32019R1783[1]
A Bizottság (EU) 2019/1783 rendelete (2019. október 1.) a 2009/125/EK európai parlamenti és tanácsi irányelvnek a kis, közepes és nagy teljesítményű transzformátorok környezettudatos tervezésére vonatkozó követelmények tekintetében történő végrehajtásáról szóló 548/2014/EU rendelet módosításáról
A BIZOTTSÁG (EU) 2019/1783 RENDELETE
(2019. október 1.)
a 2009/125/EK európai parlamenti és tanácsi irányelvnek a kis, közepes és nagy teljesítményű transzformátorok környezettudatos tervezésére vonatkozó követelmények tekintetében történő végrehajtásáról szóló 548/2014/EU rendelet módosításáról
(EGT-vonatkozású szöveg)
AZ EURÓPAI BIZOTTSÁG,
tekintettel az Európai Unió működéséről szóló szerződésre,
tekintettel az energiával kapcsolatos termékek környezettudatos tervezésére vonatkozó követelmények megállapítási kereteinek létrehozásáról szóló, 2009. október 21-i 2009/125/EK európai parlamenti és tanácsi irányelvre (1) és különösen annak 15. cikke (1) bekezdésére,
mivel:
(1) Az 548/2014/EU bizottsági rendelet (2) 7. cikke előírja a Bizottság számára, hogy az említett rendeletet 2017 folyamán a technológiai haladás fényében felülvizsgálja, és e felülvizsgálat eredményeit a konzultációs fórum elé tárja.
(2) A Bizottság felülvizsgálati tanulmányt készített, amely elemzi az 548/2014/EU rendelet 7. cikkében meghatározott konkrét szempontokat. A Bizottság e tanulmány elkészítése során együttműködött az uniós érdekeltekkel és érdeklődőkkel, a vizsgálatok végeztével pedig közzétette azok eredményeit.
(3) A tanulmány megerősítette, hogy a globális felmelegedési potenciál szempontjából továbbra is a használat közbeni energiafogyasztás a legjelentősebb tényező. Az elemzés tanúsága szerint nem indokolt az energiahatékonysági minimumkövetelményeken kívül egyéb környezetvédelmi követelményeket megállapítani.
(4) A tanulmány megerősítette, hogy az 548/2014/EU rendelet pozitív hatást gyakorol a forgalomba hozott transzformátorok hatékonyságára, és megállapította, hogy a forgalomban lévő transzformátormodellek nehézségek nélkül teljesítik az első szakaszbeli (2015 júliusától alkalmazandó) minimumkövetelményeket.
(5) Általánosan elismert tény, hogy a transzformátorok kialakításának a villamosenergia-veszteségek minimalizálása céljából történő optimalizálására szolgáló legmegfelelőbb módszer továbbra is a jövőbeli veszteségeknek a terhelési és üresjárati veszteségekre vonatkozó megfelelő tőkésítési tényezők felhasználásával, a pályázati eljárás során történő értékelése és tőkésítése. A termékszabályozás céljára azonban csak a minimális hatékonyságra vagy a maximális veszteségekre előírt értékek használata kivitelezhető.
(6) A tanulmány megerősítette továbbá, hogy a gyártók részéről nincs jelentős műszaki akadálya a 2021 júliusában hatályba lépő második szakaszbeli minimumkövetelményeket teljesítő transzformátorok gyártásának.
(7) A tanulmány elemezte a 2021 júliusától alkalmazandó második szakaszbeli minimumkövetelményeknek megfelelő transzformátorok gazdasági életképességét, és megállapította, hogy az új helyszínen üzembe helyezett, a szóban forgó követelményeknek megfelelő közepes és nagy teljesítményű transzformátorok életciklusköltségei minden esetben alacsonyabbak, mint az első szakaszbeli minimumkövetelményeknek megfelelő modelleké. Olyan különleges helyzetekben azonban, amikor közepes teljesítményű transzformátort szerelnek be már meglévő városi alállomásokon, a cseretranszformátor maximális méretét és tömegét térfogat- és tömegkorlátok befolyásolhatják. Ezért ha egy meglévő transzformátor cseréje műszakilag nem kivitelezhető vagy aránytalan költségekkel jár, indokolt szabályozási könnyítést alkalmazni.
(8) A nagy teljesítményű transzformátorok cseréje esetében az aránytalan szállítási és/vagy beszerelési költségekre való hivatkozással alkalmazott egyik meglévő szabályozási mentességet ki kell egészíteni az új létesítményekre vonatkozó mentességgel, amennyiben azokra hasonló költségkorlátok vonatkoznak.
(9) A tapasztalatok szerint a közműszolgáltatók és más gazdasági szereplők adott esetben hosszabb ideig készleten tartják a transzformátorokat, mielőtt azok a végső helyszínen beszerelésre kerülnének. Ennek ellenére azonban továbbra is egyértelművé kell tenni, hogy az alkalmazandó követelményeknek való megfelelést a transzformátornak vagy a forgalomba hozatalakor, vagy az üzembe helyezésekor kell igazolni, mindkét alkalommal nem.
(10) A transzformátorok javításához kapcsolódó szolgáltatások piacának megléte szükségessé teszi, hogy útmutatás szülessen azokról a körülményekről, amelyek mellett egy bizonyos javítási műveleteken átesett transzformátor egy új termékkel egyenértékűnek tekinthető, és mint ilyen meg kell felelnie az e rendelet I. mellékletében meghatározott követelményeknek.
(11) E rendelet eredményességének javítása és a fogyasztók védelme érdekében helyénvaló megtiltani az olyan termékek forgalomba hozatalát és üzembe helyezését, amelyek a megadott paraméterek javítása érdekében tesztkörülmények között automatikusan módosítják a teljesítményüket.
(12) Az ellenőrző vizsgálatok megkönnyítése érdekében a piacfelügyeleti hatóságok számára lehetővé kell tenni, hogy a nagyobb transzformátorokat a telephelyen - például a gyártó telephelyén - vizsgálatnak vessék alá, illetve tanúként részt vegyenek a vizsgálaton.
(13) Az 548/2014/EU rendelet végrehajtása során szerzett tapasztalatok azt mutatták, hogy egyes tagállamok villamosenergia-elosztó hálózataiban a szabványos feszültségektől való eltérések tapasztalhatók. Ezek az eltérések indokolják a transzformátorok kategorizálásában a különböző feszültség-küszöbértékeket, és ezek az eltérések határozzák meg, hogy milyen energiahatékonysági minimumkövetelményeket kell alkalmazni. Ezért indokolt bevezetni az egyes tagállamokat érintő konkrét helyzetekkel kapcsolatos nyilvánosságot biztosító értesítési mechanizmust.
(14) Az e rendeletben előírt intézkedések összhangban vannak a 2009/125/EK irányelv 19. cikkének (1) bekezdése alapján létrehozott bizottság véleményével,
ELFOGADTA EZT A RENDELETET:
1. cikk
Az 548/2014/EU rendelet a következőképpen módosul:
1. Az 1. cikk helyébe a következő szöveg lép:
"1. cikk
A rendelet tárgya és hatálya
(1) E rendelet az 50Hz-es villamosenergia-szállító és -elosztó hálózatokban használt vagy ipari használatra szánt, 1 kVA minimális mért teljesítményű transzformátorok környezettudatos tervezésére vonatkozó forgalombahozatali és üzembehelyezési követelményeket állapítja meg.
E rendeletet a 2014. június 11-ét követően megvásárolt transzformátorokra kell alkalmazni.
(2) Nem tartoznak e rendelet hatálya alá a kifejezetten az alábbi célokra tervezett transzformátorok:
a) kifejezetten mérőműszerek, mérőeszközök, védő- és vezérlőberendezések és hasonló rendeltetésű készülékek számára történő adatjelátvitelre tervezett mérőtranszformátorok;
b) kifejezetten az elektronikus vagy egyenirányító terhelések egyenáramú tápellátásának biztosítására tervezett és szánt transzformátorok. Ez a mentesség nem vonatkozik azokra a transzformátorokra, amelyek egyenáramú forrásokból váltakozó áramú ellátást biztosítanak, például a szélturbinás és a fotovoltaikus alkalmazásokhoz használt transzformátorokra, valamint az egyenáramú átviteli és elosztási alkalmazásokhoz tervezett transzformátorokra;
c) közvetlenül kemencéhez való csatlakoztatásra szánt transzformátorok;
d) kifejezetten rögzített vagy úszó tengeri platformokon, offshore szélerőműveken, hajókon és mindenféle egyéb vízi járművön való beszerelésre tervezett transzformátorok;
e) olyan transzformátorok, amelyeket kifejezetten időben korlátozott alkalmazásra terveztek - mint amikor a rendes áramellátás nem tervezett esemény (például áramkimaradás) vagy egy állomás felújítása miatt megszakad -, nem pedig egy meglévő alállomás tartós korszerűsítésére;
f) vasúti alkalmazások helyhez kötött létesítményeiben használt (különálló tekercsekkel vagy egyetlen tekerccsel rendelkező [takarékkapcsolású]) transzformátorok, amelyek közvetlenül vagy konverteren keresztül egyenáramú vagy váltakozó áramú vezetékhez vannak csatlakoztatva;
g) olyan földelő transzformátorok, amelyeket kifejezetten arra terveztek, hogy egy villamosenergia-rendszerbe kötve közvetlenül vagy impedancián keresztül földelési célú nullkapcsolatot biztosítsanak;
h) kifejezetten vasúti alkalmazások helyhez kötött létesítményeiben használt, kifejezetten gördülőállományra való felszerelésre tervezett vontatási transzformátorok, amelyek közvetlenül vagy konverteren keresztül egyenáramú vagy váltakozó áramú vezetékhez vannak csatlakoztatva;
i) az esetleges tápfeszültségesések kivédése céljából kifejezetten háromfázisú indukciós motorok indítására tervezett indítótranszformátorok, amelyek a rendes üzem közben nem állnak feszültség alatt;
j) elektromos berendezések tesztelése céljából kifejezetten egy megadott feszültséget vagy áramerősséget biztosító áramkörben való használatra tervezett próbatranszformátorok;
k) kifejezetten ívhegesztésre vagy ellenállás-hegesztésre használt berendezésekhez tervezett hegesztőtranszformátorok;
l) kifejezetten a 94/9/EK európai parlamenti és tanácsi irányelvvel (*1) összhangban robbanásbiztos alkalmazásokra és földfelszín alatti bányászati alkalmazásokra tervezett transzformátorok;
m) kifejezetten a mélyvízi (víz alatti) alkalmazásokra tervezett transzformátorok;
n) középfeszültség (MV) és középfeszültség (MV) közötti átalakítást végző transzformátorok 5 MVA teljesítményig, amelyeket átalakítást végző transzformátorokként hálózati feszültségátalakító rendszerekben használnak, két közepes feszültségű hálózat két feszültségszintje közötti kapcsolódási ponton helyeznek el, és amelyeknek képeseknek kell lenniük a vészhelyzeti túlterhelések kezelésére;
o) kifejezetten a 2009/71/Euratom tanácsi irányelv (*2) 3. cikke szerinti nukleáris létesítmények biztonságának javítása céljával tervezett közepes és nagy teljesítményű transzformátorok;
p) 5 kVA-nál kisebb mért teljesítményű háromfázisú közepes teljesítményű transzformátorok;
kivéve az e rendelet I. melléklete 4. pontjának a), b) és d) pontjában meghatározott követelményeket, amelyek a fentiekre is vonatkoznak.
(3) A közepes és nagy teljesítményű transzformátorokat - függetlenül attól, hogy mikor kerültek először forgalomba, illetve mikor helyezték őket üzembe - újbóli megfelelőségértékelésnek kell alávetni, továbbá a szóban forgó transzformátoroknak meg kell felelniük e rendeletnek, ha rajtuk az alábbi munkálatok közül valamennyit elvégezték:
a) a magnak vagy egy részének a cseréje;
b) egy vagy több teljes tekercs cseréje.
Ez nem érinti az adott esetben e termékekre vonatkozó, egyéb uniós harmonizációs jogszabályok szerinti jogi kötelezettségeket.
(*1) Az Európai Parlament és a Tanács 94/9/EK irányelve (1994. március 23.) a robbanásveszélyes légkörben való használatra szánt felszerelésekre és védelmi rendszerekre vonatkozó tagállami jogszabályok közelítéséről (HL L 100., 1994.4.19., 1. o.)."
(*2) A Tanács 2009/71/Euratom irányelve (2009. június 25.) a nukleáris létesítmények nukleáris biztonsági közösségi keretrendszerének létrehozásáról (HL L 172., 2009.7.2., 18. o.).""
2. A 2. cikk a következőképpen módosul:
a) a 3. és 4. pont helyébe a következő szöveg lép:
"3. »közepes teljesítményű transzformátor«: olyan transzformátor, amelyben valamennyi tekercs mért teljesítménye legfeljebb 3 150 kVA, és legnagyobb kimeneti feszültsége 1,1 kV-nál nagyobb, de legfeljebb 36 kV;
4. »nagy teljesítményű transzformátor«: olyan transzformátor, amelynek legalább az egyik tekercse esetében a mért teljesítmény meghaladja a 3 150 kVA-t, vagy a legnagyobb kimeneti feszültség meghaladja a 36 kV-ot;"
b) a 7. pont helyébe a következő szöveg lép:
"7. »oszlopra szerelt, közepes teljesítményű transzformátor«: legfeljebb 400 KVA mért teljesítményű, kültéri üzemre szánt, kifejezetten felsővezeték-tartó szerkezetre való felszerelésre tervezett transzformátor;"
c) a 2. cikk a következő 17-22. ponttal egészül ki:
"17. »megadott értékek«: a műszaki dokumentációban a 2009/125/EK irányelv IV. mellékletének 2. pontja szerint megadott értékek, valamint - ha alkalmazandó - az ezen értékek meghatározásához felhasznált értékek;
18. »kétfeszültségű transzformátor«: egy vagy több tekerccsel ellátott transzformátor, amely két feszültségszinttel rendelkezik annak érdekében, hogy két különböző feszültségértéken képes legyen működni és a mért teljesítményt leadni;
19. »tanúk jelenlétében végzett vizsgálat«: a vizsgált termék másik fél általi fizikai vizsgálatának aktív megfigyelése a vizsgálat és a vizsgálati eredmények érvényességére vonatkozó következtetések levonása érdekében. Ez magában foglalhatja az alkalmazott tesztelési és számítási módszerek alkalmazandó szabványoknak és jogszabályoknak való megfelelőségére vonatkozó következtetéseket is;
20. »gyári átvételi vizsgálat«: a megrendelt termék vizsgálata, melynek keretében a vevő tanúk jelenlétében végzett vizsgálat révén meggyőződik a termék szerződéses követelményeknek való teljeskörű megfeleléséről, mielőtt azt átvenné és üzembe helyezné;
21. »egyenértékű modell«: olyan modell, amelynek a rendelkezésre bocsátandó műszaki információk szempontjából releváns műszaki jellemzői azonosak, de amelyet ugyanazon gyártó vagy importőr más modellként, másik modellazonosítóval ellátva hoz forgalomba vagy helyez üzembe;
22. »modellazonosító«: az az (általában alfanumerikus) kód, amely alapján egy adott termékmodell az ugyanazon védjegy, illetve ugyanazon gyártónév vagy importőrnév alatt forgalmazott más modellektől megkülönböztethető."
3. A 3. cikk helyébe a következő szöveg lép:
"Az I. mellékletben meghatározott környezettudatos tervezési követelmények az ott megjelölt időpontoktól alkalmazandók.
Amennyiben a villamosenergia-elosztó hálózatokban a feszültség-küszöbértékek eltérnek az Unión belüli szabványoktól (*3), a tagállamok erről tájékoztatják a Bizottságot annak érdekében, hogy az hirdetményt tehessen közzé az I. melléklet I.1., I.2., I.3a., I.3b., I.4., I.5., I.6., I.7., I.8. és I.9. táblázatának helyes értelmezésére vonatkozóan.
(*3) Az Európai Elektrotechnikai Szabványügyi Bizottság (CENELEC) EN 60038 szabványának 2B. melléklete tartalmazza a Cseh Köztársaságban érvényes nemzeti eltérést, amely alapján a háromfázisú egyenáramú rendszerek legnagyobb kimeneti feszültségére vonatkozó szabvány 36 kV helyett 38,5 kV-ban, illetve 24 kV helyett 25 kV-ban került megállapításra.";"
4. A 4. cikk helyébe a következő szöveg lép:
"4. cikk
A megfelelőség értékelése
1. A 2009/125/EK irányelv 8. cikkében említett megfelelőségértékelési eljárásként az említett irányelv IV. mellékletében meghatározott belső tervezés-ellenőrzési rendszert vagy az említett irányelv V. mellékletében meghatározott irányítási rendszert kell alkalmazni.
2. A 2009/125/EK irányelv 8. cikke szerinti megfelelőség-értékelés alkalmazásában a műszaki dokumentációnak tartalmaznia kell az I. melléklet 4. pontjával összhangban benyújtott termékismertető egy példányát, továbbá az e rendelet II. mellékletében szereplő számítások részleteit és eredményeit.
3. Ha egy adott modell műszaki dokumentációjában szereplő információkat:
a) a rendelkezésre bocsátandó műszaki információk szempontjából releváns műszaki jellemzőiben azonos, de egy másik gyártó által előállított modell adataiból vették át, vagy
b) terv alapján végzett számítások és/vagy ugyanazon vagy egy másik gyártó más modellje adatainak extrapolációja útján határozták meg,
akkor a műszaki dokumentációnak tartalmaznia kell e számítások részleteit, a gyártó által a számítások pontosságának ellenőrzése érdekében végzett értékelést, valamint adott esetben a többi gyártó modelljeivel való azonosságra vonatkozó nyilatkozatot.
4. A műszaki dokumentációban fel kell sorolni az összes egyenértékű modellt, megadva azok modellazonosítóját."
5. A 7. cikk helyébe a következő szöveg lép:
"7. cikk
Felülvizsgálat
A Bizottság ezt a rendeletet a technológia fejlődése fényében felülvizsgálja, és e felülvizsgálat eredményeit - adott esetben egy felülvizsgálati javaslat tervezetével együtt - legkésőbb 2023. július 1-jéig a konzultációs fórum elé tárja. A felülvizsgálat különösen az alábbi kérdésekkel foglalkozik:
- a második szakaszbeli minimumkövetelmények mennyire bizonyultak költséghatékonynak, és indokolt-e szigorúbb harmadik szakaszbeli követelményeket bevezetni;
- a közepes és nagy teljesítményű transzformátorok esetében bevezetett engedmények megfelelősége azokban az esetekben, amikor a beszerelési költségek aránytalanok lettek volna;
- annak lehetősége, hogy a közepes teljesítményű transzformátorok esetében az abszolút veszteségértékek mellett a PEI veszteségszámításokat is felhasználják;
- a folyadékhűtéses transzformátorokra, a száraztranszformátorokra és esetleg az elektronikus transzformátorokra vonatkozó minimumkövetelmények technológiasemleges megközelítésének lehetősége;
- a kis teljesítményű transzformátorok teljesítményére vonatkozó minimumkövetelmények megállapításának megfelelősége;
- a tengeri alkalmazásokra tervezett transzformátorokra vonatkozó mentességek megfelelősége;
- az oszlopra szerelt transzformátorokra, illetve a közepes teljesítményű transzformátorok különleges tekercsfeszültség-kombinációira vonatkozó szabályozási engedmények megfelelősége;
- a felhasználási szakaszbeli energiafelhasználástól eltérő környezeti jellemzők, mint például a transzformátorok keltette zaj és az anyaghatékonyság hatály alá vonásának lehetősége és megfelelősége."
6. A 8. cikk számozása 9. cikkre változik, és a szöveg az alábbi új 8. cikkel egészül ki:
"8. cikk
Kijátszás
A gyártó, az importőr, illetve a meghatalmazott képviselő nem hozhat forgalomba olyan termékeket, amelyek tervezésüknél fogva képesek észlelni, ha vizsgálják őket (például a vizsgálati körülmények vagy a vizsgálati ciklus felismerése révén), és arra reagálva a vizsgálat során automatikusan meg tudják változtatni teljesítményüket azzal a céllal, hogy a gyártó, az importőr, illetve a meghatalmazott képviselő által a műszaki dokumentációban megadott vagy a benyújtott dokumentációban szereplő paraméterek bármelyike tekintetében kedvezőbb szintet érjenek el."
7. A mellékletek az e rendelet mellékletében foglaltak szerint módosulnak.
2. cikk
Ez a rendelet az Európai Unió Hivatalos Lapjában való kihirdetését követő huszadik napon lép hatályba.
Ez a rendelet teljes egészében kötelező és közvetlenül alkalmazandó valamennyi tagállamban.
Kelt Brüsszelben, 2019. október 1-jén.
a Bizottság részéről
az elnök
Jean-Claude JUNCKER
(1) HL L 285., 2009.10.31., 10. o.
(2) A Bizottság 548/2014/EU rendelete (2014. május 21.) a 2009/125/EK európai parlamenti és tanácsi irányelvnek a kis, közepes és nagy teljesítményű transzformátorok környezettudatos tervezésére vonatkozó követelmények tekintetében történő végrehajtásáról (HL L 152., 2014.5.22., 1. o.).
MELLÉKLET
Az 548/2014/EU rendelet mellékletei a következőképpen módosulnak:
1. Az I. melléklet a következőképpen módosul:
a) az 1. pont a következőképpen módosul:
i. az I.1. táblázat címe helyébe a következő szöveg kerül:
"A terhelési és az üresjárati veszteség maximuma (wattban) a legfeljebb 24 kV legnagyobb kimeneti feszültségű (Um) tekerccsel, valamint legfeljebb 3,6 kV legnagyobb kimeneti feszültségű (Um) második tekerccsel rendelkező közepes teljesítményű háromfázisú folyadékhűtéses transzformátorok esetében"
ii. az I.2. táblázat címe helyébe a következő szöveg kerül:
"A terhelési és az üresjárati veszteség maximuma (wattban) a legfeljebb 24 kV legnagyobb kimeneti feszültségű (Um) tekerccsel, valamint legfeljebb 3,6 kV legnagyobb kimeneti feszültségű (Um) második tekerccsel rendelkező közepes teljesítményű háromfázisú száraztranszformátorok esetében"
iii. az első bekezdés után a szöveg a következő bekezdésekkel egészül ki:
‘A második szakaszbeli követelmények alkalmazásának kezdőnapjától (2021. július 1.), ha egy meglévő közepes teljesítményű transzformátor egy az egyben történő cseréje aránytalan beszerelési költségekkel jár, a cseretranszformátornak kivételes jelleggel csak az adott mért teljesítményre vonatkozó első szakaszbeli követelményeknek kell megfelelnie.
Ebben az összefüggésben a beszerelési költségek akkor aránytalanok, ha a transzformátornak otthont adó teljes alállomás cseréjének és/vagy további terület megszerzésének vagy bérlésének a költségei magasabbak, mint a második szakaszbeli követelményeknek megfelelő cseretranszformátor használata által annak szokásosan várható élettartama alatt elkerült további villamosenergia-veszteség (díjak, adók és járulékok nélküli) nettó jelenértéke. A nettó jelenértéket a széles körben elfogadott társadalmi diszkontráták (*1)
Ilyen esetben a gyártó, az importőr, illetve a meghatalmazott képviselő a cseretranszformátor műszaki dokumentációjában feltünteti az alábbi információkat:
- a cseretranszformátor megrendelőjének címe és elérhetőségei;
- az az állomás, ahol a cseretranszformátor beszerelése történik. Az állomást egy konkrét hely vagy egy meghatározott létesítménytípus (pl. állomás- vagy transzformátorház-modell) megjelölésével egyértelműen azonosítani kell;
- azon költségek aránytalan voltának műszaki és/vagy gazdasági indokolása, amelyek miatt második szakaszbeli követelmények helyett csupán az első szakaszbeli követelményeknek megfelelő transzformátort szerelnek be. Ha a transzformátor(oka)t pályázati eljárás keretében rendelték meg, akkor meg kell adni az ajánlatok elemzésére és az odaítélésről szóló határozatra vonatkozó valamennyi szükséges információt.
Ilyen esetekben a gyártó, az importőr, illetve a meghatalmazott képviselő értesíti az illetékes nemzeti piacfelügyeleti hatóságokat.
(*1)
Az Európai Bizottság minőségi jogalkotási eszköztára a társadalmi diszkontráta esetében 4 %-os értékét javasol alkalmazni.
https://ec.europa.eu/info/sites/info/files/file_import/better-regulation-toolbox-61_en_0.pdf"';
"
iv. az I.3. táblázat helyébe az alábbi I.3a. és I.3b. táblázat lép:
"I.3a. táblázat:
Az I.1., I.2. és I.6. táblázatban megadott terhelési és üresjárati veszteségekre alkalmazandó korrekciós tényezők a különleges tekercsfeszültség-kombinációkkal rendelkező (legfeljebb 3150 kVA mért teljesítményű) közepes teljesítményű transzformátorok esetében
| Különleges feszültségkombináció egy tekercsben | Terhelési veszteség (Pk) | Üresjárati veszteség (Po) | |
| Folyadékhűtéses transzformátorok (I.1. táblázat) és száraztranszformátorok (I.2. táblázat) egyaránt | Nincs korrekció. | Nincs korrekció. | |
| Primer tekercs legnagyobb kimeneti feszültsége: Um ≤ 24 kV | Szekunder tekercs legnagyobb kimeneti feszültsége: Um > 3,6 kV | ||
| Folyadékhűtéses transzformátorok (I.1. táblázat) | 10 % | 15 % | |
| Primer tekercs legnagyobb kimeneti feszültsége: Um = 36 kV | Szekunder tekercs legnagyobb kimeneti feszültsége: Um ≤ 3,6 kV | ||
| Primer tekercs legnagyobb kimeneti feszültsége: Um = 36 kV | Szekunder tekercs legnagyobb kimeneti feszültsége: Um > 3,6 kV | 10 % | 15 % |
| Száraztranszformátorok (I.2. táblázat) | 10 % | 15 % | |
| Primer tekercs legnagyobb kimeneti feszültsége: Um = 36 kV | Szekunder tekercs legnagyobb kimeneti feszültsége: Um ≤ 3,6 kV | ||
| Primer tekercs legnagyobb kimeneti feszültsége: Um = 36 kV | Szekunder tekercs legnagyobb kimeneti feszültsége: Um > 3,6 kV | 15 % | 20 % |
I.3b. táblázat:
Az I.1., I.2. és I.6. táblázatban megadott terhelési és üresjárati veszteségekre alkalmazandó korrekciós tényezők a legfeljebb 3150 kVA mért teljesítményű közepes teljesítményű transzformátorok esetében az egyik vagy mindkét tekercsen jelentkező, 10 %-nál nagyobb mértékben eltérő kettős feszültség esetén
| Kettős feszültség típusa | Referenciafeszültség a korrekciós tényezők alkalmazásához | Terhelési veszteség (Pk) (*2) | Üresjárati veszteség (Po) (*2) |
| Kettős feszültség az egyik tekercsen, csökkentett kimenő teljesítmény az alacsonyabb feszültségű kisfeszültségű tekercsen ÉS a kisfeszültségű tekercs alacsonyabb feszültségszintje mellett a maximális hasznos teljesítmény a kisfeszültségű tekercs magasabb feszültségszintjéhez rendelt mért teljesítmény legfeljebb 85 %-a lehet. | A veszteségeket a kisfeszültségű tekercs magasabb feszültségszintje alapján kell kiszámítani. | Nincs korrekció. | Nincs korrekció. |
| Kettős feszültség az egyik tekercsen, csökkentett kimenő teljesítmény az alacsonyabb feszültségű nagyfeszültségű tekercsen ÉS a nagyfeszültségű tekercs alacsonyabb feszültségszintje mellett a maximális hasznos teljesítmény a nagyfeszültségű tekercs magasabb feszültségszintjéhez rendelt mért teljesítmény legfeljebb 85 %-a lehet. | A veszteségeket a nagyfeszültségű tekercs magasabb feszültségszintje alapján kell kiszámítani. | Nincs korrekció. | Nincs korrekció. |
| Kettős feszültség a tekercsek egyikén ÉS a teljes mért teljesítmény rendelkezésre áll mindkét tekercsen, azaz a feszültségkombinációtól függetlenül a teljes névleges teljesítmény rendelkezésre áll. | A veszteségeket a kétfeszültségű tekercs esetében a magasabb feszültségszint alapján kell kiszámítani. | 10 % | 15 % |
| Kettős feszültség mindkét tekercsen ÉS a mért teljesítmény a tekercsek valamennyi kombinációja esetén rendelkezésre áll, azaz az egyik tekercs mindkét feszültsége esetén rendelkezésre áll a teljes mért teljesítmény a másik tekercs bármelyik feszültségével kombinálva | A veszteségeket mindkét kétfeszültségű tekercs esetében a magasabb feszültségszint alapján kell kiszámítani. | 20 % | 20 % |
b) az 1.4. pont első bekezdése helyébe a következő szöveg lép:
"1.4. A 25 kVA és 400 kVA közötti mért teljesítményű meglévő, oszlopra szerelt, közepes teljesítményű transzformátorok egy az egyben történő cseréje esetén nem az I.1. és I.2. táblázatban, hanem az I.6. táblázatban szereplő maximális terhelési és üresjárati veszteségszinteket kell alkalmazni. Az I.6. táblázatban nem szereplő kVA-értékekhez tartozó maximális megengedett veszteségértékeket lineáris interpoláció vagy extrapoláció útján kell meghatározni. A különleges tekercsfeszültség-kombinációkra vonatkozóan az I.3a. és I.3b. táblázatban megadott korrekciós tényezőket szintén alkalmazni kell.
A meglévő, oszlopra szerelt, közepes teljesítményű transzformátorok egy az egyben történő cseréje esetén a gyártó, az importőr, illetve a meghatalmazott képviselő a transzformátor műszaki dokumentációjában feltünteti az alábbi információkat:
- a cseretranszformátor megrendelőjének címe és elérhetőségei;
- az az állomás, ahol a cseretranszformátor beszerelése történik. Az állomást egy konkrét hely vagy egy meghatározott létesítménytípus (pl. az oszlop műszaki leírása) megjelölésével egyértelműen azonosítani kell.
Ilyen esetekben a gyártó, az importőr, illetve a meghatalmazott képviselő értesíti az illetékes nemzeti piacfelügyeleti hatóságokat.
Az oszlopra szerelt új transzformátorok beszerelése tekintetében az I.1. és I.2. táblázatban szereplő követelményeket kell alkalmazni, indokolt esetben az I.3a. és I.3b. táblázattal összefüggésben.";
c) a 2. pont helyébe a következő szöveg lép:
‘2. Az energiafelhasználás hatásfokára vonatkozó minimumkövetelmények a nagy teljesítményű transzformátorok esetében
A nagy teljesítményű transzformátorok energiafelhasználási hatásfokára vonatkozó minimumkövetelményeket az I.7., I.8. és I.9. táblázat tartalmazza.
Előfordulhatnak olyan egyedi esetek, amikor egy meglévő transzformátornak az I.7., I.8. és I.9. táblázatban meghatározott vonatkozó minimumkövetelményeknek megfelelő transzformátorra történő cseréje vagy egy ilyen új transzformátor beszerelése aránytalan költségekkel járna. Általános szabályként a költségek akkor tekinthetők aránytalannak, ha - az esettől függően - a második, illetve első szakaszbeli követelményeknek megfelelő transzformátor szállítási és/vagy beszerelési többletköltségei magasabbak lennének, mint a szóban forgó transzformátor használata által annak szokásosan várható élettartama alatt elkerült további villamosenergia-veszteség (díjak, adók és járulékok nélküli) nettó jelenértéke. E nettó jelenértéket a széles körben elfogadott társadalmi diszkontráták (*3) alkalmazásával nyert tőkésített veszteségértékek alapján kell kiszámítani.
Ilyen esetekben a következő pótrendelkezések alkalmazandók:
A második szakaszbeli követelmények alkalmazásának kezdőnapjától (2021. július 1.), ha egy nagy teljesítményű transzformátor meglévő helyszínen, egy az egyben történő cseréje aránytalan szállítási és/vagy beszerelési költségekkel jár vagy műszakilag nem kivitelezhető, a cseretranszformátornak kivételes jelleggel csak az adott mért teljesítményre vonatkozó első szakaszbeli követelményeknek kell megfelelnie.
Továbbá ha egy első szakaszbeli követelményeknek megfelelő cseretranszformátor beszerelési költségei szintén aránytalannak bizonyulnak, illetve nem létezik műszakilag kivitelezhető megoldás, a cseretranszformátorra nem kell semmilyen minimumkövetelményt alkalmazni.
A második szakaszbeli követelmények alkalmazásának kezdőnapjától (2021. július 1.), ha egy új nagy teljesítményű transzformátor új helyszínen történő beszerelése aránytalan szállítási és/vagy beszerelési költségekkel jár vagy műszakilag nem kivitelezhető, az új transzformátornak kivételes jelleggel csak az adott mért teljesítményre vonatkozó első szakaszbeli követelményeknek kell megfelelnie.
Ilyen esetekben a transzformátor forgalomba hozataláért vagy üzembe helyezéséért felelős gyártó, importőr, illetve meghatalmazott képviselő:
az új, illetve cseretranszformátor műszaki dokumentációjában feltünteti az alábbi információkat:
- a transzformátor megrendelőjének címe és elérhetőségei;
- az a konkrét hely, ahol a transzformátor beszerelése történik;
- a második, illetve az első szakaszbeli követelményeknek meg nem felelő új, illetve cseretranszformátor beszerelésének műszaki és/vagy gazdasági indokolása. Ha a transzformátor(oka)t pályázati eljárás keretében rendelték meg, akkor meg kell adni az ajánlatok elemzésére és az odaítélésről szóló határozatra vonatkozó valamennyi szükséges információt is;
- értesíti az illetékes nemzeti piacfelügyeleti hatóságokat.
I. 7. táblázat:
A csúcshatásfok-mutató minimumára vonatkozó követelmények nagy teljesítményű folyadékhűtéses transzformátorok esetében
| Mért teljesítmény (MVA) | Első szakasz (2015. július 1-jétől) | Második szakasz (2021. július 1-jétől) |
| A csúcshatásfok-mutató minimuma (%) | ||
| ≤ 0,025 | 97,742 | 98,251 |
| 0,05 | 98,584 | 98,891 |
| 0,1 | 98,867 | 99,093 |
| 0,16 | 99,012 | 99,191 |
| 0,25 | 99,112 | 99,283 |
| 0,315 | 99,154 | 99,320 |
| 0,4 | 99,209 | 99,369 |
| 0,5 | 99,247 | 99,398 |
| 0,63 | 99,295 | 99,437 |
| 0,8 | 99,343 | 99,473 |
| 1 | 99,360 | 99,484 |
| 1,25 | 99,418 | 99,487 |
| 1,6 | 99,424 | 99,494 |
| 2 | 99,426 | 99,502 |
| 2,5 | 99,441 | 99,514 |
| 3,15 | 99,444 | 99,518 |
| 4 | 99,465 | 99,532 |
| 5 | 99,483 | 99,548 |
| 6,3 | 99,510 | 99,571 |
| 8 | 99,535 | 99,593 |
| 10 | 99,560 | 99,615 |
| 12,5 | 99,588 | 99,640 |
| 16 | 99,615 | 99,663 |
| 20 | 99,639 | 99,684 |
| 25 | 99,657 | 99,700 |
| 31,5 | 99,671 | 99,712 |
| 40 | 99,684 | 99,724 |
| 50 | 99,696 | 99,734 |
| 63 | 99,709 | 99,745 |
| 80 | 99,723 | 99,758 |
| 100 | 99,737 | 99,770 |
| 125 | 99,737 | 99,780 |
| 160 | 99,737 | 99,790 |
| ≥ 200 | 99,737 | 99,797 |
Az I.7. táblázatban szereplő tartományokba eső MVA-értékekhez tartozó PEI-minimumértékeket lineáris interpoláció útján kell meghatározni.
I. 8. táblázat:
A csúcshatásfok-mutató minimumára vonatkozó követelmények Um ≤ 36 kV legnagyobb kimeneti feszültségű nagy teljesítményű száraztranszformátorok esetében
| Mért teljesítmény (MVA) | Első szakasz (2015. július 1-jétől) | Második szakasz (2021. július 1-jétől) |
| A csúcshatásfok-mutató minimuma (%) | ||
| 3,15 < Sr ≤ 4 | 99,348 | 99,382 |
| 5 | 99,354 | 99,387 |
| 6,3 | 99,356 | 99,389 |
| 8 | 99,357 | 99,390 |
| ≥ 10 | 99,357 | 99,390 |
Az I.8. táblázatban szereplő tartományokba eső MVA-értékekhez tartozó PEI-minimumértékeket lineáris interpoláció útján kell meghatározni.
I. 9. táblázat:
A csúcshatásfok-mutató minimumára vonatkozó követelmények Um > 36 kV legnagyobb kimeneti feszültségű nagy teljesítményű száraztranszformátorok esetében
| Mért teljesítmény (MVA) | Első szakasz (2015. július 1-jétől) | Második szakasz (2021. július 1-jétől) |
| A csúcshatásfok-mutató minimuma (%) | ||
| ≤ 0,05 | 96,174 | 96,590 |
| 0,1 | 97,514 | 97,790 |
| 0,16 | 97,792 | 98,016 |
| 0,25 | 98,155 | 98,345 |
| 0,4 | 98,334 | 98,570 |
| 0,63 | 98,494 | 98,619 |
| 0,8 | 98,677 | 98,745 |
| 1 | 98,775 | 98,837 |
| 1,25 | 98,832 | 98,892 |
| 1,6 | 98,903 | 98,960 |
| 2 | 98,942 | 98,996 |
| 2,5 | 98,933 | 99,045 |
| 3,15 | 99,048 | 99,097 |
| 4 | 99,158 | 99,225 |
| 5 | 99,200 | 99,265 |
| 6,3 | 99,242 | 99,303 |
| 8 | 99,298 | 99,356 |
| 10 | 99,330 | 99,385 |
| 12,5 | 99,370 | 99,422 |
| 16 | 99,416 | 99,464 |
| 20 | 99,468 | 99,513 |
| 25 | 99,521 | 99,564 |
| 31,5 | 99,551 | 99,592 |
| 40 | 99,567 | 99,607 |
| 50 | 99,585 | 99,623 |
| ≥ 63 | 99,590 | 99,626 |
Az I.9. táblázatban szereplő tartományokba eső MVA-értékekhez tartozó PEI-minimumértékeket lineáris interpoláció útján kell meghatározni.
(*3)
Az Európai Bizottság minőségi jogalkotási eszköztára a társadalmi diszkontráta esetében 4 %-os értékét javasol alkalmazni.
https://ec.europa.eu/info/sites/info/files/file_import/better-regulation-toolbox-61_en_0.pdf';
"
d) a 3. pont utolsó albekezdése helyébe a következő szöveg lép:
"Csak a nagy teljesítményű és a közepes teljesítményű transzformátorok esetében az a), b) és c) pontban meghatározott adatokat a transzformátorok adattábláin is fel kell tüntetni.";
e) A 4. pont utolsó bekezdését el kell hagyni,
és a szöveg az alábbi d) ponttal egészül ki:
"d) az(ok) a konkrét ok(ok), amelyek miatt a transzformátorok az 1. cikk (2) bekezdésének megfelelően mentesülnek a rendeletben foglaltak alól."
2. A II. melléklet helyébe a következő szöveg lép:
"II. melléklet
Mérési módszerek
Az e rendeletben foglalt követelmények teljesülésének ellenőrzése céljából olyan megbízható, pontos és megismételhető mérési eljárásokat kell alkalmazni, amelyek igazodnak az általánosan korszerűként elfogadott mérési módszertanhoz, ideértve az ebből a célból az Európai Unió Hivatalos Lapjában közzétett hivatkozási számú dokumentumokban ismertetett módszereket is.
Számítási módszerek
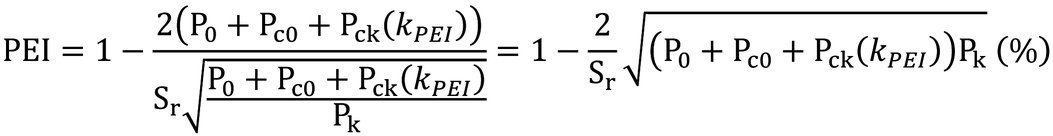
A közepes és a nagy teljesítményű transzformátoroknak az I. melléklet I.4., I.5., I.7., I.8. és I.9. táblázatában említett csúcshatásfok-mutatóját (PEI) a transzformátor átvitt látszólagos teljesítményének az elektromos veszteséggel csökkentett értéke és a transzformátor átvitt látszólagos teljesítménye hányadosának alapján kell számítani. A PEI kiszámításához a közepes és nagy teljesítményű transzformátorokra vonatkozó harmonizált szabványok legújabb verziójában rendelkezésre álló legkorszerűbb módszertant kell alkalmazni.
A csúcshatásfok-mutató kiszámításához a következő képletet kell használni:

Ahol:
P0 a mért csapoláson, mért feszültség és mért frekvencia mellett méréssel meghatározott üresjárati veszteség.
Pc0 a hűtési rendszer üresjárati üzeméhez szükséges, a ventilátor és a folyadékszivattyú-motorok által felvett, típusvizsgálat során mért teljesítményből levezetett villamosenergia-mennyiség (a Pc0 értéke ONAN [természetes olaj- és levegőhűtéses] és ONAN/ONAF [természetes olaj- és levegőhűtéses/természetes olaj- és kényszer-levegőhűtéses] hűtési rendszerek esetében mindig nulla).
Pck (kPEI) a hűtési rendszernek a mért terhelés kPEI-szeresén történő üzeméhez szükséges, a Pc0-n felüli villamosenergia-mennyiség. Pck a terhelés függvénye. Pck (kPEI) értékét a ventilátor és a folyadékszivattyú-motorok által felvett, típusvizsgálat során mért teljesítményből kell levezetni (a Pck értéke ONAN [természetes olaj- és levegőhűtéses] hűtési rendszerek esetében mindig nulla).
Pk a mért csapoláson, mért áramerősség és mért frekvencia mellett méréssel meghatározott, az alaphőmérséklet szerint korrigált terhelési veszteség.
Sr a transzformátor vagy autotranszformátor mért teljesítménye, amelyen a Pk alapul.
kPEI az a terhelési tényező, amely mellett a csúcshatásfok-mutató jelentkezik.
3.
A III. melléklet (1) a következőképpen módosul:
az első bekezdés után a szöveg a következő bekezdéssel egészül ki:
Ha egy modellt úgy terveztek, hogy képes legyen észlelni, ha vizsgálják (például a vizsgálati körülmények vagy a vizsgálati ciklus felismerése révén), és arra reagálva automatikusan megváltoztatni teljesítményét a vizsgálat során annak érdekében, hogy az e rendeletben előírt, vagy a műszaki, illetve egyéb benyújtott dokumentációban megadott paraméterek bármelyike tekintetében kedvezőbb szintet érjen el, a modellt és az egyenértékű modelleket meg nem felelőnek kell tekinteni.
az 1. pont vége a következő szöveggel egészül ki:
"A tagállami hatóság a szóban forgó ellenőrzést saját vizsgálóberendezéseinek felhasználásával végezheti.
Ha az említett transzformátorok esetében az e rendelet I. mellékletében meghatározott paraméterek vizsgálata céljából gyári átvételi vizsgálatokat (FAT) terveznek, a tagállami hatóságok dönthetnek úgy, hogy a vizsgált transzformátor megfelelőségének ellenőrzésére felhasználható vizsgálati eredmények gyűjtése céljából végzett gyári átvételi vizsgálatokat tanúk jelenlétében bonyolítják le. A hatóságok felkérhetik a gyártót, hogy minden tervezett gyári átvételi vizsgálat esetében hozza nyilvánosságra a tanúk jelenlétében végzett vizsgálatok szempontjából releváns információkat.
Ha a 2. c) pontban foglalt feltétel nem teljesül, akkor úgy kell tekinteni, hogy a modell és a vele egyenértékű modellek nem teljesítik e rendelet követelményeit. A modell nem megfelelő voltának megállapítását követően a tagállami hatóságok minden lényeges információt haladéktalanul átadnak a többi tagállam hatóságainak és a Bizottságnak."
A 3. pont helyébe pedig a következő szöveg lép:
"3. Ha a 2. a), 2. b) és 2. c) pontban foglalt feltételek nem teljesülnek, akkor úgy kell tekinteni, hogy a modell és a vele egyenértékű modellek nem teljesítik e rendelet követelményeit."
4. A IV. melléklet c) pontja a következőképpen módosul:
"c) Amorf acélmaggal rendelkező közepes teljesítményű transzformátorok: Ao - 50 %, Ak".
(*1) Az Európai Bizottság minőségi jogalkotási eszköztára a társadalmi diszkontráta esetében 4 %-os értékét javasol alkalmazni.
https://ec.europa.eu/info/sites/info/files/file_import/better-regulation-toolbox-61_en_0.pdf"';
(*3) Az Európai Bizottság minőségi jogalkotási eszköztára a társadalmi diszkontráta esetében 4 %-os értékét javasol alkalmazni.
https://ec.europa.eu/info/sites/info/files/file_import/better-regulation-toolbox-61_en_0.pdf';"
(*2) A veszteségeket a tekercs második oszlopban meghatározott feszültsége alapján kell kiszámítani, és az utolsó két oszlopban megadott korrekciós tényezőkkel lehet növelni. A veszteségek semmilyen tekercsfeszültség-kombináció esetén sem haladhatják meg az I.1., I.2. és I.6. táblázatban megadott és az e táblázatban szereplő tényezőkkel korrigált értékeket.";
(1) Az 548/2014/EU rendelet III. mellékletét az 1275/2008/EK, a 107/2009/EK, a 278/2009/EK, a 640/2009/EK, a 641/2009/EK, a 642/2009/EK, a 643/2009/EK, az 1015/2010/EU, az 1016/2010/EU, a 327/2011/EU, a 206/2012/EU, az 547/2012/EU, a 932/2012/EU, a 617/2013/EU, a 666/2013/EU, a 813/2013/EU, a 814/2013/EU, a 66/2014/EU, az 548/2014/EU, az 1253/2014/EU, az (EU) 2015/1095, az (EU) 2015/1185, az (EU) 2015/1188, az (EU) 2015/1189 és az (EU) 2016/2281 rendeletnek az ellenőrzési eljárásokban alkalmazott tűrések figyelembevétele tekintetében történő módosításáról szóló, 2016. november 30-i (EU) 2016/2282 bizottsági rendelet (HL L 346., 2016.12.20., 51. o.) módosította.
Lábjegyzetek:
[1] A dokumentum eredetije megtekinthető CELEX: 32019R1783 - https://eur-lex.europa.eu/legal-content/HU/ALL/?uri=CELEX:32019R1783&locale=hu