31996D0482[1]
A Bizottság határozata (1996. július 12.) a laposmellű futómadarak és azok tojásain kívüli baromfihús és keltetőtojás harmadik országból történő behozatalára vonatkozó állat-egészségügyi feltételek és a szükséges állatorvosi bizonyítványok, valamint a behozatalt követően elvégzendő állat-egészségügyi intézkedések meghatározásáról
A BIZOTTSÁG HATÁROZATA
(1996. július 12.)
a laposmellű futómadarak és azok tojásain kívüli baromfihús és keltetőtojás harmadik országból történő behozatalára vonatkozó állat-egészségügyi feltételek és a szükséges állatorvosi bizonyítványok, valamint a behozatalt követően elvégzendő állat-egészségügyi intézkedések meghatározásáról
(EGT vonatkozású szöveg)
(96/482/EK)
AZ EURÓPAI KÖZÖSSÉGEK BIZOTSSÁGA,
tekintettel az Európai Közösséget létrehozó szerződésre;
tekintettel a legutóbb az Ausztria, Finnország és Svédország csatlakozási okmányával módosított, a baromfi és keltetőtojás Közösségen belüli kereskedelmére és harmadik országból történő behozatalára irányadó állat-egészségügyi feltételekről szóló, 1990. október 15-i 90/539/EGK tanácsi irányelvre ( 1 ), különösen annak 23. cikkének (1) bekezdésére, 24. cikkére és 26. cikkének (2) bekezdésére;
tekintettel a legutóbb az Ausztria, Finnország és Svédország csatlakozási okmányával módosított, a harmadik országokból a Közösségbe behozott állatok állat-egészségügyi ellenőrzésére irányadó elvek megállapításáról, valamint a 89/662/EGK, 90/425/EGK és 90/675/EGK irányelvek módosításáról szóló, 1991. július 15-i 91/496/EGK tanácsi irányelvre ( 2 ), különösen annak 10. cikkére;
mivel a Bizottság 233/95/EK határozata ( 3 ) meghatározta azon harmadik országok listáját, amelyekből az élő baromfi és a keltetőtojások behozatala engedélyezett;
mivel az ezen a listán szereplő országok, illetve országrészek elegendő biztosítékot nyújtanak arra vonatkozóan, hogy a 94/438/EK bizottsági határozattal ( 4 ) módosított 93/342/EGK bizottsági határozatának ( 5 ) megfelelően a madárinfluenzától és a Newcastle-betegségtől mentesnek tekintsék őket;
mivel meg kell határozni a baromfi, illetve a keltetőtojások behozatalakor megkövetelt általános és különleges állat-egészségügyi feltételeket és állatorvosi bizonyítványokat; mivel a vonatkozó mintavételi és a vizsgálati eljárásokat szintén meg kell határozni; mivel mindezeknek a követelményeknek a 90/539/EGK rendelet és bármely más, a Közösségen belüli kereskedelemre vonatkozó végrehajtási határozat követelményeivel legalább egyenértékűeknek kell lenniük;
mivel a 96/483/EK bizottsági határozat ( 6 ) megállapította azon harmadik országok listáját, amelyek a jelen határozatban leírt bizonyítványok használatára jogosultak;
mivel továbbá a kis baromfiszállítmányokra vonatkozó feltételek és következésképpen a bizonyítványok eltérhetnek a többitől; mivel az ilyen kis szállítmányokra vonatkozó előírásokat és bizonyítványokat egy külön határozatban kell meghatározni;
mivel következésképpen számításba kell venni az érintett harmadik országok általános egészségügyi helyzetét; mivel a fent említett listán szereplő bizonyos harmadik országok számára csupán a baromfi, illetve a keltetőtojások bizonyos kategóriáinak behozatalára kell engedélyt adni;
mivel a laposmellű futómadarak és más baromfifajták közötti biológiai különbségek alapján a laposmellű futómadarakra és azok keltetőtojásaira vonatkozó állat-egészségügyi feltételeket és állatorvosi bizonyítványokat csak akkor lehet megállapítani, ha az Állat-egészségügyi Tudományos Bizottság ezen állatok és termékek behozatalával összefüggő veszélyekről véleményét kifejtette;
mivel annak érdekében, hogy elkerüljék a Közösség állatállománya egészségügyi állapotának romlását, az e határozat hatálya alá tartozó állat- és termékkategóriákra vonatkozóan meg kell állapítani egy klinikai vizsgálattal záródó elkülönítési és megfigyelési időtartamot;
mivel a Bizottság e határozatot bármikor felülvizsgálhatja, amennyiben az érintett országok állat-egészségügyi helyzetében változás következik be;
mivel az e határozatban meghatározott intézkedések összhangban vannak az Állat-egészségügyi Állandó Bizottság véleményével;
ELFOGADTA EZT A HATÁROZATOT:
1. cikk
(1) E határozat rendelkezései - a laposmellű futómadarak és keltetőtojásaik kivételével - a 90/539/EGK irányelv 2. cikke 1. és 2. pontjában meghatározott baromfi és keltetőtojások behozatalára érvényesek.
(2) E határozat rendelkezései nem vonatkoznak a húsz egyednél kevesebb baromfit, illetve keltetőtojást tartalmazó egyedi szállítmányokra.
(3) E határozat alkalmazásában a 93/342/EGK határozat 1. cikkében megadott meghatározások szükségszerűen érvényesek.
2. cikk
(1) A tagállamok engedélyezik az alábbiak behozatalát:
a) az e határozat I. melléklete I. részének A. oszlopában felsorolt harmadik országokból, illetve azok részeiből származó tenyésztésre és termelésre szánt baromfi, amely megfelel az e határozat I. mellékletének II. részében meghatározott A. minta szerinti állat-egészségügyi bizonyítványban megállapított követelményeknek;
b) az e határozat I. melléklete I. részének B. oszlopában felsorolt harmadik országokból, illetve azok részeiből származó keltetőtojások, amelyek megfelelnek az e határozat I. mellékletének II. részében meghatározott B. minta szerinti állat-egészségügyi bizonyítványban megállapított követelményeknek;
c) az e határozat I. melléklete I. részének C. oszlopában felsorolt harmadik országokból, illetve azok részeiből származó naposcsibék, amelyek megfelelnek az e határozat I. mellékletének II. részében meghatározott C. minta szerinti állat-egészségügyi bizonyítványban megállapított követelményeknek;
d) az e határozat I. melléklete I. részének D. oszlopában felsorolt harmadik országokból, illetve azok részeiből származó vágóbaromfi, valamint a vadállomány pótlására szánt baromfi, amelyek megfelelnek az e határozat I. mellékletének II. részében meghatározott D. minta szerinti állat-egészségügyi bizonyítványban megállapított követelményeknek,
amennyiben ezeket a szabályosan kitöltött és aláírt, megfelelő bizonyítvány kíséri.
(2) A tenyész- és haszonbaromfinak, a keltetőtojásoknak és a naposcsibéknek olyan telepekről kell érkezniük, amelyeket az érintett harmadik ország illetékes hatósága a 90/539/EGK irányelv II. mellékletében meghatározott követelményekkel legalább egyenértékű követelményeknek megfelelően engedélyezett, illetve amely telepek engedélyét nem függesztették fel, illetve nem vonták vissza.
3. cikk
(1) A tenyész- és haszonbaromfit, illetve a naposcsibéket behozataluk után az érkezéstől számított legalább hat héten keresztül, illetve - amennyiben a hat hét letelte előtt levágják őket - egészen a vágás napjáig a rendeltetési telep(ek) területén kell tartani.
A keltetőtojásokból kikelt baromfit a behozatala után a keléstől számított legalább három héten keresztül azon telep(ek) területén kell tartani, amely(ek)be a kelés után szállították őket.
Amennyiben a naposcsibe tenyésztése nem a keltetőtojást behozó tagállamban történik, azt közvetlenül a 90/539/EGK tanácsi irányelv IV. mellékletében foglalt 2. mintának megfelelő állat-egészségügyi bizonyítvány 9.2. pontjában említett rendeltetési gazdaságba szállítják, és a keléstől számított legalább három hétig ott tartják.
Az első albekezdéstől eltérve, a tenyész- és a haszonbaromfi - beleértve a vadállomány pótlására szánt baromfit - esetében a rendeltetési gazdaságban történő tartásra előírt hathetes időtartam 21 napra csökkenthető, amennyiben a III. mellékletben ismertetett mintavételi és vizsgálati eljárásokkal összhangban végzett vizsgálat negatív eredménnyel zárul.
(2) Az (1) bekezdésben említett időszak, illetve a tojások keltetése alatt a behozott baromfit, illetve a tojásokat és a belőlük kikelt baromfit a be nem hozottaktól elkülönítve kell tartani. Következésképpen a baromfit olyan baromfiistállókban kell tartani, ahol más baromfi nincs jelen, továbbá a tojásokat is külön inkubátorokban és keltetőgépekben kell keltetni.
Az első albekezdéstől eltérve a tagállamok engedélyezhetik, hogy a behozott baromfit, illetve a behozott tojásokat olyan baromfi vagy olyan tojások között helyezzék el, amelyek már korábban is jelen voltak a baromfiistállóban, illetve az inkubátorban/keltetőgépben. Ebben az esetben azonban az (1) bekezdésben meghatározott időszakot attól az időponttól kell számítani, amikor a legutolsó behozott baromfit, illetve tojást is elhelyezik.
A baromfit legalább az (1) bekezdésben meghatározott időszak elteltével egy arra jogosult állatorvos irányítása alatt végrehajtott klinikai vizsgálatnak kell alávetni, mely vizsgálat során - adott esetben - mintákat kell venni az állatok egészségi állapotának megfigyelése érdekében.
Az (1) bekezdésben említett időszakot meg kell hosszabbítani, amennyiben a madárinfluenza vagy a Newcastle-betegség gyanúja nem zárható ki.
4. cikk
Amennyiben a baromfit, a keltetőtojásokat és a naposcsibéket és/vagy azok származási állományait az I. mellékletben meghatározott bizonyítványok követelményeinek megfelelően vizsgálatnak kell alávetni, a vizsgálati mintavételt és magát a vizsgálatot a II. mellékletben meghatározott szabályoknak megfelelően kell végrehajtani.
5. cikk
Ezt a határozatot 1996. október 1-jétől kell alkalmazni.
6. cikk
Ennek a határozatnak a tagállamok a címzettjei.
I. MELLÉKLET
I. RÉSZ
Az I. melléklet II. részében megállapított, X-szel megjelölt A-D bizonyítványminták használatára jogosult harmadik országok vagy harmadik országok részeinek jegyzéke
| ISO-kód | Ország | Területrészek | Alkalmazandó bizonyítványminták | |||
| Tenyészbaromfi/haszonbaromfi A | Keltetőtojás B | Naposcsibe C | Vágóbaromfi/állománypótlásra szánt baromfi D | |||
| AU | Ausztrália | X | X | X | X | |
| BG | Bulgária | X | X | X | X | |
| BR | Brazília | Mato Grosso, Paraná, Rio Grande do Sul, Santa Catarina és São Paulo állam | X | X | X | X |
| CA | Kanada | X | X | X | X | |
| CH | Svájc | X | X | X | X | |
| CL | Chile | X | X | X | X | |
| EE (1) | Észtország (1) | X | X | X | X | |
| HR | Horvátország | X | X | X | X | |
| IL | Izrael | X | X | X | X | |
| LT (1) | Litvánia (1) | X | X | X | X | |
| LV (1) | Lettország (1) | X | X | X | X | |
| MT (1) | Málta (1) | X | X | X | X | |
| NZ | Új-Zéland | X | X | X | X | |
| RO | Románia | X | X | X | X | |
| US | Amerikai Egyesült Államok | X | X | X | X | |
| (1) Csak addig alkalmazandó, amíg ez a csatlakozó állam a Közösség tagállamává nem válik. | ||||||
II. RÉSZ
A. MINTA



B. MINTA



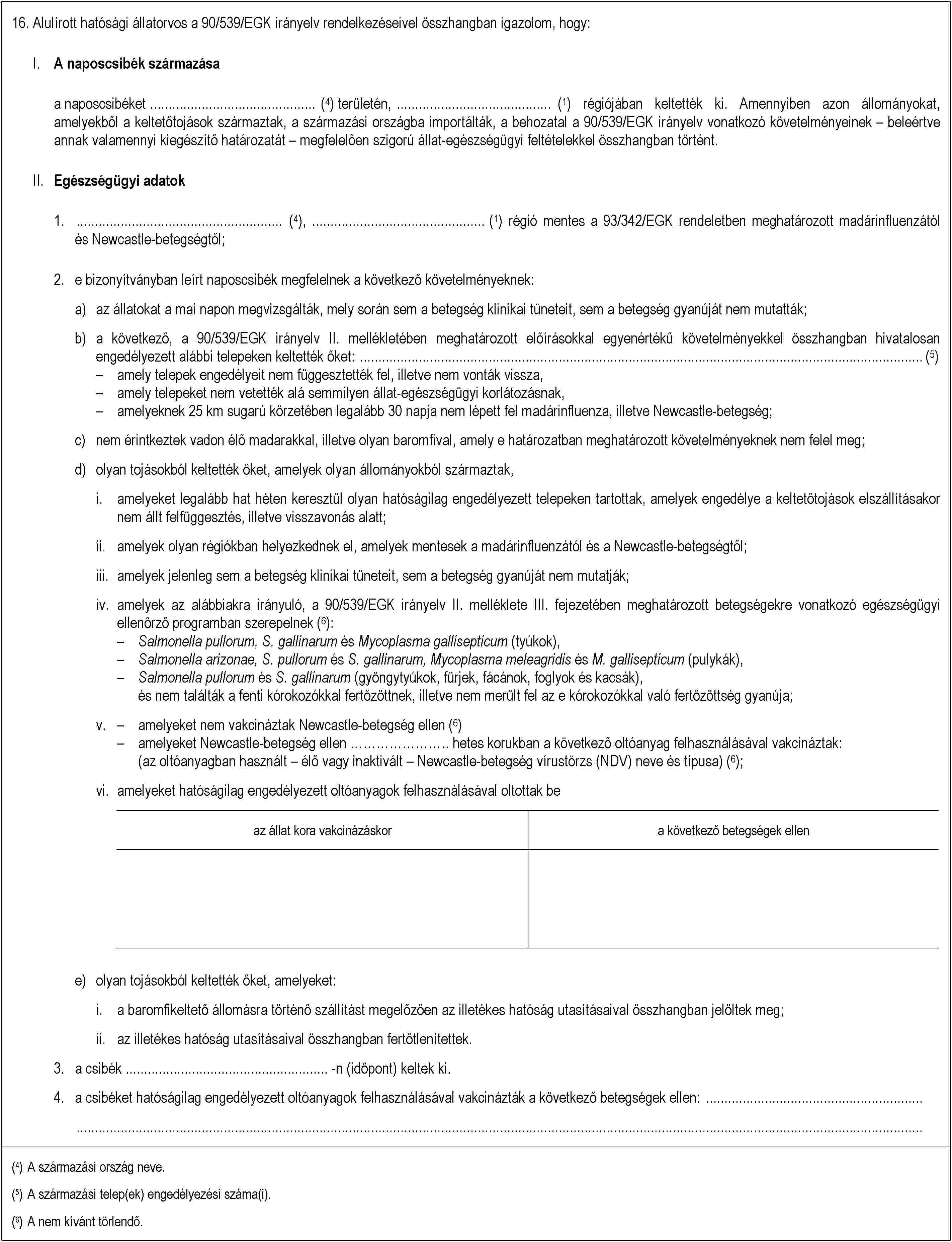
C. MINTA



D. MINTA



II. MELLÉKLET
a baromfi és a keltetőtojások harmadik országokból történő behozatalával kapcsolatos állat-egészségügyi vizsgálatok anyagainak és eljárásainak szabványosítására szolgáló jegyzőkönyvek
1. Newcastle-betegség
A mintavételi és a vizsgálati módszereknek meg kell felelniük a 90/539/EGK tanácsi irányelv 12. cikkének alkalmazása során a baromfi forgalomba hozatal előtt végzendő, Newcastle-betegség elleni vizsgálatáról szóló, 92/340/EGK bizottsági határozat mellékletében megállapított eljárásnak.
2. Salmonella pullorum
- A mintavételi módszereknek meg kell felelniük a 90/539/EGK irányelv II. melléklete III. fejezetében leírt módszereknek.
- A vizsgálati módszereknek meg kell felelniük a Diagnosztikai vizsgálatok és oltóanyagok szabványainak kézikönyvében [OIE, Párizs (B67)] leírt módszereknek.
3. Salmonella gallinarum
- A mintavételi módszereknek meg kell felelniük a 90/539/EGK irányelv II. melléklete III. fejezetében leírt módszereknek.
- A vizsgálati módszereknek meg kell felelniük a Diagnosztikai vizsgálatok és oltóanyagok szabványainak kézikönyvében [OIE, Párizs (B62)] leírt módszereknek.
4. Salmonella arizonae
Szerológiai vizsgálat: 60 madártól kell mintát venni a tojásrakás megkezdésekor. A vizsgálatot a Diagnosztikai vizsgálatok és oltóanyagok szabványainak kézikönyvében [OIE, Párizs (B31, B47)] leírt módszereknek megfelelően kell végezni.
5. Mycoplasma gallisepticum
- A mintavételi módszereknek meg kell felelniük a 90/539/EGK irányelv II. melléklete III. fejezetében leírt módszereknek.
- A vizsgálati módszereknek meg kell felelniük a Diagnosztikai vizsgálatok és oltóanyagok szabványainak kézikönyvében [OIE, Párizs (B65)] leírt módszereknek.
6. Mycoplasma meleagridis
A mintavételi módszereknek meg kell felelniük a 90/539/EGK irányelv II. melléklete III. fejezetében leírt módszereknek.
III. MELLÉKLET
A behozatalt követően a Newcastle-betegség és a madárinfluenza vonatkozásában végzett mintavételi és vizsgálati eljárás
A 3. cikk (1) bekezdésének második albekezdésében megállapított időtartam alatt a hatósági/erre feljogosított állatorvos a behozott baromfi virológiai vizsgálata céljából mintákat vesz, amelyek vizsgálata a következőképpen történik:
- Az elkülönítési időtartam hetedik és tizenötödik napja között kloákakenetet kell venni a 60-nál kisebb létszámú baromfiszállítmány esetén minden állattól, nagyobb szállítmány esetében pedig 60 állattól.
- A madárinfluenza és a Newcastle-betegség vonatkozásában végzett valamennyi vizsgálatot a 92/66/EGK tanácsi irányelv III. mellékletében és a 92/40/EGK tanácsi irányelv III. mellékletében előírt feltételeknek megfelelő diagnosztikai módszerekkel, az illetékes hatóság által kijelölt hivatalos laboratóriumban kell elvégezni.
- Minták összeöntése legfeljebb öt, különböző állattól származó egyedi minta egy mintává való egyesítése útján engedélyezett.
- A vírusizolátumokat haladéktalanul át kell adni a Nemzeti Referencialaboratóriumnak.
( 1 ) HL L 303., 1990.10.31., 6. o.
( 2 ) HL L 268., 1991.9.24., 56. o.
( 3 ) HL L 156., 1995.7.7., 76. o.
( 4 ) HL L 181., 1994.7.15., 35. o.
( 5 ) HL L 137., 1993.6.8., 24. o.
( 6 ) HL L 196., 1996.8.7., 28. o.
Lábjegyzetek:
[1] A dokumentum eredetije megtekinthető CELEX: 31996D0482 - https://eur-lex.europa.eu/legal-content/HU/ALL/?uri=CELEX:31996D0482&locale=hu Utolsó elérhető, magyar nyelvű konszolidált változat CELEX: 01996D0482-20040501 - https://eur-lex.europa.eu/legal-content/HU/ALL/?uri=CELEX:01996D0482-20040501&locale=hu