32019D1004[1]
A Bizottság (EU) 2019/1004 végrehajtási határozata (2019. június 7.) a hulladékokkal kapcsolatos adatoknak a 2008/98/EK európai parlamenti és tanácsi irányelvnek megfelelően való kiszámítására, ellenőrzésére és jelentésére vonatkozó szabályok megállapításáról és a C(2012) 2384 bizottsági végrehajtási határozat hatályon kívül helyezéséről (az értesítés a C(2019) 4114. számú dokumentummal történt)
A BIZOTTSÁG (EU) 2019/1004 VÉGREHAJTÁSI HATÁROZATA
(2019. június 7.)
a hulladékokkal kapcsolatos adatoknak a 2008/98/EK európai parlamenti és tanácsi irányelvnek megfelelően való kiszámítására, ellenőrzésére és jelentésére vonatkozó szabályok megállapításáról és a C(2012) 2384 bizottsági végrehajtási határozat hatályon kívül helyezéséről
(az értesítés a C(2019) 4114. számú dokumentummal történt)
(EGT-vonatkozású szöveg)
AZ EURÓPAI BIZOTTSÁG,
tekintettel az Európai Unió működéséről szóló szerződésre,
tekintettel a hulladékokról és egyes irányelvek hatályon kívül helyezéséről szóló, 2008. november 19-i 2008/98/EK európai parlamenti és tanácsi irányelvre (1) és különösen annak 11a. cikke (9) bekezdésére és 37. cikke (7) bekezdésére,
mivel:
(1) A 2008/98/EK irányelv általános számítási szabályokat határoz meg az irányelv 11. cikke (2) bekezdésének c), d) és e) pontjában, valamint 11. cikkének (3) bekezdésében meghatározott, a települési hulladék újrahasználatra való előkészítésére és újrafeldolgozására vonatkozó, 2025-ig, 2030-ig és 2035-ig elérendő célértékek teljesítésének ellenőrzése céljából.
(2) A 2008/98/EK irányelv 11a. cikkében meghatározott szabályok előírják, hogy a 2025-re, 2030-ra és 2035-re vonatkozó újrafeldolgozási célértékek kiszámításához az újrafeldolgozási műveletbe belépő hulladékot, illetve a hulladékstátuszból kilépő anyagot lehet figyelembe venni. Főszabályként az újrafeldolgozott hulladék mérését azon a ponton kell elvégezni, ahol a hulladék bekerül az újrafeldolgozási műveletbe. A tagállamok azonban eltérhetnek a főszabálytól, és a települési hulladék mérését elvégezhetik valamely válogatási művelet kimeneti oldalánál, feltéve, hogy az újrafeldolgozási műveletet megelőző kezelés miatti további veszteségek levonásra kerülnek, és a kimeneti oldalon megjelenő hulladék ténylegesen újrafeldolgozásra került.
(3) Az újrafeldolgozási műveletbe belépő települési hulladék még tartalmazhat bizonyos mennyiségben olyan, az azt követő újrafeldolgozás által nem célzott, hulladékanyagot, amelyet az újrafeldolgozási műveletet megelőző előzetes műveletekkel nem lehetett észszerű erőfeszítésekkel eltávolítani. A tagállamok nem kötelezhetők arra, hogy ezeket a nem célzott anyagokat az újrafeldolgozott települési hulladék mennyiségének kiszámítása céljából levonják, feltéve, hogy az anyagok összeegyeztethetők az újrafeldolgozási művelettel, és nem gátolják a hulladék magas minőségű újrafeldolgozását.
(4) Annak érdekében, hogy valamennyi tagállam egységesen alkalmazza a számítási szabályokat, a leggyakoribb hulladéktípusok és újrafeldolgozási folyamatok tekintetében meg kell állapítani, hogy mely hulladékanyagokat kell a 2008/98/EK irányelv 11a. cikke (1) bekezdése c) pontjának megfelelően figyelembe venni a számítás során (számítási pontok), valamint hogy azokat a hulladékkezelés mely szakaszában kell mérni az említett irányelv 11a. cikke (2) bekezdésének megfelelően (mérési pontok).
(5) A települési hulladék újrafeldolgozására vonatkozóan bejelentendő adatok összehasonlíthatósága érdekében a leggyakoribb hulladéktípusok és újrafeldolgozási folyamatok tekintetében megállapított számítási pontok alkalmazandók az olyan hulladékra is, amelynek hulladékstátusza a feldolgozást megelőző előkészítés következtében megszűnik.
(6) A települési hulladék újrafeldolgozására vonatkozóan az egyes tagállamokban található hulladékkezelő létesítmények által bejelentett adatok összehasonlíthatósága érdekében részletesebb szabályokat kell meghatározni arra vonatkozóan, hogy a válogatott hulladék mennyiségét hogyan kell figyelembe venni az újrafeldolgozási műveletbe bekerülő anyagok mennyiségének kiszámításakor, valamint hogy miként kell az újrafeldolgozott települési hulladék mennyiségét kiszámítani abban az esetben, ha a hulladékkezelés eredményeként nem csak újrafeldolgozott anyag, hanem tüzelőanyag vagy egyéb energiatermelés céljára alkalmas anyag, illetve feltöltési művelethez használt anyag is keletkezik.
(7) A keletkezés helyén elkülönített és újrafeldolgozott biohulladék tekintetében az újrafeldolgozási műveletbe belépő, illetve onnan kilépő anyagok tényleges mérése nem mindig kivitelezhető, tekintettel arra, hogy az érintett hulladék kezelése általában az egyes háztartások szintjén történik. Ezért olyan megalapozott közös megközelítést kell kialakítani, amely biztosítja a jelentett adatok magas megbízhatósági szintjét.
(8) A települési hulladék égetését követően elkülönített, újrafeldolgozott fémek tekintetében annak érdekében, hogy kizárólag az újrafeldolgozott fémeket vegyék figyelembe, olyan számítási módszertant kell megállapítani, amely meghatározza az égetési kazánhamuból kiválasztott hulladékanyagok fémtartalmát. Ezenkívül az adatok relevanciájának biztosítása céljából a számítás során csak a települési hulladék égetéséből származó fémek vehetők figyelembe.
(9) A települési hulladék újrahasználatra való előkészítésére és újrafeldolgozására vonatkozóan a 2008/98/EK irányelv 11a. cikkének megfelelően jelentendő adatokat a hulladékanyag-áramokra vonatkozó hatékony minőség-ellenőrzési és nyomonkövetési rendszerekkel kell alátámasztani. A tagállamok számára ezért elő kell írni, hogy hozzanak intézkedéseket az összegyűjtött adatok nagy fokú megbízhatóságának és pontosságának garantálása érdekében, különösen oly módon, hogy az adatokat közvetlenül a gazdasági szereplőktől gyűjtik, és a hulladékra vonatkozó adatok rögzítésére fokozott mértékben alkalmaznak elektronikus nyilvántartásokat.
(10) A tagállamoknak minden egyes naptári évre vonatkozóan jelentést kell tenniük a Bizottságnak a 2008/98/EK irányelv 11. cikke (2) és (3) bekezdésének végrehajtásáról. Ezenkívül minőség-ellenőrzési jelentést is be kell nyújtaniuk a Bizottságnak a jelentéstételhez használandó, a Bizottság által meghatározott formátumban. A formátum hivatott biztosítani, hogy a bejelentett információk elégséges alapot biztosítsanak a 2008/98/EK irányelv 11. cikkének (2) és (3) bekezdésében meghatározott célértékek elérésének ellenőrzéséhez és nyomon követéséhez.
(11) A 2008/98/EK irányelv 11. cikke (2) bekezdésének a) pontjában meghatározott célérték tekintetében a tagállamoknak a 2011/753/EU bizottsági határozatban (2) megállapított számítási szabályokat kell alkalmazniuk. A 2008/98/EK irányelv 11a. cikkében és az e határozatban meghatározott, a települési hulladék újrahasználatra való előkészítésére és újrafeldolgozására vonatkozó számítási szabályok összhangban vannak a 2011/753/EU határozatban foglalt szabályokkal. A kettős jelentéstétel elkerülése érdekében a tagállamok a 2008/98/EK irányelv 11. cikke (2) bekezdésének a) pontjában meghatározott célértékre vonatkozó adatok bejelentéséhez használhatják az említett irányelv 11. cikke (2) bekezdésének c)-e) pontjában és (3) cikkében meghatározott célértékekre vonatkozó adatok bejelentésére szolgáló jelentéstételi formátumot.
(12) A tagállamoknak a 2008/98/EK irányelv 37. cikke (4) bekezdésének megfelelően minden egyes naptári évre vonatkozóan a Bizottság által meghatározott formátumban adatot kell szolgáltatniuk az ásványi vagy szintetikus kenőolajokról vagy ipari olajokról, valamint a hulladékolajokról. A formátum hivatott biztosítani, hogy a bejelentett információk elégséges alapot biztosítsanak ahhoz, hogy a Bizottság mérlegelje a hulladékolajok kezelésére vonatkozó intézkedések - beleértve a hulladékolajok regenerálására vonatkozó mennyiségi célértékeket -, valamint a hulladékolajok regenerálását előmozdító további intézkedések elfogadásának megvalósíthatóságát a 2008/98/EK irányelv 21. cikke (4) bekezdésének megfelelően.
(13) A 2008/98/EK irányelvnek a háztartási és hasonló hulladékkal, valamint az építési és bontási hulladékkal kapcsolatos célértékeket megállapító 11. cikke (2) bekezdése a) és b) pontjának végrehajtására vonatkozó jelentéstétel céljából a tagállamoknak a C(2012) 2384 bizottsági végrehajtási határozat (3) alapján megállapított formátumokat kell használniuk. A szóban forgó végrehajtási határozat azon rendelkezései, amelyek előírják a tagállamok számára, hogy háromévente nyújtsanak be jelentést a 2008/98/EK irányelv végrehajtásáról, elavulttá váltak. Ezért a C(2012) 2384 végrehajtási határozatot hatályon kívül kell helyezni, és fel kell váltani ennek a határozatnak a rendelkezéseivel, amelyek tükrözik a 2008/98/EK irányelv jelentéstételi követelményeiben az (EU) 2018/851 európai parlamenti és tanácsi irányelvvel (4) bevezetett változásokat. A folytonosság biztosítása érdekében átmeneti rendelkezéseket kell elfogadni a 11. cikk (2) bekezdése a) és b) pontjának a 2016-2019 közötti tárgyévek tekintetében történő alkalmazására vonatkozó adatjelentési határidő tekintetében.
(14) A 2008/98/EK irányelv 11. cikke (2) bekezdése c)-e) pontjának, valamint (3) bekezdésének végrehajtására vonatkozó adatok kiszámításának, ellenőrzésének és jelentésének szabályai szorosan kapcsolódnak az érintett adatok, valamint az említett irányelv 11. cikke (2) bekezdése a) pontjának végrehajtására vonatkozó adatok bejelentésére szolgáló jelentéstételi formátumot meghatározó szabályokhoz. Az említett szabályok közötti összhang és az azokhoz való hozzáférés megkönnyítése érdekében a két szabályrendszert egyetlen határozatban kell rögzíteni. Ezenkívül a 2008/98/EK irányelv alkalmazásában a hulladékokra vonatkozó egyéb - különösen az építési és bontási hulladékra, továbbá az ásványi és szintetikus kenőolajokra és ipari olajokra, valamint a hulladékolajokra vonatkozó - adatok jelentésére szolgáló egységes formátumokhoz való könnyebb hozzáférés érdekében e határozatnak tartalmaznia kell az érintett formátumokat is. A válogatott hulladékból az újrafeldolgozást megelőző további előzetes kezelés révén eltávolított hulladékanyagokra vonatkozó átlagos veszteségráták meghatározására szolgáló módszertant külön, felhatalmazáson alapuló bizottsági határozat fogja rögzíteni.
(15) Az e határozatban előírt intézkedések összhangban vannak a 2008/98/EK irányelv 39. cikkével létrehozott bizottság véleményével,
ELFOGADTA EZT A HATÁROZATOT:
1. cikk
Fogalommeghatározások
E határozat alkalmazásában:
a) "mennyiség": tonnában mért tömeg;
b) "célzott anyagok": települési hulladékból származó olyan anyagok, amelyeket meghatározott újrafeldolgozási művelet során hulladéknak nem minősülő termékké vagy anyaggá alakítanak át;
c) "nem célzott anyagok": olyan hulladékanyagok, amelyeket nem alakítanak át meghatározott újrafeldolgozási művelet során hulladéknak nem minősülő termékké vagy anyaggá;
d) "előzetes kezelés": a települési hulladékból származó anyagokon az újrafeldolgozási műveletbe való belépés előtt elvégzett olyan kezelés, amelynek során ezen anyagokat hulladéknak nem minősülő termékké vagy anyaggá alakítanak át. Idetartozik az ellenőrzés, a válogatás és minden egyéb olyan előkészítő művelet, amelynek célja a nem célzott anyagok eltávolítása és a magas minőségű újrafeldolgozás lehetővé tétele;
e) "számítási pont": az a pont, ahol a települési hulladékból származó anyagok belépnek abba az újrafeldolgozási műveletbe, amelynek során hulladéknak nem minősülő termékekké vagy anyagokká kerülnek átalakításra, vagy az a pont, ahol az átalakítást megelőző előkészítés következtében hulladékstátuszuk megszűnik;
f) "mérési pont": az a pont, ahol a hulladékanyagok tömegét megmérik a számítási pontnál figyelembe veendő mennyiség meghatározása érdekében;
g) "a keletkezés helyén elkülönített és újrafeldolgozott települési biohulladék": olyan települési biohulladék, amelyet az azt termelő személyek a hulladéktermelés helyén újrafeldolgoznak.
2. cikk
Az újrahasználatra előkészített települési hulladék mennyiségének kiszámítása a 2008/98/EK irányelv 11a. cikke (1) bekezdésének megfelelően
Az újrahasználatra előkészített települési hulladék mennyiségébe csak azon termékek, illetve termékösszetevők számíthatók bele, amelyek az ellenőrzési, tisztítási vagy javítási műveletet követően további válogatás vagy előfeldolgozás nélkül újrahasználhatók, továbbá a javítási műveletek során eltávolított termékeknek, illetve termékösszetevőknek a részei.
3. cikk
Az újrafeldolgozott települési hulladék mennyiségének kiszámítása a 2008/98/EK irányelv 11a. cikke (1), (2) és (5) bekezdésének megfelelően
(1) Az újrafeldolgozott települési hulladék mennyisége a számítási pontnál jelentkező mennyiség. Az újrafeldolgozási műveletbe bevont települési hulladék mennyiségébe beleszámítanak a célzott anyagok. A nem célzott anyagok csak olyan mértékben vehetők figyelembe, amilyen mértékben megengedhető a jelenlétük a konkrét újrafeldolgozási művelet során.
(2) Az egyes hulladékanyagok és egyes újrafeldolgozási műveletek esetében alkalmazandó számítási pontokat az I. melléklet ismerteti.
(3) Abban az esetben, ha a települési hulladékból származó anyagok hulladékstátusza megszűnik az I. mellékletben meghatározott számítási pontokon, az érintett anyagok mennyisége beleszámítandó az újrafeldolgozott települési hulladék mennyiségébe.
(4) Amennyiben a mérési pont egy olyan létesítmény kilépési pontja, ahonnan előzetes kezelés nélkül továbbítják a települési hulladékot újrafeldolgozásra, illetve egy olyan létesítmény belépési pontja, ahová előzetes kezelés nélkül érkezik a települési hulladék újrafeldolgozásra, akkor az újrafeldolgozó létesítmény által visszautasított válogatott települési hulladék nem számítható bele az újrafeldolgozott települési hulladék mennyiségébe.
(5) Amennyiben egy létesítmény előzetes kezelést végez az ugyanazon létesítményben található számítási pontot megelőzően, az előzetes kezelés során eltávolított hulladék nem számítható bele az újrafeldolgozott települési hulladéknak a létesítmény által jelentett mennyiségébe.
(6) Amennyiben a valamely tagállamban keletkezett települési hulladékot a mérési pont, illetve a számítási pont előtt összekeverik más országból származó más hulladékkal, az adott tagállamból származó települési hulladék részaránya megfelelő módszerekkel, például elektronikus nyilvántartások vagy mintavételezéses felmérések alapján kerül megállapításra. Amennyiben az ilyen hulladékot további előzetes kezelésnek vetik alá, a kezeléssel eltávolított nem célzott anyagok mennyisége az említett részarány figyelembevételével levonásra kerül, adott esetben figyelembe véve az adott tagállamból származó települési hulladékban található hulladékanyagok minőségét is.
(7) Amennyiben a települési hulladékanyagok olyan hasznosítási műveletbe lépnek be, amelynek során elsősorban tüzelőanyagként vagy egyéb energiatermelési célra hasznosulnak, e műveletek azon végtermékei, amelyekből anyagokat nyernek vissza, például az égetési kazánhamu ásványi frakciói vagy az együttégetésből származó égési salak, nem számíthatók bele az újrafeldolgozott települési hulladék mennyiségébe, kivéve a települési hulladék égetése után elkülönített és újrafeldolgozott fémeket. A települési hulladék együttégetéséből származó ásványi salak fémtartalma nem jelenthető újrafeldolgozottként.
(8) Amennyiben a települési hulladékanyagok olyan hasznosítási műveletbe lépnek be, amelynek során elsősorban nem tüzelőanyagként vagy egyéb energiatermelés céljára hasznosulnak, és anyagukban sem kerülnek hasznosításra, hanem olyan végtermékké alakulnak, amely jelentős arányban tartalmaz újrafeldolgozott anyagokat, tüzelőanyagokat, illetve feltöltési művelethez használtanyagokat, az újrafeldolgozott hulladék mennyiségét olyan tömegmérlegmódszerrel kell megállapítani, amely csak az újrafeldolgozott hulladékanyagokat veszi figyelembe.
4. cikk
Az újrafeldolgozott települési biohulladék mennyiségének kiszámítása a 2008/98/EK irányelv 11a. cikke (4) bekezdésének megfelelően
(1) Az aerob vagy anaerob biológiai kezelésnek alávetett újrafeldolgozott települési biohulladék mennyiségébe csak olyan anyagok számíthatók bele, amelyek esetében ténylegesen megtörtént az aerob vagy anaerob biológiai kezelés, és ki kell zárni minden olyan, többek között biológiailag lebontható anyagot, amely az újrafeldolgozási művelet alatt vagy után mechanikai úton eltávolításra kerül.
(2) A tagállamok 2027. január 1-jétől a települési biohulladékot csak akkor számíthatják újrafeldolgozottnak, ha:
a) azt már a keletkezés helyén elkülönítve gyűjtik,
b) azt csak a biológiai lebonthatóság és komposztálhatóság szempontjából hasonló tulajdonságokkal rendelkező hulladékkal együtt gyűjtik a 2008/98/EK irányelv 22. cikke (1) bekezdésének második albekezdésének megfelelően, vagy
c) azt a keletkezés helyén elkülönítik és újrafeldolgozzák.
(3) A keletkezés helyén elkülönített és újrafeldolgozott települési biohulladék mennyiségének kiszámításához a tagállamok a II. mellékletben előírt módszertant használják.
(4) A keletkezés helyén elkülönített és újrafeldolgozott települési biohulladék (3) bekezdés szerint meghatározott mennyiségét bele kell számolni az újrafeldolgozott települési hulladék mennyiségébe és a keletkezett települési hulladék teljes mennyiségébe is.
5. cikk
A települési hulladék égetését követően elkülönített, újrafeldolgozott fémek mennyiségének kiszámítása a 2008/98/EK irányelv 11a. cikke (6) bekezdésének megfelelően
(1) Az égetési kazánhamuból kiválasztott újrafeldolgozott fémek mennyisége csak a települési hulladék égetéséből származó nyers égetési kazánhamuból kiválasztott fémkoncentrátum fémtartalmát tartalmazhatja, a fémkoncentrátumban előforduló egyéb anyagokat nem.
(2) A települési hulladék égetéséből származó kazánhamuból kiválasztott újrafeldolgozott fémek mennyiségének számításához a tagállamok a III. mellékletben előírt módszertant használják.
6. cikk
Adatgyűjtés
(1) A tagállamok közvetlenül a megfelelő hulladékkezelő létesítményektől vagy vállalkozásoktól szerzik be az adatokat.
(2) A tagállamok a települési hulladékra vonatkozó adatok nyilvántartása céljából fontolóra veszik elektronikus nyilvántartások használatát.
(3) Amennyiben az adatgyűjtés felméréseken alapul, e felméréseknek meg kell felelniük a következő minimumkövetelményeknek:
a) elvégzésük rendszeres, meghatározott időközönként, a felmérés által célzott adatok változásait kellően tükröző módon történik,
b) az érintett lakosság reprezentatív mintáján alapulnak.
7. cikk
Adatszolgáltatás
(1) A tagállamok a IV. mellékletben előírt formátumban jelentik az adatokat és nyújtják be a minőség-ellenőrzési jelentést a 2008/98/EK irányelv 11. cikke (2) bekezdése a) és b) pontjának végrehajtásáról.
A 2008/98/EK irányelv 11. cikke (2) bekezdése a) pontjának végrehajtását illetően úgy kell tekinteni, hogy az a tagállam, amely az V. mellékletben előírt formátumban jelenti az adatokat és nyújtja be a minőség-ellenőrzési jelentést, megfelel az első albekezdésnek.
(2) A tagállamok az V. mellékletben előírt formátumban jelentik az adatokat és nyújtják be a minőség-ellenőrzési jelentést a 2008/98/EK irányelv 11. cikke (2) bekezdése c)-e) pontjának, valamint (3) bekezdésének végrehajtásáról.
(3) A tagállamok a VI. mellékletben előírt formátumban jelentik az adatokat és nyújtják be a minőség-ellenőrzési jelentést a forgalomba hozott ásványi vagy szintetikus kenőolajokról vagy ipari olajokról és az elkülönítetten gyűjtött és kezelt hulladékolajokról.
(4) A tagállamok által jelentett adatokat a Bizottság közzéteszi, kivéve, ha a minőség-ellenőrzési jelentésben foglalt információk tekintetében a tagállamok indokokkal alátámasztott kérelmet nyújtanak be bizonyos adatok titokban tartására.
8. cikk
Hatályon kívül helyezés
A C(2012)2384 végrehajtási határozat hatályát veszti. A hatályon kívül helyezett végrehajtási határozatra történő hivatkozásokat az e határozat 7. cikkének (1) bekezdésére történő hivatkozásként kell értelmezni.
9. cikk
Átmeneti rendelkezések
A tagállamok 2019. szeptember 30-ig benyújtják a Bizottságnak a 2008/98/EK irányelv 11. cikke (2) bekezdése a) és b) pontjának végrehajtására vonatkozó adatokat a 2016. és adott esetben a 2017. tárgyév tekintetében. A 2018. és adott esetben a 2019. tárgyévre vonatkozó adatokat a tagállamok az adott tárgyév végétől számított 18 hónapon belül nyújtják be. Az ebben a cikkben említett adatokat a tagállamok a 2011/753/EU határozat 5. cikkének (4) bekezdésében említett adatcsereszabvány szerint küldik meg a Bizottságnak.
10. cikk
Ennek a határozatnak a tagállamok a címzettjei.
Kelt Brüsszelben, 2019. június 7-én.
a Bizottság részéről
Karmenu VELLA
a Bizottság tagja
(1) HL L 312., 2008.11.22., 3. o.
(2) A Bizottság 2011/753/EU határozata (2011. november 18.) a 2008/98/EK irányelv 11. cikkének (2) bekezdésében rögzített célok teljesítésének igazolására szolgáló szabályok és számítási módszerek megállapításáról (HL L 310., 2011.11.25., 11. o.).
(3) A Bizottság végrehajtási határozata (2012. április 18.) a hulladékról szóló 2008/98/EK európai parlamenti és a tanácsi irányelv végrehajtására vonatkozó tagállami jelentéstétel kérdőívének megállapításáról (C(2012) 2384 final).
(4) Az Európai Parlament és a Tanács (EU) 2018/851 irányelve (2018. május 30.) a hulladékokról szóló 2008/98/EK irányelv módosításáról (HL L 150., 2018.6.14., 109. o.).
I. MELLÉKLET
A 3. CIKK (2) BEKEZDÉSÉBEN EMLÍTETT SZÁMÍTÁSI PONTOK
Anyag | Számítási pont |
Üveg | Kiválogatott üveg, amely további feldolgozás nélkül kerül vagy üvegolvasztó kemencébe, vagy lép be szűrőközegek, csiszolóanyagok, üvegalapú szigetelések, illetve építőanyagok gyártásába. |
Fémek | Kiválogatott fémek, amelyek további feldolgozás nélkül kerülnek fémolvasztóba vagy kohászati kemencébe. |
Papír és karton | Kiválogatott papír, amely további feldolgozás nélkül kerül pépesítésre. |
Műanyag | Polimerek szerint válogatott műanyag, amely további feldolgozás nélkül kerül pelletálásra, sajtolásra vagy formálásra. Olyan műanyagpelyhek, amelyek további feldolgozás nélkül kerülnek felhasználásra egy végtermékben. |
Fa | Kiválogatott fa, amely további kezelés nélkül kerül felhasználásra forgácslemezek gyártásához. Kiválogatott fa, amely komposztálásra kerül. |
Textíliák | Kiválogatott textília, amely további feldolgozás nélkül kerül felhasználásra textilrostok, rongyok vagy granulátumok gyártásában. |
Több anyagból álló hulladékok | Olyan több anyagból álló hulladékok kezeléséből származó műanyag, üveg, fém, fa, textil, papír és karton, valamint egyéb egyedi összetevő anyagok, amelyek további feldolgozás nélkül érik el az adott anyag tekintetében e mellékletnek vagy a 2008/98/EK irányelv 11a. cikkének, valamint e határozat 3. cikkének megfelelően alkalmazandó számítási pontot. |
Elektromos és elektronikus berendezések hulladékai (WEEE) | A 2012/19/EU európai parlamenti és tanácsi irányelv (1) 11. cikkével összhangban megfelelő kezelés és az előzetes tevékenységek elvégzését követően hasznosító- vagy újrafeldolgozó létesítménybe bekerülő WEEE. |
Elemek/akkumulátorok | Az elem- és akkumulátor-újrafeldolgozási eljárásba belépő bemenő frakciók a 493/2012/EU bizottsági rendeletnek (2) megfelelően. |
(1) Az Európai Parlament és a Tanács 2012/19/EU irányelve (2012. július 4.) az elektromos és elektronikus berendezések hulladékairól (HL L 197., 2012.7.24., 38. o.).
(2) A Bizottság 493/2012/EU rendelete (2012. június 11.) a hulladékelemek és -akkumulátorok újrafeldolgozási eljárásaihoz tartozó, a 2006/66/EK európai parlamenti és tanácsi irányelv szerinti újrafeldolgozási hatékonysági mutatók számítása részletes szabályainak megállapításáról (HL L 151., 2012.6.12., 9. o.).
II. MELLÉKLET
A 4. CIKK (3) BEKEZDÉSÉBEN EMLÍTETT, A KELETKEZÉS HELYÉN ELKÜLÖNÍTETT ÉS ÚJRAFELDOLGOZOTT TELEPÜLÉSI BIOHULLADÉK MENNYISÉGÉNEK SZÁMÍTÁSÁRA VONATKOZÓ MÓDSZERTAN
1. A keletkezés helyén elkülönített és újrafeldolgozott települési biohulladék mennyiségét a következő képlettel kell kiszámítani:
m MBWRS = Σ n ARUi × (m Fi + m Gi)
ahol:
m MBWRS | a keletkezés helyén elkülönített és újrafeldolgozott települési biohulladék tömege; |
n ARUi | a települési biohulladék keletkezés helyén való újrafeldolgozása tekintetében aktív újrafeldolgozó egységek száma az i részmintában; |
m Fi | a keletkezés helyén újrafeldolgozott, élelmiszer és konyhai eredetű települési biohulladék tömege aktív újrafeldolgozó egységenként az i részmintában; valamint |
m Gi | a keletkezés helyén újrafeldolgozott, kerti és parkokból származó települési biohulladék tömege aktív újrafeldolgozó egységenként az i részmintában. |
2. A települési biohulladék keletkezés helyén való újrafeldolgozása tekintetben aktív újrafeldolgozó egységek számába csak a hulladéktermelők által használt újrafeldolgozó egységek számíthatók be. Ezt az adatot az ilyen egységeket tartalmazó nyilvántartásokból kell kinyerni, vagy a háztartások körében végzett felmérésekkel kell megtudni.
3. A keletkezés helyén újrafeldolgozott települési biohulladék aktív újrafeldolgozó egységenkénti mennyisége az aktív újrafeldolgozó egységekbe kerülő biohulladék közvetlen vagy közvetett mérésével kerül megállapításra a 4. és 5. pontban meghatározottak szerint.
4. Közvetlen mérés esetén meg kell mérni az aktív újrafeldolgozó egységekbe bekerülő vagy onnan kikerülő hulladék mennyiségét a következő feltételek teljesülése mellett:
a) amennyiben megvalósítható, a mérést közigazgatási hatóságok által vagy azok nevében kell elvégezni;
b) amennyiben a mérést a hulladéktermelő maga végzi, a tagállamoknak biztosítaniuk kell, hogy a jelentett mennyiségeket elfogadhatósági ellenőrzéseknek vessék alá, és kiigazítsák oly módon, hogy a keletkezés helyén elkülönített és újrafeldolgozott települési biohulladék egy főre jutó mennyisége semmiképp sem haladja meg a hulladékgazdálkodók által gyűjtött települési biohulladék egy főre jutó, országos, regionális vagy helyi szintű átlagos mennyiségét;
c) amennyiben egy aktív újrafeldolgozó egység kibocsátását mérik, megbízható együttható alkalmazásával ki kell számolni a bekerülő mennyiséget.
5. Közvetett mérés esetén a következő mennyiségeket kell megmérni az összegyűjtött települési hulladék összetételére vonatkozó felmérés alkalmazásával, amely figyelembe veszi az elkülönítve gyűjtött és a nem elkülönítve gyűjtött települési biohulladékot:
a) a háztartásokban vagy az olyan területeken keletkező összegyűjtött települési hulladék részét képező biohulladék mennyisége, ahol a hulladékot a keletkezés helyén elkülönítik és újrafeldolgozzák;
b) a háztartásokban vagy a háztartásokhoz hasonló jellemzőkkel rendelkező vagy az a) pontban említett olyan területeken keletkező összegyűjtött települési hulladék részét képező biohulladék mennyisége, ahol a hulladékot a keletkezés helyén nem különítik el és dolgozzák fel újra.
A keletkezés helyén elkülönített és újrafeldolgozott települési biohulladék mennyisége az a) és a b) pontban meghatározott mennyiségek különbsége alapján kerül meghatározásra.
6. A 3-5. pontok alapján a keletkezés helyén elkülönített és újrafeldolgozott települési biohulladék aktív újrafeldolgozó egységenkénti mennyiségének meghatározására szolgáló módszertannak és különösen az adatgyűjtésre irányuló felmérésekben használt mintavételi módszereknek tükrözniük kell legalább az alábbi tényezőket:
a) az élelmiszer és konyhai eredetű hulladék esetében az aktív újrafeldolgozó egységet igénybe vevő háztartások mérete és típusa;
b) a kerti és parkokból származó hulladék esetében az aktív újrafeldolgozó egység által kiszolgált kertek és parkok mérete és kezelése;
c) a rendelkezésre álló gyűjtőrendszer, különösen a biohulladék és a vegyes települési hulladék gyűjtésére irányuló szolgáltatások kiegészítő alkalmazása;
d) a települési biohulladék keletkezésének mértéke és szezonalitása.
7. Amennyiben a keletkezés helyén elkülönített és újrafeldolgozott települési biohulladék teljes települési hulladékhoz viszonyított részaránya országos szinten nem éri el az 5 %-ot, az érintett tagállam egyszerűsített módszertant alkalmazhat a keletkezés helyén elkülönített és újrafeldolgozott települési biohulladék mennyiségének kiszámításához a következő képlet alkalmazásával:
mMBWRS = nP × mBWpp × qRS
ahol:
m MBWRS | a keletkezés helyén elkülönített és újrafeldolgozott települési biohulladék tömege; |
n P | a települési biohulladék keletkezés helyén való újrafeldolgozásában érintett személyek száma; |
m BWpp | a keletkezett települési biohulladék egy főre jutó tömege; valamint |
q RS | a valószínűsíthetően a keletkezés helyén elkülönített és újrafeldolgozott keletkezett települési biohulladéknak a keletkezett települési hulladék teljes mennyiségéhez viszonyított részarányának megfelelő együttható. |
8. A 7. pontban meghatározott képlet alkalmazása céljából a tagállamok gondoskodnak a következőkről:
a) a keletkezett települési biohulladék egy főre jutó mennyiségének kiszámítása az elkülönítetten gyűjtött és vegyes települési hulladék összetételére vonatkozó felmérések alapján országos, regionális vagy helyi szinten történik;
b) a q RS meghatározása a 6. pont a)-d) pontjában felsorolt tényezők figyelembevételével történik.
9. Az e mellékletben meghatározott képletek alkalmazhatók a keletkezés helyén elkülönített és újrafeldolgozott összes települési biohulladékra vagy csak a keletkezés helyén újrafeldolgozott, élelmiszer és konyhai eredetű települési biohulladékra.
10. Az e mellékletben meghatározott képletek alkalmazása céljából történő adatgyűjtést a keletkezés helyén elkülönített és újrafeldolgozott települési biohulladékra vonatkozó jelentéstétel első évére vonatkozóan, majd azután legalább ötévente, valamint más olyan évek tekintetében kell elvégezni, amikor észszerűen feltételezhető, hogy a keletkezés helyén elkülönített és újrafeldolgozott települési biohulladék mennyisége jelentősen megváltozott. A tagállamok frissíthetik a keletkezés helyén újrafeldolgozott települési hulladék jelentett mennyiségét azon évekre vonatkozóan, amelyekkel kapcsolatban az adatgyűjtés nem a megfelelő becslések alkalmazásával történt.
11. Az e mellékletben meghatározott képletek alkalmazása céljából történő adatgyűjtésnek reprezentatív mintákon és megfelelő részmintákon kell alapulnia. A szóban forgó felmérések eredményeinek a tudományosan elfogadott statisztikai módszerek értelmében statisztikailag szignifikánsnak kell lenniük.
12. A tagállamoknak megfelelő intézkedéseket kell tenniük annak biztosítása érdekében, hogy a keletkezés helyén elkülönített és újrafeldolgozott települési biohulladék jelentett mennyisége esetében ne forduljon elő túlbecslés.
III. MELLÉKLET
AZ 5. CIKK (2) BEKEZDÉSÉBEN EMLÍTETT, TELEPÜLÉSI HULLADÉK ÉGETÉSÉT KÖVETŐEN ELKÜLÖNÍTETT, ÚJRAFELDOLGOZOTT FÉMEK MENNYISÉGÉNEK SZÁMÍTÁSÁRA VONATKOZÓ MÓDSZERTAN
1. Az e mellékletben szereplő képletek céljára a következő fogalommeghatározások alkalmazandók:
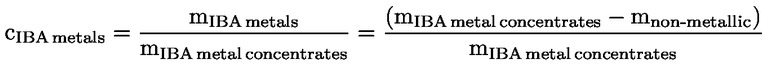
m total IBA metals | az égetési kazánhamuban található fémek teljes tömege egy adott évben; |
m IBA metal concentrates | a nyers települési hulladék égetéséből származó kazánhamuból kiválasztott fémkoncentrátumok tömege egy adott évben; |
c IBA metals | a fémek koncentrációja a fémkoncentrátumokban; |
m IBA metals | a fémek tömege a fémkoncentrátumban egy adott évben; |
m non-metallic | a nemfémes anyagok tömege a fémkoncentrátumban egy adott évben; |
m MSW | az égetésre kerülő települési hulladék tömege egy adott évben; |
c metals MSW | a fémek koncentrációja az égetésre kerülő települési hulladékban; |
m W | az égetésre kerülő összes hulladék tömege egy adott évben; |
c metals MSWI | a fémek koncentrációja az égetésre kerülő összes hulladékban; valamint |
m MSW IBA metals | a települési hulladékból származó fémek tömege egy adott évben. |
2. Egy adott évben a fémkoncentrátum nyers égetési kazánhamuból való kiválasztását követően az égetési kazánhamuban található fémek teljes tömegének kiszámítása a következő képlet alkalmazásával történik: [Kép #1]

Kép #1
3. A fémkoncentrátumok tömegére vonatkozó adatokat a fémkoncentrátumokat a nyers égetési kazánhamuból kiválasztó létesítményektől kell beszerezni.
4. A fémek fémkoncentrátumokbeli koncentrációját a fémkoncentrátumok kezelésével foglalkozó és a kikerülő anyagokat fémtermékeket előállító létesítményeknek szállító létesítményektől rendszeres felmérések során gyűjtött adatok felhasználásával kell kiszámítani. Meg kell különböztetni a vasfémeket, a nemvasfémeket és a rozsdamentes acélt. A fémek fémkoncentrátumokbeli koncentrációjának kiszámítására a következő képletet kell alkalmazni: [Kép #2]

Kép #2
5. Amennyiben a települési hulladék más hulladékkal együtt kerül elégetésre, a különböző forrásokból származó elégetett hulladékon belüli fémek koncentrációját az égetésre kerülő hulladék mintavételezéses felmérésével kell meghatározni. E felmérésre legalább ötévente, valamint akkor kell sort keríteni, amikor észszerűen feltételezhető, hogy a hulladék összetétele jelentősen megváltozott. A települési hulladékból származó fémek tömegét a következő képlet alkalmazásával kell kiszámítani: [Kép #3]

Kép #3
6. Az 5. ponttól eltérve, amennyiben a települési hulladék részaránya az összes elégetett hulladékon belül meghaladja a 75 %-ot, a települési hulladékból származó fémek tömege kiszámítható a következő képlet alkalmazásával: [Kép #4]

Kép #4
IV. MELLÉKLET
A HÁZTARTÁSOKBÓL SZÁRMAZÓ ÉS AZ EGYÉB FORRÁSBÓL SZÁRMAZÓ HASONLÓ HULLADÉKRA, VALAMINT A 7. CIKK (1) BEKEZDÉSÉBEN EMLÍTETT ÉPÍTÉSI ÉS BONTÁSI HULLADÉKRA VONATKOZÓ ADATOK
A. A 2008/98/EK IRÁNYELV 11. CIKKE (2) BEKEZDÉSE A) PONTJÁNAK A HÁZTARTÁSOKBÓL SZÁRMAZÓ ÉS AZ EGYÉB FORRÁSBÓL SZÁRMAZÓ HASONLÓ HULLADÉK ÚJRAHASZNÁLATRA VALÓ ELŐKÉSZÍTÉSE ÉS ÚJRAFELDOLGOZÁSA TEKINTETÉBEN TÖRTÉNŐ VÉGREHAJTÁSÁRA VONATKOZÓ ADATSZOLGÁLTATÁS FORMÁTUMA
Számítási módszer (1) | Keletkezett hulladék (2) (t) | Újrahasználatra való előkészítés és újrafeldolgozás (3) (t) |
B. AZ A. PONTBAN EMLÍTETT ADATOKAT KÍSÉRŐ MINŐSÉG-ELLENŐRZÉSI JELENTÉS FORMÁTUMA
I. A jelentés célja
E jelentés célja, hogy információkat gyűjtsön az adatok összeállítási módszereiről és a benyújtott adatok által biztosított lefedettségről. A jelentésnek lehetővé kell tennie a tagállamok által alkalmazott megközelítésmódok, valamint az adatok országok közötti összehasonlíthatósága tekintetében fennálló lehetőségek és korlátok jobb megértését.
II. Általános információk
1. Tagállam:
2. Az adatokat és a leírást benyújtó szervezet:
3. Kapcsolattartó:
4. Tárgyév:
5. Benyújtás napja/verzió:
III. Információk a háztartásokból származó és az egyéb forrásból származó hasonló hulladékról
1. Hogyan kerülnek meghatározásra a hulladék keletkező mennyiségei a hulladékokra vonatkozó célérték teljesítése céljából?
2. Sor került-e a háztartásokból származó és az egyéb forrásból származó hasonló hulladék válogatás útján történő elemzésére? Igen/Nem
3. Amennyiben más módszereket alkalmaznak, kérjük, ismertessék azokat:
4. Hogyan kapcsolódnak az A. részben jelentett hulladék mennyiségei a 2150/2002/EK európai parlamenti és tanácsi rendelet (4) alapján jelentett, hulladékokra vonatkozó statisztikákhoz?
5. Kérjük, ismertesse a háztartásokból származó és az egyéb forrásból származó hasonló hulladék összetételét és forrásait a táblázat megfelelő mezőinek megjelölésével.
Hulladékanyagok | Hulladékkódok (5) | A hulladék keletkezési helye: | |||||
Háztartások | Kisvállalkozások | Éttermek, étkezdék | Közterületek | Egyéb (kérjük, részletezze): | |||
Papír és karton | 20 01 01 , | 15 01 01 | |||||
Fémek | 20 01 40 , | 15 01 04 | |||||
Műanyag | 20 01 39 , | 15 01 02 | |||||
Üveg | 20 01 02 , | 15 01 07 | |||||
Biológiailag lebomló konyhai és étkezdei hulladék | 20 01 08 | ||||||
Az otthoni komposztálást is beleértve? igen/nem | |||||||
Biológiailag lebomló kerti és parkokból származó hulladék | 20 02 01 | ||||||
Az otthoni komposztálást is beleértve? igen/nem | |||||||
Biológiailag nem lebomló kerti és parkokból származó hulladék | 20 02 02 , | 20 02 03 | |||||
Fa | 20 01 38 , | 15 01 03 | |||||
Textíliák | 20 01 10 , 15 01 09 | 20 01 11 , | |||||
Elemek/akkumulátorok | 20 01 34 , | 20 01 33 * | |||||
Kiselejtezett berendezések | 20 01 21 *, 20 01 35 *, | 20 01 23 *, 20 01 36 | |||||
Egyéb települési hulladék | 20 03 01 , 20 03 07 , | 20 03 02 , 15 01 06 | |||||
A fentiekben nem említett települési hulladék (nevezze meg): |
6. Az 1. és 2. számítási módszerek esetében: kérjük, tüntesse fel az alábbi a)-c) sorokban a keletkező hulladék kiszámításához használt megfelelő mennyiségeket vagy részarányokat, valamint hulladékkódokat a következők szerint:
a) papír, fém, műanyag és üveg (valamint a 2. módszer esetében más egyedi hulladékáramok) %-os részaránya a háztartási hulladékon belül (valamint a 2. módszer esetében a hasonló hulladékon belül), válogatás útján történő elemzéssel meghatározva
×
b) a keletkezett háztartási hulladék (és a 2. módszer esetében a hasonló hulladék) éves mennyisége
+
c) az elkülönítetten gyűjtött háztartási (és a 2. módszer esetében az elkülönített gyűjtött, egyéb forrásból származó hasonló hulladékból származó) papír, fém, műanyag és üveg (valamint a 2. módszer esetében más egyedi hulladékáramok) (15 01 és 20 01 hulladékkód)
a) | |
b) | |
c) |
7. Hogyan kerülnek összegyűjtésre az újrahasználatra való előkészítésre és az újrafeldolgozásra vonatkozó adatok?
a) Az adatok az előzetes kezelést végző létesítményekbe (pl. válogatóüzem, mechanikai-biológiai kezelés) beérkező hulladékmennyiségeken alapulnak? Igen/Nem
Ha igen, kérjük, tüntesse fel az újrafeldolgozási hatékonyságot:
b) Az adatok a végső újrafeldolgozási eljárásba bekerülő anyagok mennyiségén alapulnak? Igen/Nem
c) Kérjük, ismertesse az adatvalidálási folyamatot:
8. Merültek-e fel problémák a biológiailag lebomló hulladék kiszámítására vonatkozó szabályok alkalmazásával összefüggésben? Igen/Nem
Ha igen, akkor kérjük, ismertesse a problémá(ka)t:
9. Sor került-e hulladék
a) másik tagállamba való továbbítására? (Igen/Nem)
b) kezelés céljából az Unióból való kivitelére? (Igen/Nem)
Amennyiben az a) és/vagy a b) pontban igennel válaszolt, hogyan történt az érintett továbbított vagy kivitt mennyiségekre vonatkozóan az újrahasználatra előkészített és újrafeldolgozott hulladékok részarányának megállapítása, felügyelete és validálása?
C. A 2008/98/EK IRÁNYELV 11. CIKKE (2) BEKEZDÉSE B) PONTJÁNAK AZ ÉPÍTÉSI ÉS BONTÁSI HULLADÉK TEKINTETÉBEN TÖRTÉNŐ VÉGREHAJTÁSÁRA VONATKOZÓ ADATSZOLGÁLTATÁS FORMÁTUMA
Számítási módszer (6) | Keletkezett hulladék (t) | Újrahasználatra való előkészítés (t) | Újrafeldolgozás (t) | Feltöltés (t) | Más, anyagában történő hasznosítás (7) (t) | Más, anyagában történő hasznosítás összesen (8) (t) |
D. A C. PONTBAN EMLÍTETT ADATOKAT KÍSÉRŐ MINŐSÉG-ELLENŐRZÉSI JELENTÉS FORMÁTUMA
I. A jelentés célja
E jelentés célja, hogy információkat gyűjtsön az adatok összeállítási módszereiről és a benyújtott adatok által biztosított lefedettségről. A jelentésnek lehetővé kell tennie a tagállamok által alkalmazott megközelítésmódok, valamint az adatok országok közötti összehasonlíthatósága tekintetében fennálló lehetőségek és korlátok jobb megértését.
II. Általános információk
1. Tagállam:
2. Az adatokat és a leírást benyújtó szervezet:
3. Kapcsolattartó:
4. Tárgyév:
5. Benyújtás napja/verzió:
III. Információk az építési és bontási hulladékról
1. Hogyan kerülnek meghatározásra a keletkező építési és bontási hulladék mennyiségei? Hogyan kapcsolódnak ezek a mennyiségek a 2150/2002/EK rendelet alapján jelentett adatokhoz?
2. Hogyan kerülnek összegyűjtésre az újrahasználatra való előkészítésre, az újrafeldolgozásra, a feltöltésre és az egyéb hasznosításra vonatkozó adatok?
Kérjük, írja le a feltöltés 2008/98/EK irányelv 3. cikkének (17a) bekezdésében szereplő meghatározásának alkalmazását az építési és bontási hulladékkal kapcsolatos jelentéstétellel összefüggésben, valamint a C. részben szereplő táblázatban az "egyéb hasznosítás" kategóriában jelentett különböző hulladékkezelési műveleteket és azok részarányát (%).
3. Az adatok az előzetes kezelést végző létesítményekbe belépő anyagokon alapulnak? Igen/Nem
Ha igen, kérjük, tüntess fel az előzetes kezelés hatékonyságát:
4. Az adatok a végső újrafeldolgozási eljárásba bekerülő anyagokon alapulnak? Igen/Nem
5. Kérjük, ismertesse az adatvalidálási folyamatot:
6. Sor került-e hulladék
a) másik tagállamba való továbbítására? Igen/Nem
b) kezelés céljából az Unióból való kivitelére? Igen/Nem
Ha igen, hogyan történt az érintett továbbított vagy kivitt mennyiségekre vonatkozóan az újrahasználatra előkészített és újrafeldolgozott hulladékok részarányának megállapítása, valamint felügyelete/validálása?
(1) A 2011/753/EU határozat alapján kiválasztott számítási módszer: ide kell beilleszteni a szóban forgó határozat I. melléklete második oszlopának megfelelő, választott számítási módszer számát (1-4).
(2) A háztartásokból származó hulladék vagy a háztartásokból származó és az egyébforrásból származó hasonló hulladék a választott számítási módszer szerint.
(3) Az újrahasználatra előkészített és újrafeldolgozott, háztartásokból származó hulladék vagy háztartásokból származó és egyéb forrásból származó hasonló hulladék a választott számítási módszer szerint.
(4) Az Európai Parlament és a Tanács 2150/2002/EK rendelete (2002. november 25.) a hulladékra vonatkozó statisztikákról (HL L 332., 2002.12.9., 1. o.).
(5) A hulladékjegyzéknek a hulladékokról szóló 75/442/EGK tanácsi irányelv 1. cikkének a) pontja értelmében történő meghatározásáról szóló 94/3/EK határozat, valamint a veszélyes hulladékok jegyzékének a veszélyes hulladékokról szóló 91/689/EGK tanácsi irányelv 1. cikkének (4) bekezdése értelmében történő meghatározásáról szóló 94/904/EK tanácsi határozat felváltásáról szóló, 2000. május 3-i 2000/532/EK bizottsági határozattal (HL L 226., 2000.9.6., 3. o.) meghatározott hulladékkódok jegyzéke szerint.
(6) A 2011/753/EU határozat II. melléklete alapján választott számítási módszer.
(7) Idetartozik az anyagában történő hasznosítás, kivéve az újrahasználatra való előkészítést, az újrafeldolgozást és a feltöltést.
(8) Ez az újrahasználatra való előkészítésre, az újrafeldolgozásra, a feltöltésre és az anyagában történő hasznosításra vonatkozóan bejelentett mennyiségek összegének felel meg.
V. MELLÉKLET
ADATOK A 7. CIKK (2) BEKEZDÉSÉBEN EMLÍTETT TELEPÜLÉSI HULLADÉKRÓL
A. AZ ADATSZOLGÁLTATÁS FORMÁTUMA
Települési hulladék | Hulladékkeletkezés (1) (t) | Elkülönített gyűjtés (t) | Újrahasználatra való előkészítés (t) | Újrafeldolgozás (t) | Energetikai hasznosítás (2) (t) | Egyéb hasznosítás (3) (t) |
Összesen | ||||||
Fémek | ||||||
A települési hulladék égetését követően elkülönített fémek (4) | ||||||
Üveg | ||||||
Műanyag | ||||||
Papír és karton | ||||||
Biohulladék | ||||||
A keletkezés helyén elkülönített és újrafeldolgozott biohulladék (5) | ||||||
Fa | ||||||
Textíliák | ||||||
Elektromos és elektronikai berendezés | ||||||
Elemek/akkumulátorok | ||||||
Lomhulladék (6) | ||||||
Vegyes hulladék | ||||||
Egyéb | ||||||
Sötétszürkével árnyékolt mezők: nincs jelentéstétel. Világosszürkével árnyékolt mezők: A jelentéstétel önkéntes, kivéve a települési hulladék égetése után elkülönített és újrafeldolgozott fémekre és a keletkezés helyén elkülönített és újrafeldolgozott települési biohulladékra vonatkozóan abban az esetben, ha a tagállam az említett hulladékáramokat figyelembe veszi az újrafeldolgozásra vonatkozó célértékek kiszámításához. |
B. AZ A. PONTBAN EMLÍTETT ADATOKAT KÍSÉRŐ MINŐSÉG-ELLENŐRZÉSI JELENTÉS FORMÁTUMA
I. A jelentés céljai
A minőség-ellenőrzési jelentés az alábbi célokat szolgálja:
1. annak ellenőrzése, hogy a települési hulladék fogalmának alkalmazása az egyes tagállamokban mennyire kimerítő;
2. az adatgyűjtési eljárások minőségének, ezen belül a közigazgatási adatok köre és forrásai hitelesítésének, valamint a felmérésen alapuló megközelítések statisztikai megbízhatóságának értékelése;
3. a referenciaévek tekintetében jelentett adatok jelentős változásainak megértése, ezen adatok pontosságába vetett bizalom garantálása;
4. a települési hulladék égetéséből származó fémmennyiség mérésére vonatkozó szabályok és közös módszertanok alkalmazásának biztosítása; valamint
5. az újrafeldolgozási célértékek számítására vonatkozó szabályokban meghatározott konkrét követelményeknek való megfelelés ellenőrzése.
II. Általános információk
1. Tagállam:
2. Az adatokat és a leírást benyújtó szervezet:
3. Kapcsolattartó:
4. Tárgyév:
5. Benyújtás napja/verzió:
6. A tagállam által közzétett adatokra mutató link (nem kötelező):
III. Információk a települési hulladékról
1. Az adatgyűjtésben közreműködő felek ismertetése
Az intézmény neve | Fő feladatainak ismertetése |
A táblázat igény szerint további sorokkal bővíthető.
2. Fel kell-e használni az A. részben jelentett települési hulladékra vonatkozó adatokat a 2008/98/EK irányelv 11. cikke (2) bekezdésének a) pontjában meghatározott célértéknek való megfelelés igazolásához? (Igen/Nem)
3. Az alkalmazott módszerek leírása
3.1. Települési hulladék keletkezése
3.1.1. A keletkező települési hulladék meghatározására szolgáló módszerek (jelölje be X-szel vagy nevezze meg az utolsó oszlopban)
Települési hulladék összetevője | Adminisztratív adatok alapján | Felmérések alapján | Elektronikus nyilvántartások alapján | A hulladékgazdálkodók adatai alapján | A települési önkormányzatok adatai alapján | Kiterjesztett gyártói felelősségi rendszerekből származó adatok alapján | Egyéb (fejtse ki) |
Összesen | |||||||
Fémek | |||||||
Üveg | |||||||
Műanyag | |||||||
Papír és karton | |||||||
Biohulladék | |||||||
Fa | |||||||
Textíliák | |||||||
Elektromos és elektronikai berendezés | |||||||
Elemek/akkumulátorok | |||||||
Lomhulladék | |||||||
Vegyes hulladék | |||||||
Egyéb (fejtse ki) |
3.1.2. A települési hulladék fogalommeghatározásának a nemzeti adatgyűjtési rendszerekben való gyakorlati átültetéséhez használt módszertan leírása, többek között a települési hulladék nem háztartási frakcióra vonatkozó adatgyűjtéshez használt módszertan
3.1.3. Statisztikai kódok, a hulladékkódok használata és a keletkező települési hulladékra vonatkozó adatok ellenőrzése
Települési hulladék összetevője | Hulladékkódok (7) | Felhasznált más osztályozás | Ellenőrzési eljárás | |||
Keresztellenőrzés (igen/nem) | Az idősorok ellenőrzése (igen/nem) | Audit (igen/nem) | Az ellenőrzési eljárás ismertetése | |||
Fémek | 20 01 40 , 15 01 04 , 15 01 11 * | |||||
Üveg | 20 01 02 , 15 01 07 | |||||
Műanyag | 20 01 39 , 15 01 02 | |||||
Papír és karton | 20 01 01 , 15 01 01 | |||||
Biohulladék | 20 01 08 , 20 01 25 , 20 02 01 | |||||
Fa | 20 01 37 *, 20 01 38 , 15 01 03 | |||||
Textíliák | 20 01 10 , 20 01 11 , 15 01 09 | |||||
Elektromos és elektronikai berendezés | 20 01 21 *, 20 01 23 *, 20 01 35 *, 20 01 36 | |||||
Elemek/akkumulátorok | 20 01 33 *, 20 01 34 | |||||
Lomhulladék | 20 03 07 | |||||
Vegyes hulladék | 20 03 01 , 15 01 06 | |||||
Egyéb (fejtse ki) | 20 01 13 *, 20 01 14 *, 20 01 15 *, 20 01 17 *, 20 01 19 *, 20 01 26 *, 20 01 27 *, 20 01 28 , 20 01 29 *, 20 01 30 , 20 01 31 *, 20 01 32 , 20 01 41 , 20 01 99 , 20 02 03 , 20 03 02 , 20 03 03 , 20 03 99 , 15 01 05 , 15 01 10 * |
3.1.4. A keletkezett vegyes települési hulladék összetételének anyagonkénti becsléséhez használt módszerek
3.1.5. A háztartásokban keletkezett hulladék becsült részaránya (%-ban) a települési hulladékon belül, valamint a becsült összeg kiszámításának módja
3.1.6. A háztartási hulladékhoz jellegében és összetételében nem hasonló hulladék kizárására irányuló megközelítések, különösen a következők tekintetében:
- kereskedelmi és ipari forrásból származó olyan csomagolási hulladék, valamint olyan elektromos és elektronikus berendezések hulladékai, amelyek nem hasonlók a háztartásokban keletkező hulladékhoz, valamint
- a háztartásokban keletkezett azon hulladék típusai, amelyek nem képezik a települési hulladék részét, például az építési és bontási hulladék.
3.1.7. A keletkezett települési hulladékra vonatkozóan a háztartásonként keletkezett hulladék mennyiségével (például a háztartások adatgyűjtési rendszerek általi hiányos lefedettsége miatti) és a hasonló hulladék mennyiségével (például a hasonló hulladék adatgyűjtési rendszerek általi hiányos lefedettsége miatti) összefüggő adatbeli hiányosságok pótlásárára alkalmazott becslések magyarázata
3.1.8. Eltérések az előző években bejelentett adatokhoz képest
A települési hulladékra vonatkozóan a tárgyévre alkalmazott adatgyűjtési megközelítésben az előző tárgyévekre vonatkozóan alkalmazott megközelítéssel összefüggésben bekövetkezett jelentős módszertani változások magyarázata (különösen az utólagos vizsgálatok, ezek jellege, és annak feltüntetése, ha egy adott évtől új módszert alkalmaztak).
Az előző tárgyévre vonatkozóan benyújtott adatokhoz (tonna) képest 10 %-nál nagyobb eltérést mutató települési hulladék összetevői esetében a különbség magyarázata.
Települési hulladék összetevője | Eltérés (%) | Az eltérés fő oka |
A táblázat igény szerint további sorokkal bővíthető.
3.2. Települési hulladékgazdálkodás
3.2.1. A kezelési műveletek besorolása
A kezelési műveletek besorolásának magyarázata (amennyiben egységes osztályozási rendszert alkalmaznak, például a 2008/98/EK irányelv I. és II. mellékletében előírt ártalmatlanítási, illetve hasznosítási kódokat használják, meg kell adni annak nevét vagy az alkalmazott kategóriák leírását).
3.2.2. A kezelt települési hulladék mennyiségének meghatározására szolgáló módszerek leírása (jelölje be X-szel)
Adatgyűjtési módszerek/Települési hulladék típusa | Adminisztratív adatok alapján | Felmérések alapján | Elektronikus nyilvántartások alapján | A hulladékgazdálkodók adatai alapján | A települési önkormányzatok adatai alapján | Kiterjesztett gyártói felelősségi rendszerekből származó adatok alapján | Egyéb (fejtse ki) |
Összesen | |||||||
Fémek | |||||||
Üveg | |||||||
Műanyag | |||||||
Papír és karton | |||||||
Biohulladék | |||||||
Fa | |||||||
Textíliák | |||||||
Elektromos és elektronikai berendezés | |||||||
Elemek/akkumulátorok | |||||||
Lomhulladék | |||||||
Vegyes hulladék | |||||||
Egyéb (fejtse ki) |
További információ a módszertanról, az alkalmazott módszerek kombinációjáról
3.2.3. Újrahasználatra való előkészítés
Annak leírása, hogyan kerültek kiszámításra az újrahasználatra való előkészítésre vonatkozóan jelentett mennyiségek.
3.2.4. Az alkalmazott újrafeldolgozási mérési pontok leírása, például a számítási pontnál vagy a válogatási művelet kilépési pontján, adott esetben a nem célzott anyagok levonásával, a hulladékstátusz megszűnésének kritériumai stb., kitérve a regionális vagy helyi eltérésekre, valamint adott esetben a háztartásokra és a hasonló hulladékra vonatkozóan
A települési hulladék összetevője | A használt mérési pontok leírása |
Fémek | |
Kazánhamuból származó fémek | |
Üveg | |
Műanyag | |
Papír és karton | |
Biohulladék | |
Fa | |
Textíliák | |
Elektromos és elektronikai berendezés | |
Elemek/akkumulátorok | |
Lomhulladék | |
Egyéb |
Adott esetben a mérési pont és a számítási pont között eltávolított nem célzott anyagok mennyiségének kiszámítására használt módszer részletes ismertetése.
3.2.5. A több anyagból álló hulladékokban található újrafeldolgozott anyagok mennyiségének anyagonkénti meghatározására használt módszertan ismertetése
3.2.6. Átlagos veszteségráták alkalmazása
Azon válogatott hulladékok ismertetése, amelyek esetében alkalmaznak átlagos veszteségrátát, a különböző veszteségrátákat alkalmazó válogatóüzem-típusok leírása, az ilyen pontokon figyelembe vett átlagos veszteségráták kiszámításakor alkalmazott módszertani megközelítés, az esetleg használt felmérések statisztikai pontossága, az esetleges műszaki előírások jellege
A válogatott hulladék anyaga és a válogatóüzem típusa | Az alkalmazott átlagos veszteségráta (%) | Megnevezés |
A táblázat igény szerint további sorokkal bővíthető.
3.2.7. A hulladék települési és nem települési forrásokból való eredetének megállapítása a mérési ponton
A nem települési hulladék kizárására használt módszertan leírása (a hasonló típusú létesítmények összesített adatainak használata elfogadható).
Hulladékanyag/hulladékkódok | A létesítmény típusa | A települési hulladék részaránya (%) | Az arány kiszámításához alkalmazott módszertan ismertetése |
A táblázat igény szerint további sorokkal bővíthető.
3.2.8. A hulladék különböző tagállamokból való eredetének megállapítása a mérési ponton
A másik tagállamból vagy harmadik országból származó hulladék kizárására használt módszertan leírása (a hasonló típusú létesítmények összesített adatainak használata elfogadható).
Hulladékanyag/hulladékkódok | A létesítmény típusa | A tagállamból származó hulladék aránya (%) | Az arány kiszámításához alkalmazott módszertan ismertetése |
A táblázat igény szerint további sorokkal bővíthető.
3.2.9. A keletkezés helyén nem elkülönítetten gyűjtött, illetve nem elkülönített és újrafeldolgozott települési biohulladék újrafeldolgozása (2026-ig releváns)
Információ az olyan intézkedésekről, amelyek célja a 2008/98/EK irányelv 11a. cikke (4) bekezdésének első albekezdésében a keletkezés helyén nem elkülönítetten gyűjtött, illetve nem elkülönített és újrafeldolgozott települési biohulladék tekintetében meghatározott feltételek teljesülésének biztosítása.
3.2.10. A keletkezés helyén elkülönített és újrafeldolgozott települési biohulladék
Az alkalmazott módszertan általános leírása, beleértve a közvetlen és közvetett mérések, valamint a keletkezés helyén elkülönített és újrafeldolgozott települési biohulladék mérése céljából egyszerűsített módszertan alkalmazását.
Az aktív újrafeldolgozó egységek vagy a keletkezés helyén elkülönítetten gyűjtött települési biohulladék újrafeldolgozásában érintett személyek számának nyilvántartások vagy felmérések útján történő meghatározásához, valamint annak biztosításához alkalmazott módszerek leírása, hogy az aktív újrafeldolgozó egységek számába csak a hulladéktermelők által használt újrafeldolgozó egységek kerültek beszámításba.
A keletkezés helyén elkülönített és újrafeldolgozott települési biohulladék mennyiségeinek meghatározására szolgáló módszerek leírása a II. mellékletben található képletek szerint.
A felmérések részletes leírása, beleértve azok gyakoriságát, a részmintákat, a megbízhatósági szinteket és a konfidencia-intervallumokat.
Az annak biztosítására szolgáló intézkedések leírása, hogy a keletkezés helyén elkülönített és újrafeldolgozott települési biohulladék bejelentett mennyiségei esetében ne forduljon elő túlbecslés (beleértve a vízveszteséggel kapcsolatos együttható alkalmazását).
Az annak biztosítására szolgáló intézkedések leírása, hogy a keletkezés helyén elkülönített és újrafeldolgozott települési biohulladék kezelése megfelelő módon történjen, valamint hogy az újrafeldolgozott hulladék felhasználásra kerül és ez a felhasználás mezőgazdasági vagy ökológiai szempontból előnyös.
3.2.11. A települési hulladék égetését követően elkülönített újrafeldolgozott fémek mennyiségének kiszámítása
Az égetési kazánhamuból kiválasztott fémek mennyiségének kiszámítására szolgáló adatok összegyűjtési módszerének részletes leírása
Az égetési kazánhamuból kivont fémkoncentrátum teljes mennyiségének méréséhez alkalmazott megközelítés leírása.
A fémkoncentrátum teljes mennyiségén belüli átlagos fémtartalom becsléséhez használt módszer leírása, kitérve az esetleg elvégzett felmérések megbízhatóságára.
Az égetőműbe kerülő hulladékon belül a települési hulladék részarányának becsléséhez használt módszer leírása, kitérve az esetleg elvégzett felmérések megbízhatóságára.
3.2.12. Egyéb hulladékhasznosítás
Az A. részben található táblázat "egyéb hasznosítás" kategóriájában különböző bejelentett kezelési műveletek leírása, és azok részaránya (%).
3.2.13. Tájékoztatás a hulladék ideiglenes tárolásának jelentőségéről az adott évben kezelt hulladékhoz képest, becslések az előző év(ek)ben ideiglenesen tárolt, majd a tárgyévben újrafeldolgozott, valamint a tárgyévben ideiglenes tárolása kerülő hulladék mennyiségéről
3.2.14. Eltérések az előző tárgyévekre vonatkozóan bejelentett adatokhoz képest
A tárgyévre alkalmazott számítási módszerben az előző tárgyévekre vonatkozóan alkalmazott módszerrel összefüggésben bekövetkezett jelentős módszertani változások (különösen az utólagos vizsgálatok, ezek jellege, és annak feltüntetése, ha egy adott évtől új módszert alkalmaztak).
Az előző tárgyévre vonatkozóan benyújtott adatokhoz (tonna) képest 10 %-nál nagyobb eltérést mutató újrafeldolgozott települési hulladék összetevői esetében a különbség magyarázata (mely hulladékáramoknál, ágazatoknál vagy becsléseknél jelentkezett az eltérés, milyen okok állhatnak a hátterében)
Települési hulladék összetevője | Eltérés (%) | Az eltérés fő oka |
A táblázat igény szerint további sorokkal bővíthető.
3.2.15. A települési hulladék újrafeldolgozására vonatkozó adatok ellenőrzése
A települési hulladék összetevője | Ellenőrzési eljárás | |||
Keresztellenőrzés (igen/nem) | Az idősorok ellenőrzése (igen/nem) | Audit (igen/nem) | Az ellenőrzési eljárás ismertetése | |
Fémek | ||||
Kazánhamuból származó fémek | ||||
Üveg | ||||
Műanyag | ||||
Papír és karton | ||||
Biohulladék | ||||
Fa | ||||
Textíliák | ||||
Elektromos és elektronikai berendezés | ||||
Elemek/akkumulátorok | ||||
Lomhulladék | ||||
Vegyes hulladék | ||||
Egyéb |
4. Az adatok pontossága
4.1.1. A települési hulladék keletkezésére és kezelésére vonatkozó adatok pontosságát befolyásoló fő tényezők, így többek között mintavételi, lefedettségi, mérési, feldolgozási hibák és válaszadási hiányosságok leírása
4.1.2. A települési hulladék keletkezésére és kezelésére vonatkozó adatok gyűjtésére szolgáló felmérések körének és megbízhatóságának magyarázata
4.1.3. A települési hulladék keletkezésére és kezelésére vonatkozóan végzett statisztikai felmérések
A települési hulladék összetevője | Év | A vizsgált sokaság aránya | Adat (tonna) | Megbízhatósági szint | Hibahatár | A felmérési év óta végrehajtott kiigazítások | Egyéb adatok |
A táblázat igény szerint további sorokkal bővíthető.
IV. Titoktartási kötelezettség
A minőség-ellenőrzési jelentés egyes részeinek kérelmezett titokban tartására vonatkozó indoklás.
V. Főbb nemzeti honlapok, referenciadokumentumok és kiadványok
C. A 2008/98/EK IRÁNYELV 11.A CIKKE (3) ÉS (8) BEKEZDÉSÉNEK MEGFELELŐEN HOZOTT INTÉZKEDÉSEKRE VONATKOZÓ JELENTÉSTÉTEL FORMÁTUMA
1. A 2008/98/EK irányelv 11a. cikkének (3) és (8) bekezdésében említett, a települési hulladék minőség-ellenőrzési és nyomonkövetési rendszerének részletes leírása
2. A tagállamon kívül kezelt települési hulladék minőség-ellenőrzése és nyomonkövetése
A települési hulladék összetevője | A végső kezelés a tagállamban történik (igen/nem) | Másik uniós tagállamba továbbítják (igen/nem) | Az EU-n kívülre exportálják (igen/nem) | A települési hulladékra vonatkozó konkrét minőség-ellenőrzési és nyomonkövetési intézkedések leírása, különös tekintettel az adatok összegyűjtésére, monitoringjára és ellenőrzésére |
Fémek | ||||
Kazánhamuból származó fémek | ||||
Üveg | ||||
Műanyag | ||||
Papír és karton | ||||
Biohulladék | ||||
Fa | ||||
Textíliák | ||||
Elektromos és elektronikai berendezés | ||||
Elemek/akkumulátorok | ||||
Lomhulladék | ||||
Vegyes hulladék | ||||
Egyéb |
3. Az annak biztosítására szolgáló intézkedések részletes leírása, hogy az exportőr bizonyítani tudja, hogy a hulladék szállítása megfelel az 1013/2006/EK európai parlamenti és tanácsi rendelet (8) követelményeinek, valamint hogy az Unión kívül végzett hulladékkezelés az alkalmazandó uniós jogszabályokban előírtakkal lényegükben egyenértékű feltételek mellett történt.
(1) A keletkezett hulladék anyagonkénti mennyisége alapulhat az elkülönítetten gyűjtött hulladékra vonatkozó adatokon és a települési hulladék összetételére vonatkozó, rendszeresen frissített felmérésekből származó becsléseken. Ha nem áll rendelkezésre ilyen felmérés, használható a vegyes hulladék kategóriája.
(2) Idetartozik az energetikai hasznosítással történő égetés, valamint a hulladék újrafeldolgozása tüzelőanyagként vagy egyéb energiatermelésre való használatra. Az energetikai hasznosításra kerülő hulladék anyagonkénti tömege alapulhat a települési hulladék összetételére vonatkozó, rendszeresen frissített felmérésekből származó becsléseken. Ha nem áll rendelkezésre ilyen felmérés, használható a vegyes hulladék kategóriája.
(3) Nem tartozik ide az újrahasználatra való előkészítés, az újrafeldolgozás és az energetikai hasznosítás, de a feltöltés igen.
(4) A települési hulladék égetését követően elkülönített fémeket külön kell bejelenteni, nem a fémekre vonatkozó sorban és nem számítható bele az energetikai hasznosításra kerülő hulladék teljes mennyiségébe.
(5) A keletkezés helyén elkülönített és újrafeldolgozott települési biohulladékot külön kell bejelenteni, nem a biohulladékra vonatkozó sorban.
(6) Idetartoznak az olyan nagy méretű hulladékok, amelyek egyedi gyűjtést és kezelést igényelnek, például a bútorok és a matracok.
(7) A 2000/532/EK határozat által megállapított hulladékkódok.
(8) Az Európai Parlament és a Tanács 1013/2006/EK rendelete (2006. június 14.) a hulladékszállításról (HL L 190., 2006.7.12., 1. o.).
VI. MELLÉKLET
ADATOK A 7. CIKK (3) BEKEZDÉSÉBEN EMLÍTETT ÁSVÁNYI ÉS SZINTETIKUS KENŐOLAJOKRÓL ÉS IPARI OLAJOKRÓL, VALAMINT HULLADÉKOLAJOKRÓL
A. AZ ADATSZOLGÁLTATÁS FORMÁTUMA
1. táblázat
Az ásványi és szintetikus kenőolajok és ipari olajok forgalomba hozatalára és a hulladékolajok kezelésére vonatkozó adatszolgáltatás
SZÖVEG HIÁNYZIK |
2. táblázat
A hulladékolajok kezelésére vonatkozó adatszolgáltatás
1 | 2 | 3 | 4 | 5 |
A hasznosításból származó anyagok típusa | Regenerálás (10) (t) | Egyéb újrafeldolgozás (t) | Az energetikai hasznosítás vagy tüzelőanyagként használandó anyagokká való feldolgozás (beleértve a tüzelőanyagként használt regenerált olajokat) (t) | Ártalmatlanítás (D10) (t) |
Regenerált alapolaj – I. csoport (11) (12) | ||||
Regenerált alapolaj – II. csoport (13) | ||||
Regenerált alapolaj – III. csoport (14), | ||||
Regenerált alapolaj – IV. csoport (15) | ||||
Újrahasznosított termékek (16) (határozza meg) | ||||
Tüzelőanyag-termékek helyszínen kívüli energetikai hasznosításhoz – könnyű tüzelőolaj | ||||
Tüzelőanyag-termékek helyszínen kívüli energetikai hasznosításhoz – tüzelőolajpárlat | ||||
Tüzelőanyag-termékek helyszínen kívüli energetikai hasznosításhoz – nehéz tüzelőolaj | ||||
Tüzelőanyag-termékek helyszínen kívüli energetikai hasznosításhoz – hasznosított tüzelőolaj | ||||
Tüzelőanyag-termékek helyszínen kívüli energetikai hasznosításhoz – feldolgozott tüzelőolaj | ||||
Helyben történő energetikai hasznosítás (17) | ||||
Egyéb (határozza meg és szükség szerint bővítse további sorokkal) | ||||
Sötétszürkével árnyékolt mezők: nincs jelentéstétel. |
3. táblázat
Az 1. táblázatban felsoroltaktól eltérő, ásványi és szintetikus kenőolajok és ipari olajok forgalomba hozatalára és a hulladékolajok kezelésére vonatkozó adatszolgáltatás
SZÖVEG HIÁNYZIK |
4. táblázat
Referenciaértékek a keletkezett hulladékolaj kiszámításához
1 | |
Forgalomba hozott olajfrakció (%) | |
Motor- és sebességváltó-olajok | |
Motorolaj | 52 |
Sebességváltó-olajok | 76 |
Ipari olajok | |
Gépolajok | 50 |
Hidraulikaolajok | 75 |
Turbinaolajok | 70 |
Transzformátorolajok | 90 |
Hőtranszmissziós olajok | 90 |
Kompresszorolajok | 50 |
Alapolajok | 50 |
Emulziókban használt fémmegmunkáló olajok | 49 |
B. AZ A. PONTBAN EMLÍTETT ADATOKAT KÍSÉRŐ MINŐSÉG-ELLENŐRZÉSI JELENTÉS FORMÁTUMA
I. ltalános információk
1. Tagállam:
2. Az adatokat és a leírást benyújtó szervezet:
3. Kapcsolattartó:
4. Tárgyév:
5. Benyújtás napja/verzió:
6. A tagállam által közzétett adatokra mutató link (nem kötelező):
II. Információk a forgalomba hozott olajokról és a hulladékolajokról
1. Adatgyűjtési módszerek (a megfelelő oszlopot pedig kitölteni)
Adatgyűjtési módszerek/Adatkészlet | Adminisztratív adatok alapján | Felmérések alapján | Elektronikus nyilvántartások alapján | A hulladékgazdálkodók adatai alapján | Kiterjesztett gyártói felelősségi rendszerekből származó adatok alapján | Egyéb (fejtse ki) | A módszer részletes ismertetése |
Forgalomba hozott olajok | |||||||
Összegyűjtött hulladékolajok | |||||||
A hulladékolajok regenerálása | |||||||
A hulladékolajok más újrahasznosítása | |||||||
A hulladékolajok energetikai hasznosítása | |||||||
A hulladékolajok ártalmatlanítása |
Adott esetben a hulladékolaj egyes típusainak kezelése vonatkozásában a táblázat igény szerint további sorokkal bővíthető.
2. A keletkezett hulladékolaj mennyiségének meghatározására használt módszertan ismertetése
3. A hulladékolaj szárítóolaj-tartalmának meghatározására használt módszertan ismertetése (például a víztartalom kémiai elemzése, szaktudás stb.)
4. A "hulladékolajok más újrahasznosítása" kategóriában jelentett kezelt hulladékolajok leírása a mennyiségek feltüntetésével
5. A tüzelőanyagként használt alapolajok mennyiségének meghatározására használt módszertan ismertetése
6. A tagállamon kívül kezelt hulladékolajra vonatkozó adatok
7. A hulladékolajra vonatkozó konkrét minőség-ellenőrzési és nyomonkövetési intézkedések részletes leírása, különös tekintettel a monitoringra és az adatok ellenőrzésére
8. A más tagállamban vagy az Unión kívül kezelt hulladékolajokra vonatkozó adatforrások leírása (például az 1013/2006/EK rendelet vagy a hulladékkezelőtől származó elsődleges adatok) és az érintett adatok minősége
9. A másik tagállamban vagy az Unión kívüli letelepedett hulladékkezelőktől származó adatok összegyűjtésével kapcsolatos nehézségek leírása
10. Az annak biztosítására szolgáló intézkedések leírása, hogy a hulladékolaj unión kívüli exportőre bizonyítani tudja, hogy a hulladék szállítása megfelel az 1013/2006/EK rendelet követelményeinek, valamint hogy az Unión kívül végzett hulladékkezelés az alkalmazandó uniós környezetvédelmi jogszabályokban előírtakkal lényegükben egyenértékű feltételek mellett történt.
11. Az adatok pontossága
11.1. A hulladékolajok keletkezésére, gyűjtésére és kezelésére vonatkozó adatok minőségét és pontosságát befolyásoló fő tényezők, így többek között mintavételi, lefedettségi, mérési, feldolgozási hibák és válaszadási hiányosságok leírása
11.2. Az ásványi és szintetikus kenőolajokra és ipari olajokra, valamint a hulladékolajokra vonatkozó adatgyűjtés teljessége
Részletes információk arról, hogy az adatforrások hogyan fedik le a forgalomba hozott ásványi és szintetikus kenőolajok és ipari olajok, valamint az összegyűjtött és kezelt hulladékolajok teljes mennyiségeit, valamint becslések segítségével a hozzáadott mennyiségekről, beleértve a becslések meghatározási módját és azt, hogy az érintett adatok szerinti teljes mennyiséghez képest mekkora a részarányuk.
11.3. Eltérések az előző tárgyév adataihoz képest
A tárgyévre alkalmazott számítási módszerben az előző tárgyév(ek)re vonatkozóan alkalmazott módszerrel összefüggésben bekövetkezett jelentős módszertani változások.
Az előző tárgyévre vonatkozóan benyújtott adatokhoz (tonna) képest 10 %-nál nagyobb eltérést mutató kezelt hulladékolaj-kategóriák esetében a különbség magyarázata (mely hulladékolajok van szó, mely ágazatoknál vagy becsléseknél jelentkezett az eltérés, milyen okok állhatnak a hátterében)
Hulladékolaj kategóriája és kezelése | Eltérés (%) | Az eltérés fő oka |
A táblázat igény szerint további sorokkal bővíthető.
III. Titoktartási kötelezettség
A jelentés egyes részeinek kérelmezett titokban tartására vonatkozó indoklás.
IV. Főbb nemzeti honlapok, referenciadokumentumok és kiadványok
Ez a jelentés az adatminőséggel, az adatok általi lefedettségével, illetve a végrehajtás olyan más vetületeivel foglalkozik, mint a hulladékolajok gyűjtésével és kezelésével kapcsolatos bevált gyakorlatokról szóló jelentések, valamint az olaj behozatalára, kivitelére és az olajveszteségre vonatkozó jelentések.
(1) Beleértve a motor- és sebességváltó-olajokat (gépjárműipari, légiközlekedési, tengeri, ipari és egyéb ágazatok), de a zsírok és a hajózásban keletkező olajos hulladékok nélkül.
(2) Beleértve a gépolajokat, a hidraulikaolajokat, a turbinaolajokat, a transzformátorolajokat, a hőtranszmissziós olajokat, a kompresszorolajokat, az alapolajokat, de az emulziós zsírok és olajok nélkül.
(3) Beleértve a fémmegmunkáló olajokat; amennyiben a nemzeti szintű jelentéstétel nem tesz különbséget az emulziókban más módon használt ipari olajok között, az ipari olajokra vonatkozóan az "ipari olajok" sorban feltüntetve megadhatók összesített adatok.
(4) Kizárólag a 2000/532/EK határozat 190207 kódja* alá tartozó hulladékolajok.
(5) A valamely tagállamban forgalomba hozott olajok a kivitellel (például személygépkocsik kivitele) járó veszteségek és a behozatallal (személygépkocsik behozatalával) járó nyereségek figyelembevételével.
(6) A hulladékolajok mennyisége a kezeléssel járó és a felhasználás során keletkezett veszteségek figyelembevételével. A keletkezett hulladékolajok mennyiségei kiszámolhatók nemzeti statisztikák alapján vagy a 4. táblázatban felsorolt referenciaértékek segítségével.
(7) Elkülönítetten gyűjtött hulladékolajok. Amennyiben az összegyűjtött hulladékolajok mennyiségi meghatározása a térfogat alapján történik, a megfelelő tömeg 0,9 tonna/m3 átalakítási együttható alkalmazásával történik.
(8) Másik országba exportált hulladékolaj (az1013/2006/EK rendeletben meghatározott hulladékkategóriák figyelembevételével).
(9) Másik országban keletkezett és onnan importált hulladékolaj (az1013/2006/EK rendeletben meghatározott hulladékkategóriák figyelembevételével).
(11) A regenerálástól eltérő újrahasznosítás, például fluxáló olaj.
(12) A hasznosított olajok tüzelőanyagaként való használatát beleértve, a hasznosítás 2008/98/EK irányelv 3. cikkének (15) bekezdésében szereplő meghatározása szerint.
(13) D10 ártalmatlanítási művelet: hulladékégetés szárazföldön a 2008/98/EK irányelv I. mellékletében meghatározottak szerint.
(14) Hulladékolaj a víztartalom nélkül. A szárítóolaj-tartalom meghatározása a víztartalom mérésével történik. Alternatív lehetőségként az emulzióktól eltérő hulladékolajok esetében a szárítóolaj-tartalom meghatározható 8 %-os víztartalom alapul vételével is. Az ipari olajok emulzióiban található hulladékolajok esetében a szárítóolaj-tartalom meghatározható 90 %-os víztartalom alapul vételével is.
(10) A regenerált olajok mennyisége. A 2. táblázat 2. oszlopában szereplő tételek összegének és az 1. táblázat 6. oszlopában szereplő tételek összegének a hányadosa az olajregenerálás átalakítási hatékonyságának felel meg.
(11) Az I. alapolajcsoport 90 %-nál kevesebb telített szénhidrogént és/vagy több mint 0,03 %-ban tartalmaz ként, viszkozitási indexe pedig legalább 80 és legfeljebb 120.
(12) Amennyiben a nemzeti szintű jelentéstétel nem tesz különbséget az I-IV. csoportok között, a regenerált alapolajokra vonatkozóan az "egyéb" sorban feltüntetve megadhatók összesített adatok.
(13) A II. alapolajcsoport legalább 90 %-ban tartalmaz telített szénhidrogént és legfeljebb 0,03 %-ban ként, viszkozitási indexe pedig legalább 80 és legfeljebb 120.
(14) A III. alapolajcsoport legalább 90 %-ban tartalmaz telített szénhidrogént és legfeljebb 0,03 %-ban ként, viszkozitási indexe pedig legalább 120.
(15) A IV. alapolajcsoportba tartoznak a polialfaolefinek. A nem az I-IV. csoportba tartozó alapolajakat az "Egyéb" sorban kell feltüntetni.
(16) Az 1. táblázat 7. oszlopában feltüntetett, a hulladékolajok más újrahasznosításából származó újrahasznosított termékeket beleértve.
(17) A helyben történő energetikai hasznosítás alatt a hulladékolaj belső energiafogyasztás általi hasznosítása értendő, például egy finomítóban.
Lábjegyzetek:
[1] A dokumentum eredetije megtekinthető CELEX: 32019D1004 - https://eur-lex.europa.eu/legal-content/HU/ALL/?uri=CELEX:32019D1004&locale=hu