32016R0646[1]
A Bizottság (EU) 2016/646 rendelete (2016. április 20.) a 692/2008/EK rendeletnek a könnyű személy- és haszongépjárművek kibocsátásai (Euro 6) tekintetében történő módosításáról
A BIZOTTSÁG (EU) 2016/646 RENDELETE
(2016. április 20.)
a 692/2008/EK rendeletnek a könnyű személy- és haszongépjárművek kibocsátásai (Euro 6) tekintetében történő módosításáról
(EGT-vonatkozású szöveg)
AZ EURÓPAI BIZOTTSÁG,
tekintettel az Európai Unió működéséről szóló szerződésre,
tekintettel a könnyű személygépjárművek és haszongépjárművek (Euro 5 és Euro 6) kibocsátás tekintetében történő típusjóváhagyásáról és a járműjavítási és -karbantartási információk elérhetőségéről szóló, 2007. június 20-i 715/2007/EK európai parlamenti és tanácsi rendeletre (1) és különösen annak 5. cikke (3) bekezdésére,
mivel:
(1) A 715/2007/EK rendelet egyike a 2007/46/EK európai parlamenti és tanácsi irányelv (2) által létrehozott típus-jóváhagyási eljárás hatálya alá tartozó külön jogi aktusoknak.
(2) A 715/2007/EK rendelet előírja, hogy az új könnyű járművek új kibocsátási határértékeknek feleljenek meg, és további követelményeket ír elő az információk elérhetősége tekintetében. Az említett rendelet végrehajtásához szükséges konkrét műszaki rendelkezések a 692/2008/EK rendelettel (3) kerültek elfogadásra.
(3) A Bizottság saját tanulmányai és külső információk alapján részletes elemzést készített a 692/2008/EK rendeletben meghatározott eljárásokról, vizsgálatokról és típus-jóváhagyási követelményekről, és arra a következtetésre jutott, hogy az Euro 5/6 besorolású gépjárművek valós közúti közlekedéséből eredő kibocsátások lényegesen meghaladják a kötelező érvényű új európai menetciklus alapján mért értékeket, különösen a dízelüzemű gépjárművek NOx-kibocsátása esetében.
(4) Az Euro szabványok és azok későbbi módosításai fokozatosan és jelentősen szigorították a kibocsátás tekintetében a gépjárművekre vonatkozó típus-jóváhagyási követelményeket. Míg általánosságban komoly csökkenést sikerült elérni a szabályozott szennyező anyagok gépjárművekből származó kibocsátása terén, ez nem igaz a dízelmotorok NOx-kibocsátására, különösen a könnyű személy- és haszongépjárművek esetében. Ezért intézkedéseket kell hozni e helyzet orvoslására.
(5) A 715/2007/EK rendelet 3. cikkének 10. pontjában meghatározott, a kibocsátásszabályozási szintet csökkentő "hatástalanító berendezések" nem megengedettek. A közelmúltbeli események rámutattak arra, hogy meg kell erősíteni e szabály érvényre juttatását. Ezért célszerű előírni, hogy a nehéz tehergépjárművekre az 595/2009/EK (Euro VI) rendeletben és végrehajtási intézkedéseiben már alkalmazott elvek alapján javítani kell a típusjóváhagyás során a gyártó által alkalmazott kibocsátáscsökkentési stratégia felügyeletét.
(6) A dízelüzemű gépjárművekből származó NOx-kibocsátás problémájának megoldása minden bizonnyal hozzájárulna a környezeti levegő jelenlegi, tartósan magas NO2-szintjének csökkentéséhez, amely komoly kockázatot jelent az emberi egészség szempontjából.
(7) A Bizottság 2011 januárjában valamennyi érdekelt fél bevonásával munkacsoportot hozott létre a valós vezetési feltételek melletti kibocsátásokra (RDE) vonatkozó olyan vizsgálati eljárás (RDE-vizsgálat) kidolgozása érdekében, amely jobban tükrözi a közúti közlekedésben mért kibocsátásokat. E célból - részletes szakértői megbeszélések alapján - a 715/2007/EK rendeletben javasolt lehetőség, azaz a hordozható kibocsátásmérő rendszerek (PEMS) és a kibocsátási határértékek ("not-to-exceed", NTE) alkalmazása mellett döntöttek.
(8) Az érdekelt felekkel a CARS 2020 folyamat (4) keretében megállapodás született arról, hogy az RDE-vizsgálati eljárások két lépésben kerülnek bevezetésre: az első, átmeneti időszakban a vizsgálati eljárásokat csak nyomon követés céljára kell alkalmazni, ezt követően pedig a kötelező érvényű kvantitatív RDE-követelményekkel együtt kell őket alkalmazni valamennyi új típusjóváhagyás és új gépjármű esetében.
(9) Az RDE-vizsgálati eljárások az (EU) 2016/427 bizottsági rendelettel (5) kerültek bevezetésre. Meg kell határozni a kvantitatív RDE-követelményeket, hogy a kipufogógáz-kibocsátást minden szokásos használati körülmény mellett a 715/2007/EK rendeletben meghatározott kibocsátási határértékek alá lehessen csökkenteni. E célból figyelembe kell venni a mérési eljárások statisztikai és műszaki bizonytalanságait.
(10) Annak érdekében, hogy a gyártók fokozatosan alkalmazkodni tudjanak az RDE-követelményekhez, a végső, kvantitatív RDE-követelmények bevezetését szintén két lépésben kell megvalósítani. Első lépésben - az Euro 6 előírások kötelező alkalmazásának időpontjától számított 4 évvel kezdődően - 2,1-os megfelelési tényező alkalmazandó. A második lépés az első lépést követő 1 évvel és 4 hónappal kezdődik, amelynek keretében a 715/2007/EK rendeletben meghatározott 80 mg/km NOx kibocsátási határértéknek való teljes megfelelés érvényesülne, megnövelve egy, a hordozható kibocsátásmérő rendszer (PEMS) alkalmazásával összefüggő további mérési bizonytalanságokat figyelembe vevő tűréshatárral.
(11) Ugyan fontos, hogy az RDE-vizsgálat lehetőleg az összes vezetési helyzetet lefedje, de el kell kerülni, hogy a vizsgált járművek vezetése részrehajlóan történjen, vagyis azzal a szándékkal, hogy a jármű ne a műszaki teljesítménye miatt, hanem a szélsőséges vezetési módok miatt feleljen meg vagy ne feleljen meg a vizsgálat során. Az ilyen helyzetek kezelésére ezért további határfeltételeket kell bevezetni az RDE-vizsgálatra vonatkozóan.
(12) Előfordulhat, hogy az egyes, PEMS-szel vizsgált utak során tapasztalt vezetési körülmények, jellegükből adódóan, nem felelnek meg teljes mértékben a "jármű szokásos használati körülményeinek". Ezért az említett utak során a kibocsátáscsökkentés szigorúsága változhat. Ezért, valamint a mérési eljárások statisztikai és műszaki bizonytalanságainak figyelembevétele céljából a jövőben megfontolható, hogy az egyes, PEMS-szel vizsgált utakra alkalmazandó nem túllépendő kibocsátási határértékek tükrözzék ezen utak egyes mérhető - például a vezetési dinamikával vagy a terhekkel összefüggő - paraméterek által meghatározható jellemzőit. Amennyiben ez az elv kerül alkalmazásra, az nem vezethet az RDE-vizsgálati eljárások környezeti hatásának és hatékonyságának csökkenéséhez, amit szakértők által felülvizsgált tudományos tanulmánnyal kell alátámasztani. Ezenkívül a PEMS-szel vizsgált út során a kibocsátáscsökkentés szigorúságának értékeléséhez csak objektív tudományos okokkal - nem pedig a motor, a kibocsátáscsökkentő berendezés vagy a kibocsátáscsökkentő rendszer kalibrálása miatti okokkal - alátámasztható paraméterek vehetők igénybe.
(13) Végezetül elismerve az NOx-kibocsátások városi körülmények közötti szabályozásának szükségességét, sürgősen meg kell fontolni az RDE-vizsgálat városi, országúti és autópályán történő vezetési szakaszaira vonatkozó relatív súlyozás megváltoztatását, hogy a gyakorlatban biztosítani lehessen egy alacsony megfelelési tényező elérését, és ezáltal a harmadik kötelező RDE-csomagban a vezetési dinamikára vonatkozó új peremfeltételt lehessen megállapítani, amely felett az első lépés bevezetési dátumától kezdődően kiterjesztett feltételek alkalmazandók.
(14) A Bizottság felülvizsgálja az RDE-vizsgálati eljárásra vonatkozó rendelkezéseket és az új járműtechnológiák figyelembevétele és hatékonyságuk biztosítása érdekében kiigazítja azokat. Hasonlóképpen a Bizottság a műszaki fejlődés fényében évente felülvizsgálja a végső megfelelési tényezők megfelelő szintjét. Felülvizsgálja különösen a 692/2008/EK rendelet IIIA. mellékletének 5. és 6. függelékében meghatározott, a PEMS-szel vizsgált kibocsátási adatok értékelésének két alternatív módszerét.
(15) Ezért a 692/2008/EK rendeletet ennek megfelelően módosítani kell.
(16) Az ebben a rendeletben előírt intézkedések összhangban vannak a "Műszaki Bizottság - Gépjárművek" elnevezésű bizottság véleményével,
ELFOGADTA EZT A RENDELETET:
1. cikk
A 692/2008/EK rendelet a következőképpen módosul:
1. A 2. cikk a következő 43. és 44. pontokkal egészül ki:
"43. »kibocsátáscsökkentési alapstratégia«: olyan kibocsátáscsökkentési stratégia, amely a gépjármű teljes sebesség- és terheléstartományában mindenkor kifejti hatását, ha egy kibocsátáscsökkentési segédstratégia nem lép életbe;
44. »kibocsátáscsökkentési segédstratégia«: olyan kibocsátáscsökkentési stratégia, amely valamilyen konkrét cél érdekében és a környezeti és/vagy üzemállapotok valamely együttesére válaszként lép életbe, és kizárólag e feltételek fennállásának ideje alatt felváltja vagy módosítja a kibocsátáscsökkentési alapstratégiát;"
2. A 3. cikk (10) bekezdésében a harmadik bekezdés helyébe a következő szöveg lép:
"A 715/2007/EK rendelet 10. cikkének (4) bekezdésében meghatározott dátumoktól számított három évig, valamint 10. cikkének (5) bekezdésében meghatározott dátumoktól számított négy évig a következő rendelkezéseket kell alkalmazni:"
3. Az 3. cikk (10) bekezdésének a) pontja helyébe a következő szöveg lép:
"A IIIA. melléklet 2.1. pontjának követelményei nem alkalmazandók."
4. A 5. cikk a következő (11) és (12) bekezdéssel egészül ki:
"(11) A gyártó részletes dokumentációcsomagot bocsát rendelkezésre, amely tartalmazza az alábbi információkat:
a) információk az összes kibocsátáscsökkentési segédstratégia és kibocsátáscsökkentési alapstratégia működéséről, ideértve mindazon paraméterek ismertetését, melyeket valamely kibocsátáscsökkentési segédstratégia módosít, és azokat a peremfeltételeket, melyek mellett a kibocsátáscsökkentési segédstratégia működik, valamint annak megjelölését, hogy az e rendeletben meghatározott vizsgálati eljárások feltételei mellett a kibocsátáscsökkentési segédstratégia vagy a kibocsátáscsökkentési alapstratégia lép valószínűleg működésbe;
b) a tüzelőanyag-rendszer szabályozásának logikája, az időzítési stratégiák és a »ki-be« kapcsolási pontok valamennyi üzemmódra.
(12) A (11) bekezdésben említett részletes dokumentációcsomagot szigorúan bizalmasan kell kezelni. A csomagot őrizheti a jóváhagyó hatóság vagy a jóváhagyó hatóság döntése alapján a gyártó. Amennyiben a dokumentációcsomagot a gyártó őrzi, a jóváhagyó hatóság azt az áttekintést és jóváhagyást követően azonosító számmal és keltezéssel látja el. A dokumentációt a jóváhagyás során, illetve a jóváhagyás érvényességének időtartama alatt bármikor hozzáférhetővé kell tenni a típusjóváhagyó hatóság számára."
5. Az I. melléklet 6. függeléke e rendelet I. mellékletének megfelelően módosul.
6. A IIIA. melléklet e rendelet II. mellékletének megfelelően módosul.
2. cikk
Ez a rendelet az Európai Unió Hivatalos Lapjában való kihirdetését követő huszadik napon lép hatályba.
Ez a rendelet teljes egészében kötelező és közvetlenül alkalmazandó valamennyi tagállamban.
Kelt Brüsszelben, 2016. április 20-án.
a Bizottság részéről
az elnök
Jean-Claude JUNCKER
(1) HL L 171., 2007.6.29., 1. o.
(2) Az Európai Parlament és a Tanács 2007. szeptember 5-i 2007/46/EK irányelve a gépjárművek és pótkocsijaik, valamint az ilyen járművek rendszereinek, alkatrészeinek és önálló műszaki egységeinek jóváhagyásáról (keretirányelv) (HL L 263., 2007.10.9., 1. o.).
(3) A Bizottság 2008. július 18-i 692/2008/EK rendelete a könnyű személygépjárművek és haszongépjárművek (Euro 5 és Euro 6) kibocsátás tekintetében történő típusjóváhagyásáról és a járműjavítási és -karbantartási információk elérhetőségéről szóló 715/2007/EK európai parlamenti és tanácsi rendelet módosításáról és végrehajtásáról (HL L 199., 2008.7.28., 1. o.).
(4) A Bizottság közleménye az Európai Parlamentnek, a Tanácsnak, az Európai Gazdasági és Szociális Bizottságnak és a Régiók Bizottságának: CARS 2020: Cselekvési terv a versenyképes és fenntartható európai gépjárműiparért (COM/2012/636 final).
(5) A Bizottság 2016. március 10-i (EU) 2016/427 rendelete a 692/2008/EK rendeletnek a könnyű személy- és haszongépjárművek kibocsátásai (Euro 6) tekintetében történő módosításáról (HL L 82., 2016.3.31., 1. o.)
I. MELLÉKLET
A 692/2008/EK rendelet I. mellékletének 6. függelékében található 1. táblázat a következőképpen módosul:
1. a ZD, ZE és ZF sorok helyébe a következő szöveg lép:
„ZD | Euro 6c | Euro 6-2 | M, N1 I. osztály | PI, CI | 2018.9.1. | 2019.8.31. | |
ZE | Euro 6c | Euro 6-2 | N1 II. osztály | PI, CI | 2019.9.1. | 2020.8.31. | |
ZF | Euro 6c | Euro 6-2 | N1 III. osztály, N2 | PI, CI | 2019.9.1. | 2020.8.31.” |
2. a táblázat a ZF sor után a következő sorokkal egészül ki:
„ZG | Euro 6d-TEMP | Euro 6-2 | M, N1 I. osztály | PI, CI | 2017.9.1. | 2019.9.1. | 2020.12.31. |
ZH | Euro 6d-TEMP | Euro 6-2 | N1 II. osztály | PI, CI | 2018.9.1. | 2020.9.1. | 2021.12.31. |
ZI | Euro 6d-TEMP | Euro 6-2 | N1 III. osztály, N2 | PI, CI | 2018.9.1. | 2020.9.1. | 2021.12.31. |
ZJ | Euro 6d | Euro 6-2 | M, N1 I. osztály | PI, CI | 2020.1.1. | 2021.1.1. | |
ZK | Euro 6d | Euro 6-2 | N1 II. osztály | PI, CI | 2021.1.1. | 2022.1.1. | |
PLN | Euro 6d | Euro 6-2 | N1 III. osztály, N2 | PI, CI | 2021.1.1. | 2022.1.1.” |
3. a táblázathoz tartozó magyarázat az "Euro 6b" kibocsátási előírásra vonatkozó bekezdés után a következő bekezdésekkel egészül ki:
"»Euro 6c« kibocsátási előírás= a kvantitatív RDE-követelmények nélküli teljes Euro 6 kibocsátási előírás, azaz az Euro 6b kibocsátási előírás és a szikragyújtású járművek által kibocsátott részecskék számára vonatkozó végleges előírás, (adott esetben) az E10-es és a B7-es referencia-tüzelőanyag használata az előírt laborvizsgálati ciklus alapján értékelve, és csak nyomon követésre szolgáló RDE-vizsgálat (a nem túllépendő NTE-határértékek alkalmazása nélkül);
»Euro 6d-TEMP« kibocsátási előírás= a teljes Euro 6 kibocsátási előírás, azaz az Euro 6b kibocsátási előírás és a szikragyújtású járművek által kibocsátott részecskék számára vonatkozó végleges előírás, (adott esetben) az E10-es és a B7-es referencia-tüzelőanyag használata az előírt laborvizsgálati ciklus alapján értékelve és az átmeneti megfelelési tényezőkkel való összevetés révén végzett RDE-vizsgálat;";
4. a táblázat magyarázatában az "Euro 6c" kibocsátási előírásra vonatkozó bekezdés helyébe a következő szöveg lép:
"»Euro 6d« kibocsátási előírás= a teljes Euro 6 kibocsátási előírás, azaz az Euro 6b kibocsátási előírás és a szikragyújtású járművek által kibocsátott részecskék számára vonatkozó végleges előírás, (adott esetben) az E10-es és a B7-es referencia-tüzelőanyag használata az előírt laborvizsgálati ciklus alapján értékelve és a végső megfelelési tényezőkkel való összevetés révén végzett RDE-vizsgálat;".
II. MELLÉKLET
A 692/2008/EK rendelet IIIa. melléklete a következőképpen módosul:
1. a 2.1. pont helyébe a következő szöveg lép:
"2.1. Nem túllépendő kibocsátási határértékek
A 715/2007/EK rendelet szerinti típusjóváhagyással rendelkező járművek szokásos élettartama alatt e járműveknek az e mellékletben foglalt követelmények alapján meghatározott és az e mellékletnek megfelelően elvégzett bármely, valós vezetési feltételek melletti kibocsátásra vonatkozó vizsgálat (RDE-vizsgálat) során keletkező kibocsátásai nem haladhatják meg a következő, nem túllépendő értékeket (NTE-értékeket):
NTEpollutant = CFpollutant × TF(p1,..., pn) × EURO-6
ahol az EURO-6 a 715/2007/EK rendelet I. mellékletének 2. táblázatában megadott Euro 6 2."
2. A szóban forgó melléklet a következő 2.1.1., 2.1.2. és 2.1.3. ponttal egészül ki:
"2.1.1. Végső megfelelési tényezők
Az adott szennyező anyagra vonatkozó CFpollutant megfelelési tényező a következők szerint kerül meghatározásra:
Szennyező anyag | Nitrogén-oxidok tömege (NOx) | Részecskék száma (PN) | Szén-monoxid tömege (CO) (1) | Összes szénhidrogén tömege (THC) | Összes szénhidrogén és nitrogén-oxid együttes tömege (THC + NOx) |
CFpollutant | 1 + margin ahol margin = 0,5 | később meghatározandó | — | — | — |
margin : a PEMS berendezésből adódó további mérési bizonytalanságot figyelembe vevő paraméter, amelyet évente felül kell vizsgálni, és a PEMS-eljárás minőségi javulása, illetve a műszaki fejlődés függvényében módosítani kell.
2.1.2. Átmeneti megfelelési tényezők
A 2.1.1. pont rendelkezéseitől eltérve, a 715/2007/EK rendelet 10. cikkének (4) és (5) bekezdésében említett időponttól számított 5 év és 4 hónap során a gyártó kérésére a következő átmeneti megfelelési tényezők alkalmazhatók:
Szennyező anyag | Nitrogén-oxidok tömege (NOx) | Részecskék száma (PN) | Szén-monoxid tömege (CO) (2) | Összes szénhidrogén tömege (THC) | Összes szénhidrogén és nitrogén-oxid együttes tömege (THC + NOx) |
CFpollutant | 2,1 | később meghatározandó | — | — | — |
Az átmeneti megfelelési tényezők alkalmazását fel kell tüntetni a jármű megfelelőségi nyilatkozatában.
2.1.3. Átviteli függvények
A 2.1. pontban említett TF(p1,..., pn) átviteli függvény értéke a pi (i = 1,...,n) paraméterek mindegyike vonatkozásában 1.
Amennyiben a TF(p1,..., pn) átviteli függvény módosításra kerül, a módosítás csak oly módon történhet, hogy ne érintse hátrányosan az RDE-vizsgálati eljárások környezeti hatásait és hatékonyságát. Különösen ügyelni kell arra, hogy a következő feltétel továbbra is teljesüljön:
∫ TF (p1,..., pn) * Q (p1,..., pn) dp = ∫ Q (p1,..., pn) dp
ahol:
- dp a pi (i = 1,...,n) paraméterek teljes paramétertér szerinti integrálja
- Q(p1,..., pn) a pi (i = 1,...,n) paramétereknek megfelelő esemény valószínűségi sűrűsége valós vezetési feltételek mellett."
3. a szöveg a következő 3.1.0. ponttal egészül ki:
"3.1.0. A 2.1. pont követelményeinek teljesülniük kell a városi szakaszra és a PEMS-szel vizsgált teljes útra. A következő két pontban szereplő feltétel közül legalább egy, a gyártó választott feltételnek teljesülnie kell:
3.1.0.1. Mgas,d,t ≤ NTEpollutant és Mgas,d,u ≤ NTEpollutant, ahol e melléklet 2.1. pontjának és az 5. függelék 6.1. és 6.3. pontjának fogalommeghatározásai érvényesek, és gas = pollutant.
3.1.0.2. Mw,gas,d ≤ NTEpollutant és Mw,gas,d,U ≤ NTEpollutant , ahol e melléklet 2.1. pontjának és a 6. függelék 3.9. pontjának fogalommeghatározásai érvényesek, és gas = pollutant."
4. az 5.3. pontot el kell hagyni;
5. az 5.4. pont helyébe a következő szöveg lép:
"5.4. Dinamikus feltételek
A dinamikus feltételek az út lejtésének, az ellenszélnek és a vezetési dinamikának (gyorsításnak, lassításnak), valamint a kiegészítő rendszereknek a vizsgálati jármű energiafogyasztására és kibocsátására gyakorolt hatásait foglalják magukban. A dinamikus feltételek normalitásának ellenőrzését a vizsgálat után, a PEMS rögzített adatai alapján kell elvégezni. Az ellenőrzést két lépésben kell végrehajtani:
5.4.1. Az e melléklet 7a. függelékében leírt módszerrel ellenőrizni kell, hogy az út során a dinamika általában túl nagy vagy hiányos-e.
5.4.2. Amennyiben az út eredményei az 5.4.1. pontnak megfelelő ellenőrzések alapján érvényesnek bizonyulnak, a dinamikus feltételek normalitásának ellenőrzésére az e melléklet 5. és 6. függelékében meghatározott módszereket kell alkalmazni. Valamennyi módszer tartalmazza a dinamikus feltételek referenciáit, a referencia körüli tartományokat és az érvényes vizsgálat teljesítéséhez szükséges minimális lefedettségi követelményeket."
6. a 6.8. pont helyébe a következő szöveg lép:
"6.8. A vizsgálati út városi része során az átlagos sebességnek (a megállásokat is beleszámítva) 15 és 40 km/h között kell lennie. A városi vezetés időtartamának 6-30 %-ban megállásokból kell állnia, amelyek alatt az 1 km/h-nál alacsonyabb sebességgel megtett időszakok értendők. A városi vezetésnek tartalmaznia kell több, legalább 10 másodperces megállást. Ha a megállás meghaladja a 180 másodpercet, az ilyen túlzottan hosszú megállást követő 180 másodperc kibocsátási eseményeit ki kell zárni az értékelésből."
7. a 6.11. pont a következő mondattal egészül ki:
"Emellett az arányos összesített pozitív magasságnövekedés, melyet a 7b. függeléknek megfelelően kell meghatározni, nem érheti el az 1 200 m/100 km-t."
8. a 9.5. pont helyébe a következő szöveg lép:
"9.5. Ha egy adott időszakon belül a környezeti feltételek az 5.2. pont alapján kiterjesztettnek minősülnek, akkor ezen időszaknak a 4. függelék szerint kiszámított kibocsátásait el kell osztani 1,6-tal, mielőtt a kibocsátások e melléklet szerinti megfelelőségének értékelésére sor kerülne."
9. az 1. függelék az alábbiak szerint módosul:
a) a 3.4.6. pont a következő mondattal egészül ki:
"A vezetőfülkén kívül található PEMS-részek szerelvényeinek és berendezéseinek biztonsággal összefüggő okokból való világítását megengedett a jármű akkumulátoráról működtetni."
b) a 4.5. pont a következő mondattal egészül ki:
"Hogy minimalizálni lehessen az elemzőkészülék válaszának eltolódását, az elemzőkészülék nullázását és mérőtartomány-kalibrálását a mérőkészülék által az RDE-út alatt érzékelt hőmérsékletet leginkább megközelítő környezeti hőmérsékleten kell elvégezni."
10. a 2. függelék 8. pontjában szereplő 4. táblázat 2. lábjegyzete helyébe a következő szöveg lép:
"(2) Ez az általános követelmény csak a sebességérzékelőre vonatkozik; ha az olyan paraméterek, mint a gyorsulás, a sebességnek a pozitív gyorsulással való szorzata vagy az RPA (relatív pozitív gyorsulás) meghatározásához a járműsebességet veszik figyelembe, a járműsebességre vonatkozó jelnek 3 km/óra felett 0,1 %-os pontosságúnak és 1 Hz-es mintavételi gyakoriságúnak kell lennie. Ez a pontossági követelmény teljesíthető egy kerékfordulatszám-érzékelő jelének alkalmazásával."
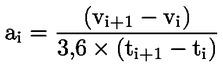
11. a 6. függelék 2. pontjában a következő fogalommeghatározást el kell hagyni:
"ai Tényleges gyorsulás az i időközben, hacsak nincs másként meghatározva egy egyenletben:
[Kép #1] , [m/s2]"

Kép #1
12. a 6. függelék 2. pontja a következő fogalommeghatározásokkal egészül ki:
" [Kép #2] a »gas« kipufogógáz-összetevő súlyozott kibocsátási értéke az összes olyan i másodpercet tartalmazó részmintára, amelynél vi < 60 km/h, g/s

Kép #2
Mw,gas,d,U a »gas« kipufogógáz-összetevő súlyozott távolságspecifikus kibocsátása az összes olyan i másodpercet tartalmazó részmintára, amelynél vi < 60 km/h, g/km
[Kép #3] A jármű súlyozott sebessége a j kerékteljesítmény-osztályban, km/h"

Kép #3
13. a 6. függelék 3.1. pontjának első bekezdése helyébe a következő szöveg lép:
"A kerekeknél fellépő tényleges Pr,i teljesítmény az az összesített teljesítmény, amely a légellenállásnak, a gördülési ellenállásnak, az út meredekségének, a jármű hosszanti irányú tehetetlenségének és a kerekek gördülési tehetetlenségének leküzdéséhez szükséges."
14. a 6. függelék 3.2. pontja helyébe a következő szöveg lép:
"3.2. A mozgóátlagok besorolása városi, országúti és autópályán történő vezetési szakaszokba
A standardizált teljesítményfrekvenciákat a városi szakaszra és a teljes vizsgálati útra vonatkozóan kell meghatározni (lásd a 3.4. bekezdést), és külön kibocsátásértékelést kell végezni a teljes vizsgálati útra és a városi szakaszra vonatkozóan. A 3.3. bekezdés szerint kiszámított három másodperces mozgóátlagokat ezért később a tényleges i másodpercre vonatkozó sebesség jele (vi) alapján hozzá kell rendelni az 1-1. táblázatban megadott városi és városon kívüli vezetési feltételekhez.
1-1. táblázat
Sebességtartományok a vizsgálati adatoknak a városi, országúti és autópályán történő feltételekhez való hozzárendeléséhez a teljesítménykategorizálás módszere keretében
Városi | Országúti | Autópálya | |
vi [km/h] | 0-tól ≤ 60 | > 60-tól ≤ 90 | > 90” |
15. a 6. függelék 3.9. pontja helyébe a következő szöveg lép:
"3.9. A súlyozott távolságspecifikus kibocsátásérték kiszámítása
A vizsgálat kibocsátásainak időalapú súlyozott átlagát át kell alakítani távolságspecifikus kibocsátássá külön a városi adatkészletre és a teljes adatkészletre vonatkozóan, a következőképpen:
A teljes vizsgálati útra: [Kép #4]

Kép #4
A vizsgálati út városi részére: [Kép #5]

Kép #5
E képletek segítségével ki kell számítani a következő szennyező anyagokra vonatkozó súlyozott átlagot a teljes vizsgálati útra és a vizsgálati út városi részére:
Mw,NOx,d a NOx-ra vonatkozó súlyozott vizsgálati eredmény [mg/km]
Mw,NOx,d,U a NOx-ra vonatkozó súlyozott vizsgálati eredmény [mg/km]
Mw,CO,d a CO-ra vonatkozó súlyozott vizsgálati eredmény [mg/km]
Mw,CO,d,U a CO-ra vonatkozó súlyozott vizsgálati eredmény [mg/km]"
16. a szöveg a következő 7a. és 7b. függelékkel egészül ki:
"
7a. függelék
A vizsgálati út általános dinamikájának ellenőrzése
1. BEVEZETÉS
Ez a függelék a vizsgálati út általános dinamikájának ellenőrzésére szolgáló számítási eljárásokat mutatja be, melyek segítségével meghatározható, hogy a városi, országúti és autópályán való vezetés során a dinamika általában túl nagy vagy hiányos-e.
2. SZIMBÓLUMOK
RPA Relatív pozitív gyorsulás
»gyorsulási felbontás ares «: a 0-nál nagyobb minimális gyorsulás m/s2-ben mérve
T4253H összetettadat-simító
»pozitív gyorsulás apos «: a 0,1 m/s2-nél nagyobb gyorsulás [m/s2]
Az (i) index az időközre utal
A (j) index a pozitív gyorsulást tartalmazó adatkészletek időközére utal
A (k) index a kategóriára utal (t = teljes, u = város, r = országút, m = autópálya)
Δ - különbség
> - nagyobb
≥ - nagyobb vagy egyenlő
% - százalék
< - kisebb
≤ - kisebb vagy egyenlő
a - gyorsulás [m/s2]
ai - gyorsulás az i időközben [m/s2]
apos - a 0,1 m/s2-nél nagyobb pozitív gyorsulás [m/s2]
apos,i,k - a 0,1 m/s2-nél nagyobb pozitív gyorsulás az i időközben a városi, országúti és autópályán történő vezetés szakaszait figyelembe véve [m/s2]
ares - gyorsulási felbontás [m/s2]
di - az i időközben megtett távolság [m]
di,k - az i időközben megtett távolság a városi, országúti és autópályán történő vezetés szakaszait figyelembe véve [m]
Mk - a 0,1 m/s2-nél nagyobb pozitív gyorsulást tartalmazó városi, országúti és autópályán történő vezetési szakaszok mintáinak száma
Nk - a városi, országúti és autópályán történő vezetési szakaszok és a teljes vizsgálati út mintáinak teljes száma
RPAk - a városi, országúti és autópályán történő vezetési szakaszokra vonatkozó relatív pozitív gyorsulás [m/s2 vagy kWs/(kg × km)]
tk - a városi, országúti és autópályán történő vezetési szakaszok és a teljes vizsgálati út időtartama [s]
v - a jármű sebessége [km/h]
vi - a jármű tényleges sebessége az i időközben [km/h]
vi,k - a jármű tényleges sebessége az i időközben a városi, országúti és autópályán történő vezetés szakaszait figyelembe véve [km/h]
(v · a)i - a gyorsulásra jutó tényleges járműsebesség az i időközben [m2/s3 vagy W/kg]
(v · apos)j,k - a 0,1 m/s2-nél nagyobb pozitív gyorsulásra jutó tényleges járműsebesség a j időközben a városi, országúti és autópályán történő vezetés szakaszait figyelembe véve [m2/s3 vagy W/kg]
(v · apos)k_[95] - a 0,1 m/s2-nél nagyobb pozitív gyorsulásra jutó járműsebesség szorzatának 95 %-os percentilise a városi, országúti és autópályán történő vezetés szakaszaira vonatkozóan [m2/s3 vagy W/kg]
[Kép #6] - a városi, országúti és autópályán történő vezetés szakaszaira vonatkozó átlagos járműsebesség [km/h]

Kép #6
3. A VIZSGÁLATI ÚT MUTATÓI
3.1. Számítások
3.1.1. Az adatok előfeldolgozása
A dinamikus paraméterek, például a gyorsulás, a v · apos és az RPA meghatározásához a járműsebességre vonatkozó jelnek 3 km/óra felett 0,1 %-os pontosságúnak és 1 Hz-es mintavételi gyakoriságúnak kell lennie. Ez a pontossági követelményt a kerékfordulatszámon alapuló jelek általában teljesítik.
Ellenőrizni kell, hogy a sebességgörbe nem tartalmaz-e hibás vagy valószínűtlen szakaszokat. Az ilyen szakaszok járműsebesség-görbéjét ugrások, lépcsőzetes szakaszok vagy hiányzó értékek jellemzik. A rövid hibás szakaszokat korrigálni kell, például az adatok interpolációjával vagy egy másodlagos sebességjellel való összehasonlítással. Alternatív megoldásként a hibás szakaszokat tartalmazó rövid vizsgálati utak kizárhatók a következő adatelemzésből. Második lépésként a gyorsulási értékeket emelkedő sorrendbe kell állítani az ares gyorsulási felbontás meghatározása érdekében (minimális gyorsulási érték > 0).
Ha ares ≤ 0,01 m/s 2, akkor a járműsebesség mérésének pontossága megfelelő.
Ha 0,01 < ares ≤ rmax m/s2, akkor T4253 Hanning-ablakkal való simítást kell alkalmazni.
Ha ares > rmax m/s2, akkor a vizsgálati út érvénytelen.
A T4253 Hanning-ablak a következő számításokat végzi el: a simítás egy 2-es mozgó medián centrummal rendelkező 4-es mozgó mediánnal kezdődik. Ezután ezen értékek újból simításra kerülnek 5-ös és 3-as mozgó medián, valamint Hanning-ablak (mozgó súlyozott átlagok) alkalmazásával. A különbözetek kiszámítása a simított sorozatnak az eredeti sorozatból való kivonásával történik. Ezután az egész folyamat megismétlődik a kiszámított különbözeteken. Végezetül a folyamat során először kapott simított értékek kivonása révén sor kerül a simított különbözetek kiszámítására.
A helyes sebességgörbe képezi a további számítások és a 3.1.2. bekezdésben ismertetett kategorizálás alapját.
3.1.2. A távolság, a gyorsulás és a v · a kiszámítása
A következő számításokat a teljes időn alapuló (1 Hz-es felbontású) sebességgörbén el kell végezni az 1. másodperctől a tt sorszámú (utolsó) másodpercig.
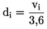
Az adatmintánkénti távolságnövekményt a következőképpen kell kiszámítani:
di = vi /3,6, i = 1-től Nt-ig
ahol:
di az i időközben megtett távolság [m]
v i a jármű tényleges sebessége az i időközben [km/h]
N t a minták teljes száma
A gyorsulást a következőképpen kell számítani:
ai = (v i + 1 - v i - 1)/(2 · 3,6), i = 1-től Nt-ig
ahol:
ai a gyorsulás az i időközben [m/s2]. Ahol i = 1: vi - 1 = 0, ahol i = Nt : vi + 1 = 0.
A gyorsulásra jutó tényleges járműsebesség szorzatát a következőképpen kell kiszámítani:
(v · a)i = vi · ai /3,6, i = 1-től Nt-ig
ahol:
(v · a)i a gyorsulásra jutó tényleges járműsebesség szorzata az i időközben [m2/s3 vagy W/kg].
3.1.3. Az eredmények kategorizálása
Az ai és a (v · a)i kiszámítása után a vi , di , ai és (v · a)i értékeket a járműsebesség alapján növekvő sorrendbe kell állítani.
A vi ≤ 60 km/h által jellemzett valamennyi adatkészlet a "városi" sebességkategóriába, a 60 km/h < vi ≤ 90 km/h által jellemzett valamennyi adatkészlet az "országúti" és a vi > 90 km/h által jellemzett valamennyi adatkészlet az "autópályán történő vezetési" sebességkategóriába tartozik.
Az ai > 0,1 m/s 2 gyorsulási értékekkel rendelkező adatkészletek száma egyik sebességkategóriában sem lehet kevesebb 150-nél.
A [Kép #7] átlagos járműsebességet a következőképpen kell kiszámítani valamennyi sebességkategóriában:

Kép #7
[Kép #8] , i = 1-től Nk-ig, k = u,r,m

Kép #8
ahol:
Nk a városi, országúti és autópályán történő vezetési szakaszok mintáinak teljes száma.
3.1.4. A sebességkategóriánkénti v · apos_[95] kiszámítása
A v · apos értékek 95 %-os percentilisét a következőképpen kell kiszámítani:
Minden egyes sebességkategória The (v · a) i,k értékeit növekvő sorrendbe kell rendezni valamennyi olyan adatkészletre vonatkozóan, amely ai,k ≥ 0,1 m/s2 értékkel rendelkezik, és meg kell határozni e minták teljes számát (Mk ).
Ezután az ai,k ≥ 0,1 m/s2 értékkel rendelkező (v · apos ) j,k értékekhez hozzá kell rendelni a percentilisértékeket a következőképpen:
a legkisebb v · apos értékhez az 1/Mk percentilist, a második legkisebb értékhez a 2/Mk percentilist, a harmadik legkisebb értékhez a 3/Mk percentilist, a legnagyobb értékhez pedig az Mk /Mk = 100 % percentilist kell hozzárendelni.
(v · apos ) k _[95] a (v · apos ) j,k értéke, ha j/Mk = 95 %. Ha a j/Mk = 95 % feltétel nem teljesül, a (v · apos ) k _[95] értékét a j és a j + 1 egymást követő minták lineáris interpolációjával kell kiszámítani, ahol j/Mk < 95 % és (j + 1)/Mk > 95 %.
A sebességkategóriánkénti relatív pozitív gyorsulást a következőképpen kell kiszámítani:
RPAk = Σ j (Δt · (v · apos ) j,k )/Σ idi,k , j = 1-től Mk-ig, i = 1-től Nk-ig, k = u,r,m
ahol:
RPAk a városi, országúti és autópályán történő vezetés szakaszaira vonatkozó relatív pozitív gyorsulás [m/s2 vagy kWs/(kg × km)]
Δt 1 másodpercnek megfelelő időkülönbség
Mk a pozitív gyorsulást tartalmazó városi, országúti és autópályán történő vezetési szakaszok mintáinak száma
Nk a városi, országúti és autópályán történő vezetési szakaszok mintáinak teljes száma
4. A VIZSGÁLATI ÚT ÉRVÉNYESSÉGÉNEK ELLENŐRZÉSE
4.1.1. A sebességkategóriánkénti v*apos_[95] ellenőrzése (ahol v [km/h]-ban van megadva)
Ha [Kép #9]

Kép #9
és,

akkor a vizsgálati út érvénytelen.
Ha [Kép #10] és [Kép #11] , akkor a vizsgálati út érvénytelen.

Kép #10

Kép #11
4.1.2. A sebességkategóriánkénti RPA ellenőrzése
Ha [Kép #12] és [Kép #13] , akkor a vizsgálati út érvénytelen.

Kép #12

Kép #13
Ha [Kép #14] és RPAk < 0,025, akkor a vizsgálati út érvénytelen.

Kép #14
7b. függelék
A vizsgálati út összesített pozitív magasságnövekedésének meghatározására szolgáló eljárás
1. BEVEZETÉS
Ez a függelék az RDE-vizsgálati út összesített magasságnövekedésének meghatározására szolgáló eljárást ismerteti.
2. SZIMBÓLUMOK
d(0) - távolság a vizsgálati út kezdetén [m]
d - az út figyelembe vett diszkrét pontjáig megtett összesített távolság [m]
d0 - az út vonatkozó d pontja előtt közvetlenül végzett mérésig megtett összesített távolság [m]
d1 - az út vonatkozó d pontja után közvetlenül végzett mérésig megtett összesített távolság [m]
da - az út referenciapontja d(0)-nál [m]
de - az út utolsó diszkrét pontjáig megtett összesített távolság [m]
di - pillanatnyi távolság [m]
dtot - a vizsgálati út teljes hossza [m]
h(0) - a járműnek az adatminőség vizsgálata és elvi alapú ellenőrzése utáni tengerszint feletti magassága a vizsgálati út kezdetén [m]
h(t) - a járműnek az adatminőség vizsgálata és elvi alapú ellenőrzése utáni tengerszint feletti magassága a t ponton [m]
h(d) - a jármű tengerszint feletti magassága az út d pontján [m]
h(t-1) - a járműnek az adatminőség vizsgálata és elvi alapú ellenőrzése utáni tengerszint feletti magassága a t-1 ponton [m]
hcorr(0) - a jármű korrigált tengerszint feletti magassága közvetlenül az út vonatkozó d pontja előtt [m]
hcorr(1) - a jármű korrigált tengerszint feletti magassága közvetlenül az út vonatkozó d pontja után [m]
hcorr(t) - a jármű korrigált pillanatnyi tengerszint feletti magassága a t adatpontnál [m]
hcorr(t-1) - a jármű korrigált pillanatnyi tengerszint feletti magassága a t-1 adatpontnál [m]
hGPS, i - a jármű GPS-szel mért pillanatnyi tengerszint feletti magassága [m]
hGPS(t) - a jármű GPS-szel mért tengerszint feletti magassága a t adatpontnál [m]
hint(d) - interpolált tengerszint feletti magasság az út vizsgált diszkrét d pontján [m]
hint,sm,1(d) - simított interpolált tengerszint feletti magasság az első simítás elvégzése után az út vizsgált diszkrét d pontján [m]
hmap(t) - a jármű topográfiai térkép szerinti tengerszint feletti magassága a t adatpontnál [m]
Hz - Hertz
km/h - kilométer/óra
m - méter
roadgrade,1(d) - az út simított lejtése az első simítás elvégzése után az út vizsgált diszkrét d pontján [m/m]
roadgrade,2(d) - az út simított lejtése a második simítás elvégzése után az út vizsgált diszkrét d pontján [m/m]
sin - trigonometriai szinuszfüggvény
t - a vizsgálat kezdete óta eltelt idő [s]
t0 - az út vonatkozó d pontja előtt közvetlenül végzett mérésig eltelt idő [s]
vi - a jármű pillanatnyi sebessége [km/h]
v(t) - a jármű sebessége a t adatpontnál [km/h]
3. ÁLTALÁNOS KÖVETELMÉNYEK
Az RDE-vizsgálati út összesített pozitív magasságnövekedését a következő három paraméter alapján kell meghatározni: a jármű GPS-szel mért pillanatnyi tengerszint feletti magassága (hGPS,i , [m]), a jármű 1 Hz-es gyakorisággal rögzített pillanatnyi sebessége (v i, [km/h]) és a vizsgálat kezdete óta eltelt idő (t, [s]).
4. AZ ÖSSZESÍTETT POZITÍV MAGASSÁGNÖVEKEDÉS KISZÁMÍTÁSA
4.1. Általános követelmények
Egy RDE-vizsgálati út összesített pozitív magasságnövekedését egy háromlépéses eljárással kell kiszámítani, melynek lépései: i. az adatminőség vizsgálata és elvi alapú ellenőrzése, ii. a jármű pillanatnyi tengerszint feletti magasságára vonatkozó adatok korrigálása, és iii. az összesített pozitív magasságnövekedés kiszámítása.
4.2. Az adatminőség vizsgálata és elvi alapú ellenőrzése
Ellenőrizni kell a jármű pillanatnyi sebességére vonatkozó adatok teljességét. A hiányzó adatok korrigálása megengedett, ha a hiányosságok a 4. függelék 7. pontja szerinti követelményeken belül maradnak, egyéb esetben a vizsgálat eredményeit érvénytelennek kell tekinteni. Ellenőrizni kell a jármű pillanatnyi tengerszint feletti magasságára vonatkozó adatok teljességét. A hiányos adatokat ki kell egészíteni az adatok interpolációja révén. Az interpolált adatok helyességét topográfiai térképpel kell ellenőrizni. A következő feltétel teljesülése esetén ajánlott korrigálni az interpolált adatokat:
|hGPS(t) - hmap(t)| > 40 m
A tengerszint feletti magasság korrigálását a következő módon kell elvégezni:
h(t) = hmap(t)
ahol:
h(t) - a járműnek az adatminőség vizsgálata és elvi alapú ellenőrzése utáni tengerszint feletti magassága a t adatponton [m]
hGPS(t) - a jármű GPS-szel mért tengerszint feletti magassága a t adatpontnál [m]
hmap(t) - a jármű topográfiai térkép szerinti tengerszint feletti magassága a t adatpontnál [m]
4.3. A jármű pillanatnyi tengerszint feletti magasságára vonatkozó adatok korrigálása
A vizsgálat kezdetén GPS-szel kell megállapítani a d(0) pont h(0) tengerszint feletti magasságát, és a topográfiai térkép alapján ellenőrizni kell az adat helyességét. Az eltérés nem lehet nagyobb 40 m-nél. A pillanatnyi tengerszint feletti magasságra vonatkozó valamennyi h(t) értéket korrigálni kell, ha a következő feltétel teljesül:
|h(t) - h(t - 1)| > (v(t)/3,6 * sin45°)
A tengerszint feletti magasság korrigálását a következő módon kell elvégezni:
hcorr(t) = hcorr (t-1)
ahol:
h(t) - a járműnek az adatminőség vizsgálata és elvi alapú ellenőrzése utáni tengerszint feletti magassága a t adatponton [m]
h(t-1) - a járműnek az adatminőség vizsgálata és elvi alapú ellenőrzése utáni tengerszint feletti magassága a t-1 adatponton [m]
v(t) - a jármű sebessége a t adatpontnál [km/h]
hcorr(t) - a jármű korrigált pillanatnyi tengerszint feletti magassága a t adatpontnál [m]
hcorr(t-1) - a jármű korrigált pillanatnyi tengerszint feletti magassága a t-1 adatpontnál [m]
A korrigálási eljárás után megkapjuk a tengerszint feletti magasságra vonatkozó érvényes adatkészletet. Ezt az adatkészletet kell használni az összesített pozitív magasságnövekedés 4.4. pont szerinti kiszámításához.
4.4. Az összesített pozitív magasságnövekedés végső kiszámítása
4.4.1. Egységes térbeli felbontás meghatározása
A vizsgálati út során megtett dtot [m] teljes távolságot a pillanatnyi d i távolságok összegeként kell meghatározni. A d i pillanatnyi távolság meghatározása a következőképpen történik:

ahol:
di - pillanatnyi távolság [m]
vi - a jármű pillanatnyi sebessége [km/h]
Az összesített magasságnövekedést 1 m-es állandó térbeli felbontású adatokból kell kiszámítani, a vizsgálati út kezdetén, d(0)-nál végzett első méréstől kezdve. Az 1 m-es felbontású diszkrét adatpontokat, más néven az út pontjait, meghatározott távolsági érték (pl. 0, 1, 2, 3 m ...) és az annak megfelelő tengerszint feletti magasság (h(d), [m]) jellemzi.
Az út egyes diszkrét d pontjainak tengerszint feletti magasságát a pillanatnyi hcorr(t) tengerszint feletti magasság interpolációjával kell kiszámítani a következőképpen:

ahol:
hint(d) - interpolált tengerszint feletti magasság az út vizsgált diszkrét d pontján [m]
hcorr(0) - a jármű korrigált tengerszint feletti magassága közvetlenül az út vonatkozó d pontja előtt [m]
hcorr(1) - a jármű korrigált tengerszint feletti magassága közvetlenül az út vonatkozó d pontja után [m]
d - az út figyelembe vett d diszkrét pontjáig megtett összesített távolság [m]
d0 - az út vonatkozó d pontja előtt közvetlenül végzett mérésig megtett összesített távolság [m]
d1 - az út vonatkozó d pontja után közvetlenül végzett mérésig megtett összesített távolság [m]
4.4.2. Kiegészítő adatsimítás
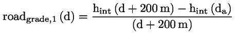
Az út egyes diszkrét pontjaira kapott, a tengerszint feletti magasságra vonatkozó adatokat egy kétlépéses eljárással simítani kell, ahol d a jelöli az első, d e pedig az utolsó adatpontot (lásd: 1. ábra). Az első simítást a következőképpen kell elvégezni:
[Kép #15] ahol d ≤ 200 m

Kép #15
[Kép #16] ahol 200 m < d < (de - 200 m)

Kép #16
[Kép #17] ahol d ≥ (de - 200 m)

Kép #17
h int,sm,1(d) = h int,sm,1(d - 1 m) + road grade,1(d), d = da + 1-től de-ig
h int,sm,1(da ) = hint (da ) + road grade,1(da )
ahol:
roadgrade,1(d) - az út simított lejtése az első simítás elvégzése után az út vizsgált diszkrét pontján [m/m]
hint(d) - interpolált tengerszint feletti magasság az út vizsgált diszkrét d pontján [m]
hint,sm,1(d) - simított interpolált tengerszint feletti magasság az első simítás elvégzése után az út vizsgált diszkrét d pontján [m]
d - az út figyelembe vett diszkrét pontjáig megtett összesített távolság [m]
da - az út referenciapontja 0 m távolságnál [m]
de - az út utolsó diszkrét pontjáig megtett összesített távolság [m]
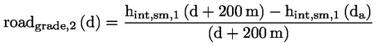
A második simítást a következőképpen kell elvégezni:
[Kép #18] ahol d ≤ 200 m

Kép #18
[Kép #19] ahol 200 m < d < (de - 200 m)

Kép #19
[Kép #20] ahol d ≥ (de - 200 m)

Kép #20
ahol:
roadgrade,2(d) - az út simított lejtése a második simítás elvégzése után az út vizsgált diszkrét pontján [m/m]
hint,sm,1(d) - simított interpolált tengerszint feletti magasság az első simítás elvégzése után az út vizsgált diszkrét d pontján [m]
d - az út figyelembe vett diszkrét pontjáig megtett összesített távolság [m]
da - az út referenciapontja 0 m távolságnál [m]
de - az út utolsó diszkrét pontjáig megtett összesített távolság [m]
1. ábra
A tengerszint feletti magasságra vonatkozó interpolált jelek simítási eljárásának bemutatása

4.4.3. A végleges eredmény kiszámítása
A vizsgálati út összesített pozitív magasságnövekedését az út összes pozitív, interpolált és simított lejtésadatának (roadgrade,2(d)) integrálásával kell kiszámítani. Az eredményt normalizálni kell a vizsgálati út d tot teljes távolságára, és az összesített magasságnövekedést méterben kell megadni a távolság száz kilométerére vetítve.
5. SZÁMSZERŰ PÉLDA
Az 1. és a 2. táblázat egy PEMS-szel folytatott közúti vizsgálat rögzített adatai alapján mutatja be a pozitív magasságnövekedés kiszámításához szükséges lépéseket. Az egyszerűség kedvéért a 800 m-es és 160 s-os kivonat kerül bemutatásra.
5.1. Az adatminőség vizsgálata és elvi alapú ellenőrzése
Az adatminőség vizsgálata és elvi alapú ellenőrzése két lépésből áll. Először ellenőrizni kell a jármű sebességére vonatokozó adatok teljességét. A bemutatott adatmintában a járműsebességgel kapcsolatban nincs adathiány (lásd: 1. táblázat). Ezután ellenőrizni kell a tengerszint feletti magasságra vonatkozó adatok teljességét. Az adatmintában a 2. és 3. másodpercnél hiányoznak a tengerszint feletti magasság adatai. Ezeket a hiányokat a GPS-jel interpolációjával kell kitölteni. Emellett a GPS szerinti tengerszint feletti magasságot topográfiai térképpel kell ellenőrizni, és ezen ellenőrzésbe bele kell venni a vizsgálati út kezdeti h(0) tengerszint feletti magasságát is. A 112-114. másodperchez tartozó, tengerszint feletti magasságra vonatkozó adatokat korrigálni kell a topográfiai térkép alapján, hogy a következő feltétel teljesüljön:
hGPS(t) - hmap(t) < - 40 m
Az adatellenőrzés eredményeként az ötödik oszlopban szereplő h(t) adatokat kapjuk.
5.2. A jármű pillanatnyi tengerszint feletti magasságára vonatkozó adatok korrigálása
A következő lépés az 1-4., 111-112. és 159-160. másodperchez tartozó, tengerszint feletti magasságra vonatkozó h(t) adatok korrigálása a 0., 110. és 158. másodperchez tartozó, tengerszint feletti magasságra vonatkozó adatok feltételezésével, mivel az alábbi feltétel teljesül:
|h(t) - h(t - 1)| > (v(t)/3,6 * sin45°)
Az adatok korrigálásának eredményeként a hatodik oszlopban szereplő hcorr(t) adatokat kapjuk. A tengerszint feletti magasságra vonatkozó adatokon alkalmazott ellenőrzési és korrigálási lépések hatása a 2. ábrán látható.
5.3. Az összesített pozitív magasságnövekedés kiszámítása
5.3.1. Egységes térbeli felbontás meghatározása
A di pillanatnyi távolság kiszámításához a km/h-ban mért pillanatnyi járműsebességet el kell osztani 3,6-tal (lásd: az 1. táblázat 7. oszlopa). A tengerszint feletti magasságra vonatkozó adatokat újra kell számítani az 1 m-es egységes térbeli felbontás meghatározása érdekében; ennek eredményeként megkapjuk az út diszkrét d pontjait (lásd: a 2. táblázat 1. oszlopa) és az azoknak megfelelő, a tengerszint feletti magasságra vonatkozó hint(d) értékeket (lásd: a 2. táblázat 7. oszlopa). Az út egyes diszkrét d pontjainak tengerszint feletti magasságát a pillanatnyi mért hcorr(t) tengerszint feletti magasság interpolációjával kell kiszámítani a következőképpen:


5.3.2. Kiegészítő adatsimítás
A 2. táblázat első és utolsó diszkrét pontjai a következők: d a = 0 m és d e = 799 m. Az út egyes diszkrét pontjaira kapott, a tengerszint feletti magasságra vonatkozó adatokat egy kétlépéses eljárással simítani kell. Az első simítás a következőkből áll:

a fenti számítás a következő feltétel melletti simítás példája: d ≤ 200 m

a fenti számítás a következő feltétel melletti simítás példája: 200 m < d <(599 m)

a fenti számítás a következő feltétel melletti simítás példája: d ≥ (599 m)
A simított és interpolált tengerszint feletti magasságot a következőképpen kell kiszámítani:
h int,sm,1(0) = hint (0) + road grade,1(0) = 120,3 + 0,0033 ≈ 120,3033 m
h int,sm,1(799) = h int,sm,1(798) + road grade,1(799) = 121,2550 - 0,0220 = 121,2330 m
Második simítás:

a fenti számítás a következő feltétel melletti simítás példája: d ≤ 200 m

a fenti számítás a következő feltétel melletti simítás példája: 200 m < d < (599)

a fenti számítás a következő feltétel melletti simítás példája: d ≥ (599 m)
5.3.3. A végleges eredmény kiszámítása
A vizsgálati út összesített pozitív magasságnövekedését az út összes pozitív, interpolált és simított lejtésadatának (roadgrade,2(d)) integrálásával kell kiszámítani. A bemutatott példában a teljes megtett távolság dtot = 139,7 km, és az út összes pozitív, interpolált és simított lejtésének értéke 516 m. Ezért a pozitív összesített magasságnövekedés 516 × 100/139,7 = 370 m/100 km.
1. táblázat
A jármű pillanatnyi tengerszint feletti magasságára vonatkozó adatok korrigálása
Idő, t [s] | v(t) [km/h] | hGPS(t) [m] | hmap(t) [m] | h(t) [m] | hcorr(t) [m] | di [m] | Össz. d [m] |
0 | 0,00 | 122,7 | 129,0 | 122,7 | 122,7 | 0,0 | 0,0 |
1 | 0,00 | 122,8 | 129,0 | 122,8 | 122,7 | 0,0 | 0,0 |
2 | 0,00 | - | 129,1 | 123,6 | 122,7 | 0,0 | 0,0 |
3 | 0,00 | - | 129,2 | 124,3 | 122,7 | 0,0 | 0,0 |
4 | 0,00 | 125,1 | 129,0 | 125,1 | 122,7 | 0,0 | 0,0 |
… | … | … | … | … | … | … | … |
18 | 0,00 | 120,2 | 129,4 | 120,2 | 120,2 | 0,0 | 0,0 |
19 | 0,32 | 120,2 | 129,4 | 120,2 | 120,2 | 0,1 | 0,1 |
… | … | … | … | … | … | … | … |
37 | 24,31 | 120,9 | 132,7 | 120,9 | 120,9 | 6,8 | 117,9 |
38 | 28,18 | 121,2 | 133,0 | 121,2 | 121,2 | 7,8 | 125,7 |
… | … | … | … | … | … | … | … |
46 | 13,52 | 121,4 | 131,9 | 121,4 | 121,4 | 3,8 | 193,4 |
47 | 38,48 | 120,7 | 131,5 | 120,7 | 120,7 | 10,7 | 204,1 |
… | … | … | … | … | … | … | … |
56 | 42,67 | 119,8 | 125,2 | 119,8 | 119,8 | 11,9 | 308,4 |
57 | 41,70 | 119,7 | 124,8 | 119,7 | 119,7 | 11,6 | 320,0 |
… | … | … | … | … | … | … | … |
110 | 10,95 | 125,2 | 132,2 | 125,2 | 125,2 | 3,0 | 509,0 |
111 | 11,75 | 100,8 | 132,3 | 100,8 | 125,2 | 3,3 | 512,2 |
112 | 13,52 | 0,0 | 132,4 | 132,4 | 125,2 | 3,8 | 516,0 |
113 | 14,01 | 0,0 | 132,5 | 132,5 | 132,5 | 3.9 | 519,9 |
114 | 13,36 | 24,30 | 132,6 | 132,6 | 132,6 | 3,7 | 523,6 |
… | … | … | … | … | … | … | |
149 | 39,93 | 123,6 | 129,6 | 123,6 | 123,6 | 11,1 | 719,2 |
150 | 39,61 | 123,4 | 129,5 | 123,4 | 123,4 | 11,0 | 730,2 |
… | … | … | … | … | … | … | |
157 | 14,81 | 121,3 | 126,1 | 121,3 | 121,3 | 4,1 | 792,1 |
158 | 14,19 | 121,2 | 126,2 | 121,2 | 121,2 | 3.9 | 796,1 |
159 | 10,00 | 128,5 | 126,1 | 128,5 | 121,2 | 2,8 | 798,8 |
160 | 4,10 | 130,6 | 126,0 | 130,6 | 121,2 | 1,2 | 800,0 |
a – jel az adathiányokat jelöli |
2. táblázat
Az út lejtésének kiszámítása
d [m] | t0 [s] | d0 [m] | d1 [m] | h0 [m] | h1 [m] | hint(d) [m] | roadgrade,1(d) [m/m] | hint,sm,1(d) [m] | roadgrade,2(d) [m/m] |
0 | 18 | 0,0 | 0,1 | 120,3 | 120,4 | 120,3 | 0,0035 | 120,3 | – 0,0015 |
… | … | … | … | … | … | … | … | … | … |
120 | 37 | 117,9 | 125,7 | 120,9 | 121,2 | 121,0 | – 0,0019 | 120,2 | 0,0035 |
… | … | … | … | … | … | … | … | … | … |
200 | 46 | 193,4 | 204,1 | 121,4 | 120,7 | 121,0 | – 0,0040 | 120,0 | 0,0051 |
… | … | … | … | … | … | … | … | … | … |
320 | 56 | 308,4 | 320,0 | 119,8 | 119,7 | 119,7 | 0,0288 | 121,4 | 0,0088 |
… | … | … | … | … | … | … | … | … | … |
520 | 113 | 519,9 | 523,6 | 132,5 | 132,6 | 132,5 | 0,0097 | 123,7 | 0,0037 |
… | … | … | … | … | … | … | … | … | … |
720 | 149 | 719,2 | 730,2 | 123,6 | 123,4 | 123,6 | – 0,0405 | 122,9 | – 0,0086 |
… | … | … | … | … | … | … | … | … | … |
798 | 158 | 796,1 | 798,8 | 121,2 | 121,2 | 121,2 | – 0,0219 | 121,3 | – 0,0151 |
799 | 159 | 798,8 | 800,0 | 121,2 | 121,2 | 121,2 | – 0,0220 | 121,3 | – 0,0152 |
2. ábra
Az adatokon alkalmazott ellenőrzési és korrigálási lépések hatása - A GPS-szel mért hGPS(t) tengerszint feletti magasságra vonatkozó profilt, a topográfiai térkép szerinti hmap(t) tengerszint feletti magasságra vonatkozó profilt, az adatminőség vizsgálata és elvi alapú ellenőrzése után kapott h(t) tengerszint feletti magasságra vonatkozó profilt és az adatok hcorr(t) korrekcióját az 1. táblázat tartalmazza

3. ábra
A tengerszint feletti magasságra vonatkozó hcorr(t) korrigált profil és a simított, valamint interpolált hint,sm,1 tengerszint feletti magasság összehasonlítása

2. táblázat
A pozitív magasságnövekedés kiszámítása
d [m] | t0 [s] | d0 [m] | d1 [m] | h0 [m] | h1 [m] | hint(d) [m] | roadgrade,1(d) [m/m] | hint,sm,1(d) [m] | roadgrade,2(d) [m/m] |
0 | 18 | 0,0 | 0,1 | 120,3 | 120,4 | 120,3 | 0,0035 | 120,3 | – 0,0015 |
… | … | … | … | … | … | … | … | … | … |
120 | 37 | 117,9 | 125,7 | 120,9 | 121,2 | 121,0 | – 0,0019 | 120,2 | 0,0035 |
… | … | … | … | … | … | … | … | … | … |
200 | 46 | 193,4 | 204,1 | 121,4 | 120,7 | 121,0 | – 0,0040 | 120,0 | 0,0051 |
… | … | … | … | … | … | … | … | … | … |
320 | 56 | 308,4 | 320,0 | 119,8 | 119,7 | 119,7 | 0,0288 | 121,4 | 0,0088 |
… | … | … | … | … | … | … | … | … | … |
520 | 113 | 519,9 | 523,6 | 132,5 | 132,6 | 132,5 | 0,0097 | 123,7 | 0,0037 |
… | … | … | … | … | … | … | … | … | … |
720 | 149 | 719,2 | 730,2 | 123,6 | 123,4 | 123,6 | – 0,0405 | 122,9 | – 0,0086 |
… | … | … | … | … | … | … | … | … | … |
798 | 158 | 796,1 | 798,8 | 121,2 | 121,2 | 121,2 | – 0,0219 | 121,3 | – 0,0151 |
799 | 159 | 798,8 | 800,0 | 121,2 | 121,2 | 121,2 | – 0,0220 | 121,3 | – 0,0152 |
"
(1) Az RDE-vizsgálat során mérni és rögzíteni kell a szén-monoxid-kibocsátást.
(2) Az RDE-vizsgálat során mérni és rögzíteni kell a szén-monoxid-kibocsátást.
Lábjegyzetek:
[1] A dokumentum eredetije megtekinthető CELEX: 32016R0646 - https://eur-lex.europa.eu/legal-content/HU/ALL/?uri=CELEX:32016R0646&locale=hu