32013R0211[1]
A Bizottság 211/2013/EU rendelete ( 2013. március 11. ) a csírák és a csírák előállítására szánt magvak Unióba történő behozatalára vonatkozó bizonyítványkiállítási követelményekről
A BIZOTTSÁG 211/2013/EU RENDELETE
(2013. március 11.)
a csírák és a csírák előállítására szánt magvak Unióba történő behozatalára vonatkozó bizonyítványkiállítási követelményekről
(EGT-vonatkozású szöveg)
AZ EURÓPAI BIZOTTSÁG,
tekintettel az Európai Unió működéséről szóló szerződésre,
tekintettel a takarmány- és élelmiszerjog, valamint az állat-egészségügyi és az állatok kíméletére vonatkozó szabályok követelményeinek történő megfelelés ellenőrzésének biztosítása céljából végrehajtott hatósági ellenőrzésekről szóló, 2004. április 29-i 882/2004/EK európai parlamenti és tanácsi rendeletre ( 1 ) és különösen annak 48. cikke (1) bekezdésére,
mivel:
(1) A 882/2004/EK rendelet különösen az olyan szabályok betartásának ellenőrzésére szolgáló hatósági ellenőrzések végzésére vonatkozó általános szabályokat állapít meg, amelyek célja az embereket és az állatokat közvetlenül vagy a környezeten keresztül fenyegető kockázatok megelőzése, megszüntetése vagy elfogadható mértékűre csökkentése.
(2) Az élelmiszerjog általános elveiről és követelményeiről, az Európai Élelmiszerbiztonsági Hatóság létrehozásáról és az élelmiszer-biztonságra vonatkozó eljárások megállapításáról szóló, 2002. január 28-i 178/2002/EK európai parlamenti és tanácsi rendelet ( 2 ) uniós és nemzeti szinten megállapítja az általában az élelmiszereket és takarmányokat, különösen pedig az élelmiszerek és takarmányok biztonságát szabályozó általános elveket. Az említett rendelet szerint az Unió területére az Unióban történő forgalomba hozatal céljából behozott élelmiszernek és takarmánynak meg kell felelnie az élelmiszerjog követelményeinek vagy azoknak a feltételeknek, amelyek az Unió által elismerten egyenértékűek e jog rendelkezéseivel.
(3) Az élelmiszer-higiéniáról szóló, 2004. április 29-i 852/2004/EK európai parlamenti és tanácsi rendelet ( 3 ) az élelmiszer-higiénia terén általános szabályokat állapít meg az élelmiszer-ipari vállalkozásokra vonatkozóan. Az említett rendelet szerint az élelmiszer-ipari vállalkozók biztosítják, hogy az élelmiszerek termelésének, feldolgozásának és forgalmazásának az ellenőrzésük alá tartozó valamennyi szakasza megfeleljen a rendeletben megállapított vonatkozó higiéniai követelményeknek. A 852/2004/EK rendelet különösen arról rendelkezik, hogy a rendelet I. mellékletben felsorolt elsődleges termelést és az ahhoz kapcsolódó műveleteket végző élelmiszer-ipari vállalkozók betartják az I. melléklet A. részében megállapított általános higiéniai rendelkezéseket.
(4) Azt követően, hogy 2011 májusában az Unióban megjelent a Shiga toxint termelő E. coli (STEC) baktérium, a járvány kitörésének legvalószínűbb okaként a csíráztatott magvak fogyasztását jelölték meg.
(5) 2011. október 20-án az Európai Élelmiszerbiztonsági Hatóság (EFSA) tudományos véleményt fogadott el a magvakban és csíráztatott magvakban Shiga toxint termelő Escherichia coli (STEC) és más patogén baktériumok okozta kockázatokról ( 4 ). Véleményében az EFSA azt a következtetést vonja le, hogy a csírákkal összefüggő járványos kitörések legvalószínűbb elsődleges forrása a száraz magvak bakteriális kórokozókkal történő megfertőzése. Ezen túlmenően a vélemény azt is állítja, hogy a magas páratartalomból és a csírázás alatti kedvező hőmérsékletből eredően a száraz magvakon jelenlévő bakteriális kórokozók a csírázás alatt megsokszorozódhatnak, ami közegészségügyi kockázatot jelenthet.
(6) Az Unión belüli közegészség-védelem biztosítása érdekében, valamint az EFSA-véleményre tekintettel a Bizottság elfogadta a 208/2013/EU bizottsági végrehajtási rendeletet ( 5 ). Az említett végrehajtási rendelet megállapítja a csírák és a csírák előállítására szánt magvak szállítmányainak nyomonkövethetőségére vonatkozó szabályokat.
(7) A közegészség megfelelő szintű védelme érdekében indokolt, hogy az Unióba importált csírák és csírák előállítására szánt magvak megfeleljenek a 852/2004/EK rendeletben megállapított követelményeknek; a csírák esetében a 208/2013/EU végrehajtási rendeletben megállapított nyomonkövethetőségi követelményeknek, valamint a 2073/2005/EK bizottsági rendeletben ( 6 ) megállapított mikrobiológiai kritériumoknak. Ezért ezen Unióba importált árukra vonatkozóan megfelelő bizonyítványkiállítási követelményeket kell megállapítani.
(8) Az uniós jogszabályok a csírák és a csírák előállítására szánt magvak Unióba irányuló importja esetében jelenleg nem írnak elő bizonyítványkiállítási kötelezettséget. Ezért e rendeletben indokolt egy bizonyítványminta meghatározása ezen áruk Unióba irányuló importja tekintetében.
(9) Az e rendeletben előírt intézkedések összhangban vannak az Élelmiszerlánc- és Állategészségügyi Állandó Bizottság véleményével, és sem az Európai Parlament, sem a Tanács nem ellenezte azokat,
ELFOGADTA EZT A RENDELETET:
1. cikk
Alkalmazási kör
Ez a rendelet az Unióba importált csírák, illetve a csírák előállítására szánt magvak szállítmányaira alkalmazandó, kivéve azon csírákat, amelyek esetében az Európai Unió jogszabályainak megfelelő kezelési eljárás révén a mikrobiológiai veszélyforrásokat megszüntették.
2. cikk
Fogalommeghatározások
E rendelet alkalmazásában:
a) a 208/2013/EU végrehajtási rendelet 2. cikkének a) pontjában meghatározott "csírák" fogalommeghatározás alkalmazandó;
b) "szállítmány": adott csíramennyiség, illetve csírák előállítására szánt magmennyiség, amely esetében igaz, hogy:
i. ugyanazon harmadik országból származik;
ii. ugyanazon bizonyítvány(ok) érvényes(ek) rá;
iii. ugyanazon szállítóeszközzel szállították.
3. cikk
Bizonyítványkiállítási kötelezettség
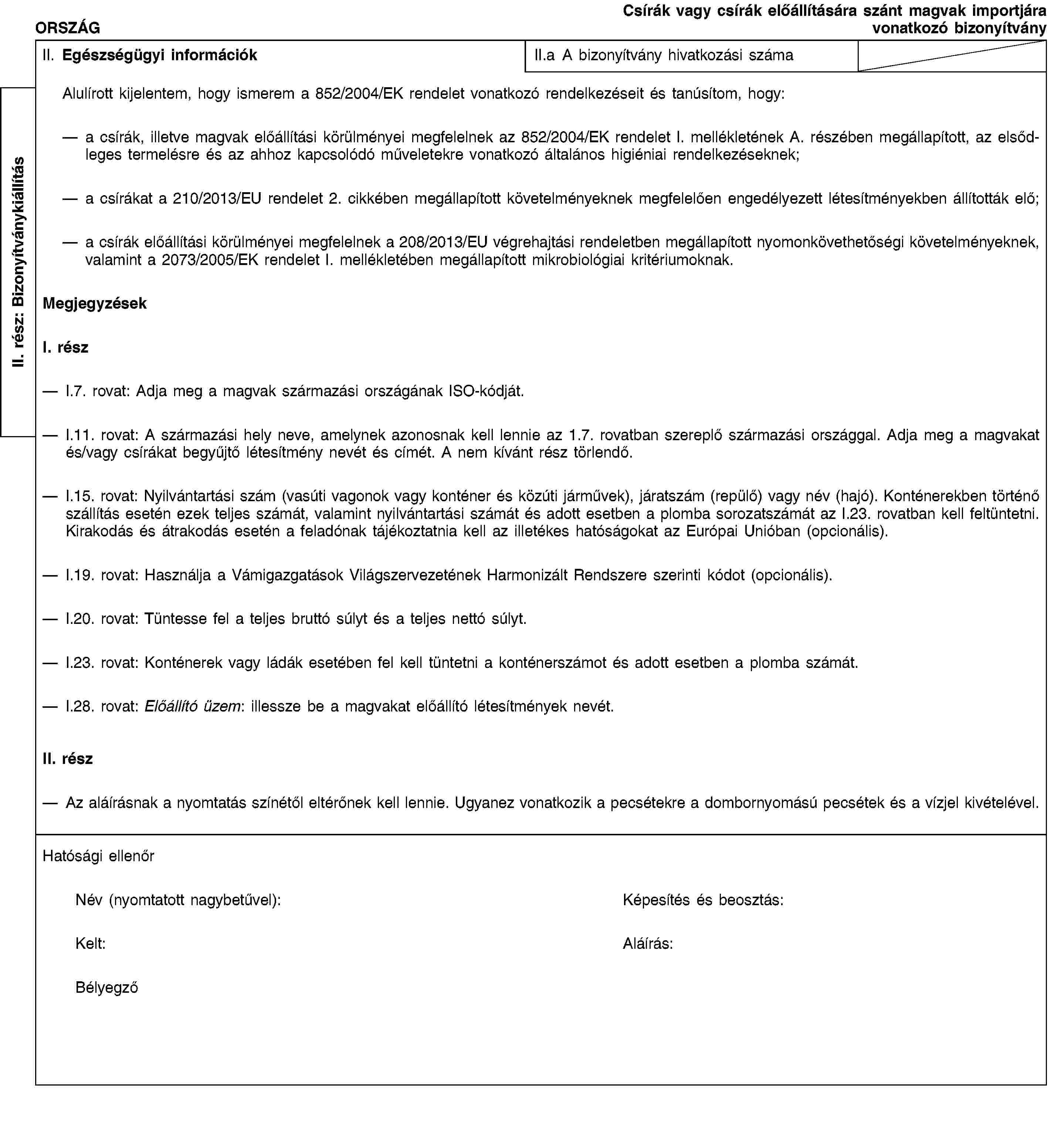
(1) Az Unióba importált csírák, illetve csírák előállítására szánt magvak harmadik országokból származó vagy ott feladott szállítmányait a mellékletben található mintának megfelelő bizonyítványnak kell kísérnie, amely tanúsítja, hogy a csírák, illetve magvak előállítási körülményei megfelelnek a 852/2004/EK rendelet I. mellékletének A. részében megállapított, az elsődleges termelésre és az ahhoz kapcsolódó műveletekre vonatkozó általános higiéniai rendelkezéseknek, és hogy a csírák előállítási körülményei megfelelnek a 208/2013/EU végrehajtási rendeletben ( 7 ) megállapított nyomonkövethetőségi követelményeknek, azokat a 210/2013/EU bizottsági rendelet ( 8 ) 2. cikkében megállapított követelményeknek megfelelően engedélyezett létesítményekben állították elő, továbbá megfelelnek a 2073/2005/EK rendelet I. mellékletében megállapított mikrobiológiai kritériumoknak.
A bizonyítványokat és - adott esetben - az e cikk (4) bekezdésében említett, az enterobacteriaceae előfordulását kimutató mikrobiológiai vizsgálat eredményeit annak a harmadik országnak a hivatalos nyelvén, illetve nyelvein kell kiállítani, ahol az árut feladták, valamint annak a tagállamnak a hivatalos nyelvén, illetve nyelvein, amelybe az EU-ba irányuló import érkezik, vagy azt kísérnie kell egy hitelesített, az érintett uniós tagállam hivatalos nyelvére, illetve nyelveire lefordított dokumentumnak. Amennyiben a rendeltetési tagállam úgy kívánja, a bizonyítványokat az érintett tagállam hivatalos nyelvére, illetve nyelveire történő hitelesített fordításnak kell kísérnie. A tagállam azonban engedélyezheti a sajátjától eltérő hivatalos uniós nyelv használatát is.
(2) A bizonyítvány eredeti példánya a szállítmányt a bizonyítványban feltüntetett rendeltetési hely eléréséig kíséri.
(3) A szállítmány megosztása esetén a szállítmány minden egyes részét kísérnie kell a bizonyítvány egy másolatának.
(4) Az (1) bekezdés azon rendelkezésétől eltérve, amelynek értelmében hatósági igazolás szükséges arról, hogy a magvak előállítási körülményei megfelelnek a 852/2004/EK rendelet előírásainak, 2015. július 1-jéig az Unióba exportált, csírák előállítására szánt magvak szállítmányai az exportálást megelőzően az enterobacteriaceae kimutatását célzó mikrobiológiai vizsgálatnak vethetők alá az előállítás higiéniai körülményeinek ellenőrzése céljából. A mikrobiológiai vizsgálat során kapott eredmény nem haladhatja meg az 1 000 CFU/g értéket.
(5) Az importált magvak felhasználásával csírákat előállító élelmiszer-ipari szereplők a bizonyítványt és a vizsgálat eredményeit adott esetben, az illetékes hatóságok kérésére rendelkezésre bocsátják.
5. cikk
Hatálybalépés
Ez a rendelet az Európai Unió Hivatalos Lapjában való kihirdetését követő huszadik napon lép hatályba.
Ez a rendelet teljes egészében kötelező és közvetlenül alkalmazandó valamennyi tagállamban.
MELLÉKLET
CSÍRÁK VAGY CSÍRÁK ELŐÁLLÍTÁSÁRA SZÁNT MAGVAK IMPORTJÁRA VONATKOZÓ BIZONYÍTVÁNYMINTA


( 1 ) HL L 165., 2004.4.30., 1. o.
( 2 ) HL L 31., 2002.2.1., 1. o.
( 3 ) HL L 139., 2004.4.30., 1. o.
( 4 ) EFSA Journal 2011; 9(11):2424.
( 5 ) Lásd e Hivatalos Lap 16. oldalát.
( 6 ) HL L 338., 2005.12.22., 1. o.
( 7 ) A Bizottság 2013. március 11-i 208/2013/EU végrehajtási rendelete a csírák és a csírák előállítására szánt magvak nyomonkövethetőségének követelményeiről (HL L 68., 2013.3.12., 16. o.).
( 8 ) A Bizottság 2013. március 11-i 210/2013/EU rendelete a 852/2004/EK európai parlamenti és tanácsi rendelet szerint a csírákat termelő létesítmények engedélyezéséről (HL L 68., 2013.3.12., 24. o.).
Lábjegyzetek:
[1] A dokumentum eredetije megtekinthető CELEX: 32013R0211 - https://eur-lex.europa.eu/legal-content/HU/ALL/?uri=CELEX:32013R0211&locale=hu Utolsó elérhető, magyar nyelvű konszolidált változat CELEX: 02013R0211-20140716 - https://eur-lex.europa.eu/legal-content/HU/ALL/?uri=CELEX:02013R0211-20140716&locale=hu