32012D0448[1]
2012/448/EU: A Bizottság határozata ( 2012. július 12. ) az újságnyomópapír uniós ökocímkéjének odaítélésére vonatkozó ökológiai kritériumok megállapításáról (az értesítés a C(2012) 4693. számú dokumentummal történt)
A BIZOTTSÁG HATÁROZATA
(2012. július 12.)
az újságnyomópapír uniós ökocímkéjének odaítélésére vonatkozó ökológiai kritériumok megállapításáról
(az értesítés a C(2012) 4693. számú dokumentummal történt)
(EGT-vonatkozású szöveg)
(2012/448/EU)
AZ EURÓPAI BIZOTTSÁG,
tekintettel az Európai Unió működéséről szóló szerződésre,
tekintettel az uniós ökocímkéről szóló, 2009. november 25-i 66/2010/EK európai parlamenti és tanácsi rendeletre ( 1 ) és különösen annak 8. cikke (2) bekezdésére,
az Európai Unió ökocímkézésért felelős bizottságával folytatott konzultációt követően,
mivel:
(1) A 66/2010/EK rendelet értelmében uniós ökocímkére érdemesek azok a termékek, amelyek teljes életciklusukat tekintve csak kismértékben károsítják a környezetet.
(2) A 66/2010/EK rendelet értelmében az uniós ökocímke odaítélésének konkrét kritériumait termékcsoportonként kell megállapítani.
(3) Mivel az újságnyomópapír gyártása jelentős mennyiségű energiát, fa- és vegyi anyagot igényel, valamint a természeti erőforrások felhasználásával kapcsolatos környezeti károkat vagy kockázatokat idézhet elő, az "újságnyomópapír" termékcsoport tekintetében helyénvaló megállapítani az uniós ökocímkére vonatkozó kritériumokat.
(4) Az e határozatban előírt intézkedések összhangban vannak a 66/2010/EK rendelet 16. cikkével létrehozott bizottság véleményével,
ELFOGADTA EZT A HATÁROZATOT:
1. cikk
(1) Az "újságnyomópapír" termékcsoportba a cellulózból készült, újságok és más nyomtatott termékek nyomtatására használt papír tartozik.
(2) Az "újságnyomópapír" termékcsoport nem foglalja magában a másolópapírt és a grafikai célra szánt papírt, a hőérzékeny papírt, a fotópapírt és az önindigós papírt, a csomagolópapírt, valamint az illatosított papírt.
2. cikk
E határozat alkalmazásában:
1. "újságnyomópapír" : főképpen újságok nyomtatására használt, cellulózból és/vagy újrahasznosított papírból készült, 40 g/m2 és 65 g/m2 közötti tömegű papír;
2. "újrahasznosított rostok" : gyártási folyamatok hulladékáramából, vagy háztartások és kereskedelmi, ipari és intézményi létesítmények, azaz a termékek végfelhasználóinak hulladékából elkülönített rostok, amelyek eredeti rendeltetésük szerint már nem használhatók.
3. cikk
A termék abban az esetben látható el a 66/2010/EK rendelet szerinti uniós ökocímkével, ha az e határozat 1. cikkében meghatározott "újságnyomópapír" termékcsoportba tartozik, és megfelel az e határozat mellékletében megállapított ökológiai kritériumoknak és a kapcsolódó értékelési és ellenőrzési követelményeknek.
4. cikk
Az "újságnyomópapír" termékcsoportra vonatkozó ökológiai kritériumok, valamint az azokhoz kapcsolódó értékelési és ellenőrzési követelmények 2018. december 31-ig érvényesek.
5. cikk
Az "újságnyomópapír" termékcsoporthoz adminisztratív célból rendelt kódszám: "037".
6. cikk
Ennek a határozatnak a tagállamok a címzettjei.
MELLÉKLET
KERETRENDSZER
A kritériumok célja
E kritériumok célja különösen az erőforrás-hatékonyság előmozdítása a papír újrahasznosításának ösztönzése révén, a mérgező vagy eutróf anyagok vizekbe történő kibocsátásának csökkentése, az energiafelhasználásból eredő környezetkárosító hatások, illetve kockázatok (globális felmelegedés, savasodás, az ózonréteg lebontása, meg nem újuló energiaforrások kimerülése) csökkentése az energiafogyasztás és az ahhoz kapcsolódó, a levegőbe történő kibocsátás csökkentése révén, a veszélyes vegyi anyagok használatával kapcsolatos környezeti károk, illetve kockázatok csökkentése, valamint az erdők védelme érdekében a fenntartható gazdálkodás elveinek alkalmazása.
KRITÉRIUMOK
Az alábbi szempontok mindegyikére külön kritériumok vonatkoznak:
1. Vízbe és levegőbe történő kibocsátás
2. Energiafelhasználás
3. Rostanyagok - fenntartható erdőgazdálkodás
4. Veszélyes vegyi anyagok
5. Hulladékgazdálkodás
6. Használatra való alkalmasság
7. Az uniós ökocímkén feltüntetett információk
Az ökológiai kritériumok kiterjednek a cellulózgyártás teljes folyamatára - beleértve annak minden részfolyamatát - a primer alapanyagok/újrahasznosított nyersanyagok üzembe történő belépésétől addig a pontig, ahol a papírrost elhagyja a cellulózgyárat, valamint a papírgyártás esetében is a cellulóz pépesítésétől (illetve az újrahasznosított papír feloldásától) a papír feltekercseléséig minden részfolyamatra.
Az említett kritériumok nem vonatkoznak a következő tevékenységekre:
1. Cellulóz, papír vagy nyersanyagok szállítása és csomagolása
2. Papír átalakítása
Értékelési és ellenőrzési követelmények
A konkrét értékelési és ellenőrzési követelmények kritériumonként vannak megadva.
Amennyiben a kérelmezőnek a kritériumoknak való megfeleléssel kapcsolatban nyilatkozatokat, dokumentációt, elemzéseket, vizsgálati jegyzőkönyveket vagy egyéb bizonyítékokat kell benyújtania, akkor azok értelemszerűen származhatnak a kérelmezőtől és/vagy beszállítójától (beszállítóitól) és/vagy adott esetben ez utóbbi(ak) beszállítójától (beszállítóitól) és így tovább.
Adott esetben az egyes kritériumoknál megadott vizsgálati módszerektől eltérő vizsgálati módszerek is alkalmazhatók, ha a kérelmet elbíráló, illetékes testület elfogadja azok egyenértékűségét.
A vizsgálatokat lehetőség szerint olyan laboratóriumoknak kell elvégezniük, amelyek megfelelnek az EN ISO 17025 vagy azzal egyenértékű szabvány általános követelményeinek.
Adott esetben az illetékes testületek további igazoló dokumentumokat kérhetnek, illetve független ellenőrzéseket végezhetnek.
AZ UNIÓS ÖKOCÍMKE HASZNÁLATÁNAK KRITÉRIUMAI
1. kritérium - Vízbe és levegőbe történő kibocsátás
a) Kémiai oxigénigény (KOI), kén (S), nitrogén-oxidok (NOx) és foszfor (P)
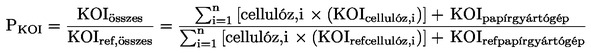
E paraméterek mindegyikénél a cellulóz- és papírgyártásból a levegőbe és/vagy vízbe történő kibocsátást terhelési pontokban kell kifejezni (PKOI, PS, PNOx, PP) az alábbiak szerint:
A PKOI, PS, PNOx vagy PP terhelési pontok egyike sem haladhatja meg az 1,5-öt.
A terhelési pontok összege (Pösszes = PKOI + PS + PNOx + PP) nem lehet 4,0-nél nagyobb.
A PKOI számítását a következőképpen kell végezni (a PS, a PNOx és a PP értékét ugyanígy kell kiszámítani):
Minden egyes felhasznált "i" cellulózra a kapcsolódó KOI-kibocsátásokat (KOIcellulóz,i kg/légszáraz tonnában [ADT - air dried tonne] kifejezve) súlyozni kell az egyes felhasznált cellulózok aránya szerint ("i" cellulóz a cellulóz légszáraz tonnájaként), majd értéküket össze kell adni. Ezután a cellulóztípusok súlyozott KOI-kibocsátását hozzá kell adni a papírgyártás során keletkező KOI-kibocsátás mért értékéhez: az eredmény a teljes KOI-kibocsátás (KOIösszes).
A cellulózgyártás súlyozott KOI-referenciaértékét ugyanígy kell kiszámítani, azaz az egyes felhasznált cellulóztípusok súlyozott referenciaértékeinek összegét hozzá kell adni a papírgyártás referenciaértékéhez: az eredmény a teljes KOI-referenciaérték (KOIref,összes). Az egyes felhasznált cellulóztípusok és a papírgyártás referenciaértékeit az 1. táblázat tartalmazza.
Végül a teljes KOI-kibocsátást a következőképpen kell elosztani a teljes KOI-referenciaértékkel:

1. táblázat
A különböző cellulóztípusokból és a papírgyártásból származó kibocsátások referenciaértékei:
| Cellulózfajta/papír | Kibocsátás (kg/ADT)* | |||
| KOI referencia | Sreferencia | NOx, referencia | Preferencia | |
| Fehérített kémiai cellulóz (nem szulfit) | 18,0 | 0,6 | 1,6 | 0,045 |
| Fehérített kémiai cellulóz (szulfit) | 25,0 | 0,6 | 1,6 | 0,045 |
| Fehérítetlen cellulózpép | 10,0 | 0,6 | 1,6 | 0,04 |
| CTMP | 15,0 | 0,2 | 0,3 | 0,01 |
| TMP/facsiszolat | 3,0 | 0,2 | 0,3 | 0,01 |
| Újrahasznosított rostpép | 2,0 | 0,2 | 0,3 | 0,01 |
| Papír (nem integrált malmok esetében, ahol az összes felhasznált cellulózt kereskedelmi forgalomban szerzik be). | 1 | 0,3 | 0,8 | 0,01 |
| Papír (egyéb malmok) | 1 | 0,3 | 0,7 | 0,01 |
Az 1. táblázatban a fehérített kémiai cellulóz (nem szulfit) vonatkozásában megadott Preferencia-érték teljesítése alól mentesség adható legfeljebb 0,1 értékig, amennyiben a P magasabb értéke bizonyíthatóan a facellulóz magasabb természetes P-tartalmának tudható be.
Amennyiben egyazon gyártóüzem hőenergiát és villamos energiát is termel, a villamosenergia-termelésből eredő S- és NOx-kibocsátás értéke levonható az összes mennyiségből. A villamosenergia-termelésből eredő kibocsátás aránya az alábbi képlet segítségével számítható ki:
2 × (MWh(villamos energia))/[2 x MWh(villamos energia) + MWh(hőenergia)]
A képletben a villamos energia a kapcsolt energiatermelő létesítményben termelt villamos energiát jelenti.
A hőenergia az erőműből a cellulóz-, illetve papírgyárba szállított nettó hőmennyiség.
Értékelés és ellenőrzés: A kérelmező köteles benyújtani azokat a részletes számításokat, amelyek igazolják ennek a kritériumnak a teljesülését, valamint mellékelni az ezt alátámasztó dokumentációt, amelyben szerepelnie kell az alábbi vizsgálati módszerek szerint elkészített vizsgálati jegyzőkönyveknek: KOI: ISO 6060; NOx: ISO 11564; S(oxid.): EPA no.8; S(red.): EPA no. 16A; olaj kéntartalma: ISO 8754; szén kéntartalma: ISO 351; P: EN ISO 6878, APAT IRSA CNR 4110 vagy Dr Lange LCK 349.
Az ezt alátámasztó dokumentációban fel kell tüntetni a mérések gyakoriságát és a KOI, S és NOx terhelési pontok számítását. A dokumentáció tartalmazza az összes S- és NOx-kibocsátást, amely a cellulóz és a papír előállítása során keletkezik, beleértve a gyártóüzemen kívül előállított gőzt, kivéve azokat a kibocsátásokat, amelyek az villamosenergia-termeléshez kapcsolódnak. A méréseknek ki kell terjedniük a regeneráló kazánokra, mészégető kemencékre, gőzkazánokra és az erős szagú gázok égetőkemencéire. A diffúz kibocsátásokat figyelembe kell venni. A levegőbe történő kénkibocsátásról szóló jegyzőkönyvben megadott értékben szerepelnie kell mind az oxidált, mind a redukált kénkibocsátásoknak (dimetil-szulfid, metil-merkaptán, hidrogén-szulfid és hasonló kibocsátások). Az olaj, szén és más, ismert kéntartalmú külső tüzelőanyag segítségével történő hőenergia-előállításhoz kapcsolódó kénkibocsátások mérés helyett kiszámíthatók, és ezeket figyelembe kell venni.
A vízbe történő kibocsátások méréseit szűretlen és ülepítetlen mintákon kell elvégezni, az üzemben elvégzett kezelés vagy települési szennyvíztisztító telepen végzett kezelés után. A mérési időszakot 12 hónap termelésére kell alapozni. Új vagy felújított gyártóüzem esetében a méréseket az üzem legalább 45 egymást követő napon át tartó stabil üzemelésére kell alapozni. A mérésnek az adott időszak szempontjából reprezentatívnak kell lennie.
Mivel integrált malmok esetében nehéz elkülöníteni a cellulóz és a papír kibocsátásértékeit, ha csak egy összesített érték áll rendelkezésre a cellulóz- és papírgyártással kapcsolatban, a cellulózhoz kapcsolódó kibocsátás értéke legyen nulla, a cellulózgyárra vonatkozó érték pedig tartalmazza a cellulózgyártás és a papírgyártás értékét is.
b) AOX (adszorbeálható szerves halogén)
- 2013. március 31-ig a felhasznált egyes cellulózfajták előállításából származó AOX-kibocsátás nem haladhatja meg a 0,20 kg/légszáraz tonnát.
- 2013. április 1-jétől az e határozatban foglalt kritériumok érvényességének lejártáig a felhasznált egyes cellulózfajták előállításából származó AOX-kibocsátás nem haladhatja meg a 0,17 kg/légszáraz tonnát.
Értékelés és ellenőrzés: A kérelmezőnek be kell nyújtania az AOX ISO 9562 szerinti módszerrel végzett mérésről szóló vizsgálati jegyzőkönyvet, valamint az e kritériumnak való megfelelést igazoló részletes számításokat és az ezeket alátámasztó dokumentációt.
Az igazoló dokumentációban fel kell tüntetni a mérés gyakoriságát. Az AOX-et csak olyan folyamatokban kell mérni, ahol klórvegyületeket használnak a cellulóz fehérítéséhez. Az AOX-et nem kell mérni a nem integrált papírgyártásból származó szennyvízben vagy fehérítés nélküli cellulózgyártásból származó szennyvizekben, illetve ha a fehérítést klórmentes anyagokkal végzik.
A kibocsátások méréseit szűretlen és ülepítetlen mintákon kell elvégezni, az üzemben elvégzett kezelés vagy egy települési szennyvíztisztító telepen végzett kezelés után. A mérési időszakot 12 hónap termelésére kell alapozni. Új vagy felújított termelő üzem esetében a méréseket az üzem legalább 45 egymást követő napon át tartó stabil üzemelésére kell alapozni. A mérésnek az adott időszak szempontjából reprezentatívnak kell lennie.
c) CO2
A szén-dioxid nem megújuló forrásokból történő kibocsátása, beleértve a villamosenergia-termelésből származó kibocsátásokat is (akár a gyártóüzem telephelyén történik, akár azon kívül) nem haladhatja meg az előállított papír tonnájára számítva az 1 000 kg-ot. Nem integrált malmok esetében (ahol az összes felhasznált cellulózt kereskedelmi forgalomban szerzik be) a kibocsátás nem haladhatja meg a tonnánkénti 1 100 kg-ot. A kibocsátásokat a cellulóz- és a papírgyártásból származó kibocsátások összegeként kell kiszámítani.
Értékelés és ellenőrzés: A kérelmezőnek be kell nyújtania az e kritérium teljesülését igazoló, részletes számításokat a kapcsolódó alátámasztó dokumentációval együtt.
A levegőbe kibocsátott szén-dioxid mennyiségéről szintén adatokat kell közölni. Ezek között szerepelnie kell a cellulóz- és papírgyártás során felhasznált összes nem megújuló tüzelőanyag-forrásnak, beleértve a villamosenergia-termelésből származó kibocsátásokat is (függetlenül attól, hogy az energiát a gyártóüzem telephelyén vagy azon kívül termelik).
A tüzelőanyagokból származó CO2-kibocsátást alábbi kibocsátási tényezők alapján kell kiszámítani:
2. táblázat
| Tüzelőanyag | CO2 fosszilis-kibocsátás | Mértékegység |
| Szén | 96 | g CO2 fosszilis/MJ |
| Nyersolaj | 73 | g CO2 fosszilis/MJ |
| Fűtőolaj 1. | 74 | g CO2 fosszilis/MJ |
| Fűtőolaj 2–5. | 81 | g CO2 fosszilis/MJ |
| Cseppfolyós PB-gáz | 66 | g CO2 fosszilis/MJ |
| Földgáz | 56 | g CO2 fosszilis/MJ |
| Hálózati villamos energia | 400 | g CO2 fosszilis/kWh |
A számítások vagy a tömegmérleg-egyenlegek időszaka 12 hónapos gyártási időszakon alapul. Új vagy felújított gyártóüzem esetében a méréseket az üzem legalább 45 egymást követő napon át tartó stabil üzemelésére kell alapozni. A számításnak az adott időszak szempontjából reprezentatívnak kell lennie.
A hálózati villamosenergia-ellátás esetében a fenti táblázatban megadott értéket (európai átlag) kell használni, kivéve, ha a kérelmező olyan dokumentumokat mutat be, amelyek meghatározzák az adott áramszolgáltató(k) átlagértékét (szerződéses szolgáltató vagy nemzeti átlag), amely esetben a kérelmező a táblázatban megadott érték helyett ezt az értéket használhatja.
A gyártási folyamatokhoz beszerzett és felhasznált, megújuló energiaforrásokból ( 2 ) származó energia mennyisége nem vehető figyelembe a CO2-kibocsátások számításánál. A kérelmezőnek megfelelő dokumentációval kell igazolnia, hogy a cellulózgyárban ténylegesen ilyen jellegű energiát használt fel, illetve ezt az energiát külső forrásból vásárolta.
2. kritérium - Energiafelhasználás
a) Villamos energia
A cellulóz- és papírgyártáshoz kapcsolódó villamosenergia-fogyasztást terhelési pontokban (PE) kell kifejezni, az alábbiak szerint:
A terhelési pontok összege (PE) legfeljebb 1,5 lehet.
A PE értékét az alábbiak szerint kell kiszámítani:
Cellulózgyártásra vonatkozó számítás: minden felhasznált "i" cellulózra a vonatkozó villamosenergia-fogyasztást (Ecellulóz, i, kWh/légszáraz tonnában (ADT) kifejezve) az alábbiak szerint kell kiszámítani:
Ecellulóz, i = belső előállítású villamos energia + vásárolt villamos energia - eladott villamos energia
Papírgyártásra vonatkozó számítás: A papírgyártáshoz kapcsolódó villamonsenergia-fogyasztást (Epapír) hasonlóképpen kell kiszámítani:
Epapír = belső előállítású villamos energia + vásárolt villamos energia - eladott villamos energia
Végül a cellulóz- és a papírgyártás terhelési pontjait összegezve az alábbiak szerint megkapjuk a terhelési pontok összegét (PE):

Mivel integrált malmok esetében nehéz elkülöníteni a cellulóz és a papír villamosenergia-értékeit, ha csak egy összesített érték áll rendelkezésre a cellulóz- és papírgyártással kapcsolatban, a cellulózhoz kapcsolódó villamosenergia-fogyasztás értéke legyen nulla, a cellulózgyárra vonatkozó érték pedig tartalmazza a cellulózgyártás és a papírgyártás értékét is.
b) Tüzelőanyag (hőtermelés):
A cellulóz- és papírgyártással kapcsolatos tüzelőanyag-fogyasztást terhelési pontokban (PF) kell kifejezni, az alábbiak szerint:
A terhelési pontok összege (PF) legfeljebb 1,5 lehet.
A PF értékét az alábbiak szerint kell kiszámítani:
Cellulózgyártásra vonatkozó számítás: minden felhasznált "i" cellulózra a vonatkozó tüzelőanyag-fogyasztást (Fcellulóz, i, kWh/légszáraz tonnában (ADT) kifejezve) az alábbiak szerint kell kiszámítani:
Fcellulóz, i = belső előállítású tüzelőanyag + vásárolt tüzelőanyag - eladott tüzelőanyag - 1,25 × belső előállítású villamos energia
Megjegyzés:
1. Az Fcellulóz, i értéket (és a PF, cellulóz-ban a megfelelő részesedését) nem kell kiszámítani a facsiszolatra, kivéve, ha légszáraz mechanikai eljárással előállított kereskedelmi rostanyagról van szó, amely legalább 90 % szárazanyagot tartalmaz.
2. A fenti egyenletben az "eladott tüzelőanyagok" értékébe be kell számítani az eladott hő termeléséhez felhasznált tüzelőanyag mennyiségét.
Papírgyártásra vonatkozó számítás: A papírgyártáshoz kapcsolódó tüzelőanyag-fogyasztást (Fpapír kWh/ADT-ben kifejezve) hasonlóképpen kell kiszámítani:
Fpapír = belső előállítású tüzelőanyag + vásárolt tüzelőanyag - eladott tüzelőanyag - 1,25 × belső előállítású villamos energia
Végül a cellulóz- és a papírgyártás terhelési pontjait összegezve az alábbiak szerint megkapjuk a terhelési pontok összegét (PF):

3. táblázat
A villamos energia és a tüzelőanyag referenciaértékeinek táblázata
| Cellulózfajta | Tüzelőanyag kWh/ADT Freferencia | Villamos energia kWh/ADT Ereferencia | ||
| Nem admp | Admp | Nem admp | Admp | |
| Kémiai cellulóz | 4 000 | 5 000 | 800 | 800 |
| Termomechanikai úton előállított cellulóz (TMP) | 0 | 900 | 2 200 | 2 200 |
| Facsiszolat (beleértve a préselt facsiszolatot) | 0 | 900 | 2 000 | 2 000 |
| Vegyi-termomechanikai úton előállított cellulóz (CTMP) | 0 | 1 000 | 2 000 | 2 000 |
| Újrahasznosított rostpép | 300 | 1 300 | 450 | 550 |
| Papírfajta | Tüzelőanyag | kWh/tonna | Villamos energia kWh/tonna | |
| Újságnyomópapír fajtája | 1 800 | 700 | ||
| Admp = légszáraz eljárással előállított kereskedelmi rostanyag | ||||
Értékelés és ellenőrzés a)-ra és b)-re): A kérelmezőnek be kell nyújtania az e kritérium teljesülését igazoló, részletes számításokat a kapcsolódó összes alátámasztó dokumentációval együtt. A jelentésben szerepelnie kell a teljes villamosenergia- és tüzelőanyag-fogyasztásnak.
A kérelmezőnek ki kell számítania az összes energiabemenetet külön-külön meghatározva a cellulóz- és papírgyártás során felhasznált hőenergia/tüzelőanyagok és villamos energia mennyiségét, beleértve az újrahasznosított papír gyártásakor a hulladékpapír festékmentesítéséhez használt energiát is. A nyersanyagok szállítása, valamint a feldolgozás és a csomagolás során felhasznált energia nem szerepelhet az energiafogyasztási számításokban.
A teljes hőenergiának tartalmaznia kell az összes vásárolt tüzelőanyagot. A hőenergia tartalmazza még a gyártóüzemi folyamatokból származó folyadékok és hulladékok (pl. fahulladék, fűrészpor, folyadékok, hulladékpapír és gyártási selejt) elégetésével visszanyert hőenergiát, valamint a villamos energiának a gyártóüzem telephelyén történő termeléséből visszanyert hőenergiát - azonban a kérelmezőnek az ilyen forrásokból származó hőenergiának csak a 80 %-át kell figyelembe vennie a teljes hőenergia kiszámításánál.
A villamos energia az elektromos hálózatból származó nettó villamos energiát és a gyártóüzem telephelyén termelt villamos energiát jelenti, elektromos teljesítményként mérve. A szennyvíz tisztításához használt villamos energiát nem kell számításba venni.
Ha villamos energiával, mint hőforrással gőzt fejlesztenek, akkor a gőz hőértékét ki kell számítani, majd el kell osztani 0,8-del, és hozzá kell adni a teljes tüzelőanyag-fogyasztáshoz.
Mivel integrált malmok esetében nehéz elkülöníteni a cellulóz- és a papírgyártás tüzelőanyag (hő) értékeit, ha csak egy összesített érték áll rendelkezésre a cellulóz- és papírgyártással kapcsolatban, a cellulózhoz kapcsolódó tüzelőanyag-/(hő)fogyasztás értéke legyen nulla, a cellulózgyárra vonatkozó érték pedig tartalmazza a cellulózgyártás és a papírgyártás értékét is.
3. kritérium - Rostok
Az újságnyomópapír céljára felhasznált rostok összmennyiségének legalább 70 tömegszázalékát újrahasznosított rostoknak kell képezniük.
Az összes nem újrahasznosított rostanyagnak olyan, primer rostanyagnak kell lennie, amelynek esetében a fenntartható erdőgazdálkodás alatt álló forrásból való származást, valamint a felügyeleti lánc ellenőrzését független harmadik fél, például az FSC vagy a PEFC tanúsítványával, illetve ezekkel egyenértékű tanúsítási rendszerek dokumentációjával kell igazolni.
Amennyiben az igénybe vett tanúsítási rendszer egy adott terméken vagy terméksoron belül engedélyezi a tanúsított és nem tanúsított anyagok együttes használatát, a felhasznált primer rostanyag összmennyiségében található nem tanúsított anyagok aránya nem haladhatja meg az 50 %-ot. A nem tanúsított anyagoknak is meg kell felelniük olyan tanúsító rendszernek, amely garanciát biztosít arra, hogy az anyagok jogszerű forrásból származnak, és meg kell felelniük a tanúsító rendszer nem tanúsított anyagokkal kapcsolatban támasztott minden egyéb kívánalmának is.
Az erdőgazdálkodási és/vagy felügyeleti lánccal kapcsolatos tanúsítványt kiállító tanúsító testületnek rendelkeznie kell a tanúsítási rendszer akkreditációjával/elismerésével.
Az újrahasznosított rostanyagtartalom számításakor nem vehetők figyelembe az egy adott folyamat során keletkezett és ugyanazon folyamaton belül felhasznált anyagok (például az ugyanazon létesítmény által termelt vagy megvásárolt papírgyári selejt).
Értékelés és ellenőrzés: A kérelmező a cellulóz- és papírgyártás során használt rostanyagok típusát, mennyiségét és eredetét megnevező dokumentációt köteles benyújtani.
Primer rostanyagok használata esetén a termék fenntartható erdőgazdálkodás alatt álló forrásból való származását, valamint a felügyeleti lánc ellenőrzését független harmadik fél, például a PEFC vagy az FSC tanúsítványával, illetve ezekkel egyenértékű tanúsítási rendszerek dokumentációjával kell igazolni. Amennyiben a termék vagy a terméksor nem tanúsított anyagot is tartalmaz, igazolni kell, hogy annak aránya a termékben legfeljebb 50 %, és a nem tanúsított anyagokat olyan tanúsító rendszerrel kell ellenőrizni, amely garanciát biztosít arra, hogy az anyagok jogszerű forrásból származnak és megfelelnek a tanúsító rendszer nem tanúsított anyagokkal kapcsolatban támasztott minden egyéb kívánalmának is.
Az újrahasznosított rostok százalékos arányát a felhasznált újrahasznosított rostanyag és a papíripari késztermék arányaként kell kiszámítani. Újrahasznosított rost használatakor a kérelmezőnek az EN 643 ( 3 )vagy egy azzal egyenértékű szabvány szerint nyilatkoznia kell a termékhez felhasznált újrahasznosított papír fajták szerinti mennyiségéről. A kérelmezőnek emellett nyilatkozatban kell kijelentenie, hogy az újrahasznosított anyag számításában nem vette figyelembe a (saját vagy felvásárolt) papírgyári selejtet.
4. kritérium - Tilalom vagy korlátozás hatálya alá eső anyagok és keverékek
Értékelés és ellenőrzés: A kérelmező köteles jegyzéket készíteni a cellulóz- és papírgyártás során használt vegyi készítményekről, és azt a megfelelő dokumentumokkal (például biztonsági adatlapokkal) együtt benyújtani. Ebben a jegyzékben szerepelnie kell a gyártási folyamat során felhasznált összes vegyi anyag mennyiségének, funkciójának és beszállítójának.
a) Veszélyes anyagok és keverékek
A 66/2010/EK rendelet 6. cikkének (6) bekezdése értelmében a termék nem tartalmazhat az 1907/2006/EK európai parlamenti és tanácsi rendelet ( 4 ) 57. cikkében említett anyagokat, sem pedig olyan anyagokat vagy keverékeket, amelyek kimerítik az 1272/2008/EK európai parlamenti és tanácsi rendelet ( 5 ) vagy a 67/548/EGK tanácsi irányelv ( 6 ) alábbi táblázatban meghatározott figyelmeztető mondatai vagy kockázatra utaló figyelmeztetései (R-mondatok) szerinti osztályozási kritériumok feltételeit.
A figyelmeztető mondatok és a kockázatra utaló figyelmeztetések (R-mondatok) felsorolása:
| Figyelmeztető mondat (1) | R-mondat (2) |
| H300 Lenyelve halálos | R28 |
| H301 Lenyelve mérgező | R25 |
| H304 Lenyelve és a légutakba kerülve halálos lehet | R65 |
| H310 Bőrrel érintkezve halálos | R27 |
| H311 Bőrrel érintkezve mérgező | R24 |
| H330 Belélegezve halálos | R23/26 |
| H331 Belélegezve mérgező | R23 |
| H340 Genetikai károsodást okozhat | R46 |
| H341 Feltételezhetően genetikai károsodást okozhat | R68 |
| H350 Rákot okozhat | R45 |
| H350i Belélegzéssel rákot okozhat | R49 |
| H351 Feltehetően rákot okoz | R40 |
| H360F Károsíthatja a termékenységet | R60 |
| H360D Károsíthatja a születendő gyermeket | R61 |
| H360FD Károsíthatja a termékenységet. Károsíthatja a születendő gyermeket | R60/61/60-61 |
| H360Fd Károsíthatja a termékenységet. Feltehetően károsítja a születendő gyermeket | R60/63 |
| H360Df Károsíthatja a születendő gyermeket. Feltehetően károsítja a termékenységet | R61/62 |
| H361f Feltehetően károsítja a termékenységet | R62 |
| H361d Feltehetően károsítja a születendő gyermeket | R63 |
| H361fd Feltehetően károsítja a termékenységet. Feltehetően károsítja a születendő gyermeket | R62-63 |
| H362 A szoptatott gyermeket károsíthatja | R64 |
| H370 Károsítja a szerveket | R39/23/24/25/26/27/28 |
| H371 Károsíthatja a szerveket | R68/20/21/22 |
| H372 Ismétlődő vagy hosszabb expozíció esetén károsítja a szerveket | R48/25/24/23 |
| H373 Ismétlődő vagy hosszabb expozíció esetén károsítja a szerveket | R48/20/21/22 |
| H400 Nagyon mérgező a vízi élővilágra | R50 |
| H410 Nagyon mérgező a vízi élővilágra, hosszan tartó károsodást okoz | R50-53 |
| H411 Mérgező a vízi élővilágra, hosszan tartó károsodást okoz | R51-53 |
| H412 Ártalmas a vízi élővilágra, hosszan tartó károsodást okoz | R52-53 |
| H413 Hosszan tartó ártalmas hatást gyakorolhat a vízi élővilágra | R53 |
| EUH059 Veszélyes az ózonrétegre | R59 |
| EUH029 Vízzel érintkezve mérgező gázok képződnek | R29 |
| EUH031 Savval érintkezve mérgező gázok képződnek | R31 |
| EUH032 Savval érintkezve nagyon mérgező gázok képződnek | R32 |
| EUH070 Szembe kerülve mérgező | R39-41 |
| A cellulózon vagy a papíron nem használható olyan, kereskedelmi forgalomban lévő színezőanyag-készítmény, színezék, felületkezelő szer, segédanyag és bevonat, amelyhez az alkalmazás időpontjában a H317 R-mondatot rendelték vagy rendelhetik: Allergiás bőrreakciót válthat ki. | R43 |
| (1) Az 1272/2008/EK rendeletben foglaltak szerint. (2) A 67/548/EGK irányelvben foglaltak szerint. | |
A fenti követelmény teljesítése alól mentesülnek azok az anyagok vagy keverékek, amelyek jellemzői a feldolgozás hatására olyan mértékben módosulnak (például biológiai úton már nem vehetők fel vagy kémiailag átalakulnak), hogy az esetükben azonosított veszélyek már nem állnak fenn.
Azon anyagok vagy keverékek koncentrációs határértékei, amelyekhez az alkalmazás időpontjában a fenti figyelmeztető vagy R-mondatokat rendelték vagy rendelhetik, vagy amelyek kimerítik a fenti táblázatban felsorolt veszélyességi osztályokba vagy kategóriákba való besorolás feltételeit, valamint az 1907/2006/EK rendelet 57. cikkének a), b) vagy c) pontjában foglalt kritériumok szerinti anyagok koncentrációs határértékei nem haladhatják meg az 1272/2008/EK rendelet 10. cikkével összhangban meghatározott általános és egyedi koncentrációs határértékeket. Ha egy adott anyag vonatkozásában meg lett határozva egyedi koncentrációs határérték, akkor elsősorban annak kell megfelelni, és csak utána az általános határértékeknek.
Az 1907/2006/EK rendelet 57. cikkének d), e) vagy f) pontjában foglalt kritériumok szerinti anyagok koncentrációs határértékei nem haladhatják meg a 0,1 tömegszázalékot.
Értékelés és ellenőrzés: A kérelmezőnek e kritériumok teljesítésének igazolásához meg kell adnia a gyártási folyamatban felhasznált anyagok mennyiségét (kg/ADT előállított papír) és bizonyítania kell, hogy az e kritériumokkal kapcsolatban említett anyagok a késztermékben nincsenek jelen a meghatározott határértéknél nagyobb koncentrációban. Az anyagok és készítmények koncentrációit fel kell tüntetni a biztonsági adatlapon az 1907/2006/EK rendelet 31. cikkében foglalt követelmények szerint.
b) Az 1907/2006/EK rendelet 59. cikkének (1) bekezdése szerinti anyagok
Nem engedélyezhető eltérés a 66/2010/EK rendelet 6. cikk (6) bekezdésében említett tilalom alól a keverékekben, árucikkekben, illetve összetett árucikkek bármely homogén alkotórészében 0,1 %-nál nagyobb koncentrációban jelen levő azon anyagok esetében, amelyek a kockázatok szempontjából különösen aggályos vegyi anyagoknak minősülnek, és amelyek szerepelnek az 1907/2006/EK rendelet 59. cikkében említett jegyzékben. Amennyiben a koncentráció nem éri el a 0,1 %-ot, az 1272/2008/EK rendelet 10. cikke szerint meghatározott egyedi koncentrációs határértékek alkalmazandók.
Értékelés és ellenőrzés: A kockázatok szempontjából különösen aggályosnak minősített és az 1907/2006/EK rendelet 59. cikke szerinti jelöltlistán szereplő vegyi anyagok jegyzéke itt olvasható:
http://echa.europa.eu/chem_data/authorisation_process/candidate_list_table_en.asp
A jegyzékre hivatkozni kell a kérelmezés napján.
A kérelmezőnek e kritérium teljesítésének igazolásához meg kell adnia a gyártási folyamatban felhasznált anyagok mennyiségét (kg/ADT előállított papír) és bizonyítania kell, hogy az e kritériummal kapcsolatban említett anyagok a késztermékben nincsenek jelen a meghatározott határértéknél nagyobb koncentrációban. A koncentrációt fel kell tüntetni a biztonsági adatlapon az 1907/2006/EK rendelet 31. cikkében foglalt követelmények szerint.
c) Klór
Klórgáz vagy más klórozott vegyületek fehérítőszerként nem használhatók. Ez a követelmény nem vonatkozik a klór-dioxid előállításához és alkalmazásához használt klórgázra.
Értékelés és ellenőrzés: A kérelmező köteles benyújtani a cellulózgyártó(k) nyilatkozatát arra vonatkozóan, hogy klórgázt vagy más klórozott vegyületeket nem használtak fehérítőszerként. Megjegyzés: bár ez a követelmény az újrahasznosított rostanyagok fehérítésére is vonatkozik, elfogadható, ha a rostanyagokat életciklusuk korábbi szakaszában esetleg klórgázzal vagy más klórozott vegyületekkel fehérítették.
d) APEO-k
Alkil-fenol-etoxilátok vagy más alkil-fenol származékok nem adagolhatók a tisztító vegyi anyagokhoz, a festékmentesítő vegyi anyagokhoz, a habzásgátló anyagokhoz vagy diszpergálószerekhez. Az alkil-fenol származékok olyan anyagok, amelyek lebomlásakor alkil-fenolok keletkeznek.
Értékelés és ellenőrzés: A kérelmező köteles benyújtani a vegyi anyag szállítójának (szállítóinak) nyilatkozatát arra vonatkozóan, hogy alkil-fenol-etoxilátokat vagy más alkil-fenol származékokat nem adagoltak ezekhez a termékekhez.
e) Maradék monomerek
Azoknak a maradék monomereknek a teljes mennyisége (az akril-amid kivételével), amelyekhez az alábbi R-mondatok bármelyikét (vagy azok bármely kombinációját) rendelték vagy rendelhetik, és amelyek a mázanyagokban, rostkötő anyagokban, erősítőanyagokban, víztaszító anyagokban vagy a gyártóüzem telephelyén vagy azon kívül történő víztisztítás során használt anyagokban vannak jelen, nem haladhatja meg (szilárdanyag-tartalmuk alapján számítva) a 100 ppm koncentrációt.
| Figyelmeztető mondat (1) | R-mondat (2) |
| H340 Genetikai károsodást okozhat | R46 |
| H350 Rákot okozhat | R45 |
| H350i Belélegzéssel rákot okozhat | R49 |
| H351 Feltehetően rákot okoz | R40 |
| H360F Károsíthatja a termékenységet | R60 |
| H360D Károsíthatja a születendő gyermeket | R61 |
| H360FD Károsíthatja a termékenységet. Károsíthatja a születendő gyermeket | R60/61/60-61 |
| H360Fd Károsíthatja a termékenységet. Feltehetően károsítja a születendő gyermeket | R60/63 |
| H360Df Károsíthatja a születendő gyermeket. Feltehetően károsítja a termékenységet | R61/62 |
| H400 Nagyon mérgező a vízi élővilágra | R50/50-53 |
| H410 Nagyon mérgező a vízi élővilágra, hosszan tartó károsodást okoz | R50-53 |
| H411 Mérgező a vízi élővilágra, hosszan tartó károsodást okoz | R51-53 |
| H412 Ártalmas a vízi élővilágra, hosszan tartó károsodást okoz | R52-53 |
| H413 Hosszan tartó ártalmas hatást gyakorolhat a vízi élővilágra | R53 |
| (1) Az 1272/2008/EK rendeletben foglaltak szerint. (2) A 67/548/EGK irányelvben foglaltak szerint. | |
A mázanyagokban, rostkötő anyagokban, erősítőanyagokban, víztaszító anyagokban vagy a gyártóüzem telephelyén vagy azon kívül történő víztisztítás során használt anyagokban (szilárdanyag-tartalmuk alapján számítva) 700 ppm-nél nagyobb koncentrációban akril-amid nem lehet jelen.
Az illetékes testület mentességet biztosíthat a kérelmező számára a fenti követelmények teljesítése alól a gyártóüzem telephelyén kívül történő víztisztítás során használt vegyi anyagokkal kapcsolatban.
Értékelés és ellenőrzés: A kérelmező megfelelő dokumentumokkal (például biztonsági adatlapokkal) alátámasztott nyilatkozatban köteles igazolni e kritérium teljesülését.
f) Felületaktív anyagok festékmentesítő készítményekben
A festékmentesítéshez használt összes felületaktív anyagnak biológiailag teljesen lebonthatónak kell lennie (a vizsgálati módszereket és küszöbértékeket lásd az alábbiakban).
Értékelés és ellenőrzés: A kérelmezőnek nyilatkozatot kell benyújtania arra vonatkozóan, hogy megfelel a fenti kritériumnak, mellékelve az egyes felületaktív anyagok biztonsági adatlapjait vagy vizsgálati jegyzőkönyveit, amelyekben szerepel a vizsgálati módszer, a küszöbérték és a következő vizsgálati módszerek és küszöbértékek egyikének alkalmazásával nyert következtetések: az OECD 302 A-C (vagy azzal egyenértékű ISO-szabványok), a 302 A és B esetében legalább 70 %-os, a 302 C esetében legalább 60 %-os 28 napos lebontási százalékaránnyal (beleértve az adszorpciót is).
g) Biocidok
A rostokat tartalmazó keringető vízrendszerben levő nyálkaképző szervezetek ellen használt biocidok vagy biosztatikus hatóanyagok aktív összetevői nem lehetnek potenciálisan bioakkumulatívak. Szükséges, hogy a biocidok bioakkumulációs potenciálját < 3,0 log Pow (az oktanol/víz megoszlási együttható logaritmusa) jellemezze, vagy a kísérleti úton meghatározott biokoncentrációs tényező legyen ≤ 100.
Értékelés és ellenőrzés: A kérelmezőnek nyilatkozatot kell benyújtania arra vonatkozóan, hogy megfelel a fenti kritériumnak, mellékelve az egyes felületaktív anyagok biztonsági adatlapjait vagy vizsgálati jegyzőkönyveit, amelyekben szerepel a vizsgálati módszer, a küszöbérték és a következő vizsgálati módszerek és a küszöbértékek, valamint az alábbi vizsgálati módszerek alapján tett következtetések: OECD 107, 117 vagy 305 A-E.
h) Azoszínezékek
Az 1907/2006/EK rendelet XVII. mellékletének megfelelően nem használhatók fel olyan azoszínezékek, amelyek az alábbiakban felsorolt aromás aminokra bomlanak:
| 1. 4-amino-bifenil | (92-67-1), |
| 2. benzidin | (92-87-5), |
| 3. 4-klór-o-toluidin | (95-69-2), |
| 4. 2-naftilamin | (91-59-8), |
| 5. o-amino-azotoluol | 97-56-3), |
| 6. 2-amino-4-nitrotoluol | (99-55-8), |
| 7. p-klóranilin | (106-47-8), |
| 8. 2,4-diamino-anizol | (615-05-4), |
| 9. 4,4’-diamino-difenil-metán | 101-77-9), |
| 10. 3,3’-diklór-benzidin | (91-94-1), |
| 11. 3,3’-dimetoxi-benzidin | (119-90-4), |
| 12. 3,3’-dimetil-benzidin | (119-93-7), |
| 13. 3,3’-dimetil-4,4’-diamino-difenil-metán | (838-88-0), |
| 14. p-krezidin | (120-71-8), |
| 15. 4,4’-metilén-bisz(2-klór-anilin) | (101-14-4), |
| 16. 4,4’-oxi-dianilin | (101-80-4), |
| 17. 4,4’-tio-dianilin | (139-65-1), |
| 18. o-toluidin | (95-53-4), |
| 19. 2,4-diamino-toluol | (95-80-7), |
| 20. 2,4,5-trimetil-anilin | (137-17-7), |
| 21. 4-amino-azo-benzol | (60-09-3), |
| 22. o-anizidin | (90-04-0). |
Értékelés és ellenőrzés: A kérelmezőnek nyilatkozatot kell benyújtania arról, hogy megfelel ennek a kritériumnak.
i) Fémkomplex színezőanyagok vagy pigmentek
Olyan színezőanyagok és pigmentek, amelyek ólom, réz, króm, nikkel vagy alumínium alapúak, nem használhatók. Réz-ftalocianin színezőanyagok és pigmentek azonban használhatók.
Értékelés és ellenőrzés: A kérelmezőnek megfelelőségi nyilatkozatot kell benyújtania.
j) Színezőanyagok ionos szennyeződései
A felhasznált színezőanyagokban jelen levő ionos szennyeződések szintje nem haladhatja meg a következő értékeket: Ag 100 ppm; As 50 ppm; Ba 100 ppm; Cd 20 ppm; Co 500 ppm; Cr 100 ppm; Cu 250 ppm; Fe 2 500 ppm; Hg 4 ppm; Mn 1 000 ppm; Ni 200 ppm; Pb 100 ppm; Se 20 ppm; Sb 50 ppm; Sn 250 ppm; Zn 1 500 ppm.
Értékelés és ellenőrzés: A kérelmezőnek megfelelőségi nyilatkozatot kell benyújtania.
5. kritérium - Hulladékgazdálkodás
Minden cellulóz- és papírgyártó gyártóüzemnek rendelkeznie kell (a kérdéses cellulóz- és papírgyártó gyártóüzemek tekintetében az illetékes hatóságok meghatározása szerinti) hulladék, valamint az ökocímkével ellátott termék gyártásából származó melléktermékek kezelésére szolgáló rendszerrel. A kérelemnek tartalmaznia kell a rendszer dokumentációját vagy leírását, legalább az alábbi információkkal:
- az újrahasznosítható anyagnak az egyéb hulladéktól való elválasztására és a felhasználására szolgáló eljárások,
- az anyagok egyéb célú újrahasznosításának eljárásai, például égetési eljárás a termelési folyamathoz szükséges gőz- vagy hőfejlesztéshez, illetve mezőgazdasági célú felhasználás,
- a veszélyes hulladék kezelésének eljárásai (a kérdéses cellulóz- és papírgyártó gyártóüzemek tekintetében hatáskörrel rendelkező hatóságok meghatározása szerint).
Értékelés és ellenőrzés: A kérelmezőnek részletesen ismertetnie kell az egyes érintett gyártóüzemek hulladékgazdálkodási eljárásait, és nyilatkozatot kell benyújtania arra vonatkozóan, hogy teljesül ez a kritérium.
6. kritérium - Használatra való alkalmasság
A terméknek a tervezett használatra alkalmasnak kell lennie.
Értékelés és ellenőrzés: A kérelmezőnek megfelelő dokumentumokkal kell igazolnia a kritériumnak való megfelelést. A terméknek teljesítenie kell a vonatkozó szabványokban foglalt tartóssági követelményeket. A felhasználói kézikönyv tartalmazza a tartóssági értékeléshez használható normákat és szabványokat.
A fenti módszereken kívül a gyártó a termék használatra való alkalmasságát a papírminőséget tanúsító egyéb megfelelő dokumentumokkal is igazolhatja, amennyiben azok a szállító megfelelőségi nyilatkozatának általános követelményeit rögzítő EN ISO/IEC 17050-1:2004 szabvány szerint készültek.
7. kritérium - Az uniós ökocímkén feltüntetett információ
A termékre opcionális címke helyezhető az alábbi szöveggel:
"- kis mértékű lég- és vízszennyezés,
- tanúsított rosttartalom ÉS/VAGY újrahasznosított rosttartalom [az adott helyzetnek megfelelően],
- korlátozott veszélyesanyag-tartalom."
A választható szövegmezős címke használatával kapcsolatban az alábbi weboldalon elérhető útmutató (Guidelines for the use of the EU Ecolabel logo) szolgál információkkal:
http://ec.europa.eu/environment/ecolabel/promo/pdf/logo%20guidelines.pdf
Értékelés és ellenőrzés: A kérelmező köteles benyújtani a termék csomagolásának mintáját, amelyen látható a címke, továbbá egy nyilatkozatot arra vonatkozóan, hogy a termék megfelel a fenti kritériumnak.
( 1 ) HL L 27., 2010.1.30., 1. o.
( 2 ) A 2009/28/EK európai parlamenti és tanácsi irányelvben meghatározottak szerint (HL L 140., 2009.6.5., 16. o.).
( 3 ) Az újrahasznosított papír és karton szabványos fokozatainak európai listája (European list of standard grades of recovered paper and board), 2002. június.
( 4 ) HL L 396., 2006.12.30., 1. o.
( 5 ) HL L 353., 2008.12.31., 1. o.
( 6 ) HL 196., 1967.8.16., 1. o.
Lábjegyzetek:
[1] A dokumentum eredetije megtekinthető CELEX: 32012D0448 - https://eur-lex.europa.eu/legal-content/HU/ALL/?uri=CELEX:32012D0448&locale=hu Utolsó elérhető, magyar nyelvű konszolidált változat CELEX: 02012D0448-20150606 - https://eur-lex.europa.eu/legal-content/HU/ALL/?uri=CELEX:02012D0448-20150606&locale=hu