18/2025. (VII. 31.) EM rendelet
az energiahatékonyságról szóló 2015. évi LVII. törvény Energiahatékonysági Kötelezettségi Rendszerrel összefüggő egyes rendelkezéseinek végrehajtásáról
[1] Az egyes energiahatékonyság-javító intézkedésekből származó energiamegtakarítás mértékét meghatározó jegyzék hatékonyan ösztönzi a tartós megtakarítást eredményező beruházásokat a lakossági energiaszámlák további csökkentése céljából.
[2] Az energiahatékonyságról szóló 2015. évi LVII. törvény 45. § h) pontjában kapott felhatalmazás alapján, a Kormány tagjainak feladat- és hatásköréről szóló 182/2022. (V. 24.) Korm. rendelet 160. § 2. pontjában meghatározott feladatkörömben eljárva a következőket rendelem el:
1. §[1] (1) Az egyes energiahatékonyság-javító intézkedésekből származó energiamegtakarítás mértékét meghatározó jegyzéket (a továbbiakban: jegyzék) az 1. melléklet tartalmazza.
(2) Az építési kulcstermékek körét a 2. melléklet tartalmazza.
(3) Az egyes építési kulcstermékek elérhetőségét az energiapolitikáért felelős miniszter az általa vezetett minisztérium honlapján közzéteszi.
2. § Ez a rendelet a kihirdetését követő napon lép hatályba.
3. § A jegyzék a hatálybalépése előtt hitelesített energiahatékonyság-javító intézkedésekből származó energiamegtakarítás mértékének megállapítására is alkalmazható, amennyiben a végfelhasználási energiamegtakarítás mértéke a vonatkozó jegyzék adatlap részletes számítási metódus módszertana alapján újra meghatározásra kerül.
4. §[2] Az egyes építési kulcstermékek elérhetőségét az energiapolitikáért felelős miniszter az általa vezetett minisztérium honlapján első alkalommal 2026. január 1-jéig teszi közzé.
Lantos Lajos Csaba s. k.,
energiaügyi miniszter
1. melléklet a 18/2025. (VII. 31.) EM rendelethez[3]
Az egyes energiahatékonyság-javító intézkedésekből származó energiamegtakarítás mértékét meghatározó jegyzék
I. rész
Bevezető
1. Változók jegyzéke













2. Általános fogalomjegyzék
| A | B | |
| 1. | Avulás | A használatból, idő múlásából vagy technológiai elavulásból eredő hatékonyságromlás intézkedés típusonként meghatározott értéke az energiahatékonyságról szóló 2015. évi LVII. törvény végrehajtásáról szóló 122/2015. (V. 26.) Korm. rendelet 6. melléklet 2. pontja C oszlopában feltüntetett éves avulás értéke. |
| 2. | Bázis energiafogyasztás | Az energiahatékonyságot növelő intézkedés(ek) bevezetése előtti időszak jellemző energiafogyasztása, amely összehasonlítási alapként szolgál a megtakarítások értékeléséhez. |
| 3. | Egybefüggő légterű helyiség | Az egybefüggő légterű helyiségek olyan helyiségek vagy térrészek, amelyek nincsenek teljesen elválasztva egymástól falakkal vagy zárható ajtókkal, így közös légteret alkotnak. Ez azt jelenti, hogy a levegő szabadon áramolhat közöttük. |
| 4. | Egyedi audit | Az energiahatékonyságról szóló 2015. évi LVII. törvény 1. § 13. pontja szerinti tevékenység, amelynek kiegészítő követelményeit a 17/2020. (XII. 21.) MEKH rendelet 4. §-a határozza meg. |
| 5. | Energiahatékony állapot | Az intézkedés/beruházás üzembehelyezése utáni állapot. |
| 6. | Energiahatékonyságot növelő intézkedés | Az az intézkedés, amelynek eredményeképpen az energiahatékonyságról szóló 2015. évi LVII. törvény 1. § 10. pontja szerinti energiahatékonyság-javulás következik be. |
| 7. | Építési kulcstermék | A 2. mellékletben szereplő építési termék, amely rendelkezik a Közlekedéstudományi és Építésügyi Minőségellenőrző Intézet által kiadott egyszerűsített környezeti minősítéssel, valamint a környezeti pontszáma átlagának minimum értéke eléri a 8-at. |
| 8. | Fajlagos energiamegtakarítás | Az egységnyi, kiválasztott paraméterre vetített energiamegtakarítás. |
| 9. | Hitelesítési határidő | Az intézkedés típusa alapján az energiahatékonyságról szóló 2015. évi LVII. törvény 15/A. § (4) bekezdésében meghatározott időtartam az üzembe helyezést követően. |
| 10. | Jegyzék számítás | Jelen melléklet szerinti megtakarítás számítás, amely energiahatékonyságot növelő intézkedés típusokhoz előre meghatározott fajlagos megtakarítási értékeket rendel. |
| 11. | Kezdő dátum | Az intézkedés kezdetének jegyzék adatlapban meghatározott dokumentummal igazolt legkorábbi időpontja. |
| 12. | Kiinduló állapot/ alapállapot | Az intézkedés/beruházás megkezdése előtti, a jegyzék adatlap iránymutatásai alapján meghatározott valós állapot. |
| 13. | Kombinált épület korszerűsítés | Az energiahatékonyságról szóló törvény végrehajtásáról szóló 122/2015. (V.26.) Korm. rendelet 1. § 5a. szerinti kombinált épület korszerűsítés. |
| 14. | Komplex energiahatékonysági intézkedés | Jegyzék adatlapok kombinációja esetén az egyes intézkedések komplex intézkedésként számolhatók el. |
| 15. | Korai csere | A régi, lecserélendő eszköz várható élettartamán belüli csere időszaka. |
| 16. | Középület | Az energiahatékonyságról szóló 2015. évi LVII. törvény 1. § 22b. pontja szerinti fogalom. |
| 17. | Lakóépület | Az energiahatékonyságról szóló 2015. évi LVII. törvény 1. § 24a. pontja szerinti lakóépület. |
| 18. | Magyarországi tankolási arány | Az érintett szállítási területen használt összes tehergépjárművére vonatkozó szállítási célú üzemanyag fogyasztáson belül adott időszakon belül Magyarország területén tankolt üzemanyag részaránya. |
| 19. | Mérés oldali validáció | Az energiamegtakarítás vagy fogyasztás mérési adatokkal történő alátámasztása, azaz a megtakarítás tényének hiteles igazolása mért adatok alapján. |
| 20. | Minimális energiahatékonysági követelménynek megfelelő referencia érték | Az EU-s ökodizájn irányelvek által előírt legkisebb elvárt energiahatékonysági szint, amelyet egy épületnek vagy beruházásnak/berendezésnek teljesítenie kell. |
| 21. | SCOP | Az SCOP érték mutatja meg a légkondicionáló berendezés teljes fűtési szezonra vonatkoztatott energiahatékonyságát egy egységesített, éghajlat típustól függő mérési ciklus alapján. |
| 22. | Számlákkal igazolt éves végsőenergia-fogyasztás | Egy adott épület vagy fogyasztó éves energiafogyasztása, amely közüzemi számlák alapján dokumentálható és hitelesen visszakövethető. |
| 23. | "TÉ" jogosultságú energetikai tanúsító | Olyan szakember, aki a Magyar Mérnöki Kamarának vagy a Magyar Építész Kamarának tagja és jogosult hivatalos energetikai tanúsítvány kiállítására. |
| 24. | Többlet energiamegtakarítás | Az az érték, amennyivel az új berendezés energiafogyasztása kevesebb a környezetbarát tervezésre vonatkozó minimumkövetelményeket teljesítő referencia-berendezés energiafogyasztásánál. Épületek kombinált energetikai korszerűsítésénél a kiinduló és a korszerűsítést követő energiafogyasztás különbsége. |
| 25. | Tömbösítés | Olyan adminisztratív és szakmai eljárás, amely során több, azonos vagy hasonló típusú, azonos élettartamú, avulású, azonos korai csere időszakkal rendelkező, azonos évben megvalósított energiahatékonysági intézkedés kerül összevonásra együttes hitelesítés és hitelesített megtakarításként való bejelentés céljából az energiahatékonysági kötelezettségi rendszer hitelesített energiamegtakarítás nyilvántartásába. |
| 26. | Várható műszaki élettartam | Az energiahatékonyságról szóló 2015. évi LVII. törvény végrehajtásáról szóló 122/2015. (V. 26.) Korm. rendelet 6. melléklet 2. pontja B oszlopában feltüntetett élettartam. |
| 27. | Végfelhasználási energiamegtakarítás | Az energiahatékonyságról szóló 2015. évi LVII. törvény 1. § 30. pontja szerinti végfelhasználási energiamegtakarítás. |
| 28. | Végső felhasználó | Az a természetes személy vagy szervezet, aki vagy amely saját felhasználására vásárol energiát; távhűtéssel ellátott épület esetében, ha a távhűtési szolgáltatás a több személy tulajdonában lévő épület valamennyi épületrészében - a közös használatú épületrészek kivételével - mérhető, végső felhasználónak kell tekinteni az egyes épületrészek tulajdonosát is. |
| 29. | Záró dátum | Az intézkedés üzembe helyezésének jegyzék adatlapban meghatározott dokumentummal igazolt legkésőbbi időpontja. |
3. Általános módszertanok
3.1. Eltérések kezelése:
A jegyzék adatlapokban meghatározott módszertantól a jegyzék alapján történő számítás esetén semmilyen esetben sem lehetséges eltérni.
3.2. Hőfokhíd korrekció:
Annak érdekében, hogy az intézkedést megelőző és az azt követő fűtési időszakok energiafogyasztása összehasonlító legyen, az energiamegtakarítás számítása során a külső hőmérsékletek (meteorológia) fűtési fogyasztásra tett hatását hőfokhíd korrekciót alkalmazva kell eliminálni. Egy konkrét fűtési időszak számlával alátámasztott fűtési energiafogyasztását az épületek energetikai jellemzőinek meghatározásáról szóló 9/2023. (V. 25.) ÉKM rendelet energiapolitikáért felelős miniszter által vezetett minisztérium honlapján elérhető számítási módszer "meteo" elnevezésű adatlapjaként megadott-, az országra jellemző órás léghőmérsékleti adatok alapján képzett átlagos év fűtési hőfokhídjára kell átszámolni.
A hőfokhidak meghatározásához a HungaroMet Magyar Meteorológiai Szolgáltató Nonprofit Zrt. (https://odp.met.hu) időjárási portál adatait javasolt használni. A hőfokhíd számításához a vizsgált ingatlanhoz legközelebb eső mérőállomás által mért napi átlaghőmérsékleteket kell használni.
3.2.1. Ezt felhasználva számlával igazolt időszak éves fűtési hőfokhídja:

Az épületek energetikai jellemzőinek meghatározásáról szóló 9/2023. (V. 25.) ÉKM rendelet energiapolitikáért felelős miniszter által vezetett minisztérium honlapján elérhető számítási módszer "meteo" elnevezésű adatlapjaként megadott-, az országra jellemző órás léghőmérsékleti adatokból képzett éves hőfokgyakoriságok:
| A | B | |
| 1. | Tk,i[°C] | Zi,standard[h/év] |
| 2. | -11..-15 | - |
| 3. | -10 | 1 |
| 4. | -9 | 4 |
| 5. | -8 | 15 |
| 6. | -7 | 28 |
| 7. | -6 | 51 |
| 8. | -5 | 74 |
| 9. | -4 | 111 |
| 10. | -3 | 168 |
| 11. | -2 | 193 |
| 12. | -1 | 239 |
| 13. | 0 | 295 |
| 14. | 1 | 319 |
| 15. | 2 | 358 |
| 16. | 3 | 308 |
| 17. | 4 | 279 |
| 18. | 5 | 231 |
| 19. | 6 | 292 |
| 20. | 7 | 302 |
| 21. | 8 | 311 |
| 22. | 9 | 315 |
| 23. | 10 | 300 |
| 24. | 11 | 321 |
| 25. | 12 | 265 |
| 26. | 13 | 264 |
| 27. | 14 | 246 |
| 28. | 15 | 268 |
| 29. | 16 | 271 |
| 30. | 17 | 264 |
| 31. | 18 | 299 |
| 32. | 19 | 299 |
| 33. | 20 | 295 |
3.2.2. Az átlagos év fűtési hőfokhídja az - országra jellemző - éves hőfokgyakoriságok alapján alapján:

3.2.3. Egy adott év - számlákkal alátámasztott - fűtési energiafogyasztásából az átlagos évre sztenderdizált fűtési fogyasztást a standard időszak éves fűtési hőfokhídjának ismeretében az alábbi módon kell számolni:

4. Éves energiafogyasztás igazolása- bázis energiafogyasztás meghatározásához
Annak érdekében, hogy az elszámolás során ösztönözve legyen, hogy a végsőenergiafelhasználó valós energiamegtakarítása kerüljön figyelembevételre, a legtöbb jegyzék adatlap esetén 2 féle számítási metódus került meghatározásra. Amelyik jegyzék adatlap esetén részletes és egyszerűsített számítási metódus is meghatározásra kerül, ott a részletes számítási metódust kizárólag az újrahitelesítés esetén kell alkalmazni.
4.1. Részletes számítási metódus
A részletes számítási metódus célja, hogy részletesebb adatigény mellett a valósághoz leginkább közelítő energiamegtakarítást lehessen meghatározni. A részletes számítás esetén az intézkedés adatlapjától függően az energiafogyasztást 2 módon lehetséges alátámasztani:
4.1.1. Mérés oldali validáció
A mérési validáció célja, hogy energiaszámlákkal, bizonylatokkal a valós energiafogyasztást tudjunk meghatározni, ezáltal biztosítva az elszámolás megalapozottságát. Az 1.1-1.6. jegyzék adatlapok esetén a mérés oldali validációhoz a vizsgált épület összes energianemének fogyasztása tekinthető a bázis fogyasztásnak, míg a II. részben kizárólag a fűtési energianem esetében szükséges az éves fogyasztás számlákkal/bizonylatokkal történő alátámasztása. A releváns energianemek éves fogyasztásának számlákkal történő igazolását az alábbi módon lehet elvégezni:
a) Az energia átváltási tényezőket az energiahatékonyságról szóló törvény végrehajtásáról szóló 122/2015. (V. 26.) Korm. rendelet 6. Melléklete alapján vagy a 2.1.4.1. és a 2.5.4.1. táblázatok táblázat alapján szükséges figyelembe venni.
b) Vezetékes közüzemi energianemek (pl. földgáz, villamos energia) esetén az alábbi dokumentumok fogadhatóak el:
◦ Éves elszámoló bizonylat (12 hónap +- 15 nap időszakról)
◦ Egybefüggő 12 hónapra (+- 15 nap időszakra) vonatkozó, diktálás alapú bizonylatok (mérőóraállást tartalmazó számla esetén elegendő az első és az utolsó hónapokról);
◦ Egybefüggő fűtési szezonra (+- 15 nap időszakra) vonatkozó, diktálás alapú bizonylatok (mérőóraállást tartalmazó számla esetén elegendő a szeptember és május hónapokról);
◦ Energiakereskedőtől kapott hivatalos adatszolgáltatás/tájékoztatás az 1 éves (+- 15 nap) energiafelhasználásra vonatkozóan.
c) Egyéb energianemek esetén eseti bizonylatokkal, melyeknél az első, és utolsó figyelembe vett bizonylat teljesítési dátuma között max. 365 nap telt el.
d) Az igazoláshoz a beruházás kezdete előtti 2 évnél régebbi teljesítési dátumú bizonylatok nem használhatók fel.
e) A bizonylatokon a fogyasztási helynek minden esetben egyeznie kell a beruházás helyszínével. f) Egy konkrét fűtési időszak számlával alátámasztott fűtési energiafogyasztását az épületek energetikai jellemzőinek meghatározásáról szóló 9/2023. (V. 25.) ÉKM rendelet energiapolitikáért felelős miniszter által vezetett minisztérium honlapján elérhető számítási módszer "meteo" elnevezésű adatlapjaként megadott-, az országra jellemző órás léghőmérsékleti adatok alapján képzett átlagos év fűtési hőfokhídjára kell átszámolni.
4.1.2. Épületenergetikai tanúsítvány szerinti validáció
Amennyiben a vizsgált épület éves energiafogyasztásának alátámasztására nem állnak rendelkezésre számlák vagy bizonylatok, úgy az a)-c) pontok szerinti esetekben, vagy számla, illetve bizonylat rendelkezésre állásától függetlenül a d) pont szerinti esetben a 9/2023. (V. 25.) ÉKM rendelet szerint kiállított hiteles épületenergetikai tanúsítványban szereplő, számított végsőenergia-fogyasztási értékek is felhasználhatók a bázis energiafogyasztás meghatározásához:
a) a vizsgált épület középület, vagy
b) a vizsgált épület társasház vagy szövetkezeti ház, vagy
c) a vizsgált épület családi ház, és részben vagy egészben szilárd tüzelőanyagot használ a fűtéshez - az újrahitelesítés esetét kivéve - , vagy
d) az épület típusától függetlenül az intézkedés végrehajtásához az Energiahatékonysági Kötelezettségi Rendszerben (a továbbiakban: EKR) történő hitelesítés mellett egyéb, alternatív szakpolitikai támogatás vagy pályázat is igénybevételre került és a vonatkozó pályázati felhívás vagy jogszabály az energetikai tanúsítvány készítését előírja.
4.2. Egyszerűsített számítási metódus
Amelyik jegyzék adatlap lehetővé teszi, ott az egyszerűsített számítási metódust lehet alkalmazni a végfelhasználási energiamegtakarítás megállapítására, kivéve az újrahitelesítést, amely esetben az adott intézkedéshez tartozó részletes számítási metódus az alkalmazandó.
5. Tömbösítés
A tömbösítés olyan adminisztratív és szakmai eljárás, amely során több, azonos vagy hasonló típusú energiahatékonysági intézkedés kerül összevonásra együttes hitelesítés céljából az EKR keretén belül. Ez az eljárás lehetővé teszi a tömegesen végrehajtott intézkedések egységes értékelését, és elősegíti a hitelesítési folyamat hatékonyságát anélkül, hogy az adatok pontossága vagy a szakmai megalapozottsága csökkenne.
Tömbösítés alkalmazásához, ide értve a komplex, illetve kombinált intézkedések tömbösített elszámolását is, az alábbi feltételeknek kell egyidejűleg teljesülniük.
Azonos az intézkedés, komplex, illetve kombinált elszámolás esetén az egyes részintézkedések:
a) típusa;
b) élettartama;
c) vonatkozásában a felmerülő korai csere időszaka;
d) éves avulási értéke;
e) befejezési éve;
f) vonatkozásában igénybe vett alternatív szakpolitikai támogatás.
Az egy tömbösítés keretében hitelesíthető intézkedések száma: legfeljebb 100 db.
6. Hitelesítői ellenőrzés
6.1. A hitelesítés szakmai követelményei
A hitelesítő szervezet feladata meggyőződni arról, hogy az audit során felhasznált adatszolgáltatásban szereplő adatok teljeskörűek, pontosak és megbízhatóak. E célból a hitelesítési folyamatnak előre meghatározott, objektív ellenőrzési módszertanra kell épülnie.
6.2. Ellenőrzés menete és szabályai
6.2.1. Jegyzékszámítás esetén
A hitelesítés során az összes alátámasztó dokumentum ellenőrzése kötelező.
6.2.2. Tömbösítés esetén
a) Teljes állomány meghatározása
A hitelesítés és az energetikai számítás elvégzéshez szükséges összes végső felhasználó összes adatát alátámasztó dokumentumokat tekintjük teljes állománynak.
b) Mintavételezés, helyszíni ellenőrzés
A tárgyévben megvalósított egyes intézkedések teljes állományából véletlenszerűen ki kell választani intézkedés típusonként 10%-os mintát, de minimum 1 intézkedést, amely helyességéről helyszíni ellenőrzés során szükséges meggyőződni.
c) Hibahatár kritériuma
Az ellenőrzés akkor tekinthető sikeresnek, ha a mintában szereplő adatok legfeljebb 2%-os hibaarányt mutatnak. Amennyiben ez az arány meghaladja a 2%-ot:
ca) új ellenőrzést kell lefolytatni egy új mintán (10%), amely nem lehet azonos az előzővel.
cb) ha ez az ismételt minta is 2%-nál magasabb hibaarányt mutat, a teljes állományt újra kell vizsgálni. A hitelesítés a teljes állomány ellenőrzése után végezhető el.
cc) Az ellenőrzés során feltárt új eredményeket az auditáló szervezet felhasználhatja.
6.2.3. Ellenőrző személy
a) Az ellenőrzésre jogosult személy lehet:
aa) Energetikai tanúsító,
ab) Szakirányú végzettséggel rendelkező személy, aki rendelkezik az energiahatékonyságról szóló törvény végrehajtásáról szóló 122/2015. (V. 26.) Korm. rendelet 11. mellékletében meghatározott szakirányú végzettséggel, ac) Építési műszaki ellenőr.
b) Az ellenőrzésre jogosult személy nem lehet az érintett beruházó vagy végső felhasználó.
c) Továbbá az ellenőrző személynek kötelessége:
ca) írásban nyilatkozni arról, hogy megfelel a jogszabályban előírt képesítési feltételeknek, valamint
cb) írásos nyilatkozatot tenni a saját függetlenségéről, azaz arról, hogy sem a végső felhasználóval, sem az intézkedés vállalkozó kivitelezőjével nem áll fenn közvetlen vagy közvetett közös érdeke.
6.2.4. Dokumentációs kötelezettség
Az ellenőrzést végző szakember köteles a teljes ellenőrzési folyamatot részletesen dokumentálni. Ennek keretében az ellenőrzést végző szakember minden, helyszínen ellenőrzött végső felhasználó esetében jegyzőkönyvet köteles készíteni, amelyet az ellenőrzést végző szakember és a végső felhasználó is aláírásával lát el. A jegyzőkönyvnek tartalmaznia kell a végső felhasználó adatait (név, cím, születési hely, idő), illetve az intézkedés adatait (megnevezés, helyszín, hrsz.), a teljes ellenőrzési folyamat összegzését, illetve szükség esetén a végső felhasználó megállapításait. A jegyzőkönyv mellett fotódokumentációt szükséges készíteni az ingatlanról és az intézkedés tárgyát képező rendszerekről/felületekről, amelyekről megállapítható, hogy az intézkedés valóban megvalósult. Ez a dokumentáció elengedhetetlen része a hitelesítési anyagnak.
7. Újrahitelesítés
A jelen jegyzék hatálybalépése előtt hitelesített intézkedések újrahitelesíthetők, amennyiben a végfelhasználási energiamegtakarítás mértéke a vonatkozó jegyzék adatlap részletes számítási metódusa alapján újra meghatározásra kerül.
Az újrahitelesítés során a részletes számítási metódus a kötelezően alkalmazandó módszertan, a bázis energiafogyasztás a 4.1. alpontjai szerint állapítható meg.
Korábban hitelesítésre került, tömbösített energiamegtakarítások kizárólag tömbösítve hitelesíthetőek újra, azzal, hogy egy tömbösítés keretében az e mellékletben meghatározott tömbösítési maximum alkalmazandó. Tömbösített megtakarítások esetében minden egyes végrehajtott intézkedésnek külön-külön meg kell felelnie a jelen jegyzékben meghatározott feltételeknek. Amennyiben a tömbösített intézkedések közül bármelyik nem felel meg a jegyzék feltételeinek, az ahhoz tartozó elszámolható végfelhasználási energiamegtakarítás mennyiségét az újrahitelesítés során nulla értékkel szükséges elszámolni. Az újrahitelesítés során az intézkedés előtti állapotról készítendő fotóktól el lehet tekinteni. Az újrahitelesítésre az energiahatékonyságról szóló 2015. évi LVII. törvény 15/A. § (4) bekezdése szerinti hitelesítésre meghatározott időkorlát vonatkozik.
8. Mappa struktúra
Hivatali ellenőrzés során a jegyzék hatálybalépése után készített hitelesítések esetében az alábbi struktúrában szükséges az alátámasztó dokumentumokat benyújtani (tömbösítés során minden végső felhasználó esetén külön-külön szükséges rögzíteni):
8.1. 01 Adminisztratív dokumentumok
011 Intézkedés kezdete
Kezdő dátumot alátámasztó dokumentum(ok)
012 Intézkedés zárása
Záró dátumot alátámasztó dokumentum(ok)
Számviteli bizonylat(ok)
013 Egyéb adminisztratív dokumentumok, nyilatkozatok
8.2. 02 Végső felhasználói adatszolgáltatás
021 Fényképek
022 Mérés oldali validáció/Energetikai Tanúsítvány
023 Műszaki alátámasztó dokumentumok
8.3. 03 Auditor számítások
A végfelhasználási energiamegtakarítás [GJ/év] számítása.
8.4. 04 Hitelesítési dokumentációk
Tanúsítvány hitelesített energiamegtakarításról
Hitelesítési jegyzőkönyv, vagy a hitelesítés menetét leíró dokumentum
9. Komplex és Kombinált intézkedésként elszámolható projektek
9.1. Komplex elszámolás:
Több energiahatékonysági intézkedés együttes elvégzése esetén az egyes jegyzék adatlapok komplex intézkedésként számolhatók el. A lehetséges kombinációk a komplex intézkedések mátrixában találhatóak, melyben "X" jelöli a komplex elszámolás keretében elszámolható intézkedéseket. A komplex elszámolás akkor alkalmazható, ha az intézkedések más energiahatékonysági szakpolitikával nem kerülnek kombinálásra az energiahatékonyságról szóló 2015. évi LVII. törvény 15. § (3) és (4) bekezdése alapján. A 9.1.1. a)-c) pontjaiban szereplő támogatások vagylagosak, egymással nem halmozhatóak.
9.1.1. Az energiahatékonysági projektek komplex végrehajtásának ösztönzése érdekében az alábbi támogatások alkalmazhatóak:
a) Több intézkedés komplex végrehajtása esetén a hitelesített energiamegtakarítások nyilvántartásába bejelenthető egyedi intézkedésekből létrejött végfelhasználási energiamegtakarítás összegét 10% értékkel lehetséges növelni, kivéve a b) és c) pontban foglaltakat.
b) Az 1.2. (Nyílászáró korszerűsítés és csere), 1.4. (Családi ház nyílászáró csere normatív számítással) és az 1.6. (Társasház nyílászáró csere normatív számítással) jegyzék adatlapok más jegyzék adatlapokkal történő kombinálása esetén a hitelesített energiamegtakarítások nyilvántartásába bejelenthető egyedi intézkedésekből létrejött végfelhasználási energiamegtakarítás összegét 25% értékkel lehetséges növelni, amennyiben az intézkedéssel érintett ingatlan valamennyi nyílászárója lecserélésre kerül.
c) Az 1.1., (Homlokzat és tetőszerkezet utólagos korszerűsítése), 1.3. (Családi ház utólagos hőszigetelése normatív számítással) és az 1.5. (Társasház utólagos hőszigetelése normatív számítással) jegyzék adatlapokon szereplő homlokzat szigetelés más jegyzék adatlapokkal történő kombinálása esetén a hitelesített energiamegtakarítások nyilvántartásába bejelenthető egyedi intézkedésekből létrejött végfelhasználási energiamegtakarítás összegét 25% értékkel lehetséges növelni, amennyiben az intézkedéssel érintett ingatlan valamennyi földfelszín feletti oldalfala szigetelésre kerül. Ezen intézkedéseknek a b) pontban foglalt intézkedésekkel történő kombinálása esetén a hitelesített energiamegtakarítások nyilvántartásába bejelenthető egyedi intézkedésekből létrejött végfelhasználási energiamegtakarítás összegét abban az esetben lehet 25% értékkel növelni, amennyiben az intézkedéssel érintett ingatlan valamennyi nyílászárója lecserélésre kerül.
d) A bázis időszak minden intézkedés esetén az első intézkedés megkezdését megelőző időszak, így ugyanazon kezdeti állapothoz képest lehet meghatározni az energiamegtakarítás mértékét.
9.1.2. Elszámolási feltételek:
a) A beruházási helyszínek egyezése
b) Az első és az utolsó intézkedés üzembe helyezése között ne teljen el több, mint 365 nap
c) A komplex intézkedések mátrixában minden érintett jegyzék adatlap egymással kombinálható
d) Komplex elszámolás esetén külön állapítandó meg a megtakarítás, de összesen egy hitelesítés készül, azonban a megtakarítás megállapítására szolgáló dokumentumokat és a hitelesítési dokumentációt ugyanazon belső azonosító jelölje.
9.1.3. Komplex intézkedés megvalósítása esetén a komplex intézkedés élettartama az egyes részintézkedések élettartama közül a leghosszabb.
9.1.4. Komplex intézkedés megvalósítása esetén a komplex intézkedés megvalósulásának időpontja az utolsó részintézkedés megvalósításának időpontja.
9.2. Kombinált elszámolás:
A komplex elszámoláson belül további kedvezményre jogosultak azon az intézkedés típusok, melyek "Kombinált" intézkedésként is elszámolhatók. Az energiahatékonyságról szóló törvény végrehajtásáról szóló 122/2015. (V.26.) Korm. rendelet 1. § 5a. pontja szerint kombinált épület korszerűsítésnek minősül az a korszerűsítés, amikor az épület korszerűsítése során az épület határoló szerkezetek energetikai korszerűsítésénél és az épülettechnikai rendszerek energetikai korszerűsítésénél meghatározott intézkedés típusok közül mindkét típusból legalább egyet-egyet megvalósítanak, azzal, hogy a kombinált épület felújítási intézkedésekből származó megtakarítást a kiinduló állapot és a korszerűsítéssel, cserével elért új állapot energiafogyasztásának különbségeként kell meghatározni.
Jelen jegyzékben szereplő intézkedések közül tehát kettő, vagy több intézkedés egyidejű végrehajtása esetében az intézkedésekhez tartozó esetleges európai uniós energetikai minimumkövetelményektől el lehet tekinteni az energiamegtakarítások meghatározása során. Az egymással kombinálható intézkedéseket a "Kombinálható intézkedések mátrixa" tartalmazza.
A Komplex elszámolás pontban rögzített elszámolási feltételek ezen intézkedésekre is vonatkoznak.
9.2.1. Kombinált intézkedés megvalósítása esetén a kombinált intézkedés megvalósulásának időpontja az utolsó részintézkedés megvalósításának időpontja.
9.3. A komplex/kombinált intézkedésként elszámolni kívánt intézkedésekből származó energiamegtakarítás felvezetése a hitelesített energiamegtakarítások nyilvántartásába:
A komplex/kombinált intézkedésként elszámolni kívánt intézkedésekből származó energiamegtakarítást a hitelesítő szervezet a Magyar Energetikai és Közmű-szabályozási Hivatal által erre rendszeresített űrlapon vezeti fel a hitelesített energiamegtakarítások nyilvántartásába.
10. Komplex intézkedések mátrixa

11. Kombinálható intézkedések mátrixa

II. resz
Egyes energiahatékonyságot javító intézkedések
1. Épületek határoló szerkezeteire vonatkozó energiahatékonysági intézkedések
1.1. Homlokzat és tetőszerkezet utólagos korszerűsítése
1.1.1. Intézkedés leírása és alkalmazása Külső és belső határoló épületszerkezetek, például homlokzat, tető, födémek és lábazat utólagos hőszigetelése, amelyek fűtött és fűtetlen tereket választanak el, ezáltal csökkentve a fűtési hőigényt.
a) Alkalmazás feltételei:
aa) lakó- vagy középület esetében alkalmazható,
ab) építőipari kivitelezői regisztrációs számmal rendelkező vállalkozó kivitelező általi építőipari kivitelezési tevékenység,
ac) az érintett épületszerkezetnek a korszerűsítést követően meg kell felelnie az épületek energetikai jellemzőinek meghatározásáról szóló 9/2023. (V. 25.) ÉKM rendelet 1. melléklet 1. pontja szerinti átlagos hőátbocsátási tényező követelménynek.
b) Alkalmazást kizáró feltételek:
ba) nincs.
1.1.2. Intézkedés jellemzői
| A | B | |
| 1. | Élettartam | Az energiahatékonyságról szóló törvény végrehajtásáról szóló 122/2015. (V. 26.) Korm. rendelet 6. melléklete alapján |
| 2. | Avulás | |
| 3. | Hitelesítés határideje | Az energiahatékonyságról szóló 2015. évi LVII. törvény 15/A. § (4) bekezdése alapján |
| 4. | Intézkedés típusa | 1101 - Épületszerkezetek - Felújítás - Utólagos homlokzati hőszigetelés vagy 1102 - Épületszerkezetek - Felújítás - Utólagos tető hőszigetelés |
| 5. | Minimumkövetelmény | - |
| 6. | Kezdő dátum | Megrendelés vagy vállalkozási szerződés dátuma |
| 7. | Záró dátum | A felhasználó azonosítására alkalmas részletezettségű záró számviteli bizonylat teljesítési dátuma és opcionálisan teljesítési igazolás vagy a felhasználó azonosítására alkalmas részletezettségű záró számviteli bizonylat teljesítési dátuma és opcionálisan átadás- átvételi jegyzőkönyv |
1.1.3. Számítás paraméterei
A korszerűsítéssel érintett épületszerkezet rétegrendjét, anyagait és vastagságait meg kell határozni és dokumentálni, szükség esetén helyszíni felmérés alapján.
1.1.3.1. Rögzítendő bemeneti műszaki paraméterek:
| A | B | C | D | E | F | G | |
| 1. | Sorok száma | Épületszerkezet megnevezése | Meglévő szerkezet vastagsága | Utólagos szigetelés vastagsága | Meglévő szerkezet hőátbocsátási tényezője | Korszerűsített szerkezet hőátbocsátási tényezője | Szigetelt felület mérete |
| [-] | [cm] | [cm] | [W/m2K] | [W/m2K] | [m2] | ||
| 2. | 1 | ||||||
| 3. | 2 | ||||||
| 4. | 3 |
1.1.3.2. Alátámasztó dokumentumok:
| A | B | |
| 1. | Alátámasztásra szoruló adatok | Alátámasztó dokumentumok |
| 2. | Az épület eredeti épületszerkezeteinek leírása | Tervrajz vagy vállalkozó kivitelezői jegyzőkönyv vagy energetikai tanúsítvány |
| 3. | Az intézkedés kezdő dátuma | Vállalkozási szerződés vagy megrendelés írásos dokumentuma |
| 4. | Az intézkedés befejezésének dátuma | A felhasználó azonosítására alkalmas részletezettségű záró számviteli bizonylat és opcionálisan teljesítési igazolás vagy a felhasználó azonosítására alkalmas részletezettségű záró számviteli bizonylat és opcionálisan átadás- átvételi jegyzőkönyv |
| 5. | Az ingatlan építésének éve | Beruházás kezdetét megelőző 60 napnál nem régebbi tulajdoni lap másolata vagy végső felhasználó nyilatkozata |
| 6. | Ingatlan funkciójának igazolása | Lakóingatlan esetén: helyrajzi számonként az érintett ingatlanra szóló min. 1 db, lakcímkártya lakcímet tartalmazó oldalának másolata és végső felhasználó nyilatkozata Társasház esetén: tulajdoni törzslap vagy hatályos alapító okirat Szövetkezeti ház esetén: tulajdoni törzslap vagy hatályos alapszabály Középület esetén az alábbiak közül legalább egy: tulajdoni lap, üzemeltetői szerződés, vagyonkezelői szerződés vagy ezzel egyenértékű igazoló dokumentum |
| 7. | Az intézkedés előtti és utáni hőigény igazolása | TÉ jogosultságú energetikai tanúsító által készített, az intézkedés megkezdése előtt és befejezése után kiállított - az épületek energetikai jellemzőinek meghatározásáról szóló 9/2023. (V. 25.) ÉKM rendelet szerinti - hiteles energetikai tanúsítvány |
| 8. | A beépített anyagok/szerkezetek jellemzőinek igazolása | A beépített anyagokra, szerkezetekre vonatkozó gyártói teljesítménynyilatkozatok |
| 9. | A szakszerű építőipari kivitelezési tevékenységigazolása | Vállalkozó kivitelező / felelős műszaki vezető nyilatkozata (fel kell tüntetni a vállalkozó kivitelező építőipari kivitelezői regisztrációs számát/felelős műszaki vezető kamarai regisztrációs számát) |
| 10. | Az intézkedés tényleges megvalósulásának igazolása | A vásárolt termékekről és szolgáltatásokról kiállított költségszámlák és bizonylatok (a felhasználó azonosítására alkalmas részletezettséggel) |
| 11. | Éves energiafogyasztás igazolása | Számlák, bizonylatok az érintett ingatlanban felhasznált energiahordozókról |
| 12. | Napelemes rendszer éves termelésének igazolása (opcionális) | Az ingatlanra vonatkozó hálózatcsatlakozási vagy hálózathasználati szerződés |
1.1.4. Részletes számítási metódus
A korszerűsítéssel érintett épületre vagy épületrészre TÉ jogosultságú energetikai tanúsítónak az eredeti szerkezet helyszíni méretei, az anyagok és hőtechnikai paraméterek figyelembevételével ki kell számolnia a fűtési hőigényt a beruházás megkezdésekor hatályos, az épületek energetikai jellemzőinek meghatározásáról szóló 9/2023. (V. 25.) ÉKM rendelet 7. § (1) bekezdésében meghatározott számítási módszerrel, és ugyanilyen módszerrel a korszerűsítést követően. A számítással meghatározott energiamegtakarítás az eredeti és a korszerűsített állapot közötti nettó fűtési energia igény különbségéből adódó, a rendszerhatásfok-tényezők figyelembevételével számított éves végső energia-megtakarítás GJ-ban kifejezett értéke.
1.1.5. Energiafogyasztás igazolása
1.1.5.1. A 4.1. alpontjai alapján.
1.1.5.2. A beruházás során elszámolható energiamegtakarítás felső határértékei az épület beruházás előtti éves energiafogyasztásának (bázis energiafogyasztás) igazolt mértékéhez viszonyítva az alábbiak szerint korlátozottak:
a) padlásfödém és/vagy tetőszigetelés: maximum 20% végfelhasználási energiamegtakarítás a bázishoz viszonyítva,
b) homlokzati hőszigetelés: maximum 60% végfelhasználási energiamegtakarítás a bázishoz viszonyítva.
Az elszámolható végfelhasználási energiamegtakarítás mértéke az 1.1.4. és 1.1.5. pontok alapján számított értékek közül a kisebbik.
1.2. Nyílászáró korszerűsítés és csere
1.2.1. Intézkedés leírása és alkalmazása
Az intézkedés keretében elszámolható a nyílászárók cseréje az alábbi, hőtechnikai szempontból előnyös megoldások alkalmazásával:
a) hőszigetelő üvegezésű nyílászárók beépítése,
b) meglévő ablak korszerűsítése hőszigetelő üvegezés (és szükség szerint új ablakszárny) beépítésével.
1.2.1.1. Alkalmazás feltételei:
a) lakó- vagy középület esetében alkalmazható,
b) építőipari kivitelezői regisztrációs számmal rendelkező vállalkozó kivitelező általi építőipari kivitelezési tevékenység,
c) RAL szabvány szerinti beépítés ablakcsere esetén,
d) a korszerűsített vagy kicserélt szerkezetnek a korszerűsítést követően meg kell felelnie az épületek energetikai jellemzőinek meghatározásáról szóló 9/2023. (V. 25.) ÉKM rendelet 1. melléklet 1. pontja szerinti átlagos hőátbocsátási tényező követelménynek.
1.2.1.2. Alkalmazást kizáró feltételek:
a) nincs.
1.2.2. Intézkedés jellemzői

1.2.3. Számítás paraméterei
A korszerűsítéssel érintett eredeti nyílászáró anyagát, az eredeti üvegezés jellemzőit dokumentálni kell. A nyílászáró általános műszaki állapota, valamint a vasalatok működőképessége alapján, értékelni kell a légáteresztés, légzárás mértékét. Ez alapján meg kell határozni az eredeti nyílászáró hőátbocsátási tényezőjét [U].
1.2.3.1. Rögzítendő bemeneti műszaki paraméterek:
| A | B | C | D | E | F | G | |
| 1. | Sorok száma | Lecserélt nyílászáró típusa, üvegezése | Lecserélt nyílászáró darabszáma | Lecserélt nyílászáró mérete | Új nyílászáró típusa, üvegezése1 | Lecserélt nyílászáró hőátbocsátási tényezője | Új nyílászáró hőátbocsátási tényezője |
| [-] | [db] | [m2] | [-] | [W/m2K] | [W/m2K] | ||
| 2. | 1 | ||||||
| 3. | 2 | ||||||
| 1 Amennyiben az új nyílászárók méretei és darabszámai eltérnek a lecserélt nyílászárókétól, akkor azokat is fel kell tüntetni. | |||||||
1.2.3.2. Alátámasztó dokumentumok:
| A | B | |
| 1. | Alátámasztásra szoruló adatok | Alátámasztó dokumentumok |
| 2. | Az épület eredeti nyílászáróinak leírása | A tárgyi energetikai felújításhoz készült tervrajzok vagy kivitelezői jegyzőkönyv vagy érvényes energetikai tanúsítvány |
| 3. | Az intézkedés kezdő dátuma | Vállalkozási szerződés vagy megrendelés írásos dokumentuma |
| 4. | Az intézkedés befejezésének dátuma | A felhasználó azonosítására alkalmas részletezettségű záró számviteli bizonylat és opcionálisan teljesítési igazolás vagy a felhasználó azonosítására alkalmas részletezettségű záró számviteli bizonylat és opcionálisan átadás- átvételi jegyzőkönyv |
| 5. | Az ingatlan építésének éve | Beruházás kezdetét megelőző 60 napnál nem régebbi tulajdoni lap másolata vagy végső felhasználó nyilatkozata |
| 6. | Ingatlan funkciójának igazolása | Lakóingatlan esetén: helyrajzi számonként az érintett ingatlanra szóló min. 1 db, lakcímkártya lakcímet tartalmazó oldalának másolata és a végsőfelhasználó nyilatkozata Társasház esetén: tulajdoni törzslap vagy hatályos alapító okirat Szövetkezeti ház esetén: tulajdoni törzslap vagy hatályos alapszabály Középület esetén: tulajdoni lap vagy üzemeltetői szerződés vagy vagyonkezelői szerződés vagy ezzel egyenértékű igazoló dokumentum |
| 7. | Az intézkedés előtti és utáni hőigény igazolása | TÉ jogosultságú energetikai tanúsító által készített, az intézkedés megkezdése előtt és befejezése után kiállított - az épületek energetikai jellemzőinek meghatározásáról szóló 9/2023. (V. 25.) ÉKM rendelet szerinti - hiteles energetikai tanúsítvány |
| 8. | A tárgyi energetikai felújítás során beépített anyagok/szerkezetek jellemzőinek igazolása | A beépített anyagokra, szerkezetekre vonatkozó gyártói teljesítménynyilatkozatok |
| 9. | A szakszerű építőipari kivitelezési tevékenységigazolása | Vállalkozó kivitelező / felelős műszaki vezető nyilatkozata (fel kell tüntetni a vállalkozó kivitelező építőipari kivitelezői regisztrációs számát/felelős műszaki vezető kamarai regisztrációs számát) |
| 10. | Az intézkedés tényleges megvalósulásának igazolása | A vásárolt termékekről és szolgáltatásokról kiállított költségszámlák és bizonylatok (a felhasználó azonosítására alkalmas részletezettséggel) |
| 11. | Éves energiafogyasztás igazolása | Számlák, bizonylatok az érintett ingatlanban felhasznált energiahordozókról |
| 12. | Napelemes rendszer éves termelésének igazolása (opcionális) | Az ingatlanra vonatkozó hálózatcsatlakozási vagy hálózathasználati szerződés |
1.2.4. Részletes számítási metódus
A korszerűsítéssel érintett épületre vagy épületrészre TÉ jogosultságú energetikai tanúsítónak az eredeti szerkezet helyszíni méretei, az anyagok és hőtechnikai paraméterek figyelembevételével ki kell számolnia a fűtési hőigényt a beruházás megkezdésekor hatályos, az épületek energetikai jellemzőinek meghatározásáról szóló 9/2023. (V. 25.) ÉKM rendelet 7. § (1) bekezdésében meghatározott számítási módszerrel, és ugyanilyen módszerrel a korszerűsítést követően.
A számítással meghatározott energiamegtakarítás az eredeti és a korszerűsített állapot közötti nettó fűtési energia igény különbségéből adódó, a rendszerhatásfoktényezők figyelembevételével számított éves végső energia-megtakarítás GJ-ban kifejezett értéke.
1.2.5. Energiafogyasztás igazolása
1.2.5.1. A 4.1. alpontjai alapján.
1.2.5.2. A beruházás során elszámolható energiamegtakarítás felső határértékei az épület teljes beruházás előtti éves energiafogyasztásának (bázis energiafogyasztás) igazolt mértékéhez viszonyítva az alábbiak szerint korlátozottak:
a) nyílászáró csere: maximum 10% végfelhasználási energiamegtakarítás a bázishoz viszonyítva.
Az elszámolható végfelhasználási energiamegtakarítás mértéke az 1.2.4. és 1.2.5. pontok alapján számított értékek közül a kisebbik.
1.3. Családi ház utólagos hőszigetelése normatív számítással
1.3.1. Intézkedés leírása és alkalmazása
Családi ház határoló szerkezeteinek utólagos hőszigetelése, mely magában foglalhatja a homlokzat, padlásfödém és lapostető szerkezetek hőszigetelő réteggel történő ellátását.
1.3.1.1. Alkalmazás feltételei:
a) végrehajtás helyszíne családi ház, beleértve a sorházat, ikerházat,
b) építőipari kivitelezői regisztrációs számmal rendelkező vállalkozó kivitelező általi építőipari kivitelezési tevékenység,
c) az érintett épületszerkezetnek a korszerűsítést követően meg kell felelnie az épületek energetikai jellemzőinek meghatározásáról szóló 9/2023. (V. 25.) ÉKM rendelet 1. melléklet 1. pontja szerinti átlagos hőátbocsátási tényező követelménynek,
d) az intézkedés által érintett határoló szerkezet a kiindulási állapotban szigeteletlen, vagy csak az építőipari kivitelezési tevékenység idején megvalósított hőszigeteléssel rendelkezik, azaz utólagosan beépített, a határoló szerkezettől elválasztható hőszigetelés az intézkedés megelőzően nem került beépítésre,
e) az intézkedés által érintett határoló szerkezet az 1.3.4 pontban felsorolt szerkezettípusok valamelyikébe sorolható:
ea) a szigetelés hőellenállása nagyobb, mint a minimális hőellenállás (R [m2K/W]), amennyiben a külső homlokzati falakon thermo vakolat vagy thermo bevonat alkalmazása történik, akkor a rétegek hőellenállásának az összegét kell figyelembe venni a minimális értékhez,
eb) a nem fúvott szigetelések esetén a szigetelés hővezetési tényezője nem nagyobb, mint 0,039 [W/mK],
f) padlás és lapostető hőszigetelés esetén a szigetelést táblás és tekercses termékek esetében minimum 2 rétegben kell fektetni átfedéssel,
g) padlás szigetelésnél kötelezően beépítendő minimum Sd20 m-es párafékező réteg a hőszigetelés alá, míg szálas és fújt szigetelések esetén maximum Sd 0,03m páraáteresztő por elleni védő fólia használata kötelező a szigetelésre átfedéssel fektetve,
h) homlokzati hőszigetelő rendszerek esetében ha a hőszigetelő anyag hővezetési tényezője 0,038 W/mK vagy annál jobb, akkor minimum 15 cm szigetelés alkalmazása felel meg, míg 0,032 W/mK vagy annál jobb szigetelő képességű anyag használatánál a 12cm-es vastagság elegendő.
1.3.1.2. Alkalmazást kizáró feltételek:
a) nem számolható el ferdetető szigetelésével megvalósuló.
1.3.2. Intézkedés jellemzői
| A | B | |
| 1. | Élettartam | Az energiahatékonyságról szóló törvény végrehajtásáról szóló 122/2015. (V. 26.) Korm. rendelet 6. melléklete alapján |
| 2. | Avulás | |
| 3. | Hitelesítés határideje | Az energiahatékonyságról szóló 2015. évi LVII. törvény 15/A. § (4) bekezdése alapján |
| 4. | Intézkedés típusa | 1101 - Épületszerkezetek - Felújítás - Utólagos homlokzati hőszigetelés vagy 1102 - Épületszerkezetek - Felújítás - Utólagos tető hőszigetelés |
| 5. | Minimumkövetelmény | - |
| 6. | Kezdő dátum | Megrendelés vagy vállalkozási szerződés dátuma |
| 7. | Záró dátum | A felhasználó azonosítására alkalmas részletezettségű záró számviteli bizonylat teljesítési dátuma és opcionálisan teljesítési igazolás vagy a felhasználó azonosítására alkalmas részletezettségű záró számviteli bizonylat teljesítési dátuma és opcionálisan átadás-átvételi jegyzőkönyv |
1.3.3. Számítás paraméterei
1.3.3.1. Rögzítendő bemeneti műszaki paraméterek:
Az adatokat szerkezettípusonként, szigetelési rendszer típusonként szükséges rögzíteni.
| A | B | C | D | E | |
| 1. | Sorok száma | Épületszerkezet típusa 1.3.4 szerint | Utólagos szigetelés vastagsága | Beépített szigetelés hőellenállási tényezője | Szigetelt felület mérete |
| [-] | [cm] | [m2K/W] | [m2] | ||
| 2. | 1 | ||||
| 3. | 2 | ||||
| 4. | 3 |
1.3.3.2. Alátámasztó dokumentumok:
| A | B | |
| 1. | Alátámasztásra szoruló adatok | Alátámasztó dokumentumok |
| 2. | Az épület eredeti épületszerkezeteinek leírása | Tervrajz vagy vállalkozó kivitelezői jegyzőkönyv vagy energetikai tanúsítvány |
| 3. | Az intézkedés kezdő dátuma | Vállalkozási szerződés vagy megrendelés |
| 4. | Az intézkedés befejezésének dátuma | A felhasználó azonosítására alkalmas részletezettségű záró számviteli bizonylat és opcionálisan teljesítési igazolás vagy a felhasználó azonosítására alkalmas részletezettségű záró számviteli bizonylat és opcionálisan átadás-átvételi jegyzőkönyv |
| 5. | Az ingatlan építésének éve | Beruházás kezdetét megelőző 60 napnál nem régebbi tulajdoni lap másolata vagy végső felhasználó nyilatkozata |
| 6. | Ingatlan funkciójának igazolása | Az érintett ingatlanra szóló min. 1 db, lakcímkártya lakcímet tartalmazó oldalának másolata és a végsőfelhasználó nyilatkozata |
| 7. | Szigetelt felület [m2] és épület típusának igazolása (CSH/TH) | Tervrajz vagy vállalkozó kivitelezői jegyzőkönyv vagy a vállalkozó kivitelező és végső felhasználó nyilatkozata egyszerűsített alaprajzzal kiegészítve, ami alapján a szigetelt felületek mérete ellenőrizhető |
| 8. | Szigetelőanyag gyártója, típusa Szigetelés hővezetési tényezője [W/mK] | A beépített anyagokra, szerkezetekre vonatkozó gyártói teljesítménynyilatkozatok |
| 9. | Szigetelés vastagsága [cm] | A végsőfelhasználó és a vállalkozó kivitelező nyilatkozata |
| 10. | A szakszerű építőipari kivitelezési tevékenység igazolása | Vállalkozó kivitelező / felelős műszaki vezető nyilatkozata (fel kell tüntetni a vállalkozó kivitelező építőipari kivitelezői regisztrációs számát/ felelős műszaki vezető kamarai regisztrációs számát) |
| Az intézkedés tényleges megvalósulásának igazolása | Fotódokumentáció: - kiinduló állapot: az épületet beazonosítani képes utcafronti látkép, + 5 db fotó minden érintett szerkezetről, (homlokzati szigetelés esetén felületsíkonként legalább 2 db) - szigetelés után: a szigetelőanyag típusának és szerkezeti vastagságának azonosítására alkalmas fotók - 5 db minden érintett szerkezetről, (homlokzati szigetelés esetén felületsíkonként legalább 2 db) - padlásfödém szigetelés esetén: külön fotó a szigeteletlen és a szigetelt padlásfödém teljes területének bemutatására, továbbá a megvalósult szakszerű rétegrendnek igazolására | |
| 11. | A vásárolt termékekről és szolgáltatásokról kiállított költségszámlák és bizonylatok (a felhasználó azonosítására alkalmas részletezettséggel) | |
| 12. | Helyszíni ellenőrzés igazolása | A hitelesítő beszámolója a helyszíni ellenőrzése eredményéről, az érintett ingatlanok felsorolása |
| 13. | Éves energiafogyasztás igazolása (1.3.4.1) esetén) | Számlák, bizonylatok az érintett ingatlanban felhasznált energiahordozókról |
| 14. | Napelemes rendszer éves termelésének igazolása (opcionális) | Az ingatlanra vonatkozó hálózatcsatlakozási vagy hálózathasználati szerződés |
1.3.4. Számítási metódus
1.3.4.1. Részletes számítási metódus
A korszerűsítéssel érintett épületre vagy épületrészre TÉ jogosultságú energetikai tanúsítónak az eredeti szerkezet helyszíni méretei, az anyagok és hőtechnikai paraméterek figyelembevételével ki kell számolnia a fűtési hőigényt a beruházás megkezdésekor hatályos, az épületek energetikai jellemzőinek meghatározásáról szóló 9/2023. (V. 25.) ÉKM rendelet 7. § (1) bekezdésében meghatározott számítási módszerrel, és ugyanilyen módszerrel a korszerűsítést követően.
A számítással meghatározott energiamegtakarítás az eredeti és a korszerűsített állapot közötti nettó fűtési energia igény különbségéből adódó, a rendszerhatásfok-tényezők figyelembevételével számított éves végső energia-megtakarítás GJ-ban kifejezett értéke.
1.3.4.2. Egyszerűsített számítási metódus
1.3.4.2. táblázat Egyszerűsített számításnál alkalmazható fajlagos energiamegtakarítások
| A | B | C | D | |
| 1. | Sorok száma | Szerkezettípus | R - Szigetelőanyag minimális hőellenállása | ∆e - Fajlagos energia- megtakarítás |
| [-] | [m2K/W] | [GJ/m2] | ||
| 2. | 1 | Padlásfödém, lapostető | 6,25 | 0,461 |
| 3. | 2 | Külső homlokzati falak | 3,75 | 0,461 |
Az egyszerűsített számítási metódus esetén az 1.3.5. alapján az energiafogyasztás igazolása nem szükséges.
1.3.5. Energiafogyasztás igazolása
1.3.5.1. A 4.1. alpontjai alapján.
1.3.5.2. A beruházás során elszámolható energiamegtakarítás felső határértékei az épület teljes beruházás előtti éves energiafogyasztásának (bázis energiafogyasztás) igazolt mértékéhez viszonyítva az alábbiak szerint korlátozottak:
a) padlásfödém és/vagy tetőszigetelés: maximum 20% végfelhasználási energiamegtakarítás a bázishoz viszonyítva,
b) homlokzati hőszigetelés: maximum 60% végfelhasználási energiamegtakarítás a bázishoz viszonyítva.
Az elszámolható végfelhasználási energiamegtakarítás mértéke az 1.3.4.1. és 1.3.5. pontok alapján számított értékek közül a kisebbik.
A hitelesítő szervezet az adott hitelesített energiamegtakarítás alapját képező szigetelési beruházások 10%-ánál, de legalább 1 db beruházás vonatkozásában köteles a helyszínen ellenőrizni a megvalósulást, annak műszaki tartalmát, továbbá a fűtöttségi állapotát és fűtési módját.
1.4. Családi ház nyílászáró csere normatív számítással
1.4.1. Intézkedés leírása és alkalmazása
Családi ház nyílászáró cseréje, mely magában foglalhatja:
a) hőszigetelő üvegezésű nyílászárók beépítését,
b) újabb réteg nyílászáró beépítését, amely fokozza a hőszigetelést és a légzárást.
1.4.1.1 Alkalmazás feltételei:
a) végrehajtás helyszíne családi ház, beleértve a sorházat, ikerházat,
b) építőipari kivitelezői regisztrációs számmal rendelkező vállalkozó kivitelező általi építőipari kivitelezési tevékenység,
c) RAL szabvány szerinti beépítés,
d) a beépített épületszerkezetnek a korszerűsítést követően meg kell felelnie az épületek energetikai jellemzőinek meghatározásáról szóló 9/2023. (V. 25.) ÉKM rendelet 1. melléklet 1. pontja szerinti átlagos hőátbocsátási tényező követelménynek,
e) az intézkedés által érintett nyílászáró az 1.4.4. pontban felsorolt szerkezettípusok valamelyikébe sorolható.
1.4.1.2. Alkalmazást kizáró feltételek:
a) nincs.
1.4.2. Intézkedés jellemzői
| A | B | |
| 1. | Élettartam | Az energiahatékonyságról szóló törvény végrehajtásáról szóló 122/2015. (V. 26.) Korm. rendelet 6. melléklete alapján |
| 2. | Avulás | |
| 3. | Hitelesítés határideje | Az energiahatékonyságról szóló 2015. évi LVII. törvény 15/A. § (4) bekezdése alapján |
| 4. | Intézkedés típusa | 1103 - Épületszerkezetek - Felújítás - Nyílászáró cseréje |
| 5. | Minimumkövetelmény | - |
| 6. | Kezdő dátum | Megrendelés vagy vállalkozási szerződés dátuma |
| 7. | Záró dátum | A felhasználó azonosítására alkalmas részletezettségű záró számviteli bizonylat teljesítési dátuma és opcionálisan teljesítési igazolás vagy a felhasználó azonosítására alkalmas részletezettségű záró számviteli bizonylat teljesítési dátuma és opcionálisan átadás-átvételi jegyzőkönyv |
1.4.3. Számítás paraméterei
1.4.3.1. Rögzítendő bemeneti műszaki paraméterek: Az adatokat szerkezettípusonként, szigetelési rendszer típusonként szükséges rögzíteni.
| A | B | C | D | E | |
| 1. | Sorok száma | Lecserélt nyílászáró típusa, üvegezése | Lecserélt nyílászáró darabszáma | Lecserélt nyílászáró mérete | Új nyílászáró típusa, üvegezése(1) |
| [-] | [db] | [m2] | [-] | ||
| 2. | 1 | ||||
| 3. | 2 | ||||
| 4. | 3 | ||||
| (1) Amennyiben az új nyílászárók méretei és darabszámai eltérnek a lecserélt nyílászárókétól, akkor azokat is fel kell tüntetni. | |||||
1.4.3.2. Alátámasztó dokumentumok:
| A | B | |
| 1. | Alátámasztásra szoruló adatok | Alátámasztó dokumentumok |
| 2. | Az épület eredeti nyílászáróinak leírása | Tervrajz vagy vállalkozó kivitelezői jegyzőkönyv vagy energetikai tanúsítvány |
| 3. | Az intézkedés kezdő dátuma | Vállalkozási szerződés vagy megrendelés írásos dokumentuma |
| 4. | Az intézkedés befejezésének dátuma | A felhasználó azonosítására alkalmas részletezettségű záró számviteli bizonylat és opcionálisan teljesítési igazolás vagy a felhasználó azonosítására alkalmas részletezettségű záró számviteli bizonylat és opcionálisan átadás-átvételi jegyzőkönyv |
| 5. | Ingatlan funkciójának igazolása | Az érintett ingatlanra szóló min. 1 db, lakcímkártya lakcímet tartalmazó oldalának másolata és végsőfelhasználó nyilatkozata |
| 6. | Lecserélt nyílászárók felületei [m2] és épület típusának igazolása (CSH/TH) | Tervrajz vagy vállalkozó kivitelezői jegyzőkönyv vagy vállalkozó kivitelező és végső felhasználó nyilatkozata egyszerűsített alaprajzzal kiegészítve, ami alapján a szigetelt felületek mérete ellenőrizhető |
| 7. | Nyílászáró gyártója, típusa Nyílászáró hőátbocsátási tényezője [W/m2K] | A beépített anyagokra, szerkezetekre vonatkozó gyártói teljesítménynyilatkozatok |
| 8. | A vállalkozó kivitelező szakmai alkalmassága | A vállalkozó kivitelező építőipari kivitelezői regisztrációs száma |
| 9. | A szakszerű építőipari kivitelezési tevékenység igazolása | Vállalkozó kivitelezői nyilatkozat, amely tartalmazza a korszerűsítésben felhasznált, beépített anyagok és szerkezetek műszaki jellemzőit, a RAL szabványnak megfelelő beépítést, valamint az érintett épület (lakásegység) egyértelmű beazonosítását valamint a vállalkozó kivitelező építőipari kivitelezői regisztrációs számát |
| 10. | Az intézkedés tényleges megvalósulásának igazolása | Fotódokumentáció: - épület: az épületet beazonosítani képes utcafronti látkép - kiinduló állapot: fotó a lecserélt nyílászárók mindegyikéről - nyílászáró csere után: fotó az új nyílászárók mindegyikéről |
| A vásárolt termékekről és szolgáltatásokról kiállított költségszámlák és bizonylatok (a felhasználó azonosítására alkalmas részletezettséggel) | ||
| 11. | Helyszíni ellenőrzés igazolása | A hitelesítő beszámolója a helyszíni ellenőrzése eredményéről, az érintett ingatlanok felsorolása |
| 12. | Éves energiafogyasztás igazolása (1.4.4.1.) esetén) | Számlák, bizonylatok az érintett ingatlanban felhasznált energiahordozókról |
| 13. | Napelemes rendszer éves termelésének igazolása (opcionális) | Az ingatlanra vonatkozó hálózatcsatlakozási vagy hálózathasználati szerződés |
1.4.4. Számítási metódus
1.4.4.1. Részletes számítási metódus
1.4.4.1. táblázat: nyílászáróknál alkalmazható fajlagos energiamegtakarítások
| A | B | C | D | |
| 1. | Sorok száma | ∆e - Fajlagos energia- megtakarítás [GJ/m2] | Becsült beépítés éve | Szerkezet típus |
| 2. | 1 | 1,08 | -1989 | Gerébtokos / pallótokos ablak, fa ablak kétrétegű üvegezéssel levegő töltéssel, egyesített szárnyú ablak, gerébtokos / pallótokos / hevedertokos fa bejárati ajtó |
| 3. | 2 | 1,5 | -1980 | Acél tok- és keretszerkezetű nyílászáró, illetve kopolit felületek |
| 4. | 3 | 0,41 | 1990-1999 | Fa nyílászáró kétrétegű üvegezéssel gáz töltéssel |
| 5. | 4 | 0,32 | 2000-2006 | 2 rétegű műanyag nyílászáró low-e bevonat nélkül, gáz vagy levegő töltéssel |
A részletes számítási metódus esetén az 1.4.5. alapján az energiafogyasztás igazolása is szükséges. Az elszámolható végfelhasználási energiamegtakarítás mértéke az 1.4.4. és 1.4.5. pontok alapján számított értékek közül a kisebbik.
1.4.4.2. Egyszerűsített számítási metódus
Egyszerűsített számítási metódus esetén is az 1.4.4.1 táblázat alapján szükséges meghatározni az adott szerkezettípusra vonatkozó fajlagos energia-megtakarítás mértékét. Ebben az esetben az 1.4.5. alapján az energiafogyasztás igazolása nem szükséges.
1.4.5. Energiafogyasztás igazolása
Az energiafogyasztás igazolására csak az 1.4.4.1. számítási metódus esetén van szükség a 4.1. alpontjai szerint.
A beruházás során elszámolható energiamegtakarítás felső határértékei az épület teljes beruházás előtti éves energiafogyasztásának (bázis energiafogyasztás) igazolt mértékéhez viszonyítva az alábbiak szerint korlátozottak:
a) nyílászáró csere: maximum 10% végfelhasználási energiamegtakarítás a bázishoz viszonyítva.
1.5. Társasház utólagos hőszigetelése normatív számítással
1.5.1. Intézkedés leírása és alkalmazása
Társasház és szövetkezeti ház határoló szerkezeteinek utólagos hőszigetelése, mely magában foglalhatja a homlokzat, padlásfödém és lapostető szerkezetek hőszigetelő réteggel történő ellátását.
1.5.1.1. Alkalmazás feltételei:
a) végrehajtás helyszíne társasház vagy szövetkezeti ház,
b) építőipari kivitelezői regisztrációs számmal rendelkező vállalkozó kivitelező általi építőipari kivitelezési tevékenység,
c) az érintett épületszerkezetnek a korszerűsítést követően meg kell felelnie az épületek energetikai jellemzőinek meghatározásáról szóló 9/2023. (V. 25.) ÉKM rendelet 1. melléklet 1. pontja szerinti átlagos hőátbocsátási tényező követelménynek,
d) az intézkedés által érintett határoló szerkezet a kiindulási állapotban szigeteletlen, azaz utólagosan beépített, a határoló szerkezettől elválasztható hőszigetelés az intézkedés megelőzően nem került beépítésre,
e) az intézkedés által érintett határoló szerkezet az 1.5.4 pontban felsorolt szerkezettípusok valamelyikébe sorolható:
ea) a szigetelés hőellenállása nagyobb, mint a minimális hőellenállás (R [m2K/W]) - amennyiben a külső homlokzati falakon thermo vakolat vagy thermo bevonat alkalmazása történik, akkor a rétegek hőellenállásának az összegét kell figyelembe venni a minimális értékhez -,
eb) a nem fúvott szigetelések esetén a szigetelés hővezetési tényezője nem lehet nagyobb mint 0,039 [W/mK].
f) padlás és lapostető hőszigetelés esetén a szigetelést táblás és tekercses termékek esetében minimum 2 rétegben kell fektetni átfedéssel,
g) padlás szigetelésnél kötelezően beépítendő minimum Sd20 m-es párafékező réteg a hőszigetelés alá, míg szálas és fújt szigetelések esetén maximum Sd 0,03m páraáteresztő por elleni védő fólia használata kötelező a szigetelésre átfedéssel fektetve,
h) homlokzati hőszigetelő rendszerek esetében ha a hőszigetelő anyag hővezetési tényezője 0,038 W/mK vagy annál jobb, akkor minimum 15 cm szigetelés alkalmazása felel meg, míg 0,032 W/mK vagy annál jobb szigetelő képességű anyag használatánál a 12cm-es vastagság elegendő.
1.5.1.2. Alkalmazást kizáró feltételek:
a) nem számolható el a ferdetető szigetelésével megvalósuló padlástér-szigetelés az e pont szerinti számítással.
1.5.2. Intézkedés jellemzői
| A | B | |
| 1. | Élettartam | Az energiahatékonyságról szóló törvény végrehajtásáról szóló 122/2015. (V. 26.) Korm. rendelet 6. melléklete alapján |
| 2. | Avulás | |
| 3. | Hitelesítés határideje | Az energiahatékonyságról szóló 2015. évi LVII. törvény 15/A. § (4) bekezdése alapján |
| 4. | Intézkedés típusa | 1101 - Épületszerkezetek - Felújítás - Utólagos homlokzati hőszigetelés vagy 1102 - Épületszerkezetek - Felújítás - Utólagos tető hőszigetelés |
| 5. | Minimum- követelmény | - |
| 6. | Kezdő dátum | Megrendelés vagy vállalkozási szerződés dátuma |
| 7. | Záró dátum | A felhasználó azonosítására alkalmas részletezettségű záró számviteli bizonylat teljesítési dátuma és opcionálisan teljesítési igazolás vagy a felhasználó azonosítására alkalmas részletezettségű záró számviteli bizonylat teljesítési dátuma és opcionálisan átadás-átvételi jegyzőkönyv |
1.5.3. Számítás paraméterei
1.5.3.1. Rögzítendő bemeneti műszaki paraméterek:
Az adatokat szerkezettípusonként, szigetelési rendszer típusonként szükséges rögzíteni.
| A | B | C | D | E | |
| 1. | Sorok száma | Épületszerkezet típusa 1.5.4 szerint | Utólagos szigetelés vastagsága | Korszerűsített szerkezet hőellenállási tényezője | Szigetelt felület mérete |
| -] | [cm] | [m2K/W] | [m2] | ||
| 2. | 1 | ||||
| 3. | 2 |
1.5.3.2. Alátámasztó dokumentumok:
| A | B | |
| 1. | Alátámasztásra szoruló adatok | Alátámasztó dokumentumok |
| 2. | Az épület eredeti épületszerkezeteinek leírása | Tervrajz vagy vállalkozó kivitelezői jegyzőkönyv vagy energetikai tanúsítvány |
| 3. | Az intézkedés kezdő dátuma | Vállalkozási szerződés vagy megrendelés írásos dokumentuma |
| 4. | Az intézkedés befejezésének dátuma | A felhasználó azonosítására alkalmas részletezettségű záró számviteli bizonylat és opcionálisan teljesítési igazolás vagy a felhasználó azonosítására alkalmas részletezettségű záró számviteli bizonylat és opcionálisan átadás-átvételi jegyzőkönyv |
| 5. | Az ingatlan építésének éve és funkciójának igazolása | Társasház esetén tulajdoni törzslap vagy hatályos alapító okirat, szövetkezeti ház esetén tulajdoni törzslap vagy hatályos alapszabály |
| 6. | Szigetelt felület [m2] és épület típusának igazolása (CSH/TH) | Tervrajz vagy vállalkozó kivitelezői jegyzőkönyv vagy a vállalkozó kivitelező és a közös képviselő, szövetkezeti ház esetén a lakásszövetkezetekről szóló 2004. évi CXV. törvény esetén a 7. § szerinti képviselő, a társasházakról szóló 2003. évi CXXXIII. törvény 13. § (3) bekezdése alapján a Ptk. közös tulajdonra vonatkozó szabályai szerint működő legfeljebb hatlakásos társasház esetén a tulajdonostársak nyilatkozata egyszerűsített alaprajzzal kiegészítve, ami alapján a szigetelt felületek mérete ellenőrizhető |
| 7. | Szigetelőanyag gyártója, típusa Szigetelés hővezetési tényezője [W/mK] | A beépített anyagokra, szerkezetekre vonatkozó gyártói teljesítménynyilatkozatok |
| 8. | Szigetelés vastagsága [cm] | A közös képviselő, szövetkezeti ház esetén a lakásszövetkezetekről szóló 2004. évi CXV. törvény esetén a 7. § szerinti képviselő, a társasházakról szóló 2003. évi CXXXIII. törvény 13. § (3) bekezdése alapján a Ptk. közös tulajdonra vonatkozó szabályai szerint működő legfeljebb hatlakásos társasház esetén a tulajdonostársak és a vállalkozó kivitelező nyilatkozata |
| 9. | A szakszerű építőipari kivitelezési tevékenység igazolása | Vállalkozó kivitelező / felelős műszaki vezető nyilatkozata (fel kell tüntetni a vállalkozó kivitelező építőipari kivitelezői regisztrációs számát/felelős műszaki vezető kamarai regisztrációs számát) |
| 10. | Az intézkedés tényleges megvalósulásának igazolása | Fotódokumentáció: - kiinduló állapot: az épületet beazonosítani képes utcafronti látkép, + 5 db fotó minden érintett szerkezetről, (homlokzati szigetelés esetén felületsíkonként legalább 2 db) - szigetelés után: a szigetelőanyag |
| típusának és szerkezeti vastagságának azonosítására alkalmas fotók - 5 db minden érintett szerkezetről, (homlokzati szigetelés esetén felületsíkonként legalább 2 db) - padlásfödém- vagy tetőszigetelés esetén: külön fotó a szigeteletlen és a szigetelt padlásfödém teljes területének bemutatására, továbbá a megvalósult szakszerű rétegrendnek igazolására | ||
| A vásárolt termékekről és szolgáltatásokról kiállított költségszámlák és bizonylatok (a felhasználó azonosítására alkalmas részletezettséggel) | ||
| 11. | Helyszíni ellenőrzés igazolása | A hitelesítő beszámolója a helyszíni ellenőrzése eredményéről, az érintett ingatlanok felsorolása |
| 12. | Éves energiafogyasztás igazolása (1.5.4.1.) esetén) | Számlák, bizonylatok az érintett ingatlanban felhasznált energiahordozókról |
| 13. | Napelemes rendszer éves termelésének igazolása (opcionális) | Az ingatlanra vonatkozó hálózatcsatlakozási vagy hálózathasználati szerződés |
1.5.4. Számítási metódus
1.5.4.1. Részletes számítási metódus A korszerűsítéssel érintett épületre vagy épületrészre TÉ jogosultságú energetikai tanúsítónak az eredeti szerkezet helyszíni méretei, az anyagok és hőtechnikai paraméterek figyelembevételével ki kell számolnia a fűtési hőigényt a beruházás megkezdésekor hatályos, az épületek energetikai jellemzőinek meghatározásáról szóló 9/2023. (V. 25.) ÉKM rendelet 7. § (1) bekezdésében meghatározott számítási módszerrel, és ugyanilyen módszerrel a korszerűsítést követően.
A számítással meghatározott energiamegtakarítás az eredeti és a korszerűsített állapot közötti nettó fűtési energia igény különbségéből adódó, a rendszerhatásfok-tényezők figyelembevételével számított éves végső energiamegtakarítás GJ-ban kifejezett értéke.
1.5.4.2. Egyszerűsített számítási metódus
1.5.4.2. táblázat: Egyszerűsített számításnál alkalmazható fajlagos energiamegtakarítások
| A | B | C | D | |
| 1. | Sorok száma | Szerkezettípus | R - Szigetelőanyag minimális hőellenállása | ∆e - Fajlagos energia- megtakarítás |
| [-] | [m2K/W] | [GJ/m2] | ||
| 2. | 1 | Padlásfödém, lapostető | 6,25 | 0,461 |
| 3. | 2 | Külső homlokzati falak | 3,75 | 0,40 |
Az egyszerűsített számításnál az 1.5.5. szerinti energiafogyasztás igazolása nem szükséges.
1.5.5. Energiafogyasztás igazolása
1.5.5.1. A 4.1. alpontjai alapján.
1.5.5.2. A beruházás során elszámolható energiamegtakarítás felső határértékei az épület teljes beruházás előtti éves energiafogyasztásának (bázis energiafogyasztás) igazolt mértékéhez viszonyítva az alábbiak szerint képlettel számítható:
a) padlásfödém- és/vagy tetőszigetelés:

b) homlokzati hőszigetelés:

A hitelesítő szervezet az adott hitelesített energiamegtakarítás alapját képező szigetelési beruházások 10%-ánál, de legalább 1 db beruházás vonatkozásában köteles a helyszínen ellenőrizni a megvalósulást, annak műszaki tartalmát, továbbá a fűtöttségi állapotát és fűtési módját.
Az elszámolható végfelhasználási energiamegtakarítás mértéke az 1.5.4.1. és 1.5.5. pontok alapján számított értékek közül a kisebbik.
1.6. Társasház nyílászáró csere normatív számítással
1.6.1. Intézkedés leírása és alkalmazása
Társasház vagy szövetkezeti ház nyílászáró cseréje, mely magában foglalhatja:
a) hőszigetelő üvegezésű nyílászárók beépítését,
b) újabb réteg nyílászáró beépítését, amely fokozza a hőszigetelést és a légzárást.
1.6.1.1. Alkalmazás feltételei:
a) végrehajtás helyszíne társasház vagy szövetkezeti ház,
b) építőipari kivitelezői regisztrációs számmal rendelkező vállalkozó kivitelező általi építőipari kivitelezési tevékenység,
c) RAL szabvány szerinti beépítés,
d) az érintett épületszerkezetnek a korszerűsítést követően meg kell felelnie az épületek energetikai jellemzőinek meghatározásáról szóló 9/2023. (V. 25.) ÉKM rendelet 1. melléklet 1. pontja szerinti átlagos hőátbocsátási tényező követelménynek,
e) az intézkedés által érintett nyílászáró az 1.6.4. pontban felsorolt szerkezettípusok valamelyikébe sorolható.
1.6.1.2. Alkalmazást kizáró feltételek: a) nincs.
1.6.2. Intézkedés jellemzői
| A | B | |
| 1. | Élettartam | Az energiahatékonyságról szóló törvény végrehajtásáról szóló 122/2015. (V. 26.) Korm. rendelet 6. melléklete alapján |
| 2. | Avulás | |
| 3. | Hitelesítés határideje | Az energiahatékonyságról szóló 2015. évi LVII. törvény 15/A. § (4) bekezdése alapján |
| 4. | Intézkedés típusa | 1103 - Épületszerkezetek - Felújítás - Nyílászáró cseréje |
| 5. | Minimumkövetelmény | - |
| 6. | Kezdő dátum | Megrendelés vagy vállalkozási szerződés dátuma |
| 7. | Záró dátum | A felhasználó azonosítására alkalmas részletezettségű záró számviteli bizonylat teljesítési dátuma és opcionálisan teljesítési igazolás vagy a felhasználó azonosítására alkalmas részletezettségű záró számviteli bizonylat teljesítési dátuma és opcionálisan átadás-átvételi jegyzőkönyv |
1.6.3. Számítás paraméterei
1.6.3.1. Rögzítendő bemeneti műszaki paraméterek:
Az adatokat szerkezettípusonként, szigetelési rendszer típusonként szükséges rögzíteni.
| A | B | C | D | E | |
| 1. | Sorok száma | Lecserélt nyílászáró típusa, üvegezése | Lecserélt nyílászáró darabszáma | Lecserélt nyílászáró mérete | Új nyílászáró típusa, üvegezése(1) |
| -] | [db] | [-] | |||
| 2. | 1 | ||||
| 3. | 2 | ||||
| 4. | 3 | ||||
| (1) Amennyiben az új nyílászárók méretei és darabszámai eltérnek a lecserélt nyílászárókétól, akkor azokat is fel kell tüntetni. | |||||
1.6.3.2. Alátámasztó dokumentumok:
| A | B | |
| 1. | Alátámasztásra szoruló adatok | Alátámasztó dokumentumok |
| 2. | Az épület eredeti nyílászáróinak leírása | Tervrajz vagy vállalkozó kivitelezői jegyzőkönyv vagy energetikai tanúsítvány |
| 3. | Az intézkedés kezdő dátuma | Vállalkozási szerződés vagy megrendelés írásos dokumentuma |
| 4. | Az intézkedés befejezésének dátuma | A felhasználó azonosítására alkalmas részletezettségű záró számviteli bizonylat és opcionálisan teljesítési igazolás vagy a felhasználó azonosítására alkalmas részletezettségű záró számviteli bizonylat és opcionálisan átadás-átvételi jegyzőkönyv |
| 5. | Az ingatlan építésének éve és funkciójának igazolása | Társasház esetén tulajdoni törzslap vagy hatályos alapító okirat, szövetkezeti ház esetén tulajdoni törzslap vagy hatályos alapszabály |
| 6. | Lecserélt nyílászárók felületei [m2] | Tervrajz vagy vállalkozó kivitelezői jegyzőkönyv vagy a vállalkozó kivitelező és a közös képviselő, szövetkezeti ház esetén a lakásszövetkezetekről szóló 2004. évi CXV. törvény esetén a 7. § szerinti képviselő, a társasházakról szóló 2003. évi CXXXIII. törvény 13. § (3) bekezdése alapján a Ptk. közös tulajdonra vonatkozó szabályai szerint működő legfeljebb hatlakásos társasház esetén a tulajdonostársak nyilatkozata egyszerűsített alaprajzzal kiegészítve, ami alapján a szigetelt felületek mérete ellenőrizhető |
| 7. | Nyílászáró gyártója, típusa Nyílászáró hőátbocsátási tényezője [W/m2K] | A beépített anyagokra, szerkezetekre vonatkozó gyártói teljesítménynyilatkozatok |
| 8. | A vállalkozó kivitelező szakmai alkalmassága | A vállalkozó kivitelező építőipari kivitelezői regisztrációs száma |
| 9. | A szakszerű építőipari kivitelezési tevékenység igazolása | Vállalkozó Kivitelezői nyilatkozat, amely tartalmazza a korszerűsítésben felhasznált, beépített anyagok és szerkezetek műszaki jellemzőit, a RAL szabványnak megfelelő beépítést, valamint az érintett épület (lakásegység) egyértelmű beazonosítását, valamint a vállalkozó kivitelező építőipari kivitelezői regisztrációs számát |
| 10. | Az intézkedés tényleges megvalósulásának igazolása | Fotódokumentáció: - épület: az épületet beazonosítani képes utcafronti látkép - kiinduló állapot: fotó a lecserélt nyílászárók mindegyikéről - nyílászáró csere után: fotó az új nyílászárók mindegyikéről |
| A vásárolt termékekről és szolgáltatásokról kiállított költségszámlák és bizonylatok (a felhasználó azonosítására alkalmas részletezettséggel) | ||
| 11. | Helyszíni ellenőrzés igazolása | A hitelesítő beszámolója a helyszíni ellenőrzése eredményéről, az érintett ingatlanok felsorolása |
| 12. | Éves energiafogyasztás igazolása (1.6.4.1. esetén) | Számlák, bizonylatok az érintett ingatlanban felhasznált energiahordozókról |
| 13. | Napelemes rendszer éves termelésének igazolása (opcionális) | Az ingatlanra vonatkozó hálózatcsatlakozási vagy hálózathasználati szerződés |
1.6.4. Számítási metódus
1.6.4.1. Részletes számítási metódus
1.6.4.1 táblázat: Nyílászáróknál alkalmazható fajlagos energiamegtakarítások
| A | B | C | D | |
| 1. | Sorok száma | ∆e – Fajlagos energia- megtakarítás [GJ/m2] | Becsült beépítés éve | Szerkezet típus |
| 2. | 1 | 1,08 | -1989 | Gerébtokos / pallótokos ablak, fa ablak kétrétegű üvegezéssel levegő töltéssel, egyesített szárnyú ablak, gerébtokos / pallótokos / hevedertokos fa bejárati ajtó |
| 3. | 2 | 1,5 | -1980 | Acél tok- és keretszerkezetű nyílászáró, illetve kopolit felületek |
| 4. | 3 | 0,41 | 1990-1999 | Fa nyílászáró kétrétegű üvegezéssel gáz töltéssel |
| 5. | 4 | 0,32 | 2000-2006 | 2 rétegű műanyag nyílászáró low-e bevonat nélkül, gáz vagy levegő töltéssel |
A részletes számítási metódus esetén az 1.6.5. alapján az energiafogyasztás igazolása is szükséges. Az elszámolható végfelhasználási energiamegtakarítás mértéke az 1.6.4. és 1.6.5. pontok alapján számított értékek közül a kisebbik.
1.6.4.2. Egyszerűsített számítási metódus
Egyszerűsített számítási metódus esetén is az 1.6.4.1 táblázat alapján szükséges meghatározni az adott szerkezettípusra vonatkozó fajlagos energia-megtakarítás mértékét. Ebben az esetben az 1.6.5. alapján az energiafogyasztás igazolása nem szükséges.
1.6.5. Energiafogyasztás igazolása
Az energiafogyasztás igazolására csak az 1.6.4.1. számítási metódus esetén van szükség. Ebben az esetben kötelező a bevezetőben rögzített "Éves energiafogyasztás igazolása - bázis energiafogyasztás meghatározásához" fejezet 4.1.1. szerinti mérés oldali validáció elvégzése.
A beruházás során elszámolható energiamegtakarítás felső határértékei az épület teljes beruházás előtti éves energiafogyasztásának (bázis energiafogyasztás) igazolt mértékéhez viszonyítva az alábbiak szerint korlátozottak:
a) nyílászáró csere: maximum 10% végfelhasználási energiamegtakarítás a bázishoz viszonyítva.
2. Épülettechnikai rendszerek korszerűsítése
2.1. Gázkazán cseréje hőszivattyúra
2.1.1. Intézkedés leírása és alkalmazása
A meglévő gázüzemű hőtermelő rendszer fűtési célú kiváltása hőszivattyús hőtermelő berendezéssel.
2.1.1.1. Alkalmazás feltételei:
a) lakó- vagy középület esetében alkalmazható,
b) lecserélt berendezés hagyományos vagy kondenzációs gázkazán, gázkonvektor
c) intézkedést követően a szekunder fűtési, illetve hőellátó rendszer alacsony (35/28 °C), maximum közepes (55/45 °C) vízhőmérsékletű.
2.1.1.2. Alkalmazást kizáró feltételek:
a) a beépített hőszivattyú nem felel meg a rá vonatkozó minimumkövetelménynek.
2.1.2. Intézkedés jellemzői
| A | B | |
| 1. | Élettartam | Az energiahatékonyságról szóló törvény végrehajtásáról szóló 122/2015. (V. 26.) Korm. rendelet 6. melléklete alapján |
| 2. | Avulás | |
| 3. | Hitelesítés határideje | Az energiahatékonyságról szóló 2015. évi LVII. törvény 15/A. § (4) bekezdése alapján |
| 4. | Intézkedés típusa | 2104 - Épületgépészet - Fűtési rendszer - Hőszivattyú beépítése |
| 5. | Minimumkövetelmény | a Bizottság (EU) 2016/2281 rendelete |
| 6. | Kezdő dátum | Megrendelés vagy vállalkozási szerződés dátuma |
| 7. | Záró dátum | A teljesítési igazolás vagy a számviteli bizonylat vagy az üzembehelyezési jegyzőkönyv dátuma |
2.1.3. Számítás paraméterei
2.1.3.1. Rögzítendő bemeneti műszaki paraméterek:
| A | B | C | D | |
| 1. | Sorok száma | Műszaki paraméter | Beruházás előtti gázkazán, gázkonvektor | Beruházás utáni hőszivattyú |
| 2. | 1 | Gyártó | ||
| 3. | 2 | Típus | ||
| 4. | 3 | Gázkazán, gázkonvektor üzembe helyezésének dátuma korai csere esetén | - | |
| 5. | 4 | Cka lecserélt gázkazán, gázkonvektor teljesítménytényezője [-] | 2.1.4.1. esetén | - |
| 6. | 5 | SCOPújaz új hőszivattyú szezonális fűtési energiahatékonysági mutatója [-] | - | |
| 7. | 6 | SCOPrefa hőszivattyú referencia jóságfoka | - | |
| 8. | 7 | Ealap,számla,évesfűtés bruttó éves energiaigénye [kWh/év] | 2.1.4.1. esetén | |
| 9. | 8 | Épület hasznos alapterülete [m2] | ||
2.1.3.2. Alátámasztó dokumentumok:
| A | B | |
| 1. | Alátámasztásra szoruló adatok | Alátámasztó dokumentumok |
| 2. | Ingatlan funkciójának igazolása | Családi ház esetén: helyrajzi számonként az érintett ingatlanra szóló min. 1 db, lakcímkártya lakcímet tartalmazó oldalának másolata Társasház esetén: tulajdoni törzslap vagy hatályos alapító okirat Szövetkezeti ház esetén: tulajdoni törzslap vagy hatályos alapszabály Középület esetén: tulajdoni lap vagy üzemeltetői szerződés vagy vagyonkezelői szerződés vagy ezzel egyenértékű igazoló dokumentum |
| 3. | A régi gázkazán, gázkonvektor üzembe helyezésének dátuma | Műszaki adatlap vagy üzembehelyezési jegyzőkönyv vagy adattábla vagy a beépítést igazoló számviteli bizonylat |
| 4. | Pka régi kazán, gázkonvektor névleges fűtési teljesítménye [kW] | Műszaki adatlap vagy üzembehelyezési jegyzőkönyv vagy adattábla |
| 5. | Ckmeghatározásához a kazán, gázkonvektor típusa | Műszaki adatlap, üzembehelyezési jegyzőkönyv, adattábla, vagy a korszerűsítést megelőzően készített hiteles energetikai tanúsítvány |
| 6. | Ps az új hőszivattyú kültéri egységének névleges fűtési teljesítménye [kW] | Műszaki adatlap vagy adattábla |
| 7. | SCOPújaz új hőszivattyú szezonális fűtési energiahatékonysági mutatója [-] | Műszaki adatlap vagy adattábla |
| 8. | Ealap,számla,éves fűtés bruttó éves energiaigénye [kWh/év] (2.1.4.1. esetén) | Fűtési energianem éves fogyasztását alátámasztó bizonylatok |
| 9. | Új hőszivattyú üzembehelyezése | Üzembehelyezési jegyzőkönyv vagy műszaki átadás-átvételi jegyzőkönyv vagy vállalkozó kivitelezői, építési műszaki ellenőri, felelős műszaki vezetői nyilatkozat vagy építési napló vagy NKVH feltöltési igazolás |
2.1.4. Számítási metódus
2.1.4.1. Részletes számítási metódus
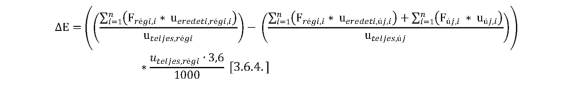
Tekintve, hogy a hőszivattyúkra vonatkozik EU-s energiahatékonysági minimum követelmény:
a) az eredeti berendezés élettartama lejárta előtt "korai csere" módszer,
b) élettartamának lejártát követően "késői csere" módszer alkalmazandó.
A számítás során a 4.1. alpontjai szerint határozható meg az épület hőigénye. A 4.1.1. alapján történő fűtési célú, számlákkal alátámasztott fogyasztás meghatározásához először a 4.1.1-ben leírt módon kell meghatározni az épület fűtési energianemének végsőenergia-fogyasztását. A fűtési energianemre vonatkozó számlákból meghatározott éves végsőenergia-fogyasztási mennyiségeket csökkenteni kell, amennyiben az épületben az adott energianemet a fűtésen kívül egyéb igények kielégítésére is felhasználják. A csökkentett, fűtési célú végsőenergia-fogyasztás számítása:

Amennyiben az adott energianemet kizárólag fűtési célra használják, úgy a gcsökkentés tényező értéke 1.
2.1.4.1. táblázat: Az energianemek számlákkal igazolt éves fogyasztását csökkeni tényezők.
| A | B | |
| 1. | Energianem | gcsökkentés |
| 2. | Villamos energia | 0,7 |
| 3. | Földgáz | 0,85 |
| 4. | Származtatott hő | 1 |
| 5. | Tűzifa | 1 |
Az Ealap,fűtési fűtési célú végsőenergia-igényből a számlák által vizsgált időszak külső hőmérséklete szerinti korrekcióval szükséges meghatározni egy általános fűtési időszakra vonatkozó fűtési végsőenergia-fogyasztást. A hőfokhíd korrekciót a bevezető 3.2. pontjában részletezett módon kell végrehajtani 20°C-os belső hőmérsékletre.
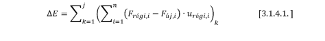
A hőfokhíd korrekcióval meghatározott Efűtési,általános általános fűtési idényre meghatározott éves fűtési célú végsőenergia-fogyasztás és a hőelőállító berendezés teljesítménytényezője alapján lehet az épület általános fűtési hőigényét meghatározni. Ez az alábbi egyenlettel számítható:

Ahol:

A hőelőállító berendezések teljesítménytényezőjének meghatározásához az épületek energetikai jellemzőinek meghatározásáról szóló 9/2023. (V. 25.) ÉKM rendelet energiapolitikáért felelős miniszter által vezetett minisztérium honlapján elérhető számítási módszer 1. függelékének 8.3 fejezetében található táblázatok adatait kell használni.
A 4.1.2. alapján a fűtés nettó hőigénye hiteles energetikai tanúsítványból is figyelembe vehető.
Az elszámolható végfelhasználási energiamegtakarítás korai csere esetén:

Az elszámolható végfelhasználási energiamegtakarítás késői csere esetén:
2.1.4.2. Egyszerűsített számítási metódus
Amennyiben az érintett ingatlan fűtési energianemére nem állnak rendelkezésre energiaszámlák, vagy energetikai tanúsítvány, úgy az épület fűtési hőigénye ebben az esetben az alábbi egyenlettel számítható:
Az épület fajlagos nettó éves fűtési energiaigényének (qf) meghatározásához 2.1.4.2. táblázatban szereplő értékeket szükséges használni:
2.1.4.2. táblázat: Az egyes ingatlan típusok fajlagos nettó éves fűtési energiaigényei
| A | B | C | D | |
| 1. | Fajlagos fűtési energiaigény | Családi ház | Társas-/Szövetkezeti ház kevesebb mint 10 lakással | Társas-/Szövetkezeti ház 10 vagy több lakással |
| 2. | qf[kWh/m2év] | 139,5 | 96,0 | 67,5 |
Az elszámolható végfelhasználási energiamegtakarítás korai és késői csere esetén a részletes számítási metódusban leírt módon történik ebben az esetben is, viszont az egyszerűsített számítás esetén nem szükséges az energiafogyasztás igazolása.
2.1.5. Energiafogyasztás igazolása
Az éves energiafogyasztás igazolását a 2.1.4.1. pontja szerinti részletes számítási metódus használata esetén szükséges elvégezni a 4.1. pont szerint.
2.2. Csatlakozás távhőellátó hálózathoz
2.2.1. Intézkedés leírása és alkalmazása
Az intézkedés az elavult fűtési rendszerrel rendelkező épület távhőhálózatra kapcsolásával valósul meg.
2.2.1.1. Alkalmazás feltételei:
a) társasház, szövetkezeti ház vagy középület esetében alkalmazható.
2.2.1.2. Alkalmazást kizáró feltételek:
a) az alap fűtési energianem távhő,
b) a fűtésben történt új energiahordozó bevonása az intézkedést megelőző 3 fűtési időszakban,
c) az épület funkciója, kihasználtságának mértéke változott,
d) az intézkedést megelőző 3 fűtési időszak korrigált fűtési energiafogyasztásai, Ei fűtési korr nem térhetnek el ±15%-nál nagyobb mértékben az Erégi fűtési bázis energiafogyasztástól. Ha az Ei fűtési korr valamelyik értéke meghaladja az Erégi ±15%-át, abban az esetben a fűtési bázis energiafogyasztás, Erégi értékét egyedi auditban kell meghatározni.
2.2.2. Intézkedés jellemzői
| A | B | |
| 1. | Élettartam | Az energiahatékonyságról szóló törvény végrehajtásáról szóló 122/2015. (V. 26.) Korm. rendelet 6. melléklete alapján |
| 2. | Avulás | |
| 3. | Hitelesítés határideje | Az energiahatékonyságról szóló 2015. évi LVII. törvény 15/A. § (4) bekezdése alapján |
| 4. | Intézkedés típusa | 2111 - Épületgépészet - Fűtési rendszer - Egyéb |
| 5. | Minimumkövetelmény | - |
| 6. | Kezdő dátum | Megrendelés vagy vállalkozási szerződés vagy távhőszolgáltatási szerződés |
| 7. | Záró dátum | A teljesítési igazolás vagy a számviteli bizonylat vagy az üzembehelyezési jegyzőkönyv dátuma |
2.2.3. Számítás paraméterei
2.2.3.1. Rögzítendő bemeneti műszaki paraméterek:
| A | B | C | D | |
| 1. | Sorok száma | Műszaki paraméter | Beruházás előtti (alap) fűtési rendszer | Beruházás előtti (alap) HMV előállító rendszer |
| 2. | 1 | Gyártó | ||
| 3. | 2 | Típus | ||
| 4. | 3 | Ei fűtési mért - az intézkedést megelőző három év időszak mért fűtési jellegű energiafogyasztási adatai [GJ/év] | ||
| 5. | 4 | T k,i fűtési - az intézkedést megelőző három fűtési időszak havi külső átlaghőmérsékleti adatai, [°C] | - | |
| 6. | 5 | krégia beruházást megelőző hőellátó rendszer energiahatékonysági tényezője [1] | ||
| 7. | 6 | kúja távhőellátó hálózat energiahatékonysági tényezője [1] | ||
2.2.3.2. Alátámasztó dokumentumok:
| A | B | |
| 1. | Alátámasztásra szoruló adatok | Alátámasztó dokumentumok |
| 2. | Az intézkedést megelőző 3 éves időszak 12 havi energiafogyasztási adatai (Ei mért , GJ/hó) | A szolgáltató által kiállított számla vagy igazolás vagy fogyasztásmérési adat |
| 3. | Az intézkedést megelőző 3 fűtési időszakban nem voltak a fűtési energiafogyasztást befolyásoló más jellegű intézkedések és nem történt a fűtési rendszerbe új energiahordozó hányad bevonása, valamint az épület funkciója, kihasználtságának mértéke nem változott | Az üzemeltető, a tulajdonos vagy társasház esetén a közös képviselő, szövetkezeti ház esetén a lakásszövetkezetekről szóló 2004. évi CXV. törvény 7. § szerinti képviselő, a társasházakról szóló 2003. évi CXXXIII. törvény 13. § (3) bekezdése alapján a Ptk. közös tulajdonra vonatkozó szabályai szerint működő legfeljebb hatlakásos társasház esetén a tulajdonostársak nyilatkozata |
| 4. | Az épület besorolásának igazolása | Társasház esetén: tulajdoni törzslap vagy hatályos alapító okirat Szövetkezeti ház esetén: tulajdoni törzslap vagy hatályos alapszabály Középület esetén: tulajdoni lap vagy üzemeltetői szerződés vagy vagyonkezelői szerződés vagy ezzel egyenértékű igazoló dokumentum |
| 5. | krégia beruházást megelőző hőellátó rendszer energiahatékonysági tényezője [1] | Hiteles épületenergetikai tanúsítvány vagy üzemeltető, tulajdonos nyilatkozata, társasház esetén közös képviselő, szövetkezeti ház esetén a lakásszövetkezetekről szóló 2004. évi CXV. törvény 7. § szerinti képviselő, a társasházakról szóló 2003. évi CXXXIII. törvény 13. § (3) bekezdése alapján a Ptk. közös tulajdonra vonatkozó szabályai szerint működő legfeljebb hatlakásos társasház esetén a tulajdonostársak nyilatkozata |
| 6. | Az intézkedés tényleges megvalósulásának igazolása | Távhőszolgáltatási szerződés vagy távhőszolgáltatói adatszolgáltatás |
| 7. | A kialakított felhasználói hőközpont és a szükség szerinti felújított fogyasztói fűtési rendszer üzembehelyezése | Üzembehelyezési jegyzőkönyv vagy műszaki átadás-átvételi jegyzőkönyv vagy vállalkozó kivitelezői, építési műszaki ellenőri, felelős műszaki vezetői nyilatkozat vagy építési napló |
2.2.4. Részletes számítási metódus
Mivel erre az intézkedésre nem vonatkozik minimum követelmény, ezért a számítás során a kiinduló állapothoz képest szükséges meghatározni a végfelhasználási energiamegtakarítás mértékét a beruházást megelőző hőellátó rendszer életkorától függetlenül.
Az elszámolható megtakarítás az intézkedések megvalósítását követően az intézkedést megelőző három fűtési időszak mért és az épületek energetikai jellemzőinek meghatározásáról szóló 9/2023. (V. 25.) ÉKM rendelet 2. függelék 1.2.1 pontjában található általános, külső hőmérsékletére korrigálni kell.
Ha az intézkedés előtti időszakok energiafogyasztásának mérése a használati melegvíz (a továbbiakban: HMV) hőigényét, vagy gáztűzhelyek földgázfogyasztását is tartalmazza, a havi fűtési energiafogyasztást a teljes havi energiafogyasztásnak az intézkedés megvalósítását megelőző, a fűtési időszakokon kívüli 5 hónap (május - szeptember) átlagfogyasztásával történő csökkentésével kell meghatározni.
A megtakarítás meghatározásához a fűtési mért energiafogyasztási értékeket a 2.2.4.2. táblázatban felvett fűtési külső átlaghőmérsékletek figyelembevételével, és az épületek energetikai jellemzőinek meghatározásáról szóló 9/2023. (V. 25.) ÉKM rendelet energiapolitikáért felelős miniszter által vezetett minisztérium honlapján elérhető számítási módszer 2. függelékének 1.2.1 pontjában található általános, havi külső hőmérsékletére korrigálni kell (1.1 táblázat adatai szerint 4,6 °C).
Az elszámolható megtakarítás feltétele, hogy a bázis érték meghatározásánál figyelembe vett időszakban a fűtésben nem történt a fűtési energiafogyasztást befolyásoló intézkedés megvalósítása, a fűtésben nem történt új energiahordozó bevonása, valamint az épület funkciója, kihasználtságának mértéke nem változott.
Fűtési energiafogyasztás: Azokban a fűtési rendszerekben, ahol a fűtésre hasznosított energia önálló mérővel van mérve, a teljes mért energiamennyiséget, azaz a tárgyi fűtési időszakot megelőző és azon átívelő május - április hónapokban mért energiát teljes mértékben fűtési energiafogyasztásnak kell tekinteni.
Éves nem fűtési jellegű energiafogyasztás: Azokban a fűtési rendszerekben, ahol a HMV melegítésére hasznosított hőenergia, vagy a gáztűzhelyek földgázfogyasztása a fűtésre hasznosított energiával együtt van mérve, a tárgyi fűtési időszakot megelőző május - szeptember hónapokban mért energiát teljes mértékben nem fűtési jellegű energiafogyasztásnak kell tekinteni. Ezen időszakok havi átlagát kell tekinteni a nem fűtési jellegű havi energiaigényének, a havi átlag tizenkétszeresét az éves nem fűtési jellegű energiafogyasztásnak.
A távhőellátóhoz csatlakozott épületek fűtési energiaigényét épületenként kell meghatározni a fűtési energianem éves fogyasztását alátámasztó bizonylatok alapján.
A beruházást megelőző hőellátó rendszer energiahatékonysági tényezőjét hiteles épületenergetikai tanúsítvány vagy az üzemeltető nyilatkozata alapján kell meghatározni. Míg a távhőellátó hálózatét a távhőszolgáltatási szerződés vagy adatszolgáltatás alapján. Ha ezek nem állnak rendelkezésre, akkor a 2.2.4.4. táblázat alapján szükséges meghatározni az energiahatékonysági tényezőket.
Az intézkedés előtti havi energiafogyasztást a 2.2.4.1. táblázat szerint kell rögzíteni.
2.2.4.1. táblázat: Az intézkedést megelőző években a havi energiafogyasztás
| A | B | C | |||
| 1. | Sorok száma | A mért energiafogyasztás hónapja | Az intézkedést megelőző 3 fűtési időszak mért havi energiafogyasztásai, Ei mért, GJ/hó | ||
| 2. | intézkedés -3 év időszak | intézkedés -2 év időszak | intézkedés -1 év időszak | ||
| 3. | 1 | Május (nem fűtési jellegű) | |||
| 4. | 2 | Június (nem fűtési jellegű) | |||
| 5. | 3 | Július (nem fűtési jellegű) | |||
| 6. | 4 | Augusztus (nem fűtési jellegű) | |||
| 7. | 5 | Szeptember (nem fűtési jellegű) | |||
| 8. | 6 | Október | |||
| 9. | 7 | November | |||
| 10. | 8 | December | |||
| 11. | 9 | Január | |||
| 12. | 10 | Február | |||
| 13. | 11 | Március | |||
| 14. | 12 | Április | |||
| 15. | Éves összes energiafogyasztás, GJ/év: | ||||
| 16. | Éves nem fűtési jellegű energiafogyasztás*,Erégi,HMv GJ/év: | ||||
| 17. | Fűtési időszak mért energiafogyasztás**, Ei fűtési mért , GJ/év | ||||
| * A nem fűtési jellegű energiafogyasztás meghatározása: a tárgyi fűtési időszakot megelőző május - szeptember hónapokban mért energiafogyasztások havi átlagát kell tekinteni a nem fűtési jellegű havi energiaigényének, és ezen havi igény tizenkétszeresét kell tekinteni az éves nem fűtési jellegű energiafogyasztásnak. **A tárgyi fűtési időszakok fűtési energiafogyasztás meghatározása: a tárgyi fűtési időszakot megelőző és azon átívelő május - április hónapokban mért éves összes energiafogyasztást az éves nem fűtési jellegű energiafogyasztással csökkentve kell a mért fűtési energiafogyasztásnak tekinteni, Ei fűtési mért , GJ/év. | |||||
Az intézkedést megelőző fűtési időszakokban az intézkedés helyszíne szerinti havi külső átlaghőmérsékleteket a 2.2.4.2. táblázat szerint kell felvenni, illetve ezen adatokból a fűtési időszakok átlaghőmérsékletét megállapítani.
2.2.4.2 táblázat:A fűtési időszakokban a külső átlaghőmérsékletek, °C
| A | B | C | D | |
| 1. | Fűtési időszak | intézkedés -3 fűtési időszak | intézkedés -2 fűtési időszak | intézkedés -1 fűtési időszak |
| 2. | Október | |||
| 3. | November | |||
| 4. | December | |||
| 5. | Január | |||
| 6. | Február | |||
| 7. | Március | |||
| 8. | Április | |||
| 9. | Fűtési külső átlaghőmérséklet, t k,i fűtési , ֠C |
2.2.4.3 táblázat:
A fűtési időszakokban a külső átlaghőmérsékletek és energiafogyasztások
| A | B | C | D | E | |
| 1. | Sorok szám a | Fűtési időszak | intézkedés -3 fűtési időszak | intézkedés -2 fűtési időszak | intézkedés -1 fűtési időszak |
| 2. | 1 | Fűtési időszak külső átlaghőmérséklet a 2.2.4.2. táblázat szerint, T k,i fűtési , °C | |||
| 3. | 2 | Fűtési referencia külső átlaghőmérséklet T k, fűtési ref, °C | |||
| 4. | 3 | Fűtési időszak mért energiafogyasztás a 2.2.4.1 táblázat szerint, Ei fűtési mért, GJ/év | |||
| 5. | 4 | Fűtési időszak korrigált energiafogyasztás, Ei fűtési korr, GJ/év | |||
| 6. | 5 | Fűtési bázis energiafogyasztás, Erégi, GJ/év | |||
| 7. | 6 | Fűtési időszak korrigált energiafogyasztás eltérése a fűtési bázis energiafogyasztástól***, % | |||
| ***Az intézkedést megelőző 3 fűtési időszak korrigált fűtési energiafogyasztásai, Ei fűtési korr nem térhetnek el ±15%-nál nagyobb mértékben az Erégi fűtési bázis energiafogyasztástól. Ha az Ei fűtési korr valamelyik értéke meghaladja az Erégi ±15%-át, abban az esetben a fűtési bázis energiafogyasztás, Erégi értékét egyedi auditban kell meghatározni. | |||||
2.2.4.4. táblázat:
Hőellátó rendszer hatékonysági tényezője különböző hőtermelő és fogyasztói rendszer esetén
| A | B | C | D | E | F | ||
| 1. | Sorok száma | Energiahatékonysági tényezők | TH<10 | TH≥10 | IÉ | OÉ | |
| 2. | 1 | krégi | régi központi gázkazán, HMV egyedi elektr. bojler | 1,32 | 1,33 | 1,46 | 1,29 |
| 3. | 2 | krégi | régi központi gázkazán, HMV egyedi átfolyós gáz vízmelegítő | 1,34 | 1,37 | 1,48 | 1,30 |
| 4. | 3 | krégi | régi központi gázkazán, HMV központi bojler | 1,37 | 1,43 | 1,50 | 1,31 |
| 5. | 4 | krégi | gázkonvektor, HMV egyedi elektr. bojler | 1,39 | 1,45 | 1,50 | 1,31 |
| 6. | 5 | kúj | távfűtés, HMV egyedi elektr. bojler | 1,19 | 1,19 | 1,30 | 1,14 |
| 7. | 6 | kúj | távfűtés, HMV egyedi átfolyós gázvízmelegítő | 1,26 | 1,26 | 1,32 | 1,14 |
| 8. | 7 | kúj | távfűtés, HMV távhő rendszerről | 1,24 | 1,24 | 1,31 | 1,14 |
| 9. | 8 | kúj | távfűtés, HMV távhő rendszerről, komplex fűtési rendszer felújítás | 1,11 | 1,11 | 1,17 | 1,08 |
Az intézkedést megelőző i-edik fűtési időszakhoz tartozó korrigált fűtési energiafogyasztás értékeit az alábbi összefüggéssel kell meghatározni:

Tb [°C] a számítást minden esetben 20 °C-s belső hőmérsékletre kell elvégezni.
Az intézkedést megelőző 3 fűtési időszakhoz tartozó fűtési bázis energiafogyasztás értékét az alábbi összefüggéssel kell meghatározni:

Az alap fűtési rendszer és a távhőellátó rendszer energiaigényének különbségéből számítható az éves energiamegtakarítás (∆E) a csatlakozott épületekre (n):

2.2.5. Energiafogyasztás igazolása
A 2.2.4. pontban részletezett számítás során a hőigény kizárólag valós fogyasztási adatok alapján kerülhet meghatározásra. A 2.2.3.2. táblázatban található módon az éves energiafogyasztás igazolására elfogadható a szolgáltató által kiállított számlák vagy igazolás vagy fogyasztásmérési adat.
2.3. Használati melegvíz ellátás támogatása napkollektorral
2.3.1. Intézkedés leírása és alkalmazása
Energiamegtakarítási intézkedésként a meglévő használati melegvíz (a továbbiakban: HMV) ellátó rendszer napkollektorral történő kiegészítése, korszerűsítése számolható el.
2.3.1.1. Alkalmazás feltételei:
a) 2.3.4.1. táblázatban felsorolt funkciójú, kizárólag lakó- és középület kategóriába tartozó épület esetében hajtható végre.
2.3.1.2. Alkalmazást kizáró feltételek:
a) a meglévő HMV ellátó rendszer energianem távhő,
b) a meglévő HMV ellátó rendszer energianem villamos energia.
2.3.2. Intézkedés jellemzői
| A | B | |
| 1. | Élettartam | Az energiahatékonyságról szóló törvény végrehajtásáról szóló 122/2015. (V. 26.) Korm. rendelet 6. melléklete alapján |
| 2. | Avulás | |
| 3. | Hitelesítés határideje | Az energiahatékonyságról szóló 2015. évi LVII. törvény 15/A. § (4) bekezdése alapján |
| 4. | Intézkedés típusa | 2208 - Épületgépészet - HMV rendszer - Egyéb |
| 5. | Minimumkövetelmény | - |
| 6. | Kezdő dátum | Megrendelés vagy vállalkozási szerződés dátuma |
| 7. | Záró dátum | A teljesítési igazolás vagy a számviteli bizonylat vagy az üzembehelyezési jegyzőkönyv dátuma |
2.3.3. Számítás paraméterei
2.3.3.1. Rögzítendő bemeneti műszaki paraméterek:
| A | B | C | D | |
| 1. | Sorok száma | Műszaki paraméter | Beruházás előtti (alap) HMV ellátás | Új napkollektorral történő ellátás |
| 2. | 1 | A HMV hőtermelő berendezés gyártója | - | |
| 3. | 2 | A HMV hőtermelő berendezés típusa | - | |
| 4. | 3 | A vízmelegítésre használt energianem | - | |
| 5. | 4 | nwhp.eredeti HMV hőtermelő berendezés vízmelegítési hatásfoka [%] | - | |
| 6. | 5 | Akoli beépített bruttó napkollektor felület [m2] | - | |
| 7. | 6 | Qkoll,maxa napkollektoros rendszer várható éves hőtermelése ideális hajlásszög és tájolás esetén [kWh/év] | - | |
| 8. | 7 | Kollektor hajlásszöge (am) | - | |
| 9. | 8 | Kollektor tájolása (ym) | - | |
| 10. | 9 | HMV-t hasznosító épület funkciója a 2.3.4.1 táblázat szerint | ||
| 11. | 10 | Af az épület fűtött alapterülete [m2] | ||
| 12. | 11 | nfö/nap a HMV rendszert használók száma, naponta [fő/nap] | ||
| 13. | 12 | zfö/nap a HMV rendszert (zuhanyzással) használók száma, naponta [fő/nap] | ||
| 14. | 13 | mdbkórházi, szálláshelyi ágyak, éttermi székek száma, az igazolt éves kihasználtság figyelembevételével korrigálva [db] | ||
| 15. | 14 | nnapa HMV rendszer éves használati időtartama [nap/év] | ||
| 16. | 15 | Ealap,számla,évesfűtés bruttó éves energiaigénye [kWh/év] | ||
2.3.3.2. Alátámasztó dokumentumok:
| A | B | |
| 1. | Alátámasztásra szoruló adatok | Alátámasztó dokumentumok |
| 2. | Az épület besorolásának igazolása | Társasház esetén: tulajdoni törzslap vagy hatályos alapító okirat Szövetkezeti ház esetén: tulajdoni törzslap vagy hatályos alapszabály Középület esetén: tulajdoni lap vagy üzemeltetői szerződés vagy vagyonkezelői szerződés vagy ezzel egyenértékű igazoló dokumentum vagy üzemeltető, tulajdonos nyilatkozata |
| 3. | HMV hőtermelő berendezés teljesítménytényezője (Chmv) | Gyártói adatlap vagy adattábla fotó vagy üzembehelyezési jegyzőkönyv |
| 4. | Af az épület fűtött alapterülete [m2] | Tulajdoni lap vagy energetikai tanúsítvány |
| 5. | Akoli beépített bruttó napkollektor felület [m2] | Műszaki dokumentáció vagy gyártói adatlap |
| 6. | A 2.3.3.1. táblázat 11-14. sorokban található adatok az ingatlan rendeltetésétől függően | Üzemeltető, tulajdonos vagy társasház esetén közös képviselő, szövetkezeti ház esetén a lakásszövetkezetekről szóló 2004. évi CXV. törvény 7. § szerinti képviselő, a társasházakról szóló 2003. évi CXXXIII. törvény 13. § (3) bekezdése alapján a Ptk. közös tulajdonra vonatkozó szabályai szerint működő legfeljebb hatlakásos társasház esetén a tulajdonostársak nyilatkozata |
| 7. | Kollektor hajlásszöge (am) | Műszaki dokumentáció |
| 8. | Kollektor tájolása (ym) | Műszaki dokumentáció |
| 9. | Ealap,számla,évesfűtés bruttó éves energiaigénye [kWh/év] | Fűtési energianem éves fogyasztását alátámasztó bizonylatok, számlák - bevezető alapján Lakóépületek esetén: a 2.3.5. pontban írtak alapján hiteles energetikai tanúsítvánnyal is lehet igazolni az éves energiafogyasztást |
| 10. | Megvalósított intézkedések ismertetése | Műszaki dokumentáció |
| 11. | Üzembehelyezés | Üzembehelyezési jegyzőkönyv vagy Műszaki átadás-átvételi jegyzőkönyv vagy kivitelezői, műszaki ellenőri, felelős műszaki vezetői nyilatkozat |
2.3.4. Részletes számítási metódus
A napkollektorok telepítésével elérhető végfelhasználási energiamegtakarítás meghatározása során az épületek energetikai jellemzőinek meghatározásáról szóló 9/2023. (V. 25.) ÉKM rendeletben foglaltakat szükséges alkalmazni.
2.3.4.1. Éves nettó HMV hőigény meghatározása
Elsőként a használati melegvíz (továbbiakban: HMV) fajlagos nettó éves hőenergia igényét szükséges meghatározni, melyhez az épületek energetikai jellemzőinek meghatározásáról szóló 9/2023. (V. 25.) ÉKM rendelet energiapolitikáért felelős miniszter által vezetett minisztérium honlapján elérhető számítási módszer 2. függelékében található 2.2 táblázattal összhangban a 2.3.4.1. táblázat ad iránymutatást.
2.3.4.1. táblázat:
Különböző funkciójú épületekre vonatkozó alapadatok a HMV hőigény meghatározásához
| A | B | C | D | |
| 1. | Sorok száma | Ingatlan rendeltetése | HMV hőigény qHMV | vonatkoztatási egység |
| 2. | 1 | Családi ház(1) | 25 | kWh/m2év |
| 3. | 2 | Egyéb lakóépület(1) | 30 | kWh/m2 év |
| 4. | 3 | Irodaház | 0,4 | kWh fejenként, naponta |
| 5. | 4 | Kórházi hálóterem | 6 | kWh ágyanként, naponta |
| 6. | 5 | Iskola, óvoda, bölcsőde | 0,4 | kWh fejenként, naponta |
| 7. | 6 | Kereskedelmi | 1 | kWh dolgozónként, naponta |
| 8. | 7 | Szálloda | 2 (3 csillagosig bezárólag) 5 (4 csillagos és fölötte) | kWh ágyanként, naponta |
| 9. | 8 | Étterem | 1,1 | kWh székenként, naponta |
| 10. | 9 | Nyugdíjasotthon | 2,3 | kWh fejenként, naponta |
| 11. | 10 | Laktanya | 1,8 | kWh fejenként, naponta |
| 12. | 11 | Sportlétesítmény | 1,8 | kWh fejenként, naponta |
| (1) Lakóépületekre a megadott érték alkalmazása kötelező. A nettó igény 20%-a konyhai fogyasztás, 80%-a fürdőszobai fogyasztás (a megosztás eltérő típusú rendszer esetén releváns). | ||||
A fenti táblázatban található fajlagos értékek fogyasztásával, a különböző épületek funkciójának függvényében meghatározható a vizsgált épület nettó éves hőenergia igénye.
Családi ház és egyéb lakóépület fűtött alapterület szerint:
HMV rendszert használók száma szerint:
Különböző funkciójú épületek egy főre vetített fajlagos értékei szerint:
Kórházi, szálláshelyi ágyak, éttermi székek száma szerint:
Ipari konyha (menza) adagok szerint:
Egy HMV rendszeren belüli különböző funkciójú HMV fogyasztások esetén a megfelelő képletekkel számított éves nettó hőenergia igények összeadhatók.
2.3.4.2. Meglévő rendszer éves hőenergia fogyasztása
Az előzőekben kiszámított éves nettó hőenergia-igény segítségével meghatározható a meglévő hőellátó rendszer hőenergia fogyasztása az alábbi képlet segítségével:

A fenti képletekben található "x" és "y" értékeket a 2.3.4.2.1, illetve 2.3.4.2.2. táblázatokból szükséges meghatározni.
2.3.4.2.1. táblázat:
Indirekt fűtésű tároló tárolási hővesztesége a nettó melegvíz-készítési hőigény százalékában, x
| A | B | C | |
| 1. | An [m2] | A tároló fűtött légtéren belül van | A tároló fűtött légtéren kívül van |
| 2. | 100 | 24% | 28% |
| 3. | 150 | 17% | 21% |
| 4. | 200 | 14% | 16% |
| 5. | 300 | 10% | 12% |
| 6. | 500 | 7% | 9% |
| 7. | >500 | 5% | - |
| 8. | 750 | - | 6% |
| 9. | 1000 | - | 5% |
| 10. | 1500 | - | 4% |
| 11. | 2500 | - | 4% |
| 12. | 5000 | - | 3% |
| 13. | 10000 | - | 2% |
2.3.4.2.2. táblázat:
Az elosztás hővesztesége a nettó melegvíz készítési hőigény százalékában, y
| A | B | C | |||
| 1. | An [m2] | Cirkulációval | Cirkuláció nélkül | ||
| 2. | Elosztás a fűtött téren kívül | Elosztás a fűtött téren belül | Elosztás a fűtött téren kívül | Elosztás a fűtött téren belül | |
| 3. | 100 | 28% | 24% | 13% | 10% |
| 4. | 150 | 22% | 19% | ||
| 5. | 200 | 19% | 17% | ||
| 6. | 300 | 17% | 15% | ||
| 7. | 500 | 14% | 13% | ||
| 8. | 750 | 13% | 12% | ||
| 9. | >750 | 13% | 12% | ||
2.3.4.3. Napkollektorok által termelt éves hőenergia meghatározása
Az elért végfelhasználási energiamegtakarítás kiszámításához elengedhetetlenül szükséges meghatározni a telepített napkollektorok által maximálisan megtermelhető hőenergia mennyiségét, melyhez az alábbi képletet szükséges felhasználni:

A "w" korrekciós tényező képletében szereplő tényezők:

Az am és ym értékek meghatározásához a 2.3.4.3.1. ábra ad iránymutatást.

2.3.4.3.1. Ábra: A w teljesítménycsökkentő tényező meghatározása
A fenti képletben szereplő Qkoll,max értéke [kWh/év] mértékegységben a 2.3.4.3.2., illetve 2.3.4.3.3. táblázatból olvashatók ki, a telepített kollektorok típusának, a rendszer alapterület, valamint a bruttó kollektorfelület függvényében.
2.3.4.3.2 táblázat: Kollektortermelés ideális tájolás és hajlásszög esetén síkkollektorokra

2.3.4.3.3. táblázat: Kollektortermelés ideális tájolás és hajlásszög esetén vákuumcsöves kollektorokra

2.3.4.4. Elért végfelhasználási energiamegtakarítás meghatározása
Az elért végsőenergia-megtakarítás meghatározása során az alábbi összefüggéseket kell alkalmazni:
Először meg kell állapítani a napkollektorokkal termelt energia hasznosítható részét.
, ahol
| Épület típusa | Hkorr |
| iroda épület | 0,7 |
| szállás, lakó épület | 0,9 |
| oktatási épület | 0,7 |
A fentiek ismeretében a nem napenergiával melegített HMV, Qnonsol a HMV igény, QHMV,koll,nélkül és a napkollektorral termelt energia különbsége

2.3.4.6. táblázat
A névleges terhelési profilokhoz tartozó referencia hőfelhasználások és a vízmelegítési referencia hatásfokok
| Sor | Névl. terhelési profil | 3XS | XXS | XS | S | M | L | XL | XXL | 3XL | 4XL |
| 1 | Qref, kWh/nap | 0,35 | 2,1 | 2,1 | 2,1 | 5,85 | 11,66 | 19,07 | 24,59 | 46,76 | 93,52 |
| 2 | Qref, kWh/év | 76 | 461 | 461 | 461 | 1284 | 2599 | 4188 | 5387 | 10268 | 20537 |
| 3 | nwhp.eredeti, % | 80% | 80% | 80% | 80% | 90% | 93% | 93% | 150% | 160% | 160% |

2.3.5. Energiafogyasztás igazolása
Lakóépületek esetén az energiafogyasztás igazolása 4.1. alpontjai szerint lehetséges. Az elérhető végfelhasználási energiamegtakarítás ebben az esetben nem lehet nagyobb, mint a vizsgált ingatlan igazolt végősenergia-fogyasztásának 20%-a.
Nem lakó és szállás jellegű épületek esetében az igazolás csak 4.1.1. szerint lehetséges, az alábbiak szerint:
Az elért végfelhasználási energiamegtakarítás nem lehet nagyobb, mint a beruházást megelőző év (bázisév) május - szeptember hónapok számlákkal igazolt földgáz és/vagy egyéb energianemre vonatkozó (például tűzifa) fogyasztás átlagának tizenkétszerese.
Az elszámolható végfelhasználási energiamegtakarítás mértéke a 2.3.4. és a 2.3.5. pontok alapján számított értékek közül a kisebbik.
2.4. Keringető szivattyú cseréje
2.4.1. Intézkedés leírása és alkalmazása
Energiahatékonyságot növelő intézkedésként elismerhető a meglévő állandó fordulatszámú szivattyúk cseréje korszerű, elektronikus szabályozású szivattyúra.
2.4.1.1. Alkalmazás feltételei:
a) lakó- vagy középület esetében alkalmazható,
b) kazánházi, hőközponti főköri szivattyú,
c) fűtőköri szekunder oldali szivattyú,
d) használati melegvíz cirkulációs szivattyú,
e) hűtési központ főköri szivattyú,
f) hűtőköri szekunder szivattyú.
2.4.1.2. Alkalmazást kizáró feltételek:
a) nincs.
2.4.2. Intézkedés jellemzői
| A | B | |
| 1. | Élettartam | Az energiahatékonyságról szóló törvény végrehajtásáról szóló 122/2015. (V. 26.) Korm. rendelet 6. melléklete alapján |
| 2. | Avulás | |
| 3. | Hitelesítés határideje | az energiahatékonyságról szóló 2015. évi LVII. törvény 15/A. § (4) bekezdése alapján |
| 4. | Intézkedés típusa | 2106 - Épületgépészet - Fűtési rendszer - Szivattyú cseréje vagy 2206 - Épületgépészet - HMV rendszer - Szivattyú cseréje vagy 2403 - Épületgépészet - Hűtés - Szivattyú cseréje |
| 5. | Minimumkövetelmények | Tömszelence nélküli szivattyúk esetén: 641/2009/EK; Száraztengelyű szivattyúk esetén: 547/2012/EU |
| 6. | Kezdő dátum | Megrendelés vagy vállalkozási szerződés dátuma |
| 7. | Záró dátum | A teljesítési igazolás vagy a számviteli bizonylat vagy az üzembehelyezési jegyzőkönyv dátuma |
2.4.3. Számítás paraméterei
2.4.3.1. Az intézkedéssel érintett tömszelence nélküli szivattyúk rögzítendő műszaki paraméterei:
| A | B | C | D | |
| 1. | Sorok száma | Műszaki paraméter | Régi szivattyú | Új szivattyú |
| 2. | 1 | Gyártó | ||
| 3. | 2 | Típus | ||
| 4. | 3 | A régi szivattyú első üzembe helyezésének dátuma csak korai csere esetén | - | |
| 5. | 4 | Prégi a régi szivattyú elektromos teljesítménye [W] | - | |
| 6. | 5 | Púj az új, hatékony szivattyú elektromos teljesítménye [W] | - | |
| 7. | 6 | EEIúj az új, hatékony szivattyú energiahatékonysági mutatója | - | |
| 8. | 7 | t éves üzemidő, [h/év] |
2.4.3.2. Az intézkedéssel érintett száraztengelyű szivattyúk rögzítendő műszaki paraméterei:
| A | B | C | D | |
| 1. | Sorok száma | Műszaki paraméter | Régi szivattyú | Új szivattyú |
| 2. | 1 | Gyártó | ||
| 3. | 2 | Típus | ||
| 4. | 3 | A régi szivattyú első üzembe helyezésének dátuma csak korai csere esetén | - | |
| 5. | 4 | Prégia régi szivattyú elektromos teljesítménye [W] | - | |
| 6. | 5 | Pújaz új, hatékony szivattyú elektromos teljesítménye [W] | - | |
| 7. | 6 | MEIújaz új, hatékony szivattyú hatásfok mutatója | - | |
| 8. | 7 | t éves üzemidő, [h/év] |
2.4.4. Alátámasztó dokumentumok:
| A | B | |
| 1. | Alátámasztásra szoruló adatok | Alátámasztó dokumentumok |
| 2. | Prégi[kW] - Régi szivattyú névleges teljesítménye | Műszaki adatlap, vagy egyéb alátámasztó dokumentum (korai csere esetén). |
| 3. | A régi szivattyú első üzembehelyezési dátuma | Műszaki adatlap vagy üzembehelyezési jegyzőkönyv vagy adattábla vagy a beépítést igazoló számviteli bizonylat |
| 4. | Púj[kW] - Új szivattyú névleges teljesítménye és az energiahatékonysági tényezője (EEIúj) vagy (MEIúj) | Műszaki adatlap vagy üzembehelyezési jegyzőkönyv vagy adattábla vagy egyéb gyártói dokumentum |
| 5. | Az új szivattyú üzembehelyezését igazoló dokumentum | Üzembehelyezési jegyzőkönyv, műszaki átvételi-átadási jegyzőkönyv, kivitelezői, műszaki ellenőri, felelős műszaki vezetői nyilatkozat, vagy építési napló |
| 6. | t szivattyú éves üzemideje, [h/év] | Kapcsolódó rendszer/berendezés üzemidő számlálója vagy nyilvántartás, vagy végső felhasználó nyilatkozata |
| 7. | A rendszer beszabályozásáról szóló jegyzőkönyv. | Beszabályzási terv, jegyzőkönyv |
2.4.5. Részletes számítási metódus
A szivattyú cseréje által elért végfelhasználási energiamegtakarítás számításánál figyelembe kell venni a régi szivattyú élettartamát:
a) Amennyiben a régi, lecserélendő szivattyú még nem érte el a várható átlagos élettartamának végét, az intézkedés korai cserének minősül.
b) Ha a régi szivattyú élettartama meghaladja a 10 évet, az új berendezés energiafogyasztását az adott berendezés környezetbarát tervezésre vonatkozó a Bizottság 641/2009/EK (EU) rendeletében előírt minimum követelményekhez kell hasonlítani. A többlet energiamegtakarítás az az érték, amennyivel az új berendezés energiafogyasztása kevesebb a környezetbarát tervezésre vonatkozó minimum követelményeket teljesítő referencia fogyasztásnál.
Lecserélt, régi berendezés várható élettartam lejárta előtti időszakban számított éves energiamegtakarítás
A régi szivattyú és az új szivattyú energiaigényének különbségéből számítható éves energia-megtakarítás (∆Ekorai):

A lecserélt, régi tömszelence nélküli szivattyúk várható élettartam lejártát követő időszakban számított éves többlet energiamegtakarítás:
Az éves többlet energiamegtakarítás az alábbi összefüggéssel számítható:
ahol:
A lecserélt, régi száraztengelyű szivattyúk várható élettartam lejártát követő időszakban számított éves többlet energiamegtakarítás
Az éves többlet energiamegtakarítás az alábbi összefüggéssel számítható:

2.4.6. Energiafogyasztás igazolása
Az intézkedésben érintett eszközök műszaki paraméterei és jegyzék adatai alapján az energiamegtakarítás pontosan számítható, ezért az energiafogyasztás igazolása nem szükséges.
2.5. Split klímaberendezések fűtési célú alkalmazása részleges fűtés kiegészítés esetén
2.5.1. Intézkedés leírása és alkalmazása
Meglévő fűtési rendszer kiegészítése elektronikus szabályozású hűtő-fűtő split klímával. Az intézkedés során több egység telepítése, vagy multi-split rendszer telepítése is elszámolható.
2.5.1.1. Alkalmazás feltételei:
a) lakóépület esetében alkalmazható,
b) a kültéri egység névleges fűtési teljesítménye nem nagyobb, mint 12 kW.
2.5.1.2. Alkalmazást kizáró feltételek:
a) a beépített split berendezés nem felel meg a rá vonatkozó minimumkövetelménynek,
b) az alap fűtési hőtermelő hőszivattyú vagy split klíma,
c) a beépített split berendezés SCOPúj értéke nem éri el a 4,00-s értéket,
d) a fűtési rendszer alap hőforrása távhő.
2.5.2. Intézkedés jellemzői
| A | B | |
| 1. | Élettartam | Az energiahatékonyságról szóló törvény végrehajtásáról szóló 122/2015. (V. 26.) Korm. rendelet 6. melléklete alapján |
| 2. | Avulás | |
| 3. | Hitelesítés határideje | Az energiahatékonyságról szóló 2015. évi LVII. törvény 15/A. § (4) bekezdése alapján |
| 4. | Intézkedés típusa | 2104 - Épületgépészet - Fűtési rendszer - Hőszivattyú beépítése |
| 5. | Minimumkövetelmény | A Bizottság (EU) rendelet 2. pont c) bekezdés |
| 6. | Kezdő dátum | Megrendelés vagy Vállalkozási szerződés dátuma |
| 7. | Záró dátum | A teljesítési igazolás vagy a számviteli bizonylat vagy az üzembehelyezési jegyzőkönyv vagy a műszaki átadás-átvételi jegyzőkönyv vagy a Nemzeti Klímavédelmi Hatóság (továbbiakban: NKVH) feltöltési igazolás dátuma |
2.5.3. Számítás paraméterei
2.5.3.1. Rögzítendő bemeneti műszaki paraméterek:
| A | B | C | D | |
| 1. | Sorok száma | Műszaki paraméter | Beruházás előtti (alap) fűtési rendszer | Új fűtő split klíma/klímák |
| 2. | 1 | Gyártó, típus | ||
| 3. | 2 | Ps az új split klíma kültéri egységének névleges fűtési teljesítménye [kW] |
| 4. | 3 | Pc az új split klíma kültéri egységének névleges hűtési teljesítménye [kW] | ||
| 5. | 4 | Ckaz alap fűtési rendszer teljesítménytényezője [-] | 2.5.4.1. esetén | - |
| 6. | 5 | SCOPújaz új hatékony split klíma szezonális fűtési energiahatékonysági mutatója [-] | - | |
| 7. | 6 | SEERújaz új hatékony split klíma szezonális hűtési energiahatékonysági mutatója [-] | ||
| 8. | 7 | As a split berendezéshez/rendszerhez tartozó egybefüggő légterű helyiség(ek) alapterülete [m2] | ||
| 9. | 8 | Af épület teljes fűtött alapterülete [m2] | ||
| 10. | 9 | Ealap,számla,évesfűtés bruttó éves energiaigénye [kWh/év] | 2.5.4.1. esetén | |
2.5.3.2. Alátámasztó dokumentumok:
| a | B | |
| 1. | Alátámasztásra szoruló adatok | Alátámasztó dokumentumok |
| 2. | Ps és Pc az új split klíma kültéri egységének névleges fűtési és hűtési teljesítménye [kW] | Műszaki adatlap vagy adattábla |
| 3. | Ingatlan funkciójának igazolása | Az érintett ingatlanra szóló min. 1 db, lakcímkártya lakcímet tartalmazó oldalának másolata |
| 4. | SCOPújaz új, hatékony split klíma szezonális fűtési energiahatékonysági mutatója [-] | Műszaki adatlap vagy adattábla |
| 5. | SEERújaz új hatékony split klíma szezonális hűtési energiahatékonysági mutatója [-] | Műszaki adatlap vagy adattábla |
| 6. | As a split klíma berendezéshez/rendszerhez tartozó egybefüggő légterű helyiség(ek) alapterülete [m2] | Végső felhasználó és kivitelező közös nyilatkozata, amely tartalmaz egy egyszerűsített vázlatot az érintett helységek és split klíma elrendezéséről. |
| 7. | Af épület teljes fűtött alapterülete [m2] | Alaprajz, vagy végső felhasználó nyilatkozata |
| 8. | 2.5.4. b) esetén, illetve ha 2.5.4.1. energetikai tanúsítvány alapján készül a számítás - Az épület típusának igazolása (CSH/TH<10/TH>10) | Végső felhasználó és kivitelező közös nyilatkozata |
| 9. | 2.5.4. a) esetén Ealap,számla,évesfűtés bruttó éves energiaigénye [kWh/év] | Fűtési energianem éves fogyasztását alátámasztó bizonylatok, számlák |
| 10. | Új split klíma üzembe helyezése | NKVH feltöltési igazolás, vagy amennyiben nem áll bejelentési kötelezettség alatt, akkor végszámla vagy átadás-átvételi jegyzőkönyv vagy üzembehelyezési jegyzőkönyv |
| 11. | A részletes számítási metódus alkalmazása esetén a beruházás előtti (alap) fűtési rendszer kategóriájának igazolása | Fénykép, amely alapján egyértelműen beazonosítható a beruházás előtti (alap) rendszer kategóriája és végső felhasználó nyilatkozata |
2.5.4. Számítási metódus
Mivel az intézkedésnél berendezés "csere" nem történik, ez esetben nem alkalmazható a "korai csere" és "késői csere" definíciója. Ennek megfelelően a számítás során a kiinduló állapothoz képest szükséges meghatározni a végfelhasználási energiamegtakarítás mértékét.
2.5.4.1. Részletes számítási metódus
Első lépésben a 4.1. alpontjai alapján meg kell határozni, hogy a vizsgált épületnek, vagy lakásnak mekkora az éves fűtési célú végsőenergia-fogyasztása. A 4.1.1. alapján történő fűtési célú, számlákkal alátámasztott fogyasztás meghatározásához először a 4.1.1-ben leírt módon kell meghatározni az épület, vagy lakás éves, fűtési energianemének végsőenergia-fogyasztását. A számlákból meghatározott éves végsőenergia-fogyasztási mennyiségeket csökkenteni kell, amennyiben az épületben az adott energianemet a fűtésen kívül egyéb igények kielégítésére is felhasználják.
A csökkentett, fűtési célú végsőenergia-fogyasztás számítása:

Amennyiben az adott energianemet kizárólag fűtési célra használják, úgy a gcsökkentés tényező értéke 1.
2.5.4.1. táblázat: Az energianemek számlákkal igazolt éves fogyasztását csökkentő tényezők.
| A | B | |
| 1. | Energianem | gcsökkentés |
| 2. | Villamos energia | 0,7 |
| 3. | Földgáz | 0,85 |
| 4. | Származtatott hő | 1 |
| 5. | Tűzifa vagy egyéb szilárd tüzelőanyag | 1 |
Az Ealap,fűtési fűtési célú végsőenergia-igényből a számlák által vizsgált időszak külső hőmérséklete szerinti korrekcióval szükséges meghatározni egy általános fűtési időszakra vonatkozó fűtési végsőenergia-fogyasztást. Az általános fűtési idényt az épületek energetikai jellemzőinek meghatározásáról szóló 9/2023. (V. 25.) ÉKM rendelet energiapolitikáért felelős miniszter által vezetett minisztérium honlapján elérhető számítási módszer "meteo" elnevezésű adatlapjaként megadott-, az országra jellemző órás léghőmérsékleti adatok alapján - a bevezető fejezetben részletezett módon - számolt standard év fűtési hőfokhíd értéke jellemzi.
Szintén a bevezető 3.2. pontjában részletezett módon meghatározható a számlákkal alátámasztott, vizsgált időszak éves fűtési hőfokhídja:
Tb [°C] a számítást minden esetben 20 °C-s belső hőmérsékletre kell elvégezni.
A számlákkal alátámasztott vizsgált időszak és a standard időszak hőfokhídjának ismeretében meghatározható egy standard fűtési időszakban fogyasztott végső-energia mennyiség a bevezető 3.2. pontjában részletezett hőfokhíd számítás szerint:
A meghatározott Efűtési,általános általános fűtési idényre meghatározott éves fűtési célú végsőenergia-fogyasztás és a hőelőállító berendezés teljesítménytényezője alapján lehet az épület általános fűtési hőigényét meghatározni. Ez az alábbi egyenlettel számítható:
Ahol:

A hőelőállító berendezések teljesítménytényezőjének meghatározásához az épületek energetikai jellemzőinek meghatározásáról szóló 9/2023. (V. 25.) ÉKM rendelet energiapolitikáért felelős miniszter által vezetett minisztérium honlapján elérhető számítási módszer 1. függelékének 8.3 Hőtermelők teljesítménytényezője és villamos segédenergia igénye fejezetében található táblázatok adatait kell használni.
Amennyiben csak egy hőtermelő van, akkor Ck,súlyozott = Ck. Abban az esetben, ha az energiaszámlák nem állnak rendelkezésre, a 4.1.2. fűtés nettó hőigénye hiteles energetikai tanúsítványból is figyelembe vehető. Ebben az esetben több hőtermelő súlyozását nem lehetséges elvégezni, így a leghatékonyabb hőtermelőt kell figyelembe venni a számolás során.
Az épület standard évre meghatározott Qhőigény nettó fűtési hőigényét a további számításokhoz szükséges a külső hőmérsékletek függvényében felosztani. Ehhez a 2.5.4.1.1. táblázatban szereplő egyenleteket és értékeket kell alkalmazni. Az elszámolható (rásegített) fűtés éves energiaigényének meghatározásakor Tbiv= -2°C bivalens hőmérsékletet kell feltételezni.
2.5.4.1.1. táblázat: Az egyes külső hőmérsékletekhez tartozó fűtési energiaigények meghatározása.

Tb [°C] a számítást minden esetben 20 °C-s belső hőmérsékletre szükséges elvégezni.
Tekintve, hogy a fenti táblázat nem csúcskihasználási órákkal számol, így a split klíma által egy fűtési szezonban kiváltható elméleti maximális hőigény értékét az alábbi 2100 h/év csúcskihasználási óraszám segítségével is szükséges korlátozni:
A split klíma által kiváltható, jelen jegyzék szerint figyelembe vehető hőigényt a további számítások során az alábbi egyenlettel lehet meghatározni:

Az intézkedés által elszámolható éves végfelhasználási energiamegtakarítás mennyisége, a részletes számítási metódus során az alábbi képlettel határozható meg:

tc [h/év] a számítást minden esetben a 206/2012/EU Rendelet alapján 350 h/év hűtési csúcskihasználási óraszámmal szükséges elvégezni.
2.5.4.2. Egyszerűsített számítási metódus
Amennyiben az érintett ingatlan fűtési energianemére nem állnak rendelkezésre energiaszámlák, vagy energetikai tanúsítvány, úgy az ingatlanban üzemelő hőtermelő berendezések teljesítménytényező értéke a számítás során nem felhasználható. Ebben az esetben az energiamegtakarítás számításhoz az ingatlan nettó fűtési hőigénye vehető figyelembe. Az épület fűtési hőigénye ebben az esetben az alábbi egyenlettel számítható:
Az épület fajlagos nettó éves fűtési energiaigényének (qf) meghatározásához 2.5.4.2. táblázatban szereplő értékeket szükséges használni:
2.5.4.2. táblázat: Az egyes ingatlan típusok fajlagos nettó éves fűtési energiaigényei
| A | B | C | D | |
| 1. | Fajlagos fűtési energiaigény | Családi ház | Társas-/szövetkezeti ház kevesebb mint 10 lakással | Társas-/szövetkezeti ház 10 vagy több lakással |
| 2. | qf[kWh/m2év] | 139,5 | 96,0 | 67,5 |
Az egyszerűsített számítás során a részletes metódushoz hasonló módon a
2.5.4.1.1. táblázat alapján kell meghatározni a
értékét, majd a QE,max, és QE,figyelembevett értékeit.
Az intézkedés által elszámolható éves végfelhasználási energiamegtakarítás mennyisége az egyszerűsített számítási metódussal:
tc [h/év] a számítást minden esetben a 206/2012/EU Rendelet alapján 350 h/év hűtési csúcskihasználási óraszámmal szükséges elvégezni.
2.5.5. Energiafogyasztás igazolása
Az éves energiafogyasztás igazolását a 2.5.4.1. szerinti részletes számítási metódus használata esetén szükséges elvégezni 4.1. alpontja alapján.
2.6. Hűtési split klímaberendezések cseréje
2.6.1. Intézkedés leírása és alkalmazása
Meglévő split klíma berendezés cseréje korszerű, elektronikus szabályozású split klíma berendezésre, melynek a kültéri egység névleges hűtési teljesítménye nem nagyobb, mint 12 kW.
2.6.1.1. Alkalmazás feltételei:
a) lakóépület esetében alkalmazható,
b) a kültéri egység névleges fűtési teljesítménye nem nagyobb, mint 12 kW.
2.6.1.2. Alkalmazást kizáró feltételek:
a) a beépített split klíma nem felel meg a rá vonatkozó minimumkövetelménynek.
2.6.2. Intézkedés jellemzői
| A | B | |
| 1. | Élettartam | Az energiahatékonyságról szóló törvény végrehajtásáról szóló 122/2015. (V. 26.) Korm. rendelet 6. melléklete alapján |
| 2. | Avulás | |
| 3. | Hitelesítés határideje | Az energiahatékonyságról szóló 2015. évi LVII. törvény 15/A. § (4) bekezdése alapján |
| 4. | Intézkedés típusa | 2401 - Épületgépészet - Hűtés - Hűtőberendezés cseréje |
| 5. | Minimumkövetelmény | A Bizottság (EU) 206/2012 rendelet I. melléklet 6. táblázat |
| 6. | Kezdő dátum | Megrendelés vagy vállalkozási szerződés dátuma |
| 7. | Záró dátum | A teljesítési igazolás vagy a számviteli bizonylat vagy az üzembehelyezési jegyzőkönyv vagy a műszaki átadás-átvételi jegyzőkönyv vagy a Nemzeti Klímavédelmi Hatóság (továbbiakban: NKVH) feltöltési igazolás dátuma |
2.6.3. Számítás paraméterei
2.6.3.1. Rögzítendő bemeneti műszaki paraméterek:
| A | B | C | D | |
| 1. | Sorok száma | Műszaki paraméter | Régi split klíma | Új split klíma |
| 2. | 1 | Gyártó | ||
| 3. | 2 | Típus | ||
| 4. | 3 | A régi split klíma első üzembe helyezésének dátuma korai csere esetén | - |
| 5. | 4 | Q a split klíma névleges hűtési teljesítménye átlagos hűtési referenciaidényre [kW] | - | |
| 6. | 5 | fterh,ia split klíma szabályozhatóságát figyelembe vevő faktor [1] | - | |
| 7. | 7 | SEER a split klíma szezonális hűtési energiahatékonysági tényezője [1] |
2.6.3.2. Alátámasztó dokumentumok:
| A | B | |
| 1. | Alátámasztásra szoruló adatok | Alátámasztó dokumentumok |
| 2. | A régi split klíma üzembe helyezési ideje | Üzembe helyezési jegyzőkönyv vagy adattábla |
| 3. | Q az új és régi split klímák névleges hűtési teljesítménye átlagos hűtési referenciaidényre [kW] | Műszaki adatlap vagy adattábla |
| 4. | Ingatlan funkciójának igazolása | Az érintett ingatlanra szóló min. 1 db, lakcímkártya lakcímet tartalmazó oldalának másolata |
| 5. | fterh,ia split klíma szabályozhatóságát figyelembe vevő faktor [1] - On/off vagy inverteres szabályozhatóság | Műszaki adatlap vagy adattábla |
| 6. | SEER az új és régi split klímák szezonális hűtési energiahatékonysági tényezője [1] | Műszaki adatlap vagy adattábla |
| 7. | Új split klíma üzembe helyezése | NKVH feltöltési igazolás, vagy amennyiben nem áll bejelentési kötelezettség alatt, akkor végszámla vagy átadás-átvételi jegyzőkönyv vagy üzembehelyezési jegyzőkönyv |
2.6.4. Számítási metódus
A hűtési split klíma csere intézkedésből elszámolható energiamegtakarítás korai csere esetén:

tc [h/év] a számítást minden esetben a 206/2012/EU Rendelet alapján 350 h/év hűtési csúcskihasználási óraszámmal szükséges elvégezni.
2.6.4. táblázat: A split klíma berendezések terhelési profil faktora a split klíma szabályozhatóságának függvényében
| Split klíma szabályozhatósága | Terhelési profil faktor - (fterh) [1] |
| Ki-bekapcsolású (on/off) szabályozás | 0,65 |
| Inverteres szabályozás | 0,44 |
A hűtési split klíma csere intézkedésből a lecserélt berendezés élettartamán túl elszámolható többlet energiamegtakarítás (∆Etöbblet):
tc [h/év] a számítást minden esetben a 206/2012/EU Rendelet alapján 350 h/év hűtési csúcskihasználási óraszámmal szükséges elvégezni.

2.6.5. Energiafogyasztás igazolása
Az intézkedésben érintett berendezések műszaki paraméterei és jegyzék adatai alapján az energiamegtakarítás megfelelően közelíthető, ezért az energiafogyasztás igazolása nem szükséges.
2.7. Légkezelő rendszerek ventilátorcseréje, üzemeltetési paraméterek optimalizálása
2.7.1. Intézkedés leírása és alkalmazása
A légkezelő rendszerek meglévő ventilátor cseréje korszerű, elektronikus szabályozású ventilátorra, továbbá az üzemeltetési paraméterek (fajlagos légmennyiségszállítás és üzemidő) beszabályozása, optimalizálása beruházással.
2.7.1.1. Alkalmazás feltételei:
a) lakó- vagy középület esetében alkalmazható,
b) az épületek energetikai jellemzőinek meghatározásáról szóló 9/2023. (V.25.) ÉKM rendelet energiapolitikáért felelős miniszter által vezetett minisztérium honlapján elérhető számítási módszer 2. függelékének 2.1. táblázatában felsorolt épületkategóriák esetében alkalmazható.
2.7.1.2. Alkalmazást kizáró feltételek: a) nincs.
2.7.2. Intézkedés jellemzői
| A | B | |
| 1. | Élettartam | Az energiahatékonyságról szóló törvény végrehajtásáról szóló 122/2015. (V. 26.) Korm. rendelet 6. melléklete alapján |
| 2. | Avulás | |
| 3. | Hitelesítés határideje | Az energiahatékonyságról szóló 2015. évi LVII. törvény 15/A. § (4) bekezdése alapján |
| 4. | Intézkedés típusa | 2302 - Épületgépészet - Légtechnika - Ventilátor cseréje vagy 2303 - Épületgépészet - Légtechnika - Szabályozási rendszer korszerűsítése |
| 5. | Minimumkövetelmény | A Bizottsági 1253/2014 rendelete |
| 6. | Kezdő dátum | Megrendelés vagy vállalkozási szerződés dátuma |
| 7. | Záró dátum | A teljesítési igazolás vagy a számviteli bizonylat vagy az üzembehelyezési jegyzőkönyv dátuma |
2.7.3. Számítás paraméterei
2.7.3.1. Rögzítendő bemeneti műszaki paraméterek:
| A | B | C | D | |
| 1. | Sorok száma | Műszaki paraméter | Régi ventilátor | Új ventilátor |
| 2. | 1 | Gyártó | ||
| 3. | 2 | Típus |
| 4. | 3 | A régi ventilátor első üzembe helyezésének dátuma | csak korai csere esetén | - |
| 5. | 4 | VLT,régifajlagos légmennyiségszállítás a régi rendszer üzemidejében[m3/h] | ||
| 6. | 5 | Vlt,újfajlagos légmennyiségszállítás az új rendszer üzemidejében[m3/h] | ||
| 7. | 6 | ∆PLT a rendszer ellenállás értéke [Pa], Kizárólag a jelmagyarázat szerinti érték lehet. | ||
| 8. | 7 | ∆T,LT,régia régi légtechnikai rendszer éves üzemideje [h/a] | ||
| 9. | 8 | ∆T,LT,újaz új légtechnikai rendszer éves üzemideje [h/a] | ||
| 10. | 9 | n,vena ventilátoroknak a motor és a meghajtószerkezet hatásfokát is magában foglaló statikus hatásfoka szállított légáram és nyomásesés mellett | csak korai csere esetén |
2.7.3.2. Alátámasztó dokumentumok:
| A | B | |
| 1. | Alátámasztásra szoruló adatok | Alátámasztó dokumentumok |
| 2. | Ingatlan funkciójának igazolása | Lakóingatlan esetén: helyrajzi számonként az érintett ingatlanra szóló min. 1 db, lakcímkártya lakcímet tartalmazó oldalának másolata Középület esetén: tulajdoni lap vagy üzemeltetői szerződés vagy vagyonkezelői szerződés vagy ezzel egyenértékű igazoló dokumentum |
| 3. | A régi ventilátor első üzembehelyezési dátumát igazoló dokumentum (csak korai csere esetén). | Műszaki adatlap vagy üzembehelyezési jegyzőkönyv vagy adattábla vagy a beépítést igazoló számviteli bizonylat |
| 4. | A régi ventilátor névleges teljesítménye, és hatásfoka nrégi [-] | Műszaki adatlap vagy üzembehelyezési jegyzőkönyv vagy adattábla vagy egyéb gyártói dokumentum |
| 5. | Az új ventilátor névleges teljesítménye és az új ventilátornak - a motor és a meghajtószerkezet hatásfokát is magában foglaló - statikus hatásfoka szállított légáram és nyomásesés mellett (núj) | Műszaki adatlap vagy egyéb dokumentum |
| 6. | Az új ventilátor által szállított fajlagos légmennyiség, és üzemelési idő | Műszaki adatlap vagy adattábla, vagy felügyeleti rendszer adatai vagy végső felhasználó nyilatkozata |
| 7. | Az új ventilátor üzembehelyezését igazoló dokumentum | Üzembehelyezési jegyzőkönyv vagy műszaki átadás-átvételi jegyzőkönyv vagy kivitelezői, műszaki ellenőri, felelős műszaki vezetői nyilatkozat vagy építési napló |
2.7.4. Részletes számítási metódus
2.7.4.1. Ventilátorok minimális hatásfoka (nref,ven) a 2009/125/EK európai parlamenti és tanácsi irányelvnek a szellőztetőberendezések környezettudatos tervezésére vonatkozó követelmények tekintetében történő végrehajtásáról szóló, 2014. július 7-i 1253/2014/EU bizottsági rendelet (a továbbiakban: 1253/2014/EU bizottsági rendelet) alapján:
a) 30 kW és ennél nagyobb villamos teljesítménynél nref,ven = 63,1%,
b) 30 kW alatti villamos teljesítménynél a 2.7.4.1. táblázat tartalmazza:
2.7.4.1. táblázat A ventilátor minimális referencia hatásfoka 30 kW alatti villamos teljesítménynél
| A | B | C | ||||||||||
| 1. | Sorok | Paraméter | Értékek | |||||||||
| 2. | 1. | Villamos teljesítmény | 1,5 | 2,2 | 3,0 | 3,5 | 5 | 10 | 15 | 20 | 25 | 30 |
| 3. | 2. | Min.hatásfok | 44,5 | 46,9 | 48,8 | 49,8 | 52 | 56,3 | 58,8 | 60,6 | 62 | 63,1 |
ahol a névleges felvett elektromos teljesítmény a ventilátormeghajtók - ideértve bármely motorszabályzó tartozékot - tényleges villamosenergia-felvétele.
2.7.4.2. A régi berendezés várható élettartamának (10 év) végéig számított éves energiamegtakarítás:

a) ∆pLT - ha a térfogatáram egyenlő vagy nagyobb, mint 7200 [m3/h]
aa) hővisszanyerős légkezelőknél: 1200 [Pa],
ab) nem légkezelős egységeknél: 400 [Pa] (csőhálózatba telepített ventilátor),
b) nrégi,ven - a régi ventilátor - motor és a meghajtószerkezet hatásfokát is magában foglaló - statikus hatásfoka szállított légáram és nyomásesés mellett [-],
c) Abban az esetben, ha nincsen adat, akkor az épületek energetikai jellemzőinek meghatározásáról szóló 9/2023. (V.25.) ÉKM rendelet energiapolitikáért felelős miniszter által vezetett minisztérium honlapján elérhető számítási módszer 1. függelékének 10.8. táblázata alapján vehető fel:
ca) 1000 [m3/h] alatt: nrégi = 40%,
cb) 1001-10.000 [m3/h] között: nrégi = 55%,
cc) 10.000 [m3/h] felett: nrégi = 70%,
d) faktív,- Függetlenül, hogy régi rendszerre vagy új rendszerre vonatkozóan, az értéke az alábbiak valamelyike lehet
da) állandó fordulatszám esetén: faktiv,állandó = 1,0
db) szabályozójelről történő vezérlésnél: faktív,szab. = a 2.7.4.2. táblázat alapján.
2.7.4.2 táblázat: a ventilátor fordulatszám-szabályozására vonatkozó állandó a motor vezérlés típusúnak és a szellőzés térfogatáram szabályozásának függvényében
| A | B | ||||
| 1. | Szellőzés térfogatáram szabályozása | Motor és vezérlés típusa | |||
| 2. | on/off és egyfokozatú | 2 fokozatú | 3 fokozatú | fokozatmentes | |
| 3. | |||||
| 4. | Kézi vezérlés | 1 | 1 | 1 | 1 |
| 5. | Időzítős (óra)vezérlés | 0,83 | 0,8 | 0,76 | 0,69 |
| 6. | Központi igényvezérlés | 0,67 | 0,61 | 0,54 | 0,44 |
| 7. | Helyi igényvezérlés | 0,5 | 0,44 | 0,35 | 0,25 |
A régi berendezés várható élettartamán túl számított éves energiamegtakarítás:
2.7.4.3. Az EU-s követelményértéknek megfelelő referencia ventilátor és az új ventilátor energiaigényének különbségéből számítható éves energiamegtakarítás (∆Etöbblet):

a) nApLTi Rendszer áramlási ellenállási értéke [Pa] (paraméterezve),
b) Ha a térfogatáram egyenlő vagy nagyobb, mint 7200 [m3/h]
ba) hővisszanyerős légkezelőknél: 1200 [Pa]
bb) nem légkezelős egységeknél: 400 [Pa] (csőhálózatba telepített ventilátor),
c)Ha a térfogatáram kisebb, mint 7200 [m3/h]:
ca) hővisszanyerős légkezelőknél: 1500 [Pa],
cb) nem légkezelős egységeknél: 500 [Pa] (csőhálózatba telepített ventilátor),
d)faktív,: Függetlenül, hogy régi rendszerre vagy új rendszerre vonatkozóan, az értéke az alábbiak valamelyike lehet:
da) állandó fordulatszám esetén: faktiválandó = 1,0,
db) szabályozójelről történő vezérlésnél: faktív,szab. = a 2.7.4.2.. táblázat alapján.
2.7.5. Energiafogyasztás igazolása
Az intézkedésben érintett eszközök műszaki paraméterei és jegyzék adatai alapján az energiamegtakarítás megfelelően közelíthető, ezért az energiafogyasztás igazolása nem szükséges.
2.8. Szellőztetőrendszerbe integrált hővisszanyerő beépítése
2.8.1. Intézkedés leírása és alkalmazása
A szellőztetőrendszerbe beépített hővisszanyerő képes az elszívott levegő hőtartalmának hasznosítására a szellőző levegő hőmérsékletének előfűtésével vagy előhűtésével, amellyel végfelhasználási energiamegtakarítás érhető el. Energiahatékonyságot növelő intézkedésként elismerhető:
a) a meglévő szellőztetőrendszerbe történő hővisszanyerő beépítése, és,
b) a meglévő szellőztetőrendszerben lévő régi hővisszanyerő cseréje esetén.
2.8.1.1. Alkalmazás feltételei:
a) lakó- vagy középület esetében alkalmazható,
b) az épületek energetikai jellemzőinek meghatározásáról szóló 9/2023. (V.25.) ÉKM rendelet energiapolitikáért felelős miniszter által vezetett minisztérium honlapján elérhető számítási módszer 2. függelékének 2.1. táblázatában felsorolt épületkategóriák esetében alkalmazható.
2.8.1.2. Alkalmazást kizáró feltételek:
a) a beépített hővisszanyerők minimális hővisszanyerési hatásfoka (nref) nem éri el az 1253/2014 EU bizottsági rendeletben foglaltakat, b) a beépített hővisszanyerők ellenállása nem haladhatja meg az MSZ EN 13053:2006 szabványban rögzített maximális ellenállás értékét.
2.8.1.3. Intézkedés jellemzői
| A | B | |
| 1. | Élettartam | Az energiahatékonyságról szóló törvény végrehajtásáról szóló 122/2015. (V. 26.) Korm. rendelet 6. melléklete alapján |
| 2. | Avulás | |
| 3. | Hitelesítés határideje | Az energiahatékonyságról szóló 2015. évi LVII. törvény 15/A. § (4) bekezdése alapján |
| 4. | Intézkedés típusa | 2304 - Épületgépészet - Légtechnika - Egyéb |
| 5. | Minimumkövetelmény | Minimális hővisszanyerési hatásfok - 1253/2014 EU bizottsági rendelet Hővisszanyerő maximális ellenállása - MSZ EN 13053:2006 |
| 6. | Kezdő dátum | Megrendelés vagy vállalkozási szerződés dátuma |
| 7. | Záró dátum | A teljesítési igazolás vagy a számviteli bizonylat vagy az üzembehelyezési jegyzőkönyv dátuma vagy az átadás-átvételi jegyzőkönyv dátuma |
2.8.2. Számítás paraméterei
2.8.2.1. Rögzítendő bemeneti műszaki paraméterek:
| A | B | C | D | |
| 1. | Sorok száma | Műszaki paraméter | Beruházás előtti rendszer | Új / Hő- vissza- nyerővel üzemelő rendszer |
| 2. | 1 | Gyártó | ||
| 3. | 2 | Típus | ||
| 4. | 3 | Az érintett légtechnikai rendszer első üzembe helyezésének dátuma | csak korai csere esetén | - |
| 5. | 4 | nszüks szükséges légcsereszám [1/h] | ||
| 6. | 5 | núj a szellőző rendszerbe épített hővisszanyerő hatásfoka az 1253/2014/EU bizottsági rendelet szerint [-] | - | |
| 7. | 6 | tf,LT a légtechnikai rendszer működési idejének ezredrésze a fűtési idényben [kh/a] | ||
| 8. | 7 | th,LT a légtechnikai rendszer működési idejének ezredrésze a hűtési idényben [kh/a] | ||
| 9. | 8 | Tf,bef a befújt levegő átlagos hőmérséklete a fűtési idényben [°C] | ||
| 10. | 9 | Th,bef a befújt levegő átlagos hőmérséklete a hűtési idényben [°C] | ||
| 11. | 10 | nfa fűtőberendezés hatásfoka [-] | ||
| 12. | 11 | SEER a hűtőberendezés szezonális jóságfoka [-] | ||
| 13. | 12 | c intézkedéssel érintett szellőztetőrendszer által kezelt légmennyiség az épület összes szellőztetőrendszere által kezelt légmennyiséghez képest. | ||
| 14. | 13 | ∆p a hővisszanyerőre jutó nyomásesés [Pa] | ||
| 15. | 14 | V a ventilátor által szállított levegő névleges térfogatárama [m3/h] | ||
| 16. | 15 | nv a ventilátor és a hajtó motor együttes hatásfoka [-] | ||
| 17. | 16 | V a szellőzéssel ellátott térfogat, belméret szerint számolva [m3] | ||
2.8.2.2. Alátámasztó dokumentumok:
| A | B | |
| 1. | Alátámasztásra szoruló adatok | Alátámasztó dokumentumok |
| 2. | Ingatlan funkciójának igazolása | Lakóingatlan esetén, helyrajzi számonként: az érintett ingatlanra szóló min. 1 db, lakcímkártya lakcímet tartalmazó oldalának másolata Középület esetén: tulajdoni lap vagy üzemeltetői szerződés vagy vagyonkezelői szerződés vagy ezzel egyenértékű igazoló dokumentum |
| 3. | A befújt levegő átlagos hőmérséklete a fűtési és a hűtési idényben, | Mérési eredmények vagy légkezelő beállítási paraméterek (pl. BMS képernyőképpel) |
| 4. | V a szellőzéssel ellátott térfogat, belméretek szerint számolva | Épület alaprajzok és metszeti rajzok |
| 5. | Fűtő- vagy hűtőberendezés hatékonyságát igazoló dokumentumok (nfvagy SEER) | Műszaki adatlap, vagy egyéb dokumentum |
| 6. | A régi hővisszanyerő névleges hővisszanyerési hatásfoka és a hővisszanyerőre jutó nyomásesés(új beépítés esetén nem szükséges) | Műszaki adatlap, vagy egyéb dokumentum |
| 7. | Az érintett légtechnikai rendszer első üzembehelyezési dátumát igazoló dokumentum (korai csere esetén) | Üzembehelyezési jegyzőkönyv, számla, teljesítési igazolás, átadás-átvételi jegyzőkönyv stb. |
| 8. | Az új hővisszanyerő névleges hővisszanyerési hatásfoka és a hővisszanyerőre jutó nyomásesés | Műszaki adatlap, vagy egyéb dokumentum |
| 9. | Részletes számítási metódussal történő számítás esetén: A befújt és elszívott levegő hőmérséklete, befújt és elszívott térfogatáram, üzemidő a fűtési és a hűtési idényben | Órás felbontású idősoros adatsorok vagy légkezelő időprogramjainak beállításai (pl. BMS rendszeradatok) |
| 10. | Az energiahatékonysági intézkedés tényleges végrehajtását hitelt érdemlően igazoló dokumentum | Különösen megvalósulási dokumentáció, műszaki átvételi-átadási jegyzőkönyv, kivitelezői, műszaki ellenőri, felelős műszaki vezetői nyilatkozat, teljesítésigazolás, a beruházás megvalósítását alátámasztó számlák |
2.8.3. Számítási metódus
A hővisszanyerő beépítésével elérhető végfelhasználási energiamegtakarítás megállapítása során egy részletes, és egy egyszerűsített számítási metódus is alkalmazható.
Egyszerűsített esetben a tlt lakóépületek esetében megegyezik a fűtési/hűtési idény hosszával, minden más esetben pedig az épület fűtési/hűtési idényben lévő összesített nyitvatartási idejének felel meg az épületek energetikai jellemzőinek meghatározásáról szóló 9/2023. (V.25.) ÉKM rendelet energiapolitikáért felelős miniszter által vezetett minisztérium honlapján elérhető számítási módszer 2. függelékének 2.1 táblázata szerint.
2.8.3.1. Egyszerűsített számítási metódus
A régi berendezés várható élettartamáig számított éves energiamegtakarítás egyszerűsített metódus alapján:
A régi hővisszanyerési hatásfok és az új hővisszanyerési hatásfok különbségéből számítható éves energiamegtakarítás (∆Ekorai). A fűtési időszakban elérhető energiamegtakarítás egyszerűsített metódussal:
Amennyiben korábban nem volt beépítve hővisszanyerő berendezés: nrégi = 0 [%] A hűtési időszakban elérhető energiamegtakarítás egyszerűsített metódussal:

Amennyiben korábban nem volt beépítve hővisszanyerő berendezés: nrégi = 0 [%]
A hővisszanyerő beépítésével jelentkező többlet nyomásesés következtében kialakuló többlet ventilátor munka egyszerűsített metódussal:
Korai csere esetén a hővisszanyerő beépítésével elszámolható végfelhasználási energiamegtakarítás egyszerűsített metódussal:
A szükséges légcsereszám az épületek energetikai jellemzőinek meghatározásáról szóló 9/2023. (V.25.) ÉKM rendelet energiapolitikáért felelős miniszter által vezetett minisztérium honlapján elérhető számítási módszer 2. függelékének 2.1 táblázatából számítandó. Lakóépületekre a megadott nszüks érték használata kötelező. Nem lakóépületekre a táblázatban szereplő VLT/Ak értékből a területtel szorozva meghatározható VLT értéke, amiből a szükséges légcsereszám:
A légtechnikai rendszer működési idejének ezredrésze a fűtési/hűtési szezonra szintén a táblázat alapján számítandó.
A régi berendezés várható élettartamán túl számított éves energiamegtakarítás egyszerűsített metódussal.
Az új hővisszanyerési hatásfok és a referencia hővisszanyerési hatásfok különbségéből számítható éves energiamegtakarítás (∆Etöbblet): Energetikai intézkedés keretében elszámolható energiamegtakarításnak (AEtöbblet) a 1253/2014/EU bizottsági rendelet szerinti minimális hővisszanyerési hatásfok (nref) követelmények feletti része tekinthető. A számítás megegyezik a korai cserénél leírtakkal, egyetlen eltérés, hogy a régi hővisszanyerő berendezés hatásfokát a referenciaértékkel vesszük figyelembe.
A fűtési időszakban elérhető energiamegtakarítás egyszerűsített metódussal:

A hűtési időszakban elérhető energiamegtakarítás egyszerűsített metódussal:

A hővisszanyerő beépítésével jelentkező többlet nyomásesés következtében kialakuló többlet ventilátor munka egyszerűsített metódussal:

A régi berendezés élettartamán túl számított éves végfelhasználási energiamegtakarítás egyszerűsített metódussal:
2.8.3.2. Részletes számítási metódus
A régi berendezés várható élettartamáig számított éves energiamegtakarítás részletes metódus:
A részletes számítási metódus alkalmazásához órás gyakoriságú mérési adatok szükségesek a szellőző és elszívott levegő hőmérsékletére és térfogatáramára vonatkozóan.
A fűtési időszakban elérhető energiamegtakarítás részletes metódussal:

Amennyiben korábban nem volt beépítve hővisszanyerő berendezés: nrégi = 0 [%] A hűtési időszakban elérhető energiamegtakarítás részletes metódussal:

Amennyiben korábban nem volt beépítve hővisszanyerő berendezés: nrégi = 0 [%]
A hővisszanyerő beépítésével jelentkező többlet nyomásesés következtében kialakuló többlet ventilátor munka részletes metódussal:

Korai csere esetén a hővisszanyerő beépítésével elszámolható végfelhasználási energiamegtakarítás részletes metódussal:
A régi berendezés várható élettartamán túl számított éves energiamegtakarítás részletes metódus szerint:
A számítás megegyezik a korai cserénél leírtakkal, egyetlen eltérés, hogy a régi hővisszanyerő berendezés hatásfokát a referenciaértékkel vesszük figyelembe.
A fűtési időszakban elérhető energiamegtakarítás részletes metódussal:

A hűtési időszakban elérhető energiamegtakarítás részletes metódussal:

A hővisszanyerő beépítésével jelentkező többlet nyomásesés következtében kialakuló többlet ventilátor munka részletes metódussal:

A régi berendezés élettartamán túl számított éves végfelhasználási energiamegtakarítás részletes metódussal:
2.8.4. Energiafogyasztás igazolása
Az intézkedésben érintett eszközök műszaki adatai és a műszaki paraméterek mérési adatai alapján az energiamegtakarítás pontosan számítható, ezért az energiafogyasztás igazolása nem szükséges.
2.9. Világításkorszerűsítés
2.9.1. Intézkedés leírása és alkalmazása
Az energiahatékonysági beruházás a régi világítótestek leszerelését, az elektromos hálózat áramköri szerelvényeinek felújítását és az új LED világítótestek felszerelését foglalja magában.
2.9.1.1. Alkalmazás feltételei:
a) lakó- vagy középület esetében alkalmazható,
b) középületek esetén az új világítási rendszer megfelel az MSZ EN 12464 szabvány előírásainak.
2.9.1.2. Alkalmazást kizáró feltételek:
a) - az egyes veszélyes anyagok elektromos és elektronikus berendezésekben való alkalmazásának korlátozásáról szóló 374/2012. (XII. 18.) Korm. rendeletben foglaltaknak nem megfelelő világítótestekkel végrehajtott világításkorszerűsítés esete,
b) tartalékvilágítás nem számolható el.
2.9.2. Intézkedés jellemzői
| A | B | |
| 1. | Élettartam | Az energiahatékonyságról szóló törvény végrehajtásáról szóló 122/2015. (V. 26.) Korm. rendelet 6. melléklet alapján |
| 2. | Avulás | |
| 3. | Hitelesítés határideje | Az energiahatékonyságról szóló 2015. évi LVII. törvény 15/A. § (4) bekezdése alapján |
| 4. | Intézkedés típusa | 3101 - Épületvillamosság - Világítás - Beltéri fényforrás, lámpatest cseréje vagy 3102 - Épületvillamosság - Világítás - Kültéri fényforrás, lámpatest cseréje vagy 3103 - Épületvillamosság - Világítás - Világítás szabályozás korszerűsítése |
| 5. | Minimumkövetelmény | (EU) 2019/2020 végrehajtási rendelete módosította: (EU) 2021/341 |
| 6. | Kezdő dátum | Megrendelés vagy vállalkozási szerződés dátuma |
| 7. | Záró dátum | A teljesítési igazolás vagy a számviteli bizonylat vagy az üzembehelyezési jegyzőkönyv dátuma |
2.9.3. Számítás paraméterei
2.9.3.1. Rögzítendő bemeneti műszaki paraméterek:

2.9.3.2. Alátámasztó dokumentumok:
| A | B | |
| 1. | Alátámasztásra szoruló adatok | Alátámasztó dokumentumok |
| 2. | Ingatlan funkciójának igazolása | Lakóingatlan esetén, helyrajzi számonként: az érintett ingatlanra szóló min. 1 db, lakcímkártya lakcímet |
| tartalmazó oldalának másolata Középület esetén: tulajdoni lap vagy üzemeltetői szerződés vagy vagyonkezelői szerződés vagy ezzel egyenértékű igazoló dokumentum | ||
| 3. | Az intézkedés kezdő dátuma | Vállalkozási szerződés vagy megrendelés |
| 4. | Az intézkedés befejezésének dátuma | A felhasználó azonosítására alkalmas részletezettségű záró számviteli bizonylat és teljesítés igazolás, vagy a felhasználó azonosítására alkalmas részletezettségű záró számviteli bizonylat és üzembehelyezési jegyzőkönyv |
| 5. | Lecserélt világítótestek típusonkénti száma - nk [db] és névleges teljesítményigénye Prégi j [W] | Kivitelezői felmérés vagy leszerelésről számviteli bizonylat vagy kivitelező és végső felhasználó nyilatkozata |
| 6. | Új világítótestek típusonkénti száma - nk [db] és névleges teljesítményigénye Prégi j [W] | Üzembehelyezési vagy átadás-átvételi jegyzőkönyv vagy számviteli bizonylat vagy kivitelező nyilatkozata |
| 7. | Új fényforrások irányítottságának meghatározása (DLS/NDLS) | Műszaki adatlap, (EU) 2019/2020 végrehajtási rendelete módosította: (EU) 2021/341 szerint |
| 8. | A világítási rendszer szabályozhatósága és soronként kapcsolhatósága | Üzemeltető vagy végsőfelhasználó nyilatkozata |
| 9. | Megfelelő méretezés középület esetén | Utólagos, MSZ EN 12464 szabvány szerinti fénymérési jegyzőkönyv |
2.9.4. Részletes számítási metódus
A számítás során figyelembe kell venni a régi világítási rendszer, illetve világítótest hátralévő élettartamát, és a számítás során a "korai csere" metódust szükséges alkalmazni.
A régi világítótestek típusonkénti villamos teljesítményigényének számítása, az előtétveszteség figyelembevételével:
A régi világítótestek előtétjeinek energiahatékonysági kategóriáját a számítás során egységesen B1 besorolásúnak szükséges tekinteni. A gyakrabban előforduló világítótest típusok és előtét hatásfok adatait a bizottság 245/2009/EK rendelet 16. és 17. táblázata tartalmazza.
2.9.4.1. Tipizált éves világítási rendszer működési idők:
a) Lakóépületek esetén:
aa) Gyakran használt helyiségek (nappali, hálószoba, konyha stb.)
aaa) tm,j =800 [h/év],
ab) Ritkán használt helyiségek (fürdőszoba, mellékhelyiség, gardrób stb.)
aba) tm,j =400 [h/év],
b) Irodaépületekben:
ba) tm,j = 2224 [h/év] (1 műszak + takarítási idő),
c) Közvilágítás:
ca) tm,j = 4000 [h/év],
d) Folyamatos megvilágítást igénylő intézmények (pl. állami hivatalok, oktatási épületek):
da) tm, j = tnyitva [óra/hét] x 51 [hét/év] + 180 [óra/év] ,
e) Ük = Üzemviteli korrekciós tényező:
ea) Szabályozható beltéri világítás: automatikusan szabályozható a kültéri természetes világítás függvényében, akkor -> Ükij = 0,77,
eb) Soronként kapcsolható beltéri világítás: soronként kapcsolható a kültéri természetes világítás függvényében, akkor -> Ükij = 0,83,
ec) Mozgás-, vagy jelenlét érzékelő rendszerbe illesztése: ha a világítási csoport mozgás- vagy jelenlétérzékelővel van felszerelve, akkor -> Ükij = 0,7,
ed) Szabályozott közvilágítás-korszerűsítés: amennyiben az új LED-es közvilágítás szabályozható, akkor -> Ükij = 0,8,
ee) Amennyiben fentiek egyikének sem felel meg a besorolás: Ük = 1.
A számítást a LED világítótestek típusai szerint külön-külön szükséges elvégezni.
2.9.4.2. Régi berendezés várható élettartam lejárta előtti időszakban számított éves energiamegtakarítás ("korai csere"):
A régi világítási rendszer és az új LED világítási rendszer teljesítményigényének különbségéből számolható éves energiamegtakarítás. [GJ / év]

2.9.4.3. Régi berendezés várható élettartam lejártát követő időszakban számított éves többlet energiamegtakarítás:
Az elszámolható energiamegtakarítás az előző pontban meghatározott minimális energiahatékonysági követelménynek megfelelő referencia fényhasznosítási tényezővel számított energiaigény és az új LED világítótestek egyenkénti fényhasznosítási tényezőből számított energiaigény különbségéből számítható többlet energiamegtakarítás.

2.9.5. Energiafogyasztás igazolása
Az intézkedésben érintett eszközök műszaki paraméterei és jegyzék adatai alapján az energiamegtakarítás pontosan számítható, ezért az energiafogyasztás igazolása nem szükséges.
2.10. Gépészeti elemek utólagos hőszigetelése
2.10.1. Intézkedés leírása és alkalmazása
Meglévő fűtési vagy HMV és cirkulációs elosztó rendszerek gépészeti elemeinek (pl. csővezetékek, elzáró szerelvények, hőcserélők stb.) utólagos hőszigetelése.
2.10.1.1. Alkalmazás feltételei:
a) lakó- vagy középület esetében alkalmazható,
b) a felhelyezett szigetelés gyártói adatlapja legalább 5 hőmérsékleten kimért hővezetési tényezőt vagy polinommal számítható hővezetési tényező egyenletet kell tartalmazzon,
c) az intézkedés önmagában nem, csak más intézkedéssel történő kombinálása során számolható el,
d) a fűtési rendszer alap hőforrása távhő.
2.10.1.2. Alkalmazást kizáró feltételek:
a) az érintett rendszerelem nem mentesül az épületek energetikai jellemzőinek meghatározásáról szóló 9/2023. (V. 25.) ÉKM rendelet 1. mellékletének 3.3.2. követelményei alól,
b) hűtési rendszerek utólagos szigetelése esetén nem alkalmazható,
c) nem alkalmazható családi házak esetében,
d) nem alkalmazható DN300 névleges méretet meghaladó elemeknél.
2.10.2. Intézkedés jellemzői
| A | B | |
| 1. | Élettartam | Az energiahatékonyságról szóló törvény végrehajtásáról szóló 122/2015. (V. 26.) Korm. rendelet 6. melléklet alapján |
| 2. | Avulás | |
| 3. | Hitelesítés határideje | Az energiahatékonyságról szóló 2015. évi LVII. törvény 15/A. § (4) bekezdése alapján |
| 4. | Intézkedés típusa | 2107 - Épületgépészet - Fűtési rendszer - Elosztó rendszer felújítása |
| 5. | Minimumkövetelmény | Az épületek energetikai jellemzőinek meghatározásáról szóló 9/2023. (V. 25.) ÉKM rendelet 3.3.2. 60°C-os külső szigetelt felületi hőmérsékletig minimum 0,48 m2K/W ellenállású szigetelés, fölötte pedig minimum 0,54 m2K/W ellenállású |
| 6. | Kezdő dátum | Megrendelés vagy vállalkozási szerződés dátuma |
| 7. | Záró dátum | A teljesítési igazolás vagy a számviteli bizonylat vagy az üzembehelyezési jegyzőkönyv dátuma |
2.10.3. Számítás paraméterei
2.10.3.1. Rögzítendő bemeneti műszaki paraméterek:
| A | B | C | |
| 1. | Sorok száma | Műszaki paraméter | Beruházás során alkalmazott szigetelés |
| 2. | 1 | Gyártó | |
| 3. | 2 | Hővezetési tényezőt leíró polinom vagy legalább 5 hőmérséklet (a [0-175 °C] skálán) esetén kalkulált hővezetési tényező [W/mK] | |
| 4. | 3 | Hőtermelő berendezés(ek) típusa(i) (gázkazán, hőszivattyú stb.) | |
| 5. | 4 | Hőtermelő berendezés(ek) hatásfoka vagy SCOP értéke [-] |
2.10.3.2. Alátámasztó dokumentumok:
| A | B | |
| 1. | Alátámasztásra szoruló adatok | Alátámasztó dokumentumok |
| 2. | Ingatlan funkciójának igazolása | Lakóingatlan esetén, helyrajzi számonként: az érintett ingatlanra szóló min. 1 db, lakcímkártya lakcímet tartalmazó oldalának másolata Középület esetén: tulajdoni lap vagy üzemeltetői szerződés vagy vagyonkezelői szerződés vagy ezzel egyenértékű igazoló dokumentum |
| 3. | Az intézkedés kezdő dátuma | Vállalkozási szerződés vagy megrendelés írásos dokumentuma |
| 4. | Az intézkedés befejezésének dátuma | Teljesítési igazolás vagy számviteli bizonylat vagy üzembehelyezési jegyzőkönyv dátuma |
| 5. | Szigetelés hővezetési tényezőjére vonatkozó adatok | Gyártói műszaki adatlap |
| 6. | Hőtermelő berendezés(ek) hatásfoka vagy SCOP értéke | Műszaki adatlap vagy üzembehelyezési jegyzőkönyv vagy adattábla |
| 7. | Érintett elemek kiindulás felületi | Hőkamerás felvételek vagy jegyzőkönyv |
| hőmérséklete | ||
| 8. | Érintett elemek darabszáma, névleges méretei | Kivitelezői felmérés eredményét igazoló dokumentum |
| 9. | Éves energiafogyasztás igazolása | Számlák, bizonylatok az érintett ingatlanban felhasznált fűtési energiahordozóról - a bevezetőben tárgyalt módon |
2.10.4. Számítási metódus
Mivel berendezés "csere" ennél az intézkedésnél nem történik, ez esetben nem alkalmazható a "korai csere" és "késői csere" definíciója. Ennek megfelelően a számítás során a kiinduló állapothoz képest szükséges meghatározni a végfelhasználási energiamegtakarítás mértékét.
Az elért energiamegtakarítás meghatározásakor elemenként szükséges elvégezni a számítást. Minden eleme esetében vagy az egyszerűsített metódust, vagy a részletes metódust kell alkalmazni, melyhez mindenképpen szükséges a felületi hőmérsékletek és a környezeti hőmérséklet megállapítása.
2.10.4.1. Egyszerűsített metódus
Egyszerűsített metódus esetében az alábbi táblázatokban foglalt értékekkel kell számolni. A táblázatok tartalmazzák csővezetékek, különböző szerelvények, karimák és hőcserélőkre vonatkozó elérhető fajlagos megtakarítás értékeket. A táblázatokban DN méret és hőmérsékletkülönbség (környezeti és felületi hőmérséklet különbsége) függvényben találhatóak meg az előírt szigetelés alkalmazásával elérhető megtakarítások. Köztes értékek esetén lineáris interpolációval határozható meg az elérhető megtakarítás, vagy a kisebb értéket kell figyelembe venni.
2.10.4.1.1. táblázat: Csővezetékek esetében figyelembe veendő megtakarítás értékek (W/m) mértékegységben kifejezve
| A | B | C | D | E | F | G | H | I | J | K | L | |
| 1. | Hőmérséklet-különbség | |||||||||||
| 2. | DN méret | ∆T [°C] DN | 15 | 30 | 45 | 60 | 75 | 90 | 105 | 120 | 135 | 150 |
| 3. | 15 | 8,42 | 19,22 | 31,71 | 45,69 | 61,12 | 77,97 | 96,28 | 116,07 | 137,39 | 152,49 | |
| 4. | 20 | 10,57 | 24,16 | 39,87 | 57,49 | 76,95 | 98,22 | 121,33 | 146,34 | 173,31 | 192,42 | |
| 5. | 25 | 13,19 | 30,17 | 49,83 | 71,89 | 96,25 | 122,90 | 151,87 | 183,24 | 217,09 | 241,09 | |
| 6. | 32 | 16,55 | 37,90 | 62,62 | 90,36 | 121,01 | 154,57 | 191,07 | 230,60 | 273,27 | 303,54 | |
| 7. | 40 | 18,84 | 43,15 | 71,31 | 102,91 | 137,85 | 176,09 | 217,70 | 262,77 | 311,45 | 345,98 | |
| 8. | 50 | 23,51 | 53,85 | 89,01 | 128,49 | 172,13 | 219,93 | 271,95 | 328,32 | 389,21 | 432,41 | |
| 9. | 65 | 29,66 | 67,96 | 112,35 | 162,21 | 217,35 | 277,74 | 343,48 | 414,74 | 491,74 | 546,39 | |
| 10. | 80 | 34,65 | 79,41 | 131,29 | 189,56 | 254,01 | 324,61 | 401,48 | 484,82 | 574,88 | 638,80 | |
| 11. | 100 | 44,56 | 102,15 | 168,89 | 243,88 | 326,82 | 417,71 | 516,68 | 623,99 | 739,98 | 822,33 | |
| 12. | 125 | 54,48 | 124,90 | 206,52 | 298,23 | 399,68 | 510,85 | 631,94 | 763,24 | 905,18 | 1 005,96 | |
| 13. | 150 | 65,66 | 150,53 | 248,91 | 359,46 | 481,75 | 615,78 | 761,76 | 920,09 | 1 091,26 | 1 212,80 | |
| 14. | 200 | 85,52 | 196,07 | 324,22 | 468,24 | 627,57 | 802,20 | 992,44 | 1 198,78 | 1 421,88 | 1 580,31 | |
| 15. | 250 | 106,60 | 244,40 | 404,15 | 583,69 | 782,33 | 1 000,05 | 1 237,24 | 1 494,53 | 1 772,75 | 1 970,32 | |
| 16. | 300 | 126,50 | 290,04 | 479,65 | 692,73 | 928,48 | 1 186,91 | 1 468,45 | 1 773,86 | 2 104,12 | 2 338,67 |
2.10.4.1.2. táblázat: Karimás szerelvények (elzáró szerelvény, iszapleválasztó szerelvény stb.) esetében figyelembe veendő megtakarítás értékek (W/db) mértékegységben kifejezve.
| A | B | C | D | E | F | G | H | I | J | K | L | |
| 1. | Hőmérséklet-különbség | |||||||||||
| 2. | DN méret | ∆T [°C] DN | 15 | 30 | 45 | 60 | 75 | 90 | 105 | 120 | 135 | 150 |
| 3. | 15 | 10,86 | 24,46 | 39,84 | 56,74 | 75,06 | 94,72 | 115,72 | 138,06 | 161,74 | 184,74 | |
| 4. | 20 | 11,67 | 26,34 | 42,97 | 61,28 | 81,12 | 102,46 | 125,25 | 149,52 | 175,26 | 200,23 | |
| 5. | 25 | 12,87 | 29,11 | 47,54 | 67,84 | 89,88 | 113,59 | 138,94 | 165,94 | 194,60 | 222,34 | |
| 6. | 32 | 14,69 | 33,26 | 54,38 | 77,67 | 102,97 | 130,19 | 159,33 | 190,37 | 223,34 | 255,19 | |
| 7. | 40 | 16,08 | 36,45 | 59,61 | 85,17 | 112,94 | 142,84 | 174,84 | 208,96 | 245,20 | 280,17 | |
| 8. | 50 | 19,29 | 43,76 | 71,62 | 102,38 | 135,82 | 171,84 | 210,43 | 251,57 | 295,32 | 337,41 | |
| 9. | 65 | 24,26 | 55,06 | 90,15 | 128,91 | 171,07 | 216,53 | 265,24 | 317,22 | 372,50 | 425,58 | |
| 10. | 80 | 28,89 | 65,57 | 107,36 | 153,56 | 203,83 | 258,05 | 316,16 | 378,19 | 444,21 | 507,49 | |
| 11. | 100 | 39,62 | 89,94 | 147,30 | 210,73 | 279,79 | 354,31 | 434,24 | 519,62 | 610,53 | 697,49 | |
| 12. | 125 | 52,41 | 118,96 | 194,84 | 278,77 | 370,20 | 468,90 | 574,81 | 687,98 | 808,56 | 923,72 | |
| 13. | 150 | 69,25 | 157,15 | 257,40 | 368,32 | 489,19 | 619,71 | 759,83 | 909,62 | 1 069,28 | 1 221,60 | |
| 14. | 200 | 105,48 | 239,32 | 391,99 | 560,97 | 745,19 | 944,23 | 1 158,01 | 1 386,68 | 1 630,54 | 1 862,93 | |
| 15. | 250 | 152,75 | 346,48 | 567,51 | 812,21 | 1 079,07 | 1 367,50 | 1 677,42 | 2 009,08 | 2 362,92 | 2 699,87 | |
| 16. | 300 | 205,68 | 466,48 | 764,06 | 1 093,58 | 1 453,02 | 1 841,62 | 2 259,30 | 2 706,40 | 3 183,56 | 3 637,76 | |
2.10.4.1.3. táblázat: Hegesztett szerelvények (elzáró szerelvény, iszapleválasztó szerelvény stb.) esetében figyelembe veendő megtakarítás értékek (W/db) mértékegységben kifejezve
| A | B | C | D | E | F | G | H | I | J | K | L | |
| 1. | Hőmérséklet-különbség | |||||||||||
| 2. | DN méret | ∆T [°C] DN | 15 | 30 | 45 | 60 | 75 | 90 | 105 | 120 | 135 | 150 |
| 3. | 15 | 8,12 | 18,20 | 29,59 | 42,10 | 55,66 | 70,26 | 85,88 | 102,54 | 120,26 | 139,07 | |
| 4. | 20 | 9,02 | 20,26 | 32,98 | 46,98 | 62,17 | 78,53 | 96,06 | 114,77 | 134,68 | 155,83 | |
| 5. | 25 | 10,28 | 23,15 | 37,74 | 53,80 | 71,26 | 90,08 | 110,25 | 131,79 | 154,74 | 179,14 | |
| 6. | 32 | 12,16 | 27,42 | 44,73 | 63,83 | 84,60 | 107,00 | 131,04 | 156,73 | 184,11 | 213,24 | |
| 7. | 40 | 13,58 | 30,64 | 50,01 | 71,40 | 94,67 | 119,78 | 146,73 | 175,54 | 206,27 | 238,96 | |
| 8. | 50 | 16,82 | 37,99 | 62,07 | 88,66 | 117,62 | 148,90 | 182,49 | 218,43 | 256,77 | 297,58 | |
| 9. | 65 | 21,79 | 49,27 | 80,54 | 115,11 | 152,80 | 193,52 | 237,28 | 284,13 | 334,14 | 387,42 | |
| 10. | 80 | 26,39 | 59,70 | 97,64 | 139,60 | 185,35 | 234,82 | 288,00 | 344,95 | 405,78 | 470,60 | |
| 11. | 100 | 37,03 | 83,82 | 137,15 | 196,19 | 260,61 | 330,30 | 405,28 | 485,62 | 571,47 | 663,02 | |
| 12. | 125 | 49,66 | 112,45 | 184,05 | 263,37 | 349,95 | 443,67 | 544,53 | 652,67 | 768,28 | 891,60 | |
| 13. | 150 | 66,24 | 150,04 | 245,65 | 351,60 | 467,31 | 592,60 | 727,51 | 872,21 | 1 026,96 | 1 192,09 | |
| 14. | 200 | 101,85 | 230,75 | 377,91 | 541,08 | 719,37 | 912,54 | 1 120,64 | 1 343,95 | 1 582,90 | 1 838,01 | |
| 15. | 250 | 148,19 | 335,82 | 550,10 | 787,79 | 1 047,62 | 1 329,24 | 1 632,75 | 1 958,58 | 2 307,35 | 2 679,85 | |
| 16. | 300 | 200,04 | 453,35 | 742,73 | 1 063,82 | 1 414,93 | 1 795,58 | 2 205,94 | 2 646,58 | 3 118,39 | 3 622,43 |
2.10.4.1.4. táblázat: Rövid szerelvények (pillangó szelep, biztonsági szelep stb.) esetében figyelembe veendő megtakarítás értékek (W/db) mértékegységben kifejezve
| A | B | C | D | E | F | G | H | I | J | K | L | |
| 1. | Hőmérséklet-különbség | |||||||||||
| 2. | DN méret | ∆T [°C] DN | 15 | 30 | 45 | 60 | 75 | 90 | 105 | 120 | 135 | 150 |
| 3. | 15 | 20,42 | 45,47 | 73,45 | 103,90 | 136,58 | 171,38 | 208,24 | 247,14 | 288,08 | 331,06 | |
| 4. | 20 | 21,15 | 47,19 | 76,35 | 108,11 | 142,24 | 178,62 | 217,18 | 257,91 | 300,79 | 345,85 | |
| 5. | 25 | 22,26 | 49,78 | 80,63 | 114,28 | 150,48 | 189,09 | 230,04 | 273,32 | 318,92 | 366,85 | |
| 6. | 32 | 23,94 | 53,63 | 86,96 | 123,36 | 162,54 | 204,36 | 248,75 | 295,69 | 345,16 | 397,20 | |
| 7. | 40 | 25,20 | 56,51 | 91,68 | 130,11 | 171,50 | 215,69 | 262,62 | 312,24 | 364,57 | 419,62 | |
| 8. | 50 | 28,03 | 62,93 | 102,20 | 145,14 | 191,41 | 240,85 | 293,37 | 348,94 | 407,57 | 469,27 | |
| 9. | 65 | 32,22 | 72,43 | 117,73 | 167,30 | 220,75 | 277,90 | 338,65 | 402,96 | 470,82 | 542,27 | |
| 10. | 80 | 35,97 | 80,93 | 131,62 | 187,11 | 246,99 | 311,02 | 379,11 | 451,21 | 527,32 | 607,47 | |
| 11. | 100 | 44,34 | 99,87 | 162,53 | 231,20 | 305,34 | 384,67 | 469,07 | 558,48 | 652,92 | 752,41 | |
| 12. | 125 | 53,89 | 121,47 | 197,80 | 281,48 | 371,88 | 468,65 | 571,64 | 680,80 | 796,13 | 917,69 | |
| 13. | 150 | 66,04 | 148,94 | 242,63 | 345,41 | 456,47 | 575,42 | 702,07 | 836,34 | 978,25 | 1 127,86 | |
| 14. | 200 | 91,22 | 205,87 | 335,55 | 477,89 | 631,80 | 796,72 | 972,40 | 1 158,75 | 1 355,79 | 1 563,61 | |
| 15. | 250 | 122,94 | 277,58 | 452,59 | 644,78 | 852,68 | 1 075,55 | 1 313,05 | 1 565,06 | 1 831,62 | 2 112,88 | |
| 16. | 300 | 157,61 | 355,95 | 580,49 | 827,17 | 1 094,09 | 1 380,32 | 1 685,41 | 2 009,25 | 2 351,88 | 2 713,48 | |
2.10.4.1.5. táblázat: Karimák esetében figyelembe veendő megtakarítás értékek (W/db) mértékegységben kifejezve.
| A | B | C | D | E | F | G | H | I | J | K | L | |
| 1. | Hőmérséklet-különbség | |||||||||||
| 2. | DN méret | ∆T [°C] DN | 15 | 30 | 45 | 60 | 75 | 90 | 105 | 120 | 135 | 150 |
| 3. | 15 | 4,56 | 10,11 | 16,28 | 22,97 | 30,16 | 37,82 | 45,95 | 54,55 | 63,63 | 73,21 | |
| 4. | 20 | 6,51 | 14,45 | 23,30 | 32,92 | 43,26 | 54,29 | 66,02 | 78,44 | 91,58 | 105,44 | |
| 5. | 25 | 8,98 | 19,96 | 32,20 | 45,53 | 59,85 | 75,15 | 91,41 | 108,64 | 126,86 | 146,09 | |
| 6. | 32 | 12,13 | 26,99 | 43,57 | 61,62 | 81,04 | 101,77 | 123,82 | 147,19 | 171,91 | 198,02 | |
| 7. | 40 | 14,44 | 32,12 | 51,86 | 73,34 | 96,44 | 121,10 | 147,32 | 175,10 | 204,48 | 235,49 | |
| 8. | 50 | 18,42 | 41,03 | 66,30 | 93,83 | 123,47 | 155,16 | 188,87 | 224,63 | 262,47 | 302,46 | |
| 9. | 65 | 24,11 | 53,73 | 86,85 | 122,95 | 161,82 | 203,38 | 247,61 | 294,52 | 344,19 | 396,68 | |
| 10. | 80 | 28,21 | 62,92 | 101,77 | 144,15 | 189,83 | 238,70 | 290,75 | 346,01 | 404,54 | 466,43 | |
| 11. | 100 | 37,31 | 83,26 | 134,71 | 190,85 | 251,37 | 316,12 | 385,09 | 458,32 | 535,90 | 617,95 | |
| 12. | 125 | 45,81 | 102,30 | 165,60 | 234,73 | 309,30 | 389,15 | 474,25 | 564,66 | 660,50 | 761,91 | |
| 13. | 150 | 56,20 | 125,53 | 203,24 | 288,11 | 379,67 | 477,71 | 582,21 | 693,24 | 810,93 | 935,49 | |
| 14. | 200 | 74,14 | 165,69 | 268,38 | 380,63 | 501,79 | 631,60 | 770,04 | 917,21 | 1 073,30 | 1 238,57 | |
| 15. | 250 | 93,63 | 209,34 | 339,23 | 481,28 | 634,69 | 799,14 | 974,60 | 1 161,21 | 1 359,22 | 1 568,95 | |
| 16. | 300 | 113,07 | 252,87 | 409,84 | 581,57 | 767,07 | 965,96 | 1 178,23 | 1 404,03 | 1 643,66 | 1 897,55 |
2.10.4.1.6. táblázat: Sík felületek esetében figyelembe veendő megtakarítás értékek (W/m2) mértékegységben kifejezve
| A | B | C | D | E | F | G | H | I | J | K | |
| 1. | ∆T [°C] | 15 | 30 | 45 | 60 | 75 | 90 | 105 | 120 | 135 | 150 |
| 2. | W/m2 | 108,73 | 252,73 | 421,27 | 611,65 | 822,91 | 1 054,87 | 1 307,77 | 1 582,17 | 1 878,82 | 2 198,68 |
Az elért energiamegtakarítás az egyes elemeken adódó energiamegtakarítások összegeként számítható, az alábbi képlet szerint.

2.10.4.2. Részletes metódus:
Részletes metódus alkalmazása estén az alábbi képlettel szükséges megállapítani a kiindulási fajlagos hőveszteséget:

Részletes metódus esetében amennyiben a (csatlakozó) csőméret DN méret alapján kerül megállapításra, úgy az alábbi táblázatban szereplő külső átmérő értékeket kell figyelembe venni.
2.10.4.2.1. táblázat: DN méretekhez tartozó külső átmérők
| A | B | C | D | E | F | G | H | I | J | |
| 1. | DN méret | 15 | 20 | 25 | 32 | 40 | 50 | 65 | 80 | 100 |
| 2. | külső átmérő (DNB)[m] | 0,0213 | 0,0269 | 0,0337 | 0,0424 | 0,0483 | 0,0603 | 0,0761 | 0,0889 | 0,1143 |
| 3. | DN méret | 125 | 150 | 200 | 250 | 300 | 350 | 400 | 450 | |
| 4. | külső átmérő (DN9) [m] | 0,1397 | 0,1683 | 0,2191 | 0,273 | 0,3239 | 0,3556 | 0,4064 | 0,457 |
A hőleadó felület megállapítására szerelvények, csővezetékek és hengeres elemnek esetében az alábbi képletek alkalmazandóak:
2.10.4.2.2. táblázat: Felületszámítási képletek

Annak érdekében, hogy a megállapított kiindulási fajlagos hőveszteség pontosan letudja írni hengeres felületek és gépészeti szerelvények esetében a környezeti levegő légsebességét és az elem pozícióját, az alábbi korrekciókat szükséges elvégezni a megadott esetekre:
a) Csak természetes áramlás, vízszintes pozíció és fűtött tér esetén:
aa) DN15 méret esetén:
ab) DN20 mérettől DN300 mérettel bezárólag:

b) Csak természetes áramlás, függőleges pozíció és fűtött tér esetén:
ba) DN15 mérettől DN300 mérettel bezárólag:

c) Csak természetes áramlás, vízszintes pozíció és fűtetlen tér esetén:
ca) DN15 méret esetén:
cb) DN20 mérettől DN300 mérettel bezárólag:
d) Csak természetes áramlás, függőleges pozíció és fűtetlen tér esetén:
da) DN15 mérettől DN300 mérettel bezárólag:
e) Kényszerített áramlással rendelkező belső terek, vízszintes pozíció esetén:
ea) DN15 méret esetén:
eb) DN20 mérettől DN300 mérettel bezárólag:

f) Kényszerített áramlással rendelkező belső terek, függőleges pozíció esetén:
fa) DN15 mérettől DN300 mérettel bezárólag:
g) Szabadban futó, vízszintes pozíció esetén:
ga) DN15 méret esetén:
gb) DN20 mérettől DN300 mérettel bezárólag:

h) Szabadban futó, függőleges pozíció esetén:
ha) DN15 mérettől DN300 mérettel bezárólag:
Hengeres testek esetén az elért energiamegtakarítás az egyes elemek elérhető energiamegtakarítás összegéből adódik, mely az alábbi képlet alapján számítható.

Szerelvények hőszigetelésével elérhető energiamegtakarítás az alábbi képletek segítségével számítható.
2.10.4.2.3. táblázat: Megtakarítási tényező számítása különböző szerelvénytípusokra

2.10.5. Energiafogyasztás igazolása
Az energiafogyasztás igazolását az alábbiak szerint szükséges elvégezni:
2.10.4.1. egyszerűsített számítási metódus esetén, kimutatott energiamegtakarítás nem haladhatja meg az alábbi fajlagos értékekből visszaszámolt éves hőigény 7,5%-át. Az éves hőigény az alábbiak szerint számolható:
| A | B | C | D | E | F | |
| 1. | Fajlagos fűtési hőigény | Családi ház | Társas- /szövetkezeti ház kevesebb mint 10 lakással | Társas- /szövetkezeti ház 10 vagy több lakással | Iroda, vagy egyéb funkciójú középület | Oktatási épület |
| 2. | qf[kWh/m2év] | 139,5 | 96,0 | 67,5 | 88 | 130 |
2.10.4.2. részletes számítási metódus esetén, a kimutatott energiamegtakarítás nem haladhatja meg a 4.1. alpontjai alapján alátámasztott éves fűtési energiafogyasztásnak a 7,5%-át.
2.11. Szekunder oldali fűtés rekonstrukció
2.11.1. Intézkedés leírása és alkalmazása
2.11.1.1. Energiahatékonyságot növelő intézkedés keretében a meglévő és elavult hő-ellátó rendszer átfogó korszerűsítése valósul meg. A fűtési rendszer szekunder oldali felújításra vonatkozó intézkedés részeként az alábbiakat szükséges elvégezni:
a) a fűtési elosztórendszer egycsövesről kétcsöves, vagy legalább egycsöves átkötőszakaszos rendszerré történő átalakítása,
b) ha a meglévő szabályzó-szelepek nem biztosítják az egyedi hőleadók dinamikus szabályozását, akkor a hőleadók egyedi szabályozását biztosító radiátorszelepek (manuális vagy programozható távolról vezérelhető termosztatikus radiátorszelepek) és automatikus működésű állítóművek (pl. "termofejek") beszerelése kötelező az összes hőleadóra, azzal, hogy amennyiben a hőleadó nagy vízterű öntöttvas tagos radiátor, akkor a radiátor cseréjét is kötelező elvégezni,
c) az épület fűtési rendszerének hidraulikai egyensúlyát biztosító szerelvények (különösen a "strangszabályozók") felszerelése és hidraulikai beszabályozási terv szerinti beszabályozása (kötelező intézkedés, amennyiben a szabályzó szelepek már korábban beépítésre kerültek a beszabályozási terv felülvizsgálata és a beszabályozottság ellenőrzése és ezek megfelelőségének igazolása szükséges),
d) a hőleadókra fűtési költségmegosztók elhelyezése, a rendszerhez tartozó adatgyűjtők felszerelésével és a rendszeres leolvasás, elszámolás biztosítása (kötelező intézkedés),
e) a külső határoló szerkezet mellé telepített összes hőleadónál hőtükör telepítése (abban az esetben, ha az érintett épület nem rendelkezik külső homlokzati hőszigeteléssel)
2.11.1.2. Középületek esetében a fűtési rendszer szekunder oldali rekonstrukciója az alábbiak alapján:
a) a hőleadók egyedi szabályozását biztosító radiátorszelepek (manuális vagy programozható távolról vezérelhető termosztatikus radiátorszelepek) és automatikus működésű állítóművek (pl. "termofejek") beszerelése az összes hőleadóra, azzal, hogy amennyiben a hőleadó nagy vízterű öntöttvas tagos radiátor, akkor a radiátor cseréjét is kötelező elvégezni.
b) az épület fűtési rendszerének hidraulikai egyensúlyát biztosító szerelvények (beszabályzó szelepek) felszerelése és hidraulikai beszabályozási terv szerinti beszabályozása (kötelező intézkedés, amennyiben a szabályzó szelepek már korábban beépítésre kerültek a beszabályozási terv felülvizsgálata és a beszabályozottság ellenőrzése és ezek megfelelőségének igazolása szükséges),
c) a külső határoló szerkezet mellé telepített összes hőleadónál hőtükör telepítése (abban az esetben vehető figyelembe, ha az érintett épület nem rendelkezik külső homlokzati hőszigeteléssel).
2.11.1.3. Alkalmazás feltételei:
a) saját központi hőtermelővel rendelkező vagy távfűtött társasházak, szövetkezeti házak vagy középületek esetében hajtható végre,
b) kizárólag hidraulikailag beszabályozott, vagy az intézkedés során beszabályzásra kerülő fűtési rendszer esetén alkalmazható,
c) költségmegosztók telepítése intézkedés önmagában csak akkor elszámolható, amennyiben a szekunder fűtési rendszer rendelkezik szabályozási lehetőségekkel.
2.11.1.4. Alkalmazást kizáró feltételek:
a) a bázis érték meghatározásánál figyelembe vett időszakban a fűtésben történt a fűtési energiafelhasználást befolyásoló intézkedés megvalósítása,
b) a fűtésben történt új energiahordozó bevonása,
c) az épület funkciója, kihasználtságának mértéke változott,
d) az intézkedést megelőző 3 fűtési időszak korrigált fűtési energiafelhasználásai, Ei fűtési korr nem térhetnek el ±15%-nál nagyobb mértékben az Erégi fűtési bázis energiafelhasználástól. Ha az Ei fűtési korr valamelyik értéke meghaladja az Erégi ±15%-át, abban az esetben a fűtési bázis energiafelhasználás, Erégi értékét egyedi auditban kell meghatározni.
2.11.2. Intézkedés jellemzői
| A | B | |
| 1. | Élettartam | Az energiahatékonyságról szóló törvény végrehajtásáról szóló 122/2015. (V. 26.) |
| 2. | Avulás |
| Korm. rendelet 6. melléklete alapján | ||
| 3. | Hitelesítés határideje | Az energiahatékonyságról szóló 2015. évi LVII. törvény 15/A. § (4) bekezdése alapján |
| 4. | Intézkedés típusa | 2107 - Épületgépészet - Fűtési rendszer - Elosztó rendszer felújítása vagy 2108 - Épületgépészet - Fűtési rendszer Hőleadó cseréje vagy 2109 - Épületgépészet - Fűtési rendszer - Szabályozási rendszer korszerűsítése vagy 2110 - Épületgépészet - Fűtési rendszer - Komplex fűtési rendszer felújítása vagy 2111 - Épületgépészet - Fűtési rendszer - Egyéb |
| 5. | Minimumkövetelmény | - |
| 6. | Kezdő dátum | Megrendelés vagy vállalkozási szerződés dátuma |
| 7. | Záró dátum | A teljesítési igazolás vagy a számviteli bizonylat vagy az üzembehelyezési jegyzőkönyv vagy a műszaki átadás-átvételi jegyzőkönyv dátuma |
2.11.3. Számítás paraméterei
2.11.3.1. Rögzítendő bemeneti műszaki paraméterek:
| A | B | C | |
| 1. | Sorok | Műszaki paraméter | Érték |
| 2. | 1 | Ei fűtési mért - az intézkedést megelőző három fűtési időszak mért fűtési jellegű energiafelhasználási adatai [GJ/év] | |
| 3. | 2 | Tk,i fűtési - az intézkedést megelőző három fűtési időszak havi külső átlaghőmérsékleti adatai, [°C] | |
| 4. | 3 | Ix- d - a megvalósított intézkedésekhez tartozó elszámolható energiamegtakarítás mértéke, [%] |
2.11.3.2. Alátámasztó dokumentumok:
| A | B | |
| 1. | Alátámasztásra szoruló adatok | Alátámasztó dokumentumok |
| 2. | Épület besorolás típusa | Társasház esetén: tulajdoni törzslap vagy hatályos alapító okirat Szövetkezeti ház esetén: tulajdoni törzslap vagy hatályos alapszabály Középület esetén: tulajdoni lap vagy üzemeltetői szerződés vagy vagyonkezelői szerződés vagy ezzel egyenértékű igazoló dokumentum |
| 3. | Megvalósított intézkedések ismertetése | Társasház és szövetkezeti ház esetén: Megfelelő részletezettségű kivitelezési szerződés vagy számlák tételes felsorolással vagy kivitelező és közös képviselő, szövetkezeti ház esetén a lakásszövetkezetekről szóló 2004. évi CXV. törvény 7. § szerinti képviselő, a társasházakról szóló 2003. évi CXXXIII. törvény 13. § (3) bekezdése alapján a Ptk. közös tulajdonra vonatkozó szabályai szerint működő legfeljebb hatlakásos társasház esetén a tulajdonostársak nyilatkozata fényképekkel. Középület esetén: Megfelelő részletezettségű kivitelezési szerződés vagy számlák tételes felsorolással vagy kivitelező és üzemeltető nyilatkozata fényképekkel |
| 4. | Intézkedés előtti szekunder rendszer leírása (Egycsöves, kétcsöves vagy átkötőszakaszos) és a szabályzó- szelepek + radiátorok típusa | Műszaki leírás a fűtési rendszerről vagy teljeskörű fotódokumentáció, előzetes kivitelezői szakvéleménnyel |
| 5. | Az intézkedést megelőző 3 fűtési időszakban nem voltak a fűtési energiafogyasztást befolyásoló intézkedések és nem történt új fűtési energiahordozó bevonása, valamint az épület funkciója, és kihasználtsága nem változott | Társasház esetén: Közös képviselő, a társasházakról szóló 2003. évi CXXXIII. törvény 13. § (3) bekezdése alapján a Ptk. közös tulajdonra vonatkozó szabályai szerint működő legfeljebb hatlakásos társasház esetén a tulajdonostársak nyilatkozata Szövetkezeti ház esetén: a lakásszövetkezetekről szóló 2004. évi |
| CXV. törvény 7. § szerinti képviselő nyilatkozata Középület esetén: Üzemeltető nyilatkozata | ||
| 6. | Hidraulikai beszabályozás | Hidraulikai beszabályozási terv vagy beszabályozási jegyzőkönyv |
| 7. | Üzembehelyezés | Üzembehelyezési jegyzőkönyv vagy műszaki átadás-átvételi jegyzőkönyv vagy kivitelezői, műszaki ellenőri, felelős műszaki vezetői nyilatkozat vagy számviteli bizonylat |
| 8. | Hőtükör elszámolása esetén az épület homlokzati hőszigetelés hiányának igazolása | Hiteles energetikai tanúsítvány vagy épület műszaki leírása mely tartalmazza a rétegrendet - friss fotódokumentációval alátámasztva |
| 9. | Az intézkedést megelőző 3 fűtési időszak 12 havi energiafogyasztási adatai (Ei mért , GJ/hó) | A szolgáltató által kiállított számla vagy igazolás vagy fogyasztásmérési adat |
2.11.4. Részletes számítási metódus
Tekintettel arra, hogy erre az intézkedésre nem vonatkozik minimum követelmény, ezért a számítás során a kiinduló állapothoz képest szükséges meghatározni a végsőenergia-megtakarítás mértékét a beruházást megelőző hőellátó rendszer életkorától függetlenül.
Ha az intézkedés előtti időszakok energiafelhasználásának mérése a használati melegvíz hőigényét, (a továbbiakban: HMV), vagy gáztűzhelyek földgázfelhasználását is tartalmazza, a havi fűtési energiafelhasználást a teljes havi energiafelhasználásnak az intézkedés megvalósítását megelőző, a fűtési időszakokon kívüli 5 hónap (május - szeptember) átlagfelhasználásával történő csökkentésével kell meghatározni.
A megtakarítás meghatározásához a fűtési mért energiafelhasználási értékeket a 2.11.4.2. táblázatban felvett fűtési külső átlaghőmérsékletek figyelembevételével, és az épületek energetikai jellemzőinek meghatározásáról szóló 9/2023. (V. 25.) ÉKM rendelet energiapolitikáért felelős miniszter által vezetett minisztérium honlapján elérhető számítási módszer 2. függelékének 1.2.1 pontjában található általános, havi külső hőmérsékletére korrigálni kell (1.1 táblázat adatai szerint 4,6 °C). Az elszámolható megtakarítást a külső hőmérsékletre korrigált fűtési bázis energiafelhasználása alapján, az egyes intézkedésekhez rendelt a 2.11.4.4. és 2.11.4.5. táblázatokban található, statisztikai adatok alapján meghatározott százalék szorzataként kell meghatározni.
Az elszámolható megtakarítás feltétele, hogy a bázis érték meghatározásánál figyelembe vett időszakban a fűtésben nem történt a fűtési energiafelhasználást befolyásoló intézkedés megvalósítása, a fűtésben nem történt új energiahordozó bevonása, valamint az épület funkciója, kihasználtságának mértéke nem változott.
Fűtési energiafelhasználás: Azokban a fűtési rendszerekben, ahol a fűtésre hasznosított energia önálló mérővel van mérve, a teljes mért energiamennyiséget, azaz a tárgyi fűtési időszakot megelőző és azon átívelő május - április hónapokban mért energiát teljes mértékben fűtési energiafelhasználásnak kell tekinteni.
Éves nem fűtési jellegű energiafelhasználás: Azokban a fűtési rendszerekben, ahol a HMV melegítésére hasznosított hőenergia, vagy a gáztűzhelyek földgázfelhasználása a fűtésre hasznosított energiával együtt van mérve, a tárgyi fűtési időszakot megelőző május - szeptember hónapokban mért energiát teljes mértékben nem fűtési jellegű energiafelhasználásnak kell tekinteni. Ezen időszakok havi átlagát kell tekinteni a nem fűtési jellegű havi energiaigényének, a havi átlag tizenkétszeresét az éves nem fűtési jellegű energiafelhasználásnak..
Az intézkedés előtti havi energiafogyasztást a 2.11.4.1. táblázat szerint kell rögzíteni.
2.11.4.1. táblázat: Az intézkedést megelőző években a havi energiafogyasztás
| A | B | C | |||
| 1. | Sorok száma | A mért energiafogyasztás hónapja | Az intézkedést megelőző 3 fűtési időszak mért havi energiafogyasztásai, Ei mért, GJ/hó | ||
| intézkedés -3 év időszak | intézkedés -2 év időszak | intézkedés -1 év időszak | |||
| 2. | 1 | Május (nem fűtési jellegű) | |||
| 3. | 2 | Június (nem fűtési jellegű) | |||
| 4. | 3 | Július (nem fűtési jellegű) | |||
| 5. | 4 | Augusztus (nem fűtési jellegű) | |||
| 6. | 5 | Szeptember (nem fűtési jellegű) | |||
| 7. | 6 | Október | |||
| 8. | 7 | November | |||
| 9. | 8 | December | |||
| 10. | 9 | Január | |||
| 11. | 10 | Február | |||
| 12. | 11 | Március | |||
| 13. | 12 | Április | |||
| 14. | Éves összes energiafogyasztás, GJ/év: | ||||
| 15. | Éves nem fűtési jellegű energiafogyasztás*, GJ/év: | |||
| 16. | Fűtési időszak mért energiafogyasztás**, Ei fűtési mért, GJ/év | |||
| * A nem fűtési jellegű energiafelhasználás meghatározása: a tárgyi fűtési időszakot megelőző május - szeptember hónapokban mért energiafelhasználások havi átlagát kell tekinteni a nem fűtési jellegű havi energiaigényének, és ezen havi igény tizenkétszeresét kell tekinteni az éves nem fűtési jellegű energiafelhasználásnak. **A tárgyi fűtési időszakok fűtési energiafelhasználás meghatározása: a tárgyi fűtési időszakot megelőző és azon átívelő május - április hónapokban mért éves összes energiafelhasználást az éves nem fűtési jellegű energiafelhasználással csökkentve kell a mért fűtési energiafelhasználásnak tekinteni, Ei fűtési mért , GJ/év. | ||||
Az intézkedést megelőző fűtési időszakokban az intézkedés helyszíne szerinti havi külső átlaghőmérsékleteket a 2.11.4.2. táblázat szerint kell felvenni, illetve ezen adatokból a fűtési időszakok átlaghőmérsékletét megállapítani.
2.11.4.2 táblázat: A fűtési időszakokban a külső átlaghőmérsékletek, °C
| A | B | C | D | |
| 1. | Fűtési időszak | intézkedés -3 fűtési időszak | intézkedés -2 fűtési időszak | intézkedés -1 fűtési időszak |
| 2. | Október | |||
| 3. | November | |||
| 4. | December | |||
| 5. | Január | |||
| 6. | Február | |||
| 7. | Március | |||
| 8. | Április | |||
| 9. | Fűtési külső átlaghőmérséklet, Tk,i fűtési, C |
2.11.4.3 táblázat: A fűtési időszakokban a külső átlaghőmérsékletek és energiafogyasztások
| A | B | C | D | E | |
| 1. | Sorok száma | Fűtési időszak | intézkedés -3 fűtési időszak | intézkedés -2 fűtési időszak | intézkedés -1 fűtési időszak |
| 2. | 1 | Fűtési időszak külső átlaghőmérséklet a 2.11.4.2. táblázat szerint, Tk,i fűtési, °C | |||
| 3. | 2 | Fűtési referencia külső átlaghőmérséklet Tk, fűtési ref, °C | |||
| 4. | 3 | Fűtési időszak mért energiafogyasztás a 2.11.4.1 táblázat szerint, Ei fűtési mért, GJ/év | |||
| 5. | 4 | Fűtési időszak korrigált energiafogyasztás, Ei fűtési korr, GJ/év | |||
| 6. | 5 | Fűtési bázis energiafogyasztás, Erégi, GJ/év | |||
| 7. | 6 | Fűtési időszak korrigált energiafogyasztás eltérése a fűtési bázis energiafogyasztástól***, % | |||
| ***Az intézkedést megelőző 3 fűtési időszak korrigált fűtési energiafogyasztásai, Ei fűtési korr nem térhetnek el ±15%-nál nagyobb mértékben az Erégi fűtési bázis energiafogyasztástól. Ha az Ei fűtési korr valamelyik értéke meghaladja az Erégi ±15%-át, abban az esetben a fűtési bázis energiafogyasztás, Erégi értékét egyedi auditban kell meghatározni. | |||||
A fűtési rendszer korszerűsítésével elszámolható energiamegtakarítások statisztikai alapon meghatározott százalékos értékét a 2.11.4.4. és 2.11.4.5. táblázatok tartalmazzák.
2.11.4.4. táblázat: Társasház, szövetkezeti ház fűtési rendszerének korszerűsítésével elszámolható energiamegtakarítások
| A | B | C | D | E | F | |
| 1. | Intézkedés | Ia-b-c-d | Ib-c-d | Ib-d | Ic-d | Id |
| 2. | A fűtési elosztórendszer egycsövesről kétcsöves, vagy legalább egycsöves átkötőszakaszos rendszerré történő átalakítása | új intézkedés | meglévő kétcsöves vagy átkötősza- kaszos rendszer | meglévő kétcsöves vagy átkötősza- kaszos rendszer | meglévő kétcsöves vagy átkötősza- kaszos rendszer | meglévő kétcsöves vagy átkötősza- kaszos rendszer |
| 3. | A hőleadók egyedi szabályozását biztosító radiátorszelepek (manuális | új intézkedés | új intézkedés | új intézkedés | ha a meglévő szabályzó- | ha a meglévő szabályzó- |
| vagy programozható távolról vezérelhető termosztatikus radiátorszelepek) és automatikus működésű állítóművek (pl. "termofejek") beszerelése az összes hőleadóra, azzal hogy amennyiben a hőleadó nagy vízterű öntöttvas tagos radiátor, akkor a radiátor cseréjét is kötelező elvégezni. | szelepek biztosítják az egyedi hőleadók dinamikus szabályo- zását és a radiátorok korszerűek | szelepek biztosítják az egyedi hőleadók dinamikus szabályo- zását és a radiátorok korszerűek | ||||
| 4. | Az épület fűtési rendszerének hidraulikai egyensúlyát biztosító szerelvények (különösen a "strangszabályozók") felszerelése és hidraulikai beszabályozási terv szerinti beszabályozása | új intézkedés | új intézkedés | meglévő beszabá- lyozott rendszer | új intézkedés | meglévő beszabá- lyozott rendszer |
| 5. | A hőleadókra fűtési költségmegosztók elhelyezése, a rendszerhez tartozó adatgyűjtők felszerelésével és a rendszeres leolvasás, elszámolás biztosítása | új intézkedés | új intézkedés | új intézkedés | új intézkedés | új intézkedés |
| 6. | A megvalósított intézkedésekhez tartozó elszámolható energiamegtakarítás mértéke, Ix -d, % | 16% | 14% | 10% | 8% | 4% |
| 7. | Az érintett fűtési rendszer összes nagy vízterű öntöttvas tagos radiátorának cseréje új gyártású, rendszer kompatibilis radiátorra és a fűtési rendszer előremenő vízhőmérsékletének csökkentése minimum 7°C fokkal. | +3% | ||||
| 8. | Amennyiben az érintett épület nem rendelkezik külső homlokzati szigeteléssel, és az összes külső homlokzat mellett található hőleadónál beépítésre kerül hőtükör is, +1% energiamegtakarítás vehető figyelembe. | +1% | ||||
| 9. | A megvalósított intézkedésekhez tartozó elszámolható energiamegtakarítás mértéke, Ix-e, % | 20% | 18% | 14% | 12% | 8% |
2.11.4.5. táblázat: Középület fűtési rendszerének korszerűsítésével elszámolható energiamegtakarítások
| A | B | C | D | |
| 1. | Intézkedés | Ia-b | Ia | Ib |
| 2. | A hőleadók egyedi szabályozását biztosító radiátorszelepek (manuális vagy programozható távolról vezérelhető termosztatikus radiátorszelepek) és automatikus működésű állítóművek (pl. "termofejek") beszerelése az összes hőleadóra, azzal, hogy amennyiben a hőleadó nagy vízterű öntöttvas tagos radiátor, akkor a radiátor cseréjét is kötelező elvégezni. | új intézkedés | új intézkedés | meglévő szabályzó- szelepek és korszerű radiátorok |
| 3. | Az épület fűtési rendszerének hidraulikai egyensúlyát biztosító szerelvények (beszabályzó szelepek) felszerelése és hidraulikai beszabályozási terv szerinti beszabályozása | új intézkedés | meglévő beszabályozott rendszer | új intézkedés |
| 4. | A megvalósított intézkedésekhez tartozó elszámolható energiamegtakarítás mértéke, Ix-b, % | 10% | 6% | 4% |
| 5. | Az érintett fűtési rendszer összes nagy vízterű öntöttvas tagos radiátorának cseréje új gyártású, rendszer kompatibilis radiátorra és a fűtési rendszer előremenő vízhőmérsékletének csökkentése minimum 7°C fokkal. | +3% | ||
| 6. | Amennyiben az érintett épület nem rendelkezik külső homlokzati szigeteléssel, és az összes külső homlokzat mellett található hőleadónál beépítésre kerül hőtükör is, +1% energiamegtakarítás vehető figyelembe. | +1% | ||
| 7. | A megvalósított intézkedésekhez tartozó elszámolható energiamegtakarítás mértéke, Ix-c, % | 14% | 10% | 8% |
Az energiamegtakarítás számítása:
Az intézkedést megelőző i-edik fűtési időszakhoz tartozó korrigált fűtési energiafelhasználás értékeit az alábbi összefüggéssel kell meghatározni.
Tb [°C] a számítást minden esetben 20 °C-s belső hőmérsékletre kell elvégezni.
Az intézkedést megelőző 3 fűtési időszakhoz tartozó fűtési bázis energiafelhasználás értékét az alábbi összefüggéssel kell meghatározni.
Az elszámolható összesített energiamegtakarítás társasházak, szövetkezeti házak esetén a 2.11.4.4. táblázatban, míg középületek esetében a 2.11.4.5. táblázatban szereplő elszámolható intézkedések figyelembevételével határozható meg:
2.11.5. Energiafelhasználás igazolása
Tekintve, hogy a 2.11.4. pontban a kalkuláció során a valós fogyasztási adatok alapján számolunk, így ez megfelelő az energiafelhasználás igazolására.
2.12. Használati melegvíz készítés hőfejlesztő berendezésének cseréje
2.12.1. Intézkedés leírása és alkalmazása
Energiamegtakarítási intézkedésként a legfeljebb 400 kW mért hőteljesítményű vízmelegítők és a legfeljebb 2 000 liter tárolási térfogatú melegvíz-tárolós, HMV vízmelegítők, vagy hőfejlesztő berendezések energiahatékonyabbra történő cseréje számolható el.
2.12.1.1. Alkalmazás feltételei:
a) lakóépület és középület esetén alkalmazható,
b) 2.12.5.1. táblázatban feltüntetett funkciójú épületekre alkalmazható,
c) kizárólag villamos energiával ellátott HMV vízmelegítők, vagy hőfejlesztő berendezések beépítése számolható el.
2.12.1.2. Alkalmazást kizáró feltételek:
a) Hőszivattyúval, vagy kondenzációs kazánnal előállított használati melegvizes rendszer korszerűsítése nem elszámolható.
2.12.2. Intézkedés jellemzői
| A | B | |
| 1. | Élettartam | Az energiahatékonyságról szóló törvény végrehajtásáról szóló 122/2015. (V. 26.) Korm. rendelet 6. melléklete alapján |
| 2. | Avulás | |
| 3. | Hitelesítés határideje | Az energiahatékonyságról szóló 2015. évi LVII. törvény 15/A. § (4) bekezdése alapján |
| 4. | Intézkedés típusa | 2203 - Épületgépészet - HMV rendszer - Kazáncsere - egyéb nem fosszilis vagy 2204 - Épületgépészet - HMV rendszer - Hőszivattyú beépítése vagy 2208 - Épületgépészet - HMV rendszer - Egyéb (Például: napkollektor beépítéssel) |
| 5. | Minimumkövetelmény | A Bizottság 814/2013/EU rendelete |
| 6. | Kezdő dátum | Megrendelés vagy vállalkozási szerződés dátuma |
| 7. | Záró dátum | A teljesítési igazolás vagy a számviteli bizonylat vagy az üzembehelyezési jegyzőkönyv vagy a műszaki átadás-átvételi jegyzőkönyv dátuma |
2.12.3. Számítás paraméterei
2.12.3.1. Rögzítendő bemeneti műszaki paraméterek:
| A | B | C | D | |
| 1. | Sorok száma | Műszaki paraméter | Régi | Új |
| 2. | 1 | A vízmelegítő, vagy hőfejlesztő berendezés gyártója | ||
| 3. | 2 | A vízmelegítő, vagy hőfejlesztő berendezés típusa | ||
| 4. | 3 | A vízmelegítő, vagy hőfejlesztő berendezés üzembe helyezésének éve | ||
| 5. | 4 | A vízmelegítésre használt energia fajtája (villany, földgáz) | ||
| 6. | 5 | Phmv a vízmelegítő, vagy hőfejlesztő berendezés névleges teljesítménye [kW] | ||
| 7. | 6 | nwhpa vízmelegítő, vagy hőfejlesztő berendezés végső energiában meghatározott vízmelegítési hatásfoka [%] | ||
| 8. | 7 | HMV-t hasznosító épület funkciója a 2.12.5.1 táblázat szerint | ||
| 9. | 8 | AF a lakóépület fűtött alapterülete [m2] | csak lakóépület esetén | |
| 10. | 9 | Nfő/nap az épületben a HMV rendszert használók száma, naponta [fő/nap] | ||
| 11. | 10 | Zfő/nap a HMV rendszert (zuhanyzással) használók száma, naponta [fő/nap] | ||
| 12. | 11 | Mdbkórházi, szálláshelyi ágyak, éttermi székek száma, az igazolt éves kihasználtság figyelembevételével korrigálva [db] | ||
| 13. | 12 | Nnapa HMV rendszer éves használati időtartama, pl. munkanapok száma [nap/év] | ||
2.12.4. Alátámasztó dokumentumok:
| A | B | |
| 1. | Alátámasztásra szoruló adatok | Alátámasztó dokumentumok |
| 2. | Az új vízmelegítő, vagy hőfejlesztő berendezés hatásfoka nwhp,új[%] és névleges teljesítménye Phmv,új[kW] | Műszaki adatlap vagy adattábla vagy egyéb műszaki dokumentum |
| 3. | Korai csere esetén: A régi vízmelegítő, vagy hőfejlesztő berendezés hatásfoka nwhp,új[%] és névleges teljesítménye Phmv,új[kW] | Műszaki adatlap vagy adattábla vagy egyéb műszaki dokumentum |
| 4. | Korai csere esetén: A régi vízmelegítő, vagy hőfejlesztő berendezés üzembehelyezési éve | Műszaki adatlap vagy adattábla vagy a beépítést igazoló számviteli bizonylat |
| 5. | Az épület besorolásának igazolása | Lakóépület esetén: az érintett ingatlanra szóló min. 1 db, lakcímkártya lakcímet tartalmazó oldalának másolata Társasház esetén: tulajdoni törzslap vagy hatályos alapító okirat Szövetkezeti ház esetén: tulajdoni törzslap vagy hatályos alapszabály Középület esetén: tulajdoni lap vagy üzemeltetői szerződés vagy vagyonkezelői szerződés vagy ezzel egyenértékű igazoló dokumentum vagy üzemeltető, tulajdonos nyilatkozata |
| 6. | Lakóépület esetén: Af épület teljes fűtött alapterülete [m2] | Alaprajz, vagy végső felhasználó nyilatkozata |
| 7. | 2.12.5.1.2. és 2.12.5.1.3. esetén a HMV rendszert használók száma vagy ágyak/székek száma és az éves kihasználtsági napok száma | Üzemeltető, tulajdonos,társasház esetén a közös képviselő, szövetkezeti ház esetén a lakásszövetkezetekről szóló 2004. évi CXV. törvény 7. § szerinti képviselő, a társasházakról szóló 2003. évi CXXXIII. törvény 13. § (3) bekezdése alapján a Ptk. közös tulajdonra vonatkozó szabályai szerint működő legfeljebb hatlakásos társasház esetén a tulajdonostársak nyilatkozata |
| vagy egyéb műszaki dokumentum | ||
| 8. | Az új berendezés üzembe helyezése | A felhasználó azonosítására alkalmas részletezettségű záró számviteli bizonylat és fénykép, vagy a felhasználó azonosítására alkalmas részletezettségű záró számviteli bizonylat és teljesítési igazolás |
2.12.5. Részletes számítási metódus
Az intézkedés során a végsőenergia-megtakarítás számításánál figyelembe kell venni a vízmelegítő, vagy hőfejlesztő berendezésének élettartamát. Amennyiben az intézkedésre a régi élettartama lejártát megelőzően kerül sor, úgy azt korai cserének kell tekinteni. Amennyiben az intézkedésre a régi élettartama lejártát követően kerül sor, úgy azt késői cserének kell tekinteni. A hőtermelésnek csak az a hányada számolható el végsőenergia-megtakarításként, ami
a) korai csere esetén a régi berendezés hatásfoka,
b) korai csere időszakán túl az EU által előírt környezettudatos tervezésre vonatkozó követelmény által meghatározott referencia hatásfoka és az új berendezés hatásfoka különbségéből származó megtakarítás.
2.12.5.1. Éves nettó HMV hőigény meghatározása
A HMV hőigényt épülettípusonként és a HMV rendszert használóként az alábbi 2.12.5.1. táblázatban található fajlagos adatok, figyelembevételével kell meghatározni:
2.12.5.1. táblázat:
Különböző funkciójú épületekre vonatkozó alapadatok a HMV hőigény meghatározásához
| A | B | C | D | |
| 1. | Sorok száma | Ingatlan rendeltetése | HMV hőigény, qHMV | Mértékegység |
| 2. | 1 | Családi ház(1) | 25 | kWh/m2év |
| 3. | 2 | Egyéb lakóépület(1) | 30 | kWh/m2év |
| 4. | 3 | Irodaház | 0,4 | kWh fejenként, naponta |
| 5. | 4 | Kórházi hálóterem | 6 | kWh ágyanként, naponta |
| 6. | 5 | Iskola, óvoda, bölcsőde | 0,4 | kWh fejenként, naponta |
| 7. | 6 | Kereskedelmi | 1 | kWh dolgozónként, naponta |
| 8. | 8 | Szálloda | 2 (3 csillagosig bezárólag) 5 (4 csillagos és fölötte) | kWh ágyanként, naponta |
| 9. | 9 | Étterem | 1,1 | kWh székenként, naponta |
| 10. | 10 | Nyugdíjas otthon | 2,3 | kWh fejenként, naponta |
| 11. | 11 | Laktanya | 1,8 | kWh fejenként, naponta |
| 12. | 12 | Sportlétesítmény | 1,8 | kWh fejenként, naponta |
| (1) Lakóépületekre a megadott érték alkalmazása kötelező. A nettó igény 20%-a konyhai fogyasztás, 80%-a fürdőszobai fogyasztás (a megosztás eltérő típusú rendszer esetén releváns). | ||||
A fenti táblázatban található fajlagos értékek felhasználásával, a különböző épületek funkciójának függvényében meghatározható a vizsgált épület nettó éves hőenergia igénye.
Családi ház és egyéb lakóépület fűtött alapterület szerint:
HMV rendszert használók száma szerint:
Különböző funkciójú épületek egy főre vetített fajlagos értékei szerint:
Kórházi, szálláshelyi ágyak, éttermi székek száma szerint:
Egy HMV rendszeren belüli különböző funkciójú HMV fogyasztások esetén a megfelelő képletekkel számított éves nettó hőenergia igények összeadhatók.
2.12.5.2. A minimális energiahatékonysági követelménynek megfelelő referencia-értékek:
A vízmelegítők és a melegvíz-tároló tartályok környezettudatos tervezésére vonatkozó (a Bizottság 814/2013/EU rendelete szerinti) névleges terhelési profilokhoz tartozó referencia hőfelhasználásokat (Qref), és a végső energiára vonatkoztatott vízmelegítési referencia hatásfokokat (nwhp,ref) a 2.12.5.2. táblázat tartalmazza.
2.12.5.2. táblázat: A névleges terhelési profilokhoz tartozó referencia hőfelhasználások és vízmelegítési referencia hatásfokok

A vízmelegítés terhelési profiljának a 2.12.5.1.1. - 2.12.5.1.3. képlettel meghatározott QHMV/év HMV éves hőigény kWh/év érték szerint, Q ref, kWh/év értékhez legközelebb álló terhelési profilt kell tekinteni.
2.12.5.3. Régi berendezés várható élettartam lejárta előtti időszakban számított éves energiamegtakarítás
Amennyiben igazoltan adott az intézkedés tárgyát képező régi HMV vízmelegítő, vagy hőfejlesztő berendezés vízmelegítési hatásfoka, nwhp,régi az elszámolható energiamegtakarítás annak figyelembevételével számolható.
Amennyiben a régi vízmelegítési hatásfok igazoltan nem adott, annak értékét a 2.12.5.3. és 2.12.5.4. táblázatokban szereplő terhelési profilhoz tartozó hatásfok értékével kell az energiamegtakarítást számolni.
2.12.5.3. táblázat: Villamos energiával történő melegítés esetén a régi HMV készítő berendezés vízmelegítési hatásfoka (nwhp régi,%) a névleges terhelési profil alapján
| A | B | C | D | E | F | G | H | I | J | K | L | |
| 1. | Sorok száma | Névleges terhelési profil | 3XS | XXS | XS | S | M | L | XL | XXL | 3XL | 4XL |
| 2. | 1 | nwhp,régi % | 65% | 65% | 73% | 73% | 83% | 85% | 88% | 90% | 93% | 95% |
2.12.5.4. táblázat: Földgázzal történő melegítés esetén a régi HMV készítő berendezés vízmelegítési hatásfoka (nwhprégi,%) a névleges terhelési profil alapján
| A | B | C | D | E | F | G | H | I | J | K | L | |
| 1. | Sorok száma | Névleges terhelési profil | 3XS | XXS | XS | S | M | L | XL | XXL | 3XL | 4XL |
| 2. | 1 | nwhp,régi % | 62% | 65% | 67% | 70% | 72% | 77% | 78% | 79% | 80% | 81% |
A korai csere esetében a végsőenergia-megtakarítás (∆Ekorai) a beépített új vízmelegítő berendezés és a régi HMV készítő berendezés vízmelegítési hatásfokának különbségéből számítható.
2.12.5.4. Régi berendezés várható élettartam lejártát követő időszakban számított éves többlet energiamegtakarítás
A többlet végsőenergia-megtakarítás (∆Etöbblet) a beépített új vízmelegítő berendezés és a HMV készítő berendezés környezettudatos tervezési feltételeknek megfelelő referencia hatásfokának különbségéből számítható.
2.12.6. Energiafelhasználás igazolása
Nem releváns.
3. Közlekedéssel kapcsolatos energiahatékonysági intézkedések
3.1. Energiamegtakarítás autóbusz energiatakarékosabbra cseréjével
3.1.1. Intézkedés leírása és alkalmazása
Az intézkedés a közúti járművek műszaki megvizsgálásáról szóló 5/1990. (IV. 12.) KöHÉM rendelet szerinti M2 és M3 járműkategóriájú gépjárművekre vonatkozik, amelyek közúton végeznek személyszállítási tevékenységet.
3.1.1.1. Alkalmazás feltételei:
a) Villamosenergiát és/vagy más nem fosszilis energiaforrást használó új járművek.
3.1.1.2. Alkalmazást kizáró feltételek:
a) Lecserélt és újonnan beszerzett autóbusz cserepárok szállításai feladatai eltérőek egymástól,
b) Lecserélt autóbusz kivonása, és a beszerzett autóbusz beüzemelése között több mint 365 nap telt el,
c) Ha a gépjárművek:
ca) tesztelési vagy kísérleti céllal üzemeltetnek,
cb) nem személyszállításra készültek,
cc) forgalomtól elzárt vagy nem minden közlekedő számára nyitott területen közlekednek vagy forgalmi rendszámmal nem rendelkeznek.
A jegyzék adatlap számítást végző személy feladatai közé tartozik annak a vizsgálata, hogy a flottából kivont és a beszerzett autóbuszok maximálisan szállítható személyszáma és útvonala mennyiben tér el egymástól.
3.1.2. Intézkedés jellemzői
| A | B | |
| 1. | Élettartam | Az energiahatékonyságról szóló törvény végrehajtásáról szóló 122/2015. (V. 26.) Korm. rendelet 6. melléklete alapján |
| 2. | Avulás | |
| 3. | Hitelesítés határideje | Az energiahatékonyságról szóló 2015. évi LVII. törvény 15/A. § (4) bekezdése alapján |
| 4. | Intézkedés típusa | 5101 - Szállítás - Személyszállítás - Személyszállító jármű cseréje |
| 5. | Minimumkövetelmény | - |
| 6. | Kezdő dátum | Első kivonás vagy beállítás dátuma |
| 7. | Záró dátum | Utolsó kivonás vagy beállítás dátuma |
3.1.3. Számítás paraméterei
3.1.3.1. Rögzítendő bemeneti műszaki paraméterek:
| A | B | C | |
| 1. | Műszaki paraméter | Régi gépjármű | Új gépjármű |
| 2. | Rendszám és alvázszám | szükséges | szükséges |
| 3. | Gyártó megnevezése | szükséges | szükséges |
| 4. | Gyártmány megnevezése | szükséges | szükséges |
| 5. | Gyártási év | szükséges | szükséges |
| 6. | Kategória (M2, M3) | szükséges | szükséges |
| 7. | Hajtóenergia | szükséges | szükséges |
| 8. | Használatba vétel dátuma | szükséges | szükséges |
| 9. | Használatból kivonás dátuma | szükséges | nem szükséges |
| 10. | Maximálisan szállítható személyek száma | szükséges | szükséges |
3.1.3.2. Alátámasztó dokumentumok:
| A | B | |
| 1. | Alátámasztásra szoruló adatok | Alátámasztó dokumentumok |
| 2. | A lecserélt, régi és új gépjármű korát és használatbavételének időpontját igazoló dokumentumok | Tárgyi eszköz karton vagy gépkönyv vagy aktiválási jegyzőkönyv |
| 3. | A lecserélt, régi autóbusz használatból kivonásának időpontját igazoló dokumentumok | Leltári jegyzőkönyv vagy selejtezési jegyzőkönyv vagy értékesítési szerződés vagy értékesítési bizonylat |
| 4. | A lecserélt, régi autóbusz éves átlagos futását igazoló dokumentumok (Régi eladása vagy új üzembehelyezése előtti tárgyév viszonylatában) | A gépjármű km számlálójából, vagy menetíró készülékéből kiolvasott, dokumentált értékek vagy menetlevelek |
| 5. | A lecserélt, régi és új autóbusz útvonala (Megállók, kezdő állomás és végállomás, annak hossza és gyakorisága) | Belső nyilvántartás, vagy térkép alapú alátámasztás, menetrend dokumentumok |
| 6. | A lecserélt, régi és új autóbusz fogyasztási adatait igazoló dokumentumok | 3.1.4.1. esetén üzemanyag elszámolások vagy gépkönyv vagy belső adatbázis 3.1.4.2. esetén műszaki dokumentum, mely tartalmazza a SORT módszerrel meghatározott fajlagos energiafogyasztási adatokat |
| 7. | A lecserélt, régi és új autóbusz műszaki adatait igazoló dokumentumok | Forgalmi engedélyek |
3.1.4. Számítási metódus Az intézkedéshez minimum követelmény nem tartozik, ezért ez esetben nem alkalmazható a "korai csere" és "késői csere" definíciója. Ennek megfelelően a számítás során a kiinduló állapothoz képest szükséges meghatározni a végfelhasználási energiamegtakarítás mértékét.
3.1.4.1. Részletes számítási metódus
A részletes számítási eljárás során a lecserélt és az új járművek esetén legalább 12 egymást követő hónap futásteljesítmény és energiafogyasztás adatait szükséges feldolgozni, az energiamegtakarítás meghatározásához.

3.1.4.2. Egyszerűsített számítási metódus
Az egyszerűsített metódus alkalmazása során, ha rendelkezésre áll a mind a lecserélt, mind az új buszokról SORT módszerrel meghatározott fajlagos energiafogyasztási adat, akkor a lecserélt busz éves futásteljesítményéből és a lecserélt és új buszok közötti átlagfogyasztás-különbségből számolható a megtakarítás mértéke. A számítás során azonos körülmények között figyelembe vett átlagfogyasztásokat szabad kizárólag vizsgálni.

3.1.5. Energiafogyasztás igazolása
Az energiafogyasztás igazolására kizárólag a 3.1.4.1. részletes számítás esetén van szükség, mely során a pontos fogyasztásmérési adatokból kalkulálható a megtakarítás.
3.2. Energiamegtakarítás targonca energiatakarékosabbra cseréjével
3.2.1. Intézkedés leírása és alkalmazása
Az intézkedés a logisztikai területeken alkalmazott villástargoncákra (továbbiakban: targonca) vonatkozik, amelyek közös jellemzője, hogy:
a) villás emelőszerkezettel rendelkeznek,
b) sík, beton, aszfalt vagy ipari padló burkolaton mozognak,
c) a munkaciklusok általában egy üresjárat és egy tehermozgatás/szállítás menetből állnak,
d) a hasznos terhet emelni is kell.
3.2.1.1. Alkalmazás feltételei:
a) új targonca esetén csak nem fosszilis üzemanyagot felhasználó munkagép által realizált energiamegtakarítás számolható el.
3.2.1.2. Alkalmazást kizáró feltételek:
a) Nem logisztikai célú fogyasztás,
b) Emberi kézi erővel működtetett munkagépek,
c) Az intézkedéssel érintett targonca a hasznos terhet emelni nem képes,
d) Az új targonca fosszilis üzemanyagot használ fel
e) Lecserélt targonca kivonása és a beszerzett targonca üzembehelyezése között több mint 365 nap telt el.
3.2.2. Intézkedés jellemzői
| A | B | |
| 1. | Élettartam | Az energiahatékonyságról szóló törvény végrehajtásáról szóló 122/2015. (V. 26.) Korm. rendelet alapján |
| 2. | Avulás | |
| 3. | Hitelesítés határideje | Az energiahatékonyságról szóló 2015. évi LVII. törvény 15/A. § (4) bekezdése alapján |
| 4. | Intézkedés típusa | 5201 - Szállítás - Teherszállítás - Teherszállító jármű cseréje |
| 5. | Minimumkövetelmény | - |
| 6. | Kezdő dátum | Első kivonás vagy beállítás dátuma |
| 7. | Záró dátum | Utolsó kivonás vagy beállítás dátuma |
3.2.3. Számítás paraméterei
3.2.3.1. Rögzítendő bemeneti műszaki paraméterek:
| A | B | C | D | |
| 1. | Sorok száma | Műszaki paraméter | Lecserélt targonca | Új targonca |
| 2. | 1 | Gyártó | szükséges | szükséges |
| 3. | 2 | Típus | szükséges | szükséges |
| 4. | 3 | Kivitel/funkció | szükséges | szükséges |
| 5. | 4 | Üzemanyag típusa | szükséges | szükséges |
| 6. | 5 | Használatba vétel dátuma | szükséges | szükséges |
| 7. | 6 | Használatból kivonás dátuma | szükséges | nem szükséges |
| 8. | 7 | Fogyasztás, EN 16796 szerint [l/h] vagy [kWh/h] | szükséges | szükséges |
| 9. | 8 | Hasznos terhelhetőség [t] | szükséges | szükséges |
| 10. | 9 | Éves átlagos üzemóra [h/év] | szükséges | nem szükséges* |
*mért adat hiányában lehet megegyező a lecserélt targoncáéval
3.2.3.2. Alátámasztó dokumentumok:
| A | B | |
| 1. | Alátámasztásra szoruló adatok | Alátámasztó dokumentumok |
| 2. | Lecserélt targoncák gyártója, típusa, felhasznált hajtóenergia | Műszaki adatlap vagy adattábla vagy üzembehelyezési jegyzőkönyv vagy üzemeltetői nyilatkozat |
| 3. | Lecserélt targoncák üzembe helyezésének dátuma | Vételi-, bérleti szerződés vagy használatbavételi jegyzőkönyv vagy számla vagy tárgyi eszközkarton |
| 4. | Lecserélt targoncák kivonásának dátuma | Leltárból kivezetés, selejtezés vagy értékesítést igazoló dokumentum |
| 5. | Új targoncák gyártója, típusa, felhasznált üzemanyaga | Műszaki adatlap vagy adattábla vagy üzembehelyezési jegyzőkönyv |
| 6. | Új targoncák üzembe helyezésének dátuma | Vételi-, bérleti szerződés vagy használatbavételi jegyzőkönyv. vagy számla vagy tárgyi eszközkarton |
| 7. | Lecserélt targoncák éves üzemórája | Üzemóra számlálóból kiolvasott, dokumentált adat |
| 8. | Lecserélt targoncák energiafogyasztása | Műszaki adatlap EN 16796 vagy VDI szerint vagy mérési jegyzőkönyv |
| 9. | Új targoncák energiafogyasztása | Műszaki adatlap EN 16796 vagy VDI szerint vagy mérési jegyzőkönyv |
3.2.4. Részletes számítási metódus
Az intézkedéshez minimum követelmény nem tartozik, ezért ez esetben nem alkalmazható a "korai csere" és "késői csere" definíciója. Ennek megfelelően a számítás során a kiinduló állapothoz képest szükséges meghatározni a végfelhasználási energiamegtakarítás mértékét. Az éves végfelhasználási energiamegtakarítás az alábbi képlettel határozható meg.
3.2.4.1. Az új és lecserélt targoncák fogyasztásának meghatározása 3 különböző módon történhet:
a) Az adott típusú targonca EN 16796 szabvány vagy VDI ciklus szerinti fogyasztása a gyártó adatszolgáltatása alapján meghatározható. Amennyiben a gyártói adatszolgáltatás a fogyasztásra vonatkozóan valamelyik targoncára (új vagy lecserélt) nem áll rendelkezésre, úgy a szabványos mérés elvégezhető utólag is az intézkedést végrehajtó végsőfelhasználó által, az EN 16796 szabványban megadott módon dokumentált formában.
b) A lecserélt targoncák esetén a fogyasztásra vonatkozó gyártói adat hiányában a 3.2.4.1. táblázatban látható piaci átlagértékek is használhatók a lecserélt targonca fogyasztásának meghatározásához. Ebben az esetben az elszámolható energiamegtakarítás ezen piaci átlagfogyasztás és az új targonca szabványos mérés szerinti fogyasztásának különbségeként adódik.
3.2.4.1. táblázat: Targoncák piaci átlagfogyasztása terhelhetőség szerint
| A | B | C | D | E | F | G | H | I | J | |
| 1. | Terhelhetőség, t | 1,5 | 2 | 2,5 | 3 | 3,5 | 4 | 4,5 | 5 | 5,5 |
| 2. | Dízel, l/h | 2,19 | 2,57 | 2,97 | 3,23 | 3,90 | 4,44 | 4,91 | 5,95 | 6,97 |
| 3. | LPG, kg/h | 2,30 | 2,70 | 3,26 | 3,55 | 3,79 | 4,29 | 4,63 | 4,94 | 5,31 |
| 4. | Elektromos, kWh/h | 4,47 | 4,81 | 7,16 | 7,56 | 8,33 | 8,70 | 9,30 | 10,38 | 12,80 |
| 5. | Terhelhetőség, t | 6 | 6,5 | 7 | 7,5 | 8 | 8,5 | 9 | 9,5 | 10 |
| 6. | Dízel, l/h | 7,48 | n/a | 8,80 | 8,90 | 9,72 | n/a | 11,11 | n/a | 13,00 |
| 7. | LPG, kg/h | 7,09 | n/a | 7,83 | n/a | 9,93 | n/a | 10,70 | n/a | n/a |
| 8. | Elektromos, kWh/h | 12,20 | 12,20 | 13,40 | n/a | n/a | n/a | n/a | n/a | n/a |
c) Az adott típusú targonca esetén mind a lecserélt, mind pedig az új targoncára vonatkozóan elvégezhető egy nem szabványos energiafogyasztás mérés a szabványos jegyzék adatok helyettesítésére. A mérést a 3.2.5 fejezetben meghatározott módon lehetséges elvégezni és dokumentálni. Az energiamegtakarítás számítása minden targoncapárra vonatkozóan csak ugyanazzal a módszertannal megállapított energiafogyasztással lehetséges - tehát vagy mind az új, mind a lecserélt targoncára a szabványos adatok alapján kell számítani az energiafogyasztást, vagy mindkettőre a 3.2.5 fejezetben részletezett módszertan szerinti mérést és számítást kell elvégezni. Az egyes targonca párokra különböző módszerrel megállapított energiamegtakarítások összegezhetők egy jegyzék adatlap számításban.
3.2.5. A nem szabványos fogyasztásmérés az energiafogyasztás igazolására:
A 3.2.4.1. c) számítási metódus alkalmazása esetén a következőképpen szükséges igazolni a targoncák energiafogyasztását nem szabványos mérés segítségével:
A mérésben résztvevő targonca a mérést csak és kizárólag teljesen feltöltött akkumulátorral vagy tele üzemanyag tankkal kezdheti meg. A mérés időtartama egy, vagy több műszakhossz lehet, ami igazodik a targonca töltési, vagy tankolási ciklusához. A mérésre olyan időszakokat kell kiválasztani, amikor a targoncák kiszolgált területre jellemző, tipikusnak nevezhető feladatokat végeznek, hogy a régi és az új targoncák energiafogyasztása összevethető legyen. Ennek bizonyosságát erősítheti, ha a mérési ciklus hosszát növelik, és a kapott eredmények átlagaként határozzák meg a targoncák energiafogyasztását.
A mérésben résztvevő targoncák feladatairól az összehasonlíthatóságot igazoló jegyzőkönyvet kell vezetni, amit kiválthat pl. munkalap, belső megrendelő, stb. A dokumentációnak kötelezően tartalmaznia kell az adott mérésben résztvevő targonca műszaki adatait. A mérési időtartam lejártát követően a mérésben résztvevő targonca üzemanyagtartálya teletöltendő, villamos targonca esetén az akkumulátora teljes kapacitásig feltöltendő. A tankolt/töltési mennyiség az üzemanyagra jellemző mértékegységben a jegyzőkönyvben - fényképes bizonyítékkal együtt - kötelezően feltüntetendő. Amennyiben a mérésben résztvevő targonca a mérési időtartama alatt többszöri töltést és tankolást igényel, úgy azt minden esetben fel kell jegyezni. Több eltérő típus cseréjekor a szabványos adatok hiányában a mérés minden típusra elvégezhető.
A mérés minden targonca esetében legalább hatszor megismétlendő annak érdekében, hogy az energiafogyasztás megállapításához legalább 1 heti mért adat rendelkezésre álljon. A mérés során fontos igazolni, hogy a targoncák hasonló, vagy közel azonos tevékenységet végeztek. Amennyiben szükséges ennek biztosítására a mérési napok számát növelni szükséges. A mérési jegyzőkönyvek eredményeként minden egyes mérési napra vonatkozóan minden targoncatípus esetén rendelkezésre áll a lecserélt és az új targonca energiafogyasztása, amely segítségével képezhető az új és a lecserélt targoncára fajlagos energiafogyasztása (Frégi,i és Fúj,i).
3.3. Energiamegtakarítás tehergépjármű energiatakarékosabbra cseréjével
3.3.1. Intézkedés leírása és alkalmazása
Az intézkedés a közúti járművek műszaki megvizsgálásáról szóló 5/1990. (IV. 12.) KöHÉM rendelet szerinti N2 és N3 kategóriájú gépjárművekre vonatkozik, amelyek közúton végeznek teherszállítási tevékenységet.
3.3.1.1. Alkalmazás feltételei:
a) Villamosenergiát használó új tehergépjárművek és/vagy más nem fosszilis energiaforrást használó új járművek,
b) Lecserélt tehergépjármű végleges forgalomból kivonásra került (bontási jegyzőkönyvvel).
3.3.1.2. Alkalmazást kizáró feltételek:
a) Lecserélt és újonnan beszerzett tehergépjármű cserepárok szerelvénnyel együttes össztömege több, mint 10%-al eltér egymástól,
b) Lecserélt tehergépjármű eladása, és a beszerzett jármű üzembehelyezése között több mint 365 nap telt el,
c) Felépítménnyel rendelkező tehergépjárművek esetén a kivont és új tehergépjármű cserepárok felépítménye eltérő egymástól,
d) Ha a tehergépjárművek:
da) tesztelési vagy kísérleti céllal üzemeltetnek, nem teherszállításra készültek,
db) forgalomtól elzárt vagy nem minden közlekedő számára nyitott területen közlekednek vagy forgalmi rendszámmal nem rendelkeznek.
3.3.2. Intézkedés jellemzői
| A | B | |
| 1. | Élettartam | Az energiahatékonyságról szóló törvény végrehajtásáról szóló 122/2015. (V. 26.) Korm. rendelet 6.melléklet alapján |
| 2. | Avulás | |
| 3. | Hitelesítés határideje | Az energiahatékonyságról szóló 2015. évi LVII. törvény 15/A. § (4) bekezdése alapján |
| 4. | Intézkedés típusa | 5201 - Szállítás - Teherszállítás - Teherszállító jármű cseréje |
| 5. | Minimumkövetelmény | - |
| 6. | Kezdő dátum | Első kivonás vagy beállítás dátuma közül a korábbi |
| 7. | Záró dátum | Utolsó kivonás vagy beállítás dátuma közül a későbbi |
3.3.3. Számítás paraméterei
3.3.3.1. Rögzítendő bemeneti műszaki paraméterek:
| A | B | C | |
| 1. | Műszaki paraméter | Régi tehergépjármű | Új tehergépjármű |
| 2. | Rendszám és alvázszám | szükséges | szükséges |
| 3. | Típus megnevezése | szükséges | szükséges |
| 4. | Gyártó megnevezése | szükséges | szükséges |
| 5. | Gyártási év | szükséges | szükséges |
| 6. | Kategória (N2, N3) | szükséges | szükséges |
| 7. | Hajtóanyag típusa | szükséges | szükséges |
| 8. | Használatba vétel dátuma | szükséges | szükséges |
| 9. | Használatból kivonás dátuma | szükséges | nem szükséges |
| 10. | Kivitel (ponyvás, nyerges vontató, hűtős stb.) | szükséges | szükséges |
| 11. | Saját tömeg, [t] | szükséges | szükséges |
| 12. | Műszakilag megengedett össztömeg, [t] | szükséges | szükséges |
3.3.3.2. Alátámasztó dokumentumok:
| A | B | |
| 1. | Alátámasztásra szoruló adatok | Alátámasztó dokumentumok |
| 2. | A le cserélt, régi és új tehergépjármű korát és használatbavételének időpontját igazoló dokumentumok | Tárgyi eszköz karton vagy gépkönyv vagy aktiválási jegyzőkönyv |
| 3. | A lecserélt, régi tehergépjármű használatból kivonását igazoló dokumentumok | Bontási jegyzőkönyv vagy végleges forgalomból kivonás |
| 4. | A lecserélt, régi tehergépjármű az intézkedés megkezdését megelőző naptári év adatai alapján meghatározott éves futásteljesítményét igazoló dokumentumok | Menetlevél vagy flottamenedzser szoftver adatai |
| 5. | Reprezentatív mintavételezés (legalább 20%, de minimum 1 db) alapján a lecserélt, régi tehergépjármű az intézkedés megkezdését megelőző naptári évre vonatkozó éves összes teherszállítását igazoló dokumentumok | Fuvarlevelek vagy számlák |
| 6. | A lecserélt, régi és új tehergépjármű fogyasztási adatait igazoló dokumentumok | Üzemanyag elszámolások vagy gépkönyv vagy flottamenedzser szoftver adatai |
| 7. | A lecserélt, régi és új tehergépjármű műszaki adatait igazoló dokumentumok | Forgalmi engedély |
| 8. | "a" Tankolási arány - Teljes közúti szállítás során a bázis időszak üzemanyag fogyasztása Mo. - és Külföldi tankolás szerinti bontásban | Üzemanyag elszámolások vagy belső kimutatás vagy üzemanyag bizonylatok vagy egyéb bizonyító erejű dokumentum |
3.3.4. Részletes számítási metódus
Az intézkedéshez minimum követelmény nem tartozik, ezért ez esetben nem alkalmazható a "korai csere" és "késői csere" definíciója. Ennek megfelelően a számítás során a kiinduló állapothoz képest szükséges meghatározni a végfelhasználási energiamegtakarítás mértékét.
A számítási eljárás során a lecserélendő és az új járművek esetén legalább tizenkettő egymást követő hónap futásteljesítmény, energiafogyasztás és szállított tömeg adatait szükséges feldolgozni, az energiamegtakarítás meghatározásához. Ezen kívül szükséges a kivont jármű éves futásteljesítménye is a számításhoz. A fajlagos energiafogyasztás meghatározásakor a közúti szállításhoz tartozó energiafogyasztás osztandó a közúton szállított tömeg és a megtett távolság szorzatával, [MJ/tkm] minden egyes régi, és az azt felváltó új jármű esetén.

3.3.5. Energiafogyasztás igazolása
Az intézkedés során az előtte-utána állapot energiafogyasztásának igazolásával a pontos fogyasztásmérési adatokból kalkulálható a megtakarítás.
3.4. Energiamegtakarítás mozdony és motorvonat energiatakarékosabbra cseréjével
3.4.1. Intézkedés leírása és alkalmazása
Az intézkedés a vasúti közlekedésről szóló 2005. évi CLXXXIII. törvény 2.§ 1.10. pontja szerinti vasúti járműből a vasúti pályán közlekedő vontató, vagy önjáró, saját kerekein a vasúti sínen közlekedő járműre vonatkozik, amelyek vasúton végeznek személy- és áruszállítási tevékenységet.
Az intézkedés a vasúti járművek forgalomba hozatala, üzembehelyezése engedélyezéséről, időszakos és rendkívüli vizsgálatáról, hatósági járműnyilvántartásáról szóló 412/2020. (VIII. 30.) Korm. rendelet szerinti mozdonyra vagy motorvonatra vonatkozik, amelyek vasúton végeznek áruszállítási, vagy személyszállítási tevékenységet, a piacon szériában jelen lévő, hozzáférhető vasúti-jármű típusokkal.
3.4.1.1. Alkalmazás feltételei:
a) Az intézkedés csak azokra az esetekre alkalmazható, amikor a beszerzett új mozdony vagy motorvonat a lecserélt mozdonynál vagy motorvonatnál alacsonyabb fogyasztású,
b) A számolásban csak a magyarországi futásteljesítmény figyelembevétele lehetséges,
c) Villamosenergiát használó új mozdony vagy motorvonat és/vagy más nem fosszilis energiaforrást használó új járművek esetén alkalmazható.
3.4.1.2. Alkalmazást kizáró feltételek:
a) Lecserélt és újonnan beszerzett mozdony, vagy motorvonat cserepárok névleges teljesítménye 20%-ban nagyobb mértékben tér el egymástól,
b) Lecserélt mozdony, motorvonat eladása, és a beszerzett jármű üzembehelyezése között több mint 365 nap telt el,
c) Ha a mozdony, motorvonat:
ca) tesztelési vagy kísérleti céllal üzemel,
cb) forgalomtól elzárt vagy nem minden közlekedő számára nyitott területen közlekednek
3.4.2. Intézkedés jellemzői
| A | B | |
| 1. | Élettartam | Az energiahatékonyságról szóló törvény végrehajtásáról szóló 122/2015. (V. 26.) Korm. rendelet 6. melléklete alapján |
| 2. | Avulás | |
| 3. | Hitelesítés határideje | Az energiahatékonyságról szóló 2015. évi LVII. törvény 15/A. § (4) bekezdése alapján |
| 4. | Intézkedés típusa | 5301 - Szállítás - Áruszállítás - Mozdony és motorvonat cseréje |
| 5302- Szállítás - Személyszállítás - Mozdony és motorvonat cseréje | ||
| 5. | Minimumkövetelmény | - |
| 6. | Kezdő dátum | Első kivonás vagy beállítás dátuma közül a korábbi |
| 7. | Záró dátum | Utolsó kivonás vagy beállítás dátuma közül a későbbi |
3.4.3. Számítás paraméterei
3.4.3.1. Rögzítendő bemeneti műszaki paraméterek:
| A | B | C | D | |
| 1. | Sorok száma | Műszaki paraméter | Régi jármű | Új jármű |
| 2. | 1. | Típus megnevezése | szükséges | szükséges |
| 3. | 2. | Gyártó megnevezése | szükséges | szükséges |
| 4. | 3. | Gyártási év | szükséges | szükséges |
| 5. | 4. | Hajtóanyag típusa | szükséges | szükséges |
| 6. | 5. | Használatbavétel időpontja(1) | szükséges | szükséges |
| 7. | A | B | C | D |
| 8. | Sorok száma | Műszaki paraméter | Régi jármű | Új jármű |
| 9. | 6. | Használatból kivonás dátuma | szükséges | nem szükséges |
| 10. | 7. | Névleges teljesítmény | szükséges | szükséges |
| 11. | 8. | Áruszállítás esetén éves átlagos bruttó teher szállítási teljesítmény, btkm/év Személyszállítás esetén: éves átlagos szállítási teljesítmény bruttó elegytonnakilométerben, betkm/év | szükséges | szükséges |
| 12. | 9. | Fogyasztás, Áruszállítás esetén: [l/100btkm, kg/100btkm, vagy kWh/100btkm] Személyszállítás esetén: l/100betkm, vagy kWh/100betkm | szükséges | szükséges |
| (1) A régi mozdony vagy motorvonat esetében az első nyilvántartásba vétel időpontja, használt új mozdony vagy motorvonat esetében a használatbavétel dátuma, egyébként az első nyilvántartásba vétel időpontja. | ||||
3.4.3.2. Alátámasztó dokumentumok:
| A | B | |
| 1. | Alátámasztásra szoruló adatok | Alátámasztó dokumentumok |
| 2. | A lecserélt, régi és új mozdony korát és használatbavételének időpontját igazoló dokumentumok | Tárgyi eszköz karton vagy gépkönyv vagy aktiválási jegyzőkönyv |
| 3. | A lecserélt, régi mozdony használatból kivonását igazoló dokumentumok | Selejtezési jegyzőkönyv, exportálást igazoló dokumentumok, stb. |
| 4. | A lecserélt, régi mozdony az intézkedés megkezdését megelőző naptári év adatai alapján meghatározott éves futásteljesítményét igazoló dokumentumok | Menetlevél vagy flottamenedzser szoftver adatai |
| 5. | Reprezentatív mintavételezés (legalább 20%, de minimum 1 db) alapján a lecserélt, régi mozdony vagy motorvonat az intézkedés megkezdését megelőző naptári évre vonatkozó éves összes áruszállítását igazoló dokumentumok | Fuvarlevelek vagy számlák |
| 6. | A lecserélt, régi és új mozdony fogyasztási adatait igazoló dokumentumok | Üzemanyag elszámolások vagy gépkönyv vagy flottamenedzser szoftver adatai |
| 7. | A lecserélt, régi és új mozdony műszaki adatait igazoló dokumentumok | Forgalmi engedély |
| 8. | "a" Tankolási arány - a vasúti szállítás során a bázis időszak energia fogyasztása Mo. - és Külföldi vételezés szerinti bontásban | Energia fogyasztás elszámolása vagy belső kimutatás vagy energia vételezési bizonylatok vagy egyéb bizonyító erejű dokumentum |
3.4.4. Részletes számítási metódus
Az intézkedéshez minimum követelmény nem tartozik, ezért ez esetben nem alkalmazható a "korai csere" és "késői csere" definíciója. (Ennek megfelelően a számítás során a kiinduló állapothoz képest szükséges meghatározni a végfelhasználási energiamegtakarítás mértékét.
A számítási eljárás során a lecserélendő és az új járművek esetén legalább tizenkettő egymást követő hónap futásteljesítmény, energiafogyasztás és szállított tömeg adatait szükséges feldolgozni, az energiamegtakarítás meghatározásához. Ezen kívül szükséges a kivont jármű éves futásteljesítménye is a számításhoz. A fajlagos energiafogyasztás meghatározásakor a vasúti szállításhoz tartozó energiafogyasztás osztandó a vasúton szállított tömeg és a megtett távolság szorzatával, [MJ/tkm] minden egyes régi, és az azt felváltó új jármű esetén.
m, bruttó Átlagos bruttó tonna
u, vasút Vasúti szállítás útvonalhossza, km
aAz érintett szállítási területen használt szállítási célú üzemanyag fogyasztáson belül az előző évben Magyarország területén felhasznált üzemanyag részaránya, %
F, régi Régi, dízel vagy elektromos jármű fajlagos üzemanyag fogyasztás, MJ/btkm
F, újÚj, elektromos jármű fajlagos üzemanyag fogyasztás, MJ/btkm
∆E teljes Elért energiamegtakarítás, GJ/év
3.4.5. Energiafogyasztás igazolása
Tekintve, hogy a számolás során pontos fogyasztásmérési adatokból kalkulálható a megtakarítás, így ezen pont szerint külön validáció nem szükséges.
3.5. Intermodális szállítási mód igénybevétele
3.5.1. Intézkedés leírása és alkalmazása
Az EKR keretében az intermodális fuvarozás elszámolására és a támogatás igénybevételére kizárólag az a jogosult fél, aki a szállítási tevékenység közvetlen megszervezéséért felelős, továbbá viseli a teljesítéssel összefüggő működési költségeket, ideértve többek között a vasúti fuvardíjat, átrakodási díjakat, valamint kiegészítő logisztikai szolgáltatások díját.
3.5.1.1. Energiahatékonyságot növelő intézkedésként elismerhető:
a) a teherszállítást végző szolgáltató (közúti fuvarozó) által megvalósított vagy,
b) a teherszállítási szolgáltatást megrendelő (szállítmányozó, vagy megbízó) által előírt vagy,
c) a teherszállítást önmagának szervező szervezet által megvalósított szállítási mód váltásával elért energiamegtakarítás esetén.
3.5.1.2. Alkalmazás feltételei:
a) az intézkedés a közúti járművek műszaki megvizsgálásáról szóló 5/1990. (IV. 12.) KöHÉM rendelet szerinti N3 kategóriájú gépjárművekre, valamint az általuk vontatott pótkocsikra vonatkozik,
b) az intézkedést Magyarországon telephellyel és magyar adószámmal rendelkező gazdasági társaságok hajthatják végre,
c) az intézkedéssel elért üzemanyag végfelhasználási energiamegtakarításnak csak az a része számolható el, amelyet a korábbi szállítási folyamatban Magyarországon vételeztek,
d) az elért végfelhasználási energiamegtakarítás mértékét minden esetben a bázisidőszakhoz képest kell meghatározni,
e) kizárólag új megtakarítások számolhatók el, amelyekről bizonyítható, hogy korábbi közúti szállítási feladatot váltanak ki részben vagy egészben vasúti szállítással.
3.5.1.3. Alkalmazást kizáró feltételek:
a) a korábban megvalósított szállítási mód folytatólagos alkalmazása egy feltételezett szállítási móddal való összevetésre alapozva,
b) hiányos, vagy nem megfelelő dokumentációval rendelkező szállítási feladatok, amelyekről egyértelműen nem állapíthatók meg, hogy a bázis időszak előtt milyen fuvarozási móddal szállították.
3.5.2. Intézkedés jellemzői
| A | B | |
| 1. | Élettartam | Az energiahatékonyságról szóló törvény végrehajtásáról szóló 122/2015. (V. 26.) Korm. rendelet 6. melléklete alapján |
| 2. | Avulás | |
| 3. | Hitelesítés határideje | Az energiahatékonyságról szóló 2015. évi LVII. törvény 15/A. § (4) bekezdése alapján |
| 4. | Intézkedés típusa | 5202 - Szállítás - Teherszállítás - Egyéb |
| 5. | Minimumkövetelmény | - |
| 6. | Kezdő dátum | Megrendelés, vagy az első megvalósított szállítás megkezdésének dátuma |
| 7. | Záró dátum | Utolsó auditált szállítás teljesítésének dátuma |
3.5.3. Számítás paraméterei
3.5.3.1. Fogalmak:
| A | B | |
| 1. | Az auditált intermodális időintervallum: | Az intézkedés elszámolása utólagos. Egy egybefüggő 365 napos időszak elszámolása szükséges. |
| 2. | A szállítási feladat megkezdése: | A felhordás megkezdése, nem szükséges vizsgálni a megelőző gyűjtő fuvarokat. |
| 3. | Felhordás: | A végleges szállítási tömeg összegyűjtése után a vasúti felrakó állomáshoz vezető közvetlen szállítás. |
| 4. | Vasúti felrakó | A közúti szállító eszköz és/vagy a szállítmány vasúti kocsikra történő felrakására szolgáló állomás. |
| 5. | Vasúti lerakó: | A vasúti szállítás végén a vasúti kocsikról való lerakásra szolgáló állomás. Amennyiben a vasúti szállítás végállomása a megrendelő telephelye, akkor ez egyben a szállítási feladat befejezése is.- |
| 6. | Lehordás: | A vasúti lerakó állomástól a szállítási útvonal első célállomásáig megvalósított szállítási feladat. |
| 7. | A szállítási feladat befejezése: | A számítás a szállítási folyamatot a lehordással tekinti befejezettnek, nem szükséges vizsgálni a teljes szállított áru mennyiség további útvonalát. Amennyiben a megrendelő telephelye a vasúti lerakó állomás helyszíne, akkor az tekintendő a szállítási folyamat befejezésének. |
| 8. | Viszonylat: | A szállítás feladat megkezdését jelentő cím és a szállítási feladat befejezését jelentő cím közötti szállítási feladat, útvonal. |
3.5.3.2. Rögzítendő bemeneti műszaki paraméterek:
| A | B | C | D | ||
| 1. | Sorok száma | Műszaki paraméter | Eredeti közúti szállítás | Intermodális szállítás | |
| 2. | 1 | A közúti szállítást végző gépjármű forgalmi rendszáma | szükséges | tisztán vasúti szállítás esetén nem szükséges | |
| 3. | 2 | Pótkocsi, 45 lábas konténer, csereszekrény forgalmi rendszáma/azonosító lapja | |||
| 4. | 3 | Pótkocsi, 45 lábas konténer, csereszekrény, egyéb egységrakományt képző eszköz (raklap, big-bag) saját tömege [tonna] | |||
| 5. | 4 | Pótkocsi, 45 lábas konténer, csereszekrény alvázszáma/azonosító száma | |||
| 6. | 5 | Vontató alvázszáma | |||
| 7. | 5 | Szállított bruttó teher [tonna] | szükséges | ||
| 8. | 6 | Eredeti (kiváltott) közúti szállítás útvonalhossza [km] | szükséges | ||
| 9. | 7 | Intermodális szállítás közúti útvonalhossza [km] | szükséges | tisztán vasúti szállítás esetén nem szükséges | |
| 10. | 8 | Vasúti szállítás útvonalhossza [km] | szükséges | ||
| 11. | 9 | Az intézkedést alkalmazó társaság (alvállalkozójával együtt) által az érintett szállítási területen használt összes tehergépjárművére vonatkozó szállítási célú üzemanyag fogyasztáson belül a bázisidőszakban Magyarország területén vételezett hajtóenergia részaránya | szükséges | ||
3.5.3.3. Alátámasztó dokumentumok:
| A | B | |
| 1. | Alátámasztásra szoruló adatok | Alátámasztó dokumentumok |
| 2. | A közúti szállítást végző gépjármű kategóriáját igazoló dokumentum | Forgalmi engedély |
| 3. | A pótkocsi, 45 lábas konténer, csereszekrény számításnál figyelembe veendő adatait igazoló okmány | Forgalmi engedély, törzslap |
| 4. | Az új szállítmányok tömege | Fuvarokmányok és/vagy bizonylatok |
| 5. | Induló és célállomás | Fuvarokmányok és/vagy számviteli bizonylatok |
| 6. | Az eredeti (kiváltott) közúti szállítások útvonalhosszai szállítmányonként | Fuvarokmányok, vagy a fuvarszervező rendszer útvonaltervei |
| 7. | A ténylegesen megvalósult közúti fuvarozási útvonalhosszai (felhordás és lehordás) szállítmányonként | Fuvarokmányok és/vagy bizonylatok, vagy a fuvarszervező rendszer útvonaltervei |
| 8. | A vasúti szállítási szakasz hossza | Számviteli bizonylatok és/vagy (nemzetközi) fuvarokmányok (vasúttársaság által kiadott igazolás) |
| 9. | Intézkedés 6 éves fenntartása | 3.5.1. fejezet szerinti felelős nyilatkozata a számítás során vizsgált viszonylatok és szállítási mennyiségek 6 éves fenntartásáról, pl. aláírt együttműködési megállapodás a szállítási mennyiségek 6 éves fenntartásáról a kedvezményezett és a vasúttársaság vagy vasúti operátor között Abban az esetben, ha az intézkedést foganatosító érdekkörén kívül felmerült okból a 6 éves fenntartás az eredeti útvonalon meghiusul, az érdekkörön kívül felmerült okot igazoló bármely okirat, továbbá a 3.5.1. fejezet szerinti felelős nyilatkozata a számítás során vizsgált viszonylatok és szállítási mennyiségek más útvonalon történő fenntartásáról a hátralévő időszakra és útvonal hosszra, pl. új/módosított együttműködési megállapodás |
| 10. | "a" Tankolási arány - Teljes közúti szállítás során a bázis időszak üzemanyag fogyasztása Mo. - és Külföldi tankolás szerinti bontásban | Üzemanyag elszámolások vagy belső kimutatás vagy üzemanyag bizonylatok vagy egyéb bizonyító erejű dokumentum |
| 11. | Az eredeti bázisidőszakban felmerült közúti fuvarozásra vonatkozó nyilatkozat, hogy az újonnan intermodális fuvarozásban vitt árut, korábban közúton szállították | Megbízó, árutulajdonos büntetőjogi felelősséggel bíró nyilatkozata és fuvarokmányok vagy megbízó, árutulajdonos büntetőjogi felelősséggel bíró nyilatkozata és bizonylatok, vagy megbízó, árutulajdonos büntetőjogi felelősséggel bíró nyilatkozata és a fuvarszervező rendszer útvonaltervei |
| 12. | A végsőenergia-megtakarítás [GJ/év] számítása | Ellenőrizhető formában: pl. excel tábla |
3.5.4. Részletes számítási metódus
A bázisidőszak az intézkedés megkezdését megelőző egybefüggő 365 nap, vagy,ha az intézkedést 2025. augusztus 1. napja előtt megkezdték és az intézkedés megkezdése óta folyamatosan fenntartották, a legutolsó egybefüggő hitelesítési időintervallumot megelőző 365 napos időszak.
A számítás során minden esetben az adott viszonylatot és az adott viszonylaton szállított áru mennyiségét kell vizsgálni.
A vasúti szállítás fajlagos energiaigénye:
A régi szállítási módnál a ténylegesen megvalósult közúti szállítás esetén felmerült úthosszt, az új szállítási módnál a ténylegesen megvalósult szállítás közúton és vasúton megvalósult úthosszait (felhordás és lehordás) kell figyelembe venni. Az elszámolható energiamegtakarítás meghatározásakor minden viszonylaton csak a bázisidőszakhoz képest elért intermodálisan szállított bruttó tömeg növekedés (többlet szállítási teljesítmény) vehető figyelembe.
3.5.4.1. Tisztán közúti szállítás energiafelhasználásának meghatározása:

3.5.4.2. Intermodális szállítás közúti láb energiafelhasználásának meghatározása:

ß: Fuvarozási módváltást segítő ösztönző együttható, értéke: 4,35
Eint.kozút: Intermodális szállítás teljes közúti (ráhordás+lehordás) energiafelhasználása, [MJ/fuvar]
3.5.4.3. Intermodális szállítás vasúti láb energiafelhasználásának meghatározása:

3.5.4.4. Intermodális szállítás teljes energiafelhasználásának meghatározása:
Az intermodális szállítással elért éves végsőenergia-megtakarítás számolása:

3.5.5. Energiafogyasztás igazolása
Az energiafogyasztás igazolására csak a tankolási arány meghatározásához szükséges az összesített üzemanyagfogyasztási adatok igazolására.
3.6. Flotta korszerűsítése elektromos járművekkel
3.6.1. Intézkedés leírása és alkalmazása
N1 vagy M1 kategóriájú járművekből álló flották energiahatékonyságának javítása alacsonyabb fogyasztású elektromos járművekkel történő bővítéssel.
3.6.1.1. Alkalmazás feltételei:
a) az intézkedés során a közúti járművek műszaki megvizsgálásáról szóló 5/1990. (IV.12.) KöHÉM rendelet szerinti N1 vagy M1 kategóriájú járművekből álló flotta bővül további azonos kategóriájú járművekkel,
b) az intézkedés során kizárólag a közúti járművek forgalomba helyezésének és forgalomban tartásának műszaki feltételeiről szóló 6/1990. (IV. 12.) KöHÉM rendelet szerinti 5E környezetvédelmi osztályba sorolt tisztán elektromos gépkocsikkal történő flottabővítés valósul meg,
c) a flotta az intézkedést megelőzően legalább öt a közúti járművek műszaki megvizsgálásáról szóló 5/1990. (IV.12.) KöHÉM rendelet szerinti N1 vagy M1 kategóriájú járműből áll, amelyeknek azonos gazdálkodó szervezet a tulajdonosa vagy üzembentartója,
d) a flotta tulajdonosa vagy üzembentartója vállalja, hogy a flotta járműveinek bővítést követő száma nem csökken az intézkedés elszámolását követően az intézkedés élettartamának végéig,
e) a flotta tulajdonosa vagy üzembentartója vállalja, hogy az intézkedés végrehajtását megelőző időszakhoz képest
ea) az intézkedés végrehajtását megelőzően a flottát alkotó nem elektromos járművek átlagos éves futásteljesítménye az intézkedés végrehajtását követően nem nő, továbbá
eb) a teljes flotta éves átlagos futásteljesítménye nem csökken az intézkedés élettartamának végéig.
3.6.1.2. Alkalmazást kizáró feltételek:
a) nincs.
A jegyzék adatlap számítást végző személy feladatai közé tartozik annak a vizsgálata, hogy a flottából kivont és a beszerzett gépjárművek maximálisan szállítható személyszáma és útvonala mennyiben tér el egymástól.
3.6.2. Intézkedés jellemzői
| A | B | |
| 1. | Élettartam | Az energiahatékonyságról szóló törvény végrehajtásáról szóló 122/2015. (V. 26.) Korm. rendelet 6. melléklete alapján |
| 2. | Avulás | |
| 3. | Hitelesítés határideje | Az energiahatékonyságról szóló 2015. évi LVII. törvény 15/A. § (4) bekezdése alapján |
| 4. | Intézkedés típusa | 5101 - Szállítás - Személyszállítás - Személyszállító jármű cseréje (nem fosszilisra) 5201 - Szállítás - Teherszállítás - Teherszállító jármű cseréje vagy 5202 - Szállítás - Teherszállítás - Egyéb |
| 5. | Minimumkövetelmény | - |
| 6. | Kezdő dátum | Az első új gépjármű megrendelésének dátuma |
| 7. | Záró dátum | Az utolsó új gépjármű első nyilvántartásba vételének vagy forgalomba helyezésének dátuma közül a későbbi |
3.6.3. Számítás paraméterei
3.6.3.1. Rögzítendő bemeneti műszaki paraméterek (régi járművek):
| A | B | C | D | E | F | |
| 1. | Régi járművek | |||||
| 2. | Alvázszám | Jármű kategóriája | Hajtóanyag | Használatba vétel dátuma | Átlagos fogyasztás [l/100km] vagy [kg/100km] vagy [kWh/100km] | Éves átlagos futás- teljesítmény [km/év] |
| 3. | ||||||
| 4. | ||||||
3.6.3.2. Rögzítendő bemeneti műszaki paraméterek (új járművek):
| A | B | C | D | E | |
| 1. | Új járművek | ||||
| 2. | Alvázszám | Jármű kategóriája | Használatba vétel dátuma | Átlagos fogyasztás [kWh/100km] | Éves átlagos futásteljesítmény [km/év] |
| 3. | |||||
| 4. | |||||
3.6.3.3. Alátámasztó dokumentumok:
| A | B | |
| 1. | Alátámasztásra szoruló adatok | Alátámasztó dokumentumok |
| 2. | A flotta műszaki adatait igazoló dokumentumok (meglévő és új gépjárművekre egyaránt) | Forgalmi engedélyek |
| 3. | A flottánál a bővítést megelőzően meglévő és az új gépjárművek éves átlagos futásteljesítményét igazoló dokumentumok | Menetlevél vagy hiteles elektronikus nyilvántartás vagy egyéb hitelt érdemlő dokumentum |
| 4. | A meglévő járművek fajlagos energiafogyasztása | Elektronikus nyilvántartás adatai vagy üzemanyagfogyasztást igazoló számlák |
| 5. | Az új járművek fajlagos energiafogyasztása | Elektronikus nyilvántartás adatai vagy hitelesített telematikai rendszer adatai |
| 6. | Az új gépjárművek használatbavételét, tulajdonjogának megszerzését igazoló dokumentumok | Végszámla vagy üzembehelyezési jegyzőkönyv vagy átadás átvételi jegyzőkönyv vagy tárgyi eszközkarton |
| 7. | Alkalmazási feltételek megvalósulásának igazolása | Tulajdonosi vagy üzembentartói fenntartási nyilatkozat a flotta járműveinek számára és azok éves használatára vonatkozó alkalmazási feltételek 6 éves vállalásáról (lásd: 3.5.1.1. e) és d) pontja) |
3.6.4. Részletes számítási metódus
Az intézkedéshez minimum követelmény nem tartozik, ezért ez esetben nem alkalmazható a "korai csere" és "késői csere" definíciója. Ennek megfelelően a számítás során a kiinduló állapothoz képest szükséges meghatározni a végfelhasználási energiamegtakarítás mértékét.
A számítási eljárás során először a flotta bővítés előtti kilométerenkénti fajlagos energiafogyasztását kell meghatározni kWh/km mértékegységben. Ehhez az egyes járművek átlagfogyasztását és az elmúlt két év alapján számított éves átlagos futásteljesítményét kell figyelembe venni. Az éves átlagos futásteljesítmény megállapítása menetlevél, hitelt érdemlő dokumentum, vagy hiteles elektronikus nyilvántartás alapján történhet. A meglévő járművek fajlagos energiafogyasztásának meghatározása a flotta üzemeltetőjénél rendelkezésre álló hiteles és számlákkal alátámasztott üzemanyagfogyasztási nyilvántartás alapján történhet. A fosszilis üzemanyaggal működő járművek esetében a liter/100km vagy kg/100km mértékegységben megadott átlagfogyasztási értékek kWh/km-re történő átváltásához az energiahatékonyságról szóló törvény végrehajtásáról szóló 122/2015. (V. 26.) Korm. rendelet szerinti átváltási tényezők alkalmazhatók.
Ezt követően a flotta bővítése során beszerzett új elektromos gépjárművek kilométerenkénti átlagos energiafogyasztása kerül kiszámításra, mely 3 módon történhet:
a) az egyes járművek éves almért fogyasztása és az intézkedés bevezetését követő egybefüggő legalább egy éves időszak alapján számított éves futásteljesítménye alapján,
b) az új járművek fajlagos energiafogyasztásának meghatározása történhet az új gépjármű fogyasztását hitelesen nyilvántartó saját elektronikus rendszere vagy hitelesített telematikai rendszer adatai alapján, az így számított átlagfogyasztási értékek azonban nem lehetnek alacsonyabbak a WLTP alacsony sebességnél számított járműre vonatkozó átlagfogyasztási értékénél, továbbá
c) az új járművek fajlagos energiafogyasztásának meghatározása történhet a járműre vonatkozó magas sebességnél számított WLTP átlagfogyasztási érték szerint. 1[4]
A teljes flotta bővítését megelőző kilométerenkénti átlagfogyasztásából ezután ki kell vonni a teljes flotta bővítést követő kilométerenkénti átlagfogyasztását, majd a két érték különbségeként megkapott fajlagos hatékonyságjavulási értéket fel kell szorozni a flotta intézkedés előtti éves átlagos futásteljesítményével. Végül az ilyen módon kWh/év mértékegységben kiszámított energiamegtakarítást GJ/év mértékegységre szükséges átváltani.
Az éves energiamegtakarítás számítási képlete:

3.6.5. Energiafogyasztás igazolása
Nem releváns.
2. melléklet a 18/2025. (VII. 31.) EM rendelethez[5]
Építési kulcstermékek köre
| A | B | C | |
| 1 | Főcsoport EKR katalógus intézkedések alapján | EKR katalógusban meghatározott intézkedés (sorszáma) | Kapcsolódó kulcstermékkörök |
| 2 | Utólagos hőszigetelés | Homlokzat és tetőszerkezet utólagos korszerűsítése (1.1.) Családi ház utólagos hőszigetelése normatív számítással (1.3.) Társasház utólagos hőszigetelése normatív számítással (1.5.) | • homlokzati hőszigetelő rendszerek • kőzetgyapot hőszigetelő termékek, • üveggyapot hőszigetelő termékek, • EPS hőszigetelő termékek, • PIR hőszigetelő termékek, • PUR hőszigetelő termékek, • XPS hőszigetelő termékek, • teljesítménynyilatkozattal rendelkező természetes hőszigetelő termékek |
| 3 | Nyílászáró csere | Nyílászáró korszerűsítés és csere (1.2.) Családi ház nyílászáró csere normatív számítással (1.4.) Társasház nyílászáró csere normatív számítással (1.6.) | • homlokzati nyílászárók: ablakok, erkélyajtók 2 vagy 3 rétegű hőszigetelő üvegezéssel, valamint bejárati ajtók 2 vagy 3 rétegű üvegezéssel • tetősíkablakok 2 vagy 3 rétegű üvegezéssel • felül- és oldalvilágítók 2 vagy 3 rétegű üvegezéssel • hőszigetelő üvegezés (2 rétegű, 3 rétegű) • újabb nyílászáró réteg beépítése (hőszigetelő üvegezésű ablakszárny vagy nyílászáró) |
| 4 | Szekunder oldali fűtés rekonstrukció | Szekunder oldali fűtés rekonstrukció (2.11.) | • radiátorok |
Lábjegyzetek:
[1] Megállapította a 41/2025. (XII. 30.) EM rendelet 1. §-a. Hatályos 2025.12.31.
[2] Beiktatta a 41/2025. (XII. 30.) EM rendelet 2. §-a. Hatályos 2025.12.31.
[3] Megállapította a 41/2025. (XII. 30.) EM rendelet 3. § (1) bekezdése (ld. 1. melléklet). Hatályos 2025.12.31.
[4] 1 A Bizottság (EU) 2017/1151 rendeletének 8a. függelék 2.1.1.5.2 pontjában meghatározott tisztán elektromos gépjárművekre vonatkozó alacsony és magas sebességnél megállapított vizsgálati eredmények.
[5] Beiktatta a 41/2025. (XII. 30.) EM rendelet 3. § (2) bekezdése (ld. 2. melléklet). Hatályos 2025.12.31.