OEP közlemény (HÉ 2009/14.)
a törzskönyvezett gyógyszerek és különleges táplálkozási igényt kielégítő tápszerek társadalombiztosítási támogatásba való befogadásának eljárása során az Országos Egészségbiztosítási Pénztár által 2009. márciusában hozott határozatokról
Az Országos Egészségbiztosítási Pénztár a biztonságos és gazdaságos gyógyszer- és gyógyászati segédeszköz-ellátás, valamint a gyógyszerforgalmazás általános szabályairól szóló 2006. évi XCVIII. törvény (továbbiakban: Gyftv.) 24. §-a, valamint a törzskönyvezett gyógyszerek és különleges táplálkozási igényt kielégítő tápszerek társadalombiztosítási támogatásba való befogadásának szempontjairól és a befogadás vagy a támogatás megváltoztatásáról szóló 32/2004. (IV. 26.) ESzCsM rendelet (továbbiakban R.), és a közigazgatási hatósági eljárás és szolgáltatás általános szabályairól szóló 2004. évi CXL. törvény (továbbiakban: KET) alapján hozott határozatait az alábbiak szerint teszi közzé.1
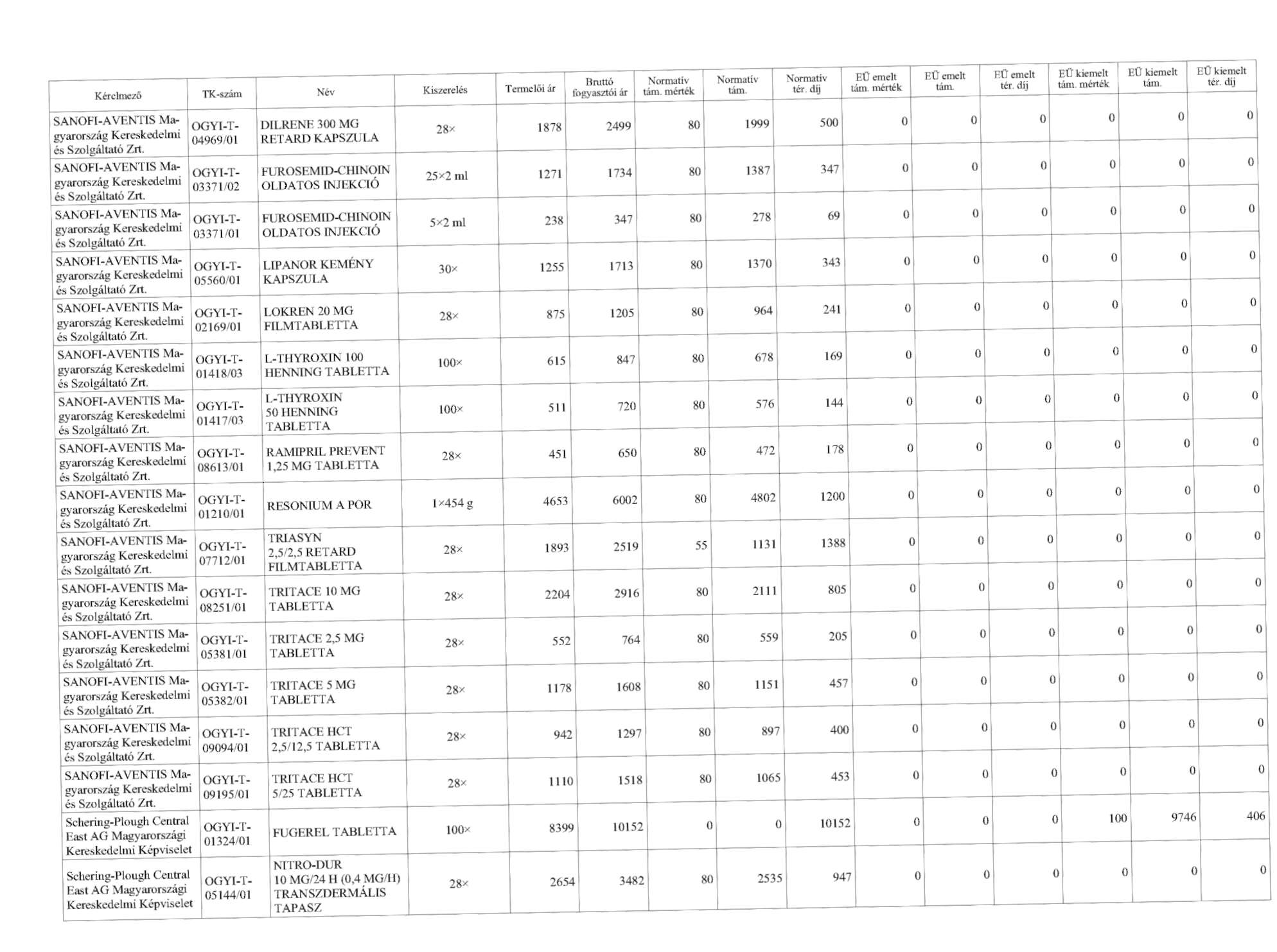
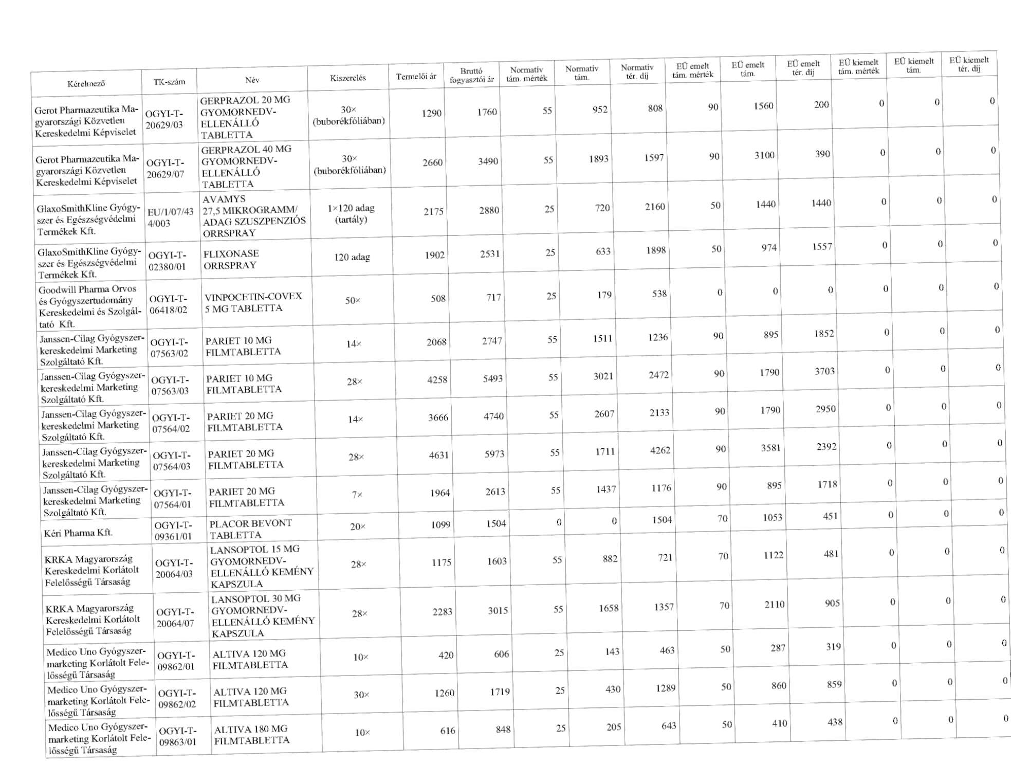
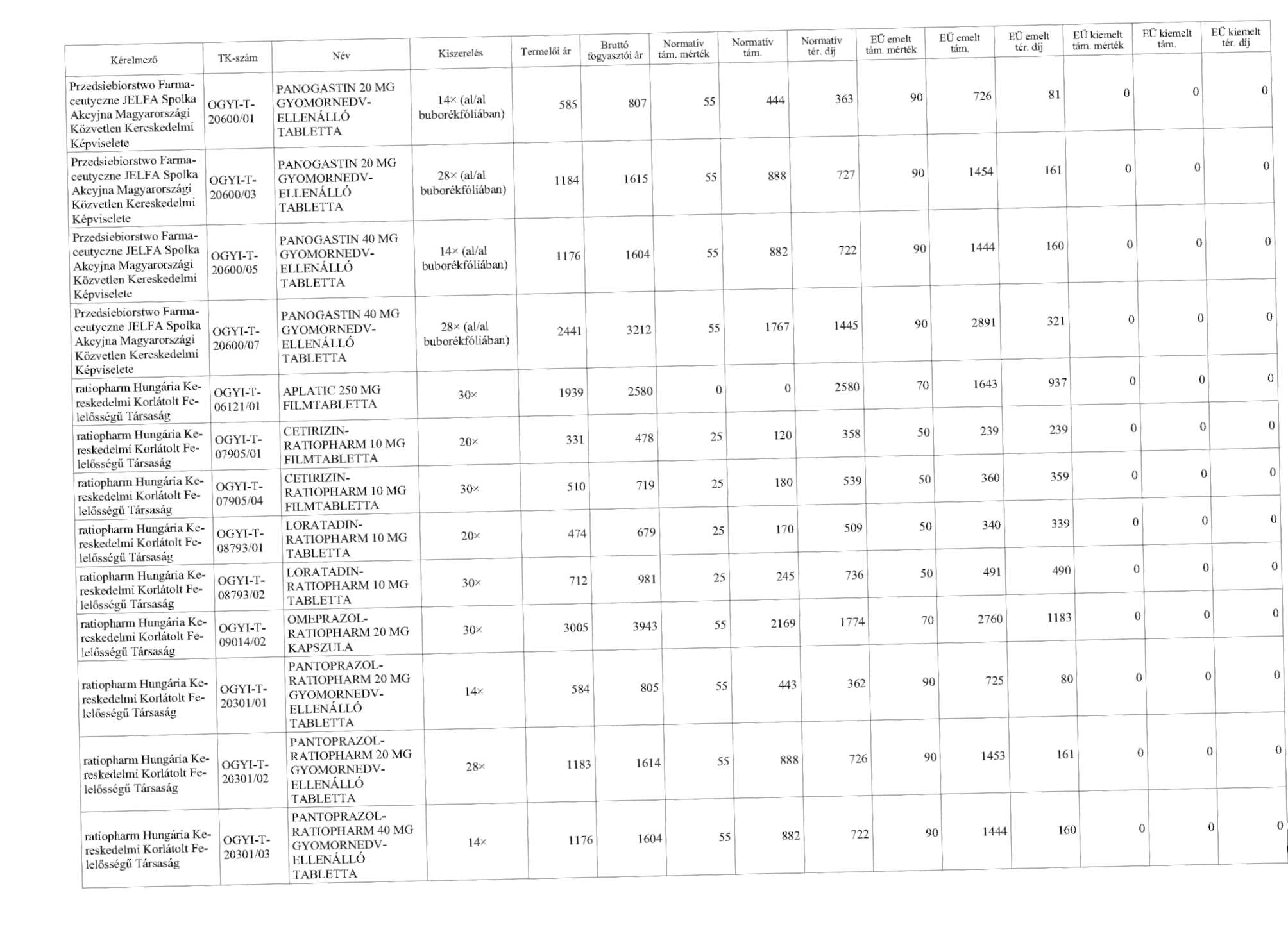
1. Az R. 22. § (1) bekezdése alapján egyszerűsített eljárásrend alkalmazásával, a társadalombiztosítás támogatásába való befogadásról 2009. április 1-jei finanszírozási kezdőnappal hozott határozatok:
| Kérelmező | TK-szám | Név | Kiszerelés | Termelői ár | Brutó fogyasztói ár | Normatív tám. mérték | Normatív támogatás | Normatív tér. díj | EÜ emelt tám. mérték | EÜ emelt tám. | EÜ emelt tér. díj | EÜ kiemelt tám. mérték | EÜ kiemelt tám. | EÜ kiemelt tér. díj |
| Bayer Hungária Kereskedelmi és Szolgáltató Kft. | EU/1/95/003/ 005 | BETAFERON 250 MIKROGRAMM/ML POR ÉS OLDÓSZER OLDATOS INJEKCIÓHOZ | 15x | 193 177 | 213 870 | 0 | 0 | 213 870 | 0 | 0 | 0 | 100 | 213 570 | 300 |
| ÉGIS Gyógyszergyár Nyrt. | OGYI-T- 20474/02 | ANABREST FILMTABLETTA | 90x | 48 619 | 54 495 | 0 | 0 | 54 495 | 0 | 0 | 0 | 100 | 54 195 | 300 |
| KRKA Magyarország Kereskedelmi Korlátolt Felelősségű Társaság | OGYI-T- 20743/04 | YPSILA 40 MG KEMÉNY KAPSZULA | 60x | 15 600 | 18 092 | 0 | 0 | 18 092 | 0 | 0 | 0 | 100 | 17 792 | 300 |
| KRKA Magyarország Kereskedelmi Korlátolt Felelősségű Társaság | OGYI-T- 20743/06 | YPSILA 60 MG KEMÉNY KAPSZULA | 60x | 19 200 | 22 061 | 0 | 0 | 22 061 | 0 | 0 | 0 | 100 | 21 761 | 300 |
| KRKA Magyarország Kereskedelmi Korlátolt Felelősségű Társaság | OGYI-T- 20743/08 | YPSILA 80 MG KEMÉNY KAPSZULA | 60x | 28 800 | 32 645 | 0 | 0 | 32 645 | 0 | 0 | 0 | 100 | 32 345 | 300 |
| MEDI-ZONE Kereskedelmi és Szolgáltató Betéti Társaság | OGYI-T- 20687/02 | AXASTROL 1 MG FILMTABLETTA | 28x | 13 500 | 15 776 | 0 | 0 | 15 776 | 0 | 0 | 0 | 100 | 15 476 | 300 |
| Mylan Kft. | OGYI-T- 20317/03 | LAMOTRIGIN-GENERICS (UK) 50 MG TABLETTA | 30x | 1 895 | 2 522 | 0 | 0 | 2 522 | 90 | 2 270 | 252 | 0 | 0 | 0 |
| Orion Pharma Kereskedelmi és Gyógyszer Marketing Kft. | OGYI-T- 20686/05 | ROPINIROL ORION 1 MG FILMTABLETTA | 21x | 930 | 1 281 | 0 | 0 | 1 281 | 90 | 1 153 | 128 | 0 | 0 | 0 |
| Orion Pharma Kereskedelmi és Gyógyszer Marketing Kft. | OGYI-T- 20686/07 | ROPINIROL ORION 2 MG FILMTABLETTA | 21x | 1 795 | 2 389 | 0 | 0 | 2 389 | 90 | 2 150 | 239 | 0 | 0 | 0 |
| Orion Pharma Kereskedelmi és Gyógyszer Marketing Kft. | OGYI-T- 20686/09 | ROPINIROL ORION 5 MG FILMTABLETTA | 21x | 3 495 | 4 552 | 0 | 0 | 4 552 | 90 | 4 097 | 455 | 0 | 0 | 0 |
| Ozone Laboratories Magyarország Gyógyszer-Nagykereske-delmi és Szolgáltató Kft. | OGYI-T- 20524/01 | EZOCEM 5 MG TABLETTA | 30x | 1 557 | 2 087 | 55 | 1148 | 939 | 0 | 0 | 0 | 0 | 0 | 0 |
A határozatok teljes szövege az Országos Egészségbiztosítási Pénztár Ártámogatási Főosztályán hivatali időben megtekinthető.
| Kérelmező | TK-szám | Név | Kiszerelés | Termelői ár | Bruttó fogyasztói ár | Normatív tám. mérték | Normatív támogatás | Normatív tér. díj | EÜ emelt tám. mérték | EÜ emelt tám. | EÜ emelt tér. díj | EÜ kiemelt tám. mérték | EÜ kiemelt tám. | EÜ kiemelt tér. díj |
| Pharmacenter Hungary Kft. | OGYI-T- 20752/02 | ALFUZOSIN PHARMACENTER 10 MG RETARD TABLETTA | 30x | 2 550 | 3 348 | 25 | 837 | 2511 | 0 | 0 | 0 | 0 | 0 | 0 |
| Pharmacenter Hungary Kft. | OGYI-T- 20752/01 | ALFUZOSIN PHARMACENTER 5 MG RETARD TABLETTA | 60x | 2 940 | 3 858 | 25 | 965 | 2 893 | 0 | 0 | 0 | 0 | 0 | 0 |
| PharmaSwiss Magyarország Kereskedelmi Korlátolt Felelősségű Társaság | OGYI-T- 20452/04 | RAMIPRIL GALEX 10 MG TABLETTA | 30x | 2 128 | 2 821 | 80 | 2257 | 564 | 0 | 0 | 0 | 0 | 0 | 0 |
| PharmaSwiss Magyarország Kereskedelmi Korlátolt Felelősségű Társaság | OGYI-T- 20452/02 | RAMIPRIL GALEX 2,5 MG TABLETTA | 30x | 533 | 743 | 80 | 594 | 149 | 0 | 0 | 0 | 0 | 0 | 0 |
| PharmaSwiss Magyarország Kereskedelmi Korlátolt Felelősségű Társaság | OGYI-T- 20452/03 | RAMIPRIL GALEX 5 MG TABLETTA | 30x | 1 124 | 1 536 | 80 | 1229 | 307 | 0 | 0 | 0 | 0 | 0 | 0 |
| Pliva Hungária Kereskedelmi és Szolgáltató Kft. | OGYI-T- 20375/04 | FLUCONAZOL PLIVA 150 MG KEMÉNY KAPSZULA | 4x | 3 480 | 4 535 | 25 | 1134 | 3 401 | 90 | 4 082 | 453 | 0 | 0 | 0 |
| Polfa Hungária Korlátolt Felelősségű Társaság | OGYI-T- 20493/04 | POLVERTIC 16 MG TABLETTA | 60x | 999 | 1 376 | 25 | 344 | 1 032 | 70 | 963 | 413 | 0 | 0 | 0 |
| Polfa Hungária Korlátolt Felelősségű Társaság | OGYI-T- 20493/10 | POLVERTIC 24 MG TABLETTA | 100x | 3 430 | 4 480 | 25 | 1120 | 3 360 | 70 | 3 136 | 1344 | 0 | 0 | 0 |
| Polfa Hungária Korlátolt Felelősségű Társaság | OGYI-T- 20493/08 | POLVERTIC 24 MG TABLETTA | 50x | 1 683 | 2 240 | 25 | 560 | 1 680 | 70 | 1 568 | 672 | 0 | 0 | 0 |
| Polfa Hungária Korlátolt Felelősségű Társaság | OGYI-T- 20493/02 | POLVERTIC 8 MG TABLETTA | 100x | 1 023 | 1 407 | 25 | 352 | 1 055 | 70 | 985 | 422 | 0 | 0 | 0 |
| ratiopharm Hungária Kereskedelmi Korlátolt Felelősségű Társaság | OGYI-T- 08793/02 | LORATADIN-RATIO-PHARM 10 MG TABLETTA | 30x | 712 | 981 | 25 | 245 | 736 | 50 | 491 | 490 | 0 | 0 | 0 |
| Richter Gedeon Vegyészeti Gyár Nyrt. | OGYI-T- 20688/04 | ANDEVER 10 MG FILMTABLETTA | 30x | 1 633 | 2 174 | 80 | 1739 | 435 | 0 | 0 | 0 | 0 | 0 | 0 |
| Richter Gedeon Vegyészeti Gyár Nyrt. | OGYI-T- 20688/09 | ANDEVER 20 MG FILMTABLETTA | 30x | 1 775 | 2 363 | 80 | 1890 | 473 | 0 | 0 | 0 | 0 | 0 | 0 |
| Richter Gedeon Vegyészeti Gyár Nyrt. | OGYI-T- 20688/14 | ANDEVER 40 MG FILMTABLETTA | 30x | 2 478 | 3 259 | 80 | 2607 | 652 | 0 | 0 | 0 | 0 | 0 | 0 |
| Richter Gedeon Vegyészeti Gyár Nyrt. | OGYI-T- 20700/04 | BORBIN 15 MG TABLETTA | 20x | 679 | 936 | 25 | 234 | 702 | 70 | 655 | 281 | 0 | 0 | 0 |
| Sandoz Hungária Kft. | OGYI-T- 20584/04 | MIRTAZAPIN SANDOZ 30 MG SZÁJBAN DISZPERGÁLÓDÓ TABLETTA | 30x | 4 029 | 5 198 | 25 | 1300 | 3 898 | 90 | 4 678 | 520 | 0 | 0 | 0 |
| Sandoz Hungária Kft. | OGYI-T- 20584/06 | MIRTAZAPIN SANDOZ 45 MG SZÁJBAN DISZPERGÁLÓDÓ TABLETTA | 30x | 5 982 | 7 488 | 25 | 1872 | 5 616 | 90 | 6 739 | 749 | 0 | 0 | 0 |
| Sandoz Hungária Kft. | OGYI-T- 20581/03 | QUETIAPIN SANDOZ 100 MG FILMTABLETTA | 60x | 7 378 | 9 027 | 0 | 0 | 9 027 | 0 | 0 | 0 | 100 | 8 727 | 300 |
| Sandoz Hungária Kft. | OGYI-T- 20581/04 | QUETIAPIN SANDOZ 100 MG FILMTABLETTA | 90x | 11 472 | 13 541 | 0 | 0 | 13 541 | 0 | 0 | 0 | 100 | 13 241 | 300 |
| Kérelmező | TK-szám | Név | Kiszerelés | Termelői ár | Bruttó fogyasztói ár | Normatív tám. mérték | Normatív támogatás | Normatív tér. díj | EÜ emelt tám. mérték | EÜ emelt tám. | EÜ emelt tér. díj | EÜ kiemelt tám. mérték | EÜ kiemelt tám. | EÜ kiemelt tér. díj |
| Sandoz Hungária Kft. | OGYI-T- 20581/05 | QUETIAPIN SANDOZ 200 MG FILMTABLETTA | 60x | 13 746 | 16 047 | 0 | 0 | 16 047 | 0 | 0 | 0 | 100 | 15 747 | 300 |
| Sandoz Hungária Kft. | OGYI-T- 20581/06 | QUETIAPIN SANDOZ 200 MG FILMTABLETTA | 90x | 21 023 | 24 070 | 0 | 0 | 24 070 | 0 | 0 | 0 | 100 | 23 770 | 300 |
| Sandoz Hungária Kft. | OGYI-T- 20581/01 | QUETIAPIN SANDOZ 25 MG FILMTABLETTA | 60x | 3 350 | 4 392 | 0 | 0 | 4 392 | 0 | 0 | 0 | 100 | 4 092 | 300 |
| Sandoz Hungária Kft. | OGYI-T- 20581/07 | QUETIAPIN SANDOZ 300 MG FILMTABLETTA | 60x | 18 897 | 21 727 | 0 | 0 | 21 727 | 0 | 0 | 0 | 100 | 21 427 | 300 |
| Sandoz Hungária Kft. | OGYI-T- 20581/08 | QUETIAPIN SANDOZ 300 MG FILMTABLETTA | 90x | 28 751 | 32 591 | 0 | 0 | 32 591 | 0 | 0 | 0 | 100 | 32 291 | 300 |
| Teva Magyarország Zrt. | OGYI-T- 20529/01 | ANAMATAZ 1 MG FILMTABLETTA | 28x | 13 995 | 16 322 | 0 | 0 | 16 322 | 0 | 0 | 0 | 100 | 16 022 | 300 |
| Teva Magyarország Zrt. | OGYI-T- 20446/03 | ESTEBAN 5 MG TABLETTA | 28x | 1 453 | 1 971 | 55 | 1084 | 887 | 0 | 0 | 0 | 0 | 0 | 0 |
| Teva Magyarország Zrt. | OGYI-T- 20531/02 | FETAMOZIN 10 MG RETARD TABLETTA | 30x | 2 349 | 3 098 | 25 | 775 | 2 323 | 0 | 0 | 0 | 0 | 0 | 0 |
| Teva Magyarország Zrt. | OGYI-T- 20531/01 | FETAMOZIN 5 MG RETARD TABLETTA | 56x | 2 749 | 3 607 | 25 | 902 | 2 705 | 0 | 0 | 0 | 0 | 0 | 0 |
| Teva Magyarország Zrt. | OGYI-T- 07862/03 | METILPREDNIZOLON-HUMAN 40 MG POR INJEKCIÓHOZ | 10x40 mg | 3 674 | 4 749 | 55 | 2612 | 2 137 | 90 | 4 274 | 475 | 100 | 4 449 | 300 |
| Teva Magyarország Zrt. | OGYI-T- 20625/03 | TOPIRAMAT-TEVA 100 MG FILMTABLETTA | 60x | 9318 | 11 166 | 0 | 0 | 11 166 | 90 | 10 049 | 1117 | 0 | 0 | 0 |
| Teva Magyarország Zrt. | OGYI-T- 20625/04 | TOPIRAMAT-TEVA 200 MG FILMTABLETTA | 60x | 18 594 | 21 393 | 0 | 0 | 21 393 | 90 | 19 254 | 2139 | 0 | 0 | 0 |
| Teva Magyarország Zrt. | OGYI-T- 20625/01 | TOPIRAMAT-TEVA 25 MG FILMTABLETTA | 60x | 2 097 | 2 783 | 0 | 0 | 2 783 | 90 | 2 505 | 278 | 0 | 0 | 0 |
| Teva Magyarország Zrt. | OGYI-T- 20625/02 | TOPIRAMAT-TEVA 50 MG FILMTABLETTA | 60x | 4 194 | 5 410 | 0 | 0 | 5 410 | 90 | 4 869 | 541 | 0 | 0 | 0 |
| Toronto Pharma Kft. | OGYI-T- 20778/01 | PLAGREL 75 MG FILMTABLETTA | 28x | 4 500 | 5 804 | 0 | 0 | 5 804 | 70 | 4 063 | 1741 | 0 | 0 | 0 |
| Vipharm Hungary Korlátolt Felelősségű Társaság | OGYI-T- 20254/07 | RISPERIDON VIPHARM 1 MG FILMTABLETTA | 60x | 2 027 | 2 695 | 0 | 0 | 2 695 | 0 | 0 | 0 | 100 | 2 395 | 300 |
| Vipharm Hungary Korlátolt Felelősségű Társaság | OGYI-T- 20254/11 | RISPERIDON VIPHARM 2 MG FILMTABLETTA | 60x | 4 223 | 5 447 | 0 | 0 | 5 447 | 0 | 0 | 0 | 100 | 5 147 | 300 |
| Vipharm Hungary Korlátolt Felelősségű Társaság | OGYI-T- 20254/15 | RISPERIDON VIPHARM 3 MG FILMTABLETTA | 60x | 6 385 | 7 932 | 0 | 0 | 7 932 | 0 | 0 | 0 | 100 | 7 632 | 300 |
| Vipharm Hungary Korlátolt Felelősségű Társaság | OGYI-T- 20254/22 | RISPERIDON VIPHARM 4 MG FILMTABLETTA | 60x | 8 536 | 10 304 | 0 | 0 | 10 304 | 0 | 0 | 0 | 100 | 10 004 | 300 |
Jelen határozatokat fellebbezésre tekintet nélkül végrehajthatónak nyilvánítom.
A határozat ellen, annak közlését követő 15 napon belül a Egészségbiztosítási Felügyelethez címzett, de az Országos Egészségbiztosítási Pénztárhoz benyújtott fellebbezéssel lehet élni.
A fellebbezés 200 000 Ft (azaz kettőszázezer forint) jogorvoslati díjköteles, mely összeg megfizetése a fellebbezés benyújtásával egyidejűleg az Egészségbiztosítási Felügyelet MÁK 10032000-00290249-00000000 számú előirányzat-felhasználási keretszámla javára történő átutalási megbízással teljesíthető.
2. Az R. 22. § (2) bekezdése alapján normál eljárásrend alkalmazásával elutasító határozatok:
| Kérelmező | Tk-szám | Név | Kiszerelés | Végzés száma |
| Roche Kft. | EU/l/04/300/001 | Avastin 25 mg/ml koncentrátum oldatos infúzióhoz 1x4 ml | 1x4 ml | 19-253/5/51/2009 |
| Roche Kft. | EU/1/04/300/002 | Avastin 25 mg/ml koncentrátum oldatos infúzióhoz 1x16 ml (emlő) | 1x16ml | 19-253/4/51/2009 |
A határozat ellen, annak közlését követő 15 napon belül a Egészségbiztosítási Felügyelethez címzett, de az Országos Egészségbiztosítási Pénztárhoz benyújtott fellebbezéssel lehet élni.
A Ket. 148. § (1), (4), (5) bekezdései alapján az OEP hivatalból indított eljárása során a végrehajtás felfüggesztésére irányuló kérelmében, az alábbi elutasító végzést hozta
| Kérelmező | Tk-szám | Név | Kiszerelés | Végzés száma |
| Kéri Pharma Kft. | OGYI-T-04701/02 | DONA 750 mg filmtabletta | 60x | 18516-10-890/4/2009 |
| Kéri Pharma Kft. | OGYI-T-04701/01 | DONA kapszula | 80x | 18516-10-890/4/2009 |
| Kéri Pharma Kft. | OGYI-T-04702/02 | DONA por oldathoz | 20x | 18516-10-890/4/2009 |
E végzés ellen önálló fellebbezésnek helye nincs, a végzés csak a határozat elleni fellebbezésben támadható meg.
3. Gyftv. 27. § (l)-(2), valamint (4)-(5) bekezdései, valamint a 2004. évi CXL. törvény 32. §-a alapján a felfüggesztésről hozott végzés:
| Kérelmező | Tk-szám | Név | Kiszerelés | Végzés száma |
| Amgen Kft. | EU/l/08/497/001 | Nplate 250 mikrogramm por oldatos injekcióhoz | lx | 19033-10-801/2/2009 |
| Wyeth Kft. | EU/1/08/463/003 | Relistor 12 mg/0,6 ml oldatos injekció | 7x | 15596-10-640/5/2009 |
| Wyeth Kft. | EU/1/08/463/001 | Relistor 12 mg/0,6 ml oldatos injekció | lx | 15590-10-640/4/2009 |
A végzéssel szemben annak közlését követő 15 napon belül az Egészségbiztosítási Felügyelethez címzett, de az Országos Egészségbiztosítási Pénztár Gyógyszerügyi Főosztályához benyújtott fellebbezéssel lehet élni.
A végzés elleni fellebbezés illetéke 3000 Ft, azaz háromezer forint, amelyet az eljárás megindításakor az eljárást kezdeményező iraton illetékbélyeggel kell megfizetni.
4. A 2004. évi CXL. törvény 31. § (2) bekezdés c) pontja alapján, kérelemre vonatkozó eljárás megszüntetéséről hozott végzés:
| Kérelmező | Tk-szám | Név | Kiszerelés | Végzés száma |
| Ozone Laboratories Magyarország Kft. | OGYI-T-20658/01 | Bisoprolol Ozone 5 mg tabletta | 30x | 18140-10-883/1/2009 |
| Ozone Laboratories Magyarország Kft. | OGYI-T-20658/02 | Bisoprolol Ozone 10 mg tabletta | 30x | 18126-10-882/1/2009 |
| Ozone Laboratories Magyarország Kft. | OGYI-T-20597/01 | Dozone 2 mg tabletta | 30x | 18170-10-891/1/2009 |
| Ozone Laboratories Magyarország Kft. | OGYI-T-20597/03 | Dozone 4 mg tabletta | 30x | 18161-10-888/1/2009 |
| Ozone Laboratories Magyarország Kft. | OGYI-T-20653/01 | Nopekar 37,5 mg retard kemény kapszula | 28x | 18148-10-885/1/2009 |
| Ozone Laboratories Magyarország Kft. | OGYI-T-20653/02 | Nopekar 75 mg retard kemény kapszula | 28x | 18154-10-886/1/2009 |
| Ozone Laboratories Magyarország Kft. | OGYI-T-20653/03 | Nopekar 150 mg retard kemény kapszula | 28x | 18158-10-887/1/2009 |
A végzéssel szemben annak közlését követő 15 napon belül a Egészségbiztosítási Felügyelethez címzett, de az Országos Egészségbiztosítási Pénztár Gyógyszerügyi Főosztályához benyújtott fellebbezéssel lehet élni.
A végzés elleni fellebbezés illetéke 3000 Ft, azaz háromezer forint, amelyet az eljárás megindításakor az eljárást kezdeményező iraton illetékbélyeggel kell megfizetni.
A határozat jogerős, ellene további fellebbezésnek nincs helye, de jogszabálysértésre hivatkozva kérhető bírósági felülvizsgálata.
5. A 2004. évi CXL. törvény 122. § (1) bekezdése alapján alkalmazásával a kijavításról hozott határozat:
| Kérelmező | Tk-szám | Név | Kiszerelés | Végzés száma |
| Kéri Pharma Kft. | OGYI-T-04701/02 | DONA 750 mg filmtabletta | 60x | 18173-10-890/2/2009 |
| Kéri Pharma Kft. | OGYI-T-04701/01 | DONA kapszula | 80x | 18168-10-890/1/2009 |
| Kéri Pharma Kft. | OGYI-T-04702/02 | DONA por oldathoz | 20x | 18176-10-890/3/2009 |
Ezen határozat ellen jogorvoslatnak nincs helye.
A végzés elleni fellebbezés illetéke 3000 Ft, azaz háromezer forint, amelyet az eljárás megindításakor az eljárást kezdeményező iraton illetékbélyeggel kell me£ fizetni.
6. A Ket. 105. §-ának (2) bekezdése alapján az Egészségbiztosítási Felügyelet a következő, a táblázatban megjelölt készítmények társadalombiztosítási támogatásba való befogadása tárgyában az OEP által hozott elsőfokú határozatot helybenhagyó határozatot hozta.
| Fellebbező neve | TK-szám | Gyógyszer megnevezése | Kiszerelés | II. fokú végzés száma | I. fokú határozat száma |
| Pfizer Gyógyszerkereskedelmi Kft. | EU/1/04/279/009 | Lyrica 50 mg kemény kapszula | 84x | 162-6/2009 | 78148-10-2165/3/2008 |
| Pfizer Gyógyszerkereskedelrni Kft. | EU/1/04/279/015 | Lyrica 100 mg kemény kapszula | 84x | 160-6/2009 | 78152-10-2164/6/2008 |
A határozat jogerős, ellene további fellebbezésnek nincs helye, de jogszabálysértésre hivatkozva kérhető bírósági felülvizsgálata
7. A Gyftv. 29. § (4) bekezdés b) pontja alapján az Országos Egészségbiztosítási Pénztár a forgalomba hozatali engedély jogosultjának bejelentési kötelezettsége alapján a támogatás megszüntetéséről változás bejelentés alapján az alábbi határozatokat hozta:
| Kérelmező | TK-szám | Név | Kiszerelés |
| Béres Gyógyszergyár Részvénytársaság | OGYI-T-08346/02 | BÉRES C-VITAMIN 500 MG FILMTABLETTA | 60x |
| Pharma-Marketing Szolgáltató és Kereskedelmi Kft. | OGYI-T-06497/02 | BUCAIN 0,25% INJEKCIÓ, 20 ML | 10x20 ml |
| Pharma-Marketing Szolgáltató és Kereskedelmi Kft. | OGYI-T-06496/02 | BUCAIN 0,25% INJEKCIÓ, 5 ML | 10x |
| Pharma-Marketing Szolgáltató és Kereskedelmi Kft. | OGYI-T-06502/02 | BUCAIN 0,5% HYPERBAR INJEKCIÓ | 10x4 ml |
| Pharma-Marketing Szolgáltató és Kereskedelmi Kft. | OGYI-T-06500/02 | BUCAIN 0,5% INJEKCIÓ, 20 ML | 10x20 ml |
| Pharma-Marketing Szolgáltató és Kereskedelmi Kft. | OGYI-T-06499/02 | BUCAIN 0,5% INJEKCIÓ, 5 ML | 10x |
| CSC Pharmaceuticals Hungary Kereskedelmi Kft. | OGYI-T-07450/01 | MICROSER TABLETTA | 50x |
Jelen határozatomat fellebbezésre tekintet nélkül végrehajthatónak nyilvánítom.
A határozattal szemben annak közlésétől számított 15 napon belül az Egészségbiztosítási Felügyelethez címzett, de az Országos Egészségbiztosítási Pénztárhoz benyújtott fellebbezéssel lehet élni.
A határozat elleni fellebbezés illetéke 5000 Ft, azaz ötezer forint, amelyet az eljárás megindításakor az eljárást kezdeményező iraton illetékbélyeggel kell megfizetni.
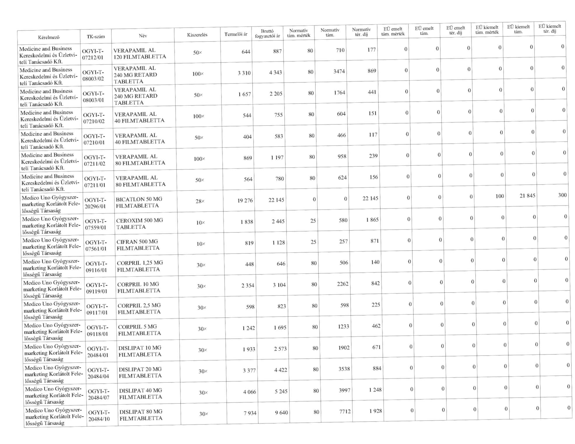
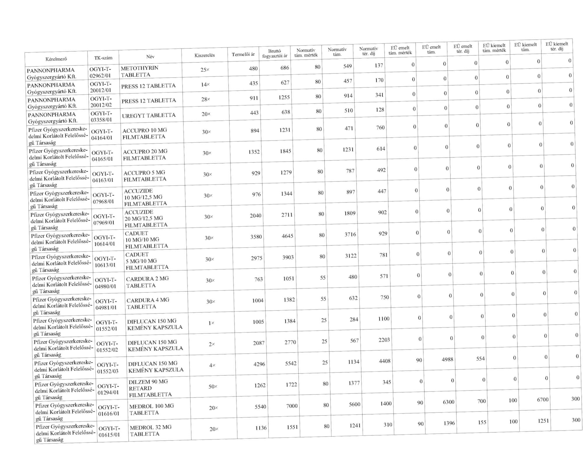
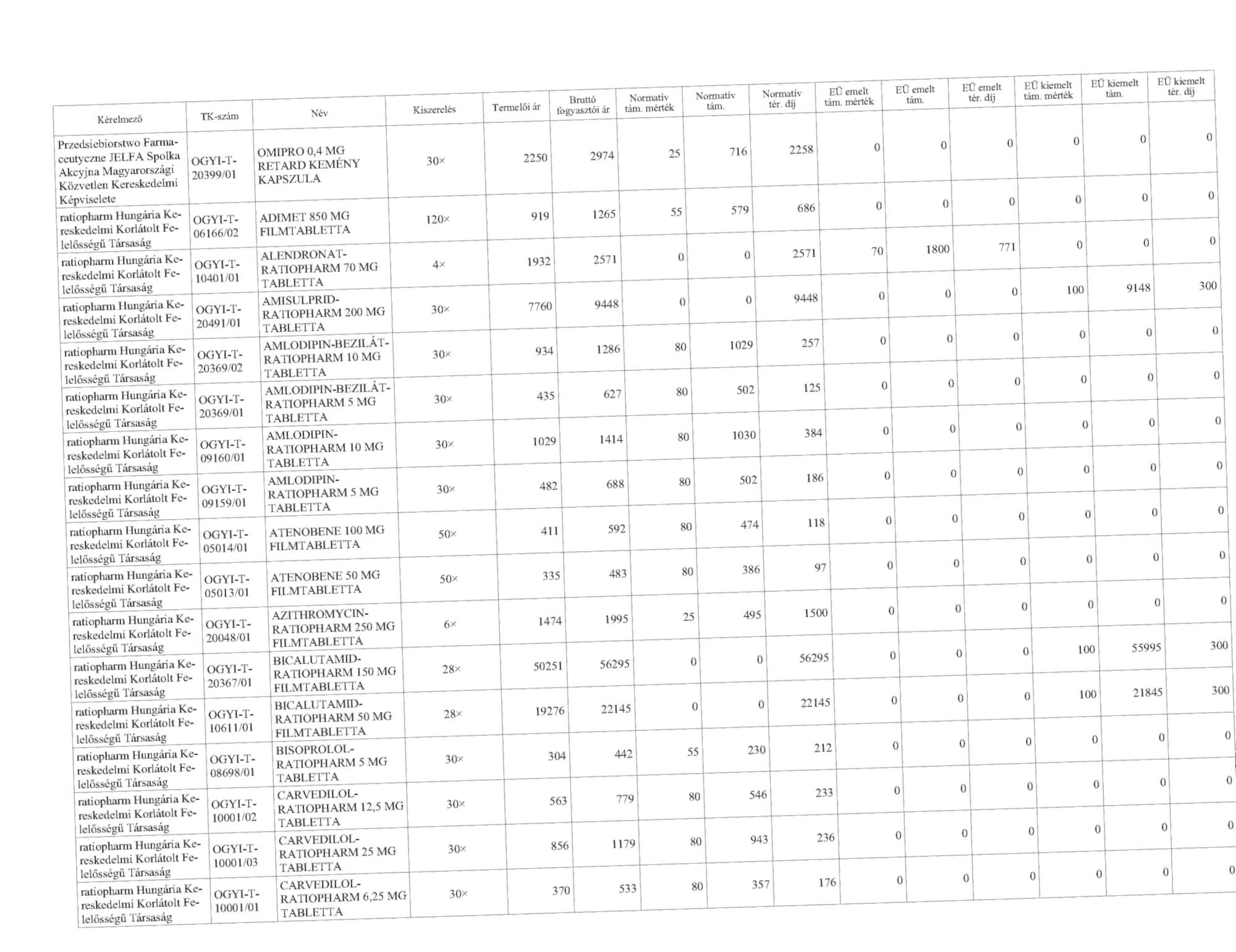
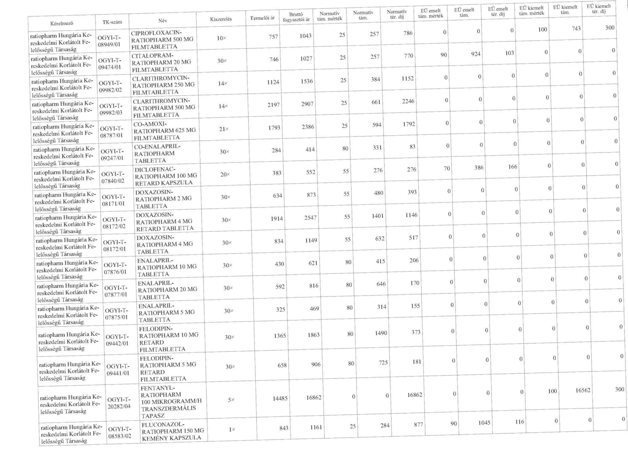
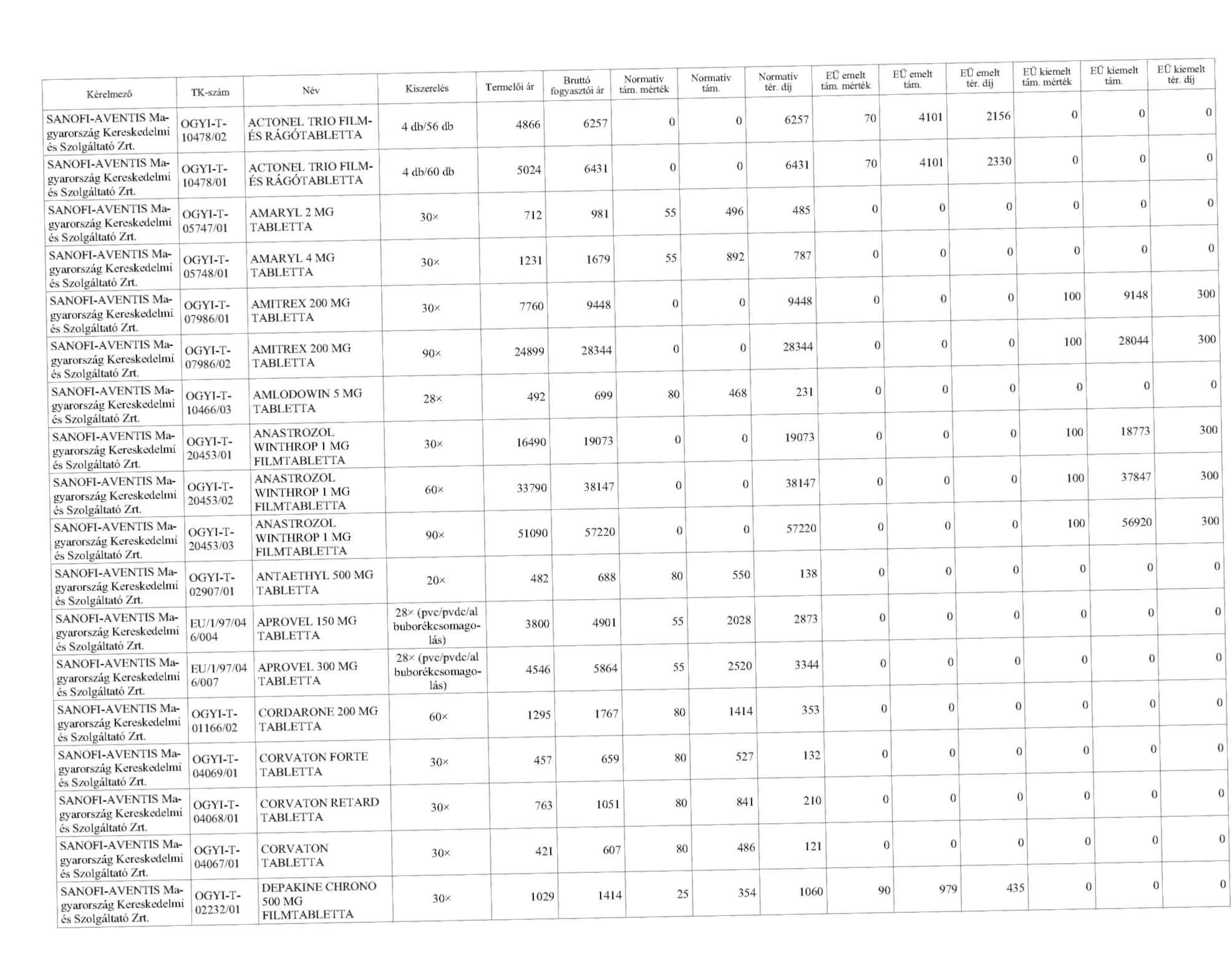
8. A Gyftv. 24. § (1) és (2) bekezdése, 28. §-ának ba) pontja, 29. § (4) bekezdésének ae) pontja, 32/2004. (IV. 26.) ESzCsM rendelet 10. §-ának (4) bekezdése, valamint 4. §-ának (5) bekezdése alapján az Országos Egészségbiztosítási Pénztár hivatalból indított eljárása során az alábbi módosító határozatokat hozta 2009. április 1-jei finanszírozási kezdőnappal:
| Kérelmező | TK-szám | Név | Kiszerelés | Termelői ár | Bruttó fogyasztói ár | Normatív tám. mérték | Normatív tám | Normatív tér. díj | EÜ emelt tám. mérték | EÜ emelt tám | EÜ emelt tér. díj | EÜ kiemelt tám. mérték | EÜ kiemelt tám | EÜ kiemelt tér. díj |
| 1 A Pharma GmbH | OGYI-T- 10505/01 | AMLODIPIN 1A PHARMA 10 MG TABLETTA | 30x | 913 | 1257 | 80 | 1006 | 251 | 0 | 0 | 0 | 0 | 0 | 0 |
| 1 A Pharma GmbH | OGYI-T- 10503/01 | AMLODIPIN 1A PHARMA 5 MG TABLETTA | 30x | 426 | 614 | 80 | 491 | 123 | 0 | 0 | 0 | 0 | 0 | 0 |
| 1 A Pharma GmbH | OGYI-T- 20260/01 | AZITHROMYCIN 1A PHARMA 250 MG FILMTABLETTA | 6x | 1458 | 1977 | 25 | 494 | 1483 | 0 | 0 | 0 | 0 | 0 | 0 |
| 1 A Pharma GmbH | OGYI-T- 20260/03 | AZITHROMYCIN 1A PHARMA 500 MG FILMTABLETTA | 3x | 1898 | 2525 | 25 | 631 | 1894 | 0 | 0 | 0 | 0 | 0 | 0 |
| 1 A Pharma GmbH | OGYI-T- 20213/02 | CIPROFLOXACIN 1A PHARMA 500 MG FILMTABLETTA | 10x | 744 | 1025 | 25 | 256 | 769 | 0 | 0 | 0 | 0 | 0 | 0 |
| 1 A Pharma GmbH | OGYI-T- 09820/01 | ENALAPRIL 1A PHARMA 10 MG TABLETTA | 30x | 358 | 517 | 80 | 414 | 103 | 0 | 0 | 0 | 0 | 0 | 0 |
| 1 A Pharma GmbH | OGYI-T- 09821/01 | ENALAPRIL 1A PHARMA 20 MG TABLETTA | 30x | 583 | 804 | 80 | 643 | 161 | 0 | 0 | 0 | 0 | 0 | 0 |
| 1 A Pharma GmbH | OGYI-T- 09819/01 | ENALAPRIL 1A PHARMA 5 MG TABLETTA | 30x | 268 | 390 | 80 | 312 | 78 | 0 | 0 | 0 | 0 | 0 | 0 |
| 1 A Pharma GmbH | OGYI-T- 10294/01 | ENALAPRIL-HCT 1A PHARMA 20/6 MG TABLETTA | 30x | 313 | 454 | 80 | 331 | 123 | 0 | 0 | 0 | 0 | 0 | 0 |
| 1 A Pharma GmbH | OGYI-T- 10302/01 | FELODIPIN 1A PHARMA 10 MG RETARD FILMTABLETTA | 30x | 1364 | 1861 | 80 | 1489 | 372 | 0 | 0 | 0 | 0 | 0 | 0 |
| 1 A Pharma GmbH | OGYI-T-10301/01 | FELODIPIN 1A PHARMA 5 MG RETARD FILMTABLETTA | 30x | 657 | 905 | 80 | 724 | 181 | 0 | 0 | 0 | 0 | 0 | 0 |
| 1 A Pharma GmbH | OGYI-T- 10287/01 | GLIMEPIRID 1A PHARMA 1 MG TABLETTA | 30x | 371 | 536 | 55 | 295 | 241 | 0 | 0 | 0 | 0 | 0 | 0 |
| 1 A Pharma GmbH | OGYI-T- 10288/01 | GLIMEPIRID 1A PHARMA 2 MG TABLETTA | 30x | 653 | 899 | 55 | 494 | 405 | 0 | 0 | 0 | 0 | 0 | 0 |
| 1 A Pharma GmbH | OGYI-T- 10289/01 | GLIMEPIRID 1A PHARMA 3 MG TABLETTA | 30x | 1166 | 1591 | 55 | 875 | 716 | 0 | 0 | 0 | 0 | 0 | 0 |
| 1 A Pharma GmbH | OGYI-T- 10290/01 | GLIMEPIRID 1A PHARMA 4 MG TABLETTA | 30x | 1187 | 1619 | 55 | 890 | 729 | 0 | 0 | 0 | 0 | 0 | 0 |
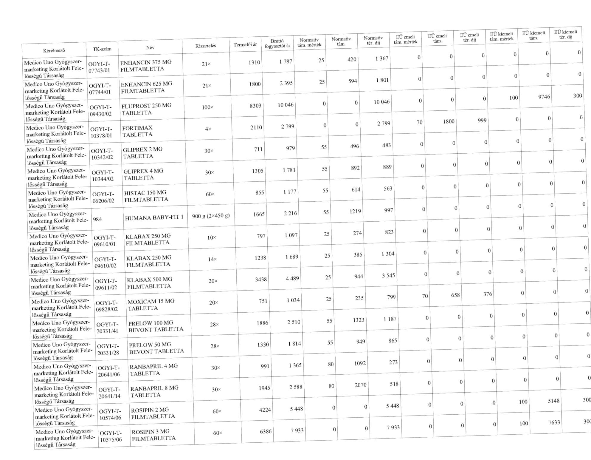
| Kérelmező | TK-szám | Név | Kiszerelés | Termelői ár | Bruttó fogyasztói ár | Normatív tám. mérték | Normatív tám | Normatív tér. díj | EÜ emelt tám. mérték | EÜ emelt tám | EÜ emelt tér. díj | EÜ kiemelt tám. mérték | EÜ kiemelt tám | EÜ kiemelt tér. díj |
| 1 A Pharma GmbH | OGYI-T-10291/01 | GLIMEPIRID 1A PHARMA 6 MG TABLETTA | 30x | 2201 | 2 913 | 55 | 1602 | 1311 | 0 | 0 | 0 | 0 | 0 | 0 |
| 1 A Pharma GmbH | OGYI-T- 10593/02 | METFORMIN 1A PHARMA 850 MG FILMTABLETTA | 120x | 773 | 1 065 | 55 | 579 | 486 | 0 | 0 | 0 | 0 | 0 | 0 |
| 1 A Pharma GmbH | OGYI-T-10130/01 | METOPROLOL Z 1A PHARMA 100 MG RETARD FILMTABLETTA | 30x | 652 | 898 | 80 | 718 | 180 | 0 | 0 | 0 | 0 | 0 | 0 |
| 1 A Pharma GmbH | OGYI-T-10131/01 | METOPROLOL Z 1A PHARMA 150 MG RETARD FILMTABLETTA | 30x | 988 | 1 361 | 80 | 1089 | 272 | 0 | 0 | 0 | 0 | 0 | 0 |
| 1 A Pharma GmbH | OGYI-T-10128/01 | METOPROLOL Z 1A PHARMA 25 MG RETARD FILMTABLETTA | 30x | 395 | 569 | 80 | 455 | 114 | 0 | 0 | 0 | 0 | 0 | 0 |
| 1 A Pharma GmbH | OGYI-T-10129/01 | METOPROLOL Z 1A PHARMA 50 MG RETARD FILMTABLETTA | 30x | 379 | 547 | 80 | 438 | 109 | 0 | 0 | 0 | 0 | 0 | 0 |
| 1 A Pharma GmbH | OGYI-T- 20615/04 | PERINDOPRIL 1 A PHARMA 4 MG TABLETTA | 30x | 870 | 1 198 | 80 | 958 | 240 | 0 | 0 | 0 | 0 | 0 | 0 |
| 1 A Pharma GmbH | OGYI-T- 10420/01 | RAMIPRIL 1A PHARMA 10 MG TABLETTA | 30x | 2131 | 2 826 | 80 | 2261 | 565 | 0 | 0 | 0 | 0 | 0 | 0 |
| 1 A Pharma GmbH | OGYI-T-10417/01 | RAMIPRIL 1A PHARMA 2,5 MG TABLETTA | 30x | 536 | 747 | 80 | 598 | 149 | 0 | 0 | 0 | 0 | 0 | 0 |
| 1 A Pharma GmbH | OGYI-T-10418/01 | RAMIPRIL 1A PHARMA 5 MG TABLETTA | 30x | 1127 | 1 539 | 80 | 1231 | 308 | 0 | 0 | 0 | 0 | 0 | 0 |
| 1 A Pharma GmbH | OGYI-T- 20174/01 | RAMIPRIL-HCT 1A PHARMA 2,5/12,5 MG TABLETTA | 30x | 873 | 1 202 | 80 | 962 | 240 | 0 | 0 | 0 | 0 | 0 | 0 |
| 1 A Pharma GmbH | OGYI-T- 20174/02 | RAMIPRIL-HCT 1A PHARMA 5/25 MG TABLETTA | 30x | 1038 | 1 426 | 80 | 1141 | 285 | 0 | 0 | 0 | 0 | 0 | 0 |
| 1 A Pharma GmbH | OGYI-T- 09842/01 | SIMVASTATIN 1A PHARMA 20 MG FILMTABLETTA | 30x | 1780 | 2 369 | 80 | 1894 | 475 | 0 | 0 | 0 | 0 | 0 | 0 |
| 1 A Pharma GmbH | OGYI-T- 09843/01 | SIMVASTATIN 1A PHARMA 30 MG FILMTABLETTA | 30x | 2897 | 3 801 | 80 | 3041 | 760 | 0 | 0 | 0 | 0 | 0 | 0 |
| 1 A Pharma GmbH | OGYI-T- 09844/01 | SIMVASTATIN 1A PHARMA 40 MG FILMTABLETTA | 30x | 2482 | 3 263 | 80 | 2610 | 653 | 0 | 0 | 0 | 0 | 0 | 0 |
| Abbott Laboratories (Magyarország) Kft. | OGYI-T- 06174/01 | FLUT AMID ABBOTT 250 MG TABLETTA | 100x | 8396 | 10149 | 0 | 0 | 10 149 | 0 | 0 | 0 | 100 | 9746 | 403 |
| Abbott Laboratories (Magyarország) Kft. | OGYI-T- 05122/01 | GOPTEN 2 MG KAPSZULA | 28x | 1263 | 1 723 | 80 | 659 | 1 064 | 0 | 0 | 0 | 0 | 0 | 0 |
| Abbott Laboratories (Magyarország) Kft. | OGYI-T- 09644/01 | GOPTEN 4 MG KAPSZULA | 28x | 1776 | 2 364 | 80 | 889 | 1 475 | 0 | 0 | 0 | 0 | 0 | 0 |
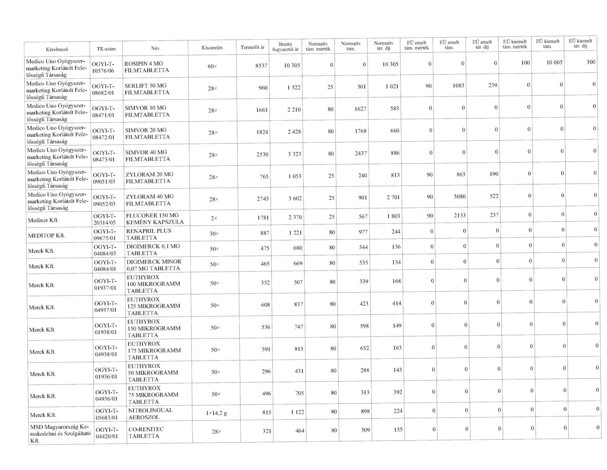
| Kérelmező | TK-szám | Név | Kiszerelés | Termelői ár | Bruttó fogyasztói ár | Normatív tám. mérték | Normatív tám | Normatív tér. díj | EÜ emelt tám. mérték | EÜ emelt tám | EÜ emelt tér. díj | EÜ kiemelt tám. mérték | EÜ kiemelt tám | EÜ kiemelt tér. díj |
| Abbott Laboratories (Magyarország) Kft. | OGYI-T- 09301/01 | GOPTEN MITE KAPSZULA | 50x | 1 631 | 2 170 | 80 | 984 | 1 186 | 0 | 0 | 0 | 0 | 0 | 0 |
| Abbott Laboratories (Magyarország) Kft. | OGYI-T- 04222/01 | ISOPTIN SR 120 MG RETARD FILMTABLETTA | 50x | 1 289 | 1 759 | 80 | 1407 | 352 | 0 | 0 | 0 | 0 | 0 | 0 |
| Abbott Laboratories (Magyarország) Kft. | OGYI-T- 02146/01 | ISOPTIN SR 240 MG RETARD FILMTABLETTA | 30x | 1 144 | 1 561 | 80 | 1058 | 503 | 0 | 0 | 0 | 0 | 0 | 0 |
| Abbott Laboratories (Magyarország) Kft. | OGYI-T- 02006/02 | RYTMONORM 150 MG FILMTABLETTA | 100x | 2 898 | 3 802 | 80 | 3036 | 766 | 0 | 0 | 0 | 0 | 0 | 0 |
| Abbott Laboratories (Magyarország) Kft. | OGYI-T- 02006/01 | RYTMONORM 150 MG FILMTABLETTA | 20x | 548 | 759 | 80 | 607 | 152 | 0 | 0 | 0 | 0 | 0 | 0 |
| Abbott Laboratories (Magyarország) Kft. | OGYI-T- 02007/02 | RYTMONORM 300 MG FILMTABLETTA | lOOx | 5 799 | 7 286 | 80 | 5786 | 1 500 | 0 | 0 | 0 | 0 | 0 | 0 |
| Abbott Laboratories (Magyarország) Kft. | OGYI-T- 02007/01 | RYTMONORM 300 MG FILMTABLETTA | 20x | 1 062 | 1 456 | 80 | 1157 | 299 | 0 | 0 | 0 | 0 | 0 | 0 |
| Actavis Hungary Gyógyszermarketing és Kereskedelmi Korlátolt Felelősségű Társaság | OGYI-T-20161/01 | AMIPRID 200 MG TABLETTA | 30x | 7 734 | 9 420 | 0 | 0 | 9 420 | 0 | 0 | 0 | 100 | 9 120 | 300 |
| Actavis Hungary Gyógyszermarketing és Kereskedelmi Korlátolt Felelősségű Társaság | OGYI-T- 20161/03 | AMIPRID 200 MG TABLETTA | 90x | 24 823 | 28 260 | 0 | 0 | 28 260 | 0 | 0 | 0 | 100 | 27 960 | 300 |
| Actavis Hungary Gyógyszermarketing és Kereskedelmi Korlátolt Felelősségű Társaság | OGYI-T- 09543/01 | AMLOZEK 10 MG TABLETTA | 30x | 1 030 | 1 415 | 80 | 1030 | 385 | 0 | 0 | 0 | 0 | 0 | 0 |
| Actavis Hungary Gyógyszermarketing és Kereskedelmi Korlátolt Felelősségű Társaság | OGYI-T- 09542/01 | AMLOZEK 5 MG TABLETTA | 30x | 483 | 689 | 80 | 502 | 187 | 0 | 0 | 0 | 0 | 0 | 0 |
| Actavis Hungary Gyógyszermarketing és Kereskedelmi Korlátolt Felelősségű Társaság | OGYI-T- 09054/01 | APODEPI 20 MG FILMTABLETTA | 30x | 2 191 | 2 900 | 25 | 725 | 2 175 | 90 | 2610 | 290 | 0 | 0 | 0 |
| Actavis Hungary Gyógyszermarketing és Kereskedelmi Korlátolt Felelősségű Társaság | OGYI-T- 05537/04 | APO-FLUOXETIN 20 MG KAPSZULA | 30x | 1 582 | 2 116 | 25 | 529 | 1 587 | 90 | 1871 | 245 | 0 | 0 | 0 |
| Actavis Hungary Gyógyszermarketing és Kereskedelmi Korlátolt Felelősségű Társaság | OGYI-T- 02028/01 | BEZALIP 400 MG MÓDOSÍTOTT HATÓANYAGLEADÁS Ú FILMTABLETTA | 30x | 1 150 | 1 570 | 80 | 928 | 642 | 0 | 0 | 0 | 0 | 0 | 0 |
| Actavis Hungary Gyógyszermarketing és Kereskedelmi Korlátolt Felelősségű Társaság | OGYI-T- 20401/02 | BICUSAN 50 MG FILMTABLETTA | 30x | 20 687 | 23 700 | 0 | 0 | 23 700 | 0 | 0 | 0 | 100 | 23 400 | 300 |
| Actavis Hungary Gyógyszermarketing és Kereskedelmi Korlátolt Felelősségű Társaság | OGYI-T- 08801/01 | BISOBLOCK 10 MG TABLETTA | 30x | 632 | 870 | 55 | 479 | 391 | 0 | 0 | 0 | 0 | 0 | 0 |
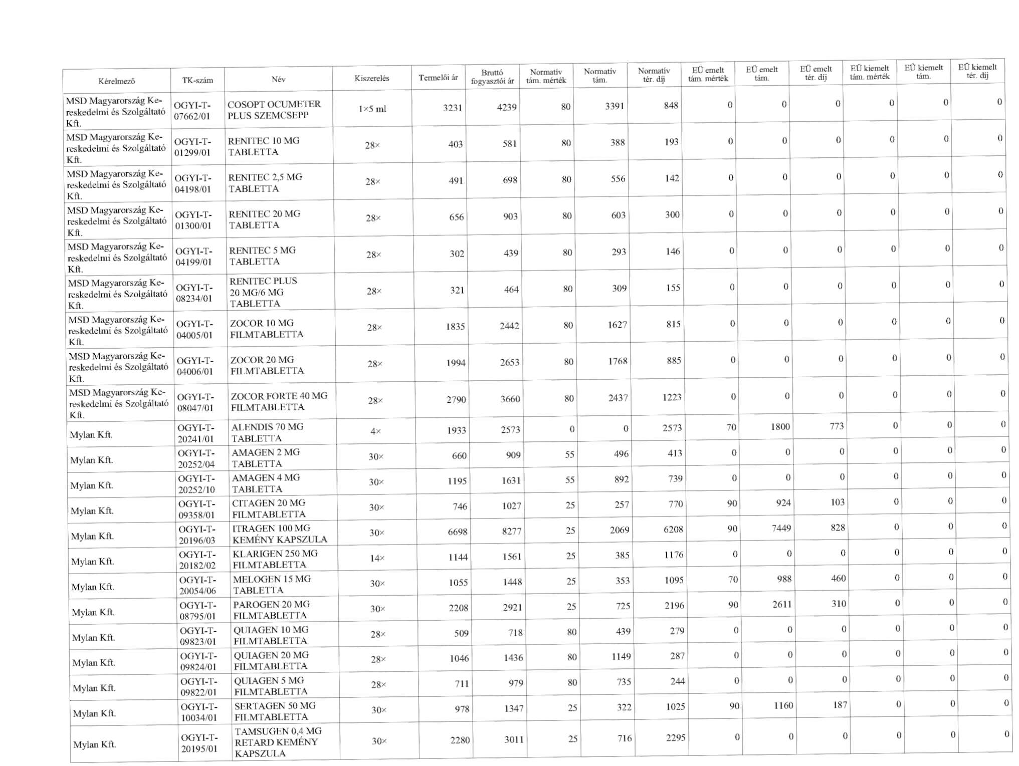
| Kérelmező | TK-szám | Név | Kiszerelés | Termelői ár | Bruttó fogyasztói ár | Normatív tám. mérték | Normatív tám | Normatív tér. díj | EÜ emelt tám. mérték | EÜ emelt tám | EÜ emelt tér. díj | EÜ kiemelt tám. mérték | EÜ kiemelt tám | EÜ kiemelt tér. díj |
| Actavis Hungary Gyógyszermarketing és Kereskedelmi Korlátolt Felelősségű Társaság | OGYI-T- 08800/01 | BISOBLOCK 5 MG TABLETTA | 30x | 287 | 418 | 55 | 230 | 188 | 0 | 0 | 0 | 0 | 0 | 0 |
| Actavis Hungary Gyógyszermarketing és Kereskedelmi Korlátolt Felelősségű Társaság | OGYI-T- 08852/01 | DOXICARD 2 MG TABLETTA | 30x | 632 | 870 | 55 | 479 | 391 | 0 | 0 | 0 | 0 | 0 | 0 |
| Actavis Hungary Gyógyszermarketing és Kereskedelmi Korlátolt Felelősségű Társaság | OGYI-T- 08853/01 | DOXICARD 4 MG TABLETTA | 30x | 833 | 1147 | 55 | 631 | 516 | 0 | 0 | 0 | 0 | 0 | 0 |
| Actavis Hungary Gyógyszermarketing és Kereskedelmi Korlátolt Felelősségű Társaság | OGYI-T- 20136/01 | EPOLAR 70 MG TABLETTA | 4x | 1931 | 2569 | 0 | 0 | 2569 | 70 | 1798 | 771 | 0 | 0 | 0 |
| Actavis Hungary Gyógyszermarketing és Kereskedelmi Korlátolt Felelősségű Társaság | OGYI-T- 09211/02 | FLUTASIN 250 MG TABLETTA | 90x | 7394 | 9045 | 0 | 0 | 9045 | 0 | 0 | 0 | 100 | 8741 | 304 |
| Actavis Hungary Gyógyszermarketing és Kereskedelmi Korlátolt Felelősségű Társaság | OGYI-T- 20405/01 | FOSICARD PLUS 20 MG/12,5 MG TABLETTA | 30x | 1040 | 1428 | 80 | 1142 | 286 | 0 | 0 | 0 | 0 | 0 | 0 |
| Actavis Hungary Gyógyszermarketing és Kereskedelmi Korlátolt Felelősségű Társaság | OGYI-T- 20393/02 | LEVENOR 4 MG TABLETTA | 30x | 1009 | 1388 | 80 | 1110 | 278 | 0 | 0 | 0 | 0 | 0 | 0 |
| Actavis Hungary Gyógyszermarketing és Kereskedelmi Korlátolt Felelősségű Társaság | OGYI-T- 20393/03 | LEVENOR 8 MG TABLETTA | 30x | 1947 | 2591 | 80 | 2073 | 518 | 0 | 0 | 0 | 0 | 0 | 0 |
| Actavis Hungary Gyógyszermarketing és Kereskedelmi Korlátolt Felelősségű Társaság | OGYI-T- 20229/03 | LIMERAL 2 MG TABLETTA | 30x | 737 | 1015 | 55 | 496 | 519 | 0 | 0 | 0 | 0 | 0 | 0 |
| Actavis Hungary Gyógyszermarketing és Kereskedelmi Korlátolt Felelősségű Társaság | OGYI-T- 20229/07 | LIMERAL 4 MG TABLETTA | 30x | 1274 | 1738 | 55 | 892 | 846 | 0 | 0 | 0 | 0 | 0 | 0 |
| Actavis Hungary Gyógyszermarketing és Kereskedelmi Korlátolt Felelősségű Társaság | OGYI-T- 10233/01 | MERAMYL 10 MG TABLETTA | 30x | 2132 | 2827 | 80 | 2262 | 565 | 0 | 0 | 0 | 0 | 0 | 0 |
| Actavis Hungary Gyógyszermarketing és Kereskedelmi Korlátolt Felelősségű Társaság | OGYI-T-10231/01 | MERAMYL 2,5 MG TABLETTA | 30x | 537 | 748 | 80 | 598 | 150 | 0 | 0 | 0 | 0 | 0 | 0 |
| Actavis Hungary Gyógyszermarketing és Kereskedelmi Korlátolt Felelősségű Társaság | OGYI-T- 10232/01 | MERAMYL 5 MG TABLETTA | 30x | 1128 | 1541 | 80 | 1233 | 308 | 0 | 0 | 0 | 0 | 0 | 0 |
| Actavis Hungary Gyógyszermarketing és Kereskedelmi Korlátolt Felelősségű Társaság | OGYI-T- 20037/01 | MERAMYL HCT 2,5 MG/12,5 MG TABLETTA | 30x | 873 | 1202 | 80 | 962 | 240 | 0 | 0 | 0 | 0 | 0 | 0 |
| Kérelmező | TK-szám | Név | Kiszerelés | Termelői ár | Bruttó fogyasztói ár | Normatív tám. mérték | Normatív tám | Normatív tér. díj | EÜ emelt tám. mérték | EÜ emelt tám | EÜ emelt tér. díj | EÜ kiemelt tám. mérték | EÜ kiemelt tám | EÜ kiemelt tér. díj |
| Actavis Hungary Gyógyszermarketing és Kereskedelmi Korlátolt Felelősségű Társaság | OGYI-T- 20037/02 | MERAMYL HCT 5 MG/25 MG TABLETTA | 30x | 1 039 | 1 427 | 80 | 1142 | 285 | 0 | 0 | 0 | 0 | 0 | 0 |
| Actavis Hungary Gyógyszermarketing és Kereskedelmi Korlátolt Felelősségű Társaság | OGYI-T- 20313/01 | MYCONAFINE 250 MG TABLETTA | 28x | 4 994 | 6 399 | 25 | 1600 | 4 799 | 90 | 5759 | 640 | 0 | 0 | 0 |
| Actavis Hungary Gyógyszermarketing és Kereskedelmi Korlátolt Felelősségű Társaság | OGYI-T- 04469/01 | NEOTIGASON 10 MG KAPSZULA | 30x | 4 012 | 5 175 | 80 | 4140 | 1 035 | 90 | 4658 | 517 | 0 | 0 | 0 |
| Actavis Hungary Gyógyszermarketing és Kereskedelmi Korlátolt Felelősségű Társaság | OGYI-T- 04470/01 | NEOTIGASON 25 MG KAPSZULA | 30x | 8 739 | 10 527 | 80 | 8422 | 2 105 | 90 | 9474 | 1053 | 0 | 0 | 0 |
| Actavis Hungary Gyógyszermarketing és Kereskedelmi Korlátolt Felelősségű Társaság | OGYI-T- 20451/15 | RASOLTAN 100 MG FILMTABLETTA | 30x | 1 935 | 2 575 | 55 | 1416 | 1 159 | 0 | 0 | 0 | 0 | 0 | 0 |
| Actavis Hungary Gyógyszermarketing és Kereskedelmi Korlátolt Felelősségű Társaság | OGYI-T-20451/11 | RASOLTAN 50 MG FILMTABLETTA | 30x | 1 354 | 1 847 | 55 | 1016 | 831 | 0 | 0 | 0 | 0 | 0 | 0 |
| Actavis Hungary Gyógyszermarketing és Kereskedelmi Korlátolt Felelősségű Társaság | OGYI-T- 20052/02 | RISPONS 1 MG FILMTABLETTA | 60x | 2 031 | 2 701 | 0 | 0 | 2 701 | 0 | 0 | 0 | 100 | 2 401 | 300 |
| Actavis Hungary Gyógyszermarketing és Kereskedelmi Korlátolt Felelősségű Társaság | OGYI-T- 20052/03 | RISPONS 2 MG FILMTABLETTA | 60x | 4 223 | 5 447 | 0 | 0 | 5 447 | 0 | 0 | 0 | 100 | 5 147 | 300 |
| Actavis Hungary Gyógyszermarketing és Kereskedelmi Korlátolt Felelősségű Társaság | OGYI-T- 20052/04 | RISPONS 3 MG FILMTABLETTA | 60x | 6 385 | 7 932 | 0 | 0 | 7 932 | 0 | 0 | 0 | 100 | 7 632 | 300 |
| Actavis Hungary Gyógyszermarketing és Kereskedelmi Korlátolt Felelősségű Társaság | OGYI-T- 20052/05 | RISPONS 4 MG FILMTABLETTA | 60x | 8 536 | 10 304 | 0 | 0 | 10 304 | 0 | 0 | 0 | 100 | 10 004 | 300 |
| Actavis Hungary Gyógyszermarketing és Kereskedelmi Korlátolt Felelősségű Társaság | OGYI-T- 20283/04 | SEDATON 100 MIKROGRAMM/H TRANSZDERMÁLIS TAPASZ | 5x | 14 495 | 16 874 | 0 | 0 | 16 874 | 0 | 0 | 0 | 100 | 16 562 | 312 |
| Actavis Hungary Gyógyszermarketing és Kereskedelmi Korlátolt Felelősségű Társaság | OGYI-T- 20047/01 | TAMSUDIL 0,4 MG RETARD KAPSZULA | 30x | 2 199 | 2911 | 25 | 716 | 2 195 | 0 | 0 | 0 | 0 | 0 | 0 |
| Actavis Hungary Gyógyszermarketing és Kereskedelmi Korlátolt Felelősségű Társaság | OGYI-T- 20418/01 | TORVALIPIN10MG FILMTABLETTA | 30x | 1 786 | 2 376 | 80 | 1901 | 475 | 0 | 0 | 0 | 0 | 0 | 0 |
| Actavis Hungary Gyógyszermarketing és Kereskedelmi Korlátolt Felelősségű Társaság | OGYI-T- 20418/02 | TORVALIPIN 20 MG FILMTABLETTA | 30x | 3 377 | 4 422 | 80 | 3538 | 884 | 0 | 0 | 0 | 0 | 0 | 0 |
| Kérelmező | TK-szám | Név | Kiszerelés | Termelői ár | Bruttó fogyasztói ár | Normatív tám. mérték | Normatív tám | Normatív tér. díj | EÜ emelt tám. mérték | EÜ emelt tám | EÜ emelt tér. díj | EÜ kiemelt tám. mérték | EÜ kiemelt tám | EÜ kiemelt tér. díj |
| Actavis Hungary Gyógyszermarketing és Kereskedelmi Korlátolt Felelősségű Társaság | OGYI-T- 20418/03 | TORVALIPIN 40 MG FILMTABLETTA | 30x | 3871 | 4 994 | 80 | 3995 | 999 | 0 | 0 | 0 | 0 | 0 | 0 |
| Actavis Hungary Gyógyszermarketing és Kereskedelmi Korlátolt Felelősségű Társaság | OGYI-T- 06565/01 | TRAMALGIC KAPSZULA | 30x | 616 | 848 | 25 | 177 | 671 | 0 | 0 | 0 | 100 | 406 | 442 |
| Alcon Hungária Gyógyszerkereskedelmi Kft. | OGYI-T- 05293/01 | BETOPTIC S SZEMCSEPP | 1x5 ml | 858 | 1 181 | 80 | 802 | 379 | 0 | 0 | 0 | 0 | 0 | 0 |
| Alcon Hungária Gyógyszerkereskedelmi Kft. | OGYI-T- 01727/01 | BETOPTIC SZEMCSEPP | 1x5 ml | 858 | 1 181 | 80 | 802 | 379 | 0 | 0 | 0 | 0 | 0 | 0 |
| Alcon Hungária Gyógyszerkereskedelmi Kft. | OGYI-T-01918/01 | CUSIMOLOL 0,25% SZEMCSEPP | 1x5 ml | 400 | 576 | 80 | 461 | 115 | 0 | 0 | 0 | 0 | 0 | 0 |
| Alcon Hungária Gyógyszerkereskedelmi Kft. | OGYI-T-01919/01 | CUSIMOLOL 0,5% SZEMCSEPP | 1x5 ml | 420 | 606 | 80 | 485 | 121 | 0 | 0 | 0 | 0 | 0 | 0 |
| ALKALOIDA Vegyészeti Gyár Zártkörűen Működő Részvénytársaság | OGYI-T- 03679/02 | CHINIDIN-ALKALOID A 0,3 G RETARD TABLETTA | 30x | 925 | 1 274 | 80 | 1019 | 255 | 0 | 0 | 0 | 0 | 0 | 0 |
| Astellas Pharma Kft. | OGYI-T- 05462/01 | DUOMOX 500 MG TABLETTA | 20x | 566 | 782 | 25 | 168 | 614 | 0 | 0 | 0 | 0 | 0 | 0 |
| Astellas Pharma Kft. | OGYI-T- 09021/01 | FORCID SOLUTAB 500/125 TABLETTA | 20x | 1 710 | 2 275 | 25 | 565 | 1 710 | 0 | 0 | 0 | 0 | 0 | 0 |
| Astellas Pharma Kft. | OGYI-T- 05975/01 | OMNIC 0,4 RETARD KAPSZULA | 30x | 2 621 | 3 439 | 25 | 716 | 2 723 | 0 | 0 | 0 | 0 | 0 | 0 |
| Astellas Pharma Kft. | OGYI-T- 09839/01 | OMNIC TOCAS 0,4 RETARD FILMTABLETTA | 30x | 2 621 | 3 439 | 25 | 716 | 2 723 | 0 | 0 | 0 | 0 | 0 | 0 |
| AstraZeneca Kft. | OGYI-T- 05682/01 | ARIMIDEX 1 MG FILMTABLETTA | 28x | 15 337 | 17 802 | 0 | 0 | 17 802 | 0 | 0 | 0 | 100 | 17 502 | 300 |
| AstraZeneca Kft. | OGYI-T- 06441/01 | ATACAND 16 MG TABLETTA | 28x | 4 956 | 6 357 | 55 | 2520 | 3 837 | 0 | 0 | 0 | 0 | 0 | 0 |
| AstraZeneca Kft. | OGYI-T- 06440/01 | ATACAND 8 MG TABLETTA | 28x | 4 109 | 5 300 | 55 | 2028 | 3 272 | 0 | 0 | 0 | 0 | 0 | 0 |
| AstraZeneca Kft. | OGYI-T- 05375/02 | CASODEX 150 MG FILMTABLETTA | 28x | 50 253 | 56 297 | 0 | 0 | 56 297 | 0 | 0 | 0 | 100 | 55 995 | 302 |
| Baxter Hungary Kft. | OGYI-T- 08389/01 | NEIS VAC-C SZUSZPENZIÓS INJEKCIÓ | 1x0,5 ml | 5 400 | 6 846 | 0 | 0 | 6 846 | 70 | 4638 | 2208 | 0 | 0 | 0 |
| Berlin-Chemie/A. Mena-rini Magyarország Szolgáltató Kft. | OGYI-T- 09620/05 | BERLIPRIL 10 MG TABLETTA | 30x | 401 | 579 | 80 | 415 | 164 | 0 | 0 | 0 | 0 | 0 | 0 |
| Berlin-Chemie/A. Mena-rini Magyarország Szolgáltató Kft. | OGYI-T- 09620/08 | BERLIPRIL 20 MG TABLETTA | 30x | 675 | 929 | 80 | 646 | 283 | 0 | 0 | 0 | 0 | 0 | 0 |
| Berlin-Chemie/A. Mena-rini Magyarország Szolgáltató Kft. | OGYI-T- 20210/02 | FLOSIN 0,4 MG RETARD KEMÉNY KAPSZULA | 30x | 2 199 | 2911 | 25 | 716 | 2 195 | 0 | 0 | 0 | 0 | 0 | 0 |
| Berlin-Chemie/A. Mena-rini Magyarország Szolgáltató Kft. | OGYI-T- 01537/03 | LETROX 100 TABLETTA | 100x | 615 | 847 | 80 | 678 | 169 | 0 | 0 | 0 | 0 | 0 | 0 |
| Berlin-Chemie/A. Mena-rini Magyarország Szolgáltató Kft. | OGYI-T- 07546/09 | LETROX 125 MCG TABLETTA | 100x | 768 | 1 057 | 80 | 846 | 211 | 0 | 0 | 0 | 0 | 0 | 0 |

| Kérelmező | TK-szám | Név | Kiszerelés | Termelői ár | Bruttó fogyasztói ár | Normatív tám. mérték | Normatív tám | Normatív tér. díj | EÜ emelt tám. mérték | EÜ emelt tám | EÜ emelt tér. díj | EÜ kiemelt tám. mérték | EÜ kiemelt tám | EÜ kiemelt tér. díj |
| Chauvin Ankerpharm GmbH Magyarországi Közvetlen Kereskedelmi Képviselete | OGYI-T- 01904/01 | ARUTIMOL 0,5% SZEMCSEPP | 1x5 ml | 428 | 617 | 80 | 485 | 132 | 0 | 0 | 0 | 0 | 0 | 0 |
| EGIS Gyógyszergyár Nyrt. | OGYI-T- 20474/01 | ANABREST FILMTABLETTA | 28x | 15 337 | 17 802 | 0 | 0 | 17 802 | 0 | 0 | 0 | 100 | 17 502 | 300 |
| EGIS Gyógyszergyár Nyrt. | OGYI-T- 06827/01 | BETALOC 10 MG TABLETTA | 30x | 384 | 553 | 80 | 442 | 111 | 0 | 0 | 0 | 0 | 0 | 0 |
| EGIS Gyógyszergyár Nyrt. | OGYI-T- 03610/01 | BETALOC 100 MG TABLETTA | 20x | 523 | 733 | 80 | 586 | 147 | 0 | 0 | 0 | 0 | 0 | 0 |
| EGIS Gyógyszergyár Nyrt. | OGYI-T- 04680/02 | BETALOC 50 MG TABLETTA | 100x | 679 | 936 | 80 | 749 | 187 | 0 | 0 | 0 | 0 | 0 | 0 |
| EGIS Gyógyszergyár Nyrt. | OGYI-T- 04680/01 | BETALOC 50 MG TABLETTA | 30x | 231 | 336 | 80 | 269 | 67 | 0 | 0 | 0 | 0 | 0 | 0 |
| EGIS Gyógyszergyár Nyrt. | OGYI-T- 07606/01 | CARDILOPIN 10 MG TABLETTA | 30x | 1 137 | 1 553 | 80 | 1030 | 523 | 0 | 0 | 0 | 0 | 0 | 0 |
| EGIS Gyógyszergyár Nyrt. | OGYI-T- 07604/01 | CARDILOPIN 2,5 MG TABLETTA | 30x | 411 | 592 | 80 | 220 | 372 | 0 | 0 | 0 | 0 | 0 | 0 |
| EGIS Gyógyszergyár Nyrt. | OGYI-T- 07605/01 | CARDILOPIN 5 MG TABLETTA | 30x | 548 | 759 | 80 | 502 | 257 | 0 | 0 | 0 | 0 | 0 | 0 |
| EGIS Gyógyszergyár Nyrt. | OGYI-T- 03876/01 | CORDAFLEX 20 MG RETARD FILMTABLETTA | 60x | 488 | 695 | 80 | 556 | 139 | 0 | 0 | 0 | 0 | 0 | 0 |
| EGIS Gyógyszergyár Nyrt. | OGYI-T- 03725/01 | CORDAFLEX FILMTABLETTA | 100x | 567 | 784 | 80 | 627 | 157 | 0 | 0 | 0 | 0 | 0 | 0 |
| EGIS Gyógyszergyár Nyrt. | OGYI-T- 04048/01 | CORDAFLEX SPRAY | 1x22 g | 607 | 836 | 80 | 669 | 167 | 0 | 0 | 0 | 0 | 0 | 0 |
| EGIS Gyógyszergyár Nyrt. | OGYI-T- 20572/04 | COVERCARD 10 MG/10 MG TABLETTA | 30x | 3 207 | 4 207 | 80 | 3366 | 841 | 0 | 0 | 0 | 0 | 0 | 0 |
| EGIS Gyógyszergyár Nyrt. | OGYI-T- 20572/03 | COVERCARD 10 MG/5 MG TABLETTA | 30x | 2 567 | 3 369 | 80 | 2695 | 674 | 0 | 0 | 0 | 0 | 0 | 0 |
| EGIS Gyógyszergyár Nyrt. | OGYI-T- 20572/02 | COVERCARD 5 MG/10 MG TABLETTA | 30x | 2 477 | 3 257 | 80 | 2606 | 651 | 0 | 0 | 0 | 0 | 0 | 0 |
| EGIS Gyógyszergyár Nyrt. | OGYI-T- 20572/01 | COVERCARD 5 MG/5 MG TABLETTA | 30x | 1 837 | 2 444 | 80 | 1955 | 489 | 0 | 0 | 0 | 0 | 0 | 0 |
| EGIS Gyógyszergyár Nyrt. | OGYI-T- 03861/01 | COVEREX 4 MG TABLETTA | 30x | 1 244 | 1 697 | 80 | 1132 | 565 | 0 | 0 | 0 | 0 | 0 | 0 |
| EGIS Gyógyszergyár Nyrt. | OGYI-T- 09714/01 | COVEREX FORTE TABLETTA | 30x | 1 975 | 2 628 | 80 | 2084 | 544 | 0 | 0 | 0 | 0 | 0 | 0 |
| EGIS Gyógyszergyár Nyrt. | OGYI-T- 08404/01 | COVEREX KOMB TABLETTA | 30x | 1 534 | 2 062 | 80 | 1375 | 687 | 0 | 0 | 0 | 0 | 0 | 0 |
| EGIS Gyógyszergyár Nyrt. | OGYI-T- 20179/03 | COVEREX-AS 10 MG FILMTABLETTA | 30x | 1 974 | 2 627 | 80 | 2084 | 543 | 0 | 0 | 0 | 0 | 0 | 0 |
| EGIS Gyógyszergyár Nyrt. | OGYI-T- 20179/02 | COVEREX-AS 5 MG FILMTABLETTA | 30x | 1 244 | 1 697 | 80 | 1132 | 565 | 0 | 0 | 0 | 0 | 0 | 0 |
| EGIS Gyógyszergyár Nyrt. | OGYI-T- 20300/03 | COVEREX-AS KOMB FILMTABLETTA | 30x | 1 534 | 2 062 | 80 | 1375 | 687 | 0 | 0 | 0 | 0 | 0 | 0 |
| ÉGIS Gyógyszergyár Nyrt. | OGYI-T- 08776/01 | CYDONIN 500 MG FILMTABLETTA | 10x | 908 | 1 251 | 25 | 257 | 994 | 0 | 0 | 0 | 100 | 951 | 300 |
| Kérelmező | TK-szám | Név | Kiszerelés | Termelői ár | Bruttó fogyasztói ár | Normatív tám. mérték | Normatív tám | Normatív tér. díj | EÜ emelt tám. mérték | EÜ emelt tám | EÜ emelt tér. díj | EÜ kiemelt tám. mérték | EÜ kiemelt tám | EÜ kiemelt tér. díj |
| EGIS Gyógyszergyár Nyrt. | OGYI-T- 09986/01 | DALSAN 20 MG FILMTABLETTA | 28x | 836 | 1 151 | 25 | 240 | 911 | 90 | 863 | 288 | 0 | 0 | 0 |
| EGIS Gyógyszergyár Nyrt. | OGYI-T- 09987/01 | DALSAN 40 MG FILMTABLETTA | 28x | 2 859 | 3 751 | 25 | 938 | 2 813 | 90 | 3080 | 671 | 0 | 0 | 0 |
| EGIS Gyógyszergyár Nyrt. | OGYI-T- 20443/01 | DECHOLEST 10 MG FILMTABLETTA | 30x | 1 848 | 2 459 | 80 | 1 902 | 557 | 0 | 0 | 0 | 0 | 0 | 0 |
| EGIS Gyógyszergyár Nyrt. | OGYI-T- 20443/02 | DECHOLEST 20 MG FILMTABLETTA | 30x | 3 489 | 4 544 | 80 | 3 539 | 1 005 | 0 | 0 | 0 | 0 | 0 | 0 |
| EGIS Gyógyszergyár Nyrt. | OGYI-T- 20443/03 | DECHOLEST 40 MG FILMTABLETTA | 30x | 3 988 | 5 144 | 80 | 3 997 | 1 147 | 0 | 0 | 0 | 0 | 0 | 0 |
| EGIS Gyógyszergyár Nyrt. | OGYI-T- 05292/01 | EGILOK 100 MG TABLETTA | 60x | 1 525 | 2 052 | 80 | 1 642 | 410 | 0 | 0 | 0 | 0 | 0 | 0 |
| EGIS Gyógyszergyár Nyrt. | OGYI-T- 05290/01 | EGILOK 25 MG TABLETTA | 60x | 285 | 415 | 80 | 332 | 83 | 0 | 0 | 0 | 0 | 0 | 0 |
| EGIS Gyógyszergyár Nyrt. | OGYI-T- 05184/01 | FLOXET 20 MG KAPSZULA | 14x | 852 | 1 173 | 25 | 293 | 880 | 90 | 873 | 300 | 0 | 0 | 0 |
| EGIS Gyógyszergyár Nyrt. | OGYI-T- 05184/02 | FLOXET 20 MG KAPSZULA | 28x | 1 765 | 2 349 | 25 | 587 | 1 762 | 90 | 1746 | 603 | 0 | 0 | 0 |
| EGIS Gyógyszergyár Nyrt. | OGYI-T- 10583/01 | GLEMPID 2 MG TABLETTA | 30x | 786 | 1 083 | 55 | 496 | 587 | 0 | 0 | 0 | 0 | 0 | 0 |
| EGIS Gyógyszergyár Nyrt. | OGYI-T- 09731/01 | HARTIL 10 MG TABLETTA | 28x | 2 198 | 2 909 | 80 | 2 111 | 798 | 0 | 0 | 0 | 0 | 0 | 0 |
| EGIS Gyógyszergyár Nyrt. | OGYI-T- 09729/01 | HARTIL 2,5 MG TABLETTA | 28x | 559 | 774 | 80 | 559 | 215 | 0 | 0 | 0 | 0 | 0 | 0 |
| EGIS Gyógyszergyár Nyrt. | OGYI-T- 09730/01 | HARTIL 5 MG TABLETTA | 28x | 1 174 | 1 601 | 80 | 1 151 | 450 | 0 | 0 | 0 | 0 | 0 | 0 |
| EGIS Gyógyszergyár Nyrt. | OGYI-T- 20255/01 | HARTIL HCT 2,5/12,5 MG TABLETTA | 2x14 | 894 | 1 231 | 80 | 897 | 334 | 0 | 0 | 0 | 0 | 0 | 0 |
| EGIS Gyógyszergyár Nyrt. | OGYI-T- 20255/02 | HARTIL HCT 5/25 MG TABLETTA | 2x14 | 1 129 | 1 542 | 80 | 1 065 | 477 | 0 | 0 | 0 | 0 | 0 | 0 |
| EGIS Gyógyszergyár Nyrt. | OGYI-T- 20056/15 | KETILEPT 200 MG FILMTABLETTA | 60x | 13 746 | 16 047 | 0 | 0 | 16 047 | 0 | 0 | 0 | 100 | 15 747 | 300 |
| EGIS Gyógyszergyár Nyrt. | OGYI-T- 03431/01 | MILURIT 100 MG TABLETTA | 50x | 501 | 710 | 80 | 568 | 142 | 0 | 0 | 0 | 0 | 0 | 0 |
| EGIS Gyógyszergyár Nyrt. | OGYI-T- 04049/01 | MILURIT 300 MG TABLETTA | 30x | 601 | 827 | 80 | 662 | 165 | 0 | 0 | 0 | 0 | 0 | 0 |
| EGIS Gyógyszergyár Nyrt. | OGYI-T- 10967/01 | NITROMINT 0,5 MG TABLETTA | 50x | 376 | 542 | 80 | 434 | 108 | 0 | 0 | 0 | 0 | 0 | 0 |
| EGIS Gyógyszergyár Nyrt. | OGYI-T- 03648/01 | NITROMINT 2,6 MG RETARD TABLETTA | 60x | 630 | 867 | 80 | 694 | 173 | 0 | 0 | 0 | 0 | 0 | 0 |
| EGIS Gyógyszergyár Nyrt. | OGYI-T- 06979/01 | NITROMINT 6,5 MG RETARD TABLETTA | 60x | 800 | 1 101 | 80 | 881 | 220 | 0 | 0 | 0 | 0 | 0 | 0 |
| EGIS Gyógyszergyár Nyrt. | OGYI-T- 03705/01 | NITROMINT AEROSZOL | 10g | 586 | 809 | 80 | 646 | 163 | 0 | 0 | 0 | 0 | 0 | 0 |
| EGIS Gyógyszergyár Nyrt. | OGYI-T- 07244/01 | NITROMINT NT 10 TAPASZ | 30x | 2 845 | 3 733 | 80 | 2 716 | 1 017 | 0 | 0 | 0 | 0 | 0 | 0 |
| EGIS Gyógyszergyár Nyrt. | OGYI-T- 07243/01 | NITROMINT NT 5 TAPASZ | 30x | 2 348 | 3 096 | 80 | 2 253 | 843 | 0 | 0 | 0 | 0 | 0 | 0 |
| EGIS Gyógyszergyár Nyrt. | OGYI-T- 03076/01 | NITROPENTON TABLETTA | 50x | 409 | 590 | 80 | 472 | 118 | 0 | 0 | 0 | 0 | 0 | 0 |
| Kérelmező | TK-szám | Név | Kiszerelés | Termelői ár | Bruttó fogyasztói ár | Normatív tám. mérték | Normatív tám | Normatív tér. díj | EÜ emelt tám. mérték | EÜ emelt tám | EÜ emelt tér. díj | EÜ kiemelt tám. mérték | EÜ kiemelt tám | EÜ kiemelt tér. díj |
| EGIS Gyógyszergyár Nyrt. | OGYI-T- 20188/03 | NOFLAMEN 15 MG TABLETTA | 10x | 369 | 532 | 25 | 118 | 414 | 70 | 329 | 203 | 0 | 0 | 0 |
| EGIS Gyógyszergyár Nyrt. | OGYI-T- 20188/04 | NOFLAMEN 15 MG TABLETTA | 20x | 773 | 1 065 | 25 | 235 | 830 | 70 | 658 | 407 | 0 | 0 | 0 |
| EGIS Gyógyszergyár Nyrt. | OGYI-T- 08963/02 | NOFUNG 150 MG KAPSZULA | 4x | 4297 | 5 543 | 25 | 1134 | 4 409 | 90 | 4989 | 554 | 0 | 0 | 0 |
| EGIS Gyógyszergyár Nyrt. | OGYI-T- 10457/03 | RILEPTID 1 MG FILMTABLETTA | 60x | 2032 | 2 702 | 0 | 0 | 2 702 | 0 | 0 | 0 | 100 | 2 402 | 300 |
| EGIS Gyógyszergyár Nyrt. | OGYI-T- 10458/03 | RILEPTID 2 MG FILMTABLETTA | 60x | 4224 | 5 448 | 0 | 0 | 5 448 | 0 | 0 | 0 | 100 | 5 148 | 300 |
| EGIS Gyógyszergyár Nyrt. | OGYI-T- 10459/03 | RILEPTID 3 MG FILMTABLETTA | 60x | 6386 | 7 933 | 0 | 0 | 7 933 | 0 | 0 | 0 | 100 | 7 633 | 300 |
| EGIS Gyógyszergyár Nyrt. | OGYI-T- 10460/03 | RILEPTID 4 MG FILMTABLETTA | 60x | 8537 | 10 305 | 0 | 0 | 10 305 | 0 | 0 | 0 | 100 | 10 005 | 300 |
| EGIS Gyógyszergyár Nyrt. | OGYI-T- 09326/02 | STIMULOTON100MG FILMTABLETTA | 28x | 2109 | 2 797 | 25 | 699 | 2 098 | 90 | 2096 | 701 | 0 | 0 | 0 |
| EGIS Gyógyszergyár Nyrt. | OGYI-T- 07885/01 | STIMULOTON 50 MG FILMTABLETTA | 30x | 1132 | 1 547 | 25 | 322 | 1 225 | 90 | 1160 | 387 | 0 | 0 | 0 |
| EGIS Gyógyszergyár Nyrt. | OGYI-T- 07749/01 | TALLITON 12,5 MG TABLETTA | 30x | 595 | 820 | 80 | 546 | 274 | 0 | 0 | 0 | 0 | 0 | 0 |
| EGIS Gyógyszergyár Nyrt. | OGYI-T- 07749/02 | TALLITON 12,5 MG TABLETTA | 60x | 1203 | 1 641 | 80 | 1093 | 548 | 0 | 0 | 0 | 0 | 0 | 0 |
| EGIS Gyógyszergyár Nyrt. | OGYI-T- 07750/01 | TALLITON 25 MG TABLETTA | 30x | 1031 | 1 416 | 80 | 944 | 472 | 0 | 0 | 0 | 0 | 0 | 0 |
| EGIS Gyógyszergyár Nyrt. | OGYI-T- 07750/02 | TALLITON 25 MG TABLETTA | 60x | 2138 | 2 834 | 80 | 1888 | 946 | 0 | 0 | 0 | 0 | 0 | 0 |
| EGIS Gyógyszergyár Nyrt. | OGYI-T- 07748/01 | TALLITON 6,25 MG TABLETTA | 30x | 371 | 536 | 80 | 357 | 179 | 0 | 0 | 0 | 0 | 0 | 0 |
| EGIS Gyógyszergyár Nyrt. | OGYI-T- 07748/02 | TALLITON 6,25 MG TABLETTA | 60x | 778 | 1 071 | 80 | 714 | 357 | 0 | 0 | 0 | 0 | 0 | 0 |
| EGIS Gyógyszergyár Nyrt. | OGYI-T- 06816/01 | UMAREN 150 MG FILMTABLETTA | 60x | 974 | 1 341 | 55 | 614 | 727 | 0 | 0 | 0 | 0 | 0 | 0 |
| EGIS Gyógyszergyár Nyrt. | OGYI-T- 08034/01 | VASILIP 10 MG FILMTABLETTA | 28x | 1835 | 2 442 | 80 | 1627 | 815 | 0 | 0 | 0 | 0 | 0 | 0 |
| EGIS Gyógyszergyár Nyrt. | OGYI-T- 08035/01 | VASILIP 20 MG FILMTABLETTA | 28x | 1994 | 2 653 | 80 | 1768 | 885 | 0 | 0 | 0 | 0 | 0 | 0 |
| EGIS Gyógyszergyár Nyrt. | OGYI-T- 09683/01 | VASILIP 40 MG FILMTABLETTA | 28x | 2733 | 3 586 | 80 | 2437 | 1 149 | 0 | 0 | 0 | 0 | 0 | 0 |
| EGIS Gyógyszergyár Nyrt. | OGYI-T- 03620/01 | VISKALDIX TABLETTA | 20x | 634 | 873 | 80 | 698 | 175 | 0 | 0 | 0 | 0 | 0 | 0 |
| EGIS Gyógyszergyár Nyrt. | OGYI-T- 03423/01 | VISKEN TABLETTA | 30x | 429 | 618 | 80 | 494 | 124 | 0 | 0 | 0 | 0 | 0 | 0 |
| EGIS Gyógyszergyár Nyrt. | OGYI-T- 03671/01 | ZITAZONIUM 20 MG TABLETTA | 60x | 780 | 1 074 | 0 | 0 | 1 074 | 0 | 0 | 0 | 100 | 774 | 300 |
| ExtractumPharma Zrt. | OGYI-T- 20058/02 | AMLODEP 10 MG TABLETTA | 30x | 1049 | 1 440 | 80 | 1030 | 410 | 0 | 0 | 0 | 0 | 0 | 0 |
| ExtractumPharma Zrt. | OGYI-T- 20058/01 | AMLODEP 5 MG TABLETTA | 30x | 499 | 708 | 80 | 502 | 206 | 0 | 0 | 0 | 0 | 0 | 0 |
| ExtractumPharma Zrt. | OGYI-T- 20085/01 | CITALODEP 20 MG FILMTABLETTA | 30x | 747 | 1 029 | 25 | 257 | 772 | 90 | 924 | 105 | 0 | 0 | 0 |
| ExtractumPharma Zrt. | OGYI-T- 10293/01 | MELOXEP 15 MG TABLETTA | 20x | 682 | 939 | 25 | 235 | 704 | 70 | 657 | 282 | 0 | 0 | 0 |



| Kérelmező | TK-szám | Név | Kiszerelés | Termelői ár | Bruttó fogyasztói ár | Normatív tám. mérték | Normatív tám | Normatív tér. díj | EÜ emelt tám. mérték | EÜ emelt tám | EÜ emelt tér. díj | EÜ kiemelt tám. mérték | EÜ kiemelt tám | EÜ kiemelt tér. díj |
| KRKA Magyarország Kereskedelmi Korlátolt Felelősségű Társaság | OGYI-T- 01064/01 | SUSTAC FORTE RETARD TABLETTA | 25x | 476 | 681 | 80 | 545 | 136 | 0 | 0 | 0 | 0 | 0 | 0 |
| KRKA Magyarország Kereskedelmi Korlátolt Felelősségű Társaság | OGYI-T- 01063/01 | SUSTAC MITE RETARD TABLETTA | 25x | 409 | 590 | 80 | 472 | 118 | 0 | 0 | 0 | 0 | 0 | 0 |
| KRKA Magyarország Kereskedelmi Korlátolt Felelősségű Társaság | OGYI-T- 10566/01 | TANYZ 0,4 MG RETARD KEMÉNY KAPSZULA | 30x | 2160 | 2861 | 25 | 715 | 2146 | 0 | 0 | 0 | 0 | 0 | 0 |
| KRKA Magyarország Kereskedelmi Korlátolt Felelősségű Társaság | OGYI-T- 09946/01 | TENOX10MG TABLETTA | 30x | 935 | 1287 | 80 | 1030 | 257 | 0 | 0 | 0 | 0 | 0 | 0 |
| KRKA Magyarország Kereskedelmi Korlátolt Felelősségű Társaság | OGYI-T- 09945/01 | TENOX 5 MG TABLETTA | 30x | 435 | 627 | 80 | 502 | 125 | 0 | 0 | 0 | 0 | 0 | 0 |
| KRKA Magyarország Kereskedelmi Korlátolt Felelősségű Társaság | OGYI-T- 20319/18 | TÖRENDŐ Q-TAB 2 MG SZÁJBAN DISZPERGÁLÓDÓ TABLETTA | 60x | 4226 | 5452 | 0 | 0 | 5452 | 0 | 0 | 0 | 100 | 5148 | 304 |
| KRKA Magyarország Kereskedelmi Korlátolt Felelősségű Társaság | OGYI-T- 05056/01 | UNIPRESS 10 TABLETTA | 20x | 250 | 364 | 80 | 146 | 218 | 0 | 0 | 0 | 0 | 0 | 0 |
| KRKA Magyarország Kereskedelmi Korlátolt Felelősségű Társaság | OGYI-T- 05057/01 | UNIPRESS 20 TABLETTA | 20x | 516 | 726 | 80 | 293 | 433 | 0 | 0 | 0 | 0 | 0 | 0 |
| LLOGO C&C Kft. San-ten Santen Oy | OGYI-T- 05817/01 | OFTAN TIMOLOL 2,5 MG/ML OLDATOS SZEMCSEPP | 1x5 ml | 484 | 691 | 80 | 461 | 230 | 0 | 0 | 0 | 0 | 0 | 0 |
| LLOGO C&C Kft. Santen Santen Oy | OGYI-T- 05818/01 | OFTAN TIMOLOL 5 MG/ML OLDATOS SZEMCSEPP | 1x5 ml | 517 | 727 | 80 | 485 | 242 | 0 | 0 | 0 | 0 | 0 | 0 |
| Meda-Pharma Hungary Kft. | OGYI-T- 06971/01 | ADAMON SR 100 MG RETARD KAPSZULA | 10x | 431 | 622 | 25 | 120 | 502 | 0 | 0 | 0 | 100 | 179 | 443 |
| Meda-Pharma Hungary Kft. | OGYI-T- 06972/01 | ADAMON SR 150 MG RETARD KAPSZULA | 10x | 548 | 759 | 25 | 146 | 613 | 0 | 0 | 0 | 100 | 459 | 300 |
| Meda-Pharma Hungary Kft. | OGYI-T- 01887/01 | LOTENSIN 10 MG FILMTABLETTA | 28x | 1729 | 2301 | 80 | 879 | 1422 | 0 | 0 | 0 | 0 | 0 | 0 |
| Meda-Pharma Hungary Kft. | OGYI-T- 01888/01 | LOTENSIN 20 MG FILMTABLETTA | 14x | 2224 | 2941 | 80 | 2353 | 588 | 0 | 0 | 0 | 0 | 0 | 0 |
| Meda-Pharma Hungary Kft. | OGYI-T- 01886/01 | LOTENSIN 5 MG FILMTABLETTA | 28x | 835 | 1150 | 80 | 439 | 711 | 0 | 0 | 0 | 0 | 0 | 0 |
| Meda-Pharma Hungary Kft. | OGYI-T- 04507/01 | LOTENSIN HCT 10/12,5 MG FILMTABLETTA | 14x | 1070 | 1467 | 80 | 682 | 785 | 0 | 0 | 0 | 0 | 0 | 0 |
| Meda-Pharma Hungary Kft. | OGYI-T- 04506/01 | LOTENSIN HCT 5/6,25 MG FILMTABLETTA | 14x | 523 | 733 | 80 | 341 | 392 | 0 | 0 | 0 | 0 | 0 | 0 |
| MEDI - ZONE Kereskedelmi és Szolgáltató Betéti Társaság | OGYI-T- 10403/04 | ALENDROMAX 70 MG TABLETTA | 12x | 6319 | 7859 | 0 | 0 | 7859 | 70 | 5399 | 2460 | 0 | 0 | 0 |
| MEDI - ZONE Kereskedelmi és Szolgáltató Betéti Társaság | OGYI-T- 10403/02 | ALENDROMAX 70 MG TABLETTA | 4x | 2055 | 2730 | 0 | 0 | 2730 | 70 | 1800 | 930 | 0 | 0 | 0 |
| Kérelmező | TK-szám | Név | Kiszerelés | Termelői ár | Bruttó fogyasztói ár | Normatív tám. mérték | Normatív tám | Normatív tér. díj | EÜ emelt tám. mérték | EÜ emelt tám | EÜ emelt tér. díj | EÜ kiemelt tám. mérték | EÜ kiemelt tám | EÜ kiemelt tér. díj |
| Medicine and Business Kereskedelmi és Üzletviteli Tanácsadó Kft. | OGYI-T- 08028/03 | ATENOLOL AL 25 MG TABLETTA | 100x | 761 | 1 048 | 80 | 838 | 210 | 0 | 0 | 0 | 0 | 0 | 0 |
| Medicine and Business Kereskedelmi és Üzletviteli Tanácsadó Kft. | OGYI-T- 08028/01 | ATENOLOL AL 25 MG TABLETTA | 30x | 350 | 505 | 80 | 404 | 101 | 0 | 0 | 0 | 0 | 0 | 0 |
| Medicine and Business Kereskedelmi és Üzletviteli Tanácsadó Kft. | OGYI-T- 08028/02 | ATENOLOL AL 25 MG TABLETTA | 50x | 486 | 693 | 80 | 554 | 139 | 0 | 0 | 0 | 0 | 0 | 0 |
| Medicine and Business Kereskedelmi és Üzletviteli Tanácsadó Kft. | OGYI-T- 08688/03 | FUROSEMID AL 500 TABLETTA | 100x | 10 950 | 12 965 | 80 | 10 372 | 2593 | 0 | 0 | 0 | 0 | 0 | 0 |
| Medicine and Business Kereskedelmi és Üzletviteli Tanácsadó Kft. | OGYI-T- 08688/01 | FUROSEMID AL 500 TABLETTA | 20x | 2 209 | 2 922 | 80 | 2 338 | 584 | 0 | 0 | 0 | 0 | 0 | 0 |
| Medicine and Business Kereskedelmi és Üzletviteli Tanácsadó Kft. | OGYI-T- 08688/02 | FUROSEMID AL 500 TABLETTA | 50x | 5 500 | 6 956 | 80 | 5 565 | 1391 | 0 | 0 | 0 | 0 | 0 | 0 |
| Medicine and Business Kereskedelmi és Üzletviteli Tanácsadó Kft. | OGYI-T- 20116/02 | MELYD 2 MG TABLETTA | 30x | 700 | 964 | 55 | 496 | 468 | 0 | 0 | 0 | 0 | 0 | 0 |
| Medicine and Business Kereskedelmi és Üzletviteli Tanácsadó Kft. | OGYI-T- 20116/04 | MELYD 4 MG TABLETTA | 30x | 1 220 | 1 664 | 55 | 892 | 772 | 0 | 0 | 0 | 0 | 0 | 0 |
| Medicine and Business Kereskedelmi és Üzletviteli Tanácsadó Kft. | OGYI-T- 08617/03 | PROPAFENON AL 150 MG FILMTABLETTA | 100x | 2 900 | 3 805 | 80 | 3 036 | 769 | 0 | 0 | 0 | 0 | 0 | 0 |
| Medicine and Business Kereskedelmi és Üzletviteli Tanácsadó Kft. | OGYI-T- 08617/01 | PROPAFENON AL 150 MG FILMTABLETTA | 20x | 635 | 875 | 80 | 607 | 268 | 0 | 0 | 0 | 0 | 0 | 0 |
| Medicine and Business Kereskedelmi és Üzletviteli Tanácsadó Kft. | OGYI-T- 08617/02 | PROPAFENON AL 150 MG FILMTABLETTA | 50x | 1 460 | 1 979 | 80 | 1 518 | 461 | 0 | 0 | 0 | 0 | 0 | 0 |
| Medicine and Business Kereskedelmi és Üzletviteli Tanácsadó Kft. | OGYI-T- 08617/06 | PROPAFENON AL 300 MG FILMTABLETTA | 100x | 5 750 | 7 232 | 80 | 5 786 | 1446 | 0 | 0 | 0 | 0 | 0 | 0 |
| Medicine and Business Kereskedelmi és Üzletviteli Tanácsadó Kft. | OGYI-T- 08617/04 | PROPAFENON AL 300 MG FILMTABLETTA | 20x | 1 150 | 1 570 | 80 | 1 157 | 413 | 0 | 0 | 0 | 0 | 0 | 0 |
| Medicine and Business Kereskedelmi és Üzletviteli Tanácsadó Kft. | OGYI-T- 08617/05 | PROPAFENON AL 300 MG FILMTABLETTA | 50x | 2 930 | 3 844 | 80 | 2 893 | 951 | 0 | 0 | 0 | 0 | 0 | 0 |
| Medicine and Business Kereskedelmi és Üzletviteli Tanácsadó Kft. | OGYI-T- 08526/03 | SOTALOL AL 160 TABLETTA | 100x | 2 000 | 2 662 | 80 | 2 130 | 532 | 0 | 0 | 0 | 0 | 0 | 0 |
| Medicine and Business Kereskedelmi és Üzletviteli Tanácsadó Kft. | OGYI-T- 08526/02 | SOTALOL AL 160 TABLETTA | 50x | 1 000 | 1 378 | 80 | 1 102 | 276 | 0 | 0 | 0 | 0 | 0 | 0 |
| Medicine and Business Kereskedelmi és Üzletviteli Tanácsadó Kft. | OGYI-T-20110/01 | UROSTAD 0,4 MG RETARD KEMÉNY KAPSZULA | 30x | 2 200 | 2 912 | 25 | 716 | 2196 | 0 | 0 | 0 | 0 | 0 | 0 |
| Medicine and Business Kereskedelmi és Üzletviteli Tanácsadó Kft. | OGYI-T- 07212/02 | VERAPAMIL AL 120 FILMTABLETTA | 100x | 1 071 | 1 468 | 80 | 1 174 | 294 | 0 | 0 | 0 | 0 | 0 | 0 |




| Kérelmező | TK-szám | Név | Kiszerelés | Termelői ár | Bruttó fogyasztói ár | Normatív tám. mérték | Normatív tám | Normatív tér. díj | EÜ emelt tám. mérték | EÜ emelt tám | EÜ emelt tér. díj | EÜ kiemelt tám. mérték | EÜ kiemelt tám | EÜ kiemelt tér. díj |
| Novartis Hungária Egészségügyi Kft. | OGYI-T- 02240/01 | ANAFRANIL 25 MG DRAZSÉ | 30x | 659 | 907 | 25 | 227 | 680 | 90 | 463 | 444 | 0 | 0 | 0 |
| Novartis Hungária Egészségügyi Kft. | OGYI-T- 02241/01 | ANAFRANIL SR 75 MG FILMTABLETTA | 20x | 1 330 | 1 814 | 25 | 454 | 1 360 | 90 | 926 | 888 | 0 | 0 | 0 |
| Novartis Hungária Egészségügyi Kft. | OGYI-T- 08484/13 | DIOVAN 160 MG FILMTABLETTA | 28xduplex (pvc/pvdc) | 4 927 | 6 324 | 55 | 2520 | 3 804 | 0 | 0 | 0 | 0 | 0 | 0 |
| Novartis Hungária Egészségügyi Kft. | OGYI-T- 08484/03 | DIOVAN 320 MG FILMTABLETTA | 28x duplex (pvc/pvdc) | 8 988 | 10 801 | 55 | 5941 | 4 860 | 0 | 0 | 0 | 0 | 0 | 0 |
| Novartis Hungária Egészségügyi Kft. | OGYI-T- 08484/09 | DIOVAN 80 MG FILMTABLETTA | 28x duplex (pvc/pvdc) | 4 135 | 5 334 | 55 | 2028 | 3 306 | 0 | 0 | 0 | 0 | 0 | 0 |
| Novartis Hungária Egészségügyi Kft. | OGYI-T- 08273/01 | LESCOL XL 80 MG RETARD TABLETTA | 28x | 3 606 | 4 674 | 80 | 3739 | 935 | 0 | 0 | 0 | 0 | 0 | 0 |
| Novartis Hungária Egészségügyi Kft. | OGYI-T- 01291/02 | NITRODERM TTS 10 MG/24 ÓRA TRANSZDERMÁLIS TAPASZ | 30x | 2 587 | 3 395 | 80 | 2716 | 679 | 0 | 0 | 0 | 0 | 0 | 0 |
| Novartis Hungária Egészségügyi Kft. | OGYI-T- 01291/03 | NITRODERM TTS 15 MG/24 ÓRA TRANSZDERMÁLIS TAPASZ | 30x | 3 178 | 4 170 | 80 | 3336 | 834 | 0 | 0 | 0 | 0 | 0 | 0 |
| Novartis Hungária Egészségügyi Kft. | OGYI-T-01291/01 | NITRODERM TTS 5 MG/24 ÓRA TRANSZDERMÁLIS TAPASZ | 30x | 2 124 | 2 816 | 80 | 2253 | 563 | 0 | 0 | 0 | 0 | 0 | 0 |
| Novartis Hungária Egészségügyi Kft. | OGYI-T- 04299/01 | RANGIN 40 MG RETARD TABLETTA | 20x | 670 | 923 | 80 | 618 | 305 | 0 | 0 | 0 | 0 | 0 | 0 |
| Novartis Hungária Egészségügyi Kft. | OGYI-T- 04300/01 | RANGIN 60 MG RETARD TABLETTA | 20x | 785 | 1 082 | 80 | 722 | 360 | 0 | 0 | 0 | 0 | 0 | 0 |
| Novartis Hungária Egészségügyi Kft. | OGYI-T- 08486/03 | VAREXAN 160 MG FILMTABLETTA | 28xpvc/pvdc/al buborékfóliában | 4 927 | 6 324 | 55 | 2520 | 3 804 | 0 | 0 | 0 | 0 | 0 | 0 |
| Novartis Hungária Egészségügyi Kft. | OGYI-T- 08485/03 | VAREXAN 80 MG FILMTABLETTA | 28xpvc/pvdc/al buborékfóliában | 4 135 | 5 334 | 55 | 2028 | 3 306 | 0 | 0 | 0 | 0 | 0 | 0 |
| Novartis Vaccines & Di-agnostics GmbH & Co KG Magyarországi Kereskedelmi Képviselete | OGYI-T- 08905/01 | MENJUGATE VAKCINA | 1x | 5 600 | 7 067 | 0 | 0 | 7 067 | 70 | 4638 | 2429 | 0 | 0 | 0 |
| Novartis Vaccines & Di-agnostics GmbH & Co KG Magyarországi Kereskedelmi Képviselete | OGYI-T- 08905/04 | MENJUGATE VAKCINA | 1 x porampulla +1x előretöltött fecskendő | 5 600 | 7 067 | 0 | 0 | 7 067 | 70 | 4638 | 2429 | 0 | 0 | 0 |
| Nycomed Pharma Kereskedelmi és Szolgáltató Korlátolt Felelősségű Társaság | OGYI-T- 20288/41 | MATRIFEN 100 MIKROGRAMM/H TRANSZDERMÁLIS TAPASZ | 5x | 14 510 | 16 890 | 0 | 0 | 16 890 | 0 | 0 | 0 | 100 | 16 562 | 328 |
| ONCOPHARMA Kereskedelmi és Szolgáltató Korlátolt Felelősségű Társaság | OGYI-T- 20472/02 | CAPRO 150 MG FILMTABLETTA | 30x | 53 900 | 60317 | 0 | 0 | 60 317 | 0 | 0 | 0 | 100 | 60 016 | 301 |
| ONCOPHARMA Kereskedelmi és Szolgáltató Korlátolt Felelősségű Társaság | OGYI-T- 20472/01 | CAPRO 50 MG FILMTABLETTA | 30x | 21 256 | 24 327 | 0 | 0 | 24 327 | 0 | 0 | 0 | 100 | 23 427 | 900 |
| Kérelmező | TK-szám | Név | Kiszerelés | Termelői ár | Bruttó fogyasztói ár | Normatív tám. mérték | Normatív tám | Normatív tér. díj | EÜ emelt tám. mérték | EÜ emelt tám | EÜ emelt tér. díj | EÜ kiemelt tám. mérték | EÜ kiemelt tám | EÜ kiemelt tér. díj |
| ONCOPHARMA Kereskedelmi és Szolgáltató Korlátolt Felelősségű Társaság | OGYI-T- 20472/04 | CAPRO 50 MG FILMTABLETTA | 90x | 63 765 | 71 193 | 0 | 0 | 71 193 | 0 | 0 | 0 | 100 | 70 880 | 313 |
| Orion Pharma Kereskedelmi és Gyógyszer Marketing Kft. | OGYI-T- 20342/02 | CITALOPRAM ORION 20 MG FILMTABLETTA | 28x | 731 | 1 007 | 25 | 240 | 767 | 90 | 863 | 144 | 0 | 0 | 0 |
| Orion Pharma Kereskedelmi és Gyógyszer Marketing Kft. | OGYI-T- 20342/03 | CITALOPRAM ORION 40 MG FILMTABLETTA | 28x | 2 700 | 3 543 | 25 | 886 | 2 657 | 90 | 3080 | 463 | 0 | 0 | 0 |
| Orion Pharma Kereskedelmi és Gyógyszer Marketing Kft. | OGYI-T- 20360/06 | QUETIAPINE ORION 200 MG FILMTABLETTA | 100x | 23 453 | 26 750 | 0 | 0 | 26 750 | 0 | 0 | 0 | 100 | 26 447 | 303 |
| Orion Pharma Kereskedelmi és Gyógyszer Marketing Kft. | OGYI-T- 20360/05 | QUETIAPINE ORION 200 MG FILMTABLETTA | 30x | 6 469 | 8 024 | 0 | 0 | 8 024 | 0 | 0 | 0 | 100 | 7 724 | 300 |
| Ozone Laboratories Magyarország Gyógy-szer-Nagykereskedelmi és Szolgáltató Kft. | OGYI-T- 20533/02 | ALOZUR 10 MG TABLETTA | 30x | 939 | 1 294 | 80 | 1030 | 264 | 0 | 0 | 0 | 0 | 0 | 0 |
| Ozone Laboratories Magyarország Gyógy-szer-Nagykereskedelmi és Szolgáltató Kft. | OGYI-T- 20533/01 | ALOZUR 5 MG TABLETTA | 30x | 438 | 632 | 80 | 502 | 130 | 0 | 0 | 0 | 0 | 0 | 0 |
| Ozone Laboratories Magyarország Gyógy-szer-Nagykereskedelmi és Szolgáltató Kft. | OGYI-T- 20368/01 | RANOMAX 400 MIKROGRAMM RETARD KEMÉNY KAPSZULA | 30x | 2 194 | 2 904 | 25 | 716 | 2 188 | 0 | 0 | 0 | 0 | 0 | 0 |
| PANNONPHARMA Gyógyszergyártó Kft. | OGYI-T- 05867/01 | ATENOMEL 100 MG FILMTABLETTA | 28x | 227 | 331 | 80 | 265 | 66 | 0 | 0 | 0 | 0 | 0 | 0 |
| PANNONPHARMA Gyógyszergyártó Kft. | OGYI-T- 05866/01 | ATENOMEL 50 MG FILMTABLETTA | 28x | 185 | 269 | 80 | 215 | 54 | 0 | 0 | 0 | 0 | 0 | 0 |
| PANNONPHARMA Gyógyszergyártó Kft. | OGYI-T- 10465/03 | CAMELOX 15 MG TABLETTA | 20x | 682 | 939 | 25 | 235 | 704 | 70 | 657 | 282 | 0 | 0 | 0 |
| PANNONPHARMA Gyógyszergyártó Kft. | OGYI-T- 10465/04 | CAMELOX 15 MG TABLETTA | 50x | 1 940 | 2 582 | 25 | 588 | 1 994 | 70 | 1646 | 936 | 0 | 0 | 0 |
| PANNONPHARMA Gyógyszergyártó Kft. | OGYI-T- 04488/01 | CHINOPAMIL R 120 MG KAPSZULA | 30x | 766 | 1 055 | 80 | 844 | 211 | 0 | 0 | 0 | 0 | 0 | 0 |
| PANNONPHARMA Gyógyszergyártó Kft. | OGYI-T- 04489/01 | CHINOPAMIL R 180 MG KAPSZULA | 30x | 1 020 | 1 403 | 80 | 1122 | 281 | 0 | 0 | 0 | 0 | 0 | 0 |
| PANNONPHARMA Gyógyszergyártó Kft. | OGYI-T- 04490/01 | CHINOPAMIL R 240 MG KAPSZULA | 30x | 1 060 | 1 454 | 80 | 1058 | 396 | 0 | 0 | 0 | 0 | 0 | 0 |
| PANNONPHARMA Gyógyszergyártó Kft. | OGYI-T- 04685/01 | CHINOTAL DRAZSÉ | 100x | 1 034 | 1 421 | 25 | 355 | 1 066 | 0 | 0 | 0 | 0 | 0 | 0 |
| PANNONPHARMA Gyógyszergyártó Kft. | OGYI-T- 05626/01 | CLONAMOX 500 MG KAPSZULA | 30x | 729 | 1 004 | 25 | 251 | 753 | 0 | 0 | 0 | 0 | 0 | 0 |
| PANNONPHARMA Gyógyszergyártó Kft. | OGYI-T- 03873/01 | INNOGEM 300 MG KAPSZULA | 100x | 1 956 | 2 603 | 80 | 2082 | 521 | 0 | 0 | 0 | 0 | 0 | 0 |
| PANNONPHARMA Gyógyszergyártó Kft. | OGYI-T- 06390/01 | INNOGEM 600 MG FILMTABLETTA | 60x | 1 033 | 1 420 | 80 | 1136 | 284 | 0 | 0 | 0 | 0 | 0 | 0 |
| PANNONPHARMA Gyógyszergyártó Kft. | OGYI-T- 05313/01 | ISOSPAN SR 40 MG KAPSZULA | 30x | 835 | 1 150 | 80 | 920 | 230 | 0 | 0 | 0 | 0 | 0 | 0 |
| PANNONPHARMA Gyógyszergyártó Kft. | OGYI-T- 05314/01 | ISOSPAN SR 60 MG KAPSZULA | 30x | 980 | 1 349 | 80 | 1079 | 270 | 0 | 0 | 0 | 0 | 0 | 0 |

| Kérelmező | TK-szám | Név | Kiszerelés | Termelői ár | Bruttó fogyasztói ár | Normatív tám. mérték | Normatív tám | Normatív tér. díj | EÜ emelt tám. mérték | EÜ emelt tám | EÜ emelt tér. díj | EÜ kiemelt tám. mérték | EÜ kiemelt tám | EÜ kiemelt tér. díj |
| Pfizer Gyógyszerkereskedelmi Korlátolt Felelőssé- | OGYI-T- 05944/03 | MINIPRESS 1 MG RETARD KEMÉNY | 30x | 467 | 671 | 80 | 537 | 134 | 0 | 0 | 0 | 0 | 0 | 0 |
| gű Társaság | KAPSZULA | |||||||||||||
| Pfizer Gyógyszerkereskedelmi Korlátolt Felelősségű Társaság | OGYI-T- 05944/01 | MINIPRESS 1 MG TABLETTA | 100x | 732 | 1008 | 80 | 806 | 202 | 0 | 0 | 0 | 0 | 0 | 0 |
| Pfizer Gyógyszerkereskedelmi Korlátolt Felelőssé- | OGYI-T- 05944/04 | MINIPRESS 2 MG RETARD KEMÉNY | 30x | 507 | 716 | 80 | 573 | 143 | 0 | 0 | 0 | 0 | 0 | 0 |
| gű Társaság | KAPSZULA | |||||||||||||
| Pfizer Gyógyszerkereskedelmi Korlátolt Felelősségű Társaság | OGYI-T- 05944/02 | MINIPRESS 2 MG TABLETTA | 100x | 1024 | 1408 | 80 | 1126 | 282 | 0 | 0 | 0 | 0 | 0 | 0 |
| Pfizer Gyógyszerkereskedelmi Korlátolt Felelőssé- | OGYI-T- 05944/05 | MINIPRESS 4 MG RETARD KEMÉNY | 30x | 802 | 1105 | 80 | 884 | 221 | 0 | 0 | 0 | 0 | 0 | 0 |
| gű Társaság | KAPSZULA | |||||||||||||
| Pfizer Gyógyszerkereskedelmi Korlátolt Felelőssé- | OGYI-T- 05944/06 | MINIPRESS 6 MG RETARD KEMÉNY | 30x | 1005 | 1384 | 80 | 1107 | 277 | 0 | 0 | 0 | 0 | 0 | 0 |
| gű Társaság | KAPSZULA | |||||||||||||
| Pfizer Gyógyszerkereskedelmi Korlátolt Felelőssé- | OGYI-T- 01979/01 | MONOMACK DEPOT 100 MG RETARD | 14x | 761 | 1048 | 80 | 838 | 210 | 0 | 0 | 0 | 0 | 0 | 0 |
| gű Társaság | TABLETTA | |||||||||||||
| Pfizer Gyógyszerkereskedelmi Korlátolt Felelőssé- | OGYI-T- 01979/03 | MONOMACK DEPOT 100 MG RETARD | 28x | 1422 | 1936 | 80 | 1549 | 387 | 0 | 0 | 0 | 0 | 0 | 0 |
| gű Társaság | TABLETTA | |||||||||||||
| Pfizer Gyógyszerkereskedelmi Korlátolt Felelősségű Társaság | OGYI-T- 01935/01 | NORVASC 10 MG TABLETTA | 30x | 1137 | 1553 | 80 | 1030 | 523 | 0 | 0 | 0 | 0 | 0 | 0 |
| Pfizer Gyógyszerkereskedelmi Korlátolt Felelősségű Társaság | OGYI-T- 06544/01 | SORTIS 40 MG FILMTABLETTA | 30x | 4655 | 6005 | 80 | 3997 | 2008 | 0 | 0 | 0 | 0 | 0 | 0 |
| Pfizer Gyógyszerkereskedelmi Korlátolt Felelősségű Társaság | OGYI-T- 09252/07 | SORTIS 80 MG FILMTABLETTA | 30x | 8571 | 10343 | 80 | 7712 | 2631 | 0 | 0 | 0 | 0 | 0 | 0 |
| BICALUT AMIDÉ | ||||||||||||||
| Pharmacenter Hungary Kft. | OGYI-T- 20589/01 | PHARMACENTER 50 MG FILMTABLETTA | 30x | 21100 | 24155 | 0 | 0 | 24155 | 0 | 0 | 0 | 100 | 23427 | 728 |
| Pliva Hungária Kereske- | OGYI-T- | ALENDRONAT PLIVA | 4x | 1950 | 2595 | 0 | 0 | 2595 | 70 | 1800 | 795 | 0 | 0 | 0 |
| delmi és Szolgáltató Kft. | 20438/01 | 70 MG TABLETTA | ||||||||||||
| Pliva Hungária Kereskedelmi és Szolgáltató Kft. | OGYI-T- 09338/01 | AWESTATIN 10 MG FILMTABLETTA | 30x (bliszter) | 1656 | 2204 | 80 | 1743 | 461 | 0 | 0 | 0 | 0 | 0 | 0 |
| Pliva Hungária Kereskedelmi és Szolgáltató Kft. | OGYI-T- 09339/01 | AWESTATIN 20 MG FILMTABLETTA | 30x (bliszter) | 1803 | 2399 | 80 | 1894 | 505 | 0 | 0 | 0 | 0 | 0 | 0 |
| Pliva Hungária Kereskedelmi és Szolgáltató Kft. | OGYI-T- 09340/01 | AWESTATIN 40 MG FILMTABLETTA | 30x (bliszter) | 2509 | 3297 | 80 | 2611 | 686 | 0 | 0 | 0 | 0 | 0 | 0 |
| Pliva Hungária Kereske- | OGYI-T- | BLOCALCIN 60 MG | 50x | 906 | 1247 | 80 | 998 | 249 | 0 | 0 | 0 | 0 | 0 | 0 |
| delmi és Szolgáltató Kft. | 01916/01 | TABLETTA | ||||||||||||
| Pliva Hungária Kereske- | OGYI-T- | BLOCALCIN 90 MG | 30x | 750 | 1033 | 80 | 826 | 207 | 0 | 0 | 0 | 0 | 0 | 0 |
| delmi és Szolgáltató Kft. | 01917/01 | RETARD TABLETTA | ||||||||||||
| Pliva Hungária Kereskedelmi és Szolgáltató Kft. | OGYI-T- 20029/08 | CARVETREND 12,5 MG TABLETTA | 30x | 528 | 738 | 80 | 546 | 192 | 0 | 0 | 0 | 0 | 0 | 0 |
| Pliva Hungária Kereskedelmi és Szolgáltató Kft. | OGYI-T- 20029/11 | CARVETREND 25 MG TABLETTA | 30x | 919 | 1265 | 80 | 944 | 321 | 0 | 0 | 0 | 0 | 0 | 0 |
| Kérelmező | TK-szám | Név | Kiszerelés | Termelői ár | Bruttó fogyasztói ár | Normatív tám. mérték | Normatív tám | Normatív tér. díj | EÜ emelt tám. mérték | EÜ emelt tám | EÜ emelt tér. díj | EÜ kiemelt tám. mérték | EÜ kiemelt tám | EÜ kiemelt tér. díj |
| Pliva Hungária Kereskedelmi és Szolgáltató Kft. | OGYI-T- 20029/04 | CARVETREND 6,25 MG TABLETTA | 30x | 338 | 487 | 80 | 357 | 130 | 0 | 0 | 0 | 0 | 0 | 0 |
| Pliva Hungária Kereskedelmi és Szolgáltató Kft. | OGYI-T-09805/01 | CIPRUM 500 MG FILMTABLETTA | 10x | 826 | 1137 | 25 | 257 | 880 | 0 | 0 | 0 | 100 | 837 | 300 |
| Pliva Hungária Kereskedelmi és Szolgáltató Kft. | OGYI-T-10370/03 | CITALOPRAM PLIVA 20 MG FILMTABLETTA | 28x | 720 | 991 | 25 | 240 | 751 | 90 | 863 | 128 | 0 | 0 | 0 |
| Pliva Hungária Kereskedelmi és Szolgáltató Kft. | OGYI-T- 07530 03 | CORINFAR 10 RETARD FILMTABLETTA | 100x(üveg) | 566 | 782 | 80 | 626 | 156 | 0 | 0 | 0 | 0 | 0 | 0 |
| Pliva Hungária Kereskedelmi és Szolgáltató Kft. | OGYI-T- 07531/03 | CORINFAR 20 RETARD FILMTABLETTA | 100x(üveg) | 826 | 1137 | 80 | 910 | 227 | 0 | 0 | 0 | 0 | 0 | 0 |
| Pliva Hungária Kereskedelmi és Szolgáltató Kft. | OGYI-T- 07531/01 | CORINFAR 20 RETARD FILMTABLETTA | 30x(bliszter) | 244 | 355 | 80 | 284 | 71 | 0 | 0 | 0 | 0 | 0 | 0 |
| Pliva Hungária Kereskedelmi és Szolgáltató Kft. | OGYI-T- 07531/02 | CORINFAR 20 RETARD FILMTABLETTA | 50x(üveg) | 427 | 615 | 80 | 488 | 127 | 0 | 0 | 0 | 0 | 0 | 0 |
| Pliva Hungária Kereskedelmi és Szolgáltató Kft. | OGYI-T- 09138/03 | CORINFAR UNO 40 RETARD FILMTABLETTA | 100x | 1512 | 2037 | 80 | 1630 | 407 | 0 | 0 | 0 | 0 | 0 | 0 |
| Pliva Hungária Kereskedelmi és Szolgáltató Kft. | OGYI-T-09138 01 | CORINFAR UNO 40 RETARD FILMTABLETTA | 20x | 589 | 812 | 80 | 391 | 421 | 0 | 0 | 0 | 0 | 0 | 0 |
| Pliva Hungária Kereskedelmi és Szolgáltató Kft. | OGYI-T-09138/02 | CORINFAR UNO 40 RETARD FILMTABLETTA | 50x | 1130 | 1544 | 80 | 976 | 568 | 0 | 0 | 0 | 0 | 0 | 0 |
| Pliva Hungária Kereskedelmi és Szolgáltató Kft. | OGYI-T- 20375 03 | FLUCONAZOL PLIVA 150 MG KEMÉNY KAPSZULA | 2* | 1743 | 2319 | 25 | 567 | 1752 | 90 | 2087 | 232 | 0 | 0 | 0 |
| Pliva Hungária Kereskedelmi és Szolgáltató Kft. | OGYI-T-04191/01 | QUADROPRIL 6 MG TABLETTA | 30x | 1111 | 1519 | 80 | 706 | 813 | 0 | 0 | 0 | 0 | 0 | 0 |
| Pliva Hungária Kereskedelmi és Szolgáltató Kft. | OGYI-T- 20591/04 | QUETIAPIN PLIVA 200 MG FILMTABLETTA | 60x | 13789 | 16094 | 0 | 0 | 16094 | 0 | 0 | 0 | 100 | 15748 | 346 |
| Pliva Hungária Kereskedelmi és Szolgáltató Kft. | OGYI-T- 05272/04 | SUMAMED 250 M< 1 KAPSZULA | 6x | 1600 | 2136 | 25 | 495 | 1641 | 0 | 0 | 0 | 0 | 0 | 0 |
| Pliva Hungária Kereskedelmi és Szolgáltató Kft. | OGYI-T- 09027/04 | ZITROCIN 250 MG KAPSZULA | 6x | 1476 | 1997 | 25 | 495 | 1502 | 0 | 0 | 0 | 0 | 0 | 0 |
| POLCOMMERCE Kereskedelmi és Képviseleti Korlátolt Felelősségű társaság | OGYI-T- 00689/01 | POLCORTOLONE 4 MG TABLETTA | 30x | 929 | 1279 | 80 | 1023 | 256 | 90 | 1151 | 128 | 0 | 0 | 0 |
| Przedsiebiorstwo Farma-ceutyczne JELFA Spolka Akcyjna Magyarországi Közvetlen Kereskedelmi Képviselete | OGYI-T-20240/02 | GLIBEZID 2 MG TABLETTA | 30x | 700 | 964 | 55 | 496 | 468 | 0 | 0 | 0 | 0 | 0 | 0 |
| Przedsiebiorstwo Farma-ceutyczne JELFA Spolka Akcyjna Magyarországi Közvetlen Kereskedelmi Képviselete | OGYI-T- 20225/02 | GLIBEZID 4 MG TABLETTA | 3x10 (buborékfóliában) | 1225 | 1672 | 55 | 892 | 780 | 0 | 0 | 0 | 0 | 0 | 0 |




| Kérelmező | TK-szám | Név | Kiszerelés | Termelői ár | Bruttó fogyasztói ár | Normatív tám. mérték | Normatív tám | Normatív tér. díj | EÜ emelt tám. mérték | EÜ emelt tám | EÜ emelt tér. díj | EÜ kiemelt tám. mérték | EÜ kiemelt tám | EÜ kiemelt tér. díj |
| ratiopharm Hungária Kereskedelmi Korlátolt Felelősségű Társaság | OGYI-T- 06306/02 | SPIRON 50 MG TABLETTA | 50x | 967 | 1331 | 80 | 1065 | 266 | 0 | 0 | 0 | 0 | 0 | 0 |
| ratiopharm Hungária Kereskedelmi Korlátolt Felelősségű Társaság | OGYI-T- 20030/01 | TAMSULOSIN-RATIOPHARM RETARD KEMÉNY KAPSZULA | 30* | 2161 | 2862 | 25 | 716 | 2146 | 0 | 0 | 0 | 0 | 0 | 0 |
| ratiopharm Hungária Kereskedelmi Korlátolt Felelősségű Társaság | OGYI-T- 20332/01 | TERBINAFIN-RATIOPHARM 250 MG TABLETTA | 14x | 2629 | 3449 | 25 | 800 | 2649 | 90 | 3104 | 345 | 0 | 0 | 0 |
| ratiopharm Hungária Kereskedelmi Korlátolt Felelősségű Társaság | OGYI-T- 20332/02 | TERBINAFIN-RATIOPHARM 250 MG TABLETTA | 28x | 4998 | 6403 | 25 | 1601 | 4802 | 90 | 5763 | 640 | 0 | 0 | 0 |
| ratiopharm Hungária Kereskedelmi Korlátolt Felelősségű Társaság | OGYI-T- 07728/02 | TRAMADOL-RATIOPHARM 50 MG KAPSZULA | 20x | 325 | 469 | 25 | 117 | 352 | 0 | 0 | 0 | 100 | 169 | 300 |
| ratiopharm Hungária Kereskedelmi Korlátolt Felelősségű Társaság | OGYI-T- 07728/03 | TRAMADOL-RATIOPHARM 50 MG KAPSZULA | 30x | 497 | 706 | 25 | 177 | 529 | 0 | 0 | 0 | 100 | 406 | 300 |
| Richter Gedeon Vegyészeti Gyár Nyrt | OGYI-T- 05186/01 | AKTIL 375 MG FILMTABLETTA | 21x | 1236 | 1686 | 25 | 420 | 1266 | 0 | 0 | 0 | 0 | 0 | 0 |
| Richter Gedeon Vegyészeti Gyár Nyrt. | OGYI-T- 05063/01 | AKTIL 625 MG FILMTABLETTA | 21x | 1793 | 2386 | 25 | 594 | 1792 | 0 | 0 | 0 | 0 | 0 | 0 |
| Richter Gedeon Vegyészeti Gyár Nyrt. | OGYI-T- 10405/01 | ATORVOX10MG FILMTABLETTA | 30x | 1857 | 2471 | 80 | 1902 | 569 | 0 | 0 | 0 | 0 | 0 | 0 |
| Richter Gedeon Vegyészeti Gyár Nyrt. | OGYI-T- 10406/01 | ATORVOX 20 MG FILMTABLETTA | 30x | 3431 | 4481 | 80 | 3539 | 942 | 0 | 0 | 0 | 0 | 0 | 0 |
| Richter Gedeon Vegyészeti Gyár Nyrt. | OGYI-T- 10407/01 | ATORVOX 40 MG FILMTABLETTA | 30x | 3998 | 5158 | 80 | 3997 | 1161 | 0 | 0 | 0 | 0 | 0 | 0 |
| Richter Gedeon Vegyészeti Gyár Nyrt. | OGYI-T- 03720/01 | BROMOCRIPTIN-RICHTER 2,5 MG TABLETTA | 30x | 1109 | 1516 | 80 | 1213 | 303 | 0 | 0 | 0 | 100 | 1216 | 300 |
| Richter Gedeon Vegyészeti Gyár Nyrt. | OGYI-T- 20189/01 | CALCISEDRON-D FILMTABLETTA | 28x+4x | 4775 | 6157 | 0 | 0 | 6157 | 70 | 4101 | 2056 | 0 | 0 | 0 |
| Richter Gedeon Vegyészeti Gyár Nyrt. | OGYI-T- 20189/03 | CALCISEDRON-DTRIO FILMTABLETTA | 56x+4x | 4800 | 6185 | 0 | 0 | 6185 | 70 | 4101 | 2084 | 0 | 0 | 0 |
| Richter Gedeon Vegyészeti Gyár Nyrt. | OGYI-T- 09337/02 | CALUMID 150 MG FILMTABLETTA | 30x | 53900 | 60317 | 0 | 0 | 60317 | 0 | 0 | 0 | 100 | 60016 | 301 |
| Richter Gedeon Vegyészeti Gyár Nyrt. | OGYI-T- 09337/01 | CALUMID 50 MG FILMTABLETTA | 30x | 20710 | 23726 | 0 | 0 | 23726 | 0 | 0 | 0 | 100 | 23426 | 300 |
| Richter Gedeon Vegyészeti Gyár Nyrt. | OGYI-T- 03144/01 | DIGOXIN TABLETTA | 50x | 634 | 873 | 80 | 698 | 175 | 0 | 0 | 0 | 0 | 0 | 0 |
| Richter Gedeon Vegyészeti Gyár Nyrt. | OGYI-T- 20594/10 | DOLFORIN 100 MIKROGRAMM/ÓRA TRANSZDERMÁLIS TAPASZ | 5x | 14486 | 16863 | 0 | 0 | 16863 | 0 | 0 | 0 | 100 | 16562 | 301 |
| Richter Gedeon Vegyészeti Gyár Nyrt. | OGYI-T- 04033/03 | EDNYT 10 MG TABLETTA | 30x | 397 | 572 | 80 | 415 | 157 | 0 | 0 | 0 | 0 | 0 | 0 |
| Richter Gedeon Vegyészeti Gyár Nyrt. | OGYI-T- 04033/01 | EDNYT 2,5 MG TABLETTA | 30x | 534 | 744 | 80 | 595 | 149 | 0 | 0 | 0 | 0 | 0 | 0 |
| Richter Gedeon Vegyészeti Gyár Nyrt. | OGYI-T- 04033/04 | EDNYT 20 MG TABLETTA | 30x | 643 | 885 | 80 | 646 | 239 | 0 | 0 | 0 | 0 | 0 | 0 |
| Kérelmező | TK-szám | Név | Kiszerelés | Termelői ár | Bruttó fogyasztói ár | Normatív tám. mérték | Normatív tám | Normatív tér. díj | EÜ emelt tám. mérték | EÜ emelt tám | EÜ emelt tér. díj | EÜ kiemelt tám. mérték | EÜ kiemelt tám | EÜ kiemelt tér. díj |
| Richter Gedeon Vegyészeti Gyár Nyrt. | OGYI-T- 04033/02 | EDNYT 5 MG TABLETTA | 30x | 301 | 438 | 80 | 314 | 124 | 0 | 0 | 0 | 0 | 0 | 0 |
| Richter Gedeon Vegyészeti Gyár Nyrt. | OGYI-T- 09064/01 | EDNYT HCT 20/12,5 MG TABLETTA | 30x | 343 | 495 | 80 | 331 | 164 | 0 | 0 | 0 | 0 | 0 | 0 |
| Richter Gedeon Vegyészeti Gyár Nyrt. | OGYI-T- 09064/02 | EDNYT PLUS TABLETTA | 30x | 343 | 495 | 80 | 331 | 164 | 0 | 0 | 0 | 0 | 0 | 0 |
| Richter Gedeon Vegyészeti Gyár Nyrt. | OGYI-T- 09975/03 | EMREN 10 MG TABLETTA | 30x | 2132 | 2827 | 80 | 2262 | 565 | 0 | 0 | 0 | 0 | 0 | 0 |
| Richter Gedeon Vegyészeti Gyár Nyrt. | OGYI-T- 09975/01 | EMREN 2,5 MG TABLETTA | 30x | 585 | 807 | 80 | 598 | 209 | 0 | 0 | 0 | 0 | 0 | 0 |
| Richter Gedeon Vegyészeti Gyár Nyrt. | OGYI-T- 09975/02 | EMREN 5 MG TABLETTA | 30x | 1128 | 1541 | 80 | 1233 | 308 | 0 | 0 | 0 | 0 | 0 | 0 |
| Richter Gedeon Vegyészeti Gyár Nyrt. | OGYI-T- 20258/02 | GLINDIA 2 MG TABLETTA | 30x | 698 | 961 | 55 | 496 | 465 | 0 | 0 | 0 | 0 | 0 | 0 |
| Richter Gedeon Vegyészeti Gyár Nyrt. | OGYI-T- 20258/04 | GLINDIA 4 MG TABLETTA | 30x | 1236 | 1686 | 55 | 892 | 794 | 0 | 0 | 0 | 0 | 0 | 0 |
| Richter Gedeon Vegyészeti Gyár Nyrt. | OGYI-T- 09956/01 | HUNPERDAL 1 MG FILMTABLETTA | 60x | 2035 | 2705 | 0 | 0 | 2705 | 0 | 0 | 0 | 100 | 2402 | 303 |
| Richter Gedeon Vegyészeti Gyár Nyrt. | OGYI-T- 09957/01 | HUNPERDAL 2 MG FILMTABLETTA | 60x | 4228 | 5454 | 0 | 0 | 5454 | 0 | 0 | 0 | 100 | 5148 | 306 |
| Richter Gedeon Vegyészeti Gyár Nyrt. | OGYI-T- 09958/01 | HUNPERDAL 3 MG FILMTABLETTA | 60x | 6396 | 7944 | 0 | 0 | 7944 | 0 | 0 | 0 | 100 | 7633 | 311 |
| Richter Gedeon Vegyészeti Gyár Nyrt. | OGYI-T- 09959/01 | HUNPERDAL 4 MG FILMTABLETTA | 60x | 8547 | 10315 | 0 | 0 | 10315 | 0 | 0 | 0 | 100 | 10005 | 310 |
| Richter Gedeon Vegyészeti Gyár Nyrt. | OGYI-T- 20308/04 | HUNPERDAL-RICHTER 1 MG FILMTABLETTA | 60x | 2035 | 2705 | 0 | 0 | 2705 | 0 | 0 | 0 | 100 | 2402 | 303 |
| Richter Gedeon Vegyészeti Gyár Nyrt. | OGYI-T- 20308/06 | HUNPERDAL-RICHTER 2 MG FILMTABLETTA | 60x | 4228 | 5454 | 0 | 0 | 5454 | 0 | 0 | 0 | 100 | 5148 | 306 |
| Richter Gedeon Vegyészeti Gyár Nyrt. | OGYI-T- 20308/08 | HUNPERDAL-RICHTER 3 MG FILMTABLETTA | 60x | 6396 | 7944 | 0 | 0 | 7944 | 0 | 0 | 0 | 100 | 7633 | 311 |
| Richter Gedeon Vegyészeti Gyár Nyrt. | OGYI-T- 20308/10 | HUNPERDAL-RICHTER 4 MG FILMTABLETTA | 60x | 8547 | 10315 | 0 | 0 | 10315 | 0 | 0 | 0 | 100 | 10005 | 310 |
| Richter Gedeon Vegyészeti Gyár Nyrt. | OGYI-T- 09684/01 | LISONORM TABLETTA | 30x | 2221 | 2938 | 80 | 2350 | 588 | 0 | 0 | 0 | 0 | 0 | 0 |
| Richter Gedeon Vegyészeti Gyár Nyrt. | OGYI-T- 04916/03 | LISOPRESS 10 MG TABLETTA | 28x | 564 | 780 | 80 | 616 | 164 | 0 | 0 | 0 | 0 | 0 | 0 |
| Richter Gedeon Vegyészeti Gyár Nyrt. | OGYI-T- 04916/02 | LISOPRESS 2,5 MG TABLETTA | 28x | 539 | 750 | 80 | 551 | 199 | 0 | 0 | 0 | 0 | 0 | 0 |
| Richter Gedeon Vegyészeti Gyár Nyrt. | OGYI-T- 04916/04 | LISOPRESS 20 MG TABLETTA | 28x | 836 | 1151 | 80 | 914 | 237 | 0 | 0 | 0 | 0 | 0 | 0 |
| Richter Gedeon Vegyészeti Gyár Nyrt. | OGYI-T- 04916/01 | LISOPRESS 5 MG TABLETTA | 28x | 339 | 489 | 80 | 390 | 99 | 0 | 0 | 0 | 0 | 0 | 0 |
| Richter Gedeon Vegyészeti Gyár Nyrt. | OGYI-T- 06419/03 | MYCOSYST 150 MG KEMÉNY KAPSZULA | 4x | 3908 | 5041 | 25 | 1134 | 3907 | 90 | 4537 | 504 | 0 | 0 | 0 |
| Richter Gedeon Vegyészeti Gyár Nyrt. | OGYI-T- 06419/05 | MYCOSYST-GYNO 150 MG KEMÉNY KAPSZULA | lx | 915 | 1260 | 25 | 284 | 976 | 90 | 1134 | 126 | 0 | 0 | 0 |
| Kérelmező | TK-szám | Név | Kiszerelés | Termelői ár | Bruttó fogyasztói ár | Normatív tám. mérték | Normatív tám | Normatív tér. díj | EÜ emelt tám. mérték | EÜ emelt tám | EÜ emelt tér. díj | EÜ kiemelt tám. mérték | EÜ kiemelt tám | EÜ kiemelt tér. díj |
| Richter Gedeon Vegyészeti Gyár Nyrt. | OGYI-T- 06419/06 | MYCOSYST-GYNO 150 MG KEMÉNY KAPSZULA | 2x | 1894 | 2520 | 25 | 567 | 1953 | 90 | 2268 | 252 | 0 | 0 | 0 |
| Richter Gedeon Vegyészeti Gyár Nyrt. | OGYI-T- 20545/11 | NANTARfD 200 MG FILMTABLETTA | 60x | 13798 | 16105 | 0 | 0 | 16105 | 0 | 0 | 0 | 100 | 15748 | 357 |
| Richter Gedeon Vegyészeti Gyár Nyrt. | OGYI-T- 06879/01 | NORMODIPINE 10 MG TABLETTA | 30x | 1123 | 1535 | 80 | 1030 | 505 | 0 | 0 | 0 | 0 | 0 | 0 |
| Richter Gedeon Vegyészeti Gyár Nyrt. | OGYI-T- 06878/01 | NORMODIPINE 5 MG TABLETTA | 30x | 538 | 749 | 80 | 502 | 247 | 0 | 0 | 0 | 0 | 0 | 0 |
| Richter Gedeon Vegyészeti Gyár Nyrt. | OGYI-T- 20345/03 | PORTIRON 100 MG FILMTABLETTA | 30x | 1955 | 2602 | 55 | 1417 | 1185 | 0 | 0 | 0 | 0 | 0 | 0 |
| Richter Gedeon Vegyészeti Gyár Nyrt. | OGYI-T- 20345/01 | PORTIRON 25 MG FILMTABLETTA | 30x | 1518 | 2044 | 55 | 1086 | 958 | 0 | 0 | 0 | 0 | 0 | 0 |
| Richter Gedeon Vegyészeti Gyár Nyrt. | OGYI-T- 20345/02 | PORTIRON 50 MG FILMTABLETTA | 30x | 1371 | 1870 | 55 | 1017 | 853 | 0 | 0 | 0 | 0 | 0 | 0 |
| Richter Gedeon Vegyészeti Gyár Nyrt. | OGYI-T- 03091/02 | PREDNISOLON 5 MG TABLETTA | 100x műanyag tartályban | 849 | 1169 | 80 | 935 | 234 | 90 | 1052 | 117 | 100 | 869 | 300 |
| Richter Gedeon Vegyészeti Gyár Nyrt. | OGYI-T- 03091/01 | PREDNISOLON 5 MG TABLETTA | 20x bliszterben | 458 | 660 | 80 | 528 | 132 | 90 | 594 | 66 | 100 | 360 | 300 |
| Richter Gedeon Vegyészeti Gyár Nyrt. | OGYI-T- 07931/01 | REXETIN 20 MG FILMTABLETTA | 30x | 2285 | 3018 | 25 | 725 | 2293 | 90 | 2611 | 407 | 0 | 0 | 0 |
| Richter Gedeon Vegyészeti Gyár Nyrt. | OGYI-T- 09996/03 | SEDRON 70 MG FILMTABLETTA | 12x | 6425 | 7976 | 0 | 0 | 7976 | 70 | 5399 | 2577 | 0 | 0 | 0 |
| Richter Gedeon Vegyészeti Gyár Nyrt. | OGYI-T- 09996/02 | SEDRON 70 MG FILMTABLETTA | 4x | 2088 | 2771 | 0 | 0 | 2771 | 70 | 1800 | 971 | 0 | 0 | 0 |
| Richter Gedeon Vegyészeti Gyár Nyrt. | OGYI-T- 09979/01 | TAMSOL 0,4 MG RETARD KAPSZULA | 30x | 2408 | 3171 | 25 | 716 | 2455 | 0 | 0 | 0 | 0 | 0 | 0 |
| Richter Gedeon Vegyészeti Gyár Nyrt. | OGYI-T- 07454/01 | TERBISIL 250 MG TABLETTA | 14x | 2859 | 3751 | 25 | 800 | 2951 | 90 | 3376 | 375 | 0 | 0 | 0 |
| Richter Gedeon Vegyészeti Gyár Nyrt. | OGYI-T- 05387/01 | VEROSPIRON 100 MG KAPSZULA | 30x | 1040 | 1428 | 80 | 958 | 470 | 0 | 0 | 0 | 0 | 0 | 0 |
| Richter Gedeon Vegyészeti Gyár Nyrt. | OGYI-T- 03381/01 | VEROSPIRON 25 MG TABLETTA | 20x | 544 | 755 | 80 | 604 | 151 | 0 | 0 | 0 | 0 | 0 | 0 |
| Richter Gedeon Vegyészeti Gyár Nyrt. | OGYI-T- 05386/01 | VEROSPIRON 50 MG KAPSZULA | 30x | 610 | 840 | 80 | 672 | 168 | 0 | 0 | 0 | 0 | 0 | 0 |
| Richter Gedeon Vegyészeti Gyár Nyrt. | OGYI-T- 20646/01 | VIDOTIN 4 MG TABLETTA | 30x | 863 | 1189 | 80 | 951 | 238 | 0 | 0 | 0 | 0 | 0 | 0 |
| Richter Gedeon Vegyészeti Gyár Nyrt. | OGYI-T- 20646/02 | VIDOTIN 8 MG TABLETTA | 30x | 1652 | 2199 | 80 | 1759 | 440 | 0 | 0 | 0 | 0 | 0 | 0 |
| ROCHE (Magyarország) Gyógyszer- és Vegyianyagkereskedelmi Kft. | EU/1/03/26 5/003 | BONVIVA 150 MG FILMTABLETTA | 1x | 6821 | 8413 | 0 | 0 | 8413 | 70 | 2991 | 5422 | 0 | 0 | 0 |
| ROCHE (Magyarország) Gyógyszer- és Vegyianyag-kereskedelmi Kft. | OGYI-T- 01735/01 | INHIBACE 1 MG FILMTABLETTA | 30x | 850 | 1171 | 80 | 937 | 234 | 0 | 0 | 0 | 0 | 0 | 0 |
| ROCHE (Magyarország) Gyógyszer- és Vegyianyag-kereskedelmi Kft. | OGYI-T- 01735/02 | INHIBACE 2,5 MG FILMTABLETTA | 28x | 1263 | 1723 | 80 | 659 | 1064 | 0 | 0 | 0 | 0 | 0 | 0 |
| Sager Pharma Szolgáltató Kft. | OGYI-T- 06796/02 | NOCUTIL 0,1 MG/ML OLDATOS ORRSPRAY | 5ml | 6650 | 8225 | 80 | 6580 | 1645 | 0 | 0 | 0 | 100 | 7925 | 300 |
| Sandoz Hungária Kft. | OGYI-T- 10398/01 | ALENDRON HEXAL 70 MG TABLETTA | 4x | 1952 | 2598 | 0 | 0 | 2598 | 70 | 1800 | 798 | 0 | 0 | 0 |
| Kérelmező | TK-szám | Név | Kiszerelés | Termelői ár | Bruttó fogyasztói ár | Normatív tám. mérték | Normatív tám | Normatív tér. díj | EÜ emelt tám. mérték | EÜ emelt tám | EÜ emelt tér. díj | EÜ kiemelt tám. mérték | EÜ kiemelt tám | EÜ kiemelt tér. díj |
| Sandoz Hungária Kft. | OGYI-T-10491/01 | AMLODIPIN HEXAL 10 MG TABLETTA | 30x | 936 | 1289 | 80 | 1030 | 259 | 0 | 0 | 0 | 0 | 0 | 0 |
| Sandoz Hungária Kft. | OGYI-T- 10489/01 | AMLODIPIN HEXAL 5 MG TABLETTA | 30* | 436 | 629 | 80 | 502 | 127 | 0 | 0 | 0 | 0 | 0 | 0 |
| Sandoz Hungária Kft. | OGYI-T- 20304/11 | AMLODIPIN SANDOZ 10 MG TABLETTA | 30x (al//pvc buborékfóliában) | 914 | 1259 | 80 | 1007 | 252 | 0 | 0 | 0 | 0 | 0 | 0 |
| Sandoz Hungária Kft. | OGYI-T- 20304/03 | AMLODIPIN SANDOZ 5 MG TABLETTA | 30x (al//pvc buborékfóliában) | 427 | 615 | 80 | 492 | 123 | 0 | 0 | 0 | 0 | 0 | 0 |
| Sandoz Hungária Kft. | OGYI-T- 20199/01 | ATORVASTATIN HEXAL 10 MG FILMTABLETTA | 30x | 1786 | 2376 | 80 | 1901 | 475 | 0 | 0 | 0 | 0 | 0 | 0 |
| Sandoz Hungária Kft. | OGYI-T- 20199/04 | ATORVASTATIN HEXAL 20 MG FILMTABLETTA | 30x | 3378 | 4423 | 80 | 3538 | 885 | 0 | 0 | 0 | 0 | 0 | 0 |
| Sandoz Hungária Kft. | OGYI-T- 20199/07 | ATORVASTATIN HEXAL 40 MG FILMTABLETTA | 30x | 3872 | 4995 | 80 | 3996 | 999 | 0 | 0 | 0 | 0 | 0 | 0 |
| Sandoz Hungária Kft. | OGYI-T- 20095/01 | AZI SANDOZ 250 MG FILMTABLETTA | 6x | 1460 | 1979 | 25 | 495 | 1484 | 0 | 0 | 0 | 0 | 0 | 0 |
| Sandoz Hungária Kft. | OGYI-T- 20402/01 | BICALUTAMID SANDOZ 50 MG FILMTABLETTA | 30x | 20710 | 23726 | 0 | 0 | 23726 | 0 | 0 | 0 | 100 | 23426 | 300 |
| Sandoz Hungária Kft. | OGYI-T- 09572/01 | CARVEDILOL HEXAL 12,5 MG TABLETTA | 30x | 477 | 683 | 80 | 546 | 137 | 0 | 0 | 0 | 0 | 0 | 0 |
| Sandoz Hungária Kft. | OGYI-T- 09573/01 | CARVEDILOL HEXAL 25 MG TABLETTA | 30x | 857 | 1180 | 80 | 944 | 236 | 0 | 0 | 0 | 0 | 0 | 0 |
| Sandoz Hungária Kft. | OGYI-T- 09571/01 | CARVEDILOL HEXAL 6,25 MG TABLETTA | 30x | 307 | 446 | 80 | 357 | 89 | 0 | 0 | 0 | 0 | 0 | 0 |
| Sandoz Hungária Kft. | OGYI-T- 08972/01 | CIFLOXIN 500 MG FILMTABLETTA | 10x | 745 | 1026 | 25 | 257 | 769 | 0 | 0 | 0 | 0 | 0 | 0 |
| Sandoz Hungária Kft. | OGYI-T- 08976/01 | CITAPRAM 20 MG FILMTABLETTA | 30x | 819 | 1128 | 25 | 257 | 871 | 90 | 924 | 204 | 0 | 0 | 0 |
| Sandoz Hungária Kft. | OGYI-T- 08978/01 | CITAPRAM 40 MG FILMTABLETTA | 30x | 2937 | 3854 | 25 | 964 | 2890 | 90 | 3300 | 554 | 0 | 0 | 0 |
| Sandoz Hungária Kft. | OGYI-T- 09703/01 | CO-ENALAPRIL HEXAL 20/12,5 MG TABLETTA | 30x | 283 | 412 | 80 | 330 | 82 | 0 | 0 | 0 | 0 | 0 | 0 |
| Sandoz Hungária Kft. | OGYI-T- 09526/01 | DOXAZOSIN HEXAL 2 MG TABLETTA | 30x | 633 | 872 | 55 | 480 | 392 | 0 | 0 | 0 | 0 | 0 | 0 |
| Sandoz Hungária Kft. | OGYI-T- 09527/01 | DOXAZOSIN HEXAL 4 MG TABLETTA | 30x | 833 | 1147 | 55 | 631 | 516 | 0 | 0 | 0 | 0 | 0 | 0 |
| Sandoz Hungária Kft. | OGYI-T- 20423/01 | DOXAZOSIN SANDOZ URO 4 MG RETARD TABLETTA | 30x | 1913 | 2545 | 55 | 1400 | 1145 | 0 | 0 | 0 | 0 | 0 | 0 |
| Sandoz Hungária Kft. | OGYI-T- 09835/01 | ENALAPRIL HEXAL PLUS 20/6 MG TABLETTA | 30x | 314 | 455 | 80 | 331 | 124 | 0 | 0 | 0 | 0 | 0 | 0 |
| Sandoz Hungária Kft. | OGYI-T- 08075/01 | ENAPRIL 10 MG TABLETTA | 30x | 360 | 519 | 80 | 415 | 104 | 0 | 0 | 0 | 0 | 0 | 0 |
| Sandoz Hungária Kft. | OGYI-T- 08076/01 | ENAPRIL 20 MG TABLETTA | 30x | 585 | 807 | 80 | 646 | 161 | 0 | 0 | 0 | 0 | 0 | 0 |
| Sandoz Hungária Kft. | OGYI-T- 08074/01 | ENAPRIL 5 MG TABLETTA | 30x | 270 | 393 | 80 | 314 | 79 | 0 | 0 | 0 | 0 | 0 | 0 |
| Kérelmező | TK-szám | Név | Kiszerelés | Termelői ár | Bruttó fogyasztói ár | Normatív tám. mérték | Normatív tám | Normatív tér. díj | EÜ emelt tám. mérték | EÜ emelt tám | EÜ emelt tér. díj | EÜ kiemelt tám. mérték | EÜ kiemelt tám | EÜ kiemelt tér. díj |
| Sandoz Hungária Kft. | OGYI-T- 09045/01 | FAMOTIDIN HEXAL 40 MG FILMTABLETTA | 30x | 795 | 1095 | 55 | 602 | 493 | 0 | 0 | 0 | 0 | 0 | 0 |
| Sandoz Hungária Kft. | OGYI-T- 10300/01 | FELODIPIN HEXAL 10 MG RETARD FILMTABLETTA | 30x | 1364 | 1861 | 80 | 1489 | 372 | 0 | 0 | 0 | 0 | 0 | 0 |
| Sandoz Hungária Kft. | OGYI-T- 10299/01 | FELODIPIN HEXAL 5 MG RETARD FILMTABLETTA | 30x | 657 | 905 | 80 | 724 | 181 | 0 | 0 | 0 | 0 | 0 | 0 |
| Sandoz Hungária Kft. | OGYI-T- 09992/01 | FENTANYL HEXAL 100MCG/HTTS TAPASZ | 5x | 14484 | 16861 | 0 | 0 | 16861 | 0 | 0 | 0 | 100 | 16561 | 300 |
| Sandoz Hungária Kft. | OGYI-T- 20155/09 | FENTANYL SANDOZ MAT 100 MIKROGRAMM/ÓRA TRANSZDERMÁLIS MÁTRIX TAPASZ | 5x | 14484 | 16861 | 0 | 0 | 16861 | 0 | 0 | 0 | 100 | 16561 | 300 |
| Sandoz Hungária Kft. | OGYI-T- 09648/01 | FLUCOHEXAL 150 MG KAPSZULA | 1x | 822 | 1132 | 25 | 283 | 849 | 90 | 1019 | 113 | 0 | 0 | 0 |
| Sandoz Hungária Kft. | OGYI-T- 09648/02 | FLUCOHEXAL 150 MG KAPSZULA | 4x | 3480 | 4535 | 25 | 1134 | 3401 | 90 | 4082 | 453 | 0 | 0 | 0 |
| Sandoz Hungária Kft. | OGYI-T- 20264/02 | FLUOXETIN SANDOZ 20 MG DISZPERGÁLÓDÓ TABLETTA | 30x | 1566 | 2098 | 25 | 525 | 1573 | 90 | 1871 | 227 | 0 | 0 | 0 |
| Sandoz Hungária Kft. | OGYI-T- 10283/01 | GLIMEPIRID HEXAL 2 MG TABLETTA | 30x | 653 | 899 | 55 | 494 | 405 | 0 | 0 | 0 | 0 | 0 | 0 |
| Sandoz Hungária Kft. | OGYI-T- 10285/01 | GLIMEPIRID HEXAL 4 MG TABLETTA | 30x | 1187 | 1619 | 55 | 890 | 729 | 0 | 0 | 0 | 0 | 0 | 0 |
| Sandoz Hungária Kft. | OGYI-T- 20106/04 | ITRACONAZOL SANDOZ 100 MG KAPSZULA | 30x | 6697 | 8276 | 25 | 2069 | 6207 | 90 | 7448 | 828 | 0 | 0 | 0 |
| Sandoz Hungária Kft. | OGYI-T- 08197/01 | LEKOKLAR 250 MG FILMTABLETTA | 10x | 797 | 1097 | 25 | 274 | 823 | 0 | 0 | 0 | 0 | 0 | 0 |
| Sandoz Hungária Kft. | OGYI-T- 08198/01 | LEKOKLAR 500 MG FILMTABLETTA | 14x | 1986 | 2643 | 25 | 661 | 1982 | 0 | 0 | 0 | 0 | 0 | 0 |
| Sandoz Hungária Kft. | OGYI-T- 09409/01 | LISINOPRIL HEXAL 10 MG TABLETTA | 30x | 599 | 825 | 80 | 660 | 165 | 0 | 0 | 0 | 0 | 0 | 0 |
| Sandoz Hungária Kft. | OGYI-T- 09410/01 | LISINOPRIL HEXAL 20 MG TABLETTA | 30x | 889 | 1224 | 80 | 979 | 245 | 0 | 0 | 0 | 0 | 0 | 0 |
| Sandoz Hungária Kft. | OGYI-T- 09408/01 | LISINOPRIL HEXAL 5 MG TABLETTA | 30x | 397 | 572 | 80 | 418 | 154 | 0 | 0 | 0 | 0 | 0 | 0 |
| Sandoz Hungária Kft. | OGYI-T- 07107/03 | MEGLUCON 850 MG FILMTABLETTA | 120x | 814 | 1121 | 55 | 579 | 542 | 0 | 0 | 0 | 0 | 0 | 0 |
| Sandoz Hungária Kft. | OGYI-T- 20079/03 | MELOXICAM SANDOZ 15 MG TABLETTA | 20x | 682 | 939 | 25 | 235 | 704 | 70 | 657 | 282 | 0 | 0 | 0 |
| Sandoz Hungária Kft. | OGYI-T- 20079/04 | MELOXICAM SANDOZ 15 MG TABLETTA | 50x | 1766 | 2350 | 25 | 588 | 1762 | 70 | 1645 | 705 | 0 | 0 | 0 |
| Sandoz Hungária Kft. | OGYI-T-10125/01 | METOPROLOL Z HEXAL 100 MG RETARD FILMTABLETTA | 30x | 652 | 898 | 80 | 718 | 180 | 0 | 0 | 0 | 0 | 0 | 0 |
| Kérelmező | TK-szám | Név | Kiszerelés | Termelői ár | Bruttó fogyasztói ár | Normatív tám. mérték | Normatív tám | Normatív tér. díj | EÜ emelt tám. mérték | EÜ emelt tám | EÜ emelt tér. díj | EÜ kiemelt tám. mérték | EÜ kiemelt tám | EÜ kiemelt tér. díj |
| Sandoz Hungária Kft. | OGYI-T-10126/01 | METOPROLOL Z HEXAL 150 MG RETARD FILMTABLETTA | 30x | 1011 | 1391 | 80 | 1113 | 278 | 0 | 0 | 0 | 0 | 0 | 0 |
| Sandoz Hungária Kft. | OGYI-T-10127/01 | METOPROLOL Z HEXAL 200 MG RETARD FILMTABLETTA | 30x | 1330 | 1814 | 80 | 1451 | 363 | 0 | 0 | 0 | 0 | 0 | 0 |
| Sandoz Hungária Kft. | OGYI-T-10123/01 | METOPROLOL Z HEXAL 25 MG RETARD FILMTABLETTA | 30x | 395 | 569 | 80 | 455 | 114 | 0 | 0 | 0 | 0 | 0 | 0 |
| Sandoz Hungária Kft. | OGYI-T-10124/01 | METOPROLOL Z HEXAL 50 MG RETARD FILMTABLETTA | 30x | 379 | 547 | 80 | 438 | 109 | 0 | 0 | 0 | 0 | 0 | 0 |
| Sandoz Hungária Kft. | OGYI-T- 20186/01 | OFLOXACIN SANDOZ 200 MG FILMTABLETTA | 10x | 1022 | 1405 | 25 | 351 | 1054 | 0 | 0 | 0 | 0 | 0 | 0 |
| Sandoz Hungária Kft. | OGYI-T- 04210/02 | OSPAMOX 1000 MG FILMTABLETTA | 16x | 763 | 1051 | 25 | 263 | 788 | 0 | 0 | 0 | 0 | 0 | 0 |
| Sandoz Hungária Kft. | OGYI-T- 04209/02 | OSPAMOX 750 MG FILMTABLETTA | 16x | 648 | 893 | 25 | 223 | 670 | 0 | 0 | 0 | 0 | 0 | 0 |
| Sandoz Hungária Kft. | OGYI-T- 08867/01 | PARETIN 20 MG FILMTABLETTA | 30x | 2190 | 2899 | 25 | 725 | 2174 | 90 | 2609 | 290 | 0 | 0 | 0 |
| Sandoz Hungária Kft. | OGYI-T- 20614/06 | PERINDOPRIL SANDOZ 4 MG TABLETTA | 30x | 871 | 1199 | 80 | 959 | 240 | 0 | 0 | 0 | 0 | 0 | 0 |
| Sandoz Hungária Kft. | OGYI-T- 09829/01 | PIRAMIL 1,25 MG TABLETTA | 28x | 446 | 644 | 80 | 472 | 172 | 0 | 0 | 0 | 0 | 0 | 0 |
| Sandoz Hungária Kft. | OGYI-T- 09831/01 | PIRAMIL 5 MG TABLETTA | 28x | 1267 | 1728 | 80 | 1151 | 577 | 0 | 0 | 0 | 0 | 0 | 0 |
| Sandoz Hungária Kft. | OGYI-T- 09869/01 | QUINAPRIL-HCT HEXAL 10/12,5 MG FILMTABLETTA | 30x | 814 | 1121 | 80 | 897 | 224 | 0 | 0 | 0 | 0 | 0 | 0 |
| Sandoz Hungária Kft. | OGYI-T- 09870/01 | QUINAPRIL-HCT HEXAL 20/12,5 MG FILMTABLETTA | 30x | 1699 | 2261 | 80 | 1809 | 452 | 0 | 0 | 0 | 0 | 0 | 0 |
| Sandoz Hungária Kft. | OGYI-T- 10425/01 | RAMIPRIL HEXAL 10 MG TABLETTA | 30x | 2131 | 2826 | 80 | 2261 | 565 | 0 | 0 | 0 | 0 | 0 | 0 |
| Sandoz Hungária Kft. | OGYI-T- 10422/01 | RAMIPRIL HEXAL 2,5 MG TABLETTA | 30x | 536 | 747 | 80 | 598 | 149 | 0 | 0 | 0 | 0 | 0 | 0 |
| Sandoz Hungária Kft. | OGYI-T- 10423/01 | RAMIPRIL HEXAL 5 MG TABLETTA | 30x | 1127 | 1539 | 80 | 1231 | 308 | 0 | 0 | 0 | 0 | 0 | 0 |
| Sandoz Hungária Kft. | OGYI-T- 20175/01 | RAMIPRIL-HCT HEXAL 2,5/12,5 MG TABLETTA | 30x | 873 | 1202 | 80 | 962 | 240 | 0 | 0 | 0 | 0 | 0 | 0 |
| Sandoz Hungária Kft. | OGYI-T- 20175/02 | RAMIPRIL-HCT HEXAL 5/25 MG TABLETTA | 30x | 1038 | 1426 | 80 | 1141 | 285 | 0 | 0 | 0 | 0 | 0 | 0 |
| Sandoz Hungária Kft. | OGYI-T-10112/03 | RISPOLUX 1 MG FILMTABLETTA | 60x | 2034 | 2704 | 0 | 0 | 2704 | 0 | 0 | 0 | 100 | 2402 | 302 |
| Sandoz Hungária Kft. | OGYI-T-10113/03 | RISPOLUX 2 MG FILMTABLETTA | 60x | 4225 | 5450 | 0 | 0 | 5450 | 0 | 0 | 0 | 100 | 5148 | 302 |
| Kérelmező | TK-szám | Név | Kiszerelés | Termelői ár | Bruttó fogyasztói ár | Normatív tám. mérték | Normatív tám | Normatív tér. díj | EÜ emelt tám. mérték | EÜ emelt tám | EÜ emelt tér. díj | EÜ kiemelt tám. mérték | EÜ kiemelt tám | EÜ kiemelt tér. díj |
| Sandoz Hungária Kft. | OGYI-T-10114/03 | RISPOLUX 3 MG FILMTABLETTA | 60x | 6431 | 7983 | 0 | 0 | 7983 | 0 | 0 | 0 | 100 | 7633 | 350 |
| Sandoz Hungária Kft. | OGYI-T-10115/03 | RISPOLUX 4 MG FILMTABLETTA | 60x | 8544 | 10312 | 0 | 0 | 10312 | 0 | 0 | 0 | 100 | 10005 | 307 |
| Sandoz Hungária Kft. | OGYI-T- 09375/01 | SERTRALIN SANDOZ 100 MG FILMTABLETTA | 30x | 1874 | 2494 | 25 | 624 | 1870 | 90 | 2245 | 249 | 0 | 0 | 0 |
| Sandoz Hungária Kft. | OGYI-T- 09374/01 | SERTRALIN SANDOZ 50 MG FILMTABLETTA | 30x | 936 | 1289 | 25 | 322 | 967 | 90 | 1160 | 129 | 0 | 0 | 0 |
| Sandoz Hungária Kft. | OGYI-T- 08284/02 | SICOR 10 MG FILMTABLETTA | 30x bliszterben | 1636 | 2177 | 80 | 1742 | 435 | 0 | 0 | 0 | 0 | 0 | 0 |
| Sandoz Hungária Kft. | OGYI-T- 08285/02 | SICOR 20 MG FILMTABLETTA | 30x bliszterben | 1778 | 2366 | 80 | 1893 | 473 | 0 | 0 | 0 | 0 | 0 | 0 |
| Sandoz Hungária Kft. | OGYI-T- 08286/02 | SICOR 30 MG FILMTABLETTA | 30x bliszterben | 3157 | 4142 | 80 | 3041 | 1101 | 0 | 0 | 0 | 0 | 0 | 0 |
| Sandoz Hungária Kft. | OGYI-T- 08287/02 | SICOR 40 MG FILMTABLETTA | 30x bliszterben | 2482 | 3263 | 80 | 2610 | 653 | 0 | 0 | 0 | 0 | 0 | 0 |
| Sandoz Hungária Kft. | OGYI-T- 09431/01 | SICOR 80 MG FILMTABLETTA | 30x | 5173 | 6596 | 80 | 5277 | 1319 | 0 | 0 | 0 | 0 | 0 | 0 |
| Sandoz Hungária Kft. | OGYI-T- 06187/01 | SOTAHEXAL 160 TABLETTA | 50x | 1023 | 1407 | 80 | 1126 | 281 | 0 | 0 | 0 | 0 | 0 | 0 |
| Sandoz Hungária Kft. | OGYI-T- 06186/01 | SOTAHEXAL 80 TABLETTA | 50x | 649 | 894 | 80 | 715 | 179 | 0 | 0 | 0 | 0 | 0 | 0 |
| Sandoz Hungária Kft. | OGYI-T- 20009/01 | TAMSULOSIN SANDOZ 0,4 MG RETARD KEMÉNY KAPSZULA | 30x | 2160 | 2861 | 25 | 715 | 2146 | 0 | 0 | 0 | 0 | 0 | 0 |
| Sandoz Hungária Kft. | OGYI-T- 10029/01 | TERBINAFIN HEXAL 250 MG TABLETTA | 14x | 2684 | 3522 | 25 | 800 | 2722 | 90 | 3170 | 352 | 0 | 0 | 0 |
| Sandoz Hungária Kft. | OGYI-T- 08179/01 | TRAMADOLOR 100 ID RETARD TABLETTA | 20x | 763 | 1051 | 25 | 239 | 812 | 0 | 0 | 0 | 100 | 657 | 394 |
| Sandoz Hungária Kft. | OGYI-T- 08179/02 | TRAMADOLOR 100 ID RETARD TABLETTA | 50x | 1976 | 2629 | 25 | 598 | 2031 | 0 | 0 | 0 | 100 | 2093 | 536 |
| Sandoz Hungária Kft. | OGYI-T- 08180/01 | TRAMADOLOR 150 ID RETARD TABLETTA | 20x | 933 | 1285 | 25 | 293 | 992 | 0 | 0 | 0 | 100 | 985 | 300 |
| Sandoz Hungária Kft. | OGYI-T- 08180/02 | TRAMADOLOR 150 ID RETARD TABLETTA | 50x | 2442 | 3214 | 25 | 731 | 2483 | 0 | 0 | 0 | 100 | 2914 | 300 |
| Sandoz Hungária Kft. | OGYI-T- 09240/01 | TRAMADOLOR 50 MG DISZPERGÁLÓDÓ TABLETTA | 30x | 490 | 697 | 25 | 174 | 523 | 0 | 0 | 0 | 100 | 397 | 300 |
| Sandoz Hungária Kft. | OGYI-T- 08179/03 | TRAMADOLOR 50 MG KAPSZULA | 20x | 321 | 464 | 25 | 116 | 348 | 0 | 0 | 0 | 100 | 164 | 300 |
| SANOFI-AVENTIS Magyarország Kereskedelmi és Szolgáltató Zrt. | OGYI-T- 08738/02 | ACTONEL 35 MG FILMTABLETTA | 12x | 17979 | 20714 | 0 | 0 | 20714 | 70 | 11348 | 9366 | 0 | 0 | 0 |
| SANOFI-AVENTIS Magyarország Kereskedelmi és Szolgáltató Zrt. | OGYI-T- 08738/01 | ACTONEL 35 MG FILMTABLETTA | 4x | 5560 | 7022 | 0 | 0 | 7022 | 70 | 3783 | 3239 | 0 | 0 | 0 |
| SANOFI-AVENTIS Magyarország Kereskedelmi és Szolgáltató Zrt. | OGYI-T- 08339/01 | ACTONEL 5 MG FILMTABLETTA | 28x | 5993 | 7500 | 0 | 0 | 7500 | 70 | 2791 | 4709 | 0 | 0 | 0 |



| Kérelmező | TK-szám | Név | Kiszerelés | Termelői ár | Bruttó fogyasztói ár | Normatív tám. mérték | Normatív tám | Normatív tér. díj | EÜ emelt tám. mérték | EÜ emelt tám | EÜ emelt tér. díj | EÜ kiemelt tám. mérték | EÜ kiemelt tám | EÜ kiemelt tér. díj |
| Teva Magyarország Zrt. | OGYI-T- 09154/01 | AMLIPIN 5 MG TABLETTA | 30x | 474 | 679 | 80 | 502 | 177 | 0 | 0 | 0 | 0 | 0 | 0 |
| Teva Magyarország Zrt. | OGYI-T- 20536/04 | ARBARTAN 50 MG FILMTABLETTA | 30x (fehér pvc/pvdc/al buborékfólia) | 1355 | 1849 | 55 | 1017 | 832 | 0 | 0 | 0 | 0 | 0 | 0 |
| Teva Magyarország Zrt. | OGYI-T- 20326/03 | ASULPAN 200 MG TABLETTA | 30x | 8696 | 10480 | 0 | 0 | 10480 | 0 | 0 | 0 | 100 | 9148 | 1332 |
| Teva Magyarország Zrt. | OGYI-T-10012/01 | ATORVA-TEVA 10 MG FILMTABLETTA | 30x | 1879 | 2500 | 80 | 1902 | 598 | 0 | 0 | 0 | 0 | 0 | 0 |
| Teva Magyarország Zrt. | OGYI-T- 10012/02 | ATORVA-TEVA 20 MG FILMTABLETTA | 30x | 3501 | 4558 | 80 | 3539 | 1019 | 0 | 0 | 0 | 0 | 0 | 0 |
| Teva Magyarország Zrt. | OGYI-T- 10012/03 | ATORVA-TEVA 40 MG FILMTABLETTA | 30x | 3988 | 5144 | 80 | 3997 | 1147 | 0 | 0 | 0 | 0 | 0 | 0 |
| Teva Magyarország Zrt. | OGYI-T- 10012/04 | ATORVA-TEVA 80 MG FILMTABLETTA | 30x | 7935 | 9641 | 80 | 7712 | 1929 | 0 | 0 | 0 | 0 | 0 | 0 |
| Teva Magyarország Zrt. | OGYI-T-10510/01 | BILUTAMID 50 MG FILMTABLETTA | 28x | 19276 | 22145 | 0 | 0 | 22145 | 0 | 0 | 0 | 100 | 21845 | 300 |
| Teva Magyarország Zrt. | OGYI-T- 20382/01 | BONEACT 35 MG FILMTABLETTA | 4x | 4190 | 5404 | 0 | 0 | 5404 | 70 | 3783 | 1621 | 0 | 0 | 0 |
| Teva Magyarország Zrt. | OGYI-T- 10297/01 | CARVOL 12,5 MG TABLETTA | 30x | 515 | 725 | 80 | 546 | 179 | 0 | 0 | 0 | 0 | 0 | 0 |
| Teva Magyarország Zrt. | OGYI-T- 10298/01 | CARVOL 25 MG TABLETTA | 30x | 899 | 1238 | 80 | 944 | 294 | 0 | 0 | 0 | 0 | 0 | 0 |
| Teva Magyarország Zrt. | OGYI-T- 10296/01 | CARVOL 6,25 MG TABLETTA | 30x | 328 | 474 | 80 | 357 | 117 | 0 | 0 | 0 | 0 | 0 | 0 |
| Teva Magyarország Zrt. | OGYI-T- 20143/09 | CIDOCLAR 250 MG FILMTABLETTA | 14x (pvc/pvdc//al, átlátszó) | 1141 | 1558 | 25 | 385 | 1173 | 0 | 0 | 0 | 0 | 0 | 0 |
| Teva Magyarország Zrt. | OGYI-T- 10598/08 | CIPROFLOXACIN-HUMAN 500 MG FILMTABLETTA | 10x (átlátszó buborékfóliában) | 757 | 1043 | 25 | 257 | 786 | 0 | 0 | 0 | 0 | 0 | 0 |
| Teva Magyarország Zrt. | OGYI-T- 04975/07 | CONTRAMAL 100 MG RETARD FILMTABLETTA | 30x (pvc/pvdc//al) | 1368 | 1866 | 25 | 359 | 1507 | 0 | 0 | 0 | 100 | 1136 | 730 |
| Teva Magyarország Zrt. | OGYI-T- 04975/09 | CONTRAMAL 150 MG RETARD FILMTABLETTA | 30x (pvc/pvdc//al) | 1714 | 2281 | 25 | 439 | 1842 | 0 | 0 | 0 | 100 | 1981 | 300 |
| Teva Magyarország Zrt. | OGYI-T- 04975/02 | CONTRAMAL 50 MG KEMÉNY KAPSZULA | 20x | 392 | 565 | 25 | 118 | 447 | 0 | 0 | 0 | 100 | 171 | 394 |
| Teva Magyarország Zrt. | OGYI-T- 07913/02 | COVIOGAL 5 MG FILMTABLETTA | 30x | 288 | 419 | 55 | 230 | 189 | 0 | 0 | 0 | 0 | 0 | 0 |
| Teva Magyarország Zrt. | OGYI-T- 09324/01 | DERMYC 150 MG KAPSZULA | 1x | 885 | 1219 | 25 | 284 | 935 | 90 | 1097 | 122 | 0 | 0 | 0 |
| Teva Magyarország Zrt. | OGYI-T- 09324/02 | DERMYC 150 MG KAPSZULA | 2x | 1898 | 2525 | 25 | 567 | 1958 | 90 | 2273 | 252 | 0 | 0 | 0 |
| Teva Magyarország Zrt. | OGYI-T- 09324/03 | DERMYC 150 MG KAPSZULA | 4x | 3579 | 4644 | 25 | 1134 | 3510 | 90 | 4180 | 464 | 0 | 0 | 0 |
| Teva Magyarország Zrt. | OGYI-T- 20354/02 | DIAMITUS 2 MG TABLETTA | 30x | 654 | 901 | 55 | 496 | 405 | 0 | 0 | 0 | 0 | 0 | 0 |
| Teva Magyarország Zrt. | OGYI-T- 20354/04 | DIAMITUS 4 MG TABLETTA | 30x | 1188 | 1621 | 55 | 892 | 729 | 0 | 0 | 0 | 0 | 0 | 0 |
| Teva Magyarország Zrt. | OGYI-T- 09782/02 | DOXAGAL 2 MG TABLETTA | 30x | 679 | 936 | 55 | 480 | 456 | 0 | 0 | 0 | 0 | 0 | 0 |
| Kérelmező | TK-szám | Név | Kiszerelés | Termelői ár | Bruttó fogyasztói ár | Normatív tám. mérték | Normatív tám | Normatív tér. díj | EÜ emelt tám. mérték | EÜ emelt tám | EÜ emelt tér. díj | EÜ kiemelt tám. mérték | EÜ kiemelt tám | EÜ kiemelt tér. díj |
| Teva Magyarország Zrt. | OGYI-T- 09782/03 | DOXAGAL 4 MG TABLETTA | 30x | 889 | 1224 | 55 | 632 | 592 | 0 | 0 | 0 | 0 | 0 | 0 |
| Teva Magyarország Zrt. | OGYI-T- 10427/01 | HYPOLIP 10 MG FILMTABLETTA | 30x | 1786 | 2376 | 80 | 1901 | 475 | 0 | 0 | 0 | 0 | 0 | 0 |
| Teva Magyarország Zrt. | OGYI-T- 10427/02 | HYPOLIP 20 MG FILMTABLETTA | 30x | 3378 | 4423 | 80 | 3538 | 885 | 0 | 0 | 0 | 0 | 0 | 0 |
| Teva Magyarország Zrt. | OGYI-T- 10427/03 | HYPOLIP 40 MG FILMTABLETTA | 30x | 3872 | 4995 | 80 | 3996 | 999 | 0 | 0 | 0 | 0 | 0 | 0 |
| Teva Magyarország Zrt. | OGYI-T- 10427/04 | HYPOLIP 80 MG FILMTABLETTA | 30x | 7934 | 9640 | 80 | 7712 | 1928 | 0 | 0 | 0 | 0 | 0 | 0 |
| Teva Magyarország Zrt. | OGYI-T- 20093/02 | MAKROMYCIN 250 MG FILMTABLETTA | 6x (pvc/pe/pvdc/ pe/pvc//pvc/ pvdc/al buborékfólia) | 1475 | 1996 | 25 | 495 | 1501 | 0 | 0 | 0 | 0 | 0 | 0 |
| Teva Magyarország Zrt. | OGYI-T- 20168/01 | MASSIDRON 70 MG TABLETTA | 4x | 2007 | 2670 | 0 | 0 | 2670 | 70 | 1800 | 870 | 0 | 0 | 0 |
| Teva Magyarország Zrt. | OGYI-T- 20168/02 | MASSIDRON 70 MG TABLETTA | 8x | 4140 | 5340 | 0 | 0 | 5340 | 70 | 3599 | 1741 | 0 | 0 | 0 |
| Teva Magyarország Zrt. | OGYI-T- 20078/04 | MELOXICAM-TEVA 15 MG TABLETTA | 20x | 700 | 964 | 25 | 235 | 729 | 70 | 658 | 306 | 0 | 0 | 0 |
| Teva Magyarország Zrt. | OGYI-T- 05251/01 | MINILIP 600 MG FILMTABLETTA | 60x | 1033 | 1420 | 80 | 1136 | 284 | 0 | 0 | 0 | 0 | 0 | 0 |
| Teva Magyarország Zrt. | OGYI-T- 09779/17 | MIZAPIN30MG FILMTABLETTA | 30x | 4379 | 5649 | 25 | 1412 | 4237 | 90 | 4950 | 699 | 0 | 0 | 0 |
| Teva Magyarország Zrt. | OGYI-T- 09779/18 | MIZAPIN 45 MG FILMTABLETTA | 30x | 6530 | 8092 | 25 | 2023 | 6069 | 90 | 7158 | 934 | 0 | 0 | 0 |
| Teva Magyarország Zrt. | OGYI-T-10251/01 | NOVIFORM 10 MG TABLETTA | 30x | 714 | 983 | 80 | 786 | 197 | 0 | 0 | 0 | 0 | 0 | 0 |
| Teva Magyarország Zrt. | OGYI-T- 10252/01 | NOVIFORM 20 MG TABLETTA | 30x | 972 | 1339 | 80 | 1071 | 268 | 0 | 0 | 0 | 0 | 0 | 0 |
| Teva Magyarország Zrt. | OGYI-T- 20376/01 | NOVIFORM PLUSZ TABLETTA | 30x | 935 | 1287 | 80 | 1030 | 257 | 0 | 0 | 0 | 0 | 0 | 0 |
| Teva Magyarország Zrt. | OGYI-T- 10212/03 | PERDOX 1 MG FILMTABLETTA | 60x | 2034 | 2704 | 0 | 0 | 2704 | 0 | 0 | 0 | 100 | 2402 | 302 |
| Teva Magyarország Zrt. | OGYI-T- 10213/03 | PERDOX 2 MG FILMTABLETTA | 60x | 4226 | 5452 | 0 | 0 | 5452 | 0 | 0 | 0 | 100 | 5148 | 304 |
| Teva Magyarország Zrt. | OGYI-T- 10214/03 | PERDOX 3 MG FILMTABLETTA | 60x | 6388 | 7935 | 0 | 0 | 7935 | 0 | 0 | 0 | 100 | 7633 | 302 |
| Teva Magyarország Zrt. | OGYI-T- 10215/03 | PERDOX 4 MG FILMTABLETTA | 60x | 8546 | 10314 | 0 | 0 | 10314 | 0 | 0 | 0 | 100 | 10005 | 309 |
| Teva Magyarország Zrt. | OGYI-T- 08392/01 | PRESID 10 MG RETARD TABLETTA | 30x | 1500 | 2024 | 80 | 1490 | 534 | 0 | 0 | 0 | 0 | 0 | 0 |
| Teva Magyarország Zrt. | OGYI-T- 08390/01 | PRESID 2,5 MG RETARD TABLETTA | 30x | 410 | 591 | 80 | 220 | 371 | 0 | 0 | 0 | 0 | 0 | 0 |
| Teva Magyarország Zrt. | OGYI-T- 08391/01 | PRESID 5 MG RETARD TABLETTA | 30x | 717 | 987 | 80 | 725 | 262 | 0 | 0 | 0 | 0 | 0 | 0 |
| Teva Magyarország Zrt. | OGYI-T- 09185/01 | RAMACE 1,25 MG KAPSZULA | 30x | 460 | 663 | 80 | 506 | 157 | 0 | 0 | 0 | 0 | 0 | 0 |
| Teva Magyarország Zrt. | OGYI-T- 09188/01 | RAMACE 10 MG KAPSZULA | 30x | 2336 | 3082 | 80 | 2262 | 820 | 0 | 0 | 0 | 0 | 0 | 0 |
| Teva Magyarország Zrt. | OGYI-T- 09186/01 | RAMACE 2,5 MG KAPSZULA | 30x | 591 | 815 | 80 | 598 | 217 | 0 | 0 | 0 | 0 | 0 | 0 |
| Kérelmező | TK-szám | Név | Kiszerelés | Termelői ár | Bruttó fogyasztói ár | Normatív tám. mérték | Normatív tám | Normatív tér. díj | EÜ emelt tám. mérték | EÜ emelt tám | EÜ emelt tér. díj | EÜ kiemelt tám. mérték | EÜ kiemelt tám | EÜ kiemelt tér. díj |
| Teva Magyarország Zrt. | OGYI-T- 09187/01 | RAMACE 5 MG KAPSZULA | 30x | 1232 | 1681 | 80 | 1233 | 448 | 0 | 0 | 0 | 0 | 0 | 0 |
| Teva Magyarország Zrt. | OGYI-T- 20109/02 | RAMACE PLUSZ 2,5/12,5 MG TABLETTA | 30x | 889 | 1224 | 80 | 962 | 262 | 0 | 0 | 0 | 0 | 0 | 0 |
| Teva Magyarország Zrt. | OGYI-T- 20109/04 | RAMACE PLUSZ 5/25 MG TABLETTA | 30x | 1099 | 1504 | 80 | 1142 | 362 | 0 | 0 | 0 | 0 | 0 | 0 |
| Teva Magyarország Zrt. | OGYI-T- 05671/02 | RANITIDIN-B 150 MG TABLETTA | 60x | 813 | 1119 | 55 | 614 | 505 | 0 | 0 | 0 | 0 | 0 | 0 |
| Teva Magyarország Zrt. | OGYI-T- 08276/01 | SIMVACOL 10 MG FILMTABLETTA | 30x | 1771 | 2356 | 80 | 1743 | 613 | 0 | 0 | 0 | 0 | 0 | 0 |
| Teva Magyarország Zrt. | OGYI-T- 08277/01 | SIMVACOL 20 MG FILMTABLETTA | 30x | 1950 | 2595 | 80 | 1894 | 701 | 0 | 0 | 0 | 0 | 0 | 0 |
| Teva Magyarország Zrt. | OGYI-T- 08278/01 | SIMVACOL 40 MG FILMTABLETTA | 30x | 2650 | 3477 | 80 | 2611 | 866 | 0 | 0 | 0 | 0 | 0 | 0 |
| Teva Magyarország Zrt. | OGYI-T-10176/01 | SIMVACOL 80 MG FILMTABLETTA | 30x | 5173 | 6596 | 80 | 5277 | 1319 | 0 | 0 | 0 | 0 | 0 | 0 |
| Teva Magyarország Zrt. | OGYI-T- 09601/01 | TERFIN 250 MG TABLETTA | 14x | 2858 | 3750 | 25 | 800 | 2950 | 90 | 3375 | 375 | 0 | 0 | 0 |
| Teva Magyarország Zrt. | OGYI-T- 20019/01 | TOTALPROST 0,4 MG RETARD KEMÉNY KAPSZULA | 30x (bliszterben) | 2244 | 2966 | 25 | 716 | 2250 | 0 | 0 | 0 | 0 | 0 | 0 |
| Teva Magyarország Zrt. | OGYI-T-10612/01 | TRABECAN-TEVA 70 MG TABLETTA | 4x | 2007 | 2670 | 0 | 0 | 2670 | 70 | 1800 | 870 | 0 | 0 | 0 |
| Teva Magyarország Zrt. | OGYI-T- 03680/02 | ULCERAN 150 MG TABLETTA | 60x | 892 | 1229 | 55 | 614 | 615 | 0 | 0 | 0 | 0 | 0 | 0 |
| Torrex Chiesi Hungária Kereskedelmi Korlátolt Felelősségű Társaság | OGYI-T- 08623/03 | SEROTOR 20 MG FILMTABLETTA | 28x | 835 | 1150 | 25 | 240 | 910 | 90 | 863 | 287 | 0 | 0 | 0 |
| Torrex Chiesi Hungária Kereskedelmi Korlátolt Felelősségű Társaság | OGYI-T- 08624/03 | SEROTOR 40 MG FILMTABLETTA | 28x | 3130 | 4107 | 25 | 1027 | 3080 | 90 | 3080 | 1027 | 0 | 0 | 0 |
| Valeant Pharma Magyarország Kereskedelmi Korlátolt Felelősségű Társaság | OGYI-T- 20596/06 | AMLOBESYL 10 MG TABLETTA | 30x | 999 | 1376 | 80 | 1030 | 346 | 0 | 0 | 0 | 0 | 0 | 0 |
| Valeant Pharma Magyarország Kereskedelmi Korlátolt Felelősségű Társaság | OGYI-T- 20596/02 | AMLOBESYL 5 MG TABLETTA | 30x | 449 | 648 | 80 | 502 | 146 | 0 | 0 | 0 | 0 | 0 | 0 |
| Valeant Pharma Magyarország Kereskedelmi Korlátolt Felelősségű Társaság | OGYI-T- 09233/01 | BISOCARD 5 MG FILMTABLETTA | 30x | 318 | 460 | 55 | 230 | 230 | 0 | 0 | 0 | 0 | 0 | 0 |
| Valeant Pharma Magyarország Kereskedelmi Korlátolt Felelősségű Társaság | OGYI-T- 09233/02 | BISOCARD 5 MG FILMTABLETTA | 60x | 640 | 881 | 55 | 461 | 420 | 0 | 0 | 0 | 0 | 0 | 0 |
| Valeant Pharma Magyarország Kereskedelmi Korlátolt Felelősségű Társaság | OGYI-T- 20108/10 | DIALOSA 2 MG TABLETTA | 30x | 695 | 957 | 55 | 496 | 461 | 0 | 0 | 0 | 0 | 0 | 0 |
| Kérelmező | TK-szám | Név | Kiszerelés | Termelői ár | Bruttó fogyasztói ár | Normatív tám. mérték | Normatív tám | Normatív tér. díj | EÜ emelt tám. mérték | EÜ emelt tám | EÜ emelt tér. díj | EÜ kiemelt tám. mérték | EÜ kiemelt tám | EÜ kiemelt tér. díj |
| Valeant Pharma Magyarország Kereskedelmi Korlátolt Felelősségű Társaság | OGYI-T- 20108/12 | DIALOSA 2 MG TABLETTA | 60x | 1328 | 1811 | 55 | 991 | 820 | 0 | 0 | 0 | 0 | 0 | 0 |
| Valeant Pharma Magyarország Kereskedelmi Korlátolt Felelősségű Társaság | OGYI-T- 20108/24 | DIALOSA 4 MG TABLETTA | 30x | 1230 | 1678 | 55 | 892 | 786 | 0 | 0 | 0 | 0 | 0 | 0 |
| Valeant Pharma Magyarország Kereskedelmi Korlátolt Felelősségű Társaság | OGYI-T- 20253/02 | ZIPERID 1 MG FILMTABLETTA | 60x | 2033 | 2703 | 0 | 0 | 2703 | 0 | 0 | 0 | 100 | 2402 | 301 |
| Valeant Pharma Magyarország Kereskedelmi Korlátolt Felelősségű Társaság | OGYI-T- 20253/04 | ZIPERID 2 MG FILMTABLETTA | 60x | 4226 | 5452 | 0 | 0 | 5452 | 0 | 0 | 0 | 100 | 5148 | 304 |
| Valeant Pharma Magyarország Kereskedelmi Korlátolt Felelősségű Társaság | OGYI-T- 20253/06 | ZIPERID 3 MG FILMTABLETTA | 60x | 6387 | 7934 | 0 | 0 | 7934 | 0 | 0 | 0 | 100 | 7633 | 301 |
| Valeant Pharma Magyarország Kereskedelmi Korlátolt Felelősségű Társaság | OGYI-T- 20253/08 | ZIPERID 4 MG FILMTABLETTA | 60x | 8546 | 10314 | 0 | 0 | 10314 | 0 | 0 | 0 | 100 | 10005 | 309 |
| VICIS Pharma - Kereskedelmi és Vállalkozási Korlátolt Felelősségű Társaság | OGYI-T- 01685/01 | VISTAGAN LIQUIFILM 0,5% SZEMCSEPP | 1x5 ml | 760 | 1047 | 80 | 802 | 245 | 0 | 0 | 0 | 0 | 0 | 0 |
| VICIS Pharma - Kereskedelmi és Vállalkozási Korlátolt Felelősségű Társaság | OGYI-T- 01685/02 | VISTAGAN LIQUIFILM 0,5% SZEMCSEPP | 3x5 ml | 1754 | 2334 | 80 | 1867 | 467 | 0 | 0 | 0 | 0 | 0 | 0 |
| VITABALANS Kereskedelmi és Szolgáltató Korlátolt Felelősségű Társaság | OGYI-T- 20378/12 | ENALATIDIN 10 MG TABLETTA | 30x (buborékfóliában) | 361 | 521 | 80 | 415 | 106 | 0 | 0 | 0 | 0 | 0 | 0 |
| VITABALANS Kereskedelmi és Szolgáltató Korlátolt Felelősségű Társaság | OGYI-T- 20378/22 | ENALATIDIN 20 MG TABLETTA | 30x (buborékfóliában) | 586 | 809 | 80 | 646 | 163 | 0 | 0 | 0 | 0 | 0 | 0 |
| VITABALANS Kereskedelmi és Szolgáltató Korlátolt Felelősségű Társaság | OGYI-T- 20378/02 | ENALATIDIN 5 MG TABLETTA | 30x (buborékfóliában) | 271 | 395 | 80 | 314 | 81 | 0 | 0 | 0 | 0 | 0 | 0 |
| Walmark Kereskedelmi és Szolgáltató Korlátolt Felelősségű Társaság | OGYI-T- 04413/01 | PROPAFENON PHARMA VIT 150 MG FILMTABLETTA | 30x | 909 | 1252 | 80 | 911 | 341 | 0 | 0 | 0 | 0 | 0 | 0 |
| Walmark Kereskedelmi és Szolgáltató Korlátolt Felelősségű Társaság | OGYI-T- 04414/01 | PROPAFENON PHARMA VIT 300 MG FILMTABLETTA | 30x | 1791 | 2384 | 80 | 1736 | 648 | 0 | 0 | 0 | 0 | 0 | 0 |
| WÖRWAG Pharma Kereskedelmi Korlátolt Felelősségű Társaság | OGYI-T- 20272/03 | AMLODIGAMMA 10 MG TABLETTA | 30x | 1020 | 1403 | 80 | 1030 | 373 | 0 | 0 | 0 | 0 | 0 | 0 |

| Kérelmező | TK-szám | Név | Kiszerelés | Termelői ár | Bruttó fogyasztói ár | Normatív tám. mérték | Normatív tám | Normatív tér. díj | EÜ emelt tám. mérték | EÜ emelt tám | EÜ emelt tér. díj | EÜ kiemelt tám. mérték | EÜ kiemelt tám | EÜ kiemelt tér. díj |
| Zentiva HU Gyógyszerkereskedelmi és Szolgáltató Korlátolt Felelősségű Társaság | OGYI-T- 20104/01 | FOKUSIN 0,4 MG MÓDOSÍTOTT HATÓANYAG-LEADÁSÚ KEMÉNY KAPSZULA | 30x | 2190 | 2899 | 25 | 716 | 2183 | 0 | 0 | 0 | 0 | 0 | 0 |
| Zentiva HU Gyógyszerkereskedelmi és Szolgáltató Korlátolt Felelősségű Társaság | OGYI-T-10451/01 | GLIMEPIRID-ZENTIVA 2 MG TABLETTA | 30x | 656 | 903 | 55 | 496 | 407 | 0 | 0 | 0 | 0 | 0 | 0 |
| Zentiva HU Gyógyszerkereskedelmi és Szolgáltató Korlátolt Felelősségű Társaság | OGYI-T- 10452/01 | GLIMEPIRID-ZENTIVA 4 MG TABLETTA | 30x | 1191 | 1624 | 55 | 892 | 732 | 0 | 0 | 0 | 0 | 0 | 0 |
| Zentiva HU Gyógyszerkereskedelmi és Szolgáltató Korlátolt Felelősségű Társaság | OGYI-T- 07747/02 | RALGEN KAPSZULA | 20x | 330 | 477 | 25 | 118 | 359 | 0 | 0 | 0 | 100 | 171 | 306 |
| Zentiva HU Gyógyszerkereskedelmi és Szolgáltató Korlátolt Felelősségű Társaság | OGYI-T- 10605/01 | RAMIPRIL HCT-ZENTIVA 2,5 MG/12,5 MG TABLETTA | 28x | 819 | 1128 | 80 | 897 | 231 | 0 | 0 | 0 | 0 | 0 | 0 |
| Zentiva HU Gyógyszerkereskedelmi és Szolgáltató Korlátolt Felelősségű Társaság | OGYI-T-10136/01 | RAMIPRIL-ZENTIVA 10 MG TABLETTA | 28x | 1989 | 2647 | 80 | 2111 | 536 | 0 | 0 | 0 | 0 | 0 | 0 |
| Zentiva HU Gyógyszerkereskedelmi és Szolgáltató Korlátolt Felelősségű Társaság | OGYI-T-10134/01 | RAMIPRIL-ZENTIVA 2,5 MG TABLETTA | 28x | 497 | 706 | 80 | 559 | 147 | 0 | 0 | 0 | 0 | 0 | 0 |
| Zentiva HU Gyógyszerkereskedelmi és Szolgáltató Korlátolt Felelősségű Társaság | OGYI-T-10135/01 | RAMIPRIL-ZENTIVA 5 MG TABLETTA | 28x | 1062 | 1456 | 80 | 1151 | 305 | 0 | 0 | 0 | 0 | 0 | 0 |
| Zentiva HU Gyógyszerkereskedelmi és Szolgáltató Korlátolt Felelősségű Társaság | OGYI-T- 10177/01 | SERTRALIN-ZENTIVA 50 MG FILMTABLETTA | 28x | 884 | 1217 | 25 | 301 | 916 | 90 | 1083 | 134 | 0 | 0 | 0 |
| Zentiva HU Gyógyszerkereskedelmi és Szolgáltató Korlátolt Felelősségű Társaság | OGYI-T- 20190/22 | TERVALON 100 MG FILMTABLETTA | 30x (pvc/pvdc/al fóliában) | 1937 | 2578 | 55 | 1417 | 1161 | 0 | 0 | 0 | 0 | 0 | 0 |
| Zentiva HU Gyógyszerkereskedelmi és Szolgáltató Korlátolt Felelősségű Társaság | OGYI-T- 20190/19 | TERVALON 50 MG FILMTABLETTA | 30x (pvc/pvdc/al fóliában) | 1357 | 1851 | 55 | 1017 | 834 | 0 | 0 | 0 | 0 | 0 | 0 |
| Zentiva HU Gyógyszerkereskedelmi és Szolgáltató Korlátolt Felelősségű Társaság | OGYI-T- 20020/02 | TORV ACARD 10 MG FILMTABLETTA | 30x (al/al buborékfóliában) | 1788 | 2379 | 80 | 1902 | 477 | 0 | 0 | 0 | 0 | 0 | 0 |
| Zentiva HU Gyógyszerkereskedelmi és Szolgáltató Korlátolt Felelősségű Társaság | OGYI-T- 20020/08 | TORV ACARD 20 MG FILMTABLETTA | 30x (al/al buborékfóliában) | 3381 | 4426 | 80 | 3539 | 887 | 0 | 0 | 0 | 0 | 0 | 0 |
| Kérelmező | TK-szám | Név | Kiszerelés | Termelői ár | Bruttó fogyasztói ár | Normatív tám. mérték | Normatív tám | Normatív tér. díj | EÜ emelt tám. mérték | EÜ emelt tám | EÜ emelt tér. díj | EÜ kiemelt tám. mérték | EÜ kiemelt tám | EÜ kiemelt tér. díj |
| Zentiva HU Gyógyszerkereskedelmi és Szolgáltató Korlátolt Felelősségű Társaság | OGYI-T- 20020/14 | TORVACARD 40 MG FILMTABLETTA | 30x (al/al buborékfóliában) | 3875 | 4998 | 80 | 3997 | 1001 | 0 | 0 | 0 | 0 | 0 | 0 |
| Zentiva HU Gyógyszerkereskedelmi és Szolgáltató Korlátolt Felelősségű Társaság | OGYI-T- 03701/01 | VERAPAMIL 40 MG BEVONT TABLETTA | 50x | 489 | 696 | 80 | 557 | 139 | 0 | 0 | 0 | 0 | 0 | 0 |
Jelen határozatomat fellebbezésre tekintet nélkül végrehajthatónak nyilvánítom.
A határozattal szemben annak közlésétől számított 15 napon belül az Egészségbiztosítási Felügyelethez címzett, de az Országos Egészségbiztosítási Pénztárhoz benyújtott fellebbezéssel lehet élni.
A határozat elleni fellebbezés illetéke 5000 Ft, azaz ötezer forint, amelyet az eljárás megindításakor az eljárást kezdeményező iraton illetékbélyeggel kell megfizetni.
9. A Gyftv. 23. § (6) bekezdése, valamint a 31. § (2) bekezdése alapján a nyilvántartásból törölt készítményt az OEP legkésőbb a törlést követő negyedik hónap 1. napján - 2009. április 1. - a társadalombiztosítási támogatásból kizárja.
| Kérelmező | TK-szám | Név | Kiszerelés |
| Abbott Laboratories (Magyarország) Kft. | OGYI-T-05736/01 | TARKA 180 MG/2 MG KAPSZULA | 30x |
| Actavis Hungary Gyógyszermarketing és Kereskedelmi Korlátolt Felelősségű Társaság | OGYI-T-06564/02 | TRAMALGIC INJEKCIÓ | 10x |
| Bristol-Myers Squibb Gyógyszer-kereskedelmi Kft. | OGYI-T-04945/01 | MEGACE 160 MG TABLETTA | 100x |
| Bristol-Myers Squibb Gyógyszer-kereskedelmi Kft. | OGYI-T-04945/02 | MEGACE 160 MG TABLETTA | 30x |
| Medico Uno Gyógyszermarketing Korlátolt Felelősségű Társaság | OGYI-T-06882/01 | VERCEF 125 MG/5 ML GRANULÁTUM SZUSZPENZIÓHOZ | 1x37,5 g 75 ml |
| Medico Uno Gyógyszermarketing Korlátolt Felelősségű Társaság | OGYI-T-06880/01 | VERCEF 250 MG KAPSZULA | 15x |
| Merck Kft. | OGYI-T-08236/01 | BISOGEN 10 MG FILMTABLETTA | 30x |
| Merck Kft. | OGYI-T-08235/01 | BISOGEN 5 MG FILMTABLETTA | 30x |
| Richter Gedeon Vegyészeti Gyár Nyrt. | OGYI-T-09650/01 | FORTOFAN 12 MIKROGRAMM INHALÁCIÓS POR KEMÉNY KAPSZULÁBAN | 60x |
| Sandoz Hungária Kft. | OGYI-T-06730/01 | ESTRAMON 100 TRANSZDERMÁLIS TAPASZ | 6x |
| Sandoz Hungária Kft. | OGYI-T-06728/01 | ESTRAMON 25 TRANSZDERMÁLIS TAPASZ | 6x |
| Sandoz Hungária Kft. | OGYI-T-06729/01 | ESTRAMON 50 TRANSZDERMÁLIS TAPASZ | 6x |
| Teva Magyarország Zrt. | OGYI-T-03461/01 | ARTHROFLUOR KENŐCS | 50 g |
Jelen határozatomat fellebbezésre tekintet nélkül végrehajthatónak nyilvánítom.
A határozattal szemben annak közlésétől számított 15 napon belül az Egészségbiztosítási Felügyelethez címzett, de az Országos Egészségbiztosítási Pénztárhoz benyújtott fellebbezéssel lehet élni.
A határozat elleni fellebbezés illetéke 5000 Ft, azaz ötezer forint, amelyet az eljárás megindításakor az eljárást kezdeményező iraton illetékbélyeggel kell megfizetni.
10. A 32/2004. (IV. 26.) ESzCsM rendelet (továbbiakban: Rendelet) 1., 2. és 3. számú mellékletének módosulása alapján az Országos Egészségbiztosítási Pénztár a készítmények támogatásának 2009. április elsejével bekövetkező változásáról az alábbi határozatokat hozta:
| Kérelmező | TK-szám | Név | Kiszerelés | Termelői ár | Bruttó fogyasztói ár | Normatív tám. mérték | Normatív tám | Normatív tér. díj | EÜ emelt tám. mérték | EÜ emelt tám | EÜ emelt tér. díj | EÜ kiemelt tám. mérték | EÜ kiemelt tám | EÜ kiemelt tér. díj |
| 1 A Pharma GmbH | OGYI-T- 10390/03 | CETIRIZIN 1A PHARMA 10 MG FILMTABLETTA | 30x | 508 | 717 | 25 | 179 | 538 | 50 | 359 | 358 | 0 | 0 | 0 |
| 1 A Pharma GmbH | OGYI-T- 08826/02 | OMEPRAZOL 1A PHARMA 20 MG KAPSZULA | 14x | 1350 | 1842 | 55 | 1012 | 830 | 70 | 1288 | 554 | 0 | 0 | 0 |
| 1 A Pharma GmbH | OGYI-T- 08826/03 | OMEPRAZOL 1A PHARMA 20 MG KAPSZULA | 28x | 2807 | 3682 | 55 | 2024 | 1658 | 70 | 2576 | 1106 | 0 | 0 | 0 |
| 1 A Pharma GmbH | OGYI-T- 20552/03 | PANTOPRAZOL 1 A PHARMA 20 MG GYOMORNEDVELLENÁLLÓ TABLETTA | 28x (al/opa/al/pvc buborékfólia) | 1000 | 1378 | 55 | 758 | 620 | 90 | 1240 | 138 | 0 | 0 | 0 |
| 1 A Pharma GmbH | OGYI-T- 20552/09 | PANTOPRAZOL 1 A PHARMA 40 MG GYOMORNEDVELLENÁLLÓ TABLETTA | 28x (al/opa/al/pvc buborékfólia) | 2062 | 2738 | 55 | 1506 | 1232 | 90 | 2464 | 274 | 0 | 0 | 0 |
| Actavis Hungary Gyógyszermarketing és Kereskedelmi Korlátolt Felelősségű Társaság | OGYI-T- 20507/02 | LANDIA 15 MG GYOMORNEDVELLENÁLLÓ KEMÉNY KAPSZULA | 28x | 1176 | 1604 | 55 | 882 | 722 | 70 | 1122 | 482 | 0 | 0 | 0 |
| Actavis Hungary Gyógyszermarketing és Kereskedelmi Korlátolt Felelősségű Társaság | OGYI-T- 20507/04 | LANDIA 15 MG GYOMORNEDVELLENÁLLÓ KEMÉNY KAPSZULA | 56x | 2396 | 3156 | 55 | 1736 | 1420 | 70 | 2209 | 947 | 0 | 0 | 0 |
| Actavis Hungary Gyógyszermarketing és Kereskedelmi Korlátolt Felelősségű Társaság | OGYI-T- 20133/03 | LANSACID 30 MG KEMÉNY KAPSZULA | 28x | 2281 | 3012 | 55 | 1657 | 1355 | 70 | 2108 | 904 | 0 | 0 | 0 |
| Actavis Hungary Gyógyszermarketing és Kereskedelmi Korlátolt Felelősségű Társaság | OGYI-T- 20337/01 | PANTACID 20 MG GYOMORNEDVELLENÁLLÓ TABLETTA | 14x | 585 | 807 | 55 | 444 | 363 | 90 | 726 | 81 | 0 | 0 | 0 |
| Actavis Hungary Gyógyszermarketing és Kereskedelmi Korlátolt Felelősségű Társaság | OGYI-T- 20337/02 | PANTACID 20 MG GYOMORNEDVELLENÁLLÓ TABLETTA | 28x | 1184 | 1615 | 55 | 888 | 727 | 90 | 1454 | 161 | 0 | 0 | 0 |
| Actavis Hungary Gyógyszermarketing és Kereskedelmi Korlátolt Felelősségű Társaság | OGYI-T- 20337/03 | PANTACID 20 MG GYOMORNEDVELLENÁLLÓ TABLETTA | 56x | 2455 | 3230 | 55 | 1777 | 1453 | 90 | 2907 | 323 | 0 | 0 | 0 |
| Actavis Hungary Gyógyszermarketing és Kereskedelmi Korlátolt Felelősségű Társaság | OGYI-T- 20337/04 | PANTACID 40 MG GYOMORNEDVELLENÁLLÓ TABLETTA | 14x | 1176 | 1604 | 55 | 882 | 722 | 90 | 1444 | 160 | 0 | 0 | 0 |
| Actavis Hungary Gyógyszermarketing és Kereskedelmi Korlátolt Felelősségű Társaság | OGYI-T- 20337/05 | PANTACID 40 MG GYOMORNEDVELLENÁLLÓ TABLETTA | 28x | 2441 | 3212 | 55 | 1767 | 1445 | 90 | 2891 | 321 | 0 | 0 | 0 |
| Kérelmező | TK-szám | Név | Kiszerelés | Termelői ár | Bruttó fogyasztói ár | Normatív tám. mérték | Normatív tám | Normatív tér. díj | EÜ emelt tám. mérték | EÜ emelt tám | EÜ emelt tér. díj | EÜ kiemelt tám. mérték | EÜ kiemelt tám | EÜ kiemelt tér. díj |
| Actavis Hungary Gyógyszermarketing és Kereskedelmi Korlátolt Felelősségű Társaság | OGYI-T- 20337/06 | PANTACID 40 MG GYOMORNEDVELLENÁLLÓ TABLETTA | 56x | 5015 | 6422 | 55 | 3532 | 2890 | 90 | 5780 | 642 | 0 | 0 | 0 |
| AstraZeneca Kft. | OGYI-T- 05114/02 | LOSEC 10 MG KEMÉNY KAPSZULA | 14x | 1478 | 1999 | 55 | 428 | 1571 | 90 | 1799 | 200 | 0 | 0 | 0 |
| AstraZeneca Kft. | OGYI-T- 05114/03 | LOSEC 10 MG KEMÉNY KAPSZULA | 28x | 3048 | 3998 | 55 | 855 | 3143 | 90 | 3598 | 400 | 0 | 0 | 0 |
| AstraZeneca Kft. | OGYI-T- 05114/05 | LOSEC 20 MG KEMÉNY KAPSZULA | 14x | 1662 | 2211 | 55 | 1012 | 1199 | 70 | 1288 | 923 | 0 | 0 | 0 |
| AstraZeneca Kft. | OGYI-T- 05114/06 | LOSEC 20 MG KEMÉNY KAPSZULA | 28x | 3380 | 4425 | 55 | 2024 | 2401 | 70 | 2576 | 1849 | 0 | 0 | 0 |
| AstraZeneca Kft. | OGYI-T- 08256/02 | NEXIUM 20 MG FILMTABLETTA | 14x | 2510 | 3299 | 55 | 1814 | 1485 | 90 | 1194 | 2105 | 0 | 0 | 0 |
| AstraZeneca Kft. | OGYI-T- 08256/03 | NEXIUM 20 MG FILMTABLETTA | 28x | 4625 | 5966 | 55 | 3281 | 2685 | 90 | 2387 | 3579 | 0 | 0 | 0 |
| AstraZeneca Kft. | OGYI-T- 08256/01 | NEXIUM 20 MG FILMTABLETTA | 7x | 1341 | 1829 | 55 | 1006 | 823 | 90 | 597 | 1232 | 0 | 0 | 0 |
| AstraZeneca Kft. | OGYI-T- 08256/05 | NEXIUM 40 MG FILMTABLETTA | 14x | 3651 | 4724 | 55 | 1141 | 3583 | 90 | 2387 | 2337 | 0 | 0 | 0 |
| AstraZeneca Kft. | OGYI-T- 08256/06 | NEXIUM 40 MG FILMTABLETTA | 28x | 5825 | 7314 | 55 | 2281 | 5033 | 90 | 4775 | 2539 | 0 | 0 | 0 |
| AstraZeneca Kft. | OGYI-T- 08256/04 | NEXIUM 40 MG FILMTABLETTA | 7x | 2004 | 2666 | 55 | 570 | 2096 | 90 | 1194 | 1472 | 0 | 0 | 0 |
| AstraZeneca Kft. | OGYI-T- 08222/01 | RHINOCORT AQUA 64 MIKROGRAMM/ ADAG ORRSPRAY | 10 ml (120 adag) | 1800 | 2395 | 25 | 599 | 1796 | 50 | 1198 | 1197 | 0 | 0 | 0 |
| AstraZeneca Kft. | OGYI-T- 04288/01 | RHINOCORT TURBUHALER 100 MIKROGRAMM/ ADAG NAZÁLIS BELÉLEGZŐ POR | 1x200 adag | 3349 | 4390 | 25 | 1098 | 3292 | 50 | 2195 | 2195 | 0 | 0 | 0 |
| Bayer Hungária Kereskedelmi és Szolgáltató Kft. | OGYI-T- 05950/01 | ASPIRIN PROTECT 100 MG GYOMORNEDVELLENÁLLÓ BEVONT TABLETTA | 20x | 297 | 433 | 55 | 238 | 195 | 50 | 217 | 216 | 0 | 0 | 0 |
| Bayer Hungária Kereskedelmi és Szolgáltató Kft. | OGYI-T- 05950/02 | ASPIRIN PROTECT 100 MG GYOMORNEDVELLENÁLLÓ BEVONT TABLETTA | 50x | 744 | 1025 | 55 | 564 | 461 | 50 | 513 | 512 | 0 | 0 | 0 |
| Bayer Hungária Kereskedelmi és Szolgáltató Kft. | OGYI-T- 05951/01 | ASPIRIN PROTECT 300 MG GYOMORNEDVELLENÁLLÓ BEVONT TABLETTA | 20x | 413 | 595 | 55 | 327 | 268 | 50 | 298 | 297 | 0 | 0 | 0 |
| Bayer Hungária Kereskedelmi és Szolgáltató Kft. | OGYI-T- 05951/02 | ASPIRIN PROTECT 300 MG GYOMORNEDVELLENÁLLÓ BEVONT TABLETTA | 50x | 805 | 1109 | 55 | 610 | 499 | 50 | 555 | 554 | 0 | 0 | 0 |
| Kérelmező | TK-szám | Név | Kiszerelés | Termelői ár | Bruttó fogyasztói ár | Normatív tám. mérték | Normatív tám | Normatív tér. díj | EÜ emelt tám. mérték | EÜ emelt tám | EÜ emelt tér. díj | EÜ kiemelt tám. mérték | EÜ kiemelt tám | EÜ kiemelt tér. díj |
| Boehringer Ingelheim Pharma Gesellschaft m. b. H. Magyarországi Fióktelepe | OGYI-T- 07491/01 | ASAS ANTIN RETARD KAPSZULA | 30x | 1706 | 2270 | 0 | 0 | 2270 | 70 | 1589 | 681 | 0 | 0 | 0 |
| EGIS Gyógyszergyár Nyrt. | OGYI-T- 07852/01 | EROLIN SZIRUP | 1x120 ml | 711 | 979 | 25 | 245 | 734 | 50 | 490 | 489 | 0 | 0 | 0 |
| EGIS Gyógyszergyár Nyrt. | OGYI-T- 07851/02 | EROLIN TABLETTA | 30x | 887 | 1221 | 25 | 255 | 966 | 50 | 509 | 712 | 0 | 0 | 0 |
| EGIS Gyógyszergyár Nyrt. | OGYI-T- 06824/01 | IPATON FILMTABLETTA | 20x | 1322 | 1804 | 0 | 0 | 1804 | 70 | 1095 | 709 | 0 | 0 | 0 |
| EGIS Gyógyszergyár Nyrt. | OGYI-T- 20500/02 | NOACID 20 MG GYOMORNEDVELLENÁLLÓ TABLETTA | 14x | 692 | 953 | 55 | 444 | 509 | 90 | 728 | 225 | 0 | 0 | 0 |
| EGIS Gyógyszergyár Nyrt. | OGYI-T- 20500/03 | NOACID 20 MG GYOMORNEDVELLENÁLLÓ TABLETTA | 28x | 1214 | 1656 | 55 | 888 | 768 | 90 | 1456 | 200 | 0 | 0 | 0 |
| EGIS Gyógyszergyár Nyrt. | OGYI-T- 20500/05 | NOACID 40 MG GYOMORNEDVELLENÁLLÓ TABLETTA | 14x | 1381 | 1884 | 55 | 883 | 1001 | 90 | 1447 | 437 | 0 | 0 | 0 |
| EGIS Gyógyszergyár Nyrt. | OGYI-T- 20500/06 | NOACID 40 MG GYOMORNEDVELLENÁLLÓ TABLETTA | 28x | 2492 | 3276 | 55 | 1767 | 1509 | 90 | 2894 | 382 | 0 | 0 | 0 |
| EGIS Gyógyszergyár Nyrt. | OGYI-T- 08430/01 | PARLAZIN 10 MG FILMTABLETTA | 30x | 630 | 867 | 25 | 180 | 687 | 50 | 360 | 507 | 0 | 0 | 0 |
| EGIS Gyógyszergyár Nyrt. | OGYI-T- 08431/01 | PARLAZIN 10 MG/ML CSEPPEK | 20 ml | 827 | 1139 | 25 | 238 | 901 | 50 | 570 | 569 | 0 | 0 | 0 |
| EGIS Gyógyszergyár Nyrt. | OGYI-T- 03798/01 | TALEUM ORRSPRAY | 1x15 g | 757 | 1043 | 0 | 0 | 1043 | 50 | 522 | 521 | 0 | 0 | 0 |
| EGIS Gyógyszergyár Nyrt. | OGYI-T- 03798/01 | TALEUM ORRSPRAY | 1x15 g | 757 | 1043 | 0 | 0 | 1043 | 50 | 522 | 521 | 0 | 0 | 0 |
| ExtractumPharma Zrt. | OGYI-T- 10027/03 | ASA 100-EP FILMTABLETTA | 100x | 940 | 1295 | 55 | 712 | 583 | 50 | 648 | 647 | 0 | 0 | 0 |
| ExtractumPharma Zrt. | OGYI-T- 10027/01 | ASA 100-EP FILMTABLETTA | 30x | 310 | 449 | 55 | 247 | 202 | 50 | 225 | 224 | 0 | 0 | 0 |
| ExtractumPharma Zrt. | OGYI-T- 10027/02 | ASA 100-EP FILMTABLETTA | 50x | 471 | 675 | 55 | 371 | 304 | 50 | 338 | 337 | 0 | 0 | 0 |
| ExtractumPharma Zrt. | OGYI-T- 10102/03 | ASA 75-EP FILMTABLETTA | 100x | 705 | 971 | 55 | 534 | 437 | 50 | 486 | 485 | 0 | 0 | 0 |
| ExtractumPharma Zrt. | OGYI-T-10102/01 | ASA 75-EP FILMTABLETTA | 30x | 232 | 338 | 55 | 186 | 152 | 50 | 169 | 169 | 0 | 0 | 0 |
| ExtractumPharma Zrt. | OGYI-T- 10102/02 | ASA 75-EP FILMTABLETTA | 50x | 353 | 509 | 55 | 280 | 229 | 50 | 255 | 254 | 0 | 0 | 0 |
| ExtractumPharma Zrt. | OGYI-T- 09419/02 | CETIRIZIN-EP 10 MG FILMTABLETTA | 10x | 182 | 265 | 25 | 60 | 205 | 50 | 120 | 145 | 0 | 0 | 0 |
| ExtractumPharma Zrt. | OGYI-T- 09419/03 | CETIRIZIN-EP 10 MG FILMTABLETTA | 30x | 510 | 719 | 25 | 180 | 539 | 50 | 360 | 359 | 0 | 0 | 0 |


| Kérelmező | TK-szám | Név | Kiszerelés | Termelői ár | Bruttó fogyasztói ár | Normatív tám. mérték | Normatív tám | Normatív tér. díj | EÜ emelt tám. mérték | EÜ emelt tám | EÜ emelt tér. díj | EÜ kiemelt tám. mérték | EÜ kiemelt tám | EÜ kiemelt tér. díj |
| Mylan Kft. | OGYI-T- 09108/01 | BUDESOGEN 50 MCG/ADAG ORRSPRAY | 1x | 1068 | 1464 | 25 | 366 | 1098 | 50 | 732 | 732 | 0 | 0 | 0 |
| Mylan Kft. | OGYI-T-09181/01 | CETIGEN 10 MG FILMTABLETTA | 30x | 572 | 791 | 25 | 180 | 611 | 50 | 360 | 431 | 0 | 0 | 0 |
| Mylan Kft. | OGYI-T- 20601/02 | FEXGEN 120 MG FILMTABLETTA | 30x | 918 | 1264 | 25 | 316 | 948 | 50 | 632 | 632 | 0 | 0 | 0 |
| Mylan Kft. | OGYI-T- 20601/04 | FEXGEN 180 MG FILMTABLETTA | 30x | 1336 | 1823 | 25 | 456 | 1367 | 50 | 912 | 911 | 0 | 0 | 0 |
| Mylan Kft. | OGYI-T- 10033/03 | LANSOGEN 30 MG GYOMORNEDVELLENÁLLÓ KAPSZULA | 28x | 2395 | 3155 | 55 | 1658 | 1497 | 70 | 2110 | 1045 | 0 | 0 | 0 |
| Mylan Kft. | OGYI-T- 09403/02 | OMEGEN 20 MG KAPSZULA | 28x | 2865 | 3759 | 55 | 2024 | 1735 | 70 | 2576 | 1183 | 0 | 0 | 0 |
| NATURLAND Magyarország Kft. | 210211964 OGYI-T- 09886/01 | TABLETTA COFFEINI 100 MG FONOVII. NATURLAND | 20x | 239 | NOMIN | 25 | 87 | 0 | 0 | 0 | 0 | 0 | ||
| NATURLAND Magyarország Kft. | OGYI-T- 09886/01 | TABLETTA COFFEINI 100 MG FONO VII. NATURLAND | 20x | 239 | 348 | 25 | 87 | 261 | 0 | 0 | 0 | 0 | 0 | 0 |
| Nycomed Pharma Kereskedelmi és Szolgáltató Korlátolt Felelősségű Társaság | OGYI-T- 07071/01 | CONTROLOC 20 MG BÉLBEN OLDÓDÓ TABLETTA | 14x (bliszter) | 706 | 972 | 55 | 444 | 528 | 90 | 728 | 244 | 0 | 0 | 0 |
| Nycomed Pharma Kereskedelmi és Szolgáltató Korlátolt Felelősségű Társaság | OGYI-T- 07071/02 | CONTROLOC 20 MG BÉLBEN OLDÓDÓ TABLETTA | 14x (műa.flakon) | 706 | 972 | 55 | 444 | 528 | 90 | 728 | 244 | 0 | 0 | 0 |
| Nycomed Pharma Kereskedelmi és Szolgáltató Korlátolt Felelősségű Társaság | OGYI-T- 07071/03 | CONTROLOC 20 MG BÉLBEN OLDÓDÓ TABLETTA | 28x (bliszter) | 1429 | 1945 | 55 | 888 | 1057 | 90 | 1456 | 489 | 0 | 0 | 0 |
| Nycomed Pharma Kereskedelmi és Szolgáltató Korlátolt Felelősségű Társaság | OGYI-T- 07071/04 | CONTROLOC 20 MG BÉLBEN OLDÓDÓ TABLETTA | 28x (műa.flakon) | 1429 | 1945 | 55 | 888 | 1057 | 90 | 1456 | 489 | 0 | 0 | 0 |
| Nycomed Pharma Kereskedelmi és Szolgáltató Korlátolt Felelősségű Társaság | OGYI-T- 04736/03 | CONTROLOC 40 MG BÉLBEN OLDÓDÓ TABLETTA | 14x (bliszter) | 1416 | 1930 | 55 | 883 | 1047 | 90 | 1447 | 483 | 0 | 0 | 0 |
| Nycomed Pharma Kereskedelmi és Szolgáltató Korlátolt Felelősségű Társaság | OGYI-T- 04736/01 | CONTROLOC 40 MG BÉLBEN OLDÓDÓ TABLETTA | 14x (műa.flakon) | 1416 | 1930 | 55 | 883 | 1047 | 90 | 1447 | 483 | 0 | 0 | 0 |
| Nycomed Pharma Kereskedelmi és Szolgáltató Korlátolt Felelősségű Társaság | OGYI-T- 04736/04 | CONTROLOC 40 MG BÉLBEN OLDÓDÓ TABLETTA | 28x (bliszter) | 2945 | 3864 | 55 | 1767 | 2097 | 90 | 2894 | 970 | 0 | 0 | 0 |
| Nycomed Pharma Kereskedelmi és Szolgáltató Korlátolt Felelősségű Társaság | OGYI-T- 04736/02 | CONTROLOC 40 MG BÉLBEN OLDÓDÓ TABLETTA | 28x (műa.flakon) | 2945 | 3864 | 55 | 1767 | 2097 | 90 | 2894 | 970 | 0 | 0 | 0 |
| Kérelmező | TK-szám | Név | Kiszerelés | Termelni ár | Bruttó fogyasztói ár | Normatív tám mertek | Normatív tám. | Normatív tér. díj | HŰ emelt tám. mérték | EÜ emelt tám. | EÜ emelt tér. díj | HÜ kiemelt tám mertek | Hú' kiemelt tám. | EÜ kiemelt tér. díj |
| Orion Pharma Kereskedelmi és Gyógyszer Marketing Kft. | OGYI-T- 20209 02 | BECLONASAL AQUA 50 MKROGRAMM/ DÓZIS SZUSZPENZIÓS ORRSPRAY | 1x23 ml | 961 | 1323 | 25 | 331 | 992 | 50 | 662 | 661 | 0 | 0 | 0 |
| Orion Pharma Kereskedelmi és Gyógyszer Marketing Kft. | OGYI-T- 20209/01 | BECLONASAL AQUA 50 MIKROGRAMM/ DÓZIS SZUSZPENZIÓS ORRSPRAY | 1x9 ml | 336 | 484 | 25 | 121 | 363 | 50 | 242 | 242 | 0 | 0 | 0 |
| Ozone Laboratories Magyarország Gyógyszer-nagykereskedelmi és Szolgáltató Kft. | OGYI-T- 09655/01 | OMEPRAZOL OZONE 20 MG KAPSZULA | 14x | 1440 | 1957 | 55 | 1012 | 945 | 70 | 1288 | 669 | 0 | 0 | 0 |
| Ozone Laboratories Magyarország Gyógyszer-nagykereskedelmi és Szolgáltató Kft. | OGYI-T- 09655/02 | OMEPRAZOL OZONE 20 MG KAPSZULA | 28x | 2820 | 3700 | 55 | 2024 | 1676 | 70 | 2576 | 1124 | 0 | 0 | 0 |
| Ozone Laboratories Magyarország Gyógyszer-nagykereskedelmi és Szolgáltató Kft. | OGYI-T-08790/01 | ROLETRA 10 MG TABLETTA | 30x | 730 | 1005 | 25 | 251 | 754 | 50 | 503 | 502 | 0 | 0 | 0 |
| Panna Produkt Gyógyszergyártó Kft. | 210211956 OGYI-T- 09912/01 | TABLETTA COFFEINI 100 MGFONOVII. PARMA | 10x | 120 | NOMIN | 25 | 44 | 0 | 0 | 0 | 0 | 0 | ||
| Panna Produkt Gyógyszergyártó Kft. | OGYI-T- 09912/01 | TABLETTA COFFEINI 100 MG FONOVII. PARMA | 10x | 120 | 177 | 25 | 44 | 133 | 0 | 0 | 0 | 0 | 0 | 0 |
| PHARMA-REGIST Gyógyszer-törzskönyvezési, Kereskedelmi és Szolgáltató Korlátolt Felelősségű Társaság | OGYI-T-20511/01 | LERTAZIN 5 MG FILMTABLETTA | 30x | 1404 | 1915 | 25 | 479 | 1436 | 50 | 958 | 957 | 0 | 0 | 0 |
| PHARMA-REGIST Gyógyszer-törzskönyvezési, Kereskedelmi és Szolgáltató Korlátolt Felelősségű Társaság | OGYI-T- 20384 "02 | NOLPAZA 20 MG GYOMORNEDVELLENÁLLÓ TABLETTA | 28x | 1186 | 1618 | 55 | 888 | 730 | 90 | 1456 | 162 | 0 | 0 | 0 |
| PHARMA-REGIST Gyógyszer-törzskönyvezési, Kereskedelmi és Szolgáltató Korlátolt Felelősségű Társaság | OGYI-T- 20384/04 | NOLPAZA 40 MG GYOMORNEDVELLENÁLLÓ TABLETTA | 28x | 2443 | 3215 | 55 | 1767 | 1448 | 90 | 2894 | 321 | 0 | 0 | 0 |
| Pliva Hungária Kereskedelmi és Szolgáltató Kft. | OGYI-T- 20374/01 | LANSOPRAZOL PLIVA 15 MG GYOMORNEDV-ELLE NÁLLÓ KEMÉNY KAPSZULA | 28x | 1286 | 1755 | 55 | 882 | 873 | 70 | 1122 | 633 | 0 | 0 | 0 |
| Pliva Hungária Kereskedelmi és Szolgáltató Kft. | OGYI-T- 20374/03 | LANSOPRAZOL PLIVA 30 MG GYOMORNEDVELLENÁLLÓ KEMÉNY KAPSZULA | 28x | 2395 | 3155 | 55 | 1658 | 1497 | 70 | 2110 | 1045 | 0 | 0 | 0 |
| Pliva Hungária Kereskedelmi és Szolgáltató Kft. | OGYI-T-08658/03 | LT.ZOI. KEMÉNY KAPSZULA | 28x | 3379 | 4424 | 55 | 2024 | 2400 | 70 | 2576 | 1848 | 0 | 0 | 0 |

| Kérelmező | TK-szám | Név | Kiszerelés | Termelői ár | Bruttó fogyasztói ár | Normatív tám. mérték | Normatív tám | Normatív tér. díj | EÜ emelt tám. mérték | EÜ emelt tám | EÜ emelt tér. díj | EÜ kiemelt tám. mérték | EÜ kiemelt tám | EÜ kiemelt tér. díj |
| ratiopharm Hungária Kereskedelmi Korlátolt Felelősségű Társaság | OGYI-T- 20301/04 | PANTOPRAZOL-RATIOPHARM 40 MG GYOMORNEDVELLENÁLLÓ TABLETTA | 28x | 2439 | 3210 | 55 | 1766 | 1444 | 90 | 2889 | 321 | 0 | 0 | 0 |
| Richter Gedeon Vegyészeti Gyár Nyrt. | OGYI-T- 03532/01 | CAVINTON 5 MG TABLETTA | 50x | 578 | 798 | 25 | 200 | 598 | 0 | 0 | 0 | 0 | 0 | 0 |
| Richter Gedeon Vegyészeti Gyár Nyrt. | OGYI-T-07511/01 | CAVINTON FORTE TABLETTA | 30x | 549 | 761 | 25 | 190 | 571 | 0 | 0 | 0 | 0 | 0 | 0 |
| Richter Gedeon Vegyészeti Gyár Nyrt. | OGYI-T- 07511/02 | CAVINTON FORTE TABLETTA | 90x | 1230 | 1678 | 25 | 420 | 1258 | 0 | 0 | 0 | 0 | 0 | 0 |
| Richter Gedeon Vegyészeti Gyár Nyrt. | OGYI-T- 05156/02 | LANSONE 30 MG KEMÉNY KAPSZULA | 14x | 1326 | 1809 | 55 | 829 | 980 | 70 | 1055 | 754 | 0 | 0 | 0 |
| Richter Gedeon Vegyészeti Gyár Nyrt. | OGYI-T- 05156/03 | LANSONE 30 MG KEMÉNY KAPSZULA | 28x | 2760 | 3621 | 55 | 1658 | 1963 | 70 | 2110 | 1511 | 0 | 0 | 0 |
| Richter Gedeon Vegyészeti Gyár Nyrt. | OGYI-T- 05156/01 | LANSONE 30 MG KEMÉNY KAPSZULA | 7x | 655 | 902 | 55 | 415 | 487 | 70 | 528 | 374 | 0 | 0 | 0 |
| Sager Pharma Szolgáltató Kft. | OGYI-T- 20392/02 | REVICET 10 MG PRÉSELT SZOPOGATÓ TABLETTA | 30x | 529 | 739 | 25 | 180 | 559 | 50 | 360 | 379 | 0 | 0 | 0 |
| Sandoz Hungária Kft. | OGYI-T-09101/01 | CETIRIZIN HEXAL 10 MG FILMTABLETTA | 30x | 509 | 718 | 25 | 180 | 538 | 50 | 359 | 359 | 0 | 0 | 0 |
| Sandoz Hungária Kft. | OGYI-T- 09102/01 | CETIRIZIN HEXAL 10 MG/ML CSEPPEK | 1x20 ml | 690 | 950 | 25 | 238 | 712 | 50 | 475 | 475 | 0 | 0 | 0 |
| Sandoz Hungária Kft. | OGYI-T- 09539/01 | LORATADIN HEXAL 10 MG TABLETTA | 30x | 739 | 1017 | 25 | 254 | 763 | 50 | 509 | 508 | 0 | 0 | 0 |
| Sandoz Hungária Kft. | OGYI-T- 20135/06 | OMEP HEXAL 20 MG KAPSZULA | 14x (buborékfóliában) | 1348 | 1839 | 55 | 1011 | 828 | 70 | 1287 | 552 | 0 | 0 | 0 |
| Sandoz Hungária Kft. | OGYI-T- 20135/07 | OMEP HEXAL 20 MG KAPSZULA | 28x (buborékfóliában) | 2804 | 3679 | 55 | 2023 | 1656 | 70 | 2575 | 1104 | 0 | 0 | 0 |
| Sandoz Hungária Kft. | OGYI-T- 09068/02 | OMEPRAZOL HEXAL 20 MG KAPSZULA | 15x | 1614 | 2151 | 55 | 1084 | 1067 | 70 | 1380 | 771 | 0 | 0 | 0 |
| Sandoz Hungária Kft. | OGYI-T- 09068/01 | OMEPRAZOL HEXAL 20 MG KAPSZULA | 30x | 3281 | 4305 | 55 | 2169 | 2136 | 70 | 2760 | 1545 | 0 | 0 | 0 |
| Sandoz Hungária Kft. | OGYI-T- 20551/01 | PANTOPRAZOL SANDOZ 20 MG GYOMORNEDVELLENÁLLÓ TABLETTA | 14x (al/opa/al/pvc buborékfólia) | 640 | 881 | 55 | 444 | 437 | 90 | 728 | 153 | 0 | 0 | 0 |
| Sandoz Hungária Kft. | OGYI-T- 20551/03 | PANTOPRAZOL SANDOZ 20 MG GYOMORNEDVELLENÁLLÓ TABLETTA | 28x (al/opa/al/pvc buborékfólia) | 1000 | 1378 | 55 | 758 | 620 | 90 | 1240 | 138 | 0 | 0 | 0 |
| Sandoz Hungária Kft. | OGYI-T- 20551/07 | PANTOPRAZOL SANDOZ 40 MG GYOMORNEDVELLENÁLLÓ TABLETTA | 14x (al/opa/al/pvc buborékfólia) | 1284 | 1751 | 55 | 883 | 868 | 90 | 1447 | 304 | 0 | 0 | 0 |

| Kérelmező | TK-szám | Név | Kiszerelés | Termelői ár | Bruttó fogyasztói ár | Normatív tám. mérték | Normatív tám | Normatív tér. díj | EÜ emelt tám. mérték | EÜ emelt tám | EÜ emelt tér. díj | EÜ kiemelt tám. mérték | EÜ kiemelt tám | EÜ kiemelt tér. díj |
| Teva Magyarország Zrt. | OGYI-T- 10435/08 | REFLUXON 30 MG KAPSZULA | 56x | 4721 | 6090 | 55 | 3316 | 2774 | 70 | 4221 | 1869 | 0 | 0 | 0 |
| Teva Magyarország Zrt. | OGYI-T- 09643/01 | TICLOGAL 250 MG FILMTABLETTA | 30x | 1647 | 2191 | 0 | 0 | 2191 | 70 | 1534 | 657 | 0 | 0 | 0 |
| Teva Magyarország Zrt. | OGYI-T- 20167/05 | ZIMPAX 20 MG BÉLBEN OLDÓDÓ TABLETTA | 14x | 691 | 951 | 55 | 444 | 507 | 90 | 728 | 223 | 0 | 0 | 0 |
| Teva Magyarország Zrt. | OGYI-T- 20167/01 | ZIMPAX 20 MG BÉLBEN OLDÓDÓ TABLETTA | 28x | 1213 | 1655 | 55 | 888 | 767 | 90 | 1456 | 199 | 0 | 0 | 0 |
| Teva Magyarország Zrt. | OGYI-T- 20167/06 | ZIMPAX 20 MG BÉLBEN OLDÓDÓ TABLETTA | 56x | 2600 | 3411 | 55 | 1777 | 1634 | 90 | 2912 | 499 | 0 | 0 | 0 |
| Teva Magyarország Zrt. | OGYI-T- 20167/07 | ZIMPAX 40 MG BÉLBEN OLDÓDÓ TABLETTA | 14x | 1380 | 1883 | 55 | 883 | 1000 | 90 | 1447 | 436 | 0 | 0 | 0 |
| Teva Magyarország Zrt. | OGYI-T- 20167/03 | ZIMPAX 40 MG BÉLBEN OLDÓDÓ TABLETTA | 28x | 2491 | 3275 | 55 | 1767 | 1508 | 90 | 2894 | 381 | 0 | 0 | 0 |
| Teva Magyarország Zrt. | OGYI-T- 20167/08 | ZIMPAX 40 MG BÉLBEN OLDÓDÓ TABLETTA | 56x | 5131 | 6550 | 55 | 3533 | 3017 | 90 | 5787 | 763 | 0 | 0 | 0 |
| UCB Magyarország Kft. | OGYI-T- 08514/01 | XYZAL 5 MG FILMTABLETTA | 28x | 2184 | 2892 | 25 | 723 | 2169 | 50 | 1446 | 1446 | 0 | 0 | 0 |
| Valeant Pharma Magyarország Kereskedelmi Korlátolt Felelősségű Társaság | OGYI-T- 09235/01 | ACLOTIN 250 MG FILMTABLETTA | 20x | 1250 | 1705 | 0 | 0 | 1705 | 70 | 1095 | 610 | 0 | 0 | 0 |
| Valeant Pharma Magyarország Kereskedelmi Korlátolt Felelősségű Társaság | OGYI-T- 09235/02 | ACLOTIN 250 MG FILMTABLETTA | 60x | 3624 | 4694 | 0 | 0 | 4694 | 70 | 3286 | 1408 | 0 | 0 | 0 |
| Valeant Pharma Magyarország Kereskedelmi Korlátolt Felelősségű Társaság | OGYI-T- 20574/03 | EMILLAN 15 MG GYOMORNEDVELLENÁLLÓ KEMÉNY KAPSZULA | 28x | 1156 | 1577 | 55 | 867 | 710 | 70 | 1104 | 473 | 0 | 0 | 0 |
| Valeant Pharma Magyarország Kereskedelmi Korlátolt Felelősségű Társaság | OGYI-T- 09540/01 | EMILLAN 30 MG GYOMORNEDVELLENÁLLÓ KEMÉNY KAPSZULA | 14x | 1113 | 1521 | 55 | 829 | 692 | 70 | 1055 | 466 | 0 | 0 | 0 |
| Valeant Pharma Magyarország Kereskedelmi Korlátolt Felelősségű Társaság | OGYI-T- 09540/02 | EMILLAN 30 MG GYOMORNEDVELLENÁLLÓ KEMÉNY KAPSZULA | 28x | 2283 | 3015 | 55 | 1658 | 1357 | 70 | 2110 | 905 | 0 | 0 | 0 |
Jelen határozatomat fellebbezésre tekintet nélkül végrehajthatónak nyilvánítom.
A határozattal szemben annak közlésétől számított 15 napon belül az Egészségbiztosítási Felügyelethez címzett, de az Országos Egészségbiztosítási Pénztárhoz benyújtott fellebbezéssel lehet élni.
A határozat elleni fellebbezés illetéke 5000 Ft, azaz ötezer forint, amelyet az eljárás megindításakor az eljárást kezdeményező iraton illetékbélyeggel kell megfizetni.
11. A 32/2004. (IV. 26.) ESzCsM rendelet (továbbiakban: Rendelet) 1., 2. és 3. számú mellékletének módosulása alapján indított eljárásban az Országos Egészségbiztosítási Pénztár a készítmények támogatásának 2009. július elsejével bekövetkező megszűnéséről, az alábbi határozatokat hozta:
| Kérelmező | TK-szám | Név | Kiszerelés |
| EGIS Gyógyszergyár Nyrt. | OGY1-T-07098/02 | LUCETAM 1200 MG FILMTABLETTA | 60x |
| EGIS Gyógyszergyár Nyrt. | OGYI-T-07154/02 | LUCETAM 3 G INJEKCIÓ | 20x15 ml |
| EGIS Gyógyszergyár Nyrt. | OGYI-T-07154/01 | LUCETAM 3 G INJEKCIÓ | 4xl5ml |
| EGIS Gyógyszergyár Nyrt. | OGYI-T-05709/01 | LUCETAM 400 MG FILMTABLETTA | 60x |
| EGIS Gyógyszergyár Nyrt. | OGYI-T-05710/01 | LUCETAM 800 MG FILMTABLETTA | 30x |
| EGIS Gyógyszergyár Nyrt. | OGYI-T-05710/02 | LUCETAM 800 MG FILMTABLETTA | 90x |
| EGIS Gyógyszergyár Nyrt. | OGYI-T-03798/01 | TALEUM ORRSPRAY | lxl5g |
| ExtractumPharma Zrt. | OGYI-T-10169/02 | PENTOXYL-EP 400 MG RETARD FILMTABLETTA | 100x |
| ExtractumPharma Zrt. | OGYI-T-10169/01 | PENTOXYL-EP 400 MG RETARD FILMTABLETTA | 50x |
| Medicine and Business Kereskedelmi és Üzletviteli Tanácsadó Kft. | OGYI-T-08452/03 | PIRACETAM AL 1200 FILMTABLETTA | 120x |
| Medicine and Business Kereskedelmi és Üzletviteli Tanácsadó Kft. | OGYI-T-08452/02 | PIRACETAM AL 1200 FILMTABLETTA | 60x |
| MEDITOP Kft. | OGYI-T-06392/01 | MEMORIL 1200 MG FILMTABLETTA | 20x |
| MEDITOP Kft. | OGYI-T-06392/02 | MEMORIL 1200 MG FILMTABLETTA | 60x |
| MEDITOP Kft. | OGYI-T-06391/01 | MEMORIL 800 MG FILMTABLETTA | 30x |
| MEDITOP Kft. | OGYI-T-06391/02 | MEMORIL 800 MG FILMTABLETTA | 90x |
| NATURLAND Magyarország Kft. | OGYI-T-09886/01 | TABLETTA COFFEINI 100 MG FONOVII. NATURLAND | |
| PANNONPHARMA Gyógyszergyártó Kft. | OGYI-T-04685/01 | CHINOTAL DRAZSÉ | 100x |
| Parma Produkt Gyógyszergyártó Kft. | OGYI-T-09912/01 | TABLETTA COFFEINI 100 MG FONOVII. PARM | |
| ratiopharm Hungária Kereskedelmi Korlátolt Felelősségű Társaság | OGYI-T-06068/05 | PIRABENE 1200 MG FILMTABLETTA | 100x |
| ratiopharm Hungária Kereskedelmi Korlátolt Felelősségű Társaság | OGYI-T-06068/04 | PIRABENE 1200 MG FILMTABLETTA | 60x |
| ratiopharm Hungária Kereskedelmi Korlátolt Felelősségű Társaság | OGYI-T-06068/02 | PIRABENE 800 MG FILMTABLETTA | 100x |
| ratiopharm Hungária Kereskedelmi Korlátolt Felelősségű Társaság | OGYI-T-06068/01 | PIRABENE 800 MG FILMTABLETTA | 30x |
| Sandoz Hungária Kft. | OGYI-T-01950/01 | DOXILEK 500 MG KAPSZULA | 30x |
| Teva Magyarország Zrt. | OGYI-T-03874/01 | DOXIUM 500 MG KAPSZULA | 30x |
| Teva Magyarország Zrt. | OGYI-T-03874/02 | DOXIUM 500 MG KAPSZULA | 60x |
| Teva Magyarország Zrt. | OGYI-T-03570/03 | DOXIUM TABLETTA | 100x |
| Teva Magyarország Zrt. | OGY1-T-03570 01 | DOXIUM TABLETTA | 20x |
| Teva Magyarország Zrt. | OGYI-T-03570/02 | DOXIUM TABLETTA | 60x |
| Teva Magyarország Zrt. | OGYI-T-04234/01 | PENTOXIFYLLIN-B 100 MG INJEKCIÓ | 5x5 ml |
| UCB Magyarország Kft. | OGYI-T-01753/03 | NOOTROPIL 1200 MG FILMTABLETTA | 100x |
| UCB Magyarország Kft. | OGYI-T-01753/02 | NOOTROPIL 1200 MG FILMTABLETTA | 60x |
| UCB Magyarország Kft. | OGYI-T-07381/01 | NOOTROPIL 2400 MG GRANULÁTUM | 28x |
| UCB Magyarország Kft. | OGYI-T-01749/02 | NOOTROPIL 3 G INJEKCIÓ | 20x15 ml |
| UCB Magyarország Kft. | OGYI-T-01751/01 | NOOTROPIL 33% OLDAT | 1x125 ml |
| UCB Magyarország Kft. | OGYI-T-01752/03 | NOOTROPIL 800 MG FILMTABLETTA | 150x |
Jelen határozatomat fellebbezésre tekintet nélkül végrehajthatónak nyilvánítom.
A határozattal szemben annak közlésétől számított 15 napon belül az Egészségbiztosítási Felügyelethez címzett, de az Országos Egészségbiztosítási Pénztárhoz benyújtott fellebbezéssel lehet élni.
A határozat elleni fellebbezés illetéke 5000 Ft, azaz ötezer forint, amelyet az eljárás megindításakor az eljárást kezdeményező iraton illetékbélyeggel kell megfizetni.
12. A 32/2004. (IV. 26.) ESzCsM rendelet (továbbiakban: Rendelet) 1., 2. és 3. számú mellékletének módosulása alapján indított eljárásban az Országos Egészségbiztosítási Pénztár a készítmények támogatásának 2009. július elsejével bekövetkező változásokról, az alábbi határozatokat hozta:
| Kérelmező | TK-szám | Név | Kiszerelés | Termelői ár | Bruttó fogyasztói ár | Normatív tám. mérték | Normatív tám | Normatív tér. díj | EÜ emelt tám. mérték | EÜ emelt tám | EÜ emelt tér. díj | EÜ kiemelt tám. mérték | EÜ kiemelt tám | EÜ kiemelt tér. díj |
| Bayer Hungária Kereskedelmi és Szolgáltató Kft. | OGYI-T- 05950/02 | ASPIRIN PROTECT 100 MG GYOMORNEDVELLENÁLLÓ BEVONT TABLETTA | 50x | 744 | 1025 | 55 | 564 | 461 | 0 | 0 | 0 | 0 | 0 | 0 |
| Bayer Hungária Kereskedelmi és Szolgáltató Kft. | OGYI-T- 05950/01 | ASPIRIN PROTECT 100 MG GYOMORNEDVELLENÁLLÓ BEVONT TABLETTA | 20x | 297 | 433 | 55 | 238 | 195 | 0 | 0 | 0 | 0 | 0 | 0 |
| Bayer Hungária Kereskedelmi és Szolgáltató Kft. | OGYI-T- 05951/02 | ASPIRIN PROTECT 300 MG GYOMORNEDVELLENÁLLÓ BEVONT TABLETTA | 50x | 805 | 1109 | 55 | 610 | 499 | 0 | 0 | 0 | 0 | 0 | 0 |
| Bayer Hungária Kereskedelmi és Szolgáltató Kft. | OGYI-T- 05951/01 | ASPIRIN PROTECT 300 MG GYOMORNEDVELLENÁLLÓ BEVONT TABLETTA | 20x | 413 | 595 | 55 | 327 | 268 | 0 | 0 | 0 | 0 | 0 | 0 |
| ExtractumPharma Zrt. | OGYI-T- 10027/02 | ASA 100-EP FILMTABLETTA | 50x | 471 | 675 | 55 | 371 | 304 | 0 | 0 | 0 | 0 | 0 | 0 |
| ExtractumPharma Zrt. | OGYI-T- 10027/01 | ASA 100-EP FILMTABLETTA | 30x | 310 | 449 | 55 | 247 | 202 | 0 | 0 | 0 | 0 | 0 | 0 |
| ExtractumPharma Zrt. | OGYI-T- 10027/03 | ASA 100-EP FILMTABLETTA | 100x | 940 | 1295 | 55 | 712 | 583 | 0 | 0 | 0 | 0 | 0 | 0 |
| ExtractumPharma Zrt. | OGYI-T- 10102/02 | ASA 75-EP FILMTABLETTA | 50x | 353 | 509 | 55 | 280 | 229 | 0 | 0 | 0 | 0 | 0 | 0 |
| ExtractumPharma Zrt. | OGYI-T-10102/01 | ASA 75-EP FILMTABLETTA | 30x | 232 | 338 | 55 | 186 | 152 | 0 | 0 | 0 | 0 | 0 | 0 |
| ExtractumPharma Zrt. | OGYI-T- 10102/03 | ASA 75-EP FILMTABLETTA | 100x | 705 | 971 | 55 | 534 | 437 | 0 | 0 | 0 | 0 | 0 | 0 |
| Teva Magyarország Zrt. | OGYI-T- 03800/01 | ASTRIX 100 MG KAPSZULA | 30x | 480 | 686 | 55 | 377 | 309 | 0 | 0 | 0 | 0 | 0 | 0 |
Jelen határozatomat fellebbezésre tekintet nélkül végrehajthatónak nyilvánítom.
A határozattal szemben annak közlésétől számított 15 napon belül az Egészségbiztosítási Felügyelethez címzett, de az Országos Egészségbiztosítási Pénztárhoz benyújtott fellebbezéssel lehet élni.
A határozat elleni fellebbezés illetéke 5000 Ft, azaz ötezer forint, amelyet az eljárás megindításakor az eljárást kezdeményező iraton illetékbélyeggel kell megfizetni.