32014R1299[1]
A Bizottság 1299/2014/EU rendelete ( 2014. november 18. ) az Európai Unió vasúti rendszerének infrastruktúra alrendszerére vonatkozó átjárhatósági műszaki előírásokról
A BIZOTTSÁG 1299/2014/EU RENDELETE
(2014. november 18.)
az Európai Unió vasúti rendszerének infrastruktúra alrendszerére vonatkozó átjárhatósági műszaki előírásokról
(EGT-vonatkozású szöveg)
1. cikk
Tárgy
A Bizottság elfogadja a mellékletben meghatározott, az Európai Unió teljes vasúti rendszerének "infrastruktúra" alrendszerére vonatkozó átjárhatósági műszaki előírást (ÁME).
2. cikk
Hatály
(1) Az ÁME az (EU) 2016/797 európai parlamenti és tanácsi irányelv ( 1 ) II. mellékletének 2.1. pontjában meghatározott európai uniós vasúti rendszer valamennyi új, korszerűsített vagy felújított infrastruktúrájára alkalmazandó.
(2) A 7. és 8. cikke valamint a melléklet 7.2. pontjának sérelme nélkül az ÁME-t az Európai Unió tagállamainak azon új vasútvonalaira kell alkalmazni, amelyeket 2015. január 1-jétől helyeznek üzembe.
(3) Az ÁME-t nem kell alkalmazni az Európai Unió vasúti rendszerének azon meglévő infrastruktúrájára, amelyet 2015. január 1-jéig valamely tagállam teljes hálózatán vagy annak egy részén már üzembe helyeztek, kivéve, ha az az (EU) 2016/797 irányelv 18. cikkével vagy a melléklet 7.3. pontjával összhangban felújításon vagy korszerűsítésen esik át.
(4) Az ÁME az (EU) 2016/797 irányelv I. mellékletében leírt uniós vasúti rendszer hálózatára alkalmazandó, kivételt képeznek az (EU) 2016/797 irányelv 1. cikkének (3) és (4) bekezdésében említett esetek.
(5) Az ÁME a következő névleges nyomtávval rendelkező hálózatokra alkalmazandó: 1 435 mm, 1 520 mm, 1 524 mm, 1 600 mm és 1 668 mm.
(6) A méteres nyomtáv az ÁME műszaki hatályán kívül esik.
(7) E rendelet műszaki és földrajzi hatályát a melléklet 1.1. és 1.2. pontja határozza meg.
3. cikk
Nyitott kérdések
(1) Az e rendelet mellékletének R. függelékében nyitott kérdésként meghatározott szempontok tekintetében az (EU) 2016/797 irányelv III. melléklete szerinti alapvető követelményeknek való megfelelés hitelesítése kapcsán teljesítendő feltételek azon tagállam hatályban lévő nemzeti szabályai által meghatározott feltételek, amely az e rendeletben szabályozott alrendszer üzembe helyezését engedélyezi.
(2) E rendelet hatálybalépését követő hat hónapon belül valamennyi tagállam megküldi a többi tagállamnak és a Bizottságnak a következő információkat, amennyiben azokat a 2008/217/EK vagy a 2011/275/EU bizottsági határozat hatálya alatt még nem küldték meg:
a) az (1) bekezdésben említett nemzeti szabályok;
b) az (1) bekezdésben említett nemzeti szabályok alkalmazása érdekében elvégzendő megfelelőségértékelési és hitelesítési eljárások;
c) a nyitott kérdések tekintetében a megfelelőségértékelési és hitelesítési eljárások elvégzésére kijelölt szervezetek.
4. cikk
Különleges esetek
(1) A melléklet 7.7. pontjában meghatározott különleges esetek tekintetében az (EU) 2016/797 irányelv III. melléklete szerinti alapvető követelményeknek való megfelelés hitelesítése kapcsán teljesítendő feltételek a melléklet 7.7. pontjában meghatározott, vagy azon tagállam hatályban lévő nemzeti szabályai által meghatározott feltételek, amely az e rendeletben szabályozott alrendszer üzembe helyezését engedélyezi.
(2) E rendelet hatálybalépését követő hat hónapon belül valamennyi tagállam értesíti a többi tagállamot és a Bizottságot a következő információkról:
a) az (1) bekezdésben említett nemzeti szabályok;
b) az (1) bekezdésben említett nemzeti szabályok alkalmazása érdekében elvégzendő megfelelőségértékelési és hitelesítési eljárások;
c) a melléklet 7.7. pontjában meghatározott különleges esetek tekintetében a megfelelőségértékelési és hitelesítési eljárások elvégzésére kijelölt szervezetek.
5. cikk
Értesítés kétoldalú megállapodásokról
(1) A tagállamok legfeljebb 2015. július 1-jéig értesítik a Bizottságot minden, a vasúttársaságokkal, pályahálózat-működtetőkkel vagy harmadik országokkal kötött érvényben lévő nemzeti, kétoldalú, többoldalú vagy nemzetközi megállapodásaikról, melyeket a tervezett vasúti szolgáltatás sajátos vagy helyi jellege indokol, illetve melyek helyi vagy regionális szinten jelentős mértékben biztosítják a kölcsönös átjárhatóságot.
(2) Ez a kötelezettség nem vonatkozik azon megállapodásokra, amelyekről a 2008/217/EK határozat értelmében már értesítést küldtek.
(3) A tagállamok haladéktalanul értesítik a Bizottságot minden jövőbeli megállapodásról és a meglévő megállapodások módosításairól.
6. cikk
A megvalósítás előrehaladott stádiumában lévő projektek
Az (EU) 2016/797 irányelv 7. cikkének (2) bekezdése alkalmazandó.
7. cikk
EK-hitelesítési tanúsítvány
(1) A melléklet 6.5. pontjában meghatározott követelmények teljesülése esetén a 2021. május 31-ével lezáruló átmeneti időszakban EK-hitelesítési tanúsítvány állítható ki olyan alrendszerek tekintetében, amelyek EK-megfelelőségi nyilatkozattal vagy EK-alkalmazhatósági nyilatkozattal nem rendelkező, kölcsönös átjárhatóságot lehetővé tevő rendszerelemeket tartalmaznak.
(2) A kölcsönös átjárhatóságot lehetővé tevő, nem hitelesített rendszerelemeket alkalmazó alrendszer gyártásának, korszerűsítésének vagy felújításának - az üzembe helyezést is beleértve - az (1) bekezdés szerinti átmeneti időszakon belül be kell fejeződnie.
(3) Az (1) bekezdésben meghatározott átmeneti időszakban:
a) a bejelentett szervezet az (EU) 2016/797 irányelv 15. cikke szerinti EK tanúsítvány kiadása előtt megfelelően beazonosítja a kölcsönös átjárhatóságot lehetővé tevő rendszerelem hitelesítése elmaradásának okait;
b) az (EU) 2016/798 irányelv 16. cikke (2) bekezdésének d) pontja szerint a nemzeti biztonsági hatóság az (EU) 2016/798 európai parlamenti és tanácsi irányelv ( 2 ) 19. cikkében említett éves beszámolójában, az engedélyezési eljárásokkal összefüggésben jelentést tesz a kölcsönös átjárhatóságot lehetővé tevő, nem hitelesített rendszerelemek alkalmazásáról.
(4) 2016. január 1-je után az új gyártású rendszerelemeknek rendelkezniük kell EK-megfelelőségi vagy EK-alkalmazhatósági nyilatkozattal.
8. cikk
Megfelelőségértékelés
(1) A megfelelőség és az alkalmazhatóság értékelésére, valamint az EK-hitelesítésre vonatkozó, a melléklet 6. pontjában meghatározott eljárások alapját a 2010/713/EU határozatban ( 3 ) meghatározott modulok képezik.
(2) A kölcsönös átjárhatóságot lehetővé tevő rendszerelemek típus- vagy tervvizsgálati tanúsítványának hétéves időtartamra kell szólnia. Ezen időszak alatt az ugyanazon típusba tartozó új rendszerelemek újabb megfelelőségértékelés nélkül helyezhetők üzembe.
(3) A (2) bekezdésben említett, a 2011/275/EU bizottsági határozatnak (hagyományos vasúti infrastruktúrára vonatkozó ÁME) vagy a 2008/217/EK bizottsági határozatnak (nagysebességű vasúti infrastruktúrára vonatkozó ÁME) megfelelően kibocsátott tanúsítványok új megfelelőségértékelés nélkül is érvényesek maradnak az eredetileg meghatározott lejárati időig. A tanúsítvány megújítása érdekében a típust vagy a tervet csak az e rendelet melléklete szerinti új vagy módosított követelmények tekintetében szükséges újra értékelni.
9. cikk
Végrehajtás
(1) A melléklet 7. pontja meghatározza a teljes mértékben átjárható "infrastruktúra" alrendszer megvalósításához szükséges lépéseket.
A 2008/57/EK irányelv 20. cikkének sérelme nélkül, a tagállamok a melléklet 7. pontjával összhangban nemzeti végrehajtási tervet készítenek, amelyben rögzítik az ezen ÁME-nek való megfelelést biztosító intézkedéseiket. A tagállamok nemzeti végrehajtási tervüket 2015. december 31-ig megküldik a többi tagállamnak és a Bizottságnak. A nemzeti végrehajtási tervüket már korábban megküldő tagállamok mentesülnek ezen kötelezettség alól.
(3) A tagállamok 2015. január 1-je után három évvel jelentést küldenek a Bizottságnak a 2008/57/EK irányelv 20. cikkének végrehajtásáról. A jelentést a 2008/57/EK irányelv 29. cikkével létrehozott bizottság megvitatja; a melléklet szerinti ÁME-t szükség esetén módosítani kell.
10. cikk
Innovatív megoldások
(1) A technológiai fejlődés követése érdekében olyan innovatív megoldásokra lehet szükség, amelyek nem felelnek meg a melléklet előírásainak, vagy amelyekre vonatkozóan a mellékletben szereplő értékelési módszerek nem alkalmazhatók.
(2) Az innovatív megoldások kapcsolódhatnak az "infrastruktúra" alrendszerhez, annak részeihez és a kölcsönös átjárhatóságot lehetővé tevő rendszerelemeihez.
(3) Amennyiben innovatív megoldás alkalmazására érkezik javaslat, a gyártó vagy annak az Unióban székhellyel rendelkező felhatalmazott képviselője nyilatkozik arról, hogy az adott megoldás mennyiben tér el az ÁME vonatkozó rendelkezéseitől, illetve hogyan egészíti ki azokat, és köteles az eltérésekről szóló információkat elemzésre benyújtani a Bizottsághoz. A Bizottság a javasolt innovatív megoldásról kikérheti az ügynökség véleményét.
(4) A Bizottság véleményt nyilvánít a javasolt innovatív megoldásról. Ha a vélemény kedvező, az innovatív megoldás alkalmazása érdekében ki kell dolgozni az ÁME-be felveendő, a rendszerelemek működésére és kapcsolódási pontjaira vonatkozó megfelelő előírásokat, valamint értékelési módszert, melyeknek a későbbiekben, az (EU) 2016/797 irányelv 5. cikke szerinti felülvizsgálati folyamat során be kell épülniük az ÁME-be. Ha a vélemény kedvezőtlen, a javasolt innovatív megoldás nem alkalmazható.
(5) Az ÁME felülvizsgálatáig a Bizottság kedvező véleményét elfogadható eszköznek kell tekinteni az (EU) 2016/797 irányelv alapvető követelményeinek való megfelelés igazolására, és fel lehet használni az alrendszer értékeléséhez.
11. cikk
Hatályon kívül helyezés
A 2008/217/EK és a 2011/275/EU határozat 2015. január 1-jétől hatályát veszti.
Továbbra is alkalmazni kell őket azonban a következők tekintetében:
a) az említett határozatoknak megfelelően engedélyezett alrendszerek;
b) új, felújított vagy korszerűsített alrendszerekre vonatkozó olyan projektek, melyek e rendelet kihirdetése napján előrehaladott állapotban vannak vagy folyamatban lévő szerződés tárgyát képezik.
12. cikk
Hatálybalépés
Ez a rendelet az Európai Unió Hivatalos Lapjában való kihirdetését követő huszadik napon lép hatályba.
A rendeletet 2015. január 1-jétől kell alkalmazni. Üzembehelyezési engedély azonban már 2015. január 1-je előtt is kiadható az e rendelet melléklete szerinti ÁME alapján.
Ez a rendelet teljes egészében kötelező és közvetlenül alkalmazandó valamennyi tagállamban.
MELLÉKLET
1. BEVEZETÉS
1.1. Műszaki hatály
Ezen ÁME - az (EU) 2016/797 irányelv 1. cikkének megfelelően - az uniós vasúti rendszer infrastruktúra alrendszerét és karbantartás alrendszerének egy részét érinti.
Az infrastruktúra és a karbantartás alrendszert az (EU) 2016/797 irányelv II. mellékletének 2.1., illetve 2.8. pontja határozza meg.
Ezen ÁME műszaki hatályát közelebbről e rendelet 2. cikkének (1), (5) és (6) bekezdése határozza meg.
1.2. Földrajzi hatály
Ezen ÁME földrajzi hatályát e rendelet 2. cikkének (4) bekezdése határozza meg.
1.3. Az ÁME tartalma
(1) Az (EU) 2016/797 irányelv 4. cikke (3) bekezdésének megfelelően ez az ÁME:
a) ismerteti tervezett hatályát (2. pont);
b) alapvető követelményeket állapít meg az infrastruktúra alrendszerre és a karbantartás alrendszer egy részére vonatkozóan (3. pont);
c) megállapítja az infrastruktúra alrendszer és a karbantartás alrendszer egy része, valamint azok más alrendszerekkel való kapcsolódási pontjai által teljesítendő működési és műszaki előírásokat (4. pont);
d) meghatározza az európai előírások, köztük az európai szabványok hatálya alá tartozó kölcsönös átjárhatóságot lehetővé tevő azon rendszerelemeket és kapcsolódási pontokat, amelyek az uniós vasúti rendszeren belüli kölcsönös átjárhatóság megvalósításához szükségesek (5. pont);
e) valamennyi figyelembe veendő esetben megállapítja, mely eljárásokat kell alkalmazni egyfelől a kölcsönös átjárhatóságot lehetővé tevő rendszerelemek megfelelőségének vagy alkalmazhatóságának értékelése, másfelől az alrendszerek EK-hitelesítése érdekében (6. pont);
f) ismerteti végrehajtásának stratégiáját (7. pont);
g) az érintett személyzet vonatkozásában ismerteti az infrastruktúra alrendszer működéséhez és karbantartásához, valamint az ÁME végrehajtásához szükséges szakmai képesítést, illetve a munkahelyi egészségvédelemre és biztonságra vonatkozó feltételeket (4. pont);
h) feltünteti a meglévő infrastruktúra alrendszerre alkalmazandó rendelkezéseket, különösen korszerűsítés és felújítás esetén, és ilyen esetekben az olyan módosítási munkálatokat, amelyek új engedély iránti kérelmet tesznek szükségessé;
i) feltünteti az infrastruktúra alrendszer azon paramétereit, amelyeket a vasúti társaságnak a forgalombahozatali járműengedély kézhezvétele után, de a jármű első használata előtt ellenőriznie kell a járművek és az általuk igénybe venni kívánt útvonalak összeegyeztethetőségének biztosítása céljából, valamint az ellenőrzés során alkalmazandó eljárásokat.
Az (EU) 2016/797 irányelv 4. cikke (5) bekezdésének megfelelően a különleges esetekre vonatkozó rendelkezéseket a 7. pont ismerteti.
(2) Ezen ÁME követelményei a hatálya alá tartozó minden nyomtávolságú rendszerre vonatkoznak, kivéve, ha valamely pont egy adott nyomtávolságú rendszert vagy egy adott névleges nyomtávolságot említ.
2. AZ ALRENDSZER MEGHATÁROZÁSA ÉS HATÁLYA
2.1. Az infrastruktúra alrendszer meghatározása
Ezen ÁME a következőkre vonatkozik:
a) az infrastruktúra mint strukturális alrendszer;
b) a karbantartás funkcionális alrendszernek az infrastruktúra alrendszerre vonatkozó része (azaz: a vonatok külső tisztítására szolgáló mosóberendezések, vízfeltöltő berendezések, helyhez kötött WC-tartály ürítő berendezések és pálya menti áramellátás).
Az infrastruktúra alrendszer elemeinek leírása az (EU) 2016/797 irányelv II. mellékletének 2.1. pontjában található.
A karbantartás alrendszer elemeinek leírása az (EU) 2016/797 irányelv II. mellékletének 2.8. pontjában található.
Ezen ÁME hatálya tehát az infrastruktúra alrendszer következő aspektusaira terjed ki:
a) vonalkialakítás;
b) vágányparaméterek;
c) váltók és keresztezések;
d) a vágány alkalmazott terheléssel szembeni ellenállása;
e) a műtárgyak forgalmi terheléssel szembeni ellenállása;
f) azonnali tevékenységvégzési határértékek a vágánygeometria hiányosságai tekintetében;
g) peronok;
h) egészségvédelem, biztonság és környezetvédelem;
i) az üzemeltetésre vonatkozó rendelkezések;
j) vonatokat kiszolgáló, helyhez kötött berendezések.
A további részleteket ezen ÁME 4.2.2. pontja tartalmazza.
2.2. Ezen ÁME más ÁME-kkel való kapcsolódási pontjai
A vonatkozó ÁME-kben meghatározott következő alrendszerekkel való kapcsolódási pontok működési és műszaki előírásait ezen ÁME 4.3. pontja fejti ki:
a) járművek alrendszer;
b) energiaellátás alrendszer;
c) ellenőrző-irányító és jelző alrendszer;
d) forgalmi szolgálat és forgalomirányítás alrendszer.
A mozgáskorlátozott személyekre vonatkozó ÁME-vel való kapcsolódási pontokat az alábbi 2.3. szakasz ismerteti.
A vasúti alagutak biztonságára vonatkozó ÁME-vel való kapcsolódási pontokat az alábbi 2.4. szakasz ismerteti.
2.3. Kapcsolódási pontok a mozgáskorlátozott személyekre vonatkozó ÁME-vel
A mozgáskorlátozott személyek hozzáférhetősége tekintetében az infrastruktúra alrendszerre vonatkozó valamennyi követelményt a mozgáskorlátozott személyekre vonatkozó ÁME állapítja meg.
2.4. Kapcsolódási pontok a vasúti alagutak biztonságára vonatkozó ÁME-vel
Az infrastruktúra alrendszerek biztonságával kapcsolatos összes követelményt a vasúti alagutak biztonságára vonatkozó ÁME állapítja meg.
2.5. Kapcsolat a biztonságirányítási rendszerrel
A biztonságirányítás és az üzemeltetés ezen ÁME szerinti követelményekkel összhangban történő biztosításához szükséges eljárásokat, köztük a személyekhez, szervezetekhez és más technikai rendszerekhez való interfészeket az (EU) 2016/798 irányelvnek megfelelően a pályahálózat-működtető biztonságirányítási rendszerének keretében kell megtervezni és végrehajtani.
2.6. Kapcsolat a kombinált szállítás kodifikációjával
(1) Az űrszelvényre vonatkozó rendelkezéseket a 4.2.3.1. pont tartalmazza.
(2) Az intermodális rakodási egységek kombinált szállításban történő szállítására használt kodifikációs rendszernek meg kell felelnie a T. függelék [A] indexszámmal jelölt sorában említett előírásnak. Ez a következőkön alapulhat:
a) a pálya jellemzői és az akadályok pontos helye;
b) az adott pálya űrszelvényének referenciaprofilja;
c) az a) és b) pontban említett módszerek kombinációja.
3. ALAPVETŐ KÖVETELMÉNYEK
A következő táblázat ismerteti az ezen ÁME szerinti alapvető paramétereket és azoknak az (EU) 2016/797 irányelv III. mellékletében kifejtett alapvető követelményeknek való megfelelését.
1. táblázat
Az infrastruktúra alrendszer alapvető követelményeknek megfeleltethető alapvető paraméterei
| ÁME pont | Az ÁME pontjának címe | Biztonság | Megbízhatóság és rendelkezésre állás | Egészségvédelem | Környezetvédelem | Műszaki összeegyeztethetőség | Megközelíthetőség |
| 4.2.3.1. | Űrszelvény | 1.1.1., 2.1.1. | 1.5. | ||||
| 4.2.3.2. | Vágánytengely-távolság | 1.1.1., 2.1.1. | 1.5. | ||||
| 4.2.3.3. | Legnagyobb lejtés | 1.1.1. | 1.5. | ||||
| 4.2.3.4. | Legkisebb vízszintes ívsugár | 1.1.3. | 1.5. | ||||
| 4.2.3.5. | Legkisebb függőleges ívsugár | 1.1.3. | 1.5. | ||||
| 4.2.4.1. | Névleges nyomtávolság | 1.5. | |||||
| 4.2.4.2. | Túlemelés | 1.1.1., 2.1.1. | 1.5. | 1.6.1. | |||
| 4.2.4.3. | Túlemeléshiány | 1.1.1. | 1.5. | ||||
| 4.2.4.4. | A túlemeléshiány átmenet nélküli változása | 2.1.1. | |||||
| 4.2.4.5. | Egyenértékű kúposság | 1.1.1., 1.1.2. | 1.5. | ||||
| 4.2.4.6. | Sínfejprofil folyóvágányhoz | 1.1.1., 1.1.2. | 1.5. | ||||
| 4.2.4.7. | Síndőlés | 1.1.1., 1.1.2. | 1.5. | ||||
| 4.2.5.1. | Váltók és keresztezések tervezési geometriája | 1.1.1., 1.1.2. 1.1.3. | 1.5. | ||||
| 4.2.5.2. | Mozgó csúcsbetétes keresztezések használata | 1.1.2., 1.1.3. | |||||
| 4.2.5.3. | Kettős keresztezések maximális vezetetlen hossza | 1.1.1., 1.1.2. | 1.5. | ||||
| 4.2.6.1. | A vágány függőleges terheléssel szembeni ellenállása | 1.1.1., 1.1.2., 1.1.3. | 1.5. | ||||
| 4.2.6.2. | A vágány hosszirányú erőkkel szembeni ellenállása | 1.1.1., 1.1.2., 1.1.3. | 1.5. | ||||
| 4.2.6.3. | A vágány oldalirányú erőkkel szembeni ellenállása | 1.1.1., 1.1.2., 1.1.3. | 1.5. | ||||
| 4.2.7.1. | Az új hidak forgalmi terheléssel szembeni ellenállása | 1.1.1., 1.1.3. | 1.5. | ||||
| 4.2.7.2. | Új földmunkák egyenértékű függőleges terhelése és új műtárgyakat érő földnyomás | 1.1.1., 1.1.3. | 1.5. | ||||
| 4.2.7.3. | Vágányok feletti vagy melletti új műtárgyak ellenállása | 1.1.1., 1.1.3. | 1.5. | ||||
| 4.2.7.4. | Meglévő hidak és földmunkák forgalmi terheléssel szembeni ellenállása | 1.1.1., 1.1.3. | 1.5. | ||||
| 4.2.8.1. | Azonnali tevékenységvégzési határérték az irány tekintetében | 1.1.1., 1.1.2. | 1.2. | ||||
| 4.2.8.2. | Azonnali tevékenységvégzési határérték a fekszint tekintetében | 1.1.1., 1.1.2. | 1.2. | ||||
| 4.2.8.3. | Azonnali tevékenységvégzési határérték a síktorzulás tekintetében | 1.1.1., 1.1.2. | 1.2. | ||||
| 4.2.8.4. | Azonnali tevékenységvégzési határérték a nyomtávolsággal kapcsolatos lokális hiba tekintetében | 1.1.1., 1.1.2. | 1.2. | ||||
| 4.2.8.5. | Azonnali tevékenységvégzési határérték a túlemelés tekintetében | 1.1.1., 1.1.2. | 1.2. | ||||
| 4.2.8.6. | Azonnali tevékenységvégzési határérték a váltók és keresztezések tekintetében | 1.1.1., 1.1.2. | 1.2. | 1.5. | |||
| 4.2.9.1. | Hasznos peronhossz | 1.1.1., 2.1.1. | 1.5. | ||||
| 4.2.9.2. | Peronmagasság | 1.1.1., 2.1.1. | 1.5. | 1.6.1. | |||
| 4.2.9.3. | Peron-oldaltávolság | 1.1.1., 2.1.1. | 1.5. | 1.6.1. | |||
| 4.2.9.4. | A pálya elrendezése a peronok mentén | 1.1.1., 2.1.1. | 1.5. | 1.6.1. | |||
| 4.2.10.1. | Maximális nyomásingadozás alagutakban | 1.1.1., 2.1.1. | 1.5. | ||||
| 4.2.10.2. | Az oldalszél hatásai | 1.1.1., 2.1.1. | 1.2. | 1.5. | |||
| 4.2.10.3. | Zúzottkő-ágyazatú vágányokat érő aerodinamikai hatás | 1.1.1. | 1.2. | 1.5. | |||
| 4.2.11.1. | Szelvényjelzők | 1.1.1. | 1.2. | ||||
| 4.2.11.2. | Egyenértékű kúposság üzem közben | 1.1.1., 1.1.2. | 1.5. | ||||
| 4.2.12.2. | WC-tartály ürítés | 1.1.5. | 1.2. | 1.3.1. | 1.5. | ||
| 4.2.12.3. | A vonat külső tisztítására szolgáló eszközök | 1.2. | 1.5. | ||||
| 4.2.12.4. | Vízfeltöltés | 1.1.5. | 1.2. | 1.3.1. | 1.5. | ||
| 4.2.12.5. | Üzemanyag-feltöltés | 1.1.5. | 1.2. | 1.3.1. | 1.5. | ||
| 4.2.12.6. | Pálya menti áramellátás | 1.1.5. | 1.2. | 1.5. | |||
| 4.4. | Üzemeltetési szabályok | 1.2. | |||||
| 4.5. | Karbantartási szabályok | 1.2. | |||||
| 4.6. | Szakmai képesítések | 1.1.5. | 1.2. | ||||
| 4.7. | Egészségvédelem és biztonság | 1.1.5. | 1.2. | 1.3. | 1.4.1. |
4. AZ INFRASTRUKTÚRA ALRENDSZER LEÍRÁSA
4.1. Bevezetés
(1) Az (EU) 2016/797 irányelv tárgyát képező uniós vasúti rendszer, amelynek az infrastruktúra- és a karbantartás-alrendszer részét képezi, olyan integrált rendszer, amelynek egységességét ellenőrizni kell. Ezt az egységességet különösen az infrastruktúra alrendszer műszaki előírásai, a keretét képező uniós vasúti rendszer más alrendszereihez való kapcsolódási pontjai és az üzemeltetési és karbantartási szabályok szempontjából kell ellenőrizni.
(2) Az ezen ÁME-ben megállapított határértékek nem arra szolgálnak, hogy azokat szokásos tervezési értékként előírják. A tervezési értékeknek azonban az ezen ÁME-ben megállapított határokon belül kell lenniük.
(3) Az infrastruktúra alrendszerre és a karbantartás alrendszer egy részére, valamint kapcsolódási pontjaikra vonatkozó, a 4.2. és 4.3. pont szerinti funkcionális és műszaki előírások nem teszik kötelezővé meghatározott technológiák vagy műszaki megoldások alkalmazását, kivéve, ha ez az uniós vasúti rendszer átjárhatóságához szigorúan szükséges.
(4) Azok az innovatív átjárhatósági megoldások, amelyek nem teljesítik az ezen ÁME-ben előírt követelményeket és/vagy nem mérhetők fel az ÁME-ben meghatározott módon, új előírásokat és/vagy új értékelési módszereket tesznek szükségessé. A műszaki innováció lehetővé tétele érdekében ezen előírásokat és értékelési módszereket a 10. cikkben ismertetett, az innovatív megoldásokra vonatkozó folyamat szerint kell kidolgozni.
(5) Ahol EN szabványokra történik utalás, az EN szabványok "nemzeti eltérések" néven végrehajtott módosításai nem alkalmazhatók, kivéve, ha ez az ÁME másképp rendelkezik.
(6) Amennyiben a pályasebességek ezen ÁME egyik kategóriájaként vagy teljesítményparamétereként (km/h)-ban kerülnek megadásra, a G. függelékben megengedett a sebesség (mph) egyenértékben való megadása Írország, valamint Észak-Írország tekintetében az Egyesült Királyság hálózata tekintetében.
4.2. Az infrastruktúra alrendszer működési és műszaki előírásai
4.2.1. ÁME-vonalkategóriák
(1) Az uniós vasúti hálózat elemeinek leírása az (EU) 2016/797 irányelv I. mellékletének 1. pontjában található. Az átjárhatóság költséghatékony megvalósítása érdekében az uniós vasúthálózat minden egyes eleméhez egy "ÁME-vonalkategóriát" kell rendelni.
(2) Az ÁME-vonalkategóriák a forgalomtípuskódok kombinációi. Azon vonalak esetében, amelyeken csak egyféle forgalom bonyolódik (például csak teherforgalmat bonyolító vonal), egyetlen szabályzat is alkalmazható a teljesítmények leírására; ott, ahol vegyes forgalom bonyolódik, a kategóriát egy vagy több - személy- és teherforgalomra vonatkozó - szabályzattal kell leírni. A kombinált forgalomtípuskódok azon tartományt írják le, amelyen belül a forgalom kívánt kombinációja lebonyolítható.
(3) Ezek az ÁME-vonalkategóriák a meglévő vonalak besorolására szolgálnak egy olyan célrendszer meghatározása érdekében, amely alapján teljesülhetnek a releváns teljesítményparaméterek.
(4) A vonalak a forgalom típusa (forgalomtípuskód) szerint kerülnek osztályozásra a következő teljesítményparaméterek mentén:
- űrszelvény,
- tengelyterhelés,
- pályasebesség,
- a vonat hossza,
- hasznos peronhossz.
Az "űrszelvény" és "tengelyterhelés" oszlop értékei, amelyek közvetlenül befolyásolják a vonat haladását, kötelező minimumszinteknek tekintendők a célzott forgalomtípuskód szerint. A TEN-T követelmények ellenére a "vonalsebesség", "hasznos peronhossz" és "vonathossz" oszlopban feltüntetett értéktartományokat kell alkalmazni, amennyiben az észszerűen megvalósítható.
(5) A 2. és 3. táblázatban megadott teljesítményparaméterek nem a járművek és az infrastruktúra összeegyeztethetőségének ellenőrzésére szolgálnak. Az útvonallal való összeegyeztethetőség ellenőrzéseire az (EU) 2019/773 bizottsági végrehajtási rendelet mellékletének 4.2.2.5. pontja és D.1. függeléke (üzemeltetésre vonatkozó ÁME) ( 4 ) vonatkozik.
(6) A meglévő műtárgyakra vonatkozó teherbírási minimumkövetelményeket a különböző vonattípusokhoz kapcsolódóan meghatározó információkat az E. függelék tartalmazza. Észak-Írország tekintetében az Egyesült Királyság hálózatai esetében a legnagyobb tengelyterhelés és a megfelelő legnagyobb sebesség közötti viszonyt meghatározó adatokat járműtípusok szerint az F. függelék tartalmazza.
(7) A forgalom típusára vonatkozó teljesítményparaméterek a 2. és 3. táblázatban szerepelnek.
2. táblázat
A személyforgalomra vonatkozó infrastruktúrateljesítmény-paraméterek
(Az útvonallal való összeegyeztethetőség ellenőrzéseire az üzemeltetésre vonatkozó ÁME 4.2.2.5. pontja és D.1. függeléke vonatkozik)
| Forgalomtípuskód | Űrszelvény | Tengelyterhelés [t] | Pályasebesség [km/h] | Hasznos peronhossz [m] |
| P1 | GC | 17 (1) / 21,5 (2) | 250 –350 | 400 |
| P2 | GB | 20 (1)/ 22,5 (2) | 200 –250 | 200 –400 |
| P3 | DE3 | 22,5 (3) | 120 –200 | 200 –400 |
| P4 | GB | 22,5 (3) | 120 –200 | 200 –400 |
| P5 | GA | 20 (3) | 80 –120 | 50 –200 |
| P6 | G1 | 12 (3) | n.a. | n.a. |
| P1520 | S | 22,5 (3) | 80 –160 | 35 –400 |
| P1600 | IRL1 | 22,5 (3) | 80 –160 | 75 –240 |
| (1) A tengelyterhelésnek a hidak dinamikus értékeléssel történő ellenőrzéséhez használandó minimális előírt értékei, amelyek alapja a vonófejek és mozdonyok esetében a „tervezési tömeg menetkész állapotban”, az utasok vagy poggyász szállítására alkalmas járművek esetében pedig a „működés közbeni tömeg átlagos hasznos teher mellett” (tömegmeghatározások a T. függelék [1] indexszámmal jelölt sorában említett előírásnak megfelelően). (2) A tengelyterhelésnek az infrastruktúra statikus terheléssel történő ellenőrzéséhez használandó minimális előírt értékei, amelyek alapja az utasok vagy poggyász szállítására alkalmas járművek esetében a „tervezési tömeg rendkívüli hasznos teher mellett” (tömegmeghatározások a T. függelék [1] indexszámmal jelölt sorában említett előírásnak megfelelően, tekintettel a T. függelék [2] indexszámmal jelölt sorában említett előírásra). Ez a tengelyterhelés korlátozott sebességhez köthető. (3) Az infrastruktúra statikus terheléssel történő ellenőrzéséhez használandó, amelynek alapja a vonófejek és mozdonyok esetében a „tervezési tömeg menetkész állapotban”, a többi jármű esetében pedig a „tervezési tömeg rendkívüli hasznos teher mellett” (tömegmeghatározások a T. függelék [1] indexszámmal jelölt sorában említett előírásnak megfelelően, tekintettel a T. függelék [2] indexszámmal jelölt sorában említett előírásra). Ez a tengelyterhelés korlátozott sebességhez köthető. | ||||
3. táblázat
A teherforgalomra vonatkozó infrastruktúrateljesítmény-paraméterek
(Az útvonallal való összeegyeztethetőség ellenőrzéseire az üzemeltetésre vonatkozó ÁME 4.2.2.5. pontja és D.1. függeléke vonatkozik)
| Forgalomtípuskód | Űrszelvény | Tengelyterhelés [t] | Pályasebesség [km/h] | Vonathossz [m] |
| F1 | GC | 22,5 (1) | 100 –120 | 740 –1 050 |
| F2 | GB | 22,5 (1) | 100 –120 | 600 –1 050 |
| F3 | GA | 20 (1) | 60 –100 | 500 –1 050 |
| F4 | G1 | 18 (1) | n.a. | n.a. |
| F1520 | S | 25 (1) | 50 –120 | 1 050 |
| F1600 | IRL1 | 22,5 (1) | 50 –100 | 150 –450 |
| (1) Az infrastruktúra statikus ellenőrzéséhez használandó, amelynek alapja a vonófejek és mozdonyok esetében a „tervezési tömeg menetkész állapotban”, a többi jármű esetében pedig a „tervezési tömeg normál hasznos teher mellett” (tömegmeghatározások a T. függelék [1] indexszámmal jelölt sorában említett előírásnak megfelelően). Ez a tengelyterhelés korlátozott sebességhez köthető. | ||||
Megjegyzés: A 2. és 3. táblázat nem a járművek és az infrastruktúra összeegyeztethetőségének ellenőrzésére szolgál.
(8) Ami a műtárgyakat illeti, a tengelyterhelés önmagában nem elegendő az infrastruktúra-követelmények meghatározásához. A követelményeket a következők határozzák meg:
- új műtárgyak esetében a 4.2.7.1. és a 4.2.7.2. pont,
- meglévő műtárgyak esetében a 4.2.7.4. pont,
- vágány esetében a 4.2.6. pont.
(9) A személyszállítási csomópontokra, az árufuvarozási csomópontokra és a csatlakozó vonalakra adott esetben a fenti forgalomtípuskódok vonatkoznak.
(10) Az (EU) 2016/797 irányelv 4. cikkének (7) bekezdésével összhangban, amely arról rendelkezik, hogy az ÁME-k nem akadályozhatják a tagállamokat az ÁME-k hatályán kívül eső járművek mozgatására szolgáló infrastruktúra használatára vonatkozó döntések meghozatalában, megengedett olyan új és korszerűsített vonalak tervezése, amelyek lehetővé teszik:
- nagyobb méretszelvény,
- nagyobb tengelyterhelés,
- nagyobb pályasebesség,
- nagyobb hasznos peronhossz,
- nagyobb vonathossz
alkalmazását annál, mint a 2. és 3. táblázatban megadottak.
(11) (nem használt)
(12) A vonal egyes meghatározott részeit azon teljesítményparaméterek bármelyike vagy mindegyike tekintetében, mint a pályasebesség, a hasznos peronhossz és a vonathossz, a 2. és a 3. táblázatban meghatározottaktól kisebbre is lehet tervezni, amennyiben azt földrajzi, várostervezési vagy környezetvédelmi korlátozások kellőképpen indokolják.
4.2.2. Az infrastruktúra alrendszerre jellemző alapvető paraméterek
4.2.2.1. Alapvető paraméterek jegyzéke
Az infrastruktúra alrendszerre jellemző, a 2.1. pontban felsorolt szempontok szerint csoportosított alapvető paraméterek a következők:
A. Vonalkialakítás:
a) Űrszelvény (4.2.3.1.),
b) Vágánytengely-távolság (4.2.3.2.),
c) Legnagyobb lejtés (4.2.3.3.),
d) Legkisebb vízszintes ívsugár (4.2.3.4.),
e) Legkisebb függőleges ívsugár (4.2.3.5.).
B. Vágányparaméterek:
a) Névleges nyomtávolság (4.2.4.1.),
b) Túlemelés (4.2.4.2.),
c) Túlemeléshiány (4.2.4.3.),
d) Túlemeléshiány átmenet nélküli változása (4.2.4.4.),
e) Egyenértékű kúposság (4.2.4.5.),
f) Sínfejprofil folyóvágányhoz (4.2.4.6.),
g) Síndőlés (4.2.4.7.),
C. Váltók és keresztezések
a) Váltók és keresztezések tervezési geometriája (4.2.5.1.),
b) Mozgó csúcsbetétes keresztezések használata (4.2.5.2.),
c) Kettős keresztezések maximális vezetetlen hossza (4.2.5.3.),
D. A vágány alkalmazott terheléssel szembeni ellenállása
a) A vágány függőleges terheléssel szembeni ellenállása (4.2.6.1.),
b) A vágány hosszanti erőkkel szembeni ellenállása (4.2.6.2.),
c) A vágány oldalirányú erőkkel szembeni ellenállása (4.2.6.3.),
E. A műtárgyak forgalmi terheléssel szembeni ellenállása
a) Új hidak forgalmi terheléssel szembeni ellenállása (4.2.7.1.),
b) Új földmunkák egyenértékű függőleges terhelése és új műtárgyakat érő földnyomás (4.2.7.2.),
c) Vágányok feletti vagy melletti új műtárgyak ellenállása (4.2.7.3.),
d) Meglévő hidak és földmunkák forgalmi terheléssel szembeni ellenállása (4.2.7.4.),
F. Azonnali tevékenységvégzési határértékek a vágánygeometria hiányosságai tekintetében
a) Azonnali tevékenységvégzési határérték az irány tekintetében (4.2.8.1.),
b) Azonnali tevékenységvégzési határérték a fekszint tekintetében (4.2.8.2.),
c) Azonnali tevékenységvégzési határérték a síktorzulás tekintetében (4.2.8.3.),
d) Azonnali tevékenységvégzési határérték a nyomtávolsággal kapcsolatos lokális hiba tekintetében (4.2.8.4.),
e) Azonnali tevékenységvégzési határérték a túlemelés tekintetében (4.2.8.5.),
f) Azonnali tevékenységvégzési határértékek a váltók és keresztezések tekintetében (4.2.8.6.),
G. Peronok
a) Hasznos peronhossz (4.2.9.1).,
b) Peronmagasság (4.2.9.2.),
c) Peron-oldaltávolság (4.2.9.3.),
d) Pályakialakítás a peronok mentén (4.2.9.4.),
H. Egészségvédelem, biztonság és környezetvédelem
a) Maximális nyomásingadozás alagutakban (4.2.10.1.),
b) Az oldalszél hatása (4.2.10.2.),
c) Zúzottkő-ágyazatú vágányokat érő aerodinamikai hatás (4.2.10.3.),
I. Az üzemeltetésre vonatkozó rendelkezések
a) Szelvényjelzők (4.2.11.1.),
b) Egyenértékű kúposság üzem közben (4.2.11.2.)
J. A vonatokat kiszolgáló, helyhez kötött berendezések
a) Általános megjegyzések (4.2.12.1.),
b) WC-tartály ürítés (4.2.12.2.),
c) A vonat külső tisztítására szolgáló eszközök (4.2.12.3.),
d) Vízfeltöltés (4.2.12.4.),
e) Üzemanyag-feltöltés (4.2.12.5.),
f) Pályamenti áramellátás (4.2.12.6.),
K. Karbantartási szabályok
a) Karbantartási dokumentáció (4.5.1),
b) Karbantartási terv (4.5.2).
4.2.2.2. Az alapvető paraméterekre vonatkozó követelmények
(1) Ezeket a követelményeket a következő pontok ismertetik, minden olyan egyedi feltétellel együtt, amelyek az érintett paraméterekre és kapcsolódási pontokra alkalmazhatók.
(2) A megadott alapvető paraméterek értékei legfeljebb 350 km/h pályasebességig érvényesek.
(3) Írország és az Egyesült Királyság esetében, utóbbinál azonban csak az észak-írországi hálózat tekintetében, a megadott alapvető paraméterek értékei legfeljebb 165 km/h pályasebességig érvényesek.
(4) Több sínből álló vágányok esetében ezen ÁME követelményeit a külön vágányként történő üzemre tervezett minden sínpárra önállóan kell alkalmazni.
(5) A különös esetnek minősülő vonalakra vonatkozó követelményeket a 7.7. pont tartalmazza.
(6) Az eltérő névleges nyomtávolságok közötti átmenetet biztosító eszközökkel felszerelt rövid vágányszakaszok megengedettek.
(7) A leírt követelmények a normál üzem körülményei közötti alrendszerre vonatkoznak. Az olyan munkálatok esetleges következményeivel, amelyekhez az alrendszer teljesítménye tekintetében ideiglenes kivételekre lehet szükség, a 4.4. pont foglalkozik.
(8) A vonatok teljesítménye egyedi rendszerek, például billenőszekrényes rendszer alkalmazásával fokozható. Az ilyen vonatok közlekedésére különleges feltételek vonatkozhatnak, amennyiben ez nem jár korlátozásokkal az ilyen rendszerrel nem felszerelt többi vonatra nézve.
4.2.3. Vonalkialakítás
4.2.3.1. Űrszelvény
(1) Az űrszelvény felső részét a 4.2.1. pont szerint kiválasztott szelvények alapján kell meghatározni, amelyeket a T. függelék [3] indexszámmal jelölt sorában említett előírás határoz meg.
(2) Az űrszelvény alsó részének a T. függelék [3] indexszámmal jelölt sorában említett előírásban meghatározott GI2 típusúnak kell lennie. Amennyiben a vágányok vágányfékkel vannak ellátva, az alsó rész tekintetében az ugyanabban az előírásban meghatározott GI1 szelvényt kell alkalmazni.
(3) Az űrszelvényre vonatkozó számításokat a T. függelék [3] indexszámmal jelölt sorában említett előírás szerinti követelményeknek megfelelő kinematikus módszerrel kell elvégezni.
(4) Az (1)-(3) pontban foglaltak helyett, az 1 520 mm-es nyomtávolság esetében a 4.2.1. pontnak megfelelően kiválasztott valamennyi forgalomtípuskód az egységes S űrszelvénnyel alkalmazandó, az ezen ÁME H. függelékében meghatározottak szerint.
(5) Az (1)-(3) pontban foglaltak helyett, az 1 600 mm-es nyomtávolság esetében a 4.2.1. pontnak megfelelően kiválasztott valamennyi forgalomtípuskód az egységes IRL1 űrszelvénnyel alkalmazandó, az ezen ÁME O. függelékében meghatározottak szerint.
4.2.3.2. Vágánytengely-távolság
(1) A vágánytengely-távolságot a 4.2.1. pont szerint kiválasztott méretszelvények alapján kell meghatározni.
(2) Az új vonalak tekintetében a tervezéshez meg kell határozni a névleges vízszintes vágánytengely-távolságot, amely nem lehet kisebb a 4. táblázatban megadott értékeknél; figyelembe kell venni az aerodinamikai hatásokkal kapcsolatos határértékeket is.
4. táblázat
A legkisebb névleges vízszintes vágánytengely-távolság
| A legnagyobb megengedett sebesség (km/h) | A legkisebb névleges vízszintes vágánytengely-távolság (m) |
| 160 < v ≤ 200 | 3,80 |
| 200 < v ≤ 250 | 4,00 |
| 250 < v ≤ 300 | 4,20 |
| v > 300 | 4,50 |
(3) A vágánytengely-távolságnak meg kell felelnie legalább a T. függelék [3] indexszámmal jelölt sorában említett előírás szerinti azon követelményeknek, amelyek a vágánytengely-távolság építési határértékére vonatkoznak.
(4) Az (1)-(3) pontban foglaltak helyett, az 1 520 mm-es nyomtávolság esetében a tervezéshez meg kell határozni a névleges vízszintes vágánytengely-távolságot, amely nem lehet kisebb a 5. táblázatban megadott értékeknél; figyelembe kell venni az aerodinamikai hatásokkal kapcsolatos határértékeket is.
5. táblázat
A legkisebb névleges vízszintes vágánytengely-távolság az 1 520 mm-es nyomtávolság esetében
| A legnagyobb megengedett sebesség (km/h) | A legkisebb névleges vízszintes vágánytengely-távolság (m) |
| v ≤ 160 | 4,10 |
| 160 < v ≤ 200 | 4,30 |
| 200 < v ≤ 250 | 4,50 |
| v > 250 | 4,70 |
(5) A (2) pontban foglaltak helyett, az 1 668 mm-es nyomtávolság esetében a tervezéshez meg kell határozni a névleges vízszintes vágánytengely-távolságot, amely nem lehet kisebb a 6. táblázatban megadott értékeknél; figyelembe kell venni az aerodinamikai hatásokkal kapcsolatos határértékeket is.
6. táblázat
A legkisebb névleges vízszintes vágánytengely-távolság az 1 668 mm-es nyomtávolság esetében
| A legnagyobb megengedett sebesség (km/h) | A legkisebb névleges vízszintes vágánytengely-távolság (m) |
| 160 < V ≤ 200 | 3,92 |
| 200 < V < 250 | 4,00 |
| 250 ≤ V ≤ 300 | 4,30 |
| 300 < V ≤ 350 | 4,50 |
(6) Az (1)-(3) pontban foglaltak helyett, az 1 600 mm-es nyomtávolság esetében a vágánytengely-távolságot a 4.2.1. pont szerint kiválasztott szelvények alapján kell meghatározni. A tervezéshez meg kell határozni a névleges vízszintes vágánytengely-távolságot, amely az IRL1 szelvény esetében nem lehet kisebb 3,57 m-nél; figyelembe kell venni az aerodinamikai hatásokkal kapcsolatos határértékeket is.
4.2.3.3. Legnagyobb lejtés
(1) Az új vonalakon a vágányok lejtése az utasperonok mellett nem lehet nagyobb, mint 2,5 mm/m, amennyiben járművek rendszeres össze és szétkapcsolását tervezik.
(2) A vonatok tárolására szolgáló új vágányok lejtésének és emelkedésének szöge nem haladhatja meg a 2,5 mm/m-t, kivéve, ha a vasúti járművek elgurulásának megakadályozására külön rendelkezés van.
(3) A tervezési szakaszban a személyforgalomra szánt új P1 vonalaknál a fővágányokra 35 mm/m meredekségű lejtési szögeket lehet engedélyezni a szélsőértékekre vonatkozó alábbi követelmények teljesülése esetén:
a) a mozgó átlagprofil lejtése 10 km-en legfeljebb 25 mm/m;
b) a folyamatos 35 mm/m emelkedő legfeljebb 6 km hosszú szakaszon tart.
4.2.3.4. Legkisebb vízszintes ívsugár
A legkisebb tervezett vízszintes ívsugarat a pályaívre tervezett helyi tervezési sebesség figyelembevételével kell megválasztani.
(1) Új vonalak esetében a legkisebb tervezett vízszintes ívsugár legalább 150 m.
(2) A kis sugarú elleníveket, a rendező-pályaudvarokon lévő ellenívek kivételével, amelyeken a kocsikat egyesével tolatják, az új vonalak esetében úgy kell megtervezni, hogy elkerülhető legyen az ütközők összeakadása.
A pályaívek közötti egyenes közbenső pályaelemekre a T. függelék [4] indexszámmal jelölt sorában említett előírást kell alkalmazni, amelynek értékei az ugyanazon előírásban meghatározott referenciajárműveken alapulnak. Egyes meglévő és a fenti feltételeknek nem megfelelő járművek esetében - az összeakadás elkerülése érdekében - a pályahálózat-működtető hosszabb közbenső elemet is előírhat.
Az íves közbenső pályaelemek tekintetében részletes számítást kell végezni a vég-ívpótlék különbségek nagyságának megállapítására.
(3) A (2) pontban foglaltak helyett, az 1 520 mm-es nyomtávolság esetében a 150-250 m ívsugártartományba eső elleníveket úgy kell megtervezni, hogy a pályaívek között legyen egy legalább 15 m hosszú egyenes pályaszakasz.
4.2.3.5. Legkisebb függőleges ívsugár
(1) A függőleges ívek sugarának (a rendező-pályaudvari gurítódombok kivételével) domború lejttörésben legalább 500 m, homorú lejttörésben pedig legalább 900 m hosszúnak kell lennie.
(2) Rendező-pályaudvari gurítódombok esetében a függőleges ívek sugarának domború lejttörésben legalább 250 m, homorú lejttörésben pedig legalább 300 m hosszúnak kell lennie.
(3) Az (1) pontban foglaltak helyett, az 1 520 mm-es nyomtávolság esetében (a rendező-pályaudvari gurítódombok kivételével) a függőleges ívek sugarának domború és homorú lejttörésben egyaránt legalább 5 000 m hosszúnak kell lennie.
(4) A (2) pontban foglaltak helyett, az 1 520 mm-es nyomtávolság esetében a rendező-pályaudvari gurítódombok tekintetében a függőleges ívek sugarának domború lejttörésben legalább 350 m, homorú lejttörésben pedig legalább 250 m hosszúnak kell lennie.
4.2.4. Vágányparaméterek
4.2.4.1. Névleges nyomtávolság
(1) A szabványos európai névleges nyomtávolság 1 435 mm.
(2) Az (1) pontban foglaltak helyett, az 1 520 mm-es nyomtávolság esetében a névleges nyomtávolság 1 520 mm.
(3) Az (1) pontban foglaltak helyett, az 1 668 mm-es nyomtávolság esetében a névleges nyomtávolság 1 668 mm.
(4) Az (1) pontban foglaltak helyett, az 1 600 mm-es nyomtávolság esetében a névleges nyomtávolság 1 600 mm.
4.2.4.2. Túlemelés
(1) A tervezési túlemelés határértékeit a 7. táblázat tartalmazza.
7. táblázat
Tervezési túlemelés (mm)
| Teher- és vegyes forgalom | Személyforgalom | |
| Ágyazatos vágány | 160 | 180 |
| Ágyazat nélküli vágány | 170 | 180 |
(2) Olyan állomási peronok melletti vágányok tekintetében, amelyeknél normál üzemben a vonatok megállnak, a tervezési túlemelés nem haladhatja meg a 110 mm-t.
(3) Új vegyes- vagy teherforgalmi vonalak esetében a 305 m-nél kisebb sugarú és 1 mm/m-nél meredekebb túlemelés-változással bíró pályaíveken a túlemelés mértékét az alábbi képlet által megadott határértékre kell korlátozni:
D ≤ (R - 50)/1,5
ahol D a túlemelés (mm-ben), R pedig a sugár (m-ben).
(4) Az (1)-(3) pontban foglaltak helyett, az 1 520 mm-es nyomtávolság esetében a tervezési túlemelés nem haladhatja meg a 150 mm-t.
(5) Az (1) pontban foglaltak helyett, az 1 668 mm-es nyomtávolság esetében a tervezési túlemelés nem haladhatja meg a 185 mm-t.
(6) A (2) pontban foglaltak helyett, az 1 668 mm-es nyomtávolság esetében az olyan állomási peronok melletti vágányok tekintetében, amelyeknél normál üzemben a vonatok megállnak, a tervezési túlemelés nem haladhatja meg a 125 mm-t.
(7) A (3) pontban foglaltak helyett, az 1 668 mm-es nyomtávolságú rendszerben új vegyes- vagy teherforgalmi vonalak esetében a 250 m-nél kisebb sugarú pályaíveken a túlemelés mértékét az alábbi képlet által megadott határértékre kell korlátozni:
D ≤ 0,9 * (R - 50)
ahol D a túlemelés (mm-ben), R pedig a sugár (m-ben).
(8) Az (1) pontban foglaltak helyett, az 1 600 mm-es nyomtávolság esetében a tervezési túlemelés nem haladhatja meg a 185 mm-t.
4.2.4.3. Túlemeléshiány
(1) A legnagyobb túlemeléshiány-értékeket a 8. táblázat tartalmazza.
8. táblázat
A legnagyobb túlemeléshiány (mm)
| Tervezési sebesség (km/h) | v ≤ 160 | 160 < v ≤ 300 | v > 300 |
| A mozdonyokra és személyszállító járművekre vonatkozó ÁME-nek megfelelő járművek üzeme | 153 | 100 | |
| A teherkocsikra vonatkozó ÁME-nek megfelelő járművek üzeme | 130 | — | — |
(2) A magasabb túlemeléshiány-értékek melletti futás megengedhető a kifejezetten magas túlemeléshiány melletti futásra tervezett vonatok esetében (például a 2. táblázatban meghatározottaknál alacsonyabb tengelyterhelésű többrészes egységek; a pályaíven haladást segítő speciális berendezéssel ellátott járművek), amennyiben igazolható, hogy az ilyen működés biztonságos.
(3) Az (1) pontban foglaltak helyett, az 1 520 mm-es nyomtávolságú rendszerben a túlemeléshiány a járművek egyik típusa esetében sem haladhatja meg a 115 mm-t. Ez 200 km/h sebességhatárig érvényes.
(4) Az (1) pontban foglaltak helyett, az 1 668 mm-es nyomtávolságra nézve a legnagyobb túlemeléshiány-értékeket a 9. táblázat tartalmazza.
9. táblázat
A legnagyobb túlemeléshiány az 1 668 mm-es nyomtávolság esetében
| Tervezési sebesség (km/h) | v ≤ 160 | 160 < v ≤ 300 | v > 300 |
| A mozdonyokra és személyszállító járművekre vonatkozó ÁME-nek megfelelő járművek üzeme | 175 | 115 | |
| A teherkocsikra vonatkozó ÁME-nek megfelelő járművek üzeme | 150 | — | — |
4.2.4.4. A túlemeléshiány átmenet nélküli változása
(1) A túlemeléshiány átmenet nélküli változásának legnagyobb értékei a következők:
a) 130 mm, ha V ≤ 60 km/h,
b) 125 mm, ha 60 km/h < V ≤ 200 km/h,
c) 85 mm, ha 200 km/h < V ≤ 230 km/h,
d) 25 mm, ha V > 230 km/h.
(2) Amennyiben V ≤ 40 km/h és a túlemeléshiány ≤ 75 mm a görbület átmenet nélküli változása előtt és után, a túlemeléshiány átmenet nélküli változása elérheti a 150 mm-t.
(3) Az (1) és (2) pontban foglaltak helyett, az 1 520 mm-es nyomtávolság esetében a túlemeléshiány átmenet nélküli változásának legnagyobb értékei a következők:
a) 115 mm, ha V ≤ 200 km/h,
b) 85 mm, ha 200 km/h < V ≤ 230 km/h,
c) 25 mm, ha V > 230 km/h.
(4) Az (1) pontban foglaltak helyett, az 1 668 mm-es nyomtávolság esetében a túlemeléshiány átmenet nélküli változásának legnagyobb tervezési értékei a következők:
a) 150 mm, ha V ≤ 45 km/h,
b) 115 mm, ha 45 km/h < V ≤ 100 km/h,
c) (399-V)/2,6 [mm], ha 100 km/h < V ≤ 220 km/h,
d) 70 mm, ha 220 km/h < V ≤ 230 km/h,
e) A túlemeléshiány átmenet nélküli változása nem engedélyezett 230 km/h menetsebesség felett.
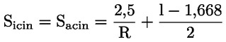
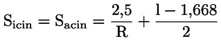
4.2.4.5. Egyenértékű kúposság
(1) Az egyenértékű kúposság 10. táblázatban feltüntetett határértékeit a kerékpár oldalsó kitérésének amplitúdójára (y) kell kiszámolni:
| — y = 3mm, | ha (TG – SR) ≥ 7mm |
| — [Kép #1] , | ha 5mm ≤ (TG – SR) < 7mm |
| — y = 2mm, | ha (TG – SR) < 5mm |

Kép #1
ahol TG a nyomtávolság és SR a kerékpár nyomkarimájának érintkező felületei közötti távolság (nyomjáték).
(2) A váltók és keresztezések esetében az egyenértékű kúposságot nem szükséges értékelni.
(3) Folyóvágány esetében a tervezési nyomtávot, a sínfejprofilt és a síndőlést úgy kell kiválasztani, hogy biztosítsák az egyenértékű kúposság 10. táblázatban megállapított határértékek betartását.
10. táblázat
Az egyenértékű kúposság tervezési határértékei
| Kerékprofil | |
| Sebességtartomány (km/h) | S1002, GV1/40 |
| v ≤ 60 | Nincs szükség értékelésre |
| 60 < v ≤ 200 | 0,25 |
| 200 < v ≤ 280 | 0,20 |
| v > 280 | 0,10 |
(4) A T. függelék [6] indexszámmal jelölt sorában említett előírásban meghatározott következő kerékpárokat úgy kell megtervezni, hogy megfeleljenek a tervezett (a T. függelék [5] indexszámmal jelölt sorában említett előírásnak megfelelő számítással szimulált) pályafeltételeknek:
a) S 1002, SR1;
b) S 1002, SR2;
c) GV 1/40, SR1;
d) GV 1/40, SR2;
Az SR1 és az SR2 tekintetében a következő értékek alkalmazandók:
a) Az 1 435 mm es nyomtávolság esetében: SR1 = 1 420 mm és SR2 = 1 426 mm.
b) Az 1 524 mm es nyomtávolság esetében: SR1 = 1 505 mm és SR2 = 1 511 mm.
c) Az 1 600 mm es nyomtávolság esetében: SR1 = 1 585 mm és SR2 = 1 591 mm.
d) Az 1 668 mm es nyomtávolság esetében: SR1 = 1 653 mm és SR2 = 1 659 mm.
(5) Az (1)-(4) pontban foglaltak helyett, az 1 520 mm-es nyomtávolságra nézve az egyenértékű kúposságot nem szükséges értékelni.
4.2.4.6. Sínfejprofil folyóvágányhoz
(1) A sínfejprofilt a T. függelék [7] indexszámmal és [8] indexszámmal jelölt sorában említett előírások egyikében megállapított tartományból kell kiválasztani, vagy a sínfejprofilnak összhangban kell lennie a (2) pontban meghatározottakkal.
(2) A folyóvágány sínfejprofiljainak kialakítása a következőket foglalja magában:
a) a sínfej vezetőfelületének oldalirányú dőlése a sínfej függőleges tengelyéhez képest a függőleges és 1/16 között legyen;
b) a vezetőfelület tetőpontja és a futófelület függőleges távolsága 20 mm-nél kevesebb;
c) a futóélen legalább 12 mm sugarú a lekerekítés;
d) a sínkorona és az érintőpont közötti vízszintes távolság 31 és 37,5 mm között legyen.
1. ábra
Sínfejprofil

(3) Ezek az előírások nem alkalmazandók vágánydilatációs szerkezetek esetében.
4.2.4.7. Síndőlés
4.2.4.7.1. Folyóvágány
(1) A sínnek a vágánytengely felé kell dőlnie.
(2) A 60 km/h-nál nagyobb sebességgel való közlekedésre tervezett vágányok esetében egy adott útvonal síndőlését az 1/20 és 1/40 közötti tartományból kell kiválasztani.
(3) A kitérők közötti, 100 m-t meg nem haladó szakaszokon megengedett a sínek dőlés nélküli fektetése, amennyiben a menetsebesség legfeljebb 200 km/h.
4.2.4.7.2. Kitérőkre vonatkozó követelmények
(1) A sínt függőlegesre vagy döntöttre kell tervezni.
(2) Ha a sín döntött, síndőlése 1/20 vagy 1/40 legyen.
(3) A dőlés megadható a sínfejprofil aktív részének alakjával.
(4) Olyan kitérőkben, amelyekben a menetsebesség több mint 200 km/h, de kevesebb mint 250 km/h, megengedett a sínek dőlés nélküli fektetése, feltéve, hogy ez az 50 m-t meg nem haladó szakaszokra korlátozódik.
(5) 250 km/h vagy annál nagyobb sebességű szakaszok esetében a síneket meg kell dönteni.
4.2.5. Váltók és keresztezések
4.2.5.1. Váltók és keresztezések tervezési geometriája
Ezen ÁME 4.2.8.6. pontja meghatározza az azonnali tevékenységvégzési határértéket azon váltók és keresztezések tekintetében, amelyek összhangban állnak a kerékpárok járművekre vonatkozó ÁME-ben meghatározott geometriai jellemzőivel. A pályahálózat-működtető feladata dönteni a karbantartási tervéhez illeszkedő geometriai tervezési értékekről.
4.2.5.2. Mozgó csúcsbetétes keresztezések használata
250 km/h vagy annál nagyobb sebesség esetén a kitérőket el kell látni mozgó keresztezési csúcsokkal.
4.2.5.3. Kettős keresztezések maximális vezetetlen hossza
A kettős keresztezések maximális vezetetlen hossza tervezési értékének meg kell felelnie az ezen ÁME J. függelékében meghatározott követelményeknek.
4.2.6. A vágány alkalmazott terheléssel szembeni ellenállása
4.2.6.1. A vágány függőleges terheléssel szembeni ellenállása
A vágányt, ideértve a kitérőket is, legalább a következő erők figyelembevételével kell megtervezni:
a) a 4.2.1. pont szerint kiválasztott tengelyterhelés;
b) legnagyobb függőleges kerékerő. A legnagyobb kerékerőt a meghatározott vizsgálati körülmények mellett a T. függelék [9] indexszámmal jelölt sorában említett előírás határozza meg;
c) kvázi statikus függőleges kerékerő. A legnagyobb kvázi statikus függőleges kerékerőt a meghatározott vizsgálati körülmények mellett a T. függelék [9] indexszámmal jelölt sorában említett előírás határozza meg.
4.2.6.2. A vágány hosszirányú erőkkel szembeni ellenállása
4.2.6.2.1. Tervezési erők
A vágányt, ideértve a kitérőket is, úgy kell megtervezni, hogy a 4.2.1. ponttal összhangban választott teljesítményparaméterek tekintetében ellenálljon a 2.5 m/s2assulásból (fékezésből) származó erővel egyenértékű hosszirányú erőknek.
4.2.6.2.2. Fékrendszerekkel való összeegyeztethetőség
(1) A vágányokat, ideértve a kitérőket is, úgy kell megtervezni, hogy összeegyeztethetők legyenek a vészfékezéshez használt mágneses fékrendszerek alkalmazásával.
(2) Az örvényáramú fékrendszerek vágányon történő használatára vonatkozó rendelkezéseket üzemeltetési szinten a pályahálózat-működtető határozza meg a vágány egyedi jellemzői alapján, ideértve a váltókat és keresztezéseket is. E fékrendszer használatának feltételei az (EU) 2019/777 bizottsági végrehajtási rendeletnek ( 5 ) (infrastruktúra-nyilvántartás) megfelelően kerülnek nyilvántartásba vételre.
(3) Az 1 600 mm-es nyomtávolságú rendszer esetében az (1) pont figyelmen kívül hagyható.
4.2.6.3. A vágány oldalirányú erőkkel szembeni ellenállása
A vágányt, ideértve a kitérőket is, legalább a következő erők figyelembevételével kell megtervezni:
a) oldalirányú erők; a kerékpár által a vágányra kifejtett legnagyobb oldalirányú kerékerőt a meghatározott vizsgálati körülmények mellett a T. függelék [9] indexszámmal jelölt sorában említett előírás határozza meg;
b) kvázi statikus vezető erők; a legnagyobb Yqst kvázi statikus vezető erőket a meghatározott ívsugarak és a meghatározott vizsgálati körülmények mellett a T. függelék [9] indexszámmal jelölt sorában említett előírás határozza meg.
4.2.7. A műtárgyak forgalmi terheléssel szembeni ellenállása
A T. függelék [10] indexszámmal és [11] indexszámmal jelölt sorában említett előírásoknak az ÁME e pontjában meghatározott követelményeit adott esetben az előírások nemzeti mellékleteinek megfelelő pontjaival összhangban kell alkalmazni.
4.2.7.1. Az új hidak forgalmi terheléssel szembeni ellenállása
4.2.7.1.1. Függőleges terhelések
(1) A hidakat úgy kell megtervezni, hogy a T. függelék [10] indexszámmal jelölt sorában említett előírásban meghatározott alábbi terhelési modellekkel összhangban elviseljék a függőleges terhelést:
a) a T. függelék [10] indexszámmal jelölt sorában említett előírás szerinti LM71-es terhelési modell;
b) ezen túlmenően a folytatólagos többtámaszú hidakra vonatkozóan a T. függelék [10] indexszámmal jelölt sorában említett előírásban megállapított SW/0 terhelési modell.
(2) A terhelési modelleket meg kell szorozni a T. függelék [10] indexszámmal jelölt sorában említett előírásban megállapított alfa (α) tényezővel.
(3) Az alfa (α) tényező értékének a 11. táblázatban meghatározott értékeknél nagyobbnak vagy azokkal egyenlőnek kell lennie.
11. táblázat
Az alfa (α) tényező az új hidak tervezéséhez
| A forgalom típusa | Az alfa (α) tényező legkisebb értéke |
| P1, P2, P3, P4 | 1,0 |
| P5 | 0,91 |
| P6 | 0,83 |
| P1520 | 1 |
| P1600 | 1,1 |
| F1, F2, F3 | 1,0 |
| F4 | 0,91 |
| F1520 | 1,46 |
| F1600 | 1,1 |
4.2.7.1.2. A függőleges terhek dinamikus hatásának figyelembevétele
(1) Az LM71-es és az SW/0 terhelési modellből fakadó terheket növelni kell a T. függelék [10] indexszámmal jelölt sorában említett előírásban megállapított fí (Φ) dinamikus tényezővel.
(2) A 200 km/h-nál nagyobb sebességre tervezett hidak esetében, amelyekre vonatkozóan a T. függelék [10] indexszámmal jelölt sorában említett előírás dinamikus elemzés elvégzését írja elő, a híd kialakításához figyelembe kell venni a T. függelék [10] indexszámmal jelölt sorában említett előírásban megállapított HSLM (nagysebességű) terhelési modellt is.
(3) Az új hidak úgy is kialakíthatók, hogy azok kiszolgálhassanak egyedi, a HSLM modell szerintinél nagyobb tengelyterhelésű személyvonatokat. A dinamikus vizsgálat során az egyedi vonat karakterisztikus teherértékét a normál hasznos terhelés tervezési tömegeként kell számításba venni a K. függelékkel összhangban; ezenfelül figyelembe lehet venni az állóhelyeken lévő utasok tömegét a K. függelék 1. megjegyzése szerint.
4.2.7.1.3. Centrifugális erő
Amennyiben a hídon lévő pálya a híd teljes hosszúságán vagy annak egy részén körívben halad, a hidak tervezésekor a T. függelék [10] indexszámmal jelölt sorában említett előírásban megállapítottak szerint figyelembe kell venni a centrifugális erőt.
4.2.7.1.4. Oldallökő erő
A hidak tervezésekor figyelembe kell venni az oldallökő erőt a T. függelék [10] indexszámmal jelölt sorában említett előírásban megállapítottak szerint.
4.2.7.1.5. A vontatás és a fékezés miatti hatások (hosszirányú terhelések)
A hidak tervezésekor figyelembe kell venni a vontatási- és fékezőerőt a T. függelék [10] indexszámmal jelölt sorában említett előírásban megállapítottak szerint.
4.2.7.1.6. Vasúti forgalmi hatások miatti tervezési síktorzulás
A vasúti forgalmi hatások miatti teljes tervezési síktorzulás a T. függelék [11] indexszámmal jelölt sorában említett előírásban meghatározott értékeket nem haladhatja meg.
4.2.7.2. Új geotechnikai szerkezetek, földmunkák egyenértékű függőleges terhelése és új műtárgyakat érő földnyomás
(1) A geotechnikai szerkezeteket és földmunkákat és a földnyomásokat az LM71-es terhelési modell szerinti függőleges terhelés figyelembevételével kell megtervezni, illetve meghatározni a T. függelék [10] indexszámmal jelölt sorában említett előírásban meghatározottaknak megfelelően.
(2) Az egyenértékű függőleges terhelést meg kell szorozni a T. függelék [10] indexszámmal jelölt sorában említett előírásban meghatározott alfa (α) tényezővel. Az értékének a 11. táblázatban meghatározott értékeknél nagyobbnak vagy azokkal egyenlőnek kell lennie.
4.2.7.3. Vágányok feletti vagy melletti új műtárgyak ellenállása
Az elhaladó vonatok aerodinamikai hatásait figyelembe kell venni a T. függelék [10] indexszámmal jelölt sorában említett előírásban meghatározottaknak megfelelően.
4.2.7.4. Meglévő műtárgyak (hidak, geotechnikai szerkezetek és földmunkák) forgalmi terheléssel szembeni ellenállása
(1) A hidaknak, geotechnikai szerkezeteknek és földmunkáknak meg kell felelniük a kölcsönös átjárhatóság meghatározott szintjének a 4.2.1. pontban említett ÁME-vonalkategóriák szerint.
(2) Az egyes forgalomtípuskódokhoz tartozó műtárgyakra vonatkozó teherbírási minimumkövetelmények az E. függelékben szerepelnek, és teljesülniük kell ahhoz, hogy a vonalat kölcsönösen átjárhatónak lehessen minősíteni.
(3) Az alábbi feltételeknek kell teljesülniük:
a) Amennyiben egy meglévő műtárgy helyett új műtárgy létesül, annak meg kell felelnie a 4.2.7.1. vagy a 4.2.7.2. pont követelményeinek.
b) Ha a meglévő műtárgyak minimum teherbírása megfelel az E. függelékben szereplő követelményeknek, a meglévő műtárgy megfelel a vonatkozó átjárhatósági követelményeknek.
c) Ha a meglévő műtárgy teherbírása nem felel meg az E. függelékben szereplő követelményeknek, és a műtárgy teherbírásának az ÁME előírásainak való megfeleltetése céljából munkálatokat (pl. megerősítést) végeznek (és a műtárgy helyén nem létesül új műtárgy), a műtárgyat az E. függelék követelményeinek megfelelő állapotba kell hozni.
(4) Az Egyesült Királyság (Észak-Írország) hálózataira vonatkozóan a (2) és (3) pontban az EN-vonalkategóriát (az e célból bejelentett nemzeti műszaki szabálynak megfelelően képzett) útvonal-rendelkezésreállási (Route Availability - RA) szám válthatja fel, és ennek megfelelően az E. függelékre való hivatkozást az F. függelékre való hivatkozásként kell érteni.
4.2.8. Azonnali tevékenységvégzési határértékek a vágány geometriai hiányosságai tekintetében
4.2.8.1. Azonnali tevékenységvégzési határérték az irány tekintetében
(1) A lokális irányhibákra vonatkozó azonnali tevékenységvégzési határértékeket a T. függelék [12] indexszámmal jelölt sorában említett előírás határozza meg. A lokális hibák nem haladhatják meg a D1 hullámhossz-tartomány határértékeit.
(2) 300 km/h-t meghaladó sebesség esetén a lokális irányhibákra vonatkozó azonnali tevékenységvégzési határértékek nyitott kérdésnek minősülnek.
4.2.8.2. Azonnali tevékenységvégzési határérték a fekszint tekintetében
(1) A lokális fekszint-hibákra vonatkozó azonnali tevékenységvégzési határértékeket a T. függelék [12] indexszámmal jelölt sorában említett előírás határozza meg. A lokális hibák nem haladhatják meg a D1 hullámhossz-tartomány határértékeit.
(2) 300 km/h-t meghaladó sebesség esetén a lokális fekszint-hibákra vonatkozó azonnali tevékenységvégzési határértékek nyitott kérdésnek minősülnek.
4.2.8.3. Azonnali tevékenységvégzési határérték a síktorzulás tekintetében
(1) Lokális hibaként jelentkező síktorzulás esetén az azonnali tevékenységvégzési határérték nulla és csúcsérték közötti érték. A síktorzulást a T. függelék [13] indexszámmal jelölt sorában említett előírás határozza meg.
(2) A síktorzulás határértéke a T. függelék [12] indexszámmal jelölt sorában említett előírás szerint alkalmazott mérési bázis függvénye.
(3) A pályahálózat-működtető a karbantartási tervben állapítja meg azt a bázishosszúságot, amelyen mérni fogja a vágányt az e követelménynek való megfelelés ellenőrzése érdekében. A bázishosszúság tartalmaz legalább egy olyan mérési bázist, amelynek hossza 2 és 5 m közötti.
(4) Az (1) és (2) pontban foglaltak helyett, az 1 520 mm-es nyomtávolság esetében a síktorzulás mértéke 10 m-es bázishosszúságon nem haladhatja meg a következőket:
a) 16 mm személyforgalmi vonal esetében, ha v > 120 km/h; vagy teherforgalmi vonal esetében, ha v > 80 km/h
b) 20 mm személyforgalmi vonal esetében, ha v ≤ 120 km/h; vagy teherforgalmi vonal esetében, ha v ≤ 80 km/h
(5) A (3) pontban foglaltak helyett, az 1 520 mm-es nyomtávolság esetében a pályahálózat-működtető a karbantartási tervben rögzíti azt a bázishosszúságot, amelyen mérni fogja a vágányt e követelménynek való megfelelés ellenőrzése érdekében. A bázishosszúság tartalmazzon legalább egy 10 m hosszú mérési bázist.
(6) A (2) pontban foglaltak helyett, az 1 668 mm-es nyomtávolság esetében a síktorzulás határértéke a T. függelék [12] indexszámmal jelölt sorában említett előírás szerint alkalmazott mérési bázis függvénye.
4.2.8.4. Azonnali tevékenységvégzési határérték a nyomtávolsággal kapcsolatos lokális hibák tekintetében
(1) A nyomtávolsággal kapcsolatos lokális hibákra vonatkozó azonnali tevékenységvégzési határértékek a 12. táblázat határozza meg.
12. táblázat
Azonnali tevékenységvégzési határértékek a nyomtávolság tekintetében
| Sebesség (km/h) | Méretek (mm) | |
| Legkisebb nyomtáv | Legnagyobb nyomtávolság | |
| V ≤ 120 | 1 426 | 1 470 |
| 120 < V ≤ 160 | 1 427 | 1 470 |
| 160 < V ≤ 230 | 1 428 | 1 463 |
| V > 230 | 1 430 | 1 463 |
(2) Az (1) pontban foglaltak helyett, az 1 520 mm-es nyomtávolságra nézve a nyomtávolsággal kapcsolatos lokális hibákra vonatkozó azonnali tevékenységvégzési határértékeket a 13. táblázat határozza meg.
13. táblázat
A nyomtávolsággal kapcsolatos hibákra vonatkozó azonnali tevékenységvégzési határértékek az 1 520 mm-es nyomtávolság esetében
| Sebesség (km/h) | Méretek (mm) | |
| Legkisebb nyomtávolság | Legnagyobb nyomtávolság | |
| V ≤ 140 | 1 512 | 1 548 |
| V > 140 | 1 512 | 1 536 |
(3) Az (1) pontban foglaltak helyett, az 1 600 mm-es nyomtávolság esetében a nyomtávolsággal kapcsolatos lokális hibákra vonatkozó azonnali tevékenységvégzési határértékek:
a) legkisebb nyomtáv: 1 591 mm
b) legnagyobb nyomtávolság: 1 635 mm.
4.2.8.5. Azonnali tevékenységvégzési határérték a túlemelés tekintetében
(1) Az üzem közben megengedett legnagyobb túlemelés 180 mm.
(2) Személyforgalom számára fenntartott vonalakon az üzem közben megengedett legnagyobb túlemelés 190 mm.
(3) Az (1) és (2) pontban foglaltak helyett, az 1 520 mm-es nyomtávolság esetében az üzem közben megengedett legnagyobb túlemelés 150 mm.
(4) Az (1) és (2) pontban foglaltak helyett, az 1 600 mm-es nyomtávolság esetében az üzem közben megengedett legnagyobb túlemelés 185 mm.
(5) Az (1) és (2) pontban foglaltak helyett, az 1 668 mm-es nyomtávolság esetében az üzem közben megengedett legnagyobb túlemelés 200 mm.
4.2.8.6. Azonnali tevékenységvégzési határérték a váltók és keresztezések tekintetében
2. ábra
Csúcsbetéthegy kialakítása rögzített normál keresztezésben

(1) A váltók és keresztezések műszaki követelményeinek a következő üzem közbeni értékeknek kell megfelelnie:
a) A vezetéstávolság legnagyobb értéke váltókban: 1 380 mm.
Ez az érték növelhető, ha a pályahálózat-működtető bizonyítani tudja, hogy a váltó működtető és rögzítő rendszere képes ellenállni a kerékpárok által kifejtett oldalirányú erőknek.
b) A csúcsnál a vezetéstávolság legkisebb értéke normál keresztezésben: 1 392 mm.
Ezt az értéket a futófelület alatt 14 mm-rel és az elméleti referenciavonalon, a csúcs tényleges pontjától megfelelő távolságban kell mérni a 2. ábrán jelzettek szerint.
Azon keresztezések esetében, amelyeknél csúcsbetéthegy-visszahúzást alkalmaznak, ez az érték csökkenthető. Ebben az esetben a pályahálózat-működtetőnek igazolnia kell, hogy a csúcsbetéthegy visszahúzása elegendő annak garantálására, hogy a kerék a tényleges csúcsnál ne üsse meg a csúcsot.
c) A keresztező könyöksín csúcs felőli éle és a szemközti vezetősín vezetőéle közötti távolság legnagyobb értéke a keresztezési csúcsnál: 1 356 mm.
d) A vezetéstávolság legnagyobb értéke a vezetősín/könyöksín belépési pontnál: 1 380 mm.
e) A nyomcsatorna minimális szélessége: 38 mm.
f) A nyomcsatorna minimális mélysége: 40 mm.
g) A vezetősín legnagyobb magassága: 70 mm.
(2) A kitérőkre vonatkozó valamennyi követelmény a csúcssíneket használó egyéb műszaki megoldásokra, így például a több sínből álló vágányoknál használt oldalelemekre is érvényes.
(3) Az (1) pontban foglaltak helyett, az 1 520 mm-es nyomtávolság esetében a váltók és keresztezések műszaki jellemzőinek a következő üzem közbeni értékeknek kell megfelelniük:
a) A nyitott csúcssín és tősín közötti hézag legkisebb értéke: 65 mm.
b) A csúcsnál a vezetéstávolság legkisebb értéke normál keresztezésben: 1 472 mm.
c) Ezt az értéket a futófelület alatt 13 mm-rel és az elméleti referenciavonalon, a csúcs tényleges pontjától megfelelő távolságban kell mérni a 2. ábrán jelzettek szerint. Azon keresztezések esetében, amelyeknél csúcsbetéthegy-visszahúzást alkalmaznak, ez az érték csökkenthető. Ebben az esetben a pályahálózat-működtetőnek igazolnia kell, hogy a csúcsbetéthegy visszahúzása elegendő annak garantálására, hogy a kerék a tényleges pontnál ne üsse meg a csúcsot.
d) A keresztező könyöksín csúcs felőli éle és a szemközti vezetősín vezetőéle közötti távolság legnagyobb értéke a keresztezési csúcsnál: 1 435 mm.
e) A nyomcsatorna minimális szélessége: 42 mm.
f) A nyomcsatorna minimális mélysége: 40 mm.
g) A vezetősín legnagyobb magassága: 50 mm.
(4) Az (1) pontban foglaltak helyett, az 1 600 mm-es nyomtávolság esetében a váltók és keresztezések műszaki jellemzőinek a következő üzem közbeni értékeknek kell megfelelniük:
a) A vezetéstávolság legnagyobb értéke váltókban: 1 546 mm.
Ez az érték növelhető, ha a pályahálózat-működtető bizonyítani tudja, hogy a váltó működtető és rögzítő rendszere képes ellenállni a kerékpárok által kifejtett oldalirányú erőknek.
b) A csúcsnál a vezetéstávolság legkisebb értéke normál keresztezésben: 1 556 mm.
Ezt az értéket a futófelület alatt 14 mm-rel és az elméleti referenciavonalon, a csúcs tényleges pontjától megfelelő távolságban kell mérni a 2. ábrán jelzettek szerint.
Azon keresztezések esetében, amelyeknél csúcsbetéthegy-visszahúzást alkalmaznak, ez az érték csökkenthető. Ebben az esetben a pályahálózat-működtetőnek igazolnia kell, hogy a csúcsbetéthegy visszahúzása elegendő annak garantálására, hogy a kerék a tényleges pontnál ne üsse meg a csúcsot.
c) A keresztező könyöksín csúcs felőli éle és a szemközti vezetősín vezetőéle közötti távolság legnagyobb értéke a keresztezési csúcsnál: 1 520 mm.
d) A vezetéstávolság legnagyobb értéke a vezetősín/könyöksín belépési pontnál: 1 546 mm.
e) A nyomcsatorna minimális szélessége: 38 mm.
f) A nyomcsatorna minimális mélysége: 40 mm.
g) A vezetősín legnagyobb magassága a pályasín felett: 25 mm.
4.2.9. Peronok
(1) E pont követelményei csak olyan utasperonokra vonatkoznak, amelyeknél normál üzemben a vonatok megállnak.
(2) Az e pont követelményeinek való megfelelés érdekében, az aktuális üzemi követelményeknek megfelelő peron építése megengedett, ha a kivitelezés során biztosítják az ésszerűen előre látható jövőbeni üzemi követelmények kielégítését. Az azon vonatokkal való kapcsolódási felületek meghatározásakor, amelyeknek a peronnál történő megállását tervezik, egyaránt figyelembe kell venni az aktuális üzemi követelményeket és a peron üzembe helyezését követő legalább tíz évre vonatkozóan ésszerűen előre látható üzemi követelményeket is.
4.2.9.1. Hasznos peronhossz
A peron hasznos hosszát a 4.2.1. pontnak megfelelően kell meghatározni.
4.2.9.2. Peronmagasság
(1) 300 m-es vagy annál nagyobb ívsugár esetében a futófelület feletti névleges peronmagasság 550 mm vagy 760 mm.
(2) Kisebb ívsugár esetében a névleges peronmagasságot a peronnak a vágánytengelytől való távolsága függvényében módosítható oly módon, hogy a vonat és a peron közötti távolság minél kisebb legyen.
(3) Azon peronokra, amelyeknél normál üzemben kizárólag az 1302/2014/EU bizottsági rendelet ( 6 ) (mozdonyokra és személyszállító járművekre vonatkozó ÁME) 1.1. pontjának hatálya alól kifejezetten kizárt személyvonatok állnak meg, a névleges peronmagasság tekintetében eltérő rendelkezések vonatkoznak.
(4) Az (1) és (2) pontban foglaltak helyett, az 1 520 mm-es nyomtávolság esetében a futófelület feletti névleges peronmagasság 200 mm vagy 550 mm. Ezeket az értékeket -10/+20 mm tűréssel kell figyelembe venni.
(5) Az (1) és (2) pontban foglaltak helyett, az 1 600 mm-es nyomtávolság esetében a futófelület feletti névleges peronmagasság 915 mm.
4.2.9.3. Peron-oldaltávolság
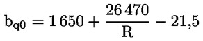
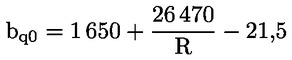
(1) A vágánytengely és a peron széle közötti, haladási síkkal párhuzamosan mért, a T. függelék [3] indexszámmal jelölt sorában említett előírás szerinti távolságot (bq) a peron-oldaltávolság építési határértéke (bqlim) alapján kell meghatározni. A peron-oldaltávolság építési határértékét a G1 szelvény alapján kell kiszámolni.
(2) A peront a vágányhoz közel kell telepíteni, legfeljebb 50 mm-es tűréshatár figyelembevételével. Ezért a bq értéke a következőképpen alakul:
bqlim ≤ bq ≤ bqlim + 50 mm
(3) Az (1) és (2) pontban foglaltak helyett, az 1 520 mm-es nyomtávolságú rendszerben a peron-oldaltávolság:
a) 1 920 mm az 550 mm magasságú peronok esetében, és
b) (4) Az (1) és (2) pontban foglaltak helyett, az 1 600 mm-es nyomtávolságú rendszerben a peron-oldaltávolság 1 560 mm.
4.2.9.4. Pályakialakítás a peronok mentén
(1) A peronok melletti pályának új vonalak esetében lehetőleg egyenesnek kell lennie, de az ív sugara sehol sem lehet kisebb 300 m-nél.
(2) Új, felújított vagy korszerűsített peronok melletti, meglévő pályákra vonatkozóan nem kerülnek meghatározásra értékek.
4.2.10. Egészségvédelem, biztonság és környezetvédelem
4.2.10.1. Maximális nyomásingadozás alagutakban
(1) Bármely, a T. függelék [14] indexszámmal jelölt sorában említett előírásban leírt kategóriákba tartozó új alagutat vagy föld alatti műtárgyat úgy kell kialakítani, hogy az alagúton a legnagyobb megengedett sebességgel áthaladó vonat által okozott maximális nyomásingadozás ne haladja meg a 10 kPA-t azon idő alatt, amíg a vonat az alagúton áthalad.
(2) Az (1) pontban szereplő követelményt valamennyi olyan vonat külső felülete mentén teljesíteni kell, ami megfelel a mozdonyokra és személyszállító járművekre vonatkozó ÁME-nak.
(3) Az infrastruktúra-alrendszer korszerűsítése vagy felújítása esetén a legalább 200 km/h sebességre tervezett alagutat vagy föld alatti műtárgyat úgy kell kialakítani, hogy az alagúton a legnagyobb megengedett sebességgel áthaladó vonat által okozott maximális nyomásingadozás ne haladja meg a 10 kPA-t azon idő alatt, amíg a vonat az alagúton áthalad. Az értékelést a T. függelék [14] indexszámmal jelölt sorában vagy a 6.2.4.12.(1) pontban említett előírásnak megfelelően kell elvégezni, amennyiben az egyszerűsített megfelelőségértékelés alkalmazása nem lehetséges.
4.2.10.2. Az oldalszél hatása
(1) Egy adott vonal akkor kölcsönösen átjárható az oldalszél szempontjából, ha az adott vonalon a legkritikusabb üzemi körülmények között is biztosítva van a referenciavonat biztonsága.
(2) A megfelelőség bizonyítására szolgáló szabályoknak figyelembe kell venniük a mozdonyokra és személyszállító járművekre vonatkozó ÁME-ben meghatározott referenciavonatok jellemző szélgörbéit.
(3) Ha a biztonság akár a földrajzi körülmények miatt, akár a vonal egyéb konkrét jellemzője miatt nem biztosítható kockázatcsökkentő intézkedések nélkül, a pályahálózat-működtető megteszi a szükséges intézkedéseket a stabilitás fenntartására például a következők révén:
- a vonat sebességének lokális csökkentése, lehetőleg ideiglenesen, viharveszély idején,
- olyan berendezések építése, amelyek megvédik az érintett pályaszakaszt az oldalszéltől,
- egyéb megfelelő eszközök.
(4) Igazolni kell, hogy az intézkedések megtételét követően biztosított a biztonság.
4.2.10.3. Zúzottkő-ágyazatú vágányokat érő aerodinamikai hatás
(1) A járművek és az infrastruktúra közötti aerodinamikai kölcsönhatás előidézheti a zúzottkő ágyazatról való felemelkedését és továbbsodródását (ágyazatfelkapás) a folyóvágányon és a váltókon és keresztezésekben. Ennek kockázatát csökkenteni kell.
(2) Az infrastruktúra alrendszernek az ágyazatfelkapás-kockázat csökkentését célzó követelményeit csak a 250 km/h-nál nagyobb sebességű közlekedésre tervezett vonalak esetében kell alkalmazni.
(3) A (2) pont szerinti követelmények nyitott kérdésnek minősülnek.
4.2.11. Az üzemeltetésre vonatkozó rendelkezések
4.2.11.1. Szelvényjelzők
A pálya mentén 1 000 m-t meg nem haladó névleges távolságokban szelvényjelzőket kell elhelyezni.
4.2.11.2. Egyenértékű kúposság üzem közben
(1) Ha menet közbeni instabilitást jelentenek, a vasúttársaság és a pályahálózat-működtető a (2) és (3) pontnak megfelelően közös vizsgálattal megállapítja a vonalszakasz helyét.
Megjegyzés: A közös vizsgálatról a mozdonyokra és személyszállító járművekre vonatkozó ÁME 4.2.3.4.3.2. pontja is rendelkezik a járművekkel kapcsolatos intézkedések tekintetében.
(2) A pályahálózat-működtetőnek a kérdéses helyen körülbelül tízméterenként meg kell mérnie a nyomtávolságot és a sínfejprofilt. A 100 m-re jutó átlagos egyenértékű kúposságot ezen ÁME 4.2.4.5. (4) pontjában említett a)-d) kerékpárokkal való modellezés útján kell kiszámolni annak érdekében, hogy a közös vizsgálat céljából ellenőrizhető legyen a pálya egyenértékű kúpossággal kapcsolatos, 14. táblázatban megadott határértékeinek való megfelelés.
14. táblázat
A vágány üzemközbeni egyenértékű kúpossági határértékei (a közös vizsgálat céljára)
| Sebességtartomány (km/h) | A 100 m-re jutó átlagos egyenértékű kúposság legnagyobb értéke |
| v ≤ 60 | Nincs szükség értékelésre |
| 60 < v ≤ 120 | 0,40 |
| 120 < v ≤ 160 | 0,35 |
| 160 < v ≤ 230 | 0,30 |
| v > 230 | 0,25 |
(3) Ha a 100 m-re jutó átlagos egyenértékű kúposság megfelel a 14. tábla szerinti határértékeknek, a vasúttársaság és a pályahálózat-működtető köteles közös vizsgálatot végezni az instabilitás okának meghatározása érdekében.
4.2.12. A vonatokat kiszolgáló, helyhez kötött berendezések
4.2.12.1. Általános megjegyzések
A 4.2.12. pont a karbantartás alrendszer vonatok kiszolgálásához szükséges infrastruktúraelemeit határozza meg.
4.2.12.2. WC-tartály
A helyhez kötött WC-tartály ürítő berendezéseknek összeegyeztethetőnek kell lenniük a mozdonyok és személyszállító járművek alrendszerre vonatkozó ÁME-ben meghatározott zárt WC-tartály rendszerrel.
4.2.12.3. A vonat külső tisztítására szolgáló eszközök
(1) Mosóberendezés igénybe vétele esetén annak képesnek kell lennie egy- és kétszintes vonatok külső oldalának tisztítására a következő magasságértékek között:
a) 500 és 3 500 mm az egyszintes vonatok esetében,
b) 500 és 4 300 mm a kétszintes vonatok esetében.
(2) A mosóberendezést úgy kell kialakítani, hogy a vonatok azon 2-5 km/h közötti sebességgel haladhassanak át.
4.2.12.4. Vízfeltöltés
(1) A helyhez kötött vízfeltöltő berendezésnek összeegyeztethetőnek kell lennie a mozdonyok és személyszállító járművek alrendszerre vonatkozó ÁME-ben meghatározott vízrendszerrel.
(2) Az emberi fogyasztásra szánt vízzel történő ellátásra szolgáló rögzített berendezéseket az (EU) 2020/2184 európai parlamenti és tanácsi irányelv ( 7 ) követelményeinek megfelelő ivóvízzel kell ellátni.
(3) A járművek emberi fogyasztásra szánt vízzel történő ellátásához használt anyagoknak (pl. tartály, szivattyú, csővezetékek, vízcsap és tömítések anyaga és minősége) meg kell felelniük az emberi fogyasztásra szánt vízre vonatkozó követelményeknek.
4.2.12.5. Üzemanyag-feltöltés
Az üzemanyag-feltöltő berendezésnek összeegyeztethetőnek kell lennie a mozdonyok és személyszállító járművek alrendszerre vonatkozó ÁME-ben meghatározott üzemanyag-feltöltő rendszerrel.
4.2.12.6. Pálya menti áramellátás
A pálya menti áramellátást - ha van - a mozdonyok és személyszállító járművek alrendszerre vonatkozó ÁME-ben meghatározott áramellátó rendszerek egyikével kell biztosítani.
4.3. A kapcsolódási pontokra vonatkozó funkcionális és műszaki előírások
A műszaki összeegyeztethetőség szempontjából az infrastruktúra alrendszer más alrendszerekkel való kapcsolódási pontjait a következő pontok ismertetik.
4.3.1. Kapcsolódási pontok a jármű-alrendszerrel
15. táblázat
Interfészek a mozdonyok és személyszállító járművek alrendszerre vonatkozó ÁME-hoz
| Kapcsolódási pont | Hivatkozás az infrastruktúrára vonatkozó ÁME-ra | Hivatkozás a mozdonyokra és személyszállító járművekre vonatkozó ÁME-ra |
| Nyomtávolság | 4.2.4.1. Névleges nyomtávolság 4.2.5.1. Váltók és keresztezések tervezési geometriája 4.2.8.6. Azonnali tevékenységvégzési határértékek a váltók és keresztezések tekintetében | 4.2.3.5.2.1. A kerékpár mechanikai és geometriai jellemzői 4.2.3.5.2.3. Változtatható nyomtávú kerékpárok |
| Méretszelvény | 4.2.3.1. Űrszelvény 4.2.3.2. Vágánytengely-távolság 4.2.3.5. Legkisebb függőleges ívsugár 4.2.6.3. Peron-oldaltávolság | 4.2.3.1. Szerkesztési szelvény |
| Tengelyterhelés és tengelytáv | 4.2.6.1. A vágány függőleges terheléssel szembeni ellenállása 4.2.6.3. A vágány oldalirányú erőkkel szembeni ellenállása 4.2.7.1. Új hidak forgalmi terheléssel szembeni ellenállása 4.2.7.2. Új földmunkák egyenértékű függőleges terhelése és új műtárgyakat érő földnyomás 4.2.7.4. Meglévő hidak és földmunkák forgalmi terheléssel szembeni ellenállása | 4.2.2.10. Terhelési állapot és terhelt tömeg 4.2.3.2.1. Tengelyterhelési paraméter |
| Menettulajdonságok | 4.2.6.1. A vágány függőleges terheléssel szembeni ellenállása 4.2.6.3. A vágány oldalirányú erőkkel szembeni ellenállása 4.2.7.1.4. Oldallökő erő | 4.2.3.4.2.1. A menetbiztonság határértékei 4.2.3.4.2.2. Vágányterhelési határértékek |
| Menetstabilitás | 4.2.4.4. Egyenértékű kúposság 4.2.4.6. Sínfejprofil folyóvágányhoz 4.2.11.2. Egyenértékű kúposság üzem közben | 4.2.3.4.3. Egyenértékű kúposság 4.2.3.5.2.2. A kerekek mechanikai és geometriai jellemzői |
| Hosszirányú hatások | 4.2.6.2. A vágány hosszanti erőkkel szembeni ellenállása 4.2.7.1.5. A vontatás és a fékezés miatti hatások (hosszirányú terhelések) | 4.2.4.5. Fékhatásosság |
| Legkisebb vízszintes ívsugár | 4.2.3.4. Legkisebb vízszintes ívsugár | 4.2.3.6. Legkisebb ívsugár A., A.1. melléklet Ütközők |
| Menetdinamikai viselkedés | 4.2.4.3. Túlemeléshiány | 4.2.3.4.2. Menetdinamikai viselkedés |
| Legnagyobb lassítás | 4.2.6.2. A vágány hosszanti erőkkel szembeni ellenállása 4.2.7.1.5. A vontatás és a fékezés miatti hatások | 4.2.4.5. Fékhatásosság |
| Aerodinamikai hatás | 4.2.3.2. Vágánytengely-távolság 4.2.7.3. Vágányok feletti vagy melletti új műtárgyak ellenállása 4.2.10.1. Maximális nyomásingadozás alagutakban 4.2.10.3. Zúzottkő-ágyazatú vágányokat érő aerodinamikai hatás | 4.2.6.2.1. Az elhaladó vonatok miatt a peronon tartózkodó utasokat érő légörvényhatás 4.2.6.2.2. Légnyomásimpulzus 4.2.6.2.3. Maximális nyomásingadozás alagutakban 4.2.6.2.5. Zúzottkő-ágyazatú vágányokat érő aerodinamikai hatás |
| Oldalszél | 4.2.10.2. Oldalszél hatása | 4.2.6.2.4. Oldalszél |
| A vonatokat kiszolgáló berendezések | 4.2.12.2. WC-tartály ürítés 4.2.12.3. A vonat külső tisztítására szolgáló eszközök 4.2.12.4. Vízfeltöltés 4.2.12.5. Üzemanyag-feltöltés 4.2.12.6. Pálya menti áramellátás | 4.2.11.3. WC-tartály ürítő rendszer 4.2.11.2.2. Külső tisztítás mosóberendezéssel 4.2.11.5. Kapcsolódási pont vízfeltöltéshez 4.2.11.7. Üzemanyagtöltő berendezés 4.2.11.6. A vonatok tárolásának külön követelményei |
16. táblázat
Interfészek a "járművek - teherkocsik" alrendszerhez
| Kapcsolódási pont | Hivatkozás az infrastruktúrára vonatkozó ÁME-ra | Hivatkozás a teherkocsikra vonatkozó ÁME-ra |
| Nyomtávolság | 4.2.4.1. Névleges nyomtávolság 4.2.4.6. Sínfejprofil folyóvágányhoz 4.2.5.1. Váltók és keresztezések tervezési geometriája 4.2.8.6. Azonnali tevékenységvégzési határértékek a váltók és keresztezések tekintetében | 4.2.3.6.2 Kerékpárok jellemzői 4.2.3.6.3 Kerekek jellemzői |
| Méretszelvény | 4.2.3.1. Űrszelvény 4.2.3.2. Vágánytengely-távolság 4.2.3.5. Legkisebb függőleges ívsugár 4.2.6.3. Peron-oldaltávolság | 4.2.3.1. Szerkesztési szelvény |
| Tengelyterhelés és tengelytáv | 4.2.6.1. A vágány függőleges terheléssel szembeni ellenállása 4.2.6.3. A vágány oldalirányú erőkkel szembeni ellenállása 4.2.7.1. Új hidak forgalmi terheléssel szembeni ellenállása 4.2.7.2. Új földmunkák egyenértékű függőleges terhelése és új műtárgyakat érő földnyomás 4.2.7.4. Meglévő hidak és földmunkák forgalmi terheléssel szembeni ellenállása | 4.2.3.2. A vonalak terhelhetőségével való kompatibilitás |
| Menetdinamikai viselkedés | 4.2.8. Azonnali tevékenységvégzési határértékek a vágány geometriai hiányosságai tekintetében | 4.2.3.5.2. Menetdinamikai viselkedés |
| Hosszirányú hatások | 4.2.6.2. A vágány hosszanti erőkkel szembeni ellenállása 4.2.7.1.5. A vontatás és a fékezés miatti hatások (hosszirányú terhelések) | 4.2.4.3.2. Fékteljesítmény |
| Legkisebb ívsugár | 4.2.3.4. Legkisebb vízszintes ívsugár | 4.2.2.1. Mechanikai kapcsolódási pontok |
| Függőleges ív | 4.2.3.5. Legkisebb függőleges ívsugár | 4.2.3.1. Szerkesztési szelvény |
4.3.2. Kapcsolódási pontok az energiaellátás alrendszerrel
17. táblázat
Kapcsolódási pontok az energiaellátás alrendszerrel
| Kapcsolódási pont | Hivatkozás az infrastruktúrára vonatkozó ÁME-ra | Hivatkozás az energiaellátásra vonatkozó ÁME-re |
| Méretszelvény | 4.2.3.1. Űrszelvény | 4.2.10. Az áramszedő szelvénye |
4.3.3. Kapcsolódási pontok az ellenőrző-irányító és jelző alrendszerrel
18. táblázat
Kapcsolódási pontok az ellenőrző-irányító és jelző alrendszerrel
| Kapcsolódási pont | Hivatkozás az infrastruktúrára vonatkozó ÁME-ra | Hivatkozás az ellenőrző-irányító és jelző eszközökre vonatkozó ÁME-ra |
| Az ellenőrző-irányító és jelző alrendszer berendezéseinek űrszelvényei A pálya menti ellenőrző-irányító és jelző objektumok láthatósága | 4.2.3.1. Űrszelvény | 4.2.5.2. Eurobalise-kommunikáció a vonattal (hely a beszereléshez) 4.2.5.3. Euroloop-kommunikáció a vonattal (hely a beszereléshez) 4.2.10. A pályamenti vonatérzékelő rendszerek (hely a beszereléshez) 4.2.15. A pályamenti ellenőrző-irányító és jelző eszközök láthatósága |
4.3.4. Kapcsolódási pontok a forgalmi szolgálat és forgalomirányítás alrendszerrel
19. táblázat
Kapcsolódási pontok a forgalmi szolgálat és forgalomirányítás alrendszerrel
| Kapcsolódási pont | Hivatkozás az infrastruktúrára vonatkozó ÁME-ra | Hivatkozás a forgalmi szolgálatra és forgalomirányításra vonatkozó ÁME-ra |
| Menetstabilitás | 4.2.11.2. Egyenértékű kúposság üzem közben | 4.2.3.4.4. Üzemeltetési minőség |
| Örvényáramú fékek használata | 4.2.6.2. A vágány hosszanti erőkkel szembeni ellenállása | 4.2.2.6.2. Fékteljesítmény |
| Oldalszél | 4.2.10.2. Oldalszél hatása | 4.2.3.6.3. Vészhelyzeti intézkedések |
| Üzemeltetési szabályok | 4.4. Üzemeltetési szabályok | 4.2.1.2.2.2. Az útvonalkönyvben található információk módosítása 4.2.3.6. Korlátozott üzemmód |
| Személyzet alkalmassága | 4.6. Szakmai alkalmasság | 4.2.1.1. Általános követelmények |
4.4. Üzemeltetési szabályok
(1) Az üzemeltetési szabályok kialakítása a pályahálózat-működtető biztonságirányítási rendszerében rögzített eljárások keretében történik. A szóban forgó szabályok figyelembe veszik az (EU) 2016/797 irányelv 15. cikkének (4) bekezdése szerinti és IV. mellékletében (2.4. pont) meghatározott műszaki dokumentáció részét képező üzemeltetési dokumentációt.
(2) Egyes, előre tervezett munkákat magukban foglaló helyzetekben szükséges lehet az infrastruktúra alrendszer és ezen ÁME 4. és 5. pontjában meghatározott kölcsönös átjárhatóságot lehetővé tévő rendszerelemei előírásainak ideiglenes felfüggesztése.
4.5. Karbantartási szabályok
(1) A karbantartási szabályok kialakítása a pályahálózat-működtető biztonsági irányítási rendszerében rögzített eljárások keretében történik.
(2) A karbantartási dokumentációt az adott vonal üzembe helyezése előtt - a hitelesítési nyilatkozatot kísérő műszaki dokumentáció részeként - kell elkészíteni.
(3) Az alrendszer karbantartási terve annak biztosítására szolgál, hogy az ÁME-ben szereplő követelmények a teljes élettartam során teljesülnek.
4.5.1. Karbantartási dokumentáció
A karbantartási dokumentációnak tartalmaznia kell legalább:
a) az azonnali tevékenységvégzési határértékeket;
b) az előírt értékek túllépése esetén meghozott intézkedéseket (például sebességkorlátozás, javítási idő);
a vágány geometriai minőségére és a lokális hibákkal kapcsolatos határértékeire vonatkozóan.
4.5.2. Karbantartási terv
A pályahálózat-üzemeltetőnek rendelkeznie kell a 4.5.1. pontban felsoroltakat tartalmazó karbantartási tervvel, amely a következőket is tartalmazza:
a) beavatkozási határértékek és figyelmeztetési határértékek;
b) a módszerek megállapítása, a személyzet szakmai alkalmassága és a használandó személyi védőfelszerelések;
c) a pályán vagy annak közelében dolgozók védelme érdekében alkalmazandó szabályok;
d) az üzem közbeni értékek betartásának ellenőrzésére használt eszközök;
e) a 250 km/h-nál nagyobb sebességnél felmerülő ágyazatfelkapás-kockázat csökkentését célzó intézkedések.
4.6. Szakmai képesítések
A személyzetnek az infrastruktúra alrendszer működtetéséhez és fenntartásához szükséges szakmai képesítéseit nem ez az ÁME határozza meg; ezek a pályahálózat-működtető biztonságirányítási rendszerének keretében kerülnek rögzítésre.
4.7. Egészségvédelem és biztonság
(1) Az infrastruktúra alrendszer működtetéséhez és fenntartásához szükséges egészségvédelmi és biztonsági feltételeknek meg kell felelniük a vonatkozó európai és nemzeti jogszabályoknak.
(2) A karbantartási szabályok kialakítása a pályahálózat-működtető biztonságirányítási rendszerében rögzített eljárások keretében történik.
5. KÖLCSÖNÖS ÁTJÁRHATÓSÁGOT LEHETŐVÉ TEVŐ RENDSZERELEMEK
5.1. A kölcsönös átjárhatóságot lehetővé tevő rendszerelemek kiválasztásának alapja
(1) Az 5.3. pont követelményei a beton- vagy faaljra fektetett Vignole-féle (széles talpú) síneket tartalmazó beágyazott vágány kialakításán alapulnak, ahol a sínek elmozdulásával szembeni ellenállást a sínleerősítés biztosítja.
(2) A más vágánykialakításokhoz használt önálló rendszerelemek és azok szerkezeti részegységei nem minősülnek kölcsönös átjárhatóságot lehetővé tevő rendszerelemnek.
5.2. A rendszerelemek felsorolása
(1) Ezen átjárhatósági műszaki előírások alkalmazásában csak az alábbi rendszerelemek - legyenek akár a vágány önálló rendszerelemei, akár annak szerkezeti részegységei - tekinthetők "kölcsönös átjárhatóságot lehetővé tevő rendszerelemeknek":
a) sín (5.3.1.),
b) sínleerősítő rendszerek (5.3.2.),
c) aljak (5.3.3.).
(2) A következő pontok az ezen alkotóelemek esetében alkalmazandó előírásokat ismertetik.
(3) A rövid, különleges célú vágányszakaszokon - például kitérőkben, vágánydilatációs szerkezeteken, átmeneti paneleken és különleges műtárgyakon - alkalmazott sínek, aljak és leerősítések nem minősülnek kölcsönös átjárhatóságot lehetővé tevő rendszerelemeknek.
5.3. A rendszerelemek teljesítménye és előírásai
5.3.1. A sín
A sínre mint kölcsönös átjárhatóságot lehetővé tevő rendszerelemre vonatkozó előírások a következő paramétereket érintik:
a) sínfejprofil;
b) sínacél.
5.3.1.1. Sínfejprofil
A sínfejprofilnak meg kell felelnie a 4.2.4.6. pont ("Sínfejprofil folyóvágányhoz") követelményeinek.
5.3.1.2. Sínacél
(1) A sínacél a 4.2.6. pont ("A vágány alkalmazott terheléssel szembeni ellenállása") követelményei szempontjából releváns.
(2) A sínacélnak eleget kell tennie az alábbi követelményeknek:
a) A sín keménysége legalább 200 HBW.
b) A szakítószilárdság legalább 680 MPa.
c) Fáradásvizsgálat során a hiba nélküli legkisebb ciklusszám 5 × 106.
5.3.2. Sínleerősítő rendszerek
(1) A sínleerősítő rendszer a 4.2.6.1. pont ("A vágány függőleges terheléssel szembeni ellenállása"), a 4.2.6.2. pont ("A vágány hosszanti irányú erőkkel szembeni ellenállása") és a 4.2.6.3. pont ("A vágány oldalirányú erőkkel szembeni ellenállása") követelményei szempontjából lényeges.
(2) A sínleerősítő rendszernek laboratóriumi vizsgálati feltételek mellett meg kell felelnie a következő követelményeknek:
a) egy sínleerősítő elemben a sín rugalmatlan elmozdulásához szükséges hosszirányú erőnek legalább 7 kN-nak, 250 km/h-t meghaladó sebesség esetén pedig legalább 9 kN-nak kell lennie,
b) a sínleerősítésnek el kell viselni a kissugarú ívben alkalmazott 3 000 000 ciklus jellemző terhelést úgy, hogy a leerősítő rendszer teljesítményében bekövetkező változás nem lehet több, mint:
- a szorítási erő tekintetében 20 %,
- a függőleges merevség tekintetében 25 %,
- a hosszirányú eltolási ellenállás csökkenése tekintetében 20 %.
A jellemző terhelésnek meg kell felelnie az alábbiaknak:
- a legnagyobb tengelyterhelés, amelyre a sínleerősítő rendszert tervezték,
- a sín, a síndőlés, a közbetétlemez tartomány és azon aljtípusok kombinációja, amellyel a leerősítő rendszer használható.
5.3.3. Aljak
(1) Az aljakat úgy kell megtervezni, hogy azok tulajdonságai meghatározott sínek és sínleerősítő rendszer használata esetén megfeleljenek a 4.2.4.1. pont ("Névleges nyomtávolság"), a 4.2.4.7. pont ("Síndőlés") és a 4.2.6. pont ("A vágány alkalmazott terheléssel szembeni ellenállása") követelményeinek.
(2) Az 1 435 mm-es névleges nyomtávolságú rendszerben az egyenes kitűzésű vonalszakaszokon és a 300 m-nél nagyobb sugarú vízszintes ívekben lévő aljakhoz tartozó tervezési nyomtávolságnak 1 437 mm-nek kell lennie.
6. A KÖLCSÖNÖS ÁTJÁRHATÓSÁGOT LEHETŐVÉ TEVŐ RENDSZERELEMEK MEGFELELŐSÉGÉNEK ÉRTÉKELÉSE ÉS AZ ALRENDSZEREK EK-HITELESÍTÉSE
A megfelelőség és alkalmazhatóság értékelésére és az EK-hitelesítésre vonatkozó eljárási modulokat e rendelet 8. cikke határozza meg.
6.1. Kölcsönös átjárhatóságot lehetővé tévő rendszerelemek
6.1.1. Megfelelőségértékelési eljárások
(1) Az ezen ÁME 5. pontjában meghatározott kölcsönös átjárhatóságot lehetővé tevő rendszerelemek megfelelőségértékelési eljárásait a vonatkozó modulok alkalmazásával hajtják végre.
(2) Azon üzemképes, kölcsönös átjárhatóságot lehetővé tevő rendszerelemek, amelyek újrafelhasználásra alkalmasak, nem képezik a megfelelőségértékelési eljárások tárgyát.
6.1.2. Modulok alkalmazása
(1) A kölcsönös átjárhatóságot lehetővé tévő rendszerelemek megfelelőségértékeléséhez a következő modulok használandók:
a) CA modul, "Belső gyártásellenőrzés"
b) CB modul, "EK-típusvizsgálat"
c) CC modul, "Típusmegfelelőség a belső gyártásellenőrzés alapján"
d) CD modul, "Típusmegfelelőség a gyártási eljárás minőségirányítási rendszere alapján"
e) CF modul, "Típusmegfelelőség a termékhitelesítés alapján"
f) CH modul, "Megfelelőség a teljes minőségirányítási rendszer alapján"
(2) A kölcsönös átjárhatóságot lehetővé tevő rendszerelemek megfelelőségértékelésekor a modulokat a 20. táblázatban feltüntetettek szerint kell kiválasztani.
20. táblázat
A kölcsönös átjárhatóságot biztosító rendszerelemek megfelelőségértékeléséhez alkalmazandó modulok
| Eljárások | Sín | Sínleerősítő rendszer | Aljak |
| Az Európai Unió piacán a vonatkozó ÁME hatálybalépése előtt forgalomba hozva | CA vagy CH | CA vagy CH | |
| Az Európai Unió piacán a vonatkozó ÁME hatálybalépése után forgalomba hozva | CB+CC vagy CB+CD vagy CB+CF vagy CH | ||
(3) A vonatkozó ÁME közzététele előtt forgalomba hozott termékek esetében a típus jóváhagyottnak minősül, és ezért EK-típusvizsgálatra (CB modul) nincs szükség, ha a gyártó bizonyítja, hogy a kölcsönös átjárhatóságot lehetővé tévő rendszerelemek vizsgálatát és hitelesítését a korábbi alkalmazások tekintetében, hasonló körülmények között sikeresnek tekintették, és azok megfelelnek ezen ÁME követelményeinek. Ebben az esetben ezek az értékelések az új alkalmazásra vonatkozóan is érvényesek maradnak. Ha nem bizonyítható, hogy a megoldás a múltban valóban bevált, az ezen ÁME közzététele után az EU piacán forgalomba hozott kölcsönös átjárhatóságot biztosító rendszerelemekre vonatkozó eljárás az irányadó.
(4) A kölcsönös átjárhatóságot lehetővé tevő rendszerelemek megfelelőségértékelésének ki kell terjednie az A. függelék 36. táblázatában feltüntetett fázisokra és jellemzőkre.
6.1.3. A kölcsönös átjárhatóságot lehetővé tévő rendszerelemekkel kapcsolatos innovatív megoldások
Ha egy kölcsönös átjárhatóságot lehetővé tévő rendszerelemmel kapcsolatban innovatív megoldást javasolnak, a 10. cikk szerinti eljárás alkalmazandó.
6.1.4. A kölcsönös átjárhatóságot lehetővé tevő rendszerelem EK-megfelelőségi nyilatkozata
6.1.4.1. Más európai uniós irányelvek tárgyát képező, kölcsönös átjárhatóságot lehetővé tevő rendszerelemek
(1) Az (EU) 2016/797 irányelv 10. cikkének (3) bekezdésének megfelelően azon kölcsönös átjárhatóságot lehetővé tevő rendszerelemek esetében, amelyek más tárgyra kiterjedő egyéb uniós jogi aktusok hatálya alá tartoznak, az EK-megfelelőségi vagy alkalmazhatósági nyilatkozatban fel kell tüntetni, hogy a kölcsönös átjárhatóságot lehetővé tevő rendszerelemek az említett egyéb jogi aktusok követelményeinek is eleget tesznek.;
(2) Az (EU) 2019/250 bizottsági végrehajtási rendelet ( 8 ) I. mellékletének megfelelően az EK-megfelelőségi vagy alkalmazhatósági nyilatkozatnak magában kell foglalnia az alkalmazási korlátozások vagy feltételek jegyzékét.
6.1.4.2. A sínre vonatkozó EK-megfelelőségi nyilatkozat
Nincs szükség a használati feltételeket feltüntető nyilatkozatra.
6.1.4.3. A sínleerősítő rendszerekre vonatkozó EK-megfelelőségi nyilatkozat
Az EK-megfelelőségi nyilatkozatot kísérnie kell egy olyan nyilatkozatnak, amely ismerteti az alábbiakat:
a) a sín, a síndőlés, a közbetétlemez tartomány és azon aljak típusának kombinációja, amellyel a leerősítési rendszer együtt használható
b) az a legnagyobb tengelyterhelés, amelynek elviselésére a sínleerősítő rendszert tervezték.
6.1.4.4. Az aljakra vonatkozó EK-megfelelőségi nyilatkozat
Az EK-megfelelőségi nyilatkozathoz csatolni kell az alábbiakra vonatkozó megállapítást:
a) a sín, a síndőlés, a közbetétlemez tartomány és azon leerősítési rendszer típusának kombinációja, amellyel együtt az aljak használhatók,
b) a névleges és tervezési nyomtáv,
c) azon tengelyterhelés és vonatsebesség kombinációja, amelynek elbírására az aljakat tervezték.
6.1.5. A kölcsönös átjárhatóságot lehetővé tevő rendszerelemek külön értékelési eljárásai
6.1.5.1. A sínek értékelése
A sínacél értékelését az alábbi követelmények alapján kell elvégezni:
a) A sín keménységét a sín acél helyzet tekintetében a T. függelék [7] indexszámmal jelölt sorában említett előírásnak megfelelően kell megvizsgálni.
b) A szakítószilárdságot a T. függelék [7] indexszámmal jelölt sorában említett előírásnak megfelelően kell megvizsgálni.
c) A fáradásvizsgálatot a T. függelék [7] indexszámmal jelölt sorában említett előírásnak megfelelően kell elvégezni.
6.1.5.2. Az aljak értékelése
(1) (nem használt)
(2) A többcélú vagy változtatható nyomtávú aljak esetében az 1 435 mm-es nyomtávolságú rendszerre vonatkozó tervezési nyomtávolság értékelése elhagyható.
6.2. Infrastruktúra alrendszer
6.2.1. Általános rendelkezések
(1) A kérelmező kérésére a bejelentett szervezet az (EU) 2016/797 irányelv 15. cikkének, valamint a vonatkozó modulok rendelkezéseinek megfelelően elvégzi az infrastruktúra alrendszer EK-hitelesítését.
(2) Ha a kérelmező bizonyítani tudja, hogy az infrastruktúra alrendszerre vagy annak részeire vonatkozó vizsgálatokat vagy értékeléseket a konstrukció korábbi alkalmazásai esetében már sikeresen elvégezték, a bejelentett szervezet az EK-hitelesítés során figyelembe veszi ezeket a vizsgálatokat és értékeléseket.
(3) Az infrastruktúra alrendszer EK-hitelesítésének ki kell terjednie az ezen ÁME B. függelékének 37. táblázatában feltüntetett fázisokra és jellemzőkre.
(4) Az ezen ÁME 4.2.1. pontjában meghatározott teljesítményparaméterek nem képezik az alrendszer EK-hitelesítésének tárgyát.
(5) Az infrastruktúra alrendszer sajátos alapvető paramétereinek értékelésére szolgáló külön eljárásokat a 6.2.4. pont határozza meg.
(6) Az infrastruktúra alrendszerre vonatkozó EK-hitelesítési nyilatkozatot az (EU) 2016/797 irányelv 15. cikkével összhangban a kérelmező állítja ki.
6.2.2. Modulok alkalmazása
Az infrastruktúra alrendszer EK-hitelesítéséhez a kérelmező az alábbiak közül választhat:
a) SG modul: egységhitelesítésen alapuló EK-hitelesítés; vagy
b) SH1 modul: megfelelőség a teljes minőségirányítási rendszer és a tervezés vizsgálata alapján.
6.2.2.1. Az SG modul alkalmazása
Amennyiben az EK-hitelesítést a pályahálózat-működtető, a szerződő fél vagy a bevont fővállalkozók által összegyűjtött (például a felépítményi mérőkocsival vagy más mérőeszközzel nyert) adatok felhasználásával lehet a leghatékonyabban elvégezni, a bejelentett szervezet a megfelelőség értékelésekor figyelembe veszi ezeket az adatokat.
6.2.2.2. Az SH1 modul alkalmazása
Az SH1 modul csak akkor választható, ha a javasolt hitelesítendő alrendszert támogató összes tevékenységet (tervezés, gyártás, összeszerelés, üzembe helyezés) a bejelentett szervezet által jóváhagyott és felügyelt, a tervezésre, gyártásra, a végtermék ellenőrzésére és próbájára vonatkozó minőségirányítási rendszer szabályozza.
6.2.3. Innovatív megoldások
Ha az infrastruktúra alrendszerrel kapcsolatban innovatív megoldást javasolnak, a 10. cikk szerinti eljárás alkalmazandó.
6.2.4. Az infrastruktúra alrendszer külön értékelési eljárásai
6.2.4.1. Az űrszelvény értékelése
(1) Az űrszelvény tervezési felülvizsgálatként, a jellemző keresztszelvények tükrében való értékelését a pályahálózat-működtető vagy a szerződő fél által a T. függelék [3] indexszámmal jelölt sorában említett előírás alapján elvégzett számítások eredményei alapján kell elvégezni.
(2) A jellemző keresztszelvények a következők:
a) vágány túlemelés nélkül,
b) vágány legnagyobb túlemeléssel,
c) vágány pályatest feletti építőmérnöki műtárggyal,
d) minden egyéb olyan hely, ahol a műtárgy tervezett építési határvonalát kevesebb, mint 100 mm-re, illetve a névleges építési határértéket vagy az egységes határértéket kevesebb, mint 50 mm-re megközelítik.
(3) Üzembe helyezés előtti összeszerelést követően ellenőrizni kell azon szabadon tartandó helyeket, ahol a műtárgy tervezett építési határvonalát kevesebb, mint 100 mm-re, illetve a névleges építési határértéket vagy az egységes határértéket kevesebb, mint 50 mm-re megközelítik.
(4) Az (1) pontban foglaltak helyett, az 1 520 mm-es nyomtávolság esetében az űrszelvény tervezési felülvizsgálatként, a jellemző keresztmetszet tükrében való értékelését az ezen ÁME H. függeléke szerinti egységes S űrszelvény felhasználásával kell elvégezni.
(5) Az (1) pontban foglaltak helyett, az 1 600 mm-es nyomtávolság esetében az űrszelvény tervezési felülvizsgálatként, a jellemző keresztmetszet tükrében való értékelését az ezen ÁME O. függeléke szerinti egységes IRL1 űrszelvény felhasználásával kell elvégezni.
6.2.4.2. A vágánytengely-távolság értékelése
(1) A vágánytengely-távolság értékeléshez szükséges tervezési felülvizsgálatát a pályahálózat-működtető vagy a szerződő fél által a T. függelék [3] indexszámmal jelölt sorában említett előírás alapján elvégzett számítások eredményeinek felhasználásával kell elvégezni. A vágánytengelyek közti névleges távolságot a vonalon ott kell ellenőrizni, ahol a távolságok a vízszintes síkkal párhuzamosan vannak megadva. A vágánytengely-távolság építési határértékét a pályaívsugár és a vonatkozó túlemelés értékének figyelembevételével kell ellenőrizni.
(2) Üzembe helyezés előtti összeszerelést követően a vágánytengely-távolságot azokon a kritikus helyeken kell ellenőrizni, ahol a vágánytengely-távolságnak a T. függelék [3] indexszámmal jelölt sorában említett előírás szerinti építési határértékét kevesebb, mint 50 mm-re megközelítik.
(3) Az (1) pontban foglaltak helyett, az 1 520 mm-es nyomtávolság esetében a vágánytengely-távolság értékeléshez szükséges tervezési felülvizsgálatát a pályahálózat-működtető vagy a szerződő fél által elvégzett számítások eredményeinek felhasználásával kell elvégezni A vágánytengelyek közti névleges távolságot a vonalon ott kell ellenőrizni, ahol a távolságok a vízszintes síkkal párhuzamosan vannak megadva. A vágánytengely távolság építési határértékét a pályaívsugár és a vonatkozó túlemelés értékének figyelembevételével kell ellenőrizni.
(4) Az (2) pontban foglaltak helyett, az 1 520 mm-es nyomtávolság esetében üzembe helyezés előtti összeszerelést követően a vágánytengely-távolságot azokon a kritikus helyeken kell ellenőrizni, ahol a vágánytengely-távolság építési határértékét kevesebb, mint 50 mm-re megközelítik.
6.2.4.3. A névleges nyomtávolság értékelése
(1) A névleges nyomtávolság értékeléshez szükséges tervezési felülvizsgálatát a kérelmező saját nyilatkozatának ellenőrzése révén kell elvégezni.
(2) Üzembe helyezés előtti összeszereléskor a névleges nyomtávolság értékelését az aljak mint kölcsönös átjárhatóságot lehetővé tevő rendszerelemek tanúsítványának ellenőrzésével kell elvégezni. Tanúsítással nem rendelkező, kölcsönös átjárhatóságot lehetővé tevő rendszerelemek esetében a névleges nyomtávolság értékelését a kérelmező saját nyilatkozatának ellenőrzése révén kell elvégezni.
6.2.4.4. A pályakialakítás értékelése
(1) Tervezési felülvizsgálatkor a görbületet, a túlemelést, a túlemeléshiányt és a túlemeléshiány átmenet nélküli változását a helyi tervezési sebesség tükrében kell értékelni.
(2) A kitérőkialakítás értékelése nem szükséges.
(3) Üzembe helyezés előtti összeszereléskor értékelni kell a kérelmező vagy a pályahálózat-működtető által a legkisebb vízszintes ív felülvizsgálatához megadott mérési értékeket. A pályahálózat-működtető által a munkálatok átvételére vonatkozóan meghatározott szabályokat figyelembe kell venni.
6.2.4.5. Túlemeléshiány értékelése a nagyobb túlemeléshiány melletti futásra tervezett vonatok tekintetében
A 4.2.4.3. (2) pont szerint "a magasabb túlemeléshiány-értékek melletti futás megengedhető a kifejezetten magas túlemeléshiány melletti futásra tervezett vonatok esetében (például a 2. táblázatban meghatározottaknál alacsonyabb tengelyterhelésű motorvonatok; a pályaíven haladást segítő speciális berendezéssel ellátott járművek), amennyiben annak biztonságossága igazolható." A biztonságosság említett igazolása ezen ÁME hatályán kívül esik, ily módon nem képezi a bejelentett szervezet infrastruktúra alrendszerre vonatkozó ellenőrzésének tárgyát. Az igazolást a vasúttársaságnak kell elvégeznie, szükség esetén együttműködve a pályahálózat-működtetővel.
6.2.4.6. Az egyenértékű kúposság tervezési értékeinek értékelése
Az egyenértékű kúposság tervezési értékeinek értékelését a pályahálózat-működtető vagy a szerződő fél által a T. függelék [5] indexszámmal jelölt sorában említett előírás alapján elvégzett számítások eredményei alapján kell elvégezni.
6.2.4.7. A sínfejprofil értékelése
(1) Új sín esetében a tervezési sínfejprofilt a 4.2.4.6. pont alapján kell ellenőrizni.
(2) Üzemképes, újrafelhasználásra alkalmas sínekre nem vonatkoznak a 4.2.4.6. pontban meghatározott, sínfejprofilra vonatkozó követelmények.
6.2.4.8. Váltók és keresztezések értékelése
A 4.2.5.1-4.2.5.3. pontban említett váltók és keresztezések értékelését úgy kell elvégezni, hogy ellenőrizni kell a pályahálózat-működtető vagy a kérelmező saját nyilatkozatának meglétét.
6.2.4.9. Új műtárgyak, új földmunkák és a földnyomás értékelése
(1) Az új műtárgyak értékelését a tervezéshez használt forgalmi terhelési és síktorzulás- határérték ellenőrzésével kell elvégezni a 4.2.7.1. és 4.2.7.3. pont szerinti követelmények fényében. A bejelentett szervezetnek nem kell megvizsgálnia a terveket, és számításokat sem kell végeznie. A tervezéshez használt alfa tényező 4.2.7.1. pont szerinti vizsgálatakor csak azt kell ellenőrizni, hogy az alfa tényező értéke megfelel-e a 11. táblázatnak.
(2) Az új földmunkák és a földnyomás értékelését a tervezéskor alkalmazott függőleges terhelések ellenőrzésével kell elvégezni a 4.2.7.2. ponttal összhangban. A tervezéshez használt alfa tényező 4.2.7.2. pont szerinti vizsgálatakor csak azt kell ellenőrizni, hogy az alfa tényező értéke megfelel-e a 11. táblázatnak. A bejelentett szervezetnek nem kell megvizsgálnia a terveket, és számításokat sem kell végeznie.
6.2.4.10. Meglévő műtárgyak értékelési eljárása
(1) A meglévő műtárgyaknak a 4.2.7.4. (3) b) és c) pont fényében történő értékeléséhez az alábbi módszereket kell alkalmazni:
a) annak ellenőrzése, hogy az EN-vonalkategóriák értéke a műtárgy helye szerinti vonalakra közzétett vagy közzétenni tervezett megengedett sebesség mellett megfelel-e az E. függelék szerinti követelményeknek,
b) annak ellenőrzése, hogy az EN-vonalkategóriák értéke a híd vagy a terv tekintetében meghatározott megengedett sebesség vagy az LM71-es terhelési modell, valamint a P1 és P2 forgalomtípuskódra vonatkozó alfa (α) tényező segítségével meghatározott alternatív követelmények mellett megfelel-e az E. függelék szerinti követelményeknek,
c) a tervezéshez használt vagy a műtárgyat érő forgalmi terhelés ellenőrzése, a 4.2.7.1.1., 4.2.7.1.2. és 4.2.7.2. pont szerinti minimumkövetelmények fényében. Az alfa (α) tényező értéke 4.2.7.1.1. és 4.2.7.2. pontnak megfelelő felülvizsgálatakor csak azt kell ellenőrizni, hogy az alfa (α) tényező értéke megfelel-e a 11. táblázatban meghatározott értéknek;
d) amennyiben egy meglévő hídra vonatkozó követelményt az E. függelékben szereplő HSLM tervezési terhelési modell alapján határoznak meg, a meglévő híd értékelését az alábbi módszerek valamelyikével kell elvégezni:
- a meglévő híd tervezésére vonatkozó előírások ellenőrzése,
- a dinamikus értékelés specifikációjának ellenőrzése,
- a meglévő híd tekintetében az infrastruktúra-nyilvántartásban (RINF) az 1.1.1.1.2.4.2 paraméter (A szerkezetek megfelelése a nagysebességű terhelési modellnek (HSLM)) tekintetében közzétett teherbíró képesség ellenőrzése;
e) amennyiben egy meglévő hídra vonatkozó követelményt alternatív dinamikus terhelési követelmények (E. függelék 8. megjegyzése) alapján határoznak meg, a meglévő híd értékelését az alternatív terhelési követelmények dinamikus értékelésére vonatkozó előírásnak az E. függelék 8. megjegyzésében foglalt követelmények szerinti felülvizsgálatával kell elvégezni.
(2) Nem szükséges megvizsgálni a terveket, és számításokat sem kell végezni.
(3) A meglévő műtárgyak értékelésére a 4.2.7.4. (4) pont alkalmazandó.
6.2.4.11. A peron-oldaltávolság értékelése
(1) A vágánytengely és a peron széle közötti távolság értékeléshez szükséges tervezési felülvizsgálatát a pályahálózat-működtető vagy a szerződő fél által a T. függelék [3] indexszámmal jelölt sorában említett előírás alapján elvégzett számítások eredményei alapján kell elvégezni.
(2) Üzembe helyezés előtti összeszerelést követően ellenőrizni kell a szabadon tartandó helyeket. A peron végein, illetve egyenes pálya esetében 30 m-enként, íves pálya esetében 10 m-enként ellenőrizni kell a vágánytengelytől való távolságot.
(3) Az (1) pontban foglaltak helyett, az 1 520 mm-es nyomtávolság esetében a vágánytengely és a peron széle közötti távolság tervezési felülvizsgálatként történő értékelését a 4.2.9.3. pont szerinti követelmények fényében kell elvégezni. A (2) pontot ennek megfelelően kell alkalmazni.
(4) Az (1) pontban foglaltak helyett, az 1 600 mm-es nyomtávolság esetében a vágánytengely és a peron széle közötti távolság tervezési felülvizsgálatként történő értékelését a 4.2.9.3.(4) pont szerinti követelmények fényében kell elvégezni. A (2) pontot ennek megfelelően kell alkalmazni.
6.2.4.12. Az alagutakban fellépő legnagyobb nyomásingadozás értékelése
(1) Az alagutakban fellépő legnagyobb nyomásingadozás (10 kPa-os feltétel) értékelését a T. függelék [14] indexszámmal jelölt sorában említett előírásnak megfelelően kell elvégezni a mozdonyokra és személyszállító járművekre vonatkozó ÁME-nak megfelelő vonatokkal, amelyek képesek a legnagyobb pályasebességgel közlekedni az adott értékelendő alagutakban.
(2) Az értékelés során alkalmazandó bemeneti paraméterek esetében a vonatok mozdonyokra és személyszállító járművekre vonatkozó ÁME-ban meghatározott jellemző referencia-nyomásjelzésének teljesülnie kell.
(3) A referencia-keresztszelvényeket a T. függelék [14] indexszámmal jelölt sorában említett előírás határozza meg.
6.2.4.13. Az oldalszél hatásának értékelése
A biztonságosság említett igazolása ezen ÁME hatályán kívül esik, ily módon nem képezi a bejelentett szervezet által végzett ellenőrzés tárgyát. Az igazolást a pályahálózat-működtetőnek kell elvégeznie, szükség esetén együttműködve a vasúttársasággal.
6.2.4.14. A vonatokat kiszolgáló, helyhez kötött berendezések értékelése
A vonatokat kiszolgáló, helyhez kötött berendezések értékelése az érintett tagállamok feladata.
6.2.4.15. A fékrendszerekkel való összeegyeztethetőség értékelése
A 4.2.6.2.2. (2) pontban meghatározott követelmények értékelése nem szükséges.
6.2.5. Olyan műszaki megoldások, amelyek megfelelősége már a tervezési fázisban feltételezhető
A műszaki megoldásoknak a tervezési fázisban feltételezett megfelelőséget értékelni lehet az adott projekt megkezdése előtt és attól függetlenül.
6.2.5.1. Folyóvágány ellenállásának értékelése
(1) Az, hogy a vágány megfelel-e a 4.2.6. pont szerinti követelményeknek, egy olyan, meglévő vágánytervhez viszonyítva ellenőrizhető, amely megfelel az érintett alrendszerre vonatkozó üzemeltetési feltételeknek.
(2) A vágánytervet ezen ÁME C.1. függelékében meghatározott műszaki jellemzők és D.1. függelékében meghatározott üzemeltetési feltételek alapján kell meghatározni.
(3) A vágányterv akkor tekinthető meglévőnek, ha teljesül mindkét alábbi feltétel:
a) a vágánytervet legalább egy éven át a szokásos üzemeltetési körülmények között alkalmazták, és
b) a vágányon átgördült elegytonna a szokásos üzemeltetés időszakában legalább bruttó 20 millió tonna volt.
(4) A meglévő vágányterv működési feltételei a szokásos üzemeltetés során alkalmazott feltételekre vonatkoznak.
(5) A meglévő vágányterv megerősítését célzó értékelést annak ellenőrzésével kell elvégezni, hogy az ezen ÁME C.1. függelékében meghatározott műszaki jellemzők és D.1. függelékében meghatározott használati feltételek megállapításra kerültek-e, és hogy a vágányterv előző alkalmazására való utalás elérhető-e.
(6) Abban az esetben, ha egy projekt keretében egy korábban már értékelt vágánytervet alkalmaznak, a bejelentett szervezetnek csak azt értékelnie, hogy használati feltételek teljesülnek-e.
(7) A meglévő vágányterveken alapuló új vágánytervek esetében a különbségek ellenőrzésével és azoknak a vágány ellenállására gyakorolt hatásának elemzésével új értékelés végezhető. Az ilyen értékelés alátámasztható például számítógépes szimulációval, illetve laboratóriumi vagy helyszíni vizsgálattal.
(8) A vágányterv akkor tekinthető újnak, ha az ezen ÁME C.1. függelékében meghatározott műszaki jellemzők közül, vagy D.1. függelékében meghatározott használati feltételek közül legalább egy megváltozott.
6.2.5.2. Váltók és keresztezések értékelése
(1) Kitérők ellenállásának értékeléséhez a 6.2.5.1. pontban meghatározott rendelkezések alkalmazandók. Ezen ÁME C.2. függeléke meghatározza a kitérőtervek műszaki jellemzőit, D.2. függeléke pedig meghatározza a kitérőtervek használati feltételeit.
(2) A váltók és keresztezések tervezési geometriájának értékelését ezen ÁME 6.2.4.8. pontjával összhangban kell végezni.
(3) A kettős keresztezések maximális vezetetlen hosszának értékelését ezen ÁME 6.2.4.8. pontjával összhangban kell végezni.
6.3. (nem használt)
6.4. A karbantartási dokumentáció értékelése
(1) Az (EU) 2016/797 európai parlamenti és tanácsi irányelv ( 9 ) 15. cikkének (4) bekezdése alapján a kérelmező felel a karbantartás tekintetében kért dokumentációt is tartalmazó műszaki dokumentáció összeállításáért.
(2) A bejelentett szervezet csak azt ellenőrzi, hogy megadták-e a karbantartás tekintetében kért, a 4.5.1. pontban meghatározott dokumentációt. A bejelentett szervezet nem köteles hitelesíteni a megadott dokumentációban lévő adatokat.
6.5. Kölcsönös átjárhatóságot lehetővé tevő, EK-nyilatkozattal nem rendelkező rendszerelemek
6.5.1. Feltételek
(1) Az ezen ÁME 5. pontjában felsorolt, kölcsönös átjárhatóságot lehetővé tevő rendszerelemek felsorolásának felülvizsgálatáig a bejelentett szervezet még akkor is kiadhat EK-ellenőrzési tanúsítványokat egy alrendszerről, ha az alrendszer részét képező, kölcsönös átjárhatóságot lehetővé tevő egyes rendszerelemek nem rendelkeznek az ezen ÁME szerinti EK-megfelelőségi és/vagy alkalmazhatósági nyilatkozatokkal, a következő feltételek teljesülése esetén:
a) a bejelentett szervezet ellenőrizte az alrendszer megfelelőségét az ezen ÁME 4. pontjában és - a 7.7. pont ("Különleges esetek") kivételével - 6.2-7. pontjában meghatározott követelmények szempontjából. Ezenkívül a kölcsönös átjárhatóságot lehetővé tevő rendszerelemek 5. és 6.1. pontban foglaltaknak való megfelelését nem alkalmazzák; és
b) az EK-megfelelőségi, illetve EK-alkalmazhatósági nyilatkozattal nem rendelkező, kölcsönös átjárhatóságot lehetővé tévő rendszerelemeket ezen ÁME hatálybalépése előtt a tagállamok legalább egyikében jóváhagyott és üzembe helyezett alrendszerben már alkalmazták.
(2) Az ilyen módon értékelt, kölcsönös átjárhatóságot lehetővé tevő rendszerelemek esetében nem adható ki EK-megfelelőségi, illetve EK-alkalmazhatósági nyilatkozat.
6.5.2. Dokumentáció
(1) Az alrendszer EK-hitelesítési tanúsítványának egyértelműen meg kell adnia, hogy a bejelentett szervezet a kölcsönös átjárhatóságot lehetővé tevő rendszerelemek közül melyeket értékelte az alrendszer hitelesítésének részeként.
(2) Az alrendszer EK-hitelesítési nyilatkozatának egyértelműen meg kell adnia a következőket:
a) A kölcsönös átjárhatóságot lehetővé tevő rendszerelemek közül melyeket értékelték az alrendszer részeként;
b) Annak megerősítése, hogy az alrendszer olyan kölcsönös átjárhatóságot lehetővé tevő rendszerelemeket tartalmaz, amelyek azonosak az alrendszer részeként tanúsítottakkal;
c) Adott esetben annak oka vagy okai, hogy a gyártó miért nem biztosított EK-megfelelőségi, illetve EK-alkalmazhatósági nyilatkozatot, mielőtt az ilyennel nem rendelkező, kölcsönös átjárhatóságot lehetővé tevő rendszerelemeket az alrendszerbe beépítette volna, továbbá az (EU) 2016/797 irányelv 14. cikkével összhangban bejelentett nemzeti szabályok alkalmazása.
6.5.3. A 6.5.1. szakasz szerint hitelesített alrendszerek karbantartása
(1) Az átmeneti időszak alatt és után, valamint az alrendszer korszerűsítéséig vagy felújításáig (az ÁME alkalmazására vonatkozó tagállami döntésre figyelemmel) az EK-megfelelőségi és/vagy EK-alkalmazhatósági nyilatkozattal nem rendelkező, azonos típusú, kölcsönös átjárhatóságot lehetővé tévő rendszerelemek tovább használhatók karbantartással kapcsolatos cserék céljára (pótalkatrészként), a karbantartásért felelős szerv felelősségére.
(2) A karbantartásért felelős szerv mindenkor biztosítja, hogy a karbantartás során kicserélt alkatrészek megfeleljenek rendeltetésüknek, saját felhasználási területükön kerüljenek felhasználásra, valamint biztosítsák a vasúti rendszer kölcsönös átjárhatóságát, és egyidejűleg megfeleljenek az alapvető követelményeknek. Az ilyen rendszerelemeknek visszakereshetőknek és a nemzeti vagy nemzetközi szabályoknak vagy a vasúti területen széles körben elismert bármilyen gyakorlati szabályzatnak megfelelően tanúsított elemeknek kell lenniük.
6.6. Olyan üzemképes, kölcsönös átjárhatóságot lehetővé tevő rendszerelemeket tartalmazó alrendszerek, amelyek újrafelhasználásra alkalmasak
6.6.1. Feltételek
(1) A bejelentett szervezet akkor is EK-ellenőrzési tanúsítványt adhat ki egy alrendszerről, ha az alrendszer részét képező, kölcsönös átjárhatóságot lehetővé tevő egyes rendszerelemek olyan üzemképes, kölcsönös átjárhatóságot lehetővé tevő rendszerelemek, amelyek újrafelhasználásra alkalmasak, amennyiben teljesülnek a következő feltételek:
a) a bejelentett szervezet ellenőrizte az alrendszer megfelelőségét az ezen ÁME 4. pontjában és - a 7.7. pont ("Különleges esetek") kivételével - 6.2-7. pontjában meghatározott követelmények szempontjából. Ezenkívül a kölcsönös átjárhatóságot lehetővé tevő rendszerelemek 6.1. pontban foglaltaknak való megfelelését nem alkalmazzák; és
b) az átjárhatóságot lehetővé tevő rendszerelemek nem rendelkeznek EK-megfelelőségi, illetve EK-alkalmazhatósági nyilatkozattal.
(2) Az ilyen módon értékelt, kölcsönös átjárhatóságot lehetővé tevő rendszerelemek esetében nem adható ki EK-megfelelőségi, illetve EK-alkalmazhatósági nyilatkozat.
6.6.2. Dokumentáció
(1) Az alrendszer EK-hitelesítési tanúsítványának egyértelműen meg kell adnia, hogy a bejelentett szervezet a kölcsönös átjárhatóságot lehetővé tevő rendszerelemek közül melyeket értékelte az alrendszer hitelesítésének részeként.
(2) Az alrendszer EK-hitelesítési nyilatkozatának egyértelműen meg kell adnia a következőket:
a) Mely kölcsönös átjárhatóságot lehetővé tevő rendszerelemek olyan üzemképes rendszerelemek, amelyek újrafelhasználásra alkalmasak;
b) Annak megerősítése, hogy az alrendszer olyan kölcsönös átjárhatóságot lehetővé tevő rendszerelemeket tartalmaz, amelyek azonosak az alrendszer részeként tanúsított elemekkel;
6.6.3. Üzemképes, átjárhatóságot lehetővé tevő rendszerelemek a karbantartás terén
(1) Azon üzemképes, átjárhatóságot lehetővé tevő rendszerelemek, amelyek újrafelhasználásra alkalmasak, tovább használhatók karbantartással kapcsolatos cserék céljára (pótalkatrészként), a karbantartásért felelős szerv felelősségére.
(2) A karbantartásért felelős szerv mindenkor biztosítja, hogy a karbantartás során kicserélt alkatrészek megfeleljenek rendeltetésüknek, saját felhasználási területükön kerüljenek felhasználásra, valamint biztosítsák a vasúti rendszer kölcsönös átjárhatóságát, és egyidejűleg megfeleljenek az alapvető követelményeknek. Az ilyen rendszerelemeknek visszakereshetőknek és a nemzeti vagy nemzetközi szabályoknak vagy a vasúti területen széles körben elismert bármilyen gyakorlati szabályzatnak megfelelően tanúsított elemeknek kell lenniük.
7. AZ INFRASTRUKTÚRA ÁME VÉGREHAJTÁSA
7.1. Nemzeti végrehajtási terv
A tagállamoknak nemzeti végrehajtási tervet kell készíteniük az ÁME végrehajtására, megcélozva az Unió teljes vasúti rendszerének koherenciáját. Ennek a tervnek ki kell terjednie az új infrastruktúra-alrendszereket, valamint a meglévők felújítását és korszerűsítését célzó valamennyi projektre, és észszerű időn belül biztosítania kell az ezen ÁME-nak teljes mértékben megfelelő, kölcsönösen átjárható célinfrastruktúra-alrendszerre történő fokozatos átállást.
7.2. Ezen ÁME alkalmazása új infrastruktúra-alrendszerre
(1) Új infrastruktúra alrendszer esetében ezen ÁME alkalmazása kötelező.
(2) Az "új infrastruktúra-alrendszer" olyan infrastruktúra-alrendszer, amelyet 2023. szeptember 28. után helyeztek üzembe, és amely jelenleg nem létező útvonalat vagy útvonalrészt hoz létre.
Minden más infrastruktúra-alrendszert "meglévő infrastruktúra-alrendszernek" kell tekinteni.
(3) A következő esetek korszerűsítésnek minősülnek, nem pedig új infrastruktúra-alrendszer üzembe helyezésének:
a) meglévő vonalon végzett vasútipálya-nyomvonalkorrekció;
b) megkerülő vágány kialakítása;
c) meglévő vonal egy vagy több vágánnyal történő kiegészítése, tekintet nélkül az eredeti és a további vágányok közötti távolságra.
7.3. Ezen ÁME alkalmazása meglévő infrastruktúra-alrendszerre
7.3.1. Az alrendszer teljesítménykövetelményei
A 7.2. 3. pontban említett eseteken túlmenően a "korszerűsítés" meglévő infrastruktúra-alrendszer olyan jelentős módosítása, amely legalább egy további forgalmi kódnak való megfelelést vagy a forgalomtípuskódok bejelentett kombinációjának módosítását eredményezi (lásd a 4.2.1. pont 2. és 3. táblázatát).
7.3.2. Az ÁME alkalmazása
Az ezen ÁME-nak való megfelelés kötelező a korszerűsített vagy felújított alrendszer vagy annak része(i) esetében. Az örökölt vasúti rendszer jellemzői miatt a meglévő infrastruktúra-alrendszer ezen ÁME-nak való megfelelése a kölcsönös átjárhatóság fokozatos javításával érhető el:
1. A korszerűsített infrastruktúra-alrendszer esetében ezen ÁME alkalmazása kötelező, és az a korszerűsített alrendszerre a korszerűsítés földrajzi hatályán belül alkalmazandó. A korszerűsítés földrajzi hatályát a vágány helyéhez viszonyítva és metrikus referenciák alapján kell meghatározni, és annak eredményeként meg kell felelni az infrastruktúra alrendszer korszerűsítés tárgyát képező vágányokhoz kapcsolódó valamennyi alapvető paraméterének.
Egy vágány kiegészítése egy vagy több sínnel, amely további nyomtávolságokra teszi a vágányt alkalmassá, szintén korszerűsítésnek minősül, ha az alrendszer teljesítménykritériumait a 7.3.1. pontban leírtak szerint aktiválják.
2. Az infrastruktúra alrendszer korszerűsítésétől eltérő változás esetén ezen ÁME alkalmazása a változás által érintett (a 4.2.2. pontban említett) minden egyes alapvető paraméter tekintetében kötelező, ha a változtatás az (EU) 2019/250 bizottsági végrehajtási rendeletnek ( 10 ) megfelelően új EK-hitelesítési eljárás lefolytatását teszi szükségessé. Az (EU) 2019/250 végrehajtási rendelet 6. és 7. cikkében meghatározott rendelkezések alkalmazandók.
3. Az infrastruktúra alrendszer korszerűsítésétől eltérő változás esetén és a változás által nem érintett alapvető paraméterek esetében, vagy ha a változás nem teszi szükségessé új EK-hitelesítés elvégzését, az ezen ÁME-nak való megfelelés szintjének igazolása önkéntes.
4. Az infrastruktúra alrendszer korszerűsítése vagy felújítása esetén az új vonalakra megállapított követelményeknek való megfelelés nem szükséges.
5. Az (EU) 2016/797 irányelv 2. cikkének 15. pontjában meghatározott "jelentős helyettesítés" esetében a "felújítás" keretében az alrendszernek vagy annak egy vagy több részének az ÁME-nak nem megfelelő elemeit szisztematikusan az ÁME-nak megfelelő elemekkel kell helyettesíteni.
6. "A karbantartás során történő helyettesítés": alkatrészeknek a karbantartás keretében azonos funkciójú és teljesítményű alkatrészekkel történő cseréje az (EU) 2016/797 irányelv 2. cikkének 17. pontjában meghatározottak szerint. Ezt ezen ÁME követelményeivel összhangban kell elvégezni, amennyiben ez észszerűen és gazdaságosan megvalósítható, és nem igényel EK-hitelesítést.
7. A meglévő infrastruktúra alrendszer esetében a következő kivételek megengedettek korszerűsítés vagy felújítás esetén:
a) Az infrastruktúra alrendszer korszerűsítése vagy felújítása esetén az ezen ÁME 4.2.4.2. pontja által szabályozott túlemelés és az ezen ÁME 4.2.4.3. pontja által szabályozott túlemeléshiány paraméterek esetében megengedett az ezen ÁME-ban meghatározott határértékektől való eltérés, tiszteletben tartva a kivételes határértékeket, valamint alkalmazva a T. függelék [4] indexszámmal jelölt sorában említett előírásban megállapított egyedi korlátozásokat és intézkedéseket. E kivétel alkalmazása nem akadályozhatja meg az ezen ÁME 4.2.4.3. pontjában előírt legnagyobb értékekre engedélyezett járművek használatát.
b) Az infrastruktúra alrendszer korszerűsítésétől eltérő változás esetén a 4.2.9.2. és 4.2.9.3. pont által szabályozott peronmagasságra és oldaltávolságra vonatkozóan a következő feltételek alkalmazandók:
- Megengedettek más névleges peronmagasságok is, ha a 4.2.9.2. pontban meghatározott értékeknek való megfelelés bármely teherhordó elem szerkezeti módosítását tenné szükségessé.
- Megengedett a 4.2.9.3. (2) pontban meghatározottól eltérő peron-oldaltávolság alkalmazása, amennyiben a bq értéke egyenlő vagy nagyobb, mint a bqlim.
7.3.3. Meglévő vonalak, amelyek tekintetében nem folyik felújítási vagy korszerűsítési projekt
Amennyiben a pályahálózat-működtető igazolni kívánja egy meglévő vonal és ezen ÁME alapvető paraméterei közötti megfelelés szintjét, a 2014/881/EU bizottsági ajánlásban ( 11 ) leírt eljárást kell alkalmaznia.
7.3.4. Az útvonallal való összeegyeztethetőség ellenőrzése az engedélyezett járművek használata előtt
Az útvonallal való összeegyeztethetőség ellenőrzése céljából használandó, infrastruktúra alrendszerre alkalmazandó eljárást az TSI ÁME 4.2.2.5. pontja és D.1. függeléke írja le.
7.4. nem használt
7.5. nem használt
7.6. nem használt
7.7. Különleges esetek
Meghatározott hálózatokon a következő különleges esetek alkalmazhatók. Az ilyen esetek besorolása:
a) "P" esetek : állandó (permanent) esetek;
b) "T" esetek : ideiglenes (temporary) esetek, amelyekre nézve ajánlott a célrendszer 2020-ig való elérése (az 1692/96/EK európai parlamenti és tanácsi határozatban ( 12 ) kitűzött cél).
Az ÁME jövőbeni felülvizsgálatai során minden különleges esetet (a vonatkozó dátumokkal együtt) újra meg kell vizsgálni a biztonságra, az átjárhatóságra, a határokon átnyúló szolgáltatásokra, a TEN-T folyosókra gyakorolt befolyásuk, valamint az ezek megőrzésével vagy felszámolásával összefüggő gyakorlati és gazdasági hatásuk értékelése alapján abból a célból, hogy a szóban forgó esetek műszaki és földrajzi alkalmazási körét korlátozni lehessen. Különös figyelmet kell fordítani az uniós finanszírozás elérhetőségére.
A különleges eseteknek azon útvonalra vagy hálózatra kell korlátozódniuk, ahol alkalmazásuk feltétlenül szükséges; a különleges eseteket figyelembe kell venni az útvonal-kompatibilitási eljárásokban.
7.7.1. Az osztrák hálózat sajátos jellemzői
7.7.1.1. (nem használt)
7.7.2. A belga hálózat sajátos jellemzői
7.7.2.1. Peron-oldaltávolság (4.2.9.3.)
"P" esetek
550 mm-es és 760 mm-es peronmagasságnál a peron vágánytengelytől való távolságának hagyományos bq0 értékét az alábbi képletek alapján kell kiszámolni:
| [Kép #2] | 1 000 ≤ R ≤ ∞ (m) sugarú ívben |
| [Kép #3] | R < 1 000 (m) sugarú ívben |

Kép #2

Kép #3
7.7.3. A bolgár hálózat sajátos jellemzői
7.7.3.1. Peronmagasság (4.2.9.2.)
"P" esetek
Felújított és korszerűsített peron esetében megengedett a futófelület feletti 300 mm-es és 1 100 mm-es névleges peronmagasság.
7.7.3.2. Peron-oldaltávolság (4.2.9.3.)
"P" esetek
A 4.2.9.3. (1) és (2) pontban foglaltak helyett, a peron-oldaltávolság:
a) 1 650 mm az 300 mm magasságú peronok esetében, és
b) 1 750 mm az 1 100 mm magasságú peronok esetében.
7.7.4. A dán hálózat sajátos jellemzői
7.7.4.1. Peronmagasság (4.2.9.2.)
"P" esetek
Az S-tog vasút esetében megengedett a futófelület feletti 920 mm-es névleges peronmagasság.
7.7.5. Az észt hálózat sajátos jellemzői
7.7.5.1. Névleges nyomtávolság (4.2.4.1.)
"P" esetek
A 4.2.4.1. (2) pontban foglaltak helyett, az 1 520 mm-es nyomtávolság esetében a névleges nyomtávolság 1 520 mm vagy 1 524 mm.
7.7.5.2. Új hidak forgalmi terheléssel szembeni ellenállása (4.2.7.1.)
"P" esetek
Az 1 520 mm-es nyomtávolság esetében a 30 t tengelyterhelésű vonalak tekintetében megengedett az ezen ÁME M. függelékében meghatározott terhelési modelleknek megfelelő függőleges terhelésnek ellenálló műtárgyak tervezése.
7.7.5.3. Azonnali tevékenységvégzési határérték a váltók és keresztezések tekintetében (4.2.8.6.)
"P" esetek
A 4.2.8.6. (3) (a) pontban foglaltak helyett, az 1 520 mm-es nyomtávolság esetében a nyitott csúcssín és tősín közötti hézag legkisebb értéke: 54 mm.
7.7.6. A finn hálózat sajátos jellemzői
7.7.6.1. ÁME-vonalkategóriák (4.2.1.)
"P" esetek
A 2. és 3. táblázat "méretszelvény" oszlopában megadott szelvények helyett az 1 520 mm-es névleges nyomtávolság esetében megengedett a FIN1 szelvény használata.
7.7.6.2. Űrszelvény (4.2.3.1.)
"P" esetek
(1) A 4.2.3.1. (1) és (2) pontban foglaltak helyett, az 1 524 mm-es névleges nyomtávolság esetében az űrszelvény mind felső, mind alsó részét a FIN1 szelvény alapján kell meghatározni. Ezek a méretek az EN 15273-3:2013+A1:2016 szabvány D. mellékletének D.4.4. pontjában kerülnek meghatározásra.
(2) A 4.2.3.1. (3) pontban foglaltak helyett, az 1 524 mm-es névleges nyomtávolság esetében az űrszelvényre vonatkozó számításokat a statikus módszer alkalmazásával kell elvégezni az EN 15273-3:2013 szabvány 5., 6. és 10. pontjában és D. mellékletének D.4.4. pontjában meghatározott követelményekkel összhangban.
7.7.6.3. Vágánytengely-távolság (4.2.3.2.)
"P" esetek
(1) A 4.2.3.2. (1) pontban foglaltak helyett, az 1 524 mm-es névleges nyomtávolság esetében a vágánytengely-távolságot a FIN1 szelvény alapján kell meghatározni.
(2) A 4.2.3.2. (2) pontban foglaltak helyett, az 1 524 mm-es névleges nyomtávolság esetében az új vonalak tekintetében a tervezéshez meg kell határozni a névleges vízszintes vágánytengely-távolságot, amely nem lehet kisebb a 21. táblázatban megadott értékeknél; figyelembe kell venni az aerodinamikai hatásokkal kapcsolatos határértékeket is.
21. táblázat
A legkisebb névleges vízszintes vágánytengely-távolság
| A legnagyobb megengedett sebesség (km/h) | A legkisebb névleges vízszintes vágánytengely-távolság (m) |
| v ≤ 120 | 4,10 |
| 120 < v ≤ 160 | 4,30 |
| 160 < v ≤ 200 | 4,50 |
| 200 < v ≤ 250 | 4,70 |
| v > 250 | 5,00 |
(3) A 4.2.3.2. (3) pontban foglaltak helyett, az 1 524 mm-es névleges nyomtávolság esetében a vágánytengely-távolságnak meg kell felelnie legalább az EN 15273-3:2013+A1:2016 szabvány D. mellékletének D.4.4.5. pontja szerinti azon követelményeknek, amelyek a vágánytengely-távolság építési határértékére vonatkoznak.
7.7.6.4. Legkisebb vízszintes ívsugár (4.2.3.4.)
"P" esetek
A 4.2.3.4. (3) pontban foglaltak helyett, az 1 524 mm-es névleges nyomtávolság esetében a 150-275 m-es sugártartományba eső elleníveket (a rendező-pályaudvarokon lévő ellenívek kivételével, amelyeken a kocsikat egyesével tolatják) az új vonalak esetében a 22. táblázat adataival összhangban úgy kell megtervezni, hogy elkerülhető legyen az ütközők összeakadása.
22. táblázat
Két hosszú, ellentétes irányú pályaív közötti egyenes szakasz hosszának határértékei (m) (*1)
| Ívátmenet (*1) | Vegyesforgalmi pálya határértékei (m) |
| R = 150 m – egyenes – R = 150 m | 16,9 |
| R = 160 m – egyenes – R = 160 m | 15,0 |
| R = 170 m – egyenes – R = 170 m | 13,5 |
| R = 180 m – egyenes – R = 180 m | 12,2 |
| R = 190 m – egyenes – R = 190 m | 11,1 |
| R = 200 m – egyenes – R = 200 m | 10,00 |
| R = 210 m – egyenes – R = 210 m | 9,1 |
| R = 220 m – egyenes – R = 220 m | 8,2 |
| R = 230 m – egyenes – R = 230 m | 7,3 |
| R = 240 m – egyenes – R = 240 m | 6,4 |
| R = 250 m – egyenes – R = 250 m | 5,4 |
| R = 260 m – egyenes – R = 260 m | 4,1 |
| R = 270 m – egyenes – R = 270 m | 2,0 |
| R = 275 m – egyenes – R = 275 m | 0 |
| (*1) Megjegyzés: Különböző sugarú ellenívek esetében a kisebb ív sugarát kell figyelembe venni a pályaívek közötti egyenes szakasz tervezésekor. | |
7.7.6.5. Névleges nyomtávolság (4.2.4.1.)
"P" esetek
A 4.2.4.1. (1) pontban foglaltak helyett, a névleges nyomtávolság 1 524 mm.
7.7.6.6. Túlemelés (4.2.4.2.)
"P" esetek
(1) A 4.2.4.2. (1) pontban foglaltak helyett, az 1 524 mm-es nyomtávolság esetében a tervezési túlemelés nem haladhatja meg a 180 mm-t, függetlenül attól, hogy a vágány rendelkezik-e zúzottkőágyazattal vagy sem.
(2) A 4.2.4.2. (3) pontban foglaltak helyett, az 1 524 mm-es nyomtávolság új vegyes- vagy teherforgalmi vonalain a 320 m-nél kisebb sugarú és 1 mm/m-nél meredekebb túlemelés-változással rendelkező pályaíveken a túlemelés mértékét az alábbi képlet által megadott határértékre kell korlátozni:
D ≤ (R - 50) × 0,7
ahol D a túlemelés (mm-ben), R pedig a sugár (m-ben).
7.7.6.7. Kettős keresztezések maximális vezetetlen hossza (4.2.5.3.)
"P" esetek
A J. függelékben az 1 524 mm-es névleges nyomtávolság esetében:
a) A (J.1.) b) pont helyett a kettős keresztezés legkisebb sugara 200 m; 200-220 m közötti sugár esetében a kis sugarat nyomtávbővítéssel kell kompenzálni;
b) A (J.1.) c) pont helyett a vezetősín legkisebb magassága 39 mm.
7.7.6.8. Azonnali tevékenységvégzési határérték a nyomtávolsággal kapcsolatos lokális hibák tekintetében (4.2.8.4.)
"P" esetek
A 4.2.8.4. (1) pontban foglaltak helyett, az 1 524 mm-es nyomtávolság esetében a nyomtávolsággal kapcsolatos lokális hibákra vonatkozó azonnali tevékenységvégzési határértékeket a 23. táblázat határozza meg.
23. táblázat
A nyomtávolsággal kapcsolatos hibákra vonatkozó azonnali tevékenységvégzési határértékek az 1 524 mm-es névleges nyomtávolság esetében
| Sebesség (km/h) | Méretek (mm) | |
| Legkisebb nyomtávolság | Legnagyobb nyomtávolság | |
| v ≤ 60 | 1 515 | 1 554 |
| 60 < v ≤ 120 | 1 516 | 1 552 |
| 120 < v ≤ 160 | 1 517 | 1 547 |
| 160 < v ≤ 200 | 1 518 | 1 543 |
| 200 < v ≤ 250 | 1 519 | 1 539 |
| v > 250 | 1 520 | 1 539 |
7.7.6.9. Azonnali tevékenységvégzési határérték a túlemelés tekintetében (4.2.8.5.)
"P" esetek
A 4.2.8.5. (1) pontban foglaltak helyett, az 1 524 mm-es nyomtávolság esetében az üzem közben megengedett legnagyobb túlemelés 190 mm.
7.7.6.10. Azonnali tevékenységvégzési határérték a váltók és keresztezések tekintetében (4.2.8.6.)
"P" esetek
A 4.2.8.6. (1) pontban foglaltak helyett, az 1 524 mm-es névleges nyomtávolság esetében a váltók és keresztezések műszaki jellemzőinek a következő üzem közbeni értékeknek kell megfelelniük:
a) A vezetéstávolság legnagyobb értéke váltókban: 1 469 mm.
Ez az érték növelhető, ha a pályahálózat-működtető bizonyítani tudja, hogy a váltó működtető és rögzítő rendszere képes ellenállni a kerékpárok által kifejtett oldalirányú erőknek.
b) A csúcsnál a vezetéstávolság legkisebb értéke normál keresztezésben: 1 476 mm.
Ezt az értéket a futófelület alatt 14 mm-rel és az elméleti referenciavonalon, a csúcs tényleges pontjától megfelelő távolságban kell mérni a 2. ábrán jelzettek szerint.
Azon keresztezések esetében, amelyeknél csúcsbetéthegy-visszahúzást alkalmaznak, ez az érték csökkenthető. Ebben az esetben a pályahálózat-működtetőnek igazolnia kell, hogy a csúcsbetéthegy visszahúzása elegendő annak garantálására, hogy a kerék a tényleges pontnál ne üsse meg a csúcsot.
c) A keresztező könyöksín csúcs felőli éle és a szemközti vezetősín vezetőéle közötti távolság legnagyobb értéke a keresztezési csúcsnál: 1 440 mm.
d) A vezetéstávolság legnagyobb értéke a vezetősín/könyöksín belépési pontnál: 1 469 mm.
e) A nyomcsatorna minimális szélessége: 42 mm.
f) A nyomcsatorna minimális mélysége: 40 mm.
g) A vezetősín legnagyobb magassága a pályasín felett: 55 mm.
7.7.6.11. Peron-oldaltávolság (4.2.9.3.)
"P" esetek
A 4.2.9.3. (1) pontban foglaltak helyett, az 1 524 mm-es névleges nyomtávolság esetében a vágánytengely és a peron széle közötti, a haladás síkjával párhuzamosan mért, az EN 15273-3:2013+A1:2016 szabvány 13. fejezete szerinti távolságot a peron-oldaltávolság építési határértéke alapján kell meghatározni. A peron-oldaltávolság építési határértékét a FIN1 szelvény alapján kell meghatározni. Az EN 15273-3:2013+A1:2016 szabvány 13. fejezete szerint kiszámolt bq legkisebb távolságra a továbbiakban bqlim-ként történik hivatkozás.
7.7.6.12. A vonat külső tisztítására szolgáló eszközök (4.2.12.3.)
"P" esetek
A 4.2.12.3. (1) pontban foglaltak helyett, az 1 524 mm-es névleges nyomtávolságú rendszerben, mosóberendezés igénybe vétele esetén annak képesnek kell lennie az egy- és kétszintes vonatok külső oldalának tisztítására a következő magasságok között:
a) 330 és 4 367 mm az egyszintes vonatok esetében,
b) 330 és 5 300 mm a kétszintes vonatok esetében.
7.7.6.13. Az űrszelvény értékelése (6.2.4.1.)
"P" esetek
A 6.2.4.1. (1) pontban foglaltak helyett, az 1 524 mm-es névleges nyomtávolság esetében az űrszelvény tervezési felülvizsgálatként, a jellemző keresztmetszet tükrében való értékelését a pályahálózat-működtető vagy a szerződő fél által az EN 15273-3:2013+A1:2016 szabvány 5., 6. és 10. pontja, valamint D. mellékletének D.4.4. pontja alapján elvégzett számítások eredményei alapján lehet elvégezni.
7.7.7. A francia hálózat sajátos jellemzői
7.7.7.1. Peronmagasság (4.2.9.2.)
"P" esetek
Az Ile-de-France vasúti hálózat esetében megengedett a futófelület feletti 920 mm-es névleges peronmagasság.
7.7.8. A német hálózat sajátos jellemzői
7.7.8.1. "P" esetek
S-Bahn vasút esetében megengedett a futófelület feletti 960 mm-es névleges peronmagasság.
7.7.8.2. Azonnali tevékenységvégzési határértékek nyomtávolsággal kapcsolatos lokális hibák tekintetében (4.2.8.4.)
"P" eset
A 4.2.8.4. (1) pontban foglaltak helyett a legkisebb nyomtávolság minden sebesség esetében 1 430 mm.
7.7.9. A görög hálózat sajátos jellemzői
7.7.9.1. Peronmagasság (4.2.9.2.)
"P" esetek
Megengedett a futófelület feletti 300 mm-es névleges peronmagasság.
7.7.10. Az olasz hálózat sajátos jellemzői
7.7.10.1. Peron-oldaltávolság (4.2.9.3.)
"P" esetek
A 4.2.9.3. (1) pontban foglaltak helyett, az 550 mm magasságú peronok esetében a vágánytengely és a peron széle közötti, a haladás síkjával párhuzamosan mért bqlim (mm) távolságot a következő képletekkel kell kiszámolni:
a) egyenes pályán és az ívek belső oldalán:
bqlim = 1 650 + 3 750 /R + (g - 1 435 )/2 + 11,5
b) az ívek külső oldalán:
bqlim = 1 650 + 3 750 /R + (g - 1 435 )/2 + 11,5 + 220 * tanδ
ahol R a pálya ívsugara (m-ben), g a nyomtávolság, δ pedig a túlemelésnek a vízszintes vonallal bezárt szöge.
7.7.10.2. Egyenértékű kúposság (4.2.4.5.)
"P" esetek
(1) A 4.2.4.5. (3) pontban foglaltak helyett, folyóvágány esetében a nyomtávolság, a sínfejprofil és a síndőlés tervezési értékeit úgy kell kiválasztani, hogy biztosítsák az egyenértékű kúposság 24. táblázatban megállapított határértékeinek betartását.
24. táblázat
Az egyenértékű kúposság tervezési határértékei
| Kerékprofil | ||
| Sebességtartomány (km/h) | S1002, GV1/40 | EPS |
| v ≤ 60 | Nincs szükség értékelésre | |
| 60 < v ≤ 200 | 0,25 | 0,30 |
| 200 < v ≤ 280 | 0,20 | na. |
| v > 280 | 0,10 | na. |
(2) A 4.2.4.5. (4) pontban foglaltak helyett, a következő kerékpárokat úgy kell megtervezni, hogy megfeleljenek a tervezett (az EN 15302:2021 szabvány szerint szimulált) pályafeltételeknek:
a) S 1002 (az EN 13715:2020 szabvány C. mellékletében meghatározottak szerint), SR1;
b) S 1002 (az EN 13715:2020 szabvány C. mellékletében meghatározottak szerint), SR2;
c) GV 1/40 (az EN 13715:2020 szabvány B. mellékletében meghatározottak szerint), SR1;
d) GV 1/40 (az EN 13715:2020 szabvány B. mellékletében meghatározottak szerint), SR2;
e) EPS (az EN 13715:2020 szabvány D. mellékletében meghatározottak szerint), SR1.
Az SR1 és az SR2 tekintetében a következő értékek alkalmazandók:
f) Az 1 435 mm es nyomtávolság esetében: SR1 = 1 420 mm és SR2 = 1 426 mm.
7.7.10.3. Egyenértékű kúposság üzem közben (4.2.11.2.)
"P" esetek
A 4.2.11.2. (2) pontban foglaltak helyett, a pályahálózat-működtetőnek a kérdéses helyen körülbelül tízméterenként meg kell mérnie a nyomtávolságot és a sínfejprofilt. A 100 m-re jutó átlagos egyenértékű kúposságot ezen ÁME 7.7.10.2. (2) pontjában említett a)-e) kerékpárokkal való modellezés útján kell kiszámolni annak érdekében, hogy a közös vizsgálat céljából ellenőrizhető legyen a pálya egyenértékű kúpossággal kapcsolatos, 14. táblázatban megadott határértékeinek való megfelelés.
7.7.11. A lett hálózat sajátos jellemzői
7.7.11.1. Új hidak forgalmi terheléssel szembeni ellenállása - függőleges terhelések (4.2.7.1.1.)
"P" esetek
(1) A 4.2.7.1.1. (1) (a) pontban foglaltak helyett, az 1 520 mm-es névleges nyomtávolság esetében az LM 71-es terhelési modellt 100 kN/m egyenletes terheléssel (qvk) kell alkalmazni.
7.7.12. A lengyel hálózat sajátos jellemzői
7.7.12.1. ÁME-vonalkategóriák (4.2.1.)
"P" esetek
A 4.2.1. (7) pont 2. táblázatának P3 sorában foglaltak helyett, Lengyelország felújított vagy korszerűsített vonalain megengedett a G2 méretszelvény alkalmazása.
7.7.12.2. Vágánytengely-távolság (4.2.3.2.)
"P" esetek
A 4.2.3.2. (4) pontban foglaltak helyett, az 1 520 mm-es nyomtávolság esetében olyan állomási vágányok tekintetében, amelyek az áruk egyik kocsiból a másikba történő közvetlen átrakodására szolgálnak, megengedett a 3,60 m-es névleges vízszintes minimumtávolság.
7.7.12.3. Legkisebb vízszintes ívsugár (4.2.3.4.)
"P" esetek
A 4.2.3.4. (3) pontban foglaltak helyett, az 1 520 mm-es nyomtávolság esetében a fővágányoktól eltérő vágányokon a 150-250 m-es sugártartományba eső elleníveket úgy kell megtervezni, hogy a pályaívek között legyen egy legalább 10 m hosszú egyenes pályaszakasz.
7.7.12.4. Legkisebb függőleges ívsugár (4.2.3.5.)
"P" esetek
A 4.2.3.5. (3) pontban foglaltak helyett, az 1 520 mm-es nyomtávolság esetében (a rendező-pályaudvari gurítódombok kivételével) a függőleges ívek sugarának domború és homorú lejttörésben egyaránt legalább 2 000 m hosszúnak kell lennie.
7.7.12.5. Túlemeléshiány (4.2.4.3.)
"P" esetek
A 4.2.4.3. (3) pontban foglaltak helyett, az 1 520 mm-es nyomtávolságú rendszerben a túlemeléshiány a járművek egyik típusa esetében sem haladhatja meg a 130 mm-t.
7.7.12.6. Túlemeléshiány átmenet nélküli változása (4.2.4.4.)
"P" esetek
A 4.2.4.3. (3) pontban foglaltak helyett, az 1 520 mm-es nyomtávolság esetében a 4.2.4.4. (1) és (2) pont szerinti követelményeket kell alkalmazni.
7.7.12.7. Azonnali tevékenységvégzési határérték a síktorzulás tekintetében (4.2.8.3.)
"P" esetek
A 4.2.8.3. (4) és (5) pontban foglaltak helyett, az 1 520 mm-es nyomtávolság esetében a 4.2.8.3. (1) és (3) pont szerinti követelményeket kell alkalmazni.
7.7.12.8. Azonnali tevékenységvégzési határérték nyomtávolsággal kapcsolatos lokális hibák tekintetében (4.2.8.4.)
"P" esetek
A 4.2.8.3. (2) pont szerinti táblázat helyett, az 1 520 mm-es nyomtávolság esetében Lengyelországban a következő táblázat szerinti határértékek alkalmazandók:
25. táblázat
A nyomtávolsággal kapcsolatos hibákra vonatkozó azonnali tevékenységvégzési határértékek Lengyelország 1 520 mm-es nyomtávolságú rendszere esetében
| Sebesség (km/h) | Méretek (mm) | |
| Legkisebb nyomtávolság | Legnagyobb nyomtávolság | |
| V < 50 | 1 511 | 1 548 |
| 50 ≤ V ≤ 140 | 1 512 | 1 548 |
| V > 140 | 1 512 | 1 536 |
7.7.12.9. Azonnali tevékenységvégzési határértékek a váltók és keresztezések tekintetében (4.2.8.6.)
"P" esetek
(1) A 4.2.8.6. (1) (d) pontban foglaltak helyett, egyes R = 190 m sugarú váltók, valamint 1:9 és 1:4,444 hajlásszögű keresztezések esetében megengedett, hogy a vezetéstávolság legnagyobb értéke a vezetősín/könyöksín belépési pontnál 1 385 mm legyen.
(2) A 4.2.8.6. (3) pontban foglaltak helyett, az 1 520 mm-es nyomtávolság esetében a váltók és keresztezések műszaki jellemzőinek a következő üzem közbeni értékeknek kell megfelelniük:
a) A vezetéstávolság legnagyobb értéke váltókban: 1 460 mm.
Ez az érték növelhető, ha a pályahálózat-működtető bizonyítani tudja, hogy a váltó működtető és rögzítő rendszere képes ellenállni a kerékpárok által kifejtett oldalirányú erőknek.
b) A csúcsnál a vezetéstávolság legkisebb értéke normál keresztezésben: 1 472 mm.
Ezt az értéket a futófelület alatt 14 mm-rel és az elméleti referenciavonalon, a csúcs tényleges pontjától megfelelő távolságban kell mérni a 2. ábrán jelzettek szerint.
Azon keresztezések esetében, amelyeknél csúcsbetéthegy-visszahúzást alkalmaznak, ez az érték csökkenthető. Ebben az esetben a pályahálózat-működtetőnek igazolnia kell, hogy a csúcsbetéthegy visszahúzása elegendő annak garantálására, hogy a kerék a tényleges pontnál ne üsse meg a csúcsot.
c) A keresztező könyöksín csúcs felőli éle és a szemközti vezetősín vezetőéle közötti távolság legnagyobb értéke a keresztezési csúcsnál: 1 436 mm.
d) A nyomcsatorna minimális szélessége: 38 mm.
e) A nyomcsatorna minimális mélysége: 40 mm.
f) A vezetősín legnagyobb magassága a pályasín felett: 55 mm.
7.7.12.10. Peronmagasság (4.2.9.2.)
"P" esetek
(1) Városi és elővárosi vasúti szolgáltatásokban használt peronok esetében megengedett a futófelület feletti 900 mm-es névleges peronmagasság.
(2) Legfeljebb 160 km/h legnagyobb sebességű korszerűsített vagy felújított vonalak esetében megengedett a futófelület feletti 220-380 mm-es névleges peronmagasság.
7.7.12.11. Egyenértékű kúposság üzem közben (4.2.11.2.)
"T" esetek
Az üzem közbeni egyenértékű kúposság kiszámításához szükséges tényezők mérésére alkalmas berendezés bevezetéséig Lengyelországban el lehet tekinteni ennek a paraméternek az értékelésétől.
7.7.12.12. Aljak (5.3.3.)
"P" esetek
Az 5.3.3. (2) pont szerinti követelmény 250 km/h-t meghaladó sebesség esetén alkalmazandó.
7.7.13. A portugál hálózat sajátos jellemzői
7.7.13.1. Űrszelvény (4.2.3.1.)
"P" esetek
(1) A 4.2.3.1. (1) pontban foglaltak helyett, az 1 668 mm-es névleges nyomtávolság esetében az űrszelvény felső részét az EN 15273-3:2013+A1:2016 szabvány D. mellékletének D.4.3. pontja szerinti, a 26. és 27. táblázatban megállapított méretszelvények alapján kell meghatározni.
26. táblázat
Portugál méretszelvények személyforgalom esetén
| Forgalomtípuskód | Méretszelvény |
| P1 | PTc |
| P2 | PTb+ |
| P3 | PTc |
| P4 | PTb+ |
| P5 | PTb |
| P6 | PTb |
27. táblázat
Portugál méretszelvények teherforgalom esetén
| Forgalomtípuskód | Méretszelvény |
| F1 | PTc |
| F2 | PTb+ |
| F3 | PTb |
| F4 | PTb |
(2) A 4.2.3.1. (2) pontban foglaltak helyett, az 1 668 mm-es névleges nyomtávolság esetében az űrszelvény alsó részének összhangban kell lennie az EN 15273-3:2013+A1:2016 szabvány D. mellékletének D.4.3.4. pontjával.
(3) A 4.2.3.1. (3) pontban foglaltak helyett, az 1 668 mm-es névleges nyomtávolság esetében az űrszelvényre vonatkozó számításokat a kinematikus módszer alkalmazásával kell elvégezni az EN 15273-3:2013+A1:2016 szabvány D. mellékletének D.4.3. pontjában meghatározott követelményekkel összhangban.
7.7.13.2. Vágánytengely-távolság (4.2.3.2.)
"P" esetek
A 4.2.3.2. (1) pontban foglaltak helyett, az 1 668 mm-es névleges nyomtávolság esetében a vágánytengely-távolságot az EN 15273-3:2013+A1:2016 szabvány D. mellékletének D.4.3. pontjában meghatározott PTb, PTb+ vagy PTc referencia-körvonal alapján kell meghatározni.
7.7.13.3. Azonnali tevékenységvégzési határérték a nyomtávolsággal kapcsolatos lokális hibák tekintetében (4.2.8.4.)
"P" esetek
A 4.2.8.4. (1) pontban foglaltak helyett, az 1 668 mm-es nyomtávolság esetében a nyomtávolsággal kapcsolatos lokális hibákra vonatkozó azonnali tevékenységvégzési határértékeket a 28. táblázat határozza meg.
28. táblázat
Azonnali tevékenységvégzési határértékek a nyomtávolság tekintetében Portugáliában
| Sebesség (km/h) | Méretek (mm) | |
| Legkisebb nyomtávolság | Legnagyobb nyomtávolság | |
| V ≤ 120 | 1 657 | 1 703 |
| 120 < V ≤ 160 | 1 658 | 1 703 |
| 160 < V ≤ 230 | 1 661 | 1 696 |
| V > 230 | 1 663 | 1 696 |
7.7.13.4. Azonnali tevékenységvégzési határérték a váltók és keresztezések tekintetében (4.2.8.6.)
"P" esetek
A 4.2.8.6. (1) pontban foglaltak helyett, az 1 668 mm-es névleges nyomtávolság esetében a váltók és keresztezések műszaki jellemzőinek a következő üzem közbeni értékeknek kell megfelelniük:
a) A vezetéstávolság legnagyobb értéke váltókban: 1 618 mm.
Ez az érték növelhető, ha a pályahálózat-működtető bizonyítani tudja, hogy a váltó működtető és rögzítő rendszere képes ellenállni a kerékpárok által kifejtett oldalirányú erőknek.
b) A csúcsnál a vezetéstávolság legkisebb értéke normál keresztezésben: 1 625 mm.
Ezt az értéket a futófelület alatt 14 mm-rel és az elméleti referenciavonalon, a csúcs tényleges pontjától megfelelő távolságban kell mérni a 2. ábrán jelzettek szerint.
Azon keresztezések esetében, amelyeknél csúcsbetéthegy-visszahúzást alkalmaznak, ez az érték csökkenthető. Ebben az esetben a pályahálózat-működtetőnek igazolnia kell, hogy a csúcsbetéthegy visszahúzása elegendő annak garantálására, hogy a kerék a tényleges pontnál ne üsse meg a csúcsot.
c) A keresztező könyöksín csúcs felőli éle és a szemközti vezetősín vezetőéle közötti távolság legnagyobb értéke a keresztezési csúcsnál: 1 590 mm.
d) A vezetéstávolság legnagyobb értéke a vezetősín/könyöksín belépési pontnál: 1 618 mm.
e) A nyomcsatorna minimális szélessége: 38 mm.
f) A nyomcsatorna minimális mélysége: 40 mm.
g) A vezetősín legnagyobb magassága a pályasín felett: 70 mm.
7.7.13.5. Peronmagasság (4.2.9.2.)
"P" esetek
Az 1 668 mm-es névleges nyomtávolságú rendszerben, felújított és korszerűsített peron esetében 300, illetve 350 m-t meghaladó sugár mellett megengedett a futófelület feletti 685 mm-es (általános alkalmazás) vagy 900 mm-es (városi és külvárosi forgalom) névleges peronmagasság.
7.7.13.6. Peron-oldaltávolság (4.2.9.3.)
"P" esetek
(1) A 4.2.9.3. (1) pontban foglaltak helyett, az 1 668 mm-es névleges nyomtávolság esetében, a vágánytengely és a peron széle közötti, a haladás síkjával párhuzamosan mért, az EN 15273-3:2013+A1:2016 13. fejezete szerinti távolságot (bq) a peron-oldaltávolság építési határértéke (bqlim) alapján kell meghatározni. A peron-oldaltávolság építési határértékét az EN 15273-3:2013+A1:2016 D. mellékletének D. 4.3. pontjában meghatározott PTb+ szelvény alapján kell kiszámolni.
(2) Háromsínes vágány esetében a peron-oldaltávolság építési határértéke az a külső határvonal, amely az 1 668 mm-es nyomtávolságon alapuló peron-oldaltávolság építési határértékének és az 1 435 mm-es nyomtávolságon alapuló, a 4.2.9.3. (1) pontban meghatározott peron-oldaltávolság építési határértékének átfedéséből adódik.
7.7.13.7. Az űrszelvény értékelése (6.2.4.1.)
"P" esetek
A 6.2.4.1. (1) pontban foglaltak helyett, az 1 668 mm-es névleges nyomtávolság esetében az űrszelvény tervezési felülvizsgálatként, a jellemző keresztmetszet tükrében való értékelését a pályahálózat-működtető vagy a szerződő fél által az EN 15273-3:2013+A1:2016 szabvány 5., 7. és 10. pontja, valamint D. mellékletének D.4.3. pontja alapján elvégzett számítások eredményei alapján lehet elvégezni.
7.7.13.8. Az alagutakban fellépő legnagyobb nyomásingadozás értékelése (6.2.4.12.)
"P" esetek
A 6.2.4.12. (3) pontban foglaltak helyett, az 1 668 mm-es névleges nyomtávolság esetében a kölcsönösen átjárható vonatok figyelembe veendő referencia-keresztszelvényei (a vonat teljes hosszában) az adott vontató és vontatott járművektől függetlenül az alábbiak:
a) 12 m2 a PTc kinematikus szerkesztési szelvényre tervezett járműveknél,
b) 11 m2 a PTb és PTb+ kinematikus referencia-profilra tervezett járműveknél.
A járműszelvényt a 7.7.13.1. pont szerint kiválasztott szelvény alapján kell meghatározni.
7.7.14. Írország hálózatának sajátos jellemzői
7.7.14.1. Űrszelvény (4.2.3.1.)
"P" esetek
A 4.2.3.1. (5) pontban foglaltak helyett, az 1 600 mm-es névleges nyomtávolság esetében megengedett az ezen ÁME O. függelékében meghatározott egységes IRL2 űrszelvény alkalmazása.
7.7.14.2. Vágánytengely-távolság (4.2.3.2.)
"P" esetek
A 4.2.3.2. (6) pontban foglaltak helyett, az 1 600 mm-es nyomtávolság esetében a vágánytengely-távolságot a 7.7.14.1. pont szerint kiválasztott szelvények alapján kell meghatározni. A tervezéskor meg kell határozni a névleges vízszintes vágánytengely-távolságot, amely az IRL2 szelvény esetében nem lehet kisebb 3,47 m-nél; figyelembe kell venni az aerodinamikai hatásokkal kapcsolatos határértékeket is.
7.7.14.3. Az űrszelvény értékelése (6.2.4.1)
"P" esetek
A 6.2.4.1. (5) pontban foglaltak helyett, az 1 600 mm-es nyomtávolság esetében az űrszelvény tervezési felülvizsgálatként, a jellemző keresztmetszet tükrében való értékelését az O. függelék szerinti egységes IRL2 űrszelvény felhasználásával kell elvégezni.
7.7.15. A spanyol hálózat sajátos jellemzői
7.7.15.1. Űrszelvény (4.2.3.1.)
"P" esetek
(1) A 4.2.3.1. (1) pontban foglaltak helyett, az 1 668 mm-es névleges nyomtávolság esetében az űrszelvény felső részét új vonalak tekintetében az EN 15273-3:2013+A1:2016 szabvány D. mellékletének D.4.11. pontja szerinti, a 29. és 30. táblázatban megállapított méretszelvények alapján kell meghatározni.
29. táblázat
A spanyol hálózat személyforgalmi méretszelvényei
| Forgalomtípuskód | A felső rész méretszelvénye |
| P1 | GEC16 |
| P2 | GEB16 |
| P3 | GEC16 |
| P4 | GEB16 |
| P5 | GEB16 |
| P6 | GHE16 |
30. táblázat
A spanyol hálózat teherforgalmi méretszelvényei
| Forgalomtípuskód | A felső rész méretszelvénye |
| F1 | GEC16 |
| F2 | GEB16 |
| F3 | GEB16 |
| F4 | GHE16 |
Felújított és korszerűsített vonalak esetében az űrszelvény felső részét az EN 15273-3:2013 szabvány D. mellékletének D.4.11. pontjában meghatározott GHE16 szelvény alapján kell meghatározni.
(2) A 4.2.3.1. (2) pontban foglaltak helyett, az 1 668 mm-es névleges nyomtávolság esetében az űrszelvény alsó része az ezen ÁME P. függelékében meghatározott GEI2 űrszelvény. Amennyiben a vágányok vágányfékkel vannak ellátva, az alsó rész tekintetében az ezen ÁME P. függelékében meghatározott GEI1 űrszelvényt kell alkalmazni.
(3) A 4.2.3.1. (3) pontban foglaltak helyett, az 1 668 mm-es névleges nyomtávolság esetében az űrszelvényre vonatkozó számításokat a kinematikus módszer alkalmazásával kell elvégezni, a felső rész tekintetében az EN 15273-3:2013+A1:2016 szabvány D. mellékletének D.4.11. pontjában meghatározott követelményekkel, az alsó rész tekintetében pedig ezen ÁME P. függelékével összhangban.
7.7.15.2. Vágánytengely-távolság (4.2.3.2.)
"P" esetek
A 4.2.3.2. (1) pontban foglaltak helyett, az 1 668 mm-es névleges nyomtávolság esetében a vágánytengely-távolságot az EN 15273-3:2013+A1:2016 szabvány D. mellékletének D.4.11. pontjában meghatározott GHE16, GEB16 vagy GEC16 felsőrészszelvények alapján kell meghatározni.
7.7.15.3. Vasúti forgalmi hatások miatti tervezési síktorzulás (4.2.7.1.6)
"P" esetek
A 4.2.7.1.6. pontban foglaltak helyett, az 1 668 mm-es névleges nyomtávolság esetében a vasúti forgalmi hatások miatti teljes tervezési síktorzulás nem haladhatja meg a 8 mm/3 m-t.
7.7.15.4. Azonnali tevékenységvégzési határérték a nyomtávolsággal kapcsolatos lokális hibák tekintetében (4.2.8.4.)
"P" esetek
A 4.2.8.4. (1) pontban foglaltak helyett, az 1 668 mm-es nyomtávolság esetében a nyomtávolsággal kapcsolatos lokális hibákra vonatkozó azonnali tevékenységvégzési határértékeket a 31. táblázat határozza meg.
31. táblázat
Azonnali tevékenységvégzési határértékek az 1 688 mm-es nyomtávolság tekintetében
| Sebesség (km/h) | Méretek (mm) | |
| Legkisebb nyomtávolság | Legnagyobb nyomtávolság | |
| V ≤ 80 | 1 659 | 1 698 |
| 80 < V ≤ 120 | 1 659 | 1 691 |
| 120 < V ≤ 160 | 1 660 | 1 688 |
| 160 < V ≤ 200 | 1 661 | 1 686 |
| 200 < V ≤ 240 | 1 663 | 1 684 |
| 240 < V ≤ 280 | 1 663 | 1 682 |
| 280 < V ≤ 320 | 1 664 | 1 680 |
| 320 < V ≤ 350 | 1 665 | 1 679 |
7.7.15.5. Azonnali tevékenységvégzési határértékek a váltók és keresztezések tekintetében (4.2.8.6.)
"P" esetek
A 4.2.8.6. (1) pontban foglaltak helyett, az 1 668 mm-es névleges nyomtávolság esetében a váltók és keresztezések műszaki jellemzőinek a következő üzem közbeni értékeknek kell megfelelniük:
a) A vezetéstávolság legnagyobb értéke váltókban: 1 618 mm.
Ez az érték növelhető, ha a pályahálózat-működtető bizonyítani tudja, hogy a váltó működtető és rögzítő rendszere képes ellenállni a kerékpárok által kifejtett oldalirányú erőknek.
b) A csúcsnál a vezetéstávolság legkisebb értéke normál keresztezésben: 1 626 mm.
Ezt az értéket a futófelület alatt 14 mm-rel és az elméleti referenciavonalon, a csúcs tényleges pontjától megfelelő távolságban kell mérni a 2. ábrán jelzettek szerint.
Azon keresztezések esetében, amelyeknél csúcsbetéthegy-visszahúzást alkalmaznak, ez az érték csökkenthető. Ebben az esetben a pályahálózat-működtetőnek igazolnia kell, hogy a csúcsbetéthegy visszahúzása elegendő annak garantálására, hogy a kerék a tényleges pontnál ne üsse meg a csúcsot.
c) A keresztező könyöksín csúcs felőli éle és a szemközti vezetősín vezetőéle közötti távolság legnagyobb értéke a keresztezési csúcsnál: 1 590 mm.
d) A vezetéstávolság legnagyobb értéke a vezetősín/könyöksín belépési pontjánál: 1 620 mm.
e) A nyomcsatorna minimális szélessége: 38 mm.
f) A nyomcsatorna minimális mélysége: 40 mm.
g) A vezetősín legnagyobb magassága: 70 mm.
7.7.15.6. Peronmagasság (4.2.9.2.)
"P" esetek
A futófelület feletti névleges peronmagasság megengedett értéke:
a) ingázó- vagy regionális forgalom esetében, vagy
b) ingázó- vagy távolsági forgalom esetében
c) regionális vagy távolsági forgalom esetében
megálláskor normál üzemben 680 mm, amennyiben az ívsugár 300 m vagy annál nagyobb.
7.7.15.7. Peron-oldaltávolság (4.2.9.3.)
"P" esetek
(1) A 4.2.9.3. (1) pontban foglaltak helyett, az 1 668 mm-es névleges nyomtávolság esetében a vágánytengely és a peron széle közötti, a haladás síkjával párhuzamosan mért, az EN 15273-3:2013 13. fejezete szerinti távolságot (bq) peron-oldaltávolság építési határértéke (bqlim) alapján kell meghatározni. A peron-oldaltávolság tervezett építési határértékét az EN 15273-3:2013+A1:2016 D. mellékletének D.4.11. pontjában meghatározott GHE16 vagy GEC16 felsőrészszelvények alapján kell kiszámolni.
(2) Háromsínes vágány esetében a peron-oldaltávolság építési határértéke az a külső határvonal, amely az 1 668 mm-es nyomtávolságon alapuló peron-oldaltávolság építési határértékének és az 1 435 mm-es nyomtávolságon alapuló, a 4.2.9.3. (1) pontban meghatározott peron-oldaltávolság tervezett építési határértékének átfedéséből adódik.
7.7.15.8. Az űrszelvény értékelése (6.2.4.1.)
"P" esetek
A 6.2.4.1. (1) pontban foglaltak helyett, az 1 668 mm-es névleges nyomtávolság esetében az űrszelvény tervezési felülvizsgálatként, a jellemző keresztmetszet tükrében való értékelését a pályahálózat-működtető vagy a szerződő fél által a felső rész tekintetében az EN 15273-3:2013+A1:2016 szabvány 5., 7. és 10. pontja, valamint D. mellékletének D.4.11. pontja, az alsó rész tekintetében pedig ezen ÁME P. függeléke alapján elvégzett számítások eredményei alapján lehet elvégezni.
7.7.15.9. Az alagutakban fellépő legnagyobb nyomásingadozás értékelése (6.2.4.12.)
"P" esetek
A 6.2.4.12. (3) pontban foglaltak helyett, az 1 668 mm-es névleges nyomtávolság esetében a kölcsönösen átjárható vonatok figyelembe veendő referencia-keresztszelvényei az adott vontató és vontatott járművektől függetlenül az alábbiak:
a) 12 m2 a GEC16 kinematikus szerkesztési szelvényre tervezett járműveknél,
b) 11 m2 a GEB16 és GHE16 kinematikus szerkesztési szelvényre tervezett járműveknél.
A járműszelvényt a 7.7.15.1. pont szerint kiválasztott szelvény alapján kell meghatározni.
7.7.16. A svéd hálózat sajátos jellemzői
7.7.16.1. Általános megjegyzések
"P" esetek
A finn hálózattal közvetlen kapcsolatban álló infrastruktúra és a kikötői infrastruktúra tekintetében a finn hálózatnak ezen ÁME 7.7.6. pontjában meghatározott sajátos jellemzőit kell alkalmazni az 1 524 mm-es névleges nyomtávolságú járművek közlekedésére alkalmas vonalak esetében.
7.7.16.2. Peron-oldaltávolság (4.2.9.3.)
"P" esetek
A 4.2.9.3. (1) pontban foglaltak szerint a vágánytengely és a peron széle közötti, a haladás síkjával párhuzamosan mért, az EN 15273-3:2013+A1:2016 13. fejezete szerinti távolságot a megengedett további ívpótlékra (Skin) vonatkozó következő értékek alapján kell kiszámolni:
a) a pálya belső körívén: Skin = 40,5/R,
b) a pálya külső körívén: Skin = 31,5/R.
7.7.17. (nem használt)
7.7.18. Az Egyesült Királyság észak-írországi hálózatának sajátos jellemzői
7.7.18.1. Űrszelvény (4.2.3.1.)
"P" esetek
A 4.2.3.1. (5) pontban foglaltak helyett, az 1 600 mm-es névleges nyomtávolság esetében megengedett az ezen ÁME O. függelékében meghatározott egységes IRL3 űrszelvény alkalmazása.
7.7.18.2. Vágánytengely-távolság (4.2.3.2.)
"P" esetek
A 4.2.3.2. (6) pontban foglaltak helyett, az 1 600 mm-es nyomtávolság esetében a vágánytengely-távolságot a 7.7.17.1. pont szerint kiválasztott méretszelvények alapján kell meghatározni. A tervezéskor meg kell határozni a névleges vízszintes vágánytengely-távolságot, és figyelembe kell venni az aerodinamikai hatások határértékeit. Az egységes IRL3 űrszelvényre vonatkozó megengedett minimumérték nyitott kérdés.
7.7.18.3. Az űrszelvény értékelése (6.2.4.1.)
"P" esetek
A 6.2.4.1. (5) pontban foglaltak helyett, az 1 600 mm-es nyomtávolság esetében az űrszelvény tervezési felülvizsgálatként, a jellemző keresztmetszet tükrében való értékelését az O. függelék szerinti egységes IRL3 űrszelvény felhasználásával kell elvégezni.
7.7.19. A szlovák hálózat sajátos jellemzői
7.7.19.1. ÁME-vonalkategóriák (4.2.1.)
"P" esetek
A 4.2.1. (7) pont 3. táblázata szerinti F1520 forgalomtípuskód esetében az 1 520 mm-es nyomtávolság esetében megengedett a 24,5 t-nyi tengelyterhelés és a 650-1 050 m-es tartományba eső vonathossz.
7.7.19.2. Legkisebb vízszintes ívsugár (4.2.3.4.)
"P" esetek
(1) A 4.2.3.4. (2) pontban foglaltak helyett, a 150-300 m-es sugártartományba eső elleníveket (a rendező-pályaudvarokon lévő ellenívek kivételével, amelyeken a kocsikat egyesével tolatják) az új vonalak esetében a 33. és 34. táblázat adataival összhangban úgy kell megtervezni, hogy elkerülhető legyen az ütközők összeakadása.
(2) A 4.2.3.4. (3) pontban foglaltak helyett, az 1 520 mm-es nyomtávú rendszer esetében, a fővágányokon a 150-250 m sugártartományba eső elleníveket úgy kell megtervezni, hogy a pályaívek között legyen egy legalább 15 m hosszú egyenes pályaszakasz.
(3) A 4.2.3.4. (3) pontban foglaltak helyett, az 1 520 mm-es nyomtávolság esetében a fővágányoktól eltérő vágányokon a 150-250 m-es sugártartományba eső elleníveket a 33. és 34. táblával összhangban kell megtervezni.
33. táblázat
Két hosszú, ellentétes irányú pályaív közötti közbenső egyenes szakasz hosszának határértékei (m)
| R1/R2 | 150 | 160 | 170 | 180 | 190 | 200 | 220 | 230 | 250 | 280 | 300 |
| 150 | 11,0 | 10,7 | 10,4 | 10,0 | 9,8 | 9,5 | 9,0 | 8,7 | 8,1 | 7,6 | 6,7 |
| 160 | 10,7 | 10,4 | 10,0 | 9,8 | 9,5 | 9,0 | 8,6 | 8,1 | 7,6 | 6,7 | 6,4 |
| 170 | 10,4 | 10,0 | 9,8 | 9,5 | 9,0 | 8,5 | 8,1 | 7,6 | 6,7 | 6,4 | 6,0 |
| 180 | 10,0 | 9,8 | 9,5 | 9,0 | 8,5 | 8,0 | 7,5 | 6,6 | 6,4 | 6,0 | 5,5 |
| 190 | 9,8 | 9,5 | 9,0 | 8,5 | 8,0 | 7,5 | 6,5 | 6,3 | 6,0 | 5,4 | 4,5 |
| 200 | 9,5 | 9,0 | 8,5 | 8,0 | 7,5 | 6,5 | 6,2 | 6,0 | 5,3 | 4,0 | 3,0 |
| 220 | 9,0 | 8,6 | 8,1 | 7,5 | 6,5 | 6,2 | 6,0 | 5,3 | 4,0 | 3,0 | 0,0 |
| 230 | 8,7 | 8,1 | 7,6 | 6,6 | 6,3 | 6,0 | 5,3 | 4,0 | 3,0 | 0,0 | |
| 250 | 8,1 | 7,6 | 6,7 | 6,4 | 6,0 | 5,3 | 4,0 | 3,0 | 0,0 | ||
| 280 | 7,6 | 6,7 | 6,4 | 6,0 | 5,4 | 4,0 | 3,0 | 0,0 | |||
| 300 | 6,7 | 6,4 | 6,0 | 5,5 | 4,5 | 3,0 | 0,0 | ||||
| 325 | 6,4 | 6,0 | 5,7 | 5,0 | 4,0 | 0,0 | |||||
| 350 | 6,3 | 5,8 | 5,2 | 4,0 | 3,0 | 0,0 | |||||
| 400 | 6,0 | 5,2 | 4,0 | 3,0 | 0,0 | ||||||
| 450 | 5,5 | 4,5 | 3,0 | 0,0 | |||||||
| 500 | 5,0 | 3,0 | 0,0 | ||||||||
| 600 | 3,0 | 0,0 | |||||||||
| 700 | 0,0 |
34. táblázat
Két hosszú, ellentétes irányú pályaív közötti közbenső egyenes szakasz hosszának határértékei (m) a fővágánytól eltérő vágányokon, legfeljebb 40 km/h sebességgel közlekedő személyvonatok esetében
| R1/R2 | 150 | 160 | 170 | 180 | 190 | 200 | 220 | 230 | 250 |
| 150 | 11,0 | 10,7 | 10,4 | 10,0 | 9,8 | 9,5 | 9,0 | 8,7 | 8,1 |
| 160 | 10,7 | 10,4 | 10,0 | 9,8 | 9,5 | 9,0 | 8,6 | 8,1 | 7,6 |
| 170 | 10,4 | 10,0 | 9,8 | 9,5 | 9,0 | 8,5 | 8,1 | 7,6 | 6,7 |
| 180 | 10,0 | 9,8 | 9,5 | 9,0 | 8,5 | 8,0 | 7,5 | 6,6 | 6,4 |
| 190 | 9,8 | 9,5 | 9,0 | 8,5 | 8,0 | 7,5 | 6,5 | 6,3 | 6,0 |
| 200 | 9,5 | 9,0 | 8,5 | 8,0 | 7,5 | 6,7 | 6,2 | 6,0 | 5,3 |
| 220 | 9,0 | 8,6 | 8,1 | 7,5 | 6,5 | 6,2 | 6,0 | 5,3 | 4,0 |
| 230 | 8,7 | 8,1 | 7,6 | 6,6 | 6,3 | 6,0 | 5,3 | 4,0 | 4,0 |
| 250 | 8,1 | 7,6 | 6,7 | 6,4 | 6,0 | 5,3 | 4,0 | 4,0 | 4,0 |
| 280 | 7,6 | 6,7 | 6,4 | 6,0 | 5,4 | 4,0 | 4,0 | 4,0 | 4,0 |
| 300 | 6,7 | 6,4 | 6,0 | 5,5 | 4,5 | 4,0 | 4,0 | 4,0 | 4,0 |
| 325 | 6,4 | 6,0 | 5,7 | 5,0 | 4,0 | 4,0 | 4,0 | 4,0 | 4,0 |
| 350 | 6,3 | 5,8 | 5,2 | 4,0 | 4,0 | 4,0 | 4,0 | 4,0 | 4,0 |
| 400 | 6,0 | 5,2 | 4,0 | 4,0 | 4,0 | 4,0 | 4,0 | 4,0 | 4,0 |
| 450 | 5,5 | 4,5 | 4,0 | 4,0 | 4,0 | 4,0 | 4,0 | 4,0 | 4,0 |
| 500 | 5,0 | 4,0 | 4,0 | 4,0 | 4,0 | 4,0 | 4,0 | 4,0 | 4,0 |
| 600 | 4,0 | 4,0 | 4,0 | 4,0 | 4,0 | 4,0 | 4,0 | 4,0 | 4,0 |
7.7.19.3. Legkisebb függőleges ívsugár (4.2.3.5.)
"P" esetek
(1) A 4.2.3.5. (1) pontban foglaltak helyett, kizárólag legfeljebb 10 km/h sebességű mellékvágányokon (a rendező-pályaudvari gurítódombok kivételével) a függőleges ívek sugarának domború és homorú lejttörésben egyaránt legalább 500 m hosszúnak kell lennie.
(2) A 4.2.3.5. (3) pontban foglaltak helyett, (rendező-pályaudvarok kivételével) a függőleges ívek sugarának domború és homorú lejttörésben egyaránt legalább 2 000 m, zsúfolt körülmények között (azaz ha nincs elég tér) domború és homorú lejttörésben egyaránt legalább 1 000 m hosszúnak kell lennie.
(3) Legfeljebb 10 km/h sebességű mellékvágányokon megengedett, hogy a függőleges ívek sugara domború és homorú lejttörésben egyaránt legalább 500 m legyen.
(4) A 4.2.3.5. (4) pontban foglaltak helyett, az 1 520 mm-es nyomtávú rendszer esetében a rendező-pályaudvari gurítódombok tekintetében a függőleges ívek sugarának domború lejttörésben legalább 300 m, homorú lejttörésben pedig legalább 250 m hosszúnak kell lennie.
7.7.19.4. Túlemeléshiány (4.2.4.3.)
"P" esetek
A 4.2.4.3. (3) pontban foglaltak helyett, az 1 520 mm-es nyomtávolságú rendszerben a túlemeléshiány a járművek egyik típusa esetében sem haladhatja meg a 137 mm-t. Személyforgalom esetében ez a határ 230 km/h sebességhatárig érvényes. Vegyes forgalom esetében ez a határ 160 km/h sebességhatárig érvényes.
7.7.19.5. Azonnali tevékenységvégzési határérték a síktorzulás tekintetében (4.2.8.3.)
"P" esetek
A 4.2.8.3. (4) és (5) pontban foglaltak helyett, az 1 520 mm-es nyomtávolság esetében a 4.2.8.3. (1) és (3) pont szerinti követelményeket kell alkalmazni.
7.7.19.6. Azonnali tevékenységvégzési határérték a nyomtávolsággal kapcsolatos lokális hibák tekintetében (4.2.8.4.)
"P" esetek
A 4.2.8.4. (2) pontban foglaltak helyett, az 1 520 mm-es nyomtávolság esetében a nyomtávolsággal kapcsolatos lokális hibákra vonatkozó azonnali tevékenységvégzési határértékeket a 35. táblázat határozza meg.
35. táblázat
A nyomtávolsággal kapcsolatos hibákra vonatkozó azonnali tevékenységvégzési határértékek a Szlovák Köztársaság 1 520 mm-es nyomtávolságú rendszere esetében
| Sebesség (km/h) | Méretek (mm) | |
| Legkisebb nyomtávolság | Legnagyobb nyomtávolság | |
| V ≤ 80 | 1 511 | 1 555 |
| 80 < V ≤ 120 | 1 512 | 1 550 |
| 120 < V ≤ 160 | 1 513 | 1 545 |
| 160 < V ≤ 230 | 1 514 | 1 540 |
7.7.19.7. Azonnali tevékenységvégzési határérték a túlemelés tekintetében (4.2.8.5.)
"P" esetek
A 4.2.8.5. (3) pontban foglaltak helyett, az 1 520 mm-es nyomtávú rendszerben az üzem közben megengedett legnagyobb túlemelés 170 mm.
7.7.19.8. Azonnali tevékenységvégzési határértékek a váltók és keresztezések tekintetében (4.2.8.6.)
"P" esetek
A 4.2.8.6. (3) pontban foglaltak helyett, az 1 520 mm-es nyomtávolság esetében a váltók és keresztezések műszaki jellemzőinek a következő üzem közbeni értékeknek kell megfelelniük:
a) A nyitott csúcssín és tősín közötti hézag legkisebb értéke: 60 mm.
b) A csúcsnál a vezetéstávolság legkisebb értéke normál keresztezésben 1 472 mm. Ezt az értéket a futófelület alatt 14 mm-rel és az elméleti referenciavonalon, a csúcs tényleges pontjától megfelelő távolságban kell mérni a 2. ábrán jelzettek szerint. Azon keresztezések esetében, amelyeknél csúcsbetéthegy-visszahúzást alkalmaznak, ez az érték csökkenthető. Ebben az esetben a pályahálózat-működtetőnek igazolnia kell, hogy a csúcsbetéthegy visszahúzása elegendő annak garantálására, hogy a kerék a tényleges pontnál ne üsse meg a csúcsot.
c) A keresztező könyöksín csúcs felőli éle és a szemközti vezetősín vezetőéle közötti távolság legnagyobb értéke a keresztezési csúcsnál: 1 436 mm
d) A nyomcsatorna minimális szélessége: 40 mm
e) A nyomcsatorna minimális mélysége: 40 mm
f) A vezetősín legnagyobb magassága: 54 mm
7.7.19.9. Peronmagasság (4.2.9.2.)
"P" esetek
A 120 km/h meg nem haladó legnagyobb sebességű felújított vonalak esetében a futófelület feletti névleges peronmagasság megengedett értéke 200-300 mm.
7.7.19.10. Egyenértékű kúposság üzem közben (4.2.11.2.)
"T" esetek
Az üzem közbeni egyenértékű kúposság kiszámításához szükséges tényezők mérésére alkalmas berendezés bevezetéséig a Szlovák Köztársaságban el lehet tekinteni ennek a paraméternek az értékelésétől.
7.7.19.11. Aljak (5.3.3.)
"P" esetek
Az 5.3.3. pont szerinti követelmény 250 km/h-t meghaladó sebesség esetén alkalmazandó.
A. függelék
A kölcsönös átjárhatóságot lehetővé tevő rendszerelemek értékelése
A kölcsönös átjárhatóságot lehetővé tevő rendszerelemek bejelentett szervezet által a tervezés, fejlesztés és a gyártás különböző fázisaiban vizsgálandó jellemzőit a 36. táblázat "X"-szel jelöli. A táblázatban "n.a." jelzi, ha nincs szükség értékelésre.
Az infrastruktúra alrendszer kölcsönös átjárhatóságot lehetővé tevő rendszerelemei tekintetében nincsenek egyedi értékelési eljárások.
36. táblázat
A kölcsönös átjárhatóságot lehetővé tevő rendszerelemek értékelése az EK-megfelelőségi nyilatkozathoz
| Értékelendő jellemzők | Értékelés a következő szakaszban | |||
| Tervezési és fejlesztési szakasz | Gyártási szakasz Gyártási folyamat + termékvizsgálat | |||
| Tervezési felülvizsgálat | Gyártási folyamat felülvizsgálata | Típusvizsgálat | Termékminőség (sorozat) | |
| 5.3.1. Sín | ||||
| 5.3.1.1. Sínfejprofil | X | n.a. | X | X |
| 5.3.1.2. Sínacél | X | X | X | X |
| 5.3.2. Sínleerősítő rendszerek | n.a. | n.a. | X | X |
| 5.3.3. Aljak | X | X | n.a. | X |
B. függelék
Az infrastruktúra alrendszer értékelése
Az alrendszernek a különböző fázisokban - tervezés, építés, üzemeltetés - értékelendő jellemzőit a 37. táblázatban "X" jelöli.
A táblázatban "n.a." jelzi, ha nincs szükség a bejelentett szervezet általi értékelésre. Ez nem zárja ki azt, hogy a többi fázisban szükséges lehet egyéb értékelések elvégzésére.
Az értékelési fázisok meghatározása:
(1) "Tervezési felülvizsgálat" : a végleges tervben szereplő értékek/paraméterek helyességének ellenőrzése az ÁME vonatkozó követelményei tükrében.
(2) "Üzembe helyezés előtti összeszerelés" : helyszíni ellenőrzés közvetlenül az üzembe helyezés előtt arra vonatkozóan, hogy a tényleges termék vagy alrendszer megfelel-e a vonatkozó tervezési paramétereknek.
A 3. oszlop a 6.2.4. pontra ("Az infrastruktúra alrendszer külön értékelési eljárásai") és a 6.2.5. pontra ("Olyan műszaki megoldások, amelyek megfelelősége már a tervezési fázisban feltételezhető") való utalásokat tartalmaz.
37. táblázat
Az infrastruktúra alrendszer értékelése az EK-megfelelőség hitelesítéséhez
| Értékelendő jellemzők | Új vonal vagy korszerűsítési/felújítási projekt | Külön értékelési eljárások | |
| Tervezési felülvizsgálat | Üzembe helyezés előtti összeszerelés | ||
| 1 | 2 | 3 | |
| Űrszelvény (4.2.3.1.) | X | X | 6.2.4.1. |
| Vágánytengely-távolság (4.2.3.2.) | X | X | 6.2.4.2. |
| Legnagyobb lejtés (4.2.3.3.) | X | n.a. | |
| Legkisebb vízszintes ívsugár (4.2.3.4.) | X | X | 6.2.4.4. |
| Legkisebb függőleges ívsugár (4.2.3.5.) | X | n.a. | 6.2.4.4. |
| Névleges nyomtávolság (4.2.4.1.) | X | X | 6.2.4.3. |
| Túlemelés (4.2.4.2.) | X | X | 6.2.4.4. |
| Túlemeléshiány (4.2.4.3.) | X | n.a. | 6.2.4.4. 6.2.4.5. |
| Túlemeléshiány átmenet nélküli változása (4.2.4.4.) | X | n.a. | 6.2.4.4. |
| Egyenértékű kúposság tervezési értékeinek értékelése (4.2.4.5.) | X | n.a. | 6.2.4.6. |
| Sínfejprofil folyóvágányhoz(4.2.4.6.) | X | n.a. | 6.2.4.7. |
| Síndőlés (4.2.4.7.) | X | n.a. | |
| Váltók és keresztezések tervezési geometriája (4.2.5.1.) | X | n.a. | 6.2.4.8. |
| Mozgó csúcsbetétes keresztezések használata (4.2.5.2.) | X | n.a. | 6.2.4.8. |
| Kettős keresztezések maximális vezetetlen hossza (4.2.5.3.) | X | n.a. | 6.2.4.8. |
| A vágány függőleges terheléssel szembeni ellenállása (4.2.6.1.) | X | n.a. | 6.2.5. |
| A vágány hosszanti erőkkel szembeni ellenállása (4.2.6.2.) | X | n.a. | 6.2.5. 6.2.4.15. |
| A vágány oldalirányú erőkkel szembeni ellenállása (4.2.6.3.) | X | n.a. | 6.2.5. |
| Új hidak forgalmi terheléssel szembeni ellenállása (4.2.7.1.) | X | n.a. | 6.2.4.9. |
| Új földmunkák egyenértékű függőleges terhelése és földnyomás (4.2.7.2.) | X | n.a. | 6.2.4.9. |
| Vágányok feletti vagy melletti új műtárgyak ellenállása (4.2.7.3.) | X | n.a. | 6.2.4.9. |
| Meglévő hidak és földmunkák forgalmi terheléssel szembeni ellenállása (4.2.7.4.) | X | n.a. | 6.2.4.10. |
| Azonnali tevékenységvégzési határérték az irány tekintetében (4.2.8.1.) | n.a. | n.a. | |
| Azonnali tevékenységvégzési határérték a fekszint tekintetében (4.2.8.2.) | n.a. | n.a. | |
| Azonnali tevékenységvégzési határérték a síktorzulás tekintetében (4.2.8.3.) | n.a. | n.a. | |
| Azonnali tevékenységvégzési határérték a nyomtávolsággal kapcsolatos lokális hibák tekintetében (4.2.8.4.) | n.a. | n.a. | |
| Azonnali tevékenységvégzési határérték a túlemelés tekintetében (4.2.8.5.) | n.a. | n.a. | |
| Azonnali tevékenységvégzési határérték a váltók és keresztezések tekintetében (4.2.8.6.) | n.a. | n.a. | |
| Hasznos peronhossz (4.2.9.1.) | X | n.a. | |
| Peronmagasság (4.2.9.2.) | X | X | |
| Peron-oldaltávolság (4.2.9.3.) | X | X | 6.2.4.11. |
| A pálya elrendezése peronok mentén (4.2.9.4.) | X | n.a. | |
| Maximális nyomásingadozás alagutakban (4.2.10.1.) | X | n.a. | 6.2.4.12. |
| Az oldalszél hatása (4.2.10.2.) | n.a. | n.a. | 6.2.4.13. |
| Szelvényjelzők (4.2.11.1.) | n.a. | n.a. | |
| Egyenértékű kúposság üzem közben (4.2.11.2.) | n.a. | n.a. | |
| WC-tartály ürítés (4.2.12.2.) | n.a. | n.a. | 6.2.4.14. |
| A vonat külső tisztítására szolgáló eszközök (4.2.12.3.) | n.a. | n.a. | 6.2.4.14 |
| Vízfeltöltés (4.2.12.4.) | n.a. | n.a. | 6.2.4.14 |
| Üzemanyag-feltöltés (4.2.12.5.) | n.a. | n.a. | 6.2.4.14 |
| Pályamenti áramellátás (4.2.12.6.) | n.a. | n.a. | 6.2.4.14 |
| A kölcsönös átjárhatóságot lehetővé tevő rendszerelemek alkalmazása | n.a. | X | |
C. függelék
A vágányterv és a kitérőterv műszaki jellemzői
C. 1. függelék
A vágányterv műszaki jellemzői
A vágánytervet legalább az alábbi műszaki jellemzők segítségével kell meghatározni:
a) Sín
- Profil(ok) és acélminőség
- Folytonos hegesztett sín vagy sínhosszúság (egymáshoz illesztett sínszálak esetében)
b) Illesztés
- Típus
- Közbetétlemez merevsége
- Leszorítóerő
- Hosszirányú eltolási ellenállás
c) Alj
- Típus
- Függőleges terheléssel szembeni ellenállás
- Beton: tervezési hajlítónyomaték
- Fa: a T. függelék [15] indexszámmal jelölt sorában említett előírásnak való megfelelés
- Acél: tehetetlenségi nyomaték a sín keresztmetszetén
- Hosszanti és oldalirányú terheléssel szembeni ellenállás: geometria és tömeg
- Névleges és tervezési nyomtáv
d) Síndőlés
e) Zúzottkő-ágyazat keresztszelvénye (ágyazatkorona - ágyazat vastagsága)
f) Ágyazat típusa (szemeloszlás = szemcseszerkezet)
g) Aljak távolsága
h) Speciális eszközök, például aljrögzítő (horgony), harmadik/negyedik sín stb.
C. 2. függelék
A kitérőterv műszaki jellemzői
A kitérőtervet legalább az alábbi műszaki jellemzők segítségével kell meghatározni:
a) Sín
- Profil(ok) és acélminőség (csúcssín, tősín)
- Folytonos hegesztett sín vagy sínhosszúság (egymáshoz illesztett sínszálak esetében)
b) Illesztés
- Típus
- Közbetétlemez merevsége
- Leszorítóerő
- Hosszirányú eltolási ellenállás
c) Keresztalj
- Típus
- Függőleges terheléssel szembeni ellenállás
- Beton: tervezési hajlítónyomaték
- Fa: a T. függelék [15] indexszámmal jelölt sorában említett előírásnak való megfelelés
- Acél: tehetetlenségi nyomaték a sín keresztmetszetén
- Hosszanti és oldalirányú terheléssel szembeni ellenállás: geometria és tömeg
- Névleges nyomtávolság
d) Síndőlés
e) Zúzottkő-ágyazat keresztszelvénye (ágyazatkorona - ágyazat vastagsága)
f) Ágyazat típusa (szemeloszlás = szemcseszerkezet)
g) Keresztezés típusa (rögzített vagy mozgó részekkel)
h) Rögzítő rendszer típusa (váltórész, mozgó keresztezési pont)
i) Speciális eszközök, például aljrögzítő (horgony), harmadik/negyedik sín stb.
j) Kitérők általános tervrajza, mely feltünteti a következőket:
- A kitérő hosszát és a kitérő végi érintőket szemléltető geometriai ábra (háromszög)
- Fő geometriai jellemzők, például a fő sugarak a váltórészben, záró és keresztezési rész, keresztezési szög
- Aljak távolsága
D. függelék
A vágányterv és a kitérőterv használatának feltételei
D. 1. függelék
A vágányterv használatának feltételei
A vágányterv használatának feltételeit a következők határozzák meg:
a) Legnagyobb tengelyterhelés (t)
b) Legnagyobb pályasebesség (km/h)
c) Legkisebb vízszintes ívsugár (m)
d) Legnagyobb túlemelés (mm)
e) Legnagyobb túlemeléshiány (mm)
D. 2. függelék
A kitérőterv használatának feltételei
A kitérőterv használatának feltételeit a következők határozzák meg:
a) Legnagyobb tengelyterhelés (t)
b) Legnagyobb pályasebesség (km/h) és az egyenes átmenő vágányokon és a váltók kitérő irányú vágányain
c) Az íves kitérőkre vonatkozó, általános terveken alapuló, a görbület legkisebb értékét (egyenes átmenő vágányokon és a kitérő irányú vágányokon) meghatározó szabályok
E. függelék
A meglévő műtárgyak forgalmi kódoknak megfelelő teherbírási követelményei
A meglévő hidak 4.2.7.4. (2) pont szerinti teherbírási minimumkövetelményeit a 38A. és 39A. táblázat határozza meg a 2. és 3. táblázatban foglalt forgalmi kódok szerint. Ezeket a teherbírási követelményeket csak az EN-vonalkategória és a kapcsolódó sebesség, vagy az LM71 terhelési modell és az alfa (α) tényező segítségével meghatározott függőleges terhelés alkalmazásával kell meghatározni. A további dinamikus teherbírási követelményeket a HSLM dinamikus terhelési modell írja elő. Az EN-vonalkategória és a kapcsolódó sebesség egyetlen együttes paraméterként kezelendő.
A meglévő geotechnikai szerkezetek és földmunkák 4.2.7.4. (2) pont szerinti teherbírási minimumkövetelményeit a 38B. és 39B. táblázat határozza meg a 2. és 3. táblázatban foglalt forgalmi kódok szerint.
Az EN-vonalkategóriák a tengelyterhelés és a tengelytáv geometriai vonatkozásainak függvényei, és a T. függelék [2] indexszámmal jelölt sorában említett előírás határozza meg őket.
Folytatólagos többtámaszú hidak esetében az LM71. terhelési modell és az SW/0 terhelési modell közül a legnagyobb terhet jelentő esetet kell figyelembe venni. Az LM71 terhelési modellt, az SW/0 terhelési modellt és a HSLM terhelési modellt a T. függelék [10] indexszámmal jelölt sorában említett előírás határozza meg.
38A. táblázat
A hidak terhelhetőségére vonatkozó követelmények és a dinamikus hatások miatti további követelmények (1)
| Forgalomtípuskód | Forgalom mozdonnyal vontatott vonatokkal: Személyszállító vonatok, ideértve a személykocsikat (kocsik, poggyász- és személygépjármű-szállító kocsik) és könnyű teherkocsik és mozdonyok és vonófejek(2)(3)(5)(6)(4) | Forgalom villamos vagy dízel többrészes egységekkel, hajtott egységekkel és motorkocsikkal(2)(5)(4) |
| P1 | n.a.(7) | HSLM (8) és D2-200; vagy HSLM (8) és LM71, ahol α = 1,0(14) |
| P2 | HSLM (8) és D2-200; Vagy HSLM (8) és LM71, ahol α = 0.91(14) | HSLM (8) és D2-200; Vagy HSLM (8) és LM71, ahol α = 0,91(14) |
| P3a (> 160 km/h) | L≥4m D2–100 és L<4m D2–200(9)(10)(15) | L≥4m C2–100 és L<4m C2–200(9)(15) |
| P3b (≤ 160 km/h) | L≥4m D2–100 és L<4m D2–160(9)(11)(15) | L≥4m D2–100 és L<4m D2–160(9)(15) |
| P4a (> 160 km/h) | L≥4m D2–100 és L<4m D2–200(9)(12)(15) | L≥4m C2–100 és L<4m C2–200(9)(15) |
| P4b (≤ 160 km/h) | L≥4m D2–100 és L<4m D2–160(9)(13)(15) | L≥4m C2–100 és L<4m C2–160(9)(15) |
| P5 | C2–120 | B1–120 |
| P6 | a12 | |
| P1520 | Nyitott kérdés | |
| P1600 | Nyitott kérdés | |
39A. táblázat
Hidak terhelhetőségére vonatkozó követelmények EN-vonalkategóriaként kifejezve - Kapcsolódó sebesség (1)
| Forgalomtípuskód | Tehervonatok, ideértve a teherkocsikat, más járműveket és mozdonyokat(2) |
| F1 | D4 – 120 |
| F2 | D2 – 120 |
| F3 | C2 – 100 |
| F4 | B2 – 100 |
| F1520 | Nyitott kérdés |
| F1600 | Nyitott kérdés |
Megjegyzések:
(1) A táblázatokban megadott sebességérték a vonalra vonatkozó maximumkövetelményt jeleníti meg, és a 4.2.1. (12) pontnak megfelelően alacsonyabb is lehet. A vonal egyes műtárgyainak ellenőrzése során elfogadható a 2. táblázat 2. és 3. megjegyzésében, valamint a 3. táblázat 1. megjegyzésében jelzett megengedett helyi sebességek figyelembevétele.
(2) A személykocsik (ideértve a kocsikat, poggyász- és autószállító kocsikat), más járművek, mozdonyok, vonófejek, elektromos vagy dízel többrészes egységek, motoros egységek és motorkocsik meghatározása a mozdonyok és személyszállító járművek alrendszerre vonatkozó ÁME-ban található. A könnyű áruszállító kocsik poggyászkocsiként kerültek meghatározásra, szállításuk azonban megengedett nem személyszállításra szolgáló összeállításban.
(3) A műtárgyakra vonatkozó, EN-vonalkategóriák vagy az LM71-es terhelési modell segítségével meghatározott követelmények összeegyeztethetők legfeljebb két szomszédos összekapcsolt mozdonnyal és/vagy vonófejjel. A műtárgyakra vonatkozó követelmények összeegyeztethetők legfeljebb 120 km/h sebességgel, három vagy több szomszédos összekapcsolt mozdony és/vagy vonófej (vagy mozdony- és/vagy vonófej-szerelvény) esetében, amennyiben a mozdonyok, és/vagy vonófejek megfelelnek a teherkocsikra vonatkozó megfelelő határértékeknek.
(4) A P2, P3 és P4 forgalomtípuskód esetében mind a mozdonnyal vontatott vonattal történő forgalomra, mind a többrészes egységekkel történő forgalomra vonatkozó követelményeket alkalmazni kell. A P5 forgalomtípuskód esetében a tagállam jelezheti, hogy alkalmazandók-e a mozdonyokra és vonófejekre vonatkozó követelmények.
(5) A kocsik, könnyű teherkocsik és elektromos vagy dízel többrészes egységek esetében a műtárgyakra vonatkozó követelmények az egyes járművek teljes hosszán az A. EN-vonalkategória esetében 2,45 t/m, a B1 EN-vonalkategória esetében 2,75 t/m, a C2 EN-vonalkategória esetében 3,1 t/m, a D2 (kivéve a P5-öt) EN-vonalkategória esetében 3,5 t/m átlagos tömeg/egységhosszal egyeztethetők össze.
(6) Négytengelyes mozdonyok és vonófejek esetében a forgóvázak tengelyei közötti tengelytáv legalább 2,6 m; a jármű teljes hosszán az átlagos tömeg/egységhossz nem haladhatja meg az 5,0 t/m-t.
(7) Figyelemmel a működtetés korszerűségére, az ilyen típusú járművek tekintetében a P1 forgalmi kód esetében nincs szükség harmonizált követelmények meghatározására a megfelelő szintű átjárhatóság biztosítása érdekében.
(8) A P1 és P2 vonalak esetében a HSLM-nek való megfelelést a T. függelék [10] indexszámmal jelölt sorában említett előírásnak megfelelően fel kell tüntetni (lásd az ezen ÁME 6.2.4.10. pontjában leírt eljárást). Ha a HSLM-nek való megfelelés nem bizonyítható, az OPE ÁME D.1. függelékében szereplő, útvonallal való összeegyeztethetőség ellenőrzése (RINF 1.1.1.1.2.4.4. paraméter) szerinti dinamikus összeegyeztethetőségi ellenőrzés céljából a dinamikus terhelést, amelyre vonatkozóan a meglévő hidakkal való összeegyeztethetőséget ellenőrizni kell, fel kell tüntetni a dokumentumokban az RINF 1.1.1.1.2.4.4. paramétere szerinti eljárással/eljárásokkal (lásd még az ezen ÁME 6.2.4.10. pontjában leírt eljárást). Ha az egyes vonatokon alapuló terhelési modellekkel dinamikus elemzést kell végezni, az utasokra vagy csomagszállító járművekre vonatkozó terhelés jellemző értékének összhangban kell lennie az ezen ÁME K. függeléke szerinti normál hasznos terhelés tervezési tömegével.
(9) A túlzott dinamikus hatások - többek között a rezonancia - elkerülése érdekében jelenleg nem lehetséges a hidakra vonatkozó harmonizált minimális tulajdonságokat meghatározni a dinamikus értékelés szükségességének elkerülése érdekében. A híd statikus terhelhetőségére vonatkozó követelményeknek megfelelő járművekből származó dinamikus terhelés (amelyeket vagy a T. függelék [2] indexszámmal jelölt sorában említett előírás szerinti vonalkategóriaként, vagy az LM71 terhelési modell szerint határoznak meg) számos esetben meghaladhatja a híd szokásos statikus terhelhetőségére vonatkozó követelményeket (ha ezeket a statikus terheléseket a híd újraszámításákor vagy a híd tervezésekor a dinamikus tényezőkre vonatkozó szokásos ipari tűrésekkel növelik). Ezt a járművek és hidak közötti összeegyeztethetőségi kockázatot az OPE ÁME D.1. függelékében meghatározott dinamikus összeegyeztethetőségi ellenőrzések kezelik (RINF 1.1.1.1.2.4.4. paraméter). Ha az egyes vonatokon alapuló terhelési modellekkel dinamikus elemzést kell végezni, az utasokra vagy csomagszállító járművekre vonatkozó terhelés jellemző értékének összhangban kell lennie az ezen ÁME K. függeléke szerinti normál hasznos terhelés tervezési tömegével.
(10) A mozdonnyal vontatott személyszállító vonatokra vonatkozó követelmények az A. EN-vonalkategóriának megfelelő, legfeljebb 200 km/h sebességű (megengedett helyi sebesség), illetve a C2. EN-vonalkategóriának megfelelő, legfeljebb 160 km/h sebességű (megengedett helyi sebesség) kocsikra és könnyű teherkocsikra érvényesek.
(11) A mozdonnyal vontatott személyszállító vonatokra vonatkozó követelmények a C2. EN-vonalkategóriának megfelelő, legfeljebb 160 km/h sebességű (megengedett helyi sebesség) kocsikra és könnyű teherkocsikra érvényesek.
(12) A mozdonnyal vontatott személyszállító vonatokra vonatkozó követelmények az A. EN-vonalkategóriának megfelelő, legfeljebb 200 km/h sebességű (megengedett helyi sebesség), illetve a B1. EN-vonalkategóriának megfelelő, legfeljebb 160 km/h sebességű (megengedett helyi sebesség) kocsikra és könnyű teherkocsikra érvényesek.
(13) A mozdonnyal vontatott személyszállító vonatokra vonatkozó követelmények a B1. EN-vonalkategóriának megfelelő, legfeljebb 160 km/h sebességű (megengedett helyi sebesség) kocsikra és könnyű teherkocsikra érvényesek.
(14) Az EN-vonalkategóriák vagy az LM71 terhelési modell alapján meghatározott követelmények vagy az EN-vonalkategóriával, a megfelelő sebességgel, vagy az LM71 terhelési modell és az alfa (α) tényező segítségével teljesíthetők a T. függelék [10] indexszámmal jelölt sorában említett előírásnak megfelelően. A két lehetőség közül kizárólag a kérelmező választhat, és nem feltétlenül a legnagyobb terhet jelentő lehetőséget kell választania. Az EN-vonalkategória a megfelelő sebességgel a statikus terhelés és egy dinamikus erősítési tényező szorzatán alapul.
(15) Amennyiben a 38A. táblázatban megadott forgalmi kódokra vonatkozó teherbírási minimumkövetelményeket például az L>=4m D2-100 ( 13 ) és L<4m D2-200 ( 14 ) alakban adják meg, a figyelembe vett hídelem terhelt L hosszára vonatkozó kritériumoknak teljesülniük kell. Az EN-vonalkategória a megfelelő sebességgel a statikus terhelés és egy dinamikus erősítési tényező szorzatán alapul.
38B. táblázat
A geotechnikai szerkezetek és földmunkák terhelhetőségére vonatkozó követelmények (1) (2)
| Forgalomtípuskód | Forgalom mozdonnyal vontatott vonatokkal: Személyszállító vonatok, ideértve a személykocsikat (kocsik, poggyász- és személygépjármű-szállító kocsik) és könnyű teherkocsik és mozdonyok és vonófejek(3) | Forgalom villamos vagy dízel többrészes egységekkel, hajtott egységekkel és motorkocsikkal(3) |
| P1 | n.a.(4) | D2 |
| P2 | D2 | D2 |
| P3a (> 160 km/h) | D2 | C2 |
| P3b (≤ 160 km/h) | D2 | D2 |
| P4a (> 160 km/h) | D2 | C2 |
| P4b (≤ 160 km/h) | D2 | C2 |
| P5 | C2 | B1 |
| P6 | a12 | |
| P1520 | Nyitott kérdés | |
| P1600 | Nyitott kérdés | |
39B. táblázat
A geotechnikai szerkezetek és földmunkák terhelhetőségére vonatkozó követelmények
| Forgalomtípuskód | Tehervonatok, ideértve a teherkocsikat, más járműveket és mozdonyokat |
| F1 | D4 |
| F2 | D2 |
| F3 | C2 |
| F4 | B2 |
| F1520 | Nyitott kérdés |
| F1600 | Nyitott kérdés |
Megjegyzések:
(1) A vonalszakasz közzétett vonalkategóriái, ideértve a földmunkákat is, figyelembe veszik a helyi megengedett sebességeket.
(2) A személykocsik (ideértve a kocsikat, a poggyász- és személygépjármű-szállító kocsikat), más járművek, mozdonyok, vonófejek, villamos és dízel többrészes egységek, hajtott egységek és motorkocsik meghatározása a mozdonyokra és személyszállító járművekre vonatkozó ÁME 2.2. pontjában található. A könnyű áruszállító kocsik poggyászkocsiként kerültek meghatározásra, szállításuk azonban megengedett nem személyszállításra szolgáló összeállításban.
(3) A P2, P3 és P4 forgalomtípuskód esetében mind a mozdonnyal vontatott vonattal történő forgalomra, mind a többrészes egységekkel történő forgalomra vonatkozó követelményeket alkalmazni kell. A P5 forgalomtípuskód esetében a tagállam jelezheti, hogy alkalmazandók-e a mozdonyokra és vonófejekre vonatkozó követelmények.
(4) Figyelemmel a működtetés korszerűségére, az ilyen típusú járművek tekintetében a P1 forgalmi kód esetében nincs szükség harmonizált követelmények meghatározására a megfelelő szintű átjárhatóság biztosítása érdekében.
F. függelék
A műtárgyak forgalmi kódoknak megfelelő teherbírási követelményei az Egyesült Királyságban (Észak-Írország)
A műtárgyak 2. és 3. táblázat szerinti forgalmi kódoknak megfelelő teherbírási minimumkövetelményeit a 40. és 41. táblázat határozza meg. A teherbírási követelményeket a 40. és 41. táblázat határozza meg az útvonal-rendelkezésreállási szám és a legnagyobb kapcsolódó sebesség együttes figyelembevételével. Az útvonal-rendelkezésreállási szám és a kapcsolódó sebesség egyetlen együttes paraméterként kezelendő.
Az útvonal-rendelkezésreállási szám a tengelyterhelés és a tengelytáv geometriai vonatkozásainak függvénye. Az útvonal-rendelkezésreállási számokat az e célra bejelentett nemzeti szabályok határozzák meg.
40. táblázat
Útvonal-rendelkezésreállási szám - Kapcsolódó sebesség (19) (23) [mérföld per óra] - Személyforgalom
| Forgalomtípuskód | Személykocsik (ideértve a kocsikat, a poggyász- és autószállító kocsikat) és könnyű teherkocsik (20) (21) (24) | Mozdonyok és vonófejek (20) (22) | Elektromos vagy dízel többrészes egységek, hajtott egységek és motorkocsik (20) (21) (24) |
| P1 | n.a. (29) | n.a. (29) | Nyitott kérdés |
| P2 | n.a. (29) | n.a. (29) | Nyitott kérdés |
| P3a (> 160 km/h) | RA1 – 125 RA2 – 90 | RA7 – 125 (25) RA8 – 110 (25) RA8 – 100 (26) RA5 – 125 (27) | Nyitott kérdés |
| P3b (≤ 160 km/h) | RA1 – 100 RA2 – 90 | RA8 – 100 (26) RA5 – 100 (27) | RA3 – 100 |
| P4a (> 160 km/h) | RA1 – 125 RA2 – 90 | RA7 – 125 (25) RA7 – 100 (26) RA4 – 125 (27) | Nyitott kérdés |
| P4b (≤ 160 km/h) | RA1 – 100 RA2 – 90 | RA7 – 100 (26) RA4 – 100 (27) | RA3 – 100 |
| P5 | RA1 – 75 | RA5 – 75 (26) (28) RA4 – 75 (27) (28) | RA3 – 75 |
| P6 | RA1 | ||
| P1600 | Nyitott kérdés | ||
41. táblázat
Útvonal-rendelkezésreállási szám - Kapcsolódó sebesség (mérföld per óra) - Teherforgalom
| Forgalomtípuskód | Teheráru-szállító és más járművek | Mozdonyok |
| F1 | RA8 – 75 | RA7 – 75 |
| F2 | RA7 – 75 | RA7 – 75 |
| F3 | RA5 – 60 | RA7 – 60 |
| F4 | RA4 – 60 | RA5 – 60 |
| F1600 | Nyitott kérdés | |
G. függelék
A sebesség mérföldre való átszámítása Írország és az Egyesült Királyság (Észak-Írország) esetében
42. táblázat
A sebesség átszámítása (km/h)-ról (mph)-ra
| Sebesség (km/h) | Sebesség (mph) |
| 2 | 1 |
| 3 | 1 |
| 5 | 3 |
| 10 | 5 |
| 15 | 10 |
| 20 | 10 |
| 30 | 20 |
| 40 | 25 |
| 50 | 30 |
| 60 | 40 |
| 80 | 50 |
| 100 | 60 |
| 120 | 75 |
| 140 | 90 |
| 150 | 95 |
| 160 | 100 |
| 170 | 105 |
| 180 | 110 |
| 190 | 120 |
| 200 | 125 |
| 220 | 135 |
| 225 | 140 |
| 230 | 145 |
| 250 | 155 |
| 280 | 175 |
| 300 | 190 |
| 320 | 200 |
| 350 | 220 |
H. függelék
Űrszelvény az 1 520 mm-es nyomtávolság esetében
3. ábra
S űrszelvény az 1 520 mm-es nyomtávolság esetében (a méretek mm-ben vannak megadva)

Magyarázat a 3. ábrához:
A vízszintes távolságok a vágánytengelytől, a függőleges távolságok pedig a sínfej szintjétől mérendők.
A körvonal bal oldala: alkalmazások az állomási, megállóhelyi vágányok, valamint a tolatóvágányok/ipari vágányok tekintetében (az Ia, Ib, IIa, IIIa körvonal kivételével)
A körvonal jobb oldala: alkalmazások a folyóvágányok tekintetében.
A körvonal meghatározott részeinek alkalmazása:
1,I - 1, I - űrszelvény-körvonal nem villamosított vágányok esetében,
1,I - II - III - II - 1,I - űrszelvény-körvonal villamosított vágányok esetében (folyóvágányok/nyíltvonali vágányok, állomási vágányok, tolató-/ipari vágányok, amelyeken járművek megállása nem várható),
Ia - Ib - IIa - IIIa - űrszelvény-körvonal villamosított vágányok esetében (egyéb állomási vágányok, egyéb tolató-/ipari vágányok)
Megjegyzés: A számlálóként megadott 1 000 mm, 1 020 mm, 6 900 mm és 6 400 mm értékek a tartósodronyos felsővezetékre vonatkoznak.
A nevezőként megadott 1 100 mm, 1 120 mm, 6 750 mm és 6 250 mm értékek a tartósodrony nélküli felsővezetékre vonatkoznak.
11 - 10 - 3: a szélső vágányokon kívül eső műtárgyak és berendezések űrszelvényének körvonala (alagút, híd, peron, rámpa kivételével);
9 - 4a: űrszelvény-körvonal alagút, hídkorlát, megemelt vágány (ágyazatprofil), jelzők, partfal és a vasúti alépítmény egyéb műtárgyaihoz tartozó korlátok esetében,
12-12: az a körvonal, amelynél semmilyen eszköz nem helyezkedhet el magasabban, kivéve a szintbeli átjárók burkolatát, a jelfeladó berendezéseket, a váltószerkezeteket és a közelükben elhelyezett jelző- és biztonsági berendezéseket
14-14: épületek (vagy alapépítmények), földalatti vezetékek, acélvezetékek, csövek és egyéb nem vasúti műtárgyak (a jelző- és biztonsági berendezések kivételével) körvonala
1 520 mm-es nyomtávolság esetében a1 = 670 mm és a2 = 760 mm.
1 524 mm-es nyomtávolság esetében a1 = 672 mm és a2 = 762 mm.
4. ábra
Az alsó rész szerkesztési szelvénye átszelési kitérővel ellátott vágányok esetében

Magyarázat a 4. ábrához:
A 760 mm-es távolság az 1 520 mm-es nyomtávolságra, a 762 mm-es távolság pedig az 1 524 mm-es nyomtávolságra vonatkozik.
5. ábra
Az alsó rész szerkesztési szelvénye vágányfékekkel ellátott rendező-pályaudvaron

I. függelék
(nem használt)
J. függelék
A kettős keresztezések biztonságosságára vonatkozó előírások
(J.1.) A kettős keresztezések megtervezésekor el kell kerülni a túl nagy vezetetlen hosszt. A kettős keresztezésekben a vezetősíneket nem lehet úgy kialakítani, hogy teljes hosszukon biztosított legyen a vezetés. A vezetetlenség csak bizonyos határig fogadható el; e határértéket az alábbiak szerinti referenciahelyzet határozza meg:
a) Legkisebb keresztezési szög: tangens 1:9 (tga = 0,11, a = 6°20′)
b) A kettős keresztezés legkisebb sugara: 450 m
c) A vezetősín legnagyobb magassága: 45 mm
d) A csúcs alakjának az alábbi ábra szerintinek kell lennie
6. ábra Kettős keresztezés [Kép #4] 7. ábra X csúcsbetéthegy-visszahúzás a vezetősín felületén [Kép #5] X = 3 mm (150 mm hosszon). Y = 8 mm (megközelítőleg 200-500 mm hosszon)

Kép #4

Kép #5
(J.2.) Ha a fenti követelmények közül egy vagy több nem teljesül, ellenőrizni kell a tervet, megvizsgálva vagy a vezetetlen hossz egyenértékűségét, vagy a kerék-csúcs kölcsönhatás elfogadhatóságát, amennyiben ezek érintkezésbe kerülnek.
(J.3.) A tervet ellenőrizni kell a 630-840 mm közötti átmérőjű kerekek tekintetében. 330-630 mm közötti kerékátmérők esetében külön igazolásokra van szükség.
(J.4.) Az alábbi diagramok segítségével egyszerűen elvégezhető a vezetetlen hossz vizsgálata a különböző keresztezési szöggel, vezetősín-magassággal és görbülettel rendelkező keresztezések esetében.
A diagramok a következő tűréshatárokat veszik figyelembe:
a) Nyomtáv: 1 433 mm és 1 439 mm között (mindkét értéket beleszámítva)
b) Csúcsvédelem: 1 393 mm és 1 398 mm között (mindkét értéket beleszámítva)
c) Vezetéstávolság ≤ 1 356 mm
A 8. ábra a 450 m sugarú ívvel rendelkező kettős keresztezésen, a 9. ábra az egyenes kettős keresztezésen futó kerék legkisebb átmérőjét határozza meg.
Egyéb esetekre külön számításokat kell végezni.
(J.5.) Az 1 435 mm-es nyomtávolságú rendszerek tekintetében külön számításokat kell végezni.
8. ábra
A legkisebb kerékátmérő a keresztezési szög függvényében a 450 m sugarú ívvel rendelkező kettős keresztezés esetében

1 Legkisebb kerékátmérő (mm)
2 Az az N szám, amelyre 1:N a keresztezési szög tangense
3 Vezetősín magassága (mm) (Z3)
9. ábra
A legkisebb kerékátmérő a keresztezési szög függvényében az egyenes kettős keresztezés esetében

1 Legkisebb kerékátmérő (mm)
2 Az az N szám, amelyre 1:N a keresztezési szög tangense
3 Vezetősín magassága (mm) (Z3)
K. függelék
Műtárgyakra vonatkozó alapkövetelmények személykocsik és többrészes egységek tekintetében
A műtárgyakra vonatkozó dinamikus minimumkövetelményeknek és a műtárgyak, illetve személykocsik és többrészes egységek összeegyeztethetőségi vizsgálatának alapját a személykocsikkal és többrészes egységekkel kapcsolatos alábbi tömegmeghatározások képezik.
Amennyiben a híd teherbíró képességének meghatározásához dinamikus értékelésre van szükség, a híd teherbírását a normál hasznos terhelés tervezési tömegében kell kifejezni és megadni a T. függelék [1] indexszámmal jelölt sorában említett előírásnak megfelelően, figyelembe véve a 45. táblázatban megadott, állóhelyeken lévő utasok hasznos terhét.
A statikus összeegyeztethetőséghez használandó tömegmeghatározások alapja a "tervezési tömeg rendkívüli hasznos teher mellett" a T. függelék [1] indexszámmal jelölt sorában említett előírásnak megfelelően, tekintettel a T. függelék [2] indexszámmal jelölt sorában említett előírásra.
45. táblázat
Állóhelyeken lévő utasok hasznos terhe, kg/m2-ben, a T. függelék [1] indexszámmal jelölt sorában említett előírásnak megfelelően
| A vonatok típusa | Jellemző hasznos terhelés a dinamikus összeegyeztethetőség meghatározására |
| Nagysebességű és helyközi vonatok | 160 (1) |
| Nagysebességű és helyközi vonatok Kötelező helyfoglalás | 0 |
| Egyéb (regionális, ingázó, elővárosi vonatok) | 280 |
| (1) A T. függelék [1] indexszámmal jelölt sorában említett előírás szerinti jellemző terhelés plusz 160 kg/m2-es terhelés az állóhelyeken tartózkodó utasok miatt. | |
M. függelék
Az észt hálózat különleges esetei
(1) Mozdony

(2) Egyenletes terhelés: 140 kN/m
(3) Kocsi

N. függelék
A görög hálózat különleges esetei
Törölve
O. függelék
Nagy-Britannia és Észak-Írország Egyesült Királysága hálózatának különleges esetei
Az IRL1, IRL2 és IRL3 szelvényekre vonatkozó szabályok és tervrajzok nyitott kérdésnek minősülnek.
P. függelék
Az alsó rész űrszelvénye a spanyol hálózat 1 668 mm-es nyomtávolságú rendszerében
Az űrszelvényeket a kinematikus referenciaprofilok és a hozzájuk kapcsolódó szabályok alapján kell kialakítani.
Az űrszelvényre vonatkozó számításokat a T. függelék [3] indexszámmal jelölt sorában említett előírás szerinti követelményeknek és az ebben a függelékben meghatározott kinematikus referenciaprofiloknak és kapcsolódó szabályoknak megfelelő kinematikus módszer alkalmazásával kell elvégezni.
P.1. REFERENCIAPROFILOK
P.1.1. GEI1 kinematikus referenciaprofil
A 12. ábra olyan járművek GEI1 kinematikus referenciaprofilját mutatja, amelyek üzemi helyzetű vágányfékek felett haladnak át.
12. ábra
A GEI1 kinematikus méretszelvény alsó részének szerkesztési szelvénye olyan járművek részére, amelyek üzemi helyzetű vágányfékek felett haladnak át (l = nyomtávolság)
A méretek mm-ben vannak megadva

(1) Futófelület
P.1.2. GEI2 kinematikus referenciaprofil
A 13. ábra olyan járművek GEI2 kinematikus referenciaprofilját mutatja, amelyek nem üzemi helyzetű vágányfékek felett haladnak át.
13. ábra
A GEI2 kinematikus méretszelvény alsó részének szerkesztési szelvénye olyan járművek részére, amelyek nem üzemi helyzetű vágányfékek felett haladnak át (l = nyomtávolság)
(A méretek mm-ben vannak megadva.)

(1) Futófelület
P.2. KAPCSOLÓDÓ SZABÁLYOK
A 46. ábra a GEI1 és GEI2 szelvények esetében érvényes további ívpótlékot ismerteti.
46. táblázat
S további ívpótlék az GEI1 és GEI2 szelvények esetében
| A futófelülethez viszonyított további ívpótlék „l” túllengés nyomtávolság és „h” magasság esetében | |
| Sugár | h ≤ 0,4 m |
| 250 ≤ R < ∞ | [Kép #6] |
| 150 ≤ R < 250 | [Kép #7] [Kép #8] |

Kép #6

Kép #7

Kép #8
P.3. FÜGGŐLEGES LESÜLLYESZTÉS
Az alsó rész magasságát 50/Rv (m) értékkel kell csökkenteni; a sugár értéke méterben értendő.
A függőleges ív Rv sugarának határértéke 500 m. A 80 mm-t meg nem haladó magassági értékeket nullának kell tekinteni az 500 m és 625 m közötti Rv ívtartományon belül.
Q. függelék
(nem használt)
R. függelék
A nyitott kérdések jegyzéke
(1) A lokális irányhibákra vonatkozó azonnali tevékenységvégzési határértékek 300 km/h-t meghaladó sebesség esetén (4.2.8.1.).
(2) A lokális fekszint-hibákra vonatkozó azonnali tevékenységvégzési határértékek 300 km/h-t meghaladó sebesség esetén (4.2.8.2.).
(3) A vágánytengely-távolság legkisebb megengedett értéke az egységes IRL3 űrszelvény tekintetében (7.7.18.2.).
(4) EN-vonalkategória - kapcsolódó sebesség [km/h] P1520 (minden jármű), P1600 (minden jármű), F1520 (minden jármű) és F1600 (minden jármű) forgalomtípuskód tekintetében (E. függelék, 38A., 39A., 38B. és 39B. táblázat)
(5) Útvonal-rendelkezésreállási szám - kapcsolódó sebesség [mérföld/h] a P1 (többrészes egységek), P2 (többrészes egységek), P3a (többrészes egységek), P4a (többrészes egységek), P1600 (minden jármű) és F1600 (minden jármű) forgalomtípuskód tekintetében (F. függelék, 40. és 41. táblázat).
(6) Az IRL1, IRL2 és IRL3 szelvényekre vonatkozó szabályok és tervrajzok (O. függelék).
(7) Az ágyazatfelkapás-kockázat csökkentését célzó követelmények 250 km/h-nál nagyobb sebesség esetében.
S. függelék
Glosszárium
48. táblázat
Fogalmak
| Definiált fogalmak | ÁME pont | Fogalommeghatározás |
| A csúcs tényleges pontja/Actual point (RP)/ Praktischer Herzpunkt/ Pointe de coeur | 4.2.8.6. | Az ellenkező görbületű egyenes kitérő fizikai végpontja. Lásd a 2. ábrán, amely a tényleges pont (RP) és kereszteződési pont (IP) kapcsolatát szemlélteti. |
| Figyelmeztési határérték/Alert limit/ Auslösewert/ Limite d'alerte | 4.5.2. | Az az érték, amelynek túllépése szükségessé teszi a pálya geometriai állapotának elemzését és a rendszeresen tervezett karbantartási műveletekben való figyelembevételét. |
| Tengelyterhelés/Axle load/ Achsfahrmasse/ Charge à l'essieu | 4.2.1., 4.2.6.1. | A kerékpár vagy egy pár független kerék által a vágányra gyakorolt statikus függőleges erők összegének és a gravitációs gyorsulásnak a hányadosa. |
| A kerék-sín közötti tapadási feltételektől független fékrendszerek | 4.2.6.2.2. | „A kerék-sín közötti tapadási feltételektől független fékrendszerek”: a jármű minden olyan fékrendszere, amely képes a kerék-sín közötti tapadási feltételektől függetlenül fékerőt gyakorolni a sínekre (pl. mágneses fékrendszerek és örvényáramú fékrendszerek) |
| Túlemelés/Cant/ Überhöhung/ Dévers de la voie | 4.2.4.2. 4.2.8.5. | Egy vágány két sínjének vízszinteshez viszonyított magasságbeli eltérése egy adott ponton, a sínfej középvonalán mérve. |
| Túlemeléshiány/Cant deficiency/Überhöhungsfehlbetrag/Insuffisance de devers | 4.2.4.3. | A vágányon alkalmazott túlemelés és a magasabb egyensúlyi helyzethez szükséges túlemelés közötti különbség. |
| Normál keresztezés/Common crossing/ Starres Herzstück/ Coeur de croisement | 4.2.8.6. | Kitérők vagy hegyesszögű keresztezések egymást metsző futóélének kapcsolódását biztosító, V-alakú csúcsbetétből és két könyöksínből álló elrendezés. |
| Oldalszél/Crosswind/ Seitenwind/ Vents traversiers | 4.2.10.2. | A vasúti pályát oldalirányból érő erős szél, amely kedvezőtlenül befolyásolhatja a vonat haladásának biztonságát. |
| Tervezési érték/Design value/ Planungswert/ Valeur de conception | 4.2.3.4., 4.2.4.2., 4.2.4.5., 4.2.5.1., 4.2.5.3. | Gyártási, építési vagy karbantartási tűréshatár nélküli elméleti érték. |
| Tervezési nyomtávolság/Design track gauge/ Konstruktionsspurweite/ Ecartement de conception de la voie | 5.3.3. | Azon jól meghatározott érték, amelyet akkor kapunk meg, ha a vágány valamennyi eleme pontosan megfelel a tervezési méretének vagy – mérettartomány esetében – tervezési középméretének. |
| Vágánytengely-távolság/Distance between track centres/ Gleisabstand/ Entraxe de voies | 4.2.3.2. | A két vizsgált vágány középvonalának pontjai közötti távolság, a referencia-vágány, azaz a kevésbé döntött vágány haladási felületével párhuzamosan mérve. |
| Dinamikus oldalirányú erő/Dynamic lateral force/Dynamische Querkraft/ Effort dynamique transversal | 4.2.6.3. | A kerékpár által a vágányra gyakorolt dinamikus oldalirányú erők összege. |
| Földmunkák/Earthworks/ Erdbauwerke/ Ouvrages en terre | 4.2.7.2., 4.2.7.4. | Vasúti forgalmi terhelésnek kitett talajszerkezetek és talajmegtámasztó szerkezetek. |
| EN-vonalkategória/EN Line Category/ EN Streckenklasse/ EN Catégorie de ligne | 4.2.7.4., E. függelék | A T. függelék [2] indexszámmal jelölt sorában említett előírásban meghatározott minősítési folyamat eredménye, melyet az előírás „vonalkategória” néven említ. Az infrastruktúrának a rendszeres („normál”) üzemre szolgáló vonalon vagy vonalszakaszon a járművek által okozott függőleges terheléssel szembeni ellenállási képességét fejezi ki. |
| Egyenértékű kúposság/Equivalent conicity/ Äquivalente Konizität/ Conicité équivalente | 4.2.4.5., 4.2.11.2. | Az olyan kúpos kerekekkel rendelkező kerékpár kúpszögének érintője, amelynek oldalsó mozgása ugyanolyan kinematikus hullámhosszal rendelkezik, mint az adott kerékpár az egyenes vágányon vagy a nagy sugarú körökben. |
| Vezetéstávolság a csúcsnál/Fixed nose protection/ Leitweite/ Cote de protection de pointe | 4.2.5.3., J. függelék | A keresztezési csúcs és a vezetősín közötti távolság (lásd a 2. méretet a 14. ábrán). |
| Nyomcsatorna mélysége/Flangeway depth/ Rillentiefe/ Profondeur d'ornière | 4.2.8.6. | A pályasín és egy csatlakozó vezetősín vagy könyöksín közötti távolság (lásd az 5. méretet a 14. ábrán). |
| Nyomcsatorna szélessége/Flangeway width/ Rillenweite/ Largeur d'ornière | 4.2.8.6. | A futófelület és a nyomcsatorna alja közötti távolság (lásd a 6. méretet a 14. ábrán) |
| Vezetéstávolság a vezetősín/könyöksín belépési pontnál/Free wheel passage at check rail/wing rail entry/ Freier Raddurchlauf im Radlenker-Einlauf/Flügelschienen-Einlauf/Côte d'équilibrage du contre-rail | 4.2.8.6. | A vezetősín vezetőéle vagy a csúcsbetét és a szemközti pályasín vezetőfelülete közötti távolság a vezetősín vagy könyöksín belépési pontjánál mérve. (Lásd a 4. méretet a 14. ábrán). A vezetősín vagy könyöksín belépési pontja az a pont, ahol megengedett a keréknek a vezetősínnel vagy könyöksínnel való érintkezése. |
| Vezetéstávolság a keresztezési csúcsban/Free wheel passage at crossing nose/ Freier Raddurchlauf im Bereich der Herzspitze/ Cote de libre passage dans le croisement | 4.2.8.6. | A metsződő könyöksín és szemközti vezetősín érintkezési felülete közötti távolság (lásd a 3. méretet a 14. ábrán). |
| Vezetéstávolság váltókban/Free wheel passage in switches/Freier Raddurchlauf im Bereich der Zungen-vorrichtung/Côte de libre passage de l'aiguillage | 4.2.8.6. | Az egyik csúcssín vezetőfelülete és a szemközti csúcssín hátlapja közötti távolság (lásd az 1. méretet a 14. ábrán). |
| Geotechnikai szerkezetek/ Geotechnical structures/ Geotechnische Strukturen/ Structures géotechniques | 4.2.7.2, 4.2.7.4 | Olyan szerkezet, amely a talaj szilárdságától függő szerkezeti vagy talajelemet tartalmaz. Megjegyzés: A földmunkák a geotechnikai szerkezetek egy részhalmazát képezik. |
| Szerkesztési szelvény/Gauge/ Begrenzungslinie/ Gabarit | 4.2.1., 4.2.3.1. | Szabályrendszer, a referencia-körvonalat és a kapcsolódó számítási szabályait is ideértve, amely lehetővé teszi a jármű külső méreteinek és az infrastruktúra által szabadon hagyandó helynek a meghatározását. |
| HBW/HBW/HBW | 5.3.1.2. | A T. függelék [16] indexszámmal jelölt sorában említett előírásban meghatározott acélkeménység nem SI-egysége. |
| Vezetősín magassága/Height of check rail/ Radlenkerüberhöhung/ Surélévation du contre rail | 4.2.8.6., J. függelék | A vezetősín futófelület feletti magassága (lásd a 7. méretet az alábbi 14. ábrán). |
| Azonnali tevékenységvégzési határérték/Immediate Action Limit/Soforteingriffsschwelle/ Limite d'intervention immédiate | 4.2.8., 4.5. | Az az érték, amelynek a túllépése intézkedéseket tesz szükségessé a tesz a kisiklási kockázat elfogadható szintre csökkentése érdekében. |
| Pályahálózat-működtető/Infrastructure Manager/ Betreiber der Infrastruktur/ Gestionnaire de l'Infrastructure | 4.2.5.1., 4.2.8.3., 4.2.8.6., 4.2.11.2 4.4., 4.5.2., 4.6., 4.7., 6.2.2.1., 6.2.4., 6.4. | Az egységes európai vasúti térség létrehozásáról szóló, 2012. november 21-i 2012/34/EU európai parlamenti és tanácsi irányelv (HL L 343., 2012.12.14., 32. o.) 3. cikkének (2) bekezdésében meghatározottak szerint. |
| Üzem közbeni értékek/In service value/ Wert im Betriebszustand/ Valeur en exploitation | 4.2.8.5., 4.2.11.2. | Az infrastruktúra üzembe helyezését követően bármikor mért érték. |
| Elméleti metszéspont/Intersection point (IP)/ Theoretischer Herzpunkt/ Point d'intersection théorique | 4.2.8.6. | A keresztezési középrészen a futóélek elméleti metszéspontja (lásd a 2. ábrát). |
| Beavatkozási határérték/Intervention Limit/Eingriffsschwelle/ Valeur d'intervention | 4.5.2. | Az az érték, amelynek a túllépése esetén javító karbantartást kell végezni annak érdekében, hogy a közvetlen beavatkozási határérték a következő átvizsgálás előtt ne kerüljön elérésre. |
| Lokális hiba/Isolated defect/ Einzelfehler/ Défaut isolé | 4.2.8. | A vágány geometriájának elkülönült hibája. |
| Pályasebesség/Line speed/ Streckengeschwindigkeit/ Vitesse de la ligne | 4.2.1. | Az a legnagyobb sebesség, amelyre a vonalat tervezték. |
| Karbantartási dokumentáció/Maintenance file/ Instandhaltungsdossier/ Dossier de maintenance | 4.5.1. | A műszaki dokumentáció használati feltételekkel és határértékekkel, illetve karbantartási utasításokkal kapcsolatos elemei. |
| Karbantartási terv/Maintenance plan/ Instandhaltungsplan/ Plan de maintenance | 4.5.2. | A pályahálózat-működtető által bevezetett infrastruktúra-karbantartási eljárásokat meghatározó dokumentumcsomag. |
| Többsínes vágány/Multi-rail track/ Mehrschienengleis/ Voie à multi écartement | 4.2.2.2. | Kettőnél több sínből álló vágány, amelynél legalább két pár sínt külön önálló vágányként történő üzemeltetésre terveztek, azonos vagy eltérő nyomtávolsággal. |
| Névleges nyomtávolság/Nominal track gauge/Nennspurweite/ Ecartement nominal de la voie | 4.2.4.1. | A nyomtávolság azonosítására szolgáló, jól meghatározott érték; adott esetben eltér a tervezési nyomtávolság értékétől. |
| Normál üzem/Normal service Regelbetrieb/ Service régulier | 4.2.2.2. 4.2.9. | A tervezett menetrend szerint üzemelő vasút. |
| Bővítési lehetőség biztosítása/Passive provision/ Vorsorge für künftige Erweiterungen/Réservation pour extension future | 4.2.9. | Lehetőség biztosítása a műtárgy jövőbeni fizikai bővítéséhez (pl. peronhossz megnövelése). |
| Teljesítményparaméter/Performance Parameter/ Teljesítményparaméter/ Paramètre de performance | 4.2.1. | Az ÁME-vonalkategóriát leíró paraméter, melyet az infrastruktúra alrendszer elemek tervezésének alapjául és a vonal teljesítményszintjének jelölésére használnak. |
| Folyóvágány/Plain line/ Freie Strecke/ Voie courante | 4.2.4.5. 4.2.4.6. 4.2.4.7. | Kitérők nélküli vágányszakasz. |
| Csúcsbetéthegy visszahúzása/Point retraction/ Spitzenbeihobelung/ Dénivelation de la pointe de cœur | 4.2.8.6. | Rögzített normál keresztezésben a referenciavonal eltérhet az elméleti referenciavonaltól. A metszésponttól bizonyos távolságra a csúcsbetét referenciavonala – a tervezéstől függően – elhúzható ettől a kerék nyomkarimája melletti elméleti vonaltól, a két elem érintkezésének megakadályozása érdekében. Ezt a helyzetet mutatja be a 2. ábra. |
| Síndőlés/Rail inclination/Schienenneigung/ Inclinaison du rail | 4.2.4.5. 4.2.4.7. | A beépített sínszál dőlését meghatározó szög a futófelület síkjához viszonyítva, amely megegyezik a sínszál (vagy a vele azonos, ugyanolyan sínfejprofillal rendelkező szimmetrikus sín) szimmetriatengelyének a futófelület síkjára állított merőlegessel bezárt dőlésszögével. |
| Közbetétlemez/Rail pad/ Schienenzwischenlage/ Semelle sous rail | 5.3.2. | A sín és az azt tartó keresztalj vagy talplemez között elhelyezett rugalmas réteg. |
| Ellenív/Reverse curve/ Gegenbogen/ Courbes et contre-courbes | 4.2.3.4. | Két ellentétesen görbülő, egymásba csatlakozó ív |
| Űrszelvény/Structure gauge/ Lichtraum/ Gabarit des obstacles | 4.2.3.1. | A referenciavágányhoz viszonyítva meghatározott azon tér, ahol a referenciavágány biztonságos üzemelésének lehetővé tétele érdekében semmilyen objektum vagy műtárgy nem helyezhető el és ahova a szomszédos vágányon haladó forgalom sem nyúlhat be. Meghatározása a referencia-körvonal alapján történik, kapcsolódó számításokkal. |
| Mozgó csúcsbetét | 4.2.5.2. | A „mozgatható csúccsal rendelkező általános keresztezés” fogalmán belül a „mozgó csúcsbetét” kifejezés a keresztezés azon V-formájú részét jelenti, amely folyamatos futóélt képez vagy fővonal, vagy a mellékvonal számára. |
| Váltó/Switch/ Zungenvorrichtung/ Aiguillage | 4.2.8.6. | Két rögzített sínből (tősín) és két mozgó sínből (könyöksín) álló vágányegység, amelyet a járművek egyik vágányról a másikra való irányítására használnak. |
| Váltók és keresztezések/Switches and crossings/ Weichen und Kreuzungen/ Appareil de voie | 4.2.4.5., 4.2.4.7. 4.2.5., 4.2.6., 4.2.8.6., 5.2., 6.2.4.4., 6.2.4.8, 6.2.5.2., 7.3.3., C. és D. függelék | A több váltóból és önálló keresztezésből, illetve az azokat összekötő sínekből álló vágányszakasz. |
| Átjáró útvonal/Through route/ Stammgleis/ Voie directe | D. függelék | Váltók és keresztezések összefüggésében a vágány általános vonalvezetését követő útvonal. |
| Vágányterv | 4.2.6., 6.2.5., C. és D. függelék | A meghatározó vágányelemeket (pl. sín, sínleerősítések, aljak, ágyazat) és méreteket tartalmazó keresztszelvény, melyet a 4.2.6. pont szerinti erőket befolyásoló üzemeltetési feltételek (például tengelyterhelés, sebesség, vízszintes ívsugár) figyelembevételével alkalmaznak. |
| Nyomtávolság/Track gauge/ Spurweite/ Ecartement de la voie | 4.2.4.1., 4.2.4.5., 4.2.8.4., 5.3.3., 6.1.5.2., 6.2.4.3., H. függelék | Az egyes sínfejprofilokat a futófelület alatt 0–14 mm-es tartományban keresztező, a futófelületre merőleges vonalak közötti legkisebb távolság. |
| Síktorzulás/Track twist/ Gleisverwindung/ Gauche | 4.2.7.1.6 4.2.8.3., 6.2.4.9, | Egymástól meghatározott távolságra felvett két keresztmetszet közötti algebrai különbség, melyet általában azon két pont közötti lejtésként fejeznek ki, amelyeken a keresztmetszeteket felvették. |
| Vonat hossza/Train length/ Zuglänge/ Longueur du train | 4.2.1. | Azon vonat hossza, amely az adott vonalon közlekedhet szokásos üzemeltetési körülmények között. |
| Kettős keresztezések vezetetlen hossza/Unguided length of an obtuse crossing/ Führungslose Stelle/ Lacune dans la traversée | 4.2.5.3., J. függelék | A kettős keresztezések kerékvezetés nélküli pontja, melyet a T. függelék [17] indexszámmal jelölt sorában említett előírás »vezetetlen hosszként« határoz meg. |
| Hasznos peronhossz/Usable length of a platform/Bahnsteignutzlänge/ Longueur utile de quai | 4.2.1., 4.2.9.1. | A peron azon részének legnagyobb folyamatos hossza, amely mellett szokásos üzemeltetési körülmények között a vonatnak az utasok fel- és leszállása céljából történő megállását tervezik, a megállási tűréshatárnak megfelelő hossz ráhagyásával. A szokásos üzemeltetési körülmények azt jelentik, hogy a vasút korlátozásmentes üzemmódban üzemel (tehát az adhézió normális, a jelzők üzemelnek, és minden terv szerint működik). |
14. ábra
Váltók és keresztezések geometriája

(1) Vezetéstávolság váltókban
(2) Vezetéstávolság a csúcsnál
(3) A keresztező könyöksín csúcs felőli éle és a szemközti vezetősín vezetőéle közötti távolság a keresztezési csúcsnál
(4) Vezetéstávolság a vezetősín/könyöksín belépési pontnál
(5) Nyomcsatorna szélessége
(6) Nyomcsatorna mélysége
(7) Vezetősín magassága
T. függelék
Az ebben az ÁME-ban említett műszaki előírások
49. táblázat
Hivatkozott szabványok
| Indexszám | Értékelendő jellemzők | ÁME pontja | Szabványok kötelező pontjai |
| [1] | EN 15663:2017+A1:2018 Vasúti alkalmazások. Járművek referenciatömege | ||
| [1.1] | A járművek tömegének meghatározása | 4.2.1.(7), 2. táblázat K. függelék | 4.5 |
| [1.2] | A járművek tömegének meghatározása | 4.2.1.(7), 3. táblázat | 4.5. és 7.4. |
| [1.3] | Utasok miatti hasznos teher nagy sebességű és távolsági vonatok esetében | K. függelék 45. táblázat | 7. táblázat |
| [1.4] | Utasok miatti hasznos teher más vonatok esetében | K. függelék 45. táblázat | 8. táblázat |
| [2] | EN 15528:2021 Vasúti alkalmazások. Vonalkategóriák a jármű terhelhetősége és az infrastruktúra közötti kapcsolat (interfész) megvalósításához | ||
| [2.1] | A járművek tömegének meghatározása | 4.2.1.(7), 2. táblázat K. függelék | 6.4. |
| [2.2] | A meglévő műtárgyak forgalmi kódoknak megfelelő teherbírási követelményei | E. függelék | A. melléklet |
| [2.3] | Vonalkategóriák | E. függelék 38A. táblázat ((9) megjegyzés) | |
| [2.4] | A vonalkategória meghatározása | S. függelék | 5. |
| [3] | EN 15273-3:2013+A1:2016 Vasúti alkalmazások. Szelvények. 3. rész: Pályaűrszelvények | ||
| [3.1] | Űrszelvény | 4.2.3.1(1) | C. melléklet és a D. melléklet D.4.8. pontja |
| [3.2] | Űrszelvény | 4.2.3.1(2) | C. melléklet |
| [3.3] | Űrszelvény Értékelés | 4.2.3.1(3) 6.2.4.1. | 5, 7, 10 C. melléklet és a D. melléklet D.4.8. pontja |
| [3.4] | Vágánytengely-távolság Értékelés | 4.2.3.2(3) 6.2.4.2. | 9 |
| [3.5] | Peron-oldaltávolság Értékelés | 4.2.9.3(1) 6.2.4.11(1) | 13. |
| [3.6] | Az alsó részek űrszelvényének kiszámítása az 1 668 mm-es nyomtávolság esetében | P. függelék | 5, 7 és 10 |
| [4] | EN 13803:2017 Vasúti alkalmazások. Vasúti pálya. Vágány-vonalvezetés tervezési paraméterei. 1 435 mm-es és nagyobb nyomtávolságú vágányok | ||
| [4.1] | Legkisebb vízszintes ívsugár A referenciajármű meghatározása | 4.2.3.4(2) | N.1. és N.2. táblázat N.2 |
| [4.2] | Az infrastruktúra korszerűsítése vagy felújítása a túlemelés és túlemeléshiány paraméterek miatt | 7.3.2. | 6.2. pont (5. táblázat) és 6.3. pont (7. táblázat a nem billenő vonatokra vonatkozóan) (lásd még mindkét pont vonatkozó megjegyzéseit). |
| [5] | EN 15302:2021 Vasúti alkalmazások. A kerék-sín érintkezés geometriai paraméterei. Fogalommeghatározások és értékelési módszerek. | ||
| [5.1] | Egyenértékű kúposság | 4.2.4.5(4) | 6, 8, 9, 12 |
| [5.2] | Értékelés | 6.2.4.6. | 6, 8, 9, 12 |
| [6] | EN 13715:2020 Vasúti alkalmazások. Kerékpárok és forgóvázak. Kerekek. Kerékprofilok | ||
| [6.1] | Egyenértékű kúposság | 4.2.4.5. (4) a) és b) pont | C. melléklet |
| [6.2] | Egyenértékű kúposság | 4.2.4.5. (4) c) és d) pont | B. melléklet |
| [7] | EN 13674-1:2011+A1:2017 Vasúti alkalmazások. Vasúti pálya. Sín. 1. rész: Legalább 46 kg/m-es nagyvasúti sín | ||
| [7.1] | Sínfejprofil folyóvágányhoz | 4.2.4.6(1) | A. melléklet |
| [7.2] | A sínek értékelése | 6.1.5.1. a) | 9.1.8. |
| [7.3] | A sínek értékelése | 6.1.5.1. b) | 9.1.9. |
| [7.4] | A sínek értékelése | 6.1.5.1. c) | 8.1. és 8.4. |
| [8] | EN 13674-4:2006+A1:2009 Vasúti alkalmazások. Vasúti pálya. Sín. 4. rész: A 27 kg/m-es és e fölötti, de a 46 kg/m-esnél kisebb nagyvasúti sínek | ||
| [8.1] | Sínfejprofil folyóvágányhoz | 4.2.4.6(1) | A. melléklet |
| [9] | EN 14363:2016+ A2:2022 Vasúti alkalmazások. Vizsgálatok és szimuláció a vasúti járművek futási tulajdonságainak jóváhagyási eljárásához. Menettulajdonságok vizsgálata és állóhelyi vizsgálatok | ||
| [9.1] | A vágány függőleges terheléssel szembeni ellenállása A vágány oldalirányú erőkkel szembeni ellenállása | 4.2.6.1. b) és c) 4.2.6.3. b) | 7.5.3. |
| [9.2] | A vágány oldalirányú erőkkel szembeni ellenállása | 4.2.6.3. a) | 7.5.2. és 4. táblázat |
| [10] | EN 1991-2:2003/AC:2010 Eurocode 1: A tartószerkezeteket érő hatások. 2. rész: Hidak forgalmi terhei | ||
| [10.1] | A műtárgyak forgalmi terheléssel szembeni ellenállása | 4.2.7. | |
| [10.2] | Az új hidak forgalmi terheléssel szembeni ellenállása Függőleges terhelések | 4.2.7.1.1. 1. a) | 6.3.2. (2)P (1) |
| Új geotechnikai szerkezetek, földmunkák egyenértékű függőleges terhelése és új műtárgyakat érő földnyomás | 4.2.7.2(1) | ||
| A meglévő műtárgyak forgalmi kódoknak megfelelő teherbírási követelményei | E. függelék – LM71. terhelési modell | ||
| [10.3] | Az új hidak forgalmi terheléssel szembeni ellenállása Függőleges terhelések | 4.2.7.1.1(1)(b) | 6.3.3 (3)P |
| A meglévő műtárgyak forgalmi kódoknak megfelelő teherbírási követelményei | E. függelék – SW/0 terhelési modell | ||
| [10.4] | Az új hidak forgalmi terheléssel szembeni ellenállása Függőleges terhelések | 4.2.7.1.1(2) | 6.3.2. (3)P és 6.3.3. (5)P |
| Új geotechnikai szerkezetek, földmunkák egyenértékű függőleges terhelése és új műtárgyakat érő földnyomás | 4.2.7.2(2) | ||
| [10.5] | A függőleges terhek dinamikus hatásának figyelembevétele | 4.2.7.1.2(1) | 6.4.3. (1)P és 6.4.5.2 (2) |
| [10.6] | A függőleges terhek dinamikus hatásának figyelembevétele | 4.2.7.1.2(2) | 6.4.4. |
| [10.7] | A függőleges terhek dinamikus hatásának figyelembevétele | 4.2.7.1.2(2) | 6.4.6.1.1. (3)–(6) |
| A meglévő műtárgyak forgalmi kódoknak megfelelő teherbírási követelményei | E. függelék – HSLM terhelési modell | ||
| [10.8] | Centrifugális erő | 4.2.7.1.3. | 6.5.1. (2), (4)P és (7) |
| [10.9] | Oldallökő erő | 4.2.7.1.4. | 6.5.2. |
| [10.10] | A vontatás és a fékezés miatti hatások (hosszirányú terhelések) | 4.2.7.1.5. | 6.5.3. (2)P, (4), (5), (6) és (7)P |
| [10.11] | Vágányok feletti vagy melletti új műtárgyak ellenállása | 4.2.7.3. | 6.6.2–6.6.6. |
| [11] | Az EN 1990:2002/A1:2005-ként kiadott EN 1990:2002 szabvány A2. melléklete Eurocode. A tartószerkezetek tervezésének alapjai | ||
| [11.1] | A műtárgyak forgalmi terheléssel szembeni ellenállása | 4.2.7. | |
| [11.2] | Vasúti forgalmi hatások miatti tervezési síktorzulás | 4.2.7.1.6. | A2.4.4.2.2(3)P |
| [12] | EN 13848-5:2017 Vasúti alkalmazások. Vasúti pálya. A vágánygeometria minősége. 5. rész: Geometriai minőségszintek. Vágányok, váltók és kereszteződések | ||
| [12.1] | Azonnali tevékenységvégzési határérték az irány tekintetében | 4.2.8.1(1) | 7.5. A D1 hullámhossz-tartománynak az 5. táblázatban meghatározott határértékei |
| [12.2] | Azonnali tevékenységvégzési határérték a fekszint tekintetében | 4.2.8.2(1) | 7.3. A D1 hullámhossz-tartománynak a 4. táblázatban meghatározott határértékei |
| [12.3] | Azonnali tevékenységvégzési határérték a síktorzulás tekintetében | 4.2.8.3(2) | 7.6. |
| [12.4] | Azonnali tevékenységvégzési határérték a síktorzulás tekintetében. 1 668 mm-es nyomtávú rendszer | 4.2.8.3(6) | C. melléklet |
| [13] | EN 13848-1:2019 Vasúti alkalmazások. Vasúti pálya. A vágánygeometria minősége. 1. rész: A vágánygeometria jellemzése | ||
| [13.1] | Azonnali tevékenységvégzési határérték a síktorzulás tekintetében | 4.2.8.3(1) | 6.5. |
| [14] | EN 14067-5:2021/AC:2023 Vasúti alkalmazások. Aerodinamikai menettulajdonságok. – 5. rész: Aerodinamikai követelmények és vizsgálati módszerek alagutakban | ||
| [14.1] | Az új alagutakra vonatkozó kritériumok | 4.2.10.1(1) | 6.1.3. 10. táblázat |
| [14.2] | A meglévő alagutakra vonatkozó kritériumok | 4.2.10.1(3) | 6.1.4. |
| [14.3] | Értékelési folyamat | 6.2.4.12(1) | 6.1, 7.4. |
| [14.4] | Referencia-keresztszelvény | 6.2.4.12(3) | 6.1.2.1. |
| [15] | EN 13145:2001 Vasúti alkalmazások. Vasúti pálya. Sín- és váltóalj fából | ||
| [15.1] | Függőleges terheléssel szembeni ellenállás | C.1. függelék, c) pont C.2. függelék, c) pont | |
| [16] | EN ISO 6506-1:2014 Fémek. Brinell-keménységmérés. Vizsgálati módszer. | ||
| [16.1] | Az acél keménységének meghatározása | S. függelék | |
| [17] | EN 13232-3:2003 Vasúti alkalmazások. Vágányfektetés. Váltók és kereszteződések. 3. rész: A kerék-sín kölcsönhatás követelményei | ||
| [17.1] | A »kettős keresztezések vezetetlen hosszának« meghatározása | S. függelék | 4.2.5 |
| (1) Ha a nemzeti biztonsági hatóság ehhez hozzájárul, megengedett a geotechnikai szerkezetek és földmunkák tervezése és a földnyomás kiszámítása a vonalterhelés vagy pontterhelés segítségével, amennyiben terhelési hatásaik megfelelnek az alfa-tényezővel rendelkező LM71 terhelési modellnek. | |||
50. táblázat
Műszaki dokumentumok (elérhetők az ERA weboldalán)
| Indexszám | Értékelendő jellemzők | ÁME pontja | A kötelező műszaki dokumentum pontja |
| [A] | A kombinált szállítás kodifikálásáról szóló ERA műszaki dokumentum ERA/TD/2023-01/CCT, 1.1 verzió (kiadva: 2023.3.21.) | ||
| [A.1] | Vonalak kodifikálása | 2.6. | 2.1. |
( 1 ) Az Európai Parlament és a Tanács (EU) 2016/797 irányelve (2016. május 11.) a vasúti rendszer Európai Unión belüli kölcsönös átjárhatóságáról (HL L 138., 2016.5.26., 44. o.).
( 2 ) Az Európai Parlament és a Tanács (EU) 2016/798 irányelve (2016. május 11.) a vasútbiztonságról (HL L 138., 2016.5.26., 102. o.).
( 3 ) A Bizottság 2010. november 9-i 2010/713/EU határozata az Európai Parlament és a Tanács 2008/57/EK irányelve alapján elfogadott, az átjárhatósági műszaki előírások keretében alkalmazandó megfelelőségértékelési, alkalmazhatósági és EK-hitelesítési eljárások moduljairól (OJ L 319., 2010.12.4., 1. o.)
( 4 ) A Bizottság (EU) 2019/773 végrehajtási rendelete (2019. május 16.) az Európai Unió vasúti rendszerének forgalomüzemeltetés és -irányítás alrendszerére vonatkozó átjárhatósági műszaki előírásokról és a 2012/757/EU bizottsági határozat hatályon kívül helyezéséről (HL L 139 I., 2019.5.27., 5. o.).
( 5 ) A Bizottság (EU) 2019/777 végrehajtási rendelete (2019. május 16.) a vasúti infrastruktúra nyilvántartásának közös előírásairól és a 2014/880/EU végrehajtási határozat hatályon kívül helyezéséről (HL L 139 I., 2019.5.27., 312. o.).
( 6 ) A Bizottság 1302/2014/EU rendelete (2014. november 18.) az Európai Unió vasúti rendszerének "járművek - mozdonyok és személyszállító járművek" alrendszerére vonatkozó átjárhatósági műszaki előírásról (HL L 356., 2014.12.12., 228. o.).
( 7 ) Az Európai Parlament és a Tanács (EU) 2020/2184 irányelve (2020. december 16.) az emberi fogyasztásra szánt víz minőségéről (HL L 435., 2020.12.23., 1. o.).
( 8 ) A Bizottság (EU) 2019/250 végrehajtási rendelete (2019. február 12.) az (EU) 2016/797 európai parlamenti és tanácsi irányelvvel összhangban a kölcsönös átjárhatóságot lehetővé tevő vasúti rendszerelemekre és alrendszerekre vonatkozó EK-nyilatkozatok és -tanúsítványok sablonjairól, az engedélyezett vasúti járműtípusnak való megfelelőségről szóló nyilatkozat mintájáról és az alrendszerek EK-hitelesítésére szolgáló eljárásokról, valamint a 201/2011/EU rendelet hatályon kívül helyezéséről (HL L 42., 2019.2.13., 9. o.).
( 9 ) Az Európai Parlament és a Tanács (EU) 2016/797 irányelve (2016. május 11.) a vasúti rendszer Európai Unión belüli kölcsönös átjárhatóságáról (HL L 138., 2016.5.26., 44. o.)
( 10 ) A Bizottság (EU) 2019/250 végrehajtási rendelete (2019. február 12.) az (EU) 2016/797 európai parlamenti és tanácsi irányelvvel összhangban a kölcsönös átjárhatóságot lehetővé tevő vasúti rendszerelemekre és alrendszerekre vonatkozó EK-nyilatkozatok és -tanúsítványok sablonjairól, az engedélyezett vasúti járműtípusnak való megfelelőségről szóló nyilatkozat mintájáról és az alrendszerek EK-hitelesítésére szolgáló eljárásokról, valamint a 201/2011/EU bizottsági rendelet hatályon kívül helyezéséről (HL L 42., 2019.2.13., 9. o.).
( 11 ) A Bizottság 2014/881/EU ajánlása (2014. november 18.) a meglévő vasútvonalak és az átjárhatósági műszaki előírások alapvető paraméterei közötti megfelelés szintjének igazolására szolgáló eljárásról (HL L 356., 2014.12.12., 520. o.).";
( 12 ) A 884/2004/EK határozattal módosított (HL L 167., 2004.4.30., 12. o.), a transzeurópai közlekedési hálózat fejlesztésére vonatkozó közösségi iránymutatásokról szóló, 1996. július 23-i 1692/96/EK európai parlamenti és tanácsi határozat (HL L 228., 1996.9.9., 1. o.).
( 13 ) A legfeljebb 100 km/h megengedett helyi sebességnél D2 az előírt terhehetőségi minimumkövetelmény a megengedett helyi sebesség mellett. A 100 km/h-t meghaladó megengedett helyi sebességnél D2 az előírt terhehetőségi minimumkövetelmény 100 km/h mellett.
( 14 ) A legfeljebb 200 km/h megengedett helyi sebességnél D2 az előírt terhehetőségi minimumkövetelmény a megengedett helyi sebesség mellett.
( 15 ) A táblázatban megadott sebességérték a vonalra vonatkozó maximumkövetelményt jeleníti meg, és a 4.2.1. (12) pontnak megfelelően alacsonyabb is lehet. A vonal egyes műtárgyainak ellenőrzése során elfogadható a járműtípus és a megengedett helyi sebesség figyelembevétele.
( 16 ) A személyszállító kocsik (ideértve a kocsikat, poggyász- és autószállító kocsikat), más járművek, mozdonyok, motorkocsik, elektromos vagy dízel többrészes egységek, motoros egységek és motorkocsik meghatározása a mozdonyok és személyszállító járművek alrendszerre vonatkozó ÁME-ben található. A könnyű áruszállító kocsik poggyászkocsiként kerültek meghatározásra, szállításuk azonban megengedett nem személyszállításra szolgáló összeállításban.
( 17 ) A műtárgyakra vonatkozó követelmények összeegyeztethetők hagyományos és csuklós járművek esetében a 18-27,5 m hosszúságú, szokásos kéttengelyes járművek esetében a 9-14 m hosszúságú személykocsikkal, poggyász- és személygépjármű-szállító kocsikkal, villamos és dízel többrészes egységekkel és vonófejekkel.
( 18 ) A műtárgyakra vonatkozó követelmények összeegyeztethetők legfeljebb két szomszédos összekapcsolt mozdonnyal és/vagy vonófejjel. A műtárgyakra vonatkozó követelmények összeegyeztethetők legfeljebb 75 mph sebességgel, legfeljebb öt szomszédos összekapcsolt mozdony és/vagy vonófej (vagy mozdony- és/vagy vonófej-szerelvény) esetében, amennyiben a mozdonyok, és/vagy vonófejek megfelelnek a teherkocsikra vonatkozó megfelelő határértékeknek.
( 19 ) Az egyes vonatok és műtárgyak összeegyeztethetőségének ellenőrzésekor az ellenőrzés alapjának összhangban kell lennie ezen ÁME K. függelékével, kivéve, ha az abban foglaltakat az e célból bejelentett nemzeti műszaki szabályok módosítják.
( 20 ) A műtárgyakra vonatkozó követelmények a kocsik/járművek teljes hosszán 3,0 t/m átlagos tömeg/egységhosszal egyeztethetők össze.
( 21 ) Csak 4-tengelyes járművek engedélyezettek. A forgóvázak tengelyei közötti tengelytáv legalább 2,6 m. A jármű teljes hosszán az átlagos tömeg/egységhossz nem haladhatja meg a 4,6 t/m-t.
( 22 ) Csak 4- vagy 6-tengelyes járművek engedélyezettek.
( 23 ) Vonófej, csak 4-tengelyes járművek engedélyezettek. 90 mph fölötti sebesség esetén idetartoznak azok a mozdonyok is, amelyeknél a mozdony hossza és a vontatott járművek hossza közötti különbség a vontatmány hosszának kevesebb mint 15 %-a.
( 24 ) A P5 forgalomtípuskód esetében a tagállam jelezheti, hogy alkalmazandók-e a mozdonyokra és vonófejekre vonatkozó követelmények.
( 25 ) Figyelemmel a működtetés korszerűségére, az ilyen típusú járművek tekintetében a P1 és P2 forgalmi kód esetében nincs szükség harmonizált követelmények meghatározására a megfelelő szintű átjárhatóság biztosítása érdekében.
Lábjegyzetek:
[1] A dokumentum eredetije megtekinthető CELEX: 32014R1299 - https://eur-lex.europa.eu/legal-content/HU/ALL/?uri=CELEX:32014R1299&locale=hu Utolsó elérhető, magyar nyelvű konszolidált változat CELEX: 02014R1299-20230928 - https://eur-lex.europa.eu/legal-content/HU/ALL/?uri=CELEX:02014R1299-20230928&locale=hu