32011D0229[1]
2011/229/EU: A Bizottság határozata ( 2011. április 4. ) a transzeurópai hagyományos vasúti rendszer "járművek - zaj" alrendszerére vonatkozó átjárhatósági műszaki előírásról (az értesítés a C(2011) 658. számú dokumentummal történt)
A BIZOTTSÁG HATÁROZATA
(2011. április 4.)
a transzeurópai hagyományos vasúti rendszer "járművek - zaj" alrendszerére vonatkozó átjárhatósági műszaki előírásról
(az értesítés a C(2011) 658. számú dokumentummal történt)
(EGT-vonatkozású szöveg)
(2011/229/EU)
AZ EURÓPAI BIZOTTSÁG,
tekintettel az Európai Unió működéséről szóló szerződésre,
tekintettel a vasúti rendszer Közösségen belüli kölcsönös átjárhatóságáról szóló, 2008. június 17-i 2008/57/EK európai parlamenti és tanácsi irányelvre ( 1 ) és különösen annak 6. cikke (1) bekezdésére,
tekintettel az Európai Vasúti Ügynökség 2010. március 30-i (ERA/REC/02-2010/INT) ajánlására,
mivel:
(1) A 881/2004/EK európai parlamenti és tanácsi rendelet ( 2 ) 12. cikke előírja az Európai Vasúti Ügynökség (a továbbiakban: az Ügynökség) számára, hogy gondoskodjon a kölcsönös átjárhatóság műszaki előírásainak (a továbbiakban: ÁME-k) a műszaki fejlődéssel, a piaci trendekkel és a társadalmi követelményekkel való egyeztetéséről, és tegyen javaslatot a Bizottságnak az ÁME-k általa szükségesnek ítélt módosításaira vonatkozóan.
(2) A Bizottság 2007. július 13-i C (2007)3371 határozatával keretfelhatalmazást adott az Ügynökségnek egyes tevékenységeknek a nagy sebességű transzeurópai vasúti rendszer kölcsönös átjárhatóságáról szóló, 1996. július 23-i 96/48/EK tanácsi irányelv ( 3 ) és a hagyományos transzeurópai vasúti rendszer kölcsönös átjárhatóságáról szóló, 2001. március 19-i 2001/16/EK európai parlamenti és tanácsi irányelv ( 4 ) alapján történő ellátására. A keretfelhatalmazás alapján az Ügynökséget felkérték a 2006/66/EK bizottsági határozattal ( 5 ) elfogadott, a transzeurópai hagyományos vasúti rendszer "járművek - zaj" alrendszerére vonatkozó átjárhatósági műszaki előírás (a továbbiakban: zaj ÁME) korlátozott felülvizsgálatának elvégzésére.
(3) A zaj ÁME alapján kötelezően használandó referenciavágány nem áll minden tagállamban rendelkezésre, és a tagállamok nem kötelezhetőek ilyen vágány megépítésére. Ez egyrészt megakadályozta, hogy az Európai Unión belül az összes érdekelt számára azonos versenyfeltételek álljanak rendelkezésre, másrészt az eredeti határozatban tervezetthez képest nagyobb pénzügyi terhet jelentett. A referenciavágány elérhetőségével, a vizsgálati módszerekkel és a vizsgálat költségeivel kapcsolatosan a Bizottságnak és az Ügynökségnek számos problémát jeleztek.
(4) A Bizottság ezzel a határozattal pontosítani kívánja a referenciavágánnyal kapcsolatos feladatokat, lehetővé kívánja tenni a vizsgálatok referenciavágánytól eltérő vágányon történő elvégzését, egyidejűleg biztosítva az ÁME jövőbeli felülvizsgálatához összehasonlító adatok megfelelő gyűjtését és rögzítését, a kis járműparkok megfelelésigazolási költségeinek csökkentését és az ISO EN 3095 szabvánnyal kapcsolatos legújabb fejleményeknek az ÁME-be való beépítését.
(5) A zajra vonatkozó határértékek és az ÁME hatálya nem változik. Ez a határozat ennélfogva a zaj ÁME tekintetében csak korlátozott felülvizsgálatot jelent, és nem érinti az ÁME 7. szakaszában előírt, a zaj ÁME-re vonatkozó teljes körű felülvizsgálatot.
(6) Az egyértelműség és az egyszerűség kedvéért célszerűbb a 2006/66/EK határozatot teljes egészében hatályon kívül helyezni.
(7) Ezért a 2006/66/EK határozatot hatályon kívül kell helyezni.
(8) Az ebben a határozatban előírt intézkedések összhangban vannak a 2008/57/EK irányelv 29. cikkének (1) bekezdése szerint létrehozott bizottság véleményével,
ELFOGADTA EZT A HATÁROZATOT:
1. cikk
(1) A 2008/57/EK irányelv 6. cikke (1) bekezdésében említett transzeurópai hagyományos vasúti rendszer "járművek - zaj" alrendszerével kapcsolatos átjárhatósági műszaki előírás (a továbbiakban: ÁME) módosított változata e határozat melléklete szerint elfogadásra kerül.
(2) Az ÁME-t a 2008/57/EK irányelv I. mellékletében meghatározottak szerint kell alkalmazni a transzeurópai hagyományos vasúti rendszer járműveire.
Az ÁME az új és a meglévő járművekre egyaránt a melléklet 7. szakaszában foglaltak szerint érvényes.
2. cikk
Amennyiben a megállapodások zajkibocsátási határértékekkel kapcsolatos követelményeket tartalmaznak, a tagállamok ezekről e határozat hatálybalépésétől számított hat hónapon belül értesítik a Bizottságot, kivéve, ha a 2006/66/EK határozat értelmében már sor került értesítésre.
A következő megállapodásokról kell értesítést küldeni:
a) nemzeti megállapodások a tagállamok és a vasúttársaságok vagy pályahálózat-működtetők között, amelyek állandó vagy ideiglenes jellegűek, és amelyeket a tervezett szállítási szolgáltatás nagyon egyedi vagy helyi jellege tesz indokolttá;
b) két- vagy többoldalú megállapodások a vasúttársaságok, a pályahálózat-működtetők vagy a biztonsági hatóságok között, amelyek jelentős mértékű helyi vagy regionális átjárhatóságot eredményeznek;
c) nemzetközi megállapodások egy vagy több tagállam és legalább egy harmadik ország között, illetve tagállamok vasúttársaságai vagy pályahálózat-működtetői és legalább egy harmadik ország vasúttársasága vagy pályahálózat-működtetője között, amelyek helyi vagy regionális szinten jelentős mértékben biztosítják a kölcsönös átjárhatóságot.
3. cikk
A határozat mellékletének 6. szakaszában meghatározott, a megfelelőség és a használatra való alkalmasság értékelésére és az EK-hitelesítésre vonatkozó eljárások alapját a 2010/713/EU bizottsági határozatban ( 6 ) meghatározott modulok képezik.
4. cikk
A Bizottság előkészíti ezen ÁME felülvizsgálatát és naprakésszé tételét, és a határozat mellékletének 7.2. pontjában meghatározott eljárással összhangban a technológiai fejlemények vagy a társadalmi követelmények figyelembevétele érdekében megfelelő ajánlásokat tesz a 2008/57/EK irányelv 29. cikkében említett bizottságnak ("RIS bizottság").
5. cikk
A 2006/66/EK határozat hatályát veszti. Rendelkezései azonban továbbra is alkalmazandók az e határozat mellékletében szereplő ÁME-vel összhangban engedélyezett projektek karbantartására és - amennyiben a kérelmező nem kéri e határozat alkalmazását - új járművekre, meglévő járművek felújítására vagy korszerűsítésére irányuló projektekre vonatkozóan, amelyek fejlesztése előrehaladott állapotban van vagy amelyek az e határozat bejelentése idején végrehajtás alatt álló szerződések tárgyát képezik.
6. cikk
Ennek a határozatnak a tagállamok a címzettjei.
MELLÉKLET
HAGYOMÁNYOS TRANSZEURÓPAI VASÚTI RENDSZER
Az átjárhatósági műszaki előírások
Alrendszer: Hagyományos járművek
Hatály: Zaj
Szempont: Az áruszállító kocsik, mozdonyok, többrészes egységek és személykocsik által kibocsátott zaj
1. BEVEZETÉS
1.1. Műszaki alkalmazási terület
Ez az ÁME a 2008/57/EK irányelv II. mellékletében meghatározott hagyományos vasúti járművek alrendszerét érinti. A jármű alrendszerrel kapcsolatos bővebb tájékoztatás a 2. szakaszban található.
Ez az ÁME az alkalmazási területére tartozó járművek által kibocsátott zajra vonatkozik.
1.2. Földrajzi alkalmazási terület
Ezen ÁME földrajzi hatálya a 2008/57/EK irányelv I. mellékletében leírt hagyományos transzeurópai vasúti rendszer.
1.3. Ezen ÁME tartalma
A 2008/57/EK irányelv 5. cikkének (3) bekezdésével összhangban ez az ÁME:
a) jelzi annak tervezett hatályát (2. szakasz);
b) alapvető követelményeket állapít meg minden érintett alrendszerre és azok más alrendszerekkel való kapcsolódási pontjaira vonatkozóan (3. szakasz);
c) megállapítja az alrendszer és annak más alrendszerekkel való kapcsolódási pontjai által elérendő működési és műszaki előírásokat (4. szakasz);
d) megállapítja valamennyi érintett esetet illetően az alrendszerek "EK" hitelesítésére vonatkozó eljárásokat (6. szakasz);
e) jelzi az ÁME végrehajtásának stratégiáját (7. szakasz);
f) az érintett személyzet esetében jelzi az alrendszer működéséhez és karbantartásához, valamint az ÁME végrehajtásához szükséges szakmai képesítéseket, illetve a munka-egészségügyi és biztonsági feltételeket (4. szakasz).
Ez az ÁME nem tartalmaz a kölcsönös átjárhatóságot lehetővé tevő rendszerelemekre vonatkozó előírásokat.
Továbbá, az 5. cikk (5) bekezdésével összhangban valamennyi ÁME esetében rendelkezni lehet különleges esetekről; ezek a 7. szakaszban találhatók.
2. AZ ALRENDSZER/ALKALMAZÁSI TERÜLET MEGHATÁROZÁSA
2.1. Az alrendszer/alkalmazási terület meghatározása
A jelen ÁME tárgyát képező járművek közé tartoznak a hagyományos transzeurópai vasúthálózat egészén vagy egy részén valószínűleg közlekedő, e pontban meghatározott egységek. Ez az ÁME az állási, indulási és elhaladási zajjal, valamint a vezetőállás belső zajával kapcsolatban tartalmaz határértékeket.
2.1.1. Dízel vagy villamos motorvonatok
Ebbe az egységtípusba tartozik minden, egy vagy több fix vagy előre meghatározott összeállítású személyszállító vonat. A (motorkocsik kivételével) a vonat egyes járműveit felszerelik dízel vagy villamos vontató berendezéssel, és a vonaton legalább egy vezetőfülkét alakítanak ki.
E típus megnevezése a későbbiekben többrészes egység.
Többrészes egységre példa: szerelvény, villamos és/vagy dízel többrészes egység, motorkocsi.
2.1.2. Dízel vagy villamos vontató járművek
Ebbe az egységtípusba tartoznak azok a vontató járművek, melyek nem képesek rakomány szállítására, úgy mint dízel- vagy villamos mozdonyok, illetve motorkocsik. Ezek a járművek áru- vagy/és utasszállítási célokra szolgálnak.
E típus megnevezése a későbbiekben mozdony.
Példák mozdonyra: mozdony, tolatómozdony, motorkocsi.
2.1.3. Személykocsik,
Ebbe az egységtípusba tartoznak az utasokat és/vagy csomagokat szállító, nem vontató járművek, melyeket a fentebb a vontatási funkció ellátása céljaira "dízel vagy villamos vontató járművekkel" változó összeállításban üzemeltetnek.
E típus megnevezése a későbbiekben személykocsi.
Példák személykocsira: személykocsi, vezethető kocsi, poggyászkocsi, hajtómotor nélküli pótkocsi, személyszállító vonatokon történő használatra szánt autószállító kocsi.
2.1.4. Áruszállító kocsik, ideértve a tehergépkocsik szállítására tervezett járműveket
Ebbe az egységtípusba tartoznak az áruszállításra tervezett olyan járművek, melyekben üzemeltetésük során embereket nem szállítanak.
E típus megnevezése a későbbiekben áruszállító kocsi vagy kocsi.
2.1.5. A vasúti infrastruktúra építését és karbantartását szolgáló mobil berendezések
Ez a típus csak abban az esetben tartozik ezen ÁME alkalmazási területére, amennyiben a következő jellemzők mindegyikével rendelkezik:
a) saját kerekein, sínen fut;
b) sínhez kötött rendszerek működéséhez szükséges jellemzőkkel tervezték;
c) szállítási (futó) összeállításban sínen, saját kerekein fut, önjáró vagy vontatott.
Az üzemi összeállítás kívül esik ezen ÁME alkalmazási területén.
Ezen egységtípus megnevezése a későbbiekben infrastruktúra karbantartására szolgáló gépek. Az infrastruktúra karbantartására szolgáló gépeknek az ÁME mozdonyokra vonatkozó követelményeinek kell megfelelniük.
2.2. Az alrendszer kapcsolódási pontjai
Ez a zaj ÁME az alábbiakkal kapcsolódik:
a) áruszállító kocsi alrendszerrel a következők tekintetében:
- elhaladási zaj,
- állási zaj;
b) mozdonyok, többrészes egységek és kocsik alrendszer, a következők tekintetében:
- állási zaj,
- indulási zaj (személykocsikra nem vonatkozik),
- elhaladási zaj,
- a vezetőállás belső zaja, indokolt esetben.
3. ALAPVETŐ KÖVETELMÉNYEK
3.1. Általános tudnivalók
A jelen ÁME 3. szakaszában említett, alapvető vonatkozó műszaki követelmények teljesítését a 4. szakaszban ismertetett előírásoknak való megfelelés biztosítja az alrendszer esetében, amit az alrendszer hitelesítésének pozitív ellenőrzési eredménye igazol a 6. szakaszban leírtak szerint.
Ennek ellenére az érintett tagállam felelőssége alatti eljárásokkal összhangban el kell végezni a megfelelő megfelelőségi vizsgálatot, ha az alapvető követelmények egy részére nemzeti szabályok vonatkoznak az alábbiak miatt:
a) az ÁME-ben közölt nyitott és fenntartott pontok;
b) a 2008/57/EK irányelv 9. cikke szerinti eltérés; és
c) a jelen ÁME 7.7. részében leírt konkrét esetek.
3.2. Alapvető követelmények
Az alapvető követelmények a következőket érintik:
a) biztonság;
b) megbízhatóság és rendelkezésre állás;
c) egészségvédelem;
d) környezetvédelem;
e) műszaki összeegyeztethetőség.
Ezek a követelmények általános és az egyes alrendszerekre vonatkozó konkrét követelményeket tartalmaznak.
3.3. Általános alapvető követelmények
3.3.1. Környezetvédelem
A 2008/57/EK irányelv III. mellékletének 1.4.4. pontja szerinti alapvető követelménnyel összhangban a hagyományos transzeurópai vasúti rendszernek be kell tartania a zajszennyezésre vonatkozó, meglévő rendelkezéseket.
A járművek által kibocsátott zaj szempontjából a járművek alrendszere vonatkozásában ezzel az alapvető követelménnyel a következő alrendszerek előírásai foglalkoznak:
a) elhaladási zaj (4.2.1.1. és 4.2.2.4. alapparaméter);
b) állási zaj (4.2.1.2. és 4.2.2.2. alapparaméter);
c) indulási zaj (4.2.2.3. alapparaméter);
d) a mozdonyok, többrészes egységek és motorkocsik belső zaja (4.2.3. alapparaméter).
4. AZ ALRENDSZER JELLEMZŐI
4.1. Bevezetés
A 2008/57/EK irányelv tárgyát képező hagyományos transzeurópai vasúti rendszer, amelynek része a járművek alrendszere, olyan integrált rendszer, amelynek egységességét igazolni kell. Ezt az egységességet különösen az alrendszer műszaki előírásai, a felsőbb szintű rendszerhez való kapcsolódási pontjai és az üzemeltetési és karbantartási szabályok szempontjából kell ellenőrizni.
Figyelembe véve az összes alkalmazandó alapvető követelményt, ebben a szakaszban található a járművek alrendszerének jellemzése a járművek által kibocsátott zaj szempontjából.
Ez az ÁME az új járművekre, illetve - ha azt a 7. szakasz rendelkezései előírják - a felújított vagy korszerűsített járművekre vonatkozik.
A G. függelékben szerepelnek a zajvizsgálathoz kapcsolódó általános információk és fogalommeghatározások. Az ÁME vonatkozó rendelkezése hányában a megfelelő EN-szabványokat kell használni a kifejezések, fogalommeghatározások, műszerezés és kalibrálás, mérésminőség, a vizsgálati jelentésre vonatkozó követelmények és a zajvizsgálathoz kapcsolódó más általános információk tekintetében.
4.2. Az alrendszer működési és műszaki előírásai
A 3. szakaszban ismertetett alapvető követelmények fényében a járművek alrendszerének a járművek által kibocsátott zajjal kapcsolatos működési és műszaki előírásai az alábbiak:
a) állási zaj (4.2.1.2. és 4.2.2.2. alapparaméter);
b) indulási zaj (4.2.2.3. alapparaméter);
c) elhaladási zaj (4.2.1.1. és 4.2.2.4. alapparaméter);
d) a mozdonyok, többrészes egységek és motorkocsik belső zaja (4.2.3. alapparaméter).
4.2.1. Az áruszállító kocsik által kibocsátott zaj
Az áruszállító kocsik által kibocsátott zaj elhaladási és állási zajra oszlik.
Az áruszállító kocsik elhaladási zaját nagymértékben befolyásolja azok gördülési zaja (a kerék és a sín érintkezési zaja), ami a sebesség függvénye.
Magát a gördülési zajt a kerék és a sín akusztikus egyenetlensége, valamint a sín és a kerékpár dinamikus viselkedése okozza.
Az elhaladási zaj jellemzésére kiválasztott paraméterek az alábbiak:
a) a hangnyomás szintje a meghatározott mérési mód szerint;
b) a mikrofon pozíciója;
c) a kocsi sebessége;
d) a vágány viselkedése (pl. sín akusztikus egyenetlensége, függőleges és vízszintes vágányromlási sebességek).
Az áruszállító kocsik állási zaját csak akkor kell figyelembe venni, ha a kocsit olyan kiegészítő berendezésekkel szerelték fel, mint például motorok, áramfejlesztők, hűtőrendszerek.
Az állási zaj jellemzésére kiválasztott paraméterek az alábbiak:
a) a hangnyomás szintje a meghatározott mérési mód és mikrofonpozíció szerint;
b) üzemi feltételek.
4.2.1.1. Az elhaladási zaj határértékei
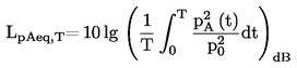
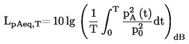
Az elhaladási zaj meghatározására az LpAeq, Tp egyenértékű A-hangnyomásszint szolgál, amelyet az elhaladás ideje alatt a vágány közepétől 7,5 m távolságra, a vágány felső síkja fölött pedig 1,2 m magasan mérnek.
A méréseket az E. függeléknek megfelelően kell végezni.
A mért elhaladásizaj-szinteknek az A. függeléknek megfelelő vágányon történő méréskor meg kell felelniük az 1. táblázatban meghatározott értékeknek. A vizsgálat elvégzése megengedett az A. függeléknek nem megfelelő vágányon is, és ha a zajszintek nem haladják meg az 1. táblázatban szereplő értékeket, vélelem szól e követelmény teljesítése mellett.
Az elhaladási zaj méréséhez használt vágány következő tulajdonságait kell megmérni és feljegyezni:
a) a függőleges és vízszintes vágányromlási sebesség az EN 15461 szabvány szerint;
b) a vágány akusztikus egyenetlensége az EN 15610 szabvány szerint.
Ha az a vágány, amelyen a méréseket végezték, nem felelt meg az A. függelékben meghatározott referenciafeltételeknek vagy ha teljesül a B. függelék szerinti elfogadási kritérium, a mért értékeket "összehasonlítható" megjelöléssel kel ellátni. Egyéb esetben a mért értékeket "nem összehasonlítható" megjelöléssel kell ellátni.
A műszaki dokumentációban és az engedélyezett járműtípusok európai nyilvántartásában fel kell tüntetni azt, hogy a mért értékek "összehasonlítható" vagy "nem összehasonlítható" értékek-e. A mért zajértékeket és az azokhoz tartozó vágányminőséget el kell menteni a műszaki dokumentációban a jármű és a vágányzaj közötti összefüggés későbbi értékelése céljából, az összehasonlítható és a nem összehasonlítható adatok tekintetében egyaránt.
A mért akusztikus sínegyenetlenségnek a mérés befejezése előtti három hónaptól a mérés befejezése utáni három hónap elteltéig érvényesnek kell maradnia, feltéve, hogy ez idő alatt a sín akusztikus egyenetlenségét befolyásoló vágánykarbantartásra nem kerül sor.
A mért vágányromlási sebességnek a mérés befejezése előtti egy évtől a mérés befejezése utáni egy év elteltéig érvényesnek kell maradnia, feltéve, hogy ez idő alatt a vágányromlási sebességet befolyásoló vágánykarbantartásra nem kerül sor.
Ha ezen időszakon kívül ugyanazt a vágányszakaszt ismételten elhaladási zaj méréséhez használják, az akusztikus egyenetlenséget vagy a vágányromlási sebességet újból meg kell mérni. A műszaki dokumentációban bizonyítékot kell adni arra vonatkozóan, hogy a típus elhaladási zajának méréséhez használt vágányadatok a vizsgálat napján (napjain) érvényesek voltak, pl. a zajra hatást gyakorló utolsó karbantartás napjának megadásával.
1. táblázat
Az áruszállító kocsik elhaladási zajának LpAeq,Tp határértékei
Kocsi | LpAeq, Tp dB-ben |
Új kocsik legfeljebb 0,15 m–1 átlagos hosszegységenkénti tengelyszámmal (apl), 80 km/h mellett | 82 |
A 2008/57/EK irányelv 20. cikkével összhangban felújított vagy korszerűsített kocsik legfeljebb 0,15 m–1 átlagos hosszegységenkénti tengelyszámmal (apl), 80 km/h mellett | 84 |
Új kocsik 0,15 m–1 feletti és legfeljebb 0,275 m–1 átlagos hosszegységenkénti tengelyszámmal (apl), 80 km/h mellett | 83 |
A 2008/57/EK irányelv 20. cikkével összhangban felújított vagy korszerűsített kocsik 0,15 m–1 feletti és legfeljebb 0,275 m–1 átlagos hosszegységenkénti tengelyszámmal (apl), 80 km/h mellett | 85 |
Új kocsik 0,275 m–1 feletti átlagos hosszegységenkénti tengelyszámmal (apl), 80 km/h mellett | 85 |
A 2008/57/EK irányelv 20. cikkével összhangban felújított vagy korszerűsített kocsik 0,275 m–1 feletti átlagos hosszegységenkénti tengelyszámmal (apl), 80 km/h mellett | 87 |
Az "apl" érték a tengelyek számának és az ütközők fölötti hosszúság hányadosa.
Ha az egység üzemi sebessége 80 km/h alatti, azt legnagyobb sebességén kell vizsgálni és a 80 km/h sebességre érvényes elhaladásizaj-határértékeket korrekció nélkül kell alkalmazni. Egyéb esetekben az egység elhaladási zaját 80 km/h és v sebességen kell megmérni (ahol v = 190 km/h vagy az egység legnagyobb tervezési sebessége, amennyiben a legnagyobb sebesség nem éri el a 190 km/h-t). A 80 km/h mellett mért érték és a legnagyobb sebességen mért, de az LpAeq,Tp (80 km/h) = LpAeq,Tp(v)-30*log (v/80 km/h)egyenlettel 80 km/h-ra vonatkoztatott érték közül a nagyobbat kell összehasonlítani a határértékekkel (lásd az 1. táblázatot).
4.2.1.2. Az állási zaj határértékei
Az állási zaj meghatározására az egyenértékű A-hangnyomásszint LpAeq, T szolgál.
A méréseket a C. függeléknek megfelelően kell végezni.
Az áruszállító kocsik állási zajának a vágány középvonalától 7,5 m távolságra, a vágány felső síkja fölött pedig 1,2 m magasságban mért határértékeit a 2. táblázat adja meg. A hangnyomás szintjét az LpAeq, T jelzi.
2. táblázat
Az áruszállító kocsik állási zajának LpAeq,T határértéke
Kocsik | LpAeq,T dB-ben |
Minden áruszállító kocsi | 65 |
4.2.2. A mozdonyok, többrészes egységek, személykocsik és infrastruktúra karbantartására szolgáló gépek által kibocsátott zaj
4.2.2.1. Bevezetés
A 2.1.5. pontnak megfelelően az infrastruktúra karbantartására szolgáló gépek értékeléséhez a mozdonyokra vonatkozó követelményeket kell figyelembe venni. Adott esetben az infrastruktúra karbantartására szolgáló gépekbe szerelt vontató berendezéshez kell igazítani, hogy mely mozdonykategóriára (villamos, dízel) vonatkozó követelményeket kell használni. Ha az infrastruktúra karbantartására szolgáló gép dízelmotoros meghajtású, ennek a motor kimenőtengelyénél 2 000 kW-nál nagyobb teljesítményű dízelmozdony határértékeinek kell megfelelnie. Ha az infrastruktúra karbantartására szolgáló gépet vontató berendezéssel nem szerelték fel, a személykocsira/kocsira vonatkozó mérési feltételeket kell használni (az indulási zaj vizsgálata nélkül), de a mozdonyokra vonatozó határértékeket kell használni.
A mozdonyok, többrészes egységek és személykocsik által kibocsátott zaj állási, indulási és elhaladási zajra oszlik. A vezetőfülkével felszerelt egységeknél a vezetőfülkén belüli zajt is figyelembe kell venni.
Az állási zajt nagymértékben befolyásolják a segédberendezések, mint például hűtőrendszerek, légkondicionálók és kompresszorok.
Az indulási zaj a vontatási részegységek, mint például dízelmotorok és hűtőventilátorok és a segédberendezések által keltett zajból tevődik össze.
Az elhaladási zajt nagymértékben befolyásolja a kerék és a sín kölcsönhatásából eredő gördülési zaj, amely a sebesség függvénye.
Magát a gördülési zajt a kerék és a sín együttes egyenetlensége, valamint a sín és a kerékpár dinamikus viselkedése okozza.
Alacsonyabb sebességen a segédberendezések és a vontatóberendezések zaja is jelentős.
A kibocsátott zaj szintjét a következők jellemzik:
a) a hangnyomás szintje a meghatározott mérési mód szerint;
b) a mikrofon pozíciója;
c) a kocsi sebessége;
d) a sín egyenetlensége;
e) a vágány dinamikus és sugárzási viselkedése.
Az állási zaj jellemzésére kiválasztott paraméterek az alábbiak:
a) a hangnyomás szintje a meghatározott mérési mód és mikrofonpozíció szerint;
b) üzemi feltételek.
4.2.2.2. Az állási zaj határértékei
Az állási zaj határértékeit a vágány középvonalától 7,5 m távolságra, a vágány felső síkja fölött pedig 1,2 m magasan határozzák meg. A hangnyomás szintjét az LpAeq, T jelzi. A járművek zajkibocsátásának a fent említett feltételek melletti határértékeit a 3. táblázat adja meg.
A méréseket a C. függeléknek megfelelően kell végezni.
3. táblázat
A villany- és dízelmozdonyok, az infrastruktúra karbantartására szolgáló gépek, EMU-k (elektromos hajtású többrészes egységek), DMU-k (dízelhajtású többrészes egységek) és a személykocsik állási zajának LpAeq, T határértékei
Járművek | LpAeq, T dB-ben |
Villanymozdonyok és infrastruktúra karbantartására szolgáló elektromos meghajtású gépek | 75 |
Dízelmozdonyok és infrastruktúra karbantartására szolgáló dízelhajtású gépek | 75 |
EMU-k | 68 |
DMU-k | 73 |
Személykocsik | 65 |
Az állási zaj esetében meghatározott érték a C. függelékben meghatározott mérési pontokban mért összes érték energiaátlaga.
4.2.2.3. Az indulási zaj határértékei
Az indulási zaj határértékeit a vágány középvonalától 7,5 m távolságra, a vágány felső síkja fölött pedig 1,2 m magasan határozzák meg.
A méréseket a D. függeléknek megfelelően kell végezni.
Infrastruktúra karbantartására szolgáló gépek esetében az indítást további vontatóterhelés nélkül kell végezni. A hangnyomás szintjét az LpAFmax jelzi. A járművek indulási zajának a fent megállapított feltételek melletti határértékeit a 4. táblázat adja meg.
4. táblázat
A villany- és dízelmozdonyok, az infrastruktúra karbantartására szolgáló gépek, EMU-k és a DMU-k indulási zajának LpAFmax határértékei
Jármű | LpAFmax dB-ben |
Villanymozdonyok P < 4 500 kW a kerékkoszorúnál | 82 |
Villanymozdonyok P >/= 4 500 kW a kerékkoszorúnál és infrastruktúra karbantartására szolgáló elektromos meghajtású gépek | 85 |
Dízelmozdonyok P < 2 000 kW a motor kimenőtengelyénél | 86 |
Dízelmozdonyok P >/= 2 000 kW a motor kimenőtengelyénél és infrastruktúra karbantartására szolgáló dízelhajtású gépek | 89 |
EMU-k | 82 |
DMU-k, P < 500 kW/motor | 83 |
DMU-k, >/= 500 kW/motor | 85 |
4.2.2.4. Az elhaladási zaj határértékei
Az elhaladási zaj határértékeit a vágány középvonalától 7,5 m távolságra, a vágány felső síkja fölött pedig 1,2 m magasságban határozzák meg a jármű 80 km/h sebessége mellett. A folyamatos zajszint meghatározására az egyenértékű A-hangnyomásszint LpAeq, T szolgál
A méréseket az E. függeléknek megfelelően kell végezni.
A mért elhaladásizaj-szinteknek az A. függeléknek megfelelő vágányon történő méréskor meg kell felelniük az 5. táblázatban meghatározott értékeknek. A vizsgálat elvégzése megengedett az A. függeléknek nem megfelelő vágányon is, és ha a zajszintek nem haladják meg az 5. táblázatban szereplő értékeket, vélelem szól e követelmény teljesítése mellett.
Az elhaladási zaj méréséhez használt vágány következő tulajdonságait kell megmérni és feljegyezni:
a) a függőleges és vízszintes vágányromlási sebesség az EN 15461 szabvány szerint;
b) a vágány akusztikus egyenetlensége az EN 15610 szabvány szerint.
Ha az a vágány, amelyen a méréseket végezték, nem felelt meg az A. függelékben meghatározott referenciafeltételeknek vagy ha teljesül a B. függelék szerinti elfogadási kritérium, a mért értékeket "összehasonlítható" megjelöléssel kel ellátni. Egyéb esetben a mért értékeket "nem összehasonlítható" megjelöléssel kell ellátni.
A műszaki dokumentációban és az engedélyezett járműtípusok európai nyilvántartásában fel kell tüntetni azt, hogy a mért értékek "összehasonlítható" vagy "nem összehasonlítható" értékek-e. A mért zajértékeket és az azokhoz tartozó vágányminőséget mindig el kell menteni a műszaki dokumentációban a jármű és a vágányzaj közötti összefüggés későbbi értékelése céljából, az összehasonlítható és a nem összehasonlítható adatok tekintetében egyaránt.
A mért akusztikus sínegyenetlenségnek a mérés befejezése előtti három hónaptól a mérés befejezése utáni három hónap elteltéig érvényesnek kell maradnia, feltéve, hogy ez idő alatt a sín akusztikus egyenetlenségét befolyásoló vágánykarbantartásra nem kerül sor.
A mért vágányromlási sebességnek a mérés befejezése előtti egy évtől a mérés befejezése utáni egy év elteltéig érvényesnek kell maradnia, feltéve, hogy ez idő alatt a vágányromlási sebességet befolyásoló vágánykarbantartásra nem kerül sor.
Ha ezen időszakon kívül ugyanazt a vágányszakaszt ismételten elhaladási zaj méréséhez használják, az akusztikus egyenetlenséget vagy a vágányromlási sebességet újból meg kell mérni. A műszaki dokumentációban bizonyítékot kell adni arra vonatkozóan, hogy a típus elhaladási zajának méréséhez használt vágányadatok a vizsgálat napján (napjain) érvényesek voltak, pl. a zajra hatást gyakorló utolsó karbantartás napjának megadásával.
Ha az egység üzemi sebessége 80 km/h alatti, azt legnagyobb sebességén kell vizsgálni és a 80 km/h sebességre érvényes elhaladásizaj-határértékeket korrekció nélkül kell alkalmazni. Egyéb esetekben az egység elhaladási zaját 80 km/h és v sebességen kell megmérni (ahol v = 190 km/h vagy az egység legnagyobb tervezési sebessége, amennyiben a legnagyobb sebesség nem éri el a 190 km/h-t). A 80 km/h mellett mért érték és a legnagyobb sebességen mért, de az alábbi egyenlettel 80 km/h-ra vonatkoztatott érték közül a nagyobbat kell összehasonlítani a határértékekkel (lásd: táblázat):
LpAeq,Tp(80 km/h) = LpAeq,Tp(v)-30*log (v/80 km/h)
Az 5. táblázatban szerepelnek a villany- és dízelmozdonyokra, az infrastruktúra karbantartására szolgáló gépekre, EMU-kra, DMU-kra és személykocsikra a fent meghatározott feltételek mellett vonatkozó zajkibocsátási határértékek. Az infrastruktúra karbantartására szolgáló gépek tekintetében a mérést további vontatóterhelés nélkül kell végezni.
5. táblázat
A villany- és dízelmozdonyok, az infrastruktúra karbantartására szolgáló gépek, az EMU-k, a DMU-k és a személykocsik elhaladási zajának LpAeq, Tp határértékei
Jármű | LpAeq,Tp dB-ben |
Villanymozdonyok és infrastruktúra karbantartására szolgáló elektromos meghajtású gépek | 85 |
Dízelmozdonyok és infrastruktúra karbantartására szolgáló dízelhajtású gépek | 85 |
EMU-k | 81 |
DMU-k | 82 |
Személykocsik | 80 |
A kizárólag kompozit féktuskókkal vagy tárcsafékekkel fékezett, infrastruktúra karbantartására szolgáló gépeket mérés nélkül az 5. táblázatban meghatározott zajkövetelményeket teljesítőnek kell tekinteni. Ez érvényes a kompozit fékbetétekkel felszerelt járművekre is.
4.2.3. A mozdonyok, többrészes egységek és motorkocsik vezetőfülkéjének belső zaja
Amint az a 2.1.5. pontban szerepel, az infrastruktúra karbantartására szolgáló gépek értékeléséhez a mozdonyokra vonatkozó követelményeket kell figyelembe venni.
A személykocsik belső zaját nem tekintik alapparaméternek. A vezetőfülkén belüli zajszint azonban fontos tényező. A vezetőfülkén belüli zajt a lehető legalacsonyabb szinten kell tartani a zaj forrásnál való korlátozásával és további megfelelő intézkedésekkel (hangszigeteléssel, hangelnyeléssel). A határértékeket a 6. táblázat adja meg. Az infrastruktúra karbantartására szolgáló gépek tekintetében a mérést további vontatóterhelés nélkül kell végezni.
A méréseket az F. függeléknek megfelelően kell végezni.
6. táblázat
A villany- és dízelmozdonyok, az infrastruktúra karbantartására szolgáló gépek, az EMU-k, a DMU-k és a személykocsik vezetőfülkéjén belüli zaj LpAeq, T határértékei
A vezetőfülkén belüli zaj | LpAeq,T dB-ben | T mérési idő másodpercben |
Álló helyzet (külső akusztikus figyelmeztetés során a kürt maximális hangnyomása, de a jármű előtt 5 m távolságban és a sín felső síkja fölött 1,6 m magasságban kevesebb, mint 125 dB(A) mellett) | 95 | 3 |
Legnagyobb sebesség a 190 km/h-nál kisebb sebességek esetében (nyílt területen belső és külső figyelmeztetések nélkül) | 78 | 60 |
Ez a táblázat a vezetőfülkére vonatkozik. Mindenesetre a vasúttársaságoknak és a személyzetüknek alkalmazniuk kell a munkavállalók fizikai tényezőknek (zaj) hatásának való expozíciójára vonatkozó egészségügyi és biztonsági minimumkövetelményekről szóló, 2003. február 6-i 2003/10/EK európai parlamenti és tanácsi irányelvet ( 7 ), de az annak való megfelelés nem érinti a vezetőfülkével rendelkező járművek EK-hitelesítését.
4.3. A kapcsolódási pontok működési és műszaki előírásai
Ez az ÁME a hagyományos vasúti járművek alrendszerére vonatkozó ÁME keretrendszer része.
4.4. Üzemeltetési szabályok
A 3. szakasz alapvető követelményeinek fényében nincsenek a járművek alrendszerre vonatkozó konkrét üzemeltetési szabályok a járművek által kibocsátott zaj vonatkozásában.
4.5. Karbantartási szabályok
a) kerék-sín érintkezési paraméterek (kerékprofil);
b) kerékhibák (laposságok, egyenetlenségek).
Lásd a Hagyományos vasúti járművek ÁME-ben meghatározott karbantartási dokumentációt.
4.6. Szakmai képesítések
Nincsenek további követelmények a szakmai képesítésekről szóló európai jogszabályokkal összeegyeztethető meglévő európai és nemzeti jogszabályok terén.
4.7. Egészségvédelmi és biztonsági feltételek
A vezetőfülkék belső zajszintjének jelenlegi határértékei megfelelnek a 2003/10/EK irányelv (tizenhetedik egyedi irányelv a 89/391/EGK tanácsi irányelv ( 8 ) 16. cikke (1) bekezdésének értelmében) 3. cikkében megállapított alacsonyabb beavatkozási expozíciós határértékeknek
a) a csúcsértékek tekintetében;
b) és általában a normál üzemi körülmények közötti átlagértékek tekintetében.
4.8. Infrastruktúra- és járműnyilvántartás
4.8.1. Infrastruktúra-nyilvántartás
Nem vonatkozik erre az ÁME-re.
4.8.2. Az engedélyezett járműtípusok európai nyilvántartása
A 2008/57/EK irányelv 34. cikkében megállapított, a nyilvántartás számára rendelkezésre bocsátandó adatokat az engedélyezett vasútijármű-típusok európai nyilvántartásáról szóló, 2011. október 4-i 2011/665/EU bizottsági végrehajtási határozat ( 9 ) tartalmazza.
5. A KÖLCSÖNÖS ÁTJÁRHATÓSÁGOT LEHETŐVÉ TEVŐ RENDSZERELEMEK
Ez az ÁME nem határoz meg kölcsönös átjárhatóságot lehetővé tevő rendszerelemeket.
6. A RENDSZERELEMEK MEGFELELŐSÉGÉNEK ÉS/VAGY HASZNÁLATRA VALÓ ALKALMASSÁGÁNAK VIZSGÁLATA ÉS AZ ALRENDSZER HITELESÍTÉSE
6.1. A kölcsönös átjárhatóságot lehetővé tevő rendszerelemek
Nem alkalmazható
6.2. A járművek alrendszer a járművek által kibocsátott zaj tekintetében
6.2.1. Vizsgálati eljárások
A kérelmező kérésére a bejelentett szervezet EK-hitelesítést végez a 2008/57/EK irányelv VI. mellékletével összhangban, valamint a vonatkozó modulok rendelkezéseinek megfelelően.
A kérelmező EK-hitelesítési nyilatkozatot állít össze a járművek alrendszer esetében a zaj szempontot is beleértve a 2008/57/EK irányelv 18. cikkének (1) bekezdésével és V. mellékletével összhangban.
6.2.2. Modulok
A zajjal kapcsolatos követelmények 4. szakaszban meghatározott hitelesítési eljárása esetén a kérelmező az alábbi modulok közül választhat:
a) vagy a típusvizsgálati eljárás (SB modul) a tervezési és fejlesztési szakasz esetében a gyártási szakasz egyik moduljával kombinálva:
- a gyártási minőségirányítási rendszer eljárás (SD modul), vagy
- a termékhitelesítési eljárás (SF modul);
b) a teljes minőségirányítási rendszer tervezési vizsgálattal eljárás (SH1 modul).
Az SD modul csak akkor megengedett, ha a kérelmező választása szerinti bejelentett szervezet által jóváhagyott és felügyelt minőségirányítási rendszert működtetnek a gyártás, illetve végtermékek ellenőrzése és vizsgálata terén.
Az SH1 modul csak akkor megengedett, ha a kérelmező a választása szerinti bejelentett szervezet által jóváhagyott és felügyelt minőségirányítási rendszert működtetnek a tervezés, a gyártás, illetve végtermékek ellenőrzése és vizsgálata terén.
6.2.3. A járművek zajszempontjainak sajátos hitelesítési módszerei
6.2.3.1. Bevezetés
Az e szakaszban leírt kivételek ellenére alapértelmezés szerint minden új típust a jelen ÁME 4. szakaszában meghatározott követelményeknek való megfelelés szempontjából kell vizsgálni. Az ÁME 4. szakaszában meghatározott vizsgálati eljárások helyett a vizsgálatoknak az egyszerűsített értékeléssel való részben vagy egészben történő kiváltása is engedélyezett. Ez a fejezet határozza meg az egyszerűsített értékelési módszerhez kapcsolódó jogosultsági kritériumokat és követelményeket.
Megengedett a zajvizsgálat helyett egyszerűsített vizsgálat, ha a vizsgált típus alapja olyan meglévő, a zaj ÁME-nek megfelelő típus (a továbbiakban: a referenciatípus), azzal a feltétellel, hogy a referenciatípus vizsgálata az alábbi lehetőségek egyikének megfelelően történt:
a) ezen ÁME 4. szakasza, az elhaladási zajra vonatkozó eredmények "összehasonlítható" megjelölése mellett; vagy
b) A 2006/66/EK határozattal elfogadott, a hagyományos vasúti "járművek - zaj" ÁME.
Egyszerűsített vizsgálat a következő egységek esetében végezhető:
a) A többrészes egységek különféle összeállításai;
b) Az ÁME 7.. szakasza szerint felújított vagy korszerűsített egységek;
c) A jórészt már létező kialakításon alapuló új egységek (azonos járműcsalád).
Az egyszerűsített értékelés szerint vizsgált egységek esetében a megfelelés bizonyítéka a referenciatípushoz viszonyított, zaj szempontjából jelentőséggel bíró módosítások részletes leírása is. Az egyszerűsített vizsgálatot (lásd a 6.2.3.2 és 6.2.3.3. pontot) ebből a leírásból kell elvégezni a referenciaegység és a vizsgált egység közötti, a várható zajkibocsátás-eltérés 4.2. pontban meghatározott zajhatások tekintetében történő megállapítása céljából.
Az egyszerűsített vizsgálat használható a járművek zajkibocsátása bármely következő egyedi esetének önállóan történő vizsgálatára: állási zaj, indulási zaj, vezetőállás zaja és az elhaladási zaj.
6.2.3.2. A mozdonyok, többrészes egységek, személykocsik és infrastruktúra karbantartására szolgáló gépek egyszerűsített vizsgálata
Az egyszerűsített vizsgálat azt igazolja, hogy a vizsgált egység megfelel az ebben az ÁME-ben meghatározott zajszinteknek azon zajhatások tekintetében, melyekre az egyszerűsített vizsgálatot alkalmazzák.
Valamely egység egyszerűsített vizsgálata annak bizonyításából áll, hogy a zajkibocsátási szempontból releváns rendszerek és jellemzők a referenciatípuséval azonosak, illetve olyanok, amelyek nem eredményeznek a vizsgált egység tekintetében magasabb zajkibocsátást. Az egyszerűsített értékelés lehet számítás, egyszerűsített mérés (pl. a zajforrás hangerejének mérése), illetve e kettő kombinációja. A zaj szempontjából jelentős és a referenciatípustól eltérő rendszereket a műszaki dokumentációban fel kell tüntetni.
6.2.3.3. Az áruszállító kocsik egyszerűsített értékelése
Korszerűsített vagy felújított kocsik esetében lásd még a 7.6.1. pontot is. Amennyiben további megfelelőségi vizsgálat szükséges és a 7. táblázatban szereplő értékek teljesülnek, az egyszerűsített vizsgálat módszerének használata megengedett a korszerűsített vagy felújított kocsik esetében is.
Új kocsik esetében: amennyiben a 7. táblázatban szereplő értékek teljesülnek, az egyszerűsített vizsgálat módszerének használata megengedett az áruszállító kocsik esetében is.
7. táblázat
Az áruszállító kocsik tekintetében releváns paraméterek és azoknak a "referenciatípus" összeállításától megengedett eltérései listája
Az egység paramétere | Megengedett eltérés | Érvényes az alábbiakra: | |
Állási zaj | Elhaladási zaj | ||
Az egység legnagyobb sebessége | A referenciatípushoz viszonyítva legfeljebb 10 km/h növekedés megengedett | — | · |
Kerék típusa | Megengedett, ha a referenciatípus kerekénél kevésbé zajos (a kerekek akusztikus jellemzése az EN 13979-1 szabvány E melléklete szerint) | — | · |
Hosszegységenkénti tengelyszám (a kocsi hosszához vagy a kerékpárok számához, vagy mindkettőhöz viszonyítva) | Megengedett, ha a referenciatípusénál alacsonyabb | — | · |
Önsúly | A referenciatípushoz viszonyítva +/- 5 %-os eltérés megengedett | — | · |
Fékrendszer | A referenciatípushoz viszonyítva eltérés nem megengedett | — | · |
Kocsiosztály (pl. tartály, önürítős, teher, pőre) | A referenciatípushoz viszonyítva osztályeltérés nem megengedett | · | · |
Kiegészítő berendezés | Korlátozás nincsen | · | — |
Ha megengedett az egyszerűsített vizsgálat használata:
a) A 4.2.1.1. pontban meghatározott elhaladásizaj-szinteket vizsgálat nélkül megfelelőnek kell tekinteni.
b) Az állási zaj tekintetében az egyszerűsített vizsgálat annak bizonyításából áll, hogy a zajkibocsátási szempontból releváns rendszerek és jellemzők a referenciatípuséval azonosak, illetve olyanok, amelyek nem eredményeznek a vizsgált egység tekintetében magasabb zajkibocsátást. Az egyszerűsített értékelés lehet számítás, egyszerűsített mérés (pl. a zajforrás hangerejének mérése), illetve e kettő kombinációja. A zaj szempontjából jelentős és a referenciatípustól eltérő rendszereket a műszaki dokumentációban fel kell tüntetni.
6.2.4. A HS RST ÁME és ezen ÁME szerint is EK-hitelesítést igénylő egységek
Amennyiben valamely egység HS RST ÁME szerinti vizsgálata kedvező eredménnyel zárult, további ellenőrzés nélkül úgy kell tekinteni, hogy ezen ÁME követelményeinek is megfelel. Ebben az esetben a kérelmező további vizsgálat nélkül kiadhatja az EK-nyilatkozatot. Ez csak akkor megengedett, ha nincsen zajvonatkozású eltérés.
7. MEGVALÓSÍTÁS
7.1. Általános tudnivalók
Az ÁME-k végrehajtásakor figyelembe kell venni a hagyományos vasúthálózat teljes átjárhatóságra való általános áttérését.
Az áttérés támogatása érdekében az ÁME-k lehetővé teszik a fokozatos alkalmazást és a más ÁME-kkel való összehangolt megvalósítást.
7.2. Az ÁME felülvizsgálata
A 2008/57/EK irányelv 6. cikkének (2) bekezdése szerint az Ügynökség feladata az ÁME-k felülvizsgálata és naprakésszé tétele, valamint ajánlások megfogalmazása a Bizottság számára a műszaki fejlődés, illetve a társadalmi igények figyelembevétele érdekében. Emellett más ÁME-k folyamatos elfogadása és felülvizsgálata ezt az ÁME-t is érintheti. A jelen ÁME javasolt változtatásait szigorú felülvizsgálatnak vetik alá, és hároméves tájékoztató időközönként kiadják az aktualizált ÁME-ket.
Bármely esetben a Bizottság legkésőbb 2013. június 23-ig jelentést nyújt be a 2008/57/EK irányelv 29. cikke szerinti bizottságnak (amelyet "RIS bizottság"-nak is neveznek), és szükség esetén javaslatot a jelen ÁME felülvizsgálatára az alábbi kérdéskörökben:
a) az ÁME végrehajtásának értékelése, különös tekintettel a költségekre és hasznokra;
b) az LpAeq,Tp határértékek folyamatos görbéjének az APL (hosszegységenkénti tengelyszám) függvényeként való felhasználása az áruszállító kocsik elhaladási zaja esetében, feltéve ha ez nem akadályozza a műszaki újítást, különös tekintettel a kocsicsoportokra;
c) a kocsik, mozdonyok, többrészes egységek és személykocsik elhaladásizaj-értékeit (lásd: a 7.3. pontot) az összehasonlítható zajmérési kampányok eredményeivel összhangban, különösen figyelembe véve a műszaki haladást és a rendelkezésre álló technológiákat mind a vágányok, mind a járművek esetében, valamint a költség-haszon elemzéseket;
d) a dízelmozdonyok és többrészes egységek indulási zajának esetleges második lépcsős határértékei;
e) az infrastruktúra belefoglalása a zaj ÁME hatályába az Infrastruktúra ÁME-vel összehangolva;
f) az ÁME belefoglalása a kerékhibák megfigyelési rendszerébe. A kerékhibák hatással vannak a zajkibocsátásra.
7.3. Kétlépcsős megközelítés
Ajánlatos, hogy a 2016. június 23. után megrendelendő vagy 2018. június 23. után üzembe helyezendő új járművek esetében 5 dB mértékű csökkentéssel alkalmazzák az ezen ÁME 4.2.1.1. és 4.2.2.4. szakaszát, a DMU-k és az EMU-k kivételével. A két utóbbi esetben a csökkentés mértéke 2 dB Ez az ajánlás csak alapul szolgál az ezen ÁME 4.2.1.1. és 4.2.2.4. szakaszának felülvizsgálatához az ÁME 7.2. részben említett felülvizsgálati eljárásával összefüggésben.
7.4. Utólagos beszerelési program a zajcsökkentés érdekében
tekintettel a vasúti járművek hosszú élettartamára, a meglévő járműállomány esetében is szükséges intézkedéseket tenni az észlelt zajszint ésszerű időn belüli jelentős mértékű csökkentésének előmozdítása érdekében, és ebben az áruszállító járművek elsőbbséget élveznek. A Bizottság kezdeményezéseket tesz az áruszállító járművekre vonatkozó utólagos beszerelési lehetőségeknek a megfelelő érdekelt felekkel történő megvitatására az iparágon belüli általános megegyezés elérése érdekében.
7.5. A jelen ÁME alkalmazása új járművekre
A jelen ÁME-ben szereplő előírások az ÁME hatálya alá tartozó minden új járműre vonatkoznak.
7.5.1. Indulási zaj
Az indulási zajra vonatkozó határértékeket minden, motoronként 500 kW teljesítmény feletti olyan DMU esetében 2 dB-el meg lehet emelni, melynek forgalomba helyezését legkésőbb 2011. június 23-ig engedélyezik.
7.5.2. Kivételek a nemzeti, kétoldalú, többoldalú és több nemzetet érintő megállapodások esetében
7.5.2.1. Meglévő követelmények
Amennyiben a bejelentett megállapodások zajjal kapcsolatos követelményeket tartalmaznak, ezek a megállapodások, köztük a jelen ÁME-vel kapcsolatban az Orosz Föderációval és az EU-val határos más FÁK-országokkal kötött EU-szintű megállapodások a szükséges intézkedések megtételéig maradnak engedélyezve.
7.5.2.2. Jövőbeni megállapodások és meglévő megállapodások módosításai
Minden jövőbeni megállapodás vagy a meglévő megállapodások módosítása figyelembe veszi az EU-s jogszabályokat, különös tekintettel a jelen TSI-re. A tagállamok értesítik a Bizottságot az ilyen magállapodásokról/módosításokról.
7.6. A jelen ÁME alkalmazása meglévő járművekre
7.6.1. Meglévő áruszállító kocsik felújítása vagy korszerűsítése
Áruszállító kocsik felújítása vagy korszerűsítése esetén a 2008/57/EK irányelv 20. cikkével összhangban az érintett tagállamnak kell eldöntenie, hogy szükséges-e új üzembe helyezési engedély. Ha a felújítás vagy korszerűsítés során megváltoztatják a kocsi fékrendszerének teljesítményét, és ha új üzembe helyezési engedélyre van szükség, az a követelmény, hogy az e kocsi elhaladási zajszintje feleljen meg a 4.2.1.1. pont 1. táblázatában szereplő megfelelő értéknek.
Ha a felújítás vagy korszerűsítés során valamely kocsit kompozit féktuskókkal látnak el (vagy ezekkel rendelkezik) anélkül, hogy a kocsi további zajforrásokkal egészülne ki, vizsgálat nélkül feltételezik, hogy teljesülnek a 4.2.1.1. fejezetben szereplő értékek.
A csak zajcsökkentési célú korszerűsítés nem kötelező, de ha a korszerűsítést más okból hajtják végre, bizonyítani kell, hogy a felújítás vagy a korszerűsítés nem növeli az elhaladási zajt a jármű felújítás vagy korszerűsítés előtti teljesítményéhez képest, illetve a növekedés az ezen ÁME-ben meghatározott határértékeken belül marad.
Az állási zaj tekintetében igazolni kell, hogy az állási zajszintek nem növekednek, illetve a növekedés az ezen ÁME-ben meghatározott határértékeken belül marad.
A teljes járműre vonatkozó mérés helyett az ezen ÁME 6.2.3. pontjában meghatározott feltételek mellett az egység megfelelésének értékeléssel történő igazolása is megengedett. Ebben az esetben az egység korszerűsítés előtti állapota minősül referenciaegységnek.
7.6.2. Mozdonyok, többrészes egységek, személykocsik és infrastruktúra karbantartására szolgáló gépek felújítása vagy korszerűsítése
Igazolni kell, hogy a felújított vagy korszerűsített egységek zajszintjei nem növekednek, illetve a növekedés az ezen ÁME-ben meghatározott határértékeken belül marad.
A teljes járműre vonatkozó mérés helyett az ezen ÁME 6.2.3. pontjában meghatározott feltételek mellett az egység megfelelésének értékeléssel történő igazolása is megengedett. Ebben az esetben az egység korszerűsítés előtti állapota minősül referenciaegységnek.
7.7. Különleges esetek
7.7.1. Bevezetés
Az e pontban említett különleges esetekre a következő különleges rendelkezések vonatkoznak.
A különleges esetek két kategóriába tartoznak: a rendelkezések vagy folyamatosan ("P" eset), vagy ideiglenesen ("T" eset) alkalmazandók. Ideiglenes esetekben ajánlatos, hogy az érintett tagállam vagy a transzeurópai közlekedési hálózat fejlesztésére vonatkozó közösségi iránymutatásokról szóló, 1996. július 23-i 1692/96/EK európai parlamenti és tanácsi határozatban ( 10 ) célként kitűzött 2010-ig ("T1" eset), vagy 2020-ig ("T2" eset) feleljen meg a vonatkozó alrendszernek.
7.7.2. A különleges esetek felsorolása
7.7.2.1. Az állási zaj határértéke "szigorúan csak az egyesült királysági és írországi hálózaton való használatra"
"P" kategória - folyamatos
8. táblázat
A DMU-k állási zajának LpAeq, T határértékei
Járművek | LpAeq,T dB-ben |
DMU-k | 77 |
7.7.2.2. Finnország
"P" kategória - folyamatos
A finn 1524-es hálózaton Finnország és harmadik országok között az 1520-as hálózaton folyó forgalomban használatos, harmadik országbeli járművek tekintetében megengedett az ezen ÁME-ben rögzített követelmények helyett a nemzeti műszaki szabályok alkalmazása.
"T1" kategória - ideiglenes
Finnország területén az állási zaj 4.2.1.2. fejezetben említett határértékei nem vonatkoznak a 100 kW-nál nagyobb teljesítményű dízel áramfejlesztőkkel felszerelt kocsikra az áramfejlesztő használata közben. Ebben az esetben az állási zaj határértéke 7 dB értékkel megemelhető a - 40 °C-ig hűlő hőmérséklet, valamint a fagyos és jeges viszonyok miatt.
7.7.2.3. Az indulási zaj határértékei "szigorúan csak az egyesült királysági és írországi hálózaton való használatra"
"P" kategória - folyamatos
9. táblázat
A villany- és dízelmozdonyok és a DMU-k indulási zajának LpAFmax határértékei
Jármű | LpAFmax dB-ben |
Villanymozdonyok a kerékkoszorúnál mért 4 500 kW alatti teljesítménnyel | 84 |
Dízelmozdonyok a motor kimenőtengelyénél mért 2 000 kW alatti teljesítménnyel | 89 |
DMU-k, 500 kW/motor alatti teljesítménnyel | 85 |
7.7.2.4. Az áruszállító kocsik elhaladási zajának határértékei Finnországban, Észtországban, Lettországban és Litvániában
"T1" kategória - ideiglenes
Az áruszállító járművekre vonatkozó zajkibocsátási határértékek nem vonatkoznak Finnországra, Észtországra, Lettországra és Litvániára. Ennek oka a skandináv téli körülmények között érvényes biztonsági szempontok. Ez a különleges eset addig érvényes, amíg a kompozit féktuskókkal kapcsolatos funkcionális előírásokat és vizsgálati módszereket be nem építik a WAG ÁME felülvizsgált változatába.
Ez nem zárja ki más tagállamokból származó áruszállító kocsik skandináv és balti államokban való üzemelését.
7.7.2.5. Görögország különleges esete
"T1" kategória - ideiglenes 1 000 mm-es vagy annál kisebb nyomtávú járművek
A jelenlegi elszigetelt 1 000 mm-es nyomtáv esetében nemzeti szabályok érvényesek.
7.7.2.6. Észtország, Lettország és Litvánia különleges esete
"T1" kategória - ideiglenes
Az összes jármű (mozdonyok, személykocsik, EMU-k és DMU-k) zajkibocsátási határértéke a jelen ÁME felülvizsgálatáig nem érvényes Észtországban, Lettországban és Litvániában. Ezen idő alatt mérési kampányokat végeznek ezekben az államokban; e kampányok eredményeit a jelen ÁME felülvizsgálatánál figyelembe veszik.
A. FÜGGELÉK - A REFERENCIAVÁGÁNY MEGHATÁROZÁSA
A referenciavágánynak a következő követelményeknek kell megfelelnie:
A1. A tesztvágány akusztikus sínegyenetlensége
Az akusztikus sínegyenetlenséget akkor kell összehasonlítható vizsgálatra alkalmasnak tekinteni, ha a tercsáv hullámhosszú, az EN15610 szabvány szerint értékelt egyenetlenségi spektrumok a teljes tesztszakaszon teljesítik az alábbi felső határértékeket, szükség szerint figyelemmel a B. függelékben leírt rugalmassági eljárásnak. A hullámhossz sávszélességének legalább 0,003-0,10 méternek kell lennie (0,3 cm-10,0 cm, az 1. ábrának megfelelően).
1. ábra
Az akusztikus sínegyenetlenség felső értékhatárának görbéje

Jelmagyarázat
1 Terc sávszélességű egyenetlenségi szint, dB-ben
2 Hullámhossz, cm-ben
3 Terc sávszélességű egyenetlenségi szint, dB-ben
A2. A tesztvágány dinamikus tulajdonságai
A vágány dinamikus jellemzőinek állapota akkor minősül összehasonlítható méréshez megfelelőnek, ha az EN15461 szabvány szerint mért vágányromlásisebesség-spektrumok a teljes tesztszakaszon teljesítik az alábbi alsó határértékeket
2. ábra
A vágányromlási sebesség alsó görbéje

Jelmagyarázat
1 A vágányromlás sebessége, dB/m-ben
2 Frekvencia, Hz
3 A TDR határértéke függőleges irányban
4 A TDR határértéke oldalirányban
B. FÜGGELÉK - KISFOKÚ ELTÉRÉS SZÁMÍTÁSI MÓDSZERE
A sínegyenetlenségi követelményektől való elfogadható kisfokú eltérés értékelési módszere
B1. Elv
A "kis eltérés" módszer célja az, hogy bizonyos fokú rugalmasságot adjon a tesztvágányszakasz akusztikus sínegyenetlenségi határértékgörbéhez viszonyított megfelelőségi értékelésében az állandó sebességen történő vizsgálat keretében. A határértékgörbe és a mért akusztikus sínegyenetlenségi spektrumot is egyaránt tercsáv hullámhosszú spektrumnak feltételezzük.
A vágányromlási sebességhez viszonyított eltérések a kis eltérés számítási módszer szerint nem megengedettek.
A módszer a mért szint korrekciójának az akusztikus sínegyenetlenség meghatározott spektrumát elhagyó hanghullámok hatásának alapján történő kiszámítására hagyatkozik. Ezt követően a korrigált és a mért elhaladásizaj-szint különbségét kell összevetni az elfogadási kritériummal.
Ha a kritérium teljesül, a sínegyenetlenség eltérésének akusztikus hatása kicsinek minősül és a mért elhaladási zaj összehasonlíthatónak tekinthető.
Ez a módszer a vonatsebesség függvénye.
B2. Adatfeldolgozás
B2.1. Képezzünk egy "éppen megfelelő" korrigált spektrumot a mért akusztikus sínegyenetlenség hullámhosszspektrumából (1. lépés)
A mért akusztikus sínegyenetlenségi spektrumokat energetikailag átlagoljuk. A korrigált spektrumot a mért akusztikus sínegyenetlenség hullámhosszspektrumából és a határértékspektrumból az alábbi képlettel kell kiszámítani:

ahol:

a mért akusztikus sínegyenetlenség tercsávos hullámhosszspektruma;

a tercsáv hullámhosszúságú határértékspektrum;

a korrigált akusztikus sínegyenetlenség tercsávos hullámhosszspektruma;
1. MEGJEGYZÉS A korrigált akusztikus sínegyenetlenség spektruma egyenlő a mérttel, kivéve azt a hullámhosszspektrumot, amelyben a mért érték túllépi a határértékeket.
2. MEGJEGYZÉS A korrigált akusztikus sínegyenetlenség spektruma megfelel a határértékspektrumnak
B2.2. A sínegyenetlenségi frekvenciaspektrum eltérésének számszerűsítése (2. lépés)
Váltsuk át a tercsávos hullámhosszspektrumot (a korrigált és mért akusztikus sínegyenetlenségeket) frekvenciára az EN61260 szabványnak megfelelő tercsávos frekvenciaspektrummá való szintetizálás céljából. Ez két lépésben történik:
a) Először számítsuk ki a frekvenciát a hullámhosszból az f = v/λ képlettel, ahol λ a hullámhossz és f a megfelelő frekvencia v vonatsebesség mellett. Ezzel megkapjuk a nem normalizált tercsávos frekvenciaegyenetlenségi spektrumot.
b) Majd osszuk el az energiát a normalizált frekvenciasávokban az EN15610 szabvány C. mellékletében megadott algoritmus szerint.
Az eltérések akusztikus sínegyenetlenségi frekvenciaspektrumra gyakorolt hatását ezután egy korrigáló spektrumon keresztül számszerűsítjük, mely spektrum kiszámítása az alábbiak szerint történik:

ahol:

a mért akusztikus sínegyenetlenség tercsávos frekvenciaspektruma;

a korrigált akusztikus sínegyenetlenség tercsávos frekvenciaspektruma;

a tercsávos frekvenciakorrigáló spektrum.
B.2.3. A módosított zajspektrum kiszámítása (3. lépés)
A módosított zajspektrum kiszámítása a mért zajszintből és a korrigáló egyenetlenségi spektrumból történik, a következő képlet szerint:

A módosított zajspektrum kiszámítása egy egyszerűsített eljárással történik. Ez az eljárás nem használható a zajszintek korrigálása céljából előrejelzési módszerként.
MEGJEGYZÉS Mivel a számítási módszer feltételezi, hogy a spektrumot elhagyó sínegyenetlenség közvetlenül a teljes zajra vonatkozik, a módosított zajspektrum az a minimum, mely mérhető az éppen megfelelő egyenetlenségi spektrummal.
Ezután a sínegyenetlenség-eltérések zajhatásának felső határát a mért és módosított zajspektrumból kell kiszámítani a következő képlettel:

ahol

i
B3. Elfogadási kritérium
A vágány az akusztikus sínegyenetlenségi spektrum tekintetében akkor tekinthető megfelelőnek, ha a 3. lépés szerint számított ΔL pAeq,Tp zajhatás legfeljebb 1 dB.
Ezt a megfelelőséget valamennyi sebességnél egy elhaladásra vonatkozóan kell megvizsgálni.
C. FÜGGELÉK - AZ ÁLLÁSIZAJ-MÉRÉSEK MÉRÉSI ADATAI
Az állási zaj vizsgálata
C1. Általános előírások
A méréseket csak akkor kell elvégezni, ha az e melléklet "Jármű állapotai" címe alatt meghatározott üzemi feltételek mellett álló helyzetben zajforrások vannak jelen.
C2. Környezeti feltételek
C2.1. Akusztikus környezet
A vágány és a vágány mellett elhelyezett mikrofon és a vágány közötti háromszög alakú területen - mely háromszög befogója mindkét oldalon a vágány és a mikrofon távolságának kétszerese - a szabad hangterjedésnek lehetségesnek kell lennie. Ennek eléréséhez a következők szükségesek:
- területen a talajszintnek a vágány felső síkjától számítva + 0 m és -2 m közötti szinten kell lennie,
- e területen zajelnyelő anyagok (pl. hóréteg, magas növényzet) vagy hangvisszaverő takaróréteg (pl. víz, jég, kátrány vagy beton) nem lehet,
- a területen senki nem tartózkodhat és a megfigyelést végzőnek is olyan helyzetben kell lennie, ami nem befolyásolja lényegesen a mért hangnyomás értékét,
- e területen más vágányok lehetnek, amennyiben az ágyazatuk nem magasabb a tesztvágány felső síkjánál.
Ezen túlmenően a mikrofonok körüli, a mérési távolság legalább háromszorosának megfelelő sugarú körben nem lehetnek nagy méretű hangvisszaverő tárgyak, úgy mint korlátok, dombok, sziklák, hidak vagy épületek.
C2.2. Háttérzaj hangnyomásszintje
Ügyelni kell annak biztosítására, hogy a más forrásból (például más járművekből vagy gyárakból, illetve a szélből) származó zajok ne befolyásolják lényegesen a méréseket.
A LAeq,T T = 20s háttérzajnak minden mikrofonpozícióban legalább 10 dB-lel a kapott végeredmény alatt kell lennie (valamennyi mérési pont energiaátlaga, lásd e melléklet "Mérési háló" c. részét), amennyiben az egység zajkibocsátásának mérése háttérzaj jelenlétében történik.
C3. Vágányfeltételek
A mérést ágyazattal ellátott vágányon kell mérni.
C4. A jármű állapotai
C4.1. Általános előírások
El kell távolítani a levegőáramlási rendszereken, úgy mint rácsokon, szűrőkön és ventilátorokon lévő szennyeződéseket.
A mérések alatt az egység ajtóit és ablakait zárva kell tartani.
C4.2. Normál üzemi körülmények
A méréseket a következők szerint meghatározott normál üzemi körülmények között kell elvégezni:
A jármű álló helyzetében folyamatosan üzemelő valamennyi berendezésnek normál terheléssel kell működnie, ami megegyezik a 20 °C külső hőmérséklet melletti teljesítménnyel. Az utasterek és munkahelyek hűtő-/fűtő-/szellőztető rendszereinek (HVAC rendszerek), illetve e funkciók energiaellátó rendszerének időjárási paramétereit a következőképpen kell beállítani: szélsebesség 3 m/s, relatív páratartalom 50 %, 700W/m2 energia a napsugárzásból, ülésenként egy személy és állandó 20 °C belső hőmérséklet.
A vontató berendezésnek állási hőfeltétel mellett és minimumon működő hűtőberendezéssel kell üzemelnie. Belső égésű motorral szerelt egységek esetében a motor alapjáraton jár.
C5. Mérési pozíciók
C5.1. Mérési háló
Minden járművet (több járműből álló többrészes egységet) egyenlő eloszlású, egyformán 3 és 5 m lx vízszintes hosszúságú területekre kell felosztani. A jármű hossza a kapcsolókészülékek vagy ütközők közötti távolság. Mindegyik mérési pozíció a jármű két oldalán, az adott terület közepén helyezkedik el. Az egység elején és végén külön mérési pozíciókat kell kialakítani: két mikrofont kell elhelyezni a vágány középtengelyétől 60°-ra, azon félkörön, melynek középpontja az egység (kapcsolókészülékek vagy ütközők nélküli) végének középpontja és sugara 7,5 m (lásd: 3. ábra). Vontató egység esetében ezeken a külön pozíciókon csak a vezetőfülkével ellátott végeken kell mérést végezni.
Minden mérési pontnak a vágány középvonalától 7,5 m-re és a vágány felső síkja felett 1,2 m-re, az egység középpontjával szemben kell elhelyezkednie.
A mikrofon tengelye vízszintes és azt az egység körvonalára merőleges irányba kell beállítani.
C5.2. A mérési pontok számának csökkentése
A felesleges méréseket el lehet hagyni, tekintve, hogy egyes mérési pontok egyenértékűek (és azonos zajszinteket eredményeznek), a következő esetekben:
a) Ha az egység mindkét oldala egyforma (tengelyszimmetrikus vagy pontszimmetrikus), megengedhető az egység egyik oldalán lévő mérési pontok elhagyása.
b) Ha többrészes egységben vagy egy fix összeállítású szerelvényben több azonos típusú jármű van, megengedett minden járműtípusra egy alkalommal elvégezni a mérést.
A jegyzőkönyvben meg kell indokolni a mérési pontok számának csökkentését. Az elhagyott pontokat fel kell sorolni és meg kell határozni, hogy a feltételezés szerint mely pontokkal azonosak.
3. ábra
Példa mérési pozíciók hálójára többrészes egység állási zajának méréséhez. Az a, b és c járművet is egyenlő eloszlású területekre osztották fel, melyek hossza la /5, lb /4 és lc /4, 3 m és 5 m között.

C6. Mért mennyiségek
A mért akusztikus mennyiség L pAeq,T, T = 20s időközönként történő mérés mellett.
C7. Vizsgálati eljárás
Az egységnek álló helyzetben kell lennie.
Minden pozíción legalább három érvényes mérési mintára van szükség, melyek levehetők az összes pozíción egymás után vagy pozíciónként egymás után. A mérések érvényességét a háttérzaj szintjéhez (lásd e mellékletben a "Háttérzaj hangnyomásszintje" cím alatt) és az elfogadható tartományba tartozó mérési mintákhoz képest kell értékelni. (Amennyiben több 3 mérésből álló sorozat szükséges, a mérés érvényességéhez teljesülnie kell a legfeljebb 3 dB eltéréstartománynak. Más esetekben további méréseket kell végezni.)
A T mérési időköz legalább 20 s. Ha azonban kivételesen nem lehetséges a zajforrás névleges terhelésének 20 másodpercig történő fenntartása, a T mérési időköz legfeljebb 5 s-re csökkenthető. Ezt a csökkentést a vizsgálati jegyzőkönyvben fel kell tüntetni és meg kell indokolni.
C8. Adatfeldolgozás
Minden méréssorozat (egy minta miden pozícióból) tekintetében az összes i pozícióban mért

zajszint energiaátlagából kapjuk meg az egységet jellemző egységes zajmutatót:

ahol:

az i mérési ponton mért hangnyomásszint
na mérési pontok száma.
li:az i mérési pozícióhoz tartozó hosszúság

Az összegzésben használt n mérési pozíciók megfelelnek az e melléklet "Mérési háló" pontjában meghatározott teljes hálónak, az esetleges csökkentéseket megelőzően (lásd e melléklet "A mérési pontok számának csökkentése" című pontjában). Adott esetben az egyenértékű pontokon mért zajszinteket hozzá kell rendelni az elhagyott pontokhoz.
Ezután mindhárom méréssorozatra meg kell határozni az

értékét.A vizsgálati eredmény az

értékek decibelre kerekített számtani átlaga.A jegyzőkönyvben fel kell tüntetni az egyes

értékeket és az átlagot is. Ezen túlmenően a jegyzőkönyvben szerepelnie kell az összes mérési pozícióban mért összes

sorozatnak is.
D. FÜGGELÉK - AZ INDULÁSIZAJ-MÉRÉSEK MÉRÉSI ADATAI
Gyorsulási vizsgálat álló helyzetből
D1. Környezeti feltételek
D1.1. Akusztikus környezet
A vágány és a vágány mellett elhelyezett mikrofon és a vágány közötti háromszög alakú területen - mely háromszög befogója mindkét oldalon a vágány és a mikrofon távolságának kétszerese - a szabad hangterjedésnek lehetségesnek kell lennie. Ennek eléréséhez a következők szükségesek:
- e területen a talajszintnek a vágány felső síkjától számítva + 0 m és -2 m közötti szinten kell lennie,
- e területen zajelnyelő anyagok (pl. hó, magas növényzet) vagy hangvisszaverő takaróréteg (pl. víz, jég, kátrány vagy beton) nem lehet,
- a területen senki nem tartózkodhat és a megfigyelést végzőnek is olyan helyzetben kell lennie, ami nem befolyásolja lényegesen a mért hangnyomás értékét,
- a területen más vágányok lehetnek, amennyiben az ágyazatuk nem magasabb a tesztvágány felső síkjánál.
Ezen túlmenően a mikrofonok körüli, a mérési távolság legalább háromszorosának megfelelő sugarú körben egyik oldalon sem lehetnek nagy méretű hangvisszaverő tárgyak, úgy mint korlátok, dombok, sziklák, hidak vagy épületek.
D1.2. Háttér hangnyomásszintje
Ügyelni kell annak biztosítására, hogy a más forrásból (például más járművekből vagy gyárakból, illetve a szélből) származó zajok ne befolyásolják lényegesen a méréseket.
A L Aeq,T T = 20s háttérzajnak minden mikrofonpozícióban legalább 10 dB-lel a kapott L pAFmax eredmény alatt kell lennie, amennyiben az egység zajkibocsátásának mérése háttérzaj jelenlétében történik.
D2. Vágányfeltételek
A mérési szakaszon a vágányt sínillesztés nélkül (hegesztett sín) kell lefektetni, és azon látható felületi hibák (úgy mint a kerék és sín közé került külső anyag nyomódása okozta sínégés vagy hézagok és kiszögellések): nem lehet hegesztésekből vagy laza talpfákból eredő hallható zaj sem.
D3. A jármű állapotai
D3.1. Általános előírások
El kell távolítani a levegőáramlási rendszereken, úgy mint rácsokon, szűrőkön és ventilátorokon lévő szenynyeződéseket.
A mérések alatt az egység ajtóit és ablakait zárva kell tartani.
A méréseket a következők szerint meghatározott normál üzemei körülmények között kell elvégezni:
A jármű induló helyzetében folyamatosan üzemelő valamennyi berendezésnek normál terheléssel kell működnie, ami megegyezik a 20 °C külső hőmérséklet melletti teljesítménnyel. Az utasterek és munkahelyek HVAC-rendszereinek, illetve e funkciók energiaellátó rendszerének időjárási paramétereit a következőképpen kell beállítani: szélsebesség 3 m/s, relatív páratartalom 50 %, 700W/m2 energia a napsugárzásból, ülésenként egy személy és állandó 20 °C belső hőmérséklet.
Ha valamely kiegészítő berendezés alkatrészéből származó zaj jelentősen közrehat az eredményben és nem megismételhető, azt a zajt a mérés részének kell tekinteni. A mérés kizárt részeit meg kell jelölni az L AF(t) grafikonon.
D3.2. Terhelési vagy üzemi körülmények
A vizsgálatokat maximális vonóerő mellett, a kerék kipörgése és makrocsúszás nélkül kell végrehajtani.
Ha a vizsgált vonat nem fix összeállítású egységekből áll, meg kell határozni a vontatott terhet és annak elegendőnek kell lennie annak biztosítására, hogy a mérés során a legnagyobb vontatóerő alakuljon ki.
A vontató egységnek adott esetben a vonat elején kell lennie.
D4. Mérési pozíciók
Szabványos gyorsulási vizsgálathoz a mérési pozícióknak a vágánytengelytől 7,5 m-re, 1,2 m magasságban kell lenniük.
Egy mérési pozíciót az első mérési keresztmetszetben - ami fogalmilag az egység előtt 10 m-re helyezkedik el - kell elhelyezni.
Az egység mentén az L egységhossztól függően további mérési pozíciókat kell elhelyezni (lásd: 4. ábra):
- A legfeljebb 50 m hosszúságú egységek esetében további mérési pozíciókra nincs szükség,
- Az 50 m-nél hosszabb egységek esetében legalább egy, az egység középpontjától 10 m-re elhelyezett pozíciót kell használni. Ha a két mérési pozíció közötti távolság 50 m-nél nagyobb, további mérési pontok szükségesek. Két szomszédos mérési pozíció között a D távolságnak állandónak kell lennie és az nem lehet 50 m-nél nagyobb.
A mérést az egység mindkét oldalán el kell végezni. Ha az egység mindkét oldala egyforma (tengelyszimmetrikus vagy pontszimmetrikus), megengedhető az egység egyik oldalán lévő mérési pontok elhagyása.
4. ábra
Mérési pozíciók gyorsulási vizsgálatokhoz

1. Mérési pozíció
2 További mérési pozíció hosszú egységek esetében
D5. Mérési mennyiség
A mért akusztikus mennyiség az L pAF(t).
D6. Vizsgálati eljárás
Minden pozíción legalább három érvényes mérési mintára van szükség. A mérések érvényességét a háttérzaj szintjéhez (lásd e mellékletben a "Háttérzaj hangnyomásszintje" cím alatt) és az elfogadható tartományba tartozó mérési mintákhoz képest kell értékelni. (Amennyiben több 3 mérésből álló sorozat szükséges, a mérés érvényességéhez teljesülnie kell a legfeljebb 3 dB eltéréstartománynak. Más esetekben további méréseket kell végezni.)
A vonatnak álló helyzetből 30 km/h sebességre kell felgyorsítania és ezt a sebességet kell tartania.
A T mérési időköz akkor kezdődik, amikor a vizsgált egység mozogni kezd és akkor végződik, amikor az egység 10-rel az első mérési keresztmetszet után ér.
D7. Adatfeldolgozás
Meg kell határozni az L pAFmax értékét minden mérésre (minden elindulásra és minden mérési pozícióra).
Ki kell számítani minden mérési pozícióban három érvényes mérés számtani átlagát, decibelre kerekítve.
A végső eredmény az átlagolt értékek közül a legnagyobb
E. FÜGGELÉK - AZ ELHALADÁSIZAJ-MÉRÉSEK MÉRÉSI ADATAI
Állandó sebességen történő vizsgálat
E1. Környezeti feltételek
E1.1. Akusztikus környezet
A vágány és a vágány mellett elhelyezett mikrofon és a vágány közötti háromszög alakú területen - mely háromszög befogója mindkét oldalon a vágány és a mikrofon távolságának kétszerese - a szabad hangterjedésnek lehetségesnek kell lennie. Ennek eléréséhez a következők szükségesek:
- e területen a talajszintnek a vágány felső síkjától számítva + 0 m és - 2 m közötti szinten kell lennie,
- e területen más vágány, zajelnyelő anyagok (pl. hó, magas növényzet) vagy hangvisszaverő takaróréteg (pl. víz, jég, kátrány vagy beton) nem lehet,
- a területen senki nem tartózkodhat és a megfigyelést végzőnek is olyan helyzetben kell lennie, ami nem befolyásolja lényegesen a mért hangnyomás értékét.
Ezen túlmenően a mikrofonok körüli, a mérési távolság legalább háromszorosának megfelelő sugarú körben nem lehetnek nagy méretű hangvisszaverő tárgyak, úgy mint korlátok, dombok, sziklák, hidak vagy épületek.
E1.2. Háttérzaj hangnyomásszintje
Ügyelni kell annak biztosítására, hogy a más forrásból (például más járművekből vagy gyárakból, illetve a szélből) származó zajok ne befolyásolják lényegesen a méréseket.
A L Aeq,T T = 20s háttérzajnak minden mikrofonpozícióban legalább 10 dB-lel a kapott LpAeq,Tp alatt kell lennie, amennyiben az egység zajkibocsátásának mérése háttérzaj jelenlétében történik. Frekvenciaelemzéshez (csak a kis eltérés eljárás használatakor szükséges) ennek a különbségnek minden jelentőséggel bíró frekvenciasávban legalább 10 dB-nek kell lennie.
E2. Vágányfeltételek
E2.1. Általános előírások
A mérés elvégzéséhez használt vágány felépítésének legalább a mikrofontávolság kétszeresén mindkét irányban azonos felépítésűnek kell lennie. Ebbe beletartozik a vonalgeometria, vágányminőség, sínegyenetlenség és vágányromlási sebesség, az ebben az ÁME-ben leírtak szerint.
E2.2. Vonalgeometria
A vágány r ívsugara:
r ≥ 1 000 m a v ≤ 70 km/h vonatsebesség mellett történő vizsgálathoz;
r ≥ 3 000 m a 70 < v ≤ 120 km/h vonatsebesség mellett történő vizsgálathoz;
r ≥ 5 000 m a v > 120 km/h vonatsebesség mellett történő vizsgálathoz.
Motoros egységek vizsgálatakor a vágány lejtése legfeljebb 5 : 1 000 lehet.
E2.3. Vágányfelépítmény
Az állandó sebességen történő vizsgálathoz a szabványos felépítmény ágyazattal, és fa vagy vasbeton talpfákkal szerelt vágány, bármiféle vágány- vagy síntakarás nélkül (síncsillapító használata megengedett az ezen ÁME-ben megengedett vágányromlási sebesség-értékhatárok betartása érdekében).
A tesztvágányon ne lehet jég, lefagyás vagy más fagyott csapadék. Mérés közben megengedett nulla fok alatti hőmérséklet.
A mérési szakaszon a vágányt sínillesztés nélkül (hegesztett sín) kell lefektetni, és azon látható felületi hibák (úgy mint a kerék és sín közé került külső anyag nyomódása okozta sínégés vagy hézagok és kiszögellések): nem lehet hegesztésekből vagy laza talpfákból eredő hallható zaj sem.
E3. A jármű állapotai
E3.1. Általános előírások
El kell távolítani a levegőáramlási rendszereken, úgy mint rácsokon, szűrőkön és ventilátorokon lévő szenynyeződéseket.
A mérések alatt az egység ajtóit és ablakait zárva kell tartani.
E3.2. Terhelés
Az állási zaj mérésére vonatkozó, az ezen ÁME C. függelékében meghatározott normál üzemi körülményeket kell alkalmazni. Ezen túlmenően a fix összeállítású egységek esetében olyan legkisebb vontatóerőt kell biztosítani, hogy az elhaladási zaj mérése során állandó sebességet lehessen tartani. Az állandó üzemi körülmények biztosítására szükség lehet arra, hogy az egységet előzetesen bizonyos ideig már ilyen üzem körülmények között működtessék.
Mozdonyok kivételével az elhaladási zaj mérésekor az egységeket a fent meghatározott mértéken túl terhelni nem szabad, pl. a kocsikra áru nem szabad rakni és a személykocsikban utasok nem tartózkodhatnak.
Ha a vizsgált egység egy mozdony, a vontatott tehernek legalább a megengedett legnagyobb érték kétharmadát el kell érnie. Ezen előírás céljaira a legnagyobb megengedett vontatott teher helyettesítésére megengedhető a legnagyobb sebességen képezhető legnagyobb vontatóerő alkalmazása (lásd: 5. ábra). Amennyiben a vizsgált mozdony vezetőfülkéjében megfelelő mérőeszközök és kijelzők rendelkezésre állnak, a szükséges vizsgálati feltételek biztosíthatóak úgy is, hogy a mozdonyt a legnagyobb elérhető vontatóerő legalább kétharmadát elérő jelzett vontatóerővel működtetik. Ez a feltétel úgy is biztosítható, hogy a vontatott járművek közé műszerezett fékező járművet illesztenek, mely lehetővé teszi a vizsgálat során a vontatóerő fékezéssel történő pontos szabályozását.
A vizsgálati jegyzőkönyvben le kell írni a vonatató berendezés vizsgálat közbeni állapotát.
5. ábra
Példa a vonóerő és a vonatsebesség kapcsolatára mozdony esetében

1 F vonóerő [N]
2 vonatsebesség [km/h]
3 Vonóerő görbéje
4 Egyszerűsített ellenállási görbe (egyenes vonal)
5 Legnagyobb vonóerő v max legnagyobb sebességen
6 v max legnagyobb sebességen a legnagyobb vonóerő 2/3-a
E3.3. A kerék futófelületének kondicionálása
Az egységnek normál üzemi körülmények között kell lennie és az állandó sebességen történő vizsgálathoz kerekeit legalább 1 000 km-en kell normál forgalomban használt vágányon normál forgalomban járatni. A kerék futófelületének lehetőleg egyenetlenségektől, pl. laposságoktól mentesnek kell lennie.
Futófelületen ható fékkel vagy fékpofával üzemeltetett egységek (felülettisztító fékek) a tuskó/fékpofa párnak olyan bejáratott állapotban kell lennie, melyben a tuskó és fékpofa megfelelően beágyazott. Az elhaladásizaj-mérések megkezdése előtt (rendszerint közvetlenül a mérések megkezdése, de legfeljebb a mérés megkezdése előtt 24 órával) az ilyen egységeket két alkalommal megállásig kell lefékezni. A fékezést 80 km/h sebességről vagy az egység legnagyobb sebességéről kell kezdeni, ha ez nem éri el a 80 km/h-t. Az egységet teljes megállásig kell fékezni a normál üzem közben szokásos lassulással, amely azonban biztosítja, hogy laposságok ne keletkezzenek.
E3.4. Vonat-összeállítás (szomszédos járművek)
A vonat más részeiből érkező zaj nem befolyásolhatja a vizsgált egység(ek)en végzett mérést. Ezért a vontatott egység méréséhez akusztikai szempontból semleges járműnek kell lennie legalább két vizsgált egység egyik oldalán, a másik oldalon pedig nem lehet jármű, vagy ha van, akusztikai szempontból annak is semlegesnek kell lennie. A mozdonyon végzett méréshez a szomszédos járműnek akusztikai szempontból semlegesnek kell lennie.
A szomszédos jármű akkor tekinthető akusztikai szempontból semlegesnek, ha:
a) az a vizsgált egységgel (egységekkel) megegyező típusú jármű; vagy
b) az LpAeq,Tp1 legfeljebb 2, dB-lel nagyobb, mint a LpAeq,Tp, ahol Tp1 és Tp áthaladási időt a 6. ábra jelzi (ehhez az értékeléshez az értékeket tizedesre kell kerekíteni).
Ezt a feltételt minden vizsgált sebességre legalább egyszer ellenőrizni és dokumentálni kell.
6. ábra
Elhaladási idő szomszédos jármű(vek) akusztikai semlegességének értékeléséhez)

E4. Mérési pozíciók
Minden mérési pontnak a vágány középvonalától 7,5 m-re és a vágány felső síkja felett 1,2 m-re kell elhelyezkednie.
A mérést az egység mindkét oldalán el kell végezni. Ha az egység mindkét oldala egyforma (tengelyszimmetrikus vagy pontszimmetrikus), megengedhető az egység egyik oldalán lévő mérési pontok elhagyása.
E5. Mért mennyiségek
Az alapvető mért akusztikus mennyiségek az L pAeq,Tp, a vonatsebesség és a Tp áthaladási idő. Ha az ezen ÁME B. függelékében leírt kis eltérés módszer használata miatt szükséges, meg kell határozni a frekvenciaspektrumot is.
E6. Vizsgálati eljárás
Minden mérési pozíción és minden járműállapotra (valamely járműállapot egy adott sebességen) legalább három érvényes mérésből álló sorozatot kell elvégezni.
A mérések érvényességét a háttérzaj szintjéhez (lásd e mellékletben a "Háttérzaj hangnyomásszintje" cím alatt) és az elfogadható tartományba tartozó mérési mintákhoz képest kell értékelni. (Amennyiben több 3 mérésből álló sorozat szükséges, a mérés érvényességéhez teljesülnie kell a legfeljebb 3 dB eltéréstartománynak. Más esetekben további méréseket kell végezni.)
E6.1. Áthaladási sebességek
A vizsgálati sebességeket ezen ÁME 4.2.1.1 és 4.2.2.4 pontja határozza meg.
A vizsgált egységnek a vágány mérésre használt szakaszán a választott, ± 5 % pontossággal stabilizált sebességen kell haladnia. A sebességet 3 %-nál jobb pontosságú eszközzel kell mérni. A vonat sebességmérőjének használata is megengedett, amennyiben a kalibrálást 3 %-nál nagyobb pontossággal elvégzik.
E6.2. Időközök feljegyzése és mérése
E6.2.1. Időközök feljegyzése
A mért jármű típusától függetlenül a Trec feljegyzési időközt kell választani, hogy a feljegyzés akkor kezdődjön, amikor az A-hangnyomásszint legalább 10 dB-lel alacsonyabb, mint a vonat elejének a mikrofonpozíción való áthaladásakor mért érték. A feljegyzés nem végződhet azt megelőzően, hogy az A-hangnyomásszint legalább 10 dB-lel alacsonyabb szintet ér el, mint a vonat végének a mikrofonpozíción való áthaladásakor mért érték (lásd: 7. ábra).

1 A-hangnyomásszint, dB
2 idő
3 Trec feljegyzési időköz
4 T1
5 T2
6 T mérési időköz = Tp
E6.2.2. Mérési időközök - általános esetek
Többrészes egységek vagy fix vonatösszeállítások esetében a T mérési időköz egybeesik a mérési pont előtt elhaladó teljes egység Tp áthaladási idejével.
Mozdonyokat vagy motorkocsikat mindig a tesztvonat elején kell vizsgálni. A T mérési időköz egybeesik a mérési pont előtt elhaladó teljes egység (ütközőkkel) Tp áthaladási idejével (lásd: 8. ábra).

1 A-hangnyomásszint
2 idő
Vonat részét alkotó vontatott egység(ek) tekintetében a T mérési időköz akkor kezdődik, amikor az első egység középpontja áthalad a mérési pozíción (T1 ) és akkor végződik, amikor az utolsó egység középpontja áthalad a mérési pozíción (T2 ). Ez az eljárás csak akkor érvényes, ha a vizsgált típusból legalább két egység rendelkezésre áll. A "Mérési időközök - különleges esetek" c. pont elfogadható vizsgálati eljárásokat ad meg a vontató egységek ott leírt különleges eseteire.
Vonaton belüli egység mérésekor az egység helyét független eszköz, úgy mint optikai kapcsoló vagy kerékdetektor használatával kell meghatározni.
A 9. ábra feltünteti a vontató egység méréséhez szükséges Tmin legkisebbmérési időközt.

1 A-hangnyomásszint, Db
2 idő
E6.2.3. Mérési időközök - különleges esetek
A különleges értékelési módszer használata az e függelék "Általános szabályok" címében leírt általános szabályok betartásával történő használata csak akkor megengedett, ha a függelék E6.2.2. pontjában leírt általános értékelési követelmény nem alkalmazható amiatt, mert a vizsgált egység fizikai összeállítása nem kompatibilis vagy az egység egyedi. Az "Általános szabályok" után meghatározott rendelkezések az általános szabályok különleges egységtípusokra való alkalmazását határozzák meg.
E6.2.3.1. Általános szabályok
a) A szomszédos jármű(vek)nek minden esetben akusztikailag semlegesnek kell lennie (lenniük), és ezáltal teljesíteniük kell az e melléklet "Vonatösszeállítás (szomszédos járművek)" szakaszában megadott feltételeket.
b) A mérési időköznek lehetővé kell tennie a vizsgált egység teljes akusztikai lenyomatának értékelését. Ezért a Tmin legkisebb mérési időköz megfelel az egység mérési pozíción való áthaladási idejének (vagy annak többszöröse).
c) A mérési időköz akkor kezdődik, amikor a két egymást követő kerékpár közötti leghosszabb szegmens középpontja áthalad a mikrofon előtt, és akkor végződik, amikor a vizsgált utolsó egység ugyanezen pontja áthalad a mikrofon előtt.
E6.2.3.2. A középpontban vagy ahhoz közel elhelyezett kerékpárokkal felszerelt egységek
Némely összeállításokban a kerékpárok közvetlenül a vizsgált egység középpontjához közel vagy a középpontjában találhatóak. Ilyen esetben a Tmin legkisebb mérési időköz nem akkor kezdődik, amikor az első vizsgált egység középpontja halad át a mérési pozíción, hanem akkor, amikor az egység két egymást követő kerékpárja közötti leghosszabb szegmens középpontja áthalad itt. Az időköz akkor ér véget, ha az utolsó egység ugyanezen pontja áthalad a mérési pozíción (példákért lásd az A.10. ábra és A.11. ábra).

1 A-hangnyomásszint
2 idő

1 A-hangnyomásszint
2 idő
E6.2.3.3. Két járműből álló, állandóan összekapcsolt egység
Ha a vizsgált egység két állandóan összekapcsolt, de nem feltétlenül azonos járműből áll, megengedhető csak az egyik egység mérése, amennyiben mindkét jármű pontszimmetrikus. Ilyen esetben a T1 megfelel az első jármű középpontján való áthaladásnak és T2 az egység utolsó járműve középpontja áthaladásának.
MEGJEGYZÉS Ajánlott az ilyen egység tesztvonat végén történő vizsgálata.

1 A-hangnyomásszint
2 idő
E6.2.3.4. Egyetlen vontatóból álló egység mérése
Amennyiben a sorozat egy egységből áll, megengedett az egyetlen egység mérése, feltéve, hogy az akusztikailag pontszimmetrikus.
Ez az eljárás nem vonatkozik motorkocsikra.
A vizsgált egységet a vonat végén kell elhelyezni. A T mérési időköz akkor kezdődik, amikor az egység középpontja áthalad a mérési pozíción, és akkor végződik, amikor a mérési pozícióban mért zajszint legalább 10 dB-lel csökken az egység áthaladása során mért legnagyobb zajszinthez képest (lásd: A.13. ábra).
Az egyenértékű A elhaladási zajszintet ekkor a követező képlettel kell értékelni:

ahol

az egység felének áthaladási ideje másodpercben
L Az egység hossza méterben
v A vonat sebessége m/s-ban

1 A-hangnyomásszint
2 idő
E7. Adatfeldolgozás
Az LpAeq,Tp értékét minden mérési pozícióra ki kell számítani. A vizsgálati eredmény az egyes méréssorozatok decibelre kerekített számtani átlaga.
Ha szükséges az elhaladási zaj referenciasebességre történő normalizálása, ezt a kerekítés előtt kell elvégezni.
Ha az egység két oldalán mért hangnyomásszintek eltérőek, végső eredményként a magasabb hangnyomásszintet kell megtartani.
Ha a "kis eltérés" módszer használata miatt szükség van spektrumokra, azokat legalább [31,5 Hz - 8 000 Hz] tartományú tercsávban kell megadni
F. FÜGGELÉK - A VEZETŐFÜLKE BELSŐ ZAJA MÉRÉSÉNEK MÉRÉSI ADATAI
A következő feltételek érvényesülnek:
a) az ajtóknak és az ablakoknak csukva kell lenniük;
b) a vontatott tehernek legalább a megengedett legnagyobb teher kétharmadának kell lennie.
A legnagyobb sebesség mellett végzett mérések esetében a mikrofont a vezető fülének magasságába kell helyezni (ülő helyzetben) az elülső ablaktábláktól a fülke hátsó fala felé kinyúló vízszintes sík középpontjában.
A kürt hangnyomásának méréséhez 8 db mikrofont helyeznek el egyenletes közönként a járművezető fejének pozíciója körül (ülő helyzetben) egy 25 +/- 2,5 cm sugarú körben egy vízszintes síkon. A nyolc érték számtani átlagát vetik össze a határértékkel.
G. FÜGGELÉK - ZAJVIZSGÁLATHOZ KAPCSOLÓDÓ ÁLTALÁNOS ADATOK ÉS FOGALOMMEGHATÁROZÁSOK
G1. Fogalommeghatározások:
hangnyomás
p
Meghatározott időn át mért, a statikus légköri nyomást meghaladó ingadozó nyomás négyzetes átlagának (RMS) Pa-ban kifejezett értéke
hangnyomásszint
Lp
Az alábbi egyenlettel megadott szint:
Lp = 10 lg (p/p 0)2 dB
(2) ahol:
Lp a hangnyomásszint dB-ben;
p az RMS hangnyomás Pa-ban;
p 0 a referencia hangnyomás; p 0 = 20 μPa
A-hangnyomásszint
L pA
Az A-frekvencia használatával (lásd az EN 61672 -1 és EN 61672-2 szabványt) a következő egyenlettel kapott hangnyomásszint:
L pA = 10 lg (p A/p 0)2 dB
(3) ahol:
L pA az A-hangnyomásszint dB-ben;
p A az RMS A-hangnyomás Pa-ban;
p 0 a referencia hangnyomás; p 0 = 20 μPa.
A-hangnyomásszint előzmény
Lp AF (t)
az A-hangnyomásszint az F (fast-gyors) idő súlyozott függvényében
AF legnagyobb hangnyomásszint
Lp AFmax
T mérési időköz alatt F (fast-gyors) idősúllyal meghatározott A-hangnyomásszint
Egyenértékű A-hangnyomásszint
L pAeq,T
a következő egyenlettel kiszámított A-hangnyomásszint:

(4) ahol:
L pAeq,T az egyenértékű A-hangnyomásszint dB-ben;
T a mérési időköz másodpercben;
p A(t) a pillanatnyi A-hangnyomás Pa-ban;
p 0 a referencia hangnyomás; p 0 = 20 μPa.
G2. Mérési tűrések
Az ebben az előírásban említett összes mérési távolság eltérő követelmény hiányában ± 0,2 m tűréssel értendő.
( 1 ) HL L 191., 2008.7.18., 1. o.
( 2 ) HL L 220., 2004.6.21., 3. o.
( 3 ) HL L 235., 1996.9.17., 6. o.
( 4 ) HL L 110., 2001.4.20., 1. o.
( 5 ) HL L 37., 2006.2.8., 1. o.
( 6 ) HL L 319., 2010.12.4., 1. o.
( 7 ) HL L 42., 2003.2.15., 38. o.
( 8 ) HL L 183., 1989.6.29., 1. o.
( 9 ) HL L 264., 2011.10.8., 32. o.
( 10 ) HL L 228., 1996.9.9., 1. o.
Lábjegyzetek:
[1] A dokumentum eredetije megtekinthető CELEX: 32011D0229 - https://eur-lex.europa.eu/legal-content/HU/ALL/?uri=CELEX:32011D0229&locale=hu Utolsó elérhető, magyar nyelvű konszolidált változat CELEX: 02011D0229-20130124 - https://eur-lex.europa.eu/legal-content/HU/ALL/?uri=CELEX:02011D0229-20130124&locale=hu