31993L0014[1]
A Tanács 93/14/EGK irányelve (1993. április 5.) a motorkerékpárok és segédmotoros kerékpárok fékberendezéséről
A TANÁCS 93/14/EGK IRÁNYELVE
(1993. április 5.)
a motorkerékpárok és segédmotoros kerékpárok fékberendezéséről
AZ EURÓPAI KÖZÖSSÉGEK TANÁCSA,
tekintettel az Európai Gazdasági Közösséget létrehozó szerződésre és különösen annak 100a. cikkére,
tekintettel a motorkerékpárok és segédmotoros kerékpárok típusjóváhagyásáról szóló, 1992. június 30-i 92/61/EGK tanácsi irányelvre ( 1 ),
tekintettel a Bizottság javaslatára ( 2 ),
együttműködve az Európai Parlamenttel ( 3 ),
tekintettel a Gazdasági és Szociális Bizottság állásfoglalására ( 4 ),
mivel intézkedéseket kell tenni, hogy a belső piac fokozatosan legkésőbb 1992. december 31-ig megvalósuljon; mivel a belső piac egy olyan, belső határok nélküli térség, amelyben az áruk, a személyek, a szolgáltatások és a tőke szabad mozgása biztosított;
mivel a fékberendezések tekintetében a motorkerékpároknak és segédmotoros kerékpároknak minden tagállamban meg kell felelniük a tagállamról tagállamra változó kötelező rendelkezéseknek; mivel, különbségeik következtében ezek a rendelkezések akadályozzák a Közösségben az áruk szabad mozgását;
mivel ezek a belső piac megteremtését és működését hátráltató akadályok leküzdhetők azzal, ha minden tagállam ugyanazokat a követelményeket fogadja el nemzeti szabályozása helyettesítésére;
mivel annak érdekében, hogy a 92/61/EGK irányelvben megállapított típus-jóváhagyási és alkatrésztípus-jóváhagyási eljárások az ilyen járművek minden típusára alkalmazhatók legyenek, szükséges a motorkerékpárok és segédmotoros kerékpárok fékberendezéseire vonatkozó harmonizált követelményeket kidolgozni;
mivel a nem közösségi államok piacaira történő bejutás előmozdítása érdekében szükség van arra, hogy ezen irányelv és az ENSZ 78. EGB rendelet követelményei megfeleljenek egymásnak,
ELFOGADTA EZT AZ IRÁNYELVET:
1. cikk
Ezen irányelv a 92/61/EGK irányelv 1. cikkében meghatározott összes járműtípus fékberendezéseire vonatkozik.
2. cikk
A motorkerékpárok és segédmotoros kerékpárok valamely típusa esetében az alkatrésztípus-jóváhagyások megadása eljárásának és az ilyen járművek szabad mozgása feltételeinek a 92/61/EGK irányelv II. és III. fejezetében megállapítottnak megfelelőnek kell lennie.
3. cikk
A 92/61/EGK irányelv 11. cikkének megfelelően az ezen irányelvben megállapított követelmények és az Egyesült Nemzetek Szervezete 78. sz. EGB rendeletben (E/ERE/324 és az 1988. október 20-i E/EGB/TRANS/505/REV. 1 ADD 77) megállapított követelmények közötti megfelelést el kell ismerni.
A tagállamok alkatrésztípus-jóváhagyást megadó hatóságai elfogadják a fent említett 78. sz. rendelet követelményei szerint kiadott jóváhagyásokat és alkatrésztípus-jóváhagyási jeleket az ezen irányelv szerint megadott, azoknak megfelelő alkatrésztípus-jóváhagyások és alkatrésztípus-jóváhagyási jelek alternatívájaként.
4. cikk
Ezen irányelvet a 70/156/EGK irányelv ( 5 ) 13. cikkének megfelelően lehet módosítani annak érdekében, hogy:
- figyelembe vegyék a 3. cikkben említett EGB rendelet bármely módosítását,
- a mellékletet a műszaki fejlődéshez hozzáigazítsák.
5. cikk
(1) A tagállamok legkésőbb 1994. október 5-ig meghozzák és kihirdetik azokat a törvényi, rendeleti és közigazgatási rendelkezéseket, amelyek ahhoz szükségesek ahhoz, hogy ennek az irányelvnek megfeleljenek. Erről haladéktalanul tájékoztatják a Bizottságot.
Amikor a tagállamok elfogadják ezeket az intézkedéseket, azokban hivatkozni kell erre az irányelvre, vagy azokhoz hivatalos kihirdetésük alkalmával ilyen hivatkozást kell fűzni. A hivatkozás módját a tagállamok határozzák meg.
Az első albekezdésben említett naptól kezdődően a tagállamok a fékezéssel kapcsolatos okokból kifolyólag nem tilthatják meg az ezen irányelvnek megfelelő járművek forgalomba helyezését.
Az első albekezdésben említett rendelkezéseket 1995. április 5-i hatállyal alkalmazzák.
(2) A tagállamok közlik a Bizottsággal nemzeti joguknak azokat a rendelkezéseit, amelyeket az ezen irányelv által szabályozott területen fogadnak el.
6. cikk
Ezen irányelv címzettjei a tagállamok.
MELLÉKLET
1. FOGALOMMEGHATÁROZÁSOK
Ezen irányelv alkalmazásában:
1.1. A jármű típusa a jármű fékezése szempontjából:
azon járművek, melyek a következő lényeges jellemzőkben nem különböznek:
1.1.1. Az ezen irányelv 1. cikkében meghatározott jármű-kategória
1.1.2. az 1.13. szerinti legnagyobb tömeg;
1.1.3. a tömeg tengelyenkénti eloszlása;
1.1.4. a legnagyobb tervezési sebesség;
1.1.5. a fékrendszer típusa;
1.1.6. a tengelyek száma és elrendezése;
1.1.7. a motor típusa;
1.1.8. a sebességfokozatok száma és azok összáttétele;
1.1.8a. erőátviteli végáttétel;
1.1.9. a gumiabroncsok méretei.
1.2. A fékberendezés:
a motor kivételével azon alkatrészek összessége, amelynek feladata, hogy progresszíven csökkentse a mozgó jármű sebességét, vagy megállítsa azt, vagy statikus állapotban tartsa, amennyiben már áll; e funkciókat a 2.1.2. pont határozza meg. Ez a berendezés működtetőberendezésből, az erőátviteli rendszerből és a tulajdonképpeni fékből áll.
1.3. A működtetőberendezés:
a vezető által közvetlenül működésbe hozott alkatrész, amellyel a fékezéshez vagy annak működtetéséhez szükséges energia átadását szabályozza. Ez az energia lehet a vezető izomenergiája, vagy a vezető által szabályozott más forrásból származó energia, vagy e két energiatartalék kombinációja.
1.4. Erőátviteli rendszer:
a működtetőberendezés és a fékek közt elhelyezkedő és azokat funkcionálisan összekötő elemek összessége. Ha a fékerőt egy, a vezetőtől független, de általa működtetett energiaforrás szolgáltatja vagy egészíti ki, a berendezésben található energiaforrás szintén az erőátviteli rendszer része.
1.5. Fék:
a fékberendezés azon alkatrészei, amelyben a jármű mozgását ellensúlyozó erők létrejönnek.
1.6. Különböző fajtájú fékberendezések:
az alábbi lényeges jellemzőikben különböző berendezések:
1.6.1. különböző jellemzőkkel rendelkező alkatrészek;
1.6.2. különböző jellemzőkkel rendelkező anyagokból készült alkatrészek, vagy eltérő alakú vagy méretű alkatrészeikben;
1.6.3. az alkatrészek különböző szerelvénye.
1.7. A fékberendezés alkatrésze/alkatrészei:
egy vagy több olyan különálló elem, amelyek - összeszerelve - a fékberendezést alkotják.
1.8. A kombinált fékberendezés:
1.8.1. a kétkerekű robogók és kétkerekű motorkerékpárok esetében olyan rendszer, amelyben egyetlen működtető segítségével legalább két, külön keréken elhelyezkedő fék jön egyszerre működésbe;
1.8.2. a háromkerekű robogók és segédmotoros kerékpárok esetében a minden kerékre egyszerre ható fékberendezés;
1.8.3. az oldalkocsis motorkerékpárok esetében a legalább az elülső és a hátsó kerékre ható fékberendezés. Következésképpen a hátsó kereket és az oldalkocsi kerekét egyszerre fékező rendszer hátsó féknek minősül.
1.9. Folyamatos és fokozatos fékezés:
az olyan fékezés, amelynek során a berendezés rendes működési tartományában és akár a fékek alkalmazása, akár azok kieresztése közben:
1.9.1. a vezető a működtetőre gyakorolt hatással bármely pillanatban növelheti vagy csökkentheti a fékerőt;
1.9.2. a fékezőerő a működtetőre gyakorolt hatással arányosan változik (monoton függvény);
és
1.9.3. a fékezőerőt megfelelő precizitással könnyen lehet szabályozni.
1.10. Legnagyobb tervezési sebesség:
az a sebesség, amelyet a jármű vízszintes útfelületen illetéktelen külső hatás nélkül nem tud túllépni, figyelembe véve a jármű szerkezetére és felépítésére vonatkozó bármilyen külön korlátozást is.
1.11. Terhelt jármű:
eltérő rendelkezés hiányában a legnagyobb tömegig terhelt jármű.
1.12. Terheletlen jármű:
a jármű önmagában, ahogy a vizsgálatra benyújtották, a vezetővel és a szükséges vizsgálati felszereléssel vagy műszerekkel együtt.
1.13. Legnagyobb tömeg:
a gyártó által megadott, műszakilag megengedhető legnagyobb tömeg (ez nagyobb lehet, mint a nemzeti hatóság által megállapított megengedett legnagyobb tömeg).
1.14. Nedves fék:
az 1. függelék 1.3. pontja szerint kezelt fék vagy fékek.
2. KIALAKÍTÁSI ÉS SZERELÉSI KÖVETELMÉNYEK
2.1. Általános előírások
2.1.1. A fékberendezés
2.1.1.1. A fékberendezésnek olyan tervezésűnek, szerkezetűnek és kialakításúnak kell lennie, és azt úgy kell felszerelni, hogy rendes használata mellett a jármű az általa elszenvedett rázkódás ellenére megfelelhessen ezen irányelv rendelkezéseinek.
2.1.1.2. A fékberendezésnek olyan szerkezetűnek és kialakításúnak kell lennie, és azt úgy kell felszerelni, hogy különösen az általa elszenvedett korrózióval és az elöregedéssel szemben ellenálló legyen.
2.1.1.3. A fékbetétek nem tartalmazhatnak azbesztet.
2.1.2. A fékberendezés funkciói
Az 1.2. pontban meghatározott fékberendezésnek meg kell felelnie a következő feltételeknek:
2.1.2.1. Üzemi fékezés
Az üzemi fékezésnek lehetővé kell tennie a jármű mozgásának szabályozását és a jármű gyors, biztonságos és hatásos megállítását, bármekkora is legyen annak sebessége vagy terhelése, és bármilyen fokú lejtőn is haladjon fölfelé vagy lefelé. A fékezésnek fokozatosan változtathatónak kell lennie. A vezetőnek a vezetőülésből, kezének a kormányberendezésről történő elmozdítása nélkül kell képesnek lennie e fékezés végrehajtására.
2.1.2.2. Biztonsági fékezés (ahol alkalmazható)
A biztonsági fékezésnek lehetővé kell tennie az üzemi fék meghibásodása esetén a jármű ésszerű távolságon belüli megállítását. A fékerőnek fokozatosan változtathatónak kell lennie. A vezetőnek a vezetőülésben ülve, legalább egyik kezét a kormányberendezésen hagyva kell képesnek lennie e fékezés végrehajtására. E rendelkezések céljára feltételezett, hogy az üzemi fékben nem következik be egyszerre egynél több meghibásodás.
2.1.2.3. Rögzítőfék (ahol van)
A rögzítőféknek lehetővé kell tennie a jármű statikus állapotban, lejtőn vagy emelkedőn történő megtartását a vezető távollétében is oly módon, hogy fékezésben részt vevő alkatrészeket teljesen mechanikus szerkezet tartsa a reteszelt helyzetben. A vezetőnek el kell tudni érnie ezt a fékezést a vezetőülésből.
2.2. A fékberendezések tulajdonságai
2.2.1. Minden kétkerekű robogót és kétkerekű motorkerékpárt két egymástól független működtetőberendezéssel és független erőátviteli rendszerű üzemi fékberendezéssel kell felszerelni, amelyek közül az egyik legalább az első, a másik legalább a hátsó kerékre hat.
2.2.1.1. A két fékberendezés fékezhet egyszerre, de csak akkor, ha az egyik fékberendezés meghibásodása nem érinti a másik teljesítményét. Bizonyos alkatrészek, mint pl. maga a fék, a fékhengerek és a hozzájuk tartozó dugattyúk (kivéve a tömítéseket), a szelepemelő rudazat és fékbütyök szerkezetek nem számítanak meghibásodásra hajlamos alkatrésznek, amennyiben erősre méretezettek, karbantartáskor könnyen hozzáférhetőek, és megfelelő biztonsági tulajdonságokat mutatnak.
2.2.1.2. A rögzítőfék nem kötelező.
2.2.2. Minden oldalkocsis motorkerékpárt fel kell szerelni azokkal a fékberendezésekkel, amelyekkel az oldalkocsi hiánya esetén szerelnék fel; ha a jármű oldalkocsival történő vizsgálata során ezek a fékek elegendőek a megkövetelt teljesítmény eléréséhez, az oldalkocsi kerekére nem kell féket szerelni, a rögzítőfék nem kötelező.
2.2.3. Minden háromkerekű robogót fel kell szerelni a következőkkel:
2.2.3.1. vagy két egymástól független üzemi fékberendezés, amelyek együtt hozzák működésbe a fékeket az összes keréken;
2.2.3.2. vagy egy minden kereket fékező üzemi fékberendezés, és egy biztonsági fékberendezés, amely lehet egyben a rögzítőfék is.
2.2.3.3. Emellett minden háromkerekű robogót fel kell szerelni egy, legalább az egyik tengely kerekét vagy kerekeit fékező rögzítő fékberendezéssel. A rögzítő fékberendezésnek, amely lehet a 2.2.3.1. pontban meghatározott két berendezés egyike, függetlennek kell lennie attól a berendezéstől, amelyik a másik tengelyre vagy tengelyekre hat.
2.2.4. Minden motoros triciklit fel kell szerelni a következőkkel:
2.2.4.1. egy lábbal szabályozható, az összes kerékre ható üzemi fékberendezés és egy biztonsági fékberendezés, amely lehet a rögzítőfék;
és
2.2.4.2. legalább az egyik tengely kerekeit fékező rögzítő fékberendezés. A rögzítő fékberendezés működtetőberendezésének függetlennek kell lennie az üzemi fékberendezés működtetőberendezésétől.
2.2.5. A fékberendezések hassanak olyan fékezőfelületekre, amelyek vagy merev kötéssel, vagy olyan alkatrészekkel vannak a kerekekhez erősítve, amelyek meghibásodása valószínűtlen.
2.2.6. A fékberendezéseknek a járműre felerősített minden alkatrészét úgy kell lebiztosítani, hogy a fékberendezések szokásos működési feltételek esetén ne mondják fel a szolgálatot.
2.2.7. A fékberendezések megfelelően kent és beállított állapotban könnyedén működnek.
2.2.7.1. A fékek elhasználódásának vagy kézi, vagy automatikus beállítással könnyen kiegyenlíthetőnek kell lennie. A fékeknek egészen addig a hatékony fékezést lehetővé tevő helyzetben beállíthatónak kell lenniük, amíg a fékbetétek annyira el nem használódnak, hogy ki kell azokat cserélni.
2.2.7.2. A működtetőberendezéseknek és az erőátviteli rendszer, valamint a fékek alkatrészeinek annyi úttartalékkal kell rendelkezniük, hogy amikor a fékek felmelegszenek, és a fékbetétek elérték az elhasználódás legnagyobb megengedett mértékét, a hatásos fékezés biztosított legyen anélkül, hogy azonnali beállításra lenne szükség.
2.2.7.3. A fékberendezés alkatrészei használat közben, ha helyesen vannak beállítva, csak tekintetbe vett alkatrészekkel érintkezhetnek.
2.2.8. A hidraulikus erőátviteli rendszerű fékberendezések esetében, a tartalék folyadékot tartalmazó tartályokat úgy kell tervezni és kivitelezni, hogy a tartalékfolyadék szintje könnyen ellenőrizhető legyen.
Ez az előírás nem vonatkozik a 25 km/h vagy ennél kisebb végsebességű robogókra.
1. függelék
Fékvizsgálatok és a fékberendezések hatásossága
1. FÉKVIZSGÁLATOK
1.1. Általános előírások
1.1.1. A fékberendezések esetén előírt hatásosságot a féktávolság és/vagy a legnagyobb átlagos lassulás alapján kell megadni. A fékberendezés hatásosságát a vizsgálat során a jármű kezdeti sebességéhez tartozó féktávolság mérésével és/vagy a legnagyobb átlagos lassulás mérésével kell meghatározni.
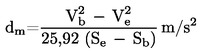
1.1.2. A féktávolság az a távolág, amelyet a jármű attól a pillanattól tesz meg, amikor a vezető működésbe hozza a fékberendezés vezérlését, addig a pillanatig, amikor a jármű megáll; a jármű v1 kezdeti sebessége az a sebesség, amellyel a jármű akkor halad, amikor a vezető működésbe hozza a fékberendezés vezérlését; a kezdeti sebesség nem lehet kisebb a kérdéses vizsgálatra előírt sebesség 98 százalékánál. A dm legnagyobb átlagos lassulást a vb és ve közötti távolságon mért átlagos lassulásként kell kiszámítani a következő összefüggésből:

ahol:
dm = a legnagyobb átlagos lassulás;
v1 = a fent meghatározott sebesség;
vb = a 0,8 v1 járműsebesség km/h-ban;
ve = a 0,1 v1 járműsebesség km/h-ban;
sb = a v1 és a vb sebességérték között megtett távolság méterben;
se = a v1 és a ve sebességérték között megtett távolság méterben.
A sebességet és a távolságot olyan műszerekkel kell meghatározni, amelyek pontossága a vizsgálatra előírt sebesség mellett ± 1 %. A dm lassulás a sebesség és a távolság mérése helyett másképpen is meghatározható; ilyenkor a dm érték pontosságának ± 3 %-nak kell lennie.
1.1.3. A jármű típusjóváhagyásához a következő feltételek mellett végzett országúti vizsgálatokkal kell mérni a fékteljesítményt:
1.1.3.1. a jármű tömegére vonatkozó feltételeknek meg kell felelniük az egyes vizsgálatok esetén előírtaknak, és a vizsgálati jegyzőkönyvben azokat meg kell határozni;
1.1.3.2. a vizsgálatot az egyes vizsgálatra előírt sebességen és módon kell végrehajtani: ha a jármű legnagyobb sebessége nem felel meg az előírt sebességnek, a vizsgálatot az előírt alternatív feltételek mellett kell végrehajtani;
1.1.3.3. az előírt hatásosságot a kerekek blokkolása, a jármű haladási irányának megváltozása és rendellenes rázkódás nélkül kell elérni;
1.1.3.4. a vizsgálat során az előírt hatásosság eléréséhez a fékműködtetőre gyakorolt erő nem lépheti túl a jármű kategóriájára megállapított legnagyobb erőt.
1.1.4. Vizsgálati feltételek
1.1.4.1. az üzemi fék vizsgálatát a következő feltételekkel kell végrehajtani:
1.1.4.1.1. a vizsgálat vagy bármilyen vizsgálati sorozat megkezdésekor a gumiabroncsoknak hidegnek kell lenniük, és a jármű statikus állapotában ténylegesen a kerekekre nehezedő terhelés esetére előírt nyomáson kell lenniük;
1.1.4.1.2. a járműt a gyártó által előírt súlyeloszlás szerint kell megrakodni, ha terhelt állapotban kell vizsgálni;
1.1.4.1.3. a fékeknek minden 0. típusú vizsgálat esetén hidegnek kell lenniük: egy féket akkor kell hidegnek tekinteni, ha a tárcsák vagy a dob külső felületén mért hőmérséklet alacsonyabb 100o C-nál;
1.1.4.1.4. a vezetőnek a vezetéskor elfoglalt rendes vezetői testhelyzetben kell ülnie a nyergen, és a vizsgálat egész ideje alatt ebben a helyzetben kell maradnia;
1.1.4.1.5. a vizsgálati területnek síknak és száraznak kell lennie, és olyan felületűnek, ami jó tapadást tesz lehetővé;
1.1.4.1.6. a vizsgálatot akkor kell végrehajtani, amikor nincs a vizsgálat eredményét valószínűen befolyásoló szél.
1.2.
0. típusú vizsgálat (hatásosság hideg fékek esetén)
1.2.1. Általános előírások
1.2.1.1. A hatásosságra vonatkozó határértékeket az alábbiakban jármű-kategóriánként adjuk meg; a járműnek az adott jármű-kategóriára előírt féktávolság és legnagyobb átlagos lassulás szempontjából egyaránt meg kell felelnie, de előfordulhat, hogy nem szükséges mindkét paramétert megmérni.
1.2.2.
0. típusú vizsgálat lekapcsolt motorral
1.2.2.1. A vizsgálatot annak a kategóriának az előírt sebességén kell végezni, amelybe a jármű tartozik, úgy, hogy az ezzel kapcsolatban előírt számadatok bizonyos tűréshatárral rendelkeznek.
Az olyan járművek esetében, ahol két üzemi féket külön-külön is lehet működtetni, a fékberendezéseket külön kell vizsgálni. Mindegyik fékberendezésnek el kell érni az egyes jármű-kategóriákra vonatkozó legkisebb hatásosságot.
1.2.2.1.1. Egy kézi sebességváltóval felszerelt jármű vagy egy automatikus erőátviteli rendszerű, ugyanakkor kézzel oldható sebességváltóval felszerelt jármű esetében a vizsgálatokat a sebességváltó működése nélkül és/vagy a tengelykapcsoló oldásával vagy másként lekapcsolt motorral kell végezni.
1.2.2.1.2. A más típusú automatikus erőátviteli rendszerű járművek esetében a vizsgálatokat a rendes üzemi feltételek mellett kell lefolytatni.
1.2.3. A motorkerékpárok (oldalkocsival vagy oldalkocsi nélkül) és a motoros triciklik 0. típusú vizsgálata összekapcsolt motorral
1.2.3.1. A vizsgálatot terheletlen állapotban, különböző sebességekkel kell végrehajtani, amelyből a legalacsonyabbnak a jármű végsebességének 30 %-ával, a legmagasabbnak a végsebesség 80 %-ával vagy 160 km/h-val kell egyenlőnek lennie, a kettő közül az alacsonyabbal.
A legnagyobb gyakorlati hatásosság adatait megmérik, és a jármű magatartásával együtt feljegyzik a vizsgálatról készített jegyzőkönyvbe. Abban az esetben, ha két üzemi fékberendezést külön lehet működtetni, a terheletlen jármű mindkét berendezését együtt és egyidejűleg kell vizsgálni.
1.2.4.
0. típusú vizsgálat leválasztott motorral, nedves fékkel
1.2.4.1. Ezzel az eljárással (az 1.3.1. pontban foglalt mentesség figyelembevételével a robogókat és motorkerékpárokat kell vizsgálni (de motoros tricikliket nem). A vizsgálati eljárás megegyezik a 0. típusú leválasztott motorral végzett vizsgálatéval, kivéve a fékek 1.3. pontban leírt benedvesítésére vonatkozó rendelkezéseket.
1.3. A nedves fékkel folytatandó vizsgálatok külön rendelkezései
1.3.1. Zárt fékek: ezt a 0. típusú vizsgálatsorozatot nem szükséges hagyományos dobfékkel vagy olyan, teljesen zárt fékkel felszerelt járműveken végrehajtani, ahol a rendes működési feltételek mellett nem juthat víz a fékbe.
1.3.2. A nedvesített fékkel történő vizsgálatot ugyanolyan körülmények közt kell végrehajtani, mint a száraz fék vizsgálatát. Nem lehet állítani a fékberendezésen vagy bármi módon megváltoztatni azt, kivéve a féknedvesítéshez szükséges felszerelést.
1.3.3. A vizsgálati berendezésnek folyamatosan nedvesen kell tartania a fékeket minden egyes vizsgálat alkalmával, fékenként 15 l/h vízmennyiséggel. Az egy keréken elhelyezkedő két tárcsafék két féknek minősül.
1.3.4. A védelem nélküli vagy részleges védelemmel rendelkező tárcsafékek esetében az előírt vízmennyiséget oly módon kell a forgótárcsára irányítani, hogy az egyenletesen eloszoljék a súrlódópofa vagy súrlódópofák által érintett felületén vagy felületein.
1.3.4.1. A teljesen védelem nélküli tárcsafékek esetében a vizet 45o-kal a súrlódópofa, illetve -pofák előtt kell a tárcsa felületére vagy felületeire irányítani.
1.3.4.2. A részleges védelemmel rendelkező tárcsafékek esetében a vizet 45o-kal a pajzs vagy terelőlap előtt kell a tárcsa felületére vagy felületeire irányítani.
1.3.4.3. A vizet folyamatos sugárban, a tárcsa felszínét tekintve merőleges irányban egyfuratos fúvókákból kell a tárcsa vagy tárcsák felületére irányítani, és a fúvókákat úgy kell elhelyezni, hogy a tárcsa súrlódópofák által érintett részének belső széle és a külső szélétől mért távolság kétharmad pontja közé essenek (lásd az 1. ábrát).
1.3.5. A teljesen zárt tárcsafékek esetében, amelyekre nem vonatkoznak az 1.3.1. pont rendelkezései, a vizet a pajzsok vagy terelőlapok mindkét oldalára kell irányítani az 1.3.4.1. és 1.3.4.3. ponttal megegyező módon és ponton. Ha a fúvóka egy szellőztető- vagy vizsgálócsatornával esne egybe, a vizet az említett csatornától negyed fordulattal előbb kell bejuttatni.
1.3.6. Ha a jármű egy el nem mozdítható alkatrészének ottléte következtében a vizet nem lehet az 1.3.3. és 1.3.4. pont szerint a megjelölt helyre juttatni, a vizet a 45o-ot meghaladó első olyan ponton kell bevezetni, ahol annak folyamatos bejuttatása lehetséges.
1.3.7. A dobfékek esetében, amelyekre nem vonatkoznak az 1.3.1. pont követelményei, az előírt vízmennyiséget egyenletesen kell elosztani a fékberendezés két oldalán (vagyis a statikus alaplapon és a forgódobon) úgy, hogy a fúvókák a kerékagy és a forgódob külső kerülete közötti távolság kerülettől számított kétharmadánál legyenek.
1.3.8. Az 1.3.7. pont alatti követelményeknek és annak a követelménynek alárendelve, hogy fúvóka nem lehet a mozdulatlan féklapon lévő szellőző- vagy vizsgálócsatornától számított 15o-on belül, vagy nem eshet egybe ilyen nyílással, a dobfékek vizsgálóberendezését úgy kell elhelyezni, hogy az optimális folyamatos vízbejuttatást eredményezzen.
1.3.9. A fék/fékek megfelelő benedvesítése érdekében közvetlenül a vizsgálati sorozat lefolytatása előtt a járművet a következőképpen kell járatni:
- a nedvesítőberendezés e függelékben leírt folyamatos működtetése mellett,
- az előírt vizsgálati sebességen,
- a vizsgálandó fékberendezés/fékberendezések működtetése nélkül,
- a vizsgálat elvégzésére kijelölt pont előtt legalább 500 métert.
1.3.10. Abroncsfékek esetében, amelyeket a 25 km/h vagy annál alacsonyabb végsebességű robogókra szerelnek fel, a vizet a kerék peremére kell irányítani, ahogy azt a 2. ábra mutatja.

1. ábra
A víz bevezetésének módja tárcsafékek esetén

2. ábra
A víz bevezetésének módja abroncsfékek esetén
1.4. I. típusú vizsgálat (fékhatás csökkenésének vizsgálata)
1.4.1. Külön rendelkezések
1.4.1.1. Minden motorkerékpár (legyen az oldalkocsis vagy anélküli) és a motoros triciklik üzemi fékjeit egy sorozat ismételt megállással kell vizsgálni úgy, hogy a jármű az alább megadott feltételek szerint terhelt állapotban van. A kombinált fékrendszerrel felszerelt járművek esetében elég az ilyen üzemi fékberendezést az I. típusú vizsgálatnak alávetni.
1.4.1.2. Az I. típusú vizsgálatot három részben végzik.
1.4.1.2.1. A 2.1.2. vagy 2.2.3.1.pont szerint előírt egyetlen 0. típusú vizsgálat.
1.4.1.2.2. Egy, az 1.4.2. pont követelményei szerint 10 ismételt megállásból álló sorozat.
1.4.1.2.3. Egyetlen 0. típusú vizsgálat, amelyet az 1.4.1.2.2. pontban meghatározott vizsgálat után olyan hamar, amilyen hamar csak lehet, de legalább az azt követő egy percen belül végre kell hajtani az 1.4.1.2.1. pontban meghatározott vizsgálattal azonos feltételekkel, különös tekintettel arra, hogy a működtető erő minél inkább változatlan legyen, és annak átlagértéke ne haladja meg az azon vizsgálatban használt erő átlagértékét.
1.4.2. Vizsgálati körülmények
1.4.2.1. A vizsgálandó járműnek és féknek/fékeknek lényegében száraznak kell lenniük, és a féknek/fékeknek hidegnek kell lennie/lenniük. A fék hidegnek tekinthető, ha a féktárcsán vagy a fékdob külső részén mért hőmérséklet 100 °C alatt van.
1.4.2.2. A kezdeti sebesség:
14.2.2.1. az első fék/fékek vizsgálatához: a jármű végsebességének 70 %-a vagy 100 km/h, a kettő közül az alacsonyabb;
1.4.2.2.2. a hátsó fék/fékek vizsgálatához: a jármű végsebességének 70 %-a vagy 80 km/h, a kettő közül az alacsonyabb;
1.4.2.2.3. az összetett fékrendszer vizsgálatához: a jármű végsebességének 70 %-a vagy 100 km/h, a kettő közül az alacsonyabb.
1.4.2.3. Egy megállás megkezdése és az azt követő megállás megkezdése közötti távolság 1000 méter.
1.4.2.4. A sebességváltó, illetve a tengelykapcsoló a következőképpen használandó:
1.4.2.4.1. Egy kézi sebességváltóval felszerelt jármű vagy olyan automatikus erőátviteli rendszerű jármű esetén, ahol a sebességváltó kézi úton lekapcsolható, a kezdeti vizsgálati sebesség elérésének megfelelő legnagyobb sebességfokozat legyen bekapcsolva a megállások alatt. Mikor a jármű sebessége a kezdeti sebesség 50 %-ára esik le, a motort szét kell kapcsolni.
1.4.2.4.2. Teljesen automatikus erőátviteli rendszerű jármű esetében, az ilyen berendezés rendes működési feltételei mellett kell végezni a vizsgálatot. A vizsgálat helyszínének megközelítésekor a kezdeti vizsgálati sebességnek megfelelő sebességfokozatot kell használni.
1.4.2.5. Minden egyes megállás után a járművet azonnal legnagyobb gyorsítással fel kell gyorsítani a kezdeti vizsgálati sebességre, és a következő fékezés megkezdéséig ezen a sebességen kell tartani. Ha szükséges, a jármű a gyorsítás előtt megfordulhat a tesztpályán.
1.4.2.6. A működtetőberendezésre gyakorolt erőt az első megálláshoz úgy kell beállítani,
hogy 3 m/s2 átlagos lassulást vagy az annál a féknél elérhető legnagyobb lassulást idézze elő, a kettő közül az alacsonyabbat; ennek az erőnek azonosnak kell lennie az 1.4.1.2.2. pont által megkövetelt további megállások ideje alatt.
1.4.3. Visszamaradó hatásosság
1.4.3.1. Az I. típusú vizsgálat végén a lekapcsolt motorú 0. típusú vizsgálatnak megfelelő körülmények között (különös tekintettel arra, hogy a működtetőberendezésre gyakorolt erő lehető leginkább változatlan legyen és annak átlagértéke ne haladja meg a ténylegesen használt erő átlagértékét) kell megmérni az üzemi fékberendezés visszamaradó hatásosságát (a hőmérsékleti körülmények különbözhetnek).
1.4.3.2. Ez a visszamaradó hatásosság nem lehet:
1.4.3.2.1. lassulásban kifejezve: kevesebb, mint a 0. típusú vizsgálat során elért lassulási érték 60 %-a;
vagy
1.4.3.2.2. féktávolságként kifejezve: több mint a következő képlet szerint számított féktávolság értéke;
S2 ≤ 1,67 S1 - 0,67 a V
ahol:
S1 = a 0. típusú vizsgálat alatt elért féktávolság,
S2 = a visszamaradó hatásosság vizsgálata során feljegyzett féktávolság,
a = 0,1,
V = a fékezés megkezdésekor meglévő kezdeti sebesség, a 2.1.1. vagy a 2.2.2. pont meghatározása szerint.
2. A FÉKBERENDEZÉSEK TELJESÍTMÉNYE
2.1. Csak az első vagy hátsó tengely kerekét vagy kerekeit fékező fékberendezéssel felszerelt járművek vizsgálatára vonatkozó rendelkezések:
2.1.1. A robogók vizsgálati sebessége V = 40 km/h ( 6 ).
A motorkerékpárok (oldalkocsis vagy oldalkocsi nélküli) és motoros triciklik vizsgálati sebessége V = 60 km/h (6) .
2.1.2. A terhelt jármű fékhatásossága
2.1.2.1. Az I. típusú visszamaradó hatásosságvizsgálatok (oldalkocsis és anélküli motorkerékpárok) céljából a hatásosság szinteket úgy kell feljegyezni, hogy feljegyzik a féktávolságot, a legnagyobb átlagos lassulást és a működtető erőt.
2.1.2.2. Fékezés csak az első fékkel
Kategória | Féktávolság (S) (méterben) | A legnagyobb megfelelő átlagos lassulás (m/s2-ben) |
Kétkerekű robogók | S ≤ 0,1.V + V2/90 | 3,4 (1) |
Háromkerekű robogók | S ≤ 0,1.V + V2/70 | 2,7 (2) |
Kétkerekű motorkerékpárok | S ≤ 0,1.V + V2/115 | 4,4 (2) |
Oldalkocsis motorkerékpárok | S ≤ 0,1.V + V2/95 | 3,6 |
(1) A 25 km/h-s vagy annál alacsonyabb végsebességű, 45 milliméternél vagy annál kisebb peremű kerékkel (kód: 1,75) robogók esetében ez az érték 2,8 vagy S ≤ 0,1 + V2/73. Ha a korlátozott tapadás miatt ezt az értéket nem érik el minden egyes fékberendezéssel, a 4,0 m/s2 érték mellett mindkét fékberendezését egyidejűleg használva kell vizsgálni a terhelt járművet. (2) Ha a korlátozott tapadás miatt ez az érték egyetlen fékberendezéssel nem érhető el, az értékek a következőkkel kell helyettesíteni mindkét fékberendezés egyidejű használata mellett vizsgálva a terhelt járművet: háromkerekű robogók: 4,4 m/s2, kétkerekű motorkerékpárok: 5,8 m/s2. |
2.1.2.3. Fékezés csak a hátsó fékkel
Kategória | Féktávolság (S) (méterben) | Az ezeknek megfelelő legnagyobb átlagos lassulás (m/s2-ben) |
Kétkerekű robogók | S ≤ 0,1.V + V2/70 | 2,7 |
Háromkerekű robogók | S ≤ 0,1.V + V2/70 | 2,7 (1) |
Kétkerekű motorkerékpárok | S ≤ 0,1.V + V2/75 | 2,9 (1) |
Oldalkocsis motorkerékpárok | S ≤ 0,1.V + V2/95 | 3,6 |
(1) Ha a korlátozott tapadás miatt ezt az értéket egyetlen fékberendezés nem éri el, az értékek a következőkkel helyettesítendők mindkét fékberendezés egyidejű használata mellett a terhelt jármű vizsgálata során: háromkerekű robogók: 4,4 m/s2, kétkerekű motorkerékpárok: 5,8 m/s2. |
2.1.3. A terheletlen jármű fékhatásossága
2.1.3.1. Egyedül a vezetővel terhelt jármű gyakorlati vizsgálata nem szükséges, ha számítás igazolja, hogy a fékezett kerekeken a tömeg eloszlása lehetővé teszi, hogy a legnagyobb átlagos lassulás értéke 2,5 m/s2 legyen, vagy
S ≤ 0,1.V + V2/65
féktávolság elérhető minden egyes egyetlen tengelyt fékező berendezéssel.
2.2. A legalább az egyik fékberendezésük szerint kombinált fékberendezésű járművek vizsgálatra vonatkozó rendelkezések
2.2.1. A motorkerékpárokon (oldalkocsis vagy oldalkocsi nélküli) és a motoros tricikliken végzett I. típusú visszamaradó hatásosság vizsgálatok céljából a hatásosságszintet úgy kell feljegyezni, hogy feljegyzik a féktávolságot, a legnagyobb átlagos lassulást és a működtetőerőt.
2.2.2. Vizsgálati sebesség V = 40 km/h ( 7 ) a robogók esetében.
Vizsgálati sebesség V = 60 km/h (7) a motorkerékpárok (oldalkocsisak vagy oldalkocsi nélküliek) és a motoros triciklik esetében.
2.2.3. A járművet terhelve és terhelés nélkül is vizsgálják.
2.2.3.1. Fékezés csak az összetett fékrendszerrel
Kategória | Féktávolság (S) (méterben) | Az ezeknek megfelelő átlagos legnagyobb lassulás (m/s2-ben) |
Robogók | S ≤ 0,1.V + V2/115 | 4,4 |
Kétkerekű motorkerékpárok | S ≤ 0,1.V + V2/132 | 5,1 |
Oldalkocsis motorkerékpárok | S ≤ 0,1.V + V2/140 | 5,4 |
Motoros triciklik | S ≤ 0,1.V + V2/130 | 5,0 |
2.2.3.2. Fékezés a második üzemi fékkel vagy a biztonsági fékkel, minden kategória
A féktávolság:
S ≤ 0,1.V + V2/65
(az ennek megfelelő legnagyobb átlagos lassulás 2,5 m/s2).
2.3. A rögzítőfék-berendezés fékhatásossága (ahol van ilyen)
2.3.1. A rögzítőfék-berendezésnek, még ha össze is van kapcsolva az egyik fékberendezéssel, statikus helyzetben kell tudnia tartani a megterhelt járművet egy 18 %-os lejtőn vagy emelkedőn.
2.4. A fékműködtető berendezésre kifejtett erőre vonatkozó rendelkezések
2.4.1. Az üzemi fékműködtető berendezésekre kifejtett erő
kézzel való irányítás ≤ 200 N,
lábbal való irányítás ≤ 350 N (robogók és (oldalkocsis vagy oldalkocsi nélküli) motorkerékpárok),
lábbal való irányítás ≤ 500 N (motoros triciklik).
2.4.2. A rögzítőfék fékműködtető berendezésére kifejtett erő (ha alkalmazható)
kézzel való irányítás ≤ 400 N,
lábbal való irányítás ≤ 500 N.
2.4.3. A kézi fogantyújú kézifékek esetében a fogantyú végétől 50 milliméterre lévő pont tekintendő a kézierő kifejtési pontjának.
2.5. A nedves fékekkel elérendő (legalacsonyabb és legmagasabb) hatásosságszintek
2.5.1. A nedves fékekkel elérendő átlagos lassulásnak a fékezés megkezdésétől számított 0,5 és 1,0 másodperc közti időben el kell érnie a száraz fék esetén az ugyanezen időszakban és ugyanazon működtető erő mellett elért lassulás legalább 60 %-át ( 8 ).
2.5.2. A működtetőerőnek, amelyet a lehető leghamarabb ki kell fejteni, ugyanakkorának kell lennie, mint a száraz fékkel/fékekkel 2,5 m/s2-es átlagos lassulás eléréséhez szükséges erőnek.
2.5.3. A nedves fékkel/fékekkel folytatott 0. típusú vizsgálat során a lassulás semmikor sem haladhatja meg a száraz fékkel/fékekkel elért eredmény 120 %-át.
2. függelék
A blokkolásgátlóval felszerelt kétkerekű robogókra, motorkerékpárokra és motoros triciklikre vonatkozó követelmények
1. ÁLTALÁNOS ELŐÍRÁSOK
1.1. E rendelkezések célja, hogy meghatározzák a kétkerekű robogók, kétkerekű motorkerékpárok és a motoros triciklik blokkolásgátló berendezéssel felszerelt fékrendszereinek legkisebb hatásosságát. Ez nem teszi kötelezővé a járművek blokkolásgátló berendezéssel történő felszerelését, de amennyiben ilyen berendezéssel szerelik fel a járművet, annak meg kell felelnie az alábbi követelményeknek.
1.2. A jelenleg ismert ilyen berendezések egy vagy több érzékelőből, egy vagy több szabályozó egységből és egy vagy több modulátorból állnak. E függelék értelmében minden másmilyen felépítésű berendezés is blokkolásgátlónak minősül, ha legalább az e függelékben előírt hatásosságot nyújt.
2. FOGALOMMEGHATÁROZÁSOK
E függelék alkalmazásában:
2.1. Blokkolásgátló:
az üzemi fékrendszer olyan alkatrésze, amely fékezés közben a jármű egy vagy több kerekén automatikusan szabályozza a megcsúszás (slip) mértékét a kerekek forgásirányában.
2.2. Érzékelő:
a kerék vagy a kerekek forgásának vagy a jármű dinamikai állapotának megállapítására és ezen az adatoknak a vezérlőkapcsoló felé történő továbbítására szolgáló alkatrész.
2.3. Vezérlőkapcsoló:
az érzékelő/érzékelők által továbbított adatok értékelésére és a modulátornak szánt jel kibocsátására szolgáló alkatrész.
2.4. Modulátor:
a fékerőt/fékerőket a szabályozó egységtől kapott jelnek megfelelően változtató alkatrész.
3. A RENDSZER TERMÉSZETE ÉS JELLEMZŐI
3.1. Minden szabályozott keréknek olyannak kell lennie, hogy legalább a saját berendezését működésbe tudja hozni.
3.2. Minden, a berendezés és/vagy az elektromos szabályozóegységen/szabályozóegységeken kívüli vezetékek áramellátásában bekövetkező megszakítást a vezetőnek optikai figyelmeztető jellel kell jelezni, amelynek napfényben is jól láthatónak kell lennie; a vezető számára könnyen ellenőrizhetőnek kell lennie, hogy megfelelően működik-e a berendezés ( 9 ).
3.3. A blokkolásgátló berendezés meghibásodása esetén, a terhelt jármű fékhatásossága nem süllyedhet az 1. függelék 2.1.2.2. vagy 2.1.2.3. pontjában megkövetelt két érték közül az alacsonyabb érték alá.
3.4. A berendezés működését elektromágneses mező nem befolyásolhatja negatívan ( 10 ).
3.5. A blokkolásgátló berendezések hatásossága nem csökkenhet, ha a féket bármilyen megállás alatt teljes erővel használják.
4. A TAPADÁS KIHASZNÁLÁSA
4.1. Általános előírások
4.1.1. A kétkerekű motorkerékpárok és a motoros triciklik esetében a blokkolásgátlóval felszerelt fékrendszert akkor kell elfogadhatónak tekinteni, ha teljesíti az
ε ≥ 0,70
feltételt, ahol ε az e függelék kiegészítésében meghatározott tapadáskihasználást jelenti ( 11 ).
4.1.2. Az ε tapadáskihasználási tényezőt olyan utakon kell mérni, melyek tapadási tényezője nem haladja meg a 0,45-öt, illetve nem kevesebb 0,8-nál.
4.1.3. A terheletlen járművet kell vizsgálni.
4.1.4. A K tapadási tényező meghatározásának vizsgálati eljárását és az ε tapadáskihasználás kiszámítására szolgáló képletet e függelék kiegészítése tartalmazza.
5. TOVÁBBI ELLENŐRZÉSEK
5.1. A következő további ellenőrzéseket kell elvégezni a terheletlen járművön.
5.1.1. A blokkolásgátló berendezés által szabályozott egyetlen kerék sem blokkolhat, ha a működtetőberendezésre a 0,8 Vmax-ig terjedő, de 80 km/h-t meg nem haladó kezdeti sebességek ( 12 ) esetén hirtelen a teljes működtetőerőt ( 13 ) fejtik ki, a jármű a 4.1.2. pontban meghatározott két útfelületen.
5.1.2. Ha a blokkolásgátló berendezés által szabályozott kerék a működtetőberendezésre kifejtett teljes erő (13) mellett elhagy egy, a 4.1.2. pontban leírtak szerinti alacsony tapadású, vagy magas tapadású útfelületet, a kerék nem blokkolhat. A haladási sebességet és a fékek működtetésének pillanatát úgy kell megválasztani, hogy a blokkolásgátló nagy tapadású felületen való teljes ciklikus működése mellett a jármű az egyik felületről a másikra körülbelül 0,5 Vmax-szal, de legfeljebb 50 km/h-val haladjon át.
5.1.3. Ha egy jármű a működtetőberendezésre kifejtett teljes erő (13) mellett a 4.1.2. pontban leírtak szerinti alacsony tapadású útfelületről magas tapadású felületre halad át, a jármű lassulásának ésszerű időn belül el kell érnie a megfelelően magas értéket, és a jármű nem térhet el a kezdeti haladási irányától. A haladási sebességet és a fékek működtetésének pillanatát úgy kell megválasztani, hogy a blokkolásgátló alacsony tapadású felületen való teljes ciklus működése mellett a jármű az egyik felületről a másikra körülbelül 0,5 Vmax-szal, de legfeljebb 50 km/h-val haladjon át.
5.1.4. Ha mindkét független fékberendezést blokkolásgátló berendezéssel szerelték fel, az 5.1.1., 5.1.2. és 5.1.3. pontban előírt vizsgálatokat is végre kell hajtani a két független fékberendezés együttes használata és a jármű stabilitásának mindenkori megmaradása mellett.
5.1.5. Mindazonáltal az 5.1.1., 5.1.2., 5.1.3. és 5.1.4. pontban előírt vizsgálatok során megengedhetők periódusok, amikor a kerekek blokkolnak vagy nagymértékű a kerékcsúszás, amennyiben ez nem befolyásolja negatívan a jármű stabilitását. 10 km/h sebesség alatt a blokkolás megengedett.
Kiegészítés
1. A K TAPADÁSI TÉNYEZŐ MEGÁLLAPÍTÁSA
1.1. A tapadási tényezőt a blokkolásgátló berendezés szétkapcsolása és minden kerék egyidejű fékezése mellett a jármű blokkolás nélküli legnagyobb lefékezettségéből állapítják meg ( 14 ).
1.2. A fékezési vizsgálatokat a fékek 60 km/h-s (vagy a 60 km/h-t elérni nem képes járművek esetén nagyjából 0,9 Vmax) kezdeti sebesség melletti működtetésével kell végrehajtani terheletlen járművel (leszámítva a vizsgálóberendezést, illetve a szükséges biztonsági felszereléseket). A fékműködtető berendezésre gyakorolt erőhatásnak az összes vizsgálat során azonosnak kell maradnia.
1.3. A jármű legnagyobb lefékezettségnek megállapítására, a kerék vagy kerekek blokkolását közvetlenül megelőző kritikus pont eléréséig egy vizsgálati sorozat végezhető az első és a hátsó fékerő változtatásával ( 15 ).
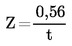
1.4. A (Z) lefékezettséget a jármű sebességének 40 km/h-ról 20 km/h-ra történő csökkenéséhez szükséges idő figyelembevételével, az alábbi képlet szerint kell kiszámítani:

ahol t másodpercben szerepel.
Az 50 km/h-t elérni nem képes járművek esetében a lefékezettséget a sebesség 0,8 Vmax-ról 0,8 Vmax-20-ra történő csökkenéséhez szükséges idő figyelembevételével kell meghatározni, ahol a Vmax km/h-ban mérendő.
Z legnagyobb értéke K.
2. A TAPADÁSKIHASZNÁLÁSI TÉNYEZŐ (ε) MEGÁLLAPÍTÁSA
2.1. A tapadáskihasználási tényező a blokkolásgátló berendezés működése mellett elért legnagyobb lefékezettség (Zmax) és a blokkolásgátló berendezés szétkapcsolása után elért legnagyobb lefékezettség (Zm) hányadosa. Minden blokkolásgátló berendezéssel felszerelt kereket külön kell megvizsgálni.
2.2. A Zmax-ot három vizsgálat átlagának alapján kell kiszámolni felhasználva az 1.4. pontban meghatározott sebességcsökkenés eléréséhez szükséges időket.
2.3. A tapadáskihasználási tényezőt a következő képlet adja meg:

3. függelék
Motorkerékpárok és segédmotoros kerékpárok gépjármű fékezésére vonatkozó adatközlő lap

4. függelék

( 1 ) HL L 225., 1992.8.10., 72. o.
( 2 ) HL C 93., 1992.4.12., 24. o.
( 3 ) HL C 305., 1992.11.23., 114. o. és HL C 72., 1993.3.15.
( 4 ) HL C 313., 1992.11.30., 7. o.
( 5 ) HL L 42., 1970.2.23., 1. o. A legutóbb a 92/53/EGK irányelvvel (HL L 225., 1992.8.10., 1. o.) módosított irányelv.
( 6 ) A 45 km/h végsebességnél (Vmax) kisebb végsebességű robogókat, a 67 km/h-nál kisebb végsebességű (oldalkocsis vagy anélküli) motorkerékpárokat, illetve a háromkerekűeket 0,9 Vmax-on vizsgálják.
( 7 ) A 45 km/h végsebességnél (Vmax) kisebb végsebességű robogókat, a 67 km/h-nál kisebb végsebességű (oldalkocsis vagy anélküli) motorkerékpárokat, illetve a háromkerekűeket 0,9 Vmax-on vizsgálják.
( 8 ) A 25 km/h vagy annál alacsonyabb végsebességű robogók esetében ez az érték 40 %.
( 9 ) A műszaki szolgálatnak meg kell vizsgálnia az elektromos irányítóegységet, illetve bármilyen meghajtási rendszert a lehetséges hibamódokat.
( 10 ) Amíg megegyezés nem születik az egyöntetű vizsgálati eljárásokról, a gyártók közöljék a műszaki szolgálat felé vizsgálati eljárásaikat és eredményeiket.
( 11 ) Amíg a kétkerekű robogókra meg nem állapítják az (legkisebb értékét, a mért értéket fel kell jegyezni a vizsgálati jegyzőkönyvbe.
( 12 ) A teljes működtetőerő az 1. függelék 2.4. bekezdésében jármű-kategóriára előírt legnagyobb erőt jelenti: a blokkolásgátló berendezés működtetéséhez nagyobb erőt lehet alkalmazni.
( 13 ) Az alacsony tapadású felületeken (≤ 0,35) a kezdeti sebességet biztonsági okokra való tekintettel le lehet csökkenteni: ilyen esetekben a K értékét és a kezdeti sebességet fel kell tüntetni a vizsgálati jegyzőkönyvben.
( 14 ) Az összetett fékrendszerű járművek esetében további követelmények megállapítására lehet szükség.
( 15 ) Az ilyen megelőző vizsgálatok elősegítésére kezdeti lépésként kerekenként meghatározható a kritikus pont előtti legnagyobb fékerő.
Lábjegyzetek:
[1] A dokumentum eredetije megtekinthető CELEX: 31993L0014 - https://eur-lex.europa.eu/legal-content/HU/ALL/?uri=CELEX:31993L0014&locale=hu Utolsó elérhető, magyar nyelvű konszolidált változat CELEX: 01993L0014-20060328 - https://eur-lex.europa.eu/legal-content/HU/ALL/?uri=CELEX:01993L0014-20060328&locale=hu