32002F0584[1]
A Tanács kerethatározata (2002. június 13.) az európai elfogatóparancsról és a tagállamok közötti átadási eljárásokról
A TANÁCS KERETHATÁROZATA
(2002. június 13.)
az európai elfogatóparancsról és a tagállamok közötti átadási eljárásokról
(2002/584/IB)
1. FEJEZET
ÁLTALÁNOS ELVEK
1. cikk
Az európai elfogatóparancs meghatározása és végrehajtásának kötelezettsége
(1) Az európai elfogatóparancs egy tagállamban kibocsátott igazságügyi hatósági határozat, amely azt a célt szolgálja, hogy egy másik tagállam a büntetőeljárás lefolytatása, szabadságvesztés-büntetés, illetve szabadságelvonással járó intézkedés végrehajtása végett a keresett személyt elfogja és átadja.
(2) A tagállamok minden európai elfogatóparancsot a kölcsönös elismerés elve alapján és e kerethatározat rendelkezéseinek megfelelően hajtanak végre.
(3) E kerethatározat nem érinti az Európai Unióról szóló szerződés 6. cikkében biztosított alapvető jogok és alapvető jogelvek tiszteletben tartásának a kötelezettségét.
2. cikk
Az európai elfogatóparancs alkalmazási köre
(1) Európai elfogatóparancs olyan cselekmények esetén bocsátható ki, amelyeknél a kibocsátó tagállam joga szerint a büntetési tétel felső határa legalább tizenkét havi szabadságvesztés vagy szabadságelvonással járó intézkedés, illetve ha a szabadságvesztést kiszabó ítéletet vagy a szabadságelvonással járó intézkedést már meghozták, ennek időtartama legalább négy hónap.
(2) E kerethatározat értelmében és a cselekmény kettős büntethetőségének mérlegelése nélkül az európai elfogatóparancs alapján átadásra kerül sor az alábbi bűncselekmények esetében, ha ezeknél a kibocsátó tagállam joga szerint a kibocsátó tagállamban a büntetési tétel felső határa legalább háromévi szabadságvesztés vagy szabadságelvonással járó intézkedés:
- bűnszervezetben való részvétel,
- terrorizmus,
- emberkereskedelem,
- gyermekek szexuális kizsákmányolása és gyermekpornográfia,
- kábítószerek és pszichotróp anyagok tiltott kereskedelme,
- fegyverek, lőszerek és robbanóanyagok tiltott kereskedelme,
- korrupció,
- csalással kapcsolatos bűncselekmények, ideértve az Európai Közösségek pénzügyi érdekeinek védelméről szóló 1995. július 26-i egyezmény értelmében az Európai Közösségek pénzügyi érdekeit sértő csalásokat is,
- bűncselekményekből származó jövedelmek tisztára mosása,
- pénzhamisítás, ideértve az euró hamisítását is,
- számítógépes bűnözés,
- környezettel kapcsolatos bűncselekmények, ideértve a veszélyeztetett állatfajok, valamint a veszélyeztetett növényfajok és növényfajták tiltott kereskedelmét is,
- segítségnyújtás jogellenes beutazáshoz és tartózkodáshoz,
- szándékos emberölés, súlyos testi sértés,
- emberi szervek és szövetek tiltott kereskedelme,
- emberrablás, személyi szabadságtól való jogellenes megfosztás és túszejtés,
- rasszizmus és idegengyűlölet,
- szervezett lopás vagy fegyveres rablás,
- kulturális javak - ideértve a régiségeket és műtárgyakat is - tiltott kereskedelme,
- csalás,
- zsarolás és védelmi pénz szedése,
- termékhamisítás és iparjogvédelmi jog megsértése,
- hivatalos okmányok hamisítása és azzal való kereskedés,
- fizetőeszközök hamisítása,
- hormontartalmú anyagok és más növekedésserkentők tiltott kereskedelme,
- nukleáris és radioaktív anyagok tiltott kereskedelme,
- lopott gépjárművek kereskedelme,
- erőszakos közösülés,
- gyújtogatás,
- a Nemzetközi Büntetőbíróság joghatósága alá tartozó bűncselekmények,
- repülőgép/hajó hatalomba kerítése,
- szabotázs.
(3) A Tanács az Európai Unióról szóló szerződés (EUSZ) 39. cikkének (1) bekezdésében megállapított feltételek szerint az Európai Parlamenttel folytatott konzultációt követően egyhangúlag bármikor úgy határozhat, hogy a (2) bekezdésben foglalt listát további bűncselekményfajtákkal bővíti. A Tanács a Bizottságnak a 34. cikk (3) bekezdése szerint benyújtott jelentése nyomán megvizsgálja a lista bővítésének vagy módosításának szükségességét.
(4) A (2) bekezdésben fel nem sorolt bűncselekmények esetében az átadás feltételéül szabható, hogy azok a cselekmények, amelyek miatt az európai elfogatóparancsot kibocsátották a végrehajtó tagállam joga szerint - tényállási elemeiktől és minősítésüktől függetlenül - bűncselekménynek minősüljenek.
3. cikk
Az európai elfogatóparancs végrehajtása kötelező megtagadásának okai
A végrehajtó tagállam igazságügyi hatósága (a továbbiakban "végrehajtó igazságügyi hatóság") az alábbi esetekben tagadja meg az európai elfogatóparancs végrehajtását:
1. ha az európai elfogatóparancs alapjául szolgáló bűncselekmény a végrehajtó tagállamban közkegyelem alá esik, és ennek az államnak saját büntetőjoga szerint joghatósága van a bűncselekmény üldözésére;
2. ha a végrehajtó igazságügyi hatóság rendelkezésére álló információkból az derül ki, hogy a keresett személyt valamely tagállam ugyanazon cselekményért már jogerősen elítélte, feltéve hogy elítélése esetén a büntetést már végrehajtották, végrehajtása folyamatban van, vagy az ítélkező tagállam joga szerint az már nem hajtható végre;
3. ha az a személy, aki ellen az európai elfogatóparancsot kibocsátották, a végrehajtó állam joga szerint életkora miatt büntetőjogi felelősségre nem vonható az európai elfogatóparancs alapjául szolgáló cselekményért.
4. cikk
Az európai elfogatóparancs végrehajtása megtagadásának mérlegelhető okai
A végrehajtó igazságügyi hatóság az alábbi esetekben tagadhatja meg az európai elfogatóparancs végrehajtását:
1. ha a 2. cikk (4) bekezdésében említett esetek egyikében az európai elfogatóparancs alapjául szolgáló cselekmény a végrehajtó tagállam joga szerint nem bűncselekmény; azonban nem tagadható meg az európai elfogatóparancs végrehajtása adókkal és illetékekkel, vámokkal és devizával kapcsolatos ügyekben azon az alapon, hogy a végrehajtó tagállam joga nem ír elő ugyanolyan adót vagy illetéket, vagy nem tartalmaz ugyanolyan típusú szabályokat az adó-, illeték-, valamint vám- és devizaszabályozás terén, mint a kibocsátó tagállam joga;
2. ha az európai elfogatóparancsban érintett személy ellen a végrehajtó tagállamban ugyanazon cselekmény miatt, amelyen az európai elfogatóparancs alapul, büntetőeljárás van folyamatban;
3. ha a végrehajtó tagállam igazságügyi hatóságai úgy határoztak, hogy nem indítanak büntetőeljárást vagy megszüntetik azt az európai elfogatóparancs alapjául szolgáló bűncselekmény tekintetében, vagy ha egy tagállamban a keresett személy ellen ugyanazon cselekmény miatt jogerős határozatot hoztak, ami a további büntetőeljárás akadályát képezi;
4. ha a végrehajtó tagállam joga szerint a büntethetőség vagy a büntetés elévült, és a cselekmények e tagállam büntetőjoga szerint saját joghatósága alá tartoznak;
5. ha a végrehajtó igazságügyi hatóság rendelkezésére álló információkból az derül ki, hogy a keresett személyt egy harmadik állam ugyanazon cselekmény miatt jogerősen elítélte, feltéve hogy elítélése esetén a büntetést már végrehajtották, végrehajtása folyamatban van, vagy az ítélkező állam joga szerint az már nem hajtható végre;
6. ha az európai elfogatóparancsot szabadságvesztés-büntetés vagy szabadságelvonással járó intézkedés végrehajtása céljából bocsátották ki, amennyiben a keresett személy a végrehajtó tagállamban tartózkodik, amelynek állampolgára vagy lakosa, és ez az állam vállalja, hogy saját hazai joga szerint végrehajtja a büntetést vagy a szabadságelvonással járó intézkedést;
7. ha az európai elfogatóparancs olyan bűncselekményre vonatkozik, amelyet:
a) a végrehajtó tagállam joga szerint egészben vagy részben a végrehajtó tagállam területén vagy a végrehajtó tagállam területeként kezelt helyen követtek el; vagy
b) a kibocsátó tagállam területén kívül követtek el, és a végrehajtó tagállam joga nem teszi lehetővé a büntetőeljárás lefolytatását ilyenfajta bűncselekményekre nézve, ha azokat a területén kívül követték el.
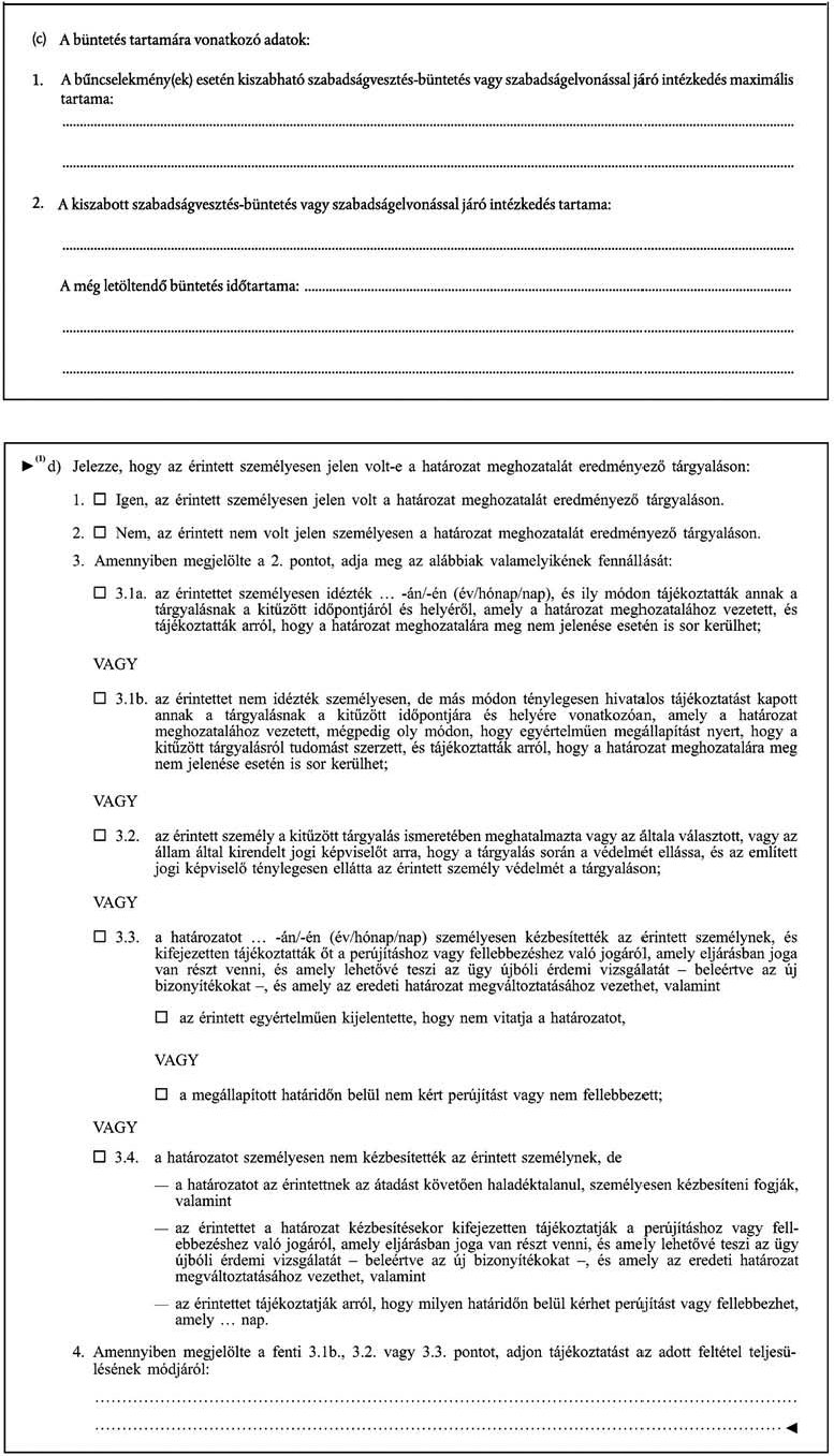
4a. cikk
Határozatok, amelyeket olyan tárgyaláson hoztak, amelyeken az érintett személy nem volt személyesen jelen
(1) A végrehajtó igazságügyi hatóság abban az esetben is megtagadhatja a szabadságvesztés-büntetés vagy szabadságelvonással járó intézkedés végrehajtása céljából kibocsátott európai elfogatóparancs végrehajtását, ha az érintett személy személyesen nem volt jelen a határozat meghozatalát eredményező tárgyaláson, kivéve, ha az európai elfogatóparancs szerint a kibocsátó tagállam nemzeti jogában meghatározott további eljárási követelményekkel összhangban:
a) az érintett személyt kellő időben:
i. személyesen idézték, és ily módon tájékoztatták annak a tárgyalásnak a kitűzött időpontjáról és helyéről, amely a határozat meghozatalához vezetett, vagy az érintett más módon ténylegesen hivatalos tájékoztatást kapott a szóban forgó tárgyalás kitűzött időpontjára és helyére vonatkozóan, mégpedig oly módon, hogy egyértelműen megállapítást nyert, hogy a kitűzött tárgyalásról tudomást szerzett;
valamint
ii. tájékoztatták arról, hogy a határozat meghozatalára meg nem jelenése esetén is sor kerülhet;
vagy
b) az érintett személy a kitűzött tárgyalás ismeretében meghatalmazta vagy az általa választott vagy az állam által kirendelt jogi képviselőt arra, hogy a tárgyalás során a védelmét ellássa, és az említett jogi képviselő ténylegesen ellátta az érintett személy védelmét a tárgyaláson;
vagy
c) az érintett személy a határozat kézbesítését és azt követően, hogy kifejezetten tájékoztatták őt a perújításhoz vagy fellebbezéshez való jogáról, amely eljárásban joga van részt venni, és amely lehetővé teszi az ügy újbóli érdemi vizsgálatát - beleértve az új bizonyítékokat -, és amely az eredeti határozat megváltoztatásához vezethet:
i. egyértelműen kijelentette, hogy nem vitatja a határozatot;
vagy
ii. a megállapított határidőn belül nem kért perújítást vagy nem fellebbezett;
vagy
d) a határozatot nem kézbesítették személyesen az érintett személynek, de:
i. az átadást követően haladéktalanul, személyesen kézbesíteni fogják neki, és kifejezetten tájékoztatni fogják őt a perújításhoz vagy fellebbezéshez való jogáról, amely eljárásban joga van részt venni, és amely lehetővé teszi az ügy újbóli érdemi vizsgálatát - beleértve az új bizonyítékokat -, és amely az eredeti határozat megváltoztatásához vezethet;
valamint
ii. tájékoztatni fogják arról, hogy milyen határidőn belül kérhet perújítást vagy fellebbezhet, amint arra a vonatkozó európai elfogatóparancs utalást tartalmaz.
(2) Amennyiben az európai elfogatóparancsot szabadságvesztés-büntetés vagy szabadságelvonással járó intézkedés végrehajtása céljából bocsátják ki az (1) bekezdés d) pontjában meghatározott feltételek szerint, és az érintett személy előzőleg nem kapott hivatalos tájékoztatást arról, hogy büntetőeljárás folyik ellene, akkor az adott személy az európai elfogatóparancs tartalmáról való tájékoztatása alkalmával kérheti, hogy átadását megelőzően bocsássák rendelkezésére az ítélet egy példányát. Amint tudomást szerez erről a kérésről, a kibocsátó hatóság a végrehajtó hatóság közvetítésével eljuttatja a keresett személynek az ítélet egy példányát. A keresett személy kérése nem késleltetheti sem az átadási eljárást, sem az európai elfogatóparancs végrehajtására vonatkozó határozatot. Az ítéletnek az érintett rendelkezésére bocsátása kizárólag tájékoztatási célt szolgál; nem tekinthető az ítélet hivatalos kézbesítésének, és nem befolyásolhatja a perújítási vagy fellebbezési eljárás kérelmezésére nyitva álló határidőket.
(3) Amennyiben a személyt az (1) bekezdés d) pontjában meghatározott feltételek szerint adják át, és perújítási kérelmet vagy fellebbezést nyújtott be, a perújítási vagy fellebbezési tárgyalásra váró személynek az ezen eljárások lezárásáig tartó fogva tartását rendszeresen, vagy az érintett személy kérelmére felül kell vizsgálni a kibocsátó tagállam jogával összhangban. E felülvizsgálatnak magában kell foglalnia különösen a szabadságelvonás felfüggesztésének vagy félbeszakításának a lehetőségét. A perújítási vagy fellebbezési eljárást az átadás után kellő időben kell megindítani.
5. cikk
A kibocsátó tagállam által egyedi esetekben nyújtandó garanciák
Az európai elfogatóparancsnak a végrehajtó igazságügyi hatóság által történő végrehajtását a végrehajtó tagállam joga az alábbi feltételekhez kötheti:
2. ha az európai elfogatóparancs alapjául szolgáló bűncselekmény életfogytig tartó szabadságvesztés-büntetéssel büntethető vagy életfogytig tartó szabadságelvonással járó intézkedéssel fenyegetett, az elfogatóparancs végrehajtása ahhoz a feltételhez köthető, hogy a kibocsátó tagállam jogrendszere lehetővé teszi a kiszabott büntetésnek vagy intézkedésnek a büntetés vagy intézkedés végrehajtásának felfüggesztését célzó - kérelemre vagy legkésőbb 20 éven belül történő - felülvizsgálatát, vagy kegyelem alkalmazását, amelynek kérvényezésére az érintett személy a kibocsátó tagállam joga vagy gyakorlata szerint jogosult;
3. ha a személy, aki ellen az európai elfogatóparancsot büntetőeljárás lefolytatása céljából bocsátották ki, a végrehajtó tagállam állampolgára vagy lakosa, az átadás ahhoz a feltételhez köthető, hogy az érintett személyt - meghallgatása után - visszaszállítják a végrehajtó tagállamba, hogy ott töltse le a kibocsátó tagállamban rá kiszabott szabadságvesztés-büntetést vagy szabadságelvonással járó intézkedést.
6. cikk
Az illetékes igazságügyi hatóságok meghatározása
(1) Kibocsátó igazságügyi hatóság a kibocsátó tagállamnak az az igazságügyi hatósága, amely ezen állam joga szerint az európai elfogatóparancs kibocsátására illetékes.
(2) Végrehajtó igazságügyi hatóság a végrehajtó tagállamnak az az igazságügyi hatósága, amely ezen állam joga szerint az európai elfogatóparancs végrehajtására illetékes.
(3) A tagállamok mindegyike tájékoztatja a Tanács Főtitkárságát a joga szerinti illetékes igazságügyi hatóságról.
7. cikk
A központi hatóság részvétele
(1) Az illetékes igazságügyi hatóságok támogatására minden tagállam kijelölhet egy vagy - ha jogrendszere úgy rendelkezik - több központi hatóságot.
(2) A tagállam, ha ez igazságszolgáltatási rendszere felépítése következtében szükséges, központi hatóságát (hatóságait) bízhatja meg az európai elfogatóparancsok hatósági továbbításával és fogadásával, továbbá az ezekkel kapcsolatos minden egyéb hivatalos levelezéssel.
Az a tagállam, amely élni kíván az e cikkben biztosított lehetőségekkel, a Tanács Főtitkárságához eljuttatja az általa kijelölt központi hatóságra vagy központi hatóságokra vonatkozó nyilatkozatokat. Ez a nyilatkozat a kibocsátó tagállam minden hatóságára kötelező.
8. cikk
Az európai elfogatóparancs tartalma és formája
(1) Az európai elfogatóparancs, a mellékletben szereplő formanyomtatványnak megfelelően az alábbi információkat tartalmazza:
a) a keresett személy személyazonossága és állampolgársága;
b) a kibocsátó igazságügyi hatóság megnevezése, címe, telefon- és faxszáma, valamint e-mail címe;
c) annak tanúsítása, hogy az 1. és 2. cikk szerinti végrehajtható ítélet, elfogatóparancs vagy más, azonos joghatállyal bíró végrehajtható bírósági határozat áll rendelkezésre;
d) a bűncselekmény jellege és jogi minősítése, különösen figyelemmel a 2. cikkre;
e) a bűncselekmény elkövetése körülményeinek ismertetése, ezen belül az időpont, a hely és a keresett személy bűncselekményben való részvételének módja;
f) jogerős ítélet esetén a kiszabott büntetés, illetve a bűncselekményre a kibocsátó tagállam joga szerint előírt büntetési tétel;
g) ha lehetséges, a bűncselekmény egyéb következményei.
(2) Az európai elfogatóparancsot le kell fordítani a végrehajtó tagállam hivatalos nyelvére vagy hivatalos nyelveinek egyikére. E kerethatározat elfogadásakor vagy egy későbbi időpontban a Tanács Főtitkárságánál letétbe helyezett nyilatkozatban bármely tagállam kijelentheti, hogy elfogadja az Európai Közösségek intézményeinek egy vagy több más hivatalos nyelvén készült fordítást is.
2. FEJEZET
ÁTADÁSI ELJÁRÁS
9. cikk
Az európai elfogatóparancs továbbítása
(1) Ha a keresett személy tartózkodási helye ismert, a kibocsátó igazságügyi hatóság az európai elfogatóparancsot közvetlenül továbbíthatja a végrehajtó igazságügyi hatóságnak.
(2) A kibocsátó igazságügyi hatóság minden esetben határozhat úgy, hogy a keresett személyre nézve a Schengeni Információs Rendszerben (SIS) figyelmeztető jelzést ad ki.
(3) Az ilyen figyelmeztető jelzést a közös államhatárokon történő ellenőrzések fokozatos megszüntetéséről 1985. június 14-i schengeni megállapodás végrehajtásáról szóló 1990. június 19-i egyezmény 95. cikke rendelkezéseinek megfelelően adják ki. A Schengeni Információs Rendszerben kiadott figyelmeztető jelzés, amelyhez csatolják a 8. cikk (1) bekezdésében előírt adatokat, egyenértékű az európai elfogatóparanccsal.
Amíg a SIS alkalmassá válik a 8. cikkben leírt összes információ továbbítására, a figyelmeztető jelzés az európai elfogatóparanccsal átmenetileg egyenértékű mindaddig, amíg az eredeti megfelelő formában meg nem érkezik a végrehajtó igazságügyi hatósághoz.
10. cikk
Az európai elfogatóparancs továbbításának módja
(1) Ha a kibocsátó igazságügyi hatóság számára nem ismert az illetékes végrehajtó igazságügyi hatóság, akkor elvégzi a szükséges kutatást - különösen az Európai Igazságügyi Hálózat ( 1 ) kapcsolattartási pontjain keresztül -, hogy a végrehajtó tagállamtól megszerezze ezt az információt.
(2) Ha a kibocsátó igazságügyi hatóság azt kívánja, a továbbítás az Európai Igazságügyi Hálózat biztonságos távközlési rendszerén keresztül is történhet.
(3) Ha nincs lehetőség a SIS igénybevételére, a kibocsátó igazságügyi hatóság az európai elfogatóparancs továbbításához igénybe veheti az Interpol szolgálatait is.
(4) A kibocsátó igazságügyi hatóság bármely olyan biztonságos eszközzel továbbíthatja az európai elfogatóparancsot, amely alkalmas írásbeli változat készítésére azzal a feltétellel, hogy hitelességének megállapítása a végrehajtó tagállam számára lehetséges legyen.
(5) Az európai elfogatóparancs végrehajtásához szükséges bármilyen irat továbbításával vagy hitelességével kapcsolatos összes nehézséget az érintett igazságügyi hatóságok közvetlenül, vagy adott esetben a tagállamok központi hatóságainak bevonásával hárítják el.
(6) Ha az a hatóság, amelyhez az európai elfogatóparancsot megérkezik, nem illetékes annak alapján eljárni, hivatalból továbbítja az európai elfogatóparancsot tagállamának illetékes hatóságához, és erről tájékoztatja a kibocsátó igazságügyi hatóságot.
11. cikk
A keresett személy jogai
(1) Ha egy keresett személyt elfognak, az illetékes végrehajtó igazságügyi hatóság nemzeti jogával összhangban tájékoztatja ezt a személyt az európai elfogatóparancsról és annak tartalmáról, valamint arról is, hogy beleegyezhet a kibocsátó igazságügyi hatóságnak történő átadásába.
(2) Az európai elfogatóparancs végrehajtása érdekében elfogott keresett személynek jogában áll, hogy a végrehajtó tagállam nemzeti joga szerint védőt és tolmácsot vegyen igénybe.
12. cikk
A személy fogva tartása
Ha egy személyt európai elfogatóparancs alapján fognak el, a végrehajtó igazságügyi hatóság dönt arról, hogy a keresett személyt a végrehajtó tagállam jogával összhangban továbbra is fogva tartják-e. A végrehajtó tagállam belső jogának megfelelően a személyt ideiglenesen bármikor szabadon lehet bocsátani, feltéve hogy ezen tagállam illetékes hatósága minden szükségesnek ítélt intézkedést megtesz a keresett személy szökésének megakadályozása érdekében.
13. cikk
Beleegyezés az átadásba
(1) Ha az elfogott személy előadja, hogy az átadásába beleegyezik, e beleegyezéséről, és ha szükséges, a 27. cikk (2) bekezdésében említett specialitás szabálya alkalmazásának jogáról való kifejezett lemondásról a végrehajtó igazságügyi hatóság előtt, a végrehajtó tagállam belső jogával összhangban kell nyilatkoznia.
(2) Minden tagállam megteszi a szükséges intézkedéseket annak érdekében, hogy a beleegyezés és adott esetben az (1) bekezdésben említett lemondás olyan feltételek között történjen, amelyekből kitűnik, hogy az érintett személy önkéntesen és a következmények teljes tudatában tette meg nyilatkozatát. E célból a keresett személynek jogában áll védőt igénybe venni.
(3) A beleegyezést és adott esetben az (1) bekezdésben említett lemondást a végrehajtó tagállam belső jogában előírt eljárásnak megfelelően hivatalosan jegyzőkönyvbe veszik.
(4) A beleegyezés elvben nem vonható vissza. Bármely tagállam előírhatja, hogy a beleegyezés, és adott esetben a lemondás, a belső joga szerint alkalmazandó szabályokkal összhangban visszavonható. Ebben az esetben a beleegyezés dátuma és visszavonásának dátuma közötti időszakot a 17. cikkben meghatározott határidők számításakor nem veszik figyelembe. Az a tagállam, amely élni kíván ezzel a lehetőséggel, e kerethatározat elfogadásakor tájékoztatja erről a Tanács Főtitkárságát, és közli azokat a szabályokat, amelyek szerint a beleegyezés visszavonható, valamint azok esetleges módosításait.
14. cikk
A keresett személy kihallgatása
Ha az elfogott személy nem egyezik bele a 13. cikk szerinti átadásába, joga van ahhoz, hogy a végrehajtó igazságügyi hatóság a végrehajtó tagállam nemzeti joga szerint kihallgassa.
15. cikk
Határozat az átadásról
(1) Az érintett személy átadásáról az e kerethatározatban előírt határidőkön belül és feltételek mellett a végrehajtó igazságügyi hatóság határoz.
(2) Ha a végrehajtó igazságügyi hatóság úgy ítéli meg, hogy a kibocsátó tagállam által közölt információk nem elégségesek ahhoz, hogy az átadás kérdésében határozzon, kéri, hogy a szükséges kiegészítő információkat, különösen a 3-5. cikkre, valamint a 8. cikkre tekintettel, soron kívül bocsássák a rendelkezésére, és a 17. cikkben előírt határidők betartását szem előtt tartva határidőt szabhat ezek kézhezvételére.
(3) A kibocsátó igazságügyi hatóság bármilyen további hasznos információt bármikor megküldhet a végrehajtó igazságügyi hatóságnak.
16. cikk
Határozat több megkeresés esetén
(1) Ha egyazon személy ellen két vagy több tagállam bocsátott ki európai elfogatóparancsot, a végrehajtó igazságügyi hatóság az összes körülmény mérlegelésével dönti el, hogy melyik európai elfogatóparancsot hajtja végre; ezen körülmények közé tartozik különösen a bűncselekmény súlya és elkövetési helye, az európai elfogatóparancsok kibocsátásának időpontja, valamint az, hogy az elfogatóparancsot büntetőeljárás lefolytatása vagy szabadságvesztés-büntetés, illetve szabadságelvonással járó intézkedés végrehajtása céljából bocsátották-e ki.
(2) A végrehajtó igazságügyi hatóság az (1) bekezdésben említett határozathoz kikérheti az Eurojust ( 2 ) véleményét.
(3) Amennyiben egy európai elfogatóparancs és egy harmadik ország kiadatási kérelme ütközik, a végrehajtó tagállam illetékes hatósága az összes körülmény, különösen az (1) bekezdésben és az alkalmazandó egyezményben vagy megállapodásban foglalt feltételek mérlegelésével dönti el, hogy az európai elfogatóparancsnak vagy a kiadatási kérelemnek ad-e elsőbbséget.
(4) Ez a cikk nem érinti a tagállamoknak a Nemzetközi Büntetőbíróság alapokmányából eredő kötelezettségeit.
17. cikk
Az európai elfogatóparancs végrehajtására irányadó határidők és szabályok
(1) Az európai elfogatóparancsot soron kívül intézik és hajtják végre.
(2) Amennyiben a keresett személy beleegyezik átadásába, az európai elfogatóparancs végrehajtásáról szóló végleges határozatot a beleegyezést követő 10 napon belül kell meghozni.
(3) Egyéb esetekben az európai elfogatóparancs végrehajtásáról szóló végleges határozatot a keresett személy elfogását követő 60 napon belül kell meghozni.
(4) Ha egyedi esetekben az európai elfogatóparancs a (2) vagy a (3) bekezdésben előírt határidőn belül nem hajtható végre, a végrehajtó igazságügyi hatóság a késedelem okainak közlése mellett haladéktalanul tájékoztatja erről a kibocsátó igazságügyi hatóságot. Ilyen esetekben a határidő további 30 nappal meghosszabbítható.
(5) Mindaddig, amíg a végrehajtó igazságügyi hatóság az európai elfogatóparancs végrehajtásáról nem hozta meg végleges határozatát, gondoskodik arról, hogy a személy tényleges átadásához szükséges lényeges feltételek továbbra is biztosítva legyenek.
(6) Az európai elfogatóparancs végrehajtásának megtagadását indokolni kell.
(7) Ha kivételes körülmények folytán egy tagállam nem tudja betartani az e cikkben előírt határidőket, a késedelem okainak közlése mellett tájékoztatja erről az Eurojustot. Az a tagállam továbbá, amely egy másik tagállam részéről az európai elfogatóparancsok végrehajtásában ismételt késedelmet tapasztal, e kerethatározat végrehajtásának tagállami szintű értékelése céljából tájékoztatja erről a Tanácsot.
18. cikk
A határozat meghozatala előtti állapot
(1) Ha az európai elfogatóparancsot büntetőeljárás lefolytatása céljából bocsátották ki, a végrehajtó igazságügyi hatóságnak hozzá kell járulnia, hogy:
a) a keresett személyt a 19. cikk szerint kihallgassák; vagy
b) a keresett személyt ideiglenesen átadják.
(2) Az ideiglenes átadás feltételeit és időtartamát a kibocsátó és a végrehajtó igazságügyi hatóság közötti kölcsönös megállapodásban határozzák meg.
(3) Ideiglenes átadás esetén az érintett személynek lehetővé kell tenni, hogy visszatérjen a végrehajtó tagállamba, és ott részt vegyen az őt érintő, az átadási eljárás keretében folytatott bírósági tárgyalásokon.
19. cikk
A személy kihallgatása a határozat meghozatala előtt
(1) A keresett személyt igazságügyi hatóság hallgatja ki egy, a megkereső bíróság tagállamának joga szerint kijelölt másik személy segítségével.
(2) A keresett személyt a végrehajtó tagállam jogának, valamint a kibocsátó és a végrehajtó igazságügyi hatóság közötti közös megállapodásban meghatározott feltételeknek megfelelően hallgatják ki.
(3) E cikk és a meghatározott feltételek szabályszerű alkalmazásának biztosítása érdekében az illetékes végrehajtó igazságügyi hatóság megbízhatja tagállamának egy másik igazságügyi hatóságát, hogy vegyen részt a keresett személy kihallgatásában.
20. cikk
Kiváltságok és mentességek
(1) Ha a keresett személyt kiváltság, vagy a joghatóság, illetve a végrehajtás alóli mentesség illeti meg a végrehajtó tagállamban, a 17. cikkben említett határidők csak akkor kezdődnek meg és attól a naptól számítandók, amelyen a végrehajtó igazságügyi hatóság tájékoztatást kap a kiváltság vagy a mentesség felfüggesztésének tényéről.
A végrehajtó tagállam gondoskodik arról, hogy a tényleges átadás lényeges feltételei biztosítottak legyenek, amint a személyt ilyen kiváltság vagy a mentesség többé nem illeti meg.
(2) Amennyiben a kiváltság vagy a mentesség felfüggesztése a végrehajtó tagállam valamelyik hatóságának hatáskörébe tartozik, a végrehajtó igazságügyi hatóság haladéktalanul ilyen irányú megkereséssel fordul hozzá. Amennyiben a kiváltság vagy mentesség felfüggesztése egy másik állam vagy valamely nemzetközi szervezet hatáskörébe tartozik, az ilyen irányú megkeresést a kibocsátó igazságügyi hatóság terjeszti elő.
21. cikk
Versengő nemzetközi kötelezettségek
Ez a kerethatározat nem érinti a végrehajtó tagállam kötelezettségeit abban az esetben, ha a keresett személyt harmadik államból adták ki az adott tagállamnak, és ezt a személyt a kiadatás alapjául szolgáló megállapodás specialitás szabályára vonatkozó rendelkezései védik. A végrehajtó tagállam minden szükséges intézkedést megtesz, hogy haladéktalanul beszerezze a keresett személyt kiadó harmadik állam hozzájárulását a személy átadásához az európai elfogatóparancsot kibocsátó tagállamnak. A 17. cikkben említett határidőket csak a specialitás szabálya alkalmazása megszűntének napjától kell számítani. A keresett személyt kiadó állam határozatának meghozataláig a végrehajtó tagállam gondoskodik arról, hogy a tényleges átadás lényeges feltételei továbbra is biztosítottak legyenek.
22. cikk
Értesítés a határozatról
A végrehajtó igazságügyi hatóság haladéktalanul értesíti a kibocsátó igazságügyi hatóságot az európai elfogatóparancsban foglalt megkeresés teljesítésére vagy megtagadására vonatkozó határozatáról.
23. cikk
A személy átadásának határideje
(1) A keresett személyt a lehető leghamarabb - az érintett hatóságok megállapodása szerinti időpontban - átadják.
(2) A személyt legkésőbb az európai elfogatóparancs végrehajtásáról szóló végleges határozatot követő 10 napon belül át kell adni.
(3) Ha a keresett személy átadása a (2) bekezdésben előírt határidőn belül a tagállamok bármelyikének hatókörén kívül eső elháríthatatlan akadály miatt nem lehetséges, a végrehajtó és a kibocsátó igazságügyi hatóság haladéktalanul felveszi a kapcsolatot és új átadási időpontban egyeznek meg. Ebben az esetben az átadásra az így egyeztetett új időpontot követő 10 napon belül kerül sor.
(4) Az átadás kivételesen ideiglenesen felfüggeszthető súlyos emberiességi okokból, például akkor, ha megalapozottan feltételezhető, hogy a végrehajtása nyilvánvalóan veszélyeztetné a keresett személy életét vagy egészségét. Az európai elfogatóparancsot végre kell hajtani, amint ezek az okok megszűntek. A végrehajtó igazságügyi hatóság erről haladéktalanul tájékoztatja a kibocsátó igazságügyi hatóságot, és új átadási időpontban egyeznek meg. Ebben az esetben az átadásra az e megállapodás szerinti új időpontot követő 10 napon belül kerül sor.
(5) Ha az érintett személy a (2)-(4) bekezdésben említett határidők lejárta után még mindig fogva van, szabadon kell bocsátani.
24. cikk
Elhalasztott vagy feltételes átadás
(1) A végrehajtó igazságügyi hatóság, miután határozott az európai elfogatóparancs végrehajtásáról, elhalaszthatja a keresett személy átadását annak érdekében, hogy ellene a végrehajtó tagállamban a büntetőeljárást lefolytathassák, illetve - ha már elítélték - hogy a végrehajtó tagállamban az európai elfogatóparancsban említett cselekménytől eltérő egyéb cselekménye miatt kiszabott büntetését letölthesse.
(2) Az átadás elhalasztása helyett a végrehajtó igazságügyi hatóság - a végrehajtó és a kibocsátó igazságügyi hatóság közötti közös megállapodásban meghatározott feltételek szerint - ideiglenesen átadhatja a keresett személyt a kibocsátó igazságügyi hatóságnak. A megállapodást írásban kötik meg, és a feltételek a kibocsátó tagállam összes hatóságára kötelezőek.
25. cikk
Átszállítás
(1) Minden tagállam - kivéve ha a megtagadás lehetőségével él olyan esetekben, amikor állampolgárának vagy lakosának az átszállítását kérik szabadságvesztés-büntetés vagy szabadságelvonással járó intézkedés végrehajtása céljából - engedélyezi, hogy a keresett személyt területén átadás céljából átszállítsák, feltéve hogy tájékoztatást kapott az alábbiakról:
a) annak a személynek a személyazonossága és állampolgársága, aki ellen az európai elfogatóparancsot kibocsátották;
b) európai elfogatóparancs megléte;
c) a bűncselekmény jellege és jogi minősítése;
d) a bűncselekmény körülményeinek ismertetése, ideértve annak időpontját és helyét is.
Amennyiben a személy, aki ellen büntetőeljárás lefolytatása céljából az európai elfogatóparancsot kibocsátották, az átszállításban érintett tagállam állampolgára vagy lakosa, az átszállítás ahhoz a feltételhez köthető, hogy a személyt kihallgatása után visszaszállítják ennek a tagállamnak, annak érdekében, hogy a kibocsátó tagállamban ellene kiszabott szabadságvesztés-büntetést vagy szabadságelvonással járó intézkedést ott töltse le.
(2) Minden tagállam kijelöli az átszállítás iránti megkeresések és a szükséges iratok, valamint az átszállítási kérelmekkel kapcsolatos bármely egyéb hivatalos levelezés átvételére illetékes hatóságot. A tagállamok a kijelölt hatóság nevét közlik a Tanács Főtitkárságával.
(3) Az átszállítás iránti megkeresés és az (1) bekezdésben felsorolt információk a (2) bekezdés szerint kijelölt hatósághoz bármilyen, írásbeli változat készítésére alkalmas eszközzel továbbíthatók. Az átszállításban érintett tagállam ugyanilyen módon közli határozatát.
(4) E kerethatározat nem alkalmazandó azon légi úton történő átszállítások esetén, ahol nem terveznek közbenső leszállást. Ha azonban nem tervezett leszállásra kerül sor, a kibocsátó tagállam továbbítja a (2) bekezdés szerint kijelölt hatóság részére az (1) bekezdésben előírt információkat.
(5) Abban az esetben, ha az átszállítás olyan személyt érint, akit harmadik állam ad ki egy tagállamnak, e cikket értelemszerűen kell alkalmazni. Ebben az esetben különösen az "európai elfogatóparancs" kifejezés helyébe a "kiadatási kérelem" kifejezés lép.
3. FEJEZET
AZ ÁTADÁS JOGHATÁSAI
26. cikk
A végrehajtó tagállamban töltött fogva tartás beszámítása
(1) A kibocsátó tagállam az európai elfogatóparancs végrehajtásából eredő fogva tartás teljes időtartamát beszámítja a kiszabott szabadságvesztés-büntetés vagy szabadságelvonással járó intézkedés következtében a kibocsátó tagállamban letöltendő szabadságvesztés teljes időtartamába.
(2) Evégett a végrehajtó igazságügyi hatóság vagy a 7. cikk szerint kijelölt központi hatóság az átadás időpontjában továbbít a kibocsátó igazságügyi hatóságnak a keresett személy európai elfogatóparancs alapján történt fogva tartásának időtartamára vonatkozó minden információt.
27. cikk
Esetleges büntetőeljárás más bűncselekmények miatt
(1) Bármely tagállam értesítheti a Tanács Főtitkárságát arról, hogy más, ugyanilyen értelmű nyilatkozatot tett tagállamokkal fenntartott kapcsolataiban vélelmezi, hogy a hozzájárulásukat adták ahhoz, hogy egy személyt az átadása előtt elkövetett, az átadás alapjául szolgáló bűncselekménytől eltérő másik bűncselekmény miatt büntetőeljárást indítsanak ellene, elítéljenek, és szabadságvesztés-büntetés vagy szabadságelvonással járó intézkedés végrehajtása céljából fogva tartsanak, amennyiben az adott esetben a végrehajtó igazságügyi hatóság az átadásról szóló határozatában másképpen nem rendelkezik.
(2) Az (1) és (3) bekezdésben említett esetek kivételével az átadott személy az átadása előtt elkövetett, az átadásának alapjául szolgáló bűncselekménytől különböző egyéb bűncselekmény miatt nem indítható ellene büntetőeljárás, nem ítélhető el, és egyéb módon sem fosztható meg szabadságától.
(3) A (2) bekezdés nem alkalmazható az alábbi esetekben:
a) ha a személy a végleges szabadon bocsátását követő 45 napon belül nem hagyja el annak a tagállamnak a területét, amelynek átadták, noha erre lehetősége lett volna, vagy elhagyása után visszatér oda;
b) ha a bűncselekmény szabadságvesztés-büntetéssel nem büntethető vagy szabadságelvonással járó intézkedéssel nem fenyegetett;
c) ha a büntetőeljárás nem vezet a személyi szabadságot korlátozó intézkedés alkalmazására;
d) ha a személyt szabadságelvonással nem járó büntetésnek vagy intézkedésnek, különösen pénzbüntetésnek vagy azt helyettesítő intézkedésnek vethetik alá, még akkor sem, ha a büntetés vagy intézkedés személyi szabadságának korlátozását eredményezheti;
e) ha a személy - a 13. cikkel összhangban - beleegyezett átadásába, adott esetben egyidejűleg lemondott a specialitás szabályának alkalmazásáról;
f) ha a személy átadása után, az átadását megelőzően elkövetett meghatározott cselekmények vonatkozásában kifejezetten lemondott a specialitás szabályának alkalmazásához fűződő jogáról. A lemondó nyilatkozatot a kibocsátó tagállam illetékes igazságügyi hatóságai előtt kell megtenni, és azt az adott állam belső jogának megfelelően kell jegyzőkönyvbe venni. A lemondó nyilatkozatot úgy kell megfogalmazni, hogy abból egyértelműen kitűnjön, hogy azt az érintett személy önként és az abból adódó következmények teljes tudatában tette. E célból a személynek jogában áll védőt igénybe venni;
g) ha a személyt átadó végrehajtó igazságügyi hatóság a (4) bekezdéssel összhangban hozzájárulását adja.
(4) A hozzájárulás iránti kérelmet a 8. cikk (1) bekezdésében felsorolt információk és a 8. cikk (2) bekezdése szerinti fordítás kíséretében terjesztik elő a végrehajtó igazságügyi hatóságnak. A hozzájárulást meg kell adni, ha a bűncselekmény, amelyre vonatkozóan azt kérik, e kerethatározat rendelkezései szerint önmagában is átadási kötelezettséget von maga után. A hozzájárulást a 3. cikkben említett okok fennállása esetén meg kell tagadni, egyébként csak a 4. cikkben említett okok miatt tagadható meg. Az erre vonatkozó határozatot legkésőbb a kérelem kézhezvételét követő 30 napon belül hozzák meg.
Az 5. cikkben említett esetekben a kibocsátó tagállamnak meg kell adnia az ott előírt biztosítékokat.
28. cikk
További átadás vagy kiadatás
(1) Bármely tagállam értesítheti a Tanács Főtitkárságát arról, hogy más, ugyanilyen értelmű nyilatkozatot tett tagállamokkal fenntartott kapcsolataiban vélelmezi, hogy a hozzájárulásukat adták ahhoz, hogy egy személyt - az átadása előtt elkövetett bűncselekményre tekintettel kibocsátott európai elfogatóparancs alapján - más tagállamnak átadjanak, mint a végrehajtó tagállam, amennyiben az adott esetben a végrehajtó igazságügyi hatóság az átadásról szóló határozatában másképpen nem rendelkezik.
(2) Az európai elfogatóparancs alapján a kibocsátó tagállamnak átadott személy a végrehajtó tagállam hozzájárulása nélkül, az átadása előtt elkövetett bűncselekményre tekintettel kibocsátott európai elfogatóparancs alapján az alábbi esetekben átadható a végrehajtó tagállamon kívüli más tagállamnak:
a) ha a keresett személy a végleges szabadon bocsátását követő 45 napon belül nem hagyja el annak a tagállamnak a területét, amelynek átadták, noha erre lehetősége lett volna, vagy elhagyása után visszatér oda;
b) ha a keresett személy beleegyezik abba, hogy európai elfogatóparancs alapján a végrehajtó tagállamtól különböző másik tagállamnak átadják. A lemondó nyilatkozatot a kibocsátó tagállam illetékes igazságügyi hatóságai előtt kell megtenni, és azt az adott állam belső jogának megfelelően kell jegyzőkönyvbe venni. A lemondó nyilatkozatot úgy kell megfogalmazni, hogy abból egyértelműen kitűnjön, hogy azt az érintett személy önként és az abból adódó következmények teljes tudatában tette. E célból a személynek jogában áll védőt igénybe venni;
c) ha a keresett személyre a 27. cikk (3) bekezdésének a), e), f) és g) pontja szerint nem vonatkozik a specialitás szabálya.
(3) A végrehajtó igazságügyi hatóság az alábbi szabályok szerint járul hozzá a másik tagállamnak való átadáshoz:
a) a hozzájárulás iránti kérelmet a 9. cikknek megfelelően, a 8. cikk (1) bekezdésében felsorolt információk és a 8. cikk (2) bekezdése szerinti fordítás kíséretében terjesztik elő;
b) a hozzájárulást meg kell adni, ha az alapul szolgáló bűncselekmény e kerethatározat rendelkezései szerint önmagában is átadási kötelezettséget von maga után;
c) a határozatot legkésőbb a kérelem beérkezését követő 30 napon belül hozzák meg;
d) a hozzájárulást a 3. cikkben felsorolt okok fennállása esetén megtagadják, egyébként pedig csak a 4. cikkben említett okok miatt tagadható meg.
Az 5. cikkben említett esetekben a kibocsátó tagállamnak meg kell adnia az ott előírt biztosítékokat.
(4) Az (1) bekezdés ellenére az európai elfogatóparancs alapján átadott személy nem adható ki harmadik államnak azon tagállam illetékes hatóságának hozzájárulása nélkül, amely őt átadta. A hozzájárulást az adott tagállam a rá nézve kötelező egyezményekkel, valamint belső jogával összhangban adja meg.
29. cikk
Tárgyak átadása
(1) A végrehajtó igazságügyi hatóság a kibocsátó igazságügyi hatóság kérelmére vagy hivatalból, belső jogával összhangban lefoglalja és átadja azokat a tárgyakat,
a) amelyek bizonyítékként szolgálhatnak; vagy
b) amelyeket a keresett személy a bűncselekmény eredményeként szerzett meg.
(2) Az (1) bekezdésben említett tárgyakat akkor is átadják, ha az európai elfogatóparancsot a keresett személy halála vagy szökése miatt nem lehet végrehajtani.
(3) Ha az (1) bekezdésben említett tárgyakat a végrehajtó tagállam területén le kell foglalni vagy el kell kobozni, e tagállam - ha a tárgyakra folyamatban lévő büntetőeljárásban szükség van - ideiglenesen visszatarthatja vagy a visszaszolgáltatás feltételével átadhatja azokat a kibocsátó tagállamnak.
(4) A végrehajtó tagállamnak vagy harmadik személyeknek az (1) bekezdésben említett tárgyakra vonatkozó minden szerzett joga fennmarad. Ha ilyen jogok állnak fenn, a kibocsátó tagállam a büntetőeljárás befejeztével haladéktalanul és díjmentesen visszaszolgáltatja a tárgyakat a végrehajtó tagállamnak.
30. cikk
Költségek
(1) Azokat a költségeket, amelyek a végrehajtó tagállam területén az európai elfogatóparancs végrehajtása során merülnek fel, e tagállam viseli.
(2) Minden egyéb költséget a kibocsátó tagállam visel.
4. FEJEZET
ÁLTALÁNOS ÉS ZÁRÓ RENDELKEZÉSEK
31. cikk
Más nemzetközi szerződésekhez való viszony
(1) 2004. január 1-jétől - a tagállamok és harmadik államok viszonylatában történő alkalmazásuk sérelme nélkül - ez a kerethatározat lép a tagállamok közötti viszonylatban a kiadatás terén alkalmazandó alábbi egyezmények megfelelő rendelkezéseinek helyébe:
a) az 1957. december 13-i európai kiadatási egyezmény, ennek 1975. október 15-i kiegészítő jegyzőkönyve, 1978. március 17-i második kiegészítő jegyzőkönyve, valamint a terrorizmus visszaszorításáról szóló, 1977. január 27-i európai egyezménynek a kiadatással kapcsolatos rendelkezései;
b) az Európai Közösségek tagállamai közötti, a kiadatási kérelmek továbbítási módszereinek egyszerűsítéséről és korszerűsítéséről szóló 1989. május 26-i megállapodás;
c) az Európai Unió tagállamai közötti egyszerűsített kiadatási eljárásról szóló 1995. március 10-i egyezmény;
d) az Európai Unió tagállamai közötti kiadatásról szóló 1996. szeptember 27-i egyezmény;
e) a közös államhatárokon történő ellenőrzések fokozatos megszüntetéséről szóló, 1985. június 14-i schengeni megállapodás végrehajtásáról szóló 1990. június 19-i egyezmény III. címének IV. fejezete.
(2) A tagállamok az e kerethatározat elfogadásakor hatályban lévő két- vagy többoldalú megállapodásokat vagy megegyezéseket továbbra is alkalmazhatják, amennyiben ezek lehetővé teszik e kerethatározat céljainak kiterjesztését vagy kibővítését, és hozzájárulnak az olyan személyek átadásával kapcsolatos eljárások további egyszerűsítéséhez és megkönnyítéséhez, akik ellen európai elfogatóparancsot adtak ki.
A tagállamok e kerethatározat hatálybalépését követően két- vagy többoldalú megállapodásokat vagy megegyezéseket köthetnek, amennyiben ezek lehetővé teszik e kerethatározat rendelkezéseinek kiterjesztését vagy kibővítését, és hozzájárulnak az olyan személyek átadásával kapcsolatos eljárások további egyszerűsítéséhez és megkönnyítéséhez, akik ellen európai elfogatóparancsot adtak ki, különösen ha azok a 17. cikkben előírt határidőknél rövidebb határidőket határoznak meg, a 2. cikk (2) bekezdésében megállapított bűncselekmények listáját bővítik, a megtagadás 3. és 4. cikkben rögzített okait tovább szűkítik, vagy a 2. cikk (1) vagy (2) bekezdésében meghatározott küszöböt leszállítják.
A második albekezdésben említett megállapodások és megegyezések semmiképpen sem érinthetik hátrányosan az olyan tagállamokkal fennálló kapcsolatokat, amelyek ezeknek nem részesei.
A tagállamok az e kerethatározat hatálybalépését követő három hónapon belül értesítik a Tanácsot és a Bizottságot, hogy az első albekezdésben említett meglévő megállapodások és megegyezések közül melyeket kívánják továbbra is alkalmazni.
A tagállamok az aláírást követő három hónapon belül értesítik a Tanácsot és a Bizottságot a második albekezdésben említett minden új megállapodásról vagy megegyezésről.
(3) Amennyiben az (1) bekezdésben említett egyezmények vagy megállapodások olyan tagállamok területére vagy olyan területekre alkalmazandók, amelyek külkapcsolataiért olyan tagállam felel, amelyre ez a kerethatározat nem alkalmazható, az ezen területek és a többi tagállam közötti kapcsolatokra változatlanul ezek a nemzetközi szerződések irányadók.
32. cikk
Átmeneti rendelkezés
(1) A 2004. január 1. előtt kézhez vett kiadatási kérelmeket továbbra is a kiadatás terén meglévő nemzetközi szerződések szabályozzák. Az ezen időpont után érkező kérelmekre nézve a tagállamok által e kerethatározat szerint elfogadott szabályok az irányadók. Az egyes tagállamok azonban e kerethatározat elfogadásakor nyilatkozhatnak úgy, hogy végrehajtó tagállamként továbbra is a 2004. január 1. előtt alkalmazandó kiadatási rendszer szerint járnak el az általuk meghatározott időpont előtt elkövetett cselekményekre vonatkozó megkeresésekkel kapcsolatban. Ez nem lehet 2002. augusztus 7-nél későbbi időpont. A fent említett nyilatkozatot az Európai Közösségek Hivatalos Lapjában közzé kell tenni. A nyilatkozat bármikor visszavonható.
33. cikk
Ausztriára és Gibraltárra vonatkozó rendelkezések
(1) Amíg Ausztria nem módosítja az "Auslieferungs- und Rechtshilfegesetz" 12. cikkének (1) bekezdését, de legkésőbb 2008. december 31-ig, végrehajtó igazságügyi hatóságai számára engedélyezheti európai elfogatóparancs végrehajtásának megtagadását, ha a keresett személy osztrák állampolgár és ha az európai elfogatóparancs alapjául szolgáló cselekmény az osztrák jog szerint nem büntethető.
(2) Ezt a kerethatározatot Gibraltárra is alkalmazni kell.
34. cikk
Végrehajtás
(1) A tagállamok megteszik a szükséges intézkedéseket annak érdekében, hogy e kerethatározatnak 2003. december 31-ig megfeleljenek.
(2) A tagállamok eljuttatják a Tanács Főtitkárságának és a Bizottságnak azoknak a rendelkezéseknek a szövegét, amelyekkel az e kerethatározatból fakadó kötelezettségeket belső jogukba átültették. Ennek során az egyes tagállamok jelezhetik, hogy haladéktalanul alkalmazzák e kerethatározatot azoknak a tagállamoknak a viszonylatában, amelyek ugyanilyen közlést tettek.
A Tanács Főtitkársága közli a tagállamokkal és a Bizottsággal a 7. cikk (2) bekezdése, a 8. cikk (2) bekezdése, a 13. cikk (4) bekezdése és a 25. cikk (2) bekezdése szerint hozzá beérkezett információkat. A Tanács Főtitkársága az információkat az Európai Közösségek Hivatalos Lapjában is közzéteszi.
(3) A Bizottság a Tanács Főtitkársága által közölt információk alapján legkésőbb 2004. december 31-ig jelentést nyújt be az Európai Parlamentnek és a Tanácsnak e kerethatározat alkalmazásáról, szükség esetén jogalkotási javaslatok kíséretében.
(4) A Tanács 2003 második felében felülvizsgálja különösen e kerethatározat rendelkezéseinek a tagállamok részéről történő gyakorlati alkalmazását, valamint a Schengeni Információs Rendszer működését.
35. cikk
Hatálybalépés
Ez a kerethatározat az Európai Közösségek Hivatalos Lapjában való kihirdetését követő huszadik napon lép hatályba.
MELLÉKLET
EURÓPAI ELFOGATÓPARANCS ( 3 )
Ezt az elfogatóparancsot az illetékes igazságügyi hatóság bocsátotta ki. Kérem, hogy az alább megnevezett személyt büntetőeljárás lefolytatása vagy szabadságvesztés-büntetés, illetve szabadságelvonással járó intézkedés végrehajtása céljából fogják el és adják át.





( 1 ) A Tanács 1998. június 29-i 98/428/IB együttes fellépése az Európai Igazságügyi Hálózat létrehozásáról (HL L 191., 1998.7.7., 4. o.).
( 2 ) A Tanács 2002. február 28-i 2002/187/IB határozata az Eurojust létrehozásáról a súlyos bűncselekmények elleni küzdelem megerősítése céljából (HL L 63., 2002.3.6., 1. o.).
( 3 ) Ezt az elfogatóparancsot - ha ismert, hogy mely államról van szó - a végrehajtó tagállam valamely hivatalos nyelvén vagy az ezen állam által elfogadott valamely nyelven kell kibocsátani, illetve egy ilyen nyelvre kell lefordítani.
Lábjegyzetek:
[1] A dokumentum eredetije megtekinthető CELEX: 32002F0584 - https://eur-lex.europa.eu/legal-content/HU/ALL/?uri=CELEX:32002F0584&locale=hu Utolsó elérhető, magyar nyelvű konszolidált változat CELEX: 02002F0584-20090328 - https://eur-lex.europa.eu/legal-content/HU/ALL/?uri=CELEX:02002F0584-20090328&locale=hu