32001L0080[1]
Az Európai Parlament és a Tanács 2001/80/EK irányelve (2001. október 23.) a nagy tüzelőberendezésekből származó egyes szennyező anyagok levegőbe történő kibocsátásának korlátozásáról
AZ EURÓPAI PARLAMENT ÉS A TANÁCS 2001/80/EK IRÁNYELVE
(2001. október 23.)
a nagy tüzelőberendezésekből származó egyes szennyező anyagok levegőbe történő kibocsátásának korlátozásáról
AZ EURÓPAI PARLAMENT ÉS AZ EURÓPAI UNIÓ TANÁCSA,
tekintettel az Európai Közösséget létrehozó szerződésre és különösen annak 175. cikke (1) bekezdésére,
tekintettel a Bizottság javaslatára ( 1 ),
tekintettel a Gazdasági és Szociális Bizottság véleményére ( 2 ),
a Régiók Bizottságával folytatott konzultációt követően,
a Szerződés 251. cikke szerinti eljárásnak megfelelően ( 3 ), az egyeztetőbizottság által 2001. augusztus 2-án jóváhagyott közös szövegtervezet figyelembevételével,
mivel:
(1) A nagy tüzelőberendezésekből származó egyes szennyező anyagok levegőbe történő kibocsátásának korlátozásáról szóló, 1988. november 24-i 88/609/EGK tanácsi irányelv ( 4 ) hozzájárult a nagy tüzelőberendezésekből származó légköri kibocsátások csökkentéséhez és ellenőrzéséhez. A fenti irányelvet az érthetőség érdekében át kell dolgozni.
(2) Az ötödik környezetvédelmi cselekvési program ( 5 ) célkitűzésként írja elő, hogy egyes savképző szennyező anyagok, mint például a kén-dioxid (SO2) és a nitrogén-oxidok (NOx) levegőminőségre vonatkozó kritikus terheléseit és szintjeit ne lépjék túl, valamint a levegőminőség tekintetében azt, hogy minden embert hatékonyan kell védeni a légszennyezés ismert egészségügyi kockázataitól.
(3) A tagállamok aláírták a nagy távolságra jutó, országhatárokon átterjedő levegőszennyezésről szóló 1979-es, az Egyesült Nemzetek Európai Gazdasági Bizottságának (ENSZ EGB) egyezményéhez kapcsolódó, a savképződés, az eutrofizálódás, illetve a talajközeli ózon csökkentéséről szóló, 1999. december 1-jei göteborgi jegyzőkönyvet, amely többek között kötelezettségvállalást fogalmaz meg a kén-dioxid és a nitrogén-oxidok kibocsátásának csökkentésére.
(4) A Bizottság közleményt bocsátott ki a savképződés elleni közösségi stratégiáról, amelyben a stratégia szerves részeként említi a 88/609/EGK irányelv módosítását, illetve a kén-dioxid és a nitrogén-oxidok kibocsátásának olyan mértékű mérséklését, amely elegendő ahhoz, hogy a lerakódás és a koncentráció a kritikus terhelés, illetve szint alá csökkenjen.
(5) A Szerződés 5. cikkében megállapított szubszidiaritás elvével összhangban a nagy tüzelőberendezések savképződést okozó kibocsátásainak csökkentésére irányuló célkitűzés a tagállamok önálló fellépésével nem valósítható meg, és az össze nem hangolt lépések nem nyújtanak garanciát a kívánt cél elérésére; a savképződést okozó kibocsátásnak a Közösség egész területén történő csökkentése céljából hatékonyabb a közösségi szintű cselekvés.
(6) A meglévő nagy tüzelőberendezések jelentősen hozzájárulnak a közösségi kén-dioxid- és nitrogén-oxid-kibocsátáshoz, és e kibocsátásokat csökkenteni kell. Ezért e kérdés megközelítését a tagállamok nagytüzelőberendezés-ágazatának eltérő jellemzőihez kell igazítani.
(7) A környezetszennyezés integrált megelőzéséről és csökkentéséről szóló, 1996. szeptember 24-i 96/61/EK tanácsi irányelv integrált megközelítést ír elő a környezetszennyezés megelőzésére és ellenőrzésére, amelynek során egy létesítmény környezeti teljesítményének összes szempontját integrált módon veszik figyelembe; a fenti irányelv hatálya alá az 50 MW-ot meghaladó névleges hőteljesítményű tüzelőberendezések tartoznak; a fenti irányelv 15. cikkének (3) bekezdése értelmében a Bizottságnak a tagállamok által szolgáltatott adatok alapján háromévenként nyilvántartást kell megjelentetnie a főbb szennyezésekről és az ezekért felelős kibocsátókról. A fenti irányelv 18. cikke értelmében a Bizottság javaslatára a Tanács a Szerződésben megállapított eljárásnak megfelelően határértékeket állapít meg azon kibocsátásokra, amelyek tekintetében, különösen a fenti irányelv 16. cikkében előírt információcsere alapján, közösségi fellépés szükséges.
(8) Ezen irányelv által meghatározott kibocsátási határértékek betartása szükséges, de nem elégséges feltétele a 96/61/EK irányelv követelményeinek való megfelelésnek az elérhető legjobb technikák használata terén. A megfelelés szigorúbb kibocsátási határértékekkel járhat, más anyagokra, más közegekre vonatkozó kibocsátási határértékeket és más feltételeket tehet szükségessé.
(9) Az elmúlt 15 év során ipari tapasztalatok születtek a nagy tüzelőberendezések szennyezőanyag-kibocsátásának csökkentését szolgáló technikák megvalósítása terén.
(10) A nagy távolságra jutó, országhatárokon átterjedő levegőszennyezésről szóló ENSZ EGB-egyezményhez csatolt, a nehézfémekről szóló jegyzőkönyv az egyes létesítmények által kibocsátott nehézfémek csökkentésére irányuló intézkedések elfogadását javasolja. Ismeretes, hogy a porleválasztó berendezésekkel végzett porkibocsátás-csökkentés előnyei a részecskékhez kötött nehézfém-kibocsátás csökkentése terén is jelentkeznek.
(11) Az elektromos áramot termelő létesítmények jelentős részét teszik ki a nagy tüzelőberendezések ágazatának.
(12) A villamos energia belső piacára vonatkozó közös szabályokról szóló, 1996. december 19-i 96/92/EK európai parlamenti és tanácsi irányelv ( 6 ) többek között befolyást kíván gyakorolni a termelési kapacitások elosztására az ágazatba újonnan belépők között.
(13) A Közösség elkötelezett a szén-dioxid-kibocsátás csökkentése iránt. Ahol megvalósítható, a kombinált hő- és elektromosáram-termelés értékes lehetőséget jelent a tüzelőanyag-felhasználás hatékonyságának jelentős javítására.
(14) Folyamatban van, és várhatóan tovább folytatódik a földgáz elektromos áram előállítására történő felhasználásának jelentős növelése, különösen a gázturbinák használatával.
(15) A biomasszából történő energiatermelés növekedése érdekében indokolt erre a tüzelőanyagra vonatkozóan külön kibocsátási előírásokat megállapítani.
(16) A hulladékgazdálkodás közösségi stratégiájáról szóló, 1997. február 24-i tanácsi állásfoglalás ( 7 ) hangsúlyozza a hulladékhasznosítás ösztönzésének szükségességét, valamint megállapítja, hogy a környezet magas szintű védelmének biztosítása érdekében megfelelő kibocsátási előírásokat kell alkalmazni a hulladék égetését végző létesítmények működésére.
(17) Ipari tapasztalatok állnak rendelkezésre a nagy tüzelőberendezések által kibocsátott legfontosabb szennyező anyagok kibocsátásának mérésére szolgáló technológiáról és berendezésekről; az Európai Szabványügyi Bizottság (CEN) vállalta a Közösségen belüli összehasonlítható mérési eredményeket biztosító, valamint e mérések magas minőségi színvonalát garantáló keretek kialakítását.
(18) Szükség van a legfontosabb szennyező anyagok nagy tüzelőberendezésekből történő kibocsátására vonatkozó ismeretek további bővítésére. Valamely létesítmény szennyezési szintjének hiteles megítéléséhez a szennyezésre vonatkozó adatokat össze kell vetni az energiafelhasználásáról szóló ismeretekkel.
(19) Ezen irányelv nem érinti a tagállamok számára a 88/609/EGK irányelv átvételére és végrehajtására szánt határidőket,
ELFOGADTA EZT AZ IRÁNYELVET:
1. cikk
Ez az irányelv a legalább 50 MW névleges hőteljesítményű tüzelőberendezésekre vonatkozik, függetlenül az azok által használt tüzelőanyag jellegétől (szilárd, folyékony vagy gáz-halmazállapotú).
2. cikk
Ennek az irányelvnek az alkalmazásában:
1. "kibocsátás": valamely anyagnak a tüzelőberendezésből a levegőbe juttatása;
2. "füstgáz": szilárd, folyékony vagy gáz-halmazállapotú összetevőket tartalmazó, környezetbe juttatott, gáz-halmazállapotú anyag; térfogatáramát standard hőmérsékleten (273 K) és nyomáson (101,3 kPa) köbméter per óra mértékegységben, a vízgőz-koncentrációra vonatkozó korrekciót követően kell megadni, a továbbiakban (Nm3/h);
3. "kibocsátási határérték": a tüzelőberendezésekből származó füstgázokban lévő valamely anyagnak egy adott időszak során a levegőbe juttatható mennyisége; a füstgázok térfogatára vonatkoztatott tömegben kell megadni, mg/Nm3-ben kifejezve, folyékony és gáz-halmazállapotú tüzelőanyagok esetén 3 térfogat-százalékos, szilárd tüzelőanyagok esetén 6 térfogat-százalékos és gázturbinák esetén 15 térfogat-százalékos oxigénkoncentrációt feltételezve;
4. "kéntelenítési arány": a tüzelőberendezés területén egy adott időszak során a levegőbe ki nem bocsátott kén mennyiségének a tüzelőberendezésbe bevitt és az azonos időszak során felhasznált tüzelőanyagban található kén mennyiségéhez viszonyított arányát jelenti;
5. "üzemeltető": bármely természetes vagy jogi személy, aki/amely a tüzelőberendezést üzemelteti, vagy akire az erre vonatkozó gazdasági rendelkezési jogosultságot telepítették, vagy azokat helyettesítő jelleggel gyakorolja;
6. "tüzelőanyag": bármilyen, a tüzelőberendezésben tüzelésre használt szilárd, folyékony vagy gáz-halmazállapotú éghető anyag, az új településihulladék-égető művek által okozott levegőszennyezés megelőzéséről szóló, 1989. június 8-i 89/369/EGK tanácsi irányelv ( 8 ), a meglévő településihulladék-égető művek által okozott levegőszennyezés csökkentéséről szóló, 1989. június 21-i 89/429/EGK tanácsi irányelv ( 9 ) és a veszélyes hulladékok égetéséről szóló, 1994. december 16-i 94/67/EK tanácsi irányelv ( 10 ) által vagy az ezeket az irányelveket a későbbiekben hatályon kívül helyező vagy módosító közösségi jogszabályok által meghatározott hulladékok kivételével;
7. "tüzelőberendezés": bármely olyan technikai berendezés, amelyben tüzelőanyagot égetnek el az így keletkező hő hasznosítása céljából.
Ezen irányelv kizárólag energia termelésére létrehozott tüzelőberendezésekre vonatkozik, az égéstermékeket közvetlen gyártási folyamatokban felhasználó tüzelőberendezések kivételével. Ezen irányelvet nem kell alkalmazni különösen az alábbi tüzelőberendezésekre:
a) tüzelőberendezésekre, amelyekben az égéstermékeket közvetlen hevítésre, szárításra, illetve tárgyak vagy anyagok bármilyen más kezelésére használják, például újrahevítő kemencék, hőkezelésre szolgáló kemencék;
b) utóégető művek, azaz bármilyen, független tüzelőberendezésként nem üzemeltetett, a füstgázok égetés útján történő tisztítására tervezett műszaki berendezés;
c) a katalitikus krakkolásra használt katalizátorok regenerálására szolgáló létesítmények;
d) a kén-hidrogént kénné alakító létesítmények;
e) a vegyiparban használt reaktorkemencék;
f) kokszoló kemencesor;
g) léghevítők;
h) valamely jármű, hajó vagy repülőgép meghajtására szolgáló bármilyen műszaki berendezés;
i) a part menti platformokon használt gázturbinák;
j) 2002. november 27-ét megelőzően engedélyezett gázturbinák vagy az eljárni jogosult hatóság szerint 2002. november 27. előtti teljes engedélykérelem tárgyát képező gázturbinák, amennyiben a létesítményt legkésőbb 2003. november 27-ig üzembe helyezik, a 7. cikk (1) bekezdésének és a VIII. melléklet A. és B. részének sérelme nélkül.
A dízel-, benzin- és gázüzemű motorokkal hajtott létesítmények nem tartoznak ezen irányelv hatálya alá.
Amennyiben két vagy annál több különálló új tüzelőberendezést létesítenek úgy, hogy műszaki és gazdasági tényezők figyelembevételével az eljárni jogosult hatóságok megítélése szerint füstgázaik közös kéményen keresztül kiengedhetők, e létesítmények által így létrehozott kombinát egyetlen létesítménynek tekintendő;
8. "vegyes tüzelésű egység": bármilyen olyan tüzelőberendezés, amely egyidejűleg vagy felváltva két- vagy többféle tüzelőanyaggal fűthető;
9. "új létesítmény": bármilyen tüzelőberendezés, amely tekintetében az eredeti építési engedély vagy ilyen eljárás hiányában az eredeti működési engedély kiadása 1987. július 1-jén vagy azt követően történt;
10. "meglévő létesítmény": bármilyen olyan tüzelőberendezés, amely tekintetében az eredeti építési engedély vagy ilyen eljárás hiányában az eredeti működési engedély kiadása 1987. július 1-jét megelőzően történt;
11. "biomassza": bármely, teljesen vagy részben mezőgazdaságból vagy erdőgazdaságból származó növényi anyagot tartalmazó termék, amely energiatartalmának felhasználása céljából tüzelőanyagként használható, valamint az alábbi, tüzelőanyagként használt termékek:
a) mezőgazdasági és erdészeti eredetű növényi hulladék;
b) az élelmiszer-feldolgozó iparból származó hulladék, amennyiben a termelt hőt hasznosítják;
c) cellulózgyártásból, valamint cellulózból történő papírgyártásból származó rostos növényi hulladék, amennyiben a gyártás helyén együtt égetik, és a termelt hőt hasznosítják;
d) parafahulladék;
e) fahulladék, kivéve a fakonzerválókkal vagy bevonatokkal történő kezelésből származó halogénezett szerves vegyületeket vagy nehézfémeket esetlegesen tartalmazó fahulladékot, valamint különösen az építési és bontási hulladékból származó fahulladékot;
12. "gázturbina": olyan forgó gép, amely a termikus energiát mechanikai munkává alakítja át, és elsősorban az alábbi egységekből áll: kompresszor, egy hőberendezés, amelyben a tüzelőanyag égetése történik a munkaközeg felmelegítése céljából, illetve turbina.
13. "legkülső régiók": Franciaország tekintetében a francia tengerentúli megyék, Portugália tekintetében az Azori-szigetek és Madeira, Spanyolország tekintetében pedig a Kanári-szigetek.
3. cikk
(1) A tagállamok legkésőbb 1990. július 1 -jéigmegfelelő programokat állítanak össze a meglévő létesítményekből származó teljes éves kibocsátás csökkentésére. A programok a határidők mellett a végrehajtás módját is megállapítják.
(2) A tagállamok a 4. cikk meglévő létesítményekre vonatkozó rendelkezéseinek bevezetéséig az (1) bekezdésben említett programokkal összhangban továbbra is betartják a kibocsátási határértékeket és a vonatkozó százalékos csökkentéseket, amelyeket a kén-dioxid tekintetében az I. melléklet 1-6. oszlopa, a nitrogén-oxidok tekintetében a II. melléklet 1-4. oszlopa állapít meg, a mellékletekben meghatározott határidőknek megfelelően.
(3) A programok végrehajtása során a tagállamok a VIII. melléklet C. részének megfelelően a teljes éves kibocsátást is meghatározzák.
(4) Amennyiben valamely tagállam számára az (1) bekezdés alapján megállapított program végrehajtásában súlyos technikai problémát okoz az energiaigény, illetve az egyes tüzelőanyagok vagy elektromos áramtermelő létesítmények rendelkezésre állásának jelentős és váratlan megváltozása, az érintett tagállam kérésére a Bizottság a kérés feltételeit figyelembe véve határoz a szóban forgó tagállam számára előírt kibocsátási határértékek és/vagy az I. és II. mellékletben előírt határidők módosításáról, és határozatát közli a Tanáccsal és a tagállamokkal. A Bizottság határozatával kapcsolatban három hónapon belül bármely tagállam a Tanácshoz fordulhat. A Tanács három hónapon belül minősített többséggel eltérő határozatot hozhat.
4. cikk
(1) A 17. cikk sérelme nélkül a tagállamok megfelelő intézkedéseket hoznak annak biztosítására, hogy az építési engedélyek vagy ilyen eljárás hiányában az új létesítményekre vonatkozó működési engedélyek, amelyek az eljárni jogosult hatóságok megítélése szerint 2002. november 27. előtti teljes értékű engedélykérelem hatálya alá tartoznak feltéve, hogy a létesítményt legkésőbb 2003. november 27-ig üzembe állítják, tartalmazzák a III-VII. melléklet A. szakaszában meghatározott, a kén-dioxidra, nitrogén-oxidokra és porra vonatkozó kibocsátási határértékek betartására vonatkozó feltételeket.
(2) A tagállamok megteszik a szükséges intézkedéseket annak biztosítására, hogy az (1) bekezdés hatálya alá tartozó új létesítményektől eltérő új létesítményekre vonatkozó építési engedélyek vagy ilyen eljárás hiányában a működési engedélyek tartalmazzák a III-VII. melléklet B. szakaszában meghatározott, a kén-dioxidra, nitrogén-oxidokra és porra vonatkozó kibocsátási határértékek betartására vonatkozó feltételeket.
(3) A 96/61/EK irányelv és a környezeti levegő minőségének vizsgálatáról és ellenőrzéséről szóló, 1996. szeptember 27-i 96/62/EK tanácsi irányelv ( 11 ) sérelme nélkül a tagállamok legkésőbb 2008. január 1-jéig jelentős kibocsátáscsökkentést valósítanak meg az alábbiak révén:
a) megfelelő intézkedéseket vezetnek be annak biztosítására, hogy a meglévő létesítmények működési engedélye tartalmazzon az (1) bekezdésben szereplő, új létesítményekre megállapított kibocsátási határértékek betartására vonatkozó feltételeket; vagy
b) biztosítják, hogy a meglévő létesítményekre is vonatkozzon a (6) bekezdésben említett nemzeti kibocsátáscsökkentési terv;
és amennyiben szükséges, az 5., 7. és 8. cikk alkalmazása által.
(4) A 96/61/EK és a 96/62/EK irányelv sérelme nélkül a meglévő létesítmények az alábbi feltételekkel mentesülhetnek a (3) bekezdésben említett kibocsátási határértékeknek való megfelelési, illetve a nemzeti kibocsátáscsökkentési tervben történő részvételi kötelezettség alól:
a) a meglévő létesítmény üzemeltetője az eljárni jogosult hatósághoz legkésőbb 2004. június 30-ig benyújtott írásos nyilatkozatban vállalja, hogy 2008. január 1-jétől kezdődően és 2015. december 31-ig bezárólag nem üzemelteti a létesítményt 20 000 üzemórát meghaladó időtartamban;
b) az üzemeltetőnek minden évben nyilvántartást kell benyújtania az eljárni jogosult hatósághoz a létesítmény engedélyezett élettartamából felhasznált, illetve még hátralévő üzemidőről.
(5) A tagállamok a 10. cikk (1), (2), (3) és (4) bekezdésében szereplőknél szigorúbb kibocsátási határértékek és határidők betartását is előírhatják. Ezek kiterjedhetnek más szennyező anyagokra is, további követelményeket írhatnak elő, illetve megkövetelhetik a létesítmény műszaki fejlődéshez való igazítását.
(6) A tagállamok a 96/61/EK irányelv sérelme nélkül és figyelembe véve a költségeket és hasznokat, valamint az egyes légszennyező anyagok nemzeti kibocsátási határértékeiről szóló, 2001. október 23-i 2001/81/EK európai parlamenti és tanácsi irányelv ( 12 ), illetve a 96/62/EK irányelv alapján fennálló kötelezettségeiket, kidolgozhatnak és végrehajthatnak egy, a meglévő létesítményekre vonatkozó nemzeti kibocsátáscsökkentési tervet, figyelembe véve többek között az I. és II. mellékletben meghatározott határértékeknek való megfelelést.
A nemzeti kibocsátáscsökkentési terv a meglévő létesítmények teljes éves nitrogén-oxid- (NOx), kén-dioxid- (SO2) és porkibocsátását olyan szintre csökkenti, mint ami az egyes létesítmények tényleges üzemidejének, felhasznált tüzelőanyagának és hőteljesítményének működésük utolsó öt évének 2000-rel bezárólag történő átlagolásával való figyelembevételével a (3) bekezdés szerinti kibocsátási határértékeknek a 2000-ben meglévő, működő létesítményekre (beleértve a 2000-ben az eljárni jogosult hatóság által jóváhagyott, a nemzeti jogszabályok által előírt kibocsátási határértékek teljesítését célzó, felújításon áteső meglévő létesítményeket is) történő alkalmazásával valósulna meg.
Egy, a nemzeti kibocsátáscsökkentési tervben szereplő létesítmény bezárása nem vezethet a terv hatálya alá tartozó többi létesítmény teljes éves kibocsátásának emelkedéséhez.
A nemzeti kibocsátáscsökkentési terv semmilyen körülmények között sem mentesíti a létesítményt a vonatkozó közösségi jogszabályokban - beleértve többek között a 96/61/EK irányelvet - megállapított rendelkezések alól.
A nemzeti kibocsátáscsökkentési tervekre az alábbi feltételeket kell alkalmazni:
a) a terv célkitűzésekből és azokhoz tartozó célokból, ezen célkitűzéseknek és céloknak a megvalósítására vonatkozó ütemtervekből és ellenőrzési (monitoring) rendszerből áll;
b) a tagállamok legkésőbb 2003. november 27-ig közlik a Bizottsággal nemzeti kibocsátáscsökkentési tervüket;
c) a Bizottság a b) pontban említett közléstől számított hat hónapon belül értékeli, hogy a terv e bekezdés követelményeinek megfelel-e. Amennyiben a Bizottság azt nem tartja megfelelőnek, erről értesíti a tagállamot, amely a következő három hónapon belül közli a Bizottsággal azokat az intézkedéseket, amelyeket e bekezdés rendelkezéseinek való megfelelés céljából hozott;
d) a Bizottság legkésőbb 2002. november 27-ig iránymutatást dolgoz ki a tagállamok támogatására programjaik kialakításában.
(7) Legkésőbb 2004. december 31-ig az emberi egészség védelmének fejlődése, valamint a Közösség savasodással és levegőminőséggel kapcsolatos környezetvédelmi céljainak a 96/62/EK irányelv szerinti megvalósításának figyelembevételével a Bizottság jelentést készít az Európai Parlament és a Tanács számára, amelyben értékeli az alábbiakat:
a) a további intézkedések szükségessége;
b) a nagy tüzelőberendezések által kibocsátott nehézfémek mennyisége;
c) a tagállamok tüzelőberendezés-ágazatai további kibocsátáscsökkentésének költséghatékonysága, költségei és hasznai más ágazatokkal összehasonlítva;
d) a fenti kibocsátáscsökkentés technikai és gazdasági megvalósíthatósága;
e) a nagy tüzelőberendezések ágazatában előírt szabványok, beleértve a hazai szilárd tüzelőanyagokra vonatkozó rendelkezéseket, valamint az energiapiac, a környezet és a belső piac versenyhelyzetének hatása;
f) a tagállamok által a 6. cikknek megfelelően előírt nemzeti kibocsátáscsökkentési tervek.
A Bizottság jelentésében megfelelő javaslatot tesz a VI. melléklet A. szakaszának 2. lábjegyzetében szereplő eltéréshez a lehetséges határidőkre vagy alacsonyabb határértékekre.
(8) A (7) bekezdésben említett jelentéshez annak tárgyára vonatkozó javaslatok mellékelhetők, tekintettel a 96/61/EK irányelvre.
5. cikk
A III. melléklettől való eltérés esetén:
1. azokra a létesítményekre, amelyek névleges hőteljesítménye legalább 400 MW, és amelyek évente nem üzemelnek többet az alábbiakban meghatározott számú üzemóránál (mozgó átlag az elmúlt öt év folyamán):
- 2015. december 31-ig 2 000 óra,
- 2016. január 1-jétől 1 500 óra,
800 mg/Nm3 kén-dioxid-kibocsátási határérték vonatkozik.
E rendelkezés nem vonatkozik azokra az új létesítményekre, amelyeket a 4. cikk (2) bekezdése alapján engedélyeztek.
2. 1999. december 31-ig a Spanyol Királyság engedélyezheti olyan, legalább 500 MW névleges hőteljesítményű, hazai vagy importált szilárd tüzelőanyaggal üzemelő, 2005 végét megelőzően üzembe állított új erőművek létesítését, amelyek megfelelnek az alábbi feltételeknek:
a) importált szilárd tüzelőanyag esetén a kén-dioxid-kibocsátási határérték 800 mg/Nm3;
b) hazai szilárd tüzelőanyag esetén legalább 60 %-os kéntelenítés;
amennyiben az olyan erőművek, amelyekre az eltérés vonatkozik, teljes engedélyezett kapacitása nem haladja meg:
- hazai szilárd tüzelőanyaggal üzemelő létesítmények esetén a 2 000 MWe-t,
- importált szilárd tüzelőanyaggal üzemelő létesítmények esetén vagy a 7 500 vagy az 1999. december 31-ig engedélyezett összes, szilárd tüzelőanyaggal üzemelő létesítmény teljes kapacitásának 50 %-a közül az alacsonyabb értéket.
6. cikk
A 4. cikk (2) bekezdése alapján engedélyezett új létesítmények vagy a 10. cikk hatálya alá tartozó létesítmények esetén a tagállamok biztosítják, hogy a hő és az elektromos áram együttes termelésének technikai és gazdasági megvalósíthatóságát megvizsgálják. Amennyiben a megvalósíthatóságot megerősítik, a piaci és elosztási körülmények figyelembevétele mellett a létesítményt annak megfelelően fejlesztik.
7. cikk
(1) A tagállamok gondoskodnak arról, hogy a 4. cikkben szereplő engedélyekben rendelkeznek a kibocsátáscsökkentő berendezések működési hibáira és meghibásodásaira vonatkozó eljárásokról. Meghibásodás esetén, amennyiben a normál üzem nem áll vissza 24 órán belül, az eljárni jogosult hatóság az üzemeltető számára különösen előírja az üzemeltetés korlátozását vagy leállítását, vagy kevésbé szennyező tüzelőanyag használatát. Az eljárni jogosult hatóságot minden esetben 48 órán belül értesíteni kell. A kibocsátáscsökkentés nélküli üzemelés összes időtartama semmilyen körülmények között nem haladhatja meg bármely 12 hónapos időszakban a 120 órát. Az eljárni jogosult hatóság a fenti 24 órás és 120 órás határértékek alól kivételeket engedélyezhet, amennyiben úgy ítéli meg, hogy:
a) elengedhetetlenül szükséges az energiaellátás fenntartása; vagy
b) a meghibásodott létesítmény helyére korlátozott időre olyan létesítmény állna üzembe, amely általános kibocsátásemelkedést okozna.
(2) Az eljárni jogosult hatóság kén-dioxid tekintetében engedélyezheti a 4. cikkben előírt határértékeknek való megfelelési kötelezettség legfeljebb hat hónapra történő felfüggesztését olyan létesítmények számára, amelyek a fenti határértékeknek való megfelelés céljára rendes körülmények között alacsony kéntartalmú tüzelőanyagot használnak, amennyiben az üzemeltető a határértékeket az alacsony kéntartalmú tüzelőanyag ellátásának súlyos hiányból eredő megszakadása miatt nem tudja betartani. Ezekről az esetekről haladéktalanul tájékoztatja a Bizottságot.
(3) Az eljárni jogosult hatóság engedélyezhet a 4. cikkben előírt határértékeknek való megfelelési kötelezettségtől való eltérést abban az esetben, ha egy olyan létesítménynek, amely rendes körülmények között gáz-halmazállapotú tüzelőanyagot használ, és amelyet egyébként füstgáztisztító berendezéssel kellene felszerelni, kivételesen és 10 napot meg nem haladó időtartamra - kivéve, ha az energiaellátás fenntartásának szükségessége fontosabb érdeknek minősül - a gázellátás hirtelen megszakadása miatt más tüzelőanyagot kell igénybe vennie. Az eljárni jogosult hatóságot az egyes esetekről haladéktalanul tájékoztatni kell. A tagállamok haladéktalanul tájékoztatják a Bizottságot az e bekezdésben említett esetekről.
8. cikk
(1) A vegyes tüzelésű egységgel rendelkező létesítmények esetében, beleértve két vagy több tüzelőanyag egyidejű használatát is, a 4. cikk (1) bekezdésében vagy a 4. cikk (2) bekezdésében említett engedély megadásakor, valamint a 4. cikk (3) bekezdése, illetve a 10. cikkel érintett létesítmények esetében az eljárni jogosult hatóság a következőképpen állapítja meg a kibocsátási határértékeket:
a) először az egyes különböző tüzelőanyagokra vonatkozó kibocsátási határértékek és a III-VII. mellékletben meghatározott, a tüzelőberendezés névleges hőteljesítményének megfelelő szennyezők megállapításával;
b) másodszor az egyes tüzelőanyagok szerint súlyozott kibocsátási határérték meghatározásával, amely a fenti különálló kibocsátási határértékek és az egyes tüzelőanyagok által szolgáltatott hőteljesítmény összeszorzásával, majd a szorzás eredményének a tüzelőanyagok által szolgáltatott hőteljesítmények összegével történő elosztásával adódik;
c) végül a tüzelőanyagok szerint súlyozott kibocsátási határértékek összeadásával.
(2) A saját felhasználásra egyedül vagy más tüzelőanyagokkal együtt a kőolaj-finomításból származó lepárlási és átalakítási maradékokat használó, vegyes tüzelésű egységekre a fenti (1) bekezdés ellenére a legmagasabb kibocsátási határértékekkel rendelkező tüzelőanyagra (meghatározó tüzelőanyag) érvényes rendelkezések vonatkoznak, amennyiben a tüzelőberendezés üzemeltetése során e tüzelőanyag összes tüzelőanyag által szolgáltatott hőteljesítményhez való hozzájárulása legalább 50 %.
Amennyiben a meghatározó tüzelőanyag aránya 50 %-nál alacsonyabb, a kibocsátási határérték megállapítása az egyes tüzelőanyagok által szolgáltatott hőteljesítménynek az összes tüzelőanyag által szolgáltatott teljes hőteljesítményhez történő viszonyításával arányosan történik, a következőképpen:
a) először az egyes különböző tüzelőanyagokra vonatkozó kibocsátási határértékek és a III-VII. mellékletben meghatározott, a tüzelőberendezés névleges hőteljesítményének megfelelő szennyezők megállapításával;
b) másodszor a meghatározó tüzelőanyag (III-VII. melléklet szerint a legmagasabb kibocsátási határértékű tüzelőanyag, két azonos kibocsátási határértékű tüzelőanyag esetén a magasabb hőteljesítményű tüzelőanyag) kibocsátási határértékének kiszámításával; ez az érték a fenti tüzelőanyag III-VII. melléklet szerint meghatározott kibocsátási határértékének kétszerese a legalacsonyabb kibocsátási határértékkel csökkentve;
c) harmadszor az egyes tüzelőanyagok szerint súlyozott kibocsátási határértékek meghatározásával, amely a kiszámított kibocsátási határérték és a meghatározó tüzelőanyag által szolgáltatott hőteljesítmény szorzatából, valamint a többi különböző kibocsátási határérték és az általuk külön-külön szolgáltatott hőteljesítmény szorzatából, majd a szorzás eredményének a tüzelőanyagok által szolgáltatott hőteljesítmények összegével történő elosztásával adódik;
d) negyedszer az egyes tüzelőanyagok szerint súlyozott kibocsátási határértékek összeadásával.
(3) A (2) bekezdésben szereplő átlagos kibocsátási határértékek helyett alkalmazhatók kén-dioxid esetében (a használt tüzelőanyag-kombinációtól függetlenül):
a) a 4. cikk (1) és (3) bekezdésében említett létesítmények esetén 1 000 mg/Nm3, a finomító összes ilyen létesítményének átlagát tekintve;
b) a 4. cikk (2) bekezdésében említett új létesítmények esetében: 600 mg/Nm3, a finomító összes ilyen létesítményének átlagát tekintve, a gázturbinák kivételével.
Az eljárni jogosult hatóságok biztosítják, hogy e rendelkezés alkalmazása ne vezessen a meglévő létesítményekből származó kibocsátás növekedéséhez.
(4) Vegyes tüzelésű egységgel rendelkező létesítmények esetén, beleértve két vagy több tüzelőanyag alternatív felhasználását is, a 4. cikk (1) és (2) bekezdésében szereplő engedély kiadásakor, amennyiben e létesítmények a 4. cikk (3) bekezdése vagy a 10. cikk hatálya alá tartoznak, a III-VII. mellékletben meghatározott, az egyes tüzelőanyagokhoz tartozó kibocsátási határértékeket kell alkalmazni.
9. cikk
A tüzelőberendezésekből származó füstgázok kilépése ellenőrzött módon, kéményen keresztül történik. A kilépés feltételeit a 4. cikkben szereplő engedély, valamint a 10. cikk hatálya alá tartozó létesítmények engedélyei állapítják meg. Az eljárni jogosult hatóság biztosítja, hogy a kémény magasságát az egészség és a környezet védelmére tekintettel állapítsák meg.
9a. cikk
(1) A tagállamok gondoskodnak arról, hogy valamennyi olyan, legalább 300 megawatt teljesítményű tüzelőberendezés üzemeltetője, amelyre a szén-dioxid geológiai tárolásáról szóló, 2009. április 23-i 2009/31/EK európai parlamenti és tanácsi irányelv (12) hatálybalépését követően adtak ki eredeti építési engedélyt vagy - ilyen eljárás hiányában - eredeti működési engedélyt, mérje fel az alábbi feltételek teljesülését:
- rendelkezésre állnak megfelelő tárolóhelyek,
- a szállítóberendezések technikailag és gazdaságilag megvalósíthatók,
- a CO2 elkülönítéséhez szükséges átalakítások gazdaságilag és műszakilag megvalósíthatók.
(2) Az (1) bekezdésben említett feltételek teljesülése esetén az illetékes hatóság biztosítja, hogy a telephelyen megfelelő hely álljon rendelkezésre a CO2 elkülönítéséhez és sűrítéséhez szükséges berendezések számára. Az illetékes hatóság az (1) bekezdésben említett felmérés és egyéb rendelkezésre álló - különösen a környezetvédelmet és az emberi egészséget érintő - információk alapján megállapítja, hogy e feltételek teljesültek-e.
10. cikk
Amennyiben a tüzelőberendezést legalább 50 MW-tal bővítik, a III-VII. melléklet B. részében meghatározott kibocsátási határértékek a létesítmény új részére vonatkoznak, és az egész létesítmény hőteljesítménye arányában állapítják meg őket. E rendelkezés nem vonatkozik a 8. cikk (2) és (3) bekezdésében említett esetekre.
Amennyiben valamely tüzelőberendezés üzemeltetője a 96/61/EK irányelv 2. cikke (10) bekezdésének b) pontja és 12. cikkének (2) bekezdése szerinti módosítást tűz ki a kén-dioxid, nitrogén-oxidok és a por tekintetében, a III-VII. melléklet B. részében meghatározott kibocsátási határértékeket kell alkalmazni.
11. cikk
Olyan tüzelőberendezés építése esetén, amely jelentős környezeti hatást fejthet ki egy másik tagállam területén, a tagállamok biztosítják, hogy minden szükséges információ átadására, továbbá konzultációra kerül sor az egyes köz- és magánprojektek környezetre gyakorolt hatásainak vizsgálatáról szóló, 1985. június 27-i 85/337/EGK tanácsi irányelv ( 13 ) 7. cikkének megfelelően.
12. cikk
A tagállamok a VIII. melléklet A. szakaszának megfelelően megtesznek minden szükséges intézkedést az ezen irányelv hatálya alá tartozó tüzelőberendezésekből származó kibocsátások, valamint minden, az ezen irányelv végrehajtásához szükséges értékek ellenőrzésére. A tagállamok előírhatják, hogy ezen ellenőrzés költsége az üzemeltetőt terhelje.
13. cikk
A tagállamok megteszik a megfelelő intézkedéseket annak biztosítására, hogy az üzemeltető ésszerű határidőn belül értesítse az eljárni jogosult hatóságokat a folyamatos mérések, a mérőberendezések ellenőrzése, az egyedi mérések és minden egyéb, az ezen irányelvnek való megfelelés értékelése céljából végzett mérés eredményéről.
14. cikk
(1) Folyamatos mérés esetén a III-VII. melléklet A. szakaszában meghatározott kibocsátási határértékek abban az esetben tekintendők teljesítettnek, ha az eredmények értékelése az üzemórák számára vonatkoztatva egy naptári éven belül azt mutatja, hogy:
a) a naptári hónapokra vonatkozó átlagértékek közül egyik sem haladja meg a kibocsátási határértékeket; és
b) abban az esetben, ha:
i. kén-dioxid és por esetén az összes 48-órás középérték 97 %-a nem haladja meg a kibocsátási határértékek 110 %-át;
ii. nitrogén-oxidok esetén az összes 48 órás középérték 95 %-a nem haladja meg a kibocsátási határértékek 110 %-át.
A 7. cikkben említett időszakokat, valamint az indítási és leállási időszakokat figyelmen kívül kell hagyni.
(2) Amennyiben csak szakaszos mérésekre vagy egyéb megfelelő meghatározási eljárásokra van szükség, a III-VII. mellékletben meghatározott kibocsátási határértékek abban az esetben tekintendők teljesítettnek, ha az egyes méréssorozatok vagy az eljárni jogosult hatóságok által megállapított szabályoknak megfelelően meghatározott egyéb eljárások eredményei nem lépik túl a kibocsátási határértékeket.
(3) Az 5. cikk (2) pontjában említett esetekben a kéntelenítési arány akkor tekintendő teljesítettnek, ha a VIII. melléklet A. szakasza 3. pontjának megfelelően elvégzett mérések értékelése azt mutatja, hogy az összes naptári hónapra számított középérték vagy az összes mozgó, havi középérték elérte a kívánt kéntelenítési arányt.
A 7. cikkben szereplő időszakokat, valamint az indítási és leállási időszakokat figyelmen kívül kell hagyni.
(4) Az olyan új létesítmények esetében, amelyeknek az engedélyt a 4. cikk (2) bekezdése alapján adták meg, a kibocsátási határértékek a naptári év üzemóráinak számára vonatkoztatva abban az esetben tekintendők teljesítettnek, ha:
a) egyetlen érvényesített napi átlagérték sem haladja meg a III-VII. melléklet B. részében meghatározott értékeket; és
b) az érvényesített, órás átlagértékek az év folyamán nem haladják meg a III-VII. melléklet B. részében meghatározott értékeket.
Az "érvényesített átlagérték" meghatározása a VIII. melléklet A. 6. pontjában meghatározott módon történik.
A 7. cikkben említett időszakokat, valamint az indítási és leállási időszakokat figyelmen kívül kell hagyni.
15. cikk
(1) A tagállamok legkésőbb 1990. december 31-ig tájékoztatják a Bizottságot a 3. cikk (1) bekezdésének megfelelően összeállított programokról.
A tagállamok legkésőbb a meglévő létesítmények kibocsátáscsökkentése egyes fázisainak vége után egy évvel összefoglaló jelentést küldenek a Bizottságnak a programok végrehajtásának eredményéről.
Az egyes fázisok közepén közbenső jelentést is kell készíteni.
(2) Az (1) bekezdésben említett jelentésekben átfogó képet kell adni a következőkről:
a) az ezen irányelv hatálya alá tartozó összes tüzelőberendezés;
b) a kén-dioxid és a nitrogén-oxidok tonna/év mértékegységben kifejezett kibocsátása, valamint a fenti anyagok füstgázokban található koncentrációja;
c) a kibocsátások csökkentésére elvégzett vagy előirányzott intézkedések és a felhasznált tüzelőanyag-választék módosítása;
d) az üzemeltetési mód elvégzett vagy előirányzott változtatásai;
e) a tüzelőberendezések tényleges vagy tervezett végleges lezárása; és
f) ahol alkalmazható, a meglévő létesítményekre vonatkozó programokban meghatározott kibocsátási határértékek.
Az éves kibocsátások, valamint a füstgázok szennyezőanyag-koncentrációjának meghatározása során a tagállamok figyelembe veszik a 12., 13. és 14. cikket.
(3) Az 5. cikk, a III. melléklet megjegyzésének vagy a VI. melléklet A. szakasza lábjegyzetének rendelkezéseit alkalmazó tagállamok évente jelentésben számolnak be erről a Bizottságnak.
16. cikk
A tagállamok megállapítják az ezen irányelv alapján elfogadott nemzeti rendelkezések megszegése esetén alkalmazandó szankciókat. Az így előírt szankcióknak hatékonynak, arányosnak és visszatartó erejűnek kell lenniük.
17. cikk
(1) A 88/609/EGK irányelv 2002. november 27-től kezdődően hatályát veszti, a (2) bekezdés vagy a tagállamoknak az átvételre és a IX. mellékletben említett irányelv alkalmazásának határidőire vonatkozó kötelezettségének sérelme nélkül.
(2) A 2002. november 27. előtt engedélyezett új létesítmények esetében, ahogy ezt ezen irányelv 4. cikkének (1) bekezdése meghatározza, a 94/66/EK irányelvvel módosított 88/609/EGK irányelv 4. cikkének (1) bekezdése, 5. cikkének (2) bekezdése, 6. cikke, 15. cikkének (3) bekezdése, III., VI., VIII. melléklete és a IX. melléklet A. szakaszának 2. pontja 2008. január 1-jéig hatályban marad, majd ezt követően hatályát veszti.
(3) A 88/609/EGK irányelvre történő hivatkozásokat erre az irányelvre történő hivatkozásként kell értelmezni, és a X. mellékletben található megfelelési táblázatnak megfelelően kell olvasni.
18. cikk
(1) A tagállamok hatályba léptetik azokat a törvényi, rendeleti és közigazgatási rendelkezéseket, amelyek szükségesek ahhoz, hogy ennek az irányelvnek 2002. november 27. előtt megfeleljenek. Erről haladéktalanul tájékoztatják a Bizottságot.
Amikor a tagállamok elfogadják ezeket az intézkedéseket, azokban hivatkozni kell erre az irányelvre, vagy azokhoz kihirdetésük alkalmával ilyen hivatkozást kell fűzni. A hivatkozás módját a tagállamok határozzák meg.
(2) Meglévő létesítményekre és a 4. cikk (1) bekezdése alapján engedélyezett új létesítményekre a VIII. melléklet A. szakasza 2. pontjának rendelkezéseit 2004. november 27-től kell alkalmazni.
(3) A tagállamok közlik a Bizottsággal nemzeti joguknak azokat a rendelkezéseit, amelyeket az ezen irányelv által szabályozott területen fogadnak el.
19. cikk
Ez az irányelv az Európai Közösségek Hivatalos Lapjában való kihirdetésének napján lép hatályba.
20. cikk
Ennek az irányelvnek a tagállamok a címzettjei.
I. MELLÉKLET
A MEGLÉVŐ LÉTESÍTMÉNYEKBŐL SZÁRMAZÓ SO2-KIBOCSÁTÁSI PLAFONÉRTÉKEK ÉS CSÖKKENTÉSI CÉLOK ( 14 ) ( 15 )
| Tagállam | 0 | 1 | 2 | 3 | 4 | 5 | 6 | 7 | 8 | 9 |
| Nagy tüzelőberendezések SO2-kibocsátása 1980-ban, ktonna | Kibocsátási plafonérték (ktonna/év) | Csökkentés %-os aránya az 1980-as kibocsátáshoz képest | Csökkentés %-os aránya az 1980-as korrigált kibocsátáshoz képest | |||||||
| 1. fázis | 2. fázis | 3. fázis | 1. fázis | 2. fázis | 3. fázis | 1. fázis | 2. fázis | 3. fázis | ||
| 1993 | 1998 | 2003 | 1993 | 1998 | 2003 | 1993 | 1998 | 2003 | ||
| Belgium | 530 | 318 | 212 | 159 | –40 | –60 | –70 | –40 | –60 | –70 |
| Bulgária | 1 734 | 1 410 | 1 300 | 1 190 | -19 | -25 | -31 | -19 | -25 | -31 |
| Cseh Köztársaság | 1 408 | 919 | 303 | 155 | –35 | –79 | –89 | –35 | –79 | –89 |
| Dánia | 323 | 213 | 141 | 106 | –34 | –56 | –67 | –40 | –60 | –70 |
| Németország | 2 225 | 1 335 | 890 | 668 | –40 | –60 | –70 | –40 | –60 | –70 |
| Észtország | 240 | 123 | 91 | 76 | –49 | –62 | –68 | –49 | –62 | –68 |
| Görögország | 303 | 320 | 320 | 320 | +6 | +6 | +6 | –45 | –45 | –45 |
| Spanyolország | 2 290 | 2 290 | 1 730 | 1 440 | 0 | –24 | –37 | –21 | –40 | –50 |
| Francia-ország | 1 910 | 1 146 | 764 | 573 | –40 | –60 | –70 | –40 | –60 | –70 |
| Írország | 99 | 124 | 124 | 124 | +25 | +25 | +25 | –29 | –29 | –29 |
| Olasz-ország | 2 450 | 1 800 | 1 500 | 900 | –27 | –39 | –63 | –40 | –50 | –70 |
| Ciprus | 17 | 29 | 32 | 34 | +71 | +88 | +100 | +71 | +88 | +100 |
| Lettország | 60 | 40 | 30 | 25 | –30 | –50 | –60 | –30 | –50 | –60 |
| Litvánia | 163 | 52 | 64 | 75 | –68 | –61 | –54 | –68 | –61 | –54 |
| Luxemburg | 3 | 1,8 | 1,5 | 1,5 | –40 | –50 | –60 | –40 | –50 | –50 |
| Magyarország | 720 | 429 | 448 | 360 | –40 | –38 | –50 | –40 | –38 | –50 |
| Málta | 12 | 13 | 17 | 14 | +14 | +51 | +17 | +14 | +51 | +17 |
| Hollandia | 299 | 180 | 120 | 90 | –40 | –60 | –70 | –40 | –60 | –70 |
| Portugália | 115 | 232 | 270 | 206 | +102 | +135 | +79 | –25 | –13 | –34 |
| Lengyelország | 2 087 | 1 454 | 1 176 | 1 110 | –30 | –44 | –47 | –30 | –44 | –47 |
| Románia | 561 | 692 | 503 | 518 | 23 | -10 | -8 | 23 | -10 | -8 |
| Szlovénia | 125 | 122 | 98 | 49 | –2 | –22 | –61 | –2 | –22 | –61 |
| Szlovákia | 450 | 177 | 124 | 86 | –60 | –72 | –81 | –60 | –72 | –81 |
| Egyesült Királyság | 3 883 | 3 106 | 2 330 | 1 553 | –20 | –40 | –60 | –20 | –40 | –60 |
| Ausztria | 90 | 54 | 36 | 27 | –40 | –60 | –70 | –40 | –60 | –70 |
| Finnország | 171 | 102 | 68 | 51 | –40 | –60 | –70 | –40 | –60 | –70 |
| Svédország | 112 | 67 | 45 | 34 | –40 | –60 | –70 | –40 | –60 | –70 |
II. MELLÉKLET
A MEGLÉVŐ LÉTESÍTMÉNYEKBŐL SZÁRMAZÓ NOx-KIBOCSÁTÁSI PLAFONÉRTÉKEK ÉS CSÖKKENTÉSI CÉLOK ( 16 ) ( 17 )
| Tagállam | 0 | 1 | 2 | 3 | 4 | 5 | 6 |
| Nagy tüzelőberendezések NOx-kibocsátása (NO2-ben) 1980-ban, ktonna | NOx-kibocsátási plafonérték (ktonna/év) | Csökkentés %-os aránya az 1980-as kibocsátáshoz képest | Csökkentés %-os aránya az 1980-as korrigált kibocsátáshoz képest | ||||
| 1. fázis | 2. fázis | 1. fázis | 2. fázis | 1. fázis | 2. fázis | ||
| 1993 (1) | 1998 | 1993 (1) | 1998 | 1993 (1) | 1998 | ||
| Belgium | 110 | 88 | 66 | –20 | –40 | –20 | –40 |
| Bulgária | 155 | 125 | 95 | -19 | -39 | -19 | -39 |
| Cseh Köztársaság | 403 | 228 | 113 | –43 | –72 | –43 | –72 |
| Dánia | 124 | 121 | 81 | –3 | –35 | –10 | –40 |
| Németország | 870 | 696 | 522 | –20 | –40 | –20 | –40 |
| Észtország | 20 | 10 | 12 | –52 | –40 | –52 | –40 |
| Görögország | 36 | 70 | 70 | +94 | +94 | 0 | 0 |
| Spanyolország | 366 | 368 | 277 | +1 | –24 | –20 | –40 |
| Franciaország | 400 | 320 | 240 | –20 | –40 | –20 | –40 |
| Írország | 28 | 50 | 50 | +79 | +79 | 0 | 0 |
| Olaszország | 580 | 570 | 428 | –2 | –26 | –20 | –40 |
| Ciprus | 3 | 5 | 6 | +67 | +100 | +67 | +100 |
| Lettország | 10 | 10 | 9 | –4 | –10 | –4 | –10 |
| Litvánia | 21 | 8 | 11 | –62 | –48 | –62 | –48 |
| Luxemburg | 3 | 2,4 | 1,8 | –20 | –40 | –20 | –40 |
| Magyarország | 68 | 33 | 34 | –51 | –49 | –51 | –49 |
| Málta | 1.7 | 7 | 2.5 | +299 | +51 | +299 | +51 |
| Hollandia | 122 | 98 | 73 | –20 | –40 | –20 | –40 |
| Portugália | 23 | 59 | 64 | +157 | +178 | –8 | 0 |
| Lengyelország | 698 | 426 | 310 | –39 | –56 | –39 | –56 |
| Románia | 135 | 135 | 77 | -1 | -43 | -1 | -43 |
| Szlovénia | 17 | 15 | 16 | –12 | –6 | –12 | –6 |
| Szlovákia | 141 | 85 | 46 | –40 | –67 | –40 | –67 |
| Egyesült Királyság | 1 016 | 864 | 711 | –15 | –30 | –15 | –30 |
| Ausztria | 19 | 15 | 11 | –20 | –40 | –20 | –40 |
| Finnország | 81 | 65 | 48 | –20 | –40 | –20 | –40 |
| Svédország | 31 | 25 | 19 | –20 | –40 | –20 | –40 |
| (1) A tagállamok a Bizottság ezen irányelv kihirdetésétől számított egy hónapon belül történő értesítésével technikai okokra hivatkozva legfeljebb két évvel elhalaszthatják a NOx-kibocsátáscsökkentés 1. fázisának időpontját. | |||||||
III. MELLÉKLET
SO2-KIBOCSÁTÁSRA VONATKOZÓ HATÁRÉRTÉKEK
Szilárd tüzelőanyag
A. A 4. cikk (1) bekezdése és a 4. cikk (3) bekezdése alapján az új, illetve a meglévő létesítmények által alkalmazandó, mg/Nm3-ben (O2-koncentráció 6 %) kifejezett SO2-kibocsátási határértékek:

Megjegyzés:
Amennyiben a fenti kibocsátási határértékek a tüzelőanyag jellemzői miatt nem teljesíthetők, a legfeljebb 100 MWth névleges hőteljesítményű létesítmények esetén legalább 60 %-os kéntelenítési arányt kell elérni, a 100 MWth-t meghaladó, de legfeljebb 300 MWth névleges hőteljesítményű létesítmények esetén legalább 75 %-os kéntelenítési arányt kell elérni, és a 300 MWth-ot meghaladó névleges hőteljesítményű létesítmények esetén legalább 90 %-os kéntelenítési arányt kell elérni. Az 500 MWth-ot meghaladó névleges hőteljesítményű létesítmények esetén legalább 94 %-os mértékű kénmentesítést kell végezni, illetve füstgáz-kéntelenítő berendezés vagy kalcium-oxid-befúvó berendezés felszerelésére vonatkozó szerződés megkötésének és beszerelésének 2001. január 1. előtti megkezdése esetén legalább 92 %-os mértékű kéntelenítést kell végezni.
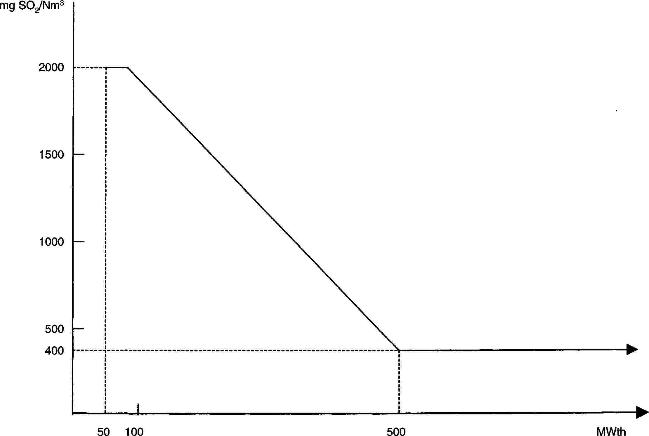
B. A 4. cikk (2) bekezdése alapján az új létesítmények esetén alkalmazandó mg/Nm3-ben (O2-koncentráció 6 %) kifejezett SO2-kibocsátási határértékek a gázturbinák kivételével:
| A tüzelőanyag típusa | 50–100 MWth | 100–300 MWth | > 300 MWth |
| Biomassza | 200 | 200 | 200 |
| Egyéb | 850 | 200 (1) | 200 |
| (1) A „legkülső régiók” esetének kivételével, amelyekre a 850–200 mg/Nm3 értéket (lineáris csökkentés) kell alkalmazni. | |||
Megjegyzés:
Amennyiben a fenti kibocsátási határértékek a tüzelőanyag jellemzői miatt nem teljesíthetők, a létesítménynek 300 mg/Nm3 SO2-t kell elérnie, vagy a legfeljebb 300 MWth névleges hőteljesítményű létesítmények esetén legalább 92 %-os kéntelenítési arányt, a 300 MWth-t meghaladó névleges hőteljesítményű létesítmények esetén pedig legalább 95 %-os kéntelenítési arányt kell elérni, és a vonatkozó kibocsátási határérték 400 mg/Nm3.
IV. MELLÉKLET
SO2-KIBOCSÁTÁSRA VONATKOZÓ HATÁRÉRTÉKEK
Folyékony tüzelőanyagok
A. A 4. cikk (1) bekezdése és a 4. cikk (3) bekezdése alapján az új és meglévő létesítmények esetén alkalmazandó, mg/Nm3-ben (O2-koncentráció 3 %) kifejezett SO2-kibocsátási határértékek:

B. A 4. cikk (2) bekezdése alapján az új létesítmények esetén alkalmazandó, mg/Nm3-ben (O2-koncentráció 3 %) kifejezett SO2-kibocsátási határértékek a gázturbinák kivételével:
| 50–100 MWth | 100–300 MWth | > 300 MWth |
| 850 | 400–200 lineáris csökkentés (1) | 200 |
| (1) A „legkülső régiók” esetének kivételével, amelyekre a 850–200 mg/Nm3 értéket (lineáris csökkentés) kell alkalmazni. | ||
A Krétán és Rodoszon található, 2007. december 31. előtt engedélyezendő két 250 MWth névleges hőteljesítményű létesítményre az 1 700 mg/Nm3 kibocsátási határértéket kell alkalmazni.
V. MELLÉKLET
SO2-KIBOCSÁTÁSRA VONATKOZÓ HATÁRÉRTÉKEK
Gáz-halmazállapotú tüzelőanyagok
A. A 4. cikk (1) bekezdése és a 4. cikk (3) bekezdése alapján az új és meglévő létesítmények esetén alkalmazandó, mg/Nm3-ben (O2-koncentráció 3 %) kifejezett SO2-kibocsátási határértékek:
| Tüzelőanyag típusa | Határértékek (mg/Nm3) |
| Gáz-halmazállapotú tüzelőanyagok általában | 35 |
| Propán-bután | 5 |
| Alacsony fűtőértékű gázok a finomítási maradékok gázosításából, kokszkemencegáz, kohógáz | 800 |
| Szén gázosításából származó gáz | (1) |
| (1) A Tanács az erre a gázra vonatkozó kibocsátási határértéket a Bizottság által a további műszaki tapasztalatok fényében tett javaslatok alapján később állapítja meg. | |
B. A 4. cikk (2) bekezdése alapján az új létesítmények esetén alkalmazandó, mg/Nm3-ben (O2-koncentráció 3 %) kifejezett SO2-kibocsátási határértékek a gázturbinák kivételével:
| Gáz-halmazállapotú tüzelőanyagok általában | 35 |
| Propán-bután | 5 |
| Alacsony fűtőértékű gázok kokszolókemencéből | 400 |
| Alacsony fűtőértékű gázok nagyolvasztóból | 200 |
VI. MELLÉKLET
NOX-KIBOCSÁTÁSRA VONATKOZÓ HATÁRÉRTÉKEK (NO2-BAN MÉRVE)
A. A 4. cikk (1) bekezdése és a 4. cikk (3) bekezdése alapján az új és meglévő létesítmények esetén alkalmazandó, mg/Nm3-ben (O2-koncentráció szilárd tüzelőanyagok esetén 6 %, folyékony és gáz-halmazállapotú tüzelőanyagok esetén 3 %) kifejezett NOx-kibocsátási határértékek:
| Tüzelőanyag típusa | Határértékek (1) (mg/Nm3) |
| Szilárd (2) (3) | |
| 50–500 MWth: | 600 |
| > 500 MWth: | 500 |
| 2016. január 1-jétől: | |
| 50–500 MWth: | 600 |
| > 500 MWth: | 200 |
| Folyékony: | |
| 50–500 MWth: | 450 |
| > 500 MWth: | 400 |
| Gáz-halmazállapotú: | |
| 50–500 MWth: | 300 |
| > 500 MWth: | 200 |
| (1) A „legkülső régiók” kivételével, amelyekre a következő értékeket kell alkalmazni: (2) 2015. december 31-től azok az 500 MW-ot meghaladó névleges hőteljesítményű létesítmények, amelyek 2008-tól nem üzemelnek évente 2 000 óránál többet (öt év mozgó átlagában): — a 4. cikk (3) bekezdésének a) pontja alapján engedélyezett létesítmények esetén a 600 mg/Nm3 (NO2-ként mért) nitrogén-oxid-kibocsátási határértéket alkalmazzák; — a 4. cikk (6) bekezdése szerinti nemzeti terv hatálya alá tartozó létesítmények esetén a 600 mg/Nm3-es megállapított határérték alapján járulnak hozzá a nemzeti tervhez. — 2016. január 1-jétől azokra a fenti létesítményekre, amelyek nem üzemelnek évente 1 500 óránál többet (öt év mozgó átlagában), a 450 mg/Nm3 (NO2-ként mért) nitrogén-oxid-kibocsátási határérték vonatkozik. (3) 2018. január 1-jéig azokra a létesítményekre, amelyek a 2001. január 1-jén végződő 12 hónapos időszakban, illetve azt követően is olyan szilárd tüzelőanyaggal üzemeltek és üzemelnek, amelynek illékonyvegyület-tartalma nem éri el a 10 %-ot, az 1 200 mg/Nm3 kibocsátási határérték vonatkozik. | |
B. A 4. cikk (2) bekezdése alapján a gázturbinákon kívül az új létesítmények által alkalmazandó, mg/Nm3-ben kifejezett NOx-kibocsátási határértékek:
Szilárd tüzelőanyagok (O2-koncentráció 6 %)
| A tüzelőanyag típusa | 50–100 MWth | 100–300 MWth | > 300 MWth |
| Biomassza | 400 | 300 | 200 |
| Általános eset | 400 | 200 (1) | 200 |
| (1) A legkülső régiók esetének kivételével, amelyekre a 300 mg/Nm3 értéket kell alkalmazni. | |||
Folyékony tüzelőanyagok (O2-koncentráció 3 %)
| 50–100 MWth | 100–300 MWth | > 300 MWth |
| 400 | 200 (1) | 200 |
| (1) A legkülső régiók esetének kivételével, amelyekre a 300 mg/Nm3 értéket kell alkalmazni. | ||
A Krétán és Rodoszon található, 2007. december 31. előtt engedélyezendő két 250 MWth névleges hőteljesítményű létesítményre a 400 mg/Nm3 kibocsátási határértéket kell alkalmazni.
Gáz-halmazállapotú tüzelőanyagok (O2-koncentráció 3 %)
| 50–300 MWth | > 300 MWth | |
| Földgáz (1. megjegyzés) | 150 | 100 |
| Egyéb gázok | 200 | 200 |
Gázturbinák
A 4. cikk (2) bekezdése alapján a különálló gázturbina esetén alkalmazandó, mg/Nm3-ben (O2-koncentráció 15 %) kifejezett NOx-kibocsátási határértékek (a határértékek csak 70 %-os terhelés fölött alkalmazandók):
| > 50 MWth (hőteljesítmény ISO-körülmények között) | |
| Földgáz (1. megjegyzés) | 50 (2. megjegyzés) |
| Folyékony tüzelőanyagok (3. megjegyzés) | 120 |
| Gáz-halmazállapotú tüzelőanyagok (földgáztól különböző) | 120 |
Az évi 500 óránál kevesebbet üzemelő tartalék gázturbinákra nem vonatkoznak e határértékek. E létesítmények üzemeltetői évente nyilvántartást nyújtanak be a Bizottsághoz az üzemidő-felhasználásról.
1. megjegyzés: A földgáz a természetben előforduló metán, legfeljebb 20 térfogat-százaléknyi inert és egyéb összetevővel.
2. megjegyzés:
Az alábbi esetekben 75 mg/Nm3, amennyiben a gázturbina ISO alapterhelési körülmények között megállapított hatásfoka:
- kombinált fűtő és áramtermelő rendszerekben használt gázturbina, amelynek teljes hatásfoka 75 %-nál nagyobb;
- kombinált ciklusú létesítményekben használt gázturbina, amelynek teljes elektromos hatásfoka éves átlagban 55 %-nál nagyobb;
- mechanikai hajtásra használt gázturbinák.
Az egyik fenti kategóriába sem tartozó, egyszeres ciklusú gázturbinák esetében, amelyek (ISO-alapterhelés mellett meghatározott) hatásfoka 35 %-nál nagyobb, a kibocsátási határérték 50*η/35, ahol az "η" a gázturbina hatásfoka százalékban megadva (ISO-alapterhelés mellett).
3. megjegyzés: Ez a kibocsátási határérték kizárólag könnyű és közepes lepárlási termékeket égető gázturbinákra vonatkozik.
VII. MELLÉKLET
POR KIBOCSÁTÁSÁRA VONATKOZÓ HATÁRÉRTÉKEK
Gáz-halmazállapotú tüzelőanyagok
A. A 4. cikk (1) bekezdése és a 4. cikk (3) bekezdése alapján az új és meglévő létesítmények esetén alkalmazandó, mg/Nm3-ben (O2-koncentráció szilárd tüzelőanyagok esetén 6 %, folyékony vagy gáz-halmazállapotú tüzelőanyagok esetén 3 %) kifejezett porkibocsátási határértékek:
| Tüzelőanyag típusa | Névleges hőteljesítmény MW | Kibocsátási határérték mg/Nm3 |
| Szilárd | ≥ 500 < 500 | 50 (2) 100 |
| Folyékony (1) | minden létesítmény | 50 |
| Gáz-halmazállapotú | minden létesítmény | rendszerint: 5 kohógáz esetén: 10 az acélipar által előállított, máshol felhasználható gázok esetén: 50 |
| (1) Az 500 MWth-nál kisebb hőteljesítményű, 0,06 %-ot meghaladó pernyetartalmú, folyékony tüzelőanyagot égető létesítmények esetén 100 mg/Nm3 határérték alkalmazható. (2) A 4. cikk (3) bekezdése alapján engedélyezett, legalább 500 MWth hőteljesítményű, 5 800 kJ/kg-nál (nettó kalorikus érték) kevesebb hőtartalmú, 45 tömegszázaléknál nagyobb nedvességtartalmú, 60 tömegszázaléknál nagyobb kombinált nedvesség- és hamutartalmú és 10 %-nál nagyobb kalcium-oxid-tartalmú szilárd tüzelőanyagot égető létesítmények esetén 100 mg/Nm3 határérték alkalmazható. | ||
B. A 4. cikk (2) bekezdése alapján az új létesítmények esetén alkalmazandó, mg/Nm3-ben kifejezett porkibocsátási határértékek a gázturbinák kivételével:
Szilárd tüzelőanyagok (O2-koncentráció 6 %)
| 50–100 MWth | > 100 MWth |
| 50 | 30 |
Folyékony tüzelőanyagok (O2-koncentráció 3 %)
| 50–100 MWth | > 100 MWth |
| 50 | 30 |
A Krétán és Rodoszon található, 2007. december 31. előtt engedélyezendő két 250 MWth névleges hőteljesítményű létesítményre az 50 mg/Nm3 kibocsátási határértéket kell alkalmazni.
Gáz-halmazállapotú tüzelőanyagok (O2-koncentráció 3 %)
| Rendszerint | 5 |
| Kohógáz esetén: | 10 |
| Az acélipar által előállított, máshol felhasználható gázok esetén: | 30 |
VIII. MELLÉKLET
A KIBOCSÁTÁS MÉRÉSÉNEK MÓDSZEREI
A. Eljárások a tüzelőberendezések kibocsátásának mérésére és értékelésére
1. 2004. november 27-ig
A 4. cikk (1) bekezdése alapján engedélyezett, 300 MW-t meghaladó hőteljesítményű új létesítmények esetén a SO2, por és NOx koncentrációjának mérése folyamatosan történik. A SO2 és a por ellenőrzése azonban szakaszos mérésekre vagy egyéb megfelelő meghatározási eljárásokra korlátozható azokban az esetekben, amikor ezek az eljárni jogosult hatóságok által ellenőrizendő és jóváhagyandó mérések vagy eljárások használhatók a koncentrációk megállapítására.
A 4. cikk (1) bekezdése alapján engedélyezett, az első albekezdés hatálya alá nem tartozó új létesítmények esetében az eljárni jogosult hatóságok szükség esetén előírhatják a fenti három szennyező anyag folyamatos mérését. Amennyiben a folyamatos mérésre nincs szükség, a szóban forgó anyagok kibocsátásokban jelen lévő mennyiségének értékelése az eljárni jogosult hatóságok által jóváhagyott, rendszeresen végzett szakaszos mérésekkel vagy megfelelő meghatározási eljárásokkal történik.
2. 2002. november 27-től, és a 18. cikk (2) bekezdésének sérelme nélkül
Az eljárni jogosult hatóságok előírhatják az egyes, legalább 100 MW hőteljesítményű tüzelőberendezésekből származó füstgázok SO2-, por- és NOx-koncentrációjának mérését.
Az első albekezdés rendelkezéseitől eltérve nincs szükség folyamatos mérésre az alábbi esetekben:
- a 10 000 üzemóránál rövidebb élettartamú tüzelőberendezések esetén,
- földgázt égető kazánokból és földgázzal üzemelő gázturbinákból származó SO2 és por esetén,
- ismert kéntartalmú olajat égető gázturbinákból vagy kazánokból származó SO2 esetén, amennyiben nincsen kénmentesítő berendezés,
- biomasszát égető kazánokból származó SO2 esetén, amennyiben az üzemeltető bizonyítani tudja, hogy a SO2-kibocsátás semmilyen körülmények között sem lehet magasabb az előírt kibocsátási határértékeknél.
Amennyiben a folyamatos mérés nem kötelező, legalább hat hónaponként kötelesek szakaszos méréseket végezni. Alternatív megoldásként az eljárni jogosult hatóságok által ellenőrizendő és jóváhagyandó megfelelő meghatározási eljárások használhatók a szóban forgó szennyezők kibocsátásokban jelen lévő mennyiségének értékelésére. Az ilyen eljárások a CEN-szabványokat alkalmazzák, amint azok rendelkezésre állnak. Amennyiben CEN-szabványok nem állnak rendelkezésre, az azonos tudományos minőségű adatszolgáltatást biztosító ISO-szabványokat, nemzeti vagy nemzetközi szabványokat kell alkalmazni.
3. Az 5. cikk (2) bekezdésében és a III. mellékletben meghatározott kéntelenítési arányok hatálya alá tartozó létesítményekre a SO2-kibocsátás mérésével kapcsolatban e szakasz 2. pontja által meghatározott követelmények vonatkoznak. Rendszeresen ellenőrizni kell továbbá a tüzelőberendezések létesítményeibe bevezetett tüzelőanyag kéntartalmát.
4. Az eljárni jogosult hatóságok tájékoztatást kapnak a felhasznált tüzelőanyag típusának, illetve a létesítmény üzemeltetésének lényeges változásáról. Az eljárni jogosult hatóságok határozzák meg, hogy a 2. pontban megállapított ellenőrzési követelmények ezt követően megfelelőek-e, vagy kiigazításra szorulnak.
5. A 2. ponttal összhangban végzett folyamatos mérések kiterjednek a vonatkozó oxigéntartalom, hőmérséklet, nyomás és vízgőztartalom folyamatparamétereire is. A füstgázok vízgőztartalmának folyamatos mérése nem szükséges, feltéve, hogy a mintául szolgáló füstgázt a kibocsátás elemzését megelőzően szárították.
A reprezentatív méréseket, mint például a fontosabb szennyezők és folyamatparaméterek mintavételezését és elemzését, valamint az automatikus mérési rendszerek kalibrálására szolgáló referenciaméréseket a CEN-szabványokkal összhangban végzik, amint azok rendelkezésre állnak. Amennyiben CEN-szabványok nem állnak rendelkezésre, az azonos tudományos minőségű adatszolgáltatást biztosító ISO-szabványokat, nemzeti vagy nemzetközi szabványokat kell alkalmazni.
A folyamatos mérési rendszereket a referencia-módszerekkel végzett párhuzamos mérésekkel évente legalább egyszer ellenőrzik.
6. Valamely mérési eredmény 95 %-os konfidenciaintervallumba eső értékei nem léphetik túl a kibocsátási határértékek alábbi százalékos értékeit:
| Kén-dioxid | 20 % |
| Nitrogén-oxidok | 20 % |
| Por | 30 % |
Az érvényesített óránkénti és napi átlagértékeket az érvényes óránkénti átlagértékekből határozzák meg, a fenti konfidenciaintervallum értékének levonását követően.
Bármelyik nap, amikor háromnál több óránkénti átlagérték érvénytelen a folyamatos mérőrendszer hibája vagy karbantartása miatt, érvénytelenítésre kerül. Amennyiben egy év során ilyen okokból tíznél több napot érvénytelenítenek, az eljárni jogosult hatóság az üzemeltető számára a folyamatos ellenőrző rendszer megbízhatóságának növelését célzó intézkedéseket ír elő.
B. A tüzelőberendezések teljes éves kibocsátásának meghatározása
Az eljárni jogosult hatóságok legkésőbb 2003-ban megkapják az új tüzelőberendezések teljes éves SO2- és NOx-kibocsátásának meghatározását. Folyamatos mérés alkalmazása esetén a tüzelőberendezés üzemeltetője a füstgázok térfogatáramának alapján külön-külön összeadja az egyes szennyező anyagok egyes napokon kibocsátott mennyiségét. Amennyiben nem folyamatos a mérés, az üzemeltető az éves teljes kibocsátás becslését az A. szakasz 1. pontja alapján az eljárni jogosult hatóságok számára megfelelő módon készíti el.
A tagállamok a C. szakasz 3. pontjában a meglévő létesítmények teljes éves kibocsátásának közlésére előírttal azonos időben közlik a Bizottsággal az új tüzelőberendezések teljes éves SO2- és NOx-kibocsátását.
A tagállamok 2004-től kezdődően és azt követően minden évben összeállítják a legalább 50 MWth hőteljesítményű tüzelőberendezésekből származó SO2- és NOx-, valamint porkibocsátások leltárát. Az eljárni jogosult hatóság az alábbi adatokat kapja meg az azonos üzemeltető által egy adott helyszínen üzemeltetett létesítményekről:
- a SO2 és NOx, valamint por (összes lebegő részecske) teljes éves kibocsátásának mennyiségét,
- a nettó fűtőértékhez viszonyított teljes éves energiabevitelt, az alábbi öt tüzelőanyag-kategória szerinti lebontásban: biomassza, egyéb szilárd tüzelőanyagok, folyékony tüzelőanyagok, földgáz és egyéb gázok.
A Bizottság minden harmadik évben, a hároméves időszak végétől számított tizenkét hónapon belül megkapja a fenti leltár eredményének összefoglalását, amely a finomítók kibocsátását elkülönítve mutatja be. A létesítményekre lebontott éves adatokat igény esetén a Bizottság rendelkezésére bocsátják. A Bizottság a beérkezéstől számított tizenkét hónapon belül a tagállamok rendelkezésére bocsátja a nemzeti leltárok összehasonlításának és értékelésének összefoglalását.
2008. január 1-jétől kezdődően a tagállamok a létesítmény hátralévő engedélyezett üzemidejéből felhasznált és fennmaradó időről szóló jelentéssel együtt évente jelentést készítenek a Bizottság számára a 4. cikk (4) bekezdésének rendelkezéseire jogosultnak nyilvánított meglévő létesítményekről.
C. A meglévő létesítmények teljes éves kibocsátásának meghatározása 2003-mal bezárólag
1. A tagállamok 1990-nel kezdődően és minden azt követő évre 2003-mal bezárólag összeállítják a meglévő létesítmények SO2-ra és NOx-ra vonatkozó teljes kibocsátási leltárját:
- a 300 MWth hőteljesítményt meghaladó létesítmények és a finomítók esetén létesítményenként,
- ezen irányelv hatálya alá tartozó egyéb tüzelőberendezések esetén összesítve.
2. A leltárfelvételhez használt módszerek megegyeznek a tüzelőberendezések SO2- és NOx-kibocsátásának meghatározására 1980-ban használt módszerekkel.
3. A leltárkészítés eredményét az érintett év végét követő kilenc hónapon belül megfelelően összesített formában közlik a Bizottsággal. A kibocsátási leltár felvételére használt módszert és a részletes alapinformációkat a Bizottság ilyen irányú kérése esetén rendelkezésre kell bocsátani.
4. A Bizottság megszervezi a nemzeti leltárok rendszeres összehasonlítását, és amennyiben szükséges, ezen irányelv hatékony végrehajtásának céljából javaslatot nyújt be a Tanácsnak a kibocsátási leltár elkészítési módszereinek harmonizálására.
IX. MELLÉKLET
A HATÁLYON KÍVÜL HELYEZETT IRÁNYELVEK ÁTÜLTETÉSÉNEK ÉS VÉGREHAJTÁSÁNAK HATÁRIDEJE
(a 17. cikk (1) bekezdése alapján)
| Irányelv | Az átvétel határideje | Az alkalmazás határideje |
| 88/609/EGK (HL L 336., 1988.12.7., 1. o.) | 1990. június 30. | 1990. július 1. 1990. december 31. 1993. december 31. 1998. december 31. 2003. december 31. |
| 94/66/EK (HL L 337., 1994.12.24., 83. o.) | 1995. június 24. |
X. MELLÉKLET
KORRELÁCIÓS TÁBLÁZAT
(a 17. cikk (3) bekezdése alapján)
| Ez az irányelv | 88/609/EGK irányelv |
| 1. cikk | 1. cikk |
| 2. cikk | 2. cikk |
| 3. cikk | 3. cikk |
| 4. cikk (1) bekezdése | 4. cikk (1) bekezdése |
| 4. cikk (2), (3) és (4) bekezdése | |
| 4. cikk (5) bekezdés | 4. cikk (3) bekezdése |
| 4. cikk (6), (7) és (8) bekezdése | |
| 5. cikk | 5. cikk |
| 6. cikk | |
| 6. cikk | |
| 7. cikk | 8. cikk |
| 8. cikk | 9. cikk |
| 9. cikk | 10. cikk |
| 10. cikk | 11. cikk |
| 11. cikk | 12. cikk |
| 12. cikk | 13. cikk (1) bekezdése |
| 13. cikk | 14. cikk |
| 14. cikk | 15. cikk |
| 15. cikk (1), (2) és (3) bekezdése | 16. cikk (1), (2) és (4) bekezdése |
| 16. cikk | |
| 17. cikk | |
| 18. cikk (1) bekezdésének első albekezdése és (3) bekezdése | 17. cikk (1) és (2) bekezdése |
| 18. cikk (1) bekezdésének második albekezdése, (2) bekezdése és 19. cikk | |
| 20. cikk | 18. cikk |
| I–VIII. melléklet | I–IX. melléklet |
| IX. és X. melléklet | – |
( 1 ) HL C 300., 1998.9.29., 6. o.,
HL C 212. E, 2000.7.25., 36. o.
( 2 ) HL C 101., 1999.4.12., 55. o.
( 3 ) Az Európai Parlament 1999. április 14-i véleménye (HL C 219., 1999.7.30., 175. o.), a Tanács 2000. november 9-i közös álláspontja (HL C 375., 2000.12.28., 12. o.) és az Európai Parlament 2001. március 14-i határozata (a Hivatalos Lapban még nem tették közzé). Az Európai Parlament 2001. szeptember 20-i határozata és a Tanács 2001. szeptember 27-i határozata.
( 4 ) HL L 336., 1988.12.7., 1. o., a legutóbb a 94/66/EK irányelvvel (HL L 337., 1994.12.24., 83. o.) módosított irányelv.
( 5 ) HL C 138., 1993.5.17., 1. o.
( 6 ) HL L 27., 1997.1.30., 20. o.
( 7 ) HL C 76., 1997.3.11., 1. o.
( 8 ) HL L 163., 1989.6.14., 32. o.
( 9 ) HL L 203., 1989.7.15., 50. o.
( 10 ) HL L 365., 1994.12.31., 34. o.
( 11 ) HL L 296., 1996.11.21., 55. o.
( 12 ) HL L 309., 2001.11.27., 22. o.
( 13 ) HL L 175., 1985.7.5., 40. o., a legutóbb a 97/11/EK tanácsi irányelvvel (HL L 73., 1997.3.14., 5. o.) módosított irányelv.
( 14 ) További kibocsátás adódhat az 1987. július 1-jén vagy azt követően engedélyezett kapacitásból.
( 15 ) Azoknak az 1987. július 1-jét megelőzően engedélyezett, de ezt az időpontot megelőzően még üzembe nem állított tüzelőberendezésekből származó kibocsátásoknak, amelyeket az ezen irányelv által megállapított kibocsátási határértékek meghatározásakor még nem vettek figyelembe, vagy az ezen irányelv által az új létesítmények tekintetében megállapított követelményeknek kell megfelelniük, vagy a meglévő létesítményekből származó teljes kibocsátásba számítandók bele, amely nem lépheti túl az ebben a mellékletben megállapított határértékeket.
( 16 ) További kibocsátás adódhat az 1987. július 1-jén vagy azt követően engedélyezett kapacitásból.
( 17 ) Azoknak az 1987. július 1-jét megelőzően engedélyezett, de ezt az időpontot megelőzően még üzembe nem állított tüzelőberendezésekből származó kibocsátásoknak, amelyeket az ezen irányelv által megállapított kibocsátási határértékek meghatározásakor még nem vettek figyelembe, vagy az ezen irányelv által az új létesítmények tekintetében megállapított követelményeknek kell megfelelniük, vagy a meglévő létesítményekből származó teljes kibocsátásba számítandók bele, amely nem lépheti túl az ebben a mellékletben megállapított határértékeket.
Lábjegyzetek:
[1] A dokumentum eredetije megtekinthető CELEX: 32001L0080 - https://eur-lex.europa.eu/legal-content/HU/ALL/?uri=CELEX:32001L0080&locale=hu Utolsó elérhető, magyar nyelvű konszolidált változat CELEX: 02001L0080-20090625 - https://eur-lex.europa.eu/legal-content/HU/ALL/?uri=CELEX:02001L0080-20090625&locale=hu