32019R1148[1]
Az Európai Parlament és a Tanács (EU) 2019/1148 rendelete (2019. június 20.) a robbanóanyag-prekurzorok forgalmazásáról és felhasználásáról, az 1907/2006/EK rendelet módosításáról, valamint a 98/2013/EU rendelet hatályon kívül helyezéséről
AZ EURÓPAI PARLAMENT ÉS A TANÁCS (EU) 2019/1148 RENDELETE
(2019. június 20.)
a robbanóanyag-prekurzorok forgalmazásáról és felhasználásáról, az 1907/2006/EK rendelet módosításáról, valamint a 98/2013/EU rendelet hatályon kívül helyezéséről
(EGT-vonatkozású szöveg)
1. cikk
Tárgy
Ez a rendelet összehangolt szabályokat állapít meg a robbanóanyagok jogellenes előállítására visszaélésszerűen felhasználható anyagok vagy keverékek rendelkezésre bocsátására, behozatalára, birtoklására és felhasználására vonatkozóan annak érdekében, hogy korlátozza ezen anyagok vagy keverékek lakossági személyek számára való rendelkezésre állását, és biztosítsa a gyanús tranzakciókra vonatkozó megfelelő jelentéstételt az ellátási lánc egészében.
Ez a rendelet nem érinti az uniós jognak az I. és II. mellékletben felsorolt anyagokra vonatkozó egyéb, szigorúbb rendelkezéseit.
2. cikk
Hatály
(1) Ez a rendelet az I. és II. mellékletben felsorolt anyagokra, valamint az említett anyagokat tartalmazó keverékekre és anyagokra alkalmazandó.
(2) Ezt a rendeletet nem kell alkalmazni az alábbiakra:
a) az 1907/2006/EK rendelet 3. cikke 3. pontjában meghatározott árucikkek;
b) a 2013/29/EU európai parlamenti és tanácsi irányelv ( 1 ) 3. cikkének 1. pontjában meghatározott pirotechnikai termékek;
c) a nemzeti joggal összhangban a fegyveres erők, a bűnüldöző hatóságok vagy a tűzoltóság általi, nem kereskedelmi jellegű felhasználásra szánt pirotechnikai termékek;
d) a 2014/90/EU európai parlamenti és tanácsi irányelv ( 2 ) hatálya alá tartozó pirotechnikai felszerelések;
e) a repülésben és űrrepülésben való felhasználásra szánt pirotechnikai termékek;
f) a játékokhoz szánt gyújtókupakok;
g) olyan gyógyszerek, amelyeket az alkalmazandó nemzeti joggal összhangban, orvosi rendelvény alapján, jogszerűen bocsátottak lakossági személyek rendelkezésére.
3. cikk
Fogalommeghatározások
E rendelet alkalmazásában:
1. "anyag" : az 1907/2006/EK rendelet 3. cikkének 1. pontjában meghatározott anyag;
2. "keverék" : az 1907/2006/EK rendelet 3. cikkének 2. pontjában meghatározott keverék;
3. "árucikk" : az 1907/2006/EK rendelet 3. cikkének 3. pontjában meghatározott árucikk;
4. "rendelkezésre bocsátás" : bármilyen ellátás, akár ellenérték fejében, akár ingyenesen történik;
5. "behozatal" : egy anyagnak valamely tagállam területére történő behozatala akár másik tagállamból, akár harmadik országból - függetlenül az anyag Unión belüli rendeltetési helyétől - bármely, a 952/2013/EU európai parlamenti és tanácsi rendeletben ( 3 ) meghatározott vámeljárás keretében, ideértve az árutovábbítást is;
6. "felhasználás" : az 1907/2006/EK rendelet 3. cikkének 24. pontjában meghatározott felhasználás;
7. "gyanús tranzakció" : minden szabályozott robbanóanyag-prekurzorral kapcsolatos olyan tranzakció, amelynek tekintetében - az összes vonatkozó tényező figyelembevételét követően - alapos gyanú merül fel arra vonatkozóan, hogy az érintett anyagot vagy keveréket robbanóanyagok jogellenes előállítására szánják;
8. "lakossági személy" : olyan természetes vagy jogi személy, aki vagy amely nem a kereskedelmi, üzleti vagy szakmai tevékenységéhez kapcsolódó célokból jár el;
9. "szakmai felhasználó" : olyan természetes vagy jogi személy vagy állami szerv, vagy ilyen személyek vagy szervek csoportja, akinek vagy amelynek az akár a teljes, akár a részmunkaidős kereskedelmi, üzleti vagy szakmai tevékenységéhez - beleértve a mezőgazdasági tevékenységet is, és nem feltétlenül összefüggésben azon földterület méretével, ahol az említett a mezőgazdasági tevékenységet folytatják - kapcsolódó célokból bizonyíthatóan szüksége van korlátozott robbanóanyag-prekurzorokra, feltéve hogy az említett célok nem foglalják magukban azt, hogy a szakmai felhasználó a korlátozott robbanóanyag-prekurzort más személy rendelkezésére bocsátja;
10. "gazdasági szereplő" : olyan természetes vagy jogi személy vagy állami szerv, vagy ilyen személyek vagy szervek csoportja, aki vagy amely - offline vagy online, beleértve az online piactereket is - szabályozott robbanóanyag-prekurzorokat forgalmaz;
11. "online piactér" : köztes szolgáltatás nyújtója, amely lehetővé teszi egyrészt a gazdasági szereplők, másrészt a lakossági személyek, a szakmai felhasználók vagy más gazdasági szereplők számára, hogy az online piactér weboldalán vagy az online piactér által nyújtott számítástechnikai szolgáltatásokat használó gazdasági szereplő weboldalán, online értékesítési vagy szolgáltatási szerződések útján szabályozott robbanóanyag-prekurzorokkal kapcsolatos tranzakciókat hajtsanak végre;
12. "korlátozott robbanóanyag-prekurzor" : az I. mellékletben felsorolt anyag az I. mellékletben foglalt táblázat 2. oszlopában foglalt, vonatkozó határértéknél magasabb koncentrációban; magában foglalja azt a keveréket vagy egyéb anyagot is, amelyben az említett mellékletben felsorolt anyag a vonatkozó határértéknél magasabb koncentrációban van jelen;
13. "szabályozott robbanóanyag-prekurzor" : az I. vagy II. mellékletben felsorolt anyag; magában foglalja azt a keveréket vagy egyéb anyagot is, amelyben az említett mellékletekben felsorolt anyag jelen van, kivéve az olyan, több mint 5 összetevőből álló, homogén keverékeket, amelyekben az I. és II. mellékletben felsorolt minden egyes anyag koncentrációja 1 % m/m-nél alacsonyabb;
14. "mezőgazdasági tevékenység" : mezőgazdasági termékek termelése, tenyésztése vagy művelése, ideértve a betakarítást, a fejést, az állattenyésztést és a mezőgazdasági célból történő állattartást, valamint a mezőgazdasági földterületek jó mezőgazdasági és ökológiai állapotának fenntartását az 1306/2013/EU európai parlamenti és tanácsi rendelet ( 4 ) 94. cikkében meghatározottak szerint.
4. cikk
Szabad mozgás
Amennyiben e rendelet vagy más uniós jogi aktus másképp nem rendelkezik, a tagállamok a robbanóanyagok jogellenes előállításának megakadályozásával kapcsolatos indokok alapján nem tilthatják, nem korlátozhatják és nem gátolhatják a szabályozott robbanóanyag-prekurzorok rendelkezésre bocsátását.
5. cikk
Rendelkezésre bocsátás, behozatal, birtoklás és felhasználás
(1) A korlátozott robbanóanyag-prekurzorok nem bocsáthatók lakossági személyek rendelkezésére, lakossági személyek ezeket nem hozhatják be, nem birtokolhatják és nem használhatják fel.
(2) Az (1) bekezdés szerinti korlátozás az I. mellékletben felsorolt klorátokat vagy perklorátokat tartalmazó keverékekre is vonatkozik, ha ezen anyagok összkoncentrációja a keverékben meghaladja az anyagok valamelyikére vonatkozóan az I. mellékletben foglalt táblázat 2. oszlopában foglalt határértéket.
(3) A tagállamok fenntarthatnak vagy létrehozhatnak olyan engedélyezési rendszert, amely alapján egyes korlátozott robbanóanyag-prekurzorok legfeljebb az I. mellékletben foglalt táblázat 3. oszlopában foglalt határértékeknek megfelelő koncentrációban lakossági személyek rendelkezésére bocsáthatók, lakossági személyek ezeket behozhatják, birtokolhatják vagy felhasználhatják.
Az ilyen engedélyezési rendszerek alapján a lakossági személynek be kell szereznie, és kérésre be kell mutatnia a korlátozott robbanóanyag-prekurzorok megszerzésére, behozatalára, birtoklására vagy felhasználására jogosító engedélyt. Az ilyen engedélyeket a 6. cikkel összhangban azon tagállam illetékes hatóságának kell kiállítania, ahová az adott korlátozott robbanóanyag-prekurzort be kívánják hozni, illetve ahol azt megszerezni, birtokolni vagy felhasználni kívánják.
(4) A tagállamok haladéktalanul értesítik a Bizottságot minden olyan intézkedésről, amelyet a (3) bekezdésben meghatározott engedélyezési rendszer megvalósítására hoznak. Az értesítésben fel kell tüntetni azokat a korlátozott robbanóanyag-prekurzorokat, amelyek tekintetében a tagállam a (3) bekezdéssel összhangban engedélyezési rendszert vezet be.
(5) A Bizottság közzéteszi azon intézkedések listáját, amelyekről a tagállamok a (4) bekezdéssel összhangban értesítést küldtek.
6. cikk
Engedélyek
(1) Azon tagállamok, amelyek engedélyt adnak ki azoknak a lakossági személyeknek, akiknek jogos érdeke fűződik a korlátozott robbanóanyag-prekurzorok megszerzéséhez, behozatalához, birtoklásához és felhasználásához, az 5. cikk (3) bekezdésével összhangban szabályokat állapítanak meg az engedélyek kiadására vonatkozóan. Az engedély kiadásáról való döntéshozatal során a tagállam illetékes hatóságának figyelembe kell vennie minden releváns körülményt és különösen az alábbiakat:
a) a korlátozott robbanóanyag-prekurzor bizonyítottan szükséges volta és a szándékolt felhasználásának jogszerűsége;
b) hasonló hatású, alacsonyabb koncentrációjú korlátozott robbanóanyag-prekurzorok vagy alternatív anyagok rendelkezésre állása;
c) a kérelmező háttere, beleértve a kérelmező büntetőjogi felelősségét megállapító, az Unió bármely országában hozott korábbi ítéleteket;
d) a korlátozott robbanóanyag-prekurzor biztonságos tárolását szavatoló, javasolt tárolási intézkedések.
(2) Az illetékes hatóság megtagadja az engedély kiadását, ha alapos oka van arra, hogy a szándékolt felhasználás jogszerűségét vagy a lakossági személyeknek a korlátozott robbanóanyag-prekurzor jogszerű célra történő felhasználására vonatkozó szándékát kétségbe vonja.
(3) Az illetékes hatóság dönthet úgy, hogy korlátozza az engedély érvényességét, egyszeri vagy többszöri felhasználást engedélyezve. Az engedély érvényességi ideje nem haladhatja meg a három évet. Az engedély megjelölt lejárati időpontjáig az illetékes hatóság követelheti az engedély jogosultjától annak igazolását, hogy az engedély kiadásának alapjául szolgáló feltételek továbbra is teljesülnek. Az engedélyben fel kell tüntetni azokat a korlátozott robbanóanyag-prekurzorokat, amelyek tekintetében azt kiállították.
(4) Az illetékes hatóság előírhatja, hogy a kérelmezőnek az engedély kérelmezéséért díjat kell fizetnie. Ez a díj nem haladhatja meg a kérelem feldolgozásával járó költségeket.
(5) Az illetékes hatóság felfüggesztheti vagy visszavonhatja az engedélyt, ha alapos okkal feltételezheti, hogy az engedély kiadásának alapjául szolgáló feltételek már nem teljesülnek. Az illetékes hatóság köteles haladéktalanul tájékoztatni az engedélyek jogosultjait engedélyük felfüggesztéséről vagy visszavonásáról, kivéve, ha ez folyamatban lévő nyomozásokat veszélyeztetne.
(6) Az illetékes hatóság bármely döntése elleni jogorvoslat tárgyában, valamint az engedély feltételeinek való megfeleléssel kapcsolatos vitás ügyekben a nemzeti jog szerint az ilyen jogorvoslatok és vitás ügyek tekintetében hatáskörrel rendelkező megfelelő szerv jár el.
(7) A tagállamok elismerhetik a más tagállamokban e rendelet alapján kiadott engedélyeket.
(8) A tagállamok a III. mellékletben foglalt mintát használhatják az engedélyekhez.
(9) Az illetékes hatóságnak az e cikk (1) bekezdésének c) pontjában említett, más tagállamokban hozott, a kérelmező büntetőjogi felelősségét megállapító korábbi ítéletekre vonatkozó információkat a 2009/315/IB tanácsi kerethatározattal ( 5 ) létrehozott rendszer útján kell beszereznie. Az említett kerethatározat 3. cikkében említett központi hatóságnak a megkeresés beérkezésének időpontjától számított 10 munkanapon belül meg kell válaszolnia az ilyen tájékoztatás iránti megkereséseket.
7. cikk
Az ellátási lánc tájékoztatása
(1) A korlátozott robbanóanyag-prekurzort más gazdasági szereplő rendelkezésére bocsátó gazdasági szereplő köteles tájékoztatni az említett gazdasági szereplőt, hogy az adott korlátozott robbanóanyag-prekurzornak a lakossági személyek általi megszerzése, behozatala, birtoklása vagy felhasználása az 5. cikk (1) és (3) bekezdésben foglaltak szerinti korlátozás tárgyát képezi.
A szabályozott robbanóanyag-prekurzort más gazdasági szereplő rendelkezésére bocsátó gazdasági szereplő köteles tájékoztatni az említett gazdasági szereplőt, hogy az adott szabályozott robbanóanyag-prekurzornak a lakossági személyek általi megszerzése, behozatala, birtoklása vagy felhasználása a 9. cikkben foglaltak szerinti jelentéstételi kötelezettségek tárgyát képezi.
(2) A szabályozott robbanóanyag-prekurzort szakmai felhasználó vagy lakossági személy rendelkezésére bocsátó gazdasági szereplőnek biztosítania kell és igazolnia kell tudni a 11. cikkben említett nemzeti ellenőrző hatóságok számára, hogy a szabályozott robbanóanyag-prekurzorok értékesítésében részt vevő személyzete:
a) tisztában van azzal, hogy az általa rendelkezésre bocsátott termékek közül melyik tartalmaz szabályozott robbanóanyag-prekurzorokat;
b) eligazítást kapott az 5-9. cikk szerinti kötelezettségek tekintetében.
(3) Az online piactér intézkedéseket hoz annak biztosítására, hogy amikor a felhasználói a szolgáltatásai révén szabályozott robbanóanyag-prekurzorokat bocsátanak rendelkezésre, tájékoztatást kapjanak az e rendelet szerinti kötelezettségeikről.
8. cikk
Értékesítéskori ellenőrzés
(1) Az 5. cikk (3) bekezdésével összhangban korlátozott robbanóanyag-prekurzort lakossági személy rendelkezésére bocsátó gazdasági szereplőnek minden tranzakció esetében ellenőriznie kell a lakossági személy személyazonosságát és az engedélyét azon tagállam engedélyezési szabályainak megfelelően, amelyben a korlátozott robbanóanyag-prekurzort rendelkezésre bocsátja, és fel kell tüntetnie az engedélyen az értékesített korlátozott robbanóanyag-prekurzor mennyiségét.
(2) Annak ellenőrzése céljából, hogy a leendő ügyfél szakmai felhasználó vagy valamely más gazdasági szereplő, annak a gazdasági szereplőnek, amely korlátozott robbanóanyag-prekurzort bocsát szakmai felhasználó vagy valamely más gazdasági szereplő rendelkezésére, minden tranzakció esetében be kell kérnie az alábbi információkat, kivéve, ha az adott leendő ügyfél tekintetében az említett tranzakciót megelőző egy éven belül már történt ilyen ellenőrzés, és a tranzakció nem tér el jelentősen a korábbi tranzakcióktól:
a) a leendő ügyfél képviseletére jogosult személy személyazonosságának igazolása;
b) a leendő ügyfél kereskedelmi, üzleti vagy szakmai tevékenysége a vállalkozás nevével, címével és héaazonosító számával vagy bármely más releváns cégjegyzékszámmal együtt, ha van ilyen;
c) a korlátozott robbanóanyag-prekurzoroknak a leendő ügyfél általi szándékolt felhasználása.
A tagállamok a IV. mellékletben foglalt formanyomtatványt használhatják a vásárlói nyilatkozathoz.
(3) A korlátozott robbanóanyag-prekurzor szándékolt felhasználásának ellenőrzése céljából a gazdasági szereplőnek értékelnie kell, hogy a szándékolt felhasználás megfelel-e a leendő ügyfél kereskedelmi, üzleti vagy szakmai tevékenységének. A gazdasági szereplő megtagadhatja a tranzakciót, ha alapos oka van arra, hogy a szándékolt felhasználás jogszerűségét vagy a leendő ügyfélnek a korlátozott robbanóanyag-prekurzor jogszerű célra történő felhasználására vonatkozó szándékát kétségbe vonja. A gazdasági szereplő a 9. cikknek megfelelően köteles jelenteni az ilyen tranzakciókat, illetve az ilyen megkísérelt tranzakciókat.
(4) E rendelet betartásának ellenőrzése és a robbanóanyagok jogellenes előállításának megakadályozása és felderítése céljából, a gazdasági szereplők a tranzakció időpontjától számított 18 hónapig kötelesek megőrizni az (1) és (2) bekezdésben említett információkat. Ezen időszak alatt az információkat a nemzeti ellenőrző hatóságok vagy bűnüldöző hatóságok kérésére vizsgálat céljából rendelkezésre kell bocsátani.
(5) Az online piactér intézkedéseket köteles hozni, hogy elősegítse annak biztosítását, hogy amikor a felhasználói a szolgáltatásai révén korlátozott robbanóanyag-prekurzorokat bocsátanak rendelkezésre, teljesítsék az e cikk szerinti kötelezettségeiket.
9. cikk
A gyanús tranzakciók, a hiányok és a lopások jelentése
(1) A robbanóanyagok jogellenes előállításának megakadályozása és felderítése céljából, a gazdasági szereplők és az online piacterek kötelesek bejelenteni a gyanús tranzakciókat. A gazdasági szereplőknek és az online piactereknek azt követően kell így tenniük, hogy figyelembe vettek minden körülményt, különösen akkor, ha a leendő ügyfél legalább az alábbiak egyike szerint jár el:
a) a jelek szerint nincs tisztában a szabályozott robbanóanyag-prekurzorok szándékolt felhasználásával;
b) a jelek szerint nem ismeri a szabályozott robbanóanyag-prekurzorok szándékolt felhasználását vagy azt nem tudja hihetően elmagyarázni;
c) a jogszerű felhasználásnál megszokottól eltérő mennyiségben, összetételben, illetve koncentrációban kíván szabályozott robbanóanyag-prekurzorokat vásárolni;
d) nem hajlandó igazolni személyazonosságát vagy lakóhelyét, vagy adott esetben szakmai felhasználói vagy gazdasági szereplői státuszát;
e) szokatlan fizetési módok - ideértve a nagy összegű készpénzfizetést is - alkalmazásához ragaszkodik.
(2) A gazdasági szereplőknek és az online piactereknek a gyanús tranzakciók felderítésére szolgáló, olyan megfelelő, észszerű és arányos eljárásokkal kell rendelkezniük, amelyek ahhoz az adott környezethez igazodnak, amelyben a szabályozott robbanóanyag-prekurzorokat rendelkezésre bocsátják.
(3) Valamennyi tagállam a gyanús tranzakciók, a jelentős hiányok és a lopások bejelentésére egy vagy több nemzeti kapcsolattartó pontot hoz létre, amely egyértelműen feltüntetett telefonszámmal és e-mail-címmel, online űrlappal vagy bármely más hatékony eszközzel rendelkezik. A nemzeti kapcsolattartó pontoknak a hét minden napján, napi 24 órában elérhetőnek kell lenniük.
(4) A gazdasági szereplők és az online piacterek megtagadhatják a gyanús tranzakciókat. A gazdasági szereplők és az online piacterek a gyanús tranzakciót vagy a megkísérelt, gyanús tranzakciót legkésőbb 24 órával az után bejelentik, hogy a tranzakciót gyanúsnak ítélték. Az ilyen tranzakciók bejelentésekor lehetőség szerint meg kell adniuk az ügyfél személyazonosságát és minden olyan adatot, amelyek miatt a tranzakciót gyanúsnak ítélték azon tagállam nemzeti kapcsolattartó pontjának, amely tagállamban a gyanús tranzakciót végrehajtották vagy megkísérelték.
(5) A gazdasági szereplők és a szakmai felhasználók kötelesek bejelentést tenni a szabályozott robbanóanyag-prekurzorokat érintő jelentős hiányokról vagy lopásokról legkésőbb 24 órával az észlelést követően azon tagállam nemzeti kapcsolattartó pontjának, ahol a hiány vagy lopás bekövetkezett. Annak eldöntésekor, hogy a hiány vagy lopás jelentős-e, figyelembe kell venni, hogy az ügy összes körülményére tekintettel szokatlan-e a mennyiség.
(6) Az 5. cikk (3) bekezdésének megfelelően korlátozott robbanóanyag-prekurzorokat megszerző lakossági személyek kötelesek bejelentést tenni a korlátozott robbanóanyag-prekurzorokat érintő jelentős hiányokról vagy lopásokról legkésőbb 24 órával az észlelést követően azon tagállam nemzeti kapcsolattartó pontjának, ahol a hiány vagy lopás bekövetkezett.
10. cikk
Képzés és tudatosságnövelés
(1) A tagállamok megfelelő erőforrásokat biztosítanak a bűnüldöző hatóságok, az elsődleges beavatkozók és a vámhatóságok képzéséhez, és biztosítják e képzések megtartását, hogy azok feladataik végzése során felismerjék a szabályozott robbanóanyag-prekurzorokat, valamint kellő időben és megfelelő módon tudjanak reagálni a gyanús tevékenységekre. A tagállamok további speciális képzéseket igényelhetnek az Európai Unió (EU) 2015/2219 európai parlamenti és tanácsi rendelettel ( 6 ) létrehozott Bűnüldözési Képzési Ügynökségétől (CEPOL).
(2) A tagállamok évente legalább egyszer tudatosságnövelő tevékenységeket szerveznek, amelyek igazodnak a szabályozott robbanóanyag-prekurzorokat használó egyes különböző ágazatok sajátosságaihoz.
(3) Az együttműködés elősegítése és annak biztosítása érdekében, hogy valamennyi érdekelt fél hatékonyan végrehajtsa ezt a rendeletet, a tagállamok rendszeres cseréket szerveznek a bűnüldöző hatóságok, a nemzeti felügyeleti hatóságok, a gazdasági szereplők, az online piacterek és a szabályozott robbanóanyag-prekurzorokat felhasználó ágazatok képviselői között. A gazdasági szereplők felelősek azért, hogy személyzetük számára tájékoztatást nyújtsanak arról, hogy milyen módon kell a robbanóanyag-prekurzorokat e rendelet alapján rendelkezésre bocsátani, és hogy erre felhívják a személyzet figyelmét.
11. cikk
Nemzeti ellenőrző hatóságok
(1) Minden tagállam gondoskodik arról, hogy illetékes hatóságok álljanak rendelkezésre az 5-9. cikk helyes alkalmazásának vizsgálata és ellenőrzése céljából (a továbbiakban: a nemzeti ellenőrző hatóságok).
(2) Minden tagállam gondoskodik arról, hogy a nemzeti ellenőrző hatóságok rendelkezzenek az e rendelet szerinti feladataik megfelelő ellátásához szükséges erőforrásokkal és vizsgálati hatáskörrel.
12. cikk
Iránymutatások
(1) A Bizottság rendszeresen naprakésszé tett iránymutatásokat bocsát ki, hogy segítséget nyújtson a vegyipari ellátási lánc szereplőinek és az illetékes hatóságoknak, valamint hogy előmozdítsa az illetékes hatóságok és a gazdasági szereplők közötti együttműködést. A Bizottság konzultál a prekurzorokkal foglalkozó állandó bizottsággal bármely iránymutatástervezetről, illetve az iránymutatások bármely naprakésszé tételéről. Az iránymutatásoknak különösen az alábbiakat kell tartalmazniuk:
a) az ellenőrzések elvégzésének módjára vonatkozó információk;
b) arra vonatkozó információk, hogy miként kell alkalmazni az e rendeletben foglalt korlátozásokat és ellenőrzéseket a lakossági személyek vagy szakmai felhasználók által távolról rendelt, szabályozott robbanóanyag-prekurzorokra;
c) az online piacterek által, e rendelet betartásának biztosítása céljából elfogadandó lehetséges intézkedésekre vonatkozó információk;
d) arra vonatkozó információk, hogy miként kell megosztani a releváns információkat az illetékes hatóságok és a nemzeti kapcsolattartó pontok között, valamint a tagállamok között;
e) a gyanús tranzakciók felismerésére és bejelentésének módjára vonatkozó információk;
f) a szabályozott robbanóanyag-prekurzorok biztonságos tárolását szavatoló tárolási intézkedésekre vonatkozó információk;
g) egyéb hasznosnak ítélt információk.
(2) Az illetékes hatóságoknak gondoskodniuk kell arról, hogy az iránymutatások célkitűzéseivel összhangban az illetékes hatóságok által megfelelőnek ítélt módon sor kerüljön az (1) bekezdésben előírt iránymutatások rendszeres terjesztésére.
(3) A Bizottság biztosítja, hogy az (1) bekezdésben említett iránymutatások az Unió valamennyi hivatalos nyelvén elérhetők legyenek.
13. cikk
Szankciók
A tagállamok megállapítják az e rendelet megsértése esetén alkalmazandó szankciókra vonatkozó szabályokat, és meghoznak minden szükséges intézkedést ezek végrehajtására. Az előírt szankcióknak hatékonynak, arányosnak és visszatartó erejűnek kell lenniük.
14. cikk
Védzáradék
(1) Ha valamely tagállamnak alapos oka van feltételezni, hogy az I. vagy II. mellékletben fel nem sorolt valamely anyag robbanóanyagok jogellenes előállítására használható fel, korlátozhatja vagy tilthatja az adott anyag, vagy az azt tartalmazó bármely keverék vagy anyag rendelkezésre bocsátását, behozatalát, birtoklását és felhasználását, vagy előírhatja, hogy az anyag a 9. cikkel összhangban jelentéstételi kötelezettség hatálya alá tartozzon.
(2) Ha valamely tagállamnak alapos oka van feltételezni, hogy az I. mellékletben felsorolt valamely konkrét anyag az I. mellékletben található táblázat 2. vagy 3. oszlopában foglalt határértékekkel megegyező vagy azoknál alacsonyabb koncentrációban is felhasználható robbanóanyagok jogellenes előállítására, alacsonyabb határérték előírásával tovább szigoríthatja az adott anyag rendelkezésre bocsátására, behozatalára, birtoklására és felhasználására vonatkozó korlátozást vagy tiltást.
(3) Ha valamely tagállamnak alapos oka van olyan határértéket megállapítani, amely felett a II. mellékletben felsorolt valamely anyagnak az egyébként a korlátozott robbanóanyag-prekurzorokra vonatkozó korlátozások hatálya alá kell tartoznia, az említett határérték előírásával korlátozhatja vagy tilthatja az adott anyag rendelkezésre bocsátását, behozatalát, birtoklását és felhasználását.
(4) Az a tagállam, amely az (1), (2) vagy (3) bekezdéssel összhangban anyagokat korlátoz vagy tilt, haladéktalanul tájékoztatja a Bizottságot és a többi tagállamot az ilyen korlátozásokról és tiltásokról, és azokat meg is indokolja.
(5) Az a tagállam, amely az (1), (2) vagy (3) bekezdéssel összhangban anyagokat korlátoz vagy tilt, felhívja a figyelmet az ilyen korlátozásokra vagy tiltásokra az említett tagállam területén működő gazdasági szereplők körében és online piactereken.
(6) A Bizottság a (4) bekezdésben említett tájékoztatás kézhezvételekor haladéktalanul megvizsgálja, hogy készítsen-e a mellékletekben teendő módosításokat a 15. cikk (1) bekezdésével összhangban, vagy készítsen-e jogalkotási javaslatot a mellékletek módosítására. Az érintett tagállam az említett mellékletek említett módosításainak figyelembevétele céljából adott esetben módosítja vagy hatályon kívül helyezi nemzeti intézkedéseit.
(7) A (6) bekezdés sérelme nélkül, a Bizottság az érintett tagállammal és - adott esetben - harmadik felekkel folytatott konzultációt követően úgy határozhat, hogy az említett tagállam által hozott intézkedés nem indokolt, és kötelezheti az említett tagállamot az átmeneti intézkedés visszavonására vagy módosítására. A Bizottság a (4) bekezdésben említett tájékoztatás kézhezvételétől számított 60 napon belül hozza meg az említett határozatokat. Az érintett tagállam felhívja a figyelmet az említett határozatokra az említett tagállam területén működő gazdasági szereplők és online piacterek körében.
(8) Ez a cikk nem érinti azokat az intézkedéseket, amelyekről a tagállamok a 98/2013/EU rendelet 13. cikke értelmében 2021. február 1. előtt már tájékoztatták vagy értesítették a Bizottságot.
15. cikk
A mellékletek módosításai
(1) A Bizottság a 16. cikknek megfelelően az e rendeletet módosító, felhatalmazáson alapuló jogi aktusokat fogad el a következőkre vonatkozóan:
a) az I. mellékletben rögzített határértékek módosításai az anyagok robbanóanyag-prekurzorként történő visszaélésszerű felhasználása terén bekövetkezett fejleményekhez való szükséges mértékű igazodás céljából, vagy a kutatási és tesztelési eredmények alapján;
b) anyagoknak a II. mellékletbe történő felvétele, amennyiben erre az anyagok robbanóanyag-prekurzorként történő visszaélésszerű felhasználása terén bekövetkezett fejleményekhez való igazodás céljából szükség van.
Az említett felhatalmazáson alapuló jogi aktusok előkészítése során a Bizottság konzultációt folytat az érdekelt felekkel, különösen a vegyipar és a kiskereskedelmi ágazat képviselőivel.
Ha az anyagoknak a robbanóanyagok jogellenes előállítására történő visszaélésszerű felhasználására vonatkozó kockázatértékelésben hirtelen változás következik be és az rendkívül sürgős okokból szükséges, a 17. cikkben előírt eljárás alkalmazandó az e cikk alapján elfogadott, felhatalmazáson alapuló jogi aktusokra.
(2) A Bizottság az I. mellékletben rögzített határértékek minden egyes módosítása, illetve a II. mellékletbe felvett minden egyes új anyag tekintetében külön felhatalmazáson alapuló jogi aktust fogad el. Valamennyi felhatalmazáson alapuló jogi aktusnak olyan elemzésen kell alapulnia, amely megállapítja, hogy a módosítás - az elérni kívánt célokra figyelemmel - várhatóan nem ró aránytalan terhet a gazdasági szereplőkre és a fogyasztókra.
16. cikk
A felhatalmazás gyakorlása
(1) A felhatalmazáson alapuló jogi aktusok elfogadására vonatkozóan a Bizottság részére adott felhatalmazás feltételeit ez a cikk határozza meg.
(2) A Bizottságnak a 15. cikkben említett, felhatalmazáson alapuló jogi aktus elfogadására vonatkozó felhatalmazása ötéves időtartamra szól 2019. július 31-től kezdődő hatállyal. A Bizottság legkésőbb kilenc hónappal az ötéves időtartam letelte előtt jelentést készít a felhatalmazásról. A felhatalmazás hallgatólagosan meghosszabbodik a korábbival megegyező időtartamra, amennyiben az Európai Parlament vagy a Tanács nem ellenzi a meghosszabbítást legkésőbb három hónappal minden egyes időtartam letelte előtt.
(3) Az Európai Parlament vagy a Tanács bármikor visszavonhatja a 15. cikkben említett felhatalmazást. A visszavonásról szóló határozat megszünteti az abban meghatározott felhatalmazást. A határozat az Európai Unió Hivatalos Lapjában való kihirdetését követő napon, vagy a benne megjelölt későbbi időpontban lép hatályba. A határozat nem érinti a már hatályban lévő, felhatalmazáson alapuló jogi aktusok érvényességét.
(4) A felhatalmazáson alapuló jogi aktus elfogadása előtt a Bizottság a jogalkotás minőségének javításáról szóló, 2016. április 13-i intézményközi megállapodásban foglalt elveknek megfelelően konzultál az egyes tagállamok által kijelölt szakértőkkel.
(5) A Bizottság a felhatalmazáson alapuló jogi aktus elfogadását követően haladéktalanul és egyidejűleg értesíti arról az Európai Parlamentet és a Tanácsot.
(6) A 15. cikk értelmében elfogadott, felhatalmazáson alapuló jogi aktus csak akkor lép hatályba, ha az Európai Parlamentnek és a Tanácsnak a jogi aktusról való értesítését követő két hónapon belül sem az Európai Parlament, sem a Tanács nem emelt ellene kifogást, illetve ha az említett időtartam lejártát megelőzően mind az Európai Parlament, mind a Tanács arról tájékoztatta a Bizottságot, hogy nem fog kifogást emelni. Az Európai Parlament vagy a Tanács kezdeményezésére ez az időtartam két hónappal meghosszabbodik.
17. cikk
Sürgősségi eljárás
(1) Az e cikk alapján elfogadott, felhatalmazáson alapuló jogi aktusok haladéktalanul hatályba lépnek és alkalmazandók mindaddig, amíg az Európai Parlament vagy a Tanács a (2) bekezdésnek megfelelően nem emel ellenük kifogást. A felhatalmazáson alapuló jogi aktusról az Európai Parlamentnek és a Tanácsnak küldött értesítésben meg kell indokolni a sürgősségi eljárás alkalmazását.
(2) Az Európai Parlament vagy a Tanács a 16. cikk (6) bekezdésében említett eljárásnak megfelelően kifogást emelhet a felhatalmazáson alapuló jogi aktus ellen. Ebben az esetben a Bizottság az Európai Parlament vagy a Tanács kifogásáról szóló határozatról való értesítést követően haladéktalanul hatályon kívül helyezi a szóban forgó, felhatalmazáson alapuló jogi aktust.
18. cikk
Az 1907/2006/EK rendelet módosítása
Az 1907/2006/EK rendelet XVII. mellékletében az 58. (Ammónium-nitrát (AN)) tétel 2. oszlopában a 2. és 3. bekezdést el kell hagyni.
19. cikk
Jelentéstétel
(1) A tagállamok 2022. február 2-án és azt követően évente megküldik a Bizottságnak az alábbi információkat:
a) a bejelentett gyanús tranzakciók, jelentős hiányok, illetve lopások száma;
b) az 5. cikk (3) bekezdés alapján fenntartott vagy létrehozott bármely engedélyezési rendszerben beérkezett engedélykérelmek száma, valamint a kiadott engedélyek száma, és az engedélykiadás megtagadásának leggyakoribb okai;
c) a 10. cikk (2) bekezdésében említett tudatosságnövelő tevékenységek;
d) a 11. cikkben említettek szerint elvégzett ellenőrzések, beleértve az ellenőrzések és a lefedett gazdasági szereplők számát.
(2) A tagállamok az (1) bekezdés a), c) és d) pontjában említett információknak a Bizottság részére történő megküldésekor elkülönítik az online és az offline tevékenységekre vonatkozó beszámolókat, intézkedéseket és ellenőrzéseket.
20. cikk
Nyomonkövetési program
(1) A Bizottság 2020. augusztus 1-ig részletes programot dolgoz ki e rendelet kimenetelének, eredményeinek és hatásainak nyomon követésére.
(2) A nyomonkövetési programban meg kell határozni az adatok és egyéb szükséges bizonyítékok gyűjtésének eszközeit és gyakoriságát. Meg kell határozni továbbá a Bizottság és a tagállamok által az említett adatok és egyéb bizonyítékok gyűjtése és elemzése érdekében teendő intézkedéseket.
(3) A tagállamok megküldik a Bizottságnak a nyomon követéshez szükséges adatokat és egyéb bizonyítékokat.
21. cikk
Értékelés
(1) A Bizottság 2026. február 2-ig elvégzi e rendelet értékelését, és a főbb megállapításokról jelentést nyújt be az Európai Parlamentnek, a Tanácsnak és az Európai Gazdasági és Szociális Bizottságnak. Az értékelést a jogalkotás minőségének javítására vonatkozó bizottsági iránymutatások szerint kell elvégezni.
(2) A tagállamok megküldik az említett jelentés elkészítéséhez szükséges információkat a Bizottságnak.
22. cikk
Hatályon kívül helyezés
(1) A 98/2013/EU rendelet 2021. február 1-ével hatályát veszti.
(2) A hatályon kívül helyezett 98/2013/EU rendeletre történő hivatkozásokat ezen rendeletre való hivatkozásnak kell tekinteni.
23. cikk
Hatálybalépés és alkalmazás
(1) Ez a rendelet az Európai Unió Hivatalos Lapjában való kihirdetését követő huszadik napon lép hatályba.
(2) Ezt a rendeletet 2021. február 1-től kell alkalmazni.
(3) A (2) bekezdés ellenére, a 98/2013/EU rendelet alapján érvényesen kiadott engedélyek továbbra is érvényben maradnak vagy az említett engedélyeken eredetileg megjelölt érvényességi időpontig, vagy 2022. február 2-ig, amelyik időpont a korábbi.
(4) A (3) bekezdésben említett engedélyek megújítása iránti kérelmeket 2021. február 1-én vagy azt követően e rendelettel összhangban kell benyújtani.
(5) Az 5. cikk (1) bekezdése ellenére, a lakossági személyek által 2021. február 1. előtt jogszerűen szerzett korlátozott robbanóanyag-prekurzorok birtoklása, behozatala és felhasználása 2022. február 2-ig megengedett.
Ez a rendelet teljes egészében kötelező és közvetlenül alkalmazandó valamennyi tagállamban.
I. MELLÉKLET
KORLÁTOZOTT ROBBANÓANYAG-PREKURZOROK
Azon anyagok jegyzéke, amelyek önmagukban vagy az ezeket tartalmazó keverékekben vagy az említett anyagokat tartalmazó anyagokban - kivéve, ha a koncentráció nem haladja meg a 2.oszlopban foglalt határértékeket - nem bocsáthatók lakossági személyek rendelkezésére, lakossági személyek ezeket nem hozhatják be, nem birtokolhatják és nem használhatják fel, illetve amely anyagok esetében a gyanús tranzakciókat, jelentős hiányokat és lopásokat 24 órán belül jelenteni kell:
| 1. Az anyag megnevezése és Vegyianyag Nyilvántartási Szolgálat nyilvántartási száma (CAS-szám) | 2. Határérték | 3. Felső határérték az 5. cikk (3) bekezdése szerinti engedélyezés alkalmazásában | 4. Kombinált Nómenklatúra (KN) kód a KN 28., illetve 29. árucsoportjához tartozó 1. megjegyzés követelményeinek megfelelő, önálló, vegyileg meghatározott vegyületek esetében (1) | 5. Kombinált Nómenklatúra (KN) kód a más KN-kód szerinti besorolást indokoló alkotórészt (pl. higany, nemesfémek vagy ritkaföldfémek, radioaktív anyagok) nem tartalmazó keverékek esetében (1) |
| Salétromsav (CAS-szám 7697-37-2) | 3 % (m/m) | 10 % (m/m) | ex 2808 00 00 | ex 3824 99 96 |
| Hidrogén-peroxid (CAS-szám 7722-84-1) | 12 % (m/m) | 35 % (m/m) | 2847 00 00 | ex 3824 99 96 |
| Kénsav (CAS-szám 7664-93-9) | 15 % (m/m) | 40 % (m/m) | ex 2807 00 00 | ex 3824 99 96 |
| Nitrometán (CAS-szám 75-52-5) | 16 % (m/m) | 100 % (m/m) | ex 2904 20 00 | ex 3824 99 92 |
| Ammónium-nitrát (CAS-szám 6484-52-2) | A keverék ammónium-nitrátból származó nitrogén tartalma 16 (m/m) (4) | Engedélyezése nem megengedett | 3102 30 10 (vizes oldatban) 3102 30 90 (egyéb) | ex 3824 99 96 |
| Kálium-klorát (CAS-szám 3811-04-9) | 40 % (m/m) | Engedélyezése nem megengedett | ex 2829 19 00 | ex 3824 99 96 |
| Kálium-perklorát (CAS-szám 7778-74-7) | 40 % (m/m) | Engedélyezése nem megengedett | ex 2829 90 10 | ex 3824 99 96 |
| Nátrium-klorát (CAS-szám 7775-09-9) | 40 % (m/m) | Engedélyezése nem megengedett | 2829 11 00 | ex 3824 99 96 |
| Nátrium-perklorát (CAS-szám 7601-89-0) | 40 % (m/m) | Engedélyezése nem megengedett | ex 2829 90 10 | ex 3824 99 96 |
| (1) Az (EU) 2017/1925 bizottsági végrehajtási rendelet (2). A frissített KN-kódok tekintetében lásd a 2658/87/EGK tanácsi rendelet (3) I. mellékletének későbbi módosításait. (2) A Bizottság (EU) 2017/1925 végrehajtási rendelete (2017. október 12.) a vám- és a statisztikai nómenklatúráról, valamint a Közös Vámtarifáról szóló 2658/87/EGK tanácsi rendelet I. mellékletének módosításáról (HL L 282., 2017.10.31., 1. o.). (3) A Tanács 2658/87/EGK rendelete (1987. július 23.) a vám- és a statisztikai nómenklatúráról, valamint a Közös Vámtarifáról (HL L 256, 1987.9.7., 1. o.). (4) A nitrogénnek az ammónium-nitráthoz képest mért 16 % (m/m) koncentrációja 45,7 % ammónium-nitrátnak felel meg, a szennyeződések eltávolítását követően. | ||||
II. MELLÉKLET
BEJELENTENDŐ ROBBANÓANYAG-PREKURZOROK
Azon - önmagukban vagy az ezeket tartalmazó keverékekben vagy az ezeket tartalmazó anyagokban előforduló - anyagok jegyzéke, amelyek esetében a gyanús tranzakciókat, jelentős hiányokat és lopásokat 24 órán belül jelenteni kell:
| 1. Az anyag megnevezése és Vegyianyag Nyilvántartási Szolgálat nyilvántartási száma (CAS-szám) | 2. Kombinált Nómenklatúra (KN) kód (1) | 3. Kombinált Nómenklatúra (KN) kód a más KN-kód szerinti besorolást indokoló alkotórészeket (pl. higany, nemesfémek vagy ritkaföldfémek, radioaktív anyagok) nem tartalmazó keverékek esetében (1) |
| Hexamin (CAS-szám 100-97-0) | ex 2933 69 40 | ex 3824 99 93 |
| Aceton (CAS-szám 67-64-1) | 2914 11 00 | ex 3824 99 92 |
| Kálium-nitrát (CAS-szám 7757-79-1) | 2834 21 00 | ex 3824 99 96 |
| Nátrium-nitrát (CAS-szám 7631-99-4) | 3102 50 00 | ex 3824 99 96 |
| Kalcium-nitrát (CAS-szám 10124-37-5) | ex 2834 29 80 | ex 3824 99 96 |
| Kalcium-ammónium-nitrát (CAS-szám 15245-12-2) | ex 3102 60 00 | ex 3824 99 96 |
| Magnézium, porok (CAS-szám 7439-95-4) (2) (3) | ex 8104 30 00 | |
| Magnézium-nitrát-hexahidrát (CAS-szám 13446-18-9) | ex 2834 29 80 | ex 3824 99 96 |
| Alumínium, porok (CAS-szám 7429-90-5) (2) (3) | 7603 10 00 ex 7603 20 00 | |
| (1) Az (EU) 2017/1925 végrehajtási rendelet. A frissített KN-kódok tekintetében lásd a 2658/87/EGK rendelet I. mellékletének későbbi módosításait. (2) 200 μm-nél kisebb részecskemérettel. (3) Vegyi anyagként vagy legalább 70 % (m/m) alumíniumot vagy magnéziumot tartalmazó keverékben. | ||
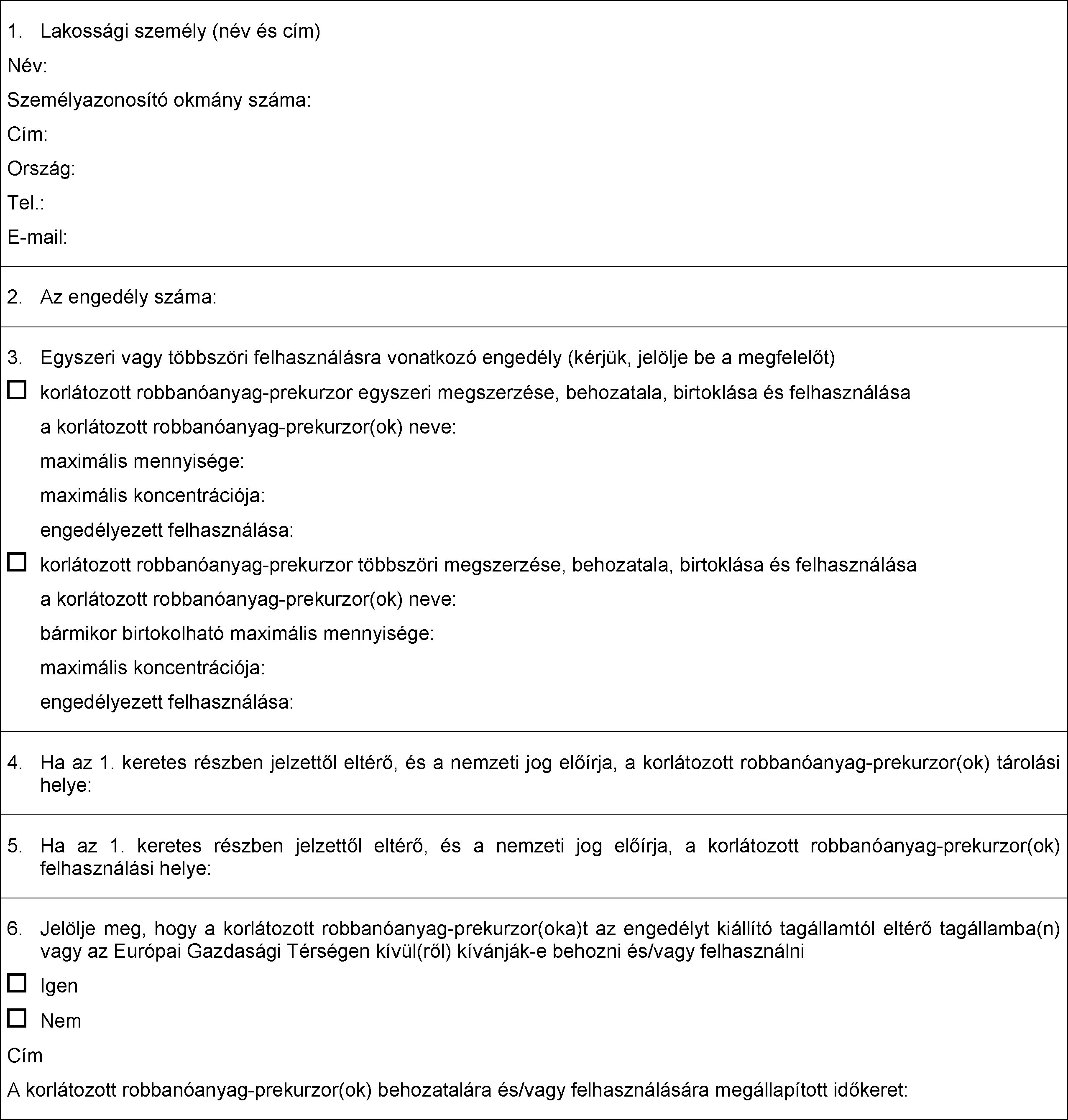
III. MELLÉKLET
ENGEDÉLYMINTA
A 6. cikk (8) bekezdésében említett korlátozott robbanóanyag-prekurzorok megszerzésére, behozatalára, birtoklására és felhasználására lakossági személyek számára kiadott engedély mintája.

IV. MELLÉKLET
VÁSÁRLÓI NYILATKOZAT
a korlátozott robbanóanyag-prekurzorok (EU) 2019/1148 európai parlamenti és tanácsi rendeletben ( 7 ) említett konkrét felhasználásáról vagy felhasználásairól
(Kérjük, nyomtatott betűvel töltse ki!) ( *1 )
Alulírott,
Név (vásárló):
Személyazonosságot igazoló okmány (száma, kiállító hatóság):
Az alábbi meghatalmazott képviselője:
Vállalat (megbízó):
Héa- vagy egyéb cégazonosító szám ( *2 )/Cím:
_
Kereskedelmi/üzleti/szakmai tevékenység:
| A termék kereskedelmi neve | Korlátozott robbanóanyag-prekurzor | CAS-szám: | Mennyiség (kg/liter) | Koncentráció | Tervezett felhasználás |
Kijelentem, hogy a kereskedelmi terméket és az anyagot vagy keveréket, amelyet a kereskedelmi termék tartalmaz, kizárólag a feltüntetett - minden esetben törvényes - célra fogom felhasználni, és csak abban az esetben értékesítem, illetve szállítom le más vásárló részére, ha az hasonló felhasználási nyilatkozatot tesz, tiszteletben tartva a lakossági személyek számára történő rendelkezésre bocsátásra vonatkozóan az (EU) 2019/1148 rendeletben meghatározott korlátozásokat.
Aláírás: Név:
Beosztás: Dátum:
( 1 ) Az Európai Parlament és a Tanács 2013/29/EU irányelve (2013. június 12.) a pirotechnikai termékek forgalmazására vonatkozó tagállami jogszabályok harmonizációjáról (HL L 178., 2013.6.28., 27. o.).
( 2 ) Az Európai Parlament és a Tanács 2014/90/EU irányelve (2014. július 23.) a tengerészeti felszerelésekről és a 96/98/EK tanácsi irányelv hatályon kívül helyezéséről (HL L 257., 2014.8.28., 146. o.).
( 3 ) Az Európai Parlament és a Tanács 952/2013/EU rendelete (2013. október 9.) az Uniós Vámkódex létrehozásáról (HL L 269., 2013.10.10., 1. o.).
( 4 ) Az Európai Parlament és a Tanács 1306/2013/EU rendelete (2013. december 17.) a közös agrárpolitika finanszírozásáról, irányításáról és monitoringjáról és a 352/78/EGK, a 165/94/EK, a 2799/98/EK, a 814/2000/EK, az 1290/2005/EK és a 485/2008/EK tanácsi rendelet hatályon kívül helyezéséről (HL L 347., 2013.12.20., 549. o.).
( 5 ) A Tanács 2009/315/IB kerethatározata (2009. február 26.) a bűnügyi nyilvántartásból származó információk tagállamok közötti cseréjének megszervezéséről és azok tartalmáról (HL L 93., 2009.4.7., 23. o.).
( 6 ) Az Európai Parlament és a Tanács (EU) 2015/2219 rendelete (2015. november 25.) az Európai Unió Bűnüldözési Képzési Ügynökségéről (CEPOL), valamint a 2005/681/IB tanácsi határozat felváltásáról és hatályon kívül helyezéséről (HL L 319., 2015.12.4., 1. o.).
( 7 ) Az Európai Parlament és a Tanács (EU) 2019/1148 rendelete (2019. június 20.) a robbanóanyag-prekurzorok forgalmazásáról és felhasználásáról, az 1907/2006/EK rendelet módosításáról, valamint a 98/2013/EU rendelet hatályon kívül helyezéséről (HL L 186, 2019.7.11., 1. o.).
( *1 ) Az anyagokat tartalmazó táblázat kiegészíthető a szükséges számú sorral.
( *2 ) A gazdasági szereplők héaazonosító számának érvényessége a Bizottság VIES honlapján ellenőrizhető. A nemzeti adatvédelmi szabályoktól függően egyes tagállamok az adott héaazonosító számhoz tartozó nevet és címet is megadják, mivel azokat rögzítik a nemzeti adatbázisokban.
Lábjegyzetek:
[1] A dokumentum eredetije megtekinthető CELEX: 32019R1148 - https://eur-lex.europa.eu/legal-content/HU/ALL/?uri=CELEX:32019R1148&locale=hu Utolsó elérhető, magyar nyelvű konszolidált változat CELEX: 02019R1148-20190711 - https://eur-lex.europa.eu/legal-content/HU/ALL/?uri=CELEX:02019R1148-20190711&locale=hu