32017R0717[1]
A Bizottság (EU) 2017/717 végrehajtási rendelete (2017. április 10.) az (EU) 2016/1012 európai parlamenti és tanácsi rendeletnek a tenyészállatok és szaporítóanyagaik származásiigazolás-mintái tekintetében történő alkalmazására vonatkozó szabályok megállapításáról
A BIZOTTSÁG (EU) 2017/717 VÉGREHAJTÁSI RENDELETE
(2017. április 10.)
az (EU) 2016/1012 európai parlamenti és tanácsi rendeletnek a tenyészállatok és szaporítóanyagaik származásiigazolás-mintái tekintetében történő alkalmazására vonatkozó szabályok megállapításáról
(EGT-vonatkozású szöveg)
AZ EURÓPAI BIZOTTSÁG,
tekintettel az Európai Unió működéséről szóló szerződésre,
tekintettel a fajtatiszta tenyészállatok, hibrid tenyészsertések és szaporítóanyagaik Unión belüli tenyésztésének, kereskedelmének és az Unióba történő beléptetésének tenyésztéstechnikai és származástani feltételeiről, a 652/2014/EU rendelet, a 89/608/EGK és a 90/425/EGK tanácsi rendelet módosításáról, valamint az állattenyésztés tárgyában hozott egyes jogi aktusok módosításáról és hatályon kívül helyezéséről szóló, 2016. június 8-i (EU) 2016/1012 európai parlamenti és tanácsi rendeletre ("Állattenyésztési rendelet") (1) és különösen annak 30. cikke (10) bekezdésére,
mivel:
(1) Az (EU) 2016/1012 rendelet meghatározza a tenyészállatok és szaporítóanyagaik kereskedelmével és az Unióba való beléptetésükkel kapcsolatos tenyésztéstechnikai és származástani szabályokat, beleértve az említett árukra vonatkozó származási igazolások kiadásának szabályait is. Az említett rendelet 30. cikkének (4) bekezdése előírja, hogy a valamely tenyésztőszervezet által vezetett törzskönyvbe felvett vagy hibridtenyésztő szervezet által vezetett tenyésztési nyilvántartásba vett tenyészállatok és szaporítóanyagaik kereskedelmi forgalmazása esetén, és amennyiben e tenyészállatokat vagy az e szaporítóanyagokból származó utódokat be kívánnak jegyezni vagy nyilvántartásba kívánnak venni egy másik törzskönyvben, illetve tenyésztési nyilvántartásban, e tenyészállatokat vagy szaporítóanyagokat származási igazolással kell ellátni.
(2) Ezenkívül az (EU) 2016/1012 rendelet 30. cikkének (5) bekezdése értelmében a szóban forgó rendelet 34. cikke szerinti névjegyzékben szereplő harmadik országbeli tenyésztőszervezet által vezetett törzskönyvbe felvett vagy tenyésztési nyilvántartásba vett tenyészállatok vagy szaporítóanyagaik Unióba történő beléptetésekor, és amennyiben e tenyészállatokat vagy az e szaporítóanyagokból származó utódokat be kívánják jegyezni egy tenyésztőszervezet által vezetett törzskönyvbe vagy nyilvántartásba kívánnak venni egy hibridtenyésztő szervezet által vezetett tenyésztési nyilvántartásban, e tenyészállatokat vagy szaporítóanyagaikat származási igazolással kell ellátni.
(3) Az (EU) 2016/1012 rendelet 30. cikkében előírt, tenyészállatokra vagy azok szaporítóanyagaira vonatkozó származási igazolást a szállítmányok Unión belüli kereskedelme esetében csak a feladás helye szerinti tenyésztőszervezet, hibridtenyésztő szervezet vagy illetékes hatóság, a szállítmányok Unióba történő beléptetésekor pedig csak a feladás helye szerinti harmadik ország állattenyésztő szervezete vagy hivatalos szerve adhatja ki.
(4) Az (EU) 2016/1012 rendelet 31. cikkének (1) bekezdése előírja továbbá, hogy az illetékes hatóság engedélyezheti, hogy a szaporítóanyagokat a tenyésztőszervezettől vagy hibridtenyésztő szervezettől kapott információk alapján olyan spermagyűjtő vagy -tároló központ, vagy olyan embriógyűjtő vagy -előállító munkacsoport által kibocsátott származási igazolás kísérje, amelyet az uniós állategészségügyi jogszabályoknak megfelelően jóváhagytak az említett szaporítóanyagok Unión belüli kereskedelme céljából.
(5) Az (EU) 2016/1012 rendelet 30. cikkének (6) bekezdése értelmében a származási igazolásoknak tartalmazniuk kell az említett rendelet V. mellékletének releváns részeiben és fejezeteiben meghatározott információkat, és meg kell felelniük a Bizottság által elfogadott végrehajtási jogi aktusokban a vonatkozó származási igazolások tekintetében meghatározott mintáknak.
(6) Ezért meg kell határozni azon származási igazolások mintáit, amelyeknek a tenyészállatok és szaporítóanyagaik szállítmányait az Unión belüli kereskedelem esetében, illetve az Unióba való belépéskor kísérniük kell.
(7) Az (EU) 2016/1012 rendelet 31. cikkének (3) bekezdése előírja, hogy amennyiben a teljesítményvizsgálat vagy a tenyészértékbecslés eredményei egy honlapon közzétételre kerültek, a származási igazolásban a szóban forgó eredmények feltüntetése helyett megadható az azon honlapra vonatkozó hivatkozás is, ahol az eredmények elérhetők. Ennek a lehetőségnek meg kell jelennie a származási igazolások e rendelettel létrehozott mintáiban.
(8) Az (EU) 2016/1012 rendelet 32. cikkének (1) bekezdése előírja, hogy a lófélék fajtatiszta tenyészállatai esetében az említett rendelet V. melléklete 2. részének I. fejezetében meghatározott információkat a lófélék egész élettartamra szóló azonosítására szolgáló dokumentumban kell feltüntetni, és arról is rendelkezik, hogy a Bizottságnak felhatalmazáson alapuló jogi aktusokat kell elfogadnia az ilyen azonosító dokumentumok tartalmára és formátumára vonatkozóan. Következésképpen a lófélék fajtatiszta tenyészállatainak kereskedelméhez kapcsolódó származási igazolások mintáját nem szükséges e rendeletben megállapítani.
(9) Ezt a rendeletet az (EU) 2016/1012 rendeletben előírt alkalmazási időponttal összhangban 2018. november 1-jétől kell alkalmazni.
(10) Az e rendeletben előírt intézkedések összhangban vannak az Állattenyésztés-technikai Állandó Bizottság véleményével,
ELFOGADTA EZT A RENDELETET:
1. cikk
Tárgy és hatály
Ez a rendelet az (EU) 2016/1012 rendelet VII. fejezetében előírtak szerint szabályokat állapít meg a tenyészállatok és szaporítóanyagaik Unión belüli kereskedelméhez és Unióba történő beléptetéséhez kapcsolódó származási igazolásokra vonatkozóan.
2. cikk
A fajtatiszta tenyészállatok és szaporítóanyagaik, valamint a hibrid tenyészsertések és szaporítóanyagaik kereskedelméhez kapcsolódó származási igazolások
(1) A fajtatiszta tenyészállatok és szaporítóanyagaik kereskedelme tekintetében az (EU) 2016/1012 rendelet V. mellékletének 1. és 2. részében meghatározott, a szóban forgó áruk szállítmányait kísérő származási igazolásokban feltüntetendő információkat az e rendelet I. mellékletének következő szakaszaiban foglalt mintáknak megfelelően kell közzétenni:
a) A. szakasz: a szarvasmarhafélék, a sertésfélék, a juhfélék és a kecskefélék fajtatiszta tenyészállatai;
b) B. szakasz: a szarvasmarhafélék, a sertésfélék, a juhfélék, a kecskefélék és a lófélék fajtatiszta tenyészállatainak spermája;
c) C. szakasz: a szarvasmarhafélék, a sertésfélék, a juhfélék, a kecskefélék és a lófélék fajtatiszta tenyészállatainak petesejtjei;
d) D. szakasz: a szarvasmarhafélék, a sertésfélék, a juhfélék, a kecskefélék és a lófélék fajtatiszta tenyészállatainak embriói.
(2) A hibrid tenyészsertések és szaporítóanyagaik kereskedelme tekintetében az (EU) 2016/1012 rendelet V. mellékletének 1. és 3. részében meghatározott, a szóban forgó áruk szállítmányait kísérő származási igazolásokban feltüntetendő információkat az e rendelet II. mellékletének következő szakaszaiban foglalt mintáknak megfelelően kell közzétenni:
a) A. szakasz: hibrid tenyészsertések;
b) B. szakasz: a hibrid tenyészsertések spermája;
c) C. szakasz: a hibrid tenyészsertések petesejtjei;
d) D. szakasz: a hibrid tenyészsertések embriói.
3. cikk
A fajtatiszta tenyészállatok és szaporítóanyagaik, valamint a hibrid tenyészsertések és szaporítóanyagaik Unióba történő beléptetéséhez kapcsolódó származási igazolások
(1) A fajtatiszta tenyészállatok és szaporítóanyagaik Unióba történő beléptetése tekintetében az (EU) 2016/1012 rendelet V. mellékletének 1. és 2. részében meghatározott, a szóban forgó áruk szállítmányait kísérő származási igazolásokban feltüntetendő információkat az e rendelet III. mellékletének következő szakaszaiban foglalt mintáknak megfelelően kell közzétenni:
a) A. szakasz: a szarvasmarhafélék, a sertésfélék, a juhfélék, a kecskefélék és a lófélék fajtatiszta tenyészállatai;
b) B. szakasz: a szarvasmarhafélék, a sertésfélék, a juhfélék, a kecskefélék és a lófélék fajtatiszta tenyészállatainak spermája;
c) C. szakasz: a szarvasmarhafélék, a sertésfélék, a juhfélék, a kecskefélék és a lófélék fajtatiszta tenyészállatainak petesejtjei;
d) D. szakasz: a szarvasmarhafélék, a sertésfélék, a juhfélék, a kecskefélék és a lófélék fajtatiszta tenyészállatainak embriói.
(2) A hibrid tenyészsertések és szaporítóanyagaik Unióba történő beléptetése tekintetében az (EU) 2016/1012 rendelet V. mellékletének 1. és 3. részében meghatározott, a szóban forgó áruk szállítmányait kísérő származási igazolásokban feltüntetendő információkat az e rendelet IV. mellékletének következő szakaszaiban foglalt mintáknak megfelelően kell közzétenni:
a) A. szakasz: hibrid tenyészsertések;
b) B. szakasz: a hibrid tenyészsertések spermája;
c) C. szakasz: a hibrid tenyészsertések petesejtjei;
d) D. szakasz: a hibrid tenyészsertések embriói.
4. cikk
Hatálybalépés és alkalmazhatóság
Ez a rendelet az Európai Unió Hivatalos Lapjában való kihirdetését követő huszadik napon lép hatályba.
Ezt a rendeletet 2018. november 1-jétől kell alkalmazni.
Ez a rendelet teljes egészében kötelező és közvetlenül alkalmazandó valamennyi tagállamban.
Kelt Brüsszelben, 2017. április 10-én.
a Bizottság részéről
az elnök
Jean-Claude JUNCKER
(1) HL L 171., 2016.6.29., 66. o.
I. MELLÉKLET
A FAJTATISZTA TENYÉSZÁLLATOK ÉS SZAPORÍTÓANYAGAIK KERESKEDELMÉHEZ KAPCSOLÓDÓ SZÁRMAZÁSI IGAZOLÁSOK MINTÁI
A. SZAKASZ
A szarvasmarhafélék, a sertésfélék, a juhfélék és a kecskefélék fajtatiszta tenyészállatainak kereskedelméhez kapcsolódó származási igazolás

Szövege kép
Az alábbi fajok fajtatiszta tenyészállatainak kereskedelmére vonatkozóan az (EU) 2016/1012 rendeletben előírt származási igazolás:
a) szarvasmarhafélék (Bos taurus, Bos indicus, Bubalus bubalis) (1)
b) sertésfélék (Sus scrofa) (1) (2)
c) juhfélék (Ovis aries) (1)
d) kecskefélék (Capra hircus) (1)
(Itt szerepelhet a kibocsátó tenyésztőszervezet vagy illetékes hatóság logója.)
Az igazolás száma (3)
1. A kibocsátó tenyésztőszervezet/illetékes hatóság neve (elérhetőségek és adott esetben hivatkozás a honlapra)
2. A törzskönyv neve
3. A fajtatiszta tenyészállat fajtájának neve
4. A főtörzskönyvi rész azon osztálya, amelybe az állatot bejegyezték (3)
5. Az állat neme
6. Az állat törzskönyvi száma
7. A fajtatiszta tenyészállat azonosítása (4)
8. Azonosság-ellenőrzés (3) (5) (6)
7.1. Rendszer
8.1. Módszer
7.2. Egyedi azonosító szám
8.2. Eredmény
7.3. Állategészségügyi azonosító szám (3)
7.4. Név (3)
9. Az állat születési ideje (használja a nn.hh.éééé formátumot) és országa
10. A tenyésztő neve, címe és elektronikus levélcíme (3)
11. A tulajdonos neve, címe és elektronikus levélcíme (3)
12. A fajtatiszta tenyészállat származása (6) (7) (8)
12.1. Apa
Törzskönyvi szám és rész
Név (3)
12.1.1. Hímivarú apai nagyszülő
Törzskönyvi szám és rész
Név (3)
12.1.2. Nőivarú apai nagyszülő
Törzskönyvi szám és rész
Név (3)

Szövege kép
12.2. Anya
Törzskönyvi szám és rész
Név (3)
12.2.1. Hímivarú anyai nagyszülő
Törzskönyvi szám és rész
Név (3)
12.2.2. Nőivarú anyai nagyszülő
Törzskönyvi szám és rész
Név (3)
13. Kiegészítő információk (3) (6) (9)
13.1. A teljesítményvizsgálatok eredményei
13.2. A legutóbbi tenyészértékbecslés (dátuma: ...) naprakész eredményei (a dátumot a következő formátumban kell beilleszteni: nn.hh.éééé)
13.3. Az állat genetikai hibái és genetikai sajátosságai a tenyésztési programmal összefüggésben
13.4. Egyéb releváns információk
14. Termékenyítés (1)/fedeztetés (1) (3) (10)
14.1. Dátum (használja a nn.hh.éééé formátumot)
14.2. A megtermékenyítő hímivarú állat azonosítása
14.2.1. Egyedi azonosító szám (4)
14.2.2. Név (3)
14.2.3. Az azonosság-ellenőrzésre használt módszer és az ellenőrzés eredménye (5)
15.1. Kelt: ...
(insert place of issue)
15.2. ... - (a kibocsátás dátuma)
15.3. Az aláíró neve és beosztása: ...
(az igazolást aláíró személy (11) neve és beosztása nyomtatott nagybetűkkel)
15.4. Aláírás: ...
(1) A nem kívánt rész törlendő.
(2) A sertésfélék fajtatiszta tenyészállatainak adott csoportjára vonatkozóan egyetlen közös származási igazolás is kibocsátható, feltéve, hogy a szóban forgó fajtatiszta tenyészállatok azonos korúak, genetikai anyjuk és apjuk azonos, valamint az 5., a 6., a 7.2., a 13. és - adott esetben - a 14. pontban feltüntetésre kerülnek a vonatkozó egyedi információk.
(3) Amennyiben nem alkalmazható, hagyja üresen!
(4) A szarvasmarhafélék, a juhfélék és a kecskefélék esetében az állatok azonosítására és nyilvántartására vonatkozó uniós állategészségügyi jogszabályoknak megfelelő egyedi azonosítás. A sertésfélék esetében az (EU) 2016/1012 rendelet 8. cikke (3) bekezdésének és adott esetben 12. cikkének megfelelően jóváhagyott tenyésztési program szabályaival összhangban lévő egyedi azonosítás, valamint az állatok azonosítására és nyilvántartására vonatkozó uniós állategészségügyi jogszabályok szerinti azonosító szám.

Szövege kép
(5) Az (EU) 2016/1012 rendelet 22. cikke (1) bekezdésének megfelelően a szarvasmarhafélék, a juhfélék és a kecskefélék mesterséges termékenyítésre felhasználandó sperma gyűjtéséhez igénybe vett fajtatiszta tenyészállataira vonatkozóan megadandó információ. Feltüntetését a tenyésztőszervezetek az (EU) 2016/1012 rendelet 22. cikkének (2) bekezdése alapján előírhatják a sertésfélék mesterséges termékenyítésre felhasználandó sperma gyűjtéséhez igénybe vett fajtatiszta tenyészállatai, illetve a szarvasmarhafélék, a juhfélék és a kecskefélék petesejtek és embriók gyűjtéséhez igénybe vett fajtatiszta tenyészállatai tekintetében is.
(6) Szükség esetén csatoljon további lapokat a nyomtatványhoz!
(7) Értelemszerűen tüntesse fel a "főtörzskönyvi rész" vagy a "melléktörzskönyvi rész" bejegyzést! További generációkra vonatkozó információk is megadhatók.
(8) Tüntesse fel az egyedi azonosító számot is, ha az eltér a törzskönyvi számtól!
(9) Ha a teljesítményvizsgálat vagy a tenyészértékbecslés eredményei elérhetők valamely honlapon, a kért információk feltüntetése helyett közvetlenül a honlapra is lehet hivatkozni.
(10) Vemhes nőivarú állatok esetében megadandó információ. Az információ külön dokumentumban is feltüntethető.
(11) Ez a személy a tenyésztőszervezetnek a származási igazolás aláírására jogosult képviselője vagy az (EU) 2016/1012 rendelet 30. cikke (2) bekezdésének b) pontjában említett illetékes hatóság képviselője.
A származási igazolást a feladás helye szerinti és a rendeltetési hely szerinti tagállam hivatalos nyelveinek legalább egyikén kell kiállítani.
Az aláírás színének a nyomtatvány betűinek színétől eltérőnek kell lennie.
B. SZAKASZ
A fajtatiszta tenyészállatok spermájának kereskedelméhez kapcsolódó származási igazolás

Szövege kép
Az alábbi fajokhoz tartozó fajtatiszta tenyészállatok spermájának kereskedelmére vonatkozóan az (EU) 2016/1012 rendeletben előírt származási igazolás:
a) szarvasmarhafélék (Bos taurus, Bos indicus, Bubalus bubalis) (1)
b) sertésfélék (Sus scrofa) (1)
c) juhfélék (Ovis aries) (1)
d) kecskefélék (Capra hircus) (1)
e) lófélék (Equus caballus és Equus asinus) (1)
(Itt szerepelhet a kibocsátó tenyésztőszervezet, illetékes hatóság, spermagyűjtő vagy -tároló központ logója.)
Az igazolás száma (2)
A. A donor hímivarú fajtatiszta tenyészállatra vonatkozó információk
1. A kibocsátó tenyésztőszervezet/illetékes hatóság/spermagyűjtő- vagy -tároló központ neve (elérhetőségek és adott esetben hivatkozás a honlapra)
2. A törzskönyv neve
3. A donor hímivarú állat fajtájának neve
4. A főtörzskönyvi rész azon osztálya, amelybe a donor hímivarú állatot bejegyezték (2)
5. A donor hímivarú állat törzskönyvi száma (3)
6. A lófélékhez tartozó donor hímivarú állat egyedi azonosító száma (2) (7)
- -
7. A donor hímivarú állat azonosítása (4)
8. Azonosság-ellenőrzés (2) (5) (6)
7.1. Rendszer
8.1. Módszer
7.2. Egyedi azonosító szám (7)
8.2. Eredmény
7.3. Állategészségügyi azonosító szám (2)
7.4. Név (2)
9. A donor hímivarú állat születési ideje (használja a nn.hh.éééé formátumot) és országa
10. A tenyésztő neve, címe és elektronikus levélcíme (2) of breeder
11. A tulajdonos neve, címe és elektronikus levélcíme (2) of owner
12. A donor hímivarú állat származása (6) (7) (8)
12.1. Apa
Törzskönyvi szám és rész
Név (2)
12.1.1. Hímivarú apai nagyszülő
Törzskönyvi szám és rész
Név (2)
12.1.2. Nőivarú apai nagyszülő
Törzskönyvi szám és rész
Név (2)

Szövege kép
12.2. Anya
Törzskönyvi szám és rész
Név (2)
12.2.1. Hímivarú anyai nagyszülő
Törzskönyvi szám és rész
Név (2)
12.2.2. Nőivarú anyai nagyszülő
Törzskönyvi szám és rész
Név (2)
13. Kiegészítő információk (2) (6) (9)
13.1. A teljesítményvizsgálatok eredményei
13.2. A legutóbbi tenyészértékbecslés (dátuma: ...) naprakész eredményei (a dátumot a következő formátumban kell beilleszteni: nn.hh.éééé)
13.3. A donor hímivarú állat genetikai hibái és genetikai sajátosságai a tenyésztési programmal összefüggésben
13.4. Egyéb releváns információk
B. A spermára vonatkozó információk
14. A sperma azonosítása
A műszalmák vagy egyéb göngyölegek színe
A műszalmákon vagy egyéb göngyölegeken szereplő kód
A műszalmák vagy egyéb göngyölegek száma (10)
A gyűjtés helye
A gyűjtés dátuma (nn.hh.éééé)
Egyebek (2) (11)
15. A feladás helye szerinti spermagyűjtő vagy -tároló központ
15.1. Név
15.2. Cím
15.3. Engedélyszám
16. A címzett neve és címe
17. A vizsgálatok elvégzéséért felelős tenyésztőszervezet (1), vagy az e tenyésztőszervezet által kijelölt harmadik fél (1) neve és címe (2) (12)
18.1. Kelt: ...
(a kibocsátás helye)
18.2. ... - (a kibocsátás dátuma)
18.3. Az aláíró neve és beosztása: ...
(az igazolást aláíró személy (13) neve és beosztása nyomtatott nagybetűkkel)
18.4. Aláírás: ...

Szövege kép
(1) A nem kívánt rész törlendő
(2) Amennyiben nem alkalmazható, hagyja üresen!
(3) A lófélékhez tartozó fajtatiszta tenyészállatok esetében hagyja üresen, ha a törzskönyvi szám megegyezik az egyedi azonosító számmal!
(4) A szarvasmarhafélék, a juhfélék, a kecskefélék és a lófélék esetében az állatok azonosítására és nyilvántartására vonatkozó uniós állategészségügyi jogszabályoknak megfelelő egyedi azonosítás. A sertésfélék esetében az (EU) 2016/1012 rendelet 8. cikke (3) bekezdésének és adott esetben 12. cikkének megfelelően jóváhagyott tenyésztési program szabályaival összhangban lévő egyedi azonosítás, valamint az állatok azonosítására és nyilvántartására vonatkozó uniós állategészségügyi jogszabályok szerinti azonosító szám.
(5) Az (EU) 2016/1012 rendelet 22. cikke (1) bekezdésének megfelelően a szarvasmarhafélék, a juhfélék, a kecskefélék és a lófélék mesterséges termékenyítésre felhasználandó sperma gyűjtéséhez igénybe vett fajtatiszta tenyészállataira vonatkozóan megadandó információ. Feltüntetését a tenyésztőszervezetek az (EU) 2016/1012 rendelet 22. cikkének (2) bekezdése alapján előírhatják a sertésfélék mesterséges termékenyítésre felhasználandó sperma gyűjtéséhez igénybe vett fajtatiszta tenyészállatai tekintetében is.
(6) Szükség esetén csatoljon további lapokat a nyomtatványhoz!
(7) Tüntesse fel az egyedi azonosító számot is, ha az eltér a törzskönyvi számtól! A lófélékhez tartozó fajtatiszta tenyészállatok esetében tüntesse fel az (EU) 2016/1012 rendelet II. melléklete 1. része I. fejezetének 3. pontja szerinti, az (EU) 2016/429 rendelet 114. cikke (1) bekezdésének a) pontjában "egyedi kódként" említett egyedi azonosító számot! Ha az egyedi azonosító szám nem áll rendelkezésre vagy eltér attól a számtól, amelyen az állatot a törzskönyvbe bejegyezték, adja meg a törzskönyvi számot!
(8) Értelemszerűen tüntesse fel a "főtörzskönyvi rész" vagy a "melléktörzskönyvi rész" bejegyzést! További generációkra vonatkozó információk is megadhatók.
(9) Ha a teljesítményvizsgálat vagy a tenyészértékbecslés eredményei elérhetők valamely honlapon, a kért információk feltüntetése helyett közvetlenül a honlapra is lehet hivatkozni.
(10) Egy adott műszalma vagy egyéb göngyöleg egyetlen fajtatiszta tenyészállat spermáját tartalmazhatja.
(11) Adott esetben feltüntethetők a szexált spermára vonatkozó információk.
(12) A szarvasmarhafélék, a sertésfélék, a juhfélék vagy a kecskefélék olyan fajtatiszta tenyészállatainak vizsgálatára szánt spermák esetében, amelyekre vonatkozóan nem végeztek teljesítményvizsgálatot vagy tenyészértékbecslést, az (EU) 2016/1012 rendelet 21. cikke (1) bekezdésének g) pontjában említett mennyiségi határoknak megfelelően.
(13) Ez a személy a tenyésztőszervezet, az (EU) 2016/1012 rendelet 30. cikke (2) bekezdésének b) pontjában említett illetékes hatóság, illetve az ugyanazon rendelet 31. cikkének (1) bekezdése szerint engedélyezett spermagyűjtő vagy -tároló központ képviselője, aki jogosult a származási igazolás aláírására.
A származási igazolást a feladás helye szerinti és a rendeltetési hely szerinti tagállam hivatalos nyelveinek legalább egyikén kell kiállítani.
Az aláírás színének a nyomtatvány betűinek színétől eltérőnek kell lennie.
C. SZAKASZ
A fajtatiszta tenyészállatok petesejtjeinek kereskedelméhez kapcsolódó származási igazolás

Szövege kép
Az alábbi fajokhoz tartozó fajtatiszta tenyészállatok petesejtjeinek kereskedelmére vonatkozóan az (EU) 2016/1012 rendeletben előírt származási igazolás:
a) szarvasmarhafélék (Bos taurus, Bos indicus, Bubalus bubalis) (1)
b) sertésfélék (Sus scrofa) (1)
c) juhfélék (Ovis aries) (1)
d) kecskefélék (Capra hircus) (1)
e) lófélék (Equus caballus és Equus asinus) (1)
(Itt szerepelhet a kibocsátó tenyésztőszervezet, illetékes hatóság vagy embrió-előállító munkacsoport logója.)
Az igazolás száma (2)
A. A donor nőivarú fajtatiszta tenyészállatra vonatkozó információk
1. A kibocsátó tenyésztőszervezet/illetékes hatóság/embrió-előállító munkacsoport neve (elérhetőségek és adott esetben hivatkozás a honlapra)
2. A törzskönyv neve
3. A donor nőivarú állat fajtájának neve
4. A főtörzskönyvi rész azon osztálya, amelybe a donor nőivarú állatot bejegyezték (2)
5. A donor nőivarú állat törzskönyvi száma (3)
6. A lófélékhez tartozó donor nőivarú állat egyedi azonosító száma (2) (7)
- -
7. A donor nőivarú állat azonosítása (4)
8. Azonosság-ellenőrzés (2) (5) (6)
7.1. Rendszer
8.1. Módszer
7.2. Egyedi azonosító szám (7)
8.2. Eredmény
7.3. Állategészségügyi azonosító szám (2)
7.4. Név (2)
9. A donor nőivarú állat születési ideje (használja a nn.hh.éééé formátumot) és országa
10. A tenyésztő neve, címe és elektronikus levélcíme (2)
11. A tulajdonos neve, címe és elektronikus levélcíme (2)
12. A donor nőivarú állat származása (6) (7) (8)
12.1. Apa
Törzskönyvi szám és rész
Név (2)
12.1.1. Hímivarú apai nagyszülő
Törzskönyvi szám és rész
Név (2)
12.1.2. Nőivarú apai nagyszülő
Törzskönyvi szám és rész
Név (2)

Szövege kép
12.2. Anya
Törzskönyvi szám és rész
Név (2)
12.2.1. Hímivarú anyai nagyszülő
Törzskönyvi szám és rész
Név (2)
12.2.2. Nőivarú anyai nagyszülő
Törzskönyvi szám és rész
Név (2)
13. Kiegészítő információk (2) (6) (9)
13.1. A teljesítményvizsgálatok eredményei
13.2. A legutóbbi tenyészértékbecslés (dátuma: ...) naprakész eredményei (a dátumot a következő formátumban kell beilleszteni: nn.hh.éééé)
13.3. A donor nőivarú állat genetikai hibái és genetikai sajátosságai a tenyésztési programmal összefüggésben
13.4. Egyéb releváns információk
B. A petesejtekre vonatkozó információk
14. A petesejtek azonosítása
A műszalmák vagy egyéb göngyölegek színe
A műszalmákon vagy egyéb göngyölegeken szereplő kód
A műszalmák vagy egyéb göngyölegek száma
A petesejtek száma (10)
A gyűjtés helye
A gyűjtés dátuma
(nn.hh.éééé)
Egyebek (2)
15. A feladás helye szerinti embriógyűjtő vagy -előállító munkacsoport
15.1. Név
15.2. Cím
15.3. Engedélyszám
16. A címzett neve és címe
17.1. Kelt: ...
(a kibocsátás helye)
17.2. ... - (a kibocsátás dátuma)
17.3. Az aláíró neve és beosztása: ...
(az igazolást aláíró személy (11) neve és beosztása nyomtatott nagybetűkkel)
17.4. Aláírás: ...
(1) A nem kívánt rész törlendő.
(2) Amennyiben nem alkalmazható, hagyja üresen!

Szövege kép
(3) A lófélékhez tartozó fajtatiszta tenyészállatok esetében hagyja üresen, ha a törzskönyvi szám megegyezik az egyedi azonosító számmal!
(4) A szarvasmarhafélék, a juhfélék, a kecskefélék és a lófélék esetében az állatok azonosítására és nyilvántartására vonatkozó uniós állategészségügyi jogszabályoknak megfelelő egyedi azonosítás. A sertésfélék esetében az (EU) 2016/1012 rendelet 8. cikke (3) bekezdésének és adott esetben 12. cikkének megfelelően jóváhagyott tenyésztési program szabályaival összhangban lévő egyedi azonosítás, valamint az állatok azonosítására és nyilvántartására vonatkozó uniós állategészségügyi jogszabályok szerinti azonosító szám.
(5) Ezen információ megadását a tenyésztőszervezetek az (EU) 2016/1012 rendelet 22. cikkének (2) bekezdése alapján előírhatják a szarvasmarhafélék, a juhfélék, a kecskefélék, a sertésfélék és a lófélék petesejtgyűjtéshez igénybe vett fajtatiszta tenyészállatai tekintetében.
(6) Szükség esetén csatoljon további lapokat a nyomtatványhoz!
(7) Tüntesse fel az egyedi azonosító számot is, ha az eltér a törzskönyvi számtól! A lófélékhez tartozó fajtatiszta tenyészállatok esetében tüntesse fel az (EU) 2016/1012 rendelet II. melléklete 1. része I. fejezetének 3. pontja szerinti, az (EU) 2016/429 rendelet 114. cikke (1) bekezdésének a) pontjában "egyedi kódként" említett egyedi azonosító számot! Ha az egyedi azonosító szám nem áll rendelkezésre vagy eltér attól a számtól, amelyen az állatot a törzskönyvbe bejegyezték, adja meg a törzskönyvi számot!
(8) Értelemszerűen tüntesse fel a "főtörzskönyvi rész" vagy a "melléktörzskönyvi rész" bejegyzést! További generációkra vonatkozó információk is megadhatók.
(9) Ha a teljesítményvizsgálat vagy a tenyészértékbecslés eredményei elérhetők valamely honlapon, a kért információk feltüntetése helyett közvetlenül a honlapra is lehet hivatkozni.
(10) Ha egy műszalmában vagy egyéb göngyölegben egynél több petesejt van, egyértelműen fel kell tüntetni a petesejtek számát. Egy adott műszalma vagy egyéb göngyöleg egyetlen fajtatiszta tenyészállat petesejtjeit tartalmazhatja.
(11) Ez a személy a tenyésztőszervezet, az (EU) 2016/1012 rendelet 30. cikke (2) bekezdésének b) pontjában említett illetékes hatóság, illetve az ugyanazon rendelet 31. cikkének (1) bekezdése szerint engedélyezett embrió-előállító munkacsoport képviselője, aki jogosult a származási igazolás aláírására.
A származási igazolást a feladás helye szerinti és a rendeltetési hely szerinti tagállam hivatalos nyelveinek legalább egyikén kell kiállítani.
Az aláírás színének a nyomtatvány betűinek színétől eltérőnek kell lennie.
D. SZAKASZ
A fajtatiszta tenyészállatok embrióinak kereskedelméhez kapcsolódó származási igazolás

Szövege kép
Az alábbi fajokhoz tartozó fajtatiszta tenyészállatok embrióinak kereskedelmére vonatkozóan az (EU) 2016/1012 rendeletben előírt származási igazolás:
a) szarvasmarhafélék (Bos taurus, Bos indicus, Bubalus bubalis) (1)
b) sertésfélék (Sus scrofa) (1)
c) juhfélék (Ovis aries) (1)
d) kecskefélék (Capra hircus) (1)
e) lófélék (Equus caballus és Equus asinus) (1)
(Itt szerepelhet a kibocsátó tenyésztőszervezet, illetékes hatóság, illetve embriógyűjtő vagy -előállító munkacsoport logója.)
Az igazolás száma (2)
A. A donor nőivarú fajtatiszta tenyészállatra vonatkozó információk
1. A kibocsátó tenyésztőszervezet/illetékes hatóság/embriógyűjtő vagy -előállító munkacsoport neve (elérhetőségek és adott esetben hivatkozás a honlapra)
2. A törzskönyv neve
3. A donor nőivarú állat fajtájának neve
4. A főtörzskönyvi rész azon osztálya, amelybe a donor nőivarú állatot bejegyezték (2)
5. A donor nőivarú állat törzskönyvi száma (3)
6. A lófélékhez tartozó donor nőivarú állat egyedi azonosító száma (2) (7)
- -
7. A donor nőivarú állat azonosítása (4)
8. Azonosság-ellenőrzés (2) (5) (6)
7.1. Rendszer
8.1. Módszer
7.2. Egyedi azonosító szám (7)
8.2. Eredmény
7.3. Állategészségügyi azonosító szám (2)
7.4. Név (2)
9. A donor nőivarú állat születési ideje (használja a nn.hh.éééé formátumot) és országa
10. A tenyésztő neve, címe és elektronikus levélcíme (2)
11. A tulajdonos neve, címe és elektronikus levélcíme (2)
12. A donor nőivarú állat származása (6) (7) (8)
12.1. Apa
Törzskönyvi szám és rész
Név (2)
12.1.1. Hímivarú apai nagyszülő
Törzskönyvi szám és rész
Név (2)
12.1.2. Nőivarú apai nagyszülő
Törzskönyvi szám és rész
Név (2)

Szövege kép
12.2. Anya
Törzskönyvi szám és rész
Név (2)
12.2.1. Hímivarú anyai nagyszülő
Törzskönyvi szám és rész
Név (2)
12.2.2. Nőivarú anyai nagyszülő
Törzskönyvi szám és rész
Név (2)
13. Kiegészítő információk (2) (6) (9)
13.1. A donor nőivarú állat tekintetében végzett teljesítményvizsgálat eredményei
13.2. A legutóbbi tenyészértékbecslés (dátuma: ...) naprakész eredményei (a dátumot a következő formátumban kell beilleszteni: nn.hh.éééé)
13.3. A donor nőivarú állat genetikai hibái és genetikai sajátosságai a tenyésztési programmal összefüggésben
13.4. Egyéb releváns információk
B. A donor hímivarú fajtatiszta tenyészállatra vonatkozó információk
14. A kibocsátó tenyésztőszervezet neve (elérhetőségek és adott esetben hivatkozás a honlapra)
15. A törzskönyv neve
16. A donor hímivarú állat fajtájának neve
17. A főtörzskönyvi rész azon osztálya, amelybe a donor hímivarú állatot bejegyezték (2)
18. A donor hímivarú állat törzskönyvi száma (3)
19. A lófélékhez tartozó donor hímivarú állat egyedi azonosító száma (2) (7)
- -
20. A donor hímivarú állat azonosítása (4)
21. Azonosság-ellenőrzés (2) (5) (6)
20.1. Rendszer
21.1. Módszer
20.2. Egyedi azonosító szám (7)
21.2. Eredmény
20.3. Állategészségügyi azonosító szám (2)
20.4. Név (2)
22. A donor hímivarú állat születési ideje (használja a nn.hh.éééé formátumot) és országa
23. A tenyésztő neve, címe és elektronikus levélcíme (2)
24. A tulajdonos neve, címe és elektronikus levélcíme (2)
25. A donor hímivarú állat származása (6) (7) (8)

Szövege kép
25.1. Apa
Törzskönyvi szám és rész
Név (2)
25.1.1. Hímivarú apai nagyszülő
Törzskönyvi szám és rész
Név (2)
25.1.2. Nőivarú apai nagyszülő
Törzskönyvi szám és rész
Név (2)
25.2. Anya
Törzskönyvi szám és rész
Név (2)
25.2.1. Hímivarú anyai nagyszülő
Törzskönyvi szám és rész
Név (2)
25.2.2. Nőivarú anyai nagyszülő
Törzskönyvi szám és rész
Név (2)
26. Kiegészítő információk (2) (6) (9)
26.1. A donor hímivarú állat tekintetében végzett teljesítményvizsgálat eredményei
26.2. A legutóbbi tenyészértékbecslés (dátuma: ...) naprakész eredményei (a dátumot a következő formátumban kell beilleszteni: nn.hh.éééé)
26.3. A donor hímivarú állat genetikai hibái és genetikai sajátosságai a tenyésztési programmal összefüggésben
26.4. Egyéb releváns információk
C. Az embriókra vonatkozó információk
27. Az embriók azonosítása
A műszalmák vagy egyéb göngyölegek színe
A műszalmákon vagy egyéb göngyölegeken szereplő kód
A műszalmák vagy egyéb göngyölegek száma
Az embriók száma( (10)
A gyűjtés vagy az előállítás helye
A gyűjtés vagy az előállítás dátuma (nn.hh.éééé)
Egyebek (2) (11)
28. A feladás helye szerinti embriógyűjtő vagy -előállító munkacsoport
28.1. Név
28.2. Cím
28.3. Engedélyszám
29. A címzett neve és címe

Szövege kép
D. Az embrió(ka)t befogadó recipiensre vonatkozó információk
30. A recipiens egyedi azonosító száma (4)(2)
31.1. Kelt: ...
(a kibocsátás helye)
31.2. ... - (a kibocsátás dátuma)
31.3. Az aláíró neve és beosztása: ...
(az igazolást aláíró személy (12) neve és beosztása nyomtatott nagybetűkkel)
31.4. Aláírás: ...
(1) A nem kívánt rész törlendő..
(2) Amennyiben nem alkalmazható, hagyja üresen!
(3) A lófélékhez tartozó fajtatiszta tenyészállatok esetében hagyja üresen, ha a törzskönyvi szám megegyezik az egyedi azonosító számmal!
(4) A szarvasmarhafélék, a juhfélék, a kecskefélék és a lófélék esetében az állatok azonosítására és nyilvántartására vonatkozó uniós állategészségügyi jogszabályoknak megfelelő egyedi azonosítás. A sertésfélék esetében az (EU) 2016/1012 rendelet 8. cikke (3) bekezdésének és adott esetben 12. cikkének megfelelően jóváhagyott tenyésztési program szabályaival összhangban lévő egyedi azonosítás, valamint az állatok azonosítására és nyilvántartására vonatkozó uniós állategészségügyi jogszabályok szerinti azonosító szám.
(5) Az (EU) 2016/1012 rendelet 22. cikke (1) bekezdésének megfelelően a szarvasmarhafélék, a juhfélék, a kecskefélék és a lófélék mesterséges termékenyítésre felhasználandó sperma gyűjtéséhez igénybe vett fajtatiszta tenyészállataira vonatkozóan megadandó információ. Feltüntetését a tenyésztőszervezetek az (EU) 2016/1012 rendelet 22. cikkének (2) bekezdése alapján előírhatják a sertésfélék mesterséges termékenyítésre felhasználandó sperma gyűjtéséhez igénybe vett fajtatiszta tenyészállatai, illetve a szarvasmarhafélék, a juhfélék és a kecskefélék, a sertésfélék és a lófélék petesejtek és embriók gyűjtéséhez igénybe vett fajtatiszta tenyészállatai tekintetében is.
(6) Szükség esetén csatoljon további lapokat a nyomtatványhoz!
(7) Tüntesse fel az egyedi azonosító számot is, ha az eltér a törzskönyvi számtól! A lófélékhez tartozó fajtatiszta tenyészállatok esetében tüntesse fel az (EU) 2016/1012 rendelet II. melléklete 1. része I. fejezetének 3. pontja szerinti, az (EU) 2016/429 rendelet 114. cikke (1) bekezdésének a) pontjában "egyedi kódként" említett egyedi azonosító számot! Ha az egyedi azonosító szám nem áll rendelkezésre vagy eltér attól a számtól, amelyen az állatot a törzskönyvbe bejegyezték, adja meg a törzskönyvi számot!
(8) Értelemszerűen tüntesse fel a "főtörzskönyvi rész" vagy a "melléktörzskönyvi rész" bejegyzést! További generációkra vonatkozó információk is megadhatók.
(9) Ha a teljesítményvizsgálat vagy a tenyészértékbecslés eredményei elérhetők valamely honlapon, a kért információk feltüntetése helyett közvetlenül a honlapra is lehet hivatkozni.
(10) Ha egy műszalmában vagy egyéb göngyölegben egynél több embrió van, egyértelműen fel kell tüntetni az embriók számát. Egy adott műszalma vagy más göngyöleg csak ugyanazon szülőktől származó embriókat tartalmazhat.
(11) Adott esetben feltüntethetők a szexált embriókra vonatkozó információk.
(12) Ez a személy a tenyésztőszervezet, az (EU) 2016/1012 rendelet 30. cikke (2) bekezdésének b) pontjában említett illetékes hatóság, illetve az ugyanazon rendelet 31. cikkének (1) bekezdése szerint engedélyezett embriógyűjtő vagy -előállító munkacsoport képviselője, aki jogosult a származási igazolás aláírására.
A származási igazolást a feladás helye szerinti és a rendeltetési hely szerinti tagállam hivatalos nyelveinek legalább egyikén kell kiállítani.
Az aláírás színének a nyomtatvány betűinek színétől eltérőnek kell lennie.
II. MELLÉKLET
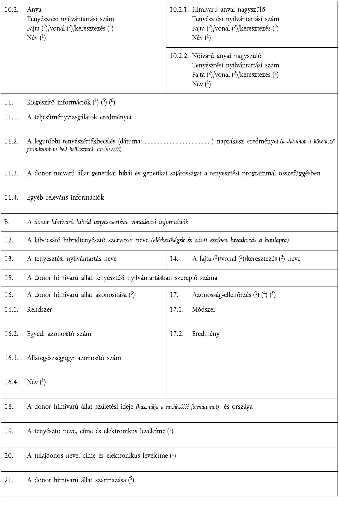
A HIBRID TENYÉSZSERTÉSEK ÉS SZAPORÍTÓANYAGAIK KERESKEDELMÉHEZ KAPCSOLÓDÓ SZÁRMAZÁSI IGAZOLÁSOK MINTÁI
A. SZAKASZ
A hibrid tenyészsertések kereskedelméhez kapcsolódó származási igazolás

Szövege kép
A hibrid tenyészsertések (Sus scrofa) kereskedelmére vonatkozóan az (EU) 2016/1012 rendeletben előírt származási igazolás (1)
(Itt szerepelhet a kibocsátó hibridtenyésztő szervezet vagy illetékes hatóság logója.)
Az igazolás száma (2)
1. A kibocsátó hibridtenyésztő szervezet/illetékes hatóság neve (elérhetőségek és adott esetben hivatkozás a honlapra)
2. A tenyésztési nyilvántartás neve
3. A hibrid tenyészsertés fajtájának (3)/vonalának (3)/keresztezésének (3) neve
4. Az állat neme
5. Az állat tenyésztési nyilvántartásban szereplő száma
6. Az állat azonosítása (4)
7. Azonosság-ellenőrzés (2) (5) (6)
6.1. Rendszer
7.1. Módszer
6.2. Egyedi azonosító szám
7.2. Eredmény
6.3. Állategészségügyi azonosító szám
6.4. Név (2)
8. Az állat születési ideje (használja a nn.hh.éééé formátumot) és országa
9. A tenyésztő neve, címe és elektronikus levélcíme (2)
10. A tulajdonos neve, címe és elektronikus levélcíme (2)
11. A hibrid tenyészsertés származása (6)
11.1. Apa
Tenyésztési nyilvántartási szám
Fajta (3)/vonal (3)/keresztezés (3)
Név (2)
11.1.1. Hímivarú apai nagyszülő
Tenyésztési nyilvántartási szám
Fajta (3)/vonal (3)/keresztezés (3)
Név (2)
11.1.2. Nőivarú apai nagyszülő
Tenyésztési nyilvántartási szám
Fajta (3)/vonal (3)/keresztezés (3)
Név (2)

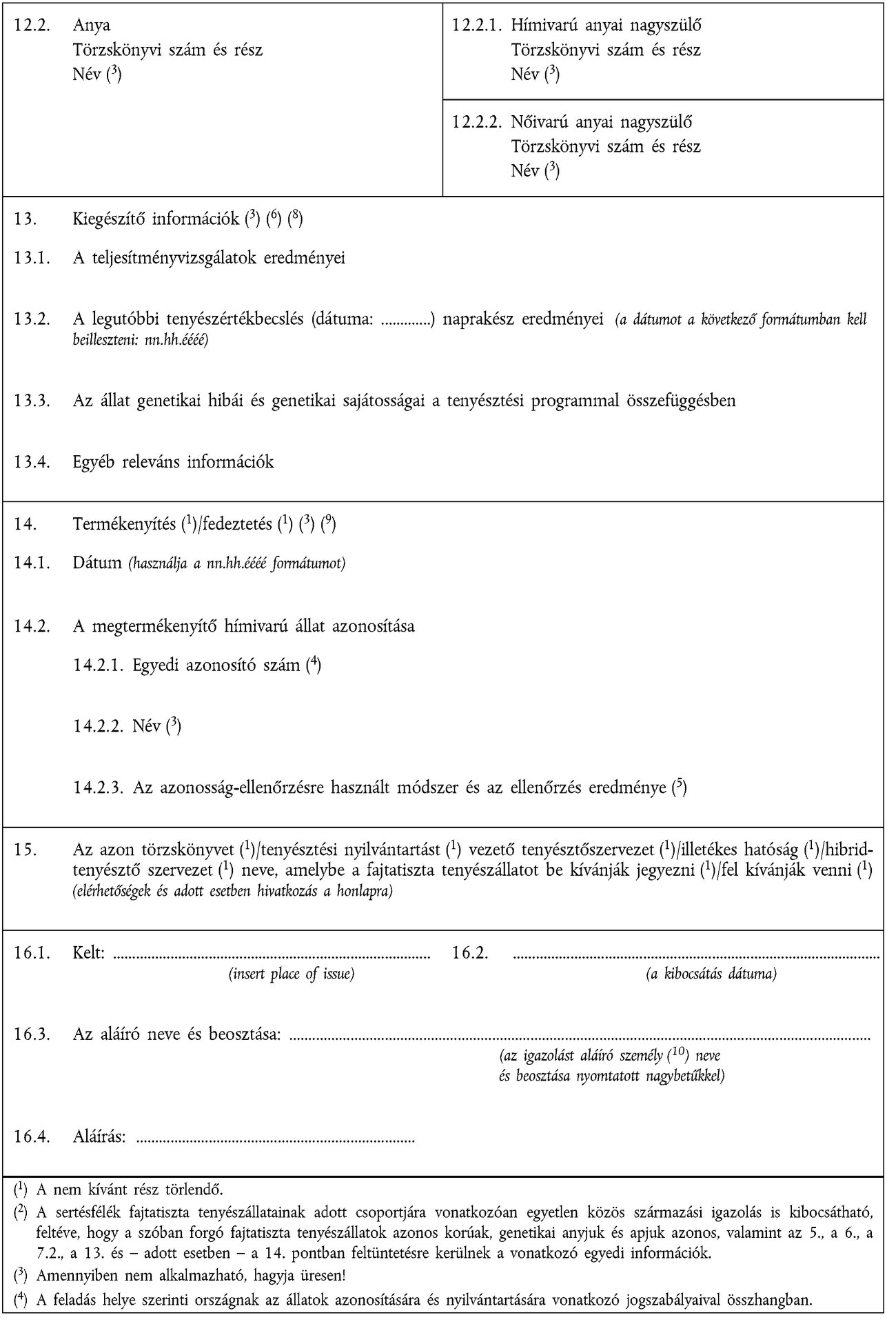
Szövege kép
11.2. Anya
Tenyésztési nyilvántartási szám
Fajta (3)/vonal (3)/keresztezés (3)
Név (2)
11.2.1. Hímivarú anyai nagyszülő
Tenyésztési nyilvántartási szám
Fajta (3)/vonal (3)/keresztezés (3)
Név (2)
11.2.2. Nőivarú anyai nagyszülő
Tenyésztési nyilvántartási szám
Fajta (3)/vonal (3)/keresztezés (3)
Név (2)
12. Kiegészítő információk (2) (6) (7)
12.1. A teljesítményvizsgálatok eredményei
12.2. A legutóbbi tenyészértékbecslés (dátuma: ...) naprakész eredményei (a dátumot a következő formátumban kell beilleszteni: nn.hh.éééé)
12.3. Az állat genetikai hibái és genetikai sajátosságai a tenyésztési programmal összefüggésben
12.4. Egyéb releváns információk
13. Termékenyítés (3)/fedeztetés (3) (2) (8)
13.1. Dátum (használja a nn.hh.éééé formátumot)
13.2. A megtermékenyítő hímivarú állat azonosítása
13.2.1. Egyedi azonosító szám (4)
13.2.2. Állategészségügyi azonosító szám
13.2.3. Név (2)
13.2.4. Az azonosság-ellenőrzésre használt módszer és az ellenőrzés eredménye (5)
14. A címzett neve és címe
15.1. Kelt: ...
(a kibocsátás helye)
15.2. ... - (a kibocsátás dátuma)
15.3. Az aláíró neve és beosztása: ...
(az igazolást aláíró személy (9) neve és beosztása nyomtatott nagybetűkkel)
15.4. Aláírás: ...
(1) A hibrid tenyészsertések adott csoportjára vonatkozóan egyetlen közös származási igazolás is kibocsátható, feltéve, hogy a szóban forgó hibrid tenyészsertések azonos korúak, genetikai anyjuk és apjuk azonos, valamint a 4., az 5., a 6.2., a 12. és - adott esetben - a 13. pontban feltüntetésre kerülnek a vonatkozó egyedi információk.
(2) Amennyiben nem alkalmazható, hagyja üresen!
(3) A nem kívánt rész törlendő.

Szövege kép
(4) Az (EU) 2016/1012 rendelet 8. cikke (3) bekezdésének és adott esetben 12. cikkének megfelelően jóváhagyott tenyésztési program szabályaival összhangban lévő egyedi azonosítás, valamint az állatok azonosítására és nyilvántartására vonatkozó uniós állategészségügyi jogszabályok szerinti azonosító szám.
(5) Ezen információ megadását a hibridtenyésztő szervezetek az (EU) 2016/1012 rendelet 22. cikkének (2) bekezdése alapján előírhatják a mesterséges termékenyítésre felhasználandó sperma gyűjtéséhez, illetve petesejtek és embriók gyűjtéséhez igénybe vett hibrid tenyészsertések tekintetében.
(6) Szükség esetén csatoljon további lapokat a nyomtatványhoz!
(7) Ha a teljesítményvizsgálat vagy a tenyészértékbecslés eredményei elérhetők valamely honlapon, a kért információk feltüntetése helyett közvetlenül a honlapra is lehet hivatkozni.
(8) Vemhes nőivarú állatok esetében megadandó információ. Az információ külön dokumentumban is feltüntethető.
(9) Ez a személy a hibridtenyésztő szervezet vagy az (EU) 2016/1012 rendelet 30. cikke (2) bekezdésének b) pontjában említett illetékes hatóság képviselője, aki jogosult a származási igazolás aláírására.
A származási igazolást a feladás helye szerinti és a rendeltetési hely szerinti tagállam hivatalos nyelveinek legalább egyikén kell kiállítani.
Az aláírás színének a nyomtatvány betűinek színétől eltérőnek kell lennie.
B. SZAKASZ
A hibrid tenyészsertések spermájának kereskedelméhez kapcsolódó származási igazolás

Szövege kép
A hibrid tenyészsertések (Sus scrofa) spermájának kereskedelmére vonatkozóan az (EU) 2016/1012 rendeletben előírt származási igazolás
(Itt szerepelhet a kibocsátó hibridtenyésztő szervezet, illetékes hatóság, illetve spermagyűjtő vagy -tároló központ logója.)
Az igazolás száma (1)
A. A donor hímivarú hibrid tenyészsertésre vonatkozó információk
1. A kibocsátó hibridtenyésztő szervezet/illetékes hatóság/spermagyűjtő- vagy -tároló központ neve (elérhetőségek és adott esetben hivatkozás a honlapra)
2. A tenyésztési nyilvántartás neve
3. A fajta (2)/vonal (2)/keresztezés (2) neve
4. A donor hímivarú állat tenyésztési nyilvántartásban szereplő száma
5. A donor hímivarú állat azonosítása (3)
6. Azonosság-ellenőrzés (1) (4) (5)
5.1. Rendszer
6.1. Módszer
5.2. Egyedi azonosító szám
6.2. Eredmény
5.3. Állategészségügyi azonosító szám
5.4. Név (1)
7. A donor hímivarú állat születési ideje (használja a nn.hh.éééé formátumot) és országa
8. A tenyésztő neve, címe és elektronikus levélcíme (1)
9. A tulajdonos neve, címe és elektronikus levélcíme (1)
10. A donor hímivarú állat származása (5)
10.1. Apa
Tenyésztési nyilvántartási szám
Fajta (2)/vonal (2)/keresztezés (2)
Név (1)
10.1.1. Hímivarú apai nagyszülő
Tenyésztési nyilvántartási szám
Fajta (2)/vonal (2)/keresztezés (2)
Név (1)
10.1.2. Nőivarú apai nagyszülő
Tenyésztési nyilvántartási szám
Fajta (2)/vonal (2)/keresztezés (2)
Név (1)

Szövege kép
10.2. Anya
Tenyésztési nyilvántartási szám
Fajta (2)/vonal (2)/keresztezés (2)
Név (1)
10.2.1. Hímivarú anyai nagyszülő
Tenyésztési nyilvántartási szám
Fajta (2)/vonal (2)/keresztezés (2)
Név (1)
10.2.2. Nőivarú anyai nagyszülő
Tenyésztési nyilvántartási szám
Fajta (2)/vonal (2)/keresztezés (2)
Név (1))
11. Kiegészítő információk (1) (5) (6)
11.1. A teljesítményvizsgálatok eredményei
11.2. A legutóbbi tenyészértékbecslés (dátuma: ...) naprakész eredményei (a dátumot a következő formátumban kell beilleszteni: nn.hh.éééé)
11.3. A donor hímivarú állat genetikai hibái és genetikai sajátosságai a tenyésztési programmal összefüggésben
11.4. Egyéb releváns információk
B. A spermára vonatkozó információk
12. A sperma azonosítása
A műszalmák vagy egyéb göngyölegek színe
A műszalmákon vagy egyéb göngyölegeken szereplő kód
A műszalmák vagy egyéb göngyölegek száma (7)
A gyűjtés helye
A gyűjtés dátuma
(nn.hh.éééé)
Egyebek (1)(8)
13. A feladás helye szerinti spermagyűjtő vagy -tároló központ
13.1. Név
13.2. Cím
13.3. Engedélyszám
14. A címzett neve és címe
15. A vizsgálatok elvégzéséért felelős hibridtenyésztő szervezet (2) vagy az e hibridtenyésztő szervezet által kijelölt harmadik fél (2) neve és címe (1) (9)
16.1. Kelt: ...
(a kibocsátás helye)
16.2. ... - (a kibocsátás dátuma)
16.3. Az aláíró neve és beosztása: ...
(az igazolást aláíró személy (10) neve és beosztása nyomtatott nagybetűkkel)
16.4. Aláírás: ...

Szövege kép
(1) Amennyiben nem alkalmazható, hagyja üresen!
(2) A nem kívánt rész törlendő.
(3) Az (EU) 2016/1012 rendelet 8. cikke (3) bekezdésének és adott esetben 12. cikkének megfelelően jóváhagyott tenyésztési program szabályaival összhangban lévő egyedi azonosítás, valamint az állatok azonosítására és nyilvántartására vonatkozó uniós állategészségügyi jogszabályok szerinti azonosító szám.
(4) Ezen információ megadását a hibridtenyésztő szervezetek az (EU) 2016/1012 rendelet 22. cikkének (2) bekezdése alapján előírhatják a mesterséges termékenyítésre felhasználandó sperma gyűjtéséhez igénybe vett hibrid tenyészsertések tekintetében.
(5) Szükség esetén csatoljon további lapokat a nyomtatványhoz!
(6) Ha a teljesítményvizsgálat vagy a tenyészértékbecslés eredményei elérhetők valamely honlapon, a kért információk feltüntetése helyett közvetlenül a honlapra is lehet hivatkozni.
(7) Egy adott műszalma vagy egyéb göngyöleg egyetlen hibrid tenyészsertés spermáját tartalmazhatja.
(8) Adott esetben feltüntethetők a szexált spermára vonatkozó információk.
(9) Az olyan hibrid tenyészsertések tekintetében elvégzendő teljesítményvizsgálatra vagy tenyészértékbecslésre szánt spermák esetében, amelyekre vonatkozóan még nem végeztek ilyen vizsgálatot vagy becslést, az (EU) 2016/1012 rendelet 24. cikke (1) bekezdésének d) pontjában említett mennyiségi határoknak megfelelően.
(10) Ez a személy a hibridtenyésztő szervezet, az (EU) 2016/1012 rendelet 30. cikke (2) bekezdésének b) pontjában említett illetékes hatóság, illetve az ugyanazon rendelet 31. cikkének (1) bekezdése szerint engedélyezett spermagyűjtő vagy -tároló központ képviselője, aki jogosult a származási igazolás aláírására.
A származási igazolást a feladás helye szerinti és a rendeltetési hely szerinti tagállam hivatalos nyelveinek legalább egyikén kell kiállítani.
Az aláírás színének a nyomtatvány betűinek színétől eltérőnek kell lennie.
C. SZAKASZ
A hibrid tenyészsertések petesejtjeinek kereskedelméhez kapcsolódó származási igazolás

Szövege kép
A hibrid tenyészsertések (Sus scrofa)petesejtjeinek kereskedelmére vonatkozóan az (EU) 2016/1012 rendeletben előírt származási igazolás
(Itt szerepelhet a kibocsátó hibridtenyésztő szervezet, illetékes hatóság vagy embrió-előállító munkacsoport logója)
Az igazolás száma (1)
A. A donor nőivarú hibrid tenyészsertésre vonatkozó információk
1. A kibocsátó hibridtenyésztő szervezet/illetékes hatóság/embrió-előállító munkacsoport neve (elérhetőségek és adott esetben hivatkozás a honlapra)
2. A tenyésztési nyilvántartás neve
3. A fajta (2)/vonal (2)/keresztezés (2) neve
4. A donor nőivarú állat tenyésztési nyilvántartásban szereplő száma
5. A donor nőivarú állat azonosítása (3)
6. Azonosság-ellenőrzés (1) (4) (5)
5.1. Rendszer
6.1. Módszer
5.2. Egyedi azonosító szám
6.2. Eredmény
5.3. Állategészségügyi azonosító szám
5.4. Név (1)
7. A donor nőivarú állat születési ideje (használja a nn.hh.éééé formátumot) és országa
8. A tenyésztő neve, címe és elektronikus levélcíme (1)
9. A tulajdonos neve, címe és elektronikus levélcíme (1)
10. A donor nőivarú állat származása (5)
10.1. Apa
Tenyésztési nyilvántartási szám
Fajta (2)/vonal (2)/keresztezés (2)
Név (1)
10.1.1. Hímivarú apai nagyszülő
Tenyésztési nyilvántartási szám
Fajta (2)/vonal (2)/keresztezés (2)
Név (1)
10.1.2. Nőivarú apai nagyszülő
Tenyésztési nyilvántartási szám
Fajta (2)/vonal (2)/keresztezés (2)
Név (1)

Szövege kép
10.2. Anya
Tenyésztési nyilvántartási szám
Fajta (2)/vonal (2)/keresztezés (2)
Név (1)
10.2.1. Hímivarú anyai nagyszülő
Tenyésztési nyilvántartási szám
Fajta (2)/vonal (2)/keresztezés (2)
Név (1)
10.2.2. Nőivarú anyai nagyszülő
Tenyésztési nyilvántartási szám
Fajta (2)/vonal (2)/keresztezés (2)
Név (1)
11. Kiegészítő információk (1) (5) (6)
11.1. A teljesítményvizsgálatok eredményei
11.2. A legutóbbi tenyészértékbecslés (dátuma: ...) naprakész eredményei (a dátumot a következő formátumban kell beilleszteni: nn.hh.éééé)
11.3. A donor nőivarú állat genetikai hibái és genetikai sajátosságai a tenyésztési programmal összefüggésben
11.4. Egyéb releváns információk
B. A petesejtekre vonatkozó információk
12. Azonosító rendszer
A műszalmák vagy egyéb göngyölegek színe
A műszalmákon vagy egyéb göngyölegeken szereplő kód
A műszalmák vagy egyéb göngyölegek száma
A petesejtek száma (7)
A gyűjtés helye
A gyűjtés dátuma
((nn.hh.éééé)
Egyebek (1)
13. A feladás helye szerinti embriógyűjtő vagy -előállító munkacsoport
13.1. Név
13.2. Cím
13.3. Engedélyszám
13. A címzett neve és címe
14.1. Kelt: ...
(a kibocsátás helye)
14.2. ... - (a kibocsátás dátuma)
14.3. Az aláíró neve és beosztása: ...
(az igazolást aláíró személy (8) neve és beosztása nyomtatott nagybetűkkel)
14.4. Aláírás: ...

Szövege kép
(1) Amennyiben nem alkalmazható, hagyja üresen!
(2) A nem kívánt rész törlendő.
(3) Az (EU) 2016/1012 rendelet 8. cikke (3) bekezdésének és adott esetben 12. cikkének megfelelően jóváhagyott tenyésztési program szabályaival összhangban lévő egyedi azonosítás, valamint az állatok azonosítására és nyilvántartására vonatkozó uniós állategészségügyi jogszabályok szerinti azonosító szám.
(4) Ezen információ megadását a hibridtenyésztő szervezetek az (EU) 2016/1012 rendelet 22. cikkének (2) bekezdése alapján előírhatják a petesejtek gyűjtéséhez igénybe vett hibrid tenyészsertések tekintetében.
(5) Szükség esetén csatoljon további lapokat a nyomtatványhoz!
(6) Ha a teljesítményvizsgálat vagy a tenyészértékbecslés eredményei elérhetők valamely honlapon, a kért információk feltüntetése helyett közvetlenül a honlapra is lehet hivatkozni.
(7) Ha egy műszalmában vagy egyéb göngyölegben egynél több petesejt van, egyértelműen fel kell tüntetni a petesejtek számát. Egy adott műszalma vagy egyéb göngyöleg egyetlen hibrid tenyészsertés petesejtjeit tartalmazhatja.
(8) Ez a személy a hibridtenyésztő szervezet, az (EU) 2016/1012 rendelet 30. cikke (2) bekezdésének b) pontjában említett illetékes hatóság, illetve az ugyanazon rendelet 31. cikkének (1) bekezdése szerint engedélyezett embrió-előállító munkacsoport képviselője, aki jogosult a származási igazolás aláírására.
A származási igazolást a feladás helye szerinti és a rendeltetési hely szerinti tagállam hivatalos nyelveinek legalább egyikén kell kiállítani.
Az aláírás színének a nyomtatvány betűinek színétől eltérőnek kell lennie.
D. SZAKASZ
A hibrid tenyészsertések embrióinak kereskedelméhez kapcsolódó származási igazolás

Szövege kép
A hibrid tenyészsertések (Sus scrofa) embrióinak kereskedelmére vonatkozóan az (EU) 2016/1012 rendeletben előírt származási igazolás
(Itt szerepelhet a kibocsátó hibridtenyésztő szervezet, illetékes hatóság, illetve embriógyűjtő vagy -előállító munkacsoport logója)
Az igazolás száma (1)
A. A donor nőivarú hibrid tenyészsertésre vonatkozó információk
1. A kibocsátó hibridtenyésztő szervezet/illetékes hatóság/embriógyűjtő vagy -előállító munkacsoport neve (elérhetőségek és adott esetben hivatkozás a honlapra)
2. A tenyésztési nyilvántartás neve
3. A fajta (2)/vonal (2)/keresztezés (2) neve
4. A donor nőivarú állat tenyésztési nyilvántartásban szereplő száma
5. A donor nőivarú állat azonosítása (2)
6. Azonosság-ellenőrzés (1) (4) (5)
5.1. Rendszer
6.1. Módszer
5.2. Egyedi azonosító szám
6.2. Eredmény
5.3. Állategészségügyi azonosító szám
5.4. Név (1)
7. A donor nőivarú állat születési ideje ((használja a nn.hh.éééé formátumot) és országa
8. A tenyésztő neve, címe és elektronikus levélcíme (1)
9. A tulajdonos neve, címe és elektronikus levélcíme (1)
10. A donor nőivarú állat származása (5)
10.1. Apa
Tenyésztési nyilvántartási szám
Fajta (2)/vonal (2)/keresztezés (2)
Név (1)
10.1.1. Hímivarú apai nagyszülő
Tenyésztési nyilvántartási szám
Fajta (2)/vonal (2)/keresztezés (2)
Név (1)
10.1.2. Nőivarú apai nagyszülő
Tenyésztési nyilvántartási szám
Fajta (2)/vonal (2)/keresztezés (2)
Név (1)

Szövege kép
10.2. Anya
Tenyésztési nyilvántartási szám
Fajta (2)/vonal (2)/keresztezés (2)
Név (1)
10.2.1. Hímivarú anyai nagyszülő
Tenyésztési nyilvántartási szám
Fajta (2)/vonal (2)/keresztezés (2)
Név (1)
10.2.2. Nőivarú anyai nagyszülő
Tenyésztési nyilvántartási szám
Fajta (2)/vonal (2)/keresztezés (2)
Név (1)
11. Kiegészítő információk (1) (5) (6)
11.1. A teljesítményvizsgálatok eredményei
11.2. A legutóbbi tenyészértékbecslés (dátuma: ...) naprakész eredményei (a dátumot a következő formátumban kell beilleszteni: nn.hh.éééé)
11.3. A donor nőivarú állat genetikai hibái és genetikai sajátosságai a tenyésztési programmal összefüggésben
11.4. Egyéb releváns információk
B. A donor hímivarú hibrid tenyészsertésre vonatkozó információk
12. A kibocsátó hibridtenyésztő szervezet neve (elérhetőségek és adott esetben hivatkozás a honlapra)
13. A tenyésztési nyilvántartás neve
14. A fajta (2)/vonal (2)/keresztezés (2) neve
15. A donor hímivarú állat tenyésztési nyilvántartásban szereplő száma
16. A donor hímivarú állat azonosítása (3)
17. Azonosság-ellenőrzés (1) (4) (5)
16.1. Rendszer
17.1. Módszer
16.2. Egyedi azonosító szám
17.2. Eredmény
16.3. Állategészségügyi azonosító szám
16.4. Név (1)
18. A donor hímivarú állat születési ideje (használja a nn.hh.éééé formátumot) és országa
19. A tenyésztő neve, címe és elektronikus levélcíme (1)
20. A tulajdonos neve, címe és elektronikus levélcíme (1)
21. A donor hímivarú állat származása (5)

Szövege kép
21.1. Apa
Tenyésztési nyilvántartási szám
Fajta (2)/vonal (2)/keresztezés (2)
Név (1)
21.1.1. Hímivarú apai nagyszülő
Tenyésztési nyilvántartási szám
Fajta (2)/vonal (2)/keresztezés (2)
Név (1)
21.1.2. Nőivarú apai nagyszülő
Tenyésztési nyilvántartási szám
Fajta (2)/vonal (2)/keresztezés (2)
Név (1)
21.2. Anya
Tenyésztési nyilvántartási szám
Fajta (2)/vonal (2)/keresztezés (2)
Név (1)
21.2.1. Hímivarú anyai nagyszülő
Tenyésztési nyilvántartási szám
Fajta (2)/vonal (2)/keresztezés (2)
Név (1)
21.2.2. Nőivarú anyai nagyszülő
Tenyésztési nyilvántartási szám
Fajta (2)/vonal (2)/keresztezés (2)
Név (1)
22. Kiegészítő információk (1) (5) (6)
22.1. A teljesítményvizsgálatok eredményei
22.2. A legutóbbi tenyészértékbecslés (dátuma: ...) naprakész eredményei (a dátumot a következő formátumban kell beilleszteni: nn.hh.éééé)
22.3. A donor hímivarú állat genetikai hibái és genetikai sajátosságai a tenyésztési programmal összefüggésben
22.4. Egyéb releváns információk
C. Az embriókra vonatkozó információk
23. Az embriók azonosítása
A műszalmák vagy egyéb göngyölegek színe
A műszalmákon vagy egyéb göngyölegeken szereplő kód
A műszalmák vagy egyéb göngyölegek száma
Az embriók száma (7)
A gyűjtés vagy az előállítás helye
A gyűjtés vagy az előállítás dátuma
(nn.hh.éééé)
Egyebek (1) (8)
24. A feladás helye szerinti embriógyűjtő vagy -előállító munkacsoport
24.1. Név
24.2. Cím
24.3. Engedélyszám
25. A címzett neve és címe

Szövege kép
D. Az embrió(ka)t befogadó recipiensre vonatkozó információk
26. A recipiens egyedi azonosító száma (3) (1)
27.1. Kelt: ...
((a kibocsátás helye)
27.2. ... - (a kibocsátás dátuma)
27.3. Az aláíró neve és beosztása: ...
(az igazolást aláíró személy (9) neve és beosztása nyomtatott nagybetűkkel)
27.4. Aláírás: ...
(1) Amennyiben nem alkalmazható, hagyja üresen!
(2) A nem kívánt rész törlendő.
(3) Az (EU) 2016/1012 rendelet 8. cikke (3) bekezdésének és adott esetben 12. cikkének megfelelően jóváhagyott tenyésztési program szabályaival összhangban lévő egyedi azonosítás, valamint az állatok azonosítására és nyilvántartására vonatkozó uniós állategészségügyi jogszabályok szerinti azonosító szám.
(4) Ezen információ megadását a hibridtenyésztő szervezetek az (EU) 2016/1012 rendelet 22. cikkének (2) bekezdése alapján előírhatják a mesterséges termékenyítésre felhasználandó sperma gyűjtéséhez, illetve petesejtek vagy embriók gyűjtéséhez igénybe vett hibrid tenyészsertések tekintetében.
(5) Szükség esetén csatoljon további lapokat a nyomtatványhoz!
(6) Ha a teljesítményvizsgálat vagy a tenyészértékbecslés eredményei elérhetők valamely honlapon, a kért információk feltüntetése helyett közvetlenül a honlapra is lehet hivatkozni.
(7) Ha egy műszalmában vagy egyéb göngyölegben egynél több embrió van, egyértelműen fel kell tüntetni az embriók számát. Egy adott műszalma vagy más göngyöleg csak ugyanazon szülőktől származó embriókat tartalmazhat.
(8) Adott esetben feltüntethetők a szexált embriókra vonatkozó információk.
(9) Ez a személy a hibridtenyésztő szervezet, az (EU) 2016/1012 rendelet 30. cikke (2) bekezdésének b) pontjában említett illetékes hatóság, illetve az ugyanazon rendelet 31. cikkének (1) bekezdése szerint engedélyezett embriógyűjtő vagy -előállító munkacsoport képviselője, aki jogosult a származási igazolás aláírására.
A származási igazolást a feladás helye szerinti és a rendeltetési hely szerinti tagállam hivatalos nyelveinek legalább egyikén kell kiállítani.
Az aláírás színének a nyomtatvány betűinek színétől eltérőnek kell lennie.
III. MELLÉKLET
A FAJTATISZTA TENYÉSZÁLLATOK ÉS SZAPORÍTÓANYAGAIK UNIÓBA TÖRTÉNŐ BELÉPTETÉSÉHEZ KAPCSOLÓDÓ SZÁRMAZÁSI IGAZOLÁSOK MINTÁI
A. SZAKASZ
A szarvasmarhafélék, a sertésfélék, a juhfélék, a kecskefélék és a lófélék fajtatiszta tenyészállatainak az Unióba történő beléptetéséhez kapcsolódó származási igazolás

Szövege kép
Az alábbi fajok fajtatiszta tenyészállatainak az Unióba történő beléptetésére vonatkozóan az (EU) 2016/1012 rendeletben előírt származási igazolás:
a) szarvasmarhafélék (Bos taurus, Bos indicus, Bubalus bubalis) (1)
b) sertésfélék (Sus scrofa) (1) (2)
c) juhfélék (Ovis aries) (1)
d) kecskefélék (Capra hircus) (1)
e) lófélék (Equus caballus és Equus asinus) (1)
(Itt szerepelhet a kibocsátó harmadik országbeli tenyésztőszervezet logója.)
Az igazolás száma (3)
1. A kibocsátó harmadik országbeli tenyésztőszervezet neve (elérhetőségek és adott esetben hivatkozás a honlapra)
2. A törzskönyv neve
3. A fajtatiszta tenyészállat fajtájának neve
4. A főtörzskönyvi rész azon osztálya, amelybe az állatot bejegyezték (3)
5. Az állat neme
6. Az állat törzskönyvi száma
7. A fajtatiszta tenyészállat azonosítása (4)
8. Azonosság-ellenőrzés (3) (5) (6)
7.1. Rendszer
8.1. Módszer
7.2. Egyedi azonosító szám
8.2. Eredmény
7.3. Név (3)
9. Az állat születési ideje (használja a nn.hh.éééé formátumot) és országa
10. A tenyésztő neve, címe és elektronikus levélcíme (3)
11. A tulajdonos neve, címe és elektronikus levélcíme (3)
12. A fajtatiszta tenyészállat származása (6) (7)
12.1. Apa
Törzskönyvi szám és rész
Név (3)
12.1.1. Hímivarú apai nagyszülő
Törzskönyvi szám és rész
Név (3)
12.1.2. Nőivarú apai nagyszülő
Törzskönyvi szám és rész
Név (3)

Szövege kép
12.2. Anya
Törzskönyvi szám és rész
Név (3)
12.2.1. Hímivarú anyai nagyszülő
Törzskönyvi szám és rész
Név (3)
12.2.2. Nőivarú anyai nagyszülő
Törzskönyvi szám és rész
Név (3)
13. Kiegészítő információk (3) (6) (8)
13.1. A teljesítményvizsgálatok eredményei
13.2. A legutóbbi tenyészértékbecslés (dátuma: ...) naprakész eredményei (a dátumot a következő formátumban kell beilleszteni: nn.hh.éééé)
13.3. Az állat genetikai hibái és genetikai sajátosságai a tenyésztési programmal összefüggésben
13.4. Egyéb releváns információk
14. Termékenyítés (1)/fedeztetés (1) (3) (9)
14.1. Dátum (használja a nn.hh.éééé formátumot)
14.2. A megtermékenyítő hímivarú állat azonosítása
14.2.1. Egyedi azonosító szám (4)
14.2.2. Név (3)
14.2.3. Az azonosság-ellenőrzésre használt módszer és az ellenőrzés eredménye (5)
15. Az azon törzskönyvet (1)/tenyésztési nyilvántartást (1) vezető tenyésztőszervezet (1)/illetékes hatóság (1)/hibridtenyésztő szervezet (1) neve, amelybe a fajtatiszta tenyészállatot be kívánják jegyezni (1)/fel kívánják venni (1) (elérhetőségek és adott esetben hivatkozás a honlapra)
16.1. Kelt: ...
(insert place of issue)
16.2. ... - (a kibocsátás dátuma)
16.3. Az aláíró neve és beosztása: ...
(az igazolást aláíró személy (10) neve és beosztása nyomtatott nagybetűkkel)
16.4. Aláírás: ...
(1) A nem kívánt rész törlendő.
(2) A sertésfélék fajtatiszta tenyészállatainak adott csoportjára vonatkozóan egyetlen közös származási igazolás is kibocsátható, feltéve, hogy a szóban forgó fajtatiszta tenyészállatok azonos korúak, genetikai anyjuk és apjuk azonos, valamint az 5., a 6., a 7.2., a 13. és - adott esetben - a 14. pontban feltüntetésre kerülnek a vonatkozó egyedi információk.
(3) Amennyiben nem alkalmazható, hagyja üresen!
(4) A feladás helye szerinti országnak az állatok azonosítására és nyilvántartására vonatkozó jogszabályaival összhangban.

Szövege kép
(5) Az (EU) 2016/1012 rendelet 22. cikke (1) bekezdésének megfelelően a szarvasmarhafélék, a juhfélék és a kecskefélék mesterséges termékenyítésre felhasználandó sperma gyűjtéséhez igénybe vett fajtatiszta tenyészállataira vonatkozóan megadandó információ. Feltüntetését a tenyésztőszervezetek az (EU) 2016/1012 rendelet 22. cikkének (2) bekezdése alapján előírhatják a sertésfélék mesterséges termékenyítésre felhasználandó sperma gyűjtéséhez igénybe vett fajtatiszta tenyészállatai, illetve a szarvasmarhafélék, a juhfélék és a kecskefélék petesejtek és embriók gyűjtéséhez igénybe vett fajtatiszta tenyészállatai tekintetében is.
(6) Szükség esetén csatoljon további lapokat a nyomtatványhoz!
(7) A törzskönyvi rész vonatkozásában tüntesse fel a "főtörzskönyvi rész" vagy a "melléktörzskönyvi rész" bejegyzést! További generációkra vonatkozó információk is megadhatók.
(8) Tüntesse fel az egyedi azonosító számot is, ha az eltér a törzskönyvi számtól!
(9) Ha a teljesítményvizsgálat vagy a tenyészértékbecslés eredményei elérhetők valamely honlapon, a kért információk feltüntetése helyett közvetlenül a honlapra is lehet hivatkozni.
(10) Vemhes nőivarú állatok esetében megadandó információ. Az információ külön dokumentumban is feltüntethető.
(11) Ez a személy az (EU) 2016/1012 rendelet 34. cikke szerinti névjegyzékben szereplő, harmadik országbeli tenyésztőszervezet - amely a feladás helye szerinti ország illetékes hivatalos szerve is lehet - képviselője, aki jogosult a származási igazolás aláírására.
A származási igazolást a feladás helye szerinti ország és a rendeltetési hely szerinti tagállam hivatalos nyelveinek legalább egyikén kell kiállítani.
Az aláírás színének a nyomtatvány betűinek színétől eltérőnek kell lennie.
B. SZAKASZ
Fajtatiszta tenyészállatok spermájának az Unióba történő beléptetéséhez kapcsolódó származási igazolás

Szövege kép
Az alábbi fajokhoz tartozó fajtatiszta tenyészállatok spermájának az Unióba történő beléptetésére vonatkozóan az (EU) 2016/1012 rendeletben előírt származási igazolás:
a) szarvasmarhafélék (Bos taurus, Bos indicus, Bubalus bubalis) (1)
b) sertésfélék (Sus scrofa) (1)
c) juhfélék (Ovis aries) (1)
d) kecskefélék (Capra hircus) (1)
e) lófélék (Equus caballus és Equus asinus) (1)
(Itt szerepelhet a kibocsátó harmadik országbeli tenyésztőszervezet, illetve spermagyűjtő vagy -tároló központ logója.
Az igazolás száma (2)
A. A donor hímivarú fajtatiszta tenyészállatra vonatkozó információk
1. A kibocsátó harmadik országbeli tenyésztőszervezet/spermagyűjtő- vagy -tároló központ neve (elérhetőségek és adott esetben hivatkozás a honlapra)
2. A törzskönyv neve
3. A donor hímivarú állat fajtájának neve
4. A főtörzskönyvi rész azon osztálya, amelybe a donor hímivarú állatot bejegyezték (2)
5. A donor hímivarú állat törzskönyvi száma
6. A donor hímivarú állat azonosítása (3)
7. Azonosság-ellenőrzés (2) (5) (5)
6.1. Rendszer
7.1. Módszer
6.2. Egyedi azonosító szám
7.2. Eredmény
6.3. Név (2)
8. A donor hímivarú állat születési ideje (használja a nn.hh.éééé formátumot) és országa
9. A tenyésztő neve, címe és elektronikus levélcíme (2)
10. A tulajdonos neve, címe és elektronikus levélcíme (2)
11. A donor hímivarú állat származása (5) (6)
11.1. Apa
Törzskönyvi szám és rész
Név (2)
11.1.1. Hímivarú apai nagyszülő
Törzskönyvi szám és rész
Név (2)
11.1.2. Nőivarú apai nagyszülő
Törzskönyvi szám és rész
Név (2)

Szövege kép
11.2. Anya
Törzskönyvi szám és rész
Név (2)
11.2.1. Hímivarú anyai nagyszülő
Törzskönyvi szám és rész
Név (2)
11.2.2. Nőivarú anyai nagyszülő
Törzskönyvi szám és rész
Név (2)
12. Kiegészítő információk (2) (5) (7)
12.1. A teljesítményvizsgálatok eredményei
12.2. A legutóbbi tenyészértékbecslés (dátuma: ...) naprakész eredményei (a dátumot a következő formátumban kell beilleszteni: nn.hh.éééé)
12.3. A donor hímivarú állat genetikai hibái és genetikai sajátosságai a tenyésztési programmal összefüggésben
12.4. Egyéb releváns információk
B. A spermára vonatkozó információk
13. Azonosító rendszer
A műszalmák vagy egyéb göngyölegek színe
A műszalmákon vagy egyéb göngyölegeken szereplő kód
A műszalmák vagy egyéb göngyölegek száma (8)
A gyűjtés helye
A gyűjtés dátuma (nn.hh.éééé)
Egyebek (2) (9)
14. A feladás helye szerinti spermagyűjtő vagy -tároló központ
14.1. Név
14.2. Cím
14.3. Engedélyszám
15. A címzett neve és címe
16. A vizsgálatok elvégzéséért felelős tenyésztőszervezet (1), vagy az e tenyésztőszervezet által kijelölt harmadik fél (1) neve és címe (2) (10)
17.1. Kelt: ...
(a kibocsátás helye)
17.2. ... - (a kibocsátás dátuma)
17.3. Az aláíró neve és beosztása: ...
(az igazolást aláíró személy (11) neve és beosztása nyomtatott nagybetűkkel)
17.4. Aláírás: ...

Szövege kép
(1) A nem kívánt rész törlendő
(2) Amennyiben nem alkalmazható, hagyja üresen!
(3) A feladás helye szerinti országnak az állatok azonosítására és nyilvántartására vonatkozó jogszabályaival összhangban.
(4) A szarvasmarhafélék, a juhfélék, a kecskefélék és a lófélék esetében az állatok azonosítására és nyilvántartására vonatkozó uniós állategészségügyi jogszabályoknak megfelelő egyedi azonosítás. A sertésfélék esetében az (EU) 2016/1012 rendelet 8. cikke (3) bekezdésének és adott esetben 12. cikkének megfelelően jóváhagyott tenyésztési program szabályaival összhangban lévő egyedi azonosítás, valamint az állatok azonosítására és nyilvántartására vonatkozó uniós állategészségügyi jogszabályok szerinti azonosító szám.
(5) Az (EU) 2016/1012 rendelet 22. cikke (1) bekezdésének megfelelően a szarvasmarhafélék, a juhfélék, a kecskefélék és a lófélék mesterséges termékenyítésre felhasználandó sperma gyűjtéséhez igénybe vett fajtatiszta tenyészállataira vonatkozóan megadandó információ. Feltüntetését a tenyésztőszervezetek az (EU) 2016/1012 rendelet 22. cikkének (2) bekezdése alapján előírhatják a sertésfélék mesterséges termékenyítésre felhasználandó sperma gyűjtéséhez igénybe vett fajtatiszta tenyészállatai tekintetében is.
(6) Szükség esetén csatoljon további lapokat a nyomtatványhoz!
(7) Ha a teljesítményvizsgálat vagy a tenyészértékbecslés eredményei elérhetők valamely honlapon, a kért információk feltüntetése helyett közvetlenül a honlapra is lehet hivatkozni.
(8) Egy adott műszalma vagy egyéb göngyöleg egyetlen fajtatiszta tenyészállat spermáját tartalmazhatja.
(9) Adott esetben feltüntethetők a szexált spermára vonatkozó információk.
(10) A szarvasmarhafélék, a sertésfélék, a juhfélék vagy a kecskefélék olyan fajtatiszta tenyészállatainak vizsgálatára szánt spermák esetében, amelyekre vonatkozóan nem végeztek teljesítményvizsgálatot vagy tenyészértékbecslést, az (EU) 2016/1012 rendelet 21. cikke (1) bekezdésének g) pontjában említett mennyiségi határoknak megfelelően.
(11) Ez a személy az (EU) 2016/1012 rendelet 34. cikke szerinti névjegyzékben szereplő, harmadik országbeli tenyésztőszervezet - amely a feladás helye szerinti ország illetékes hivatalos szerve is lehet -, illetve az említett rendelet 33. cikkének (1) bekezdése szerint a harmadik országbeli tenyésztőszervezet nevében eljáró spermagyűjtő vagy -tároló központ képviselője, aki jogosult a származási igazolás aláírására.
A származási igazolást a feladás helye szerinti ország és a rendeltetési hely szerinti tagállam hivatalos nyelveinek legalább egyikén kell kiállítani.
Az aláírás színének a nyomtatvány betűinek színétől eltérőnek kell lennie.
C. SZAKASZ
Fajtatiszta tenyészállatok petesejtjeinek az Unióba történő beléptetésére vonatkozó származási igazolás

Szövege kép
Az alábbi fajokhoz tartozó fajtatiszta tenyészállatok petesejtjeinek az Unióba történő beléptetésére vonatkozóan az (EU) 2016/1012 rendeletben előírt származási igazolás:
a) szarvasmarhafélék (Bos taurus, Bos indicus, Bubalus bubalis) (1)
b) sertésfélék (Sus scrofa) (1)
c) juhfélék (Ovis aries) (1)
d) kecskefélék (Capra hircus) (1)
e) lófélék (Equus caballus és Equus asinus) (1)
(Itt szerepelhet a kibocsátó szervezet vagy embrió-előállító munkacsoport logója.)
Az igazolás száma (2)
A. A donor nőivarú fajtatiszta tenyészállatra vonatkozó információk
1. A kibocsátó harmadik országbeli tenyésztőszervezet/embrió-előállító munkacsoport neve (elérhetőségek és adott esetben hivatkozás a honlapra)
2. A törzskönyv neve
3. A donor nőivarú állat fajtájának neve
4. A főtörzskönyvi rész azon osztálya, amelybe a donor nőivarú állatot bejegyezték (2)
5. A donor nőivarú állat törzskönyvi száma
6. A donor nőivarú állat azonosítása (3)
7. Azonosság-ellenőrzés (2) (4) (5)
6.1. Rendszer
7.1. Módszer
6.2. Egyedi azonosító szám
7.2. Eredmény
6.3. Név (2)
8. A donor nőivarú állat születési ideje (használja a nn.hh.éééé formátumot) és országa
9. A tenyésztő neve, címe és elektronikus levélcíme (2)
10. A tulajdonos neve, címe és elektronikus levélcíme (2)
11. A donor nőivarú állat származása (5) (6)
11.1. Apa
Törzskönyvi szám és rész
Név (2)
11.1.1. Hímivarú apai nagyszülő
Törzskönyvi szám és rész
Név (2)
11.1.2. Nőivarú apai nagyszülő
Törzskönyvi szám és rész
Név (2)

Szövege kép
11.2. Anya
Törzskönyvi szám és rész
Név (2)
11.2.1. Hímivarú anyai nagyszülő
Törzskönyvi szám és rész
Név (2)
11.2.2. Nőivarú anyai nagyszülő
Törzskönyvi szám és rész
Név (2)
12. Kiegészítő információk (2) (5) (7)
12.1. A teljesítményvizsgálatok eredményei
12.2. A legutóbbi tenyészértékbecslés (dátuma: ...) naprakész eredményei (a dátumot a következő formátumban kell beilleszteni: nn.hh.éééé)
12.3. A donor nőivarú állat genetikai hibái és genetikai sajátosságai a tenyésztési programmal összefüggésben
12.4. Egyéb releváns információk
B. A petesejtekre vonatkozó információk
13. A petesejtek azonosítása
A műszalmák vagy egyéb göngyölegek színe
A műszalmákon vagy egyéb göngyölegeken szereplő kód
A műszalmák vagy egyéb göngyölegek száma
A petesejtek száma (8)
A gyűjtés helye
A gyűjtés dátuma
(nn.hh.éééé)
Egyebek (2)
14. A feladás helye szerinti embriógyűjtő vagy -előállító munkacsoport
14.1. Név
14.2. Cím
14.3. Engedélyszám
15. A címzett neve és címe
16.1. Kelt: ...
(a kibocsátás helye)
16.2. ... - (a kibocsátás dátuma)
16.3. Az aláíró neve és beosztása: ...
(az igazolást aláíró személy (9) neve és beosztása nyomtatott nagybetűkkel)
16.4. Aláírás: ...
(1) A nem kívánt rész törlendő.
(2) Amennyiben nem alkalmazható, hagyja üresen!

Szövege kép
(3) A feladás helye szerinti országnak az állatok azonosítására és nyilvántartására vonatkozó jogszabályaival összhangban.
(4) Feltüntetését az (EU) 2016/1012 rendelet 22. cikkének (2) bekezdése alapján a szarvasmarhafélék, a sertésfélék, a juhfélék, a kecskefélék és a lófélék petesejtek gyűjtéséhez igénybe vett fajtatiszta tenyészállatai tekintetében is előírhatják az azon törzskönyvet vezető tenyésztőszervezetek, amelybe a donorállat utóda bejegyzésre kerül.
(5) Szükség esetén csatoljon további lapokat a nyomtatványhoz!
(6) Értelemszerűen tüntesse fel a "főtörzskönyvi rész" vagy a "melléktörzskönyvi rész" bejegyzést! További generációkra vonatkozó információk is megadhatók.
(7) Ha a teljesítményvizsgálat vagy a tenyészértékbecslés eredményei elérhetők valamely honlapon, a kért információk feltüntetése helyett közvetlenül a honlapra is lehet hivatkozni.
(8) Ha egy műszalmában vagy egyéb göngyölegben egynél több petesejt van, egyértelműen fel kell tüntetni a petesejtek számát. Egy adott műszalma vagy egyéb göngyöleg egyetlen fajtatiszta tenyészállat petesejtjeit tartalmazhatja.
(9) Ez a személy az (EU) 2016/1012 rendelet 34. cikke szerinti névjegyzékben szereplő, harmadik országbeli tenyésztőszervezet - amely a feladás helye szerinti ország illetékes hivatalos szerve is lehet -, illetve az említett rendelet 33. cikkének (1) bekezdése szerint a harmadik országbeli tenyésztőszervezet nevében eljáró embrió-előállító munkacsoport képviselője, aki jogosult a származási igazolás aláírására.
A származási igazolást a feladás helye szerinti ország és a rendeltetési hely szerinti tagállam hivatalos nyelveinek legalább egyikén kell kiállítani.
Az aláírás színének a nyomtatvány betűinek színétől eltérőnek kell lennie.
D. SZAKASZ
Fajtatiszta tenyészállatok embrióinak az Unióba történő beléptetéséhez kapcsolódó származási igazolás

Szövege kép
Az alábbi fajokhoz tartozó fajtatiszta tenyészállatok embrióinak az Unióba történő beléptetésére vonatkozóan az (EU) 2016/1012 rendeletben előírt származási igazolás:
a) szarvasmarhafélék (Bos taurus, Bos indicus, Bubalus bubalis) (1)
b) sertésfélék (Sus scrofa) (1)
c) juhfélék (Ovis aries) (1)
d) kecskefélék (Capra hircus) (1)
e) lófélék (Equus caballus és Equus asinus) (1)
(Itt szerepelhet a kibocsátó harmadik országbeli tenyésztőszervezet, illetve embriógyűjtő vagy -előállító munkacsoport logója.)
Az igazolás száma (2)
A. A donor nőivarú fajtatiszta tenyészállatra vonatkozó információk
1. A kibocsátó harmadik országbeli tenyésztőszervezet/embriógyűjtő vagy -előállító munkacsoport neve (elérhetőségek és adott esetben hivatkozás a honlapra)
2. A törzskönyv neve
3. A donor nőivarú állat fajtájának neve
4. A főtörzskönyvi rész azon osztálya, amelybe a donor nőivarú állatot bejegyezték (2)
5. A donor nőivarú állat törzskönyvi száma
6. A donor nőivarú állat azonosítása (4)
7. Azonosság-ellenőrzés (2) (4) (5)
6.1. Rendszer
7.1. Módszer
6.2. Egyedi azonosító szám
7.2. Eredmény
6.3. Név (2)
8. A donor nőivarú állat születési ideje (használja a nn.hh.éééé formátumot) és országa
9. A tenyésztő neve, címe és elektronikus levélcíme (2)
10. A tulajdonos neve, címe és elektronikus levélcíme (2)
11. A donor nőivarú állat származása (6) (5)
11.1. Apa
Törzskönyvi szám és rész
Név (2)
11.1.1. Hímivarú apai nagyszülő
Törzskönyvi szám és rész
Név (2)
11.1.2. Nőivarú apai nagyszülő
Törzskönyvi szám és rész
Név (2)

Szövege kép
11.2. Anya
Törzskönyvi szám és rész
Név (2)
11.2.1. Hímivarú anyai nagyszülő
Törzskönyvi szám és rész
Név (2)
11.2.2. Nőivarú anyai nagyszülő
Törzskönyvi szám és rész
Név (2)
12. Kiegészítő információk (2) (5) (7)
12.1. A teljesítményvizsgálatok eredményei
12.2. A legutóbbi tenyészértékbecslés (dátuma: ...) naprakész eredményei (a dátumot a következő formátumban kell beilleszteni: nn.hh.éééé)
12.3. A donor nőivarú állat genetikai hibái és genetikai sajátosságai a tenyésztési programmal összefüggésben
12.4. Egyéb releváns információk
B. A donor hímivarú fajtatiszta tenyészállatra vonatkozó információk
13. A kibocsátó harmadik országbeli tenyésztőszervezet neve (elérhetőségek és adott esetben hivatkozás a honlapra)
14. A törzskönyv neve
15. A donor hímivarú állat fajtájának neve
16. A főtörzskönyvi rész azon osztálya, amelybe a donor hímivarú állatot bejegyezték (2)
17. A donor hímivarú állat törzskönyvi száma
18. A donor hímivarú állat azonosítása (3)
19. Azonosság-ellenőrzés (2) (4) (5)
18.1. Rendszer
19.1. Módszer
18.2. Egyedi azonosító szám
19.2. Eredmény
18.3. Név (2)
20. A donor hímivarú állat születési ideje (használja a nn.hh.éééé formátumot) és országa
21. A tenyésztő neve, címe és elektronikus levélcíme (2)
22. A tulajdonos neve, címe és elektronikus levélcíme (2)
23. A donor hímivarú állat származása (5) (6)

Szövege kép
23.1. Apa
Törzskönyvi szám és rész
Név (2)
23.1.1. Hímivarú apai nagyszülő
Törzskönyvi szám és rész
Név (2)
23.1.2. Nőivarú apai nagyszülő
Törzskönyvi szám és rész
Név (2)
23.2. Anya
Törzskönyvi szám és rész
Név (2)
23.2.1. Hímivarú anyai nagyszülő
Törzskönyvi szám és rész
Név (2)
23.2.2. Nőivarú anyai nagyszülő
Törzskönyvi szám és rész
Név (2)
24. Kiegészítő információk (2) (5) (7)
24.1. A teljesítményvizsgálatok eredményei
24.2. A legutóbbi tenyészértékbecslés (dátuma: ...) naprakész eredményei (a dátumot a következő formátumban kell beilleszteni: nn.hh.éééé)
24.3. A donor hímivarú állat genetikai hibái és genetikai sajátosságai a tenyésztési programmal összefüggésben
24.4. Egyéb releváns információk
C. Az embriókra vonatkozó információk
25. Az embriók azonosítása
A műszalmák vagy egyéb göngyölegek színe
A műszalmákon vagy egyéb göngyölegeken szereplő kód
A műszalmák vagy egyéb göngyölegek száma
Az embriók száma( (8)
A gyűjtés vagy az előállítás helye
A gyűjtés vagy az előállítás dátuma (nn.hh.éééé)
Egyebek (2) (9)
26. A feladás helye szerinti embriógyűjtő vagy -előállító munkacsoport
26.1. Név
26.2. Cím
26.3. Engedélyszám
27. A címzett neve és címe

Szövege kép
D. Az embrió(ka)t befogadó recipiensre vonatkozó információk
28. A recipiens egyedi azonosító száma (3) (2)
29.1. Kelt: ...
(a kibocsátás helye)
29.2. ... - (a kibocsátás dátuma)
29.3. Az aláíró neve és beosztása: ...
(az igazolást aláíró személy (10) neve és beosztása nyomtatott nagybetűkkel)
29.4. Aláírás: ...
(1) A nem kívánt rész törlendő.
(2) Amennyiben nem alkalmazható, hagyja üresen!
(3) A feladás helye szerinti országnak az állatok azonosítására és nyilvántartására vonatkozó jogszabályaival összhangban.
(4) Az (EU) 2016/1012 rendelet 22. cikke (1) bekezdésének megfelelően a szarvasmarhafélék, a juhfélék, a kecskefélék és a lófélék mesterséges termékenyítésre felhasználandó sperma gyűjtéséhez igénybe vett fajtatiszta tenyészállataira vonatkozóan megadandó információ. Feltüntetését az (EU) 2016/1012 rendelet 22. cikkének (2) bekezdése alapján a szarvasmarhafélék, a sertésfélék, a juhfélék, a kecskefélék és a lófélék petesejtek és embriók gyűjtéséhez igénybe vett fajtatiszta tenyészállatai tekintetében is előírhatják az azon törzskönyvet vezető tenyésztőszervezetek, amelybe az érintett embriókból nyert utódok bejegyzésre kerülnek.
(5) Szükség esetén csatoljon további lapokat a nyomtatványhoz!
(6) Értelemszerűen tüntesse fel a "főtörzskönyvi rész" vagy a "melléktörzskönyvi rész" bejegyzést! További generációkra vonatkozó információk is megadhatók.
(7) Ha a teljesítményvizsgálat vagy a tenyészértékbecslés eredményei elérhetők valamely honlapon, a kért információk feltüntetése helyett közvetlenül a honlapra is lehet hivatkozni.
(8) Ha egy műszalmában vagy egyéb göngyölegben egynél több embrió van, egyértelműen fel kell tüntetni az embriók számát. Egy adott műszalma vagy más göngyöleg csak ugyanazon szülőktől származó embriókat tartalmazhat.
(9) Adott esetben feltüntethetők a szexált embriókra vonatkozó információk.
(10) Ez a személy az (EU) 2016/1012 rendelet 34. cikke szerinti névjegyzékben szereplő, harmadik országbeli tenyésztőszervezet - amely a feladás helye szerinti ország illetékes hivatalos szerve is lehet -, illetve az említett rendelet 33. cikkének (1) bekezdése szerint a harmadik országbeli tenyésztőszervezet nevében eljáró embriógyűjtő vagy -előállító munkacsoport képviselője, aki jogosult a származási igazolás aláírására.
A származási igazolást a feladás helye szerinti ország és a rendeltetési hely szerinti tagállam hivatalos nyelveinek legalább egyikén kell kiállítani.
Az aláírás színének a nyomtatvány betűinek színétől eltérőnek kell lennie.
IV. MELLÉKLET
A HIBRID TENYÉSZSERTÉSEK ÉS SZAPORÍTÓANYAGAIK UNIÓBA TÖRTÉNŐ BELÉPTETÉSÉHEZ KAPCSOLÓDÓ SZÁRMAZÁSI IGAZOLÁSOK MINTÁI
A. SZAKASZ
A hibrid tenyészsertések Unióba történő beléptetéséhez kapcsolódó származási igazolás

Szövege kép
A hibrid tenyészsertések (Sus scrofa) Unióba történő beléptetésére vonatkozóan az (EU) 2016/1012 rendeletben előírt származási igazolás (1)
(Itt szerepelhet a kibocsátó harmadik országbeli tenyésztőszervezet logója.)
Az igazolás száma (2)
1. A kibocsátó harmadik országbeli tenyésztőszervezet neve (elérhetőségek és adott esetben hivatkozás a honlapra)
2. A tenyésztési nyilvántartás neve
3. A hibrid tenyészsertés fajtájának (3)/vonalának (3)/keresztezésének (3) neve
4. Az állat neme
5. Az állat tenyésztési nyilvántartásban szereplő száma
6. Az állat azonosítása (4)
7. Azonosság-ellenőrzés (2) (5) (6)
6.1. Rendszer
7.1. Módszer
6.2. Egyedi azonosító szám
7.2. Eredmény
6.3. Név (2)
8. Az állat születési ideje (használja a nn.hh.éééé formátumot) és országa
9. A tenyésztő neve, címe és elektronikus levélcíme (2)
10. A tulajdonos neve, címe és elektronikus levélcíme (2)
11. A hibrid tenyészsertés származása (6)
11.1. Apa
Tenyésztési nyilvántartási szám
Fajta (3)/vonal (3)/keresztezés (3)
Név (2)
11.1.1. Hímivarú apai nagyszülő
Tenyésztési nyilvántartási szám
Fajta (3)/vonal (3)/keresztezés (3)
Név (2)
11.1.2. Nőivarú apai nagyszülő
Tenyésztési nyilvántartási szám
Fajta( (3)/vonal (3)/keresztezés (3)
Név (2)

Szövege kép
11.2. Anya
Tenyésztési nyilvántartási szám
Fajta (3)/vonal (3)/keresztezés (3)
Név (2)
11.2.1. Hímivarú anyai nagyszülő
Tenyésztési nyilvántartási szám
Fajta (3)/vonal (3)/keresztezés (3)
Név (2)
12.2.2. Nőivarú anyai nagyszülő
Tenyésztési nyilvántartási szám
Fajta (3)/vonal (3)/keresztezés (3)
Név (2)
12. Kiegészítő információk (2) (6) (7)
12.1. A teljesítményvizsgálatok eredményei
12.2. A legutóbbi tenyészértékbecslés (dátuma: ...) naprakész eredményei (a dátumot a következő formátumban kell beilleszteni: nn.hh.éééé)
12.3. Az állat genetikai hibái és genetikai sajátosságai a tenyésztési programmal összefüggésben
12.4. Egyéb releváns információk
13. Termékenyítés (3)/fedeztetés (3) (2) (8)
13.1. Dátum (használja a nn.hh.éééé formátumot)
13.2. A megtermékenyítő hímivarú állat azonosítása
13.2.1. Egyedi azonosító szám (4)
13.2.2. Név (2)
13.2.3. Az azonosság-ellenőrzésre használt módszer és az ellenőrzés eredménye (5)
14. Az azon törzskönyvet (3)/tenyésztési nyilvántartást (3)/vezető tenyésztőszervezet (3)/hibridtenyésztő szervezet (3)/illetékes hatóság (3) neve, amelybe a fajtatiszta tenyészsertést be kívánják jegyezni (3)/fel kívánják venni (3) (elérhetőségek és adott esetben hivatkozás a honlapra) (2) (9)
15.1. Kelt: ...
(a kibocsátás helye)
15.2. ... - (a kibocsátás dátuma)
15.3. Az aláíró neve és beosztása: ...
(az igazolást aláíró személy (10) neve és beosztása nyomtatott nagybetűkkel)
15.4. Aláírás: ...

Szövege kép
(1) A hibrid tenyészsertések adott csoportjára vonatkozóan egyetlen közös származási igazolás is kibocsátható, feltéve, hogy a szóban forgó hibrid tenyészsertések azonos korúak, genetikai anyjuk és apjuk azonos, valamint a 4., az 5., a 6.2., a 12. és - adott esetben - a 13. pontban feltüntetésre kerülnek a vonatkozó egyedi információk.
(2) Amennyiben nem alkalmazható, hagyja üresen!
(3) A nem kívánt rész törlendő.
(4) A feladás helye szerinti országnak az állatok azonosítására és nyilvántartására vonatkozó jogszabályaival összhangban.
(5) Ezen információ megadását az (EU) 2016/1012 rendelet 22. cikkének (2) bekezdése alapján a mesterséges termékenyítésre felhasználandó sperma gyűjtéséhez, illetve petesejtek és embriók gyűjtéséhez igénybe vett hibrid tenyészsertések tekintetében előírhatják az azon tenyésztési nyilvántartást vezető hibridtenyésztő szervezetek, amelybe az állat bejegyzésre kerül.
(6) Szükség esetén csatoljon további lapokat a nyomtatványhoz!
(7) Ha a teljesítményvizsgálat vagy a tenyészértékbecslés eredményei elérhetők valamely honlapon, a kért információk feltüntetése helyett közvetlenül a honlapra is lehet hivatkozni.
(8) Vemhes nőivarú állatok esetében megadandó információ. Az információ külön dokumentumban is feltüntethető.
(9) Kizárólag hibrid tenyészsertések tenyésztési nyilvántartásában szereplő, különböző fajtájú vagy vonalú fajtatiszta tenyészsertések esetében alkalmazandó.
(10) Ez a személy az (EU) 2016/1012 rendelet 34. cikke szerinti névjegyzékben szereplő, harmadik országbeli tenyésztőszervezet - amely a feladás helye szerinti ország illetékes hivatalos szerve is lehet - képviselője, aki jogosult a származási igazolás aláírására.
A származási igazolást a feladás helye szerinti ország és a rendeltetési hely szerinti tagállam hivatalos nyelveinek legalább egyikén kell kiállítani.
Az aláírás színének a nyomtatvány betűinek színétől eltérőnek kell lennie..
B. SZAKASZ
A hibrid tenyészsertések spermájának az Unióba történő beléptetéséhez kapcsolódó származási igazolás

Szövege kép
A hibrid tenyészsertések (Sus scrofa) spermájának az Unióba történő beléptetésére vonatkozóan az (EU) 2016/1012 rendeletben előírt származási igazolás
(Itt szerepelhet a kibocsátó harmadik országbeli tenyésztőszervezet, illetve spermagyűjtő vagy -tároló központ logója.)
Az igazolás száma (1)
A. A donor hímivarú hibrid tenyészsertésre vonatkozó információk
1. A kibocsátó harmadik országbeli tenyésztőszervezet/spermagyűjtő- vagy -tároló központ neve (elérhetőségek és adott esetben hivatkozás a honlapra)
2. A tenyésztési nyilvántartás neve
3. A fajta (2)/vonal (2)/keresztezés (2) neve
4. A donor hímivarú állat tenyésztési nyilvántartásban szereplő száma
5. A donor hímivarú állat azonosítása (3)
6. Azonosság-ellenőrzés (1) (4) (5)
5.1. Rendszer
6.1. Módszer
5.2. Egyedi azonosító szám
6.2. Eredmény
5.3. Név (1)
7. A donor hímivarú állat születési ideje (használja a nn.hh.éééé formátumot) és országa
8. A tenyésztő neve, címe és elektronikus levélcíme (1)
9. A tulajdonos neve, címe és elektronikus levélcíme (1)
10. A donor hímivarú állat származása (5)
10.1. Apa
Tenyésztési nyilvántartási szám
Fajta (2)/vonal (2)/keresztezés (2)
Név (1)
10.1.1. Hímivarú apai nagyszülő
Tenyésztési nyilvántartási szám
Fajta (2)/vonal (2)/keresztezés (2)
Név (1)
10.1.2. Nőivarú apai nagyszülő
Tenyésztési nyilvántartási szám
Fajta (2)/vonal (2)/keresztezés (2)
Név (1)

Szövege kép
10.2. Anya
Tenyésztési nyilvántartási szám
Fajta (2)/vonal (2)/keresztezés (2)
Név (1)
10.2.1. Hímivarú anyai nagyszülő
Tenyésztési nyilvántartási szám
Fajta (2)/vonal (2)/keresztezés (2)
Név (1)
10.2.2. Nőivarú anyai nagyszülő
Tenyésztési nyilvántartási szám
Fajta (2)/vonal (2)/keresztezés (2)
Név (1)
11. Kiegészítő információk (1) (5) (6)
11.1. A teljesítményvizsgálatok eredményei
11.2. A legutóbbi tenyészértékbecslés (dátuma: ...) naprakész eredményei (a dátumot a következő formátumban kell beilleszteni: nn.hh.éééé)
11.3. A donor hímivarú állat genetikai hibái és genetikai sajátosságai a tenyésztési programmal összefüggésben
11.4. Egyéb releváns információk
B. A spermára vonatkozó információk
13. Azonosító rendszer
A műszalmák vagy egyéb göngyölegek színe
A műszalmákon vagy egyéb göngyölegeken szereplő kód
A műszalmák vagy egyéb göngyölegek száma (7)
A gyűjtés helye
A gyűjtés dátuma
(nn.hh.éééé)
Egyebek (1) (8)
14. A feladás helye szerinti spermagyűjtő vagy -tároló központ
14.1. Név
14.2. Cím
14.3. Engedélyszám
15. A címzett neve és címe
16. A vizsgálatok elvégzéséért felelős hibridtenyésztő szervezet (2) vagy az e hibridtenyésztő szervezet által kijelölt harmadik fél (2) neve és címe (1) (9)
17.1. Kelt: ...
(a kibocsátás helye)
17.2. ... - (a kibocsátás dátuma)
17.3. Az aláíró neve és beosztása: ...
(az igazolást aláíró személy (10) neve és beosztása nyomtatott nagybetűkkel)
17.4. Aláírás: ...

Szövege kép
(1) Amennyiben nem alkalmazható, hagyja üresen!
(2) A nem kívánt rész törlendő.
(3) A feladás helye szerinti országnak az állatok azonosítására és nyilvántartására vonatkozó jogszabályaival összhangban.
(4) Ezen információ megadását az (EU) 2016/1012 rendelet 22. cikkének (2) bekezdése alapján a mesterséges termékenyítésre felhasználandó sperma gyűjtéséhez igénybe vett hibrid tenyészsertések tekintetében előírhatják az azon tenyésztési nyilvántartást vezető hibridtenyésztő szervezetek, amelybe a donorállat utóda bejegyzésre kerül.
(5) Szükség esetén csatoljon további lapokat a nyomtatványhoz!
(6) Ha a teljesítményvizsgálat vagy a tenyészértékbecslés eredményei elérhetők valamely honlapon, a kért információk feltüntetése helyett közvetlenül a honlapra is lehet hivatkozni.
(7) Egy adott műszalma vagy egyéb göngyöleg egyetlen hibrid tenyészsertés spermáját tartalmazhatja.
(8) Adott esetben feltüntethetők a szexált spermára vonatkozó információk.
(9) Az olyan hibrid tenyészsertések tekintetében elvégzendő teljesítményvizsgálatra vagy tenyészértékbecslésre szánt spermák esetében, amelyekre vonatkozóan még nem végeztek ilyen vizsgálatot vagy becslést, az (EU) 2016/1012 rendelet 24. cikke (1) bekezdésének d) pontjában említett mennyiségi határoknak megfelelően.
(10) Ez a személy az (EU) 2016/1012 rendelet 34. cikke szerinti névjegyzékben szereplő, harmadik országbeli tenyésztőszervezet - amely a feladás helye szerinti ország illetékes hivatalos szerve is lehet -, illetve az említett rendelet 33. cikkének (1) bekezdése szerint a harmadik országbeli tenyésztőszervezet nevében eljáró spermagyűjtő vagy -tároló központ képviselője, aki jogosult a származási igazolás aláírására.
A származási igazolást a feladás helye szerinti ország és a rendeltetési hely szerinti tagállam hivatalos nyelveinek legalább egyikén kell kiállítani.
Az aláírás színének a nyomtatvány betűinek színétől eltérőnek kell lennie.
C. SZAKASZ
A hibrid tenyészsertések petesejtjeinek az Unióba történő beléptetéséhez kapcsolódó származási igazolás

Szövege kép
A hibrid tenyészsertések (Sus scrofa) petesejtjeinek az Unióba történő beléptetésére vonatkozóan az (EU) 2016/1012 rendeletben előírt származási igazolás
(Itt szerepelhet a kibocsátó harmadik országbeli tenyésztőszervezet vagy embrió-előállító munkacsoport logója.)
Az igazolás száma (1)
A. A donor nőivarú hibrid tenyészsertésre vonatkozó információk
1. A kibocsátó harmadik országbeli tenyésztőszervezet/embrió-előállító munkacsoport neve (elérhetőségek és adott esetben hivatkozás a honlapra)
2. A tenyésztési nyilvántartás neve
3. A fajta (2)/vonal(2)/keresztezés(2) neve
4. A donor nőivarú állat tenyésztési nyilvántartásban szereplő száma
5. A donor nőivarú állat azonosítása (3)
6. Azonosság-ellenőrzés (1) (4) (5)
5.1. Rendszer
6.1. Módszer
5.2. Egyedi azonosító szám
6.2. Eredmény
5.3. Név (1)
7. A donor nőivarú állat születési ideje (használja a nn.hh.éééé formátumot) és országa
8. A tenyésztő neve, címe és elektronikus levélcíme (1)
9. A tulajdonos neve, címe és elektronikus levélcíme (1)
10. A donor nőivarú állat származása (5)
10.1. Apa
Tenyésztési nyilvántartási szám
Fajta (2)/vonal(2)/keresztezés(2)
Név (1)
10.1.1. Hímivarú apai nagyszülő
Tenyésztési nyilvántartási szám
Fajta (2)/vonal(2)/keresztezés(2)
Név (1)
10.1.2. Nőivarú apai nagyszülő
Tenyésztési nyilvántartási szám
Fajta (2)/vonal(2)/keresztezés(2)
Név (1)

Szövege kép
10.2. Anya
Tenyésztési nyilvántartási szám
Fajta (2)/vonal (2)/keresztezés (2)
Név (1)
10.2.1. Hímivarú anyai nagyszülő
Tenyésztési nyilvántartási szám
Fajta (2)/vonal (2)/keresztezés (2)
Név (1)
10.2.2. Nőivarú anyai nagyszülő
Tenyésztési nyilvántartási szám
Fajta (2)/vonal (2)/keresztezés (2)
Név (1)
11. Kiegészítő információk (1) (5) (6)
11.1. A teljesítményvizsgálatok eredményei
12.2. A legutóbbi tenyészértékbecslés (dátuma: ...) naprakész eredményei (a dátumot a következő formátumban kell beilleszteni: nn.hh.éééé)
12.3. A donor nőivarú állat genetikai hibái és genetikai sajátosságai a tenyésztési programmal összefüggésben
12.4. Egyéb releváns információk
B. A petesejtekre vonatkozó információk
13. A petesejtek azonosítása
A műszalmák vagy egyéb göngyölegek színe
A műszalmákon vagy egyéb göngyölegeken szereplő kód
A műszalmák vagy egyéb göngyölegek száma
A petesejtek száma (7)
A gyűjtés helye
A gyűjtés dátuma
((nn.hh.éééé)
Egyebek (1)
14. A feladás helye szerinti embriógyűjtő vagy -előállító munkacsoport
14.1. Név
14.2. Cím
14.3. Engedélyszám
15. A címzett neve és címe
16.1. Kelt: ...
(a kibocsátás helye)
16.2. ... - (a kibocsátás dátuma)
16.3. Az aláíró neve és beosztása: ...
(az igazolást aláíró személy (8) neve és beosztása nyomtatott nagybetűkkel)
16.4. Aláírás: ...

Szövege kép
(1) Amennyiben nem alkalmazható, hagyja üresen!
(2) A nem kívánt rész törlendő.
(3) A feladás helye szerinti országnak az állatok azonosítására és nyilvántartására vonatkozó jogszabályaival összhangban.
(4) Ezen információ megadását az (EU) 2016/1012 rendelet 22. cikkének (2) bekezdése alapján a petesejtek gyűjtéséhez igénybe vett hibrid tenyészsertések tekintetében előírhatják az azon tenyésztési nyilvántartást vezető hibridtenyésztő szervezetek, amelybe a donorállat utóda bejegyzésre kerül.
(5) Szükség esetén csatoljon további lapokat a nyomtatványhoz!
(6) Ha a teljesítményvizsgálat vagy a tenyészértékbecslés eredményei elérhetők valamely honlapon, a kért információk feltüntetése helyett közvetlenül a honlapra is lehet hivatkozni.
(7) Ha egy műszalmában vagy egyéb göngyölegben egynél több petesejt van, egyértelműen fel kell tüntetni a petesejtek számát. Egy adott műszalma vagy egyéb göngyöleg egyetlen hibrid tenyészsertés petesejtjeit tartalmazhatja.
(8) Ez a személy az (EU) 2016/1012 rendelet 34. cikke szerinti névjegyzékben szereplő, harmadik országbeli tenyésztőszervezet - amely a feladás helye szerinti ország illetékes hivatalos szerve is lehet -, illetve az említett rendelet 33. cikkének (1) bekezdése szerint a harmadik országbeli tenyésztőszervezet nevében eljáró embrió-előállító munkacsoport képviselője, aki jogosult a származási igazolás aláírására.
A származási igazolást a feladás helye szerinti ország és a rendeltetési hely szerinti tagállam hivatalos nyelveinek legalább egyikén kell kiállítani.
Az aláírás színének a nyomtatvány betűinek színétől eltérőnek kell lennie.
D. SZAKASZ
A hibrid tenyészsertések embrióinak az Unióba történő beléptetéséhez kapcsolódó származási igazolás

Szövege kép
A hibrid tenyészsertések (Sus scrofa) embrióinak az Unióba történő beléptetésére vonatkozóan az (EU) 2016/1012 rendeletben előírt származási igazolás
(Itt szerepelhet a kibocsátó harmadik országbeli tenyésztőszervezet, illetve embriógyűjtő vagy -előállító munkacsoport logója.)
Az igazolás száma (1)
A. A donor nőivarú hibrid tenyészsertésre vonatkozó információk
1. A kibocsátó harmadik országbeli tenyésztőszervezet/embriógyűjtő vagy -előállító munkacsoport neve (elérhetőségek és adott esetben hivatkozás a honlapra)
2. A tenyésztési nyilvántartás neve
3. A fajta (2)/vonal (2)/keresztezés (2) neve
4. A donor nőivarú állat tenyésztési nyilvántartásban szereplő száma
5. A donor nőivarú állat azonosítása (3)
6. Azonosság-ellenőrzés (1) (4) (5)
5.1. Rendszer
6.1. Módszer
5.2. Egyedi azonosító szám
6.2. Eredmény
5.3. Név (1)
7. A donor nőivarú állat születési ideje (használja a nn.hh.éééé formátumot) és országa
8. A tenyésztő neve, címe és elektronikus levélcíme (1)
9. A tulajdonos neve, címe és elektronikus levélcíme (1)
10. A donor nőivarú állat származása (5)
10.1. Apa
Tenyésztési nyilvántartási szám
Fajta (2)/vonal (2)/keresztezés (2)
Név (1)
10.1.1. Hímivarú apai nagyszülő
Tenyésztési nyilvántartási szám
Fajta (2)/vonal (2)/keresztezés (2)
Név (1)
10.1.2. Nőivarú apai nagyszülő
Tenyésztési nyilvántartási szám
Fajta (2)/vonal (2)/keresztezés (2)
Név (1)

Szövege kép
10.2. Anya
Tenyésztési nyilvántartási szám
Fajta (2)/vonal (2)/keresztezés (2)
Név (1)
10.2.1. Hímivarú anyai nagyszülő
Tenyésztési nyilvántartási szám
Fajta (2)/vonal (2)/keresztezés (2)
Név (1)
10.2.2. Nőivarú anyai nagyszülő
Tenyésztési nyilvántartási szám
Fajta (2)/vonal (2)/keresztezés (2)
Név (1)
12. Kiegészítő információk (1) (6) (7)
12.1. A teljesítményvizsgálatok eredményei
12.2. A legutóbbi tenyészértékbecslés (dátuma: ...) naprakész eredményei (a dátumot a következő formátumban kell beilleszteni: nn.hh.éééé)
12.3. A donor nőivarú állat genetikai hibái és genetikai sajátosságai a tenyésztési programmal összefüggésben
12.4. Egyéb releváns információk
B. A donor hímivarú hibrid tenyészsertésre vonatkozó információk
13. A kibocsátó harmadik országbeli tenyésztőszervezet neve (elérhetőségek és adott esetben hivatkozás a honlapra)
14. A tenyésztési nyilvántartás neve
15. A fajta (2)/vonal (2)/keresztezés (2) neve
16. A donor hímivarú állat tenyésztési nyilvántartásban szereplő száma
17. A donor hímivarú állat azonosítása (3)
18. Azonosság-ellenőrzés (1) (4) (5)
17.1. Rendszer
18.1. Módszer
17.2. Egyedi azonosító szám
18.2. Eredmény
17.3. Név (1)
19. A donor hímivarú állat születési ideje (használja a nn.hh.éééé formátumot) és országa
20. A tenyésztő neve, címe és elektronikus levélcíme (1)
21. A tulajdonos neve, címe és elektronikus levélcíme (1)
22. A donor hímivarú állat származása (5)
22.1. Apa
Tenyésztési nyilvántartási szám
Fajta (2)/vonal (2)/keresztezés (2)
Név (1)
22.1.1. Hímivarú apai nagyszülő
Tenyésztési nyilvántartási szám
Fajta (2)/vonal (2)/keresztezés (2)
Név (1)
22.1.2. Nőivarú apai nagyszülő
Tenyésztési nyilvántartási szám
Fajta (2)/vonal (2)/keresztezés (2)
Név (1)

Szövege kép
22.2. Anya
Tenyésztési nyilvántartási szám
Fajta (2)/vonal (2)/keresztezés (2)
Név (1)
22.2.1. Hímivarú anyai nagyszülő
Tenyésztési nyilvántartási szám
Fajta (2)/vonal (2)/keresztezés (2)
Név (1)
22.2.2. Nőivarú anyai nagyszülő
Tenyésztési nyilvántartási szám
Fajta (2)/vonal (2)/keresztezés (2)
Név (1)
23. Kiegészítő információk (1) (5) (6)
23.1. A teljesítményvizsgálatok eredményei
23.2. A legutóbbi tenyészértékbecslés (dátuma: ...) naprakész eredményei (a dátumot a következő formátumban kell beilleszteni: nn.hh.éééé)
23.3. A donor hímivarú állat genetikai hibái és genetikai sajátosságai a tenyésztési programmal összefüggésben
23.4. Egyéb releváns információk
C. Az embriókra vonatkozó információk
24. Az embriók azonosítása
A műszalmák vagy egyéb göngyölegek színe
A műszalmákon vagy egyéb göngyölegeken szereplő kód
A műszalmák vagy egyéb göngyölegek száma
Az embriók száma (7)
A gyűjtés vagy az előállítás helye
A gyűjtés vagy az előállítás dátuma
(nn.hh.éééé)
Egyebek (1) (8)
25. A feladás helye szerinti embriógyűjtő vagy -előállító munkacsoport
25.1. Név
25.2. Cím
25.3. Engedélyszám
26. A címzett neve és címe

Szövege kép
D. Az embrió(ka)t befogadó recipiensre vonatkozó információk
27. A recipiens egyedi azonosító száma (3) (1)
28.1. Kelt: ...
(a kibocsátás helye)
28.2. ... - (a kibocsátás dátuma)
28.3. Az aláíró neve és beosztása: ...
(az igazolást aláíró személy (9) neve és beosztása nyomtatott nagybetűkkel)
28.4. Aláírás: ...
(1) Amennyiben nem alkalmazható, hagyja üresen!
(2) A nem kívánt rész törlendő.
(3) A feladás helye szerinti országnak az állatok azonosítására és nyilvántartására vonatkozó jogszabályaival összhangban.
(4) Ezen információ megadását az (EU) 2016/1012 rendelet 22. cikkének (2) bekezdése alapján az embriók gyűjtéséhez igénybe vett hibrid tenyészsertések tekintetében előírhatják az azon tenyésztési nyilvántartást vezető hibridtenyésztő szervezetek, amelybe az érintett embriókból nyert utódok bejegyzésre kerülnek.
(5) Szükség esetén csatoljon további lapokat a nyomtatványhoz!
(6) Ha a teljesítményvizsgálat vagy a tenyészértékbecslés eredményei elérhetők valamely honlapon, a kért információk feltüntetése helyett közvetlenül a honlapra is lehet hivatkozni.
(7) Ha egy műszalmában vagy egyéb göngyölegben egynél több embrió van, egyértelműen fel kell tüntetni az embriók számát. Egy adott műszalma vagy más göngyöleg csak ugyanazon szülőktől származó embriókat tartalmazhat.
(8) Adott esetben feltüntethetők a szexált embriókra vonatkozó információk.
(9) Ez a személy az (EU) 2016/1012 rendelet 34. cikke szerinti névjegyzékben szereplő, harmadik országbeli tenyésztőszervezet - amely a feladás helye szerinti ország illetékes hivatalos szerve is lehet -, illetve az említett rendelet 33. cikkének (1) bekezdése szerint a harmadik országbeli tenyésztőszervezet nevében eljáró embriógyűjtő vagy -előállító munkacsoport képviselője, aki jogosult a származási igazolás aláírására.
A származási igazolást a feladás helye szerinti ország és a rendeltetési hely szerinti tagállam hivatalos nyelveinek legalább egyikén kell kiállítani.
Az aláírás színének a nyomtatvány betűinek színétől eltérőnek kell lennie.
Lábjegyzetek:
[1] A dokumentum eredetije megtekinthető CELEX: 32017R0717 - https://eur-lex.europa.eu/legal-content/HU/ALL/?uri=CELEX:32017R0717&locale=hu A dokumentum konszolidált változatai magyar nyelven nem elérhetőek.