32005D0581[1]
2005/581/EK: A Bizottság határozata (2005. július 25.) az izomaltulóznak a 258/97/EK európai parlamenti és tanácsi rendelet szerinti új élelmiszerként vagy új élelmiszer-összetevőként történő forgalomba hozatalának engedélyezéséről (az értesítés a C(2005) 2776. számú dokumentummal történt)
A BIZOTTSÁG HATÁROZATA
(2005. július 25.)
az izomaltulóznak a 258/97/EK európai parlamenti és tanácsi rendelet szerinti új élelmiszerként vagy új élelmiszer-összetevőként történő forgalomba hozatalának engedélyezéséről
(az értesítés a C(2005) 2776. számú dokumentummal történt)
(Csak a német nyelvű szöveg hiteles)
(2005/581/EK)
AZ EURÓPAI KÖZÖSSÉGEK BIZOTTSÁGA,
tekintettel az Európai Közösséget létrehozó szerződésre,
tekintettel az új élelmiszerekről és az új élelmiszer-összetevőkről szóló, 1997. január 27-i 258/97/EK európai parlamenti és tanácsi rendeletre (1) és különösen annak 7. cikkére,
mivel:
(1) 2004. március 4-én a Südzucker AG kérte Németország illetékes hatóságainál az izomaltulóz új élelmiszerként vagy új élelmiszer-összetevőként történő forgalomba hozatalának engedélyezését.
(2) 2004. október 1-jén Németország illetékes élelmiszer-értékelő testülete kibocsátotta előzetes értékelő jelentését. A jelentésben a testület arra a következtetésre jutott, hogy az izomaltulóz javasolt felhasználása az emberi fogyasztás szempontjából biztonságos.
(3) A Bizottság az előzetes értékelő jelentést 2004. november 30-án továbbította a tagállamoknak.
(4) A 258/97/EK rendelet 6. cikkének (4) bekezdésében meghatározott hatvannapos időszak alatt az említett előírásnak megfelelően indokolt kifogásokat emeltek a termék fogalomba hozatalával szemben. A kifogásokat és az észrevételeket a tagállamokkal az állandó bizottság 2005. február 14-i ülésén tárgyalták meg, a Cargill által az izomaltulóz közösségi forgalomba hozatalára vonatkozóan benyújtott eredeti kérelemmel együtt.
(5) Az izomaltulózt tartalmazó élelmiszerek címkézésén és hirdetéseiben a tápértékre vonatkozóan szolgáltatandó információk tekintetében az élelmiszerek tápértékjelöléséről szóló, 1990. szeptember 24-i 90/496/EK tanácsi irányelv (2) irányadó.
(6) Az előzetes értékelő jelentés alapján megállapítást nyert, hogy az izomaltulóz megfelel a 258/97/EK rendelet 3. cikkének (1) bekezdésében megfogalmazott feltételeknek.
(7) Az e határozatban előírt intézkedések összhangban vannak az Élelmiszerlánc- és Állat-egészségügyi Állandó Bizottság véleményével,
ELFOGADTA EZT A HATÁROZATOT:
1. cikk
A mellékletben meghatározott izomaltulóz a Közösségben élelmiszer-ipari felhasználásra forgalomba hozható új élelmiszerként vagy élelmiszer-összetevőként.
2. cikk
A terméken elhelyezett címkén termékmegnevezésként vagy az izomaltulózt tartalmazó élelmiszerek esetében az élelmiszer-összetevők jegyzékében fel kell tüntetni az "izomaltulóz" megnevezést.
Az "izomaltulóz" megjelöléshez csillaggal (*) jelölt, jól olvasható lábjegyzetben meg kell adni a következő szöveget: "Az izomaltulóz glükóz- és gyümölcscukorforrás." A lábjegyzet szövegét legalább azonos betűmérettel kell szedni, mint az összetevők jegyzékét.
3. cikk
E határozat címzettje a Südzucker AG Mannheim/Ochsenfurt, Maximilianstraβe 10, D-68165 Mannheim.
Kelt Brüsszelben, 2005. július 25-én.
a Bizottság részéről
Markos KYPRIANOU
a Bizottság tagja
(1) HL L 43., 1997.2.14., 1. o. A legutóbb az 1882/2003/EK rendelettel (HL L 284., 2003.10.31., 1. o.) módosított rendelet.
(2) HL L 276., 1990.10.6., 40. o. A legutóbb a 2003/120/EK bizottsági irányelvvel (HL L 333., 2003.12.20., 51. o.) módosított irányelv.
MELLÉKLET
AZ IZOMALTULÓZ LEÍRÁSA
Meghatározás
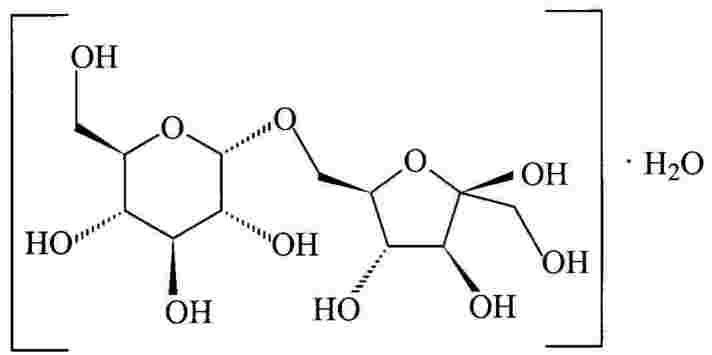
Redukáló diszacharid, amely egy alfa-1,6-glükozid-kötéssel összekapcsolódó glükóz- és gyümölcscukor-molekularészből áll. Szacharózból, enzimatikus folyamattal állítják elő. A kereskedelmi termék a monohidrát.
Kémiai név
6-O-α-D-glükopiranozil-D-fruktofuranóz, monohidrát
CAS-szám
13718-94-0
Összegképlet
C12H22O11 · H2O
Szerkezeti képlet

Relatív molekulatömeg
360,3 (monohidrát)
Tartalom
Legalább 98 % a szárazanyagra vonatkoztatva.
Leírás
Gyakorlatilag szagtalan, édes ízű, fehér vagy csaknem fehér kristályok.
Szárítási veszteség
Legfeljebb 6,5 % (60 °C, 5 óra).
Ólomtartalom
Legfeljebb 0,1 mg/kg.
Az adott szint szempontjából alkalmas atomabszorpciós eljárással kell kimutatni. A mintanagyság és a minta előkészítésére az FNP 5-ben (1) ("Műszeres eljárások") ismertetett módszerek alapelvei alkalmazhatók.
(1) Food and Nutrition Paper 5 Rev. 2 - Guide to specifications for general notices, general analytical techniques, identification tests, test solutions and other reference materials (JECFA) 1991, 322 oldal, angol nyelven, ISBN 92-5-102991-1.
Lábjegyzetek:
[1] A dokumentum eredetije megtekinthető CELEX: 32005D0581 - https://eur-lex.europa.eu/legal-content/HU/ALL/?uri=CELEX:32005D0581&locale=hu