31992L0023[1]
A Tanács 92/23/EGK irányelve (1992. március 31.) a gépjárművek és pótkocsijaik gumiabroncsairól és azok felszereléséről
A TANÁCS 92/23/EGK IRÁNYELVE
(1992. március 31.)
a gépjárművek és pótkocsijaik gumiabroncsairól és azok felszereléséről
1. cikk
Ennek az irányelvnek az alkalmazásában:
- "gumiabroncs": az az új légabroncs, beleértve a szögekhez való lyukakkal ellátott téli gumiabroncsot, akár eredeti felszerelés vagy pótfelszerelés formájában, amelyet olyan járművekre való felszerelésre szántak, amelyekre a 70/156/EGK irányelvet kell alkalmazni. Ez a meghatározás nem vonatkozik a szögekkel ellátott téli gumiabroncsra,
- "jármű": az összes olyan jármű, amelyre a 70/15/EGK tanácsi irányelv alkalmazandó,
- "gyártó": a járművek vagy gumiabroncsok kereskedelmi nevének vagy jelének tulajdonosát jelenti.
1a. cikk
(1) Az V. mellékletben meghatározott követelményeket az 1980. október 1-jén vagy azt követően először használatba vett gépjárművekre szerelendő gumiabroncsokra kell alkalmazni.
(2) Az V. mellékletben meghatározott követelményeket nem kell alkalmazni:
a) azokra a gumiabroncsokra, amelyek sebességhatára kevesebb, mint 80 km/h;
b) azokra a gumiabroncsokra, amelyek névleges keréktárcsa-átmérője nem haladja meg a 254 mm-t (vagy 10-es kód), illetve 635 mm vagy több (25-ös kód);
c) T típusú ideiglenesen használt tartalék gumiabroncsokra a II. melléklet 2.3.6. pontjában meghatározottak szerint;
d) a csak az első ízben 1980. október 1-je előtt nyilvántartásba vett gépjárművekre történő felszerelésre szánt gumiabroncsokra.
2. cikk
(1) A tagállamok az I. mellékletben megállapított feltételek szerint EK-típusjóváhagyást adnak minden olyan gumiabroncsnak, amely megfelel a II. melléklet követelményeinek és ezeket az I. mellékletben meghatározott jóváhagyási számmal látják el.
(2) A tagállamok az I. mellékletben megállapított feltételek szerint EK-típusjóváhagyást adnak minden olyan gumiabroncsnak, amely megfelel az V. melléklet követelményeinek és ezeket az I. mellékletben meghatározott jóváhagyási számmal látják el.
(3) A tagállamok a III. mellékletben megállapított feltételek szerint a gumiabroncsra vonatkozóan EK-típusjóváhagyást adnak minden járműnek, amennyiben a gumiabroncsok (megfelelő esetben beleértve a tartalék gumiabroncsokat is) megfelelnek a II. melléklet követelményeinek, valamint a IV. mellékletben a járművekre vonatkozóan megállapított követelményeknek és minden ilyen járművet a II. mellékletben meghatározott jóváhagyási számmal látnak el.
3. cikk
A tagállamok EK-típusjóváhagyás hatósága az EK-típusjóváhagyás- (gumiabroncs-) vagy járműtípus-jóváhagyás megadásától vagy visszautasításától számított egy hónapon belül elküldi a szóban forgó bizonyítvány - amelynek mintáját a I. és III. melléklet függeléke tartalmazza - másolatát a többi tagállamnak, valamint azok kérésére elküldi a jóváhagyott gumiabroncstípus vizsgálati jelentését is.
4. cikk
Egy tagállam sem tilthatja meg, illetve nem korlátozhatja az EK-típusjóváhagyás jelet viselő gumiabroncs forgalomba hozatalát.
5. cikk
Egy tagállam a gumiabroncsok alapján nem utasíthatja vissza az EK-típusjóváhagyás vagy a nemzeti típusjóváhagyás megadását egy járműre, amennyiben a gumiabroncsok EK-típusjóváhagyás jellel vannak ellátva, a felszerelésük pedig a IV. mellékletben megállapított követelményeknek megfelelően történt.
6. cikk
Egy tagállam sem utasíthatja vissza, illetve nem tilthatja meg a gumiabroncsok alapján egy jármű értékesítését, nyilvántartásba vételét, üzembe helyezését vagy használatát, amennyiben ezek EK-típusjóváhagyás jellel vannak ellátva, a felszerelésük pedig a IV. mellékletben megállapított követelményeknek megfelelően történt.
7. cikk
(1) Amennyiben egy tagállam megalapozott indokolás alapján úgy találja, hogy egy gumiabroncstípus vagy járműtípus veszélyes annak ellenére, hogy megfelel ezen irányelv követelményeinek, a saját területén átmenetileg megtilthatja ennek a terméknek a forgalmazását, illetve különleges feltételeket határozhat meg a forgalmazására. Döntéséről és annak okairól haladéktalanul tájékoztatja a többi tagállamot és a Bizottságot.
(2) A Bizottság hat héten belül konzultál az érintett tagállamokkal, majd ezt követően haladéktalanul közli a véleményét és meghozza a megfelelő intézkedéseket.
(3) Ha a Bizottság véleménye szerint az irányelvek technikai kiigazítása szükséges, a kiigazításokat a 10. cikkben megállapított eljárásnak megfelelően a Bizottság vagy a Tanács fogadja el. Ebben az esetben az a tagállam, amely védőintézkedéseket fogadott el, a kiigazítások hatálybalépéséig fenntarthatja azokat.
8. cikk
(1) Az a tagállam, amely kiadta az EK-típusjóváhagyás- (gumiabroncs-) vagy jármű- EK-típusjóváhagyás, adott esetben meghozza a szükséges intézkedéseket annak érdekében, hogy szükség esetén a jóváhagyó hatóságokkal együttműködve ellenőrizze, hogy a gyártás megfelel-e a jóváhagyott típusnak. E célból a tagállam bármikor ellenőrizheti, hogy a gumiabroncsok vagy a járművek megfelelnek-e ezen irányelv követelményeinek. Ez az ellenőrzés a helyszíni ellenőrzésekre korlátozódik.
(2) Amennyiben a tagállam megállapítja, hogy ugyanazzal a EK-típusjóváhagyási jellel rendelkező gumiabroncsok vagy járművek nem felelnek meg a jóváhagyott típusnak, meghozza a szükséges intézkedéseket a jóváhagyottal megegyező kivitelű gyártás biztosítására. Amennyiben gumiabroncsok vagy járművek rendszeresen nem felelnek meg a jóváhagyott típusnak, akkor ezekkel az intézkedésekkel vissza is lehet vonni az EK-típusjóváhagyást. Az említett hatóságok hasonlóan intézkednek, amennyiben más tagállam jóváhagyó hatósága a követelmények betartásának hiányáról értesíti őket.
(3) A tagállamok jóváhagyó hatóságai az I. és III. melléklet függelékében megadott nyomtatvány segítségével egy hónapon belül értesítik egymást az EK-típusjóváhagyás visszavonásáról és annak okairól.
9. cikk
Minden olyan határozatnak, amelyet ezen irányelv végrehajtása során elfogadott rendelkezések alapján hoztak arról, hogy visszautasítják vagy visszavonják a gumiabroncsra vonatkozó EK-típusjóváhagyás vagy a gumiabroncsok felszerelésére vonatkozóan egy jármű EK-típusjóváhagyás, beleértve a forgalomba hozatal vagy a használat megtiltását is, részletesen ismertetnie kell az indokokat. Minden ilyen határozatról értesítést kap az érintett fél, akit egyidejűleg tájékoztatnak a tagállamokban a hatályos nemzeti jog értelmében rendelkezésére álló jogorvoslatokról, valamint arról a határidőről, ameddig ezekkel a jogorvoslatokkal élhet.
10. cikk
Azokat a módosításokat, amelyek a mellékletek követelményeinek a műszaki fejlődéshez történő hozzáigazításához szükségesek, a 70/156/EGK irányelv 13. cikkében megállapított eljárásnak megfelelően fogadják el.
10a. cikk
(1) A tagállamok 2003. február 4-től kezdődően:
a) nem utasíthatják vissza az EK-típusjóváhagyás vagy nemzeti jóváhagyás megadását valamely járműtípusra vagy gumiabroncstípusra vonatkozóan, illetve
b) nem tilthatják meg járművek nyilvántartásba vételét, értékesítését vagy forgalomba helyezését, illetve gumiabroncsok eladását vagy forgalomba helyezését vagy használatát
olyan okok miatt, amelyek a gumiabroncsokra vagy azok új járművekre szerelésére vonatkoznak, amennyiben a járművek vagy a gumiabroncsok megfelelnek az ezen - a 2001/43/EK irányelvvel módosított - irányelvben megállapított követelményeknek ( 9 ).
(2) 2003. augusztus 4-től kezdődően a tagállamok nem adhatnak EK-típusjóváhagyást és a nemzeti típusjóváhagyás megadását visszautasítják olyan gumiabroncstípusokra vonatkozóan, amelyek ezen irányelv hatálya alá tartoznak és nem felelnek meg ezen irányelv követelményeinek, a 2001/43/EK irányelv szerinti módosításokkal.
(3) 2003. augusztus 4-től kezdődően a tagállamok gumiabroncsaikkal vagy azok felszerelésével kapcsolatos okok miatt nem adhatnak EK-típusjóváhagyást és a nemzeti típusjóváhagyás megadását visszautasítják olyan járműtípusokra vonatkozóan, amelyek nem felelnek meg ezen irányelv követelményeinek, a 2001/43/EK irányelv szerinti módosításokkal.
(4) 2005. február 4-től kezdődően a tagállamok:
a) az új járműveket a 70/156/EGK irányelv rendelkezéseivel összhangban kísérő megfelelőségi igazolásokat az említett irányelv 7. cikke (1) bekezdése alkalmazásában nem tekintik a továbbiakban érvényesnek, amennyiben ezen irányelv követelményeinek nem felelnek meg, a 2001/43/EK irányelv szerinti módosításokkal, és
b) visszautasítják a nyilvántartásba vételét, illetve megtiltják az értékesítését vagy forgalomba helyezését minden olyan új járműnek, amely nem felel meg az ezen irányelv követelményeinek, a 2001/43/EK irányelv szerinti módosításokkal.
(5) 2009. október 1-jétől kezdődően ezen irányelv rendelkezéseit kell alkalmazni a 2001/43/EK irányelv szerinti módosításokkal a 70/156/EK irányelv 7. cikke (2) bekezdésének alkalmazásában az ezen irányelv hatálya alá tartozó valamennyi gumiabroncsra, kivéve a C1d és C1e osztályba tartozó gumiabroncsokra, amelyekre 2010. október 1-jétől, illetve 2011. október 1-jétől kell ezeket alkalmazni.
11. cikk
(1) A tagállamok elfogadják és kihirdetik azokat a rendelkezéseket, amelyek szükségesek ahhoz, hogy ennek az irányelvnek 1992. július 1-je előtt megfeleljenek, és erről haladéktalanul tájékoztatják a Bizottságot.
Amikor a tagállamok elfogadják ezeket az intézkedéseket, azokban hivatkozni kell erre az irányelvre, vagy azokhoz hivatalos kihirdetésük alkalmával ilyen hivatkozást kell fűzni. A hivatkozás módját a tagállamok határozzák meg.
Ezeket az intézkedéseket 1993. január 1-jétől alkalmazzák.
(2) A tagállamok közlik a Bizottsággal nemzeti joguknak azokat a főbb rendelkezéseit, amelyeket az ezen irányelv által szabályozott területen fogadnak el.
12. cikk
Ennek az irányelvnek a tagállamok a címzettjei.
A MELLÉKLETEK JEGYZÉKE
I. MELLÉKLET | A gumiabroncsok EK-típusjóváhagyására vonatkozó igazgatási rendelkezések |
1. függelék | Adott típusú gumiabroncs EK-típusjóváhagyására vonatkozó adatközlő lap |
2. függelék | EK-típusbizonyítvány (gumiabroncsok) |
3. függelék | Adott típusú gumiabroncs EK-típusjóváhagyására vonatkozó adatközlő lap a gumiabroncs/út zajkibocsátásról |
4. függelék | EK-típusbizonyítvány (gumiabroncs/út zajkibocsátás) |
II. MELLÉKLET (1) | A gumiabroncsokra vonatkozó követelmények |
1. függelék | Magyarázó ábra |
2. függelék | Teherbírási indexekre vonatkozó jelzések és a hozzájuk tartozó legnagyobb szállítható tömeg |
3. függelék | A gumiabroncs jelöléseinek elhelyezése |
4. függelék | Nyomásindex és nyomás mértékegysége közötti összefüggés |
5. függelék | Bizonyos méretű gumik abroncsának, külső átmérőjének és keresztmetszete szélességének mérése |
6. függelék | A gumiabroncsok méretének mérési módszere |
7. függelék | Terhelés- és sebességvizsgálati eljárás |
8. függelék | A teherbírási index változása a sebesség függvényében; a teherjárművek radiál és diagonál gumiabroncsai |
III. MELLÉKLET | Igazgatási rendelkezések a járművek EK-típusjóváhagyásáról a gumiabroncsok felszerelésével kapcsolatban |
1. függelék | A járműre vonatkozó adatközlő lap |
2. függelék | A jármű EK-típusbizonyítványa |
IV. MELLÉKLET | A járművekre vonatkozó követelmények a gumiabroncsok felszerelésével kapcsolatban |
V. MELLÉKLET | Gumiabroncs/út zajkibocsátás |
1. függelék | Vizsgálati módszer a gumiabroncs/út zajszint szabadfutású módszeréhez |
2. függelék | Vizsgálati jelentés |
VI. MELLÉKLET | A vizsgálat helyszínére vonatkozó követelmények |
(1) A gumiabroncsokra vonatkozó műszaki követelmények hasonlóak az ENSZ Európai Gazdasági Bizottsága (UN/ECE) 30. és 54. rendeletében meghatározottakhoz. |
I. MELLÉKLET
A GUMIABRONCSOK EK-TÍPUSJÓVÁHAGYÁSÁRA VONATKOZÓ IGAZGATÁSI RENDELKEZÉSEK
1. ADOTT GUMIABRONCSTÍPUSRA VONATKOZÓ EK-TÍPUSJÓVÁHAGYÁSI KÉRELEM
1.1. Az adott gumiabroncstípusra vonatkozó EK-típusjóváhagyási kérelmet a 70/156/EGK irányelv 3. cikke (4) bekezdésének megfelelően a gumiabroncs gyártója nyújtja be.
1.1. 1 A II. mellékletnek megfelelően benyújtott EK-típusjóváhagyási kérelmet az 1. függelékben meghatározott adatközlő lapoknak megfelelően elkészített, a gumiabroncs típusára vonatkozó hárompéldányos leírással együtt kell benyújtani.
1.1.1.1. A kérelmet a gumiabroncs futófelületének mintázatát ábrázoló vázlatrajzzal vagy arról készült jellemző fényképpel, valamint a mérőtárcsára felszerelt, felfújt gumiabroncs-köpenyt ábrázoló, a jóváhagyásra benyújtott gumiabroncstípus megfelelő méreteit (lásd a II. melléklet 6.1.1. és 6.1.2. szakaszát) feltüntető vázlatrajzzal együtt kell benyújtani (mindegyikből három példány szükséges).
1.1.1.2. A kérelmet a kijelölt műszaki szolgálat által a tesztről készített jegyzőkönyvvel, vagy a jóváhagyó hatóság által meghatározandó számú mintadarabbal együtt kell benyújtani.
1.1.2. Az V. mellékletnek megfelelőn benyújtott EK-típusjóváhagyási kérelmet az 1. függelékben meghatározott adatközlő lapnak megfelelően elkészített, a gumiabroncs típusára vonatkozó hárompéldányos leírással együtt kell benyújtani.
1.1.2.1. A kérelmet a gumiabroncs futófelületének jellegzetes mintázatát ábrázoló vázlatrajzzal, rajzzal vagy fényképpel együtt kell benyújtani (mindegyikből három példány szükséges).
1.1.2.2. A kérelmet továbbá a kijelölt műszaki szolgálat által a tesztről készített jegyzőkönyvvel vagy a jóváhagyó hatóság által meghatározandó számú mintadarabbal együtt kell benyújtani.
1.2. A gyártó kérheti az EK-típusjóváhagyás kiterjesztését
1.2.1. oly módon, hogy az a II. mellékletnek megfelelő EK-típusjóváhagyások esetében a módosított gumiabroncstípusokra is kiterjedjen, és/vagy
1.2.2. oly módon, hogy az az V. mellékletnek megfelelő EK-típusjóváhagyások esetében a további gumiabroncs-méret megjelölésekre, és/vagy módosított márkanevekre, vagy a gyártó kereskedelmi leírására és/vagy a futófelület mintázatára is kiterjedjen.
1.3. A jóváhagyást végző hatóság a gumiabroncsgyártók laboratóriumait jóváhagyott vizsgálólaboratóriumokként ismerheti el a 70/156/EGK irányelv 14. cikkének (1) bekezdése értelmében.
2. FELIRATOZÁSOK
2.1. Az EK-típusjóváhagyásra benyújtott adott gumiabroncstípus mintadarabjain fel kell tüntetni a kérelmező jól látható és letörölhetetlen védjegyét vagy nevét, valamint megfelelő helyet kell hagyni az e melléklet 4. szakaszában előírt EK-típusjóváhagyási jel feltüntetésére.
3. EK-TÍPUSJÓVÁHAGYÁS
3.1. A 70/156/EGK irányelv 4. cikkének megfelelő EK-típusjóváhagyást meg kell adni, továbbá az EK-típusjóváhagyási számot ki kell adni minden, a fenti 1.1.1. szakasszal összhangban benyújtott gumiabroncstípus estében, amely megfelel a II. melléklet követelményeinek.
3.1.1. A II. mellékletnek megfelelő gumiabroncs esetében a jóváhagyásról, vagy a jóváhagyás kiterjesztéséről, vagy elutasításáról, vagy visszavonásáról, illetve a gyártás végleges megszüntetéséről szóló értesítést a tagállamokkal a 70/156/EGK irányelv 4. cikke (6) bekezdésével összhangban közölni kell.
3.1.2. A 70/156/EGK irányelv 4. cikkének megfelelő EK-típusjóváhagyást meg kell adni, továbbá az EK-típusjóváhagyási számot ki kell adni minden, a fenti 1.1.2. szakasszal összhangban benyújtott gumiabroncstípus estében, amely megfelel az V. melléklet követelményeinek.
3.2.1. Az V. mellékletnek megfelelő gumiabroncs esetében a jóváhagyásról, vagy a jóváhagyás kiterjesztéséről, vagy elutasításáról vagy visszavonásáról, illetve a gyártás végleges megszüntetéséről szóló értesítést a tagállamokkal a 70/156/EGK irányelv 4. cikke (6) bekezdésével összhangban közölni kell.
3.3. Minden, a típusjóváhagyást megkapott gumiabroncstípust EK-típusjóváhagyási számmal kell ellátni. Ugyanaz a tagállam nem adhatja ugyanazt a számot más gumiabroncstípusnak. Különösen a II. mellékletnek megfelelően kiadott jóváhagyási számoknak és az V. melléklet alapján kiadott EK-típusjóváhagyási számoknak kell különbözőnek lenniük.
4. EK-TÍPUSJÓVÁHAGYÁSI JELÖLÉS
4.1. Minden olyan gumiabroncson, amely ezen irányelvnek megfelelően EK-típusjóváhagyással rendelkező gumiabroncstípusnak felel meg, fel kell tüntetni a megfelelő EK-típusjóváhagyási jelet.
4.2. Az EK-típusjóváhagyási jel egy téglalapból áll, amely egy kis "e" betűt tartalmaz, amelyet a 70/156/EGK irányelv VII. melléklete szerint a típusjóváhagyást kiadó tagállam megkülönböztető jele követ. Az EK-típusjóváhagyási szám a gumiabroncshoz kiadott bizonyítványon feltüntetett EK-típusjóváhagyási számból áll, amelyet két számjegy követ: "00" a haszongépjárművekhez használt gumiabroncsok, és "02" a személygépkocsikhoz használt gumiabroncsok esetében.
4.2.1. Az EK-típusjóváhagyási jelet alkotó téglalap hossza legalább 12 mm, magassága legalább 8 mm. A betűk és számok magassága legalább 4 mm.
4.3. Az EK-típusjóváhagyási jeleket és számokat, és bármely további, a II. melléklet 3. szakasza által előírt jelet - ez utóbbi a II. melléklet előírásainak megfelelően kiadott típusjóváhagyásra vonatkozik - az említett szakaszban előírt módon kell feltüntetni.
4.4. Az V. mellékletnek megfelelően kiadott jóváhagyási számokat egy "s" betű követi, amely a "sound (hang)" szó rövidítése.
4.5. Az EK-típusjóváhagyási jel mintája az alábbi:

A fent megadott EK-típusjóváhagyási jelet viselő gumiabroncs tehergépjárművekhez használt gumiabroncs (00), amely megfelel az EK-előírásoknak (e), amelyre az EK-típusjóváhagyási jelet Írországban adták ki (24), a II. mellékletnek megfelelően 479-es szám szerint, és Olaszországban (3), az V. mellékletnek megfelelően 687-es szám szerint.
Megjegyzés:
a "479" és "687" számok (EK-típusjóváhagyási számok), valamint a "24" és "3" számok (az EK-jóváhagyást megadó tagállamok betűjelei és számai) csak tájékoztató jellegűek.
A jóváhagyási számokat a téglalaphoz közel kell elhelyezni, akár fölé, alá, jobbra vagy balra. A jóváhagyási szám jegyeinek az "e" betű azonos oldalán kell lenniük és egy irányba kell mutatniuk.
5. GUMIABRONCSTÍPUSOK MÓDOSÍTÁSA
5.1. Ha a II. mellékletnek megfelelő vagy az V. mellékletnek megfelelő típusjóváhagyást kapott gumiabroncsot módosítanak, akkor a 70/156/EGK irányelv 5. cikkének rendelkezéseit kell alkalmazni.
5.2. Ha a II. mellékletnek megfelelően típusjóváhagyást kapott gumiabroncs futófelületének mintázatát módosítják, akkor a II. mellékletben előírt teszteket nem szükséges megismételni.
5.3. Ha az V. mellékletnek megfelelően típusjóváhagyást kapott gumiabroncs egy sorozatát gumiabroncsméret-megjelöléssel vagy védjegyekkel látják el, a típusjóváhagyó hatóság határozza meg az újratesztelés követelményeit.
5.4. Ha az V. mellékletnek megfelelően típusjóváhagyással rendelkező gumiabroncs egy sorozata futófelületének mintázatát módosítják, akkor egy reprezentatív mintacsoportot újra kell tesztelni, kivéve ha a típusjóváhagyó hatóság meg van győződve, hogy a módosítás nem befolyásolja a gumiabroncs/út zajkibocsátást.
6. GYÁRTÁSMEGFELELŐSÉG
6.1. A gyártásmegfelelőség biztosítására vonatkozó általános szabályokat a 70/156/EGK irányelv 10. cikkében megállapított rendelkezésekkel összhangban kell elfogadni.
6.2. Különösen az V. melléklet 1. függeléke szerinti, a termelés megfelelőségének ellenőrzése érdekében elvégzett ellenőrzések során, ha a tesztelt gumiabroncs zajszintje legfeljebb 1 db(A)-val haladja meg az V. melléklet 4.2. szakaszában meghatározott határértékeket, akkor a termelést úgy kell tekinteni, hogy az megfelel a fent említett V. melléklet 4. szakaszában meghatározott követelményeknek.
1. függelék
EGY ADOTT GUMIABRONCSTÍPUS EK-TÍPUSJÓVÁHAGYÁSÁRA VONATKOZÓ.... SZ. ADATKÖZLŐ LAP
(a 92/23/EGK irányelv II. melléklete)

2. függelék
EK-TÍPUSBIZONYÍTVÁNY
(gumiabroncsok)
MINTA
(legnagyobb méret: A4 [210 mm × 297 mm])


3. függelék
EGY ADOTT TÍPUSÚ GUMIABRONCS EK-TÍPUSJÓVÁHAGYÁSÁRA VONATKOZÓ... sz. ADATKÖZLŐ LAP A GUMIABRONCS/ÚT ZAJKIBOCSÁTÁSRÓL
(a 92/23/EGK irányelv V. melléklete)
Az alábbi információt, ha szükséges három példányban, tartalomjegyzékkel ellátva kell benyújtani. Az esetleges rajzokat megfelelő méretben és részletességgel kell benyújtani A4-es formátumban vagy A4-es formátumra hajtogatott méretben. A teljesítményre vonatkozó lényeges információkat is be kell nyújtani a mikroprocesszor által vezérelt funkciók esetében.
1. ÁLTALÁNOS ADATOK
1.1. A gyártó neve:
1.2. A kérelmező neve és címe:
1.3. A gyártó üzem(ek) címe(i):
1.4. Az adott gumiabroncs kért típusjóváhagyásához használandó márkanév/nevek, kereskedelmi leírás(ok), vagy védjegy(ek).
2. GUMIABRONCSOK
2.1. Gumiabroncs besorolás: (C1 osztály, C2 osztály vagy C3 osztály)
2.2. Használati kategória: (normál, téli, vagy speciális)
2.3. A gumiabroncs-méretek megjelölt tartományában használt futófelület mintázatok főbb jellemzőinek részletei, tekintettel a gumiabroncs/út zajkibocsátásra gyakorolt hatásra. Ez lehet rajz, fénykép vagy leírás, de elegendőnek kell lennie ahhoz, hogy a típusjóváhagyó hatóság vagy a műszaki szolgálat megállapítsa, hogy a fő jellemzők utólagos megváltoztatása kedvezőtlenül befolyásolja-e a gumiabroncs/út zajkibocsátást.
Megjegyzés:
A gumiabroncs futófelülete mintázata és szerkezete kis mértékű megváltoztatásának a gumiabroncs/út zajkibocsátásra gyakorolt hatását a termelés megfelelőségének ellenőrzése során állapítják meg.
2.4. A gumiabroncs szerkezete
2.5. A futófelület-mintázatok megjelöléseinek listája: (adja meg az egyes védjegyek, vagy márkanevek vagy kereskedelmi leírások vonatkozásában a gumiabroncs-megjelölések jegyzékét a 92/23/EGK irányelv II. melléklete 2.17. szakasza szerint, megfelelő esetben kiegészítve azt a C1 osztályú gumiabroncsok esetében a "Reinforced", vagy "Extra load" megjelöléssel.)
4. függelék

II. MELLÉKLET
A GUMIABRONCSOKRA VONATKOZÓ KÖVETELMÉNYEK
1. FOGALOMMEGHATÁROZÁSOK
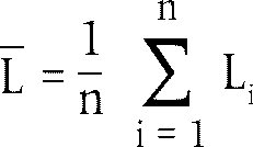
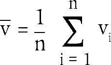
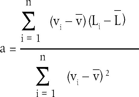
2. Ezen irányelv alkalmazásában:
2.1. "gumiabroncstípus": a gumiabroncsok kategóriája, amely nem tér el olyan lényeges szempontokban, mint például:
2.1.1. a gyártó neve vagy védjegye;
2.1.2. a gumiabroncs méretmegjelölése;
2.1.3. a felhasználás besorolása:
szokásos : szokásos közúti használatú gumiabroncs,
speciális : speciális használatú gumiabroncs, például a vegyes használatú (mind terepen, mind közúton használt) és a korlátozott sebesség mellett használható gumiabroncs,
- téli gumiabroncs,
- átmenetileg használható pótkerék;
2.1.4. szerkezet (diagonál, diagonál szövetvázas merevített, radiál);
2.1.5. sebesség szerinti besorolás;
2.1.6. teherbírási index;
2.1.7. a gumiabroncs keresztmetszete;
2. 2 "téli gumiabroncs": olyan gumiabroncs, amelyen a futófelület mintázatát és szerkezetét elsősorban arra tervezték, hogy a szokásos gumiabroncsnál jobb tapadást biztosítson sárban és friss vagy olvadó hóban. A téli gumiabroncs futófelületének mintázata általában hornyokból (bordából) és/vagy a szokásos gumiabroncshoz képest nagyobb közökkel elhelyezett tömör blokkokból áll;
2. 3 a "gumiabroncs szerkezete": a gumiabroncs szövetvázának műszaki jellemzőit jelenti. Elsősorban a következő szerkezeteket kell megkülönböztetni:
2.3.1. "diagonál": olyan gumiabroncs-szerkezet, amelyben a fonalbetét kordfonalai a köpenyperemig terjednek, a futófelület koronavonalával pedig 90°-nál kisebb, váltószögeket zárnak be;
2.3.2. "diagonál szövetvázas merevített gumiabroncs": olyan diagonál gumiabroncs-szerkezet, amelyben a szövetvázat egy öv veszi körül, amely a szövetváz anyagának közelében váltószögekben elhelyezett, kinyújthatatlan, kettő vagy több kordanyagrétegből áll;
2.3.3. "radiál": olyan gumiabroncs-szerkezet, amelyben a fonalréteg kordfonalai a köpenyperemig terjednek, a futófelület koronavonalával pedig 90°-os szöget zárnak be, ahol a szövetvázat egy kinyújthatatlan, az abroncson körben futó acélbetét biztosítja;
2.3.4. "megerősített gumiabroncs": olyan gumiabroncs-szerkezet, amelynek szövetváza ellenállóbb az igénybevétellel szemben, mint az annak megfelelő standard gumiabroncsé;
2.3.5. "átmenetileg használható pótkerék": eltér azoktól a gumiabroncsoktól, amelyeket a szokásos vezetési körülményekhez szerelnek fel a járművekre; ezt a gumiabroncsot viszont csak korlátozott vezetési feltételek mellett, átmeneti használatra tervezték;
2.3.6. "T-típusú átmenetileg használható pótkerék": a standard vagy megerősített gumiabroncsok belső nyomásánál magasabb nyomás melletti használatra tervezett, átmenetileg használható pótkereket jelenti;
2. 4 "köpenyperem": a gumiabroncsnak az a része, amely olyan alakú és szerkezetű, hogy ráilleszkedik a keréktárcsára és megtartja azon a gumiabroncsot ( 10 );
2.5. "kord (fonál)":a gumiabroncsban a fonalbetét szövetét alkotó szálakat jelenti (10) ;
2.6. "fonalbetét": a gumibevonatú párhuzamos kordok rétege (10) ;
2.7. "szövetváz": a gumiabroncsnak a futófelülettől és az oldalfaltól eltérő része, amely felfújt állapotban a terhet hordozza (10) ;
2.8. "futófelület": a gumiabroncsnak az a része, amely a talajjal érintkezésbe kerül (10) ;
2.9. "oldalfal": a futófelület kivételével a gumiabroncsnak az a része, amely oldalról látható akkor, amikor a gumiabroncsot felszerelték a keréktárcsára (10) ;
2.10. "alsó oldalfal": a gumiabroncs legnagyobb profilszélességének vonala alatti terület, amely oldalról látható, amikor a gumiabroncsot felszerelték a keréktárcsára ( 11 );
2.11. "futófelületi hornyok": a futófelület mintázatában a szomszédos bordák vagy blokkok közötti távolságok (11) ;
2.12. "profilszélesség": a felfújt gumiabroncs oldalfalainak külső pontjai között egyenes vonalban mért távolság, nem beleszámolva a jelölésekből, a díszítésből, illetve a védőpántokból vagy a bordákból adódó kiemelkedéseket (11) ;
2.13. "teljes szélesség": a felfújt gumiabroncs oldalfalainak külső pontjai között egyenes vonalban mért távolság, beleértve a jelölésből, a díszítésből, a védőpántokból és a bordákból adódó kiemelkedéseket is (11) ;
2.14. "profilmagasság": a gumiabroncs külső átmérője és a névleges tárcsaátmérő közötti különbség felével egyenlő távolság (11) ;
2.15. "keresztmetszeti viszonyszám, Ra": a mm-ben kifejezett névleges profilmagasság osztva a mm-ben kifejezett névleges profilszélességgel, majd ez a szám szorozva százzal;
2.16. "külső átmérő": a felfújt új gumiabroncs teljes átmérője (11) ;
2.17. "a gumiabroncs méretmegjelölése":
2.17.1. az a jelölés, amely a következőket adja meg:
2.17.1.1. a névleges profilszélességet. Ezt a szélességet mm-ben kell kifejezni azoknak a gumiabroncsoknak a kivételével, amelyek méretmegjelölése az 5. függelék táblázatainak első oszlopában van megadva;
2.17.1.2. a keresztmetszeti viszonyszámot azoknak a gumiabroncsoknak a kivételével, amelyek méretmegjelölése az 5. függelék táblázatainak első oszlopában van megadva;
2.17.1.3. egy egyezményes "d" számot (a "d" jelzés), amely a névleges tárcsaátmérőre vonatkozik, s vagy hüvelykben (100 alatti szám - lásd a táblázatot), vagy mm-ben (100 feletti számok) - de csak az egyik mértékegységben - van megadva.
Névleges tárcsaátmérő (a „d” jelzés) | |
Hüvelykben kifejezve (kód) | Egyenértéke mm-ben (lásd a 6.1.2.1. pontot) |
10 | 254 |
11 | 279 |
12 | 305 |
13 | 330 |
14 | 356 |
15 | 381 |
16 | 406 |
17 | 432 |
18 | 457 |
19 | 483 |
20 | 508 |
21 | 533 |
22 | 559 |
24 | 610 |
25 | 635 |
14,5 | 368 |
16,5 | 419 |
17,5 | 445 |
19,5 | 495 |
20,5 | 521 |
22,5 | 572 |
24,5 | 622 |
2.17.1.4. a névleges profilszélesség előtti "T" betűt a T-típusú, átmenetileg használható pótkerekek esetében;
2.18. "névleges tárcsaátmérő (d)": annak a keréktárcsának az átmérője, amelyre a gumiabroncs felszerelését tervezték ( 12 );
2.19. "keréktárcsa": a gumiabroncsot és a tömlőt vagy a tömlő nélküli gumiabroncsot tartó alkatrész, amelyre a köpenyperemeket ráillesztik (12) ;
2.20. "elméleti keréktárcsa": az a képzeletbeli keréktárcsa, amelynek szélessége egyenlő lenne a gumiabroncs névleges profilszélességének x-szeresével; az "x" értéket a gumiabroncs gyártójának kell megadnia;
2.21. "méretellenőrző keréktárcsa": az a keréktárcsa, amelyre a nagysága megmérésének érdekében fel kell szerelni gumiabroncsot;
2.22. "próbakeréktárcsa": az a keréktárcsa, amelyre a próba végrehajtása miatt fel kell szerelni a gumiabroncsot;
2.23. "mállás": amikor gumidarabok válnak le a futófelületről;
2.24. "kordfonal leválasztása": amikor a kordfonalakat leválasztják a gumibevonatról;
2.25. "fonalbetét szétválasztása": a szomszédos fonalbetétek szétválasztása;
2.26. "futófelület leválasztása": amikor a futófelület lehúzzák a szövetvázról;
2.27. "futófelületi kopásjelzők": a futófelületi hornyokon belül lévő kiemelkedő részek, amelyeket arra terveztek, hogy láthatóan jelezzék a futófelület kopását;
2.28. "teherbírási index": az az egy vagy két szám, amely azt a terhelést jelzi, amelyet a gumiabroncs egyes, illetve egyes és dupla elrendezésében a hozzátartozó sebesség szerinti besorolásának megfelelő sebesség mellett és a gyártó által megadott, a használatot szabályozó követelményeknek megfelelő működtetetés során elbír. Ezeknek az indexeknek a jegyzékét, valamint az azoknak megfelelő tömeget a II. melléklet 2. függeléke tartalmazza;
2.28.1. a személygépkocsik gumiabroncsain csak egy teherbírási indexet kell feltüntetni;
2.28.2. teherjárművek gumiabroncsain egy vagy két teherbírási index lehet, amelyek közül az első az egyes elrendezésre, a második pedig, ha van ilyen, a dupla (iker) elrendezésre vonatkozik; ebben az esetben a két indexet egy perjel (/) választja el egymástól;
2.28.3. valamely gumiabroncsnak vagy egy, vagy két teherbírásiindex-készlete lehet, attól függően, hogy alkalmazzák-e a 6.2.5. pont rendelkezéseit;
2.29. "sebesség szerinti besorolás": a sebesség szerinti besorolás jelzésében kifejezve, ahogy az a 2.29.3. táblázatban látható;
2.29.1. a személygépkocsik gumiabroncsain az a legnagyobb sebesség, amelynek a gumiabroncs még megfelel;
2.29.2. a teherjárművek gumiabroncsain az a sebesség, amely mellett a gumiabroncs hordozni tudja a teherbírási indexnek megfelelő tömeget;
2.29.3.
Sebesség szerinti besorolásra vonatkozó jelzés | A jelzésnek megfelelő sebesség (km/h) |
F | 80 |
G | 90 |
J | 100 |
K | 110 |
L | 120 |
M | 130 |
N | 140 |
P | 150 |
Q | 160 |
R | 170 |
S | 180 |
T | 190 |
U | 200 |
H | 210 |
V | 240 |
2.29.4. a 240 km/h-nál nagyobb legnagyobb sebességre alkalmas gumiabroncsok azonosítása a gumiabroncs méretmegjelölésén belül, "Z" betűkóddal történik;
2.29.5. a gumiabroncstípus a sebesség szerinti besorolás vagy egy, vagy két jelzését tartalmazhatja, attól függően, hogy a 6.2.5. pont rendelkezései alkalmazandók-e;
2.30. a "táblázat: A teherbírás változása a sebesség függvényében": a II. melléklet 8. függelékében lévő táblázat, amely a teherbírási indexek és a névleges sebesség szerinti besorolás jelzései függvényében mutatja azt a terhelésváltozást, amelynek a gumiabroncs ellen tud állni a sebesség szerinti besorolás jelzésének megfelelő sebességtől eltérő sebesség mellett;
2.30.1. a 6.2.5. pont rendelkezései alkalmazásakor a terhelésváltozást nem kell megadni a személygépkocsik gumiabroncsain és a teherjárművek gumiabroncsain a kiegészítő teherbírási indexekhez és sebesség szerinti besorolás jelzéseihez;
2.31. "az abroncs legnagyobb teherbírása": az a legnagyobb tömeg, amelynek hordozására a gumiabroncsot méretezték:
2.31.1. a 210 km/h-nál kisebb legnagyobb sebességű személygépkocsi gumiabroncsain az abroncs legnagyobb teherbírása nem haladhatja meg a gumiabroncs teherbírási indexéhez tartozó értéket;
2.31.2. a 210-240 km/h legnagyobb sebességű személygépkocsi gumiabroncsainak (a sebesség szerint "V" jelzéssel besorolt gumiabroncsok) legnagyobb teherbírása nem haladhatja meg a gumiabroncs teherbírási indexéhez tartozó értékeknek a következő táblázatban megadott százalékát, amely annak a járműnek a sebessége alapján határozható meg, amelyre a gumiabroncsot felszerelték;
Legnagyobb sebesség (km/h) | Terhelés (%) |
215 | 98,5 |
220 | 97 |
225 | 95,5 |
230 | 94 |
235 | 92,5 |
240 | 91 |
a köztes értékek esetében az abroncs legnagyobb teherbírásának lineáris interpolációját lehet alkalmazni;
2.31.3. 240 km/h-t meghaladó sebesség ("Z gumiabroncsok") esetén az abroncs legnagyobb teherbírása nem haladhatja meg a gumiabroncs gyártója által megadott, annak járműnek a legnagyobb sebességéhez tartozó értéket, amelyre a gumiabroncsot felszerelték;
2.31.4. a teherjárművek abroncsainak legnagyobb teherbírása sem az egyes, sem a dupla elrendezés esetén nem haladhatja meg a gumiabroncs teherbírási indexéhez tartozó értéknek a "Teherbírás változása a sebesség függvényében" táblázatban (lásd a 2.30. pont) megadott százalékát, amelyet a gumiabroncs sebesség szerinti besorolása jelzésének és annak a járműnek a sebessége segítségével határoznak meg, amelyre a gumiabroncsot felszerelték. A kiegészítő teherbírási index és a sebesség szerinti besorolásra vonatkozó jelzések alkalmazásakor ezeket is figyelembe kell venni a gumiabroncs legnagyobb teherbírásának meghatározása érdekében;
2.32. "személygépkocsi gumiabroncs": elsősorban, de nem kizárólag, a személygépkocsikra (M1 besorolású gépjárművek) és a pótkocsijukra (01 és 02) tervezett gumiabroncs.;
2.33. "teherjármű gumiabroncs": elsősorban, de nem kizárólag, a személygépkocsiktól (M2, M3, N besorolású gépjárművek) és a pótkocsijuktól (03, 04) eltérő járművekre tervezett gumiabroncs;
2.34. "gumiabroncs talajnyomása (F/Ac)": az az átlagos terhelés, amit a gumiabroncs az érintkező felületén keresztül átvisz az út felületére; ezt az értéket a kerék tengelyére statikus állapotban ható függőleges erő (F) és a gumiabroncs érintkezési felületének (Ac) arányával fejezik ki, amit a tervezett felhasználáshoz javasolt hideg abroncsnyomás mellett, felfújt gumiabronccsal mérnek. A gumiabroncs talajnyomásának mértékegysége kN/m2;
2.35. "a gumiabroncs érintkezési felülete (Ac)": a gumiabroncs érintkezési felületének tényleges kerületén belüli sík felület nagysága m2-ben kifejezve.
2.36. "a gumiabroncs érintkezési felületének tényleges kerülete": a gumiabroncs és a talaj között az összes érintkezési pontot magában foglaló legkisebb területet körülíró konvex poligon görbe;
2.37. "hideg abroncsnyomás": a gumiabroncs belső nyomása, amikor a gumiabroncs környezeti hőmérsékleten van, viszont nem foglalja magában a gumiabroncs használata következtében létrejött nyomásnövekedést. A mértékegysége bar vagy kPa.
3. JELÖLÉSI KÖVETELMÉNYEK
3.1. A gumiabroncsokon a következő jelöléseket kell elhelyezni:
3.1.1. a gyártó nevét és védjegyét;
3.1.2. gumiabroncs méretmegjelölését a 2.17. pontnak megfelelően;
3.1.3. a szerkezet megjelölését a következőképpen:
3.1.3. 1 a diagonál gumiabroncsokon vagy nincs jelölés, vagy a "D" betűvel jelzik;
3.1.3. 2 a radiál gumiabroncsokon a névleges tárcsaátmérő jelzése előtt elhelyezve az "R" betű vagy tetszés szerint a "RADIAL" szó;
3.1.3. 3 a diagonál szövetvázas merevített gumiabroncson a névleges tárcsaátmérő előtt elhelyezve a "B" betű, továbbá a "BIAS-BELTED" szöveg;
3.1.4. a gumiabroncs sebesség szerinti besorolásának megjelölését a 2.29. pont szerinti jelzések segítségével; 240 km/h-nál nagyobb sebességre alkalmas gumiabroncsokon a gumiabroncs sebesség szerinti besorolását a szerkezet jelzése (lásd a 3.1.3. pont) előtt elhelyezett "Z" kóddal kell megadni;
3.1.5. téli gumiabroncson az "M + S" (vagy az "M.S." vagy "M & S") jelzést;
3.1.6. a 2.28. pontban meghatározott teherbírási indexet;
3.1.6. 1 240 km/h-nál nagyobb sebességre alkalmas gumiabroncsokon viszont elhagyható a teherbírási index jelzése;
3.1.7. a "TUBELESS" szót, ha a gumiabroncsot belső tömlő nélküli használatra tervezték;
3.1.8. a "REINFORCED" szót, ha a gumiabroncs megerősített gumiabroncs;
3.1.9. a gyártás időpontját egy három számjegyből álló számcsoporttal, amelyek közül az első kettő mutatja a gyártás hetét, az utolsó pedig a gyártás évét;
3.1.10. teherjárművek újrafutózható gumiabroncsain legalább 20 mm-es átmérővel az " [Kép #1] " jelzést vagy a "REGROOVABLE" szót, amelyet mindkét oldalfalra felvisznek;

Kép #1
3.1.11. teherjárművek gumiabroncsain a "PSI"-index segítségével (lásd a 4. függeléket) a terhelés/sebesség próbáknál alkalmazott abroncsnyomás jelzését a 7. függelék B. része szerint;
3.1.12. a kiegészítő teherbírási indexet/indexeket és a sebesség szerinti besorolásra vonatkozó jelzést, amikor a 6.2.5. pont rendelkezései alkalmazandók.
3.2. A 3. függelék mutatja a gumiabroncs jelöléseinek elrendezését.
3.3. A gumiabroncson fel kell tüntetni az EK-típusjóváhagyás jelet, amelynek mintája az I. melléklet 4.5. pontjában van megadva.
A JELÖLÉSEK ELHELYEZÉSE
3.4. A 3.1. és 3.3. pontban említett jelöléseket jól láthatóan és olvashatóan kell felvinni mindkét oldalfalra és az alsó oldalfalnak legalább az egyik oldalára a következőképpen:
3.4.1. a szimmetrikus gumiabroncsokon a 3.1.9., 3.1.11. és 3.3. pontban említett jelzések kivételével (amelyeket csak az egyik oldalon lehet elhelyezni) a fent említett összes jelzést mindkét oldalfalon fel kell tüntetni;
3.4.2. aszimmetrikus gumiabroncsokon az összes jelzést legalább a külső oldalfalon fel kell tüntetni.
(4.)
(5.)
(6.)
6. 1 A gumiabroncs méretével kapcsolatos követelmények
6.1.1. A gumiabroncs profilszélessége
6.1.1. 1 A 6.1.1.2. pontban előírtak kivételével a profilszélességet a következő képlettel számítják ki:
S = S1 + K (A-A1),
ahol:
S = a "profilszélesség" mm-ben ( 13 ) kifejezve, a méretellenőrző keréktárcsán mérve;
S1 = a "névleges profilszélesség" mm-ben, úgy ahogyan a gumiabroncs oldalfalán az előírásnak megfelelő gumiabroncs méretmegjelölésen látható;
A = a méretellenőrző keréktárcsa szélessége (mm-ben kifejezve), ahogyan ezt a gyártó a leíró megjegyzésben megadta (lásd az I. melléklet 1. függelékének 6.11. pontját);
A1 = az elméleti keréktárcsa szélessége (mm-ben kifejezve); A1 egyenlő S1 szorozva az x-tényezővel, amelyet a gumiabroncs gyártója ad meg (lásd az I. melléklet 1. függelékének 6.15. pontját); K pedig 0,4.
6.1.1. 2 Azonban azoknál a gumiabroncstípusoknál, amelyek méretmegjelölését az 5A. vagy 5B. függelék táblázatainak első oszlopa adja meg, a méretellenőrző keréktárcsa szélessége (A) és a profilszélesség (S) az e táblázatokban a gumiabroncs méretmegjelölése mellett megadott értéknek felel meg.
6.1.2. A gumiabroncs külső átmérője
6.1.2. 1 A 6.1.2.2. pont rendelkezései kivételével a gumiabroncs külső átmérőjét a következő képlet segítségével kell kiszámítani:
D = d + 0,02 H,
ahol:
- D a külső átmérő mm-ben kifejezve,
- d a 2.17.1.3. pontban meghatározott egyezményes szám mm-ben kifejezve,
- H a névleges profilmagasság mm-ben, amely egyenlő S1 x 0,01 Ra-val;
ahol:
- Ra egyenlő a keresztmetszeti viszonyszámmal,
és a 3. pont követelményeinek megfelelően mindegyiket feltüntetik a gumiabroncs oldalfalán elhelyezett gumiabroncs méretmegjelölésén.
6.1.2. 2 Azoknál a gumiabroncstípusoknál, amelyek méretmegjelölését az 5. függelék táblázatainak első oszlopa adja meg, a külső átmérő egyenlő az e táblázatokban a gumiabroncs-méretmegjelölés mellett megadott értékkel.
6.1.3. A gumiabroncs méretének mérési módszere
A gumiabroncsok tényleges méreteit a 6. függelékben előírtak szerint mérik.
6.1.4. A gumiabroncs profilszélessége: a tűréshatár meghatározása
6.1.4. 1 A gumiabroncs teljes szélessége kisebb lehet, mint a 6.1.1. pont alapján meghatározott, illetve az 5. függelékben megadott profilszélesség.
6.1.4. 2 Azonban a következőknél nagyobb mértékben nem haladhatja meg a fenti értéket:
6.1.4.2. 1 diagonál gumiabroncsok: a személygépkocsik gumiabroncsainál 6 %-kal, a teherjárművek gumiabroncsainál 8 %-kal,
6.1.4.2. 2 radiál gumiabroncsok: 4 %-kal; és
6.1.4.2. 3 ezen felül, amennyiben a gumiabroncsnak különleges védőpántja van, a fenti tűréshatárral megnövekedett érték 8 mm-rel túlléphető.
6.1.4.2. 4 Azonban a kettős (iker) elrendezésre tervezett, 305 mm-t meghaladó profilszélességű gumiabroncsok névleges értékét nem szabad 2 %-nál többel (radiál gumiabroncs), illetve 4 %-nál többel (diagonál gumiabroncs) meghaladni.
6.1. 5 A gumiabroncs külső átmérője: a tűréshatár meghatározása
A gumiabroncs külső átmérője nem térhet el a következő képletből kapott Dmin és Dmax értéktől:
Dmin = d + (2H x a)
Dmax = d + (2H x b)
6.1.5. 1 az 5. függelékben felsorolt méretek esetében:
H = 0,5 (D - d) - (lásd a 6.1.2.2. pontot).
6.1.5. 2 az 5. függelékben nem felsorolt egyéb méretek esetében:
"H" és "d" a 6.1.2.1. pontban meghatározott értékeknek felel meg.
6.1.5. 3 az "a", illetve "b" együtthatók, megfelelően:
6.1.5.3. 1 az "a" együttható = 0,97;
6.1.5.3. 2 a "b" együttható szokásos, speciális vagy téli gumiabroncs, illetve az átmenetileg használható pótkerék esetében
A felhasználás besorolása | Személygépkocsik gumiabroncsai | Teherjárművek gumiabroncsai | ||
Radiál | Diagonál | Radiál | Diagonál | |
Szokásos | 1,04 | 1,08 | 1,04 | 1,07 |
Speciális | – | – | 1,06 | 1,09 |
Téli | 1,04 | 1,08 | 1,04 | 1,07 |
Átmenetileg használható | 1,04 | 1,08 | – | – |
6.1.5. 4 A téli gumiabroncsok esetében a fentieknek megfelelően meghatározott külső átmérő (Dmax) 1 %-kal túlléphető.
6. 2 A terhelés-/sebességvizsgálat követelményei
6.2.1. A gumiabroncson el kell végezni a 7. függelékben leírt eljárásnak megfelelően végrehajtott terhelés-/sebességvizsgálatot.
6.2.2. A gumiabroncs megfelelt a vizsgálaton, amennyiben a megfelelő terhelés-/sebességvizsgálat végrehajtása után a futófelülete és a fonalbetét nem vált le, a kordfonalak nem váltak szét és nem törtek meg, valamint nem tapasztalható mállás.
6.2.3. A terhelés-/sebességvizsgálat után hat órával a gumiabroncs külső átmérőjének elváltozása nem haladhatja meg a vizsgálat előtt mért külső átmérő 3,5 %-át.
6.2.4. Amennyiben kérelmet nyújtanak be a teherjárműhöz használt gumiabroncs jóváhagyására vonatkozóan, akkor a 8. függelék táblázatában látható, a sebesség függvényében megadott terhelésváltozás alkalmazandó, és nem kell végrehajtani a 6.2.1. pontban előírt terhelés-/sebességvizsgálatot a névleges értékektől eltérő terhelési és sebességre vonatkozó értékekkel kapcsolatban.
6.2.5. Amennyiben a kérelmet (lásd az 1. melléklet 1. függelékének 6.13. pontját) a teherjármű olyan típusú gumiabroncsának jóváhagyásához nyújtják be, amelynek a 8. függelék táblázatában a sebesség függvényében megadott terhelésváltozáson kívül egyéb terhelés-/sebességkombinációja is van, a 6.2.1. pontban előírt terhelés-/sebességvizsgálatot a további terhelés-/sebességkombinációval is végre kell hajtani egy másik, ugyanolyan típusú gumiabroncson.
6.2.6. Amennyiben a gumiabroncsgyártó egész gumiabroncs-szériát gyárt, nem kell végrehajtani terhelés-/sebességvizsgálatot a széria minden egyes gumiabroncstípusán. A legrosszabb kiválasztása a jóváhagyó hatóság döntése alapján történik.
6.3. A futófelület kopásjelzői
6.3.1. A személygépkocsik gumiabroncsainak futófelületén legalább hat keresztirányú kopásjelző sornak kell lennie úgy, hogy a sorok megközelítőleg egyenlő távolságban legyenek egymástól, továbbá a futófelület középső zónája széles hornyaiban legyenek elhelyezve, amelyek a futófelület szélességének megközelítőleg háromnegyedét foglalják el. A futófelület kopásjelzőinek olyan kialakításúnak kell lenniük, hogy ne lehessen összekeverni őket a futófelület bordái vagy blokkjai között lévő gumitüskékkel.
6.3.2. Azokon a gumiabroncsokon azonban, amelyeket 12' vagy ennél kisebb névleges átmérőjű keréktárcsára lehet felszerelni, elegendő négy kopásjelző sor is.
6.3.3. A futófelület kopásjelzői láthatóan jelzik, ha a futófelület hornyainak mélysége + 0,6/- 0 mm tűréshatár mellett 1,6 mm-re csökken.
1. függelék
Magyarázó ábra
(Lásd a II. melléklet 2. és 6.1 szakaszát)

2. függelék
A TEHERBÍRÁSI INDEXRE VONATKOZÓ (LI) JELZÉSEK ÉS AZ EZEKNEK MEGFELELŐ LEGNAGYOBB SZÁLLÍTHATÓ TÖMEG (GK) JEGYZÉKE
(lásd a II. melléklet 2.28. pontját)
LI | Maximum |
0 | 45 |
1 | 46,2 |
2 | 47,5 |
3 | 48,7 |
4 | 50 |
5 | 51,5 |
6 | 53 |
7 | 54,5 |
8 | 56 |
9 | 58 |
10 | 60 |
11 | 61,5 |
12 | 63 |
13 | 65 |
14 | 67 |
15 | 69 |
16 | 71 |
17 | 73 |
18 | 75 |
19 | 77,5 |
20 | 80 |
21 | 82,5 |
22 | 85 |
23 | 87,5 |
24 | 90 |
25 | 92,5 |
26 | 95 |
27 | 97,5 |
28 | 100 |
29 | 103 |
30 | 106 |
31 | 109 |
32 | 112 |
33 | 115 |
34 | 118 |
35 | 121 |
36 | 125 |
37 | 128 |
38 | 132 |
39 | 136 |
40 | 140 |
41 | 145 |
42 | 150 |
43 | 155 |
44 | 160 |
45 | 165 |
46 | 170 |
47 | 175 |
48 | 180 |
49 | 185 |
50 | 190 |
51 | 195 |
52 | 200 |
53 | 206 |
54 | 212 |
55 | 218 |
56 | 224 |
57 | 230 |
58 | 236 |
59 | 240 |
60 | 250 |
61 | 257 |
62 | 265 |
63 | 272 |
64 | 280 |
65 | 290 |
66 | 300 |
67 | 307 |
68 | 315 |
69 | 325 |
70 | 335 |
71 | 345 |
72 | 355 |
73 | 365 |
74 | 375 |
75 | 387 |
76 | 400 |
77 | 412 |
78 | 425 |
79 | 437 |
80 | 450 |
81 | 462 |
82 | 475 |
83 | 487 |
84 | 500 |
85 | 515 |
86 | 530 |
87 | 545 |
88 | 560 |
89 | 580 |
90 | 600 |
91 | 615 |
92 | 630 |
93 | 650 |
94 | 670 |
95 | 690 |
96 | 710 |
97 | 730 |
98 | 750 |
99 | 775 |
100 | 800 |
101 | 825 |
102 | 850 |
103 | 875 |
104 | 900 |
105 | 925 |
106 | 950 |
107 | 975 |
108 | 1 000 |
109 | 1 030 |
110 | 1 060 |
111 | 1 090 |
112 | 1 120 |
113 | 1 150 |
114 | 1 180 |
115 | 1 215 |
116 | 1 250 |
117 | 1 285 |
118 | 1 320 |
119 | 1 360 |
120 | 1 400 |
121 | 1 450 |
122 | 1 500 |
123 | 1 550 |
124 | 1 600 |
125 | 1 650 |
126 | 1 700 |
127 | 1 750 |
128 | 1 800 |
129 | 1 850 |
130 | 1 900 |
131 | 1 950 |
132 | 2 000 |
133 | 2 060 |
134 | 2 120 |
135 | 2 180 |
136 | 2 240 |
137 | 2 300 |
138 | 2 360 |
139 | 2 430 |
140 | 2 500 |
141 | 2 575 |
142 | 2 650 |
143 | 2 725 |
144 | 2 800 |
145 | 2 900 |
146 | 3 000 |
147 | 3 075 |
148 | 3 150 |
149 | 3 250 |
150 | 3 350 |
151 | 3 450 |
152 | 3 550 |
153 | 3 650 |
154 | 3 750 |
155 | 3 875 |
156 | 4 000 |
157 | 4 125 |
158 | 4 250 |
159 | 4 375 |
160 | 4 500 |
161 | 4 625 |
162 | 4 750 |
163 | 4 875 |
164 | 5 000 |
165 | 5 150 |
166 | 5 300 |
167 | 5 450 |
168 | 5 600 |
169 | 5 800 |
170 | 6 000 |
171 | 6 150 |
172 | 6 300 |
173 | 6 500 |
174 | 6 700 |
175 | 6 900 |
176 | 7 100 |
177 | 7 300 |
178 | 7 500 |
179 | 7 750 |
180 | 8 000 |
181 | 8 250 |
182 | 8 500 |
183 | 8 750 |
184 | 9 000 |
185 | 9 250 |
186 | 9 500 |
187 | 9 750 |
188 | 10 000 |
189 | 10 300 |
190 | 10 600 |
191 | 10 900 |
192 | 11 200 |
193 | 11 500 |
194 | 11 800 |
195 | 12 150 |
196 | 12 500 |
197 | 12 850 |
198 | 13 200 |
199 | 13 600 |
200 | 14 000 |
3. függelék
GUMIABRONCS JELÖLÉSEINEK ELRENDEZÉSE
(lásd a II. melléklet 3.2. pontját)
A. RÉSZ: A SZEMÉLYGÉPKOCSIK GUMIABRONCSAI
[Kép #2] Példa azokra a jelölésekre, amelyeket az ezen irányelvről szóló értesítés után forgalomba hozott gumiabroncstípusokon fel kell tüntetni

Kép #2
Ezek a jelölések a következő gumiabroncsot írják le:
- a névleges profilszélesség 185,
- a keresztmetszeti viszonyszám 70,
- radiál szerkezetű (R),
- a névleges tárcsaátmérő 14,
- a névleges teherbírása 580 kg, amely a 2. függelék 89. teherbírási indexének felel meg,
- a sebesség szerinti besorolása T (legnagyobb sebesség 190 km/h),
- belső tömlő nélkül szerelhető fel ("tubeless"),
- téli gumi,
- 1993 huszonötödik hetében gyártották.
A gumiabroncs megjelölését alkotó jelölések elhelyezése és sorrendje a következő:
a) A méretmegjelölést, amely magában foglalja a profilszélességet, a keresztmetszeti viszonyszámot, a szerkezet jelzését (ahol van) és a névleges tárcsaátmérőt, a következőképpen kell csoportosítani: 185/70 R 14;
b) A terhelési indexet és a sebesség szerinti besorolásra vonatkozó jelzést a méretmegjelölés mellett kell elhelyezni. Ezek a méretmegjelölés előtt vagy mögött, illetve fölötte vagy alatta is elhelyezhetők;
c) A "tubeless", "reinforced" és "M+S" jelzések távolabb is lehetnek a méretmegjelöléstől.
B. RÉSZ: TEHERJÁRMŰVEK GUMIABRONCSAIN

Ezek a jelölések azt a gumiabroncsot írják le:
- amelynek a névleges profilszélessége 250,
- a keresztmetszeti viszonyszáma 70,
- radiális szerkezetű (R),
- a névleges tárcsaátmérője 508 mm, amelyhez a 20. jelzés tartozik,
- a teherbíró képessége 3250 kg egyes elrendezésnél, iker (kettős) elrendezésnél pedig 2900 kg, amely a 2. függelék 149., illetve 145. teherbírási indexének felel meg,
- a névleges sebesség szerinti besorolása J (referenciasebesség 100 km/h),
- ezenkívül L sebesség szerinti besorolásúként (referenciasebesség 120 km/h) is használható egyes elrendezésnél 3000 kg, iker (kettős) elrendezésnél pedig 2725 kg teherbírással, amely a 2. függelék 146., illetve 143. teherbírási indexének felel meg,
- amely belső tömlő nélkül szerelhető fel ("tubeless"),
- amely téli gumiabroncs,
- amelyet 1991 huszonötödik hetében gyártottak, és
- amelyet a terhelés/sebesség tartóssági vizsgálat során 620 kPa-ra kell felfújni, amelynek a PSI-jelzése 90.
A gumiabroncs megjelölését alkotó jelölések elhelyezése és sorrendje a következő:
a) A méretmegjelölés, amely magában foglalja a profilszélességet, a szerkezet jelzését (ahol van) és a névleges tárcsaátmérőt, a következőképpen kell csoportosítani: 250/70 R 20;
b) A terhelési indexet és sebesség szerinti besorolás jelzését a méretmegjelölés mellett kell elhelyezni. Ezek a méretmegjelölés előtt vagy mögött, illetve fölötte vagy alatta is elhelyezhetők;
c) a "TUBELESS", "M+S" és "REGROOVABLE" jelzések távolabb is lehetnek a méretmegjelöléstől;
d) a II. melléklet 6.2.5. pontjának alkalmazásakor a további teherbírási indexeket és a sebesség szerinti besorolás jelzéseit a gumiabroncs oldalfalán a névleges teherbírási index és a sebesség szerinti besorolásra vonatkozó jelzések közelében lévő kör belsejében kell elhelyezni.
4. függelék
A NYOMÁSINDEX ÉS NYOMÁS MÉRTÉKEGYSÉGE KÖZÖTTI ÖSSZEFÜGGÉS
(lásd a II. melléklet 7. függeléke B. részének 1.3. pontját)
Nyomásindex | bar | kPa |
20 | 1,4 | 140 |
25 | 1,7 | 170 |
30 | 2,1 | 210 |
35 | 2,4 | 240 |
40 | 2,8 | 280 |
45 | 3,1 | 310 |
50 | 3,4 | 340 |
55 | 3,8 | 380 |
60 | 4,2 | 420 |
65 | 4,5 | 450 |
70 | 4,8 | 480 |
75 | 5,2 | 520 |
80 | 5,5 | 550 |
85 | 5,9 | 590 |
90 | 6,2 | 620 |
95 | 6,6 | 660 |
100 | 6,9 | 690 |
105 | 7,2 | 720 |
110 | 7,6 | 760 |
115 | 7,9 | 790 |
120 | 8,3 | 830 |
125 | 8,6 | 860 |
130 | 9,0 | 900 |
135 | 9,3 | 930 |
140 | 9,7 | 970 |
145 | 10,0 | 1 000 |
150 | 10,3 | 1 030 |
5. függelék
AZ EGYES MÉRETMEGJELÖLÉSŰ GUMIABRONCSOK MÉRETELLENŐRZŐ KERÉKTÁRCSÁJA, KÜLSŐ ÁTMÉRŐJE ÉS PROFILSZÉLESSÉGE
(lásd a II. melléklet 6.1.1.2. és 6.1.2.2.2. pontját)
A. RÉSZ: A SZEMÉLYGÉPKOCSIK GUMIABRONCSAI
1. TÁBLÁZAT
Diagonál gumiabroncsok
A gumiabroncs méretmegjelölése | A méretellenőrző keréktárcsa szélessége (hüvelyk) | Külső átmérő (1) (mm) | Profilszélesség (1) (mm) |
Kisnyomású gumiabroncsok | |||
4.80-10 | 3,5 | 490 | 128 |
5.20-10 | 3,5 | 508 | 132 |
5.20-12 | 3,5 | 558 | 132 |
5.60-13 | 4 | 600 | 145 |
5.90-13 | 4 | 616 | 150 |
6.40-13 | 4,5 | 642 | 163 |
5.20-14 | 3,5 | 612 | 132 |
5.60-14 | 4 | 626 | 145 |
5.90-14 | 4 | 642 | 150 |
6.40-14 | 4,5 | 666 | 163 |
5.60-15 | 4 | 650 | 145 |
5.90-15 | 4 | 668 | 150 |
6.40-15 | 4,5 | 692 | 163 |
6.70-15 | 4,5 | 710 | 170 |
7.10-15 | 5 | 724 | 180 |
7.60-15 | 5,5 | 742 | 193 |
8.20-15 | 6 | 760 | 213 |
Kis keresztmetszetű szériák | |||
5.50-12 | 4 | 552 | 142 |
6.00-12 | 4,5 | 574 | 156 |
7.00-13 | 5 | 644 | 178 |
7.00-14 | 5 | 668 | 178 |
7.50-14 | 5,5 | 688 | 190 |
8.00-14 | 6 | 702 | 203 |
6.00-15 L | 4,5 | 650 | 156 |
Nagyon kis keresztmetszetű szériák (2) | |||
155-13/6.15-13 | 4,5 | 582 | 157 |
165-13/6.45-13 | 4,5 | 600 | 167 |
175-13/6.95-13 | 5 | 610 | 178 |
155-14/6.15-14 | 4,5 | 608 | 157 |
165-14/6.45-14 | 4,5 | 626 | 167 |
175-14/6.95-14 | 5 | 638 | 178 |
185-14/7.35-14 | 5,5 | 654 | 188 |
195-14/7.75-14 | 5,5 | 670 | 198 |
Rendkívül kis keresztmetszet | |||
5.9-10 | 4,5 | 483 | 148 |
6.5-13 | 4,5 | 586 | 166 |
6.9-13 | 4,5 | 600 | 172 |
7.3-13 | 5 | 614 | 184 |
(1) Tűréshatár: lásd a II. melléklet 6.1.4. és 6.1.5. pontját (2) A következő méretmegjelölések elfogadottak: 185-14/7.35-14 vagy 185-14 vagy 7.35-14 vagy 7.35-14/185-14. |
2. TÁBLÁZAT
Radiál gumiabroncsok
A gumiabroncs méretmegjelölése | A méretellenőrző keréktárcsa szélessége (hüvelyk) | Külső átmérő (1) (mm) | Profilszélesség (1) (mm) |
5.60 R 13 | 4 | 606 | 145 |
5.90 R 13 | 4,5 | 626 | 155 |
6.40 R 13 | 4,5 | 640 | 170 |
7.00 R 13 | 5 | 644 | 178 |
7.25 R 13 | 5 | 654 | 184 |
5.90 R 14 | 4,5 | 654 | 155 |
5.60 R 15 | 4 | 656 | 145 |
6.40 R 15 | 4,5 | 690 | 170 |
6.70 R 15 | 5 | 710 | 180 |
140 R 12 | 4 | 538 | 138 |
150 R 12 | 4 | 554 | 150 |
150 R 13 | 4 | 580 | 149 |
160 R 13 | 4,5 | 596 | 158 |
170 R 13 | 5 | 608 | 173 |
150 R 14 | 4 | 606 | 149 |
180 R 15 | 5 | 676 | 174 |
(1) Tűréshatár: lásd a II. melléklet 6.1.4. és 6.1.5. pontját |
3. TÁBLÁZAT
Milliméteres széria - radiál
A gumiabroncs méretmegjelölése (2) | A méretellenőrző keréktárcsa szélessége (hüvelyk) | Külső átmérő (1) (mm) | Profilszélesség (1) (mm) |
125 R 10 | 3,5 | 459 | 127 |
145 R 10 | 4 | 492 | 147 |
125 R 12 | 3,5 | 510 | 178 |
135 R 12 | 4 | 522 | 184 |
145 R 12 | 4 | 542 | |
155 R 12 | 4,5 | 550 | 155 |
125 R 13 | 3,5 | 536 | 127 |
135 R 13 | 4 | 548 | 137 |
145 R 13 | 4 | 566 | 147 |
155 R 13 | 4,5 | 578 | 157 |
165 R 13 | 4,5 | 596 | 167 |
175 R 13 | 5 | 608 | 178 |
185 R 13 | 5,5 | 624 | 188 |
125 R 14 | 3,5 | 562 | 127 |
135 R 14 | 4 | 574 | 137 |
145 R 14 | 4 | 590 | 147 |
155 R 14 | 4,5 | 604 | 157 |
165 R 14 | 4,5 | 622 | 167 |
175 R 14 | 5 | 634 | 178 |
185 R 14 | 5,5 | 650 | 188 |
195 R 14 | 5,5 | 666 | 198 |
205 R 14 | 6 | 686 | 208 |
215 R 14 | 6 | 700 | 218 |
225 R 14 | 6,5 | 714 | 228 |
125 R 15 | 3,5 | 588 | 127 |
135 R 15 | 4 | 600 | 137 |
145 R 15 | 4 | 616 | 147 |
155 R 15 | 4,5 | 630 | 157 |
165 R 15 | 4,5 | 646 | 167 |
175 R 15 | 5 | 660 | 178 |
185 R 15 | 5,5 | 674 | 188 |
195 R 15 | 5,5 | 690 | 198 |
205 R 15 | 6 | 710 | 208 |
215 R 15 | 6 | 724 | 218 |
225 R 15 | 6,5 | 738 | 228 |
235 R 15 | 6,5 | 752 | 238 |
175 R 16 | 5 | 686 | 178 |
185 R 16 | 5,5 | 698 | 188 |
205 R 16 | 6 | 736 | 208 |
(1) Tűréshatár: lásd a II. melléklet 6.1.4. és 6.1.5. pontját. (2) Egyes gumiabroncsok tárcsaátmérőjét mm-ben is ki lehet fejezni: 10” = 255 12” = 305 13” = 330 14” = 355 15” = 380 16” = 405 |
4. TÁBLÁZAT
70-es széria - radiál (1)
A gumiabroncs méretmegjelölése | A méretellenőrző keréktárcsa szélessége (hüvelyk) | Külső átmérő (2) (mm) | Profilszélesség (2) (mm) |
145/70 R 10 | 3,5 | 462 | 139 |
155/70 R 10 | 3,5 | 474 | 146 |
165/70 R 10 | 4,5 | 494 | 165 |
145/70 R 12 | 4 | 512 | 144 |
155/70 R 12 | 4 | 524 | 151 |
165/70 R 12 | 4,5 | 544 | 165 |
175/70 R 12 | 5 | 552 | 176 |
145/70 R 13 | 4 | 538 | 144 |
155/70 R 13 | 4 | 550 | 151 |
165/70 R 13 | 4,5 | 568 | 165 |
175/70 R 13 | 4,5 | 580 | 176 |
185/70 R 13 | 5 | 598 | 186 |
195/70 R 13 | 5,5 | 608 | 197 |
205/70 R 13 | 5,5 | 625 | 204 |
145/70 R 14 | 4 | 564 | 144 |
155/70 R 14 | 4 | 576 | 151 |
165/70 R 14 | 4,5 | 592 | 165 |
175/70 R 14 | 5 | 606 | 176 |
185/70 R 14 | 5 | 624 | 186 |
195/70 R 14 | 5,5 | 636 | 197 |
205/70 R 14 | 5,5 | 652 | 206 |
215/70 R 14 | 6 | 665 | 217 |
225/70 R 14 | 6 | 677 | 225 |
235/70 R 14 | 6,5 | 694 | 239 |
245/70 R 14 | 6,5 | 705 | 243 |
145/70 R 15 | 4 | 590 | 144 |
155/70 R 15 | 4 | 602 | 151 |
165/70 R 15 | 4,5 | 618 | 165 |
175/70 R 15 | 5 | 632 | 176 |
185/70 R 15 | 5 | 648 | 186 |
195/70 R 15 | 5,5 | 656 | 197 |
205/70 R 15 | 5,5 | 669 | 202 |
215/70 R 15 | 6 | 682 | 213 |
225/70 R 15 | 6 | 696 | 220 |
235/70 R 15 | 6,5 | 712 | 234 |
245/70 R 15 | 6,5 | 720 | 239 |
(1) Néhány meglévő gumiabroncsra alkalmazandó adatok. Új típusjóváhagyás esetén a II. melléklet 6.1.1.1. és.1.2.1. pontjának megfelelően kiszámított méretek alkalmazandók. (2) Tűréshatár: lásd a II. melléklet 6.1.4. és 6.1.5. pontját. |
5. TÁBLÁZAT
60-as széria, radiál (1)
A gumiabroncs méretmegjelölése | A méretellenőrző keréktárcsa szélessége (hüvelyk) | Külső átmérő (2) (mm) | Profilszélesség (2) (mm) |
165/60 R 12 | 5 | 504 | 167 |
165/60 R 13 | 5 | 530 | 167 |
175/60 R 13 | 5,5 | 536 | 178 |
185/60 R 13 | 5,5 | 548 | 188 |
195/60 R 13 | 6 | 566 | 198 |
205/60 R 13 | 6 | 578 | 208 |
215/60 R 13 | 6 | 594 | 218 |
225/60 R 13 | 6,5 | 602 | 230 |
235/60 R 13 | 6,5 | 614 | 235 |
165/60 R 14 | 5 | 554 | 167 |
175/60 R 14 | 5,5 | 562 | 178 |
185/60 R 14 | 5,5 | 574 | 188 |
195/60 R 14 | 6 | 590 | 198 |
205/60 R 14 | 6 | 604 | 208 |
215/60 R 14 | 6 | 610 | 215 |
225/60 R 14 | 6 | 620 | 220 |
235/60 R 14 | 6,5 | 630 | 231 |
245/60 R 14 | 6,5 | 642 | 237 |
265/60 R 14 | 7 | 670 | 260 |
185/60 R 15 | 5,5 | 600 | 188 |
195/60 R 15 | 6 | 616 | 198 |
205/60 R 15 | 6 | 630 | 208 |
215/60 R 15 | 6 | 638 | 216 |
225/60 R 15 | 6,5 | 652 | 230 |
235/60 R 15 | 6,5 | 664 | 236 |
255/60 R 15 | 7 | 688 | 255 |
205/60 R 16 | 6 | 654 | 208 |
215/60 R 16 | 6 | 662 | 215 |
225/60 R 16 | 6 | 672 | 226 |
235/60 R 16 | 6,5 | 684 | 232 |
(1) Néhány meglévő gumiabroncsra alkalmazandó adatok. Új típusjóváhagyás esetén a III. melléklet 6.1.1.1. és 6.1.2.1. pontjának megfelelően kiszámított méretek alkalmazandók. (2) Tűréshatár: lásd a II. melléklet 6.1.4. és 6.1.5. pontját. |
6. TÁBLÁZAT
Nagy teherbírású gumiabroncsok - radiál
A gumiabroncs méretmegjelölése | A méretellenőrző keréktárcsa szélessége (hüvelyk) | Külső átmérő (1) (mm) | Profilszélesség (1) (mm) |
27 × 8,50 R 14 | 7 | 674 | 218 |
30 × 9,50 R 15 | 7,5 | 750 | 240 |
31 × 10,50 R 15 | 8,5 | 775 | 268 |
31 × 11,50 R 15 | 9 | 775 | 290 |
32 × 11,50 R 15 | 9 | 801 | 290 |
33 × 12,50 R 15 | 10 | 826 | 318 |
(1) Tűréshatár: lásd a II. melléklet 6.1.4. és 6.1.5. pontját. |
B. RÉSZ: A TEHERJÁRMŰVEK GUMIABRONCSAI
1. TÁBLÁZAT
A teherjárművek gumiabroncsai
NORMÁL PROFILMÉRETŰ RADIÁL GUMIABRONCSOK
5°-OS KÚPOS VAGY LAPOS ÁGYAZÁSÚ KERÉKTÁRCSÁRA SZERELVE
A gumiabroncs méretmegjelölése | A méretellenőrző keréktárcsa szélessége (hüvelyk) | Külső átmérő (mm) | Profilszélesség (mm) |
6,50 R 20 | 5,00 | 860 | 181 |
7,00 R 16 | 5,50 | 784 | 198 |
7,00 R 18 | 5,50 | 842 | 198 |
7,00 R 20 | 5,50 | 892 | 198 |
7,50 R 16 és/vagy A16 vagy 1-16 | 6,00 | 802 | 210 |
7,50 R 17 és/vagy A17 vagy 1-17 | 6,00 | 852 | 210 |
7,50 R 20 és/vagy A20 vagy 1-20 | 6,00 | 928 | 210 |
8,25 R 16 és/vagy B16 vagy 2-16 | 6,50 | 860 | 230 |
8,25 R 17 és/vagy B17 vagy 2-17 | 6,50 | 886 | 230 |
8,25 R 20 és/vagy B20 vagy 2-20 | 6,50 | 962 | 230 |
9,00 R 16 és/vagy C16 vagy 3-16 | 6,50 | 912 | 246 |
9,00 R 20 és/vagy C20 vagy 3-20 | 7,00 | 1 018 | 258 |
10,00 R 20 és/vagy D20 vagy 4-20 | 7,50 | 1 052 | 275 |
10,00 R 22 és/vagy D22 vagy 4-22 | 7,50 | 1 102 | 275 |
11,00 R 16 | 6,50 | 980 | 279 |
11,00 R 20 és/vagy E20 vagy 5-20 | 8,00 | 1 082 | 286 |
11,00 R 22 és/vagy E22 vagy 5-22 | 8,00 | 1 132 | 286 |
11,00 R 24 és/vagy E24 vagy 5-24 | 8,00 | 1 182 | 286 |
12,00 R 20 és/vagy F20 vagy 6-20 | 8,50 | 1 122 | 313 |
12,00 R 22 | 8,50 | 1 174 | 313 |
12,00 R 24 és/vagy F24 vagy 6-24 | 8,50 | 1 226 | 313 |
13,00 R 20 | 9,00 | 1 176 | 336 |
14,00 R 20 és/vagy G20 vagy 7-20 | 10,00 | 1 238 | 370 |
14,00 R 22 | 10,00 | 1 290 | 370 |
14,00 R 24 | 10,00 | 1 340 | 370 |
Tűréshatár: lásd a II. melléklet 6.1.4. és 6.1.5. pontját.
2. TÁBLÁZAT
A teherjárművek gumiabroncsai
NORMÁL PROFILMÉRETŰ DIAGONÁL GUMIABRONCSOK
5°-OS KÚPOS VAGY LAPOS ÁGYAZÁSÚ KERÉKTÁRCSÁRA SZERELVE
A gumiabroncs méretmegjelölése | A méretellenőrző keréktárcsa szélessége (hüvelyk) | Külső átmérő (mm) | Profilszélesség (mm) |
7,00 -16 | 5,50 | 774 | 198 |
7,00 -20 | 5,50 | 898 | 198 |
7,50 -16 és/vagy A16 vagy 1-16 | 6,00 | 806 | 210 |
7,50 -17 és/vagy A17 vagy 1-17 | 6,00 | 852 | 210 |
7,50 -20 és/vagy A20 vagy 1-20 | 6,00 | 928 | 213 |
8,25 -16 és/vagy B16 vagy 2-16 | 6,50 | 860 | 234 |
8,25 -17 és/vagy B17 vagy 2-17 | 6,50 | 895 | 234 |
8,25 -20 és/vagy B20 vagy 2-20 | 6,50 | 970 | 234 |
9,00 -16 | 6,50 | 900 | 252 |
9,00 -20 és/vagy C20 vagy 3-20 | 7,00 | 1 012 | 256 |
9,00 -24 és/vagy C24 vagy 3-24 | 7,00 | 1 114 | 256 |
10,00 -20 és/vagy D20 vagy 4-20 | 7,50 | 1 050 | 275 |
10,00 -22 és/vagy D22 vagy 4-22 | 7,50 | 1 102 | 275 |
11,00 -20 és/vagy E20 vagy 5-20 | 8,00 | 1 080 | 291 |
11,00 -22 és/vagy E22 vagy 5-22 | 8,00 | 1 130 | 291 |
11,00 -24 és/vagy E24 vagy 5-24 | 8,00 | 1 180 | 291 |
12,00 -18 | 8,50 | 1 070 | 312 |
12,00 -20 és/vagy F20 vagy 6-20 | 8,50 | 1 120 | 312 |
12,00 -22 és/vagy F22 vagy 6-22 | 8,50 | 1 172 | 312 |
12,00 -24 és/vagy F24 vagy 6-24 | 8,50 | 1 220 | 312 |
13,00 -20 | 9,00 | 1 170 | 342 |
14,00 -20 és/vagy G20 vagy 7-20 | 10,00 | 1 238 | 375 |
14,00 -22 és/vagy G22 vagy 7-22 | 10,00 | 1 290 | 375 |
14,00 -24 és/vagy G24 vagy 7-24 | 10,00 | 1 340 | 375 |
15,00 -20 | 11,25 | 1 295 | 412 |
16,00 -20 | 13,00 | 1 370 | 446 |
Tűréshatár: lásd a II. melléklet 6.1.4. és 6.1.5. pontját.
3. TÁBLÁZAT
A teherjárművek gumiabroncsai
NORMÁL PROFILMÉRETŰ RADIÁL GUMIABRONCSOK
15°-OS KÚPOS (MÉLYÁGYAZÁSÚ) KERÉKTÁRCSÁRA SZERELVE
A gumiabroncs méretmegjelölése | A méretellenőrző keréktárcsa szélessége (hüvelyk) | Külső átmérő (mm) | Profilszélesség (mm) |
8 R 17,5 | 6,00 | 784 | 208 |
8,5 R 17,5 | 6,00 | 802 | 215 |
9 R 17,5 | 6,75 | 820 | 230 |
9,5 R 17,5 | 6,75 | 842 | 240 |
10 R 17,5 | 7,50 | 858 | 254 |
11 R 17,5 | 8,25 | 900 | 279 |
7 R 19,5 | 5,25 | 800 | 185 |
8 R 19,5 | 6,00 | 856 | 208 |
8 R 22,5 | 6,00 | 936 | 208 |
9 R 19,5 | 6,75 | 894 | 230 |
9 R 22,5 | 6,75 | 970 | 230 |
9,5 R 19,5 | 6,75 | 916 | 240 |
10 R 19,5 | 7,50 | 936 | 254 |
10 R 22,5 | 7,50 | 1 020 | 254 |
11 R 19,5 | 8,25 | 970 | 279 |
11 R 22,5 | 8,25 | 1 050 | 279 |
11 R 24,5 | 8,25 | 1 100 | 279 |
12 R 19,5 | 9,00 | 1 008 | 300 |
12 R 22,5 | 9,00 | 1 084 | 300 |
13 R 22,5 | 9,75 | 1 124 | 320 |
4. TÁBLÁZAT - NORMÁL PROFILMÉRETŰ DIAGONÁL GUMIABRONCSOK
15°-OS KÚPOS (MÉLYÁGYAZÁSÚ) KERÉKTÁRCSÁRA SZERELVE
A gumiabroncs méret megjelölése | A méretellenőrző keréktárcsa szélessége (hüvelyk) | Külső átmérő (mm) | Profilszélesség (mm) |
8-19,5 | 6,00 | 856 | 208 |
9-19,5 | 6,75 | 894 | 230 |
9-22,5 | 6,75 | 970 | 230 |
10-22,5 | 7,50 | 1 020 | 254 |
11-22,5 | 8,25 | 1 054 | 279 |
11-24,5 | 8,25 | 1 100 | 279 |
12-22,5 | 9,00 | 1 084 | 300 |
Tűréshatár: lásd a II. melléklet 6.1.4. és 6.1.5. pontját.
5. TÁBLÁZAT
A teherjárművek gumiabroncsai
SZÉLESÍTETT RADIÁL GUMIABRONCSOK
15°-OS KÚPOS (MÉLYÁGYAZÁSÚ) KERÉKTÁRCSÁRA SZERELVE
A gumiabroncs méretmegjelölése | A méretellenőrző keréktárcsa szélessége (hüvelyk) | Külső átmérő (mm) | Profilszélesség (mm) |
14 R 19,5 | 10,50 | 962 | 349 |
15 R 19,5 | 11,75 | 998 | 387 |
15 R 22,5 | 11,75 | 1 074 | 387 |
16,5 R 19,5 | 13,00 | 1 046 | 425 |
16,5 R 22,5 | 13,00 | 1 122 | 425 |
18 R 19,5 | 14,00 | 1 082 | 457 |
18 R 22,5 | 14,00 | 1 158 | 457 |
19,5 R 19,5 | 15,00 | 1 134 | 495 |
21 R 22,5 | 16,50 | 1 246 | 540 |
6. TÁBLÁZAT - SZÉLESÍTETT DIAGONÁL GUMIABRONCSOK
15°-OS, KÚPOS KERÉKTÁRCSÁKRA (MÉLYÁGYAZÁSÚ) FELSZERELVE
A gumiabroncs méretmegjelölése | A méretellenőrző keréktárcsa szélessége (hüvelyk) | Külső átmérő (mm) | Profilszélesség (mm) |
15 -19,5 | 11,75 | 1 004 | 387 |
15 -22,5 | 11,75 | 1 080 | 387 |
16,5 -19.5 | 13,00 | 1 052 | 425 |
16,5 -22.5 | 13,00 | 1 128 | 425 |
18 -19,5 | 14,00 | 1 080 | 457 |
18 -22,5 | 14,00 | 1 156 | 457 |
19,5 -19,5 | 15,00 | 1 138 | 495 |
21 -22,5 | 16,50 | 1 246 | 540 |
Tűréshatár: lásd a II. melléklet 6.1.4. és 6.1.5. pontját.
7. TÁBLÁZAT
A teherjárművek gumiabroncsai
RADIÁL
"80"-AS SZÉRIA, 5°-OS KÚPOS VAGY LAPOS ÁGYAZÁSÚ KERÉKTÁRCSÁRA SZERELVE
A gumiabroncs méretmegjelölése | A méretellenőrző keréktárcsa szélessége (hüvelyk) | Külső átmérő (mm) | Profilszélesség (mm) |
12/80 R 20 | 8,50 | 1 008 | 305 |
13/80 R 20 | 9,00 | 1 048 | 326 |
14/80 R 20 | 10,00 | 1 090 | 350 |
14/80 R 24 | 10,00 | 1 192 | 350 |
14,75 /80 R 20 | 10,00 | 1 124 | 370 |
15,5 /80 R 20 | 10,00 | 1 158 | 384 |
8. TÁBLÁZAT - RADIÁL
"70"-ES SZÉRIA, 15°-OS KÚPOS (MÉLYÁGYAZÁSÚ) KERÉKTÁRCSÁRA SZERELVE
A gumiabroncs méret megjelölés | A méretellenőrző keréktárcsa szélessége (hüvelyk) | Külső átmérő (mm) | Profilszélesség (mm) |
9/70 R 22,5 | 6,75 | 892 | 229 |
10/70 R 22,5 | 7,50 | 928 | 254 |
11/70 R 22,5 | 8,25 | 962 | 279 |
12/70 R 22,5 | 9,00 | 999 | 305 |
13/70 R 22,5 | 9,75 | 1 033 | 305 |
9. TÁBLÁZAT - RADIÁL
"80"-AS SZÉRIA, 15°-OS KÚPOS (MÉLYÁGYAZÁSÚ) KERÉKTÁRCSÁRA SZERELVE
A gumiabroncs méretmegjelölése | A méretellenőrző keréktárcsa szélessége (hüvelyk) | Külső átmérő (mm) | Profilszélesség (mm) |
12/80 R 22,5 | 9,00 | 1 046 | 305 |
Tűréshatár: lásd a II. melléklet 6.1.4. és 6.1.5. pontját.
10. TÁBLÁZAT
Teherszállítójármű-gumiabroncsok
A KÖNNYŰ TEHERJÁRMŰVEK RADIÁL GUMIABRONCSAI
"16" ÉS NAGYOBB ÁTMÉRŐJŰ KERÉKTÁRCSÁRA SZERELVE
A gumiabroncs méretmegjelölése | A méretellenőrző keréktárcsa szélessége (hüvelyk) | Külső átmérő (mm) | Profilszélesség (mm) |
6,00 R 16 C | 4,50 | 728 | 170 |
6,00 R 18 C | 4,00 | 782 | 165 |
6,50 R 16 C | 4,50 | 742 | 176 |
6,50 R 17 C | 4,50 | 772 | 176 |
6,50 R 17 LC | 4,50 | 726 | 166 |
6,50 R 20 C | 5,00 | 860 | 181 |
7,00 R 16 C | 5,50 | 778 | 198 |
7,50 R 16 C | 6,00 | 802 | 210 |
7,50 R 17 C | 6,00 | 852 | 210 |
11. TÁBLÁZAT - A KÖNNYŰ TEHERJÁRMŰVEK DIAGONÁL GUMIABRONCSAI
"16" ÉS NAGYOBB ÁTMÉRŐJŰ KERÉKTÁRCSÁRA SZERELVE
A gumiabroncs méretmegjelölése | A méretellenőrző keréktárcsa szélessége (hüvelyk) | Külső átmérő (mm) | Profilszélesség (mm) |
6,00 -16 C | 4.50 | 730 | 170 |
6,00 -18 C | 4,00 | 786 | 165 |
6,00 -20 C | 5,00 | 842 | 172 |
6,50 -20 C | 4,50 | 748 | 176 |
650-17 LC | 4,50 | 726 | 166 |
6,50 -20 C | 5,00 | 870 | 181 |
7,00 -16 C | 5,50 | 778 | 198 |
7,00 -18 C | 5,50 | 848 | 198 |
7,00 -20 C | 5,50 | 898 | 198 |
7,50 -16 C | 6,00 | 806 | 210 |
7,50 -17 C | 6,00 | 852 | 210 |
8,25 -16 C | 6,50 | 860 | 234 |
8,90 -16 C | 6,50 | 885 | 250 |
9,00 -16 C | 6,50 | 900 | 252 |
Tűréshatár: lásd a II. melléklet 6.1.4. és 6.1.5. pontját.
12. TÁBLÁZAT
A teherjárművek gumiabroncsai
A KÖNNYŰ TEHERJÁRMŰVEK RADIÁL GUMIABRONCSAI
5°-OS KÚPOS KERÉKTÁRCSÁRA SZERELVE
Tárcsaátmérő 12 "-15"
(MÉLYÁGYAZÁSÚ)
A gumiabroncs méretmegjelölése | A méretellenőrző keréktárcsa szélessége (hüvelyk) | Külső átmérő (mm) | Profilszélesség (mm) |
„Kisnyomású gumiabroncsok” | |||
5,60 R 12 C | 4,00 | 570 | 150 |
6,40 R 13 C | 5,00 | 648 | 172 |
6,70 R 13 C | 5,00 | 660 | 180 |
6,70 R 14 C | 5,00 | 688 | 180 |
6,70 R 15 C | 5,00 | 712 | 180 |
7,00 R 15 C | 5,50 | 744 | 195 |
„Kis keresztmetszetű” szériák | |||
6,50 R 14 C | 5,00 | 640 | 170 |
7,00 R 14 C | 5,00 | 650 | 180 |
7,50 R 14 C | 5,50 | 686 | 195 |
A KÖNNYŰ TEHERJÁRMŰVEK GUMIABRONCSAI, 15°-OS KÚPOS (MÉLYÁGYAZÁSÚ) KERÉKTÁRCSÁRA SZERELVE
A gumiabroncs méretmegjelölése | A méretellenőrző keréktárcsa szélessége (hüvelyk) | Külső átmérő (mm) | Profilszélesség (mm) |
7 R 17,5 C | 5,25 | 752 | 185 |
8 R 17,5 C | 6,00 | 784 | 208 |
Tűréshatár: lásd a II. melléklet 6.1.4. és 6.1.5. pontját.
13. TÁBLÁZAT
A teherjárművek gumiabroncsai
A KÖNNYŰ TEHERJÁRMŰVEK DIAGONÁL GUMIABRONCSAI
15°-OS KÚPOS (MÉLYÁGYAZÁSÚ) KERÉKTÁRCSÁRA SZERELVE
Tárcsaátmérő 12 "-15"
A gumiabroncs méretmegjelölése | A méretellenőrző keréktárcsa szélessége (hüvelyk) | Külső átmérő (mm) | Profilszélesség (mm) |
„Kisnyomású gumiabroncsok” | |||
5,20 -12 C | 3,50 | 560 | 136 |
5,60 -12 C | 4,00 | 572 | 148 |
5,60 -13 C | 4,00 | 598 | 148 |
5,90 -13 C | 4,50 | 616 | 158 |
5,90 -14 C | 4,50 | 642 | 158 |
5,90 -15 C | 4,50 | 668 | 158 |
6,40 -13 C | 5,00 | 640 | 172 |
6,40 -14 C | 5,00 | 666 | 172 |
6,40 -15 C | 5,00 | 692 | 172 |
6,40 -16 C | 4,50 | 748 | 172 |
6,70 -13 C | 5,00 | 662 | 180 |
6,70 -14 C | 5,00 | 688 | 180 |
6,70 -15 C | 5,00 | 714 | 180 |
„Kis keresztmetszetű” széria | |||
5,50 -12 C | 4,00 | 552 | 142 |
6,00 -12 C | 4,50 | 574 | 158 |
6,00 -14 C | 4,50 | 626 | 158 |
6,50 -14 C | 5,00 | 650 | 172 |
6,50 -15 C | 5,00 | 676 | 172 |
7,00 -14 C | 5,00 | 668 | 182 |
7,50 -14 C | 5,50 | 692 | 192 |
„Nagy térfogatú abroncsok” | |||
7,00 -15 C | 5,50 | 752 | 198 |
7,50 -15 C | 6,00 | 780 | 210 |
„Milliméteres” széria | |||
125-12 C | 3,50 | 514 | 127 |
165-15 C | 4,50 | 652 | 167 |
185-14 C | 5,50 | 654 | 188 |
195-14 C | 5,50 | 670 | 198 |
245-16 C | 7,00 | 798 | 248 |
17-15 C vagy | 5,00 | 678 | 178 |
17-380 C | 5,00 | 678 | 178 |
17-400 C | 19 × 400 mm | 702 | 186 |
19-400 C | 19 × 400 mm | 736 | 200 |
21-400 C | 19 × 400 mm | 772 | 216 |
Tűréshatár: lásd a II. melléklet 6.1.4. és 6.1.5. pontját.
14. TÁBLÁZAT
A teherjárművek gumiabroncsai
A KÖNNYŰ TEHERJÁRMŰVEK RADIÁL GUMIABRONCSAI
5°-OS KÚPOS (MÉLYÁGYAZÁSÚ) KERÉKTÁRCSÁRA SZERELVE
"Milliméteres" széria
A gumiabroncs méretmegjelölése | A méretellenőrző keréktárcsa szélessége (hüvelyk) | Külső átmérő (mm) | Profilszélesség (mm) |
125 R 12 C | 3,50 | 510 | 127 |
125 R 13 C | 3,50 | 536 | 127 |
125 R 14 C | 3,00 | 562 | 127 |
125 R 15 C | 3,50 | 588 | 127 |
135 R 12 C | 4,00 | 522 | 137 |
135 R 13 C | 4,00 | 548 | 137 |
135 R 14 C | 4,00 | 574 | 137 |
135 R 15 C | 4,00 | 600 | 137 |
145 R 10 C | 4,00 | 492 | 147 |
145 R 12 C | 4,00 | 542 | 147 |
145 R 13 C | 4,00 | 566 | 147 |
145 R 14 C | 4,00 | 590 | 147 |
145 R 15 C | 4,00 | 616 | 147 |
155 R 12 C | 4,50 | 550 | 157 |
155 R 13 C | 4,50 | 578 | 157 |
155 R 14 C | 4,50 | 604 | 157 |
155 R 15 C | 4,50 | 630 | 157 |
155 R 16 C | 4,50 | 656 | 157 |
165 R 13 C | 4,50 | 596 | 167 |
165 R 14 C | 4,50 | 622 | 167 |
165 R 15 C | 4,50 | 646 | 167 |
165 R 16 C | 4,50 | 672 | 167 |
175 R 13 C | 5,00 | 608 | 178 |
175 R 14 C | 5,00 | 634 | 178 |
175 R 15 C | 5,00 | 660 | 178 |
175 R 16 C | 5,00 | 684 | 178 |
185 R 13 C | 5,50 | 624 | 188 |
185 R 14 C | 5,50 | 650 | 188 |
185 R 15 C | 5,50 | 674 | 188 |
185 R 16 C | 5,50 | 700 | 188 |
195 R 14 C | 5,50 | 666 | 198 |
195 R 15 C | 5,50 | 690 | 198 |
195 R 16 C | 5,50 | 716 | 198 |
205 R 14 C | 6,00 | 686 | 208 |
205 R 15 C | 6,00 | 710 | 208 |
205 R 16 C | 6,00 | 736 | 208 |
215 R 14 C | 6,00 | 700 | 218 |
215 R 15 C | 6,00 | 724 | 218 |
215 R 16 C | 6,00 | 750 | 218 |
225 R 14 C | 6,50 | 714 | 228 |
225 R 15 C | 6,50 | 738 | 228 |
225 R 16 C | 6,50 | 764 | 228 |
235 R 14 C | 6,50 | 728 | 238 |
235 R 15 C | 6,50 | 752 | 238 |
235 R 16 C | 6,50 | 778 | 238 |
17 R 15 C vagy | 5,00 | 678 | 178 |
17 R 380 C | 5,00 | 678 | 178 |
17 R 400 C | 19 × 400 mm | 698 | 186 |
19 R 400 C | 19 × 400 mm | 728 | 200 |
Tűréshatár: lásd a II. melléklet 6.1.4. és 6.1.5. pontját.
15. TÁBLÁZAT
A teherjárművek gumiabroncsai
SZÉLESÍTETT DIAGONÁL GUMIABRONCSOK
A TÖBBRENDELTETÉSŰ, KÖZÚTI, TEREPJÁRÓ ÉS MEZŐGAZDASÁGI TEHERGÉPKOCSIKHOZ
A gumiabroncs méretmegjelölése | A méretellenőrző keréktárcsa szélessége (hüvelyk) | Külső átmérő (mm) | Profilszélesség (mm) |
10,5 -18 MPT | 9 | 905 | 270 |
10,5 -20 MPT | 9 | 955 | 270 |
12,5 -18 MPT | 11 | 990 | 325 |
12,5 -20 MPT | 11 | 1 040 | 325 |
14,5 -20 MPT | 11 | 1 095 | 355 |
14,5 -24 MPT | 11 | 1 195 | 355 |
7,50 -18 MPT | 5,50 | 885 | 208 |
16. TÁBLÁZAT - SZÉLESÍTETT RADIÁL GUMIABRONCSOK
A TÖBBRENDELTETÉSŰ, KÖZÚTI, TEREPJÁRÓ ÉS MEZŐGAZDASÁGI TEHERGÉPKOCSIKHOZ
A gumiabroncs méretmegjelölése | A méretellenőrző keréktárcsa szélessége (hüvelyk) | Külső átmérő (mm) | Profilszélesség (mm) |
10,5 R 20 MPT | 9 | 955 | 276 |
12,5 R 20 MPT | 11 | 1 040 | 330 |
14,5 R 20 MPT | 11 | 1 095 | 362 |
14,5 R 24 MPT | 11 | 1 195 | 362 |
Tűréshatár: lásd a II. melléklet 6.1.4. és 6.1.5. pontját.
17. TÁBLÁZAT
A teherjárművek gumiabroncsai
RADIÁL
"Szabadon gördülő" (FREE-ROLLING) GUMIABRONCSOK KÖZÚTI HASZNÁLATRA
A gumiabroncs méretmegjelölése | A méretellenőrző keréktárcsa szélessége (hüvelyk) | Külső átmérő (mm) | Profilszélesség (mm) |
5,00 R 8 | 3,00 | 467 | 132 |
6,00 R 9 | 4,00 | 540 | 160 |
7,00 R 12 | 5,00 | 672 | 192 |
7,50 R 15 | 6,00 | 772 | 212 |
8,25 R 15 | 6,50 | 836 | 234 |
10,00 R 15 | 7,50 | 918 | 275 |
18. TÁBLÁZAT - DIAGONÁL
"Szabadon gördülő" (FREE-ROLLING) GUMIABRONCSOK KÖZÚTI HASZNÁLATRA
A gumiabroncs méretmegjelölése | A méretellenőrző keréktárcsa szélessége (hüvelyk) | Külső átmérő (mm) | Profilszélesség (mm) |
6.00- 9 | 4.00 | 540 | 160 |
7.00-12 | 5.00 | 672 | 192 |
7.00-15 | 5.00 | 746 | 192 |
7.50-15 | 6.00 | 772 | 212 |
8.25-15 | 6.50 | 836 | 234 |
10.00-15 | 7.50 | 918 | 275 |
200-15 | 6.50 | 730 | 205 |
19. TÁBLÁZAT - DIAGONÁL
"75"-ÖS SZÉRIA, 15°-OS KÚPOS KERÉKTÁRCSÁRA SZERELVE
A gumiabroncs méretmegjelölése | A méretellenőrző keréktárcsa szélessége (hüvelyk) | Külső átmérő (mm) | Profilszélesség (mm) |
7,25/75-16,5 vagy 7,25 -16,5 | 5,25 | 695 | 182 |
8,00/75-16,5 vagy 8,00 -16,5 | 6,00 | 724 | 203 |
8,75/75-16,5 vagy 8,75 -16,5 | 6,75 | 752 | 224 |
9,50/75-16,5 vagy 9,50 -16,5 | 7,50 | 781 | 245 |
Tűréshatár: lásd a II. melléklet 6.1.4. és 6.1.5. pontját.
20. TÁBLÁZAT
A teherjárművek gumiabroncsai
DIAGONÁL
DIAGONÁL ÉS RADIÁL GUMIABRONCSOK LAPOS ÁGYAZÁSÚ VAGY OSZTOTT KERÉKTÁRCSÁRA SZERELVE
A gumiabroncs méretmegjelölése | A méretellenőrző keréktárcsa szélessége (hüvelyk) | Külső átmérő (mm) | Profilszélesség (mm) |
3,00 -4 | 2,10 | 255 | 81 |
4,00 -4 | 2,50 | 312 | 107 |
4,00 -8 | 2,50 | 414 | 107 |
5,00 -8 | 3,00 | 467 | 132 |
6,50 -10 | 5,00 | 588 | 177 |
7,00 -9 | 5,00 | 562 | 174 |
7,50 -10 | 5,50 | 645 | 207 |
8,25 -10 | 6,50 | 698 | 240 |
10,50 -13 | 6,00 | 889 | 275 |
10,50 -16 | 6,00 | 965 | 275 |
11,00 -16 | 6,00 | 952 | 272 |
14,00 -16 | 10,00 | 1 139 | 375 |
15 × 4,5 -2 | 3,25 | 385 | 122 |
16 × 6-8 | 4,33 | 425 | 152 |
18 × 7-8 (1) | 4,33 | 462 | 173 |
21 × 4 | 2,32 | 565 | 113 |
21 × 8-9 | 6,00 | 535 | 200 |
23 × 9-10 | 6,50 | 595 | 225 |
22 × 4.5 | 3,11 | 595 | 132 |
23 × 5 | 3,75 | 635 | 155 |
25 × 6 | 3,75 | 680 | 170 |
27 × 6 | 4,33 | 758 | 188 |
27 × 10-12 | 8,00 | 690 | 255 |
28 × 6 | 3,75 | 760 | 170 |
28 × 9-15 | 7,00 | 707 | 216 |
(8,15 -15) | 7,00 | 707 | 216 |
29 × 7 | 5,00 | 809 | 211 |
29 × 8 | 6,00 | 809 | 243 |
9,00 -15 | 6,00 | 840 | 249 |
2,50 -15 | 7,50 | 735 | 250 |
3,00 -15 | 8,00 | 840 | 300 |
(1) Jelölhető 18 x 7-tel is. |
RADIÁL
A gumiabroncs méretmegjelölése | A méretellenőrző keréktárcsa szélessége (hüvelyk) | Külső átmérő (mm) | Profilszélesség (mm) |
6,50 R 10 | 5,00 | 588 | 177 |
7,00 R 15 | 5,50 | 746 | 197 |
7,50 R 10 | 5,50 | 645 | 207 |
15 × 4,5 R 8 | 3,25 | 385 | 122 |
16 × 6 R 8 | 4,33 | 435 | 152 |
18 × 7 R 8 | 4,33 | 462 | 173 |
560 × 165 R 11 | 5,00 | 560 | 175 |
680 × 180 R 15 | 5,00 | 680 | 189 |
Tűréshatár: lásd a II. melléklet 6.1.4. és 6.1.5. pontját.
21. TÁBLÁZAT
Gumiabroncsok szokásos közúti tehergépkocsikhoz, autóbuszokhoz, pótkocsikhoz és többrendeltetésű utasszállító járművekhez
5°-OS MÉLYÁGYAZÁSÚ VAGY RÉSZBEN MÉLYÁGYAZÁSÚ KERÉKTÁRCSÁRA SZERELT
DIAGONÁL ÉS RADIÁL GUMIABRONCSOK
A gumiabroncs méretmegjelölése | A méretellenőrző keréktárcsa szélessége (hüvelyk) | Profilszélesség (mm) (1) | Külső átmérő | ||
Diagonál | Radiál | Közúti futófelület (mm) (2) | Téli abroncs (mm) (2) | ||
6,00 -16 LT | 6,00 R 16 LT | 4,50 | 173 | 732 | 743 |
6,50 -16 LT | 6,50 R 16 LT | 4,50 | 182 | 755 | 767 |
6,70 -15 LT | 6,70 R 15 LT | 5,00 | 191 | 722 | 733 |
7,00 -13 LT | 7,00 R 13 LT | 5,00 | 187 | 647 | 658 |
7,00 -14 LT | 7,00 R 14 LT | 5,00 | 187 | 670 | 681 |
7,00 -15 LT | 7,00 R 15 LT | 5,50 | 202 | 752 | 763 |
7,00 -16 LT | 7,00 R 16 LT | 5,50 | 202 | 778 | 788 |
7,10 -15 LT | 7,10 R 15 LT | 5,00 | 199 | 738 | 749 |
7,50 -15 LT | 7,50 R 15 LT | 6,00 | 220 | 782 | 794 |
7,50 -16 LT | 7,50 R 16 LT | 6,00 | 220 | 808 | 819 |
8,25 -16 LT | 8,25 R 16 LT | 6,50 | 241 | 859 | 869 |
9,00 -16 LT | 9,00 R 16 LT | 6,50 | 257 | 890 | 903 |
D78-14 LT | DR 78-14 LT | 5,00 | 192 | 661 | 672 |
E78-14 LT | ER 78-14 LT | 5,50 | 199 | 667 | 678 |
C78-15 LT | CR 78-15 LT | 5,00 | 187 | 672 | 683 |
G78-15 LT | GR 78-15 LT | 6,00 | 212 | 711 | 722 |
H78-15 LT | HR 78-15 LT | 6,00 | 222 | 727 | 739 |
L78-15 LT | LR 78-15 LT | 6,50 | 236 | 749 | 760 |
F78-16 LT | FR 78-16 LT | 5,50 | 202 | 721 | 732 |
H78-16 LT | HR 78-16 LT | 6,00 | 222 | 753 | 764 |
L78-16 LT | LR 78-16 LT | 6,50 | 236 | 775 | 786 |
(1) A gumiabroncs teljes szélessége 8 %-kal meghaladhatja a profilszélesség fent megadott értékeit. (2) A tűréshatár a külső átmérő és a névleges tárcsaátmérő fent megadott értékei közötti különbség + 8 %-a. |
22. TÁBLÁZAT
Gumiabroncsok szokásos közúti használatú tehergépkocsikhoz, autóbuszokhoz, pótkocsikhoz és többcélú utasszállító járművekhez
15°-OS MÉLYÁGYAZÁSÚ KERÁKTÁRCSÁRA SZERELT DIAGONÁL ÉS
RADIÁL GUMIABRONCSOK
22.1 TÁBLÁZAT
A gumiabroncs méretmegjelölése | A méretellenőrző keréktárcsa szélessége (hüvelyk) | Profilszélesség (mm) (1) | Külső átmérő | ||
Diagonál | Radiál | Közúti futófelület (mm) (1) | Téli abroncs (mm) (1) | ||
7-14,5 LT | – | 6,00 | 185 | 677 | – |
8-14,5 LT | – | 6,00 | 203 | 707 | – |
9-14,5 LT | – | 7,00 | 241 | 711 | – |
7-17,5 LT | 7 R 17.5 LT | 5,25 | 189 | 758 | 769 |
8-17,5 LT | 8 R 17.5 LT | 5,25 | 199 | 788 | 799 |
(1) A gumiabroncs teljes szélessége 8 %-kal meghaladhatja a profilszélesség fent megadott értékeit. (2) A tűréshatár a külső átmérő és a névleges tárcsaátmérő fent megadott értékei közötti különbség + 8 %-a. |
22.2 TÁBLÁZAT
A gumiabroncs méretmegjelölése | Méretellenőrző keréktárcsa szélessége (hüvelyk) | Profil-szélesség (mm) (1) | Külső átmérő | ||
Diagonál | Radiál | Közúti futófelület (mm) (1) | Téli abroncs (mm) (1) | ||
8,00 -16,5 LT | 8,00 R 16,5 LT | 6,00 | 203 | 720 | 730 |
8,75 -16,5 LT | 8,75 R 16,5 LT | 6,75 | 222 | 748 | 759 |
9,50 -16,5 LT | 9,50 R 16,5 LT | 6,75 | 241 | 776 | 787 |
10-16,5 LT | 10 R 16,5 LT | 8,25 | 264 | 762 | 773 |
10-17,5 LT | 10 R 17,5 LT | 8,25 | 264 | 787 | 798 |
12-16,5 LT | 12 R 16,5 LT | 9,75 | 307 | 818 | 831 |
30 × 9,50 -16,5 LT | 30 × 9,50 R 16,5 LT | 7,50 | 240 | 750 | 761 |
31 × 10,50 -16,5 LT | 31 × 10,50 R 16,5 LT | 8,25 | 266 | 775 | 787 |
33 × 10,50 -16,5 LT | 33 × 12,50 R 16,5 LT | 9,75 | 315 | 826 | 838 |
37 × 10,50 -16,5 LT | 37 × 14,50 R 16,5 LT | 11,25 | 365 | 928 | 939 |
(1) A gumiabroncs teljes szélessége 7 %-kal meghaladhatja a profilszélesség fent megadott értékeit. (2) A tűréshatár a külső átmérő és a névleges tárcsaátmérő fent megadott értékei közötti különbség + 8 %-a. |
23. TÁBLÁZAT
Gumiabroncsok szokásos közúti tehergépkocsikhoz, autóbuszokhoz és pótkocsikhoz
15°-OS MÉLYÁGYAZÁSÚ KERÉKTÁRCSÁRA SZERELT
DIAGONÁL ÉS RADIÁL GUMIABRONCSOK
A gumiabroncs méretmegjelölése | A méretellenőrző keréktárcsa szélessége (hüvelyk) | Profil-szélesség (mm) (1) | Külső átmérő | |||
Diagonál | Radiál | Közúti futófelület (mm) (2) | Terep futófelület (mm) (2) | Téli abroncs (mm) (2) | ||
Normál keresztmetszetű gumiabroncsok | ||||||
7-22.5 | 7 R 22.5 | 5.25 | 178 | 878 | – | 894 |
8-19.5 | 8 R 19.5 | 6.00 | 203 | 859 | – | 876 |
8-22.5 | 8 R 22.5 | 6.00 | 203 | 935 | – | 952 |
9-22.5 | 9 R 22.5 | 6.75 | 229 | 974 | 982 | 992 |
10-22.5 | 10 R 22.5 | 7.50 | 254 | 1 019 | 1 031 | 1 038 |
11-22.5 | 11 R 22.5 | 8.25 | 279 | 1 054 | 1 067 | 1 037 |
11-24.5 | 11 R 24.5 | 8.25 | 279 | 1 104 | 1 118 | 1 123 |
12-22.5 | 12 R 22.5 | 9.00 | 300 | 1 085 | 1 099 | 1 104 |
12-24.5 | 12 R 24.5 | 9.00 | 300 | 1 135 | 1 150 | 1 155 |
12.5-22.5 | 12.5 R 22.5 | 9.00 | 302 | 1 085 | 1 099 | 1 104 |
12.5-22.5 | 12.5 R 24.5 | 9.00 | 302 | 1 135 | 1 150 | 1 155 |
Szélesített gumiabroncsok | ||||||
14-17.5 | 14 R 17.5 | 10.50 | 349 | 907 | – | 921 |
15-19.5 | 15 R 19.5 | 11.75 | 389 | 1 005 | – | 1 019 |
15-22.5 | 15 R 22.5 | 11.75 | 389 | 1 082 | – | 1 095 |
16.5-19.5 | 16.5 R 19.5 | 13.00 | 425 | 1 052 | – | 1 068 |
16.5-22.5 | 16.5 R 22.5 | 13.00 | 425 | 1 128 | – | 1 144 |
18-19.5 | 18 R 19.5 | 14.00 | 457 | 1 080 | – | 1 096 |
18-22.5 | 18 R 22.5 | 14.00 | 457 | 1 158 | – | 1 172 |
19.5-19.5 | 19.5 R 22.5 | 15.00 | 495 | 1 138 | – | 1 156 |
(1) A gumiabroncs teljes szélessége 6 %-kal meghaladhatja a profilszélesség fent megadott értékeit. (2) A tűréshatár a külső átmérő és a névleges tárcsaátmérő fent megadott értékei közötti különbség + 5%-a. |
24. TÁBLÁZAT
Gumiabroncsok szokásos közúti teherjárművekhez, autóbuszokhoz, pótkocsikhoz
5°-OS MÉLYÁGYAZÁSÚ KERÉKTÁRCSÁRA FELSZERELT DIAGONÁL ÉS
RADIÁL GUMIABRONCSOK
A gumiabroncs méretmegjelölése | A méretellenőrző keréktárcsa szélessége (hüvelyk) | Profil-szélesség (mm) (1) | Külső átmérő | |||
Diagonál | Radiál | Közúti futófelület (mm) (2) | Terep futó-felület (mm) (2) | Téli abroncs (mm) (2) | ||
– | 8R14LT | 7,00 | 216 | 667 | – | – |
9-15LT | – | 8,00 | 254 | 744 | 755 | – |
10-15LT | 10R15LT | 8,00 | 264 | 773 | 783 | – |
10-16LT | – | 8,00 | 264 | 798 | 809 | – |
11-14LT | – | 8,00 | 279 | 752 | 763 | – |
11-15LT | 11R15LT | 8,00 | 279 | 777 | 788 | – |
11-16LT | – | 8,00 | 279 | 803 | 813 | – |
12-15LT | – | 10,00 | 318 | 823 | 834 | – |
– | 9R15LT | 8,00 | 254 | 744 | 755 | 752 |
24×7,50 -13LT | 24×7,50R13LT | 6,00 | 191 | 597 | 609 | 604 |
27×8,50 -14LT | 27×8,50 -14LT | 7,00 | 218 | 674 | 685 | 680 |
28×8,50 -15LT | 28×8,50 -15LT | 7,00 | 218 | 699 | 711 | 705 |
29×9,50 -15LT | 29×9,50 -15LT | 7,50 | 240 | 724 | 736 | 731 |
30×9,50 -15LT | 30×9,50 -15LT | 7,50 | 240 | 750 | 761 | 756 |
31×10,50 -15LT | 31×10,50 -15LT | 8,50 | 268 | 775 | 787 | 781 |
31×11,50 -15LT | 31×11,50 -15LT | 9,00 | 290 | 775 | 787 | 781 |
32×11,50 -15LT | 32×11,50 -15LT | 9,00 | 290 | 801 | 812 | 807 |
33×12,50 -15LT | 33×12,50 -15LT | 10,00 | 318 | 826 | 838 | 832 |
35×12,50 -15LT | 35×12,50 -15LT | 10,00 | 318 | 877 | 888 | 883 |
37×12,50 -15LT | 37×12,50 -15LT | 10,00 | 318 | 928 | 939 | 934 |
31×13,50 -15LT | 31×13,50 -15LT | 11,00 | 345 | 775 | 787 | 781 |
37×14,50 -15LT | 37×14,50 -15LT | 12,00 | 372 | 928 | 939 | 934 |
31×15,50 -15LT | 31×15,50 -15LT | 12,00 | 390 | 775 | 787 | 781 |
(1) A gumiabroncs teljes szélessége 6 %-kal meghaladhatja a profilszélesség fent megadott értékeit. (2) A tűréshatár a külső átmérő és a névleges tárcsaátmérő fent megadott értékei közötti különbség + 6 %-a. |
25. TÁBLÁZAT
Gumiabroncsok szokásos közúti tehergépkocsikhoz, autóbuszokhoz, pótkocsikhoz
TÖBBRÉSZES KERÉKTÁRCSÁRA SZERELT DIAGONÁL ÉS
RADIÁL GUMIABRONCSOK
A gumiabroncs méretmegjelölése | A méretellenőrző keréktárcsa szélesség (hüvelyk) | Profil-szélesség (mm) (1) | Külső átmérő | |||
Diagonál | Radiál | Közúti futófelület (mm) (2) | Terep futófelület (mm) (2) | Téli abroncs (mm) (2) | ||
6,50 -20 | 6,50R20 | 5,00 | 184 | 878 | – | 1 049 |
7,00 -15TR | 7,00R15TR | 5,50 | 199 | 777 | – | 962 |
7,00 -17 | 7,00R17 | 5,50 | 199 | 828 | – | 843 |
7,00 -18 | 7,00R18 | 5,50 | 199 | 853 | – | 868 |
7,00 -20 | 7,00R20 | 5,50 | 199 | 904 | – | 919 |
7,50 -15TR | 7,50R15TR | 6,00 | 215 | 808 | – | 825 |
7,50 -17 | 7,50R17 | 6,00 | 215 | 859 | – | 876 |
7,50 -18 | 7,50R18 | 6,00 | 215 | 884 | – | 981 |
7,50 -20 | 7,50R20 | 6,00 | 215 | 935 | – | 952 |
8,25 -15TR | 8,25R15TR | 6,50 | 236 | 847 | 855 | 865 |
8,25 -17 | 8,25R17 | 6,50 | 236 | 898 | 906 | 915 |
8,25 -20 | 8,25R20 | 6,50 | 236 | 974 | 982 | 992 |
9,00 -15TR | 9,00R15TR | 7,00 | 259 | 891 | 904 | 911 |
9,00 -20 | 9,00R20 | 7,00 | 259 | 1 019 | 1 031 | 1 038 |
10,00 -15TR | 10,00R15TR | 7,50 | 278 | 927 | 940 | 946 |
10,00 -20 | 10,00R20 | 7,50 | 278 | 1 054 | 1 067 | 1 073 |
10,00 -22 | 10,50R22 | 7,50 | 278 | 1 104 | 1 118 | 1 123 |
11,00 -15TR | 11,00R15TR | 8,00 | 293 | 958 | 972 | 977 |
11,00 -20 | 11,00R20 | 8,00 | 293 | 1 085 | 1 099 | 1 104 |
11,00 -22 | 11,00R22 | 8,00 | 293 | 1 135 | 1 150 | 1 155 |
11,00 -24 | 11,00R24 | 8,00 | 293 | 1 186 | 1 201 | 1 206 |
11,50 -20 | 11,50R20 | 8,00 | 296 | 1 085 | 1 099 | 1 104 |
11,50 -22 | 11,50R22 | 8,00 | 296 | 1 135 | 1 150 | 1 155 |
12,50 -20 | 12,00R20 | 8,50 | 315 | 1 125 | – | 1 146 |
12,50 -24 | 12,00R24 | 8,50 | 315 | 1 226 | – | 1 247 |
(1) A gumiabroncs teljes szélessége 6 %-kal meghaladhatja a profilszélesség fent megadott értékeit. (2) A tűréshatár a külső átmérő és a névleges tárcsaátmérő fent megadott értékei közötti különbség + 6 %-a. |
26. TÁBLÁZAT
Gumiabroncsok közúti, sebességkorlátozás alá eső tehergépkocsikhoz és pótkocsikhoz
TÖBBRÉSZES KERÉKTÁRCSÁRA SZERELT DIAGONÁL ÉS
RADIÁL GUMIABRONCSOK
A gumiabroncs méretmegjelölése | A méretellenőrző keréktárcsa szélessége (hüvelyk) | Profilszélesség (mm) (1) | Külső átmérő | ||
Diagonál | Radiál | Közúti futófelület (mm) (2) | Téli abroncs (mm) (2) | ||
13,00 -20 | 13,00R20 | 9,00 | 340 | 1 177 | 1 200 |
14,00 -20 | 14,00R20 | 10,00 | 375 | 1 241 | 1 266 |
14,00 -24 | 14,00R24 | 10,00 | 375 | 1 343 | 1 368 |
(1) A gumiabroncs teljes szélessége 6 %-kal meghaladhatja a profilszélesség fent megadott értékeit. (2) A tűréshatár a külső átmérő és a névleges tárcsaátmérő fent megadott értékei közötti különbség + 6 %-a. |
27. TÁBLÁZAT
Gumiabroncsok közúti lakókocsikhoz
DIAGONÁL
A gumiabroncs méretmegjelölése | A méretellenőrző keréktárcsa szélessége (hüvelyk) | Profilszélesség (mm) (1) | Külső átmérő (mm) (2) |
15°-os mélyágyazású keréktárcsára szerelt gumiabroncsok | |||
7-14,5 MH | 6,00 | 185 | 677 |
8-14,5 MH | 6,00 | 203 | 707 |
9-14,5 MH | 7,00 | 241 | 711 |
5°-os mélyágyazású és részben mélyágyazású keréktárcsára szerelt gumiabroncsok | |||
7,00 -15 MH | 5,50 | 202 | 752 |
(1) A gumiabroncs teljes szélessége 8 %-kal meghaladhatja a profilszélesség fent megadott értékeit. (2) A tűréshatár a külső átmérő és a névleges tárcsaátmérő fent megadott értékei közötti különbség + 8 %-a. |
28. TÁBLÁZAT
A bányászatban és fakitermelésben időszakosan használt közúti gumiabroncsok
DIAGONÁL
A gumiabroncs méretmegjelölése | A méretellenőrző keréktárcsa szélessége (hüvelyk) | Profilszélesség (mm) (1) | Külső átmérő | |
A meghajtott kerék futófelülete (mm) (2) | Különleges futófelület (mm) (2) | |||
15°-os mélyágyazású keréktárcsára szerelt gumiabroncsok | ||||
7,00 -20 ML | 5,50 | 199 | 919 | – |
7,50 -20 ML | 6,00 | 215 | 952 | – |
8,25 -20 ML | 6,50 | 236 | 992 | – |
9,00 -20 ML | 7,00 | 259 | 1 038 | 1 063 |
10,00 -20 ML | 7,50 | 278 | 1 073 | 1 099 |
10,00 -22 ML | 7,50 | 278 | 1 123 | 1 150 |
10,00 -20 ML | 7,50 | 278 | 1 174 | 1 200 |
11,00 -20 ML | 8,00 | 293 | 1 104 | 1 131 |
11,00 -22 ML | 8,00 | 293 | 1 155 | 1 182 |
11,00 -24 ML | 8,00 | 293 | 1 206 | 1 233 |
12,00 -20 ML | 8,50 | 315 | 1 146 | 1 173 |
12,00 -24 ML | 8,50 | 315 | 1 247 | 1 275 |
13,00 -20 ML | 9,00 | 340 | 1 200 | – |
13,00 -24 ML | 9,00 | 340 | 1 302 | – |
14,00 -20 ML | 10,00 | 375 | 1 266 | – |
14,00 -24 ML | 10,00 | 375 | 1 368 | – |
Kúpos peremülésű keréktárcsára szerelt gumiabroncsok | ||||
11,00 -25 ML | 8,50 | 298 | 1 206 | 1 233 |
12,00 -21 ML | 8,50 | 315 | 1 146 | 1 175 |
12,00 -25 ML | 8,50 | 315 | 1 247 | 1 275 |
13,00 -25 ML | 10,00 | 351 | 1 302 | – |
14,00 -21 ML | 10,00 | 375 | 1 266 | – |
14,00 -25 ML | 10,00 | 375 | 1 368 | – |
15°-os mélyágyazású keréktárcsára szerelt gumiabroncsok | ||||
9-22,5 ML | 6,75 | 229 | 992 | – |
10-22,5 ML | 7,50 | 254 | 1 038 | – |
11-22,5 ML | 8,25 | 279 | 1 073 | – |
11-24,5 ML | 8,25 | 279 | 1 123 | – |
12-22,5 ML | 9,00 | 300 | 1 104 | – |
15°-os mélyágyazású keréktárcsára szerelt gumiabroncsok | ||||
14-17,5 ML | 10,50 | 349 | 921 | – |
15-19,5 ML | 11,75 | 389 | 1 019 | – |
15-22,5 ML | 11,75 | 389 | 1 095 | – |
16,5 -19,5 ML | 13,00 | 425 | 1 068 | – |
16,5 -22,5 ML | 13,00 | 425 | 1 144 | – |
18-19,5 ML | 14,00 | 457 | 1 096 | – |
18-22,5 ML | 14,00 | 457 | 1 172 | – |
19,5 -19,5 ML | 15,00 | 495 | 1 156 | – |
23-23,5 ML | 17,00 | 584 | 1 320 | – |
(1) A gumiabroncs teljes szélessége 8 %-kal meghaladhatja a profilszélesség fent megadott értékeit. (2) A tűréshatár a külső átmérő és a névleges tárcsaátmérő fent megadott értékei közötti különbség + 6 %-a. |
6. függelék
GUMIABRONCS MÉRETÉNEK MÉRÉSI MÓDSZERE
(lásd a II. melléklet 6.1.3. pontját)
A. RÉSZ: A SZEMÉLYGÉPKOCSIK GUMIABRONCSAI
1.1. A gumiabroncsot az I. melléklet 1. függelékének 6.11. pontja alapján szerelik fel a gyártó által meghatározott méretellenőrző keréktárcsára.
1.2. Ezután beállítják a gumiabroncs nyomását a következőképpen:
1.2.1. a standard merevített szövetvázas diagonál gumiabroncsokban 1,7 bar nyomásra;
1.2.2. a diagonál gumiabroncsok esetén a következő táblázatban látható nyomásra (bar):
A fonalbetét névleges értéke | Sebesség szerinti besorolás | ||
L, M, N | P, Q, R, S | T, U, H, V | |
4 | 1,7 | 2,0 | – |
6 | 2,1 | 2,4 | 2,6 |
8 | 2,5 | 2,8 | 3,0 |
1.2.3. a standard radiál gumiabroncsokban 1,8 bar nyomásra;
1.2.4. a megerősített gumiabroncsokban 2,3 bar nyomásra; és
1.2.5. a T-típusú, átmenetileg használható pótkerekekben 4,2 bar nyomásra.
2. A keréktárcsára szerelt gumiabroncsot a II. melléklet 6.2.3. pontjában említett kivétellel legalább 24 órán át szobahőmérsékleten tartják.
3. A nyomást újra beállítják az 1.2. pontban előírt értékre.
4. Tolómérővel megmérik a teljes szélességet hat, egymástól egyenlő távolságra lévő pontban, s figyelembe veszik a védőbordák vagy védőpántok vastagságát is. Az így kapott legnagyobb mért értéket tekintik a teljes szélességnek.
5. A külső átmérőt úgy határozzák meg, hogy a mért legnagyobb kerületet elosztják π-vel (3,1416).
B. RÉSZ: A TEHERJÁRMŰVEK GUMIABRONCSAI
1. A gumiabroncsot az I. melléklet 1. függelékének 6.11. pontja alapján szerelik fel a gyártó által meghatározott méretellenőrző keréktárcsára és az I. melléklet 1. függelékének 6.12. pontja alapján felfújják a gyártó által meghatározott nyomásra.
2. A keréktárcsára szerelt gumiabroncsot legalább 24 órán át a laboratórium környezeti hőmérsékletén tartják.
3. A nyomást újra beállítják az 1. pontban előírt értékre.
4. Tolómérővel megmérik a teljes szélességet hat, egymástól egyenlő távolságra lévő pontban, s figyelembe veszik a védőbordák vagy védőpántok vastagságát is. Az így kapott legnagyobb mért értéket tekintik a teljes szélességnek.
5. A külső átmérőt úgy határozzák meg, hogy a legnagyobb mért kerületet elosztják π-vel (3,1416).
7. függelék
TERHELÉS- ÉS SEBESSÉGVIZSGÁLATI ELJÁRÁS ( 14 )
(lásd a II. melléklet 6.2. pontját)
A. RÉSZ: A SZEMÉLYGÉPKOCSIK GUMIABRONCSAI
1. A gumiabroncs előkészítése
1.1. Felszerelnek egy új gumiabroncsot az I. melléklet 1. függeléke 6.11. pontja alapján a gyártó által előírt méretellenőrző keréktárcsára.
1.2. A gumiabroncsot felfújják az alábbi táblázatban megadott megfelelő nyomásra:
Próbanyomás (bar)
Sebesség szerint besorolás | Diagonál gumiabroncsok | Radiál gumiabroncsok | Diagonál szövetvázas merevített gumiabroncsok | |||
A fonalbetét névleges értéke | Standard | Megerősített | Standard | |||
4 | 6 | 8 | ||||
L, M, N | 2,3 | 2,7 | 3,0 | 2,4 | – | – |
P, Q, R, S | 2,6 | 3,0 | 3,3 | 2,6 | 3,0 | 2,6 |
T, U, H | 2,8 | 3,2 | 3,5 | 2,8 | 3,2 | 2,8 |
V | 3,0 | 3,4 | 3,7 | 3,0 | – | – |
T-típusú, átmenetileg használható pótkerék: 4,2 bar. |
1.3. A gyártó megfelelő indokolással kérheti az 1.2. pontban megadott abroncsnyomástól eltérő abroncsnyomás alkalmazását. Ebben az esetben a gumiabroncsot erre a nyomásra fújják fel (lásd az I. melléklet 1. függelékének 6.14. pontját).
1.4. A keréktárcsára szerelt gumiabroncsot legalább 3 órán át a vizsgálati helyiség hőmérsékletén tartják.
1.5. A gumiabroncs nyomását újra beállítják az 1.2. vagy 1.3. pontban előírt értékre.
2. A vizsgálat végrehajtása
2.1. A keréktárcsára szerelt gumiabroncsot felszerelik a próbatengelyre, és a próbapadon egy 1,70 m ± 1% vagy 2 m ± 1% átmérőjű simított henger külső felületéhez nyomják.
2.2. A próbatengelyt a következő értékek 80%-ának megfelelő értékkel terhelik:
2.2.1. az L-H sebességjelzéssel ellátott gumiabroncsok teherbírási indexének megfelelő legnagyobb teherbírás;
2.2.2. a 240 km/h legnagyobb sebességhez tartozó legnagyobb teherbírás a "V" sebességjelzéssel ellátott gumiabroncsok esetében (lásd a II. melléklet 2.31.1. pontját).
2.3. A vizsgálat alatt a gumiabroncsnyomást nem szabad módosítani, a próbaterhelést pedig állandó értéken kell tartani.
2.4. A vizsgálat során 20°C és 30° közötti hőmérsékletet kell fenntartani a próbahelyiségben, illetve ennél magasabb hőmérsékletet, amennyiben a gyártó ebbe beleegyezik.
2.5. A vizsgálatot megszakítás nélkül, a következő részleteknek megfelelően hajtják végre:
2.5.1. nulláról a kezdeti vizsgálati sebességre való gyorsításhoz szükséges idő: 10 perc;
2.5.2. a kezdeti vizsgálati sebesség: a gumiabroncstípusra előírt legnagyobb sebességet 40 km/h-val csökkentik az 1,70 m ± 1% átmérőjű simított henger esetében, illetve 30 km/h-val a 2 m ± 1% átmérőjű simított henger esetében;
2.5.3. a sebességet fokozatosan, mindig 10 km/h-val növelik;
2.5.4. a vizsgálat időtartama minden sebességfokozatban 10 perc, kivéve az utolsó szakaszt;
2.5.5. a vizsgálat időtartama az utolsó sebességfokozatban 20 perc;
2.5.6. A legnagyobb vizsgálati sebesség a gumiabroncstípusra előírt legnagyobb sebesség, amelyet a 1,7 m ± 1% átmérőjű simított henger esetében 10 km/h-val csökkentenek, illetve amely a 2 m ± 1% átmérőjű simított henger esetében egyenlő az előírt legnagyobb sebességgel.
3. Egyenértékű vizsgálati módszerek
Amennyiben a 2. pontban leírt módszertől eltérő módszert alkalmaznak, be kell bizonyítani, hogy az egyenértékű a fent említett módszerekkel.
B. RÉSZ: A TEHERJÁRMŰVEK GUMIABRONCSAI ( 15 )
1. A gumiabroncs előkészítése
1.1. Az új gumiabroncsot az I. melléklet 1. függelékének 6.11. pontja alapján felszerelik a gyártó által meghatározott próbakeréktárcsára.
1.2. A tömlővel felszerelt gumiabroncsok vizsgálatakor új tömlőt vagy szeleppel és csapószeleppel (amelyik szükséges) felszerelt belső tömlőt kell használni.
1.3. Az I. melléklet 1. függelékének 6.14. pontja alapján a gumiabroncsot felfújják a gyártó által meghatározott nyomásindexnek megfelelő nyomásra.
1.4. A keréktárcsára szerelt gumiabroncsot legalább három órán át a vizsgálati helyiség hőmérsékletén tartják.
1. 5 A gumiabroncs nyomását újra beállítják az 1.3. pontban előírt értékre.
2. Vizsgálati eljárás
2.1. A keréktárcsára szerelt gumiabroncsot felszerelik a próbatengelyre, és a próbapadon egy 1,70 m ± 1% átmérőjű, gépi meghajtású simított henger külső felületéhez nyomják, amely legalább olyan széles, mint a gumiabroncs futófelülete.
2.2. A próbatengelyt a gumiabroncs oldalfalán feltüntetett teherbírási indexhez rendelt, a 2. függelékben megadott terhelés százalékában kifejezett sorozatos próbaterhelésnek vetik alá az alábbi táblázatban bemutatott terhelés- és sebességvizsgálati programnak megfelelően. Amennyiben a gumiabroncson mind az egyes, mind az ikerelrendezésre fel van tüntetve a teherbírási index, akkor az egyes elrendezéshez tartozó referenciaterhelést kell alapul venni a próbaterheléshez.
2.3. A vizsgálat során nem szabad módosítani a gumiabroncsnyomást, a próbaterhelést pedig állandó értéken kell tartani a vizsgálat mind a három szakaszában.
2.4. A vizsgálat során a 20°C és 30° közötti hőmérsékletet kell fenntartani a vizsgálóhelyiségben, illetve ennél magasabb hőmérsékletet, amennyiben a gyártó beleegyezik.
2.5. A terhelés- és sebességvizsgálati programot megszakítás nélkül kell végrehajtani.
3. Egyenértékű vizsgálati módszerek
Amennyiben a 2. pontban leírt módszertől eltérő módszert alkalmaznak, akkor be kell bizonyítani, hogy az egyenértékű a fent említett módszerrel.
TERHELÉS- ÉS SEBESSÉGVIZSGÁLATI PROGRAM
Teherbírási index | A gumiabroncs sebesség szerinti besorolásánakjelzése | A próbadob sebessége (ford./perc) (1) | A kerékre gyakorolt terhelés a terhelés indexnek megfelelő terhelés százalékában | |||
Radiál gumiabroncs | Diagonál gumiabroncs | 7 óra | 16 óra | 24 óra | ||
122 vagy több | F | 100 | 100 | 66% | 84% | 101% |
G | 125 | 100 | ||||
J | 150 | 125 | ||||
K | 175 | 150 | ||||
L | 200 | – | ||||
M | 225 | – | ||||
121 vagy kevesebb | F | 100 | 100 | |||
G | 125 | 125 | ||||
J | 150 | 150 | ||||
K | 175 | 175 | ||||
L | 200 | 175 | 70% | 88% | 106% | |
4 óra | 6 óra | |||||
M | 250 | 200 | 75% | 97% | 114% | |
N | 275 | – | 75% | 97% | 114% | |
P | 300 | – | 75% | 97% | 114% | |
(1) A „különleges használatú” gumiabroncsokat (lásd a II. melléklet 2.1.3. pontját) a velük egyenértékű normál gumiabroncsokra a fenti táblázatban megadott próbadobsebesség 85%-ának megfelelő sebességgel kell vizsgálni. |
8. függelék
A TEHERBÍRÁSI INDEX VÁLTOZÁSA A SEBESSÉG FÜGGVÉNYÉBEN
A teherjárművek gumiabroncsai
RADIÁL ÉS DIAGONÁL
(lásd a II. melléklet 2.30., 2.31. és 6.2.4. pontját)
Sebesség (km/h) | Teherbírás változása (%) | |||||||||
Az összes teherbírási index | Teherbírási index (1) > 122 | Teherbírási index (1) < 121 | ||||||||
A sebesség szerinti besorolás jelzése | A sebesség szerinti besorolás jelzése | A sebesség szerinti besorolás jelzése | ||||||||
F | G | J | K | L | M | L | M | N | P (2) | |
0 | +150 | +150 | +150 | +150 | +150 | +150 | +110 | +110 | +110 | +110 |
5 | +110 | +110 | +110 | +110 | +110 | +110 | + 90 | + 90 | + 90 | + 90 |
10 | + 80 | + 80 | + 80 | + 80 | + 80 | + 80 | + 75 | + 75 | + 75 | + 75 |
15 | + 65 | + 65 | + 65 | + 65 | + 65 | + 65 | + 60 | + 60 | + 60 | + 60 |
20 | + 50 | + 50 | + 50 | + 50 | + 50 | + 50 | + 50 | + 50 | + 50 | + 50 |
25 | + 35 | + 35 | + 35 | + 35 | + 35 | + 35 | + 42 | + 42 | + 42 | + 42 |
30 | + 25 | + 25 | + 25 | + 25 | + 25 | + 25 | + 35 | + 35 | + 35 | + 35 |
35 | + 19 | + 19 | + 19 | + 19 | + 19 | + 19 | + 29 | + 29 | + 29 | + 29 |
40 | + 15 | + 15 | + 15 | + 15 | + 15 | + 15 | + 25 | + 25 | + 25 | + 25 |
45 | + 13 | + 13 | + 13 | + 13 | + 13 | + 13 | + 22 | + 22 | + 22 | + 22 |
50 | + 12 | + 12 | + 12 | + 12 | + 12 | + 12 | + 20 | + 20 | + 20 | + 20 |
55 | + 11 | + 11 | + 11 | + 11 | + 11 | + 11 | +17,5 | +17,5 | +17,5 | +17,5 |
60 | + 10 | + 10 | + 10 | + 10 | + 10 | + 10 | +15,0 | +15,0 | +15,0 | +15,0 |
65 | +7,5 | +8,5 | +8,5 | +8,5 | +8,5 | +8,5 | +13,5 | +13,5 | +13,5 | +13,5 |
70 | +5,0 | +7,0 | +7,0 | +7,0 | +7,0 | +7,0 | +12,5 | +12,5 | +12,5 | +12,5 |
75 | +2,5 | +5,5 | +5,5 | +5,5 | +5,5 | +5,5 | +11,0 | +11,0 | +11,0 | +11,0 |
80 | 0 | +4,0 | +4,0 | +4,0 | +4,0 | +4,0 | +10,0 | +10,0 | +10,0 | +10,0 |
85 | –3 | +2,0 | +3,0 | +3,0 | +3,0 | +3,0 | +8,5 | +8,5 | +8,5 | +8,5 |
90 | –6 | 0 | +2,0 | +2,0 | +2,0 | +2,0 | +7,5 | +7,5 | +7,5 | +7,5 |
95 | –10 | -2,5 | +1,0 | +1,0 | +1,0 | +1,0 | +6,5 | +6,5 | +6,5 | +6,5 |
100 | –15 | –5 | 0 | 0 | 0 | 0 | +5,0 | +5,0 | +5,0 | 5,0 |
105 | –8 | –2 | 0 | 0 | 0 | +3,75 | +3,75 | +3,75 | +3,75 | |
110 | –13 | –4 | 0 | 0 | 0 | +2,5 | +2,5 | +2,5 | +2,5 | |
115 | –7 | –3 | 0 | 0 | +1,25 | +1,25 | +1,25 | +1,25 | ||
120 | –12 | –7 | 0 | 0 | 0 | 0 | 0 | 0 | ||
125 | 0 | -2,5 | 0 | 0 | 0 | |||||
130 | 0 | –5 | 0 | 0 | 0 | |||||
135 | -7,5 | -2,5 | 0 | 0 | ||||||
140 | –10 | –5 | 0 | 0 | ||||||
145 | -7,5 | -2,5 | 0 | |||||||
150 | –10 | –5 | 0 | |||||||
155 | -7,5 | -2,5 | ||||||||
160 | –10 | –5 | ||||||||
(1) A teherbírási indexek az egyes elrendezésre vonatkoznak (lásd a II. melléklet 2.28.2. pontját). (2) 160 km/h fölött nem engedélyezett a terhelésváltoztatás. Ha a sebesség szerinti besorolás jelzése Q vagy a fölötti, akkor a sebesség szerinti besorolás jelzésének megfelelő sebesség (lásd a II. melléklet 2.29.3. pontját) jelenti a gumiabroncsra érvényes megengedett legnagyobb sebességet. |
III. MELLÉKLET
IGAZGATÁSI RENDELKEZÉSEK A JÁRMŰVEK TÍPUSJÓVÁHAGYÁSÁRÓL A GUMIABRONCSOK FELSZERELÉSÉVEL KAPCSOLATBAN
1.
1.1. A járműtípusok gumiabronccsal kapcsolatos EK-típusjóváhagyás kérelmét a jármű gyártójának vagy a meghatalmazott képviselőjének kell benyújtania.
1.2. A kérelemhez három példányban mellékelni kell a járműtípus és gumiabroncsai leírását, amely tartalmazza a gumiabroncs méretmegjelölését, a sebesség szerinti besorolását és teherbírási indexét, beleértve az 1. függelékben megadott tájékoztató dokumentum szerint felszerelhető, átmenetileg használható pótkereket is.
1.3. A jóváhagyandó járműtípus mintapéldányát be kell mutatni a jóváhagyási vizsgálat végrehajtásáért felelős műszaki szolgálatnak.
1.4. A jármű gyártója vagy annak képviselője kérheti a jármű EK-típusjóváhagyás kiterjesztését annak érdekében, hogy az tartalmazza az egyéb méretmegjelölésű, sebesség szerinti besorolású vagy más teherbírási indexszel ellátott gumiabroncsokat, valamint más átmenetileg használható pótkerek(ek)et is.
2.
2.1. Az 1. szakasznak megfelelően benyújtott kérelem alapján az ezen irányelv követelményeit kielégítő járműtípusok EK-típusjóváhagyás, és egy EK-típusjóváhagyás számmal látják el őket.
2.2. A járműtípus ezen irányelv alapján történő jóváhagyásáról, a jóváhagyás kiterjesztéséről vagy a visszautasításáról szóló értesítést a 2. függelékben bemutatott mintának megfelelő űrlapon közlik a tagállamokkal.
2.3. Minden jóváhagyott járműtípushoz kiadnak egy jóváhagyási számot. Ugyanaz a tagállam nem adhatja ki ugyanazt a számot egy másik járműtípusra.
3. A JÁRMŰTÍPUS MÓDOSÍTÁSA
3.1. A járműtípusok minden módosításáról értesíteni kell azt a hatóságot, amely jóváhagyta azokat. A típusjóváhagyó hatóság ekkor:
3.1.1. úgy ítélheti meg, hogy a módosításoknak valószínűleg nincs jelentős hátrányos hatása, a jármű pedig továbbra is minden esetben megfelel a követelményeknek; vagy
3.1.2. visszautasíthatja a módosítás jóváhagyását.
3.2. A jóváhagyás megerősítését vagy visszautasítását a változtatások meghatározásával együtt a 2.2. pontban megállapított eljárás keretében közlik a tagállamokkal.
4. A gyártásMEGFELELŐSÉG
4.1. Minden olyan járművet, amelyre ez az irányelv alkalmazandó, úgy kell gyártani, hogy megfeleljen az ezen irányelv követelményeinek.
4.2. A 4.1. pont követelményei betartásának ellenőrzése érdekében ellenőrizni kell a gyártást.
4.3. A jóváhagyás tulajdonosának különösen azt kell biztosítania, hogy megfelelő eljárásokkal ellenőrizzék, hogy a jármű tulajdonságai összeegyeztethetők-e az ezen irányelv keretében megállapítottak szerint felszerelt gumiabroncsok tulajdonságaival.
4.4. A típusjóváhagyást kiadó hatóság bármikor ellenőrizheti az egyes termelőegységekre alkalmazandó, a megfelelő gyártást ellenőrző módszereket.
4.4.1. A vizsgálatok jegyzőkönyveit és a termelés ellenőrzéséről készült feljegyzéseket az ellenőrzések során át kell adni az ellenőrnek.
4.5. A vizsgálatoknak a jóváhagyó hatóság által engedélyezett szokásos gyakorisága évente egy vizsgálat. Amennyiben e vizsgálat során negatív eredményt jegyeznek fel, a jóváhagyó hatóságnak biztosítania kell minden szükséges intézkedés megtételét, amely lehetővé teszi, hogy a gyártás a lehető leggyorsabban újra megfeleljen a jóváhagyott gyártásnak.
5. VÉGLEGESEN LEÁLLÍTOTT GYÁRTÁS
Amennyiben a típusjóváhagyás tulajdonosa teljesen megszünteti egy ezen irányelvnek megfelelően jóváhagyott járműtípus gyártását, akkor értesítenie kell azt a hatóságot, amely kiadta a jóváhagyást. Az erre vonatkozó értesítés átvételekor a hatóságnak tájékoztatnia kell erről a többi jóváhagyó hatóságot úgy, hogy elküldi azoknak a jóváhagyási nyomtatvány egy példányát, amelyet a végén az aláírt és dátumozott, nagybetűkkel írt "GYÁRTÁS LEÁLLÍTVA" megjegyzéssel látnak el.
1. függelék
...SZÁMÚ ADATKÖZLŐ LAP
A GUMIABRONCSOK FELSZERELÉSE TEKINTETÉBEN AZ EK-TÍPUSJÓVÁHAGYÁS kapcsolatos 70/156/EGK TANÁCSI IRÁNYELV I. MELLÉKLETÉnek megfelelően
(92/23/EGK IRÁNYELV)

2. Függelék
MINTA
(legnagyobb méret: A4 [210 x 297 mm])
(jármű)


IV. MELLÉKLET
A JÁRMŰVEKRE VONATKOZÓ KÖVETELMÉNYEK A GUMIABRONCSOK FELSZERELÉSÉVEL KAPCSOLATBAN
1. FOGALOMMEGHATÁROZÁSOK
2. Ezen irányelv alkalmazásában:
2.1. "jármű jóváhagyása": a járműtípus jóváhagyása a gumiabroncsai tekintetében, beleértve az átmenetileg használható pótkerekeket is;
2.2. "járműtípus": azok a járművek, amelyek legalább a járműtípusok változatai tekintetében jelentősen nem térnek el egymástól az olyan lényeges szempontokban, amelyek hatással vannak a gumiabroncs méretmegjelölésére, a sebesség szerinti besorolásra vonatkozó jelzésekre vagy a teherbírási indexre;
2.3. "kerék": a kerékabroncsból és keréktárcsából álló komplett kerék;
2.4. "átmenetileg használható pótkerék": a járműtípuson lévő normál kerekektől eltérő kerék;
2.5. "egység": egy kerék és a rá felszerelt gumiabroncs;
2.6. "normál egység": olyan egység, amelyet fel lehet szerelni a normál használatú járművekre;
2.7. "pótegység": olyan egység, amelyet arra terveztek, hogy a normál egység helyett szereljék fel, ha az meghibásodik. A "pótegység" a következők egyike lehet:
2.7.0. "normál pótegység": amely a járműtípus normál egységének felel meg;
2.7.1. "átmenetileg használható pótegység": amely a fő jellemzői (például a gumiabroncs méretmegjelölése, a funkcionális méretek, a használati feltételek vagy a szerkezet) tekintetében eltér a járműtípus normál egységeitől. Ezt az egységet korlátozott feltételek mellett, ideiglenes használatra tervezték. Az átmenetileg használható pótegységek a következő kategóriákba sorolhatók be:
2.7.1. 1 1. kategória
a normál egység kerekének megfelelő kerékből és a normál gumiabroncstól eltérő fő jellemzőkkel (például méret, szerkezet) rendelkező gumiabroncsból álló egység;
2.7.1. 2 2. kategória
olyan kerékből és gumiabroncsból álló egység, amelynek fő jellemzői eltérnek a normál egység jellemzőitől, és az átmeneti használathoz előírt nyomásra felfújt gumiabronccsal a járműben kell szállítani;
2.7.1. 3 3. kategória
normál kerékből és olyan gumiabroncsból álló egység, amelynek fő jellemzői eltérnek a normál gumiabroncs jellemzőitől, és összehajtott, nem felfújt gumiabronccsal a járműben kell szállítani;
2.7.1. 4 4. kategória
olyan kerékből és gumiabroncsból álló egység, amelynek fő jellemzői eltérnek a normál egységtől, és összehajtott, nem felfújt gumiabronccsal a járműben kell szállítani;
2.8. "legnagyobb tömeg": a jármű gyártója által megadott, a jármű használata során a műszakilag megengedhető legnagyobb érték;
2.9. "legnagyobb tengelyterhelés": a jármű gyártója által megadott, műszakilag megengedhető vertikális erőhatás, amely a szóban forgó tengely gumiabroncsainak érintkező felületei és a talaj között lép fel, és amelyet az adott tengely által megtartott járműtömeg fejt ki. A tengelyterhelések összege nagyobb lehet, mint a jármű legnagyobb tömege;
2.10. "funkcionális méretek": a kerekek és/vagy a gumiabroncsok méretmegjelöléséből (például átmérő, szélesség, keresztmetszeti viszonyszám) és az egység járműre szereléséből (például a kerekek kiegyensúlyozása) származó méretek.
2.11. "tervezett legnagyobb sebesség": a járműtípusra vonatkozóan jóváhagyott legnagyobb sebesség, figyelembe véve a sorozatgyártás során a jóváhagyott típusnak megfelelő gyártás ellenőrzéséhez megengedett tűréshatárt.
3. A JÁRMŰVEKRE VONATKOZÓ KÖVETELMÉNYEK A GUMIABRONCSOK FELSZERELÉSE TEKINTETÉBEN
3. 1 Általános
3.1.1. A 3.7.4. szakasz rendelkezéseire is figyelemmel minden járműre szerelt gumiabroncsot, megfelelő esetben beleértve a pótkerekeket is, el kell látni az I. melléklet 4. szakaszában meghatározott EK-típusjóváhagyási jellel (jelekkel), vagy a 30., illetve 54. UN/ECE rendeleteknek való megfelelést jelölő típus-jóváhagyási jellel. Az UN/ECE típus-jóváhagyási jelek csak a II. mellékletnek megfelelően kibocsátott EK-típusjóváhagyási jelekkel egyenértékűek.
3.2. A gumiabroncs felszerelése
3.2.1. A járműre felszerelt gumiabroncsoknak, az átmenetileg használható pótkerekek kivételével, azonos szerkezetűnek kell lenniük (lásd a II. melléklet 2.3. pontját).
3.2.2. Az ugyanarra a tengelyre felszerelt gumiabroncsoknak azonos típusúnak kell lenniük (lásd a II. melléklet 2.1. pontját).
3.2.3. Annak a térnek, amelyben a kerék forog, elég nagynak kell lennie ahhoz, hogy a megengedhető legnagyobb méretű gumiabroncs felszerelése esetén a kerék - a jármű gyártója által előírt felfüggesztési és kormányzási korlátozásokon belül - akadálytalanul mozoghasson.
3.3. Teherbírás
3.3.1. A 3.7. pont rendelkezéseire is figyelemmel a járműre felszerelt gumiabroncsok (lásd a II. melléklet 2.31. pontját) - a pótkereket is beleértve (ha van ilyen) - legnagyobb teherbírása:
3.3.1. 1 egyes elrendezésű, azonos típusú gumiabroncsokkal felszerelt jármű esetében: legalább a legjobban terhelt tengely legnagyobb tengelyterhelésének (lásd a 2.9. pontot) a fele, ahogy azt a jármű gyártója megadta;
3.3.1. 2 egyes elrendezésű, egynél több típusú gumiabronccsal felszerelt jármű esetében: legalább az adott tengely tekintetében a jármű gyártója által megadott legnagyobb tengelyterhelés (lásd a 2.9. pontot) fele;
3.3.1. 3 kettős (iker) elrendezésű személygépkocsi gumiabroncsokkal felszerelt jármű esetében: legalább az adott tengely tekintetében a jármű gyártója által megadott legnagyobb tengelyterhelés 0,27-szerese,
3.3.1. 4 kettős (iker) elrendezésű teherjármű gumiabroncsokkal felszerelt tengelyek esetében: legalább az adott tengely tekintetében a jármű gyártója által megadott legnagyobb tengelyterhelés 0,25-szöröse, figyelembe véve a kettős elrendezéshez megadott teherbírási indexet.
3. 4 Sebesség szerinti besorolás
3.4.1. A szokásos körülmények között a járművekre felszerelt gumiabroncsokat el kell látni a sebesség szerinti besorolás jelzésével (lásd a II. melléklet 2.29. pontját), amely megfelel a jármű tervezett legnagyobb sebességének (amelyet a jármű gyártója ad meg), vagy az ahhoz tartozó terhelésváltozásnak a sebesség függvényében (lásd a II. melléklet 2.30. pontját).
3.4.2. A fenti előírást nem kell alkalmazni:
3.4.2. 1 az átmenetileg használható pótegységek esetében, amelyekre a 3.8. pont alkalmazandó;
3.4.2. 2 az általában szokásos gumiabronccsal és esetenként téli gumiabronccsal felszerelt járművek esetében.
Ebben az esetben azonban a téli gumiabroncs sebesség szerinti besorolása jelzésének meg kell felelnie vagy a jármű tervezett legnagyobb sebességénél (amelyet a jármű gyártója ad meg) nagyobb, vagy legalább a 160 km/h-s sebességnek (vagy mindkettőnek).
Ha ennek ellenére a járművek tervezett legnagyobb sebessége (amelyet a jármű gyártója ad meg) nagyobb, mint a téli gumiabroncs sebesség szerinti besorolása jelzésének megfelelő sebesség, akkor a jármű belsejében, a vezető számára jól látható helyen el kell helyezni egy a legnagyobb sebességre figyelmeztető feliratot, amely megadja azt a legnagyobb sebességet, amelyet a téli gumiabroncs elbír.
3.5. Pótkerék
3.5.1. Amennyiben a járművet pótkerékkel látják el, a pótkerék gumiabroncsának:
3.5.1. 1 azonos típusúnak kell lennie a járműre felszerelt vagy jóváhagyott gumiabroncsokkal; vagy
3.5.1. 2 olyan típusú átmenetileg használható pótkeréknek kell lennie, amelyet a jármű bármelyik részén fel lehet szerelni. Az M1-es besorolású járművek kivételével azonban semmilyen más jármű nem szerelhető fel átmenetileg használható pótkerékkel.
3.5.2. Az átmenetileg használható pótegységgel felszerelt járműveket kiegészítő információkkal kell ellátni, amelyeket a járművön az átmenetileg használható pótegységen vagy a pótegység közelében, illetve a vezető kézikönyvében mindig jól láthatóan kell elhelyezni. A jelzésnek legalább a következő információkat tartalmaznia kell:
3.5.2.1. utasítást arra vonatkozóan, hogy az átmenetileg használható pótkerék felszerelése után óvatosan kell vezetni és hogy a lehető legkorábban fel kell szerelni egy normál egységet;
3.5.2.2. tájékoztatást arról, hogy a járművet nem szabad üzemeltetni, ha egyidejűleg több átmenetileg használható pótegységgel van felszerelve;
3.5.2.3. az átmenetileg használható pótegység gumiabroncsára a jármű gyártója által megadott abroncsnyomás egyértelmű jelzését;
3.5.2.4. 3-as vagy 4-es kategóriájú átmenetileg használható pótegységekkel felszerelt járművek esetében a gumiabroncs felfújási módját a 3.6. pontban említett készülékkel arra a nyomásra, amelyet az átmeneti használathoz előírtak;
3.6. Az átmenetileg használható pótegység felfújó készüléke:
3.6.1. amennyiben a járművet egy 3-as vagy 4-es kategóriájú átmenetileg használható pótegységgel szerelték fel, gondoskodni kell arról, hogy a járművön legyen egy olyan készülék, amellyel legfeljebb 5 perc alatt fel lehet fújni a gumiabroncsot az átmeneti használathoz előírt nyomásra.
3.7. Különleges esetek
3.7.1. A 01-es és 02-es besorolású pótkocsik esetében, amelyek üzemi sebességét legfeljebb 100 km/h-ra korlátozták és amelyeket egyes elrendezésű személygépkocsi gumiabroncsokkal szereltek fel, a gumiabroncsok legnagyobb teherbírásának meg kell felelnie legalább a legjobban terhelt tengelyhez tartozó legnagyobb tömeg - amelyet a pótkocsi gyártója ad meg - 0,45-szörösének. Kettős (iker) elrendezésű gumiabroncsok esetében ez a tényező 0,24.
3.7.2. A teherjármű gumiabroncsokkal felszerelt egyes különleges járművek esetében nem kell alkalmazni a "Teherbírás változása a sebesség függvényében" című táblázatot (lásd a 2.30. pontot és a II. melléklet 8. függelékét). Ezekben az esetekben a gumiabroncs legnagyobb teherbírását a legnagyobb tengelyterhelés (lásd ennek a mellékletnek a 3.3.1.2. és 3.3.1.4. pontját) figyelembevételével úgy állapítják meg, hogy a teherbírási indexnek megfelelő terhelést egy olyan együtthatóval szorozzák meg, amely a jármű típusát és felhasználását veszi alapul, nem pedig a jármű tervezett legnagyobb sebességét. Ebben az esetben ennek a mellékletnek a 3.4.1. pontját nem kell alkalmazni. A megfelelő együtthatók a következők:
3.7.2.1. 1,10 az M3-as besorolású járművek esetében, amikor a jármű álló utasokat szállít, az üzemi sebesség pedig nem haladja meg a 60 km/h-t. Üzemeltetési okokból azonban a tagállamok engedélyezhetik az üzemi sebesség 80 km/h-ra való emelését;
3.7.2.2. 1,15 az M3-as besorolású járművek esetében, ha azokat csak városi útvonalakra és gyakori megállásokra tervezték;
3.7.2.3. 1,10 olyan N besorolású közüzemi járművek esetében, amelyeket kis sebesség mellett rövid távolságra használnak a városokban és külvárosokban, ilyenek például az utcaseprő gépek vagy szemétgyűjtő tehergépkocsik.
3.7.3. Ha egy M1-es besorolású gépjármű pótkocsit vontat, a vonószerkezetnél fellépő többletterhelés, legfeljebb 15 %-kal, meghaladhatja a gumiabroncs legnagyobb teherbírását, amennyiben az üzemi sebességet legfeljebb 100 km/h-ra korlátozták, az abroncsnyomást pedig legalább 0,2 bar nyomással megnövelték.
3.7.4. A személygépkocsik gumiabroncsaitól és a teherjárművek gumiabroncsaitól eltérő gumiabroncsokkal (például mezőgazdasági gumiabroncsok, ipari felhasználású tehergépkocsik gumiabroncsai, motorkerékpárok gumiabroncsai) felszerelt jármű esetében a különleges felhasználási körülmények miatt nem kell alkalmazni a II. melléklet követelményeit, amennyiben a típusjóváhagyó hatóság meggyőződött arról, hogy a felszerelt gumiabroncs megfelel a jármű üzemi feltételeinek.
3.8. Az átmenetileg használható pótegységekre vonatkozó előírások
3.8.1. Az átmenetileg használható pótkerekek sebesség szerinti besorolása legalább 120 km/h (a sebesség szerinti besorolás jelzése L).
3.8.2. Amennyiben az átmeneti használat céljából felszerelik a járműre, a pótkerék kifelé néző felületének olyan megkülönböztető színűnek vagy mintázatúnak kell lennie, amely egyértelműen eltér a normál egységek színétől. Ha az átmenetileg használható pótegységre porsapkát lehet felszerelni, akkor az nem takarhatja el a megkülönböztető színt vagy mintát.
3.8.3. A legnagyobb sebességre figyelmeztető jelzést állandó jelleggel, a következő ábrának megfelelően kell elhelyezni a kerék külső felületén, jól látható helyen:

V. MELLÉKLET
GUMIABRONCS/ÚT ZAJKIBOCSÁTÁS
1. HATÁLY
Ezt a melléklet a gumiabroncsok mint alkatrészek EK-típusjóváhagyására kell alkalmazni, a gumiabroncs/út zajkibocsátások tekintetében.
2. FOGALOMMEGHATÁROZÁSOK
Ennek a mellékletnek az alkalmazásában a II. melléklet meghatározásait kell alkalmazni, kivéve a 2.1. szakasz szerinti meghatározást, amely a következőképpen módosul:
2.1. "Gumiabroncstípus:"
az e mellékletnek megfelelő típusjóváhagyással kapcsolatban (gumiabroncs/út zajkibocsátás) a gumiabroncsok méretmegjelölésének jegyzéke (lásd a II. melléklet 2.17 szakaszát), márkanevek és kereskedelmi leírások jegyzéke által meghatározott gumiabroncs-sorozatok, amelyek nem különböznek az alábbi alapvető tulajdonságokban:
- a gyártó neve,
- a gumiabroncs besorolása (lásd ennek a mellékletnek a 2.4. szakaszát),
- a gumiabroncs szerkezete (lásd a II. melléklet 2.1.4. szakaszát),
- használati kategória (lásd a II. melléklet 2.1.3. szakaszát),
- C1 osztályú abroncsokra nézve. Megerősített vagy Extra teherbírású,
- a futófelület mintázata (lásd az I. melléklet 3. függeléke szerinti A4-es adatközlő lap 2.3 szakaszát).
Megjegyzés:
A gumiabroncs futófelülete mintázata és szerkezete kis mértékű megváltoztatásának a gumiabroncs/út-zajkibocsátásra gyakorolt hatását a termelés megfelelőségének ellenőrzése során állapítják meg.
Ezen kívül a következő meghatározásokat szintén alkalmazni kell:
2.2. "Márkanév vagy kereskedelmi leírás":
a gumiabroncsnak a gumiabroncs gyártója által meghatározott azonosítása. A márkanév megegyezhet a gyártóval és a kereskedelmi leírás megegyezhet a védjeggyel.
2.3. "Gumiabroncs/út zajkibocsátás":
a mozgásban lévő gumiabroncsok és az út felületének érintkezése során keletkező zaj.
2.4. Ennek a mellékletnek az alkalmazásában a következő osztályozást kell alkalmazni:
C1 osztály | személygépkocsik gumiabroncsai (lásd a II. melléklet 2.32. szakaszát) |
C2 osztály | tehergépjárművek gumiabroncsai (lásd a II. melléklet 2.33. szakaszát), amelyek teherbírási indexe egyes felállásban ≤ 121 és sebességkategóriájának jele ≥ „N” (lásd a II. melléklet 2.29.3 szakaszát) |
C3 osztály | tehergépjárművek gumiabroncsai (lásd a II. melléklet 2.33. szakaszát), amelyek teherbírási indexe egyes felállásban ≤ 121 és sebességkategóriájának jele ≥ „M” (lásd a II. melléklet 2.29.3 szakaszát), vagy az olyan tehergépjárművek gumiabroncsai (lásd a II. melléklet 2.33. szakaszát), amelyek teherbírási indexe egyes felállásban ≥ 122. |
3. JELÖLÉSI KÖVETELMÉNYEK
3.1. Az I. melléklet 4. szakaszában és a II. melléklet 3. szakaszában megadott egyéb jelzési követelmények mellett a gumiabroncs a következő jelöléseket viseli:
3.1.1. a gyártó neve vagy védjegye; a márkanév, a kereskedelmi leírás vagy védjegy.
4. GUMIABRONCS/ÚT ZAJKIBOCSÁTÁSI KÖVETELMÉNYEK
4.1. Általános követelmények
Ugyanazzal a méretmegjelöléssel és futófelület mintázattal rendelkező, a gumiabroncs-sorozatra nézve reprezentatív négy gumiabroncsból álló készletet gumiabroncs/út zajkibocsátási szint tesztnek vetnek alá, az 1. függelékben meghatározottak szerint.
4.2. Az 1. függelék 4.5. szakaszával összhangban meghatározott zajszintek nem haladják meg a következő határértékeket:
4.2.1. C1 osztályú gumiabroncsok, tekintettel a tesztelt gumiabroncs névleges keresztmetszetének szélességére (lásd II. melléklet, 2.17.1.1. szakasz):
Gumiabroncs osztály | Névleges keresztmetszet szélessége (mm) | Határértékek dB(A)-ban | ||
A | B (1) | C (1) (2) | ||
C1a | ≤ 145 | 72 (*1) | 71 (*1) | 70 |
C1b | > 145 ≤ 165 | 73 (*1) | 72 (*1) | 71 |
C1c | > 165 ≤ 185 | 74 (*1) | 73 (*1) | 72 |
C1d | > 185 ≤ 215 | 75 (*2) | 74 (*2) | 74 |
C1e | > 215 | 76 (*3) | 75 (*3) | 75 |
(*1) Az A oszlopban szereplő határértékeket 2007. június 30-ig kell alkalmazni; (*2) Az A oszlopban szereplő határértékeket 2008. június 30-ig kell alkalmazni; (*3) Az A oszlopban szereplő határértékeket 2009. június 30-ig kell alkalmazni; (1) Csak jelzésértékű adatok. A végleges adatok a 2001/43/EK irányelv 3. cikkének (2) bekezdésében előírt jelentést követő irányelv módosításától függenek. (2) A C oszlop határértékei a 2001/43/EK irányelv 3. cikkének (2) bekezdésében előírt jelentést követő irányelv módosításából fognak eredni. |
4.2.1. 1 A megerősített (vagy extra teherbírású) gumiabroncsokra nézve (lásd a II. melléklet 3.1.8. szakaszát) a 4.2.1. szakasz határértékeit 1 dB(A)-val növelni kell.
4.2.1. 2 A "speciális" használati kategóriába tartozó gumiabroncsokra nézve (lásd a II. melléklet 2.1.3. szakaszát) a 4.2.1. szerinti határértékeit 2 dB(A)-val növelni kell.
4.2.2. C2 osztályba tartozó gumiabroncsok, tekintettel a gumiabroncs-sorozat használati kategóriájára (lásd II. melléklet, 2.1.3. szakasz):
Használati kategória | dB(A)-ban kifejezett határérték |
Normál | 75 |
Téli | 77 |
Speciális | 78 |
4.2.3. C3 osztályba tartozó gumiabroncsok, tekintettel a gumiabroncs-sorozat használati kategóriájára (lásd II. melléklet, 2.1.3. szakasz):
Használati kategória | dB(A)-ban kifejezett határérték |
Normál | 76 |
Téli | 78 |
Speciális | 79 |
1. függelék
TESZTELJÁRÁS A GUMIABRONCS/ÚT ZAJSZINTEK SZABADFUTÁSÚ MÓDSZERÉHEZ
0. Bevezetés
A bemutatott módszer a mérési eszközök, mérési feltételek és a mérési módszer leírását tartalmazza a meghatározott útfelületen nagy sebességgel guruló tesztjárműre illesztett gumiabroncsok zajszintjének megállapítása érdekében. A legmagasabb hangnyomásszintet a tesztjármű szabadfutású szakaszában nyílt terepen, távolban elhelyezett mikrofonokkal kell rögzíteni; a referenciasebesség végső eredményét lineáris regresszióanalízissel nyerik. Az ilyen teszteredmények nem vonatkoztathatók a motor révén történő gyorsulás és a fékezést követő lassulás során mért gumiabroncs zajszintekre.
1. Mérési eszközök
1.1. Akusztikai mérések
A hangszintmérő vagy az ezzel egyenértékű mérőrendszer a gyártó által javasolt szélárnyékoló eszközzel együtt legalább az IEC 60651 második kiadásával összhangban álló 1. típusú eszközökre vonatkozó követelményeknek felel meg.
A méréseket az A frekvenciasúlyozás és az F idősúlyozás alkalmazásával kell végezni.
Az A súlyozású hangszint periodikus megfigyelését is magában foglaló rendszerek alkalmazásakor a leolvasást legfeljebb 30 milliszekundumos időszakonként kell elvégezni.
1.1.1. Kalibrálás
Minden mérési szakasz kezdetén és végén a teljes mérőrendszer ellenőrzését hangkalibráló berendezés segítségével kell elvégezni, amely megfelel az IEC 942:1988 szerinti, legalább 1. osztályba tartozó pontosságú hangkalibráló berendezések követelményeinek. A két egymást követő ellenőrzés leolvasott értékei közötti eltérés további kiigazítások nélkül 0,5 dB-nél kevesebb, vagy ezzel egyenlő. Ennek az értéknek a túllépése esetén a legutolsó kielégítő ellenőrzést követő mérések eredményeit figyelmen kívül kell hagyni.
1.1.2. Megfelelés a követelményeknek
Azt, hogy a hangkalibráló berendezés megfelel-e az IEC 60942:1988 követelményeinek, évente egyszer igazolja, és azt, hogy a műszerrendszer megfelel-e az IEC 60651:1979/A1:1993 második kiadása követelményeinek, legalább kétévente igazolja a megfelelő szabványokkal kapcsolatos kalibráció elvégzésére felhatalmazott laboratórium.
1.1.3. A mikrofon elhelyezése
A mikrofont (vagy mikrofonokat) a CC1 referencia nyomvonaltól (1. ábra) 7,5 m ± 0, 05 m távolságra és a talaj felett 1,2 m ± 0, 02 m távolságra kell elhelyezni. Legnagyobb érzékenységű tengelye vízszintes és a jármű nyomvonalára (CC1 vonal) merőleges kell hogy legyen.
1.2. A sebességre vonatkozó mérések
A jármű sebességét ± 1 km/h vagy ennél pontosabb eszközökkel kell mérni, amikor a jármű eleje eléri a PP' vonalat (1. ábra).
1.3. A hőmérséklet mérése
A levegő és a tesztfelület hőmérsékletének mérése kötelező. A hőmérő eszközök pontossága ± 1 °C-on belül kell, hogy legyen.
1.3.1. A levegő hőmérséklete
A hőmérséklet-érzékelőt takarásmentes környezetben, a mikrofonhoz közel úgy kell elhelyezni, hogy ki legyen téve a légmozgásnak, de a közvetlen napsugárzástól védve legyen. Az utóbbi árnyékoló ellenzővel vagy más hasonló eszközzel érhető el. Az érzékelőt a tesztfelület fölött 1,2 m ± 0, 1 m magasságban kell elhelyezni, a tesztfelület hőkisugárzásának az alacsony légáramlatokra gyakorolt hatása minimalizálása érdekében.
1.3.2. A tesztfelület hőmérséklete
A hőmérséklet-érzékelőt úgy kell elhelyezni, hogy a mért hőmérséklet reprezentatív módon mutassa a keréknyom hőmérsékletét, és ne legyen hatással a hang mérésére.
Érintkezésen alapuló hőmérséklet-érzékelő használata esetén hővezető anyagot kell elhelyezni a felület és az érzékelő között a megfelelő hőérintkezés biztosítása érdekében.
Sugárzáson alapuló hőmérő (pirométer) használata esetén a magasságot úgy kell megválasztani, hogy az biztosítsa legalább 0,1 m átmérőjű mérési terület lefedését.
1.4. A szél mérése
A berendezésnek ± 1 m/s tűréssel kell alkalmasnak lennie a szélsebesség mérésére. A szelet a mikrofon magasságában kell mérni. A szél irányát, hivatkozva a jármű haladási irányára, rögzíteni kell.
2. A mérés körülményei
2.1. A teszt helyszíne
A teszt helyszínének a központi szakaszból és az azt körülvevő alapvetően lapos tesztterületből kell állnia. A mérési szakasz vízszintes; a tesztfelület minden mérés során száraz és tiszta kell, hogy legyen. A tesztfelület a mérést megelőzően vagy annak során mesterségesen nem hűthető.
A teszt útvonalát úgy kell meghatározni, hogy a hangforrás és a mikrofon közötti szabad hangtér feltételei 1 dB(A) értéken belül teljesüljenek. A feltételeket teljesítettnek kell tekinteni, ha a mérési szakasz középpontjától számított 50 méteren belül nincsenek nagy hangvisszaverő tárgyak, úgymint kerítések, sziklák, hidak vagy épületek. A tesztútvonal felületének és a teszthelyszín méreteinek összhangban kell állniuk ennek a mellékletnek a 2. függelékével.
A legalább 10 méteres sugarú központi rész porhótól, magas fűtől, laza talajtól, salaktól és hasonló anyagoktól mentes. Nem lehet olyan akadály, amely a mikrofon környezetében befolyásolhatja a hangteret, és senki nem áll a hangforrás és a mikrofon között. A méréseket végző kezelő és a méréseken részt vevő megfigyelőknek úgy kell elhelyezkedniük, hogy ne befolyásolják a mérőeszközök leolvasását.
2.2. Időjárási feltételek
Mérések nem végezhetők rossz légköri körülmények között. Biztosítani kell, hogy az eredményeket széllökések ne befolyásolják. A teszt nem végezhető, ha a mikrofon magasságában mért szélsebesség meghaladja az 5 m/s-ot.
Mérések nem végezhetők, ha a levegő hőmérséklete 5 °C alatt vagy 40 °C fölött van, vagy ha a tesztfelület hőmérséklete 5 °C alatt vagy 50 °C fölött van.
2.3. Környezeti zajok
A háttérzajok szintje (bármilyen szélhangot is beleértve) legalább 10 dB(A) értékkel kevesebb, mint a mért gumiabroncsút hangkibocsátás. A mikrofonra megfelelő szélárnyékoló eszköz szerelhető, ha figyelembe veszik a mikrofon érzékenységére és irányhatású tulajdonságaira gyakorolt hatását.
Minden mérést, amelyet olyan kiugró hang befolyásol, amely úgy tűnik, hogy a gumiabroncsok általános hangszintjének tulajdonságaihoz nem kapcsolódik, figyelmen kívül kell hagyni.
2.4. A tesztjárműre vonatkozó követelmények
2.4.1. Általános követelmények
A tesztjármű pontosan két tengelyre felszerelt, négyszer egy darab gumiabronccsal rendelkező gépjármű.
2.4.2. A jármű terhelése
A jármű a lenti 2.5.2. szakaszban meghatározott teszt-gumiabroncsterhelésnek megfelelően terhelhető.
2.4.3. Tengelytávolság
A teszt-gumiabroncsokat viselő két tengely közötti távolság a C1 osztály 3,50 m-nél kevesebb, a C2 és C3 osztály esetében 5 m-nél kevesebb.
2.4.4. A jármű által a hangszint mérésére gyakorolt hatás minimalizálására szolgáló intézkedések
Annak biztosítására, hogy a gumiabroncs zajt a jármű felépítése ne befolyásolja jelentősen, a következő követelmények és ajánlások irányadóak.
Követelmények:
a) Sárfogó gumikat, vagy más, a sár felfogására alkalmas kiegészítő eszközt nem lehet felszerelni
b) A gumiabroncsok és a keréktárcsák közvetlen közelében tilos olyan elemek hozzáadása vagy eltávolítása, amelyek a kibocsátott zajt lefoghatják.
c) A kerékbeállítás (összetartás, dőlés és csaphátradőlés) teljes mértékben a jármű gyártójának ajánlásaival összhangban történik.
d) Járulékos hangelnyelő anyagok elhelyezése a kerékburkolatban vagy az alváz alatt tilos.
e) A felfüggesztés olyan feltételekkel történik, hogy a jármű tesztelőírásokkal összhangban történő megterhelése nem eredményezi a hasmagasság rendellenes csökkenését. Amennyiben elérhető, a karosszéria szintjét szabályozó rendszereket úgy kell kiigazítani, hogy a hasmagasság a teszt során a terhelés nélküli állapotra vonatkozó normál érték legyen.
Ajánlások a mellékzörejek elkerülése érdekében:
a) Ajánlott a jármű azon alkatrészeinek eltávolítása vagy módosítása, amelyek hozzájárulnak a jármű háttérzajához. A tesztjelentésben minden eltávolítást vagy módosítást rögzíteni kell.
b) A tesztelés során ellenőrizni kell, hogy a fékek esetleg nincsenek teljesen kiengedve, ami fékzajt eredményez.
c) Meg kell győződni arról, hogy az elektromos hűtőventillátorok nem működnek.
d) A jármű ablakai és tetőablaka a teszt során zárva vannak.
2.5. Gumiabroncsok
2.5.1. Általános követelmények
A tesztjárműre négy ugyanolyan, azonos típusú és sorozatú gumiabroncsot kell szerelni. A 121-nél nagyobb terhelési kapacitásindexszel rendelkező és kettős felhelyezési javaslattal el nem látott abroncsok esetében az ilyen, azonos típusú és sorozatú abroncsokból kettőt a tesztjármű hátsó tengelyére kell felszerelni; az első tengelyre a tengelyterhelésnek megfelelő méretű és minimális mélységig lekoptatott gumikat kell szerelni annak érdekében, hogy a megfelelő szintű biztonság megőrzése mellett minimálisra csökkentsék a gumiabroncs/út érintkezési zaj hatását. A téli gumiabroncsok, amelyeket bizonyos tagállamokban a súrlódás növelése érdekében szegekkel láthatnak el, e felszerelés nélkül tesztelendők. A vonatkozó különleges illesztési előírásokkal ellátott gumiabroncsokat ezekkel az előírásokkal összhangban (például forgási irány) kell tesztelni. A gumiabroncsok a bejáratás előtt teljes futómintázat-mélységgel rendelkeznek.
A gumiabroncsok a gumiabroncs gyártója által engedélyezett keréktárcsán tesztelendők.
2.5.2. A gumiabroncs terhelése
A tesztjárműn levő gumiabroncsokra egyenként helyezett Qt tesztteher a Qr referenciateher 50-90 %-át teszi ki, de a Qt, avr átlagos tesztteher a Qr referenciateher 75 ± 5 %-a.
A Qr referenciateher minden gumiabroncstípusra nézve a gumiabroncs teherbírási indexéhez kapcsolódó legnagyobb tömegnek felel meg. Amennyiben a teherbírási index két, dőlt vonallal (/) elválasztott számból áll, az első számra kell hivatkozni.
2.5.3. A felfújt gumiabroncs nyomása
A tesztjárműre szerelt minden gumiabroncs Pt tesztnyomással rendelkezik, amely nem nagyobb a Pr referencianyomásnál, és a következő tartományon belül marad:

ahol Pr az oldalfalon feltüntetett nyomásindexnek megfelelő nyomás.
A C1 osztály esetében a referencianyomás Pr = 250 kPa a "standard" gumiabroncsokra és 290 kPa a "megerősített" abroncsokra, a legkisebb tesztnyomás Pt = 150 kPa.
2.5.4. A tesztelést megelőző előkészületek
A tesztelést megelőzően a gumiabroncsokat be kell járatni az öntési folyamat eredményeként létrejött összetett csomók vagy a futómintázat egyéb jellemzőinek eltávolítása érdekében. Ehhez normális esetben 100 km szabályos közúti használatban megtett út szükséges.
A tesztjárműre szerelt gumiabroncsok ugyanabba az irányba forognak, mint a bejáratás alatt.
A tesztelést megelőzően a gumiabroncsokat tesztkörülmények szerinti használattal kell bemelegíteni.
3. A tesztelés módja
3.1. Általános feltételek
A járművet minden mérés során egyenes vonalban kell keresztülvezetni a mérési szakaszon (AA' - BB'), oly módon, hogy a jármű hosszanti irányú középsíkja a CC' vonalhoz a lehető legközelebb legyen.
Amikorra a tesztjármű elülső része elérte az AA' vonalat, addigra a járművezetőnek a sebességváltót üres fokozatba kell tennie és a motort le kell állítania. Ha a mérés során a tesztjármű rendellenes zajt (pl. ventilátor, önindítás) bocsát ki, a tesztet meg kell ismételni.
3.2. A mérések jellege és száma
Az A súlyozású decibelekben (dB(A)) kifejezett legnagyobb hangszintet az első tizedesjegyig kell mérni, amikor a jármű az AA' és BB' vonal (1. ábra - a jármű elülső része AA' az vonalon, a jármű hátsó része a BB' vonalon) között szabadfutási szakaszban van. Ez az érték képezi a mérés eredményét.
A tesztjármű minden oldalán legalább négy mérést kell végezni a 4.1. szakaszban meghatározott referenciasebességnél alacsonyabb tesztsebesség mellett, és legalább négy mérést kell végezni a referenciasebességnél nagyobb tesztsebesség mellett. Ezek a sebességek megközelítőleg kiegyenlítetten helyezkednek el a 3.3. szakaszban meghatározott sebességtartományon belül.
3.3. Tesztsebességek
A tesztjármű sebessége a következő tartományon belül van:
i. 70 km/h és 90 km/h között a C1 és C2 osztályú gumiabroncsok esetében;
ii. 60 km/h és 80 km/h között a C3 osztályú abroncsokra nézve.
4. Az eredmények értelmezése
A mérés érvénytelen, ha nem szokványos eltérést rögzítenek a legmagasabb érték és a többi érték között.
4.1. A teszteredmény meghatározása
A végleges eredmény meghatározására használt Vref referenciasebesség a következő:
i. 80 km/h a C1 és C2 osztályú gumiabroncsokra nézve;
ii. 70 km/h a C3 osztályú gumiabroncsokra nézve.
4.2. A zajmérések regresszióanalízise
A (hőmérséklettel nem korrigált) Lr gumiabroncs-út zajszintet regresszióanalízissel kell meghatározni dB(A)-ban, a következőknek megfelelően:

ahol:
[Kép #3] az Li zajszintek dB(A)-ban mért átlaga:

Kép #3

n a mérések száma (n ≥ 16)
[Kép #4] a vi sebességek logaritmusainak átlaga

Kép #4

Továbbá

a a regressziós vonal meredeksége dB(A)-ban:

4.3. Hőmérséklet korrekció
A C2 osztályú gumiabroncsokra vonatkozóan a végleges eredményt hőmérsékletkorrekció alkalmazásával a href tesztfelületi referenciahőmérsékletre kell normalizálni, a következőknek megfelelően:ahol J

a tesztfelület mért hőmérséklete,

,
A C1 osztályú gumiabroncsok esetében a K együttható -0,03 dB(A)/ °C, ha J > Jref és K -0,06 dB(A)/ °C ha J < Jref.
A C2 osztályú gumiabroncsok esetében a K együttható -0,02 db(A)/ °C.
Ha a tesztfelület mért hőmérséklete nem legfeljebb 5 °C-kal változik az adott gumiabroncs-sorozat zajszintjének meghatározásához szükséges valamennyi mérés során, akkor a hőmérséklet-korrekciót csak az utolsó rögzített gumiabroncsút zajszint esetében lehet elvégezni a fentiek szerint, felhasználva a mért hőmérséklet-korrekciót csak az utolsó jegyzőkönyvezett gumiút zajszint esetében lehet elvégezni a fentiek szerint, a mért hőmérsékleti értékek számtani középértékét alkalmazva. Egyéb esetben valamennyi mért Li zajszintet korrigálni kell, a zaj rögzítése idején mért hőmérsékleti értékeket alkalmazva.
A C3 osztályú gumiabroncsok estében nincs hőmérséklet-korrekció.
4.4. A mérőműszerek pontatlanságának figyelembevétele érdekében a 4.3 szakasz szerinti eredményeket 1 db(A)-val csökkenteni kell.
4.5. A végleges eredményt, a hőmérséklettel korrigált, db(A)-ban megadott LR(Jref) gumiabroncsút-zajszintet a legközelebbi egész értékre kell lefelé kerekíteni.
[Kép #5] 1. ábra: A mikrofonok elhelyezése a mérés során

Kép #5
2. függelék
TESZTJELENTÉS
A tesztjelentésnek az alábbi információkat kell tartalmaznia:
a) időjárási viszonyok, beleértve a levegő és a tesztfelület hőmérsékletét minden teszt során;
b) az arra irányuló ellenőrzésének az ideje és módja, hogy a tesztfelület megfelel-e az ISO 10844:1994 szabványnak;
c) tesztelési keréktárcsa-szélesség;
d) a gumiabroncs adatai: gyártó, márkanév, kereskedelmi név, méret, terhelési mutató, referencianyomás;
e) a tesztjármű leírása, tengelytávolság;
f) Qt típus tesztterhelés N-ban, valamint az egyes gumiabroncsokra vonatkozó Qr referenciaterhelés százalékában megadva, Qt, avr átlagos tesztterhelés N-ban, valamint a Qr referenciaterhelés százalékában megadva;
g) hideg felfújt nyomás kPa-ban minden tesztelt gumiabroncsra;
h) tesztsebességek a PP' vonal átlépésekor;
i) a legnagyobb A-súlyozású zajszintek az egyes tesztekre és az egyes mikrofonokra megadva;
j) LR teszteredmény: A-súlyozású zajszint decibelben megadva a referenciasebesség mellett, hőmérsékletkorrekció után (megfelelő esetben), a legközelebbi egész értékre lefelé kerekítve;
k) regressziós vonal meredeksége.
VI. MELLÉKLET
A TESZT HELYSZÍNÉNEK MEGHATÁROZÁSA
1. Bevezetés
Ez a melléklet határozza meg a tesztpálya fizikai jellemzőire és fekvésére vonatkozó követelményeket. Ezek a speciális szabványon ( 16 ) alapuló meghatározások írják le a szükséges fizikai jellemzőket, valamint e jellemzők tesztelésének módszereit.
2. A felület jellemzőire vonatkozó követelmények
A felület akkor tekinthető e szabvány szerint megfelelőnek, ha annak szerkezetét és kavicstartalmát, vagy hangelnyelési együtthatóját megmérték, és úgy találták, hogy megfelelnek a lenti 2.1-2.4. szakaszoknak, továbbá ha a külső kialakításra vonatkozó (3.2. szakasz) követelményeknek is megfelel.
2.1. Reziduális hézagtartalom
A tesztút burkolatának reziduális hézagtartalma (VC) nem haladhatja meg a 8 %-ot. A mérési eljárásra vonatkozóan lásd a 4.1. szakaszt.
2.2. Hangelnyelési együttható
Ha a felület nem felel meg a reziduális hézagtartalomra vonatkozó követelményeknek, a felület csak akkor elfogadható, ha annak hangelnyelési együtthatója α£0,10. A mérési eljárásra vonatkozóan lásd a 4.2. szakaszt. A 2.1. és 2.2. szakaszok követelményei akkor is teljesülnek, ha csak a hangelnyelést mérték meg, és az α£0,10.
Megjegyzés:
A legfontosabb jellemző a hangelnyelés, bár a reziduális hézagtartalom mérése elterjedtebb az útépítők körében. A hangelnyelés mérésére azonban csak akkor van szükség, ha a felület nem felel meg a hézagokra vonatkozó követelményeknek. Ennek indoka, hogy a reziduális hézagtartalom mind a mérés, mind a fontosság szempontjából viszonylag nagy bizonytalanságot mutat, ezért egyes felületeket tévesen utasítanak vissza, ha azokat csak a hézagtartalom alapján vizsgálják.
2.3. Szerkezetmélység
A volumetrikus módszerrel (lásd az alábbi 4.3. szakaszt) mért szerkezetmélységnek (TD) az alábbinak kell lennie:

2.4. A felület homogenitása
Minden gyakorlati erőfeszítést meg kell tenni annak biztosítása érdekében, hogy a felület a tesztterületen a lehető leghomogénebb legyen. Ez vonatkozik a szerkezetre és a hézagtartalomra, de arra is figyelemmel kell lenni, hogy ha a gördülési folyamat egyes helyeken hatékonyabb gördülést mutat, mint másutt, akkor annak szerkezete eltérő lehet, és bukkanókat okozó egyenetlenségek is előfordulhatnak.
2.5. A teszt ideje
Annak ellenőrzése érdekében, hogy a felület továbbra is megfelel-e a szerkezetre és a hézagtartalomra, vagy a hangelnyelésre vonatkozóan az e mellékletben meghatározott követelményeknek, a felület időszakos tesztelését az alábbi időközönként kell elvégezni:
a) a reziduális hézagtartalomra (VC) vagy a hangelnyelésre (α) vonatkozóan:
amikor a felület új;
ha a felület újkorában megfelel a követelményeknek, akkor nincs szükség további időszakos tesztelésre. Ha újkorában nem felel meg a követelményeknek, később még megfelelhet, mivel az útburkolatok az idővel tömörebbé és kompaktabbá válnak.
b) A szerkezetmélységre (TD) vonatkozóan:
ha a felület új;
a zajteszt megkezdésekor (NB: a lerakást követő négy hétnél nem korábban);
ezt követően tizenkét havonta.
3. A tesztfelület kialakítása
3.1. Terület
A tesztpálya kialakítása során alapkövetelményként fontos biztosítani, hogy a járművek által bejárt, a tesztsávon áthaladó területet a megfelelő tesztanyag borítsa, megfelelő szegélyrészt hagyva a biztonságos és megfelelő vezetéshez. Ehhez az szükséges, hogy a pálya szélessége legalább 3 méter legyen, és a pálya hossza az AA és BB vonalakon mindkét végén legalább 10 méterrel nyúljon túl. Az 1. ábra egy megfelelő teszthelyszín tervét mutatja be, feltüntetve a géppel lerakott és géppel tömörített legkisebb területet, amelyet a meghatározott tesztanyag borít. Az 5. melléklet 1. függeléke 3.2. szakaszának megfelelően a méréseket a jármű mindkét oldalán el kell végezni. Ez megoldható két mikrofon elhelyezésével (a pálya mindkét oldalán egy) és egy irányba haladva, vagy egy mikrofonnal mérve a pálya egyik oldalán, de a járművel két irányba haladva. Ha ez utóbbi módszert alkalmazzák, arra az oldalra nem vonatkoznak a felületre vonatkozó követelmények, ahol nincs mikrofon.
[Kép #6] 1. ábra A tesztfelület területére vonatkozó minimális követelmények A beárnyékolt terület a "Tesztterület"

Kép #6
3.2. A felület kialakítása és előkészítése
3.2.1. A kialakításra vonatkozó alapvető követelmények
A tesztfelületnek négy kialakítási követelménynek kell megfelelnie:
3.2.1. 1 Tömör aszfaltbetonból készülnie.
3.2.1. 2 A legnagyobb szemcseméret 8 mm (tűréshatár: 6,3 mm-től 10 mm-ig).
3.2.1. 3 A kopóréteg vastagsága ≥ 30 mm.
3.2.1. 4 A kötőanyagnak teljesen sík eloszlású nem módosított bitumennek kell lennie.
3.2.2. A kialakításra vonatkozó iránymutatás
Az útburkolat építőjének szóló iránymutatásként a 2. ábra bemutatja a kívánt jellemzőket kialakító adalékanyag szemcseméret-eloszlási görbéjét. Az 1. táblázat ezen kívül iránymutatást ad a kívánt szerkezet és tartósság eléréséhez. A szemcseméret-eloszlási görbe a következő képletnek felel meg:

ahol
d = a szita négyszögű lyukmérete, mm-ben
dmax
=
8 mm az átlaggörbe esetében
10 mm az alsó toleranciagörbe esetében
6,3 mm a felső toleranciagörbe esetében
[Kép #7] 2. ábra: Az aszfaltkeverékben levő adalékanyag szemcseméret-eloszlási görbéje, tűréshatárokkal

Kép #7
A fentieken kívül az alábbiak ajánlottak:
a) A homokfrakció (0,063 mm < szita lyukmérete < 2 mm) legfeljebb 55 % természetes homokot és legalább 45 % zúzott homokot tartalmaz.
b) Az alap és a mélyalap megfelelő stabilitást és egyenletességet biztosít, a legjobb útépítési gyakorlatnak megfelelően.
c) A szemcséket össze kell zúzni (100 %-osan) és azoknak a zúzást jól tűrő anyagból kell lenniük.
d) A keverékben használt szemcséket meg kell mosni.
e) A felületre nem szabad további zúzalékot felvinni.
f) A kötőanyag PEN értékben kifejezett keménysége 40-60, 60-80, vagy akár 80-100, az ország klimatikus adottságaitól függően. A szabály az, hogy a lehető legkeményebb kötőanyagot kell használni, feltéve hogy az a bevett gyakorlatnak megfelel.
g) A keverék hőmérsékletét a hengerelés előtt úgy kell megválasztani, hogy a következő hengereléssel elérhető legyen a megfelelő hézagtartalom. A fenti 2.1-2.4. szakasz követelményeinek való megfelelés valószínűségének növelése érdekében a tömörséget nem csak a keverési hőmérséklet megfelelő kiválasztásával, de a megfelelő számú áthaladással és a megfelelő tömörítő munkagép megválasztásával kell vizsgálni.
1. táblázat
A kialakításra vonatkozó iránymutatások
Célértékek | Tűréshatárok | ||
A keverék teljes tömege alapján | |||
A kövek tömege, a szita lyukmérete (SM) > 2 mm | 47,6 % | 50,5 % | ± 5 |
A homok tömege 0,063 < SM < 2 mm | 38 % | 40,2 % | ± 5 |
Kitöltő anyag tömege SM < 0,063 | 8,8 % | 9,3 % | ± 2 |
A kötőanyag tömege (bitumen) | 5,8 % | N. A. | ± 0,5 |
Legnagyobb szemcseméret | 8 mm | 6,3 –10 | |
A kötőanyag keménysége | (lásd a 3.2.2. szakasz f) pontját) | ||
Kőanyaghalmaz csiszolódási értéke (PSV) | > 50 | ||
Tömörség, a Marshall-tömörséghez viszonyítva | 98 % |
4. Tesztmódszer
4.1. A reziduális hézagtartalom mérése
Ennek a mérésnek az alkalmazásában a pályáról magmintát kell venni legalább négy különböző helyen, amelyek egyenlően oszlanak el a tesztterületen az AA és BB vonalak között (lásd 1. ábra). A nyomvonalon a homogenitás hiányának, valamint az egyenetlenségnek az elkerülése érdekében a magmintákat nem a nyomvonalon, hanem azok közelében kell venni. (Legalább) két magmintát kell venni a nyomvonal közelében, és (legalább) egy magmintát kell venni a nyomvonalak és az egyes mikrofonok helye között, körülbelül félúton.
Ha felmerül a gyanú, hogy a homogenitás követelményei nem teljesülnek (ld. 2.4. szakasz), a tesztterületen több helyről kell magmintákat venni.
A reziduális hézagtartalmat minden egyes magminta esetében meg kell határozni, majd ki kell számítani az összes magminta átlagértékét és összehasonlítani a 2.1. szakasz követelményével. Egy magmintának sem lehet továbbá 10 %-nál nagyobb hézagértéke.
A tesztfelület építőjének figyelmét fel kell hívni arra a problémára, amely akkor merülhet fel, ha a tesztterületet csövekkel vagy elektromos vezetékekkel melegítik, és a magmintát erről a területről kell venni. Ezeket a berendezéseket gondosan kell megtervezni, tekintettel a jövőbeli magminta-fúróhelyekre. Ajánlatos néhány, körülbelül 200 mm x 300 mm-es méretű helyet hagyni, ahol nincsenek vezetékek/csövek, vagy ahol az utóbbiak elég mélyen helyezkednek el ahhoz, hogy ne károsodjanak a felszíni rétegből vett magminták által.
4. 2 Hangelnyelési együttható
A hangelnyelési együtthatót (normál előfordulás) az impedancia cső módszerrel kell mérni az ISO 10534-1-ben, "Akusztika - A hangelnyelési együttható és az impedancia meghatározása a cső módszerrel" ( 17 ) részben meghatározott eljárás alkalmazásával.
A tesztelendő minták tekintetében ugyanazokat a követelményeket kell követni, mint amelyek a reziduális hézagtartalomra vonatkoznak (ld. 4.1 szakasz). A hangelnyelést a 400 Hz és 800 Hz közötti tartományban, valamint a 800 Hz és 1 600 Hz közötti tartományban kell mérni (legalább a harmadoktávsávok középfrekvenciáján), és a legmagasabb értékeket mindkét frekvenciatartományra nézve meg kell határozni. Ezt követően ezeket az értékeket minden tesztelt magmintára vonatkozóan átlagolni kell, ami a végeredményt adja.
4.3. A makroszerkezet volumetrikus mérése
Ennek a szabványnak az alkalmazásában a szerkezetmélység mérését legalább 10, a nyomvonal tesztsávján egyenlően elosztott helyen kell elvégezni, és az átlagértéket kell kiválasztani a meghatározott minimum szerkezetmélységgel történő összehasonlításhoz. Lásd a 10844:1994 ISO szabványt az eljárás leírásához.
5. Időbeli stabilitás és karbantartás
5.1. A kor hatása
Minden egyéb felülethez hasonlóan várható, hogy a tesztfelületen mért gumiabroncsút-zajszint kissé nőhet a megépítést követő első 6-12 hónapban.
A felület az előírt tulajdonságait legkorábban négy héttel az építést követően éri el. A kor hatása általában kisebb a teherautók által kibocsátott zajra, mint az autók által kibocsátottra nézve.
Az időbeli stabilitást főként a felületen haladó járművek általi csiszolás és tömörítés határozza meg. Ezt a 2.5 szakaszban meghatározottak szerint időszakonként ellenőrizni kell.
5.2. A felület karbantartása
Az olyan laza törmeléket vagy port, amely jelentősen csökkentheti az effektív szerkezetmélységet, el kell távolítani a felületről. Azokban az országokban, ahol van téli évszak, néha sót használnak jégtelenítésre. A só ideiglenesen vagy akár tartósan úgy változtathatja meg a felületet, hogy a zajt növeli és ezért nem javasolt.
5.3. A tesztterület újraburkolása
Ha szükség van a tesztpálya újraburkolására, általában nem szükséges többet újraburkolni a tesztsávnál, amelyen a járművek haladnak (az egyes ábrán 3 méteres szélességű), feltéve hogy a sávon kívüli tesztterület a reziduális hézagtartalom, illetve a hangelnyelés követelményeinek a méréskor megfelelt.
6. A tesztfelület és az azon elvégzett tesztek dokumentálása
6.1. A tesztfelület dokumentálása
Az alábbi adatokat kell megadni a tesztfelületet leíró dokumentumban:
6.1.1. A tesztpálya helye.
6.1.2. A kötőanyag típusa, a kötőanyag keménysége, az adalékanyag típusa, a beton maximális elméleti sűrűsége (GRD), a kopóréteg vastagsága és a tesztpályából nyert magmintákból meghatározott szemcseméret-eloszlás görbe.
6.1.3. A tömörítés módszere (pl. az úthenger típusa, a hengertömeg, áthaladások száma).
6.1.4. A keverék hőmérséklete, a környező levegő hőmérséklete és a szél sebessége az útburkolat lerakásakor.
6.1.5. Az útburkolat lerakásának ideje és a vállalkozó megnevezése.
6.1.6. Valamennyi, de legalábbis a legutóbbi teszt eredménye, beleértve:
6.1.6.1. minden magminta reziduális hézagtartalmát;
6.1.6.2. a tesztterületen található helyeket, ahonnan a magmintákat a hézagmérések céljából vették;
6.1.6.3. minden magminta hangelnyelési együtthatóját (amennyiben mérték). Minden magmintára és frekvenciatartományra nézve meg kell határozni az eredményeket, valamint az összesített átlagot;
6.1.6.4. a tesztterületen található helyeket, ahonnan a magmintákat az elnyelés mérése céljából vették;
6.1.6.5. a szerkezetmélységet, beleértve a tesztek számát és a szórást;
6.1.6.6. a tesztekért felelős intézményt a 6.1.6.1. és a 6.1.6.2. szakaszok szerint, valamint a használt berendezések típusát;
6.1.6.7. a teszt(ek) időpontját, valamint annak időpontját, hogy mikor vették a magmintákat a tesztpályáról.
6.2. A felületen végzett járműzaj-tesztek dokumentálása
A járműzaj-teszt(ek)et leíró dokumentumban nyilatkozni kell arról, hogy ennek a szabványnak valamennyi követelményét teljesítették-e. Utalni kell a 6.1. szakasznak megfelelő, az ezt igazoló eredményeket leíró dokumentumra.
( 1 ) HL C 95., 1990.4.12., 101. o.
( 2 ) HL C 284., 1990.11.12., 81. o. és az 1992.2.12-i határozat (a Hivatalos Lapban még nem tették közzé).
( 3 ) HL C 225., 1990.9.10., 9. o.
( 4 ) HL L 220., 1987.8.8., 44. o.
( 5 ) HL L 42., 1970.2.23., 1. o.
( 6 ) Az Európai Gazdasági Bizottság dokumentuma E/ECE/324 (E3/ECE/TRANS/505) REV 1 - ADD 29, 1975.04.01. és annak 01, 02 módosításai és kiegészítései.
( 7 ) Az Európai Gazdasági Bizottság dokumentuma E/ECE/324 (E/ECE/TRANS/505) REV 1 - ADD 53 és kiegészítései.
( 8 ) Az Európai Gazdasági Bizottság dokumentuma E/ECE/324 (E/ECE/TRANS/505) REV 1 - ADD 63 és kiegészítései
( 9 ) Az Európai Parlament és a Tanács 2001. június 17-i 2001/43/EK irányelve a gépjárművek és pótkocsijaik gumiabroncsairól és azok felszereléséről szóló 92/23/EGK tanácsi irányelv módosításáról (HL L 211., 2001.8.4., 25. o.)
( 10 ) Lásd a magyarázó ábrát az 1. függelékben.
( 11 ) Lásd a magyarázó ábrát az 1. függelékben.
( 12 ) Lásd a magyarázó ábrát az 1. függelékben.
( 13 ) A hüvelyk mm-re való átszámítása során a váltószám: 25,4.
( 14 ) A 240 km/óránál nagyobb legnagyobb sebességre tervezett járművekre való személygépkocsi gumiabroncsok (Z besorolású gumiabroncsok) esetében, amíg nem születik megállapodás az egységes vizsgálati eljárásokról, a gumiabroncs gyártójának a műszaki szolgálat számára kielégítő módon bizonyítania kell, hogy vizsgálati eljárásai és eredményei elfogadhatók.
( 15 ) 150 km/óránál nagyobb legnagyobb sebességre tervezett járművekre való teherjármű gumiabroncsok (Z besorolású gumiabroncsok) esetében, amíg nem születik megállapodás az egységes vizsgálati eljárásról, a gumiabroncs gyártójának a műszaki szolgálat számára kielégítően bizonyítania kell, hogy vizsgálati eljárása és annak eredményei elfogadhatók.
( 16 ) ISO 10844:1994 Ha az ISO más tesztfelületet határoz meg, a jövőben a referenciaszabvány ennek megfelelően módosul.
( 17 ) Közzé fogják tenni.
Lábjegyzetek:
[1] A dokumentum eredetije megtekinthető CELEX: 31992L0023 - https://eur-lex.europa.eu/legal-content/HU/ALL/?uri=CELEX:31992L0023&locale=hu Utolsó elérhető, magyar nyelvű konszolidált változat CELEX: 01992L0023-20060101 - https://eur-lex.europa.eu/legal-content/HU/ALL/?uri=CELEX:01992L0023-20060101&locale=hu