32011R1007[1]
Az Európai Parlament és a Tanács 1007/2011/EU rendelete ( 2011. szeptember 27. ) a textilszál-elnevezésekről és a textiltermékek szálösszetételének ehhez kapcsolódó címkézéséről és jelöléséről, valamint a 73/44/EGK tanácsi irányelv, és a 96/73/EK és a 2008/121/EK európai parlamenti és tanácsi irányelv hatályon kívül helyezéséről
AZ EURÓPAI PARLAMENT ÉS A TANÁCS 1007/2011/EU RENDELETE
(2011. szeptember 27.)
a textilszál-elnevezésekről és a textiltermékek szálösszetételének ehhez kapcsolódó címkézéséről és jelöléséről, valamint a 73/44/EGK tanácsi irányelv, és a 96/73/EK és a 2008/121/EK európai parlamenti és tanácsi irányelv hatályon kívül helyezéséről
(EGT-vonatkozású szöveg)
1. FEJEZET
ÁLTALÁNOS RENDELKEZÉSEK
1. cikk
Tárgy
Ez a rendelet szabályokat állapít meg a textilszál-elnevezések használatára, a textiltermékek szálösszetételének ehhez kapcsolódó címkézésére és jelölésére, az állati eredetű, nem textil alkotórészeket tartalmazó textiltermékek címkézésére vagy jelölésére, valamint a textiltermékek szálösszetételének a két- és háromkomponensű textilszálkeverékek mennyiségi elemzése révén történő meghatározására vonatkozóan a belső piac működésének javítása és a fogyasztók pontos tájékoztatása céljából.
2. cikk
Hatály
(1) Ezt a rendeletet az Unió piacán forgalmazott textiltermékekre és a (2) bekezdésben említett termékekre kell alkalmazni.
(2) E rendelet alkalmazásában az alábbi termékeket ugyanúgy kell kezelni, mint a textiltermékeket:
a) a legalább 80 tömegszázalékban textilszálakból készült termékek;
b) a legalább 80 tömegszázalékban textilösszetevőkből készült bútor-, esernyő- vagy napernyőhuzatok;
c) a következők textilösszetevői:
i. többrétegű padlóburkolatok felső rétege;
ii. matracborítókelmék;
iii. kempingfelszerelések burkolatai;
amennyiben ezek a textilösszetevők a felső réteg vagy a burkolat legalább 80 tömegszázalékát teszik ki;
d) más termékekbe beépített és azok szerves részét alkotó textíliák, ha ezen termékek összetételét feltüntetik.
(3) E rendelet nem vonatkozik az olyan textiltermékekre, amelyeket bérmunkában dolgoznak fel saját otthonukban dolgozó személyek vagy olyan független cégek, amelyek a részükre átadott anyagokból dolgoznak anélkül, hogy azokon ellenérték fejében tulajdonjogot szereznének.
(4) E rendelet nem vonatkozik az olyan egyedileg kialakított textiltermékekre, amelyeket önfoglalkoztató szabók készítenek.
3. cikk
Fogalommeghatározások
(1) E rendelet alkalmazásában a következő fogalommeghatározások alkalmazandók:
a) "textiltermék" : minden nyers, félig megmunkált, megmunkált, félkész-, kész, félig konfekcionált vagy konfekcionált termék, amely kizárólag textilszálakból áll, függetlenül az alkalmazott keverési vagy összeállítási eljárástól;
b) "textilszál" :
a következők valamelyike:
i. az elemi szál, amely rugalmasságával, finomságával és szélességét nagymértékben meghaladó hosszúságával jellemezhető, és amelyet e tulajdonságok alkalmassá tesznek textilipari feldolgozásra;
ii. hajlékony szalag vagy tömlő, amely névleges szélessége - beleértve a szélesebb csíkokból vagy fóliarétegekből vágott szalagokat is - nem haladja meg az 5 mm-t, és az I. melléklet 2. táblázatában felsorolt szálak előállításához használt anyagokból készült és textilipari felhasználásra alkalmas;
c) "névleges szélesség" : a szalag, illetve a tömlő szélessége hajtogatott, ellapított, préselt vagy sodort állapotban, illetve az átlagos szélesség, amennyiben a szélesség nem egyenletes;
d) "textilösszetevő" : a textiltermék azonosítható száltartalmú része;
e) "idegen szálak" : a címkén vagy a jelölésen feltüntetett szálaktól eltérő szálak;
f) "bélés" : ruhák és más termékek konfekcionálásához használt, egy vagy több szél mentén rögzített, egy vagy több textilrétegből álló különálló összetevő;
g) "címkézés" : a szükséges információ feltüntetése a textilterméken címke hozzáerősítésével;
h) "jelölés" : a szükséges információ feltüntetése közvetlenül a textilterméken varrással, hímzéssel, nyomtatással, dombornyomással vagy bármely más applikációs technika révén;
i) "átfogó címkézés" : egyetlen címke használata több textiltermékre vagy -összetevőre vonatkozóan;
j) "egyszer használatos termék" : olyan textiltermék, amelyet csak egyszeri vagy korlátozott ideig tartó használatra terveztek, és nem szántak ugyanolyan vagy hasonló célú későbbi rendeltetésszerű felhasználásra;
k) "egyezményes nedvességtartalom-érték" : azon nedvességtartalom-érték, amelyet az összetevő szálak százalékos arányának kiszámításához alkalmaznak, tiszta és száraz tömegre vetítve, egyezményes tényezők szerint kiigazítva.
(2) E rendelet alkalmazásában a 765/2008/EK rendelet 2. cikkében előírt fogalommeghatározások alkalmazandók a "forgalmazás", a "forgalomba hozatal", a "gyártó", az "importőr", a "forgalmazó", a "gazdasági szereplő", a "harmonizált szabvány", a "piacfelügyelet" és a "piacfelügyeleti hatóság" tekintetében.
4. cikk
A textiltermékek forgalmazására vonatkozó általános követelmény
A textiltermékek kizárólag akkor forgalmazhatók, ha azokat e rendeletnek megfelelően címkézték, jelölték, vagy e rendeletnek megfelelő kereskedelmi dokumentumokkal látták el.
2. FEJEZET
TEXTILSZÁL-ELNEVEZÉSEK ÉS AZ EZEKHEZ KAPCSOLÓDÓ CÍMKÉZÉSI ÉS JELÖLÉSI KÖVETELMÉNYEK
5 cikk
Textilszál-elnevezések
(1) Kizárólag az I. mellékletben felsorolt textilszál-elnevezések alkalmazhatók a textiltermékek címkéin és jelölésein a szálösszetétel feltüntetése céljából.
(2) Az I. mellékletben felsorolt elnevezések csak azokra a textilszálakra alkalmazhatók, amelyek megfelelnek az említett mellékletben szereplő leírásnak.
Az I. mellékletben felsorolt elnevezések sem önállóan, sem szótőként, sem melléknévként nem használhatók más szál elnevezésére.
A "selyem" elnevezés nem alkalmazható a végtelen mesterséges szálasanyagokra a szál alakjának vagy kiszerelésének jellemzése céljából.
6. cikk
Új textilszál-elnevezések iránti kérelmek
Bármely gyártó, vagy a gyártó nevében eljáró bármely személy kérelmezheti a Bizottságtól, hogy valamely új textilszál-elnevezést vegyen fel az I. mellékletben szereplő jegyzékbe.
A kérelemnek tartalmaznia kell a II. melléklet szerint összeállított műszaki dokumentációt.
7. cikk
Tiszta textiltermékek
(1) A "100 %" vagy "tiszta" címkézés vagy jelölés kizárólag az egyféle szálasanyagból készült textiltermékekre alkalmazható.
Ezek vagy hasonló kifejezések más textiltermékekre nem alkalmazhatók.
(2) A 8. cikk (3) bekezdésének sérelme nélkül az idegen szálakat legfeljebb 2 tömegszázalékban tartalmazó textiltermékek kizárólag egyféle szálasanyagból készült textiltermékeknek is tekinthetők, amennyiben e mennyiség a helyes gyártási gyakorlatban technikailag elkerülhetetlen, és nem rendszeres, szándékos bekeverés eredménye.
A kártolt textiltermékek egyféle szálasanyagból készült textilterméknek is tekinthetők, ha legfeljebb 5 tömegszázalékban tartalmaznak idegen szálakat, amennyiben e mennyiség a helyes gyártási gyakorlatban technikailag elkerülhetetlen, és nem rendszeres, szándékos bekeverés eredménye.
8. cikk
Élőgyapjú-termékek
(1) Textiltermékeket abban az esetben lehet a III. mellékletben említett elnevezések valamelyikével címkézni vagy jelölni, ha kizárólag olyan gyapjúszálból készültek, amely előzőleg nem képezte valamely késztermék részét, és amelyet az adott termék gyártása során szükséges eljárásokon kívül nem vetettek alá semmilyen fonási, illetve nemezelési eljárásnak, és amely a kezelés vagy használat során nem károsodott.
(2) Az (1) bekezdéstől eltérően a III. mellékletben felsorolt elnevezéseket fel lehet használni a textilszálkeverékben levő gyapjú megjelölésére, ha valamennyi alábbi feltétel teljesül:
a) a keverékben lévő gyapjú teljes mértékben megfelel az (1) bekezdésben meghatározott követelményeknek;
b) az ilyen gyapjú részaránya a keverék össztömegének legalább 25 %-át alkotja;
c) durván kártolt keverék esetében a gyapjú csak egyetlen más szálasanyaggal van keverve.
Ilyen keverék esetében a teljes százalékos összetételt fel kell tüntetni.
(3) Az (1) és (2) bekezdésben említett termékek - beleértve a kártolt gyapjútermékeket - idegenszál-tartalma nem haladhatja meg a 0,3 tömegszázalékot, továbbá a helyes gyártási gyakorlatban technikailag elkerülhetetlennek, és nem rendszeres, szándékos bekeverés eredményének kell lennie.
9. cikk
Szálkeverékből készült textiltermékek
(1) A textiltermékeket olyan címkével kell ellátni vagy megjelölni, amely tömegarány szerint csökkenő sorrendben feltünteti valamennyi szálkomponens elnevezését és százalékos tömegarányát.
(2) Az (1) bekezdéstől eltérően és a 7. cikk (2) bekezdésének sérelme nélkül azokat a szálasanyag-összetevőket, amelyek tömegaránya legfeljebb a textiltermék össztömegének 5 %-a, illetve azokat a szálasanyag-összetevőket, amelyek tömegaránya együttesen nem haladja meg a textiltermék össztömegének 15 %-át, "más szálak" elnevezés alatt lehet feltüntetni - amely elnevezés előtt vagy után közvetlenül jelölik ezek összegzett tömegszázalékát -, amennyiben ezeket a gyártás időpontjában nem könnyű megállapítani.
(3) Azoknál a termékeknél, amelyek láncfonala tiszta pamut és vetülékfonala tiszta len, és a len aránya eléri az írtelenített szövet össztömegének legalább 40 %-át, alkalmazható a "féllen" megjelölés, de ilyenkor hozzá kell tenni a "tiszta pamutlánc - tiszta lenvetülék" meghatározást is.
(4) Az 5. cikk (1) bekezdésének sérelme nélkül az olyan textiltermékeknél, amelyek összetételét a gyártás során nehéz megállapítani, a "szálkeverék", illetve a "meghatározatlan textilösszetétel" kifejezéseket lehet alkalmazni a címkén vagy a jelölésen.
(5) E cikk (1) bekezdésétől eltérően az I. mellékletben nem szereplő szálakat "más szálak" elnevezés alatt lehet feltüntetni, amely elnevezés előtt vagy után közvetlenül jelölni kell ezek összegzett tömegszázalékát.
10. cikk
Díszítőszálak és antisztatikus hatású szálak
(1) Azokat a látható, elkülöníthető szálakat, amelyek pusztán díszítő célokat szolgálnak, és nem haladják meg a késztermék tömegének 7 %-át, nem kell figyelembe venni a 7. és a 9. cikkben meghatározott szálösszetételekben.
(2) Azokat a fém- és más szálakat, amelyeket elektromos feltöltődés elleni védelem céljából használnak fel a termékben, és amelyek nem haladják meg a késztermék tömegének 2 %-át, nem kell figyelembe venni a 7. és a 9. cikkben említett szálösszetételekben.
(3) A 9. cikk (3) bekezdésében említett termékek esetében az e cikk (1) és (2) bekezdésében említett százalékokat a lánc- és vetülékfonal tömege alapján, külön-külön kell kiszámítani.
11. cikk
Többféle szálasanyagból készült textiltermékek
(1) A két vagy több, különböző textilszáltartalmú textilösszetevőből álló textiltermékeken olyan címkét vagy jelölést kell elhelyezni, amelyen valamennyi összetevő textilszáltartalmát feltüntetik.
(2) Az (1) bekezdésben említett címkézés vagy jelölés nem kötelező azon textilösszetevők esetében, amelyeknél teljesül az alábbi két feltétel:
a) ezen összetevők nem fő bélésanyagok; és
b) a textiltermék össztömegének kevesebb mint 30 %-át alkotják.
(3) Ha két vagy több textilterméknek azonos a száltartalma, és általában egyetlen egységet képeznek, ezeken elegendő lehet egyetlen címkét vagy jelölést elhelyezni.
12. cikk
Állati eredetű, nem textil alkotórészeket tartalmazó textiltermékek
(1) Az állati eredetű, nem textil alkotórészek textiltermékekben való jelenlétét az "állati eredetű, nem textil alkotórészek" feliratnak az ilyen alkotórészeket tartalmazó termékek címkézésén vagy jelölésén való elhelyezésével kell jelezni azok forgalomba hozatalakor.
(2) A címkézés vagy jelölés nem lehet megtévesztő, és annak olyannak kell lennie, hogy a fogyasztó könnyen megérthesse.
13. cikk
A IV. mellékletben felsorolt textiltermékek címkézése és jelölése
A IV. mellékletben felsorolt textiltermékek szálösszetételét az említett mellékletben megállapított címkézési és jelölési előírások szerint kell feltüntetni.
14. cikk
Címkék és jelölések
(1) A textiltermékeket minden esetben a szálösszetételüket feltüntető címkével vagy jelöléssel kell forgalmazni.
A textiltermékek címkézésének, illetve jelölésének tartósnak, könnyen olvashatónak, láthatónak és hozzáférhetőnek kell lennie, valamint címke használata esetén annak biztonságos rögzítéséről is gondoskodni kell.
(2) Az (1) bekezdés sérelme nélkül a címke vagy a jelölés a terméket kísérő kereskedelmi dokumentumokkal helyettesíthető vagy kiegészíthető olyan esetekben, amikor a termékeket az értékesítési láncon belüli gazdasági szereplők részére szállítják, illetve amikor azokat az építési beruházásra, az árubeszerzésre és a szolgáltatásnyújtásra irányuló közbeszerzési szerződések odaítélési eljárásainak összehangolásáról szóló, 2004. március 31-i 2004/18/EK európai parlamenti és tanácsi irányelv ( 1 ) 1. cikkében meghatározott bármely ajánlatkérő szerv által leadott megrendelésre szállítják.
(3) Az 5., 7., 8. és 9. cikkben említett textilszál-elnevezéseket és szálösszetételre vonatkozó leírásokat egyértelműen fel kell tüntetni az ezen cikk (2) bekezdésében említett kísérő kereskedelmi dokumentumokban.
Automatizált feldolgozási kódok és a nemzetközi szabványokban meghatározott rövidítések kivételével rövidítések nem használhatók, azok is csak akkor, ha a rövidítéseket ugyanezen kereskedelmi dokumentumokban meg is magyarázzák.
15. cikk
Címkézés- vagy jelölésszolgáltatási kötelezettség
(1) A textiltermék forgalomba hozatalakor a gyártónak gondoskodnia kell arról, hogy a címkék vagy jelölések rendelkezésre álljanak, és a bennük foglalt információ pontos legyen. Ha a gyártó nem rendelkezik uniós székhellyel, az importőrnek kell gondoskodnia arról, hogy a címkék vagy jelölések rendelkezésre álljanak, és a bennük foglalt információ pontos legyen.
(2) E rendelet alkalmazásában a forgalmazó gyártónak minősül, ha saját neve vagy védjegye alatt hoz forgalomba valamely terméket, címkével látja el azt, vagy módosítja a címke tartalmát.
(3) A textiltermék forgalmazásakor a forgalmazónak gondoskodnia kell arról, hogy az el legyen látva az e rendeletben előírt megfelelő címkézéssel vagy jelöléssel.
(4) Az (1), (2) és (3) bekezdésében említett gazdasági szereplőknek gondoskodniuk kell arról, hogy a textiltermékek forgalmazása során rendelkezésre bocsátott információkat ne lehessen összetéveszteni az e rendeletben meghatározott textilszál-elnevezésekkel és szálösszetételre vonatkozó leírásokkal.
16. cikk
A textilszál-elnevezések és a szálösszetételre vonatkozó leírások alkalmazása
(1) Textiltermékek forgalmazásakor az 5., 7., 8. és 9. cikkben említett, textilszál-összetételre vonatkozó leírásokat könnyen olvasható, látható és egyértelmű módon, egységes méretű, stílusú és betűtípusú írásképpel kell feltüntetni a katalógusokban és a kereskedelmi prospektusokban, valamint a csomagoláson, a címkéken és a jelöléseken. Ezen információnak jól láthatónak kell lennie a fogyasztó számára a vásárlás előtt, abban az esetben is, ha a vásárlásra elektronikus úton kerül sor.
(2) A védjegyek, illetve a vállalkozások nevei közvetlenül az 5., 7., 8. és 9. cikkben említett, textilszál-összetételre vonatkozó leírások előtt vagy után is állhatnak.
Mindazonáltal, ha egy védjegy vagy egy vállalkozás neve önállóan, szógyökként vagy melléknévként tartalmazza az I. mellékletben felsorolt textilszál-elnevezések valamelyikét vagy egy azokkal összetéveszthető bármilyen más elnevezést, akkor ezt a védjegyet vagy vállalkozásnevet közvetlenül az 5., 7., 8. és 9. cikkben említett, textilszál-összetételre vonatkozó leírások előtt vagy után kell feltüntetni.
Az egyéb információkat minden esetben külön kell feltüntetni.
(3) A címkézést vagy jelölést annak a tagállamnak a hivatalos nyelvén vagy nyelvein kell elvégezni, amelynek a területén a textiltermékeket a fogyasztó rendelkezésére bocsátják, kivéve, ha az érintett tagállam másként rendelkezik.
Csévék, tekercsek, motringok, gombolyagok, illetve bármilyen más kiszerelésű, kis mennyiségű varró-, stoppoló- és hímzőcérna esetén a 17. cikk (3) bekezdésében említett átfogó címkézésre az első albekezdés alkalmazandó. E termékek tételenkénti értékesítése esetén ezek címkézése vagy jelölése az Unió intézményeinek bármely hivatalos nyelvén történhet, feltéve, hogy a termékek átfogó címkézéssel is el vannak látva.
17. cikk
Eltérések
(1) A 11., 14., 15. és 16. cikkben meghatározott szabályokat az e cikk (2), (3) és (4) bekezdésében megállapított eltérésekre figyelemmel kell alkalmazni.
(2) Az V. mellékletben felsorolt textiltermékek esetében a címkén és a jelölésen nem szükséges feltüntetni a textilszál-elnevezést vagy a szálösszetételt.
Mindazonáltal, ha egy védjegy vagy egy vállalkozás neve önállóan, szógyökként vagy melléknévként tartalmazza az I. mellékletben felsorolt elnevezések valamelyikét vagy egy azokkal összetéveszthető bármilyen más elnevezést, akkor a 11., 14., 15. és 16. cikket kell alkalmazni.
(3) Ha a VI. mellékletben felsorolt textiltermékek ugyanolyan típusúak és ugyanolyan szálösszetételűek, azok együttesen, átfogó címkével ellátva is forgalmazhatók.
(4) A méteráruként forgalmazott textiltermékek szálösszetételét elegendő az értékesítésre kínált végen vagy tekercsen feltüntetni.
(5) A (3) és (4) bekezdésében említett textiltermékeket oly módon kell forgalomba hozni, hogy azok szálösszetétele az értékesítési láncon belüli minden vásárló számára rendelkezésre álljon, a fogyasztót is beleértve.
3. FEJEZET
PIACFELÜGYELET
18. cikk
Piacfelügyeleti ellenőrzések
A piacfelügyeleti hatóságok ellenőrzik, hogy a textiltermékek szálösszetétele megfelel-e a kérdéses termékek szálösszetételéről e rendeletnek megfelelően nyújtott információnak.
19. cikk
A szálösszetétel megállapítása
(1) A textiltermékek szálösszetételének meghatározása céljából a 18. cikkben említett ellenőrzéseket a VIII. mellékletben megállapított módszerek vagy az e mellékletben bevezetendő harmonizált szabványok szerint kell végezni.
(2) A 7., 8. és 9. cikkben megállapított szálösszetétel meghatározása során nem kell figyelembe venni a VII. mellékletben felsorolt tételeket.
(3) A 7., 8. és 9. cikkben szereplő szálösszetételt úgy kell meghatározni, hogy az egyes vízmentes szálak tömegére a VII. mellékletben felsorolt tételek eltávolítását követően a IX. mellékletben meghatározott, megfelelő egyezményes nedvességtartalom-értéket alkalmazzák.
(4) Azok a laboratóriumok, amelyek olyan textilszálkeverékek vizsgálatáért felelősek, amelyekre nem vonatkozik uniós szinten egységesített elemzési módszer, meghatározhatják az ilyen szálkeverékek összetételét, a vizsgálati jelentésben megjelölve a kapott eredményeket, az alkalmazott módszert és annak pontosságát.
20. cikk
Tűréshatárok
(1) A textiltermékek szálösszetételének megállapításához a (2), (3) és (4) bekezdésben megállapított tűréshatárok alkalmazandók.
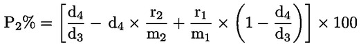
(2) A 8. cikk (3) bekezdésének sérelme nélkül a 9. cikk értelmében megadandó szálösszetételben nem kell feltüntetni az idegen szálak jelenlétét, ha az említett szálak százalékos aránya nem éri el az alábbi értékeket:
a) a textiltermék össztömegének 2 %-a, feltéve, hogy ez a helyes gyártási gyakorlatban technikailag elkerülhetetlen, és nem rendszeres, szándékos bekeverés eredménye; vagy
b) kártolt termékek esetében a textiltermék össztömegének 5 %-a, feltéve, hogy ez a helyes gyártási gyakorlatban technikailag elkerülhetetlen, és nem rendszeres, szándékos bekeverés következménye.
(3) A címkén vagy a jelölésen feltüntetett szálasanyagok össztömege tekintetében 3 %-os gyártási tűréshatár engedélyezett a 9. cikk értelmében megadandó szálösszetétel és a 19. cikk értelmében elvégzett elemzéssel megállapított, tényleges százalékos arányok között. Ez a tűréshatár alkalmazandó az alábbiakra is:
a) a 9. cikknek megfelelően "más szálak" elnevezés alatt feltüntethető szálasanyagok;
b) a 8. cikk (2) bekezdésének b) pontjában említett gyapjú százalékos aránya.
Az elemzéshez a tűréshatárokat külön-külön kell kiszámítani. Az e bekezdésben említett tűréshatár kiszámításához figyelembe veendő össztömeg a késztermékben található szálasanyag tömege, csökkentve az e cikk (2) bekezdésében említett tűréshatár alkalmazásával talált idegen szálak tömegével.
(4) A (2) és (3) bekezdésben említett tűréshatárok csak abban az esetben összegezhetők, ha a (2) bekezdésben említett tűréshatár alkalmazásával az elemzés során talált idegen szálakról bebizonyosodik, hogy azok a címkén vagy a jelölésen feltüntetett egy vagy több szálasanyaggal azonos kémiai szerkezethez sorolhatók be.
(5) Egyes textiltermékek esetében, amelyeknél a gyártási folyamat a (2) és (3) bekezdésben megállapítottaknál nagyobb tűréshatárt igényel, a Bizottság engedélyezhet nagyobb tűréshatárokat.
A textiltermék forgalomba hozatalát megelőzően a gyártónak engedélyezési kérelmet kell benyújtania a Bizottsághoz, amelyben kielégítően indokolja és bizonyítja a kivételes gyártási körülményeket. Az engedély kizárólag kivételes esetben és a gyártó által adott megfelelő indokolás mellett adható meg.
Szükség esetén a Bizottság a 22. cikkel összhangban felhatalmazáson alapuló jogi aktusok révén fogadja el az e bekezdés alkalmazására vonatkozó műszaki kritériumokat és eljárási szabályokat.
4. FEJEZET
ZÁRÓ RENDELKEZÉSEK
21. cikk
Felhatalmazáson alapuló jogi aktusok
(1) A Bizottság felhatalmazást kap arra, hogy a 22. cikknek megfelelően felhatalmazáson alapuló jogi aktusokat fogadjon el a 20. cikk (5) bekezdése alkalmazásához szükséges műszaki kritériumoknak és eljárási szabályoknak, a műszaki fejlődés követése érdekében a II., IV., V., VI., VII., VIII. és IX. melléklet módosításainak, valamint a 6. cikk értelmében új textilszál-elnevezéseknek az I. mellékletben meghatározott jegyzékbe való felvétele céljából e melléklet módosításainak elfogadására vonatkozóan.
(2) Az ilyen felhatalmazáson alapuló jogi aktusok elfogadásakor a Bizottság e rendelet rendelkezéseivel összhangban jár el.
22. cikk
A felhatalmazás gyakorlása
(1) A Bizottság az e cikkben meghatározott feltételek mellett felhatalmazást kap felhatalmazáson alapuló jogi aktusok elfogadására.
(2) A Bizottságnak a 20. cikk (5) bekezdésében és a 21. cikkben említett, felhatalmazáson alapuló jogi aktus elfogadására vonatkozó felhatalmazása öt éves időtartamra szól 2011. november 7-ig kezdődő hatállyal. A Bizottság legkésőbb kilenc hónappal az ötéves időtartam vége előtt jelentést készít a hatáskörről. Amennyiben az Európai Parlament vagy a Tanács nem ellenzi a meghosszabbítást legkésőbb három hónappal az egyes időtartamok vége előtt, akkor a hatáskör hallgatólagosan meghosszabbodik a korábbival megegyező időtartamra.
(3) Az Európai Parlament vagy a Tanács bármikor visszavonhatja a 20. cikk (5) bekezdésében és a 21. cikkben említett felhatalmazást. A visszavonásról szóló határozat megszünteti az abban meghatározott felhatalmazást. A határozat az Európai Unió Hivatalos Lapjában való kihirdetését követő napon vagy a benne megjelölt későbbi időpontban lép hatályba. A határozat nem érinti a már hatályban lévő felhatalmazáson alapuló jogi aktusok érvényességét.
(4) A Bizottság a felhatalmazáson alapuló jogi aktus elfogadását követően haladéktalanul és egyidejűleg értesíti arról az Európai Parlamentet és a Tanácsot.
(5) A 20. cikk (5) bekezdése és a 21. cikk alapján elfogadott, felhatalmazáson alapuló jogi aktus csak akkor lép hatályba, ha az Európai Parlamentnek vagy a Tanácsnak a jogi aktusról való értesítését követő két hónapos határidőn belül sem az Európai Parlament, sem a Tanács nem emelt ellene kifogást, illetve ha az említett időtartam lejártát megelőzően mind az Európai Parlament, mind a Tanács arról tájékoztatta a Bizottságot, hogy nem fog kifogást emelni. Az Európai Parlament vagy a Tanács kezdeményezésére ez az időtartam két hónappal meghosszabbodik.
23 cikk
Jelentéstétel
A Bizottság legkésőbb 2014. november 8-ig jelentést nyújt be az Európai Parlamentnek és a Tanácsnak e rendelet alkalmazásáról, különös tekintettel az új textilszál-elnevezésekre vonatkozó kérelmekre és azok elfogadására, és indokolt esetben jogalkotási javaslatot terjeszt elő.
24. cikk
Felülvizsgálat
(1) A Bizottság 2013. szeptember 30-ig jelentést nyújt be az Európai Parlamentnek és a Tanácsnak az uniós szinten bevezetendő lehetséges új címkézési követelményekről, hogy azok pontos, lényeges, érthető és összehasonlítható információkat nyújtsanak a fogyasztóknak a textiltermékek jellemzőiről.
(2) A jelentésnek az érintett felek bevonásával folytatott konzultáción kell alapulnia, és figyelembe kell vennie a létező európai és nemzetközi szabványokat.
(3) A jelentéshez adott esetben jogalkotási javaslatot kell csatolni, és annak többek között az alábbi kérdéseket kell vizsgálnia:
a) eredetmegjelölési rendszer, amelynek célja, hogy a fogyasztókat pontos információkkal lássa el a származási országról és a textiltermékek teljes nyomonkövethetőségét biztosító további információkkal, figyelembe véve a potenciális horizontális származási országra vonatkozó szabályok fejlődésének eredményeit;
b) a kezelésre vonatkozó címkézés harmonizált rendszere;
c) a releváns textiltermékekre vonatkozó, az egész Unióra kiterjedő egységes címkézési rendszer;
d) allergén anyagok feltüntetése;
e) elektronikus jelölési és egyéb új technológiák, valamint a nyelvfüggetlen szimbólumok, illetve a szövetazonosító kódok használata.
25. cikk
Tanulmány a veszélyes anyagokról
A Bizottságnak 2013. szeptember 30-ig tanulmányt kell készítenie annak értékelésére, hogy van-e okozati kapcsolat az allergiás reakciók és a textiltermékekben használt vegyi anyagok vagy keverékek között. E tanulmány alapján a Bizottságnak - indokolt esetekben - a vonatkozó uniós jogszabályoknak megfelelően jogalkotási javaslatokat kell előterjesztenie.
26. cikk
Átmeneti rendelkezések
A 2008/121/EK irányelvnek megfelelő és 2012. május 8. előtt forgalomba hozott textiltermékek 2014. november 9-ig tovább forgalmazhatók.
27. cikk
Hatályon kívül helyezés
2012. május 8-i hatállyal a 73/44/EGK, a 96/73/EK és a 2008/121/EK irányelv hatályát veszti.
A hatályon kívül helyezett irányelvekre való hivatkozásokat erre a rendeletre való hivatkozásként kell értelmezni, a X. mellékletben szereplő megfelelési táblázatokkal összhangban.
28 cikk
Hatálybalépés
Ez a rendelet az Európai Unió Hivatalos Lapjában való kihirdetését követő huszadik napon lép hatályba.
Ez a rendelet 2012. május 8-tól alkalmazandó.
Ez a rendelet teljes egészében kötelező és közvetlenül alkalmazandó valamennyi tagállamban.
I. MELLÉKLET
Textilszál-elnevezések listája
(lásd az 5. cikket)
1. táblázat
Sorszám | Elnevezés | A szál leírása |
1. | gyapjú | juh vagy bárány (Ovis aries) bundájából származó szál, illetve juh- vagy báránygyapjúból és a 2. sorban felsorolt állatok szőréből származó szálak keveréke |
2. | alpaka, láma, teve, kasmír, moher, angóra, vikunya, jak, guanakó, kasgóra, hód, vidra, az elnevezés után a „gyapjú” vagy „szőr” szó feltüntetésével vagy anélkül | az alábbi állatok szőre: alpaka, láma, teve, kasmírkecske, angórakecske, angóranyúl, vikunya, jak, guanakó, kasgórakecske, hód, vidra |
3. | állati szőr vagy lószőr, az állatfajta megadásával vagy anélkül (pl. marhaszőr, házikecskeszőr, lószőr) | az 1. vagy 2. sorban nem említett különféle állatok szőre |
4. | selyem | olyan szál, amelyet kizárólag a selyemfonal-kibocsátó rovarok gubójából nyernek |
5. | pamut | a gyapotnövény (Gossypium) tokterméséből származó szál |
6. | kapok | a kapok (Ceiba pentandra) terméséből származó szál |
7. | len | a len szárából (Linum usitassisimum) származó rostszál |
8. | valódi kender | a kender (Cannabis sativa) szárából származó rostszál |
9. | juta | a Corchorus olitoruius és a Corchorus capsularis szárából származó rostszál. E rendelet alkalmazásában a jutával azonos módon kezelendők az alábbi növényfajokból származó rostszálak: Hibiscus cannabinus, Hibiscus sabdariffa, Abutilon avicennae, Urena lobata, Urena sinuata |
10. | manilakender | a Musa textilis szárát burkoló levelekből nyert rostszál |
11. | alfafű | a Stipa tenacissima leveleiből nyert rostszál |
12. | kókusz | a Cocos nucifera gyümölcséről származó rostszál |
13. | seprűzanót | a Cytisus scoparius, illetve a Spartium Junceum ágából nyert rostból készült szál |
14. | rami | a Boehmeria nivea és a Boehmeria tenacissima szárából nyert rostszál |
15. | szizál | az Agave sisalana leveléből nyert rostszál |
16. | indiai kender | a Crotalaria juncea rostjából készült szál |
17. | heneken (mexikói szizál) | az Agave Fourcroydes rostjából készült szál |
18. | agávé | az Agave Cantala rostjából készült szál |
2. táblázat
Sorszám | Elnevezés | A szál leírása |
19. | acetát | kevesebb mint 92 %, azonban legalább 74 % acetilezett hidroxil csoportú cellulózacetátból készült szál |
20. | alginát | az alginsav fémsóiból készült szál |
21. | cupro | rézoxid-ammóniás eljárással nyert regenerált cellulózszál |
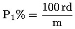
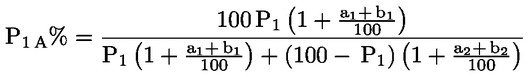
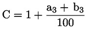
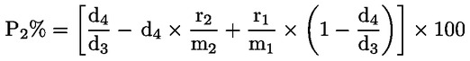
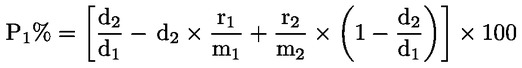
22. | modál | módosított viszkóz-eljárással előállított nagy szakítószilárdságú és nedves modulusú regenerált cellulózszál. A szakítószilárdság (BC) szabványos állapotban és az 5 %-os megnyúláshoz szükséges erő (BM) nedves állapotban a következők: BC (cN) ≥ 1,3 [Kép #1] BM (cN) ≥ 0,5 [Kép #2] ahol T az átlagos lineáris sűrűség decitexben |
23. | fehérjeszál | természetes fehérjéből nyert, a megfelelő kémiai műveletekkel regenerált és stabilizált szál |
24. | triacetát | cellulóz-acetát szál, amelyben a hidroxil-csoportoknak legalább a 92 %-a acetilezett |
25. | viszkóz | viszkóz-eljárással készült, regenerált cellulózból álló végtelen és vágott szál |
26. | akril | olyan lineáris makromolekulákból előállított szál, amelynek lánca legalább 85 tömegszázalék akrilnitrilből épül fel |
27. | poliklorid | olyan lineáris makromolekulából előállított szál, amelynek lánca több mint 50 tömegszázalék vinilklorid vagy vinilidénklorid monomer egységeket tartalmazó makromolekulákból áll |
28. | fluorszál | lineáris makromolekulákból álló szál, amelyet alifás fluorkarbon monomerekből nyernek |
29. | modakril | lineáris makromolekulákból álló szál, amelynek láncai 50 %-nál több, de 85 %-nál kevesebb tömegszázaléknyi akrilnitrilből épülnek fel |
30. | poliamid vagy nejlon | a láncban legalább 85 %-ban alifás vagy ciklo-alifás egységekhez kapcsolódó, ismétlődő amidkötéseket tartalmazó szintetikus, lineáris makromolekulákból álló szál |
31. | aramid | szintetikus lineáris makromolekulákból álló szál, amely aromás csoportokhoz kapcsolódó amid- vagy imidkötésekből áll, amelyeknek legalább 85 %-a közvetlenül kapcsolódik két aromás gyűrűhöz, és az esetlegesen jelenlevő imidkötések száma nem haladja meg az amidkötésekét |
32. | poliimid | szintetikus lineáris makromolekulákból álló szál, amely ismétlődő imidegységeket tartalmaz |
33. | lyocell | szerves oldószerrel (szerves anyagok és víz keveréke) és oldatból történő szálképzési eljárással, származékok képződése nélkül előállított regenerált cellulózszál |
34. | polilaktid | a láncban legalább 85 tömegszázalék, természetesen előforduló cukrokból származó tejsavészter-egységet tartalmazó, lineáris makromolekulákból álló szál, amelynek olvadási hőmérséklete legalább 135 °C |
35. | poliészter | olyan lineáris makromolekulákból álló szál,amelynek láncai legalább 85 tömegszázalékban diol- és tereftálsavészterből állnak |
36. | polietilén | nem helyettesített, alifás szénhidrogénekből összetevődő, telített lineáris makromolekulákból álló szál |
37. | polipropilén | szálak lineárisan telített alifás szénhidrogénekből, amelyek minden második szénatomjához egy izotaktikus elrendezésű metilcsoport kapcsolódik további helyettesítés nélkül |
38. | polikarbamid | lineáris makromolekulákból álló szál, amelynek lánca ismétlődő, karbamidilén (NH-CO-NH) funkciós csoportot tartalmaz |
39. | poliuretán | olyan lineáris makromolekulákból álló szál, amelynek láncai ismétlődő funkcionális uretáncsoportokkal rendelkeznek |
40. | vinilszál | lineáris makromolekulákból álló szál, amelynek láncai különböző acetálozási fokú polivinilalkoholból épülnek fel |
41. | trivinil | akrilnitril terpolimerből, egy klórozott vinil-monomerből és egy harmadik vinil-monomerből álló szál, amelyek közül egyik részaránya sem éri el a teljes tömeg 50 %-át |
42. | elasztodién | természetes vagy szintetikus poli-izoprénből, vagy egy vagy több vinil monomerrel vagy anélkül polimerizált egy vagy több diénből álló elasztikus szál, amely eredeti hosszának háromszorosára kinyújtva, majd elengedve rövid idő alatt visszanyeri megközelítőleg eredeti hosszát |
43. | elasztán | tömegének legalább 85 %-ában szegmentált poliuretánból álló elasztikus szál, amely eredeti hosszának háromszorosára kinyújtva, majd elengedve rövid idő alatt visszanyeri megközelítőleg eredeti hosszát |
44. | üvegszál | üvegből készült szál |
45. | elaszto-multiészter | két vagy több, vegyileg megkülönböztethető lineáris makromolekula (amelyek egyike sem haladja meg a teljes tömeg 85 %-át) kölcsönhatása által, két vagy több megkülönböztethető szakaszban létrehozott szál, amelyben az észtercsoport alkotja a meghatározó egységnyi mennyiséget (legalább 85 %), és amely – megfelelő kezelést követően – eredeti hosszának másfélszeresére kinyújtva, majd elengedve, rövid idő alatt lényegében visszanyeri eredeti hosszát |
46. | elasztolefin | legalább 95 %-ban (tömegszázalékban) részben keresztkötéseket tartalmazó makromolekulákból álló, etilénből és legalább egy másik olefinből előállított szál, amely eredeti hosszának másfélszeresére kinyújtva, majd elengedve rövid idő alatt lényegében visszanyeri eredeti hosszát |
47. | melamin | tömegének legalább 85 %-ában keresztkötéseket tartalmazó, melamin-származékok alkotta makromolekulákból álló szál |
48. | elnevezés annak az anyagnak megfelelően, amelyből a szálak összetevődnek, pl. fém (fémes, fémezett), azbeszt, papír, „fonal” vagy „szál” kiegészítéssel vagy anélkül | különböző vagy újszerű anyagból készült szálak, amelyek az előzőekben nincsenek felsorolva |
49. | polipropilén/poliamid kétkomponensű szál | kétkomponensű szál, amely polipropilén mátrixba ágyazott poliamid fibrillákból áll, és amelyben a poliamid részaránya 10 és 25 tömegszázalék között van |
50. | poliakrilát | olyan, keresztkötéseket tartalmazó makromolekulák alkotta szál, amelyek a láncban 35 tömegszázalékot meghaladó arányban akrilát-csoportokat (savakat, könnyűfémsókat vagy észtereket) és kevesebb mint 10 tömegszázalékban akrilonitril-csoportokat, a keresztkötésben pedig akár 15 tömegszázalék nitrogént tartalmaznak |

Kép #1

Kép #2
II. MELLÉKLET
Új textilszál-elnevezésre vonatkozó kérelem műszaki dokumentációjára vonatkozó minimumkövetelmények
(lásd a 6. cikket)
A 6. cikkben előírt, valamely új textilszál-elnevezés I. mellékletben szereplő jegyzékbe történő felvételére vonatkozó kérelemhez csatolandó műszaki dokumentáció legalább az alábbi információkat tartalmazza:
1. A textilszál javasolt elnevezése:
A javasolt elnevezés kapcsolódjon a kémiai összetételhez, és adott esetben adjon tájékoztatást a szál jellemzőiről. A javasolt elnevezés legyen szellemi tulajdonjogoktól mentes, és ne kapcsolódjon gyártóhoz.
2. A textilszál javasolt meghatározása:
A javasolt meghatározásnak le kell írnia a szál összetételét. Az új textilszál meghatározásában szereplő jellemzőknek, például a rugalmasságnak, igazolhatónak kell lenniük szabványos vizsgálati módszerekkel, amelyeket a műszaki dokumentációban az elemzések kísérleti eredményeivel együtt meg kell adni.
3. A textilszál azonosítása: kémiai képlet, eltérések a meglévő textilszálakhoz képest, FTIR-spektrum, valamint adott esetben olyan részletes adatok, mint az olvadáspont, a sűrűség, a törésmutató és az égési jellemzők.
4. A szálösszetétel számításakor alkalmazandó javasolt megengedett eltérés.
5. Javasolt azonosítási és mennyiségi meghatározási módszerek, ezen belül kísérleti adatok:
A kérelmező értékeli annak lehetőségét, hogy az e rendelet VIII. mellékletében felsorolt módszereket vagy az említett melléklet által bevezetett harmonizált szabványokat alkalmazzák a kereskedelemben várhatóan a leggyakrabban előforduló, az új textilszál és más textilszálak által alkotott keverékek elemzésére, és e módszerek közül legalább egyre javaslatot tesz. Azon módszerek és harmonizált szabványok tekintetében, amelyek esetében a textilszál oldhatatlan komponensnek tekinthető, a kérelmezőnek meg kell adnia az új textilszálra vonatkozó számításokban alkalmazandó, az új textilszál (elemzése során várhatóan fellépő) tömegveszteségére vonatkozó korrekciós tényezőknek megfelelő "d" tényezőket.
Amennyiben az e rendeletben felsorolt módszerek nem megfelelők, a kérelmezőnek megfelelő indoklással kell szolgálnia, és javaslatot kell tennie egy vagy több új módszerre. A javasolt új módszerre vagy módszerekre vonatkozóan le kell írni az alkalmazási területet (beleértve a szálkeverékeket), az elvet (nevezetesen a vegyi eljárást és a lépéseket), a berendezést, a reagenst vagy reagenseket, a vizsgálati eljárást, az eredmények kiszámítását és megadását (beleértve a "d" tényezők értékét), valamint a pontosságot (az eredmények megbízhatósági tartományát).
A kérelemnek tartalmaznia kell valamennyi kísérleti adatot, különösen a szál jellemzőire, valamint a javasolt azonosítási és mennyiségi meghatározási módszerekre vonatkozóan. A dokumentációban meg kell adni a módszerek pontosságára, stabilitására és megismételhetőségére vonatkozó adatokat.
6. Az új szállal szembeni lehetséges allergiás reakciókkal vagy annak az emberi egészségre gyakorolt más káros hatásaival kapcsolatban rendelkezésre álló tudományos információk, beleértve az ezek felmérésére irányuló vizsgálatok eredményeit, a vonatkozó uniós jogszabályoknak megfelelően.
7. Az új szál előállítási folyamatára és a fogyasztók szempontjából értékelt jelentőségére vonatkozó, a kérelmet alátámasztó kiegészítő információk:
A műszaki dokumentációnak tartalmaznia kell legalább a gyártók számára, a gyártólétesítmények helyére, valamint az új szál vagy az abból előállított termékek várható piacra jutására vonatkozó információkat.
8. A minták rendelkezésre állása:
A gyártónak vagy a nevében eljáró személynek reprezentatív mintákat kell benyújtania a tiszta új textilszálból és a megfelelő textilszálkeverékekből, amelyeken ellenőrizni lehet a javasolt azonosítási és mennyiségi meghatározási módszerek pontosságát, stabilitását és megismételhetőségét. A Bizottság a gyártótól vagy a gyártó nevében eljáró személytől további mintákat kérhet az adott szálkeverékekből.
A gyártónak vagy a nevében eljáró személynek reprezentatív mintákat kell benyújtania a tiszta új textilszálból és a megfelelő textilszálkeverékekből, amelyeken el lehet végezni a javasolt azonosítási és mennyiségi meghatározási módszerek validálását. A Bizottság a gyártótól vagy a gyártó nevében eljáró személytől az adott szálkeverékekből további mintákat kérhet.
III. MELLÉKLET
A 8. cikk (1) bekezdésében említett elnevezések
- bolgár nyelven : "необработена вълна",
- spanyol nyelven : "lana virgen" vagy "lana de esquilado",
- cseh nyelven : "střižní vlna",
- dán nyelven : "ren, ny uld",
- német nyelven : "Schurwolle",
- észt nyelven : "uus vill",
- görög nyelven : "παρθένο μαλλί",
- angol nyelven : "fleece wool" vagy "virgin wool",
- francia nyelven : "lame vierge" vagy "lame de tonte",
- horvát nyelven : "runska vuna",
- ír nyelven : "olann lomra",
- olasz nyelven : "lana vergine" vagy "lana di tosa",
- lett nyelven : "pirmlietojuma vilna" vagy "cirptā vilna",
- litván nyelven : "natūralioji vilna",
- magyar nyelven : "élőgyapjú",
- máltai nyelven : "suf verġni",
- holland nyelven : "scheerwol",
- lengyel nyelven : "żywa wełna",
- portugál nyelven : "lã virgem",
- román nyelven : "lână virgină",
- szlovák nyelven : "strižná vlna",
- szlovén nyelven : "runska volna",
- finn nyelven : "uusi villa",
- svéd nyelven : "ny ull".
IV. MELLÉKLET
Egyes textiltermékek címkézésére és jelölésére vonatkozó különleges rendelkezések
(lásd a 13. cikket)
Termékek | Címkézési és jelölési előírások |
1. Az alábbi fűzőipari termékek: | A szálösszetételt a teljes termék vagy a felsorolt alkotórészek összetételének átfogóan vagy külön-külön történő feltüntetésével kell a címkén és a jelölésen megjelölni: |
a) Melltartók | a kosár és a hátrész felületének külső és belső anyaga |
b) Derékfűzők és csípőszorítók | az elülső, hátsó és oldalsó elemek |
c) Egész fűzők | a kosár felületének külső és belső anyaga, az elülső és hátsó merevítő elemek és az oldalsó elemek |
2. A fentiekben fel nem sorolt más fűzőipari termékek | A szálösszetételt a teljes termék vagy a termék különböző alkotórészei összetételének globális vagy külön-külön történő feltüntetésével kell megjelölni. Ez a címkézés nem kötelező a termék össztömegének 10 %-át el nem érő komponensek esetén. |
3. Valamennyi fűzőipari termék | A fűzőipari termékek különböző részeinek külön címkézését és jelölését úgy kell megoldani, hogy a felhasználó könnyen megérthesse, a termék mely részeire vonatkoznak a címkén vagy jelölésen található különféle információk. |
4. Maratott nyomású textíliák | A szálösszetételt a termék egészére kell megadni, és az alapkelme és a maratott részek összetételét külön-külön is fel lehet tüntetni. Ezeket az összetevőket meg kell nevezni. |
5. Hímzett textíliák | A szálösszetételt a termék egészére kell megadni, az alapkelme és a hímzőcérna összetételét pedig külön-külön is fel lehet tüntetni. Ezeket az összetevőket meg kell nevezni. Ez a címkézés vagy jelölés csak azokra a hímzett részekre kötelező, amelyek a termék felületének legalább 10 %-át elérik. |
6. A különböző szálösszetételű magfonalból és burkolófonalból álló és a fogyasztók számára ilyen módon forgalmazásra kínált körülfont fonalak | A szálösszetételt a termék egészére kell megadni, továbbá a magfonal és burkolófonal összetételét külön-külön is fel lehet tüntetni. Ezeket az összetevőket meg kell nevezni. |
7. Bársony és plüss, illetve a bársony vagy plüss jellegű textíliák | A szálösszetételt a termék egészére kell megadni, de ha a termék jól elkülönülő alapkelméje és hasznos felülete különböző szálasanyagokból készült, külön-külön is meg lehet adni ezekre az összetevőkre. Ezeket az összetevőket meg kell nevezni. |
8. Padlóburkolatok és szőnyegek, amelyek alapkelméje és hasznos felülete különböző szálasanyagból készült | A szálösszetétel megadható kizárólag a hasznos felületre vonatkozóan is. A hasznos felületet meg kell nevezni. |
V. MELLÉKLET
Azon textiltermékek, amelyekre a kötelező címkézés és jelölés nem vonatkozik
(lásd a 17. cikk (2) bekezdését)
1. Ingujj-rögzítő
2. Óraszíj textilanyagból
3. Címkék és jelvények
4. Textilanyagokból készült bélelt edényfogók
5. Kávéskanna melegítő
6. Teáskanna melegítő
7. Ruhaujjvédők
8. Muff nem bolyhos kelmékből
9. Művirágok
10. Tűpárnák
11. Festett vászonkép
12. Textiltermékek erősítés és merevítés céljára
13. Használt konfekcionált textiltermékek, amennyiben azok kifejezetten így vannak megnevezve
14. Lábszárvédők
15. Csomagolóanyag, amely nem újként kerül eladásra
16. Szattyán bőráru és textilanyagból készült nyereg
17. Textilanyagokból készült utazási cikkek
18. Kész vagy készítendő kézi hímzésű faliszőnyegek és az elkészítésükhöz szükséges anyagok, beleértve a hímzőcérnát, amelyet a hímzővászontól külön árusítanak, és kimondottan faliszőnyegekhez való alkalmazásra kínálnak
19. Húzózárak
20. Textilanyaggal behúzott gombok és csatok
21. Textilanyagokból készült könyvborítók
22. Játékszerek
23. Cipőáru textil részei
24. Több darabból álló, 500 cm2-t meg nem haladó felületű tálalátétek
25. Edényfogók és edényfogó kesztyűk
26. Tojásmelegítő fedél
27. Kozmetikai táskák
28. Textilből készült dohányzacskók
29. Textilből készült szemüvegtokok, cigaretta- és szivartartók, tokok öngyújtó és fésű számára
30. Legfeljebb 160 cm2 felületű tokok mobiltelefonok és hordozható médialejátszók számára
31. Sport védőeszközök, a kesztyűk kivételével
32. Piperetáskák
33. Cipőtisztító készlethez való táskák
34. Temetkezési termékek
35. Egyszer használatos termékek, a vatta kivételével
36. Az Európai Gyógyszerkönyv hatálya alá eső, abban hivatkozott textiltermékek, nem egyszer használatos gyógyászati és ortopédiai kötések, és általában az ortopédiai textiltermékek
37. A VI. melléklet 12. pontjában felsorolt textiltermékek, beleértve a zsinórokat, köteleket és zsinegeket, amelyek szokásos használata a következő:
a) berendezés alkatrészeként termékek gyártásánál és feldolgozásánál;
b) beépített részként gépekhez, szerelvényekhez (pl. fűtés, légkondicionálás vagy világítás), háztartási és más berendezésekhez, járművekhez és más közlekedési eszközökhöz vagy azok működtetésére, karbantartására, vagy felszereléseire, ha azok nem ponyvaborítók és textilből készült járműtartozékok, amelyeket nem a járművel együtt értékesítenek
38. Textiltermékek védő és biztonsági céllal, mint a biztonsági övek, ejtőernyők, mentőmellények, tűzoltó csúszdák, tűzoltó eszközök, golyóálló mellények és speciális védőruhák (pl. tűz, vegyi anyagok és egyéb kockázati tényezők elleni védelem)
39. Túlnyomásos levegővel kifeszített szerkezetek (pl. sportcsarnokok, kiállítási csarnokok vagy raktárak céljára), feltéve, hogy mellékelik a teljesítményére és műszaki előírásaira vonatkozó információt
40. Vitorlák
41. Állatok számára készített ruházat
42. Zászlók és lobogók
VI. MELLÉKLET
Textiltermékek, amelyek esetében elegendő az átfogó címkézés
(lásd a 17. cikk (3) bekezdését)
1. Felmosórongy
2. Tisztítókendő
3. Szegélyek és bordűrök
4. Rojt
5. Övek
6. Nadrágtartók
7. Harisnya- és zoknitartók
8. Cipőfűző
9. Szalagok
10. Gumirugalmas szalagok
11. Új csomagolóanyagok, amelyek ilyen célból kerülnek értékesítésre
12. Csomagoló és mezőgazdasági zsinórok, zsinegek és kötelek, amelyek nem tartoznak az V. melléklet 37. pontja alá ( *1 )
13. Tálalátétek
14. Zsebkendők
15. Kontyhálók és hajhálók
16. Gyermeknyakkendők és csokornyakkendők
17. Előkék, mosdókesztyűk és arctörlő kendők
18. Kiskereskedelmi forgalomban értékesített varró-, foltozó- és hímzőcérnák
19. Függönyökhöz, sötétítőfüggönyökhöz és redőnyökhöz való szalagok
VII. MELLÉKLET
A szálösszetétel meghatározásánál figyelmen kívül hagyható tételek
(lásd a 19. cikk (2) bekezdését)
Termékek | Kizárt tételek |
a) Valamennyi textiltermék | i. Nem textil alkotórészek, textiltermék szerves részét nem képző szövetszegélyek, címkék, jelvények, szegélyek és bordűrök, textilbevonatú gombok és csatok, a termék külön meghatározott és korlátozott részein bedolgozott kiegészítők, díszítések, nem rugalmas szalagok, rugalmas cérnák és szalagok, továbbá a 10. cikkben meghatározott feltételeknek megfelelően a pusztán díszítő, illetve az elektromos feltöltődést gátló, látható, esetlegesen eltávolítható szálak. ii. Zsírok, kötőanyagok, nehezítő-, írező- és appretálószerek, impregnálószerek, a színezés és nyomás segédanyagai, valamint a textilfeldolgozás során felhasznált egyéb termékek. |
b) Padlóburko-latok és szőnyegek | Minden hasznos felületen kívül eső egyéb komponens |
c) Bútorszövetek | Kötő- és töltőláncok és vetülékek, amelyek nem képezik a hasznos felület részét |
d) Dekorációs anyagok és függönyök | A kötő- és töltőláncok és vetülékek, amelyek nem képzik a hasznos felület részét |
e) Zoknik | A szárnál használt egyéb gumírozott cérna, valamint az orrnál és a saroknál merevítésre és megerősítésre alkalmazott cérnák |
f) Harisnyák | A derékrésznél használt egyéb gumírozott cérna, valamint az orrnál és a saroknál merevítésre és megerősítésre alkalmazott cérnák |
g) A b)–f) pontokban felsoroltakon kívüli textiltermékek | Alap vagy alátét kelmék, merevítő és erősítő kelmék, közbélések és vászonmerevítők, tűző és fércelő cérnák, kivéve, ha ezek helyettesítik a szövet láncát, illetve vetülékfonalát, a hőszigetelő funkcióval nem rendelkező töltőanyagok, és a 11. cikk (2) bekezdésének megfelelően a bélésanyagok. E rendelkezés alkalmazásában: i. a textiltermékek alapkelméje, amelyik a hasznos felület béléseként szolgál, különösen takarókban és kettős szövetekben, valamint a bársony vagy plüss kelmék és hasonló termékek alsó rétege nem minősül eltávolítandó bélésnek; ii. a „merevítő és erősítő kelmék” kifejezés alatt a textiltermékek meghatározott és korlátozott részein található, azok erősítésére illetve merevítésére vagy vastagítására szolgáló fonalak vagy anyagok értendők. |
VIII. MELLÉKLET
Két- és háromkomponensű textilszálkeverékek mennyiségi elemzésének módszerei
(lásd a 19. cikk (1) bekezdését)
1. FEJEZET
I. A laboratóriumi vizsgálati minták és a próbadarabok előkészítése textiltermékek szálösszetételének meghatározása céljából
1. ALKALMAZÁSI TERÜLET
Ez a fejezet megadja azokat az eljárásokat, amelyekkel kivehetők a laboratóriumi mintákból a megfelelő nagyságú (azaz 100 g-nál nem nagyobb tömegű) laboratóriumi vizsgálati minták a mennyiségi elemzést megelőző előkezelésekhez, valamint kiválaszthatók a próbadarabok a laboratóriumi vizsgálati mintákból, amelyek előkezelése már megtörtént a nemszálasanyagok eltávolítása céljából ( 2 ).
2. FOGALOMMEGHATÁROZÁSOK
2.1. Tétel
Az az anyagmennyiség, amelyet egy vizsgálatieredmény-sorozat alapján értékelünk. Ennek tartalma lehet például egy kelmeszállítmány összes anyaga, egy adott lánchengerről szőtt összes szövet, egy fonalszállítmány, egy vagy több bála nyers szálasanyag.
2.2. Laboratóriumi minta
A tételnek az a része, amely reprezentálja a teljes mennyiséget, és a laboratórium rendelkezésére áll. A laboratóriumi minta mennyiségét és tartalmát úgy kell megválasztani, hogy jól reprezentálja a szállítmányon belüli ingadozásokat, és könnyen kezelhető legyen a laboratóriumban ( 3 ).
2.3. Laboratóriumi vizsgálati minta
A laboratóriumi minta része, amelyből az előkezelés során eltávolítjuk a nemszálasanyagot, és amelyből a próbadarabokat kivesszük. A laboratóriumi vizsgálati minta mennyiségét és tartalmát úgy kell megválasztani, hogy jól reprezentálja a laboratóriumi mintán belüli ingadozásokat ( 4 ).
2.4. Próbadarab
Az anyagnak a laboratóriumi vizsgálati mintából származó azon része, amely egy vizsgálati eredményt ad.
3. ALAPELV
A laboratóriumi vizsgálati mintát úgy választjuk ki, hogy az reprezentálja a laboratóriumi mintát.
A próbadarabokat úgy vesszük ki a laboratóriumi vizsgálati mintából, hogy azok mindegyike reprezentálja a laboratóriumi vizsgálati mintát.
4. MINTAVÉTEL LAZA SZÁLAKBÓL
4.1. Irányítatlan szálak
Állítsuk össze a laboratóriumi vizsgálati mintát a laboratóriumi mintából véletlenszerűen kivett szálcsomókból. Alaposan keverjük össze a teljes laboratóriumi vizsgálati mintát egy laboratóriumi kártoló segítségével ( 5 ). Végezzük el a fátyol vagy a keverék, valamint a lehulló és a keverő eszközre tapadt szálak előkezelését. Ezután vegyük ki a próbadarabokat a fátyolból vagy keverékből, a lehulló szálakból és a keverő eszközre tapadt szálakból a megfelelő tömegarányban.
Ha a kártolt fátyol az előkezelés után sértetlen marad, a próbadarabokat a 4.2. pontban leírt módon vegyük ki. Ha az előkezelés során a kártolt fátyol szétbomlik, minden próbadarabhoz húzzunk ki véletlenszerűen legalább 16 megfelelő, közel azonos méretű kis szálcsomót, és egyesítsük azokat.
4.2. Irányított szálak (kártolt fátylak, szalagok, előfonalak)
Vágjunk ki a laboratóriumi minta véletlenszerűen kiválasztott részeiből legalább 10, egyenként kb. 1 g-os részt, teljes keresztmetszetben. Végezzük el az így kialakított laboratóriumi vizsgálati minta előkezelését. Egyesítsük újra a keresztmetszeti vágatokat, az oldalukkal egymás mellé helyezve őket, majd vágjuk le belőle a próbadarabot úgy, hogy mind a 10 darabból kerüljön bele egy rész.
5. MINTAVÉTEL FONALBÓL
5.1. Kiszerelt fonalak
Mintázzuk meg a laboratóriumi minta minden kiszerelési egységét.
Húzzunk le minden kiszerelési egységről folyamatosan elegendő, azonos hosszúságú fonalat úgy, hogy azonos számú fordulattal készítsünk motringokat egy motollával ( 6 ) vagy egy hasonló eszközzel. Egyesítsük egyetlen motringgá a lecsévélt fonalakat, ügyelve arra, hogy minden kiszerelési egységről azonos hosszúságú fonal kerüljön az így létrehozott laboratóriumi vizsgálati mintába.
Végezzük el a laboratóriumi vizsgálati minta előkezelését.
Vegyünk ki próbadarabokat a laboratóriumi vizsgálati mintából úgy, hogy vágjunk ki egyenlő hosszúságú fonalakból álló kötegeket, ügyelve arra, hogy a motring a minta összes szálát tartalmazza.
Ha a fonal lineáris sűrűségének egysége t és a laboratóriumi mintába kiválasztott kiszerelési egységek száma n, akkor egy 10 g-os vizsgálati mintához minden egyes kiszerelési egységből 106/nt cm hosszúságú darabot kell lehúzni.
Ha az nt értéke magas, azaz több mint 2 000 , akkor egy nagyobb tömegű motringot csévéljünk fel, és azt két helyen vágjuk át, hogy megfelelő tömegű köteget kapjunk. A kötegformájú minta végeit az előkezelés előtt gondosan össze kell kötözni, a próbadarabokat a kötés helyétől távol vegyük ki.
5.2. Láncfonal
A laboratóriumi vizsgálati mintát úgy vegyük ki, hogy vágjunk le legalább egy 20 cm-es darabot a lánchenger végéből, minden fonalból, kivéve a szövetszegély fonalait. Kötözzük össze a fonalköteget az egyik vége közelében. Ha a minta túl nagy az előkezeléshez, bontsuk fel két vagy több részre, mindegyiket kötözzük össze az előkezeléshez, majd egyesítsük újra a külön-külön előkezelt részeket. A laboratóriumi vizsgálati minta összekötött végétől távolabb eső vég felől vágjunk ki egy megfelelő hosszúságú próbadarabot, úgy, hogy a kötegben található összes láncfonal benne legyen. N számú, t finomságú fonalból álló lánc esetén az 1 g tömegű próbadarab hossza 105/Nt cm lesz.
6. MINTAVÉTEL KELMÉBŐL
6.1. Mintavétel olyan laboratóriumi mintából amely egyetlen, a kelmét reprezentáló vágatot tartalmaz
Vágjunk ki egy átlós sávot egyik saroktól a másikig és távolítsuk el a szövetszegélyt. Ez a sáv a laboratóriumi vizsgálati minta. Egy "x" g tömegű laboratóriumi vizsgálati minta előállításához a sáv területe x104/G cm2 ahol G a kelme területi sűrűsége g/m2-ben kifejezve.
Végezzük el a laboratóriumi vizsgálati minta előkezelését, majd vágjuk rézsútosan négy egyenlő részre, és helyezzük egymásra a részeket. Vegyük ki a próbadarabokat a rétegezett anyag tetszőleges részéből, az összes réteg átvágásával úgy, hogy minden próbadarab azonos hosszúságú darabot tartalmazzon minden rétegből.
Ha a kelme szőtt mintázatú, a laboratóriumi vizsgálati minta szélessége, a lánciránnyal párhuzamosan mérve, nem lehet kisebb, mint egy mintaelem hossza láncirányban. Ha ennek a feltételnek a teljesítésével a laboratóriumi vizsgálati minta túl nagy ahhoz, hogy egyben előkezeljük, vágjuk egyenlő részekre, végezzük el külön-külön az előkezelést, majd a próbadarabok kivétele előtt fektessük egymásra az egyes részeket, ügyelve arra, hogy a mintázat hasonló részei ne kerüljenek egymás fölé.
6.2. Mintavétel olyan laboratóriumi mintából, amely több vágatot tartalmaz
Kezeljünk minden vágatot a 6.1. pontban megadottak szerint, és külön adjunk meg minden eredményt.
7. MINTAVÉTEL FELDOLGOZOTT ÉS KÉSZTERMÉKBŐL
A laboratóriumi minta rendszerint a teljes feldolgozott vagy késztermék, vagy annak egy reprezentatív része.
Ha szükséges, határozzuk meg a termék eltérő, nem azonos szálösszetételű részeinek százalékarányát a 11. cikknek való megfelelés ellenőrzése céljából.
Vegyük ki a laboratóriumi vizsgálati mintát, amely a feldolgozott vagy készterméknek azt a részét reprezentálja, amelynek összetételét a címkén fel kell tüntetni. Ha a terméken több címke van, akkor mindegyik - címkével jelölt - részből vegyünk ki egy reprezentatív laboratóriumi vizsgálati mintát.
Ha a termék, amelynek összetételét meghatározzuk, nem egységes, szükséges lehet a termék minden egyes részéből kivenni egy laboratóriumi vizsgálati mintát, és meghatározni az eltérő részek egymáshoz viszonyított arányát a szóban forgó teljes termékre vonatkozóan.
Ezután számítsuk ki a százalékokat, a megmintázott részek egymáshoz viszonyított arányának figyelembevételével.
Végezzük el a laboratóriumi vizsgálati minták előkezelését.
Ezután vegyük ki a próbadarabokat, amelyek reprezentálják az előkezelt laboratóriumi vizsgálati mintát.
II. Bevezetés a textilszálkeverékek mennyiségi elemzésének módszereibe
A szálkeverékek mennyiségi elemzésének módszerei két fő eljáráson alapulnak: a szálak kézi, illetve kémiai szétválasztásán.
Ha lehetséges, a kézi szétválasztás módszerét alkalmazzuk, mivel ez általában pontosabb eredményeket ad, mint a kémiai módszer. A kézi szétválasztás módszere alkalmazható minden olyan textíliánál, ahol a szálköteget-, fonalat felépítő szálasanyagok nem alkotnak közvetlen (intim) keveréket, így pl. olyan fonalak esetében, amelyek több alkotóelemből állnak, és ezek mindegyike csak egy szálféleségből készült, vagy olyan szöveteknél, amelyekben a láncfonal más szálféleségből készült mint a vetülékfonal, vagy olyan felfejthető kötött kelméknél, amelyek különböző nyersanyagú fonalakból készültek.
A mennyiségi kémiai elemzési módszerek általában az egyes komponensek szelektív kioldásán alapulnak. Az egyik komponens eltávolítása után megmérjük az oldhatatlan maradék tömegét, és a tömegveszteségből kiszámítjuk az oldható komponens részarányát. A mellékletnek ez az első része általános információkat nyújt az ezzel a módszerrel vizsgált összes szálkeverékre, amelyekkel e melléklet foglalkozik, tekintet nélkül az összetételükre. Ezt a részt a melléklet azon részeivel együtt kell használni, amelyek az egyes szálkeverékekre vonatkozó részletes eljárásokat tartalmazzák. Előfordul, hogy a vizsgálat más, a szelektív oldhatóságtól eltérő elven alapul, ilyenkor a megfelelő rész teljes részletességgel tartalmaz minden információt.
A feldolgozás alatt álló szálkeverékek és - kisebb mértékben - a kész textiltermékek tartalmazhatnak természetes eredetű, vagy a feldolgozás megkönnyítésére hozzáadott nemszálasanyagokat, így zsírokat, viaszokat vagy segédanyagokat, valamint vízben oldható anyagokat. A nemszálasanyagokat az elemzés előtt el kell távolítani. Ezért adott egy módszer az olajok, zsírok, viaszok és vízoldható anyagok eltávolítására is.
Ezenkívül a textíliák tartalmazhatnak gyantákat vagy más olyan anyagokat is, amelyeket azért alkalmaznak, hogy különleges tulajdonságokat kölcsönözzenek a textíliáknak. Az ilyen anyagok, amelyek közé kivételes esetben színezékek is tartozhatnak, zavarhatják a reagens oldható komponensekre gyakorolt hatását, és/vagy a reagensek részlegesen vagy teljesen eltávolíthatják ezeket. Az ilyen kísérő anyagok tehát hibákat okozhatnak, ezért a minta elemzése előtt el kell távolítani ezeket. Ha az ilyen kísérő anyagok eltávolítása nem lehetséges, akkor az ebben a mellékletben a mennyiségi kémiai elemzésre megadott módszerek nem alkalmazhatók.
A színezett szálakban lévő színezék a szálak szerves részének tekinthető, és nem kell eltávolítani.
A vizsgálatok a száraz tömeget veszik alapul, ezért adott egy eljárás a száraz tömeg meghatározására.
Az eredmény úgy adódik, hogy minden egyes szálféleség száraz tömegét megnöveljük a IX. mellékletben felsorolt egyezményes nedvességtartalom-értékekkel.
A vizsgálat előtt a keverékben lévő minden szálféleséget azonosítani kell. Néhány módszer esetében a keverék oldható komponensének/komponenseinek oldására alkalmazott reagensben a keverék oldhatatlan komponense is részlegesen oldódhat.
A reagenseket lehetőleg úgy kell megválasztani, hogy ne legyen, vagy csak csekély hatásuk legyen az oldhatatlan szálakra. Ha tudjuk, hogy az elemzés során tömegveszteség lép fel, akkor az eredményt korrigálni kell; az erre vonatkozó korrekciós tényezők adottak. Ezeket a korrekciós tényezőket több laboratóriumban olyan módon határozták meg, hogy az előkezeléssel tisztított szálakat az elemzési módszernél előírt megfelelő reagenssel kezelték.
Ezek a korrekciós tényezők csak a nem károsodott szálak esetében alkalmazhatók. Ezektől eltérő korrekciós tényezők is szükségessé válhatnak, ha a szálak a feldolgozás előtt vagy a feldolgozás során károsodtak. A megadott eljárások egyszeri meghatározásokra vonatkoznak.
Mind a kézi szétválasztás, mind a kémiai szétválasztás esetében legalább két meghatározást kell végezni, külön próbadarabon.
Ha nincs műszaki akadálya, a biztonság érdekében ajánlatos egy alternatív eljárást is elvégezni, amelyben először azt az alkotórészt oldjuk ki, amelyik maradék volt a standard módszerben.
2. FEJEZET
EGYES KÉTKOMPONENSŰ TEXTILSZÁLKEVERÉKEK MENNYISÉGI ELEMZÉSÉNEK MÓDSZEREI
I. Általános információk a textilszálkeverékek kémiai úton történő mennyiségi elemzésére megadott módszerekről - I.1. ALKALMAZÁSI TERÜLET
Minden egyes módszer alkalmazási területe meghatározza azokat a szálféleségeket, amelyekhez a módszer alkalmazható.
I.2. ALAPELV
A keverék komponenseinek azonosítása után megfelelő előkezeléssel eltávolítjuk az idegenanyagokat, majd rendszerint szelektív kioldással eltávolítjuk az egyik komponenst ( 7 ). Az oldhatatlan maradékot megmérjük, és oldható komponens részarányát a tömegveszteségből kiszámítjuk. Ha nem jelent műszaki nehézséget, akkor lehetőleg a nagyobb részarányú szálkomponenst kell kioldani, így a kisebb részarányú szálkomponens lesz a maradék.
I.3. ESZKÖZÖK ÉS REAGENSEK
I. 3.1. Eszközök
I. 3.1.1. Üveg szűrőtégelyek és mérőedények, amelyek elég nagyok a tégelyek befogadására, vagy bármilyen más eszközök, amelyek azonos eredményeket adnak.
I. 3.1.2. Szívópalack.
I. 3.1.3. Exszikkátor, amely önindikáló szilikagélt tartalmaz.
I. 3.1.4. Ventilációs szárítószekrény a próbadarabok 105 ± 3 °C-on történő szárításához.
I. 3.1.5. 0,0002 g-os pontosságú analitikai mérleg.
I. 3.1.6. Soxhlet extraháló készülék vagy más olyan készülék, amely azonos eredményeket ad.
I. 3.2. Reagensek.
I. 3.2.1. Átdesztillált petroléter, forráspontja 40-60 °C között.
I. 3.2.2. A többi reagenst az egyes módszerek ide vonatkozó pontjai adják meg.
I. 3.2.3. Desztillált vagy ionmentesített víz.
I. 3.2.4. Aceton.
I. 3.2.5. Ortofoszforsav.
I. 3.2.6. Karbamid.
I. 3.2.7. Nátrium-bikarbonát.
Minden felhasznált reagensnek vegytisztának kell lennie.
I.4. KONDICIONÁLÓ ÉS VIZSGÁLATI LÉGTÉR
Mivel a száraz tömegeket határozzuk meg, nem kell a próbadarabot kondicionálni és nem szükséges a vizsgálatot klimatizált légtérben végezni.
I.5. LABORATÓRIUMI VIZSGÁLATI MINTA
Vegyük ki a laboratóriumi vizsgálati mintát úgy, hogy az reprezentálja a laboratóriumi nyers mintát, és az összes próbadarabhoz - amelyek mindegyike legalább 1 g - elegendő legyen.
I.6. A LABORATÓRIUMI VIZSGÁLATI MINTA ELŐKEZELÉSE ( 8 )
Ha a keverékben olyan anyag található, amelyet a százalékszámításhoz nem kell figyelembe venni (lásd a 19. cikket), akkor azt először el kell távolítani egy olyan módszerrel, amely egy szálkomponensre sincs hatással.
Ezért a petroléterrel és vízzel extrahálható nemszálasanyagokat távolítsuk el a laboratóriumi vizsgálati minta Soxhlet extraháló készülékben, petroléterrel, minimum 6 ciklus/óra sebességgel történő kezelésével. A petrolétert engedjük elpárologni a mintából, majd közvetlen kezeléssel extrahálunk, ami abból áll, hogy a laboratóriumi vizsgálati mintát szobahőmérsékleten egy órán keresztül vízben áztatjuk, majd ezt követően az áztatást egy további órán keresztül megismételjük 65 ± 5 °C hőmérsékletű vízben, a folyadékot időnként felkeverve. A folyadék és a laboratóriumi vizsgálati minta aránya 100:1 legyen. A felesleges vizet kipréseléssel, leszívatással vagy centrifugálással távolítsuk el a mintából, majd hagyjuk, hogy levegőn száradjon.
Elasztolefint vagy elasztolefint és más szálasanyagot (gyapjú, állati szőr, selyem, pamut, len, valódi kender, juta, manilakender, alfafű, kókusz, seprűzanót, hócsalán, szizál, cupro, modál, fehérjeszál, viszkóz, akril, poliamid vagy nejlon, poliészter és elaszto-multiészter) tartalmazó textilszálkeverékek esetében az imént ismertetett eljárást kissé módosítani kell, azaz a petrolétert acetonnal kell felváltani.
Az elasztolefint és acetátot tartalmazó kétkomponensű textilszálkeverékek esetében az alábbi eljárást kell előkezelésként alkalmazni. Extraháljuk a laboratóriumi vizsgálati mintát 80 °C-on 10 percig 25 g/l 50 %-os ortofoszforsavat és 50 g/l karbamidot tartalmazó oldattal. A folyadék és a laboratóriumi vizsgálati minta aránya 100:1 legyen. A laboratóriumi vizsgálati mintát mossuk ki vízben, majd távolítsuk el a vizet és mossuk le 0,1 %-os nátrium-bikarbonát oldattal, végezetül gondosan mossuk le vízzel.
Ha a nemszálasanyag petroléterrel és vízzel nem vonható ki, a fentebb leírt vizes eljárást olyan megfelelő módszerrel kell helyettesíteni, amely a szál összetevőit nem változtatja meg számottevő mértékben. Némely fehérítetlen, természetes növényi rostot tartalmazó szál esetében (például juta vagy kókusz) megjegyzendő, hogy a petroléterrel és vízzel végzett normál előkezelés nem távolítja el az összes nem szálas anyagot; ennek ellenére nem alkalmazunk további előkezelést, hacsak a minta nem tartalmaz vízben és petroléterben egyaránt oldhatatlan appretálószereket.
Az elemzésről készült jelentésnek részletesen ki kell térnie az alkalmazott előkezelési módszerekre.
I.7. VIZSGÁLATI ELJÁRÁS
I. 7.1. Általános információk
I. 7.1.1. Szárítás
Minden szárítás legalább 4 órán át, de 16 óránál nem tovább, ventilációs szárítószekrényben, zárt ajtónál, 105 ± 3 °C-on történjen. Ha a szárítási időtartam 14 óránál rövidebb, akkor a tömegállandóság megállapításához a próbadarabot ellenőrző mérésnek kell alávetni. A tömeg akkor tekinthető állandónak, ha további 60 perces szárítás után 0,05 %-nál kisebb a változása.
A szűrőtégelyeket és a mérőedényeket, a mintákat vagy a maradékokat a szárítási, hűtési és mérési műveletek közben nem szabad puszta kézzel megérinteni.
Szárítsuk a próbadarabokat mérőedényben, mellétéve a fedelét. A szárítás után a mérőedényt még a szárítószekrényből való kivétel előtt fedjük le, és gyorsan tegyük át az exszikkátorba.
Szárítsuk a szűrőtégelyt mérőedényben, mellétéve a fedelét. A szárítás után fedjük le a mérőedényt, és gyorsan tegyük át az exszikkátorba.
Ha a szűrőtégely helyett más eszközt használunk, akkor a szárítási műveleteket olyan módszerrel kell elvégezni a szárítószekrényben, amely lehetővé teszi a szálak száraz tömegének veszteség nélküli meghatározását.
I. 7.1.2. Hűtés
Minden hűtés a mérleg mellé állított exszikkátorban történjen addig, amíg a mérőedény teljesen lehűl, és ez nem lehet rövidebb 2 óránál.
I. 7.1.3. Tömegmérés
A hűtés után a mérőedény mérését az exszikkátorból kivéve 2 percen belül be kell fejezni. A mérést 0,0002 g-os pontossággal kell elvégezni.
I. 7.2. Eljárás
Vegyünk az előkezelt laboratóriumi vizsgálati mintából egy legalább 1 g tömegű próbadarabot. A fonalat vagy a kelmét vágjuk fel kb. 10 mm hosszúságú darabokra, és bontsuk szét amennyire lehetséges. Szárítsuk meg a próbadarabot mérőedényben, exszikkátorban hűtsük le, majd mérjük meg. Tegyük át a próbadarabot egy - a vonatkozó uniós módszer megfelelő részében megadott - üvegedénybe, ezután rögtön mérjük meg ismét a mérőedényt, és a különbségből számítsuk ki a próbadarab száraz tömegét. Fejezzük be a vizsgálatot az alkalmazott módszer megfelelő részében leírt módon. Vizsgáljuk meg a maradékot mikroszkóppal, így ellenőrizzük, hogy a kezeléssel valóban teljesen eltávolítottuk-e az oldható szálat.
I.8. AZ EREDMÉNYEK KISZÁMÍTÁSA ÉS MEGADÁSA
Az oldhatatlan komponens tömegét a keverékben lévő szálak teljes tömegének százalékában fejezzük ki. Az oldható komponens százalékaránya különbségként adódik. Számítsuk ki a tiszta, száraz tömeg alapján az eredményeket, korrigálva ezeket először a) az egyezményes nedvességtartalom-értékekkel; majd b) azokkal a korrekciós tényezőkkel, amelyek az előkezelésnél és az elemzésnél fellépő veszteségek figyelembevételéhez szükségesek. A számításokat az I.8.2. pontban megadott képlet felhasználásával kell elvégezni.
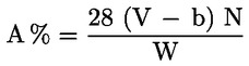
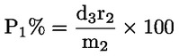
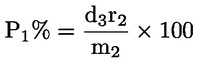
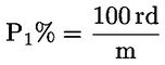
I. 8.1. Az oldhatatlan komponens százalékarányának számítása a tiszta, száraz tömeg alapján, a szál előkezelés alatt fellépő tömegveszteségének figyelembevétele nélkül.

ahol:
P1 % a tiszta, száraz oldhatatlan komponens százalékaránya,
m a próbadarab száraz tömege az előkezelés után,
r a maradék száraz tömege,
d korrekciós tényező az oldhatatlan komponensnek a vizsgálat során a reagensben fellépő tömegveszteségének figyelembevételéhez. A "d" alkalmazandó értéke az egyes módszerek megfelelő szövegrészénél található meg.
Természetesen "d" értékei normál értékek, amelyek csak a vegyileg sértetlen szálakra alkalmazhatók.
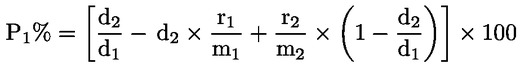
I. 8.2. Az oldhatatlan komponens százalékarányának kiszámítása a tiszta, száraz tömeg alapján, az egyezményes tényezők és - amikor szükséges - az előkezelésnél fellépő tömegveszteség korrekciós tényezőinek figyelembevételével.

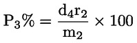
ahol:
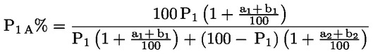
P1A % az oldhatatlan komponens százalékaránya, az egyezményes nedvességtartalom-értékkel és az előkezelésnél fellépő tömegveszteséggel korrigálva,
P1 a tiszta, száraz oldhatatlan komponens százalékaránya, az I.8.1. pontban megadott képlettel számolva,
a1 az oldhatatlan komponens egyezményes nedvességtartalom-értéke (lásd a IX. mellékletet),
a2 az oldható komponens egyezményes nedvességtartalom-értéke (lásd a IX. mellékletet),
b1 az oldhatatlan komponens százalékos tömegvesztesége az előkezelés során,
b2 az oldható komponens százalékos tömegvesztesége az előkezelés során.
A második komponens százalékaránya P2A % = 100 - P1A %.
Speciális előkezelés alkalmazása esetén a b1 és a b2 értékét lehetőleg úgy határozzuk meg, hogy minden tiszta szálalkotórészt alávetünk az elemzés során alkalmazott előkezelésnek. Tiszta szálaknak azok a szálak tekinthetők, amelyek mentesek minden nemszálasanyagtól, kivéve azokat az anyagokat, amelyeket rendes körülmények között tartalmaznak (akár a természetüknél fogva, akár a gyártási eljárásuk miatt) abban az állapotban (fehérítetlen, fehérített), amelyben a vizsgált anyag van.
Ha nem állnak rendelkezésre külön-külön azok a tiszta szálalkotórészek, amelyeket a vizsgált anyag előállításához használtak, akkor azokat a b1 és b2 átlagértékeket alkalmazzuk, amelyeket a vizsgált keverékben találhatókhoz hasonló tiszta szálak vizsgálatával határoztak meg.
Ha a normál petroléteres és vizes extrakciós előkezelést alkalmazzuk, akkor a b1 és b2 korrekciós tényezőket rendszerint nem kell figyelembe venni, kivéve a fehérítetlen pamut, fehérítetlen len és fehérítetlen kender esetében, amelyeknél az előkezelésnek tulajdonítható veszteségként általában 4 %, valamint a polipropilén esetében, amelynél 1 % az elfogadott érték.
A többi szálnál az előkezelésnek tulajdonítható veszteségeket rendszerint figyelmen kívül hagyjuk a számításoknál.
II. Mennyiségi elemzés a kézi szétválasztás módszerével - II.1. ALKALMAZÁSI TERÜLET
Ez a módszer bármilyen textilszálféleségnél alkalmazható, feltéve, hogy azok nem közvetlen (intim) keverék formában vannak, és kézzel szétválaszthatók.
II.2. ALAPELV
A textilkomponensek azonosítása után megfelelő előkezeléssel eltávolítjuk a nemszálasanyagokat, ezután a szálakat kézzel szétválasztjuk, megszárítjuk és megmérjük, majd kiszámítjuk a keverékben lévő egyes szálak részarányát.
II.3. ESZKÖZÖK
II. 3.1. Mérőedények vagy bármilyen más eszközök, amelyek azonos eredményeket adnak.
II. 3.2. Exszikkátor, amely önindikáló szilikagélt tartalmaz.
II. 3.3. Ventilációs szárítószekrény a próbadarabok 105 ± 3 °C-on történő szárításához.
II. 3.4. 0,0002 g-os pontosságú analitikai mérleg.
II. 3.5. Soxhlet extraháló készülék, vagy más készülék, amely azonos eredményt ad.
II. 3.6. Bontótű.
II. 3.7. Sodratvizsgáló műszer vagy más hasonló eszköz.
II.4. REAGENSEK
II. 4.1. Petroléter, átdesztillált, forráspont 40 és 60 °C között.
II. 4.2. Desztillált vagy ionmentesített víz.
II. 4.3. Aceton.
II. 4.4. Ortofoszforsav.
II. 4.5. Karbamid.
II. 4.6. Nátrium-bikarbonát.
Minden felhasznált reagensnek vegytisztának kell lennie.
II.5. KONDICIONÁLÓ ÉS VIZSGÁLATI LÉGTÉR
Lásd I.4.
II.6. LABORATÓRIUMI VIZSGÁLATI MINTA
Lásd I.5.
II.7. A LABORATÓRIUMI VIZSGÁLATI MINTA ELŐKEZELÉSE
Lásd I.6.
II.8. ELJÁRÁS
II. 8.1. Fonal vizsgálata
Vegyünk ki legalább 1 g tömegű próbadarabot az előkezelt laboratóriumi vizsgálati mintából. Nagyon finom fonal esetében legalább 30 m hosszúságú fonalon - tekintet nélkül a tömegre - el lehet végezni a vizsgálatot.
Vágjuk fel a fonalat megfelelő hosszúságú darabokra, majd bontótűvel, és ha szükséges, sodratvizsgálóval különítsük el a szálféleségeket. Az így kapott szálféleségeket az előzőleg lemért mérőedényekbe tesszük, és 105 ± 3 °C-on tömegállandóságig szárítjuk az I.7.1. és az I.7.2. pontban megadottak szerint.
II. 8.2. Kelme vizsgálata
Vegyünk ki legalább 1 g tömegű próbadarabot az előkezelt laboratóriumi vizsgálati mintából, a szegélyektől kellő távolságban, a széleket gondosan vágva, hogy elkerüljük a kirojtosodást, a lánc- és vetülékfonalakkal párhuzamosan, kötött kelmék esetében pedig a szemsorok és szemoszlopok vonalában. Különítsük el az eltérő szálféleségeket, és gyűjtsük azokat előzőleg lemért mérőedényekbe, majd folytassuk a vizsgálatot a II.8.1. pont szerint.
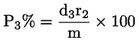
II.9. AZ EREDMÉNYEK KISZÁMÍTÁSA ÉS MEGADÁSA
Az egyes komponensek tömegét a keverékben lévő szálak teljes tömegének százalékában adjuk meg. Számítsuk ki a tiszta, száraz tömeg alapján az eredményeket, korrigálva ezeket a) az egyezményes nedvességtartalom-értékekkel; valamint b) azokkal a korrekciós tényezőkkel, amelyek az előkezelésnél fellépő anyagveszteségek figyelembevételéhez szükségesek.
II. 9.1. A tiszta, száraz szálak tömegszázalékának számítása a szál előkezelés alatt fellépő tömegveszteségének figyelembevétele nélkül:

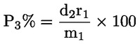
P1 % az első tiszta, száraz komponens százalékaránya,
m1 az első komponens tiszta, száraz tömege,
m2 a második komponens tiszta, száraz tömege.
II. 9.2. Az egyes komponensek százalékarányának kiszámítása az egyezményes nedvességtartalom-értékek, valamint szükség esetén az előkezelésnél fellépő tömegveszteségek korrekciós tényezőinek figyelembevételével az I.8.2. pontban leírtak szerint történik.
III.1. A MÓDSZEREK PONTOSSÁGA
Az egyes módszereknél feltüntetett pontosság a reprodukálhatóságra vonatkozik.
A reprodukálhatóság a megbízhatóságot jelenti, azaz a különböző laboratóriumokban vagy különböző időpontokban kapott kísérleti értékek egyezőségét, ha ugyanazt a módszert alkalmazzuk és ugyanannak a homogén keveréknek a próbadarabjait használjuk.
A reprodukálhatóságot az eredmények megbízhatósági határaival fejezzük ki, 95 %-os megbízhatósági szint mellett.
Ez azt jelenti, hogy a módszer szabályos és helyes alkalmazása esetén a különböző laboratóriumokban ugyanazon homogén keverékkel elvégzett vizsgálati sorozat két eredménye közötti eltérés 100-ból csak 5 esetben haladhatja meg a megbízhatósági határt.
III.2. VIZSGÁLATI JEGYZŐKÖNYV
III. 2.1. Közöljük, hogy a vizsgálatot e módszer szerint végeztük el.
III. 2.2. Részletesen ismertessünk minden különleges előkezelést (lásd I.6.).
III. 2.3. Adjuk meg az egyes eredményeket és az eredmények számtani középértékét, mindkettőt egy tizedesjegy pontossággal.
IV. Különleges módszerek
Összefoglaló táblázat
Módszer | Alkalmazási terület (1) | Reagens | |
Oldható komponens | Oldhatatlan komponens | ||
1. | Acetát | Meghatározott más szálak | Aceton |
2. | Egyes fehérjeszálak | Meghatározott más szálak | Hipoklorit |
3. | Viszkóz, cupro- vagy meghatározott típusú modálszál | Meghatározott más szálak | Hangyasav és cink-klorid |
4. | Poliamid vagy nejlon | Meghatározott más szálak | 80 tömegszázalékos hangyasav |
5. | Acetát | Meghatározott más szálak | Benzil-alkohol |
6. | Triacetát vagy polilaktid | Meghatározott más szálak | Diklór-metán |
7. | Meghatározott cellulózszálak | Meghatározott más szálak | 75 tömegszázalékos kénsav |
8. | Akril, meghatározott modakril- vagy meghatározott polikloridszálak | Meghatározott más szálak | Dimetil-formamid |
9. | Meghatározott polikloridszálak | Meghatározott más szálak | Széndiszulfid/aceton, 55,5/44,5 térfogatszázalékos |
10. | Acetát | Meghatározott más szálak | Jégecet |
11. | Selyem, poliamid vagy nejlon | Meghatározott más szálak | 75 tömegszázalékos kénsav |
12. | Juta | Meghatározott állati eredetű szálak | Nitrogéntartalom-módszer |
13. | Polipropilén | Meghatározott más szálak | Xilol |
14. | Meghatározott szálak | Meghatározott más szálak | Koncentrált kénsavas módszer |
15. | Polikloridszálak, meghatározott modakrilok, meghatározott elasztánok, acetátok, triacetátok | Meghatározott más szálak | Ciklohexanon |
16. | Melamin | Meghatározott más szálak | 90 tömegszázalékos forró hangyasav |
17. | Poliészter | Meghatározott más szálak | Triklór-ecetsav és kloroform |
(1) A szálak részletes felsorolása az egyes módszereknél található. |
1. MÓDSZER - ACETÁT ÉS MEGHATÁROZOTT MÁS SZÁLAK
(Acetonos módszer)
1. ALKALMAZÁSI TERÜLET
Ez a módszer, a nemszálasanyagok eltávolítása után, a következő szálakból álló kétkomponensű szálkeverékekhez alkalmazható:
1. acetát (19)
és
2. gyapjú (1), állati szőr (2 és 3), selyem (4), pamut (5), len (7), valódi kender (8), juta (9), manilakender (10), alfafű (11), kókuszrost (12), seprűzanót (13), rami (14), szizál (15), cupro (21), modál (22), fehérjeszál (23), viszkóz (25), akril (26), poliamid vagy nejlon (30), poliészter (35), polipropilén (37), elaszto-multiészter (45), elasztolefin (46), melamin (47), polipropilén/poliamid kétkomponensű szál (49) és poliakrilát (50).
Ez a módszer semmilyen körülmények között nem alkalmazható olyan acetátszálak esetében, amelyeknek a felületét deacetilezték.
2. ALAPELV
Az ismert száraz tömegű keverékből acetonnal kioldjuk az acetátszálakat. A maradékot összegyűjtjük, mossuk, szárítjuk és megmérjük; tömegét - szükséges esetén korrigálva - a keverék száraz tömegének százalékában fejezzük ki. A száraz acetát százalékos részarányát különbségképzéssel határozzuk meg.
3. ESZKÖZÖK ÉS REAGENSEK (az általános információkban megadottakon kívül)
3.1. Eszközök
Legalább 200 ml űrtartalmú, becsiszolt üvegdugós Erlenmeyer-lombikok.
3.2. Reagens
Aceton
4. VIZSGÁLATI ELJÁRÁS
Kövessük az általános információkban megadott eljárást, majd folytassuk a következőképpen:
A legalább 200 ml űrtartalmú, becsiszolt üvegdugós Erlenmeyer-lombikba helyezett próbadarabra öntsünk grammonként 100 ml acetont, rázzuk össze a lombikot, és hagyjuk állni szobahőmérsékleten 30 percig, időnként megkeverve, majd a folyadékot a lemért üveg szűrőtégelyen keresztül dekantáljuk.
Ismételjük meg a kezelést még kétszer (összesen három extrakciót végezve), de csak 15-15 percig, így az acetonos kezelés teljes időtartama egy óra lesz. A maradékot tegyük át az üveg szűrőtégelybe. Az üveg szűrőtégelyben levő maradékot mossuk át acetonnal, majd szívassuk le. Töltsük fel újra az üveg szűrőtégelyt acetonnal, és lefolyatással ürítsük ki.
Végül szívassuk le a bennmaradó folyadékot, majd szárítsuk meg, hűtsük le, és mérjük meg az üveg szűrőtégelyt a szálmaradékkal.
5. AZ EREDMÉNYEK KISZÁMÍTÁSA ÉS MEGADÁSA
Az eredményeket az általános információkban meghatározottak szerint számítsuk ki. A "d" értéke 1,00, kivéve a melamin és a poliakrilát esetében, amelyeknél "d" = 1,01.
6. A MÓDSZER PONTOSSÁGA
Textilanyagok homogén keveréke esetében az ezzel a módszerrel kapott eredmények megbízhatósági tartománya, 95 %-os megbízhatósági szint mellett, nem nagyobb ± 1-nél.
2. MÓDSZER - MEGHATÁROZOTT FEHÉRJESZÁLAK ÉS MEGHATÁROZOTT MÁS SZÁLAK
(Hipokloritos módszer)
1. ALKALMAZÁSI TERÜLET
Ez a módszer, a nemszálasanyagok eltávolítása után, a következő szálakból álló kétkomponensű szálkeverékekhez alkalmazható:
1. meghatározott fehérjeszálak, nevezetesen gyapjú (1), állati szőrök (2) és (3), selyem (4) vagy fehérje (23)
és
2. pamut (5), cupro (21), viszkóz (25), akril (26), polikloridszálak (27), poliamid vagy nejlon (30), poliészter (35), polipropilén (37), elasztán (43), üvegszál (44), elaszto-multiészter (45), elasztolefin (46), melamin (47) és polipropilén/poliamid kétkomponensű szál (49).
Ha különböző fehérjeszálak vannak jelen, akkor a módszerrel ezek összes tömegét határozzuk meg és nem egyedi mennyiségüket.
2. ALAPELV
Az ismert száraz tömegű keverékből hipoklorit oldattal kioldjuk a fehérjeszálakat. A maradékot összegyűjtjük, mossuk, szárítjuk és megmérjük; tömegét - szükséges esetén korrigálva - a keverék száraz tömegének százalékában fejezzük ki. A száraz fehérjeszálak százalékos részarányát különbségképzéssel határozzuk meg.
A hipoklorit oldat előállításához lítium-hipoklorit vagy nátrium-hipoklorit használható.
A lítium-hipoklorit abban az esetben ajánlott, ha a vizsgálatok száma kevés, vagy ha nagyobb időközönként végezzük a vizsgálatokat. Ennek oka az, hogy a szilárd lítium-hipokloritban - ellentétben a nátrium-hipoklorittal - gyakorlatilag állandó a hipoklorit százalékaránya. Ha a hipoklorit százalékaránya ismert, akkor nem kell minden vizsgálathoz jodometriásan ellenőrizni a hipoklorit-tartalmat, azaz állandó mennyiségű lítium-hipoklorit alkalmazható.
3. ESZKÖZÖK ÉS REAGENSEK (az általános információkban megadottakon kívül)
3.1. Eszközök
a) 250 ml űrtartalmú, becsiszolt üvegdugós Erlenmeyer-lombik.
b) 20 ± 2 °C-ra beállítható termosztát.
3.2. Reagensek
a) Hipoklorit reagens
i. Lítium-hipoklorit oldat
Ez egy frissen készített oldat, amely 35 ± 2 g/l aktív klórt tartalmaz (kb. 1 M), amelyhez 5 ± 0,5 g/l feloldott nátrium-hidroxidot adtunk. Elkészítéséhez oldjunk fel 100 g 35 % aktív klórtartalmú (vagy 115 g 30 % aktív klórtartalmú) lítium-hipokloritot kb. 700 ml desztillált vízben, adjunk hozzá 5 g kb. 200 ml desztillált vízben feloldott nátrium-hidroxidot, majd töltsük fel desztillált vízzel 1 literre. A frissen elkészített oldat jodometriás ellenőrzése nem szükséges.
ii. Nátrium-hipoklorit oldat
Ez egy frissen készített oldat, amely 35 ± 2 g/l aktív klórt tartalmaz (kb. 1 M), és amelyhez 5 ± 0,5 g/l feloldott nátrium-hidroxidot adtunk.
Az oldat aktív klórtartalmát minden vizsgálat előtt jodometriásan ellenőrizni kell.
b) Ecetsav, hígított oldat
5 ml jégecetet vízzel hígítsunk fel 1 literre.
4. VIZSGÁLATI ELJÁRÁS
Kövessük az általános információkban megadott eljárást, majd folytassuk a következőképpen: a kb. 1 g tömegű próbadarabot keverjük össze kb. 100 ml hipoklorit oldattal (lítium- vagy nátrium-hipoklorit) egy 250 ml-es lombikban, és alaposan keverjük meg, hogy a próbadarab átnedvesedjen.
Ezután tartsuk a lombikot 40 percig 20 °C-os termosztátban, közben keverjük folyamatosan vagy legalább rendszeres időközönként. Mivel a gyapjú oldódása exoterm folyamat, a módszer során keletkező reakcióhőt el kell vezetni. Ellenkező esetben számottevő hibát okozhat az oldhatatlan szálak kezdeti oldódása.
A 40 perc elteltével szűrjük át a lombik tartalmát egy lemért üveg szűrőtégelyen, a visszamaradó szálakat tegyük át az üveg szűrőtégelybe úgy, hogy a lombikot egy kevés hipoklorit reagenssel átöblítjük. Szívassuk le az üveg szűrőtégelyt, majd mossuk át a szálmaradékot egymást követően vízzel, hígított ecetsavval, végül ismét vízzel, közben szívassuk le a tégelyt minden egyes folyadék-hozzáadás után. Ne alkalmazzunk leszívást addig, míg minden mosófolyadék magától le nem folyt.
Végül szívassuk le a bennmaradó folyadékot, majd szárítsuk meg, hűtsük le, és mérjük meg az üvegszűrőt a szálmaradékkal.
5. AZ EREDMÉNYEK KISZÁMÍTÁSA ÉS MEGADÁSA
Az eredményeket az általános információkban meghatározottak szerint számítsuk ki. A "d" értéke 1,00, kivéve a pamut-, viszkóz-, modál- és melaminszálak esetén, amelyeknél "d" = 1,01, valamint a fehérítetlen pamut esetén, amelynél "d" = 1,03.
6. A MÓDSZER PONTOSSÁGA
Textilanyagok homogén keveréke esetében az ezzel a módszerrel kapott eredmények megbízhatósági tartománya, 95 %-os megbízhatósági szint mellett, nem nagyobb ± 1-nél.
3. MÓDSZER - VISZKÓZ, CUPRO- VAGY MEGHATÁROZOTT TÍPUSÚ MODÁLSZÁLAK ÉS MEGHATÁROZOTT MÁS SZÁLAK
(Hangyasavat és cink-kloridot alkalmazó módszer)
1. ALKALMAZÁSI TERÜLET
Ez a módszer, a nemszálasanyagok eltávolítása után, a következő szálakból álló kétkomponensű szálkeverékekhez alkalmazható:
1. viszkóz (25) vagy cupro (21), beleértve meghatározott típusú modálszálakat is (22)
és
2. pamut (5), polipropilén (37), elasztolefin (46) és melamin (47).
Ha modálszál van a keverékben, előzetes vizsgálatot kell végezni annak megállapítására, hogy oldódik-e a reagensben.
A módszer nem alkalmazható olyan keverékek esetében, amelyekben a pamutot erős kémiai roncsoló hatás érte, vagy amelyekben a viszkóz vagy a cupro bizonyos teljesen el nem távolítható színezékek vagy kikészítő anyagok jelenléte miatt részlegesen oldhatóvá vált.
2. ALAPELV
Az ismert száraz tömegű keverékből hangyasavat és cink-kloridot tartalmazó oldattal kioldjuk a viszkóz-, cupro- vagy modálszálakat. A maradékot összegyűjtjük, mossuk, szárítjuk és megmérjük; korrigált tömegét a keverék száraz tömegének százalékában fejezzük ki. A száraz viszkóz-, cupro- vagy modálszálak százalékos részarányát különbségképzéssel határozzuk meg.
3. ESZKÖZÖK ÉS REAGENSEK (az általános információkban megadottakon kívül)
3.1. Eszközök
a) Legalább 200 ml űrtartalmú, becsiszolt üvegdugós Erlenmeyer-lombik.
b) Az Erlenmeyer-lombik 40 ± 2 °C-on tartására alkalmas készülék.
3.2. Reagensek
a) Oldat, amely 20 g olvasztott vízmentes cink-kloridot és 68 g vízmentes hangyasavat tartalmaz, vízzel 100 g-ra kiegészítve (azaz 20 tömegegység vízmentes olvasztott cink-kloridot adunk 80 tömegegység 85 tömegszázalékos hangyasavhoz).
Legyünk figyelemmel az I.3.2.2. pontra, amely azt szabályozza, hogy a felhasznált összes reagensnek vegytisztának kell lennie; emellett létfontosságú, hogy csak olvasztott vízmentes cink-kloridot használjunk.
b) Ammónium-hidroxid oldat: 20 ml koncentrált ammóniát (sűrűsége 20 °C-on: 0,880 ) hígítsunk fel vízzel 1 literre.
4. VIZSGÁLATI ELJÁRÁS
Kövessük az általános információkban megadott eljárást, majd folytassuk a következőképpen: azonnal tegyük be a próbadarabot a 40 °C-ra előmelegített Erlenmeyer-lombikba. Öntsünk a próbadarabra grammonként 100 ml, 40 °C-ra előmelegített hangyasav-cink-klorid oldatot. Zárjuk le, majd erősen rázzuk fel a lombikot. Tartsuk a lombikot és a tartalmát két és fél órán keresztül 40 °C-os állandó hőmérsékleten, közben óránként rázzuk fel.
Szűrjük át a lombik tartalmát egy lemért üveg szűrőtégelyen, és a reagens segítségével töltsük át a lombikban maradt szálakat a szűrőtégelybe. Öblítsük 20 milliliternyi 40 °C-ra előmelegített reagenssel.
Mossuk át alaposan az üvegszűrőt és a maradékot 40 °C-os vízzel. Öblítsük át a szálmaradékot kb. 100 ml hideg ammóniaoldatban (3.2. b. pont), ügyelve arra, hogy a maradék 10 percig teljesen elmerüljön az oldatban ( 9 ); majd öblítsük át alaposan hideg vízzel.
Ne alkalmazzunk leszívást addig, míg minden mosófolyadék magától le nem folyt.
Végül szívassuk le a bennmaradó folyadékot, majd szárítsuk meg, hűtsük le és mérjük meg az üvegszűrőt a szálmaradékkal együtt.
5. AZ EREDMÉNYEK KISZÁMÍTÁSA ÉS MEGADÁSA
Az eredményeket az általános útmutatóban meghatározottak szerint számítsuk ki. A "d" értéke 1,00, kivéve a pamut esetében, amelynél "d" = 1,02, valamint a melamin esetében, amelynél "d" = 1,01.
6. A MÓDSZER PONTOSSÁGA
Textilanyagok homogén keveréke esetében az ezzel a módszerrel kapott eredmények megbízhatósági tartománya, 95 %-os megbízhatósági szint mellett, nem nagyobb ± 2-nél.
4. MÓDSZER - POLIAMID- VAGY NEJLON- ÉS MEGHATÁROZOTT MÁS SZÁLAK
(80 tömegszázalékos hangyasavat alkalmazó módszer)
1. ALKALMAZÁSI TERÜLET
Ez a módszer, a nemszálasanyagok eltávolítása után, a következő szálakból álló kétkomponensű szálkeverékekhez alkalmazható:
1. poliamid vagy nejlon (30)
és
2. gyapjú (1), állati szőr (2) és (3), pamut (5), cupro (21), modál (22), viszkóz (25), akril (26), poliklorid (27), poliészter (35), polipropilén (37), üvegszál (44), elaszto-multiészter (45), elasztolefin (46) és melamin (47).
Mint azt fentebb említettük, ezt a módszert gyapjúkeverékekre is lehet alkalmazni, de ha a gyapjútartalom meghaladja a 25 %-ot, a 2. módszert kell alkalmazni (a gyapjút lúgos nátrium-hipoklorit vagy lítium-hipoklorit oldattal kell kioldani).
2. ALAPELV
Az ismert száraz tömegű keverékből hangyasavval kioldjuk a poliamid- vagy nejlonszálakat. A maradékot összegyűjtjük, mossuk, szárítjuk és megmérjük; tömegét - szükséges esetén korrigálva - a keverék száraz tömegének százalékában fejezzük ki. A száraz poliamid- vagy nylonszálak százalékos részarányát különbségképzéssel határozzuk meg.
3. ESZKÖZÖK ÉS REAGENSEK (az általános információkban megadottakon kívül)
3.1. Eszközök
Legalább 200 ml űrtartalmú, becsiszolt üvegdugós Erlenmeyer-lombik.
3.2. Reagensek
a) Hangyasav (80 tömegszázalékos, sűrűsége 20 °C-on: 1,186 ). 880 ml 90 tömegszázalékos hangyasavat (sűrűsége 20 °C-on: 1,204 ) hígítsunk fel vízzel 1 literre. Alternatív lehetőségként 780 ml 98-100 tömegszázalékos hangyasavat (sűrűsége 20 °C-on: 1,220 ) hígítsunk fel vízzel 1 literre.
A hangyasav koncentrációja 77 és 83 tömegszázalék között nem kritikus.
b) Ammónia, hígított oldat: 80 ml koncentrált ammóniát (sűrűsége 20 °C-on: 0,880 ) hígítsunk fel vízzel 1 literre.
4. VIZSGÁLATI ELJÁRÁS
Kövessük az általános információkban megadott eljárást, majd folytassuk a következőképpen: a legalább 200 ml űrtartalmú Erlenmeyer-lombikban levő próbadarabra öntsünk grammonként 100 ml hangyasavat. Zárjuk le, majd rázzuk a lombikot, hogy a próbadarab átnedvesedjen. Tartsuk a lombikot 15 percen keresztül szobahőmérsékleten, időnként felrázva. Szűrjük át a lombik tartalmát egy lemért üveg szűrőtégelyen, a visszamaradó szálakat töltsük át az üvegszűrőbe úgy, hogy a lombikot egy kis hangyasavval kimossuk.
Ürítsük ki az üvegszűrőt leszívással, majd mossuk át a szálmaradékot a szűrőben egymást követően hangyasavval, forró vízzel, hígított ammóniaoldattal, végül hideg vízzel, az egyes műveletek után leszívással kiürítve az üvegszűrőt. Ne alkalmazzunk leszívást addig, míg minden mosófolyadék magától le nem folyt.
Végül szívassuk le a bennmaradó folyadékot, majd szárítsuk meg, hűtsük le, és mérjük meg az üveg szűrőtégelyt a szálmaradékkal.
5. AZ EREDMÉNYEK KISZÁMÍTÁSA ÉS MEGADÁSA
Az eredményeket az általános információkban meghatározottak szerint számítsuk ki. A "d" értéke 1,00, kivéve a melamin esetében, amelynél "d" = 1,01.
6. A MÓDSZER PONTOSSÁGA
Textilanyagok homogén keveréke esetében az ezzel a módszerrel kapott eredmények megbízhatósági tartománya, 95 %-os megbízhatósági szint mellett, nem nagyobb ± 1-nél.
5. MÓDSZER - ACETÁT ÉS MEGHATÁROZOTT MÁS SZÁLAK
(Benzil-alkoholos módszer)
1. ALKALMAZÁSI TERÜLET
Ez a módszer, a nemszálasanyagok eltávolítása után, a következő szálakból álló kétkomponensű szálkeverékekhez alkalmazható:
1. acetát (19)
és
2. triacetát (24), polipropilén (37), elasztolefin (46), melamin (47), polipropilén/poliamid kétkomponensű szál (49) és poliakrilát (50).
2. ALAPELV
Az ismert száraz tömegű keverékből benzilalkohollal, 52 ± 2 °C-on kioldjuk az acetátszálakat.
A maradékot összegyűjtjük, mossuk, szárítjuk és megmérjük; tömegét a keverék száraz tömegének százalékában fejezzük ki. A száraz acetát százalékos részarányát különbségképzéssel határozzuk meg.
3. ESZKÖZÖK ÉS REAGENSEK (az általános információkban megadottakon kívül)
3.1. Eszközök
a) Legalább 200 ml űrtartalmú, becsiszolt üvegdugós Erlenmeyer-lombik.
b) Mechanikus rázógép.
c) Termosztát vagy egyéb készülék a lombik 52 ± 2 °C hőmérsékleten tartására.
3.2. Reagensek
a) Benzilalkohol.
b) Etilalkohol.
4. VIZSGÁLATI ELJÁRÁS
Kövessük az általános információkban megadott eljárást, majd folytassuk a következőképpen:
Az Erlenmeyer-lombikban lévő próbadarabra öntsünk grammonként 100 ml benzilalkoholt. Zárjuk le a lombikot, majd rögzítsük a rázógéphez úgy, hogy elmerüljön a vízfürdőben, tartsuk 52 ± 2 °C-on, és rázzuk 20 percig ezen a hőmérsékleten.
(Mechanikus rázógép alkalmazása helyett a lombikor kézzel is rázhatjuk erősen.)
Dekantáljuk a folyadékot egy lemért üveg szűrőtégelyen. Töltsünk egy újabb adag benzilalkoholt a lombikba, és az előbbiekhez hasonlóan rázzuk 52 ± 2 °C-on 20 percig.
Fejtsük le a folyadékot az üveg szűrőtégelyen keresztül. Ismételjük meg az eljárást harmadszor is.
Végül öntsük a folyadékot és a szálmaradékot az üvegszűrőbe; a visszamaradó szálakat öblítsük ki a lombikból az üvegszűrőbe egy nagyobb mennyiségű, 52 ± 2 °C-os benzilalkohollal. Alaposan ürítsük ki az üvegszűrőt.
A szálakat tegyük át egy lombikba, öblítsük etilalkohollal, majd miután kézzel felráztuk, dekantáljuk egy üveg szűrőtégelyen keresztül.
Ismételjük meg ezt az öblítő műveletet két vagy három alkalommal. A maradékot tegyük át az üvegszűrőbe, majd ürítsük ki alaposan az üvegszűrőt. Szárítsuk meg, hűtsük le, majd mérjük meg az üvegszűrőt a szálmaradékkal.
5. AZ EREDMÉNYEK KISZÁMÍTÁSA ÉS MEGADÁSA
Az eredményeket az általános információkban meghatározottak szerint számítsuk ki. A "d" értéke 1,00, kivéve a melamin esetében, amelynél "d" = 1,01.
6. A MÓDSZER PONTOSSÁGA
Textilanyagok homogén keveréke esetében az ezzel a módszerrel kapott eredmények megbízhatósági tartománya, 95 %-os megbízhatósági szint mellett, nem nagyobb ± 1-nél.
6. MÓDSZER - TRIACETÁT VAGY POLILAKTID ÉS MEGHATÁROZOTT MÁS SZÁLAK
(Diklór-metános módszer)
1. ALKALMAZÁSI TERÜLET
Ez a módszer, a nemszálasanyagok eltávolítása után, a következő szálakból álló kétkomponensű szálkeverékekhez alkalmazható:
1. triacetát (24) vagy polilaktid (34)
és
2. gyapjú (1), állati szőr (2 és 3), selyem (4), pamut (5), cupro (21), modál (22), viszkóz (25), akril (26), poliamid vagy nejlon (30), poliészter (35), polipropilén (37), üvegszál (44), elaszto-multiészter (45), elasztolefin (46), melamin (47), polipropilén/poliamid kétkomponensű szál (49) és poliakrilát (50).
Az olyan triacetátszálak, amelyeket részlegesen hidrolízishez vezető kikészítésnek vetettek alá, már nem teljes mértékben oldódnak ebben a reagensben. Ilyen esetekben a módszer nem alkalmazható.
2. ALAPELV
Az ismert száraz tömegű keverékből diklór-metánnal oldjuk ki a triacetát- vagy polilaktidszálakat. A maradékot összegyűjtjük, mossuk, szárítjuk és megmérjük; tömegét - szükséges esetén korrigálva - a keverék száraz tömegének százalékában fejezzük ki. A száraz triacetát vagy polilaktid százalékos részarányát különbségképzéssel határozzuk meg.
3. ESZKÖZÖK ÉS REAGENSEK (az általános információkban megadottakon kívül)
3.1. Eszközök
Legalább 200 ml űrtartalmú, becsiszolt üvegdugós Erlenmeyer-lombik.
3.2. Reagensek
Diklór-metán.
4. VIZSGÁLATI ELJÁRÁS
Kövessük az általános információkban megadott eljárást, majd folytassuk a következőképpen:
A 200 ml-es, becsiszolt üvegdugós Erlenmeyer-lombikban levő próbadarabra öntsünk grammonként 100 ml diklór-metánt; zárjuk le, majd rázzuk fel a lombik tartalmát, hogy a próbadarab átnedvesedjen, és hagyjuk állni szobahőmérsékleten 30 percig, miközben 10 percenként felrázzuk. Dekantáljuk a folyadékot egy lemért üveg szűrőtégelyen. Töltsünk 60 ml diklór-metánt a maradékot tartalmazó lombikba, rázzuk össze kézzel, majd szűrjük át a lombik tartalmát az üveg szűrőtégelyen. A visszamaradó szálakat töltsük át az üvegszűrőbe úgy, hogy a lombikot mossuk át kis mennyiségű diklór-metánnal. Ürítsük ki az üvegszűrőt leszívással, így távolítva el a felesleges folyadékot, töltsük fel újra az üvegszűrőt diklór-metánnal, és hagyjuk magától lefolyni.
Végül szívassuk le a felesleges folyadékot, kezeljük a maradékot forrásban lévő vízzel az oldószer teljes eltávolítása érdekében, alkalmazzunk leszívást, szárítsuk meg, hűtsük le, majd mérjük meg az üvegszűrőt a szálmaradékkal.
5. AZ EREDMÉNYEK KISZÁMÍTÁSA ÉS MEGADÁSA
Az eredményeket az általános információkban meghatározottak szerint számítsuk ki. A "d" értéke 1,00, kivéve a poliészter, az elaszto-multiészter, az elasztolefin és a melamin esetében, amelyeknél a "d" értéke 1,01.
6. A MÓDSZER PONTOSSÁGA
Textilanyagok homogén keveréke esetében az ezzel a módszerrel kapott eredmények megbízhatósági tartománya, 95 %-os megbízhatósági szint mellett, nem nagyobb ± 1-nél.
7. MÓDSZER - MEGHATÁROZOTT CELLULÓZSZÁLAK ÉS MEGHATÁROZOTT MÁS SZÁLAK
(75 tömegszázalékos kénsavat alkalmazó módszer)
1. ALKALMAZÁSI TERÜLET
Ez a módszer, a nemszálasanyagok eltávolítása után, a következő szálakból álló kétkomponensű szálkeverékekhez alkalmazható:
1. pamut (5), len (7), valódi kender (8), rami (14), cupro (21), modál (22), viszkóz (25)
és
2. poliészter (35), polipropilén (37), elaszto-multiészter (45), elasztolefin (46) és polipropilén/poliamid kétkomponensű szál (49).
2. ALAPELV
Az ismert száraz tömegű keverékből 75 tömegszázalékos kénsavval kioldjuk a cellulózszálat. A maradékot összegyűjtjük, mossuk, szárítjuk és megmérjük; tömegét a keverék száraz tömegének százalékában fejezzük ki. A száraz cellulózszálak százalékos részarányát különbségképzéssel határozzuk meg.
3. ESZKÖZÖK ÉS REAGENSEK (az általános információkban megadottakon kívül)
3.1. Eszközök
a) Legalább 500 ml űrtartalmú, becsiszolt üvegdugós Erlenmeyer-lombik.
b) Termosztát vagy más készülék a lombik 50 ± 5 °C-on tartására.
3.2. Reagensek
a) 75 ± 2 tömegszázalékos kénsav
Ezt úgy készítjük el, hogy 700 ml kénsavat (sűrűsége 20 °C-on: 1,84 ) óvatosan, állandó hűtés mellett, hozzátöltünk 350 ml desztillált vízhez.
Az oldódás után szobahőmérsékletűre hűtjük, és vízzel 1 literre hígítjuk.
b) Ammónia, hígított oldat
80 ml ammóniaoldatot (sűrűsége 20 °C-on: 0,88 ) vízzel hígítsunk fel 1 literre.
4. VIZSGÁLATI ELJÁRÁS
Kövessük az általános információkban megadott eljárást, majd folytassuk a következőképpen:
A legalább 500 ml űrtartalmú, becsiszolt üvegdugós Erlenmeyer-lombikban levő próbadarabra öntsünk grammonként 200 ml 75 tömegszázalékos kénsavat, zárjuk le, majd óvatosan rázzuk a lombikot, hogy a próbadarab átnedvesedjen.
Tartsuk a lombikot egy órán keresztül 50 ± 5 °C-on, szabályos időközönként, körülbelül 10 percenként felrázva. Szűrjük át a lombik tartalmát egy lemért üveg szűrőtégelyen, leszívással. A visszamaradó szálakat töltsük át az üvegszűrőbe úgy, hogy a lombikot mossuk át kis mennyiségű 75 tömegszázalékos kénsavval. Ürítsük ki az üvegszűrőt leszívással, majd mossuk át egyszer a szálmaradékot a szűrőben, feltöltve az üvegszűrőt egy új adag kénsavval. Ne alkalmazzunk leszívást addig, míg minden sav magától le nem folyt.
Mossuk át a maradékot egymást követően többször hideg vízzel, kétszer hígított ammóniaoldattal, majd ezután alaposan hideg vízzel, az egyes műveletek után leszívással kiürítve az üvegszűrőt. Ne alkalmazzunk leszívást addig, míg minden mosófolyadék magától le nem folyt. Végül szívassuk le a bennmaradó folyadékot, majd szárítsuk meg, hűtsük le, és mérjük meg az üvegszűrőt a szálmaradékkal.
5. AZ EREDMÉNYEK KISZÁMÍTÁSA ÉS MEGADÁSA
Az eredményeket az általános információkban meghatározottak szerint számítsuk ki. A "d" értéke 1,00, kivéve a polipropilén/poliamid kétkomponensű szál esetében, amelynél "d" = 1,01.
6. A MÓDSZER PONTOSSÁGA
Textilanyagok homogén keveréke esetében az ezzel a módszerrel kapott eredmények megbízhatósági tartománya, 95 %-os megbízhatósági szint mellett, nem nagyobb ± 1-nél.
8. MÓDSZER - AKRILOK, EGYES MODAKRILOK VAGY MEGHATÁROZOTT POLIKLORIDSZÁLAK ÉS MEGHATÁROZOTT MÁS SZÁLAK
(Dimetil-formamidos módszer)
1. ALKALMAZÁSI TERÜLET
Ez a módszer, a nemszálasanyagok eltávolítása után, a következő szálakból álló kétkomponensű szálkeverékekhez alkalmazható:
1. akril (26), meghatározott modakrilok (29), meghatározott poliklorid szálak (27) ( 10 )
és
2. gyapjú (1), állati szőr (2 és 3), selyem (4), pamut (5), cupro (21), modál (22), viszkóz (25), poliamid vagy nejlon (30), poliészter (35), polipropilén (37), elaszto-multiészter (45), elasztolefin (46), melamin (47), polipropilén/poliamid kétkomponensű szál (49) és poliakrilát (50).
A módszer egyaránt alkalmas előzetesen metallizált festékkel festett akrilok és egyes modakrilok esetében, ugyanakkor nem alkalmas olyan szálaknál, amelyeket krómos utánkezeléssel színeztek.
2. ALAPELV
Az ismert száraz tömegű keverékből forrásban levő vízfürdőben melegített dimetil-formamiddal kioldjuk az akril-, a modakril- vagy a polikloridszálat. A maradékot összegyűjtjük, mossuk, szárítjuk és megmérjük; tömegét - szükség esetén korrigálva - a keverék száraz tömegének százalékában fejezzük ki, majd az akril-, a modakril- vagy a polikloridszálak százalékos részarányát különbségképzéssel határozzuk meg.
3. ESZKÖZÖK ÉS REAGENSEK (az általános információkban megadottakon kívül)
3.1. Eszközök
a) Legalább 200 ml űrtartalmú, becsiszolt üvegdugós Erlenmeyer-lombik.
b) Forrásban lévő vízfürdő.
3.2. Reagensek
Dimetil-formamid (forráspont 153 ± 1 °C), amely nem tartalmaz 0,1 %-nál több vizet.
Ez a reagens mérgező, ezért védőeszköz használata ajánlatos.
4. VIZSGÁLATI ELJÁRÁS
Kövessük az általános információkban megadott eljárást, majd folytassuk a következőképpen:
A legalább 200 ml űrtartalmú, becsiszolt üvegdugós Erlenmeyer-lombikban lévő próbadarabra öntsünk grammonként 80 ml dimetil-formamidot, amelyet előmelegítettünk forrásban lévő vízfürdőben, zárjuk le, majd rázzuk a lombikot, hogy a próbadarab átnedvesedjen, majd melegítsük a forrásban lévő vízfürdőben 1 órán keresztül. Ezalatt öt alkalommal óvatosan rázzuk fel kézzel a lombikot és tartalmát.
Dekantáljuk a folyadékot egy lemért üveg szűrőtégelyen át, visszatartva a szálakat a lombikban. Öntsünk további 60 ml dimetil-formamidot a lombikba és melegítsük további 30 percen keresztül, ezalatt kétszer óvatosan rázzuk fel kézzel a lombikot és tartalmát.
A lombik tartalmát leszívással szűrjük át az üveg szűrőtégelyen.
A visszamaradó szálakat töltsük át az üvegszűrőbe úgy, hogy a lombikot dimetil-formamiddal kimossuk. Az üvegszűrőt leszívással ürítsük ki. Mossuk át a szálmaradékot kb. 1 liter 70-80 °C-os melegvízzel, minden alkalommal feltöltve az üvegszűrőt.
Minden vízadagolás után alkalmazzunk rövid leszívást, de addig ne, amíg a víz magától le nem folyt. Ha a mosófolyadék túl lassan folyik át az üvegszűrőn, kismértékű leszívás alkalmazható.
Végül szárítsuk meg, hűtsük le, majd mérjük meg az üvegszűrőt a szálmaradékkal.
5. AZ EREDMÉNYEK KISZÁMÍTÁSA ÉS MEGADÁSA
Az eredményeket az általános információkban meghatározottak szerint számítsuk ki. A "d" értéke 1,00, kivéve a gyapjú, a pamut, a cupro, a modál, a poliészter, az elaszto-multiészter, a melamin és a poliakrilát esetében, amelyek tekintetében a "d" értéke 1,01.
6. A MÓDSZER PONTOSSÁGA
Textilanyagok homogén keveréke esetében az ezzel a módszerrel kapott eredmények megbízhatósági tartománya, 95 %-os megbízhatósági szint mellett, nem nagyobb ± 1-nél.
9. MÓDSZER - MEGHATÁROZOTT POLIKLORIDSZÁLAK ÉS MEGHATÁROZOTT MÁS SZÁLAK
(Szén-diszulfid és aceton 55,5/44,5 térfogatszázalékos keverékét alkalmazó módszer)
1. ALKALMAZÁSI TERÜLET
Ez a módszer, a nemszálasanyagok eltávolítása után, a következő szálakból álló kétkomponensű szálkeverékekhez alkalmazható:
1. meghatározott polikloridszálak (27), nevezetesen egyes polivinil-klorid-szálak, utóklórozással vagy anélkül ( 11 )
és
2. gyapjú (1), állati szőr (2 és 3), selyem (4), pamut (5), cupro (21), modál (22), viszkóz (25), akril (26), poliamid vagy nejlon (30), poliészter (35), polipropilén (37), üvegszál (44), elaszto-multiészter (45), melamin (47), polipropilén/poliamid kétkomponensű szál (49) és poliakrilát (50).
Ha a keverék gyapjú- vagy selyemtartalma meghaladja a 25 %-ot, a 2. módszert kell alkalmazni.
Ha a keverék poliamid- vagy nejlontartalma meghaladja a 25 %-ot, a 4. módszert kell alkalmazni.
2. ALAPELV
Az ismert száraz tömegű keverékből szén-diszulfid és aceton azeotrópos keverékével kioldjuk a polikloridszálakat. A maradékot összegyűjtjük, mossuk, szárítjuk és megmérjük; tömegét - szükséges esetén korrigálva - a keverék száraz tömegének százalékában fejezzük ki. A száraz PVC-szálak százalékos részarányát különbségképzéssel határozzuk meg.
3. ESZKÖZÖK ÉS REAGENSEK (az általános információkban megadottakon kívül)
3.1. Eszközök
a) Legalább 200 ml űrtartalmú, becsiszolt üvegdugós Erlenmeyer-lombik.
b) Mechanikus rázógép.
3.2. Reagensek
a) Szén-diszulfid és aceton azeotrópos keveréke (55,5 térfogatszázalék szén-diszulfid és 44,5 térfogatszázalék aceton). Mivel a reagens mérgező, védőeszköz használata ajánlatos.
b) Etilalkohol (92 térfogatszázalékos) vagy metilalkohol.
4. VIZSGÁLATI ELJÁRÁS
Kövessük az általános információkban megadott eljárást, majd folytassuk a következőképpen:
A legalább 200 ml űrtartalmú Erlenmeyer-lombikban levő próbadarabra öntsünk grammonként 100 ml azeotrópos keveréket. Zárjuk le erősen, majd rázzuk a lombikot 20 percig szobahőmérsékleten egy mechanikus rázógépben, vagy kézzel, erőteljesen.
Dekantáljuk a szálakon lévő folyadékot egy lemért üveg szűrőtégelyen át.
Ismételjük meg a kezelést 100 ml új folyadékkal. Addig ismételjük ezt a műveletet, amíg el nem érjük, hogy egy óraüvegre cseppentve az extraháló folyadék nem hagy polimercsapadékot az elpárolgás után. Töltsük át a szálmaradékot az üvegszűrőbe további reagens felhasználásával. Szívjuk le a folyadékot, majd öblítsük át az üvegszűrőt és a szálmaradékot 20 ml alkohollal, majd háromszor vízzel. Hagyjuk a mosó folyadékot magától lefolyni, mielőtt leszívást használnánk. Végül szárítsuk meg, hűtsük le, majd mérjük meg az üvegszűrőt a szálmaradékkal.
Némelyik nagy polikloridszál-tartalmú keveréknél a próbadarab a szárítás során jelentősen zsugorodhat, ennek következtében a polikloridszál feloldódása az oldószerben lelassul.
Ennek azonban nincs hatása a polikloridszálak teljes feloldódására az oldószerben.
5. AZ EREDMÉNYEK KISZÁMÍTÁSA ÉS MEGADÁSA
Az eredményeket az általános információkban meghatározottak szerint számítsuk ki. A "d" értéke 1,00, kivéve a melamin és a poliakrilát esetében, amelyeknél "d" = 1,01.
6. A MÓDSZER PONTOSSÁGA
Textilanyagok homogén keveréke esetében az ezzel a módszerrel kapott eredmények megbízhatósági tartománya, 95 %-os megbízhatósági szint mellett, nem nagyobb ± 1-nél.
10. MÓDSZER - ACETÁT ÉS MEGHATÁROZOTT MÁS SZÁLAK
(Jégecetes módszer)
1. ALKALMAZÁSI TERÜLET
Ez a módszer, a nemszálasanyagok eltávolítása után, a következő szálakból álló kétkomponensű szálkeverékekhez alkalmazható:
1. acetát (19)
és
2. meghatározott polikloridszálak (27), mégpedig polivinil-klorid szálak, akár utóklórozottak, akár nem, polipropilén (37), elasztolefin (47), melamin (48) és polipropilén/poliamid kétkomponensű szál (49).
2. ALAPELV
Az ismert száraz tömegű keverékből jégecettel kioldjuk az acetátszálakat. A maradékot összegyűjtjük, mossuk, szárítjuk és megmérjük; tömegét - szükséges esetén korrigálva - a keverék száraz tömegének százalékában fejezzük ki. A száraz acetát százalékos részarányát különbségképzéssel határozzuk meg.
3. ESZKÖZÖK ÉS REAGENSEK (az általános információkban megadottakon kívül)
3.1. Eszközök
a) Legalább 200 ml űrtartalmú, becsiszolt üvegdugós Erlenmeyer-lombik.
b) Mechanikus rázógép.
3.2. Reagensek
Jégecet (99 % feletti). Ezt a reagenst óvatosan kell kezelni, mivel erősen maró hatású.
4. VIZSGÁLATI ELJÁRÁS
Kövessük az általános információkban megadott eljárást, majd folytassuk a következőképpen:
A legalább 200 ml űrtartalmú Erlenmeyer-lombikban levő próbadarabra öntsünk grammonként 100 ml jégecetet. Zárjuk le erősen, majd rázzuk a lombikot 20 percig szobahőmérsékleten egy mechanikus rázógépben, vagy kézzel, erőteljesen. Dekantáljuk a szálakon lévő folyadékot egy lemért üveg szűrőtégelyen át. Ismételjük meg a kezelést még kétszer, minden alkalommal 100 ml új folyadék felhasználásával, így összesen három extrahálást végezzünk.
Töltsük át a szálmaradékot az üvegszűrőbe, szívjuk le a folyadékot, majd öblítsük át az üvegszűrőt és a szálmaradékot 50 ml jégecettel, majd háromszor vízzel. Minden öblítés után hagyjuk a folyadékot magától lefolyni, mielőtt leszívást használnánk. Szárítsuk meg, hűtsük le, majd mérjük meg az üvegszűrőt a szálmaradékkal.
5. AZ EREDMÉNYEK KISZÁMÍTÁSA ÉS MEGADÁSA
Az eredményeket az általános információkban meghatározottak szerint számítsuk ki. A "d" értéke 1,00.
6. A MÓDSZER PONTOSSÁGA
Textilanyagok homogén keveréke esetében az ezzel a módszerrel kapott eredmények megbízhatósági tartománya, 95 %-os megbízhatósági szint mellett, nem nagyobb ± 1-nél.
11. MÓDSZER - SELYEM VAGY POLIAMID ÉS MEGHATÁROZOTT MÁS SZÁLAK
(75 tömegszázalékos kénsavat alkalmazó módszer)
1. ALKALMAZÁSI TERÜLET
Ez a módszer a nem szálas anyagok eltávolítása után a következő szálakból álló kétkomponensű szálkeverékekhez alkalmazható:
1. selyem (4) vagy poliamid/nejlon (30)
és
2. gyapjú (1), állati szőr (2 és 3), polipropilén (37), elasztolefin (46), melamin (47) és polipropilén/poliamid kétkomponensű szál (49).
2. ALAPELV
Az ismert száraz tömegű keverékből 75 tömegszázalékos kénsavval kioldjuk a selyem-, poliamid- vagy nejlonszálakat ( 12 ).
A maradékot összegyűjtjük, mossuk, szárítjuk és megmérjük; tömegét - szükség esetén korrigálva - a keverék száraz tömegének százalékában fejezzük ki. A száraz selyem, poliamid vagy nejlon százalékos részarányát különbségképzéssel határozzuk meg.
3. ESZKÖZÖK ÉS REAGENSEK (az általános információkban megadottakon kívül)
3.1. Eszközök
Legalább 200 ml űrtartalmú, becsiszolt üvegdugós Erlenmeyer-lombik.
3.2. Reagensek
a) Kénsav (75 ± 2 tömegszázalékos)
Ezt úgy készítjük el, hogy 700 ml kénsavat (sűrűsége 20 °C-on: 1,84 ) óvatosan, állandó hűtés mellett, hozzátöltünk 350 ml desztillált vízhez.
A szobahőmérsékletre hűtés után hígítsuk vízzel az oldatot 1 literre.
b) Kénsav, hígított oldat: töltsünk 100 ml kénsavat (sűrűsége 20 °C-on: 1,84) lassan 1 900 ml desztillált vízhez.
c) Ammónia, hígított oldat: hígítsunk fel desztillált vízzel 200 ml koncentrált ammóniát (sűrűsége 20 °C-on: 0,880) 1 literre.
4. VIZSGÁLATI ELJÁRÁS
Kövessük az általános információkban megadott eljárást, majd folytassuk a következőképpen:
A legalább 200 ml űrtartalmú Erlenmeyer-lombikban levő próbadarabra öntsünk grammonként 100 ml 75 tömegszázalékos kénsavat, majd zárjuk le az üvegdugóval. Erősen rázzuk fel, majd tartsuk a lombikot 30 percen keresztül szobahőmérsékleten. Rázzuk fel ismét, majd álljon további 30 percig. Rázzuk fel még egyszer, utoljára, és szűrjük át a lombik tartalmát a lemért szűrőtégelyen. A visszamaradó szálakat öblítsük ki lombikból 75 tömegszázalékos kénsav reagenssel. Mossuk át a szűrőn visszamaradt anyagot előbb 50 ml hígított kénsav reagenssel, majd 50 ml vízzel, végül 50 ml hígított ammóniaoldattal mossuk ki. Mindegyik alkalommal hagyjuk, hogy a leszívás előtt a szálak kb. 10 percig érintkezzenek a folyadékkal. Végül öblítsünk vízzel, hagyjuk, hogy a szálak kb. 30 percig érintkezzenek a vízzel. Ürítsük ki a tégelyt leszívással, szárítsuk meg, hűtsük le, majd mérjük meg az üvegszűrőt a szálmaradékkal.
A poliamid és a polipropilén/poliamid szál kétkomponensű keverékei esetében a szálaknak a lemért szűrőtégelyen történő leszűrése után és a leírt mosási eljárás alkalmazása előtt kétszer mossuk át a szűrőtégelyen visszamaradó szálakat, mindannyiszor 50 ml 75 %-os kénsav reagenssel.
5. AZ EREDMÉNYEK KISZÁMÍTÁSA ÉS MEGADÁSA
Az eredményeket az általános információkban meghatározottak szerint számítsuk ki. A "d" értéke 1,00, kivéve a gyapjú esetében, amelynél "d" = 0,985, továbbá a polipropilén/poliamid kétkomponensű szál esetében, amelynél "d" = 1,005, valamint a melamin esetében, amelynél "d" = 1,01.
6. A MÓDSZER PONTOSSÁGA
Textilanyagok homogén keveréke esetében az ezzel a módszerrel kapott eredmények megbízhatósági tartománya, 95 %-os megbízhatósági szint mellett, nem nagyobb ± 1-nél, kivéve a poliamid és a polipropilén/poliamid szál kétkomponensű keverékeit, amelyek esetében az eredmények megbízhatósági tartománya legfeljebb ± 2.
12. MÓDSZER - JUTA ÉS EGYES ÁLLATI EREDETŰ SZÁLAK
(Nitrogéntartalom-meghatározásos módszer)
1. ALKALMAZÁSI TERÜLET
Ez a módszer, a nemszálasanyagok eltávolítása után, a következő szálakból álló kétkomponensű szálkeverékekhez alkalmazható:
1. juta (9)
és
2. egyes állati eredetű szálak.
Az állati eredetű szálkomponens kizárólag állati szőrből (2) és (3) vagy gyapjúból (1) vagy e kettő valamilyen keverékéből állhat. Ez a módszer nem alkalmazható olyan textilkeverékekhez, amelyek nitrogénbázisú nemszálasanyagot (színezék, kikészítőszer stb.) tartalmaznak.
2. ALAPELV
Meghatározzuk a keverék nitrogéntartalmát, majd ebből és két komponens ismert vagy feltételezett nitrogéntartalmából számítjuk ki a komponensek részarányát.
3. ESZKÖZÖK ÉS REAGENSEK (az általános információkban megadottakon kívül)
3.1. Eszközök
a) 200-300 ml űrtartalmú Kjeldahl roncsoló lombik.
b) Kjeldahl desztilláló készülék gőzbevezetéssel.
c) 0,05 ml pontosságú titráló eszköz.
3.2. Reagensek
a) Toluol.
b) Metil-alkohol.
c) Kénsav, sűrűsége 20 °C-on: 1,84 ( 13 )
d) Kálium-szulfát (13) .
e) Szelén-dioxid (13) .
f) Nátrium-hidroxid-oldat (400 g/liter). Oldjunk fel 400 g nátrium-hidroxidot 400-500 ml vízben, majd hígítsuk fel 1 literre vízzel.
g) Indikátorkeverék. Oldjunk fel 0,1 g metilvöröset 95 ml etil-alkoholban és 5 ml vízben, majd keverjük össze 0,5 g brómkrezolzölddel, amelyet előzőleg 475 ml etil-alkoholban és 25 ml vízben feloldottunk.
h) Bórsavoldat. Oldjunk fel 20 g bórsavat 1 liter vízben.
i) Kénsav, 0,02N (standard normáloldat).
4. A VIZSGÁLATI MINTA ELŐKEZELÉSE
Az általános információkban megadott előkezelés helyett a következő előkezelést végezzük el:
Extraháljuk a légszáraz laboratóriumi vizsgálati mintát Soxhlet-készülékben, 4 órán keresztül, egy térfogatrész toluol és 3 térfogatrész metil-alkohol keverékével, legalább 5 ciklus/óra sebességgel. Hagyjuk az oldószert elpárologni a mintából a szabad levegőn, majd a maradék oldószernyomokat szárítószekrényben, 105 ± 3 °C-on távolítsuk el. Ezután extraháljuk a mintát grammonként 50 ml vízben, visszafolyatás mellett forralva 30 percig. Végezzünk szűrést, tegyük vissza a mintát a lombikba, majd ismételjük meg az extrahálást ugyanolyan mennyiségű vízzel. Végezzünk szűrést, távolítsuk el a felesleges vizet a mintából kipréseléssel, leszívatással vagy centrifugálással, majd hagyjuk a mintát levegőn megszáradni.
Ügyelni kell a toluol és a metil-alkohol mérgező hatásaira, használatuk során minden szükséges óvintézkedést meg kell tenni.
5. VIZSGÁLATI ELJÁRÁS
5.1. Általános információk
A próbadarabok kiválasztása, szárítása és mérése tekintetében kövessük az általános információkban leírtakat.
5.2. Részletes eljárás
Tegyük a próbadarabot egy Kjeldahl roncsoló lombikba. A roncsoló lombikban lévő, legalább 1 g tömegű próbadarabhoz adjunk - ebben a sorrendben - 2,5 g kálium-szulfátot, 0,1-0,2 g szelén-dioxidot és 10 ml kénsavat (sűrűsége 20°C-on 1,84 ). Melegítsük a lombikot, először enyhén, míg a teljes szálmennyiség szétroncsolódik, ezután melegítsük erősebben, míg az oldat kitisztul, és majdnem színtelenné válik. Melegítsük a lombikot további 15 percig. Hagyjuk a lombikot kihűlni, a tartalmát óvatosan hígítsuk fel 10-20 ml vízzel, hűtsük, töltsük át a tartalmát egy 200 ml-es jelzéssel ellátott lombikba, töltsük fel vízzel erre a térfogatra, ezzel előállítva a feltáró oldatot. Töltsünk kb. 20 ml bórsavoldatot egy 100 ml-es Erlenmeyer-lombikba, és tegyük a lombikot Kjeldahl desztilláló készülék kondenzora alá úgy, hogy a lefolyócső éppen a bórsavoldat szintje alá merüljön. Tegyünk pontosan 10 ml feltáró oldatot a desztilláló lombikba, töltsünk legalább 5 ml nátrium-hidroxid-oldatot a tölcsérbe, emeljük fel kissé a dugót, és hagyjuk a nátrium-hidroxid-oldatot lassan lefolyni a lombikba. Ha a feltáró oldat és a nátrium-hidroxid-oldat két elkülönülő réteget képez, óvatosan keverjük össze. Melegítsük lassan a desztilláló lombikot, és vezessünk bele gőzt a gőzfejlesztőből. Gyűjtsünk össze kb. 20 ml desztillátumot, az Erlenmeyer-lombikot engedjük le úgy, hogy a kondenzor lefolyócsövének vége kb. 20 mm-rel a folyadék szintje felett legyen, és 1 percig desztilláljunk tovább. Öblítsük ki a lefolyócső végét vízzel, fogjuk fel az öblítővizet az Erlenmeyer-lombikban. Vegyük ki az Erlenmeyer-lombikot, cseréljük ki egy másik Erlenmeyer-lombikkal, amelyben nagyjából 10 ml bórsavoldat van, és gyűjtsünk kb. 10 ml desztillátumot.
Titráljuk a két desztillátumot külön-külön 0,02 N kénsavval, használjuk az indikátorkeveréket. Jegyezzük fel a két desztillátum teljes fogyását. Ha a második desztillátum fogyásának eltérése nagyobb mint 0,2 ml, ismételjük meg a vizsgálatot, és kezdjük el ismét a desztillálást, egy új adagot felhasználva a feltáró oldatból.
Végezzünk el egy üres meghatározást, azaz a feltárást és a desztillációt, amelynél csak a reagenseket használjuk.
6. AZ EREDMÉNYEK KISZÁMÍTÁSA ÉS MEGADÁSA
6.1. Számítsuk ki a száraz próbadarab százalékos nitrogéntartalmát a következőképpen:

ahol:
A = a nitrogén százalékaránya a tiszta, száraz próbadarabban,
V = a meghatározás során használt standard kénsav teljes mennyisége ml-ben,
b = az üres meghatározás során használt standard kénsav teljes mennyisége ml-ben,
N = a standard kénsav normalitása,
W = a próbadarab száraz tömege (g).
6.2. A juta nitrogéntartalmára a 0,22 %, az állati eredetű szál nitrogéntartalmára a 16,2 % értéket használva - mindkét százalékérték a szál száraz tömegére vonatkozik - számítsuk ki a keverék összetételét a következőképpen:

ahol:
PA % = az állati eredetű szálak százalékaránya a tiszta, száraz próbadarabban.
7. A MÓDSZER PONTOSSÁGA
Textilanyagok homogén keveréke esetében az ezzel a módszerrel kapott eredmények megbízhatósági tartománya, 95 %-os megbízhatósági szint mellett, nem nagyobb ± 1-nél.
13. MÓDSZER - POLIPROPILÉN SZÁLAK ÉS MEGHATÁROZOTT MÁS SZÁLAK
(Xilolos módszer)
1. ALKALMAZÁSI TERÜLET
Ez a módszer, a nemszálasanyagok eltávolítása után, a következő szálakból álló kétkomponensű szálkeverékekhez alkalmazható:
1. polipropilén szálak (37)
és
2. gyapjú (1), állati szőr (2 és 3), selyem (4), pamut (5), acetát (19), cupro (21), modál (22), triacetát (24), viszkóz (25), akril (26), poliamid vagy nejlon (30), poliészter (35), üvegszál (44), elaszto-multiészter (45), melamin (47) és poliakrilát (50).
2. ALAPELV
Az ismert száraz tömegű keverékből forrásban lévő xilollal kioldjuk a polipropilén szálakat. A maradékot összegyűjtjük, mossuk, szárítjuk és megmérjük; tömegét - szükséges esetén korrigálva - a keverék száraz tömegének százalékában fejezzük ki. A polipropilén szálak százalékos részarányát különbségképzéssel határozzuk meg.
3. ESZKÖZÖK ÉS REAGENSEK (az általános információkban megadottakon kívül)
3.1. Eszközök
a) Legalább 200 ml űrtartalmú, becsiszolt üvegdugós Erlenmeyer-lombik.
b) Visszafolyós hűtő (magas forráspontú folyadékokhoz alkalmas), az Erlenmeyer-lombikhoz (a) illeszkedő.
c) A xilol forrásponton tartására alkalmas fűtőpalást.
3.2. Reagensek
Xilol, 137 és 142 °C között desztillált.
A xilol nagyon gyúlékony, és a gőze mérgező. Használatakor megfelelő elővigyázatossággal kell eljárni.
4. VIZSGÁLATI ELJÁRÁS
Kövessük az általános információkban megadott eljárást, majd folytassuk a következőképpen:
A legalább 200 ml űrtartalmú Erlenmeyer-lombikban (3.1. a)) levő próbadarabra öntsünk grammonként 100 ml xilolt (3.2.). Erősítsük fel a hűtőt (3.1. b)), a lombik tartalmát forraljuk fel, és tartsuk forrásban három percig.
Azonnal dekantáljuk a forró folyadékot a lemért üveg szűrőtégelyen át (lásd 1. megjegyzés). Ismételjük meg ezt a műveletet kétszer, minden alkalommal egy új 50 ml-es adag oldószert használva.
Mossuk át a lombikban maradt szálmaradékot egymást követően 30 ml forrásban lévő xilollal kétszer, majd 75 ml petroléterrel (az általános információk I.3.2.1. pontja) kétszer. A második petroléteres mosás után szűrjük át a lombik tartalmát az üvegszűrőn, a visszamaradó szálakat töltsük át az üvegszűrőbe kis mennyiségű petroléter segítségével, és hagyjuk az oldószert elpárologni. Szárítsuk meg, hűtsük le, majd mérjük meg az üvegszűrőt a szálmaradékkal.
1. Az üveg szűrőtégelyt, amelyen át a xilolt dekantáljuk, elő kell melegíteni.
2. A forrásban levő xilollal történő kezelés után a lombikot és a benne levő szálmaradékot kellőképpen le kell hűteni, mielőtt a petrolétert beleöntenénk.
3. A tűz- és a mérgezés kockázatának csökkentése érdekében használhatunk megfelelő eljárásokat alkalmazó, azonos eredményt adó, forró extrahálásra alkalmas készüléket is ( 14 ).
5. AZ EREDMÉNYEK KISZÁMÍTÁSA ÉS MEGADÁSA
Az eredményeket az általános információkban meghatározottak szerint számítsuk ki. A "d" értéke 1,00, kivéve a melamin és a poliakrilát esetében, amelyeknél "d" = 1,01.
6. A MÓDSZER PONTOSSÁGA
Textilanyagok homogén keveréke esetében az ezzel a módszerrel kapott eredmények megbízhatósági tartománya, 95 %-os megbízhatósági szint mellett, nem nagyobb ± 1-nél.
14. MÓDSZER - MEGHATÁROZOTT SZÁLAK ÉS MEGHATÁROZOTT MÁS SZÁLAK
(Koncentrált kénsavas módszer)
1. ALKALMAZÁSI TERÜLET
Ez a módszer, a nemszálasanyagok eltávolítása után, a következő szálakból álló kétkomponensű szálkeverékekhez alkalmazható:
1. pamut (5), acetát (19), cupro (21), modál (22), triacetát (24), viszkóz (25), egyes akrilok (26), egyes modakrilok (29), poliamid vagy nejlon (30), poliészter (35) és elaszto-multiészter (45)
és
2. polikloridszálak (27), amelyek vinilklorid-homopolimer alapúak, akár utánklórozottak, akár nem, polipropilén (37), elasztolefin (46), melamin (47) és polipropilén/poliamid kétkomponensű szál (49).
A szóban forgó modakrilok koncentrált kénsavba mártva átlátszó oldatot adnak (a kénsav relatív sűrűsége 20 °C-on 1,84).
Ez a módszer alkalmazható a 8. és 9. módszer helyett.
2. ALAPELV
A keverék nem polikloridszál, nem polipropilén, nem elasztolefin, nem melamin és nem polipropilén/poliamid kétkomponensű szál összetevőjét (vagyis az 1.1. pontban említett szálakat) koncentrált kénsavval (relatív sűrűsége 20 °C-on 1,84) kioldjuk a keverék ismert száraz tömegéből. A polikloridszálból, elasztolefinből vagy melaminból álló visszamaradt anyagot összegyűjtjük, mossuk, szárítjuk és megmérjük, tömegét - szükség esetén korrigálva - a keverék száraz tömegének százalékában fejezzük ki. A második összetevő százalékos részarányát különbségképzéssel határozzuk meg.
3. ESZKÖZÖK ÉS REAGENSEK (az általános információkban megadottakon kívül)
3.1. Eszközök
a) Legalább 200 ml űrtartalmú, becsiszolt üvegdugós Erlenmeyer-lombik.
b) Lapított végű üvegpálca.
3.2. Reagensek
a) Kénsav, koncentrált (sűrűsége 20 °C-on: 1,84 ).
b) Kénsav, körülbelül 50 tömegszázalékos vizes oldat.
Ezt úgy készítjük el, hogy 400 ml kénsavat (sűrűsége 20 °C-on: 1,84 ) óvatosan, folyamatos hűtés mellett, hozzátöltünk 500 ml desztillált vagy ionmentesített vízhez. A szobahőmérsékletűre hűlés után desztillált vízzel 1 literre hígítjuk.
c) Ammónia, hígított oldat.
Hígítsunk fel desztillált vízzel 60 ml koncentrált ammóniaoldatot (sűrűsége 20 °C-on: 0,880 ) egy literre.
4. VIZSGÁLATI ELJÁRÁS
Kövessük az általános információkban megadott eljárást, majd folytassuk a következőképpen:
A legalább 200 ml űrtartalmú Erlenmeyer-lombikban (3.1. a)) levő próbadarabra öntsünk grammonként 100 ml kénsavat (3.2. a)).
Tartsuk a lombikot 10 percen keresztül szobahőmérsékleten, és ez idő alatt időnként keverjük meg a próbadarabot az üvegpálcával. Ha szövetet vagy kötött kelmét kezelünk, nyomogassuk azt kis erővel a lombik falához az üvegpálcával, hogy a kénsav által kioldott anyagot eltávolítsuk belőle.
Dekantáljuk a folyadékot egy lemért üveg szűrőtégelyen. Töltsünk a lombikba egy újabb adag - 100 ml - kénsavat (3.2. a)), és ismételjük meg az előző műveletet. Töltsük át a lombik tartalmát az üveg szűrőtégelybe, a szálmaradékot az üvegpálca segítségével tegyük át. Ha szükséges, töltsünk egy kis koncentrált kénsavat (3.2. a)) a lombikba, és ezzel távolítsuk el a lombik falán megtapadt szálakat. Ürítsük ki az üvegszűrőt leszívással. Az átszűrt folyadékot öntsük ki a szűrőlombikból, vagy cseréljünk lombikot, mossuk át a szálmaradékot a szűrőben egymást követően 50 %-os kénsavoldattal (3.2. b)), desztillált vagy ionmentesített vízzel (az általános információk I.3.2.3. pontja), ammóniaoldattal (3.2. c)), és végül mossuk át alaposan desztillált vagy ionmentesített vízzel, közben ürítsük ki az üvegszűrőt leszívással minden egyes folyadékadagolás után. (Ne alkalmazzunk leszívást a mosási művelet közben, csak akkor, ha a folyadék már magától lefolyt.) Szárítsuk meg, hűtsük le, majd mérjük meg az üvegszűrőt a szálmaradékkal.
5. AZ EREDMÉNYEK KISZÁMÍTÁSA ÉS MEGADÁSA
Az eredményeket az általános információkban meghatározottak szerint számítsuk ki. A "d" értéke 1,00, kivéve a melamin és a polipropilén/poliamid kétkomponensű szál esetében, amelyeknél "d" = 1,01.
6. A MÓDSZER PONTOSSÁGA
Textilanyagok homogén keveréke esetében az ezzel a módszerrel kapott eredmények megbízhatósági tartománya, 95 %-os megbízhatósági szint mellett, nem nagyobb ± 1-nél.
15. MÓDSZER - POLIKLORIDSZÁLAK, MEGHATÁROZOTT MODAKRILOK, MEGHATÁROZOTT ELASZTÁNOK, ACETÁTOK, TRIACETÁTOK ÉS MEGHATÁROZOTT MÁS SZÁLAK
(Ciklohexanonos módszer)
1. ALKALMAZÁSI TERÜLET
Ez a módszer, a nemszálasanyagok eltávolítása után, a következő szálakból álló kétkomponensű szálkeverékekhez alkalmazható:
1. acetát (19), triacetát (24), polikloridszál (27), meghatározott modakrilok (29), meghatározott elasztánok (43)
és
2. gyapjú (1), állati szőr (2 és 3), selyem (4), pamut (5), cupro (21), modál (22), viszkóz (25), akril (26), poliamid vagy nejlon (30), üvegszál (44), melamin (47) és poliakrilát (50).
Ha modakril- vagy elasztánszálat találunk a keverékben, előzetes vizsgálatot kell végezni annak megállapítására, hogy a szál teljes mértékben oldódik-e a reagensben.
A polikloridszál-tartalmú keverékek elemzéséhez a 9. vagy a 14. módszer is alkalmazható.
2. ALAPELV
Az ismert száraz tömegű keverékből ciklohexanonnal kioldjuk az acetát-, a triacetát-, a poliklorid-, valamint a meghatározott modakril- vagy elasztánszálakat. A maradékot összegyűjtjük, mossuk, szárítjuk és megmérjük; tömegét - szükséges esetén korrigálva - a keverék száraz tömegének százalékában fejezzük ki. A polikloridszál, a modakril, az elasztán, az acetát vagy a triacetát százalékos részarányát különbségképzéssel határozzuk meg.
3. ESZKÖZÖK ÉS REAGENSEK (az általános információkban megadottakon kívül)
3.1. Eszközök
a) Forró extrahálásra alkalmas készülék, amely megfelel a 4. pontban leírt vizsgálati eljárás céljára. (Lásd az ábrát: ez a Melliand Textilberichte 56 (1975) 643-645. oldalán leírt készülék egy bizonyos változata).
b) Üveg szűrőtégely a próbadarab tárolására.
c) Porózus elválasztó lemez (1. fokozatú porozitással).
d) Visszafolyós hűtő, amely feltehető a desztilláló lombikra.
e) Melegítő eszköz.
3.2. Reagensek
a) Ciklohexanon, forráspontja 156 °C.
b) Etil-alkohol, 50 térfogatszázalékos.
A ciklohexanon gyúlékony és mérgező anyag. Használatakor megfelelő elővigyázatossággal kell eljárni.
4. VIZSGÁLATI ELJÁRÁS
Kövessük az általános információkban megadott eljárást, majd folytassuk a következőképpen:
Öntsünk a desztillációs lombikba a próbadarab minden grammjához 100 ml ciklohexanont, helyezzük be az extraháló edényt, amelyben előzőleg elhelyeztük a próbadarabot tartalmazó üveg szűrőtégelyt és - enyhén megdöntve - az elválasztó lemezt. Helyezzük be a visszafolyós hűtőt. A lombik tartalmát forraljuk fel, és extraháljunk 60 percig, legalább 12 ciklus/óra sebességgel.
Az extrahálás és a hűtés után távolítsuk el az extraháló edényt, vegyük ki az üveg szűrőtégelyt, és távolítsuk el a porózus elválasztó lemezt. Mossuk át az üveg szűrőtégely tartalmát háromszor vagy négyszer kb. 60 °C-ra felmelegített, 50 %-os etil-alkohollal, majd ezt követően 1 liter 60 °C-os vízzel.
Ne alkalmazzunk leszívást a mosási műveletek alatt és között. Hagyjuk a folyadékot magától lefolyni, és csak ezután alkalmazzuk a leszívást.
Végül szárítsuk meg, hűtsük le, majd mérjük meg az üvegszűrőt a szálmaradékkal.
5. AZ EREDMÉNYEK KISZÁMÍTÁSA ÉS MEGADÁSA
Az eredményeket az általános információkban meghatározottak szerint számítsuk ki. A "d" értéke 1,00, kivéve a poliakrilát esetében, amely tekintetében "d" = 1,02, a selyem és a melamin esetében, amelyek tekintetében "d" = 1,01, valamint az akril esetében, amely tekintetében "d" = 0,98.
6. A MÓDSZER PONTOSSÁGA
Textilanyagok homogén keveréke esetében az ezzel a módszerrel kapott eredmények megbízhatósági tartománya, 95 %-os megbízhatósági szint mellett, nem nagyobb ± 1-nél.

16. MÓDSZER - MELAMIN ÉS MEGHATÁROZOTT MÁS SZÁLAK
(Forró hangyasavas módszer)
1. ALKALMAZÁSI TERÜLET
Ez a módszer, a nemszálasanyagok eltávolítása után, a következő szálakból álló kétkomponensű szálkeverékekhez alkalmazható:
1. melamin (47)
és
2. pamut (5), aramid (31) és polipropilén (37).
2. ALAPELV
Az ismert száraz tömegű keverékből (90 tömegszázalékos) forró hangyasavval kioldjuk a melamint.
A maradékot összegyűjtjük, mossuk, szárítjuk és megmérjük; tömegét - szükséges esetén korrigálva - a keverék száraz tömegének százalékában fejezzük ki. A második összetevő százalékos részarányát különbségképzéssel határozzuk meg.
Szigorúan az ajánlott hőmérsékleti tartományban kell maradni, mivel a melamin oldhatósága nagymértékben függ a hőmérséklettől.
3. ESZKÖZÖK ÉS REAGENSEK (az általános információkban megadottakon kívül)
3.1. Eszközök
a) Legalább 200 ml űrtartalmú, becsiszolt üvegdugós Erlenmeyer-lombik.
b) Rázó vízfürdő vagy egyéb olyan eszköz, amely rázni és 90 ± 2 °C-on tudja tartani a lombikot.
3.2. Reagensek
a) Hangyasav (90 tömegszázalékos, sűrűsége 20 °C-on: 1,204 ). Hígítsunk fel 890 ml 98-100 tömegszázalékos hangyasavat (sűrűsége 20 °C-on: 1,220 ) vízzel 1 literre.
A forró hangyasav erősen maró hatású, ezért fokozott körültekintéssel kell vele bánni.
b) Ammónia, hígított oldat: 80 ml koncentrált ammóniát (sűrűsége 20 °C-on: 0,880 ) hígítsunk fel vízzel 1 literre.
4. VIZSGÁLATI ELJÁRÁS
Kövessük az általános információkban megadott eljárást, majd folytassuk a következőképpen:
A legalább 200 ml űrtartalmú Erlenmeyer-lombikban található próbadarab minden grammjához adjunk 100 ml hangyasavat. Tegyük rá az üvegdugót, és rázzuk fel a lombik tartalmát, hogy a próbadarab átitatódjon. Rázassuk erőteljesen a lombikot rázó vízfürdőben 90 ± 2 °C-on egy órán keresztül. Hűtsük a lombikot szobahőmérsékletre. Dekantáljuk a folyadékot egy lemért üveg szűrőtégelyen. Öntsünk a szálmaradékot tartalmazó lombikba 50 ml hangyasavat, kézzel rázzuk fel, és a lombik tartalmát szűrjük át az üveg szűrőtégelyen. A visszamaradt szálakat vigyük át az üveg szűrőtégelyre úgy, hogy a lombikot kis mennyiségű hangyasavval kiöblítjük. A tégelyt ürítsük ki leszívással, és a visszamaradó szálakat mossuk át egymást követően hangyasavval, forró vízzel, hígított ammóniaoldattal, végezetül pedig hideg vízzel, miközben a tégelyt minden újabb anyag hozzáadása után leszívással kiürítjük. Ne alkalmazzunk leszívást addig, míg minden mosófolyadék magától le nem folyt. Végül szívassuk le a bennmaradó folyadékot, majd szárítsuk meg, hűtsük le, és mérjük meg az üveg szűrőtégelyt a szálmaradékkal.
5. AZ EREDMÉNYEK KISZÁMÍTÁSA ÉS MEGADÁSA
Az eredményeket az általános információkban meghatározottak szerint számítsuk ki. A "d" értéke 1,02.
6. A MÓDSZER PONTOSSÁGA
Textilanyagok homogén keveréke esetében az ezzel a módszerrel kapott eredmények megbízhatósági tartománya, 95 %-os megbízhatósági szint mellett, nem nagyobb ± 2-nél.
17. MÓDSZER - POLIÉSZTER ÉS MEGHATÁROZOTT MÁS SZÁLAK
(Triklór-ecetsavas és kloroformos módszer)
1. ALKALMAZÁSI TERÜLET
Ez a módszer, a nemszálasanyagok eltávolítása után, a következő szálakból álló kétkomponensű szálkeverékekhez alkalmazható:
1. poliészter (35)
és
2. poliakrilát (50)
2. ÁLTALÁNOS INFORMÁCIÓK
A poliészterből és poliakrilátból álló kétkomponensű szálkeverékek esetében az EN ISO 1833-25:2013 szabványban leírt alapelvet, készüléket és reagenst, vizsgálati eljárást, valamint eredménykiszámítási és -megadási módszert kell alkalmazni. A "d" értéke 1,01.
3. FEJEZET
A HÁROMKOMPONENSŰ TEXTILSZÁLKEVERÉKEK MENNYISÉGI ELEMZÉSE
BEVEZETÉS
A mennyiségi elemzés kémiai módszerei általában az egyes komponensek szelektív kioldásán alapulnak. Ennek a módszernek négy lehetséges változata van:
1. Két külön próbadarabot alkalmazva, az (a) komponenst kioldjuk az egyik próbadarabból, a (b) komponenst pedig a másikból. Mindkét próbadarab oldhatatlan maradékát megmérjük, és a két oldható komponens százalékos mennyiségét a megfelelő tömegveszteségekből számítjuk ki. A harmadik komponens (c) százalékos mennyiségét különbségképzéssel határozzuk meg.
2. Két külön próbadarabot alkalmazva, az (a) komponenst kioldjuk az egyik próbadarabból, két komponenst (az (a)-t és a (b)-t) pedig a másikból. Az első próbadarab oldhatatlan maradékát megmérjük, és az (a) komponens százalékos mennyiségét a tömegveszteségből számítjuk ki. Megmérjük a második próbadarab maradékát is, ez megegyezik a (c) komponenssel. A harmadik, (b) komponens százalékos mennyiségét különbségképzéssel határozzuk meg.
3. Két külön próbadarabot alkalmazva, két komponenst (az (a)-t és a (b)-t) kioldunk az egyik próbadarabból, két komponenst (a (b)-t és a (c)-t) pedig a másikból. Az oldhatatlan maradékok megegyeznek a (c) és az (a) komponensekkel. A harmadik, (b) komponens százalékos mennyiségét különbségképzéssel határozzuk meg.
4. Csak egy próbadarabot alkalmazva, az egyik komponens eltávolítása után az oldhatatlan maradékot - amely a másik két szál - megmérjük, és a tömegveszteségből kiszámítjuk az oldható komponens százalékos mennyiségét. Ezután kioldjuk a maradék két szál egyikét, az oldhatatlan komponenst megmérjük, és a tömegveszteségből kiszámítjuk a második oldható komponens százalékos mennyiségét.
Ha lehetőség van választásra, akkor ajánlatos az első három változat egyikét alkalmazni.
A kémiai elemzés alkalmazása esetén a szakértő felelős azért, hogy a kiválasztott módszerekhez alkalmazott oldószerek csak a megfelelő szálat (szálakat) oldják, a többi szálat pedig érintetlenül hagyják.
Példaképpen az V. szakaszban szerepel egy táblázat, amely tartalmaz néhány háromkomponensű szálkeveréket, és megadja azokat a kétkomponensű szálkeverékek elemzéséhez használatos módszereket is, amelyek elvileg ezeknek a háromkomponensű szálkeverékeknek az elemzéséhez alkalmazhatók.
A hibalehetőségek minimumra csökkentése érdekében ajánlatos - amennyiben van rá mód -, hogy a négy fent említett változat közül legalább kettőt alkalmazzunk a kémiai elemzéshez.
A vizsgálat előtt a keverékben lévő minden szálféleséget azonosítani kell. Néhány kémiai módszer esetében az oldható komponens(ek) oldására alkalmazott reagensben a keverék oldhatatlan komponense is részlegesen feloldódhat. A reagenseket lehetőleg úgy kell megválasztani, hogy ne legyen, vagy csak csekély hatásuk legyen az oldhatatlan szálakra. Ha tudjuk, hogy az elemzés során tömegveszteség lép fel, akkor az eredményt korrigálni kell; e célból az egyes módszereknél adottak a korrekciós tényezők. Ezeket a korrekciós tényezőket több laboratóriumban oly módon határozták meg, hogy az előkezeléssel tisztított szálakat az adott módszernél előírt reagenssel kezelték. Ezek a korrekciós tényezők csak a nem károsodott szálak esetében alkalmazhatók; ezektől eltérő korrekciós tényezők is szükségessé válhatnak, ha a szálak a feldolgozás előtt vagy a feldolgozás során károsodtak. Ha a negyedik változatot kell alkalmaznunk, amelynél a textilszálat két különböző oldószer egymás utáni hatásának tesszük ki, akkor korrekciós tényezőkkel kell figyelembe venni azon lehetséges tömegveszteségeket, amelyeket a szál a két kezelés során elszenved. Mind a kézi, mind a kémiai szétválasztás esetében legalább két meghatározást kell végezni.
I. Általános információk a háromkomponensű textilszálkeverékek kémiai úton történő mennyiségi elemzésének módszereiről
A háromkomponensű textilszálkeverékek kémiai úton történő mennyiségi elemzéséhez megadott valamennyi módszerre vonatkozó információ.
I.1. ALKALMAZÁSI TERÜLET
A kétkomponensű textilszálkeverékek elemzésére szolgáló egyes módszerek alkalmazási területe felsorolja azon szálféleségeket, amelyekhez a módszer alkalmazható. (Lásd az egyes kétkomponensű textilszálkeverékek mennyiségi elemzésének módszereiről szóló 2. fejezetet.)
I.2. ALAPELV
A keverék komponenseinek azonosítása után a nemszálasanyagokat megfelelő előkezeléssel eltávolítjuk, ezután a bevezetésben leírt szelektív kioldási eljárás négy változatából egyet vagy többet alkalmazunk. Ha nem jelent műszaki nehézséget, akkor lehetőleg a nagyobb mennyiségben lévő szálkomponenst kell kioldani, így a kisebb mennyiségű szálkomponens lesz a végső maradék.
I.3. ESZKÖZÖK ÉS REAGENSEK
I. 3.1. Eszközök
I. 3.1.1. Üveg szűrőtégelyek és mérőedények, amelyek elég nagyok a tégelyek befogadására, vagy bármilyen más eszközök, amelyek azonos eredményeket adnak.
I. 3.1.2. Szívópalack.
I. 3.1.3. Exszikkátor, amely önindikáló szilikagélt tartalmaz.
I. 3.1.4. Ventilációs szárítószekrény a próbadarabok 105 ± 3 °C-on történő szárításához.
I. 3.1.5. 0,0002 g-os pontosságú analitikai mérleg
I. 3.1.6. Soxhlet extraháló készülék vagy más olyan készülék, amely azonos eredményeket ad.
I. 3.2. Reagensek
I. 3.2.1. Átdesztillált petroléter, forráspontja 40-60 °C között.
I. 3.2.2. A többi reagenst az egyes módszerek ide vonatkozó pontjai adják meg.
I. 3.2.3. Desztillált vagy ionmentesített víz.
I. 3.2.4. Aceton.
I. 3.2.5. Ortofoszforsav.
I. 3.2.6. Karbamid.
I. 3.2.7. Nátrium-bikarbonát.
Minden felhasznált reagensnek vegytisztának kell lennie.
I.4. KONDICIONÁLÓ ÉS VIZSGÁLATI LÉGTÉR
Mivel a száraz tömegeket határozzuk meg, nem kell a próbadarabot kondicionálni és nem szükséges a vizsgálatot klimatizált légtérben végezni.
I.5. LABORATÓRIUMI VIZSGÁLATI MINTA
Vegyük ki a laboratóriumi vizsgálati mintát úgy, hogy az reprezentálja a laboratóriumi nyers mintát, és összes próbadarabhoz - amelyek mindegyike legalább 1 g - elegendő legyen.
I.6. A LABORATÓRIUMI VIZSGÁLATI MINTA ELŐKEZELÉSE ( 15 )
Ha a keverékben olyan anyag található, amelyet a százalékszámításhoz nem kell figyelembe venni (lásd a 19. cikket), akkor azt először el kell távolítani egy olyan módszerrel, amely egy szálkomponensre sincs hatással.
Ezért a petroléterrel és vízzel extrahálható nemszálasanyagokat távolítsuk el a laboratóriumi vizsgálati minta Soxhlet extraháló készülékben, petroléterrel, minimum 6 ciklus/óra sebességgel történő kezelésével. A petrolétert hagyjuk elpárologni a laboratóriumi vizsgálati mintáról, amelyet ezután extraháljunk közvetlen kezeléssel, azaz áztassuk a laboratóriumi vizsgálati mintát egy órán át szobahőmérsékletű vízben, majd további egy órán át 65 ± 5 °C hőmérsékletű vízben, időnként felkeverve. A laboratóriumi vizsgálati minta/víz arány 1:100 legyen. Távolítsuk el a laboratóriumi vizsgálati mintából a felesleges vizet kipréseléssel, leszívatással vagy centrifugálással, majd hagyjuk a laboratóriumi vizsgálati mintát levegőn megszáradni.
Elasztolefint, vagy elasztolefint és más szálasanyagot (gyapjú, állati szőr, selyem, pamut, len, valódi kender, juta, manilakender, alfafű, kókusz, seprűzanót, rami, szizál, cupro, modál, fehérjeszál, viszkóz, akril, poliamid vagy nejlon, poliészter és elaszto-multiészter) tartalmazó textilszálkeverékek esetében az imént ismertetett eljárást kissé módosítani kell, azaz a petrolétert acetonnal kell felváltani.
Ha a nemszálasanyag petroléterrel és vízzel nem vonható ki, a fentebb leírt vizes eljárást olyan megfelelő módszerrel kell helyettesíteni, amely a szál összetevőit nem változtatja meg számottevő mértékben. Némely fehérítetlen, természetes növényi rostot tartalmazó szál esetében (például juta vagy kókusz) megjegyzendő, hogy a petroléterrel és vízzel végzett normál előkezelés nem távolítja el az összes nemszálasanyagot; ennek ellenére nem alkalmazunk további előkezelést, hacsak a minta nem tartalmaz vízben és petroléterben egyaránt oldhatatlan appretálószereket.
Az elemzésről készült jelentésnek részletesen ki kell térnie az alkalmazott előkezelési módszerekre.
I.7. VIZSGÁLATI ELJÁRÁS
I. 7.1. Általános információk
I. 7.1.1. Szárítás
Minden szárítási eljárás legalább négy, de legfeljebb 16 órán keresztül történjen 105 ± 3 °C-on, ventilációs szárítószekrényben, zárt ajtónál. Ha a szárítási időtartam 14 óránál rövidebb, akkor a tömegállandóság megállapításához a mintát ellenőrző mérésnek kell alávetni. A tömeg akkor tekinthető állandónak, ha további 60 perces szárítás után 0,05 %-nál kisebb a változása.
A szűrőtégelyeket és a mérőedényeket, a mintákat vagy a maradékokat a szárítási, hűtési és mérési műveletek közben nem szabad puszta kézzel megérinteni.
Szárítsuk a próbadarabokat mérőedényben, mellétéve a fedelét. A szárítás után a mérőedényt még a szárítószekrényből való kivétel előtt fedjük le, és gyorsan tegyük át az exszikkátorba.
Szárítsuk a szűrőtégelyt mérőedényben, mellétéve a fedelét. A szárítás után fedjük le a mérőedényt, és gyorsan tegyük át az exszikkátorba.
Ha szűrőtégely helyett más eszközt használtunk, akkor a szárítási műveleteket olyan módszerrel kell elvégezni a szárítószekrényben, amely lehetővé teszi a szálak száraz tömegének veszteség nélküli meghatározását.
I. 7.1.2. Hűtés
Minden hűtés a mérleg mellé állított exszikkátorban történjen addig, amíg a mérőedény teljesen le nem hűl, és ez nem lehet rövidebb két óránál.
I. 7.1.3. Tömegmérés
A hűtés után a mérőedény mérését az exszikkátorból való kivételét követő két percen belül be kell fejezni. A mérést 0,0002 g-os pontossággal kell elvégezni.
I. 7.2. Vizsgálati eljárás
Vegyünk az előkezelt laboratóriumi vizsgálati mintából egy legalább 1 g tömegű próbadarabot. A fonalat vagy kelmét vágjuk fel kb. 10 mm hosszúságú darabokra, és bontsuk szét, amennyire lehetséges. Szárítsuk meg a próbadarabot mérőedényben, exszikkátorban hűtsük le, majd mérjük meg. Tegyük át próbadarabot - a megfelelő uniós módszer vonatkozó pontjában megadott - üvegedénybe, ezután rögtön mérjük meg ismét a mérőedényt, és a különbségből számítsuk ki a próbadarab száraz tömegét; fejezzük be a vizsgálatot az alkalmazott módszer megfelelő pontjában leírt módon. Mikroszkóp alatt vizsgáljuk meg a maradékot, így ellenőrizzük, hogy a kezeléssel valóban teljesen eltávolítottuk-e az oldható szálat.
I.8. AZ EREDMÉNYEK KISZÁMÍTÁSA ÉS MEGADÁSA
Az egyes komponensek tömegét a keverékben lévő szálak teljes tömegének százalékában adjuk meg. Számítsuk ki az eredményeket tiszta, száraz tömeg alapján, korrigálva ezeket a) az egyezményes nedvességtartalom-értékekkel; valamint b) azokkal a korrekciós tényezőkkel, amelyek az előkezelés és a vizsgálat során fellépő nemszálasanyag-veszteség figyelembevételéhez szükségesek.
I. 8.1. A tiszta, száraz szálak tömegszázalékának számítása, a szál előkezelés alatt fellépő tömegveszteségének figyelembevétele nélkül.
I.8.1.1. 1. VÁLTOZAT
A következő képletek akkor alkalmazhatók, ha a keverék egyik komponensét az egyik próbadarabból, a másik komponensét pedig egy második próbadarabból távolítjuk el:


P 3% = 100 - (P 1% + P 2%)
P1% az első tiszta, száraz első komponens százalékaránya (az első próbadarabból az első reagenssel kioldott komponens),
P2% a második tiszta, száraz komponens százalékaránya (a második próbadarabból a második reagenssel kioldott komponens),
P3% a harmadik tiszta, száraz komponens százalékaránya (az a komponens, amelyet egyik próbadarabból sem oldottunk ki),
m1 az első próbadarab száraz tömege az előkezelés után,
m2 a második próbadarab száraz tömege az előkezelés után,
r1 a maradék száraz tömege, miután az első próbadarabból az első reagenssel eltávolítottuk az első komponenst,
r2 a maradék száraz tömege, miután a második próbadarabból a második reagenssel eltávolítottuk a második komponenst,
d1 korrekciós tényező az első próbadarabból nem kioldott második komponens első reagensben fellépő tömegveszteségének a figyelembevételéhez ( 16 ),
d2 korrekciós tényező az első próbadarabból nem kioldott harmadik komponens első reagensben fellépő tömegveszteségének a figyelembevételéhez,
d3 korrekciós tényező a második próbadarabból nem kioldott első komponens második reagensben fellépő tömegveszteségének a figyelembevételéhez,
d4 korrekciós tényező a második próbadarabból nem kioldott harmadik komponens második reagensben fellépő tömegveszteségének a figyelembevételéhez.
I.8.1.2. 2. VÁLTOZAT
A következő képletek akkor alkalmazhatók, ha az (a) komponenst az első próbadarabból távolítjuk el, a másik két (b + c) komponens a maradék, két (a + b) komponenst pedig a második próbadarabból távolítunk el, és a maradék a harmadik (c) komponens:
P 1% = 100 - (P 2% + P 3%)


P1% az első tiszta, száraz első komponens százalékaránya (az első próbadarabból az első reagenssel kioldott komponens),
P2% a második tiszta, száraz komponens százalékaránya (a második próbadarabból a második reagenssel - az első komponenssel egyidejűleg - kioldott komponens),
P3% a harmadik tiszta, száraz komponens százalékaránya (az a komponens, amelyet egyik próbadarabból sem oldottunk ki),
m1 az első próbadarab száraz tömege az előkezelés után,
m2 a második próbadarab száraz tömege az előkezelés után,
r1 a maradék száraz tömege, miután az első próbadarabból az első reagenssel eltávolítottuk az első komponenst,
r2 a maradék száraz tömege, miután a második próbadarabból a második reagenssel eltávolítottuk az első és a második komponenst,
d1 korrekciós tényező az első próbadarabból nem kioldott második komponens első reagensben fellépő tömegveszteségének a figyelembevételéhez,
d2 korrekciós tényező az első próbadarabból nem kioldott harmadik komponens első reagensben fellépő tömegveszteségének a figyelembevételéhez,
d4 korrekciós tényező a második próbadarabból nem kioldott harmadik komponens második reagensben fellépő tömegveszteségének a figyelembevételéhez.
I.8.1.3. 3. VÁLTOZAT
A következő képletek akkor alkalmazhatók, ha két (a + b) komponenst az egyik próbadarabból távolítunk el, a harmadik (c) komponens a maradék, két (b + c) komponenst pedig egy második próbadarabból távolítunk el, és az első (a) komponens a maradék:

P 2% = 100 - (P 1% + P 3%)

P1% az első tiszta, száraz komponens százalékaránya (a reagenssel kioldott komponens),
P2% a második tiszta, száraz komponens százalékaránya (a reagenssel kioldott komponens),
P3% a harmadik tiszta, száraz komponens százalékaránya (a második próbadarabból a reagenssel kioldott komponens),
m1 az első próbadarab száraz tömege az előkezelés után,
m2 a második próbadarab száraz tömege az előkezelés után,
r1 a maradék száraz tömege, miután az első próbadarabból az első reagenssel eltávolítottuk az első és a második komponenst,
r2 a maradék száraz tömege, miután a második próbadarabból a második reagenssel eltávolítottuk a második és a harmadik komponenst,
d2 korrekciós tényező az első próbadarabból nem kioldott harmadik komponens első reagensben fellépő tömegveszteségének a figyelembevételéhez,
d3 korrekciós tényező a második próbadarabból nem kioldott első komponens második reagensben fellépő tömegveszteségének a figyelembevételéhez.
I.8.1.4. 4. VÁLTOZAT
A következő képletek akkor alkalmazatók, ha két komponenst egymás után távolítunk el a keverékből, ugyanazt a próbadarabot használva:
P 1% = 100 - (P 2% + P 3%)


P1% az első tiszta, száraz komponens százalékaránya (az első oldható komponens),
P2% a második tiszta, száraz komponens százalékaránya (a második oldható komponens),
P3% a harmadik tiszta, száraz komponens százalékaránya (oldhatatlan komponens),
m a próbadarab száraz tömege az előkezelés után,
r1 a maradék száraz tömege, miután az első reagenssel eltávolítottuk az első komponenst,
r2 a maradék száraz tömege, miután az első és a második reagenssel eltávolítottuk az első és a második komponenst,
d1 korrekciós tényező a második komponens első reagensben fellépő tömegveszteségének a figyelembevételéhez,
d2 korrekciós tényező a harmadik komponens első reagensben fellépő tömegveszteségének a figyelembevételéhez,
d3 korrekciós tényező a harmadik komponensnek az első és a második reagensben fellépő tömegveszteségének a figyelembevételéhez ( 17 ).
I. 8.2. Az egyes komponensek százalékarányának kiszámítása az egyezményes nedvességtartalom-értékek és - adott esetben - az előkezelés során fellépő tömegveszteségek korrekciós tényezőinek figyelembevételével:
Amennyiben:



akkor:



P1A% az első tiszta, száraz komponens százalékaránya, a nedvességtartalom és az előkezelés során fellépő tömegveszteség figyelembevételével,
P2A% a második tiszta, száraz komponens százalékaránya, a nedvességtartalom és az előkezelés során fellépő tömegveszteség figyelembevételével,
P3A% a harmadik tiszta, száraz komponens százalékaránya, a nedvességtartalom és az előkezelés során fellépő tömegveszteség figyelembevételével,
P1 az első tiszta, száraz komponens százalékaránya az I.8.1. pontban megadott képletek egyikével kiszámítva,
P2 a második tiszta, száraz komponens százalékaránya az I.8.1. pontban megadott képletek egyikével kiszámítva,
P3 a harmadik tiszta, száraz komponens százalékaránya az I.8.1. pontban megadott képletek egyikével számolva,
a1 az első komponens egyezményes nedvességtartalom-értéke,
a2 a második komponens egyezményes nedvességtartalom-értéke,
a3 a harmadik komponens egyezményes nedvességtartalom-értéke,
b1 az első komponens százalékos tömegvesztesége az előkezelés során,
b2 a második komponens százalékos tömegvesztesége az előkezelés során,
b3 a harmadik komponens százalékos tömegvesztesége az előkezelés során.
Speciális előkezelés alkalmazása esetén a b1, b2 és b3 értékeket lehetőleg úgy határozzuk meg, hogy minden tiszta szálalkotórészt alávetünk a vizsgálat során alkalmazott előkezelésnek. Tiszta szálaknak azok a szálak tekinthetők, amelyek mentesek minden nemszálasanyagtól, kivéve azokat az anyagokat, amelyeket rendes körülmények között (akár természetüknél fogva, akár a gyártási eljárásuk következtében) tartalmaznak abban az állapotban (fehérítetlen, fehérített), amelyben a vizsgált anyag van.
Ha nem állnak rendelkezésre külön-külön azok tiszta szálalkotórészek, amelyeket a vizsgált anyag előállításához használtak, akkor azokat a b1, b2 és b3 átlagértékeket alkalmazzuk, amelyeket a vizsgált keverék szálkomponenseihez hasonló tiszta szálak vizsgálatával határoztak meg.
Ha a normál petroléteres és vizes extrakciós előkezelést alkalmazzuk, akkor általában mellőzhetők a b1, b2 és b3 korrekciós tényezők, kivéve a fehérítetlen pamut, a fehérítetlen len és a fehérítetlen kender esetében, amelyeknél az előkezelésnek tulajdonítható veszteség általában 4 %, valamint a polipropilén esetében, amelynél 1 % az elfogadott érték.
A többi szálnál az előkezelésnek tulajdonítható veszteségeket rendszerint figyelmen kívül hagyjuk a számításoknál.
I. 8.3. Megjegyzés A IV. szakaszban található néhány számítási példa.
II. A három komponenst tartalmazó szálkeverékek mennyiségi vizsgálata a kézi szétválasztás módszerével - II.1. ALKALMAZÁSI TERÜLET
Ez a módszer bármilyen textilszálféleségnél alkalmazható, feltéve, hogy azok nem közvetlen (intim) keverék formában vannak, és kézzel szétválaszthatók.
II.2. ALAPELV
A textilkomponensek azonosítása után megfelelő előkezeléssel eltávolítjuk a nemszálasanyagokat, ezután a szálakat kézzel szétválasztjuk, megszárítjuk és megmérjük, majd kiszámítjuk a keverékben lévő egyes szálak részarányát.
II.3. ESZKÖZÖK
II. 3.1. Mérőedények vagy bármilyen más eszközök, amelyek azonos eredményhez vezetnek.
II. 3.2. Exszikkátor, amely önindikáló szilikagélt tartalmaz.
II. 3.3. Ventilációs szárítószekrény a próbadarabok 105 ± 3 °C-on történő szárításához.
II. 3.4. 0,0002 g mérési pontosságú analitikai mérleg.
II. 3.5. Soxhlet extraháló készülék, vagy más, azonos eredményt adó készülék.
II. 3.6. Bontótű.
II. 3.7. Sodratvizsgáló műszer vagy más hasonló készülék.
II.4. REAGENSEK
II. 4.1. Átdesztillált petroléter, forráspontja 40-60 °C között.
II. 4.2. Desztillált vagy ionmentesített víz.
II.5. KONDICIONÁLÓ ÉS VIZSGÁLATI LÉGTÉR
Lásd I.4.
II.6. LABORATÓRIUMI VIZSGÁLATI MINTA
Lásd I.5.
II.7. A LABORATÓRIUMI VIZSGÁLATI MINTÁK ELŐKEZELÉSE
Lásd I.6.
II.8. VIZSGÁLATI ELJÁRÁS
II. 8.1. Fonal vizsgálata
Vegyünk ki legalább 1 g tömegű próbadarabot az előkezelt laboratóriumi vizsgálati mintából. Nagyon finom fonalak esetében a vizsgálatot el lehet végezni minimum 30 m hosszúságú fonalon, tekintet nélkül a tömegére.
Vágjuk fel a fonalat megfelelő hosszúságú darabokra, majd bontótűvel, és ha szükséges, sodratvizsgálóval különítsük el a szálféleségeket. Az így kapott szálféleségeket az előzőleg lemért mérőedényekbe tesszük, és 105 ± 3°C-on tömegállandóságig szárítjuk az I.7.1., valamint I.7.2. pontban megadottak szerint.
II. 8.2. Kelme vizsgálata
Vegyünk ki legalább 1 g tömegű próbadarabot az előkezelt laboratóriumi vizsgálati mintából, a szegélyt kihagyva, a kirojtosodás elkerülése érdekében a széleket gondosan vágva, a lánc- és vetülékfonalakkal párhuzamosan, kötött kelméknél pedig a szemsorok és szemoszlopok vonalában. Különítsük el az eltérő szálféleségeket, és gyűjtsük azokat előzőleg lemért mérőedényekbe, majd folytassuk a vizsgálatot a II.8.1. pont szerint.
II.9. AZ EREDMÉNYEK KISZÁMÍTÁSA ÉS MEGADÁSA
Az egyes komponensek tömegét a keverékben lévő szálak teljes tömegének százalékában adjuk meg. Az eredményeket a tiszta, száraz tömeg alapján számítsuk ki, korrigálva ezeket a) az egyezményes nedvességtartalom-értékekkel; és b) azokkal a korrekciós tényezőkkel, amelyek az előkezelésnél fellépő veszteségek figyelembevételéhez szükségesek.
II. 9.1. A tiszta, száraz szálak tömegszázalékának számítása a szál előkezelés alatt fellépő tömegveszteségének figyelembevétele nélkül:


P 3% = 100 - (P 1% + P 2%)
P1% az első tiszta, száraz komponens százalékaránya,
P2% a második tiszta, száraz komponens százalékaránya,
P3% a harmadik tiszta, száraz komponens százaléka,
m1 az első tiszta, száraz komponens tömege,
m2 a második tiszta, száraz komponens tömege,
m3 a harmadik tiszta, száraz komponens tömege.
II. 9.2. Az egyes komponensek százalékarányának kiszámítása az egyezményes nedvességtartalom-értékek, illetve adott esetben az előkezelésnél fellépő tömegveszteségek korrekciós tényezőinek figyelembevételével: lásd I.8.2.
III. A három komponenst tartalmazó szálkeverékek mennyiségi vizsgálata a kézi és a kémiai szétválasztás kombinálásával
Ha lehetséges, akkor minden elválasztandó komponens kémiai kezelésének az elkezdése előtt kézi szétválasztást kell alkalmazni a komponensek részarányának a figyelembevételéhez.
III.1. A MÓDSZEREK PONTOSSÁGA
A két komponenst tartalmazó szálkeverékek nyersanyag-összetételét meghatározó módszereknél feltüntetett pontosság a reprodukálhatóságra vonatkozik (lásd az egyes kétkomponensű textilszálkeverékek mennyiségi elemzésének módszereit bemutató 2. fejezetet).
A reprodukálhatóság a megbízhatóságot jelenti, azaz a különböző laboratóriumokban vagy különböző időpontokban kapott kísérleti értékek egyezőségének a mértékét, ha ugyanazt a módszert alkalmazzuk, és ugyanannak a homogén keveréknek a próbadarabjait használjuk.
A reprodukálhatóságot az eredmények megbízhatósági határaival fejezzük ki, 95%-os megbízhatósági szint mellett.
Ez azt jelenti, hogy a módszer szabályos és hibátlan alkalmazása esetén, a különböző laboratóriumokban ugyanazon homogén keveréken elvégzett vizsgálati sorozat két eredménye közötti eltérés a megbízhatósági határt 100-ból csak 5 esetben haladhatja meg.
A hármas szálkeverék vizsgálati pontosságának meghatározásához adottak az értékek azoknál a kettős szálkeverékek vizsgálatára szolgáló módszereknél, amelyeket az adott hármas szálkeverék vizsgálatához a szokásos módon alkalmaztunk.
A hármas szálkeverékek mennyiségi kémiai meghatározásának négy változatánál két kioldást végzünk (két külön próbadarabot alkalmazva az első három változathoz és egy próbadarabot a negyedik változathoz), és feltételezve, hogy E1 és E2 jelenti a kettős szálkeverékek vizsgálatára szolgáló két módszer saját pontosságát, akkor az egyes komponensekre kapott eredmények pontosságát a következő táblázat mutatja:
Szálkomponens | Változatok | ||
1. | 2. és 3. | 4. | |
a | E1 | E1 | E1 |
b | E2 | E1 + E2 | E1 + E2 |
c | E1 + E2 | E2 | E1 + E2 |
Ha a negyedik változatot alkalmazzuk, akkor lehet, hogy azt tapasztaljuk, hogy a pontosság mértéke alacsonyabb, mint amit a fent megadott módszerrel kiszámítottunk, és ez feltehetően az első reagensnek a (b) és (c) komponenst tartalmazó maradékra gyakorolt hatása miatt van, amit nehéz lenne értékelni.
III.2. VIZSGÁLATI JEGYZŐKÖNYV
III. 2.1. Adjuk meg a változato(ka)t, amely(ek) szerint a vizsgálatot elvégeztük, a módszereket, a reagenseket és a korrekciós tényezőket.
III. 2.2. Részletesen adjunk meg minden különleges előkezelést (lásd I.6.).
III. 2.3. Adjuk meg az egyes eredményeket és az eredmények számtani átlagát, egy tizedesjegyre kerekítve.
III. 2.4. Ha lehetséges, állapítsuk meg a módszer pontosságát minden összetevőre, a III.1. szakasz táblázata szerint kiszámítva.
IV. Példák meghatározott hármas keverékekben levő komponensek százalékarányának kiszámítására, az I.8.1. pontban leírt egyes változatok alkalmazásával
Vegyünk egy olyan szálkeveréket, amelynél a nyersanyag-összetétel minőségi meghatározásakor a következő komponenseket kaptuk: 1. kártolt gyapjú; 2. nejlon (poliamid); 3. fehérítetlen pamut.
1. VÁLTOZAT
Ezt a változatot alkalmazva, két különböző próbadarabot használva, az egyik komponenst (a = gyapjú) az első próbadarabból, a második komponenst (b = poliamid) a második próbadarabból kioldva, a következő eredmények adódhatnak:
1. Az első próbadarab száraz tömege az előkezelés után (m1) = 1,6000g
2. A maradék száraz tömege a lúgos nátrium-hipoklorittal való kezelés után (poliamid + pamut) (r1) = 1,4166 g
3. A második próbadarab száraz tömege az előkezelés után (m2) = 1,8000 g
4. A maradék száraz tömege a hangyasavas kezelés után (gyapjú + pamut) (r2) = 0,9000 g
A lúgos nátrium-hipokloritos kezelés a poliamidnál nem okoz tömegveszteséget, de a fehérítetlen pamut vesztesége 3%, tehát d1 =1,00 és d2 = 1,03.
A hangyasavas kezelés nem okoz tömegveszteséget sem a gyapjúnál, sem a fehérítetlen pamutnál, tehát a d3 és d4 = 1,00.
Ha a kémiai módszerrel nyert értékeket és a korrekciós tényezőket behelyettesítjük az I.8.1.1. pontban megadott képletekbe, a következő eredményt kapjuk:
P1% (gyapjú) = [1,03/1,00 - 1,03 × 1,4166/1,6000 + (0,9000/1,8000) × (1 - 1,03 / 1,00)] × 100 = 10,30
P2% (poliamid) = [1,00/1,00 - 1,00 × 0,9000/1,8000 + (1,4166/1,6000) × (1- 1,00/1,00)] × 100 = 50,00
P3% (pamut) = 100 - (10,30 + 50,00) = 39,70
A keverékben lévő tiszta, száraz szálak százalékaránya a következő:
gyapjú | 10,30 % |
poliamid | 50,00 % |
pamut | 39,70 % |
Ezeket a százalékokat korrigálni kell az I.8.2. pontban megadott képletek szerint, hogy számításba vegyük az egyezményes nedvességtartalom-értékeket és az előkezelés okozta tömegveszteségek miatti korrekciós tényezőket is.
A IX. mellékletben megadott egyezményes nedvességtartalom-értékek a következők: kártolt gyapjúnál 17,00 %, poliamidnál 6,25 %, pamutnál 8,50 %, továbbá a fehérítetlen pamut a petroléteres és vizes előkezelésnél 4 %-os tömegveszteséget szenved.
Tehát:
P1A% (gyapjú) = 10,30 × [1 + (17,00 + 0,0)/100] / [10,30×(1 + (17,00 + 0,0)/100) + 50,00 × (1 + (6,25 + 0,0)/100) + 39,70 × (1 + (8,50+4,0) /100)] × 100 = 10,97
P2A% (poliamid) = 50,0 × [(1 + (6,25+0,0)/100) /109,8385] × 100 = 48,37
P3A% (pamut) = 100 - (10,97 + 48,37) = 40,66
A fonal nyersanyag-összetétele tehát a következő:
poliamid | 48,4 % |
pamut | 40,6 % |
gyapjú | 11,0 % |
100,0 % |
4. VÁLTOZAT
Vegyünk egy olyan szálkeveréket, amelynél a nyersanyag-összetétel minőségi meghatározásakor a következő komponenseket kaptuk: kártolt gyapjú, viszkóz, fehérítetlen pamut.
Tegyük fel, hogy a 4. változatot alkalmazva, amikor egyetlen próbadarab keverékéből egymás után távolítjuk el a két komponenst, a következő eredményeket kapjuk:
1. A próbadarab száraz tömege az előkezelés után (m) = 1,6000 g
2. A maradék száraz tömege az első, lúgos nátrium-hipoklorittal történő kezelés után (viszkóz + pamut) (r1) = 1,4166 g
3. A maradék száraz tömege az r1 maradék második, hangyasavas-cinkkloridos kezelése után (pamut) (r2) = 0,6630 g
A lúgos nátrium-hipokloritos kezelés a viszkóznál nem okoz tömegveszteséget, de a fehérítetlen pamut vesztesége 3 %, tehát d1 = 1,00 és d2 =1,03.
A hangyasavas-cinkkloridos kezelés eredményeként a pamut tömege 4%-kal nő, így d3 = 1,03 x 0,96 = 0,9888, kerekítve 0,99, (d3 korrekciós tényező a harmadik komponensnek az első és a második reagensben fellépő tömegveszteségének vagy tömegnövekedésének a figyelembevételére szolgál).
Ha a kémiai analízissel kapott értékeket és a korrekciós tényezőket behelyettesítjük az I.8.1.4. pontban megadott képletekbe, az alábbi eredményt kapjuk:
P2% (viszkóz) = 1,00 × (1,4166 / 1,6000) × 100 - (1,00 / 1,03) × 41,02 = 48,71 %
P3% (pamut) = 0,99 × (0,6630 / 1,6000) × 100 = 41,02 %
P1% (gyapjú) = 100 - (48,71 + 41,02) = 10,27 %
Amint azt már az 1. változatnál bemutattuk, ezeket a százalékokat korrigálni kell az I.8.2. pontban megadott képletek szerint.
P1A% (gyapjú) = 10,27 × [1 + (17,0 + 0,0) / 100)]/[10,27 × (1 + (17,00 + 0,0)/100) + 48,71 × (1 + (13 + 0,0) / 100) + 41,02 × (1 + (8,5 + 4,0)/ 100)] × 100 = 10,61 %
P2A%(viszkóz) = 48,71 × [1 + (13 + 0,0) / 100] / 113,2057 × 100 = 48,62 %
P3A% (pamut) = 100 - (10,61 + 48,62) = 40,77 %
A keverék nyersanyag-összetétele tehát a következő:
viszkóz | 48,6 % |
pamut | 40,8 % |
gyapjú | 10,6 % |
— | |
100,0 % |
V. Tipikus három komponenst tartalmazó szálkeverékek táblázata, amelyek a kettős keverékek elemzéséhez használt közösségi módszerekkel elemezhetők (tájékoztatás)
Sorszám | Szálkomponensek | Változat | A kettős keverékekhez alkalmazott módszer száma és reagens | ||
1. komponens | 2. komponens | 3. komponens | |||
1. | gyapjú vagy szőr | viszkóz, cupro vagy meghatározott típusú modál | pamut | 1. és/vagy 4. | 2. (hipoklorit) és 3. (cink-klorid/hangyasav) |
2. | gyapjú vagy szőr | poliamid vagy nejlon | pamut, viszkóz, cupro vagy modál | 1. és/vagy 4. | 2. (hipoklorit) és 4. (hangyasav, 80 tömegszázalék m/m) |
3. | gyapjú, szőr vagy selyem | meghatározott egyéb szálak | viszkóz, cupro, modál vagy pamut | 1. és/vagy 4. | 2. (hipoklorit) és 9. (széndiszulfid/aceton, 55,5/44,5 térfogat%, v/v ) |
4. | gyapjú vagy szőr | poliamid vagy nejlon | poliészter, polipropilén, akril vagy üvegszál | 1. és/vagy 4. | 2. (hipoklorit) és 4. (hangyasav, 80 tömegszázalék m/m) |
5. | gyapjú, szőr vagy selyem | meghatározott egyéb szálak | poliészter, akril, poliamid vagy nejlon vagy üvegszál | 1. és/vagy 4. | 2. (hipoklorit) és 9. (széndiszulfid/aceton, 55,5/44,5 térfogat%, v/v ) |
6. | selyem | gyapjú vagy szőr | poliészter | 2. | 11. (kénsav 75 tömegszázalék, m/m) és 2. (hipoklorit) |
7. | poliamid vagy nejlon | akril vagy egyéb meghatározott szálak | pamut, viszkóz, cupro vagy modál | 1. és/vagy 4. | 4. (hangyasav, 80 tömegszázalék, m/m) és 8. (dimetil-formamid) |
8. | meghatározott polikloridok | poliamid vagy nejlon | pamut, viszkóz, cupro vagy modál | 1. és/vagy 4. | 8. (dimetil-formamid) és 4. (hangyasav, 80 tömegszázalék, m/m) vagy 9. (széndiszulfid/aceton, 55,5/44,5 térfogat% v/v) és 4. (hangyasav, 80 tömegszázalék, m/m) |
9. | akril | poliamid vagy nejlon | poliészter | 1. és/vagy 4. | 8. (dimetil-formamid) és 4. (hangyasav, 80 tömegszázalék, m/m) |
10. | acetát | poliamid vagy nejlon vagy egyéb meghatározott szálak | viszkóz, pamut, cupro vagy modál | 4. | 1. (aceton) és 4. (hangyasav, 80 tömegszázalék, m/m) |
11. | meghatározott polikloridok | akril vagy egyéb meghatározott szálak | poliamid vagy nejlon | 2. és/vagy 4. | 9. (széndiszulfid/aceton, 55,5/44,5 térfogat% v/v) és 8. (dimetil-formamid) |
12. | meghatározott polikloridok | poliamid vagy nejlon | akril | 1. és/vagy 4. | 9. (széndiszulfid/aceton, 55,5/44,5 térfogat% v/v) és 4. (hangyasav, 80 tömegszázalék, m/m) |
13. | poliamid vagy nejlon | viszkóz, cupro, modál vagy pamut | poliészter | 4. | 4. (hangyasav, 80 tömegszázalék m/m) és 7. (kénsav, 75 tömegszázalék, m/m) |
14. | acetát | viszkóz, cupro, modál vagy pamut | poliészter | 4. | 1. (aceton) és 7. (kénsav, 75 tömegszázalék, m/m) |
15. | akril | viszkóz, cupro, modál vagy pamut | poliészter | 4. | 8. (dimetil-formamid) és 7. (kénsav, 75 tömegszázalék, m/m) |
16. | acetát | gyapjú, szőr vagy selyem | pamut, viszkóz, cupro, modál, poliamid vagy nejlon, poliészter, akril | 4. | 1. (aceton) és 2. (hipoklorit) |
17. | triacetát | gyapjú, szőr vagy selyem | pamut, viszkóz, cupro, modál, poliamid vagy nejlon, poliészter, akril | 4. | 6. (diklór-metán) és 2. (hipoklorit) |
18. | akril | gyapjú, szőr vagy selyem | poliészter | 1. és/vagy 4. | 8. (dimetil-formamid) és 2. (hipoklorit) |
19. | akril | selyem | gyapjú vagy szőr | 4. | 8. (dimetil-formamid) és 11. (kénsav, 75 tömegszázalék, m/m) |
20. | akril | gyapjú, szőr vagy selyem | pamut, viszkóz, cupro vagy modál | 1. és/vagy 4. | 8. (dimetil-formamid) és 2. (hipoklorit) |
21. | gyapjú, szőr vagy selyem | pamut, viszkóz, modál, cupro | poliészter | 4. | 2. (hipoklorit) és 7. (kénsav, 75 tömegszázalék, m/m) |
22. | viszkóz, cupro vagy meghatározott típusú modál | pamut | poliészter | 2. és/vagy 4. | 3. (cink-klorid/hangyasav) és 7. (kénsav, 75 tömegszázalék, m/m) |
23. | akril | viszkóz, cupro vagy meghatározott típusú modál | pamut | 4. | 8. (dimetil-formamid) és 3. (cink-klorid/hangyasav) |
24. | meghatározott polikloridok | viszkóz, cupro vagy meghatározott típusú modál | pamut | 1. és/vagy 4. | 9. (széndiszulfid/aceton, 55,5/44,5 térfogat% v/v) és 3. (cink-klorid/hangyasav) és 8. (dimetil-formamid) és 3. (cink-klorid/hangyasav) |
25. | acetát | viszkóz, cupro vagy meghatározott típusú modál | pamut | 4. | 1. (aceton) és 3. (cink-klorid/hangyasav) |
26. | triacetát | viszkóz, cupro vagy meghatározott típusú modál | pamut | 4. | 6. (diklór-metán) és 3. (cink-klorid/hangyasav) |
27. | acetát | selyem | gyapjú vagy szőr | 4. | 1. (aceton) és 11. (kénsav, 75 tömegszázalék, m/m) |
28. | triacetát | selyem | gyapjú vagy szőr | 4. | 6. (diklór-metán) és 11. (kénsav, 75 tömegszázalék, m/m) |
29. | acetát | akril | pamut, viszkóz, cupro vagy modál | 4. | 1. (aceton) és 8. (dimetil-formamid) |
30. | triacetát | akril | pamut, viszkóz, cupro vagy modál | 4. | 6. (diklór-metán) és 8. (dimetil-formamid) |
31. | triacetát | poliamid vagy nejlon | pamut, viszkóz, cupro vagy modál | 4. | 6. (diklór-metán) és 4. (hangyasav, 80 tömegszázalék, m/m) |
32. | triacetát | pamut, viszkóz, cupro vagy modál | poliészter | 4. | 6. (diklór-metán) és 7. (kénsav, 75 tömegszázalék, m/m) |
33. | acetát | poliamid vagy nejlon | poliészter vagy akril | 4. | 1. (aceton) és 4. (hangyasav, 80 tömegszázalék, m/m) |
34. | acetát | akril | poliészter | 4. | 1. (aceton) és 8. (dimetil-formamid) |
35. | meghatározott polikloridok | pamut, viszkóz, cupro vagy modál | poliészter | 4. | 8. (dimetil-formamid) és 7. (kénsav, 75 tömegszázalék, m/m) vagy 9. (széndiszulfid/aceton, 55,5/44,5 térfogat% v/v) és 7. (kénsav, 75 tömegszázalék, m/m) |
36. | pamut | poliészter | elasztolefin | 2. és/vagy 4. | 7. (kénsav 75 tömegszázalék, m/m) és 14. (koncentrált kénsav) |
37. | meghatározott modakril | poliészter | melamin | 2. és/vagy 4. | 8. (dimetil-formamid) és 14. (koncentrált kénsav)] |
IX. MELLÉKLET
A textiltermékekben található szálak tömegének kiszámításához használt egyezményes nedvességtartalom-értékek
(lásd a 19. cikk (3) bekezdését)
Sorszám | Szál | Százalék |
12. | Gyapjú és állati szőrök: | |
fésült fonalból származó szálak | 18,25 | |
kártolt fonalból származó szálak | 17,00 (1) | |
3. | Szőrök: | |
fésült fonalból származó szálak | 18,25 | |
kártolt fonalból származó szálak | 17,00 (1) | |
Lószőr: | ||
fésült fonalból származó szálak | 16,00 | |
kártolt fonalból származó szálak | 15,00 | |
4. | Selyem | 11,00 |
5. | Pamut: | |
szokásos fonalból származó szálak | 8,50 | |
mercerezett fonalból származó szálak | 10,50 | |
6. | Kapok | 10,90 |
7. | Len | 12,00 |
8. | Kender | 12,00 |
9. | Juta | 17,00 |
10. | Manilakender | 14,00 |
11. | Alfafű | 14,00 |
12. | Kókusz | 13,00 |
13. | Seprűzanót | 14,00 |
14. | Rami (fehérített szálak) | 8,50 |
15. | Szizál | 14,00 |
16. | Indiai kender | 12,00 |
17. | Mexikói szizál | 14,00 |
18. | Agáve | 14,00 |
19. | Acetát | 9,00 |
20. | Alginát | 20,00 |
21. | Cupro | 13,00 |
22. | Modál | 13,00 |
23. | Fehérjeszál | 17,00 |
24. | Triacetát | 7,00 |
25. | Viszkóz | 13,00 |
26. | Akril | 2,00 |
27. | Poliklorid | 2,00 |
28. | Fluorszál | 0,00 |
29. | Modakril | 2,00 |
30. | Poliamid vagy nejlon: | |
vágott szál | 6,25 | |
végtelen szál | 5,75 | |
31. | Aramid | 8,00 |
32. | Poliimid | 3,50 |
33. | Lyocell | 13,00 |
34. | Polilaktid | 1,50 |
35. | Poliészter: | 1,50 |
36. | Polietilén | 1,50 |
37. | Polipropilén | 2,00 |
38. | Polikarbamid | 2,00 |
39. | Poliuretán: | |
vágott fonalból származó szál | 3,50 | |
végtelen fonalból származó szál | 3,00 | |
40. | Vinil | 5,00 |
41. | Trivinil | 3,00 |
42. | Elasztodién | 1,00 |
43. | Elasztán | 1,50 |
44. | Üvegszál: | |
átlagos átmérő felett | 2,00 | |
legfeljebb 5μm átlagos átmérőig | 3,00 | |
45. | Elaszto-multiészter | 1,50 |
46. | Elasztolefin | 1,50 |
47. | Melamin | 7,00 |
48. | Fémszál | 2,00 |
Fémezett szál | 2,00 | |
Azbesztszál | 2,00 | |
Papírfonal | 13,75 | |
49. | Polipropilén/poliamid kétkomponensű szál | 1,00 |
50. | Poliakrilát | 30,00 |
(1) A 17,00 %-os egyezményes nedvességtartalom-értéket kell alkalmazni olyankor is, ha nem lehet megállapítani, hogy a gyapjút, illetve állati szőrt tartalmazó textiltermék fésült-e vagy kártolt. |
X. MELLÉKLET
Megfelelési táblázatok
2008/121/EK irányelv | Ez a rendelet |
1. cikk, (1) bekezdés | 4. cikk |
1. cikk (1) bekezdés a)-c) pont | — |
1. cikk (2) bekezdés d) pont | 2. cikk, (3) bekezdés |
2. cikk, (1) bekezdés | 3. cikk, (1) bekezdés |
2. cikk, (2) bekezdés, bevezető szöveg | 2. cikk, (2) bekezdés, bevezető szöveg |
2. cikk, (2) bekezdés, a) pont | 2. cikk, (2) bekezdés, a) pont |
2. cikk, (2) bekezdés, b) pont | 2. cikk, (2) bekezdés, b) és c) pont |
2. cikk, (2) bekezdés, c) pont | 2. cikk (2) bekezdés d) pont |
3. cikk | 5. cikk |
4. cikk | 7. cikk |
5. cikk | 8. cikk |
6. cikk, (1) és (2) bekezdés | — |
6. cikk, (3) bekezdés | 9. cikk, (3) bekezdés |
6. cikk, (4) bekezdés | 9. cikk, (4) bekezdés |
6. cikk, (5) bekezdés | 20. cikk |
7. cikk | 10. cikk |
8. cikk, (1) bekezdés, első mondat | 14. cikk, (1) bekezdés |
8. cikk, (1) bekezdés, második mondat | 14. cikk, (2) bekezdés |
8. cikk, (2) bekezdés | 14. cikk, (3) bekezdés |
8. cikk, (3) bekezdés, első albekezdés | 16. cikk, (1) bekezdés |
8. cikk, (3) bekezdés, második és harmadik albekezdés | 16. cikk, (2) bekezdés |
8. cikk, (4) bekezdés | 16. cikk, (3) bekezdés |
8. cikk, (5) bekezdés | — |
9. cikk, (1) bekezdés | 11. cikk, (1) és (2) bekezdés |
9. cikk, (2) bekezdés | 11. cikk, (3) bekezdés |
9. cikk, (3) bekezdés | 13. cikk és IV. melléklet |
10. cikk, (1) bekezdés, a) pont | 17. cikk, (2) bekezdés |
10. cikk, (1) bekezdés, b) pont | 17. cikk, (3) bekezdés |
10. cikk, (1) bekezdés, c) pont | 17. cikk, (4) bekezdés |
10. cikk, (2) bekezdés | 17. cikk, (5) bekezdés |
11. cikk | 15. cikk, (4) bekezdés |
12. cikk | 19. cikk (2) bekezdés és VII. melléklet |
13. cikk, (1) bekezdés | 19. cikk, (1) bekezdés |
13. cikk, (2) bekezdés | — |
14. cikk, (1) bekezdés | — |
14. cikk, (2) bekezdés | — |
15. cikk | 21. cikk |
16. cikk | — |
17. cikk | — |
18. cikk | — |
19. cikk | — |
20. cikk | — |
I. melléklet | I. melléklet |
II. melléklet | III. melléklet |
III. melléklet | V. melléklet |
III. melléklet, 36. pont | 3. cikk (1) bekezdés j) pont |
IV. melléklet | VI. melléklet |
V. melléklet | IX. melléklet |
VI. melléklet | — |
VII. melléklet | — |
96/73/EK irányelv | Ez a rendelet |
1. cikk | 1. cikk |
2. cikk | VIII. melléklet, 1. fejezet, I. szakasz, (2) bekezdés |
3. cikk | 19. cikk, (1) bekezdés |
4. cikk | 19. cikk, (4) bekezdés |
5. cikk | 21. cikk |
6. cikk | — |
7. cikk | — |
8. cikk | — |
9. cikk | — |
I. melléklet | VIII. melléklet, 1. fejezet, I. szakasz |
II. melléklet | VIII. melléklet, 1. fejezet, II. szakasz és 2. fejezet |
III. melléklet | — |
IV. melléklet | — |
73/44/EGK irányelv | Ez a rendelet |
1. cikk | 1. cikk |
2. cikk | VIII. melléklet, 1. fejezet, I. szakasz |
3. cikk | 19. cikk, (1) bekezdés |
4. cikk | 19. cikk, (4) bekezdés |
5. cikk | 21. cikk |
6. cikk | — |
7. cikk | — |
I. melléklet | VIII. melléklet, 3. fejezet, bevezetés és I–III. szakasz |
II. melléklet | VIII. melléklet, 3. fejezet, IV. szakasz |
III. melléklet | VIII. melléklet, 3. fejezet, V. szakasz |
AZ EURÓPAI PARLAMENT ÉS A TANÁCS NYILATKOZATA
Az Európai Parlament és a Tanács tisztában van annak fontosságával, hogy a fogyasztók pontos tájékoztatást kapjanak - különösen a származási helynek a termékeken való feltüntetése tekintetében -, és ily módon védve legyenek a csalárd, pontatlan vagy megtévesztő állításokkal szemben. Az olyan új technológiák, mint az elektronikus címkézés és a rádiófrekvenciás azonosítás, az ilyen tájékoztatás hasznos eszközei lehetnek, egyszersmind biztosítják a műszaki fejlődés eredményeinek a termékcímkézés területén való hasznosítását. Az Európai Parlament és a Tanács felkéri a Bizottságot, hogy a rendelet 24. cikke szerinti jelentésének elkészítésekor - többek között a termékek nyomonkövethetőségének javítása céljából - gondolja át, hogy e technológiák milyen esetleges új címkézési követelményeket tesznek szükségessé.
( 1 ) HL L 134., 2004.4.30., 114. o.
( *1 ) Az ezen bejegyzés alá tartozó és vágott hosszúságban árult termékek tekintetében az átfogó címkézésnek a tekercs átfogó címkéjének kell lennie. Az ezen bejegyzés alá tartozó zsinegek és kötelek magukban foglalják a hegymászáshoz és vízi sportokhoz használatosakat is.
( 2 ) Bizonyos esetekben szükséges az egyes próbadarabok előkezelése.
( 3 ) Feldolgozott és késztermékek vonatkozásában lásd a 7. pontot.
( 4 ) Lásd az 1. pontot.
( 5 ) A laboratóriumi kártológépet szálkeverővel is lehet helyettesíteni, illetve a szálakat a "pászmák és selejtek" módszerével is lehet keverni.
( 6 ) Ha a kiszerelési egységek egy arra alkalmas motollára felvethetők, egyszerre több is csévélhető.
( 7 ) A 12. módszer kivétel. Ez a módszer a két komponens egyikében található egyik anyag meghatározásán alapszik.
( 8 ) Lásd az 1. fejezet 1. pontját.
( 9 ) Annak biztosítására, hogy a szálmaradék 10 percre az ammóniaoldatba merüljön, például olyan csappal ellátott szűrőtégelyt lehet használni, amellyel az ammóniaoldat áramlása szabályozható.
( 10 ) A vizsgálat elvégzése előtt ellenőrizni kell a modakrilok és a polikloridszálak oldhatóságát a reagensben.
( 11 ) A vizsgálat elvégzése előtt ellenőrizni kell a polivinil-klorid-szálak oldhatóságát a reagensben.
( 12 ) A vadselyem, például tussah, a 75 tömegszázalékos kénsavban nem oldódik fel teljes mértékben.
( 13 ) Ezek a reagensek nem tartalmazhatnak nitrogént.
( 14 ) Lásd például a Melliand Textilberichte 56 (1975), 643-645. oldalain leírt készüléket.
( 15 ) Lásd az 1. fejezet 1. pontját.
( 16 ) A d értékei a kétkomponensű textilszálkeverékek mennyiségi elemzésének egyes módszereiről szóló 2. fejezetben találhatók.
( 17 ) Lehetőség szerint a d3 értékét kísérleti módszerekkel előre meg kell határozni.
Lábjegyzetek:
[1] A dokumentum eredetije megtekinthető CELEX: 32011R1007 - https://eur-lex.europa.eu/legal-content/HU/ALL/?uri=CELEX:32011R1007&locale=hu Utolsó elérhető, magyar nyelvű konszolidált változat CELEX: 02011R1007-20180215 - https://eur-lex.europa.eu/legal-content/HU/ALL/?uri=CELEX:02011R1007-20180215&locale=hu