32009R1222[1]
Az Európai Parlament és a Tanács 1222/2009/EK rendelete ( 2009. november 25.) a gumiabroncsok üzemanyag-hatékonyság és más lényeges paraméterek tekintetében történő címkézéséről
AZ EURÓPAI PARLAMENT ÉS A TANÁCS 1222/2009/EK RENDELETE
(2009. november 25.)
a gumiabroncsok üzemanyag-hatékonyság és más lényeges paraméterek tekintetében történő címkézéséről
(EGT-vonatkozású szöveg)
1. cikk
Cél és tárgy
(1) E rendelet célja, hogy az üzemanyag-hatékony, biztonságos és alacsony zajkibocsátási szinttel rendelkező gumiabroncsok használatának előmozdítása révén növelje a közúti közlekedés biztonságát, valamint gazdasági és környezeti hatékonyságát.
(2) Ez a rendelet a gumiabroncsok paramétereire vonatkozó, címkézés útján történő összehangolt információszolgáltatás kereteit határozza meg, lehetővé téve a végfelhasználók számára, hogy a gumiabroncs vásárlásakor tájékozottan döntsenek.
2. cikk
Hatály
(1) Ezt a rendelet a C1, C2 és C3 típusú gumiabroncsokra kell alkalmazni.
(2) E rendeletet nem kell alkalmazni a következőkre:
a) újrafutózott gumiabroncsok;
b) professzionális terepjáró-gumiabroncsok;
c) az első alkalommal 1990. október 1-je előtt nyilvántartásba vett gépjárművekre történő kizárólagos felszerelésre szánt gumiabroncsok;
d) T típusú, ideiglenes használatra szánt tartalék gumiabroncsok;
e) azon gumiabroncsok, amelyek sebességhatára kevesebb mint 80 km/h;
f) azon gumiabroncsok, amelyeknek névleges kerékpántátmérője nem haladja meg a 254 mm-t, vagy legalább 635 mm;
g) a vontatási tulajdonságaik javítása érdekében kiegészítő eszközökkel felszerelt gumiabroncsok, például a fogazott gumiabroncsok;
h) a kizárólag versenyzésre gyártott járműveken való használatra tervezett gumiabroncsok.
3. cikk
Fogalommeghatározások
E rendelet alkalmazásában:
1. "C1, C2 és C3 típusú gumiabroncsok": a 661/2009/EK rendelet 8. cikkében meghatározott gumiabroncsosztályok;
2. "T típusú, ideiglenes használatra szánt tartalék gumiabroncsok": azok az ideiglenes használatra szánt tartalék gumiabroncsok, amelyeket a normál vagy megerősített gumiabroncsoknál magasabb felfúvási nyomáson történő használatra terveztek;
3. "értékesítési hely": olyan helyszín, ahol a gumiabroncsokat kiállítják vagy tárolják, továbbá a végfelhasználóknak eladásra felkínálják, a gépjárművekre fel nem szerelt, a végfelhasználóknak eladásra felkínált gumiabroncsok tekintetében beleértve az autószalonokat is;
4. "műszaki promóciós anyag": (nyomtatott, elektronikus vagy online formátumú) műszaki kézikönyv, tájékoztató füzet, szórólap vagy katalógus, valamint weboldal, amelynek célja a gumiabroncsok vagy gépjárművek értékesítése a végfelhasználók vagy a forgalmazók körében, és amely a gumiabroncsok konkrét műszaki paramétereit ismereti;
5. "műszaki dokumentáció": a gumiabroncsokra vonatkozó tájékoztató anyag, amely tartalmazza többek között a gumiabroncsok gyártóját és márkanevét; a gumiabroncs típusának leírását, vagy a gumiabroncsok osztályozását az üzemanyag-hatékonysági osztálynak, a nedves tapadási osztálynak és a külső gördülési zaj osztálynak és mért értékének megállapításához; továbbá a vizsgálati jelentéseket és a vizsgálatok pontosságát;
6. "gyártó": az a természetes vagy jogi személy, aki terméket gyárt, illetve aki az adott terméket tervezteti vagy legyártatja, és a saját neve vagy védjegye alatt forgalomba hozza;
7. "importőr": a Közösség területén letelepedett rendelkező természetes vagy jogi személy, aki valamely harmadik országból származó terméket a Közösség piacán forgalmaz;
8. "meghatalmazott képviselő": az a Közösségben letelepedett természetes vagy jogi személy, aki a gyártótól írásbeli meghatalmazást kapott, hogy meghatározott feladatok céljából a gyártó nevében eljárjon, figyelemmel ez utóbbinak az e rendelet szerinti kötelezettségeire;
9. "beszállító": a gyártó vagy annak meghatalmazott képviselője a Közösségben, vagy pedig az importőr;
10. "forgalmazó": a szállítási láncon belül bármely olyan, gumiabroncsokat piacra juttató természetes vagy jogi személy, aki nem azonos a beszállítóval vagy az importőrrel;
11. "piacra juttatás": egy termék terjesztés vagy felhasználás céljából kereskedelmi tevékenység keretében történő forgalmazása a közösségi piacon, függetlenül attól, hogy fizetés ellenében vagy térítésmentesen történik;
12. "végfelhasználó": a fogyasztó, valamint az a flottakezelő vagy közúti fuvarozási vállalkozás, amely gumiabroncsot vásárol vagy várhatóan vásárolni fog;
13. "lényeges paraméter": a gumiabroncsok olyan paraméterei, mint például a gördülési ellenállás, a nedves tapadás vagy a külső gördülési zaj, amelyek a használat során számottevő hatást gyakorolnak a környezetre, a közúti biztonságra vagy az egészségre.
4. cikk
A gumiabroncs-beszállítók feladatai
(1) A beszállítók gondoskodnak arról, hogy a forgalmazókhoz vagy a végfelhasználókhoz eljuttatott C1 és C2 típusú gumiabroncsok
a) futófelületén legyen olyan matrica, amelyen feltünteti az I. melléklet A. része szerinti üzemanyag-hatékonysági osztályt, valamint a külső gördülési zaj I. melléklet C. részének megfelelő osztályát és mért értékét, valamint adott esetben az I. melléklet B. részében meghatározott nedves tapadási osztályt;
vagy
b) minden egyes olyan terméktétel, amely egy vagy több kiszállított, azonos gumiabroncsot tartalmaz, olyan nyomtatott formátumú címkével legyen ellátva, amely feltünteti az I. melléklet A. része szerinti üzemanyag-hatékonysági osztályt, továbbá a külső gördülési zaj I. melléklet C. részének megfelelő osztályát és mért értékét, valamint adott esetben az I. melléklet B. részében meghatározott nedves tapadási osztályt.
(2) Az (1) bekezdésben említett matrica és címke formátumának a II. mellékletben előírtak szerintinek kell lennie.
(3) A beszállítók a műszaki promóciós anyagban - így weboldalukon is - az I. mellékletben meghatározott módon és a III. mellékletben előírt sorrendben közlik a C1, C2 és C3 típusú gumiabroncsok üzemanyag-hatékonyságának osztályát, külső gördülési zajának osztályát és mért értékét, és adott esetben nedves tapadási osztályát.
(4) A beszállítók a tagállami hatóságok kérésére bármely gumiabroncstípus utolsó darabjának piacra juttatását követő öt év elteltéig bármikor kötelesek rendelkezésre bocsátani a műszaki dokumentációt. A műszaki dokumentációnak kellően részletesnek kell lennie ahhoz, hogy a hatóságok ellenőrizhessék az üzemanyag-hatékonyságra, a nedves tapadásra és a külső gördülési zajra vonatkozóan a címkén közölt információk pontosságát.
5. cikk
A gumiabroncs-forgalmazók feladatai
(1) A forgalmazók gondoskodnak arról, hogy
a) az értékesítési helyen lévő gumiabroncsokon jól látható helyen szerepeljen a beszállítók által a 4. cikk (1) bekezdésének a) pontja értelmében alkalmazott matrica;
vagy
b) a gumiabroncs megvásárlását megelőzően a 4. cikk (1) bekezdésének b) pontjában említett címkére a végfelhasználó figyelmét felhívják, és azt az értékesítési helyen, a gumiabroncs közvetlen közelében, jól látható módon feltüntessék.
(2) Ha az értékesítésre felkínált gumiabroncsok a végfelhasználók számára nem láthatók, a forgalmazók tájékoztatják a végfelhasználókat az említett gumiabroncsok üzemanyag-hatékonysági osztályáról, nedves tapadási osztályáról és külső gördülési zajának osztályáról és mért értékéről.
(3) A C1, C2 és C3 típusú gumiabroncsok esetében a forgalmazók az I. mellékletben megállapítottak szerint feltüntetik az üzemanyag-hatékonysági osztályt, a külső gördülési zaj mért értékét, és adott esetben a nedves tapadási osztályt a végfelhasználók számára a gumiabroncsok vásárlásakor kiadott számlákon vagy azokkal együtt.
6. cikk
A járműbeszállítók és a járműforgalmazók feladatai
Ha a végfelhasználók az értékesítési helyen választhatnak az általuk megszerezni kívánt új gépjárműre felszerelendő különböző gumiabroncsok közül, akkor a járműbeszállítók és a járműforgalmazók az értékesítés előtt tájékoztatást adnak minden egyes vásárlásra kínált gumiabroncs esetében azok üzemanyag-hatékonysági osztályáról, a külső gördülési zajának osztályáról és mért értékéről, továbbá adott esetben a C1 a C2 és C3 típusú gumiabroncsok nedves tapadási osztályáról, az I. mellékletben foglaltak szerint és a III. mellékletben meghatározott sorrendben. Ezt az információt legalább a műszaki promóciós anyagban fel kell tüntetni.
7. cikk
Összehangolt vizsgálati módszerek
A 4., 5. és 6. cikk alapján rendelkezésre bocsátandó, a gumiabroncsok üzemanyag-hatékonysági osztályára, külső gördülési zajának osztályára és mért értékére nedves tapadás, valamint nedves tapadási osztályára vonatkozó információkat az I. mellékletben foglalt, összehangolt vizsgálati módszerek alkalmazásával kell megállapítani.
8. cikk
Hitelesítési eljárás
A tagállamok az I. melléklet A. és B. része szerinti, bejelentett üzemanyag-hatékonysági és nedves tapadási osztályok megfelelőségét, valamint a külső gördülési zajnak az I. melléklet C. része szerinti osztálya és mért értéke megfelelőségét a IV. mellékletben megállapított eljárásnak megfelelően értékelik.
9. cikk
Belső piac
(1) E rendelet előírásainak betartása esetén a tagállamok a termékinformációk alapján nem tiltják meg és nem korlátozzák a 2. cikk szerinti gumiabroncsok piaci hozzáférhetőségét.
(2) Amennyiben nem rendelkeznek ellenkező értelmű bizonyítékokkal, a tagállamok úgy tekintik, hogy a címkék és a termékinformációk megfelelnek e rendeletnek. A tagállamok a bejelentett értékek és osztályok pontosságának értékelése érdekében a 4. cikk (4) bekezdésével összhangban műszaki dokumentációk benyújtására szólíthatják fel a beszállítókat.
10. cikk
Ösztönzők
A tagállamok az I. melléklet A., illetve B. része szerinti C üzemanyag-hatékonysági, illetve nedves tapadási osztály alatti gumiabroncsok tekintetében nem biztosítanak ösztönzőket. E rendelet alkalmazásában az adóügyi és a költségvetési intézkedések nem minősülnek ösztönzőknek.
11. cikk
Módosítások és a műszaki fejlődés szerinti kiigazítás
A Bizottság felhatalmazást kap arra, hogy a 12a. cikknek megfelelően e rendeletet a következők tekintetében módosító, felhatalmazáson alapuló jogi aktusokat fogadjon el:
a) a C2 és C3 típusú gumiabroncsok nedves tapadási osztályozására vonatkozó tájékoztatási követelmények bevezetése, amennyiben rendelkezésre állnak a megfelelő összehangolt vizsgálati módszerek;
b) adott esetben a tapadási osztályok kiigazítása azon gumiabroncsok műszaki sajátosságainak megfelelően, amelyeket elsősorban arra terveztek, hogy - a jármű elindítására, mozgásban tartására vagy megállítására való képességük tekintetében - jeges vagy havas útviszonyok között, vagy mindkettőben a normál gumiabroncsnál jobb teljesítményt érjenek el;
c) az I-V. melléklet műszaki fejlődés szerinti kiigazítása.
12. cikk
Végrehajtás
A 765/2008/EK rendelettel összhangban a tagállamok gondoskodnak arról, hogy a piacfelügyeletért felelős hatóságok ellenőrizzék az e rendelet 4., 5. és 6. cikkének való megfelelést.
12a. cikk
A felhatalmazás gyakorlása
(1) A felhatalmazáson alapuló jogi aktusok elfogadására vonatkozóan a Bizottság részére adott felhatalmazás feltételeit ez a cikk határozza meg.
(2) A Bizottságnak a 11. cikkben említett, felhatalmazáson alapuló jogi aktus elfogadására vonatkozó felhatalmazása ötéves időtartamra szól 2019. július 26-tól kezdődő hatállyal. A Bizottság legkésőbb kilenc hónappal az ötéves időtartam letelte előtt jelentést készít a felhatalmazásról. A felhatalmazás hallgatólagosan meghosszabbodik a korábbival megegyező időtartamra, amennyiben az Európai Parlament vagy a Tanács nem ellenzi a meghosszabbítást legkésőbb három hónappal minden egyes időtartam letelte előtt.
(3) Az Európai Parlament vagy a Tanács bármikor visszavonhatja a 11. cikkben említett felhatalmazást. A visszavonásról szóló határozat megszünteti az abban meghatározott felhatalmazást. A határozat az Európai Unió Hivatalos Lapjában való kihirdetését követő napon, vagy a benne megjelölt későbbi időpontban lép hatályba. A határozat nem érinti a már hatályban lévő, felhatalmazáson alapuló jogi aktusok érvényességét.
(4) A felhatalmazáson alapuló jogi aktus elfogadása előtt a Bizottság a jogalkotás minőségének javításáról szóló, 2016. április 13-i intézményközi megállapodásban ( 1 ) foglalt elveknek megfelelően konzultál az egyes tagállamok által kijelölt szakértőkkel.
(5) A Bizottság a felhatalmazáson alapuló jogi aktus elfogadását követően haladéktalanul és egyidejűleg értesíti arról az Európai Parlamentet és a Tanácsot.
(6) A 11. cikk értelmében elfogadott, felhatalmazáson alapuló jogi aktus csak akkor lép hatályba, ha az Európai Parlamentnek és a Tanácsnak a jogi aktusról való értesítését követő két hónapon belül sem az Európai Parlament, sem a Tanács nem emelt ellene kifogást, illetve ha az említett időtartam lejártát megelőzően mind az Európai Parlament, mind a Tanács arról tájékoztatta a Bizottságot, hogy nem fog kifogást emelni. Az Európai Parlament vagy a Tanács kezdeményezésére ez az időtartam két hónappal meghosszabbodik.
14. cikk
Felülvizsgálat
(1) A Bizottság többek között a következők figyelembevételével értékeli e rendelet felülvizsgálatának szükségességét:
a) a címke hatékonysága a végfelhasználók tájékozottsági szintje szempontjából, különös tekintettel arra, hogy a 4. cikk (1) bekezdésének b) pontjában foglalt rendelkezések az e rendelet célkitűzéseinek megvalósításához való hozzájárulás szempontjából ugyanolyan hatékonynak bizonyultak-e, mint a 4. cikk (1) bekezdésének a) pontjában foglalt rendelkezések;
b) az, hogy ki kell-e terjeszteni a címkézési rendszert az újrafutózott gumiabroncsokra is;
c) az, hogy be kell-e vezetni új gumiabroncs-paramétereket, például a kilométer-teljesítményt;
d) a gumiabroncsok paramétereire vonatkozóan a járműbeszállítók és -forgalmazók által a végfelhasználóknak nyújtott tájékoztatás.
(2) A Bizottság ennek az értékelésnek az eredményét legkésőbb 2016. március 1-jéig ismerteti az Európai Parlamenttel és a Tanáccsal, és adott esetben javaslatokat nyújt be az Európai Parlamentnek és a Tanácsnak.
15. cikk
Átmeneti rendelkezés
A 4. és az 5. cikk nem alkalmazandó a 2012. július 1. előtt gyártott gumiabroncsokra.
16. cikk
Hatálybalépés
Ez a rendelet az Európai Unió Hivatalos Lapjában való kihirdetését követő huszadik napon lép hatályba.
Ezt a rendeletet 2012. november 1-jétől kell alkalmazni.
Ez a rendelet teljes egészében kötelező és közvetlenül alkalmazandó valamennyi tagállamban.
I. MELLÉKLET
A GUMIABRONCS-PARAMÉTEREK OSZTÁLYOZÁSA
A. rész: Üzemanyag-hatékonysági osztályok
Az üzemanyag-hatékonysági osztály meghatározása a gördülési ellenállási együttható (RRC) alapján, az alábbiakban megadott, A-tól G-ig terjedő skálának megfelelően, a 117. sz. ENSZ EGB-előírás 6. melléklete, valamint annak későbbi módosításai szerinti mérésekkel, a IVa. mellékletben előírt összehangolás alkalmazásával történik.
Ha egy gumiabroncstípust egynél több gumiabroncsosztályra (pl. C1 és C2) is jóváhagynak, akkor a szóban forgó gumiabroncstípus üzemanyag-hatékonysági osztályának meghatározásához a legmagasabb gumiabroncsosztályra (pl. C2, nem C1) vonatkozó osztályozási osztályt kell használni.
| C1 típusú gumiabroncsok | C2 típusú gumiabroncsok | C3 típusú gumiabroncsok | |||
| RRC kg/t-ban | Energia-hatékonysági osztály | RRC kg/t-ban | Energia-hatékonysági osztály | RRC kg/t-ban | Energia-hatékonysági osztály |
| RRC ≤ 6,5 | A | RRC ≤ 5,5 | A | RRC ≤ 4,0 | A |
| 6,6 ≤ RRC ≤ 7,7 | B | 5,6 ≤ RRC ≤ 6,7 | B | 4,1 ≤ RRC ≤ 5,0 | B |
| 7,8 ≤ RRC ≤ 9,0 | C | 6,8 ≤ RRC ≤ 8,0 | C | 5,1 ≤ RRC ≤ 6,0 | C |
| Nincs | D | Nincs | D | 6,1 ≤ RRC ≤ 7,0 | D |
| 9,1 ≤ RRC ≤ 10,5 | E | 8,1 ≤ RRC ≤ 9,2 | E | 7,1 ≤ RRC ≤ 8,0 | E |
| 10,6 ≤ RRC ≤ 12,0 | F | 9,3 ≤ RRC ≤ 10,5 | F | RRC ≥ 8,1 | F |
| RRC ≥ 12,1 | G | RRC ≥ 10,6 | G | Nincs | G |
B. rész: Nedves tapadási osztályok
1. A C1 típusú gumiabroncsok nedves tapadási osztályának meghatározása a nedves tapadási index (G) alapján, az alábbi táblázatban megadott, A-tól G-ig terjedő skálának megfelelően, a 3. pont szerinti számítással és az V. melléklet szerinti mérésekkel történik.
2. A C2 és a C3 típusú gumiabroncsok nedves tapadási osztályának meghatározása a nedves tapadási index (G) alapján, az alábbi táblázatban megadott, A-tól G-ig terjedő skálának megfelelően, a 3. pont szerinti számítással és az ISO 15222:2011 szabványban előírt mérésekkel történik, a következő etalonabroncsok felhasználásával:
i. a C2 típusú gumiabroncsok esetében: 225/75 R 16 C, ASTM F 2872-11;
ii. a 285 mm névleges profilszélesség alatti C3 típusú gumiabroncsok esetében: 245/70R19.5, ASTM F 2871-11;
iii. a 285 mm és annál nagyobb névleges profilszélességű C3 típusú gumiabroncsok esetében: 315/70R22.5, ASTM F 2870-11.
3. A nedves tapadási index (G) kiszámítása:
G = G(T) - 0,03
ahol: G(T) = a vizsgált gumiabroncs egy mérési ciklusban mért nedves tapadási indexe.
| C1 típusú gumiabroncsok | C2 típusú gumiabroncsok | C3 típusú gumiabroncsok | |||
| G | Nedves tapadási osztály | G | Nedves tapadási osztály | G | Nedves tapadási osztály |
| 1,55 ≤ G | A | 1,40 ≤ G | A | 1,25 ≤ G | A |
| 1,40 ≤ G ≤ 1,54 | B | 1,25 ≤ G ≤ 1,39 | B | 1,10 ≤ G ≤ 1,24 | B |
| 1,25 ≤ G ≤ 1,39 | C | 1,10 ≤ G ≤ 1,24 | C | 0,95 ≤ G ≤ 1,09 | C |
| üres | D | üres | D | 0,80 ≤ G ≤ 0,94 | D |
| 1,10 ≤ G ≤ 1,24 | E | 0,95 ≤ G ≤ 1,09 | E | 0,65 ≤ G ≤ 0,79 | E |
| G ≤ 1,09 | F | G ≤ 0,94 | F | G ≤ 0,64 | F |
| üres | G | üres | G | üres | G |
C. rész: A külső gördülési zaj osztálya és mért értéke
A külső gördülési zaj mért értékét (N) decibelben kell megadni, és a 117. sz. ENSZ-EGB-előírás, valamint annak későbbi módosításai szerint kell kiszámítani.
A külső gördülési zaj osztályát a 661/2009/EK rendelet II. mellékletének C. részében meghatározott határértékek (LV) alapján kell meghatározni.
| N dB-ben | Külső gördülési zaj osztálya |
| N ≤ LV – 3 | [Kép #1] |
| LV-3 < N ≤ LV | [Kép #2] |
| N > LV | [Kép #3] |

Kép #1

Kép #2

Kép #3
II. MELLÉKLET
A CÍMKE FORMÁTUMA
1. A címke kialakítása
1.1. A 4. cikk (1) bekezdésében és az 5. cikk (1) bekezdésében említett címkének meg kell felelnie az alábbi illusztrációnak: [Kép #4]

Kép #4
1.2. A következő ábra a címke részletes adatait adja meg: [Kép #5]

Kép #5
1.3. A címke legalább 75 mm szélességű és 110 mm magasságú legyen. Amennyiben a címkét nagyobb formátumban nyomtatják ki, a tartalmának továbbra is arányosnak kell lennie a fent megadott adatokkal.
1.4. A címkének a következő követelményeknek kell megfelelnie:
a) a CMYK - cián, bíbor, sárga és fekete - színekből álló színek a következő példa szerint vannak megadva: 00-70-X-00: 0 % cián, 70 % bíbor, 100 % sárga, 0 % fekete;
b) a felsorolt számok az 1.2. pontban megadott képfeliratoknak felelnek meg:
[Kép #6] Üzemanyag-hatékonyság
Kép #6
A rendelkezésre bocsátott piktogram alapján: szélessége: 19,5 mm, magassága: 18,5 mm - a piktogram keretének vonalvastagsága: 3,5 pt, szélessége: 26 mm, magassága: 23 mm - az osztályozás keretének: vonalvastagsága: 1 pt - a keret végének: vonalvastagsága: 3,5 pt, szélessége: 36 mm - színe: X-10-00-05.
[Kép #7] Nedves tapadás
Kép #7
A rendelkezésre bocsátott piktogram alapján: szélesség: 19 mm, magasság: 19 mm - a piktogram keretének: vonalvastagsága: 3,5 pt, szélessége: 26 mm, magassága: 23 mm - az osztályozás keretének: vonalvastagsága: 1 pt - a keret végének: vonalvastagsága: 3,5 pt, szélessége: 26 mm - színe: X-10-00-05.
[Kép #8] Külső gördülési zaj
Kép #8
A rendelkezésre bocsátott piktogram alapján: szélessége: 14 mm, magassága: 15 mm - a piktogram keretének: vonalvastagsága: 3,5 pt, szélessége: 26 mm, magassága: 24 mm - az érték körüli keret: vonalvastagsága: 1 pt - a keret végének: vonalvastagsága: 3,5 pt, magassága: 24 mm - színe: X-10-00-05.
[Kép #9] A címke kerete: vonalvastagsága: 1,5 pt - színe: X-10-00-05.
Kép #9
[Kép #10] "A"-tól "G"-ig terjedő skála
Kép #10
Nyilak: magasság: 4,75 mm, köztük lévő távolság: 0,75 mm, fekete vonal vastagsága: 0,5 pt - színek:
- A: X-00-X-00,
- B: 70-00-X-00,
- C: 30-00-X-00,
- D: 00-00-X-00,
- E: 00-30-X-00,
- F: 00-70-X-00,
- G: 00-X-X-00.
Szöveg: Helvetica, félkövér, 12 pt, 100 % fehér, fekete kerettel: 0,5 pt.
[Kép #11] Osztályozás
Kép #11
Nyíl: szélessége: 16 mm, magassága: 10 mm, 100 % fekete.
Szöveg: Helvetica, félkövér, 27 pt, 100 % fehér.
[Kép #12] A skála vonalai: vonalvastagsága: 0,5 pt, a szaggatott vonalak közti távolság: 5,5 mm, 100 % fekete.
Kép #12
[Kép #13] A skálán szereplő szöveg: Helvetica, félkövér, 11 pt, 100 % fekete.
Kép #13
[Kép #14] Külső gördülési zaj mért értéke
Kép #14
Nyíl: szélessége: 25,25 mm, magassága: 10 mm, 100 % fekete.
Szöveg: Helvetica, félkövér, 20 pt, 100 % fehér.
A mértékegység betűi: Helvetica, félkövér, 13 pt, 100 % fehér.
[Kép #15] EU-logó: szélessége: 9 mm, magassága: 6 mm.
Kép #15
[Kép #16] A rendeletre való hivatkozás: Helvetica, normál, 7,5 pt, 100 % fekete.
Kép #16
A gumiabroncs osztályára való hivatkozás: Helvetica, félkövér, 7,5 pt, 100 % fekete.
[Kép #17] Külső gördülési zajosztály az I. melléklet C. részében meghatározottak szerint: szélessége: 8,25 mm, magassága: 15,5 mm, - 100 % fekete.
Kép #17
c) A háttérnek fehérnek kell lennie.
1.5. A gumiabroncsosztályt (C1 vagy C2) az 1.2. pontban megadott illusztráción előírt formátumban kell feltüntetni a címkén.
2. Matrica
2.1. A 4. cikk (1) bekezdésében és az 5. cikk (1) bekezdésében említett matrica két részből áll: i. az e melléklet 1. pontjában leírt formátumban nyomtatott címke és ii. az e melléklet 2.2. pontjában meghatározott előírások szerint nyomtatott márkanévhely.
2.2. Márkanév helye: A beszállítóknak a matricán a címkével együtt fel kell tüntetniük a márkanevüket vagy védjegyüket, a gumiabroncs termékvonalának nevét és a gumiabroncs méreteit, terhelhetőségi indexét, sebességhatárát és egyéb részletes műszaki információkat, bármilyen színben, formátumban és kialakítással, feltéve, hogy mindez nem csorbítja az e melléklet 1. pontjában meghatározott címke tartalmát vagy nem mond ellent annak. A matrica teljes felülete nem haladhatja meg a 250 cm2-t, teljes magassága pedig a 220 mm-t.
III. MELLÉKLET
A műszaki promóciós anyagban közölt információk
1. A gumiabroncsokra vonatkozó információkat az alábbiakban meghatározott sorrendben kell feltüntetni:
i. az üzemanyag-hatékonysági osztály ("A" és "G" közötti betű);
ii. a nedves tapadási osztály ("A" és "G" közötti betű);
iii. a külső gördülési zaj osztálya és mért értéke (dB).
2. Az 1. pontban közölt információknak a következő követelményeknek kell megfelelniük:
i. legyenek könnyen olvashatóak;
ii. legyenek könnyen érthetőek;
iii. ha egy adott gumiabroncstípus a méretétől vagy más paraméterektől függően különféle osztályozásokban férhető hozzá, a legrosszabb és a legjobb teljesítményű gumiabroncs által meghatározott tartományt kell feltüntetni.
3. A beszállítóknak ezenkívül weboldalukon hozzáférhetővé kell tenniük a következő információkat:
i. az e rendelettel foglalkozó bizottsági weboldalhoz tartozó internetes link;
ii. a címkére nyomtatott piktogramok magyarázata;
iii. egy olyan megállapítás, amely kiemeli, hogy a tényleges üzemanyag-megtakarítás és a közlekedési biztonság erősen függ a vezető magatartásától és különösen attól, hogy
- a környezettudatos vezetés jelentősen csökkentheti az üzemanyag-fogyasztást,
- a gumiabroncsok nyomását rendszeresen ellenőrizni kell a nedves tapadási és üzemanyag-hatékonysági teljesítmény optimalizálása érdekében,
- a féktávolságokat mindig szigorúan be kell tartani.
IV. MELLÉKLET
Hitelesítési eljárás
A bejelentett üzemanyag-hatékonysági és nedves tapadási osztálynak, valamint a külső gördülési zaj bejelentett osztályának és értékének a megfelelőségét a beszállító által meghatározott minden egyes gumiabroncstípus vagy gumiabroncscsoport esetében értékelni kell a következő eljárások egyikének megfelelően:
a) i. először egyetlen gumiabroncsot vagy gumiabroncs-garnitúrát kell megvizsgálni. Ha a mért értékek az 1. táblázatban meghatározott tűrések figyelembevételével megfelelnek a bejelentett osztályoknak vagy a külső gördülési zaj tekintetében a bejelentett értéknek, akkor a gumiabroncs megfelelt a vizsgálaton; és
ii. ha a mért értékek az 1. táblázatban meghatározott tűrések figyelembevételével nem felelnek meg a bejelentett osztályoknak vagy a külső gördülési zaj tekintetében a bejelentett értéknek, akkor további három gumiabroncsot vagy gumiabroncs-garnitúrát kell megvizsgálni. A három további megvizsgált gumiabroncs vagy gumiabroncs-garnitúra mérési eredményeinek átlagát kell felhasználni annak értékeléséhez, hogy a bejelentett információk az 1. táblázatban meghatározott tűrések figyelembevételével helytállóak-e; vagy
b) amennyiben a címkén feltüntetett osztályok vagy értékek meghatározása a 2001/43/EK irányelvvel, a 661/2009/EK rendelettel vagy a 117. sz. ENSZ EGB-előírással és annak későbbi módosításaival összhangban végrehajtott típus-jóváhagyási vizsgálatok eredményei alapján történt, a tagállamok használhatják a gumiabroncsok gyártás-megfelelőségét igazoló mérési adatokat.
A gyártás-megfelelőségi vizsgálatokból származó mérési adatok értékelésekor figyelembe kell venni az 1. táblázatban megadott tűréseket.
1. táblázat
| Mért paraméter | Ellenőrzési tűrés |
| Gördülési ellenállási együttható (üzemanyag-hatékonyság) | Az összehangolt mért érték legfeljebb 0,3 kg/1 000 kg-mal haladhatja meg a bejelentett osztályhoz tartozó felső határt (legnagyobb RRC-t). |
| Külső gördülési zaj | A mért érték legfeljebb 1 dB(A)-val haladhatja meg a bejelentett N értéket. |
| Nedves tapadás | A mért érték nem lehet kisebb a bejelentett osztályhoz tartozó alsó határnál (G legkisebb értéke). |
IVa. MELLÉKLET
A gördülési ellenállás mérése tekintetében a laboratóriumok összehangolására szolgáló eljárás
1. FOGALOMMEGHATÁROZÁSOK
A laboratóriumok összehangolására szolgáló eljárás alkalmazásában:
1. "referencialaboratórium" : olyan laboratórium, amely tagja a referencialaboratóriumok azon hálózatának, amelynek adatait az összehangolási eljárás céljából közzétették az Európai Unió Hivatalos Lapjában, és vizsgálati eredményei tekintetében képes elérni a 3. szakaszban meghatározott pontosságot;
2. "pályázó laboratórium" : olyan laboratórium, amely részt vesz az összehangolási eljárásban, de nem referencialaboratórium;
3. "összehangolási gumiabroncs" : az összehangolási eljárás céljából vizsgálat alá vett gumiabroncs;
4. "összehangolási gumiabroncs-garnitúra" : öt vagy több összehangolási gumiabroncs együttese;
5. "hozzárendelt érték" : egy adott összehangolási gumiabroncson a referencialaboratóriumok hálózata tekintetében reprezentatív elméleti laboratórium által mért, az összehangolási eljárásban felhasznált elméleti érték.
2. ÁLTALÁNOS RENDELKEZÉSEK
2.1. Alapelvek
A referencialaboratóriumban (l) mért gördülési ellenállási együtthatót (RRCm ) össze kell hangolni a referencialaboratóriumok hálózatához tartozó hozzárendelt értékkel.
A pályázó laboratóriumban (c) mért RRCm értéket össze kell hangolni egy tetszőleges, a hálózatba tartozó referencialaboratórium értékeivel.
2.2. A gumiabroncsok kiválasztására vonatkozó követelmények
Az összehangolási eljárás céljára öt vagy több összehangolási gumiabroncsból álló garnitúrát kell összeállítani az alábbi kritériumoknak megfelelően. A C1 és a C2 típusú abroncsokból egy közös, a C3 típusú abroncsokból egy külön garnitúrát kell összeállítani.
a) A garnitúrát úgy kell összeállítani, hogy lefedje a C1 és C2, illetve a C3 típusok különböző RRC értékeinek teljes tartományát. Az egy garnitúrába tartozó abroncsok legnagyobb és legkisebb RRCm értékei közötti különbség minden esetben legalább:
i. 3 kg/t a C1 és C2 típusú gumiabroncsok esetében; és
ii. 2 kg/t a C3 típusú gumiabroncsok esetében.
b) A garnitúrába tartozó egyes összehangolási gumiabroncsokon a bejelentett RRC értékek alapján a pályázó laboratóriumban vagy a referencialaboratóriumokban (c, illetve l) mért RRCm értékeknek egyenletesen kell eloszlaniuk a következő osztásközök szerint:
i. 1,0 +/- 0,5 kg/t a C1 és C2 típusú gumiabroncsok esetében; és
ii. 1,0 +/- 0,5 kg/t a C3 típusú gumiabroncsok esetében.
c) Az összehangolási gumiabroncsok profilszélessége:
i. ≤ 245 mm a C1 és C2 típusú gumiabroncsok vizsgálatához igénybe vett mérőberendezések esetében; és
ii. ≤ 385 mm a C3 típusú gumiabroncsok vizsgálatához igénybe vett mérőberendezések esetében.
d) Az összehangolási gumiabroncsok külső átmérője:
i. 510 és 800 mm közötti a C1 és C2 típusú gumiabroncsok vizsgálatához igénybe vett mérőberendezések esetében; és
ii. 771 és 1 143 mm közötti a C3 típusú gumiabroncsok vizsgálatához igénybe vett mérőberendezések esetében.
e) A terhelési index és ezen keresztül a gördülési ellenállási erő értékeinek le kell fedniük a vizsgálat alá vett gumiabroncsok teljes tartományát.
Minden összehangolási gumiabroncsot ellenőrizni kell használat előtt, és ki kell cserélni, amennyiben:
a) állapota nem teszi lehetővé további vizsgálatokban való használatát; és/vagy
b) az RRCm értéke a mérőberendezés elállítódásának korrekciója után 1,5 százaléknál nagyobb mértékben eltér a korábban mérttől.
2.3. Mérési módszer
A referencialaboratórium a 117. sz. ENSZ EGB-előírás 6. mellékletének 3. pontjában és annak későbbi módosításaiban előírt körülmények között a 117. sz. ENSZ EGB-előírás 6. mellékletének 4. pontjával és annak későbbi módosításaival összhangban négyszer vet alá mérésnek minden összehangolási gumiabroncsot, és az utolsó három mérés adatait veszi figyelembe a további vizsgálatokhoz.
A pályázó laboratórium a 117. sz. ENSZ EGB-előírás 6. mellékletének 3. pontjában és annak későbbi módosításaiban előírt körülmények között a 117. sz. ENSZ EGB-előírás 6. mellékletének 4. pontjával és annak későbbi módosításaival összhangban (n + 1)-szer vet alá mérésnek minden összehangolási gumiabroncsot, ahol n az 5. szakaszban kerül meghatározásra.
Az összehangolási gumiabroncsokon végzett minden mérés után el kell távolítani a mérőberendezésről a gumiabroncsot és a kereket, és elölről meg kell ismételni a 117. sz. ENSZ EGB-előírás 6. mellékletének 4. pontjában és annak későbbi módosításaiban ismertetett teljes vizsgálati eljárást.
A pályázó vagy referencialaboratórium kiszámítja:
a) minden egyes összehangolási gumiabroncs esetében a 117. sz. ENSZ EGB-előírás 6. mellékletének 6.2. és 6.3. pontjával és azok későbbi módosításaival összhangban végzett mérések értékét (25 °C hőmérsékletre és 2 m átmérőjű vizsgálódobra korrigálva);
b) az egyes összehangolási gumiabroncsokon mért utolsó három érték (referencialaboratóriumok esetében) vagy utolsó n érték (pályázó laboratóriumok esetében) átlagát; valamint
c) a szórás (σm) értékét a következők szerint:


ahol:
i az összehangolási gumiabroncsok indexe 1-től p-ig,
j az adott összehangolási gumiabroncson elvégzett mérések indexe 2-től n-ig,
n a megismételt mérések száma (n ≥ 4),
p az összehangolási gumiabroncsok száma (p ≥ 5).
2.4. A számításokhoz és az eredmények feltüntetéséhez használandó adatformátumok
- A gördülési ellenállási együttható mért értékét hőmérséklet és dobátmérő szerinti korrekció után két tizedesjegyre kell kerekíteni.
- A számításokat a pontos értékkel kell végezni további kerekítések nélkül, kivéve az utolsó összehangolási képlet esetében.
- A szórás értékét 3 tizedesjegyre kerekítve kell feltüntetni.
- Az RRC értékeket 2 tizedesjegyre kerekítve kell feltüntetni.
- Az összehangolási együtthatókat (A1 l, B1 l, A2c és B2c) négy tizedesjegyre kell kerekíteni és így kell feltüntetni.
3. A REFERENCIALABORATÓRIUMOKRA VONATKOZÓ KÖVETELMÉNYEK ÉS A HOZZÁRENDELT ÉRTÉKEK MEGHATÁROZÁSA
Az egyes összehangolási gumiabroncsok hozzárendelt értékeit a referencialaboratóriumok hálózata határozza meg. Két év elteltével a hálózat ellenőrzi a hozzárendelt értékek stabilitását és érvényességét.
A hálózatban részt vevő minden referencialaboratóriumnak meg kell felelnie a 117. sz. ENSZ EGB-előírás 6. mellékletében és annak későbbi módosításaiban szereplő követelményeknek és a következő szórásértéknek (σm):
i. legfeljebb 0,05 kg/t a C1 és C2 típusú gumiabroncsok esetében; és
ii. legfeljebb 0,05 kg/t a C3 típusú gumiabroncsok esetében.
A fenti 2.2. pont követelményeinek megfelelő összehangolási gumiabroncs-garnitúrák vizsgálatát a 2.3. pontban meghatározott módon minden referencialaboratóriumnak el kell végeznie.
Az összehangolási gumiabroncs hozzárendelt értékét a hálózatba tartozó referencialaboratóriumok által az adott összehangolási gumiabroncsra megadott mérési értékek átlaga adja.
4. A REFERENCIALABORATÓRIUMOKNAK A HOZZÁRENDELT ÉRTÉKEKHEZ VALÓ HANGOLÁSA
Az egyes referencialaboratóriumok (l) az összehangolási gumiabroncs-garnitúra hozzárendelt értékeihez hangolják eredményeiket lineáris regresszió segítségével:
RRC = A1 l * RRC m,l + B1 l
ahol
RRC a gördülési ellenállási együttható hozzárendelt értéke;
RRCm,l az l jelű referencialaboratórium által mért gördülési ellenállási együttható (hőmérséklet és dobátmérő szerinti korrekció után)
5. A PÁLYÁZÓ LABORATÓRIUMOKRA VONATKOZÓ KÖVETELMÉNYEK
A pályázó laboratóriumok legalább kétévente, valamint a mérőberendezésen végrehajtott minden nagyobb változtatás vagy a gumiabroncsadatok mérésében bekövetkező elállítódás esetén megismétlik az összehangolási eljárást.
A pályázó laboratórium és egy referencialaboratórium a 2.3. pontban meghatározott módon elvégzi a fenti 2.2. pont követelményeinek megfelelő, öt gumiabroncsból álló közös összehangolási gumiabroncs-garnitúra vizsgálatát. A vizsgálat a pályázó laboratórium kérésére ötnél több összehangolási gumiabronccsal is elvégezhető.
Az összehangolási gumiabroncs-garnitúrát a pályázó laboratórium bocsátja a kiválasztott referencialaboratórium rendelkezésére.
A pályázó laboratóriumnak (c) meg kell felelnie a 117. sz. ENSZ EGB-előírás 6. mellékletében és annak későbbi módosításaiban szereplő követelményeknek, és lehetőleg a következő szórásértékeknek (σm ):
i. legfeljebb 0,075 kg/t a C1 és C2 típusú gumiabroncsok esetében; és
ii. legfeljebb 0,06 kg/t a C3 típusú gumiabroncsok esetében.
Amennyiben a pályázó laboratórium értékeinek eltérései három mérés esetén meghaladják a fenti mértékeket, a mérések számát a következők szerint kell növelni:
n = (σm /γ)2, felfelé kerekítve a legközelebbi egész számra,
ahol
γ = 0,043 kg/t a C1 és a C2 típusú gumiabroncsoknál
γ = 0,035 kg/t a C3 típusú gumiabroncsoknál.
6. A PÁLYÁZÓ LABORATÓRIUM ÖSSZEHANGOLÁSA
A hálózatba tartozó valamely referencialaboratórium (l) a következők alapján kiszámítja a pályázó laboratórium (c) értékeinek lineáris regressziós függvényét megadó A22 és B2c paramétert:
RRC m,l = A2c × RRCm,c + B2c
ahol
RRCm,l a gördülési ellenállási együtthatónak a referencialaboratórium (l) által mért értéke (hőmérséklet és dobátmérő szerinti korrekció után)
RRCm,c a gördülési ellenállási együtthatónak a pályázó laboratórium (c) által mért értéke (hőmérséklet és dobátmérő szerinti korrekció után)
A pályázó laboratórium által vizsgált gumiabroncsok összehangolt RRC értékét a következők szerint kell kiszámítani:
RRC = (A1 l × A2c) × RRCm,c + (A1 l × B2c + B1 l )
V. MELLÉKLET
Vizsgálati módszer a C1 típusú gumiabroncsok nedvestapadási indexének (G) meghatározására
1. KÖTELEZŐ SZABVÁNYOK
Az alább felsorolt dokumentumokat kell alkalmazni.
1. ASTM E 303-93 (átdolgozott kiadás: 2008), Standard Test Method for Measuring Surface Frictional Properties Using the British Pendulum Tester (Szabványos vizsgálati módszer a felület súrlódási jellemzőinek brit ingás módszerrel történő mérésére);
2. ASTM E 501-08, Standard Specification for Standard Rib Tire for Pavement Skid-Resistance Tests (Szabványos leírás szabványos bordázott abroncs esetén a csúszásellenállás vizsgálatához);
3. ASTM E 965-96 (átdolgozott kiadás: 2006), Standard Test Method for Measuring Pavement Macrotexture Depth Using a Volumetric Technique (Szabványos vizsgálati módszer az útburkolat makrotextúramélységének térfogatmódszerrel történő mérésére);
4. ASTM E 1136-93 (átdolgozott kiadás: 2003), Standard Specification for a Radial Standard Reference Test Tire (SRTT14″) (Szabványos leírás szabványos SRTT14″ radiál referencia-tesztabroncshoz);
5. ASTM F 2493-08, Standard Specification for a Radial Standard Reference Test Tire (SRTT16″) (Szabványos leírás szabványos SRTT16″ radiál referencia-tesztabroncshoz).
2. FOGALOMMEGHATÁROZÁSOK
A C1 típusú gumiabroncsok nedves tapadásának vizsgálatakor a következő fogalommeghatározásokat kell alkalmazni:
1. "mérési menet": terhelt gumiabronccsal végzett egyetlen áthaladás egy megadott mérőpálya-felületen;
2. "tesztelt gumiabroncs(ok)": a mérési menethez használt vizsgált gumiabroncs, referenciaabroncs vagy segédabroncs, illetve abroncsgarnitúra;
3. "vizsgált gumiabroncs(ok) (T)": a nedvestapadási index kiszámítása céljából vizsgált gumiabroncs vagy abroncsgarnitúra;
4. "referenciaabroncs(ok) (R)": az ASTM F 2493-08 szabványban leírt mutatókkal rendelkező gumiabroncs vagy abroncsgarnitúra, amelyet 16 hüvelykes etalonabroncsként (SRTT16″) említenek;
5. "segédabroncs(ok) (C)": közbenső gumiabroncs vagy közbenső abroncsgarnitúra, amelyet akkor használnak, ha a vizsgált gumiabroncs és a referenciaabroncs ugyanazon a járművön közvetlenül nem összehasonlítható;
6. "a gumiabroncs fékereje": a fékezési forgatónyomaték alkalmazásából származó hosszanti irányú erő Newtonban kifejezve;
7. "a gumiabroncs fékerő-együtthatója (BFC)": a fékerő és a függőleges terhelés arányszáma;
8. "a gumiabroncs legnagyobb fékerő-együtthatója": a gumiabroncs fékerő-együtthatójának legnagyobb értéke közvetlenül a kerék blokkolása előtt, amint a fékezési forgatónyomatékot fokozatosan növelik;
9. "a kerék blokkolása": a kerék azon helyzete, amelyben a forgástengely körüli forgási sebessége nulla, és a forgatónyomaték alkalmazásakor sem tud forogni;
10. "függőleges terhelés": a gumiabroncsra az útfelületre merőlegesen ható terhelési erő Newtonban kifejezve;
11. "az abroncstulajdonságok vizsgálatára szolgáló mérőjármű": különleges célra szolgáló jármű, amely egy tesztelt abroncsra fékezés közben ható függőleges és hosszanti irányú erők mérésére alkalmas eszközökkel van felszerelve.
3. ÁLTALÁNOS VIZSGÁLATI FELTÉTELEK
3.1. A pálya jellemzői
A mérőpályának a következő jellemzőkkel kell rendelkeznie:
1. A pálya felületének tömör aszfaltnak kell lennie, egyenletes lejtése nem haladhatja meg a 2 %-ot, és 6 mm-nél jobban nem térhet el egy 3 méteres egyenes vonalzóval végzett mérés során.
2. A korát, az összetételét és a kopását tekintve egyformának kell lennie. A mérési felületen nem lehetnek idegen anyagok.
3. A zúzalék legnagyobb mérete 10 mm lehet (8 mm és 13 mm közötti tűréshatárral).
4. A felületszerkezet homokfoltmódszerrel mért mélysége 0,7 ± 0,3 mm lehet. A mérést az ASTM E 965-96 szabvány (átdolgozott kiadás: 2006) szerint kell elvégezni.
5. A nedvesített pálya felületi súrlódási jellemzőit a 3.2. szakasz a) vagy b) pontjában leírt módszer szerint kell meghatározni.
3.2. A nedvesített pálya felületi súrlódási jellemzőinek meghatározására szolgáló módszerek
a) Brit ingás módszer (British Pendulum Number, BPN)
A brit ingás módszert az ASTM E 303-93 szabványban (átdolgozott kiadás: 2008) foglaltak szerint kell alkalmazni.
A csúszódarab összetételének és a fizikai jellemzőknek meg kell felelniük az ASTM E 501-08 szabványban előírtaknak.
Az átlagos BPN-számnak hőmérséklet-korrekció után 42 és 60 BPN között kell lennie, az alábbiak szerint.
A BPN-számot a nedvesített pályafelület hőmérsékletével kell kiigazítani. Ha a brit inga gyártója nem adott ajánlásokat a hőmérséklet-korrekcióra, akkor a következő képlet használható:
BPN = BPN (mért érték) + hőmérséklet-korrekció
hőmérséklet-korrekció = - 0,0018 t 2 + 0,34 t - 6,1
ahol t = a nedvesített pályafelület hőmérséklete Celsius fokban.
A csúszódarab koptató hatásai: a vizsgálathoz használt csúszódarabot akkor kell teljesen elhasználódottnak tekinteni, amikor a csúszósaru élének kopása eléri a csúszósaru síkjában mért 3,2 mm-t, vagy a a csúszósaru síkjára merőlegesen mért 1,6 mm-t, az ASTM E 303-93 (átdolgozott kiadás: 2008) 5.2.2. szakaszával és 3. ábrájával összhangban.
Egy mérőberendezéssel ellátott személygépjármű nedves tapadásának méréséhez kapcsolódóan a mérőpálya BPN értékei egyenletességének ellenőrzése céljából a mérőpálya BPN értékei a féktávolság teljes hossza alatt nem térhetnek el annak érdekében, hogy csökkenjen a mérési eredmények szórása. A nedvesített pálya felületi súrlódási jellemzőit 10 méterenként, a BPN mérés minden egyes pontján ötször kell megmérni és az átlagos BPN-szám variációs együtthatója nem haladhatja meg a 10 %-ot.
b) ASTM E 1136 szabvány szerinti etalonabroncsot használó módszer (SRTT14″)
A 2. szakasz 4. pontjától eltérve ennél a módszernél olyan referenciaabroncsot használnak, amely az ASTM E 1136-93 szabványban (átdolgozott kiadás: 2003) leírt jellemzőkkel rendelkezik, és amelyet SRTT14″ ( 2 ) néven említenek.
Az SRTT14″ átlagos legnagyobb fékerő-együtthatója (μ peak,ave) 65 km/h sebességnél 0,7 ± 0,1 kell, hogy legyen.
Az SRTT14″ átlagos legnagyobb fékerő-együtthatóját (μ peak,ave) a nedvesített pályafelület hőmérsékletével az alábbiak szerint kell kiigazítani:
legnagyobb fékerő-együttható (μ peak,ave) = legnagyobb fékerő-együttható (mért) + hőmérséklet-korrekció
hőmérséklet-korrekció = 0,0035 × (t - 20)
ahol t = a nedvesített pályafelület hőmérséklete Celsius fokban.
3.3. Légköri viszonyok
A szélviszonyok nem zavarhatják a nedvesítést (szélfogók használata megengedett).
A nedvesített felület hőmérsékletének, valamint a külső hőmérsékletnek téli gumiabroncsok esetén egyaránt 2 °C és 20 °C, normál gumiabroncsok esetén pedig 5 °C és 35 °C között kell lennie.
A nedvesített felület hőmérséklete a mérés alatt 10 °C-nál nagyobb mértékben nem változhat.
A külső hőmérsékletnek a nedvesített felület hőmérséklete közelében kell maradnia; a kettő közötti különbségnek 10 °C alatt kell lennie.
4. A NEDVES TAPADÁS MÉRÉSÉRE SZOLGÁLÓ VIZSGÁLATI MÓDSZEREK
A vizsgált gumiabroncs nedvestapadási indexének (G) kiszámításához a vizsgált gumiabroncs nedvestapadási fékhatását össze kell hasonlítani a referenciaabroncs nedvestapadási fékhatásával egy nedves útburkolaton egyenes irányban haladó járművön. Ezt a következő módszerek egyikével kell meghatározni:
- egy mérőberendezéssel ellátott személygépjárműre felszerelt abroncsgarnitúra vizsgálatából álló járműves módszerrel,
- a vizsgált gumiabronccsal/gumiabroncsokkal felszerelt, járművel vontatott pótkocsi vagy az abroncstulajdonságok vizsgálatára szolgáló mérőjármű alkalmazásával végzett vizsgálati módszerrel.
4.1. Mérőberendezéssel ellátott személygépjárművel végzett vizsgálati módszer
4.1.1. Alapelv
Ennél a vizsgálati módszernél a C1 típusú gumiabroncsok fékezés közbeni lassulási teljesítményének meghatározására egy blokkolásgátló rendszerrel (ABS) felszerelt, mérőberendezéssel ellátott személygépjárművet használnak, ahol a "mérőberendezéssel ellátott személygépjármű" a vizsgálati módszer alkalmazása érdekében a 4.1.2.2. szakaszban szereplő mérőberendezéssel ellátott személygépjármű. Meghatározott kiindulási sebességgel indulva a fékeket a négy kerékre azonos időpontban olyan erővel kell megnyomni, hogy az működésbe hozza a blokkolásgátló rendszert. Az átlagos lassulást két előre meghatározott sebesség között kell mérni.
4.1.2. Mérőberendezés
4.1.2.1. Jármű
A személygépjárművön megengedett módosítások a következők:
- a járműre felszerelhető gumiabroncsok méretének a növelését lehetővé tevő módosítások,
- a fékberendezés automatikus működésbe hozatalát lehetővé tevő módosítások.
A fékrendszer bármely más módosítása tilos.
4.1.2.2. Mérőberendezés
A járművet olyan érzékelővel kell felszerelni, amely alkalmas a sebesség nedves felületen történő mérésére, illetve két sebesség között megtett távolság meghatározására.
A jármű sebességének a meghatározásához egy ötödik kereket vagy egy nem érintkező sebességmérő rendszert kell alkalmazni.
4.1.3. A mérőpálya kondicionálása és nedvesítés
A mérőpályát a mérés megkezdése előtt legalább fél órával nedvesíteni kell, hogy kiegyenlítődjön a felület és a víz hőmérséklete. A külső locsolást ajánlott a mérés alatt mindvégig folytatni. A vízmagasságnak a mérőpálya egész területén az útburkolat legmagasabb pontjától számított 1,0 ± 0,5 mm nagyságúnak kell lennie.
A mérőpályát ezután a vizsgálati programban nem szereplő gumiabroncsokkal 90 km/h sebességgel végzett, legalább tíz mérési menettel kell kondicionálni.
4.1.4. Gumiabroncsok és felnik
4.1.4.1. A gumiabroncs előkészítése és bejáratása
A vizsgált gumiabroncsot körbe kell nyírni, hogy a futófelületről minden olyan kiálló részt eltávolítsanak, amely az öntőforma légzőnyílásai vagy az öntőforma összeillesztéseinél lévő varratok révén került a felületre.
A vizsgált gumiabroncsot fel kell szerelni a gyártó által megadott tesztfelnire.
Az arra alkalmas kenőanyag használatával megfelelő peremülést kell kialakítani. A gumiabroncs felniről való lecsúszásának elkerülése érdekében nem ajánlatos túlzott mennyiségű kenőanyagot használni.
A tesztelt gumiabroncsokat/felniszerelvényeket a mérés előtt legalább két órán keresztül olyan helyen kell tárolni, ahol a külső hőmérséklet azonos. A napsugárzás okozta túlmelegedés megelőzése érdekében a tesztelt gumiabroncsokat/felniket naptól védett helyen kell tárolni.
A gumiabroncsok bejáratásához két fékpróbát kell végezni.
4.1.4.2. A gumiabroncs terhelése
A jármű tengelyeihez tartozó minden egyes gumiabroncsra ható statikus terhelésnek a vizsgált abroncsterhelési kapacitás 60 %-a és 90 %-a között kell lennie. Az azonos tengelyen lévő gumiabroncsokra ható terhelés 10 %-nál nagyobb mértékben nem térhet el.
4.1.4.3. A felfújt gumiabroncs nyomása
Az első és a hátsó tengelyen lévő felfújt gumiabroncsok nyomása 220 kPa kell, hogy legyen (a szabvány és a fokozott teherbírású gumiabroncsok esetében). A felfújt gumiabroncs nyomását közvetlenül a mérés előtt külső hőmérsékleten ellenőrizni kell, és szükség szerint újra be kell állítani.
4.1.5. Mérési eljárás
4.1.5.1. Mérési menet
A következő mérési eljárást kell alkalmazni minden egyes mérési menetre:
1. A személygépjárművet egyenes vonalon 85 ± 2 km/h sebességre kell felgyorsítani.
2. Amint a személygépjármű elérte a 85 ± 2 km/h sebességet, a fékeket minden alkalommal a mérőpálya ugyanazon pontján kell működésbe hozni, amelyet "a fékezés kezdő pontja"-ként említenek, hosszanti irányban 5 méteres, keresztirányban 0,5 méteres tűréshatár mellett.
3. A fékeket automatikusan vagy kézileg lehet működésbe hozni.
i. A fékek automatikus működésbe hozatala két részből álló érzékelő rendszer segítségével történik, amelynek egyik részét a mérőpályán, a másik részét pedig a személygépjárművön helyezik el.
ii. A fékek kézileg történő működésbe hozatala az átvitel típusától függ, az alábbiak szerint. Mindkét esetben legalább 600 N nagyságú pedálnyomásra van szükség.
Kézi átvitel esetén a vezetőnek fel kell engednie a kuplungot, és erősen meg kell nyomnia a féket, majd azt nyomva kell tartania mindaddig, amíg az a mérés elvégzéséhez szükséges.
Automatikus átvitel esetén a vezetőnek üresbe kell tennie a sebességváltót, és erősen meg kell nyomnia a féket, majd azt nyomva kell tartania mindaddig, amíg az a mérés elvégzéséhez szükséges.
4. Az átlagos lassulást 80 km/h és 20 km/h között kell kiszámítani.
Amennyiben a mérési menet során a fent felsorolt előírások bármelyike (ideértve a sebességre vonatkozó tűréshatárt, a fékezés kezdő pontjára vonatkozó hosszanti, illetve keresztirányú tűréshatárt és a fékidőt) nem teljesül, a mérést abba kell hagyni, és a teljes mérési menetet meg kell ismételni.
4.1.5.2. Mérési ciklus
A vizsgált gumiabroncs-garnitúra (T) nedvestapadási indexének meghatározása érdekében a következő eljárás szerint több mérési menetet végeznek, amely során a menetiránynak minden mérési menet esetében azonosnak kell lennie, és egy mérési menet alkalmával legfeljebb három különböző vizsgált gumiabroncs-garnitúrát lehet mérni:
1. Először egy referenciaabroncs-garnitúrát kell felszerelni a mérőberendezéssel ellátott személygépjárműre.
2. A 4.1.5.1. szakasz szerint elvégzett legalább három érvényes mérés után a referenciaabroncs-garnitúra helyére egy vizsgált gumiabroncs-garnitúrát kell felszerelni.
3. Miután a vizsgált gumiabroncsokkal hat érvényes mérést végeztek, a mérést további két vizsgált gumiabroncs-garnitúrával lehet folytatni.
4. A mérési ciklus a kezdeti referenciaabroncs-garnitúrával elvégzett további három érvényes méréssel zárul.
- A három garnitúra vizsgált gumiabroncsból (T1-T3) és egy garnitúra referenciaabroncsból (R) álló mérési ciklus mérési menete a következő:
- R-T1-T2-T3-R
- Az öt garnitúra vizsgált gumiabroncsból (T1-T5) és egy garnitúra referenciaabroncsból (R) álló mérési ciklus mérési menete a következő:
- R-T1-T2-T3-R-T4-T5-R
4.1.6. A mérési eredmények feldolgozása
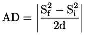
4.1.6.1. Az átlagos lassulás (AD) kiszámítása
Az átlagos lassulást (AD) m/s2-ben minden egyes érvényes mérési menetre az alábbiak szerint kell kiszámítani:

ahol:
Sf a végső sebesség m/s-ban; Sf = 20 km/h = 5,556 m/s
Si a kiindulási sebesség m/s-ban; Si = 80 km/h = 22,222 m/s
d az Si és Sf között megtett távolság méterben.
4.1.6.2. A mérési eredmények hitelesítése
Az AD variációs együtthatót az alábbiak szerint kell kiszámítani:
(szórás/átlag) × 100
Referenciaabroncsok (R) esetén : amennyiben az AD variációs együttható a referenciaabroncs-garnitúrával végzett három mérési menet bármely két egymást követő csoportja esetén meghaladja a 3 %-ot, akkor minden adatot el kell vetni, és a mérést minden tesztelt gumiabroncsra (a vizsgált gumiabroncsokra és a referenciaabroncsokra is) meg kell ismételni.
Vizsgált gumiabroncsok (T) esetén : az AD variációs együtthatókat minden egyes vizsgált gumiabroncs-garnitúrára ki kell számítani. Amennyiben az egyik variációs együttható 3 %-nál nagyobb, akkor az adatokat el kell vetni, és a mérést a vizsgált gumiabroncs-garnitúrára meg kell ismételni.
4.1.6. 3 A korrigált átlagos lassulás (Ra) kiszámítása
A fékerő-együttható kiszámításához használt referenciaabroncs-garnitúra átlagos lassulását (AD) annak megfelelően kell kiigazítani, hogy az egyes vizsgált gumiabroncs-garnitúrák egy adott mérési cikluson belül hol helyezkednek el.
A referenciaabroncs korrigált átlagos lassulását (Ra) m/s-2-ben kell kiszámítani az 1. táblázat szerint, ahol R1 az AD értékek átlaga a referenciaabroncs-garnitúra (R) első mérésénél és R2 az AD értékek átlaga a referenciaabroncs-garnitúra (R) második mérésénél.
1. táblázat
| A vizsgált gumiabroncs-garnitúrák száma egy mérési cikluson belül | Vizsgált gumiabroncs-garnitúra | Ra |
| 1 (R1 -T1-R2 ) | T1 | Ra = 1/2 (R1 + R2) |
| 2 (R1 -T1-T2-R2 ) | T1 | Ra = 2/3 R1 + 1/3 R2 |
| T2 | Ra = 1/3 R1 + 2/3 R2 | |
| 3 (R1 -T1-T2-T3-R2 ) | T1 | Ra = 3/4 R1 + 1/4 R2 |
| T2 | Ra = 1/2 (R 1 +R2 ) | |
| T3 | Ra = 1/4 R1 + 3/4 R2 |
4.1.6.4. A fékerő-együttható (BFC) kiszámítása
A fékerő-együtthatót (BFC) a mindkét tengelyre ható fékezésre kell kiszámítani a 2. táblázat szerint, ahol Ta (a = 1, 2 vagy 3) a mérési ciklusban részt vevő minden egyes vizsgált gumiabroncs-garnitúrára (T) vonatkozó AD értékek átlaga.
2. táblázat
| Tesztelt gumiabroncs | Fékerő-együttható |
| Referenciaabroncs | BFC(R) = |Ra/g| |
| Vizsgált gumiabroncs | BFC(T) = |Ta/g| |
| g a gravitációs gyorsulás, g= 9,81 m/s2 | |
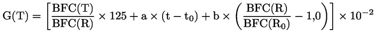
4.1.6.5. A vizsgált gumiabroncs nedvestapadási indexének kiszámítása
A vizsgált gumiabroncs nedvestapadási indexét (G(T)) az alábbiak szerint kell kiszámítani:

ahol:
- t a nedvesített pályafelület hőmérséklete Celsius fokban a vizsgált gumiabroncs (T) mérésekor
- t0 a nedvesített pályafelület hőmérsékleti referenciaviszonya, t0 = 20 °C normál gumiabroncsok esetén és t0 = 10 °C téli gumiabroncsok esetén
- BFC(R0) a referenciaabroncs fékerő-együtthatója referenciaviszonyok között, BFC(R0) = 0,68
- a = - 0,4232 és b = - 8,297 normál gumiabroncsok esetén, a = 0,7721 és b = 31,18 téli gumiabroncsok esetén
4.1.7. A vizsgált gumiabroncs és a referenciaabroncs nedvestapadási teljesítményének összehasonlítása segédabroncs használatával
4.1.7.1. Általános rész
Amennyiben a vizsgált gumiabroncs mérete jelentős mértékben eltér a referenciaabroncs méretétől, úgy az összehasonlítást nem feltétlenül lehet közvetlenül elvégezni ugyanazzal a mérőberendezéssel ellátott személygépjárművel. Ennél a mérési módszernél a 2. szakasz 5. pontjának megfelelően közbenső gumiabroncsot (a továbbiakban: segédabroncs) használnak.
4.1.7.2. A megközelítés alapelve
Az alapelv szerint a vizsgált gumiabroncs-garnitúrát és a referenciaabroncs-garnitúrát összehasonlító mérési ciklusban egy segédabroncs-garnitúrát és két különböző, mérőműszerrel ellátott személygépjárművet kell használni.
Az egyik, mérőműszerrel ellátott személygépjárműre először a referenciaabroncs-garnitúrát kell felszerelni, majd a segédabroncs-garnitúrát, a másik járműre pedig először a segédabroncs-garnitúrát, majd a vizsgált gumiabroncs-garnitúrát.
A 4.1.2-4.1.4. szakaszokban szereplő előírásokat alkalmazni kell.
Az első mérési ciklusban a segédabroncs-garnitúrát kell összehasonlítani a referenciaabroncs-garnitúrával.
A második mérési ciklusban a vizsgált gumiabroncs-garnitúrát kell összehasonlítani a segédabroncs-garnitúrával. A mérést ugyanazon a mérőpályán kell elvégezni az első mérési ciklussal megegyező napon. A nedvesített pályafelület hőmérséklete az első mérési ciklushoz képest ± 5 °C kell, hogy legyen. Az első és a második mérési ciklusban ugyanazt a segédabroncs-garnitúrát kell használni.
A vizsgált gumiabroncs nedvestapadási indexét (G(T)) az alábbiak szerint kell kiszámítani:
G(T) = G 1 × G 2
ahol:
- G1 a segédabroncs (C) relatív nedvestapadási indexe a referenciaabroncshoz (R) viszonyítva, amelyet az alábbiak szerint kell kiszámítani:
- [Kép #18]

Kép #18
- G 2 a vizsgált gumiabroncs (T) relatív nedvestapadási indexe a segédabroncshoz (C) viszonyítva, amelyet az alábbiak szerint kell kiszámítani:
- [Kép #19]

Kép #19
4.1.7.3. Tárolás és védelem
Nagyon fontos, hogy a segédabroncs-garnitúra minden gumiabroncsát azonos feltételek között tárolják. Amint a segédabroncs-garnitúra és a referenciaabroncsok összehasonlító mérése megtörtént, az ASTM E 1136-93 szabványban (átdolgozott kiadás: 2003) előírt különleges tárolási körülményeket kell alkalmazni.
4.1.7.4. A referenciaabroncsok és a segédabroncsok cseréje
Amennyiben a vizsgálatok során rendellenes kopás vagy károsodás következne be, illetve amennyiben a kopás befolyásolja a mérési eredményeket, a gumiabroncsok használatát be kell szüntetni.
4.2. Járművel vontatott pótkocsi vagy az abroncstulajdonságok vizsgálatára szolgáló mérőjármű alkalmazásával végzett vizsgálati módszer
4.2.1. Alapelv
A méréseket egy járművel (a továbbiakban: vontató jármű) vontatott pótkocsira, vagy az abroncstulajdonságok vizsgálatára szolgáló mérőjárműre szerelt tesztelt gumiabroncsokon végzik. A féket a mérési helyen olyan erővel kell megnyomni, hogy az 65 km/h mérési sebességnél a kerekek blokkolása előtt elegendő fékező nyomatékot biztosítson a legnagyobb fékerő eléréséhez.
4.2.2. Berendezés
4.2.2.1. Vontató jármű és pótkocsi vagy az abroncstulajdonságok vizsgálatára szolgáló mérőjármű
- A vontató járműnek vagy az abroncstulajdonságok vizsgálatára szolgáló mérőjárműnek képesnek kell lennie arra, hogy a legnagyobb fékerő alkalmazásakor is tartani tudja a méréshez előírt 65 ± 2 km/h sebességet.
- A pótkocsin vagy az abroncstulajdonságok vizsgálatára szolgáló mérőjárművön lennie kell egy olyan helynek, ahova az abroncsot mérési célból fel lehet szerelni (a továbbiakban: mérési hely), illetve rendelkeznie kell az alábbi eszközökkel:
-
i. a fékeket a mérési helyen működésbe hozó berendezéssel;
ii. amennyiben nem alkalmaznak külső locsolóberendezést, egy olyan víztartállyal, amely a pályafelület nedvesítését végző rendszer számára elegendő mennyiségű vizet képes tárolni;
iii. regisztrálóműszerrel, amely a mérési helyre felszerelt jelátalakítóból érkező jeleket rögzíti és ellenőrzi a nedvesítés mértékét, amennyiben a nedvesítés a járműről történik.
- A legnagyobb függőleges terhelés mellett a mérési helyen az összetartás és a dőlés szöge legfeljebb ± 0,5°-kal változhat. A felfüggesztő karoknak és hüvelyeknek kellően merevnek kell lenniük a szabad mozgás minimalizálásához és a legnagyobb fékerő alkalmazásakor a megfelelőség biztosításához. A felfüggesztő rendszernek megfelelő teherbíró képességgel és olyan kialakítással kell rendelkeznie, amely elszigeteli a felfüggesztésből eredő rezgést.
- A mérési helyre fel kell szerelni egy jellegzetes vagy különleges gépjármű-fékrendszert, amely az előírt feltételek mellett elegendő fékező nyomatékot tud szolgáltatni, hogy a vizsgálathoz használt kerékre ható hosszanti irányú maximális fékerő elérje a legnagyobb értéket.
- A fékező rendszernek képesnek kell lennie a fékezés kezdő időpontja és a legnagyobb hosszanti irányú erő közötti időintervallum 4.2.7.1. szakasz szerinti szabályozására.
- A pótkocsit vagy az abroncstulajdonságok vizsgálatára szolgáló mérőjárművet úgy kell kialakítani, hogy arra a mérni kívánt különböző méretű vizsgált gumiabroncsokat fel lehessen szerelni.
- A pótkocsihoz vagy az abroncstulajdonságok vizsgálatára szolgáló mérőjárműhöz biztosítani kell a függőleges terhelés 4.2.5.2. szakaszban foglalt beállítására vonatkozó előírásokat.
4.2.2.2. Mérőberendezés
- A pótkocsin vagy az abroncstulajdonságok vizsgálatára szolgáló járművön a méréshez használt kerék mérési helyére fel kell szerelni egy, a kerék forgási sebességét mérő rendszert, valamint egy jelátalakítót, amely a méréshez használt keréken a fékerőt és a függőleges terhelést méri.
- A mérőrendszerre vonatkozó általános követelmények: a műszerrendszernek 0 °C és 45 °C közötti külső hőmérsékleten meg kell felelnie az alábbi általános követelményeknek:
-
i. a rendszer általános pontossága, erő: a függőleges terhelés vagy a fékerő teljes nagyságának ± 1,5 %-a;
ii. a rendszer általános pontossága, sebesség: a sebesség ± 1,5 %-a vagy ± 1,0 km/h, amelyik nagyobb,
- A jármű sebessége: a jármű sebességének meghatározásához egy ötödik kereket vagy egy nem érintkező sebességmérő rendszert kell alkalmazni.
- Fékerők: a fékerőt mérő jelátalakító a fék alkalmazásának eredményeként a gumiabroncs és a pályafelület találkozásánál fellépő hosszanti irányú erőt az alkalmazott függőleges terhelés 0 %-a és legalább 125 %-a közötti tartományban méri. A jelátalakító kialakításának és elhelyezésének minimális szintre kell csökkentenie a tehetetlenségi nyomatékot és a rezgés okozta gépi rezonanciát.
- Függőleges terhelés: a függőleges terhelést mérő jelátalakító a függőleges terhelést méri a mérési helyen a fékezés időtartama alatt. A jelátalakítónak a korábban felsorolt előírásoknak kell megfelelnie.
- Jelszabályozás és regisztráló rendszer: minden jelszabályozó és rögzítő berendezésnek lineáris kimenetet kell biztosítania a szükséges erősítővel és adatolvasási képességgel annak érdekében, hogy megfeleljenek a korábbiakban előírt követelményeknek. Ezen felül az alábbi követelményeket kell alkalmazni:
-
i. A legkisebb frekvencia-jelleggörbének 0 Hz és 50 Hz (100 Hz) között a teljes skálán ± 1 %-on belül egyenletesnek kell lennie.
ii. A jel-zaj viszony legalább 20/1 kell, hogy legyen.
iii. Az erősítésnek megfelelőnek kell lennie a teljes bemeneti jelszint eredetinek megfelelő megjelenítéséhez.
iv. A bemeneti impedanciának legalább tízszer nagyobbnak kell lennie, mint amekkora a jelforrás kimeneti impedanciája.
v. A berendezés nem lehet érzékeny a rezgésekre, a gyorsulásra, valamint a külső hőmérséklet változásaira.
4.2.3. A mérőpálya kondicionálása
A mérőpályát a vizsgálati programban nem szereplő gumiabroncsokkal 65 ± 2 km/h sebességgel végzett, legalább tíz mérési menettel kell kondicionálni.
4.2.4. Nedvesítés
A vontató járművet vagy az abroncstulajdonságok vizsgálatára szolgáló mérőjárművet locsolórendszerrel lehet felszerelni, de pótkocsi esetén a tartályt a vontató járműre kell rögzíteni. A vizet olyan kialakítású locsolórózsából kell a tesztelt gumiabroncsok előtt az útburkolatra juttatni, amely megfelelően biztosítja, hogy a tesztelt gumiabronccsal érintkező vízréteg keresztmetszete a mérési sebességnél - a legkevesebb spriccelés és túlpermetezés mellett - egyenletes legyen.
A locsolórózsák beállításának és elhelyezésének biztosítania kell, hogy a kilövellt vízsugarak a tesztelt gumiabroncsra irányuljanak, és az útburkolatot 20-30°-os szögben érjék.
A vízsugaraknak a pályafelületet az abroncsnyom közepe előtt 0,25 m és 0,45 m között kell elérniük. A locsolórózsának az útburkolat felett 25 mm magasságban kell lennie vagy legalább olyan magasságban, hogy elkerülje a felületen esetleg ott lévő akadályokat, de nem lehet magasabban 100 mm-nél.
A vízrétegnek legalább 25 mm-rel szélesebbnek kell lennie a tesztelt gumiabroncsnál, és a vizet úgy kell locsolni, hogy a gumiabroncs a szélek között középen helyezkedjen el. A locsolás ütemének 1,0 ± 0,5 mm vízmélységet kell biztosítania, és a mérés teljes időtartama alatt ± 10 százalékon belül egyenletesnek kell lennie. A nedvesített szélesség egységére eső vízmennyiségnek egyenesen arányosnak kell lennie a mérési sebességgel. 65 km/h sebességnél az alkalmazott vízmennyiségnek 18 liter/s-nak kell lennie a nedvesített pályafelület szélességének 1 méterére számolva 1,0 mm vízmélység esetén.
4.2.5. Gumiabroncsok és felnik
4.2.5.1. A gumiabroncs előkészítése és bejáratása
A vizsgált gumiabroncsot körbe kell nyírni, hogy a futófelületről eltávolítsanak minden olyan kiálló részt, amely az öntőforma légzőnyílásai vagy az öntőforma összeillesztéseinél lévő varratok révén került a felületre.
A vizsgált gumiabroncsot fel kell szerelni a gyártó által megadott tesztfelnire.
Az arra alkalmas kenőanyag használatával megfelelő peremülést kell kialakítani. A gumiabroncs felniről való lecsúszásának elkerülése érdekében nem ajánlatos túlzott mennyiségű kenőanyagot használni.
A tesztelt gumiabroncsokat/felniszerelvényeket a mérés előtt legalább két órán keresztül olyan helyen kell tárolni, ahol a külső hőmérséklet azonos. A napsugárzás okozta túlmelegedés megelőzése érdekében a tesztelt gumiabroncsokat/felniket naptól védett helyen kell tárolni.
A gumiabroncs bejáratásához a 4.2.5.2., 4.2.5.3. és 4.2.7.1. pontokban előírt terhelés, nyomás és sebesség mellett két fékpróbát kell végezni.
4.2.5.2. A gumiabroncs terhelése
A tesztelt gumiabroncsra ható mérési terhelésnek a vizsgált abroncsterhelési kapacitás 75 ± 5 %-ának kell lennie.
4.2.5.3. A felfújt gumiabroncs nyomása
A tesztelt gumiabroncs hideg abroncsnyomása 180 kPa kell, hogy legyen szokványos teherbírású gumiabroncsok esetén. Fokozott teherbírású gumiabroncsok esetében a hideg abroncsnyomás 220 kPa.
A felfújt gumiabroncs nyomását közvetlenül a mérés előtt külső hőmérsékleten ellenőrizni kell és szükség szerint újra be kell állítani.
4.2.6. A vontató jármű és a pótkocsi, illetve az abroncstulajdonságok vizsgálatára szolgáló mérőjármű előkészítése
4.2.6.1. Pótkocsi
A mérési eredmények megzavarásának elkerülése érdekében az egytengelyű pótkocsik esetében a vonófej magasságát és a keresztirányú helyzetet a tesztelt gumiabroncsra ható előírt mérési terhelés beállítása után újra be kell állítani. A vonószerkezet csuklópontjának középvonala és a pótkocsi tengelyének keresztirányú középvonala között a hosszirányú távolságnak legalább a "vonófej magasságának" vagy a "vonószerkezet (vonófej) magasságának" a tízszeresét kell kitennie.
4.2.6.2. A műszerrendszer és a berendezések
Az ötödik kereket, amennyiben szükséges, a gyártó előírásainak megfelelően kell felszerelni és a vontató vagy az abroncstulajdonságok vizsgálatára szolgáló mérőjármű középvonalához a lehető legközelebb kell elhelyezni.
4.2.7. Mérési eljárás
4.2.7.1. Mérési menet
A következő mérési eljárást kell alkalmazni minden egyes mérési menetre:
1. A vontató járművet vagy az abroncstulajdonságok vizsgálatára szolgáló mérőjárművet egyenes vonalon az előírt 65 ± 2 km/h mérési sebességre kell felgyorsítani.
2. A regisztráló rendszert el kell indítani.
3. (Belső locsolórendszer alkalmazása esetén) a vizet körülbelül 0,5 másodperccel a fék megnyomását megelőzően a tesztelt gumiabroncs elé az útburkolatra kell juttatni.
4. A pótkocsi fékjeit a 3.1. szakasz 4. és 5. pontjai szerint a nedvesített pálya felületi súrlódási jellemzőit és a homokmélységet vizsgáló mérési ponthoz képest 2 méteren belül működésbe kell hozni. A fékezésnek olyan mértékűnek kell lenni, hogy a fékezés kezdő időpontja és a legnagyobb hosszanti irányú erő közötti időintervallum 0,2 és 0,5 másodperc között legyen.
5. A regisztráló rendszert le kell állítani.
4.2.7.2. Mérési ciklus
A vizsgált gumiabroncs-garnitúra (T) nedvestapadási indexének meghatározása érdekében a következő eljárás szerint néhány mérési menetet végeznek, amelynek során minden egyes mérési menetet a mérőpálya egyazon pontján, azonos menetirányban kell elvégezni. Egy mérési menet alkalmával legfeljebb három vizsgált gumiabroncsot lehet mérni, azzal a feltétellel, hogy a méréseket ugyanazon a napon végzik.
1. Először a referenciaabroncsot kell mérni.
2. Miután a 4.2.7.1. szakasznak megfelelően legalább hat érvényes mérést elvégeztek, a referenciaabroncsot le kell cserélni a vizsgált gumiabroncsra.
3. Miután a vizsgált gumiabronccsal is elvégeztek hat érvényes mérést, további két vizsgált gumiabronccsal lehet folytatni a mérést.
4. A mérési ciklus a kezdeti referenciaabronccsal elvégzett további hat érvényes méréssel zárul.
- A három vizsgált gumiabroncsból (T1-T3) és a referenciaabroncsból (R) álló mérési ciklus mérési menete a következő:
- R-T1-T2-T3-R
- Az öt vizsgált gumiabroncsból (T1-T5) és a referenciaabroncsból (R) álló mérési ciklus mérési menete a következő:
- R-T1-T2-T3-R-T4-T5-R
4.2.8. A mérési eredmények feldolgozása
4.2.8.1. A legnagyobb fékerő-együttható kiszámítása
A gumiabroncs legnagyobb fékerő-együtthatója (μpeak) a μ(t) kerekek blokkolása előtti legnagyobb értéke, amelyet minden egyes mérési menetre az alábbiak szerint kell kiszámítani. Az analóg jeleket a zajok megszüntetése érdekében ki kell szűrni. A digitálisan rögzített jeleket mozgóátlagmódszerrel kell szűrni.

ahol:
μ(t) a gumiabroncs dinamikus fékerő-együtthatója valós időben;
fh(t) a dinamikus fékerő valós időben, N-ban;
fv(t) a dinamikus függőleges terhelés valós időben, N-ban.
4.2.8.2. A mérési eredmények hitelesítése
A μpeak variációs együtthatót a következőképpen kell kiszámítani:
(szórás/átlag) × 100
Referenciaabroncs (R) esetén : amennyiben a referenciaabroncs legnagyobb fékerő-együtthatójának (μpeak) variációs együtthatója meghaladja az 5 %-ot, akkor minden adatot el kell vetni, és a mérést minden tesztelt gumiabroncsra (a vizsgált gumiabroncs(ok)ra, valamint a referenciaabroncsra is) meg kell ismételni.
A vizsgált gumiabroncs(ok) (T) esetén : a legnagyobb fékerő-együttható (μpeak) variációs együtthatóját minden egyes vizsgált gumiabroncsra ki kell számítani. Amennyiben az egyik variációs együttható 5 %-nál nagyobb, akkor az adatokat el kell vetni, és a mérést erre a vizsgált gumiabroncsra meg kell ismételni.
4.2.8.3. A korrigált átlagos legnagyobb fékerő-együttható kiszámítása
A referenciaabroncs fékerő-együtthatója kiszámításához használt átlagos legnagyobb fékerő-együtthatót annak megfelelően kell kiigazítani, hogy az egyes vizsgált gumiabroncsok egy adott mérési cikluson belül hol helyezkednek el.
A referenciaabroncs korrigált átlagos legnagyobb fékerő-együtthatóját (Ra) a 3. táblázat szerint kell kiszámítani, ahol R1 az átlagos legnagyobb fékerő-együttható a referenciaabroncs (R) első mérésénél és R2 az átlagos legnagyobb fékerő-együttható ugyanannak a referenciaabroncsnak (R) a második mérésénél.
3. táblázat
| A vizsgált gumiabroncsok száma egy mérési cikluson belül | Vizsgált gumiabroncs | Ra |
| 1 (R1 -T1-R2 ) | T1 | Ra = 1/2 (R1 + R2 ) |
| 2 (R1 -T1-T2-R2 ) | T1 | Ra = 2/3 R1 + 1/3 R2 |
| T2 | Ra = 1/3 R1 + 2/3 R2 | |
| 3 (R1 -T1-T2-T3-R2 ) | T1 | Ra = 3/4 R1 + 1/4 R2 |
| T2 | Ra = 1/2 (R1 +R2 ) | |
| T3 | Ra = 1/4 R1 + 3/4 R2 |
4.2.8.4. Az átlagos legnagyobb fékerő-együttható kiszámítása (μpeak,ave )
A legnagyobb fékerő-együtthatók átlagértékét (μpeak,ave ) a 4. táblázat szerint kell kiszámítani, ahol Ta (a = 1, 2 vagy 3) az egy vizsgált gumiabroncsra mért legnagyobb fékerő-együtthatók átlaga egy mérési meneten belül.
4. táblázat
| Tesztelt gumiabroncs | μpeak,ave |
| Referenciaabroncs | μpeak,ave(R) = Ra a 3. táblázat szerint |
| Vizsgált gumiabroncs | μpeak,ave (T) = Ta |
4.2.8.5. A vizsgált gumiabroncs nedvestapadási indexének kiszámítása
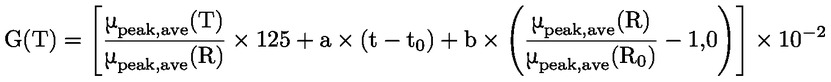
A vizsgált gumiabroncs nedvestapadási indexét (G(T)) az alábbiak szerint kell kiszámítani:

ahol:
- t a nedvesített pályafelület hőmérséklete Celsius fokban a vizsgált gumiabroncs (T) mérésekor
- t0 a nedvesített pályafelület referencia hőmérsékleti viszonya
- t0 = 20 °C normál gumiabroncsok esetén és t0 = 10 °C téli gumiabroncsok esetén
- μpeak,ave(R0) = 0,85 a referenciaabroncs legnagyobb fékerő-együtthatója referencia-viszonyok között
- a = - 0,4232 és b = - 8,297 normál gumiabroncsok esetén, a = 0,7721 és b = 31,18 téli gumiabroncsok esetén.
A. Melléklet - Példák a nedvestapadási indexre vonatkozó mérési jegyzőkönyvekre
1. PÉLDA: Nedvestapadási indexre vonatkozó mérési jegyzőkönyv pótkocsis módszer alkalmazása esetén
| Mérési jegyzőkönyv száma: | Mérés dátuma: | |
| Pályafelület típusa: | Textúramélység (mm): | |
| μ peak (SRTT14″ E 1136): | BPN: | |
| Sebesség (km/h): | Vízmélység (mm): |
| Sz. | 1 | 2 | 3 | 4 | 5 | 6 | 7 | 8 | 9 | 10 | |
| Méret | |||||||||||
| Szerviz jelölése | |||||||||||
| A gumiabroncs azonosítása | |||||||||||
| Felni | |||||||||||
| Mintázat | |||||||||||
| Terhelés (N) | |||||||||||
| Nyomás (kPa) | |||||||||||
| μpeak | 1 | ||||||||||
| 2 | |||||||||||
| 3 | |||||||||||
| 4 | |||||||||||
| 5 | |||||||||||
| 6 | |||||||||||
| 7 | |||||||||||
| 8 | |||||||||||
| Átlag | |||||||||||
| Szórás σ | |||||||||||
| (σ/average) ≤ 5 % | |||||||||||
| Ra, korrigált | |||||||||||
| Nedvestapadási index | |||||||||||
| A pályafelület hőmérséklete. (°C) | |||||||||||
| Külső hőmérséklet (°C) | |||||||||||
| Megjegyzések | |||||||||||
2. PÉLDA: Nedvestapadási indexre vonatkozó mérési jegyzőkönyv személygépjárműves módszer alkalmazása esetén
| Járművezető: | Mérés dátuma: | ||||
| Pálya: | Személygépkocsi: | Kezdeti sebesség (km/h): | |||
| Textúramélység (mm): | Gyártmány: | Végső sebesség (km/h): | |||
| BPN: | Modell: | ||||
| Vízmélység (mm): | Típus | ||||
| Sz. | 1 | 2 | 3 | 4 | 5 | ||||||
| Márka | Uniroyal | TYRE B | TYRE C | TYRE D | Uniroyal | ||||||
| Mintázat | ASTM F 2493 SRTT16″ | PATTERN B | PATTERN C | PATTERN D | ASTM F 2493 SRTT16″ | ||||||
| Méret | P225/60R16 | SIZE B | SIZE C | SIZE D | P225/60R16 | ||||||
| Szerviz jelölése | 97S | LI/SS | LI/SS | LI/SS | 97S | ||||||
| A gumiabroncs azonosítása | XXXXXXXXX | YYYYYYYYY | ZZZZZZZZZ | NNNNNNNNN | XXXXXXXXX | ||||||
| Felni | |||||||||||
| Az első tengelyre eső nyomás (kPa) | |||||||||||
| A hátsó tengelyre eső nyomás (kPa) | |||||||||||
| Az első tengely terhelése (N) | |||||||||||
| A nedvesített pálya hőmérséklete (°C) | |||||||||||
| Külső hőmérséklet (°C) | |||||||||||
| Féktávolság (m) | Átlagos lassulás (m/s2) | Féktávolság (m) | Átlagos lassulás (m/s2) | Féktávolság (m) | Átlagos lassulás (m/s2) | Féktávolság (m) | Átlagos lassulás (m/s2) | Féktávolság (m) | Átlagos lassulás (m/s2) | ||
| Mérés | 1 | ||||||||||
| 2 | |||||||||||
| 3 | |||||||||||
| 4 | |||||||||||
| 5 | |||||||||||
| 6 | |||||||||||
| 7 | |||||||||||
| 8 | |||||||||||
| 9 | |||||||||||
| 10 | |||||||||||
| Átlagos AD (m/s2) | |||||||||||
| Szórás (m/s2) | |||||||||||
| Az eredmények hitelesítése Variációs együttható (%) < 3 % | |||||||||||
| A ref. abroncs R a korrigált átlagos AD értéke (m/s2) | |||||||||||
| BFC(R) referenciaabroncs (SRTT16″) | |||||||||||
| BFC(T) vizsgált gumiabroncs | |||||||||||
| Nedvestapadási index (%) | |||||||||||
( 1 ) HL L 123., 2016.5.12., 1. o.
( 2 ) Az ASTM E 1136 SRTT mérete P195/75R14.
Lábjegyzetek:
[1] A dokumentum eredetije megtekinthető CELEX: 32009R1222 - https://eur-lex.europa.eu/legal-content/HU/ALL/?uri=CELEX:32009R1222&locale=hu Utolsó elérhető, magyar nyelvű konszolidált változat CELEX: 02009R1222-20190726 - https://eur-lex.europa.eu/legal-content/HU/ALL/?uri=CELEX:02009R1222-20190726&locale=hu