32018D1614[1]
A Bizottság (EU) 2018/1614 végrehajtási határozata (2018. október 25.) az (EU) 2016/797 európai parlamenti és tanácsi irányelv 47. cikkében említett járműnyilvántartásokra vonatkozó előírások megállapításáról, valamint a 2007/756/EK bizottsági határozat módosításáról és hatályon kívül helyezéséről
A BIZOTTSÁG (EU) 2018/1614 VÉGREHAJTÁSI HATÁROZATA
(2018. október 25.)
az (EU) 2016/797 európai parlamenti és tanácsi irányelv 47. cikkében említett járműnyilvántartásokra vonatkozó előírások megállapításáról, valamint a 2007/756/EK bizottsági határozat módosításáról és hatályon kívül helyezéséről
(EGT-vonatkozású szöveg)
AZ EURÓPAI BIZOTTSÁG,
tekintettel az Európai Unió működéséről szóló szerződésre,
tekintettel a vasúti rendszer Európai Unión belüli kölcsönös átjárhatóságáról szóló, 2016. május 11-i (EU) 2016/797 európai parlamenti és tanácsi irányelvre (1) és különösen annak 47. cikke (2) és (5) bekezdésére,
mivel:
(1) A járművek és előtörténetük nyomonkövethetőségének biztosítása érdekében a járműveket egy európai járműszámon járműnyilvántartásba kell venni. Annak érdekében, hogy a járműveket az egész Unióban azonos módon vegyék nyilvántartásba, harmonizálni kell az európai járműszám megállapítására vonatkozó szabályokat.
(2) A járműveket jelenleg a nemzeti járműnyilvántartásokban veszik nyilvántartásba, és minden tagállam saját maga kezeli nemzeti járműnyilvántartását. A nemzeti járműnyilvántartások használhatóságát javítani kell, és el kell kerülni, hogy egy jármű több járműnyilvántartásban is szerepeljen, ideértve a virtuális járműnyilvántartáshoz kapcsolódó harmadik országbeli járműnyilvántartásokat is. A 2007/756/EK bizottsági határozatot (2) ezért ennek megfelelően módosítani kell.
(3) Az Európai Unió Vasúti Ügynöksége (a továbbiakban: Ügynökség) által elvégzett költség-haszon elemzés tanúsága szerint az Unió vasúti rendszerének jelentős előnyei származnának egy, a nemzeti járműnyilvántartások helyébe lépő európai járműnyilvántartás létrehozásából.
(4) A tagállamok és az érdekelt felek adminisztratív terheinek és költségeinek csökkentése érdekében indokolt, hogy a Bizottság elfogadja a leendő európai járműnyilvántartásra vonatkozó műszaki és funkcionális előírásokat, amely magában foglalja majd a nemzeti járműnyilvántartásokat.
(5) Az Ügynökségnek - adott esetben a nemzeti nyilvántartó szervekkel együttműködve - létre kell hoznia és fenn kell tartania az európai járműnyilvántartást. A nemzeti biztonsági hatóságok, vizsgáló szervezetek és - arra vonatkozó jogos kérelem esetén - az igazgatási szervezetek, az Ügynökség, a vasúti társaságok és a pályahálózat-működtetők, valamint a járműveket nyilvántartásba vevő és a nyilvántartásban azonosított személyek és szervezetek számára indokolt biztosítani a betekintést az európai járműnyilvántartásba.
(6) A tagállamoknak ki kell jelölniük egy, a járművek európai járműnyilvántartásban való nyilvántartásba vételéért, valamint az ott általa nyilvántartásba vett járművekre vonatkozó információk feldolgozásáért és frissítéséért felelős nyilvántartó szervet.
(7) Az üzemben tartó feladata, hogy a nyilvántartásba vétel iránti kérelemben megadja a szükséges információkat, és lehetővé kell tenni számára, hogy a kérelmet harmonizált elektronikus űrlapon, webalapú eszköz segítségével nyújthassa be. Az üzemben tartónak biztosítania kell, hogy a járművekkel kapcsolatban a nyilvántartó szervnek benyújtott adatok naprakészek és pontosak legyenek.
(8) A tagállamok számára indokolt előírni, hogy biztosítsák az (EU) 2016/797 irányelv 22. cikkével összhangban a kijelölt nyilvántartó szerv által az európai járműnyilvántartásban nyilvántartásba vett járműadatok minőségét és sértetlenségét, az Ügynökségnek pedig indokolt feladatául szabni az európai járműnyilvántartás informatikai rendszerének e határozattal összhangban történő fejlesztését és karbantartását.
(9) Az európai járműnyilvántartásnak központosított nyilvántartásnak kell lennie, amely valamennyi felhasználó számára harmonizált kapcsolódási pontot biztosít a betekintés, a járművek nyilvántartásba vétele és az adatkezelés céljára.
(10) Az európai járműnyilvántartás funkcióinak műszaki fejlesztésére és tesztelésére van szükség. Az európai járműnyilvántartásnak azonban az (EU) 2016/797 irányelv 47. cikkének (5) bekezdésével összhangban 2021. június 16-án működőképesnek kell lennie.
(11) A tagállamok egyedi igényeinek kielégítése érdekében egyes nemzeti járműnyilvántartásokat más célokra is használnak, mint a járművek és az előtörténetük nyomonkövethetőségének biztosítása. Annak érdekében, hogy a nem csak kifejezetten a járművek nyilvántartásba vételére használt nemzeti nyilvántartásokat az európai járműnyilvántartáshoz való kapcsolódás céljából ki lehessen igazítani, a járművek központosított nyilvántartásba vételére való áttérésnek fokozatosan kell történnie. Ezért az európai járműnyilvántartás bevezetését követően a tagállamok számára lehetővé kell tenni, hogy 2024. június 16-ig a nyilvántartásbavételi funkciót "decentralizált" módon működtessék, a többi funkciót azonban 2021. június 16-tól központosítani kell. 2024. június 16. után valamennyi tagállam csak a központosított nyilvántartásbavételi funkciót használhatja.
(12) Az európai járműnyilvántartásnak lehetővé kell tennie a tagállamok által kért egyedi kiegészítő információk nyilvántartásba vételét. Amikor egy tagállamban nyilvántartásba vétel iránti kérelmet nyújt be, az üzemben tartónak meg kell adnia a szóban forgó tagállam által előírt kiegészítő információkat.
(13) Az európai járműnyilvántartásban nyilvántartásba vett járművek harmadik országokban való használatának elősegítése érdekében - különösen a Nemzetközi Vasúti Fuvarozási Egyezmény rendelkezéseit alkalmazó harmadik országok esetében, amely egyezménynek az Európai Unió részes fele - az európai járműnyilvántartás vonatkozó adatait hozzáférhetővé kell tenni a szóban forgó harmadik országok engedélyező illetékes hatóságai számára. E célból az Ügynökségnek elő kell segítenie az 1999. június 3-i vilniusi jegyzőkönyvvel módosított, 1980. május 9-i Nemzetközi Vasúti Fuvarozási Egyezménnyel összhangban elfogadott határozatok végrehajtását.
(14) 2016. december 21-én az Ügynökség ajánlást adott ki a nemzeti járműnyilvántartásra vonatkozó előírásokról, amelyben a nemzeti járműnyilvántartások használhatóságának javítására adódó lehetőségeket jelölt meg. 2017. december 14-én az Ügynökség ajánlást adott ki az európai járműnyilvántartásra vonatkozó előírásokról.
(15) Az ebben a határozatban előírt intézkedések összhangban vannak az (EU) 2016/797 irányelv 51. cikkének (1) bekezdésében említett bizottság véleményével,
ELFOGADTA EZT A HATÁROZATOT:
1. FEJEZET
ÁLTALÁNOS RENDELKEZÉSEK
1. cikk
Tárgy
Ez a határozat módosítja a nemzeti járműnyilvántartásokra vonatkozó közös előírásokat, továbbá meghatározza az európai járműnyilvántartásra vonatkozó műszaki és funkcionális előírásokat.
2. FEJEZET
NEMZETI JÁRMŰNYILVÁNTARTÁSOK
2. cikk
A nemzeti járműnyilvántartásokra vonatkozó közös előírások módosításai
A 2007/756/EK határozat melléklete e határozat I. mellékletének megfelelően módosul.
3. cikk
A más nyilvántartásokban szereplő párhuzamos bejegyzések visszavonása
(1) Az üzemben tartó gondoskodik arról, hogy a járműveknek a 2011/107/EU bizottsági határozattal (3) módosított 2007/756/EK határozat mellékletének 3.2.5.1. pontja szerinti többszörös nyilvántartásba vételét a 2018. november 15-től számított egy éven belül visszavonják a nemzeti járműnyilvántartásokból.
(2) Az üzemben tartó gondoskodik arról, hogy 2018. november 15-től számított egy éven belül visszavonják az Unió vasúti rendszerén való közlekedésre szánt és a 2007/756/EK határozat mellékletében szereplő előírásokkal összhangban egy, az említett határozatban meghatározott virtuális járműnyilvántartáshoz kapcsolódó járműnyilvántartásba bejegyzett harmadik országbeli járművek más nyilvántartásokban szereplő bejegyzéseit.
3. FEJEZET
EURÓPAI JÁRMŰNYILVÁNTARTÁS
4. cikk
Az európai járműnyilvántartásra vonatkozó előírások
Az európai járműnyilvántartásra vonatkozó műszaki és funkcionális előírásokat a II. melléklet tartalmazza.
5. cikk
Nyilvántartó szerv
(1) Minden tagállam 2019. május 15-ig kijelöl egy, a vasúti társaságoktól független nyilvántartó szervet, melynek feladata a kérelmek feldolgozása és az adott tagállamban nyilvántartásba vett járművekre vonatkozóan az európai járműnyilvántartásban szereplő adatok frissítése.
(2) Ez a nyilvántartó szerv lehet a 2007/756/EK határozat 4. cikkének (1) bekezdésével összhangban kijelölt szerv. A tagállamok biztosítják, hogy az említett nyilvántartó szervek együttműködjenek, és kellő időben megosszák egymással az európai járműnyilvántartásban bekövetkezett változásokra vonatkozó információikat.
(3) Amennyiben a nyilvántartó szerv nem a 2007/756/EK határozat 4. cikkének (1) bekezdésével összhangban kijelölt szerv, a tagállamok legkésőbb 2019. november 15-ig tájékoztatják a Bizottságot és a többi tagállamot az (1) bekezdéssel összhangban kijelölt szervről.
6. cikk
A forgalomba hozatalra engedélyezett járművek nyilvántartásba vétele
(1) Az üzemben tartó az európai járműnyilvántartáson keresztül nyilvántartásba vétel iránti kérelmet nyújt be a jármű alkalmazási területén belüli, választása szerinti tagállamnak.
(2) A nyilvántartó szervek észszerű mértékben lépéseket tesznek az európai járműnyilvántartásban nyilvántartott adatok pontosságának biztosítására.
(3) Minden nyilvántartó szervnek le kell tudnia gyűjteni az általa nyilvántartásba vett járművek adatait.
7. cikk
Az európai járműnyilvántartás felépítése
(1) Az Ügynökség e határozattal összhangban létrehozza és fenntartja az európai járműnyilvántartást.
(2) A 8. cikkben említett áttérés lezárultát követően az európai járműnyilvántartásnak központosított nyilvántartásként kell működnie, és valamennyi felhasználó számára harmonizált kapcsolódási pontot kell biztosítania a betekintés, a járművek nyilvántartásba vétele és az adatkezelés céljára.
(3) Az (1) bekezdéstől eltérve a tagállamok a II. melléklet 2.1.4. pontjában említett nyilvántartásbavételi funkciót legkésőbb 2024. június 16-ig decentralizált módon használhatják.
(4) A tagállamok legkésőbb 2019. május 15-ig tájékoztatják az Ügynökséget arról, hogy az Ügynökség által létrehozott központosított nyilvántartásbavételi funkciót kívánják alkalmazni, vagy decentralizált nyilvántartásbavételi funkciót kívánnak létrehozni. A tagállamoknak ismertetniük kell, hogy hogyan tervezik 2020. június 16-ig teljesíteni az (5) bekezdésben megállapított feltételeket.
(5) Amennyiben egy tagállam decentralizált módon valósítja meg a nyilvántartásbavételi funkciót, akkor biztosítania kell a szóban forgó funkció és az európai járműnyilvántartás közötti kompatibilitást és kommunikációt. Biztosítania kell továbbá, hogy a decentralizált nyilvántartásbavételi funkció legkésőbb 2021. június 16-ig alkalmassá váljon az európai járműnyilvántartásra vonatkozó előírásoknak megfelelő működésre.
(6) A tagállamok bármikor módosíthatják a decentralizált nyilvántartásbavételi funkció használatára vonatkozó döntésüket, és értesíthetik az Ügynökség arról, hogy a központosított nyilvántartásbavételi funkciót kívánják alkalmazni. Az említett döntés az értesítést követő hat hónap elteltével lép hatályba.
8. cikk
Áttérés a nemzeti járműnyilvántartásokról az európai járműnyilvántartásra
(1) A tagállamok gondoskodnak a nyilvántartásba vett járművek adatainak a nemzeti járműnyilvántartásukból az európai járműnyilvántartásba történő továbbításáról, és arról, hogy ez az adatmigráció 2021. június 16-ig megtörténjen. A migráció során az Ügynökség egyeztet a nyilvántartó szervekkel az egyes nemzeti járműnyilvántartásokról az európai járműnyilvántartásra történő áttéréssel kapcsolatban, és biztosítja az ehhez szükséges informatikai környezet rendelkezésre állását.
(2) Az Ügynökség legkésőbb 2020. november 15-ig elérhetővé teszi a tagállamok számára az európai járműnyilvántartás funkcióit.
(3) Az Ügynökség meghatározza a decentralizált nyilvántartásbavételi funkcióval való kapcsolódási pontok létrehozására vonatkozó előírásokat, és azokat legkésőbb 2020. január 16-ig elérhetővé teszi a tagállamok számára.
(4) A tagállamok - a 7. cikkel összhangban - 2021. június 16-ától kezdődően az európai járműnyilvántartást használják a járművek nyilvántartásba vételére.
(5) 2024. június 16. után a tagállamok a központosított nyilvántartásbavételi funkciót használják.
4. FEJEZET
ZÁRÓ RENDELKEZÉSEK
9. cikk
Hatályon kívül helyezés
A 2007/756/EK határozat 2021. június 16-ával hatályát veszti.
10. cikk
Hatálybalépés és alkalmazás
Ez a határozat az Európai Unió Hivatalos Lapjában való kihirdetését követő huszadik napon lép hatályba.
A II. melléklet 2.2., 2.3., 2.4., 2.5., 3., 4.3. és 5. szakaszát, valamint 1-6. függelékét 2021. június 16-tól kell alkalmazni.
Kelt Brüsszelben, 2018. október 25-én.
a Bizottság részéről
az elnök
Jean-Claude JUNCKER
(1) HL L 138., 2016.5.26., 44. o.
(2) A Bizottság 2007/756/EK határozata (2007. november 9.) a 96/48/EK és a 2001/16/EK irányelv 14. cikkének (4) és (5) bekezdésében előírt nemzeti járműnyilvántartás közös előírásainak elfogadásáról (HL L 305., 2007.11.23., 30. o.).
(3) A Bizottság 2011/107/EU határozata (2011. február 10.) a nemzeti járműnyilvántartás közös előírásainak elfogadásáról szóló 2007/756/EK határozat módosításáról (HL L 43., 2011.2.17., 33. o.).
I. MELLÉKLET
A 2007/756/EK határozat melléklete a következőképpen módosul:
1. A 3.2.1. pont a helyébe a következő szöveg lép:
"3.2.1. Nyilvántartásba vétel iránti kérelem
A nyilvántartásba vétel iránti kérelemhez a 4. függelékben szereplő űrlapot kell használni.
A nyilvántartásba vételt kérelmezőnek be kell jelölnie az "Új nyilvántartásba vétel" előtti négyzetet. A kérelmezőnek a kitöltött űrlapot el kell küldenie:
- a nyilvántartásba vétel kérelmezésének helye szerinti tagállam nyilvántartó szervének, valamennyi mezőt kitöltve,
- harmadik országból behozott jármű esetében annak a tagállamnak a nyilvántartó szervéhez, amelyben a járművet először üzembe kívánják helyezni (lásd a 3.2.5.2. pontot). Ebben az esetben az űrlapnak tartalmaznia kell legalább a járműtulajdonos és az üzemben tartó azonosítására vonatkozó információkat, a jármű használatának módjára vonatkozó korlátozásokat, valamint a karbantartásért felelős szervet.".
2. A 3.2.3. pont a következő bekezdéssel egészül ki:
"A nyilvántartó szerv a kérelem teljes anyagának kézhezvételétől számított 20 munkanapon belül rögzíti a módosításokat a nemzeti járműnyilvántartásban. A nyilvántartó szerv e határidőn belül vagy nyilvántartásba veszi a járművet, vagy javítást/pontosítást kér.".
3. A 3.2.5. pont a helyébe a következő szöveg lép:
"3.2.5. Engedélyezés több tagállamban
1. A nyilvántartásba vétel 3.2.6.2. pont szerinti, másik nemzeti járműnyilvántartásba történő átvezetésének sérelme nélkül a járműveket csak azon tagállam nemzeti járműnyilvántartásába kell bejegyezni, ahol üzembe helyezésüket először engedélyezték, illetőleg azon járműveket, amelyek esetében az (EU) 2016/797 európai parlamenti és tanácsi irányelv (*1) szerinti forgalombahozatali engedély került kiállításra, csak a forgalombahozatali engedély szerinti alkalmazási területen belüli valamelyik tagállamban kell bejegyezni.
2. Az uniós vasúti rendszerbe harmadik országból érkező és ezen előírásnak meg nem felelő, illetve az EC VVR-hez nem kapcsolódó járműnyilvántartásban szereplő járműveket csak azon tagállam nemzeti járműnyilvántartásába kell felvenni, amelyben azokat az uniós vasúti rendszeren belül először üzembe kívánják helyezni.
3. Amennyiben valamely nemzetközi megállapodás, amelynek az Európai Unió részes fele, úgy rendelkezik, az uniós vasúti rendszerbe harmadik országból érkező és ezen előírásnak megfelelő, illetve az EC VVR-hez kapcsolódó járműnyilvántartásban szereplő járműveket egyik nemzeti járműnyilvántartásba sem kell felvenni.
4. A nemzeti járműnyilvántartás minden benne szereplő jármű tekintetében tartalmazza a 2., 6., 12. és 13. tételhez tartozó adatokat valamennyi olyan tagállamra nézve, amelyben a szóban forgó jármű üzembe helyezését engedélyezték. Ez a rendelkezés nem érinti a 3. és 5. cikket.
(*1) Az Európai Parlament és a Tanács (EU) 2016/797 irányelve (2016. május 11.) a vasúti rendszer Európai Unión belüli kölcsönös átjárhatóságáról (HL L 138., 2016.5.26., 44. o.)." "
4. A 3.2. szakasz a következő 3.2.6. ponttal egészül ki:
"3.2.6. A nyilvántartásba vétel átvezetése és az EJSZ változása
1. Az EJSZ-t meg kell változtatni, amennyiben az a járművön végrehajtott műszaki átalakítások következtében nem a 6. függelékben foglaltaknak megfelelő kölcsönös átjárhatósági képességet vagy műszaki jellemzőket tükrözi. A szóban forgó műszaki módosítások a 2008/57/EK európai parlamenti és tanácsi irányelv (*2) 21-26. cikke szerinti új üzembehelyezési engedélyt, vagy az (EU) 2016/797 irányelv 21., illetve 24. cikke szerinti új forgalombahozatali engedélyt, illetve - az adott esetnek megfelelően - új járműtípus-engedélyt tehetnek szükségessé. Az üzemben tartó a szóban forgó változásokról és adott esetben az új üzembehelyezési engedélyről, illetőleg az új forgalombahozatali engedélyről tájékoztatja azon tagállam nyilvántartó szervét, amelyben a járművet nyilvántartásba vették. A szóban forgó nyilvántartó szerv a járműhöz új EJSZ-t rendel.
2. Az EJSZ az üzemben tartó kérésére megváltoztatható a járműnek egy másik tagállam EC VVR-hez kapcsolódó nemzeti járműnyilvántartásában történő új nyilvántartásba vétele, majd ezt követően a régi nyilvántartási bejegyzés visszavonása révén.
(*2) Az Európai Parlament és a Tanács 2008/57/EK irányelve (2008. június 17.) a vasúti rendszer Közösségen belüli kölcsönös átjárhatóságáról (HL L 191., 2008.7.18., 1. o.)."."
5. A 3.3. szakasz helyébe a következő szöveg lép:
"3.3. Hozzáférési jogok
A valamely (XX) tagállam nemzeti járműnyilvántartásában szereplő adatokhoz való hozzáférési jogokat az alábbi táblázat sorolja fel:
| Szerv | Megtekintési jogok | Frissítési jogok |
| XX tagállam nyilvántartó szerve | Minden adat | A(z) XX tagállam nyilvántartásában szereplő összes adat |
| Nemzeti biztonsági hatóság | Minden adat | Nincs |
| Ügynökség | Minden adat | Nincs |
| Üzemben tartó | Az általa üzemben tartott járművek minden adata | Nincs |
| ECM | Azon járművek minden adata, a tulajdonos adatai kivételével, amelyek esetében karbantartásért felelős szervként jár el | Nincs |
| Tulajdonos | A tulajdonában lévő járművek minden adata | Nincs |
| Vasútvállalat | Minden adat, a tulajdonos adatai kivételével, egy vagy több járműszám alapján | Nincs |
| Pályahálózat-működtető | Minden adat, a tulajdonos adatai kivételével, egy vagy több járműszám alapján | Nincs |
| Az (EU) 2016/798 európai parlamenti és tanácsi irányelv (1) 22. cikkében említett vizsgáló testület és a 2012/34/EU európai parlamenti és tanácsi irányelv 55. cikkében említett igazgatási szervezet (2) | Minden adat a vizsgált vagy ellenőrzött járművekről | Nincs |
| Az EK-hitelesítési nyilatkozatot kibocsátó szerv (a kérelmező) | Minden adat az olyan járművekről, amelyek vonatkozásában EK-hitelesítési nyilatkozatot kibocsátó szervként (kérelmezőként) jár el, a tulajdonos adatai kivételével | Nincs |
| A nemzeti biztonsági hatóság vagy az Ügynökség által elismert más jogszerű felhasználó (3) | A körülményeknek megfelelően, adott esetben korlátozott időtartamban, a tulajdonos adatai kivételével | Nincs |
Amennyiben valamely nemzetközi megállapodás, amelynek az Európai Unió részes fele, azt előírja, a nemzeti járműnyilvántartásban szereplő adatokhoz való hozzáférési jogok kiterjeszthetők megfelelő harmadik országbeli szervekre vagy kormányközi szervezetekre."
6. Az 1. és 2. függelék helyébe a következő szöveg lép:
"1. FÜGGELÉK
KORLÁTOZÁSI KÓDOK
1. ELVEK
A 2008/57/EK irányelv 21-26. cikke szerinti üzembehelyezési engedélyben, valamint az (EU) 2016/797 irányelv 21., illetve 24. cikke szerinti forgalombahozatali engedélyben, illetve - az adott esetnek megfelelően - az új járműtípus-engedélyben említett korlátozásokhoz harmonizált kódot vagy nemzeti kódot kell rendelni.
2. FELÉPÍTÉS
Minden kód az alábbi elemekből tevődik össze:
- a korlátozás kategóriája,
- a korlátozás típusa,
- érték vagy előírás,
amelyeket ponttal (.) kell elválasztani:
[kategória].[típus].[érték vagy előírás].
3. KORLÁTOZÁSI KÓDOK
1. A harmonizált korlátozási kódokat valamennyi tagállamban alkalmazni kell.
Az Ügynökség naprakészen tartja és honlapján közzéteszi az uniós vasúti rendszer egészére vonatkozó harmonizált korlátozási kódok jegyzékét.
Ha egy nemzeti biztonsági hatóság úgy véli, hogy új kód felvételére van szükség a harmonizált korlátozási kódok jegyzékébe, az Ügynökségnél kérelmezi az új kód felvételének megvizsgálását.
Az Ügynökség - adott esetben a többi nemzeti biztonsági hatósággal konzultálva - megvizsgálja a kérést. Az Ügynökség, ha szükséges, felveszi a jegyzékbe az új korlátozási kódot.
2. Az Ügynökség naprakészen tartja a nemzeti korlátozási kódok jegyzékét. A nemzeti korlátozási kódok alkalmazásakor indokolt azokra a korlátozásokra szorítkozni, amelyek egy tagállam meglévő vasúthálózatának egyes jellegzetességeit tükrözik, de más tagállamokban ugyanolyan értelemben valószínűleg nem használatosak. Az 1. pontban említett jegyzékben nem szereplő korlátozások esetében a nemzeti biztonsági hatóság felkéri az Ügynökséget, hogy vegyen fel új kódot a nemzeti korlátozási kódok jegyzékébe. Az Ügynökség - adott esetben a többi nemzeti biztonsági hatósággal konzultálva - megvizsgálja a kérést. Az Ügynökség, ha szükséges, felveszi a jegyzékbe az új korlátozási kódot.
3. A multinacionális biztonsági hatóságok korlátozási kódját nemzeti korlátozási kódként kell kezelni.
4. A kódolatlan korlátozások alkalmazásakor indokolt azokra a korlátozásokra szorítkozni, amelyek sajátos jellegükből adódóan több járműtípusra valószínűleg nem alkalmazhatók. Az Ügynökség egyedi jegyzéket tart fenn, amely tartalmazza az EVR, az (EU) 2016/797 irányelv 48. cikkében említett, engedélyezett járműtípusok európai nyilvántartása, az egyablakos ügyintézési pont és az Európai Vasúti Ügynökség interoperabilitási és biztonsági adatbázisa korlátozási kódjait.
5. Amennyiben valamely nemzetközi megállapodás, amelynek az Európai Unió részes fele, úgy rendelkezik, az Ügynökség adott esetben a korlátozási kódok harmonizálására vonatkozó eljárás tekintetében egyeztethet megfelelő kormányközi szervezetekkel.
2. FÜGGELÉK - AZ EURÓPAI AZONOSÍTÓ SZÁM FELÉPÍTÉSE ÉS TARTALMA
Az Ügynökség egy műszaki dokumentumban meghatározza az európai azonosító szám (EIN) felépítését és tartalmát, beleértve az érintett dokumentumtípusok kódolását, és a szóban forgó műszaki dokumentumot közzéteszi honlapján.
.
7. A 6. függelék 1. részének 1. pontja helyébe a következő szöveg lép:
"1. Az üzembentartói jelzés (VKM) meghatározása
Az üzembentartói jelzés (VKM) egy 2-5 betűből álló alfabetikus kód (*3). A VKM-et minden egyes vasúti járművön fel kell tüntetni az európai járműszám közelében. A VKM azonosítja a járműnek a nemzeti járműnyilvántartásba bejegyzett üzemben tartóját.
A VKM-nek minden tagállamban, valamint az összes olyan országban egyedinek és érvényesnek kell lennie, amely az e határozatban meghatározott járműszámozási és üzembentartói jelzési rendszer alkalmazásáról rendelkező megállapodást köt.
(*3) Az NMBS/SNCB esetében továbbra is megengedett a bekarikázott önálló B betű használata." "
8. A 6. függelék 4. része helyébe a következő szöveg lép:
"4. RÉSZ - A JÁRMŰVEK NYILVÁNTARTÁSA SZERINTI ORSZÁGOK KÓDJAI (3-4. SZÁMJEGY ÉS RÖVIDÍTÉS)
A harmadik országokra vonatkozó információk csak tájékoztató jellegűek.
| SZÖVEG HIÁNYZIK |
(*1) Az Európai Parlament és a Tanács (EU) 2016/797 irányelve (2016. május 11.) a vasúti rendszer Európai Unión belüli kölcsönös átjárhatóságáról (HL L 138., 2016.5.26., 44. o.)."
(*2) Az Európai Parlament és a Tanács 2008/57/EK irányelve (2008. június 17.) a vasúti rendszer Közösségen belüli kölcsönös átjárhatóságáról (HL L 191., 2008.7.18., 1. o.).".
(*3) Az NMBS/SNCB esetében továbbra is megengedett a bekarikázott önálló B betű használata." "
(1) Az Európai Parlament és a Tanács (EU) 2016/798 irányelve (2016. május 11.) a vasútbiztonságról (HL L 138., 2016.5.26., 102. o.).
(2) Az Európai Parlament és a Tanács 2012/34/EU irányelve (2012. november 21.) az egységes európai vasúti térség létrehozásáról (HL L 343., 2012.12.14., 32. o.).
(3) Az Ügynökség a nemzeti biztonsági hatóságokkal együttműködve meghatározza a jogszerű felhasználók elismerésére vonatkozó eljárást.
II. MELLÉKLET
1. TARTALOM ÉS ADATFORMÁTUM
Az európai járműnyilvántartás ("EVR") tartalmát és adatformátumát az alábbi táblázat határozza meg.
1. táblázat
Az EVR paraméterei
| Paraméter száma | Paraméter neve | Meghatározás | Formátum | Kötelező/opcionális |
| 1. | A jármű azonosítása | |||
| 1.1. | Európai járműszám | Európai járműszám. A 6. függelékben meghatározott numerikus azonosító kód. | Lásd a 6. függelékben (1). | Kötelező |
| 1.2. | Korábbi járműszám | Korábbi szám (ha van ilyen, újraszámozott jármű esetén) | Kötelező (ha van ilyen) | |
| 2. | A nyilvántartásba vétel helye szerinti tagállam | |||
| 2.1. | A nyilvántartásba vétel helye szerinti tagállam | Az a tagállam, amelyikben a járművet nyilvántartásba vették | Kétbetűs kód (*1) | Kötelező |
| 3. | Azok a tagállamok, amelyekben a járművet engedélyezték | |||
| 3.1. | Az ebből következő alkalmazási terület | A rendszer automatikusan kitölti a 11.4. paraméter értékei alapján. | Szöveg | A rendszer automatikusan kitölti a 11.4. paraméter értékei alapján. |
| 4. | Kiegészítő feltételek | |||
| 4.1. | A járműre vonatkozó további feltételek | Az alkalmazandó kétoldalú vagy többoldalú megállapodások azonosítása, például RIV, RIC, TEN, TEN-CW, TEN-GE… | Szöveg | Kötelező (ha van ilyen) |
| 5. | Gyártás | |||
| 5.1. | Gyártási év | Az az év, amelyben a jármű elhagyta a gyárat | ÉÉÉÉ | Kötelező |
| 5.2. | Gyártási sorozatszám | A jármű alvázán megjelölt gyártási sorozatszám. | Szöveg | Opcionális |
| 5.3. | ERATV-hivatkozás | Azon engedélyezett (2) járműtípusnak (illetve változatnak vagy kivitelnek) az ERATV-ben történő azonosítása, amely követelményeinek a jármű megfelel. | Alfanumerikus kód(ok) | Kötelező (ha rendelkezésre áll) |
| 5.4. | Sorozat | Azon széria azonosítása, amelyhez a jármű tartozik. | Szöveg | Kötelező (ha van ilyen) |
| 6. | Hivatkozás az EK-hitelesítési nyilatkozatra (3) | |||
| 6.1. | Az EK-nyilatkozat kelte | Az EK-hitelesítési nyilatkozat kelte | Dátum (ÉÉÉÉHHNN) | Kötelező (ha rendelkezésre áll) |
| 6.2. | Az EK-nyilatkozat hivatkozási száma | Hivatkozás az EK-hitelesítési nyilatkozatra | Meglévő járművek esetében: szöveg. Új járművek esetében: EIN-alapú alfanumerikus kód (lásd a 2. függeléket) | Kötelező (ha rendelkezésre áll) |
| 6.3. | Az EK-hitelesítési nyilatkozatot kibocsátó szerv (a kérelmező) | |||
| 6.3.1. | Szervezet neve | Szöveg | Kötelező (ha rendelkezésre áll) | |
| 6.3.2. | Cégjegyzékszám | Szöveg | Kötelező (ha rendelkezésre áll) | |
| 6.3.3. | Cím | A szervezet címe (utca, házszám) | Szöveg | Kötelező (ha rendelkezésre áll) |
| 6.3.4. | Település | Szöveg | Kötelező (ha rendelkezésre áll) | |
| 6.3.5. | Országkód | Kétbetűs kód (*1) | Kötelező (ha rendelkezésre áll) | |
| 6.3.6. | Irányítószám | Alfanumerikus kód | Kötelező (ha rendelkezésre áll) | |
| 6.3.7. | E-mail-cím | E-mail-cím | Kötelező (ha rendelkezésre áll) | |
| 6.3.8. | Szervezetkód | Alfanumerikus kód | Kötelező (ha rendelkezésre áll) | |
| 7. | Tulajdonos | A jármű tulajdonosának azonosítása | ||
| 7.1. | Szervezet neve | Szöveg | Kötelező | |
| 7.2. | Cégjegyzékszám | Szöveg | Kötelező | |
| 7.3. | Cím | Szöveg | Kötelező | |
| 7.4. | Település | Szöveg | Kötelező | |
| 7.5. | Országkód | Kétbetűs kód (*1) | Kötelező | |
| 7.6. | Irányítószám | Alfanumerikus kód | Kötelező | |
| 7.7. | E-mail-cím | E-mail-cím | Kötelező | |
| 7.8. | Szervezetkód | Alfanumerikus kód | Kötelező | |
| 8. | Üzemben tartó | A jármű üzemben tartójának azonosítása | ||
| 8.1. | Szervezet neve | Szöveg | Kötelező | |
| 8.2. | Cégjegyzékszám | Szöveg | Kötelező | |
| 8.3. | Cím | Szöveg | Kötelező | |
| 8.4. | Település | Szöveg | Kötelező | |
| 8.5. | Országkód | Kétbetűs kód (*1) | Kötelező | |
| 8.6. | Irányítószám | Alfanumerikus kód | Kötelező | |
| 8.7. | E-mail-cím | E-mail-cím | Kötelező | |
| 8.8. | Szervezetkód | Alfanumerikus kód | Kötelező | |
| 8.9. | Üzembentartói jelzés | Alfanumerikus kód | Kötelező | |
| 9. | A karbantartásért felelős szerv | Hivatkozás a karbantartásért felelős szervre | ||
| 9.1. | Szervezet neve | Szöveg | Kötelező | |
| 9.2. | Cégjegyzékszám | Szöveg | Kötelező | |
| 9.3. | Cím | Szöveg | Kötelező | |
| 9.4. | Település | Szöveg | Kötelező | |
| 9.5. | Országkód | Kétbetűs kód (*1) | Kötelező | |
| 9.6. | Irányítószám | Alfanumerikus kód | Kötelező | |
| 9.7. | E-mail-cím | E-mail-cím | Kötelező | |
| 9.8. | Szervezetkód | Alfanumerikus kód | Kötelező | |
| 10. | Nyilvántartási státusz | |||
| 10.1. | Nyilvántartási státusz (lásd a 3. függeléket) | 2-számjegyű kód | Kötelező | |
| 10.2. | A nyilvántartási státusz időpontja | A nyilvántartási státusz időpontja | Dátum (ÉÉÉÉHHNN) | Kötelező |
| 10.3. | Nyilvántartási státusz oka | Szöveg | Kötelező (ha van ilyen) | |
| 11. | Forgalombahozatali (4) engedély (5) | |||
| 11.1. | Az engedélyező szerv neve | A forgalomba hozatalt engedélyező szerv (nemzeti biztonsági hatóság vagy az Ügynökség) | Szöveg | Kötelező |
| 11.2. | Az engedélyező szerv szerinti tagállam | Az engedélyező szerv szerinti tagállam | Kétbetűs kód (*1) | Kötelező |
| 11.3. | Európai azonosító szám (EIN) | A forgalombahozatali engedély harmonizált, engedélyező szerv által kiadott száma | Engedélyszám. Új járművek esetében: EIN-alapú alfanumerikus kód (lásd a 2. függeléket). | Kötelező |
| 11.4. | Alkalmazási terület | A kiadott járműengedély szerint. | Szöveg | Kötelező |
| 11.5. | Az engedélyezés időpontja | Dátum (ÉÉÉÉHHNN) | Kötelező | |
| 11.6. | Az engedély érvényességének vége (ha meg van adva) | Dátum (ÉÉÉÉHHNN) | Kötelező (ha van ilyen) | |
| 11.7. | Az engedély felfüggesztésének időpontja | Dátum (ÉÉÉÉHHNN) | Kötelező (ha van ilyen) | |
| 11.8. | Az engedély visszavonásának időpontja | Dátum (ÉÉÉÉHHNN) | Kötelező (ha van ilyen) | |
| 11.9. | A jármű alkalmazási feltételei és a jármű alkalmazási módjára vonatkozó egyéb korlátozások | |||
| 11.9.1. | Kódolt alkalmazási feltételek és korlátozások | Alkalmazási feltételek és a jármű alkalmazási módjára vonatkozó korlátozások | Kódjegyzék (lásd az 1. függeléket). | Kötelező (ha van ilyen) |
| 11.9.2. | Kódolatlan alkalmazási feltételek és korlátozások | Alkalmazási feltételek és a jármű alkalmazási módjára vonatkozó korlátozások | Szöveg | Kötelező (ha van ilyen) |
| 12. | További mezők (6) |
2. FELÉPÍTÉS
2.1. Az EVR felépítése
2.1.1. Adatkeresési és betekintési funkció (DSC-funkció)
A DSC-funkciót az Ügynökség egy központosított webalapú eszközön és a gépek közötti kommunikációra szolgáló kapcsolódási ponton keresztül valósítja meg. A funkció lehetővé teszi az EVR-ben szereplő adatoknak a hitelesítést követően történő lekérdezését és megtekintését.
A DSC-funkció keretében lehetővé kell tenni a nyilvántartó szervek számára az 1. táblázatban szereplő paraméterek nyilvántartásukban szereplő járművekre vonatkozó értékeinek a kigyűjtését.
2.1.2. Felhasználó-létrehozási és -kezelési funkció (UCA-funkció)
Az UCA-funkciót az Ügynökség által létrehozott központosított webalapú eszköz révén kell megvalósítani. A funkció lehetővé teszi a személyek és szervezetek számára az EVR-ben tárolt adatokhoz való hozzáférés kérését, az illetékes nyilvántartó szerv számára pedig a felhasználói fiókok létrehozását és a hozzáférési jogok kezelését.
2.1.3. Referenciaadat-kezelési funkció (RDA-funkció)
Az RDA-funkciót az Ügynökség által létrehozott központosított webalapú eszköz révén kell megvalósítani. A funkció lehetővé teszi a nyilvántartó szervek és az Ügynökség számára a közös referenciaadatok kezelését.
2.1.4. Kérelmezési, nyilvántartásbavételi és adattárolási funkció (ARS-funkció)
Az ARS-funkciónak lehetővé kell tennie az üzemben tartók számára, hogy a hitelesítést követően egy webalapú eszközön keresztül, harmonizált elektronikus űrlapon nyújtsák be a kiválasztott nyilvántartó szervhez a nyilvántartásba vételre vagy egy meglévő nyilvántartási tétel frissítésére vonatkozó kérelmüket (lásd a 4. függeléket). Ennek a funkciónak egyúttal lehetővé kell tennie a nyilvántartó szerv számára a nyilvántartási adatok bejegyzését. Egy adott tagállam nyilvántartási bejegyzései együttesen a szóban forgó tagállam járműnyilvántartása.
A tagállamok dönthetnek úgy, hogy az Ügynökség által rendelkezésre bocsátott központosított ARS-funkciót (C-ARS) használják, illetőleg az ARS-funkciót önállóan, decentralizált módon is megvalósíthatják. Ez utóbbi esetben a tagállam és az Ügynökség biztosítja a decentralizált ARS-funkciók (D-ARS) és a központosított funkciók (DSC, UCA és RDA) közötti kompatibilitást és kommunikációt.
A központosított ARS-funkció látja el a járműszámok előzetes lefoglalásának és kezelésének feladatát. Az előzetes lefoglalási eljárás keretében lehetőséget kell biztosítani arra, hogy a kérelmező vagy az üzemben tartó az elektronikus űrlapon előre kitölthesse a kért adatokat.
2.2. Használhatóság
Az EVR funkcióinak a leggyakrabban használt webböngészőkön keresztül, az Unió valamennyi hivatalos nyelvén hozzáférhetőnek kell lenniük a felhasználók számára.
2.3. Rendelkezésre állás
Főszabályként az EVR-nek folyamatosan rendelkezésre kell állnia; e tekintetben a 98 %-os arány elérése a cél.
A hivatali időn (hétfőtől péntekig közép-európai idő szerint 07.00 és 20.00 között) kívül történő meghibásodás esetén azonban a szolgáltatás helyreállítása a meghibásodás utáni munkanapon történik. Karbantartási munkálatok során a rendszer leállását a lehető legalacsonyabb szinten kell tartani.
2.4. Szolgáltatási szint
Hivatali időben, ügyfélszolgálat keretében segítséget kell nyújtani a felhasználóknak a rendszer használatához, a nyilvántartó szerveknek pedig a rendszer működéséhez kapcsolódó kérdésekben.
Az Ügynökségnek tesztelési környezetet kell biztosítania az EVR számára.
2.5. Változás-ellenőrzés
Az Ügynökség az EVR céljaira változásellenőrzés-kezelési eljárást hoz létre.
2.6. Az adatok sértetlensége
Az EVR keretében megfelelő módon biztosítani kell az adatok sértetlenségét.
2.7. Előzetes ellenőrzés
Az EVR-rendszer keretében gondoskodni kell az elektronikus űrlapon bevitt adatok automatikus ellenőrzéséről, ideértve az EVR-ben már szereplő járművek bejegyzéseivel való összevetést, az adatok teljességére vonatkozó ellenőrzést és a bevitt adatok formátumának ellenőrzését.
2.8. A harmadik országban nyilvántartásba vett járművek Unióban történő használatának elősegítése
Az Ügynökség a DSC-funkciót úgy is megvalósíthatja, hogy a megfelelő harmadik országbeli szervek hozzáférést kapjanak a megfelelő EVR-adatokhoz, amennyiben valamely nemzetközi megállapodás, amelynek az Európai Unió részes fele, ezt előírja.
Amennyiben valamely nemzetközi megállapodás, amelynek az Európai Unió részes fele, azt előírja, az Ügynökség engedélyezheti az EVR-funkciók harmadik országbeli szervek általi használatát.
3. ÜZEMMÓD
3.1. Az EVR használata
Az EVR többek között a következőkre használható:
- a jármű megfelelő nyilvántartásba vételének és nyilvántartási státuszának ellenőrzése;
- a forgalombahozatali engedélyekre vonatkozó információk lekérése, beleértve az engedélyező szervezetet, az alkalmazási területet, az alkalmazási feltételeket és az egyéb korlátozásokat;
- azon engedélyezett járműtípusra vonatkozó hivatkozás lekérdezése, amely követelményeinek a jármű megfelel;
- az üzemben tartó, a tulajdonos vagy a karbantartásért felelős szerv azonosítása.
3.2. Járművek nyilvántartásba vétele
3.2.1. Általános szabályok
1. A járműveket forgalomba hozataluk engedélyezését követően, üzemeltetésük megkezdése előtt az üzemben tartó kérésére nyilvántartásba kell venni az európai járműnyilvántartásban. Az üzemben tartó kitölti az elektronikus űrlapot, és nyilvántartásba vétel iránti kérelmét benyújtja az alkalmazási területen belüli, választása szerinti tagállamnak. A kérelmező vagy az üzemben tartó kérésére a jármű nyilvántartásba vételére kiválasztott tagállam eljárásokat kínál a járműszám vagy egy járműszámtartomány előzetes lefoglalása céljából.
2. Egy adott járműre vonatkozóan az EVR csak egy érvényes bejegyzést tartalmazhat. A nyilvántartásban érvényes bejegyzéssel nem rendelkező járművek nem üzemeltethetők.
3. A jármű a nyilvántartásba vételkor kap egy európai járműszámot (EJSZ) a nyilvántartásba vételt végző tagállam nyilvántartó szervétől. Az EJSZ-nek meg kell felelnie a 6. függelékben meghatározott szabályoknak. Abban az esetben, ha a kérelmező vagy az üzemben tartó - kérésére - előzetesen lefoglalt járműszámot kapott, akkor az első nyilvántartásba vétel céljára ezt a járműszámot kell használni.
4. Az EJSZ a 3.2.2.8. és 3.2.2.9. pontban meghatározott esetekben módosítható.
5. Az uniós vasúti rendszerbe harmadik országból érkező és e mellékletnek meg nem felelő, illetve az európai járműnyilvántartáshoz nem kapcsolódó járműnyilvántartásban szereplő járművek esetében a nyilvántartásba vétel iránti kérelmet az üzemben tartónak abban a tagállamban kell benyújtania, amelyben a járműveket az uniós vasúti rendszeren belül először üzembe kívánják helyezni.
6. Az először harmadik országban forgalomba helyezett olyan gördülőállományt, amelyet az Unión belül az 1 520 mm-es vasúti rendszer közös kocsiállománya részeként szándékoznak használni, nem kell bevezetni az EVR-be. Az (EU) 2016/797 irányelv 47. cikkének (7) bekezdésével összhangban azonban lehetővé kell tenni az érintett jármű üzemben tartójának azonosítására vonatkozó információk, a karbantartásért felelős szerv és a jármű használatának módjára vonatkozó korlátozások lekérését.
7. Amennyiben valamely nemzetközi megállapodás, amelynek az Európai Unió részes fele, úgy rendelkezik, az uniós vasúti rendszerbe harmadik országból érkező és az e mellékletnek megfelelő, az európai járműnyilvántartáshoz (a DSC-funkción keresztül) kapcsolódó járműnyilvántartásban szereplő járműveket csak a szóban forgó járműnyilvántartásba kell felvenni.
8. Az EVR-nek minden jármű esetében tartalmaznia kell a járműre kiadott valamennyi engedélyre való hivatkozást, az olyan nem uniós országokra való hivatkozásokat, amelyekben a jármű a Nemzetközi Vasúti Fuvarozási Egyezmény G. függelékével összhangban a nemzetközi forgalomban való részvételre engedélyt kapott, továbbá a kapcsolódó alkalmazási feltételeket és az egyéb korlátozásokat.
9. A nyilvántartó szerv észszerű lépéseket tesz az EVR-ben rögzített adatok pontosságának biztosítására. E célból a nyilvántartó szerv információt kérhet más nyilvántartó szervektől, különösen abban az esetben, ha a nyilvántartásba vételt kérelmező üzemben tartó másik tagállamban rendelkezik székhellyel. A nyilvántartó szerv kellően indokolt esetekben felfüggesztheti a jármű nyilvántartásba vételét.
10. Amennyiben a nemzeti biztonsági hatóság vagy az Ügynökség úgy ítéli meg, hogy kellő indok áll fenn egy jármű nyilvántartásba vételének az (EU) 2018/545 bizottsági végrehajtási rendelet (7) 54. cikke szerinti felfüggesztésére, felkérik a nyilvántartó szervet a nyilvántartásba vétel felfüggesztésére. A nyilvántartó szerv az ilyen kérést követően haladéktalanul felfüggeszti a nyilvántartásba vételt.
11. Az üzemben tartó a nyilvántartásba vétel iránti kérelmeit a webes elektronikus űrlapon keresztül benyújtja az illetékes nyilvántartó szervhez. A webes űrlapot és áttekintő oldalt az ARS-funkció részeként kell rendelkezésre bocsátani, és azoknak a hitelesítés után hozzáférhetőeknek kell lenniük.
12. A nyilvántartásba vétel iránti kérelem egyetlen járműre vagy több járműre is vonatkozhat.
13. Egyes nyilvántartási ügyekben a tagállamok előírhatják, hogy a nyilvántartásba vétel iránti kérelemhez elektronikus úton igazoló dokumentumokat csatoljanak; e célból a nyilvántartó szerv közzéteszi az egyes nyilvántartási ügyekhez szükséges igazoló dokumentumok jegyzékét.
14. A tagállamok az 1. táblázatban említett adatokon túlmenően azt is előírhatják, hogy a nyilvántartásba vétel iránti kérelemben további mezők szerepeljenek; e célból a nyilvántartó szerv közzéteszi a szóban forgó mezők jegyzékét.
15. Az EVR lehetővé teszi az üzemben tartó és a nyilvántartó szerv számára a nyilvántartásba vétel iránti kérelmeknek és az azokhoz csatolt dokumentumoknak a rendszerben való áttekintését, továbbá a nyilvántartási bejegyzések, azok változásai és a változásokhoz kapcsolódó adatok rendszerben való rögzítését.
16. A nyilvántartó szerv a teljes kérelem kézhezvételétől számított 20 munkanapon belül rögzíti az adatokat az európai járműnyilvántartásban. A nyilvántartó szerv az említett határidőn belül vagy nyilvántartásba veszi a járművet, vagy javítást/pontosítást kér.
17. Az üzemben tartó számára lehetővé kell tenni, hogy egy webes áttekintő oldalon keresztül áttekintse kérelmei állapotát.
18. Az európai járműnyilvántartás értesíti az üzemben tartót és a nyilvántartó szervet a nyilvántartásba vétel iránti kérelem állapotában bekövetkező bárminemű változásról.
3.2.2. Nyilvántartási ügyek
A nyilvántartási ügyek az alábbiakban kerülnek meghatározásra. Különböző nyilvántartási ügyek adott esetben összevonhatók egyetlen nyilvántartásba vétel iránti kérelemben.
3.2.2.1. Új nyilvántartásba vétel
Az 1. táblázatban felsorolt valamennyi kötelező mezőt ki kell tölteni, a tagállam által a 3.2.1.14. pontnak megfelelően előírt további mezőkkel együtt.
A kérelmet az üzemben tartó benyújtja a jármű alkalmazási területén belül azon tagállam nyilvántartó szervéhez, amelyben a nyilvántartásba vételt kérelmezni kívánja.
Az uniós vasúti rendszerbe a 3.2.1.5. ponttal összhangban harmadik országból érkező járművek esetében a kérelmeket annak a tagállamnak a nyilvántartó szervéhez kell benyújtani, amelyben a járművet először üzembe kívánják helyezni. Ebben az esetben a kérelemnek tartalmaznia kell legalább a jármű üzemben tartójának azonosítására vonatkozó információkat, a karbantartásért felelős szervet és a jármű használatának módjára vonatkozó korlátozásokat.
3.2.2.2. Meglévő nyilvántartási bejegyzés frissítése
A kérelmet az üzemben tartó benyújtja a nyilvántartásba vétel helye szerinti tagállam nyilvántartó szervéhez. Csak az 1. táblázatban szereplő, frissítendő paramétereket kell kitölteni.
3.2.2.3. Az üzemben tartó változása
Amennyiben a jármű üzemben tartójának személye változik, akkor az addig bejegyzett üzemben tartó kötelessége időben értesíteni a nyilvántartó szervet ahhoz, hogy az utóbbi frissíthesse az európai járműnyilvántartást. Az előző üzemben tartót csak akkor lehet törölni az európai járműnyilvántartásból, és mentesíteni felelősségei alól, amikor az új üzemben tartó nyugtázta és elismerte üzembentartói jogállását. Ha az addig bejegyzett üzemben tartó nyilvántartásból való törlésének időpontjáig egy új üzemben tartó sem ismeri el az üzembentartói jogállást, a jármű nyilvántartását fel kell függeszteni.
3.2.2.4. A karbantartásért felelős szerv (ECM) változása
Amennyiben a jármű karbantartásért felelős szerv változik, akkor az üzemben tartó kötelessége időben értesíteni a nyilvántartó szervet ahhoz, hogy az utóbbi frissíthesse az európai járműnyilvántartást. A korábbi karbantartásért felelős szerv átadja a karbantartási dokumentációt az üzemben tartónak vagy az új karbantartásért felelős szervnek. A korábbi karbantartásért felelős szerv az európai járműnyilvántartásból való törlésekor mentesül felelősségei alól. Ha a korábbi karbantartásért felelős szerv nyilvántartásból való törlésének időpontjáig egy új szerv sem ismeri el a karbantartásért felelős szerv jogállását, a jármű nyilvántartását fel kell függeszteni.
3.2.2.5. A tulajdonos változása
Amennyiben a jármű tulajdonosának személye változik, akkor az üzemben tartó kötelessége időben értesíteni a nyilvántartó szervet ahhoz, hogy az utóbbi frissíthesse az európai járműnyilvántartást.
3.2.2.6. A nyilvántartás felfüggesztése vagy újbóli aktiválása
Az új státuszt (8) és a státusz okát ki kell tölteni. A státusz időpontját az EVR automatikusan kitölti.
Felfüggesztett nyilvántartású jármű nem üzemeltethető az uniós vasúti rendszerben.
A nyilvántartás felfüggesztését követően annak újbóli aktiválásához a nyilvántartó szervnek - adott esetben a felfüggesztést kezdeményező nemzeti biztonsági hatósággal együttműködve - újból meg kell vizsgálnia a felfüggesztéshez vezető körülményeket.
3.2.2.7. A nyilvántartásba vétel visszavonása
Az új státuszt (8) és a státusz okát ki kell tölteni. A státusz időpontját a rendszer automatikusan kitölti.
Visszavont nyilvántartású jármű nem üzemeltethető az uniós vasúti rendszerben az érintett nyilvántartási bejegyzés alapján.
3.2.2.8. Az EJSZ műszaki módosítások miatti változása
Az EJSZ-t meg kell változtatni, amennyiben az a járművön végrehajtott műszaki átalakítások következtében nem a 6. függelékben foglaltaknak megfelelő kölcsönös átjárhatósági képességet vagy műszaki jellemzőket tükrözi. A szóban forgó műszaki módosítások az (EU) 2016/797 irányelv 21., illetve 24. cikke szerinti új forgalombahozatali engedélyt, illetve - az adott esetnek megfelelően - új járműtípus-engedélyt tehetnek szükségessé. Az üzemben tartónak az említett változásokról és adott esetben az új forgalombahozatali engedélyről tájékoztatnia kell a jármű nyilvántartásba vétele szerinti tagállam nyilvántartó szervét. A szóban forgó nyilvántartó szerv a járműhöz új EJSZ-t rendel.
Az EJSZ módosítása a jármű új nyilvántartásba vételét és a régi nyilvántartási bejegyzés ezt követően történő visszavonását jelenti.
3.2.2.9. Az EJSZ és a nyilvántartásba vételt végző tagállam változása
Az EJSZ az üzemben tartó kérésére megváltoztatható a járműnek az alkalmazási területén belüli másik tagállam általi új nyilvántartásba vétele, majd ezt követően a régi nyilvántartási bejegyzés visszavonása révén.
3.2.3. Automatikus értesítés a változásokról
Egy vagy több nyilvántartási tétel megváltoztatását követően az EVR informatikai rendszere a jármű üzemben tartójának és a jármű alkalmazási területe által érintett nemzeti biztonsági hatóságoknak automatikus e-mail-értesítést küld a változásról, amennyiben azok kértek ilyen értesítést.
Az üzemben tartó, a tulajdonos vagy a karbantartásért felelős szerv megváltoztatását követően az EVR informatikai rendszere automatikus e-mail-értesítést küld a változásról a jármű előző üzemben tartójának és új üzemben tartójának, előző tulajdonosának és új tulajdonosának, illetve az előző karbantartásért felelős szervnek és az új karbantartásért felelős szervnek.
Az üzemben tartó, a tulajdonos, a karbantartásért felelős szerv, illetve az EK-hitelesítési nyilatkozatot kibocsátó szerv automatikus e-mail-értesítést kérhet az olyan nyilvántartási bejegyzések változásairól, amelyekben rá hivatkozás szerepel.
3.2.4. Bejegyzések archiválása
Az európai járműnyilvántartásban szereplő minden adatot a jármű nyilvántartásba vételének visszavonását követő 10 évig meg kell őrizni. Az adatokat legalább az első három évben elérhetővé kell tenni az interneten. A három év elteltével az adatok archiválhatók. Ha e 10 éves időszak során vizsgálat indul egy vagy több járművel kapcsolatban, az e járművekre vonatkozó adatokat szükség esetén a 10 éves időszakon túl is meg kell őrizni, amennyiben azt az (EU) 2016/798 európai parlamenti és tanácsi irányelv (9) 22. cikkében említett vizsgáló testület vagy a nemzeti joghatóságok előírják.
Egy jármű nyilvántartásba vételének visszavonását követően az illető jármű nyilvántartási számai közül egyik sem osztható ki más jármű részére a visszavonást követő 100 éven belül.
Az európai járműnyilvántartásban szereplő adatokat érintő mindennemű módosítást rögzíteni kell.
3.3. Felhasználók kezelése
3.3.1. Felhasználói kérések
Bármely személy vagy szervezet hozzáférést kérhet az európai járműnyilvántartáshoz a székhelye szerinti illetékes nyilvántartó szervtől (a központosított UCA-funkció részét képező) webes űrlap kitöltésével.
A nyilvántartó szerv értékeli a kérelmet, és adott esetben felhasználói fiókot hoz létre a kérelmező számára, továbbá a 3.3.2. és 3.3.3. ponttal összhangban megadja a megfelelő hozzáférési jogokat.
3.3.2. Hozzáférési jogok
Az EVR-ben szereplő adatokhoz való hozzáférési jogokat az alábbi táblázat sorolja fel:
2. táblázat
| Szerv | Megtekintési jogok | Frissítési jogok |
| XX tagállam nyilvántartó szerve | Minden adat | A(z) XX tagállam nyilvántartásában szereplő összes adat |
| Nemzeti biztonsági hatóság | Minden adat | Nincs |
| Ügynökség | Minden adat | Nincs |
| Üzemben tartó | Az általa üzemben tartott járművek minden adata | Nincs |
| ECM | Azon járművek minden adata, a tulajdonos adatai kivételével, amelyek esetében karbantartásért felelős szervként jár el | Nincs |
| Tulajdonos | A tulajdonában lévő járművek minden adata | Nincs |
| Vasútvállalat | Minden adat, a tulajdonos adatai kivételével, egy vagy több járműszám alapján | Nincs |
| Pályahálózat-működtető | Minden adat, a tulajdonos adatai kivételével, egy vagy több járműszám alapján | Nincs |
| Az (EU) 2016/798 irányelv 22. cikkében említett vizsgáló testület és a 2012/34/EU európai parlamenti és tanácsi irányelv (10) 55. cikkében említett igazgatási szervezet | Minden adat a vizsgált vagy ellenőrzött járművekről | Nincs |
| Az EK-hitelesítési nyilatkozatot kibocsátó szerv (a kérelmező) | Minden adat az olyan járművekről, amelyek vonatkozásában EK-hitelesítési nyilatkozatot kibocsátó szervként (kérelmezőként) jár el, a tulajdonos adatai kivételével | Nincs |
| A nemzeti biztonsági hatóság vagy az Ügynökség által elismert más jogszerű felhasználó (11) | A körülményeknek megfelelően, adott esetben korlátozott időtartamban, a tulajdonos adatai kivételével | Nincs |
Amennyiben valamely nemzetközi megállapodás, amelynek az Európai Unió részes fele, azt előírja, az EVR-ben szereplő adatokhoz való hozzáférési jogok kiterjeszthetők megfelelő harmadik országbeli szervekre vagy kormányközi szervezetekre.
3.3.3. Egyéb jogok
Az üzemben tartók számára lehetővé kell tenni a nyilvántartásba vétel iránti kérelmek benyújtását.
Valamennyi szervezet számára lehetővé kell tenni a referenciaadatok között tárolt saját adatainak módosítását (lásd a 3.4. szakaszt).
3.3.4. Biztonság
A felhasználók hitelesítése felhasználónév és jelszó segítségével történik. Az üzemben tartók (a járművek nyilvántartásba vételének kérelmezői) és a nyilvántartó szervek hitelesítése keretében az (EU) 2015/1502 bizottsági végrehajtási rendelet (12) mellékletének 2.2.1. pontjában említett "jelentős" biztonsági szintet kell biztosítani.
3.3.5. Adatvédelem
Az EVR-ben szereplő adatokat az (EU) 2016/679 európai parlamenti és tanácsi rendelettel (13), valamint az alkalmazandó nemzeti adatvédelmi jogszabályokkal összhangban kell kezelni.
3.4. Referenciaadatok
A nyilvántartásbavételi eljárás során bevitt adatok harmonizálásának biztosítása érdekében az EVR referenciaadatokat használ. Az 1. táblázatban szereplő paraméterekre vonatkozó EVR-referenciaadatokat az ARS-funkción keresztül, a harmonizált elektronikus űrlapon az üzemben tartók rendelkezésére kell bocsátani.
3.4.1. Referenciaadatok frissítése
Az Ügynökség a nyilvántartó szervekkel együttműködve naprakészen tartja és egy (az RDA-funkció részét képező) központi eszközben hozzáférhetővé teszi a referenciaadatokat.
A referenciaadatokban rögzített valamennyi szervezet számára lehetővé kell tenni, hogy adatait egy webes felületen keresztül módosítsa.
A nyilvántartásba vétel kérelmezését követően a nyilvántartó szervnek biztosítania kell, hogy a szervezet adatai az Ügynökség által kiosztott szervezetkóddal együtt kerüljenek rögzítésre a referenciaadatok között, vagy ha már rögzítésre kerültek, akkor a referenciaadatok frissüljenek az üzemben tartó által benyújtott új adatokkal.
3.4.2. Szervezetkódok
3.4.2.1. A szervezetkód meghatározása
A szervezetkód egy négy alfanumerikus karakterből álló egyedi azonosító, amelyet az Ügynökség egy szervezet számára jelöl ki.
3.4.2.2. A szervezetkódok formátuma
A négy alfanumerikus karakter az ISO 8859-1 szerinti ábécé 26 betűjének bármelyike vagy 0-tól 9-ig bármelyik szám lehet. A betűket nyomtatott nagybetűkkel kell írni.
3.4.2.3. A szervezetkódok kiosztása
Az EVR-hez hozzáféréssel rendelkező vagy azon belül azonosított szervezetek szervezetkódot kapnak.
Az Ügynökség közzéteszi és naprakészen tartja a szervezetkódok létrehozására és kiosztására vonatkozó eljárást.
Az EVR-iránymutatások meghatároznak egy kizárólag a TAP és a TAF ÁME hatálya alá tartozó vállalatoknak kiosztandó tartományt.
3.4.2.4. A szervezetkódok jegyzékének közzététele
A szervezetkódok jegyzékét az Ügynökség honlapján nyilvánosan hozzáférhetővé kell tenni.
4. MEGLÉVŐ JÁRMŰVEK
4.1. Járműszám
1. A 12-jegyű járműszámmal már rendelkező járművek megtartják a már meglévő számukat. A 12-jegyű járműszámot módosítás nélkül kell nyilvántartásba venni.
2. A 12-jegyű számmal nem rendelkező járművekhez (14) az EVR-en belül (a 6. függelékben foglaltakkal összhangban) 12-jegyű számot kell rendelni. Az EVR informatikai rendszerének a szóban forgó EJSZ-t össze kell kötnie a meglévő járműszámmal. A nemzetközi forgalomban használt járművek esetében - a történelmi célú használatra szánt járművek kivételével - a 12-jegyű járműszámot az európai járműnyilvántartás szerinti kiosztását követő hat éven belül fizikailag meg kell jeleníteni magán a járművön. A belföldi forgalomban használt járművek és a történelmi célú használatra szánt járművek esetében a 12-jegyű járműszám fizikai megjelenítése szabadon választható.
4.2. A nemzeti járműnyilvántartásokról az európai járműnyilvántartásra történő átállásra vonatkozó eljárás
A járműnyilvántartásért korábban felelős szerv köteles minden információt a székhelye szerinti ország nyilvántartó szervének rendelkezésére bocsátani.
A meglévő járműveket csak az alábbi tagállamok egyikének kell nyilvántartásba vennie:
- azon tagállam, ahol a járművek üzembe helyezését a 2008/57/EK irányelv 21-26. cikkével összhangban először engedélyezték;
- azon tagállam, ahol az (EU) 2016/797 irányelv 21-25. cikkével összhangban az engedélyezésüket követően nyilvántartásba vették őket;
- egy másik tagállam nemzeti járműnyilvántartásába történő átvezetés esetén a szóban forgó másik tagállam.
4.3. Már meglévő rendszerek
A 2007/756/EK határozatban említett szabványos nemzeti járműnyilvántartás, fordítóprogram és virtuális járműnyilvántartás megszűnik.
5. IRÁNYMUTATÁSOK
E melléklet végrehajtásának és használatának megkönnyítése érdekében az Ügynökség iránymutatásokat tesz közzé, és azokat naprakészen tartja.
A tagállamok olyan iránymutatásokat hoznak létre és tesznek közzé, amelyek ismertetik különösen az általuk használt nyelveket és az általuk alkalmazott kommunikációs intézkedéseket, továbbá ezen iránymutatásokat naprakészen tartják.
(*1) Az országkódokat hivatalosan az uniós honlapon található Intézményközi kiadványszerkesztési útmutatóban teszik közzé és frissítik. A Csatorna-alagút Kormányközi Bizottság nemzetközi biztonsági hatóság esetében a "CT" országkódot kell használni. Az Ügynökség esetében az "EU" országkódot kell használni.
(1) Az először Észtországban, Lettországban vagy Litvániában forgalomba helyezett olyan gördülőállományt, amelyet az Unión kívül az 1 520 mm-es vasúti rendszer közös kocsiállománya részeként szándékoznak használni, mind az EVR-ben, mind a Független Államok Közössége Vasúti Közlekedési Tanácsának információs adatbázisában nyilvántartásba kell venni. Ilyen esetben a 6. függelékben meghatározott számozási rendszer helyett a 8-számjegyű számozási rendszer alkalmazható.
(2) A 2008/57/EK európai parlamenti és tanácsi irányelv (HL L 191., 2008.7.18., 1. o.) 26. cikkének és az (EU) 2016/797 irányelv 24. cikkének megfelelően engedélyezett járműtípusok esetében.
(3) Lehetővé kell tenni a gördülőállomány-alrendszer és az ellenőrző-irányító-jelző (CCS) alrendszer EK-hitelesítési nyilatkozatára való hivatkozást.
(4) Lehetővé kell tenni a járműre kiadott összes engedély adatainak megadását.
(5) Az (EU) 2016/797 irányelv V. fejezetével összhangban kiadott forgalombahozatali engedély, illetve a 2008/57/EK irányelv V. fejezetével összhangban vagy a 2008/57/EK irányelv átültetése előtt meglévő engedélyezési rendszerekkel összhangban kiadott üzembehelyezési engedély.
(6) Adott esetben a 3.2.1.14. pontban említett további mezők.
(7) A Bizottság (EU) 2018/545 végrehajtási rendelete (2018. április 4.) az (EU) 2016/797 európai parlamenti és tanácsi irányelv alapján a vasúti járművek és a vasúti járműtípusok engedélyezési eljárására vonatkozó gyakorlati szabályok megállapításáról (HL L 90., 2018.4.6., 66. o.).
(8) A 3. függelékben meghatározottak szerint.
(9) Az Európai Parlament és a Tanács (EU) 2016/798 irányelve (2016. május 11.) a vasútbiztonságról (HL L 138., 2016.5.26., 102. o.).
(10) Az Európai Parlament és a Tanács 2012/34/EU irányelve (2012. november 21.) az egységes európai vasúti térség létrehozásáról (HL L 343., 2012.12.14., 32. o.).
(11) Az Ügynökség a nemzeti biztonsági hatóságokkal együttműködve meghatározza a jogszerű felhasználók elismerésére vonatkozó eljárást.
(12) A Bizottság (EU) 2015/1502 végrehajtási rendelete (2015. szeptember 8.) az elektronikus azonosító eszközök biztonsági szintjeire vonatkozó minimális technikai specifikációknak és eljárásoknak a belső piacon történő elektronikus tranzakciókhoz kapcsolódó elektronikus azonosításról és bizalmi szolgáltatásokról szóló 910/2014/EU európai parlamenti és tanácsi rendelet 8. cikkének (3) bekezdése szerint történő megállapításáról (HL L 235., 2015.9.9., 7. o.).
(13) Az Európai Parlament és a Tanács (EU) 2016/679 rendelete (2016. április 27.) a természetes személyeknek a személyes adatok kezelése tekintetében történő védelméről és az ilyen adatok szabad áramlásáról, valamint a 95/46/EK irányelv hatályon kívül helyezéséről (általános adatvédelmi rendelet) (HL L 119., 2016.5.4., 1. o.).
(14) Az 1. táblázat (1) lábjegyzetének sérelme nélkül.
1. FÜGGELÉK - KORLÁTOZÁSI KÓDOK
1. ELVEK
A forgalombahozatali engedélyben említett korlátozásokat harmonizált kóddal vagy nemzeti kóddal kell ellátni.
2. FELÉPÍTÉS
Minden kód az alábbi elemekből tevődik össze:
- a korlátozás kategóriája,
- a korlátozás típusa,
- érték vagy előírás,
amelyeket ponttal (.) kell elválasztani:
[kategória].[típus].[érték vagy előírás].
3. KORLÁTOZÁSI KÓDOK
1. A harmonizált korlátozási kódokat valamennyi tagállamban alkalmazni kell.
Az Ügynökség naprakészen tartja és honlapján közzéteszi az uniós vasúti rendszer egészére vonatkozó harmonizált korlátozási kódok jegyzékét.
Ha egy nemzeti biztonsági hatóság úgy véli, hogy új kód felvételére van szükség a harmonizált korlátozási kódok jegyzékébe, az Ügynökségnél kérelmezi az új kód felvételének megvizsgálását.
Az Ügynökség - adott esetben a többi nemzeti biztonsági hatósággal konzultálva - megvizsgálja a kérést. Az Ügynökség, ha szükséges, felveszi a jegyzékbe az új korlátozási kódot.
2. Az Ügynökség naprakészen tartja a nemzeti korlátozási kódok jegyzékét. A nemzeti korlátozási kódok alkalmazásakor indokolt azokra a korlátozásokra szorítkozni, amelyek egy tagállam meglévő vasúthálózatának egyes jellegzetességeit tükrözik, de más tagállamokban ugyanolyan értelemben valószínűleg nem használatosak. Az 1. pontban említett jegyzékben nem szereplő típuskorlátozások esetében a nemzeti biztonsági hatóság felkéri az Ügynökséget, hogy vegyen fel új kódot a nemzeti korlátozási kódok jegyzékébe. Az Ügynökség - adott esetben a többi nemzeti biztonsági hatósággal konzultálva - megvizsgálja a kérést. Az Ügynökség, ha szükséges, felveszi a jegyzékbe az új korlátozási kódot.
3. A multinacionális biztonsági hatóságok korlátozási kódját nemzeti korlátozási kódként kell kezelni.
4. A kódolatlan korlátozások alkalmazásakor indokolt azokra a korlátozásokra szorítkozni, amelyek sajátos jellegükből adódóan több járműtípusra valószínűleg nem alkalmazhatók. Az Ügynökség egyedi jegyzéket tart fenn, amely tartalmazza az EVR, az (EU) 2016/797 irányelv 48. cikkében említett, engedélyezett járműtípusok európai nyilvántartása, az egyablakos ügyintézési pont és az Európai Vasúti Ügynökség interoperabilitási és biztonsági adatbázisa korlátozási kódjait.
5. Amennyiben valamely nemzetközi megállapodás, amelynek az Európai Unió részes fele, úgy rendelkezik, az Ügynökség adott esetben a korlátozási kódok harmonizálására vonatkozó eljárás tekintetében egyeztethet megfelelő kormányközi szervezetekkel.
2. FÜGGELÉK - AZ EURÓPAI AZONOSÍTÓ SZÁM FELÉPÍTÉSE ÉS TARTALMA
Az Ügynökség egy műszaki dokumentumban meghatározza az európai azonosító szám (EIN) felépítését és tartalmát, beleértve az érintett dokumentumtípusok kódolását, és a szóban forgó műszaki dokumentumot közzéteszi honlapján.
3. FÜGGELÉK - A NYILVÁNTARTÁSI STÁTUSZ KÓDOLÁSA
| Kód | Nyilvántartási státusz (1) | Nyilvántartási státusz oka | Meghatározás |
| 00 | Érvényes | Nem alkalmazható | A járműről érvényes bejegyzés szerepel a nyilvántartásban. |
| 10 | Felfüggesztve | Nem alkalmazható | A jármű nyilvántartását az üzemben tartó kérésére, illetve a nyilvántartásba vételt végző tagállam nemzeti biztonsági hatósága vagy a nyilvántartó szerv határozata alapján felfüggesztették. A kód már nem használható. |
| 11 | Felfüggesztve | Nem alkalmazható | A jármű nyilvántartását az üzemben tartó kérésére felfüggesztették. A járművet üzemképes állapotban, inaktív vagy stratégiai tartalékként való tárolásra szánják. |
| 12 | Felfüggesztve | Az üzemben tartó határozza meg, és a 10.3. paraméternél rögzíti. | A jármű nyilvántartását az üzemben tartó kérésére felfüggesztették. Egyéb ok. |
| 13 | Felfüggesztve | A nyilvántartásba vételt végző tagállam nemzeti biztonsági hatósága határozza meg, és a 10.3. paraméternél rögzíti. | A jármű nyilvántartását a nyilvántartásba vételt végző tagállam nemzeti biztonsági hatóságának kérésére felfüggesztették. |
| 14 | Felfüggesztve | A nyilvántartó szerv határozza meg, és a 10.3. paraméternél rögzíti. | A jármű nyilvántartását a nyilvántartó szerv határozata alapján felfüggesztették. |
| 20 | Visszavonva | Nem alkalmazható | A jármű nyilvántartását az üzemben tartó kérésére visszavonták. Ismeretes, hogy járművet az uniós vasúti rendszerben (annak egészében vagy egy részében) történő folytatólagos használatra más szám alatt újra nyilvántartásba vették. A kód már nem használható. |
| 21 | Visszavonva | Nem alkalmazható | A jármű nyilvántartását az üzemben tartó kérésére visszavonták. Ismeretes, hogy a járművet annak műszaki módosításai miatt más EJSZ alatt újra nyilvántartásba vették. Lásd a 3.2.2.8. pontot. |
| 22 | Visszavonva | Nem alkalmazható | A jármű nyilvántartását az üzemben tartó kérésére visszavonták. Ismeretes, hogy a járművet az alkalmazási területén belüli másik tagállamban más EJSZ alatt újra nyilvántartásba vették. Lásd a 3.2.2.9. pontot. |
| 30 | Visszavonva | Az üzemben tartó határozza meg, és a 10.3. paraméternél rögzíti. | A jármű nyilvántartását az üzemben tartó kérésére visszavonták. Az uniós vasúti rendszerben történő üzemelés tekintetében a jármű nyilvántartása ismert újbóli nyilvántartásba vétel nélkül megszűnt. |
| 31 | Visszavonva | Nem alkalmazható | A jármű nyilvántartását az üzemben tartó kérésére visszavonták. A járművet az uniós vasúti rendszeren kívüli, vasúti járműként történő folytatólagos használatra szánják. |
| 32 | Visszavonva | Nem alkalmazható | A jármű nyilvántartását az üzemben tartó kérésére visszavonták. A járművet jelentősebb interoperábilis rendszerelemek/modulok/alkatrészek kinyerésére vagy nagyobb átépítésre szánják. |
| 33 | Visszavonva | Nem alkalmazható | A jármű nyilvántartását az üzemben tartó kérésére visszavonták. A járművet leselejtezték, anyagait (beleértve a nagyobb alkatrészeket) újrahasznosították. |
| 34 | Visszavonva | Nem alkalmazható | A jármű nyilvántartását az üzemben tartó kérésére visszavonták. A járművet „múzeumvasúti járműként” az uniós vasúti rendszeren kívül elszigetelt hálózaton történő üzemeltetésre vagy helyhez kötött kiállításra szánják. |
A kódok használata
A kódok és az ok kizárólag a nyilvántartási státusz megváltoztatását kérő szerv által a nyilvántartó szervnek szolgáltatott információkon alapulhatnak.
(1) A táblázat csak a már lezárult nyilvántartásba vételek státuszát tartalmazza.
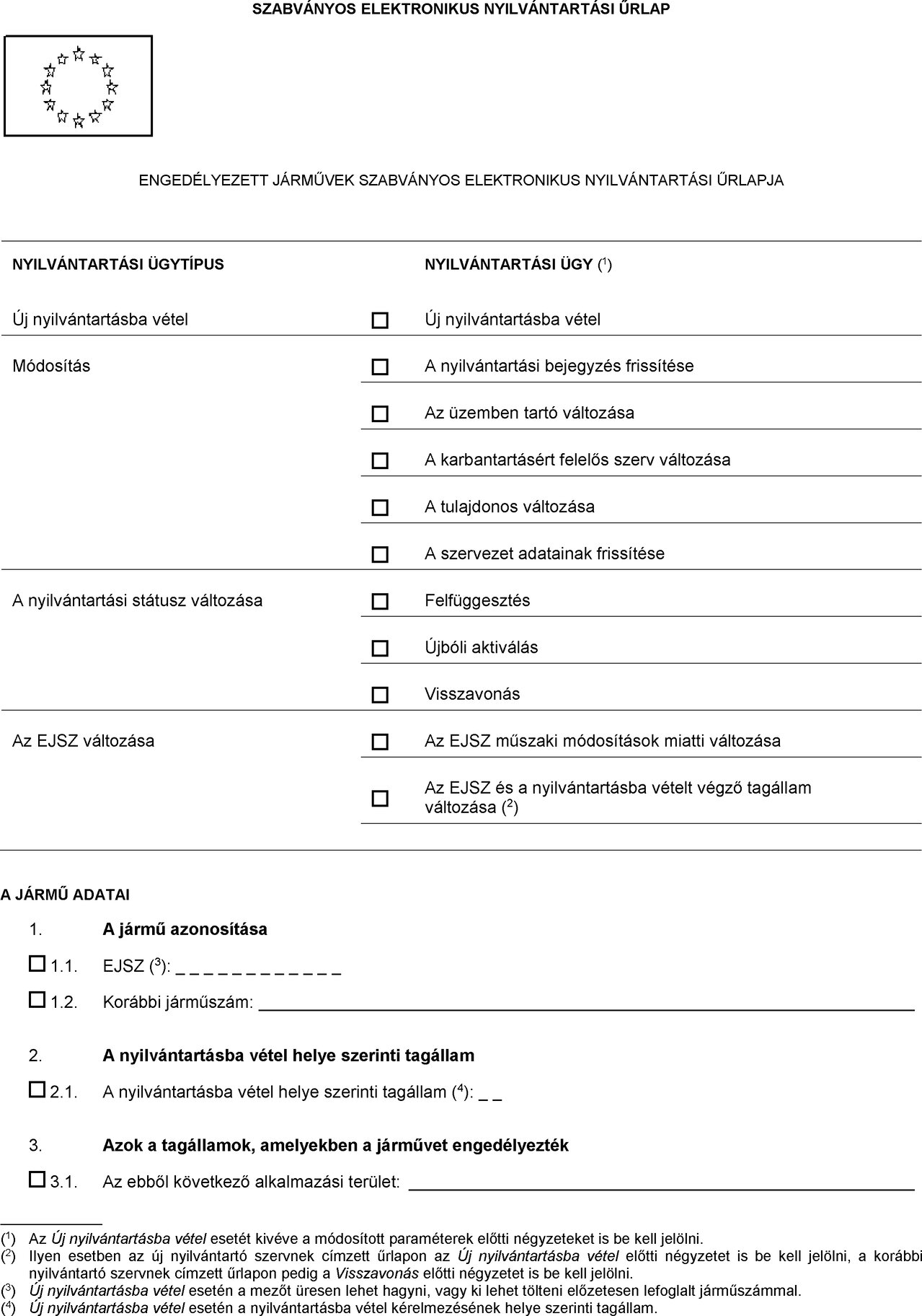
4. FÜGGELÉK

Szövege kép
SZABVÁNYOS ELEKTRONIKUS NYILVÁNTARTÁSI ŰRLAP
ENGEDÉLYEZETT JÁRMŰVEK SZABVÁNYOS ELEKTRONIKUS NYILVÁNTARTÁSI ŰRLAPJA
NYILVÁNTARTÁSI ÜGYTÍPUS
NYILVÁNTARTÁSI ÜGY (1)
Új nyilvántartásba vétel
Új nyilvántartásba vétel
Módosítás
A nyilvántartási bejegyzés frissítése
Az üzemben tartó változása
A karbantartásért felelős szerv változása
A tulajdonos változása
A szervezet adatainak frissítése
A nyilvántartási státusz változása
Felfüggesztés
Újbóli aktiválás
Visszavonás
Az EJSZ változása
Az EJSZ műszaki módosítások miatti változása
Az EJSZ és a nyilvántartásba vételt végző tagállam változása (2)
A JÁRMŰ ADATAI
1. A jármű azonosítása
1.1. EJSZ (3): _ _ _ _ _ _ _ _ _ _ _ _
1.2. Korábbi járműszám:
2. A nyilvántartásba vétel helye szerinti tagállam
2.1. A nyilvántartásba vétel helye szerinti tagállam (4): _ _
3. Azok a tagállamok, amelyekben a járművet engedélyezték
3.1. Az ebből következő alkalmazási terület:
(1) Az Új nyilvántartásba vétel esetét kivéve a módosított paraméterek előtti négyzeteket is be kell jelölni.
(2) Ilyen esetben az új nyilvántartó szervnek címzett űrlapon az Új nyilvántartásba vétel előtti négyzetet is be kell jelölni, a korábbi nyilvántartó szervnek címzett űrlapon pedig a Visszavonás előtti négyzetet is be kell jelölni.
(3) Új nyilvántartásba vétel esetén a mezőt üresen lehet hagyni, vagy ki lehet tölteni előzetesen lefoglalt járműszámmal.
(4) Új nyilvántartásba vétel esetén a nyilvántartásba vétel kérelmezésének helye szerinti tagállam.

Szövege kép
4. A járműre vonatkozó további feltételek
4.1. A járműre vonatkozó további feltételek
RIC RIV TEN
TEN-CW TEN-GE Egyéb (_ _ _ _ _ _)
5. Gyártás
5.1. Gyártási év: _ _ _ _
5.2. Gyártási sorozatszám:
5.3. ERATV-hivatkozás
5.4. Sorozat:
6. Hivatkozás az EK-hitelesítési nyilatkozatra
a) Gördülőállomány-alrendszer
6.1. Az EK-nyilatkozat kelte: _ _ _ _ _ _ _ _
6.2. Az EK-nyilatkozat hivatkozási száma:
Az EK-hitelesítési nyilatkozatot kibocsátó szerv (a kérelmező)
6.3.1. Szervezet neve:
6.3.2. Cégjegyzékszám:
6.3.3. Cím:
6.3.4. Település:
6.3.5. Országkód: _ _
6.3.6. Irányítószám:
6.3.7. E-mail-cím:
6.3.8. Szervezetkód: _ _ _ _
b) Fedélzeti CCS-alrendszer
6.1. Az EK-nyilatkozat kelte: _ _ _ _ _ _ _ _
6.2. Az EK-nyilatkozat hivatkozási száma:
Az EK-hitelesítési nyilatkozatot kibocsátó szerv (a kérelmező)
6.3.1. Szervezet neve:
6.3.2. Cégjegyzékszám:
6.3.3. Cím:
6.3.4. Település:
6.3.5. Országkód: _ _
6.3.6. Irányítószám:
6.3.7. E-mail-cím:
6.3.8. Szervezetkód: _ _ _ _
A JÁRMŰÉRT FELELŐS SZERVEK ADATAI
7. Tulajdonos
7.1. Szervezet neve:
7.2. Cégjegyzékszám:

Szövege kép
7.3. Cím:
7.4. Település:
7.5. Országkód: _ _
7.6. Irányítószám:
7.7. E-mail-cím:
7.8. Szervezetkód: _ _ _ _
A tulajdonos változása
Tulajdonosváltozás időpontja (ÉÉÉÉHHNN): _ _ _ _ _ _ _ _
8. Üzemben tartó
8.1. Szervezet neve:
8.2. Cégjegyzékszám:
8.3. Cím:
8.4. Település:
8.5. Országkód: _ _
8.6. Irányítószám:
8.7. E-mail-cím:
8.8. Szervezetkód: _ _ _ _
8.9. VKM:
Az üzemben tartó változása
Az üzemben tartó változásának időpontja (ÉÉÉÉHHNN): _ _ _ _ _ _ _ _
Új üzemben tartó általi elfogadás:
Dátum (ÉÉÉÉHHNN): _ _ _ _ _ _ _ _
A meghatalmazott képviselő beosztása, neve és aláírása:
ÜZEMELTETÉSI ADATOK
9. A karbantartásért felelős szerv
9.1. Szervezet neve:
9.2. Cégjegyzékszám
9.3. Utca és házszám:
9.4. Település:
9.5. Országkód: _ _
9.6. Irányítószám:
9.7. E-mail-cím:
9.8. Szervezetkód: _ _ _ _
A karbantartásért felelős szerv változása
A karbantartásért felelős szerv változásának időpontja (ÉÉÉÉHHNN): _ _ _ _ _ _ _ _
Az új, karbantartásért felelős szerv általi elfogadás:
Dátum (ÉÉÉÉHHNN): _ _ _ _ _ _ _ _
A meghatalmazott képviselő beosztása, neve és aláírása:

Szövege kép
10. Nyilvántartási státusz
10.1. Nyilvántartási státusz (5): _ _
10.2. A nyilvántartási státusz időpontja (ÉÉÉÉHHNN): _ _ _ _ _ _ _ _
10.3. A nyilvántartási státusz oka:
AZ ENGEDÉLYRE VONATKOZÓ INFORMÁCIÓK
11. Forgalombahozatali engedély
11.1. Az engedélyező szerv neve:
11.2. Az engedélyező szerv szerinti tagállam: _ _
11.3. EIN: _ _ _ _ _ _ _ _ _ _ _ _
11.4. Engedélyezett alkalmazási terület:
11.5. Az engedély kiállításának időpontja (ÉÉÉÉHHNN): _ _ _ _ _ _ _ _
11.6. Az engedély érvényességének vége (ÉÉÉÉHHNN): _ _ _ _ _ _ _ _
11.7. Az engedély felfüggesztésének időpontja (ÉÉÉÉHHNN): _ _ _ _ _ _ _ _
11.8. Az engedély visszavonásának időpontja (ÉÉÉÉHHNN): _ _ _ _ _ _ _ _
11.9. A jármű alkalmazási feltételei és egyéb korlátozások
11.9.1. Kódolt korlátozások (kód): , , , ,
, , , , , , ,
, , , , , _,
11.9.2. Kódolatlan korlátozások (szöveg):
TOVÁBBI MEZŐK
[A 3.2.1.14. pontban említett, e szakaszban feltüntetendő további mezők]
A nyilvántartásba vételt kérelmező szerv azonosítója:
Név:
Cím:
Szervezetkód: _ _ _ _
Dátum (ÉÉÉÉHHNN): _ _ _ _ _ _ _ _
A meghatalmazott képviselő beosztása, neve és aláírása:
A nyilvántartó szerv hivatkozásai
A kérelem kézhezvételének időpontja (ÉÉÉÉHHNN): _ _ _ _ _ _ _ _
A frissítés időpontja (ÉÉÉÉHHNN): _ _ _ _ _ _ _ _
(5) Új nyilvántartásba vétel esetén a mező üresen maradhat.
5. FÜGGELÉK - GLOSSZÁRIUM
| Betűszó/rövidítés | Meghatározás |
| Ügynökség | Az Európai Unió Vasúti Ügynöksége, amelyet az (EU) 2016/796 európai parlamenti és tanácsi rendelet (1) hozott létre |
| Kérelmező | Egy jármű forgalomba hozatalának engedélyezését kérelmező természetes vagy jogi személy |
| A jármű alkalmazási területe | Egy tagállamon vagy tagállamok csoportján belüli hálózat vagy hálózatok, amely(ek)ben a járművet használni kívánják, az (EU) 2016/797 irányelv 2. cikkében említettek szerint |
| ARS-funkció | Kérelmezési, nyilvántartásbavételi és adattárolási funkció |
| ATMF | A nemzetközi forgalomban használt vasúti pályaépítő anyagok műszaki engedélyezésére vonatkozó egységes szabályok (ATMF – COTIF G. függelék) |
| Engedélyező szerv | A jármű forgalomba hozatalát engedélyező szervezet (nemzeti biztonsági hatóság vagy az Ügynökség) |
| Engedélyezés | Forgalombahozatali engedély |
| C-ARS-funkció | Kérelmezési, nyilvántartásbavételi és adattárolási (ARS) funkció (központosított) |
| COTIF | Nemzetközi Vasúti Fuvarozási Egyezmény |
| D-ARS-funkció | Kérelmezési, nyilvántartásbavételi és adattárolási (ARS) funkció (decentralizált) |
| DSC-funkció | Adatkeresési és adatbetekintési funkció |
| ECM | Karbantartásért felelős szerv |
| EIN | Európai azonosító szám |
| EJSZ | Európai járműszám |
| EVR | Az (EU) 2016/797 irányelv 47. cikkében említett európai járműnyilvántartás |
| ERATV | Az engedélyezett járműtípusok európai nyilvántartása, amelyet az (EU) 2016/797 irányelv 48. cikke említ |
| GDPR | Az (EU) 2016/679 rendelet |
| ISO | Nemzetközi Szabványügyi Szervezet |
| IT | Informatika |
| NSA | Nemzeti biztonsági hatóság |
| NVR | Az (EU) 2016/797 irányelv 47. cikkében említett nemzeti járműnyilvántartás |
| OTIF | Nemzetközi Vasúti Fuvarozásügyi Államközi Szervezet |
| RDA-funkció | Referenciaadat-kezelési funkció |
| RE | Nyilvántartó szerv, azaz az egyes tagállamok által e határozattal összhangban kijelölt szerv |
| RIC | A személykocsik és fékezőkocsik nemzetközi forgalomban való kölcsönös használatára vonatkozó szabályok |
| RIV | A kocsik nemzetközi forgalomban való kölcsönös használatára vonatkozó szabályok |
| TAF (ÁME) | Árufuvarozási szolgáltatások telematikai alkalmazásai (ÁME) |
| TAP (ÁME) | Személyszállítási szolgáltatások telematikai alkalmazásai (ÁME) |
| ÁME | Átjárhatósági műszaki előírások |
| UCA-funkció | Felhasználó-létrehozási és -kezelési funkció |
| VKM | Üzembentartói jelzés |
| VKMR | Az üzembentartói jelzések nyilvántartása |
| VVR | A 2007/756/EK határozat szerinti virtuális járműnyilvántartás |
(1) Az (EU) 2016/796 európai parlamenti és tanácsi rendelet (2016. május 11.) az Európai Unió Vasúti Ügynökségéről és a 881/2004/EK rendelet hatályon kívül helyezéséről (HL L 138., 2016.5.26., 1. o.).
6. FÜGGELÉK
"0". RÉSZ
Jármű-azonosító
Általános megjegyzések
Ez a függelék a járműveken az üzem közbeni egyedi azonosítás érdekében látható módon, tartósan feltüntetett európai járműszámot és kapcsolódó jelzéseket ismerteti. Nem foglalkozik azonban a jármű alvázán vagy fő alkatrészein gyártás közben véglegesen bemart vagy tartósan rögzített egyéb számokkal és jelzésekkel.
Az európai járműszám és a hozzá kapcsolódó rövidítések
Valamennyi vasúti jármű 12 számjegyből álló számot (európai járműszámot, EJSZ) kap, amelynek felépítése a következő:
| Járműcsoport | Kölcsönös átjárhatósági képesség és járműtípus [2 számjegy] | A jármű nyilvántartásba vétele szerinti ország | Műszaki jellemzők | Sorozatszám | Ellenőrző számjegy |
| [2 számjegy] | [4 számjegy] | [3 számjegy] | [1 számjegy] | ||
| Teherkocsik | 00 és 09 között 10 és 19 között 20 és 29 között 30 és 39 között 40 és 49 között 80 és 89 között [részletek a 6. részben] | 01 és 99 között [részletek a 4. részben] | 0000 és 9999 között [részletek a 9. részben] | 000 és 999 között | 0 és 9 között [részletek a 3. részben] |
| Vontatott személyszállító járművek | 50 és 59 között 60 és 69 között 70 és 79 között [részletek a 7. részben] | 0000 és 9999 között [részletek a 10. részben] | 000 és 999 között | ||
| Vontató járművek és állandóan összekapcsolt vagy előre meghatározott szerelvény egységei | 90 és 99 között [részletek a 8. részben] | 0000000 és 8999999 között [e számok jelentését a tagállamok határozzák meg, adott esetben két- vagy többoldalú megállapodással] | |||
| Speciális járművek | 9000 és 9999 között [részletek a 11. részben] | 000 és 999 között | |||
Egy adott országban a műszaki jellemzők és a sorozatszám 7 számjegye elegendő a járműveknek a vontatott személyszállító járművek és speciális járművek csoportjain belüli egyedi azonosítására (1).
A számot a következő betűjelzések egészítik ki:
a) a jármű nyilvántartásba vétele szerinti ország rövidítése (részletek a 4. részben);
b) az üzembentartói jelzés (részletek az 1. részben);
c) a műszaki jellemzők rövidítése (részletek a 12. részben a teherkocsik és a 13. részben a vontatott személyszállító járművek esetében).
1. RÉSZ
Üzembentartói jelzés
1. Az üzembentartói jelzés (VKM) meghatározása
Az üzembentartói jelzés (VKM) egy 2-5 betűből álló alfabetikus kód (2). A VKM-et minden egyes járművön fel kell tüntetni az EJSZ közelében. A VKM azonosítja az EVR-ben nyilvántartásba vett üzemben tartót.
A VKM-nek e határozat hatálya alá tartozó minden országban, valamint az összes olyan országban egyedinek és érvényesnek kell lennie, amely az e határozatban leírt járműszámozási és üzembentartói jelzési rendszer alkalmazásáról rendelkező megállapodást köt.
Az olyan üzemben tartó számára, amelynek székhelye az OTIF Európai Unión kívüli szerződő államában található, a VKM-et az OTIF Főtitkárságától kell kérni.
2. Az üzembentartói jelzés formátuma
A VKM az üzemben tartó teljes nevének vagy annak rövidítésének feltüntetése, lehetőleg felismerhető formában. Az ISO 8859-1 szerinti ábécé 26 betűjének bármelyike használható. A VKM betűit nyomtatott nagybetűkkel kell írni. Az üzemben tartó nevében a szavak nem első betűje helyén álló betűket lehet kisbetűkkel írni. Az egyediség ellenőrzésekor a kisbetűkkel írott betűket nagybetűkkel írott betűkként kell kezelni.
A betűk tartalmazhatnak mellékjeleket (3). Az ilyen betűkön lévő mellékjeleket az egyediség ellenőrzésekor figyelmen kívül kell hagyni.
Az olyan járművek esetében, amelyek üzemben tartóinak székhelye nem latin ábécét használó országban található, a VKM saját ábécével való átírása ferde vonallal ("/") elválasztva feltüntethető a VKM mögött. Adatfeldolgozási szempontból a VKM átírását figyelmen kívül kell hagyni.
3. Az üzembentartói jelzés kiosztásával kapcsolatos rendelkezések
Egy üzemben tartóhoz egynél több VKM is rendelhető, amennyiben:
- az üzemben tartó egynél több nyelven is rendelkezik hivatalos névvel;
- az üzemben tartónak jó oka van megkülönböztetni a szervezetén belüli különálló járműállományokat.
Egyetlen VKM is kiadható olyan vállalatcsoportra:
- amely egyetlen vállalati struktúrához tartozik (pl. holdingtársaság);
- amely egyetlen olyan vállalati struktúrához tartozik, amely a szervezetén belül kijelölt és megbízott egy szervezetet azzal, hogy minden kérdésben eljárjon az összes többi nevében;
- amely egyetlen különálló jogi személyt bízott meg azzal, hogy minden kérdésben eljárjon a nevében. Ebben az esetben a szóban forgó jogalany az üzemben tartó.
4. Az üzembentartói jelzések nyilvántartása és kiosztási eljárása
A VKM nyilvántartása nyilvános, és aktualizálása valós időben történik.
A kérelmező a VKM iránti kérelmet nyújt be annak a tagállamnak a nemzeti biztonsági hatóságához, ahol a kérelmező székhelye található. A nemzeti biztonsági hatóság ellenőrzi a kérelmet, majd továbbítja az Ügynökségnek. A VKM csak azt követően használható, hogy az Ügynökség közzétette.
A VKM birtokosa tájékoztatja az illetékes nemzeti hatóságot, amikor beszünteti a VKM használatát, az illetékes nemzeti hatóság pedig továbbítja ezt az információt az Ügynökségnek. A VKM azt követően vonható vissza, hogy az üzemben tartó bizonyította a jelzésnek az összes érintett járművön való módosítását. A jelzés 10 évig nem adható ki újból, kivéve, ha újból az eredeti birtokosnak vagy annak kérésére más birtokosnak adják ki.
A VKM más birtokosra ruházható, amennyiben az az eredeti birtokos jogutódja. A VKM érvényben marad akkor is, ha a VKM birtokosa olyan névre változtatja a nevét, amely nem hasonlít a VKM-re.
Az üzemben tartó személyében bekövetkező, a VKM módosításával járó változás esetén az érintett kocsikat az üzemben tartó változásának az EVR-ben történő bejegyzését követő három hónapon belül kell ellátni az új VKM jelzésekkel. Amennyiben a járműn jelzett VKM és az EVR-ben bejegyzett adatok között ellentmondás van, az EVR adatai tekintendők mérvadónak.
2. RÉSZ
Használaton kívül
3. RÉSZ
Az ellenőrző (12.) Számjegy meghatározásának szabályai
Az ellenőrző számjegyet a következő módon kell meghatározni:
- az alapszám páros pozícióinak számjegyeit (jobbról balra haladva) saját, tízes számrendszer szerinti értékükön kell venni;
- az alapszám páratlan pozícióinak számjegyeit (jobbról balra haladva) meg kell szorozni 2-vel;
- ekkor össze kell adni a páros pozíciók számjegyeit a páratlan pozíciókban kapott részletszorzatokat alkotó számjegyekkel;
- az így kapott összeg utolsó számjegyét kell venni;
- az utolsó számjegy értéke és a 10 közötti különbség alkotja az ellenőrző számjegyet; amennyiben az utolsó számjegy értéke nulla, akkor az ellenőrző számjegy is nulla.
Példák
| 1. | Legyen az alapszám | 3 | 3 | 8 | 4 | 4 | 7 | 9 | 6 | 1 | 0 | 0 |
| Szorzótényező | 2 | 1 | 2 | 1 | 2 | 1 | 2 | 1 | 2 | 1 | 2 | |
| 6 | 3 | 16 | 4 | 8 | 7 | 18 | 6 | 2 | 0 | 0 | ||
| Összeg: 6 + 3 + 1 + 6 + 4 + 8 + 7 + 1 + 8 + 6 + 2 + 0 + 0 = 52 | ||||||||||||
| Az összeg utolsó számjegye 2. Az ellenőrző számjegy ezért 8, így az alapszámból a 33 84 4796 100 – 8 nyilvántartási szám lesz. | ||||||||||||
| 2. | Legyen az alapszám | 3 | 1 | 5 | 1 | 3 | 3 | 2 | 0 | 1 | 9 | 8 |
| Szorzótényező | 2 | 1 | 2 | 1 | 2 | 1 | 2 | 1 | 2 | 1 | 2 | |
| 6 | 1 | 10 | 1 | 6 | 3 | 4 | 0 | 2 | 9 | 16 | ||
| Összeg: 6 + 1 + 1 + 0 + 1 + 6 + 3 + 4 + 0 + 2 + 9 + 1 + 6 = 40 | ||||||||||||
| Az összeg utolsó számjegye 0. Az ellenőrző számjegy ezért 0, így az alapszámból a 31 51 3320 198 – 0 nyilvántartási szám lesz. | ||||||||||||
4. RÉSZ
A járművek nyilvántartása szerinti országok kódjai (3-4. Számjegy és rövidítés)
A harmadik országokra vonatkozó információk csak tájékoztató jellegűek.
| SZÖVEG HIÁNYZIK |
5. RÉSZ
Használaton kívül
6. RÉSZ
A kölcsönös átjárhatósági képességet jelölő kocsikódok (1-2. Számjegy)
| 2. számjegy | 0 | 1 | 2 | 3 | 4 | 5 | 6 | 7 | 8 | 9 | 2. számjegy | |||
| 1. számjegy | 1. számjegy | |||||||||||||
| Nyomtáv | rögzített vagy változó | rögzített | változó | rögzített | változó | rögzített | változó | rögzített | változó | rögzített vagy változó | Nyomtáv | |||
| Azon kocsik, amelyek megfelelnek a teherkocsikra vonatkozó ÁME-nek (1), beleértve a 7.1.2. szakaszt és a C. függelékben meghatározott valamennyi feltételt | 0 | tengellyel | Nem használandó | kocsik | Nem használandó (3) | PPV/PPW kocsik (változó nyomtáv) | tengellyel | 0 | ||||||
| 1 | forgóvázzal | forgóvázzal | 1 | |||||||||||
| 2 | tengellyel | kocsik | PPV/PPW kocsik (rögzített nyomtáv) | tengellyel | 2 | |||||||||
| 3 | forgóvázzal | forgóvázzal | 3 | |||||||||||
| Egyéb kocsik | 4 | tengellyel (2) | karbantartási célú kocsik | Egyéb kocsik | Műszaki jellemzőik miatt speciális számozással rendelkező kocsik, melyeket az EU-n belül nem helyeztek üzembe | tengellyel (2) | 4 | |||||||
| 8 | forgóvázzal (2) | forgóvázzal (2) | 8 | |||||||||||
| 1. számjegy | 0 | 1 | 2 | 3 | 4 | 5 | 6 | 7 | 8 | 9 | 1. számjegy | |||
| 2. számjegy | 2. számjegy | |||||||||||||
7. RÉSZ
A nemzetközi forgalomképességet jelző kódok a vontatott személyszállító kocsik esetében (1-2. Számjegy)
| Belföldi forgalom | TEN (4) és/vagy COTIF (5) és/vagy PPV/PPW | Belföldi vagy külön megállapodással nemzetközi forgalom | TEN (4) és/vagy COTIF (5) | PPV/PPW | |||||||
| 2. számjegy | 0 | 1 | 2 | 3 | 4 | 5 | 6 | 7 | 8 | 9 | |
| 1. számjegy | |||||||||||
| 5 | Belföldi forgalmú kocsik | Rögzített nyomtávú nem klimatizált kocsik (az autószállító kocsikat is ideértve) | Állítható nyomtávú (1435/1520) nem légkondicionált járművek | Nem használandó | Állítható nyomtávú (1435/1668) nem légkondicionált járművek | Muzeális kocsik | Nem használandó (6) | Rögzített nyomtávú járművek | Állítható nyomtávú (1435/1520) járművek cserélhető forgóvázzal | Állítható nyomtávú (1435/1520) járművek állítható nyomtávú tengelyekkel | |
| 6 | Szervizkocsik | Rögzített nyomtávú légkondicionált járművek | Állítható nyomtávú (1435/1520) légkondicionált járművek | Szervizkocsik | Állítható nyomtávú (1435/1668) légkondicionált járművek | Autószállító kocsik | Nem használandó (6) | ||||
| 7 | Klimatizált és nyomásálló szekrényű kocsik | Nem használandó | Nem használandó | Nyomásálló szekrényű, rögzített nyomtávú, klimatizált kocsik | Nem használandó | Más jármű | Nem használandó | Nem használandó | Nem használandó | Nem használandó | |
8. RÉSZ
A vontató járművek és állandóan összekapcsolt vagy előre meghatározott szerelvény egységeinek típusai (1-2. Számjegy)
Az első számjegy "9".
Ha a második számjegy a vontató jármű típusát írja le, a következő kódok kötelezők:
| Kód | A jármű általános típusa |
| 0 | Vegyes |
| 1 | Villanymozdony |
| 2 | Dízelmozdony |
| 3 | Elektromos többrészes egység (nagy sebességű) [motorkocsi vagy vontatott kocsi] |
| 4 | Elektromos többrészes egység (nagy sebességű kivételével) [motorkocsi vagy vontatott kocsi] |
| 5 | Dízel többrészes egység [motorkocsi vagy vontatott kocsi] |
| 6 | Speciális vontatott kocsi |
| 7 | Elektromos tolatókocsi |
| 8 | Dízel tolatókocsi |
| 9 | Speciális jármű |
9. RÉSZ
A kocsik standard számjelzése (5-8. számjegy)
A kocsi fő műszaki jellemzőihez kapcsolódó számjegyes jelzést az Ügynökség kezeli, és közzéteszi a honlapján (www.era.europa.eu).
Az új kód iránti kérelmeket a nyilvántartó szervhez kell benyújtani, amely továbbítja az Ügynökségnek. Az új kód csak azt követően használható, hogy az Ügynökség közzétette.
10. RÉSZ
A vontatott személykocsik műszaki jellemzőinek kódjai (5-6. számjegy)
A vontatott személykocsik műszaki jellemzőinek kódjait az Ügynökség kezeli, és közzéteszi a honlapján (www.era.europa.eu).
Az új kód iránti kérelmeket a nyilvántartó szervhez kell benyújtani, amely továbbítja az Ügynökségnek. Az új kód csak azt követően használható, hogy az Ügynökség közzétette.
11. RÉSZ
A speciális járművek műszaki jellemzőinek kódjai (6-8. számjegy)
A speciális járművek műszaki jellemzőinek kódjait az Ügynökség kezeli, és közzéteszi a honlapján (www.era.europa.eu).
Az új kód iránti kérelmeket a nyilvántartó szervhez kell benyújtani, amely továbbítja az Ügynökségnek. Az új kód csak azt követően használható, hogy az Ügynökség közzétette.
12. RÉSZ
A kocsik betűjelei
A kocsik betűjeleit (a csuklós és többrészes kocsik kivételével) az Ügynökség kezeli, és közzéteszi a honlapján (www.era.europa.eu).
Az új kód iránti kérelmeket a nyilvántartó szervhez kell benyújtani, amely továbbítja az Ügynökségnek. Az új kód csak azt követően használható, hogy az Ügynökség közzétette.
13. RÉSZ
A vontatott személykocsik betűjelei
A vontatott személykocsik betűjeleit az Ügynökség kezeli, és közzéteszi a honlapján (www.era.europa.eu).
Az új kód iránti kérelmeket a nyilvántartó szervhez kell benyújtani, amely továbbítja az Ügynökségnek. Az új kód csak azt követően használható, hogy az Ügynökség közzétette.
(1) A speciális járművek esetében a műszaki jellemzők és a sorozatszám első számjegyével és utolsó öt számjegyével rendelkező számnak egy adott országban egyedinek kell lennie.
(2) Az NMBS/SNCB esetében továbbra is megengedett a bekarikázott önálló B betű használata.
(3) A mellékjelek "ékezetek", például À, Ç, Ö, Č, Ž, Å stb. Az olyan speciális betűket, mint az Ø és Æ, egyetlen betűvel kell helyettesíteni; az egyediségi vizsgálatokban az Ø-t O-ként, az Æ-t pedig A-ként kell kezelni.
(1) A Bizottság 321/2013/EU rendelete (2013. március 13.) az Európai Unió vasúti rendszere "járművek - teherkocsik" alrendszerére vonatkozó átjárhatósági műszaki előírásról és a 2006/861/EK bizottsági határozat hatályon kívül helyezéséről (HL L 104., 2013.4.12., 1. o.).
(2) Rögzített vagy változó nyomtáv.
(3) Az I. kategóriájú (állandó hőmérsékletű) kocsik kivételével nem használandó az üzembe helyezésre engedélyezett új járművek esetében.
(4) A vonatkozó ÁME-knek való megfelelés tekintetében lásd az Európai Unió vasúti rendszerének forgalmi szolgálat és forgalomirányítás alrendszerére vonatkozó átjárhatósági műszaki előírásokról szóló 2012/757/EU határozat módosításáról szóló, 2015. június 8-i (EU) 2015/995 bizottsági rendelet (HL L 165., 2015.6.30., 1. o.) H. függelékének 6. részét.
(5) Beleértve azokat a kocsikat is, amelyek az érvényes szabályozás alapján az e táblázatban meghatározott számokat viselik. COTIF: az üzembe helyezés időpontjában hatályos COTIF-előírásoknak megfelelő jármű.
(6) A már üzembe helyezett rögzített nyomtávú (56) és az állítható nyomtávú (66) kocsik kivételével nem használandó az új kocsikra vonatkozóan.
Lábjegyzetek:
[1] A dokumentum eredetije megtekinthető CELEX: 32018D1614 - https://eur-lex.europa.eu/legal-content/HU/ALL/?uri=CELEX:32018D1614&locale=hu A dokumentum konszolidált változatai magyar nyelven nem elérhetőek.