32015R0068[1]
A Bizottság (EU) 2015/68 felhatalmazáson alapuló rendelete ( 2014. október 15. ) a 167/2013/EU európai parlamenti és tanácsi rendeletnek a mezőgazdasági és erdészeti járművek jóváhagyására vonatkozó fékezési követelmények tekintetében történő kiegészítéséről
A BIZOTTSÁG (EU) 2015/68 FELHATALMAZÁSON ALAPULÓ RENDELETE
(2014. október 15.)
a 167/2013/EU európai parlamenti és tanácsi rendeletnek a mezőgazdasági és erdészeti járművek jóváhagyására vonatkozó fékezési követelmények tekintetében történő kiegészítéséről
(EGT-vonatkozású szöveg)
I. FEJEZET
TÁRGY ÉS FOGALOMMEGHATÁROZÁSOK
1. cikk
Tárgy
Ez a rendelet a 167/2013/EU rendelettel összhangban részletes műszaki követelményeket és vizsgálati eljárásokat állapít meg a fékteljesítménnyel kapcsolatos funkcionális biztonságra vonatkozóan a mezőgazdasági és erdészeti járművek, valamint az ilyen járművekhez készült rendszerek, alkatrészek és önálló műszaki egységek jóváhagyásához és piacfelügyeletéhez.
2. cikk
Fogalommeghatározások
E rendelet alkalmazásában az (EU) 2015/208 felhatalmazáson alapuló bizottsági rendelet ( 1 ) 2. cikkében, valamint XII. és XXXIII. mellékletében található fogalommeghatározásokat kell alkalmazni. Ezenkívül a következő fogalommeghatározásokat is alkalmazni kell:
1. "fékrendszer" : azon alkatrészek összessége, amelyek feladata, hogy folyamatosan csökkentsék a mozgó jármű sebességét, illetve hogy megállítsák, vagy statikus állapotban tartsák a járművet, amennyiben az már áll; a rendszer a kezelőszervből, az erőviteli rendszerből és a fékből áll;
2. "üzemi fékrendszer" : az a fékrendszer, amely lehetővé teszi, hogy a vezető a jármű mozgását szabályozza, és a járművet gyorsan, biztonságosan és hatékonyan állítsa meg a jármű teljes engedélyezett üzemi sebesség- és terhelési tartományában, haladjon a jármű bármilyen fokú emelkedőn vagy lejtőn;
3. "fokozatos fékezés" :
olyan fékezés, amely a berendezés rendes működési tartományán belül a fékek zárásakor vagy oldásakor az alábbi feltételeket teljesíti:
a) a vezető bármikor növelheti, vagy csökkentheti a fékerőt a kezelőszervre gyakorolt hatással;
b) a fékerő a kezelőszervre gyakorolt hatással azonos irányban hat (monoton függvény);
c) a fékerő könnyen és megfelelő pontossággal szabályozható;
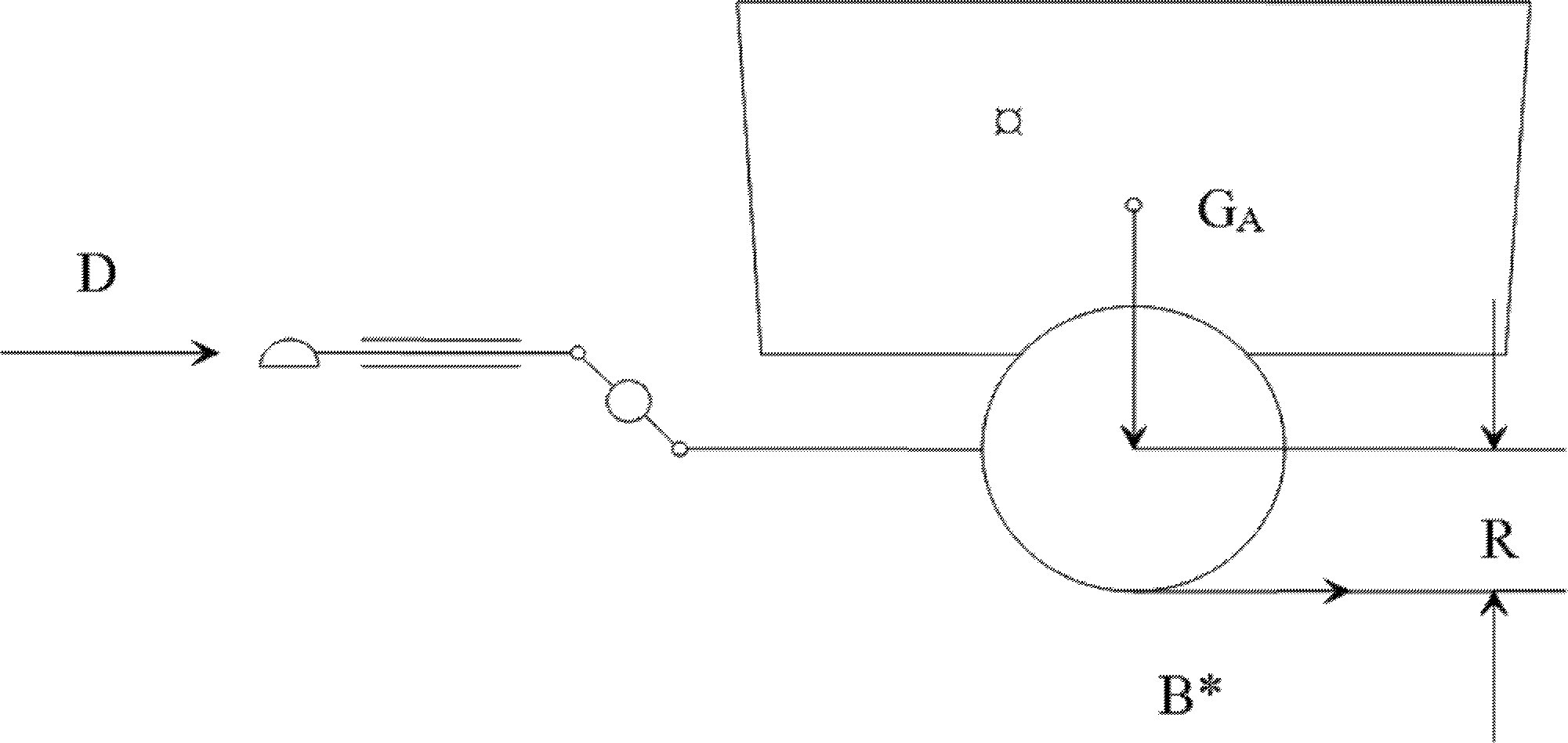
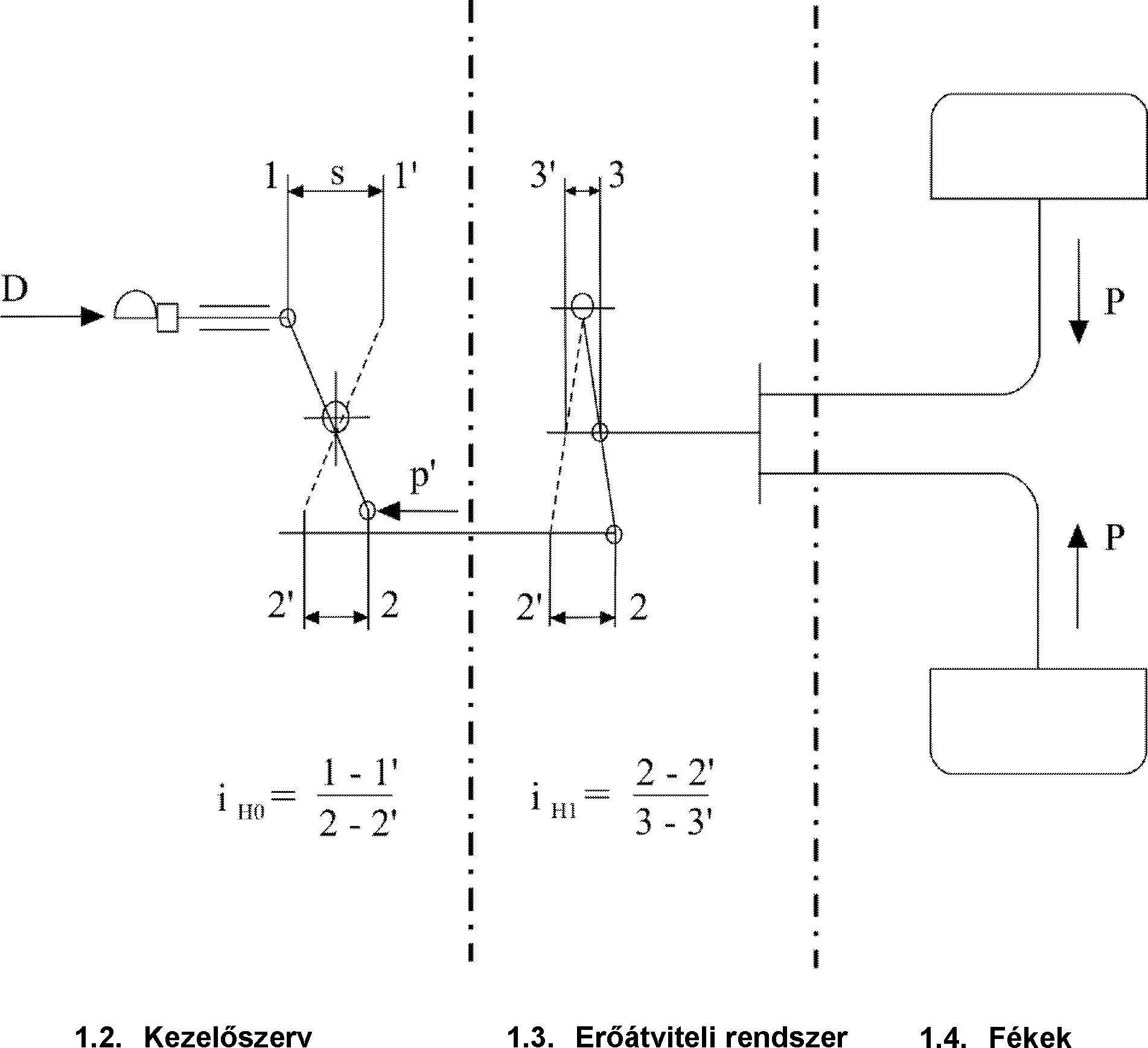
4. "kezelőszerv" : az a részegység, amelyet közvetlenül a vezető működtet azért, hogy az erőátviteli rendszer megkapja a fékezéshez vagy a vezérléshez szükséges energiát. Az energia lehet a járművezető izomenergiája, vagy a járművezető által vezérelt más forrásból származó energia, vagy megfelelő esetekben egy vontatott jármű mozgási energiája, illetve e különféle energiák kombinációja;
5. "erőátviteli rendszer" : a kezelőszerv és a fék között elhelyezkedő alkatrészek együttese - kivéve a traktorok és vontatott járművek közötti vezérlővezetékeket, tápvezetékeket és kiegészítő vezetékeket -, amelyek ezeket mechanikus, hidraulikus, pneumatikus vagy elektromos összeköttetés, illetve ezek kombinációja útján összekapcsolják egymással; amennyiben a fékerő a járművezetőtől független energiaforrásból származik, vagy a fékezésre ilyen energiaforrás rásegít, a berendezésben lévő tartalék energiát ugyancsak az erőátviteli rendszer részének kell tekinteni;
6. "vezérlésátvitel" : az erőátviteli rendszer azon alkatrészeinek együttese, amelyek a fékek és a szükséges energiatartalék(ok) működését vezérlik;
7. "energiaátvitel" : azon alkatrészek együttese, amelyek a fékeket a működésükhöz szükséges energiával ellátják;
8. "súrlódó fék" : olyan fék, amelyben az erőt a jármű két, egymáshoz képest elmozduló alkatrésze közötti súrlódás hozza létre;
9. "folyadékfék" : olyan fék, amelyben az erőt a jármű két, egymáshoz képest elmozduló alkatrésze közötti folyadék hatása hozza létre; a folyadék a "hidraulikus fék" esetében cseppfolyós a "pneumatikus fék" esetében pedig légnemű;
10. "motorfék" : olyan fék, amelyben az erő a motor kerekekhez továbbított fékhatásának ellenőrzött növeléséből származik;
11. "rögzítőfékrendszer" : az a rendszer, amely az emelkedőn vagy lejtőn álló a járművet a vezető távollétében is mozdulatlan helyzetben tartja;
12. "átmenő fékezés" :
egymással összekötött járművek fékezése az alábbi jellemzőkkel bíró szerkezet által:
a) egyetlen kezelőszerv, amelyet a járművezető a vezetőülésből egyetlen mozdulattal, fokozatos hatással működtet;
b) a járműszerelvényt alkotó járművek fékezéséhez használt energia egyazon forrásból származik;
c) a fékberendezés biztosítja a kombinációt alkotó valamennyi jármű egyidejű vagy megfelelő módon szakaszokra bontott fékezését, függetlenül azok egymáshoz viszonyított helyzetétől;
13. "félig átmenő fékezés" :
egymással összekötött járművek fékezése az alábbi jellemzőkkel bíró szerkezet által:
a) egyetlen kezelőszerv, amelyet a járművezető a vezetőülésből egyetlen mozdulattal, fokozatos hatással működtet;
b) a járműszerelvényt alkotó járművek fékezéséhez használt energia két különböző forrásból származik;
c) a fékberendezés biztosítja a kombinációt alkotó valamennyi jármű egyidejű vagy megfelelő módon szakaszokra bontott fékezését, függetlenül azok egymáshoz viszonyított helyzetétől;
14. "automata fékezés" : a vontatott jármű vagy vontatott járművek önműködően végbemenő fékezését jelenti, amennyiben a járműszerelvényt alkotó járművek bármelyike leválik, beleértve a kapcsolóberendezés törése okozta leválást is, anélkül, hogy a járműszerelvény maradék részének fékhatását befolyásolná;
15. "ráfutó fékezés" : olyan fékezés, amelynél a vontatott jármű traktorra történő ráfutása folytán keletkező erők kerülnek felhasználásra;
16. "nem kioldható erőátviteli rendszer" : olyan erőátvitel rendszer, amelyben a nyomás vagy az erő vagy a nyomaték folyamatosan és bármikor továbbítódik a jármű haladása közben a jármű motorja és a kerekek közötti hajtásláncon, illetve a fék kezelőszerve és a kerekek közötti fékrendszerben;
18. "kerékterhelés" : az út felülete által kifejtett függőleges statikus erő a kerék érintkezési területén;
19. "tengelyterhelés" : az út felülete által kifejtett függőleges statikus erők összege a tengely kerekeinek érintkezési területén;
20. "legnagyobb statikus kerékterhelés" : a jármű műszakilag megengedett legnagyobb terhelése mellett elért állandó kerékterhelés;
21. "legnagyobb statikus tengelyterhelés" : a jármű műszakilag megengedett legnagyobb terhelése mellett elért állandó tengelyterhelés;
22. "vontatott jármű" : a 167/2013/EU rendelet 3. cikkének (9) bekezdésében meghatározott pótkocsi vagy a rendelet 3. cikkének (10) bekezdésében meghatározott cserélhető vontatott berendezések;
23. "vonórúddal vontatott jármű" : R vagy S kategóriájú vontatott jármű legalább két tengellyel, amelyek közül legalább az egyik kormányzott tengely, olyan vontatóberendezéssel ellátva, amely a vontatott járműhöz képest függőlegesen tud elmozdulni, és nem továbbít jelentős statikus függőleges terhelést a traktorra;
24. "középtengelyes vontatott jármű" : R vagy S kategóriájú vontatott jármű, amelyen egységes terhelés esetén egy vagy több tengely a jármű súlypontjához közel helyezkedik el, így csak a vontatott jármű legnagyobb tömegének 10 %-át nem meghaladó kismértékű statikus függőleges terhelés vagy 1 000 daN terhelés továbbítódik a traktorra, attól függően, hogy melyik kisebb;
25. "merev vonórúddal vontatott jármű" : R vagy S kategóriájú, egy tengellyel vagy egy tengelycsoporttal ellátott vontatott jármű, amelynek vonórúdja jelentős statikus terhelést továbbít a traktorra szerkezete miatt, és amely nem felel meg a középtengelyes vontatott jármű fogalommeghatározásának; a merev vonórúdon kismértékű függőleges elmozdulás előfordulhat; a hidraulikusan szabályozható csuklós vonórúd merev vonórúdnak minősül;
26. "tartós fékrendszer" : kiegészítő fékrendszer, amely képes hosszú időn keresztül fékhatás létrehozására és fenntartására anélkül, hogy hatékonysága jelentős mértékben csökkenne, ideértve a kezelőszervet, amely egyetlen egységből vagy több, saját kezelőszervvel rendelkező egység együtteséből állhat;
27. "elektronikusan vezérelt fékrendszer (EBS)" : olyan fékrendszer, amelyben a vezérlés a vezérlésátvitelben elektromos jelként jön létre és kerül feldolgozásra, illetve a berendezésekhez továbbított elektromos kimeneti jelekként, amelyek a tárolt vagy generált energiából működtető erőket generálnak;
28. "önműködően vezérelt fékezés" : az összetett elektronikus vezérlőrendszer azon funkciója, amellyel a jármű fedélzetén keletkezett adatok automatikus értékelése nyomán meghatározott tengelyek fékrendszereit vagy fékjeit a jármű lassulásának kiváltása érdekében működésbe hozza, a járművezető közvetlen beavatkozásával vagy anélkül;
29. "szelektív fékezés" : az összetett elektronikus vezérlőrendszer azon funkciója, amellyel az egyes fékek önműködően lépnek működésbe, és a jármű lassulása másodlagos a jármű viselkedésének megváltoztatásához képest;
30. "elektromos fékezővezeték" : két jármű közötti elektromos kapcsolat, amely a járműszerelvényen belül a vontatott jármű fékvezérlési funkcióját biztosítja; elektromos vezetékekből és csatlakozóból áll, illetve adatkommunikációs alkatrészeket és a vontatott jármű vezérlésátvitelének elektromos energiaellátását tartalmazza;
31. "rugóösszenyomó kamra" : az a kamra, amelyben a rugók összenyomását ténylegesen létrehozza a munkaközeg nyomásváltozása;
32. "hidrosztatikus hajtás" : olyan járműmeghajtási típus, amely nyitott vagy zárt körű hidrosztatikus erőátviteli rendszert alkalmaz, amelyben egy vagy több hidraulikus szivattyú, illetve egy vagy több hidraulikus motor között energiahordozóként folyadék kering;
33. "összetett elektronikus járművezérlő rendszer" : olyan vezérlési hierarchia részét képező elektronikus vezérlőrendszer, amelyben a vezérelt funkciót hatálytalaníthatja egy magasabb szintű elektronikus vezérlőfunkció vagy egy magasabb szintű elektronikus vezérlőrendszer által ellátott funkció;
34. "blokkolásgátló fékrendszer" : az üzemi fékrendszer része, amely önműködően szabályozza fékezés közben a megcsúszás mértékét a kerék forgásirányában, a jármű egy vagy több kerekén;
35. "közvetlenül szabályozott kerék" : olyan kerék, amelynek fékereje legalább a saját érzékelője által előállított adatoknak megfelelően változik;
36. "egyvezetékes típusú hidraulikus csatlakozás" : a traktor és a vontatott jármű közötti fékek csatlakozása egyetlen vezetéken áramló hidraulikus folyadékon keresztül;
37. "energiaforrás" : olyan berendezés, amely a fékek működtetéséhez szükséges energiát vagy közvetlenül, vagy energiatároló berendezés révén közvetve rendelkezésre bocsátja;
38. "energiatároló berendezés" : olyan berendezés, amely az energiaforrás által a fékek működtetésének vagy kioldásának céljára rendelkezésre bocsátott energiát tárolja.
II. FEJEZET
FÉKBERENDEZÉSEKRE ÉS PÓTKOCSI-FÉKCSATLAKOZÁSOKRA VONATKOZÓ KÖVETELMÉNYEK
3. cikk
A fékteljesítményre vonatkozó szerelési és bemutatási követelmények
(1) A gyártók a mezőgazdasági és erdészeti járműveket a fékteljesítményt befolyásoló olyan rendszerekkel, alkatrészekkel és önálló műszaki egységekkel látják el, amelyek tervezésük, szerkezetük és összeszerelésük révén lehetővé teszik, hogy a gyártó előírásai szerint, rendeltetésszerűen használt és karbantartott jármű megfeleljen a 4-17. cikkben lefektetett részletes műszaki követelményeknek és vizsgálati eljárásoknak.
(2) A gyártók fizikai demonstrációs vizsgálat keretében bizonyítják a típusjóváhagyó hatóságnak, hogy a forgalmazott, az Unióban nyilvántartásba vett vagy forgalomba helyezett mezőgazdasági és erdészeti járművek megfelelnek a 4-17. cikkben lefektetett részletes műszaki követelményeknek és vizsgálati eljárásoknak.
(3) A gyártók gondoskodnak arról, hogy forgalmazott vagy az Unióban forgalomba helyezett alkatrészek megfeleljenek a rendeletben lefektetett részletes műszaki követelményeknek és vizsgálati eljárásoknak.
(4) E rendelet követelményeinek teljesítése helyett a gyártó dönthet úgy is, hogy csatolja az adatközlő mappához az alkatrészről készült vizsgálati jegyzőkönyvet vagy egy egyéb releváns, azt igazoló dokumentációt, hogy a rendszer vagy a jármű megfelel a 10. mellékletben hivatkozott, 13. számú ENSZ-EGB-előírásnak.
(5) E rendelet követelményeinek teljesítése helyett a gyártó dönthet úgy is, hogy csatolja az adatközlő mappához az azt igazoló releváns dokumentációt, hogy a vontatott járművek blokkolásgátló fékrendszerei, amennyiben felszerelték őket, megfelelnek a 10. mellékletben hivatkozott, 13. számú ENSZ-EGB-előírás 19. mellékletének 5. szakaszában meghatározott követelményeknek.
(6) A (4) és (5) bekezdésben említett alkatrészekre és rendszerekre a 167/2013/EU rendelet 68. cikkének megfelelően elfogadott végrehajtási jogi aktus hivatkozik majd.
4. cikk
A fékberendezések és pótkocsi-fékcsatlakozások gyártására és beszerelésére vonatkozó követelmények
A fékberendezések és pótkocsi-fékcsatlakozások gyártására és beszerelésére vonatkozó vizsgálati eljárásokat és követelményeket az I. melléklet szerint kell alkalmazni és igazolni.
5. cikk
A fékrendszerek és pótkocsi-fékcsatlakozások, illetve az ezekkel felszerelt járművek vizsgálatára és teljesítményére vonatkozó követelmények
A fékrendszerekre és pótkocsi-fékcsatlakozásokra, valamint az ezekkel felszerelt járművekre vonatkozó vizsgálati eljárásokat és teljesítménykövetelményeket a II. melléklet szerint kell alkalmazni és igazolni.
6. cikk
A nyomásfelfutási idő mérésére vonatkozó követelmények
A fékberendezések és pótkocsi-fékcsatlakozások nyomásfelfutási idejére vonatkozó vizsgálati eljárásokat és teljesítménykövetelményeket a III. melléklet szerint kell alkalmazni és igazolni.
7. cikk
A fékrendszerek és pótkocsi-fékcsatlakozások, illetve az ezekkel felszerelt járművek energiaforrásaira és energiatároló berendezéseire vonatkozó követelmények
A fékrendszerek és pótkocsi-fékcsatlakozások, illetve az ezekkel felszerelt járművek energiaforrásaira és energiatároló berendezéseire vonatkozó vizsgálati eljárásokat és teljesítménykövetelményeket a IV. melléklet szerint kell alkalmazni és igazolni.
8. cikk
A rugóerő-tárolós fékekre és a velük felszerelt járművekre vonatkozó követelmények
A rugóerő-tárolós fékekre és a velük felszerelt járművekre vonatkozó vizsgálati eljárásokat és teljesítménykövetelményeket a V. melléklet szerint kell alkalmazni és igazolni.
9. cikk
A mechanikus fékhenger-reteszelő berendezéssel ellátott rögzítőfékrendszerekre vonatkozó követelmények
A mechanikus fékhenger-reteszelő berendezéssel ellátott rögzítőfékrendszerekre vonatkozó teljesítménykövetelményeket a VI. melléklet szerint kell igazolni.
10. cikk
Alternatív vizsgálati követelmények azon járművek esetében, amelyekre vonatkozóan az I. típusú, II. típusú és III. típusú vizsgálatok nem kötelezőek
(1) A VII. melléklet határozza meg azokat a feltételeket, amelyek esetében az I. típusú, II. típusú vagy III. típusú vizsgálatok elvégzése nem kötelező bizonyos típusú járműveken.
(2) A VII. melléklet szerint kell alkalmazni és igazolni az olyan járművekre és azok fékberendezéseire vonatkozó vizsgálati eljárásokat és teljesítménykövetelményeket, amelyek esetében az I. típusú, II. típusú vagy III. típusú vizsgálatok elvégzése az (1) bekezdésnek megfelelően nem kötelező.
11. cikk
A ráfutó fékrendszerek, fékberendezések és pótkocsi-fékcsatlakozások, illetve az ezekkel felszerelt járművek fékezéssel kapcsolatos vizsgálatára vonatkozó követelmények
A ráfutó fékrendszerek, fékberendezések és pótkocsi-fékcsatlakozások, illetve az ezekkel felszerelt járművek vizsgálatára vonatkozó eljárásokat és követelményeket a VIII. melléklet szerint kell alkalmazni és igazolni.
12. cikk
A hidrosztatikus hajtású járművekre, illetve azok fékberendezéseire és fékrendszereire vonatkozó követelmények
A hidrosztatikus hajtású járművekre, illetve azok fékberendezéseire és fékrendszereire vonatkozó vizsgálati eljárásokat és teljesítménykövetelményeket a IX. melléklet szerint kell alkalmazni és igazolni.
13. cikk
Az összetett elektronikus járművezérlő rendszerek biztonsági szempontjaira vonatkozó követelmények
Az összetett elektronikus járművezérlő rendszerek biztonsági szempontjaira vonatkozó vizsgálati eljárásokat és teljesítménykövetelményeket a X. melléklet szerint kell alkalmazni és igazolni.
14. cikk
A blokkolásgátló fékrendszerekre és a velük felszerelt járművekre vonatkozó követelmények és vizsgálati eljárások
A blokkolásgátló fékrendszerekre és a velük felszerelt járművekre vonatkozó vizsgálati eljárásokat és teljesítménykövetelményeket a XI. melléklet szerint kell alkalmazni és igazolni.
15. cikk
A sűrített levegős fékrendszerrel ellátott járművek vagy az ISO 7638 szabvány szerinti csatlakozó 6. és 7. érintkezőjén keresztül adatkommunikációt fenntartó járművek EBS rendszerére és az ilyen EBS rendszerrel felszerelt járművekre vonatkozó követelmények
A sűrített levegős fékrendszerrel ellátott járművek vagy az ISO 7638 szabvány szerinti csatlakozó 6. és 7. érintkezőjén keresztül adatkommunikációt fenntartó járművek EBS rendszerére és az ilyen EBS rendszerrel felszerelt járművekre vonatkozó vizsgálati eljárásokat és teljesítménykövetelményeket a XII. melléklet szerint kell alkalmazni és igazolni.
16. cikk
Az egyvezetékes típusú hidraulikus csatlakozásra alkalmas fékberendezésekre és az ezekkel felszerelt járművekre vonatkozó követelmények
(1) Az egyvezetékes típusú hidraulikus csatlakozásra alkalmas fékberendezésekkel felszerelt traktorokra vonatkozó teljesítménykövetelményeket a XIII. melléklet tartalmazza.
(2) A járműgyártók 2024. december 31. után új traktorokra nem szerelhetnek fel olyan fékrendszereket, amelyek csak egyvezetékes típusú hidraulikus csatlakozásra alkalmasak.
III. FEJEZET
A TAGÁLLAMOK KÖTELEZETTSÉGEI
17. cikk
Járművek, rendszerek, alkatrészek és önálló műszaki egységek típusjóváhagyása
A 167/2013/EU rendelet 6. cikkének (2) bekezdése szerint 2016. január 1-jétől a típusjóváhagyó hatóságok nem utasíthatják el a fékteljesítménnyel kapcsolatos funkcionális biztonságra hivatkozva az uniós típusjóváhagyás megadását a rendelet követelményeinek megfelelő mezőgazdasági és erdészeti járműtípusok esetében.
2018. január 1-jétől a nemzeti hatóságok betiltják azoknak az új járműveknek a forgalmazását, nyilvántartásba vételét és forgalomba helyezését, amelyek nem felelnek meg a 167/2013/EU rendeletnek és e rendelet fékteljesítménnyel kapcsolatos funkcionális biztonságra vonatkozó rendelkezéseinek.
2025. január 1-jével a nemzeti hatóságok betiltják a csak egyvezetékes típusú hidraulikus csatlakozásra alkalmas fékberendezésekkel ellátott új traktorok forgalmazását, nyilvántartásba vételét és forgalomba helyezését.
18. cikk
Járművek, rendszerek, alkatrészek és önálló műszaki egységek nemzeti típusjóváhagyása
A nemzeti hatóságok nem utasíthatják el a nemzeti típusjóváhagyás megadását a fékteljesítménnyel kapcsolatos funkcionális biztonságra hivatkozva olyan járműtípus, rendszer, alkatrész vagy önálló műszaki egység esetén, amely megfelel a rendeletben lefektetett követelményeknek, az egyvezetékes típusú hidraulikus csatlakozásokra vonatkozó követelmények kivételével.
IV. FEJEZET
ZÁRÓ RENDELKEZÉS
19. cikk
Hatálybalépés és alkalmazás
Ez a rendelet az Európai Unió Hivatalos Lapjában való kihirdetését követő huszadik napon lép hatályba.
A rendeletet 2016. január 1-jétől kell alkalmazni.
Ez a rendelet teljes egészében kötelező és közvetlenül alkalmazandó valamennyi tagállamban.
A MELLÉKLETEK JEGYZÉKE
Melléklet száma | Melléklet címe |
I. | A fékberendezések és pótkocsi-fékcsatlakozások szerkezetére és beszerelésére vonatkozó követelmények |
II. | A fékrendszerek és pótkocsi-fékcsatlakozások, illetve az ezekkel felszerelt járművek vizsgálatára és teljesítményére vonatkozó követelmények |
III. | A nyomásfelfutási idő mérésére vonatkozó követelmények |
IV. | A fékrendszerek és pótkocsi-fékcsatlakozások, illetve az ezekkel felszerelt járművek energiaforrásaira és energiatároló berendezéseire vonatkozó követelmények |
V. | A rugóerő-tárolós fékekre és az azokkal felszerelt járművekre vonatkozó követelmények |
VI. | A mechanikus fékhenger-reteszelővel ellátott rögzítőfékrendszerre vonatkozó követelmények |
VII. | Alternatív vizsgálati követelmények azon járművek esetében, amelyekre vonatkozóan az I. típusú, II. típusú és III. típusú vizsgálatokkal egyenértékű vizsgálatokat végeztek |
VIII. | A ráfutó fékrendszerek, fékberendezések és pótkocsi-fékcsatlakozások, illetve az ezekkel felszerelt járművek fékezéssel kapcsolatos vizsgálatára vonatkozó követelmények |
IX. | A hidrosztatikus hajtású járművekre, illetve azok fékberendezéseire és fékrendszereire vonatkozó követelmények |
X. | Az összetett elektronikus járművezérlő rendszerek biztonsági szempontjaira alkalmazandó különleges követelmények |
XI. | A blokkolásgátló fékrendszerekre és az ezekkel ellátott járművekre vonatkozó követelmények és vizsgálati eljárások |
XII. | A sűrített levegővel működő fékrendszerrel ellátott járművek vagy az ISO 7638 csatlakozó 6. és 7. csapján keresztül adatkommunikációt fenntartó járművek EBS rendszerére és az ilyen EBS rendszerrel ellátott járművekre vonatkozó követelmények |
XIII. | Az egyvezetékes típusú hidraulikus csatlakozásokra és az ezekkel felszerelt járművekre vonatkozó követelmények |
I. MELLÉKLET
A fékberendezések és pótkocsi-fékcsatlakozások szerkezetére és beszerelésére vonatkozó követelmények
1. Fogalommeghatározások
Ezen melléklet alkalmazásában:
1.1. "kapcsolóponti erőszabályozás" : olyan rendszer vagy funkció, amely automatikusan kiegyenlíti a traktor és a vontatott jármű fékezettségét;
1.2. "névleges terhelési érték" : a kapcsolóponti erőszabályozás jellemzője, amely a kapcsolófej jelét a fékezettséghez viszonyítja, és amely a típusjóváhagyáshoz igazolható, a II. melléklet 1. függeléke kompatibilitási sávjaiban megadott határértékeken belül.
2. Szerkezeti és beszerelési követelmények
2.1. Általános tudnivalók
A jelen melléklet teljes alkalmazásában a legnagyobb tervezési sebesség a jármű előrefelé haladási irányában értendő, ellenkező értelmű, határozott kikötés hiányában.
2.1.1. Fékalkatrészek és -részek
2.1.1.1. A fékalkatrészeket és -részeket úgy kell megtervezni, legyártani és beszerelni, hogy a jármű szokásos üzemi körülmények között az esetleg rá ható rezgések ellenére megfeleljen az ebben a mellékletben megállapított követelményeknek.
2.1.1.2. A fékalkatrészeket és -részeket úgy kell megtervezni, legyártani és beszerelni, hogy ellenállók legyenek különösen a korrózióval és az öregedéssel szemben, amelynek ki vannak téve.
2.1.1.3. A fékbetétek nem tartalmazhatnak azbesztet.
2.1.1.4. Nem megengedett olyan állítható szelepek beszerelése, amelyek lehetővé teszik, hogy a jármű használója oly módon megváltoztassa a fékrendszer teljesítményét, hogy a jármű üzem közben ne tartozzon e rendelet hatálya alá. Olyan állítható szelep alkalmazása engedélyezett, amelyet csak a gyártó tud működtetni speciális szerszámok használatával, és/vagy amelyet jogosulatlan felnyitás elleni zárjegy véd, amennyiben a jármű használója nem tudja a szelep beállítását megváltoztatni, illetve a felhasználó által végzett beállításmódosítást könnyen azonosítani tudják a felügyeleti hatóságok.
2.1.1.5. A vontatott járművet automata terhelésérzékelő berendezéssel kell felszerelni az alábbi esetek kivételével:
2.1.1.5.1. Ha a legfeljebb 30 km/h legnagyobb tervezési sebességű Ra kategóriájú járművekre, valamint az Sa kategóriájú járművekre műszaki okok miatt nem szerelhető fel automata terhelésérzékelő berendezés, azokat olyan fékerő-szabályozó berendezéssel is el lehet látni, amelynek legalább három különálló beállítása van.
2.1.1.5.2. Abban a különleges esetben, amikor a legfeljebb 30 km/h legnagyobb tervezési sebességű Ra kategóriájú járművön, valamint az Sa kategóriájú járművön kialakításuknál fogva csak két terhelési állapot lehetséges - "terheletlen" és "terhelt" -, a jármű a fékerő-szabályozás tekintetében csak két különálló beállítással rendelkezhet.
2.1.1.5.3. Azok az S kategóriájú járművek, amelyek a fogyóanyagok jelentette hasznos terhelés kivételével, amely a tengelyenként megengedett legnagyobb terhelések összegének legfeljebb 10 %-át teszi ki, nem tartalmaznak más terheléseket.
2.1.2. A fékrendszer funkciói
A fékrendszernek az alábbi funkciókat kell ellátnia:
2.1.2.1. Üzemi fékrendszer
Az üzemi fékrendszer hatásának szabályozhatónak kell lennie. A gépjárművezetőnek képesnek kell lennie arra, hogy a fékhatást a vezetőhelyzetből biztosítsa anélkül, hogy kezét levenné a kormány kezelőszervéről.
2.1.2.2. Biztonsági fékrendszer
A biztonsági fékrendszernek lehetővé kell tennie az üzemi fék meghibásodása esetén a jármű elfogadható távolságon belüli megállítását. A traktorokon a fékhatásnak szabályozhatónak kell lennie. A gépjárművezetőnek képesnek kell lennie arra, hogy fékhatást a vezetőülésből biztosítsa úgy, hogy legalább az egyik keze a kormány kezelőszervén maradjon. E követelmények alkalmazásában feltételezett, hogy az üzemi fékben egyszerre egynél több meghibásodás nem következhet be.
2.1.2.3. Rögzítőfékrendszer
A rögzítőfékrendszernek lehetővé kell tennie a jármű statikus állapotban, emelkedőn vagy lejtőn történő megtartását a járművezető távollétében is oly módon, hogy a fékrendszer részét képező alkatrészeket egy teljesen mechanikus szerkezet tartsa reteszelt helyzetben. A járművezetőnek képesnek kell lennie ezt a fékezési műveletet a vezetőülésből teljesíteni, a vontatott jármű esetében a 2.2.2.10. pont követelményeit is figyelembe véve.
A vontatott jármű üzemi fékrendszerét (pneumatikus vagy hidraulikus) és a traktor rögzítőfékrendszerét egyidejűleg is lehet működtetni, feltéve, hogy a járművezető bármikor ellenőrizni tudja, hogy a járműszerelvény rögzítőfékrendszerének hatásossága, amely tisztán a traktor rögzítőfékrendszerének mechanikus működéséből származik, megfelelő-e.
2.1.3. A II. melléklet 1. függelékének megfelelő követelményei vonatkoznak a járművekre és azok fékrendszereire.
2.1.4. A traktorok és vontatott járművek közötti csatlakoztatások sűrített levegős fékrendszerek esetében
2.1.4.1. A sűrített levegős fékrendszer traktorok és vontatott járművek közötti csatlakozását az alábbi 2.1.4.1.1, 2.1.4.1.2. vagy 2.1.4.1.3. pontok szerint kell biztosítani.
2.1.4.1.1. egy pneumatikus töltővezeték és egy pneumatikus vezérlővezeték;
2.1.4.1.2. egy pneumatikus töltővezeték, egy pneumatikus vezérlővezeték és egy elektromos vezérlővezeték;
2.1.4.1.3. egy pneumatikus töltővezeték és egy elektromos vezérlővezeték. A kompatibilitást és biztonságot garantáló egységes műszaki szabványok elfogadásáig a traktorok és pótkocsik közötti, a jelen pontnak megfelelő csatlakozás nem megengedett.
2.1.5. Hidraulikus fékrendszerű traktorok és vontatott járművek közötti csatlakozások.
2.1.5.1. Csatlakozások típusa
2.1.5.1.1. Hidraulikus vezérlővezeték: olyan csatlakozóvezeték, amelynek csatlakozódugasza a traktorra, csatlakozóaljzata pedig a vontatott járműre van erősítve. A csatlakozóknak meg kell felelniük az ISO 5676:1983 szabványnak.
2.1.5.1.2. Hidraulikus kiegészítő vezeték: olyan csatlakozóvezeték, amelynek csatlakozódugasza a traktorra, csatlakozóaljzata pedig a vontatott járműre van erősítve. A csatlakozóknak meg kell felelniük az ISO 16028:2006 szabvány szerinti 10-es méretnek.
2.1.5.1.3. ----- Az ISO 7638:2003 szabvány szerinti csatlakozó szükség szerint használható az öt- vagy hétpólusú alkalmazásokhoz.
A 2.1.5.1.1 és 2.1.5.1.2. pontokban meghatározott csatlakozókat az 1. ábra szerint kell elrendezni a traktoron.
1. ábra
Hidraulikus csatlakozóvezetékek

2.1.5.2. Járó motor és a traktor rögzítőfékrendszerének teljes működtetése mellett:
2.1.5.2.1. 0+100 kPa nyomás van jelen a kiegészítő vezetéken, és/vagy
2.1.5.2.2. 11 500 kPa és 15 000 kPa közötti nyomás jön létre a vezérlővezetéken.
2.1.5.3. Járó motor és a traktor rögzítőfékrendszerének teljes kioldása mellett a 2.2.1.18.3. pontban megadott értékek közötti nyomásnak kell jelen lennie a kiegészítő vezetékben.
2.1.5.4. Járó motor mellett és a traktor fékkezelőszervének működtetése nélkül (haladás vagy készenléti állapot) a vezérlővezeték kapcsolófejénél szolgáltatott nyomásnak a 2.2.1.18.2. pontban megadott értékűnek kell lennie.
2.1.5.5. Járó motor és a traktor üzemifék-kezelőszervének teljes működtetése mellett 11 500 kPa és 15 000 kPa közötti nyomásnak kell létrejönnie a vezérlővezetékben. Ahhoz, hogy az üzemi fék működtetése alatt a vezérlővezetéket nyomás alá lehessen helyezni, a traktornak meg kell tudnia felelni a III. melléklet 3.6. pontjában leírt követelménynek.
2.1.6. A traktorokat és a vontatott járműveket összekötő rugalmas tömlők és kábelek a vontatott jármű részei.
2.1.7. Nem automatikus működtetésű elzáró berendezések használata nem engedhető meg.
2.1.8. Nyomásvizsgáló csatlakozók
2.1.8.1. A sűrített levegős fékrendszerrel felszerelt jármű egyes tengelyein az üzem közbeni fékerők meghatározásához levegőnyomás-vizsgáló csatlakozók szükségesek:
2.1.8.1.1. A fékrendszer minden egyes független körében a legközelebbi hozzáférhető helyen, annak a fékhengernek a közelében, amelynek a működése a III. mellékletben leírt fékkésedelmi idő szempontjából a legkedvezőtlenebb;
2.1.8.1.2. A II. melléklet 1. függelékének 6.2. pontjában említett, a fékátvitelben a levegőnyomást moduláló berendezéssel ellátott fékrendszerek esetében a nyomóvezetékben a berendezés előtti vagy mögötti legközelebbi hozzáférhető helyen. Ha a berendezés pneumatikus vezérlésű, egy további vizsgálócsatlakozó szükséges a terhelt állapot szimulálásához. Ha ilyen berendezést nem szereltek fel, egyetlen nyomásvizsgáló csatlakozót kell felszerelni, amely megfelel az e melléklet 2.1.5.1. pontjában említett berendezés utáni csatlakozónak. Ezeket a vizsgálócsatlakozókat úgy kell elhelyezni, hogy azok a talajról vagy a járműből könnyen hozzáférhetőek legyenek;
2.1.8.1.3. A IV. melléklet A szakasza 2.4. pontjának értelmében a legkedvezőtlenebb helyzetű energiatárolóhoz legközelebb lévő, könnyen hozzáférhető helyen;
2.1.8.1.4. A fékrendszer minden egyes független körében, hogy ellenőrizni lehessen a teljes továbbító vezeték bemenő és kimenő nyomását;
2.1.8.1.5. A nyomásvizsgáló csatlakozóknak meg kell felelniük az ISO 3583:1984 szabvány 4. pontjában foglaltaknak.
2.2. A fékrendszerekre vonatkozó követelmények
2.2.1. T és C kategóriájú járművek
2.2.1.1. A jármű fékrendszereinek meg kell felelniük az üzemi, biztonsági és rögzítőfékrendszerekre meghatározott követelményeknek.
Annak érdekében, hogy a járművezetőt segítse a kormányzásban (differenciálfék-működtetést tegyen lehetővé), a traktor üzemi fékrendszere két önálló fékkörből állhat, amelyek mindegyike egy különálló jobb vagy bal fékpedálra csatlakozik.
A Tb kategóriájú traktorok esetében: ha a differenciálfék-funkció működik, nem lehet 40 km/h-nál nagyobb sebességgel közlekedni, vagy a 40 km/h feletti sebességnél a differenciálfék-funkciót ki kell kapcsolni. Ezt a két műveletet automata berendezéssel kell biztosítani.
Ha a differenciálmód aktív, a vontatott jármű üzemi fékrendszerének működtetése nem szükséges 12 km/h alatti sebességen.
Azokon a traktorokon, amelyeken a különálló pedálok manuálisan csatlakoztathatók, a járművezetőnek vezetői helyéről tudnia kell könnyen ellenőrizni a pedálok csatlakoztatását.
2.2.1.2. Az üzemi fékezés, a biztonsági fékezés és a rögzítőfékkel való fékezés berendezéseinek lehetnek közös alkatrészei, feltéve, hogy megfelelnek a következő feltételeknek:
2.2.1.2.1. Legalább két, egymástól független, eltérő fékrendszereknek megfelelő, a járművezető által szokásos vezetői helyzetéből könnyen elérhető kezelőszervnek kell lennie. Valamennyi jármű-kategória esetében az összes fék kezelőszervének (a tartós fékrendszer kezelőszervétől eltekintve) olyannak kell lennie, amely kioldáskor visszaáll a teljesen kioldott állásába. Ez a követelmény nem érvényes a rögzítőfék kezelőszervére (vagy a kombinált kezelőszerv megfelelő részére), ha ez működtetett állapotban mechanikusan lezárul, vagy a biztonsági fékezéshez használatos, vagy mindkét esetben.
2.2.1.2.2. Az üzemi fékrendszer kezelőszervének függetlennek kell lennie a rögzítőfékrendszer kezelőszervétől.
2.2.1.2.3. Ha az üzemi és a biztonsági fékrendszereknek közös kezelőszervük van, akkor a kezelőszerv és az erőátviteli rendszer különböző részei közötti kapcsolat hatásossága meghatározott üzemidő után sem csökkenhet.
2.2.1.2.4. Ahol az üzemi és a biztonsági fékrendszernek közös kezelőszervük van, a rögzítőfékrendszert úgy kell kialakítani, hogy akkor is lehessen működtetni, amikor a jármű mozgásban van. Ez a követelmény nem érvényesül, ha a jármű üzemi fékrendszerét, akár részlegesen is, működésbe lehet hozni egy kisegítő kezelőszervvel.
2.2.1.2.5. Bármely alkatrész törése esetén, a 2.2.1.2.7. pontban meghatározott fékeket vagy alkatrészeket kivéve, vagy az üzemi fékrendszer bármely más hibája esetén (működési hiba, egy energiatartalék részleges vagy teljes kimerülése) a biztonsági fékrendszernek vagy az üzemi fékrendszer meg nem hibásodott részének képesnek kell lennie arra, hogy a járművet a biztonsági fékezésre előírt feltételek mellett megállítsa.
2.2.1.2.6. Különösen abban az esetben, ha a biztonsági fékrendszernek és az üzemi fékrendszernek közös kezelőszerve és erőátviteli rendszere van:
2.2.1.2.6.1. Ha az üzemi fékezést a járművezető izomereje és valamilyen energiaforrás vagy egy vagy több energiatartalékból eredő rásegítés működteti, akkor a biztonsági fékezés teljesítményének a rásegítés kiesésekor a járművezető izomereje által és - ha van ilyen - a meghibásodás által nem befolyásolt energiatartalék támogatásával elérhetőnek kell lennie, miközben a kezelőszervre kifejtett erőnek nem szabad meghaladnia a megengedett értékeket.
2.2.1.2.6.2. Amennyiben az üzemi fékrendszert és az erőátviteli rendszert működtető erők kizárólag a vezető által működtetett energiatartalék használatától függenek, ott legalább két, egymástól teljes mértékben független, saját független erőátviteli rendszerrel ellátott energiatartaléknak kell rendelkezésre állnia; mindegyiknek két vagy több kerék fékeire szabad hatnia, amelyek úgy vannak megválasztva, hogy önmagukban biztosítsák a biztonsági fékhatást az előírt feltételek mellett anélkül, hogy ez fékezés közben a jármű stabilitását rontaná; emellett mindegyik energiatartalékot figyelmeztető berendezéssel kell felszerelni. Minden üzemi fékkörben legalább az egyik légtartályban lennie kell leeresztő és kiürítő berendezésnek, egy megfelelő és könnyen hozzáférhető helyen.
2.2.1.2.6.3. Ha az üzemi fékerő és az erőátvitel kizárólag valamely energiatartalék felhasználásától függ, az erőátviteli rendszer számára egy energiatartalék is elegendő, feltéve, hogy az előírt biztonsági fékezés biztosított a járművezető az üzemi fék kezelőszervére kifejtett izomenergiájával, és teljesülnek a 2.2.1.5. pont követelményei.
2.2.1.2.7. Bizonyos alkatrészeket, mint amilyen a pedál és csapágyazása, a főfékhenger(ek) és dugattyúja (dugattyúi(k)) (hidraulikus rendszerek), a fékszelep (hidraulikus vagy pneumatikus rendszerek), a pedál és a főfékhenger vagy fékszelep közötti kapcsolat, a fékhengerek és dugattyúik (hidraulikus vagy pneumatikus rendszerek) és a fékkar, valamint a fékkulcs és tengelye nem tekintendők törésre hajlamosnak, ha megfelelően vannak méretezve, a karbantartás során könnyen hozzáférhetők, és legalább olyan biztonsági jellemzőkkel bírnak, mint amilyenek a jármű más létfontosságú elemeire (pl. a kormányrudazatra) vannak előírva. Minden olyan alkatrészt, amelynek meghibásodása lehetetlenné tenné a jármű fékezését, legalább a biztonsági fékrendszer számára előírt hatékonysággal, fémből vagy fémmel egyenértékű jellemzőkkel bíró anyagból kell készíteni, és azok nem szenvedhetnek jelentős alakváltozást a fékrendszerek szokásos üzeme során.
2.2.1.3. Amennyiben az üzemi és a biztonsági fékrendszer külön kezelőszervvel van ellátva, a kezelőszervek egyidejű működtetése nem teheti az üzemi és a biztonsági fékrendszert is működésképtelenné, sem abban az esetben, ha mindkét fékrendszer megfelelő üzemi állapotban van, sem akkor, ha az egyik hibás.
2.2.1.4. Amennyiben a fékezéshez a járművezető izomenergiáján kívül más energia is használatban van, nem kell egynél több ilyen energiaforrásnak (hidraulikus szivattyú, levegőkompresszor stb.) rendelkezésre állnia, de az energiaforrás hajtóberendezésének a lehető legbiztonságosabbnak kell lennie.
2.2.1.4.1. Ha egy jármű két fékkörből álló, a 2.2.1.25. pont követelményeinek megfelelő fékrendszere erőátviteli rendszerének bármely alkatrésze meghibásodik, a meg nem hibásodott rész ellátásának továbbra is biztosítottnak kell lennie, ha a járműnek az előírt hatékonyságú maradó és/vagy biztonsági fékezéssel való megállításához erre szükség van. Ezt a feltételt automata eszközökkel kell teljesíteni.
2.2.1.4.2. Továbbá a körben a berendezés után lévő tároló berendezéseknek olyanoknak kell lenniük, hogy az energiaellátás meghibásodása esetén az üzemi fékrendszer kezelőszervének a IV. melléklet A. szakaszának 1.2. pontjában, B. szakaszának 1.2. pontjában, illetve a fékrendszer fajtájától függően C. szakaszának 1.2. pontjában meghatározott feltételek szerinti négyszeri teljes löketű működtetése után az ötödik működtetéssel még mindig meg lehessen állítani a járművet a biztonsági fékezésre előírt hatékonysággal.
2.2.1.4.3. A 2.2.1.4.1. és a 2.2.1.4.2. pont követelményei az energiatárolós hidraulikus fékrendszerek esetében teljesítettnek tekinthetők, amennyiben teljesülnek a rendelet IV. melléklete C. részének 1.2.2. pontjában meghatározott követelmények.
2.2.1.4.4. Amennyiben az üzemi fékrendszernek csak egy üzemi fékköre van, a jármű megállítása az energiaforrás meghibásodása vagy kiesése esetén is lehetséges kell, hogy legyen az üzemi fékrendszer kezelőszervével a biztonsági fékrendszerre vonatkozóan előírt hatásossággal.
2.2.1.5. A 2.2.1.2, 2.2.1.4. és 2.2.1.25. pontok követelményeit bármiféle olyan automata berendezések használata nélkül kell teljesíteni, amelyek működésképtelensége észrevétlen maradhat abból adódóan, hogy a normális körülmények között nyugalmi állapotban levő alkatrészek csak a fékrendszer meghibásodása esetén lépnek működésbe.
2.2.1.6. A 30 km/h legnagyobb tervezési sebességet nem túllépő járműveken az üzemi fékrendszernek legalább egy tengely valamennyi kerekére ki kell fejtenie a hatását. Minden más esetben az üzemi fékrendszernek a jármű valamennyi kerekére ki kell fejtenie a hatását. Ugyanakkor azokon a járműveken, ahol fékezés alatt egy fékezett tengely van, az összes többi tengelyen pedig automatikusan kapcsol a meghajtás, mindegyik kerék fékezettnek tekintendő.
A C kategóriájú járművek esetében ez az állapot akkor tekinthető teljesítettnek, ha a jármű valamennyi hernyótalpgörgője fékezett. A 30 km/h alatti tervezési sebességű, C kategóriájú járművek esetében ez az állapot akkor tekinthető teljesítettnek, ha a jármű mindkét oldalán legalább egy hernyótalpgörgő fékezett.
A nyeregüléssel és kormányszarvval ellátott járműveken az üzemi fék működhet akár az elülső tengelyen, akár a hátsó tengelyen, amennyiben az ezen előírás II. mellékletének 2. pontjában meghatározott valamennyi teljesítménykövetelmény teljesül.
Ha a Ta kategóriájú ízelt traktorok esetében egy tengely fékezett, és az üzemi fék és a kerekek között differenciálmű van beépítve, az adott tengely valamennyi kereke fékezettnek tekintendő, amikor az üzemi fékrendszer működtetése automatikusan reteszeli a differenciálművet ezen a tengelyen.
2.2.1.6.1. A hidraulikus vezetékekből és tömlőkből álló szerelvények teljesítménye olyan járműveken, amelyek egy fékezett tengellyel rendelkeznek, és az összes többi tengely automatikusan összekapcsolódik a hajtással fékezés alatt
A hidraulikus erőátviteli rendszer hidraulikus vezetékeinek a járműgyártó által meghatározott legnagyobb normál üzemi nyomás (T) legalább négyszeresének megfelelő szakítónyomást kell elviselnie. A tömlőszerelvényeknek meg kell felelniük az ISO 1402:2009, 6605:2002 és 7751: 1997+A1:2011 szabványoknak.
2.2.1.7. Ha az üzemi fékrendszer a jármű összes kerekére vagy hernyótalpgörgőjére kifejti hatását, a fékhatásnak megfelelően kell megoszlania a tengelyek között. -----
2.2.1.7.1. Kettőnél több tengellyel felszerelt járműveknél a kerék blokkolásának vagy a fékbetétek tükrösödésének elkerülése érdekében, igen kis teher szállítása esetén, bizonyos tengelyeken a fékerőt önműködően nullára lehet csökkenteni, feltéve, hogy a jármű megfelel a II. melléklet előírt összes teljesítménykövetelménynek.
2.2.1.8. Az üzemi fékrendszer hatását ugyanazon tengely kerekei vagy hernyótalpgörgői között a jármű hosszanti középsíkjához képest szimmetrikusan kell megosztani.
2.2.1.9. Az üzemi, a biztonsági és rögzítőfékrendszernek a kerekekhez megfelelő szilárdságú alkatrészekkel tartósan kapcsolt fékfelületekre kell hatniuk. Nem szabad lehetővé tenni a fékfelület lekapcsolását a kerekekről; a rögzítőfékrendszer esetében azonban a lekapcsolás megengedett, amennyiben kizárólag a járművezető vezérelheti azt a vezetőüléséből egy olyan rendszerrel, amelyet szivárgás nem képes működésbe hozni. Amennyiben a 60 km/h legnagyobb tervezési sebességet nem meghaladó, T és C kategóriájú járművek esetében egynél több tengely fékezett normál esetben, egy tengely leválasztható azzal a feltétellel, hogy az üzemi fékrendszer működtetése automatikusan újrakapcsolja ezt a tengelyt, és az energiaellátás hibája vagy az újrakapcsoló kezelőszerv vezérlésátvitelének hibája esetében az automatikus újrakapcsolás biztosított.
2.2.1.10. Lehetővé kell tenni az üzemi fékek kopásának kompenzálását kézi beállítású vagy automatikus rendszerrel. Tb és Cb kategóriájú járművek esetében az üzemi fékek kopását önműködő beállító rendszerrel kell kompenzálni. Továbbá a kezelőszervnek és az erőátviteli rendszer és a fékberendezés alkatrészeinek olyan elmozdulási tartalékkal és szükség esetén megfelelő beállító berendezéssel kell rendelkezniük, amelyek a fékek melegedésekor vagy a fékbetétek kopásakor bizonyos határok között azonnali beállítás nélkül is biztosítják a hatékony fékezést.
A Ta és Ca kategóriájú járművek esetében nincs szükség olyan rendszer beszerelésére, amelyben a fékkopást önműködő beállító rendszer kompenzálja. Ha azonban az e kategóriákba tartozó járművek olyan rendszerrel vannak ellátva, amelyben a fékkopást önműködő beállító rendszer kompenzálja, ennek a rendszernek ugyanolyan követelményeknek kell megfelelnie, mint a Tb és Cb kategóriájú járművek esetében.
2.2.1.10.1. Ha automatikus fékutánállító berendezések vannak beszerelve, felmelegítést, majd lehűtést követően képesnek kell lenniük a II. melléklet 2.3.4. pontjában meghatározott szabadonfutásra a melléklet 2.3. pontjában meghatározott I. típusú vizsgálatot követően.
Az üzemi fékbetétek kopásának a járművön kívülről vagy a jármű alól könnyen, csak a jármű tartozékaként szállított szerszámok vagy berendezések használatával ellenőrizhetőnek kell lennie, például megfelelő kémlelőnyílások elhelyezése útján vagy más módon. Másik lehetőségként olyan hangjelző vagy optikai berendezések is elfogadottak, amelyek figyelmeztetik a járművezetőt vezetői helyzetében a fékbetétcsere szükségességére.
2.2.1.10.2. A 2.2.1.10. és 2.2.1.10.1. pontban foglalt követelmények nem vonatkoznak az olajfürdős fékekre, amelyek a jármű teljes élettartamára vannak tervezve karbantartás szükségessége nélkül.
2.2.1.11. Hidraulikus fékrendszerekben:
2.2.1.11.1. A folyadéktartályok töltőnyílásainak könnyen hozzáférhetőknek kell lenniük; emellett a tartalékfolyadék-tartályokat olyan módon kell kialakítani, hogy a tartalékfolyadék szintje könnyen ellenőrizhető legyen a tartályok megnyitása nélkül. Ha ez utóbbi feltétel nem teljesül, a járművezetőt a 2.2.1.29.1.1. pontban meghatározott vörös figyelmeztető jelzésnek kell figyelmeztetnie a tartalékfolyadék szintjének olyan mértékű csökkenésére, amely a fékrendszer meghibásodását okozhatja.
Az olyan hidraulikus fékrendszerekben, amelyekben a hidraulikus erőátviteli rendszerben használt folyadéktípus megegyezik a jármű egyéb készülékeiben használt folyadékkal, és ezeket egy közös tartályban tárolják, megengedett, hogy a folyadék megfelelő szintjét egy olyan berendezéssel ellenőrizzék, amelyhez fel kell nyitni a tartályt.
2.2.1.11.2. A hidraulikus erőátviteli rendszer olyan hibája esetén, ahol az előírt üzemi fékteljesítmény nem érhető el, ezt egy figyelmeztető jelzést tartalmazó berendezéssel kell jelezni a járművezetőnek a 2.2.1.29.1.1. pontban meghatározott módon. Választható megoldásként meg kell engedni, hogy ez a lámpa akkor gyulladjon fel, ha a tartályban a folyadék szintje a gyártó által meghatározott bizonyos szint alá esik.
Az olyan hidraulikus fékrendszerekben, amelyekben a hidraulikus erőátviteli rendszerben használt folyadéktípus megegyezik a jármű egyéb készülékeiben használt folyadékkal, és ezeket egy közös tartályban tárolják, a hidraulikus erőátviteli rendszer nyomásának egy bizonyos, a gyártó által megadott értékre való visszaesésének kimutatása szintén megengedett.
2.2.1.11.3. A fékrendszerekben hidraulikus erőátviteli rendszerében használatos folyadék típusát az ISO 9128:2006 szabvány 1. vagy 2. ábrája szerinti jelöléssel kell megadni. A jelölést a folyadéktartályok töltőnyílásaitól 100 mm-en belül kell elhelyezni az (EU) 2015/208 felhatalmazáson alapuló rendelet 24. cikkében meghatározott követelményeknek megfelelően. A gyártó további információkat adhat. Ez a követelmény csak azokra a járművekre vonatkozik, amelyek külön töltőnyílással rendelkeznek a fékrendszer folyadékához.
2.2.1.12. Figyelmeztető berendezés
2.2.1.12.1. Minden olyan járművet, amely egy energiatároló által működtetett üzemi fékrendszerrel van ellátva, ha az előírt biztonsági fékhatás nem érhető el e fékrendszerrel a tárolt energia alkalmazása nélkül, figyelmeztető berendezéssel kell ellátni - a nyomásmérőn kívül, ha ilyen van - amely fény- vagy hangjelzést ad, ha a tárolt energia a rendszer bármely részében olyan értékre csökken, amelynél a tartály utántöltése nélkül és a jármű terhelési állapotától függetlenül négyszeri teljes löketű működtetés után még ötödször is lehetséges úgy működtetni az üzemi fékrendszer kezelőszervét, hogy az előírt biztonsági fékhatásosság elérhető legyen (az üzemi fék erőátviteli rendszerének hibája nélkül és a fékeket a lehető legszorosabbra állítva). A figyelmeztető berendezést közvetlenül és tartósan kell a fékkörhöz csatlakoztatni. Ha a motor rendes üzemi körülményeknek megfelelően jár és a fékrendszerben nincs hiba, a figyelmeztető berendezés nem adhat ki jelzést, kivéve azt az időszakot, ami az energiatároló(k) a motor elindítása utáni feltöltéshez szükséges.
2.2.1.12.1.1. Azon járművek esetében azonban, amelyek csak a 2.2.1.4.1. pont követelményeinek felelnek meg annál fogva, hogy teljesítik a IV. melléklet C. szakasza 1.2.2. pontjának követelményeit, a riasztóberendezésnek a fényjelzésen kívül hangjelzést is kell adnia. Ezeknek a berendezéseknek nem szükséges egyidejűleg működésben lenniük, feltéve, hogy a fenti követelmények mindegyikének megfelelnek, és a hangjelzés nem előzi meg a fényjelzést.
2.2.1.12.2. Ez a hangjelző berendezés kiiktatható, ha a rögzítőfékrendszer működtetve van, vagy ha a gyártó választásától függően automata erőátviteli rendszer esetében a sebességválasztó "parkolás" állásban van, illetve mindkét esetben.
2.2.1.13. A 60 km/h-t meghaladó legnagyobb tervezési sebességű Tb kategóriájú traktorok A 2.1.2.3. pont követelményeinek sérelme nélkül, amennyiben a fékrendszer működéséhez a segéd-energiaforrás használata elengedhetetlenül szükséges, az energiatartaléknak biztosítania kell, hogy a motor leállása vagy az energiaforrást meghajtó berendezés meghibásodása esetén a fékteljesítmény elegendő maradjon a jármű előírt feltételek mellett történő megállításához. Ezenfelül, ha a rögzítőfékrendszerre a járművezető által kifejtett izomenergiát más eszköz is támogatja, a rögzítőfékrendszer működésének ezen eszköz meghibásodása esetén is biztosítottnak kell lennie, szükség esetén a rásegítést rendes körülmények között tápláló energiától független tartalékenergia használatával. E tartalékenergia lehet az a tartalékenergia, amely egyébként az üzemi fékrendszer céljára szolgál.
2.2.1.14. Ha a traktorra a traktor vezetője által szabályozott fékkel ellátott vontatott jármű kapcsolható, a traktor üzemi fékrendszerét olyan berendezéssel kell ellátni, amely a vontatott jármű fékrendszerének meghibásodása vagy a traktor és a vontatott jármű közötti vezérlővezeték (vagy más, elfogadott típusú kapcsolás) szakadása esetében továbbra is a biztonsági fékrendszerre vonatkozóan előírt hatásossággal lehessen a traktort fékezni; ennek megfelelően különösképpen követelmény az, hogy ez a berendezés olyan módon legyen beszerelve a traktor üzemi fékrendszerébe, hogy a traktor a biztonsági fékrendszerre vonatkozóan előírt teljesítménnyel továbbra is fékezhető legyen az üzemi fékrendszer révén.
2.2.1.15. A pneumatikus vagy hidraulikus segédberendezéseket úgy kell önműködő módon ellátni energiával, hogy működésük alatt elérhetőek legyenek az előírt teljesítményértékek, és még az energiaforrás meghibásodása esetén se történhessen meg, hogy a segédberendezések működése következtében a fékrendszereket tápláló energiatartalékok a 2.2.1.12. pontban megjelölt szint alá esnek.
2.2.1.16. Az R2, R3, R4 vagy S2 kategóriájú jármű vontatására engedélyezett traktornak az alábbi feltételeket kell teljesítenie:
2.2.1.16.1. A traktor üzemi fékrendszerének működtetésekor a vontatott járművön is fokozatos fékhatást kell kifejteni, lásd még a 2.2.1.18.4. pontot.
2.2.1.16.2. Ha a traktor biztonsági fékrendszerét működtetik, a vontatott járműnél is jelentkeznie kell fékhatásnak. A Tb és Cb kategóriájú traktorok esetében ennek a fékhatásnak fokozatosnak kell lennie.
2.2.1.16.3. Amennyiben a traktor üzemi fékrendszere meghibásodik, és ha ez a rendszer legalább két, egymástól független részből áll, a nem hibás résznek vagy részeknek alkalmasnak kell lenniük arra, hogy a vontatott jármű fékeit teljesen vagy részlegesen működésbe hozzák. Ez a követelmény nem vonatkozik arra az esetre, ha a két, egymástól független rész közül az egyik a bal kerekeket, a másik pedig a jobb kerekeket fékezi, az ilyen konstrukciónak az a célja, hogy differenciálfékezést biztosítson szántóföldön történő kanyarodásnál. Amennyiben az utóbbi esetben a traktor üzemi fékrendszere meghibásodik, a biztonsági fékrendszernek alkalmasnak kell lennie arra, hogy teljesen vagy részlegesen működésbe hozza a vontatott jármű fékeit. Ha ezt a műveletet rendes körülmények között nyugalomban lévő szelep hajtja végre, ilyen szelepet csak akkor szabad beépíteni, ha a járművezető könnyen ellenőrizheti a szelep kifogástalan működését akár a vezetőfülkéből, akár a járművön kívülről, szerszám használata nélkül.
2.2.1.17. További követelmények a sűrített levegős fékrendszerrel ellátott vontatott járművek vontatására engedélyezett traktorok esetében.
2.2.1.17.1. A pneumatikus összekötő vezetékek meghibásodása (pl. szakadása) vagy az elektromos vezérlővezeték szakadása vagy meghibásodása esetén mindazonáltal lehetővé kell tenni, hogy a járművezető teljes mértékben vagy részlegesen működtethesse a vontatott jármű fékeit az üzemi fékrendszer kezelőszervével, a biztonsági fékrendszer kezelőszervével vagy a rögzítőfékrendszer kezelőszervével, hacsak a meghibásodás nem okozza a vontatott jármű önműködő befékeződését a II. melléklet 3.2.3. pontjában előírt hatásossággal.
2.2.1.17.2. A 2.2.1.17.1. pont szerinti önműködő fékezés akkor tekinthető teljesítettnek, ha a következő feltételek teljesülnek:
2.2.1.17.2.1. Ha a 2.2.1.17.1. pontban említett kezelőszervek közül a kijelölt kezelőszervet teljes mértékben működtetik, a következő két másodpercen belül a töltővezeték nyomásának 150 kPa-ra kell esnie; emellett a fék kezelőszervének kioldásakor a töltővezeték nyomásának vissza kell állnia.
2.2.1.17.2.2. Ha a töltővezeték nyomása legalább 100 kPa/s ütemben csökken, a vontatott jármű önműködő fékezésének működésbe kell lépnie, mielőtt a töltővezeték nyomása 200 kPa-ra esne.
2.2.1.17.3. Az e melléklet 2.1.4.1.2. pontja szerint felszerelt két járművet összekötő vezérlővezetékek egyikének meghibásodása esetén a hibával nem érintett vezérlővezetéknek önműködően biztosítania kell a vontatott járműre a II. melléklet 3.2.1. pontjában előírt fékteljesítményt.
2.2.1.17.4. Két vagy több független részből álló pneumatikus üzemi fékrendszer esetében a részek közötti minden szivárgást a kezelőszervnél vagy az után, folyamatosan a légkörbe kell kiengedni.
2.2.1.18. További követelmények a hidraulikus fékrendszerrel ellátott vontatott járművek vontatására engedélyezett traktorok esetében.
2.2.1.18.1. A motor kikapcsolt állapotában a két kapcsolófejnél alkalmazott nyomásnak mindig 0 kPa értékűnek kell lennie.
2.2.1.18.2. A motor járása közben, amikor a fék kezelőszerve nincs működtetve, a vezérlővezeték kapcsolófejénél alkalmazott nyomásnak 0+200 kPa értékűnek kell lennie.
2.2.1.18.3. A motor járása közben a kiegészítő vezeték kapcsolófejénél legalább 1 500 kPa, de legfeljebb 3 500 kPa nyomás létrehozásának lehetőségét kell biztosítani.
2.2.1.18.4. A 2.2.1.16.1. pont követelményétől eltérve csak akkor szükséges fokozatos fékhatás a vontatott járművön, ha a traktor üzemi fékrendszerét a motor járása közben működtetik.
2.2.1.18.5. Mindazonáltal a kiegészítő vezetékek meghibásodása (pl. szakadása vagy szivárgása) esetén lehetővé kell tenni, hogy a járművezető teljes mértékben vagy részlegesen működtethesse a vontatott jármű fékeit az üzemi fékrendszer kezelőszervével, a biztonsági fékrendszer kezelőszervével vagy a rögzítőfékrendszer kezelőszervével, hacsak a meghibásodás nem okozza a vontatott jármű önműködő befékeződését a II. melléklet 3.2.3. pontjában előírt hatékonysággal.
2.2.1.18.6. A vezérlővezeték meghibásodása (pl. szakadása vagy szivárgása) esetén az üzemi fék kezelőszervének teljes működtetését követő két másodpercen belül a kiegészítő vezeték nyomásának 1 000 kPa-ra kell csökkennie. Az üzemi fék kezelőszervének kioldásakor viszont a kiegészítő vezeték nyomásának vissza kell állnia (lásd még a 2.2.2.15.2. pontot).
2.2.1.18.7. A rögzítőfékrendszer kezelőszervének teljes működtetése után a következő másodpercen belül a vezérlővezeték nyomásának a legnagyobb értékről 0+300 kPa-ra kell csökkennie.
A leürítési idő ellenőrzéséhez a vontatottjármű-szimulátor III. melléklet 3.6.2.1. pont szerinti kiegészítő vezetékét a traktor kiegészítő vezetékére kell csatlakoztatni.
A szimulátor nyomástárolóit ekkor a traktor által járó motor és teljesen lezárt légtelenítő berendezés (III. melléklet 2. függelékének 1.1. pontja) mellett létrehozott legnagyobb értékig kell feltölteni.
2.2.1.18.8. Egy megfelelő berendezést lehet felszerelni a traktorra annak érdekében, hogy a hidraulikus csatlakozóvezetékeket a motor járása és a rögzítőfékrendszer működtetése közben is lehessen csatlakoztatni, illetve leválasztani.
Ezt a berendezést úgy kell megtervezni és összeállítani, hogy a csatlakozóvezetékek nyomása legkésőbb akkor álljon vissza határozottan nyugalmi állásba, amikor a berendezés kezelőszerve (pl. nyomógombja) önműködően kiold (pl. a szelep önműködően visszatér a normál üzemi állásba).
2.2.1.18.9. Az R vagy S kategóriájú járműveket vontató olyan traktorokat, amelyek csak a hidraulikus energiatároló berendezésben tárolt energia segítségével tudnak az üzemi fékrendszer, a rögzítőfékrendszer vagy az önműködő fékrendszer fékhatásosság-követelményeinek megfelelni, ISO 7638:2003 szabvány szerinti csatlakozóval kell ellátni, hogy a 2.2.1.29.2.2. pontban meghatározott, az ISO 7638:2003 szabványnak megfelelő elektromos csatlakozó 5. érintkezőjén keresztül jelezni tudják a külön figyelmeztető jelzéssel a vontatott járművön a tárolt energia alacsony szintjét, amit a vontatott jármű kap a 2.2.2.15.1.1. pontban leírtak szerint (lásd még a 2.2.2.15.1. pontot). Az ISO 7638:2003 szabvány szerinti csatlakozó szükség szerint használható az öt- vagy hétpólusú alkalmazásokhoz.
2.2.1.19. Az R3, R4 vagy S2 kategóriájú jármű vontatására engedélyezett traktornál a vontatott jármű üzemi fékrendszere csak a traktor üzemi, biztonsági vagy rögzítőfékrendszerével együttesen működtethető. A vontatott jármű fékeinek önálló automatikus működtetése azonban akkor megengedett, ha a traktor indítja meg automatikusan a vontatott jármű fékeinek működését a jármű stabilizálásának kizárólagos céljából.
2.2.1.19.1. A 2.2.1.19. pont rendelkezéseitől eltérve, annak érdekében, hogy a traktor és a vontatott jármű közötti kapcsolóponti erő módosításával a járműszerelvény vezethetősége javuljon, legfeljebb 5 másodpercig megengedett a vontatott jármű fékeinek önműködő alkalmazása a traktor üzemi, biztonsági vagy rögzítőfékrendszerének működtetése nélkül.
2.2.1.20. Amennyiben a II. melléklet 3.1.3.4. pontja csak a II. melléklet 3.1.3.4.1.1. pontjában meghatározott feltételek teljesítésével elégíthető ki:
2.2.1.20.1. sűrített levegős fékrendszerek esetében legalább 650 kPa vezérlővezeték nyomást (vagy azzal egyenértékű digitális terhelést) kell továbbítani egyetlen kezelőszerv teljes működtetésekor, amely a traktor rögzítőfékrendszerét is alkalmazza. Ezt akkor is biztosítani kell, ha a gyújtás-/indítókapcsolót kikapcsolták, és/vagy a kulcsot eltávolították;
2.2.1.20.2. Hidraulikus fékrendszer esetében egyetlen kezelőszerv teljes működtetésekor 0+100 kPa nyomást kell létrehozni a kiegészítő vezetéken.
2.2.1.21. A Tb kategóriájú traktorok blokkolásgátló fékrendszerei
2.2.1.21.1. A Tb kategóriájú, 60 km/h legnagyobb tervezési sebességet meghaladó traktorokat 1. kategóriájú blokkolásgátló fékrendszerrel kell ellátni a XI. melléklet követelményei szerint.
2.2.1.22. A blokkolásgátló fékrendszerrel ellátott jármű vontatására engedélyezett traktorokat az ISO 7638:2003 szabványnak megfelelő speciális elektromos csatlakozóval is el kell látni az elektromos vezérlésátvitel céljából. Az ISO 7638:2003 szabvány szerinti csatlakozó szükség szerint használható az öt- vagy hétpólusú alkalmazásokhoz.
2.2.1.23. A 2.2.1.21.1. pontban nem említett, blokkolásgátló fékrendszerrel ellátott traktoroknak meg kell felelniük a XI. melléklet követelményeinek.
2.2.1.24. A X. melléklet követelményeit kell alkalmazni valamennyi olyan összetett elektronikus járművezérlő rendszerre, amelyek fékezési funkciót teljesítenek vagy az utóbbi vezérlésátvitelének részét alkotják, ideértve az(oka)t a rendszer(eke)t is, amelyek a fékrendszert önműködően vezérelt fékezéshez vagy szelektív fékezéshez használják.
2.2.1.25. A Tb kategóriájú, 60 km/h legnagyobb tervezési sebességet meghaladó traktorok esetében az üzemi fékrendszert úgy kell kialakítani, attól függetlenül, hogy biztonsági fékrendszerrel van-e összekapcsolva, hogy az erőátviteli rendszerében bármely rész meghibásodásakor elegendő számú kereket fékezzen le az üzemi fék kezelőszervének működtetése; ezeket a kerekeket úgy kell kiválasztani, hogy az üzemi fékrendszer maradék hatásossága kielégítse a II. melléklet 3.1.4. pontjában lefektetett követelményeket.
A nem hibás résznek vagy részeknek képesnek kell lenniük arra, hogy a részlegesen vagy teljesen működésbe léptessék a vontatott jármű fékeit.
2.2.1.26. A rögzítőfékrendszer elektromos erőátvitelére vonatkozó további különleges követelmények
2.2.1.26.1. 60 km/h legnagyobb tervezési sebességet meghaladó traktorok
2.2.1.26.1.1. Az elektronikus erőátvitel meghibásodása esetén ki kell zárni a rögzítőfékrendszer nem szándékos működésbe lépését.
2.2.1.26.1.2. A kezelőszerv olyan elektromos meghibásodása, illetve az elektronikus vezérlőegységeken kívüli elektromos vezérlésátvitel vezetékezésén belüli olyan szakadás esetén, amely az áramellátást nem érinti, a rögzítőfékrendszer vezetőülésből történő alkalmazásának és ezáltal a jármű 8 %-os emelkedőn vagy lejtőn, álló helyzetben való megtartásának még mindig lehetségesnek kell lennie.
2.2.1.26.2. 60 km/h legnagyobb tervezési sebességet nem meghaladó traktorok
2.2.1.26.2.1. A kezelőszerv elektromos meghibásodása vagy a vezérlőegység(ek)en kívüli elektromos vezérlésátvitel vezetékezésén belüli szakadás esetén, amely az áramellátást nem érinti,
2.2.1.26.2.1.1. ki kell zárni a rögzítőfékrendszer nem szándékos működésbe lépését 10 km/h fölötti járműsebességnél;
2.2.1.26.2.1.2. még mindig lehetséges kell, hogy legyen a rögzítőfékrendszer vezetőülésből történő alkalmazása, és ezáltal a terhelt jármű megtartása 8 %-os emelkedőn vagy lejtőn, álló helyzetben.
2.2.1.26.3. A 2.2.1.26.1.2. és 2.2.1.26.2.1.2. pontban leírt rögzítőfék-hatásossági követelmények mellett a 2.2.1.26.3.1. és 2.2.1.26.3.2. pontban leírt alternatívák is megengedettek.
2.2.1.26.3.1. A rögzítőfék-berendezés a jármű álló helyzetében történő automatikus működésbe hozása megengedett, feltéve, hogy a 2.2.1.26.1.2. és 2.2.1.26.2.1.2. pontban említett teljesítmény elérhető, és a rögzítőfékrendszer működtetését követően ebben az állapotban is marad, a gyújtáskapcsoló (indítókapcsoló) helyzetétől függetlenül. Ennél a változatnál a rögzítőfékrendszernek önműködően ki kell oldania, amint a járművezető a járművet ismét mozgásba hozza.
2.2.1.26.3. 2 a rögzítőfékrendszernek segédkezelőszerv segítségével a vezetőülésből történő működtetése, és ezáltal a terhelt jármű megtartása 8 %-os emelkedőn vagy lejtőn, álló helyzetben. Ebben az esetben a 2.2.1.26.7. pont követelményeinek is teljesülniük kell.
2.2.1.26.4. A rögzítőfékrendszer kioldásának szükség esetén szerszámok és/vagy a járművön készenlétben tartott vagy arra felszerelt segédberendezés használatával is lehetségesnek kell lennie.
2.2.1.26.5. Az elektromos átvitel vezetékezésén belüli szakadást vagy a rögzítőfékrendszer kezelőszervében bekövetkezett elektromos hibát a járművezető számára a 2.2.1.29.1.2. pontban meghatározott sárga figyelmeztető jelzés jelzi. Ha a figyelmeztető jelzést a rögzítőfékrendszer elektromos vezérlésátvitelében bekövetkezett vezetékszakadás váltja ki, a sárga figyelmeztető jelzésnek a szakadás bekövetkezésekor azonnal, illetve a 60 km/h legnagyobb tervezési sebességet nem meghaladó traktorok esetében legkésőbb az adott fék kezelőszerv működtetésekor jeleznie kell. Ezen túlmenően a kezelőszerv elektromos meghibásodását, amennyiben az bekapcsolt ("on") állásban van, illetve az elektronikus vezérlőegységeken kívüli vezetékezés szakadását, amely az áramellátást nem érinti, a járművezető számára a gyújtáskapcsoló (indítókapcsoló) bekapcsolt ("on") állásánál azonnal a 2.2.1.29.1.1. pontban meghatározott villogó figyelmeztető jelzésnek kell jeleznie, ideértve a kezelőszerv működtetését követő legalább 10 másodperces jelzést is.
Ha azonban a rögzítőfékrendszer a rögzítőfékrendszer általi helyes rögzítést észleli, a villogó figyelmeztető jelzés megszüntethető, és a rögzítőfékrendszer alkalmazását folyamatos vörös jelzéssel kell jelezni.
Amennyiben a rögzítőfékrendszer aktiválását normális körülmények között külön, a 2.2.1.29.4. pont valamennyi követelményének megfelelő figyelmeztető jelzés mutatja, ezt a jelzést kell használni a vörös jelzésre vonatkozóan ennek a pontnak az első és második bekezdésében megállapított követelmények teljesítéséhez is.
2.2.1.26.6. A segédberendezések táplálhatók a rögzítőfékrendszer elektromos átviteléből származó energiából, feltéve, hogy az energiaellátás elegendő a rögzítőfékrendszer működtetéséhez a jármű hibátlan körülmények közötti elektromos fogyasztásán felül. Emellett, ha az energiatartalékot az üzemi fékrendszer is használja, a XII. melléklet 4.1.7. pontjának követelményei alkalmazandók.
2.2.1.26.7. Miután a fékberendezés villamosenergia-ellátását vezérlő gyújtáskapcsolót/indító kapcsolót kikapcsolják és/vagy a kulcsot kiveszik, a rögzítőfékrendszer működtetésének továbbra is lehetségesnek kell lennie, ugyanakkor a kioldást meg kell gátolni.
A rögzítőfékrendszer kioldása megengedett abban az esetben, ha a lezárt kezelőszervet mechanikusan kell kiengedni a rögzítőfékrendszer kioldásához.
2.2.1.27. A XII. melléklet követelményeit kell teljesíteni az EBS járművek és az ISO 7638:2003 szabvány szerinti csatlakozó 6. és 7. érintkezőjén keresztül "adatkommunikációt" folytató járművek esetében.
2.2.1.28. A kapcsolóponti erőszabályozásra vonatkozó különleges követelmények
2.2.1.28.1. A kapcsolóponti erőszabályozás csak a traktoron megengedett.
2.2.1.28.2. A kapcsolóponti erőszabályozás a traktor és a vontatott jármű dinamikus lefékezettsége közötti különbség csökkentésére szolgál. A kapcsolóponti erőszabályozás működését a típusjóváhagyás időpontjában kell ellenőrizni. Az ellenőrzés elvégzésének módjáról a jármű gyártója és a műszaki szolgálat állapodik meg, az értékelési módszereket és az eredményeket csatolják a típus-jóváhagyási jegyzőkönyvhöz.
2.2.1.28.2.1. A kapcsolóponti erőszabályozás vezérelheti a TM/FM lefékezettséget (II. melléklet 1. függelékének 2. pontja) és/vagy a vontatott járműre vonatkozó fékigényérté(ke)ket. Amennyiben a traktor a jelen melléklet 2.1.4.1.2. pontja szerint két vezérlővezetékkel felszerelt, mindkét jelre hasonló vezérlésszabályozásnak kell hatnia.
2.2.1.28.2.2. A kapcsolóponti erőszabályozás nem akadályozhatja a lehető legmagasabb féknyomás(ok) kifejtését.
2.2.1.28.3. A járműnek teljesítenie kell a II. melléklet 1. függelékének terhelt állapotra vonatkozó kompatibilitási követelményeit, de a 2.2.1.28.2. pont követelményeinek teljesítése érdekében a kapcsolóponti erőszabályozás működése közben eltérhet ezektől a követelményektől.
2.2.1.28.4. A kapcsolóponti erőszabályozás meghibásodását érzékelni kell, és azt a járművezető számára a 2.2.1.29.1.2. pontban meghatározott sárga figyelmeztető jelzésnek kell jeleznie. Meghibásodás esetén teljesíteni kell a II. melléklet 1. függelékének vonatkozó követelményeit.
2.2.1.28.5. A kapcsolóponti erőszabályozás általi kompenzációt a 2.2.1.29.1.2. pontban meghatározott sárga figyelmeztető jelzés kell, hogy jelezze, ha ez a kompenzáció pm nyomáson 150 kPa-lal (pneumatikus) és 2 600 kPa-lal (hidraulikus) meghaladja a névleges terhelési értéket, legfeljebb 650 kPa-ig (vagy ezzel egyenértékű digitális terhelés) és 11 500 kPa-ig (hidraulikus). A 650 kPa és 11 500 kPa (hidraulikus) szint felett akkor kell figyelmeztető jelzést adni, ha a kompenzáció miatt a működési pont a II. melléklet 1. függelékében a traktorokra meghatározott terhelt állapotra vonatkozó kompatibilitási sávon kívül kerül.
2.2.1.28.6. A kapcsolóponti erőszabályozás rendszere csak a traktor és a vontatott jármű üzemi fékrendszere által keltett kapcsolóponti erőket vezérelheti. A tartós fékrendszerek hatásából eredő kapcsolóponti erőket sem a traktor, sem a vontatott jármű üzemi fékrendszere nem kompenzálja. A tartós fékrendszereket nem tekintjük az üzemi fékrendszerek részének.
2.2.1.29. Fékhibákra és meghibásodásra figyelmeztető jelzés
A 2.2.1.29.1-2.2.1.29.6.3. pontok határozzák meg az azon figyelmeztető fényjelzésekre vonatkozó követelményeket, melyek funkciója az, hogy a járművezető számára a traktor vagy a vontatott jármű fékberendezésén belüli egyes meghatározott hibákat vagy meghibásodásokat jelezzenek. E jelzések egyedüli funkciója a fékberendezésen belüli hibák vagy meghibásodások jelzésében kell, hogy álljon. A 2.2.1.29.6. pontban leírt figyelmeztető fényjelzés azonban a futómű hibáit vagy meghibásodásait is jelezheti.
2.2.1.29.1. A traktoroknak a fékrendszer következő meghibásodásai, illetve hibái tekintetében a következő látható figyelmeztető jelzéseket kell tudniuk leadni:
2.2.1.29.1.1. A jármű fékberendezésén belül fellépő, az e melléklet további pontjaiban, valamint az V., a VII., a IX. és a XIII. mellékletben leírt meghibásodásokat jelző, az 1322/2014/EU felhatalmazáson alapuló rendelet XXVI. mellékletében meghatározott követelményeknek megfelelő vörös figyelmeztető jelzés, amely meghibásodások kizárják a vontatott jármű előírt üzemi fékhatásának elérését, illetve azt, hogy a két független üzemi fékkör közül legalább az egyik működjön.
2.2.1.29.1.2. Adott esetben az 1322/2014/EU felhatalmazáson alapuló rendelet 29. cikkében meghatározott követelményeknek megfelelő sárga figyelmeztető jelzés, amely a jármű fékberendezésén belül fellépő, elektronikusan észlelt és a 2.2.1.29.1.1. pontban említett figyelmeztető jelzés által nem jelzett meghibásodást jelez.
2.2.1.29.2. Az elektromos vezérlővezetékkel ellátott traktoroknak és/vagy az elektromos vezérlésátvitellel ellátott jármű vontatására engedélyezett traktoroknak képesnek kell lenniük arra, hogy az 1322/2014/EU felhatalmazáson alapuló rendelet 29. cikkében meghatározott követelményeknek megfelelő külön figyelmeztető jelzést adjanak a vontatott jármű fékberendezésének elektromos vezérlésátvitelében fellépő hiba jelzésére. A jelet a vontatott pótkocsiról az ISO 7638:2003 szabványnak megfelelő elektromos csatlakozó aktiválja 5. érintkezőjén keresztül, és a vontatott járműről továbbított jelzést minden esetben jelentős késedelem vagy módosítás nélkül kell a traktornak megjelenítenie. Ez a figyelmeztető jelzés nem világíthat elektromos vezérlővezetékkel és/vagy elektromos vezérlésátvitellel nem rendelkező vontatott jármű csatlakoztatásakor vagy vontatott jármű csatlakoztatásának hiányában. Ennek a funkciónak automatikusnak kell lennie.
2.2.1.29.2.1. Az elektromos vezérlővezetékkel felszerelt traktor esetében, ha azt elektromosan csatlakoztatják elektromos vezérlővezetékkel felszerelt vontatott járműhöz, a 2.2.1.29.1.1. pontban meghatározott figyelmeztető jelzést kell használni a vontatott jármű fékberendezésén belüli egyes meghatározott hibák jelzésére minden olyan esetben, amikor a vontatott jármű a megfelelő hibainformációt az elektromos vezérlővezeték adatkommunikációs részén keresztül adja le. Ennek a jelzésnek a 2.2.1.29.2. pontban meghatározott figyelmeztető jelzés mellett kell megtörténnie. Az e melléklet 2.2.1.29.1.1. pontjában meghatározott figyelmeztető jelzés és az ugyanabban a pontban említett kísérő figyelmeztető jelzés használata helyett a traktor az 1322/2014/EU felhatalmazáson alapuló rendelet 29. cikkében meghatározott követelményeknek megfelelő vörös színű külön figyelmeztető jelzést is kiadhat a vontatott jármű fékberendezésében fellépő ilyen hiba jelzésére.
2.2.1.29.2.2. Ahhoz, hogy az ISO 7638:2003 szabványnak megfelelő elektromos csatlakozóval ellátott traktorok jelezni tudják a vontatott járművön a tárolt energia alacsony szintjét a 2.2.2.15.1.1. és 2.2.2.15.2. pontokban előírtak szerint, a 2.2.1.29.2. pontban említett külön figyelmeztető jelzést kell küldeniük a járművezető részére, amikor a figyelmeztető jelzést a vontatott jármű az ISO 7638:2003 szabványnak megfelelő elektromos csatlakozó 5. érintkezőjén keresztül továbbítja a traktorhoz.
2.2.1.29. 3 Eltérő rendelkezés hiányában:
2.2.1.29.3.1. a meghatározott meghibásodást vagy hibát a fent említett figyelmeztető jelzésekkel legkésőbb az adott fék kezelőszervének működtetésekor jelezni kell a járművezetőnek;
2.2.1.29.3.2. a figyelmeztető jelzéseknek a meghibásodás vagy hiba fennállásának ideje alatt a gyújtáskapcsoló (indítókapcsoló) menet ("on") állásánál mindvégig látszaniuk kell;
2.2.1.29.3.3. a figyelmeztető jelzésnek folyamatosnak (nem villogónak) kell lennie.
2.2.1.29.4. A figyelmeztető jelzéseknek nappali fényben is láthatóknak kell lenniük; a jelzések kifogástalan állapotát a járművezetőnek könnyen tudnia kell ellenőrizni a vezetőülésről; a figyelmeztető berendezések meghibásodása nem járhat a fékrendszer hatásosságának semmiféle csökkenésével.
2.2.1.29.5. A fent említett figyelmeztető jelzés(ek) akkor világít(anak), ha a jármű (és a fékrendszer) elektromos berendezései feszültség alatt vannak. Ha a jármű álló állapotban van, a jelzés kialvása előtt a fékrendszer ellenőrzi, hogy a meghatározott meghibásodások vagy hibák egyike sem áll fenn. Azok a meghatározott meghibásodások vagy hibák, amelyeknek a fent említett figyelmeztető jelzéseket működésbe kell hozniuk, de amelyek statikus körülmények között nem észlelhetők, észleléskor tárolásra kerülnek és azokat az indításkor, illetve amikor a gyújtáskapcsoló (indítókapcsoló) bekapcsolt ("on") állásban van, mindaddig kijelzik, amíg a meghibásodás vagy hiba fennáll.
2.2.1.29.6. A traktor fékeinek vagy futóművének nem meghatározott meghibásodásait vagy hibáit a 2.2.1.29.1.2. pontban meghatározott jelzéssel lehet jelezni, feltéve, hogy valamennyi alábbi feltétel teljesül:
2.2.1.29.6.1. a jármű álló helyzetben van;
2.2.1.29.6.2. a fékrendszer első feszültség alá helyezését követően és miután a jelzés azt mutatta, hogy a 2.2.1.29.5. pontban részletezett eljárásokat követően egy meghatározott meghibásodás (hiba) sem került azonosításra; és
2.2.1.29.6.3. a nem meghatározott hibákat vagy más információkat kizárólag a villogó figyelmeztető jelzéssel lehet jelezni. A figyelmeztető jelzés azonban megszűnik akkor, amikor a jármű első alkalommal túllépi a 10 km/h sebességet.
2.2.1.30. Az elektromos vezérlésátvitel meghibásodása nem hozhatja működésbe a fékeket a járművezető akarata ellenére.
2.2.1.31. A hidrosztatikus hajtással ellátott traktoroknak a jelen melléklet vagy a IX. melléklet valamennyi vonatkozó követelményének meg kell felelniük.
2.2.2. R és S kategóriájú járművek
2.2.2.1. Az R1a és az S1a kategóriájú járműveket nem szükséges üzemi fékrendszerrel ellátni. Azokat az R1b és S1b kategóriájú járműveket, amelyek esetében a tengelyenként műszakilag megengedett tömegek összege nem haladja meg a 750 kg-ot, szintén nem szükséges üzemi fékrendszerrel ellátni. Ha azonban az e kategóriákba tartozó járművek üzemi fékrendszerrel vannak ellátva, ennek a rendszernek ugyanolyan követelményeknek kell megfelelnie, mint az R2 vagy S2 kategóriájúaknak.
2.2.2.2. Azokat az R1b és S1b kategóriájú járműveket, amelyek esetében a tengelyenként műszakilag megengedett tömegek összege meghaladja a 750 kg-ot, valamint az R2 kategóriájú járműveket átmenő vagy félig átmenő vagy ráfutó típusú üzemi fékrendszerrel kell ellátni. Ha azonban az e kategóriákba tartozó járművek átmenő vagy félig átmenő típusú üzemi fékrendszerrel vannak ellátva, ugyanolyan követelményeknek kell megfelelniük, mint az R3 kategóriájúaknak.
2.2.2.3. Ha a vontatott jármű az R3, R4 vagy S2 kategóriába tartozik, az üzemi fékrendszernek átmenő vagy félig átmenő típusúnak kell lennie.
2.2.2.3.1. A 2.2.2.3. pontban leírt követelménytől eltérően ráfutó fékrendszerrel láthatók el az R3a és S2a kategóriájú, 8 000 kg-ot nem meghaladó legnagyobb tömegű járművek az alábbi feltételek alatt:
2.2.2.3.1.1. 30 km/h-t nem meghaladó tervezési sebesség, ha a fékek nem minden keréken hatnak;
2.2.2.3.1.2. 40 km/h-t nem meghaladó tervezési sebesség, ha a fékek minden keréken hatnak;
2.2.2.4. Az üzemi fékrendszernek:
2.2.2.4.1. az Rb és Sb kategóriájú vontatott járművek esetében mindegyik tengelyen legalább két kerékre kell hatnia;
2.2.2.4.2. hatását megfelelően kell a tengelyek között elosztania;
2.2.2.4.3. legalább az egyik légtartályában (ha ilyen van beszerelve) lennie kell leeresztő és ürítő berendezésnek, egy megfelelő és könnyen hozzáférhető helyen.
2.2.2.5. Mindegyik fékrendszer hatását ugyanazon tengely kerekei között a vontatott jármű hosszanti középsíkjához képest szimmetrikusan kell megosztani.
2.2.2.5.1. Az olyan járművek esetében azonban, ahol a bal és jobb járműoldalon a kerékterhelések jelentősen eltérnek, a fékrendszer hatása eltérhet a szimmetrikus fékerőeloszlástól.
2.2.2.6. Az elektromos vezérlésátvitel meghibásodása nem hozhatja működésbe a fékeket a járművezető akarata ellenére.
2.2.2.7. Az előírt hatékonysági fok eléréséhez szükséges fékfelületeknek állandó kapcsolatban kell állniuk a kerekekkel, merev rögzítéssel vagy meghibásodásra nem hajlamos alkatrészekkel.
2.2.2.8. A fékek kopásának kézi vagy önműködő beállítással könnyen kiegyenlíthetőnek kell lennie. Továbbá a kezelőszervnek és az erőátviteli rendszer illetve a fékberendezés alkatrészeinek olyan elmozdulási tartalékkal és szükség esetén megfelelő beállító berendezéssel kell rendelkezniük, amelyek a fékek melegedésekor vagy a fékbetétek kopásakor bizonyos határok között azonnali beállítás nélkül is biztosítják a hatékony fékezést.
2.2.2.8.1. Az üzemi fékek kopásállításának automatikusnak kell lennie. Mindazonáltal az R1, R2, R3a, S1 és S2a kategóriájú járművek esetében az önműködő beállító berendezés felszerelése opcionális. Az önműködő fékutánállító berendezéssel felszerelt fékeknek felmelegedést, majd lehűlést követően képesnek kell lenniük a II. melléklet 2.5.6. pontjában meghatározott szabadonfutásra, az ugyanott meghatározott I. típusú vagy III. típusú vizsgálatot követően.
2.2.2.8.1.1. Az alábbi kategóriájú vontatott járművek esetében:
- R3a, R4a, S2a és
- R3b, R4b, S2b, ahol a tengelyenként műszakilag megengedett tömegek összege nem haladja meg a 10 000 kg-ot,
a 2.2.2.8.1. pontban leírt teljesítménykövetelmények teljesítettnek tekintendők a II. melléklet 2.5.6. pontjában leírt követelmények kielégítése esetén. Az önműködő fékutánállító berendezések működését helyesen értékelő egységes műszaki rendelkezések megállapításáig a szabadonfutási követelmény akkor tekintendő teljesítettnek, ha az adott pótkocsira előírt minden fékvizsgálat során megfigyelik a szabadonfutást.
2.2.2.8.1.2. Az R3b, R4b és S2b kategóriájú vontatott járművek esetében, ahol a tengelyenként műszakilag megengedett tömegek összege meghaladja a 10 000 kg-ot, a 2.2.2.8.1. pontban leírt teljesítménykövetelmények teljesítettnek tekintendők a II. melléklet 2.5.6. pontjában leírt követelmények kielégítése esetében.
2.2.2.9. A fékrendszernek olyannak kell lennie, hogy a vontatott jármű önműködően megálljon, ha a kapcsolókészülék a vontatott jármű mozgása közben szétválik.
2.2.2.9.1. Az R1 és S1 kategóriákba tartozó, fékrendszer nélküli járműveket a fő kapcsolókészüléken kívül egy biztonsági kapcsolókészülékkel (lánc, sodronykötél stb.) is fel kell szerelni, amely a fő kapcsolókészülék leválása esetén meggátolja, hogy a vonórúd leérjen a földre, és a vontatott jármű számára némi maradék kormányzást szolgáltat.
2.2.2.9.2. Az R1, R2, R3a, S1 és S2a kategóriájú, ráfutó fékrendszerrel ellátott járműveket olyan berendezéssel (lánc, sodronykötél stb.) kell felszerelni, amely a kapcsolókészülék leválása esetén működtetni tudja a vontatott jármű fékeit.
2.2.2.9.3. A hidraulikus fékrendszerrel ellátott vontatott járművek esetében a 2.1.5.1.1. pontban és a 2.1.5.1.2. pontban meghatározott csatlakozóvezetékeknek elhanyagolható szivárgás mellett kell leválniuk a traktorról vagy a vontatott járműről a kapcsolószerkezet leválasztása alatt. A szimpla csatlakozóvezeték leválasztásához kifejtett erő nem haladhatja meg az ISO 5675:2008 szabványban meghatározott értékeket. A jelen szabvány 4.2.4. szakaszában előírt értékektől való eltérés esetén a két vezetéknél a leválasztási erő nem haladhatja meg a 2 500 N értéket.
2.2.2.10. Minden vontatott járműnél, amelyet üzemi fékrendszerrel kell ellátni, rögzítő fékezést is kell biztosítani, még abban az esetben is, amikor a vontatott jármű le van választva a traktorról. Lehetővé kell tenni a rögzítőfékrendszer működtetését a földön álló személy számára.
2.2.2.11. Ha a vontatott jármű olyan berendezéssel van ellátva, amely a rögzítőfékrendszer kivételével a fékrendszer működtetésének kiiktatását lehetővé teszi, a berendezést olyan módon kell megtervezni és összeállítani, hogy határozottan "nyugalmi" helyzetbe álljon vissza legkésőbb akkor, amikor a vontatott járműre újból ráengedik a sűrített levegőt vagy a hidraulikaolajat vagy az áramellátást.
2.2.2.12. A hidraulikus üzemi fékrendszerrel ellátott valamennyi vontatott járművön úgy kell megtervezni a fékrendszert, hogy amikor a kiegészítő vezetéket leválasztják, a rögzítő vagy az üzemi fékrendszer automatikusan működésbe lépjen.
2.2.2.13. Az R3, R4 és S2 kategóriájú járműveknek sűrített levegős fékrendszer esetében a 2.2.1.17.2.2. pontban, illetve hidraulikus fékrendszer esetében a 2.2.2.15.3. pontban meghatározott feltételeket kell teljesíteniük.
2.2.2.14. Amennyiben a segédberendezés az üzemi fékrendszerről kapja az energiát, az üzemi fékrendszert olyan védelemmel kell ellátni, amely biztosítja, hogy az üzemi fék tárolóberendezésében (-berendezéseiben) a nyomás a vezérlővezeték-nyomás vagy ezzel egyenértékű digitális terhelés legalább 80 %-a fennmarad a II. melléklet 2.2.3.2. és 2.2.3.3. pontjaiban meghatározottak szerint.
2.2.2.15. A fentieken kívül a hidraulikus fékrendszerrel ellátott vontatott járműveknek az alábbiaknak kell megfelelniük:
2.2.2.15.1. Amennyiben a vontatott jármű csak a hidraulikus energiatároló berendezésben tárolt energia segítségével felel meg az üzemi fékrendszer és/vagy rögzítőfékrendszer és/vagy automata fék követelményeinek, a vontatott járműnek önműködően kell fékeznie vagy a lefékezett állapotban maradnia, ha nincs elektromosan csatlakoztatva (a traktor gyújtása bekapcsolt állapotban van) az ISO 7638:2003 szerinti csatlakozóról elérhető áramellátáshoz (lásd még a 2.2.1.18.9. pontot). Az ISO 7638:2003 szabvány szerinti csatlakozó szükség szerint használható az öt- vagy hétpólusú alkalmazásokhoz.
2.2.2.15.1.1. Ha a hidraulikus energiatároló berendezésben a nyomás a járműgyártó által az adatközlő mappában megadott azon nyomás alá süllyed, amelyen az előírt fékhatás már nem biztosított, ezt az alacsony nyomást a 2.2.1.29.2.2. pontban meghatározott külön figyelmeztető jelnek kell jeleznie a járművezető felé az ISO 7638:2003 szabványnak megfelelő elektromos csatlakozó 5. érintkezőjén keresztül.
2.2.2.15.1.1.1. Olyan rendszerek esetében, amelyek 15 000 kPa maximális üzemi nyomással rendelkező energiatároló berendezéseket használnak, a hidraulikus energiatároló berendezések ilyen alacsony nyomása nem haladhatja meg a 11 500 kPa-t.
2.2.2.15.1.1.2. Ez az alacsony nyomás a hidraulikus enegriatároló berndezésben meghaladhatja a 11 500 kPa-t olyan rendszerek esetében, amelyek energiatároló berendezését az előírt fékhatás biztosításához 15 000 kPa-t meghaladó maximális üzemi nyomásra kell feltölteni.
2.2.2.15.2. Ha a kiegészítő vezetékben a nyomás 1 200 kPa-ra esett, a vontatott jármű önműködő fékezésének meg kell kezdődnie (lásd még a 2.2.1.18.6. pontot).
2.2.2.15.3. Egy olyan berendezés szerelhető fel a vontatott járműre, amely ideiglenesen kioldja a fékeket abban az esetben, ha nem áll rendelkezésre megfelelő traktor. A kiegészítő vezetéket erre az ideiglenes célra kell a berendezéshez csatlakoztatni. Amikor a kiegészítő vezetéket leválasztják erről a berendezésről, a fékeknek automatikusan vissza kell állniuk a működtetett állapotra.
2.2.2.16. Az R3b, R4b és S2b kategóriájú, 60 km/h legnagyobb tervezési sebességet meghaladó vontatott járműveket blokkolásgátló fékrendszerrel kell ellátni a XI. melléklet szerint. Emellett, ha a vontatott jármű legnagyobb megengedett tömege meghaladja a 10 tonnát, csak A kategóriájú blokkolásgátló fékrendszer engedélyezett.
2.2.2.17. Ha a 2.2.2.16. pontban nem említett vontatott járművek blokkolásgátló fékrendszerrel vannak ellátva, azoknak meg kell felelniük a XI. melléklet követelményeinek.
2.2.2.18. Az elektromos vezérlővezetékkel ellátott vontatott járműveket és az R3b vagy R4b kategóriájú, blokkolásgátló fékrendszerrel ellátott vontatott járműveket speciális elektromos csatlakozóval kell felszerelni a fékrendszerhez és a blokkolásgátló fékrendszerhez, vagy a két rendszer közül csak az egyikhez, az ISO 7638:2003 szabványnak megfelelően. Az ISO 7638:2003 szabványban a pótkocsira meghatározott vezető keresztmetszet csökkenthető, ha a pótkocsi saját, független biztosítékkal van ellátva. A biztosítékot úgy kell méretezni, hogy a vezetékekben az áramérték ne lehessen nagyobb, mint amekkorára méretezve vannak. Ez az eltérés nem vonatkozik a további pótkocsi vontatására felszerelt pótkocsikra. A fenti csatlakozón keresztül kell aktiválni azokat a meghibásodásra figyelmeztető jelzéseket, amelyeknek az előírás alapján a vontatott járműről kell érkezniük. A meghibásodásra figyelmeztető jelzések átvitele tekintetében a vontatott járművekre vonatkozó követelmények értelemszerűen megegyeznek a 2.2.1.29.3., 2.2.1.29.4., 2.2.1.29.5. és 2.2.1.29.6. pontokban a traktorokra előírt követelményekkel.
Ezeket a járműveket kitörölhetetlen jelöléssel kell ellátni az (EU) 2015/208 felhatalmazáson alapuló rendelet 24. cikkében meghatározott követelmények szerint, amely jelzi, hogy a fékrendszer mely funkció működnek az ISO 7638:2003 szabvány szerinti csatlakozó csatlakoztatott, illetve leválasztott állapotában. A jelzést úgy kell elhelyezni, hogy az a pneumatikus és elektromos csatlakozók csatlakoztatásakor látható legyen.
2.2.2.18.1. A fenti ISO 7638:2003 szabvány szerinti csatlakozóból rendelkezésre álló áramellátás mellett megengedett a fékrendszer más áramforráshoz történő egyidejű csatlakoztatása is. A további áramellátás elérhetősége esetén azonban érvényesülnek a következő rendelkezések:
2.2.2.18.1.1. minden esetben az ISO 7638:2003 szerinti áramellátásnak kell a fékrendszer elsődleges áramforrásának lennie, tekintet nélkül minden más csatlakoztatott további áramellátásra. A további áramellátás célja biztonsági tartalék biztosítása arra az esetre, ha az ISO 7638:2003 szabvány szerinti áramellátásban meghibásodás következne be;
2.2.2.18.1.2. nem járhat kedvezőtlen hatással a fékrendszerek működésére, szokásos és hibaüzemmódokban sem;
2.2.2.18.1.3. az ISO 7638:2003 szabvány szerinti áramellátás meghibásodásakor a fékrendszer által felvett energia nem vezethet a további áramforrás rendelkezésre álló legnagyobb feszültségének túllépéséhez;
2.2.2.18.1.4. a vontatott járművön nem szerepelhet semmiféle olyan jelzés vagy címke, amely a vontatott jármű további áramellátással való felszerelését jelzi;
2.2.2.18.1.5. a vontatott járművön nem engedélyezett meghibásodásra figyelmeztető jelzés abból a célból, hogy a vontatott jármű fékrendszerének további áramellátásról történő működtetésekor jelezze a vontatott jármű fékrendszerének meghibásodását;
2.2.2.18.1.6. ha rendelkezésre áll további áramforrás, lehetségesnek kell lennie a fékrendszer ezen áramforrásról történő működésének ellenőrzése;
2.2.2.18.1.7. az ISO 7638:2003 szabvány szerinti csatlakozóból érkező villamosenergia-ellátás meghibásodása esetén a fékrendszer további áramforrásból történő működésére tekintet nélkül érvényesülnek a meghibásodásra figyelmeztető jelzésre vonatkozó, a XII. melléklet 4.2.3. pontjában és a XI. melléklet 4.1. pontjában előírt követelmények.
2.2.2.19. A 2.2.1.17.2.2. és 2.2.1.19. pontokban előírt követelményeken túl a vontatott jármű fékei önműködően is működésbe léphetnek, amennyiben a jármű fedélzetén keletkezett adatok értékelését követően ezt maga a vontatott jármű fékrendszere kezdeményezi.
3. Vizsgálatok
A II. melléklet ismerteti az előírt fékhatásosságot és azokat a vizsgálatokat, melyeket a jóváhagyásra benyújtott járműveken el kell végezni.
II. MELLÉKLET
A fékrendszerek és pótkocsi-fékcsatlakozások, illetve az ezekkel felszerelt járművek vizsgálatára és teljesítményére vonatkozó követelmények
1. Fogalommeghatározások
Ezen melléklet alkalmazásában:
1.1. "tengelycsoport": több olyan tengely együttesét jelenti, ahol az egyik tengely és a szomszédos tengely közötti tengelytáv egyenlő vagy kisebb, mint 2,0 m. Amennyiben az egyik tengely és a szomszédos tengely közötti tengelytáv nagyobb, mint 2,0 m, az egyes tengelyeket önálló tengelycsoportnak kell tekinteni.
1.2. "tapadáskihasználási görbe": egy adott fékezett tengelyre ható fékerő arányát a jármű lefékezettségéhez viszonyítva, gördülési ellenállás nélkül és az útfelület normális irányú reakcióereje mellett ábrázoló görbe.
2. Fékvizsgálatok
2.1. Általános tudnivalók
A jelen melléklet teljes alkalmazásában a legnagyobb tervezési sebesség a jármű előrefelé haladási irányában értendő ellenkező értelmű, határozott kikötés hiányában.
2.1.1. A fékrendszerekre vonatkozóan előírt hatásosság a féktávolságon és az átlagos legnagyobb lassuláson vagy a két tulajdonság közül csak az egyiken alapul. A fékrendszer hatásosságát a vizsgálat során a jármű kezdeti sebességéhez viszonyított féktávolság megmérésével és az átlagos legnagyobb lassulás megmérésével, vagy a két tulajdonság közül csak az egyik mérésével kell meghatározni. Mind a féktávolságot, mind az átlagos legnagyobb lassulást, vagy a kettő közül az egyiket az elvégzendő vizsgálatot követve kell előírni és mérni.
2.1.2. A féktávolság az a távolság, amit a jármű megtesz attól a pillanattól kezdve, amikor a járművezető elkezdi a fékrendszer kezelőszervének működtetését, addig a pillanatig, amikor a jármű megáll; a jármű kezdeti sebessége (v1) az abban a pillanatban mérhető sebesség, amikor a járművezető elkezdi a fékrendszer kezelőszervének működtetését; a kezdeti sebesség nem lehet a szóban forgó vizsgálathoz előírt sebesség 98 %-ánál kisebb. A dm legnagyobb átlagos lassulást a vb és ve közötti távolságon mért átlagos lassulásként kell kiszámítani a következő képlet szerint:

ahol:
v1 = az első albekezdésben leírtak szerint számított kezdő járműsebesség
vb = a jármű sebessége 0,8 v1-nél km/h-ban
ve = a jármű sebessége 0,1 v1-nél km/h-ban
sb = a v1 és a vb között megtett távolság méterben
se = a v1 és ve között megtett távolság méterben
A sebességet és a távolságot olyan műszerekkel kell meghatározni, amelyek pontossága a vizsgálatra előírt sebesség mellett ± 1 %. A dm a sebesség és távolság mérésén kívül más módszerekkel is megállapítható; ebben az esetben a dm pontossága ± 3 %-on belül lesz.
2.1.3. Minden jármű jóváhagyásához közúti fékhatásméréseket kell végezni a következő feltételek mellett:
2.1.3.1. A járműnek az egyes vizsgálati típusokhoz előírt terhelési állapotban kell lennie és ezt meg kell határozni a vizsgálati jegyzőkönyvben.
2.1.3.2. A vizsgálatot az egyes vizsgálattípusra előírt sebességekkel kell elvégezni; ha a jármű legnagyobb tervezési sebessége kisebb, mint a vizsgálathoz előírt sebesség, akkor a vizsgálathoz a jármű legnagyobb tervezési sebességét kell alkalmazni.
2.1.3.3. A vizsgálatok során az előírt fékhatásosság elérése céljából a fékrendszer kezelőszervére kifejtendő erő nem haladhatja meg a 600 N értéket a lábbal, illetve a 400 N értéket a kézzel működtetett kezelőszerveken.
2.1.3.4. Az útnak jó tapadású felülettel kell rendelkeznie ellenkező előírás hiányában.
2.1.3.5. A vizsgálatot olyankor kell elvégezni, amikor nincs szél, ami befolyásolhatja az eredményeket.
2.1.3.6. A vizsgálat kezdetekor a gumiabroncsoknak hidegnek kell lenniük, és a nyugalomban levő kerekek tényleges terhelésére előírt nyomással kell bírniuk.
2.1.3.7. Az előírt fékhatást a jármű irányváltozása, rendellenes rezgés és a kerekek blokkolása nélkül kell elérni. A kerekek blokkolása megengedett abban az esetben, ha ez kifejezetten meg van említve.
2.1.4. A jármű viselkedése a fékezés alatt
2.1.4.1. A fékvizsgálatok során, de különösen a nagy sebességnél végzett fékvizsgálatok alatt ellenőrizni kell a jármű fékezés közbeni viselkedését.
2.1.4.2. A jármű fékezés közbeni viselkedése csökkent tapadású úttesten.
A csökkent tapadású útfelületeken a Tb, R2b, R3b, R4b és S2b kategóriájú járművek viselkedésének meg kell felelnie az e melléklet 1. függelékében meghatározott követelményeknek, illetve, ha a jármű ABS-sel van felszerelve, a XI. mellékletben meghatározott követelményeknek is.
2.2.
0. típusú vizsgálat (normál fékhatásosság-vizsgálat hideg fékekkel)
2.2.1. Általános tudnivalók
2.2.1.1. A fékeknek hidegeknek kell lenniük. A fékek akkor tekinthetők hidegnek, az alábbiak közül egy feltétel teljesül:
2.2.1.1.1. A tárcsán vagy a dob külsején mért hőmérséklet 100 °C alatt van.
2.2.1.1.2. Teljesen zárt fékek, például olajfürdős fékek esetében a burkolat külsején mért hőmérséklet 50 °C alatt van.
2.2.1.1.3. Csak olyan fékeket lehet vizsgálni, amelyeket a vizsgálat előtt egy órán át nem használtak.
2.2.1.2. A fékvizsgálat során a fék nélküli tengelyt, amennyiben ez a tengely képes a szétkapcsolódásra, nem csatlakoztatható fékezett tengelyhez. Ugyanakkor azokon a traktorokon, ahol fékezés alatt egy fékezett tengely van, az összes többi tengelyen pedig automatikusan kapcsol a meghajtás, mindegyik kerék fékezettnek tekintendő.
2.2.1.3. A vizsgálatot a következő feltételek mellett kell elvégezni:
2.2.1.3.1. A járművet a gyártó által meghatározott legnagyobb megengedett tömeggel kell terhelni, a nem fékezett tengelyt pedig a legnagyobb megengedett tömeggel kell terhelni. A fékezett tengely kerekeit a gyártó által a járműtípushoz legnagyobb megengedett tömeg szállításakor tervezett legnagyobb átmérőjű abronccsal kell felszerelni. Az összes kereket fékező járműveken az elülső tengelyt a legnagyobb megengedett tömeggel kell terhelni.
2.2.1.3.2. A vizsgálatot terheletlen járművön meg kell ismételni; traktorok esetében csak a járművezető, illetve szükség szerint a vizsgálati eredményeket figyelő személy tartózkodhat a járművön.
2.2.1.3.3. Mind terheletlen, mind pedig terhelt járművel végzett vizsgálatok során az előírt legkisebb teljesítmény határértékek az adott jármű-kategóriákra vonatkozóan itt lefektetett értékeknek felelnek meg, a járműnek mind az adott kategóriára előírt féktávolságot, mind a legnagyobb lassulást teljesítenie kell, de nem feltétlenül szükséges mindkét paramétert ténylegesen megmérni.
2.2.1.3.4. Az útnak vízszintesnek kell lennie.
2.2.2.
0. típusú vizsgálat T és C kategóriájú járművek esetében
2.2.2.1. A vizsgálatot a jármű legnagyobb tervezési sebességén, leválasztott motorral kell elvégezni. Ennek a sebességnek egy bizonyos tűréshatára lehet. A legkisebb előírt hatásosságot azonban minden esetben el kell érni. Az előírt legnagyobb féktávolságot (a féktávolság képlete alapján) a tényleges vizsgálati sebességgel kell kiszámítani.
2.2.2.2. Az I. melléklet 2.2.1.2.4. pontjában meghatározott követelményeknek való megfelelőség ellenőrzéséhez 0. típusú vizsgálatot kell elvégezni kioldott tengelykapcsoló mellett, 30 km/h kezdeti sebességgel.
A rögzítőfékrendszer kezelőszervének működtetése esetén az átlagos legnagyobb lassulásnak és a jármű megállása előtti pillanatban fennálló lassulásnak legalább 1,5 m/s2-nak kell lennie. Ugyanez a követelmény érvényes az I. melléklet 2.2.1.2.4. pontjában említett kisegítő kezelőszervre is.
A vizsgálatot terhelt járművel kell végezni. A kezelőszervre kifejtendő erő nem lehet nagyobb a meghatározott értékeknél.
2.2.2. 3 A kormányszarvval és nyeregüléssel, illetve kormánykerékkel és egy vagy több sorban sorüléssel vagy kagylóüléssel ellátott olyan járművek esetében, amelyek nem kioldható erőátviteli rendszerrel is fel vannak szerelve, és azt a gyártó bizonyítani tudja a fékvizsgálat során, a járművön bekapcsolt motorral kell elvégezni a 0. típusú vizsgálatot.
2.2.3.
0. típusú vizsgálat R és S kategóriájú járművek esetében:
2.2.3.1. A vontatott jármű fékezési hatásossága vagy a traktor + vontatott jármű lefékezettségéből és a kapcsolókészüléken mért tolóerőből, vagy, bizonyos esetekben, a traktor + vontatott jármű lefékezettségéből számítható úgy, hogy csak a vontatott jármű van fékezve. A fékvizsgálat során a traktor motorját le kell választani.
2.2.3.2. Ha a vontatott járművet sűrített levegős fékrendszerrel szerelték fel, a töltővezeték nyomása nem haladhatja meg a fékvizsgálat során a 700 kPa-t, és a vezérlővezetékben a jelérték a kialakítástól függően nem haladhatja meg a következő értékeket:
2.2.3.2.1. 650 kPa a pneumatikus vezérlővezetékben;
2.2.3.2.2. 650 kPa-nak megfelelő digitális terhelési érték (az ISO 11992:2003 meghatározása szerint, beleértve az ISO 11992-2:2003 szabványt és annak Amd.1:2007 módosítását) az elektromos vezérlővezetékben.
2.2.3. 3 Ha a vontatott jármű hidraulikus fékrendszerrel van ellátva:
2.2.3.3.1. Az előírt legkisebb fékhatásosság elérésekor a vezérlővezeték kapcsolófejénél a nyomás nem haladhatja meg a 11 500 kPa-t.
2.2.3.3.2. A vezérlővezeték kapcsolófejénél jelenlévő legnagyobb nyomás nem haladhatja meg a 15 000 kPa-t.
2.2.3.4. A 2.2.3.5. és 2.2.3.6. pontokban szereplő esetek kivételével a vontatott jármű lefékezettségének meghatározásához szükség van a traktor + vontatott jármű lefékezettségének és a kapcsolóra ható tolóerő megmérésére. A traktornak meg kell felelnie a TM/FM arány és a pm nyomás közötti viszonyra vonatkozó, az I. függelékben előírt követelményeknek,
ahol:
TM = a fékerők összege a traktorok összes kerekének kerületén
FM = az útfelület teljes statikus normális irányú reakcióereje a traktorok kerekein
pm = nyomás a vezérlővezeték kapcsolófejénél
A vontatott jármű lefékezettsége az alábbi képlettel számítható:
zR = zR + M + D/FR
ahol:
zR = a vontatott jármű lefékezettsége
zR + M = a traktor + vontatott jármű lefékezettsége
D = tolóerő a kapcsolófejen (D > 0 húzóerő; D > 0 nyomóerő)
FR = útfelület normális irányú statikus reakcióereje a vontatott jármű összes kerekén
2.2.3.5. Ha egy vontatott jármű átmenő vagy félig átmenő fékrendszerrel van ellátva, ahol a fékhengerekben fellépő nyomás a fékezés alatt a dinamikus átterhelődés ellenére sem változik, a vontatott járművet egyedül lehet fékezni. A vontatott jármű zR lefékezettsége az alábbi képlettel számítható:

ahol:
R
=
a gördülési ellenállás értéke:
- 0,02 olyan járművek esetében, amelyek legnagyobb tervezési sebessége nem haladja meg a 40 km/h-t
- 0,01 olyan járművek esetében, amelyek legnagyobb tervezési sebessége meghaladja a 40 km/h-t
FM = az útfelület teljes statikus normális irányú reakcióereje a traktorok kerekein
FR = útfelület normális irányú statikus reakcióereje a vontatott jármű összes kerekén
2.2.3.6. Más megoldásként a vontatott jármű lefékezettségének kiértékelését kizárólag a vontatott jármű fékezésével is el lehet végezni. Ebben az esetben az alkalmazott nyomásnak ugyanannak kell lennie, mint amit a szerelvény fékezése során mértek a fékhengerekben.
2.3. I. típusú vizsgálat (fékhatásosság csökkenésének vizsgálata)
Ezt a vizsgálattípust a 2.3.1. vagy 2.3.2. pontokban leírt követelmények szerint kell elvégezni.
2.3.1. Ismételt fékezéssel
A T és C kategóriájú traktorokon ismételt fékezéssel kell az I. típusú vizsgálatot elvégezni.
2.3.1.1. Az ezen előírás hatályába tartozó traktorok üzemi fékrendszerét a fékek egymás utáni, többszöri működtetésével és kioldásával kell vizsgálni. A járműnek teljesen terheltnek kell lennie, és az alábbi táblázatban leírt feltételek szerint kell elvégezni rajta a vizsgálatot:
Jármű-kategória | Feltételek | |||
v1 [km/h] | v2 [km/h] | Δt [sec] | n | |
T, C | 80 % vmax | ½ v1 | 60 | 20 |
ahol
v1 = sebesség a fékezés kezdetekor
v2 = sebesség a fékezés végén
vmax = a jármű legnagyobb tervezési sebessége
n = fékezések száma
Δt = a fékezési ciklus időtartama (egy fékezés megkezdése és a következő fékezés megkezdése közötti idő).
2.3.1.1.1. A 40 km/h legnagyobb tervezési sebességet nem meghaladó traktorok esetében a 2.3.1.1. pont táblázatában megadott vizsgálati feltételek helyett a következő táblázatban megadott feltételek is alkalmazhatók:
Jármű-kategória | Feltételek | |||
v1 [km/h] | v2 [km/h] | Δt [sec] | n | |
T, C | 80 % vmax | 0,05 v1 | 60 | 18 |
2.3.1.2. Amennyiben a jármű jellemzői nem teszik lehetővé a Δt értékre vonatkozóan előírt időt, az időtartam növelhető; a jármű fékezéséhez és gyorsításához szükséges időn kívül 10 másodperces időt kell figyelembe venni minden ciklusban a v1 sebesség stabilizálásához.
2.3.1.3. Ezeknél a vizsgálatoknál a kezelőszervre kifejtett erőt úgy kell beállítani, hogy az első fékezésnél 3 m/s2 átlagos legnagyobb lassulást lehessen elérni. Ennek az erőnek a következő fékezések során mindvégig állandónak kell maradnia.
2.3.1.4. A fékezés során állandóan bekapcsolva kell lennie a legmagasabb sebességfokozatnak (az overdrive stb. fokozat kivételével). Emellett megengedett az is, hogy adott esetben a vizsgálatot a fékek működtetése alatt kioldott tengelykapcsoló mellett végezzék el.
2.3.1.5. Ahhoz, hogy a fékezés után a jármű visszanyerje sebességét, a sebességváltót úgy kell használni, hogy a v1 sebesség a lehető legrövidebb idő alatt elérhető legyen (a motor és a sebességváltó által megengedett legnagyobb gyorsulás).
2.3.1.6. Önműködő fékutánállító berendezéssel felszerelt járművek esetében a fékeket a fenti I. típusú vizsgálat előtt szükség szerint a következő eljárások szerint kell beállítani:
2.3.1.6.1. Levegővel működtetett fékkel felszerelt járművek esetében a fékek beállításának olyannak kell lennie, hogy lehetséges legyen az önműködő fékutánállító berendezés működése. Ebből a célból a működtető löketét az alábbiak szerint kell beállítani:
so ≥ 1,1 × sre-adjust
(a felső érték nem haladhatja meg a gyártó által ajánlott értéket)
ahol:
S re-adjust az újraállító löket az önműködő fékutánállító berendezés gyártójának meghatározása szerint, vagyis az a löket, amelynél a berendezés elkezdi újraállítani a fékhézagot a fékrendszer üzemi nyomása 15 %-ának megfelelő, de legalább 100 kPa hengernyomás mellett.
Amennyiben a műszaki szolgálattal való megállapodás alapján gyakorlati szempontból nem célszerű a fékhenger löketének mérése, a kezdeti beállításokat a műszaki szolgálattal kell egyeztetni.
A fenti feltétel szerint a féket a fékrendszer üzemi nyomásának 30 %-ával, de legalább 200 kPa fékhengernyomással egymás után 50 alkalommal kell működésbe hozni. Ezt egyetlen, 650 kPa fékhengernyomás feletti fékezésnek kell követnie.
2.3.1.6.2. A hidraulikus működtetésű tárcsafékekkel felszerelt járművek esetében beállítási követelmények nem szükségesek.
2.3.1.6.3. A hidraulikus működtetésű dobfékekkel felszerelt járművek esetében a fékek beállítását a gyártó utasítása szerint kell elvégezni.
2.3.2. Tartós fékezéssel
2.3.2.1. Az R1, R2, S1, R3a, R4a és S2a kategóriájú, valamint azon R3b és S2b kategóriájú járművek üzemi fékrendszerét, amelyek esetében a tengelyenként műszakilag megengedett tömegek összege nem haladja meg a 10 000 kg-ot, olyan módon kell vizsgálni, hogy a terhelt jármű fékeire vitt energia egyenértékű legyen a 7 %-os lejtőn, 1,7 km távolságon 40 km/h állandó sebességgel vezetett terhelt állapotú vizsgált jármű esetében azonos időszak alatt rögzített értékkel.
E követelményt teljesítettnek lehet tekinteni az R3a, R4a, S2a kategóriájú járművek, valamint azon R3b és S2b kategóriájú járművek tekintetében, amelyek esetében a tengelyenként műszakilag megengedett tömegek összege nem haladja meg a 10 000 kg-ot, feltéve, hogy ezek a járművek megfeleltek a 2.5. pont szerinti III. típusú vizsgálaton.
2.3.2.2. A vizsgálat egy vízszintes úton végezhető el, ahol mezőgazdasági jármű vontatja a vontatott járművet; a vizsgálat alatt a kezelőszervre kifejtett erőt úgy kell beállítani, hogy a vontatott jármű ellenállása állandó legyen (a vontatott jármű legnagyobb statikus tengelyterhelésének 7 %-a). Ha a vontatójármű vonóereje nem elégséges, akkor a vizsgálat kisebb sebességgel, de hosszabb szakaszon a következő táblázat alapján folytatható le:
Sebesség (km/h) | távolság (m-ben) |
40 | 1 700 |
30 | 1 950 |
20 | 2 500 |
15 | 3 100 |
2.3.2.3. Önműködő fékutánállító berendezéssel felszerelt vontatott járművek esetében a fékeket a fent bemutatott I. típusú vizsgálat előtt szükség szerint a 2.5.4. pontban megállapított eljárás szerint kell beállítani:
2.3.3. Meleg fékhatásosság
2.3.3.1. Az I. típusú vizsgálat (a 2.3.1. pontban vagy 2.3.2. pontban leírt vizsgálat) végén meg kell mérni az üzemi fékrendszer hatásosságát meleg állapotban, ugyanolyan feltételek mellett (különösen pedig a ténylegesen alkalmazott átlagos erőnél nem nagyobb állandó működtető erővel), mint a 0. típusú vizsgálat esetében, kioldott tengelykapcsoló mellett (a hőmérsékleti viszonyok eltérőek lehetnek).
2.3.3.2. Traktorok esetében ez a meleg fékhatásosság nem lehet kisebb, mint az adott kategóriára előírt érték 80 %-a, és ugyancsak nem lehet kisebb, mint a 0. típusú vizsgálatnál kioldott tengelykapcsoló mellett regisztrált érték 60 %-a.
2.3.3.3. Vontatott járművek esetében a meleg állapotban mért fékerő a kerekek kerületén 40 km/h sebességnél vizsgálva nem lehet kisebb, mint a vmax > 30 km/h sebességű vontatott jármű legnagyobb statikus kerékterhelésének 36 %-a vagy a vmax ≤ 30 km/h sebességű vontatott jármű legnagyobb statikus kerékterhelésének 26 %-a, vagy kisebb, mint az ugyanilyen sebesség mellett rögzített érték 60 %-a a 0. típusú vizsgálatnál.
2.3.4. Szabadonfutás vizsgálata
Önműködő fékutánállító berendezéssel felszerelt traktorok esetében a 2.3.3. pontban meghatározott vizsgálatok befejezését követően a fékeket hagyni kell lehűlni a hideg fékeknek megfelelő értékre (azaz ≤ 100 °C-ra), és ellenőrizni kell, hogy a jármű képes-e a szabadonfutásra a következő feltételek egyikének teljesítése révén:
2.3.4.1. a kerekek szabadon futnak (azaz kézzel forgathatóak);
2.3.4.2. amennyiben a jármű v = 60 km/h állandó sebességgel vagy a vontatott jármű legnagyobb tervezési sebességével (a két érték közül az alacsonyabbat kell figyelembe venni), kioldott fékekkel halad, az aszimptotikus hőmérsékletek nem haladják meg a 80 °C-os dob-/tárcsahőmérséklet-emelkedést; ekkor a maradó féknyomaték megfelelőnek minősül.
2.4. II. típusú vizsgálat (lejtőn való viselkedés vizsgálata)
Az I. típusú vizsgálaton kívül a Tb és Cb kategóriájú, 12 tonnát meghaladó legnagyobb megengedett tömegű traktorokat a II. típusú vizsgálatnak is alá kell vetni.
2.4.1. A terhelt traktorokat úgy kell vizsgálni, hogy a bevitt energia egyenértékű legyen azzal, amit ugyanennyi idő alatt a terhelt, 6 %-os lejtőn lefelé 30 km/h átlagos sebességgel 6 km távolságot megtevő traktornál feljegyeztek, a megfelelő sebességfokozat bekapcsolása, és ha a jármű ilyennel fel van szerelve, a tartósfék alkalmazása mellett. A bekapcsolt sebességfokozatnak olyan mértékűnek kell lennie, hogy a motor fordulatszáma (min- 1) ne haladja meg a gyártó által előírt legnagyobb értéket.
2.4.2. Olyan járműveknél, amelyeknél az energiát egyedül a motor fékhatása emészti fel, megengedhető ± 5 km/h tűrés az átlagsebességre, és azt a sebességfokozatot kell bekapcsolni, amely 6 %-os lejtőn a 30 km/h sebességhez legközelebb teszi lehetővé a sebesség stabilizálódását. Olyan járműveknél, amelyeknél az energiát egyedül a motor fékhatása határozza meg, elegendő, ha a mért átlagos lassulás 0,5 m/s2.
2.4.3. A vizsgálat végén meg kell mérni az üzemi fékrendszer hatásosságát meleg állapotban, ugyanolyan feltételek mellett, mint a 0. típusú vizsgálat esetében, kioldott tengelykapcsoló mellett (a hőmérsékleti viszonyok eltérőek lehetnek). Ez a meleg fékhatásosság olyan féktávolságot biztosít, amely nem haladja meg a következő értékeket, és az átlagos legnagyobb lassulás nem lehet kisebb, mint a következő értékek, miközben a kezelőszervre kifejtett erő nem nagyobb, mint 60 daN:
0,15 v + (1,33 v2/115) | (a második kifejezés a dm= 3,3 m/s2 átlagos legnagyobb lassulásnak felel meg). |
2.5. III. típusú vizsgálat (fékhatásosság csökkenésének vizsgálata):
2.5.1. R3b, R4b, S2b, ahol a tengelyenként műszakilag megengedett tömegek összege meghaladja a 10 000 kg-ot
vagy az alábbi kategóriák:
2.5.2. R3a, R4a, S2a, ahol a járművek nem lettek a 2.3.2. pont szerint vizsgálva
2.5.3. R3b és S2b, amelyek esetében a tengelyenként műszakilag megengedett tömegek összege nem haladja meg a 10 000 kg-ot.
2.5.4. Vizsgálat próbapályán
2.5.4.1. Az alábbi III. típusú vizsgálat előtt a fékek beállítását a következő eljárásoknak megfelelően kell elvégezni:
2.5.4.1.1. Levegővel működtetett fékkel felszerelt vontatott járművek esetében a fékek beállításának olyannak kell lennie, hogy lehetséges legyen az önműködő fékutánállító berendezés működése. Ebből a célból a működtető löketét az alábbiak szerint kell beállítani:
so ≥ 1,1 × sre-adjust
(a felső érték nem haladhatja meg a gyártó által ajánlott értéket)
ahol:
sre-adjust az újraállító löket az önműködő fékutánállító berendezés gyártójának meghatározása szerint, vagyis az a löket, amelynél a berendezés elkezdi újraállítani a fékhézagot 100 kPa hengernyomás mellett.
Amennyiben a műszaki szolgálattal való megállapodás alapján gyakorlati szempontból nem célszerű a fékhenger löketének mérése, a kezdeti beállításokat a műszaki szolgálattal kell egyeztetni.
A fenti feltétel szerint a féket a fékrendszer legalább 200 kPa fékhengernyomással egymás után 50 alkalommal kell működésbe hozni. Ezt egyetlen, 650 kPa fékhengernyomás feletti fékezésnek kell követnie.
2.5.4.1.2. A hidraulikus működtetésű tárcsafékekkel felszerelt vontatott járművek esetében beállítási követelmények nem szükségesek.
2.5.4.1.3. A hidraulikus működtetésű dobfékekkel felszerelt vontatott járművek esetében a fékek beállítását a gyártó utasítása szerint kell elvégezni.
2.5.4.2. A közúti vizsgálat feltételei a következők:
Fékezések száma | 20 |
A fékezési ciklus időtartama | 60 s |
Kezdeti sebesség a fékezés megkezdésekor | 60 km/h |
Fékezés mértéke | Ezeknél a vizsgálatoknál a kezelőszervre kifejtett erőt úgy kell beállítani, hogy az első fékezésnél PR vontatott jármű tömeg tekintetében 3 m/s2 átlagos legnagyobb lassulást lehessen elérni; ennek az erőnek a következő fékezések során mindvégig állandónak kell maradnia. |
A vontatott jármű lefékezettségét a 2.2.3.5. pontban megadott képlet szerint kell számítani:

Sebesség a fékezés végén:

ahol:
zR = a vontatott jármű lefékezettsége,
zR + M = a járműszerelvény (traktor és vontatott jármű) lefékezettsége,
R = a gördülési ellenállás értéke = 0,01
FM = a teljes normális irányú statikus reakcióerő az útfelület és a traktor kerekei között (N),
FR = a teljes normális irányú statikus reakcióerő az útfelület és a vontatott jármű kerekei között (N),
F1 = normális irányú statikus reakcióerő a vontatott jármű tömegének a fékezetlen tengely(ek) által hordott részén (N),
F2 = normális irányú statikus reakcióerő a vontatott jármű tömegének a fékezett tengely(ek) által hordott részén (N),
PR = PR = FR/g
v1 = a kezdeti sebesség (km/h),
v2 = a végsebesség (km/h)
2.5.5. Meleg fékhatásosság A 2.5.4. pont szerinti vizsgálat végén meg kell mérni az üzemi fékrendszer hatásosságát meleg állapotban, ugyanolyan feltételek mellett, mint a 0. típusú vizsgálat esetében, jóllehet más hőmérsékleti viszonyok mellett, és 60 km/h kezdő sebességről indulva. A meleg állapotban mért fékerő a kerekek kerületén nem lehet kisebb, mint a legnagyobb statikus kerékterhelés 40 %-a, és nem lehet kisebb, mint a 0. típusú vizsgálatnál ugyanilyen sebesség mellett feljegyzett érték 60 %-a.
2.5.6. Szabadonfutás vizsgálata
A 2.5.5. pontban meghatározott vizsgálatok elvégzése után a fékeket hagyni kell lehűlni a hideg fékeknek megfelelő értékre (azaz 100 °C alá) és ellenőrizni kell, hogy a vontatott jármű képes-e a szabadonfutásra a következő feltételek egyikének teljesítése révén:
2.5.6. 1 A kerekek szabadon futnak (azaz kézzel forgathatóak);
2.5.6.2. biztosított, hogy amennyiben a vontatott jármű v = 60 km/h állandó sebességgel, kioldott fékekkel halad, az aszimptotikus hőmérsékletek nem haladják meg a 80 °C-os dob-/tárcsahőmérséklet-emelkedést, ekkor a maradó féknyomaték megfelelőnek minősül.
3. A fékrendszerek hatásossága
3.1. T és C kategóriájú járművek
3.1.1. Üzemi fékrendszerek
3.1.1.1. A 0. típusú feltételek alatt az üzemi fékrendszert az alábbi táblázatban megadott feltételek mellett kell vizsgálni
vmax ≤ 30 km/h | vmax > 30 km/h | |
v | = vmax | = vmax |
s (méter) | ≤ 0,15 v + v2/92 | ≤ 0,15 v + v2/130 |
dm | ≥ 3,55 m/s2 | ≥ 5 m/s2 |
F (lábbal működtetett kezelőszerv) | ≤ 600 N | ≤ 600 N |
F (kézzel működtetett kezelőszerv) | ≤ 400 N | ≤ 400 N |
ahol:
vmax = a jármű legnagyobb tervezési sebessége
v = előírt vizsgálati sebesség
s = féktávolság
dm = átlagos legnagyobb lassulás
F = a kezelőszerven kifejtett erő
3.1.1.2. Fékezetlen, R vagy S kategóriájú jármű vontatására engedélyezett traktor esetében a 3.1.1.2.1. pontban a járműszerelvény tömegére előírt legkisebb kombinált fékhatást úgy kell elérni, hogy a fékezetlen vontatott jármű a traktorra van kapcsolva, és a fékezetlen vontatott jármű a traktor gyártója által bejelentett legnagyobb tömeggel van terhelve.
A járműszerelvény fékhatásosságát számításokkal kell igazolni, amelyek a traktor által önállóan ténylegesen elért legnagyobb fékhatáson alapulnak a 0. típusú vizsgálat során, kioldott tengelykapcsoló mellett, terhelt és terheletlen traktor esetében (másik lehetőségként a traktor gyártója által meghatározott részleges terhelési állapotban), a következő képlet alkalmazásával (rákapcsolt fékezetlen vontatott járművel végrehajtott vizsgálatra nincs szükség):

ahol:
dM + R = fékezetlen vontatott járművel összekapcsolt traktor számított átlagos legnagyobb lassulása m/s2-ben,
dM = a traktor által önállóan, a 0. típusú vizsgálat során, kioldott tengelykapcsoló mellett elért legnagyobb átlagos lassulás m/s2-ben,
PM = a traktor tömege (adott esetben az ellensúlyt és/vagy megtartó terhelést beleértve)
PM_laden = a terhelt traktor tömege
PM_par_laden = a részlegesen terhelt traktor tömege
PM_unladen = a terheletlen traktor tömege
PR = az üzemi fékkel nem rendelkező vontatott jármű tengelye(i) által hordott legnagyobb tömeg része, amely csatlakoztatható (a traktor gyártójának nyilatkozata szerint)
PM+R = a járműszerelvény tömege (PM tömeg + a fékezetlen vontatott jármű megadott PR tömege)
3.1.1.2.1. A járműszerelvény legkisebb szükséges fékhatásossága
A járműszerelvény legkisebb fékhatásossága nem lehet kisebb, mint 4,5 m/s2 a vmax > 30 km/h sebességű traktorok, illetve 3,2 m/s2 a vmax ≤ 30 km/h sebességű traktorok esetében terhelt és terheletlen állapotban. A traktor gyártójának belátása szerint további 0. típusú vizsgálatot végezhet el a műszaki szolgálat a gyártó által megadott részlegesen terhelt traktor tömegére vonatkozóan, hogy megállapíthassa az adott "járműszerelvény tömegére" előírt legkisebb fékhatásosságot teljesítő legnagyobb megengedett fékezetlen, vontatott járműtömeget.
A fenti terhelési feltételeken mért "dm " adatokat és az ezeknek megfelelő számított "dM + R " adatokat rögzíteni kell a vizsgálati jelentésben.
A fékezetlen vontatott jármű tömegre megadott legnagyobb értéke nem haladhatja meg a 3 500 kg-ot.
3.1.2. Biztonsági fékrendszer
A biztonsági fékrendszernek - abban az esetben is, ha kezelőszervét más fékezési funkciókra is használják - a következő értékeket meg nem haladó féktávolságot és a következő értékeknél nem kisebb átlagos legnagyobb lassulást kell biztosítania:
vmax ≤ 30 km/h sebességű traktorok: | 0,15 v + (v2/39) |
(a második kifejezés a dm = 1,5 m/s2 átlagos legnagyobb lassulásnak felel meg) |
vmax > 30 km/h sebességű traktorok: | 0,15 v + (v2/57) |
(a második kifejezés a dm = 2,2 m/s2 átlagos legnagyobb lassulásnak felel meg) |
Az előírt teljesítmény eléréséhez lábbal működtetett kezelőszerv esetében 600 N, kézzel működtetett kezelőszerv esetében 400 N nagyságot nem meghaladó erőt kell kifejteni a kezelőszervre. A kezelőszervet úgy kell elhelyezni, hogy a járművezető azt könnyen és gyorsan tudja működtetni.
3.1.3. Rögzítőfékrendszer
3.1.3.1. A rögzítőfékrendszernek, még abban az esetben is, ha más fékrendszerek egyikével egybeépített, 18 %-os emelkedőn vagy lejtőn meg kell tartania a terhelt traktort. Ezt a követelményt a lehűlési idő alatt is teljesíteni kell. A lehűlési idő akkor fejeződik be, amikor a fékek a környezeti hőmérsékletnél 10 °C-kal magasabb hőmérsékletet érnek el.
3.1.3.2. A T4.3 kategóriájú járművek esetében a rögzítőfékrendszernek, még akkor is, ha más fékrendszerek egyikével egybeépített, 40 %-os emelkedőn vagy lejtőn meg kell tartania a terhelt traktort. Ezt a követelményt a lehűlési idő alatt is teljesíteni kell. A lehűlési idő akkor fejeződik be, amikor a fékek a környezeti hőmérsékletnél 10 °C fokkal magasabb hőmérsékletet érnek el.
3.1.3.3. Meleg és hideg rögzítőfék-hatássoság vizsgálata
Az alábbi feltételek mellett kell elvégezni a méréseket annak ellenőrzése céljából, hogy a rögzítőfék képes-e megtartani a terhelt traktort emelkedőn vagy lejtőn a 3.1.3.1. és 3.1.3.2. pontban előírtak szerint:
- a fékek felmelegedése ≥ 100 °C hőmérsékletre (a tárcsa súrlódó felületén vagy a dob külsején mérve)
- meleg statikus rögzítőfékrendszer-vizsgálat ≥ 100 °C hőmérsékleten;
- hideg statikus rögzítőfékrendszer-vizsgálat ≤ környezeti hőmérséklet + 10 °C hőmérsékleten;
- a lehűlési idő alatt tilos a rögzítőfékrendszer beállítását megváltoztatni.
Az olajfürdős fékek esetében az ellenőrzés elvégzésének módszeréről a járműgyártó és a műszaki szolgálat állapodik meg. Az értékelési módszer leírását és az eredményeket csatolják a típus-jóváhagyási jegyzőkönyvhöz
A meleg statikus rögzítőfékrendszer-vizsgálattól el lehet tekinteni, ha a rögzítőfékrendszer csak az üzemi fékezés közben nem használt fékfelületekre hat.
3.1.3.4. Azokon a traktorokon, amelyekre vontatott jármű csatlakoztatható, a traktor rögzítőfékrendszerének képesnek kell lennie arra, hogy 12 %-os lejtőn vagy emelkedőn álló helyzetben megtartsa a járműszerelvényt a traktor gyártója által megadott legnagyobb megengedett tömeg esetében.
Amennyiben ez a követelmény fizikai korlátok miatt (pl. nem elég nagy a kerékabroncsabroncs-úttest tapadás ahhoz, hogy a traktor a kellő fékerőket ki tudja fejteni, vagy a traktor pusztán mechanikus rögzítőfékrendszerének 3.1.3.1. pontban előírt teljesítménye nem elég ahhoz, hogy megtartsa a járműszerelvényt) nem teljesíthető, a követelmény teljesítettnek tekintendő, ha az I. melléklet 2.2.1.20. pontjával kapcsolatban az e melléklet 3.1.3.4.1. pontjában meghatározott alternatív követelmény teljesül.
3.1.3.4.1. A 3.1.3.4. pontban előírt követelmény teljesítettnek tekinthető, ha a 3.1.3.4.1.1. pontban megállapított feltételek teljesülnek az üzemi fékkel felszerelt vontatott járművek esetében, vagy ha a 3.1.3.4.1.2. pontban meghatározott feltételek teljesülnek a fékezetlen vagy ráfutófékes vontatott járművek esetében.
3.1.3.4.1.1. Annak ellenére, hogy a traktor motorja nem jár, a legnagyobb megengedett tömegű járműszerelvény álló helyzetben marad az előírt lejtőn, miután a járművezető a vezetőüléséből egyetlen kezelőszervet működtetve bekapcsolta a traktor rögzítőfékrendszerét és a vontatott jármű üzemi fékrendszerét, vagy csak a traktor rögzítőfékrendszerét.
3.1.3.4.1.2. A traktor rögzítőfékrendszere képes a vizsgálati jelentésben említett legnagyobb "járműszerelvény PM + R tömeggel" azonos tömegű fékezetlen vagy ráfutófékes vontatott járműre csatlakoztatott traktort mozdulatlan helyzetben megtartani. Ezt a tömeget a következőképpen kell meghatározni:
a) fékezetlen vontatott jármű esetében: PM+R = a járműszerelvény tömege (PM tömeg + a fékezetlen vontatott jármű megadott PR tömege) a 3.1.1.2. pontnak megfelelően;
b) ráfutófékes vontatott jármű esetében: PM+R = a járműszerelvény tömege (PM tömeg + a ráfutófékes vontatott jármű gyártó által megadott tömege).
PM = a traktor tömege (adott esetben az ellensúlyt vagy megtartó terhelést vagy mindkettőt beleértve).
3.1.3.5. Megengedhető olyan rögzítőfékrendszer használata, amelyet az előírt fékhatás eléréséhez többször kell működtetni.
3.1.4. Maradó fékhatás átviteli hiba után
3.1.4.1. A Tb kategóriájú, a 60 km/h legnagyobb tervezési sebességet meghaladó traktorok esetében az üzemi fékrendszer maradó fékhatásának erőátviteli rendszere valamely alkatrészének meghibásodása esetén a következő értékeket meg nem haladó féktávolságot és a következő értékeknél nem kisebb átlagos legnagyobb lassulást kell biztosítania, legfeljebb 70 daN működtető erőt alkalmazva, a 0. típusú vizsgálattal ellenőrizve, kioldott tengelykapcsoló mellett, a megfelelő jármű-kategóriák esetében a következő kezdeti sebességektől:
v [km/h] | Féktávolság TERHELT – [m] | dm [m/s2] | Féktávolság TERHELETLEN – [m] | dm [m/s2] |
40 | [Kép #1] | 1,3 | [Kép #2] | 1,3 |

Kép #1

Kép #2
Ezt az előírás nem szabad a biztonsági fékrendszerre vonatkozó követelményektől való eltérésként értelmezni.
3.1.4.2. A maradó fékhatás vizsgálatát az üzemi fékrendszer tényleges meghibásodási viszonyainak szimulálása mellett kell elvégezni.
3.2. R és S kategóriájú járművek
3.2.1. Üzemi fékrendszer
3.2.1.1. R1 és S1 kategóriájú járművek vizsgálatára vonatkozó követelmény
Ha az R1 vagy S1 kategóriájú vontatott járművek rendelkeznek üzemi fékrendszerrel, a rendszer fékhatásosságának meg kell felelnie az R2 vagy S2 kategóriájú járművekre előírt követelménynek.
3.2.1.2. R2 kategóriájú járművek vizsgálatára vonatkozó követelmény
Ha az üzemi fékrendszer átmenő vagy félig átmenő típusú, a fékezett kerekek kerületén kifejtett fékerők összegének a legnagyobb statikus kerékterhelés legalább X %-ának kell lennie.
X = 50 a 30 km/h legnagyobb tervezési sebességet meghaladó vontatott járműnél
X = 35 a 30 km/h legnagyobb tervezési sebességet nem meghaladó vontatott járműnél
Amennyiben a vontatott jármű sűrített levegős fékrendszerrel van ellátva, a vezérlővezetékben a nyomás nem haladhatja meg a 650 kPa értéket (és/vagy az ISO 11992:2003 szabványban, - amely alatt az ISO 11992-2:2003 szabvány és annak Amd.1:2007 melléklete értendő - meghatározott megfelelő digitális terhelési értéket az elektromos vezérlővezetékben), és a töltővezetékben a nyomás nem haladhatja meg a 700 kPa értéket a fékvizsgálat alatt.
Amennyiben a vontatott jármű hidraulikus fékrendszerrel van felszerelve, a vezérlővezeték nyomása nem haladhatja meg a 11 500 kPa-t, a kiegészítő vezeték nyomásának pedig 1 500 kPa és 1 800 kPa között kell lennie a fékvizsgálat alatt.
A vizsgálati sebesség 60 km/h vagy a vontatott jármű legnagyobb tervezési sebessége, amelyik a kettő közül alacsonyabb.
Amennyiben a fékrendszer ráfutó típusú, a VIII. mellékletben meghatározott feltételeknek kell megfelelnie.
3.2.1.3. R3, R4 és S2 kategóriájú járművek vizsgálatára vonatkozó követelmény
A fékezett kerekek kerületén kifejtett fékerők összegének a legnagyobb statikus kerékterhelés legalább X %-ának kell lennie.
X = 50 az R3, R4 és S2 kategóriájú, 30 km/h legnagyobb tervezési sebességet meghaladó vontatott járművek esetében
X = 35 az R3a, R4a és S2a kategóriájú, 30 km/h legnagyobb tervezési sebességet nem meghaladó vontatott járművek esetében
Amennyiben a vontatott jármű sűrített levegős fékrendszerrel van felszerelve, a vezérlővezeték nyomása a fékvizsgálat alatt nem haladja meg a 650 kPa-t, a töltővezeték nyomása pedig a 700 kPa-t.
A vizsgálatot 60 km/h és a vontatott jármű legnagyobb tervezési sebessége közül azon a sebességen kell elvégezni, amelyik alacsonyabb.
Amennyiben a vontatott jármű hidraulikus fékrendszerrel van felszerelve, a vezérlővezeték nyomása nem haladhatja meg a 11 500 kPa-t, a kiegészítő vezeték nyomásának pedig 1 500 kPa és 1 800 kPa között kell lennie a fékvizsgálat alatt.
3.2.1.4. Egy tengelycsoporton belül a 0. típusú vizsgálat során megengedett a kerékblokkolás egy tengelyen. Ez a követelmény nem értelmezhető úgy, hogy eltér a XI. melléklet 6.3.1. pontjának a közvetlenül szabályozott kerekek blokkolására vonatkozó követelményétől.
3.2.2. Rögzítőfékrendszer
3.2.2.1. A vontatott jármű rögzítőfékrendszerének 18 %-os emelkedőn vagy lejtőn statikus helyzetben meg kell tartania a traktorról leválasztott terhelt vontatott járművet.
3.2.2.2. A 3.2.2.1. pontban leírt követelményt a lehűlési idő alatt is teljesíteni kell. A lehűlési idő akkor fejeződik be, amikor a fékek a környezeti hőmérsékletnél 10 °C fokkal magasabb hőmérsékletet érnek el.
3.2.2.3. Meleg és hideg rögzítőfék-hatásossági vizsgálat A 3.1.3.3. pontban meghatározott vizsgálati követelmények érvényesek értelemszerűen.
3.2.3. Önműködő fékrendszer
Az I. melléklet 2.2.1.17.1. és 2.2.1.18.5. pontjában leírt hiba esetében a terhelt járművet 40 km/h vagy 0,8 vmax (a kettő közül a kisebb) sebességen vizsgálva az önműködő fék hatásossága nem lehet kevesebb, mint a legnagyobb statikus kerékterhelés 13,5 %-a. A 13,5 % feletti fékhatásossági szinteknél megengedett a kerekek blokkolása.
3.3. A T, C, R és S kategóriájú járművek fékkésedelmi ideje
3.3.1. Ha a jármű olyan üzemi fékrendszerrel van felszerelve, amely részben vagy egészen a járművezető izomerejétől eltérő energiaforrástól függ, a következő követelményeknek kell teljesülniük:
3.3.1.1. Vészmanőver esetén nem haladhatja meg a 0,6 másodpercet a kezelőszerv működtetése megkezdésének pillanatától addig a pillanatig eltelt idő, amíg a fékerő a legkedvezőtlenebb helyzetben lévő tengelyen is eléri az előírt hatásosságnak megfelelő szintet.
3.3.1.2. Sűrített levegős járművek vagy hidraulikus fékrendszerrel ellátott járművek vagy hidraulikus vezérlővezetékkel ellátott traktorok esetében a 3.3.1. pont követelményei akkor tekintendők teljesítettnek, ha a jármű megfelel a III. melléklet rendelkezéseinek.
3.3.1.3. Hidraulikus fékrendszerekkel felszerelt traktorok esetében a 3.3.1. pont követelményeit teljesültnek lehet tekinteni, ha egy vészmanőver során a jármű lassulása vagy a legkedvezőtlenebb helyzetben lévő fékhengernél fellépő nyomás 0,6 másodpercen belül eléri az előírt hatásosságnak megfelelő szintet.
3.3.1.4. A fékezés alatt egy fékezett tengellyel és az összes többi tengelyen automatikusan kapcsolt meghajtással rendelkező traktorok esetében akkor tekintendők a 3.1.1. pontban leírt követelmények teljesítettnek, ha a traktor teljesíti a 3.1.1.1. pont szerint az adott jármű-kategóriára előírt féktávolságot és az átlagos legnagyobb lassulást, de ebben az esetben mindkét paraméter tényleges mérése szükséges.
1. függelék
A fékerő megoszlása a járművek tengelyei között, valamint a traktor és a vontatott jármű kompatibilitási követelményei
1. Általános követelmények
1.1. T, C, R és S kategóriájú járművek
1.1. 1 A Ta, Ca, R2a, R3a, R4a és S2a kategóriájú, 30 km/h legnagyobb tervezési sebességet nem meghaladó járműveknek a jelen függelék alábbi követelményeit kell teljesíteniük:
1.1.1.1. a 2. és 3. diagramhoz kapcsolódó kompatibilitási követelmények értelemszerűen, ha különleges berendezés használatos, annak automatikusan kell működnie. Elektronikus fékerőmegoszlás-vezérlésű fékek esetében e függelék követelményeit csak akkor kell alkalmazni, ha a pótkocsi az ISO 7638:2003 szabványnak megfelelő csatlakoztatóval van a traktorhoz elektromosan csatlakoztatva.
1.1.1.2. a különleges berendezés kezelőszervének meghibásodása esetében a 5. pontban meghatározott fékhatásosságot kell elérni az adott járművön.
1.1.1.3. a 6. pontban lefektetett jelölési követelmények.
1.1.2. A Tb, R2b, R3b, R4b és S2b kategóriájú járműveknek a jelen függelék vonatkozó követelményeit kell teljesíteniük. Különleges berendezés alkalmazása esetén ennek automatikusan kell működnie.
1.1.3. Ugyanakkor az 1.1.1. és 1.1.2. pontban említett kategóriájú azon járműveknek, amelyeket (traktorokra szánt) 1. vagy 2. kategóriájú, illetve (vontatott járművekre szánt) A vagy B kategóriájú blokkolásgátló fékrendszerrel szereltek fel, és amelyek teljesítik a XI. melléklet vonatkozó követelményeit, az alábbi kivételekkel vagy feltételekkel teljesíteniük kell a jelen függelék valamennyi vonatkozó követelményét:
1.1.3.1. az 1. diagramhoz kapcsolódó tapadáskihasználási követelmények teljesítése nem szükséges;
1.1.3.2. traktorok és vontatott járművek esetében a 2. és 3. diagramokhoz - értelemszerűen - kapcsolódó terheletlen kompatibilitási követelmények betartása nem szükséges. Azonban a lefékezettségnek valamennyi terhelési állapot esetében 20 kPa és 100 kPa (pneumatikus fékrendszerek), illetve 350 és 1 800 kPa (hidraulikus fékrendszerek) közötti nyomáson vagy a vezérlővezeték(ek) kapcsolófején mért ezzel egyenértékű digitális terhelésértéken kell kialakulnia;
1.1.3.3. az olyan különleges berendezéssel felszerelt járművek esetében, amely önműködően szabályozza a fékezés eloszlását a tengelyek között, vagy önműködően szabályozza a fékerőt a tengely(ek) terhelésétől függően, a 5. és 6. pontok követelményeit kell alkalmazni.
1.1.4. Amennyiben a járművet tartós fékrendszerrel szerelték fel, a lassító erőt nem kell figyelembe venni a jármű fékhatásosságának e függelék rendelkezései szerinti meghatározásakor.
1.1.5. Az ebben a függelékben foglalt követelmények az adott járműtípushoz a gyártó által szolgáltatott legnagyobb átmérőjű abroncsra ható fékberendezésre vonatkoznak.
1.1.6. Az e függelék 1., 2. és 3. diagramjához kapcsolódó tapadáskihasználási és megfelelőségi követelmények teljesülését számítással kell igazolni.
1.2. A 3.1.6.1, a 4.1. és a 4.2. pontban meghatározott diagramokra vonatkozó követelmények a pneumatikus és elektromos vezérlővezetékkel ellátott járművek esetében az I. melléklet 2.1.4. pontja, a hidraulikus vezérlővezetékkel ellátott járművek esetében pedig az I. melléklet 2.1.5. pontja szerint érvényesek. A referenciaérték (a diagramok abszcisszája) valamennyi esetben a vezérlővezetékben továbbított nyomás vagy elektromos jel értékének felel meg:
1.2.1. Az I. melléklet 2.1.4.1.1. pontja szerint felszerelt járművek esetében ez az érték a vezérlővezetékben fellépő tényleges pneumatikus nyomás (pm);
1.2.2. Az I. melléklet 2.1.4.1.2. vagy 2.1.4.1.3. pontja szerint felszerelt járművekben ez az érték az elektromos vezérlővezetékben az ISO 11992:2003 szabvány (amely alatt az ISO 11992-2:2003 és annak Amd.1:2007 módosítása értendő) szerint továbbított digitális terhelésnek megfelelő nyomás.
Az I. melléklet 2.1.4.1.2. pontja szerint (pneumatikus és elektromos vezérlővezetékkel egyaránt) felszerelt járműveknek mindkét vezérlővezeték diagramjában előírt követelményeknek meg kell felelniük. Nem szükséges azonban, hogy a fékgörbe mindkét vezérlővezeték esetében azonos legyen.
1.2.3. Az I. melléklet 2.1.5.1. pontja szerint felszerelt járművek esetében ez az érték a vezérlővezetékben fellépő tényleges hidraulikus nyomás (pm).
1. 3 A fékerők kialakulásának ellenőrzése.
1.3.1. A típusjóváhagyás időpontjában ellenőrizni kell, hogy az egyes független tengelycsoportok tengelyein kialakuló fékezés a következő nyomástartományokon belül van-e:
1.3.1. 1 Terhelt járművek:
Legalább egy tengelynek meg kell kezdenie a fékezést, amikor a kapcsolófejnél a nyomás 20 kPa és 100 kPa (pneumatikus fékrendszerek), illetve 350 és 1 800 kPa (hidraulikus fékrendszerek) között van, vagy ezzel egyenértékű digitális terhelés értékű.
Minden második tengelycsoportban legalább egy tengelynek meg kell kezdenie a fékezést, amikor a kapcsolófejnél a nyomás ≤ 120 kPa (pneumatikus fékrendszerek), illetve 2 100 kPa (hidraulikus fékrendszerek), vagy ezzel egyenértékű digitális terhelés értékű.
1.3.1.2. Terheletlen járművek:
Legalább egy tengelynek meg kell kezdenie a fékezést, amikor a kapcsolófejnél a nyomás 20 kPa és 100 kPa (pneumatikus fékrendszerek), illetve 350 és 1 800 kPa (hidraulikus fékrendszerek) között van, vagy ezzel egyenértékű digitális terhelés értékű.
1.3.1.3. A tengely(ek) kerekeit a talajról elemelve és szabadon forgatható állapotban kell egyre növekvő fékszükségletet kifejteni és meg kell mérni a kapcsolófej nyomását akkor, amikor a kerekeket már nem lehet kézi erővel elforgatni. A C kategóriájú traktorok esetében alternatív eljárás használható a fékerő kialakulásának értékeléséhez (pl. a hernyótalpak eltávolításával). Ez az állapot határozza meg a fékerő kialakulását.
2. Jelölések
i = tengely index (i = 1, első tengely; i = 2, második tengely stb.)
E = tengelytáv
ER = a kapcsolási pont és a középtengely közötti távolság merev vonórúddal vontatott járművek és középtengelyes vontatott járművek esetében
fi = Ti/Ni az i tengely által kihasznált tapadás
Fi = az útfelület normális irányú reakcióereje az i tengelyen statikus helyzetben
FM = az útfelület teljes statikus normális irányú reakcióereje a traktor kerekein
g = gravitációs gyorsulás: g = 9,81 m/s2;
h = a gyártó által meghatározott és a jóváhagyási vizsgálatot végző műszaki szolgálat által elfogadott tömegközéppont úttest feletti magassága;
J = a jármű lassulása
k = a gumiabroncs és az útfelület közötti elméleti tapadási együttható
P = a jármű tömege
Ni = az út felületének normális irányú reakcióereje az i tengelyre fékezés közben
pm = nyomás a vezérlővezeték kapcsolófejénél
FR = útfelület teljes normális irányú statikus reakcióereje a vontatott jármű összes kerekén
FRmax = az FR értéke a vontatott jármű legnagyobb tömegénél
Ti = a fékek által kifejtett erő az i tengelyen normális irányú fékezési körülmények között az úton
TM = a fékerők összege a traktorok összes kerekének kerületén
TR = a Ti fékerők összege a vontatott jármű összes kerekének kerületén
z = a jármű lefékezettsége = J/g
3. A T kategóriájú traktorokra vonatkozó követelmények
3.1. Kéttengelyes traktorok
3.1.1. 0,2 és 0,8 közötti k értékek esetében:

Az ebben a pontban meghatározott előírások nem befolyásolják a II. melléklet fékhatásosságra vonatkozó követelményeit. Ha azonban az ebben a pontban meghatározott előírások alapján elvégzett vizsgálatok során nyert fékhatásosság nagyobb, mint a II. mellékletben előírt értékek, akkor az 1. diagramon belül a k = 0,8 és z = 0,8 egyenesek által meghatározott területen a tapadáskihasználási görbékkel kapcsolatos előírásokat kell alkalmazni.
3.1.2. A 0,15 és 0,30 közötti valamennyi lefékezettség esetében:
3.1.2.1. Az egyes tengelyek tapadáskihasználási görbéi az 1. diagramon bemutatottak szerint a k = z+/-0,08 egyenlettel kapott ideális tapadáskihasználási görbével párhuzamos két vonal között haladnak, és a hátsó tengely tapadáskihasználási görbéjére z > 0,3 lefékezettségek esetében teljesül az alábbi feltétel:

3.1.3. Az R3b, R4b és S2b kategóriájú, sűrített levegős fékrendszerrel ellátott járművek vontatására engedélyezett traktorok esetében:
3.1.3.1. A vizsgálat során leállított energiaforrással, lezárt töltővezetékkel, a pneumatikus vezérlővezetékre kötött 0,5 liter térfogatú tartály mellett és a rendszer be- és kikapcsolási nyomásánál az üzemi fékrendszer kezelőszervének teljes lenyomása esetén a nyomásnak a töltővezeték és a vezérlővezeték kapcsolófejénél 650 és 850 kPa között kell lennie, függetlenül a jármű terhelési állapotától.
3.1.3.2. Elektromos vezérlővezetékkel felszerelt járművek esetében az üzemi fék kezelőszervének teljes lenyomása esetén az elektromos vezérlővezetékben a digitális terhelés értékének 650 és 850 kPa közötti nyomásnak kell megfelelnie (lásd az ISO 11992:2003 szabványt, amely magában foglalja az ISO 11992-2:2003 szabványt és annak 1:2007 módosítását).
3.1.3.3. Ezeknek az értékeknek a vontatott járműről lekapcsolt traktoron is kimutathatóknak kell lenniük. A 3.1.6., 4.1. és 4.2. pontban megadott diagramokon a kompatibilitási sávokat nem szabad 750 kPa-on és/vagy a megfelelő digitális terhelés értéken túl kiterjeszteni (lásd az ISO 11992:2003 szabványt, amely magában foglalja az ISO 11992-2:2003 szabványt és annak 1:2007 módosítását).
3.1.3.4. Biztosítani kell, hogy a töltővezeték kapcsolófejénél legalább 700 kPa nyomás álljon rendelkezésre, amikor a rendszer bekapcsolási nyomáson van. Ezt a nyomást az üzemi fékek működtetése nélkül kell kimutatni.
3.1.4. Az R3b, R4b és S2b kategóriájú, hidraulikus fékrendszerrel rendelkező járművek vontatására engedélyezett traktorok esetében:
3.1.4.1. Üresjárati fordulatszámú energiaforrással és a legnagyobb motorfordulatszám 2/3-ánál végzett vizsgálat során, ahol a vontatottjármű-szimulátor (III. melléklet 3.6. pont) vezérlővezetéke a hidraulikus vezérlővezetékre van csatlakoztatva. A fékrendszer kezelőszervének teljes lenyomása esetén a nyomásnak a hidraulikus vezérlővezetéken 11 500 és 15 000 kPa között, illetve a kiegészítő vezetéken 1 500 és 3 500 kPa között kell lennie a jármű terhelési állapotától függetlenül.
3.1.4.2. Ezeknek az értékeknek a vontatott járműről lekapcsolt traktoron is kimutathatóknak kell lenniük. A 3.1.6., 4.1. és 4.2. pontban megadott diagramokon a kompatibilitási sávokat nem szabad 13 300 kPa értéken túl kiterjeszteni.
3.1.5. A 3.1.1. és 3.1.2. pontban leírt követelmények ellenőrzése
3.1.5.1. A 3.1.1. és 3.1.2. pontban foglalt követelmények ellenőrzése céljára a gyártónak meg kell adnia a következő képlet szerint számított tapadáskihasználási görbéket az első és a hátsó tengelyekre:


A görbéket a következő mindkét terhelési feltételre meg kell szerkeszteni:
3.1.5.1.1. terheletlen állapot, a gyártó által az adatközlő lapon megadott legkisebb tömeg túllépése nélkül;
3.1.5.1.2. terhelt állapot; amennyiben az előírásokban több terheléseloszlási lehetőség szerepel, az első tengely legnagyobb terhelését eredményező eloszlást kell figyelembe venni.
3.1.5.2. Az olyan traktorok esetében, amelyeken az összkerékmeghajtás miatt az összes tengely tartósan és mereven össze van kapcsolva (100 %-os zárás), vagy amelyeken az összkerékmeghajtás fékezés közben az összes tengelyt automatikusan összekapcsolja (100 %-os zárás)
3.1.5.2.1. A 3.1.5.1. pont szerinti matematikai ellenőrzés nem kötelező.
3.1.5.3. Olyan állandó összkerék-meghajtású traktorok, amelyek nem tartoznak a 3.1.5.2. pont hatálya alá
3.1.5.3.1. Amennyiben állandó összkerék-meghajtású járművek esetében vagy olyan állapotban, amikor az összkerékmeghajtás fékezés közben kapcsolva van, nem lehetséges a 3.1.5.1. pont szerinti matematikai ellenőrzés elvégzése, a gyártó ehelyett a kerékblokkolási sorrend vizsgálatával ellenőrizheti, hogy az első kerekek blokkolása a hátsó kerekek blokkolásával egyidejűleg vagy azt megelőzően következik-e be.
3.1.5.4. Ugyanakkor az olyan traktorok esetében, amelyek önműködően működtetik az összkerékmeghajtást 20 km/h fölötti járműsebesség melletti fékezés megkezdésekor, de nem kapcsolják önműködően az összkerékmeghajtást, amikor 20 km/h-t meg nem haladó sebességnél működtetik az üzemi fékrendszert, nem szükséges a 3.1.5.1. pont szerinti megfelelőséget tanúsítani abban az állapotban, amikor az összkerékmeghajtás fékezés alatt nincs kapcsolva.
3.1.5.5. Eljárás a 3.1.5.3. pont követelményeinek ellenőrzésére
3.1.5.5.1. A kerékblokkolási sorrend vizsgálatát mind a terhelt, mind a terheletlen járművön el kell végezni, olyan tapadási együtthatójú útfelületen, hogy az első tengely kerékblokkolása legfeljebb 0,55 és körülbelül 0,8 közötti lefékezettségen történjen, a 3.1.5.5.2. pontban meghatározott kezdeti vizsgálati sebességen.
3.1.5.5.2. Vizsgálati sebesség:
0,9 vmax, de legfeljebb 60 km/h.
3.1.5.5.3. A kifejtett pedálerő meghaladhatja a II. melléklet 3.1.1. pontja szerint megengedhető működtetési erőket.
3.1.5.5.4. A pedálerőt úgy kell kifejteni és növelni, hogy a jármű második kereke a kezdeti fékműködtetést követő 0,5 és 1 s időtartam között blokkoljon, mindaddig, amíg egy tengely mindkét kereke nem blokkol (a vizsgálat során más kerekek is blokkolhatnak, pl. egyidejű blokkolás esetében).
3.1.5.5.4.1. Ha a terhelt járművön végzett vizsgálat alatt a második kerék blokkolását nem lehetséges 1 s időtartamon belül elérni, e vizsgálattól el lehet tekinteni, amennyiben a kerékblokkolás a 3.1.5.5.4. pontban előírt feltételek mellett a terheletlen járművön végzett vizsgálat alatt igazolhatóan bekövetkezik.
Ha a második kerék blokkolását a terheletlen járművön végzett vizsgálat alatt sem lehetséges 1 s időtartamon belül elérni, egy harmadik, döntő erejű vizsgálatot kell végezni legfeljebb 0,3 tapadási együtthatójú útfelületen, 0,8 vmax, de a 60 km/h-t meg nem haladó vizsgálati sebességen.
3.1.5.5.4.2. A 3.1.5.5. pontnak megfelelően végzett vizsgálatok céljára az első és hátsó kerekek egyidejű blokkolása azt jelenti, hogy a hátsó tengelyen található utolsó (második) kerék blokkolása és az első tengelyen található utolsó (második) kerék blokkolása között eltelt időtartam nem haladja meg a 0,3 s-t.
3.1.6. Vontatott járművek vontatására engedélyezett traktorok
3.1.6.1. A TM/FM lefékezettség és a pm nyomás közötti megengedett viszonynak a 2. diagramon jelzett területeken belül kell lennie a 20 és 750 kPa (sűrített levegős fékrendszer esetében), illetve 350 és 13 300 kPa (hidraulikus fékrendszer esetében) közötti valamennyi nyomásnál.
3.2. Kettőnél több tengellyel rendelkező traktorok
A több mint két tengelyes járművekre a 3.1. pont előírásai vonatkoznak. A 3.1.2. pont szerinti követelményeket a kerekek blokkolási sorrendjének tekintetében teljesítettnek kell tekinteni, ha 0,15 és 0,30 közötti lefékezettség esetén az első tengelyek legalább egyikén a tapadáskihasználás nagyobb, mint a hátsó tengelyek legalább egyikén.
4. Vontatott járművekre vonatkozó követelmények
4.1. A sűrített levegős és hidraulikus fékrendszerekkel felszerelt, vonórúddal vontatott járműveknél:
4.1.1. A vonórúddal vontatott kéttengelyes vontatókra az alábbi követelmények vonatkoznak:
4.1.1.1. 0,2 és 0,8 közötti k értékek esetében:
z ≥ 0,1 + 0,85 (k - 0,2)
A 3.1.1. pont előírásai nem befolyásolják a II. melléklet fékhatásosságra vonatkozó követelményeit. Ha azonban a 3.1.1. pont előírásai alapján elvégzett vizsgálatok során nyert fékhatásosság nagyobb, mint a II. mellékletben előírt értékek, akkor e melléklet 1. diagramjának a k = 0,8 és z = 0,8 egyenesek által meghatározott területein a tapadáskihasználási görbékkel kapcsolatos előírásokat kell alkalmazni.
4.1.1.2. A jármű minden terhelési állapotában 0,15 és 0,30 közötti lefékezettség esetében a hátsó tengely tapadáskihasználási görbéje nem lehet az első tengelyhez tartozó felett. Ez a feltétel akkor is teljesítettnek tekinthető, ha 0,15 és 0,30 közti lefékezettségek esetében az alábbi két feltétel teljesül:
4.1.1.2.1. az egyes tengelyek tapadáskihasználási görbéi az 1. diagramon bemutatottak szerint a k = z + 0,8 és k = z - 0,08 egyenlettel kapott ideális tapadáskihasználási görbével párhuzamos két vonal között haladnak
valamint
4.1.1.2.2. a hátsó tengely tapadáskihasználási görbéje z ≥ 0,3 lefékezettségek esetében a z ≥ 0,3 + 0,74 (k - 0,38) egyenletnek felel meg.
4.1.1.3. A 4.1.1.1 és 4.1.1.2 pontok követelményeinek igazolásához a 3.1.5. pont rendelkezései esetében használatos eljárást kell alkalmazni.
4.1.2. A vonórúddal vontatott, két vagy több tengelyes járművek esetében a 4.1.1. pont követelményei érvényesek. A 4.1.1. pont szerinti követelményeket a kerekek blokkolási sorrendjének tekintetében teljesítettnek kell tekinteni, ha 0,15 és 0,30 közötti lefékezettség esetén az első tengelyek legalább egyikén a tapadáskihasználás nagyobb, mint a hátsó tengelyek legalább egyikén.
4.1.3. A TR/PR lefékezettség és a pm nyomás közötti megengedhető viszonynak a 3. diagram meghatározott területein belül kell lennie a 20 és 750 kPa (pneumatikus), illetve 350 és 13 300 kPa közötti valamennyi nyomás esetében, terhelt és terheletlen állapotra is.
4.2. A sűrített levegős és hidraulikus fékrendszerekkel felszerelt, merev vonórúddal rendelkező vontatott járművek és középtengelyes vontatott járművek esetében:
4.2.1. A TR/PR lefékezettség és a pm nyomás közötti megengedhető viszonynak a 3. diagramból származtatott két területen belül kell lennie, a függőleges lépték 0,95-tel való szorzásával. Ezt a követelményt a 20 és 750 kPa (pneumatikus), illetve 350 és 13 300 kPa (hidraulikus) közötti valamennyi nyomás esetében, terhelt és terheletlen állapotban is teljesíteni kell.
4.3. Ráfutó fékrendszerrel rendelkező, vonórúddal vontatott járműveknél
4.3.1. A 4.1.1. pont szerinti követelmények vonatkoznak a ráfutó fékrendszerrel ellátott, vonórúddal vontatott járművekre is.
4.3.2. A ráfutó fékrendszerrel ellátott, kettőnél több tengellyel rendelkező, vonórúddal vontatott járművekre a jelen függelék 4.1.2. pontja szerinti követelmények vonatkoznak.
4.3.3. A 4.1.1.3. pont előírásainak való megfelelőség ellenőrzésére szolgáló számítás során a D* (VIII. melléklet 10.3.1. pont) megengedett vonórúderő hatása figyelmen kívül hagyható.
5. A fékerőelosztó rendszer meghibásodása esetén teljesítendő követelmények
Ha e függelék követelményei egy különleges berendezés használatával teljesülnek (például a tengelyfelfüggesztés által mechanikusan működtetett módon), akkor a kezelőszervének meghibásodásakor lehetségesnek kell lennie a jármű traktorok biztonsági fékberendezésére vonatkozó feltételek mellett történő lefékezésének; a sűrített levegős vagy hidraulikus fékrendszerrel felszerelt járművek vontatására engedélyezett traktorok esetében a 3.1.3. és 3.1.4. pontokban meghatározott tartományon belül a vezérlővezeték-kapcsolófej nyomásnak elérhetőnek kell lennie. A berendezés vontatott járművön levő kezelőszervének meghibásodása esetén az adott járműre előírt üzemi fékhatás legalább 30 %-át el kell érni.
6. Jelölések
6.1. Azokat a járműveket, amelyek e függelék követelményeit a járműfelfüggesztés által mechanikusan működtetett berendezés révén teljesítik, meg kell jelölni az (EU) 2015/208 felhatalmazáson alapuló rendelet 24. cikkében meghatározott követelmények szerint, és fel kell tüntetni rajtuk azokat az adatokat, amelyek mutatják a berendezésnek a jármű terheletlen, illetve terhelt állapotának megfelelő helyzete közötti hasznos elmozdulását, valamint minden olyan további információt, amelynek segítségével ellenőrizhető a berendezés beállítása.
6.1.1. Amikor egy terhelésfüggő fékerő-szabályozót a járműfelfüggesztés útján bármely más berendezés vezérel, a járművön fel kell tüntetni az ellenőrizendő berendezés beállítását lehetővé tevő adatokat.
6.2. Amikor e függelék követelményei a fék erőátviteli rendszerének lég- vagy hidraulikus nyomását változtató berendezés révén teljesülnek, a járművet meg kell jelölni a talajra ható tengelyterhelések, a berendezés névleges kimenőnyomása és a gyártó által bejelentett legnagyobb tervezett bemenő nyomás legalább 80 %-át elérő bemenő nyomás feltüntetése érdekében, a következő terhelési állapotok tekintetében:
6.2.1. A berendezést működtető tengely(ek) műszakilag megengedhető legnagyobb tengelyterhelése;
6.2.2. A fékezési követelmények jóváhagyására vonatkozó vizsgálati jegyzőkönyvben megadottak szerint a menetkész jármű terheletlen tömegének megfelelő tengelyterhelés(ek);
6.2.3. A gyártó által megjelölt, a berendezés beállításának üzem közbeni ellenőrzését lehetővé tévő tengelyterhelés(ek), ha ez(ek) különbözik (különböznek) a 6.2.1-6.2.2. pontban meghatározott terhelés(ek)től.
6.3. A 6.1. és 6.2. pontban említett jelöléseket látható helyen, eltávolíthatatlan módon kell elhelyezni. A sűrített levegős vagy hidraulikus fékrendszerrel felszerelt járművön a mechanikusan működtetett berendezés jelölésére vonatkozó példa az (EU) 2015/504 bizottsági végrehajtási rendelet ( 2 ) 5. cikkében meghatározott követelmények szerint van megadva.
6.4. A 6.1., 6.2. és 6.3. pontok követelményeinek teljesítésére nem képes, elektronikus vezérlésű fékerőelosztó rendszereknek önellenőrzési eljárásokkal kell rendelkezniük a fékerőeloszlást befolyásoló funkciók tekintetében. Emellett a jármű álló helyzetében lehetségesnek kell lennie a 1.3.1. pontban említett ellenőrzések a fékezés megkezdéséhez társított névleges terhelési nyomás előállításával történő elvégzésének, terhelt és terheletlen állapotban egyaránt.
7. Járművizsgálat
A jóváhagyás időpontjában a műszaki szolgálat ellenőrzi a jelen függelékben szereplő követelmények teljesítését, és ebből a célból elvégzi a szükségesnek tartott egyéb vizsgálatokat. A további vizsgálatok jegyzőkönyveit csatolni kell a típus-jóváhagyási jegyzőkönyvhöz.
1. diagram
Tb kategóriájú traktorok és R3b, R4b és S2b kategóriájú, vonórúddal vontatott járművek
(lásd a 3.1.2.1. és a 4.1.1.2. pontot.)

Megjegyzés: A k = z - 0,08 alsó határgörbe nem alkalmazható a hátsó tengely tapadáskihasználási görbéjéhez.
2. diagram
A TM/PM lefékezettség és a pm kapcsolófejnyomás közötti megengedett viszony T és C kategóriájú, sűrített levegős vagy hidraulikus fékrendszerű traktorok esetében

3. diagram
A TR/FR lefékezettség és a pm kapcsolófej nyomás közötti megengedett viszony S2, R3 és R4 kategóriájú, sűrített levegős vagy hidraulikus fékrendszerű vontatott járműveken

III. MELLÉKLET
A nyomásfelfutási idő mérésére vonatkozó követelmények
1. Általános előírások
1.1. Az üzemi fékrendszerek nyomásfelfutási idejét álló helyzetű járművön kell meghatározni, a nyomást a legkedvezőtlenebbül elhelyezett fék nyílásánál kell mérni. Ha a jármű terhelésérzékelő szelepekkel van ellátva, azt "terhelt" állásba kell állítani.
1.2. E vizsgálatok során az egyes tengelyek fékhengerei löketének akkorának kell lennie, ami a lehető legszorosabbra állított fékeknek felel meg.
1.3. A 2.2., 2.3., 2.4., 2.6., 3.3., 3.4., 3.5., 3.6.5., 4.1., 4.5.1., 4.5.2., 4.5.3., 5.3.6., 6.2. pontok szerint elért nyomásfelfutási időket tizedmásodpercre kell kerekíteni. Ha a századot jelző szám 5 vagy több, a nyomásfelfutási időt a következő tizedre kell felkerekíteni.
1.4. Az 1. és 2. függelékek diagramjai példákat mutatnak az adott szimulátor beállításhoz és használathoz szükséges helyes konfigurációjához.
2. Sűrített levegős fékrendszerrel ellátott traktorok
2.1. Az egyes vizsgálatok kezdetén az energiatároló berendezésben a nyomásnak meg kell egyeznie azzal a nyomással, melynél a szabályozó helyreállítja a rendszerbe történő betáplálást. A vezérlővel (pl. nyomáshatárolóval felszerelt kompresszorokkal) nem felszerelt rendszerek esetében a tartály nyomásának minden vizsgálat megkezdésekor, a gyártó által megállapított és a IV. melléklet A részének 1.2.2.1 pontjában meghatározott és az e mellékletben előírt vizsgálatokhoz használt nyomás 90 %-ának kell lennie.
2.2. A nyomásfelfutási időt a működtetési idő (tf) függvényeként egymás utáni teljes fékezésekkel kell megállapítani, kezdve a lehető legrövidebb működtetési idővel, majd az idő körülbelül 0,4 másodpercre növelésével. A mért értékeket diagramon kell ábrázolni.
2.3. A vizsgálathoz a 0,2 másodperc működtetési időnek megfelelő nyomásfelfutási időt kell figyelembe venni. A nyomásfelfutási idő az ábrából interpolálással kapható meg.
2.4. A 0,2 másodperc működtetési idő esetében a fékrendszer kezelőszerve működtetésének megkezdésétől a fékhengerben az aszimptotikus nyomásérték 75 %-ának eléréséig terjedő időtartam nem haladhatja meg a 0,6 másodpercet.
2.5. Olyan traktorok esetében, amelyek vontatott járművekhez szolgáló pneumatikus vezérlővezetékkel vannak felszerelve, az 1.1. pont követelményein túlmenően a nyomásfelfutási időt egy 13 mm belső átmérőjű és 2,5 m hosszú, az üzemi fékrendszer vezérlővezetékének kapcsolófejéhez kötött csővel is meg kell mérni. E vizsgálat alatt egy 385 ± 5 cm3 térfogatú edényt (ami egy 13 mm belső átmérőjű és 2,5 m hosszú, 650 kPa nyomás alatt álló cső térfogatának tekinthető) kell a töltővezeték kapcsolófejéhez kötni. A csövek hosszát és belső átmérőjét a vizsgálati jegyzőkönyv 2.4. pontjában kell megadni.
2.6. A fékpedál működtetésének megkezdésétől az addig eltelt idő, amíg:
2.6.1. A pneumatikus vezérlővezeték kapcsolófejénél mért nyomás;
2.6.2. Az elektromos vezérlővezeték ISO 11992:2003 szabvány (amely magában foglalja az ISO 11992-2:2003 és annak Amd.1:2007 módosítását) szerint mért digitális terhelési értéke. eléri az aszimptotikus, illetve végső nyomás x százalékát, nem haladhatja meg az alábbi táblázatban feltüntetett értékeket:
x [százalék] | t [s] |
10 75 | 0,2 0,4 |
2.7. R3 vagy R4 kategóriájú, sűrített levegős fékrendszerrel ellátott járművek vontatására engedélyezett traktorok esetében a 2.6. pontban említett követelményeken túlmenően az I. melléklet 2.2.1.17.2.1. pontjának előírásait is igazolni kell a következő vizsgálat elvégzésével:
2.7.1. nyomásméréssel egy 13 mm belső átmérőjű és 2,5 m hosszú, a töltővezeték kapcsolófejéhez kötött cső végén;
2.7.2. a vezérlővezeték meghibásodásának szimulálásával a kapcsolófejnél;
2.7.3. az üzemi fék kezelőszervének 2.3. pont szerint 0,2 másodperc alatt történő működésbe hozásával.
3. Hidraulikus fékrendszerrel ellátott traktorok
3.1. A nyomásfelfutási idő vizsgálatokat 15 °C és 30 °C közötti környezeti hőmérsékleten kell elvégezni.
3.2. Az egyes vizsgálatok kezdetén az energiatároló berendezésben a nyomásnak meg kell egyeznie azzal a nyomással, melynél a szabályozó helyreállítja a rendszerbe történő betáplálást. A vezérlővel (pl. nyomáshatárolt hidraulikus szivattyúkkal) nem felszerelt rendszerek esetében a tartály nyomásának minden vizsgálat megkezdésekor 90 %-ának kell lennie a gyártó által megállapított és a IV. melléklet C. részének 1.2.1.2. pontjában meghatározott és a jelen mellékletben előírt vizsgálatokhoz használt nyomásnak.
3.3. A nyomásfelfutási időt a működtetési idő (tf) függvényeként egymás utáni teljes fékezésekkel kell megállapítani, kezdve a lehető legrövidebb működtetési idővel, majd az idő körülbelül 0,4 másodpercre növelésével. A mért értékeket diagramon kell ábrázolni.
Az energiarásegítéssel nem vagy csak korlátozottan működtetett üzemi fékrendszer esetében olyan szabályozási erőt kell kifejteni, amely legalább az előírt üzemi fékhatásosságot biztosítja.
3.4. A vizsgálathoz a 0,2 másodperc működtetési időnek megfelelő nyomásfelfutási időt kell figyelembe venni. A nyomásfelfutási idő az ábrából interpolálással kapható meg.
3.5. A 0,2 másodperc működtetési idő esetében a fékrendszer kezelőszerve működtetésének megkezdésétől a fékhengerben a legnagyobb értékek 75 %-ának eléréséig terjedő időtartam nem haladhatja meg a 0,6 másodpercet.
Teljes meghajtású üzemi fékrendszer esetében, ahol a fékhengerben a féknyomás ideiglenesen éri el a legnagyobb nyomást, majd az átlagos stabilizált nyomásra csökken. Ezt az átlagos stabilizált nyomást kell a 75 %-os érték számításához figyelembe venni.
3.6. Hidraulikus vezérlővezetékkel ellátott traktorok vontatott járművekhez
3.6.1. Az 1.1. pont követelményei mellett a nyomásfelfutási időt a hidraulikus vezérlővezeték kapcsolófejeire és a traktor kiegészítő vezetékére csatlakoztatott vontatottjármű-szimulátorral kell mérni (lásd a 2. függelék 1. pontját).
3.6.2. A vontatottjármű-szimulátornak az alábbi alkatrészekkel és jellemzőkkel kell rendelkeznie:
3.6.2.1. Kiegészítő vezetékes vontatottjármű-szimulátor
3.6.2.1.1. ISO 16028:2006 szabvány szerinti csatlakozóaljzattal ellátott kiegészítő vezeték, amelynek 0,6+ 0,2 mm átmérőjű nyílása van az áramlás korlátozására a vizsgálat alatt.
3.6.2.1.2. Dugattyú nyomástároló (vagy ezzel egyenértékű berendezés), amely az alábbi tulajdonságoknak és vizsgálati feltételeknek felel meg:
3.6.2.1.2.2. Kezdő előtöltési nyomása 1 000 ± 100 kPa 0 cm3 kiszorított térfogatnál.
3.6.2.1.2.3. Legnagyobb nyomása 1 500 kPa 500± 5 cm3 kiszorított térfogatnál.
3.6.2.1.3. A dugattyú nyomáshatároló (vagy ezzel egyenértékű berendezés) 1,0 m hosszú rugalmas (EN853:2007 szabvány szerinti) csőből álló, 12,5 mm belső átmérőjű csatlakozáson keresztül csatlakozik a kiegészítő vezetékre.
3.6.2.1.4. Az ISO 16028:2006 szerinti csatlakozóaljzathoz lehető legközelebb álló vizsgálati csatlakozót kell biztosítani.
3.6.2.1.5. Légtelenítő berendezést kell biztosítani annak érdekében, hogy a szimulátort légteleníteni lehessen a vizsgálat előtt és után.
3.6.2. 2 Vezérlővezetékes vontatottjármű-szimulátor
3.6.2.2.1. ISO 5676:1983 szabványnak megfelelő csatlakozóaljzattal ellátott vezérlővezeték
3.6.2.2.2. Dugattyús energiatároló berendezés (vagy ezzel egyenértékű berendezés), amely megfelel az alábbi tulajdonságoknak és vizsgálati feltételeknek:
3.6.2.2.2.1. Kezdő előtöltési nyomása 500± 100 kPa 0 cm3 kiszorított térfogatnál
3.6.2.2.2.2. Közbenső vizsgálati nyomása 2 200 ± 200 kPa 100± 3 cm3 kiszorított térfogatnál
3.6.2.2.2.3. Végső nyomása 11 500 ± 200 kPa 140± 5 cm3 kiszorított térfogatnál
3.6.2.2.3. A dugattyús energiatároló berendezés (vagy ezzel egyenértékű berendezés) 3,0 m hosszú rugalmas (EN853:2007 szabvány szerinti) csőből és 4,5 m hosszú merev csőből álló, 10 mm belső átmérőjű csatlakozáson keresztül csatlakozik a vezérlővezetékre.
3.6.2.2.4. A vizsgálati csatlakozókat a dugattyús energiatároló berendezéshez (vagy ezzel egyenértékű berendezéshez és az ISO 5676:1983 szerinti csatlakozóaljzathoz a lehető legközelebb kell biztosítani.
3.6.2.2.5. Légtelenítő berendezést kell biztosítani annak érdekében, hogy a csatlakozó csöveket légteleníteni lehessen a vizsgálat előtt.
3.6.3. A vizsgálatot a következő feltételek mellett kell elvégezni:
3.6.3.1. a csatlakozó csöveket légteleníteni kell a vizsgálat előtt,
3.6.3.2. a traktor motorfordulatszámának 25 %-kal kell az üresjárati fordulatszám fölött lennie.
3.6.3.3. A kiegészítő vezetékkel vontatott járműszimulátor légtelenítő berendezésének teljesen nyitva kell lennie.
3.6.4. A nyomásfelfutási idő 3.3. és 3.4. pontok szerinti mérése tekintetében a fékműködtető erőnek akkorának kell lennie, hogy legalább 11 500 kPa nyomást lehessen elérni a vezérlővezeték kapcsolófején az üresjárati fordulatszámot 25 %-kal meghaladó motorfordulatszámon.
3.6.5. A 0,2 másodperc működtetési idő esetében a fékrendszer kezelőszerve működtetésének megkezdésétől a dugattyús energiatároló berendezés (vagy ezzel egyenértékű berendezés) vizsgálati nyílásánál a legnagyobb nyomásérték 75 %-ának eléréséig terjedő időtartam nem haladhatja meg a 0,6 másodpercet.
Ugyanakkor a 3.5. ponttól eltérően a legnagyobb érték itt a vizsgálati csatlakozónál mért nyomásra vonatkozik a féknyomás helyett.
4. Sűrített levegős fékrendszerrel ellátott vontatott járművek
4.1. A vontatott jármű nyomásfelfutási idejét a traktor nélkül kell mérni. A traktor helyettesítésére egy szimulátort kell használni, melyhez csatlakoztatni kell a töltővezeték kapcsolófejeit, a pneumatikus vezérlővezeték és/vagy az elektromos vezérlővezeték csatlakoztatóját.
4.2. A töltővezeték nyomásának 650 kPa-nak kell lennie.
4.3. A pneumatikus vezérlővezeték szimulátorának a következő jellemzőkkel kell rendelkeznie:
4.3.1. Rendelkeznie kell egy 30 liter térfogatú tartállyal, amelyet minden vizsgálat előtt feltöltenek 650 kPa nyomásra, és amelyet az egyes vizsgálatok alatt nem töltenek utána. A fék kezelőszervének kimeneténél a szimulátornak magába kell foglalnia egy legalább 4,0 és legfeljebb 4,3 mm átmérőjű kiömlőnyílást. A cső térfogatának a kiömlőnyílástól a kapcsolófejig - ez utóbbit is beleértve - 385 ± 5 cm3-nek kell lennie (ami egy 13 mm belső átmérőjű és 2,5 m hosszú, 650 kPa nyomás alatt álló cső térfogatának tekinthető). A 4.3.3. pontban említett vezérlővezeték-nyomásokat közvetlenül a kiömlőnyílás után kell mérni.
4.3.2. A kezelőszervet úgy kell kialakítani, hogy annak üzem közbeni fékhatását a vizsgáló készülék ne befolyásolja.
4.3.3. A szimulátort pl. a 4.3.1. pontnak megfelelő kiömlőnyílás megválasztásával úgy kell beállítani, hogy ha egy 385 ± 5 cm3 térfogatú tartályt kötnek hozzá, annak az időnek, amíg a nyomás 65 kPa-ról 490 kPa-ra növekszik, 0,2 ± 0,01 másodpercnek kell lennie (a fenti két érték a 650 bar névleges nyomás 10 %-a, illetve 75 %-a). Ha a fent említett tartályt egy 1 155 ± 15 cm3 térfogatú tartállyal váltják fel, annak az időnek, amíg a nyomás további beszabályozás nélkül 65 kPa-ról 490 kPa-ra növekszik, 0,38 ± 0,02 másodpercnek kell lennie. E két nyomásérték között a nyomásnak közelítőleg lineárisan kell növekednie. Ezeket a tartályokat rugalmas cső alkalmazása nélkül kell a kapcsolófejhez kötni, és a csatlakozások belső átmérőjének legalább 10 mm-nek kell lennie.
4.3.4. Az 1. függelékben található diagramokon példa látható a szimulátor helyes összeállítására és használatára.
4.4. Az elektromos vezérlővezetéken keresztül továbbított jelzésekre adott reakció ellenőrzésére szolgáló szimulátornak a következő jellemzőkkel kell rendelkeznie:
4.4.1. A szimulátornak a digitális utasításjelét az ISO 11992-2:2003 szabvány és a szabvány Amd.1:2007 módosítása szerint kell az elektromos vezérlővezetékben létrehoznia és a vontatott járműnek a megfelelő információt az ISO 7638:2003 szerinti szabvány 6. vagy 7. érintkezőjén keresztül kell továbbítania. A nyomásfelfutási idő mérésének céljára a szimulátor a gyártó kérésére úgy is továbbíthatja a vontatott járműnek az információkat, hogy pneumatikus vezérlővezeték nincs jelen, és hogy az elektromos vezérlővezeték utasításjelét két független kör hozza létre (lásd az ISO 11992-2:2003 szabvány 6.4.2.2.24. és 6.4.2.2.25. szakaszát és a szabvány Amd.1:2007 módosítását).
4.4.2. A fékrendszer kezelőszervét úgy kell kialakítani, hogy annak üzem közbeni fékhatását a vizsgáló készülék ne befolyásolja.
4.4.3. A nyomásfelfutási idő mérésének céljára az elektromos szimulátor által keltett jelzésnek meg kell felelnie a pneumatikus nyomás 0,0-ról 650 kPa-ra 0,2 ± 0,01 másodperc alatt történő lineáris növekedésének.
4.5. Fékhatásosság-követelmények
4.5.1. Pneumatikus vezérlővezetékkel ellátott vontatott járművek esetében nem haladhatja meg a 0,4 másodpercet az az idő, ami attól a pillanattól, amikor a szimulátor által a fékezővezetékben létrehozott nyomás eléri a 65 kPa-t, addig a pillanatig telik el, amikor a vontatott jármű fék kezelőszervének nyomása eléri aszimptotikus értékének 75 %-át.
4.5.1.1. Pneumatikus vezérlővezetékkel ellátott és elektromos vezérlésátvitellel rendelkező vontatott járműveket az ISO 7638:2003 szabványnak megfelelő (öt- vagy hétpólusú) csatlakozón keresztül történő áramellátás mellett kell ellenőrizni.
4.5.2. Elektromos vezérlővezetékkel ellátott vontatott járművek esetében nem haladhatja meg a 0,4 másodpercet az az idő, ami attól a pillanattól, amikor a szimulátor által a fékezővezetékben keltett jelzés meghaladja a 65 kPa-nak megfelelő értéket, addig a pillanatig telik el, amikor a vontatott jármű fék kezelőszervének nyomása eléri aszimptotikus értékének 75 %-át.
4.5.3. Pneumatikus és elektromos vezérlővezetékkel felszerelt vontatott járművek esetében a nyomásfelfutási idő mérését mindkét vezérlővezetékre külön kell elvégezni a 4.5.1.1. és 4.5.2. pontban meghatározott vonatkozó eljárásnak megfelelően.
5. Hidraulikus fékrendszerrel ellátott vontatott járművek
5.1. A vizsgálatokat 15 °C és 30 °C közötti környezeti hőmérsékleten kell elvégezni.
5.2. A vontatott jármű nyomásfelfutási idejét traktor nélkül kell mérni. A traktor szimulálásához olyan traktorszimulátorra van szükség, amelyre a vezérlővezeték kapcsolófejeit és a kiegészítő vezetéket csatlakoztatták. Ha a vontatott jármű az I. melléklet 2.1.5.1.3. pontjában meghatározott elektromos csatlakozóval van ellátva, ezt a csatlakozót is csatlakoztatni kell a traktorszimulátorra (lásd a 2. függelék 2. pontját).
5.3. A traktorszimulátornak az alábbi tulajdonságokkal kell rendelkeznie:
5.3.1. A traktorszimulátort az I. melléklet 2.1.5.1.1.-2.1.5.1.3. pontjaiban a traktorra vonatkozóan meghatározott típusú csatlakozókkal kell ellátni.
5.3.2. Amikor a traktorszimulátor működésbe lép (pl. elektromos kapcsoló útján):
5.3.2. 1 11 500 + 500 kPa nyomásnak kell létrejönnie a vezérlővezeték kapcsolófején,
5.3.2. 2 1 500 + 300 kPa nyomásnak kell létrejönnie a kiegészítő vezeték kapcsolófején.
5.3.3. Amikor a vontatott jármű vezérlővezetéke nincs csatlakoztatva, a traktorszimulátornak a működtetéstől (pl. elektromos kapcsoló útján) számított 0,2 másodpercen belül képesnek kell 11 500 kPa nyomás létrehozására a vezérlővezeték kapcsolófején.
5.3.4. A traktorszimulátorban használt hidraulikafolyadéknak 60± 3 mm2/s viszkozitásúnak kell lennie 40± 3°C hőmérsékleten (pl. a SAE 10W30 szerinti hidraulikafolyadék). A traktor szimulátoros vizsgálat alatt a hidraulikafolyadék hőmérséklete nem lépheti túl a 45 °C-ot.
5.3.5. Ha a vontatott jármű hidraulikus energiatároló berendezésekkel van felszerelve az üzemi fékrendszerre vonatkozó követelményeknek való megfelelés érdekében, az energiatároló berendezéseket a gyártó által a vizsgálati jegyzőkönyvben megadott nyomásértékig fel kell tölteni a nyomásfelfutási idő mérései előtt a legkisebb előírt üzemi fékhatásosság eléréséhez.
5.3.6. Ha a traktorszimulátor a vontatottjármű-szimulátor vezérlővezetékére van csatlakoztatva (a 3.6.2. pontban előírtak szerint), a traktor szimulátort olyan módon kell kalibrálni, hogy 0,6+ 0,1 másodperc idő teljen el a traktorszimulátor működtetésétől addig a pillanatig, amikor a vontatottjármű-szimulátor vezérlővezetékének dugattyús energiatároló berendezésében (vagy ezzel egyenértékű berendezésében) a nyomás 11 500 kPa-t ér el. A traktorszimulátor áramlását ennek a teljesítménynek az eléréséhez kell igazítani (pl. áramlásszabályozóval). A vontatottjármű-szimulátor vezérlővezetékének csatlakozócsöveit légteleníteni kell a kalibrálás előtt.
5.3.7. A traktor szimulátor kezelőszervét olyan módon kell megtervezni, hogy teljesítményét ne befolyásolja a vizsgáló berendezés.
5.4. Fékhatásosság-követelmények
5.4.1. Amikor a kalibrált traktorszimulátor (lásd az 5.3.6. pontot) vontatott járműhöz van csatlakoztatva, nem haladhatja meg a 0,6 másodpercet az az idő, ami a traktor szimulátor (pl. elektromos kapcsolóval történő) működtetésének pillanatától addig a pillanatig tart, amikor a legkedvezőtlenebb helyzetben levő fékhengerben a nyomás eléri a legnagyobb érték 75 %-át.
Olyan üzemi fékrendszer esetében, ahol a fékhengerben a féknyomás ideiglenesen éri el a legnagyobb nyomást, majd az átlagos stabilizált nyomásra esik, az átlagos stabilizált nyomást kell figyelembe venni a 75 %-os érték számításához.
6. Rugóerő-tárolós fékeket alkalmazó üzemi fékrendszerrel ellátott traktorok
6.1. A nyomásfelfutási idő mérését úgy kell elvégezni, hogy a rugóerő-tárolós fékek a lehető legszorosabbra legyenek állítva. A rugóösszenyomó kamrában a kezdő nyomást a gyártónak kell meghatároznia a vizsgálati követelménynek megfelelően.
6.2. Nem haladhatja meg a 0,6 másodpercet az az idő, amely az üzemi fékrendszer kezelőszervének működtetésétől (a fékek teljes kioldásától) addig a pillanatig telik el, amikor a legkedvezőtlenebb helyzetben levő fékhenger rugóösszenyomó kamrájában a nyomás az előírt fékhatásosság 75 %-ának megfelelő nyomást ér el.
1. függelék
Példák a pneumatikus szimulátorokra
1. A szimulátor beállítása

2. A pótkocsi vizsgálata

A = töltő csatlakozó elzáró szeleppel
C1 = 65 kPa-ra és 490 kPa-ra beállított nyomáskapcsoló a szimulátorban
C2 = a vontatott jármű fékhengerére csatlakoztatandó nyomáskapcsoló, amely a CF fékhengerben az aszimptotikus nyomás 75 %-án működik
CF = fékhenger
L = az O nyílástól a TC kapcsolófejig (azt magában foglalva) terjedő vezeték, amelynek belső térfogata 385 ± 5 cm3 650 kPa nyomás alatt
M = nyomásmérő
O = legalább 4 mm és legfeljebb 4,3 mm átmérőjű nyílás
PP = nyomáspróba-csatlakozó
R1 = 30 literes légtartály leeresztő szeleppel
R2 = kalibráló tartály TC kapcsolófejével együtt, 385 ± 5 cm3 térfogattal
R3 = kalibráló tartály TC kapcsolófejével együtt, 1 155 ± 15 cm3 térfogattal
RA = elzáró szelep
TA = kapcsolófej, töltővezeték
V = a fékrendszer kezelőszerve
TC = kapcsolófej, vezérlővezeték
VRU = pótkocsi-fékezőszelep
3. Példa elektromos vezérlővezeték-szimulátorra

ECL = ISO 7638:2003 szabványnak megfelelő elektromos vezérlővezeték
SIMU = EBS 11 3. és 4. bájtjának szimulátora az ISO 11992:3002 szerint, kimenettel jelzések indításnál, 65 kPa és 650 kPa
A = tölt csatlakozó elzárószeleppel
C2 = a vontatott jármű fékhengerére csatlakoztatandó nyomáskapcsoló, amely a CF fékhengerben az aszimptotikus nyomás 75 %-án működik
CF = fékhenger
M = nyomásmérő
PP = nyomáspróba-csatlakozó
TA = kapcsolófej, töltővezeték
VRU = pótkocsi-fékezőszelep
2. függelék
Példák a hidraulikus szimulátorokra
1. Vontatottjármű-szimulátor
1.1. Kiegészítő vezetékes vontatottjármű-szimulátor

TA = kapcsolófej, kiegészítő vezeték (ISO 16028:2006 szerinti csatlakozóaljzat)
M = nyomáspróba nyílás
PT = nyomás-jelátalakító
P1 = EN853:2007 szerinti, 12,5 mm belső átmérőjű rugalmas cső
A = hidraulikus akkumulátor (előtöltési nyomás: 1 000 kPa)
B = légtelenítő csavar
V = légtelenítő berendezés
O = nyílás
P2 = 10 mm belső átmérőjű rugalmas cső
T = visszatérő vezeték a traktor tartályához
1.2. Vontatottjármű-szimulátor vezérlővezetékkel

TA = kapcsolófej, vezérlővezeték (ISO 5676:1983 szerinti csatlakozóaljzat)
M = csatlakozó a nyomásmérőhöz vagy nyomás-jelátalakítóhoz
FP = EN853:2007 szerinti, 10 mm belső átmérőjű rugalmas cső
RP = 10 mm belső átmérőjű merev cső
PT = nyomás-jelátalakító
B = légtelenítő csavar
C = henger/ek (*)

2. Traktorszimulátor

F = szűrők
PM = szivattyú
PT = nyomás-átalakítók
CLRV = a vezérlővezeték nyomáscsökkentő szelepe
SLRV = a kiegészítő vezeték nyomáscsökkentő szelepe
SV = háromutas mágnesszelep
FR = áramlásszabályozó
MV = arányos moduláló szelep
TA = kapcsolófej, kiegészítő vezeték (ISO 16028:2006 szerinti csatlakozódugó)
TC = kapcsolófej, vezérlővezeték (ISO 5676:1983 szerinti csatlakozódugó)
EC = elektromos csatlakozó (ISO 7638:2003 szerinti csatlakozóaljzat)
IV. MELLÉKLET
A fékrendszerek és pótkocsi-fékcsatlakozások, illetve az ezekkel felszerelt járművek energiaforrásaira és energiatároló berendezéseire vonatkozó követelmények
1. Fogalommeghatározások
Ezen melléklet alkalmazásában:
1.1. A "tárolt energiájú hidraulikus vagy pneumatikus fékrendszer" olyan fékrendszer, amelyben az energiát egy vagy több energiatároló berendezésben tárolt, a nyomást (a gyártó által előírt) legnagyobb értékre határoló berendezéssel ellátott egy vagy több nyomószivattyú vagy kompresszor által továbbított hidraulikus folyadék vagy nyomás alatti levegő szállítja.
A. SŰRÍTETT LEVEGŐS FÉKRENDSZEREK
1. Az energiatároló berendezések (energiatartályok) térfogata
1.1. Általános követelmények
1.1.1. Azokat a járműveket, amelyeken a fékrendszer működése sűrített levegő használatától függ, az 1.2. és 1.3. pontban lefektetett követelményeknek megfelelő térfogatú tartályokkal kell ellátni.
1.1.2. Mindazonáltal a tartályok térfogatának nem kell elérnie az előírt értéket, ha a fékrendszer olyan, hogy az üzemi fékrendszer kezelőszervével az energiatartalékok teljes hiánya esetén is elérhető legalább a biztonsági fékrendszerre előírt fékhatás.
1.1.3. Az 1.2. és 1.3. pontban lefektetett követelményeknek való megfelelés ellenőrzésekor a fékeket a lehető legszorosabbra kell állítani.
1.2. T kategóriájú járművek
1.2.1. A járművek légféktartályait úgy kell kialakítani, hogy az üzemi fékrendszer kezelőszervének nyolc teljes löketű működtetése után a légféktartályban maradó nyomás legalább akkora legyen, amekkora nyomás a meghatározott biztonsági fék számára előírt fékhatás eléréséhez szükséges.
1.2.2. A vizsgálat során az alábbi követelményeknek kell megfelelni:
1.2.2.1. A tartályokban a kezdő nyomásnak meg kell felelnie a gyártó által megadott értéknek. Ennek a nyomásnak akkorának kell lennie, hogy lehetővé tegye az üzemi fékrendszerre előírt fékhatás elérését. Az adatközlő mappában meg kell adni a kezdeti nyomást.
1.2.2.2. A tartályt vagy tartályokat nem szabad utántölteni; emellett a segédberendezés tartályát vagy tartályait le kell választani.
1.2.2.3. A jármű vontatására engedélyezett járművek esetében a töltővezetéket el kell zárni, és egy 0,5 liter térfogatú tartályt kell a vezérlővezetékre csatlakoztatni. Ebben a tartályban a nyomásnak távoznia kell a fékek minden egyes működtetése előtt. Az 1.2.1. pontban említett vizsgálat után a vezérlővezetékben a nyomás nem lehet kevesebb, mint az első fékezésnél elért nyomás fele.
1.3. R és S kategóriájú járművek
1.3.1. A vontatott járművekre szerelt tartályoknak olyannak kell lenniük, hogy a traktor üzemi fékrendszerének nyolc teljes löketű működtetése után az azt felhasználó működő alkatrészekhez szállított nyomás ne essen olyan szint alá, mint az első fékezésnél kapott érték fele, anélkül, hogy a vontatott járművön akár az önműködő, akár a rögzítőfékrendszert működtetnék.
1.3.2. A vizsgálat során az alábbi követelményeknek kell megfelelni:
1.3.2.1. A tartályokban a nyomásnak a vizsgálat elején 850 kPa értékűnek kell lennie.
1.3.2.2. A töltővezetéket el kell zárni; emellett a segédberendezés tartályait le kell választani.
1.3.2.3. A tartályt a vizsgálat alatt nem lehet utántölteni.
1.3.2.4. A vezérlővezeték nyomásának minden fékezésnél 750 kPa-nak kell lennie.
1.3.2.5. Az elektromos vezérlővezetékben a digitális terhelés értékének minden fékezésnél 750 kPa nyomásértéknek kell megfelelnie.
2. Az energiaforrások kapacitása
2.1. Általános rendelkezések
A kompresszoroknak az alábbi pontokban lefektetett követelményeknek kell megfelelniük:
2.2. A jelen szakaszra vonatkozó jelölések
2.2.1. p1 a 2.2.2. pontban említett p2 nyomás 65 %-ának megfelelő nyomás.
2.2.2. p2 a gyártó által meghatározott és az 1.2.2.1. pontban említett érték.
2.2.3. t1 az az idő, ami szükséges ahhoz, hogy a relatív nyomás 0-ról p1-re, t2 pedig az ahhoz szükséges idő, hogy a relatív nyomás 0-ról p2-re emelkedjék.
2.3. Vizsgálati feltételek
2.3.1. A kompresszor fordulatszámának mindenkor akkorának kell lennie, ami akkor érhető el, ha a motor legnagyobb teljesítményének megfelelő fordulatszámon, vagy a szabályozó által megengedett fordulatszámon jár.
2.3.2. A segédberendezés tartályait le kell választani a vizsgálatok alatt a t1 és t2 idők megállapításához.
2.3.3. A járművek vontatásához tervezett járműveken a vontatott járművet egy olyan légtartálynak kell képviselnie, amelynek p legnagyobb relatív nyomása (kPa/100-ban kifejezve) akkora, amit a traktor köre szállítani tud, és amelynek V térfogatát (literben kifejezve) a p × V = 20 R képlet adja meg (ahol az R a vontatott jármű tengelyein megengedett legnagyobb tömeg tonnában kifejezve).
2.4. Az eredmények értelmezése
2.4.1. A legkedvezőtlenebb helyzetű energiatároló berendezésre feljegyzett t1 idő nem haladhatja meg az alábbi értékeket:
2.4.1.1. három perc olyan járművek esetében, amelyekre nem engedélyezett vontatott jármű csatlakoztatása;
2.4.1.2. hat perc olyan járművek esetében, amelyekre engedélyezett vontatott jármű csatlakoztatása.
2.4.2. A legkisebb hatékonyságú tartálynál a t2 idő nem haladhatja meg az alábbi értékeket:
2.4.2.1. hat perc olyan járművek esetében, amelyekre nem engedélyezett vontatott jármű csatlakoztatása
2.4.2.2. kilenc perc olyan járművek esetében, amelyekre engedélyezett vontatott jármű csatlakoztatása.
2.5. Kiegészítő vizsgálat
2.5.1. Amennyiben a jármű olyan segédberendezés tartállyal vagy tartályokkal van ellátva, amely(ek) össztérfogata meghaladja a féktartályok össztérfogatának 20 %-át, kiegészítő vizsgálatot kell elvégezni, amely során nem zavarható meg a segédberendezés tartály(ok) töltését szabályozó szelepek működése. A vizsgálat során ellenőrizni kell, hogy a féktartályok nyomásának 0-ról p2-re történő emeléséhez szükséges t3 idő kevesebb-e, mint:
2.5.1.1. nyolc perc olyan járművek esetében, amelyekre nem engedélyezett vontatott jármű csatlakoztatása
2.5.1.2. tizenegy perc olyan járművek esetében, amelyekre engedélyezett vontatott jármű csatlakoztatása.
2.5.2. A vizsgálatot a 2.3.1. és 2.3.3. pontokban előírt feltételek mellett kell elvégezni.
2.6. Traktorok
2.6.1. Azoknak a járműveknek, amelyekhez vontatott járművet lehet csatlakoztatni, meg kell felelniük az ilyen csatlakoztatásra nem engedélyezett járművekre vonatkozó követelményeknek is. Ebben az esetben a 2.4.1., 2.4.2. és 2.5.1. pontokban leírt vizsgálatokat a 2.3.3. pontban említett tartály nélkül kell elvégezni.
3. Nyomáspróba-csatlakozók
3.1. A nyomáspróba-csatlakozót a 2.4. pont értelmében a legkisebb hatékonyságú tartályhoz legközelebb levő, könnyen hozzáférhető helyen kell felszerelni.
3.2. A nyomásvizsgáló csatlakozóknak meg kell felelniük az ISO 3583-1984 szabvány 4. pontjában foglaltaknak.
B. VÁKUUMOS FÉKRENDSZEREK
1. Az energiatároló berendezések (energiatartályok) térfogata
1.1. Általános tudnivalók
1.1.1. Azokat a járműveket, amelyeken a fékrendszer működése vákuum használatát igényli, az 1.2. és 1.3. pontban lefektetett követelményeknek megfelelő térfogatú tartályokkal kell ellátni.
1.1.2. Mindazonáltal az energiatároló berendezések térfogatának nem kell elérnie az előírt értéket, ha a fékrendszer olyan, hogy az energiatartalékok teljes hiánya esetén is elérhető legalább a biztonsági fékrendszerre előírt fékhatás.
1.1.3. Az 1.2. és 1.3. pontban lefektetett követelményeknek való megfelelés ellenőrzésekor a fékeket a lehető legszorosabbra kell állítani.
1.2. T és C kategóriájú járművek
1.2.1. A mezőgazdasági járművek tartályainak olyannak kell lenniük, hogy még biztosítani lehessen a biztonsági fékrendszerre előírt fékhatást:
1.2.1.1. ha az energiaforrás vákuumszivattyú, az üzemi fékrendszer kezelőszervének nyolc teljes löketű működtetése után; és
1.2.1.2. ha az energiaforrás a motor, az üzemi fékrendszer kezelőszervének négy teljes löketű működtetése után.
1.2.2. A vizsgálatot a következő követelményeknek megfelelően kell végezni:
1.2.2.1. A tartály(ok) kezdeti energiaszintjének a gyártó által meghatározott értéken kell lennie. Akkorának kell lennie, hogy biztosítani tudja az előírt üzemi fékhatásosságot, és az energiaforrás által biztosított legnagyobb vákuum 90 %-át nem meghaladó vákuumnak kell megfelelnie. Az adatközlő mappában meg kell adni a kezdeti energiaszintet.
1.2.2.2. A tartály(oka)t nem szabad táplálni; emellett a segédberendezések esetleges tartályát (tartályait) le kell választani.
1.2.2.3. A vontatott jármű vontatására engedélyezett mezőgazdasági járművek esetében a töltővezetéket el kell zárni, és egy 0,5 liter térfogatú tartályt kell a vezérlővezetékre csatlakoztatni. Az 1.2.1. pontban említett vizsgálat után a vezérlővezetékben fennálló vákuumszint nem eshet az első fékezés alkalmával kapott érték fele alá.
1.3. R1, R2 és S1 kategóriájú járművek
1.3.1. A vontatott járművek tartályának (tartályainak) olyannak kell lennie (lenniük), hogy a felhasználási helyeken rendelkezésre álló vákuumszint a vontatott jármű üzemi fékrendszerének négy teljes löketű működtetéséből álló vizsgálat után ne essen az első fékezés alkalmával kapott érték fele alá.
1.3.2. A vizsgálatot a következő követelményeknek megfelelően kell végezni:
1.3.2.1. A tartály(ok) kezdeti energiaszintjének a gyártó által meghatározott értéken kell lennie. Ennek akkorának kell lennie, hogy lehetővé tegye az üzemi fékrendszerre előírt fékhatás elérését. Az adatközlő mappában meg kell adni a kezdeti energiaszintet.
1.3.2.2. A tartály(oka)t nem szabad táplálni; emellett a segédberendezések esetleges tartályát (tartályait) le kell választani.
2. Az energiaforrások kapacitása
2.1. Általános tudnivalók
2.1.1. A külső légköri nyomásról kezdve az energiaforrásnak képesnek kell lennie három perc alatt létrehozni a tartály(ok)ban az 1.2.2.1. pontban meghatározott kezdeti szintet. Olyan járművek esetében, amelyekre vontatott jármű csatlakoztatása engedélyezett, annak az időnek, amely a 2.2. pontban meghatározott feltételek között a fenti érték eléréséhez szükséges, a hat percet nem szabad meghaladnia.
2.2. Vizsgálati feltételek
2.2.1. A vákuumforrás fordulatszámának a következőnek kell lennie:
2.2.1.1. Amennyiben a vákuumforrás a jármű motorja, az álló jármű és semleges helyzetbe kapcsolt sebességváltó mellett alapjáraton járó motor fordulatszáma;
2.2.1.2. amennyiben a vákuumforrás szivattyú, a motor legnagyobb teljesítményleadásához tartozó fordulatszámának 65 %-án járó motor mellett elérhető fordulatszám; és
2.2.1.3. amennyiben a vákuumforrás szivattyú és a motor fordulatszám-szabályozóval van felszerelve, a szabályozó által engedélyezett legnagyobb fordulatszám 65 %-án járó motor mellett elérhető fordulatszám.
2.2.2. Ha a jármű vákuumos üzemi fékrendszerrel ellátott vontatott jármű vontatásához használatos, a vontatott jármű az alábbi képlettel meghatározott, literben kifejezett V térfogatú energiatároló berendezéssel szimulálható:
V = 15 R
ahol R a legnagyobb megengedett tömeg metrikus tonnában kifejezve a vontatott jármű tengelyein.
C. HIDRAULIKUS FÉKRENDSZEREK TÁROLT ENERGIÁVAL
1. Az energiatároló berendezések kapacitása
1.1. Általános tudnivalók
1.1.1. Az olyan járműveket, amelyeknél a fékrendszer működtetéséhez nyomás alatt álló hidraulikafolyadék által szolgáltatott tárolt energiára van szükség, az 1.2. és az 1.3. pont követelményeinek megfelelő kapacitású energiatároló berendezésekkel kell felszerelni.
A hidraulikus fékrendszerekben pulzációcsillapítóként használt azon energiatároló berendezések, amelyek esetében az előírt üzemi fékhatásosságot energiaforrás segítségével érik el, e melléklet értelmében nem tekintendők energiagyűjtő berendezésnek.
1.1.2. Mindazonáltal az energiatároló berendezéseknek nem kell elérniük az előírt kapacitást, ha a fékrendszer olyan, hogy az üzemi fékrendszer kezelőszervével az energiatartalékok teljes hiánya esetén is elérhető legalább a biztonsági fékrendszerre előírt fékhatás.
1.1.3. Az 1.2.1., 1.2.2. és 2.1. pontban lefektetett követelményeknek való megfelelés ellenőrzésekor a fékeket a lehető legszorosabbra kell állítani.
1.2. T és C kategóriájú járművek
1.2.1. A tárolt energiát alkalmazó hidraulikus fékrendszerrel felszerelt járműveknek meg kell felelniük a következő követelményeknek:
1.2.1.1. Az üzemi fékrendszer kezelőszervének nyolc teljes löketű működtetése után a kilencedik lenyomáskor még mindig el kell érni a biztonsági fékrendszerekre előírt fékhatást.
1.2.1.2. A vizsgálatot a következő követelményeknek megfelelően kell végezni:
1.2.1.2.1. A vizsgálatot a gyártó által meghatározott nyomáson kell elkezdeni, de ez nem lehet nagyobb, mint a bekapcsolási nyomás.
1.2.1.2.2. Az energiatároló berendezéseket nem szabad táplálni; emellett a segédberendezések esetleges energiatároló berendezéseit le kell választani.
1.2.2. Az I. melléklet 2.2.1.4.1. pontjában megadott követelményeket teljesíteni nem képes, tárolt energiájú hidraulikus fékrendszerrel ellátott traktorok esetében e pont feltételeit akkor lehet teljesítettnek tekinteni, ha teljesülnek az alábbi követelmények:
1.2.2.1. Az erőátviteli rendszer bármilyen egyszeri meghibásodása után az üzemi fékrendszer kezelőszervének nyolc teljes löketű működtetése után a kilencedik működtetéskor még mindig el kell tudni érni a biztonsági fékrendszerekre előírt fékhatást, vagy amennyiben a tárolt energia alkalmazását igénylő biztonsági fékrendszer előírt teljesítményét egy külön kezelőszervvel érik el, nyolc teljes löketű működtetés után a kilencedik működtetéskor még mindig el kell tudni érni az e rendelet II. mellékletének 3.1.4. pontjában előírt maradó fékhatást.
1.2.2.2. A vizsgálatot a következő követelményeknek megfelelően kell végezni:
1.2.2.2.1. Statikus vagy a motor üresjáratának megfelelő fordulatszámon működő energiaforrás mellett valamilyen erőátviteli elégtelenség hozható létre az erőátviteli rendszerben. A hibaokozás előtt az energiatároló berendezésnek/berendezéseknek a gyártó által megadott nyomáson kell lennie/lenniük, de ez nem lehet nagyobb, mint a bekapcsolási nyomás.
1.2.2.2.2. A segédberendezéseket és energiatároló berendezéseiket, ha vannak ilyenek, le kell választani.
1.3. R és S kategóriájú járművek
1.3.1. Az energiatároló berendezésekkel (energiatartályokkal) felszerelt vontatott járműveknek olyannak kell lenniük, hogy a traktor üzemi fékrendszerének nyolc teljes löketű működtetése után az energiát felhasználó alkatrészekhez szállított energiaszint ne essen olyan szint alá, mint az első fékezésnél kapott érték fele, anélkül, hogy a vontatott járművön akár az önműködő, akár a rögzítőfékrendszert működtetnék.
1.3.2. A vizsgálat során az alábbi követelményeknek kell megfelelni:
1.3.2.1. Az energiatároló berendezések nyomásának minden vizsgálat kezdetén 15 000 kPa-nak kell lennie;
1.3.2.1.1. A 15 000 kPa-t meghaladó maximális üzemi nyomásra feltölthető energiatároló berendezést használó rendszerek esetében az előírt fékezési teljesítménynek való megfelelés érdekében a vizsgálat kezdetekor az energiatároló berendezésben a gyártó által előírt legnagyobb nyomásnak kell lennie.
1.3.2.2. A kiegészítő vezetéket le kell zárni; emellett a segédberendezés(ek)hez szolgáló minden energiatároló berendezést le kell választani;
1.3.2.3. A vizsgálat alatt nem szabad az energiatároló berendezés(eke)t utántölteni.
1.3.2.4. A hidraulikus vezérlővezeték nyomásának minden fékezésnél 13 300 kPa-nak kell lennie.
2. A hidraulikafolyadékos energiaforrások kapacitása
Az energiaforrásoknak meg kell felelniük a következő pontokban meghatározott követelményeknek:
2.1. T és C kategóriájú járművek
2.1.1. Jelölések
2.1.1.1. "p1" az energiatároló berendezésekben a gyártó által meghatározott legnagyobb üzemi nyomás (leszabályozási nyomás).
2.1.1.2. "p2" az üzemi fékrendszer kezelőszervének négy teljes löketű működtetése utáni nyomás, p1-ről indulva, az energiatároló berendezések táplálása nélkül.
2.1.1.3. "t" az az idő, ami az energiatároló berendezések nyomásának p2-ről p1-re történő emelkedéséhez szükséges az üzemi fékrendszer kezelőszervének működtetése nélkül.
2.1.2. Vizsgálati feltételek
2.1.2.1. A "t" idő meghatározásához szükséges vizsgálat során az energiaforrást olyan ütemben kell táplálni, mint amilyenre akkor van szükség, amikor a motor a legnagyobb teljesítményhez tartozó fordulatszámon vagy a szabályozó által korlátozott fordulatszámon jár.
2.1.2.2. A "t" idő megállapítására szolgáló vizsgálat során a segédberendezések energiatároló berendezéseit nem szabad leválasztani, hacsak ez nem önműködően történik.
2.1.3. Az eredmények értelmezése
A t idő nem haladhatja meg a 30 s-ot az olyan járművek esetében, amelyekre nem engedélyezett vontatott jármű csatlakoztatása.
2.2. Hidraulikus vezérlővezetékkel ellátott traktorok vontatott járművekhez
2.2.1. Az energiaforrás táplálási ütemének megállapításához az előírás III. mellékletének 3.6.2.1. szakaszában előírtak szerint a kiegészítő vezetékes vontatottjármű-szimulátort a traktor hidraulikus kiegészítő vezetékének kapcsolófejére kell csatlakoztatni.
2.2.2. A vizsgálatot a következő feltételek mellett kell elvégezni:
2.2.2.1. A vizsgálatot 15 °C és 30 °C közötti környezeti hőmérsékleten kell elvégezni.
2.2.2.2. A kiegészítő vezetékes vontatottjármű-szimulátort a vizsgálat előtt, kikapcsolt motornál kell a kiegészítő vezeték kapcsolófejére csatlakoztatni.
2.2.2.3. A traktor motorfordulatszámának 25 %-kal kell az üresjárati fordulatszám fölött lennie a vizsgálat alatt.
2.2.2.4. A traktor rögzítőfék kezelőszervét teljesen ki kell oldani a vizsgálat alatt.
2.2.3. A motor járása közben és a légtelenítő berendezés teljesen lezárt állapotában nem lépheti túl a 2,5 másodpercet az az idő, amely alatt az ISO 16028:2006 szabvány szerinti csatlakozóaljzathoz közeli vizsgálati csatlakozónál a nyomás 300 kPa-ról 1 500 kPa-ra emelkedik.
2.3. R és S kategóriájú járművek
Ha egy vontatott jármű energiatároló berendezést használ az üzemi fékrendszer rásegítéseként, és ezt az energiatároló berendezést újratölti a vezérlővezeték nyomása az üzemi fék működtetése alatt és/vagy egy, a vontatott járműre szerelt energiaforrás, az alábbi követelményeknek kell teljesülniük.
2.3.1. Az energiaforrást a III. melléklet 2. függeléke szerint az ISO 7638:2003 szabványnak megfelelő elektromos csatlakozón keresztül kell a traktorszimulátornak meghajtania.
2.3.2. Jelölések
2.3.2.1. "pR1" az energiatároló berendezésben a gyártó által meghatározott legnagyobb rendszerüzemi nyomás (leszabályozási nyomás).
2.3.2.2. "pR2" a traktor üzemi fékrendszere kezelőszervének négy teljes löketű működtetése után kialakuló nyomás.
2.3.2.3. "tR" az az idő, ami az energiatároló berendezés nyomásának p2-ről p1-re történő emelkedéséhez szükséges a traktor üzemi fékrendszere kezelőszervének működtetése nélkül.
2.3.3. Mérési feltételek
A tR idő megállapítására szolgáló vizsgálat alatt az alábbi követelményeknek kell teljesülniük:
2.3.3.1. Az energiatároló berendezés nyomásának minden vizsgálat kezdetén "pR1" értékűnek kell lennie.
2.3.3.2. Az üzemi fékrendszert a traktorszimulátor vezérlővezetékével négyszer kell működtetni.
2.3.3.3. A vezérlővezeték nyomásának minden fékezésnél 13 300 kPa-nak kell lennie;
2.3.3.4. A segédberendezés energiatároló berendezéseit kizárólag önműködően szabad leválasztani.
2.3.3.5. Az energiatároló berendezést a vezérlővezeték nyomásával ellátó szelepet a vizsgálat alatt le kell zárni.
2.3.4. Az eredmények értelmezése A tR idő nem haladhatja meg a 4 percet.
3. A figyelmeztetőberendezések jellemzői
Álló motor mellett és a gyártó által meghatározott nyomásnál - ami azonban nem lehet nagyobb, mint a bekapcsolási nyomás - az üzemi fékrendszer kezelőszervének két következő teljes löketű működtetése során a figyelmeztetőberendezés nem léphet működésbe.
V. MELLÉKLET
A rugóerő-tárolós fékekre és az ezekkel felszerelt járművekre vonatkozó követelmények
1. Készítésre, beszerelésre és ellenőrzésre vonatkozó követelmények
1.1. Fogalommeghatározások
Ezen melléklet alkalmazásában:
1.1.1. "rugóerő-tárolós fékrendszerek" : azok a fékrendszerek, amelyekben a fékezéshez megkívánt energiát energiatároló berendezésként egy vagy több rugó hozza létre;
1.1.2. "nyomás" : negatív nyomást jelent, ha a rugók összenyomódása vákuumos berendezéssel biztosított.
2. Általános követelmények
E melléklet alkalmazásában a legnagyobb tervezési sebesség a jármű előrefelé haladási irányában értendő ellenkező értelmű, határozott kikötés hiányában.
2.1. A rugóerő-tárolós fékrendszer nem használható üzemi fékrendszerként a 2.2. pontban meghatározott feltétel kivételével. Ugyanakkor az üzemi fékrendszer erőátviteli rendszere egy részének meghibásodása esetén a rugóerő-tárolós fékrendszer használható a II. melléklet 3.1.4. pontjában előírt maradó fékhatás biztosítására, feltéve, hogy ezt a hatást a járművezető folyamatosan szabályozni tudja.
2.1.1. A rugóerő-tárolós fékek a jármű legnagyobb tervezési sebességétől függetlenül használhatók biztonsági fékrendszerként, amennyiben a járművezető fokozatosan tudja kifejteni a fékhatást, és a II. melléklet teljesítménykövetelményei teljesülnek.
Kivételesen a 30 km/h legnagyobb tervezési sebességet nem meghaladó és rugóerő-tárolós fékeket használó olyan járművek esetében, amelyek szabályozása be-/kikapcsolós (pl. gombbal vagy kapcsolóval), és nem teszik lehetővé a járművezető számára a fokozatos fékhatás kifejtést biztonsági rendszerként, az alábbi követelményeknek kell teljesülniük:
2.1.1.1. A járművezetőnek képesnek kell lennie arra, hogy a vezetőülésről úgy működtesse a rugóerő-tárolós fék kezelőszervét, hogy legalább az egyik keze a kormánykeréken maradjon.
2.1.1.2. Az e rendelet II. mellékletében előírt fékhatásosságnak kell teljesülnie.
2.1.1.3. Az előírt fékhatást a jármű irányváltozása, rendellenes rezgés és a kerekek blokkolása nélkül kell elérni.
2.1.2. Vákuumos rugóerő-tárolós fékek nem használhatók vontatott járműveken.
A járművezető által működtetett kezelőszervvel kell a rugó összenyomásához szükséges energiát biztosítani és szabályozni a fék kioldásakor.
2.2. A 30 km/h legnagyobb tervezési sebességet nem meghaladó járműveken rugóerő-tárolós fékrendszer használható üzemi fékrendszerként, amennyiben a járművezető fokozatosan tudja a fékhatást kiváltani.
Amennyiben üzemi fékrendszerként használatos a rugóerő-tárolós fékrendszer, az alábbi kiegészítő követelményeknek kell még teljesülniük:
2.2.1. a III. melléklet 6. pontjában a nyomásfelfutási időre vonatkozóan előírt követelmények.
2.2.2. a rugóerő-tárolós fékek lehető legszorosabbra állításával lehetségesnek kell lennie:
2.2.2.1. üresjárati fordulatszámon járó motornál egy percen belül 10 fékműködtetésnek (a fékezések egyenletesen oszlanak el ez idő alatt);
2.2.2.2. az üzemi fékrendszer 6 működtetésének az energiaforrás bekapcsolási nyomásánál nem nagyobb nyomással kezdve. A vizsgálat alatt nem szabad tölteni az energiatároló berendezéseket. Ezenkívül a segédberendezések minden energiatároló berendezését le kell választani.
2.2.3. A rugóerő-tárolós fékeket olyan módon kell megtervezni, hogy ne legyenek kitéve kifáradási hibának. Ezért a gyártónak megfelelő tartóssági vizsgálati jegyzőkönyveket kell a műszaki szolgálat részére biztosítania.
2.3. A rugóösszenyomó kamrában a nyomás kismértékű megváltoztatása nem okozhat jelentős változást a fékerőben.
2.4. Rugóerő-tárolós fékrendszerrel felszerelt traktorokra a következő követelmények vonatkoznak:
2.4.1. A rugóösszenyomó kamra köre saját energiatartalékkal rendelkezik, vagy legalább két független energiatartalékról kell töltve lennie. A vontatott jármű pneumatikus töltővezetékét vagy hidraulikus kiegészítő vezetékét azzal a feltétellel lehet erről a töltővezetékről leágaztatni, hogy a vezetékekben bekövetkező nyomásesés nem hozhatja működésbe a rugóerő-tárolós fékhengereket.
2.4.2. A segédberendezések csak azzal a feltétellel kaphatnak energiát a rugóerő-tárolós fékhengert működtető levegő vezetékéről, hogy működésük még az energiaforrás meghibásodása esetén sem eredményezheti azt, hogy a rugóerő-tárolós fékhenger energiatartaléka az alá a szint alá esik, amellyel egyszer még ki lehet oldani a rugóerő-tárolós fékhengert.
2.4.3. Mindenesetre a fékrendszer zérus nyomásról való feltöltése során a rugóerő-tárolós fékhengerek nem oldhatnak ki addig, amíg az üzemi fékrendszer nyomása nem elegendő ahhoz, hogy legalább a terhelt járműre előírt biztonsági fékhatásosságot biztosítani tudja az üzemi fékrendszer kezelőszervének működtetésével.
2.4.4. Működtetés után a rugóerő-tárolós fékhengerek nem oldhatnak ki, ha az üzemi fékrendszerben nincs elegendő nyomás ahhoz, hogy legalább a terhelt járműre a II. melléklet 3.1.4. pontjában előírt maradék fékhatást biztosítani tudja az üzemi fékrendszer kezelőszervének működtetésével.
2.5. Traktoroknál a rugóerő-tárolós fékrendszert úgy kell megtervezni, hogy legalább háromszor lehessen a fékeket működtetni és kioldani, ha a rugóösszenyomó kamra kezdeti nyomása megfelel a legnagyobb tervezett nyomásnak. Sűrített levegős fékrendszerrel ellátott vontatott járművek esetében a vontatott jármű lekapcsolása után legalább háromszor kell lehetségesnek lennie a fékek kioldásának, ha a lekapcsolás előtt a töltővezetékben a nyomás 750 kPa volt. Az ellenőrzés előtt azonban ki kell oldani a vészféket. Ezeket a feltételeket a lehető legszorosabbra beállított fékeknél kell teljesíteni. Ezenkívül amikor a pótkocsi össze van kapcsolva a traktorral, lehetségesnek kell lennie a rögzítőfék az I. melléklet 2.2.2.10. pontja szerint meghatározott működtetésének és kioldásának.
2.6. Traktorok esetében a rugóösszenyomó kamra azon nyomása, amely alatt a rugók elkezdik működtetni a lehető legszorosabbra beállított fékeket, nem lehet nagyobb, mint a rendes körülmények között rendelkezésre álló legkisebb nyomás 80 %-a.
2.7. Sűrített levegős fékrendszerrel ellátott vontatott járművek esetében a rugóösszenyomó kamra azon nyomása, amely alatt a rugók elkezdik működtetni a fékeket, nem lehet nagyobb, mint az az érték, amely az üzemi fékrendszer négy teljes löketű működtetése után áll elő, a IV. melléklet A részének 1.3. pontja szerint. A kezdeti nyomás 700 kPa.
2.8. A hidraulikus fékrendszerrel ellátott, a rugóösszenyomó kamra nyomás alá helyezéséhez tárolt energiát nem használó vontatott járművek esetében az a nyomás, amelyen a rugók elkezdik működtetni a fékeket, nem lehet nagyobb, mint 1 200 kPa.
2.9. Hidraulikus fékrendszerrel ellátott, a rugóösszenyomó kamra nyomás alá helyezéséhez tárolt energiát használó vontatott járművek esetében az a nyomás a rugóösszenyomó kamrában, amelyen a rugók elkezdik működtetni a fékeket, nem lehet nagyobb, mint az az érték, amely az üzemi fékrendszer négy teljes löketű működtetése után áll elő, a IV. melléklet C részének 1.3. pontja szerint. A kezdeti nyomás 12 000 kPa. Emellett a kiegészítő vezetékben az a nyomás, amelyen a rugók elkezdik működtetni a fékeket, nem lehet nagyobb, mint 1 200 kPa.
2.10. Ha a rugóösszenyomó kamrát energiával ellátó vezeték nyomása - kivéve azon kisegítő kioldó berendezés vezetékeit, amelyek nyomás alatti folyadékkal működnek - olyan szintre esik, melynél a kerékfékszerkezet működésbe lép, figyelmeztető fény- vagy hangjelző berendezésnek is működésbe kell lépni. Amennyiben ez a feltétel teljesül, a figyelmeztető berendezés az I. melléklet 2.2.1.29.1.1. pontjában meghatározott figyelmeztető jelből állhat. Ez az előírás nem vonatkozik vontatott járművekre.
2.11. Ha az átmenő vagy félig átmenő fékrendszerrel ellátott, R és S kategóriájú jármű vontatására engedélyezett traktor rugóerő-tárolós fékrendszerrel felszerelt, az említett rendszer önműködő működésének működésbe kell hoznia a vontatott jármű fékeit is.
2.12. Azoknak a vontatott járműveknek, amelyek a sűrített levegős üzemi fékrendszer energiatartalékait használják a II. melléklet 3.2.3. pontjában az önműködő fékre vonatkozóan előírt követelmények teljesítéséhez, az alábbiak közül egy követelményt szintén teljesíteniük kell, amikor a vontatott járművet lekapcsolják a traktorról, és a vontatott jármű rögzítőfékrendszerének kezelőszerve a kioldott helyzetben van (nincsenek rugóerő-tárolós fékek működtetve):
2.12.1. amikor az üzemi fékrendszer energiatartalékai 280 kPa nyomásra csökkennek (de ez alá nem mennek), a rugóerő-tárolós fék rugóösszenyomó kamrájában a nyomásnak 0 kPa-ra kell csökkennie a rugóerő-tárolós fékek teljes működtetéséhez. Ezt a követelményt az üzemi fékrendszer energiatartalékának 280 kPa-os állandó nyomásánál kell ellenőrizni;
2.12.2. az üzemi fékrendszer energiatartalékán belüli nyomásesés a rugóösszenyomó kamrán belüli nyomás megfelelő csökkenését eredményezi.
3. Kisegítő kioldó rendszer
3.1. A rugóerő-tárolós fékrendszert úgy kell megtervezni, hogy a fékek oldása még a rendszer meghibásodása esetén is lehetséges legyen. Ez egy kisegítő (pneumatikus, hidraulikus, mechanikus stb.) kioldó berendezés használatával oldható meg.
A kioldáshoz tartalékenergiát használó kisegítő kioldó berendezések az energiát a rugóerő-tárolós fékrendszerhez használt energiatartaléktól független energiatartalékból kapják. Az ilyen biztonsági kioldó berendezésekben használt pneumatikus vagy hidraulikus közeg ugyanarra a dugattyúfelületre hathat, amelyre a rugóösszenyomó kamrában a munkaközeg hat, azzal a kikötéssel, hogy a biztonsági kioldó berendezés külön vezetéket használ. Ennek a vezetéknek minden egyes rugóerő-tárolós fékhenger esetében közvetlenül a rugóösszenyomó kamra előtt kell csatlakoznia a normálvezetékhez, amely a kezelőszervet a rugóerő-tárolós fékhengerekkel kapcsolja össze. E csatlakozási pontnak tartalmaznia kell egy olyan berendezést, amely meggátolja, hogy egyik vezeték hatással legyen a másikra. Az I. melléklet 2.2.1.5. pontjában előírt követelmények szintén vonatkoznak erre a berendezésre.
3.1.1. A 3.1. pontban előírt követelmény alkalmazásában a fékrendszer erőátviteli rendszerének alkatrészeit nem kell meghibásodásnak kitett részeknek tekinteni, ha az I. melléklet 2.2.1.2.7. pontja szerint nem hajlamosak törésre, feltéve, hogy fémből vagy fémmel egyenértékű jellemzőkkel bíró anyagból készültek, és a fékberendezés szokásos használata esetén nem szenvednek lényeges alakváltozást.
3.2. Ha a 3.1. pontban említett segédberendezés működtetéséhez szerszámra vagy feszítőre van szükség, akkor ezeket a járművön kell tartani.
3.3. Amennyiben a kisegítő kioldó rendszer a rugóerő-tárolós fékek kioldásához tárolt energiát használ, a következő további követelmények is érvényesülnek:
3.3.1. Amennyiben a kisegítő rugóerőtárolósfék-kioldó rendszer kezelőszerve megegyezik a biztonsági vagy rögzítőfékrendszer kezelőszervével, minden esetben érvényesülnek a 2.4. pontban meghatározott követelmények.
3.3.2. Amennyiben a kisegítő rugóerőtárolósfék-kioldó rendszer kezelőszerve elkülönül a biztonsági vagy rögzítőfékrendszer kezelőszervétől, a 2.3. pontban meghatározott követelmények mindkét rendszerre érvényesülnek. Azonban a 2.4.4. pontban meghatározott követelmények nem érvényesek a kisegítő rugóerőtárolósfék-kioldó rendszerre. Ezen túlmenően a kisegítő kioldó kezelőszerve lehet olyan helyen is, mely védi azt a járművezető által a szokásos vezetői helyzetből történő működtetés ellen.
3.4. Ha a kisegítő kioldó rendszerben sűrített levegőt használnak, a rendszert külön kezelőszervnek kell működésbe hoznia, amely nem kapcsolódik a rugóerő-tárolós fék kezelőszervéhez.
VI. MELLÉKLET
A mechanikus fékhenger-reteszelő ellátott rögzítőfékrendszerre vonatkozó követelmények
1. Fogalommeghatározások
E melléklet alkalmazásában:
1.1. "mechanikus fékhenger-reteszelő berendezés" : olyan berendezés, amely a rögzítőfékrendszer általi fékezést a fékdugattyú rúdjának mechanikus reteszelésével biztosítja. A mechanikus reteszelés a reteszelő kamrában lévő összenyomott folyadék kiengedésével megy végbe; kialakítása olyan, hogy a kioldás a reteszelő kamra nyomásának visszaállításával végezhető el.
2. Követelmények
2.1. A mechanikus fékhenger-reteszelő berendezést olyan módon kell kialakítani, hogy kioldható legyen, amikor a reteszelő kamra ismét nyomás alá kerül.
2.2. Ha a reteszelő kamra nyomása ahhoz a szinthez közelít, amely megfelel a mechanikus fékhenger-reteszelésnek, figyelmeztető fény- és hangjelzésnek kell működésbe lépnie. Ez a rendelkezés vontatott járművekre nem vonatkozik. Vontatott járművek esetében a mechanikus fékhenger-reteszelő berendezésnek megfelelő nyomás nem lehet nagyobb 4 kPa-nál. A vontatott jármű üzemi fékrendszerének meghibásodása esetén a rögzítőfékrendszerre előírt fékhatást kell elérni. Ezenkívül a vontatott jármű lekapcsolása után legalább háromszor lehetségesnek kell lennie a fék oldásának, ha a lekapcsolás előtt a töltővezetékében lévő nyomás 650 kPa volt. Ezeket a feltételeket a lehető legszorosabbra beállított fékeknél kell teljesíteni. Amikor a vontatott jármű össze van kapcsolva a traktorral, lehetségesnek kell lennie a rögzítőfék I. melléklet 2.2.2.10. pontjában meghatározott behúzásának és oldásának is.
2.3. A mechanikus fékhenger-reteszelő berendezéssel ellátott fékhengerek esetében a két energiatartalék közül bármelyiknek képesnek kell lennie a fékhengert működtetni.
2.4. A reteszelt fékhenger csak akkor lehet kioldható, ha bizonyos, hogy a fék ismét működtethető a kioldás után.
2.5. A reteszelő kamrát ellátó energiaforrás meghibásodása esetében például a jármű valamelyik gumiabroncsában levő levegőt használó segéd kioldó berendezést (mechanikus vagy pneumatikus többek között) kell biztosítani.
2.6. A kezelőszervnek működtetés esetén egymás után az alábbi műveleteket kell végrehajtania: működteti a fékeket a rögzítőfékre előírt hatásossággal, ebben a helyzetben reteszeli a fékeket, majd megszünteti a fékműködtető erőt.
VII. MELLÉKLET
Alternatív vizsgálati követelmények azon járművek esetében, amelyekre vonatkozóan az I. típusú, II. típusú és III. típusú vizsgálatokkal egyenértékű vizsgálatokat végeztek
1. Fogalommeghatározások
E melléklet alkalmazásában:
1.1. "vizsgálati vontatott jármű": azt a vontatott járműtípust képviselő vontatott jármű, amelyre vonatkozóan a típusjóváhagyást kérik;
1.2. "azonos": a jármű azon részei, amelyek azonos geometriai és mechanikus jellemzőkkel és a jármű alkatrészeihez használt azonos anyagokkal rendelkeznek;
1.3. "referenciatengely": az a tengely, amelyre vonatkozóan vizsgálati jegyzőkönyv készült;
1.4. "referenciafék": az a fék, amelyre vonatkozóan vizsgálati jegyzőkönyv készült;
1.5. "névleges vizsgálati tömeg": a gyártó által a féktárcsára vagy fékdobra megadott tömeg, a műszaki szolgálat a vonatkozó vizsgálatot ilyen tömegű féktárcsán, illetve fékdobon végzi;
1.6. "tényleges vizsgálati tömeg": a műszaki szolgálat által a vizsgálatot megelőzően mért tömeg;
1.7. "bemeneti féknyomaték küszöbértéke": a mérhető féknyomaték létrehozásához szükséges bemeneti nyomaték;
1.8. "bemeneti féknyomaték megadott küszöbértéke": a bemeneti féknyomaték gyártó által megadott küszöbértéke, amely jellemző a fékre;
1.9. "megadott külső átmérő": a féktárcsa gyártó által megadott, külső átmérője, amelynek értéke jellemző a féktárcsa külső átmérőjére;
1.10. "névleges külső átmérő": a gyártó által arra a féktárcsára megadott külső átmérő, amelyen a műszaki szolgálat a vonatkozó vizsgálatot végzi;
1.11. "tényleges külső átmérő": a féktárcsának a műszaki szolgálat által a vizsgálatot megelőzően mért külső átmérője;
1.12. "a bütyköstengely tényleges hossza": az S-kulcs középvonala és a működtető kar középvonala közötti távolság;
1.13. "fékezési tényező": a fék bemenet-kimenet erősítési aránya.
2. Általános követelmények
A II. mellékletben meghatározott I. típusú és/vagy II. típusú vagy III. típusú vizsgálatokat nem kell elvégezni az alábbi esetekben jóváhagyásra benyújtott járművön és annak rendszerein:
2.1. A szóban forgó jármű olyan traktor vagy vontatott jármű, amely a gumiabroncsok, az egyes tengelyeken elnyelt fékezési energia, valamint a gumiabroncsok felszerelése és a fékberendezés tekintetében azonos egy olyan traktor vagy vontatott jármű fékezésével, amely:
2.1.1. megfelelt az I. és/vagy II. vagy III. típusú vizsgálaton; valamint
2.1.2. típusjóváhagyást kapott a tengelyenkénti terhelésre jutó elnyelt fékezési energia tekintetében, amely terhelés a szóban forgó jármű tengelyenkénti terhelésénél nagyobb vagy megegyezik azzal.
2.2. A szóban forgó jármű olyan traktor vagy vontatott jármű, amelynek tengelye vagy tengelyei a gumiabroncsok, az egyes tengelyeken elnyelt fékezési energia, valamint a gumiabroncsok felszerelése és a fékberendezés tekintetében a fékezés szempontjából azonos jellemzőket mutatnak egy olyan tengellyel, illetve olyan tengelyekkel, amely(ek) egyedileg megfelelt(ek) az I. típusú és/vagy II. típusú vagy III. típusú vizsgálaton a szóban forgó járműnél nem kisebb tengelyenkénti terhelés mellett, feltéve, hogy a tengelyenként elnyelt fékezési energia nem haladja meg az egyedi tengely referenciavizsgálata(i) során tengelyenként elnyelt fékezési energiát.
2.3. A szóban forgó jármű a motorféktől eltérő olyan tartós fékrendszerrel felszerelt traktor, mely megegyezik a következő feltételek mellett már vizsgált tartós fékrendszerrel:
2.3.1. a tartós fékrendszer legalább 6 %-os (II. típusú vizsgálat) lejtőn végzett vizsgálat során önmagában stabilizált egy, a vizsgálat idején legalább akkora legnagyobb tömegű járművet, mint amekkora a típusjóváhagyásra átadott jármű legnagyobb tömege;
2.3.2. a fenti vizsgálat során meg kell róla győződni, hogy a tartós fékrendszer forgó alkatrészeinek szögsebessége olyan, hogy amikor a jóváhagyásra benyújtott jármű eléri 30 km/h haladási sebességet, a fékező nyomaték eléri legalább a 2.3.1. pontban említett vizsgálatnak megfelelő nyomatékot.
2.4. A szóban forgó jármű sűrített levegős működtetésű S-kulcsos fékekkel vagy tárcsafékekkel felszerelt vontatott jármű, mely megfelel az 1. függelékben a referenciatengely vonatkozásában jegyzőkönyvbe vett jellemzők és a vizsgálati jegyzőkönyvben megadott jellemzők összehasonlítására vonatkozó ellenőrzési követelményeknek. A levegővel működő S-kulcsos fékeken vagy tárcsafékeken kívül egyéb fékkialakítások is jóváhagyhatók egyenértékű adatok bemutatása esetén.
3. Vontatott járművekre vonatkozó speciális követelmények
Vontatott járművek esetében ezek a követelmények akkor tekintendők teljesítettnek a 2.1. és 2.2. pont tekintetében, ha az I. függelék 3.7. pontjában a vizsgálati vontatott jármű tengelyére vagy fékére vonatkozóan említett azonosítók szerepelnek a referenciatengely/-fék jegyzőkönyvében.
4. Típusbizonyítvány
A fenti követelmények érvényessége esetén a típusbizonyítványnak az alábbi adatokat kell tartalmaznia:
4.1. az e melléklet 2.1. pontja szerinti esetben meg kell adni az I. típusú és/vagy II. típusú vagy III. típusú referenciavizsgálatra átadott jármű jóváhagyási számát;
4.2. az e melléklet 2.2. pontja szerinti esetekben az (EU) 2015/504 végrehajtási rendelet V. mellékletében megadott minta I. táblázatát kell kitölteni;
4.3. az e melléklet 2.3. pontja szerinti esetekben az (EU) 2015/504 végrehajtási rendelet V. mellékletében megadott minta II. táblázatát kell kitölteni;
4.4. ha pedig e melléklet 2.4. pontját kell alkalmazni, az (EU) 2015/504 végrehajtási rendelet V. mellékletében megadott minta III. táblázatát kell kitölteni.
5. Dokumentációk
Ha egy tagállamban a típusjóváhagyás kérelmezője egy másik tagállamban megadott típusjóváhagyásra hivatkozik, a kérelmezőnek be kell nyújtania a dokumentációkat az adott jóváhagyásra vonatkozóan.
1. függelék
Vontatott járművek fékei I. vagy III. típusú vizsgálatának alternatív eljárásai
1. Általános tudnivalók
1.1. A 2.4. pontnak megfelelően a jármű típusjóváhagyásának időpontjában az I. típusú vagy III. típusú vizsgálat elhagyható, feltéve, hogy a fékrendszer alkatrészei megfelelnek a jelen függelék követelményeinek, és a számított fékhatásosság megfelel ezen előírás megfelelő jármű-kategóriára vonatkozó követelményeinek.
1.2. Az e függelékben részletezett módszerek szerint elvégzett vizsgálatokat a fenti követelményeknek megfelelőnek kell tekinteni.
1.3. A 3.6. pont szerint elvégzett vizsgálatokat és a vizsgálati jegyzőkönyvben szereplő eredményeket elfogadottnak kell tekinteni, mivel bizonyítják az I. melléklet 2.2.2.8.1. pontjában lefektetett követelmények szerinti megfelelőséget.
1.4. Az alábbi III. típusú vizsgálat előtt a fék(ek) beállítását a következő eljárásoknak megfelelően kell elvégezni:
1.4.1. Levegővel működtetett vontatott jármű fék(ek) esetében a fékek beállításának olyannak kell lennie, hogy működni tudjon az automata fékutánállító berendezés. Ebből a célból a működtető löketét az alábbiak szerint kell beállítani:
s0 > 1,1 · sre-adjust
(a felső érték nem haladhatja meg a gyártó által ajánlott értéket)
ahol:
sre-adjust az újraállító löket az önműködő fékutánállító berendezés gyártójának meghatározása szerint, vagyis az a löket, amelynél a berendezés elkezdi újraállítani a működési fékhézagot 100 kPa hengernyomás mellett.
Amennyiben a műszaki szolgálattal való megállapodás alapján gyakorlati szempontból nem célszerű a fékhenger löketének mérése, a kezdeti beállításokat a műszaki szolgálattal kell egyeztetni.
A fenti feltétel szerint a féket legalább 200 kPa fékhengernyomással egymás után 50 alkalommal kell működésbe hozni. Ezt egyetlen, > 650 kPa fékhengernyomású fékezésnek kell követnie.
1.4.2. A hidraulikus működtetésű vontatott jármű tárcsafék(ek) esetében beállítási követelmények nem szükségesek.
1.4.3. A hidraulikus működtetésű vontatott jármű dobfék(ek) esetében a fékek beállítását a gyártó utasítása szerint kell elvégezni.
1.5. Automata fékutánállító berendezéssel felszerelt pótkocsik esetében a fékeket az itt bemutatott I. típusú vizsgálat előtt szükség szerint az 1.4. pontban megállapított eljárás szerint kell beállítani:
2. A jelen mellékletben használt jelöléseket a következő táblázat magyarázza:
2.1. Jelölések
P = statikus feltételek mellett a járműtömegnek a tengelyre eső része
F = az útfelületnek a tengelyre gyakorolt normális irányú reakcióereje statikus feltételek mellett = P·g
FR = az útfelületnek a vontatott jármű összes kerekére gyakorolt normál irányú statikus reakcióereje
Fe = vizsgálati tengelyterhelés
Pe = Fe / g
g = gravitációs gyorsulás: g = 9,81 m/s2
C = bemeneti féknyomaték
C0 = a bemeneti féknyomaték küszöbértéke Ezt a nyomatékot a lefékezettség 15 %-át meg nem haladó tartományba eső mérések extrapolációjával vagy egyéb egyenértékű módszerekkel lehet meghatározni
C0,dec = a bemeneti féknyomaték megadott küszöbértéke
Cmax = legnagyobb bemeneti féknyomaték
R = a gumiabroncs dinamikus gördülési sugara Az Ra és az Sa kategóriájú járművek esetében a gyártó által megadott statikus terhelésű sugarat is lehet használni a gumiabroncsi dinamikus gördülési sugara helyett
T = fékerő a gumiabroncs/útfelület érintkezésénél
TR = teljes fékerő a vontatott jármű gumiabroncs/útfelület érintkezésénél
M = féknyomaték = T.R
z = lefékezettség = T/F vagy M/(R·F)
s = fékhenger lökete (munkalöket + szabad löket)
sp
=
hasznos löket (az a löket, melynél a kifejtett tolóerő az átlagos tolóerő [ThA] 90 %-a)

ThA = átlagos tolóerő (az a tolóerő, amely az Smax teljes löket 1/3-a és 2/3-a közti értékek integrálásával határozható meg)
l = a kar hossza
r = a fékdobok belső sugara vagy a féktárcsák tényleges sugara
p = fékhengernyomás
Megjegyzés: Az "e" indexszel ellátott jelölések a referencia-fékvizsgálattal kapcsolatos paraméterekre vonatkoznak, és adott esetben más jelöléseket is kiegészíthetnek.
3. Vizsgálati módszerek
3.1. Vizsgálatok próbapályán
3.1.1. A fékhatás vizsgálatokat lehetőleg egy tengelyen kell végezni.
3.1.2. A tengelykombinációkon végzett vizsgálatok eredményeit az e melléklet 2.1. pontjának megfelelően fel lehet használni, feltéve, hogy mindegyik tengely azonos fékezési energiát vesz fel a vontatási és a meleg fékvizsgálat alatt.
3.1.2.1. Ez biztosítva van, ha a következők azonosak minden tengelynél: a fékgeometria, a fékbetét, a kerék felszerelése, a gumiabroncsok, a működtetés és a nyomáseloszlás a fékhengerekben.
3.1.2.2. A tengelykombinációk dokumentált eredményei a tengelyek számára vetített átlagok, noha egyetlen tengelyt használtak.
3.1.3. A tengelyt/tengelyeket lehetőleg a legnagyobb statikus tengelyterheléssel kell terhelni, bár ez nem elengedhetetlen, feltéve, hogy a vizsgálatok során megfelelőképpen figyelembe veszik a tengely/tengelyek eltérő terheléséből eredő gördülési ellenállás különbségeit.
3.1.4. Figyelembe kell venni a vizsgálatok elvégzése során alkalmazott járműszerelvényekből eredő megnövekedett gördülési ellenállás hatását.
3.1.5. A vizsgálat kezdeti sebességének az előírtnak kell lennie. A végsebességet az alábbi képlettel lehet kiszámítani:

A III. típusú vizsgálat esetében azonban a II. melléklet 2.5.4.2. pontja szerinti sebesség-korrigálási képlet érvényes.
ahol:
v1 = a kezdeti sebesség (km/h),
v2 = a végsebesség (km/h),
Po = a traktor tömege (kg) a vizsgálati feltételek között
P1 = a vontatott jármű tömegének a fékezetlen tengely/tengelyek által hordott része (kg),
P2 = a vontatott jármű tömegének a fékezett tengely(ek) által hordott része (kg)
3.2. Fékhatásvizsgálatok inercia-próbapadon
3.2.1. A vizsgáló berendezésnek olyan forgó tehetetlenségi nyomatéka kell, hogy legyen, amely a járműtömeg hideg és meleg fékhatásának vizsgálatához szükséges egy kerékre jutó lineáris tehetetlenségét szimulálja, és amely állandó fordulatszámmal működtethető a 3.5.2. és 3.5.3. pontokban leírt vizsgálat céljaira.
3.2.2. A vizsgálatot komplett (a gumiabroncsot is tartalmazó) kerékkel kell elvégezni, amelyet a fék mozgó részére kell felszerelni, ahogy a járműre lenne szerelve. A tehetetlenségi tömeg közvetlenül, vagy a gumiabroncsokon és a kerekeken keresztül csatlakozhat a fékberendezéshez.
3.2.2.1. A 3.2.2. ponttól eltérően a vizsgálat gumiabroncs nélkül is elvégezhető azzal a feltétellel, hogy nem engedélyezett a hűtés. Kismértékű légkeringetés azonban megengedett, amely elszívja a mérgező vagy káros gázokat a vizsgálati kamrából.
3.2.3. A 3.2.2. pontban meghatározott feltételek mellett a bemelegítés alatt léghűtést lehet alkalmazni olyan sebességgel és áramlásiránnyal, ami a tényleges viszonyokat szimulálja, amelynek során a levegő sebessége
vair = 0,33 v
ahol:
v = a jármű vizsgálati sebessége a fékezés kezdetekor.
A levegő hőmérsékletének a környezeti hőmérsékletnek kell lennie.
3.2.4. Ahol a gumiabroncs gördülési ellenállása a vizsgálat során nincs automatikusan kompenzálva, a fékre ható nyomatékot módosítani kell, levonva a 0,02 (Ra és Sa kategóriájú járművek esetében) és a 0,01 (Rb és Sb kategóriájú járművek estében) gördülési ellenállási együtthatónak megfelelő nyomatékot.
Másik lehetőségként a legrosszabb gördülési ellenállási együttható, 0,01 használható az összes olyan jármű-kategória esetében, amelyre vonatkozóan a vizsgálati jegyzőkönyvben meghatározottak szerint I. típusú vizsgálat végezhető el.
3.3. Vizsgálatok görgős próbapadon
3.3.1. A tengelyt lehetőleg a megengedett legnagyobb statikus tengelyterhelésnek megfelelően kell terhelni. Ez azonban nem fontos, amennyiben a vizsgálat során kellően figyelembe veszik a vizsgálati tengely eltérő terheléséből adódó eltérő gördülési ellenállás hatását.
3.3.2. A bemelegítés alatt léghűtést lehet alkalmazni olyan sebességgel és áramlásiránnyal, ami a tényleges viszonyokat szimulálja, amelynek során a levegő sebessége
vair = 0,33 v
ahol:
v = a jármű vizsgálati sebessége a fékezés kezdetekor.
A levegő hőmérsékletének a környezeti hőmérsékletnek kell lennie.
3.3.3. A fékezési idő 1 másodperc, legfeljebb 0,6 másodperces fékfelfutási idő után.
3.4. Vizsgálati feltételek (általános)
3.4.1. A vizsgálandó féket/fékeket úgy kell felműszerezni, hogy a következő méréseket lehessen elvégezni:
3.4.1.1. folyamatos adatrögzítés, a féknyomaték vagy a gumiabroncs kerületén ébredő fékerő megállapításához;
3.4.1.2. a fékhengerben lévő levegőnyomás folyamatos rögzítése;
3.4.1.3. a jármű sebessége a vizsgálat alatt.
3.4.1.4. a fékdob vagy féktárcsa külső részének kezdeti hőmérséklete;
3.4.1.5. a 0. típusú és I. típusú vagy III. típusú vizsgálatok alatt használt fékhengerlöket.
3.5. Vizsgálati eljárások
3.5.1. Kiegészítő hideg fékhatásossági vizsgálat
A féket a 3.5.1.1. pont szerint kell előkészíteni.
3.5.1.1. Bekoptatási eljárás
3.5.1.1.1. Dobfékek esetében a vizsgálatokat új fékbetétekkel és új dobbal (dobokkal) kell kezdeni, a fékbetéteket úgy kell megmunkálni, hogy a lehető legjobb kezdeti felfekvés legyen a fékbetétek és a fékdob(ok) között.
3.5.1.1.2. Tárcsafékek esetében a vizsgálatokat új fékbetétekkel és féktárcsával (féktárcsákkal) kell kezdeni, a fékbetétek anyagának megmunkálása a gyártó mérlegelése szerint történik.
3.5.1.1.3. A féket 20-szor kell működtetni 60 km/h kezdő sebességről, elméletileg 0,3 TR/vizsgálati tömegnek megfelelő fékre gyakorolt erővel. A fékbetétek/dob és a tárcsafékbetét/féktárcsa érintkezési felületének kezdeti hőmérséklete egyik fékezés előtt sem haladhatja meg a 100 °C-t.
3.5.1.1.4. 30 fékezést kell elvégezni 60 km/h-ról 30 km/h-ig lassítva, elméletileg 0,3 TR/vizsgálati tömegnek megfelelő fékre gyakorolt erővel és az egyes fékezések között 60 másodperces időközzel. Amennyiben a próbapályás vizsgálati módszer vagy a görgős fékpróbapados vizsgálati módszer alkalmazandó, az energiabevitelnek az itt meghatározottal azonosnak kell lennie. A fékbetétek/dob és a tárcsafékbetét/féktárcsa érintkezési felületének kezdeti hőmérséklete az első fékezés előtt nem haladhatja meg a 100 °C-t.
3.5.1.1.5. A 3.5.1.1.4. pontban meghatározott 30 fékezés befejeztével és 120 másodperc szünet beiktatásával 5 fékezést kell végezni 60 km/h-ról 30 km/h-ig lassítva, 0,3 TR/vizsgálati tömegnek megfelelő fékre gyakorolt erővel és az egyes fékezések között 120 másodperces időközzel.
3.5.1.1.6. A féket 20-szor kell működtetni 60 km/h kezdő sebességről, 0,3 TR/vizsgálati tömegnek megfelelő fékre gyakorolt erővel. A fékbetétek/dob és a tárcsafékbetét/féktárcsa érintkezési felületének kezdeti hőmérséklete egyik fékezés előtt sem haladhatja meg a 150 °C-t.
3.5.1.1.7. A fékhatásosság ellenőrzését az alábbiak szerint kell végezni:
3.5.1.1.7.1. Ki kell számítani a 0,2, 0,35 és 0,5 + 0,05 TR/vizsgálati tömegnek megfelelő elméleti fékhatásosság értékek előállításához szükséges bemeneti nyomatékot.
3.5.1.1.7.2. A bemeneti féknyomaték minden egyes lefékezettségre történő meghatározása után ennek az értéknek állandónak kell maradnia minden egyes és soron következő fékezés során (állandó nyomás).
3.5.1.1.7.3. Fékezést kell végrehajtani a 3.5.1.1.7.1. pontban meghatározott minden egyes bementi féknyomatékkal, 60 km/h kezdő sebességről. A fékbetétek/dob és a tárcsafékbetét/féktárcsa érintkezési felületének kezdeti hőmérséklete egyik fékezés előtt sem haladhatja meg a 100 °C-t.
3.5.1.1.8. Meg kell ismételni a 3.5.1.1.6. és 3.5.1.1.7.3. pontokban meghatározott eljárásokat, melynél a 3.5.1.1.6. pont szerinti eljárás nem kötelező mindaddig, amíg a 0,5 TR/(vizsgált tömeg) állandó bemeneti értéken öt egymást követő nem monoton mérés szerinti fékhatásosság a legnagyobb érték - 10 %-ának megfelelő tűréssel nem stabilizálódik.
3.5.1.2. Ugyancsak megengedett a két, I. típusú és III. típusú fékhatáscsökkenés-vizsgálat egymást követő elvégzése.
3.5.1.3. Ezt a vizsgálatot az I. típusú vizsgálatnál 40 km/h-nak, a III típusú vizsgálatnál 60 km/h-nak megfelelő kezdeti sebességnél kell elvégezni az - I. és III. típusú fékvizsgálat végén lévő - meleg fékhatásosság kiértékeléséhez. Az I. és III. típusú fékhatáscsökkenés-vizsgálato(ka)t közvetlenül ezen hideg fékhatásossági vizsgálat(ok) után kell elvégezni.
3.5.1.4. Három fékezést kell végezni azonos (p) nyomáson és (az I. típusú vizsgálat esetében a vizsgálati jegyzőkönyvben meghatározottak szerint) 30 km/h-nak és 40 km/h-nak, (a III. típusú vizsgálat esetében) 60 km/h-nak megfelelő kezdő sebességről, közelítőleg azonos, a dob vagy tárcsa külső felületén mért legfeljebb 100 °C kezdeti hőmérséklettel. A fékezéseket olyan fékhengernyomásnál kell végrehajtani, amelynek révén a létrejövő fékezőnyomaték vagy erő egyenértékű a legalább 50 %-os lefékezettséggel. A fékhengernyomásnak nem szabad a 650 kPa-t (pneumatikus) vagy a 11 500 kPa-t (hidraulikus) túllépnie, és a bemeneti féknyomatéknak (C) nem szabad meghaladnia a műszakilag megengedett legnagyobb értéket (Cmax). Hideg fékhatásnak a három eredmény átlagát kell tekinteni.
3.5.2. Fékhatásosság-csökkenés vizsgálat (I. típusú vizsgálat)
3.5.2.1. Ezt a vizsgálatot 40 km/h-nak megfelelő sebességen kell elvégezni, legfeljebb 100 °C-os kezdeti fékhőmérséklettel, a dob vagy féktárcsa külső felületén mérve.
3.5.2.2. A fékezettséget 7 %-on kell tartani, beleértve a gördülési ellenállást (lásd a 3.2.4. pontot).
3.5.2.3. A vizsgálat 2 perc és 33 másodperc alatt vagy 1,7 km-en át zajlik, 40 km/h járműsebességnél. A vmax ≤ 30 km/h sebességű vontatott járművek esetében, vagy ha a vizsgálati sebesség nem érhető el, a vizsgálat ideje a II. melléklet 2.3.2.2. pontja szerint hosszabbítható.
3.5.2.4. Az I. típusú vizsgálat befejezését követően legfeljebb 60 másodperc elteltével el kell végezni a II. melléklet 2.3.3. pontjának megfelelően egy meleg fékhatásossági vizsgálatot, 40 km/h-nak megfelelő kezdeti sebességen. A fékhenger nyomásának ugyanakkorának kell lennie, mint a 0. típusú vizsgálat során.
3.5.3. Fékhatásosság-csökkenés vizsgálat (III. típusú vizsgálat)
3.5.3.1. Az ismételt fékezés vizsgálati módszerei
3.5.3.1.1. Mérőpálya vizsgálatok (lásd a II. melléklet 2.5. pontját)
3.5.3.1.2. Fékhatásvizsgálat inercia-próbapadon
A 3.2. pont szerinti próbapadi vizsgálat feltételei megegyezhetnek a II. melléklet 2.5.4. pontja szerinti országúti fékvizsgálat feltételeivel, ahol:

3.5.3.1.3. Vizsgálat görgős próbapadon
A 3.3. pont szerinti próbapadi vizsgálat feltételei az alábbiak:
Fékezések száma | 20 |
A fékezési ciklus időtartama | 60 s (a fékezési idő 25 másodperc, a helyreállási idő 35 másodperc) |
Vizsgálati sebesség | 30 km/h |
Lefékezettség | 0,06 |
Gördülési ellenállás | 0,01 |
3.5.3.2. A III. típusú vizsgálat befejezése után 60 másodpercnél nem később, meleg fékhatásossági vizsgálatot kell végezni II. melléklet 2.5.5. pontja szerint. A fékhenger nyomásának ugyanannak kell lennie, mint a 0. típusú vizsgálat során.
3.6. Fékhatásossági követelmények önműködő fékutánállító berendezések esetében
3.6.1. A következő követelmények vonatkoznak az olyan fékre szerelt automata fékutánállító berendezésre, amelynek hatásosságát e függelék rendelkezései szerint ellenőrzik.
A 3.5.2.4. pontban (I. típusú vizsgálat) vagy a 3.5.3.2. pontban (III. típusú vizsgálat) meghatározott vizsgálatok befejezését követően ellenőrizni kell a 3.6.3. pont követelményeit.
3.6.2. A következő követelmények vonatkoznak az olyan fékre szerelt alternatív önműködő fékutánállító berendezésre, amelynek vonatkozásában már létezik vizsgálati jegyzőkönyv.
3.6.2.1. Fékhatásosság
A fékek 3.5.2. pontban (I. típusú vizsgálat) vagy a 3.5.3. pontban (III. típusú vizsgálat) meghatározott eljárásoknak megfelelően történő felmelegítését követően a következő rendelkezések egyike érvényesül:
a) az üzemi fékrendszer meleg hatásossága legyen a 0. típusú fékhatásosság ≥ 80 %-a; vagy
b) a féket a 0. típusú vizsgálat során meghatározott fékhengernyomással kell működtetni; ennél a nyomásnál meg kell mérni a teljes fékhengerlöketet (sA), aminek a fékkamra sp értékének ≤ 0,9-nek kell lennie.
sp = a hasznos löket az a löket, amelyen a kifejtett tolóerő az átlagos tolóerő (ThA) 90 %-a - lásd a 2. pontot.
3.6.2.2. A 3.6.2.1. pontban meghatározott vizsgálatok elvégzése után ellenőrizni kell a 3.6.3. pont szerinti követelményeket.
3.6.3. Szabadonfutás vizsgálata
A 3.6.1. vagy 3.6.2. pontokban meghatározott vizsgálatok elvégzése után a fékeket hagyni kell lehűlni a hideg fékeknek megfelelő értékre (azaz 100 °C alá) és ellenőrizni kell, hogy a vontatott jármű/a kerék(kerekek) képes(ek)-e a szabadonfutásra a következő feltételek egyikének teljesítése révén:
3.6.3. 1 a kerekek szabadon futnak (azaz kézzel forgathatóak);
3.6.3. 2 biztosított, hogy amennyiben a pótkocsi v = 60 km/h-nak megfelelő állandó sebességgel, kioldott fékekkel halad, az aszimptotikus hőmérséklet nem haladja meg a 80 °C-os dob-/tárcsahőmérséklet-emelkedést, ekkor a maradó féknyomaték megfelelőnek minősül.
3.7. Azonosítás
3.7.1. A tengelyen jól látható helyen legalább a következő azonosító információkat kell egy helyen csoportosítva, tetszőleges sorrendben, olvashatóan és eltávolíthatatlanul feltüntetni:
3.7.1.1. a tengely gyártója és/vagy gyártmánya;
3.7.1.2. tengelyazonosító;
3.7.1.3. fékazonosító;
3.7.1.4. Fe-azonosító;
3.7.1.5. a vizsgálati jegyzőkönyv számának alaprésze;
3.7.1.6. példa az azonosítókra:
A tengely gyártója és/vagy gyártmánya ABC
ID1-XXXXXX
ID2-YYYYYY
ID3-11111
ID4-ZZZZZZZ
3.7.2. A nem beépített, önműködő fékutánállító berendezésen jól látható helyen legalább a következő azonosító információkat kell egy helyen csoportosítva, olvashatóan és eltávolíthatatlanul feltüntetni:
3.7.2.1. gyártó és/vagy gyártmány, értelemszerűen;
3.7.2.2. típus;
3.7.2.3. változat;
3.7.3. az egyes fékbetétek vagy tárcsafékbetétek gyártmányát és típusát olvasható és eltávolíthatatlan módon, továbbá úgy kell feltüntetni, hogy ez az információ akkor is jól látható legyen, ha a fékbetét vagy tárcsafékbetét fel van szerelve a fékpofára vagy a tartólemezre.
3.7.4. Azonosítók
3.7.4.1. Tengelyazonosító
A tengelyazonosító mutatja meg a tengely kategóriáját a gyártó által megadott fékerő/nyomaték tekintetében.
A tengelyazonosító egy alfanumerikus kód, amely az "ID1-" karaktersorból és az azt követő legfeljebb 20 karakterből áll.
3.7.4.2. Fékazonosító
A fékazonosító egy alfanumerikus kód, amely az "ID2-" karaktersorból és az azt követő, legfeljebb 20 karakterből áll.
Az ugyanazzal az azonosítóval ellátott fékek az alábbi kritériumok tekintetében azonosak:
a) a fék típusa;
b) a féknyeregház, a fékfüggesztő, a féktárcsa és a fékdob alapanyaga;
c) az "e" indexszel jelölt méretek a vizsgálati jegyzőkönyvnek megfelelően;
d) a fékben a fékerő létrehozásának alapvető módszere;
e) tárcsafékek esetében a súrlódó gyűrű rögzítésének módja: rögzített vagy lebegő;
f) BF fékezési tényező;
g) a fék különböző jellemzői a VII. melléklet követelményei tekintetében, amelyekre e függelék 3.7.4.2.1. pontja nem terjed ki.
3.7.4.2.1. Az azonos fékazonosítójú fékek között megengedett eltérések
Ugyanaz a fékazonosító az alábbi kritériumok tekintetében tartalmazhat eltérő fékjellemzőket:
a) a Cmax megadott legnagyobb bemeneti féknyomaték növekedése;
b) eltérés az mdec megadott féktárcsa- és fékdobtömegtől: ±20 százalék;
c) a fékbetét/tárcsafékbetét fékpofára/tartólemezre történő felszerelésének módszere;
d) tárcsafékek esetében a legnagyobb elérhető féklöket növekedése;
e) a bütyköstengely tényleges hossza;
f) a megadott C0,dec küszöbnyomaték;
g) ±± 5 mm eltérés a tárcsa megadott külső átmérőjétől;
h) a tárcsa hűtésének típusa (léghűtéses/nem léghűtéses);
i) tárcsaagy (beépített tárcsaaggyal vagy anélkül);
j) tárcsa beépített dobbal - rögzítőfék-funkcióval vagy anélkül;
k) a tárcsa súrlódó felülete és a tárcsa rögzítése közötti geometriai kapcsolat;
l) a fékbetét típusa;
m) anyagbeli eltérések (kivéve az alapanyagok 3.7.4.2. pontban említett eltéréseit), amelyekkel kapcsolatban a gyártó megerősíti, hogy az effajta anyagbeli eltérések a szükséges vizsgálatok vonatkozásában nem módosítják a fékhatásosságot;
n) tartólemez és fékpofák.
3.7.4.3. Fe-azonosító
Az Fe-azonosító a vizsgálati tengelyterhelést jelöli. Ez egy olyan alfanumerikus kód, amely az "ID3-" karaktersorból áll, amelyet a daN-ban kifejezett Fe érték követ, a "daN" mértékegység-jelölés nélkül.
3.7.4.4. A vizsgálati jegyzőkönyv azonosítója
A vizsgálati jegyzőkönyv azonosítója egy alfanumerikus kód, amely az "ID4-" karaktersorból áll, amelyet a vizsgálati jegyzőkönyv számának alaprésze követ.
3.7.5. Önműködő fékutánállító berendezés (beépített és nem beépített)
3.7.5.1. Önműködő fékutánállító berendezések típusai
Az azonos típusú önműködő fékutánállító berendezések nem különböznek egymástól az alábbi kritériumok tekintetében:
a) ház: alapanyag;
b) legnagyobb megengedett féktengelynyomaték;
c) az utánállítás működési elve.
3.7.5.2. Önműködő fékutánállító berendezés változatai utánállítási viselkedés tekintetében
Az egy típusba tartozó azon önműködő fékutánállító berendezések, amelyek hatással vannak a fék menethézagára, különböző változatoknak tekintendők.
3.8. Vizsgálati feltételek
Amennyiben az adatközlő lapon meghatározott határértékeken belül módosított tengely vagy fék esetében új vizsgálati jegyzőkönyvre vagy a vizsgálati jegyzőkönyv kiegészítésére van szükség, az alábbi feltételek alapján kell eldönteni, hogy kell-e további vizsgálatokat végezni, a műszaki szolgálattal egyeztetett, a legkedvezőtlenebb esetre vonatkozó konfigurációk figyelembevételével.
Az alábbi táblázatban használt rövidítések: | |
CT (teljes vizsgálat) | Vizsgálat: 3.5.1.: kiegészítő hideg fékhatásossági vizsgálat 3.5.2.: fékhatásosság-csökkenés vizsgálat (I. típusú vizsgálat) (*1) 3.5.3.: fékhatásosság-csökkenés vizsgálat (III. típusú vizsgálat) (*1) |
FT (fékhatásosság-csökkenés vizsgálat) | Vizsgálat: 3.5.1. kiegészítő hideg fékhatásossági vizsgálat 3.5.2. fékhatásosság-csökkenés vizsgálat (I. típusú vizsgálat) (*1) 3.5.3. fékhatásosság-csökkenés vizsgálat (III. típusú vizsgálat) (*1) |
(*1) értelemszerűen |
A 3.7.4.2.1. pont szerinti eltérések | Vizsgálati feltételek |
a) a Cmax megadott legnagyobb bemeneti féknyomaték növekedése | További vizsgálat nélkül engedélyezett módosítás |
b) eltérés az mdec megadott féktárcsa- és fékdobtömegtől ± 20 százalék | CT: A legkönnyebb változatot kell vizsgálni. Ha az új változat névleges vizsgálati tömege 5 %-nál kisebb mértékben tér el egy előzőleg vizsgált, magasabb névleges értékű változattól, akkor a könnyebb változat vizsgálatától el lehet tekinteni. A vizsgálati minta tényleges vizsgálati tömege ±5 %-kal térhet el a névleges vizsgálati tömegtől. |
c) a fékbetét/tárcsafékbetét fékpofára/tartólemezre történő felszerelésének módszere | A gyártó által megadott és a vizsgálatot végző műszaki szolgálatokkal egyeztetett legkedvezőtlenebb eset |
d) tárcsafékek esetében a legnagyobb elérhető féklöket növekedése | További vizsgálat nélkül engedélyezett módosítás |
e) a bütyköstengely tényleges hossza | A legkedvezőtlenebb esetnek a legkisebb bütyköstengely-csavarási merevség tekintendő, amelyet az alábbi módszerek valamelyikével kell ellenőrizni: i. FT; vagy ii. további vizsgálat nélkül megengedett módosítás, ha a számítás alapján igazolható a löketre és a fékerőre kifejtett hatás. Ebben az esetben a vizsgálati jegyzőkönyvben az alábbi extrapolált értékeket kell megadni: se, Ce, Te, Te/Fe. |
f) a megadott C0,dec küszöbnyomaték | Ellenőrizni kell, hogy a fékhatásosság az 1. diagram sávjain belül marad-e. |
g) ±5 mm eltérés a tárcsa megadott külső átmérőjétől | A legkedvezőtlenebb esetnek a legkisebb átmérő tekintendő. A vizsgálati minta tényleges külső átmérője ±1 mm-rel térhet el a tengely gyártója által meghatározott névleges külső átmérőtől. |
h) a tárcsa hűtésének típusa (léghűtéses/nem léghűtéses) | Minden típust vizsgálni kell. |
i) tárcsaagy (beépített tárcsaaggyal vagy anélkül) | Minden típust vizsgálni kell. |
j) tárcsa beépített dobbal – rögzítőfék-funkcióval vagy anélkül | Nem szükséges vizsgálat ennél a jellemzőnél. |
k) a tárcsa súrlódó felülete és a tárcsa rögzítése közötti geometriai kapcsolat | Nem szükséges vizsgálat ennél a jellemzőnél. |
l) a fékbetét típusa | Minden fékbetéttípus |
m) anyagbeli eltérések (kivéve az alapanyagok 3.7.4.2. pontban említett eltéréseit), amelyekkel kapcsolatban a gyártó megerősíti, hogy az effajta anyagbeli eltérések a szükséges vizsgálatok vonatkozásában nem módosítják a fékhatásosságot | Nem szükséges vizsgálat ennél a feltételnél. |
n) tartólemez és fékpofák | A legkedvezőtlenebb eset vizsgálati feltételei (*1): Tartólemez: legkisebb vastagság Fékpofa: legkönnyebb fékpofa |
(*1) Nincs szükség vizsgálatra, ha a gyártó igazolni tudja, hogy az eltérés nem befolyásolja a merevséget. |
3.8.1. Amennyiben az önműködő fékutánállító berendezés eltér a vizsgált berendezéstől a 3.7.5.1. és a 3.7.5.2. pont szerint, a 3.6.2. pont szerinti további vizsgálat szükséges.
3.9. Vizsgálati eredmények
3.9.1. A 3.5. és 3.6.1. pont szerint elvégzett vizsgálatok eredményeit meg kell adni a vizsgálati eredmények rögzítésére szolgáló lapon.
3.9.2. Alternatív fékutánállító berendezéssel felszerelt fék esetében a 3.6.2. pont szerint elvégzett vizsgálatok eredményeit a vizsgálati eredmények lapján kell szerepeltetni.
3.9.3. Adatközlő lap
A tengely vagy jármű gyártója által adott adatközlő lapnak a vizsgálati jegyzőkönyv részét kell képeznie.
Az adatközlő lapon adott esetben azonosítani kell a fék- vagy tengelyberendezések különböző változatait alapvető kritériumaik szerint.
4. Ellenőrzés
4.1. Alkatrészek ellenőrzése
A típusjóváhagyásra bemutatott jármű fékei jellemzőinek meg kell felelniük a 3.7., 3.8. és 3.9. pontokban meghatározott követelményeknek.
4.2. A felemésztett fékenergia ellenőrzése
4.2.1. Az I. típusú és a III. típusú fékvizsgálatokra előírt fékhatás létrehozásához szükséges (T) fékerők a vizsgált fékeknél (azonos pm vezérlővezeték-nyomás) nem lehetnek nagyobbak, mint a vizsgálati jegyzőkönyvben megadott, a referenciafék vizsgálatához alapul vett Te értékek.
4.3. A meleg fékhatásosság ellenőrzése
4.3.1. A vizsgált vontatott jármű minden egyes vizsgált féke esetében a (T) fékerő a fékhengerek meghatározott (p) nyomása és a 0. típusú vizsgálatok során használt (pm) vezérlővezeték-nyomás tekintetében a következőképpen határozható meg:
4.3.1.1. A vizsgált fékhenger várható löketét (löketeit) a következő képletből kell meghatározni:

Ez az érték nem haladhatja meg az sp-t.
4.3.1.2. Meg kell mérni a vizsgált fékre szerelt henger (ThA) átlagos tolóerejét a 4.3.1. pontban meghatározott nyomásnál.
4.3.1.3. A C bemeneti féknyomaték számítása ezt követően a következő képlettel történik:

A C nem lehet nagyobb, mint Cmax.
4.3.1.4. A vizsgálandó fékhenger várható fékhatásosságát az alábbi képlettel kell kiszámítani:

R nem lehet kisebb, mint 0,8 Re.
4.3.2. A vizsgált vontatott jármű várható fékhatásosságát az alábbi képlettel kell kiszámítani:

4.3.3. Az I. típusú vagy III. típusú vizsgálatok utáni meleg fékhatásosság értékeket a 4.3.1.1.-4.3.1.4. pont szerint kell meghatározni. A 4.3.2. pontban kapott eredményeknek meg kell felelniük a jelen előírás vizsgált vontatott járműre vonatkozó követelményeinek. A II. melléklet 2.3.3. vagy 2.5.5. pontjában előírt 0. típusú vizsgálatban feljegyzett értéknek a vizsgált vontatott jármű 0. típusú vizsgálatában feljegyzett értékkel kell megegyeznie. [Kép #3]

Kép #3
VIII. MELLÉKLET
A ráfutó fékrendszerek, fékberendezések és pótkocsi-fékcsatlakozások, illetve az ezekkel felszerelt járművek fékezéssel kapcsolatos vizsgálatára vonatkozó követelmények
1. Általános rendelkezések
1.1. A vontatott jármű ráfutó fékrendszere a kezelőszervből, az erőátviteli rendszerből és a fékből áll.
1.2. A kezelőszerv a vonószerkezettel (kapcsolófejjel) egybeépített alkatrészek összessége.
1.3. Az erőátviteli rendszer a kapcsolófej utolsó része és a fék első része közötti alkatrészek összessége.
1.4. Az olyan fékrendszerek, amelyeknél a traktor tárolt (például villamos, pneumatikus vagy hidraulikus) energiát továbbít a vontatott járműre, és ezt csak a kapcsolókészüléken fellépő tolóerő működteti, e rendelet értelmében nem minősülnek ráfutó fékrendszereknek.
1.5. Vizsgálatok
1.5.1. A fék lényeges jellemzőinek meghatározása.
1.5.2. A kezelőszerv lényeges jellemzőinek meghatározása és e rendelet rendelkezései szerinti megfelelőségének ellenőrzése.
1.5.3. A járművön ellenőrizendő:
1.5.3.1. a kezelőszerv és a fék összekapcsolhatósága (kompatibilitása), valamint
1.5.3.2. az erőátviteli rendszer.
2. Jelölések
2.1. Alkalmazott mértékegységek
2.1.1. Tömeg: kg;
2.1.2. Erő: N;
2.1.3. Gravitációs gyorsulás: g = 9,81 m/s2;
2.1.4. Forgató- és egyéb nyomaték: Nm;
2.1.5. Terület: cm2;
2.1.6. Nyomás: kPa;
2.1.7. Hosszúság: eseti alapon meghatározott mértékegységek.
2.2. Valamennyi féktípusra érvényes jelölések (lásd az 1. függelék 1. ábráját)
2.2.1. GA : a vontatott járműnek a gyártó által megadott, műszakilag megengedett legnagyobb tömege;
2.2.2. G′A : a vontatott járműnek a gyártó által megadott azon legnagyobb tömege, amelyet a kezelőszerv le tud fékezni;
2.2.3. GB : a vontatott járműnek azon legnagyobb tömege, amelyet a vontatott jármű összes fékjének együttes működtetése le tud fékezni GB = n · GBo
2.2.4. GBo : a vontatott jármű legnagyobb megengedett tömegének a gyártó által megadott azon hányada, amelyet egy fék le tud fékezni;
2.2.5. B* : a szükséges fékerő;
2.2.6. B : a szükséges fékerő a gördülési ellenállás figyelembevételével;
2.2.7. D* : megengedett tolóerő a kapcsolókészüléken;
2.2.8. D : tolóerő a kapcsolókészüléken;
2.2.9. P′ : a kezelőszerv kimeneti ereje;
2.2.10. K : a kezelőszerv járulékos ereje, amelyet megegyezés szerint a D függvényében kifejezett P′ extrapolált görbe és az abszcissza metszéspontjának megfelelő D erő határoz meg. Ezt a D erőt a berendezés elmozdulási útjának középhelyzetében kell mérni (lásd az 1. függelék 2. és 3. ábráját);
2.2.11. KA : a kezelőszervben ébredő erő működési küszöbértéke, azaz az a legnagyobb, a kapcsolófejre rövid ideig ható tolóerő, amelynek hatására a kezelőszerven még nem lép fel erőhatás. Megegyezés szerint KA-val azt az erőt kell jelölni, amely a kapcsolófej 10-15 mm/s sebességgel való benyomásának kezdetekor mérhető, szétkapcsolt kezelőszervi átvitel mellett;
2.2.12. D1 : a kapcsolófejre ható legnagyobb erő, amikor azt szétkapcsolt erőátvitel mellett s mm/s + 10 % sebességgel befelé nyomják;
2.2.13. D2 : a teljesen benyomott kapcsolófejre ható legnagyobb erő, amikor azt szétkapcsolt erőátvitel mellett s mm/s + 10 % sebességgel húzzák;
2.2.14. ηHo : a ráfutófék kezelőszervének hatásfoka;
2.2.15. ηH1 : az erőátviteli rendszer hatásfoka;
2.2.16. ηH : a kezelőszerv és az erőátviteli rendszer együttes hatásfoka ηH = ηHo · ηH1;
2.2.17. s : a kezelőszerv útja milliméterben;
2.2.18. s′ : a kezelőszerv vizsgálati jegyzőkönyvben meghatározott tényleges (hasznos) útja milliméterben, a 10.4. pont szerint meghatározva;
2.2.19. s″ : a főfékhenger tartaléklökete, milliméterben mérve a kapcsolófejnél;
2.2.19.1. sHz : a főfékhenger lökete milliméterben, az 1. függelék 8. ábrája szerint;
2.2.19.2. s″Hz : a főfékhenger tartaléklökete, milliméterben mérve a fékdugattyú rúdjánál, az 1. függelék 8. ábrája szerint;
2.2.20. so : útveszteség, azaz a kapcsolófej útja milliméterben mérve akkor, amikor a kapcsolófej a vízszintes sík felett 300 mm-re lévő pontból a vízszintes sík alatt 300 mm-re lévő pontba mozdul el, álló erőátviteli rendszer mellett;
2.2.21. 2sB : a fékpofa elmozdulása (a fékpofa működtetési útja) milliméterben, a működtető mechanizmussal párhuzamos átmérőn mérve anélkül, hogy a vizsgálat alatt állítanák a fékeket;
2.2.22. 2s
B
* :
a fékpofa közepének legkisebb elmozdulása (a fékpofa legkisebb működtetési útja) (milliméterben), dobfékes kerékfékeknél
[Kép #4] ;

Kép #4
ahol 2r a fékdob átmérője milliméterben (lásd az 1. függelék 4. ábráját).

Hidraulikus erőátviteli rendszerű tárcsafékes kerékfékeknél:
ahol:
V60
=
egy kerékfék folyadéktérfogat-igénye 1,2 B* = 0,6 · GBo fékerőnek megfelelő nyomásnál és legnagyobb gumiabroncssugárnál;
valamint
2rA = a féktárcsa külső átmérője (V60 cm3-ben, FRZ cm2-ben és rA mm-ben).
2.2.23. M* : a gyártó által megadott féknyomaték. Ennek a féknyomatéknak legalább az előírt B* fékerőt kell létrehoznia;
2.2.23.1. MT : vizsgálati fékezési nyomaték beépített túlterhelésgátló hiányában (az alábbi 6.2.1. pontnak megfelelően);
2.2.24. R : a gumiabroncs dinamikus gördülési sugara. Az Ra és az Sa kategóriájú járművek esetében a gyártó által megadott statikus terhelésű sugarat is lehet használni a gumiabroncsi dinamikus gördülési sugara helyett;
2.2.25. n : a fékek száma;
2.2.26. Mr : az sr legnagyobb megengedett útból eredő legnagyobb féknyomaték vagy a Vr legnagyobb megengedett folyadéktérfogat, ha a vontatott jármű hátrafelé mozog (beleértve a 0,01 · g · GBo gördülési ellenállást);
2.2.27. sr : a fékműködtető kar legnagyobb megengedett útja a vontatott jármű hátrafelé történő mozgásakor;
2.2.28. Vr : az egy fékező kerék által felvett legnagyobb megengedett folyadéktérfogat a vontatott jármű hátrafelé történő mozgásakor;
2.3. A mechanikus erőátvitelű fékrendszerekre érvényes jelölések (lásd az 1. függelék 5. ábráját);
2.3.1. iHo : csökkentő áttétel a kapcsolófej útja és a kezelőszerv kimenő oldalán lévő kar útja között;
2.3.2. iH1 : csökkentő áttétel a kezelőszerv kimenő oldalán lévő kar útja és a fékkar útja között (az erőátviteli rendszer útáttétele);
2.3.3. iH : csökkentő áttétel a kapcsolófej útja és a fékkar útja között iH = iHo · iH1
2.3.4. ig : csökkentő áttétel a fékkar útja és a fékpofa közepének elmozdulása (működtetési útja) között (lásd az 1. függelék 4. ábráját);
2.3.5. P : a fékműködtető karra kifejtett erő (lásd az 1. függelék 4. ábráját);
2.3.6. Po : a fék visszahúzó ereje a vontatott jármű előrefelé történő mozgásakor; azaz az M = f(P) diagramon a P erő értéke ennek az extrapolációs görbének a metszéspontja az abszcisszával (lásd az 1. függelék 6. ábráját);
2.3.6.1. Por : a fék visszahúzó ereje a vontatott jármű hátrafelé történő mozgásakor (lásd az 1. függelék 6. ábráját);
2.3.7. P* : a fékkarra a B* fékerő kifejtéséhez alkalmazott erő;
2.3.8. PT : a 6.2.1. pont szerinti vizsgálati erő;
2.3.9. ρ :
a vontatott jármű előrefelé történő mozgásakor a fék alábbi képletből megállapított jellemzője:
M = r (P - Po)
2.3.9.1. ρr : a vontatott jármű hátrafelé történő mozgásakor a fék alábbi képletből megállapított jellemzője: Mr = rr (Pr - Por)
2.3.10. scf : a hátsó sodronyhuzal vagy rúd útja a kiegyenlítőnél a fékek előrefelé történő működésekor ( 3 );
2.3.11. scr : a hátsó sodronyhuzal vagy rúd útja a kiegyenlítőnél a fékek hátrafelé történő működésekor () ;
2.3.12. scd : differenciálút a kiegyenlítőnél, amikor csak egy fék működik előrefelé, míg a másik hátrafelé működik (3) ; ahol: scd = scr - scf (lásd az 1. függelék 5A. ábráját);
2.4. A hidraulikus erőátvitelű fékrendszerekre érvényes jelölések (lásd az 1. függelék 8. ábráját)
2.4.1. ih : csökkentő áttétel a kapcsolófej útja és a főfékhenger dugattyújának útja között;
2.4.2. i′g : csökkentő áttétel a fékhenger löketpontja és a fékpofa közepének elmozdulása (működtetési útja) között;
2.4.3. FRZ : dobfék(ek)nél egy kerékfékhenger dugattyúfelülete; tárcsafék(ek)nél a tárcsa egyik oldalán lévő féknyeregdugattyúk felületének összege;
2.4.4. FHZ : a főfékhenger dugattyúfelülete;
2.4.5. p : hidraulikus nyomás a fékhengerben;
2.4.6. po : visszahúzó nyomás a fékhengerben a vontatott jármű előrefelé történő mozgásakor; azaz az M = f(p) diagramon a p nyomás értéke ennek az extrapolációs görbének a metszéspontja az abszcisszával (lásd az 1. függelék 7. ábráját);
2.4.6.1. por : a fék visszahúzó nyomása a vontatott jármű hátrafelé történő mozgásakor (lásd az 1. függelék 7. ábráját);
2.4.7. p* : a fékhengerben a B* fékerő kifejtéséhez alkalmazott hidraulikus nyomás;
2.4.8. pT : a 6.2.1. pont szerinti vizsgálati nyomás;
2.4.9. r′ :
a vontatott jármű előrefelé történő mozgásakor a fék alábbi képletből megállapított jellemzője:
M = r′ (p - po)
2.4.9.1. r′r : a vontatott jármű hátrafelé történő mozgásakor a fék alábbi képletből megállapított jellemzője: Mr = r′r (pr - por)
2.5. Jelölések a túlterhelésgátlóhoz kapcsolódó fékezési követelmények tekintetében
2.5.1. Dop : az a működtető erő a kezelőszerv bemenő oldalán, amelynél a túlterhelésgátló működésbe lép;
2.5.2. Mop : az a féknyomaték, amelynél a túlterhelésgátló működésbe lép (a gyártó nyilatkozata szerint);
2.5.3. MTop : vizsgálati fékezési nyomaték beépített túlterhelésgátló esetében (a 6.2.2.2. pontnak megfelelően);
2.5.4. Pop_min : a fékre kifejtett azon erő, amelynél a túlterhelésgátló működésbe lép (a 6.2.2.1. pont szerint);
2.5.5. Pop_max : az a legnagyobb erő (a kapcsolófej teljes benyomásakor), amelyet a túlterhelésgátló a fékre kifejt (a 6.2.2.3. pont szerint);
2.5.6. pop_min : a fékre kifejtett azon nyomás, amelynél a túlterhelésgátló működésbe lép (a 6.2.2.1. pont szerint);
2.5.7. pop_max : az a legnagyobb hidraulikus nyomás (a kapcsolófej teljes benyomásakor), amelyet a túlterhelésgátló a fékhengerre kifejt (a 6.2.2.3. pont szerint);
2.5.8. PTop : legkisebb vizsgálati fékerő beépített túlterhelésgátló esetében (a 6.2.2.2. pontnak megfelelően);
2.5.9. pTop : legkisebb vizsgálati féknyomás beépített túlterhelésgátló esetében (a 6.2.2.2. pontnak megfelelően).
2. 6 Járműosztályok a ráfutó fékrendszerek tekintetében
2.6.1. A járműosztály
Az A járműosztályba az R1, R2 és S1 kategóriájú járművek tartoznak
2.6.2. B járműosztály
A B járműosztályba a 3 500 kg-ot meghaladó és 8 000 kg-ot nem meghaladó tömegű, R3 és S2 kategóriájú járművek tartoznak
2.6.3. C járműosztály
A C1 járműosztályba a 30 km/h-t nem meghaladó legnagyobb tervezési sebességű, R és S kategóriájú járművek tartoznak
A C2 járműosztályba a 40 km/h-t nem meghaladó legnagyobb tervezési sebességű, R és S kategóriájú járművek tartoznak
A C3 járműosztályba a 40 km/h-t meghaladó legnagyobb tervezési sebességű, R és S kategóriájú járművek tartoznak
3. Általános követelmények
3.1. A kapcsolófejről a vontatott jármű fékjeire történő erőátvitelt rudazattal, illetve egy vagy több hidraulikus rendszer közvetítésével kell megvalósítani. Mindazonáltal burkolattal ellátott sodronyhuzal (bowdenhuzal) is az erőátviteli rendszer részét alkothatja; ennek a résznek azonban a lehető legrövidebbnek kell lennie. A rudazatok és sodronyhuzalok nem érinthetik a vontatott jármű vázát vagy olyan felületeket, amelyek befolyásolhatják a fék működtetését vagy kioldását.
3.2. A csuklós csatlakozások minden csapját megfelelően védeni kell. Ezenkívül ezeknek a csuklós csatlakozásoknak önkenőknek vagy kenés céljából könnyen hozzáférhetőnek kell lenniük.
3.3. A ráfutó fékrendszereket úgy kell kialakítani, hogy ha a kapcsolófej szélső helyzetéig mozdul el, az erőátviteli rendszer egyetlen része se szoruljon be vagy szenvedjen maradó alakváltozást vagy törést. Ezt az erőátviteli rendszer végének a működtető karokról való lekapcsolása után kell ellenőrizni.
3.4. A ráfutó fékrendszernek lehetővé kell tennie, hogy a traktor hátrafelé mozgathassa a vontatott járművet anélkül, hogy 0,08 g · GA erőt meghaladó tartós ellenállási erő keletkezne. Az ezt biztosító berendezések önműködően működnek és kapcsolnak ki, ha a vontatott jármű előre mozog.
3.5. A 3.4. pont szerinti célra szolgáló minden különleges berendezésnek olyannak kell lennie, hogy emelkedővel szemben való parkoláskor ne befolyásolja hátrányosan a rögzítő fékhatást.
3.6. A ráfutó fékrendszerekben lehetnek túlterhelésgátlók. Ezek nem léphetnek működésbe Dop= 1,2 D* erő alatt (ha a kezelőszervnél vannak felszerelve) vagy Pop= 1,2 P* erő alatt vagy pop= 1,2 p* nyomás alatt (ha a féknél vannak felszerelve), ahol a P* erő vagy a p* nyomás megfelel a B* = 0,5 · g · GBo fékerőnek (C2 és C3 járműosztályok esetében), illetve B* = 0,35 · g · GBo (C1 járműosztály esetében).
4. A kezelőszervekre vonatkozó követelmények
4.1. A kezelőszerv csúszó alkatrészeinek elég hosszúnak kell lenniük ahhoz, hogy lehetővé tegyék a fék teljes útján történő működtetését, hozzákapcsolt vontatott jármű mellett is.
4.2. A csúszó alkatrészeket védőharangokkal vagy más hasonló berendezésekkel kell védeni. Az alkatrészeket vagy kenni kell, vagy önkenő anyagokból kell készülniük. A súrlódó kapcsolatban lévő felületeket olyan anyagokból kell készíteni, hogy ne jöhessen létre se elektrokémiai, se mechanikai összeférhetetlenség, amely a csúszó elemek beszorulását okozhatná.
4.3. A kezelőszerv feszültségküszöbének (KA) legalább 0,02 g · G′A és legfeljebb 0,04 g · G′A. nagyságúnak kell lennie. Ugyanakkor a C1 és C2 járműosztályok esetében a kezelőszerv feszültségküszöbe (KA) 0,01 g · G′A és 0,04 g · G′A közötti tartományban lehet.
4.4. A D1 legnagyobb nyomóerő legfeljebb 0,10 g · G′A lehet merev vonórúddal vontatott járművek és középtengelyes vontatott járművek esetében, és legfeljebb 0,067 g · G′A lehet többtengelyes vonórúddal vontatott járművek esetében.
4.5. A D2 legnagyobb húzóerő nem lehet kisebb 0,1 g · G′A-nál és nagyobb 0,5 g · G′A-nál.
A B osztályba tartozó járművek esetében a D2 ≥ 1 750 N + 0,05 g · G′A feltétel szintén megengedett, amennyiben D2 ≤ 0,5 g · G′A.
5. A kezelőszerven elvégzendő vizsgálatok és mérések
5.1. A vizsgálatokat végző műszaki szolgálathoz benyújtott kezelőszerveket ellenőrizni kell a 3. és 4. pontok követelményeinek teljesítése tekintetében.
5.2. Minden féktípusnál meg kell mérni:
5.2.1. az s utat és az s′ tényleges utat;
5.2.2. a K járulékos erőt;
5.2.3. a KA erő küszöbértékét;
5.2.4. a D1 nyomóerőt;
5.2.5. a D2 húzóerőt.
5.3. Mechanikus erőátvitelű ráfutó fékrendszerek esetében a következőket kell meghatározni:
5.3.1. az iHo csökkentő áttétel a kezelőszerv középállásánál mérve;
5.3.2. a P′ erő a kezelőszerv kimeneti oldalán, a vonórúdra ható D erő függvényében; a K járulékos erőt és a hatásfokot az e mérésekből nyert jelleggörbéből kapjuk meg

(ld. az 1. függelék 2. ábráját).
5.4. Hidraulikus erőátvitelű ráfutó fékrendszerek esetében a következőket kell meghatározni:
5.4.1. Az ih csökkentő áttétel a kezelőszerv középállásánál mérve;
5.4.2. A főfékhenger p kimeneti nyomása a vonórúdra ható D tolóerő és a főfékhenger-dugattyú gyártó által meghatározott FHZ felületének a függvényében; a K járulékos erőt és a hatásfokot az e mérésekből nyert jelleggörbéből kapjuk meg

(ld. az 1. függelék 3. ábráját);
5.4.3. A főfékhenger 2.2.19. pontban említett s″ tartaléklökete;
5.4.4. A főfékhenger dugattyújának FHZ felülete;
5.4.5. A főfékhenger sHz lökete (milliméterben);
5.4.6. A főfékhenger s″Hz tartaléklökete (milliméterben).
5.5. Többtengelyes vonórúddal vontatott járművek ráfutó fékrendszerei esetében meg kell mérni a 10.4.1. pontban említett so útveszteséget.
6. Fékekre vonatkozó követelmények
6.1. Az ellenőrzendő fékeken túl a gyártónak a vizsgálatot végző műszaki szolgálathoz be kell nyújtania a fékek lényeges alkatrészeinek típusát, méreteit és lényegi alkotóelemeit feltüntető rajzokat, illetve a fékbetétek gyártmányát és típusát. Hidraulikus fékek esetében ezeken a rajzokon kell bemutatni a fékhengerek FRZ felületét. A gyártónak meg kell adnia emellett az M* féknyomatékot és a 2.2.4. pontban meghatározott GBo tömeget.
6.2. Vizsgálati feltételek
6.2.1. Abban az esetben, ha a ráfutó fékrendszerbe túlterhelésgátló nincs beépítve, és ilyet nem is szándékoznak beépíteni, a kerékféket a következő vizsgálati erőkkel vagy vizsgálati nyomásokkal kell vizsgálni:
PT = 1,8 P* vagy pT = 1,8 p* és MT = 1,8 M*, szükség szerint.
6.2.2. Abban az esetben, ha a ráfutó fékrendszerbe túlterhelésgátló van beépítve, vagy ilyet szándékoznak beépíteni, a kerékféket a következő vizsgálati erőkkel vagy vizsgálati nyomásokkal kell vizsgálni:
6.2.2.1. A túlterhelésgátló legkisebb tervezési értékeit a gyártónak kell megadnia és azok nem lehetnek alacsonyabbak, mint
Pop = 1,2 P* vagy pop = 1,2 p*
6.2.2.2. A PTop legkisebb vizsgálati erő vagy a pTop legkisebb vizsgálati nyomás és az MTop legkisebb vizsgálati nyomaték a következő:
PTop = 1,1-től 1,2 P*-ig vagy pTop = 1,1-től 1,2 p*-ig
valamint
MTop = 1,1-től 1,2 M*-ig
6.2.2.3. A túlterhelésgátló legnagyobb értékeit (Pop_max vagy pop_max) a gyártónak kell megadnia, és azok nem lehetnek nagyobbak a PT-nél, illetve a pT-nél.
7. A fékeken elvégzendő vizsgálatok és mérések
7.1. A vizsgálatokat végző műszaki szolgálathoz benyújtott fékeket és alkatrészeket ellenőrizni kell a 6. pont követelményeinek teljesítése tekintetében.
7.2. A következőket kell meghatározni:
7.2.1. a fékpofák legkisebb lökete (a fékpofa legkisebb működtetési útja), 2sB*;
7.2.2. a fékpofaközép-löket (a fékpofa működtetési útja) 2sB, (ami nagyobb, mint a 2sB*).
7.3. A mechanikus erőátvitelű ráfutó fékberendezéseknél a következőket kell meghatározni:
7.3.1. Az ig csökkentő áttétel (ld. az 1. függelék 4. ábráját);
7.3.2. Az M* féknyomatékhoz tartozó P* erő;
7.3.3. Az M* nyomaték mechanikus erőátviteli rendszerű berendezések esetében a működtető karra ható P* erő függvényében.
A fékfelületek fordulatszámának C1 járműosztály estében 30 km/h, C2 járműosztály esetében 40 km/h és C3 járműosztály esetében 60 km/h kezdeti járműsebességnek kell megfelelnie a vontatott jármű előrefelé mozgásakor, és 6 km/h-nak a hátrafelé mozgásakor. A következőket az e mérésekből kapott görbéből kapjuk meg (lásd az 1. függelék 6. ábráját):
7.3.3.1. A fék Po visszahúzó ereje és a ρ jellemző érték a pótkocsi előrefelé történő mozgásakor;
7.3.3.2. A fék Por visszahúzó ereje és a ρr jellemző érték a vontatott jármű hátrafelé történő mozgásakor;
7.3.3.3. Az sr legnagyobb megengedett útból eredő legnagyobb Mr féknyomaték a vontatott jármű hátrafelé történő mozgásakor (lásd az 1. függelék 6. ábráját);
7.3.3.4. A fékműködtető kar legnagyobb megengedett útja a vontatott jármű hátrafelé történő mozgásakor (lásd az 1. függelék 6. ábráját).
7.4. A hidraulikus fékek esetében a következőket kell meghatározni:
7.4.1. Az ig csökkentő áttétel (ld. az 1. melléklet 8. ábráját)
7.4.2. Az M* féknyomatékhoz tartozó p* nyomás
7.4.3. Az M* nyomaték hidraulikus erőátviteli rendszerű berendezések esetében a szabályozókarra ható p* nyomás függvényében.
A fékfelületek fordulatszámának C1 járműosztály estében 30 km/h, C2 járműosztály esetében 40 km/h és C3 járműosztály esetében 60 km/h kezdeti járműsebességnek kell megfelelnie a vontatott jármű előrefelé mozgásakor, és 6 km/h-nak a hátrafelé mozgásakor. A következőket az e mérésekből kapott görbéből kapjuk meg (lásd az 1. függelék 7. ábráját):
7.4.3.1. a po visszahúzó nyomás és a ρ′ jellemző érték a vontatott jármű előrefelé történő mozgásakor;
7.4.3.2. a por visszahúzó nyomás és a r′r jellemző a vontatott jármű hátrafelé történő mozgásakor;
7.4.3.3. a Vr legnagyobb megengedett folyadéktérfogatból eredő Mr legnagyobb féknyomaték a vontatott jármű hátrafelé történő mozgásakor (lásd az 1. függelék 7. ábráját);
7.4.3.4. az egy fékező kerék által felvett Vr legnagyobb megengedett folyadéktérfogat a vontatott jármű hátrafelé történő mozgásakor (lásd az 1. függelék 7. ábráját).
7.4.4. A fékhenger dugattyújának FRZ felülete.
7.5. Alternatív eljárás az I. típusú vizsgálathoz
7.5.1. A II. melléklet 2.3. pontja szerinti I. típusú vizsgálatot nem kell elvégezni a jóváhagyásra benyújtott járművön, ha a fékrendszer alkatrészeit inercia-próbapadon vizsgálják a II. melléklet 2.3.2. és 2.3.3. pontjában foglalt előírások teljesítésének ellenőrzésére.
7.5.2. Az I. típusú vizsgálat alternatív eljárását a VII. melléklet 1. függelékének 3.5.2. pontjában megállapított rendelkezések szerint kell elvégezni (analógiával tárcsafékekre is vonatkoznak).
8. Szimulált emelkedői rögzítőfékrendszer erőkülönbség
8.1. Számítási módszer
8.1.1. A kiegyenlítőben a rögzítőfék nyugalmi helyzetében a forgáspontok egyenes vonalon helyezkednek el.

Alternatív elrendezések alkalmazhatók, ha azok egyenlő feszültséget eredményeznek mindkét hátsó sodronyhuzalon akkor is, ha a hátsó sodronyhuzalok elmozdulása eltérő.
8.1.2. Részletes rajzokat kell biztosítani, amelyek bemutatják, hogy a kiegyenlítő csuklópontja megfelelő ahhoz, hogy egyenlő huzalfeszesség lépjen fel mindegyik hátsó sodronyhuzalban. A kiegyenlítőnek kellő távolsággal kell rendelkeznie szélességben, hogy megkönnyítse a különbségből adódó elmozdulást balról jobbra. A villák pofáinak elég mélyeknek kell lenniük a szélességükhöz képest, hogy ne akadályozzák a csuklópontot, amikor a kiegyenlítő ferdén van.
A kiegyenlítőnél a differenciálutat (scd) a következő képletből kapjuk meg:

ahol:
Sc′ = S′/iH | (út a kiegyenlítőnél – előrefelé történő működés) és Sc′ = 2 · SB/ig |
Scr = Sr/iH | (út a kiegyenlítőnél – hátrafelé történő működés) |
9. Vizsgálati jegyzőkönyvek
A ráfutó fékrendszerekkel felszerelt vontatott járművek jóváhagyás iránti kérelmeihez csatolni kell a kezelőszervre és a fékekre vonatkozó vizsgálati jegyzőkönyveket, valamint a vontatott jármű ráfutó típusú kezelőszervének, erőátviteli berendezésének és fékjeinek kompatibilitására vonatkozó vizsgálati jegyzőkönyveket, és e jegyzőkönyveknek legalább az (EU) 2015/504 végrehajtási rendelet 9. cikkében előírt adatokat kell tartalmazniuk.
10. A jármű kezelőszerve és fékei közötti kompatibilitás
10.1. A kezelőszervnek, a fékeknek, illetve a vontatott járműnek a vizsgálati jegyzőkönyvben hivatkozott tulajdonságai figyelembevételével ellenőrzést kell végezni a járművön annak igazolására, hogy a vontatott jármű ráfutó fékrendszere megfelel-e a megadott követelményeknek.
10.2. Minden féktípusnál elvégzendő általános vizsgálatok
10.2.1. A járművön ellenőrizni kell az erőátviteli rendszer mindazon alkatrészeit, amelyeket nem ellenőriztek a kezelőszervvel vagy a fékekkel egyidejűleg. Az ellenőrzés eredményeit fel kell venni a vizsgálati jegyzőkönyvbe (pl. iH1 és ηH1).
10.2.2. Tömeg
10.2.2.1. A vontatott jármű legnagyobb GA tömege nem lehet nagyobb annál a G′A legnagyobb tömegnél, amelyre a kezelőszervet engedélyezték.
10.2.2.2. A vontatott jármű legnagyobb GA tömege nem lehet nagyobb, mint az a GB legnagyobb tömeg, amelyet a vontatott jármű összes fékje együttes működéssel le tud fékezni.
10.2.3. Erők
10.2.3.1. A KA erő küszöbértéke nem lehet sem a 0,02 g · GA alatt, sem a 0,04 g · GA felett.
10.2.3.2. A D1 legnagyobb nyomóerő legfeljebb 0,10 g · GA lehet merev vonórúddal vontatott járművek és középtengelyes vontatott járművek esetében, és legfeljebb 0,067 g · GA lehet többtengelyes vonórúddal vontatott járművek esetében.
10.2.3.3. A D2 legnagyobb húzóerőnek 0,1 g · GA és 0,5 g · GA között kell lennie.
10.3. A fékhatás ellenőrzése
10.3.1. A vontatott jármű kerekeinek kerületén kifejtett fékerők összessége nem lehet kisebb, mint B* = 0,50 g · GA (C2 és C3 járműosztályok esetében) és B* = 0,35 · g · GA (C1 járműosztályok esetében), beleértve a 0,01 g · GA gördülési ellenállást: ez 0,49 g · GA nagyságú B fékerőnek (a C2 és C3 járműosztályok esetében) és B* = 0,34 · g · GA fékerőnek (a C1 járműosztály esetében) felel meg. Ebben az esetben a kapcsolón mért megengedett legnagyobb tolóerő a következő lehet:
D* = 0,067 g · GA többtengelyes vonórúddal vontatott járművek esetében;
valamint
D* = 0,10 g · GA merev vonórúddal vontatott járművek és a középtengelyes vontatott járművek esetében.
E követelmények betartásának ellenőrzéséhez a következő egyenlőtlenségeket kell használni:
10.3.1.1. Mechanikus erőátvitelű ráfutó fékrendszerek esetében:

10.3.1.2. Hidraulikus erőátvitelű ráfutó fékrendszerek esetében:

10.4. A kezelőszerv útjának ellenőrzése
10.4.1. Többtengelyes vonórúddal vontatott járművek kezelőszerveinek esetében, amelyeknél a fékrudazat függ a vontatóberendezés helyzetétől, a kezelőszerv s útjának nagyobbnak kell lennie, mint a kezelőszerv s′ tényleges (hasznos) útja; az útkülönbségnek legalább annyinak kell lennie, mint az so útveszteség. Az so útveszteség nem haladhatja meg az s′ tényleges út 10 %-át.
10.4.2. Egy- és többtengelyes vontatott járművek esetében a kezelőszerv tényleges (hasznos) útját a következőképpen kell meghatározni:
10.4.2.1. Ha a fékrudazatra hatással van a vontatóberendezés helyzete, akkor:
s′ = s - so
10.4.2.2. Ha nincs útveszteség, akkor:
s′ = s
10.4.2.3. Hidraulikus fékrendszerekben:
s′ = s - s″
10.4.3. A kezelőszerv útja megfelelőségének ellenőrzésére a következő egyenlőtlenségeket kell alkalmazni;
10.4.3.1. Mechanikus erőátvitelű ráfutó fékrendszerek esetében:

10.4.3.2. Hidraulikus erőátvitelű ráfutó fékrendszerek esetében:


10.4.4. Amikor a vontatott jármű hátrafelé mozog, a következő egyenlőtlenségeket kell alkalmazni:
10.4.4.1. Mechanikus erőátvitelű ráfutó fékrendszerek esetében:
10.4.4.1.1. [Kép #5]

Kép #5
10.4.4.1.2. [Kép #6]

Kép #6
10.4.4.2. Hidraulikus erőátvitelű ráfutó fékrendszerek esetében:
10.4.4.2.1. [Kép #7]

Kép #7
10.4.4.2.2. [Kép #8]

Kép #8
10.4.5. A 3.6. pont szerinti túlterhelésgátló megléte esetén elvégzendő ellenőrzések
A következő egyenlőtlenségeket kell alkalmazni:
10.4.5.1. ha a túlterhelésgátló mechanikusan csatlakozik a ráfutófék kezelőszervére:

10.4.5.2. ha a túlterhelésgátló hidraulikusan csatlakozik a ráfutófék kezelőszervére:

10.4.5.3. ha a túlterhelésgátlót a ráfutófék kezelőszervére szerelték:

10.4.5.4. ha a túlterhelésgátlót a fékre szerelték:

10.5. Kiegészítő ellenőrzések
10.5.1. Mechanikus erőátviteli rendszerrel ellátott ráfutó fékrendszerek esetében ellenőrizni kell, hogy a kezelőszervből a fékekhez az erőket továbbító fékrudazat jól van-e felszerelve.
10.5.2. Hidraulikus erőátviteli rendszerrel ellátott ráfutó fékrendszerek esetében ellenőrizni kell, hogy a főfékhenger útja nem kisebb-e, mint s/ih. Kisebb értéket nem lehet megengedni.
10.5.3. Országúti vizsgálattal kell ellenőrizni a jármű fékezés közben mutatott általános viselkedését különböző sebességeken, különböző szintű fékerők és fékezési gyakoriság mellett; Öngerjesztésű csillapítatlan lengést nem lehet megengedni.
11. Általános észrevételek
A fenti rendelkezések a mechanikus vagy hidraulikus erőátviteli rendszerrel ellátott ráfutó fékrendszerek leggyakoribb megvalósításaira vonatkoznak; különösen, ha a vontatott jármű összes kereke ugyanazzal a típusú fékkel és gumiabronccsal van felszerelve. A kevésbé gyakori megvalósítások esetében a fenti követelményeket az eset egyedi körülményeihez kell igazítani.
1. függelék
Magyarázó diagramok
1. ábra
Valamennyi féktípusra érvényes jelölések
(Lásd e melléklet 2.2. pontját)

2. ábra
Mechanikus erőátvitel
(Lásd e melléklet 2.2.10. és 5.3.2. pontját)


3. ábra
Hidraulikus erőátvitel
(Lásd e melléklet 2.2.10. és 5.4.2. pontját)


4. ábra
Fékellenőrzések
(Lásd e melléklet 2.2.22. és 2.3.4. pontját)

5. ábra
Mechanikai erőátvitelű fékrendszerek
(Lásd e melléklet 2.3. pontját)

5A. ábra
Mechanikai erőátvitelű fékrendszerek
(Lásd e melléklet 2.3. pontját)

6. ábra
Mechanikus fék
(Lásd e melléklet 2. pontját)

7. ábra
Hidraulikus fék
(Lásd e melléklet 2. pontját)

8. ábra
Hidraulikus erőátvitelű fékrendszerek
(Lásd e melléklet 2. pontját)

IX. MELLÉKLET
A hidrosztatikus hajtású járművekre, illetve azok fékberendezéseire és fékrendszereire vonatkozó követelmények
1. Fogalommeghatározások
Ezen melléklet alkalmazásában:
1.1. "hidrosztatikus fékrendszer" : olyan fékrendszer (üzemi és/vagy biztonsági fékrendszer), amely csak a hidrosztatikus hajtás fékerejét használja;
1.2. "kombinált hidrosztatikus fékrendszer" : olyan fékrendszer, amely mind a hidrosztatikus, mind a súrlódásos fékhatást hasznosítja, ugyanakkor a fékerő túlnyomó részét a hidrosztatikus hajtás generálja. A súrlódó fék legkisebb előírt hozzájárulását a fékhatáshoz a 6.3.3.1. pont határozza meg;
1.3. "kombinált súrlódásos fékrendszer" : olyan fékrendszer, amely mind a súrlódásos, mind a hidrosztatikus fékhatást hasznosítja, ugyanakkor a fékerő túlnyomó részét a súrlódó fék generálja. A súrlódó fék legkisebb előírt hozzájárulását a fékhatáshoz a 6.3.1.2. pont határozza meg;
1.4. "súrlódásos fékrendszer" : olyan fékrendszer, ahol csak a súrlódó fékek hozzák létre a fékerőket a hidrosztatikus fékrendszer fékhatásának figyelembe vétele nélkül;
1.5. "fokozatos hidrosztatikus fékezés" : olyan hidrosztatikus fékezés, amely révén a járművezető bármikor növelni vagy csökkenteni tudja a jármű sebességét a kezelőszerv progresszív működtetésével.
1.6. "hidrosztatikus hajtómű kezelőszerve" : olyan berendezés, például kar vagy pedál, amellyel a jármű sebessége változtatható.
1.7. "üzemi fék kezelőszerve" : olyan kezelőszerv, amelynek működtetésével érhető el az előírt üzemi fékteljesítmény;
1.8. "kúszóberendezés" : olyan berendezés, amely a hidrosztatikus hajtómű kezelőszervétől függetlenül befolyásolja a jármű sebességét.
2. Hatály
Ez a melléklet a legfeljebb 40 km/h legnagyobb tervezési sebességű, olyan hidrosztatikus hajtással ellátott járművekre vonatkozik, amely hajtás menet közben nem kapcsolható ki, és a járműgyártó nyilatkozata szerint fékrendszerként vagy fékberendezésként működik, és amely lehet:
2.1. üzemi fékrendszer és biztonsági fékrendszer vagy e két rendszer bármelyike.
Az üzemi fékrendszer az alábbiakban említett fékrendszerek bármelyike lehet azzal a feltétellel, hogy a 6.3.1. pontban meghatározott üzemi fékteljesítmény teljesül:
2.1.1. "Hidrosztatikus fékrendszer",
2.1.2. "Kombinált hidrosztatikus fékrendszer",
2.1.3. "Kombinált súrlódásos fékrendszer",
2.1.4. "Súrlódásos fékrendszer";
vagy
2.2. a 2.1. pontban említett fékrendszerek része.
3. Különleges rendeltetésű járművek
Egyes különleges rendeltetésű járművek olyan hidrosztatikus hajtással vannak ellátva, amely a jármű lassítására és hajtására egyaránt alkalmas. Az ilyen típusú hajtás ezért fékrendszernek tekinthető akár önmagában, akár súrlódó fékkel együtt használva.
4. A járművek osztályozása
4.1. I. osztály : ≤ 12 km/h legnagyobb tervezési sebességű járművek.
4.2. II. osztály : > 12 km/h és ≤ 30 km/h legnagyobb tervezési sebességű járművek.
4.3. III. osztály : > 30 km/h és ≤ 40 km/h legnagyobb tervezési sebességű járművek.
5. Követelmények
5.1. Általános tudnivalók
5.1.1. A hajtómű kezelőszervét úgy kell megépíteni, hogy az úton való haladás közben ne fordulhasson elő véletlen hátramenet.
5.1.2. A jármű normál állapotba történő visszaállításának megkönnyítéséhez olyan berendezés szükséges, amely megszakítja a motor és a hajtókerekek közötti kapcsolatot.
Ennek a berendezésnek a használatát lehetetlenné kell tenni a járművezetői állásból az úton való haladás közben.
Ha a berendezés működtetéséhez szerszám szükséges, azt a járművön kell tartani.
5.2. A fékrendszerekre vonatkozó tervezési követelmények.
5.2.1. Üzemi fékrendszer
5.2.1.1. Biztosítani kell annak lehetőségét, hogy az üzemi fékrendszer fokozatos fékhatást fejtsen ki. A járművezetőnek képesnek kell lennie arra, hogy a vezetőülésből elérje ezt a fékhatást, és eközben legalább egy kézzel uralja a traktoron a kormányművet.
5.2.1.2. Az üzemi fékrendszer rendeletben előírt teljesítményét egyetlen kezelőszerv működtetésével kell elérhetővé tenni.
5.2.1.2.1. Ez a követelmény akkor is teljesítettnek tekinthető, ha a lábat a gázpedálról a fékpedálra helyezik, vagy ha a fékezési folyamat megkezdésekor a hajtómű kezelőszervét kézzel vagy lábbal kioldják, vagy üres állásba mozgatják.
5.2.1.2.2. Az üzemi fékrendszer kezelőszervét úgy kell megtervezni, hogy kioldásnál automatikusan visszatérjen kezdeti állásba.
Ez nem vonatkozik a fékrendszer hidrosztatikus részére, ha a fékhatás a hidrosztatikus hajtómű kezelőszervének kioldásával jön létre.
5.2.1.3. Az 5.2.1.1. pontban leírtakkal szemben az I. és II. járműosztályok esetében az üzemi fékrendszerrel való fékezés során másik fékrendszer (biztonsági vagy rögzítőfékrendszer) is használható a jármű lejtőn történő leállításához maradék kúszósebesség fennállásakor.
5.2.2. Biztonsági fékrendszer
5.2.2.1. A biztonsági fékrendszer tekintetében az I. melléklet 2.1.2.2. pontjában foglalt vonatkozó követelményeket kell teljesíteni.
5.2.3. Rögzítőfékrendszer
A rögzítőfékrendszer tekintetében az I. melléklet 2.1.2.3. pontjában foglalt követelményeket kell teljesíteni.
5.2.3.1. Amennyiben egy hidrosztatikus hajtású jármű nem állítható meg a lejtőn, akkor megengedett, hogy a maradék kúszósebességgel haladó járművet a rögzítőfékrendszer működtetésével hozzák álló helyzetbe. Ezért a rögzítőfékrendszert úgy kell kialakítani, hogy vezetés közben is lehessen működtetni.
5.3. A fékrendszerek tulajdonságai
5.3.1. A jármű fékrendszereinek meg kell felelniük az üzemi, a biztonsági és a rögzítőfékrendszerekre vonatkozóan meghatározott követelményeknek.
5.3.2. Az I. melléklet 2.2.1.2.7. pontjában hivatkozott fékek vagy alkatrészek kivételével minden más alkatrész törése vagy az üzemi fékrendszer meghibásodása esetében a biztonsági fékrendszernek vagy az üzemi fékrendszeren belül a meghibásodás által nem érintett résznek alkalmasnak kell lennie arra, hogy leállítsa a járművet a biztonsági fékezéshez előírt feltételek mellett, különösen akkor, ha a biztonsági fékrendszer és az üzemi fékrendszer közös kezelőszervvel és közös erőátviteli rendszerrel rendelkezik; például akkor, amikor a fékhatás az erőátviteli rendszer, tehát a konverter, hidraulikus szivattyúk, nyomócsövek, hidraulika motorok vagy hasonló alkatrészek megfelelő működésétől függ.
5.3.3. Az üzemi, biztonsági és rögzítőféket biztosító rendszerek közös alkatrészekkel rendelkezhetnek, amennyiben teljesítik az I. melléklet 2.2.1.2. pontjában meghatározott feltételeket.
5.3.4. Az üzemi fékrendszer fékerőeloszlását olyan módon kell megtervezni, hogy fékezés alatt ne alakuljon ki jelentős nyomaték a jármű függőleges tengelye körül, ha homogén útfelületen az abroncsok és az út közötti tapadási határ elérése nem történt meg.
5.3.5. Az üzemi fékrendszer fékerőeloszlását olyan módon kell megtervezni, hogy az üzemi fékrendszerrel történő fékezés során a különböző split-μ 0,2/0,8 súrlódási együtthatójú felületeken olyan mértékű legkisebb lassulás legyen elérhető, amely az üzemi fékrendszer adott járműosztályhoz előírt dm átlagos legnagyobb lassulásának legalább 55 %-a (lásd a 6.3. pontot). Ez számításokkal bizonyítható; ebben az esetben a gördülési ellenállást nem szabad figyelembe venni.
5.3.6. Az 5.3.2. pontban leírtaktól eltérően a hidrosztatikus hajtómű szivattyúja kezelőszervének meghibásodása esetében biztosítani kell annak lehetőségét, hogy a jármű a biztonsági fékrendszerre vonatkozóan előírt teljesítménnyel leállítható legyen. Ilyen meghibásodás esetében azonban egy további berendezés léptethető működésbe, amelynek vezetőhelyről mindig könnyen üzemeltethetőnek kell lennie (például a motorfordulatszámot befolyásoló berendezés, beleértve a motorleállító kezelőszervet).
5.3.7. A vezetés közben működtethető kúszóberendezés vagy más hasonló berendezés esetében gondoskodni kell arról, hogy az e mellékletben meghatározott valamennyi követelmény (főként a fékteljesítmény tekintetében) változatlanul teljesüljön az ilyen típusú berendezések működtetése közben.
5.3.8. Figyelmeztető jelzések és figyelmeztető berendezések Az I. melléklet 2.2.1.29. és 2.2.1.12. pontjaiban foglalt követelményeket kell teljesíteni.
5.3.9. A gépjárművek energiatároló berendezéseit (energiatartályait) úgy kell kialakítani, hogy az üzemi fékrendszer kezelőszervének nyolc teljes löketű működtetése után az energiatároló berendezésben maradó nyomás legalább akkora legyen, mint ami a meghatározott biztonsági fék számára előírt fékhatás eléréséhez szükséges.
5.3.10. A pneumatikus/hidraulikus segédberendezéseket úgy kell ellátni energiával, hogy működésük alatt elérhetőek legyenek az előírt lassulásértékek, és még az energiaforrás meghibásodása esetén se történhessen meg, hogy a segédberendezések működése következtében a fékrendszert tápláló energiatartalékok az I. melléklet 2.2.1.12. pontjában megjelölt szint alá esnek.
5.3.11. A fékek kopása Az I. melléklet 2.2.1.10. pontjában foglalt követelményeit kell teljesíteni.
5.3.12. A X. melléklet szerinti összetett elektronikus járművezérlő rendszerekkel ellátott traktorok esetében a X. melléklet követelményeit kell betartani, és a rendszer működését nem befolyásolhatják kedvezőtlenül mágneses vagy elektromos mezők. Ezt az (EU) 2015/208 felhatalmazáson alapuló rendelet 19. cikkének vonatkozó rendelkezései szerint meghatározott műszaki követelményeknek való megfeleléssel kell igazolni.
5.3.13. Ha egy hidrosztatikus hajtású traktor R2, R3, R4 vagy S2 kategóriájú járművek vontatására engedélyezett, az I. melléklet 2.1.4., 2.1.5., 2.2.1.16., 2.2.1.17. és 2.2.1.18. pontjaiban megadott vonatkozó követelményeket kell teljesítenie.
5.3.14. Válaszidő Ha a traktor olyan üzemi fékrendszerrel van ellátva, amely teljesen vagy részlegesen a járművezető izomerejétől független energiaforrástól függ, a II. melléklet 3.3. pontjának követelményeit kell az üzemi fékrendszer nem hidrosztatikus része esetében teljesíteni.
6. Fékvizsgálatok
6.1. Általános tudnivalók
6.1.1. A II. melléklet 2.1. pontjának vonatkozó követelményeit kell teljesíteni.
6.1.2. A fékvizsgálat során fel kell mérni a vezethetőséget (pl. az üzemi fékek fékhatása miatt a hátsó tengely emelkedési tendenciáját).
6.1.2.1. A III. osztályba tartozó járművek esetében nem engedélyezett az elemelkedés.
6.1.2.2. Az I. és II. osztályba tartozó járművek esetében a tengely elemelkedése 4,5 m/s2 mértéket meghaladó lassulás esetén megengedett. A vezetési stabilitást ugyanakkor meg kell őrizni.
Itt figyelembe kell venni a hidrosztatikus hajtás fékhatását is.
6.2.
0. típusú vizsgálat
6.2.1. Általános tudnivalók
6.2.1.1. A féknek hidegnek kell lennie. A fék akkor tekinthető hidegnek, ha a II. melléklet 2.2.1.1. pontjában meghatározott feltételek teljesülnek.
6.2.1.2. A vizsgálatot a II. melléklet 2.2.1.3. pontjában meghatározott feltételek szerint kell elvégezni.
6.2.1.3. Az útnak vízszintesnek kell lennie.
6.2.2. Manuálisan működtetett hajtómű-kezelőszerv esetében (I. és II. osztályba tartozó járművek) az üzemi fék teljesítményét úgy kell felmérni, hogy közvetlenül az üzemi fék működtetése előtt a váltókart üres állásba kell tolni, hogy a fékezés ne a hidrosztatikus rendszerrel történjen. A III. osztályba tartozó járművek esetében ez a folyamat automatikus, és csak az üzemi fék kezelőszervét kell használni.
6.2.3. Üzemi fékrendszer
Mind a terheletlen, mind pedig a terhelt járművel végzett vizsgálatok esetében az egyes járműosztályokra lefektetett legkisebb teljesítmény-határértékek a 6.3. pontban találhatók.
Az üzemi fékrendszernek teljesítenie kell a 6.3.1. pontban lefektetett követelményeket.
Üzemi fékrendszerként történő használat esetében
6.2.3.1. a kombinált hidrosztatikus fékrendszernek meg kell felelnie a súrlódó fék(ek) legkisebb fékezési része tekintetében a 6.3.1. pontban meghatározott követelményeknek.
6.2.3.2. a kombinált súrlódásos fékrendszernek meg kell felelnie a súrlódó fék(ek) legkisebb fékezési része tekintetében a 6.3.1. pontban meghatározott követelményeknek.
A súrlódó fék teljesítményét szintén meg kell állapítani. Ilyen típusú vizsgálat esetében a hidrosztatikus erőátvitel hatását semlegesíteni kell a súrlódó fék és a gördülési ellenállás felméréséhez.
Ha a hidrosztatikus fék nem választható le műszaki okok miatt, a súrlódó fék arányát az alábbi példákban leírt más módszerrel lehet megállapítani:
6.2.3.3. Egymás utáni fékvizsgálatokat kell végezni
6.2.3.3. 1 a kombinált hidrosztatikus fékrendszerrel, amelyen a súrlódó fék(ek) bekapcsolt állapotban van(nak)
6.2.3.3. 2 a kombinált hidrosztatikus fékrendszerrel, amelyen a súrlódó fék(ek) kikapcsolt állapotban vannak (csak "hidrosztatikus fékezés")
Ezután az alábbi képletet kell használni:
zF = zHy + F - zHy + R
zF : A súrlódó fék átlagos legnagyobb lassulása, beleértve a gördülési ellenállást
zHy : Az átlagos legnagyobb lassulás csak a hidrosztatikus fékrendszer fékhatására vonatkoztatva, beleértve a gördülési ellenállást
zHy + F : A kombinált hidrosztatikus fékrendszer átlagos legnagyobb lassulása.
R : Gördülési ellenállás = 0,02
6.2.4. Biztonsági fékrendszer
6.2.4.1. A biztonsági fék fékhatásossági vizsgálatát az üzemi fékrendszer tényleges meghibásodása esetén bekövetkező viszonyok szimulálása mellett kell elvégezni, vagy a vizsgálatot az üzemi fékrendszertől független biztonsági fékrendszerrel kell elvégezni.
6.2.4.2. A rendszert a megfelelő kezelőszervvel kell vizsgálni.
Az előírt teljesítmény eléréséhez lábbal működtetett kezelőszerv esetében 600 N, kézzel működtetett kezelőszerv esetében 400 N nagyságot nem meghaladó erőt kell kifejteni a kezelőszervre. A kezelőszervet úgy kell elhelyezni, hogy könnyen és gyorsan tudja a járművezető működtetni.
6.2.4.3. Mind a terheletlen, mind pedig a terhelt járművel végzett vizsgálatok esetében az egyes járműosztályokra lefektetett legkisebb teljesítmény-határértékek a 6.3.2. pontban találhatók.
6.3. Az üzemi és biztonsági fékrendszer teljesítményvizsgálatai (0. típus)
Terhelt és terheletlen | I. osztály | II. osztály | III. osztály | ||
(v km/h-ban; s m-ben; dm m/s2-ben) | v | ≤ 12 | ≤ 30 | ≤ 40 | |
6.3.1. | Üzemi fékrendszer | s | ≤ 0,15v + v2/78 | ≤ 0,15v + v2/92 | ≤ 0,15v + v2/130 |
dm | ≥ 3,0 | ≥ 3,55 | ≥ 5,0 | ||
6.3.1.1. | A súrlódó fék(ek) legkisebb fékezési része a kombinált hidrosztatikus fékrendszerben | s | ≤ 0,15v + v2/26 | ≤ 0,15v + v2/40 | ≤ 0,15v + v2/40 |
dm | ≥ 1,0 | ≥ 1,5 | ≥ 1,5 | ||
6.3.1.2. | A súrlódó fék(ek) legkisebb fékezési része a kombinált súrlódó fékrendszerben | s | ≤ 0,15v + v2/52 | ≤ 0,15v + v2/52 | ≤ 0,15v + v2/78 |
dm | ≥ 2,0 | ≥ 2,0 | ≥ 3,0 | ||
6.3.2. | Biztonsági fékrendszer | s | ≤ 0,15v + v2/40 | ≤ 0,15v + v2/40 | ≤ 0,15v + v2/57 |
dm | ≥ 1,5 | ≥ 1,5 | ≥ 2,2 |
6.4. I. típusú fékvizsgálat (fékhatásosság csökkenésének vizsgálata)
6.4.1. Az üzemi fékeket úgy kell megvizsgálni, hogy a fékek energiafelvétele terhelt jármű esetében megfeleljen annak az energiafelvételnek, amely ennél a járműnél ugyanakkor következik be, ha a jármű 40 km/h egyenletes sebességgel egy 1,7 km hosszú, 7 %-os lejtőn végighalad.
6.4.2. Másik lehetőségként a vizsgálat vízszintes úton végezhető el, ahol traktor vontatja a traktort; a vizsgálat alatt a kezelőszervre kifejtett erőt úgy kell beállítani, hogy a vontatott jármű ellenállása állandó legyen (a vizsgált traktor legnagyobb statikus tengelyterhelésének 7 %-a). Ha a vontatójármű vonóereje nem elégséges, akkor a vizsgálat kisebb sebességgel megfelelően hosszabb szakaszon a következő táblázat alapján folytatható le:
Sebesség [km/h] | Távolság [méter] |
40 | 1 700 |
30 | 1 950 |
20 | 2 500 |
15 | 3 100 |
6.4.3. A 6.4.1. és 6.4.2. pontban leírt, folyamatos fékezést alkalmazó eljáráson kívül a II. melléklet 2.3.1. pontjában leírt, ismételt fékezést alkalmazó vizsgálati eljárás szintén elvégezhető.
6.4.4. Meleg fékhatásosság
Az I. típusú vizsgálat végén az üzemi fékrendszer meleg fékhatásosságát ugyanolyan körülmények között kell mérni (és főként a ténylegesen kifejtett átlagos erőnél nem nagyobb állandó kezelési erővel), mint a 0. típusú vizsgálat esetében (a hőmérsékleti körülmények eltérőek lehetnek).
6.4.4.1. Az üzemi fékrendszer meleg fékhatásossága nem lehet kisebb, mint az alábbi 6.4.4.2. pontban szereplő táblázatban megadott határértékek.
6.4.4.2. Legkisebb előírt meleg fékhatásosság (I. típusú vizsgálat)
Üzemi fékrendszer | Meleg fékhatásosság az előírt érték %-ában | Meleg fékhatásosság a 0. típusú vizsgálat alatt rögzített érték %-ában |
Hidrosztatikus fékrendszer | 90 | 90 |
Kombinált hidrosztatikus fékrendszer | 90 | 80 |
Kombinált súrlódásos fékrendszer | 80 | 60 |
Súrlódásos fékrendszer | 80 | 60 |
6.4.5. Az I típusú vizsgálat elhagyható, amennyiben az alábbi két feltétel teljesül:
6.4.5.1. Az üzemi fékrendszer 0. típusú vizsgálata alatt (lásd 6.2.3. pont) a teljes fékerő legalább 60 %-át a hidrosztatikus hajtással végzett fékezés adja.
6.4.5.2. A gyártó bizonyíthatja, hogy a fékek túlmelegedése megelőzhető tartós működtetés esetében.
6.5. Rögzítőfékrendszer
6.5.1. A rögzítőfékrendszer tekintetében a II. melléklet 3.1.3. pontjában leírt követelményeket kell teljesíteni.
6.5.2. Annak ellenőrzésére, hogy a fék megfelel-e az I. melléklet 2.2.1.2.4. pontjában foglalt követelményeknek, egy 0. típusú vizsgálatot kell végezni terhelt járművel, v ≥ 0,8 vmax kezdeti vizsgálati sebességgel. A rögzítőfékrendszer kezelőszervének működtetése esetén az átlagos legnagyobb lassulás és a jármű megállása előtti pillanatban fennálló lassulás nem lehet kevesebb, mint 1,5 m/s2. A kezelőszervre kifejtendő erő nem lehet nagyobb a meghatározott értékeknél.
Manuálisan működtetett hajtómű-kezelőszerv esetében (I. és II. osztályba tartozó járművek) a rögzítőfékrendszer teljesítményét úgy kell felmérni, hogy közvetlenül a rögzítőfékrendszer működtetése előtt a váltókart üres állásba kell tolni, hogy a fékezés ne a hidrosztatikus rendszerrel történjen. A III. osztályba tartozó járművek esetében ez a folyamat automatikus, és csak a rögzítőfék kezelőszervét kell használni.
X. MELLÉKLET
Az összetett elektronikus járművezérlő rendszerek biztonsági szempontjaira vonatkozó követelmények
1. Általános tudnivalók
Ez a melléklet a mezőgazdasági és erdészeti járművek fékezésével kapcsolatos összetett elektronikus járművezérlő rendszerek biztonsági szempontjai tekintetében alkalmazandó típus-jóváhagyási vizsgálat, hibaelhárító stratégia és ellenőrzés követelményeit fekteti le.
2. Követelmények
Valamennyi összetett elektronikus járművezérlő rendszernek meg kell felelnie a 13. sz. ENSZ-EGB-előírás 18. mellékletében foglalt rendelkezéseknek.
ENSZ-EGB- előírás sz. | Tárgy | Módosítássorozat | HL-hivatkozás |
13 | Az M, N és O kategóriájú járművek jóváhagyása a fékezés tekintetében | A 10. módosítássorozat 5. kiegészítése 11 módosítássorozat | HL L 257., 2010.9.30., 1. o. HL L 297., 2010.11.13., 183. o. |
XI. MELLÉKLET
A blokkolásgátló fékrendszerekre és a velük felszerelt járművekre vonatkozó követelmények és vizsgálati eljárások
1. Fogalommeghatározások
Ezen melléklet alkalmazásában:
1.1. "integrált tartós fékrendszer" : olyan tartós fékrendszer, amelynek kezelőszerve olyan módon van egyesítve az üzemi fék kezelőszervével, hogy a kombinált kezelőszerv működtetésével a tartós és az üzemi fékrendszer egyszerre vagy megfelelő módon fázisokra bontva egyaránt működésbe lép;
1.2. "érzékelő" : olyan alkatrész, amely felismeri és a vezérlőnek továbbítja a kerék (kerekek) forgási viszonyait vagy a jármű dinamikai viszonyait;
1.3. "vezérlő" : az érzékelő(k) által szolgáltatott adatok kiértékelésére és a jel modulátorhoz történő továbbítására tervezett alkatrész;
1.4. "modulátor" : olyan alkatrész, amelynek feladata a fékerő(k) változtatása a vezérlőtől kapott jelnek megfelelően;
1.5. "közvetetten szabályozott kerék" : olyan kerék, amelynek fékereje más kerék/kerekek érzékelője/érzékelői által előállított adatoknak megfelelően változik;
1.6. "teljes ciklus" : a blokkolásgátló fékrendszer a közvetlenül szabályozott kerekek blokkolásának megelőzése érdekében ismétlődően szabályozza, és nem tartoznak ide a kizárólag egyszer, a megálláskor szabályozó fékalkalmazások;
1.7. "teljes erő" : a fékrendszerek fékvizsgálatai és teljesítése során az e rendelet szerint megállapított maximális erő.
A közvetlenül és közvetetten szabályozott kerekek alkalmazásában a "select-high" szabályozású blokkolásgátló fékrendszerek esetében feltételezzük, hogy közéjük tartoznak mind a közvetlenül, mind a közvetetten szabályozott kerekek; a "select-low" szabályozású rendszerek esetében minden érzékelt kerékről feltételezzük, hogy közvetlenül szabályozott kerék.
2. Általános tudnivalók
2.1. E melléklet a blokkolásgátló fékrendszerrel ellátott mezőgazdasági járművek szükséges fékhatásosságát fekteti le.
E melléklet teljes alkalmazásában a legnagyobb tervezési sebesség, amelyre az adott követelmények vonatkoznak, a jármű előre irányuló haladására értendő, ellenkező értelmű, határozott kikötés hiányában.
2.2. A jelenleg ismert blokkolásgátló fékrendszerek egy vagy több érzékelőt, egy vagy több kezelőszervet és egy vagy több modulátort tartalmaznak. A jövőben esetlegesen bevezetésre kerülő, eltérő kialakítású berendezéseket vagy a blokkolásgátló funkció más berendezésbe integrálása esetén ezt az e melléklet értelmében vett blokkolásgátló rendszernek kell tekinteni, amennyiben azok az e mellékletben előírt fékhatásossággal egyenértékű fékhatásosságot biztosítanak.
2.3. Az előírt vizsgálati eljárásoktól való eltérések abban az esetben engedélyezettek, ha a vizsgálati körülmények nem tarthatók a traktor túl alacsony legnagyobb tervezési sebessége miatt. Ilyen esetben az előírt fékhatásosságok egyenértékűségét a típus-jóváhagyási jegyzőkönyvhöz csatolt felmérési módszerrel és eredményekkel kell bizonyítani.
3. A blokkolásgátló fékrendszerek típusai
3.1. A traktor akkor tekinthető blokkolásgátló fékrendszerrel felszereltnek, ha az alábbi rendszerek valamelyikével rendelkezik:
3.1.1.
1. kategóriájú blokkolásgátló fékrendszer:
Az 1. kategóriájú blokkolásgátló fékrendszerrel felszerelt járműveknek meg kell felelniük e melléklet összes vonatkozó követelményének.
3.1.2.
2. kategóriájú blokkolásgátló fékrendszer:
A 2. kategóriájú blokkolásgátló fékrendszerrel felszerelt járműveknek meg kell felelniük e melléklet összes vonatkozó követelményének, az 5.3.5. pont kivételével.
3.1.3.
3. kategóriájú blokkolásgátló fékrendszer:
A 3. kategóriájú blokkolásgátló fékrendszerrel felszerelt járműveknek meg kell felelniük az e melléklet összes vonatkozó követelményének, az 5.3.4. és 5.3.5. pontok kivételével. Az ilyen járműveken a legalább egy közvetlenül szabályozott kerékkel nem rendelkező egyedi tengelynek vagy zsámolykocsinak meg kell felelniük a II. melléklet 1. függeléke tapadás-kihasználási feltételeinek és blokkolási sorrendjének a lefékezettség és a terhelés tekintetében. E követelményeket nagy és kis tapadási együtthatójú útfelületeken (kb. 0,8 és 0,3 maximum között) is ellenőrizni lehet az üzemi fék kezelőszervére ható erő változtatása mellett.
3.2. A vontatott jármű akkor tekinthető blokkolásgátló fékrendszerrel felszereltnek, ha a legalább két, a jármű szemben levő oldalain elhelyezkedő kerék közvetlen szabályozású, és a blokkolásgátló rendszer az összes többi kereket vagy közvetlenül vagy közvetetten vezérli. Vonórúddal vontatott járművek esetében legalább az egyik első tengely két kerekének és az egyik hátsó tengely két kerekének közvetlen szabályozásúnak kell lennie, e tengelyek mindegyikének legalább egy független modulátora révén, és az összes többi kerék vagy közvetlen vagy közvetett szabályozású. Ezenkívül egy blokkolásgátlóval ellátott vontatott járműnek meg kell felelnie a következő feltételek egyikének is:
3.2.1. A kategóriájú blokkolásgátló fékrendszer:
Az A kategóriájú blokkolásgátló rendszerrel ellátott vontatott járműveknek meg kell felelniük e melléklet valamennyi vonatkozó követelményének.
3.2.2. B kategóriájú blokkolásgátló fékrendszer:
A B kategóriájú blokkolásgátló rendszerrel ellátott vontatott járműveknek meg kell felelniük e melléklet valamennyi vonatkozó követelményének, a 6.3.2. pont kivételével.
4. Általános követelmények
4.1. A blokkolásgátló fékrendszer elektromos vezérlésátvitelén belül fellépő olyan hibákat, amelyek az e melléklet működési és teljesítőképességi követelményeit illetően hatással vannak a rendszerre, jelezni kell a járművezető felé a külön erre a célra szolgáló figyelmeztető fényjelzéssel. Erre a célra az I. melléklet 2.2.1.29.1.2. pontjában előírt sárga figyelmeztető jelzést kell használni.
Amíg nem születik egységes megállapodás a vizsgálati eljárásokra vonatkozóan, a gyártónak kell megadnia a műszaki szolgálat részére a vezérlésátvitel lehetséges hibáinak és azok hatásának elemzését. Ezek az információk a műszaki szolgálat és a gyártó közötti megbeszélés és megállapodás tárgyát képezik.
4.1.1. Az álló helyzetben nem észlelhető érzékelő-meghibásodást legkésőbb akkor kell érzékelni, amikor a jármű sebessége meghaladja a 10 km/h-t. Azon téves hibajelzés megelőzésére, ha az érzékelő a kerekek álló helyzete miatt nem kelt sebességjelet, az ellenőrzés késleltethető, de az érzékelésnek legalább akkor kell megtörténnie, amikor a jármű sebessége átlépi a 15 km/h-t. A figyelmeztető jelzés az álló járművön ismét kigyulladhat, feltéve, hogy a jelzés még azelőtt kialudt, hogy a jármű elérte volna a 10 km/h vagy 15 km/h sebességet (értelemszerűen), amennyiben nem áll fenn hiba.
4.1.2. Amennyiben a blokkolásgátló rendszer álló helyzetben feszültség alatt van, az elektromosan vezérelt pneumatikus modulátorszelep(ek)nek legalább egy munkaciklust el kell végeznie/végezniük.
4.2. A blokkolásgátló fékrendszerrel felszerelt vontatott járműveket és a blokkolásgátló fékrendszerrel felszerelt vontatott jármű vontatására engedélyezett traktorokat fel kell szerelni egy külön figyelmeztető jelzéssel a vontatott jármű blokkolásgátló rendszere tekintetében, amelynek meg kell felelnie a 4.1. pont követelményeinek. E célra az ISO 7638:2003 szabványnak megfelelő elektronikus csatlakozó 5. érintkezőjén keresztül csatlakoztatott, az I. melléklet 2.2.1.29.2. pontjában meghatározott külön figyelmeztető jelzéseket kell használni. Az ISO 7638:2003 szabvány szerinti csatlakozó szükség szerint használható öt- vagy hétpólusú alkalmazásokhoz.
4.2.1. A figyelmeztető jelzés nem világíthat blokkolásgátló fékrendszerrel nem rendelkező vontatott jármű csatlakoztatásakor vagy vontatott jármű csatlakoztatásának hiányában. Ennek a funkciónak automatikusnak kell lennie.
4.3. A 4.1. pontban leírt meghibásodás esetében az alábbi követelmények érvényesek:
Traktorok: Az üzemi fékrendszer erőátvitelében bekövetkező meghibásodás esetében a maradó fékhatásnak 1,3 m/s2 nagyságúnak kell lennie. Ezt az előírás nem szabad a biztonsági fékrendszerre vonatkozó követelményektől való eltérésként értelmezni.
Vontatott járművek: A maradék fékhatásnak az adott vontatott jármű üzemi fékrendszere tekintetében előírt fékhatásosság legalább 30 %-át kell elérnie.
4.4. A rendszer működését nem befolyásolhatják hátrányosan mágneses vagy elektromos mezők. Ezt az (EU) 2015/208 felhatalmazáson alapuló rendelet 19. cikkének vonatkozó rendelkezései szerint meghatározott műszaki követelményeknek való megfeleléssel kell igazolni.
4.5. A T vagy C kategóriájú traktorok kivételével a blokkolásgátló fékrendszer kikapcsolására vagy vezérlési módjának megváltoztatására szolgáló kézi berendezést beszerelni nem lehet. Ha T vagy C kategóriájú traktorokra ilyen berendezés van felszerelve, az alábbi feltételeknek kell teljesülniük:
4.5.1. Figyelmeztető fényjelzésnek kell a járművezetőt arról tájékoztatnia, hogy a blokkolásgátló rendszer ki van kapcsolva, vagy annak működtetési módja megváltozott; az I. melléklet 2.2.1.29.1.2. pontjában előírt blokkolásgátló-meghibásodásra figyelmeztető jelzés használható erre a célra.
A figyelmeztető jelzés folyamatos vagy villogó lehet.
4.5.2. A blokkolásgátló fékrendszernek a gyújtáskapcsoló (indítókapcsoló) ismételt bekapcsolt ("on") állásba kapcsolásakor vagy 30 km/h járműsebesség túllépésekor önműködően be kell kapcsolnia, illetve vissza kell térnie a közúti állásba.
4.5.3. A gyártó által a gépjárműhöz adott kezelési útmutatóban figyelmeztetni kell a járművezetőt a blokkolásgátló fékrendszer kézi úton történő kikapcsolásának vagy a működtetési mód megváltoztatásának következményeire.
4.5.4. A fenti 4.5. pontban említett berendezés a traktorral együttesen lekapcsolhatja a vontatott jármű blokkolásgátló fékrendszerét, vagy megváltoztathatja annak működtetési módját is. Különálló berendezés csak a vontatott jármű részére nem megengedett.
4.5.5. A blokkolásgátló fékrendszer vezérlési módját megváltoztató berendezésekre a 4.5. pont rendelkezései nem vonatkoznak, ha a megváltozott vezérlési mód állapotában az adott járműbe szerelt blokkolásgátló fékrendszer kategóriájára vonatkozó összes követelmény teljesül. Ebben az esetben azonban teljesülnie kell a 4.5.1, 4.5.2. és 4.5.3. pontnak.
4.6. A blokkolásgátló fékrendszerrel és beépített tartós fékrendszerrel felszerelt járművek esetében a blokkolásgátló fékrendszernek legalább a tartós fékrendszer vezérelt tengelyének üzemi fékrendszerére és magára a tartós fékrendszerre kell hatnia, és teljesítenie kell a jelen melléklet valamennyi vonatkozó követelményét.
4.7. Pneumatikus fékrendszerekkel felszerelt vontatott járművek esetében a blokkolásgátló rendszer teljes ciklusa csak akkor biztosított, ha a közvetlenül szabályozott kerekek bármely fékhengerének nyomása az adott vizsgálatban legalább 100 kPa-lal meghaladja a legnagyobb ciklikus nyomást. A töltőnyomás nem emelhető 800 kPa fölé.
Hidraulikus fékrendszerekkel felszerelt pótkocsik esetében a blokkolásgátló rendszer teljes ciklusa csak akkor biztosított, ha a közvetlenül szabályozott kerekek bármely fékhengerének nyomása az adott vizsgálatban legalább 1 750 kPa-lal meghaladja a legnagyobb ciklikus nyomást. A blokkolásgátló fékrendszerre küldött energiaszint nem növelhető 14 200 kPa fölé.
5. Traktorokra vonatkozó speciális rendelkezések
5.1. Energiafogyasztás
A blokkolásgátló fékrendszerrel ellátott traktoroknak akkor is meg kell tartaniuk hatásosságukat, ha az üzemi fékrendszer kezelőszervét hosszú időn át teljesen lenyomva tartják. Az 5.1.1., 5.2.3., 5.2.4., 5.2.5., 5.3, 6.1.1., 6.1.3., 6.1.4., 6.3. pontokban említett eljárással kell igazolni a követelményeknek való megfelelőséget:
5.1.1. Vizsgálati eljárás
5.1.1.1. Az energiatároló berendezés/berendezések kezdeti energiaszintjének a gyártó által meghatározott értéken kell lennie. Ennek legalább akkorának kell lennie, hogy biztosítsa a terhelt jármű üzemi fékrendszerére előírt hatásosságot. A pneumatikus segédberendezések energiatároló berendezését/berendezéseit le kell választani.
5.1.1.2. Legalább 50 km/h (vagy vmax, attól függően, hogy melyik kisebb) kezdeti sebességgel indulva, 0,3 vagy kisebb tapadási tényezőjű útfelületen a terhelt jármű fékjét t ideig teljesen lenyomva kell tartani, mely idő alatt figyelembe kell venni a közvetetten szabályozott kerekek energiafogyasztását és valamennyi közvetlenül szabályozott keréknek a blokkolásgátló fékrendszer általi szabályozás alatt kell maradnia mindvégig.
Az ilyen vizsgálati útfelületek széleskörű elterjedéséig a műszaki szolgálat mérlegelése szerint a megengedett kopás határán lévő gumiabroncsokat és 0,4-ig terjedő nagyobb értékeket is lehet használni. A kapott tényleges értéket, valamint a gumiabroncsok típusát fel kell jegyezni.
5.1.1.3. Ekkor a jármű motorját le kell állítani, vagy le kell zárni az energiatároló berendezés(ek) táplálását.
5.1.1.4. Ezt követően a jármű álló helyzetében egymás után négyszer kell teljes mértékben működtetni az üzemi fék kezelőszervét.
5.1.1.5. A kezelőszerv ötödik működtetése alkalmával még lehetségesnek kell lennie a jármű legalább a terhelt jármű biztonsági fékezésére előírt hatásossággal történő lefékezésének.
5.1.1.6. A vizsgálatok alatt sűrített levegős fékrendszerrel ellátott jármű vontatására engedélyezett járművek esetében a töltővezetéket el kell zárni, és egy 0,5 liter térfogatú energiatároló berendezést kell a vezérlővezetékre kötni (az A szakasz IV. mellékletének 1.2.2.3. pontja szerint). E melléklet 5.1.1.5. pontjában előírtak szerinti ötödik fékezéskor a vezérlővezetéknek juttatott energiaszint nem lehet alacsonyabb, mint a kezdeti nyomásról induló egy teljes fékműködtetés utáni érték fele.
5.1.2. További követelmények
5.1.2.1. Meg kell mérni az útfelület tapadási együtthatóját a szóban forgó járművel a 2. függelék 1.1. pontjában leírt módszer szerint.
5.1.2.2. A fékvizsgálatot kioldott tengelykapcsoló és üresjáraton működő motor mellett, terhelt járművel kell végezni.
5.1.2.3. A t fékezési időtartamnak 15 másodpercnek kell lennie.
5.1.2.4. Ha a t időtartamot nem lehet egyetlen fékezéssel elérni, további, legfeljebb összesen négy fékezést lehet végrehajtani.
5.1.2.5. Ha a vizsgálatot több fázisban végzik, a vizsgálat egyes fázisai között a friss energiaellátás tilos. A második fázistól kezdve az első fékezésnek megfelelő energiafogyasztást úgy lehet számításba venni, hogy az 5.1.1. pontban előírt vizsgálat során alkalmazott második, harmadik és negyedik fázis mindegyikéért értelemszerűen le kell vonni egy-egy teljes fékezést az 5.1.1.4., 5.1.1.5., 5.1.1.6. és 5.1.2.6. pontban előírt négy teljes fékezésből.
5.1.2.6. Az 5.1.1.5. pontban előírt hatásosság teljesítettnek tekintendő, ha a negyedik fékezés végén, álló jármű esetében a tárolóberendezés(ek) energiaszintje eléri legalább a terhelt jármű biztonsági fékhatásosságára előírt szintet.
5.2. A tapadás kihasználása
5.2.1. A blokkolásgátló fékrendszer általi tapadáskihasználás figyelembe veszi a féktávolság elméleti legkisebb értékhez viszonyított tényleges növekedését. A blokkolásgátló fékrendszer akkor tekintendő kielégítőnek, ha a
ε ≥ 0,75
feltétel teljesül, ahol ε a 2. függelék 1.2. pontjában leírtak szerint a hasznosított tapadást jelenti.
5.2.2. A tapadás kihasználást (ε) 0,3 vagy kisebb és kb. 0,8 (száraz út) tapadási tényezőjű útfelületen kell mérni, 50 km/h vagy vmax kezdeti sebesség mellett, attól függően, hogy melyik kisebb. Az eltérő fékhőmérsékletek hatásának kiküszöbölése érdekében ajánlatos a ZAL értékét (lásd az 1. függeléket) a k értéke előtt meghatározni.
Az ilyen vizsgálati útfelületek széles körű elterjedéséig a műszaki szolgálat mérlegelése szerint a megengedett kopás határán lévő gumiabroncsok és 0,4-ig terjedő nagyobb értékek is használhatóak. A kapott tényleges értéket, valamint a gumiabroncsok típusát fel kell jegyezni.
5.2.3. A (k) tapadási tényező meghatározására szolgáló vizsgálati eljárást és az (ε) tapadás kihasználás kiszámítására szolgáló képletek a 2. függelékben találhatóak.
5.2.4. A blokkolásgátló fékrendszer tapadás kihasználását 1. és 2. kategóriájú blokkolásgátló rendszerekkel felszerelt komplett járműveken kell ellenőrizni. A 3. kategóriájú blokkolásgátló rendszerekkel felszerelt járművek esetében csak a legalább egy közvetlenül szabályozott kerékkel ellátott tengely(ek)nek kell ezt a követelményt teljesíteniük.
5.2.5. Az ε ≥ 0,75 feltételt terhelt és terheletlen járművel is kell ellenőrizni. Elhagyható a nagy tapadási tényezőjű útfelületen történő terhelt állapoti vizsgálat, ha a kezelőszervre előírt erőhatás nem képes megvalósítani a blokkolásgátló fékrendszer teljes munkaciklusát. A terheletlen vizsgálat céljára a működtető erőt növelni lehet 1 000 N-ig, ha a teljes működtető erőt jelentő értékkel a teljes munkaciklus nem valósítható meg. A teljes erő értékénél nagyobb erőérték használható, ha az a blokkolásgátló fékrendszer működtetéséhez szükséges. Ha 1 000 N nem elegendő a rendszerciklus létrehozásához, akkor ez a vizsgálat elhagyható. Légfékrendszereknél e vizsgálat céljára a levegőnyomást nem szabad a kikapcsolási nyomás fölé emelni.
5.3. Kiegészítő vizsgálatok
El kell elvégezni a következő kiegészítő vizsgálatokat kioldott tengelykapcsoló mellett, terhelt és terheletlen járművel:
5.3.1. A blokkolásgátló fékrendszer által közvetlenül szabályozott kerekek nem blokkolhatnak, ha a kezelőszerv hirtelen megkapja a teljes működtető erőt az 5.2.2. pontban meghatározott útfelületeken, 40 km/h kezdősebességnél és a következő táblázatban megadott magas kezdeti sebességnél:
Állapot | Legnagyobb vizsgálati sebesség |
Nagy tapadási tényezőjű útfelület | 0,8 vmax ≤ 80 km/h |
Kis tapadási tényezőjű útfelület | 0,8 vmax ≤ 70 km/h |
5.3.2. Ha valamely tengely nagy tapadási tényezőjű útfelületről (kH) kis tapadási tényezőjű útfelületre (kL) tér át, ahol kH≥ 0,5 és kH/kL ≥ 2, a kezelőszerven alkalmazott teljes működtető erő mellett, a közvetlenül szabályozott kerekek nem blokkolhatnak. A jármű sebességét és a fékműködtetés időpontját úgy kell kiszámítani, hogy ha a blokkolásgátló fékrendszer a nagy tapadási tényezőjű útfelületen teljes munkaciklust végez, akkor az egyik útfelületről a másikra való átmenet nagy és kis sebességnél az 5.3.1. pontban megállapított feltételekkel menjen végbe.
5.3.3. Ha egy jármű kis tapadási tényezőjű útfelületről (kL) nagy tapadási tényezőjű útfelületre (kH) tér át, ahol kH ≥ 0,5 és kH/kL ≥ 2, a kezelőszerven alkalmazott teljes működtető erő mellett, a jármű lassulásának ésszerű időn belül megfelelően nagy értéket kell elérnie, és a jármű nem térhet ki kezdeti haladási irányából. A haladási sebességet és a fékezés pillanatát úgy kell kiszámítani, hogy a kis tapadási tényezőjű felületen teljes munkaciklust végző blokkolásgátló fékrendszer mellett az egyik felületről a másikra történő áthaladás körülbelül 50 km/h vagy 0,8 vmax sebességgel, és a kettő közül a kisebb sebességgel történjék.
5.3.4. Az 1. vagy 2. kategóriájú blokkolásgátló fékrendszerrel felszerelt járművek esetében, ha a jármű jobb és bal kerekei eltérő (kH és kL) tapadási tényezőjű felületeken helyezkednek el, ahol kH ≥ 0,5 és kH/kL ≥ 2, a közvetlenül szabályozott kerekek nem blokkolhatnak le, amikor a kezelőszerv 50 km/h vagy 0,8 vmax sebesség, a kettő közül a kisebb sebesség mellett hirtelen megkapja a teljes működtető erőt.
5.3.5. Továbbá az 1. kategóriájú blokkolásgátló fékrendszerrel felszerelt terhelt járműveknek az 5.3.4. pont feltételei mellett teljesíteniük kell a 3. függelékben előírt lefékezettséget.
5.3.6. Azonban az 5.3.1., 5.3.2., 5.3.3., 5.3.4. és 5.3.5. pontban előírt vizsgálatok során a kerekek rövid idejű blokkolásai megengedettek. Emellett a blokkolás akkor engedélyezett, ha a járműsebesség 15 km/h alatt van; hasonlóképpen a közvetetten szabályozott kerekek blokkolása bármilyen sebességnél engedélyezett, de ez nem lehet hatással a stabilitásra és a kormányozhatóságra.
5.3.7. A fenti 5.3.4. és 5.3.5. pontban meghatározott vizsgálatok során megengedett a kormánykorrekció, ha a kormánykerék elfordulási szöge az első 2 másodpercben 120°-on, összességében pedig 240°-on belül marad. Továbbá e vizsgálatok megkezdésekor a jármű hosszirányú középsíkja a nagy és kis tapadási tényezőjű útfelületek határvonala fölött van, és a vizsgálatok alatt a (külső) gumiabroncsok egyetlen része sem halad át ezen a határvonalon.
5.3. 8 A következő megjegyzéseket figyelembe kell venni:
5.3.8.1. kH és kL e melléklet 2. függeléke szerint állapítandó meg.
5.3.8.2. Az 5.3.1., 5.3.2., 5.3.3. és 5.3.4. pontok szerinti vizsgálatok célja annak ellenőrzése, hogy a közvetlenül szabályozott kerekek nem blokkolnak-e és a jármű stabil marad-e. Ezekben a vizsgálatokban a teljes erő értékénél nagyobb erőérték használható, ha az a blokkolásgátló fékrendszer működtetéséhez szükséges.
5.3.8.3. Ezért az 5.3.1. és 5.3.2. pontok tekintetében nincs szükség teljes megállásra és a jármű teljes lefékezésére kis tapadási tényezőjű útfelületen.
6. Vontatott járművekre vonatkozó speciális rendelkezések
6.1. Energiafogyasztás
A blokkolásgátló rendszerrel felszerelt vontatott járműveket úgy kell kialakítani, hogy az üzemi fékrendszer kezelőszervének meghatározott ideig történő teljes benyomása esetén is maradjon a járműben annyi energia, ami elegendő annak ésszerű távolságon belül történő megállítására.
6.1.1. A fenti követelmény teljesülését az alábbiakban meghatározott eljárással terheletlen járművel, vízszintes, egyenes és jó tapadási tényezőjű útfelületen kell ellenőrizni. A fékeket a lehető legkisebb hézaggal kell beállítani, és az esetleges terhelésfüggő fékterhelés érzékelő berendezés (ha fel van szerelve) a vizsgálatok során a "terhelt" állásban kell tartani.
Ha a vizsgálati útvonal tapadási tényezője túl nagy, ami gátolja a blokkolásgátló fékrendszer teljes munkaciklusának elvégzését, a vizsgálatot el lehet végezni kisebb tapadási tényezőjű úton is.
6.1.2. Sűrített levegős fékrendszerek esetében az energiatároló berendezés(ek)ben a nyomásnak akkorának kell lennie, ami a vontatott jármű töltővezetékének csatlakozófejénél fennálló 800 kPa nyomásnak felel meg.
6.1.3. Legalább 30 km/h kezdeti járműsebességnél a féket t = 15 s ideig kell teljesen lenyomva tartani, mely idő alatt figyelembe kell venni a közvetetten szabályozott kerekek energiafogyasztását, és valamennyi közvetlenül szabályozott keréknek mindvégig a blokkolásgátló fékrendszer irányítása alatt kell maradnia. Ezen vizsgálat során az energiatároló berendezés(ek) táplálását el kell zárni. Ha a t = 15 s időtartam nem teljesíthető egyetlen fékezési fázis alatt, további fázisokat lehet alkalmazni. E fázisok alatt nem szabad újabb energiát táplálni az energiatároló berendezés(ek)be, és a második fázistól kezdve a fékhengerek feltöltéséhez szükséges többlet energiafogyasztást számításba kell venni, pl. az alábbi vizsgálati eljárással. Az első fázis megkezdésekor az energiatároló(k) nyomásának a 6.1.2. pontban megadott értéknek kell lennie. A következő fázis(ok) kezdetén az energiatároló(k) nyomása a fékezés után nem lehet kisebb, mint az előző fázis végén volt. A következő fázis(ok) során csak attól a pillanattól kezdve kell az időt figyelembe venni, amikor az energiatároló(k) nyomása akkora, mint az előző fázis végén.
6.1.4. A fékezés befejeztével, álló jármű mellett, az üzemi fékrendszer kezelőszervét négyszer teljesen működésbe kell hozni. Az ötödik fékezés alkalmával a fékkörökben maradt nyomásnak elegendőnek kell lennie a legnagyobb statikus kerékterhelések legalább 22,5 %-át kitevő összfékerő kifejtésére, anélkül hogy előidézné bármely, a blokkolásgátló fékrendszer irányítása alatt nem álló más fékrendszer automatikus működésbe lépését.
6.2. A tapadás kihasználása
6.2.1. A blokkolásgátlóval felszerelt vontatott járművek akkor tekintendők elfogadottnak, ha az ε ≥ 0,75 feltétel teljesül, ahol ε a kihasznált tapadást jelenti a 2. függelék 2. pontjában meghatározottak szerint. Ezt a feltételt terheletlen járműnél kell teljesíteni, egyenes, vízszintes úton, jó tapadási tényezőjű útfelületen.
Ha a vizsgálati útvonal tapadási tényezője túl nagy, ami gátolja a blokkolásgátlós fékrendszer teljes munkaciklusának elvégzését, a vizsgálatot el lehet végezni kisebb tapadási tényezőjű úton is.
Fékerő-szabályozóval felszerelt pótkocsik esetében a nyomást magasabbra lehet állítani a berendezés teljes munkaciklusa elvégzésének biztosítására.
6.2.2. Az eltérő fékhőmérsékletek hatásának kiküszöbölése érdekében ajánlatos a ZRAL értékét a kR értéke előtt meghatározni.
6.3. Kiegészítő vizsgálatok
6.3.1. 15 km/h-nál nagyobb sebességnél, a blokkolásgátló fékrendszer által közvetlenül vezérelt kerekek nem blokkolhatnak, ha a traktor kezelőszerve hirtelen megkapja a teljes működtető erőt. Ezt a 6.2. pontban előírt feltételek mellett kell ellenőrizni, 40 km/h és 60 km/h kezdeti sebességnél.
6.3.2. E pont rendelkezései csak az A kategóriájú blokkolásgátló fékrendszerrel felszerelt vontatott járművekre vonatkoznak. Ha a jobb és bal kerekek különböző legnagyobb lefékezettséget (ZRALH és ZRALL) biztosító útfelületen helyezkednek el, ahol

és

a közvetlenül szabályozott kerekek nem blokkolhatnak, ha a traktor kezelőszerve hirtelen megkapja a működtető erőt 50 km/h sebességnél. A zRALH/zRALL hányadost a 2. függelék 2. pontjában leírt eljárással vagy a zRALH/zRALL hányados kiszámításával lehet meghatározni. E feltételek mellett a terheletlen járműnek teljesítenie kell a 3. függelékben előírt lefékezettséget.
Fékerő-szabályozóval felszerelt vontatott járművek esetében a nyomást magasabbra lehet állítani a teljes munkaciklus elvégzésének biztosítására.
6.3.3. A közvetetten szabályozott kerekek bármilyen sebességnél blokkolhatnak rövid időtartamokra ≥ 15 km/h járműsebességnél, de < 15 km/h sebességnél minden blokkolás megengedett. A közvetetten szabályozott kerekek bármilyen sebességen blokkolhatók. Ez a stabilitást egyetlen esetben sem befolyásolhatja.
1. függelék
Jelölések
A következő jelölések használatosak a 2., 3. és 4. függelékekben:
Jelölések | Megjegyzések |
E | tengelytáv |
ER | a kapcsolási pont és a merev vonórúddal vontatott jármű tengelyközepe közötti távolság (vagy a kapcsolási pont és a középtengelyes vontatott jármű tengelyközepe közötti távolság) |
ε | a jármű által hasznosított tapadás: a működő blokkolásgátló fékrendszer melletti (ZAL) legnagyobb lefékezettség és a (k) tapadási tényező hányadosa |
εi | Az i tengelyen mért ε-érték (3. kategóriájú blokkolásgátló fékrendszerrel felszerelt traktor esetében) |
εΗ | ε-érték nagy súrlódású útfelületen |
εL | ε-érték kis súrlódású útfelületen |
F | erő [N] |
FbR | a vontatott járművön létrejött fékerő nem működő blokkolásgátló fékrendszer esetében |
FbRmax | FbR legnagyobb értéke |
FbRmaxi | FbRmax értéke, ahol a vontatott járműnek csak az i tengelye fékezett |
FbRAL | a vontatott járművön létrejött fékerő, működő blokkolásgátló fékrendszer esetében |
FCnd | útfelület teljes normális irányú reakcióereje a járműszerelvény fékezetlen és nem hajtott tengelyein, álló helyzetben |
FCd | útfelület teljes normális irányú reakcióereje a járműszerelvény fékezetlen és hajtott tengelyein, álló helyzetben |
Fdyn | út normális irányú reakcióereje működő blokkolásgátló fékrendszer esetében, mozgás közben |
Fidyn | Fdyn az i tengelyen traktorok vagy vonórúddal vontatott jármű esetében |
Fi | az útfelület normális irányú reakcióereje az i tengelyen statikus helyzetben |
FM | útfelület normális irányú statikus reakcióereje a traktor összes kerekén |
FMnd (1) | útfelület teljes normális irányú statikus reakcióereje a traktor fékezetlen és nem hajtott tengelyein |
FMd | útfelület normális irányú statikus reakcióereje a gépjármű fékezetlen és hajtott tengelyein |
FR | útfelület normális irányú statikus reakcióereje a vontatott jármű összes kerekén |
FRdyn | útfelület normális irányú dinamikus reakcióereje a merev vonórúddal vontatott jármű vagy középtengelyes vontatott jármű tengelyén (tengelyein) |
FwM | 0,01 FMnd + 0,015 FMd |
g | gravitációs gyorsulás (9,81 m/s2) |
h | a gyártó által meghatározott és a jóváhagyási vizsgálatot végző műszaki szolgálat által elfogadott tömegközéppont |
hD | a vonórúd magassága (csuklópont a vontatott járművön) |
hK | a pótkocsinyereg (királycsap) magassága |
hR | a vontatott jármű tömegközéppontja |
k | a gumiabroncs és az út közötti tapadási tényező |
kf | egy első tengely k-tényezője |
kH | nagy súrlódású felületen megállapított k-érték |
ki | 3. kategóriájú blokkolásgátló fékrendszerrel felszerelt jármű i tengelyén meghatározott k-érték |
kL | kis súrlódású felületen megállapított k-érték |
klock | tapadási tényező 100 %-os csúszás esetén |
kM | A traktor k-tényezője |
kpeak | a „tapadás – csúszás” görbe legnagyobb értéke |
kr | egy hátsó tengely k-tényezője |
kR | a vontatott jármű k-tényezője |
P | egyedülálló jármű tömege [kg] |
R | kpeak – klock hányados |
t | időtartam [s] |
tm | t átlaga |
tmin | t legkisebb értéke |
z | lefékezettség [m/s2] |
zAL | működő blokkolásgátló fékrendszerrel felszerelt jármű z lefékezettsége |
zC | járműszerelvény z lefékezettsége, ha csak a vontatott jármű van fékezve, és a blokkolásgátló fékrendszer nem működik |
zCAL | járműszerelvény z lefékezettsége, ha csak a pótkocsi van fékezve, és a blokkolásgátló fékrendszer működik |
zCmax | zC legnagyobb értéke |
zCmaxi | ZC legnagyobb értéke, ahol a vontatott járműnek csak az i tengelye fékezett |
zm | a lefékezettség átlaga |
zmax | z legnagyobb értéke |
zMALS | A traktor zAL értéke „osztott felületen” |
zR | nem működő blokkolásgátló fékrendszerrel felszerelt jármű z lefékezettsége |
zRAL | a vontatott jármű minden tengely fékezésével nyert zAL értéke fékezetlen traktor és kioldott tengelykapcsoló mellett |
zRALH | zRAL nagy tapadási tényezőjű útfelületen |
zRALL | zRAL kis tapadási tényezőjű útfelületen |
zRALS | zRAL osztott felületen |
zRH | zR nagy tapadási tényezőjű útfelületen |
zRL | zR kis tapadási tényezőjű útfelületen |
zRHmax | zRH legnagyobb értéke |
zRLmax | zRL legnagyobb értéke |
zRmax | zR legnagyobb értéke |
(1) FMnd és FMd kéttengelyes gépjárművek esetében: ezek a jelölések egyszerűsíthetők a megfelelő Fi jelölésre. |
2. függelék
A tapadás kihasználása
1. Mérési módszer traktoroknál
1.1. A (k) tapadási tényező meghatározása
1.1.1. A (k) tapadási tényezőt a kerekeket nem blokkoló legnagyobb fékerők és a fékezett tengelyre ható dinamikus terhelések hányadosaként kell meghatározni.
1.1.2. A fékeket a vizsgált jármű csak egy tengelyén kell működtetni 50 km/h kezdeti sebességen. A fékerőnek egyenletesen kell megoszlania a tengelyhez tartozó kerekeken a legnagyobb lefékezettség elérése érdekében. 40 km/h és 20 km/h között a blokkolásgátló fékrendszert ki kell iktatni vagy ki kell kapcsolni.
1.1.3. Fokozatosan növekedő vezetéknyomások mellett egy sor vizsgálatot kell végezni a jármű (zmax) legnagyobb lefékezettségének meghatározására. Minden vizsgálat során fenn kell tartani egy konstans bemeneti erőt, és a lefékezettség értéket a következő képlet felhasználásával kell azon (t) idő alapján meghatározni, amely a sebességnek 40 km/h-ról 20 km/h-ra csökkentéséhez szükséges:

zmax a legnagyobb z érték m/s2-ben,
t másodpercekben
1.1.3.1. Kerékblokkolás 20 km/h alatt is bekövetkezhet.
1.1.3.2. A t legkisebb mért értékével (tmin) kezdve három, tmin és 1,05 tmin közötti t értéket kell kiválasztani, ki kell számítani számtani középértéküket, majd meg kell határozni

Ha bizonyítható, hogy gyakorlati okokból a fent meghatározott három érték nem határozható meg, akkor a legkisebb tmin időt is fel lehet használni. Mindazonáltal az 1.3. pont követelményei továbbra is fennállnak.
1.1.4. A fékerőket a mért lefékezettségből és a fékezetlen tengely(ek) gördülési ellenállásából kell kiszámítani, amelynek értéke hajtott tengelyre, illetve nem hajtott tengelyre egyenlő a statikus tengelyterhelés 0,015, illetve 0,010-szeresével.
1.1.5. A dinamikus terhelést a tengelyen a fékezettség, statikus tengelyterhelés, tengelytáv és tömegközéppont alapján kell számítani.
1.1.6. A k értékét három tizedesre kell kerekíteni.
1.1.7. Ezután a vizsgálatot meg kell ismételni a többi tengely(ek)re az 1.1.1-1.1.6. pontban meghatározottak szerint (a kivételeket lásd az alábbi 1.4. és 1.5. pontban).
1.1.8. Például egy kéttengelyes hátsótengely-hajtású jármű esetében, fékezett első tengellyel, a (k) tapadási tényezőt az alábbi képlettel kell kiszámítani:

1.1.9. Meg kell határozni az első tengelyre egy kf tapadási tényezőt és a hátsó tengelyre egy kr tapadási tényezőt.
1.2. A tapadás kihasználás (ε) meghatározása
1.2.1. Az (ε) tapadás kihasználást a működő blokkolásgátló fékrendszer melletti (zAL) legnagyobb lefékezettség és a (kM) tapadási tényező hányadosaként kell meghatározni, azaz

1.2.2. A jármű 55 km/h kezdeti sebességétől vagy vmax sebességtől, attól függően, hogy melyik kisebb, a blokkolásgátló fékrendszer teljes munkaciklusa mellett kell mérni a lefékezettség (zAL) legnagyobb értékét. A zAL érték a fentiekben, az 1.1.3. pontban leírt három vizsgálat átlagértékén alapul, a sebesség 45 km/h-ról 15 km/h-ra csökkentéséhez eltelt időt felhasználva, az alábbi képlet szerint:

1.2.3. A kM tapadási tényezőt a dinamikus tengelyterhelésekkel való súlyozással kell meghatározni:

ahol:


1.2.4. Az ε értékét két tizedesre kell kerekíteni.
1.2.5. Az 1. vagy 2. kategóriájú blokkolásgátló fékrendszerrel felszerelt járművek esetében a zAL érték alapja a teljes jármű, működő blokkolásgátló fékrendszer mellett, és az (ε) tapadás kihasználást az 1.2.1. pontban megadott képletből kapjuk meg.
1.2.6. A 3. kategóriájú blokkolásgátló fékrendszerrel felszerelt jármű esetében a zAL értékét minden olyan tengelyen meg kell mérni, amelyen legalább egy közvetlenül szabályozott kerék van.
Például: egy kéttengelyes jármű esetében, amelynél a blokkolásgátló fékrendszer csak a hátsó tengelyre (2) hat, a tapadás kihasználás (ε) az alábbi módon számítható ki:

Ezt a számítást el kell végezni minden tengelyre, amelyen legalább egy közvetlenül szabályozott kerék van.
1.3. Ha ε > 1,00, a tapadási tényezők mérését meg kell ismételni. 10 %-os tűrés fogadható el.
1.4. Háromtengelyű traktorok esetében figyelmen kívül hagyhatók a jármű k értékének megállapításakor azok a tengelyek, amely akár a felfüggesztés alkatrészeivel, akár erőátvitellel kapcsolódnak egymáshoz, és ezért fékezés alatt reagálnak a súlyátvitelre.
Amíg nem születik megállapodás az egységes vizsgálati eljárásról, a háromnál több tengelyes és a különleges járművekről a műszaki szolgálattal kell megállapodni.
1.5. A 3,80 m-nél kisebb tengelytávú és h/E > 0,25 értékű traktorok esetében a hátsó tengely tapadási együtthatójának megállapítása elhagyható.
1.5.1. Ebben az esetben az (ε) tapadás kihasználás a (zAL) bekapcsolt blokkolásgátló fékrendszer melletti legnagyobb lefékezettség és a (kf) tapadási tényező hányadosa, azaz

2. Mérési módszer vontatott járműveknél
2.1. Általános tudnivalók
2.1.1. A (k) tapadási tényezőt a kerekeket nem blokkoló legnagyobb fékerők, és a fékezett tengelyre ható dinamikus terhelések hányadosaként kell meghatározni.
2.1.2. A fékeket a vizsgált vontatott járműnek csak egy tengelyén kell működtetni 50 km/h kezdeti sebességen. A fékerőnek egyenletesen kell megoszlania a tengelyhez tartozó kerekeken a legnagyobb lefékezettség elérése érdekében. 40 km/h és 20 km/h között a blokkolásgátló fékrendszert ki kell iktatni vagy ki kell kapcsolni.
2.1.3. Fokozatosan növekedő fékező nyomások mellett számos vizsgálatot kell végezni a járműszerelvény (zCmax) legnagyobb lefékezettségének meghatározására, csupán a vontatott járművet fékezve. Minden vizsgálat során fenn kell tartani egy konstans bemeneti erőt, és a lefékezettség értékét azon idő (t) alapján kell meghatározni, amely a sebességnek 40 km/h-ról 20 km/h-ra csökkentéséhez szükséges. A következő képletet kell felhasználni:

2.1.3.1. Kerékblokkolás 20 km/h alatt bekövetkezhet.
2.1.3.2. A t legkisebb mért értékkel (tmin) kezdve három, tmin és 1,05 tmin közötti t értéket kell kiválasztani, és ki kell számítani a tm számtani középértéküket.
majd meg kell határozni:

Ha bizonyítható, hogy gyakorlati okokból a fent meghatározott három érték nem állapítható meg, akkor a legkisebb tmin időt is fel lehet használni.
2.1.4. Az (ε) tapadás kihasználást a következő képlettel kell kiszámítani:

A k értéket a vonórúddal vontatott járművek esetében a 2.2.3. pont szerint, illetve a merev vonórúddal vontatott járművek és a középtengelyes vontatott járművek esetében a 2.3.1. pont szerint kell megállapítani.
2.1.5. Ha ε > 1,00, a tapadási tényezők mérését meg kell ismételni. 10 %-os tűrés fogadható el.
2.1.6. A (zRAL) legnagyobb lefékezettséget a blokkolásgátló fékrendszer teljes munkaciklusa és fékezetlen traktor mellett kell mérni, három vizsgálat átlagértéke alapján, a 2.1.3. pontban előírtak szerint.
2.2. Vonórúddal vontatott járművek
2.2.1. A k mérését (40 km/h és 20 km/h között kikapcsolt vagy kiiktatott blokkolásgátló fékrendszer mellett) az első és a hátsó tengelyekre kell elvégezni.
Egy első i tengelyre:



Egy hátsó i tengelyre:



2.2.2. A kf és kr értékét három tizedesre kell kerekíteni.
2.2.3. A kR tapadási tényezőt a dinamikus tengelyterhelések arányában kell meghatározni.

2.2.4. zRAL mérése (működő blokkolásgátló fékrendszerrel)

A zRAL értékét nagy tapadási tényezőjű útfelületen kell meghatározni, és A kategóriájú blokkolásgátló fékrendszerrel felszerelt jármű esetében kis tapadási tényezőjű útfelületen is.
2.3. Merev vonórúddal vontatott járművek és középtengelyes vontatott járművek
2.3.1. A k mérését (40 km/h és 20 km/h között kikapcsolt vagy kiiktatott blokkolásgátló fékrendszer mellett) úgy kell elvégezni, hogy csak az egyik tengelyen legyenek kerekek, a többi tengelyről a kerekeket le kell szerelni.



2.3.2. A zRAL mérését (működő blokkolásgátló rendszer mellett) úgy kell elvégezni, hogy az összes kerék fel van szerelve.



A zRAL értékét nagy tapadási tényezőjű útfelületen kell meghatározni, és A kategóriájú blokkolásgátló fékrendszerrel felszerelt jármű esetében kis tapadási tényezőjű útfelületen is.
3. függelék
Fékhatásosság eltérő tapadási tényezőjű felületeken
1. Traktorok
1.1. Az e melléklet 5.3.5. pontjában említett előírt lefékezettséget a vizsgálat színhelyéül kiválasztott kétféle útfelületen mért tapadási tényező alapján kell kiszámítani.
Ennek a két felületnek teljesítenie kell az e melléklet 5.3.4. pontjában előírt feltételeket.
1.2. A nagy, illetve kis tapadási tényezőjű útfelületek (kH és kL) tapadási tényezőit a 2. függelék 1.1. pontjának rendelkezései szerint kell meghatározni.
1.3. Terhelt traktorok esetében a (zMALS) lefékezettség:

és

2. Vontatott járművek
2.1. A jelen melléklet 6.3.2. pontjában említett előírt lefékezettséget a vizsgálat céljára kiválasztott kétféle útfelületen működő blokkolásgátló fékrendszer mellett mért zRALH és zRALL tapadási tényező alapján kell kiszámítani. Ennek a két felületnek meg kell felelnie a jelen melléklet 6.3.2. pontjában előírt feltételeket.
2.2. A zRALS lefékezettségnek az alábbinak kell lennie:

valamint

Ha εΗ > 0,95, εΗ = 0,95 használható.
4. függelék
A kis tapadási felület kiválasztásának módszere
1. A kiválasztott felület tapadási tényezőjére vonatkozó, e melléklet 5.1.1.2. pontjában meghatározott adatokat meg kell adni a műszaki szolgálatnak.
1.1. Ezen adatok között kell lennie annak a görbének, amely a tapadási tényezőt ábrázolja a megcsúszás függvényében (0 % és 100 % megcsúszás között), körülbelül 40 km/h sebesség esetében.
Amíg nem születik egységes vizsgálati eljárás a 3,5 tonnát meghaladó legnagyobb tömegű járművek tapadási görbéjének meghatározására, a személygépkocsikra megállapított görbét lehet használni. Ebben az esetben a 3,5 tonnát meghaladó legnagyobb tömegű járműveken a kpeak és klock hányadosát a 2. függelékben meghatározott kpeak érték használatával kell megállapítani. A műszaki szolgálat hozzájárulásával az e pontban leírt tapadási tényező másik módszerrel is megállapítható, amennyiben a kpeak és klock értékeinek egyenértékűsége bizonyított.
1.1.1. A kpeak a görbe legnagyobb értékét képviseli, és a klock a 100 %-os csúszásnak megfelelő érték.
1.1.2. Az R viszonyszámot a kpeak és klock hányadosaként kell meghatározni.

1.1.3. Az R értékét egy tizedesre kell kerekíteni.
1.1.4. A használt útfelület R viszonyszáma 1,0 és 2,0 között kell, hogy legyen.
Amíg ilyen felületek általánosan hozzáférhetők nem lesznek, a műszaki szolgálattal egyeztetve elfogadható legfeljebb 2,5 értékű R viszonyszám.
2. A vizsgálatok előtt a műszaki szolgálatnak meg kell bizonyosodnia arról, hogy a választott útfelület kielégíti a meghatározott követelményeket, és tájékoztatást kell kapnia a vizsgálati módszerről, hogy megállapíthassa az R értéket, a jármű típusáról (traktor stb.), illetve a tengelyterhelésről és a gumiabroncsokról (a vizsgálatot különböző terheléseknél és különböző gumiabroncsokkal kell végezni, és az eredményeket be kell mutatni a műszaki szolgálatnak, amely eldönti, hogy ezek megfelelően képviselik-e a jóváhagyásra váró járművet).
2.1. A vizsgálati jegyzőkönyvben fel kell tüntetni az R értékét.
Az R érték stabilitásának igazolására az útfelület kalibrálását legalább évenként egyszer el kell végezni egy, a járműtípust képviselő járművel.
XII. MELLÉKLET
A sűrített levegős fékrendszerrel ellátott járművek vagy az ISO 7638 szabvány szerinti csatlakozó 6. és 7. érintkezőjén keresztül adatkommunikációt fenntartó járművek EBS rendszerére és az ilyen EBS rendszerrel felszerelt járművekre vonatkozó követelmények
1. Fogalommeghatározások
Ezen melléklet alkalmazásában:
1.1. "ponttól pontig" : a csak két egységből álló kommunikációs hálózat topológiája. Mindegyik egység rendelkezik a kommunikációs vonal tekintetében integrált lezáró ellenállással;
1.2. "fékjel" : logikai jel, amely a fék működtetését jelzi.
2. Általános követelmények
2.1. Az elektromos vezérlővezetéknek meg kell felelnie az ISO 11992-1 és 11992-2-2003 szabványoknak, és az ahhoz az ISO 7638-1 vagy 7638-2:2003 szabvány szerinti ponttól pontig típusú, hétpólusú csatlakozót kell használni. Az ISO 7638 szabvány szerinti csatlakozó adatérintkezőit kell használni a kizárólag a fékezési (ideértve az ABS-t) és a futóműfunkciókhoz (kormánymű, abroncsok és felfüggesztés) történő információtovábbításhoz, az ISO 11992-2:2003 szabványban meghatározottak szerint, beleértve az Amd.1:2007 módosítást. A fékezési funkciók elsőbbséget élveznek, és azokat szokásos és hibaüzemmódokban is fenn kell tartani. A futóműadatok továbbítása nem késleltetheti a fékezési funkciókat. Az ISO 7638 szabvány szerinti csatlakozóról érkező áramellátást kizárólag a fékezési és futómű funkciókhoz lehet használni, és a vontatott járművel kapcsolatos, az elektromos vezérlővezetéken át nem továbbított információk átviteléhez. Ugyanakkor minden esetben az 5.2.1. pont rendelkezéseit kell alkalmazni. Minden más funkció áramellátását más módon kell megoldani.
2.2. Az üzenetek ISO 11992-2:2003 szabványban (beleértve az Amd.1:2007 módosítást) meghatározott támogatását a jelen melléklet 1. függeléke állapítja meg a traktor és a vontatott jármű tekintetében.
2.3. A típusjóváhagyás időpontjában értékelni kell a fent meghatározott elektromos vezérlővezetékkel felszerelt traktor és vontatott jármű funkcionális kompatibilitását annak ellenőrzésén keresztül, hogy teljesülnek-e az ISO 11992:2003 szabvány (beleértve az ISO 11992:2003 és annak Amd.1:2007 módosítása) 1. és 2. részének vonatkozó rendelkezései. E melléklet 2. függelékében szerepel példa azon vizsgálatokra, amelyek ezen értékelés elvégzéséhez használhatóak.
2.4. Amennyiben a traktort elektromos vezérlővezetékkel szerelték fel, és azt elektromos vezérlővezetékkel felszerelt vontatott járműhöz elektromosan csatlakoztatják, a traktornak észlelnie kell az elektromos vezérlővezeték folyamatos (40 ms-nál hosszabb ideig tartó) kiesését, és azt az I. melléklet 2.2.1.29.1.2. pontjában meghatározott sárga figyelmeztető jelzéssel kell jeleznie a járművezetőnek, amennyiben a járművek elektromos vezérlővezetéken keresztül kapcsolódnak.
3. A traktorok és vontatott járművek közötti csatlakozások speciális követelményei sűrített levegős fékrendszerek esetében
3.1. A traktor elektromos vezérlővezetékének információt kell adnia arról, hogy az I. melléklet 2.2.1.16.3. pontjának követelményei teljesíthetőek-e a pneumatikus vezérlővezeték segítsége nélkül, pusztán az elektromos vezérlővezetékkel. Tájékoztatást ad egyben arról is, hogy a jármű az I. melléklet 2.1.4.1.2. pontja szerinti két vezérlővezetékkel vagy az I. melléklet 2.1.4.1.3. pontja szerinti egyetlen elektromos vezérlővezetékkel van-e felszerelve.
3.2. Az I. melléklet 2.1.4.1.3. pontja szerint felszerelt traktornak fel kell ismernie, hogy az I. melléklet 2.1.4.1.1. pontja szerint felszerelt vontatott jármű kapcsolása nem kompatibilis. Amikor az ilyen járműveket a traktor elektromos vezérlővezetékével csatlakoztatják, a járművezetőt az I. melléklet 2.2.1.29.1.1. pontjában meghatározott vörös figyelmeztető jelzés kell, hogy figyelmeztesse erre, és amikor a rendszer feszültség alá kerül, a traktor fékjeinek önműködően működésbe kell lépniük. A fék ilyen alkalmazásának legalább a II. melléklet 3.1.3.1. és 3.1.3.2. pontjaiban előírt rögzítőfék-hatásosságot kell biztosítania.
3.3. Az I. melléklet 2.1.4.1.2. pontjában meghatározottak szerint két vezérlővezetékkel felszerelt traktornak az ugyancsak két vezérlővezetékkel felszerelt vontatott járműhöz történő elektromos csatlakoztatásakor teljesülnie kell a következő valamennyi feltételnek:
3.3.1. a kapcsolófejhez mindkét jelnek el kell jutnia, és a vontatott járműnek az elektromos vezérlőjelet kell használnia, amennyiben a jel nem tekintendő hibásnak. Ebben az esetben a vontatott járműnek önműködően át kell váltania a pneumatikus vezérlővezetékre;
3.3.2. mindegyik járműnek egyszerre meg kell felelnie a II. függelék 1. mellékletében az elektromos és pneumatikus vezérlővezetékre előírt rendelkezéseknek;
3.3.3. amennyiben az elektromos vezérlőjel egy másodpercen túl meghaladja a 100 kPa egyenértéket, a vontatott járműnek ellenőriznie kell a pneumatikus jel jelenlétét; amennyiben nincs pneumatikus jel, erről a járművezetőt az I. melléklet 2.2.1.29.2. pontjában meghatározott, a vontatott járműről vezérelt, külön sárga figyelmeztető jelzésnek kell figyelmeztetnie.
3.4. A vontatott jármű felszerelhető az I. melléklet 2.1.4.1.3. pontjában leírtak szerint, amennyiben az csak olyan elektromos vezérlővezetékkel ellátott traktorral együtt működtethető, amely kielégíti az I. melléklet 2.2.1.16.3. pontjában leírt követelményeket. Minden más esetben a vontatott járműnek elektromos csatlakoztatáskor önműködően kell lefékeznie, illetve a lefékezett állapotban kell maradnia. A járművezetőt az I. melléklet 2.2.1.29.2. pontjában meghatározott, külön sárga figyelmeztető jelzésnek kell erre figyelmeztetnie.
3.5. Ha a traktor rögzítőfékrendszerének működése működésbe hozza a vontatott jármű fékrendszerét is - az I. melléklet 2.1.2.3. pontjában megengedettek szerint -, teljesülniük kell a következő pótlólagos követelményeknek is:
3.5.1. Amennyiben a traktor az I. melléklet 2.1.4.1.1. pontja szerint van felszerelve, a traktor rögzítőfékrendszerének működtetése a pneumatikus vezérlővezetéken keresztül hozza működésbe a fékrendszert a vontatott járművön.
3.5.2. Amennyiben a traktor az I. melléklet 2.1.4.1.2. pontja szerint van felszerelve, a traktor rögzítőfékrendszerének működtetése működésbe hozza a fékrendszert a vontatott járművön a 3.5.1. pontban leírtak szerint. Emellett a rögzítőfékrendszer működtetése a vontatott jármű fékrendszerét az elektromos vezérlővezetéken keresztül is működésbe hozhatja.
3.5.3. Amennyiben a traktort az I. melléklet 2.1.4.1.3. pontja szerint szerelték fel, vagy ha az a pneumatikus vezérlővezeték segítsége nélkül (az I. melléklet 2.1.4.1.2. pontja) kielégíti az I. melléklet 2.2.1.16.3. pontjának követelményeit, a traktor rögzítőfékrendszerének az elektromos vezérlővezetéken keresztül kell működésbe hoznia a fékrendszert a vontatott járművön. Ha a traktor fékrendszerének áramellátása kikapcsolt állapotban van, a vontatott jármű fékezését a töltővezeték kiürülésének kell kiváltania (emellett a pneumatikus vezérlővezeték nyomás alatt maradhat); a töltővezeték csak addig maradhat üres, amíg helyre nem áll a traktor fékberendezésének áramellátása, és egyidejűleg helyre nem áll a vontatott jármű elektromos vezérlővezetéken keresztül történő fékezése.
4. Az elektromos vezérlésátvitelű üzemifékrendszerekre vonatkozó további különleges követelmények
4.1. Traktorok
4.1.1. A kioldott rögzítőfékrendszer mellett az üzemi fékrendszernek kell képesnek lennie a legalább a 0. típusú vizsgálatra előírttal egyenértékű statikus teljes fékerő létrehozására, még abban az esetben is, ha a gyújtáskapcsolót (indítókapcsolót) kikapcsolják és/vagy a kulcsot eltávolítják. Az R3b vagy R4b kategóriájú járművek vontatására engedélyezett traktorok esetében ezeknek a járműveknek teljes működtető jelzést kell leadniuk a vontatott jármű üzemi fékrendszerének. Feltételezni kell, hogy elegendő energia áll rendelkezésre az üzemi fékrendszer energiaátviteli rendszerében.
4.1.2. Az elektromos vezérlésátvitelen belül fellépő egyszeri, ideiglenes meghibásodás (< 40 ms) esetében, amely nem érinti az áramellátást (pl. nem továbbított jel vagy adathiba), az üzemi fék hatásosságát nem érheti észlelhető hatás.
4.1.3. Az elektromos vezérlésátvitel olyan meghibásodását - az energiaellátás kivételével -, amely érinti az ebben a rendeletben tárgyalt rendszerek működését és hatásosságát, a járművezető számára adott esetben az I. melléklet 2.2.1.29.1.1. pontjában meghatározott vörös és 2.2.1.29.1.2. pontjában meghatározott sárga jelzésnek kell jeleznie. Ha az előírt fékhatás többé nem érhető el (vörös figyelmeztető jelzés), a járművezetőnek a folyamatos áramellátás hiányából (pl. szakadás, szétkapcsolás) eredő hibákról azonnal, azok jelentkezésekor, jelzést kell kapnia, és az előírt maradó fékhatást az üzemi fék kezelőszervének a II. melléklet 3.1.4. pontjának megfelelően történő működtetésével kell teljesíteni.
A gyártónak a vezérlésátvitelen belül fellépő potenciális hibák és azok hatásainak elemzésével kell műszaki szolgáltatást nyújtania. Ezek az információk a műszaki szolgálat és a gyártó közötti megbeszélés és megállapodás tárgyát képezik.
Ezek a követelmények nem értelmezhetőek a biztonsági fékberendezésre megadott követelményektől való eltérésként.
4.1.4. Az elektromos vezérlővezetéken keresztül vontatott járműhöz elektromosan csatlakoztatott traktornak az 5.2.4. pontban meghatározottak szerint egyértelmű figyelmeztetést kell adnia a járművezető számára abban az esetben, ha a vontatott jármű hibajelzést ad arról, hogy a vontatott jármű fékrendszerében bárhol a tárolt energia a figyelmeztetési szint alá esik. Az alábbi 4.2.3. pontnak megfelelően hasonló figyelmeztető jelzést kell leadni, ha - az áramellátás kivételével - a vontatott jármű elektromos vezérlésátvitelében bekövetkezett folyamatos hiba (> 40 ms) eleve kizárja a vontatott jármű előírt üzemi fékhatásának elérését. Erre a célra az I. melléklet 2.2.1.29.2.1. pontjában meghatározott figyelmeztető jelet kell használni.
4.1.5. Az elektronikus vezérlésátvitel energiaforrásának az energiaszint névleges értékéhez viszonyított meghibásodása esetén az üzemi fékrendszer teljes működtetési tartományát garantálni kell az üzemi fék kezelőszervének húsz teljes löketű működtetése után. E vizsgálat során a fék kezelőszervét minden egyes működtetés alkalmával 20 másodpercig teljesen be kell nyomni, majd 5 másodpercre oldani kell. Feltételezni kell, hogy e vizsgálat során az energiaátviteli rendszerben megfelelő energia áll rendelkezésre az üzemi fékrendszer teljes működtetésének biztosítására. Ez nem értelmezhető a IV. melléklet követelményeitől való eltérésként.
4.1.6. Amennyiben az akkumulátor feszültsége a gyártó által megadott azon érték alá esik, amely alatt az előírt üzemi fékhatás már nem garantálható és/vagy, ami eleve kizárja legalább két független fékkör esetében azt, hogy azok elérjék az előírt biztonsági vagy maradó fékhatást, az I. melléklet 2.2.1.29.1.1. pontjában előírt vörös jelzőfénynek működésbe kell lépnie. A figyelmeztető jel működésbe lépése után biztosítani kell az üzemi fék kezelőszervének működtetését és legalább a maradó és biztonsági fékre vonatkozóan előírt hatásosságot 60 km/h-t meghaladó legnagyobb tervezési sebességű traktor esetében, vagy a biztonsági fékre előírt hatásosságot 60 km/h-t nem meghaladó legnagyobb tervezési sebességű traktor esetében. Feltételezni kell, hogy elegendő energia áll rendelkezésre az üzemi fékrendszer energiaátvitelében. Ez a követelmény nem értelmezhető a biztonsági fékberendezésre megadott követelménytől való eltérésként.
4.1.7. Ha valamely kiegészítő berendezést az elektromos vezérlésátvitelével azonos tároló lát el energiával, biztosítani kell, hogy a legfeljebb a legnagyobb teljesítményhez tartozó fordulatszám 80 %-án járó motorral az energiaellátás elegendő az előírt lassulási értékek teljesítéséhez, akár olyan energiaellátás biztosításával, amely képes e tároló minden segédberendezés működése esetén történő kimerülésének megelőzésére, akár a segédberendezések előre kiválasztott részeinek önműködő kikapcsolásával a 4.1.6. pontban említett kritikus szint feletti feszültségen úgy, hogy e tároló további lemerülését megakadályozza. A megfelelés igazolható számítással vagy gyakorlati vizsgálattal. Az R3b vagy R4b kategóriájú járművek vontatására engedélyezett járművek esetében a vontatott jármű energiafogyasztását 400 W terheléssel kell figyelembe venni. Ez a pont nem vonatkozik azokra a járművekre, melyek az előírt lassulási értékek elérésére villamos energia használata nélkül is képesek.
4.1.8. Ha a segédberendezést az elektromos vezérlésátvitel táplálja energiával, a következő követelményeknek kell teljesülniük.
4.1.8.1. Ha az energiaforrás a jármű mozgása közben hibásodik meg, a tartalék energiának elegendőnek kell lennie a kezelőszerv használata esetén a fékek működtetésére.
4.1.8.2. Ha az energiaforrás a jármű álló helyzetében rögzítő fékezés közben hibásodik meg, a tartalék energiának elegendőnek kell lennie a világítás fékezés közben történő működtetésére.
4.1.9. Az I. melléklet 2.1.4.1.2. vagy 2.1.4.1.3. pontjainak megfelelően elektromos vezérlővezetékkel felszerelt traktor üzemi fékrendszere elektromos vezérlésátvitelének meghibásodásakor továbbra is biztosítani kell a vontatott jármű fékjeinek teljes működtetését.
4.1.10. Az I. melléklet 2.1.4.1.3. pontjának megfelelően pusztán elektromos vezérlővezetékkel elektromosan csatlakoztatott vontatott jármű elektromos vezérlésátvitelének meghibásodása esetében a vontatott jármű fékezését az I. melléklet 2.2.1.17.2.1. pontja szerint kell biztosítani. Ez az helyzet áll fenn akkor, ha a vontatott jármű a "töltővezetékből érkező fékezési parancs" utasítást az elektromos vezérlővezeték adatkommunikációs részén adja ki, vagy pedig ezen adatkommunikáció folyamatos hiánya esetén. Ezt a pontot nem kell alkalmazni olyan traktorokra, melyek a 3.4. pontban előírtak szerint nem működtethetőek kizárólag elektromos vezérlővezetékkel csatlakoztatott vontatott járművel.
4.2. Pótkocsik
4.2.1. Az elektromos vezérlésátvitelen belül fellépő egyszeri, ideiglenes meghibásodás (< 40 ms) esetében, amely nem érinti az áramellátást (pl. nem továbbított jel vagy adathiba), az üzemi fék hatásosságát nem érheti észlelhető hatás.
4.2.2. Az elektromos vezérlésátvitel meghibásodása (pl. szakadás, szétkapcsolás) esetén a fékhatásosságot legalább az adott vontatott jármű üzemi fékrendszerére előírt szint 30 %-án kell fenntartani.
Amíg nem születik egységes megállapodás a vizsgálati eljárásokra vonatkozóan, a gyártónak kell ellátnia a műszaki szolgálatot a vezérlésátvitel esetleges hibáinak és azok hatásának elemzésével. Ezek az információk a műszaki szolgálat és a jármű gyártója közötti megbeszélés és megállapodás tárgyát képezik.
Az olyan vontatott járművek esetében, amelyeket az I. melléklet 2.1.4.1.3. pontjának megfelelően csak elektromos vezérlővezetékkel csatlakoztattak, és amelyek a II. melléklet 3.2.3. pontjában előírt fékhatásossággal megfelelnek az I. melléklet 2.2.1.17.2.2. pontjában meghatározott követelményeknek, elegendő az e melléklet 4.1.10. pontjának rendelkezéseire hivatkozni, amennyiben a vontatott jármű üzemi fékrendszerére előírt fékhatásosság legalább 30 %-a már nem tartható fenn sem az elektromos vezérlővezeték adatkommunikációs részén keresztül a "töltővezetékből érkező fékezési parancs" jellel, sem ezen adatkommunikáció állandó hiányával.
4.2.3. A vontatott jármű elektromos vezérlésátvitelének az e rendeletben tárgyalt rendszerek működését és hatásosságát érintő meghibásodását és az ISO 7638:2003 szabvány szerinti csatlakozóból érkező energiaellátás kiesését a járművezető számára az ISO 7638:2003 szabványnak megfelelő elektronikus csatlakozó 5. érintkezőjén keresztül az I. melléklet 2.2.1.29.2.2. pontjában meghatározott megfelelő külön figyelmeztető jelzéssel kell jelezni. Emellett az elektromos vezérlővezetékkel felszerelt vontatott járműveknek a traktorhoz az elektromos vezérlővezetékkel történő elektromos csatlakoztatása esetében, ha a vontatott jármű előírt üzemi fékhatása már nem biztosítható, a hibainformációkat az I. melléklet 2.2.1.29.2.1. pontjában meghatározott figyelmeztető jelzésnek az elektromos vezérlővezeték adatkommunikációs részén keresztül történő aktiválásával kell továbbítania.
Ugyanakkor az ISO 7638:2003 csatlakozóról biztosított áramellátás meghibásodása esetében az ISO 7638:2003 szerinti elektronikus csatlakozó 5. érintkezőjén keresztül küldött sárga figyelmeztető jelzés elégséges azzal a feltétellel, hogy a teljes fékerő továbbra is elérhető.
5. További követelmények
5.1. Traktorok
5.1.1. Fékjel keltése a féklámpák megvilágítására
5.1.1.1. Az üzemi fékrendszer járművezető általi aktiválásának kell a féklámpák világítását kiváltó jelet generálnia.
5.1.1.2. Az üzemi fékrendszer működtetése megkezdésének vezérlésére elektromos jelzést használó és tartós fékrendszerrel felszerelt járművekre vonatkozó követelmények:
Lassítás tartós fékrendszerrel | |
≤ 1,3 m/sec2 | > 1,3 m/sec2 |
Jelzést kiválthat | Jelzést kell kiváltania |
5.1.1.3. Az 5.1.1.2. pontban meghatározott követelménytől eltérő fékrendszerrel felszerelt járművek esetében a tartós fékrendszerek működtetése a keltett lassulástól függetlenül is generálhat jelzést.
5.1.1.4. Nem generálhat jelzést az, ha a lassulást egyedül a motor természetes fékező ereje okozza.
5.1.1.5. Az üzemi fékrendszer önműködően vezérelt fékezéssel történő aktiválásának generálnia kell a fent említett jelzést. Ha azonban a keltett lassulás 0,7 m/s2 alatti, a jel megszüntethető.
A típusjóváhagyás időpontjában e követelmények teljesítését a jármű gyártójának kell megerősítenie.
5.1.1.6. Az üzemi fékrendszer szelektív fékezéssel történő aktiválása nem válthatja ki a fent említett jelzést.
Szelektív fékezés során a funkció átválthat önműködően vezérelt fékezésbe.
5.1.1.7. Az elektromos vezérlővezetékkel felszerelt járművek esetében a jelet a traktornak kell generálnia, amikor a vontatott járműről az elektromos vezérlővezetéken keresztül beérkezik a "féklámpák világítása" utasítás.
5.2. Vontatott járművek
5.2.1. Minden olyan esetben, amikor a 2.1. pontban meghatározott funkciókhoz ISO 7638:2003 szerinti csatlakozót használnak, a fékrendszer részére kell elsőbbséget biztosítani, és azt védeni a fékrendszeren kívülről érkező túlterhelés ellen. Ennek a védelemnek a fékrendszer egyik funkciójának kell lennie.
5.2.2. Az I. melléklet 2.1.4.1.2. pontja szerint felszerelt két járművet összekötő vezérlővezetékek egyikének meghibásodása esetén a vontatott járműnek önműködően a hibával nem érintett vezérlővezetéket kell használnia a vontatott járműre a II. melléklet 3.2.1. pontjában előírt fékhatásosság biztosítása érdekében.
5.2.3. Amennyiben a vontatott jármű tápfeszültsége a gyártó által meghatározott azon érték alá esik, amely alatt az előírt üzemi fékhatás már nem biztosítható, az ISO 7638:2003 szabványnak megfelelő csatlakozó 5. érintkezőjén keresztül aktiválni kell az I. melléklet 2.2.1.29.2. pontjában meghatározott külön sárga figyelmeztető jelzést. Emellett az elektromos vezérlővezetékkel felszerelt vontatott járműveknek a traktorhoz az elektromos vezérlővezetékkel történő elektromos csatlakoztatása esetében a hibainformációkat az I. melléklet 2.2.1.29.2.1. pontjában meghatározott figyelmeztető jelzésnek az elektromos vezérlővezeték adatkommunikációs részén keresztül történő működtetésével kell továbbítani.
5.2.4. Az elektromos vezérlővezetékkel felszerelt pótkocsiknak a traktorhoz az elektromos vezérlővezetékkel történő elektromos csatlakoztatása esetében, ha a vontatott jármű üzemi fékrendszerének bármely részében tárolt energia az 5.2.4.1. pontnak megfelelően meghatározott értékre esik le, a traktor vezetőjét erről figyelmeztetni kell. A figyelmeztetést az I. melléklet 2.2.1.29.2.1. pontjában meghatározott vörös jelzés aktiválásával kell megadni és a vontatott járműnek a hibainformációkat az elektromos vezérlővezeték adatkommunikációs részén keresztül történő aktiválásával kell továbbítania. Az ISO 7638:2003 szabványnak megfelelő elektronikus csatlakozó 5. érintkezőjén keresztül az I. melléklet 2.2.1.29.2. pontjának megfelelő külön sárga figyelmeztető jelzést is aktiválni kell a vontatott jármű alacsony energiaellátottságának a járművezető felé történő jelzése érdekében.
5.2.4.1. Az 5.2.4. pontban említett alacsony energiaérték az az érték, amely mellett az energiatároló újratöltése nélkül és a vontatott jármű terheltségi állapotától függetlenül nem lehetséges az üzemi fék kezelőszervét négyszeri teljes löketű működtetés után ötödször is úgy működtetni, hogy az adott vontatott jármű üzemi fékrendszerére előírt fékhatásosság legalább 50 %-a elérhető legyen.
5.2.5. Az üzemi fékrendszer működtetése
5.2.5.1. Az elektromos vezérlővezetékkel felszerelt vontatott járművek esetében a "féklámpák világítása" utasítást a vontatott járműnek az elektromos vezérlővezetéken keresztül kell továbbítania, ha a vontatott jármű fékrendszere a vontatott jármű által keltett önműködően vezérelt fékezés során lép működésbe. Ha azonban a keltett lassulás 0,7 m/s2 alatti, a jel megszüntethető.
A típusjóváhagyás időpontjában e követelmények teljesítését a jármű gyártójának kell megerősítenie.
5.2.5.2. Az elektromos vezérlővezetékkel felszerelt vontatott járművek esetében a "féklámpák világítása" utasítást nem a vontatott jármű kell, hogy továbbítsa az elektromos vezérlővezetéken keresztül a vontatott jármű által keltett szelektív fékezés során.
Szelektív fékezés során a funkció átválthat önműködően vezérelt fékezésbe.
6. Önműködő fékezés beszüntetése
Az elektromos vezérlővezetékkel felszerelt és a traktorhoz elektromos vezérlővezetékkel elektromosan csatlakoztatott vontatott jármű esetében az I. melléklet 2.2.1.17.2.2. pontjában meghatározott önműködő fékezés beszüntethető, amennyiben a vontatott jármű sűrítettlevegő-tartályaiban a nyomás elegendő a II. melléklet 3.2.3. pontjában előírt fékhatás biztosításához.
1. függelék
A traktorok és vontatott járművek közötti kompatibilitás az ISO 11992 szerinti adatkommunikáció tekintetében
1. Általános tudnivalók
1.1. A jelen függelék követelményei csak az elektromos vezérlővezetékkel ellátott traktorokra és vontatott járművekre vonatkoznak.
1.2. Az ISO 7638 szerinti csatlakozó biztosít áramot a vontatott jármű fékrendszeréhez vagy blokkolásgátló fékrendszeréhez. Az elektromos vezérlővezetékkel ellátott járművek esetében ez a csatlakozó egyúttal adatkommunikációs felületet is biztosít a 6. és 7. érintkezőn keresztül az e melléklet 2.1. pontjában leírtak szerint.
1.3. A jelen függelék az ISO 11992-2-2003 szabványban (beleértve az Amd.1:2007 módosítást) meghatározott üzenetek támogatása tekintetében ír elő követelményeket traktorra és vontatott járműre.
2. Az ISO 11992-2:2003 szabványban (beleértve az Amd.1:2007 módosítást) meghatározott és az elektromos vezérlővezetékkel továbbított paramétereket az alábbiak szerint kell támogatni:
2.1. A e rendeletben meghatározott alábbi funkciókat és kapcsolódó üzeneteket értelemszerűen kell támogatnia a traktornak vagy vontatott járműnek:
2.1.1. A traktorról a vontatott járműre továbbított üzenetek:
Funkció/paraméter | ISO 11992-2:2003 hivatkozás | Hivatkozás e rendeletben |
Üzemi/biztonsági fékigényérték | EBS11 3-4. byte | II. melléklet 1. függeléke, 3.1.3.2. pont |
Két áramkör fékigényértéke | EBS12 3. byte, 1-2. bit | XII. melléklet, 3.1. pont |
Pneumatikus vezérlővezeték | EBS12 3. byte, 5-6. bit | XII. melléklet, 3.1. pont |
2.1.2. A vontatott járműről a traktorra továbbított üzenetek:
Funkció/paraméter | ISO 11992-2:2003 hivatkozás | Hivatkozás e rendeletben |
Jármű elegendő/elégtelen áramellátása | EBS22 2. byte, 1–2. bit | XII. melléklet, 5.2.3. pont |
Figyelmeztető jel parancs | EBS22 2. byte, 3–4. bit | XII. melléklet, 4.2.3., 5.2.4. és 5.2.3. pont |
Töltővezetékből érkező fékezési parancs | EBS22 4. byte, 3–4. bit | XII. melléklet, 4.2.2. pont |
Féklámpa parancs | EBS22 4. byte, 5–6. bit | XII. melléklet, 5.2.5.1. pont |
Jármű elegendő/elégtelen pneumatikus ellátása | EBS23 1. byte, 7–8. bit | XII. melléklet, 5.2.4. pont |
2.2. Amikor a vontatott jármű az alábbi üzenetet továbbítja, a traktor figyelmeztetést küld a vezető részére:
Funkció/paraméter | ISO 11992-2:2003 hivatkozás | Vezető figyelmeztetése szükséges |
Figyelmeztető jel parancs | EBS22 2. byte, 3–4. bit | I. melléklet 2.2.1.29.2.1. pontja |
2.3. Az ISO 11992-2:2003 szabványban (beleértve az Amd.1:2007 módosítást) meghatározott alábbi üzeneteket kell a traktornak vagy vontatott járműnek támogatnia:
2.3.1. A traktorról a vontatott járműre továbbított üzenetek:
Nincs jelenleg meghatározott üzenet.
2.3.2. A vontatott járműről a traktorra továbbított üzenetek:
Funkció/paraméter | ISO 11992-2:2003 hivatkozás |
Jármű üzemi fék aktív/passzív | EBS22 1. byte, 5–6. bit |
Elektromos vezérlővezetéken keresztüli fékezés támogatott | EBS22 4. byte, 7–8. bit |
Geometriai adatindex | EBS24 1. byte |
Geometriai adatindex tartalom | EBS24 2. byte |
2.4. Az alábbi üzeneteket kell a traktornak vagy vontatott járműnek támogatnia értelemszerűen, amikor a jármű az adott paraméterhez kapcsolódó funkcióval van ellátva:
2.4.1. A traktorról a vontatott járműre továbbított üzenetek:
Funkció/paraméter | ISO 11992-2:2003 hivatkozás |
Járműtípus | EBS11 2. byte, 3–4. bit |
VDC (járműdinamikai szabályozórendszer) aktív/passzív | EBS11 2. byte, 5–6. bit |
Fékigényérték a jármű elején vagy bal oldalán | EBS11 7. byte |
Fékigényérték a jármű hátulján vagy jobb oldalán | EBS11 8. byte |
ROP (borulás hatása elleni védőszerkezet) rendszer engedélyezve/letiltva | EBS12 1. byte, 3–4. bit |
YC (elfordulásszabályozás) rendszer engedélyezve/letiltva | EBS12 1. byte, 5–6. bit |
Vontatott jármű ROP (borulás hatása elleni védőszerkezet) rendszer engedélyezése/letiltása | EBS12 2. byte, 1–2. bit |
Vontatott jármű YC (elfordulásszabályozás) rendszer engedélyezése/letiltása | EBS12 2. byte, 3–4. bit |
Vonóerő-segítségkérés | RGE11 1. byte, 7–8. bit |
1. felemelhető tengely – pozíció parancs | RGE11 2. byte, 1–2. bit |
2. felemelhető tengely – pozíció parancs | RGE11 2. byte, 3–4. bit |
Kormányzó tengely zár parancs | RGE11 2. byte, 5–6. bit |
Másodperc | TD11 1. byte |
Perc | TD11 2. byte |
Óra | TD11 3. byte |
Hónap | TD11 4. byte |
Nap | TD11 5. byte |
Év | TD11 6. byte |
Helyi perc eltolás | TD11 7. byte |
Helyi óra eltolás | TD11 8. byte |
2.4.2. A vontatott járműről a traktorra továbbított üzenetek:
Funkció/paraméter | ISO 11992-2:2003 hivatkozás |
Az oldal vagy tengely szerinti fékerőeloszlás | EBS21 2. byte, 3–4. bit |
Kerék alapú járműsebesség | EBS21 3–4. byte |
Oldalgyorsulás | EBS21 8. byte |
Jármű ABS aktív/passzív | EBS22 1. byte, 1–2. bit |
Borostyánsárga figyelmeztető jel parancs | EBS22 2. byte, 5–6. bit |
Járműtípus | EBS22 3. byte, 5–6. bit |
Rakodórámpa megközelítésének segítése | EBS22 4. byte, 1–2. bit |
Tengelyterhelés összesen | EBS22 5–6. byte |
Gumiabroncsnyomás elégséges/elégtelen | EBS23 1. byte, 1–2. bit |
Fékbetét elégséges/elégtelen | EBS23 1. byte, 3–4. bit |
Fékhőmérséklet állapot | EBS23 1. byte, 5–6. bit |
Gumiabroncs/kerék azonosítása (nyomás) | EBS23 2. byte |
Gumiabroncs/kerék azonosítása (betét) | EBS23 3. byte |
Gumiabroncs/kerék azonosítása (hőmérséklet) | EBS23 4. byte |
Gumiabroncsnyomás (tényleges gumiabroncsnyomás) | EBS23 5. byte |
Fékbetét | EBS23 6. byte |
Fékhőmérséklet | EBS23 7. byte |
Fékhengernyomás első tengely bal kerék | EBS25 1. byte |
Fékhengernyomás első tengely jobb kerék | EBS25 2. byte |
Fékhengernyomás második tengely bal kerék | EBS25 3. byte |
Fékhengernyomás második tengely jobb kerék | EBS25 4. byte |
Fékhengernyomás harmadik tengely bal kerék | EBS25 5. byte |
Fékhengernyomás harmadik tengely jobb kerék | EBS25 6. byte |
ROP (borulás hatása elleni védőszerkezet) rendszer engedélyezve/letiltva | EBS25 7. byte, 1–2. bit |
YC (elfordulásszabályozás) rendszer engedélyezve/letiltva | EBS25 7. byte, 3–4. bit |
Vonóerő segítése | RGE21 1. byte, 5–6. bit |
1. felemelhető tengely pozíció | RGE21 2. byte, 1–2. bit |
2. felemelhető tengely pozíció | RGE21 2. byte, 3–4. bit |
Kormányzó tengely zár | RGE21 2. byte, 5–6. bit |
Gumiabroncs kerék azonosítása | RGE23 1. byte |
Gumiabroncs hőmérséklet | RGE23 2–3. byte |
Levegőszivárgás észlelése (gumiabroncs) | RGE23 4–5. byte |
Gumiabroncsnyomás-küszöb észlelése | RGE23 6. byte, 1–3. bit |
2.5. Az ISO 11992-2:2003 szabványban (beleértve az Amd.1:2007 módosítást) meghatározott összes többi üzenet támogatása opcionális a traktoron és a vontatott járművön.
2. függelék
Vizsgálati eljárás az elektromos vezérlővezetékkel felszerelt járművek funkcionális kompatibilitásának értékelésére
1. Általános tudnivalók
1.1. Ez a függelék határozza meg az elektromos vezérlővezetékkel felszerelt traktoroknak és vontatott járműveknek a XII. melléklet 2.2. pontjában említett funkcionális és hatásossági követelmények teljesítése szempontjából történő ellenőrzéséhez a műszaki szolgálat által használható eljárást.
1.2. Az e függelékben az ISO 7638 szabványra tett hivatkozások a 24 V-os alkalmazások esetében az ISO 7638-1:2003, 12V-os alkalmazások esetében pedig az ISO 7638-2:2003 szabványra vonatkoznak.
2. Traktorok
2.1. ISO 11992 szerinti vontatott jármű-szimulátor
A szimulátornak az alábbiakkal kell rendelkeznie:
2.1.1. Az ISO 7638:2003 szabványnak megfelelő (hétpólusú) csatlakozó a vizsgált járműhöz való csatlakoztatás érdekében. A csatlakozó 6. és 7. érintkezőjét használja az ISO 11992:2003 szabványnak (beleértve az ISO 11992-2:2003 szabványt és annak Amd. 1:2007 módosítását) megfelelő üzenetek továbbítására és fogadására;
2.1.2. Képes a jóváhagyás alatt álló gépjármű által továbbított minden üzenet fogadására és az ISO 11992-2:2003 szabványban és annak Amd.1:2007 módosításában meghatározott valamennyi vontatottjármű-üzenet továbbítására;
2.1.3. Biztosítja az üzenetek közvetlen vagy közvetett kiolvasását, illetve az adatmezőben megadott paraméterek az idő szerinti helyes sorrendben való megjelenítését; és
2.1.4. Rendelkezik a kapcsolófej válaszidejének mérésére szolgáló eszközzel a III. melléklet 2.6. pontjának megfelelően.
2.2. Ellenőrzési eljárás
2.2.1. Annak igazolása, hogy a gyártó/szállító adatközlő lapja bemutatja az ISO 11992 szabvány rendelkezéseinek a fizikai, az adatkapcsolati és -alkalmazási szint tekintetében történő betartását.
2.2.2. A következők ellenőrzése, a gépjárműhöz az ISO 7638 szabvány szerinti interfészen keresztül csatlakoztatott szimulátorral, az összes vonatkozó vontatottjármű-üzenet átvitele közben:
2.2.2.1. Vezérlővezeték-jelzés:
2.2.2.1.1. Ellenőrizni kell az ISO 11992-2:2003 szabvány EBS 12 3. byte részében és az Amd.1:2007-ben meghatározott paramétereket a jármű specifikációjához képest, az alábbiak szerint:
Vezérlővezeték-jelzés | EBS 12 3. byte | |
1–2. bit | 5–6. bit | |
Egy elektromos körből kiváltott üzemi fékigény | 00b | |
Két elektromos körből kiváltott üzemi fékigény | 01b | |
A járművet nem szerelték fel pneumatikus vezérlővezetékkel (1) | 00b | |
A járművet felszerelték pneumatikus vezérlővezetékkel | 01b | |
(1) A jármű e specifikációja tilos az I. melléklet 2.1.4.1.3. pontja szerint. |
2.2.2.2. Üzemi/biztonsági fékigény:
2.2.2.2. 1 Az ISO 11992-2:2003 szabvány EBS 11 részében és annak Amd.1:2007 módosításában meghatározott paramétereket ellenőrizni kell a következők szerint:
A vizsgálat feltételei | Byte hivatkozás | Elektromos vezérlővezeték jelértéke |
Üzemi fékpedál és biztonsági fék kezelőszerve kioldva | 3–4 | 0 |
Üzemi fékpedál teljesen benyomva | 3–4 | 33280d–43520d (650–850 kPa) |
Biztonsági fék teljesen behúzva (1) | 3–4 | 33280d–43520d (650–850 kPa) |
(1) Nem kötelező az elektromos és pneumatikus vezérlővezetékkel felszerelt traktorokon, ha a pneumatikus vezérlővezeték teljesíti a biztonsági fékezés megfelelő követelményeit. |
2.2.2.3. Figyelmeztetés meghibásodásra:
2.2.2.3.1. Az ISO 7638 szerinti csatlakozó 6. érintkezőjéhez kapcsolódó kommunikációs vonal állandó hibájának szimulálása és annak ellenőrzése, hogy megjelenik-e az I. melléklet 2.2.1.29.1.2. pontjában meghatározott sárga figyelmeztető jelzés.
2.2.2.3.2. Az ISO 7638 szerinti csatlakozó 7. érintkezőjéhez kapcsolódó kommunikációs vonal állandó hibájának szimulálása és annak ellenőrzése, hogy megjelenik-e az I. melléklet 2.2.1.29.1.2. pontjában meghatározott sárga figyelmeztető jelzés.
2.2.2.3.3. Az EBS 22 2. byte 3-4. bitjei 01b-re állított üzenetének szimulálása, és annak ellenőrzése, hogy megjelenik-e az I. melléklet 2.2.1.29.1.1. pontjában meghatározott figyelmeztető jelzés.
2.2.2.4. Töltővezetékből érkező fékezési parancs:
A csak elektromos vezérlővezetékkel csatlakoztatott pótkocsikkal üzemeltethető vontatott járművek esetében:
Csak az elektromos vezérlővezetéket kell csatlakoztatni.
Az EBS 22 2. byte 3-4. bitjei 01b-re állított üzenetének szimulálása, és annak ellenőrzése, hogy az üzemi fék, biztonsági fék vagy rögzítőfék rendszer teljes működtetése esetén a töltővezeték nyomása a következő 2 másodperc során 150 kPa-ra esik-e.
Az adatkommunikáció folyamatos hiányának szimulálása és annak ellenőrzése, hogy az üzemi fék, biztonsági fék vagy rögzítőfék rendszer teljes működtetése esetén a töltővezeték nyomása a következő 2 másodperc során 150 kPa-ra esik-e.
2.2.2.5. Válaszidő:
2.2.2.5.1. Annak ellenőrzése, hogy hiba hiányában teljesülnek-e a III. melléklet 2.6. pontjában a vezérlővezeték válaszidejére meghatározott követelmények.
2.2.2.6. A féklámpák világítása
Az EBS 22 4. byte 5-6. bitjeinek 00-ra állított üzenetének szimulálása, és annak ellenőrzése, hogy a féklámpák nem világítanak.
Az EBS 22 4. byte 5-6. bitjeinek 01-re állított üzenetének szimulálása, és annak ellenőrzése, hogy a féklámpák világítanak.
2.2.3. Kiegészítő ellenőrzések
2.2.3.1. A műszaki szolgálat mérlegelése alapján a 2.2.1. és a 2.2.2. pontban meghatározott ellenőrzési eljárások megismételhetők az interfész más állásában vagy kikapcsolt állapotában, nem fékezési funkciók tekintetében is.
2.2.3.2. Az 1. függelék 2.4.1. pontja meghatározza azokat a kiegészítő üzeneteket, amelyeket a megadott körülmények között a traktornak támogatnia kell. Kiegészítő ellenőrzések végezhetők el a támogatott üzenetek állapota vizsgálatára annak biztosítása céljából, hogy a 2.3. pontban leírt követelmények teljesülnek.
3. Vontatott járművek
3.1. ISO 11992 traktor-szimulátor
A szimulátornak az alábbiakkal kell rendelkeznie:
3.1.1. Az ISO 7638:2003 szabványnak megfelelő (hétpólusú) csatlakozó a vizsgált járműhöz való csatlakoztatás érdekében. A csatlakozó 6. és 7. érintkezőjét használja az ISO 11992:2003 szabványnak (beleértve az ISO 11992-2:2003 szabványt és annak Amd. 1:2007 módosítását) megfelelő üzenetek továbbítására és fogadására;
3.1.2. Hibajelzés-kijelző és elektromos tápellátás a vontatott jármű számára;
3.1.3. Képes a jóváhagyás alatt álló vontatott jármű által továbbított minden üzenet fogadására és az ISO 11992 2:2003 szabványban és annak Amd.1:2007 módosításában meghatározott valamennyi gépjárműüzenet továbbítására;
3.1.4. Biztosítja az üzenetek közvetlen vagy közvetett kiolvasását, valamint az adatmezőben megadott paraméterek az idő szerinti helyes sorrendben történő megjelenítését; és
3.1.5. rendelkezik a fékrendszer válaszidejének mérésére szolgáló eszközzel a III. melléklet 4.5.2. pontjának megfelelően.
3.2. Ellenőrzési eljárás
3.2.1. Annak igazolása, hogy a gyártó/szállító adatközlő lapja bemutatja-e az ISO 11992:2003 szabvány (beleértve az ISO 11992-2:2003 szabványt és annak Amd.1:2007 módosítását) rendelkezéseinek a fizikai, az adatkapcsolati és -alkalmazási szint tekintetében történő betartását.
3.2.2. A következők ellenőrzése, a vontatott járműhöz az ISO 7638 szabvány szerinti interfészen keresztül csatlakoztatott szimulátorral, az összes vonatkozó traktor üzenet átvitele közben:
3.2.2.1. Üzemi fékrendszer működése:
3.2.2.1.1. Az ISO 11992-2:2003 szabvány és annak Amd.1:2007 módosítása EBS 11 részében meghatározott vontatott jármű válaszparamétereket ellenőrizni kell a következők szerint:
Minden egyes vizsgálat kezdetén a töltővezeték nyomása > 700 kPa kell, hogy legyen, és a járműnek terheltnek kell lennie (a terhelési viszonyokat az ellenőrzés céljára szimulálni lehet).
3.2.2.1.1.1. Az elektromos és pneumatikus vezérlővezetékkel felszerelt vontatott járművek esetében:
Mindkét vezérlővezetéket csatlakoztatni kell;
Mindkét vezérlővezetéknek egyidejűleg jelzést kell adni;
A szimulátornak 3. byte 5-6. bitjeinek üzenetét kell továbbítania;
Az EBS 12 01b-re állított üzenetét kell továbbítania a vontatott jármű számára annak jelzésére, hogy pneumatikus vezérlővezetéket kell csatlakoztatni.
Ellenőrizendő paraméterek:
A szimulátor által továbbított üzenet | Nyomás a fékkamrákban | |
Bytehivatkozás | Digitális terhelés értéke | |
3–4 | 0 | 0 kPa |
3–4 | 33280d (650 kPa) | A gyártó fékszámításában meghatározottak szerint |
3.2.2.1.1.2. Pneumatikus és elektromos vezérlővezetékkel vagy csak elektromos vezérlővezetékkel felszerelt vontatott járművek:
Csak az elektromos vezérlővezetéket kell csatlakoztatni.
A szimulátornak a következő üzeneteket kell továbbítania:
Az EBS 12 3. byte-ja 5-6. bitjeinek 00b-re állított üzenete a vontatott jármű számára annak jelzésére, hogy pneumatikus vezérlővezeték nem áll rendelkezésre, és az EBS 12 3. byte-ja 1-2. bitjeinek 01b-re állított üzenete a vontatott jármű számára annak jelzésére, hogy az elektromos vezérlővezeték jelét két áramkör generálta.
Ellenőrizendő paraméterek:
A szimulátor által továbbított üzenet | Nyomás a fékkamrákban | |
Bytehivatkozás | Digitális terhelés értéke | |
3–4 | 0 | 0 kPa |
3–4 | 33280d (650 kPa) | A gyártó fékszámításában meghatározottak szerint |
3.2.2.1.2. A csak elektromos vezérlővezetékkel felszerelt vontatott járművek esetében ellenőrizni kell az ISO 11992-2:2003 EBS 12 részében és annak Amd.1:2007 módosításában meghatározott üzenetekre adott választ a következők szerint:
Minden egyes vizsgálat kezdetén a pneumatikus töltővezeték nyomásának ≥ 700 kPa-nak kell lennie.
Az elektromos vezérlővezetéket csatlakoztatni kell a szimulátorhoz.
A szimulátornak a következő üzeneteket kell továbbítania:
Az EBS 12 3. byte-ja 5-6. bitjeinek 01b-re állított üzenete, a vontatott jármű számára annak jelzésére, hogy pneumatikus vezérlővezeték rendelkezésre áll.
Az EBS 11 3-4. byte-jainak 0-ra állított üzenete (nincs üzemi fékigény)
A következő üzenetekre adott választ ellenőrizni kell:
EBS 12, 3. byte, 1–2. bit | Nyomás a fékkamrában vagy a vontatott jármű reakciója |
01b | 0 kPa (üzemi fék kiengedve) |
00b | A vontatott jármű önműködően lefékez annak jelzésére, hogy a szerelvény nem kompatibilis. Az ISO 7638:2003 csatlakozó 5. érintkezőjén keresztül egy jelet is kell továbbítani (sárga figyelmeztető jelzés). |
3.2.2.1.3. A csak elektromos vezérlővezetékkel csatlakoztatott vontatott jármű esetében a következő eljárással kell ellenőrizni a vontatott jármű válaszát az elektronikus vezérlésátvitel olyan hibájára, melynek következtében a fékhatásosság az előírt érték legalább 30 %-ára csökken:
Minden egyes vizsgálat kezdetén a pneumatikus töltővezeték nyomásának ≥ 700 kPa-nak kell lennie.
Az elektromos vezérlővezetéket csatlakoztatni kell a szimulátorhoz.
Az EBS 12 3. byte-ja 5-6. bitjeinek 00b-re állított üzenete a vontatott jármű számára annak jelzésére, hogy pneumatikus vezérlővezeték nem áll rendelkezésre
Az EBS 12 3. byte-ja 1-2. bitjeinek 01b-re állított üzenete a vontatott jármű számára annak jelzésére, hogy az elektromos vezérlővezeték jelét két független áramkör generálta.
A következőket kell ellenőrizni:
A vizsgálat feltételei | A fékrendszer válasza |
A vontatott jármű fékrendszerében hiba nincs | Ellenőrizni kell, hogy a fékrendszer kommunikál a szimulátorral, illetve hogy az EBS 22 4. byte-ja 3–4. bitjei 00b-re vannak állítva. |
A vontatott jármű fékrendszer elektromos vezérlésátvitelében olyan hibát keltve, ami kizárja az előírt fékhatásosság legalább 30 %-ának fenntartását | Annak ellenőrzése, hogy az EBS 22 4. byte-ja 3–4. bitjei 01b-re vannak állítva vagy a szimulátorral való adatkommunikáció megszűnt |
3.2.2.2. Figyelmeztetés meghibásodásra
3.2.2.2.1. Ellenőrizni kell, hogy a megfelelő figyelmeztető üzenet vagy jelzés továbbításra kerül a következő feltételek mellett:
3.2.2.2.1.1. Amennyiben a vontatott jármű fékrendszerének elektromos vezérlésátvitelén belüli tartós hiba eleve kizárja az üzemi fékhatásosság teljesítését, ilyen hiba szimulálása és annak ellenőrzése, hogy az EBS 22 vontatott járműnek továbbított 2. byte-ja 3-4. bitjei 01b-re vannak állítva. Jelet kell továbbítani az ISO 7638 szabvány szerinti csatlakozó 5. érintkezőjén keresztül is (sárga figyelmeztető jelzés).
3.2.2.2.1.2. Az ISO 7638 szabvány szerinti csatlakozó 1. és 2. érintkezőjén a feszültséget a gyártó által megadott azon érték alá kell csökkenteni, amely eleve kizárja az üzemi fékrendszer hatásosságának teljesülését és ellenőrizni kell, hogy az EBS 22 vontatott jármű által továbbított 2. byte 3-4. bitjei 01b-re vannak állítva. Jelet kell továbbítani az ISO 7638 szabvány szerinti csatlakozó 5. érintkezőjén keresztül is (sárga figyelmeztető jelzés).
3.2.2.2.1.3. E melléklet 5.2.4. pontja rendelkezéseinek betartását a töltővezeték leválasztásával kell ellenőrizni. A vontatott jármű nyomástároló rendszerében a nyomást a gyártó által megadott értékre kell csökkenteni. Ellenőrizni kell, hogy az EBS vontatott jármű által továbbított EBS 22 2. byte-jának 3-4. bitje 01b-re van-e állítva, és hogy az EBS 23 1. byte-jának 7-8. bitje 00-ra van-e állítva. Az ISO 7638 szerinti csatlakozó 5. érintkezőjén keresztül szintén kell jelet továbbítani (sárga figyelmeztető jelzés).
3.2.2.2.1.4. Ellenőrizni kell, hogy amikor a fékberendezés elektromos része először feszültség alá kerül, az EBS 22 vontatott jármű által továbbított 2. byte 3-4. bitjei 01b-re vannak állítva. Miután a fékrendszer ellenőrizte, hogy nincs vörös figyelmeztető jelzést igénylő hiba, az ebben a pontban említett üzenetnek 00b-re kell állnia.
3.2.2.3. Válaszidő ellenőrzése
3.2.2.3.1. Ellenőrizni kell, hogy hiba hiányában teljesülnek-e az III. melléklet 4.5.2. pontjában a fékrendszer válaszidejére meghatározott követelmények.
3.2.2.4. Önműködően vezérelt fékezés
Amennyiben a vontatott jármű olyan funkcióval rendelkezik, amelynek működése önműködően vezérelt fékezési beavatkozást eredményez, a következőket kell ellenőrizni.
Ha nem történik önműködően vezérelt fékezési beavatkozás, ellenőrizze, hogy az EBS 22 4. byte-jának 5-6. bitjei 00-ra vannak-e állítva.
Önműködően vezérelt fékezési beavatkozást kell szimulálni, ha a kapott lassulás ≥ 0,7 m/sec2; ellenőrizze, hogy az EBS 22 4. byte-jának 5-6. bitjei 01-re vannak-e állítva.
3.2.2.5. Járműstabilitási funkció
Amennyiben a vontatott jármű járműstabilitási funkcióval rendelkezik, az alábbi ellenőrzéseket kell elvégezni:
Amikor a jármű stabilitási funkció inaktív, ellenőrizze, hogy az EBS 21 2. byte-jának 1-2. bitjei 00-ra vannak-e állítva.
3.2.2.6. Az elektromos vezérlővezeték támogatása
Ha a vontatott jármű fékrendszere nem támogatja az elektromos vezérlővezetéken keresztüli fékezést, ellenőrizze, hogy az EBS 22 4. byte-jának 7-8. bitjei 00-ra vannak-e állítva.
Ha a vontatott jármű fékrendszere támogatja az elektromos vezérlővezetéket, ellenőrizze, hogy az EBS 22 4. byte-jának 7-8. bitjei 01-re vannak-e állítva.
3.2.3. Kiegészítő vizsgálatok
3.2.3.1. A műszaki szolgálat mérlegelése alapján a 3.2.1. és 3.2.2. pontokban meghatározott ellenőrzési eljárások megismételhetők az interfész más állásaiban vagy kikapcsolt állapotában nem fékezési üzenetek tekintetében is.
Amennyiben a fékrendszer válaszidejét ismételten megmérik, a feljegyzett értékek változhatnak a jármű levegőrendszerének reakciójából adódóan. Az előírt válaszidő-követelményeknek minden esetben teljesülniük kell.
3.2.3.2. Az 1. függelék 2.4.2. pontja további üzeneteket határoz meg, amelyeket a megadott körülmények között a vontatott járműnek támogatnia kell. Kiegészítő ellenőrzések végezhetők el a támogatott üzenetek állapotának vizsgálatára annak biztosítása érdekében, hogy a jelen melléklet 2.3. pontjában leírt követelmények teljesülnek.
XIII. MELLÉKLET
Az egyvezetékes típusú hidraulikus csatlakozásra alkalmas hidraulikus fékrendszerekre vonatkozó követelmények
1. Általános tudnivalók
1.1. A traktornak az I. melléklet 2.1.5.1.1. pontjában említett hidraulikus vezérlővezetéke működhet egyvezetékes típusú hidraulikus csatlakozóként, feltéve, hogy a csatlakozón létrehozott nyomások megfelelnek az 1.1.1., 1.1.2. és 1.1.3. pontnak.
1.3. A traktor üzemi fékrendszerét olyan berendezéssel kell ellátni, amely segítségével a vontatott jármű fékrendszerének meghibásodása vagy a traktor és a vontatott jármű közötti vezérlővezeték szakadása esetén továbbra is az e rendeletben a biztonsági fékrendszerre vonatkozóan előírt hatásossággal lehet a traktort fékezni.
2. A hidraulikus fékrendszerrel felszerelt traktorok és vontatott járművek közötti egyvezetékes típusú hidraulikus csatlakozásoknak az alábbi követelményeknek kell megfelelniük:
2.1. A csatlakozás típusa: hidraulikus vezérlővezeték csatlakozódugasszal a traktoron és csatlakozóaljzattal a vontatott járművön. A csatlakozóknak meg kell felelniük az ISO 5676:1983 szabványnak.
2.2. Járó motor és a traktor üzemi fékrendszere kezelőszervének teljes működtetése mellett 10 000 kPa és 15 000 kPa közötti nyomást kell létrehozni a vezérlővezetéken.
2.3. Járó motor mellett és a traktorfék kezelőszervének működtetése nélkül (haladás vagy készenléti állapot) a vezérlővezeték kapcsolófejénél alkalmazott nyomás legyen 0+ 200 kPa.
2.4. A III. melléklet válaszidőre vonatkozó követelményei nem érvényesek ennél a csatlakozástípusnál.
2.5. A II. melléklet 1. függeléke szerinti kompatibilitási követelmények nem vonatkoznak erre a csatlakozástípusra.
3. Alternatív követelmények
Az 1. és 2. szakaszban meghatározott követelmények helyett megengedett, hogy a traktorokra szerelt egyvezetékes típusú hidraulikus csatlakozás a 2.1. szakasz rendelkezései mellett e szakasz valamennyi követelményét teljesítse.
3.1. A hidraulikus kört nyomáshatároló szeleppel kell ellátni, amely megakadályozza, hogy a hidraulikus nyomások túllépjék a 15 000 kPa értéket.
3.2. Miközben a traktoron nincs fék kezelőszerv működtetve (beleértve a rögzítőféket), az alacsony üresjárat és a névleges fordulatszám közötti bármely motorfordulatszámon (rmp) a kapcsolófejnél a nyomásnak 1 000 és 1 500 kPa között kell lennie.
3.3. A traktor üzemi fékjének fokozatos működtetése közben a kapcsolófejnél a nyomás fokozatosan emelkedik és éri el a legnagyobb előírt értéket, amelynek 12 000 és 14 000 kPa között kell lennie. A követelményt minden motorfordulatszámon teljesíteni kell a 3.2. pontban leírtak szerint.
3.4. A TM/FM lefékezettség és a pm kapcsolófej nyomás közötti megengedett viszonynak kisebbnek kell lennie, mint az 1. ábrán szereplő AAA vonal. A követelmény terheletlen járműre érvényes.
3.5. A vontatottjármű-szimulátor traktorra (a 3.10. pont szerint) történő csatlakoztatásakor a kapcsolófejnél mért nyomásfelfutási idő nem lehet nagyobb, mint 0,6 másodperc. A nyomásfelfutási időt a kapcsolófejnél kell mérni a pedál működtetésének pillanatától addig a pillanatig, amikor a nyomás eléri a 7 500 kPa értéket. A vizsgálat során a motorfordulatszámot a névleges fordulatszám 2/3-ra kell állítani. A környezeti és járműhőmérsékletet 10°C és 30°C között kell stabilizálni. A kapcsolófejnél a 10 000 kPa nyomás eléréséhez szükséges pedálműködtetési idő nem lehet kevesebb, mint 0,2 másodperc.
3.6. A vontatott jármű fékrendszerében a traktor oldalán észlelt meghibásodás esetében 1 másodpercen belül kell elérni 0 kPa-ra történő nyomásesést (a kapcsolófejnél mérve) a vontatott jármű fékeinek működtetése érdekében. Ugyanez az előírás érvényes az energiaforrás kikapcsolása vagy alacsony hatékonysága esetén.
3.7. A traktor üzemi fékjeinek meghibásodása esetén a gépkezelőnek képesnek kell lennie arra, hogy 0 kPa-ra csökkentse a nyomást a kapcsolófejnél. Ez a követelmény kézi segéd kezelőszervvel teljesíthető.
3.8. A traktort az I. melléklet 2.2.1.29.1.1. pontjában meghatározott figyelmeztető jelzéssel kell ellátni; ezt akkor kell működtetni, ha a vontatott jármű fékrendszerében a nyomás 1 000 (+ 0 - 200) kPa alá esik.
3.9. Az (EU) 2015/208 felhatalmazáson alapuló rendelet 24. cikkének követelményei szerint a fékszelepet és az energiaforrást jelöléssel kell ellátni.
3.10. Vontatottjármű-szimulátor: A vontatott jármű fékrendszerét szimuláló berendezésnek az ISO 5676-1983 szerinti csatlakozóaljzattal ellátott hidraulikus kört és két egyforma, rugós elemekkel felszerelt és a 2. ábrán bemutatott követelményeket teljesítő hidraulikus energiatároló berendezést kell tartalmaznia. A szimulátort a 3. ábra rendelkezései szerint kell legyártani.
1. ábra
A TM/FM lefékezettség és a kapcsolófej pm nyomás közötti viszony

pm = stabilizált hidraulikus nyomás a kapcsolófejnél (kPa).
TM = a fékerők összege a traktorok összes kerekének kerületén
FM = az útfelület teljes statikus normális irányú reakcióereje a traktorok kerekein
2. ábra
A vontatottjármű-szimulátor tulajdonsága a megengedett legnagyobb tömegétől függően

- A B C diagram a megengedett legnagyobb tömegekhez 14 tonnáig.
- A B E diagram a megengedett legnagyobb tömegekhez 14 tonna felett
Megjegyzés: elfogadott tűréshatár: ± 2 %
3. ábra
Vontatottjármű-szimulátor elrendezése

1 = 2 000 mm hosszú tömlő ISO 5676-1983 szerinti csatlakozóaljzattal;
2 = 8 mm belső átmérőjű és 4 000 mm hosszú cső;
3 = 8 mm belső átmérőjű és 1 000 mm hosszú cső;
4 = 8 mm belső átmérőjű és 1 000 mm hosszú cső;
5 = dugattyúsfék-szimuláló elemek;
6 = a dugattyú teljes löketére ható rugós beállítású elemek
7 = csak a dugattyú löketének végén ható rugós beállítású elemek.
( 1 ) A Bizottság 2014. december 8-i (EU) 2015/208 felhatalmazáson alapuló rendelete a 167/2013/EU európai parlamenti és tanácsi rendeletnek a mezőgazdasági és erdészeti járművek jóváhagyására vonatkozó funkcionális járműbiztonsági követelményekre való tekintettel történő kiegészítéséről (HL L 42., 2015.2.17., 1. o.).
( 2 ) A Bizottság 2015. március 11-i (EU) 2015/504 végrehajtási rendelete a 167/2013/EU európai parlamenti és tanácsi rendeletnek a mezőgazdasági és erdészeti járművek jóváhagyására és piacfelügyeletére vonatkozó közigazgatási követelmények tekintetében történő végrehajtásáról (HL L 85., 2015.3.28., 1. o.).
( 3 ) A 2.3.10., 2.3.11. és 2.3.12. szakaszok csak a rögzítőfékrendszer differenciálútjának számítási módszerére vonatkoznak.
Lábjegyzetek:
[1] A dokumentum eredetije megtekinthető CELEX: 32015R0068 - https://eur-lex.europa.eu/legal-content/HU/ALL/?uri=CELEX:32015R0068&locale=hu Utolsó elérhető, magyar nyelvű konszolidált változat CELEX: 02015R0068-20250615 - https://eur-lex.europa.eu/legal-content/HU/ALL/?uri=CELEX:02015R0068-20250615&locale=hu