32005L0066[1]
Az Európai Parlament és a Tanács 2005/66/EK irányelve ( 2005. október 26. ) a gépjárművekre szerelt elülső védelmi rendszerek használatáról és a 70/156/EGK tanácsi irányelv módosításáról
AZ EURÓPAI PARLAMENT ÉS A TANÁCS 2005/66/EK IRÁNYELVE
(2005. október 26.)
a gépjárművekre szerelt elülső védelmi rendszerek használatáról és a 70/156/EGK tanácsi irányelv módosításáról
AZ EURÓPAI PARLAMENT ÉS AZ EURÓPAI UNIÓ TANÁCSA,
tekintettel az Európai Közösséget létrehozó szerződésre és különösen annak 95. cikkére,
tekintettel a Bizottság javaslatára,
tekintettel az Európai Gazdasági és Szociális Bizottság véleményére ( 1 ),
a Szerződés 251. cikkében megállapított eljárásnak megfelelően ( 2 ),
mivel:
(1) Az elmúlt években a gépjárműveken növekvő mértékben alkalmaznak kiegészítő elülső védelmet nyújtó rendszereket. Ezen rendszerek némelyike ütközés esetén veszélyezteti a gyalogosok és egyéb úthasználók biztonságát. A lakosság ilyen kockázatokkal szembeni védelme érdekében ezért intézkedésekre van szükség.
(2) Az elülső védelmi rendszerek a járműre gyárilag felszerelve vagy önálló műszaki egységként értékesíthetők. Annak megelőzése érdekében, hogy az egyes tagállamok eltérő követelményeket fogadjanak el, valamint a belső piac megfelelő működésének biztosítása érdekében a gépjárműre gyárilag vagy külön műszaki egységként felszerelhető valamennyi elülső védelmi rendszer típusjóváhagyásának műszaki követelményeit össze kell hangolni. Ugyanezen okokból szükséges a külön műszaki egységként felszerelhető elülső védelmi rendszereknek a gépjárművek és pótkocsijaik típusjóváhagyására vonatkozó tagállami jogszabályok közelítéséről szóló, 1970. február 6-i 70/156/EGK tanácsi irányelv ( 3 ) szerinti típusjóváhagyása műszaki követelményeinek összehangolása.
(3) Szükséges szabályozni az elülső védelmi rendszerek használatát és megállapítani azokat a vizsgálati, konstrukciós és beszerelési követelményeket, amelyeknek minden elülső védelmi rendszernek meg kell felelnie, akár járműbe szerelt eredeti felszerelésként szállítják, akár külön műszaki egységként kerül piacra. A vizsgálatoknak meg kell követelniük az elülső védelmi rendszerek oly módon történő megtervezését, hogy azok javítsák a gyalogosok biztonságát és csökkentsék a sérülések számát.
(4) E követelményeket a gyalogosok és más veszélyeztetett úthasználók vonatkozásában, valamint a gyalogosok és más veszélyeztetett úthasználók gépjárművel való ütközést megelőző, illetve annak során történő védelméről szóló, 2003. november 17-i 2003/102/EK európai parlamenti és tanácsi irányelvvel ( 4 ) összefüggésben is figyelembe kell venni. Ezen irányelv előírásait alkalmazása első négy éve során folytatott további kutatások és az említett időszak alatt összegyűjtött tapasztalatok fényében felül kell vizsgálni.
(5) Ezen irányelv egyike a 70/156/EGK irányelvben meghatározott EK-típus-jóváhagyási eljárás keretén belüli különálló irányelveknek.
(6) A Bizottságnak figyelemmel kell kísérnie ezen irányelv hatásait, és jelentést kell készítenie azokról az Európai Parlament és a Tanács számára. Ha további előrelépésre van szükség a gyalogosok védelmében, a Bizottságnak a műszaki fejlődéssel összhangban lévő javaslatokat kell tennie az irányelv módosítására.
(7) Tény azonban, hogy ezen irányelv hatálya alá tartozó bizonyos járművek, amelyekhez elülső védelmi rendszert lehet szerelni, nem képezik a 2003/102/EK irányelv tárgyát. Az ilyen járművek esetében az a vélemény, hogy ezen irányelvnek a láb formájú próbatest felső részével történő vizsgálatával kapcsolatos előírásai esetleg technikailag nem megvalósíthatók. A gyalogosbiztonság javulásának elősegítése érdekében - a fejsérülés vonatkozásában - szükséges lehet a láb formájú próbatest felső részével történő vizsgálatára vonatkozó alternatív követelmények engedélyezése, kizárólag e járművekre történő alkalmazással, biztosítva eközben, hogy semmilyen elülső védelmi rendszer beszerelése ne növelje a gyalogosok vagy más veszélyeztetett úthasználók lábsérülésének veszélyét.
(8) Az ezen irányelv végrehajtásához, valamint a tudományos és műszaki előrelépéshez való hozzáigazításához szükséges intézkedéseket a Bizottságra átruházott végrehajtási jogkörök alkalmazásának szabályairól szóló, 1999. június 28-i 1999/468/EK tanácsi határozattal összhangban kell elfogadni ( 5 ).
(9) mivel ezen irányelv célját, azaz a gyalogosok és a többi veszélyeztetett úthasználó biztonságának az elülső védelmi rendszerek tekintetében a gépjárművek típusjóváhagyására vonatkozó műszaki követelmények meghatározása útján történő elősegítését a tagállamok nem tudják kielégítően megvalósítani, és ezért az közösségi szinten jobban megvalósítható, a Közösség intézkedéseket hozhat a Szerződés 5. cikkében meghatározottak szerinti szubszidiaritás elvének megfelelően. Az e cikkben meghatározott arányosság elvének megfelelően ez az irányelv nem lépi túl az e célkitűzés eléréséhez szükséges mértéket.
(10) Ez az irányelv az európai közlekedésbiztonsági akcióprogram részét képezi, és hatálybalépése előtt a piacon lévő elülső biztonsági rendszerek használatának megakadályozása, illetve korlátozása érdekében nemzeti intézkedésekkel lehet kiegészíteni.
(11) A 70/156/EGK irányelvet ezért megfelelően módosítani kell,
ELFOGADTA EZT AZ IRÁNYELVET:
1. cikk
Tárgy
Ennek az irányelvnek a célja a gyalogosok és járművek biztonságának passzív intézkedésekkel történő javítása. Az irányelv a járművekbe eredeti felszerelésként vagy külön egységként beépített elülső védelmi rendszerek tekintetében rögzíti a gépjárművek típusjóváhagyásának műszaki követelményeit.
2. cikk
Fogalommeghatározások
Ezen irányelv alkalmazásában a következő, valamint az I. melléklet (1) bekezdésében említett fogalommeghatározásokat kell alkalmazni:
1. "jármű": a 70/156/EGK irányelv 2. cikkében és II. mellékletében meghatározott M1 osztályba tartozó valamennyi gépjármű, amelynek megengedett össztömege nem haladja meg a 3,5 tonnát, valamint a 70/156/EGK irányelv 2. cikkében és II. mellékletében meghatározott N1 osztályba tartozó valamennyi gépjármű;
2. "önálló műszaki egység": a 70/156/EGK irányelv 2. cikke szerinti önálló műszaki egység, amely gépjárművek egy vagy több típusára való felszerelésre és azokon történő használatra készült.
3. cikk
A típusjóváhagyásra vonatkozó rendelkezések
(1) 2006. augusztus 25-től egy, az I. és II. mellékletben meghatározott követelményeknek megfelelő elülső védelmi rendszerrel felszerelt új járműtípusok esetében az elülső védelmi rendszerekkel kapcsolatban a tagállamok:
a) nem tagadhatják meg az EK-típusjóváhagyást vagy a nemzeti típusjóváhagyást;
b) nem tilthatják meg a nyilvántartásba vételt, az értékesítést vagy az üzembe helyezést.
(2) 2006. augusztus 25-től az I. és II. mellékletben meghatározott előírásoknak megfelelő, új típusú, külön műszaki egységként beszerelt elülső védelmi rendszer esetében a tagállamok:
a) nem tagadhatják meg az EK-típusjóváhagyást vagy a nemzeti típusjóváhagyást;
b) nem tilthatják meg az értékesítést vagy az üzembe helyezést.
(3) 2006. november 25-től az I. és II. mellékletben meghatározott követelményeknek meg nem felelő elülső védelmi rendszerrel szerelt új járműtípus vagy külön műszaki egységként beszerelt új elülső védelmi rendszer esetében a tagállamoknak meg kell tagadniuk az EK-típusjóváhagyás vagy nemzeti típusjóváhagyás kiadását.
(4) 2007. május 25-től az I. és II. mellékletben meghatározott követelményeknek meg nem felelő járművek esetében az elülső védelmi rendszerekkel kapcsolatban a tagállamok:
a) az új járműveknek a 70/156/EGK irányelv szerinti megfelelőségi igazolását nem tekintik érvényesnek az irányelv 7. cikke (1) bekezdése alkalmazásában;
b) megtiltják azon új járművek nyilvántartásba vételét, értékesítését vagy üzembe helyezését, amelyek nem rendelkeznek a 70/156/EGK irányelv szerinti megfelelőségi igazolással.
(5) 2007. május 25-től a 70/156/EGK irányelv 7. cikke (2) bekezdésének céljaira a külön műszaki egységként szállított elülső védelmi rendszerek tekintetében az I. és II. melléklet követelményeit kell alkalmazni.
4. cikk
Végrehajtási intézkedések és módosítások
(1) Az I. melléklet 3. pontjában meghatározott vizsgálati rendelkezések részletes műszaki követelményeit a Bizottság fogadja el a 70/156/EGK irányelv 13. cikke (3) bekezdésének megfelelően.
(2) Az ezen irányelv kiigazításához szükséges módosításokat a Bizottság fogadja el a 70/156/EGK irányelv 13. cikkének (3) bekezdésében említett eljárásnak megfelelően.
5. cikk
Felülvizsgálat
Legkésőbb 2010. augusztus 25-én a műszaki fejlődés és az összegyűjtött tapasztalatok alapján a Bizottság felülvizsgálja ezen irányelv műszaki előírásait, különösen az elülső védelmi rendszernek a láb formájú próbatest felső részével történő vizsgálatát előíró feltételeket, az elülső védelmi rendszernek a felnőttfej-formájú próbatesttel történő tesztelésének felvételét, valamint az elülső védelmi rendszer gyermekfej-formájú próbatesttel történő tesztelésének előírásait. A felülvizsgálat eredményéről a Bizottság jelentést készít az Európai Parlament és a Tanács részére.
Ha a felülvizsgálat eredményeként célszerűnek mutatkozik ezen irányelv műszaki előírásainak módosítása, a módosítást a 70/156/EGK irányelv 13. cikkének (3) bekezdésében meghatározott eljárással összhangban kell elvégezni.
6. cikk
A 70/156/EGK irányelv módosításai
A 70/156/EGK irányelv I., III., IV. és XI. melléklete ezen irányelv III. mellékletének megfelelően módosul.
7. cikk
Átültetés
(1) A tagállamok legkésőbb 2006. augusztus 25-ig elfogadják és kihirdetik azokat a törvényi, rendeleti és közigazgatási rendelkezéseket, amelyek szükségesek ahhoz, hogy ennek az irányelvnek megfeleljenek. Erről haladéktalanul tájékoztatják a Bizottságot.
A tagállamok e rendelkezéseket 2006. augusztus 25-ig-től alkalmazzák.
Amikor a tagállamok elfogadják e rendelkezéseket, azokban hivatkozni kell erre az irányelvre, vagy azokhoz hivatalos kihirdetésük alkalmával ilyen hivatkozást kell fűzni. A hivatkozás módját a tagállamok határozzák meg.
(2) A tagállamok közlik a Bizottsággal nemzeti joguknak azon főbb rendelkezéseit, amelyeket az ezen irányelv által szabályozott területen fogadnak el.
8. cikk
Önálló műszaki egységek
Ez az irányelv nem befolyásolja a tagállamok arra vonatkozó hatáskörét, hogy megtiltsák vagy korlátozzák olyan elülső védelmi rendszerek használatát, amelyek önálló műszaki egységekként kerültek piacra ezen irányelv hatálybalépését megelőzően.
9. cikk
Hatálybalépés
Ez az irányelv az Európai Unió Hivatalos Lapjában való kihirdetését követő huszadik napon lép hatályba.
10. cikk
Címzettek
Ennek az irányelvnek a tagállamok a címzettjei.
A MELLÉKLETEK LISTÁJA
I. MELLÉKLET
MŰSZAKI RENDELKEZÉSEK
1. FOGALOMMEGHATÁROZÁSOK
Ezen irányelv alkalmazásában az alábbi fogalommeghatározások érvényesek:
1.1. "járműtípus": járművek olyan csoportja, amelyek az A-oszlopok előtt elhelyezkedő részt tekintve olyan lényeges jellemzők tekintetében, mint:
a) felépítés;
b) főbb méretek;
c) a jármű külső felületeinek anyaga;
d) az összetevők elrendezése (külső vagy belső);
e) az elülső védelmi rendszerek rögzítési módszere,
amennyiben úgy lehet megítélni, hogy az ebben az irányelvben előírt ütközési vizsgálatok eredményeinek érvényességét befolyásolják.
Az elülső védelmi rendszerek önálló műszaki egységként való típusjóváhagyásának vizsgálata alkalmazásában a járműre történő hivatkozásokat úgy lehet érteni, hogy azok arra a keretre vonatkoznak, amelyre a rendszert a vizsgálat céljából felszerelték, és amely azon konkrét járműtípus külső elülső részét képviseli, amelyhez a rendszer típusjóváhagyása zajlik.
1.2. "normál menethelyzet": a jármű azon állapota, amikor a talajon menetkész állapotban van, a gumiabroncsok a javasolt nyomásra vannak felpumpálva, az első kerekek egyenes helyzetben vannak, a jármű működéséhez szükséges összes folyadék maximális mértékben fel van töltve, a jármű gyártója által biztosított összes alapfelszerelés be van szerelve, az elülső vezetőülést 75 kg tömeggel terhelték és az elülső utasülés is 75 kg tömeggel van terhelve, a felfüggesztés a gyártó által megadott normál üzemeltetési körülmények közötti 40 km/h vagy 35 km/h sebességű haladásra van beállítva (különösen az aktív felfüggesztéssel vagy automatikus szintszabályozással rendelkező járművek esetén).
1.3. "külső felület": a jármű külső része az A-oszlopok előtt, beleértve a motorházfedelet, a világító és fényjelző berendezéseket és a látható merevítő elemeket.
1.4. "görbületi sugár": egy olyan körívnek a sugara, amely az érintett elem lekerekítéséhez a legjobban illeszkedik.
1.5. a jármű "legkülső széle": a jármű oldalaira vonatkoztatva az a jármű hosszanti középsíkjával párhuzamos sík, amelybe a jármű legkülső széle esik, a jármű elejére és hátuljára vonatkoztatva pedig a jármű azon függőleges keresztmetszeti síkja, amelybe a külső eleje és a hátsó szélei esnek az alábbi, kinyúló alkatrészek figyelmen kívül hagyásával:
a) gumiabroncsok a talajérintési pontjaik és a gumiabroncsnyomás-mérő csatlakozásaik közelében;
b) a kerekekre szerelt csúszásgátló berendezések;
c) visszapillantó tükrök;
d) oldalsó irányjelző lámpák, méretjelző lámpák, első és hátsó helyzetjelző lámpák, várakozást jelző lámpák;
e) a jármű eleje és vége tekintetében a lökhárítóra szerelt elemek, vontatóeszközök és kipufogócsövek.
1.6. "lökhárító": a jármű elülső, alsó, külső szerkezeti része, a típuselőírás szerint. Magában foglalja a jármű minden olyan szerkezetét, amelynek a jármű védelme a célja, egy másik járművel történő alacsony sebességű ütközés esetén, továbbá minden e szerkezethez rögzített alkatrész, pl. a rendszám felszereléséhez szükséges tábla. Nem tartoznak bele az olyan alkatrészek, amelyeket típusjóváhagyás után szereltek a járműre, és amelyek célja a jármű számára további elülső védelem biztosítása.
1.7. "elülső védelmi rendszer": olyan önálló szerkezet vagy szerkezetek, mint pl. egy gallytörő rács vagy kiegészítő lökhárító, amely a külső felület védelmét szolgálja a gyárilag felszerelt lökhárító alatt és/vagy felett, egy másik tárggyal való ütközés esetén fellépő károk ellen. Azok a szerkezetek, amelyeknek maximális tömege kevesebb, mint 0,5 kg és csupán a lámpák védelmét szolgálják, nem tartoznak e meghatározás alá.
1.8. "a jármű motorházfedele szélének referenciavonala": egy 1 000 mm hosszú egyenes rúd és a motorházfedél elülső felülete közötti érintkezési pontok mértani összekötő vonala, ha az egyenes rúd a jármű függőleges hosszirányú síkjával párhuzamosan áll, és 50o-kal dől előre, és a lejjebb lévő végével 600 mm-re a talaj fölött keresztben a jármű motorházfedele szélével kapcsolatban marad. Az olyan járművek esetében, ahol a motorházfedél alapvetően 50o-kal dől előre úgy, hogy az egyenes rúd folyamatosan vagy többször is, nem pedig egy ponton érintkezik, a referenciavonalat 40o-kal előre döntött egyenes rúddal határozzák meg. Az olyan alakú járművek esetében, ahol az egyenes rúd alsó vége érintkezik először, akkor azt az érintkezési pontot veszik a motorházfedél szélének referenciavonalaként, abban a ferde pozícióban. Az olyan alakú járművek esetében, ahol az egyenes rúd felső vége érintkezik először, akkor az 1.14. pontban meghatározott módon az 1 000 mm-es kerület mértani összekötő vonalát használják a motorházfedél szélének referenciavonalaként, abban a ferde pozícióban. Ezen irányelv alkalmazásában a lökhárító felső szélét is a motorházfedél szélének referenciavonalának kell tekinteni, ha a fenti eljárás alatt az egyenes rúd azt érinti.
1.9. "felső elülső védelmi rendszer referenciavonala": a gyalogosok és az elülső védelmi rendszer vagy a jármű közötti jelentős érintkezési pontok felső határa. Az egy 700 mm hosszú egyenes rúd és az elülső védelmi rendszer vagy a jármű eleje (attól függően, hogy melyiket érintik) közötti legfelső érintkezési pontok mértani összekötő vonala, ahol az egyenes rúd a jármű függőleges hosszirányú síkjával párhuzamosan áll, és 20o-kal dől előre a jármű eleje előtt keresztben, miközben a talajjal és az elülső védelmi rendszerrel vagy a járművel állandó kapcsolatban marad.
1.10. "alsó elülső védelmi rendszer referenciavonala": a gyalogosok és az elülső védelmi rendszer vagy a jármű közötti jelentős érintkezési pontok alsó határa. Az egy 700 mm hosszú egyenes rúd és az elülső védelmi rendszer közötti legalsó érintkezési pontok mértani összekötő vonala, ahol az egyenes rúd a jármű függőleges hosszirányú síkjával párhuzamosan áll, és 25o-kal dől előre a jármű eleje előtt keresztben, miközben a talajjal és az elülső védelmi rendszerrel vagy a járművel állandó kapcsolatban marad.
1.11. "felső elülső védelmi rendszer magassága": a talaj és az 1.9. pontban meghatározott felső elülső védelmi rendszer referenciavonala közötti függőleges távolság normál menethelyzetű jármű esetén.
1.12. "alsó elülső védelmi rendszer magassága": a talaj és az 1.10. pontban meghatározott alsó elülső védelmi rendszer referenciavonala közötti függőleges távolság normál menethelyzetű jármű esetén.
1.13. "1 000 mm-es kerület": az a mértani összekötő vonal, amelyet egy 1 000 mm hosszú hajlékony szalag egyik vége ír le az elülső felső felületen, ha függőlegesen a jármű elülső és hátsó síkjában tartják, és átvezetik a motorházfedél-lökhárítón és az elülső védelmi rendszeren. A szalag a művelet során megfeszített állapotban van, egyik vége érinti a talajt vízszintesen a lökhárító elülső felülete alatt, a másik vége pedig érintkezik az elülső felső felülettel. A jármű normál menethelyzetben van.
1.14. "elülső védelmi rendszer referenciavonala": az egy 1 000 mm hosszú egyenes rúd és az elülső védelmi rendszer elülső felülete közötti érintkezési pontok mértani összekötő vonala, ha az egyenes rúd a jármű függőleges hosszirányú síkjával párhuzamosan áll, és 50o-kal dől előre keresztben, és a jármű elülső védelmi rendszerének szélével kapcsolatban marad. Az olyan járművek esetében, ahol az elülső védelmi rendszer alapvetően 50o-kal dől előre úgy, hogy az egyenes rúd folyamatosan vagy többször is, nem pedig egy ponton érintkezik, a referenciavonalat 40o-kal előre döntött egyenes rúddal határozzák meg.
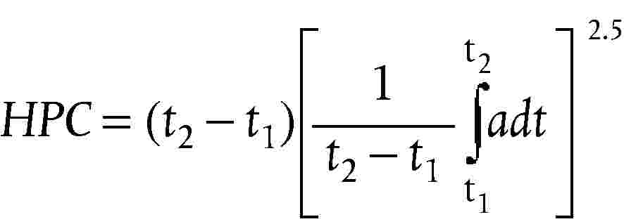
1.15. "A fej terhelési kritériuma (HPC)" az alábbi egyenlet segítségével számítható ki:

ahol "a" az eredő gyorsulás a fej súlypontjában (m/s2 a "g" többszöröseként kifejezve, az idő függvényében ábrázolva és 1 000 Hz-es csatornafrekvencia-osztállyal szűrve; t1 és t2 az a két időbeli pillanat, amely azon eredményrögzítési időszak kezdetét és végét határozza meg, amelyben a HPC értéke a legnagyobb az érintkezés első és utolsó pillanata között. A legnagyobb érték számításánál azokat a HPC-értékeket, amelyeknél a (t1-t2) időintervallum nagyobb mint 15 ms, figyelmen kívül kell hagyni.
2. GYÁRTÁSI ÉS FELSZERELÉSI RENDELKEZÉSEK
2.1. Elülső védelmi rendszerek
Az alábbi követelmények az új járművekre gyárilag felszerelt elülső védelmi rendszerekre és a bizonyos járművekre önálló műszaki egységként felszerelt elülső védelmi rendszerekre vonatkoznak.
Mindazonáltal az illetékes engedélyező hatóság beleegyezésével úgy lehet tekinteni, hogy a 3. pontban szereplő követelményeket részben vagy egészben teljesítették, bármely olyan vizsgálat elvégzésével, amelyet egy másik típusjóváhagyással kapcsolatos irányelvnek megfelelően hajtottak végre az elülső védelmi rendszeren.
2.1.1. Az elülső védelmi rendszerek alkatrészeit olyan módon kell megtervezni, hogy valamennyi 100 mm-es körben elérhető merev felület görbülési sugara legalább 5 mm legyen.
2.1.2. Az elülső védelmi rendszer össztömege - a tartószerkezeteket és rögzítéseket is beleértve - nem haladhatja meg azon jármű tömegének 1,2 %-át, amelyhez tervezték, és legfeljebb 18 kg lehet.
2.1.3. Az elülső védelmi rendszer magassága a járműre felszerelt állapotban semmilyen ponton nem haladhatja meg az 50 mm-t a motorházfedél szélének referenciavonalához képest az 1.8. pontban meghatározott módon, ezen a ponton a jármű hosszanti függőleges síkjában mérve.
2.1.4. Az elülső védelmi rendszer nem haladhatja meg azon jármű szélességét, amelyre felszerelték. Amennyiben az elülső védelmi rendszer teljes szélessége nagyobb, mint a jármű szélességének 75 %-a, a beszorulás veszélyének minimalizálása érdekében a rendszer széleit a külső felület felé kell befordítani. Ez az előírás teljesítettnek tekinthető, ha az elülső védelmi rendszer süllyesztett vagy a felépítménybe van integrálva, illetve a rendszer széleit olyan módon fordították el, hogy 100 mm-es körben nem elérhető, és a rendszer széle és az azt körülvevő felépítmény közötti rés nem haladja meg a 20 mm-t.
2.1.5. A 2.1.4. pontban foglaltak szerint az elülső védelmi rendszer alkatrészei és az alatta lévő külső alapfelület közötti rés nem haladhatja meg a 80 mm-t. Az alaptest általános körvonalának helyenkénti megszakadását (rácsok nyílásai, levegőbemeneti nyílások stb.) nem kell figyelembe venni.
2.1.6. A jármű bármely oldalsó pontján, a jármű lökhárítójának védelmi hatásait megőrizendő, a lökhárító legelöl lévő része és az elülső védelmi rendszer legelöl lévő része közötti hosszirányú távolság nem haladhatja meg az 50 mm-t.
2.1.7. Az elülső védelmi rendszer nem csökkentheti jelentősen a lökhárító hatékonyságát. Ez az előírás teljesítettnek tekinthető, ha a függőleges alkatrészek száma nem több, mint kettő és az elülső védelmi rendszer egy függőleges alkatrésze sem fedi át a lökhárítót.
2.1.8. Az elülső védelmi rendszer nem hajolhat túl a függőleges síkon. Az elülső védelmi rendszer felső részei felfelé vagy hátrafelé (a szélvédő felé) nem nyúlhatnak túl 50 mm-nél nagyobb mértékben a jármű motorházfedele szélének referenciavonalán, amelyet az 1.8. pontban meghatározott módon az elülső védelmi rendszer leszerelt állapotában kell meghatározni. Minden mérést a jármű e ponton áthaladó függőleges hosszanti síkjában kell végezni.
2.1.9. Az elülső védelmi rendszer rögzítése nem veszélyeztetheti a gépjárművekre vonatkozó más típus-jóváhagyási irányelvek előírásainak való megfelelést.
2.2. Az elülső védelmi rendszereket önálló műszaki egységként terjeszteni, értékesítésre felajánlani vagy értékesíteni azon járműtípusok listája nélkül, amelyekhez az adott elülső védelmi rendszer jóvá lett hagyva, valamint egyértelmű összeszerelési utasítások nélkül tilos. Az összeszerelési utasításoknak részletes felszerelési utasításokat kell tartalmazniuk, beleértve a jóváhagyott járműveken alkalmazandó rögzítési módokat, annak érdekében, hogy a jóváhagyott alkatrészeket olyan módon lehessen a járműre felszerelni, amely megfelel a 2.1. pont vonatkozó rendelkezéseinek.
3. VIZSGÁLATI RENDELKEZÉSEK
3.1. Az elülső védelmi rendszereknek a jóváhagyáshoz a következő vizsgálatokon kell megfelelniük:
3.1.1. Az elülső védelmi rendszernek a láb formájú próbatest alsó részével történő vizsgálata. Ezt a vizsgálatot 40 km/óra ütközési sebességgel kell végrehajtani. A legnagyobb dinamikus térdhajlítási szög nem haladhatja meg a 21,0o-ot, a térd legnagyobb dinamikus nyírási elmozdulása nem haladhatja meg a 6,0 mm-t, és a sípcsont felső végén mért gyorsulás nem haladhatja meg a 200 g-t.
3.1.1.1. Azon önálló műszaki egységként jóváhagyott elülső védelmi rendszerek tekintetében azonban, amelyek kizárólag olyan járműveken használhatók, amelyeknek megengedett legnagyobb össztömege nem haladja meg a 2,5 tonnát, és amelyeknek típusjóváhagyása 2005. október 1. előtt történt, vagy amelyeknek megengedett legnagyobb össztömege meghaladja a 2,5 tonnát, a 3.1.1. pont rendelkezései helyett a 3.1.1.1.1. vagy a 3.1.1.1.2. pont rendelkezései alkalmazhatók.
3.1.1.1.1. A vizsgálatot 40 km/h ütközési sebességgel kell végrehajtani. A legnagyobb dinamikus térdhajlítási szög nem haladhatja meg a 26,0o-ot, a térd legnagyobb dinamikus nyírási elmozdulása nem haladhatja meg a 7,5 mm-t, és a sípcsont felső végén mért gyorsulás nem haladhatja meg a 250 g-t.
3.1.1.1.2. A járművön 40 km/h ütközési sebességgel végzett vizsgálatokat kell végrehajtani az elülső védelmi rendszer felszerelésével és az elülső védelmi rendszer nélkül. A két vizsgálatot a vizsgálatot végző illetékes hatóság által jóváhagyott, egymással egyenértékű helyszíneken kell végrehajtani. Rögzíteni kell a legnagyobb dinamikus térdhajlítási szög, a térd legnagyobb dinamikus nyírási elmozdulása és a sípcsont felső végén mért gyorsulás értékét. Az elülső védelmi rendszerrel felszerelt járművön rögzített érték egyik esetben sem haladhatja meg az elülső védelmi rendszer nélküli járműnél rögzített érték 90 %-át.
3.1.1.2. Ha az alsó elülső védelmi rendszer magassága 500 mm-nél nagyobb, e vizsgálat helyett a 3.1.2. pontban meghatározott, az elülső védelmi rendszernek a láb formájú próbatest felső részével történő vizsgálatát kell elvégezni.
3.1.2. Az elülső védelmi rendszernek a láb formájú próbatest felső részével történő vizsgálata. Ezt a vizsgálatot 40 km/óra ütközési sebességgel kell elvégezni. Az ütközési erők adott időben fellépő pillanatnyi összege nem haladhatja meg a 7,5 kN értéket, a próbatestre gyakorolt hajlítónyomaték pedig nem haladhatja meg az 510 Nm értéket.
Az elülső védelmi rendszernek a láb formájú próbatest felső részével történő vizsgálatát akkor kell elvégezni, ha az elülső alsó védelmi rendszer magassága a vizsgálati helyzetben több, mint 500 mm.
3.1.2.1. Azon önálló műszaki egységként jóváhagyott elülső védelmi rendszerek tekintetében azonban, amelyek kizárólag olyan járműveken használhatók, amelyeknek megengedett legnagyobb össztömege nem haladja meg a 2,5 tonnát, és amelyeknek típusjóváhagyása 2005. október 1. előtt történt, vagy amelyeknek megengedett legnagyobb össztömege meghaladja a 2,5 tonnát, a 3.1.2. pont rendelkezései helyett a 3.1.2.1.1. vagy a 3.1.2.1.2. pont rendelkezései alkalmazhatók.
3.1.2.1.1. A vizsgálatot 40 km/h ütközési sebességgel kell végrehajtani. Az ütközési erők adott időben fellépő pillanatnyi összege nem haladhatja meg a 9,4 kN-t, és a próbatestre ható hajlítónyomaték nem lehet nagyobb 640 Nm-nél.
3.1.2.1.2. A járművön 40 km/h ütközési sebességgel végzett vizsgálatokat kell végrehajtani az elülső védelmi rendszer felszerelésével és az elülső védelmi rendszer nélkül. A két vizsgálatot a vizsgálatot végző illetékes hatóság által jóváhagyott, egymással egyenértékű helyszíneken kell végrehajtani. Rögzíteni kell az ütközési erők pillanatnyi összegének és a hajlítónyomatéknak a próbatesten mért értékét. Az elülső védelmi rendszerrel felszerelt járművön rögzített érték egyik esetben sem haladhatja meg az elülső védelmi rendszer nélküli járműnél rögzített érték 90 %-át.
3.1.2.2. Ha az alsó elülső védelmi rendszer magassága 500 mm-nél kisebb, ez a vizsgálat nem kötelező.
3.1.3. Az elülső védelmi rendszer belépő élének a láb formájú próbatest felső részével történő vizsgálata. Ezt a tesztet 40 km/h ütközési sebességgel végzik. Az ütközés erejének az ütköző rész felső és alsó végére az idő függvényében számított pillanatnyi összege nem haladhatja meg az 5,0 kN lehetséges célértéket, az ütköző részen pedig a hajlítónyomaték nem lépheti túl a 300 Nm lehetséges célértéket. A két eredményt kizárólag ellenőrzési célból lehet rögzíteni.
3.1.4. Az elülső védelmi rendszer gyermek/kistermetű felnőttfej-formájú próbatesttel végzett vizsgálata. Ezt a tesztet 35 km/h ütközési sebességnél végzik, 3,5 kg-os gyermek/kistermetű felnőttfej-formájú próbatesttel. A fej a gyorsulásmérő idősorainak eredőjéből számított terhelési kritériuma (HPC) az 1.15. pontnak megfelelően egyik esetben sem haladhatja meg az 1 000-et.
II. MELLÉKLET
A TÍPUSJÓVÁHAGYÁSRA VONATKOZÓ IGAZGATÁSI RENDELKEZÉSEK
1. AZ EK-TÍPUSJÓVÁHAGYÁS IRÁNTI KÉRELEM
1.1. Járműtípus EK-típusjóváhagyása iránti kérelem elülső védelmi rendszerrel való felszerelés esetében.
1.1.1. A 70/156/EGK irányelv 3. cikkének (1) bekezdése szerinti tájékoztató dokumentum mintáját az 1. függelék tartalmazza.
1.1.2. Azon elülső védelmi rendszerrel felszerelt járműtípus reprezentatív járművét, amelyre a jóváhagyást kérik, a típusjóváhagyásért felelős műszaki szolgálathoz kell eljuttatni. A műszaki szolgálat kérésére bizonyos alkatrészeket vagy a felhasznált anyagok mintáit is be kell nyújtani.
1.2. Az EK-típusjóváhagyás iránti kérelem az önálló műszaki egységnek tekintendő elülső védelmi rendszerek esetében.
1.2.1. A 70/156/EGK irányelv 3. cikkének (4) bekezdése szerinti tájékoztató dokumentum mintáját a 2. függelék tartalmazza.
1.2.2. Az elülső védelmi rendszer típusának mintáját a típus-jóváhagyási vizsgálatokért felelős műszaki szolgálathoz kell eljuttatni. Amennyiben a szolgálat szükségesnek látja, további mintákat kérhet. A mintákon egyértelműen és letörölhetetlen módon fel kell tüntetni a kérelmező kereskedelmi vagy márkanevét és a típusmegjelölést. Ezt követően gondoskodni kell az EK-típusjóvagyási jelének kötelező feltüntetéséről.
2. AZ EK-TÍPUSJÓVÁHAGYÁS ODAÍTÉLÉSE
2.1. A 70/156/EGK irányelv 4. cikkének (3), valamint adott esetben (4) bekezdése szerinti EK-típus-jóváhagyási bizonyítványok mintáját:
aa) z 1.1. pontban említett alkalmazások esetében a 3. függelék,
b) az 1.2. pontban említett alkalmazások esetében a 4. függelék tartalmazza.
3. AZ EK-TÍPUS-JÓVÁHAGYÁSI JEL
3.1. Valamennyi, ezen irányelvnek megfelelően jóváhagyott típusú elülső védelmi rendszert az EK-típus-jóváhagyási jellel kell ellátni.
3.2. E jel az alábbiakból áll:
3.2.1. Téglalappal körülvett "e" betű, amelyet a típusjóváhagyást megadó tagállam megkülönböztető száma vagy betűi követnek:
1. Németország
2. Franciaország
3. Olaszország
4. Hollandia
5. Svédország
6. Belgium
9. Spanyolország
11. Egyesült Királyság
12. Ausztria
13. Luxembourg
17. Finnország
18. Dánia
21. Portugália
23. Görögország
IRL Írország
49. Ciprus
8. Csehország
29. Észtország
7. Magyarország
32. Lettország
36. Litvánia
50. Málta
20. Lengyelország
27. Szlovák Köztársaság
26. Szlovénia
34. Bulgária esetében
19. Románia esetében
3.2.2. Közvetlenül a négyszög mellett a 70/156/EGK irányelv VII. mellékletében hivatkozott típus-jóváhagyási szám 4. részében található "jóváhagyási alapszám", amelyet ezen irányelv az EK-típusjóváhagyás odaítélésének napján legutóbbi nagyobb technikai módosítására utaló kétjegyű sorszám előz meg. Ezen irányelvben a sorszám 01.
A sorszám után álló csillag jelzi, hogy az elülső védelmi rendszert a láb formájú próbatesttel végzett vizsgálatok esetén az I. melléklet 3.1.1.1., vagy 3.1.2.1. pontja által engedélyezett eltéréssel hagyták jóvá. Ha a jóváhagyó hatóság nem veszi figyelembe ezt az eltérést, a csillag helyén szóköz áll.
3.3. Az EK-típus-jóváhagyási jelet az elülső védelmi rendszeren olyan módon kell rögzíteni, hogy törölhetetlen és egyértelműen leolvasható legyen akkor is, amikor a rendszert a járműre felszerelték.
3.4. Az EK-típus-jóváhagyási jel egy mintáját az 5. függelék tartalmazza.
1. függelék
.... TÁJÉKOZTATÓ DOKUMENTUM
Elülső védelmi rendszerek értékesítéséről a járművek EK-típusjóváhagyásáról szóló 70/156/EGK tanácsi irányelv i. melléklete alapján
Az alábbi információkat három példányban kell benyújtani, és mellékelni kell egy tartalomjegyzéket. A rajzokat megfelelő méretben és részletességgel A4 méretben vagy A4 formátumú mappában kell benyújtani. A fényképeknek, ha szükségesek, elégséges részletességűnek kell lenniük.
Ha a rendszerekben, összetevőkben vagy önálló műszaki egységekben különleges anyagokat alkalmaznak, a jellemzőikre vonatkozóan információkat kell mellékelni.
0. ÁLTALÁNOS
0.1. Gyártmány (gyártó kereskedelmi neve):
0.2. Típus és általános kereskedelmi megnevezés(ek):
0.3. Típusazonosító, ha jelölték a járművön:
0.3.1. A fenti megjelölés helye:
0.4. A jármű kategóriája:
0.5. A gyártó neve és címe:
0.8. Az összeszerelő üzem(ek) címe(i):
1. A JÁRMŰ ÁLTALÁNOS SZERKEZETI JELLEMZŐI
1.1. Fényképek és/vagy rajzok egy reprezentatív járműről:
2. TÖMEGEK ÉS MÉRETEK (kg-ban és mm-ben)
2.8. A gyártó által megnevezett műszakilag megengedhető legnagyobb terhelt tömeg (max. és min.):
2.8.1. E tömeg tengelyeken való megoszlása (max. és min.):
9. FELÉPÍTMÉNY
9.1. Felépítmény típusa:
9. [11]. Elülső védelmi rendszerek
9. [11].1. Általános elrendezés (rajzok vagy fényképek), amely jelzi az elülső védelmi rendszerek helyét és rögzítését:
9. [11].2. Szükség esetén rajzok és/vagy fényképek a levegőbemeneti rácsokról, a hűtőrácsról, a díszítő szegélyről, a jelvényekről, emblémákról és nyílásokról, valamint valamennyi kiemelkedésről és a külső felület elengedhetetlennek tekinthető részeiről (pl. világító berendezés). Amennyiben az előző mondatban felsorolt alkatrészek nem elengedhetetlenek, dokumentáció céljából fényképekkel is helyettesíthetők, amit szükség esetén a méretekre vonatkozó részletezéssel és/vagy szöveggel lehet kiegészíteni:
9. [11].3. A szükséges rögzítések teljes részletezése és a rögzítéshez szükséges teljes körű utasítások, a forgatónyomatékra vonatkozó előírásokat is beleértve:
9. [11].4. A lökhárítók rajza:
9. [11].5. A talaj vonalának rajza a jármű elülső végénél:
Dátum:
2. függelék
... sz. TÁJÉKOZTATÓ DOKUMENTUM
Elülső védelmi rendszerek önálló műszaki egységekként történő EK-típusjóváhagyásáról (2005/66/EK)
Az alábbi információkat három példányban kell benyújtani, és mellékelni kell egy tartalomjegyzéket. A rajzokat megfelelő méretben és részletességgel A4 méretben vagy A4 formátumú mappában kell benyújtani. A fényképeknek, ha szükségesek, elégséges részletességűnek kell lenniük.
Ha a rendszerekben, összetevőkben vagy önálló műszaki egységekben különleges anyagokat alkalmaznak, a jellemzőikre vonatkozóan információkat kell mellékelni.
0. ÁLTALÁNOS
0.1. Gyártmány (gyártó kereskedelmi neve):
0.2. Típus és általános kereskedelmi megnevezés(ek):
0.5. A gyártó neve és címe:
0.7. Az EK-típus-jóváhagyási jel rögzítésének helye és módja:
1. A KÉSZÜLÉK LEÍRÁSA
1.1. Részletes műszaki leírás (fényképekkel vagy rajzokkal):
1.2. Összeszerelési és összeállítási utasítások, a szükséges forgatónyomaték megjelölésével:
1.3. Azon gépjárműtípusok felsorolása, amelyre felszerelhető:
1.4. Használatra vonatkozó korlátozások és a rögzítés feltételei:
3. függelék
(MINTA)
(legnagyobb méret: A4 (210 x 297 mm))
EK-TÍPUS-JÓVÁHAGYÁSI BIZONYÍTVÁNY
HIVATALI BÉLYEGZŐ
Tájékoztatás
- a típusjóváhagyásról
- a típusjóváhagyás meghosszabbításáról
- a típusjóváhagyás elutasításáról
- a típusjóváhagyás visszavonásáról
a 2005/66/EK irányelv szerinti elülső védelmi rendszerrel ellátott járműtípusra vonatkozóan.
A típusjóváhagyás száma:
A meghosszabbítás oka:
I. RÉSZ
0.1. Gyártmány (gyártó kereskedelmi neve):
0.2. Típus és általános kereskedelmi megnevezés(ek):
0.3. Típusazonosító, ha jelölték a járművön:
0.3.1. A fenti megjelölés helye:
0.4. A jármű kategóriája:
0.5. A gyártó neve és címe:
0.7. Az elülső védelmi rendszer esetében az EK-típus-jóváhagyási jel rögzítésének helye és módja:
0.8. Az összeszerelő üzem(ek) címe(i):
II. RÉSZ
1. További információk (szükség esetén): lásd a kiegészítést
2. A vizsgálatok elvégzéséért felelős műszaki szolgálat:
3. A vizsgálatról szóló jelentés időpontja:
4. A vizsgálatról szóló jelentés száma:
5. (Esetleges) megjegyzések: lásd a kiegészítést
6. Helyszín:
7. Dátum:
8. Aláírás:
9. Az engedélyező hatósághoz benyújtott tájékoztató csomag jegyzéke, amely kérésre beszerezhető, mellékelve.
Kiegészítés
a ... sz. EK-típus-jóváhagyási bizonyítványhoz
valamely jármű elülső védelmi rendszerrel való felszerelésével kapcsolatos típusjóváhagyásról
1. (Esetleges) kiegészítő információk:
2. Észrevételek:
3. Az I. melléklet 3. pontjában foglalt vizsgálat eredményei
| Vizsgálat | Megállapított értékek | Megfelelő/Nem megfelelő | |
| Az elülső védelmi rendszernek a láb formájú próbatest alsó részével történő vizsgálata – - 3 vizsgált helyzet (amennyiben elvégezték) | Hajlítási szög | …… …… fok …… | |
| Nyírási elmozdulás | …… …… mm …… | ||
| Gyorsulás a sípcsonton | …… …… g …… | ||
| Az elülső védelmi rendszernek a láb formájú próbatest felső részével történő vizsgálata – 3 vizsgált helyzet (amennyiben elvégezték) | Az ütközési erők összege | …… …… kN …… | |
| Hajlítónyomaték | …… …… Nm …… | ||
| Az elülső védelmi rendszer belépő élének a láb formájú próbatest felső részével történő vizsgálata – 3 vizsgált helyzet (csak megfigyelés) | Az ütközési erők összege | …… …… kN …… | |
| Hajlítónyomaték | …… …… Nm …… | ||
| Az elülső védelmi rendszernek a gyermek/kis termetű felnőtt fej formájú ((3,5 kg) próbatesttel történő vizsgálata | HPC-értékek (legalább 3 érték) | …… …… …… | |
4. függelék
(MINTA)
(legnagyobb méret: A4 (210 x 297 mm))
EK-TÍPUS-JÓVÁHAGYÁSI BIZONYÍTVÁNY
HIVATALI BÉLYEGZŐ
Tájékoztatás
- a típusjóváhagyásról
- a típusjóváhagyás meghosszabbításáról
- a típusjóváhagyás elutasításáról
- a típusjóváhagyás visszavonásáról
a 2005/66/EK irányelv értelmében önálló műszaki egységként elülső védelmi rendszerrel ellátott típusra vonatkozóan.
A típusjóváhagyás száma:
A meghosszabbítás oka:
I. RÉSZ
0.1. Gyártmány (gyártó kereskedelmi neve):
0.2. Típus és általános kereskedelmi megnevezés(ek):
0.3. Típusazonosító, ha jelölték az elülső védelmi rendszeren:
0.3.1. A fenti megjelölés helye:
0.5. A gyártó neve és címe:
0.7. Az EK-típus-jóváhagyási jel rögzítésének helye és módja:
0.8. Összeszerelő üzem(ek) címe:
II. RÉSZ
1. További információk: Lásd a Kiegészítést
2. A vizsgálatok elvégzéséért felelős műszaki szolgálat:
3. A vizsgálatról szóló jelentés időpontja:
4. A vizsgálatról szóló jelentés száma:
5. (Esetleges) megjegyzések: lásd a kiegészítést
6. Helyszín:
7. Dátum:
8. Aláírás:
9. Az engedélyező hatósághoz benyújtott tájékoztató csomag jegyzéke, amely kérésre beszerezhető, mellékelve.
Kiegészítés
a ... sz. EK-típus-jóváhagyási bizonyítványhoz
elülső védelmi rendszer a 2005/66/EK irányelv szerinti típusjóváhagyására vonatkozóan
1. További információk:
1.1. A rögzítés módja:
1.2. Összeszerelési és összeállítási utasítások:
1.3. Azon járművek listája, amelyekre az elülső védelmi rendszer rögzíthető, a használatukra vonatkozó korlátozások és a rögzítés szükséges feltételei:
2. Észrevételek:
3. Az I. melléklet 3. pontjában foglalt vizsgálat eredményei
| Vizsgálat | Megállapított értékek | Megfelelő/Nem megfelelő | |
| Az elülső védelmi rendszernek a láb formájú próbatest alsó részével történő vizsgálata – 3 vizsgált helyzet (amennyiben elvégezték) | Hajlítási szög | …… …… fok …… | |
| Nyírási elmozdulás | …… …… mm …… | ||
| Gyorsulás a sípcsonton | …… …… g …… | ||
| Az elülső védelmi rendszernek a láb formájú próbatest felső részével történő vizsgálata – 3 vizsgált helyzet (amennyiben elvégezték) | Az ütközési erők összege | …… …… kN …… | |
| Hajlítónyomaték | …… …… Nm …… | ||
| Az elülső védelmi rendszer belépő élének a láb formájú próbatest felső részével történő vizsgálata – 3 vizsgált helyzet (csak megfigyelés) | Az ütközési erők összege | …… …… kN …… | |
| Hajlítónyomaték | …… …… Nm …… | ||
| Az elülső védelmi rendszernek a gyermek/kis termetű felnőtt fej formájú ((3,5 kg) próbatesttel történő vizsgálata | HPC-értékek (legalább 3 érték) | …… …… …… | |
5. függelék
Példa az EK-típus-jóváhagyási jelre

(a > 12mm)
A fenti EK-típus-jóváhagyási jelet magán viselő eszköz egy, az ezen irányelv (01) alapján Németországban (e1) a 1471 típus-jóváhagyási alapszámon jóváhagyott elülső védelmi rendszerre vonatkozik.
A csillag jelzi, hogy az elülső védelmi rendszert a láb formájú próbatesttel végzett vizsgálatok esetén az I. melléklet 3.1.1.1. vagy 3.1.2.1. pontja által engedélyezett eltérés értelmében hagyták jóvá. Ha a jóváhagyó hatóság nem veszi figyelembe ezt az eltérést, a csillag helyén szóköz áll. A 3. függelékben az alábbi rész kerül beillesztésre:
III. MELLÉKLET
A 70/156/EGK IRÁNYELV MÓDOSÍTÁSAI
A 70/156/EGK irányelv mellékletei a következőképpen módosulnak:
1. Az I. melléklet a következő pontokkal egészül ki:
"9.[24]. Elülső védelmi rendszerek
9.[24].1. Be kell nyújtani a jármű részletes, fényképeket és/vagy rajzokat tartalmazó leírását az elülső védelmi rendszer, valamint a jármű elülső részének felépítésére, méreteire, számottevő referenciavonalaira és összetevő anyagaira vonatkozóan.
9.[24].2. Be kell nyújtani a jármű elülső védelmi rendszere rögzítési módjának részletes, fényképeket és/vagy rajzokat tartalmazó leírását. E leírásnak tartalmaznia kell valamennyi csavar méretét és a szükséges forgatónyomatékokat."
2. A III. melléklet I. részének A szakasza a következő pontokkal egészül ki:
"9.[24]
9.[24].1. Be kell nyújtani a jármű részletes, fényképeket és/vagy rajzokat tartalmazó leírását az elülső védelmi rendszer, valamint a jármű elülső részének felépítésére, méreteire, számottevő referenciavonalaira és összetevő anyagaira vonatkozóan.
9.[24].2. Be kell nyújtani a jármű elülső védelmi rendszere rögzítési módjának részletes, fényképeket és/vagy rajzokat tartalmazó leírását. E leírásnak tartalmaznia kell valamennyi csavar méretét és a szükséges forgatónyomatékokat."
3. A IV. melléklet I. része a következővel egészül ki:
| Tárgy | Az irányelv száma | A Hivatalos Lap hivatkozási száma | Alkalmazhatóság | |||||||||
| M1 | M2 | M3 | N1 | N2 | N3 | O1 | O2 | O3 | O4 | |||
| „[60]. Elülső védelmi rendszer | 2005/66/EK | HL L 309., 25.11.2005, 37. o. | X (1) | - | - | X | - | - | ||||
| (1) Nem haladja meg a 3,5 tonnás megengedett legnagyobb össztömeget.” | ||||||||||||
4. A XI. melléklet a következőképpen módosul:
a) Az 1. függelékben az alábbi rész kerül beillesztésre:
| Tétel | Tárgy | Az irányelv száma | M1 ≤ 2 500 (1) kg | M1 > 2 500 (1) kg | M2 | M3 |
| „[60] | Elülső védelmi rendszer | 2005/66/EK | X | X (1) | - | - |
| (1) nem haladja meg a 3,5 tonnás megengedett legnagyobb össztömeget.” | ||||||
b) A 2. függelékben az alábbi rész kerül beillesztésre:
| Tétel | Tárgy | Az irányelv száma | M1 | M2 | M3 | N1 | N2 | N3 | O1 | O2 | O3 | O4 |
| „[60] | Elülső védelmi rendszer | 2005/66/EK | - | - | - | - | - | - | - | - | - | -” |
c) A 3. függelékben az alábbi rész kerül beillesztésre:
| Tétel | Tárgy | Az irányelv száma | M2 | M3 | N1 | N2 | N3 | O1 | O2 | O3 | O4 |
| „[60] | Elülső védelmi rendszer | 2005/66/EK | - | - | - | - | - | - | - | - | -” |
( 1 ) HL C 112., 2004.4.30., 18. o.
( 2 ) Az Európai Parlament 2005. május 26-i álláspontja (a Hivatalos Lapban még nem tették közzé) és a Tanács 2005. október 11-i határozata.
( 3 ) HL L 42., 1970.2.23., 1. o. A legutóbb a 2005/49/EK bizottsági irányelvvel (HL L 194., 2005.7.26., 12. o.) módosított irányelv.
( 4 ) HL L 321., 2003.12.6., 15. o.
( 5 ) HL L 184., 1999.7.17., 23. o.
Lábjegyzetek:
[1] A dokumentum eredetije megtekinthető CELEX: 32005L0066 - https://eur-lex.europa.eu/legal-content/HU/ALL/?uri=CELEX:32005L0066&locale=hu Utolsó elérhető, magyar nyelvű konszolidált változat CELEX: 02005L0066-20070101 - https://eur-lex.europa.eu/legal-content/HU/ALL/?uri=CELEX:02005L0066-20070101&locale=hu