32003R1216[1]
A Bizottság 1216/2003/EK Rendelete (2003. július 7.) a munkaerőköltség-indexről szóló 450/2003/EK európai parlamenti és tanácsi rendelet végrehajtásáról
A BIZOTTSÁG 1216/2003/EK RENDELETE
(2003. július 7.)
a munkaerőköltség-indexről szóló 450/2003/EK európai parlamenti és tanácsi rendelet végrehajtásáról
(EGT vonatkozású szöveg)
AZ EURÓPAI KÖZÖSSÉGEK BIZOTTSÁGA,
tekintettel az Európai Közösséget létrehozó szerződésre,
tekintettel a munkaerőköltség-indexről szóló, 2003. február 27-i 450/2003/EK európai parlamenti és tanácsi rendeletre ( 1 ) és különösen annak 11. cikkére,
mivel:
(1) A munkaerőköltség-index szezonális és munkanap szerinti kiigazítása az index számításának lényeges eleme. A kiigazított sorozatok lehetővé teszik az eredmények összehasonlítását, valamint az index könnyebb értelmezhetőségét.
(2) Az előre meghatározott adatátviteli formátum minimalizálja az adatátvitelből származó problémákat, a szabványosított minőségről szóló beszámolókkal együtt pedig megkönnyíti a munkaerőköltség-index értelmezését és gyors felhasználását.
(3) Az e rendeletben előírt intézkedések összhangban vannak a statisztikai programbizottság véleményével.
(4) A 450/2003/EK rendelet 9. cikke értelmében engedélyezni kell bizonyos eltéréseket a az említett rendelettől,
ELFOGADTA EZT A RENDELETET:
1. cikk
Átadási és kiigazítási eljárások
(1) Az átadott indexeket és metaadatokat a tagállamok elektronikus formában küldik meg a Bizottságnak (Eurostat). Az átadásnak meg kell felelnie a statisztikai programbizottság által jóváhagyott megfelelő adatcsere-szabványoknak. Az Eurostat rendelkezésre bocsátja a jóváhagyott szabványokra vonatkozó részletes dokumentációt és iránymutatást ad a szabványok alkalmazására vonatkozóan.
(2) Az átadott indexeket és metaadatokat oly módon kell elkészíteni, hogy azok lehetővé tegyék az eredmények részletes értelmezését, valamint a Bizottság (Eurostat) szezonalitás szerinti korrekciós eljárásainak hatékony alkalmazását az európai aggregátumokra.
Az indexsorozatokat az alábbi formákban kell benyújtani:
a) korrekció nélkül;
b) munkanap szerint kiigazítva;
c) szezonalitás és munkanap szerint kiigazítva.
2. cikk
Minőség
(1) A 450/2003/EK rendelet 8. cikkének (1) bekezdésében említett minőségi feltételek az alábbiakat foglalják magukban:
a) relevancia;
b) pontosság;
c) időszerűség és pontosság;
d) hozzáférhetőség és áttekinthetőség;
e) összehasonlíthatóság;
f) koherencia;
g) teljesség.
A nemzeti hatóságok biztosítják, hogy az eredmények a gazdasági tevékenységek tekintetében valósághűek és elégséges reprezentativitást tükröznek.
(2) A 450/2003/EK rendelet 8. cikkének (2) bekezdésében előírt minőségről szóló beszámolókat legkésőbb minden év augusztus 31-ig át kell adni a Bizottsághoz; a jelentéseknek az előző naptári év negyedik negyedévével lezáruló adatokra kell vonatkozniuk. Az első minőségről szóló beszámolót legkésőbb 2004. augusztus 31-ig kell átadni.
(3) A munkaerőköltség-indexre vonatkozó éves minőségről szóló beszámolók tartalma megfelel az e rendelet I. mellékletében meghatározottaknak.
3. cikk
Átmeneti időszakok
A 450/2003/EK rendelet 9. cikkének (1) bekezdésében előírt átmeneti időszakokra vonatkozó részletes információkat e rendelet II. melléklete tartalmazza.
4. cikk
A NACE Rev. 2. O-S nemzetgazdasági ágainak lefedettsége
(1) A (2) bekezdésben nem említett tagállamoknak össze kell gyűjteniük és továbbítaniuk kell a NACE Rev. 2. O-S nemzetgazdasági ágaira kiterjedő munkaerőköltség-index adatokat 2007 első negyedévére, és azt követően minden negyedévre vonatkozóan.
(2) Az alábbi tagállamok 2009 első negyedévére, és azt követően minden negyedévre vonatkozóan gyűjtenek össze és továbbítanak adatokat: Belgium, Dánia, Görögország, Spanyolország, Franciaország, Írország, Olaszország, Ciprus, Luxemburg, Málta, Ausztria, Lengyelország és Svédország.
(3) Az (1) és (2) bekezdéstől eltérve, mihelyt a négy évre vonatkozó adatok rendelkezésre állnak, az 1. cikk (2) bekezdésének c) pontjában említett szezonálisan és munkanap szerint kiigazított sorozatokat kell összeállítani és továbbítani.
5. cikk
Az index láncolása
A 450/2003/EK rendelet mellékletében említett, a NACE Rev. 2. nemzetgazdasági ágak kombinációjára vonatkozó munkaerőköltség-index kiszámításához alkalmazandó Laspeyres-féle láncindex-képletet e rendelet IV. melléklete tartalmazza.
6. cikk
Eltérések
A 450/2003/EK rendelet 9. cikkének (2) bekezdése értelmében elfogadott, az 1. cikk (2) bekezdésétől való eltéréseket e rendelet V. melléklete tartalmazza.
7. cikk
Hatálybalépés
Ez a rendelet az Európai Unió Hivatalos Lapjában való kihirdetését követő 20. napon lép hatályba.
Ez a rendelet teljes egészében kötelező és közvetlenül alkalmazandó valamennyi tagállamban.
I. MELLÉKLET
A munkaerőköltség-indexre vonatkozó, éves minőségről szóló beszámolók az alábbi információkat tartalmazzák:
a) bizonyíték a felhasználói igények relevanciájára vonatkozóan:
- a felhasználók leírását, a felhasználói igények eredetét és kielégítését, valamint a statisztikai adatoknak a felhasználók szempontjából fennálló relevanciáját tartalmazó összefoglalás;
b) bizonyíték a pontosságra vonatkozóan ( NACE Rev. 2. nemzetgazdasági ágak szerinti bontásban közölt információk):
- korábbi felülvizsgálatok: táblázat, amely feltünteti a nyilvánosságra hozott, kiigazítatlan sorozatok segítségével számított összes munkaerőköltség éves növekedési rátájában végrehajtott felülvizsgálatokat az elmúlt 12 negyedévre; a felülvizsgálatok okainak összefoglalása,
- lefedettség: táblázat, amely feltünteti a mintá(k)ban/nyilvántartás(ok)ban képviselt munkavállalók százalékos arányát az ESA '95 szerinti munkavállalói létszám alapján; ha a munkaerő-költség elemek különböző forrásokból származnak, akkor a 450/2003/EK rendelet 4. cikkének (2) bekezdése szerinti munkaerő-költség elemek szerinti felosztásban elkészített táblázat,
- gyakoriság: táblázat, amely feltünteti a különböző költségelem-információk gyűjtésének/frissítésének gyakoriságát,
- becslés: a hiányzó információk (munkavállalók, vállalkozások, gazdasági tevékenységek és költségelemek hiányzó csoportjai) becsléséhez/modellezéséhez használt módszerek leírása; a teljes mértékben hiányzó információk (munkavállalók, vállalkozások, gazdasági tevékenységek és költségelemek hiányzó csoportjai) végeredményre gyakorolt hatásának a lehető legteljesebb körű értékelése - a lehetőségekhez képest a leginkább számszerűsített formában,
- ledolgozott munkaórák: a ledolgozott munkaórák felvételéhez alkalmazott módszerek leírása; vagy a ledolgozott munkaórák megállapításához alkalmazott helyettesítő érték leírása és egy arra vonatkozó a lehető legteljesebb körű értékelés - a lehető leginkább számszerűsített formában -, hogy a helyettesítő érték milyen hatással lehet a végeredményre,
- adminisztratív adatok: adminisztratív adatok felhasználása esetén az adminisztratív fogalmak és az elméleti statisztikai fogalmak közötti megfelelésekre és különbségekre vonatkozó megjegyzések;
c) időszerűség és pontosság:
- táblázat, amely tartalmazza a jelentési időszak elmúlt 12 negyedévére vonatkozó adatátadás során bekövetkezett késedelmet napokban számítva, valamint a tervezett és a tényleges adatátadás időpontja közötti megfelelést;
d) hozzáférhetőség és áttekinthetőség:
- az adatok és metaadatok tagállamokban alkalmazott közzétételi formáinak leírása;
e) összehasonlíthatóság:
- 1996 első negyedévétől kezdve bármely két egymást követő negyedév fogalmaiban és módszereiben fennálló valamennyi különbség leírása. Továbbá a különbségek leírása és a lehető legteljesebb körű értékelés a becslésekben történt változások hatásairól. A NACE Rev. 2. nemzetgazdasági ágak közötti összehasonlíthatóság bármely eltérését szintén jelezni kell;
f) koherencia:
- grafikon és táblázat, amely feltünteti a teljes munkaerőköltség-index ( NACE Rev. 2. nemzetgazdasági ágak) és az ESA '95 szerinti, egy ledolgozott munkaórára jutó személyenkénti munkavállalói jövedelem (A6 lebontás) éves, nem kiigazított növekedési mutatóit, a növekedési mutatókban az utolsó 12 negyedévben tapasztalható különbségek magyarázatával;
g) teljesség:
- a 450/2003/EK rendelet végrehajtásáról szóló helyzetjelentés a végrehajtási intézkedések befejezéséig szóló részletes tervvel és ütemezéssel együtt; az EU-fogalmaktól való fennmaradó eltérések összefoglalása.
Az első, minőségről szóló beszámolót 2004. augusztus 31-ig kell benyújtani, amely az alábbi elemeket is tartalmazza a visszamenőleges adatokra vonatkozóan:
- a visszamenőleges adatokhoz használt források és az alkalmazott módszertan leírása,
- a visszamenőleges adatok és az aktuális adatok lefedettsége (gazdasági tevékenységek, munkavállalók, költségelemek) közötti megfelelés leírása,
- a visszamenőleges és az aktuális adatok összehasonlíthatóságának leírása.
II. MELLÉKLET
A RENDELET VÉGREHAJTÁSÁRA VONATKOZÓ ÁTMENETI IDŐSZAKOK
Tagállam | Érintett rendelkezések | Cikk | Átmeneti időszak |
Belgium | 70 napos átadási késedelem | 6 | 2 év |
Ledolgozott munkaóránkénti munkaerőköltség-költség | 2 | 2 év | |
Németország | NACE H, I és K nemzetgazdasági ág | 3 | 2 év |
Görögország | Az összes rendelkezés | 2 év | |
Spanyolország | 70 napos átadási késedelem | 6 | 2 év |
Franciaország | Az összes rendelkezés | 2 év | |
Írország | Az összes rendelkezés | 2 év | |
Olaszország | Ledolgozott munkaóránkénti munkaerő-költség | 2 | 1 év |
Ledolgozott munkaórán alapuló visszamenőleges adatok | 2, 5 | 1 év | |
70 napos átadási késedelem | 6 | 1 év | |
A munkaadó által fizetett társadalombiztosítási járulékok a munkaadó által fizetett adóval növelve és a kapott támogatásokkal csökkentve – adó- és támogatáskezelés nélkül (D4 és D5) | 4 | 2 év | |
Luxemburg | Az összes rendelkezés | 2 év | |
Hollandia | Visszamenőleges adatok 1996 és 2002 között | 5 | 2 év |
A munkaadó által fizetett társadalombiztosítási járulékok a munkaadó által fizetett adóval növelve és a kapott támogatásokkal csökkentve – adó- és támogatáskezelés nélkül (D4 és D5) | 4 | 2 év | |
Ausztria | NACE C, D, E és F nemzetgazdasági ág | 3 | 1 év |
NACE G, H, I, J és K nemzetgazdasági ág | 3 | 2 év | |
Portugália | 70 napos átadási késedelem | 6 | 1 év |
Finnország | Az összes rendelkezés | 2 év | |
Svédország | Az összes rendelkezés | 2 év | |
Egyesült Királyság | Észak-Írország feltüntetése | 3 | 2 év |
Kevesebb mint 20 munkavállalót foglalkoztató egységek feltüntetése | 3 | 2 év | |
Visszamenőleges adatok | 5 | 1 év | |
Munkanap szerinti korrekció | 11 | 2 év |
IV. MELLÉKLET
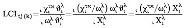
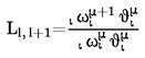
A munkaerőköltség-indexnek (LCI) a NACE Rev. 2. nemzetgazdasági ágak kombinációira való kiszámításához alkalmazandó Laspeyres-féle láncindex-képlet:
1. Meghatározások:
[Kép #1] = a NACE Rev. 2. i nemzetgazdasági ágban j év t negyedévében a munkavállalók által ledolgozott munkaóra munkaerő-költsége

Kép #1
[Kép #2] = a NACE Rev. 2. i nemzetgazdasági ágban k évben a munkavállalók által ledolgozott munkaóra munkaerő-költsége

Kép #2
[Kép #3] = a NACE Rev. 2. i nemzetgazdasági ágban k évben a munkavállalók által ledolgozott munkaórák

Kép #3
KÉP HIÁNYZIK
a
i nemzetgazdasági ágban k évben a munkavállalók munkaerő-költsége.
2. A k bázisévnél j év t negyedévére alkalmazásával a LCI kiszámítására szolgáló Laspeyres-féle alapképlet a következő:

ahol 1 ≤ t≤ 4.
3. Az index számításához használt súlyozás:

ahol,

és az e melléklet első pontjában meghatározott változó.
4. Az l és az l + 1 év közötti éves kapcsolat, ahol 0 ≤ l < l + 1 < j:

5. A Laspeyres-féle láncindex-képlet meghatározása a j év t negyedévére, k = 0 referenciaév esetén, valamint a feldolgozáshoz és a szükséges éves súlyozások alkalmazásához szükséges m időszak mellett, ahol 1 ≤ m≤ 2:
LCItj(0) = 100. (L0,1). (L1,2) ..... (Lj-m-1, j-m). LCItj(j-m).
6. Az első index-referenciaév a 2000. év, ahol az éves munkaerőköltség-index = 100. Amennyiben a 2000. évre vonatkozóan nem állnak rendelkezésre a NACE O-S nemzetgazdasági ágait lefedő indexek, az első rendelkezésre álló indexeket a NACE B-N nemzetgazdasági ágainak éves átlagához közeli szinten kell megállapítani.
V. MELLÉKLET
Eltérések
Dánia, Németország, Franciaország és Svédország: az indexsorozatokat csak b) munkanap szerint kiigazítva, és c) szezonalitás és munkanap szerint kiigazítva kell megadni. A munkanap és a szezonalitás szerinti korrekciós módszereket teljes mértékben dokumentálni kell, és a Bizottság (Eurostat) rendelkezésére kell bocsátani.
( 1 ) HL L 69., 2003.3.13., 1. o.
Lábjegyzetek:
[1] A dokumentum eredetije megtekinthető CELEX: 32003R1216 - https://eur-lex.europa.eu/legal-content/HU/ALL/?uri=CELEX:32003R1216&locale=hu Utolsó elérhető, magyar nyelvű konszolidált változat CELEX: 02003R1216-20090101 - https://eur-lex.europa.eu/legal-content/HU/ALL/?uri=CELEX:02003R1216-20090101&locale=hu