32017R0699[1]
A Bizottság (EU) 2017/699 végrehajtási rendelete (2017. április 18.) a tagállamok piacain forgalomba hozott elektromos és elektronikus berendezések tömegének, továbbá az elektromos és elektronikus berendezések tagállamokban keletkezett hulladékai tömegben megadott mennyiségének kiszámítására vonatkozó közös módszertan kidolgozásáról
A BIZOTTSÁG (EU) 2017/699 VÉGREHAJTÁSI RENDELETE
(2017. április 18.)
a tagállamok piacain forgalomba hozott elektromos és elektronikus berendezések tömegének, továbbá az elektromos és elektronikus berendezések tagállamokban keletkezett hulladékai tömegben megadott mennyiségének kiszámítására vonatkozó közös módszertan kidolgozásáról
(EGT-vonatkozású szöveg)
AZ EURÓPAI BIZOTTSÁG,
tekintettel az Európai Unió működéséről szóló szerződésre,
tekintettel az elektromos és elektronikus berendezések hulladékairól szóló, 2012. július 4-i 2012/19/EU európai parlamenti és tanácsi irányelvre (1) és különösen annak 7. cikke (5) bekezdésére,
mivel:
(1) Annak érdekében, hogy az elektromos és elektronikus berendezések hulladékaira vonatkozó minimális éves gyűjtési aránynak a 2012/19/EU irányelvvel összhangban a tagállamok által történő kiszámításához egységes feltételeket lehessen biztosítani, szükség van a tagállamok által alkalmazandó közös módszertan kidolgozására arra az esetre, ha azok a szóban forgó gyűjtési arányt a piacukon forgalomba hozott elektromos és elektronikus berendezések tömege alapján számítják ki, továbbá meg kell állapítani az elektromos és elektronikus berendezések tagállamokban keletkezett hulladékai tömegben megadott összmennyiségének kiszámítására vonatkozó közös módszertant arra az esetre, amikor ez a lehetőség a 2012/19/EU irányelvnek megfelelően megnyílik a tagállamok előtt.
(2) A forgalomba hozott elektromos és elektronikus berendezések tömegének kiszámítására, illetve az elektromos és elektronikus berendezések keletkezett hulladékai összmennyiségének kiszámítására vonatkozó közös módszertan harmonizált alkalmazása érdekében helyénvaló e rendeletben specifikus paramétereket meghatározni, úgymint az "elektromos és elektronikus berendezések tömege" és az "elektromos és elektronikus berendezések keletkezett hulladékai".
(3) A piacon forgalomba hozott elektromos és elektronikus berendezések tömegének, illetve az elektromos és elektronikus berendezések egyes tagállamokban keletkezett hulladékai összmennyiségének kiszámítására vonatkozó közös módszertan alkalmazásának elősegítése érdekében e módszertanoknak magukban kell foglalniuk egy, az egyes tagállamok egyedi feltételeihez igazított számítási eszközt.
(4) Amennyiben a gyártók vagy meghatalmazott képviselőik által a 2012/19/EU irányelv 16. cikke, illetve X. mellékletének B. része alapján jelentendő adatok nem állnak rendelkezésre vagy hiányosak, a tagállamok megalapozott becsléseket készíthetnek a piacukon forgalomba hozott elektromos és elektronikus berendezések mennyiségére vonatkozóan. Annak érdekében, hogy az adatok jelentése, nyomon követése és értékelése tekintetében egységes feltételeket lehessen biztosítani - amennyiben ilyen becslésekre van szükség -, közös módszertant célszerű alkalmazni.
(5) A forgalomba hozott elektromos és elektronikus berendezések mennyiségére vonatkozó megalapozott becslések kiszámítását szolgáló közös módszertannak figyelembe kell vennie, hogy a valamely tagállam területén forgalomba hozott elektromos és elektronikus berendezések mennyiségét az adott tagállam piacán hozzáférhetővé tett elektromos és elektronikus berendezések - kivéve minden olyan elektromos és elektronikus berendezést, amely a tagállam piacán történő forgalomba hozatalt követően elhagyta a tagállam területét - tömeg alapján megadott mennyiségeként kell nyilvántartásba venni. Ezen okból és a rendelkezésre álló statisztikai adatokra tekintettel, a forgalomba hozott elektromos és elektronikus berendezések tömegének kiszámításánál az érintett tagállam hazai termelésére, továbbá az elektromos és elektronikus berendezések más tagállamból vagy harmadik országból az adott tagállamba érkező importjára, illetve az adott tagállamból más tagállamba vagy harmadik országba kivitt exportjára vonatkozó adatokat kell alapul venni. Az említett adatokat az Eurostat adatbázisából (Eurobase) kell kinyerni, amely a közösségi termelési statisztikák keretében (a PRODCOM-kódok segítségével) a hazai termelésben előállított elektromos és elektronikus berendezéseket is nyilvántartja. Az említett kódok a kereskedelmi statisztikákban alkalmazott kódokhoz (Kombinált Nómenklatúra-kódok) is kapcsolódnak. Az árukereskedelemre vonatkozó statisztikák a tagállamok közötti kereskedelem (Unión belüli kereskedelem) tárgyát képező áruk, illetve a tagállamok és harmadik országok közötti kereskedelem (Unión kívüli kereskedelem) tárgyát képező áruk mennyiségét mérik.
(6) A hazai termelésben előállított elektromos és elektronikus berendezésekre, valamint a behozatalra és kivitelre vonatkozó nemzeti adatok jelentése a PRODCOM-kódok segítéségével, a közösségi termelési statisztikák keretében történik, nem pedig az elektromos és elektronikus berendezéseknek a 2012/19/EU irányelv I. és III. mellékletében meghatározott kategóriái alapján. Lényeges azonban, hogy a tagállamok a forgalomba hozott elektromos és elektronikus berendezések mennyiségére vonatkozó becslések készítésénél közös besorolási módszertant alkalmazzanak annak érdekében, hogy a hazai termelésre, valamint a kivitelre és behozatalra vonatkozó statisztikáik olyan adatokká legyenek átalakíthatók, amelyek a piacukon a 2012/19/EU irányelv I. és III. mellékletében meghatározott kategóriák szerint forgalomba hozott elektromos és elektronikus berendezések tömegének felelnek meg.
(7) Az elektromos és elektronikus berendezések adott évben egy tagállam területén keletkezett hulladékai összmennyiségének kiszámításánál lényeges, hogy a tagállamok olyan közös módszertant alkalmazzanak, amely figyelembe veszi a múltban az egyes tagállamokban forgalomba hozott elektromos és elektronikus berendezések mennyiségére vonatkozó adatokat, valamint a különféle elektromos és elektronikus berendezések élettartamára vonatkozó adatokat azok típusa, a nemzeti piac telítettsége és az elektromos és elektronikus berendezések tagállamok szerint eltérő életciklusa szerint. A tagállamok számára rendelkezésre kell bocsátani egy, az elektromos és elektronikus berendezések hulladékmennyiségeinek kiszámítására szolgáló olyan eszközt, amely az említett módszertanon alapszik, és amelybe beletáplálják a közvetlen alkalmazásához szükséges valamennyi adatot. A tagállamoknak lehetőséget kell biztosítani arra, hogy a számítási eszközbe az utóbbi években forgalomba hozott elektromos és elektronikus berendezésekre és/vagy a berendezések élettartamára vonatkozóan betáplált adatokat megfelelő adatok és bizonyítékok alapján frissítsék.
(8) Az e rendeletben előírt intézkedések összhangban vannak a 2008/98/EK európai parlamenti és tanácsi irányelv (2) 39. cikke alapján létrehozott bizottság véleményével,
ELFOGADTA EZT A RENDELETET:
1. cikk
Tárgy
E rendelet közös módszertant határoz meg a valamely tagállami piacon forgalomba hozott elektromos és elektronikus berendezések tömegének kiszámítására, továbbá az elektromos és elektronikus berendezések adott tagállamban keletkezett hulladékai tömegben megadott összmennyiségének kiszámítására vonatkozóan; a tagállamok e módszertanokat szükség szerint alkalmazzák az elektromos és elektronikus berendezések hulladékaira vonatkozó gyűjtési arány kiszámításánál. E célból a rendelet előírja továbbá egy, az egyes tagállamok egyedi feltételeihez igazított, az elektromos és elektronikus berendezések hulladékmennyiségeinek kiszámítására szolgáló eszköz rendelkezésre bocsátását; az eszközt a Bizottság az említett módszertanok szerves részeként kidolgozza és rendelkezésre bocsátja.
2. cikk
Fogalommeghatározások
E rendelet alkalmazásában:
a) "elektromos és elektronikus berendezések tömege": a 2012/19/EU irányelv hatálya alá tartozó bármely elektromos és elektronikus berendezés bruttó (szállítási) tömege, beleértve minden elektromos és elektronikus tartozékot is, a csomagolás, az elemek/akkumulátorok, a felhasználói utasítások és az útmutatók, valamint a nem elektromos/elektronikus tartozékok és a fogyóanyagok kivételével.
b) "elektromos és elektronikus berendezések keletkezett hulladékai" egy tagállamra vonatkozóan: a 2012/19/EU irányelv hatálya alá tartozó olyan elektromos és elektronikus berendezésekből származó hulladék össztömege, amelyeket az adott tagállam piacán, bármiféle tevékenységet - hulladékgyűjtést, újrahasználatra való előkészítést, kezelést, hulladékfeldolgozást (a hulladékhasznosítást is beleértve) vagy exportot - megelőzően hoztak forgalomba.
3. cikk
A valamely tagállam piacán forgalomba hozott elektromos és elektronikus berendezések tömegének kiszámítása
(1) Amennyiben valamely tagállam a gyűjtési arányt a forgalomba hozott elektromos és elektronikus berendezések átlagos tömege alapján számítja ki, az adott tagállam a piacán egy adott évben forgalomba hozott elektromos és elektronikus berendezések tömegét az elektromos és elektronikus berendezések gyártói vagy adott esetben azok meghatalmazott képviselői által a 2012/19/EU irányelv 16. cikke (2) bekezdése c) pontjának, illetve X. melléklete B. részének megfelelően benyújtott információk alapján számítja ki.
(2) Amennyiben egy tagállam a piacán forgalomba hozott elektromos és elektronikus berendezések tömegét nem képes kiszámítani az (1) bekezdésnek megfelelően, úgy az adott évben a piacán forgalomba hozott elektromos és elektronikus berendezések tömegére vonatkozóan megalapozott becsléseket készít az elektromos és elektronikus berendezések hazai termelésével, kivitelével és behozatalával kapcsolatos adatok alapján. E célból a tagállamok az e rendelet I. mellékletében meghatározott módszertant alkalmazzák.
4. cikk
Az elektromos és elektronikus berendezések adott tagállamban keletkezett hulladékai összmennyiségének kiszámítása
Amennyiben valamely tagállam a gyűjtési arányt az elektromos és elektronikus berendezéseknek a tagállam területén keletkezett hulladékai mennyisége alapján számítja ki, az adott tagállam a szóban forgó hulladékoknak az adott évben a területén keletkezett összmennyiségét a II. mellékletben meghatározott módszertan szerint számítja ki.
5. cikk
Hatálybalépés
Ez a rendelet az Európai Unió Hivatalos Lapjában való kihirdetését követő huszadik napon lép hatályba.
Ez a rendelet teljes egészében kötelező és közvetlenül alkalmazandó valamennyi tagállamban.
Kelt Brüsszelben, 2017. április 18-án.
a Bizottság részéről
az elnök
Jean-Claude JUNCKER
(1) HL L 197., 2012.7.24., 38. o.
(2) Az Európai Parlament és a Tanács 2008/98/EK irányelve (2008. november 19.) a hulladékokról és egyes irányelvek hatályon kívül helyezéséről (HL L 312., 2008.11.22., 3. o.).
I. MELLÉKLET
Módszertan a valamely tagállam piacán forgalomba hozott elektromos és elektronikus berendezések tömegére vonatkozó megalapozott becslések kiszámításához
1. A valamely tagállam piacán forgalomba hozott elektromos és elektronikus berendezések tömegére vonatkozó megalapozott becslések kiszámításánál a látszólagos felhasználás módszerét kell alkalmazni, amely az alábbi egyenleten alapul:
Forgalomba hozott elektromos és elektronikus berendezések (t) = hazai termelés (t) + behozatal (t) - kivitel (t)
Ahol:
Hazai termelés (t) = a valamely tagállamban t referenciaévben előállított elektromos és elektronikus berendezések (késztermékek) tömege tonnában megadva.
Behozatal (t) = a valamely tagállamba t referenciaévben forgalmazás, fogyasztás vagy használat céljára egy másik tagállamból vagy harmadik országból behozott elektromos és elektronikus berendezések tömege tonnában megadva.
Kivitel (t) = a valamely tagállamból t referenciaévben forgalmazás, fogyasztás vagy használat céljára egy másik tagállamba vagy harmadik országba kivitt elektromos és elektronikus berendezések tömege tonnában megadva.
2. Az elektromos és elektronikus berendezések hazai termelésére vonatkozóan a tagállamok a közösségi termelési statisztikák szerinti besorolás keretében (PRODCOM-kódok) tömegben megadott adatokat használják fel.
Az elektromos és elektronikus berendezések kivitelére és behozatalára vonatkozóan a tagállamok a Kombinált Nómenklatúra-kódok (KN-kódok) szerint tömegben megadott adatokat használják fel.
3. A tagállamok alkalmazzák az e rendelet 1. cikkében említett, az elektromos és elektronikus berendezések hulladékmennyiségeinek kiszámítására szolgáló eszközt, hogy a belföldön gyártott, importált és exportált elektromos és elektronikus berendezések KN-kódok szerint megadott mennyiségeit az elektromos és elektronikus berendezéseknek a 2012/19/EU irányelv I. és III. mellékletében meghatározott kategóriák szerint forgalomba hozott mennyiségeivé alakítsák át.
II. MELLÉKLET
Módszertan az elektromos és elektronikus berendezések adott tagállamban keletkezett hulladékai összmennyiségének kiszámításához
1. Az elektromos és elektronikus berendezések adott tagállamban egy meghatározott évben keletkezett hulladékai összmennyiségének kiszámításához az előző években az adott tagállamban forgalomba hozott elektromos és elektronikus berendezések mennyiségét, valamint az egyes termékek kiselejtezési aránya alapján megbecsült megfelelő termékélettartamot kell alapul venni az alábbi egyenletnek megfelelően:

Ahol:
W(n) = az elektromos és elektronikus berendezések n értékelési évben keletkezett hulladékainak mennyisége tonnában megadva;
POM(t) = egy meghatározott t évben forgalomba hozott elektromos és elektronikus berendezések mennyisége tonnában megadva;
t 0 = valamely elektromos és elektronikus berendezés forgalomba hozatalának első éve;
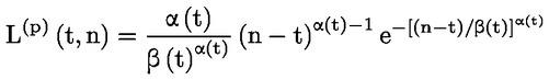
L (p) (t, n) = a t évben forgalomba hozott elektromos és elektronikus berendezések által alkotott tétel kiselejtezésalapú élettartamprofilja, amely tükrözi a tétel valószínű kiselejtezési arányát az n értékelési évben (a kiselejtezett berendezések százalékos aránya az n évben elért teljes értékesítéshez képest); ez egy Weibull-eloszlási függvény segítségével kerül kiszámításra, amely az időben változó α(t) alakparaméter és a β(t) skálaparaméter felhasználásával határozható meg a következőképpen: [Kép #1]

Kép #1
Amennyiben hosszú távon ugyanazon, élettartamra vonatkozó paraméterek kerülnek alkalmazásra, az elektromos és elektronikus berendezések élettartamának eloszlása az alábbi egyszerűsített képlettel adható meg:

Ahol:
α (alfa) = a valószínűségi eloszlás alakparamétere
β (béta) = a valószínűségi eloszlás skálaparamétere
2. A tagállamok alkalmazzák az e rendelet 1. cikkében említett és az 1. pontban leírt módszertan alapján kidolgozott, az elektromos és elektronikus berendezések hulladékmennyiségeinek kiszámítására szolgáló eszközt, hogy területükre vonatkozóan kiszámítsák az elektromos és elektronikus berendezések adott évben keletkezett hulladékainak összmennyiségét.
3. Az elektromos és elektronikus berendezések hulladékmennyiségeinek kiszámítására szolgáló eszközbe be kell táplálni az 1980-2014-es időszakban az egyes tagállamokban forgalomba hozott elektromos és elektromos és elektronikus berendezéseknek a látszólagos felhasználás I. mellékletben leírt módszerével kiszámított mennyiségeire vonatkozó adatokat, továbbá az 1980-2030-as időszakra vonatkozóan be kell táplálni a termékek élettartamára vonatkozó adatokat. Az 1. pontban említett valószínűségeloszlási alak- és skálaparamétert, amelyet minden egyes tagállam esetében meg kell határozni, alapértelmezett értékként kell megadni az eszközben.
4. A tagállamok az elektromos és elektronikus berendezések hulladékmennyiségeinek kiszámítására szolgáló eszközbe beviszik a forgalomba hozott elektromos és elektronikus berendezésekre vonatkozó éves adatokat 2015-től a referenciaévet megelőző évig annak érdekében, hogy az elektromos és elektronikus berendezések adott évben keletkezett hulladékainak tömege kiszámítható legyen.
5. A tagállamok frissíthetik a forgalomba hozott elektromos és elektronikus berendezésekre vagy a termékek élettartamára vonatkozó, a 3. pontnak megfelelően az elektromos és elektronikus berendezések hulladékmennyiségeinek kiszámítására szolgáló eszköz alkalmazása során felhasznált adatokat. A tagállamok e frissítéseket megelőzően tájékoztatják azokról a Bizottságot, és megfelelő bizonyítékot szolgáltatnak a frissítések szükségességéről, többek között hivatalos piaci felmérések, vizsgálati eredmények vagy az érdekelt felekkel folytatott konzultációkból származó kielemzett és alátámasztott adatok révén.
Lábjegyzetek:
[1] A dokumentum eredetije megtekinthető CELEX: 32017R0699 - https://eur-lex.europa.eu/legal-content/HU/ALL/?uri=CELEX:32017R0699&locale=hu