32015R1188[1]
A Bizottság (EU) 2015/1188 rendelete (2015. április 28.) a 2009/125/EK európai parlamenti és tanácsi irányelvnek az egyedi helyiségfűtő berendezések környezettudatos tervezésére vonatkozó követelmények tekintetében történő végrehajtásáról
A BIZOTTSÁG (EU) 2015/1188 RENDELETE
(2015. április 28.)
a 2009/125/EK európai parlamenti és tanácsi irányelvnek az egyedi helyiségfűtő berendezések környezettudatos tervezésére vonatkozó követelmények tekintetében történő végrehajtásáról
(EGT-vonatkozású szöveg)
1. cikk
Tárgy és hatály
Ez a rendelet a legfeljebb 50 kW névleges hőteljesítményű háztartási egyedi helyiségfűtő berendezések és a termék egészét vagy egy szegmensét tekintve legfeljebb 120 kW névleges hőteljesítményű kereskedelmi célú egyedi helyiségfűtő berendezések környezettudatos tervezésére vonatkozó forgalombahozatali és használatbavételi követelményeket állapítja meg.
Ez a rendelet nem alkalmazandó:
a) a hő előállítására termodinamikai ciklust vagy szorpciós ciklust alkalmazó, elektromos kompresszorral vagy tüzelőanyaggal működő egyedi helyiségfűtő berendezésekre;
b) emberek meghatározott hőkomfortérzetének elérését és fenntartását konvekció vagy hősugárzás által szolgáló beltéri helyiségfűtéstől eltérő célra szánt egyedi helyiségfűtő berendezésekre;
c) a műszaki leírása alapján kizárólag kültéri használatra szánt egyedi helyiségfűtő berendezésekre;
d) azokra az egyedi helyiségfűtő berendezésekre, amelyek esetében névleges hőteljesítmény mellett a közvetlen hőteljesítmény kisebb a közvetlen és a közvetett hőteljesítmény összegének 6 %-ánál;
e) légfűtő termékekre;
f) szaunakályhákra;
g) alárendelt fűtőberendezésekre.
2. cikk
Fogalommeghatározások
A 2009/125/EK irányelv 2. cikkének fogalommeghatározásain túlmenően e rendelet alkalmazásában:
1. "egyedi helyiségfűtő berendezés" : olyan helyiségfűtő rendszer, amely vagy közvetlen hőátadással, vagy közvetlen hőátadással és azzal egyidejű, folyadéknak való hőátadással annak érdekében bocsát ki hőt, hogy a berendezést magában foglaló zárt térben emberek számára meghatározott mértékű hőérzetet biztosítson és tartson fenn, esetenként más terek számára is bocsátva ki hőt, és egy vagy több olyan hőfejlesztő berendezéssel van felszerelve, amely villamos energiát vagy gáznemű vagy folyékony tüzelőanyagot a Joule-hatás elve alapján, illetve a tüzelőanyag égetésével közvetlenül alakít át hővé;
2. "háztartási egyedi helyiségfűtő berendezés" : minden egyedi helyiségfűtő berendezés, kivéve a kereskedelmi célú helyiségfűtő berendezést;
3. "gáztüzelésű egyedi helyiségfűtő berendezés" : gáznemű tüzelőanyaggal működő, nyitott vagy zárt égésterű egyedi helyiségfűtő berendezés;
4. "folyékony tüzelésű egyedi helyiségfűtő berendezés" : folyékony tüzelőanyaggal működő, nyitott vagy zárt égésterű egyedi helyiségfűtő berendezés;
5. "elektromos egyedi helyiségfűtő berendezés" : a hő előállításához a villamos Joule-hatás elvét hasznosító egyedi helyiségfűtő berendezés;
6. "kereskedelmi célú egyedi helyiségfűtő berendezés" : az irányított sugárzásos egyedi helyiségfűtő berendezés és a sugárzócsöves egyedi helyiségfűtő berendezés;
7. "nyitott égésterű egyedi helyiségfűtő berendezés" : olyan, gáznemű vagy folyékony tüzelőanyaggal működő, kéményhez vagy kandallónyíláshoz légmentes módon csatlakozó vagy az égéstermékek elvezetéséhez füstgázelvezető csövet igénylő egyedi helyiségfűtő berendezés, amelyben a tűztér és az égés során keletkező gázok nincsenek légmentes módon elzárva attól a helyiségtől, amelybe a termék be van szerelve;
8. "zárt égésterű egyedi helyiségfűtő berendezés" : olyan, gáznemű vagy folyékony tüzelőanyaggal működő, kéményhez vagy kandallónyíláshoz légmentes módon csatlakozó vagy az égéstermékek elvezetéséhez füstgázelvezetőt igénylő egyedi helyiségfűtő berendezés, amelyben a tűztér és az égés során keletkező gázok légmentes módon el vannak zárva attól a helyiségtől, amelybe a termék be van szerelve;
9. "hordozható elektromos egyedi helyiségfűtő berendezés" : valamennyi elektromos egyedi helyiségfűtő berendezés, kivéve a helyhez kötött elektromos egyedi helyiségfűtő berendezést, a hőtárolós elektromos egyedi helyiségfűtő berendezést, az elektromos egyedi padlófűtő berendezést, az elektromos sugárzásos egyedi helyiségfűtő berendezést, a láthatóan izzó sugárzó elektromos egyedi helyiségfűtő berendezést vagy az alárendelt fűtőberendezést;
10. "helyhez kötött elektromos egyedi helyiségfűtő berendezés" : hő felhalmozására nem szánt, meghatározott helyen lerögzítve vagy leerősítve vagy falra szerelve való üzemeltetésre tervezett, az épület szerkezeteibe és burkolati rendszereibe nem beépített elektromos egyedi helyiségfűtő berendezés;
11. "hőtárolós elektromos egyedi helyiségfűtő berendezés" : a hő egy belső hőszigetelt magrészben való tárolására és a betározás után több órával történő kibocsátására tervezett elektromos egyedi helyiségfűtő berendezés;
12. "elektromos egyedi padlófűtő berendezés" : az épület szerkezeteibe vagy burkolati rendszereibe beépített állapotban való üzemeltetésre tervezett elektromos egyedi helyiségfűtő berendezés;
13. "elektromos sugárzásos egyedi helyiségfűtő berendezés" : olyan elektromos egyedi helyiségfűtő berendezés, melynek hőkibocsátó elemét a fűtendő térrész felé kell irányítani úgy, hogy a kisugárzott hő a célszemélyeket közvetlenül melegítse, és amelynek rendes használata közben a hőkibocsátó elemet fedő rács hőmérséklete legalább 130 °C-kal emelkedik, és/vagy más felületek hőmérséklete 100 °C-kal nő;
14. "láthatóan izzó sugárzó elektromos egyedi helyiségfűtő berendezés" : olyan elektromos egyedi helyiségfűtő berendezés, melynek fűtőeleme a fűtőberendezésen kívülről is látható, és amelynek hőmérséklete rendes használat esetén legalább 650 °C;
15. "szaunakályha" : száraz- vagy gőzszaunába vagy hasonló környezetbe beépített vagy ilyen környezetben való használatra szánt elektromos egyedi helyiségfűtő termék;
16. "alárendelt fűtőberendezés" ("slave egység") : elektromos egyedi helyiségfűtő berendezés, amely nem képes önálló működésre, és amelynek szüksége van egy, a termék részét nem képező, de ahhoz pilotvezetékekkel, vezeték nélkül, Power Line Communication (elektromos hálózaton történő adatátvitel) technológiával vagy egyéb egyenértékű technológiával csatlakozó, külső szabályozó "master" egység jeleinek fogadására a hőkibocsátás szabályozásához abban a helyiségben, ahol a termék található;
17. "irányított sugárzásos egyedi helyiségfűtő berendezés" : gáznemű vagy folyékony tüzelőanyaggal működő, a tüzelőanyag égetésére szolgáló égővel felszerelt, fej felett, a fűtendő térrész felé irányítva elhelyezett olyan egyedi helyiségfűtő berendezés, amelyben az égő által kibocsátott hő (döntően infravörös sugárzás) a célszemélyeket közvetlenül melegíti, és amelyből az égéstermékek a berendezésnek otthont adó térbe távoznak;
18. "sugárzócsöves egyedi helyiségfűtő berendezés" : gáznemű vagy folyékony tüzelőanyaggal működő, a tüzelőanyag égetésére szolgáló égővel felszerelt, a célszemélyek közelében, fej felett elhelyezett olyan egyedi helyiségfűtő berendezés, amelyben a fűtő hatást döntően az áramló égéstermékeket vezető, a berendezés belsejében futó csőből vagy csövekből származó infravörös sugárzás biztosítja, és amelyben az égéstermékek a csőből vagy csövekből füstgázelvezető csövön keresztül távoznak;
19. "sugárzócsöves fűtőrendszer" : több égővel ellátott olyan sugárzócsöves egyedi helyiségfűtő berendezés, amelyben az egyik égő égéstermékei másik égőt táplálhatnak, és amelyből az égők égéstermékei egyetlen szellőztető ventilátor segítségével távoznak;
20. "sugárzócsöves fűtőrendszer »szegmense«" : a sugárzócsöves fűtőrendszer azon része, amely az önálló működéshez szükséges valamennyi elemet tartalmazza, és így a sugárzócsöves fűtőrendszer fennmaradó részétől elkülönítve is vizsgálható;
21. "égéstermék-elvezetés nélküli fűtőberendezés" : minden olyan, gáznemű vagy folyékony tüzelőanyaggal működő egyedi helyiségfűtő berendezés, amelyből az égéstermékek a berendezésnek otthont adó térbe távoznak, kivéve az irányított sugárzásos egyedi helyiségfűtő berendezést;
22. "kémény felé nyitott fűtőberendezés" : olyan, gáznemű vagy folyékony tüzelőanyagokkal működő, kémény alatt vagy kandallóban való elhelyezésre szánt egyedi helyiségfűtő berendezés, amely nem rendelkezik légmentes csatlakozással a kémény vagy kandallónyílás felé, és amely esetében az égéstermékek akadálytalanul jutnak a tűztérből a kéménybe, illetve a füstjáratba;
23. "légfűtő berendezés" : kizárólag olyan, légfűtéses rendszer számára hőt biztosító termék, amely levegővezeték-rendszerhez csatlakoztatható, és amelyet meghatározott helyen lerögzítve vagy leerősítve vagy falra szerelve való üzemeltetésre terveztek, és ahol a légelosztás légmozgató eszköz segítségével történik a célból, hogy a berendezést magában foglaló zárt térben emberek számára meghatározott mértékű hőérzetet biztosítson és tartson fenn;
24. "közvetlen hőteljesítmény" : a termék által sugárzás és konvekció útján leadott (maga a termék által a levegőbe kibocsátott vagy magából a termékből a levegőbe jutó) hőteljesítmény, nem beleszámítva a termék által hőátadó folyadéknak leadott esetleges hőteljesítményt, kW mértékegységben kifejezve;
25. "közvetett hőteljesítmény" : a termék által hőátadó folyadéknak ugyanazzal a hőtermelési folyamattal leadott hőteljesítmény, mint amely a termék közvetlen hőteljesítményét szolgáltatja, kW mértékegységben kifejezve;
26. "közvetett fűtési képesség" : a termék azon jellemzője, hogy a teljes leadott hőteljesítmény egy részét képes hőátadó folyadéknak helyiségfűtési vagy háztartási melegvíz-előállítási célból történő felhasználásra leadni;
27. "névleges hőteljesítmény" (Pnom ) : a helyiségfűtő berendezésnek a gyártó nyilatkozata szerinti, a közvetlen és - esetleg - közvetett módon leadott hőt egyaránt tartalmazó hőteljesítménye abban az állapotban, amikor a berendezés azon a legnagyobb hőteljesítmény-beállításon üzemel, amely még hosszú ideig fenntartható, kW mértékegységben kifejezve;
28. "minimális hőteljesítmény" (Pmin ) : a helyiségfűtő berendezésnek a gyártó nyilatkozata szerinti, a közvetlen és - esetleg - közvetett módon leadott hőt egyaránt tartalmazó hőteljesítménye abban az állapotban, amikor a berendezés a legkisebb hőteljesítmény-beállításon üzemel, kW mértékegységben kifejezve;
29. "maximális folyamatos hőteljesítmény (Pmax,c )" : az elektromos egyedi helyiségfűtő berendezésnek a gyártó nyilatkozata szerinti hőteljesítménye abban az állapotban, amikor a berendezés azon a legnagyobb hőteljesítmény-beállításon üzemel, amely hosszú ideig folyamatosan fenntartható, kW mértékegységben kifejezve;
30. "kültéri használatra szánt" : zárt helyiségeken kívüli biztonságos üzemre - és ezen belül esetleg kültéri körülmények közötti használatra - alkalmas;
31. "egyenértékű modell" : olyan forgalomba hozott modell, amelynek a II. melléklet 3. pontjában szereplő 1., 2. vagy 3. táblázatban meghatározott műszaki paraméterei megegyeznek egy, ugyanazon gyártó által forgalomba hozott másik modellével.
A II-V. melléklet alkalmazásában az I. mellékletben található fogalommeghatározások is irányadók.
3. cikk
A környezettudatos tervezés követelményei, ütemezés
(1) Az egyedi helyiségfűtő berendezések környezettudatos tervezésének követelményeit a II. melléklet határozza meg.
(2) Az egyedi helyiségfűtő berendezéseknek a II. mellékletben megállapított követelményeket 2018. január 1-jétől fogva kell teljesíteniük.
(3) A környezettudatos tervezésre vonatkozó követelmények teljesülését a III. mellékletben megállapított módszereknek megfelelő mérések és számítások alapján kell ellenőrizni.
4. cikk
A megfelelőség értékelése
(1) A 2009/125/EK irányelv 8. cikkének (2) bekezdése alkalmazásában megfelelőségértékelési eljárásként az említett irányelv IV. mellékletében meghatározott belső tervezés-ellenőrzést vagy az említett irányelv V. mellékletében meghatározott irányítási rendszert kell alkalmazni.
(2) A 2009/125/EK irányelv 8. cikke szerinti megfelelőségértékelés alkalmazásában a műszaki dokumentációnak tartalmaznia kell az e rendelet II. mellékletének 3. b) pontjában meghatározott információkat.
(3) Ha egy adott modellre vonatkozóan a műszaki dokumentációban megadott információk tervezési számítások és/vagy más egyenértékű készülékek adataiból való extrapoláció segítségével kerültek meghatározásra, akkor a műszaki dokumentációnak részletesen tartalmaznia kell az elvégzett számításokat és/vagy extrapolációt, valamint az elvégzett számítások pontosságának ellenőrzése érdekében a gyártók által elvégzett kísérleti vizsgálatok adatait. Ilyenkor a műszaki dokumentációban fel kell sorolni mindazokat az egyenértékű modelleket, amelyekre vonatkozóan a műszaki dokumentációban megadott információk előállítása ugyanígy történt.
5. cikk
Piacfelügyeleti célú vizsgálatok
A 2009/125/EK irányelv 3. cikkének (2) bekezdése szerinti piacfelügyeleti célú vizsgálatoknak az e rendelet II. mellékletében megállapított követelmények érvényesülése érdekében történő elvégzésekor a tagállamok az e rendelet IV. mellékletében előírt ellenőrzési eljárást alkalmazzák.
6. cikk
Indikatív referenciaértékek
A piacon e rendelet hatálybalépésekor beszerezhető, legkedvezőbb működési jellemzőkkel rendelkező egyedi helyiségfűtő berendezések indikatív referenciaértékeit az V. melléklet tartalmazza.
7. cikk
Felülvizsgálat
A Bizottság ezt a rendeletet a technológia fejlődése fényében felülvizsgálja, és e felülvizsgálat eredményeit legkésőbb 2019. január 1-jén a konzultációs fórum elé tárja. A felülvizsgálat keretében meg kell vizsgálni különösen:
- annak indokoltságát, hogy a környezettudatos tervezés területén az energiahatékonyságra és a nitrogén-oxidok (NOx) kibocsátására szigorúbb követelmények vonatkozzanak,
- a ellenőrzési tűrések módosításának indokoltságát,
- az egyedi helyiségfűtő berendezések szezonális helyiségfűtési hatásfokának meghatározására szolgáló korrekciós tényezők érvényességét,
- harmadik fél általi tanúsítás bevezetésének helyénvalóságát.
8. cikk
Átmeneti intézkedések
A tagállamok 2018. január 1-jéig engedélyezhetik azon egyedi helyiségfűtő berendezések forgalomba hozatalát és használatbavételét, amelyek teljesítik a szezonális helyiségfűtési hatásfokra és a nitrogén-oxidok kibocsátására vonatkozóan hatályban lévő nemzeti jogi rendelkezéseket.
9. cikk
Hatályba lépés
Ez a rendelet az Európai Unió Hivatalos Lapjában való kihirdetését követő huszadik napon lép hatályba.
Ez a rendelet teljes egészében kötelező és közvetlenül alkalmazandó valamennyi tagállamban.
I. MELLÉKLET
Fogalommeghatározások a II-V. melléklethez
A II-V. melléklet alkalmazásában:
1. "szezonális helyiségfűtési hatásfok", (ηs) : az egyedi helyiségfűtő berendezés által kiszolgált helyiségfűtési igény és az ezen igény teljesítéséhez szükséges éves energiafogyasztás hányadosa százalékban kifejezve;
2. "átváltási együttható", "CC" : az energiahatékonyságról szóló 2012/27/EU európai parlamenti és tanácsi irányelvben ( 1 ) említett, az átlagosan becsült 40 %-os uniós energiatermelési hatásfokot tükröző együttható, amelynek értéke CC = 2,5;
3. "nitrogén-oxid-kibocsátás" : a névleges hőteljesítményen kibocsátott nitrogén-oxidok mg/kWhinput mértékegységben kifejezve, a GCV alapján meghatározva a gáz- és a folyékony tüzelésű egyedi helyiségfűtő berendezések, valamint a kereskedelmi célú egyedi helyiségfűtő berendezések esetében;
4. "fűtőérték", "NCV" : az a teljes hőmennyiség, amelyet az egységnyi mennyiségű, a tüzelőanyag nedvességtartalmának megfelelő nedvességtartalmú tüzelőanyag oxigénnel történő teljes elégetéskor bocsát ki abban az esetben, ha az égéstermékek nem térnek vissza a környezeti hőmérsékletre;
5. "száraz égéshő", "GCV" : az a teljes hőmennyiség, amelyet az egységnyi mennyiségű, szárítással nedvességmentesített tüzelőanyag oxigénnel történő teljes elégetéskor és az égéstermékek környezeti hőmérsékletre való visszatérésekor bocsát ki, és tartalmazza a tüzelőanyagban található összes hidrogén elégetéséből származó vízgőz teljes kondenzciója során keletkező hőmennyiséget is;
6. a névleges, illetve a minimális hőteljesítményhez tartozó "hatásfok" ("η
th,nom
", illetve "η
th,min
") :
az egyedi helyiségfűtő berendezés hasznos hőteljesítményének és teljes felvett energiamennyiségének százalékban kifejezett hányadosa, ahol:
a) háztartási egyedi helyiségfűtő berendezések esetében a teljes felvett energiamennyiséget az NCV-ből és/vagy a végső energiafogyasztás és a CC szorzatából kell meghatározni;
b) kereskedelmi célú egyedi helyiségfűtő berendezések esetében a teljes felvett energiamennyiséget a GCV-ből, valamint a végső energiafogyasztás és a CC szorzatából kell meghatározni;
7. "a névleges hőteljesítményhez tartozó villamosenergia-igény", "elmax" : az egyedi helyiségfűtő berendezésnek a névleges hőteljesítmény leadása közbeni villamosenergia-fogyasztása. A közvetett fűtési képességgel és beépített keringetőszivattyúval rendelkező termékek esetében a villamosenergia-fogyasztást a keringetőszivattyú energiafogyasztása nélkül kell meghatározni, kW-ban kifejezve;
8. "a minimális hőteljesítményhez tartozó villamosenergia-igény", "elmin" : az egyedi helyiségfűtő berendezésnek a minimális hőteljesítmény leadása közbeni villamosenergia-fogyasztása. A közvetett fűtési képességgel és beépített keringetőszivattyúval rendelkező termékek esetében a villamosenergia-fogyasztást a keringetőszivattyú energiafogyasztása nélkül kell meghatározni, kW-ban kifejezve;
9. "a készenléti üzemmódhoz tartozó villamosenergia-igény", "elsb" : a termék villamosenergia-fogyasztása készenléti üzemmódban, kW-ban kifejezve;
10. "az állandó gyújtóláng energiaigénye", "Ppilot" : a termék által a gáznemű vagy folyékony tüzelőanyagból annak érdekében elfogyasztott mennyiség, hogy a névleges hőteljesítményhez vagy a részleges terheléshez tartozó, hevesebb égési folyamatokhoz szükséges gyútjóforrást biztosító lángot fenntartsa, amikor a fő égő bekapcsolása előtt több mint 5 percen keresztül ez a láng ég, kW-ban kifejezve;
11. "kézi töltésszabályozás beépített termosztáttal" : a termékbe beépített, a tárolt hő mennyiségének módosítása érdekében a mag hőmérsékletét mérő és szabályozó, manuálisan működtetett érzékelő jelenlétére utaló kifejezés;
12. "kézi töltésszabályozás beltéri és/vagy kültéri hőmérséklet-visszacsatolással" : a termékbe beépített, a mag hőmérsékletét mérő és a tárolt hő mennyiségét a helyiség és/vagy a kültéri környezet hőmérsékletének függvényében módosító, manuálisan működtetett érzékelő jelenlétére utaló kifejezés;
13. "elektronikus töltésszabályozás beltéri és/vagy külső hőmérséklet-visszacsatolással vagy az energiaszolgáltató által szabályozva" : a termékbe beépített, a mag hőmérsékletét mérő és a tárolt hő mennyiségét a helyiség és/vagy a kültéri környezet hőmérsékletének függvényében módosító, automatikusan működő érzékelő jelenlétére utaló kifejezés, vagy arra való utalás, hogy a berendezés töltési rendjét az energiaszolgáltató szabályozza;
14. "ventilátorral segített hőleadás" : arra utaló kifejezés, hogy a termék a hőteljesítmény hőigényhez való hozzáigazítása érdekében egy vagy több beépített, szabályozható ventilátorral van ellátva;
15. "egyetlen állás, beltéri hőmérséklet-szabályozás nélkül" : arra utaló kifejezés, hogy a termék nem képes automatikusan változtatni hőteljesítményét, és a helyiség hőmérséklete felől nincs visszacsatolás a hőteljesítmény automatikus változtatásához;
16. "két vagy több kézi szabályozású állás, beltéri hőmérséklet-szabályozás nélkül" : arra utaló kifejezés, hogy a termék képes két vagy több értékből kézi szabályozás révén kiválasztani hőteljesítményét, de nincs felszerelve olyan eszközzel, amely a kívánt beltéri hőmérséklet függvényében képes volna automatikusan szabályozni a hőteljesítményt;
17. "mechanikus termosztátos beltéri hőmérséklet-szabályozás" : arra utaló kifejezés, hogy a termék fel van szerelve egy olyan, nem elektronikus eszközzel, amely lehetővé teszi, hogy egy bizonyos időszakban a beltéri hőérzet egy meghatározott elvárt mértékének biztosítása érdekében automatikusan változtassa hőteljesítményét;
18. "elektronikus beltéri hőmérséklet-szabályozás" : arra utaló kifejezés, hogy a termék fel van szerelve egy olyan, beépített vagy külső elektronikus eszközzel, amely lehetővé teszi, hogy egy bizonyos időszakban a beltéri hőérzet egy meghatározott elvárt mértékének biztosítása érdekében automatikusan változtassa hőteljesítményét;
19. "elektronikus beltéri hőmérséklet-szabályozás és napszak szerinti szabályozás" : arra utaló kifejezés, hogy a termék fel van szerelve egy olyan, beépített vagy külső elektronikus eszközzel, amely lehetővé teszi, hogy egy bizonyos időszakban a beltéri hőérzet egy meghatározott elvárt mértékének biztosítása érdekében automatikusan változtassa hőteljesítményét, valamint hogy az időzítést és a hőmérsékletet 24 órára előre be lehessen állítani;
20. "elektronikus beltéri hőmérséklet-szabályozás és heti szabályozás" : arra utaló kifejezés, hogy a termék fel van szerelve egy olyan, beépített vagy külső elektronikus eszközzel, amely lehetővé teszi, hogy egy bizonyos időszakban a beltéri hőérzet egy meghatározott elvárt mértékének biztosítása érdekében automatikusan változtassa hőteljesítményét, valamint hogy az időzítést és a hőmérsékleteket egy teljes hétre előre be lehessen állítani. A hét napon belül a beállításoknak lehetővé kell tenniük az értékek napok szerinti változtatását;
21. "beltéri hőmérséklet-szabályozás jelenlét-érzékeléssel" : arra utaló kifejezés, hogy a termék fel van szerelve egy olyan, beépített vagy külső elektronikus eszközzel, amely a beltéri hőmérséklet beállított értékét automatikusan csökkenteni, amikor azt érzékeli, hogy a helyiségben nem tartózkodik senki;
22. "beltéri hőmérséklet-szabályozás nyitottablak-érzékeléssel" : arra utaló kifejezés, hogy a termék fel van szerelve egy olyan, beépített vagy külső elektronikus eszközzel, amely a leadott hőteljesítményt csökkenteni, amikor azt észleli, hogy egy ablakot vagy ajtót kinyitottak. Ha az ablak vagy ajtó nyitott állapotát érzékelő érzékeli, akkor ez az érzékelő elhelyezhető a terméken belül, a terméken kívül és/vagy az épület szerkezeteibe beépítve;
23. "távszabályozási lehetőség" : arra utaló kifejezés, hogy a termék lehetőséget ad a beszerelési helye szerinti épületen kívülről távoli adatkommunikáció útján történő szabályozására;
24. "adaptív bekapcsolásszabályozás" : arra utaló kifejezés, hogy a termék képes előre meghatározni a melegedési folyamat megkezdésének optimális időpontját és beindítani a folyamatot annak érdekében, hogy a kívánt időpontra elérje a beállított hőmérsékletet;
25. "működési idő korlátozása" : a termék olyan funkciójára utaló kifejezés, amely egy előre beállított időtartam elteltével automatikusan inaktiválja a terméket;
26. "feketegömb-érzékelővel ellátva" : arra utaló kifejezés, hogy a termék fel van szerelve egy olyan, beépített vagy külső elektronikus eszközzel, amely a levegő és a sugárzás hőmérsékletét méri;
27. "egyállásos" : arra utaló kifejezés, hogy a termék nem képes automatikusan megválasztani hőteljesítményét;
28. "kétállásos" : arra utaló kifejezés, hogy a termék a tényleges beltéri léghőmérséklet és a kívánt beltéri léghőmérséklet függvényében, hőmérséklet-érzékelő eszközök és egy, nem feltétlenül a termék szerves részét képező interfész segítségével képes két különböző szint közül automatikusan kiválasztani leadott teljesítményét;
29. "sokállásos" : arra utaló kifejezés, hogy a termék a tényleges beltéri léghőmérséklet és a kívánt beltéri léghőmérséklet függvényében, hőmérséklet-érzékelő eszközök és egy, nem feltétlenül a termék szerves részét képező interfész segítségével képes három vagy több különböző szint közül automatikusan kiválasztani leadott teljesítményét;
30. "készenléti üzemmód" : az az állapot, amelyben a termék a villamosenergia-hálózathoz csatlakozik, rendeltetésszerű üzeme a villamosenergia-hálózatról felvett energiától függ, és kizárólag a következő, tetszőleges ideig fenntartható funkciókat látja el: reaktiválási funkció vagy reaktiválási funkció és kizárólag a reaktiválási funkció bekapcsolt állapotának jelzése, és/vagy információ- vagy állapotkijelzés;
31. "sugárzócsöves rendszer hőteljesítménye" : a sugárzócsöves rendszer forgalomba hozott konfigurációját alkotó szegmensek együttes hőteljesítménye, kW mértékegységben kifejezve;
32. "sugárzócsöves rendszer szegmensének hőteljesítménye" : más sugárzócsöves rendszerszegmensekkel együtt sugárzócsöves rendszerkonfigurációt alkotó sugárzócsöves rendszerszegmens hőteljesítménye kW-ban kifejezve;
33. a névleges, illetve a minimális hőteljesítményhez tartozó "sugárzási hatásfok" (RFnom, illetve RFmin) : a termék által az infravörös tartományban a névleges, illetve a minimális hőteljesítmény leadása közben tanúsított hőteljesítmény és a teljes energiabevitel százalékban kifejezett hányadosa, számítás szintjén az infravörös tartományban a névleges, illetve a minimális hőteljesítmény mellett leadott energia elosztva a tüzelőanyag fűtőértéke alapján meghatározott teljes energiabevitellel;
34. "burkolati szigetelés" : a kültéri körülmények közé is helyezhető termék köré a hőveszteségek csökkentése érdekében vont hőszigetelő burkolat vagy köpeny;
35. "burkolat hőveszteség-tényezője" : a terméknek a fűtendő zárt téren kívül elhelyezett része által elszenvedett, a szóban forgó rész burkolatának hőátbocsátási képessége által meghatározott hőveszteség százalékban kifejezve;
36. "modellazonosító" : az az általában alfanumerikus kód, amely segítségével egy adott egyedi helyiségfűtő berendezésmodell megkülönböztethető az azonos márkájú vagy ugyanazon gyártó nevét viselő többi modelltől;
37. "nedvességtartalom" : az egyedi helyiségfűtő berendezésben használt tüzelőanyagban található víz tömege a tüzelőanyag össztömegének arányában.
II. MELLÉKLET
A környezettudatos tervezés követelményei
1. A szezonális helyiségfűtési hatásfokra vonatkozó követelmények
a) Az egyedi helyiségfűtő berendezéseknek 2018. január 1-jétől fogva teljesíteniük kell a következő követelményeket:
i. a gáznemű és a folyékony tüzelőanyaggal működő nyitott égésterű egyedi helyiségfűtő berendezések szezonális helyiségfűtési hatásfoka nem lehet 42 %-nál kisebb;
ii. a gáznemű és a folyékony tüzelőanyaggal működő zárt égésterű egyedi helyiségfűtő berendezések szezonális helyiségfűtési hatásfoka nem lehet 72 %-nál kisebb;
iii. a hordozható elektromos egyedi helyiségfűtő berendezések szezonális helyiségfűtési hatásfoka nem lehet 36 %-nál kisebb;
iv. a 250 W-nál nagyobb névleges hőteljesítményű helyhez kötött elektromos egyedi helyiségfűtő berendezések szezonális helyiségfűtési hatásfoka nem lehet 38 %-nál kisebb;
v. a legfeljebb 250 W névleges hőteljesítményű helyhez kötött elektromos egyedi helyiségfűtő berendezések szezonális helyiségfűtési hatásfoka nem lehet 34 %-nál kisebb;
vi. a hőtárolós elektromos egyedi helyiségfűtő berendezések szezonális helyiségfűtési hatásfoka nem lehet 38,5 %-nál kisebb;
vii. az elektromos egyedi padlófűtő berendezések szezonális helyiségfűtési hatásfoka nem lehet 38 %-nál kisebb;
viii. az elektromos sugárzásos egyedi helyiségfűtő berendezések szezonális helyiségfűtési hatásfoka nem lehet 35 %-nál kisebb;
ix. az 1,2 kW-nál magasabb névleges hőteljesítményű, láthatóan izzó sugárzó elektromos egyedi helyiségfűtő berendezések szezonális helyiségfűtési hatásfoka nem lehet 35 %-nál kisebb;
x. a legfeljebb 1,2 kW névleges hőteljesítményű, láthatóan izzó sugárzó elektromos egyedi helyiségfűtő berendezések szezonális helyiségfűtési hatásfoka nem lehet 31 %-nál kisebb;
xi. az irányított sugárzásos egyedi helyiségfűtő berendezések szezonális helyiségfűtési hatásfoka nem lehet 85 %-nál kisebb;
xii. a sugárzócsöves egyedi helyiségfűtő berendezések szezonális helyiségfűtési hatásfoka nem lehet 74 %-nál kisebb.
2. A szennyezőanyag-kibocsátásokra vonatkozó követelmények
a) A folyékony és a gáztüzelésű egyedi helyiségfűtő berendezések által kibocsátott nitrogén-oxidok (NOx) mennyisége 2018. január 1-jétől fogva nem lehet nagyobb:
i. a gáznemű és a folyékony tüzelőanyaggal működő nyitott égésterű egyedi helyiségfűtő berendezések és zárt égésterű egyedi helyiségfűtő berendezések esetében a GCV alapján meghatározva 130 mg/kWhinput-nál;
ii. az irányított sugárzásos egyedi helyiségfűtő berendezések és a sugárzócsöves egyedi helyiségfűtő berendezések esetében a GCV alapján meghatározva 200 mg/kWhinput-nál.
3. Termékinformációs követelmények
a) 2018. január 1-jétől az egyedi helyiségfűtő berendezésekre vonatkozóan a következő információszolgáltatási kötelezettségeket kell teljesíteni:
i. A beszerelést végző szakembereknek és a végfelhasználóknak szánt használati utasításoknak és a gyártók, meghatalmazott képviselőik vagy importőreik szabad hozzáférésű internetes oldalainak tartalmazniuk kell:
1. a gáznemű és a folyékony tüzelőanyaggal működő egyedi helyiségfűtő berendezések esetében az 1. táblázatban szereplő információkat, ahol a műszaki paramétereket a III. mellékletnek megfelelően elvégzett mérések és számítások alapján, a táblázatban meghatározott tizedesjegy-pontossággal kell megadni;
2. az elektromos egyedi helyiségfűtő berendezések esetében az 2. táblázatban szereplő információkat, ahol a műszaki paramétereket a III. mellékletnek megfelelően elvégzett mérések és számítások alapján, a táblázatban meghatározott tizedesjegy-pontossággal kell megadni;
3. a kereskedelmi célú egyedi helyiségfűtő berendezések esetében az 3. táblázatban szereplő információkat, ahol a műszaki paramétereket a III. mellékletnek megfelelően elvégzett mérések és számítások alapján, a táblázatban meghatározott tizedesjegy-pontossággal kell megadni;
4. minden olyan esetleges speciális óvintézkedés megjelölését, amelyet az egyedi helyiségfűtő berendezés összeszerelésekor, üzembe helyezésekor vagy karbantartásakor meg kell tenni;
5. az életciklus végén elvégzendő szétszerelésre, újrafeldolgozásra és/vagy ártalmatlanításra vonatkozó információkat.
ii. A 4. cikk szerinti megfelelőségértékelés céljából a műszaki dokumentációnak tartalmaznia kell:
1. az a) pontban felsorolt információkat;
2. adott esetben az egyenértékű modellek listáját;
b) 2018. január 1-jétől az egyedi helyiségfűtő berendezésekre vonatkozóan a következő információszolgáltatási kötelezettségeket kell teljesíteni:
i. Kizárólag az égéstermék-elvezetés nélküli egyedi helyiségfűtő berendezések és a kémény felé nyitott egyedi helyiségfűtő berendezések esetében a végfelhasználóknak szánt használati utasításban, a gyártók szabad hozzáférésű internetes oldalain és a termék csomagolásán jól láthatóan és jól olvasható módon, a termék forgalmazásának helyszínéül szolgáló tagállam végfelhasználói számára könnyen érthető nyelven el kell helyezni a következő szöveget: "A termék helyiségek elsődleges fűtésére nem alkalmas!";
1. A végfelhasználóknak szánt használati utasítás esetében ezt a szöveget a címlapon kell elhelyezni.
2. A gyártók szabad hozzáférésű internetes oldalain ennek a szövegnek a termék más jellemzőivel együtt kell megjelennie.
3. A termék csomagolásán a mondatot olyan szembeötlő helyen kell elhelyezni, hogy a végfelhasználó feltétlenül észrevegye, mielőtt megvásárolná a terméket.
ii. Kizárólag a hordozható elektromos egyedi helyiségfűtő berendezések esetében a végfelhasználóknak szánt használati utasításban, a gyártók szabad hozzáférésű internetes oldalain és a termék csomagolásán jól láthatóan és jól olvasható módon, a termék forgalmazásának helyszínéül szolgáló tagállam végfelhasználói számára könnyen érthető nyelven el kell helyezni a következő szöveget: "A termék kizárólag jól szigetelt helyiségek fűtésére vagy alkalmankénti használatra alkalmas!":
1. A végfelhasználóknak szánt használati utasítás esetében ezt a szöveget a címlapon kell elhelyezni.
2. A gyártók szabad hozzáférésű internetes oldalain ennek a szövegnek a termék más jellemzőivel együtt kell megjelennie.
3. A termék csomagolásán a mondatot olyan szembeötlő helyen kell elhelyezni, hogy a végfelhasználó feltétlenül észrevegye, mielőtt megvásárolná a terméket.
1. táblázat
A gáztüzelésű és a folyékony tüzelésű egyedi helyiségfűtő berendezések termékinformációs követelményei
| Modellazonosító(k): | |||||||||||
| Közvetett fűtési képesség: [van/nincs] | |||||||||||
| Közvetlen hőteljesítmény: … (kW) | |||||||||||
| Közvetett hőteljesítmény: … (kW) | |||||||||||
| Tüzelőanyag | Kibocsátások helyiségfűtés során (1) | ||||||||||
| NOx | |||||||||||
| A tüzelőanyag típusa | [gáznemű/folyékony] | [adja meg] | [mg/kWhinput] (GCV) | ||||||||
| Jellemző | Jel | Érték | Mértékegység | Jellemző | Jel | Érték | Mértékegység | ||||
| Hőteljesítmény | Hatásfok (NCV) | ||||||||||
| Névleges hőteljesítmény | Pnom | x,x | kW | A névleges hőteljesítményhez tartozó hatásfok | ηth,nom | x,x | % | ||||
| Minimális hőteljesítmény (indikatív) | Pmin | [x,x/N.A.] | kW | A minimális hőteljesítményhez tartozó hatásfok (indikatív) | ηth,min | [x,x/N.A.] | % | ||||
| Kiegészítő villamosenergia-fogyasztás | A teljesítmény, illetve a beltéri hőmérséklet szabályozásának típusa (egyet jelöljön meg) | ||||||||||
| A névleges hőteljesítményen | elmax | x,xxx | kW | Egyetlen állás, beltéri hőmérséket-szabályozás nélkül | [igen/nem] | ||||||
| A minimális hőteljesítményen | elmin | x,xxx | kW | Két vagy több kézi szabályozású állás, beltéri hőmérséklet-szabályozás nélkül | [igen/nem] | ||||||
| Készenléti üzemmódban | elSB | x,xxx | kW | Mechanikus termosztátos beltéri hőmérséklet-szabályozás | [igen/nem] | ||||||
| Elektronikus beltéri hőmérséklet-szabályozás | [igen/nem] | ||||||||||
| Elektronikus beltéri hőmérséklet-szabályozás és napszak szerinti szabályozás | [igen/nem] | ||||||||||
| Elektronikus beltéri hőmérséklet-szabályozás és heti szabályozás | [igen/nem] | ||||||||||
| Más szabályozási lehetőségek (többet is megjelölhet) | |||||||||||
| Beltéri hőmérséklet-szabályozás jelenlét-érzékeléssel | [igen/nem] | ||||||||||
| Beltéri hőmérséklet-szabályozás nyitottablak-érzékeléssel | [igen/nem] | ||||||||||
| Távszabályozási lehetőség | [igen/nem] | ||||||||||
| Adaptív bekapcsolásszabályozás | [igen/nem] | ||||||||||
| Működési idő korlátozása | [igen/nem] | ||||||||||
| Feketegömb-érzékelővel ellátva | [igen/nem] | ||||||||||
| Az állandó gyújtóláng energiaigénye | |||||||||||
| A gyújtóláng energiaigénye (ha alkalmazandó) | Ppilot | [x,xxx/N.A.] | kW | ||||||||
| Kapcsolatfelvételi adatok | A gyártó vagy meghatalmazott képviselőjének neve és címe | ||||||||||
| (*1) NOx = nitrogén-oxidok | |||||||||||
2. táblázat
Az elektromos egyedi helyiségfűtő berendezések termékinformációs követelményei
| Modellazonosító(k): | ||||||
| Jellemző | Jel | Érték | Mértékegység | Jellemző | Mértékegység | |
| Hőteljesítmény | A hőbevitel típusa (csak a hőtárolós elektromos egyedi helyiségfűtő berendezések esetében – egyet jelöljön meg) | |||||
| Névleges hőteljesítmény | Pnom | x,x | kW | Kézi töltésszabályozás beépített termosztáttal | [igen/nem] | |
| Minimális hőteljesítmény (indikatív) | Pmin | [x,x/N.A.] | kW | Kézi töltésszabályozás beltéri és/vagy kültéri hőmérséklet-visszacsatolással | [igen/nem] | |
| Maximális folyamatos hőteljesítmény | Pmax,c | x,x | kW | Elektronikus töltésszabályozás beltéri és/vagy külső hőmérséklet-visszacsatolással | [igen/nem] | |
| Kiegészítő villamosenergia-fogyasztás | Ventilátorral segített hőleadás | [igen/nem] | ||||
| A névleges hőteljesítményen | elmax | x,xxx | kW | A teljesítmény, illetve a beltéri hőmérséklet szabályozásának típusa (egyet jelöljön meg) | ||
| A minimális hőteljesítményen | elmin | x,xxx | kW | Egyetlen állás, beltéri hőmérséket-szabályozás nélkül | [igen/nem] | |
| Készenléti üzemmódban | elSB | x,xxx | kW | Két vagy több kézi szabályozású állás, beltéri hőmérséklet-szabályozás nélkül | [igen/nem] | |
| Mechanikus termosztátos beltéri hőmérséklet-szabályozás | [igen/nem] | |||||
| Elektronikus beltéri hőmérséklet-szabályozás | [igen/nem] | |||||
| Elektronikus beltéri hőmérséklet-szabályozás és napszak szerinti szabályozás | [igen/nem] | |||||
| Elektronikus beltéri hőmérséklet-szabályozás és heti szabályozás | [igen/nem] | |||||
| Más szabályozási lehetőségek (többet is megjelölhet) | ||||||
| Beltéri hőmérséklet-szabályozás jelenlét-érzékeléssel | [igen/nem] | |||||
| Beltéri hőmérséklet-szabályozás nyitottablak-érzékeléssel | [igen/nem] | |||||
| Távszabályozási lehetőség | [igen/nem] | |||||
| Adaptív bekapcsolásszabályozás | [igen/nem] | |||||
| Működési idő korlátozása | [igen/nem] | |||||
| Feketegömb-érzékelővel ellátva | [igen/nem] | |||||
| Kapcsolatfelvételi adatok | A gyártó vagy meghatalmazott képviselőjének neve és címe | |||||
3. táblázat
A kereskedelmi célú egyedi helyiségfűtő berendezések termékinformációs követelményei
| Modellazonosító(k): | |||||||||||
| [irányított sugárzásos/sugárzócsöves] | |||||||||||
| Tüzelőanyag | Tüzelőanyag | Kibocsátások helyiségfűtés során (1) | |||||||||
| NOx | |||||||||||
| A tüzelőanyag típusa | [gáznemű/folyékony] | [adja meg] | mg/kWhinput (GCV) | ||||||||
| A kizárólag az optimális tüzelőanyaggal üzemeltetett termék jellemzői | |||||||||||
| Jellemző | Jel | Érték | Mértékegység | Jellemző | Jel | Érték | Mértékegység | ||||
| Hőteljesítmény | Hatásfok (GCV) – csak a sugárzócsöves egyedi helyiségfűtő berendezések esetében (2) | ||||||||||
| Névleges hőteljesítmény | Pnom | x,x | kW | A névleges hőteljesítményhez tartozó hatásfok | ηth,nom | x,x | % | ||||
| Minimális hőteljesítmény | Pmin | [x,x/N.A.] | kW | A minimális hőteljesítményhez tartozó hatásfok | ηth,min | [x,x/N.A.] | % | ||||
| Minimális hőteljesítmény (a névleges hőteljesítmény százalékában) | .. | [x] | % | ||||||||
| A sugárzócsöves rendszer névleges hőteljesítménye (ha értelmezhető) | Psystem | x,x | kW | ||||||||
| A sugárzócsöves rendszer szegmenseinek hőteljesítménye (ha értelmezhető) | Pheater,i | [x,x/N.A.] | kW | A sugárzócsöves rendszer szegmenseinek a minimális hőteljesítményhez tartozó hatásfoka (ha értelmezhető) | ηi | [x,x/N.A.] | % | ||||
| (minden szegmensre ismételje meg, ha értelmezhető) | .. | [x,x/N.A.] | kW | (minden szegmensre ismételje meg, ha értelmezhető) | .. | [x,x/N.A.] | % | ||||
| Egyforma szegmensek száma | n | [x] | [-] | ||||||||
| Sugárzási hatásfok | Burkolati veszteségek | ||||||||||
| A névleges hőteljesítményhez tartozó sugárzási hatásfok | RFnom | [x,x] | [-] | Burkolat hőszigetelési besorolása | U | W/(m2K) | |||||
| A minimális hőteljesítményhez tartozó sugárzási hatásfok | RFmin | [x,x] | [-] | Burkolat hőveszteség-tényezője | Fenv | [x,x] | % | ||||
| Sugárzócsőszegmensek névleges hőteljesítményhez tartozó sugárzási hatásfoka | RFi | [x,x] | [-] | A fűtött területen kívül elhelyezendő hőfejlesztő berendezés | [igen/nem] | ||||||
| (minden szegmensre ismételje meg, ha értelmezhető) | .. | ||||||||||
| Kiegészítő villamosenergia-fogyasztás | A teljesítményszabályozás típusa (egyet jelöljön meg) | ||||||||||
| A névleges hőteljesítményen | elmax | x,xxx | kW | — Egyállásos | [igen/nem] | ||||||
| A minimális hőteljesítményen | elmin | x,xxx | kW | — Kétállásos | [igen/nem] | ||||||
| Készenléti üzemmódban | elSB | x,xxx | kW | — Sokállásos | [igen/nem] | ||||||
| Az állandó gyújtóláng energiaigénye | |||||||||||
| A gyújtóláng energiaigénye (ha alkalmazandó) | Ppilot | [x,xxx/N.A.] | kW | ||||||||
| Kapcsolatfelvételi adatok | A gyártó vagy meghatalmazott képviselőjének neve és címe | ||||||||||
| (*1) NOx = nitrogén-oxidok (*2) Az irányított sugárzásos helyiségfűtő berendezések súlyozott hőhatásfoka alapértelmezés szerint 85,6 %. | |||||||||||
III. MELLÉKLET
Mérések és számítások
1. Az e rendeletben foglalt követelmények teljesülése és teljesülésük ellenőrzése céljából végzett méréseket és számításokat az e célból az Európai Unió Hivatalos Lapjában közzétett hivatkozási számú harmonizált szabványoknak megfelelően vagy más olyan megbízható, pontos és megismételhető módszerekkel kell végezni, amelyek igazodnak az általánosan korszerűként elfogadott módszertanhoz. Az alkalmazott módszereknek meg kell felelniük a 2-5. pontban meghatározott követelményeknek.
2. Általános mérési és számítási követelmények
a) A névleges hőteljesítmény és a szezonális helyiségfűtési hatásfok gyártó által megadott értékeit a legközelebbi tizedesjegyre kell kerekíteni.
b) A szennyezőanyag-kibocsátások gyártó által megadott értékeit a legközelebbi egész számra kell kerekíteni.
3. A szezonális helyiségfűtési hatásfok meghatározására vonatkozó általános követelmények
a) A szezonális helyiségfűtési hatásfokot (ηS ) úgy kell meghatározni, hogy a szezonális főfunkciós helyiségfűtési hatásfokot (ηS,on ) korrigáljuk a hőtárolás és a teljesítményszabályozás, a kiegészítő villamosenergia-fogyasztás, valamint az állandó gyújtóláng villamosenergia-fogyasztása miatti hatásokkal.
b) A villamosenergia-fogyasztást a 2,5 értékű átváltási együtthatóval (CC) be kell szorozni.
4. A kibocsátások meghatározására vonatkozó általános követelmények a) A gáz- és a folyékony tüzelésű egyedi helyiségfűtő berendezések esetében a mérések során a kibocsátott nitrogén-oxidok (NOx) mennyiségét kell figyelembe venni. A kibocsátott nitrogén-oxidok mennyiségének kiszámítása céljából a nitrogén-monoxid és a nitrogén-dioxid mennyiségének nitrogén-dioxidként kifejezett összegét kell figyelembe venni.
5. A szezonális helyiségfűtési hatásfok meghatározására vonatkozó különös követelmények
a) A kereskedelmi célú egyedi helyiségfűtő berendezésektől eltérő egyedi helyiségfűtő berendezések szezonális helyiségfűtési hatásfokát a következő összefüggés határozza meg:
ηS = ηS,on - 10 % + F(1) + F(2) + F(3) - F(4) - F(5)
a kereskedelmi célú egyedi helyiségfűtő berendezések szezonális helyiségfűtési hatásfokát pedig a következő összefüggés:
ηS = ηS,on - F(1) - F(4) - F(5)
A fenti összefüggésben:
- ηS,on az 5. b) pont szerint számított szezonális főfunkciós helyiségfűtési hatásfok százalékban kifejezett értéke,
- F(1) a hőtárolós elektromos egyedi helyiségfűtő berendezések esetében a hőenergia tárolására és kivételére rendelkezésre álló lehetőségek jótékony hatását kifejező, a szezonális helyiségfűtési hatásfok értékét növelő korrekciós tag, illetőleg a kereskedelmi célú egyedi helyiségfűtő berendezések esetében a hőenergia kivételére rendelkezésre álló lehetőségek kedvezőtlen hatását kifejező, a szezonális helyiségfűtési hatásfok értékét csökkentő korrekciós tag, százalékban kifejezve,
- F(2) a beltéri hőkomfortérzet befolyásolására rendelkezésre álló, egymást kölcsönösen kizáró, illetve számszakilag nem összegezhető lehetőségek által a szezonális helyiségfűtési hatásfokra gyakorolt jótékony hatást kifejező korrekciós tag, százalékban kifejezve,
- F(3) a beltéri hőkomfortérzet befolyásolására rendelkezésre álló, számszakilag összegezhető lehetőségek jótékony hatását kifejező, a szezonális helyiségfűtési hatásfok értékét növelő korrekciós tag, százalékban kifejezve,
- F(4) a kiegészítő villamosenergia-fogyasztás kedvezőtlen hatását kifejező, a szezonális helyiségfűtési hatásfok értékét csökkentő korrekciós tag, százalékban kifejezve,
- F(5) az állandó gyújtóláng fenntartásához szükséges energiafogyasztás kedvezőtlen hatását kifejező, a szezonális helyiségfűtési hatásfok értékét csökkentő korrekciós tag, százalékban kifejezve.
b) A szezonális főfunkciós helyiségfűtési hatásfokot az alábbiak szerint kell meghatározni.
Az elektromos egyedi helyiségfűtő berendezések és a kereskedelmi célú egyedi helyiségfűtő berendezések kivételével valamennyi egyedi helyiségfűtő berendezés esetében:
ηS,on = ηth,nom
A fenti összefüggésben:
- ηth,nom a névleges hőteljesítményhez tartozó, az NCV alapján meghatározott hatásfok.
Az elektromos egyedi helyiségfűtő berendezésekre:

A fenti összefüggésben:
- CC a villamos energia és a primer energia közötti "átváltási együttható",
- ηth,on elektromos egyedi helyiségfűtő berendezések esetében 100 %.
A kereskedelmi célú egyedi helyiségfűtő berendezésekre:
ηS,on = ηS,th · ηS,RF
A fenti összefüggésben:
- ηS,th a súlyozott hőhatásfok százalékban kifejezve,
- ηS,RF a hőkibocsátási hatásfok százalékban kifejezve.
Az irányított sugárzásos egyedi helyiségfűtő berendezésekre ηS,th = 85,6 %.
A sugárzócsöves egyedi helyiségfűtő berendezésekre:
ηS,th = (0,15 · ηth,nom + 0,85 · ηth,min ) - Fenv
A fenti összefüggésben:
- ηth,nom a névleges hőteljesítményhez tartozó, a GCV alapján meghatározott hatásfok százalékban kifejezve,
- ηth,min a minimális hőteljesítményhez tartozó, a GCV alapján meghatározott hatásfok százalékban kifejezve,
- Fenv a hőfejlesztő berendezés burkolati veszteségei százalékban kifejezve.
Ha a sugárzócsöves egyedi helyiségfűtő berendezés hőfejlesztő berendezését a gyártó vagy a szállító utasítása szerint a fűtendő beltéri helyiségben kell elhelyezni, akkor a burkolati veszteségek értéke 0 (nulla).
Ha a sugárzócsöves egyedi helyiségfűtő berendezés hőfejlesztő berendezését a gyártó vagy a szállító utasítása szerint a fűtött területen kívül kell elhelyezni, akkor a burkolati veszteségeket kifejező mennyiség értéke a hőfejlesztő berendezés burkolatának hőátbocsátási képességétől függ az 4. táblázat szerint.
4. táblázat
A hőfejlesztő berendezés burkolatának hőveszteség-tényezője
| A burkolat hőátbocsátási képessége (U) | |
| U ≤ 0,5 | 2,2 % |
| 0,5 < U ≤ 1,0 | 2,4 % |
| 1,0 < U ≤ 1,4 | 3,2 % |
| 1,4 < U ≤ 2,0 | 3,6 % |
| U > 2,0 | 6,0 % |
A kereskedelmi célú egyedi helyiségfűtő berendezések hőkibocsátási hatásfokát a következő összefüggés adja:

A fenti összefüggésben:
- RFS a kereskedelmi célú egyedi helyiségfűtő berendezés sugárzási hatásfoka százalékban kifejezve.
A sugárzócsöves rendszerektől eltérő kereskedelmi célú egyedi helyiségfűtő berendezésekre:
RFS = 0,15 · RFnom + 0,85 · RFmin
A fenti összefüggésben:
- RFnom a névleges hőteljesítményhez tartozó sugárzási hatásfok százalékban kifejezve,
- RFmin a minimális hőteljesítményhez tartozó sugárzási hatásfok százalékban kifejezve.
A sugárzócsöves rendszerekre:

A fenti összefüggésben:
- RFnom,i a névleges hőteljesítményhez tartozó, sugárzócső-szegmensenkénti sugárzási hatásfok százalékban kifejezve,
- RFmin,i a minimális hőteljesítményhez tartozó, sugárzócső-szegmensenkénti sugárzási hatásfok százalékban kifejezve,
- Pheater,i a sugárzócső-szegmensenkénti hőteljesítmény kW-ban kifejezve és a GCV alapján meghatározva,
- Psystem a teljes sugárzócsőrendszer hőteljesítménye kW-ban kifejezve és a GCV alapján meghatározva.
A fenti összefüggés csak akkor alkalmazható, ha a sugárzócsöves rendszer egyes szegmenseinek égői, sugárzócsövei és reflektorai azonos felépítésűek, mint egy egyetlen sugárzócsőből álló sugárzócsöves egyedi helyiségfűtő berendezés hasonló alkatrészei, és a sugárzócsöves rendszer egyes szegmenseinek működési jellemzőit meghatározó beállítások azonosak egy egyetlen sugárzócsőből álló sugárzócsöves egyedi helyiségfűtő berendezés beállításaival.
c) Az F(1) korrekciós tag a hőtárolós elektromos egyedi helyiségfűtő berendezések esetében a hőenergia tárolására és kivételére rendelkezésre álló lehetőségek, illetve a természetes és a ventilátorral segített konvekció útján megvalósuló hőelosztás közötti különbség által a szezonális helyiségfűtési hatásfokra gyakorolt jótékony hatást, valamint a kereskedelmi célú egyedi helyiségfűtő berendezések esetében a hőenergia kivételére rendelkezésre álló lehetőségek által a szezonális helyiségfűtési hatásfokra gyakorolt kedvezőtlen hatást fejezi ki.
A hőtárolós elektromos egyedi helyiségfűtő berendezések esetében az F(1) hőkivételi korrekciós tagot a következőképpen kell meghatározni:
Ha a termék el van látva a 5. táblázatban felsorolt (egymást kölcsönösen kizáró) lehetőségek valamelyikével, akkor az F(1) korrekciós tag értékét az adott lehetőséghez tartozó mértékben meg kell növelni.
5. táblázat
Az elektromos egyedi helyiségfűtő berendezések F(1) korrekciós tagja
| A termék jellemzője (csak egyetlen lehetőség vehető figyelembe) | F(1) növelésének mértéke |
| Kézi töltésszabályozás beépített termosztáttal | 0,0 % |
| Kézi töltésszabályozás beltéri és/vagy kültéri hőmérséklet-visszacsatolással | 2,0 % |
| Elektronikus töltésszabályozás beltéri és/vagy külső hőmérséklet-visszacsatolással vagy az energiaszolgáltató által szabályozva | 3,5 % |
Ha a hőtárolós elektromos egyedi helyiségfűtő berendezés hőleadását ventilátor segíti, akkor F(1) értékéhez további 1,5 %-ot hozzá kell adni.
A kereskedelmi célú egyedi helyiségfűtő berendezések esetében a hőkivételi korrekciós tagot a következőképpen kell meghatározni:
6. táblázat
A kereskedelmi célú egyedi helyiségfűtő berendezések F(1) korrekciós tagja
| A teljesítményszabályozás típusa | F(1) számítása |
| Egyállásos | F(1) = 5 % |
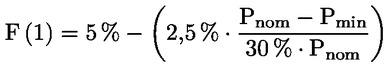
| Kétállásos | [Kép #1] |
| Sokállásos | [Kép #2] |

Kép #1

Kép #2
Az F(1) korrekciós tag értéke kétállásos kereskedelmi célú egyedi helyiségfűtő berendezések esetében legalább 2,5 %, sokállásos kereskedelmi célú egyedi helyiségfűtő berendezések esetében legalább 5 %.
A hőtárolós elektromos fűtőberendezésektől és a kereskedelmi célú egyedi helyiségfűtő berendezésektől eltérő egyedi helyiségfűtő berendezések esetében az F(1) korrekciós tag értéke 0 (nulla).
d) A beltéri hőkomfortérzet befolyásolására rendelkezésre álló, egymást kölcsönösen kizáró, illetve számszakilag nem összegezhető lehetőségek által a szezonális helyiségfűtési hatásfokra gyakorolt jótékony hatást kifejező F(2) korrekciós tagot az alábbiak szerint kell meghatározni.
Az összes egyedi helyiségfűtő berendezés esetében az F(2) korrekciós tag a 7. táblázat megfelelő sorából vett értékkel egyenlő. A táblázatból csak egyetlen érték vehető.
7. táblázat
Az F(2) korrekciós tag
| A termék jellemzője (csak egyetlen lehetőség vehető figyelembe) | F(2) | |||||
| Elektromos egyedi helyiségfűtő berendezés | Gáznemű vagy folyékony tüzelőanyaggal működő egyedi helyiségfűtő berendezés | |||||
| Hordozható | Helyhez kötött | Hőtárolós | Padlófűtés | Sugárzásos | ||
| Egyetlen állás, beltéri hőmérséket-szabályozás nélkül | 0,0 % | 0,0 % | 0,0 % | 0,0 % | 0,0 % | 0,0 % |
| Két vagy több kézi szabályozású állás, hőmérséklet-szabályozás nélkül | 1,0 % | 0,0 % | 0,0 % | 0,0 % | 2,0 % | 1,0 % |
| Mechanikus termosztátos beltéri hőmérséklet-szabályozás | 6,0 % | 1,0 % | 0,5 % | 1,0 % | 1,0 % | 2,0 % |
| Elektronikus beltéri hőmérséklet-szabályozás | 7,0 % | 3,0 % | 1,5 % | 3,0 % | 2,0 % | 4,0 % |
| Elektronikus beltéri hőmérséklet-szabályozás és napszak szerinti szabályozás | 8,0 % | 5,0 % | 2,5 % | 5,0 % | 3,0 % | 6,0 % |
| Elektronikus beltéri hőmérséklet-szabályozás és heti szabályozás | 9,0 % | 7,0 % | 3,5 % | 7,0 % | 4,0 % | 7,0 % |
A kereskedelmi célú egyedi helyiségfűtő berendezések esetében az F(2) korrekciós tag nem vehető figyelembe.
e) A beltéri hőkomfortérzet befolyásolására rendelkezésre álló, számszakilag összegezhető lehetőségek által a szezonális helyiségfűtési hatásfokra gyakorolt jótékony hatást kifejező F(3) korrekciós tagot az alábbiak szerint kell meghatározni.
Az összes egyedi helyiségfűtő berendezés esetében az F(3) korrekciós tag a 8. táblázat megfelelő soraiból vett értékek összegével egyenlő.
8. táblázat
Az F(3) korrekciós tag
| A termék jellemzője (több lehetőség is figyelembe vehető) | F(3) | |||||
| Elektromos egyedi helyiségfűtő berendezés | Gáznemű vagy folyékony tüzelőanyaggal működő egyedi helyiségfűtő berendezés | |||||
| Hordozható | Helyhez kötött | Hőtárolós | Padlófűtés | Sugárzásos | ||
| Beltéri hőmérséklet-szabályozás jelenlét-érzékeléssel | 1,0 % | 0,0 % | 0,0 % | 0,0 % | 2,0 % | 1,0 % |
| Beltéri hőmérséklet-szabályozás nyitottablak-érzékeléssel | 0,0 % | 1,0 % | 0,5 % | 1,0 % | 1,0 % | 1,0 % |
| Távszabályozási lehetőség | 0,0 % | 1,0 % | 0,5 % | 1,0 % | 1,0 % | 1,0 % |
| Adaptív bekapcsolásszabályozás | 0,0 % | 1,0 % | 0,5 % | 1,0 % | 0,0 % | 0,0 % |
| Működési idő korlátozása | 0,0 % | 0,0 % | 0,0 % | 0,0 % | 1,0 % | 0,0 % |
| Feketegömb-érzékelővel ellátva | 0,0 % | 0,0 % | 0,0 % | 0,0 % | 1,0 % | 0,0 % |
f) A kiegészítő villamosenergia-fogyasztást figyelembe vevő F(4) korrekciós tag:
Ez a korrekciós tag a bekapcsolt állapotban és a készenléti üzemmódban elfogyasztott kiegészítő villamos energia (segédenergia) hatását veszi figyelembe.
Az elektromos egyedi helyiségfűtő berendezések esetében a korrekciót a következőképpen kell meghatározni:
A kiegészítő villamosenergia-fogyasztást figyelembe vevő F(4) korrekciós tag kiszámítása:

A fenti összefüggésben:
- elsb a készenléti üzemmódbeli villamosenergia-fogyasztás kW-ban kifejezve,
- Pnom a termék névleges hőteljesítménye kW-ban kifejezve,
- α egy azt figyelembe vevő tényező, hogy a termék teljesíti-e az 1275/2008/EK bizottsági rendelet ( 2 ) követelményeit:
-
- ha a termék teljesíti az 1275/2008/EK rendeletben foglalt határértékeket, akkor α alapértelmezett értéke 0 (nulla),
- ha a termék nem teljesíti az 1275/2008/EK rendeletben foglalt határértékeket, akkor α alapértelmezett értéke 1,3.
A gáznemű és a folyékony tüzelőanyaggal működő egyedi helyiségfűtő berendezések esetében a kiegészítő villamosenergia-fogyasztás hatását kifejező korrekciós tagot a következőképpen kell meghatározni:

A fenti összefüggésben:
- elmax a névleges hőteljesítményhez tartozó villamosenergia-fogyasztás kW-ban kifejezve,
- elmin a minimális hőteljesítményhez tartozó villamosenergia-fogyasztás kW-ban kifejezve. Ha a terméknek nincs minimális hőteljesítménye, akkor a névleges hőteljesítményhez tartozó villamosenergia-fogyasztás értékét kell figyelembe venni,
- elsb a termék készenléti üzemmódbeli villamosenergia-fogyasztása kW-ban kifejezve,
- Pnom a termék névleges hőteljesítménye kW-ban kifejezve.
A kereskedelmi célú egyedi helyiségfűtő berendezések esetében a kiegészítő villamosenergia-fogyasztás hatását kifejező korrekciós tagot a következőképpen kell meghatározni:

g) Az állandó gyújtóláng fenntartásához szükséges energiafogyasztás hatását kifejező F(5) korrekciós tagot az alábbiak szerint kell meghatározni.
Ez a korrekciós tag az állandó gyújtóláng energiaigényének hatását veszi figyelembe.
A gáznemű és a folyékony tüzelőanyaggal működő egyedi helyiségfűtő berendezések esetében a korrekciós tagot a következőképpen kell meghatározni:

A fenti összefüggésben:
- Ppilot a gyújtóláng energiafogyasztása kW-ban kifejezve,
- Pnom a termék névleges hőteljesítménye kW-ban kifejezve.
A kereskedelmi célú egyedi helyiségfűtő berendezések esetében a korrekciós tagot a következőképpen kell meghatározni:

Ha a termék nem rendelkezik állandó gyújtólánggal, akkor Ppilot értéke 0 (nulla).
A fenti összefüggésben:
- Ppilot a gyújtóláng energiafogyasztása kW-ban kifejezve,
- Pnom a termék névleges hőteljesítménye kW-ban kifejezve.
IV. MELLÉKLET
A termék megfelelésének vizsgálata a piacfelügyeleti hatóságok által
Az e mellékletben meghatározott ellenőrzési tűrések kizárólag a méréssel meghatározott paramétereknek a tagállami hatóságok általi ellenőrzésére vonatkoznak, a gyártó és az importőr nem használhatja fel őket megengedett tűrésként a műszaki dokumentációban szereplő értékek meghatározására vagy ezeknek az értékeknek a megfelelés kimutatása céljából történő értelmezésére, sem pedig a kedvezőbb működési tulajdonságok bárminemű kommunikálására.
Amikor a 2009/125/EK irányelv 3. cikkének (2) bekezdésével összhangban azt vizsgálják, hogy egy termékmodell teljesíti-e az e rendeletben meghatározott követelményeket, a tagállami hatóságok az e mellékletben említett követelmények tekintetében a következő eljárást alkalmazzák:
1. A tagállami hatóságok a modellből egyetlen darabot vetnek vizsgálat alá.
2. Úgy kell tekinteni, hogy a modell teljesíti a vizsgált követelményeket, ha:
a) a műszaki dokumentációban a 2009/125/EK irányelv IV. mellékletének 2. pontja szerint megadott értékek (a továbbiakban: megadott értékek), valamint - ha alkalmazandó - az ezen értékek meghatározásához felhasznált értékek nem kedvezőbbek a gyártóra vagy az importőrre nézve, mint az említett melléklet 2. g) pontjával összhangban elvégzett megfelelő mérések eredményei; és
b) a megadott értékek teljesítik az e rendeletben meghatározott valamennyi követelményt, továbbá a gyártó és az importőr által az előírásoknak megfelelően közzétett termékinformációk nem tartalmaznak a gyártóra vagy az importőrre nézve a megadott értékeknél kedvezőbb értékeket; és
c) akkor, amikor a tagállami hatóságok a modell adott darabját vizsgálatnak vetik alá, a meghatározott értékek (az egyes paramétereknek a vizsgálat során méréssel meghatározott értékei, illetőleg az ezen értékek alapján számítással meghatározott értékek) a 9. táblázat szerinti ellenőrzési tűréseken belül vannak.
3. Ha a 2. a) és a 2. b) pontban foglalt feltételek nem teljesülnek, akkor úgy kell tekinteni, hogy sem maga a modell, sem egyetlen más olyan modell, amelyet a gyártó vagy az importőr műszaki dokumentációja egyenértékű modellként megnevez, nem teljesíti e rendelet követelményeit.
4. Ha a 2. c) pontban meghatározott feltétel nem teljesül, a tagállami hatóságok három további, ugyanahhoz a modellhez tartozó darabot újabb vizsgálatnak vetnek alá, kivéve az elektromos egyedi helyiségfűtő berendezések esetét, amelyeknél a modell nem megfelelő voltát további vizsgálat nélkül kell megállapítani, és közvetlenül a 6. és a 7. pontot kell alkalmazni. Más modellek esetében a kiválasztott három további darab alternatívaképpen egy vagy több olyan másik modellhez is tartozhat, amelyet a gyártó vagy az importőr a műszaki dokumentációban egyenértékű modellként megjelölt.
5. Úgy kell tekinteni, hogy a modell teljesíti a rá vonatkozó követelményeket, ha e három darab vonatkozásában a meghatározott értékek számtani középértéke a 9. táblázat szerinti ellenőrzési tűréseken belül van.
6. Ha a 4. és az 5. pontban foglalt feltétel nem teljesül, akkor úgy kell tekinteni, hogy sem maga a modell, sem egyetlen más olyan modell, amelyet a gyártó vagy az importőr műszaki dokumentációja egyenértékű modellként megnevez, nem teljesíti e rendelet követelményeit.
7. A modell nem megfelelő voltának a 3. és a 6. pont szerinti megállapítását követően a tagállami hatóságok minden lényeges információt haladéktalanul átadnak a többi tagállam hatóságainak és a Bizottságnak.
A tagállami hatóságok a fenti vizsgálatok során a III. mellékletben meghatározott mérési és számítási módszereket alkalmazzák.
A tagállami hatóságok az e mellékletben foglalt követelmények teljesülésének ellenőrzésére kizárólag a 9. táblázatban meghatározott ellenőrzési tűréseket és kizárólag az 1-7. pontban leírt eljárást alkalmazzák. Semmilyen más - például harmonizált szabványban vagy más mérési módszerben meghatározott - tűrés nem alkalmazható.
9. táblázat
Ellenőrzési tűrések
| Paraméter | Ellenőrzési tűrés |
| Az elektromos egyedi helyiségfűtő berendezések szezonális helyiségfűtési hatásfoka (η s) | A meghatározott érték nem lehet kisebb a termék névleges hőteljesítményéhez tartozó megadott értéknél. |
| A folyékony és gáztüzelésű háztartási egyedi helyiségfűtő berendezések szezonális helyiségfűtési hatásfoka (η s) | A meghatározott érték nem lehet kisebb 8 %-nál nagyobb mértékben a megadott értéknél. |
| Az irányított sugárzásos és a sugárzócsöves egyedi helyiségfűtő berendezések szezonális helyiségfűtési hatásfoka (η s) | A meghatározott érték nem lehet kisebb 10 %-nál nagyobb mértékben a megadott értéknél. |
| A gáz- és a folyékony tüzelésű háztartási egyedi helyiségfűtő berendezések, valamint az irányított sugárzásos és a sugárzócsöves egyedi helyiségfűtő berendezések nitrogén-oxid-kibocsátása | A meghatározott érték nem lehet nagyobb 10 %-nál nagyobb mértékben a megadott értéknél. |
V. MELLÉKLET
Indikatív referenciaértékek a 6. cikk alkalmazásában
A rendelet hatálybalépésének időpontjában az egyedi helyiségfűtő berendezések piacán beszerezhető, a szezonális helyiségfűtési hatásfok, valamint a kibocsátott nitrogén-oxidok mennyisége szempontjából legjobb technológia a következőképpen írható le:
1. Az egyedi helyiségfűtő berendezések szezonális helyiségfűtési hatásfokának referenciaértékei
a) a gáznemű és a folyékony tüzelőanyaggal működő nyitott égésterű egyedi helyiségfűtő berendezések szezonális helyiségfűtési hatásfokának referenciaértéke: 65 %;
b) a gáznemű és a folyékony tüzelőanyaggal működő zárt égésterű egyedi helyiségfűtő berendezések szezonális helyiségfűtési hatásfokának referenciaértéke: 88 %;
c) az elektromos egyedi helyiségfűtő berendezések szezonális helyiségfűtési hatásfokának referenciaértéke: több mint 39 %;
d) az irányított sugárzásos egyedi helyiségfűtő berendezések szezonális helyiségfűtési hatásfokának referenciaértéke: 92 %;
e) a sugárzócsöves egyedi helyiségfűtő berendezések szezonális helyiségfűtési hatásfokának referenciaértéke: 88 %;
2. Az egyedi helyiségfűtő berendezések által kibocsátott nitrogén-oxidok (NOx) mennyiségének referenciaértékei
a) a gáznemű és a folyékony tüzelőanyaggal működő egyedi helyiségfűtő berendezések által kibocsátott NOx mennyiségének referenciaértéke: 50 mg/kWhinput a GCV alapján meghatározva;
b) az irányított sugárzásos egyedi helyiségfűtő berendezések és a sugárzócsöves egyedi helyiségfűtő berendezések által kibocsátott NOx mennyiségének referenciaértéke: 50 mg/kWhinput a GCV alapján meghatározva.
A fentiekből nem következik feltétlenül, hogy az 1. és a 2. pontban meghatározott referenciaértékek egy adott egyedi helyiségfűtő berendezést egyszerre jellemeznek.
( 1 ) Az Európai Parlament és a Tanács 2012. október 25-i 2012/27/EU irányelve az energiahatékonyságról, a 2009/125/EK és a 2010/30/EU irányelv módosításáról, valamint a 2004/8/EK és a 2006/32/EK irányelv hatályon kívül helyezéséről (HL L 315., 2012.11.14., 1. o.)
( 2 ) A Bizottság 2008. december 17-i 1275/2008/EK rendelete a 2005/32/EK európai parlamenti és tanácsi irányelvnek az elektromos és elektronikus háztartási és irodai berendezések készenléti és kikapcsolt üzemmódban fellépő elektromosáram-fogyasztására vonatkozó környezetbarát tervezési követelmények tekintetében történő végrehajtásáról (HL L 339., 2008.12.18., 45. o.).
Lábjegyzetek:
[1] A dokumentum eredetije megtekinthető CELEX: 32015R1188 - https://eur-lex.europa.eu/legal-content/HU/ALL/?uri=CELEX:32015R1188&locale=hu Utolsó elérhető, magyar nyelvű konszolidált változat CELEX: 02015R1188-20170109 - https://eur-lex.europa.eu/legal-content/HU/ALL/?uri=CELEX:02015R1188-20170109&locale=hu