32005L0078[1]
A Bizottság 2005/78/EK irányelve ( 2005. november 14. ) a járművek hajtására használt sűrítéses gyújtású motorok gáz-halmazállapotú szennyezőanyag- és légszennyezőrészecske-kibocsátása, valamint a járművek hajtására használt, földgáz- vagy PB-gázüzemű külső gyújtású motorok gáz-halmazállapotú szennyezőanyag-kibocsátása elleni intézkedésekre vonatkozó tagállami jogszabályok közelítéséről szóló 2005/55/EK európai parlamenti és tanácsi irányelv alkalmazásáról és annak I., II., III., IV. és VI. mellékletének módosításáról
A BIZOTTSÁG 2005/78/EK IRÁNYELVE
(2005. november 14.)
a járművek hajtására használt sűrítéses gyújtású motorok gáz-halmazállapotú szennyezőanyag- és légszennyezőrészecske-kibocsátása, valamint a járművek hajtására használt, földgáz- vagy PB-gázüzemű külső gyújtású motorok gáz-halmazállapotú szennyezőanyag-kibocsátása elleni intézkedésekre vonatkozó tagállami jogszabályok közelítéséről szóló 2005/55/EK európai parlamenti és tanácsi irányelv alkalmazásáról és annak I., II., III., IV. és VI. mellékletének módosításáról
(EGT vonatkozású szöveg)
AZ EURÓPAI KÖZÖSSÉGEK BIZOTTSÁGA,
tekintettel az Európai Közösséget létrehozó szerződésre,
tekintettel a gépjárművek és pótkocsijaik típusjóváhagyására vonatkozó tagállami jogszabályok közelítéséről szóló, 1970. február 6-i 70/156/EGK tanácsi irányelvre ( 1 ) és különösen annak 13. cikke (2) bekezdésének második francia bekezdésére,
tekintettel a járművek hajtására használt sűrítéses gyújtású motorok gáz-halmazállapotú szennyezőanyag- és légszennyezőrészecske-kibocsátása, valamint a járművek hajtására használt, földgáz- vagy PB-gázüzemű külső gyújtású motorok gáz-halmazállapotú szennyezőanyag-kibocsátása elleni intézkedésekre vonatkozó tagállami jogszabályok közelítéséről szóló, 2005. szeptember 28-i 2005/55/EK európai parlamenti és tanácsi irányelvre ( 2 ) és különösen annak 7. cikkére,
mivel:
(1) A 2005/55/EK irányelv egyike a 70/156/EGK irányelv által meghatározott típus-jóváhagyási eljárás alá tartozó irányelveknek.
(2) A 2005/55/EK irányelv megkövetelte, hogy 2005. október 1-jétől az új nagy teljesítményű motorok és nagysúlyú járművek motorjai tekintetében az új nagy teljesítményű járművek megfeleljenek azon új műszaki követelményeknek, amelyek a megfelelően fenntartott és használt, működésben lévő járművek fedélzeti diagnosztikai rendszereire, tartósságára és megfelelőségére vonatkoznak. El kell fogadni az említett irányelv 3. és 4. cikkének végrehajtásához szükséges műszaki előírásokat.
(3) A 2005/55/EK irányelv 5. cikkének való megfelelés érdekében helyénvaló olyan követelményeket bevezetni, amelyek ösztönzik az olyan kipufogógáz-utókezelő berendezéssel felszerelt új nagy teljesítményű járművek gyártó szándékának megfelelő használatát, amely elégő reagens használatával biztosítja a szabályozott szennyező anyagok tervezett csökkentését. Olyan intézkedéseket kell bevezetni, amelyek kötelezővé teszik, hogy az ilyen járművek vezetői megfelelő időben tájékoztatást kapjanak, ha az elégő reagensnek a járművön lévő készlete elfogy, vagy ha nem történik meg a reagens adagolása. Amennyiben a vezető figyelmen kívül hagyja az ilyen figyelmeztetéseket, a motor teljesítménye mindaddig módosul, amíg a vezető a kipufogógáz-utókezelő berendezés hatékony működéséhez szükséges elégő reagenst után nem tölti.
(4) A tagállamok a 2005/55/EK rendelet hatálya alá tartozó motorok tekintetében megteszik a szükséges lépéseket annak biztosítására, hogy az ezen irányelv alkalmazási körébe tartozó, motorok által elégetendő reagensek földrajzilag arányosan rendelkezésre álljanak annak érdekében, hogy elérhetők legyenek azon kibocsátási határértékek, amelyek alapján a típusjóváhagyást kiadták. A tagállamoknak képesnek kell lenniük az ilyen reagensek fogyasztását ösztönző megfelelő lépések megtételére.
(5) Helyénvaló olyan követelményeket bevezetni, amelyek a tagállamoknak olyan eszközöket biztosítanak, amelyek révén megvalósítható és a rendszeres műszaki szemle idején megfigyelhető az azt megelőző időszak során az elégő reagens használatán alapuló kipufógáz-utókezelő berendezéssel ellátott nagy teljesítményű járművek megfelelő üzemeltetése.
(6) Arra az esetre, ha a kipufogógáz-utókezelő berendezés nem égeti el vagy a jármű nem hordozza a szükséges reagenst, a tagállamoknak képesnek kell lenniük arra, hogy megtiltsák az olyan kipufogógáz-utókezelő berendezéssel ellátott nagy teljesítményű járművek használatát, amelyek a típusjóváhagyás alapjául szolgáló kibocsátási határértékeket reagens elégetésével biztosítják.
(7) Az elégő reagens használatán alapuló kipufógáz-utókezelő berendezéssel ellátott nagy teljesítményű járművek gyártóinak teljeskörűen tájékoztatniuk kell ügyfeleiket az ilyen járművek megfelelő üzemeltetéséről.
(8) Helyénvaló a hatástalanító stratégiák használatáról szóló 2005/55/EK irányelv követelményeit a műszaki fejlődés figyelembevétele érdekében kiigazítani. Helyénvaló a több-beállítású motorokra és az azon szerkezetekre vonatkozó követelményeket pontosítani, amelyek bizonyos üzemeltetési körülmények között korlátozni tudják a motor forgatónyomatékát.
(9) A benzin és dízelüzemanyagok minőségéről szóló, 1998. október 13-i 98/70/EK európai parlamenti és tanácsi irányelv ( 3 ) III. és IV. melléklete megköveteli, hogy a Közösségben eladni kívánt benzin és dízelüzemanyagok 2005. január 1-jétől 50 mg/kg (milliomodrész, parts per million, ppm) maximális kéntartalommal rendelkezzenek. A 10 mg/kg vagy annál kisebb kéntartalommal rendelkező üzemanyagok egyre inkább hozzáférhetőek a Közösségben, és 2009. január 1-jétől a 98/70/EK irányelv rendelkezni fog az ilyen üzemanyagok hozzáférhetőségéről. A 2005/55/EK irányelv I. mellékletében megadott táblázatok B1, B2 és C sorában meghatározott kibocsátási határértékek tekintetében a motorok típusvizsgálatára használt referencia-tüzelőanyagokat ezért újból meg kell határozni, hogy adott esetben jobban tükrözzék azon dízelüzemanyagok kéntartalmát, amelyek 2005. január 1-jétől hozzáférhetőek lesznek a piacon, és amelyeket a fejlett kibocsátáscsökkentő rendszerrel rendelkező motorokban majd használni kell. Szintén helyénvaló újból meghatározni a PB-gáz (propán-bután gáz) referencia-tüzelőanyagát, hogy tükrözze a piac 2005. január 1. utáni fejlődését.
(10) A mintavételezési és a mérési eljárásokat technikai értelemben ki kell igazítani annak érdekében, hogy lehetővé váljék a részecsketömeg-kibocsátások megbízható és megismételhető mérése azon sűrítéses gyújtású motorokon, amelyekre a 2005/55/EK irányelv I. melléklete 6.2.1. szakaszában megadott táblázatok B1, B2 és C sorában szereplő részecske-határértékek tekintetében típusjóváhagyást adtak ki, valamint azon gázmotorokon, amelyekre az említett melléklet 6.2.1. szakaszának 2. táblázatának C sorában szereplő kibocsátási határértékek tekintetében típusjóváhagyást adtak ki.
(11) Mivel a 2005/55/EK irányelv 3. és 4. cikkének végrehajtására vonatkozó rendelkezéseket azonos időben fogadják el, mint az irányelvet a műszaki fejlődéshez hozzáigazító rendelkezéseket, helyénvaló mindkét típusú intézkedéseket ugyanazon jogi aktusba foglalni.
(12) Tekintettel a területre jellemző intenzív műszaki fejlődésre, ezt az irányelvet 2006. december 31-ig felül kell vizsgálni.
(13) A 2005/55/EK irányelvet ezért ennek megfelelően módosítani kell.
(14) Az ezen irányelvben előírt intézkedések összhangban vannak a 70/156/EGK irányelv 13. cikkének (1) bekezdésével létrehozott, a műszaki fejlődéshez történő hozzáigazítással foglalkozó bizottság véleményével,
ELFOGADTA EZT AZ IRÁNYELVET:
1. cikk
A 2005/55/EK irányelv I., II., III., IV. és VI. mellékletei ezen irányelv mellékletével összhangban módosulnak.
2. cikk
A 2005/55/EK irányelv 3. és 4. cikkének végrehajtására szolgáló intézkedéseket ezen irányelv II-VII. melléklete tartalmazza.
A VI. melléklet kompressziós gyújtású motorral felszerelt járművek, illetve ilyen motorok típusjóváhagyására vonatkozik.
A VII. melléklet szikragyújtású motorral felszerelt járművek, illetve ilyen motorok típusjóváhagyására vonatkozik.
3. cikk
(1) A tagállamok legkésőbb 2006. november 8-ig elfogadják és közzéteszik azokat a törvényi, rendeleti és közigazgatási rendelkezéseket, amelyek szükségesek ahhoz, hogy ennek az irányelvnek megfeleljenek. Haladéktalanul tájékoztatják a Bizottságot e rendelkezések szövegéről, valamint megküldenek egy táblázatot e rendelkezések és ezen irányelv közötti megfelelésről.
Ezeket a rendelkezéseket 2006. november 9-től kell alkalmazni.
Amikor a tagállamok elfogadják ezeket az intézkedéseket, azokban hivatkozni kell erre az irányelvre, vagy azokhoz hivatalos kihirdetésük alkalmával ilyen hivatkozást kell fűzni. A hivatkozás módját a tagállamok határozzák meg.
(2) A tagállamok közlik a Bizottsággal nemzeti joguknak azokat a főbb rendelkezéseit, amelyeket az ezen irányelv által szabályozott területen fogadnak el.
4. cikk
Ez az irányelv az Európai Unió Hivatalos Lapjában való kihirdetését követő huszadik napon lép hatályba.
5. cikk
Ennek az irányelvnek a tagállamok a címzettjei.
I. MELLÉKLET
A 2005/55/EK IRÁNYELV I., II., III., IV. és VI. MELLÉKLETÉNEK MÓDOSÍTÁSA
A 2005/55/EK irányelv a következőképpen módosul:
1. Az I. melléklet a következőképpen módosul:
a) Az 1. szakasz helyébe a következő szöveg lép:
"1. HATÁLY
Ezt az irányelvet kell alkalmazni a sűrítéses gyújtású motorral felszerelt gépjárművek gáz-halmazállapotú szennyezőanyag- és légszennyezőrészecske-kibocsátásának ellenőrzésére, kibocsátáscsökkentő eszközei élettartamára, működésben lévő járművei/motorjai megfelelőségére és fedélzeti diagnosztikai (OBD) rendszereire, a földgáz- vagy PB-gázüzemű külső gyújtású motorral felszerelt gépjárművek gáz-halmazállapotú szennyezőanyag-kibocsátására, élettartamára, működésben lévő járművei/motorjai megfelelőségére és fedélzeti diagnosztikai rendszereire, valamint az 1. cikk meghatározása szerinti sűrítéses gyújtású és külső gyújtású motorokra, kivéve azon N1, N2 és M2 kategóriájú járművek sűrítéses gyújtású motorjait és azon N1 kategóriájú járművek földgáz- vagy PB-gázüzemű külső gyújtású motorjait, amelyek típusjóváhagyását a 70/220/EGK tanácsi irányelv ( 4 ) értelmében adták meg.
b) A 2.1-2.32.1. szakaszok helyébe a következő szöveg lép:
"2. FOGALOMMEGHATÁROZÁSOK
2.1. Ezen irányelv alkalmazásában:
»motor (motorcsalád) jóváhagyása«: a motortípus (motorcsalád) jóváhagyása a gáz-halmazállapotú szennyező anyagok és légszennyező részecskék kibocsátási szintjének szempontjából;
»kiegészítő kibocsátáscsökkentési stratégia (AECS)«: olyan kibocsátáscsökkentési stratégia, amely egy vagy több konkrét cél érdekében és a környezeti és/vagy üzemi feltételek (például a járműsebesség, a fordulatszám, a használt sebességfokozat, a beszívott levegő hőmérséklete vagy nyomása) valamely együttesére válaszként lép működésbe, vagy módosítja az alapvető kibocsátáscsökkentési stratégiát;
»alapvető kibocsátáscsökkentési stratégia (BECS)«: olyan kibocsátáscsökkentési stratégia, amely a motor teljes sebesség- és terhelési tartományán kifejti hatását mindenkor, ha valamely AECS nem lépett működésbe. Példák a BECS-re:
- motoridőzítési terv,
- EGR-terv,
- SCR katalitikusreagens-adagolási terv;
»kombinált deNOx-részecskeszűrő«: a nitrogén-oxidok (NOx) és a légszennyező részecskék (PT) kibocsátásának egyidejű csökkentésére tervezett kipufogógáz-utókezelő rendszer;
»folyamatos regeneráció«: a kipufogógáz-utókezelő rendszer regenerációs folyamata, amely vagy folyamatosan zajlik, vagy amelyre minden ETC-vizsgálat alatt legalább egyszer sor kerül. A regenerációs folyamat nem igényel egyedi vizsgálati eljárást;
»ellenőrzési tartomány«: az A és C motorfordulatszámok közötti és a 25 és 100 százalékos terhelés közötti terület;
»a gyártó által megadott legnagyobb teljesítmény (Pmax )«: a gyártó által a típus-jóváhagyási kérelemben megadott legnagyobb teljesítmény, »EK kW«-ban (hasznos teljesítményben) kifejezve;
»hatástalanító stratégia«:
- olyan AECS, amely a jármű szokásos működése és használata során ésszerűen elvárható körülmények között a BECS-hez képest mérsékli a kibocsátáscsökkentés hatékonyságát,
- vagy
- olyan BECS, amely különbséget tesz a szabványosított típusvizsgálat közbeni működés és más működések között, és mérsékeltebb kibocsátáscsökkentést biztosít olyan körülmények között, amelyeket alapvetően nem foglaltak bele az alkalmazandó típusvizsgálati eljárásokba;
»deNOx-rendszer«: olyan kipufogógáz-utókezelő rendszer, amelyet arra terveztek, hogy csökkentse a nitrogén-oxidok (NOx) kibocsátását (például jelenleg vannak passzív és aktív NOx-katalizátorok, NOx-elnyelők és szelektív gyorsított redukciós (SCR) rendszerek);
»késleltetési idő«: a vizsgált összetevő referenciapontnál történő megváltozásától a végső mérési leolvasás 10 %-ának megfelelő rendszerválaszig tartó időszak hossza (t 10). A gáznemű összetevők számára ez alapvetően a megmért összetevőnek a szondától a detektorig való szállítási ideje. A késleltetési idő szempontjából a szondát kell referenciapontnak tekinteni;
»dízelmotor«: a sűrítéses gyújtás elvén működő motor;
»ELR-vizsgálat«: az e melléklet 6.2. szakasza szerint lefolytatott, állandó motorfordulatszámon alkalmazott terhelési fokozatok sorozatából álló vizsgálati ciklus;
»ESC-vizsgálat«: az e melléklet 6.2. szakasza szerint, állandósult állapotban lefolytatott, 13 üzemmódból álló vizsgálati ciklus;
»ETC-vizsgálat«: az e melléklet 6.2. szakasza szerint lefolytatott, 1 800, másodpercről másodpercre változó átmeneti üzemmódból álló vizsgálati ciklus;
»szerkezeti elem«: a jármű vagy motor:
- bármely szabályozórendszere, beleértve a számítógépes szoftvert, az elektronikus szabályozórendszereket és a számítógépes logikát is,
- bármely szabályozórendszerének kalibrálása,
- rendszerei kölcsönhatásának eredménye,
- vagy
- bármely hardvereleme;
»kibocsátással kapcsolatos hiba«: a tervezés, az anyag vagy az elkészítés tekintetében az eszköz, a rendszer vagy a berendezés hibája vagy a szokásos gyártási tűréseket meghaladó eltérése, amely érinti a kibocsátáscsökkentő rendszerhez tartozó valamely paramétert, előírást vagy összetevőt. A hiányzó összetevő »kibocsátással kapcsolatos hibának« tekinthető;
»kibocsátáscsökkentési stratégia (ECS)«: olyan, a motorrendszer vagy a jármű, mint egész részét képező, a kipufogógáz szabályozása érdekében alkalmazott elem vagy szerkezetielem-csoport, amely egy BECS-t és több AECS-t tartalmaz;
»kibocsátáscsökkentő rendszer«: a kipufogógáz-utókezelő rendszer, a motorrendszer elektronikus vezérlőberendezése(i) és a kipufogógázban a motorrendszer bármely olyan kibocsátással kapcsolatos összetevője, amely e vezérlőberendezés(ek)nek inputot szolgáltat vagy onnan outputot kap, valamint az elektronikus motorrendszer-vezérlő egység(ek) (EECU) és az erőátviteli rendszer vagy a jármű bármely más szabályozó egysége közötti, a kibocsátáscsökkentéssel összefüggő esetleges kommunikációs felület (hardver és üzenetek);
»motorutókezelőrendszer-család«: a gyártó által a járművek hajtására használt sűrítéses gyújtású motorok gáz-halmazállapotú szennyezőanyag- és légszennyezőrészecske-kibocsátása, valamint a járművek hajtására használt, földgáz- vagy PB-gázüzemű külső gyújtású motorok gáz-halmazállapotú szennyezőanyag-kibocsátása elleni intézkedésekre vonatkozó tagállami jogszabályok közelítéséről szóló 2005/55/EK európai parlamenti és tanácsi irányelv alkalmazásáról és annak I., II., III., IV. és VI. mellékletének módosításáról szóló, 2005. november 14-i 2005/78/EK bizottsági irányelv ( 5 ) II. melléklete értelmében, illetve a tartampróba során a romlási tényezők megállapítása céljából végzett vizsgálatokhoz, illetőleg a 2005/78/EK irányelv III. melléklete értelmében az üzemben lévő járművek/motorok megfelelőségének ellenőrzéséhez felállított olyan motorbesorolás, amely megfelel a motorcsalád meghatározásának, de amelyet tovább csoportosítottak a hasonló kipufogógáz-utókezelő rendszert használó motorokra;
»motorrendszer«: a motor, a kibocsátáscsökkentő rendszer, valamint az elektronikus motorrendszer-vezérlő egysége(k) (EECU) és az erőátviteli rendszer vagy a jármű bármely más szabályozó egysége közötti kommunikációs felület (hardver és üzenetek);
»motorcsalád«: egy gyártó motorrendszereinek csoportja, amelyek kipufogógáza ezen irányelv II. mellékletének 2. függeléke szerint meghatározott kialakításuk folytán hasonló szennyezőanyag-kibocsátási jellemzőkkel rendelkezik; a család minden tagjának meg kell felelnie a vonatkozó szennyezőanyag-kibocsátási határértékeknek;
»motor üzemi fordulatszám-tartománya«: a motor üzemeltetése során leggyakrabban használt fordulatszám-tartomány, amely az ezen irányelv III. melléklete értelmében vett alacsony és magas fordulatszám között helyezkedik el;
»A, B és C motorfordulatszám«: azok a vizsgálati fordulatszámok a motor üzemi fordulatszám-tartományán belül, amelyeket az ezen irányelv III. mellékletének 1. függelékében meghatározott módon az ESC- és ELR-vizsgálatok során kell alkalmazni;
»motorbeállítás«: egyedi jármű-motor összeállítás, amely magában foglalja a kibocsátáscsökkentési stratégiát (ECS), a motorteljesítmény egyetlen értékelését (a típus-jóváhagyási eljárás keretében jóváhagyott teljes terhelési görbét) és az esetleges nyomatékszabályozók egy készletét;
»motor típusa«: olyan motorok kategóriája, amelyek ezen irányelv II. mellékletében rögzített fő jellemzőik tekintetében nem különböznek egymástól;
»kipufogógáz-utókezelő rendszer«: oxidációs vagy három gázkomponensre ható katalizátor, részecskeszűrő, deNOx-rendszer, kombinált deNOx-részecskeszűrő vagy bármely más, a kibocsátást csökkentő eszköz, amely az erőátviteli rendszerben a motor mögött helyezkedik el. Ez a meghatározás kizárja az esetleges kipufogógáz-visszavezetést, amely a motorrendszer szerves részének számít;
»gázmotor«: földgázzal (FG) vagy propán-bután gázzal (PB-gáz) működtetett külső gyújtású motor;
»gáz-halmazállapotú szennyező anyag«: szén-monoxid, szénhidrogének (dízelmotorokra CH1,85, PB-gázra CH2,525 és földgázra (NMHC) CH2,93 arány, etanolüzemű dízelmotorokra pedig CH3O0,5 molekula feltételezésével), metán (földgázra CH4 arány feltételezésével) és nitrogén-oxidok, ez utóbbiak nitrogén-dioxid-egyenértékben (NO2) kifejezve;
»magas fordulatszám (nhi )«: az a legmagasabb motorfordulatszám, amelynél a gyártó által megadott legnagyobb teljesítmény 70 %-a lép fel;
»alacsony fordulatszám (nlo )«: az a legalacsonyabb motorfordulatszám, amelynél a gyártó által megadott legnagyobb teljesítmény 50 %-a lép fel;
»jelentős működési hiba« ( 6 ): a kipufogógáz-utókezelő rendszer olyan tartós vagy ideiglenes hibás működése, amely várhatóan azonnali vagy késleltetett növekedést eredményez a motorrendszer gáz- vagy részecskekibocsátásában, és amelyet a fedélzeti diagnosztikai rendszerrel nem lehet megfelelően kimutatni;
»hibás működés«:
- a kibocsátáscsökkentő rendszer olyan romlása vagy meghibásodása, beleértve az elektromos hibát is, amely a fedélzeti diagnosztikai rendszer küszöbértékét meghaladó kibocsátást eredményez, vagy adott estben azt okozza, hogy a kipufogógáz-utókezelő rendszer nem éri el működési teljesítményének terjedelmét, ha valamely szabályozott szennyezőanyag-kibocsátása meghaladná a fedélzeti diagnosztikai rendszer küszöbértékét,
- bármely olyan eset, amelyben a fedélzeti diagnosztikai rendszer nem képes teljesíteni az irányelvben előírt ellenőrzési követelményeket.
A gyártó ugyanakkor olyan romlást vagy meghibásodást is hibás működésnek tekinthet, amely nem eredményezi a fedélzeti diagnosztikai rendszer küszöbértékét meghaladó kibocsátást;
»hibajelző (MI)«: olyan vizuális kijelző, amely az irányelv értelmében vett hibás működés esetén egyértelműen tájékoztatja a jármű vezetőjét;
»több-beállítású motor«: több motorbeállítással rendelkező motor;
»FG-tartomány (földgáztartomány)«: az EN 437 európai szabvány 1993. novemberi kiadásában meghatározott H és L tartományok egyike;
»hasznos teljesítmény«: azon »EK kW«-ban kifejezett teljesítmény, amely a fékpadon a forgattyús tengely vagy annak megfelelője végén vehető le, a 80/1269/EGK bizottsági irányelvben ( 7 ) meghatározott közösségi teljesítménymérési módszer szerint mérve;
»OBD (fedélzeti diagnosztikai rendszer)«: a szennyezőanyag-kibocsátás szabályozására szolgáló fedélzeti diagnosztikai rendszer, amely a számítógép memóriájában tárolt hibakódok segítségével képes kimutatni a hibás működés megtörténtét és a hibás működés valószínű területét;
»OBD-motorcsalád«: az OBD rendszernek a 2005/78/EK irányelv IV. melléklet követelményei szerinti típusjóváhagyása céljából olyan motorrendszerek gyártók általi csoportosítása, amelyek OBD rendszerei e melléklet 8. szakasza értelmében közös tervezési paraméterekkel rendelkeznek;
»füstölésmérő«: olyan készülék, amely a fénykioltás elvének alkalmazásával a füstrészecskék opacitásának mérésére szolgál;
»alapmotor«: a motorcsaládból kiválasztott olyan motor, amelynek szennyezőanyag-kibocsátási jellemzői az egész motorcsaládra jellemzőek;
»részecske-utókezelő eszköz«: olyan kipufogógáz-utókezelő rendszer, amelyet arra terveztek, hogy mechanikai, aerodinamikai, diffúziós vagy inerciális leválasztás révén csökkentse a légszennyező részecskék (PT) kibocsátását;
»légszennyező részecskék«: mindazon anyagok, amelyek egy meghatározott szűrőközegen összegyűlnek a kipufogógáz tiszta, szűrt levegővel oly módon történő felhígítása után, hogy a hőmérséklet ne haladja meg a 325 K (52 °C) értéket;
»százalékos terhelés«: azon legnagyobb nyomaték hányadát jelenti, amely egy motorfordulatszám mellett rendelkezésre áll;
»rendszeres regeneráció«: a kibocsátáscsökkentő eszköz olyan regenerációs eljárása, amely rendszeresen, a szokásos motorműködés során legalább 100 óránként megtörténik. A regenerációval érintett ciklusok során nem kell igazodni az előírt kibocsátási értékekhez;
»állandó kibocsátási hibaüzemmód«: az ECS-ben létrejövő, az OBD rendszer által kimutatott olyan hibás működés esetén működésbe hozott AECS, amely az MI működésbe lépését eredményezi. Ez az üzemmód a meghibásodott összetevőtől vagy rendszertől nem követel meg inputot;
»géphajtó csonk«: a motor által meghajtott outputeszköz-kiegészítő, a járműhöz kapcsolt berendezések meghajtására;
»reagens«: a jármű fedélzetén elhelyezett tartályban tárolt, a kipufogógáz-utókezelő rendszernek a kibocsátáscsökkentő rendszer kérésére (ha szükséges) történő ellátására szolgáló anyag;
»újrakalibrálás«: a földgázmotor finom beszabályozása annak érdekében, hogy egy másik földgáztartományban ugyanazok legyenek a motor jellemzői (teljesítménye, tüzelőanyag-fogyasztása);
»referencia-fordulatszám (nref )«: az a 100 százalékos fordulatszámérték, amelyet az irányelv III. mellékletének 2. függelékében meghatározott módon az ETC-vizsgálat relatívfordulatszám-értékeinek denormálásához kell használni;
»válaszidő«: a vizsgált összetevő referenciapontnál történő gyors megváltozásától a mérőrendszer válaszában bekövetkező megfelelő változásig tartó időszak hossza oly módon, hogy a vizsgált összetevő megváltozása legalább az FS 60 %-a és kevesebb mint 0,1 másodperc alatt megy végbe. A rendszer válaszideje (t 90) a rendszer késleltetési idejéből és a rendszer növekedési idejéből áll (lásd még az ISO 16183 nemzetközi szabványt);
»növekedési idő«: a végső mérési leolvasás 10 %-ának és 90 %-ának megfelelő válasz közötti idő (t 90 - t 10). Ez a készülék válasza, miután a megmérendő összetevő elérte a készüléket. A növekedési idő szempontjából a szondát kell referenciapontnak tekinteni;
»önalkalmazkodási képesség«: a motor olyan eszköze, amely lehetővé teszi a levegő-tüzelőanyag arány állandó értéken tartását;
»füst«: a dízelmotor kipufogógáz-áramában lebegő részecskék, amelyek a fényt elnyelik, visszaverik vagy megtörik;
»vizsgálati ciklus«: meghatározott fordulatszámon és nyomatékkal jellemzett vizsgálati programpontok sorozata, amelyekben a motor állandósult üzemi állapotában (ESC-vizsgálat) vagy átmeneti üzemi állapotában (ETC-, ELR-vizsgálat) méréseket végeznek;
»nyomatékszabályozó«: a motor legnagyobb nyomatékát ideiglenesen korlátozó eszköz;
»átalakítási idő«: a vizsgált összetevő referenciapontnál történő megváltozásától a végső mérési leolvasás 50 %-ának megfelelő rendszerválaszig tartó időszak hossza (t 50). Az átalakítási időt a különböző mérőkészülékek jeleinek összehangolására használják;
»élettartam«: azon járművek és motorok tekintetében, amelyeket az e melléklet 6.2.1. szakaszában szereplő táblázat B1, B2 vagy C sorának megfelelően, típus-jóváhagyási eljárás keretében jóváhagytak, az ezen irányelv 3. cikkében (kibocsátáscsökkentő rendszerek tartóssága) meghatározott távolság és/vagy idő vonatkozó periódusa, amelynek során a típusjóváhagyás keretében biztosítani kell a vonatkozó gáz-, részecske- és füstkibocsátási határértékeknek való megfelelést;
»Wobbe-index (alsó: Wl; vagy felső: Wu)«: az egységnyi térfogatú gáz megfelelő fűtőértékének és az azonos referenciaviszonyok mellett mért relatív sűrűsége négyzetgyökének hányadosa:

»λ-eltolási tényező (Sλ )«: az a kifejezés, amely a motorvezérlő rendszer megkívánt flexibilitását írja le a λ levegőfelesleg-hányados változása esetén, ha a motor a tiszta metántól különböző összetételű gázzal üzemel (az Sλ kiszámítását lásd a VII. mellékletben).
2.2. Jelölések, rövidítések és nemzetközi szabványok
2.2.1. Vizsgálati paraméterek jelölései
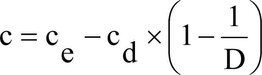
| Jelölés | Mértékegység | Meghatározás |
| A p | m2 | Az izokinetikus mintavevő szonda keresztmetszeti területe |
| A e | m2 | A kipufogócső keresztmetszeti területe |
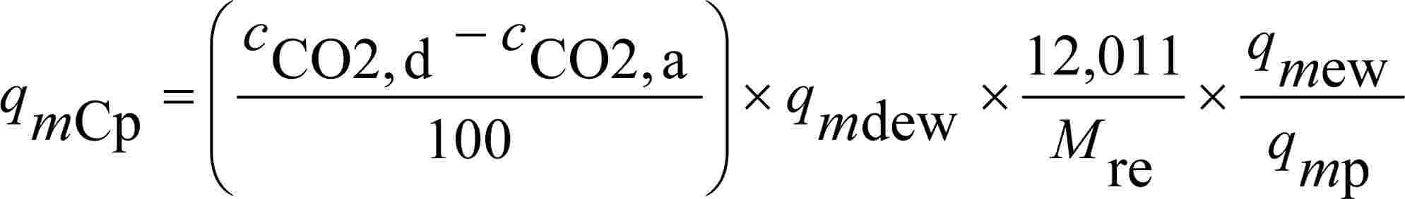
| c | ppm/térf. % | Koncentráció |
| C d | — | Az SSV-CVS kibocsátási együtthatója |
| C1 | — | Szén 1-egyenértékű szénhidrogén |
| d | m | Átmérő |
| D 0 | m3/s | A térfogatkiszorításos szivattyú kalibrációs függvényének metszéke |
| D | — | Hígítási tényező |
| D | — | A Bessel-függvényben szereplő állandó |
| E | — | A Bessel-függvényben szereplő állandó |
| E E | — | Etánhatásfok |
| E M | — | Metánhatásfok |
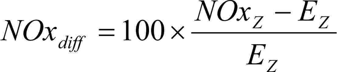
| E Z | g/kWh | A szabályozási pont interpolált NOx-kibocsátása |
| f | 1/s | Frekvencia |
| f a | — | Laboratóriumi légköri tényező |
| fc | s–1 | A Bessel-szűrő kikapcsolási frekvenciája |
| F s | — | Sztöchiometriai együttható |
| H | MJ/m3 | Fűtőérték |
| H a | g/kg | A beszívott levegő abszolút nedvességtartalma |
| H d | g/kg | A hígítólevegő abszolút nedvességtartalma |
| i | — | Egy adott üzemmódot vagy pillanatnyi mérési eredményt jelölő index |
| K | — | Bessel-állandó |
| k | m–1 | Fényelnyelési együttható |
| k f | A tüzelőanyagtól függő tényező a száraz–nedves korrekcióra | |
| k h,D | — | Nedvességkorrekciós tényező NOx-ra dízelmotor esetén |
| k h,G | — | Nedvességkorrekciós tényező NOx-ra gázmotor esetén |
| K V | CFV kalibrációs függvény | |
| k W,a | — | Száraz–nedves korrekciós tényező a beszívott levegőre |
| k W,d | — | Száraz–nedves korrekciós tényező a hígítólevegőre |
| k W,e | — | Száraz–nedves korrekciós tényező a hígított kipufogógázra |
| k W,r | — | Száraz–nedves korrekciós tényező a hígítatlan kipufogógázra |
| L | % | A legnagyobb nyomatékhoz viszonyított százalékos nyomaték a vizsgált motorra |
| La | m | Tényleges optikai úthossz |
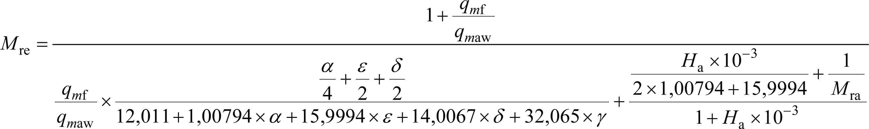
| M ra | g/mol | A beszívott levegő molekuláris tömege |
| M re | g/mol | A kipufogógáz molekuláris tömege |
| m d | kg | A részecske-mintavevő szűrőkön áthaladó hígítólevegő-minta tömege |
| m ed | kg | Az összes hígított kipufogógáz tömege a ciklus alatt |
| m edf | kg | Az egyenértékű hígított kipufogógáz tömege a ciklus alatt |
| m ew | kg | Az összes kipufogógáz tömege a ciklus alatt |
| m f | mg | Az összegyűjtött részecskeminta tömege |
| m f,d | mg | Az összegyűjtött hígítólevegő részecskemintájának tömege |
| m gas | g/h vagy g | A gázkibocsátás tömegárama (aránya) |
| m se | kg | Mintatömeg a ciklus alatt |
| m sep | kg | A részecske-mintavevő szűrőkön áthaladó hígítottkipufogógáz-minta tömege |
| m set | kg | A részecske-mintavevő szűrőkön áthaladó kétszer hígítottkipufogógáz-minta tömege |
| m ssd | kg | A másodlagos hígítólevegő tömege |
| N | % | Opacitás |
| N P | — | A térfogatkiszorításos szivattyú összes fordulata a ciklus alatt |
| N P,i | — | A térfogatkiszorításos szivattyú fordulatainak száma egy időközön belül |
| n | min–1 | A motor fordulatszáma |
| n p | s–1 | A térfogatkiszorításos szivattyú fordulatszáma |
| nhi | min–1 | Magas motorfordulatszám |
| nlo | min–1 | Alacsony motorfordulatszám |
| nref | min–1 | Referencia-motorfordulatszám az ETC-vizsgálatnál |
| p a | kPa | A motor által beszívott levegő telítési gőznyomása |
| p b | kPa | Teljes légköri nyomás |
| p d | kPa | A hígítólevegő telítési gőznyomása |
| p p | kPa | Abszolút nyomás |
| p r | kPa | Vízgőznyomás hűtőfürdő után |
| p s | kPa | Száraz légköri nyomás |
| p 1 | kPa | Nyomásesés a szivattyú szívócsonkjánál |
| P(a) | kW | A vizsgálat során felszerelendő segédberendezések által felvett teljesítmény |
| P(b) | kW | A vizsgálat során leszerelendő segédberendezések által felvett teljesítmény |
| P(n) | kW | Korrigálatlan hasznos teljesítmény |
| P(m) | kW | A fékpadon mért teljesítmény |
| q maw | kg/h vagy kg/s | A beszívott levegő tömegárama nedves alapon |
| q mad | kg/h vagy kg/s | A beszívott levegő tömegárama száraz alapon |
| q mdw | kg/h vagy kg/s | A hígítólevegő tömegárama nedves alapon |
| q mdew | kg/h vagy kg/s | A hígított kipufogógáz tömegárama nedves alapon |
| q mdew,i | kg/s | Pillanatnyi CVS-tömegáram nedves alapon |
| q medf | kg/h vagy kg/s | Egyenértékű hígítottkipufogógáz-tömegáram nedves alapon |
| q mew | kg/h vagy kg/s | Kipufogógáz-tömegáram nedves alapon |
| q mf | kg/h vagy kg/s | Tüzelőanyag-tömegáram |
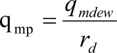
| q mp | kg/h vagy kg/s | Részecskeminta-tömegáram |
| q vs | dm3/min | A vizsgálópadra irányuló mintaáram |
| q vt | cm3/min | Jelölőgáz-áram |
| Ω | — | Bessel-állandó |
| Q s | m3/s | PDP/CFV-CVS térfogatáram |
| Q SSV | m3/s | SSV-CVS térfogatáram |
| ra | — | Az izokinetikus szonda és a kipufogócső keresztmetszeti területének aránya |
| r d | — | Hígítási arány |
| r D | — | SSV-CVS átmérőarány |
| r p | — | SSV-CVS nyomásarány |
| r s | — | Mintaarány |
| Rf | — | A FID (lángionizációs detektor) választényezője |
| ρ | kg/m3 | Sűrűség |
| S | kW | A dinamométer beállítása |
| Si | m–1 | Pillanatnyi füstérték |
| Sλ | — | λ-eltolási tényező |
| T | K | Abszolút hőmérséklet |
| T a | K | A beszívott levegő abszolút hőmérséklete |
| t | s | Mérési idő |
| te | s | Villamos reakcióidő |
| tf | s | A szűrő reakcióideje a Bessel-függvényhez |
| tp | s | Fizikai reakcióidő |
| Δt | s | Az egymás után felvett füstadatok között eltelt idő (= 1/mintavétel gyakorisága) |
| Δt i | s | A pillanatnyi CVS-áram időköze |
| τ | % | A füst fényáteresztése |
| u | — | A gázösszetevők és a kipufogógáz sűrűsége közötti arány |
| V 0 | m3/ford | A térfogatkiszorításos szivattyú fordulatonként pumpált gáztérfogata |
| V s | l | A vizsgálópad rendszertérfogata |
| W | — | Wobbe-index |
| Wact | kWh | Az ETC-ciklus tényleges munkája |
| Wref | kWh | Az ETC-ciklus referenciamunkája |
| W F | — | Súlyozási tényező |
| WFE | — | Hatékony súlyozási tényező |
| X 0 | m3/ford | A térfogatkiszorításos szivattyú térfogatáramának kalibrációs függvénye |
| Yi | m–1 | 1 másodperces Bessel-átlagolású füstérték |
c) Az eddigi 2.32.2. és 2.32.3. szakasz számozása 2.2.2-re és 2.2.3-ra változik.
d) A szöveg a következő, új 2.2.4. és 2.2.5. szakasszal egészül ki:
"2.2.4. A tüzelőanyag-összetétel jelölései
| w ALF | a tüzelőanyag hidrogéntartalma, tömegszázalék |
| w BET | a tüzelőanyag széntartalma, tömegszázalék |
| w GAM | a tüzelőanyag kéntartalma, tömegszázalék |
| w DEL | a tüzelőanyag nitrogéntartalma, tömegszázalék |
| w EPS | a tüzelőanyag oxigéntartalma, tömegszázalék |
| α | moláris hidrogénarány (H/C) |
| β | moláris szénarány (C/C) |
| γ | moláris kénarány (S/C) |
| δ | moláris nitrogénarány (N/C) |
| ε | moláris oxigénarány (O/C) |
| ha a tüzelőanyag összetétele C β Hα Oε Nδ Sγ szénalapú tüzelőanyagok esetén β = 1, hidrogén-tüzelőanyag esetén β = 0. | |
2.2.5. Az irányelvben említett szabványok
| ISO 15031-1 | ISO 15031-1: 2001: Közúti járművek – Kommunikáció a jármű és a külső vizsgálóberendezés között az emisszióval kapcsolatos diagnosztika céljára. 1. rész: Általános információ. |
| ISO 15031-2 | ISO/PRF TR 15031-2: 2004: Közúti járművek – Kommunikáció a jármű és a külső vizsgálóberendezés között az emisszióval kapcsolatos diagnosztika céljára. 2. rész: Kifejezések, fogalommeghatározások, rövidítések és mozaikszavak. |
| ISO 15031-3 | ISO 15031-3: 2004: Közúti járművek – Kommunikáció a jármű és a külső vizsgálóberendezés között az emisszióval kapcsolatos diagnosztika céljára. 3. rész: Diagnosztikai csatlakozó és kapcsoló áramkörök. |
| SAE J1939-13 | SAE J1939-13: Fedélzeten kívüli diagnosztikai csatlakozó. |
| ISO 15031-4 | ISO DIS 15031-4.3: 2004: Közúti járművek – Kommunikáció a jármű és a külső vizsgálóberendezés között az emisszióval kapcsolatos diagnosztika céljára. 4. rész: Külső vizsgálóberendezés. |
| SAE J1939-73 | SAE J1939-73: Alkalmazási réteg – Diagnosztikák. |
| ISO 15031-5 | ISO DIS 15031-5.4: 2004: Közúti járművek – Kommunikáció a jármű és a külső vizsgálóberendezés között az emisszióval kapcsolatos diagnosztika céljára. 5. rész: Emisszióval összefüggő diagnosztikai szolgáltatások. |
| ISO 15031-6 | ISO DIS 15031-6.4: 2004: Közúti járművek – Kommunikáció a jármű és a külső vizsgálóberendezés között az emisszióval kapcsolatos diagnosztika céljára. 6. rész: Diagnosztikai hibakód-definíciók. |
| SAE J2012 | SAE J2012: Az ISO/DIS 15031-6-tal egyenértékű diagnosztikai hibakód-definíciók, 2002. április 30. |
| ISO 15031-7 | ISO 15031-7: 2001: Közúti járművek – Kommunikáció a jármű és a külső vizsgálóberendezés között az emisszióval kapcsolatos diagnosztika céljára. 7. rész: Az adatkapcsolat-biztonság. |
| SAE J2186 | SAE J2186: E/E adatkapcsolat-biztonság, 1996. október. |
| ISO 15765-4 | ISO 15765-4: 2001: Közúti járművek – Diagnosztika az ellenőrzőfelület-hálózaton (CAN). 4. rész: Az emisszióval összefüggő rendszerek követelményei. |
| SAE J1939 | SAE J1939: Időszakos ellenőrzés és kommunikációs járműhálózat ajánlott gyakorlata. |
| ISO 16185 | ISO 16185: 2000: Közúti járművek – Motorcsalád harmonizálása. |
| ISO 2575 | ISO 2575: 2000: Közúti járművek – Kezelőszervek, ellenőrző- és visszajelző lámpák jelölése. |
| ISO 16183 | ISO 16183: 2002: Nagy teljesítményű motorok – A hígítatlan kipufogógáz- vagy részecskekibocsátás mérése részleges átáramlású hígító módszer használatával változó vizsgálati körülmények között.” |
e) A 3.1.1. szakasz helyébe a következő szöveg lép:
"3.1.1. Motortípusnak vagy motorcsaládnak dízelmotorok esetében a gáz-halmazállapotú szennyező anyagok és a légszennyező részecskék kibocsátási szintje szempontjából, gázmotorok esetében a gáz-halmazállapotú szennyező anyagok kibocsátási szintje szempontjából, valamint az élettartam és a fedélzeti diagnosztikai (OBD) rendszer szempontjából való típusjóváhagyása iránti kérelmet a motor gyártójának vagy a gyártó jogszerűen meghatalmazott képviselőjének kell benyújtania.
Amennyiben a kérelem fedélzeti diagnosztikai (OBD) rendszerrel felszerelt motort érint, teljesülniük kell a 3.4. szakasz követelményeinek."
f) A 3.2.1. szakasz helyébe a következő szöveg lép:
"3.2.1. Járműveknek a dízelmotor vagy a dízelmotorcsalád által kibocsátott gáz-halmazállapotú szennyező anyagok és légszennyező részecskék szintje szempontjából, a gázmotor vagy a gázmotorcsalád által kibocsátott gáz-halmazállapotú szennyező anyagok szintje szempontjából, valamint az élettartam és a fedélzeti diagnosztikai (OBD) rendszer szempontjából való jóváhagyása iránti kérelmet a jármű gyártójának vagy a gyártó jogszerűen meghatalmazott képviselőjének kell benyújtania.
Amennyiben a kérelem fedélzeti diagnosztikai (OBD) rendszerrel felszerelt motort érint, teljesülniük kell a 3.4. szakasz követelményeinek."
g) A szöveg a következő, új 3.2.3. szakasszal egészül ki:
"3.2.3. A jármű vezetője számára a hibás működés előfordulásának jelzése érdekében a gyártó biztosítja az OBD rendszer által használt hibajelző (MI) leírását.
Az előírt reagens hiányának jelzésére használt kijelzőről és figyelmeztető üzemmódról a gyártó leírást biztosít a jármű vezetője számára."
h) A 3.3.1. szakasz helyébe a következő szöveg lép:
"3.3.1. Járműveknek a jóváhagyott dízelmotor vagy dízelmotorcsalád által kibocsátott gáz-halmazállapotú szennyező anyagok és légszennyező részecskék szintje szempontjából, a jóváhagyott gázmotor vagy gázmotorcsalád által kibocsátott gáz-halmazállapotú szennyező anyagok szintje szempontjából, valamint az élettartam és a fedélzeti diagnosztikai (OBD) rendszer szempontjából való jóváhagyása iránti kérelmet a jármű gyártójának vagy a gyártó jogszerűen meghatalmazott képviselőjének kell benyújtania."
i) A szöveg a következő, új 3.3.3. szakasszal egészül ki:
"3.3.3. A jármű vezetője számára a hibás működés előfordulásának jelzése érdekében a gyártó biztosítja az OBD rendszer által használt hibajelző (MI) leírását.
Az előírt reagens hiányának jelzésére használt kijelzőről és figyelmeztető üzemmódról a gyártó leírást biztosít a jármű vezetője számára."
j) A szöveg a következő, új 3.4. szakasszal egészül ki:
"3.4. Fedélzeti diagnosztikai rendszerek
3.4.1. A fedélzeti diagnosztikai (OBD) rendszerrel felszerelt motorok jóváhagyási kérelmét a II. melléklet 1. függelékének 9. szakaszában (az alapmotor leírása) és/vagy a II. melléklet 3. függelékének 6. szakaszában (a családon belül egy motortípus leírása) előírt információval kell ellátni, valamint a következőkkel:
3.4.1.1. Részletes írásbeli információ, amely teljes mértékben leírja az OBD rendszer funkcionális működési jellemzőit, beleértve a motor kibocsátáscsökkentő rendszere valamennyi olyan lényeges részének (érzékelők, indítók és összetevők) felsorolását is, amelyet az OBD rendszer figyel meg;
3.4.1.2. Szükség szerint a gyártó nyilatkozata azokról a paraméterekről, amelyeket a jelentős működési hiba megfigyelésének alapjául használnak, továbbá:
3.4.1.2.1. A gyártó megadja a műszaki szolgálat számára a kibocsátáscsökkentő rendszeren belüli olyan lehetséges hibák leírását, amelyek hatással lehetnek a kibocsátásra. Ez az információ a műszaki szolgálat és a járműgyártó közötti tárgyalástól és megállapodástól függ.
3.4.1.3. Szükség szerint az elektronikus motorvezérlő egység(ek) (EECU) és az erőátviteli rendszer vagy a jármű bármely más szabályozó egysége közötti kommunikációs felület (hardver és üzenetek) leírása, amennyiben a kicserélt információ hatással van a kibocsátáscsökkentő rendszer megfelelő működésére.
3.4.1.4. Szükség szerint más típusjóváhagyások másolatai a vonatkozó adatokkal, a jóváhagyások kiterjesztésének lehetővé tétele érdekében.
3.4.1.5. Szükség szerint a motorcsaládnak az e melléklet 8. szakaszában felsorolt adatai.
3.4.1.6. A gyártónak le kell írnia azon intézkedéseket, amelyeket azért hozott, hogy megakadályozza az EECU vagy a 3.4.1.3. szakaszban körülírt kommunikációs felület paramétereinek szándékos megváltoztatását vagy módosítását."
k) Az 5.1.3. szakaszban a lábjegyzetet el kell hagyni.
l) A 6.1. szakasz helyébe a következő, új szöveg lép:
"6.1. Általános előírások
6.1.1. Kibocsátáscsökkentő berendezés
6.1.1.1. Azokat az alkatrészeket, amelyek hatással lehetnek a dízelmotorok és a gázmotorok gáz-halmazállapotú szennyezőanyag- és légszennyezőrészecske-kibocsátására, úgy kell megtervezni, legyártani, össze- és felszerelni, hogy a motor a szokásos üzemben megfeleljen az ezen irányelvben előírt követelményeknek.
6.1.2. Tilos hatástalanító stratégiát használni.
6.1.2.1. Tilos több-beállítású motort használni mindaddig, amíg a több-beállítású motorokra vonatkozóan ez az irányelv nem tartalmazza a szükséges, kellő biztonsággal alkalmazható rendelkezéseket ( 8 ).
6.1.3. Kibocsátáscsökkentési stratégia
6.1.3.1. Azt a szerkezeti elemet és kibocsátáscsökkentési stratégiát (ECS), amely hatással lehetet a dízelmotorok gáz-halmazállapotú szennyezőanyag- és légszennyezőrészecske-kibocsátására, illetve a gázmotorok gáz-halmazállapotú szennyezőanyag-kibocsátására, úgy kell megtervezni, legyártani, össze- és felszerelni, hogy a motor a szokásos üzemben megfeleljen az ezen irányelvben előírt követelményeknek. Az ECS az alapvető kibocsátáscsökkentési stratégiából (BECS) és általában egy vagy több kiegészítő kibocsátáscsökkentési stratégiából (AECS) áll.
6.1.4. Az alapvető kibocsátáscsökkentési stratégia követelményei
6.1.4.1. Az alapvető kibocsátáscsökkentési stratégiát (BECS) úgy kell megtervezni, hogy a motor a szokásos üzemben megfeleljen az ezen irányelvben előírt követelményeknek. A szokásos üzem nem korlátozódik a 6.1.5.4. szakaszban meghatározott használati követelményekre.
6.1.5. A kiegészítő kibocsátáscsökkentési stratégia követelményei
6.1.5.1. A motort vagy a járművet akkor szabad kiegészítő kibocsátáscsökkentési stratégiával (AECS) ellátni, ha az:
- kizárólag a 6.1.5.4. szakaszban meghatározott használati körülményeken kívül, a 6.1.5.5. szakaszban megállapított célok érdekében működik,
- vagy
- a 6.1.5.4. szakaszban meghatározott használati körülményeken belül kizárólag kivételesen, a 6.1.5.6. szakaszban megállapított célok érdekében és legfeljebb az említett célokhoz szükséges ideig lép működésbe.
6.1.5.2. Csak akkor engedélyezett az a kiegészítő kibocsátáscsökkentési stratégia (AECS), amely a 6.1.5.4. szakaszban meghatározott használati követelményeken belül működik, és amely az alkalmazandó kibocsátási vizsgálati ciklusok során szokásosan alkalmazotthoz képest másik vagy módosított kibocsátáscsökkentési stratégia (ECS) használatát eredményezi, ha a 6.1.7. szakasz követelményeinek megfelelve teljes mértékben bebizonyítják, hogy ez az intézkedés tartósan nem csökkenti a kibocsátáscsökkentő rendszer hatékonyságát. Minden egyéb esetben az ilyen stratégiát hatástalanító stratégiának kell tekinteni.
6.1.5.3. Csak akkor engedélyezett az a kiegészítő kibocsátáscsökkentési stratégia (AECS), amely a 6.1.5.4. szakaszban meghatározott használati követelményeken kívül működik, ha a 6.1.7. szakasz követelményeinek megfelelve teljes mértékben bebizonyítják, hogy ez az intézkedés a környezetvédelemre és más technikai szempontokra tekintettel az a minimális stratégia, amely a 6.1.5.6. szakasz céljai érdekében szükséges. Minden egyéb esetben az ilyen stratégiát hatástalanító stratégiának kell tekinteni.
6.1.5.4. A 6.1.5.1. szakasznak megfelelően a motor állandósult és átmeneti működése során a következő használati követelményeket kell alkalmazni:
- 1 000 métert nem meghaladó tengerszint feletti magasság (vagy azzal egyenértékű 90 kPa légnyomás),
- és
- 275 K és 303 K (2 °C és 30 °C) ( 9 ) ( 10 ) közötti környezeti hőmérséklet,
- és
- 343 K és 373 K (70 °C és 100 °C) közötti motorhűtőanyag-hőmérséklet.
6.1.5.5. Motor vagy jármű csak akkor látható el kiegészítő kibocsátáscsökkentési stratégiával (AECS), ha az AECS működését a vonatkozó típusvizsgálatba belefoglalták, és a 6.1.5.6. szakasz értelmében működésbe hozták.
6.1.5.6. Az AECS működésbe lép:
- kizárólag fedélzeti jelek révén a motorrendszer (beleértve a levegőkezelő eszköz védelmét) és/vagy a jármű károsodástól történő megóvása érdekében,
- vagy
- olyan célok érdekében, mint például az üzembiztonság, az állandó kibocsátási alapüzemmód vagy a szükségüzemmód,
- vagy
- olyan célok érdekében, mint például a túlzott kibocsátás megelőzése, a hidegindítás vagy a felmelegedés,
- vagy
- szükség szerint egyedi környezeti vagy üzemi körülmények között annak biztosítására, hogy valamely szabályozott szennyező anyag ellenőrzését a motornak megfelelően a többi szennyező anyagra vonatkozó kibocsátás határértékeken belül tartása érdekében mellőzzék. Az ilyen AECS összességében természetes jelenségek bekövetkezését ellensúlyozza oly módon, hogy eközben gondoskodik a kibocsátási összetevők elfogadható szintű szabályozásáról.
6.1.6. A nyomatékszabályozók követelményei
6.1.6.1. Nyomatékszabályozó akkor engedélyezhető, ha megfelel a 6.1.6.2. vagy a 6.5.5. szakasz követelményeinek. Minden más esetben a nyomatékszabályozót hatástalanító stratégiának kell tekinteni.
6.1.6.2. A motort vagy a járművet akkor szabad nyomatékszabályozóval ellátni, ha:
- a nyomatékszabályozó kizárólag fedélzeti jelek révén lép működésbe az erőátviteli rendszer vagy a járműszerkezet károsodástól történő megóvása érdekében és/vagy a jármű biztonsága, a jármű álló helyzete esetén a géphajtó csonk működésbe hozása vagy a deNOx-rendszer megfelelő működésének biztosítása érdekében,
- és
- a nyomatékszabályozó csak ideiglenesen működik,
- és
- a nyomatékszabályozó nem módosítja a kibocsátáscsökkentési stratégiát (ECS),
- és
- a géphajtó csonk vagy az erőátvitel megóvása esetén a nyomatékszabályozó a nyomatékot állandó, a motor fordulatszámától független értékre korlátozza, miközben a nyomaték egyetlen pillanatban sem haladja meg a teljes terheléshez tartozó nyomatékot,
- és
- ugyanígy működésbe lép a járműteljesítmény csökkentésére, hogy ösztönözze a vezetőt, az tegye meg a szükséges lépéseket a motorrendszeren belül a NOx szabályozására vonatkozó intézkedések megfelelő működésének biztosítása érdekében.
6.1.7. Az elektronikus kibocsátáscsökkentő rendszerekre vonatkozó különleges követelmények
6.1.7.1. Dokumentációs követelmények
A gyártó köteles olyan dokumentációcsomagot összeállítani, amely leírja a szerkezeti elemeket és a kibocsátáscsökkentési stratégiát (ECS), valamint a motorrendszer nyomatékszabályozóját és - függetlenül arról, hogy közvetlen vagy közvetett szabályozásról van-e szó - annak módját, ahogyan ezek szabályozzák kimeneti változóikat. A dokumentáció két részből áll:
a) a hivatalos dokumentációcsomagból, amelyet a műszaki szolgálat számára kell benyújtani a típus-jóváhagyási kérelemmel együtt, és amely tartalmazza az ECS és adott esetben a nyomatékszabályozó teljes leírását. Ez a dokumentáció rövid is lehet, azonban bizonyítékot kell szolgáltatnia arról, hogy valamennyi olyan kimeneti jel meghatározása megtörtént, amelyet a különböző egységek bemenő adatainak szabályozási tartományából előállított mátrix lehetővé tesz. Ezt az információt az e melléklet 3. szakaszában előírt dokumentációhoz kell csatolni;
b) a kiegészítő anyagból, amely bemutatja azokat a paramétereket, amelyeket az esetleges kiegészítő kibocsátáscsökkentési stratégiák (AECS) módosítanak, továbbá az AECS működésének peremfeltételeit. A kiegészítő anyag tartalmazza továbbá valamennyi üzemmódra a tüzelőanyag-rendszer szabályozásának logikáját, az időzítési stratégiákat és a »ki-be« kapcsolási pontokat. Tartalmazza továbbá a nyomatékszabályozó leírását e melléklet 6.5.5. szakasza szerint.
A kiegészítő anyagnak tartalmaznia kell továbbá az esetleges AECS alkalmazásának indoklását, és további anyagokat és vizsgálati adatokat a motorra vagy a járműre szerelt AECS-nek a kipufogógázok kibocsátására gyakorolt hatásáról. Az AECS használatának indoklása alapozható vizsgálati adatokra és/vagy megalapozott mérnöki számításra.
Ez a kiegészítő anyag szigorúan bizalmas, és kérelemre a jóváhagyó hatóság rendelkezésére kell bocsátani. A jóváhagyó hatóság ezt az anyagot bizalmasan kezeli.
6.1.8. Különös előírások a motoroknak a 6.2.1. szakasz táblázata A. sorának megfelelően történő típusjóváhagyására (szokásosan nem az ETC eljárással vizsgált motorok)
6.1.8.1. Annak eldöntésére, hogy valamely stratégia vagy intézkedés a 2. szakasz értelmében hatástalanító stratégiának tekintendő-e, a jóváhagyó hatóság és/vagy a műszaki szolgálat kiegészítésképpen előírhatja az ETC eljárás szerinti NOx-szűrővizsgálatot is, amely akár a típusvizsgálat, akár a gyártásmegfelelőség ellenőrzése kapcsán elvégezhető.
6.1.8.2. Annak eldöntése során, hogy valamely stratégia vagy intézkedés a 2. szakasz értelmében hatástalanító stratégiának tekintendő-e, az adott NOx-határértékre további 10 %-os tűrést kell alkalmazni.
6.1.9. A típusjóváhagyás kiterjesztésére vonatkozó átmeneti intézkedéseket a 2001/27/EK irányelv I. mellékletének 6.1.5. szakasza tartalmazza.
2006. november 8-ig a meglévő típus-jóváhagyási bizonyítvány száma érvényes marad. Kiterjesztés esetén kizárólag a kiterjesztés alapjául szolgáló jóváhagyás számának megjelölésére szolgáló sorozatszám fog a következőképpen változni:
Példa a Németország által kiállított, »A« kérelmezési adatnak megfelelő, negyedik jóváhagyás második kiterjesztésére:
e1*88/77*2001/27A*0004*02
6.1.10. Az elektronikus rendszerek biztonságára vonatkozó rendelkezések
6.1.10.1. A kibocsátáscsökkentő egységgel rendelkező járműnek rendelkeznie kell a módosításokat megakadályozó jellegzetességekkel. A gyártó akkor engedélyezheti a módosításokat, ha azok a jármű hibameghatározásához, szervizeléséhez, ellenőrzéséhez, átalakításához vagy javításához szükségesek. Az esetleges újraprogramozható számítógépes kód vagy működési paraméter legyen ellenálló a szándékos beavatkozással szemben, és nyújtson legalább olyan fokú védelmet, mint az ISO 15031-7 (SAE J2186) szabványban szereplő rendelkezések, amennyiben a biztonsági átviteli utasítást a 2005/78/EK irányelv IV. mellékletének 6. szakaszában meghatározott protokollok és diagnosztikai csatlakozó használatával végzik. Az esetleg alkalmazott kivehető kalibrációs memóriacsipet légmentesen zárt tartályba kell foglalni és ott kell tárolni, vagy elektronikus algoritmussal kell védeni oly módon, hogy különleges eszköz vagy eljárás használata nélkül ne lehessen kicserélni.
6.1.10.2. Gondoskodni kell arról, hogy a motor számítógépes kódolású működési paramétereit különleges eszköz vagy eljárás (például forrasztott vagy lezárt számítógép-alkatrészek vagy zárt (forrasztott) számítógép-kiegészítők) használata nélkül ne lehessen kicserélni.
6.1.10.3. A gyártóknak meg kell tenniük a megfelelő lépéseket a működésben lévő jármű maximális tüzelőanyag-ellátása beállításának védelmére.
6.1.10.4. A gyártó kérheti a jóváhagyó hatóságot, hogy mentesítse e követelmények egyike alól olyan járművek esetén, amelyek valószínűleg nem szorulnak védelemre. A mentesség elbírálásakor a jóváhagyó hatóság legalább, de nem kizárólag azt vizsgálja, hogy a teljesítménymódosító csipek az adott időpontban milyen mértékben állnak rendelkezésre, a jármű mennyire nagy teljesítményű, és mekkora mennyiségben tervezik értékesíteni.
6.1.10.5. A programozható számítógépes kódrendszert (például elektromosan törölhető, programozható, csak olvasható memóriát: EEPROM-ot) alkalmazó gyártóknak meg kell akadályozniuk a jogosulatlan átprogramozást. A gyártók kötelesek olyan fokozott beavatkozásvédelmi stratégiát és írásvédelmi szolgáltatásokat alkalmazni, amelyek egy, a gyártó által fenntartott távoli számítógéphez követelnek meg elektronikus hozzáférést. A hatóságok engedélyezhetik a beavatkozásvédelem egyenértékű szintjét nyújtó alternatív módszereket.
m) A 6.2. bevezető szakaszának helyébe a következő szöveg lép:
"6.2. A gáz-halmazállapotú szennyező anyagok és légszennyező részecskék, valamint füst kibocsátására vonatkozó előírások
A 6.2.1. szakasz táblázatainak A. sora szerinti típusjóváhagyáshoz a szennyezőanyag-kibocsátást hagyományos dízelmotoroknál - beleértve azokat a motorokat is, amelyek elektronikus tüzelőanyag-befecskendező berendezéssel, kipufogógáz-visszakeringető rendszerrel (EGR) és/vagy oxidációs katalizátorokkal vannak felszerelve - az ESC- és ELR-vizsgálatokkal kell meghatározni. A korszerű kipufogógáz-utókezelő rendszerrel - ideértve az deNOx-katalizátorokat és/vagy a részecskecsapdákat is - felszerelt dízelmotorokat ezenfelül még az ETC-vizsgálattal is meg kell vizsgálni.
A 6.2.1. szakasz táblázatainak B1. vagy B2. sora vagy C. sora szerinti típus-jóváhagyási vizsgálathoz a szennyezőanyag-kibocsátást az ESC-, ELR- és ETC-vizsgálatokkal kell meghatározni.
Gázmotorokra a gáz-halmazállapotú szennyezőanyag-kibocsátást az ETC-vizsgálattal kell meghatározni.
Az ESC- és ELR-vizsgálati eljárás leírása a III. melléklet 1. függelékében, az ETC-vizsgálati eljárás leírása a III. melléklet 2. és 3. függelékében található.
A vizsgálatra átadott motor gáz-halmazállapotú szennyezőanyag-kibocsátását és légszennyezőrészecske-kibocsátását, ha van ilyen, továbbá füstkibocsátását, ha van ilyen, a III. melléklet 4. függelékében leírt módszerekkel kell mérni. A gáz-halmazállapotú szennyező anyagokhoz ajánlott elemzési módszerek, az ajánlott részecske-mintavevő módszerek és az ajánlott füstmérési módszer leírása az V. mellékletben található.
A műszaki szolgálat más módszereket vagy elemző készülékeket is jóváhagyhat, ha úgy találja, hogy azok a kérdéses vizsgálati ciklus esetében egyenértékű eredményeket adnak. A rendszer egyenértékűségének megállapítását a szóban forgó módszer és az ezen irányelv egyik referenciamódszere közötti, 7 (vagy több) mintapárra kiterjedő korrelációs vizsgálatra kell alapozni. A részecskekibocsátásra vonatkozóan csak az ISO 16183 követelményeinek megfelelő teljes átáramlású hígítómódszer vagy részleges átáramlású hígítómódszer fogadható el a referencia-módszerrel egyenértékűnek. Az »eredmények« kifejezés a specifikus vizsgálati ciklus szennyezőanyag-kibocsátási értékeire utal. A korrelációs vizsgálatot ugyanabban a laboratóriumban, vizsgálókamrában, ugyanazon motoron kell elvégezni, lehetőleg egyidejűleg. A mintapárátlagok egyenértékűségét az e melléklet 4. függelékében leírt módon, azonos laboratóriumi, vizsgálókamra- és motorkörülmények között végzett mérések F- és t-próbája alapján kell meghatározni. A kimaradó értékeket az ISO 5725 nemzetközi szabvánnyal összhangban kell meghatározni, és ki kell őket zárni az adatbázisból. Ahhoz, hogy az irányelvbe új módszert lehessen felvenni, az egyenértékűség megállapítását az ISO 5725 szabványban leírt megismételhetőségi és reprodukálhatósági számításra kell alapozni."
n) A szöveg a következő, új 6.3., 6.4. és 6.5. szakasszal egészül ki:
"6.3. Tartósság és romlási tényezők
6.3.1. Ezen irányelv érdekében a gyártó meghatároz olyan romlási tényezőket, amelyek annak kimutatására szolgálnak, hogy a motorcsalád vagy a motorutókezelőrendszer-család gáz- és részecskekibocsátása összhangban marad az ezen irányelv 3. cikkében meghatározott vonatkozó tartóssági időszak során az e melléklet 6.2.1. szakaszának táblázataiban meghatározott megfelelő kibocsátási határértékekkel.
6.3.2. A 2005/78/EK irányelv II. melléklete tartalmazza azokat az eljárásokat, amelyek révén kimutatható, hogy a vonatkozó tartóssági időszak során a motor vagy a motorutókezelőrendszer-család megfelel a megfelelő kibocsátási határértékeknek.
6.4. Fedélzeti diagnosztikai (OBD) rendszer
6.4.1. Az irányelv 4. cikke (1) és (2) bekezdésének megfelelően a dízelmotorokat és a dízelmotorral felszerelt járműveket a szennyezőanyag-kibocsátás szabályozása érdekében el kell látni a 2005/78/EK irányelv IV. mellékletében foglalt követelményeknek megfelelő fedélzeti diagnosztikai (OBD) rendszerrel.
Az irányelv 4. cikke (2) bekezdésének megfelelően a gázmotorokat és a gázmotorral felszerelt járműveket a szennyezőanyag-kibocsátás szabályozása érdekében el kell látni a 2005/78/EK irányelv IV. mellékletében foglalt követelményeknek megfelelő fedélzeti diagnosztikai (OBD) rendszerrel.
6.4.2. Kis tételű motorgyártás
Az e szakaszban megadott követelmények teljesítése helyett azok a motorgyártók, amelyek valamely OBD-motorcsaládba tartozó motortípusának világméretű éves gyártása
- kevesebb mint 500 darab, ezen irányelv követelményei alapján EK-típusjóváhagyást kaphatnak, amennyiben a motort csupán az áramkör folytonossága, az utókezelő berendezést pedig a jelentős működési hiba tekintetében figyelik meg,
- kevesebb mint 50 darab, ezen irányelv követelményei alapján EK-típusjóváhagyást kaphatnak, amennyiben a teljes kibocsátáscsökkentő rendszert (azaz a motort és az utókezelő berendezést) csak az áramkör folytonossága tekintetében figyelik meg.
A jóváhagyó hatóság köteles tájékozatni a Bizottságot az ezen rendelkezés értelmében adott típusjóváhagyások körülményéről.
6.5. A NOx szabályozására szolgáló intézkedések helyes működését biztosító követelmények ( 11 )
6.5.1. Általános előírások
6.5.1.1. Ezt a szakaszt kell alkalmazni valamennyi motorrendszerre, tekintet nélkül arra, milyen technológiával érik el az ezen melléklet 6.2.1. táblázatában megadott kibocsátási határértékeknek való megfelelést.
6.5.1.2. Időbeli hatály A 6.5.3., 6.5.4. és 6.5.5. szakasz követelményeit 2006. október 1-jétől kell alkalmazni az új típusjóváhagyásokra, és 2007. október 1-jétől az új járművek nyilvántartásba vételére.
6.5.1.3. Az e szakasz hatálya alá tartozó motorrendszereket úgy kell megtervezni, legyártani és beszerelni, hogy a megadott követelmények teljesítésére a motor teljes élettartama alatt alkalmasak legyenek.
6.5.1.4. Az ezen irányelv II. mellékletében megadott módon a gyártó biztosítja azokat az információkat, amelyek az e szakasz alá tartozó motorrendszer funkcionális működési jellemzőit teljes mértékben leírják.
6.5.1.5. Reagenst igénylő motorrendszer esetén a gyártó a típus-jóváhagyási kérelemben köteles meghatározni az esetleges kipufogógáz-utókezelő berendezés által elégetett valamennyi reagens jellemzőjét, például típusát és koncentrációját, az üzemi hőmérsékleti feltételeket, a nemzetközi szabványokra történő hivatkozást stb.
6.5.1.6. A 6.1. szakasznak megfelelően az e szakasz hatálya alá tartozó motorrendszerek legyenek képesek szennyezőanyagkibocsátás-szabályozó feladatukat ellátni valamennyi, az Európai Unió területén szokásosan előforduló üzemi feltétel mellett, különösen alacsony környezeti hőmérsékletek esetén.
6.5.1.7. A típusjóváhagyás céljából a gyártó köteles kimutatni a műszaki szolgálat számára, hogy a reagenst igénylő motorrendszerek esetleges ammóniakibocsátása az alkalmazandó kibocsátási vizsgálati ciklus alatt nem haladja meg a 25 ppm átlagértéket.
6.5.1.8. Reagenst igénylő motorrendszerek esetén a járműre felszerelt minden egyes reagenstartály tegye lehetővé vizsgálati minták vételezését a tartályban lévő folyadékból. A mintavételi pont legyen speciális szerszám vagy eszköz használata nélkül is könnyen hozzáférhető.
6.5.2. Karbantartási követelmények
6.5.2.1. A gyártó az új nagy teljesítményű járművek és az új nagy teljesítményű motorok tulajdonosait közvetlenül vagy követve köteles ellátni olyan írásbeli használati utasítással, amelyek közlik, hogy a jármű kibocsátáscsökkentő rendszerének nem megfelelő működése esetén a vezetőt a hibajelző (MI) tájékoztatja a problémáról, és a motor ennek következtében csökkentett teljesítménnyel működik.
6.5.2.2. A használati utasítás tartalmazza a jármű megfelelő használatának és karbantartásának követelményeit, szükség szerint beleértve az elégő reagensek használatát is.
6.5.2.3. A használati utasítást érthetően, nem szaknyelven és azon ország nyelvén kell elkészíteni, amelyben az új nagy teljesítményű járművet vagy az új nagy teljesítményű motort eladják vagy nyilvántartásba veszik.
6.5.2.4. A használati utasításban meg kell határozni, hogy az elégő reagenst a szokásos karbantartási időközönként a jármű üzembentartójának újra kell-e töltenie, és jelezni kell az új nagy teljesítményű jármű típusának megfelelő várható reagensfogyasztási mértéket.
6.5.2.5. A használati utasításban elő kell írni, hogy amennyiben van a felhasználandó reagens használatára és utántöltésére vonatkozó előírás, akkor azt kötelező követni a járműre nézve az adott járműre vagy motortípusa kiadott megfelelőségi igazolásnak való megfeleléshez.
6.5.2.6. A használati utasításban fel kell hívni a figyelmet arra, hogy bűncselekménynek minősülhet olyan járművet üzemeltetni, amely nem éget semmilyen reagenst annak ellenére, hogy az a szennyezőanyag-kibocsátás csökkentése érdekében elő van írva, és hogy ennek következtében érvénytelenné válhat a nyilvántartásbavételi országban vagy más, a jármű használata szerinti országban kapott, a jármű vásárlására vagy üzemeltetésére vonatozó bármely kedvezmény.
6.5.3. A motorrendszerek NOx-kibocsátásának szabályozása
6.5.3.1. A NOx-kibocsátás szabályozása szempontjából a motorrendszer helytelen működését (amely bekövetkezhet például valamely előírt reagens hiányának, a kipufogógáz-visszakeringető rendszerben (EGR) lévő gázáram nem megfelelő voltának vagy az EGR kiiktatásának köszönhetően) a NOx-szintnek a kipufogógáz-áramban elhelyezett érzékelők által történő megfigyelésével kell meghatározni.
6.5.3.2. A motorrendszerekben lehetővé kell tenni a kipufogógáz-áram NOx-szintjének meghatározását. Ha a NOx-szint legalább 1,5 g/kWh-val túllépi az ezen irányelv I. mellékletének 6.2.1. szakaszának I. táblázatában az adott esetre megadott határértéket, akkor a vezetőt az MI működésbe lépésével kell tájékoztatni (lásd a 2005/78/EK irányelv IV. mellékletének 3.6.5. szakaszát).
6.5.3.3. Emellett a 2005/78/EK irányelv IV. melléklete 3.9.2. szakaszának megfelelően legalább 400 napig vagy a motor 9 600 órányi üzemének megfelelő időtartamon keresztül tárolni kell egy nem törölhető hibakódot, amely megadja, hogy a NOx miért lépte túl az előző szakaszban meghatározott szinteket.
6.5.3.4. Ha a NOx-szint meghaladja az irányelv 4. cikkének (3) bekezdésében található táblázatban megadott OBD-küszöbértékeket ( 12 ), akkor egy nyomatékszabályozóval a 6.5.5. szakasz követelményei szerint oly módon kell csökkenteni a motorteljesítményt, hogy azt a jármű vezetője egyértelműen észlelje. Amíg a nyomatékszabályozó működik, a 6.5.3.2. szakasz követelményei értelmében a vezetőt folyamatosan figyelmeztetni kell.
6.5.3. 5 Azon motorrendszerek esetén, amelyek a NOx-kibocsátás szabályozását kizárólag EGR alkalmazásával valósítják meg, a gyártó a NOx-szint meghatározására a 6.5.3.1. szakasz követelményeitől eltérő módszert is alkalmazhat. A típusjóváhagyás alkalmával a gyártó köteles kimutatni, hogy a NOx-szint meghatározásában a helyettesítő módszer a 6.5.3.1. szakasz követelményeihez képest ugyanolyan gyors és pontos, továbbá azonos módon előidézi a 6.5.3.2., 6.5.3.3. és 6.5.3.4. szakaszban említett követelményeket.
6.5.4. A reagensek szabályozása
6.5.4.1. Az e szakasz követelményeinek teljesítése érdekében reagenst használó járművek esetén a vezetőt a jármű műszerfalán e célból elhelyezett mechanikus vagy elektronikus kijelzővel tájékoztatni kell a jármű reagenstartályában érvényes reagensszintről. A kijelző adjon figyelmeztető jelzést, ha a reagens szintje:
- a tartály 10 %-ának vagy a gyártó választása alapján egy ennél magasabb százalékértéknek megfelelő szint alá csökken,
- vagy
- a rendelkezésre álló tüzelőanyag felhasználásával a gyártó előírása alapján megtehető távolsághoz tartozó szint alá csökken.
A reagensjelzőt az üzemanyagszint-jelző közelében kell elhelyezni.
6.5.4.2. A 2005/78/EK irányelv IV. melléklete 3.6.5. szakaszának követelményei értelmében a vezetőt tájékoztatni kell, ha a reagenstartály kiürül.
6.5.4.3. Amint a reagenstartály kiürül, a 6.5.4.2. szakasz követelményei mellett a 6.5.5. szakasz követelményeit is alkalmazni kell.
6.5.4.4. A 6.5.3. szakasz követelményeinek való megfelelés helyett a gyártó választhatja a 6.5.4.5-6.5.4.13. szakaszoknak való megfelelést is.
6.5.4.5. A motorrendszerek tegyék lehetővé annak meghatározását, hogy a járműben van-e olyan folyadék, amely megfelel a gyártó által meghatározott és az irányelv II. melléklete szerint leírt reagensjellemzőknek.
6.5.4.6. Ha a reagenstartályban levő folyadék nem felel meg a gyártó által meghatározott és az irányelv II. melléklete szerint leírt minimumkövetelményeknek, a 6.5.4.13. szakasz kiegészítő követelményeit kell alkalmazni.
6.5.4.7. A motorrendszereknek lehetővé kell tenniük a reagensfogyasztás meghatározását és a fogyasztási adatokhoz a fedélzeten kívülről történő hozzáférést.
6.5.4.8. A motorrendszer átlagos reagensfogyasztása és igényelt átlagos reagensfogyasztása legyen elérhető a szabványos diagnosztikai csatlakozó soros portján keresztül (lásd a 2005/78/EK irányelv IV. mellékletének 6.8.3. szakaszát) vagy a motorműködés korábbi teljes 48 órás időszakára, vagy ha az hosszabb, a legalább 15 literes igényelt reagensfogyasztáshoz szükséges időszakra vonatkozóan.
6.5.4.9. A reagensfogyasztás figyelemmel kísérése érdekében a motoron belül legalább a következő paramétereket kell megfigyelni:
- a jármű reagenstartályában lévő reagens szintjét,
- a reagens áramlását vagy befecskendezését ott, ahol az műszakilag a lehető legközelebb megvalósítható a kipufogógáz-utókezelő berendezésbe történő befecskendezés pontjához képest.
6.5.4.10. A 6.5.4.8. szakaszban meghatározott időszak alatt a motorrendszer átlagos reagensfogyasztásában és átlagos igényelt reagensfogyasztásában bekövetkező bármely, 50 %-ot meghaladó eltérés esetén alkalmazni kell a 6.5.4.13. szakaszban meghatározott intézkedéseket.
6.5.4.11. A reagens adagolásában bekövetkező bármely fennakadás esetén a 6.5.4.13. szakaszban meghatározott intézkedéseket kell alkalmazni. Ez nem szükséges akkor, ha a fennakadást a motorvezérlő egység igényli azért, mert a motor adott üzemi körülményei között a motor szennyezőanyag-kibocsátása nem kívánja meg reagens adagolását; ennek feltétele azonban, hogy a gyártó előzetesen egyértelműen tájékoztatta a jóváhagyó hatóságot, hogy mely üzemi körülmények tekintendők ilyennek.
6.5.4.12. Amennyiben az ETC-vizsgálati ciklusban a NOx-szint meghaladja a 7,0 g/kWh értéket, a 6.5.4.13. szakaszban meghatározott intézkedéseket kell alkalmazni.
6.5.4.13. Az e szakaszra történő hivatkozás esetén az MI működésbe hozásával riasztani kell a vezetőt (lásd a 2005/78/EK irányelv IV. mellékletének 3.6.5. szakaszát), és a nyomatékszabályozóval a 6.5.5. szakasz követelményei szerint oly módon kell csökkenteni a motorteljesítményt, hogy azt a jármű vezetője egyértelműen észlelje.
A 2005/78/EK bizottsági irányelv IV. melléklete 3.9.2. szakaszának megfelelően legalább 400 napig vagy a motor 9 600 órányi üzemének megfelelő időtartamon keresztül tárolni kell egy nem törölhető hibakódot, amely megadja, hogy miért került sor a nyomatékszabályozó működésbe lépésére.
6.5.5. A kipufogógáz-utókezelő berendezésekbe történő beavatkozást meggátló intézkedések
6.5.5.1. Az e szakasz hatálya alá tartozó motorrendszereknek tartalmazniuk kell egy olyan nyomatékszabályozót, amely riasztja a vezetőt, ha a motorrendszer nem megfelelően működik vagy a járművet nem megfelelő módon üzemeltetik, és amely ezáltal ösztönzi az esetleges meghibásodás vagy meghibásodások gyors kijavítását.
6.5.5.2. A nyomatékszabályozó akkor lépjen működésbe, amikor a jármű a 6.5.3.4., 6.5.4.3., 6.5.4.6., 6.5.4.10., 6.5.4.11. vagy 6.5.4.12. szakaszban meghatározott feltételek bekövetkezte után először kerül álló helyzetbe.
6.5.5.3. Amennyiben a nyomatékszabályozó működésbe lép, a motor nyomatéka semmilyen körülmények között sem haladhatja meg a következő állandó értéket:
- a teljes terheléshez tartozó nyomaték 60 %-át N3 > 16 tonna, M3/III és M3/B > 7,5 tonna kategóriájú járművek esetén, függetlenül a motor fordulatszámától,
- a teljes terheléshez tartozó nyomaték 75 %-át N1, N2, N3 ≤ 16 tonna, M2, M3/I, M3/II, M3/A és M3/B ≤ 7,5 tonna kategóriájú járművek esetén, függetlenül a motor fordulatszámától.
6.5.5.4. A nyomatékszabályozás rendszere feleljen meg a 6.5.5.5. és 6.5.5.6. szakasznak.
6.5.5.5. Az ezen melléklet 6.1.7.1. szakaszában meghatározott dokumentációs követelmények értelmében meg kell adni azt a részletes írásbeli információt, amely teljes mértékben leírja a nyomatékszabályozó funkcionális működési jellemzőit.
6.5.5.6. A nyomatékszabályozót hatástalanítani kell, amikor a motor üresjáraton van, illetőleg ha a működésbe hozás körülményei megszűntek. A nyomatékszabályozót nem szabad automatikusan hatástalanítani anélkül, hogy működésbe lépésének indokait ne orvosolnák.
6.5.5.7. A nyomatékszabályozó működésének igazolása
6.5.5.7.1. Az e melléklet 3. szakasza szerinti típus-jóváhagyási kérelem részeként a gyártó motorerőmérőn végzett vizsgálatokkal vagy járművizsgálattal köteles igazolni a nyomatékszabályozó helyes működését.
6.5.5.7.2. Motorerőmérővel végzett vizsgálat esetén a gyártó egymást követő ETC-vizsgálati ciklusokat köteles lefolytatni annak kimutatására, hogy a nyomatékszabályozó a 6.5. szakasz és különösen a 6.5.5.2. és 6.5.5.3. szakasz követelményeivel összhangban fog működni, különösen pedig működésbe fog lépni.
6.5.5.7.3. Járművizsgálat esetén a járművet végig kell hajtani az úton vagy a próbapályán annak kimutatására, hogy a nyomatékszabályozó a 6.5. szakasz és különösen a 6.5.5.2. és 6.5.5.3. szakasz követelményeivel összhangban fog működni, különösen pedig működésbe fog lépni.
o) A 8.1. szakasz helyébe a következő szöveg lép:
"8.1. A motorcsaládot meghatározó paraméterek
A motorcsalád a gyártó által megadottak szerint feleljen meg az ISO 16185 rendelkezéseinek."
p) A szöveg a következő, új 8.3. szakasszal egészül ki:
"8.3. Az OBD-motorcsaládot meghatározó paraméterek
Az OBD-motorcsaládot olyan alapvető tervezési paraméterekkel lehet meghatározni, amelyek a motorcsaládba tartozó motorrendszerek tekintetében közösek.
Annak érdekében, hogy a motorrendszerek ugyanazon OBD-motorcsaládba tartozónak legyenek tekinthetők, a következő alapvető tervezési paramétereknek kell közösnek lennie:
- az OBD folyamatos ellenőrzésének módszerei,
- a hibás működés kimutatásának módszerei,
hacsak a gyártó a vonatkozó műszaki demonstrációs módszerrel vagy más alkalmas eljárással nem mutatta ki, hogy ezek a módszerek egyenértékűek.
Megjegyzés: azok a motorok, amelyek nem tartoznak ugyanazon motorcsaládba, ennek ellenére tartozhatnak egyazon OBD-motorcsaládba, amennyiben teljesülnek az említett követelmények."
q) A 9.1. szakasz helyébe a következő szöveg lép:
"9.1. A gyártás megfelelőségét biztosító intézkedéseket a 70/156/EGK irányelv 10. cikkének megfelelően kell megtenni. A gyártás megfelelőségének ellenőrzése az irányelv VI. mellékletében meghatározott típusbizonyítványokban szereplő leírás alapján történik. Az 1., 2. vagy 3. függelék alkalmazásában a gyártásmegfelelőség ellenőrzésének tárgyát képező motorok mért gáz-halmazállapotú szennyezőanyag-kibocsátását és légszennyezőrészecske-kibocsátását ki kell igazítani az adott motorra a VI. melléklet függelékének 1.5. szakaszában előírt megfelelő romlási tényezők alkalmazásával.
Ha az illetékes hatóságok nincsenek megelégedve a gyártó ellenőrzési eljárásával, a 70/156/EGK irányelv X. mellékletének 2.4.2. és 2.4.3. szakaszát kell alkalmazni."
r) A szöveg a következő, új 9.1.2. szakasszal egészül ki:
"9.1.2. Fedélzeti diagnosztika (OBD)
9.1.2.1. Az OBD rendszer gyártásmegfelelőségének ellenőrzése során a következők szerint kell eljárni.
9.1.2.2. Ha a jóváhagyó hatóság úgy határoz, hogy a gyártás minősége nem tűnik kielégítőnek, véletlenszerűen kivesznek egy motort a sorozatból, és a 2005/78/EK irányelv IV. mellékletének 1. függelékében leírt vizsgálatok alá vetik. A vizsgálatokat olyan motoron is el lehet végezni, amelyet legfeljebb 100 órán keresztül bejárattak.
9.1.2.3. A gyártást megfelelőnek kell tekinteni, ha ez a motor megfelel a 2005/78/EK irányelv IV. mellékletének 1. függelékében leírt vizsgálatok követelményeinek.
9.1.2.4. Ha a sorozatból kivett motor nem elégíti ki a 9.1.2.2. szakasz követelményeit, a sorozatból egy további, négy motorból álló véletlenszerű mintát vesznek, és azt a 2005/78/EK irányelv IV. mellékletének 1. függelékében leírt vizsgálatok alá vetik. A vizsgálatokat olyan motorokon is el lehet végezni, amelyeket legfeljebb 100 órán keresztül bejárattak.
9.1.2.5. A gyártást megfelelőnek kell tekinteni, ha a további négy motort tartalmazó mintából legalább három motor megfelel a 2005/78/EK irányelv IV. mellékletének 1. függelékében leírt vizsgálatok követelményeinek."
s) A szöveg a következő, új 10. szakasszal egészül ki:
"10. Az üzemben lévő járművek/Motorok MEGFELELŐSÉGE
10.1. Ezen irányelv alkalmazásában az üzemben lévő járművek/motorok megfelelőségét a járműbe szerelt motor élettartama során rendszeresen ellenőrizni kell.
10.2. A szennyezőanyag-kibocsátásra kiadott típusjóváhagyások körében helyénvaló olyan kiegészítő intézkedéseket megtenni, amelyek révén ellenőrizhető a járműbe szerelt motor élettartama során, a szokásos üzemi feltételek között a kibocsátáscsökkentő eszközök alkalmassága.
10.3. Az üzemben lévő járművek/motorok megfelelősége tekintetében a 2005/78/EK irányelv IV. mellékletében megadott eljárásokat kell követni."
t) Az 1. függelék 3. szakasza helyébe a következő szöveg lép:
"3. Az I. melléklet 6.2.1. szakaszában megadott valamennyi szennyező anyagra a következő eljárást kell alkalmazni (lásd a 2. ábrát):
Legyen:
L = a szennyező anyag határértékének természetes logaritmusa;
xi = a minta i-edik motorján mért érték természetes logaritmusa (a vonatkozó romlási tényező alkalmazása után);
S = a gyártási szórás becsült értéke (a mérési eredmények természetes logaritmusának képzése után);
N = az aktuális mintadarabszám."
u) A 2. függelék 3. szakasza és 4. szakaszának első, bevezető bekezdése helyébe a következő szöveg lép:
"3. A vonatkozó romlási tényező alkalmazása után a szennyező anyagokra az I. melléklet 6.2.1. szakaszában megadott értékeket lognormális eloszlásúnak kell tekinteni, és természetes logaritmusukat képezve transzformálni kell őket. Jelölje m0 és m a legkisebb, illetve a legnagyobb mintaszámot (m0 = 3 és m = 32), és jelölje n az aktuális mintaszámot.
4. Ha egy sorozatban mért értékek természetes logaritmusai (a vonatkozó romlási tényező alkalmazása után) x1, x2, ..., xi és L a szennyező anyag határértékének természetes logaritmusa, akkor meg kell határozni az alábbiakat:"
v) A 3. függelék 3. szakasza helyébe a következő szöveg lép:
"3. Az I. melléklet 6.2.1. szakaszában megadott valamennyi szennyező anyagra a következő eljárást kell alkalmazni (lásd a 2. ábrát):
Legyen:
L = a szennyező anyag határértékének természetes logaritmusa;
xi = a minta i-edik motorján mért érték természetes logaritmusa (a vonatkozó romlási tényező alkalmazása után);
S = a gyártási szórás becsült értéke (a mérési eredmények természetes logaritmusának képzése után);
N = az aktuális mintadarabszám."
w) A szöveg a következő, új 4. függelékkel egészül ki:
"4. függelék
A RENDSZER-EGYENÉRTÉKŰSÉG MEGHATÁROZÁSA
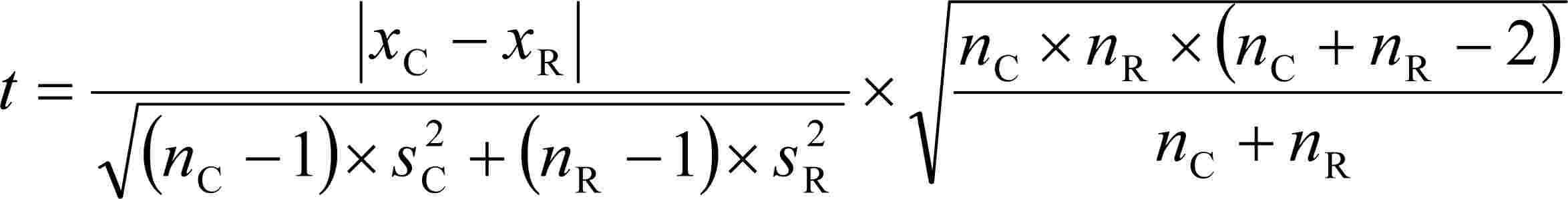
A rendszer-egyenértékűség e melléklet 6.2. szakasza szerinti megállapítását a jelöltrendszer és az ezen irányelv egyik elfogadott referenciarendszere közötti, 7 (vagy több) mintapárra kiterjedő korrelációs vizsgálatra kell alapozni a megfelelő vizsgálati ciklus(ok) alkalmazásával. Az alkalmazandó egyenértékűségi követelmény az F-próba és a kétoldalú Student-féle t-próba.
A statisztikai módszer azt a feltételezést vizsgálja meg, hogy a jelöltrendszeren a kibocsátásra vonatkozóan a mintán mért relatív szórás és átlagérték nem különbözik a referenciarendszeren ugyanazon kibocsátásra vonatkozóan mért relatív szórástól és átlagértéktől. A feltételezést az F és a t érték 5 %-os szignifikanciaszintje alapján kell vizsgálni. A következő táblázat tartalmazza a 7 és 10 közötti számú mintapárra vonatkozó kritikus F és t értékeket. Ha az alábbi összefüggéssel számított F és t értékek nagyobbak, mint a kritikus F és t értékek, a jelöltrendszer nem egyenértékű.
A következő eljárást kell követni. Az R és a C index a referenciarendszerre (R), illetőleg a jelöltrendszerre (C) vonatkozik:
a) Végezzünk el legalább 7 vizsgálatot, lehetőleg párhuzamosan a jelölt- és a refereciarendszeren. A vizsgálatok számát nR és nC jelöli.
b) Számítsuk ki az xR és az xC átlagértékeket, valamint az sR és sC relatív szórásokat.
c) Számítsuk ki az F értéket a következőképpen:

(a számlálóba az sR és az sC relatív szórás kisebbikét kell írni).
d) Számítsuk ki a t értéket a következőképpen:

e) Hasonlítsuk össze a kiszámított F és t értéket a kritikus F és t értékkel, amelyeket a következő táblázat tartalmaz a mintaszám függvényében. Nagyobb mintaszám esetén a kritikus értékeket az 5 %-os szignifikanciaszinthez (95 %-os konfidenciaszinthez) tartozó statisztikai táblázatokból kell kikeresni.
f) Határozzuk meg a szabadságfokot (df) a következőképpen:
az F próbára : df = nR -1 / nC - 1
a t próbára : df = nC + nR - 2
Egyes mintaszámokhoz tartozó F és t értékek
| A minta mérete | F-próba | t-próba | ||
| df | Fcrit | df | tcrit | |
| 7 | 6/6 | 4,284 | 12 | 2,179 |
| 8 | 7/7 | 3,787 | 14 | 2,145 |
| 9 | 8/8 | 3,438 | 16 | 2,120 |
| 10 | 9/9 | 3,179 | 18 | 2,101 |
g) Határozzuk meg az egyenértékűséget a következőképpen:
- ha F < Fcrit és t < tcrit, akkor a jelöltrendszer egyenértékű ezen irányelv referenciarendszerével,
- ha F ≥ Fcrit és t ≥ tcrit, akkor a jelöltrendszer eltér ezen irányelv referenciarendszerétől."
2. A II. melléklet a következőképpen módosul:
a) A szöveg a következő, új 0.7. szakasszal egészül ki:
"0.7. A gyártó képviselőjének neve és címe:"
b) A 0.7., 0.8. és 0.9. szakasz számozása ennek megfelelően 0.8-ra, 0.9-re és 0.10-re változik.
c) A szöveg a következő, új 0.11. szakasszal egészül ki:
"0.11 Fedélzeti diagnosztikai (OBD) rendszerrel ellátott járművek esetén az MI szöveges leírása és/vagy rajza:"
d) Az 1. függelék a következőképpen módosul:
i. A szöveg a következő, új 1.20. szakasszal egészül ki:
"1.20. Elektronikus motorvezérlő egység (EECU) (minden motortípusra):
1.20.1. Gyártmány: ...
1.20.2. Típus: ...
1.20.3. Szoftverkalibrációs érték(ek): ..."
ii. A szöveg a következő, új 2.2.1.12. és 2.2.1.13. szakasszal egészül ki:
"2.2.1.12. Szokásos üzemi hőmérséklet-tartomány (K): ...
2.2.1.13. Elégő reagensek (ha vannak):
2.2.1.13.1. A katalitikus működéshez szükséges reagens típusa és koncentrációja: ...
2.2.1.13.2. A reagens normál üzemi hőmérsékleti tartománya: ...
2.2.1.13.3. Nemzetközi szabvány (ha van): ...
2.2.1.13.4. A reagens újratöltési gyakorisága: folyamatos/karbantartáskor ( 13 ):
iii. A 2.2.4.1. szakasz helyébe a következő szöveg lép:
"2.2.4.1. Jellemzők (gyártmány, típus, áramló mennyiség stb.) ..."
iv. A szöveg a következő, új 2.2.5.5. és 2.2.5.6. szakasszal egészül ki:
"2.2.5.5. Szokásos üzemi hőmérséklet- (K) és nyomás- (kPa) tartomány: ...
2.2.5.6. Rendszeres regeneráció esetén:
- 2 regeneráció között az ETC-vizsgálati ciklusok száma (n1):
- Regeneráció alatt az ETC-vizsgálati ciklusok száma (n2)"
v. A szöveg a következő, új 3.1.2.2.3. szakasszal egészül ki:
"3.1.2.2.3. Közös vezeték (common rail), gyártmány és típus: ..."
vi. A szöveg a következő, új 9. és 10. szakasszal egészül ki:
"9. Fedélzeti diagnosztikai (OBD) rendszer
9.1. Az MI szöveges leírása és/vagy rajza ( 14 ): ...
9.2. Az OBD rendszer által megfigyelt valamennyi összetevő jegyzéke és rendeltetése: ...
9.3. A következők szöveges leírása (általános OBD-működési elvek):
9.3.1. Dízel-/gázmotorok (14) : ...
9.3.1.1. Katalizátor megfigyelése (14) : ...
9.3.1.2. deNOx-rendszer megfigyelése (14) : ...
9.3.1.3. Dízelrészecske-szűrő megfigyelése (14) : ...
9.3.1.4. Elektronikus üzemanyag-betápláló rendszer megfigyelése (14) : ...
9.3.1.5. Az OBD rendszer által megfigyelt egyéb összetevők (14) : ...
9.4. Az MI működésbe hozásának feltételei (rögzített számú vezetési ciklus vagy statisztikai módszer): ...
9.5. Valamennyi felhasznált OBD-outputkód és -formátum jegyzéke (és ezek magyarázata): ...
10. Nyomatékszabályozó
10.1. A nyomatékszabályozó működésbe hozásának leírása
10.2. A teljes terhelési görbe korlátozásának leírása
e) A 2. függelékben a 2.1.1. szakaszban található táblázat első oszlopa negyedik sora helyébe az alábbi szöveg kerül:
"Tüzelőanyag-áram ütemenként (mm3)"
f) A 3. függelék a következőképpen módosul:
i. A szöveg a következő, új 1.20. szakasszal egészül ki:
"1.20. Elektronikus motorvezérlő egység (EECU) (minden motortípusra):
1.20.1. Gyártmány:
1.20.2. Típus:
1.20.3. Szoftverkalibrációs érték(ek): ..."
ii. A szöveg a következő, új 2.2.1.12. és 2.2.1.13. szakasszal egészül ki:
"2.2.1.12. Szokásos üzemi hőmérséklet-tartomány (K): ...
2.2.1.13. Elégő reagensek (ha vannak):
2.2.1.13.1. A katalitikus működéshez szükséges reagens típusa és koncentrációja: ...
2.2.1.13.2. A reagens normál üzemi hőmérsékleti tartománya: ...
2.2.1.13.3. Nemzetközi szabvány (ha van): ...
2.2.1.13.4. A reagens újratöltési gyakorisága: folyamatos/karbantartáskor ( 15 )
iii. A 2.2.4.1. szakasz helyébe a következő szöveg lép:
"2.2.4.1. Jellemzők (gyártmány, típus, áramló mennyiség stb.) ..."
iv. A szöveg a következő, új 2.2.5.5. és 2.2.5.6. szakasszal egészül ki:
"2.2.5.5. Szokásos üzemi hőmérséklet- (K) és nyomás- (kPa) tartomány: ...
2.2.5.6. Rendszeres regeneráció esetén:
- 2 regeneráció között az ETC-vizsgálati ciklusok száma (n1)
- Regeneráció alatt az ETC-vizsgálati ciklusok száma (n2)"
v. A szöveg a következő, új 3.1.2.2.3. szakasszal egészül ki:
"3.1.2.2.3. Közös vezeték (common rail), gyártmány és típus: ..."
vi. A szöveg a következő, új 6. és 7. szakasszal egészül ki:
"6. Fedélzeti diagnosztikai (OBD) rendszer
6.1. Az MI szöveges leírása és/vagy rajza ( 16 ):
6.2. Az OBD rendszer által megfigyelt valamennyi összetevő jegyéke és rendeltetése: ...
6.3. A következők szöveges leírása (általános OBD-működési elvek):
6.3.1. Dízel-/gázmotorok (16) : ...
6.3.1.1. Katalizátor megfigyelése (16) : ...
6.3.1.2. deNOx-rendszer megfigyelése (16) : ...
6.3.1.3. Dízelrészecske-szűrő megfigyelése (16) : ...
6.3.1.4. Elektronikus üzemanyag-betápláló rendszer megfigyelése (16) : ...
6.3.1.5. Az OBD rendszer által megfigyelt egyéb összetevők (16) : ...
6.4. Az MI működésbe hozásának feltételei (rögzített számú vezetési ciklus vagy statisztikai módszer): ...
6.5. Valamennyi felhasznált OBD-outputkód és formátum jegyzéke (és ezek magyarázata): ...
7. Nyomatékszabályozó
7.1. A nyomatékszabályozó működésbe hozásának leírása
7.2. A teljes terhelési görbe korlátozásának leírása
g) A II. melléklet a következő 5. függelékkel egészül ki:
"5. függelék
AZ OBD-RE VONATKOZÓ INFORMÁCIÓK
1. A 2005/78/EK irányelv IV. melléklete 5. szakaszának rendelkezéseivel összhangban a jármű gyártója köteles a következő kiegészítő információkat szolgáltatni annak érdekében, hogy lehetővé tegye az OBD-kompatibilis tartalék- és pótalkatrészek, illetőleg diagnosztikai eszközök és vizsgálóberendezések gyártását, hacsak az ilyen információ nem tartozik a szellemi tulajdonjog hatálya alá, és nem képezi a gyártó vagy az OEM-szállító(k) egyedi know-how-ja tárgyát.
Az e szakasz szerinti információkat szükség szerint meg kell ismételni az EK-típusjóváhagyás 2. függelékében (ezen irányelv VI. melléklete):
1.1. A jármű eredeti típusjóváhagyásához használt előkondicionáló ciklusok típusának és számának leírása.
1.2. Az OBD rendszer által megfigyelt összetevő tekintetében a jármű eredeti típusjóváhagyásához használt OBD-demonstrációs ciklus típusának leírása.
1.3. Átfogó dokumentum, amely leírja a hibakeresésre és az MI működésbe hozására irányuló stratégia (rögzített számú vezetési ciklus vagy statisztikai módszer) keretében érzékelt valamennyi összetevőt, beleértve a vonatkozó másodlagosan érzékelt paraméterek jegyzékét minden, az OBD rendszerrel megfigyelt összetevő tekintetében. Valamennyi felhasznált OBD-outputkód és formátum jegyzéke (és ezek magyarázata), hozzákapcsolva a kibocsátáshoz kapcsolódó egyedi erőátviteli összetevőket és a kibocsátástól független egyedi erőátviteli összetevőket, amennyiben az MI működésbe hozásának meghatározásához az adott összetevő megfigyelését használják.
1.3.1. Az e szakasz szerint előírt információkat például a következő táblázat kitöltésével lehet megadni, amelyet e melléklethez kell csatolni:
| Összetevő | Hibakód | Megfigyelési stratégia | Hibakeresési követelmény | MI működésbe hozási követelmény | Másodlagos paraméterek | Előkondicionálás | Demonstrációs vizsgálat |
| SCR-katalizátor | Pxxxx | 1. és 2. NOx-érzékelő jelei | az 1. érzékelő és a 2. érzékelő jele közötti különbség | 3. ciklus | Motor fordulatszáma, motor terhelése, katalizátor hőmérséklete, reagenstevékenység | Három OBD-vizsgálati ciklus (3 rövid ESC-ciklus) | OBD-vizsgálati ciklus (rövid ESC-ciklus) |
1.3.2. Amennyiben a 2005/78/EK irányelv IV. melléklete 5.1.2.1. szakaszát nem kell alkalmazni (mint például a tartalék- vagy a pótalkatrészek esetén), az e függelékben előírt információk korlátozódhatnak az OBD rendszer által rögzített hibakódok teljes jegyzékére. Ezek az információk például megadhatók a fenti 1.3.1. szakasz táblázatában az első két oszlop kitöltésével.
A teljes információs csomagot az ezen irányelv I. mellékletének 6.1.7.1. szakaszában (»Dokumentációs követelmények«) előírt kiegészítő anyag részeként a jóváhagyó hatóság rendelkezésére kell bocsátani.
1.3.3. Az e szakaszban előírt információkat meg kell ismételni az EK-típusbizonyítvány 2. függelékében (az irányelv VI. melléklete).
Amennyiben tartalék- vagy pótalkatrészek esetén a 2005/78/EK irányelv IV. melléklete 5.1.2.1. szakaszát nem kell alkalmazni, az EK-típusjóváhagyás 2. függelékében megadott információk (az irányelv VI. melléklete) az 1.3.2. szakasz szerinti adatokra korlátozódhatnak."
3. A III. melléklet a következőképpen módosul:
a) A 1.3.1. szakasz helyébe a következő szöveg lép:
"1.3.1. ESC-vizsgálat
A felmelegedett motor üzemállapotainak egy előírt sorozata alatt folyamatosan vizsgálni kell a kipufogógáz fenti komponenskibocsátásait a hígítatlan vagy a hígított kipufogógázból vett minta alapján. A vizsgálati ciklus egy sor, a dízelmotorok jellemző üzemeltetési tartományát felölelő fordulatszám- és terhelési üzemmódból áll. Minden egyes üzemmódban meg kell határozni mindegyik gáz-halmazállapotú szennyező anyag koncentrációját, a kipufogógáz-áramot és a motor teljesítményét, és a mért értékeket súlyozni kell. A részecskeméréshez a kipufogógázt részleges átáramlású vagy teljes átáramlású hígítórendszer használatával kondicionált környezeti levegővel kell hígítani. A részecskéket minden egyes üzemmód súlyozási tényezőjének arányában egyetlen megfelelő szűrőn kell gyűjteni. Az egyes kibocsátott szennyező anyagok gramm/kilowattórában kifejezett mennyiségét az ezen melléklet 1. függelékében leírtak szerint kell kiszámítani. Továbbá az ellenőrzési tartománynak a műszaki szolgálat által kiválasztott három vizsgálati pontján mérni kell a NOx mennyiségét, és a mért értékeket össze kell hasonlítani azokkal az értékekkel, amelyeket a vizsgálati ciklusnak a kiválasztott vizsgálati pontokat körülvevő üzemmódjaiból számítottak ki. A NOx ellenőrzés biztosítja a motor szennyezőanyag-kibocsátása csökkentésének hatékonyságát a motor tipikus üzemeltetési tartományán belül."
b) Az 1.3.3. szakasza helyébe a következő szöveg lép:
"1.3.3. ETC-vizsgálat
A felmelegedett motor üzemállapotai mellett végzett előírás szerinti tranziens ciklus során, amely jól közelíti a teherautókba és autóbuszokba szerelt nagy igénybevételű motorok úttípustól függő menetjellegét, a fenti szennyező anyagokat vagy az összes kipufogógáznak a kondicionált környezeti levegővel történő hígítása után (CVS rendszer dupla részecskehígítással) vagy a részleges átáramlású hígítórendszer használatával a hígítatlan kipufogógázban található gáz-halmazállapotú összetevők és részecskék meghatározásával kell megvizsgálni. A motorfékpad nyomaték- és fordulatszám-visszajelzéseit használva a teljesítményt a ciklus idejének figyelembevételével összesíteni kell, ami a motornak a ciklus alatt végzett munkáját adja. A CVS-rendszerhez a NOx és a szénhidrogének (HC) ciklus alatti koncentrációját a gázelemző készülék jeleinek integrálásával kell meghatározni, míg a CO, a CO2, és a nem metán szénhidrogének (NMHC) koncentrációját a gázelemző készülék jeleinek integrálásával vagy zsákos mintavétellel lehet meghatározni. Ha hígítatlan kipufogógázban történik a mérés, akkor a ciklus alatt minden gáz-halmazállapotú összetevőt a gázelemző készülék jeleinek integrálásával kell meghatározni. A részecskék esetében egy megfelelő szűrőn arányos mintát kell gyűjteni. A hígítatlan vagy a hígított kipufogógáz áramát az egész ciklusra meg kell határozni a kibocsátott szennyező anyagok tömegének kiszámításához. A kibocsátott szennyezőanyagtömeg-értékeket a motor munkájára kell vonatkoztatni, hogy megkapjuk az egyes szennyező anyagok kilowattóránként kibocsátott mennyiségét grammokban, az e melléklet 2. függelékében leírtak szerint."
c) A 2.1. szakasz helyébe a következő szöveg lép:
"2.1. A motor vizsgálati körülményei
2.1.1. Meg kell mérni a motor által beszívott levegő Kelvinben kifejezett abszolút hőmérsékletét (T a) és a kPa-ban kifejezett száraz légköri nyomást (p s), és meg kell határozni az f a paramétert az alábbi előírások szerint. Az elkülöníthető szívócsővezeték-egységekkel rendelkező többhengeres motorok, például a »V« motorkonfiguráció esetében az elkülöníthető egységek átlaghőmérsékletét kell venni:
a) sűrítéses gyújtású motorok esetében:
Feltöltés nélküli és mechanikailag túltöltött motorok:

Turbófeltöltős motorok a beszívott levegő hűtésével vagy anélkül:

b) külső gyújtású motorok esetében:

2.1.2. A vizsgálat validálása
Egy vizsgálat validálásához az fa paraméternek olyannak kell lennie, hogy teljesüljön a következő:
0,96 ≤ f a ≤ 1,06"
d) A III. melléklet 2.8. szakasza helyébe a következő szöveg lép:
"2.8. Ha a motor fel van szerelve kipufogógáz-utókezelő berendezéssel, akkor a vizsgálati ciklus alatt mért szennyezőanyag-kibocsátásnak reprezentatívnak kell lennie az üzemi szennyezőanyag-kibocsátásra. A reagens használatát megkívánó, kipufogógáz-utókezelő berendezéssel felszerelt motor esetében az összes vizsgálathoz használt reagensnek meg kell felelni a II. melléklet 1. függeléke 2.2.1.13. szakaszának.
2.8.1. A folyamatos regenerációs folyamaton alapuló kipufogógáz-utókezelő berendezés esetében a szennyezőanyag-kibocsátásokat egy stabilizált utókezelő berendezéssel kell mérni.
A regenerációs folyamatra az ETC-vizsgálat során legalább egyszer sort kell keríteni, és a gyártónak közölnie kell azokat a szokásos feltételeket, amelyek között a regeneráció folyik (széntartalmú szennyezés, hőmérséklet, kipufogógáz-ellennyomás stb.).
A regenerációs folyamat ellenőrzéséhez legalább 5 ETC-vizsgálatot kell elvégezni. A vizsgálat alatt a szennyezőanyag-kibocsátási hőmérsékletet és a nyomást rögzíteni kell (az utókezelő berendezés alkalmazása előtti és utáni hőmérsékletet, a kipufogógáz-ellennyomást stb.).
Az utókezelő berendezés akkor tekinthető kielégítőnek, ha a gyártó által közölt feltételek a vizsgálat alatt megfelelő ideig fennállnak.
A végső vizsgálati eredmény a különféle ETC-vizsgálatok eredményeinek számtani középértéke.
Ha a kipufogógáz-utókezelőnek van olyan biztonsági üzemmódja, amely időszakos regenerációs üzemmódba állítható, akkor azt a 2.8.2. szakasznak megfelelően ellenőrizni kell. Ebben az egyedi esetben az I. melléklet 2. táblázatában található szennyezőanyag-kibocsátási határértékeket túl lehet lépni, és nem súlyozzák azokat.
2.8.2. Az időszakos regenerációs folyamaton alapuló kipufogógáz-utókezelő esetében a szennyezőanyag-kibocsátást legalább két ETC-vizsgálat során kell mérni, az egyiket a stabilizált utókezelő rendszer regenerációja alatt, míg a másikat azon kívül, és az eredményeket súlyozni kell.
A regenerációs folyamatnak legalább egyszer az ETC-vizsgálat során kell megtörténnie. A motor a regenerációs folyamatot megakadályozó vagy elindító kapcsolóval lehet felszerelve, feltéve hogy ez a művelet nincs hatással az eredeti motorkalibrálásra.
A gyártónak közölnie kell azokat a szokásos paraméterkörülményeket, amelyek között a regenerációs folyamat folyik (széntartalmú szennyezés, hőmérséklet, kipufogógáz-ellennyomás stb.), valamint közölnie kell a folyamat időtartamát (n2). A gyártónak biztosítania kell a két regeneráció közötti idő (n1) meghatározásához szükséges minden adatot. Ennek az időnek a pontos meghatározásához szükséges eljárást a bevett szakmai megítélésre alapozva a műszaki szolgálat határozza meg.
A gyártónak gondoskodnia kell egy felszerelt utókezelő berendezésről annak érdekében, hogy az ETC-vizsgálat alatt megvalósuljon a regeneráció. A regeneráció nem történhet ebben a motorkondicionálási szakaszban.
A regenerációs folyamatok közötti átlagos szennyezőanyag-kibocsátásokat több, egymástól körülbelül egyenlő távolságban elvégzett ETC-vizsgálat számtani középértékével kell meghatározni. Ajánlatos a regenerációs vizsgálatot megelőzően, az ahhoz a lehető legközelebb eső időpontban legalább egy ETC-vizsgálat és közvetlenül a regenerációs vizsgálat után egy ETC elvégzése. Alternatívaként a gyártó szolgáltathat olyan adatokat, amelyek azt mutatják, hogy a szennyezőanyag-kibocsátások a regenerációs fázisok között állandók maradnak (± 15 %). Ebben az esetben csak egyetlen ETC-vizsgálat szennyezőanyag-kibocsátásait szabad felhasználni.
A regenerációs vizsgálat során a regeneráció megállapításához szükséges minden adatot rögzíteni kell (a CO vagy NOx kibocsátásokat, az utókezelő-berendezés előtti és utáni hőmérsékletet, a kipufogógáz-ellennyomást stb.).
A regenerációs folyamat során az I. melléklet 2. táblázatának szennyezőanyag-kibocsátási határértékeit át lehet lépni.
A mért kibocsátásokat az ezen melléklet 2. függeléke 5.5. és 6.3. szakaszának megfelelően súlyozni kell, és a végeredmény nem lépheti túl az I. melléklet 2. táblázatában található határértékeket."
e) Az 1. függelék a következőképpen módosul:
i. A 2.1. szakasz helyébe a következő szöveg lép:
"2.1. A mintavevő szűrők előkészítése
A vizsgálat megkezdése előtt legalább egy órával minden szűrőt egy, a porszennyeződéstől védett, részben fedett Petri-csészébe és azzal együtt egy mérőkamrába kell helyezni stabilizálás céljából. A stabilizálási időszak végén minden szűrőt le kell mérni, és a tárasúlyt fel kell jegyezni. A szűrőt azután a szűrésig zárt Petri-csészében vagy légmentesen lezárt szűrőtartóban kell tárolni addig, amíg nem lesz rá szükség a vizsgálathoz. A szűrőt a mérőkamrából való eltávolítása után nyolc órán belül fel kell használni. A tárasúlyt fel kell jegyezni."
ii. A 2.7.4. szakasz helyébe a következő szöveg lép:
"2.7.4. Részecske-mintavétel
A teljes vizsgálati folyamathoz egy szűrőt kell használni. A vizsgálati ciklus leírásában meghatározott üzemmódonkénti súlyozási tényezőket a ciklus minden üzemmódjában a kipufogógáz tömegáramával arányos minta vételével kell figyelembe venni. Ezt a minta átáramlási sebességének, a mintavétel idejének és/vagy a hígítási aránynak a megfelelő beállításával lehet elérni, úgy, hogy teljesüljön a tényleges súlyozási tényezők 5.6. szakaszban meghatározott kritériuma.
Az üzemmódonkénti mintavételi időtartamnak 0,01 súlyozási tényezőnként legalább 4 másodpercnek kell lennie. A mintavételt minden egyes üzemmód során a lehető legkésőbb kell elvégezni. A részecske-mintavételt az egyes üzemmódok vége előtt legfeljebb 5 másodperccel korábban kell befejezni."
iii. A szöveg a következő, új 4. szakasszal egészül ki:
"4. A KIPUFOGÓGÁZ-ÁRAM KISZÁMÍTÁSA
4.1. A hígítatlan kipufogógáz tömegáramának meghatározása
A hígítatlan kipufogógázbeli szennyezőanyag-kibocsátások kiszámításához ismerni kell a kipufogógáz-áramot. A kipufogógáz tömegáramát a 4.1.1. vagy a 4.1.2. szakasznak megfelelően kell meghatározni. A kipufogógáz-áram meghatározása pontosságának a leolvasott érték ± 2,5 %-a vagy a motor maximális értéke ± 1,5 %-a közül a nagyobbnak kell lenni. Ezzel egyenértékű módszereket (pl. az ezen melléklet 2. függelékének 4.2. szakaszában leírtakat) is lehet használni.
4.1.1. Közvetlen mérési módszer
A kipufogógáz-áram közvetlen mérését az alábbi berendezések valamelyikével lehet elvégezni:
- nyomáskiegyenlítő készülékek, mint az áramlásmérő torok,
- ultrahangos áramlásmérő,
- vortex áramlásmérő.
A hibás szennyezőanyag-kibocsátási értékeket eredményező mérési hibák elkerülésére óvintézkedéseket kell tenni. Az ilyen óvintézkedések magukban foglalják a készüléknek a motor kipufogóberendezésébe történő gondos, az eszköz gyártójának ajánlása és a bevett szakmai gyakorlat szerinti beépítését. Különösen a motorteljesítményt és a kibocsátásokat nem befolyásolhatja az eszköz beépítése.
4.1.2. Levegő- és üzemanyag-mérési módszer
Ez a levegőáram és az üzemanyagáram mérését foglalja magában. Olyan levegőáramlás-mérőket és üzemanyagáramlás-mérőket kell használni, amelyek teljes mértékben megfelelnek a 4.1. szakasz pontossági követelményének. A kipufogógáz-áram kiszámítása a következőképpen történik:
q mew = q maw + q mf
4.2. A hígított kipufogógáz tömegáramának meghatározása
A hígított kipufogógázban lévő szennyezőanyag-kibocsátásoknak a teljes átáramlású hígítórendszer használatával történő kiszámításához szükség van a hígított kipufogógáz áramának ismeretére. A hígítottkipufogógáz-áramot (q mdew) minden üzemmódban az ezen melléklet 2. függelékének 4.1. szakaszában megadott általános képleteknek megfelelően a PDP-CVS-sel, CFV-CVS-sel vagy SSV-CVS-sel kell mérni. A pontosságnak a leolvasott értéktől való ± 2 %-os eltérésűnek vagy ennél jobbnak kell lennie, és azt az ezen melléklet 5. függelékének 2.4. szakaszában foglalt rendelkezéseknek megfelelően kell meghatározni."
iv. A 4. és 5. szakaszok helyébe a következő szöveg lép:
"5. A GÁZ-HALMAZÁLLAPOTÚ KIBOCSÁTÁS KISZÁMÍTÁSA
5.1. Az adatok kiértékelése
A gáz-halmazállapotú szennyező anyagok kibocsátásának kiértékeléséhez az egyes üzemmódok utolsó 30 másodpercének diagramleolvasásait kell átlagolni, és az egyes üzemmódok HC (szénhidrogén), CO és NOx átlagos koncentrációit (conc) az átlagos diagramleolvasásokból és a megfelelő kalibrációs adatokból kell meghatározni. Amennyiben biztosított az egyenértékű adatgyűjtés, úgy másféle adatrögzítés is használható.
Az ellenőrzési tartományon belüli NOx-vizsgálatnál a fenti követelmények csak a NOx-ra alkalmazandók.
A q mew kipufogógáz-áramot vagy - ha ennek használatát választják - a q mdew hígítottkipufogógáz-áramot ezen melléklet 4. függelékének 2.3. szakasza szerint kell meghatározni.
5.2. Száraz/nedves korrekció
Ha a mérés nem nedves alapon történt, a mért koncentrációt az alábbi képletek szerint át kell számítani nedves alapúra. A konverziót minden egyes üzemmód esetében meg kell tenni.
cwet = kw × cdry
Hígítatlan kipufogógáz esetében:

vagy

ahol:
pr = a vízgőznyomás hűtőfürdő után, kPa
pb = a teljes légköri nyomás, kPa
Ha = a beszívott levegő nedvességtartalma, g víz/kg száraz levegő
kf = 0,055584 × wALF - 0,0001083 × wBET - 0,0001562 × wGAM + 0,0079936 × wDEL + 0,0069978 × wEPS
Hígított kipufogógáz esetén:

vagy

A hígítólevegő esetén:
KWd = 1 - KW1

A beszívott levegő esetén:
KWa = 1 - KW2

ahol:
H a = a beszívott levegő nedvességtartalma, g víz/kg száraz levegő
H d = a hígítólevegő nedvességtartalma, g víz/kg száraz levegő
és az általánosan elfogadott képletekkel deriválni lehet a relatívnedvességtartalom-mérésből, a harmatpontmérésből, a gőznyomásmérésből vagy a száraz/nedves ballonmérésből.
5.3. NOx-korrekció a nedvességtartalom és a hőmérséklet figyelembevételével
Mivel a NOx-kibocsátás függ a környező levegő állapotától, a NOx-koncentrációt korrigálni kell a környezeti levegő hőmérsékletének és nedvességtartalmának figyelembevételével, az alábbi képletben megadott tényezőkkel. A tényezők 0 és 25 közötti g/kg szárazlevegő-tartomány esetén érvényesek.
a) sűrítéses gyújtású motorok esetén:

ahol:
T a = a beszívott levegő hőmérséklete, K
H a = a beszívott levegő nedvességtartalma, g víz/kg száraz levegő,
ahol:
H a-t az általánosan elfogadott képletekkel deriválni lehet a relatívnedvességtartalom-mérésből, harmatpontmérésből, gőznyomásmérésből vagy száraz/nedves ballonmérésből.
b) külső gyújtású motorok esetén
k h.G = 0,6272 + 44,030 × 10-3 × H a - 0,862 × 10-3 × H a 2
ahol:
H a-t az általánosan elfogadott képletekkel deriválni lehet a relatív nedvességtartalom-mérésből, harmatpontmérésből, gőznyomásmérésből vagy száraz/nedves ballonmérésből.
5.4. A kibocsátás tömegáramának kiszámítása
A kibocsátás tömegáramát (g/h) minden üzemmód esetében a következők szerint kell kiszámítani. A NOx kiszámításához az 5.3. szakaszban meghatározott, értelemszerűen alkalmazandó k h,D vagy k h,G nedvességtartalom-korrekciós tényezőt kell használni.
Ha a mérés nem nedves alapon történt, a mért koncentrációt az 5.2. szakasznak megfelelően át kell számítani nedves alapúra. Az u gas értékeit az ideális gáz tulajdonságaira alapuló kijelölt összetevőkre és az ebben az irányelvben érintett üzemanyagokra vonatkozóan a 6. táblázat tartalmazza.
a) a hígítatlan kipufogógáz esetében
m gas = u gas × c gas × q mew
ahol:
u gas = a kipufogógáz-összetevő sűrűsége és a kipufogógáz sűrűsége közötti arány
c gas = az egyes összetevők koncentrációja a kezeletlen kipufogógázban, ppm
q mew = a kipufogógáz tömegárama, kg/h
b) a hígított gáz esetén
m gas = u gas × c gas,c × q mdew
ahol:
u gas = a kipufogógáz-összetevő sűrűsége és a levegő sűrűsége közötti arány
c gas,c = a hígított kipufogógázban az egyes összetevők háttérkorrigált koncentrációja, ppm
q mdew = a hígított kipufogógáz tömegárama, kg/h
ahol:

A D hígítási tényezőt ezen melléklet 2. függeléke 5.4.1. szakaszának megfelelően kell kiszámítani.
5.5. A fajlagos kibocsátások kiszámítása
A kibocsátásokat (g/kWh) minden egyes komponensre a következőképpen kell kiszámítani:

ahol:
m gas az egyedi gáz tömege
P n a II. melléklet 8.2. szakasza szerint meghatározott hasznos teljesítmény.
A fenti számításban használt súlyozási tényezők megfelelnek a 2.7.1. szakasznak.
6. táblázat
A hígítatlan és a hígított kipufogógázban lévő u gas értékek különféle kipufogógáz-összetevők esetén
| Üzemanyag | NOx | CO | THC/NMHC | CO2 | CH4 | |
| Dízelolaj | Hígítatlan kipufogógáz | 0,001587 | 0,000966 | 0,000479 | 0,001518 | 0,000553 |
| Hígított kipufogógáz | 0,001588 | 0,000967 | 0,000480 | 0,001519 | 0,000553 | |
| Etanol | Hígítatlan kipufogógáz | 0,001609 | 0,000980 | 0,000805 | 0,001539 | 0,000561 |
| Hígított kipufogógáz | 0,001588 | 0,000967 | 0,000795 | 0,001519 | 0,000553 | |
| CNG | Hígítatlan kipufogógáz | 0,001622 | 0,000987 | 0,000523 | 0,001552 | 0,000565 |
| Hígított kipufogógáz | 0,001588 | 0,000967 | 0,000584 | 0,001519 | 0,000553 | |
| Propán | Hígítatlan kipufogógáz | 0,001603 | 0,000976 | 0,000511 | 0,001533 | 0,000559 |
| Hígított kipufogógáz | 0,001588 | 0,000967 | 0,000507 | 0,001519 | 0,000553 | |
| Bután | Hígítatlan kipufogógáz | 0,001600 | 0,000974 | 0,000505 | 0,001530 | 0,000558 |
| Hígított kipufogógáz | 0,001588 | 0,000967 | 0,000501 | 0,001519 | 0,000553 | |
| Megjegyzések: — az ideális gáz tulajdonságain alapuló hígítatlan kipufogógáz u értékei λ = 2 esetén, száraz levegő, 273 K, 101,3 kPa — az ideális gáz tulajdonságain alapuló hígított kipufogógáz u értékei és a légsűrűség — a CNG 0,2 %-os pontosságú u értékei a következő tömegösszetételre: C = 66–76 %; H = 22–25 %; N = 0–12 % — a HC-re vonatkozó CNG u érték megfelel a CH2,93-nak (teljes HC használat esetén a CH4 u értéke) | ||||||
5.6. Az ellenőrzési tartomány értékeinek kiszámítása
A 2.7.6. szakasz szerint kiválasztott három ellenőrzési pontban meg kell mérni és ki kell számítani a NOx-kibocsátást az 5.6.1. szakasznak megfelelően, valamint interpolációval is meg kell határozni a vizsgálati ciklusnak a szóban forgó ellenőrzési ponthoz legközelebb eső üzemmódjaiból az 5.6.2. szakasznak megfelelően. A mért értékeket azután az 5.6.3. szakasznak megfelelően össze kell hasonlítani az interpolált értékekkel.
5.6.1. A fajlagos kibocsátás kiszámítása
Az egyes (Z) ellenőrzési pontokban a kibocsátott NOx értékét a következőképpen kell kiszámítani:
m NOx,Z = 0,001587 × c NOx,Z × k h,D × q mew

5.6.2. A szennyezőanyag-kibocsátás értékének meghatározása a vizsgálati ciklus alapján
A NOx-kibocsátást minden egyes ellenőrzési pontban a ciklusnak a kiválasztott Z ellenőrzési pontot a 4. ábrán látható módon körülvevő négy legközelebbi üzemmódjából kell interpolálni. Ezekre az (R, S, T, U) üzemmódokra a következő meghatározások érvényesek:
(R) fordulatszám = (T) fordulatszám = nRT
(S) fordulatszám = (U) fordulatszám = nSU
(R) százalékos terhelés = (S) százalékos terhelés
(T) százalékos terhelés = (U) százalékos terhelés.
A NOx-kibocsátást a kiválasztott Z ellenőrzési ponton a következőképpen kell kiszámítani:

és:




ahol:
ER, ES, ET, EU = a környező üzemmódok 5.6.1. szakasz szerint számított fajlagos NOx-kibocsátása
MR, MS, MT, MU = a motor nyomatéka a körülvevő üzemmódokban

4. ábra
A NOx ellenőrzési pont interpolációja
5.6.3. A NOx-kibocsátási értékek összehasonlítása
A Z ellenőrzési ponton mért fajlagos NOx-kibocsátást (NOx,Z) az (EZ) interpolált értékkel a következőképpen hasonlítjuk össze:

6. A RÉSZECSKE-KIBOCSÁTÁS KISZÁMÍTÁSA
6.1. Az adatok kiértékelése
A részecskék mennyiségének kiértékeléséhez minden üzemmód esetén fel kell jegyezni a szűrőkön áthaladó minta össztömegét.
A szűrőket vissza kell tenni a mérőkamrába, és legalább egy órán át, de 80 óránál nem hosszabb ideig kondicionálni kell őket, majd el kell végezni a mérlegelést. Fel kell jegyezni a szűrők összsúlyát, és ebből ki kell vonni a tárasúlyt (lásd 2.1. szakasz), az így kapott eredmény az m f részecskeminta-tömeg.
Háttérkorrekció alkalmazásánál a szűrőn áthaladó hígítólevegő-tömeget (m d) és a részecskék tömegét (m f,d) rögzíteni kell. Ha egynél több mérést végeztek, minden mérésre ki kell számítani a m f,d/m d hányadost, és a kapott értékeket átlagolni kell.
6.2. Részleges átáramlású hígítórendszer
A részecskekibocsátás véglegesként közlendő vizsgálati eredményeit a következő lépésekkel kell meghatározni. Mivel többféle hígításiarány-szabályozás használható, ezért különféle számítási módszerek vonatkoznak a q medf -re. Minden számításnak az egyes üzemmódok mintavételi időszak alatt mutatott átlagértékein kell alapulnia.
6.2.1. Izokinetikus rendszerek
q medf = q mew × rd

ahol r a az izokinetikus szonda és a kipufogócső keresztmetszetének aránya:

6.2.2. CO2- vagy NOx-koncentrációt mérő rendszerek
qmedf = qmew × rd

ahol:
c wE = a nyomjelző gáz nedves koncentrációja hígítatlan kipufogógázban
c wD = a nyomjelző gáz nedves koncentrációja a hígított kipufogógázban
c wA = a nyomjelző gáz nedves koncentrációja a hígítólevegőben
A száraz alapon mért koncentrációt nedves alapúra kell átszámítani ezen függelék 5.2. szakasza szerint.
6.2.3. CO2-mérést és a szénmérleg módszerét használó rendszerek ( 17 )

ahol:
c (CO2)D = a hígított kipufogógáz CO2-koncentrációja
c (CO2)A = a hígítólevegő CO2-koncentrációja
(a koncentráció térfogatszázalékban nedves alapon)
Ez az egyenlet a szénmérleg elvén alapul (a motorba bevitt szénatomok CO2 alakjában távoznak), és a következő lépések során vezethető le:
qmedf = qmew × r d
és

6.2.4. Áramlásméréses rendszerek
qmedf = qmew × rd

6.3. Teljes átáramlású hígítórendszer
Minden számításnak az egyes üzemmódok mintavételi időszak alatti átlagértékein kell alapulnia. A q mdew hígítottkipufogógáz-áramot ezen melléklet 2. függelékének 4.1. szakasza szerint kell meghatározni. Az m sep mintaössztömeget ezen melléklet 2. függelékének 6.2.1. szakasza szerint kell kiszámítani.
6.4. A részecske-tömegáram kiszámítása
A részecske-tömegáramot az alábbiak szerint kell kiszámítani. Teljes átáramlású hígítórendszer használata esetén a 6.2. szakasz szerint meghatározott q medf -et a 6.3. szakasz szerint meghatározott q mdew-vel kell helyettesíteni.



i = 1, ... n
A részecske-tömegáram korrigálható a háttér figyelembevételével az alábbiak szerint:

ahol D-t ezen melléklet 2. függeléke 5.4.1. szakaszának megfelelően kell kiszámítani.
v. A 6. szakasz számozása 7-re változik.
f) A 2. függelék a következőképpen módosul:
i. A 3. szakasz helyébe a következő szöveg lép:
"3. KIBOCSÁTÁSI VIZSGÁLAT
A gyártó kívánságára a mérési ciklus előtt egy előzetes vizsgálat végezhető a motor és kipufogórendszer kondicionálása céljából.
A földgáz- és PB-gáz-üzemű motorokat az ETC-vizsgálat alkalmazásával kell bejáratni. A motornak legalább két ETC-cikluson keresztül, de mindaddig járnia kell, amíg az egy ETC-ciklus alatt mért CO-kibocsátás legalább 10 %-kal meg nem haladja az előző ETC-ciklus alatt mért CO-kibocsátást.
3.1. A mintavevő szűrők előkészítése (ha alkalmazandó)
A vizsgálat előtt legalább egy órával minden szűrőt egy, a porszennyeződéstől védett, csukott, de nem légmentesen zárt Petri-csészébe és azzal együtt egy mérőkamrába kell helyezni stabilizálás céljából. A stabilizációs idő leteltével minden szűrőt le kell mérni, és a tárasúlyt fel kell jegyezni. A szűrőt azután zárt Petri-csészében vagy légmentesen lezárt szűrőtartóban kell tárolni addig, amíg nem lesz rá szükség a vizsgálathoz. A szűrőt a mérőkamrából való eltávolítása után nyolc órán belül fel kell használni. A tárasúlyt rögzíteni kell.
3.2. A mérőberendezés felszerelése
A műszereket és a mintavevő szondákat az előírásoknak megfelelően kell felszerelni. Amennyiben teljes átáramlású hígítórendszer használatára kerül sor, úgy azt a kipufogócsőhöz kell csatlakoztatni.
3.3. A hígítórendszer és a motor indítása
A hígítórendszert és a motort el kell indítani és be kell melegíteni addig, amíg minden hőmérséklet és nyomás a gyártó ajánlása és a bevett szakmai gyakorlat szerint a teljes terheléshez tartozó értéken stabilizálódik.
3.4. A részecske-mintavevő rendszer indítása (csak dízelmotoroknál)
A részecske-mintavevő rendszert el kell indítani és megkerülő vezetéken (by-pass) át kell járatni. A hígítólevegő háttér-részecskeszintjét a hígítólevegő részecskeszűrőn történő áteresztésével lehet meghatározni. Szűrt hígítólevegő használata esetén a vizsgálat előtt vagy után egy mérést lehet elvégezni. Ha a hígítólevegő nem szűrt, mérések végezhetők a ciklus elején és végén, és az értékeket átlagolhatják.
A hígítórendszert és a motort el kell indítani és be kell melegíteni addig, amíg minden hőmérséklet és nyomás a gyártó ajánlása és a bevett szakmai gyakorlat szerint a teljes terheléshez tartozó értéken stabilizálódik.
Időszakos regenerációs utókezelés esetében a regeneráció nem történhet a motor bemelegedése alatt.
3.5. A hígítórendszer beállítása
A hígítórendszer (teljes átáramlású vagy részleges átáramlású) áramlását úgy kell beállítani, hogy a rendszerben ne következzék be nedvességlecsapódás, és a szűrő felületének legmagasabb hőmérséklete 325 K (52 °C) vagy ennél alacsonyabb legyen (lásd az V. melléklet 2.3.1. szakaszában a DT részt).
3.6. A gázelemző készülékek ellenőrzése
A gázelemző készülékeken el kell végezni a nullázást és a felsőértékre történő kalibrálást. Mintavevő zsákok használata esetén azokat ki kell vákuumozni.
3.7. A motor indításának folyamata
A stabilizált motort a gyártó által a kezelési útmutatóban ajánlott eljárással kell elindítani, az indítómotort vagy a fékpadot használva. Tetszés szerint a vizsgálat indítható közvetlenül a motor előkondicionálási fázisából, a motor kikapcsolása nélkül, amikor a motor elérte az alapjárati fordulatszámot.
3.8. A vizsgálati ciklus
3.8.1. A vizsgálat menete
A vizsgálati műveletsorozatot akkor kell elindítani, ha a motor elérte az alapjárati fordulatszámot. A vizsgálatot az ezen függelék 2. szakaszában meghatározott referenciaciklusnak megfelelően kell elvégezni. A motorfordulatszám és -nyomaték beállítási pontok utasításait 5 Hz vagy annál nagyobb gyakorisággal kell kiadni (10 Hz az ajánlott). A vizsgálati ciklus során a visszajelzett motorfordulatszámot és -nyomatékot másodpercenként legalább egyszer fel kell jegyezni, és a jeleket elektronikus úton szűrni lehet.
3.8.2. Gáz-halmazállapotú szennyező anyagok kibocsátásának mérése
3.8.2.1. Teljes átáramlású hígítórendszer
A motor vagy a vizsgálati eljárás indításakor, amennyiben a ciklus közvetlenül az előkondicionálástól indul, a mérőberendezést is el kell indítani, és ezzel egy időben kell:
- a hígítólevegő gyűjtését vagy elemzését elindítani,
- a hígított kipufogógáz gyűjtését vagy elemzését elindítani,
- a hígítottkipufogógáz-mennyiség (CVS), valamint a kívánt hőmérséklet és nyomás mérését elindítani,
- a dinamométer visszajelzett fordulatszám- és nyomaték-adatainak rögzítését elindítani.
A szénhidrogén- (HC-) és NOx-értékeket folyamatosan kell mérni a hígítóalagútban 2 Hz-es frekvenciával. Az átlagos koncentrációkat az elemzőkészülék által az egész vizsgálati ciklus alatt adott jelek integrálásával kell meghatározni. A rendszer válaszideje 20 másodpercnél nem lehet hosszabb, és szükség esetén össze kell hangolni a CVS-áramlás ingadozásaival és a mintavételi idő/vizsgálati ciklus eltolódásokkal. A CO, CO2, NMHC (nem metán szénhidrogének) és CH4 értékeit integrálással vagy a mintavevő zsákban a ciklus alatt összegyűjtött gáz koncentrációjának elemzésével kell meghatározni. A hígítólevegőben található gáz-halmazállapotú szennyező anyagok koncentrációját integrálással vagy a háttérzsákba történő begyűjtéssel kell meghatározni. Minden más értékre másodpercenként legalább egy mérést (1 Hz) kell feljegyezni.
3.8.2.2. A hígítatlan kipufogógáz mérése
A motor vagy - amennyiben a ciklus közvetlenül az előkondicionálástól indul - a vizsgálati műveletsorozat indításakor a mérőberendezést is el kell indítani, és ezzel egy időben kell:
- a hígítatlan kipufogógáz koncentrációinak elemzését elindítani,
- a kipufogógáz vagy a beszívott levegő és az üzemanyagáram mérését elindítani,
- a dinamométer visszajelzett fordulatszám- és nyomatékadatainak rögzítését elindítani.
A gáz-halmazállapotú szennyezőanyag-kibocsátások értékeléséhez a szennyezőanyag-kibocsátási koncentrációkat (HC, CO és NOx) és a kipufogógáz tömegáramát rögzíteni kell, és egy számítógépes rendszeren kell tárolni legalább 2 Hz-cel. A rendszer válaszideje nem lehet hosszabb 10 másodpercnél. Minden más adatot legalább 1 Hz-es mintavételi gyakorisággal lehet rögzíteni. Analóg gázelemző készülékek esetében a választ rögzíteni kell, és a kalibrálási értéket az adatértékelés során online vagy offline alkalmazni lehet.
A gáz-halmazállapotú összetevők tömegkibocsátásának kiszámításához a rögzített koncentrációk nyomainak és a kipufogógáz tömegárama nyomának az I. melléklet 2. szakaszának megfelelően időben a transzformációs időhöz képest arányosnak kell lennie. Ezért minden egyes gázelemző készülék és a kipufogógáz tömegáramát mérő berendezés válaszidejét az ezen melléklet 5. függelékének 4.2.1. és 1.5. szakaszában foglalt rendelkezéseknek megfelelően kell meghatározni, és rögzíteni kell.
3.8.3. Részecske-mintavétel (ha alkalmazandó)
3.8.3.1. Teljes átáramlású hígítórendszer
A motor vagy - amennyiben a ciklus közvetlenül az előkondicionálástól indul - a vizsgálati műveletsorozat indításakor, a részecske-mintavevő rendszert a megkerülő vezetékről részecske-mintavételre kell átkapcsolni.
Ha nem alkalmaznak áramlás-kiegyenlítést, akkor a mintavevő szivattyú(ka)t úgy kell szabályozni, hogy a részecske-mintavevő szondán vagy az átvezető csövön átáramló mennyiség a beállított áramlási mennyiséghez képest ± 5 %-on belül maradjon. Ha áramláskiegyenlítést (azaz arányos mintaáram-szabályozást) alkalmaznak, akkor ki kell mutatni, hogy a főalagút áramának és a részecskeminta áramának aránya nem tér el ± 5 %-nál nagyobb mértékben a beállított értéktől (kivéve a mintavétel első 10 másodpercét).
Megjegyzés: Kettős hígítás alkalmazása esetén a mintaáram a mintavevő szűrőkön áthaladó áram és a másodlagos hígítólevegő áramának nettó különbsége.
Fel kell jegyezni az átlagos hőmérsékletet és nyomást a gázmennyiségmérő(k) vagy az áramlásmérő műszerek belépési pontján. Ha a beállított áramlási mennyiséget a szűrő nagy részecsketerhelése miatt nem lehet fenntartani a teljes ciklus alatt (± 5 %-on belül), akkor a vizsgálatot érvényteleníteni kell. A vizsgálatot meg kell ismételni kisebb áramlási mennyiséggel és/vagy nagyobb átmérőjű szűrővel.
3.8.3.2. Részleges átáramlású hígítórendszer
A motor vagy - amennyiben a ciklus közvetlenül az előkondicionálástól indul - a vizsgálati műveletsorozat indításakor a részecske-mintavevő rendszert a megkerülő vezetékről részecske-mintavételre kell átkapcsolni.
A részleges átáramlású hígítórendszer szabályozásához gyors rendszerreakcióra van szükség. A rendszerre vonatkozó transzformációs időt a III. melléklet 5. függelékének 3.3. szakaszában meghatározott eljárással kell meghatározni. Ha a kipufogógázáram-mérés (lásd a 4.2.1. szakaszt) és a részleges átáramlású rendszer kombinált transzformációs ideje rövidebb mint 0,3 másodperc, akkor online szabályozást lehet használni. Ha a transzformációs idő meghaladja a 0,3 másodpercet, akkor egy előre rögzített vizsgálaton alapuló előzetes szabályozást kell használni. Ebben az esetben a felfutási időnek ≤ 1 másodpercnek és a kombináció késleltetési idejének ≤ 10 másodpercnek kell lennie.
A teljes rendszerválaszt úgy kell meghatározni, hogy biztosítva legyen a részecskék reprezentatív mintavétele, qmp,i, a kipufogógáz-tömegárammal arányosan. Az arányosság meghatározásához a qmp,i kontra qmew,i regressziós analízist kell elvégezni legalább 1 Hz adatgyűjtési gyakoriságon, valamint a következő kritériumoknak kell teljesülnie:
- a qmp,i és qmew,i közötti lineáris regresszió R2 korrelációs együtthatója nem lehet kisebb mint 0,95,
- a qmew,i alapján becsült qmp,i szórása nem haladhatja meg a qmp maximum 5 %-át,
- a regressziós egyenes qmp metszete nem haladhatja meg a qmp maximum ± 2 %-át.
Tetszés szerint lehetséges elővizsgálat lefolytatása, és az elővizsgálat kipufogógáz áramjelzését a részecskerendszerbe történő mintaáramlás szabályozására lehet használni (előzetes szabályozás). Ilyen eljárásra van szükség, ha a részecskerendszer transzformációs ideje, t50,P vagy a kipufogógáz-tömegáram jelzésének transzformációs ideje, t50,F, vagy mindkettő > 0,3 másodperc. A részleges hígítórendszer helyes szabályozása akkor történt meg, ha az elővizsgálat qmew,pre ideje, amely szabályozza a qmp értéket, a t50,P + t50,F előzetes idővel eltolódik.
A qmp,i és qmew,i közötti korreláció meghatározásához a tényleges vizsgálat során gyűjtött adatokat kell használni, t50,F-fel qmp,i-hez igazított qmew,i idővel (az időkiigazításhoz t50,P nem járul hozzá). Vagyis a qmew és qmp közötti időeltolódás a III. melléklet 5. függelékének 3.3. szakaszában meghatározott transzformációs idejük közti különbség.
3.8.4. A motor leállása
Ha a motor a vizsgálati ciklus során bármikor leáll, a motort újra kell kondicionálni, ismét el kell indítani, és a vizsgálatot meg kell ismételni. Ha a vizsgálati ciklus során bármelyik szükséges vizsgálati berendezés elromlik, a vizsgálatot érvényteleníteni kell.
3.8.5. Üzemelés a vizsgálat után
A vizsgálat befejezésekor a hígított kipufogógáz térfogatának vagy a hígítatlan kipufogógáz áramának mérését, a gáz beáramlását a gyűjtőzsákokba, valamint a mintavevő szivattyút le kell állítani. Integráló gázelemző rendszer esetében a mintavételt addig kell folytatni, amíg a rendszer válaszidői le nem telnek.
Ha gyűjtőzsákokat használtak, a bennük lévő gáz koncentrációját a lehető leghamarabb, de a ciklus befejezésétől számított 20 percnél semmiképpen sem később elemezni kell.
A szennyezőanyag-kibocsátási vizsgálat után a gázelemző készülékek újraellenőrzéséhez egy nullázógázt és korábban használt kalibrálási gázt kell használni. A vizsgálat akkor tekinthető elfogadhatónak, ha a vizsgálatot megelőző és a vizsgálatot követő mérési eredmények közötti különbség kisebb, mint a felsőérték-kalibráló gáz értékének 2 %-a.
3.9. A vizsgálat validálása
3.9.1. Az adatok eltolása
A visszajelzés és a referenciaciklus értékei közötti időeltolódás torzító hatásának csökkentése érdekében az egész motorfordulatszám és -nyomaték visszajelzési jelszekvenciát siettetni vagy késleltetni lehet időben a referencia-fordulatszám- és -nyomatékszekvenciához képest. Ha a visszajelzett jeleket eltolják, akkor mind a fordulatszámot, mind a nyomatékot azonos mértékben és irányba kell eltolni.
3.9.2. A ciklus munkájának kiszámítása
A ciklus Wact (kWh) tényleges munkáját a motor valamennyi feljegyzett fordulatszám- és nyomatékérték párjából kell kiszámítani. Ezt, ha ezen opciót választották, a visszajelzett adatok bárminemű eltolását követően kell elvégezni. A ciklus Wact tényleges munkáját a referenciaciklus Wref munkájával történő összehasonlításhoz és a fékpadi fajlagos szennyezőanyag-kibocsátás (lásd 4.4. és 5.2. szakaszt) kiszámításához kell használni. Azonos módszert kell alkalmazni a referencia- és a tényleges motorteljesítmény integrálásához. Ha szomszédos referencia-értékek vagy szomszédos mért értékek közötti értékeket kell meghatározni, akkor lineáris interpolációt kell alkalmazni.
A referencia- és a tényleges ciklus munkájának integrálásakor minden negatív nyomatéki értéket nullával kell egyenlővé tenni, és így kell beszámítani. Ha az integrálás 5 Hertznél kisebb frekvenciával történik, és ha adott idő alatt a nyomaték értéke pozitívról negatívra vagy negatívról pozitívra változik, a negatív részt ki kell számítani, és egyenlővé tenni nullával. A pozitív részt bele kell számítani az integrált értékbe.
Wact értékének a Wref - 15 %-os és + 5 %-os értéke között kell lennie.
3.9.3. A vizsgálati ciklus validálási statisztikája
A visszajelzett fordulatszám-, nyomaték- és teljesítményértékek referenciaértékekre vonatkoztatott lineáris regresszióját meg kell határozni. Ezt, ha ezen opciót választották, a visszajelzett adatok bármilyen eltolása után kell elvégezni. A legkisebb négyzetek módszerét kell alkalmazni, ahol a legjobban illeszkedő egyenlet az alábbi alakú:
y = mx + b
ahol:
y = a fordulatszám (min-1), nyomaték (Nm) vagy teljesítmény (kW) visszajelzett (tényleges) értéke
m = a regressziós egyenes meredeksége
x = a fordulatszám (min-1), nyomaték (Nm) vagy teljesítmény referenciaértéke
b = a regressziós egyenes és az y tengely metszéspontja
Minden regressziós egyenesre ki kell számítani y becslésének x-re vonatkozó szórását (SE) és az (r2) determinációs együtthatót.
Ajánlatos ezt az analízist 1 Hz gyakorisággal elvégezni. Minden negatív referencianyomaték-értéket és a hozzá kapcsolódó visszajelzett értéket törölni kell a ciklus nyomaték- és teljesítmény-validálási statisztikáinak számításából. Ahhoz, hogy egy vizsgálat érvényesnek legyen tekinthető, teljesíteni kell a 7. táblázat kritériumait.
7. táblázat
Regressziós egyenes tűréshatárai
| Fordulatszám | Nyomaték | Teljesítmény | |
| Y becslésének szórása X-re vonatkoztatva | Max. 100 min–1 | A maximális felvételezett nyomaték max. 13 %-a (15 %) (1) | A maximális felvételezett teljesítmény max. 8 %-a (15 %) (1) |
| A regressziós egyenes meredeksége, m | 0,95-től 1,03-ig | 0,83–1,03 | 0,89–1,03 (0,83–1,03) (1) |
| Determinációs együttható, r2 | Min. 0,9700 (min. 0,9500) (1) | Min. 0,8800 (min. 0,7500) (1) | Min. 0,9100 (min. 0,7500) (1) |
| A regressziós egyenes metszéspontja az Y tengellyel, b | ± 50 min–1 | ± 20 Nm vagy a max. nyomaték ± 2 %-a, (± 20 Nm vagy ± 3 %) (1), amelyik nagyobb | ± 4 kW vagy a max. teljesítmény ± 2 % (± 4 kW vagy ± 3 %) (1), amelyik nagyobb |
| (1) 2005. október 1-jéig a zárójelben lévő értékek használhatók a gázüzemű motorok típus-jóváhagyási vizsgálatához. (A Bizottság jelentést készít a gázmotor-technológia fejlődéséről annak érdekében, hogy megerősítse vagy módosítsa a regressziós egyenes ezen táblázatban megadott tűréshatárainak a gázüzemű motorokra alkalmazandó értékeit.) | |||
A regresszióanalízisből a 8. táblázatban megadott pontok törölhetők.
8. táblázat
A regresszióanalízisből törölhető pontok
| Feltételek | Törlendő pontok |
| Teljes terhelési igény és a nyomaték-visszajelzés < 95 % referencianyomaték | Nyomaték és/vagy teljesítmény |
| Teljes terhelési igény és a fordulatszám-visszajelzés < 95 % referencia-fordulatszám | Fordulatszám és/vagy teljesítmény |
| Terheletlen, nem alapjárati pont és a nyomaték-visszajelzés > referencianyomaték | Nyomaték és/vagy teljesítmény |
| Terheletlen, a fordulatszám-visszajelzés ≤ alapjárati fordulatszám + 50 min–1 és a nyomaték-visszajelzés = a gyártó által meghatározott/mért alapjárati nyomaték ± a max. nyomaték 2 %-a | Fordulatszám és/vagy teljesítmény |
| Terheletlen, a fordulatszám-visszajelzés > alapjárati fordulatszám + 50 min–1 és a nyomaték-visszajelzés > 105 % referencianyomaték | Nyomaték és/vagy teljesítmény |
| Terheletlen, és a fordulatszám-visszajelzés > 105 % referencia-fordulatszám | Fordulatszám és/vagy teljesítmény” |
ii. A szöveg a következő, új 4. szakasszal egészül ki:
"4. A KIPUFOGÓGÁZ-ÁRAM KISZÁMÍTÁSA
4.1. A hígított kipufogógáz áramának meghatározása
A ciklus során áthaladt hígított kipufogógáz teljes áramát (kg/vizsgálat) a ciklus során mért értékekből és az áramlásmérő berendezés megfelelő kalibrálási adataiból kell kiszámítani (V 0 a PDP esetében, K V a CFV esetében, C d az SSV esetében, a III. melléklet 5. függeléke 2. szakaszának megfelelően). A következő képleteket kell alkalmazni, ha a ciklus alatt hőcserélő alkalmazásával a hígított kipufogógáz hőmérsékletét állandó értéken tartják (± 6 K a PDP-CVS esetében, ± 11 K a CFV-CVS esetében vagy ± 11 K az SSV-CVS esetében, lásd az V. melléklet 2.3. szakaszát).
A PDP-CVS rendszer esetében:
m ed = 1,293 × V 0 × N P × (p b - p 1) × 273 / (101,3 × T)
ahol:
V 0 = a vizsgálati körülmények között fordulatonként átszivattyúzott gáz térfogata, m3/fordulat
N P = a szivattyúnak a vizsgálat során megtett összes fordulata
p b = a légköri nyomás a vizsgálókamrában, kPa
p 1 = légköri értékhez képesti szívás a szivattyú belépő nyílásánál, kPa
T = a hígított kipufogógáz átlagos hőmérséklete a szivattyú belépő nyílásánál a ciklus alatt, K
A CFV-CVS rendszer esetében:
m ed = 1,293 × t × K v × p p / T 0,5
ahol:
t = a ciklus ideje, s
K V = a kritikus átáramlású Venturi-cső kalibrációs együtthatója állandó feltételek között,
p p = abszolút nyomás a Venturi-cső belépőjénél, kPa
T = abszolút hőmérséklet a Venturi-cső belépőjénél, K
Az SSV-CVS rendszer esetében
m ed = 1,293 × QSSV
ahol:

ahol:
A 0
=
az állandók összessége és az egységek konverziója

= 0,006111 SI-ben egységenként
d = az SSV-torok átmérője, m
C d = az SSV kifolyási tényezője
p p = az abszolút nyomás a Venturi-cső belépőjénél, kPa
T = a hőmérséklet a Venturi-cső belépőjénél, K
r p = az SSV-torok és a belépés abszolút, statikus nyomásának hányadosa = [Kép #1]

Kép #1
rD = az SSV-torok átmérőjének, d, és a belépő csővezeték belső átmérőjének hányadosa = [Kép #2]

Kép #2
Áramláskiegyenlítőt tartalmazó rendszer használata esetén (azaz hőcserélő nélkül) a pillanatnyi tömegkibocsátásokat ki kell számítani, és integrálni kell a ciklus során. Ebben az esetben a hígított kipufogógáz pillanatnyi tömegét a következőképpen kell kiszámítani.
A PDP-CVS rendszer esetében:
m ed,i = 1,293 × V 0 × N P,i × (p b - p 1) × 273 / (101,3 × T)
ahol:
N P,i = a szivattyú által időintervallumonként megtett összes fordulat
A CFV-CVS rendszer esetében:
m ed,i = 1,293 × Δt i × K V × p p / T 0,5
ahol:
Δt i = az időintervallum, s
Az SSV-CVS rendszerek esetében:
med = 1,293 × QSSV × Δti
ahol:
Δt i = az időintervallum, s
Az időintervallum kiszámítását vagy a C d értékre vonatkozó elfogadható értékkel, mint például 0,98, vagy a Q ssv elfogadható értékével kell kezdeni. Ha a számítás Q ssv értékkel kezdődik, akkor a Q ssv kezdeti értékét az Re kifejezéséhez kell használni.
Az SSV-toroknál a Reynolds-számnak minden szennyezőanyag-kibocsátási vizsgálat alatt az ezen melléklet 5. függelékének 2.4. szakaszában meghatározott kalibrálási görbe levezetéséhez használt Reynolds-számok értéktartományában kell lenni.
4.2. A hígítatlan kipufogógáz tömegáramának meghatározása
A hígítatlan kipufogógázban lévő szennyezőanyag-kibocsátások kiszámításához és a részleges átáramlású hígítórendszer szabályozásához szükség van a kipufogógáz tömegáramának ismeretére. A kipufogógáz tömegáramának meghatározásához a 4.2.2. szakasztól a 4.2.5. szakaszig leírt módszerek bármelyike használható.
4.2.1. Válaszidő
A szennyezőanyag-kibocsátások kiszámítása céljából az alábbiakban leírt valamennyi módszer válaszidejének meg kell egyeznie vagy alacsonyabbnak kell lennie a gázelemző készülék válaszidejére vonatkozóan az ezen melléklet 5. függelékének 1.5. szakaszában meghatározott követelménynél.
A részleges átáramlású hígítórendszer szabályozása céljából gyorsabb válaszra van szükség. Az online szabályozással működő részleges átáramlású hígítórendszerek esetében a válaszidőnek ≤ 0,3 másodpercnek kell lenni. Az előrögzített vizsgálaton alapuló előzetes szabályozású részleges átáramlású hígítórendszerek esetében ≤ 1 másodperces felfutási idejű ≤ 5 másodperces válaszidejű kipufogógáz-árammérési rendszer szükséges. A rendszer válaszidejét a készülék gyártójának kell meghatározni. A kipufogógáz-áram és a részleges átáramlású hígítórendszerekkel szembeni kombinált válaszidő-követelményeket a 3.8.3.2. szakasz sorolja fel.
4.2.2. Közvetlen mérési módszer
A pillanatnyi kipufogógáz-áram közvetlen mérését az alábbi módszerekkel lehet elvégezni:
- nyomáskülönbség-mérő készülékekkel, mint például az áramlásmérő-torok,
- ultrahangos áramlásmérővel,
- vortex áramlásmérővel.
A hibás szennyezőanyag-kibocsátási értékeket okozó mérési hibák elkerülésére óvintézkedéseket kell tenni. Az ilyen óvintézkedések magukban foglalják a készülék gondos beépítését a motor kipufogóberendezésébe az eszköz gyártójának ajánlása és a bevett szakmai gyakorlat szerint. A motor teljesítményét és a szennyezőanyag-kibocsátásokat a készülék beépítése nem befolyásolhatja.
A kipufogógáz-áram meghatározása pontosságának legalább a leolvasott érték ± 2,5> %-a vagy a motor maximális értéke ± 1,5 %-a közül a nagyobbnak kell lenni.
4.2.3. Levegő- és üzemanyag-mérési módszer
Ez a módszer a levegőáram és az üzemanyagáram mérését foglalja magában. Olyan légáramlásmérőket és üzemanyagáramlás-mérőket kell használni, amelyek megfelelnek a 4.2.2. szakasz teljes kipufogógáz-áram pontosságára vonatkozó követelményeknek. A kipufogógáz-áram számítása a következőképpen történik:
qmew = qmaw + qmf
4.2.4. A nyomjelző gázok mérési módszere
Ez a kipufogógázban lévő nyomjelzőgáz-koncentráció mérését foglalja magában. Egy közömbös gáz (pl. tiszta hélium) ismert mennyiségét nyomjelző gázként be kell fúvatni a kipufogógáz-áramba. A gáz elvegyül és felhígul a kipufogógázzal, de a kipufogócsőben nem lép reakcióba. A gáz koncentrációját ezután meg kell mérni a kipufogógáz-mintában.
A nyomjelző gáz teljes elvegyülésének biztosítása érdekében a kipufogógáz-mintavevő szondát legalább a gázbefúvatási ponttól számított 1 m távolság vagy a kipufogócső átmérőjének 30-szorosát kitevő távolság közül a távolabbi pontra kell helyezni. A mintavevő szondát a befúvatási ponthoz közelebb is lehet helyezni, amennyiben a teljes elegyítés a nyomjelzőgáz-koncentráció és a referenciakoncentráció összehasonlításával igazolásra kerül, amikor a nyomjelző gáz befúvatása a motortól visszafelé történik.
A nyomjelző gáz áramát úgy kell beállítani, hogy az elegyítés után motoralapjáraton a nyomjelző gáz koncentrációja alacsonyabb legyen, mint a nyomjelzőgáz-elemző teljes skálája.
A kipufogógáz-áram kiszámítása a következő:

ahol:
q mew,i = pillanatnyi kipufogógáz-tömegáram, kg/s
q vt = a nyomjelző gáz árama, cm3/min
c mix.i = a nyomjelző gáz pillanatnyi koncentrációja az elegyítés után, ppm
ρ e = a kipufogógáz sűrűsége, kg/m3 (vö. 3. táblázat)
c a = a nyomjelző gáz háttér-koncentrációja a beszívott levegőben, ppm
Ha a háttér-koncentráció alacsonyabb, mint a nyomjelző gáz koncentrációjának 1 %-a az elegyítés után (c mix.i) maximális kipufogógáz-áramnál, akkor a háttér-koncentráció figyelmen kívül hagyható.
A teljes rendszernek meg kell felelnie a kipufogógázra meghatározott pontossági specifikációnak, és azt az ezen melléklet 5. függeléke 1.7. szakaszának megfelelően kell kalibrálni.
4.2.5. Levegőáram- és levegő-üzemanyag aránymérési módszer
Ez a levegőáramból és a levegő-üzemanyag arányból történő kipufogógáz-tömeg számítását foglalja magában. A pillanatnyi kipufogógáz-tömeg számítása a következő:

ahol:


ahol:
A/F st = sztöchiometrikus levegő-üzemanyag arány, kg/kg
λ = többletlevegő-arány
c CO2 = száraz-CO2-koncentráció, %
c CO = száraz-CO-koncentráció, ppm
c HC = HC-koncentráció, ppm
Megjegyzés: β lehet 1 a széntartalmú üzemanyagok esetében, és 0 a hidrogéntartalmú üzemanyag esetében.
A légáramlásmérőnek meg kell felelnie az ezen melléklet 4. függelékének 2.2. szakaszában meghatározott pontosságra vonatkozó előírásoknak, az alkalmazott CO2-gáz-elemző készüléknek meg kell felelnie az ezen melléklet 4. függelékének 3.3.2. szakaszában meghatározott előírásoknak, és a teljes rendszernek meg kell felelnie a kipufogógáz-áramra vonatkozó pontossági előírásoknak.
Opcióként az ezen melléklet 4. függeléke 3.3.6. szakaszának megfelelő levegő-üzemanyag aránymérő berendezést, mint például egy cirkónium-oxid típusú érzékelőt lehet használni a többletlevegő-arány méréséhez."
iii. A 4. és 5. szakasz helyébe a következő szöveg lép:
"5. A GÁZ-HALMAZÁLLAPOTÚ SZENNYEZŐANYAG-KIBOCSÁTÁS KISZÁMÍTÁSA
5.1. Az adatok értékelése
A hígított kipufogógázban a gáz-halmazállapotú szennyezőanyag-kibocsátások értékeléséhez a szennyezőanyag-kibocsátás koncentrációit (HC, CO és NOx) és a hígított kipufogógáz tömegáramát a 3.8.2.1. szakasznak megfelelően rögzíteni kell, és egy számítógépes rendszerben kell tárolni. Az analóg gázelemző készülékek esetében a választ rögzíteni kell, és a kalibrálási adatot az adatértékelés során online vagy offline alkalmazni lehet.
A hígítatlan kipufogógázban a gáz-halmazállapotú szennyezőanyag-kibocsátások értékeléséhez a szennyezőanyag-kibocsátás koncentrációit (HC, CO és NOx) és a hígított kipufogógáz tömegáramát a 3.8.2.2. szakasznak megfelelően rögzíteni kell és egy számítógépes rendszerben kell tárolni. Az analóg gázelemző készülékek esetében a választ rögzíteni kell, és a kalibrálási adatot az adatértékelés során online vagy offline alkalmazni lehet.
5.2. Száraz/nedves korrekció
Amennyiben a koncentráció mérése száraz alapon történt, akkor azt a következő képlet szerint át kell számítani nedves alapúra. Folyamatos méréshez a konverziót minden további számítás előtt minden egyes pillanatnyi mérésre alkalmazni kell.
cwet = kW × cdry
Az ezen melléklet 1. függelékének 5.2. szakaszában meghatározott konverziós egyenleteket kell alkalmazni.
5.3. NOx korrekció a nedvességtartalom és a hőmérséklet vonatkozásában
Mivel a NOx-kibocsátás függ a környező levegő állapotától, a NOx-koncentrációt korrigálni kell a környező levegő hőmérséklete és nedvességtartalma vonatkozásában, az ezen melléklet 1. függelékének 5.3. szakaszában megadott tényezőkkel. A tényezők a 0 és 25 g/kg közötti szárazlevegő-tartományban érvényesek.
5.4. A kibocsátási tömegáram kiszámítása
A ciklus alatti kibocsátási tömeget (g/vizsgálat) az alkalmazott mérési módszertől függően a következőképpen kell kiszámítani. Amennyiben nem nedves alapon történt a mérés, akkor a mért koncentrációt ezen melléklet 1. függelékének 5.2. szakasza szerint át kell számítani nedves alapúra. Az ideális gáz tulajdonságaira alapuló kijelölt összetevőkre és az ebben az irányelvben érintett üzemanyagokra vonatkozóan az 1. függelék 6. táblázatában megadott megfelelő u gas értékeket kell alkalmazni.
a) a hígítatlan kipufogógáz esetében:

ahol:
u gas = a kipufogógáz-összetevő sűrűsége és a kipufogógáz sűrűsége közötti arány a 6. táblázatból
c gas,i = a hígítatlan kipufogógázban lévő megfelelő összetevő pillanatnyi koncentrációja, ppm
q mew,i = pillanatnyi kipufogógáz-tömegáram, kg/s
f = adat-mintavételi gyakoriság, Hz
n = a mérések száma
b) a hígított kipufogógáz esetében áramláskiegyenlítő nélkül:
mgas = ugas × cgas × med
ahol:
u gas = a kipufogógáz-összetevő sűrűsége és a levegő sűrűsége közötti arány a 6. táblázatból
c gas = a megfelelő összetevő átlagos háttérkorrigált koncentrációja, ppm
m ed = a teljes hígítottkipufogógáz-tömeg a ciklus során, kg
c) a hígított kipufogógáz esetében áramláskiegyenlítővel:

ahol:
c e,i = a hígított kipufogógázban mért megfelelő összetevő pillanatnyi koncentrációja, ppm
c d = a hígítólevegőben mért megfelelő összetevő koncentrációja, ppm
q mdew,i = a hígított kipufogógáz tömegáramának pillanatnyi értéke, kg/s
m ed = a teljes hígítottkipufogógáz-tömeg a ciklus során, kg
u gas = a kipufogógáz-összetevő sűrűsége és a levegő sűrűsége közötti arány a 6. táblázatból
D = hígítási tényező (lásd az 5.4.1. szakaszt)
Ha szükséges, az NMHC és a CH4 koncentrációját az ezen melléklet 4. függelékének 3.3.4. szakaszában található módszerek valamelyikével kell kiszámítani a következők szerint:
a) GC módszer (csak a teljes átáramlású hígítórendszernél):
cNMHC = cHC - cCH4
b) NMC módszer:


ahol:
c HC(w/Cutter) = HC koncentráció az NMC n átáramló mintavevő gázza
c HC(w/oCutter) = HC koncentráció az NMC t megkerülő mintavevő gázzal
5.4.1. A háttérrel korrigált koncentrációk meghatározása (csak a teljes átáramlású hígítórendszernél)
A szennyező anyagok nettó koncentrációjának megállapításához a hígítólevegőben lévő gáz-halmazállapotú szennyező anyagok átlagos háttér-koncentrációját le kell vonni a mért koncentrációkból. A háttér-koncentrációk átlagos értékét a mintavevő- zsákos módszerrel vagy folyamatos méréssel és integrálással lehet meghatározni. A következő képletet kell használni.

ahol:
c e = a megfelelő szennyező anyag hígított kipufogógázban mért koncentrációja, ppm
c d = a megfelelő szennyező anyag hígítólevegőben mért koncentrációja, ppm
D = hígítási tényező
A hígítási tényezőt a következőképpen kell kiszámítani:
a) dízelmotorok és PB-gáz-üzemű motorok esetében

b) földgázüzemű motorok esetében

ahol:
c CO2 = a CO2 koncentrációja a hígított kipufogógázban, térfogat %
c HC = a HC koncentrációja a hígított kipufogógázban, ppm C1
c NMHC = az NMHC koncentrációja a hígított kipufogógázban, ppm C1
c CO = a CO koncentrációja a hígított kipufogógázban, ppm
F S = sztöchiometrikus tényező
Az ezen melléklet 1. függeléke 5.2. szakaszának megfelelően a száraz alapon mért koncentrációkat át kell számítani nedves alapúra.
A sztöchiometrikus tényezőt a következőképpen kell kiszámítani:

ahol:
α, ε egy CH α O ε üzemanyagra vonatkozó moláris hányadosok.
Amennyiben az üzemanyag összetétele nem ismert, a következő sztöchiometrikus tényezőket lehet használni:
F S (dízelolaj) = 13,4
F S (PB-gáz) = 11,6
F S (földgáz) = 9,5
5.5. A fajlagos kibocsátás kiszámítása
A kibocsátást (g/kWh) a következőképpen kell kiszámítani:
a) minden összetevő, kivéve a NOx:

b) NOx:

ahol:
W act = a ciklus 3.9.2. szakasz szerint meghatározott tényleges munkája.
5.5.1. Az időszakos kipufogógáz-utókezelés esetében a szennyezőanyag-kibocsátást a következőképpen kell súlyozni:

ahol:
n1 = a két regeneráció közötti ETC-vizsgálatok száma
n2 = a regeneráció alatti ETC-k száma (legalább egy ETC-vizsgálat)
M gas,n2 = kibocsátás a regeneráció alatt
M gas,n1 = kibocsátás a regeneráció után.
6. A RÉSZECSKEKIBOCSÁTÁS KISZÁMÍTÁSA (HA ALKALMAZANDÓ)
6.1. Az adatok értékelése
A részecskeszűrőt a vizsgálat befejezését követő egy órán belül vissza kell helyezni a mérőkamrába. Legalább egy órán át, de 80 órát nem meghaladóan egy részben fedett Petri-csészében kell kondicionálni, amely védett a porszennyeződéstől, és azután le kell mérni. A szűrők bruttó súlyát fel kell jegyezni, és a tárasúlyt le kell vonni, ez adja az m f részecskeminta-tömeget. A részecskekoncentráció értékeléséhez a vizsgálati ciklus során a szűrőkön áthaladt teljes mintatömeget (m sep) rögzíteni kell.
Háttérkorrekció alkalmazásánál a szűrőn áthaladó hígítólevegő-tömeget (m d) és a részecsketömeget (m f,d) rögzíteni kell.
6.2. A tömegáram kiszámítása
6.2.1. Teljes átáramlású hígítórendszer
A részecsketömeget (g/vizsgálat) a következőképpen kell kiszámítani:

ahol:
m f = a ciklus alatt mintaként gyűjtött részecskék tömege, mg
m sep = a részecskegyűjtő szűrőkön áthaladó hígított kipufogógáz tömege, kg
m ed = a hígított kipufogógáz tömege a ciklus alatt, kg
Kétszeres hígítórendszer használata esetén a másodlagos hígítólevegő tömegét le kell vonni a részecskeszűrőkön áthaladó kétszeres hígítású kipufogógáz-minta teljes tömegéből.
msep = mset - mssd
ahol:
m set = a részecskeszűrőn áthaladó kétszeres hígítású kipufogógáz tömege, kg
m ssd = a másodlagos hígítólevegő tömege, kg
Amennyiben a hígítólevegő részecskeháttérszintjét a 3.4. szakasznak megfelelően meghatározzák, a részecsketömeg korrigálható a háttér figyelembevételével. Ebben az esetben a részecsketömeget (g/vizsgálat) a következőképpen kell kiszámítani:

ahol:
mPT, msep, med = lásd fent
md = a háttérrészecske-mintavevővel gyűjtött első hígítólevegő tömege, kg
mf,d = az elsődleges hígítólevegő összegyűjtött háttérrészecskéinek tömege, mg
D = az 5.4.1. szakaszban meghatározott hígítási tényező
6.2.2. Részleges átáramlású hígítórendszer
A részecskék tömegét (g/vizsgálat) a következő módszerek valamelyikével ki lehet számítani:
a) [Kép #3]

Kép #3
ahol:
m f = a ciklus során mintaként gyűjtött részecskék tömege, mg
m sep = a részecskegyűjtő szűrőkön áthaladó hígított kipufogógáz tömege, kg
m edf = az egyenértékű hígítottkipufogógáz-tömeg a ciklus alatt, kg
Az egyenértékű hígítottkipufogógáz-ciklus alatti teljes tömegét a következőképpen kell meghatározni:



ahol:
q medf,i = a pillanatnyi egyenértékű hígítottkipufogógáz-tömegáram, kg/s
q mew,i = a pillanatnyi kipufogógáz-tömegáram, kg/s
r d,i = a pillanatnyi hígítási arány
q mdew,i = a hígítóalagúton áthaladó pillanatnyi hígítottkipufogógáz-tömegáram, kg/s
q mdw,i = a pillanatnyi hígítólevegő-tömegáram, kg/s
f = adat-mintavételi gyakoriság, Hz
n = a mérések száma
b) [Kép #4]

Kép #4
ahol:
m f = a ciklus alatt mintaként gyűjtött részecskék tömege, mg
r s = az átlagos mintavételi arány a vizsgálati ciklus alatt
ahol:

ahol:
m se = mintatömeg a ciklus alatt, kg
m ew = teljes kipufogógáz-tömegáram a ciklus alatt, kg
m sep = a részecskegyűjtő szűrőkön áthaladó hígított kipufogógáz tömege, kg
m sed = a hígítóalagúton áthaladó hígított kipufogógáz tömege, kg
Megjegyzés: A teljes mintavételi típusú rendszer esetén m sep és M sed megegyezik.
6.3. A fajlagos kibocsátás kiszámítása
A részecskekibocsátást (g/kWh) a következő módon kell kiszámítani:

ahol:
W act = a ciklus 3.9.2. szakasz szerint meghatározott tényleges munkája, kWh.
6.3.1. Az időszakos regenerációs utókezelő rendszer esetében a kibocsátásokat a következőképpen kell mérni:

ahol:
n1 = két regenerációs esemény közötti ETC-vizsgálatok száma
n2 = regeneráció alatti ETC-vizsgálatok száma (legalább egy ETC)
[Kép #5] = regeneráció alatti kibocsátások

Kép #5
[Kép #6] = regeneráción kívüli kibocsátások."

Kép #6
g) A 4. függelék a következőképpen módosul:
i. Az 1. szakasz helyébe a következő szöveg lép:
"1. BEVEZETÉS
A vizsgálat alá vetett motor által kibocsátott gáz-halmazállapotú szennyező anyagokat, részecskéket és füstöt az V. mellékletben leírt módszerekkel kell megmérni. Az V. melléklet megfelelő szakaszai leírják a gáz-halmazállapotú szennyezőanyag-kibocsátásra vonatkozó ajánlott elemzési rendszereket (1. szakasz), az ajánlott részecske-hígítási és mintavételi rendszereket (2. szakasz) és a füst méréséhez ajánlott füstölésmérőket (3. szakasz).
Az ESC esetében a gáz-halmazállapotú összetevőket a hígítatlan kipufogógázból kell meghatározni. A hígított kipufogógázból történő meghatározás is választható, amennyiben a részecskemeghatározáshoz teljes átáramlású hígítórendszert használnak. A részecskék mennyiségét vagy részleges átáramlású, vagy teljes átáramlású hígítórendszerrel kell meghatározni.
Az ETC esetében a következő rendszereket lehet használni
- a gáz-halmazállapotú szennyezőanyag- és részecskekibocsátás meghatározására egy CVS teljes átáramlású hígítórendszert (a kétszeres hígítású rendszerek megengedettek),
- vagy
- a gáz-halmazállapotú szennyező anyagok kibocsátására vonatkozó hígítatlankipufogógáz-mérés és a részecskekibocsátásokra vonatkozó részleges átáramlású hígítórendszer kombinációja,
- vagy
- a két alapelv bármilyen kombinációja (pl. hígítatlan gázhalmazállapot mérése és teljes áramlású részecskemérés)."
ii. A 2.2. szakasz helyébe a következő szöveg lép:
"2.2. Egyéb műszerek
Az előírt módon kell műszereket használni az üzemanyag-fogyasztásnak, levegőfelhasználásnak, a hűtőközeg és a kenőanyag hőmérsékletének, a kipufogógáz nyomásának és a szívási vákuumnak, a kipufogógáz hőmérsékletének, a beszívott levegő hőmérsékletének, a légköri nyomásnak, a nedvességtartalomnak és az üzemanyag hőmérsékletének mérésére. Ezeknek a műszereknek meg kell felelniük a 9. táblázatban megadott követelményeknek:
9. táblázat
A mérőműszerek pontossága
| Mérőműszer | Pontosság |
| Üzemanyag-fogyasztás | A motor maximális értékének ± 2 %-a |
| Levegőfelhasználás | A leolvasott érték ± 2 %-a vagy a motor maximális értékének ± 1 %-a közül a nagyobb érték |
| Kipufogógáz-áram | A leolvasott érték ± 2,5 %-a vagy a motor maximális értékének ± 1,5 %-a közül a nagyobb érték |
| Hőmérsékletek ≤ 600 K (327 °C) | ± 2 K abszolút érték |
| Hőmérsékletek ≥ 600 K (327 °C) | A leolvasott érték ± 1 %-a |
| Légköri nyomás | ± 0,1 kPa abszolút érték |
| Kipufogógáz-nyomás | ± 0,2 kPa abszolút érték |
| Belépő szívási vákuum | ± 0,05 kPa abszolút érték |
| Egyéb nyomások | ± 0,1 kPa abszolút érték |
| Relatív páratartalom | ± 3 % abszolút érték |
| Abszolút páratartalom | A leolvasott érték ± 5 %-a |
| Hígítólevegő-áram | A leolvasott érték ± 2 %-a |
| Hígítottkipufogógáz-áram | A leolvasott érték ± 2 %-a” |
iii. A 2.3. és 2.4. szakaszt el kell hagyni.
iv. A 3. és 4. szakasz helyébe a következő szöveg lép:
"3. A GÁZ-HALMAZÁLLAPOTÚ ÖSSZETEVŐK MEGHATÁROZÁSA
3.1. A gázelemző készülékek általános előírásai
A gázelemző készülékeknek olyan méréstartománnyal kell rendelkezniük, amely alkalmas a kipufogógáz-összetevők koncentrációinak megkívánt pontosságú mérésére (3.1.1. szakasz). Ajánlatos a gázelemző készüléket úgy használni, hogy a mért koncentráció a teljes méréstartomány 15 %-a és 100 %-a közé essen.
Amennyiben olyan leolvasó rendszereket (számítógépek, adatregisztráló berendezések) alkalmaznak, amelyek a teljes méréstartomány 15 %-a alatt is megfelelő pontosságúak és felbontóképességűek, akkor a teljes méréstartomány 15 %-a alatti mérések is elfogadhatók. Ebben az esetben legalább 4 nem nulla, nominálisan egyenlő távolságban lévő pont további kalibrálását kell elvégezni az ezen melléklet 5. függeléke 1.6.4. szakasza szerinti kalibrálási görbék pontosságának biztosítása érdekében.
A berendezés elektromágneses kompatibilitási (EMC) szintjének biztosítania kell, hogy a járulékos hibák minimálisak legyenek.
3.1.1. Pontosság
A gázelemző készülék a nominális kalibrálási ponttól nem térhet el többel, mint a zérus nélküli teljes méréstartomány leolvasott értékének ± 2 %-a és a teljes skála ± 0,3 %-a közül a nagyobb érték. A pontosságot az ezen melléklet 5. függelékének 1.6. szakaszában meghatározott kalibrálási követelményeknek megfelelően kell meghatározni.
Megjegyzés: Ezen irányelv alkalmazásában a pontosság úgy került meghatározásra, mint a gázelemző készülék leolvasott értékének a nominális kalibrálási értékektől való eltérése kalibrálógáz használata esetén (= valós érték).
3.1.2. Precízió
A precízió, ami egy adott kalibráló gázra vagy egy felsőérték-kalibráló gázra kapott 10 megismételt mérési eredmény szórásának 2,5-szerese, nem lehet nagyobb, mint a teljes méréstartományhoz tartozó koncentráció ± 1 %-a minden használt tartományban 155 ppm (vagy ppmC) felett, vagy ± 2 %-a minden használt tartományban 155 ppm (vagy ppmC) alatt.
3.1.3. Zaj
A gázelemző készülék csúcstól csúcsig válaszadása nullázó és kalibráló vagy felsőérték-kalibráló gázokra bármely 10 másodperces időközben nem lehet nagyobb, mint a teljes méréstartomány 2 %-a az összes használt tartományban.
3.1.4. Nullpont-eltolódás
A nullpont- (zérus-) válasz meghatározása: az átlagos válasz, a zavarójelet is beleértve, egy nullázó gázra egy 30 másodperces időtartam alatt. A nullpont-eltolódásnak egy egyórás időtartam során kisebbnek kell lennie, mint a legalacsonyabb használt tartományban a teljes méréstartomány 2 %-a.
3.1.5. Felsőérték-eltolódás
A felsőérték-válasz meghatározása: az átlagos válasz, a zavarójelet is beleértve, egy felsőérték-kalibráló gázra egy 30 másodperces időtartam alatt. A felsőérték-eltolódásának egy egyórás időtartam során kisebbnek kell lennie, mint a legalacsonyabb használt tartományban a teljes méréstartomány 2 %-a.
3.1.6. Felfutási idő
A mérési rendszerbe szerelt gázelemző készülék felfutási ideje nem haladhatja meg a 3,5 másodpercet.
Megjegyzés: Kizárólag a gázelemző készülék válaszidejének az elemzése nem határozza meg egyértelműen a tranziens vizsgálathoz szükséges teljes rendszer alkalmasságát. A rendszeren áthaladó mennyiségek és különösen a holt mennyiségek nemcsak a szondától a gázelemző készülékig tartó szállítási időt befolyásolják, hanem a felfutási időre is hatnak. A gázelemző készüléken belüli szállítási idő is befolyásolná a gázelemző készülék válaszidejének meghatározását, akár csak a NOx-elemzőkön belül lévő konverter vagy vízcsapda. A teljes rendszer válaszidejének meghatározása ezen melléklet 5. függelékének 1.5. szakaszában található.
3.2. Gázszárítás
Az opcionális gázszárító készülék csak minimális hatással lehet a mért gázok koncentrációjára. Kémiai szárítók nem fogadhatók el a mintában lévő víz eltávolítására.
3.3. Gázelemző készülékek
Az alkalmazandó mérési elveket a 3.3.1-3.3.4. szakaszok írják le. A mérőrendszerek részletes leírását az V. melléklet tartalmazza. A mérendő gázokat az alábbi készülékekkel kell elemezni. Nem lineáris elemző készülékek esetében megengedett a linearizáló áramkörök használata.
3.3.1. Szén-monoxid- (CO-) elemzés
A szén-monoxid-elemző készüléknek nem diszperzív infravörös abszorpciós gázelemző készüléknek (NDIR) kell lennie.
3.3.2. Szén-dioxid- (CO2-) elemzés
A szén-dioxid-elemző készüléknek nem diszperzív infravörös abszorpciós gázelemző készüléknek (NDIR) kell lennie.
3.3.3. Szénhidrogén- (HC-) elemzés
Dízelmotorok és PB-gáz-üzemű motorok esetében a szénhidrogén-elemző készüléknek fűtött lángionizációs detektornak (HFID) kell lennie oly módon fűtött detektorral, szelepekkel, csövezéssel stb., hogy a gáz hőmérsékletét 463 K ± 10 K (190 ± 10 °C) értéken tartsa. Földgázüzemű motorok esetében a szénhidrogén-elemző készülék a használt módszertől függően lehet nem fűtött lángionizációs detektor (FID) (lásd az V. melléklet 1.3. szakaszát).
3.3.4. Nem metán szénhidrogén (NMHC-) elemzés (csak a földgázüzemű motorok esetében)
A nem metán szénhidrogéneket a következő módszerek valamelyikével kell meghatározni:
3.3.4.1. Gázkromatográfiás (GC) módszer
A nem metán szénhidrogéneket úgy kell meghatározni, hogy a 3.3.3. szakasz szerint megmért szénhidrogénekből le kell vonni a 423 K (150 °C) hőmérsékleten kondicionált, gázkromatográffal (GC) kielemzett metánt.
3.3.4.2. Nem metán eltávolítási (NMC) módszer
A nem metán frakció meghatározását egy, a 3.3.3. szakasz szerinti FID-del sorba kötött fűtött NMC-vel kell végezni, kivonva a metánt a szénhidrogénekből.
3.3.5. A nitrogén-oxidok (NOx) elemzése
A nitrogénoxid-elemző készüléknek száraz alapon való mérésnél kemilumineszcens detektornak (CLD) vagy fűtött kemilumineszcens detektornak (HCLD) kell lennie NO2/NO konverterrel. Nedves alapon való mérésnél 328 K (55 °C) feletti hőmérsékleten tartott konverteres HCLD-t kell használni, feltéve hogy a vizes keresztcsillapítási próba (lásd ezen melléklet 5. függelékének 1.9.2.2. szakaszát) eredménye megfelelő.
3.3.6. Levegő-üzemanyag mérés
Az ezen melléklet 2. függeléke 4.2.5. szakaszában megjelölt, a kipufogógáz-áram meghatározásához használt levegő-üzemanyag mérőberendezésnek egy széles tartományú levegő-üzemanyag arányérzékelőnek vagy egy cirkónium típusú lambda-érzékelőnek kell lennie. Az érzékelőt közvetlenül a kipufogócsőre kell felszerelni, olyan helyre, ahol a kipufogógáz hőmérséklete kellően magas a vízlecsapódás kiküszöböléséhez.
A beépített elektronikával rendelkező érzékelő pontosságának a következő értékek közé kell esnie:
A leolvasott érték ± 3 %-a λ < 2
A leolvasott érték ± 5 %-a 2 ≤ λ < 5
A leolvasott érték ± 10 %-a 5 ≤ λ
A fent meghatározott pontosság eléréséhez az érzékelőt a műszer gyártója által előírtak szerint kell kalibrálni.
3.4. Gáz-halmazállapotú szennyezőanyag-kibocsátás mintavétele
3.4.1. Hígítatlan kipufogógáz
A gáz-halmazállapotú szennyező anyagok mintavevő szondáit legalább 0,5 m-rel vagy a kipufogócső átmérőjének háromszorosával - attól függően, melyik a nagyobb - a kipufogógáz-rendszer kilépési helye elé kell elhelyezni, de kellően közel a motorhoz annak biztosítására, hogy a kipufogógáz hőmérséklete a szondánál legalább 343 K (70 °C) legyen.
Többhengeres, elágazó kipufogó-gyűjtőcsővel rendelkező motoroknál a szondát a motortól elegendően messze kell elhelyezni ahhoz, hogy a minta az összes henger szennyezőanyag-kibocsátásának átlagát képviselje. Elkülönített kipufogógyűjtőcső-csoportokkal rendelkező többhengeres motoroknál, például V-motoroknál, ajánlatos a kipufogó-gyűjtőcső kilépési pontja és a mintavevő szonda kombinálása. Ha ez nem megvalósítható, akkor megengedett a legmagasabb CO2-kibocsátású csoportból történő mintavétel. Más módszerek is használhatók, ha kimutatták, hogy a fentiekkel azonos eredményt adnak. A kipufogógázok szennyezőanyag-kibocsátásának kiszámításához a teljes kipufogógáz-tömegáramot kell használni.
Amennyiben a motor kipufogógáz-utókezelő rendszerrel van felszerelve, a kipufogógáz-mintát a kipufogógáz-utókezelő rendszer utáni vezetékszakaszból kell venni.
3.4.2. Hígított kipufogógáz
A kipufogócsőnek a motor és a teljes átáramlású hígítórendszer között meg kell felelnie az V. melléklet 2.3.1. szakasza szerinti követelményeknek (EP).
A gáz-halmazállapotú szennyező anyagok kibocsátásának mintavevő szondáját (szondáit) a hígítóalagútban a részecske-mintavevő szonda közvetlen közelében és olyan ponton kell elhelyezni, ahol a hígítólevegő és a kipufogógáz már jól összekeveredett.
A mintavétel általában kétféleképpen történhet:
- a ciklus során keletkező szennyező anyagokat mintavevő zsákban gyűjtik össze, és a vizsgálat befejezése után mérik meg,
- a szennyező anyagokat a ciklus során folyamatosan gyűjtik és integrálják; ez a módszer kötelező a HC és a NOx esetében.
4. A RÉSZECSKÉK MEGHATÁROZÁSA
A részecskék meghatározásához hígítórendszerre van szükség. A hígítás részleges átáramlású hígítórendszerrel vagy teljes átáramlású kétszeres hígítórendszerrel végezhető el. A hígítórendszer átbocsátóképességének elég nagynak kell lennie ahhoz, hogy teljes mértékben kiküszöbölje a víz lecsapódását a hígító- és mintavevő rendszerben. A hígított kipufogógáz hőmérsékletének közvetlenül a szűrőtartók előtt 325 K (52 °C) ( 18 ) alatt kell lennie. A hígítólevegő nedvességtartalmának szabályozása a hígítórendszerbe történő belépés előtt megengedett, és különösen hasznos a párátlanítás, ha magas a hígítólevegő nedvességtartalma. A hígítólevegő hőmérsékletének a hígítóalagútba történő belépési pont közvetlen közelében 288 K-nél (15 °C) magasabbnak kell lennie.
A részleges átáramlású hígítórendszert úgy kell kialakítani, hogy a motor kipufogógáz-áramából egy arányos hígítatlan kipufogógáz-mintát lehessen venni, így reagálva a kipufogógáz-áramban meglévő ingadozásokra, és úgy kell bevezetni a hígítólevegőt ebbe a mintába, hogy a hőmérséklet a vizsgálati szűrőn a 325 K (52 °C) értéket érje el. Ehhez elengedhetetlen, hogy a hígítási arányt vagy az r dil vagy r s mintavételi arányt az ezen melléklet 5. függelékének 3.2.1. szakaszában megadott pontossági határértékek betartásával határozzák meg. Különféle kivonatolási módszerek alkalmazhatók, így a kivonatolás módja jelentős mértékben meghatározza a mintavevő berendezést és az alkalmazandó eljárásokat (az V. melléklet 2.2. szakasza).
A részecske-mintavevő szondát általában a gáz-halmazállapotú szennyezőanyag-kibocsátás mintavevő szondájának közvetlen közelében kell elhelyezni, de megfelelő távolságban ahhoz, hogy ne okozzon interferenciát. Ezért a 3.4.1. szakasz beszerelésre vonatkozó rendelkezései a részecske-mintavételre is vonatkoznak. A mintavevő vezetéknek meg kell felelnie az V. melléklet 2. szakaszában meghatározott követelményeknek.
Többhengeres, elágazó kipufogó-gyűjtőcsővel rendelkező motoroknál a szondát a motortól elegendően messze kell elhelyezni ahhoz, hogy a minta az összes henger szennyezőanyag-kibocsátásának átlagát képviselje. Elkülönített kipufogógyűjtőcső-csoportokkal rendelkező többhengeres motoroknál, például V-motoroknál ajánlatos a kipufogó-gyűjtőcső kilépési pontja és a mintavevő szonda kombinálása. Ha ez nem megvalósítható, akkor megengedett a legmagasabb részecskekibocsátású csoportból történő mintavétel. Más módszerek is használhatóak, ha kimutatták, hogy a fentiekkel azonos eredményt adnak. A kipufogógáz-kibocsátás kiszámításához a teljes kipufogógáz-tömegáramot kell használni.
A részecskék tömegének meghatározásához egy részecske-mintavevő rendszerre, részecske-mintavevő szűrőkre, egy analitikai mérlegre, valamint egy hőmérséklet- és nedvességtartalom-szabályozással ellátott mérőkamrára van szükség.
A részecske-mintavételhez az egyszűrős módszert kell alkalmazni, amely a teljes vizsgálati ciklus során egy szűrőpárt használ (lásd 4.1.3. szakasz). Az ESC-vizsgálat esetében különös figyelmet kell fordítani a mintavételi időkre és a vizsgálat mintavételi szakaszában az áramlásra.
4.1. Részecske-mintavevő szűrők
A hígított kipufogógázból olyan szűrővel kell mintát venni, amely a vizsgálat során megfelel a 4.1.1. és a 4.1.2. szakasz követelményeinek.
4.1.1. A szűrő leírása
Fluorkarbon bevonatú üvegszál szűrőkre van szükség. Minden szűrőtípusnak legalább 99 %-os 0,3 μm DOP (dioktilftalát) mintavételi hatékonysággal kell bírnia 35 és 100 cm/s közötti merőleges gázáramlási sebesség mellett.
4.1.2. A szűrők mérete
47 mm vagy 70 mm átmérőjű részecskeszűrők ajánlottak. Nagyobb átmérőjű szűrők elfogadhatók (4.1.4. szakasz), de kisebb átmérőjű szűrők nem engedélyezettek.
4.1.3. A gáz merőleges áramlási sebessége a szűrőn át
A gáz szűrő síkjára merőleges áramlási sebességének 35 és 100 cm/s között kell lennie. A vizsgálat előtt és a vizsgálat után mért nyomásesés-növekedés nem lehet több mint 25 kPa.
4.1.4. A szűrő terhelése
A leginkább használatos szűrőméretekre megkívánt minimális szűrőterhelés értékeket a 10. táblázat tartalmazza. Nagyobb szűrőméretekre a minimális szűrőterhelésnek 0,065 mg/1 000 mm2 szűrőfelület értékűnek kell lenni.
10. táblázat
Minimális szűrőterhelések
| Szűrőátmérő (mm) | Minimális terhelés (mg) |
| 47 | 0,11 |
| 70 | 0,25 |
| 90 | 0,41 |
| 110 | 0,62 |
Amennyiben egy előző vizsgálat alapján a megkívánt minimális szűrőterhelés valószínűleg nem érhető el a vizsgálati ciklusban az áramlás és a hígítási arány optimalizálása után, akkor az érintett felek megállapodása alapján alacsonyabb szűrőterhelés is elfogadható, ha kimutatható, hogy a 4.2. szakasz követelményeinek megfelelő pontosság tartható, pl. 0,1μg egyensúllyal.
4.1.5. Szűrőtartó
A szennyezőanyag-kibocsátási vizsgálathoz a szűrőket egy, az V. melléklet 2.2. szakasza követelményeinek megfelelően összeállított szűrőtartóba kell helyezni. Az összeállított szűrőtartót úgy kell kialakítani, hogy egyenletes áramláseloszlást biztosítson a szűrő működő területén. A szűrőtartó előtt vagy mögött gyors reagálású szelepeket kell elhelyezni. Egy 50 %-os leszabályozási fordulatszámú, 2,5 μm és 10 μm közötti tehetetlenségi előosztályozót lehet felszerelni közvetlenül a szűrőtartó előtt. Az előosztályozó használata különösen ajánlott, ha a kipufogógáz-áram előtt egy nyitott csövű mintavevő szonda használatára kerül sor.
4.2. A mérőkamra és az analitikai mérleg leírása
4.2.1. A mérőkamrára vonatkozó feltételek
A részecskeszűrők kondicionálására és mérésére szolgáló kamra (vagy helyiség) hőmérsékletét minden szűrőkondicionálás és -mérés alatt 295 K ± 3 K (22 °C ± 3 °C) közötti értéken kell tartani. A nedvességtartalmat 282,5 K ± 3 K (9,5 °C ± 3 °C) harmatpont és 45 % ± 8 % relatív nedvességtartalom értékén kell tartani.
4.2.2. A referenciaszűrő lemérése
A kamrának (helyiségnek) mentesnek kell lennie minden olyan környezeti szennyeződéstől (például portól), ami a stabilizálódás alatt lerakódhatna a részecskeszűrőkre. A mérőhelyiségben a 4.2.1. szakaszban megadott értékektől való eltérések (zavarok) csak akkor engedhetők meg, ha a zavarok időtartama nem haladja meg a 30 percet. A mérőhelyiségnek a személyzet belépése előtti időszakban kell megfelelnie az előírt követelményeknek. Legalább két használatlan referenciaszűrőt kell lemérni 4 órán belül, de lehetőség szerint a mintavevő szűrő lemérésével egyidőben. A referenciaszűrők méretének és anyagának ugyanolyannak kell lenni, mint a mintavevő szűrőké.
Ha a referenciaszűrők átlagos súlya a mintavevő szűrők mérlegelései közötti időben 10 μg-ot meghaladóan változik meg, akkor az összes mintavevő szűrőt el kell dobni, és a szennyezőanyag-kibocsátási vizsgálatot meg kell ismételni.
Ha a 4.2.1. szakaszban leírt mérőhelyiség-stabilitási kritériumok nem teljesülnek, de a referenciaszűrő-mérések megfelelnek a fenti kritériumoknak, a motorgyártó vagy elfogadja a mintavevőszűrő-súlyokat, vagy semmisnek tekinti a vizsgálatot, beállítja a mérőhelyiség szabályozórendszerét, és újra lefolytatja a vizsgálatot.
4.2.3. Analitikai mérleg
Az összes szűrő súlyának megállapításához használt analitikai mérleg pontosságának (szórásának) a mérleg gyártójának előírása szerint legalább 2 μg-nak és felbontásának legalább 1 μg-nak (1 osztás = 1 μg) kell lennie.
4.2.4. A statikus elektromosság hatásának kiküszöbölése
A statikus elektromosság hatásának kiküszöbölése érdekében a szűrőket a mérés előtt közömbösíteni kell, pl. egy polónium közömbösítővel, egy Faraday-ketreccel vagy egy hasonló hatású készülékkel.
4.2.5. Az áramlásmérés előírásai
4.2.5.1. Általános követelmények
Az áramlásmérő vagy az áramlásmérő eszközök abszolút pontosságának a 2.2. szakasz előírásainak kell megfelelnie.
4.2.5.2. A részleges átáramlású hígítórendszerekre vonatkozó különleges rendelkezések
A részleges átáramlású hígítórendszerekre vonatkozóan a q mp mintaáram pontossága különleges jelentőséggel bír, ha mérése nem közvetlenül történik, hanem az áramlásmérés különbözetével kerül meghatározásra:
q mp = qmdew - qmdw
Ebben az esetben a q mdew és q mdw értékekre vonatkozó ± 2 %-os pontosság nem elegendő a q mp értékre vonatkozó elfogadható pontosság biztosításához. Ha a gázáramot az áramlásmérés különbözetével határozzák meg, a különbség maximális eltérésének olyannak kell lennie, hogy a q mp pontossága ± 5 %-on belül legyen, amikor a hígítási arány kisebb mint 15. Ezt az egyes eszközök eltérései négyzetes középértékének vételével lehet kiszámítani.
A q mp elfogadható pontosságát a következő módszerek valamelyikével is meg lehet kapni:
a q mdew és a q mdw abszolút pontossága ± 0,2 %, ami biztosítja, hogy a q mp pontossága ≤ 5 % 15-ös hígítási aránynál. Ugyanakkor magasabb hígítási arányoknál magasabb eltérések fordulhatnak elő;
a q mdw q mdew-re vonatkozó kalibrálása úgy történik, hogy a q mp-re ugyanolyan pontosságot kapjunk, mint az a) pontban. Az ilyen kalibrálásra vonatkozó részletekkel kapcsolatban lásd a III. melléklet 5. függelékének 3.2.1. szakaszát;
a q mp pontosságának meghatározása közvetve egy nyomjelzőgáz, pl. CO2 által meghatározott hígítási arány pontosságából történik. A q mp-re vonatkozóan itt is az a) pontban leírt módszerrel megegyező pontosság a megkövetelt;
a q mdew és a q mdw abszolút pontossága a teljes értéktartomány ± 2 %-án belül van, a q mdew és q mdw közötti különbség maximális eltérése 0,2 %-on belül van, és a lineáris eltérés a vizsgálat során megfigyelt legmagasabb q mdew érték ± 0,2 %-án belül van.
h) Az 5. függelék a következőképpen módosul:
i. A szöveg a következő, új 1.2.3. szakasszal egészül ki:
"1.2.3. A precíziós keverőkészülékek használata
A kalibráláshoz és a felsőérték-beállításhoz használt gázokat precíziós keverőkészülékekkel (gázelosztó készülékekkel), tisztított N2-nel vagy tisztított szintetikus levegővel való hígítással is ki lehet nyerni. A keverőkészülék pontosságának olyannak kell lennie, hogy a kevert kalibrálógázok koncentrációja ± 2 %-os pontosságon belüli legyen. Ez a pontosság magában foglalja, hogy a keveréshez használt elsődleges gázok pontosságának a nemzeti és nemzetközi gázszabványoknak megfelelően legalább ± 1 %-osnak kell lennie. Az igazolást valamennyi keverőkészüléket használó kalibrálás esetében a teljes skála 15 és 50 %-a között kell elvégezni.
A keverőkészülék ellenőrzésére választható egy olyan eszköz is, amely természeténél fogva lineáris, pl. NO-gáz használata egy CLD-vel. Az eszköz kalibrálási értékét az eszközhöz közvetlenül kapcsolt felsőérték-kalibráló gázzal kell beállítani. A keverőkészüléket a használt beállításokon kell ellenőrizni, és a névleges értéket össze kell hasonlítani az eszköz mért koncentrációjával. Ennek a különbségnek minden ponton a névleges érték ± 1 %-án belül kell lennie."
ii. Az 1.4. szakasz helyébe a következő szöveg lép:
"1.4. Szivárgási vizsgálat
El kell végezni a rendszer szivárgási vizsgálatát. A szondát le kell kapcsolni a kipufogórendszerről, és a rendszer végét le kell zárni. A gázelemző készülék szivattyúját be kell kapcsolni. A kezdeti stabilizálódási időszak után minden áramlásmérőnek nulla értéket kell mutatnia. Ha nem így lenne, ellenőrizni kell a mintavevő vezetéket, és a hibát ki kell javítani.
A legmagasabb megengedett szivárgási érték a vákuumoldalon a rendszer ellenőrzés alatt álló részén használat közben átáramló mennyiség 0,5 %-a lehet. A használat közbeni átáramló mennyiség megbecsüléséhez a gázelemző készüléken és a megkerülő vezetéken átfolyó mennyiség vehető figyelembe.
Egy másik megoldás szerint a rendszert legalább 20 kPa vákuumnyomással (80 kPa abszolút nyomással) ki lehet üríteni. Egy kezdeti stabilizációs időszak után a rendszerben a nyomás emelkedése Δp (kPa/min) nem haladhatja meg a következőt:
Δp = p / V s × 0,005 × q vs
ahol:
V s = rendszertérfogat, l
q vs = a rendszer áramlása, l/min
Egy másik módszer egy koncentrációváltás előidézése a mintavevő vezeték elején nullázógázról kalibrálógázra való átváltás útján. Ha megfelelő idő eltelte után a koncentráció körülbelül 1 %-kal kisebbnek mutatkozik, mint amekkora a gáz bevezetésekor volt, az kalibrálási vagy szivárgási problémára utal."
iii. A szöveg a következő, új 1.5. szakasszal egészül ki:
"1.5. Az analitikai rendszer válaszidejének ellenőrzése
A válaszidő értékeléséhez a rendszer beállításainak pontosan ugyanolyanoknak kell lenniük, mint a vizsgálat során lefolytatott mérések idején (azaz nyomás, áramlások, szűrőbeállítások a gázelemzőkön és minden más, a válaszidőt befolyásoló tényező). A válaszidő meghatározását a gáznak közvetlenül a mintavevő szonda belépésénél történő bekapcsolásával kell végrehajtani. A gáz bekapcsolását kevesebb mint 0,1 másodperc alatt kell megtenni. A vizsgálathoz használt gázoknak legalább 60 % FS koncentrációváltozást kell előidézniük.
Minden egyes gázösszetevő koncentrációnyomát rögzíteni kell. A válaszidő a gáz bekapcsolása és a rögzített koncentráció megfelelő megváltozása között eltelt idő. A rendszer válaszideje (t 90) a mérődetektor késleltetési idejéből és a detektor felfutási idejéből áll. A késleltetési idő az az idő, ami a változástól (t 0) addig telik el, amíg a válasz a végső leolvasás (t 10) 10 %-a. A felfutási idő a végső leolvasás 10 %-os és 90 %-os válasza közötti idő (t 90 - t 10).
A hígítatlan mérés esetében a gázelemző és a kipufogógáz-áram jelzéseinek időbeni igazítására vonatkozóan a transzformációs idő az az idő, ami a változástól (t 0) addig telik el, amíg a válasz a végső leolvasás 50 %-a (t 50).
A rendszer válaszidejének minden korlátozott összetevő (CO, NOx, HC vagy NMHC) esetében és minden használt tartományra ≤ 10 másodpercnek kell lennie ≤ 3,5 másodperc felfutási idővel."
iv. Az 1.5. szakasz helyébe a következő szöveg lép:
"1.6. Kalibrálás
1.6.1. Műszeregység
A műszeregységet kalibrálni kell, és a kalibrálási görbéket standard gázokkal összehasonlítva kell ellenőrizni. Ugyanakkora gázáramot kell alkalmazni, mint a kipufogógáz mintavételezésekor.
1.6.2. Bemelegedési idő
A bemelegedési időnek a gyártó által javasoltnak kell lennie. Ha ez nincs megadva, ajánlatos a gázelemző készülékeket legalább két órán át előmelegíteni.
1.6.3. NDIR és HFID elemzőkészülék
Az NDIR gázelemző készüléket szükség szerint be kell hangolni, és a HFID gázelemző készülék lángját optimalizálni kell (1.8.1. szakasz).
1.6.4. A kalibrálási görbe előállítása
- Minden, a szokásos körülmények között használt működési tartományt kalibrálni kell
- Tisztított szintetikus levegő (vagy nitrogén) alkalmazásával a CO-, CO2-, NOx- és HC-elemző készülékeket nullázni kell
- A megfelelő kalibrálógázokat be kell vezetni a gázelemző készülékbe, az értékeket rögzíteni kell, és el kell készíteni a kalibrálási görbét
- A kalibrálási görbét a működési tartomány legalább 6, egymástól megközelítőleg egyforma távolságban elhelyezkedő kalibrálási pontján (a nullát nem számítva) kell megállapítani. A legnagyobb névleges koncentrációnak a teljes skála 90 %-ával megegyezőnek vagy annál nagyobbnak kell lennie
- A kalibrálási görbét a legkisebb négyzetek módszerével kell kiszámítani. A legjobban illeszkedő lineáris vagy nem lineáris egyenletet lehet használni
- A kalibrálási pontok nem térhetnek el a legkisebb négyzetek módszerével kiszámított legjobban illeszkedő vonaltól többel, mint a leolvasott érték ± 2 %-a és a teljes skála ± 0,3 %-a közül a nagyobbal
- A nullpontbeállítást ismételten ellenőrizni kell, és a kalibrálási eljárást szükség esetén meg kell ismételni.
1.6.5. Alternatív módszerek
Ha igazolható, hogy az alternatív módszerek (pl. számítógép, elektronikus vezérlésű tartományváltó stb.) azonos pontosságot nyújtanak, akkor ezeket az alternatívákat is lehet használni.
1.6.6. A nyomjelzőgáz-elemző készülék kalibrálása a kipufogógáz-áram mérése esetén
A kalibrálási görbét a működési tartomány legalább 6, egymástól megközelítőleg egyforma távolságban elhelyezkedő kalibrálási pontján (a zérust nem számítva) kell megállapítani. A legnagyobb névleges koncentrációnak a teljes skála 90 %-ával megegyezőnek vagy annál nagyobbnak kell lennie. A kalibrálási görbe kiszámítása a legkisebb négyzetek módszerével történik.
A kalibrálási pontok nem térhetnek el a legkisebb négyzetek módszerével kiszámított legjobban illeszkedő vonaltól a leolvasott érték ± 2 %-át vagy a teljes skála ± 0,3 %-át - attól függően, hogy melyik nagyobb - meghaladó mértékben.
A gázelemző készüléket le kell nullázni, és a vizsgálat előtt egy olyan nullázógázzal vagy szélsőérték-kalibrálógázzal kell kalibrálni, amelynek névleges értéke több, mint a gázelemző készülék teljes skálájának 80 %-a."
v. A 1.6. szakasz számozása 1.6.7. szakaszra módosul.
vi. A szöveg a következő, új 2.4. szakasszal egészül ki:
"2.4. A szubszonikus Venturi-cső (SSV) kalibrálása
Az SSV kalibrálása a szubszonikus Venturi-csőre vonatkozó áramlási egyenleten alapul. A gázáram a bejövő nyomás és hőmérséklet függvénye, nyomáscsökkenés az SSV belépési pont és a torok között.
2.4.1. Adatelemzés
A levegőáramlás értékét (QSSV) minden fojtásbeállításnál (legalább 16 beállítás) a gyártó által előírt módszer alkalmazásával az áramlásmérő adataiból standard m3/min-ben kell kiszámítani. A kifolyási együtthatót minden beállítás esetében a kalibrálási adatokból kell kiszámítani a következők szerint:

ahol:
Q SSV = a levegőáram standard körülmények között (101,3 kPa, 273 K), m3/s
T = a hőmérséklet a Venturi-cső bemeneténél, K
d = az SSV-torok átmérője, m
r p = az SSV-torok és a belépési pont abszolút aránya, statikus nyomás = [Kép #7]

Kép #7
r D = az SSV-torok átmérőjének, d, a beszívócső belső átmérőjéhez viszonyított aránya = [Kép #8]

Kép #8
A szubszonikus áramlás tartományának meghatározásához a C d értéket a Reynolds-számok SSV-toroknál képzett függvényeként kell megszerkeszteni. A Re értéket az SSV-toroknál a következő képlet szerint kell kiszámítani:

ahol:
A 1
=
állandók és egységek konverzióinak gyűjtőszáma

Q SSV = levegőáram standard körülmények között (101,3 kPa, 273 K), m3/s
d = az SSV-torok átmérője, m
μ
=
a gáz abszolút vagy dinamikus viszkozitása, amelynek kiszámítása a következő képlettel történik:

b = empirikus állandó = [Kép #9]

Kép #9
S = empirikus állandó = 110,4 K
Mivel Q SSV egy input az Re képlethez, a számításokat a Venturi-cső kalibrálásának Q SSV vagy C d értékei becslésével kell kezdeni, és mindaddig ismételni kell, amíg Q SSV konvergál. A konvergencia módszerének 0,1 %-os pontosságúnak vagy jobbnak kell lennie.
A szubszonikus áramlás tartományában legalább tizenhat ponton az eredményezett kalibrálási görbének megfelelő egyenlet C d számított értékeinek az egyes kalibrálási pontokra mért C d érték ± 0,5 %-án belül kell lennie."
vii. A 2.4. szakasz számozása 2.5. szakaszra módosul.
viii. A 3. szakasz helyébe a következő szöveg lép:
"3. A RÉSZECSKEMÉRÉSI RENDSZER KALIBRÁLÁSA
3.1. Bevezetés
A részecskemérés kalibrálása a mintaáram és a hígítási arány meghatározásához használt áramlásmérőkre korlátozódik. Minden áramlásmérőt az ezen irányelv pontosságra vonatkozó követelményeinek a betartásához szükséges gyakorisággal kell kalibrálni. Az alkalmazandó kalibrálási módszer leírását a 3.2. szakasz tartalmazza.
3.2. Áramlásmérés
3.2.1. Időszakos kalibrálás
- Az ezen melléklet 4. függeléke 2.2. szakaszának előírásai szerint az áramlásmérés abszolút pontosságának való megfeleléshez az áramlásmérő vagy az áramlásmérő műszerek kalibrálásának a nemzeti és/vagy nemzetközi szabványoknak megfelelő áramlásmérővel kell történnie.
- Ha a mintavételi gázáramot differenciál-áramlásméréssel határozzák meg, akkor az áramlásmérőt vagy az áramlásmérő műszereket a következő eljárások egyikével kell kalibrálni, úgy, hogy az alagút irányába haladó q mp szonda-áramnak meg kell felelnie az ezen melléklet 4. függelékének 4.2.5.2. szakaszában található pontossági követelményeknek:
-
a) A q mdw áramlásmérőjét sorba kell kapcsolni a q mdew áramlásmérőjével, a két áramlásmérő közötti különbséget kalibrálni kell legalább 5, egymástól egyenlő áramlási értéknyire lévő beállítási ponton, a vizsgálat alatt alkalmazott legalacsonyabb q mdw érték és a vizsgálat alatt alkalmazott q mdew érték között. A hígítóalagutat megkerülő vezetékkel meg lehet kerülni.
b) Egy kalibrált tömegáram-készüléket sorba kell kapcsolni a q mdew áramlásmérőjével, és a pontosságot a vizsgálathoz használt értékre vonatkozóan ellenőrizni kell. Azután a kalibrált tömegáram-készüléket sorba kell kapcsolni a q mdw áramlásmérőjével, és a pontosságot legalább 5, a vizsgálat során használt q mdew értékre vonatkozó, 3 és 50 közötti hígítási aránynak megfelelő beállítási ponton ellenőrizni kell.
c) A TT szállítócsövet le kell kapcsolni a kipufogóról, és egy, a q mp méréséhez megfelelő tartományú kalibrált áramlásmérő készüléket kell a szállítócsőhöz csatolni. Aztán a q mdew értékét be kell állítani a vizsgálat során alkalmazott értékre, és a q mdw értékét szekvenciálisan be kell állítani legalább 5, 3 és 50 közötti q hígítási aránynak megfelelő értékre. Alternatív megoldásként egy különleges kalibrálási áramlási utat lehet biztosítani, ahol az alagutat megkerülő vezetékkel kerüljük ki, de a teljes és a hígítólevegő-áramlás a megfelelő mérőkön át olyan, mint a tényleges vizsgálat során.
d) Egy nyomjelzőgázt kell betáplálni a TT kipufogógáz-szállító csőbe. Ez a nyomjelzőgáz a kipufogógáz egy összetevője lehet, mint például a CO2 vagy a NOx. A hígítás után az alagútban a nyomjelzőgáz-összetevőt meg kell mérni. Ezt 5, 3 és 50 közötti hígítási arányra el kell végezni. A minta áramlásának pontosságát az r d hígítási arányból kell meghatározni:

- A gázelemző készülékek pontosságát a q mp pontosságának biztosítása érdekében figyelembe kell venni.
3.2.2. Szénáram-ellenőrzés
- A tényleges kipufogógáz alkalmazásával történő szénáram-ellenőrzés a mérési és ellenőrzési problémák kimutatására, valamint a részleges átáramlású rendszer helyes működésének megállapítására javasolt. A szénáram-ellenőrzést legalább minden olyan esetben el kell végezni, amikor új motor kerül beszerelésre, vagy valami lényeges megváltozik a vizsgálati cella konfigurációjában.
- A motort teljes nyomatékterheléssel és teljes fordulatszámon kell működtetni, vagy minden más, olyan egyensúlyi állapotban történő módon, amely 5 % vagy annál több CO2-t eredményez. A részleges átáramlású mintavevő rendszert körülbelül 15 és 1 közötti hígítási tényezővel kell működtetni.
- Ha szénáram-ellenőrzésre kerül sor, akkor az ezen melléklet 6. függelékében megadott eljárást kell alkalmazni. A szénáramot az ezen melléklet 6. függeléke 2.1-2.3. szakaszának megfelelően kell kiszámítani. Minden szénáramnak 6 %-os eltérésen belülinek kell lennie a többihez képest.
3.2.3. Előzetes vizsgálati ellenőrzés
- Az előzetes vizsgálatot a vizsgálatot megelőzően 2 órán belül kell elvégezni a következő módon:
- Az áramlásmérők pontosságát ugyanolyan módszerrel kell ellenőrizni, mint amit a kalibráláshoz használnak (lásd a 3.2.1. szakaszt) legalább két ponton, beleértve a q mdw áramlási értékeit, amelyek a vizsgálat alatt a q mdew értékre használt 5 és 15 közötti hígítási arányoknak felelnek meg.
- Ha a 3.2.1. szakaszban leírt kalibrálási eljárás nyilvántartása alapján kimutatható, hogy az áramlásmérő kalibrálása egy hosszabb időszakon át állandó, akkor az előzetes vizsgálat elhagyható.
3.3. A transzformációs idő meghatározása (csak az ETC-re vonatkozó részleges átáramlású hígítórendszerek esetében)
- A transzformációs idő értékelésére vonatkozó rendszerbeállításoknak pontosan ugyanolyanoknak kell lenniük, mint a vizsgálat mérése alatt. A transzformációs időt a következő módszerrel kell meghatározni:
- A szondaáramnak megfelelő mérési tartománnyal rendelkező független referencia-áramlásmérőt sorba kell kapcsolni, és szorosan össze kell illeszteni a szondával. Ennek az áramlásmérőnek a válaszidőmérésben alkalmazott áramlásméretre vonatkozóan kevesebb mint 100 ms transzformációs idejűnek kell lennie, olyan áramlásra vonatkozó korlátozással, amely elég alacsony ahhoz, hogy ne befolyásolja a részleges átáramlású hígítórendszer dinamikus teljesítményét, és feleljen meg a bevett szakmai gyakorlatnak.
- Lépésváltást kell bevezetni a részleges átáramlású hígítórendszer kipufogógáz-áramának (vagy levegőáramának, ha a kipufogógáz számított) inputjához, az alacsony áramlástól legalább a teljes skála 90 %-áig. A lépésváltás határértékének ugyanolyannak kell lennie, mint a tényleges vizsgálat előzetes ellenőrzésének indításáé. A kipufogógáz-áram lépésjelzését és az áramlásmérő válaszát legalább 10 Hz mintavételi gyakorisággal kell rögzíteni.
- Ebből az adatból kell meghatározni a részleges átáramlású hígítórendszerre vonatkozó transzformációs időt, amely a lépésjelzés kezdetétől az áramlásmérő válaszának 50 %-áig tartó idő. Hasonló módon kell meghatározni a részleges átáramlású hígítórendszer q mp jelzésének és a kipufogógáz áramlásmérője q mew,i jelzésének transzformációs idejét. Ezek a jelzések az egyes vizsgálatok után elvégzett regressziós ellenőrzések során használatosak (lásd az ezen melléklet 2. függeléke 3.8.3.2. szakaszát).
- A számítást legalább 5 emelkedés- és leesésjelzésre vonatkozóan kell elvégezni, és az eredményeket átlagolni kell. A referencia-áramlásmérő belső transzformációs idejét (< 100 ms) ebből az értékből kell kivonni. Ez a részleges átáramlású hígítórendszer »előzetes« ideje, amelyet ezen melléklet 2. függeléke 3.8.3.2. szakaszának megfelelően kell alkalmazni.
3.4. A részleges átáramlás feltételeinek ellenőrzése
A kipufogógáz sebességtartományát és a nyomásingadozásokat ellenőrizni kell, és ha szükséges, az V. melléklet 2.2.1. szakasza (EP) követelményeinek megfelelően be kell állítani.
3.5. Kalibrálási időközök
Az áramlásmérő műszerek kalibrálását legalább háromhavonta el kell végezni, vagy akkor, amikor a rendszeren olyan javítás vagy csere történt, ami a kalibrálásra hatással lehet."
i. A szöveg a következő, új 6. függelékkel egészül ki:
"6. függelék
SZÉNÁRAM-ELLENŐRZÉS
1. BEVEZETÉS
A kipufogógázban található szén csaknem egésze az üzemanyagból származik, és egy minimális részt leszámítva csaknem a teljes mennyiség CO2 formájában jelenik meg a kipufogógázban. Ez az alapja a CO2-mérésen alapuló rendszer-felülvizsgálati ellenőrzésnek.
A kipufogógáz-mérőrendszerbe irányuló szénáram az üzemanyagáramból kerül meghatározásra. A szennyezőanyag-kibocsátási és részecske-mintavételi rendszerek különböző pontjain a szénáramot az azokon a pontokon mért CO2 koncentrációkból és a gázáramból határozzák meg.
Ebben az értelemben a motor ismert forrása a szénáramnak, és ugyanannak a szénáramnak a kipufogócsőben és a részleges áramlás PM mintavételi rendszer kimeneténél történő megfigyelése jelzést ad a szivárgásmentességre és az áramlásmérés pontosságára vonatkozóan. Ennek az ellenőrzésnek az az előnye, hogy az összetevők a tényleges motorvizsgálatra vonatkozó hőmérsékleti és áramlási feltételek között találhatók.
A következő diagram mutatja azokat a mintavételi pontokat, amelyeken a szénáramot ellenőrizni kell. A szénáram egyedi egyenletei valamennyi mintavételi pontra vonatkozóan az alábbiakban szerepelnek.

7. ábra
2. SZÁMÍTÁSOK
2.1. Szénáram a motor irányába (1. hely)
Egy CH α O ε üzemanyagra vonatkozó, a motor irányába haladó szén-tömegáramot a következő egyenlettel számolhatjuk ki:

ahol:
q mf = üzemanyag-tömegáram, kg/s
2.2. Szénáram a hígítatlan kipufogógázban (2. hely)
A motor kipufogócsövében lévő szénáramot a hígítatlan CO2-koncentrációból és a kipufogógáz tömegáramából kell meghatározni:

ahol:
c CO2,r = nedves CO2-koncentráció a hígítatlan kipufogógázban, %
c CO2,a = nedves CO2-koncentráció a környezeti levegőben, % (0,04 % körül)
q mew = kipufogógáz-tömegáram nedves alapon, kg/s
M re = a kipufogógáz molekuláris tömege
Ha a CO2 mérése száraz alapon történik, akkor azt ezen melléklet 1. függeléke 5.2. szakaszának megfelelően nedves alapra át kell számítani.
2.3. Szénáram a hígítórendszerben (3. hely)
A szénáramot a hígított CO2-koncentrációból, a kipufogógáz-tömegáramból és a mintaáramból kell meghatározni:

ahol:
c CO2,d = nedves CO2-koncentráció a kipufogógázban a hígítóalagút kimeneténél, %
c CO2,a = nedves CO2-koncentráció a környezeti levegőben, % (0,04 % körül)
q mdew = hígítottkipufogógáz-tömegáram nedves alapon, kg/s
q mew = kipufogógáz-tömegáram nedves alapon, kg/s (csak részleges átáramlású rendszer)
q mp = a részleges átáramlású hígítórendszerbe irányuló kipufogógáz-mintaáram, kg/s (csak részleges átáramlású rendszer)
M re = a kipufogógáz molekuláris tömege
Ha a CO2 mérése száraz alapon történik, akkor azt ezen melléklet 1. függeléke 5.2. szakasza szerint át kell számítani nedves alapra.
2.4. A kipufogógáz molekuláris tömegét (Mre) a következőképpen kell kiszámítani:

ahol
q mf = az üzemanyag tömegárama, kg/s
q maw = a beszívott levegő tömegárama nedves alapon, kg/s
H a = a beszívott levegő nedvességtartalma, g víz/kg száraz levegő
M ra = a száraz beszívott levegő molekuláris tömege (= 28,9 g/mol)
α, δ, ε, γ = egy CH α O δ N ε S γ üzemanyagra vonatkozó moláris arányok
Alternatívaként a következő molekuláris tömeget lehet használni:
M re (dízelolaj) = 28,9 g/mol
M re (PB-gáz) = 28,6 g/mol
M re (földgáz) = 28,3 g/mol"
4. A IV. melléklet a következőképpen módosul:
a) Az 1.1. szakasz címe a következőképpen módosul:
"1.1. Dízelolaj referencia-üzemanyag a motoroknak az I. melléklet 6.2.1. szakaszában található táblázatok A. sorában megadott kibocsátási határértékek tekintetében történő vizsgálatához (1)"
b) A szöveg a következő, új 1.2. szakasszal egészül ki:
"1.2. Dízelolaj referencia-üzemanyag a motoroknak az I. melléklet 6.2.1. szakaszában található táblázatok B1., B2., vagy C. sorában megadott kibocsátási határértékek tekintetében történő vizsgálatához
| Paraméter | Egység | Határértékek (1) | Vizsgálati módszer | |
| minimum | maximum | |||
| Cetánszám (2) | 52,0 | 54,0 | EN-ISO 5165 | |
| Sűrűség 15 °C-on | Kg/m3 | 833 | 837 | EN-ISO 3675 |
| Desztilláció: | ||||
| — 50 százalékpont | °C | 245 | — | EN-ISO 3405 |
| — 95 százalékpont | °C | 345 | 350 | EN-ISO 3405 |
| — Végső forráspont | °C | — | 370 | EN-ISO 3405 |
| Lobbanáspont | °C | 55 | — | EN 22719 |
| CFPP | °C | — | –5 | EN 116 |
| Viszkozitás 40 °C-on | mm2/s | 2,3 | 3,3 | EN-ISO 3104 |
| Többgyűrűs aromás szénhidrogén | % m/m | 2,0 | 6,0 | IP 391 |
| Kéntartalom (3) | mg/kg | — | 10 | ASTM D 5453 |
| Vörösréz-korrózió | — | 1. osztály | EN-ISO 2160 | |
| Conradson-szénmaradvány (10 % DR) | % m/m | — | 0,2 | EN-ISO 10370 |
| Hamutartalom | % m/m | — | 0,01 | EN-ISO 6245 |
| Víztartalom | % m/m | — | 0,02 | EN-ISO 12937 |
| Közömbösítési (erős sav) szám | mg KOH/g | — | 0,02 | ASTM D 974 |
| Oxidációs stabilitás (4) | mg/ml | — | 0,025 | EN-ISO 12205 |
| Síkosság (HFRR elhasználódási heg átmérője 60 °C-on) | μm | — | 400 | CEC F-06-A-96 |
| Zsírsav metil-észter (FAME) | Tiltott | |||
| (1) Az előírásokban megadott értékek »valós értékek«. Határértékeik meghatározásakor az »Ásványolajtermékek – A vizsgálati módszerek precizitási adatainak meghatározása és alkalmazása« című ISO 4259 szabvány feltételeit alkalmazták, és legkisebb érték meghatározása esetén nulla feletti minimális 2R, a legnagyobb és legkisebb érték meghatározása esetén minimális 4R különbséget vettek figyelembe (R = reprodukálhatóság). (2) A cetánszámra vonatkozó értéktartomány nincs összhangban a minimális 4R tartományra vonatkozó követelményekkel. Az üzemanyag-szállító és az üzemanyag-felhasználó közötti vita esetén azonban az ISO 4259 előírásait lehet használni az ilyen viták eldöntésére, feltéve hogy egyszeri meghatározás helyett inkább annyi ismételt mérést végeznek, amennyi elegendő a szükséges pontosság eléréséhez. (3) Az I. típusú vizsgálathoz használt üzemanyag tényleges kéntartalmát jelenteni kell. (4) Még ha az oxidációs stabilitást ellenőrzik is, a tárolási időtartam valószínűleg korlátozott. A tárolási körülményekre és az eltarthatóságra vonatkozóan célszerű kikérni a szállító tanácsát.” | ||||
c) Az 1.2. szakasz jelölése "1.3." szakaszra változik.
d) A 3. szakasz helyébe a következő szöveg lép:
"3. A PROPÁN-BUTÁN GÁZ REFERENCIA-ÜZEMANYAG MŰSZAKI ADATAI
A. A járműveknek az I. melléklet 6.2.1. szakaszában található táblázatok A. sorában megadott kibocsátási határértékekre történő vizsgálatához használt propán-bután gáz referencia-üzemanyag műszaki adatai
| Paraméter | Egység | A üzemanyag | B üzemanyag | Vizsgálati módszer |
| Összetétel: | ISO 7941 | |||
| C3-tartalom | % vol | 50 ± 2 | 85 ± 2 | |
| C4-tartalom | % vol | egyensúly | egyensúly | |
| < C3, > C4 | % vol | max. 2 | max. 2 | |
| Olefinek | % vol | max. 12 | max. 14 | |
| Párolgási maradvány | mg/kg | max. 50 | max. 50 | ISO 13757 |
| Víz 0 °C-on | szabad | szabad | vizuális ellenőrzés | |
| Összes kéntartalom | mg/kg | max. 50 | max. 50 | EN 24260 |
| Kénhidrogén | nincs | nincs | ISO 8819 | |
| Vörösrézcsík-korrózió | osztályozás | 1. osztály | 1. osztály | ISO 6251 (1) |
| Szag | jellegzetes | jellegzetes | ||
| Motor oktánszáma | min. 92,5 | min. 92,5 | EN 589 B. melléklet | |
| (1) Előfordulhat, hogy ez a módszer nem jelzi pontosan a korrodáló anyagok jelenlétét, ha a minta korróziógátló szereket vagy más olyan anyagokat tartalmaz, amelyek csökkentik a mintának a rézlemezre gyakorolt korróziós hatását. Ezért az ilyen vegyületeknek a vizsgálati módszer befolyásolása céljából történő hozzáadása tilos. | ||||
B. A járműveknek az I. melléklet 6.2.1. szakaszában található táblázatok B1., B2. vagy C. soraiban megadott kibocsátási határértékekre történő vizsgálatához használt propán-bután gáz referencia-üzemanyagok műszaki adatai
| Paraméter | Egység | A üzemanyag | B üzemanyag | Vizsgálati módszer |
| Összetétel: | ISO 7941 | |||
| C3-tartalom | % vol | 50 ± 2 | 85 ± 2 | |
| C4-tartalom | % vol | egyensúly | egyensúly | |
| < C3, > C4 | % vol | max. 2 | max. 2 | |
| Olefinek | % vol | max. 12 | max. 14 | |
| Párolgási maradvány | mg/kg | max. 50 | max. 50 | ISO 13757 |
| Víz 0 °C-on | szabad | szabad | vizuális ellenőrzés | |
| Összes kéntartalom | mg/kg | max. 10 | max. 10 | EN 24260 |
| Kénhidrogén | nincs | nincs | ISO 8819 | |
| Vörösrézcsík-korrózió | osztályozás | 1. osztály | 1. osztály | ISO 6251 (1) |
| Szag | jellegzetes | jellegzetes | ||
| Motor oktánszáma | min. 92,5 | min. 92,5 | EN 589 B. melléklet | |
| (1) Előfordulhat, hogy ez a módszer nem jelzi pontosan a korrodáló anyagok jelenlétét, ha a minta korróziógátló szereket vagy más olyan anyagokat tartalmaz, amelyek csökkentik a mintának a rézlemezre gyakorolt korróziós hatását. Ezért az ilyen vegyületeknek a vizsgálati módszer befolyásolása céljából történő hozzáadása tilos.” | ||||
5. A VI. melléklet a következőképpen módosul:
a) A "Függelék" címe "1. függelék"-re módosul.
b) Az 1. függelék a következőképpen módosul:
i. A szöveg a következő, új 1.2.2. szakasszal egészül ki:
"1.2.2 Motorszabályzó egység (EECU) szoftverkalibrálási száma:"
ii. Az 1.4. szakasz helyébe a következő szöveg lép:
"1.4. A motor/alapmotor szennyezőanyag-kibocsátási szintjei ( 19 ):
1.4.1. ESC-vizsgálat:
Romlási tényező (DF): számított/állandó (19)
Adja meg az ESC vizsgálat DF értékeit és szennyezőanyag-kibocsátását az alábbi táblázatban:
| ESC-vizsgálat | ||||
| DF: | CO | THC | NOx | PT |
| Szennyezőanyag-kibocsátás | CO (g/kWh) | THC (g/kWh) | NOx (g/kWh) | PT (g/kWh) |
| Mért: | ||||
| DF-el számított: | ||||
1.4.2. ELR-vizsgálat:
füstölési érték: ... m-1
1.4.3. ETC-vizsgálat:
Romlási tényező (DF): számított/állandó (19)
| ETC-vizsgálat | |||||
| DF: | CO | NMHC | CH4 | NOx | PT |
| Szennyezőanyag-kibocsátás | CO (g/kWh) | NMHC (g/kWh) (1) | CH4 (g/kWh) (1) | NOx (g/kWh) | PT (g/kWh) (1) |
| Regenerálással mért: | |||||
| Regenerálás nélkül mért: | |||||
| Mért/súlyozott: | |||||
| DF-el számított: | |||||
| (1) A nem kívánt rész törlendő. | |||||
c) A szöveg a következő, új 2. függelékkel egészül ki:
"2. függelék
OBD VONATKOZÁSÚ INFORMÁCIÓK
Az ezen irányelv II. mellékletének 5. függelékében említettek szerint az ebben a függelékben található információkat a jármű gyártója szolgáltatja abból a célból, hogy lehetővé tegye OBD- (on-board diagnostics, fedélzeti diagnosztikai rendszerek) kompatibilis tartalék alkatrészek vagy cserealkatrészek és diagnosztikai eszközök és vizsgálati berendezések gyártását. Az ilyen információk szolgáltatása nem feladata a jármű gyártójának, ha ezt a gyártó vagy az eredeti berendezésgyártó (OEM) szállítójának (szállítóinak) szellemi tulajdonjoga védi vagy egyedi know-how kapcsolódik hozzá.
Kérésre ez a függelék megkülönböztetés nélkül minden érdekelt alkatrészek, diagnosztikai eszközök, vagy vizsgálati berendezések gyártója számára hozzáférhetővé tehető.
A II. melléklet 5. függeléke 1.3.3. szakasza rendelkezéseinek megfelelően az ezen szakasz alapján előírt információknak meg kell egyezniük az abban a függelékben meghatározott információkkal.
1. A jármű eredeti típusjóváhagyásához használt előkészületi ciklusok típusának és számának leírása.
2. Az OBD rendszerrel ellenőrzött alkatrészekhez a jármű eredeti típusjóváhagyásához használt OBD demonstrációs ciklus típusának leírása.
3. Minden alkatrész leírását tartalmazó átfogó dokumentum hibakeresési és hibajelző aktiválási stratégiával (a vezetési ciklusok vagy statisztikai módszerek meghatározott száma), beleértve az OBD rendszerrel ellenőrzött minden egyes alkatrész vonatkozó másodlagosan érzékelt paramétereinek listáját. Az OBD rendszernek a hajtási rendszer szennyezőanyag-kibocsátással kapcsolatos minden alkatrészéhez, valamint a kibocsátással nem kapcsolatos alkatrészekhez kapcsolódó valamennyi OBD kimeneti kód és formátum listája (mindegyik magyarázatával), amennyiben az alkatrész ellenőrzése a hibajelző aktiválására szolgál."
II. MELLÉKLET
A KIBOCSÁTÁSCSÖKKENTŐ RENDSZEREK TARTÓSSÁGI VIZSGÁLATÁRA VONATKOZÓ ELJÁRÁSOK
1. BEVEZETÉS
Ez a melléklet a romlási tényezők meghatározása céljából a tartampróba menetrendjének keretében vizsgálandó motorcsalád kiválasztási eljárásait részletezi. Ezeket a romlási tényezőket az időszakos átvizsgáláson áteső motor mért szennyezőanyag-kibocsátásával összefüggésben alkalmazzák annak biztosítására, hogy az üzemelő motor szennyezőanyag-kibocsátása arra a járműre vonatkozóan, amelybe a motort beépítették, az élettartam során összhangban maradjon a 2005/55/EK irányelv I. mellékletének 6.2.1. szakasza táblázataiban megadott alkalmazandó szennyezőanyag-kibocsátási határértékekkel.
Ez a melléklet részletezi a motor szennyezőanyag-kibocsátással kapcsolatos és szennyezőanyag-kibocsátással nem kapcsolatos karbantartását, amit a tartampróba menetrendje során végeznek el. Ez a karbantartást üzemelő motorral történik, és az új nagy teljesítményű motorok tulajdonosai tájékoztatást kapnak róla.
2. A MOTOROK KIVÁLASZTÁSA AZ ÉLETTARTAM-ROMLÁSI TÉNYEZŐK MEGHATÁROZÁSA CÉLJÁBÓL
2.1. Az élettartam-romlási tényezők meghatározása céljából a 2005/55/EK irányelv I. mellékletének 8.1. szakaszában meghatározott motorcsaládból szennyezőanyag-kibocsátási vizsgálatra motorokat választanak ki.
2.2. Különféle motorcsaládokból származó motorokat újabb, az alkalmazott kipufogógáz-utókezelő rendszeren alapuló motorcsaládokká lehet kombinálni. Annak érdekében, hogy különböző hengerszámú és különböző hengerkonfigurációjú, de a kipufogógáz-utókezelő rendszer vonatkozásában ugyanolyan műszaki leírású és beszerelésű motorokat ugyanabba a motor-utókezelő rendszercsaládba lehessen elhelyezni, a gyártónak adatokat kell szolgáltatnia a jóváhagyó hatóság számára, amely bizonyítja, hogy az ilyen motorok szennyezőanyag-kibocsátása hasonló.
2.3. A motor gyártójának ki kell választania egy, a motor-utókezelő rendszercsaládot reprezentáló motort az ezen melléklet 3.2. szakaszában meghatározott tartampróba-menetrend keretében történő vizsgálathoz. A kiválasztásnak meg kell felelnie a 2005/55/EK irányelv I. melléklet 8.2. szakaszában megadott motorkiválasztási kritériumoknak, és bármilyen vizsgálat megkezdése előtt a jóváhagyó hatóságnak azt jelenteni kell.
2.3.1. Ha a jóváhagyó hatóság úgy határoz, hogy a motor-utókezelő rendszercsalád legrosszabb szennyezőanyag-kibocsátás értéke jobban jellemezhető egy másik motorral, akkor a vizsgált motort a típusjóváhagyó hatósággal és a motor gyártójával együttesen kell kiválasztani.
3. AZ ÉLETTARTAM-ROMLÁSI TÉNYEZŐK MEGHATÁROZÁSA
3.1. Általános megjegyzések
A motor-utókezelő rendszercsaládokra alkalmazható romlási tényezőket a megtett távolságra és a működési időtartamra vonatkozó akkumulációs eljárás (tartampróba) alapján kiválasztott motorokból fejlesztik ki, amely eljárás magában foglalja az ESC és ETC-vizsgálatok során a gáz-halmazállapotú szennyező anyagok kibocsátásának és a részecskekibocsátásnak az időszakos vizsgálatát.
3.2. A tartampróba menetrendje
A tartampróbát a gyártó választása szerint vagy az üzemelés közbeni futás alapján egy, a kiválasztott alapmotorral felszerelt jármű üzemeltetésével, vagy a "motorfékpadon történő futási" program során a kiválasztott alapmotor üzemeltetésével lehet végrehajtani.
3.2.1. Üzemelés közbeni és motorfékpadon végzett tartampróba
3.2.1.1. A gyártónak a bevett szakmai gyakorlatnak megfelelően meg kell határoznia a motorokat érintő időtartamra és futásra vonatkozó formát és mértéket.
3.2.1.2. A gyártó meghatározza, hogy az ESC- és ETC-vizsgálatok során mikor kerül sor a motor gáz-halmazállapotú szennyezőanyag-kibocsátási és részecskekibocsátási vizsgálatára.
3.2.1.3. Egy motor-utókezelő rendszercsaládban egyetlen motorüzemeltetési programot kell használni valamennyi motorra vonatkozóan.
3.2.1.4. A gyártó kérésére és a jóváhagyó hatóság egyetértésével minden vizsgálati ponton csak egy vizsgálati ciklust (vagy ESC- vagy ETC-vizsgálatot) kell lefolytatni, a másik vizsgálati ciklust csak a tartampróba kezdetén és végén kell lefuttatni.
3.2.1.5. A különböző motor-utókezelő rendszercsaládok üzemeltetési programjai különbözhetnek egymástól.
3.2.1.6. Az üzemeltetési programok rövidebbek lehetnek, mint az élettartam, feltéve hogy a vizsgálati pontok száma a 3.5.2. szakasznak megfelelően lehetővé teszi a vizsgálati eredmények megfelelő extrapolálását. Mindenesetre a tartampróbára vonatkozó időszakok nem lehetnek rövidebbek, mint a 3.2.1.8. szakasz táblázatában meghatározottak.
3.2.1. 7 A gyártónak meg kell határoznia a tartampróbára vonatkozó minimális időszak (vezetési idő) és a motor dinamométer-órái között alkalmazandó korrelációkat, például az üzemanyag-felhasználási korrelációt, a járműsebesség és motorfordulatszám közötti korrelációt stb.
3.2.1.8. A tartampróbára vonatkozó minimális időszakok
| Annak a járműnek a kategóriája, amelybe a motort beépítik | A tartampróbára vonatkozó minimális időszak | Élettartam (Ezen irányelv cikke) |
| N1 kategóriájú járművek | 100 000 km | 3. cikk (1) bekezdés a) pontja |
| N2 kategóriájú járművek | 125 000 km | 3. cikk (1) bekezdés b) pontja |
| N3 kategóriájú járművek 16 tonnát meg nem haladó műszakilag megengedett tömeggel | 125 000 km | 3. cikk (1) bekezdés b) pontja |
| N3 kategóriájú járművek 16 tonnát meghaladó műszakilag megengedett tömeggel | 167 000 km | 3. cikk (1) bekezdés c) pontja |
| M2 kategóriájú járművek | 100 000 km | 3. cikk (1) bekezdés a) pontja |
| I, II, A és B osztályú, M3 kategóriájú járművek 7,5 tonnát meg nem haladó műszakilag megengedett tömeggel | 125 000 km | 3. cikk (1) bekezdés b) pontja |
| III és B osztályú M3 kategóriájú járművek 7,5 tonnát meghaladó műszakilag megengedett tömeggel | 167 000 km | 3. cikk (1) bekezdés c) pontja |
3.2.1.9. Az üzemelés közbeni tartampróbát részletesen le kell írni a típus-jóváhagyási kérelemben, és bármilyen vizsgálat megkezdése előtt jelenteni kell a jóváhagyó hatóságnak.
3.2.2. Ha a típus-jóváhagyási hatóság úgy dönt, hogy az ESC- és ETC-vizsgálatokkal összefüggésben további méréseket kell elvégezni a gyártó által kiválasztott pontok között, akkor erről értesítenie kell a gyártót. A felülvizsgált üzemelés közbeni tartampróbát vagy a dinamométer-tartampróbát a gyártónak kell elkészítenie, és a jóváhagyó hatóságnak kell elfogadnia.
3.3. Motorvizsgálat
3.3.1. A tartampróba indítása
3.3.1.1. A gyártónak minden motor-utókezelő rendszercsalád esetében meg kell határoznia azt a motorfutási óraszámot, ami után a motor-utókezelő rendszer működése stabilizálódik. Ha a jóváhagyó hatóság megkívánja, a gyártó köteles az ezen meghatározáshoz használt adatokat és elemzést hozzáférhetővé tenni. Alternatívaként a gyártó azt is választhatja, hogy a motor-utókezelő rendszer stabilizálása érdekében 125 órán keresztül működteti a motort.
3.3.1.2. A 3.3.1.1. szakaszban meghatározott stabilizálási időszak lesz a tartampróba kezdete.
3.3.2. Futás alapján történő vizsgálat
3.3.2.1. A stabilizálás után a motor a fenti 3.2. szakasz szerint a gyártó által meghatározott tartampróba alapján működik. A tartampróbánál a gyártó által meghatározott, illetve - adott esetben - a jóváhagyó hatóság által a 3.2.2. szakasznak megfelelően előírt időközönként a motort az ESC- és ETC-vizsgálatok során vizsgálni kell a gáz-halmazállapotú szennyezőanyag-kibocsátás és a részecskekibocsátás vonatkozásában. A 3.2. szakasznak megfelelően, ha megállapodás született arra nézve, hogy minden vizsgálati ponton csak egy vizsgálati ciklust (ESC vagy ETC) folytatnak le, a másik vizsgálati ciklust (ESC vagy ETC) a tartampróba kezdetén és végén le kell folytatni.
3.3.2.2. A tartampróba alatt a karbantartást a motoron a 4. szakasz szerint kell elvégezni.
3.3.2.3. A tartampróba alatt nem tervszerű megelőző motor- vagy járműkarbantartást lehet végezni, például, ha az OBD rendszer kimondottan olyan problémát jelzett, amelynek nyomán a hibajelző (MI) bekapcsolódott.
3.4. Jelentés
3.4.1. A tartampróba során végzett valamennyi szennyezőanyag-kibocsátási vizsgálat (ESC és ETC) eredményét hozzáférhetővé kell tenni a jóváhagyó hatóság számára. Ha bármely szennyezőanyag-kibocsátási vizsgálatot érvénytelennek nyilvánítanak, a gyártónak magyarázattal kell szolgálnia arra vonatkozóan, hogy miért lett érvénytelen a vizsgálat. Ilyen esetben az ESC- és ETC-vizsgálatokon túlmenően a tartampróbától számított további 100 órán belül egy másik szennyezőanyag-kibocsátási vizsgálatsorozatot kell lefolytatni.
3.4.2. Ha egy gyártó a tartampróba során a romlási tényező megállapítása céljából vizsgál egy motort, a gyártónak nyilvántartásában valamennyi, a tartampróba alatt történő, a motort érintő szennyezőanyag-kibocsátási vizsgálatra és karbantartásra vonatkozó minden információt meg kell őriznie. Ezt az információt a tartampróba során végzett szennyezőanyag-kibocsátási vizsgálati eredményekkel együtt be kell nyújtania a jóváhagyó hatósághoz.
3.5. A romlási tényező meghatározása
3.5.1. A tartampróba során az ESC és ETC-vizsgálatokkal mért valamennyi szennyező anyag esetében, és valamennyi vizsgálati ponton mért összes vizsgálati eredmény alapján egy "legjobban illeszkedő" regresszióanalízist kell elvégezni. Valamennyi szennyező anyagra vonatkozóan minden vizsgálati eredményt eggyel több tizedesjeggyel kell kifejezni, mint amennyivel az 2005/55/EK irányelv I. melléklete 6.2.1. szakaszának táblázataiban az arra a szennyező anyagra vonatkozó határértéket feltüntették. A 3.2. szakasznak megfelelően, ha arra született megállapodás, hogy minden vizsgálati ponton csak egy vizsgálati ciklust (ESC vagy ETC) folytatnak le, és a másik vizsgálati ciklust (ESC vagy ETC) a tartampróba kezdetén és végén kell lefolytatni, a regressziós analízist csak az összes vizsgálati ponton végzett vizsgálati ciklus vizsgálati eredményei alapján kell elvégezni.
3.5.2. A regressziós analízis alapján a gyártónak a 3.5.1. szakaszban meghatározottak szerint minden szennyező anyagra vonatkozóan a regressziós egyenlet extrapolációjával ki kell számítania a tervezett kibocsátási értékeket a tartampróba kezdetén és arra az élettartamra, amely a vizsgálat alá vetett motorra alkalmazandó.
3.5.3. A kipufogógáz-utókezelő rendszer nélküli motorok esetében a romlási tényező minden szennyező anyagra vonatkozóan az élettartam alatti és a tartampróba kezdetén tervezett kibocsátási érték különbsége.
A kipufogógáz-utókezelő rendszerrel felszerelt motorok esetében a romlási tényező minden szennyező anyagra vonatkozóan az élettartam időszaka alatti és a tartampróba kezdetén tervezett kibocsátási érték aránya.
A 3.2. szakasznak megfelelően, ha arra született megállapodás, hogy minden vizsgálati ponton csak egy vizsgálati ciklust (ESC vagy ETC) folytatnak le, és a másik vizsgálati ciklust (ESC vagy ETC) a tartampróba kezdetén és végén kell lefolytatni, az összes vizsgálati ponton végzett vizsgálati ciklusra vonatkozóan kiszámított romlási tényezőt kell alkalmazni a másik vizsgálati ciklusnál is, feltéve hogy a tartampróba kezdetén és végén mért értékek közötti összefüggés mindkét vizsgálati ciklus esetében egyforma.
3.5.4. A megfelelő vizsgálati ciklusok esetében minden szennyező anyagra vonatkozó romlási tényezőt rögzíteni kell a 2005/55/EK irányelv VI. melléklete 1. függelékének 1.5. szakaszában.
3.6. A romlási tényező meghatározásához a tartampróba használatának alternatívájaként a motorgyártók a következő romlási tényezők használatát is választhatják:
| Motortípus | Vizsgálati ciklus | CO | HC | NMHC | CH4 | NOx | PM |
| Dízelolaj (1) | ESC | 1,1 | 1,05 | — | — | 1,05 | 1,1 |
| ETC | 1,1 | 1,05 | — | — | 1,05 | 1,1 | |
| Gázüzemű motor (1) | ETC | 1,1 | 1,05 | 1,05 | 1,2 | 1,05 | — |
| (1) Szükség esetén, valamint a tagállamok által szolgáltatott információ alapján a Bizottság a 70/156/EGK irányelv 13. cikkében meghatározott eljárásnak megfelelően javasolhatja az ebben a táblázatban található romlási tényezők felülvizsgálatát. | |||||||
3.6.1. A gyártó úgy is dönthet, hogy az egyik motorra vagy motor/utókezelő kombinációra meghatározott romlási tényezőt olyan motorokra vagy motor/utókezelő kombinációkra is kiterjeszti, amelyek a 2.1. szakaszban meghatározottak szerint nem esnek ugyanabba a motorcsalád-kategóriába. Ilyen esetben a gyártónak bizonyítania kell a jóváhagyó hatóság előtt, hogy az alapmotor vagy motor/utókezelő kombináció és az a motor vagy motor/utókezelő kombináció, amelyre a romlási tényezőket kiterjesztik, a járműre vonatkozóan ugyanolyan műszaki leírással és üzembe helyezési követelményekkel rendelkezik, valamint, hogy az ilyen motor vagy motor/utókezelő kombinációk szennyezőanyag-kibocsátása is ugyanolyan.
3.7. A gyártásmegfelelőség ellenőrzése
3.7.1. A szennyezőanyag-kibocsátás megfelelésére vonatkozó gyártásmegfelelőség ellenőrzése az 2005/55/EK irányelv I. mellékletének 9. szakasza alapján történik.
3.7.2. A típusjóváhagyás időpontjában a gyártó úgy is dönthet, hogy egyidejűleg a szennyezőanyag-kibocsátást is méri, bármiféle kipufogógáz-utókezelő rendszer alkalmazása előtt. Így a gyártó kifejleszthet egy nem hivatalos romlási tényezőt külön a motorra és az utókezelő rendszerre vonatkozóan, amelyet a sorozatgyártás ellenőrzéséhez segítségként használhat.
3.7.3. A típusjóváhagyás céljából csak a gyártó által a 3.6.1. szakaszból elfogadott romlási tényezőket vagy a 3.5. szakasz szerint kialakított romlási tényezőket kell rögzíteni a 2005/55/EK irányelv VI. melléklete 1. függelékének 1.4. szakaszában.
4. KARBANTARTÁS
A tartampróba alatt a motoron végzett karbantartás vagy a romlási tényező meghatározásához használt bármely szükséges reagens megfelelő felhasználása vagy szennyezőanyag-kibocsátással kapcsolatban állóként vagy nem szennyezőanyag-kibocsátással kapcsolatban állóként került besorolásra, és ezek mindegyikét úgy is lehet osztályozni, hogy tervszerű megelőző vagy nem tervszerű megelőző. Bizonyos szennyezőanyag-kibocsátással kapcsolatos karbantartást úgy is lehet osztályozni, mint kritikus szennyezőanyag-kibocsátással kapcsolatos karbantartás.
4.1. Szennyezőanyag-kibocsátással kapcsolatos karbantartás
4.1.1. Ez a szakasz a tartampróba végrehajtásának céljából és az új, nagy teherbírású járművek és nagy teherbírású motorok tulajdonosai számára nyújtott karbantartási utasításokba történő beemelés céljából végzett szennyezőanyag-kibocsátással kapcsolatban álló tervszerű megelőző karbantartást részletezi.
4.1.2. Minden, a tartampróba végrehajtása céljából végzett, szennyezőanyag-kibocsátással kapcsolatos tervszerű megelőző karbantartásnak ugyanakkor, vagy ugyanolyan időközönként kell folynia, mint ahogy azt az új, nagy teherbírású jármű vagy nagy teherbírású motorok tulajdonosai számára nyújtott gyártói karbantartási utasítások részletezik. Ezt a karbantartási ütemezést a tartampróba menetrendje alapján szükség esetén frissíteni lehet, feltéve hogy a vizsgált motoron végzett művelet után a karbantartási ütemezésből karbantartási művelet nem került törlésre.
4.1.3. A motoron végzett valamennyi kibocsátással kapcsolatos karbantartás szükséges a vonatkozó szennyezőanyag-kibocsátási szabványoknak való használat közbeni megfelelőség biztosításához. A gyártónak a jóváhagyó hatóság számára olyan adatokat kell szolgáltatni, amelyek bizonyítják, hogy a tervszerű megelőző szennyezőanyag-kibocsátással kapcsolatban álló karbantartás műszakilag indokolt.
4.1.4. A motorgyártónak a következő tételekre vonatkozóan pontosan meg kell határoznia a beállítást, a tisztítást és a karbantartást (ha szükséges):
- A kipufogógáz-recirkulációs berendezés szűrői és hűtői
- Pozitív forgattyúház-szellőzőszelep
- Porlasztócsúcs (csak a tisztítás)
- Porlasztók
- Turbófeltöltő
- Elektronikus motorszabályozó egység és az ahhoz kapcsolódó érzékelők és működtető szerkezetek
- Részecskeszűrő-rendszer (beleértve a kapcsolódó alkatrészeket is)
- Kipufogógáz-recirkulációs berendezés, beleértve a kapcsolódó szabályozószelepeket és csőrendszert
- Bármely kipufogógáz-utókezelő berendezés.
4.1.5. A karbantartás szempontjából a következő alkatrészek minősülnek kritikus szennyezőanyag-kibocsátással kapcsolatban álló tételeknek:
- Bármely kipufogógáz-utókezelő berendezés
- Elektronikus motorszabályozó egység és az ahhoz kapcsolódó érzékelők és működtető szerkezetek
- Kipufogógáz-recirkulációs berendezés, beleértve a kapcsolódó szűrőket, hűtőket, szabályozószelepeket és csőrendszert
- Pozitív forgattyúház-szellőzőszelep.
4.1.6. Minden kritikus szennyezőanyag-kibocsátással kapcsolatos tervszerű megelőző karbantartás használat közben történő elvégzésének ésszerűen feltételezhetőnek kell lennie. A gyártónak ki kell mutatnia a jóváhagyó hatóság számára az ilyen karbantartás elvégzésének ésszerű valószínűségét a használat során, és ezt a kimutatást a tartampróba alatt végzett karbantartás előtt kell megtenni.
4.1.7. Elfogadottak azok a kritikus szennyezőanyag-kibocsátással kapcsolatban álló tervszerű megelőző karbantartási tételek, amelyek megfelelnek a 4.1.7.1. szakasztól a 4.1.7.4. szakaszig meghatározott bármely feltételnek, mint olyanok, amelyek esetében ésszerű valószínűséggel feltételezhető a karbantartás végrehajtása a használat során.
4.1.7.1. Adatokat kell szolgáltatni a szennyezőanyag-kibocsátás és a járműteljesítmény közötti összefüggésről, azaz arról, hogy a karbantartás hiányában bekövetkező szennyezőanyag-kibocsátásnövekedés nyomán a járműteljesítmény egyidejűleg a tipikus vezetési körülmények között elfogadhatatlan mértékig lecsökken.
4.1.7.2. Vizsgálati adatokat kell szolgáltatni, amelyek kimutatják, hogy 80 %-os megbízhatósági szinten az ilyen motorok 80 %-án elvégzik a kritikus karbantartási tétel használat közbeni karbantartását az ajánlott időpontban (időközökben).
4.1.7.3. Az ezen irányelvhez csatolt IV. melléklet 4.7. szakaszának követelményeivel összefüggésben egy jól látható jelzőberendezést kell elhelyezni a jármű műszerfalán, ami figyelmezteti a gépjárművezetőt, ha a karbantartás esedékes. A jelzőberendezésnek megfelelő távolság megtétele után vagy alkatrész-meghibásodás esetén jeleznie kell. A jelzőberendezésnek a motor üzemeltetési ideje alatt üzemben kell maradnia, és a kívánt karbantartás elvégzését megelőzően nem szabad törlődnie. A jelzés visszaállításának a karbantartási ütem során egy megkívánt lépésnek kell lennie. A rendszert nem szabad úgy kialakítani, hogy a motor megfelelő élettartama lejártával vagy azután kikapcsoljon.
4.1.7.4. Minden egyéb módszer, amelyet a jóváhagyó hatóság a használat során elvégzendő kritikus karbantartás ésszerű valószínűségeként meghatároz.
4.2. A tervszerű megelőző karbantartás változásai
4.2.1. A gyártó az általa a tartampróba alatt elvégezni kívánt, és ezáltal a nagy teljesítményű járművek és motorok tulajdonosai számára javasolt minden új tervszerű megelőző karbantartásra vonatkozóan köteles kérelmet benyújtani a jóváhagyó hatósághoz. A gyártónak csatolnia kell a javasolt új tervszerű megelőző karbantartás kategóriájára (a szennyezőanyag-kibocsátással kapcsolatban álló, a szennyezőanyag-kibocsátással kapcsolatban nem álló, kritikus vagy nem kritikus), valamint - szennyezőanyag-kibocsátással kapcsolatban álló karbantartás esetén - a karbantartások közötti maximális ésszerű időközökre vonatkozó ajánlását. A kérelemhez olyan adatokat kell csatolni, amelyek igazolják az új tervszerű megelőző karbantartás szükségességét és a karbantartási időközöket.
4.3. A szennyezőanyag-kibocsátáshoz nem kapcsolódó tervszerű megelőző karbantartás
4.3.1. Az ésszerű és műszakilag indokolt, szennyezőanyag-kibocsátáshoz nem kapcsolódó tervszerű megelőző karbantartást (pl. olajcsere, olajszűrőcsere, üzemanyagszűrő-csere, levegőszűrő-csere, hűtőrendszer-karbantartás, alapjárati fordulatszám beállítása, regulátor, motornyomaték, szelepholtjáték, porlasztó-holtjáték, időzítés, az ékszíj feszességének beállítása stb.) a tartampróbára kijelölt motorokon vagy járműveken a gyártó által a tulajdonos számára ajánlott minimális gyakoriság szerinti időközökben el lehet végezni (azaz nem a szigorú szervizre ajánlott időpontokban).
4.4. A tartampróba során a vizsgálatra kiválasztott motorok karbantartása
4.4.1. A tartampróba során a vizsgálatra kiválasztott motorok motoron, kibocsátáscsökkentő rendszeren vagy üzemanyag-rendszeren kívüli alkatrészeinek javítását csak részleges hiba vagy a motorrendszer hibás működése esetén szabad elvégezni.
4.4.2. Berendezést, műszereket vagy szerszámokat nem szabad használni a hibás működés, a rosszul beállított vagy hibás motoralkatrészek meghatározásához, kivéve ha ugyanaz vagy egyenértékű berendezés, ugyanazok vagy egyenértékű műszerek vagy szerszámok elérhetők a márkakereskedések vagy más szervizszolgálatok számára, és
- a tervszerű megelőző karbantartással összefüggésben ilyen alkatrészek esetében használják azokat,
- és
- azokat a motor hibás működésének megállapítását követően használják.
4.5. Kritikus szennyezőanyag-kibocsátással kapcsolatban álló nem tervszerű karbantartás
4.5.1. Egy megkívánt reagens felhasználása a tartampróba céljából, illetve az új nagy teljesítményű járművek vagy nagy teherbírású motorok tulajdonosai számára a gyártók által nyújtott karbantartási utasításokba történő beemelés céljából végzett kritikus szennyezőanyag-kibocsátással kapcsolatos nem tervszerű karbantartásként határozható meg.
III. MELLÉKLET
AZ ÜZEMELŐ JÁRMŰVEK/MOTOROK MEGFELELŐSÉGE
1. ÁLTALÁNOS MEGJEGYZÉSEK
1.1. A szennyezőanyag-kibocsátásra megadott típusjóváhagyásra történő hivatkozással intézkedések szükségesek a kibocsátáscsökkentő készülékek működőképességének igazolására a járműbe szerelt motor élettartama alatt, szokásos használati feltételek között (a megfelelően karbantartott és használt üzemelő járművek/motorok megfelelősége).
1.2. Ezen irányelv alkalmazásában ezeket az intézkedéseket a 2005/55/EK irányelv I. mellékletének 6.2.1. szakaszában található táblázatok B1., B2. vagy C. sora szerint típusjóváhagyott járművekre és motorokra vonatkozóan az ezen irányelv 3. cikkében meghatározott megfelelő élettartam szerinti időtartamon keresztül ellenőrizni kell.
1.3. Az üzemelő járművek/motorok megfelelőségének ellenőrzése a gyártó által a jóváhagyó hatóság számára szolgáltatott információk alapján történik, amely hatóság azokra a jellemző járművekre és motorokra vonatkozóan, amelyekre a gyártó elnyerte a típusjóváhagyást, szennyezőanyag-kibocsátási teljesítmény-ellenőrzést tart.
Ezen melléklet 1. ábrája bemutatja az üzem közbeni megfelelőség ellenőrzésének eljárását.
2. AZ ELLENŐRZÉSRE VONATKOZÓ ELJÁRÁSOK
2.1. A jóváhagyó hatóság az üzem közbeni megfelelősség ellenőrzését a gyártó birtokában lévő vonatkozó információk alapján, a 10. cikk (1) és (2) bekezdésében, valamint a 70/156/EGK irányelv X. melléklete 1. és 2. szakaszában meghatározottakhoz hasonló eljárások szerint végzi.
Alternatívák még a gyártó által nyújtott üzem közbeni ellenőrzésről szóló jelentések, a jóváhagyó hatóság felügyeleti vizsgálata és/vagy egy tagállam által elvégzett felügyeleti vizsgálatról szóló információ. Az alkalmazandó eljárásokat a 3. szakasz tartalmazza.
3. ELLENŐRZÉSI ELJÁRÁSOK
3.1. Az üzem közbeni megfelelőségi ellenőrzést a gyártó által nyújtott információk alapján a jóváhagyó hatóság végzi. A gyártó üzem közbeni ellenőrzéséről (ISM) szóló jelentésnek igazolt és megfelelő vizsgálati jegyzőkönyvek alkalmazásával történő üzem közbeni motor- és járművizsgálaton kell alapulnia. Ezeknek az információknak (az ISM jelentésnek) a következőket kell tartalmazniuk, az ezekre való korlátozódás nélkül (lásd 3.1.1. szakasztól 3.1.13.szakaszig):
3.1.1. A gyártó neve és címe.
3.1.2. A gyártó információit felölelő területekre vonatkozóan a gyártó meghatalmazott képviselőjének neve, címe, telefon- és faxszáma, valamint e-mail címe.
3.1.3. A gyártó információjában szereplő motor modelljének neve(i).
3.1.4. Ahol szükséges, a gyártó információjában szereplő motortípusok listája, azaz a motor-utókezelő berendezéscsalád.
3.1.5. A jármű azonosítószámának (VIN) kódjai, amelyek az ellenőrzés részét képező motorral felszerelt járművekre alkalmazandóak.

1. ábra
3.1.6. Az üzemelő családon belüli motortípusokra alkalmazandó típusjóváhagyások száma, beleértve adott esetben minden kiterjesztés és területrögzítés/visszahívás (átdolgozás) számát.
3.1.7. A kiterjesztések részletezése, területrögzítések/visszahívások a gyártó információját érintő motorok típusjóváhagyásaira vonatkozóan (ha a jóváhagyó hatóság megkívánja).
3.1.8. Az az időtartam, amelynek során a gyártó információit összegyűjtötték.
3.1.9. A gyártó információjában szereplő motorgyártási időtartam (pl. "a 2005-ös naptári év során gyártott járművek vagy motorok").
3.1.10. A gyártó eljárása az üzem közbeni megfelelőség ellenőrzésére, beleértve:
3.1.10.1. A jármű vagy motor helyének módszere
3.1.10.2. A járműre vagy motorra vonatkozó kiválasztási és elutasítási kritériumok
3.1.10.3. A programhoz használt vizsgálati típusok és eljárások
3.1.10.4. A gyártó üzem közbeni családcsoportra vonatkozó elfogadási/visszautasítási kritériumai
3.1.10.5. Az(ok) a földrajzi terület(ek), amely(ek)en belül a gyártó összegyűjtötte az információkat
3.1.10.6. Az alkalmazott mintaméret és mintavételi terv.
3.1.11. A gyártó üzem közbeni megfelelőségi eljárásának eredményei, beleértve:
3.1.11.1. A programba tartozó motorok azonosítása (függetlenül attól, hogy vizsgálták-e vagy sem). Az azonosítás a következőket tartalmazza:
- a modell neve
- a jármű azonosítási száma (VIN)
- motorszám
- az ellenőrzés részét képező motorral felszerelt jármű forgalmi rendszáma
- gyártási idő
- a régió, ahol a járművet használják (ha ismert)
- a jármű használatának típusa (ha ismert), azaz városi szállítás, hosszú táv stb.
3.1.11.2. Egy jármű vagy motor mintából való kizárásának oka(i) (pl. ha egy jármű egy évnél rövidebb ideig volt használatban, a szennyezőanyag-kibocsátással kapcsolatban álló karbantartás nem megfelelő, bizonyítható a szokásos járműhasználathoz képest magasabb kéntartalmú üzemanyag használata, a kibocsátáscsökkentő berendezés nem felel meg a típusjóváhagyásnak). Az elutasítás okának megalapozottnak kell lennie (pl. a karbantartási utasítások be nem tartásának természete stb.). Egy járművet nem lehet kizárólag azon az alapon kizárni, hogy az AECS-t esetleg túlzott mértékben alkalmazták.
3.1.11.3. A mintában részt vevő valamennyi motorra vonatkozóan szennyezőanyag-kibocsátással kapcsolatos szervízelési és karbantartási előzmény (beleértve az átalakításokat is).
3.1.11.4. A mintában részt vevő valamennyi motorra vonatkozó javítási előzmény (ha ismert).
3.1.11.5. Vizsgálati adatok, beleértve:
a) a vizsgálat időpontja
b) a vizsgálat helye
c) ahol szükséges, az ellenőrzés által érintett motorral felszerelt jármű távolságmérője
d) a vizsgálathoz használt üzemanyagra vonatkozó előírások (pl. a vizsgálathoz használt referencia-üzemanyag vagy piaci üzemanyag)
e) vizsgálati feltételek (hőmérséklet, nedvességtartalom, motorfékpad tehetetlenségi súlya)
f) a motorfékpad beállításai (pl. teljesítménybeállítás)
g) ezen melléklet 4. szakaszának megfelelő ESC-, ETC- és ELR-vizsgálatokon végzett szennyezőanyag-kibocsátási vizsgálati eredmények. Legalább öt motort kell vizsgálni
h) a fenti g) pont alternatívájaként a vizsgálatot egy másik jegyzőkönyv használatával is el lehet végezni. Az ilyen vizsgálat alapján kimutatott üzem közbeni működőképesség meglétét a típusjóváhagyó eljárással együtt a gyártónak be kell jelentenie és bizonyítania kell (a 2005/55/EK irányelv I. mellékletének 3. és 4. szakasza).
3.1.12. Az OBD rendszer jelzéseinek rögzítése.
3.1.13. Az elégethető reagens alkalmazására vonatkozó tapasztalatok rögzítése. A jelentéseknek részletezniük kell a következőket, de nem kell kizárólagosan ezekre korlátozódniuk: a reagens töltésének, újratöltésének és felhasználásának kezelésére, valamint a töltőberendezések kezelésére és különösen az ideiglenes teljesítménykorlátozók használat közbeni működésbe hozásának és más hibajelenségeknek a gyakoriságára, a hibajelző aktiválására és az elégethető reagens hiányával összefüggő hibakód rögzítésére vonatkozó kezelői tapasztalatokat.
3.1.13.1. A gyártónak használat közbeni jelentéseket és hibajelentéseket kell bemutatnia. A gyártónak jelentenie kell a szavatossági igényeket és azok természetét, valamint a hibajelző bekapcsolására/kikapcsolására vonatkozó belső jelzéseket és az elégethető reagens hiányával összefüggő hibakód rögzítését, továbbá a motor teljesítménykorlátozó bekapcsolását/kikapcsolását (lásd a 2005/55/EK irányelv I. mellékletének 6.5.5. szakasza).
3.2. A gyártó által összegyűjtött információknak kellőképpen átfogóaknak kell lenniük annak érdekében, hogy az ezen irányelv 3. cikkében meghatározott megfelelő tartósság/élettartam alatti szokásos feltételek közötti és a gyártó földrajzi terjeszkedésére jellemző módon történő üzemelés közbeni teljesítmény biztosítva legyen.
3.3. A gyártó esetleg a 3.1.11.5. szakasz g) pontjában megadottnál kevesebb motort/járművet magában foglaló üzem közbeni ellenőrzést kíván lefolytatni a 3.1.11.5. szakasz h) pontjában meghatározott eljárás alkalmazásával. Ennek oka az lehet, hogy a jelentéssel érintett motorcsaládban (motorcsaládokban) lévő motorok száma alacsony. A feltételekről előzetesen meg kell állapodni a jóváhagyó hatósággal.
3.4. Az ebben a szakaszban említett ellenőrzésre vonatkozó jelentés alapján a jóváhagyó hatóság köteles vagy:
- arról határozni, hogy egy motortípus vagy motorcsalád üzem közbeni megfelelősége kielégítő, és ezért nem hoz további intézkedéseket
- arról határozni, hogy a gyártó által meghatározott adatok nem elegendőek a döntés meghozatalához, és a gyártótól további információkat és/vagy vizsgálati adatokat kérni. Ha szükséges, és a motor típusjóváhagyásától függően az ilyen pótlólagos vizsgálati adatoknak tartalmazniuk kell az ESC, ELR, és ETC-vizsgálatok, vagy a 3.1.11.5. szakasz h) pontjának megfelelő egyéb elfogadott eljárások eredményeit
- arról határozni, hogy egy motorcsalád üzem közbeni megfelelősége nem kielégítő, és igazoló vizsgálatot végeztetni az ezen melléklet 5. szakaszának megfelelően a motorcsaládból vett motorok mintáján.
3.5. Tagállam végezhet az ebben a szakaszban kifejtett ellenőrző eljáráson alapuló igazoló vizsgálatot, és jelentést készíthet arról. A beszerzésre, karbantartásra és a gyártónak a műveletekben való részvételére vonatkozó információkat rögzíteni lehet. A tagállam a 3.1.11.5. szakasz h) pontjának megfelelően használhat továbbá alternatív szennyezőanyag-kibocsátási vizsgálati jegyzőkönyveket is.
3.6. A jóváhagyó hatóság a tagállam által lefolytatott és jelentett ellenőrző vizsgálatot elfogadhatja a 3.4. szakasznak megfelelő határozat alapjaként.
3.7. Amennyiben a gyártó visszahívással önkéntes javítási műveletet kíván lefolytatni, azt jelentenie kell a jóváhagyó hatóság és a szóban forgó motorok/járművek üzemben tartási helyének megfelelő tagország(ok) felé. A gyártónak a művelet lefolytatására vonatkozó döntés meghozatalakor, majd a visszahívás megkezdésétől rendszeresen jelentést kell benyújtania, megjelölve a művelet részleteit, és leírva a műveletben részt vevő motorok/járművek csoportját. Az ezen melléklet 7. szakaszának vonatkozó részletei alkalmazhatók.
4. SZENNYEZŐANYAG-KIBOCSÁTÁSI VIZSGÁLATOK
4.1. A motorcsaládból kiválasztott motort a gáz-halmazállapotú szennyezőanyag-kibocsátásra és a részecskekibocsátásra vonatkozóan ESC- és ETC-vizsgálati ciklusokkal, valamint a füstkibocsátásra vonatkozóan ELR-vizsgálati ciklussal kell vizsgálni. A motornak az ettől a típusú motortól elvárható használati típusra jellemzőnek kell lennie, és egy szokásos használatú járműből kell, hogy származzon. A motor/jármű beszerzésének, felülvizsgálatának és helyreállító karbantartásának a 3. szakaszban részletezettek szerinti jegyzőkönyv alapján kell történnie, és ezeket dokumentálni kell.
A II. melléklet 4. szakaszában említett megfelelő tervszerű megelőző karbantartást kell a motoron elvégezni.
4.2. Az ESC-, ETC- és ELR-vizsgálatokkal meghatározott szennyezőanyag-kibocsátási értékeket a 2005/55/EK irányelv I. mellékletének 6.2.1. szakaszának táblázataiban szereplő, az arra a szennyező anyagra vonatkozó határértéknél eggyel több tizedesjeggyel kell megadni.
5. IGAZOLÓ VIZSGÁLAT
5.1. Igazoló vizsgálatot egy motorcsalád üzem közbeni kibocsátási működőképességének igazolása céljából végeznek.
5.1.1. Ha a jóváhagyó hatóság a 3.4. szakasz alapján vagy az elégtelen üzem közbeni megfelelőségről kapott bizonyíték alapján, például a 3.5. szakaszban foglaltak szerint nem elégedett a gyártó ISM-ével, akkor utasíthatja a gyártót, hogy igazolás céljából végezzen vizsgálatot. A jóváhagyó hatóság a gyártó által benyújtott igazoló vizsgálati jelentést megvizsgálja.
5.1.2. A jóváhagyó hatóság igazoló vizsgálatot végezhet.
5.2. Az igazoló vizsgálatnak a 4. szakaszban részletezettek szerint ESC-, ETC- és ELR-vizsgálati motorokra alkalmazhatónak kell lennie. A jellemző motorok vizsgálatához azokat ki kell szerelni a szokásos feltételek között használt járművekből, és így kell vizsgálni azokat. Alternatívaként a jóváhagyó hatóság előzetes engedélyével a gyártó vizsgálhatja használatban lévő járművek kibocsátáscsökkentő alkatrészeit is, miután azokat kiszerelték, áttették és beszerelték rendeltetésszerűen használt és jellemző motorba (motorokba). Minden vizsgálatsorozat esetében ugyanazt a kibocsátáscsökkentő alkatrészcsomagot kell kiválasztani. A kiválasztás okát meg kell jelölni.
5.3. Egy vizsgálati eredmény akkor tekinthető nem kielégítőnek, ha az ugyanazt a motorcsaládot képviselő két vagy több motor vizsgálataiból származó, bármely szabályozott szennyezőanyag-összetevőre vonatkozó eredmény a 2005/55/EK irányelv I. mellékletének 6.2.1. szakaszában meghatározott határértéket jelentősen meghaladja.
6. A SZÜKSÉGES INTÉZKEDÉSEK
6.1. Ha a jóváhagyó hatóság nem elégedett a gyártó által szolgáltatott információval vagy vizsgálati adatokkal, és az 5. szakasz szerint elvégzett igazoló motorvizsgálat vagy egy tagállam által végzett igazoló vizsgálat alapján (6.3. szakasz) megbizonyosodik arról, hogy egy motortípus nem felel meg ezen rendelkezések követelményeinek, a jóváhagyó hatóság köteles felkérni a gyártót, hogy terjesszen elő egy javító intézkedési tervet a meg nem felelés orvoslására.
6.2. Ebben az esetben a 8. szakasszal összhangban a 11. cikk (2) bekezdésében és a 70/156/EGK irányelvhez csatolt X. mellékletben (vagy a keretirányelvben) említett javító intézkedések kiterjednek az ugyanolyan járműtípushoz tartozó üzemelő motorokra is, amelyek valószínűleg ugyanazzal a hibával rendelkeznek.
Ahhoz, hogy a gyártó által bemutatott javító intézkedések érvényesek legyenek, a jóváhagyó hatóságnak el kell fogadnia azokat. A gyártó felelős azért, hogy a javítási terv az elfogadott tervnek megfelelően kerüljön végrehajtásra.
A jóváhagyó hatóság határozatáról 30 napon belül köteles értesíteni valamennyi tagállamot. A tagállamok kérhetik, hogy minden, a területükön regisztrált egyforma típusú motorra vonatkozóan ugyanazt a javító intézkedési tervet alkalmazzák.
6.3. Ha egy tagállam megállapította, hogy egy motortípus nem felel meg az ezen melléklet alapján alkalmazandó követelményeknek, akkor a 70/156/EGK irányelv 11. cikke (3) bekezdésének követelményeivel összhangban azt haladéktalanul közölnie kell azzal a tagállammal, amely az eredeti típusjóváhagyást megadta.
Ezt követően a 70/156/EGK irányelv 11. cikke (6) bekezdése rendelkezésének megfelelően a tagállam illetékes hatósága, amely megadta az eredeti típusjóváhagyást, köteles értesíteni a gyártót, hogy egy motortípus nem felel meg ezen rendelkezések követelményeinek, és hogy intézkedéseket várnak a gyártótól. A gyártó ezen értesítéstől számított két hónapon belül köteles a hatóság számára benyújtani egy, a hibák kijavítását célzó intézkedési tervet, amelynek lényegét tekintve meg kell felelnie a 7. szakasz követelményeinek. Az eredeti típusjóváhagyást megadó illetékes hatóságnak az intézkedési tervről és annak kivitelezéséről szóló megállapodás biztosítása érdekében két hónapon belül konzultálnia kell a gyártóval. Ha az eredeti típusjóváhagyást kiadó illetékes hatóság megállapítja, hogy nem lehet megállapodást elérni, akkor a 70/156/EGK irányelv 11. cikkének (3) és (4) bekezdése szerinti eljárást kell kezdeményezni.
7. A JAVÍTÓ INTÉZKEDÉSEK TERVE
7.1. A 6.1. szakasz alapján megkövetelt javító intézkedések tervének a 6.1. szakaszban hivatkozott bejelentés időpontját követő 60 munkanapon belül kell beérkeznie a jóváhagyó hatósághoz. A jóváhagyó hatóságnak 30 munkanapon belül közölnie kell, hogy jóváhagyja-e vagy sem a javító intézkedések tervét. Mindazonáltal ha a gyártó az illetékes jóváhagyó hatóság számára kielégítően bizonyítani tudja, hogy a meg nem felelés vizsgálatához több időre van szükség annak érdekében, hogy a javító intézkedések tervét benyújtsa, a határidő meghosszabbítható.
7.2. A javító intézkedéseknek minden olyan motorra ki kell terjedniük, amelynél valószínű ugyanannak a hibának a megléte. Mérlegelni kell a típus-jóváhagyási dokumentáció módosításának szükségességét.
7.3. A gyártónak be kell nyújtania egy példányt a javító intézkedések tervére vonatkozó valamennyi levelezésből, nyilvántartást kell vezetnie a visszahívási intézkedésekről, és rendszeres helyzetjelentést kell adnia a jóváhagyó hatóságnak.
7.4. A javító intézkedések tervének tartalmaznia kell a 7.4.1-7.4.11. szakaszban előírt követelményeket. A gyártónak a javító intézkedések tervét egyedi azonosítási névvel vagy számmal kell ellátnia.
7.4.1. A javító intézkedések tervében szereplő valamennyi motortípus leírása.
7.4.2. A motorok megfelelőségének biztosításához elvégzendő egyedi módosítások, változtatások, javítások, kiigazítások, beállítások vagy más átalakítások leírása, amely tartalmazza a gyártónak a meg nem felelés kiküszöbölése érdekében teendő sajátos intézkedésekre vonatkozó döntését alátámasztó adatok és a műszaki tanulmányok rövid összefoglalását is.
7.4.3. Annak a módszernek a leírása, amellyel a gyártó értesíti a motor- vagy jármű- tulajdonosokat a javító intézkedésekről.
7.4.4. A helyes karbantartás vagy üzemeltetés leírása, adott esetben, amelyet a gyártó a javító intézkedések terve alapján történő javításra való alkalmasság feltételeként határoz meg, és a gyártó indokainak magyarázata arra vonatkozóan, hogy miért köti ki ezeket a feltételeket. Csak akkor lehet karbantartási vagy használati feltételeket kikötni, ha azok bizonyíthatóan kapcsolódnak a nem megfelelőséghez és a javító intézkedésekhez.
7.4.5. A nem megfelelőség helyesbítésének elnyeréséhez szükséges, a motortulajdonos által követendő eljárás leírása. Ennek tartalmaznia kell azt az időpontot, amely után a javító intézkedéseket foganatosítják, azt a becsült időt, amelyre a műhelynek szüksége lehet a javítás elvégzéséhez, és hogy hol lehet ezeket a javításokat elvégezni. A javítást célszerűen, a jármű beszállítása után ésszerű időn belül kell elvégezni.
7.4.6. A jármű tulajdonosának átadott tájékoztatás másolata.
7.4.7. Annak a rendszernek a rövid leírása, amit a gyártó a javító intézkedés teljesítéséhez szükséges alkatrészek vagy rendszerek megfelelő szállításának biztosítása érdekében alkalmaz. Jelezni kell, hogy mikor lesz megfelelő ellátás az alkatrészekből vagy rendszerekből ahhoz, hogy a javító intézkedések végrehajtását meg lehessen kezdeni.
7.4.8. A javítást végző személyeknek megküldendő valamennyi utasítás másolata.
7.4.9. A javító intézkedések tervében foglalt javasolt javító intézkedéseknek az érintett valamennyi motortípus szennyezőanyag-kibocsátására, üzemanyag-fogyasztására, kezelhetőségére és biztonságára gyakorolt hatásának leírása, a következtetéseket alátámasztó adatokkal, műszaki tanulmányokkal stb.
7.4.10. A jóváhagyó hatóság által a javító intézkedések tervének kiértékeléséhez ésszerű megfontolásokból szükségesnek ítélt minden más információ, jelentés vagy adat.
7.4.11. Ahol a javító intézkedések visszahívást is magukban foglalnak, a javítás nyilvántartására szolgáló módszer leírását be kell nyújtani a jóváhagyó hatóság számára. Címke használata esetén mintát kell benyújtani.
7.5. A gyártótól megkövetelhető, hogy ésszerűen tervezett és szükséges vizsgálatokat végezzen a javasolt változtatás, javítás vagy módosítás által érintett alkatrészeken és motorokon, a változtatás, javítás vagy módosítás hatékonyságának bizonyítása érdekében.
7.6. A gyártó felelős minden visszahívott és javított motorra vagy járműre, valamint a javítást végző műhelyre vonatkozó dokumentáció megőrzéséért. A jóváhagyó hatóság kérésére a javító intézkedések tervének végrehajtásától számított 5 évig hozzáférést kell biztosítani a dokumentációhoz.
7.7. A javítást és/vagy módosítást vagy új berendezések beépítését a gyártó által a motor tulajdonosának átadott tanúsítványban kell rögzíteni.
IV. MELLÉKLET
FEDÉLZETI DIAGNOSZTIKAI RENDSZEREK (OBD)
1. BEVEZETÉS
Ez a melléklet a gépjárművek kibocsátáscsökkentésére szolgáló fedélzeti diagnosztikai (OBD) rendszerre vonatkozó egyedi rendelkezéseit írja le.
2. FOGALOMMEGHATÁROZÁSOK
E melléklet alkalmazásában a 2005/55/EK irányelv I. mellékletének 2. szakaszában megadottakon kívül a következő fogalommeghatározások is érvényesek:
"bemelegítési ciklus": olyan elegendő motorüzem, amely alatt a hűtőfolyadék hőmérséklete a motor beindítási hőmérsékletéről legalább 22 K-nel, legalább 343 K (70 °C) hőmérsékletre nő;
"hozzáférés": az OBD minden, a szennyező anyagok kibocsátásával kapcsolatos adatára vonatkozó hozzáférhetőség, beleértve a szennyező anyagok kibocsátásával kapcsolatos járműrészek felülvizsgálatához, diagnózisához, szervizeléséhez vagy javításához szükséges valamennyi hibakódot, amely a szabványos diagnosztikai csatlakozó soros felületén keresztül valósul meg;
"hiányosság": a motor OBD rendszere szempontjából azt jelenti, ha az ellenőrzött alkatrészek vagy rendszerek közül legfeljebb kettő olyan ideiglenes vagy állandó üzemelési jellemzőket mutat, amelyek hátrányosan befolyásolják ezen alkatrészeknek az OBD által történő, egyébként hatékony ellenőrzését, vagy nem felelnek meg az OBD-vel szemben támasztott valamennyi egyéb részletes követelménynek. Az ilyen hiányossággal rendelkező motorok vagy járművek motorjaik vonatkozásában ezen melléklet 4.3. szakasza szerint kaphatnak típusjóváhagyást, nyilvántartásba vehetők és eladhatók;
"elhasznált alkatrész/rendszer": olyan motor- vagy kipufogógáz-utókezelő alkatrész vagy rendszer, amelyet a gyártó szándékoltan, ellenőrzött módon, az OBD rendszeren végzendő típus-jóváhagyási vizsgálat céljával elhasznált;
"OBD-vizsgálati ciklus": olyan vezetési ciklus, amely az ESC vizsgálati ciklus egy változata, és a 2005/55/EK irányelv III. melléklete 1. függelékének 2.7.1. szakaszában leírt 13 egyedi üzemmódból áll, de az egyes üzemmódokat csökkentett, 60 másodperces időtartamban kell végrehajtani;
"üzemeltetési sorozat": a hibajelző (MI) működtetéséhez szükséges feltételek meghatározásához használt üzemeltetési sorozat. A sorozat a motor indításából, az üzemelési szakaszból, a motor leállításából és a következő indításig eltelt időből áll, mialatt folyik az OBD által végzett ellenőrzés, és kimutatható az esetleges hibás működés;
"előkondicionáló ciklus": legalább három, egymás után következő OBD-vizsgálati ciklus vagy szennyezőanyag-kibocsátási ciklus lefuttatása a motorműködés, a szennyezőanyag-kibocsátási rendszer és az OBD-ellenőrzési készenlét stabilitásának elérése érdekében;
"javítási információk": minden, a motor diagnózisához, szervizeléséhez, felülvizsgálatához, időszakos ellenőrzéséhez vagy javításához szükséges, a gyártók által a meghatalmazott forgalmazók/javítóműhelyek számára nyújtott információ. Ezek az információk szükség szerint magukban foglalják a szervizelési kézikönyveket, a műszaki útmutatókat, a diagnózisra vonatkozó információkat (például a mérésekre vonatkozó elméleti legkisebb és legnagyobb értékeket), a huzalozási rajzokat, a motortípusra alkalmazandó szoftverkalibrálási azonosítószámot, a jármű gyártójának előírásaival összhangban lévő, az elektronikus rendszerek szoftvereinek frissítéséhez szükséges információt, az egyedi és a különleges esetekre vonatkozó rendelkezéseket, a szerszámokra és a berendezésekre vonatkozó információkat, az adatrögzítési információkat és a kétirányú ellenőrzési és vizsgálati adatokat. A gyártó nem kötelezhető olyan információ hozzáférhetővé tételére, amelyet a szellemi tulajdonjog véd vagy a gyártó és/vagy az OEM-szállítók egyedi know-how-ját képezi; ebben az esetben sem szabad azonban a szükséges műszaki információt indokolatlanul visszatartani;
"szabványosított": az OBD által képzett valamennyi, a szennyezőanyag-kibocsátással kapcsolatos adatot (olvasóeszköz használata esetén az adatáramot), beleértve az alkalmazott hibakódokat is, kizárólag az ipari szabványoknak megfelelően szabad előállítani, amelyek annál fogva, hogy a formátum és a megengedett beállítások pontosan meghatározottak, a gépjárműiparban maximális harmonizációs szintet biztosítanak, és amelyek használatát ez az irányelv kifejezetten megengedi;
"korlátlan":
- olyan hozzáférés, amely nem függ semmiféle olyan hozzáférési kódtól, amely csak a gyártótól szerezhető be, illetőleg más hasonló eszköztől,
- vagy
- olyan hozzáférés, amely lehetővé teszi az előállított adatok kiértékelését anélkül, hogy bármilyen egyedi dekódolási információra szükség lenne, kivéve ha maga ez az információ szabványosított.
3. KÖVETELMÉNYEK ÉS VIZSGÁLATOK
3.1. Általános követelmények
3.1.1. Az OBD rendszereket úgy kell kialakítani, legyártani és a járműbe beépíteni, hogy a jármű alkalmas legyen a motor teljes élettartama alatt a hibás működés egyes típusainak felismerésére. Ennek a célkitűzésnek az eléréséhez a jóváhagyó hatóságnak el kell fogadnia, hogy azok a motorok, amelyeket a 3. cikkben meghatározott vonatkozó tartóssági időszakot meghaladóan használtak, OBD rendszerük teljesítőképességét tekintve bizonyos mértékű romlást mutathatnak, aminek következtében előfordulhat, hogy a szennyezőanyag-kibocsátás túllépi az ezen irányelv 4. cikke (3) bekezdésének táblázatában meghatározott OBD-küszöbértékeket, mielőtt az OBD rendszer a meghibásodásról jelzést adna a jármű vezetőjének.
3.1.2. A motor minden beindításakor kezdeményezni kell az előírt diagnosztikai ellenőrzéseket, és legalább egyszer teljes mértékben végre is kell őket hajtani, feltéve hogy a megfelelő vizsgálati feltételek teljesülnek. A vizsgálati feltételeket úgy kell kiválasztani, hogy megfeleljenek az ezen melléklet 1. függelékének 2. szakaszában meghatározott vizsgálat leírásában bemutatott vezetési feltételeknek.
3.1.2.1. A gyártó nem köteles aktiválni kizárólag az OBD-nek a jármű üzemeltetési feltételei között történő funkcionális ellenőrzése céljából azt az alkatrészt vagy rendszert, amely szokásos esetben nem lenne aktív (például a deNOx-rendszer vagy a kombinált deNOx-részecskeszűrő reagenstartály-fűtőjét aktiválni, ha ez a rendszer a szokásos körülmények között nem aktív).
3.1.3. Az OBD magában foglalhat olyan berendezéseket, amelyek a hibás működés megállapítása és a hibás működésről tévesen adott jelzés kockázatának minimalizálása céljából mérnek vagy érzékelnek üzemeltetési változókat (például a jármű sebességét, a motor fordulatszámát, az alkalmazott sebességfokozatot, a hőmérsékletet, a beszívott levegőt vagy más paramétereket), illetőleg reagálnak azokra. Ezek a berendezések nem számítanak hatástalanító berendezésnek.
3.1.4. Az OBD rendszerhez történő, a motor felülvizsgálatához, diagnózisához, szervizeléséhez vagy javításához szükséges hozzáférésnek korlátlannak és szabványosítottnak kell lennie. A szennyező anyagok kibocsátásával kapcsolatos hibakódoknak az ezen melléklet 6.8.5. szakaszában leírtakkal összhangban kell lenniük.
3.2. Az OBD követelményei az 1. szakaszban
3.2.1. Az ezen irányelv 4. cikkének (1) bekezdésében megadott időponttól kezdődőden minden dízelmotor és minden dízelmotorral felszerelt jármű OBD rendszerének jeleznie kell a szennyezőanyag-kibocsátással kapcsolatos alkatrészek vagy rendszerek meghibásodását, ha ez a meghibásodás azt eredményezi, hogy a szennyező anyagok kibocsátása az ezen irányelv 4. cikke (3) bekezdésének táblázatában megadott vonatkozó OBD-küszöbértékek fölé nő.
3.2.2. Az 1. szakasz követelményeinek kielégítése során az OBD rendszer folyamatosan ellenőrizze:
3.2.2.1. a külön házban felszerelt, deNOx-rendszer vagy részecskeszűrő részét képező vagy nem képező katalizátor teljes eltávolítását;
3.2.2.2. az esetleges deNOx-rendszer hatékonyságának csökkenését kizárólag a NOx-kibocsátásra vonatkozóan;
3.2.2.3. az esetleges részecskeszűrő hatékonyságának csökkenését kizárólag a légszennyező részecskék kibocsátására vonatkozóan;
3.2.2.4. az esetleges kombinált deNOx-részecskeszűrő hatékonyságának csökkenését a NOx és a légszennyező részecskék kibocsátásra vonatkozóan.
3.2.3. Jelentős működési hiba
3.2.3.1. A határértékeknek a 3.2.2.1-3.2.2.4. szakaszoknak megfelelő folyamatos ellenőrzése helyett a dízelmotorok OBD rendszere ezen irányelv 4. cikkének (1) bekezdésével összhangban folyamatosan ellenőrizheti a következő alkatrészek jelentős működési hibáját:
- a külön házban felszerelt, deNOx-rendszer vagy részecskeszűrő részét képező vagy nem képező katalizátorét
- az esetleges deNOx-rendszerét
- az esetleges részecskeszűrőét
- a deNOx-részecskeszűrő rendszerét.
3.2.3.2. A deNOx-rendszerrel felszerelt motorok esetében az ellenőrizendő jelentős működési hibákra példa a rendszer teljes eltávolítása vagy meghamisított rendszerre történő kicserélése (mindkettő szándékosan előidézett jelentős működési hiba), a deNOx-rendszer működéséhez szükséges reagens hiánya, az SCR valamely elektromos alkatrészének meghibásodása, a deNOx-rendszer valamely alkatrészének (például az érzékelők és az indítószerkezetek, az adagolásszabályozó egység) elektromos meghibásodása, beleértve az esetleges reagensfűtő rendszerét is, a reagensadagoló rendszer meghibásodása (például hiányzó levegőadagolás, eltömődött fúvóka, az adagoló szivattyú meghibásodása).
3.2.3.3. Részecskeszűrővel felszerelt motorok esetében az ellenőrizendő jelentős működési hibákra példa a részecskecsapda táptalajának jelentős mértékű megolvadása vagy a csapda eltömődése oly módon, hogy a nyomás eltér a gyártó által előírt tartománytól, a részecskeszűrő valamely alkatrészének (például az érzékelők és az indítószerkezetek, az adagolásszabályozó egység) elektromos meghibásodása, az esetleges reagensadagoló rendszer bármely meghibásodása (például eltömődött fúvóka, az adagoló szivattyú meghibásodása).
3.2.4. A gyártó kimutathatja a jóváhagyó hatóság felé, hogy bizonyos alkatrészeket vagy rendszereket nem szükséges folyamatosan ellenőrizni, ha teljes meghibásodásuk vagy eltávolításuk esetén az ezen melléklet 1. függelékének 1.1. szakaszában meghatározott ciklus alatt mért szennyezőanyag-kibocsátás nem haladja meg az ezen irányelv 4. cikke (3) bekezdésének táblázatában az OBD 1. szakaszára megadott küszöbértékeket. Ez a rendelkezés nem alkalmazható a kipufogógáz-visszakeringető (EGR) készülékre, a deNOx-rendszerre, a részecskeszűrőre vagy a kombinált deNOx-részecskeszűrő rendszerre, továbbá azokra az alkatrészekre vagy rendszerekre, amelyeket a jelentős működési hiba tekintetében ellenőriznek.
3.3. Az OBD követelményei a 2. szakaszban
3.3.1. Az ezen irányelv 4. cikkének (2) bekezdésében megadott időponttól kezdődően minden dízelmotor és gázüzemű motor, továbbá minden, dízelmotorral vagy gázüzemű motorral felszerelt jármű OBD rendszerének jeleznie kell a szennyezőanyag-kibocsátással kapcsolatos alkatrészek vagy rendszerek meghibásodását, ha ez a meghibásodás azt eredményezi, hogy a szennyező anyagok kibocsátása az ezen irányelv 4. cikke (3) bekezdésének táblázatában megadott vonatkozó OBD-küszöbértékek fölé nő.
Az OBD rendszer vegye figyelembe a motorrendszer elektronikus vezérlőegysége(i) (EECU) és bármely más erőátviteli vagy járműszabályozó egység közötti kommunikációs felületet, ha a kicserélt adatok befolyásolják a kibocsátáscsökkentés megfelelő működését. Az OBD rendszernek diagnosztizálnia kell az EECU és az említett alkatrészek kapcsolatát megvalósító eszköz közötti kapcsolat épségét (például a kommunikációs sínt).
3.3.2. A 2. szakasz követelményeinek kielégítése során az OBD rendszer folyamatosan ellenőrizze:
3.3.2.1. a külön házban felszerelt, deNOx-rendszer vagy részecskeszűrő részét képező vagy nem képező katalizátor hatékonyságának csökkenését;
3.3.2.2. az esetleges deNOx-rendszer hatékonyságának csökkenését kizárólag a NOx-kibocsátásra vonatkozóan;
3.3.2.3. az esetleges részecskeszűrő hatékonyságának csökkenését kizárólag a légszennyező részecskék kibocsátására vonatkozóan;
3.3.2.4. az esetleges kombinált deNOx-részecskeszűrő hatékonyságának csökkenését a NOx és a légszennyező részecskék kibocsátásra vonatkozóan;
3.3.2.5. a motor elektronikus vezérlőegysége (EECU) és bármely más erőátviteli rendszer vagy a jármű elektromos vagy elektronikus rendszere (például az átvitelvezérlő egység (TECU)) közötti felületet az elektromos kapcsolat megszűnése szempontjából.
3.3.3. A gyártó kimutathatja a jóváhagyó hatóság felé, hogy bizonyos alkatrészeket vagy rendszereket nem szükséges folyamatosan ellenőrizni, ha teljes meghibásodásuk vagy eltávolításuk esetén az ezen melléklet 1. függelékének 1.1. szakaszában meghatározott ciklus alatt mért szennyezőanyag-kibocsátás nem haladja meg az ezen irányelv 4. cikke (3) bekezdésének táblázatában az OBD 2. szakaszára megadott küszöbértékeket. Ez a rendelkezés nem alkalmazható a kipufogógáz-visszakeringető (EGR) készülékre, a deNOx-rendszerre, a részecskeszűrőre vagy a kombinált deNOx-részecskeszűrő rendszerre.
3.4. Az 1. és a 2. szakasz követelményei
3.4.1. Az 1. és a 2. szakasz követelményeinek kielégítése során az OBD rendszer folyamatosan ellenőrizze:
3.4.1.1. a tüzelőanyag-befecskendező rendszer elektronikáját, valamint a tüzelőanyag-adagolás mennyiségét és időzítését szabályozó egységeket az áramkör folytonossága (az áramkör megszakadása vagy rövidzárlat) és a teljes működési hiba szempontjából;
3.4.1.2. a motor és a kipufogógáz-utókezelő rendszer szennyezőanyag-kibocsátással kapcsolatos minden más olyan alkatrészét vagy rendszerét, amely számítógéphez kapcsolódik, és amelynek zavara a kipufogócsőben az ezen irányelv 4. cikke (3) bekezdésének táblázatában megadott OBD-küszöbértékeket meghaladó szennyezőanyag-kibocsátást eredményezne. Az ellenőrzés terjedjen ki legalább a kipufogógáz-visszakeringető (ECR) rendszerre, a levegő tömegárama, a levegő térfogatárama (és hőmérséklete), a feltöltési nyomás és a kipufogó-gyűjtőcsőnél érvényes bejövő nyomás ellenőrzésére és szabályozására szolgáló rendszerekre és alkatrészekre (továbbá a megfelelő érzékelőkre, amelyek lehetővé teszik e funkciók elvégzését), a deNOx-rendszer érzékelőire és indítószerkezeteire, valamint az elektronikusan aktiválható aktív részecskeszűrő érzékelőire és indítószerkezeteire;
3.4.1.3. a motor és a kipufogógáz-utókezelő rendszer szennyezőanyag-kibocsátással kapcsolatos minden más olyan alkatrészét vagy rendszerét, amely elektronikus szabályozó egységhez kapcsolódik, folyamatosan ellenőrizni kell az elektromos szétkapcsolásra vonatkozóan, hacsak az ellenőrzés másképp nem valósul meg.
3.4.1.4. Az elégő reagenssel működő utókezelő berendezéssel felszerelt motorok esetében az OBD rendszer folyamatosan ellenőrizze:
- bármely szükséges reagens hiányát
- azt, hogy a szükséges reagens minősége megfelel-e a 2005/55/EK irányelv II. mellékletének megfelelően elkészített gyártói előírásoknak
- a reagensfelhasználást és az adagolást
a 2005/55/EK irányelv I. mellékletének 6.5.4. szakaszának megfelelően.
3.5. Az OBD működése és az OBD egyes ellenőrző funkcióinak ideiglenes kikapcsolása
3.5.1. Az OBD rendszert úgy kell kialakítani, legyártani és a járműbe beépíteni, hogy a jármű a 2005/55/EK irányelv I. mellékletének 6.1.5.4. szakaszában meghatározott alkalmazási feltételek mellett megfeleljen e melléklet követelményeinek.
E szokásos működési feltételek körén kívül a kibocsátáscsökkentő rendszer OBD rendszere teljesítőképességét tekintve bizonyos mértékű romlást mutathat, aminek következtében előfordulhat, hogy a szennyezőanyag-kibocsátás túllépi az ezen irányelv 4. cikke (3) bekezdésének táblázatában meghatározott OBD-küszöbértékeket, mielőtt az OBD rendszer a meghibásodásról jelzést adna a jármű vezetőjének.
Az OBD rendszert csak abban az esetben szabad kikapcsolni, ha a következő kikapcsolási feltételek közül legalább egy fennáll:
3.5.1.1. Az érintett OBD ellenőrző rendszer kikapcsolható, ha ellenőrzési képességét a tüzelőanyag alacsony szintje befolyásolja. Ennek megfelelően a rendszer kikapcsolható, ha a tüzelőanyag-tartályban mért tüzelőanyagszint a tüzelőanyagtank névleges kapacitásának 20 %-a alá csökken.
3.5.1.2. Az érintett OBD ellenőrző rendszer ideiglenesen kikapcsolható a 2005/55/EK irányelv I. mellékletének 6.1.5.1. szakaszában leírt kiegészítő kibocsátáscsökkentési stratégia működése során.
3.5.1.3. Az érintett OBD ellenőrző rendszer ideiglenesen kikapcsolható a működési biztonsági stratégiák vagy a szükségüzemmód aktiválásakor.
3.5.1.4. Az érintett OBD ellenőrző rendszer kikapcsolható azon járművek esetében, amelyekbe géphajtó csonk szerelhető, amennyiben a kikapcsolásra csak akkor kerül sor, ha a géphajtó csonk aktív, és a járművet nem vezetik.
3.5.1.5. Az érintett OBD ellenőrző rendszer ideiglenesen kikapcsolható az erőátviteli rendszerben a motor után elhelyezkedő kibocsátáscsökkentő rendszer (a részecskeszűrő, a deNOx-rendszer vagy a kombinált deNOx-részecskeszűrő) időszakos regenerációja során.
3.5.1.6. Az érintett OBD ellenőrző rendszer ideiglenesen kikapcsolható a 2005/55/EK irányelv I. mellékletének 6.1.5.4. szakaszában meghatározott használati feltételeken kívül, ha a kikapcsolás az OBD ellenőrzési képességének (beleértve a modellezési képességet is) korlátozott voltával indokolható.
3.5.2. Az OBD ellenőrző rendszernek a hibás működés idején nem kell értékelnie az alkatrészeket, ha ez az értékelés biztonsági kockázatot vagy valamely alkatrész meghibásodását eredményezne.
3.6. A hibajelző (MI) aktiválása
3.6.1. Az OBD rendszernek a jármű működtetője számára könnyedén látható hibajelzővel kell rendelkeznie. Az ezen melléklet 3.6.2. szakaszában meghatározott esetet kivéve a hibajelzőt (például kijelzőt vagy lámpát) kizárólag a szennyezőanyag-kibocsátással kapcsolatos hibás működés esetében szabad használni, kivéve a vezetőnek szóló vészindítás- vagy szükségüzemmód-jelzést. A biztonsággal összefüggő üzenetekhez a legmagasabb prioritás rendelhető. A hibajelzőnek minden ésszerű megvilágítási körülmény között láthatónak kell lennie, és aktivált helyzetben az ISO 2575 ( 20 )-nek megfelelő jelet kell mutatnia (a műszerfalon lévő jelzőlámpa vagy a műszerfal kijelzőjén megjelenő jel formájában). Minden járművet csak egyetlen olyan általános hibajelzővel szabad felszerelni, amely a szennyezőanyag-kibocsátással kapcsolatos problémákra figyelmeztet. Konkrét információk kijelezhetők elkülönítetten (például a fékrendszerrel, a biztonsági öv bekötésével, az olajnyomással, a szervizelési követelményekkel kapcsolatos információk vagy a deNOx-rendszerhez szükséges reagens hiányának kijelzése). A hibajelzőn tilos a vörös színt alkalmazni.
3.6.2. A hibajelző arra is használható, hogy jelezze a vezetőnek, ha sürgős szervizelési munkákat kell elvégezni. Az ilyen jelzést kísérheti a műszerfal kijelzőjén megjelenő megfelelő üzenet, amely szerint sürgős szervizelés elvégzésére van szükség.
3.6.3. A hibajelző aktiválásához az előkondicionálási ciklusnál többet igénylő stratégiák esetében a gyártónak adatokat és/vagy mérnöki értékelést kell nyújtania, amely megfelelően mutatja, hogy az ellenőrző rendszer az alkatrészek romlásának felismerésében hatékony, és ez időben történik. Nem fogadhatók el azok a stratégiák, amelyek a hibajelző aktiválásához átlagosan tíznél több OBD- vagy szennyezőanyag-kibocsátási vizsgálati ciklust igényelnek.
3.6.4. A hibajelzőnek mindig aktivált állapotban kell lennie akkor is, ha a motorvezérlés állandó kibocsátási hibaüzemmódkapcsol. A hibajelzőnek akkor is aktivált állapotban kell lennie, ha az OBD rendszer nem képes az ebben az irányelvben a folyamatos ellenőrzésre előírt alapvető követelmények teljesítésére.
3.6.5. Az ezen szakaszra történő hivatkozás esetében a hibajelzőnek aktivált állapotban kell lennie, továbbá egy másik figyelmeztetésnek is aktívnak kell lennie, például villogó hibajelző vagy az aktivált hibajelző mellett egy másik, az ISO 2575 ( 21 ) szerinti jelzés formájában.
3.6.6. A hibajelzőnek aktivált állapotban kell lennie, ha a motor gyújtószerkezete a motor indítása vagy kézi indítása előtt gyújtásra kész ("key-on") pozícióban van, és a motor indítását követő 10 másodpercen belül ki kell kapcsolnia, ha azt megelőzően semmilyen hibát nem észlelt.
3.7. Hibakódok tárolása
Az OBD rendszernek rögzítenie kell a kibocsátáscsökkentő rendszer állapotát megjelölő hibakódo(ka)t. A hibakódok tárolásáról minden olyan észlelt és igazolt hibás működés esetében gondoskodni kell, amely a hibajelző aktiválását okozza, és a hibakódnak a lehető legpontosabban azonosítania kell a hibásan működő rendszert vagy alkatrészt. Külön kód segítségével kell rögzíteni a hibajelző várt aktiválási állapotát (például hibajelző "BE" helyzetbe állítása, hibajelző "KI" helyzetbe állítása).
Külön állapotkódot kell használni a jól működő kibocsátáscsökkentő rendszerek azonosításához és azoknak a kibocsátáscsökkentő rendszereknek az azonosításához, amelyek teljes értékeléséhez további motorműködés szükséges. Ha a hibajelző hibás működés vagy kibocsátási alapüzemmód miatt aktivált, akkor egy olyan hibakódot kell rögzíteni, amely azonosítja a hibás működés valószínűsíthető helyét. Az ezen melléklet 3.4.1.1. és 3.4.1.3. szakaszában említett esetekben is rögzíteni kell hibakódot.
3.7.1. Ha tíz vezetési ciklus alatt a jármű folyamatosan az ezen melléklet 3.5.1.2. szakaszában meghatározott feltételek között működött, és emiatt szünetelt a folyamatos ellenőrzés, az adott ellenőrző rendszerre vonatkozó készenléti állapot az ellenőrzés elvégzése nélkül "kész" állapotra állítható.
3.7.2. A hibajelző aktiválása idején a motor által futott órák számának kérés esetén az ezen melléklet 6.8. szakaszában megadott előírásoknak megfelelően a szabványos csatlakozópont soros portján keresztül bármely pillanatban lehívhatónak kell lennie.
3.8. A hibajelző kikapcsolása
3.8.1. A hibajelző három egymást követő üzemeltetési sorozat vagy a motor 24 órás üzeme után kikapcsolható, ha eközben a hibajelző aktiválásáért felelős ellenőrző rendszer nem észlelte a hibás működést és nem azonosított másik olyan hibás működést sem, amely maga is aktiválná a hibajelzőt.
3.8.2. A hibajelzőnek a deNOx-rendszerhez vagy a kombinált deNOx-részecskeszűrőhöz szükséges reagens hiánya, illetőleg a gyártó által meghatározott reagensektől eltérő reagens használata következtében történő aktiválása esetében a hibajelző az előírásnak megfelelő reagens betöltése vagy a reagens megfelelőre cserélése után visszaállítható előző aktiválási helyzetébe.
3.8.3. A hibajelzőnek a motorrendszer NOx-kibocsátás szabályozása szempontjából helytelen működése vagy a nem megfelelő reagensfogyasztás és adagolás miatti aktiválása esetében a hibajelző visszaállítható előző aktiválási helyzetébe, ha a 2005/55/EK irányelv I. mellékletének 6.5.3., 6.5.4. és 6.5.7. szakaszában megadott feltételek már nem állnak fenn.
3.9. A hibakód törlése
3.9. 1 A 3.9.2. szakasz szerinti eset kivételével az OBD rendszer kitörölheti a hibakódot, a motor által futott órákat és a "freeze-frame" adatokat (a hiba első fellépésekor uralkodó motorműködési feltételeket tartalmazó adatokat), ha ugyanaz a hiba legalább 40 motorbemelegítési ciklus, vagy ha az előbb következik be, 100 motorfutási óra alatt nem jelentkezik újra.
3.9. 2 2006. november 9-től az új típusjóváhagyásokra vonatkozóan és 2007. október 1-jétől minden nyilvántartásba vételre vonatkozóan a 2005/55/EK irányelv I. mellékletének 6.5.3. és 6.5.4. szakaszának megfelelően generált nem törölhető hibakódok esetében az OBD rendszernek legalább 400 napig vagy 9 600 órányi motorműködési ideig tárolnia kell a hibakódot és a motor által a hibajelző aktiválása alatt futott órák számát.
Ezek a hibakódok és az ehhez tartozóan a motor által a hibajelző aktiválása alatt futott órák száma semmilyen, az ezen melléklet 6.8.3. szakaszában meghatározott külső diagnosztikai eszköz vagy egyéb eszköz alkalmazásával nem törölhetők.
4. AZ OBD RENDSZEREK TÍPUSJÓVÁHAGYÁSÁRA VONATKOZÓ KÖVETELMÉNYEK
4.1. Az OBD rendszert a típusjóváhagyás céljából az ezen melléklet 1. függelékében megadott eljárásoknak megfelelően kell vizsgálni.
A motorcsaládot képviselő motoron el kell végezni (lásd a 2005/55/EK irányelv I. mellékletének 8. szakaszát) az OBD-demonstrációs vizsgálatot, vagy az OBD demonstrációs vizsgálat helyett a jóváhagyó hatósághoz az OBD-motorcsalád alapját képező OBD rendszer vizsgálati jegyzőkönyvét kell benyújtani.
4.1.1. A 3.2. szakaszban említett 1. OBD-szakasz során az OBD rendszer:
4.1.1.1. jelezze a szennyezőanyag-kibocsátással kapcsolatos alkatrészek és rendszerek meghibásodását, ha a meghibásodás következtében a szennyezőanyag-kibocsátás az ezen irányelv 4. cikke (3) bekezdésének táblázatában megadott OBD-küszöbértékek fölé nő; vagy
4.1.1.2. szükség szerint jelezze a kipufogógáz-utókezelő rendszer minden jelentős működési hibáját.
4.1.2. A 3.3. szakaszban említett 2. OBD-szakasz során az OBD rendszer jelezze a szennyezőanyag-kibocsátással kapcsolatos alkatrészek és rendszerek meghibásodását, ha a meghibásodás következtében a szennyezőanyag-kibocsátás az ezen irányelv 4. cikke (3) bekezdésének táblázatában megadott OBD-küszöbértékek fölé nő.
4.1.3. Az 1. és 2. OBD-szakasz során az OBD rendszer egyaránt jelezze a kipufogógáz-utókezelő berendezés működéséhez szükséges reagens hiányát.
4.2. Beszerelési követelmények
4.2.1. Az OBD rendszerrel ellátott motor járműbe való beszerelése feleljen meg az ezen mellékletben a jármű berendezéseire megadott következő rendelkezéseknek:
- a 3.6.1, 3.6.2. és 3.6.5. szakasznak a hibajelzőre vonatkozó rendelkezései, és szükség szerint a kiegészítő figyelmeztető módok
- szükség szerint a 6.8.3.1. szakasznak a fedélzeti diagnosztikai berendezés használatára vonatkozó rendelkezései
- a 6.8.6. szakasznak a kapcsolati felületre vonatkozó rendelkezései.
4.3. Hiányosságokat tartalmazó OBD rendszerek típusjóváhagyása
4.3.1. A gyártó kérheti a hatóságot, hogy az OBD rendszert akkor is fogadja el típusjóváhagyásra, ha a rendszer egy vagy több hiányosságot is tartalmaz úgy, hogy e melléklet egyes előírásainak nem felel meg.
4.3.2. A kérés elbírálása során a hatóság meghatározza, hogy az ezen melléklet követelményeinek való megfelelés biztosítható-e vagy sem.
A hatóság figyelembe veszi a gyártótól származó mindazon adatokat, amelyek részletezik különösen a műszaki megvalósíthatóságot, a termelési folyamat kezdete és vége között eltelt időt és a termelési ciklusokat, beleértve a motortervezés bevezető és levezető szakaszát és a számítógép programozott frissítését, amelynek eredményeképpen a megvalósuló OBD rendszer megfelel ezen irányelv követelményeinek, és hogy a gyártó az irányelv irányába mutatóan elfogadható szintű erőfeszítéseket tett.
4.3.3. A hatóság nem fogadja el azt a hiányosságot tartalmazó kérést, amelynek esetén az előírt diagnosztikai ellenőrzés teljes egészében hiányzik.
4.3.4. A hatóság nem fogadja el azt a hiányosságot tartalmazó kérést, amely nem veszi figyelembe az ezen irányelv 4. cikke (3) bekezdésének táblázatában megadott OBD-küszöbértékeket.
4.3.5. A hiányosságok azonosítási sorrendjének megállapításához ezen melléklet 3.2.2.1., 3.2.2.2., 3.2.2.3., 3.2.2.4. és 3.4.1.1. szakasza vonatkozásában az OBD 1. szakaszára vonatkozó hiányosságokat, 3.3.2.1, 3.3.2.2, 3.3.2.3, 3.3.2.4. és 3.4.1.1. szakasza vonatkozásában pedig az OBD 2. szakaszára vonatkozó hiányosságokat kell először azonosítani.
4.3.6. A típusjóváhagyást megelőzően vagy a típusjóváhagyás időpontjában a 3.2.3. és a 6. szakasz vonatkozásában semmilyen hiányosság nem megengedett, kivéve az e melléklet 6.8.5. szakaszában meghatározott esetet.
4.3.7. A hiányosság időtartama
4.3.7.1. A hiányosság a motortípus vagy motortípusa tekintetében a jármű típusjóváhagyásának időpontjától számítva két évig tartható fenn, kivéve akkor, ha megfelelően bizonyítható, hogy a motor alapvető módosítása és további, a két éven túlnyúló bevezetési idő szükséges ahhoz, hogy a hiányosságot pótolják. Ilyen esetben a hiányosságot legfeljebb három éven belül kell megszüntetni.
4.3.7.2. A gyártó kérheti, hogy az eredeti jóváhagyó hatóság visszamenőleg engedélyezzen egy hiányosságot, ha ezt a hiányosságot az eredeti típusjóváhagyás megadása után fedezték fel. Ebben az esetben a hiányosság a jóváhagyó hatóság felé történő értesítés időpontjától számítva két évig tartható fenn, kivéve akkor, ha megfelelően bizonyítható, hogy a motor alapvető módosítása és további, a két éven túlnyúló bevezetési idő szükséges ahhoz, hogy a hiányosságot pótolják. Ilyen esetben a hiányosságot legfeljebb három éven belül kell megszüntetni.
4.3.7.3. A hatóság köteles a hiányosság engedélyezéséről a 70/156/EGK irányelv 4. cikkének követelményei szerint értesíteni a többi tagország hatóságát.
5. AZ OBD-INFORMÁCIÓKHOZ VALÓ HOZZÁFÉRÉS
5.1. Cserealkatrészek, diagnosztikai eszközök és vizsgálati berendezések
5.1.1. A 70/156/EGK irányelv 3., illetőleg 5. cikkének értelmében beadott típus-jóváhagyási vagy típusjóváhagyás-módosítási kérelemhez csatolni kell az OBD rendszerre vonatkozó információkat is. Ezen információknak lehetővé kell tenniük a cserealkatrészek vagy a módosított alkatrészek gyártói számára, hogy az általuk gyártott alkatrészek biztosítsák az OBD rendszer hibamentes működését, és ezáltal a jármű használója mentesüljön a hibás működés következményeitől. Ezen információknak lehetővé kell hasonlóképpen tenniük a diagnosztikai eszközök és a vizsgálati berendezések gyártói számára, hogy az általuk gyártott eszközök és berendezések biztosítsák a kibocsátáscsökkentő rendszerek hatékony és pontos diagnózisát.
5.1.2. Kérésre a jóváhagyó hatóságok kötelesek hátrányos megkülönböztetéstől mentes módon az alkatrészek, a diagnosztikai eszközök és a vizsgálati berendezések érdekelt gyártóinak rendelkezésére bocsátani az EK-típusbizonyítványnak az OBD rendszerre vonatkozó információkat tartalmazó 2. függelékét.
5.1.2.1. Cserealkatrész vagy szervizalkatrész esetében információ csak akkor kérhető, ha az alkatrész EK-típusjóváhagyás tárgyát képezi, vagy olyan rendszer része, amely EK-típusjóváhagyás tárgyát képezi.
5.1.2.2. Az információkérés során pontosan meg kell jelölni azt a motormodelltípust vagy a motorcsalád részét képező azon motormodelltípust, amelyre az információkérés vonatkozik. Az információkérésben meg kell adni, hogy az információt cserealkatrész vagy módosított alkatrész vagy szerkezeti rész, illetőleg diagnosztikai eszköz vagy vizsgálati berendezés fejlesztéséhez kérik-e.
5.2. Javításra vonatkozó információk
5.2.1. Legkésőbb három hónappal azután, hogy a Közösségen belül valamely meghatalmazott forgalmazót vagy javítóműhelyt ellátta a javításra vonatkozó információkkal, a gyártó köteles ezeket az információkat (beleértve a későbbi módosításokat és kiegészítéseket is) ésszerű és megkülönböztetés nélküli ár ellenében elérhetővé tenni.
5.2.2. A gyártó köteles továbbá szükség szerint fizetés ellenében hozzáférhetővé tenni a gépjárművek javításához vagy karbantartásához szükséges műszaki információkat, kivéve akkor, ha ezeket az információkat a szellemitulajdon-jog védi, vagy olyan alapvető fontosságú, titkos know-how-t képeznek, amely megfelelő formában azonosítható; ebben az esetben sem szabad azonban a szükséges műszaki információt indokolatlanul visszatartani.
Az ilyen információhoz bárki jogosult hozzáférni, aki üzletszerűen szervizeléssel vagy javítással, országúti autómentéssel, jármű-felülvizsgálattal vagy járművizsgálattal foglalkozik, vagy gyártásban, illetőleg cserealkatrészek vagy módosított alkatrészek, diagnosztikai eszközök vagy vizsgálati berendezések értékesítésében érdekelt.
5.2.3. Ezen rendelkezések be nem tartása esetén a jóváhagyó hatóság köteles megtenni a megfelelő intézkedéseket annak biztosítására, hogy a javításra vonatkozó információk a típusjóváhagyásra és az üzem közbeni felügyeletre meghatározott eljárásokkal összhangban elérhetők legyenek.
6. DIAGNOSZTIKAI JELZÉSEK
6.1. Az alkatrész vagy rendszer első hibás működésének megállapításakor a motor adott időpontban érvényes, úgynevezett "freeze-frame" működési feltételeit rögzíteni kell a számítógép memóriájában. A motor tárolt működési feltételei tartalmazzák különösen: a terhelés számított értékét, a motor fordulatszámát, a hűtőfolyadék hőmérsékletét, a kipufogó-gyűjtőcsőnél érvényes bejövő nyomást (ha szükséges) és a hibakódot, amely az adatok rögzítését szükségessé tette. A "freeze-frame" adatok tároláshoz a gyártónak a hatékony javítás megkönnyítéséhez a legmegfelelőbb feltételeket kell kiválasztania.
6.2. Elegendő egyetlen állapotot rögzíteni. A gyártó választhatja több állapot rögzítését is, amennyiben legalább a szükséges állapot olvasható a 6.8.3. és a 6.8.4. szakasz előírásainak megfelelő általános célú olvasóeszközzel. Ha a feltételek rögzítését szükségessé tévő hibakódot e melléklet 3.9. szakaszának megfelelően törlik, akkor törölhetők a motor tárolt működési feltételei is.
6.3. Ha rendelkezésre állnak, akkor a kívánt "freeze-frame" információkon túl kérésre a következő jelzéseket kell elérhetővé tenni a szabványos adatkapcsolat soros portján keresztül, amennyiben a kérdéses információk a fedélzeti számítógép számára elérhetők vagy a fedélzeti számítógép számára elérhető információk felhasználásával meghatározhatók: a diagnosztikai zavarkódokat, a motor hűtőfolyadékának hőmérsékletét, a befecskendezés időzítését, a beszívott levegő hőmérsékletét, a kipufogó-gyűjtőcső levegőjének nyomását, a levegő áramlási sebességét, a motor fordulatszámát, a pedálhelyzet-érzékelő kimenő értékét, a számított terhelés értékét, a jármű sebességét és a tüzelőanyag nyomását.
A jelzéseket a 6.8. szakasz szerinti előírásokon alapuló szabványos mértékegységekben kell megadni. A tényleges jelzéseket világosan, az alapérték és a szükségüzemmód jelzésétől elkülönítetten kell azonosítani.
6.4. Azon kibocsátáscsökkentő rendszerek azonosítására, amelyek helyesen működnek, illetőleg amelyek a szükséges diagnosztikai értékelés elvégzéséhez további járműműködést igényelnek, a számítógép memóriájában külön állapotkódot ("készenléti kódot") kell tárolni minden olyan kibocsátáscsökkentő rendszerre, amelyre külön fedélzeti értékelő vizsgálatot kell végezni. Nem kell készenléti kódot tárolni azokra az ellenőrző rendszerekre, amelyek folyamatos működésűnek tekinthetők. Ha az indítókulcs gyújtásra kész állapotban van, vagy nincs a helyén, a készenléti kódokat sohasem szabad "nem kész" helyzetbe állítani. A szervizeljárások során a készenléti kódok nemzetközi gyakorlatnak megfelelő "nem kész" helyzetbe állítását nem kódonként, hanem a kódok összességére kell elvégezni.
6.5. A 6.8. szakaszban megadott előírásoknak megfelelően a szabványos adatkapcsolat soros portján keresztül legyenek elérhetők azok az OBD-követelmények, amelyekre a járművet jóváhagyták (azaz az OBD 1. vagy 2. szintjének követelményei), továbbá a 6.8.4. szakasznak megfelelően az OBD rendszer által ellenőrzött főbb kibocsátáscsökkentő rendszerek.
6.6. A szabványos adatkapcsolat soros portján keresztül legyen elérhető a 2005/55/EK irányelv II. és VI. melléklet szerinti szoftverkalibrálási azonosítószám. A szoftverkalibrálási azonosítószámot szabványos formátumban kell megadni.
6.7. A szabványos adatkapcsolat soros portján keresztül legyen elérhető a jármű azonosítószáma (VIN). A jármű azonosítószámát szabványos formátumban kell megadni.
6.8. A kibocsátáscsökkentő diagnosztikai rendszerhez korlátlan, szabványosított hozzáférést kell biztosítani, és a következő szakaszok előírásai szerint meg kell felelnie vagy az ISO 15765, vagy az SAE J1939 szabványnak ( 22 ).
6.8.1. Az ISO 15765 vagy az SAE J1939 szabványt a 6.8.2-6.8.5. szakaszokban következetesen kell alkalmazni.
6.8.2. A fedélzeti számítógép és a fedélzeten kívüli eszközök közötti kommunikációt megvalósító kapcsolat feleljen meg az ISO 15765-4 szabványnak vagy az SAE J1939 szabványsorozat hasonló tárgyú előírásainak.
6.8.3. Az OBD rendszerekkel kommunikáló vizsgálati berendezés és diagnosztikai eszközök feleljenek meg legalább az ISO 15031-4 szabványban vagy az SAE J1939-73 szabvány 5.2.2.1. szakaszában megadott működési leírásnak.
6.8.3.1. Használhatók olyan, az OBD-információhoz való hozzáférést lehetővé tévő fedélzeti diagnosztikai berendezések, mint például a műszerfalra szerelt videokijelző készülék, de csak a szabványos diagnosztikai csatlakozón keresztül történő hozzáférés kiegészítéseképpen.
6.8.4. A diagnosztikai adatokat (e szakasz meghatározása szerint) és a kétirányú szabályozási információkat az ISO 15031-5 szabványban vagy az SAE J1939-73 szabvány 5.2.2.1. szakaszában leírt formátumban és mértékegységekkel kell megadni és az ISO 15031-4 szabvány vagy az SAE J1939-73 szabvány 5.2.2.1. szakasza követelményeinek megfelelő diagnosztikai eszköz használatával kell elérhetővé tenni.
A gyártó köteles a szennyezőanyag-kibocsátással kapcsolatos adatokat (például a PID-et, az OBD ellenőrzési azonosítóit vagy az ISO 15031-5 szabványban nem említett, de ehhez az irányelvhez kapcsolódó vizsgálati azonosítókat) a nemzeti szabványosító szervezet rendelkezésére bocsátani
6.8.5. Hiba rögzítése esetén a gyártónak a hibát az ISO 15031-6 szabvány 6.3. szakaszában a szennyezőanyag-kibocsátással kapcsolatos rendszerdiagnosztikai hibakódokra megadottakkal összhangban, a legalkalmasabb hibakóddal kell megadnia. Ha ez az azonosítás nem lehetséges, a gyártó használhatja az ISO 15031-6 szabvány 5.3. és 5.6. szakasza szerinti diagnosztikai hibakódokat is. A hibakódoknak az ezen melléklet 6.8.3. szakasza rendelkezéseinek megfelelő szabványos diagnosztikai berendezések által teljes egészükben hozzáférhetőnek kell lenniük.
A gyártó köteles a szennyezőanyag-kibocsátással kapcsolatos adatokat (például a PID-et, az OBD ellenőrzési azonosítóit vagy az ISO 15031-5 szabványban nem említett, de ehhez az irányelvhez kapcsolódó vizsgálati azonosítókat) a nemzeti szabványosító szervezet rendelkezésére bocsátani.
Alternatívaként a gyártó a hiba azonosítására használhatja az SAE J2012 vagy az SAE J1939-73 szabványban megadott kódoknak legmegfelelőbb hibakódokat.
6.8.6. A jármű és a diagnosztikai vizsgáló közötti kapcsolati felület legyen szabványosított, és feleljen meg az ISO 15031-3 vagy az SAE J1939-13 valamennyi követelményének.
Az N2, N3, M2 és M3 kategóriájú járművek esetében a fenti szabványokban a csatlakozó elhelyezésére vonatkozó előírásoktól eltérően, amennyiben az ISO 15031-3 minden más követelménye teljesül, a csatlakozó elhelyezhető a vezetőülés melletti alkalmas helyen, beleértve a jármű belsejének padozatát is. Ebben az esetben a csatlakozó legyen hozzáférhető a járművön kívül álló személy számára, és ne akadályozza a vezetőülés megközelítését.
A beszerelési helyet, amely legyen a szervizelést végző személyzet által könnyen hozzáférhető és legyen védett a szokásos használat során esetleg sérülést okozó véletlen behatásoktól, a jóváhagyó hatóságnak el kell fogadnia.
1. függelék
A FEDÉLZETI DIAGNOSZTIKAI (OBD) RENDSZEREK JÓVÁHAGYÁSI VIZSGÁLATAI
1. BEVEZETÉS
Ez a függelék a motorra szerelt fedélzeti diagnosztikai (OBD) rendszerek működésének a motorvezérlő és a kibocsátáscsökkentő rendszerben található, a szennyezőanyag-kibocsátással kapcsolatos rendszerek meghibásodásának szimulációjával történő ellenőrzési eljárását írja le. A függelék megjelöl továbbá eljárásokat az OBD rendszerek tartósságának meghatározására is.
1.1. Elhasznált alkatrészek/rendszerek
A kibocsátáscsökkentő rendszer vagy alkatrész - amelynek meghibásodása a kipufogócsőben a vonatkozó OBD-küszöbértékeket meghaladó szennyezőanyag-kibocsátást eredményezhet - hatékony folyamatos ellenőrzésének igazolásához a gyártó köteles rendelkezésre bocsátani azokat az elhasznált alkatrészeket és/vagy elektromos készülékeket, amelyek a hibák szimulálásához használhatók.
Ezek az elhasznált alkatrészek vagy készülékek nem okozhatnak az ezen irányelv 4. cikke (3) bekezdésének táblázatában megadott OBD-küszöbértékeket 20 %-nál nagyobb mértékben meghaladó szennyezőanyag-kibocsátást.
Az OBD rendszer az ezen irányelv 4. cikkének (1) bekezdése szerinti típusjóváhagyása esetén a szennyezőanyag-kibocsátást az ESC-vizsgálati ciklus folyamán kell mérni (lásd a 2005/55/EK irányelv III. mellékletének 1. függelékét). Az OBD rendszernek az ezen irányelv 4. cikkének (2) bekezdése szerinti típusjóváhagyása esetén a szennyezőanyag-kibocsátást az ETC-vizsgálati ciklus folyamán kell mérni (lásd a 2005/55/EK irányelv III. mellékletének 2. függelékét).
1.1.1. Ha megállapítható, hogy az elhasznált alkatrész vagy készülék motorra történő felszerelése azzal jár, hogy az OBD-küszöbértékekkel történő összehasonlítás nem lehetséges (például mert az ETC-vizsgálati ciklus érvényesítésére vonatkozó statisztikai feltételek nem adottak), akkor ezen alkatrész vagy készülék hibája a jóváhagyó hatósággal való egyetértésben, a gyártó által benyújtott műszaki érvelés alapján minősítettnek tekinthető.
1.1.2. Abban az esetben, ha az elhasznált alkatrész vagy készülék motorra történő felszerelése azzal jár, hogy a (kifogástalanul működő motorra meghatározott) teljes terhelési görbe a vizsgálat alatt nem érhető el (még részben sem), akkor ez az elhasznált alkatrész vagy készülék a jóváhagyó hatósággal való egyetértésben, a gyártó által benyújtott műszaki érvelés alapján minősítettnek tekinthető.
1.1.3. Bizonyos nagyon egyedi esetekben (például ha a szükségüzemmód-stratégia aktivált állapotban van, ha a motor nem képes a vizsgálathoz szükséges működésre, EGR-szelepbesülés esetén stb.) nem szükséges azon elhasznált alkatrészek vagy készülékek alkalmazása, amelyek a motorban az ezen irányelv 4. cikke (3) bekezdésének táblázatában megadott OBD-küszöbértékeket 20 %-ot nem meghaladó mértékű szennyezőanyag-kibocsátást okoznak. Ezt a kivételt a gyártónak dokumentálnia kell, és a műszaki szolgálatnak hozzá kell járulnia.
1.2. A vizsgálat elve
Ha a motor a felszerelt elhasznált alkatrésszel vagy készülékkel kerül vizsgálatra, az OBD rendszer akkor tekintendő jóváhagyottnak, ha a hibajelző aktivált állapotba kerül. Az OBD rendszer akkor is jóváhagyottnak tekintendő, ha a hibajelző már az OBD-küszöbértékek alatt aktivált állapotba kerül.
Az e függelék 6.3.1.6. és 6.3.1.7. szakasza szerinti meghibásodási módok, valamint a jelentős működési hiba folyamatos ellenőrzése esetén nem szükséges azon elhasznált alkatrészek vagy készülékek alkalmazása, amelyek a motorban az ezen irányelv 4. cikke (3) bekezdésének táblázatában megadott OBD-küszöbértékeket 20 %-ot nem meghaladó mértékű szennyezőanyag-kibocsátást okoznak. Ezt a kivételt a gyártónak dokumentálnia kell, és a műszaki szolgálatnak hozzá kell járulnia.
1.2.1. Bizonyos nagyon egyedi esetekben (például ha a szükségüzemmód-stratégia aktivált állapotban van, ha a motor nem képes a vizsgálathoz szükséges működésre, EGR-szelepbesülés esetén stb.) nem szükséges azon elhasznált alkatrészek vagy készülékek alkalmazása, amelyek a motorban az ezen irányelv 4. cikke (3) bekezdésének táblázatában megadott OBD-küszöbértékeket 20 %-ot nem meghaladó mértékű szennyezőanyag-kibocsátást okoznak. Ezt a kivételt a gyártónak dokumentálnia kell, és a műszaki szolgálatnak hozzá kell járulnia.
2. A VIZSGÁLAT LEÍRÁSA
2.1. Az OBD rendszerek vizsgálata a következő szakaszokból áll:
- a motorvezérlő vagy a kibocsátáscsökkentő rendszer valamely alkatrésze hibás működésének szimulálása az ezen függelék 1.1. szakaszában leírtak szerint
- az OBD rendszer előkondicionálása szimulált hibás működéssel a 6.2. szakaszban meghatározott előkondicionálási ciklus alatt
- a motor működtetése szimulált hibás működéssel a 6.1. szakaszban meghatározott OBD-vizsgálati ciklus alatt
- annak meghatározása, hogy az OBD rendszer reagál-e a szimulált hibás működésre, és megfelelő módon jelzi-e a hibás működést.
2.1.1. Amennyiben a motor teljesítményét (például a teljesítménygörbét) befolyásolja a hibás működés, OBD-vizsgálati ciklusként a motor kipufogógáz-kibocsátásának megállapítására használt ESC-vizsgálati ciklus ezen hibás működés nélküli, rövidített változatát kell alkalmazni.
2.2. Alternatívaként a gyártó kérésére a 6. szakasznak megfelelően egy vagy több alkatrész hibás működése elektronikus úton szimulálható.
2.3. A gyártó kérheti, hogy az ellenőrzés a 6.1. szakaszban meghatározott OBD-vizsgálati cikluson kívül történjék, amennyiben a hatóság számára bizonyítható, hogy az OBD-vizsgálati ciklus során fennálló feltételek közötti ellenőrzés a jármű üzemelése számára megszorító ellenőrzési feltételeket jelentene.
3. A VIZSGÁLT MOTOR ÉS TÜZELŐANYAG
3.1. Motor
A vizsgált motor feleljen meg a 2005/55/EK irányelv II. mellékletének 1. függelékében meghatározott előírásoknak.
3.2. Tüzelőanyag
A vizsgálathoz a 2005/55/EK irányelv IV. mellékletében meghatározott megfelelő referencia-tüzelőanyagot kell használni.
4. VIZSGÁLATI FELTÉTELEK
A vizsgálati feltételek feleljenek meg az ezen irányelvben leírt szennyezőanyag-kibocsátási vizsgálat követelményeinek.
5. VIZSGÁLATI BERENDEZÉS
A motorfékpad feleljen meg a 2005/55/EK irányelv III. mellékletében foglalt követelményeknek.
6. OBD-VIZSGÁLATI CIKLUS
6.1. Az OBD-vizsgálati ciklus egyszeres, rövidített ESC-vizsgálati ciklus. Az egyedi üzemmódokat ugyanabban a sorrendben kell elvégezni, mint a 2005/55/EK irányelv III. melléklete 1. függelékének 2.7.1. szakaszában meghatározott ESC-vizsgálati ciklus esetében.
A motort az egyes üzemmódokban legfeljebb 60 másodpercig kell működtetni oly módon, hogy a motorfordulatszám és a terhelés változtatása az első 20 másodpercben lezajlik. Az előírt fordulatszámot ± 50 rpm-es eltéréssel, az előírt nyomatékot pedig a fordulatszámhoz tartozó maximális nyomaték ± 2 %-ának megfelelő eltéréssel kell tartani.
A kipufogógáz-kibocsátást az OBD-vizsgálati ciklus alatt nem kell mérni.
6.2. Előkondicionáló ciklus
6.2.1. A 6.3. szakaszban megadott meghibásodási módok egyikének alkalmazása után a motort és annak OBD rendszerét egy előkondicionáló ciklus elvégzésével előkondicionálni kell.
6.2.2. Alternatívaként, a gyártó kérésére és a jóváhagyó hatóság beleegyezésével legfeljebb kilenc egymást követő OBD-vizsgálati ciklus alkalmazható.
6.3. Az OBD rendszer vizsgálata
6.3.1. Dízelmotorok és dízelmotorokkal felszerelt járművek
6.3.1.1. A 6.2. szakasz szerinti előkondicionálás után a vizsgált motort az ezen függelék 6.1. szakaszában leírt OBD-vizsgálati ciklusnak megfelelően kell működtetni. A hibajelzőnek a vizsgálat befejezése előtt a 6.3.1.2-6.3.1.7. szakaszban megadott bármely feltétel bekövetkeztekor aktivált állapotba kell kerülnie. A műszaki szolgálat ezeket a feltételeket a 6.3.1.7. szakasszal összhangban eltérőekkel helyettesítheti. A típusjóváhagyás céljából vizsgált meghibásodások összes száma különböző rendszerek vagy alkatrészek esetében nem haladhatja meg a négyet.
Ha a vizsgálat olyan OBD-motorcsalád típusjóváhagyása céljából zajlik, amelynek motorjai nem ugyanahhoz a motorcsaládhoz tartoznak, a jóváhagyó hatóság legfeljebb az OBD-motorcsaládban lévő motorcsaládok számának négyszeresére megnöveli a vizsgálandó meghibásodások számát. A jóváhagyó hatóság dönthet úgy, hogy e maximális számú meghibásodás vizsgálatának befejezése előtt leállítja a vizsgálatot.
6.3.1.2. A külön házban felszerelt, deNOx-rendszer vagy dízelrészecske-szűrő részét képező vagy nem képező katalizátor elhasznált vagy meghibásodott katalizátorra cserélése vagy e meghibásodás elektronikus szimulálása.
6.3.1.3. Az esetleges deNOx-rendszer (beleértve a rendszer integrált részét képező érzékelőket is) elhasznált vagy meghibásodott deNOx-rendszerre cserélése vagy az elhasznált vagy a meghibásodott deNOx-rendszer elektronikus szimulálása, amely az ezen irányelv 4. cikke (3) bekezdésének táblázatában az OBD-re megadott NOx-kibocsátási küszöbértéket meghaladó szennyezőanyag-kibocsátást okoz.
Abban az esetben, ha a motor típusjóváhagyását a jelentős működési hibák folyamatos ellenőrzésével összefüggésben, ezen irányelv 4. cikke (1) bekezdésének megfelelően végzik, a deNOx-rendszer vizsgálatával meg kell határozni, hogy a hibajelző az alábbi feltételek bármelyike esetén felvillan:
- a rendszer teljes eltávolítása vagy meghamisított rendszerre történő kicserélése
- a deNOx-rendszer működéséhez szükséges reagens hiánya
- a deNOx-rendszer valamely alkatrészének (például az érzékelők és az indítószerkezetek, az adagolásszabályozó egység) elektromos meghibásodása, beleértve az esetleges reagensfűtő rendszerét is
- a deNOx-rendszer reagensadagoló rendszerének meghibásodása (például hiányzó levegőadagolás, eltömődött fúvóka, az adagoló szivattyú meghibásodása)
- nagyobb meghibásodás következtében történő rendszerleállás.
6.3.1.4. Az esetleges részecskeszűrő teljes eltávolítása vagy olyan meghibásodott részecskeszűrőre cserélése, amely az ezen irányelv 4. cikke (3) bekezdésének táblázatában az OBD-re megadott részecskekibocsátási küszöbértéket meghaladó szennyezőanyag-kibocsátást okoz.
Abban az esetben, ha a motor típusjóváhagyását a jelentős működési hibák folyamatos ellenőrzésével összefüggésben, ezen irányelv 4. cikke (1) bekezdésének megfelelően végzik, a részecskeszűrő vizsgálatával meg kell határozni, hogy a hibajelző az alábbi feltételek bármelyike esetén felvillan:
- a részecskeszűrő teljes eltávolítása vagy a rendszer meghamisított rendszerre történő kicserélése
- a részecskeszűrő táptalajának jelentős mértékű megolvadása
- a részecskeszűrő táptalajának jelentős mértékű megrepedése
- a részecskeszűrő valamely alkatrészének (például az érzékelők és az indítószerkezetek, az adagolásszabályozó egység) elektromos meghibásodása
- az esetleges reagensadagoló rendszer meghibásodása (például eltömődött fúvóka, az adagoló szivattyú meghibásodása)
- a részecskeszűrő eltömődése, ami a gyártó által közölt tartománytól eltérő nyomáskülönbséget okoz.
6.3.1.5. Az esetleges kombinált deNOx-részecskeszűrő rendszer (beleértve a készülék integrált részét képező érzékelőket is) elhasznált vagy meghibásodott rendszerre cserélése vagy az elhasznált vagy a meghibásodott rendszer elektronikus szimulálása, amely az ezen irányelv 4. cikke (3) bekezdésének táblázatában az OBD-re megadott NOx- és részecskekibocsátási küszöbértéket meghaladó szennyezőanyag-kibocsátást okoz.
Abban az esetben, ha a motor típusjóváhagyását a jelentős működési hibák folyamatos ellenőrzésével összefüggésben, ezen irányelv 4. cikke (1) bekezdésének megfelelően végzik, a kombinált deNOx-részecskeszűrő rendszer vizsgálatával meg kell határozni, hogy a hibajelző az alábbi feltételek bármelyike esetén felvillan:
- a rendszer teljes eltávolítása vagy meghamisított rendszerre történő kicserélése
- a kombinált deNOx-részecskeszűrő működéséhez szükséges reagens hiánya
- a kombinált deNOx-részecskeszűrő rendszer valamely alkatrészének (például az érzékelők és az indítószerkezetek, az adagolásszabályozó egység) elektromos meghibásodása, beleértve az esetleges reagensfűtő rendszerét is
- a kombinált deNOx-részecskeszűrő rendszer reagensadagoló rendszerének meghibásodása (például hiányzó levegőadagolás, eltömődött fúvóka, az adagoló szivattyú meghibásodása)
- a NOx-csapdarendszer nagyobb meghibásodása
- a részecskeszűrő táptalajának jelentős mértékű megolvadása
- a részecskeszűrő táptalajának jelentős mértékű megrepedése
- a részecskeszűrő eltömődése, ami a gyártó által közölt tartománytól eltérő nyomáskülönbséget okoz.
6.3.1.6. A tüzelőanyag-felvételi rendszerben a tüzelőanyag-adagolás mennyiségét és időzítését szabályozó elektronikus egységek kapcsolatának megszakadása, ha az ezen irányelv 4. cikke (3) bekezdésének táblázatában az OBD-re megadott küszöbértéket meghaladó szennyezőanyag-kibocsátást okoz.
6.3.1.7. A motor szennyezőanyag-kibocsátással kapcsolatos minden más olyan alkatrésze kapcsolatának megszakadása, amely számítógéphez kapcsolódik, ha az ezen irányelv 4. cikke (3) bekezdésének táblázatában az OBD-re megadott küszöbértéket meghaladó szennyezőanyag-kibocsátást okoz.
6.3.1.8. A 6.3.1.6. és 6.3.1.7. szakasz követelményeinek való megfelelés kimutatása során és a jóváhagyó hatóság beleegyezésével a gyártó megteheti a szükséges lépéseket annak kimutatására, hogy az OBD rendszer a kapcsolat megszűnésekor jelezni fogja a hibát.
V. MELLÉKLET
A TÍPUSBIZONYÍTVÁNYOK SZÁMOZÁSI RENDSZERE
1. A számnak öt, "*" jellel elválasztott szakaszból kell állnia.
1. szakasz: kis "e" betű, amelyet a jóváhagyást kiadó tagállam megkülönböztető száma követ:
1 Németország
2 Franciaország
3 Olaszország
4 Hollandia
5 Svédország
6 Belgium
7 Magyarország
8 Cseh Köztársaság
9 Spanyolország
11 Egyesült Királyság
12 Ausztria
13 Luxemburg
17 Finnország
18 Dánia
19 Románia esetében
20 Lengyelország
21 Portugália
23 Görögország
24 Írország
26 Szlovénia
27 Szlovákia
29 Észtország
32 Lettország
34 Bulgária esetében
36 Litvánia
49 Ciprus
50 Málta
2. szakasz: az irányelv száma - 2005/55/EK.
3. szakasz: a jóváhagyásra alkalmazandó legutóbbi módosító irányelv száma. Mivel ez különböző végrehajtási időpontokat és különböző műszaki szabványokat tartalmaz, a számot a következő 4. szakasz táblázatának megfelelően egy további alfabetikus karakterrel kell kiegészíteni. Ez a karakter a szigorúsági fokokhoz tartozó különböző alkalmazási időpontokra vonatkozik, amelyek alapján a típusjóváhagyást megadták.
4. szakasz: egy négy helyértékű sorszám (szükség szerint bevezető zérusokkal) az eredeti jóváhagyási szám megjelölésére. A sorszámozást 0001-gyel kell kezdeni.
5. szakasz: egy két helyértékű sorszám (szükség szerint bevezető zérusokkal) a kiterjesztés megjelölésére. A sorszámozást minden eredeti jóváhagyási számra 01-gyel kell kezdeni.
2. Példa: ezen irányelv és a 2005/55/EK irányelv követelményeinek alkalmazása a harmadik jóváhagyásra (eddig kiterjesztés nélkül), amely az OBD I. szakaszában a B1 alkalmazási időpontnak felel meg, kiadta az Egyesült Királyság:
e11*2005/55*2005/78B*0003*00
3. Példa: a 2005/55/EK és az azt módosító 2006/51/EK irányelv követelményeinek alkalmazása a negyedik jóváhagyás második kiterjesztésére, amely az OBD II. szakaszában a B2 alkalmazási időpontnak felel meg, kiadta Németország:
e1*2005/55*2006/51F*0004*02
4. A 2005/55/EK irányelvben meghatározott különböző megvalósítási időpontoknak megfelelően használandó jelzések táblázata
| Jelzés | Sor (1) | OBD I. szakasz (2) | OBD II. szakasz | Tartósság és használat | NOx ellenőrzés (3) |
| A | A | — | — | — | — |
| B | B1(2005) | IGEN | — | IGEN | — |
| C | B1(2005) | IGEN | — | IGEN | IGEN |
| D | B2(2008) | IGEN | — | IGEN | — |
| E | B2(2008) | IGEN | — | IGEN | IGEN |
| F | B2(2008) | — | IGEN | IGEN | — |
| G | B2(2008) | — | IGEN | IGEN | IGEN |
| H | C | IGEN | — | IGEN | — |
| I | C | IGEN | — | IGEN | IGEN |
| J | C | — | IGEN | IGEN | — |
| K | C | — | IGEN | IGEN | IGEN |
| (1) A 2005/55/EK irányelv I. melléklete 6. szakasza I. táblázatának megfelelően. (2) A 2005/55/EK irányelv 4. cikkének megfelelően; a gázmotorokra az OBD I. szakasza nem vonatkozik. (3) A 2005/55/EK irányelv I. melléklete 6.5. szakaszának megfelelően. | |||||
VI. MELLÉKLET
Füst opacitásának mérése
1. BEVEZETÉS
1.1. Ez a melléklet a kompressziós gyújtású motorokból kibocsátott kipufogógáz opacitásának mérésére vonatkozó előírásokat írja le.
2. A KORRIGÁLT FÉNYELNYELÉSI EGYÜTTHATÓ JELE
2.1. A korrigált fényelnyelési együttható jelét el kell helyezni minden olyan járművön, amely megfelel annak a járműtípusnak, amelyre ez a mérés vonatkozik. A jel egy téglalapban elhelyezett szám, amely a jóváhagyáskor a terhelés nélküli gyorsítással végzett méréssel kapott korrigált fényelnyelési együttható m-1-ben kifejezve. A mérési módszert a 4. szakasz írja le.
2.2. A jelnek jól olvashatónak és eltávolíthatatlannak kell lennie. A jelet szembetűnő és könnyen hozzáférhető helyen kell rögzíteni, amit a 2005/55/EK európai parlamenti és tanácsi irányelv ( 23 ) VI. mellékletében bemutatott típus-jóváhagyási tanúsítványhoz fűzött kiegészítésben fel kell tüntetni.
2.3. Az 1. ábrán példa látható a fényelnyelési együttható jelére.
1. ábra
| [Kép #10] | Legkisebb méretek, b = 5,6 mm |

Kép #10
A fenti jel azt mutatja, hogy a korrigált fényelnyelési együttható 1,30 m±1.
3. SPECIFIKÁCIÓK ÉS MÉRÉSEK
3.1. A specifikációk és a mérések ugyanazok, mint az ENSZ-EGB 24. sz. előírása ( 24 ) III. részének 24. szakaszában szereplő specifikációk és mérések, a 3.2. szakaszban leírt kivétellel.
3.2. Az ENSZ-EGB 24. sz. előírása 24.1. szakaszában a 2. mellékletre való hivatkozás a 2005/55/EK irányelv VI. mellékletére való hivatkozásként értendő.
4. MŰSZAKI ELŐÍRÁSOK
4.1. A műszaki előírások ugyanazok, mint az ENSZ-EGB 24. sz. előírásának 4., 5., 7., 8., 9. és 10. mellékletében szereplő előírások, a 4.2., 4.3. és 4.4. szakaszban felsorolt kivételekkel.
4.2. Mérés állandósult fordulatszámok mellett, a teljes terhelési görbe mentén
4.2.1. Az ENSZ-EGB 24. sz. előírása 4. mellékletének 3.1. szakaszában az 1. mellékletre való hivatkozások a 2005/55/EK irányelv II. mellékletére való hivatkozásokként értendők.
4.2.2. Az ENSZ-EGB 24. sz. előírása 4. mellékletének 3.2. szakaszában ismertetett referencia-üzemanyag a 2005/55/EK irányelv IV. mellékletében ismertetett azon referencia-üzemanyagra való hivatkozásként értendő, amely megfelelő azoknak a kibocsátási határértékeknek a szempontjából, amelyek alapján a jármű/motor típusjóváhagyása történik.
4.3. Mérés terhelés nélküli gyorsítással
4.3.1. Az ENSZ-EGB 24. sz. előírása 5. mellékletének 2.2. szakaszában a 2. melléklet 2. táblázatára való hivatkozások a 2005/55/EK irányelv VI. mellékletének 1.7.2.1. szakaszában lévő táblázatra való hivatkozásokként értendők.
4.3.2. Az ENSZ-EGB 24. sz. előírása 5. mellékletének 2.3. szakaszában az 1. melléklet 7.3. szakaszára való hivatkozások a 2005/55/EK irányelv II. melléklete 6. függelékének 4. szakaszára való hivatkozásokként értendők.
4.4. A kompressziós gyújtású motorok hasznos teljesítményének mérésére szolgáló EGB-módszer
4.4.1. Az ENSZ-EGB 24. sz. előírása 10. mellékletének 7. szakaszában az e melléklet függelékére való hivatkozások a 2005/55/EK irányelv II. mellékletére való hivatkozásokként értendők.
4.4.2. Az ENSZ-EGB 24. sz. előírása 10. mellékletének 7. és 8. szakaszában az 1. mellékletre való hivatkozások a 2005/55/EK irányelv II. mellékletére való hivatkozásokként értendők.
VII. MELLÉKLET
Szikragyújtású benzinmotorok típusjóváhagyására vonatkozó előírások
1. rész
Szén-monoxid-kibocsátás mérése
1. BEVEZETÉS
1.1. Ez a függelék azt az eljárást írja le, amely a szén-monoxid-kibocsátást méri üresjárati fordulatszámokon (normál és emelt üresjárati fordulatszám).
1.2. A normál üresjárati fordulatszámon a kipufogógáz legnagyobb megengedett szén-monoxid-tartalma az, amit a járműgyártó megad. A legnagyobb megengedett szén-monoxid-tartalom azonban nem haladhatja meg a 0,3 térfogatszázalékot. Emelt üresjárati fordulatszámon a szén-monoxidnak a kipufogógáz térfogatára vonatkoztatott mennyisége nem haladhatja meg a 0,2 %-ot akkor, amikor a fordulatszám legalább 2 000 min-1 és a lambda 1 ± 0,03 a gyártó specifikációi szerint.
2. ÁLTALÁNOS ELŐÍRÁSOK
2.1. Az általános előírások ugyanazok, mint az ENSZ-EGB 83. sz. előírásának ( 25 ) 5.3.7.1-5.3.7.4. szakaszában szereplő előírások.
2.2. A gyártónak a 2.1. szakaszban szereplő előírások alapján ki kell töltenie a 2005/55/EK irányelv VI. melléklete szerinti táblázatot.
2.3. A műszaki szolgálat által megadott típusjóváhagyás időpontjától számított 24 hónapon belül a gyártónak meg kell erősítenie a típusjóváhagyáskor feljegyzett, a 2.1. szakasz szerinti lambda érték pontosságát, hogy az reprezentatív a jellemző sorozatgyártású járművekre is. Értékelést kell készíteni a sorozatgyártású járműveken végzett felmérések és vizsgálatok alapján.
3. MŰSZAKI ELŐÍRÁSOK
3.1. A műszaki előírások ugyanazok, mint az ENSZ-EGB 83. sz. előírásának 5. mellékletében szereplő előírások, a 3.2. szakaszban felsorolt kivételekkel.
3.2. Az ENSZ-EGB 83. sz. előírása 5. melléklete 2. részének 2.1. szakaszában ismertetett referencia-üzemanyagok a(z) (Euro 5 és 6 végrehajtási rendelet) rendelet IX. mellékletében ismertetett megfelelő referencia-üzemanyag specifikációira való hivatkozásként értendők.
2. rész
A forgattyúházból származó kibocsátások ellenőrzése
1. BEVEZETÉS
1.1. Ez a rész a forgattyúházból származó kibocsátások ellenőrzésének eljárását írja le.
1.2. Az e rész előírásai szerint végzett méréskor a motor forgattyúházának szellőztető rendszere nem engedheti, hogy onnan gáz jusson a levegőbe.
2. ÁLTALÁNOS ELŐÍRÁSOK
2.1. A mérés végrehajtására az általános előírások ugyanazok, mint az ENSZ-EGB 83. sz. előírása 6. melléklétnek 2. szakaszában szereplő előírások.
3. MŰSZAKI ELŐÍRÁSOK
3.1. A műszaki előírások ugyanazok, mint az ENSZ-EGB 83. sz. előírása 6. melléklétnek 3-6. szakaszában szereplő előírások.
( 1 ) HL L 42., 1970.2.23., 1. o. A legutóbb a 2005/49/EK bizottsági irányelvvel (HL L 194., 2005.7.26., 12. o.) módosított irányelv.
( 2 ) HL L 275, 2005.10.20., 1. o.
( 3 ) HL L 350., 1998.12.28., 58.o. A legutóbb az 1882/2003/EK európai parlamenti és tanácsi rendelettel (HL L 284., 2003.10.31., 1. o.) módosított irányelv.
( 4 ) HL L 76., 1970.4.6., 1. o. A legutóbb a 2003/76/EK bizottsági irányelvvel (HL L 206., 2003.8.15., 29. o.) módosított irányelv."
( 5 ) HL L 313., 2005.11.29., 1. o.
( 6 ) Az irányelv 4. cikkének (1) bekezdése a jelentős működési hiba, nem pedig a kipufogógáz-utókezelő rendszer katalitikus/szűrési hatékonysága leépülésének vagy megszűnésének ellenőrzéséről rendelkezik. A jelentős működési hibára a 2005/78/EK irányelv IV. melléklete 3.2.3.2. és 3.2.3.3. szakaszában találhatók példák.
( 7 ) HL L 375., 1980.12.31., 46. o. A legutóbb az 1999/99/EK irányelvvel (HL L 334., 1999.12.28., 32. o.) módosított irányelv."
( 8 ) Az irányelv 10. cikke követelményeit érintő javaslattal egy időben a Bizottság meg fogja határozni, hogy ebben az irányelvben meg kell-e állapítani egyedi rendelkezéseket a több-beállítású motorokra.
( 9 ) 2008. október 1-jéig a következő tartományt kell alkalmazni: »279 K és 303 K (6 °C és 30 °C) közötti környezeti hőmérséklet«.
( 10 ) Ezen irányelv felülvizsgálatának keretében újból meg kell vizsgálni e hőmérsékleti tartomány helyességét, különös tekintettel az alsó hőmérsékleti határra."
( 11 ) A Bizottság szándéka szerint ezt a pontot 2006. december 31-ig felülvizsgálja.
( 12 ) A Bizottság szándéka szerint ezeket az értékeket 2005. december 31-ig felülvizsgálja."
( 13 ) A nem kívánt rész törlendő."
( 14 ) A nem kívánt rész törlendő."
( 15 ) A nem kívánt rész törlendő."
( 16 ) A nem kívánt rész törlendő."
( 17 ) Az érték csak a IV. mellékletben meghatározott hivatkozási üzemanyag esetében érvényes."
( 18 ) A Bizottság felülvizsgálja a szűrőtartók előtti hőmérsékletet, 325 K (52 °C), és ha szükséges, 2008. október 1-jétől az új típusok típusjóváhagyására vonatkozóan másik hőmérsékletet javasol."
( 19 ) A nem kívánt rész törlendő."
( 20 ) F01-es vagy F22-es jelzésszám.
( 21 ) F24-es jelzésszám.
( 22 ) A nagy teljesítményű OBD világméretű műszaki szabályozása érdekében az ENSZ/ECE keretében kidolgozott jövőbeni egységes ISO-protokollszabványt a Bizottság figyelembe veszi az SAE J1939 és az ISO 15765 szabványsorozatok használatának helyettesítésére vonatkozó javaslatában, annak érdekében, hogy kielégítse a 6. szakasz megfelelő követelményeit, amint az egységes ISO-protokollszabvány kidolgozása a "DIS" szakaszhoz érkezett.
( 23 ) HL L 275., 2005.10.20., 1. o.
( 24 ) HL L 326., 2006.11.24., 1. o.
( 25 ) HL L 70., 2007.3.9, 171. o.
Lábjegyzetek:
[1] A dokumentum eredetije megtekinthető CELEX: 32005L0078 - https://eur-lex.europa.eu/legal-content/HU/ALL/?uri=CELEX:32005L0078&locale=hu Utolsó elérhető, magyar nyelvű konszolidált változat CELEX: 02005L0078-20080808 - https://eur-lex.europa.eu/legal-content/HU/ALL/?uri=CELEX:02005L0078-20080808&locale=hu