32010L0026[1]
A Bizottság 2010/26/EU irányelve ( 2010. március 31.) a nem közúti mozgó gépekbe és berendezésekbe szánt belső égésű motorok gáz és szilárd halmazállapotú szennyezőanyag-kibocsátása elleni intézkedésekre vonatkozó tagállami jogszabályok közelítéséről szóló 97/68/EK európai parlamenti és tanácsi irányelv módosításáról
A BIZOTTSÁG 2010/26/EU IRÁNYELVE
(2010. március 31.)
a nem közúti mozgó gépekbe és berendezésekbe szánt belső égésű motorok gáz és szilárd halmazállapotú szennyezőanyag-kibocsátása elleni intézkedésekre vonatkozó tagállami jogszabályok közelítéséről szóló 97/68/EK európai parlamenti és tanácsi irányelv módosításáról
(EGT-vonatkozású szöveg)
AZ EURÓPAI BIZOTTSÁG,
tekintettel az Európai Unió működéséről szóló szerződésre,
tekintettel a nem közúti mozgó gépekbe és berendezésekbe szánt belső égésű motorok gáz és szilárd halmazállapotú szennyezőanyag-kibocsátása elleni intézkedésekre vonatkozó tagállami jogszabályok közelítéséről szóló, 1997. december 16-i 97/68/EK európai parlamenti és tanácsi irányelvre (1) és különösen annak 14. és 14a. cikkére,
mivel:
(1) Az irányelv 14a. cikke meghatározza az ugyanezen irányelv 9a. cikkének (7) bekezdésében említett időszak meghosszabbítására szolgáló kritériumokat és eljárást. A 97/68/EK irányelv 14a. cikke szerint végzett tanulmányok azt mutatják, hogy jelentős műszaki nehézségekbe ütközik az azon ipari felhasználású, többféle helyzetben működtethető, kézi, mozgó gépek II. szakaszra vonatkozó követelményeknek való megfelelése, amelyekbe SH:2 és SH:3 osztályú motorokat építettek be. Ezért a 9a. cikk (7) bekezdésében említett időtartamot 2013. július 31-éig meg kell hosszabbítani.
(2) A 97/68/EK irányelv 2004. évi módosítása óta a dízelmotorok kialakítása terén műszaki fejlesztéseket végeztek abból a célból, hogy azok megfeleljenek a III B. és IV. szakaszra vonatkozó szennyezőanyag-kibocsátási határértékeknek. Elektronikus vezérlésű motorokat fejlesztettek ki, amelyek nagyrészt felváltották a mechanikusan működtetett üzemanyag-befecskendezést és vezérlőrendszereket. Ezért a 97/68/EK irányelv I. mellékletében foglalt, jelenleg hatályos, általános típus-jóváhagyási előírásokat ennek megfelelően ki kell igazítani, és a III B. és IV. szakasz vonatkozásában általános típus-jóváhagyási előírásokat kell bevezetni.
(3) A 97/68/EK irányelv II. melléklete megadja, hogy milyen műszaki adatoknak kell szerepelniük azokon az adatközlő lapokon, amelyeket a gyártónak a motor típusjóváhagyására irányuló kérelem mellett be kell nyújtania a jóváhagyó hatóságokhoz. A kipufogógáz-tisztító berendezések tekintetében feltüntetett adatok általános jellegűek, ezért azokat ki kell igazítani azon egyes utókezelő rendszereknek megfelelően, amelyeket azért kell használni, hogy a motorok megfeleljenek a III B. és IV. szakaszra vonatkozó szennyezőanyag-kibocsátási határértékeknek. A motorokra felszerelt utókezelő berendezésekre vonatkozóan részletesebb információt is be kell nyújtani, amelynek alapján a jóváhagyó hatóságok értékelni tudják, megfelel-e a motor a III B. és IV. szakasznak.
(4) A 97/68/EK irányelv III. melléklete a motorok vizsgálatára és a motorok által kibocsátott gáz- és szilárd halmazállapotú szennyező anyagok mennyiségének meghatározására szolgáló módszert írja le. A III B. és IV. szakasz szennyezőanyag-kibocsátási határértékeinek való megfelelés igazolására szolgáló típus-jóváhagyási vizsgálati módszerrel egyidejűleg mind a gáz- (szén-monoxid, szénhidrogének, nitrogén-oxidok), mind a szilárd halmazállapotú szennyező anyagok kibocsátási határértékeinek való megfelelést igazolni kell. A nem közúti állandósult állapotú ciklust (NRSC) és a nem közúti átmeneti állapotú (tranziens) ciklust (NRTC) ennek megfelelően ki kell igazítani.
(5) A 97/68/EK irányelv III. mellékletének 1.3.2. pontja a jelölések (I. melléklet 2.18. pontja) a vizsgálatsorozat (III. melléklet) és a számítási egyenletek (III. melléklet III. függeléke) módosításáról rendelkezik a hideg/meleg összetett vizsgálatsorozat bevezetését megelőzően. A III B. és a IV. szakasz szennyezőanyag-kibocsátási határértékeinek való megfelelés igazolására szolgáló típus-jóváhagyási vizsgálat a hidegindításos ciklus részletes leírását teszi szükségessé.
(6) A 97/68/EK irányelv III. mellékletének 3.7.1. pontja a különféle berendezések specifikációjának megfelelő mérési ciklust írja le. A 3.7.1.1. pont ("A" specifikáció) szerinti mérési ciklust pontosítani kell a tekintetben, hogy melyik motorfordulatszámot kell használni a típus-jóváhagyási számítási módszerben. Az ISO 8178 nemzetközi mérési szabványra való hivatkozást is ki kell igazítani, a szabvány legfrissebb változatának megfelelően (ISO 8178-4:2007).
(7) A 97/68/EK irányelv III. mellékletének 4.5. pontja a szennyezőanyag-kibocsátás mérési menetét ismerteti. Ezt a pontot ki kell igazítani, hogy a hidegindításos ciklust is figyelembe vegye.
(8) A 97/68/EK irányelv III. mellékletének 3. függeléke a III. mellékletben leírt NRSC-vizsgálat és NRTC-vizsgálat tekintetében egyaránt leírja a gáz- és szilárd halmazállapotú szennyezőanyag-kibocsátás adatértékelésére és kiszámítására vonatkozó kritériumokat. A motorok III B. és IV. szakasz szerinti típusjóváhagyása szükségessé teszi az NRTC-vizsgálat számítási módszerének kiigazítását.
(9) A 97/68/EK irányelv XIII. melléklete a "rugalmas végrehajtási eljárás" alapján forgalomba hozott motorokról rendelkezik. A III B. szakasz zökkenőmentes végrehajtása érdekében a rugalmas végrehajtási eljárás fokozottabb használatára lehet szükség. Ezért a III B. szakasznak megfelelő motorok bevezetése érdekében a műszaki fejlődéshez történő hozzáigazítást bizonyos intézkedéseknek kell kísérniük, nehogy a rugalmas végrehajtási eljárást olyan bejelentési követelmények akadályozzák, melyek már nem alkalmazandók e motorok bevezetésére. Az intézkedések a bejelentési követelmények és jelentéstételi kötelezettségek egyszerűsítését hivatottak szolgálni; céljuk, hogy jobban igazodjanak a piacfelügyeleti hatóságok igényeihez, akiknek reagálniuk kell a rugalmas végrehajtási eljárásnak a III B. szakasz bevezetéséből eredő fokozottabb használatára.
(10) Mivel a 97/68/EK irányelv a motorok (L kategória) III B. szakasz szerinti típusjóváhagyását 2010. január 1-jétől előírja, a típusjóváhagyás megadásának lehetőségét ettől a dátumtól kezdve biztosítani kell.
(11) A jogbiztonság érdekében ennek az irányelvnek a lehető leghamarabb hatályba kell lépnie.
(12) Az ebben az irányelvben előírt intézkedések összhangban vannak a 97/68/EK irányelv 15. cikkének (1) bekezdésével létrehozott bizottság véleményével,
ELFOGADTA EZT AZ IRÁNYELVET:
1. cikk
A 97/68/EK irányelv módosításai
A 97/68/EK irányelv a következőképpen módosul:
1. A 9a. cikk (7) bekezdése az alábbi albekezdéssel egészül ki:
"Az első albekezdéstől függetlenül a felső fogantyúval ellátott gépek kategóriáján belül az ipari felhasználású, többféle helyzetben működtethető sövénynyíró ollók és felső fogantyúval ellátott, famegmunkáló láncfűrészek esetében, amelyekbe SH:2 vagy SH:3 osztályú motort építettek be, a mentesség időszaka 2013. július 31-ig meghosszabbodik."
2. Az I. melléklet ezen irányelv I. mellékletének megfelelően módosul.
3. A II. melléklet ezen irányelv II. mellékletének megfelelően módosul.
4. A III. melléklet ezen irányelv III. mellékletének megfelelően módosul.
5. Az V. melléklet ezen irányelv IV. mellékletének megfelelően módosul.
6. A XIII. melléklet ezen irányelv V. mellékletének megfelelően módosul.
2. cikk
Átmeneti rendelkezések
A tagállamok az irányelvnek a Hivatalos Lapban való kihirdetését követő naptól megadhatják a típusjóváhagyást azokra az elektronikus vezérlésű motorokra, amelyek megfelelnek az ezzel az irányelvvel módosított 97/68/EK irányelv I., II., III., V. és XIII. mellékletében meghatározott követelményeknek.
3. cikk
Átültetés a nemzeti jogba
(1) A tagállamok hatályba léptetik azokat a törvényi, rendeleti és közigazgatási rendelkezéseket, amelyek szükségesek ahhoz, hogy ennek az irányelvnek a hatálybalépésétől számított tizenkét hónapon belül megfeleljenek. E rendelkezések szövegét, haladéktalanul megküldik a Bizottságnak.
Ezeket a rendelkezéseket 2011. március 31-től alkalmazzák.
A tagállamok által elfogadott rendelkezéseknek hivatkozniuk kell erre az irányelvre, vagy hivatalos kihirdetésük alkalmával ilyen hivatkozással együtt kell megjelenniük. A hivatkozás módját a tagállamok határozzák meg.
(2) A tagállamok megküldik a Bizottságnak nemzeti joguk azon főbb rendelkezéseinek szövegét, amelyeket az irányelv tárgykörében fogadnak el.
4. cikk
Hatálybalépés
Ez az irányelv az Európai Unió Hivatalos Lapjában való kihirdetését követő napon lép hatályba.
5. cikk
Címzettek
Ennek az irányelvnek a tagállamok a címzettjei.
Kelt Brüsszelben, 2010. március 31-én.
a Bizottság részéről
az elnök
José Manuel BARROSO
(1) HL L 59., 1998.2.27., 1. o.
I. MELLÉKLET
A 97/68/EGK irányelv I. melléklete a következő 8. ponttal egészül ki:
"8. A III B. ÉS IV. SZAKASZRA VONATKOZÓ TÍPUS-JÓVÁHAGYÁSI KÖVETELMÉNYEK
8.1. Ez a pont azokra az elektronikus vezérlésű motorokra vonatkozik, amelyek mind az üzemanyag-befecskendezés mennyiségét, mind időzítését elektronikusan vezérlik (a továbbiakban: motorok). Ez a pont a motoron az e melléklet 4.1.2.5. és 4.1.2.6. pontjában meghatározott kibocsátási határértékeknek való megfelelés érdekében használt technológiától függetlenül alkalmazandó.
8.2. Fogalommeghatározások
E pont alkalmazásában:
»kibocsátáscsökkentő stratégia«: a kibocsátáscsökkentő rendszer egy kibocsátáscsökkentő alapstratégiával és kibocsátáscsökkentő segédstratégiákkal való kombinációja, amely vagy a motor, vagy annak a nem közúti mozgó gép általános kialakításának részét képezi, amelybe a motort beszerelték.
»reagens«: bármely olyan fogyó vagy nem újratermelődő anyag, amelyre a kipufogógáz-utókezelő rendszer hatékony működése érdekében van szükség, illetve amelyet erre használnak.
8.3. Általános követelmények
8.3.1. A kibocsátáscsökkentő alapstratégiára vonatkozó követelmények
8.3.1.1. A kibocsátáscsökkentő alapstratégiát, amely a motor üzemeltetése alatti teljes fordulatszám- és nyomatéktartományban aktív, úgy kell kialakítani, hogy a motor megfeleljen az ebben az irányelvben foglalt rendelkezéseknek.
8.3.1.2. Minden olyan kibocsátáscsökkentő alapstratégia tilos, amely különbséget tud tenni a szabványosított típus-jóváhagyási vizsgálat alatti és egyéb üzemeltetési körülmények melletti motorműködés között, és ennélfogva a típus-jóváhagyási eljárás lényeges körülményeihez képest eltérő körülmények melletti működés esetén alacsonyabb kibocsátáscsökkentő teljesítményt eredményez.
8.3.2. A kibocsátáscsökkentő segédstratégiára vonatkozó követelmények
8.3.2.1. Kibocsátáscsökkentő segédstratégiát lehet használni motorokban vagy nem közúti mozgó gépekben, feltéve, hogy a segédstratégia aktív állapotban - bizonyos környezeti vagy üzemeltetési körülményekre adott válaszként - módosítja ugyan a kibocsátáscsökkentő alapstratégiát, de állandó jelleggel nem csökkenti a kibocsátáscsökkentő rendszer hatékonyságát.
a) ha a kibocsátáscsökkentő segédstratégia a típus-jóváhagyási vizsgálat alatt aktiválódik, a 8.3.2.2. és 8.3.2.3. pontot nem kell alkalmazni;
b) ha a kibocsátáscsökkentő segédstratégia nem aktiválódik a típus-jóváhagyási vizsgálat alatt, igazolni kell, hogy a kibocsátáscsökkentő segédstratégia csak annyi ideig aktív, amennyi a 8.3.2.3. pontban foglalt célok érdekében szükséges.
8.3.2.2. E pont vonatkozásában a következő feltételek mindegyikének teljesülnie kell:
a) 1 000 métert meg nem haladó tengerszint feletti magasság (vagy 90 kPa-nak megfelelő légnyomás);
b) 275 K és 303 K (2 °C és 30 °C) közötti környezeti hőmérséklet;
c) a motorhűtő közeg hőmérséklete 343 K (70 °C) feletti.
A motor a), b) és c) pontban leírt feltételek szerinti működése esetén a kibocsátáscsökkentő segédstratégia csak kivételesen aktiválódhat.
8.3.2.3. A kibocsátáscsökkentő segédstratégia különösen a következő célokból aktiválódhat:
a) fedélzeti vezérlőjelek általi aktiválás a motor védelmében (ideértve a levegőrendszer védelmét is) és/vagy azon nem közúti mozgó gép védelmében, amelybe a motor be van építve;
b) az üzembiztonság és az üzemeltetési stratégiák érdekében;
c) a túlzott kibocsátás megelőzése érdekében hidegindítás, a motor bemelegítése vagy leállítása alatt;
d) meghatározott környezeti vagy üzemeltetési körülmények esetén az előírás hatálya alá eső valamelyik szennyező anyag kibocsátásának ellenőrzéséről történő lemondás annak érdekében, hogy cserében a többi szennyező anyag kibocsátása az adott motorra vonatkozó határértékeken belül maradjon. A cél egy természetes jelenség hatásának oly módon történő ellensúlyozása, aminek eredményeképpen az összes szennyező komponens elfogadható mértékben szabályozható marad.
8.3.2.4. A gyártó köteles a műszaki hatóságnak a típus-jóváhagyási vizsgálat időpontjában igazolni, hogy a kibocsátáscsökkentő segédstratégiák működése megfelel a 8.3.2. pontban foglalt követelményeknek. Az igazolás a 8.3.3. pontban említett dokumentáció értékelésével történik.
8.3.2.5. Kibocsátáscsökkentő segédstratégia csak a 8.3.2. pontban leírtaknak megfelelően működhet.
8.3.3. A dokumentációra vonatkozó követelmények
8.3.3.1. A gyártónak a típus-jóváhagyási kérelem mellett adatközlő mappát kell benyújtania a műszaki szolgálatnak, amely tájékoztatást nyújt valamennyi szerkezeti elemről és kibocsátáscsökkentő stratégiáról, valamint azokról az eszközökről, amelyekkel a segédstratégia közvetlen vagy közvetett módon a kimeneti változókat szabályozza. Az adatközlő mappa két részből áll:
a) a típus-jóváhagyási kérelem mellé csatolt dokumentációs csomagból, amelynek teljes áttekintést kell adnia a kibocsátáscsökkentő stratégiáról. Igazolni kell, hogy minden olyan kimeneti állapot ismert, amelyet a különböző egységek bemeneti jeleit felhasználó szabályozási mátrix lehetővé tesz. Az erről szóló dokumentáció a II. mellékletben említett adatközlő mappa részét kell, hogy képezze;
b) abból a kiegészítő anyagból, amelyet ugyan bemutatnak a műszaki szolgálatnak, de nem kell csatolni a típus-jóváhagyási kérelemhez, és amelynek magában kell foglalnia a kibocsátáscsökkentő segédstratégia által módosított paramétereket és a stratégia működésének peremfeltételeit, különösen a következőket:
i. a hatékony kibocsátáscsökkentést eredményező üzemanyagrendszer és más fontos rendszerek (kipufogógáz-visszavezető rendszer (EGR) vagy reagensadagolás) szabályozási logikájának, az időzítési stratégiáknak, valamint a »ki-be« kapcsolási pontoknak a leírása valamennyi üzemmódra;
ii. a motoron alkalmazott valamennyi kibocsátáscsökkentő segédstratégia használatának indokolása, a szennyezőanyag-kibocsátásra gyakorolt hatásokat bemutató anyag és mérési adatok kíséretében. Az indokolás alapulhat mérési adatokon, megalapozott műszaki elemzésen vagy a kettő kombinációján;
iii. a NOx-szabályozás helytelen működésének felismerésére, elemzésére és diagnosztizálására használt algoritmusok vagy (adott esetben) szenzorok részletes leírása;
iv. a 8.4.7.2. pontban említett követelményeknél használt tűréshatárok, az alkalmazott módszertől függetlenül.
8.3.3.2. A 8.3.3.1. pont b) alpontjában említett kiegészítő anyagot szigorúan bizalmasként kell kezelni, és kérésre a jóváhagyó hatóság rendelkezésére kell bocsátani. A hatóság ezt az anyagot bizalmasan kezeli.
8.4. A NOx-szabályozásra szolgáló megoldások helyes működését biztosító követelmények
8.4.1. A gyártónak - a II. melléklet 1. függelékének 2. pontjában és a II. melléklet 3. függelékének 2. pontjában meghatározott dokumentumokat használva - a NOx-szabályozásra szolgáló intézkedések működési jellemzőit teljes mértékben leíró információt kell benyújtania.
8.4.2. Reagenst igénylő kibocsátáscsökkentő rendszer esetében a gyártónak - a II. melléklet 1. függelékének 2.2.1.13. pontja és 3. függelékének 2.2.1.13. pontja szerint - meg kell adnia a reagens jellemzőit, ideértve a reagens típusát, a feloldott reagens koncentrációját, az üzemi hőmérsékleti feltételeket, valamint a reagens összetételére és minőségére vonatkozó nemzetközi szabványokra való hivatkozást.
8.4.3. A motor kibocsátáscsökkentő stratégiájának működnie kell a Közösség területén szokásosan előforduló minden környezeti feltétel mellett, különösen alacsony környezeti hőmérsékletek esetén is.
8.4.4. A gyártónak igazolnia kell, hogy reagens használata esetén a típus-jóváhagyási eljárás során alkalmazandó kibocsátásmérési ciklus alatt az ammóniakibocsátás nem haladja meg a 25 ppm átlagértéket.
8.4.5. Ha a nem közúti mozgó gépekre különálló reagenstartályokat szerelnek fel vagy kapcsolnak hozzájuk, biztosítani kell a tartályban található reagensből való mintavételt. A mintavételi pontnak speciális szerszám vagy eszköz használata nélkül is könnyen hozzáférhetőnek kell lennie.
8.4.6. Használati és karbantartási követelmények
8.4.6.1. A típusjóváhagyást a 4. cikk (3) bekezdésének megfelelően ahhoz a feltételhez kell kötni, hogy a nem közúti mozgó gépek kezelőit legalább az alábbiakat magában foglaló írásbeli használati utasítással látják el:
a) a beszerelt motor helytelen működtetéséből, használatából vagy karbantartásából eredő lehetséges működési hibákat elmagyarázó, részletes figyelmeztetések a hozzájuk tartozó hibaelhárítási intézkedésekkel együtt;
b) a gép helytelen használatából adódó lehetséges motorműködési hibákat elmagyarázó, részletes figyelmeztetések a hozzájuk tartozó hibaelhárítási intézkedésekkel együtt;
c) a reagens helyes használatára vonatkozó információ és utasítás a reagens újratöltési gyakoriságáról a szokásos karbantartási időpontok között;
d) egyértelmű figyelmeztetés arról, hogy az adott motortípusra kiállított típus-jóváhagyási tanúsítvány csak a következő feltételek együttes teljesülése mellett érvényes:
i. a motort a megadott használati utasítások szerint működtetik, használják és tartják karban;
ii. helytelen működés, használat vagy karbantartás esetén azonnal felléptek az a) és b) pontban említett figyelmeztetésekben megadott hibaelhárítási intézkedéseknek megfelelően;
iii. a motort nem használták szándékosan rendeltetésének nem megfelelően, és főként nem hatástalanították a kipufogógáz-visszavezető vagy a reagensadagoló rendszert.
Az utasításokat egyértelműen és érthetően (nem szaknyelven) kell megfogalmazni, ugyanazt a nyelvezetet használva, mint a nem közúti mozgó gépekhez vagy azok motorjaihoz tartozó kezelői kézikönyvben.
8.4.7. Reagensszabályozás (ha van)
8.4.7.1. A típusjóváhagyást a 4. cikk (3) bekezdésének megfelelően ahhoz a feltételhez kell kötni, hogy a gép kezelőjét kijelzőkkel vagy - a nem közúti mozgó gép adott konfigurációjának megfelelően - más alkalmas módon tájékoztatják a következőkről:
a) a reagenstároló tartályban maradt reagens mennyisége, valamint külön jelzés arról, ha a reagens mennyisége a teli tartály űrtartalmának 10 %-a alá csökkent;
b) ha a reagenstároló tartály kiürül vagy majdnem kiürül;
c) ha a tartályban lévő reagens a beépített eszközök szerint nem felel meg a II. melléklet 1. függelékének 2.2.1.13. pontja vagy 3. függelékének 2.2.1.13. pontja szerint bejelentett vagy feljegyzett jellemzőknek;
d) ha megszakad a reagensadagolás, kivéve az olyan eseteket, amikor azt a motorvezérlő egység vagy az adagolásszabályozó szakítja meg azon motorüzemeltetési körülményekre reagálva, amelyek mellett nincs szükség adagolásra, feltéve, hogy ezeket az üzemeltetési körülményeket a jóváhagyó hatóság tudomására hozták.
8.4.7.2. A reagensnek a bejelentett jellemzőknek és a kapcsolódó NOx-kibocsátási tűréshatároknak való megfelelőségére vonatkozó követelményeket az alábbi módszerek valamelyikével kell teljesíteni, a gyártó döntése szerint:
a) közvetlen módszerek, mint például a reagens minőségét érzékelő szenzor használata;
b) közvetett módszerek, mint például NOx-érzékelő használata a kipufogórendszerben a reagens hatékonyságának értékelésére;
c) bármilyen egyéb módszer, feltéve, hogy hatékonysága legalább megegyezik az a) vagy b) pontban említett módszerek hatékonyságával, és az ebben a pontban foglalt fő követelményeknek eleget tesznek."
II. MELLÉKLET
A 97/68/EK irányelv II. melléklete a következőképpen módosul:
1. Az 1. függelék 2. pontja helyébe a következő szöveg lép:
"2. LÉGSZENNYEZÉS ELLENI INTÉZKEDÉSEK
2.1. Kartergázok visszavezetésére szolgáló eszköz: van/nincs (1) ...
2.2. További szennyezéscsökkentő berendezések (ha vannak ilyenek, és ha nem szerepelnek más cím alatt): ...
2.2.1. Katalizátor: van/nincs (1)
2.2.1.1. Gyártmány(ok): ...
2.2.1.2. Típus(ok): ...
2.2.1.3. A katalizátor és elemek száma ...
2.2.1.4. A katalizátor(ok) mérete és térfogata: ...
2.2.1.5. A katalitikus reakció típusa: ...
2.2.1.6. Teljes nemesfémtöltet: ...
2.2.1.7. Relatív koncentráció: ...
2.2.1.8. Hordozó (szerkezete és anyaga): ...
2.2.1.9. Cellasűrűség: ...
2.2.1.10. A katalizátor(ok) házának típusa: ...
2.2.1.11. A katalizátor(ok) elhelyezése (helye és a motortól mért legkisebb/legnagyobb távolsága): ...
2.2.1.12. Szokásos üzemi tartomány (K): ...
2.2.1.13. Fogyó reagens (ha van): ...
2.2.1.13.1. A katalitikus folyamathoz szükséges reagens típusa és koncentrációja: ...
2.2.1.13.2. A reagens szokásos üzemi hőmérséklet-tartománya: ...
2.2.1.13.3. Nemzetközi szabvány (ha van): ...
2.2.1.14. NOx-érzékelő: van/nincs (1)
2.2.2. Oxigénérzékelő: van/nincs (1)
2.2.2.1. Gyártmány(ok): ...
2.2.2.2. Típus: ...
2.2.2.3. Elhelyezés: ...
2.2.3. Légbefúvás: van/nincs (1)
2.2.3.1. Típus (rezgőszelep, levegőszivattyú stb.): ...
2.2.4. Kipufogógáz-visszavezetés: van/nincs (1)
2.2.4.1. Jellemzők (hűtött/nem hűtött, magas/alacsony nyomás stb.): ...
2.2.5. Részecskecsapda: van/nincs (1)
2.2.5.1. A részecskecsapda mérete és térfogata: ...
2.2.5.2. A részecskecsapda típusa és kialakítása: ...
2.2.5.3. Elhelyezés (hely és a motortól mért legkisebb/legnagyobb távolság): ...
2.2.5.4. A regenerálás módja vagy rendszere, leírás, illetve rajz: ...
2.2.5.5. Szokásos üzemi hőmérséklet- (K) és nyomástartomány (kPa): ...
2.2.6. Más rendszerek: van/nincs (1)
2.2.6.1. Leírás és működés: ...
2. A 3. függelék 2. pontja helyébe a következő szöveg lép:
"2. LÉGSZENNYEZÉS ELLENI INTÉZKEDÉSEK
2.1. Kartergázok visszavezetésére szolgáló eszköz: van/nincs (2) ...
2.2. További szennyezéscsökkentő berendezések (ha vannak ilyenek, és ha nem szerepelnek más cím alatt):
2.2.1. Katalizátor: van/nincs (2)
2.2.1.1. Gyártmány(ok): ...
2.2.1.2. Típus(ok): ...
2.2.1.3. A katalizátorok és elemek száma ...
2.2.1.4. A katalizátor(ok) mérete és térfogata: ...
2.2.1.5. A katalitikus reakció típusa: ...
2.2.1.6. Teljes nemesfémtöltet: ...
2.2.1.7. Relatív koncentráció: ...
2.2.1.8. Hordozó (szerkezete és anyaga): ...
2.2.1.9. Cellasűrűség: ...
2.2.1.10. A katalizátor(ok) házának típusa: ...
2.2.1.11. A katalizátor(ok) elhelyezése (helye és a motortól mért legkisebb/legnagyobb távolsága): ...
2.2.1.12. Szokásos üzemi tartomány (K) ...
2.2.1.13. Fogyó reagens (ha van): ...
2.2.1.13.1. A katalitikus folyamathoz szükséges reagens típusa és koncentrációja: ...
2.2.1.13.2. A reagens szokásos üzemi hőmérséklet-tartománya: ...
2.2.1.13.3. Nemzetközi szabvány (ha van): ...
2.2.1.14. NOx-érzékelő: van/nincs (2)
2.2.2. Oxigénérzékelő: van/nincs (2)
2.2.2.1. Gyártmány(ok): ...
2.2.2.2. Típus: ...
2.2.2.3. Elhelyezés: ...
2.2.3. Légbefúvás: van/nincs (2)
2.2.3.1. Típus (rezgőszelep, levegőszivattyú stb.): ...
2.2.4. Kipufogógáz-visszavezetés: van/nincs (2)
2.2.4.1. Jellemzők (hűtött/nem hűtött, magas/alacsony nyomás stb.): ...
2.2.5. Részecskecsapda: van/nincs (2)
2.2.5.1. A részecskecsapda mérete és térfogata: ...
2.2.5.2. A részecskecsapda típusa és kialakítása: ...
2.2.5.3. Elhelyezés (hely és a motortól mért legkisebb/legnagyobb távolság): ...
2.2.5.4. A regenerálás módja vagy rendszere, leírás, illetve rajz: ...
2.2.5.5. Szokásos üzemi hőmérséklet- (K) és nyomástartomány (kPa): ...
2.2.6. Más rendszerek: van/nincs (2)
2.2.6.1. Leírás és működés: ...
(1) A nem kívánt rész törlendő."
(2) A nem kívánt rész törlendő."
III. MELLÉKLET
A 97/68/EK irányelv III. melléklete a következőképpen módosul:
1. Az 1.1. pont helyébe a következő szöveg lép:
1.1. E melléklet a vizsgált motor által kibocsátott gáz- és szilárd halmazállapotú szennyező anyagok mennyiségének meghatározására szolgáló módszert írja le.
A következő mérési ciklusok alkalmazandók:
- a berendezés specifikációjának megfelelő NRSC (nem közúti állandósult állapotú ciklus), amelyet a szén-monoxidnak, a szénhidrogéneknek, a nitrogén-oxidoknak és a szilárd részecskéknek az I. melléklet 1. A. szakaszának i. és ii. pontjában leírt motorok általi kibocsátásának méréséhez kell használni az I., II. III A., III B. és IV. szakaszban, valamint
- a berendezés specifikációjának megfelelő NRTC (nem közúti átmeneti állapotú [tranziens] ciklus), amelyet a szén-monoxidnak, a szénhidrogéneknek, a nitrogén-oxidoknak és a szilárd részecskéknek az I. melléklet 1.A. szakaszának i. pontjában leírt motorok általi kibocsátásának méréséhez kell használni a III B. és IV. szakaszban,
- a belvízi hajókon történő felhasználásra szánt motorokon az ISO 8178-4:2002 szabványban és az IMO (1) MARPOL (2) 73/78 egyezmény VI. mellékletében (NOx) meghatározott ISO mérési eljárást kell elvégezni,
- a vasúti motorkocsik meghajtására szánt motorok gáz- és szilárd halmazállapotú szennyező anyagainak mérésére a III A. és a III B. szakaszban NRSC-t kell alkalmazni,
- a mozdonyok meghajtására szánt motorok gáz- és szilárd halmazállapotú szennyező anyagainak mérésére a III A. szakaszban és a III B. szakaszban NRSC-t kell alkalmazni.
2. Az 1.3.2. pont helyébe a következő szöveg lép:
"1.3.2. NRTC-vizsgálat:
Az előírt átmeneti mérési ciklust, amely kifejezetten a nem közúti gépekbe épített dízelmotorok üzemeltetési körülményein alapul, kétszer kell elvégezni:
- először (hidegindítás), miután a motor elérte a szobahőmérsékletet, a motorhűtő közeg és az olaj, az utókezelő rendszerek és minden motorvezérlő segédberendezés hőmérséklete pedig 20 és 30 °C között stabilizálódott;
- másodszor (melegindítás) egy húszperces kondicionálás után, amelyet közvetlenül a hidegindításos ciklus befejezése után kell kezdeni.
E vizsgálatsorozat során a fenti szennyező anyagokat kell vizsgálni. A vizsgálatsorozat a motor természetes lehűlését vagy kényszerhűtését követő hidegindításos ciklusból, kondicionálásból és egy melegindításból áll, és az összetett kibocsátás kiszámítására szolgál. A motorfékpad által mért nyomatékot és fordulatszámot használva integrálni kell a teljesítményt a ciklus idejének figyelembevételével, ami a motornak a ciklus alatt végzett munkáját adja. A gáz-halmazállapotú alkotóelemek koncentrációját a ciklus során a következő módszerek valamelyikével kell meghatározni: vagy a kezeletlen kipufogógázban a gázelemző készüléktől kapott jel integrálásával e melléklet 3. függeléke szerint, vagy a CVS teljes áramú hígítórendszer hígított kipufogógázában mért koncentráció integrálásával, vagy e melléklet 3. függeléke szerinti zsákos mintavétellel. A szilárd részecskék méréséhez a hígított kipufogógázból kell arányos mintát venni egy speciális szűrővel, akár részleges áramú, akár teljes áramú hígítás mellett. A szennyező anyagok kibocsátott tömegének kiszámításához meg kell határozni - a használt módszertől függően - a hígított vagy hígítatlan kipufogógáz-áramot a ciklus során. Mivel az egyes szennyező anyagok mennyiségét kilowattóránként kibocsátott grammban kell kifejezni, a kibocsátott tömegértékeket a motor munkavégzéséhez kell viszonyítani.
A szennyezőanyag-kibocsátásokat (g/kWh) mind a hideg-, mind a melegindításos ciklusok során meg kell mérni. Az összetett súlyozott kibocsátások kiszámításában a hidegindításos eredményeket 10 %-os, a melegindításos eredményeket 90 %-os súllyal kell figyelembe venni. A súlyozott összetett eredményeknek meg kell felelniük a határértékeknek."
3. A 3.7.1. pont helyébe a következő szöveg lép:
3.7.1. A berendezés specifikációja az I. melléklet 1. A. pontjának megfelelően:
3.7.1.1. »A«specifikáció
Az I. melléklet 1. A. szakaszának i. és iv. pontjának hatálya alá tartozó motorok esetében a fékpadi üzemeltetés során a következő nyolc üzemmódból álló ciklus (3) szerint kell elvégezni a motor vizsgálatát:
Üzemmód száma | Motorfordulatszám (fordulat/perc) | Terhelés (%) | Súlyozási tényező |
1 | Névleges vagy referencia (4) | 100 | 0,15 |
2 | Névleges vagy referencia (4) | 75 | 0,15 |
3 | Névleges vagy referencia (4) | 50 | 0,15 |
4 | Névleges vagy referencia (4) | 10 | 0,10 |
5 | Közbenső | 100 | 0,10 |
6 | Közbenső | 75 | 0,10 |
7 | Közbenső | 50 | 0,10 |
8 | Üresjárati | — | 0,15 |
3.7.1.2. »B« specifikáció
Az I. melléklet 1. A. szakaszának ii. pontjának hatálya alá tartozó motorok esetében a fékpadi üzemeltetés során a következő öt üzemmódból álló ciklus (5) szerint kell elvégezni a motor vizsgálatát:
Üzemmód száma | Motorfordulatszám (fordulat/perc) | Terhelés (%) | Súlyozási tényező |
1 | Névleges | 100 | 0,05 |
2 | Névleges | 75 | 0,25 |
3 | Névleges | 50 | 0,30 |
4 | Névleges | 25 | 0,30 |
5 | Névleges | 10 | 0,10 |
A terhelés alatt feltüntetett értékek azon névleges alapteljesítményhez tartozó nyomaték százalékos értékei, amellyel a motor a megadott karbantartási időpontok között és a megadott környezeti feltételek mellett, a gyártó által előírtak szerint végzett karbantartások mellett évente korlátlan óraszámban működtethető; a névleges alapteljesítmény változó teljesítménysorozat alatt rendelkezésre álló maximális teljesítményként értendő.
3.7.1.3. »C« specifikáció
A belvízi hajókra történő használatra szánt meghajtó motorokon (6) az ISO 8178-4:2002 szabványban és az IMO MARPOL 73/78 egyezmény VI. mellékletében (NOx Szabályzat) meghatározott vizsgálati eljárást kell elvégezni.
Az állandó lapátszögű hajócsavarral (fix nyomatékgörbével) működő meghajtó motort a kereskedelmi tengerhajózási dízelmotorok üzem közbeni működésének bemutatására kifejlesztett, a következő négy üzemmódból álló, állandósult állapotú ciklus (7) szerint kell a motorfékpadon vizsgálni.
Üzemmód száma | Motorfordulatszám (fordulat/perc) | Terhelés (%) | Súlyozási tényező |
1 | 100 % (névleges) | 100 | 0,20 |
2 | 91 % | 75 | 0,50 |
3 | 80 % | 50 | 0,15 |
4 | 63 % | 25 | 0,15 |
Belvízi hajók állandó fordulatszámú, változtatható lapátszögű vagy elektromosan csatlakoztatott hajócsavarral működő meghajtó motorjait a fenti ciklus terhelési és súlyozási tényezőivel jellemzett, következő négy üzemmódból álló, állandósult állapotú ciklus (8) szerint - de minden üzemmódban névleges fordulatszámon működtetett motorral - kell a motorfékpadon vizsgálni:
Üzemmód száma | Motorfordulatszám (fordulat/perc) | Terhelés (%) | Súlyozási tényező |
1 | Névleges | 100 | 0,20 |
2 | Névleges | 75 | 0,50 |
3 | Névleges | 50 | 0,15 |
4 | Névleges | 25 | 0,15 |
3.7.1.4. »D« specifikáció
Az I. melléklet 1. A. szakaszának v. pontjának hatálya alá tartozó motorok esetében a fékpadi üzemeltetés során a következő három üzemmódból álló ciklus (9) szerint kell elvégezni a motor vizsgálatát:
Üzemmód száma | Motorfordulatszám (fordulat/perc) | Terhelés (%) | Súlyozási tényező |
1 | Névleges | 100 | 0,25 |
2 | Közbenső | 50 | 0,15 |
3 | Üresjárati | — | 0,60 |
4. A 4.3.1. pont helyébe a következő szöveg lép:
"4.3.1. Referencia-fordulatszám
A referencia-fordulatszám (nref) a III. melléklet 4. függelékében lévő motorfékpadi ciklus menetében meghatározott normált fordulatszámértékek 100 %-ának felel meg. A referencia-fordulatszámra visszaszámítással kapott tényleges motorciklus nagyban függ a helyes referencia-fordulatszám megválasztásától. A referencia-fordulatszámot a következő módszerrel kell meghatározni:
nref = alacsony fordulatszám + 0,95 x (magas fordulatszám - alacsony fordulatszám)
(ahol a magas fordulatszám az a legnagyobb motorfordulatszám, amely mellett a névleges teljesítmény 70 %-a leadásra kerül, míg az alacsony fordulatszám az a legkisebb motorfordulatszám, amely mellett a névleges teljesítmény 50 %-a leadásra kerül).
Ha a mért referencia-fordulatszám legfeljebb ± 3 %-kal haladja meg a gyártó által megadott referencia-fordulatszámot, a megadott referencia-fordulatszámot lehet a kibocsátási vizsgálatokhoz használni. Ha a megadott értékeken kívül esik, akkor a mért referencia-fordulatszámot kell a kibocsátási vizsgálatokhoz használni (10).
5. A 4.5. pont helyébe a következő szöveg lép:
"4.5. Kibocsátásmérési menet
A következő folyamatábra a vizsgálatsorozat menetét ábrázolja:

A mérési ciklus előtt a motor, a vizsgálókamra és a szennyezőanyag-kibocsátási rendszerek ellenőrzésére szükség szerint egy vagy több gyakorlóciklus lefuttatható.
4.5.1. A mintavevő szűrők előkészítése
A vizsgálat megkezdése előtt legalább egy órával minden szűrőt portól védett, de a levegőcserét lehetővé tevő Petri-csészébe és azzal együtt egy mérlegkamrába kell helyezni stabilizálás céljából. A stabilizálás végén minden szűrőt le kell mérni, és súlyukat fel kell jegyezni. A szűrőt ezután zárt Petri-csészében vagy légmentesen lezárt szűrőtartóban kell tárolni addig, amíg nem lesz rá szükség a vizsgálathoz. A szűrőt a mérlegkamrából történő kivétel után nyolc órán belül fel kell használni. A tárasúlyt fel kell jegyezni.
4.5.2. A mérőrendszer összeállítása
A műszereket és a mintavevő szondákat az előírt módon kell felszerelni. Ha a kipufogógáz hígításához teljes áramú hígítórendszert használnak, a kipufogócső végét be kell kötni a rendszerbe.
4.5.3. A hígítórendszer beindítása
A hígítórendszert be kell kapcsolni. A teljes áramú hígítórendszer hígított kipufogógáz esetében a teljes áramot vagy a részleges áramú hígítórendszer hígított kipufogógáz-áramát úgy kell beállítani, hogy a rendszerben ne következzen be vízlecsapódás, és hogy a szűrő felületének hőmérséklete 315 K (42 °C) és 325 K (52 °C) között legyen.
4.5.4. A részecske-mintavevő rendszer elindítása
A részecske-mintavevő rendszert el kell indítani és megkerülő vezetéken kell járatni. A hígító levegő részecskeháttérszintje a hígító levegőnek a kipufogógáz hígító alagútba való belépése előtti mintavételével határozható meg. A részecske-háttérmintát lehetőleg a tranziens ciklus alatt kell összegyűjteni, ha egy másik részecske-mintavevő rendszer is rendelkezésre áll. Egyéb esetben a tranziens ciklus részecskéinek összegyűjtésére használt részecske-mintavevő rendszer használható. Szűrt hígító levegő használata esetén elegendő lehet egy mérés a vizsgálat előtt vagy után. Szűretlen hígító levegő használata esetén méréseket kell végezni a ciklus megkezdése előtt és a ciklus befejezése után, és az értékeket átlagolni kell.
4.5.5. A gázelemző készülékek ellenőrzése
A gázelemző készülékeken be kell állítani a nulla pontot és a mérőtartományt. Mintavevő zsákok használata esetén ezeket ki kell üríteni.
4.5.6. Lehűtési előírások
Természetes lehűlés vagy kényszerhűtés alkalmazható. Kényszerhűtésnél a műszaki szempontoknak megfelelően kell összeállítani azokat a rendszereket, melyek hűtőlevegőt fújnak a motorra, hideg olajat szállítanak a motor kenőrendszerében, hőt vonnak el a motorhűtő rendszeren keresztül a hűtőközegtől és a kipufogógáz-utókezelő rendszerből. Az utókezelő rendszer kényszerhűtése esetén addig nem szabad hűtőlevegőt alkalmazni, amíg az utókezelő rendszer le nem hűl a katalizátor aktiválási hőmérséklete alá. Tilos minden olyan hűtési eljárás, amely nem reprezentatív kibocsátást eredményez.
A szennyezőanyag-kibocsátási vizsgálat hidegindításos ciklusát a lehűtést követően csak akkor lehet elindítani, ha a motorolaj, a hűtőközeg és az utókezelő rendszer hőmérséklete legalább 15 percen keresztül 20 °C és 30 °C közötti szinten stabil marad.
4.5.7. A ciklus menete
4.5.7.1. Hidegindításos ciklus
A vizsgálatsorozatot a lehűtés befejezése után - ha a 4.5.6. pontban foglalt követelmények teljesültek - a hidegindításos ciklussal kell kezdeni.
A motort a gyártó által a felhasználói kézikönyvben megadott ajánlások szerint kell beindítani, vagy sorozatgyártású indítómotorral, vagy a fékpaddal.
Amint megállapítható, hogy a motor beindult, el kell indítani egy független alapjárati időzítőt. Hagyni kell, hogy a motor 23 ±1 s-en keresztül szabadon, terhelés nélkül fusson alapjáraton. A tranziens motorciklus elindítását úgy kell időzíteni, hogy a ciklus első, nem alapjárati adatrögzítésére 23 ±1 s elteltével kerüljön sor. A terhelés nélküli alapjárat ideje benne van a 23 ±1 s-ben.
A vizsgálatot a III. melléklet 4. függelékében leírt referenciaciklus szerint kell végrehajtani. A fordulatszám- és nyomatékvezérlő jeleket legalább 5/s gyakorisággal kell kiadni (10/s ajánlott). A beállítási pontokat a referenciaciklus 1/s gyakoriságú beállítási pontjai között lineáris interpolációval kell kiszámítani. A mért fordulatszámot és nyomatékot a mérési ciklus alatt legalább 1/s gyakorisággal regisztrálni kell; a jelek elektronikus szűrése megengedett.
4.5.7.2. A gázelemző készülék kijelzése
A motor beindításakor el kell indítani a mérőrendszert. Ezzel egyidejűleg el kell kezdeni:
- teljes áramú hígítórendszer esetén a hígított levegő gyűjtését vagy elemzését,
- a hígítatlan vagy hígított (az alkalmazott módszertől függően) kipufogógáz gyűjtését vagy elemzését,
- a hígított kipufogógáz mennyiségének, valamint az előírt hőmérsékleteknek és nyomásoknak a mérését,
- hígítatlan kipufogógáz elemzése esetén a kipufogógáz-tömegáram regisztrálását,
- a fékpad által mért fordulatszám- és nyomatékadatok regisztrálását.
Hígítatlan kipufogógáz mérése esetén a szennyezőanyag-koncentrációkat (szénhidrogének, CO és NOx) és a kipufogógáz tömegáramát folyamatosan mérni kell, és legalább 2/s gyakorisággal számítógépes rendszerben kell regisztrálni. Minden más adatot legalább 1/s mintavételi gyakorisággal lehet regisztrálni. Analóg gázelemző készülékek esetében a választ regisztrálni kell; a kalibrációs adatok alkalmazása történhet online vagy offline módon az adatértékelés során.
Teljes áramú hígítórendszer esetén a szénhidrogént és az NOx-et folyamatosan legalább 2/s gyakorisággal kell mérni a hígító alagútban. Az átlagos koncentrációkat a gázelemző készülék által az egész mérési ciklus alatt adott jelek integrálásával kell meghatározni. A rendszer válaszideje nem lehet 20 s-nál hosszabb, és szükség esetén össze kell hangolni az állandó térfogatú mintavétel (CVS) áramlásingadozásával és a mintavételi idő/mérési ciklus eltolódásaival. A CO, CO2 értékeit integrálással, vagy a mintavevő zsákban a ciklus alatt összegyűjtött gáz koncentrációjának elemzésével kell meghatározni. A hígító levegőben található gáz-halmazállapotú szennyező anyagok koncentrációját integrálással vagy a háttérzsákba történő begyűjtéssel kell meghatározni. Minden más mérendő paramétert legalább 1/s gyakorisággal kell regisztrálni.
4.5.7.3. Részecske-mintavétel
A motor beindításakor a részecske-mintavevő rendszert a megkerülő ágról át kell kapcsolni részecskegyűjtésre.
Részleges áramú hígítórendszer esetén a mintavevő szivattyú(ka)t úgy kell beállítani, hogy a részecske-mintavevő szondán vagy az átvezető csövön átáramló mennyiség mindig arányos legyen a kipufogógáz-tömegárammal.
Teljes áramú hígítórendszer esetén a mintavevő szivattyú(ka)t úgy kell beállítani, hogy a részecske-mintavevő szondán vagy az átvezető csövön átáramló mennyiség ± 5 % tűréssel egyenlő maradjon a beállított áramlási mennyiséggel. Ha áramláskiegyenlítést (azaz arányos mintaáram-szabályozást) alkalmaznak, akkor igazolni kell, hogy a főalagút áramának és a részecskeminta áramának aránya nem változik meg a beállított értéknél ± 5 %-nál nagyobb mértékben (kivéve a mintavétel első 10 másodpercét).
MEGJEGYZÉS: Kétszeres hígítású üzemeltetés esetén a mintaáram a mintavevő szűrőkön áthaladó áram és a másodlagos hígító levegő áramának nettó különbsége.
Regisztrálni kell az átlagos hőmérsékletet és nyomást a gázmérő(k) vagy áramlásmérő műszerek belépési pontján. Ha a beállított áramlási sebesség a szűrő nagy részecsketerhelése miatt nem tartható a teljes ciklus alatt (± 5 %-on belül), a vizsgálatot érvénytelennek kell tekinteni. A vizsgálatot meg kell ismételni kisebb áramlási sebességgel, illetve nagyobb átmérőjű szűrővel.
4.5.7.4. Motorleállás hidegindításos ciklus alatt
Ha a hidegindításos mérési ciklus valamely pontján a motor leáll, a motort elő kell kondicionálni, a lehűtést meg kell ismételni, majd újra kell indítani a motort, és meg kell ismételni a vizsgálatot. Ha a mérési ciklus során bármelyik mérőműszer hibásan működik, a vizsgálatot érvénytelennek kell tekinteni.
4.5.7.5. A hidegindításos mérési ciklus utáni műveletek
A hidegindításos mérési ciklus befejezésekor le kell állítani a kipufogógáz tömegáramának és a hígított kipufogógáz térfogatának mérését, a gyűjtőzsákokba menő gázáramot és a részecske-mintavevő szivattyút. Integráló gázelemző rendszer esetében a mintavételt a rendszer válaszidejének végéig kell folytatni.
Gyűjtőzsák használata esetén a bennük lévő gázok koncentrációját minél előbb, de a ciklus befejezésétől számított 20 percnél semmiképpen sem később elemezni kell.
A szennyezőanyag-vizsgálat után a nullázó gázzal és ugyanazzal a kalibráló gázzal meg kell ismételni a gázelemző készülékek ellenőrzését. A vizsgálat akkor tekinthető elfogadhatónak, ha a vizsgálatot megelőző és a vizsgálatot követő mérési eredmények közötti különbség a kalibráló gáz koncentrációjának 2 %-ánál kisebb.
A részecskeszűrőket a vizsgálat befejezését követő egy órán belül vissza kell helyezni a mérlegkamrába. A szűrőket legalább egy órán át portól védett és levegőcserét lehetővé tévő Petri-csészében kell kondicionálni, és azután meg kell mérni a tömegüket. A szűrők bruttó tömegét fel kell jegyezni.
4.5.7.6. Kondicionálás
Közvetlenül a motor kikapcsolása után - ha használatban voltak - a motorhűtő ventilátor(oka)t és a CVS légfúvót is ki kell kapcsolni (vagy le kell kapcsolni a kipufogórendszert a CVS-ről).
Ezután kondicionálni kell a motort 20 ± 1 percen át, majd elő kell készíteni a motort és a fékpadot a melegindításos ciklusra. A kiürített mintagyűjtő zsákokat csatlakoztatni kell a hígított gáz és hígított levegő mintagyűjtő rendszereire. Be kell kapcsolni a CVS-t (ha használunk ilyet és még nem volt bekapcsolva), illetve csatlakoztatni kell a kipufogórendszert a CVS-hez (ha szét voltak kapcsolva). El kell indítani a mintavevő szivattyúkat (a részecske-mintavevő szivattyú(k) kivételével), a motorhűtő ventilátor(oka)t és az adatgyűjtő rendszert.
A vizsgálat megkezdése előtt az állandó térfogatú mintavételi rendszer hőcserélőjét (ha használunk ilyet) és adott esetben a folyamatos működésű mintavételi rendszer(eke)t elő kell melegíteni a kijelölt üzemi hőmérsékletre.
A mintaáramlási sebességet a kívánt áramlási sebességre, a CVS gázáramlást mérő eszközöket pedig nullára kell állítani. Óvatosan minden szűrőtartóba tiszta részecskeszűrőt kell tenni, és az összeszerelt szűrőtartókat be kell szerelni a mintaáram-vezetékbe.
4.5.7.7. Melegindításos ciklus
Amint megállapítható, hogy a motor beindult, el kell indítani egy független alapjárati időzítőt. Hagyni kell, hogy a motor 23 ± 1 s-en keresztül szabadon, terhelés nélkül fusson alapjáraton. A tranziens motorciklus elindítását úgy kell időzíteni, hogy a ciklus első, nem alapjárati adatrögzítésére 23 ± 1 s elteltével kerüljön sor. A terhelés nélküli alapjárat ideje benne van a 23 ± 1 s-ben.
A vizsgálatot a III. melléklet 4. függelékében leírt referenciaciklus szerint kell végrehajtani. A fordulatszám- és nyomatékvezérlő jeleket legalább 5/s gyakorisággal (10/s ajánlott) kell kiadni. A beállítási pontokat a referenciaciklus 1/s gyakoriságú beállítási pontjai között lineáris interpolációval kell kiszámítani. A mért fordulatszámot és nyomatékot a mérési ciklus alatt legalább 1/s gyakorisággal regisztrálni kell; a jelek elektronikus szűrése megengedett.
Ezután a 4.5.7.2. és a 4.5.7.3. pontban leírt eljárást kell megismételni.
4.5.7.8. Motorleállás melegindításos ciklus alatt
Ha a melegindításos ciklus valamely pontján a motor leáll, a motort le lehet állítani, és 20 percen keresztül újra lehet kondicionálni. A melegindításos ciklust ekkor meg lehet ismételni. Csak egy újrakondicionálás és egy melegindításos ciklus megengedett.
4.5.7.9. A melegindításos ciklus utáni műveletek
A melegindításos ciklus befejezésekor le kell állítani a kipufogógáz tömegáramának és a hígított kipufogógáz térfogatának mérését, a gyűjtőzsákokba menő gázáramot és a részecske-mintavevő szivattyút. Integráló gázelemző rendszer esetében a mintavételt a rendszer válaszidejének végéig kell folytatni.
Gyűjtőzsák használata esetén a bennük lévő gázok koncentrációját minél előbb, de a ciklus befejezésétől számított 20 percnél semmiképpen sem később elemezni kell.
A szennyezőanyag-vizsgálat után a nullázó gázzal és ugyanazzal a mérőtartomány-kalibráló gázzal meg kell ismételni a gázelemző készülékek ellenőrzését. A vizsgálat akkor tekinthető elfogadhatónak, ha a vizsgálatot megelőző és a vizsgálatot követő mérési eredmények közötti különbség a kalibráló gáz értékének 2 %-ánál kisebb.
A részecskeszűrőket a vizsgálat befejezését követő egy órán belül vissza kell helyezni a mérlegkamrába. A szűrőket legalább egy órán át portól védett és levegőcserét lehetővé tévő Petri-csészében kell kondicionálni, és azután meg kell mérni a tömegüket. A szűrők bruttó tömegét fel kell jegyezni."
6. A 3. függelék a következőképpen módosul:
a) A 2.1.2.4. pont helyébe a következő szöveg lép:
"2.1.2.4. A fajlagos kibocsátások kiszámítása
A fajlagos kibocsátást [g/kWh] minden egyes összetevő tekintetében a következőképpen kell kiszámolni:

ahol:
Mgas,cold = a gáz-halmazállapotú szennyező anyag össztömege a hidegindításos ciklus alatt (g)
Mgas,hot = a gáz-halmazállapotú szennyező anyag össztömege a melegindításos ciklus alatt (g)
Wact,cold = a hidegindításos ciklusban végzett tényleges ciklusmunka a III. melléklet 4.6.2. pontjában meghatározottak szerint (kWh)
Wact,hot = a melegindításos ciklusban végzett tényleges ciklusmunka a III. melléklet 4.6.2. pontjában meghatározottak szerint (kWh)."
b) A 2.1.3.1 pont helyébe a következő szöveg lép:
"2.1.3.1. A kibocsátott tömeg kiszámítása
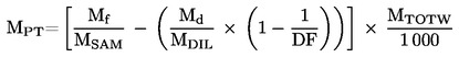
Az MPT, cold és az MPT, hot részecsketömegeket (g/vizsgálat) a következő módszerek valamelyikével kell kiszámítani:
KÉP HIÁNYZIK
ahol
MPT = MPT, cold a hidegindításos ciklus vonatkozásában
MPT = MPT, hot a melegindításos ciklus vonatkozásában
Mf = a ciklus alatt összegyűjtött részecskék tömege (mg)
MEDFW = az egyenértékű hígított kipufogógáz tömege a ciklus során (kg)
MSAM = a részecskegyűjtő szűrőkön áthaladó hígított kipufogógáz tömege (kg)
Az egyenértékű hígított kipufogógáz össztömegét a ciklusban a következőképpen kell meghatározni:



ahol
GEDFW,i = a hígított kipufogógáz pillanatnyi egyenértékű tömegárama (kg/s)
GEXHW,i = a kipufogógáz pillanatnyi tömegárama (kg/s)
qi = pillanatnyi hígítási arány
GTOTW,i = a hígító alagúton áthaladó hígított kipufogógáz pillanatnyi tömegárama (kg/s)
GDILW,i = a hígító levegő pillanatnyi tömegárama (kg/s)
f = adatlekérdezési gyakoriság (1/s)
n = a mérések száma
KÉP HIÁNYZIK
ahol
MPT = MPT, cold a hidegindításos ciklus vonatkozásában
MPT = MPT, hot a melegindításos ciklus vonatkozásában
Mf = a ciklus alatt összegyűjtött részecskék tömege (mg)
rs = az átlagos mintavételi arány a mérési ciklus alatt
ahol

MSE = a kipufogógáz-minta tömege a ciklus során (kg)
MEXHW = a ciklus során átáramló kipufogógáz össztömege (kg)
MSAM = a részecskegyűjtő szűrőkön áthaladó hígított kipufogógáz tömege (kg)
MTOTW = a hígító alagúton áthaladó hígított kipufogógáz tömege (kg)
MEGJEGYZÉS: Teljes mintavételt alkalmazó rendszer esetén az MSAM és az MTOTW megegyezik."
c) A 2.1.3.3. pont helyébe a következő szöveg lép:
"2.1.3.3. A fajlagos kibocsátások kiszámítása
A fajlagos kibocsátásokat (g/kWh) a következőképpen kell kiszámítani:

ahol
MPT,cold = a hidegindításos ciklus alatti részecsketömeg (g/vizsgálat)
MPT,hot = a melegindításos ciklus alatti részecsketömeg (g/vizsgálat)
Kp, cold = a részecskékre vonatkozó nedvességtartalom-korrekciós tényező a hidegindításos ciklus alatt
Kp, hot = a részecskékre vonatkozó nedvességtartalom-korrekciós tényező a melegindításos ciklus alatt
Wact, cold = a hidegindításos ciklusban végzett tényleges ciklusmunka a III. melléklet 4.6.2. pontjában meghatározottak szerint (kWh)
Wact, hot = a melegindításos ciklusban végzett tényleges ciklusmunka a III. melléklet 4.6.2. pontjában meghatározottak szerint (kWh)"
d) A 2.2.4. pont helyébe a következő szöveg lép:
"2.2.4. A fajlagos kibocsátások kiszámítása
A kibocsátást [g/kWh] minden egyes összetevő tekintetében a következőképpen kell kiszámolni:

ahol
Mgas,cold = a gáz-halmazállapotú szennyező anyag össztömege a hidegindításos ciklus alatt (g)
Mgas,hot = a gáz-halmazállapotú szennyező anyag össztömege a melegindításos ciklus alatt (g)
Wact,cold = a hidegindításos ciklusban végzett tényleges ciklusmunka a III. melléklet 4.6.2. pontjában meghatározottak szerint (kWh)
Wact,hot = a melegindításos ciklusban végzett tényleges ciklusmunka a III. melléklet 4.6.2. pontjában meghatározottak szerint (kWh)"
e) A 2.2.5.1. pont helyébe a következő szöveg lép:
"2.2.5.1. A tömegáram kiszámítása
Az MPT, cold és az MPT, hot részecsketömegeket (g/vizsgálat) a következőképpen kell kiszámítani:

ahol
MPT = MPT, cold a hidegindításos ciklus vonatkozásában
MPT = MPT, hot a melegindításos ciklus vonatkozásában
Mf = a ciklus alatt összegyűjtött részecskék tömege (mg)
MTOTW = a hígított kipufogógáz össztömege a teljes ciklus alatt, a 2.2.1. pontban meghatározottak szerint (kg)
MSAM = a hígító alagútból részecske-mintavétel céljából kivett hígított kipufogógáz tömege (kg),
valamint
Mf = Mf, p + Mf, b, ha külön mérték az értékeket (mg)
Mf,p = az elsődleges szűrőn összegyűjtött részecskék tömege (mg)
Mf,b = a kiegészítő szűrőn összegyűjtött részecskék tömege (mg)
Kétszeres hígítású rendszer alkalmazása esetén a másodlagos hígító levegő tömegét le kell vonni a részecskeszűrőkön áthaladó kétszeresen hígított kipufogógáz-minta össztömegéből.
MSAM = MTOT - MSEC
ahol
MTOT = a részecskeszűrőn áthaladó kétszeresen hígított kipufogógáz tömege (kg)
MSEC = a másodlagos hígító levegő tömege (kg)
Ha a hígító levegő részecske-háttérszintjét a III. melléklet 4.4.4. pontjának megfelelően határozzák meg, a részecsketömeg korrigálható a háttér-koncentráció figyelembevételével. Ebben az esetben az MPT, cold és az MPT, hot részecsketömeget (g/vizsgálat) a következőképpen kell kiszámítani:

ahol
MPT = MPT, cold a hidegindításos ciklus vonatkozásában
MPT = MPT, hot a melegindításos ciklus vonatkozásában
Mf, MSAM, MTOTW = lásd fent
MDIL = a háttérrészecske-mintavevő által mintavételezett elsődleges hígító levegő tömege (kg)
Md = az elsődleges hígító levegőből begyűjtött háttérrészecskék tömege (mg)
DF = hígítási tényező a 2.2.3.1.1. pontban meghatározottak szerint."
f) pont helyébe a következő szöveg lép:
"2.2.5.3. A fajlagos kibocsátások kiszámítása
A fajlagos kibocsátásokat (g/kWh) a következőképpen kell kiszámítani:

ahol
MPT,cold = az NRTC hidegindításos ciklusa alatti részecsketömeg (g/vizsgálat)
MPT,hot = az NRTC melegindításos ciklusa alatti részecsketömeg (g/vizsgálat)
Kp, cold = a részecskékre vonatkozó nedvességtartalom-korrekciós tényező a hidegindításos ciklus alatt
Kp, hot = a részecskékre vonatkozó nedvességtartalom-korrekciós tényező a melegindításos ciklus alatt
Wact, cold = a hidegindításos ciklusban végzett tényleges ciklusmunka a III. melléklet 4.6.2. pontjában meghatározottak szerint (kWh)
Wact, hot = a melegindításos ciklusban végzett tényleges ciklusmunka a III. melléklet 4.6.2. pontjában meghatározottak szerint (kWh)"
(1) IMO: International Maritime Organization (Nemzetközi Tengerészeti Szervezet).
(2) MARPOL: International Convention for the Prevention of Pollution from Ships (hajókról történő szennyezés megelőzéséről szóló nemzetközi egyezmény)."
(3) Az ISO 8178-4:2007 szabvány (2008.7.1-jei helyesbített változat) 8.3.1.1. pontjában leírt C1 ciklussal megegyező.
(4) A referenciasebesség meghatározása a III. melléklet 4.3.1. pontjában található.
(5) Az ISO 8178-4:2002(E) szabvány 8.4.1. pontjában leírt D2 ciklussal megegyező.
(6) Az állandó sebességű segédmotorokat az ISO D2 terhelési ciklus, azaz a 3.7.1.2. pontban meghatározott, öt üzemmódú, állandósult állapotú ciklus szerint kell tanúsítani, míg a változó sebességű segédmotorokat az ISO C1 terhelési ciklus, azaz a 3.7.1.1. pontban meghatározott, nyolc üzemmódú, állandósult állapotú ciklus szerint kell tanúsítani.
(7) Az ISO 8178-4: 2002(E) szabvány 8.5.1., 8.5.2. és 8.5.3. pontjában leírt E3 ciklussal megegyező. A négy üzemmód az üzem közbeni méréseken alapuló átlagos hajtócsavargörbén alapul.
(8) Az ISO 8178-4: 2002(E) szabvány 8.5.1., 8.5.2. és 8.5.3. pontjában leírt E2 ciklussal megegyező.
(9) Az ISO 8178-4: 2002(E) szabvány F ciklusával megegyező."
(10) Ez megfelel az ISO 8178-11:2006 szabványnak."
IV. MELLÉKLET
Az V. melléklet a következőképpen módosul:
A melléklet "NEM KÖZÚTI MOZGÓ GÉPEK ÉS BERENDEZÉSEK REFERENCIA-ÜZEMANYAGA A III B. ÉS IV. SZAKASZ HATÁRÉRTÉKEIT TELJESÍTŐ TÍPUSJÓVÁHAGYOTT CI-MOTOROK SZÁMÁRA" című táblázatának második sora a következőképpen módosul:
„Sűrűség 15 °C-on | kg/m3 | 833 | 865 | EN-ISO 3675” |
V. MELLÉKLET
A XIII. melléklet a következőképpen módosul:
1. Az 1.5. és 1.6. pont helyébe a következő szöveg lép:
"1.5. Az eredeti berendezés gyártójának a rugalmas végrehajtási eljáráshoz kapcsolódóan minden olyan információt meg kell adnia a jóváhagyó hatóságnak, amelyet a jóváhagyó hatóság a döntéshez szükségesnek ítél.
1.6. Az eredeti berendezés gyártójának bármely tagállami jóváhagyó hatóság rendelkezésére kell bocsátania minden olyan információt, amelyet a jóváhagyó hatóság annak érdekében kér, hogy igazolja: minden olyan motor, amelyet rugalmas végrehajtási eljárás keretében hoznak forgalomba, vagy amelyről ezt állítják, vagy amelyet ennek megfelelően címkéztek, valóban megfelel az állításnak vagy a címkézésnek."
2. Az 1.7. pontot el kell hagyni.
Lábjegyzetek:
[1] A dokumentum eredetije megtekinthető CELEX: 32010L0026 - https://eur-lex.europa.eu/legal-content/HU/ALL/?uri=CELEX:32010L0026&locale=hu A dokumentum konszolidált változatai magyar nyelven nem elérhetőek.