32013L0060[1]
A Bizottság 2013/60/EU irányelve ( 2013. november 27. ) a motorkerékpárok és segédmotoros kerékpárok egyes alkatrészeiről és jellemzőiről szóló 97/24/EK európai parlamenti és tanácsi irányelvnek, a motorkerékpárok és segédmotoros kerékpárok típusjóváhagyásáról szóló 2002/24/EK európai parlamenti és tanácsi irányelvnek és a motorkerékpárok és segédmotoros kerékpárok világító- és fényjelző berendezéseinek beépítéséről szóló 2009/67/EK európai parlamenti és tanácsi irányelvnek a műszaki fejlődéshez való hozzáigazítás céljából történő módosításáról
A BIZOTTSÁG 2013/60/EU IRÁNYELVE
(2013. november 27.)
a motorkerékpárok és segédmotoros kerékpárok egyes alkatrészeiről és jellemzőiről szóló 97/24/EK európai parlamenti és tanácsi irányelvnek, a motorkerékpárok és segédmotoros kerékpárok típusjóváhagyásáról szóló 2002/24/EK európai parlamenti és tanácsi irányelvnek és a motorkerékpárok és segédmotoros kerékpárok világító- és fényjelző berendezéseinek beépítéséről szóló 2009/67/EK európai parlamenti és tanácsi irányelvnek a műszaki fejlődéshez való hozzáigazítás céljából történő módosításáról
(EGT-vonatkozású szöveg)
AZ EURÓPAI BIZOTTSÁG
tekintettel az Európai Unió működéséről szóló szerződésre,
tekintettel a motorkerékpárok és segédmotoros kerékpárok egyes alkatrészeiről és jellemzőiről szóló, 1997. június 17-i 97/24/EK európai parlamenti és tanácsi irányelvre (1) és különösen annak 7. cikkére,
tekintettel a motorkerékpárok és segédmotoros kerékpárok típusjóváhagyásáról szóló, 2002. március 18-i 2002/24/EK európai parlamenti és tanácsi irányelvre (2) és különösen annak 17. cikkére,
tekintettel a motorkerékpárok és segédmotoros kerékpárok világító- és fényjelző berendezéseinek beépítéséről szóló, 2009. július 13-i 2009/67/EK európai parlamenti és tanácsi irányelvre (3) és különösen annak 4. cikkére,
mivel:
(1) Az Unió szerződő fele az Egyesült Nemzetek Európai Gazdasági Bizottságának ("ENSZ-EGB") a kerekes gépjárművekre és azokba szerelhető, illetve azokon használható berendezésekre és tartozékokra vonatkozó egységes műszaki előírások elfogadásáról, valamint ezen előírások alapján kibocsátott jóváhagyások kölcsönös elismerésének feltételeiről szóló megállapodásnak ("a felülvizsgált 1958-as megállapodás") (4). Annak érdekében, hogy a típusjóváhagyásra vonatkozó uniós jogszabályok "A 21. század versenyképes autóipari szabályozási kerete" című CARS 21-jelentés ajánlásaival összhangban egyszerűsödjenek, indokolt - a védelem mértékének csökkentése nélkül - az uniós irányelvek módosítása további ENSZ-EGB-előírásoknak az L kategóriájú járművek hatályos típus-jóváhagyási jogszabályaiba való beépítése és ezen előírások alkalmazása révén. A típus-jóváhagyási eljárásokkal járó igazgatási terhek csökkentése érdekében a járműgyártók számára lehetővé kell tenni, hogy az ezen irányelv 1. cikkében említett ENSZ-EGB-előírásoknak megfelelően kérhessenek típusjóváhagyást.
(2) Az addig az időpontig terjedő átmeneti időszakban, amikor a motorkerékpárok zajkibocsátásáról szóló 41. sz. ENSZ-EGB-előírást (5) a két- vagy háromkerekű járművek, valamint a négykerekű motorkerékpárok jóváhagyásáról és piacfelügyeletéről szóló, 2013. január 15-i 168/2013/EU európai parlamenti és tanácsi rendelet (6) kötelezővé teszi, helyénvaló, hogy az új járműtípusok vonatkozásában egyenértékűnek tekintsék a motorkerékpárok zajkibocsátására vonatkozó, a 97/24/EK irányelv 9. fejezetében és a 41. sz. ENSZ-EGB-előírás negyedik módosítássorozatában meghatározott követelményeket, beleértve az ENSZ-EGB-előírás 6. mellékletében meghatározott, kapcsolódó zajszinthatárértékeket.
(3) Figyelemmel az L1e, L2e és L6e jármű-kategóriák (két- és háromkerekű segédmotoros kerékpárok és könnyű négykerekű motorkerékpárok) által kibocsátott szénhidrogének és szén-monoxid aránytalanul magas szintjére, helyénvaló felülvizsgálni az I. típusú környezetvédelmi vizsgálatot (hidegindítás után mért kipufogógáz-kibocsátások) a kibocsátások közvetlenül hidegindítást követően megkezdett mérésének beiktatásával, annak érdekében, hogy a vizsgálat megfelelőbben tükrözze a valós használatot és a közvetlenül a hidegindítás után, a motor bemelegedéséig keletkező, jelentős arányú szennyezőanyag-kibocsátást. A laboratóriumi kibocsátásvizsgálati eljárás változásainak meg kell jelenniük az igazgatási rendelkezésekben, különösen a megfelelőségi nyilatkozat és a 2002/24/EK irányelv szerinti, a vizsgálati eredmények rögzítésére szolgáló lap bejegyzéseit érintő változásokban.
(4) Valamennyi gyártó számára egyenlő versenyfeltételek biztosítása és az L1e, L2e és L6e jármű-kategóriák kartergáz-kibocsátás tekintetében vett azonos környezeti teljesítménye érdekében egyben helyénvaló a járműgyártók arra való felkérése, hogy az új típus jóváhagyásának kérelmezésekor kifejezetten tüntessék fel, hogy e jármű-kategóriák esetében a kartergáz-szellőztető rendszerből nincs kibocsátás, ami azt jelenti, hogy a karter tömítése megfelelő, és hogy a jármű hasznos élettartama alatt a kartergáz nem kerül közvetlen a környezeti légkörbe.
(5) Az ENSZ-EGB L kategóriájú járművek világító és fényjelző berendezéseire és azok beszerelésére vonatkozó követelményeivel való összhang és a járművek láthatóságának javítása érdekében e járművek új típusait L1e járművek esetében a 74. sz. (7), L3e motorkerékpárok esetében az 53. sz. (8) ENSZ-EGB-előírásnak megfelelő, automatikusan bekapcsoló fényszórókkal vagy pedig a 87. sz. ENSZ-EGB-előírás (9) vonatkozó követelményeinek megfelelő, automatikusan bekapcsolódó nappali menetjelző lámpával kell felszerelni. Az L jármű-kategória minden más alkategóriája tekintetében automatikusan be- és kikapcsoló világítást, vagy pedig a gyártó választása szerint automatikusan bekapcsoló nappali menetjelző lámpát kell beszerelni.
(6) Ennek az irányelvnek kifejezetten be kell vezetnie az Euro-szintet a 2002/24/EK irányelv hatálya alá tartozó L1e, L2e és L6e kategóriájú járművekre. A korábbi rendelkezéseknek megfelelően károsanyag-kibocsátási jóváhagyással rendelkező járművek megfelelőségi nyilatkozatán továbbra is lehetővé kell tenni az Euro-szint önkéntes alapon történő feltüntetését.
(7) Az ebben az irányelvben előírt intézkedések összhangban vannak a műszaki fejlődéshez történő hozzáigazítással foglalkozó bizottság véleményével.
(8) Annak érdekében, hogy a tagállamok elfogadhassák azokat a törvényi, rendeleti és közigazgatási rendelkezéseket, amelyek szükségesek ahhoz, hogy ennek az irányelvnek az abban megadott határidőn belül megfeleljenek, az irányelvnek a közzétételét követő napon hatályba kell lépnie,
ELFOGADTA EZT AZ IRÁNYELVET:
1. cikk
A 97/24/EK irányelv a következőképpen módosul:
1. A 4. cikk (1) bekezdésének helyébe a következő rendelkezés lép:
"(1) A 2002/24/EGK irányelv 11. cikke rendelkezéseinek megfelelően el kell ismerni az ezen irányelv melléklete 1. (gumiabroncsok), 2. (világító és fényjelző berendezések), 4. (visszapillantó tükrök) fejezete, 9. fejezetének III. melléklete (motorkerékpárok megengedhető zajszintjére és kipufogórendszerére vonatkozó követelmények) és 11. fejezete (biztonsági övek) követelményeinek egyenértékűségét az Egyesült Nemzetek Európai Gazdasági Bizottsága (ENSZ-EGB) 30. (10), 54. (11), 64. (12) és 75. (13) előírása gumiabroncsokra vonatkozó, 3. (14), 19. (15), 20. (16), 37. (17), 38. (18), 50. (19), 53. (20), 56. (21), 57. (22), 72. (23), 74. (24) és 82. (25) előírása világító és fényjelző berendezésekre vonatkozó, 81. (26) előírása visszapillantó tükrökre vonatkozó, 16. (27) előírása biztonsági övekre vonatkozó és 41. (28) előírása motorkerékpárok zajkibocsátására vonatkozó követelményeivel.
(10) E/ECE/TRANS/505/REV 1/ADD 29."
(11) E/ECE/TRANS/505/Add.52/Amend."
(12) E/ECE/TRANS/505/REV 1/ADD 63."
(13) E/ECE/TRANS/505/REV 1/ADD 74."
(14) E/ECE/TRANS/324/ADD 2."
(15) E/ECE/TRANS/324/REV 1/ADD 18."
(16) E/ECE/TRANS/324/REV 1/ADD 19."
(17) E/ECE/TRANS/505/REV 1/ADD 36."
(18) E/ECE/TRANS/324/REV 1/ADD 37."
(19) E/ECE/TRANS/505/REV 1/ADD 49."
(20) E/ECE/TRANS/505/REV 1/ADD52/Rev.2."
(21) E/ECE/TRANS/505/REV 1/ADD 55."
(22) E/ECE/TRANS/505/REV 1/ADD 56."
(23) E/ECE/TRANS/505/REV 1/ADD 71."
(24) E/ECE/TRANS/505/REV 1/ADD73/Rev.2/Amend.1."
(25) E/ECE/TRANS/505/REV 1/ADD 81."
(26) E/ECE/TRANS/505/REV 1/ADD 80."
(27) E/ECE/TRANS/505/REV 1/ADD 15."
(28) E/ECE/TRANS/505/Rev.1/Add.40/Rev.2." "
2. Az 5. fejezet I., II. és IV. melléklete ezen irányelv I. mellékletével összhangban módosul.
2. cikk
A 2002/24/EK irányelv IV. és VII. melléklete ezen irányelv II. mellékletével összhangban módosul.
3. cikk
A 2009/67/EK irányelv I-VI. melléklete ezen irányelv III. mellékletével összhangban módosul.
4. cikk
(1) A tagállamok 2014. július 1-jével kezdődő hatállyal a levegőszennyezettség elleni vagy funkcionális biztonsági intézkedések okán elutasítják minden olyan új motorkerékpár és segédmotoros kerékpár EK-típusjóváhagyásának megadását, amely nem felel meg az ezzel az irányelvvel módosított 2002/24/EK és 97/24/EK irányelvnek.
(2) A megfelelőségi nyilatkozatot 2014. július 1-jével kezdődő hatállyal a 97/24/EK irányelv ezen irányelv II. mellékletének 1. pontjával módosított rendelkezéseinek megfelelő járművekre kell kiadni.
5. cikk
(1) A tagállamok hatályba léptetik azokat a törvényi, rendeleti és közigazgatási rendelkezéseket, amelyek szükségesek ahhoz, hogy ezen irányelvnek legkésőbb 2014. június 30-ig megfeleljenek. A vonatkozó rendelkezések szövegét haladéktalanul közlik a Bizottsággal.
Amikor a tagállamok elfogadják ezeket az intézkedéseket, azokban hivatkozni kell erre az irányelvre, vagy azokhoz hivatalos kihirdetésükkor ilyen hivatkozást kell fűzni. A hivatkozás módját a tagállamok határozzák meg.
(2) A tagállamok közlik a Bizottsággal nemzeti joguk azon főbb rendelkezéseinek szövegét, amelyeket az ezen irányelv által szabályozott területen fogadnak el.
6. cikk
Ez az irányelv az Európai Unió Hivatalos Lapjában való kihirdetését követő napon lép hatályba.
7. cikk
Ennek az irányelvnek a tagállamok a címzettjei.
Kelt Brüsszelben, 2013. november 27-én.
a Bizottság részéről
az elnök
José Manuel BARROSO
(1) HL L 226., 1997.8.18., 1. o.
(2) HL L 124., 2002.5.9., 1. o.
(3) HL L 222., 2009.8.25., 1. o.
(4) HL L 346., 1997.12.17., 81. o.
(5) HL L 317., 2012.11.14., 1. o.
(6) HL L 60., 2013.3.2., 52. o.
(7) HL L 166., 2013.6.18., 88. o.
(8) HL L 166., 2013.6.18., 55. o.
(9) HL L 164., 2010.6.30., 46. o.
I. MELLÉKLET
A 97/24/EK irányelv 5. fejezetének I., II. és IV. melléklete a következőképpen módosul:
1. Az 5. fejezet I. melléklete a következőképpen módosul:
a) A 2.2-2.2.1.2.2. pont helyébe a következő szöveg lép:
"2.2. A vizsgálatok leírása
2.2.1. Az Euro 3 kibocsátási normának megfelelő L1e, L2e vagy L6e kategóriájú járműveket az alább meghatározott I. és II. típusú vizsgálatoknak kell alávetni:
2.2.1.1. I. típusú vizsgálat (az átlagos gáznemű szennyezőanyag-kibocsátás ellenőrzése sűrűn lakott városi környezetben, hidegindítás után).
2.2.1.1.1. A vizsgált járművet fékkel és lendkerékkel ellátott lendítőtömeges járműfékpadra helyezik. A következő vizsgálati eljárást kell lefolytatni:
2.2.1.1.1.1. A vizsgálat hidegen végzett 1. szakasza összesen 448 másodpercig tart és négy, megszakítás nélkül elvégzett elemi ciklusból áll.
2.2.1.1.1.2. A vizsgálat hidegen végzett 1. szakaszát késedelem nélkül követi a vizsgálat melegen végzett 2. szakasza, amely összesen 448 másodpercig tart és négy elemi ciklusból áll. A vizsgálat melegen végzett 2. szakaszát megszakítás nélkül kell elvégezni.
2.2.1.1.1.3. A vizsgálat hidegen végzett 1. szakaszának és a vizsgálat melegen végzett 2. szakaszának minden egyes elemi ciklusa hét műveletből áll (alapjárat, gyorsítás, állandó sebesség, lassítás, állandósult üzemállapot, lassítás, alapjárat). A vizsgálat hideg és meleg szakasza alatt egyaránt a kipufogógázokat friss levegővel kell hígítani úgy, hogy a keverék áramlási térfogata állandó maradjon.
2.2.1.1.1.4. Az I. típusú vizsgálat során:
2.2.1.1.1.4.1. A vizsgálat hidegen végzett 1. szakasza alatt a kipufogógáz és a hígító levegő keverékéből vett mintát az 1. sz. tasakba kell gyűjteni. Egy külön 2. sz. tasakba kell gyűjteni a vizsgálat melegen végzett 2. szakasza alatt a kipufogógáz és a hígító levegő keverékéből folyamatosan vett mintát. Az 1. és a 2. tasak szén-monoxid-, összes szénhidrogén-, nitrogén-oxid- és szén-dioxid-tartalmát egymást követően, külön kell meghatározni.
2.2.1.1.1.4.2. Meg kell mérni mindkét tasakban a keverék teljes térfogatát, és az értékeket a tasakokban lévő teljes gáztérfogat megállapítása érdekében össze kell adni.
2.2.1.1.1.4.3. Minden egyes vizsgálati szakasz végén fel kell jegyezni a görgővel meghajtott összegező fordulatszámlálóról leolvasható, ténylegesen megtett utat.
2.2.1.1.2. A vizsgálatra az 1. függelékben ismertetett vizsgálati eljárással kerül sor. A gázokat össze kell gyűjteni és meghatározott módszerek szerint kell elemezni.
2.2.1.1.3. A 2.2.1.1.4. pont rendelkezéseire is figyelemmel, a vizsgálatot háromszor kell elvégezni. A szén-monoxid, szénhidrogének és nitrogén-oxidok tömegére az egyes vizsgálatok alkalmával kapott értékeknek kisebbnek kell lenniük a következő táblázatban megadott Euro 3 határértékeknél.
2.2.1.1.3.1. 1. táblázat
Az L1e, L2e és L6e jármű-kategóriák Euro 3 kibocsátási határértékei
A jármű alkatrész-típusjóváhagyása és a gyártás megfelelősége | |
CO (g/km) | HC + NOx (g/km) |
L1 | L2 |
1 (1) | 1,2 |
2.2.1.1.3.2. Azonban a fent említett minden egyes szennyező anyag tekintetében a három eredmény közül egy legfeljebb 10 %-kal meghaladhatja az adott segédmotoros kerékpárra előírt határértéket, feltéve, hogy a három eredmény számtani átlaga az előírt határérték alatt marad. Ha több szennyező anyag haladja meg az előírt határértékeket, közömbös, hogy ez ugyanazon vizsgálat vagy különböző vizsgálatok során következett-e be.
2.2.1.1.4. A 2.2.1.1.3. pontban előírt vizsgálatok száma a következő feltételek mellett csökkenthető, mikor is V1 az első vizsgálat és V2 a második vizsgálat eredménye minden egyes, az abban a pontban említett szennyező anyagra.
2.2.1.1.4.1. Csak egy vizsgálat szükséges, ha V1 ≤ 0,70 L minden szóban forgó szennyezőre.
2.2.1.1.4.2. Csak két vizsgálat szükséges, ha V1 ≤ 0,85 L minden szóban forgó szennyezőre, és ha legalább egy szennyezőnél V1 > 0,70 L. Továbbá minden szóban forgó szennyezőre a V2-nek teljesítenie kell a V1 + V2< 1,70 L és V2< L feltételt.
2.2.1.1.5. Az I. típusú Euro 3 vizsgálat 2.2.1.1.3.1. pontban meghatározott határértékeinek és az I. típusú vizsgálat ebben a mellékletben megadott követelményeinek megfelelő L1e, L2e vagy L6e kategóriájú járműveket az Euro 3 normának megfelelő járműként kell jóváhagyni.
2.2.1.2. II. típusú vizsgálat (szén-monoxid- és elégetlen szénhidrogén kibocsátás vizsgálata üresjárati fordulatszámon).
2.2.1.2.1. A motor által alapjáraton kibocsátott szén-monoxid és elégetlen szénhidrogén tömegét egy percen át kell mérni.
2.2.1.2.2. Ezt a vizsgálatot a 2. függelékben ismertetett eljárásnak megfelelően kell elvégezni."
b) Az 1. függelék 4.2-4.2.3. pontja helyébe a következő szöveg lép:
"4.2. A gázgyűjtő berendezés
A gázgyűjtő berendezés a következő egységekből áll (lásd a 2. és 3. alfüggeléket):
4.2.1. Egy berendezés a vizsgálat során keletkezett kipufogógázok összegyűjtésére, mialatt a segédmotoros kerékpár kipufogó nyílásánál (nyílásainál) fennmarad a légköri nyomás.
4.2.2. A kipufogógáz-gyűjtő berendezést és a kipufogógáz-mintavevő rendszert összekötő cső. Ez az összekötő cső és a kipufogógáz-gyűjtőberendezés rozsdamentes acélból vagy más olyan anyagból készül, amely nincs hatással az összegyűjtött gázok összetételére és elbírja a gázok hőmérsékletét.
4.2.3. A hígított gázok beszívására szolgáló berendezés. Ez a berendezés garantálja az elegendő térfogatú folyamatos áramlást a teljes gázmennyiség beszívásának biztosítására."
c) Az 1. függelék 4.2.4.-4.2.8. pontja helyébe a következő szöveg lép:
4.2.4. A gázgyűjtő berendezés külsejéhez csatlakoztatott mintavevő szonda, amely a vizsgálat tartama alatt szivattyú, szűrő és egy áramlásmérő közbeiktatásával folyamatosan mintát tud venni a hígító levegőből.
4.2.5. A hígított gázok áramlásával szembe fordított mintavevő szonda a vizsgálat alatt a keverékből történő mintavételre, állandó térfogatáram mellett, szükség esetén szűrő, áramlásmérő és egy szivattyú alkalmazásával. A két fent leírt mintavevő-rendszerben a gázok minimális térfogatárama legalább 150 l/h.
4.2.6. A fent leírt mintavevő körökben elhelyezett háromutas szelepek, amelyek a mintát vagy az atmoszférába engedik, vagy a vizsgálat alatt a megfelelő mintavételi tasakokba.
4.2.7. Szivárgásmentes mintavételi tasakok a kipufogógáz és a hígító levegő keverékének összegyűjtésére. A tasakokat az érintett szennyezők nem károsíthatják, és térfogatuknak elegendőnek kell lennie ahhoz, hogy ne kelljen megszakítani a mintavétel rendes folyamatát. Legalább egy külön mintavételi tasaknak (1. sz. tasak) kell rendelkezésre állnia a hidegen végzett 1. szakaszhoz, és egy külön tasaknak (2. sz. tasak) a melegen végzett 2. szakaszhoz.
4.2.7.1. Mindegyik mintavételi tasakon automatikus zárószerkezetnek kell lennie, amelyet gyorsan és szorosan lehet lezárni a mintavevő körben vagy az elemző körben a vizsgálat végén.
4.2.7.1.1. Az 1. sz. tasak zárószerkezetét az I. típusú vizsgálat kezdete után 448 másodperccel kell lezárni.
4.2.7.1.2. A 2. sz. tasak zárószerkezetét az 1. sz. tasak lezárása után azonnal ki kell nyitni, és az I. típusú vizsgálat kezdete után 896 másodperccel újra le kell zárni.
4.2.8. Valamilyen módszerrel mérni kell a mintavevő berendezésen a vizsgálat alatt áthaladó hígított gázok teljes mennyiségét. A kipufogógáz-hígító rendszernek meg kell felelnie a 83. sz. ENSZ-EGB-előírás I. melléklete 6. fejezete 2. függeléke követelményeinek.
1. ábra
Az L1e, L2e vagy L6 kategóriájú járművek szennyezőanyag-kibocsátásának Euro 3 normához történő mintavétele az Euro 2 normához történő mintavétellel összevetve

Euro 3 szennyezőanyag kibocsátás mérése
Hideg (30%)
896 s
Meleg (70%)
Euro 2 szennyezőanyag kibocsátás mérése
112 s
448 s
Jármű sebessége (km/h)
60
50
40
30
20
10
0
0
100
200
300
400
500
600
700
800
900"
Vizsgálati idő [s]
d) Az 1. függelék az alábbi 4.3.3. ponttal egészül ki:
"4.3.3. Az elemző berendezésnek képesnek kell lennie az 1. sz. és 2. sz. tasakban felfogott kipufogógáz és hígítógáz keveréke mintájának független mérésére."
e) Az 1. függelék 5.4-5.4.3. pontja helyébe a következő szöveg lép:
"5.4. A vizsgálati jármű előkészítése
5.4.1. A vizsgálati jármű gumiabroncsai nyomásának a gyártó által, úton történő normál használatra előírt nyomásnak kell lennie. Azonban ha a görgők átmérője 500 mm-nél kisebb, a gumiabroncsok nyomása 30-50 %-kal megnövelhető.
5.4.2. A tüzelőanyag-tartály(oka)t az adott leeresztő nyílásokon keresztül le kell üríteni és fel kell tölteni a IV. mellékletben meghatározott vizsgálati tüzelőanyaggal.
5.4.3. A vizsgálati járművet a vizsgálat helyszínére kell vinni és azon a következő műveleteket kell végrehajtani:".
f) Az 1. függelék a következő 5.4.3.1-5.4.3.5. ponttal egészül ki:
"5.4.3.1. A vizsgálati járművel fel kell hajtani a járműfékpadra, illetve azt arra fel kell tolni, és azt a 2.1. pontban ismertetett vizsgálati cikluson át működtetni kell. A vizsgálati járműnek nem kell hidegnek lennie, és a jármű használható a fékpad teljesítményének beállítására.
5.4.3.2. A hajtó kerék terhelésének ± 3 kg tűréssel azonosnak kell lennie a jármű rendes úti terhelésével, beleszámítva a felegyenesedve ülő 75 ± 5 kg-os vezetőt is.
5.4.3.3. A 2.1. pontban meghatározott vizsgálati ciklus próbafutását el lehet végezni a vizsgálati pontokon - feltéve, hogy ennek során nem kerül sor kibocsátási mintavételre - a fojtószelep azon minimális beállításának meghatározására, amely a megfelelő sebesség-idő viszony fenntartásához szükséges.
5.4.3.4. A kondicionálási területen való elhelyezés előtt a vizsgálati járművön négy egymást követő, a 2.1. pontban meghatározott műveleti ciklust kell lefolytatni, amelyek mindegyike 112 másodpercig tart. Ezt az előkészítő vizsgálati ciklust az 5.1. és 5.2. pontban meghatározott fékpadbeállításokkal kell elvégezni. Az előkészítő vizsgálati ciklus során nem előírás a jármű kipufogócsövén keresztül kibocsátott szennyező anyagok mérése.
5.4.3.5. Az előkészítés befejezése utáni öt percen belül a vizsgálati járművet le kell venni a fékpadról, és azt a kondicionálási területre kell járó vagy leállított motorral áthelyezni és ott leparkolni. A kondicionálási területen a környezeti hőmérsékletet be kell szabályozni 298 K ± 5 K szintre. A járművet itt a hidegindítással végzett I. típusú vizsgálat megkezdése előtt legalább 6 és legfeljebb 36 óráig vagy addig kell tárolni, amíg a motorolaj TOlaj hőmérséklete, a hűtőfolyadék THűtő hőmérséklete vagy a gyújtógyertya tömítésének/tömítőgyűrűjének TSP hőmérséklete (csak léghűtéses motoroknál) el nem éri a kondicionálási terület levegőjének hőmérsékletét. A vizsgálati jegyzőkönyvben fel kell tüntetni, hogy melyik kritériumot választották.";
g) Az 1. függelék 7.1-7.1.3. pontja helyébe a következő szöveg lép:
"7.1. Mintavétel
7.1.1. A mintavétel a vizsgálat megkezdésekor indul, amint azt a 6.2.2. pont előírja.
7.1.2. Az 1. sz. és 2. sz. mintavételi tasakot légmentesen le kell zárni, és a 4.2.7.1. pontban meghatározott zárási sorrendet kell követni. A tasakok a vizsgálat hidegen végzett 1. szakasza és a melegen végzett 2. szakasza során nem lehetnek összekötve.
7.1.3. Az utolsó ciklus után a hígított kipufogógázok és a hígító levegő összegyűjtésére szolgáló berendezést le kell zárni, és a motor által termelt gázokat az atmoszférába kell kiengedni."
h) Az 1. függelék 7.2.4. pontjának helyébe a következő rendelkezés lép:
"7.2.4. A hígítottkipufogógáz-minták és a tasakokba gyűjtött hígító levegő HC-, CO-, NOx- és CO2-koncentrációját a mérőkészülék által mutatott vagy feljegyzett értékek alapján kell meghatározni a helyes kalibrációs görbék alkalmazásával."
i) Az 1. függelék 8-8.4.1. pontja helyébe a következő szöveg lép:
"8. A KIBOCSÁTOTT GÁZNEMŰ SZENNYEZŐ ANYAGOK MENNYISÉGÉNEK MEGHATÁROZÁSA
8.1. A CO2 és a CO, HC, NOx gáznemű szennyező anyagok tömegét külön kell meghatározni az 1. sz. és a 2. sz. tasakra, a 8.2-8.6. pontnak megfelelően.
8.2. A vizsgálat alatt kibocsátott szén-monoxid tömege a következő képlettel határozható meg:

ahol:
8.2.1. COm a vizsgálat alatt kibocsátott szén-monoxid tömege, g/km-ben kifejezve, amelyet mindegyik szakaszra külön kell kiszámítani;
8.2.2. Sx a ténylegesen megtett út km-ben kifejezve, amely a fordulatszámlálóról leolvasott összes fordulat számának a henger kerületével való megszorzásából adódik;
ahol:
X = 1 a hidegen végzett 1. szakaszra;
X = 2 a melegen végzett 2. szakaszra;
8.2.3. d
CO
a szén-monoxid sűrűsége 273,2 K (0 °C) hőmérsékleten és

;
8.2.4. COc a szén-monoxid térfogat-koncentrációja a hígított gázokban, milliomodrészben (ppm) kifejezve, és a hígító levegő szennyezettségét figyelembe véve korrigálva:

ahol:
8.2.4.1. COe az Sa tasakban összegyűjtött hígítottgázminta szén-monoxid-koncentrációja ppm-ben mérve;
8.2.4.2. COd az Sb tasakban összegyűjtött hígítólevegő-minta szén-monoxid-koncentrációja ppm-ben mérve;
8.2.4.3. DF a 8.6. pontban meghatározott együttható;
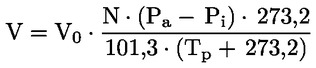
8.2.5. V a hígított gázok m3/szakasz mértékegységben megadott térfogata 273,2 K (0 °C) referencia-hőmérsékleten és 101,3 kPa referencianyomáson:

ahol:
8.2.5.1. Vo a P1 szivattyú által egyetlen fordulat alatt kiszorított gáz m3/fordulatban kifejezett térfogata. Ez a térfogat függ magának a szivattyúnak a szívó- és nyomócsonkja között fennálló nyomáskülönbségtől;
8.2.5.2. N a P1 szivattyú által az egyes szakaszok négy elemi vizsgálati ciklusa alatt megtett fordulatok száma;
8.2.5.3. Pa a légköri nyomás kPa-ban kifejezve;
8.2.5.4. Pi az átlagos nyomásesés a vizsgálat alatt a P1 szivattyú szívócsonkjában, kPa-ban kifejezve;
8.2.5.5. Tp (°C) a hígított gázok hőmérséklete a vizsgálat alatt a P1 szivattyú szívócsonkjában mérve.
8.3. A segédmotoros kerékpár vizsgálat alatt kiáramló kipufogógázaiban lévő elégetlen szénhidrogének tömege a következő képlettel számítható:

ahol:
8.3.1. HCm a vizsgálat alatt kibocsátott szénhidrogének tömege, g-ban kifejezve, amelyet mindegyik szakaszra külön kell kiszámítani;
8.3.2. Sx a 8.2.2. pontban meghatározott távolság;
8.3.3. dHC a szénhidrogének sűrűsége 273,2 K (0 °C) hőmérsékleten és 101,3 kPa nyomáson (benzin esetében (E5) (C1H1,89O0,016))(= 631 g/m3);
8.3.4. HCc a hígított gázok koncentrációja ppm szénegyenértékben kifejezve, és a hígító levegő szennyezettségét figyelembe véve korrigálva:

ahol:
8.3.4.1. HCe az Sa tasakban összegyűjtött hígítottgázminta szénhidrogén-koncentrációja ppm szénegyenértékben kifejezve;
8.3.4.2. HCd az Sb tasakban összegyűjtött hígítólevegő-minta szénhidrogén-koncentrációja ppm szénegyenértékben kifejezve;
8.3.4.3. DF a 8.6. pontban meghatározott együttható;
8.3.5. V a 8.2.5. pontban meghatározott térfogat;
8.4. A segédmotoros kerékpár vizsgálat alatt kiáramló kipufogógázaiban lévő nitrogén-oxidok tömege a következő képlettel számítható:

ahol:
8.4.1. NOxm a vizsgálat alatt kibocsátott nitrogén-oxidok tömege, g-ban kifejezve, amelyet mindegyik szakaszra külön kell kiszámítani;".
j) Az 1. függelék a következő 8.4.2.-8.6.3. ponttal egészül ki:
"8.4.2. Sx a 8.2.2. pontban meghatározott távolság;
8.4.3. dNO2 a nitrogén-oxidok sűrűsége a kipufogógázokban, NO2 egyenértékben kifejezve, 273,2 K (0 °C) hőmérsékleten és 101,3 kPa nyomáson (= 2,050 103 g/m3);
8.4.4. NOxc a hígított gázokban lévő nitrogén-oxidok koncentrációja ppm-ben kifejezve, és a hígító levegő szennyezettségét figyelembe véve korrigálva:

ahol:
8.4.4.1. NOxe az Sa tasakban összegyűjtött hígítottgázminta nitrogén-oxid-koncentrációja ppm-ben kifejezve;
8.4.4.2. NOxd az Sb tasakban összegyűjtött hígítólevegő-minta nitrogén-oxid-koncentrációja ppm-ben kifejezve;
8.4.4.3. DF a 8.6. pontban meghatározott együttható;
8.4.5. Kh a páratartalmat figyelembe vevő korrekciós tényező

ahol:
8.4.5.1. H az abszolút páratartalom (gramm víz)/(kg száraz levegő) mértékegységben kifejezve:

ahol:
8.4.5.1.1. U a százalékosan kifejezett páratartalom;
8.4.5.1.2. Pd a telített vízgőz nyomása kPa-ban kifejezve, a vizsgálat hőmérsékletén;
8.4.5.1.3. Pa a légköri nyomás kPa-ban;
8.4.6. V a 8.2.5. pontban meghatározott térfogat;
8.5. Szén-dioxid (CO2)
A jármű vizsgálat alatt kiáramló kipufogógázaiban lévő szén-dioxid tömege a következő képlettel számítható:

ahol:
8.5.1. CO2m a vizsgálatrész alatt kibocsátott szén-dioxid tömege, g-ban kifejezve, amelyet mindegyik szakaszra külön kell kiszámítani;
8.5.2. Sx a 8.2.2. pontban meghatározott távolság;
8.5.3. V a 8.2.5. pontban meghatározott térfogat;
8.5.4. d
CO2
a szén-dioxid sűrűsége 273,2 K (0 °C) hőmérsékleten és 101,3 kPa nyomáson,

;
8.5.5. CO2c a hígított gázok koncentrációja százalékos szénegyenértékben kifejezve, és a hígító levegő szennyezettségét figyelembe véve a következő egyenlettel korrigálva:

ahol:
8.5.5.1. CO2e az SA tasak(ok)ban összegyűjtött hígítottgázminta szén-dioxid-koncentrációja százalékban kifejezve;
8.5.5.2. CO2d az SB tasak(ok)ban összegyűjtött hígítólevegő-minta szén-dioxid-koncentrációja százalékban kifejezve;
8.5.5.3. DF a 8.6. pontban meghatározott együttható;
8.6. DF a következő képlettel kifejezett tényező:

benzin (E5)
ahol:
8.6.1. CCO2 = a mintavevő zsákokban lévő hígított kipufogógáz CO2 koncentrációja térfogatszázalékban kifejezve;
8.6.2. CHC = a mintavevő zsákokban lévő hígított kipufogógáz szénhidrogén-koncentrációja ppm szénegyenértékben kifejezve;
8.6.3. CCO = a mintavevő zsákokban lévő hígított kipufogógáz CO koncentrációja ppm-ben kifejezve."
k) Az 1. függelék 9. pontja helyébe a következő szöveg lép:
9. A vizsgálati eredmények bemutatása:
A hidegen végzett szakasz (átlagos) eredménye legyen RX1 (g-ban), a melegen végzett szakasz (átlagos) eredménye pedig RX2 (g-ban). E kibocsátási eredményeknek a felhasználásával az I. típusú vizsgálat végső eredményét (RX, g/km-ben) a következő egyenlettel kell kiszámítani:

g/km-ben
ahol:
X = HC, CO, NOx vagy CO2
RHC_hideg = HCtömeg_hideg_1_szakasz (g-ban) és RHC_meleg = HCtömeg_meleg_2_szakasz (g-ban), lásd a 8.3 pontban megadott képletet.
RCO_Hideg = COtömeg_hideg_1_szakasz (g-ban) és RCO_meleg = COtömeg_meleg_2_szakasz (g-ban), lásd a 8.2 pontban megadott képletet.
RNOx_hideg = NOxtömeg_hideg_1_szakasz (g-ban) és RNOx_meleg = NOxtömeg_meleg_2_szakasz (g-ban), lásd a 8.4 pontban megadott képletet.
RCO2_Hideg = CO2tömeg_hideg_1_szakasz (g-ban) és RCO2_meleg = CO2tömeg_meleg_2_szakasz (g-ban), lásd a 8.5. pontban megadott képletet.
ST:

, az L1e, L2e vagy L6e vizsgálati jármű által ténylegesen megtett távolság a hidegen végzett 1. szakasz és a melegen végzett 2. szakasz teljes vizsgálati ciklusában."
l) Az 1. függelék a következő 10. ponttal egészül ki:
"10. Üzemanyag-fogyasztás
Az üzemanyag-fogyasztást a 9. pont szerinti vizsgálati eredmények felhasználásával a következők szerint kell kiszámítani:

ahol:
FC = 100 km alatti üzemanyag-fogyasztás literben;
D = a vizsgálati üzemanyag sűrűsége kg/l-ben 288,2 K (15 °C) hőmérsékleten."
m) A melléklet a következő 3. függelékkel egészül ki:
"3. függelék
Kartergáz-kibocsátás és a CO2-kibocsátási és üzemanyag-fogyasztási vizsgálatok eredményének értelmezése
1. A típusjóváhagyásban részesített L1e, L2e és L6e kategóriájú járművek kartergáz-kibocsátása zéró. Kartergáz-kibocsátás semelyik L kategóriájú jármű hasznos élettartama során nem kerülhet közvetlen a környezeti légkörbe.
2. Az L1e, L2e és L6e kategóriájú járművek I. típusú CO2-kibocsátási és üzemanyag-fogyasztási vizsgálatainak értelmezése
2.1. A típus-jóváhagyási értékként elfogadott CO2-kibocsátási és üzemanyag-fogyasztási értékek a gyártó által megadott értékek, feltéve, hogy azok nem haladják meg több mint négy százalékkal a műszaki szolgálat által mért értékeket. A mért értékek ennél korlátozás nélkül alacsonyabbak lehetnek.
2.2. Ha a mért CO2-kibocsátási és üzemanyag-fogyasztási értékek négy százaléknál nagyobb mértékben meghaladják a gyártó által megadott CO2-kibocsátási és üzemanyag-fogyasztási értékeket, akkor ugyanazzal a járművel újabb vizsgálatot kell végezni.
2.3. Ha a két vizsgálati eredmény átlaga nem haladja meg négy százaléknál nagyobb mértékben a gyártó által megadott értéket, akkor a gyártó által megadott értéket kell típus-jóváhagyási értéknek tekinteni.
2.4. Ha a két vizsgálati eredmény átlaga még mindig több mint négy százalékkal meghaladja a megadott értéket, ugyanazzal a járművel végső vizsgálatot kell végezni. A három vizsgálat eredményeinek átlagát kell típus-jóváhagyási értéknek tekinteni."
2. Az 5. fejezet II. mellékletének 2.2.1.1.7. pontja a következőképpen módosul:
"2.2.1.1.7. A rögzített adatokat a 2002/24/EK irányelv VII. mellékletében említett dokumentum megfelelő pontjaiban kell feljegyezni. A megfelelő Euro-szintet a 2002/24/EK irányelv IV. mellékletének 46.2. pontjában kell feljegyezni, az ehhez a ponthoz fűzött lábjegyzetben meghatározott szabályok szerint."
3. Az 5. fejezet IV. mellékletének helyébe a következő szöveg lép:
"IV. MELLÉKLET
A REFERENCIA-TÜZELŐANYAGOK ELŐÍRÁSAI
A benzin (E5) és dízel (B5) referencia-tüzelőanyagokat a 692/2008/EK bizottsági rendelet (*1) IX. melléklete A. szakaszának megfelelően kell meghatározni.
(1) A szén-monoxid tömegére vonatkozó határérték 3,5 g/km a háromkerekű segédmotoros kerékpárok (L2e) és a könnyű négykerekű motorkerékpárok (L6e) esetében.
(*1) HL L 199., 2008.7.28., 1. o."
II. MELLÉKLET
1. A 2002/24/EK irányelv IV. melléklete a következőképpen módosul:
a) a 46. pont a következőképpen módosul:
"46. Kipufogógáz-kibocsátás (11)
46.1. Euro-szint: ...(1) 2 vagy (3) (12)
46.2. I. típusú vizsgálat: CO: ... g/km HC: ... g/km NOx ... g/km HC + NOx: ... g/km (13)
46.3. II. típusú vizsgálat: CO (13): ... g/min HC (13): ... g/min
CO (14): ... térfogat%
A kompressziós gyújtású motorok által okozott látható légszennyezés:
az abszorpciós együttható korrigált értéke: ... m-1 ".
b) A következő 12., 13. és 14. lábjegyzettel egészül ki:
"(12) A megfelelő irányelv és a jóváhagyásra vonatkozó legutolsó módosító jogi aktus számától függően az Euro 1, 2 vagy 3 szintnek való megfelelőséget a következő módon kell meghatározni:
Az Euro-szint feltüntetése a jóváhagyó hatóság választása szerint, a következő időpont előtt megadott jóváhagyások tekintetében: 2013. december 11.
A 97/24/EK irányelv 5. fejezete I. mellékletének 2.2.1.1.3. táblázatában a határértékek első sorának teljesítése az »Euro 1« szintnek, míg a második sorának teljesítése az »Euro 2« szintnek való megfelelést jelenti.
A 97/24/EK irányelv 5. fejezete I. mellékletének teljes körű teljesítése - amely kiterjed a 2013/60/EU bizottsági irányelv (HL L 329., 2013.12.10., 15. o.) I. mellékletében meghatározott vizsgálati módszertannal kombinált »Euro 2« szintnek való megfelelésre is - az »Euro 3« szintnek való megfelelést jelenti.
A 97/24/EK irányelv 5. fejezete II. mellékletének 2.2.1.1.5. táblázatában
- a 2.2.1.1.5. táblázat A. részében az I. osztályra (< 150 cm3) és a II. osztályra (≥ 150 cm3) vonatkozó határértékek teljesítése az »Euro 2« szintnek való megfelelést jelenti,
- a 2.2.1.1.5. táblázat B. részében az I. osztályra (< 150 cm3) és a II. osztályra (≥ 150 cm3) vonatkozó határértékek teljesítése az »Euro 3« szintnek való megfelelést jelenti,
- a 2.2.1.1.5. táblázat C. részében az I. osztályra (vmax < 130 km/h) és a II. osztályra (vmax ≥ 130 km/h) vonatkozó határértékek teljesítése az »Euro 3« szintnek való megfelelést jelenti.
(13) Csak a 97/24/EK irányelv 2013/60/EU irányelvvel módosított rendelkezéseinek megfelelő L1e, L2e és L6e kategóriájú járművek esetében.
(14) Csak a 2002/24/EK irányelv 1. cikkének hatálya alá tartozó L kategóriájú járművek esetében, az L1e, L2e és L6e kategóriájú járművek kivételével."
2. A 2002/24/EK irányelv VII. melléklete a következőképpen módosul:
a) A 2-2.2. pont helyébe a következő szöveg lép:
"2. A kibocsátási vizsgálatok eredményei
A típusjóváhagyásra vonatkozó irányelv és módosító jogi aktusainak száma. A két vagy több végrehajtási szakaszban megvalósuló irányelvek esetében meg kell adni a végrehajtási szakaszt és az Euro-szintet is:
Változat/kivitel: ...
Euro-szint (1): ...
2.1. I. típusú vizsgálat
CO: ... g/km
HC (3): ... g/km
NOx (3): ... g/km
HC + NOx (2): ... g/km
CO2 (2): ... g/km
Tüzelőanyag-fogyasztás(2): ... l/100km
2.2. II. típus
CO (g/min) (2) ...
HC (g/min) (2) ...
CO (térfogat%) (3) szokásos alapjárati fordulatszámon ...
Adja meg az alapjárati fordulatszámot (3) (4): ...
CO (térfogat%) (3) magas alapjárati fordulatszámon: ...
Adja meg az alapjárati fordulatszámot (3) (4): ...
Motorolaj hőmérséklete (3) (5): ...";
b) A 2002/24/EK irányelv VII. mellékletében a lábjegyzetek a következőképpen módosulnak:
"(1) Lásd a IV. melléklet 12. lábjegyzetét.
(2) Csak az L1e, L2e és L6e jármű-kategóriák esetében.
(3) Csak a 2002/24/EK irányelv 1. cikkének hatálya alá tartozó L kategóriájú járművek esetében, az L1e, L2e és L6e kategóriájú járművek kivételével.
(4) Adja meg a mérés tűréshatárát.
(5) Csak négyütemű motorokra vonatkozik."
III. MELLÉKLET
3. A 2009/67/EK irányelv I-VI. melléklete a következőképpen módosul:
1. A mellékletek jegyzéke a következőképpen módosul:
a) a II. melléklet 1. és 2. függelékére való hivatkozást el kell hagyni;
b) a IV. melléklet 1. és 2. függelékére való hivatkozást el kell hagyni.
2. Az I. melléklet a következőképpen módosul:
a) Az A. rész a következő 16-18. ponttal egészül ki:
"16. nappali menetjelző lámpa
menetirányban előre néző olyan lámpa, amelynek az a rendeltetése, hogy a haladó járművet nappal jobban láthatóvá tegye;
17. indító/leállító rendszer
a motort az alapjárati üzem csökkentése céljából automatikusan leállító és indító rendszer, amely ezáltal csökkenti a tüzelőanyag-fogyasztást, a szennyező anyag- és CO2-kibocsátást;
18. gépjármű főkapcsolója
az a készülék, amellyel a gépjármű fedélzeti elektronikai rendszerét kikapcsolt állapotból (amikor a gépjármű parkol, a vezető pedig nincs jelen) rendes üzemmódba kapcsolják."
b) A B. rész 10. pontjának helyébe a következő szöveg lép:
10. Az elektromos csatlakozást úgy kell kialakítani, hogy az első helyzetjelző lámpa -első helyzetjelző lámpa hiányában a tompított fényszóró -, a hátsó helyzetjelző lámpa és a hátsó rendszámtábla-megvilágító lámpa csak egyidejűleg legyen be- és kikapcsolható.
A járműveket fel kell szerelni a következőkkel:
- nappali menetjelző lámpák, vagy
- tompított fényszórók, amelyek a jármű főkapcsolójának bekapcsolásakor automatikusan bekapcsolnak".
c) A B. rész 11. pontjának helyébe a következő szöveg lép:
11. Külön előírások hiányában az elektromos csatlakozásokat úgy kell kialakítani, hogy a távolsági fényszórót, a tompított fényszórót és a ködfényszórót csak akkor lehessen bekapcsolni, ha a 10. pontban említett lámpák szintén be vannak kapcsolva. Mindazonáltal e követelmény nem alkalmazandó a távolsági és a tompított fényszóróra, ha az azokkal adott figyelmeztető fényjelzés a tompított vagy távolsági fényszóró rövid idejű ismétlődő felvillantása vagy a tompított és a távolsági fényszóró rövid időtartamú váltakozó felvillantása."
d) A B. rész a következő 15-17. ponttal egészül ki:
15. Az L1e és L3e kategóriájú járműveket fel lehet szerelni további hátsó és oldalsó fényvisszaverő eszközökkel és anyagokkal, feltéve, hogy ezek nem csökkentik a kötelező világító és fényjelző berendezések hatékonyságát. Különösen a csomagtartók és a nyeregtáskák szerelhetőek fel fényvisszaverő anyagokkal, amennyiben azok színe megegyezik a járművön az adott helyen elhelyezett világító berendezés színével.
16. Egyetlen jármű sem szerelhető fel olyan kiegészítő fényforrással, amely a szokásos vezetési feltételek mellett közvetlenül és/vagy közvetve érzékelhető irányba bocsát ki fényt, a kezelőszervek, a visszajelző vagy jelző lámpák vagy az utasfülke megvilágítása célját szolgáló fényforrások kivételével.
17. Amennyiben az automatikusan bekapcsoló fényszóró vagy nappali menetjelző lámpa működtetése járó motorhoz kötött, ezt úgy kell kialakítani, hogy a főkapcsoló működtetéséhez kapcsolódjon. Vonatkozik ez különösen az elektromos vagy más alternatív meghajtású rendszerekkel, valamint az automatikus indító/leállító rendszerrel felszerelt járművekre."
3. A II. melléklet a következőképpen módosul:
a) Az 1-1.2. pont helyébe a következő szöveg lép:
1. Az L1e kategóriájú járműveknek meg kell felelniük a 74. sz. ENSZ-EGB-előírás összes vonatkozó követelményének. A legfeljebb 25 km/h legnagyobb tervezési sebességű járműveknek meg kell felelniük a 25 km/h feletti legnagyobb tervezési sebességű járművekre előírt összes vonatkozó követelménynek.
1.1. Az L1e kategóriájú járműveket az erre a kategóriára vonatkozó egyedi követelmények hiányában hátsó rendszámtáblát megvilágító lámpával kell felszerelni.
1.2. Amennyiben a 74. sz. ENSZ-EGB-előírás egyedi követelményeket nem tartalmaz, az L1e kategóriájú járműveket fel lehet szerelni olyan nappali menetjelző lámpákkal, amelyek az automatikusan bekapcsoló fényszórók helyett lépnek működésbe, és amelyek megfelelnek a III. melléklet 6.15-6.15.7. pontja követelményeinek."
b) Az 1. és a 2. függeléket el kell hagyni.
c) A 3. függelék új száma 1. függelék, és a mellékletek jegyzékében az erre való hivatkozás megfelelően módosul.
d) A 4. függelék új száma 2. függelék, és a mellékletek jegyzékében az erre való hivatkozás megfelelően módosul.
e) A 2. függelék szövege a következő 5.7. ponttal egészül ki:
"5.7. Hátsó rendszámtáblát megvilágító lámpa".
f) A 2. függelék 6.3. pontja helyébe a következő szöveg lép:
"6.3. Nappali menetjelző lámpa: igen/nem (*)".
4. A III. melléklet a következőképpen módosul:
a) A melléklet a következő 1.8. ponttal egészül ki:
1.8. Hátsó rendszámtáblát megvilágító lámpa".
b) A 2.3. pont helyébe a következő szöveg lép:
2.3. Nappali menetjelző lámpa";
c) A 6.1.10. pont helyébe a következő szöveg lép:
6.1.10. Bekapcsolás-visszajelző: kötelező távolsági fényszóró felszerelése esetében (nem villogó, kék visszajelző)."
d) A szöveg a következő 6.1.11. ponttal egészül ki:
6.1.11. Egyéb követelmények:
- a kanyarban bedőlésre hajlamos járművek távolsági fényszórói felszerelhetőek az 53. sz. ENSZ-EGB-előírás 2.25. szakaszában meghatározott, vízszintes dőlést korrigáló rendszerrel (HIAS), feltéve, hogy az említett előírás HIAS alkalmazására vonatkozó összes követelménye teljesül,
- az egyidejűleg bekapcsolható fényszórók együttes legnagyobb fényerőssége nem haladhatja meg a 430 000 cd értéket, amely a 100 referenciaértéknek felel meg."
e) A 6.2.3.1. pont helyébe a következő szöveg lép:
"6.2.3.1. Szélességben:
- egy független tompított fényszóró felszerelhető egy másik első lámpa fölé, alá vagy mellé. ha a lámpákat egymás fölé helyezték el, a tompított fényszóró referencia-középpontjának a jármű hosszanti középsíkjában kell elhelyezkednie. Ha azok egymás mellett találhatóak, referencia-középpontjaiknak a jármű hosszanti középsíkjára szimmetrikusan kell elhelyezkedniük,
- egy másik első lámpával összeépített egyetlen független tompított fényszórót úgy kell elhelyezni, hogy referencia-középpontja a jármű hosszanti középsíkjában legyen. Ha azonban a járművet a tompított fényszóró mellett másik első lámpával is felszerelték, a két lámpa referencia-középpontjainak a jármű hosszanti középsíkjára szimmetrikusan kell elhelyezkedniük,
- két olyan tompított fényszórót, amelyek bármelyike egy másik első lámpával van összeépítve, illetve egyik sincs egy másik első lámpával összeépítve, úgy kell felszerelni, hogy referencia-középpontjaik a jármű hosszanti középsíkjára szimmetrikusak legyenek,
- két tompított fényszóró esetében azok világítófelületének külső pereme és a jármű legkülső pontja közötti távolság a 400 mm-t nem haladhatja meg."
f) A 6.2.11. pont helyébe a következő szöveg lép:
6.2.11. Egyéb követelmények:
- a kanyarban bedőlésre hajlamos járművek tompított fényszórói felszerelhetőek az 53. sz. ENSZ-EGB-előírás 2.25. szakaszában meghatározott, vízszintes dőlést korrigáló rendszerrel (HIAS), feltéve, hogy az említett előírás HIAS alkalmazására vonatkozó összes követelménye teljesül,
- azokat a tompított fényszórókat, amelyek világítófelületének legalacsonyabb pontja a talajszint felett legfeljebb 0,8 m-re van, -1,0 % és -1,5 % kezdeti függőleges dőlésszögre kell beállítani. A gyártó megadhatja a pontos értékeket,
- azokat a tompított fényszórókat, amelyek világítófelületének legalacsonyabb pontja a talajszint felett 0,8 m és 1,0 m között van, -1,0 % és -2,0 % kezdeti függőleges dőlésszögre kell beállítani. A gyártó megadhatja a pontos értékeket,
- azokat a tompított fényszórókat, amelyek világítófelületének legalacsonyabb pontja a talajszint felett több mint 1,0 m-re van, -1,5 % és -2,0 % kezdeti függőleges dőlésszögre kell beállítani. A gyártó megadhatja a pontos értékeket,
- a legfeljebb 2 000 lumen objektív fényáramú fényforrással ellátott, valamint -1,0 % és -1,5 % kezdeti dőlésszögű tompított fényszórók esetében a függőleges dőlésszögnek -0,5 % és -2,5 % között kell maradnia minden terhelési állapotban. A függőleges dőlésszögnek -1,0 % és -3,0 % között kell maradnia, ha a kezdeti dőlésszög -1,5 % és -2,0 % közé van beállítva. A követelmények teljesítésére külső korrekciós eszköz használható, feltéve, hogy a járművel együtt adott szerszámokon kívül más szerszámra nincs szükség,
- a 2 000 lumennél nagyobb objektív fényáramú fényforrással ellátott, valamint -1,0 % és -1,5 % kezdeti dőlésszögű tompított fényszórók esetében a függőleges dőlésszögnek -0,5 % és -2,5 % között kell maradnia minden terhelési állapotban. A függőleges dőlésszögnek -1,0 % és -3,0 % között kell maradnia, ha a kezdeti dőlésszög -1,5 % és -2,0 % közé van beállítva. E pont követelményeinek teljesítésére használható fényszóró-szintező eszköz, amennyiben annak működése teljesen automatikus és a reakcióideje 30 másodpercnél rövidebb."
g) A szöveg a következő 6.2.11.1. ponttal egészül ki:
"6.2.11.1. Vizsgálati körülmények:
- a 6.2.11. pont dőlésszögre vonatkozó követelményeit a következőképpen kell igazolni:
- a jármű az üzemkész állapotnak megfelelő tömeggel és egy 75 kg-os tömeggel a járművezető tömegének helyettesítésére,
- teljesen megrakott jármű olyan tömegeloszlással, hogy teljesüljenek a gyártó által erre e terhelésre megadott legnagyobb tengelyterhelések,
- a jármű a járművezető helyettesítésére 75 kg-os tömeggel és további teherrel megrakva, hogy teljesüljön a gyártó által megadott legnagyobb hátsótengely-terhelés, de az első tengelyterhelés ebben az esetben a lehető legalacsonyabb legyen,
- a mérés megkezdése előtt a járművet három alkalommal meg kell lengetni, majd előre- és hátra kell mozgatni, legalább egy teljes kerékelfordulással."
h) A 6.4.1. pont helyébe a következő szöveg lép:
6.4.1. Száma:
- egy vagy kettő, olyan járművek esetében, amelyeknek a teljes szélessége nem haladja meg az 1 300 mm-t,
- kettő, olyan járművek esetében, amelyeknek a teljes szélessége meghaladja az 1 300 mm-t,
- felszerelhető egy további, S3 vagy S4 kategóriájú féklámpa (azaz egy középen magasra felszerelt féklámpa), amennyiben a 48. sz. ENSZ-EGB-előírás ilyen féklámpák M1 kategóriájú járművekre történő felszerelésére vonatkozó összes követelménye teljesül."
i) A 6.5.3.1. pont helyébe a következő szöveg lép:
"6.5.3.1. Szélességben:
- egy független első helyzetjelző lámpa felszerelhető egy másik első lámpa fölé, alá vagy mellé. Ha a lámpákat egymás fölé helyezték el, az első helyzetjelző lámpa referencia-középpontjának a jármű hosszanti középsíkjában kell elhelyezkednie. Ha azok egymás mellett találhatóak, referencia-középpontjaiknak a jármű hosszanti középsíkjára szimmetrikusan kell elhelyezkedniük,
- egy másik első lámpával összeépített egyetlen független első helyzetjelző lámpát úgy kell elhelyezni, hogy referencia-középpontja a jármű hosszanti középsíkjában legyen. Ha azonban a járművet az első helyzetjelző lámpa mellett másik első lámpával is felszerelték, a két lámpa referencia-középpontjainak a jármű hosszanti középsíkjára szimmetrikusan kell elhelyezkedniük,
- két olyan első helyzetjelző lámpát, amelyek bármelyike egy másik első lámpával van összeépítve, illetve egyik sincs egy másik első lámpával összeépítve, úgy kell felszerelni, hogy referencia-középpontjaik a jármű hosszanti középsíkjára szimmetrikusak legyenek,
- két első helyzetjelző lámpa esetében azok világítófelületének külső pereme és a jármű legkülső pontja közötti távolság a 400 mm-t nem haladhatja meg."
j) A 6.6.3.1. pont helyébe a következő szöveg lép:
"6.6.3.1. Szélességben:
- egy hátsó helyzetjelző lámpát úgy kell a járműre felszerelni, hogy a hátsó helyzetjelző lámpa referencia-középpontja a jármű hosszanti síkjában helyezkedjen el,
- két hátsó helyzetjelző lámpát úgy kell felszerelni a járműre, hogy a hátsó helyzetjelző lámpák referencia-középpontjai a jármű hosszanti síkjára szimmetrikusan helyezkedjenek el,
- két hátsó kerékkel felszerelt és 1 300 mm teljes szélességet meghaladó járművek esetében a világítófelületek külső pereme és a jármű legkülső pontja közötti távolság a 400 mm-t nem haladhatja meg."
k) A 6.7.3.1. pont helyébe a következő szöveg lép:
"6.7.3.1. Szélességben:
- egy hátsó fényvisszaverő esetében azt úgy kell a járműre felszerelni, hogy referencia-középpontja a jármű hosszanti síkjában legyen,
- két hátsó fényvisszaverő esetében azokat úgy kell a járműre felszerelni, hogy azok referencia-középpontjai a jármű hosszanti síkjára szimmetrikusan helyezkedjenek el,
- két hátsó fényvisszaverő esetében azok világítófelületének külső pereme és a jármű legkülső pontja közötti távolság a 400 mm-t nem haladhatja meg."
l) A szöveg a következő 6.15-6.15.7. ponttal egészül ki:
"6.15. Nappali menetjelző lámpa
6.15.1. Száma:
- egy vagy kettő, olyan járművek esetében, amelyeknek a teljes szélessége nem haladja meg az 1 300 mm-t,
- kettő, olyan járművek esetében, amelyeknek a teljes szélessége meghaladja az 1 300 mm-t.
6.15.2. Elrendezés:
- nincs meghatározott követelmény.
6.15.3. Elhelyezés:
6.15.3.1. Szélességben:
- egy független nappali menetjelző lámpa felszerelhető az egyik első lámpa fölé, alá vagy mellé. Ha a lámpákat egymás fölé helyezték el, a nappali menetjelző lámpa referencia-középpontjának a jármű hosszanti középsíkjában kell elhelyezkednie. Ha azok egymás mellett találhatóak, referencia-középpontjaiknak a jármű hosszanti középsíkjára szimmetrikusan kell elhelyezkedniük,
- egy másik első lámpával összeépített egyetlen független nappali menetjelző lámpát úgy kell elhelyezni, hogy referencia-középpontja a jármű hosszanti középsíkjában legyen. Ha azonban a járművet a nappali menetjelző lámpa mellett másik első lámpával is felszerelték, a két lámpa referencia-középpontjainak a jármű hosszanti középsíkjára szimmetrikusan kell elhelyezkedniük,
- két olyan nappali menetjelző lámpát, amelyek bármelyike egy másik első lámpával van összeépítve, illetve egyik sincs egy másik első lámpával összeépítve, úgy kell felszerelni, hogy referencia-középpontjaik a jármű hosszanti középsíkjára szimmetrikusak legyenek,
- a világítófelület belső peremeinek legalább 500 mm távolságra kell egymástól lenniük olyan járművek esetében, amelyeknek a teljes szélessége meghaladja az 1 300 mm-t.
6.15.3.2. Magasságban:
- a talajszint felett legalább 250 mm és legfeljebb 1 500 mm.
6.15.3.3. Hosszirányban:
- a jármű elején. Ez a követelmény akkor tekinthető teljesítettnek, ha a kibocsátott fény a visszapillantó tükrön és/vagy a jármű egyéb fényvisszaverő felületén visszatükröződve a jármű vezetőjét sem közvetlenül, sem közvetve nem zavarja.
6.15.3.4. Távolság:
- ha az első irányjelző lámpák és bármely nappali menetjelző lámpa távolsága legfeljebb 40 mm, az adott oldali nappali menetjelző lámpa elektromos kialakításának olyannak kell lennie, hogy az:
- kikapcsolt állapotban legyen, vagy
- fényerőssége legfeljebb 140 cd-re csökkenjen
az adott első irányjelző lámpa működtetésének teljes időtartamára (a működési ciklus alatt és a ciklusok között is).
6.15.4. Geometriai láthatóság:
- α = 10° felfelé és 10° lefelé,
- β = 20° jobbra és balra, ha csak egy nappali menetjelző lámpa van,
- β = 20° kifelé és 20° befelé, ha két nappali menetjelző lámpa van.
6.15.5. Tájolás:
- előrefelé; mozoghat a kormányzási szögnek megfelelően.
6.15.6. Elektromos kapcsolás:
- valamennyi nappali menetjelző lámpának be kell kapcsolnia a főkapcsoló működtetésekor; azonban kikapcsolt állapotban maradhatnak a következő feltételek mellett:
- az automata sebességváltó parkoló állásban van,
- a rögzítőfék működik, vagy
- mielőtt a járművet első alkalommal mozgásba hoznák a főkapcsoló és a jármű meghajtó rendszerének minden egyes manuális működésbe hozatala után,
- a nappali menetjelző lámpa manuálisan kikapcsolható; ez azonban csak akkor lehetséges, ha a jármű sebessége a 10 km/h-t nem haladja meg. A lámpáknak automatikusan újra be kell kapcsolniuk, amikor a jármű sebessége túllépi a 10 km/h-t vagy pedig a jármű 100 méternél hosszabb utat tett meg,
- a nappali menetjelző lámpáknak automatikusan ki kell kapcsolniuk, amikor:
- a járművet a főkapcsolóval leállítják,
- az első ködlámpák működésbe lépnek,
- a fényszórókat bekapcsolják, kivéve, ha azokat arra használják, hogy felvillanó figyelmeztető fényt adjanak rövid időközönként, és
- 1 000 lux alatti környezeti fényviszonyok mellett, amennyiben a jármű sebességmérőjén a jelzett sebesség még tisztán olvasható (pl. ha a sebességjelző állandóan megvilágított) és a jármű nincs felszerelve a 6.5.9. pontnak megfelelő nem villogó zöld visszajelző lámpával vagy a nappali menetjelző lámpához zöld, megfelelő szimbólummal ellátott bekapcsolás-visszajelzővel. Ilyen esetben a tompított fényszórók és az I. melléklet B. szakaszának 11. pontjában előírt világító berendezések egyidejűleg automatikusan bekapcsolnak 2 másodpercen belül, amint a környezeti fény szintje 1 000 lux alá esik. Ha a környezeti fényviszonyok később legalább 7 000 luxot érnek el, a nappali menetjelző lámpának automatikusan működésbe kell lépnie, miközben a tompított fényszóró és az I. melléklet B. szakaszának 11. pontjában előírt világító berendezések egyidejűleg automatikusan kikapcsolnak 5-300 másodpercen belül (azaz a világítás teljesen automatikus kapcsolása szükséges, ha a vezető számára nincs látható jelzés és késztetés, hogy sötétben bekapcsolja a normál világítást).
6.15.7. Bekapcsolás-visszajelző:
- opcionális."
m) A 4. függelék szövege a következő 5.8. ponttal egészül ki:
"5.8. Hátsó rendszámtáblát megvilágító lámpa."
n) A 4. függelék 6.4. pontja helyébe a következő szöveg lép:
"6.4. Nappali menetjelző lámpa: igen/nem (*)".
5. A IV. melléklet a következőképpen módosul:
a) Az 1. pont helyébe a következő szöveg lép:
1. Az L3e kategóriájú járműveknek meg kell felelniük az 53. sz. ENSZ-EGB-előírás valamennyi vonatkozó követelményének, az 5.14.9. szakasz kivételével."
b) Az 1. és 2. függeléket el kell hagyni.
c) A 3. függelék új száma 1. függelék, és a mellékletek jegyzékében az erre való hivatkozás megfelelően módosul.
d) A 4. függelék új száma 2. függelék, és a mellékletek jegyzékében az erre való hivatkozás megfelelően módosul.
e) A 2. függelék a következő 6.5. ponttal egészül ki:
"6.5. Nappali menetjelző lámpa: igen/nem (*)".
6. Az V. melléklet a következőképpen módosul:
a) A melléklet a következő 2.5. ponttal egészül ki:
2.5. Nappali menetjelző lámpa".
b) A 6.1.11. pont helyébe a következő szöveg lép:
6.1.11. Egyéb követelmények:
- a kanyarban bedőlésre hajlamos járművek távolsági fényszórói felszerelhetőek az 53. sz. ENSZ-EGB-előírás 2.25. szakaszában meghatározott, vízszintes dőlést korrigáló rendszerrel (HIAS), feltéve, hogy az említett előírás HIAS alkalmazására vonatkozó összes követelménye teljesül,
- az egyidejűleg bekapcsolható fényszórók együttes legnagyobb fényerőssége nem haladhatja meg a 430 000 cd értéket, amely a 100 referenciaértéknek felel meg."
c) A melléklet a következő 6.13-6.13.7. ponttal egészül ki:
"6.13. Nappali menetjelző lámpa
6.13.1. Száma:
- egy vagy kettő, olyan járművek esetében, amelyeknek a teljes szélessége nem haladja meg az 1 300 mm-t,
- kettő, olyan járművek esetében, amelyeknek a teljes szélessége meghaladja az 1 300 mm-t.
6.13.2. Elrendezés:
- nincs meghatározott követelmény.
6.13.3. Elhelyezés:
6.13.3.1. Szélességben:
- egy független nappali menetjelző lámpa felszerelhető az egyik első lámpa fölé, alá vagy mellé. Ha a lámpákat egymás fölé helyezték el, a nappali menetjelző lámpa referencia-középpontjának a jármű hosszanti középsíkjában kell elhelyezkednie. Ha azok egymás mellett találhatóak, referencia-középpontjaiknak a jármű hosszanti középsíkjára szimmetrikusan kell elhelyezkedniük,
- egy másik első lámpával összeépített egyetlen független nappali menetjelző lámpát úgy kell elhelyezni, hogy referencia-középpontja a jármű hosszanti középsíkjában legyen. Ha azonban a járművet a nappali menetjelző lámpa mellett másik első lámpával is felszerelték, a két lámpa referencia-középpontjainak a jármű hosszanti középsíkjára szimmetrikusan kell elhelyezkedniük,
- két olyan nappali menetjelző lámpát, amelyek bármelyike egy másik első lámpával van összeépítve, illetve egyik sincs egy másik első lámpával összeépítve, úgy kell felszerelni, hogy referencia-középpontjaik a jármű hosszanti középsíkjára szimmetrikusak legyenek,
- a világítófelület belső peremeinek legalább 500 mm távolságra kell egymástól lenniük olyan járművek esetében, amelyeknek a teljes szélessége meghaladja az 1 300 mm-t.
6.13.3.2. Magasságban:
- a talajszint felett legalább 250 mm és legfeljebb 1 500 mm.
6.13.3.3. Hosszirányban:
- a jármű elején. Ez a követelmény akkor tekinthető teljesítettnek, ha a kibocsátott fény a visszapillantó tükrön és/vagy a jármű egyéb fényvisszaverő felületén visszatükröződve a jármű vezetőjét sem közvetlenül, sem közvetve nem zavarja.
6.13.3.4. Távolság:
- ha az első irányjelző lámpák és bármely nappali menetjelző lámpa távolsága legfeljebb 40 mm, az adott oldali nappali menetjelző lámpa elektromos kialakításának olyannak kell lennie, hogy az:
- kikapcsolt állapotban legyen, vagy
- fényerőssége legfeljebb 140 cd-re csökkenjen
az adott első irányjelző lámpa működtetésének teljes időtartamára (a működési ciklus alatt és a ciklusok között is).
6.13.4. Geometriai láthatóság:
- α = 10° felfelé és 10° lefelé,
- β = 20° jobbra és balra, ha csak egy nappali menetjelző lámpa van,
- β = 20° kifelé és 20° befelé, ha két nappali menetjelző lámpa van.
6.13.5. Tájolás:
- előrefelé; mozoghat a kormányzási szögnek megfelelően.
6.13.6. Elektromos kapcsolás:
- valamennyi nappali menetjelző lámpának be kell kapcsolnia a főkapcsoló működtetésekor; azonban kikapcsolt állapotban maradhatnak a következő feltételek mellett:
- az automata sebességváltó parkoló állásban van,
- a rögzítőfék működik, vagy
- mielőtt a járművet első alkalommal mozgásba hoznák a főkapcsoló és a jármű meghajtó rendszerének minden egyes manuális működésbe hozatala után,
- a nappali menetjelző lámpa manuálisan kikapcsolható; ez azonban csak akkor lehetséges, ha a jármű sebessége a 10 km/h-t nem haladja meg. A lámpáknak automatikusan újra be kell kapcsolniuk, amikor a jármű sebessége túllépi a 10 km/h-t vagy pedig a jármű 100 méternél hosszabb utat tett meg,
- a nappali menetjelző lámpáknak minden esetben automatikusan ki kell kapcsolniuk, amikor:
- a járművet a főkapcsolóval leállítják,
- az első ködlámpák működésbe lépnek,
- a fényszórókat bekapcsolják, kivéve, ha azokat arra használják, hogy felvillanó figyelmeztető fényt adjanak rövid időközönként, és
- 1 000 lux alatti környezeti fényviszonyok mellett, amennyiben a jármű sebességmérőjén a jelzett sebesség még tisztán olvasható (pl. ha a sebességjelző állandóan megvilágított) és a jármű nincs felszerelve a 6.5.9. pontnak megfelelő nem villogó zöld visszajelző lámpával vagy a nappali menetjelző lámpához zöld, megfelelő szimbólummal ellátott bekapcsolás-visszajelzővel. Ilyen esetben a tompított fényszórók és az I. melléklet B. szakaszának 11. pontjában előírt világító berendezések egyidejűleg automatikusan bekapcsolnak 2 másodpercen belül, amint a környezeti fény szintje 1 000 lux alá esik. Ha a környezeti fényviszonyok később legalább 7 000 luxot érnek el, a nappali menetjelző lámpának automatikusan működésbe kell lépnie, miközben a tompított fényszóró és az I. melléklet B. szakaszának 11. pontjában előírt világító berendezések egyidejűleg automatikusan kikapcsolnak 5-300 másodpercen belül (azaz a világítás teljesen automatikus kapcsolása szükséges, ha a vezető számára nincs látható jelzés és késztetés, hogy sötétben bekapcsolja a normál világítást).
6.13.7. Bekapcsolás-visszajelző:
- opcionális".
d) A 4. függelék a következő 6.5. ponttal egészül ki:
"6.5. Nappali menetjelző lámpa: igen/nem (*)".
7. A VI. melléklet a következőképpen módosul:
a) A 2.4. pont helyébe a következő szöveg lép:
2.4. Nappali menetjelző lámpa".
b) A 6.1.11. pont helyébe a következő szöveg lép:
6.1.11. Egyéb követelmények:
- a kanyarban bedőlésre hajlamos járművek távolsági fényszórói felszerelhetőek az 53. sz. ENSZ-EGB-előírás 2.25. szakaszában meghatározott, vízszintes dőlést korrigáló rendszerrel (HIAS), feltéve, hogy az említett előírás HIAS alkalmazására vonatkozó összes követelménye teljesül,
- az egyidejűleg bekapcsolható fényszórók együttes legnagyobb fényerőssége nem haladhatja meg a 430 000 cd értéket, amely a 100 referenciaértéknek felel meg."
c) A 6.2.3.1. pont helyébe a következő szöveg lép:
"6.2.3.1. Szélességben:
- egy független tompított fényszóró felszerelhető egy másik első lámpa fölé, alá vagy mellé. Ha a lámpákat egymás fölé helyezték el, a tompított fényszóró referencia-középpontjának a jármű hosszanti középsíkjában kell elhelyezkednie. Ha azok egymás mellett találhatóak, referencia-középpontjaiknak a jármű hosszanti középsíkjára szimmetrikusan kell elhelyezkedniük,
- egy másik első lámpával összeépített egyetlen független tompított fényszórót úgy kell elhelyezni, hogy referencia-középpontja a jármű hosszanti középsíkjában legyen. Ha azonban a járművet a tompított fényszóró mellett másik első lámpával is felszerelték, a két lámpa referencia-középpontjainak a jármű hosszanti középsíkjára szimmetrikusan kell elhelyezkedniük,
- két olyan tompított fényszórót, amelyek bármelyike egy másik első lámpával van összeépítve, illetve egyik sincs egy másik első lámpával összeépítve, úgy kell felszerelni, hogy referencia-középpontjaik a jármű hosszanti középsíkjára szimmetrikusak legyenek,
- két tompított fényszóró esetében azok világítófelületének külső pereme és a jármű legkülső pontja közötti távolság a 400 mm-t nem haladhatja meg."
d) A 6.2.11. pont helyébe a következő szöveg lép:
6.2.11. Egyéb követelmények:
- a kanyarban bedőlésre hajlamos járművek tompított fényszórói felszerelhetőek az 53. sz. ENSZ-EGB-előírás 2.25. szakaszában meghatározott, vízszintes dőlést korrigáló rendszerrel (HIAS), feltéve, hogy az említett előírás HIAS alkalmazására vonatkozó összes követelménye teljesül,
- azokat a tompított fényszórókat, amelyek világítófelületének legalacsonyabb pontja a talajszint felett legfeljebb 0,8 m-re van, -1,0 % és -1,5 % kezdeti függőleges dőlésszögre kell beállítani. A gyártó megadhatja a pontos értékeket,
- azokat a tompított fényszórókat, amelyek világítófelületének legalacsonyabb pontja a talajszint felett 0,8 m és 1,0 m között van, -1,0 % és -2,0 % kezdeti függőleges dőlésszögre kell beállítani. A gyártó megadhatja a pontos értékeket,
- azokat a tompított fényszórókat, amelyek világítófelületének legalacsonyabb pontja a talajszint felett több mint 1,0 m-re van, -1,5 % és -2,0 % kezdeti függőleges dőlésszögre kell beállítani. A gyártó megadhatja a pontos értékeket,
- a legfeljebb 2 000 lumen objektív fényáramú fényforrással ellátott, valamint -1,0 % és -1,5 % kezdeti dőlésszögű tompított fényszórók esetében a függőleges dőlésszögnek -0,5 % és -2,5 % között kell maradnia minden terhelési állapotban. A függőleges dőlésszögnek -1,0 % és -3,0 % között kell maradnia, ha a kezdeti dőlésszög -1,5 % és -2,0 % közé van beállítva. A követelmények teljesítésére külső korrekciós eszköz használható, feltéve, hogy a járművel adott szerszámokon kívül más szerszámra nincs szükség,
- a 2 000 lumennél nagyobb objektív fényáramú fényforrással ellátott, valamint -1,0 % és -1,5 % kezdeti dőlésszögű tompított fényszórók esetében a függőleges dőlésszögnek -0,5 % és -2,5 % között kell maradnia minden terhelési állapotban. A függőleges dőlésszögnek -1,0 % és -3,0 % között kell maradnia, ha a kezdeti dőlésszög -1,5 % és -2,0 % közé van beállítva. E pont követelményeinek teljesítésére használható fényszóró-szintező eszköz, amennyiben annak működése teljesen automatikus és a reakcióideje 30 másodpercnél rövidebb."
e) A szöveg a következő 6.2.11.1. ponttal egészül ki:
"6.2.11.1. Vizsgálati körülmények:
- a 6.2.11. pont dőlésszögre vonatkozó követelményeit a következőképpen kell igazolni:
- a jármű az üzemkész állapotnak megfelelő tömeggel és egy 75 kg-os tömeggel a járművezető tömegének helyettesítésére,
- teljesen megrakott jármű olyan tömegeloszlással, hogy teljesüljenek a gyártó által erre e terhelésre megadott legnagyobb tengelyterhelések,
- a jármű a járművezető helyettesítésére 75 kg-os tömeggel és további teherrel megrakva, hogy teljesüljön a gyártó által megadott legnagyobb hátsótengely-terhelés, de az első tengelyterhelés ebben az esetben a lehető legalacsonyabb legyen,
- a mérés megkezdése előtt a járművet három alkalommal meg kell lengetni, majd előre és hátra kell mozgatni, legalább egy teljes kerékelfordulással."
f) A 6.4.1. pont helyébe a következő szöveg lép:
6.4.1. Száma:
- egy vagy kettő, olyan járművek esetében, amelyeknek a teljes szélessége nem haladja meg az 1 300 mm-t,
- kettő, olyan járművek esetében, amelyeknek a teljes szélessége meghaladja az 1 300 mm-t,
- felszerelhető egy további, S3 vagy S4 kategóriájú féklámpa (azaz egy középen magasra felszerelt féklámpa), amennyiben a 48. sz. ENSZ-EGB-előírás ilyen féklámpák M1 kategóriájú járművekre történő felszerelésére vonatkozó összes követelménye teljesül."
g) A 6.5.3.1. pont helyébe a következő szöveg lép:
"6.5.3.1. Szélességben:
- egy független első helyzetjelző lámpa felszerelhető egy másik első lámpa fölé, alá vagy mellé. Ha a lámpákat egymás fölé helyezték el, az első helyzetjelző lámpa referencia-középpontjának a jármű hosszanti középsíkjában kell elhelyezkednie. Ha azok egymás mellett találhatóak, referencia-középpontjaiknak a jármű hosszanti középsíkjára szimmetrikusan kell elhelyezkedniük,
- egy másik első lámpával összeépített egyetlen független első helyzetjelző lámpát úgy kell elhelyezni, hogy referencia-középpontja a jármű hosszanti középsíkjában legyen. Ha azonban a járművet az első helyzetjelző lámpa mellett másik első lámpával is felszerelték, a két lámpa referencia-középpontjainak a jármű hosszanti középsíkjára szimmetrikusan kell elhelyezkedniük,
- két olyan első helyzetjelző lámpát, amelyek bármelyike egy másik első lámpával van összeépítve, illetve egyik sincs egy másik első lámpával összeépítve, úgy kell felszerelni, hogy referencia-középpontjaik a jármű hosszanti középsíkjára szimmetrikusak legyenek,
- két első helyzetjelző lámpa esetében azok világítófelületének külső pereme és a jármű legkülső pontja közötti távolság a 400 mm-t nem haladhatja meg."
h) A 6.6.3.1. pont helyébe a következő szöveg lép:
"6.6.3.1. Szélességben:
- egy hátsó helyzetjelző lámpát úgy kell a járműre felszerelni, hogy a hátsó helyzetjelző lámpa referencia-középpontja a jármű hosszanti síkjában helyezkedjen el,
- két hátsó helyzetjelző lámpát úgy kell felszerelni a járműre, hogy a hátsó helyzetjelző lámpák referencia-középpontjai a jármű hosszanti síkjára szimmetrikusan helyezkedjenek el,
- két hátsó kerékkel felszerelt és 1 300 mm teljes szélességet meghaladó járművek esetében a világítófelületek külső pereme és a jármű legkülső pontja közötti távolság a 400 mm-t nem haladhatja meg."
i) A 6.12.3.1. pont helyébe a következő rendelkezés lép:
"6.12.3.1. Szélességben:
- egy hátsó fényvisszaverő esetében azt úgy kell a járműre felszerelni, hogy referencia-középpontja a jármű hosszanti síkjában legyen,
- két hátsó fényvisszaverő esetében azokat úgy kell a járműre felszerelni, hogy azok referencia-középpontjai a jármű hosszanti síkjára szimmetrikusan helyezkedjenek el,
- két hátsó fényvisszaverő esetében azok világítófelületének külső pereme és a jármű legkülső pontja közötti távolság a 400 mm-t nem haladhatja meg."
j) A melléklet a következő 6.14-6.14.7. ponttal egészül ki:
6.14. Nappali menetjelző lámpa
6.14.1. Száma:
- egy vagy kettő, olyan járművek esetében, amelyeknek a teljes szélessége nem haladja meg az 1 300 mm-t,
- kettő, olyan járművek esetében, amelyeknek a teljes szélessége meghaladja az 1 300 mm-t.
6.14.2. Elrendezés:
- nincs meghatározott követelmény.
6.14.3. Elhelyezés:
6.14.3.1. Szélességben:
- egy független nappali menetjelző lámpa felszerelhető az egyik első lámpa fölé, alá vagy mellé. Ha a lámpákat egymás fölé helyezték el, a nappali menetjelző lámpa referencia-középpontjának a jármű hosszanti középsíkjában kell elhelyezkednie. Ha azok egymás mellett találhatóak, referencia-középpontjaiknak a jármű hosszanti középsíkjára szimmetrikusan kell elhelyezkedniük,
- egy másik első lámpával összeépített egyetlen független nappali menetjelző lámpát úgy kell elhelyezni, hogy referencia-középpontja a jármű hosszanti középsíkjában legyen. Ha azonban a járművet a nappali menetjelző lámpa mellett másik első lámpával is felszerelték, a két lámpa referencia-középpontjainak a jármű hosszanti középsíkjára szimmetrikusan kell elhelyezkedniük,
- két olyan nappali menetjelző lámpát, amelyek bármelyike egy másik első lámpával van összeépítve, illetve egyik sincs egy másik első lámpával összeépítve, úgy kell felszerelni, hogy referencia-középpontjaik a jármű hosszanti középsíkjára szimmetrikusak legyenek,
- a világítófelület belső peremeinek legalább 500 mm távolságra kell egymástól lenniük olyan járművek esetében, amelyeknek a teljes szélessége meghaladja az 1 300 mm-t.
6.14.3.2. Magasságban:
- a talajszint felett legalább 250 mm és legfeljebb 1 500 mm.
6.14.3.3. Hosszirányban:
- a jármű elején. Ez a követelmény akkor tekinthető teljesítettnek, ha a kibocsátott fény a visszapillantó tükrön és/vagy a jármű egyéb fényvisszaverő felületén visszatükröződve a jármű vezetőjét sem közvetlenül, sem közvetve nem zavarja.
6.14.3.4. Távolság:
- ha az első irányjelző lámpák és bármely nappali menetjelző lámpa távolsága legfeljebb 40 mm, az adott oldali nappali menetjelző lámpa elektromos kialakításának olyannak kell lennie, hogy az:
- kikapcsolt állapotban legyen, vagy
- fényerőssége legfeljebb 140 cd-re csökkenjen
az adott első irányjelző lámpa működtetésének teljes időtartamára (a működési ciklus alatt és a ciklusok között is).
6.14.4. Geometriai láthatóság:
- α = 10° felfelé és 10° lefelé,
- β = 20° jobbra és balra, ha csak egy nappali menetjelző lámpa van,
- β = 20° kifelé és 20° befelé, ha két nappali menetjelző lámpa van.
6.14.5. Tájolás:
- előrefelé; mozoghat a kormányzási szögnek megfelelően.
6.14.6. Elektromos kapcsolás:
- valamennyi nappali menetjelző lámpának be kell kapcsolnia a főkapcsoló működtetésekor; azonban kikapcsolt állapotban maradhatnak a következő feltételek mellett:
- az automata sebességváltó parkoló állásban van,
- a rögzítőfék működik, vagy
- mielőtt a járművet első alkalommal mozgásba hoznák a főkapcsoló és a jármű meghajtó rendszerének minden egyes manuális működésbe hozatala után,
- a nappali menetjelző lámpa manuálisan kikapcsolható; ez azonban csak akkor lehetséges, ha a jármű sebessége a 10 km/h-t nem haladja meg. A lámpáknak automatikusan újra be kell kapcsolniuk, amikor a jármű sebessége túllépi a 10 km/h-t vagy pedig a jármű 100 méternél hosszabb utat tett meg,
- a nappali menetjelző lámpáknak minden esetben automatikusan ki kell kapcsolniuk, amikor:
- a járművet a főkapcsolóval leállítják,
- az első ködlámpák működésbe lépnek,
- a fényszórókat bekapcsolják, kivéve, ha azokat arra használják, hogy felvillanó figyelmeztető fényt adjanak rövid időközönként, és
- 1 000 lux alatti környezeti fényviszonyok mellett, amennyiben a jármű sebességmérőjén a jelzett sebesség még tisztán olvasható (pl. ha a sebességjelző állandóan megvilágított) és a jármű nincs felszerelve a 6.5.9. pontnak megfelelő nem villogó zöld visszajelző lámpával vagy a nappali menetjelző lámpához zöld, megfelelő szimbólummal ellátott bekapcsolás-visszajelzővel. Ilyen esetben a tompított fényszórók és az I. melléklet B. szakaszának 11. pontjában előírt világító berendezések egyidejűleg automatikusan bekapcsolnak 2 másodpercen belül, amint a környezeti fény szintje 1 000 lux alá esik. Ha a környezeti fényviszonyok később legalább 7 000 luxot érnek el, a nappali menetjelző lámpának automatikusan működésbe kell lépnie, miközben a tompított fényszóró és az I. melléklet B. szakaszának 11. pontjában előírt világító berendezések egyidejűleg automatikusan kikapcsolnak 5-300 másodpercen belül (azaz a világítás teljesen automatikus kapcsolása szükséges, ha a vezető számára nincs látható jelzés és késztetés, hogy sötétben bekapcsolja a normál világítást).
6.14.7. Bekapcsolás-visszajelző:
- opcionális".
k) A 4. függelék 6.5. pontja helyébe a következő szöveg lép:
"6.5. Nappali menetjelző lámpa: igen/nem (*)".
Lábjegyzetek:
[1] A dokumentum eredetije megtekinthető CELEX: 32013L0060 - https://eur-lex.europa.eu/legal-content/HU/ALL/?uri=CELEX:32013L0060&locale=hu A dokumentum konszolidált változatai magyar nyelven nem elérhetőek.