek megfelelően intézkedéseket kell hozni a gyártásmegfelelőség biztosítására.
6.2. Speciális előírások
6.2.1. A 2007/46/EK irányelv X. mellékletének 2.2. pontjában említett ellenőrzéseknek ki kell terjedniük az e rendelet 2. cikkének 8. pontjában meghatározott jellemzőknek való megfelelés vizsgálatára is.
6.2.2. A 2007/46/EK irányelv 12. cikke (2) bekezdésének alkalmazásában az e melléklet 4.4.1. pontjában és az ENSZ-EGB 103. sz. előírásának 5.2. szakaszában leírt méréseket (a kibocsátásokra vonatkozó előírások) lehet elvégezni. Ebben az esetben a jóváhagyás birtokosa az eredeti szennyezéscsökkentő komponens helyett kérheti a típus-jóváhagyási vizsgálat során használt szennyezéscsökkentő cserekomponens összehasonlítási alapként történő figyelembevételét is (vagy más mintáét, amely bizonyítottan megfelelt a jóváhagyott típusnak). Ebben az esetben a vizsgált mintával mért kibocsátási értékek átlagban nem haladhatják meg 15 %-nál nagyobb mértékben a referenciaként szolgáló mintával mért átlagértékeket.
1. függelék
MINTA
... sz. adatközlő lap
szennyezéscsökkentő cserekomponens EK-típusjóváhagyásához
A következő adatokat adott esetben három példányban kell megadni, tartalomjegyzékkel együtt. Az A4 formátumú vagy A4 formátumra hajtogatott rajzoknak megfelelő léptékűnek és részletességűnek kell lenniük. A fényképeknek, ha vannak, megfelelő részletességűnek kell lenniük.
Ha a rendszerek, komponensek vagy önálló műszaki egységek elektronikus vezérléssel rendelkeznek, az azok működésére vonatkozó adatokat is meg kell adni.
0. ÁLTALÁNOS ELŐÍRÁSOK
0.1. Gyártmány (gyártó kereskedelmi neve):
0.2. Típus:
0.2.1. Kereskedelmi név vagy nevek, ha vannak:
0.5. A gyártó neve és címe
Adott esetben a meghatalmazott képviselő neve és címe:
0.7. Komponensek és önálló műszaki egységek esetén az EK-jóváhagyási jel helye és rögzítési módja:
0.8. Az összeszerelő üzem(ek) címe:
1. A KOMPONENS LEÍRÁSA
1.1. A szennyezéscsökkentő cserekomponens gyártmánya és típusa:
1.2. A szennyezéscsökkentő cserekomponens rajzai, amelyek részletesen ismertetik az e rendelet 2. cikkének 8. pontjában említett összes jellemzőt:
1.3. Annak a járműnek a típusa vagy típusai, amelyhez a szennyezéscsökkentő cserekomponenst tervezték:
1.3.1. A motort és a jármű típusát (típusait) jellemző szám(ok) és/vagy jel(ek):
1.3.2. A szennyezéscsökkentő cserekomponenst úgy tervezték, hogy kompatibilis legyen a fedélzeti diagnosztikával? (Igen/Nem) ( 57 )
1.4. A szennyezéscsökkentő cserekomponensnek a motor kipufogó-gyűjtőcsövéhez (kipufogó-gyűjtőcsöveihez) viszonyított helyzetét megadó leírás és rajzok:
2. függelék
EK-TÍPUS-JÓVÁHAGYÁSI TANÚSÍTVÁNY MINTÁJA
(Legnagyobb megengedett formátum: A4 (210 mm × 297 mm))
EK-TÍPUS-JÓVÁHAGYÁSI TANÚSÍTVÁNY
A szakhatóság bélyegzője
Értesítés
- EK-típusjóváhagyásról ( 58 )
- EK-típusjóváhagyás kiterjesztéséről (58)
- EK-típusjóváhagyás elutasításáról (58)
- EK-típusjóváhagyás visszavonásáról (58)
komponens/önálló műszaki egység típusa (58)
a 715/2007/EK rendelet és a(z) 692/2008/EK rendelet végrehajtási rendelet alapján.
A legutóbb a ... módosított 715/2007/EK rendelet vagy 692/2008/EK rendelet.
EK-típusjóváhagyási szám:...
A kiterjesztés oka:...
I. RÉSZ
0.1. Gyártmány (gyártó kereskedelmi neve):
0.2. Típus:
0.3. Típusazonosító ismertetőjel, ha a komponensen/önálló műszaki egységen fel van tüntetve ( 59 ):
0.3.1. Elhelyezés:
0.5. A gyártó neve és címe:
0.7. Komponensek és önálló műszaki egységek esetén az EK-jóváhagyási jel helye és rögzítési módja:
0.8. Az összeszerelő üzem(ek) neve és címe:
0.9. A gyártó képviselőjének (ha van) neve és címe:
II. RÉSZ
1. Kiegészítő információk:...
1.1. A szennyezéscsökkentő cserekomponens gyártmánya és típusa:
1.2. Azok a járműtípus(ok), amelyekhez a szennyezéscsökkentő komponens típusa cserekomponensként minősítve lett:
1.3. Azok a járműtípus(ok), amelyeken a szennyezéscsökkentő cserekomponenst kipróbálták:
1.3.1. A szennyezéscsökkentő cserekomponensről igazolták, hogy kompatibilis a fedélzeti diagnosztikával? (Igen/Nem) (58)
2. A mérések elvégzéséért felelős műszaki szolgálat:
3. A mérési jegyzőkönyv kelte:
4. A mérési jegyzőkönyv száma:
5. Megjegyzések:
6. Hely:
7. Dátum:
8. Aláírás:
Mellékletek: | Adatcsomag. Mérési jegyzőkönyv. |
3. függelék
Példa az EK-típusjóváhagyási jelre
(lásd e melléklet 5.2. pontját)

A fenti jóváhagyási jel, amelyet a szennyezéscsökkentő cserekomponens egyik alkatrészére kell rögzíteni, azt mutatja, hogy az adott típust e rendelet alapján Franciaországban (e 2) hagyták jóvá. A jóváhagyási szám első két számjegye (00) azt jelzi, hogy a terméket e szerint a rendelet szerint hagyták jóvá. Az ezt követő négy számjegy (1234) a jóváhagyó hatóság által a szennyezéscsökkentő cserekomponensnek adott alap-jóváhagyási szám.
XIV. MELLÉKLET
Hozzáférés a jármű fedélzeti diagnosztikai információihoz és a járműjavítási és -karbantartási információkhoz
1. BEVEZETÉS
1.1. Ez a melléklet a jármű fedélzeti diagnosztikai információinak és a járműjavítási és -karbantartási információknak az elérhetőségére vonatkozó műszaki előírásokat állapítja meg.
2. ELŐÍRÁSOK
2.1. A jármű fedélzeti diagnosztikai információinak és a járműjavítási és -karbantartási információknak, amelyeket a weboldalon közzé kell tenni, meg kell felelniük az OASIS SC2-D5 specifikációjában ( 60 ) (Format of Automotive Repair Information - Autójavítási információk formátuma, 1.0 változat, 2003. május 28.), valamint az OASIS SC1-D2 specifikációjának ( 61 ) (Autorepair Requirements Specification - Autójavítási előírások specifikációja, 6.1. változat, 2003.1.10.) 3.2., 3.5. (kivéve a 3.5.2. pontot), 3.6, 3.7. és 3.8. pontjában leírt műszaki specifikációknak, nyílt szöveg és grafikai formátum, vagy olyan formátum használatával, amely megtekinthető és kinyomtatható díjmentesen beszerezhető, könnyen telepíthető, szabványos beépülő modulokkal, amelyek képesek az általánosan használt számítógépes operációs rendszerek alatt működni. Ahol lehetséges, a metaadatok kulcsszavainak meg kell felelniük az ISO 15031-2 szabványnak. Ezeknek az információknak a weboldal karbantartása kivételével mindenkor elérhetőknek kell lenniük. Akiknek jogosultságot kell szerezniük az információk másolására vagy újraközlésére, azoknak közvetlenül az érintett gyártókkal kell tárgyalniuk. Az oktatáshoz szükséges információknak szintén elérhetőknek kell lenniük, de ezeket nem szükséges feltétlenül a weboldalon keresztül közzétenni.
A független gazdasági szereplők számára könnyen hozzáférhető adatbázisban rendelkezésre kell bocsátani a jármű minden olyan részére vonatkozó információt, amelyet - a jármű-azonosító szám (vehicle identification number, VIN), valamint bármely más kritérium, mint például a tengelytáv, motorteljesítmény, felszereltség vagy választható tartozékok alapján meghatározhatóan - a járműgyártó beépített a járműbe és a járműgyártó által hivatalos szervizpartnereinek, forgalmazóinak vagy harmadik félnek kínált pótalkatrészekkel az eredeti alkatrész termékazonosító száma alapján kicserélhető.
Az említett adatbázisban szerepelnie kell a jármű-azonosító számoknak, az eredeti alkatrészek termékazonosító számának, az eredeti alkatrészek hivatalos megnevezésének, az érvényességi adatoknak (az érvényesség kezdő- és záródátuma), a beszerelési adatoknak és adott esetben a szerkezeti jellemzőknek.
Az adatbázisban tárolt információkat rendszeresen frissíteni kell. A frissítéseknek tartalmazniuk kell különösen az egyes járművek gyártást követő valamennyi módosítását, amennyiben ezek az információk a hivatalos forgalmazók rendelkezésére állnak.
2.2. A hivatalos forgalmazók és szervizek által használt járműbiztonsági funkciókhoz való hozzáférést biztonságtechnikai védelem alatt biztosítani kell a független gazdasági szereplők számára is, a következő követelményeknek megfelelve:
i. az adatcsere során biztosítani kell az adatok bizalmas jellegét, integritását és illetéktelen hozzáférés elleni védelmét;
ii. a https//ssl-tls (RFC4346) szabványt kell alkalmazni;
iii. a független gazdasági szereplők és a gyártók kölcsönös hitelesítésére az ISO 20828 szabvány szerinti biztonsági tanúsítványokat kell alkalmazni;
iv. a független gazdasági szereplő saját kulcsát biztonságos hardverrel kell védeni.
A 13. cikk (9) bekezdésében említett jármű-információkhoz való hozzáférés fóruma meghatározza azokat a paramétereket, amelyekkel a legkorszerűbben lehet teljesíteni ezeket a követelményeket.
A független gazdasági szereplőknek ehhez jóváhagyást és engedélyt kell szerezniük olyan dokumentumok alapján, amelyek igazolják, hogy legális üzleti tevékenységet végeznek, és e téren büntetlen előéletűek.
2.3. A 2010. augusztus 31. után gyártott járművek vezérlőegységeinek átprogramozását a típusjóváhagyás dátumától függetlenül az ISO 22900 vagy az SAE J2534 szabvány szerint kell végezni. A gyártóspecifikus alkalmazás és az ISO 22900 vagy az SAE J2534 szabványnak megfelelő jármű-kommunikációs interfészek (vehicle communication interface, VCI) kompatibilitásának igazolására a gyártó vagy felkínálja az egyedi fejlesztésű VCI-k hitelesítését, vagy rendelkezésre bocsátja a szükséges információkat és bérbe adja a különleges hardvert, amellyel a VCI gyártója saját maga el tudja végezni a hitelesítést. A hitelesítésért vagy az információkért és hardverért fizetendő díjakra a 715/2007/EK rendelet 7. cikkének (1) bekezdésében megállapított feltételek alkalmazandók.
A 2010. szeptember 1. előtt gyártott járművek esetében a gyártó vagy az ISO 22900 vagy az SAE J2534 szabványnak megfelelő teljes újraprogramozást, vagy saját fejlesztésű eszközének értékesítése vagy bérbeadása révén történő újraprogramozást kínálhat fel. Ez utóbbi esetben a független gazdasági szereplőknek megkülönböztetésmentesen, haladéktalanul és arányosan kell hozzáférést biztosítani, és az eszközt használható formában kell rendelkezésre bocsátani. Az említett eszközökhöz való hozzáférésért fizetendő díjakra a 715/2007/EK rendelet 7. cikkében megállapított rendelkezések alkalmazandók.
2.4. A kibocsátással kapcsolatos összes hibakódnak meg kell felelnie a XI. melléklet 1. függelékének.
2.5. A jármű biztonsági területei kivételével a jármű fedélzeti diagnosztikai információinak és a járműjavítási és -karbantartási információknak az elérhetőségét illetően a független gazdasági szereplők által a gyártó weboldalának használata céljából való bejelentkezés feltételeként a gyártók csak annyi információt kérhetnek, amennyi szükséges ahhoz, hogy ellenőrizhessék, hogyan fog történni az információkért való fizetés. A jármű biztonsági területeire vonatkozó információk esetében a független gazdasági szereplőnek be kell mutatnia egy, az ISO 20828 szabvány szerinti tanúsítványt, amely igazolja az illető személyazonosságát, és megnevezi azt a szervezetet, amelyhez tartozik, és cserében a gyártó bemutatja saját, az ISO 20828 szabvány szerinti tanúsítványát, amely igazolja a független gazdasági szereplő számára, hogy az az érintett gyártó legális weboldalán fér hozzá az információkhoz. Mindkét félnek nyilvántartást kell vezetnie az ilyen ügyletekről, feltüntetve az e rendelkezés alá tartozó járműveket és a rajtuk végzett változtatásokat.
2.6. Ha a jármű fedélzeti diagnosztikai információi és a járműjavítási és -karbantartási információk, amelyeket a gyártó a weboldalán közzé tett, nem tartalmaznak olyan konkrét információkat, melyek lehetővé tennék alternatív üzemanyagok használatára utólag alkalmassá tevő rendszerek megfelelő tervezését és gyártását, akkor az alternatív üzemanyagok használatára utólag alkalmassá tevő rendszerek bármely érdekelt gyártójának a rendelkezésére kell bocsátani az 1. melléklet 3. függelékének 0., 2. és 3. pontjában előírt információkat, ha az ilyen kéréssel közvetlenül megkeresi a gyártót. Az ilyen célú kapcsolatfelvételhez szükséges részletes adatokat feltűnő helyen fel kell tüntetni a gyártó weboldalán, és az információkat 30 napon belül ki kell adni. Ilyen információkat csak az alternatív üzemanyagok használatára utólag alkalmassá tevő olyan rendszerekhez kell kiadni, amelyek az ENSZ-EGB 115. sz. előírásának hatálya alá esnek, vagy az alternatív üzemanyagok használatára utólag alkalmassá tevő olyan komponensekre, amelyek az ENSZ-EGB 115. sz. előírásának hatálya alá eső, az alternatív üzemanyagok használatára utólag alkalmassá tevő rendszerek részét képezik, és csak olyan kérésre, amely egyértelműen ismerteti annak a járműmodellnek a pontos specifikációját, amelyre az információt kérték, és amely kifejezetten kinyilvánítja, hogy az információt az ENSZ-EGB 115. sz. előírásának hatálya alá eső, az alternatív üzemanyagok használatára utólag alkalmassá tevő rendszerek vagy komponensek kifejlesztése céljából kérték.
2.7. A gyártónak a javítási információkat közzétevő weboldalán modellenként fel kell tüntetnie a típus-jóváhagyási számot.
2.8. A gyártónak a javítási és karbantartási információkat tartalmazó weboldalhoz való hozzáférésért méltányos és arányos óránkénti, napi, havi, éves és tranzakciónkénti díjat kell megállapítania.
Appendix 1



XV. MELLÉKLET
A 70/220/EGK IRÁNYELV SZERINTI TÍPUSJÓVÁHAGYÁSSAL RENDELKEZŐ, HASZNÁLATBAN LÉVŐ JÁRMŰVEK MEGFELELŐSÉGE
1. HASZNÁLATBAN LÉVŐ JÁRMŰVEK MEGFELELŐSÉGE
1.1. A használatban lévő járművek megfelelőségét a jóváhagyó hatóságnak ellenőriznie kell a 70/156/EGK irányelv 10. cikkének (1) és (2) bekezdésében és X. mellékletének 1. és 2. pontjában ismertetett vagy hasonló eljárásokkal, a gyártó birtokában lévő információk alapján.
1.2. A használatban lévő járművek megfelelőségének ellenőrzési eljárása az e melléklet 2. függelékének 4. pontjában említett ábrán és az ENSZ-EGB 83. sz. előírása 4. függelékének 4/2 ábráján látható.
1.3. A használatban lévő járműcsaládot meghatározó paraméterek
A használatban lévő járműcsaládot olyan alapvető tervezési paraméterekkel lehet meghatározni, amelyek a járműcsaládba tartozó járművek tekintetében azonosak. Ennek megfelelően azok a járműtípusok, amelyeknek legalább az 1.3.1.-1.3.11. pontban megadott paraméterei azonosak, vagy a megadott tűréseken belül azonosak, ugyanahhoz a használatban lévő járműcsaládhoz tartozónak tekinthetők:
1.3.1. égési folyamat (kétütemű/négyütemű/forgó ciklus),
1.3.2. hengerek száma,
1.3.3. hengerek elrendezése (soros, V-elrendezésű, sugárirányú, vízszintesen egymással szemben levő, egyéb). A hengerek dőlése vagy iránya nem tartozik a kritériumok közé),
1.3.4. üzemanyag-adagolás módja (például közvetett vagy közvetlen injektálás),
1.3.5. hűtőrendszer típusa (levegő, víz, olaj),
1.3.6. levegőbeszívás módja (feltöltés nélküli, feltöltéses),
1.3.7. a motor által terv szerint használt üzemanyag (benzin, dízel, földgáz, PB-gáz stb.). A kétfajta üzemanyaggal működő járművek kerülhetnek egy családba egyfajta üzemanyaggal működő járművekkel, ha az egyik üzemanyag közös,
1.3.8. katalizátoros átalakító típusa (háromutas katalizátoros vagy más),
1.3.9. részecskeszűrő típusa (van vagy nincs),
1.3.10. kipufogógáz-visszavezetés (van vagy nincs),
1.3.11. családon belüli legnagyobb motor hengerűrtartalma mínusz 30 %.
1.4. A használatban lévő járművek megfelelőségének ellenőrzését a gyártó által szolgáltatott információk alapján a jóváhagyó hatóság végzi. Ezeknek az információknak többek között az alábbiakat kell tartalmazniuk:
1.4.1. a gyártó neve és címe,
1.4.2. a gyártó által szolgáltatott információk egyes területeire vonatkozóan a gyártó által meghatalmazott képviselő neve, címe, telefon- és telefaxszáma és e-mail címe.
1.4.3. a járműnek a gyártó által szolgáltatott információkban szereplő modellneve(i),
1.4.4. adott esetben a gyártó által szolgáltatott információkban szereplő járműtípusok felsorolása, azaz az 1.3. pont szerinti használatban lévő járműcsaládcsoport.
1.4.5. a használatban lévő járműcsaládba tartozó e járműtípusokra vonatkozó járműazonosító szám (VIN) kódjai (VIN-előtag),
1.4.6. a használatban lévő járműcsaládon belüli járműtípusokra vonatkozó típusjóváhagyások száma, beleértve értelemszerűen az összes kiterjesztés és helyszíni javítás/visszahívás (átalakítás) számát,
1.4.7. a gyártó által szolgáltatott információkban szereplő járművek típusjóváhagyásaira vonatkozóan a kiterjesztések, helyszíni javítások/visszahívások részletes ismertetése (a jóváhagyó hatóság kérésére),
1.4.8. az az időszak, amelyről a gyártó az információkat gyűjtötte,
1.4.9. a gyártó által szolgáltatott információkban szereplő járműgyártási időtartam (például a 2001-es naptári év során gyártott járművek),
1.4.10. a gyártó által használatban lévő járművek/motorok megfelelőségének ellenőrzésére alkalmazott eljárás, beleértve a következőket:
a) a járművek helyének meghatározására használt módszer,
b) a járművek kiválasztásának és elutasításának kritériumai,
c) a programhoz használt méréstípusok,
d) a használatban lévő járműcsalád gyártó általi elfogadásának/elutasításának kritériumai,
e) az(ok) a földrajzi terület(ek), ahol a gyártó az információkat gyűjtötte,
f) az alkalmazott mintaméret és mintavételi terv,
1.4.11. a használatban lévő motorok/járművek gyártó általi megfelelőségi ellenőrzésének eredményei, beleértve az alábbiakat:
a) a programba felvett járművek azonosítása (függetlenül attól, hogy a járművet vizsgálták-e). Az azonosításnak tartalmaznia kell a következőket:
- modell neve,
- járműazonosító szám (VIN),
- a jármű hatósági rendszáma,
- a gyártás időpontja,
- a használat földrajzi területe (ha ismert),
- a felszerelt gumiabroncsok,
b) a jármű mintába történő bevétele elutasításának indokolása,
c) a minta minden járművének használati előzményei (beleértve bármilyen átalakítást),
d) a minta minden járművének javítási előzményei (ha ismert).
e) mérési adatok, többek között a következők:
- a mérés időpontja,
- a mérés helye,
- a jármű kilométerórájának állása,
- a méréshez használt üzemanyag specifikációi (például referencia-üzemanyag vagy kereskedelemben kapható üzemanyag),
- mérési feltételek (hőmérséklet, páratartalom, teljesítménymérő fékpad ellensúlya),
- a fékpad beállításai (például teljesítményérték),
- mérési eredmények (járműcsaládonként legalább három különböző járműre),
1.4.12. a fedélzeti diagnosztikai rendszer kijelzései.
2. A gyártó által összegyűjtött információknak elegendően részleteseknek kell lenniük ahhoz, hogy a használat közbeni működést az 1. pontban meghatározott szokásos használati körülmények között értékelni lehessen, figyelembe véve a járművek használatának földrajzi megoszlását is.
E rendelet alkalmazásában a gyártó nem köteles egy adott járműtípus használat közbeni megfelelőségének ellenőrzésére, ha a jóváhagyó hatóság számára kielégítően igazolni tudja, hogy az adott járműtípusból a Közösségen belül évente legfeljebb 5 000 darabot értékesítenek.
3. Az 1.2. pontban említett ellenőrzés alapján, a jóváhagyó hatóságnak a következő döntéseket és intézkedéseket kell hoznia:
a) úgy dönt, hogy a járműtípus vagy a használatban lévő járműcsalád használat közbeni megfelelősége kielégítő, és nem tesz további intézkedéseket,
b) úgy dönt, hogy a gyártó által szolgáltatott információk nem elegendők a döntés meghozatalához, és a gyártótól további információkat vagy mérési adatokat kér,
c) úgy dönt, hogy a használatban lévő járműcsaládba tartozó egyik járműtípus megfelelősége nem kielégítő, és az I. melléklet 1. függeléke szerint lefolytatja e járműtípus vizsgálatát.
Ha a gyártó a 2. pont szerint mentesül egy meghatározott járműtípus megfelelőségének ellenőrzése alól, akkor a jóváhagyó hatóság e járműtípusok vizsgálatát az I. melléklet 1. függeléke szerint folytathatja le.
3.1. Ha annak ellenőrzéséhez, hogy a kibocsátáscsökkentő rendszerek megfelelnek-e a használat közbeni működésre vonatkozó előírásoknak, 1. típusú mérések szükségesek, akkor ezeket e melléklet 2. függelékében meghatározott statisztikai kritériumoknak megfelelő mérési eljárással kell elvégezni.
3.2. A jóváhagyó hatóságnak a gyártóval együttműködve össze kell állítania egy elegendő kilométert lefutott olyan járművekből álló mintát, amelyeknél valószínűsíthető a szokásos körülmények közötti használat. Ki kell kérni a gyártó véleményét a járműveknek a mintába való beválasztásáról, és lehetővé kell tenni részvételét a járművek igazoló ellenőrzésében.
3.3. A típusjóváhagyást kiadó hatóság felügyelete alatt a gyártó jogosult ellenőrzéseket végezni, akár roncsolásos jellegűeket is, azokon a járműveken, amelyeknél a kibocsátások meghaladják a határértékeket, hogy megállapítsák, nincs-e olyan oka a funkciócsökkenésnek, ami nem magának a gyártónak róható fel. Ha az ellenőrzés igazolja, hogy ilyen okok állnak fenn, akkor az érintett mérési eredményeket ki kell zárni az igazoló vizsgálatból.
3.4. Ha a jóváhagyó hatóság nem fogadja el a 2. függelékben meghatározott kritériumok szerinti mérések eredményeit, akkor a 70/156/EGK irányelv 11. cikke (2) bekezdésében és X. mellékletében említett javítási intézkedések az 1. függelék 6. pontja szerint kiterjesztendők az ugyanolyan járműtípushoz tartozó, használatban lévő olyan járművekre, amelyeket ugyanezek a hibák valószínűleg szintén érintenek.
A gyártó által készített javítási intézkedési tervet a jóváhagyó hatóságnak jóvá kell hagynia. A gyártó felelős az így jóváhagyott javítási terv végrehajtásáért.
A jóváhagyó hatóság döntéséről 30 napon belül értesíti az összes tagállamot. A tagállamok kérhetik, hogy ugyanezeket a javítási intézkedéseket hajtsák végre a területükön nyilvántartásba vett összes ugyanilyen típusú járműre is.
3.5. Ha egy tagállam megállapítja, hogy egy járműtípus nem felel meg e melléklet 1. függeléke vonatkozó előírásainak, akkor erről késedelem nélkül értesíti azt a tagállamot, amely az eredeti típusjóváhagyást a 70/156/EGK irányelv 11. cikkének (3) bekezdése szerint kiadta.
Az értesítés után és a 70/156/EGK irányelv 11. cikkének (6) bekezdésétől függően az eredeti típusjóváhagyást kiadó tagállam jóváhagyó hatósága tájékoztatja a gyártót, hogy a járműtípus nem felel meg e rendelkezések előírásainak, és hogy a gyártótól intézkedéseket várnak. A gyártó a fenti értesítéstől számított két hónapon belül beadja a hatóságnak a hibák kiküszöbölését célzó intézkedések tervét, amelynek lényegét tekintve meg kell felelnie az 1. függelék 6.1-6.8. pontjában foglalt előírásoknak Ha az eredeti típusjóváhagyást kiadó illetékes hatóság megállapítja, hogy nem lehet megállapodást elérni, akkor kezdeményezni kell a 70/156/EGK irányelv 11. cikke (3) és (4) bekezdésében előírt eljárást.
1. függelék
Használatban lévő járművek megfelelőségének ellenőrzése
1. BEVEZETÉS
Ez a függelék leírja a 70/220/EGK irányelv szerinti típusjóváhagyással rendelkező használatban lévő járművek megfelelőségének ellenőrzésére vonatkozó kritériumokat.
2. KIVÁLASZTÁSI KRITÉRIUMOK
A kiválasztott jármű elfogadására vonatkozó kritériumokat a 2.1.-2.8. pont határozza meg. A jóváhagyó hatóság az információkat a jármű átvizsgálása révén, illetve a tulajdonostól/járművezetőtől szerzi be.
2.1. A járműnek a 70/220/EGK irányelv alapján típusjóváhagyást kapott és a 70/156/EK irányelv szerinti megfelelőségi bizonylattal rendelkező járműtípushoz kell tartoznia. A járműnek az Európai Közösségben nyilvántartásba vett és használt járműnek kell lennie.
2.2. A járműnek legalább már 15 000 km-t, illetve 6 hónapot (amelyik későbbi), de legfeljebb 100 000 km-t, illetve 5 évet (amelyik korábbi) futnia kellett.
2.3. A járműnek rendelkeznie kell olyan karbantartási nyilvántartással, amely igazolja, hogy a járművet megfelelő módon karbantartották, például a gyártó ajánlásainak megfelelően elvégezték a szervizelését.
2.4. A jármű nem mutathatja helytelen használat jeleit (például túlhajtás, túlterhelés, nem megfelelő üzemanyag használata vagy más helytelen használat), vagy olyan más tényezőket (például illetéktelen beavatkozás), amelyek hatással lehetnek a károsanyag-kibocsátásra. Fedélzeti diagnosztikai rendszerrel felszerelt járművek esetében figyelembe kell venni a számítógépben tárolt hibakódot és a kilométer-teljesítményre vonatkozó adatokat. Ha a számítógépben tárolt információk azt mutatják, hogy a járművet egy hibakód elmentése után tovább üzemeltették, és viszonylag rövid időn belül nem végezték el a szükséges javításokat, akkor ez a jármű nem választható ki a vizsgálatra.
2.5. A motoron vagy a járművön nem végezhettek engedély nélküli nagyobb javítást.
2.6. A jármű üzemanyag-tartályából származó üzemanyag-minta ólom- és kéntartalmának meg kell felelnie a 98/70/EK európai parlamenti és tanácsi irányelvben ( 62 ) megállapított vonatkozó előírásoknak, és nem lehet más jele sem az előírásoktól eltérő üzemanyag-használatnak. Ellenőrzések végezhetők a kipufogócsőben stb.
2.7. Nem mutatkozhatnak olyan problémákra utaló jelek, amelyek veszélyeztethetik a laboratóriumi személyzet biztonságát.
2.8. A járműben használt szennyezéscsökkentő rendszer valamennyi komponensének meg kell felelnie az érvényes típusjóváhagyásnak.
3. DIAGNOSZTIKA ÉS KARBANTARTÁS
A kibocsátásmérések előtt a 3.1-3.7. pontban előírt eljárással el kell végezni a vizsgált jármű diagnosztizálását és szükség esetén minden szokásos karbantartást.
3.1. A következő ellenőrzéseket kell elvégezni: a levegőszűrő, az összes hajtószíj, az összes folyadékszint, hűtősapka, a szennyezéscsökkentő rendszerrel kapcsolatos összes vákuumtömlő és villamos vezeték épségének ellenőrzése; a gyújtás, az üzemanyag-adagoló és a szennyezéscsökkentő rendszerek komponenseinek ellenőrzése helytelen beállítás vagy manipuláltság szempontjából. Minden rendellenességet fel kell jegyezni.
3.2. Ellenőrizni kell a fedélzeti diagnosztikai rendszer megfelelő működését. A fedélzeti diagnosztikai rendszer memóriájában található hibaüzeneteket fel kell jegyezni, és az elengedhetetlenül szükséges javításokat el kell végezni. Ha a fedélzeti diagnosztikai rendszer hibajelzője előkondicionáló ciklus alatt jelez hibát, megengedett a hiba azonosítása és kijavítása. A mérést meg lehet ismételni és a kijavított jármű eredményei felhasználhatóak.
3.3. Ellenőrizni kell a gyújtásrendszert, és ki kell cserélni a hibás komponenseket, például gyújtógyertyákat, kábeleket stb.
3.4. Ellenőrizni kell a kompressziót. Ha az eredmény nem kielégítő, a járművet el kell utasítani.
3.5. A gyártó specifikációi alapján ellenőrizni kell a motor paramétereit, és ha szükséges, el kell végezni a beállításokat.
3.6. Ha a jármű esedékes tervszerű karbantartásához már csak 800 km vagy kevesebb hiányzik, akkor a szervizelést a gyártó utasításai szerint kell elvégezni. A gyártó kérésére az olajszűrő és a levegőszűrő a kilométeróra állásától függetlenül kicserélhető.
3.7. A jármű elfogadása után az üzemanyagot ki kell cserélni a kibocsátásméréshez használandó referencia-üzemanyagra, kivéve ha a gyártó elfogadja a kereskedelemben kapható üzemanyag használatát.
4. HASZNÁLATBAN LÉVŐ JÁRMŰVEK VIZSGÁLATA
4.1. Ha szükségesnek mutatkozik a járművek ellenőrzése, a 70/220/EGK irányelv III. melléklete szerinti kibocsátásméréseket e függelék 2. és 3. pontja szerint kiválasztott, előkondicionált járműveken kell elvégezni.
4.2. Fedélzeti diagnosztikai rendszerrel felszerelt járműveknél ellenőrizhető a hibakijelzés stb. üzem közbeni működőképessége a járműtípusra előírt kibocsátási határértékek túllépése (pl. a 70/220/EGK irányelv XI. mellékletében meghatározott hibajelzési határértékek) esetén.
4.3. A fedélzeti diagnosztikai rendszernél ellenőrizhetők például a következők: a hibajelzés nem kapcsol be a vonatkozó határértékek feletti kibocsátás esetén, a hibajelzés rendszeresen tévesen bekapcsolódik, illetve a fedélzeti diagnosztikai rendszer hibás vagy hibásan működő komponensei.
4.4. Ha egy komponens vagy rendszer nem úgy működik, ahogyan azt az ilyen járműtípus típus-jóváhagyási tanúsítványának, illetve adatcsomagjának részletes adatai leírják, és ha ezt az eltérést a 70/156/EGK irányelv 5. cikkének (3) vagy (4) bekezdése nem engedélyezi, és a fedélzeti diagnosztikai rendszer nem jelez hibát, akkor a komponenst vagy a rendszert legfeljebb csak akkor szabad kicserélni a kibocsátásmérés előtt, ha megállapítják, hogy a komponenst vagy rendszert oly módon manipulálták vagy helytelenül használták, hogy a fedélzeti diagnosztikai rendszer nem észleli az adott működési hibát.
5. AZ EREDMÉNYEK ÉRTÉKELÉSE
5.1. A mérési eredményeket az e melléklet 2. függeléke szerinti eljárással kell értékelni.
5.2. A mérési eredményeket nem kell romlási tényezőkkel szorozni.
6. JAVÍTÁSI INTÉZKEDÉSI TERV
6.1. Ha egynél több olyan járműnél állapítják meg a túlzott kibocsátást, amelyre fennáll a következő feltételek valamelyike, akkor a jóváhagyó hatóságnak elő kell írnia, hogy a gyártó a hiányosságok megszüntetésére javítási intézkedési tervet nyújtson be:
a) megfelel az ENSZ-EGB 83. sz. előírása 4. függelékének 3.2.3. szakaszában előírt feltételeknek és a típusjóváhagyó hatóság és a gyártó egyaránt egyetértenek abban, hogy a túlzott kibocsátás ugyanazon oknak tulajdonítható,
b) megfelel az ENSZ-EGB 83. sz. előírása 4. függelékének 3.2.4. szakaszában előírt feltételeknek, és a típusjóváhagyó hatóság megállapította, hogy a túlzott kibocsátás ugyanazon oknak tulajdonítható.
6.2. A javítási intézkedési tervet a jóváhagyó hatósághoz kell benyújtani a 6.1. szakaszban említett értesítés keltétől számítva legkésőbb 60 munkanapon belül. A jóváhagyó hatóság 30 munkanapon belül nyilatkozik, hogy elfogadja-e a javítási intézkedési tervet. Ha azonban a gyártó az illetékes jóváhagyó hatóság számára elfogadható módon igazolni tudja, hogy több időre van szüksége az eltérésnek a javítási intézkedési terv benyújtásához szükséges kivizsgálásához, akkor a határidőt meg lehet hosszabbítani.
6.3. A javítási intézkedéseknek ki kell terjedniük minden olyan járműre, amelyeknél valószínű, hogy ugyanez a hiba érinti őket. Meg kell vizsgálni, hogy szükséges-e a típus-jóváhagyási dokumentumok módosítása.
6.4. A gyártónak be kell adnia a javítási intézkedési tervvel kapcsolatos összes közlemény másolatát, valamint nyilvántartást kell vezetnie a visszahívási akcióról, és rendszeresen helyzetjelentést kell adnia a jóváhagyó hatóságnak.
6.5. A javítási intézkedési tervnek tartalmaznia kell a 6.5.1.-6.5.11. pontban előírt követelményeket. A gyártónak egyedi azonosító nevet vagy számot kell adnia a javítási intézkedési tervnek.
6.5.1. A javítási intézkedési terv által érintett összes járműtípus leírása.
6.5.2. Minden olyan egyedi módosítás, változtatás, javítás, korrekció, beállítás vagy más beavatkozás leírása, melynek célja, hogy a jármű ismét megfeleljen az előírásoknak, beleértve azoknak az adatoknak és műszaki vizsgálatoknak a rövid összegzését, melyek alapján a gyártó a megfelelőség helyreállítását célzó adott intézkedések mellett döntött.
6.5.3. Annak az eljárásnak a leírása, amellyel a gyártó tájékoztatja a járműtulajdonosokat.
6.5.4. Adott esetben az olyan helyes karbantartásnak vagy használatnak a leírása, amelyet a gyártó előír annak feltételeként, hogy a jármű a javítási intézkedési terv keretében jogosult legyen a javításra, és a gyártó indoklása, hogy miért köti ki e feltételt. Karbantartási vagy használati feltétel csak akkor köthető ki, ha az igazoltan kapcsolódik ahhoz a tényhez, hogy a jármű nem felel meg az előírásoknak, valamint a javítási intézkedésekhez.
6.5.5. Annak az eljárásnak a leírása, amelyet a járművek tulajdonosainak a javítás elvégeztetéséhez követniük kell. Ennek tartalmaznia kell azt az időpontot, amikortól a javítást el lehet végeztetni, a műhelyben a javítás elvégzéséhez szükséges idő becslését, valamint azt, hogy hol végeznek ilyen javításokat. A javítást a jármű átadása után felesleges késedelem nélkül el kell végezni.
6.5.6. A járműtulajdonosoknak küldött tájékoztató másolata.
6.5.7. Annak a rendszernek a rövid leírása, amellyel a gyártó biztosítja, hogy a komponensek vagy részegységek megfelelő mennyiségben rendelkezésre álljanak a javítások elvégzéséhez. Fel kell tüntetni azt az időpontot, amikortól megfelelő mennyiségű komponens vagy részegység áll rendelkezésre az akció elkezdéséhez.
6.5.8. A javítást végző szakembereknek megküldendő összes utasítás másolata.
6.5.9. A javasolt javítási intézkedéseknek a javítási intézkedési terv által érintett összes járműtípus károsanyag-kibocsátására, üzemanyag-fogyasztására, menettulajdonságára és biztonságára gyakorolt hatásának leírása, a következtetéseket alátámasztó adatokkal, műszaki tanulmányokkal stb. együtt.
6.5.10. Minden más információ, jelentés vagy adat, amelyet a jóváhagyó hatóság az ésszerűség határain belül szükségesnek ítél a javítási intézkedési terv értékeléséhez.
6.5.11. Ha a javítási intézkedési terv visszahívást is tartalmaz, akkor a javítások nyilvántartásának módszerét ismertető leírást is be kell adni a jóváhagyó hatósághoz. Címke használata esetén annak egy példányát is be kell nyújtani.
6.6. A gyártótól megkövetelhető, hogy gondosan megtervezett és szükséges vizsgálatokat végezzen a javasolt változtatás, javítás vagy módosítás által érintett komponenseken és járműveken, hogy igazolja a változtatás, javítás vagy módosítás eredményességét.
6.7. A gyártónak nyilvántartást kell vezetnie minden visszahívott és javított járműről, valamint a javítást végző műhelyekről. A jóváhagyó hatóság számára a gyártónak a javítási intézkedési terv végrehajtásától számított öt éven keresztül kérésre betekintést kell biztosítania a nyilvántartásba.
6.8. A javítást, illetve módosítást vagy új komponensek beépítését a gyártó által a jármű tulajdonosának adott bizonylatban fel kell tüntetni.
2. függelék
Statisztikai eljárás használatban lévő járművek megfelelőségének vizsgálatához
1. Ez az eljárás a használatban lévő járműveket illetően az 1. típusú mérés tekintetében való megfelelőség ellenőrzésére használandó. A vonatkozó statisztikai módszer az, amit az ENSZ-EGB 83. sz. előírásának 4. függeléke ír elő, a 2., 3. és 4. pontban felsorolt kivételekkel.
2. Az 1. lábjegyzet nem vonatkozik.
3. Az ENSZ-EGB 83. sz. előírása 4. függelékének 3.2.3.2.1. és 3.2.4.2. szakaszában a 3. függelék 6. szakaszára való hivatkozás az e rendelet XV. melléklete 1. függelékének 6. pontjára való hivatkozásként értendő.
4. Az ENSZ-EGB 83. sz. előírása 4. függelékének 4/1. ábrájára a következők vonatkoznak:
a) a 8.2.1. szakaszra való hivatkozások az e rendelet XV. mellékletének 1.1. pontjára való hivatkozásokként értendők,
b) a 3. függelékre való hivatkozás az e rendelet XV. mellékletének 1. függelékére való hivatkozásként értendő,
c) az 1. lábjegyzet a következők szerint értendő: Ebben az esetben a típusjóváhagyó hatóság (TAA) a 70/220/EGK irányelv szerinti típusjóváhagyást kiadó jóváhagyó hatóságot jelenti.
XVI. MELLÉKLET
A KIPUFOGÓGÁZ-UTÓKEZELŐ RENDSZERÜKBEN REAGENST HASZNÁLÓ JÁRMŰVEKRE VONATKOZÓ ELŐÍRÁSOK
1. BEVEZETÉS
Ez a melléklet azokra a járművekre állapít meg előírásokat, amelyek a kibocsátások csökkentése érdekében reagenst használnak az utókezelő rendszerükben.
2. A REAGNES KIJELZÉSE
2.1. A járműben a műszerfalon lennie kell egy külön kijelzőnek, amely tájékoztatja a járművezetőt arról, ha a reagens szintje a reagenstartályban alacsony, és arról, ha a reagenstartály kiürül.
3. A JÁRMŰVEZETŐT FIGYELMEZTETŐ RENDSZER
3.1. A járműben lennie kell egy figyelmeztető rendszernek, amely tartalmaz olyan vizuális figyelmeztetést, amely tájékoztatja a járművezetőt arról, hogy a reagensszint túl alacsony, a tartályt hamarosan újra kell tölteni, vagy hogy a reagens nem felel meg a gyártó minőségi specifikációjának. A járművezetőt figyelmeztető rendszerben lehet hangjelzés is.
3.2. A reagens fogyásával a figyelmeztető jelzés intenzitásának nőnie kell. A figyelmeztetés csúcspontjának olyannak kell lennie, amelyet nem lehet könnyen hatástalanítani vagy figyelmen kívül hagyni. Gondoskodni kell arról, hogy a figyelmeztetést addig ne lehessen kikapcsolni, amíg a reagenstartály feltöltése meg nem történt.
3.3. Az optikai figyelmeztetésnek tartalmaznia kell egy olyan üzenetet, amely a reagens alacsony szintjére figyelmeztet. A figyelmeztetés nem lehet ugyanaz, mint a fedélzeti diagnosztikához vagy más motorkarbantartáshoz használt másik üzenet. A figyelmeztetésnek elegendően egyértelműnek kell lennie ahhoz, hogy a járművezető megértse, hogy a reagensszint alacsony (például "karbamidszint alacsony", "AdBlue-szint alacsony" vagy "kevés reagens").
3.4. A figyelmeztető rendszernek kezdetben nem kell folyamatosan működésben lennie, a figyelmeztetés intenzitásának azonban fokozódnia kell addig, amíg folyamatossá nem válik, ahogy a reagensszint megközelíti azt a pontot, ahol a 8. pontban leírt használatkorlátozó rendszer működésbe lép. Határozott figyelmeztetésnek kell megjelennie (például "karbamidfeltöltés szükséges", "AdBlue-feltöltés szükséges" vagy "reagensfeltöltés szükséges"). A folyamatos figyelmeztetést ideiglenesen megszakíthatják fontos biztonsági vonatkozású üzeneteket tartalmazó figyelmeztetések.
3.5. A figyelmeztető rendszernek úgy kell működésbe lépnie, hogy a jármű még meg tudjon tenni legalább 2 400 km-t, mielőtt a reagenstartály kiürülne.
4. NEM MEGFELELŐ REAGNES AZONOSÍTÁSA
4.1. A járműben kell lenni egy olyan funkciónak, amely meghatározza, hogy a járműben van-e olyan reagens, amely megfelel a gyártó által megadott és az e rendelet I. mellékletének 3. függeléke szerint leírt reagensjellemzőknek.
4.2. Ha a reagenstartályban levő folyadék nem felel meg a gyártó által megadott minimumkövetelményeknek, akkor a 3. pontban leírt figyelmeztető rendszernek működésbe kell lépnie és meg kell jelenítenie egy megfelelő figyelmeztetést tartalmazó üzenetet (például "nem megfelelő minőségű karbamid", "nem megfelelő minőségű AdBlue" vagy "nem megfelelő minőségű reagens"). Ha a figyelmeztető rendszer bekapcsolódásától számítva 50 km-en belül a reagensminőség nem lesz megfelelő, akkor életbe kell lépnie a 8. pontban leírt használatkorlátozásnak.
5. A REAGENSFOGYASZTÁS ELLENŐRZÉSE
5.1. A járműben kell lenni egy olyan funkciónak, amely meghatározza a reagensfogyasztást, és lehetővé teszi a fogyasztási adatokhoz való külső hozzáférést.
5.2. Az átlagos reagensfogyasztás és a motorrendszer által igényelt átlagos reagensfogyasztás adatainak elérhetőnek kell lenniük szabványos diagnosztikai csatlakozó soros portján keresztül. A jármű működésének a kiolvasást megelőzően megtett 2 400 km-es szakaszáról kell az adatoknak meglenniük.
5.3. A reagensfogyasztás ellenőrzéséhez a járműnek legalább a következő paramétereit kell ellenőrizni:
a) a jármű reagenstartályában lévő reagens szintje,
b) a reagens áramlása vagy injektálása, a lehető legközelebb a kipufogógáz-utókezelő rendszer beinjektálási pontjához.
5.4. Ha az átlagos reagensfogyasztás és a motorrendszer által igényelt átlagos reagensfogyasztás között 30 percig 50 %-nál nagyobb eltérés áll fenn miközben a jármű működik, akkor a 3. pontban leírt figyelmeztető rendszernek működésbe kell lépnie és meg kell jelenítenie egy megfelelő figyelmeztetést tartalmazó üzenetet (például "karbamidadagolási hiba", "AdBlue-adagolási hiba" vagy "reagensadagolási hiba"). Ha a figyelmeztető rendszer bekapcsolódásától számítva 50 km-en belül a reagensfogyasztás nem lesz megfelelő, akkor életbe kell lépnie a 8. pontban leírt használatkorlátozásnak.
5.5. Ha a reagensadagolás megszakad, akkor a 3. pontban leírt figyelmeztető rendszernek működésbe kell lépnie és meg kell jelenítenie egy megfelelő figyelmeztetést tartalmazó üzenetet. Ez nem szükséges akkor, ha az adagolást a motorvezérlő egység azért szakítja meg, mert a jármű adott üzemállapotában a károsanyag-kibocsátás miatt nincs szükség reagensre; ennek feltétele azonban, hogy a gyártó előzetesen egyértelműen tájékoztatta a jóváhagyó hatóságot arról, hogy mely üzemállapotok tekintendők ilyennek. Ha a figyelmeztető rendszer bekapcsolódásától számítva 50 km-en belül a reagensadagolás nem lesz megfelelő, akkor életbe kell lépnie a 8. pontban leírt használatkorlátozásnak.
6. AZ NOx-KIBOCSÁTÁSOK ELLENŐRZÉSE
6.1. A 4. és 5. pontban leírt ellenőrzési előírások alkalmazása helyett a gyártó használhat kipufogógáz-érzékelőket a kipufogógázban lévő túl sok NOx érzékelésére.
6.2. A gyártónak igazolnia kell, hogy a 6.1. pontban említett érzékelőknek vagy a járműben lévő bármely más érzékelőnek a használata esetén működésbe lép a 3. pontban említett figyelmeztető rendszer, megjelenik egy megfelelő figyelmeztetést tartalmazó üzenet (például "kibocsátás túl nagy - ellenőrizni kell a karbamidot", "kibocsátás túl nagy - ellenőrizni kell az AdBlue-t" vagy "kibocsátás túl nagy - ellenőrizni kell a reagenst"), és életbe lép a 8.3. pontban említett használatkorlátozás, ha fennállnak a 4.2., 5.4. vagy 5.5. pontban leírt helyzetek.
Ennek a pontnak az alkalmazásában az ilyen helyzetek feltételezhetően akkor következnek be:
- a 715/2007/EK rendelet I. mellékletének 1. táblázatában megadott Euro 5 kibocsátási határértékek alapján jóváhagyott járművek esetében, ha a jármű túllépi az említett táblázatban megadott vonatkozó NOx-kibocsátási határérték 1,5-szeresét,
- a 715/2007/EK rendelet I. mellékletének 2. táblázatában megadott Euro 6 kibocsátási határértékek alapján jóváhagyott járművek esetében, ha a jármű túllépi a XI. melléklet 2.3.2., 2.3.3. és 2.3.4. pontjában található táblázatokban megadott vonatkozó NOx-kibocsátási fedélzeti diagnosztikai küszöbértéket.
Az említett követelményeknek való megfelelés igazolását célzó vizsgálat alatt a NOx-kibocsátás legfeljebb 20 %-kal haladhatja meg a második bekezdésben szereplő értékeket.
7. A MŰKÖDÉSI HIBÁKRA VONATKOZÓ ADATOK TÁROLÁSA
7.1. Az erre a pontra történő hivatkozás azt jelenti, hogy a rendszernek el kell mentenie a nem törölhető paraméterazonosítókat (PID), amelyek meghatározzák a használatkorlátozó rendszer működésbe lépésének okát és működésének idején a jármű által megtett távolságot. A járműnek a paraméterazonosítót legalább 800 napig vagy 30 000 lefutott kilométerig meg kell őriznie. A paraméterazonosítónak általános célú kiolvasóval elérhetőnek kell lennie a szabványos diagnosztikai csatlakozó soros portján keresztül a 83. sz. ENSZ-EGB előírás 11. melléklete 1. függeléke 6.5.3.1. szakaszának, valamint az e rendelet XI. melléklete 1. függeléke 2.5. pontjának rendelkezései szerint. A 17. cikkben említett dátumoktól kezdődően a paraméterazonosítóban tárolt információt legalább 300 napos vagy 10 000 km-es pontossággal a jármű azon kumulált működési idejéhez kell kapcsolni, amely alatt az esemény bekövetkezett.
7.2. A reagensadagaló rendszerben műszaki hibák (például mechanikai vagy villamos hibák) miatt fellépő működési hibákra is a XI. mellékletben leírt diagnosztikai előírások vonatkoznak.
8. A HASZNÁLATKORLÁTOZÓ RENDSZER
8.1. A járműben kell lenni egy használatkorlátozó rendszernek, amely biztosítja, hogy a jármű mindenkor működő kibocsátáscsökkentő rendszerrel működjön. A használatkorlátozó rendszert úgy kell kialakítani, hogy a jármű üres reagenstartállyal ne tudjon működni.
8.2. A használatkorlátozó rendszernek legkésőbb akkor be kell kapcsolódnia, amikor a tartályban a reagensszint eléri azt a pontot, hogy a reagens már csak akkora távolságra lesz elég, amit a jármű teli tankkal meg tud tenni. A rendszernek be kell kapcsolódnia, ha a 4., 5. vagy 6. pontban ismertetett hibák előfordulnak, az NOx-ellenőrzési stratégiától függően. Üres reagenstartály észlelésének és a 4., 5. vagy 6. pontban említett hibáknak azt kell eredményezniük, hogy életbe lépjenek a 7. pontban a működési hibákra vonatkozó információk elmentésére leírt előírások.
8.3. A gyártó választja meg a beépítendő használatkorlátozó rendszer típusát. A lehetséges rendszereket az alábbi 8.3.1., 8.3.2., 8.3.3. és 8.3.4. pontok írják le.
8.3.1. A "motorindítások visszaszámlálása" stratégia szerint a rendszer elkezdi visszaszámlálni a használatkorlátozó rendszer bekapcsolódása utáni motorindításokat vagy a még megtehető távolságot. A jármű vezérlőrendszere (mint például indító-leállító rendszerek) által kezdeményezett motorindítások nem számítanak bele a visszaszámlálásba. A motor indítását a rendszer megakadályozza közvetlenül azután, hogy a reagenstartály kiürült, illetve ha a használatkorlátozó rendszer bekapcsolódása után a jármű nagyobb távolságot tett meg, mint amekkorát teli tankkal meg tud tenni (amelyik hamarabb bekövetkezik).
8.3.2. A "motor tankolás után nem indul" rendszerben a jármű tankolás után nem tud elindulni, ha a használatkorlátozó rendszer be lett kapcsolva.
8.3.3. Az "üzemanyag-kizárás" stratégia megakadályozza a jármű tankolását úgy, hogy a használatkorlátozó rendszer bekapcsolódása után lezárja az üzemanyagtöltő rendszert. A kizáró rendszernek elég masszívnak kell lenni ahhoz, hogy ne lehessen manipulálni.
8.3.4. A "teljesítménykorlátozás" stratégia korlátozza a jármű sebességét azután, hogy a használatkorlátozó rendszer bekapcsolódott. A sebességkorlátozásnak akkorának kell lennie, hogy a járművezető észrevegye azt, illetve a jármű végsebességét jelentősen korlátozni kell. A korlátozásnak fokozatosan, vagy a motor beindítása után kell életbe lépnie. Nem sokkal a motor újraindításának megakadályozása előtt a jármű sebessége nem haladhatja meg az 50 km/h-t. A motor indítását a rendszernek meg kell akadályoznia közvetlenül azután, hogy a reagenstartály kiürült, illetve ha a használatkorlátozó rendszer bekapcsolódása után a jármű nagyobb távolságot tett meg, mint amekkorát teli tankkal meg tud tenni (amelyik hamarabb bekövetkezik).
8.4. Miután a használatkorlátozó rendszer egyszer már teljeskörűen működésbe lépett és letiltotta a járművet, a rendszernek csak akkor szabad kikapcsolódnia, ha a járművet feltöltötték annyi reagenssel, ami átlagosan elegendő legalább 2 400 km megtételéhez, illetve ha a 4., 5. vagy 6. pontban leírt működési hibákat megszüntették. Ha a fedélzeti diagnosztikai rendszer a 7.2. pont szerint működésbe lépett, akkor az ezt kiváltó hiba kijavítása után a használatkorlátozó rendszer inicializálható lehet a fedélzeti diagnosztika soros portján keresztül (például egy általános célú kiolvasóval), hogy a jármű az öndiagnosztika elvégzése céljából újraindítható legyen. A jármű legfeljebb 50 km-ig működhet, hogy ellenőrizni lehessen, sikeres volt-e a javítás. Ha ezután az ellenőrzés után a hiba továbbra is fennmaradt, akkor a használatkorlátozó rendszernek ismét teljeskörűen működnie kell.
8.5. A 3. pontban említett figyelmeztető rendszernek meg kell jelenítenie egy üzenetet, amely egyértelműen tartalmazza a következőket:
a) a hátralévő újraindítások száma, illetve a még megtehető távolság, és
b) a jármű újraindításának feltételei.
8.6. Ha a bekapcsolódás feltételei már megszűntek, a használatkorlátozó rendszernek ki kell kapcsolnia. A használatkorlátozó rendszer nem kapcsolhat ki automatikusan, ha működésbe lépésének okai nem szűntek meg.
8.7. A jóváhagyáskor a gyártónak be kell adnia a jóváhagyó hatósághoz a használatkorlátozó rendszer működési jellemzőit teljeskörűen leíró részletes írásos információt.
8.8. Az e rendelet szerinti típus-jóváhagyási kérelem részeként a gyártónak igazolnia kell a járművezetőt figyelmeztető és a használatkorlátozó rendszer működését.
9. TÁJÉKOZTATÁSI ELŐÍRÁSOK
9.1. A gyártónak az új járművek tulajdonosai számára írásos információt kell adnia a kibocsátáscsökkentő rendszerről. Az információnak tartalmaznia kell, hogy ha a jármű kibocsátáscsökkentő rendszere nem működik megfelelően, akkor a járművezetőt a figyelmeztető rendszer figyelmezteti a problémára és, hogy a használatkorlátozó rendszer ennek következtében később letilthatja a jármű elindítását.
9.2. A használati utasítás tartalmazza a jármű megfelelő használatának és karbantartásának előírásait, beleértve a fogyó reagensek használatát is.
9.3. A használati utasításnak kifejezetten tartalmaznia kell, ha a jármű üzembentartójának a szokásos szervizelések között is fel kell töltenie a járművet reagensekkel. Az utasításnak pontosan le kell írnia a reaganstartály feltöltésének módját. A tájékoztatásnak azt is tartalmaznia kell, hogy mekkora a reagensfogyás várható sebessége az adott típusú járműnél, és hogy milyen gyakran kell utántölteni.
9.4. A használati utasításban pontosan le kell írni, hogy az adott specifikációjú reagens használata és utántöltése kötelező ahhoz, hogy a jármű megfeleljen az adott járműtípusra kiadott megfelelőségi bizonylatnak.
9.5. A használati utasításnak figyelmeztetnie kell arra, hogy jogsértésnek minősülhet, ha a járművet úgy használják, hogy a kibocsátáscsökkentéshez előírt reagens nem fogy.
9.6. A használati utasításnak ismertetnie kell a járművezetőt figyelmeztető és a használatkorlátozó rendszerek működési módját. Ezenkívül ismertetnie kell annak következményeit, ha figyelmen kívül hagyják a figyelmeztető rendszert és nem történik reagensutántöltés.
10. AZ UTÓKEZELŐ RENDSZER MŰKÖDÉSI FELTÉTELEI
A gyártónak biztosítania kell, hogy a kibocsátáscsökkentő rendszer az Európai Unióban előforduló környezeti viszonyok között megőrizze kibocsátáscsökkentő funkcióját, különösen kis környezeti hőmérsékleteken. Ide tartoznak olyan megoldások, melyek megakadályozzák a reagens teljes elfagyását akkor is, ha a reagenstartály félig van, a hőmérséklet 258 K (- 15 °C), és a jármű - legfeljebb 7 napig - parkol. A reagens elfagyását illetően a gyártónak gondoskodnia kell arról, hogy a kibocsátáscsökkentő rendszer megfelelő működése érdekében a reagens a jármű indulása után 20 percen belül ismét használható legyen akkor is, ha a reagenstartály belsejében a hőmérséklet 258 K (- 15 °C).
XVII. MELLÉKLET
A 715/2007/EK RENDELET MÓDOSÍTÁSA
A 715/2007/EK rendelet a következőképpen módosul:
1. A 10. cikk a következő (6) bekezdéssel egészül ki:
"(6) Az I. melléklet 1. és 2. táblázatában a részecskék tömegére megadott 5,0 mg/km kibocsátási határérték az (1), (2) és (3) bekezdésben megállapított időpontokban lép hatályba.
Az I. melléklet 1. és 2. táblázatában a részecskék tömegére megadott 4,5 mg/km kibocsátási határérték, illetve a részecskék számára vonatkozó határérték 2011. szeptember 1-jén lép hatályba a járművek új típusainak típusjóváhagyására és 2013. január 1-jén a Közösségen belül értékesített, nyilvántartásba vett vagy üzembe helyezett összes új járműre."
2. Az I. melléklet 1. és 2. táblázata helyébe a következő táblázatok lépnek:
"1. táblázat
Euro 5 kibocsátási határértékek
Referenciatömeg (RM) (kg) | Határértékek | |||||||||||||||
Szén-monoxid tömege (CO) | Összes szénhidrogén tömege (THC) | Metántól különböző szénhidrogének tömege (NMHC) | Nitrogénoxidok tömege (NOx) | Szénhidrogének és nitrogénoxidok együttes tömege (THC + NOx) | Részecskék tömege (1) (PM) | Részecskék száma (2) (P) | ||||||||||
L1 (mg/km) | L2 (mg/km) | L3 (mg/km) | L4 (mg/km) | L2 + L4 (mg/km) | L5 (mg/km) | L6 (darab/km) | ||||||||||
Kategória | Osztály | PI | CI | PI | CI | PI | CI | PI | CI | PI | CI | PI (3) | CI | PI | CI | |
M | — | összes | 1 000 | 500 | 100 | — | 68 | — | 60 | 180 | — | 230 | 5,0/4,5 | 5,0/4,5 | — | 6,0 × 1011 |
N1 | I. | RM ≤ 1 305 | 1 000 | 500 | 100 | — | 68 | — | 60 | 180 | — | 230 | 5,0/4,5 | 5,0/4,5 | — | 6,0 × 1011 |
II. | 1 305 < RM ≤ 1 760 | 1 810 | 630 | 130 | — | 90 | — | 75 | 235 | — | 295 | 5,0/4,5 | 5,0/4,5 | — | 6,0 × 1011 | |
III. | 1 760 < RM | 2 270 | 740 | 160 | — | 108 | — | 82 | 280 | — | 350 | 5,0/4,5 | 5,0/4,5 | — | 6,0 × 1011 | |
N2 | — | összes | 2 270 | 740 | 160 | — | 108 | — | 82 | 280 | — | 350 | 5,0/4,5 | 5,0/4,5 | — | 6,0 × 1011 |
(1) A 4,5 mg/km-es határérték alkalmazása előtt módosított mérési eljárást kell bevezetni. (2) A határérték alkalmazása előtt új mérési eljárást kell bevezetni. (3) A szikragyújtású motorokra vonatkozó részecsketömeg-előírások csak a közvetlen injektálású motorokra vonatkoznak. Magyarázat: PI = szikragyújtás, CI = kompressziós gyújtás |
2. táblázat
Euro 6 kibocsátási határértékek
Referenciatömeg (RM) (kg) | Határértékek | |||||||||||||||
Szén-monoxid tömege (CO) | Összes szénhidrogén tömege (THC) | Metántól különböző szénhidrogének tömege (NMHC) | Nitrogénoxidok tömege (NOx) | Szénhidrogének és nitrogénoxidok együttes tömege (THC + NOx) | Részecskék tömege (1) (PM) | Részecskék száma (2) (P) | ||||||||||
L1 (mg/km) | L2 (mg/km) | L3 (mg/km) | L4 (mg/km) | L2 + L4 (mg/km) | L5 (mg/km) | L6 (darab/km) | ||||||||||
Kategória | Osztály | PI | CI | PI | CI | PI | CI | PI | CI | PI | CI | PI (3) | CI | PI (4) | CI (5) | |
M | — | összes | 1 000 | 500 | 100 | — | 68 | — | 60 | 80 | — | 170 | 5,0/4,5 | 5,0/4,5 | 6,0 × 1011 | |
N1 | I. | RM ≤ 1 305 | 1 000 | 500 | 100 | — | 68 | — | 60 | 80 | — | 170 | 5,0/4,5 | 5,0/4,5 | 6,0 × 1011 | |
II. | 1 305 < RM ≤ 1 760 | 1 810 | 630 | 130 | — | 90 | — | 75 | 105 | — | 195 | 5,0/4,5 | 5,0/4,5 | 6,0 × 1011 | ||
III. | 1 760 < RM | 2 270 | 740 | 160 | — | 108 | — | 82 | 125 | — | 215 | 5,0/4,5 | 5,0/4,5 | 6,0 × 1011 | ||
N2 | — | összes | 2 270 | 740 | 160 | — | 108 | — | 82 | 125 | — | 215 | 5,0/4,5 | 5,0/4,5 | 6,0 × 1011 | |
(1) A 4,5 mg/km-es határérték alkalmazása előtt módosított mérési eljárást kell bevezetni. (2) Szikragyújtású járművek esetében erre a fázisra részecskeszám-határérték határozandó meg. (3) A szikragyújtású motorokra vonatkozó részecsketömeg-előírások csak a közvetlen injektálású motorokra vonatkoznak. (4) 2014. szeptember 1. előtt meg kell határozni a részecskeszám-határértéket. (5) A határérték alkalmazása előtt új mérési eljárást kell bevezetni.” Magyarázat: PI = szikragyújtás, CI = kompressziós gyújtás |
XVIII. MELLÉKLET
A 70/156/EGK TANÁCSI IRÁNYELV I. MELLÉKLETÉRE VONATKOZÓ EGYEDI RENDELKEZÉSEK
3.2.1.1. Működési elv: kompressziós gyújtás/szikragyújtás ( 63 )
négyütemű/kétütemű/forgó ciklusú (63)
3.2.2. Üzemanyag: Dízel/Benzin/PB-gáz/Földgáz-biometán/Etanol (E85)/Biodízel/Hidrogén (63)
3.2.2.4. A jármű üzemanyagának típusa: egyfajta üzemanyag, kétfajta üzemanyag, rugalmas felhasználás (63)
3.2.2.5. A bioüzemanyag legnagyobb megengedett mennyisége az üzemanyagban (a gyártó adja meg): ... térfogat%
3.2.4.2.3.3. Legnagyobb üzemanyag-szállítás (63) ( 64 ): ... mm3/ütem vagy ciklus ... min-1 fordulatszámon, vagy választhatóan szállítási jelleggörbe:
3.2.4.2.9. Elektronikusan vezérelt injektálás: van/nincs (63)
3.2.4.2.9. 2 Típus(ok):
3.2.4.2.9. 3 A rendszer leírása; nem folyamatos injektálású rendszerek esetében is hasonló adatokat kell megadni:
3.2.4.2.9.3. 1 A vezérlőegység gyártmánya és típusa:
3.2.4.2.9.3. 2 Az üzemanyag-szabályozó gyártmánya és típusa:
3.2.4.2.9.3. 3 A levegőáram-érzékelő gyártmánya és típusa:
3.2.4.2.9.3. 4 Az üzemanyag-elosztó gyártmánya és típusa:
3.2.4.2.9.3. 5 A gázszelep házának gyártmánya és típusa:
3.2.4.2.9.3. 6 A vízhőmérséklet-érzékelő gyártmánya és típusa:
3.2.4.2.9.3. 7 A levegőhőmérséklet-érzékelő gyártmánya és típusa:
3.2.4.2.9.3. 8 A levegőnyomás-érzékelő gyártmánya és típusa:
3.2.4.3.4. A rendszer leírása; nem folyamatos injektálású rendszerek esetében is hasonló adatokat kell megadni:
3.2.4.3.4.1. A vezérlőegység gyártmánya és típusa:
3.2.4.3.4.3. A levegőáram-érzékelő gyártmánya és típusa:
3.2.4.3.4.6. A mikrokapcsoló gyártmánya és típusa:
3.2.4.3.4.8. A gázszelep házának gyártmánya és típusa:
3.2.4.3.4.9. A vízhőmérséklet-érzékelő gyártmánya és típusa:
3.2.4.3.4.10. A levegőhőmérséklet-érzékelő gyártmánya és típusa:
3.2.4.3.4.11. A levegőnyomás-érzékelő gyártmánya és típusa:
3.2.4.3.5.1. Gyártmány(ok):
3.2.4.3.5.2. Típus(ok):
3.2.8.2.1. Típus: levegő-levegő/levegő-víz (63)
3.2.8.3. Szívási nyomásesés névleges fordulatszámon és 100 %-os terhelésnél (csak kompressziós gyújtású motoroknál)
legkisebb megengedett: kPa
legnagyobb megengedett: kPa
3.2.9.3. Legnagyobb megengedett ellennyomás a kipufogórendszerben névleges fordulatszámon és 100 %-os terhelésnél (csak kompressziós gyújtású motoroknál): ... kPa
3.2.11.1. Legnagyobb szelepemelkedés, nyitási és zárási szögek vagy az alternatív elosztó rendszerek vezérlési adatai a holtpontokhoz képest. Állítható vezérlőrendszer esetében a vezérlés legnagyobb és legkisebb értékei:
3.2.12.2. További légszennyezés-csökkentő rendszerek (ha vannak, és más cím alatt nem szerepelnek)
3.2.12.2.1.1. A katalizátoros átalakítók és elemek darabszáma (az alábbi adatokat meg kell adni minden önálló egységre):
3.2.12.2.1.11. Regeneráló rendszerek/kipufogógáz-utókezelő rendszerek működési módja, leírás:
3.2.12.2.1.11.1. Az 1. típusú mérési ciklusok vagy hasonló próbapadi ciklusok száma, amelyek két olyan ciklus között játszódnak le, amelyek alatt regenerálás van az 1. típusú mérésnek megfelelő körülmények között (a "D" távolság az ENSZ-EGB 83. sz. előírása 13. mellékletének 1. ábráján):
3.2.12.2.1.11.2. A két regenerálásos ciklus közötti ciklusok számának megállapítására használt módszer leírása:
3.2.12.2.1.11.3. Azok a paraméterek, amelyek meghatározzák a regenerálás kiváltásához szükséges terhelés mértékét (azaz hőmérséklet, nyomás stb.):
3.2.12.2.1.11.4. Az ENSZ-EGB 83. sz. előírása 13. mellékletének 3.1. szakaszában leírt vizsgálati eljárásban a rendszer terhelésére alkalmazott módszer leírása:
3.2.12.2.1.11.5. Szokásos üzemi hőmérséklet-tartomány (K):...
3.2.12.2.1.11.6. Fogyó reagensek (ha vannak):...
3.2.12.2.1.11.7. A katalitikus folyamathoz szükséges reagens típusa és koncentrációja (ha van):...
3.2.12.2.1.11.8. A reagens (ha van) szokásos üzemi hőmérséklet-tartománya:...
3.2.12.2.1.11.9. Nemzetközi szabvány (ha vonatkozik):...
3.2.12.2.1.11.10. A reagensfeltöltés gyakorisága: folyamatos/karbantartáskor (63) (ha vonatkozik):...
3.2.12.2.1.12. A katalizátoros átalakító gyártmánya:...
3.2.12.2.1.13. Termékazonosító szám:...
3.2.12.2.2.4. Az oxigénérzékelő gyártmánya:...
3.2.12.2.2.5. Termékazonosító szám:...
3.2.12.2.4.2. Vízhűtéses rendszer: van/nincs (63)
3.2.12.2.6.4.1. Az 1. típusú mérési ciklusok vagy hasonló próbapadi ciklusok száma, amelyek két olyan ciklus között játszódnak le, amelyek alatt regenerálás van az 1. típusú mérésnek megfelelő körülmények között (a "D" távolság az ENSZ-EGB 83. sz. előírása 13. mellékletének 1. ábráján):
3.2.12.2.6.4.2. A két regenerálásos ciklus közötti ciklusok számának megállapítására használt módszer leírása:
3.2.12.2.6.4.3. Azok a paraméterek, amelyek meghatározzák a regenerálás kiváltásához szükséges terhelés mértékét (azaz hőmérséklet, nyomás stb.):
3.2.12.2.6.4.4. Az ENSZ-EGB 83. sz. előírása 13. mellékletének 3.1. szakaszában leírt vizsgálati eljárásban a rendszer terhelésére alkalmazott módszer leírása:
3.2.12.2.6.5. A részecskecsapda gyártmánya:...
3.2.12.2.6.6. Termékazonosító szám:...
3.2.12.2.7.6. Az alábbi kiegészítő információkat a jármű gyártója szolgáltatja abból a célból, hogy lehetőség legyen a fedélzeti diagnosztikai rendszerrel kompatibilis csere- vagy szervizkomponenseknek, valamint diagnosztikai műszereknek és mérőkészülékeknek a gyártására.
3.2.12.2.7.6.1. A jármű eredeti típusjóváhagyásakor alkalmazott előkondicionálási ciklusok száma és típusának leírása.
3.2.12.2.7.6.2. A jármű eredeti típusjóváhagyása során a diagnosztikai rendszer által ellenőrzött komponensekre alkalmazott fedélzeti diagnosztikai tesztciklus típusának leírása.
3.2.12.2.7.6.3. Az összes ellenőrzött komponens átfogó leírása a hibaészlelés és a hibajelző bekapcsolásának stratégiájával (a menetciklusok rögzített száma vagy statisztikai módszer) együtt, beleértve a fedélzeti diagnosztikai rendszer által ellenőrzött egyes komponensek másodlagos paramétereinek felsorolását is. A fedélzeti diagnosztika összes olyan használt kimeneti kódjának és formátumának felsorolása (és ezek tételes magyarázata), amelyek a kibocsátással kapcsolatos egyedi erőátviteli komponensekhez és a kibocsátással nem kapcsolatos ható egyedi erőátviteli komponensekhez kapcsolódnak, ha az adott komponens ellenőrzése szerepet játszik a hibajelző bekapcsolásában. Átfogó ismertetést kell adni különösen a $05 mód (Test ID $21-FF) adatairól, illetve a $06 mód adatairól Az ISO 15765-4: 2001: "Közúti járművek - Diagnosztika az ellenőrzőfelület-hálózaton (CAN). 4. rész: Az emisszióval összefüggő rendszerek követelményei." szabvány szerinti adatátviteli kapcsolattal rendelkező járműtípusok esetében a $06 módnak (Test ID $00-FF) az OBD-rendszer által ellenőrzött egyes ID-kre vonatkozó adatairól kell átfogó ismertetést adni.
3.2.12.2.7.6.4. Az e pontban előírt információ megadható egy táblázatnak a következők szerinti kitöltésével.
Komponens | Hiba-kód | Ellenőrzési stratégia | Hibaészlelési kritériumok | Hibajelző bekapcsolási kritériumai | Másodlagos paraméterek | Előkondicionálás | Igazolási eljárás |
Katalizátor | PO420 | Az 1. és a 2. oxigénérzékelőtől jövő jelek | Az 1. és a 2. érzékelőtől jövő jelek közötti különbség | 3. ciklus | Fordulatszám, motorterhelés, levegő/üzemanyag, katalizátor-hőmérséklet | Két 1. típusú ciklus | 1. típus |
3.2.15.1. EK-típusjóváhagyási szám a 70/221/EGK tanácsi irányelv (HL L 76., 1970.4.6., 23. o.) szerint (miután megtörténik az irányelv módosítása, hogy kiterjedjen a gáznemű üzemanyagok tartályaira is) vagy az ENSZ-EGB 67. sz. előírása szerinti jóváhagyási szám
3.2.16.1. EK-típusjóváhagyási szám a 70/221/EGK irányelv szerint (miután megtörténik az irányelv módosítása, hogy kiterjedjen a gáznemű üzemanyagok tartályaira is) vagy az ENSZ-EGB 110. sz. előírása szerinti jóváhagyási szám:
3.4. Motorok vagy villamos motorok kombinációi
3.4.1. Hibridhajtású elektromos jármű: igen/nem (63)
3.4.2. A hibridhajtású elektromos jármű kategóriája
Külső feltöltés/Nem külső feltöltés (63)
3.4.3. Üzemmód-kapcsoló: van/nincs (63)
3.4.3.1. Választható üzemmódok
3.4.3.1.1. Tisztán elektromos: igen/nem (63)
3.4.3.1.2. Tisztán üzemanyag-felhasználású: igen/nem (63)
3.4.3.1.3. Hibrid üzemmódok: igen/nem (63)
(ha van, rövid leírás)
3.4.4. Az energiatároló eszköz leírása: (akkumulátor, kondenzátor, lendkerék/generátor)
3.4.4.1. Gyártmány(ok):
3.4.4.2. Típus(ok):
3.4.4.3. Azonosító szám:
3.4.4.4. Az elektrokémiai rendszer típusa:
3.4.4.5. Energia: ... (akkumulátornál: feszültség és kapacitás, amperóra 2 órára, kondenzátornál: J, ...)
3.4.4.6. Töltő: a járművön/külső/nincs (63)
3.4.5. Villamos gépek (az egyes villamos gépek típusának leírása külön-külön)
3.4.5.1. Gyártmány:
3.4.5.2. Típus:
3.4.5.3. Elsődleges alkalmazás: hajtómotor/generátor
3.4.5.3.1. Hajtómotorként való használat esetén: egy motor/több motor (darabszám):
3.4.5.4. Legnagyobb teljesítmény: ... kW
3.4.5.5. Működési elv:...
3.4.5.5.1. egyenáram/váltóáram/fázisok száma:...
3.4.5.5.2. külön gerjesztés/soros/egybeépített (63)
3.4.5.5.3. szinkron/aszinkron (63)
3.4.6. Vezérlőegység
3.4.6.1. Gyártmány(ok):
3.4.6.2. Típus(ok):
3.4.6.3. Azonosító szám:
3.4.7. Teljesítményszabályozó
3.4.7.1. Gyártmány:
3.4.7.2. Típus:
3.4.7.6.3. Azonosító szám:
3.4.8. A jármű hatósugara elektromos hajtás esetén: ... km (a 101. sz. ENSZ-EGB előírás 9. melléklete szerint)
3.4.9. Gyártó javaslata az előkondicionálásra:
3.5.2. Üzemanyag-fogyasztás (a méréshez használt mindegyik referencia-üzemanyagra meg kell adni)
6.6.1. Gumiabroncs/kerék kombináció(k)
a) az összes lehetséges gumiabroncsra fel kell tüntetni a méretmegjelölést, a terhelhetőségi jelzőszámot, a sebességkategória-jelet, és a gördülő-ellenállást, az ISO 28580 szabvány szerint (értelemszerűen),
b) a 300 km/h-nál nagyobb végsebességű járművekhez tervezett Z kategóriájú gumiabroncsokról hasonló információkat kell megadni; a kerekeknél fel kell tüntetni a felni méretét és a besajtolási mélységet (ET-szám).
9.1. A karosszéria típusa: (a II. melléklet C. részében meghatározott kódokkal kell megadni)
16. A járműjavítási és -karbantartási információk elérhetősége
16.1. Annak a honlapnak a címe, ahol a járműjavítási és -karbantartási információk elérhetők:
16.1.1. Az elérhetőség kezdetének időpontja (legkésőbb a típusjóváhagyástól számított hat hónap):
16.2. A 16.1. pontban említett weboldal elérhetőségének feltételei:
16.3. A 16.1. pontban említett weboldalon keresztül elérhető járműjavítási és -karbantartási információk formátuma:
XIX. MELLÉKLET
A 70/156/EGK TANÁCSI IRÁNYELV III. MELLÉKLETÉRE VOANTKOZÓ EGYEDI RENDELKEZÉSEK
3.2.1.1. Működési elv: kompressziós gyújtás/szikragyújtás ( 65 )
négyütemű/kétütemű/forgó ciklusú (65)
3.2.2. Üzemanyag: Dízel/Benzin/PB-gáz/Földgáz-biometán/Etanol (E85)/Biodízel/Hidrogén (65)
3.2.2.4. A jármű üzemanyagának típusa: egyfajta üzemanyag, kétfajta üzemanyag, rugalmas felhasználás (65)
3.2.2.5. A bioüzemanyag legnagyobb megengedett mennyisége az üzemanyagban (a gyártó adja meg): ... térfogatszázalék
3.2.12.2. További légszennyezés-csökkentő rendszerek (ha vannak, és más cím alatt nem szerepelnek)
3.4. Motorok vagy villamos motorok kombinációi
3.4.1. Hibridhajtású elektromos jármű: igen/nem (65)
3.4.2. A hibridhajtású elektromos jármű kategóriája
Külső feltöltés/Nem külső feltöltés (65)
6.6.1. Gumiabroncs/kerék kombináció(k)
a) az összes lehetséges gumiabroncsra fel kell tüntetni a méretmegjelölést, a terhelhetőségi jelzőszámot, a sebességkategória-jelet, és a gördülő-ellenállást, az ISO 28580 szabvány szerint (értelemszerűen),
b) a 300 km/h-nál nagyobb végsebességű járművekhez tervezett Z kategóriájú gumiabroncsokról hasonló információkat kell megadni; a kerekeknél fel kell tüntetni a felni méretét és a besajtolási mélységet (ET-szám)
9.1. A karosszéria típusa: (a II. melléklet C. részében meghatározott kódokkal kell megadni)
16. A járműjavítási és -karbantartási információk elérhetősége
16.1. Annak a honlapnak a címe, ahol a járműjavítási és -karbantartási információk elérhetők:
XX. MELLÉKLET
AZ ELEKTROMOS HAJTÓMŰVEK HASZNOS MOTORTELJESÍTMÉNYÉNEK, HASZNOS TELJESÍTMÉNYÉNEK ÉS LEGNAGYOBB 30 PERCES TELJESÍTMÉNYÉNEK MÉRÉSE
1. BEVEZETÉS
E melléklet az elektromos hajtóművek hasznos motorteljesítményének, hasznos teljesítményének és legnagyobb 30 perces teljesítményének mérésére vonatkozó követelményeket határozza meg.
2. ÁLTALÁNOS KÖVETELMÉNYEK
2.1. A vizsgálatok elvégzésére és az eredmények értelmezésére vonatkozó általános specifikációk ugyanazok, mint a 85. sz. ENSZ-EGB-előírás ( 66 ) 5. szakaszában leírt követelmények, az e mellékletben felsorolt kivételekkel.
2.2. A vizsgálathoz használt tüzelőanyag
A 85. sz. ENSZ-EGB-előírás 5.2.3.1., 5.2.3.2.1., 5.2.3.3.1. és 5.2.3.4. szakasza a következőképpen értendő:
Kereskedelmi forgalomban beszerezhető tüzelőanyagot kell használni. Vitás esetben a 692/2008/EK rendelet IX. mellékletében meghatározott, megfelelő referencia-tüzelőanyagot kell használni.
2.3. Teljesítménykorrekciós tényezők Abban az esetben, ha a turbófeltöltős motort olyan rendszerrel szerelik fel, amely lehetővé teszi a környezeti viszonyok (hőmérséklet és magasság) ellensúlyozását, akkor a gyártó kérésére a 85. sz. ENSZ-EGB-előírás V. mellékletének 5.1. szakaszától eltérve az αa vagy αd korrekciós tényező értéke 1 lesz.
( 1 ) HL L 375., 2006.12.27., 223. o.
( 2 ) HL L 326., 2006.11.24., 55. o.
( 3 ) HL L 76., 1970.4.6., 1. o.
( 4 ) HL L 42., 1970.2.23., 1. o. A legutóbb a 2007/37/EK bizottsági irányelvvel módosított irányelv.
( 5 ) A Bizottság (EU) 2017/1152 végrehajtási rendelete (2017. június 2.) a szabályozási vizsgálati eljárásnak a könnyű haszongépjárművek tekintetében történő változását tükröző megfeleltetési paraméterek meghatározására szolgáló módszertan megállapításáról és a 293/2012/EU végrehajtási rendelet módosításáról (Lásd e Hivatalos Lap 644 oldalát).
( 6 ) A Bizottság (EU) 2017/1153 végrehajtási rendelete (2017. június 2.) a szabályozási vizsgálati eljárás változását tükröző megfeleltetési paraméterek meghatározására szolgáló módszertan megállapításáról és az 1014/2010/EU rendelet módosításáról (Lásd e Hivatalos Lap 679 oldalát).
( 7 ) HL L 174., 2017.7.7., 3. o.
( 8 ) A hidrogénüzemű és a rugalmas tüzelőanyag-felhasználású biodízel-üzemű járművek vizsgálati eljárásainak meghatározása egy későbbi időpontban történik.
( 9 ) HL L 158., 2007.6.19., 34. o.
( 10 ) HL L 326., 2006.11.24., 1. o.
( 11 ) A nem kívánt rész törlendő (előfordulhat, hogy nincs szükség törlése, ha több tétel is vonatkozik).
( 12 ) Ha a típusazonosítás olyan karaktereket tartalmaz, amelyek nem lényegesek azon jármű, komponens vagy önálló műszaki egység leírása szempontjából, amelyre ez az adatközlő lap voantkozik, akkor ezek a karakterek a dokumentációban kérdőjellel ("?") helyettesítendők (például ABC??123??).
( 13 ) Besorolás a II. melléklet A. részében felsorolt meghatározások szerint.
( 14 ) Ha a szokásos vezetőfülkés mellett van hálóhelyes vezetőfülkés változat is, akkor mindkettőre meg kell adni a tömegeket és a méreteket.
( 15 ) A járművezető tömege és adott esetben a kísérőszemély tömege 75 kg-nak veendő (amelyből 68 kg a testtömeg és 7 kg a csomag, az ISO 2416:1992 szabvány szerint), az üzemanyag-tartályt a gyártó által megadott befogadóképesség 90 %-ára, a többi folydéktároló rendszert pedig (kivéve a vízgyűjtőket) 100 %-ára kell feltölteni.
( 16 ) Pótkocsik vagy félpótkocsik, valamint olyan pótkocsival vagy félpótkocsival összekapcsolt járművek esetében, amelyek jelentős függőleges terhelést gyakorolnak az összekapcsoló blokkra vagy az ötödik kerékre, ezt a terhelést is - osztva a a gravitációs gyorsulással - figyelembe kell venni a műszakilaig megengedett legnagyobb tömeg meghatározásakor.
( *1 ) Meg kell adni az egyes variánsok felső és alsó értékeit.
( 17 ) Ezt a számot tized-mm-re kell kerekíteni.
( 18 ) Meg kell adni a tűrést.
( 19 ) E rendelet XX. mellékletének követelményei szerint meghatározva.
( 20 ) A nem kívánt rész törlendő (előfordulhat, hogy nincs törlendő rész, ha több kategória is érvényes egyszerre).
( 21 ) A járművek akár benzinnel, akár gáznemű üzemanyaggal működhetnek, de ha a benzinüzemű rendszer kizárólag vészhelyzetek esetére vagy indításra szolgál, és a benzintartály befogadóképessége legfeljebb 15 liter, akkor a vizsgálat szempontjából a járművet úgy kell tekinteni, mintha gázüzemű lenne.
( 22 ) HL L 72., 2008.3.14., 113. o.
( 23 ) HL L 158., 2007.6.19., 34. o.
( 24 ) A 80/1268/EGK irányelv előírásai szerint meghatározva.
( 25 ) Adott esetben.
( 26 ) A nem kívánt rész törlendő.
( 27 ) A táblázatot minden vizsgált referencia-tüzelőanyag tekintetében meg kell ismételni.
( 28 ) Egészítse ki a táblázatot szükség esetén ökoinnovációs technológiánként egy-egy sorral.
( 29 ) A nem kívánt rész törlendő.
( 30 ) Adott esetben.
( 31 ) A táblázatot mindegyik vizsgált referencia-tüzelőanyag tekintetében meg kell ismételni.
( 32 ) Egészítse ki a táblázatot szükség esetén ökoinnovációs technológiánként egy-egy sorral.
( 33 ) Az előírt adatokat az összes javasolt változathoz meg kell adni.
( 34 ) A nem kívánt rész törlendő (előfordulhat, hogy nincs szükség törlése, ha több tétel is vonatkozik).
( 35 ) HL L 171., 2007.6.29., 1. o.
( 36 ) HL L 199., 2008.7.28., 1. o.
( 37 ) Ha a típusazonosítás olyan karaktereket tartalmaz, amelyek nem lényegesek a jármű, komponens vagy önálló műszaki egység leírása szempontjából, akkor ezek a karakterek a dokumentációban kérdőjellel ("?") helyettesítendők (pl. ABC??123??).
( 38 ) A II. melléklet A. részének meghatározása szerint.
( 39 ) A nem kívánt rész törlendő (előfordulhat, hogy nincs szükség törlése, ha több tétel is vonatkozik).
( 40 ) Szikragyújtású motorral felszerelt járműveknél.
( 41 ) Kompressziós gyújtású motorral felszerelt járműveknél.
( 42 ) Gázüzemű járműveknél a l/100 km mértékegység helyett m3/km-t kell használni.
( 43 ) A vegyes ciklusban mérve, azaz az első rész (városi közlekedés) és a második rész (lakott területen kívüli) együtt.
( 44 ) A táblázatot mindegyik vizsgált referencia-tüzelőanyag tekintetében meg kell ismételni.
( 45 ) Egészítse ki a táblázatot szükség esetén ökoinnovációs technológiánként egy-egy sorral.
( 46 ) Az ökoinnovációs technológia (technológiák) általános kódjának a következő, szóközzel elválasztott elemekből kell állnia:
- a jóváhagyó hatóság kódja a 2007/46/EK irányelv VII. melléklete szerint,
- a járműbe szerelt egyes ökoinnovációs technológiák kódja külön-külön, a Bizottság jóváhagyó határozatainak időrendi sorrendjében megadva.
- (Pl. az időrendi sorrendben 10, 15 és 16 számon jóváhagyott, a német típusjóváhagyó hatóság által minősített járműbe szerelt három ökoinnovációs technológia általános kódja: "e1 10 15 16".)
( 47 ) A nem kívánt rész törlendő.
( 48 ) HL L 350., 1998.12.28., 58. o.
( 49 ) HL L 257., 2008.9.25., 14. o.
( 50 ) HL L 135., 2008.5.23., 1. o.
( 51 ) A Bizottság 2012. december 12-i 1230/2012/EU rendelete a 661/2009/EK európai parlamenti és tanácsi rendeletnek a gépjárművek és azok pótkocsijainak tömegével és méreteivel kapcsolatos típus-jóváhagyási előírások tekintetében történő végrehajtásáról és a 2007/46/EK európai parlamenti és tanácsi irányelv módosításáról (HL L 353., 2012.12.21., 31. o.).
( 52 ) A Tanács 1971. június 3-i 1182/71/EGK, Euratom rendelete az időtartamokra, időpontokra és határidőkre vonatkozó szabályok meghatározásáról (HL L 124., 1971.6.8., 1. o.).
( 53 ) Hibrid meghajtású járművek esetében a teljes energiafogyasztást át kell számítani CO2-re. Az átszámításra vonatkozó szabályokat a második lépés ismerteti.
( 54 ) 1 Németország esetében; 2 Franciaország esetében; 3 Olaszország esetében; 4 Hollandia esetében; 5 Svédország esetében; 6 Belgium esetében; 7 Magyarország esetében; 8 a Cseh Köztársaság esetében; 9 Spanyolország esetében; 11 az Egyesült Királyság esetében; 12 Ausztria esetében; 13 Luxemburg esetében; 17 Finnország esetében; 18 Dánia esetében; 19 Románia esetében; 20 Lengyelország esetében; 21 Portugália esetében; 23 Görögország esetében; 24 Írország esetében; 25 Horvátország esetében, 26 Szlovénia esetében; 27 Szlovákia esetében; 29 Észtország esetében; 32 Lettország esetében; 34 Bulgária esetében; 36 Litvánia esetében; 49 Ciprus esetében; 50 Málta esetében.
( 55 )
( 55 ) HL L 76., 1971.4.6., 1. o.
( 56 ) A nem kívánt rész törlendő.
( 56 ) A nem kívánt rész törlendő.
( 56 ) Amennyiben a típusazonosító ismertetőjelek olyan karaktereket tartalmaznak, amelyek nem lényegesek azon jármű, komponens vagy önálló műszaki egység leírása szempontjából, amelyre e típus-jóváhagyási tanúsítvány vonatkozik, akkor az ilyen karaktereket az dokumentumban kérdőjellel ("?") kell helyettesíteni (pl. ABC??123??).
( 57 ) Elérhető az alábbi címen: http://lists.oasis-open.org/archives/autorepair/200302/pdf00005.pdf)
( 58 ) Elérhető az alábbi címen: http://www.oasis-open.org/committees/download.php/2412/Draft%20Committee%20Specification.pdf)
( 59 ) HL L 350., 1998.12.28., 58. o.
( 60 ) A nem kívánt rész törlendő (előfordulhat, hogy nincs szükség törlése, ha több tétel is vonatkozik).
( 61 ) Meg kell adni a tűrést.
( 62 ) A nem kívánt rész törlendő (előfordulhat, hogy nincs szükség törlése, ha több tétel is vonatkozik).
( 63 ) HL L 326., 2006.11.24., 55. o.
Lábjegyzetek:
[1] A dokumentum eredetije megtekinthető CELEX: 32008R0692 - https://eur-lex.europa.eu/legal-content/HU/ALL/?uri=CELEX:32008R0692&locale=hu Utolsó elérhető, magyar nyelvű konszolidált változat CELEX: 02008R0692-20190901 - https://eur-lex.europa.eu/legal-content/HU/ALL/?uri=CELEX:02008R0692-20190901&locale=hu