32006L0027[1]
A Bizottság 2006/27/EK irányelve ( 2006. március 3. ) a műszaki fejlődéshez történő hozzáigazítás érdekében a motorkerékpárok és segédmotoros kerékpárok fékberendezéséről szóló 93/14/EGK, a motorkerékpárok és segédmotoros kerékpárok előírt azonosítási jelzéseiről szóló 93/34/EGK, a motorkerékpárok és segédmotoros kerékpárok legnagyobb tervezési sebességéről, valamint a motor legnagyobb nyomatékáról és legnagyobb hasznos teljesítményéről szóló 95/1/EK, illetve a motorkerékpárok és segédmotoros kerékpárok egyes alkatrészeiről és jellemzőiről szóló 97/24/EK irányelv módosításáról
A BIZOTTSÁG 2006/27/EK IRÁNYELVE
(2006. március 3.)
a műszaki fejlődéshez történő hozzáigazítás érdekében a motorkerékpárok és segédmotoros kerékpárok fékberendezéséről szóló 93/14/EGK, a motorkerékpárok és segédmotoros kerékpárok előírt azonosítási jelzéseiről szóló 93/34/EGK, a motorkerékpárok és segédmotoros kerékpárok legnagyobb tervezési sebességéről, valamint a motor legnagyobb nyomatékáról és legnagyobb hasznos teljesítményéről szóló 95/1/EK, illetve a motorkerékpárok és segédmotoros kerékpárok egyes alkatrészeiről és jellemzőiről szóló 97/24/EK irányelv módosításáról
(EGT vonatkozású szöveg)
AZ EURÓPAI KÖZÖSSÉGEK BIZOTTSÁGA,
tekintettel az Európai Közösséget létrehozó szerződésre,
tekintettel a motorkerékpárok és segédmotoros kerékpárok típusjóváhagyásáról és a 92/61/EGK tanácsi irányelv hatályon kívül helyezéséről szóló, 2002. március 18-i 2002/24/EK európai parlamenti és tanácsi irányelvre ( 1 ) és különösen annak 17. cikkére,
tekintettel a motorkerékpárok és segédmotoros kerékpárok fékberendezéseiről szóló, 1993. április 5-i 93/14/EGK tanácsi irányelvre ( 2 ) és különösen annak 4. cikkére,
tekintettel a motorkerékpárok és segédmotoros kerékpárok előírt azonosítási jelzéseiről szóló, 1993. június 14-i 93/34/EGK tanácsi irányelvre ( 3 ) és különösen annak 3. cikkére,
tekintettel a motorkerékpárok és segédmotoros kerékpárok legnagyobb tervezési sebességéről, valamint a motor legnagyobb nyomatékáról és legnagyobb hasznos teljesítményéről szóló, 1995. február 2-i 95/1/EK európai parlamenti és tanácsi irányelvre ( 4 ) és különösen annak 4. cikkére,
tekintettel a motorkerékpárok és segédmotoros kerékpárok egyes alkatrészeiről és jellemzőiről szóló, 1997. június 17-i 97/24/EK európai parlamenti és tanácsi irányelvre ( 5 ) és különösen annak 7. cikkére,
mivel:
(1) A 93/14/EGK, a 93/34/EGK, a 95/1/EK és a 97/24/EK irányelv négy különálló irányelv a 2002/24/EK irányelvben előírt EK-típus-jóváhagyási eljárás összefüggésében.
(2) A 93/14/EGK irányelvben előírt követelmények és az ENSZ EGB 78. előírásában előírt követelmények egyenértékűségének fenntartása érdekében az ENSZ EGB 78. előírásának legutóbbi módosítását be kell vezetni az európai típus-jóváhagyási rendszerbe.
(3) A jobb szabályozás érdekében egyszerűsíthetők a 93/34/EGK és a 95/1/EK irányelvben a motorkerékpárok és segédmotoros kerékpárok előírt azonosítási jelzéseire és legnagyobb sebességére meghatározott követelmények.
(4) A teljes típus-jóváhagyási rendszer megfelelő működésének biztosítása érdekében világosabbá kell tenni, hogy a külső kinyúló részekre, a biztonságiöv-rögzítésekre és a biztonsági övekre vonatkozó előírások közül melyek alkalmazandók a karosszériával ellátott, és melyek a karosszéria nélküli járművekre.
(5) A 97/24/EK irányelvben világosabbá kell tenni és ki kell egészíteni az eredeti katalizátorok és az eredeti hangtompítók megjelölésére vonatkozó előírásokat.
(6) A 93/14/EGK, a 93/34/EGK, a 95/1/EK és a 97/24/EK irányelvet ezért ennek megfelelően módosítani kell.
(7) Az ezen irányelvben előírt intézkedések összhangban vannak a műszaki fejlődéshez történő hozzáigazítással foglalkozó bizottság véleményével,
ELFOGADTA EZT AZ IRÁNYELVET:
1. cikk
A 93/14/EGK irányelv melléklete az I. melléklet szövegének megfelelően módosul.
2. cikk
A 93/34/EGK irányelv melléklete a II. melléklet szövegének megfelelően módosul.
3. cikk
A 95/1/EK irányelv I. melléklete a III. melléklet szövegének megfelelően módosul.
4. cikk
A 97/24/EK irányelv 1. fejezetének III. melléklete, 3. fejezetének I. és II. melléklete, 4. fejezetének I. melléklete, 5. fejezetének I., II., VI. és VII. melléklete, 7. fejezetének melléklete, 9. fejezetének II., III. és IV. melléklete, 11. fejezetének címe és I. melléklete, valamint 12. fejezetének I. és II. melléklete a IV. melléklet szövegének megfelelően módosul.
5. cikk
(1) 2007. január 1-jétől kezdődően az ezen irányelvvel módosított 93/14/EGK, 93/34/EGK, 95/1/EK, illetve 97/24/EK irányelv előírásainak megfelelő motorkerékpárok és segédmotoros kerékpárok vonatkozásában a tagállamok a kérdéses irányelv körébe tartozó indokkal nem tagadhatják meg az EK-típusjóváhagyás kiadását, és nem tilthatják meg az érintett jármű nyilvántartásba vételét, eladását vagy üzembe helyezését.
(2) 2007. július 1-jétől kezdődően a tagállamok a kérdéses irányelv körébe tartozó indokkal kötelesek megtagadni az EK-típusjóváhagyás kiadását a jelen irányelvvel módosított 93/14/EGK, 93/34/EGK, 95/1/EK, illetve 97/24/EK irányelv előírásainak nem megfelelő új motorkerékpárokra és segédmotoros kerékpárokra.
6. cikk
(1) A tagállamok legkésőbb 2006. december 31-ig hatályba léptetik azokat a rendelkezéseket, amelyek szükségesek ahhoz, hogy ennek az irányelvnek megfeleljenek. A tagállamok haladéktalanul tájékoztatják a Bizottságot e rendelkezések szövegéről, és ehhez mellékelnek egy táblázatot a kérdéses rendelkezések és az irányelv közötti megfelelésről.
Amikor a tagállamok elfogadják ezeket a rendelkezéseket, azokban hivatkozni kell erre az irányelvre, vagy azokhoz hivatalos kihirdetésük alkalmával ilyen hivatkozást kell fűzni. A hivatkozás módját a tagállamok határozzák meg.
(2) A tagállamok tájékoztatják a Bizottságot nemzeti joguk azon főbb rendelkezéseiről, amelyeket az ezen irányelv által szabályozott területen fogadnak el.
7. cikk
Ez az irányelv az Európai Unió Hivatalos Lapjában való kihirdetését követő huszadik napon lép hatályba.
8. cikk
Ennek az irányelvnek a tagállamok a címzettjei.
I. MELLÉKLET
A 93/14/EGK irányelv melléklete a következőképpen módosul:
1. A melléklet a következő 2.1.1.3. ponttal egészül ki:
"2.1.1.3. A fékbetétek nem tartalmazhatnak azbesztet."
2. Az 1. függelék a következőképpen módosul:
a) Az 1.1.1. és 1.1.2. pont helyébe a következő szöveg lép:
"1.1.1. A fékberendezések esetén előírt hatásosságot a féktávolság és/vagy a legnagyobb átlagos lassulás alapján kell megadni. A fékberendezés hatásosságát a vizsgálat során a jármű kezdeti sebességéhez tartozó féktávolság mérésével és/vagy a legnagyobb átlagos lassulás mérésével kell meghatározni.
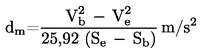
1.1.2. A féktávolság az a távolág, amelyet a jármű attól a pillanattól tesz meg, amikor a vezető működésbe hozza a fékberendezés vezérlését, addig a pillanatig, amikor a jármű megáll; a jármű v1 kezdeti sebessége az a sebesség, amellyel a jármű akkor halad, amikor a vezető működésbe hozza a fékberendezés vezérlését; a kezdeti sebesség nem lehet kisebb a kérdéses vizsgálatra előírt sebesség 98 százalékánál. A dm legnagyobb átlagos lassulást a vb és ve közötti távolságon mért átlagos lassulásként kell kiszámítani a következő összefüggésből:

ahol:
dm = a legnagyobb átlagos lassulás;
v1 = a fent meghatározott sebesség;
vb = a 0,8 v1 járműsebesség km/h-ban;
ve = a 0,1 v1 járműsebesség km/h-ban;
sb = a v1 és a vb sebességérték között megtett távolság méterben;
se = a v1 és a ve sebességérték között megtett távolság méterben.
A sebességet és a távolságot olyan műszerekkel kell meghatározni, amelyek pontossága a vizsgálatra előírt sebesség mellett ± 1 %. A dm lassulás a sebesség és a távolság mérése helyett másképpen is meghatározható; ilyenkor a dm érték pontosságának ± 3 %-nak kell lennie."
b) Az 1.1.3. pontban "Az alkatrésztípus-jóváhagyáshoz" szövegrész helyébe "A jármű típusjóváhagyásához" szöveg lép.
c) Az 1.2.1.1. pont helyébe a következő szöveg lép:
"1.2.1.1. A hatásosságra vonatkozó határértékeket az alábbiakban jármű-kategóriánként adjuk meg; a járműnek az adott jármű-kategóriára előírt féktávolság és legnagyobb átlagos lassulás szempontjából egyaránt meg kell felelnie, de előfordulhat, hogy nem szükséges mindkét paramétert megmérni."
d) Az 1.4.2.1. pont helyébe a következő szöveg lép:
"1.4.2.1. A vizsgálandó járműnek és féknek/fékeknek lényegében száraznak kell lenniük, és a féknek/fékeknek hidegnek kell lennie/lenniük. A fék hidegnek tekinthető, ha a féktárcsán vagy a fékdob külső részén mért hőmérséklet 100 °C alatt van."
II. MELLÉKLET
A 93/34/EGK irányelv melléklete a következőképpen módosul:
A 3.1.1.2. pont helyébe a következő szöveg lép:
"3.1.1.2. A második rész hat karakterből áll (betűk vagy számok), amelyek a jármű általános jellemzőit adják meg (típus, változat és a robogók esetén modell); a három jellemző mindegyike több karakterrel adható meg. Ha a gyártó e karakterek közül egyet vagy többet nem használ fel, a felhasználatlan helyeket betűkkel vagy számokkal kell kitölteni az egyes járművek gyártóinak választása szerint."
III. MELLÉKLET
A 95/1/EK irányelv I. melléklete a következőképpen módosul:
A 7. pont helyébe a következő szöveg lép:
"7. LEGNAGYOBB SEBESSÉG
A jármű legnagyobb sebességét km/h-ban, azzal az egész számmal kell kifejezni, amely a két egymás utáni vizsgálat során meghatározott, egymástól legfeljebb 3 %-kal eltérő sebességi érték számtani közepéhez legközelebb esik. Ha a számtani középérték pontosan a két egész szám között van, felfelé kell kerekíteni. Ha a jármű legnagyobb sebességét a 2002/24/EK irányelv 1. cikkének (2) és (3) bekezdésében foglalt fogalommeghatározások nem korlátozzák, akkor nem szükséges típusjóváhagyás céljából vizsgálatot végezni, és legnagyobb sebességként a gyártó által a 2002/24/EK irányelv II. melléklete szerinti űrlapon megadott értéket kell elfogadni."
IV. MELLÉKLET
A 97/24/EK irányelv a következőképpen módosul:
1. Az 1. fejezet III. mellékletének 2. függelékében a II.1. pont ötödik francia bekezdését el kell hagyni.
2. A 3. fejezet a következőképpen módosul:
a) Az I. melléklet a következőképpen módosul:
i. A cím helyébe a következő szöveg lép:
"MOTORKERÉKPÁROK ÉS SEGÉDMOTOROS KERÉKPÁROK KÜLSŐ KINYÚLÓ RÉSZEIRE VONATKOZÓ ELŐÍRÁSOK"
ii. A melléklet a következő 3.6. ponttal egészül ki:
"3.6. Ha a motorkerékpár vagy segédmotoros kerékpár olyan szerkezeti kialakítást vagy kiegészítő elemeket tartalmaz, amelyek a vezető vagy az utasok külső tértől való teljes vagy részbeni elhatárolását vagy a jármű egyes alkatrészeinek lefedését szolgálják, akkor a típusjóváhagyást végző hatóság vagy a műszaki szolgálat saját hatáskörben és a jármű gyártójával egyeztetve, a legkedvezőtlenebb körülmények értékelése alapján, a teljes jármű vagy annak egy része tekintetében dönthet e melléklet vagy a II. melléklet követelményeinek alkalmazása mellett."
iii. A 6.2. pont helyébe a következő szöveg lép:
"6.2. A tengelykapcsoló- és fékkarok végének jól láthatóan legömbölyítettnek kell lennie, legalább 7 mm lekerekítési sugárral. A tengelykapcsoló- és fékkarok külső szélét legalább 2 mm lekerekítési sugárral kell kiképezni. Az ellenőrzést a karok semleges helyzetében kell elvégezni."
b) A II. melléklet címe és "ÁLTALÁNOS ELŐÍRÁSOK" című szakasza helyébe a következő szöveg lép:
"MOTOROS TRICIKLIK, KÖNNYŰ NÉGYKEREKŰ MOTORBICIKLIK ÉS NÉGYKEREKŰ MOTORBICIKLIK KÜLSŐ KINYÚLÓ RÉSZEIRE VONATKOZÓ ELŐÍRÁSOK
ÁLTALÁNOS ELŐÍRÁSOK
A gépjárművek (M1 kategória) kiálló részeire vonatkozó 74/483/EGK ( 6 ) irányelv előírásai érvényesek az utasok szállítására szolgáló motoros triciklikre is.
Tekintettel azonban arra, hogy ezek a járművek nagymértékben eltérő kialakítással készülhetnek, a típusjóváhagyást végző hatóság vagy a műszaki szolgálat saját hatáskörben és a jármű gyártójával egyeztetve, a legkedvezőtlenebb körülmények értékelése alapján, a teljes jármű vagy annak egy része tekintetében dönthet e melléklet vagy az I. melléklet követelményeinek alkalmazása mellett.
A motoros triciklikre, a könnyű négykerekű motorbiciklikre és a négykerekű motorbiciklikre vonatkozó követelmények tekintetében ugyanez érvényes az alábbiakban előírt követelményekre is.
Az áruszállításra szolgáló motoros triciklikre, könnyű négykerekű motorbiciklikre és négykerekű motorbiciklikre az alábbi előírások vonatkoznak.
3. A 4. fejezet I. melléklete a következő 14. és 15. ponttal egészül ki:
"14. »Karosszéria nélküli jármű«: olyan jármű, amelyben az utasteret a következő elemek közül nem határolja legalább négy: szélvédő, padló, tetőzet, oldalfalak, hátfalak, ajtók.
15. »Karosszériával ellátott jármű«: olyan jármű, amelyben az utasteret a következő elemek közül legalább négy határolja: szélvédő, padló, tetőzet, oldalfalak, hátfalak, ajtók."
4. Az 5. fejezet a következőképpen módosul:
a) Az I. melléklet a következőképpen módosul:
i. A 2.3.2. pont helyébe a következő szöveg lép:
"2.3.2. Az eredeti katalizátorokon fel kell tüntetni legalább:
- az »e« jelzést, majd ezt követően a típusjóváhagyást megadó ország azonosítóját,
- a jármű gyártójának nevét vagy védjegyét,
- a gyártmányt és az alkatrész-azonosító számot.
A jelölés jól olvasható, kitörölhetetlen és az alkatrész beszerelési helyzetében látható legyen."
ii. Az 5.2.1. pont helyébe a következő szöveg lép, és az 5.2.1.1. és 5.2.1.2. pontot el kell hagyni:
"5.2.1. Jelölések
Az eredeti cserekatalizátorokon fel kell tüntetni legalább:
- az »e« jelzést, majd ezt követően a típusjóváhagyást megadó ország azonosítóját,
- a jármű gyártójának nevét vagy védjegyét,
- a gyártmányt és az alkatrész-azonosító számot.
A jelölés jól olvasható, kitörölhetetlen és az alkatrész beszerelési helyzetében látható legyen."
b) A II. melléklet a következőképpen módosul:
i. A 2.4.2. pont helyébe a következő szöveg lép:
"2.4.2. Az eredeti katalizátorokon fel kell tüntetni legalább:
- az »e« jelzést, majd ezt követően a típusjóváhagyást megadó ország azonosítóját,
- a jármű gyártójának nevét vagy védjegyét,
- a gyártmányt és az alkatrész-azonosító számot.
A jelölés jól olvasható, kitörölhetetlen és az alkatrész beszerelési helyzetében látható legyen."
ii. Az 5.2.1. pont helyébe a következő szöveg lép, és az 5.2.1.1. és 5.2.1.2. pontot el kell hagyni:
"5.2.1. Jelölések
Az eredeti cserekatalizátorokon fel kell tüntetni legalább:
- az »e« jelzést, majd ezt követően a típusjóváhagyást megadó ország azonosítóját,
- a jármű gyártójának nevét vagy védjegyét,
- a gyártmányt és az alkatrész-azonosító számot.
A jelölés jól olvasható, kitörölhetetlen és az alkatrész beszerelési helyzetében látható legyen."
c) A VI. melléklet 4a. pontja helyébe a következő szöveg lép:
"4a. Katalizátorok
4a.1. Ezen irányelv összes követelményének megfelelően vizsgált eredeti katalizátor
4a.1.1. Az eredeti katalizátor gyártmánya és típusa az V. melléklet (adatközlő lap) 3.2.12.2.1. rovatának megfelelően.
4a.2. Ezen irányelv összes követelményének megfelelően vizsgált eredeti cserekatalizátor
4a.2.1. Az eredeti cserekatalizátor(ok) gyártmánya és típusa az V. melléklet (adatközlő lap) 3.2.12.2.1. rovatának megfelelően.";
5. A 7. fejezet melléklete 1. ábrájának helyébe a következő ábra lép:
1. ábra

6. A 9. fejezet a következőképpen módosul:
a) A II. melléklet 2.3.2.2. pontja helyébe a következő szöveg lép:
"2.3.2.2. Az eredeti hangtompítókon fel kell tüntetni legalább:
- az »e« jelzést, majd ezt követően a típusjóváhagyást megadó ország azonosítóját,
- a jármű gyártójának nevét vagy védjegyét,
- a gyártmányt és az alkatrész-azonosító számot.
A jelölés jól olvasható, kitörölhetetlen és az alkatrész beszerelési helyzetében látható legyen."
b) A III. melléklet 2.3.2.2. pontja helyébe a következő szöveg lép:
"2.3.2.2. Az eredeti hangtompítókon fel kell tüntetni legalább:
- az »e« jelzést, majd ezt követően a típusjóváhagyást megadó ország azonosítóját,
- a jármű gyártójának nevét vagy védjegyét,
- a gyártmányt és az alkatrész-azonosító számot.
A jelölés jól olvasható, kitörölhetetlen és az alkatrész beszerelési helyzetében látható legyen."
c) A IV. melléklet 2.4.2.2. pontja helyébe a következő szöveg lép:
"2.4.2.2. Az eredeti hangtompítókon fel kell tüntetni legalább:
- az »e« jelzést, majd ezt követően a típusjóváhagyást megadó ország azonosítóját,
- a jármű gyártójának nevét vagy védjegyét,
- a gyártmányt és az alkatrész-azonosító számot.
A jelölés jól olvasható, kitörölhetetlen és az alkatrész beszerelési helyzetében látható legyen."
7. A 11. fejezet a következőképpen módosul:
a) A cím helyébe a következő szöveg lép:
"HÁROMKEREKŰ MOPEDEK, TRICIKLIK ÉS NÉGYKEREKŰ MOTORBICIKLIK BIZTONSÁGIÖV-RÖGZÍTÉSI PONTJAI ÉS BIZTONSÁGI ÖVEI".
b) Az I. melléklet a következőképpen módosul:
i. Az 1.6. pont helyébe a következő szöveg lép, és a melléklet kiegészül a következő 1.6a. ponttal:
"1.6. »ülés«: olyan szerkezet, amely, függetlenül attól, hogy a járműszerkezet és/vagy belső burkolata szerves részét képezi vagy sem, egy felnőtt ember számára ülő helyzet elfoglalását teszi lehetővé; a fogalom mind az egyedi ülést, mind a pad egy ülő helyzetnek megfelelő részét jelöli. A nyereg a 2.1. pont szempontjából nem minősül ülésnek;
1.6a. »nyereg«: olyan ülés, amelyen a vezető vagy az utas lovaglóülésben ül;".
ii. A 2. pont helyébe a következő szöveg lép:
"2. ÁLTALÁNOS KÖVETELMÉNYEK
2.1. A biztonsági övek rögzítési pontjainak meg kell felelniük e fejezet előírásainak.
2.1.1. A háromkerekű mopedek, a triciklik, a könnyű négykerekű motorbiciklik és a négykerekű motorbiciklik valamennyi ülését el kell látni biztonságiöv-rögzítési pontokkal.
2.1.1.1. Hárompontos biztonsági öv elhelyezését lehetővé tévő rögzítési pontokat kell felszerelni minden olyan üléshez, amely mindkét következő feltételt kielégíti:
- az ülés rendelkezik támlával vagy olyan támasszal, amely segít a próbabábu háta nyugalmi szögének meghatározásában és üléstámlának tekinthető;
- a H pont mögött, a H ponton átmenő függőleges síkhoz képest 450 mm-nél magasabban helyezkedik el, oldal- vagy keresztirányú szerkezeti elem.
2.1.1.2. Minden más ülés esetén elfogadható a kétpontos biztonsági öv elhelyezését lehetővé tévő rögzítési pontok alkalmazása.
2.1.2. Nem kötelező biztonságiöv-rögzítési pontokat felszerelni a legfeljebb 250 kg tömegű háromkerekű mopedekre és négykerekű motorbiciklikre."
8. A 12. fejezet a következőképpen módosul:
a) A 12. fejezet I. melléklete a cím után a következő szöveggel egészül ki:
"E fejezet alkalmazásában »karosszériával ellátott jármű« minden olyan jármű, amelyben az utasteret a következő elemek közül legalább négy határolja: szélvédő, padló, tetőzet, oldalfalak, hátfalak, ajtók."
b) A II. melléklet 2.3.1. pontja helyébe a következő szöveg lép:
"2.3.1. Minden járművet el kell látni szélvédő-jégmentesítővel és -páramentesítővel, amely képes eltávolítani bármilyen jeget vagy deret a szélvédő külső, és bármilyen párát annak belső felületéről.
Mindazonáltal ez a berendezés nem szükséges olyan karosszériával ellátott háromkerekű mopedekben, amelyek motorteljesítménye legfeljebb 4 kW, valamint olyan járművekben, amelyekben a szélvédőhöz nem kapcsolódik a szélvédő mögött hátrafelé 100 mm-nél nagyobb mértékben kinyúló támaszelem, egyéb szerkezeti elem vagy kiegészítő elem. El kell látni ugyanakkor ezzel a berendezéssel minden olyan járművet, amely rögzített, leszerelhető vagy hátrahúzható tetőzettel rendelkezik."
( 1 ) HL L 124., 2002.5.9., 1. o. A legutóbb a 2005/30/EK bizottsági irányelvvel (HL L 106., 2005.4.27., 17. o.) módosított irányelv.
( 2 ) HL L 121., 1993.5.15., 1. o.
( 3 ) HL L 188., 1993.7.29., 38. o. Az 1999/25/EK bizottsági irányelvvel (HL L 104., 1999.4.21., 19. o.) módosított irányelv.
( 4 ) HL L 52., 1995.3.8., 1. o. A 2002/41/EK bizottsági irányelvvel (HL L 133., 2002.5.18., 17. o.) módosított irányelv.
( 5 ) HL L 226., 1997.8.18., 1. o. A legutóbb a 2005/30/EK irányelvvel módosított irányelv.
( 6 ) HL L 266., 1974.10.2., 4. o."
Lábjegyzetek:
[1] A dokumentum eredetije megtekinthető CELEX: 32006L0027 - https://eur-lex.europa.eu/legal-content/HU/ALL/?uri=CELEX:32006L0027&locale=hu Utolsó elérhető, magyar nyelvű konszolidált változat CELEX: 02006L0027-20060328 - https://eur-lex.europa.eu/legal-content/HU/ALL/?uri=CELEX:02006L0027-20060328&locale=hu