32003L0097[1]
Az Európai Parlament és a Tanács 2003/97/EK irányelve (2003. november 10.) a közvetett látást biztosító eszközök és az ilyen eszközökkel felszerelt járművek típusjóváhagyására vonatkozó tagállami jogszabályok közelítéséről, a 70/156/EGK irányelv módosításáról és a 71/127/EGK irányelv hatályon kívül helyezéséről
AZ EURÓPAI PARLAMENT ÉS A TANÁCS 2003/97/EK IRÁNYELVE
(2003. november 10.)
a közvetett látást biztosító eszközök és az ilyen eszközökkel felszerelt járművek típusjóváhagyására vonatkozó tagállami jogszabályok közelítéséről, a 70/156/EGK irányelv módosításáról és a 71/127/EGK irányelv hatályon kívül helyezéséről
(EGT vonatkozású szöveg)
AZ EURÓPAI PARLAMENT ÉS AZ EURÓPAI UNIÓ TANÁCSA,
tekintettel az Európai Közösséget létrehozó szerződésre és különösen annak 95. cikkére,
tekintettel a Bizottság javaslatára ( 1 ),
tekintettel az Európai Gazdasági és Szociális Bizottság véleményére ( 2 ),
a Szerződés 251. cikkében megállapított eljárásnak megfelelően ( 3 ),
mivel:
(1) A gépjárművek visszapillantó tükreire vonatkozó tagállami jogszabályok közelítéséről szóló, 1971. március 1-jei 71/127/EGK tanácsi irányelvet ( 4 ) a gépjárművek és pótkocsijaik típusjóváhagyására vonatkozó tagállami jogszabályok közelítéséről szóló, 1970. február 6-i 70/156/EGK tanácsi irányelvvel ( 5 ) létrehozott EK-típusjóváhagyási eljárás egyik külön irányelveként fogadták el. Következésképpen, a 70/156/EGK irányelvben a járműrendszerekre, alkatrészekre és önálló műszaki egységekre vonatkozó rendelkezések a 71/127/EGK irányelvre is vonatkoznak.
(2) A meglévő rendelkezések - különösen az N2, N3, M2 és M3 kategóriák esetében - elégtelennek bizonyultak a jármű melletti, előtti és mögötti látótér meghatározása tekintetében. Ezért szükséges előírni a látótér kiterjesztését.
(3) A rendelkezésre álló tapasztalatok és a műszaki fejlődés jelenlegi állása alapján ma már lehetővé vált, hogy a 71/127/EGK irányelv bizonyos követelményeit a közlekedésbiztonság javítása érdekében szigorítsák, és a tükör mellett más alternatív műszaki megoldásokat engedélyezzenek.
(4) Figyelemmel a ma hatályos előírások szükséges módosításainak jellegére és számára, célszerű a 71/127/EGK irányelvet hatályon kívül helyezni és azt ezen irányelvvel felváltani. Mivel a 70/156/EGK irányelv szabályozza a típusjóváhagyást és a gyártásmegfelelőség ellenőrzését, a megfelelő rendelkezéseket nem szükséges ezen irányelvben megismételni.
(5) A 70/156/EGK irányelv mellékleteit ennek megfelelően módosítani kell,
ELFOGADTA EZT AZ IRÁNYELVET:
1. cikk
Ezen irányelv célja a közvetett látást biztosító eszközök, és az ilyen eszközökkel felszerelt járművek EK-típusjóváhagyására vonatkozó jogszabályok harmonizálása.
E szabályokat ezen irányelv mellékletei tartalmazzák.
Ezen irányelv alkalmazásában "jármű" bármely, a 70/156/EGK irányelv II. mellékletének A szakaszában meghatározott gépjármű.
2. cikk
(1) A tagállamok 2005. január 26-tól kezdődően a közvetett látást biztosító eszközökre vonatkozó indokok alapján:
- nem tagadhatják meg valamely járműre vagy közvetett látást biztosító eszközre az EK-típusjóváhagyás vagy nemzeti típusjóváhagyás megadását,
- nem tilthatják meg járművek vagy a közvetett látást biztosító eszközök értékesítését, nyilvántartásba vételét vagy forgalomba helyezését,
amennyiben a járművek vagy közvetett látást biztosító eszközök megfelelnek ezen irányelv előírásainak.
(2) A tagállamok 2006. január 26-tól kezdődően elutasítják az EK-típusjóváhagyás megadását a közvetett látást biztosító eszközre vonatkozó indokok alapján minden új típusú járműre vagy minden közvetett látást biztosító új típusú eszközre, ha ezen irányelv előírásai nem teljesülnek.
Azonban ezen időpontot 12 hónappal el kell halasztani a VI. osztályba tartozó, a mellső tükörre mint alkatrészre, és annak a járművekre történő felszerelésére vonatkozó előírások tekintetében.
(3) A tagállamok 2006. január 26-tól kezdődően megtiltják minden új típusú jármű nemzeti típusjóváhagyását a közvetett látást biztosító eszközre vonatkozó indok alapján, ha ezen irányelv előírásai nem teljesülnek.
Azonban ezen időpontot 12 hónappal el kell halasztani a VI. osztályba tartozó, a mellső tükörre mint alkatrészre, és annak a járművekre történő felszerelésére vonatkozó előírások tekintetében.
(4) Az M1 és N1 kategóriájú járművekre 2010. január 26-tól, a többi kategóriába tartozó összes járműre 2007. január 26-tól kezdődően a tagállamok a közvetett látást biztosító eszközre vonatkozó indokok alapján:
- az új járművekre a 70/156/EGK irányelv rendelkezéseinek megfelelően kiállított megfelelőségi igazolásokat már nem tekintik érvényesnek az irányelv 7. cikke (1) bekezdésének alkalmazásában, és
- megtiltják a járművek értékesítését, nyilvántartásba vételét vagy forgalomba helyezését,
amennyiben az ilyen járművek nem felelnek meg ezen irányelv előírásainak.
(5) Ezen irányelvnek a közvetett látást biztosító eszközre mint alkatrészre vonatkozó előírásait - a 70/156/EGK irányelv 7. cikke (2) bekezdésének céljára - az M1 és N1 kategóriájú járművekre 2010. január 26-tól, a többi kategóriába tartozó összes járműre 2007. január 26-tól kell alkalmazni.
(6) A (2) és az (5) bekezdés rendelkezéseinek sérelme nélkül, a pótalkatrészek céljaira a tagállamok továbbra is megadják az EK-típusjóváhagyást, és lehetővé teszik a 2007. január 26-a előtt a 71/127/EGK irányelv alapján jóváhagyott járműtípusokban való használatra szánt alkatrészek, illetve önálló műszaki egységek értékesítését és forgalomba helyezését, és adott esetben az ilyen jóváhagyások következő kiterjesztését.
(7) A (3) bekezdés rendelkezéseinek sérelme nélkül a tagállamok továbbra is megadhatják az M2 és M3 kategória I. osztályába tartozó, a 2001/85/EK rendelet ( 6 ) I. mellékletének 2.1.1.1. pontjában meghatározott legalább három, csuklóval összekapcsolt merev részből álló olyan új típusú csuklós jármű nemzeti típusjóváhagyását, amely nem felel meg ezen irányelv rendelkezéseinek, feltéve hogy az ezen irányelv III. melléklete 5. pontjában említett, a járművezető látóterére vonatkozó előírások teljesülnek.
(8) Az ezen irányelvben meghatározott rendelkezéseknek - az e területre vonatkozó jogszabályok nemzetközi harmonizálásával összefüggésben - hozzá kell járulniuk a védelem magas szintjének biztosításához. Ezért, amint ezen irányelv elfogadása után lehetséges, a Bizottság javaslatot terjeszt az Egyesült Nemzetek Európai Gazdasági Bizottsága elé annak érdekében, hogy az ENSZ-EGB 46. előírásának rendelkezéseit összehangolják ezen irányelv rendelkezéseivel.
3. cikk
A Bizottság 2010. január 26-ig részletes tanulmányt készít annak érdekében, hogy meggyőződjön arról, hogy az ezen irányelvvel bevezetett módosítások kedvező hatást gyakorolnak-e a közúti közlekedés biztonságára, különös tekintettel a gyalogosokra, kerékpárosokra és más veszélyeztetett úthasználókra. Az eredmények alapján a Bizottság, adott esetben javaslatot tesz további jogszabályokra a közvetett látás további javítása érdekében.
4. cikk
A 70/156/EGK irányelv a következők szerint módosul:
1. az I. mellékletben a 9.9. pont helyébe a következő szöveg lép:
"9.9. Közvetett látást biztosító eszközök
9.9.1. Tükrök (minden egyes tükörre meg kell adni): ...
9.9.1.1.1. Gyártmány: ...
9.9.1.2. EK-típusjóváhagyási jel: ...
9.9.1.3. Változat: ...
9.9.1.4. Rajz(ok) a tükör azonosításához, bemutatva a tükör elhelyezését a jármű felépítményéhez viszonyítva: ...
9.9.1.5. A rögzítés módjának pontos adatai, beleértve a járműszerkezetnek azon részét, amelyhez rögzítették: ...
9.9.1.6. Járulékos felszerelés, amely a hátsó látóteret befolyásolhatja: ...
9.9.1.7. A beállító rendszer elektronikus szerkezeti elemeinek (ha van ilyen) rövid leírása: ...
9.9.2. A közvetett rálátást segítő egyéb eszközök (a tükör kivételével): ...
9.9.2.1. Típus és jellemzők (például az eszköz teljes körű leírása): ...
9.9.2.1.1. Kamera/monitor rendszer esetén az észlelési távolság (mm), a kontraszt, fénysűrűség-tartomány, zavaró fények kiküszöbölése, kijelző teljesítménye (fekete-fehér/színes), képfrissítési frekvencia, a monitor fénysűrűség-tartománya: ...
9.9.2.1.2. Elegendően részletes rajzok a teljes eszköz bemutatásához, beleértve a szerelési utasításokat is; az EK-típusjóváhagyási jel helyét fel kell tüntetni a rajzokon: ..."
2. a III. mellékletben a 9.9. pont helyére az alábbi szövegrész lép:
"9.9. Közvetett látást biztosító eszközök
9.9.1. Tükrök (minden egyes tükörre meg kell adni): ...
9.9.1.1.1. Gyártmány: ...
9.9.1.2. EK-típusjóváhagyási jel: ...
9.9.1.3. Változat: ...
9.9.1.4. Rajz(ok) a tükör azonosításához, bemutatva a tükör elhelyezését a jármű felépítményéhez viszonyítva: ...
9.9.1.5 A rögzítés módjának pontos adatai, beleértve a felépítményének azon részét, amelyhez azt rögzítették: ...
9.9.1.6. Járulékos felszerelés, amely a hátsó látóteret befolyásolhatja: ...
9.9.1.7. A beállító rendszer elektronikus szerkezeti elemeinek (ha van ilyen) rövid leírása: ...
9.9.2. A közvetett látást biztosító egyéb eszközök (a tükör kivételével): ...
9.9.2.1. Típus és jellemzők (például az eszköz teljes körű leírása): ...
9.9.2.1.1. Kamera/monitor rendszer esetén az észlelési távolság (mm), a kontraszt, fénysűrűség-tartomány, zavaró fények kiküszöbölése, kijelző teljesítménye (fekete-fehér/színes), képfrissítési frekvencia, a monitor fénysűrűség-tartománya: ...
9.9.2.1.2. Elegendően részletes rajzok a teljes eszköz bemutatásához, beleértve a szerelési utasításokat is; az EK-típusjóváhagyási jel helyét fel kell tüntetni a rajzokon: ..."
3. a IV. melléklet az alábbiak szerint módosul:
- a táblázat I. részének 8. pontja helyébe az alábbi lép:
-
„Jóváhagyás tárgya | Irányelv száma | Hivatkozás a Hivatalos Lapban | Alkalmazás az egyes járműkategóriákon | |||||||||
M1 | M2 | M3 | N1 | N2 | N3 | O1 | O2 | O3 | O4 | |||
… | ||||||||||||
8. Közvetett látást biztosító eszközök | 2003/97/EK | L 25, 2004.1.29 | X | X | X | X | X | X” |
- az I. rész 8. pontjában a "visszapillantó tükrök" kifejezés helyébe a "közvetett látást biztosító eszközök" lép,
- a II. rész 8. pontjában a "visszapillantó tükrök" kifejezés helyébe a "közvetett látást biztosító eszközök" lép.
4. a XI. melléklet 1. és 2. függelékének 8. pontjában a "visszapillantó tükrök" kifejezés helyébe a "közvetett látást biztosító eszközök" lép.
5. cikk
(1) A tagállamok hatályba léptetik azokat a törvényi, rendeleti és közigazgatási rendelkezéseket, amelyek szükségesek ahhoz, hogy ennek az irányelvnek 2005. január 24-e előtt megfeleljenek. Erről haladéktalanul tájékoztatják a Bizottságot.
Amikor a tagállamok ezeket az intézkedéseket elfogadják, azokban hivatkozni kell erre az irányelvre, vagy azokhoz hivatalos kihirdetésük alkalmával ilyen hivatkozást kell fűzni. A hivatkozás módját a tagállamok határozzák meg.
(2) A tagállamok közlik a Bizottsággal nemzeti joguknak azokat a főbb rendelkezéseit, amelyeket az ezen irányelv által szabályozott területen fogadnak el.
6. cikk
A 71/127/EGK irányelv 2010. január 24-től hatályát veszti.
A hatályon kívül helyezett irányelvre történő hivatkozásokat az ezen irányelvre történő hivatkozásokként kell értelmezni, és a IV. mellékletben foglalt megfelelési táblázat szerint kell olvasni.
7. cikk
Ez az irányelv az Európai Unió Hivatalos Lapjában való kihirdetésének napján lép hatályba.
8. cikk
Ennek az irányelvnek a tagállamok a címzettjei.
MELLÉKLETEK JEGYZÉKE
I. melléklet | Fogalommeghatározások és az EK-típusjóváhagyásra vonatkozó közigazgatási rendelkezések | |
1. függelék | A közvetett látást segítő eszköz EK-típusjóváhagyására vonatkozó adatközlő lap | |
2. függelék | A közvetett látást segítő eszköz EK-alkatrész-típusbizonyítványának mintája | |
3. függelék | Az EK-jármű-típusjóváhagyásra vonatkozó adatközlő lap | |
4. függelék | Az EK-jármű-típusbizonyítvány mintája, a közvetett látást biztosító eszközök felszerelésére tekintettel | |
5. függelék | EK-alkatrész-típusjóváhagyási jel | |
6. függelék | A H pont meghatározására és az R, illetve a H pontok egymáshoz viszonyított helyzetének vizsgálatára szolgáló eljárás | |
II. melléklet | Kialakítási előírások és vizsgálatok a közvetett látást biztosító eszközök EK-alkatrész-típusjóváhagyásához | |
1. függelék | A tükör fényvisszaverő felülete „r” görbületi sugarának meghatározására szolgáló eljárás | |
2. függelék | A fényvisszaverő képesség meghatározásának vizsgálati módszere | |
III. melléklet | A tükrök és más, közvetett látást biztosító eszközök járműre történő felszerelésére vonatkozó előírások | |
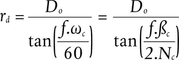
Függelék | Az észlelési távolság számítása | |
IV. melléklet | A 6. cikkben előírt megfelelési táblázat |
I. MELLÉKLET
FOGALOMMEGHATÁROZÁSOK ÉS AZ EK-TÍPUSJÓVÁHAGYÁSRA VONATKOZÓ KÖZIGAZGATÁSI RENDELKEZÉSEK
1. FOGALOMMEGHATÁROZÁSOK
1.1. "Közvetett látást biztosító eszközök": a jármű körüli, közvetlenül nem látható útfelület megfigyeléséhez szükséges eszközök. Ezek lehetnek hagyományos tükrök, kamera/monitor rendszerek vagy más olyan eszközök, amelyek képesek a járművezetőnek a közvetett látótérről információt közvetíteni.
1.1.1. "Tükör": minden olyan eszköz, kivéve a periszkópokat és hasonló készülékeket, amelynek célja, hogy a III. melléklet 5. pontjában meghatározott látótéren belül a jármű mögötti, melletti vagy előtti területre tiszta rálátást biztosítson.
1.1.1.1. "Belső tükör": az 1.1. pontban meghatározott olyan eszköz, amely a jármű utasterében rögzíthető.
1.1.1.2. "Külső tükör": az 1.1. pontban meghatározott olyan eszköz, amely a jármű külső felületére rögzíthető.
1.1.1.3. "Ellenőrző tükör": az 1.1.1. pontban meghatározottaktól különböző tükör, amely a jármű belsejében vagy külső felületére szerelhető fel, hogy rálátást biztosítson a III. melléklet 5. pontjában meghatározott látótéren kívüli látótérre.
1.1.1.4. "r": a fényvisszaverő felületen a II. melléklet 1. függelékének 2. pontjában leírt módszer szerint mért görbületi sugarak középértéke.
1.1.1.5. "A fényvisszaverő felület egy pontján a fő görbületi sugarak (ri)": a II. melléklet 1. függelékében meghatározott készülék alkalmazásával nyert értékek, amelyeket a II. melléklet 2.2.1. pontjában meghatározott b szakasszal párhuzamos fényvisszaverő felület középpontján keresztül áthaladó íven, illetve az e szakaszra merőleges íven mérnek.
1.1.1.6. "Görbületi sugár a fényvisszaverő felület egy pontján (rp)": az ri és r'i fő görbületi sugarak számtani átlaga, azaz:

1.1.1.7. "Gömbfelület": olyan felület, amelynek görbületi sugara minden irányban azonos és állandó.
1.1.1.8. "Aszférikus felület": olyan felület, amelynek görbületi sugara csak egy síkban állandó.
1.1.1.9. "Aszférikus tükör": szférikus és aszférikus részből álló tükör, amelyen a fényvisszaverő felület átmenetét a szférikusról az aszférikus részre jelölni kell. A tükör fő tengelyének görbületét az elsődleges szférikus gömbsüveg sugara által meghatározott x-y koordinátarendszerben az alábbi képlet szerint állapítható meg:

R : a szférikus rész névleges sugara
k : a görbület változásának állandója
a : az elsődleges szférikus gömbsüveg méretének állandója
1.1.1.10. "A fényvisszaverő felület középpontja": a fényvisszaverő felület látható területének súlypontja.
1.1.1.11. "A tükör alkotórészei görbületi sugara": annak a körívnek a "c" sugara, amely a leginkább közelíti a meghatározott rész görbületét.
1.1.1.12. "A vezető szemeinek helye": az a két pont, amely egymástól 65 mm-re, a vezetőülés e melléklet 6. függelékében meghatározott R pontja felett függőleges irányban 635 mm távolságra helyezkedik el. Rögzített dőlésszögű üléstámlával rendelkező ülés esetében a vezető szemei helyének összhangban kell lennie az ezen melléklet 7. függelékében előírtakkal. A két pontot összekötő egyenes merőleges a jármű függőleges hosszanti középsíkjára. A szem e két pontját összekötő szakasz középpontja abban a függőleges hosszanti síkban helyezkedik el, amelynek át kell haladnia a vezetőülésnek a jármű gyártója által megadott középpontján.
1.1.1.13. "Ambinokuláris látás": a jobb és a bal oldali szem monokuláris látóterének egymásra helyezésével létrejövő teljes látótér (lásd az alábbi 1. ábrát).

1.1.1.14. "Tükörosztály": azon eszközök összessége, amelyeknek egy vagy több közös jellemzője vagy funkciója van. Osztályozásuk a következő:
- I. osztály: "belső visszapillantó tükör", amely a III. melléklet 5.1. pontjában meghatározott látóteret biztosítja,
- II. és III. osztály: "fő külső visszapillantó tükör", amely a III. melléklet 5.2. és 5.3. pontjában meghatározott látóteret biztosítja,
- IV. osztály: "széles látószögű külső tükör", amely a III. melléklet 5.4. pontjában meghatározott látóteret biztosítja,
- V. osztály: "külső közeltéri tükör", amely a III. melléklet 5.5. pontjában meghatározott látóteret biztosítja,
- VI. osztály: "mellső tükör", amely a III. melléklet 5.6. pontjában meghatározott látóteret biztosítja.
1.1.2. "Közvetett látást biztosító kamera/monitor rendszer": az 1.1. pont szerinti olyan eszköz, amely a rálátást az 1.1.2.1. és 1.1.2.2. pontban meghatározott kamera és monitor kombinációja segítségével biztosítja.
1.1.2.1. "Kamera": olyan eszköz, amely a külvilág képeit lencse segítségével az elektronikus fényérzékelőre továbbítja, amely ezt a képet videojellé alakítja át.
1.1.2.2. "Monitor": olyan eszköz, amely a videojeleket a látható spektrumban képpé alakítja át.
1.1.2.3. "Észlelés": meghatározott távolságban lévő valamely tárgynak a háttértől vagy a környezettől történő megkülönböztetésének képessége.
1.1.2.4. "Fénysűrűség-különbség": a fényerőkülönbség valamely tárgy és annak közvetlen háttere/környezete között, amely lehetővé teszi, hogy a tárgyat hátterétől/környezetétől megkülönböztessék.
1.1.2.5. "Felbontás": az a legkisebb részlet, amely az észlelőrendszerrel felismerhető, azaz a nagyobb egésztől különálló részként észlelhető. Az emberi szem felbontását látásélességnek nevezik.
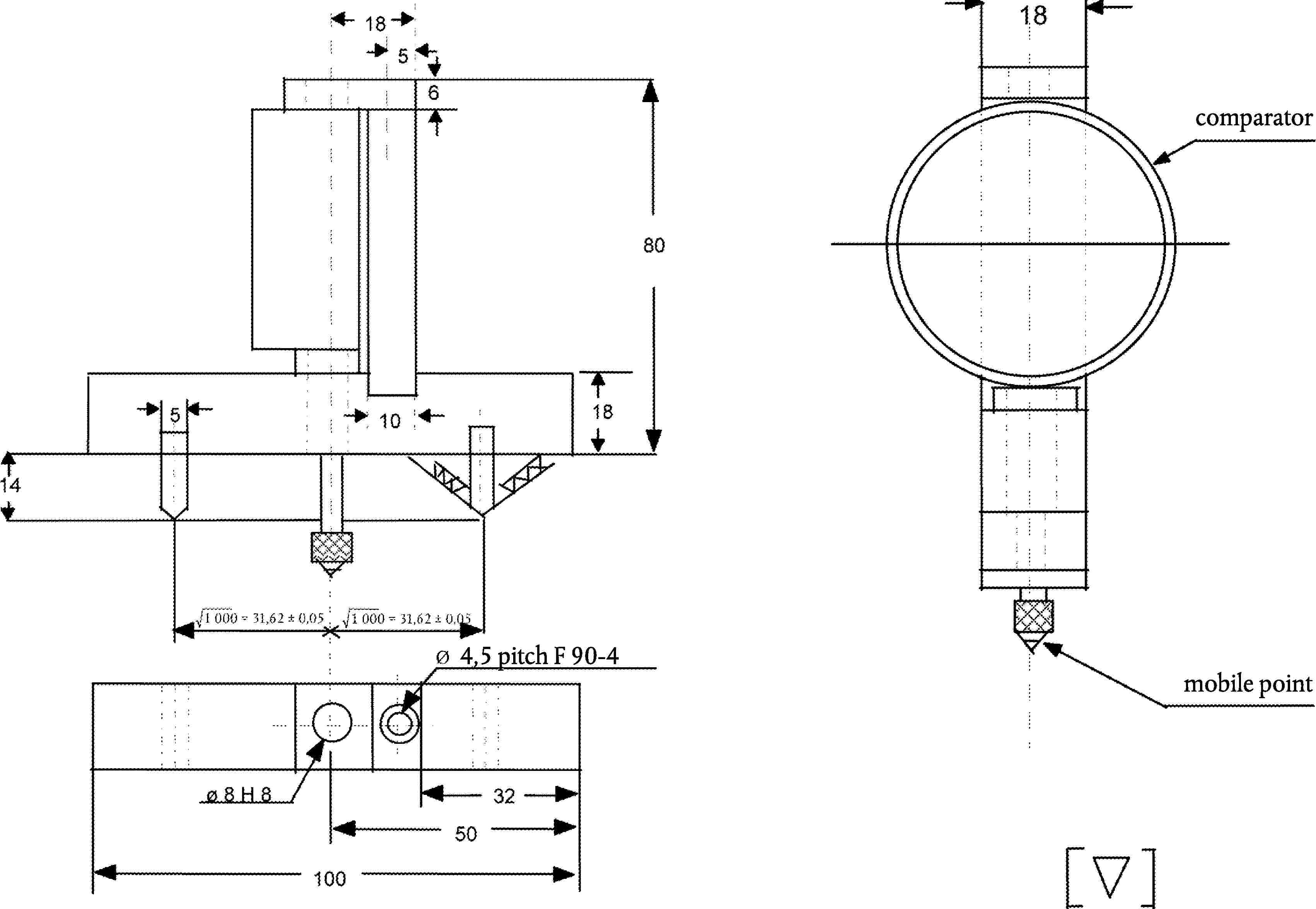
1.1.2.6. "Kritikus tárgy": a D0 = 0,8 m ( 7 ) átmérőjű kör alakú tárgy.
1.1.2.7. "Kritikus észlelés": az észlelésnek az a szintje, amelyre az emberi szem különféle feltételek mellett általában képes. A közúti közlekedésben a kritikus észlelés határértéke a látószög nyolc ívperce.
1.1.2.8. "Látótér": a háromdimenziós térnek az a része, amelyben a kritikus tárgyat a közvetett látást biztosító eszköz észleli és megmutatja. Ezt a látóteret az eszköz által a földfelszínen belátható tér mérete és formája határozza meg, amit az eszköz észlelési távolsága behatárol.
1.1.2.9. "Észlelési távolság": a földfelszínen mért távolság a látási vonatkoztatási pont és a legtávolabbi pont között, ahol a kritikus tárgy még éppen észlelhető (azaz a kiterjedése a kritikus észlelési teljesítménynek felel meg).
1.1.2.10. "Kritikus látótér": azon terület, amelyben a kritikus tárgyat a közvetett látást biztosító eszközzel észlelni kell, amelyet egy szög és egy vagy több észlelési távolság határoz meg.
1.1.2.11. "Látási vonatkoztatási pont": a járműhöz viszonyított pont, amelyre az előírt látótér vonatkozik. Ez a pont a járművezető szemének pontjain áthaladó függőleges síknak a jármű középső hosszanti síkjával párhuzamos, a járművön kívül 20 cm-re párhuzamosan elhelyezkedő síkkal való metszésvonalának a talajra történő vetítése.
1.1.2.12. "Látható spektrum": az emberi szem észlelési tartományán belüli hullámhosszúságú fény: 380-780 nm.
1.1.3. "A közvetett látást biztosító egyéb eszközök": az 1.1. pontban meghatározott eszközök, amelyeknél a látóteret nem tükör vagy a közvetett látást biztosító kamera/monitor rendszer segítségével hozzák létre.
1.1.4. "A közvetett látást biztosító eszköztípus": olyan eszközök összessége, amelyek az alábbi lényeges jellemzőik tekintetében nem különböznek egymástól:
- a készülék kialakítása, ideértve adott esetben a felépítményre történő rögzítés módját,
- tükrök esetén az osztály, az alak, a méretek és a fényvisszaverő felület görbületi sugara,
- kamera/monitor rendszerek esetén az észlelési távolság és a látószög.
1.2. "M1, M2, M3, N1, N2, N3 kategóriájú járművek": a 70/156/EGK irányelv II. mellékletének A. részében meghatározott járművek.
1.2.1. "Járműtípus a közvetett látás tekintetében": azon gépjárművek, amelyek az alábbi lényeges tulajdonságaik tekintetében nem különböznek egymástól:
1.2.1.1. a közvetett látást biztosító eszköz típusa;
1.2.1.2. a felépítmény azon részei, amelyek a látóteret korlátozzák;
1.2.1.3. az R pont koordinátái;
1.2.1.4. a kötelező és (amennyiben felszerelték) az engedélyezett közvetett látást biztosító eszközök előírt elhelyezése és típus-jóváhagyási jele.
2. A KÖZVETETT LÁTÁST BIZTOSÍTÓ ESZKÖZ EK-ALKATRÉSZ-TÍPUSJÓVÁHAGYÁSA IRÁNTI KÉRELEM
2.1. Az EK-alkatrész-típusjóváhagyás iránti kérelmet a közvetett látást biztosító eszköztípusra a gyártó nyújtja be.
2.2. Az adatközlő lap mintáját e melléklet 1. függeléke tartalmazza.
2.3. Minden közvetett látást biztosító eszköztípus esetén a kérelemhez csatolni kell:
2.3.1. Tükrök esetén négy mintát: hármat a vizsgálatokhoz, és egyet, amelyet a laboratórium tart vissza a későbbiekben esetlegesen szükségesnek bizonyuló vizsgálatokhoz. A laboratórium további mintákat kérhet.
2.3.2. Egyéb közvetett látást biztosító eszközök esetén minden alkatrészből egy mintát.
3. JELÖLÉSEK
A tükör vagy a közvetett látást biztosító eszköztípus mintáit az EK-alkatrész-típusjóváhagyásra benyújtott tükör kivételével el kell látni a kérelmező jól látható és kitörölhetetlen védjegyével vagy nevével, és elegendő helyet kell biztosítani az EK-alkatrész-típusjóváhagyási jel feltüntetésére; ezt a helyet az e melléklet 1. függelékének 1.2.1.2. pontjában említett rajzokon jelölni kell.
4. EK-JÁRMŰ-TÍPUSJÓVÁHAGYÁS IRÁNTI KÉRELEM A KÖZVETETT LÁTÁST BIZTOSÍTÓ ESZKÖZÖK FELSZERELÉSÉRE TEKINTETTEL
4.1. Az EK-jármű-típusjóváhagyás iránti kérelmet a közvetett látást biztosító eszközökre a gyártó nyújtja be.
4.2. Az adatközlő lap mintáját e melléklet 3. függeléke tartalmazza.
4.3. Minden járműtípus esetében a kérelemhez csatolni kell:
4.3.1. Egy, a típust reprezentáló járművet, amelyet ha szükséges, a vizsgálatok elvégzéséért felelős műszaki szolgálat egyetértésével kell meghatározni.
5. AZ EK-ALKATRÉSZ-TÍPUSJÓVÁHAGYÁS
5.1. A vonatkozó előírásoknak való megfelelés esetén bármilyen tükör vagy a tükörtől eltérő közvetett látást biztosító eszköz tekintetében az EK-alkatrész-típusjóváhagyást meg kell adni, és a 70/156/EGK irányelv VII. melléklete szerint az alkatrész-típusjóváhagyási számot ki kell adni.
5.2. E szám a közvetett látást biztosító más eszköztípushoz nem adható ki.
5.3. Az EK-típusbizonyítvány mintáját e melléklet 2. függeléke tartalmazza.
6. JELÖLÉS
Minden, a közvetett látást biztosító olyan eszközt, amely megfelel egy ezen irányelv alapján jóváhagyott típusnak, el kell látni az 5. függelékben meghatározott EK-alkatrész-típusjóváhagyási jellel.
7. EK-JÁRMŰ-TÍPUSJÓVÁHAGYÁS
7.1. A vonatkozó előírásoknak való megfelelés esetén bármilyen járműtípusra meg kell adni az EK-jármű-típusjóváhagyást.
7.2. Az EK-típusbizonyítvány mintáját e melléklet 4. függeléke tartalmazza.
7.3. A 70/156/EGK irányelv VII. mellékletének megfelelően, minden járműtípushoz típus-jóváhagyási számot kell hozzárendelni. A tagállamok ugyanazt a számot más járműtípushoz nem adhatják ki.
8. TÍPUSMÓDOSÍTÁSOK ÉS A TÍPUSJÓVÁHAGYÁSOK MÓDOSÍTÁSAI
8.1. Amennyiben az ezen irányelv alapján jóváhagyott járműtípuson vagy a közvetett látást biztosító eszköztípuson típusmódosításokat hajtanak végre, az 50/156/EGK irányelv 5. cikkének rendelkezéseit kell alkalmazni.
9. A GYÁRTÁS MEGFELELŐSÉGE (JÁRMŰVEK ÉS ALKATRÉSZEK)
9.1. A gyártás megfelelőségének biztosítására a 70/156/EGK irányelv 10. cikkében meghatározott rendelkezéseknek megfelelő intézkedéseket kell hozni.
1. függelék
.... számú adatközlő lap a közvetett látást biztosító eszköz EK-típusjóváhagyásához
Az Európai Parlament és a Tanács 2003/97/EK irányelve
Az alábbi adatokat, szükség szerint, három példányban, tartalomjegyzékkel együtt kell benyújtani. A rajzokat a megfelelő méretben és elegendő részletességgel, A4-es formátumban vagy A4-es formátumra összehajtva kell benyújtani. Ha fényképeket nyújtanak be, azoknak elegendően részletesnek kell lenniük.
0. ÁLTALÁNOS
0.1. Gyártmány (a gyártó kereskedelmi neve): ...
0.2. Típus: ...
0.3. Típusazonosítás módja, ha jelölve van az eszközön: ...
0.4. Járműkategória, amelyhez az eszközt tervezték: ...
0.5. A gyártó neve és címe: ...
0.7. Az EK-típusjóváhagyási jel helye és rögzítésének módja: ...
0.8. A gyártóműhely(ek) címe(i): ...
1. A KÖZVETETT LÁTÁST BIZTOSÍTÓ ESZKÖZ
1.1. Tükrök (minden egyes tükörre meg kell adni):
1.1.3. Változat: ...
1.1.4. A tükör bemutatására szolgáló rajz(ok): ...
1.1.5. A rögzítés módjának pontos adatai: ...
1.2. Közvetett látást biztosító eszközök a tükör kivételével:
1.2.1. A típus és jellemzők (például az eszköz teljes leírása): ...
1.2.1.1. Kamera/monitor rendszer esetén az észlelési távolság (mm), a kontraszt, fénysűrűség-tartomány, zavaró fények kiküszöbölése, kijelző teljesítménye (fekete-fehér/színes), képfrissítési frekvencia, a monitor fénysűrűség-tartománya: ...
1.2.1.2. Megfelelően részletezett rajzok a teljes eszköz bemutatásához, beleértve a szerelési utasításokat is; az EK-típusjóváhagyási jel helyét a rajzokon jelölni kell: ...
2. függelék
A közvetett látást biztosító eszköz EK-alkatrész-típusbizonyítványának mintája

3. függelék
... számú adatközlő lap EK-járműtípusjóváhagyáshoz
Az Európai Parlament és a Tanács 2003/97/EK irányelve
Az alábbi adatokat, szükség szerint, három példányban, tartalomjegyzékkel együtt kell benyújtani. A rajzokat a megfelelő méretben és elegendő részletességgel, A4-es formátumban vagy A4-es formátumra összehajtva kell benyújtani. Ha fényképeket nyújtanak be, azoknak elegendően részletesnek kell lenniük.
0. ÁLTALÁNOS
0.1. Gyártmány (a gyártó kereskedelmi neve...
0.2. Típus:...
0.2.1. Kereskedelmi név (ha alkalmazható): ...
0.3. Típusazonosítás módja, ha jelölve van a járművön: ...
0.3.1. A jelölés helye: ...
0.4. A jármű kategóriája ( 8 ): ...
0.5. A gyártó neve és címe: ...
0.8. A gyártóműhely(ek) címe(i...
1. A JÁRMŰ ÁLTALÁNOS SZERKEZETI JELLEMZŐI
1.1. Egy reprezentatív járműről készített fényképek és/vagy rajzok: ...
1.7. Vezetőfülke (motor feletti vezetőfülkés vagy hagyományos motor mögötti) ( 9 ): ...
1.8. Kormány helye: bal/jobb (9) : ...
1.8.1. A jármű jobboldali/baloldali közlekedésre van kialakítva (9) : ...
2.4. A jármű mérettartománya (teljes): ...
2.4.1. Felépítmény nélküli alvázra:...
2.4.1.2. Szélesség (k): ...
2.4.1.2.1. Legnagyobb megengedett szélesség: ...
2.4.1.2.2. Legkisebb megengedett szélesség: ...
2.4.2. Felépítménnyel ellátott alvázra: ...
2.4.2.2. Szélesség (k): ...
9. FELÉPÍTMÉNY
9.9. Közvetett látást biztosító eszközök: ...
9.9.1. Tükrök: ...
9.9.1.4. Rajz(ok) a tükör azonosításához, bemutatva a tükör elhelyezését a jármű felépítményéhez viszonyítva: ...
9.9.1.5. A rögzítés módjának pontos adatai, beleértve a jármű felépítményének azon részét, amelyhez rögzítették: ...
9.9.1.6. Járulékos felszerelés, amely a hátsó látóteret befolyásolhatja: ...
9.9.1.7. A beállító rendszer elektronikus szerkezeti elemeinek (ha van ilyen) rövid leírása: ...
9.9.2. A közvetett látást biztosító egyéb eszközök (a tükör kivételével): ...
9.9.2.1.2. Elegendően részletes rajzok szerelési utasításokkal együtt: ...
4. függelék
Az EK-jármű-típusbizonyítvány mintája, a közvetett látást biztosító eszközök felszerelésére tekintettel


5. függelék
EK-alkatrész-típusjóváhagyási jel
1. ÁLTALÁNOS
1.1. Az EK-alkatrész-típusjóváhagyási jel egy téglalapból áll, amelyben egy "e" betű van elhelyezve, amelyet a típusjóváhagyást kiadó tagállam megkülönböztető számjele követ: 1 - Németország, 2 - Franciaország, 3 - Olaszország, 4 - Hollandia, 5 - Svédország, 6 - Belgium, 7 - Magyarország, 8 - Cseh Köztársaság, 9 - Spanyolország, 11 - Egyesült Királyság, 12 - Ausztria, 13 - Luxemburg, 17 - Finnország, 18 - Dánia, 19 Románia esetében, 20 - Lengyelország, 21 - Portugália, 23 - Görögország, 24 - Írország, 26 - Szlovénia, 27 - Szlovákia, 29 - Észtország, 32 - Lettország, 34 Bulgária esetében, 36 - Litvánia, 49 - Ciprus, 50 - Málta. A típus-jóváhagyási jel magában foglalja a téglalap közelében elhelyezett EK-alkatrész-típusjóváhagyási számot. E szám a típusra kibocsátott bizonyítványon feltüntetett alkatrész-típusjóváhagyási számból áll (lásd a 3. függeléket); e szám elé két számjegy kerül, amely megfelel ezen irányelv legutóbbi módosítása sorszámának, amely az EK-alkatrész-típusjóváhagyás megadásának időpontjában hatályban volt. A módosítás sorszámát és a bizonyítványon feltüntetett alkatrész-típusjóváhagyási számot csillag választja el. Ezen irányelvben a sorozatszám 03.
1.2. Az EK-alkarész-típusjóváhagyási jelet az I., II., III., IV., V vagy VI. jellel kell kiegészíteni, ez határozza meg azt az osztályt, amelyhez a tükörtípus tartozik, illetve az S jel a közvetett látást biztosító, a tükrön kívüli bármilyen más eszköz esetében. E kiegészítő jelet bármilyen alkalmas helyre el lehet helyezni az "e" betűt tartalmazó téglalap közelében.
1.3. Az EK-alkatrész-típusjóváhagyási jelet és a kiegészítő jelzést úgy kell a tükör, vagy bármilyen más közvetett látást biztosító eszköz valamely lényeges részén elhelyezni, hogy az kitörölhetetlen, és a tükör vagy a közvetett látást biztosító más eszköz járműre történő felszerelése után is jól látható legyen.
2. PÉLDÁK AZ EK-ALKATRÉSZTÍPUSJÓVÁHAGYÁSI JELRE
2.1. Az alábbiakban öt példa látható az EK-alkatrész-típusjóváhagyási jelre, a kiegészítő jelzéssel együtt.
1. példa

A fent bemutatott EK-alkatrész-típusjóváhagyási jellel ellátott tükör az I. osztályba tartozik (belső visszapillantó tükör), amelyet Franciaországban (e2) a 03*3500 számon hagytak jóvá.
2. példa

A fent bemutatott EK-alkatrész-típusjóváhagyási jellel ellátott tükör a II. osztályba tartozik (külső visszapillantó tükör), amelyet Hollandiában (e4) a 03*1870 számon hagytak jóvá.
3. példa

A fent bemutatott EK-alkatrész-típusjóváhagyási jellel ellátott tükör az V. osztályba tartozik (külső közeltéri tükör), amelyet Görögországban (e23) a 03*3901 számon hagytak jóvá.
4. példa

A fent bemutatott EK-alkatrész-típusjóváhagyási jellel ellátott tükör a IV. osztályba tartozik (széles látószögű külső visszapillantó tükör), amelyet Olaszországban (e3) a 03*1248 számon hagytak jóvá.
5. példa

Magyarázat:
A fent bemutatott EK-alkatrész-típusjóváhagyási jellel ellátott termék tükrön kívüli közvetett látást biztosító eszköz (S), amelyet Hollandiában (e4) a 03*3002 számon hagytak jóvá.
6. függelék
A H pont meghatározására és az R, illetve a H pontok egymáshoz viszonyított helyzetének vizsgálatára szolgáló eljárás
A 77/649/EGK irányelv III. melléklete vonatkozó részeit kell alkalmazni.
7. függelék
Rögzített dőlésszögű üléstámlával rendelkező ülés esetén a vezető két szeme helyének meghatározása
1. A szemek R ponthoz viszonyított helyzetét az alábbi táblázatban feltüntetett adatoknak megfelelően kell beállítani a háromdimenziós koordináta-rendszer X koordinátái alapján. A táblázat a 25 fokos dőlésszögű rögzített üléstámlához tartozó alapkoordinátákat tartalmazza. A koordinátákhoz tartozó háromdimenziós koordináta-rendszer megfelel a módosított 77/649/EGK irányelv I. melléklete 2.3. pontjában meghatározottaknak.
Üléstámla dőlésszöge | Vízszintes koordináták |
(fok) | ΔX |
25 | 68 mm |
2. A nem 25 fokos dőlésszögű rögzített üléstámlákra vonatkozó további korrekció
Azokban az esetekben, amikor a tervezett üléstámla dőlésszöge nem 25 fok, az alábbi táblázatban található a 25 fokos rögzített dőlésszögű üléstámlának megfelelő szemhelyzethez képest a szemhelyzetek X és Z koordinátáinak további korrekciója.
Üléstámla dőlésszöge | Vízszintes koordináták | Függőleges koordináták |
(fok) | ΔX | ΔZ |
5 | – 186 mm | 28 mm |
6 | – 177 mm | 27 mm |
7 | – 167 mm | 27 mm |
8 | – 157 mm | 27 mm |
9 | – 147 mm | 26 mm |
10 | – 137 mm | 25 mm |
11 | – 128 mm | 24 mm |
12 | – 118 mm | 23 mm |
13 | – 109 mm | 22 mm |
14 | – 99 mm | 21 mm |
15 | – 90 mm | 20 mm |
16 | – 81 mm | 18 mm |
17 | – 72 mm | 17 mm |
18 | – 62 mm | 15 mm |
19 | – 53 mm | 13 mm |
20 | – 44 mm | 11 mm |
21 | – 35 mm | 9 mm |
22 | – 26 mm | 7 mm |
23 | – 18 mm | 5 mm |
24 | – 9 mm | 3 mm |
25 | 0 mm | 0 mm |
26 | 9 mm | – 3 mm |
27 | 17 mm | – 5 mm |
28 | 26 mm | – 8 mm |
29 | 34 mm | – 11 mm |
30 | 43 mm | – 14 mm |
31 | 51 mm | – 18 mm |
32 | 59 mm | – 21 mm |
33 | 67 mm | – 24 mm |
34 | 76 mm | – 28 mm |
35 | 84 mm | – 32 mm |
36 | 92 mm | – 35 mm |
37 | 100 mm | – 39 mm |
38 | 108 mm | – 43 mm |
39 | 115 mm | – 48 mm |
40 | 123 mm | – 52 mm |
II. MELLÉKLET
KIALAKÍTÁSI ELŐÍRÁSOK ÉS VIZSGÁLATOK A KÖZVETETT LÁTÁST BIZTOSÍTÓ ESZKÖZÖK EK-ALKATRÉSZTÍPUSJÓVÁHAGYÁSÁHOZ
A. TÜKRÖK
1. Általános előírások
1.1. Minden tükörnek állíthatónak kell lennie.
1.2. A fényvisszaverő felületet egy védőburkolatba (foglalat, stb.) kell foglalni, a ház peremének minden helyen és minden irányban "c" ≥ 2,5 mm értékkel kell rendelkeznie. Ha a fényvisszaverő felület túlnyúlik a védőburkolaton, akkor a védőburkolaton túlnyúló részre a "c" görbületi sugárnak ≥ 2,5 milliméternek kell lennie, és a fényvisszaverő felületnek vissza kell térnie a védőburkolatba, ha a védőburkolatból legjobban kiálló részen 50 N értékű vízszintes, a jármű hosszanti középsíkjával közel párhuzamos erőhatás éri.
1.3. Amennyiben a visszapillantó tükröt sík felületen helyezik el, akkor minden részének, amely statikus feltételek mellett bármilyen beállítás esetén belső tükörnél 165 mm átmérőjű gömbbel, külső tükörnél 100 mm átmérőjű gömbbel érintkezhet, valamint azoknak a részeknek, amelyek a 4.2. pont szerinti vizsgálat alapján a járművön maradnak, "c" ≥ 2,5 mm görbületi sugárral kell rendelkezniük.
1.3.1. A felerősítési lyukak peremeire és a 12 milliméternél kisebb átmérőjű vagy hosszabbik átlóval rendelkező hornyokra nem vonatkoznak az 1.3. pontjának a görbületi sugarakra előírt követelményei, amennyiben ezek lekerekítettek.
1.4. A tükröket a járműre rögzítő eszközt úgy kell kialakítani, hogy a 70 mm sugarú henger, amelynek tengelye a forgástengely vagy a forgástengelyek egyike, amely(ek) körül az ütközés esetén a visszapillantó tükör a kívánt irányba elmozdul, az eszköz rögzítő felületét legalább részben metssze.
1.5. A külső visszapillantó tükrökre nem vonatkoznak az 1.2. és 1.3. pontban említett rendelkezések, ha ezek olyan anyagokból készülnek, amelyek keménysége nem haladja meg a 60 Shore A értéket.
1.6. A belső visszapillantó tükröknél az 1.2. és az 1.3. pont rendelkezései csak a merev rögzítő szerkezetekre és az 50 Shore A-nál nagyobb keménységű alkatrészekre vonatkoznak.
2. Méretek
2.1. Belső visszapillantó tükrök (I. osztály)
A fényvisszaverő felület méretezésének olyannak kell lennie, hogy abba bele lehessen helyezni egy téglalapot, amelynek egyik oldala 40 mm, és a másik oldala "a" mm hosszúságú, ahol:

és r' a görbületi sugár.
2.2. Fő külső visszapillantó tükrök (II. és III. osztály)
2.2.1. A fényvisszaverő felületet úgy kell méretezni, hogy abba bele lehessen helyezni:
- egy 40 mm magasságú téglalapot, melynek alapja "a" mm hosszúságú,
- olyan szakaszt, amely párhuzamos a téglalap magasságával, és amelynek hossza "b" mm.
2.2.2. Az "a" és "b" legkisebb értékeit az alábbi táblázat mutatja:
Visszapillantó tükör osztálya | a [mm] | b [mm] |
II. | [Kép #1] | 200 |
III. | [Kép #2] | 70 |

Kép #1

Kép #2
2.3. Széles látószögű külső visszapillantó tükrök (IV. osztály)
A fényvisszaverő felület kontúrjai egyszerű mértani formájúak, és azt úgy kell méretezni, hogy ha szükséges, a II. osztályba tartozó külső tükörrel együtt a III. melléklet 5.4. pontjában meghatározott látóteret biztosítsa.
2.4. "Külső közeltéri" visszapillantó tükrök (V. osztály)
A fényvisszaverő felület kontúrjai egyszerű mértani formájúak, és azt úgy kell azt méretezni, hogy a tükör a III. melléklet 5.5. pontjában meghatározott látóteret biztosítsa.
2.5. Mellső tükrök (VI. osztály)
A fényvisszaverő felület kontúrjai egyszerű mértani formájúak, és azt úgy kell méretezni, hogy a tükör a III. melléklet 5.6. pontjában meghatározott látóteret biztosítsa.
3. Fényvisszaverő felület és a fényvisszaverési tényező
3.1. A tükör fényvisszaverő felületének sík vagy domború gömbfelületnek kell lennie. A külső tükröket el lehet látni további aszférikus résszel, feltéve hogy a fő tükör a látótérre vonatkozó előírásokat teljesíti.
3.2. A görbületi sugarak közötti eltérések
3.2.1. Az ri, illetve r'i és rp közötti eltérés egyetlen referenciapontban sem haladhatja meg a 0,15 r-t.
3.2.2. A görbületi sugarak bármelyike (rp1, rp2 és rp3), valamint az r közötti eltérés nem haladhatja meg a 0,15 r értéket.
3.2.3. Amennyiben az r értéke legalább 3 000 milliméter, úgy a 3.2.1. és 3.2.2. pontjában megadott 0,15 r érték helyébe 0,25 r lép.
3.3. A tükrök aszférikus részeire vonatkozó előírások
3.3.1. Az aszférikus tükröknek megfelelő méretűnek és alakúnak kell lenniük ahhoz, hogy értékelhető információt biztosítsanak a járművezetőnek. Ez rendszerint azt jelenti, hogy a tükör egy pontján legalább 30 mm széles legyen.
3.3.2. Az aszférikus rész ri görbületi sugarának legalább 150 mm-nek kell lennie.
3.4. Szférikus tükrök esetén az "r" értéke nem lehet kevesebb, mint:
3.4.1. 1 200 mm a belső visszapillantó tükrök (I. osztály) esetén;
3.4. 2 1 200 mm a II. és III. osztályba tartozó fő külső visszapillantó tükrök esetén;
3.4.3. 300 mm a széles látószögű külső tükröknél (IV. osztály) és a külső közeltéri visszapillantó tükrök (V. osztály) esetén;
3.4.4. 200 mm a mellső tükrök (VI. osztály) esetén.
3.5. A rendes fényvisszaverődési tényező értéke az e melléklet 1. függelékében leírt eljárás szerint mérve nem lehet 40 %-nál kevesebb.
Kétállású ("nappali" és "éjszakai") fényvisszaverő felületeknél a "nappali" állásban a közúti közlekedési jelzések színének felismerhetőnek kell lennie. A szokásos visszaverődési tényező "éjszakai" állásban nem lehet kisebb, mint 4 %.
3.6. A fényvisszaverő felületnek tartós, rossz időjárás melletti rendes használat során is meg kell őriznie a 3.4. pontban előírt tulajdonságokat.
4. Vizsgálatok
4.1. A visszapillantó tükrökön a 4.2. és 4.3. pontban előírt vizsgálatokat kell elvégezni.
4.1.1. Azoknál a külső visszapillantó tükröknél, amelyeknél a tükör állásától függetlenül a jármű műszakilag megengedett legnagyobb össztömege mellett egy alkatrész sem található a talajtól 2 méternél alacsonyabban, a 4.2 pontban felsorolt vizsgálatokra nincs szükség.
Ezen eltérés akkor is érvényes, ha a visszapillantó tükör rögzítő elemei (tartólemezek, tartók, forgócsukló stb.) nincsenek a talajtól 2 m távolságban, de a teljes járműszélességen belül vannak. Ezt a visszapillantó tükör alsó rögzítő elemei vagy más, előrébb található részein átmenő, a jármű hossztengelyére merőleges keresztsíkban kell mérni, ha ezáltal egy nagyobb együttes szélességet lehet megállapítani.
Ebben az esetben egy olyan leírást kell mellékelni, amely meghatározza, hogy a tükröt úgy kell felszerelni, hogy rögzítő elemeinek a járműre történő felszerelése a fenti előírásoknak megfeleljen.
Amennyiben ezen eltéréssel élnek, a tartókart kitörölhetetlenül meg kell jelölni a

jelzéssel, és arra megfelelő megjegyzéssel a típusbizonyítványon is utalni kell.
4.2. Ütközési vizsgálat
Az e bekezdés szerinti vizsgálatot nem kell elvégezni a jármű felépítményébe integrált eszközöknél, amelyek első felülete legfeljebb 45 o-os szöget zár be a jármű hosszanti középsíkjával, vagy olyan eszközöknél, amelyek kinyúlása a 74/483/EGK irányelv szerint mérve nem haladja meg a 100 mm-t a jármű felépítményének kontúrjaihoz képest.
4.2.1. A vizsgálóberendezés leírása
4.2.1.1. A vizsgálóberendezés egy ingából áll, amely két egymással derékszöget bezáró vízszintes tengely mentén lengőmozgást végez; ezek egyike merőleges a lengőkar kioldási pályája síkjára.
Az inga vége egy 165 ± 1 mm átmérőjű merev gömb ütőfej, amelyet 5 mm vastagságú 50 Shore A keménységű gumibevonattal láttak el.
Mérőberendezés teszi lehetővé a lengőkarnak a kioldási síkban mérhető legnagyobb kitérésének meghatározását.
A vizsgálati minta a 4.2.2.6. pontban meghatározott előírásoknak megfelelő elhelyezésére az ingaállványra szilárdan rögzített tartó szolgál.

4.2.1.2. Az inga ütközési középpontja egybeesik az ütőfej végén kialakított gömb középpontjával. Az inga ütközési középpontja a kioldási síkban a forgástengelytől "l" távolságra van, amely 1 m ± 5 mm. Az inga redukált tömege m0 = 6,8 ± 0,05 kg. Az "m0" és az inga "m" össztömege, valamint az inga súlypontja és forgástengelye közötti "d" távolság közötti összefüggést az alábbi egyenlet fejezi ki:

4.2.2. A vizsgálat leírása
4.2.2.1. A visszapillantó tükröt az eszköz gyártója, illetve adott esetben a jármű gyártója által javasolt módon kell rögzíteni.
4.2.2.2. A visszapillantó tükör helyzetének beállítása a vizsgálathoz
4.2.2.2.1. A visszapillantó tükröket úgy kell elhelyezni az ingás vizsgálóberendezésen, hogy azok a tengelyek, amelyek vízszintesek, illetve függőlegesek akkor, amikor a tükröt a járművön a kérelmező utasításainak megfelelően felszerelik, hasonló helyzetbe kerüljenek.
4.2.2.2.2. Amennyiben a visszapillantó tükör a beépítési felülethez képest állítható, a vizsgálati helyzetet a kérelmező által előírt beállítási tartományon belül úgy kell beállítani, hogy a tükör a legkisebb valószínűséggel térhessen ki az inga elől.
4.2.2.2.3. Amennyiben a tükörnek a beépítési felülettől való távolsága állítható, a burkolat és a beépítési felület közötti távolságnak a lehető legkisebbnek kell lennie.
4.2.2.2.4. Amennyiben a fényvisszaverő felület a burkolaton belül állítható, olyan beállítást kell választani, hogy a járműtől legtávolabbi felső sarka a burkolathoz képest a legnagyobb mértékben álljon ki.
4.2.2.3. Kivéve a belső tükrökre vonatkozó 2. vizsgálatot (lásd a 4.2.2.6.1. pontot), amikor az inga függőleges helyzetben van, az ütőfej középpontján áthaladó vízszintes és hosszanti függőleges síkoknak át kell haladniuk a fényvisszaverő felület középpontján, amint azt az I. melléklet 1.1.1.10. pontja meghatározza. Az inga hosszanti lengési síkjának párhuzamosnak kell lennie a jármű hosszanti középsíkjával.
4.2.2.4. Amennyiben a 4.2.2.1. és 4.2.2.2. pontban megállapított beállítási feltételek mellett a visszapillantó tükör részei korlátozzák az ütőfej visszatérését, az ütközés helyét a forgás tengelyéhez képest függőleges irányban el kell tolni.
Az eltolás mértéke nem lehet nagyobb, mint ami a vizsgálat végrehajtásához feltétlenül szükséges; mértékét az alábbi módon korlátozzák:
- az ütőfejre rögzített gömb legalább érintse az 1.4 pontban meghatározott hengert, vagy
- az ütőfejjel érintkező pont a fényvisszaverő felület peremétől legalább 10 mm-re legyen.
4.2.2.5. A vizsgálat során az ütőfejet abból a magasságból kell elengedni, amelynél az inga a függőlegessel 60o-os szöget zár be. Az ütőfejnek a visszapillantó tükröt az inga függőleges helyzetében kell eltalálnia.
4.2.2.6. A visszapillantó tükör ütközéses vizsgálatát az alábbi feltételek mellett kell elvégezni:
4.2.2.6.1. Belső tükrök
- 1. vizsgálat: Az ütközési pontokat a 4.2.2.3. pont határozza meg. Az ütőfejnek a tükör fényvisszaverő felületét kell eltalálnia,
- 2. vizsgálat: A védőburkolat peremére mért ütés olyan módon, hogy az ütés iránya a fényvisszaverő felület síkjával 45 o-os szöget zárjon be és az e felület középpontján áthaladó vízszintes síkban legyen. Az ütőfejnek a tükör fényvisszaverő felületét kell eltalálnia.
4.2.2.6.2. Külső tükrök
- 1. vizsgálat: Az ütközési pontot a 4.2.2.3. vagy a 4.2.2.4. pont határozza meg. Az ütőfejnek a tükör fényvisszaverő felületét kell eltalálnia,
- 2. vizsgálat: Az ütközési pontot a 4.2.2.3. vagy 4.2.2.4. pont határozza meg. Az ütközésnek olyannak kell lennie, hogy az ütőfej a tükröt a fényvisszaverő felülettel ellentétes oldalon találja el.
Amennyiben a II. és a III. osztályba tartozó visszapillantó tükrök közös tartóra vannak szerelve a IV. osztályba tartozó visszapillantó tükrökkel, a fent leírt vizsgálatokat az alsó tükrön kell elvégezni. Ugyanakkor a vizsgálatot végző műszaki szolgálat ezt a vizsgálatot vagy e vizsgálatok egyikét megismételheti a felső tükörrel, ha ez a talajtól 2 méternél kisebb távolságra van elhelyezve.
5. Vizsgálati eredmények
5.1. A 4.2. pontban leírt vizsgálatoknál az ingának az ütközést követően folytatnia kell mozgását olyan módon, hogy a lengőkar állásának a kioldási síkra vetített képe legalább 20 o-os szöget zárjon be a függőlegessel. A szög mérési pontosságának a ± 1 o határon belül kell maradnia.
5.1.1. Ezen előírás nem alkalmazható a szélvédőre ragasztott tükrökre; ezekre az 5.2. pontban meghatározott követelményeket kell alkalmazni a vizsgálat után.
5.1.2. A visszalendülő inga esetén a függőlegessel bezárt szögre vonatkozó 20 o-os előírást 10 o-ra kell csökkenteni a II. és III. osztályba tartozó visszapillantó tükör, illetve a III. osztályba tartozó visszapillantó tükör esetén, ha azokat ugyanarra a tartószerkezetre rögzítették, mint a IV. osztályba tartozó tükröket.
5.2. Amennyiben a 4.2. pontban leírt vizsgálatnál a szélvédőre ragasztott visszapillantó tükröknél a tükörtartó eltörik, a visszamaradó rész legfeljebb 10 mm-rel nyúlhat túl az alaplemezen, és a vizsgálat után visszamaradó szerelvénynek meg kell felelnie az 1.3. pont követelményeinek.
5.3. A 4.2. pontban leírt vizsgálatok során a fényvisszaverő felület nem törhet el. Azonban a fényvisszaverő felület törése megengedett, ha az alábbi feltételek valamelyike teljesül:
5.3.1. a törött üvegdarabok megmaradnak a védőburkolatban vagy egy, a burkolattal szilárdan összekötött felületen; a részleges leválás azonban megengedett, ha ez a repedés egyik oldalán sem haladja meg a 2,5 millimétert. A becsapódási pontban az üvegfelületből szilánkkiválás megengedett;
5.3.2. a fényvisszaverő felület biztonsági üvegből készült.
B. KÖZVETETT LÁTÁST BIZTOSÍTÓ ESZKÖZÖK A TÜKÖR KIVÉTELÉVEL
1. Általános előírások
1.1. Amennyiben a közvetett látást biztosító eszközt a felhasználónak kell beállítania, ennek szerszámok használata nélkül végrehajthatónak kell lennie.
1.2. Amennyiben a közvetett látást biztosító eszköz a teljes előírt látóteret csak a látótér pásztázásával tudja biztosítani, a pásztázás, képvisszaadás és az eredeti helyzetbe történő visszatérés teljes folyamata 2 másodpercnél többet nem vehet igénybe.
2. Közvetett látást biztosító eszköz: kamera/monitor rendszer
2.1. Általános előírások
2.1.1. Amennyiben a közvetett látást biztosító kamera/monitor rendszert sík felületre szerelik, akkor minden részének, amely statikus feltételek mellett bármilyen beállítás esetén monitornál 165 mm átmérőjű gömbbel, kameránál 100 mm átmérőjű gömbbel érintkezhet, "c" ≥ 2,5 mm görbületi sugárral kell rendelkeznie.
2.1.2. A felerősítési lyukak peremeire és a 12 milliméternél kisebb átmérőjű vagy hosszabbik átlóval rendelkező hornyokra nem vonatkoznak a 2.1.1. pontnak a görbületi sugarakra előírt követelményei, amennyiben ezek lekerekítettek.
2.1.3. Amennyiben a kamerák és a monitorok olyan anyagokból készülnek, amelyek keménysége nem haladja meg a 60 Shore A értéket, és amelyeket merev tartószerkezetre szereltek fel, a 2.1.1. pontban foglalt előírások csak a tartószerkezetre vonatkoznak.
2.2. Funkcionális előírások
2.2.1. A kamerának a nap alacsony állása esetén is jól kell működnie. A kamerának a nap alacsony állása esetén is legalább 1:3 fénysűrűségkontrasztot kell biztosítania a képnek azon a részén kívül, ahol a fényforrás leképeződik (a feltételeket az EN 12368: 8.4. határozza meg). A fényforrásnak a kamerát 40 000 lux intenzitású fénnyel kell megvilágítania. Az érzékelő síkjának merőlegese és az érzékelő, valamint a fényforrás középpontját összekötő vonal által bezárt szögnek 10 o-nak kell lennie.
2.2.2. A monitornak különféle fényviszonyok mellett meg kell felelnie az ISO/DIS 15008 [2] nemzetközi szabványtervezetben meghatározott minimális kontrasztelőírásnak.
2.2.3. A monitor átlagos fénysűrűségének kézzel vagy automatikusan a környezeti feltételekhez igazíthatónak kell lennie.
2.2.4. A fénysűrűségkontraszt mérését az ISO/DIS 15008 szabvány szerint kell elvégezni.
3. A közvetett látást biztosító egyéb eszközök
Az eszköznek igazolhatóan meg kell felelnie az alábbi követelményeknek:
3.1. Az eszköznek érzékelnie kell a látható spektrumot, és a képet minden körülmények között a látható spektrumba történő átalakítás nélkül vissza kell adnia.
3.2. Az eszköz működőképességét minden előrelátható üzemi körülmény között korlátozások nélkül biztosítani kell. A képek felvételére és visszaadására szolgáló technológiától függően a 2.2. pontot teljes egészében vagy részlegesen alkalmazni kell. Amennyiben ennek alkalmazása nem lehetséges, a 2.2. pontban foglaltakhoz hasonlóan, a rendszer érzékenységségének vizsgálatával igazolni kell, hogy a eszköz legalább olyan teljesítményre képes, mint a közvetett látást biztosító tükrök vagy kamera/monitor rendszerek.
1. függelék
A visszapillantó tükör fényvisszaverő felülete "r" görbületi sugarának meghatározására szolgáló eljárás
1. Mérések
1.1. Berendezés
Egy, a 3. ábrában leírthoz hasonló szferométert kell alkalmazni, amelynél a műszer rögzített lábai és a mérőóra tapintócsapja között az ott megadott távolság van.
1.2. Mérési pontok
1.2.1. A fő görbületi sugarakat három pontban kell mérni, ezek lehetőleg a fényvisszaverő felület annak az ívének 1/3, 1/2 és 2/3 részénél legyenek, amely a b. szakasszal párhuzamos és áthalad a fényvisszaverő felület középpontján, vagy a b. szakaszra merőleges, és áthalad a fényvisszaverő felület középpontján, amennyiben az utóbbi a hosszabb.
1.2.2. Amennyiben a fényvisszaverő felület méretei miatt az I. melléklet 1.1.1.5. pontja szerinti méréseket nem lehet elvégezni, akkor a vizsgálatok végrehajtásáért felelős műszaki szolgálat a méréseket két egymásra merőleges, lehetőleg a fent előírtak közelében fekvő irányban is elvégezheti.
2. Az "r" görbületi sugár számítása
Az "r" mm-ben kifejezve az alábbi képlet szerint számítható ki:

ahol:
rp1 : görbületi sugár az első mérési pontban
rp2 : görbületi sugár a második mérési pontban
rp3 : görbületi sugár a harmadik mérési pontban
3. ábra: Szferométer

2. függelék
A fényvisszaverő-képesség meghatározásának vizsgálati módszere
1. FOGALOMMEGHATÁROZÁSOK
1.1. CIE A szabványos világítótest ( 10 ): színmérő világítótest, amely a T68= 2855.6 K hőmérsékletű fekete testet képviseli.
1.2. CIE A szabványos fényforrás (10) : gáztöltésű wolframszálas izzólámpa, amely T68= 2855.6 K korrelált színhőmérsékleten működik.
1.3. CIE 1931 szabványos színmérő észlelő (10) : olyan sugárzásérzékelő, amelynek színérzékelő tulajdonságai megfelelnek az x(λ), y(λ), z(λ) színképi színinger-összetevőknek (lásd a táblázatot).

(λ),

(λ),

1.4. CIE színképi színinger-összetevők (10) : színinger-összetevők az energia egyenértékűség spektrum monokromatikus elemeinek CEI (XYZ) rendszerében.
1.5. Fotopikus látás (10) : a normális szem látása, amikor legalább néhány cd/m2 fényerőhöz alkalmazkodik.
2. MÉRŐBERENDEZÉS
2.1. Általános
A berendezés fényforrásból, mintadarabtartóból, fotocellás érzékelőből és kijelzőből (lásd a 4. ábrát), valamint a külső fény kiszűréséhez szükséges eszközökből áll.
A nem sík (domború) visszapillantó tükrök reflexiós (fényvisszaverési) tényezője mérésének megkönnyítésére az érzékelő fényintegráló gömböt tartalmazhat (lásd az 5. ábrát).
2.2. A fényforrás és az érzékelő színkép-jelleggörbéi
A fényforrásnak szabványos CIE A fényforrásból, valamint egy olyan optikai rendszerből kell állnia, amely közel párhuzamos fénysugarakat bocsát ki. Javasolt feszültségstabilizátor alkalmazása, hogy a vizsgálat során a készülék állandó feszültség mellett üzemelhessen.
Az érzékelőt olyan fotocellával kell felszerelni, amelynek színképérzékenysége arányos a CIE (1931) szabvány szerinti színmérő észlelő fotopikus fényerejének működésével (lásd a táblázatot). Minden más világítótest/szűrő/érzékelő kombináció is megengedett, ha hatása egyenértékű, és a fotopikus látása megegyezik a szabványos CIE A világítótesttel. Ha az érzékelő integráló gömböt tartalmaz, a gömb belső felületét nem szelektív, matt (diffúz) fehér festékkel kell bevonni.
2.3. Geometriai feltételek
A beeső sugárnyalábnak a mintafelületre merőleges egyenessel lehetőleg 0,44 ± 0.09 rad (25o ± 5o) szöget (θ) kell bezárnia, ez a szög nem lépheti túl a felső tűréshatárt (azaz a 0,53 rad-ot vagy a 30 o-ot). Az érzékelő tengelyének és az említett merőlegesnek ugyanolyan (θ) szöget kell bezárnia, mint e merőleges és a beeső sugárnyaláb (lásd 4. ábrát). A vizsgált felületen a beeső sugárnyaláb átmérőjének legalább 19 mm-nek (0,5 hüvelyk) kell lennie. A visszavert sugárnyaláb nem lehet szélesebb, mint a fotocella érzékelő felülete, nem lehet kisebb, mint ennek a felületnek az 50 %-a, és lehetőség szerint a felület ugyanakkora hányadát érje, mint a mérőműszer kalibrálásához használt sugárnyaláb.
Amennyiben az érzékelő integrálógömböt tartalmaz, ennek legkisebb átmérőjének 127 mm-nek (5 hüvelyk) kell lennie. A gömb falában akkora nyílásnak kell lennie, hogy a beeső és a visszavert sugarat teljes mértékben át tudja engedni. A fotocellát úgy kell elhelyezni, hogy az a beeső sugárnyaláb, illetve a visszavert sugárnyaláb fényét ne érzékelje.
2.4. A fotocellás kijelző egység elektromos jellemzői
A kijelző egységen jelzett teljesítmény és a fényérzékeny területre jutó fényerősség között lineáris kapcsolatnak kell lennie. Gondoskodni kell (elektromos és/vagy optikai) eszközökről, amelyek lehetővé teszik a nulla pont beállítását és a kalibrálást. Az ilyen eszközök nem befolyásolhatják mérőműszer linearitását vagy színképi jellemzőit. Az érzékelő-műszeregység pontosságának a teljes skála ± 2 %-ának, illetve a legkisebb mért érték ± 10 %-ának kell lennie, amelyik érték a kisebb.
2.5. Mintatartó
A szerkezetnek lehetővé kell lennie a minta olyan módon történő elhelyezését, hogy a fényforrástartó tengelye és az érzékelő tengelye a fényvisszaverő felületen keresztezze egymást. A fényvisszaverő felület lehet a vizsgálandó tükrön belül vagy annak mindkét oldalán, attól függően, hogy a tükör első, illetve hátsó felületét ellátták-e bevonattal, vagy prizmatikus "flip" típusú fényszűrő tükörről van-e szó.
3. A VIZSGÁLAT VÉGREHAJTÁSA
3.1. Közvetlen kalibrálás
A közvetlen kalibrálás módszerénél vonatkoztatási közegként a levegő szolgál. E módszer azon mérőműszereknél alkalmazható, amelyek kialakítása lehetővé teszi a skála teljes, 100 %-os kitérése mellett a kalibrálást, miközben az érzékelőt közvetlenül a fényforrás tengelyébe állítják (lásd a 4. ábrát).
Bizonyos esetekben ezen eljárás során (például kis reflexivitású felületek méréséhez) kalibrálási pontként a skálán (0 és 100 % között) ki lehet választani egy átlagos pontot. Ebben az esetben a fénysugár útjában el kell helyezni egy ismert áteresztési tényezőjű semleges szürkeszűrőt, és a kalibráló rendszert úgy kell beállítani, hogy a kijelző a semleges szürkeszűrő áteresztési tényezőjének százalékos arányát mutassa. A reflexiós mérésekhez ezt a szűrőt el kell távolítani.
3.2. Közvetett kalibrálás
A közvetett kalibrálás módszerét olyan mérőműszereknél kell alkalmazni, amelyekben geometriailag rögzített fényforrást és érzékelőt alkalmaznak. Ehhez megfelelően hitelesített és karbantartott reflexiós etalonra van szükség. E referenciaetalon lehetőleg síktükör legyen, amelynek reflexiós (fényvisszaverési) tényezője a lehető legközelebb áll a vizsgálandó tükrökéhez.
3.3. A sík visszapillantó tükör mérése
A sík visszapillantó tükrök reflexiós tényezőjét a közvetlen vagy közvetett kalibrálással működő műszerekkel egyaránt lehet mérni. A reflexiós tényező közvetlenül leolvasható a kijelző skálájáról.
3.4. A nem sík (domború) tükör mérése
A nem sík (domború) visszapillantó tükrök reflexiós tényezőjének méréséhez olyan mérőműszerekre van szükség, amelyek integráló gömbbel felszerelt érzékelővel szereltek fel (lásd az 5. ábrát). Amennyiben a mutató az E% reflexiós tényezőjű hitelesítő tükörnél ne skálaosztásra mutat, egy ismeretlen tükörnél az nx osztás X% reflexiós tényezőnek felel meg, az alábbi képlet alapján:


4. ábra: Általános refloktométer a két kalibrálási módszerre mutatja be a kísérlet felállítását

5. ábra: Általános reflektométer, amely tartalmaz egy integrálógömböt
CIE 1931 ( 11 ) szabvány színmérő észlelő színképi színinger-összetevőinek értékei
E táblázat a CIE 50 (45) 1970 közlemény kivonata
λ nm | [Kép #3] (λ) | [Kép #4] (λ) | [Kép #5] (λ) |
380 | 0,0014 | 0,0000 | 0,0065 |
390 | 0,0042 | 0,0001 | 0,0201 |
400 | 0,0143 | 0,0004 | 0,0679 |
410 | 0,0435 | 0,0012 | 0,2074 |
420 | 0,1344 | 0,0040 | 0,6456 |
430 | 0,2839 | 0,0116 | 1,3856 |
440 | 0,3483 | 0,0230 | 1,7471 |
450 | 0,3362 | 0,0380 | 1,7721 |
460 | 0,2908 | 0,0600 | 1,6692 |
470 | 0,1954 | 0,0910 | 1,2876 |
480 | 0,0956 | 0,1390 | 0,8130 |
490 | 0,0320 | 0,2080 | 0,4652 |
500 | 0,0049 | 0,3230 | 0,2720 |
510 | 0,0093 | 0,5030 | 0,1582 |
520 | 0,0633 | 0,7100 | 0,0782 |
530 | 0,1655 | 0,8620 | 0,0422 |
540 | 0,2904 | 0,9540 | 0,0203 |
550 | 0,4334 | 0,9950 | 0,0087 |
560 | 0,5945 | 0,9950 | 0,0039 |
570 | 0,7621 | 0,9520 | 0,0021 |
580 | 0,9163 | 0,8700 | 0,0017 |
590 | 1,0263 | 0,7570 | 0,0011 |
600 | 1,0622 | 0,6310 | 0,0008 |
610 | 1,0026 | 0,5030 | 0,0003 |
620 | 0,8544 | 0,3810 | 0,0002 |
630 | 0,6424 | 0,2650 | 0,0000 |
640 | 0,4479 | 0,1750 | 0,0000 |
650 | 0,2835 | 0,1070 | 0,0000 |
660 | 0,1649 | 0,0610 | 0,0000 |
670 | 0,0874 | 0,0320 | 0,0000 |
680 | 0,0468 | 0,0170 | 0,0000 |
690 | 0,0227 | 0,0082 | 0,0000 |
700 | 0,0114 | 0,0041 | 0,0000 |
710 | 0,0058 | 0,0021 | 0,0000 |
720 | 0,0029 | 0,0010 | 0,0000 |
730 | 0,0014 | 0,0005 | 0,0000 |
740 | 0,0007 | 0,0002 (1) | 0,0000 |
750 | 0,0003 | 0,0001 | 0,0000 |
760 | 0,0002 | 0,0001 | 0,0000 |
770 | 0,0001 | 0,0000 | 0,0000 |
780 | 0,0000 | 0,0000 | 0,0000 |
(1) 1966-ban módosítva (3-ról 2-re). |

Kép #3

Kép #4

Kép #5
III. MELLÉKLET
A TÜKRÖK ÉS MÁS, KÖZVETETT LÁTÁST BIZTOSÍTÓ ESZKÖZÖK JÁRMŰRE TÖRTÉNŐ FELSZERELÉSÉRE VONATKOZÓ ELŐÍRÁSOK
Általános
1.1. A tükröket és egyéb közvetett látást biztosító eszközöket úgy kell felszerelni, hogy a tükör vagy más eszköz elmozdulása vagy rezgése ne változtassa meg lényegesen a mért látóteret, és hogy a vezető az általa észlelt képet ne értelmezhesse félre.
1.2. Az 1.1. pontban meghatározott feltételeket akkor is teljesíteni kell, amikor a jármű legnagyobb tervezési sebessége 80 %-ának megfelelő, de 150 km/órát meg nem haladó sebességgel halad.
1.3. Az alább meghatározott látótér az ambinokuláris látásra vonatkozik, amikor a szemek egybeesnek az I. melléklet 1.1.1.12. pontja szerint meghatározott "vezető szemeinek helyével". A látóteret a 97/27/EK irányelv I. mellékletének 2.5. pontja szerinti menetkész állapotban lévő járművel kell meghatározni. A látóteret olyan szélvédőn át kell meghatározni, amelynek a felületre merőlegesen mért fényáteresztési tényezője legalább 70 %.
Tükrök
2. Szám
2.1. A tükrök előírt legkisebb száma
2.1.1. Az 5. pontban előírt látóteret az alábbi táblázatban megadott legkisebb számú tükör alkalmazásával kell elérni. Amikor valamely tükör felszerelését nem kötelezően írják elő, a közvetett látást biztosító más rendszert sem lehet kötelezően előírni.
Járműkategória | Belső tükör | Külső tükrök | ||||
Belső tükör I. osztály | Fő tükör (nagy) II. osztály | Fő tükör (kicsi) III. osztály | Széles látószögű tükör IV. osztály | Külső közeltéri tükör V. osztály | Mellső tükör VI. osztály | |
M1 | Kötelező Kivéve, ha egy tükör nem biztosít hátratekintést (a III. melléklet 5.1. pontjában meghatározottak szerint) Választható Ha a tükör nem biztosít hátratekintést | Választható | Kötelező Egy a vezető oldalán és egy az utas oldalán. Alternatív megoldásként II. osztályba tartozó tükrök is felszerelhetők | Választható Egy a vezető oldalán és/vagy egy az utas oldalán | Választható Egy a vezető oldalán és egy az utas oldalán (mindkettőt legalább 2 m-rel a talajfelszín felett kell felszerelni) | Választható (legalább 2 m-rel a talajfelszín felett kell felszerelni) |
M2 | Választható (nincs előírás a látótérre) | Kötelező Egy a vezető oldalán és egy az utas oldalán | Nem engedélyezett | Választható Egy a vezető oldalán és/vagy egy az utas oldalán | Választható Egy a vezető oldalán és egy az utas oldalán (mindkettőt legalább 2 m-rel a talajfelszín felett kell felszerelni) | Választható (legalább 2 m-rel a talajfelszín felett kell felszerelni) |
M3 | Választható (nincs előírás a látótérre) | Kötelező Egy a vezető oldalán és egy az utas oldalán | Nem engedélyezett | Választható Egy a vezető oldalán és/vagy egy az utas oldalán | Választható Egy a vezető oldalán és egy az utas oldalán (mindkettőt legalább 2 m-rel a talajfelszín felett kell felszerelni) | Választható (legalább 2 m-rel a talajfelszín felett kell felszerelni) |
N1 | Kötelező Kivéve, ha egy tükör nem biztosít hátratekintést (a III. melléklet 5.1. pontjában meghatározottak szerint) Választható Ha a tükör nem biztosít hátratekintést | Választható | Kötelező Egy a vezető oldalán és egy az utas oldalán. Alternatív megoldásként II. osztályba tartozó tükrök is felszerelhetők | Választható Egy a vezető oldalán és/vagy egy az utas oldalán | Választható Egy a vezető oldalán és egy az utas oldalán (mindkettőt legalább 2 m-rel a talajfelszín fölött kell felszerelni) | Választható (legalább 2 m-rel a talajfelszín felett kell felszerelni) |
N2 ≤ 7,5 t | Választható (nincs előírás a látótérre) | Kötelező Egy a vezető oldalán és egy az utas oldalán | Nem engedélyezett | Kötelező mindkét oldalon, ha V. osztályú tükör felszerelhető Választható mindkét oldalon együtt, ha nem | Kötelező, lásd a III. melléklet 3.7. és 5.5.5. tételét Egy az utas oldalán Választható Egy a vezető oldalán (mindkettőt legalább 2 méterrel a talajfelszín fölött kell felszerelni) A megengedett eltérés + 10 cm | Választható A mellső tükör (legalább 2 m-rel a talajfelszín fölött kell felszerelni) |
N2 > 7,5 t | Választható (nincs előírás a látótérre) | Kötelező Egy a vezető oldalán és egy az utas oldalán | Nem engedélyezett | Választható Egy a vezető oldalán és/vagy egy az utas oldalán | Kötelező, lásd a III. melléklet 3.7. és 5.5.5. pontját Egy az utas oldalán Választható Egy a vezető oldalán (mind a kettőt legalább 2 m-rel a talajfelszín felett kell felszerelni) | Kötelező, lásd a III. melléklet 2.1.2. pontját A mellső tükör (legalább 2 m-rel a talajfelszín felett kell felszerelni) |
N3 | Választható (nincs előírás a látótérre) | Kötelező Egy a vezető oldalán és egy az utas oldalán | Nem engedélyezett | Választható Egy a vezető oldalán és/vagy egy az utas oldalán | Kötelező, lásd a III. melléklet 3.7. és 5.5.5. pontját Egy az utas oldalán Választható Egy a vezető oldalán (mindkettőt legalább 2 m-rel a talajfelszín felett kell felszerelni) | Kötelező, lásd a III. melléklet 2.1.2. pontját A mellső tükör (legalább 2 m-rel a talajfelszín felett kell felszerelni) |
2.1.2. Abban az esetben, ha a mellső tükör 5.6. pontban előírt látótere más közvetett látást biztosító, a II. melléklet B részének megfelelően jóváhagyott, e mellékletnek megfelelően felszerelt eszközzel is elérhető, ezen eszköz tükör helyett alkalmazható.
Amennyiben kamera/monitor rendszert használnak, ha a jármű legfeljebb 30 km/órás sebességgel halad előre, a monitor kizárólag az 5.6. pontban előírt látóteret mutathatja. Amennyiben a jármű nagyobb sebességgel halad vagy hátrafelé mozog, a monitor mutathatja a járműre szerelt többi kamera látóterét.
2.2. Ezen irányelv rendelkezései nem alkalmazhatók az I. melléklet 1.1.1.3. pontjában meghatározott ellenőrző tükrökre. Azonban a külső ellenőrző tükröket legalább 2 m-rel a talajfelszín felett kell felszerelni, amennyiben a járművet a műszakilag megengedett legnagyobb össztömegéig terhelték meg.
3. Helyzet
3.1. A visszapillantó tükröket úgy kell felszerelni, hogy a vezető az üléséből, szokásos testtartásban át tudja tekinteni az úttestet a jármű mögött, mindkét oldalán, illetve előtt.
3.2. A visszapillantó tükröknek a szélvédőnek az ablaktörlő által törölt felületén vagy az oldalablakon keresztül láthatóaknak kell lenniük. Konstrukciós okok miatt azonban ez utóbbi rendelkezés (azaz a szélvédő törölt részére vonatkozó rendelkezés) nem vonatkozik:
- az M2 és M3 kategóriájú járművek utas oldali külső tükreire,
- a VI. osztályba tartozó tükrökre.
3.3. A látótér vizsgálatánál azon járművek esetében, amelyeket vezetőfülkével felszerelt alvázként vizsgálnak meg, a gyártónak meg kell adnia a felépítmény legnagyobb és legkisebb szélességét; adott esetben e szélességeket megfelelő profiltáblákkal szimulálni kell. A vizsgálatok során figyelembe vett összes jármű- és tükörösszeállítást fel kell tüntetni a járműre a tükrök felszerelésére kiadott EK-jármű-típusbizonyítványon (lásd az I. melléklet 4. függelékét).
3.4. A vezető felőli oldalon az előírt visszapillantó tükröket úgy kell felszerelni, hogy a jármű függőleges hosszanti síkja, valamint a visszapillantó tükör középpontján és a vezető két szeme közötti 65 mm hosszú szakasz közepén átmenő függőleges sík által bezárt szög legfeljebb 55 o legyen.
3.5. A visszapillantó tükröknek a jármű külső felépítményén való túlnyúlása nem lehet lényegesen nagyobb, mint amely az 5. pontban megállapított látótér eléréséhez feltétlenül szükséges.
3. 6 Amennyiben a külső visszapillantó tükör alsó széle és az útpálya közötti távolság a jármű műszakilag megengedett legnagyobb össztömege esetén kisebb, mint 2 m, a visszapillantó tükör a tükör nélküli legnagyobb járműszélességből legfeljebb 250 mm-rel nyúlhat ki.
3.7. Az V. és a VI. osztályba tartozó visszapillantó tükröket úgy kell felszerelni a járműre, hogy, a beállítás utáni helyzetüktől függetlenül, a visszapillantó tükrök részei vagy tartószerkezetük ne legyen(ek) 2 méternél közelebb a talajhoz a jármű műszakilag megengedett legnagyobb össztömegéig történő terhelése esetén sem.
Az ilyen tükrök azonban nem szerelhetők fel olyan járművekre, amelyek vezetőfülke magassága nem teszi lehetővé ezen előírás betartását. Ebben az esetben nincs szükség közvetett látást biztosító más eszközre.
3.8. A 3.5, 3.6 és 3.7 pont előírásaira is figyelemmel, a tükrök túlnyúlhatnak a járművek megengedett legnagyobb szélességén.
4. Beállítás
4.1. A külső tükörnek a vezető által vezetési helyzetből beállíthatónak kell lennie.
4.2. A vezetőoldali külső tükörnek a jármű belsejéből zárt ajtó mellett is beállíthatónak kell lennie, de az ablak nyitva lehet. A kívánt állásban történő rögzítés ugyanakkor történhet kívülről is.
4.3. A 4.2. pont követelményei nem vonatkoznak azokra a külső tükrökre, amelyek egy ütés okozta elmozdulás után, beállítás nélkül újra kiindulási helyzetükbe térnek vissza.
5. Látótér
5.1. Belső visszapillantó tükör (I. osztály)
A látóteret úgy kell kialakítani, hogy a vezető az útpályának legalább olyan sík, vízszintes részét át tudja tekinteni, amely a jármű hosszanti függőleges, középsíkjához viszonyítva szimmetrikusan helyezkedik el, 20 m széles és a vezető szemeinek helye mögötti 60 m távolságtól a horizontig terjed (6. ábra).

6. ábra: Az I. osztályba tartozó tükör látótere
5.2. Fő külső visszapillantó tükrök (II. osztály)
5.2.1. Külső visszapillantó tükör a vezető oldalán
A látóteret úgy kell kialakítani, hogy a vezető az útpályának legalább olyan 5 m széles sík és vízszintes részét át tudja tekinteni, amelyet a jármű vezető felőli oldalán a jármű legkülső pontján áthaladó, a jármű hosszirányú középsíkjával párhuzamos sík határol, és amely legalább a vezető szemeinek helye mögötti 30 m-től a horizontig terjed.
Ezenkívül, az útpályának 1 m szélességben beláthatónak kell lennie olyan területen, amelyet a jármű hosszirányú függőleges középsíkjával párhuzamos, a jármű vezető felőli oldalán a jármű legkülső pontján áthaladó sík, valamint a járművezető szemén áthaladó függőleges sík mögött 4 m-rel elhelyezkedő ponton áthaladó sík határol (lásd a 7. ábrát).
5.2.2. Külső visszapillantó tükör az utas oldalán
A látóteret úgy kell kialakítani, hogy a vezető az útpályának legalább olyan 5 m széles sík és vízszintes részét át tudja tekinteni, amelyet a jármű utas felőli oldalán a jármű legkülső pontján áthaladó, a jármű hosszirányú középsíkjával párhuzamos sík határol, és amely legalább a vezető szemeinek helye mögötti 30 m-től a horizontig terjed.
Ezenkívül, az útpályának 1 m szélességben beláthatónak kell lennie olyan területen, amelyet a jármű hosszirányú függőleges középsíkjával párhuzamos, a jármű utas felőli oldalán a jármű legkülső pontján áthaladó sík, valamint a járművezető szemén áthaladó függőleges sík mögött 4 m-rel elhelyezkedő ponton áthaladó sík határol (lásd a 7. ábrát).

7. ábra: A II. osztályba tartozó tükrök látótere
5.3. Fő külső visszapillantó tükrök (III. osztály)
5.3.1. Külső visszapillantó tükör a vezető oldalán
A látóteret úgy kell kialakítani, hogy a vezető az útpályának legalább olyan 4 m széles sík és vízszintes részét át tudja tekinteni, amelyet a jármű vezető felőli oldalán a jármű legkülső pontján áthaladó, a jármű hosszirányú középsíkjával párhuzamos sík határol, és amely legalább a vezető szemeinek helye mögötti 20 m-től a horizontig terjed.
Ezenkívül, az útpályának 1 m szélességben beláthatónak kell lennie olyan területen, amelyet a jármű hosszirányú függőleges középsíkjával párhuzamos, a jármű vezető felőli oldalán a jármű legkülső pontján áthaladó sík, valamint a járművezető szemén áthaladó függőleges sík mögött 4 m-rel elhelyezkedő ponton áthaladó sík határol.
5.3.2. Külső visszapillantó tükör az utas oldalán
A látóteret úgy kell kialakítani, hogy a vezető az útpályának legalább olyan 4 m széles sík és vízszintes részét át tudja tekinteni, amelyet a jármű utas felőli oldalán a jármű legkülső pontján áthaladó, a jármű hosszirányú középsíkjával párhuzamos sík határol, és amely legalább a vezető szemeinek helye mögötti 20 m-től a horizontig terjed (lásd a 8. ábrát).
Ezenkívül, az útpályának 1 m szélességben beláthatónak kell lennie olyan területen, amelyet a jármű hosszirányú függőleges középsíkjával párhuzamos, a jármű utas felőli oldalán a jármű legkülső pontján áthaladó sík, valamint a járművezető szemén áthaladó függőleges sík mögött 4 m-rel elhelyezkedő ponton áthaladó sík határol.

8. ábra: A III. osztályba tartozó tükrök látótere
5.4. Széles látószögű külső tükör (IV. osztály)
5.4.1. Széles látószögű külső tükör a vezető oldalán
A látóteret úgy kell kialakítani, hogy a vezető az útpályának legalább olyan 15 m széles sík és vízszintes részét át tudja tekinteni, amelyet a jármű vezető felőli oldalán a jármű legkülső pontján áthaladó, a jármű hosszirányú középsíkjával párhuzamos sík határol, és amely legalább a vezető szemeinek helye mögötti 10 m-től 25 m-ig terjed.
Ezenkívül, az útpályának 4,5 m szélességben beláthatónak kell lennie olyan területen, amelyet a jármű hosszirányú függőleges középsíkjával párhuzamos, a jármű vezető felőli oldalán a jármű legkülső pontján áthaladó sík, valamint a járművezető szemén áthaladó függőleges sík mögött 1,5 m-rel elhelyezkedő ponton áthaladó sík határol (lásd a 9. ábrát).
5.4.2. Széles látószögű külső tükör az utas oldalán
A látóteret úgy kell kialakítani, hogy a vezető az útpályának legalább olyan 15 m széles sík és vízszintes részét át tudja tekinteni, amelyet a jármű utas felőli oldalán a jármű legkülső pontján áthaladó, a jármű hosszirányú középsíkjával párhuzamos sík határol, és amely legalább a vezető szemeinek helye mögötti 10 m-től 25 m-ig terjed.
Ezenkívül, az útpályának 4,5 m szélességben beláthatónak kell lennie olyan területen, amelyet a jármű hosszirányú függőleges középsíkjával párhuzamos, a jármű utas felőli oldalán a jármű legkülső pontján áthaladó sík, valamint a járművezető szemén áthaladó függőleges sík mögött 1,5 m-rel elhelyezkedő ponton áthaladó sík határol (lásd a 9. ábrát).

9. ábra: A IV. osztályba tartozó széles látószögű tükrök látótere
5.5. Külső közeltéri tükör (V. osztály)
A látóteret úgy kell kialakítani, hogy a vezető a jármű melletti útpályának legalább olyan sík vízszintes részét beláthassa, amelyet az alábbi függőleges síkok határolnak (lásd a 10a. és a 10b. ábrát):
5.5.1. a jármű hosszirányú függőleges középsíkjával párhuzamos sík, amely a jármű vezetőfülkéje utas felőli oldalának legkülső pontján halad át;
5.5.2. keresztirányban, az 5.5.1. pontban említett sík előtt 2 m-es távolságban levő párhuzamos sík;
5.5.3. hátul, a vezető szemének helyén keresztül áthaladó függőleges síkkal párhuzamos, e sík mögött 1,75 m-es távolságban lévő sík;
5.5.4. a jármű előtt, a vezető szemén áthaladó függőleges síkkal párhuzamos, e sík előtt 1 m-es távolságban levő sík. Ha a függőleges, a jármű lökhárítójának elülső peremén áthaladó keresztirányú sík kevesebb mint 1 m-es távolságban van a vezető szemének helyén keresztül áthaladó függőleges síktól, a látóteret ez a sík határolja.
5.5.5. Amennyiben a 10a. és a 10b. ábrán bemutatott látótér a IV. osztályba tartozó széles látószögű tükör látótere és a VI. osztályba tartozó mellső tükör látótere kombinációjával belátható, az V. osztályba tartozó külső közeltéri tükör felszerelése nem kötelező.

10a. és 10b. ábra: Az V. osztályba tartozó külső közeltéri tükör látótere
5.6. Mellső tükör (VI. osztály)
5.6.1. A látóteret úgy kell kialakítani, hogy a vezető az útpályának legalább olyan sík vízszintes részét beláthassa, amelyet az alábbi síkok határolnak:
- a jármű elejének legkülső pontján áthaladó keresztirányú függőleges sík,
- a jármű elejének legkülső pontja előtt 2 000 mm-rel elhelyezkedő keresztirányú függőleges sík,
- a jármű hosszirányú függőleges középsíkjával párhuzamos sík, amely a jármű vezető felőli oldalán a jármű legkülső pontján halad át, és
- a jármű hosszirányú függőleges középsíkjával párhuzamos sík, amely a jármű utas felőli oldalán a jármű legkülső pontjától 2 000 mm-re lévő távolságban halad át.
A jármű utas felőli oldalán a vezető látóterének elülső része 2 000 mm-es sugárral lekerekíthető (lásd a 11. ábrát).
A mellső tükrök felszerelése kötelező a motor feletti vezetőfülkés, N2 > 7,5 t és N3 kategóriájú járműveknél (a 70/156/EGK irányelv Ia. melléklete (z) lábjegyzetének meghatározása szerint).
Amennyiben az e kategóriákba tartozó, de a felépítményt tekintve más szerkezeti jellemzőkkel rendelkező járművek esetén ezen előírásokat a mellső tükör segítségével nem tudják teljesíteni, kamera/monitor rendszert kell alkalmazni. Ha ezek segítségével sem biztosítható a megfelelő látótér, akkor a közvetett látást biztosító bármilyen más eszközt kell alkalmazni. Az ilyen eszköznek észlelnie kell az 50 cm magasságú és 30 cm átmérőjű, a 11. ábrán meghatározott területen belül levő tárgyat.

11. ábra: A VI. osztályba tartozó mellső tükör látótere
5.6.2. Amennyiben a látóteret korlátozó A-oszlopok ellenére a vezető látja az útpálya szintje felett 1 200 mm-es magasságban a jármű előtt 300 mm-rel levő egyenes vonalat, amely a jármű vezető felőli oldalának legkülső pontján áthaladó hosszirányú függőleges középsíkkal párhuzamos függőleges sík és a jármű utas felöli oldalán a jármű legkülső pontjától számított 900 mm-re lévő, a függőleges középsíkkal párhuzamos hosszirányú függőleges sík között helyezkedik el, a VI. osztályba tartozó mellső tükör felszerelése nem kötelező.
5.7. Több fényvisszaverő felületből álló tükrök esetén, amelyek eltérő görbületűek vagy egymással szöget alkotnak, a fényvisszaverő felületek legalább egyikénél biztosítani kell a saját osztályára meghatározott látóteret és méreteket (lásd a II. melléklet 2.2.2 pontját).
5.8. Látótér korlátozása
5.8.1. Belső visszapillantó tükör (I. osztály)
Megengedett a látótér korlátozása a fejtámla és olyan eszközök, mint napellenzők, hátsó ablaktörlők, fűtőelemek és az S3 kategória szerinti féklámpa, vagy a felépítmény olyan elemei, mint az ablakoszlopokkal osztott hátsó ajtók által, feltéve hogy ezek az előírt látóteret összességében 15 %-nál nem nagyobb részben csökkentik, amikor azokat a jármű hosszanti középsíkjára merőleges függőleges síkra vetítik. A látótér korlátozását a fejtámla legalacsonyabb helyzete, és felhajtott napellenzők mellett kell mérni.
5.8.2. Külső tükrök (II., III., IV., V., és VI. osztály)
Az előírt látótereknek a felépítmény, illetve annak bizonyos elemei, mint például más tükrök, kilincsek, szélességjelző lámpák, irányjelzők és hátsó lökhárítók, valamint a tükörfelületeket tisztító eszközök miatt bekövetkező korlátozását figyelmen kívül lehet hagyni, ha ez összességében az előírt látótér kevesebb mint 10 %-át érinti.
5.9. Vizsgálati eljárás A látóteret úgy kell meghatározni, hogy erős fényforrásokat helyeznek el a vezető szemeinek helyén, és egy függőleges ellenőrző képernyőn mérik a visszatükröződő fényt. Más, ezzel egyenértékű módszerek is alkalmazhatók.
Közvetett látást biztosító eszközök a tükör kivételével
6. A közvetett látást biztosító eszköznek lehetővé kell tennie, hogy a vezető a kritikus tárgyat a kritikus észlelési teljesítmény határán és az előírt látótéren belül felismerhesse.
7. A közvetett látást biztosító eszköz felszerelése miatt a vezető közvetlen kilátását a lehető legkisebb mértékben lehet korlátozni.
8. A közvetett látást biztosító kamera/monitor rendszerek esetén az észlelési távolság megállapításához az e melléklet függelékében meghatározott eljárást kell alkalmazni.
9. A monitor felszerelésére vonatkozó követelmények A monitor rátekintési irányának hozzávetőlegesen meg kell egyeznie a fő tükör rátekintési irányával.
10. Az M2 és M3 kategóriájú járműveknél, valamint az N2 > 7,5 t és N3 kategóriájú, teljes vagy befejezett járműveknél, amelyeket hulladékgyűjtés céljára különleges felépítménnyel szereltek fel, a felépítmény hátsó részén közvetett látást biztosító tükrön kívüli eszközzel szerelhetők fel az alábbi látótér biztosítása érdekében.
10.1. A látóteret (lásd a 12. ábrát) úgy kell kialakítani, hogy a vezető az útpályának legalább azt a sík vízszintes részét beláthassa, amelyet az alábbi síkok határolnak:
- a teljes jármű legkülső hátsó pontján áthaladó, és a jármű hosszirányú függőleges középsíkjára merőleges függőleges sík,
- az előző sík mögött (a jármű hátuljától) 2 000 mm-re elhelyezkedő, azzal párhuzamos függőleges sík;
- a jármű hosszirányú függőleges középsíkjával párhuzamos két függőleges sík, amelyek a jármű két oldalának legkülső szélső pontjain haladnak át.
10.2. Amennyiben az ilyen kategóriába tartozó járművek a 10.1. pont előírásait kamera/monitor rendszer segítségével nem képesek teljesíteni, más közvetett látást biztosító eszközt alkalmazhatnak. Ebben az esetben az eszköznek biztosítani kell az 50 cm magasságú, 30 cm átmérőjű, a 10.1. pontban meghatározott látótéren belüli tárgy észlelését.

12. ábra: Közvetett látást biztosító eszközök látótere a jármű hátsó részén
Függelék
Az észlelési távolság kiszámítása
1. A KÖZVETETT LÁTÁST BIZTOSÍTÓ KAMERA/MONITOR RENDSZER
1.1. A kamera felbontási küszöbértéke
A kamera felbontási küszöbértékét az alábbi képlet határozza meg:

ahol:
ωc : a kamera felbontási küszöbértéke (ívperc)
βc : a kamera látószöge (o)
Nc : a kamera sorfelbontása
A βc és az Nc értékeit a gyártónak kell megadnia.
1.2. A monitor kritikus észlelési távolságának meghatározása
Adott méretű és megjelenítési tulajdonságokkal rendelkező monitor esetében meghatározható a monitor távolsága, amelyen belül az észlelési távolságot kizárólag a kamera teljesítménye határozza meg. Ezt a kritikus észlelési távolságot (rmc) az alábbi képlet határozza meg:

ahol:
rm,c : kritikus észlelési távolság (m)
Hm : a monitorkép magassága
Nm : a monitor sorfelbontása (-)
ωszem : a megfigyelő felbontási küszöbértéke (ívperc)
A 60-as szám az ívpercek fokokra történő átváltására szolgál.
A Hm és az Nm értékekeit a gyártónak kell megadnia.
ωszem = 1
1.3. Az észlelési távolság meghatározása
1.3.1. Amennyiben a monitor elhelyezése miatt a szem és a monitor közötti távolság kisebb, mint a kritikus észlelési távolság, az elérhető legnagyobb észlelési távolságot az alábbi képlet határozza meg:

ahol:
rd : észlelési távolság (m)
D0 : a tárgy átmérője (m)
f : küszöbértéket növelő tényező
ωc βc és Nc az 1.1. pontnak megfelelően
D0 = 0,8 m
f = 8
1.3.2. Amennyiben a monitor elhelyezése miatt a szem és a monitor közötti távolság nagyobb, mint a kritikus észlelési távolság, az elérhető legnagyobb észlelési távolságot az alábbi képlet határozza meg:

ahol:
rm : a megfigyelő távolsága (m)
Dm : a monitor képernyőjének átmérője (hüvelyk)
Nm : a monitor sorfelbontása (-)
βc és Nc az 1.1 pontnak megfelelően
Nm és ωszem az 1.2 pontnak megfelelően.
2. TOVÁBBI FUNKCIONÁLIS ELŐÍRÁSOK
A felszerelésre vonatkozó feltételek alapján meg kell állapítani, hogy az eszköz beszerelt állapotban is teljesíti-e a II. mellékletben meghatározott követelményeket, különösen a zavaró fények kiküszöbölését, illetve a monitor maximális és minimális fényerősségét tekintve. Meg kell határozni továbbá, hogy mennyire hatásos a beépített eszköz zavaró fények esetén, a napfénynek a monitorra való beesési szögének függvényében; a vizsgálati eredményeket össze kell hasonlítani a laboratóriumi mérésekből származó megfelelő mérési eredményekkel.
A követelmények teljesítését igazolhatják vagy úgy, hogy a különféle szög alatt beeső zavaró fények hatását CAD-modell segítségével szimulálják, vagy a II. melléklet B részének 3.2. pontja szerinti méréseket végzik el a járműbe beépített eszközön.
IV. MELLÉKLET
A 6. CIKKBEN ELŐÍRT MEGFELELÉSI TÁBLÁZAT
A módosított 71/127/EGK irányelv | Ezen irányelv |
– | 1. cikk |
– | 2. cikk |
1. cikk | – |
2. cikk | – |
3. cikk | – |
4. cikk | – |
5. cikk | – |
6. cikk | – |
7. cikk | 3. cikk |
8. cikk | – |
– | 4. cikk |
9. cikk | – |
10. cikk | 5. cikk |
– | 6. cikk |
– | 7. cikk |
11. cikk | 8. cikk |
I. melléklet | I. melléklet |
I. melléklet 1. függeléke | II. melléklet 1. függeléke |
– | I. melléklet 1. függeléke |
– | I. melléklet 2. függeléke |
– | I. melléklet 3. függeléke |
– | I. melléklet 4. függeléke |
– | I. melléklet 5. függeléke |
I. melléklet 2. függeléke | I. melléklet 6. függeléke |
II. melléklet | II.A melléklet |
– | II.B melléklet |
II. melléklet 1. függeléke | II. melléklet 1. függeléke |
– | II. melléklet 2. függeléke |
II. melléklet 2. függeléke | – |
II. melléklet 3. függeléke | I. melléklet és az I. melléklet 5. függeléke |
III. melléklet | I. melléklet 2. függeléke |
– | III. melléklet |
III. melléklet függeléke | III. melléklet függeléke |
– | I. melléklet 4. függeléke |
– | IV. melléklet |
( 1 ) HL C 126. E, 2002.5.28., 225. o.
( 2 ) HL C 149., 2002.6.21., 5. o.
( 3 ) Az Európai Parlament 2002. április 9-i véleménye (HL C 127. E, 2003.5.29., 25. o.), a Tanács 2003. április 8-i közös álláspontja (HL C 214. E 2003.9.9., 7. o.), az Európai Parlament 2003. július 1-jei álláspontja (a Hivatalos Lapban még nem tették közzé), valamint a 2003. október 20-i tanácsi határozat.
( 4 ) HL L 68., 1971.3.22., 1. o. A legutóbb az 1994. évi csatlakozási okmánnyal módosított irányelv.
( 5 ) HL L 42., 1970.2.23., 1. o. A legutóbb a 807/2003/EK rendelettel (HL L 122., 2003.5.16., 36. o.) módosított irányelv.
( 6 ) A személyszállításra használt, a vezetőülésen kívül több mint nyolc ülőhelyet tartalmazó járművekre vonatkozó különleges rendelkezésekről, valamint a 70/156/EGK és a 97/27/EK irányelv módosításáról szóló, 2001. november 20-i 2001/85/EK európai parlamenti és tanács irányelv (HL L 42., 2002.2.13., 1. o.).
( 7 ) A közvetett látást biztosító rendszer célja a releváns úthasználók észlelése. Valamely úthasználónak a relevanciáját az illető elhelyezkedése és (potenciális) sebessége határozza meg. Az ilyen úthasználók méretei nagyjából arányosan nőnek a gyalogos/kerékpáros/segédmotoros kerékpár vezetője sebességével. Az észlelés szempontjából a segédmotoros kerékpár vezetője (D = 0,8) 40 m távolságra egyenlő a 25 m távolságra lévő gyalogossal (D = 0,5). A sebességek figyelembevételekor a segédmotoros kerékpár vezetőjét kell kiválasztani mint az észlelési méret kritériumát; emiatt a 0,8 m méretű tárgyat kell alkalmazni az észlelési teljesítmény meghatározásához.
( 8 ) A 70/156/EGK irányelv IIA. mellékletének értelmében.
( 9 ) A nem kívánt rész törlendő.
( 10 ) A meghatározások a CIE 50 (45) International Electronical Vocabulary, Group 45: Lighting kiadványából származnak.
( 11 ) Abridged table. The values of

Lábjegyzetek:
[1] A dokumentum eredetije megtekinthető CELEX: 32003L0097 - https://eur-lex.europa.eu/legal-content/HU/ALL/?uri=CELEX:32003L0097&locale=hu Utolsó elérhető, magyar nyelvű konszolidált változat CELEX: 02003L0097-20070101 - https://eur-lex.europa.eu/legal-content/HU/ALL/?uri=CELEX:02003L0097-20070101&locale=hu