32001R2535[1]
A Bizottság 2535/2001/EK rendelete (2001. december 14.) a tejre és tejtermékekre vonatkozó behozatali szabályok és a vámkontingensek megnyitása tekintetében az 1255/1999/EK tanácsi rendelet alkalmazására vonatkozó részletes szabályok megállapításáról
A BIZOTTSÁG 2535/2001/EK RENDELETE
(2001. december 14.)
a tejre és tejtermékekre vonatkozó behozatali szabályok és a vámkontingensek megnyitása tekintetében az 1255/1999/EK tanácsi rendelet alkalmazására vonatkozó részletes szabályok megállapításáról
1. CÍM
ÁLTALÁNOS RENDELKEZÉSEK
1. cikk
Eltérő rendelkezés hiányában ezt a címet kell alkalmazni az 1255/1999/EK rendelet 1. cikkében felsorolt termékek bármelyikének (továbbiakban: tejtermékek) a Közösségbe irányuló behozatalára, ideértve a mennyiségi korlátozások vagy azonos hatású intézkedések hatálya alá nem eső, és a vámok és azonos hatású díjak alól mentesített, a Közösség által egyes országoknak és területeknek nyújtott kivételes kereskedelmi intézkedések hatálya alá eső behozatalt.
2. cikk
Azon termékeket, amelyek tekintetében behozatali engedélyt kell bemutatni, a 376/2008/EK bizottsági rendelet ( 1 ) 1. cikke (2) bekezdésének a) pontja állapítja meg. A behozatali engedély érvényességi idejét és a nyújtandó biztosíték összegét - e rendelet 24. cikke (3) és (4) bekezdésének sérelme nélkül - az említett rendelet II. mellékletének I. része állapítja meg.
Amennyiben e rendelet másképpen nem rendelkezik, a 376/2008/EK rendeletet és az 1301/2006/EK bizottsági rendeletet ( 2 ) kell alkalmazni.
3. cikk
(2) A nyolcjegyű Kombinált Nómenklatúra-kódot (továbbiakban KN-kód), megfelelő esetben előtte az "ex" szócskával, mind az importengedély-kérelmen, mind az engedély 16. rovatában fel kell tüntetni. Az engedélyek csak az így megjelölt termékekre érvényesek.
Abban az esetben azonban, ha az engedélyeket az I. fejezetben és a 2. cím III. fejezetének 2. szakaszában említett behozatali vámkontingensek alapján adják ki, azok az ugyanazon kontingensszám alá tartozó összes KN-kódra érvényesek, feltéve hogy az érintett termékek azonos behozatali vámtétel alá esnek.
(4) Az engedélyeket legkésőbb a kérelem benyújtásának napját követő első munkanapon bocsátják ki.
4. cikk
(1) A 0406 90 01 , a feldolgozásra szánt sajtokra vonatkozó KN-kódot csak behozatalra kell alkalmazni.
2. CÍM
CSÖKKENTETT VÁMTÉTELŰ BEHOZATALRA VONATKOZÓ KÜLÖNÖS SZABÁLYOK
I. FEJEZET
A Közösség által csak importengedély alapján megnyitott kontingensek szerinti behozatal
1. szakasz
5. cikk
Ezt a fejezetet a következő vámkontingensek keretében behozott tejtermékekre kell alkalmazni:
a) a CXL engedményes listában említett nem meghatározott származási országokra vonatkozó kontingensek;
f) A 2002/309/EK, Euratom tanácsi és bizottsági határozattal ( 3 ) jóváhagyott, a Közösség és a Svájc között a mezőgazdasági termékek kereskedelméről létrejött megállapodás 2. mellékletében meghatározott kontingens;
h) a 2011/818/EU tanácsi határozattal ( 4 ) jóváhagyott, az Európai Unió és a Norvég Királyság között létrejött megállapodás (a továbbiakban: a Norvégiával kötött megállapodás) V. mellékletében előírt kontingensek;
i) Az (EU) 2017/1913 tanácsi határozattal ( 5 ) jóváhagyott, az Európai Unió és Izland között a mezőgazdasági termékekre alkalmazandó kiegészítő kereskedelmi preferenciákról szóló megállapodás (a továbbiakban: Izlanddal kötött megállapodás) V. mellékletében előírt kontingensek;
k) az I. melléklet K. részében említett kontingensek;
l) az I. melléklet L. részében említett kontingensek.
6. cikk
Az I. melléklet határozza meg a vámkontingenseket, az alkalmazandó vámokat, az évente behozható maximális mennyiséget, a behozatalivámkontingens-időszakokat és azok alidőszakokra történő felosztását.
Az I. melléklet B., D. és F. részében az egyes behozatali évekre meghatározott mennyiségeket a minden év január 1-jén és július 1-jén kezdődő hat hónapos időszakokra vonatkozóan két egyenlő részre osztják.
2. szakasz
7. cikk
Az importengedély-kérelmezőknek a székhelyük szerinti tagállam illetékes hatóságának előzetes jóváhagyásával kell rendelkezniük.
Az érintett hatóság valamennyi elfogadott importőrnek jóváhagyási számot ad.
8. cikk
Az 1301/2006/EK rendelet 5. cikkének első bekezdésétől elérve, jóváhagyást kap az a kérelmező, aki minden év április 1-je előtt kérelmet nyújt be azon tagállam illetékes hatóságaihoz, amelyben letelepedett, és amelyben őt héa-nyilvántartásba vették, és a kérelmét annak a bizonyítékával egészíti ki, hogy az előző két naptári év mindegyike során a Kombinált Nómenklatúra 04 fejezetébe tartozó tejtermékekből legalább 25 tonnát importált a Közösségbe, illetve exportált a Közösségből.
9. cikk
Az illetékes hatóság a kérelmezőket május 1-je előtt tájékoztatja a jóváhagyási eljárás eredményéről és megfelelő esetben jóváhagyási számukról. A jóváhagyás egy évig érvényes.
10. cikk
(1) A tagállamok minden év május 20-a előtt - a (3) bekezdéssel összhangban - megküldik az elfogadott importőrök jegyzékét a Bizottságnak, amely továbbítja azokat a többi tagállam illetékes hatóságainak.
A július 1-jétől a következő év június 30-ig terjedő behozatali időszakra csak a jegyzékben szereplő importőrök kérhetnek június 1-jétől kezdve importengedélyt a 11-14. cikk alapján.
(2) A Bizottság - azoknak a csatlakozni kívánó országoknak a kérésére, amelyekre vonatkozóan behozatali kontingens nyitottak meg - azzal a feltétellel küldheti meg az elfogadott importőrök jegyzékét, hogy ezek megküldéséhez megszerzi a jegyzéken szereplő importőrök beleegyezését. A tagállamok megteszik a szükséges lépéseket az importőrök beleegyezésének megszerzéséhez.
(3) A tagállamok értesítik a Bizottságot az elfogadott importőrökről készített jegyzékeikről, amelyekben szerepelnek egyrészről azok az elfogadott importőrök, akik a (2) bekezdés szerint beleegyezésüket adták, másrészről az egyéb elfogadott importőrök. Ez az értesítés tartalmazza az elfogadott importőrök jóváhagyási számát, nevét, címét, telefonszámát és e-mail címét.
3. szakasz
11. cikk
Engedélykérelmet csak a jóváhagyó tagállamban lehet benyújtani, és azokon fel kell tüntetni az importőr jóváhagyási számát.
13. cikk
(1) Az engedélykérelmeken ugyanazon kontingensre nézve az I. mellékletben felsorolt KN-kódok közül egy vagy több is szerepelhet; valamennyi kódnál fel kell tüntetni a kért mennyiséget.
Mindegyik kódhoz azonban külön engedélyt kell kiadni.
(2) Az engedélykérelmeknek legalább 10 tonnára kell vonatkozniuk, de legfeljebb a kontingens keretében a 6. cikkben említett alidőszakra rendelkezésre álló mennyiségre vonatkozhatnak.
Mindazonáltal az egyes engedélykérelmekben feltüntetett mennyiségek:
a) az 5. cikk a) pontjában említett kontingensek esetében nem haladhatják meg a rendelkezésre álló mennyiség 10 %-át;
b) az 5. cikk k) pontjában említett kontingensek esetében nem haladhatják meg a rendelkezésre álló mennyiség 25 %-át.
14. cikk
(1) Az engedélykérelmeket kizárólag a következő időszakokban lehet benyújtani:
a) november 20-a és 30-a között a következő év január 1-je és június 30-a közötti behozatali időszakra;
b) június 1-je és 10-e között a július 1-je és december 31-e közötti behozatali időszakra.
(1a) Az I. melléklet K. részében említett kontingensek esetében az engedélykérelmeket kizárólag a következő időszakokban lehet benyújtani:
a) november 20-a és 30-a között a következő év január 1-je és június 30-a közötti behozatali időszakra;
b) június 1-je és 10-e között a július 1-je és december 31-e közötti behozatali időszakra;
c) szeptember 1-je és 10-e között az október 1-je és december 31-e közötti behozatali időszakra.
(2) Az 1291/2000/EK rendelet 15. cikkének (2) bekezdésében említett biztosíték a termék nettó 100 kilogrammjára 35 euró.
4. szakasz
15. cikk
Az engedélyek benyújtásának határidejét követő ötödik munkanapon a tagállamok értesítik a Bizottságot az egyes érintett termékekre nézve benyújtott kérelmekről. Az értesítéseknek mindegyik kontingensszám és KN-kód alatt tartalmazniuk kell a mennyiséget, amelyre a kérelem irányul. Az értesítéseket valamennyi kontingensre vonatkozóan külön nyomtatványon kell benyújtani.
16. cikk
(1) A tagállamok illetékes hatóságai a 15. cikkben előírt értesítési napot követő ötödik munkanap után öt napon belül kibocsátják az engedélyeket.
(3) Az 1291/2000/EK rendelet 23. cikkétől eltérve az importengedélyek csak arra az alidőszakra érvényesek, amelyre azokat kiállították. Az importengedélyek 24. rovatában fel kell tüntetni a XX. mellékletben felsorolt jelölések egyikét.
(4) Az e fejezet értelmében kibocsátott importengedélyeket csak a 2. szakasz szerint elfogadott természetes vagy jogi személyekre lehet átruházni. Az engedélyek átruházása esetén az átruházó értesíti a kibocsátó szervet az átvállaló jóváhagyási számáról.
(5) Az 1301/2006/EK rendelet 11. cikke (1) bekezdése első albekezdésének b) pontjától eltérően, összefüggésben az említett cikk (1) bekezdésének második albekezdésével a tagállamok az e cikk (1) bekezdésében említett engedélyek kibocsátására nyitva álló időszak végét követő tíz munkanapon belül értesítik a Bizottságot az általuk kiállított engedélyekben foglalt mennyiségekről, beleértve a nulla értékeket is.
17. cikk
Az 1291/2000/EK rendelet 8. cikkének (4) bekezdése alóli kivételként az e fejezet szerint behozott mennyiségek nem haladhatják meg az importengedély 17. és 18. rovatában szereplő mennyiséget. E célból az engedély 19. rovatába a "0" adatot kell beírni.
18. cikk
(1) Az engedélykérelmeken és az engedélyeken a következőket kell feltüntetni:
a) a 8. rovatban a származási ország;
b) a 15. rovatban a termék megnevezését az I. melléklet szerint vagy - ennek hiányában - az érintett kontingensre megjelölt KN-kódhoz tartozó, a Kombinált Nómenklatúra szerinti megnevezést;
c) az érintett kontingensre megjelölt KN-kód, megfelelő esetben előtte az "ex" szócskával, a 16. rovatban;
d) a 20. rovatban a XV. mellékletben felsorolt bejegyzések egyikét.
(2) Az I. melléklet A. pontjában említett kontingensek keretében történő behozatal kivételével az engedélyek a 8. rovatban feltüntetett országból történő behozatal kötelezettségével járnak.
19. cikk
(1) A csökkentett vámtétel csak a szabad forgalomba bocsátáshoz benyújtott vámáru-nyilatkozatnak az importengedéllyel, valamint a következőkben említett behozatal esetén a következő jegyzőkönyvek közül a megfelelő szerint kibocsátott származási igazolással együtt történő bemutatása esetén alkalmazható:
e) az Európai Gazdasági Közösség és a Svájci Államszövetség között 1972. július 22-én kötött megállapodás 3. jegyzőkönyve ( 6 );
f) a Jordániával kötött megállapodás 3. jegyzőkönyve;
g) a Norvégiával kötött megállapodás 9. pontjában említett szabályok;
h) az Izlanddal kötött megállapodás 3. jegyzőkönyve;
j) a 374/2014/EU európai parlamenti és tanácsi rendelet 2. cikkének a) pontja ( 7 ).
(2) Az (1) bekezdés a) és b) pontjában említett megállapodások értelmében importált termékek szabad forgalomba bocsátásához vagy az EUR.1 bizonyítványt vagy az exportőrnek az említett jegyzőkönyv szerinti nyilatkozatát kell bemutatni.
(3) Az I. melléklet K. részében említett kontingensek vonatkozásában a csökkentett vámtétel alkalmazása a következő feltételekhez van kötve:
a) a szabad forgalomba bocsátásra vonatkozó nyilatkozat elfogadása;
b) az importengedély bemutatása; továbbá
c) a XII. mellékletben felsorolt kibocsátó szervek egyike által kiállított, a IX. mellékletben foglalt mintának megfelelő és a XI. mellékletben meghatározott releváns adatokat tartalmazó IMA 1 bizonyítvány bemutatása a szabad forgalomba bocsátásra vonatkozó nyilatkozat hatálya alá tartozó termék származásának és a támogathatósági feltételek teljesülésének igazolásaként.
A vámhatóságok feltüntetik az IMA 1 bizonyítvány sorozatszámát az importengedélyen.
A 37. cikk (2), (3) és (4) bekezdése értelemszerűen alkalmazandó.
IA. FEJEZET
A 2454/93/EGK rendelet 308a-308c. cikkével összhangban kezelt kontingensek alapján történő behozatal
19.a cikk
(1) A 2454/93/EGK rendelet 308a. és 308b. cikke, valamint 308c. cikkének (1) bekezdése alkalmazandó a VIIa. mellékletben felsorolt és az alábbi jogi aktusokban előírt vámkontingensekre:
a) a 312/2003/EK tanácsi rendelet ( 8 );
b) a 747/2001/EK tanácsi rendelet ( 9 );
d) az EK-Törökország Társulási Tanács 1/98 határozata 1. jegyzőkönyvének I. melléklete ( 10 ).
(2) Az (1) bekezdésben említett kontingensek keretében történő behozatalnak nem feltétele behozatali engedély bemutatása.
(2a) Az (1) bekezdés d) pontjában említett vámkontingens tekintetében a 2454/93/EGK rendelet 308c. cikkének (2) és (3) bekezdése nem alkalmazandó a 2010. január 1-jétől2010. december 31-ig tartó kontingensidőszakra.
(4) A csökkent vámtétel csak az alábbi jogi aktusok alapján kibocsátott származási igazolás bemutatása esetén alkalmazható:
a) a Chilei Köztársasággal kötött megállapodás III. melléklete;
b) az Izraellel kötött megállapodás 4. jegyzőkönyve;
d) az EK-Törökország Társulási Tanács 1/98 határozatának 3. jegyzőkönyve.
II. FEJEZET
Nem kontingens szerinti behozatal csak importengedély alapján
IIA. FEJEZET
Nem kontingens szerinti behozatal importengedély bemutatása nélkül
22.a cikk
(1) Ezt a cikket az Európai Közösség és Svájc között a mezőgazdasági termékek kereskedelmére vonatkozóan megkötött megállapodás 3. cikkében említett kedvezményes behozatalra kell alkalmazni.
(2) A 0406 KN-kód alá tartozó Svájcból származó termékek mentesülnek a behozatali vám és a behozatali engedély bemutatásának kötelezettsége alól.
(3) A vámkedvezmény kizárólag az Európai Gazdasági Közösség és a Svájci Államszövetség között létrejött, 1972. július 22-én Brüsszelben aláírt megállapodás 3. jegyzőkönyvének megfelelően kibocsátott eredetigazolás és a szabad forgalomba bocsátáshoz benyújtott vámáru-nyilatkozat együttes bemutatása esetén alkalmazható.
III. FEJEZET
Inward Monitoring Arrangement (IMA 1) bizonyítvány hatálya alá tartozó importengedéllyel bonyolított behozatal
1. szakasz
24. cikk
(1) Ezt a szakaszt a III.B. mellékletben szereplő CXL engedményes listában felsorolt meghatározott származási országokra vonatkozó kontingensek keretében történő behozatalra kell alkalmazni.
(2) E rendelet III.B. melléklete meghatározza az alkalmazandó vámokat, valamint a behozandó maximális mennyiséget importkontingens-időszakonként.
(3) Az engedélyre vagy bizonyítványra vonatkozó kérelmet csak akkor lehet teljesíteni, ha az illetékes szervnél minden 100 kg nettó tömegű termékre 10 EUR biztosítékot nyújtottak a kérelem benyújtásának napján 13 óráig.
(4) Az engedélyek a 376/2008/EK rendelet 22. cikkének (2) bekezdése értelmében vett tényleges kibocsátás napjától számítva az ezt a napot követő harmadik hónap végéig érvényesek.
25. cikk
(1) A III.B. mellékletben felsorolt, a megjelölt vámmérték alá eső termékekre vonatkozó importengedélyeket csak a megfelelő IMA 1 bizonyítvány bemutatásakor, az abban feltüntetett nettó összmennyiségre bocsátják ki.
Az IMA 1 bizonyítványoknak meg kell felelniük a 29-33. cikkben meghatározott követelményeknek. Az importengedélyeken fel kell tüntetni a megfelelő IMA 1 bizonyítvány számát és kibocsátásának napját.
(2) Importengedélyeket csak azt követően lehet kibocsátani, hogy az illetékes hatóság megerősítette, hogy a 33. cikk (1) bekezdésének e) pontját betartották.
Az engedélyt kibocsátó szervek az egyes importengedély-kérelmekkel együtt benyújtott IMA 1 bizonyítványok egy másolatát legkésőbb a benyújtás napján, brüsszeli idő szerint 18.00 óráig továbbítják a Bizottságnak.
Az engedélyt kibocsátó szervek az importengedélyeket az ezt követő 4. munkanapon bocsátják ki, feltéve hogy a Bizottság e napot megelőzően nem hozott különleges intézkedéseket.
Az importengedélyt kibocsátó illetékes szerv valamennyi benyújtott IMA 1 bizonyítvány eredeti példányát megőrzi.
26. cikk
(1) Az IMA 1 bizonyítványok a kibocsátás napjától számítva az azt követő nyolcadik hónap végéig érvényesek, azonban semmi esetre sem tovább, mint a megfelelő importengedély, vagy annak a behozatali évnek a december 31-e, amelyre a bizonyítványt kibocsátották.
(2) Minden év november 1-jétől ki lehet bocsátani a következő év január 1-jétől érvényes IMA 1 bizonyítványokat az adott behozatali évre vonatkozó kontingensben szereplő mennyiségekre. Importengedély-kérelmeket azonban csak a behozatali év első munkanapjától kezdve lehet benyújtani.
(3) E rendelet VIII. melléklete meghatározza azokat a körülményeket, amelyek esetén az IMA 1 bizonyítványok megsemmisíthetők, módosíthatók, cserélhetők vagy javíthatók.
27. cikk
Az 1291/2000/EK rendelet 8. cikkének (4) bekezdése alóli kivételként az importált mennyiség nem haladhatja meg az importengedély 17. és 18. rovatában szereplő mennyiséget. E célból az engedélyek 19. rovatába a "0" értéket kell bejegyezni.
28. cikk
(1) Az engedélykérelmeken és engedélyeken a következőket kell feltüntetni:
a) a 7. és 8. rovatban az eredet országa és a származási ország;
b) a 15. rovatban a III. mellékletben meghatározott termékmegnevezés;
c) a 16. rovatban a III. mellékletben meghatározott KN-kód, megfelelő esetben előtte az "ex" szócskával;
d) a 20. rovatban, ha szükséges, a kontingensszám, az "IMA 1" bizonyítvány száma, kibocsátásának napja, a XVII. mellékletben felsorolt bejegyzések egyike.
(2) Az engedélyek a 8. rovatban megjelölt származási országból történő behozatal kötelezettségével járnak.
29. cikk
(1) Az IMA 1 bizonyítványokat - az új-zélandi vaj kivételével - a ben foglalt minta szerinti nyomtatványokon, az e fejezetben foglalt követelményeknek megfelelően kell kiállítani.
(2) Az IMA 1 bizonyítványoknak a vevővel kapcsolatos 3., valamint a rendeltetési országgal kapcsolatos 6. rovatát nem kell kitölteni.
30. cikk
(1) A 29. cikkben említett nyomtatvány mérete 210 × 297 milliméter. A felhasznált papír súlya legalább 40 gramm/négyzetméter és színe fehér.
(2) A nyomtatványokat a Közösség valamelyik hivatalos nyelvén kell nyomtatni és kitölteni. Nyomtathatók és kitölthetők továbbá az exportáló ország hivatalos nyelvén vagy hivatalos nyelveinek egyikén.
(3) A nyomtatványt gépírással vagy kézírással lehet kitölteni. A nyomtatvány kézírással történő kitöltése esetén nyomtatott nagybetűket kell alkalmazni.
(4) Valamennyi IMA 1 bizonyítványon szerepelnie kell a kibocsátó szerv által meghatározott sorozatszámnak.
31. cikk
(1) A III. mellékletben említett valamennyi terméktípusra és azok valamennyi megjelenési formájára külön IMA 1 bizonyítványt kell kiállítani.
(2) Az új-zélandi vaj kivételével az IMA 1 bizonyítványokban szerepelnie kell a XI. mellékletben meghatározott részletes adatoknak valamennyi terméktípusra és valamennyi megjelenési formára.
32. cikk
(1) Az IMA 1 bizonyítvány megfelelően hitelesített másolati példányát a megfelelő importengedéllyel és a hozzájuk kapcsolódó termékekkel együtt be kell mutatni az importáló tagállam vámhatóságának a szabad forgalomba bocsátáshoz benyújtott nyilatkozat benyújtása idején. A 26. cikk (1) bekezdésének sérelme nélkül akkor kell bemutatni, amikor még érvényes, vis maior esetei kivételével.
(2) Az IMA 1 bizonyítványok csak akkor érvényesek, ha azokat a XII. mellékletben felsorolt valamely kibocsátó szerv megfelelően kitöltötte és hitelesítette.
(3) Az IMA 1 bizonyítványok akkor tekinthetők megfelelően hitelesítettnek, ha azokon fel van tüntetve a kibocsátás napja és ideje, a kibocsátó szerv pecsétje és az aláírásukra felhatalmazott személy vagy személyek aláírása vagy aláírásai.
33. cikk
(1) A kibocsátó szerveket csak akkor lehet felsorolni a XII. mellékletben, ha:
a) azokat az exportáló ország ilyenként elismeri;
b) vállalják a bizonyítványokon szereplő bejegyzések ellenőrzését;
c) vállalják, hogy kérésre bármilyen információt biztosítanak a Bizottság és a tagállamok számára, amelyre szükség lehet a bizonyítványokon szereplő részletes adatok értékeléséhez;
d) a III. melléklet A. pontjában felsorolt termékek esetén vállalják, hogy a teljes mennyiségre vonatkozó IMA 1 bizonyítványt kibocsátják, mielőtt az abban szereplő termék elhagyja a kibocsátó ország területét;
e) vállalják, hogy a kibocsátás napján vagy legkésőbb az attól számított 7 napon belül faxon megküldik a Bizottságnak valamennyi hitelesített IMA 1 bizonyítvány másolatát az abban szereplő teljes mennyiségről és, megfelelő esetben, az esetleges megsemmisítésekről, helyesbítésekről vagy módosításokról szóló értesítést;
f) a 0406 KN-kód alá tartozó termékek esetén vállalják, hogy január 15-ig értesítik a Bizottságot valamennyi kontingens tekintetében külön-külön a következőkről:
i. az előző kontingensévre kibocsátott IMA 1 bizonyítványok száma valamennyi bizonyítvány azonosító számával és az abban szereplő mennyiségek feltüntetésével, az összes kibocsátott bizonyítvány számával és az azokban a kontingensévre vonatkozóan szereplő teljes mennyiséggel együtt; valamint
ii. a fenti IMA 1 bizonyítványok megsemmisítéséről, helyesbítéséről vagy módosításáról vagy a VIII. melléklet 1-5. pontjában és a 32. cikk (1) bekezdésében előírt másolatok kibocsátásáról, valamint azok valamennyi lényeges részletéről.
(2) Amennyiben az (1) bekezdés a) pontjában említett előírás már nem teljesül, vagy ha valamely kibocsátó szerv az általa vállalt kötelezettségek valamelyikét nem teljesíti, a XII. mellékletet felül kell vizsgálni.
2. szakasz
34. cikk
(1) Ezt a szakaszt kell alkalmazni az e rendelet III.A. mellékletében említett 09.4195 és 09.4182 kontingensszám keretében Új-Zélandról behozott vaj tekintetében.
(2) A 27. cikk, a 30. cikk, a 31. cikk (1) bekezdése, a 32. cikk (2) és (3) bekezdése, valamint a 33. cikk (1) bekezdése a)-d) pontja rendelkezéseit alkalmazni kell.
(3) Az új-zélandi vajra vonatkozó kontingens megnevezésében a "legalább hathetes" kifejezés az olyan vajra utal, amely legalább hathetes azon a napon, amelyen a vámhatóságoknak bemutatják a szabad forgalomba bocsátáshoz benyújtott vámáru-nyilatkozatot.
(4) A III.A. melléklet határozza meg a vámkontingenseket, az alkalmazandó vámot, az évente behozható maximális mennyiséget, a behozatalivámkontingens-időszakokat és azok alidőszakokra történő felosztását.
34a. cikk
(1) A kontingenseket a III.A. mellékletben foglaltaknak megfelelően két részre kell osztani:
a) a 09.4195 számú kontingenst (a továbbiakban: A. rész) azok között a 7. cikk rendelkezéseinek megfelelően jóváhagyott uniós importőrök között kell szétosztani, akik igazolni tudják, hogy importáltak a 09.4195 vagy a 09.4182 számú kontingens keretében a kontingensévet megelőző év novembere előtti 24 hónap során;
b) a 09.4182 számú kontingenst (a továbbiakban: B. rész) azoknak a kérelmezőknek kell fenntartani,
i. akiket a 7. cikk rendelkezéseinek megfelelően jóváhagytak, és
ii. akik igazolni tudják, hogy a kontingensévet megelőző év novembere előtti 12 hónap során a Kombinált Nómenklatúra 04. árucsoportjába tartozó tejből vagy tejtermékekből legalább 100 tonnát importáltak az Unióba és/vagy exportáltak az Unióból, legalább négy önálló ügyletben.
(2) Importengedély iránti kérelmeket kizárólag a következő időszakokban lehet benyújtani:
a) november 20-a és 30-a között a következő év január 1-je és június 30-a közötti behozatali időszakra;
b) június 1-je és 10-e között a július 1-je és december 31-e közötti behozatali időszakra;
c) szeptember 1-je és 10-e között az október 1-je és december 31-e közötti behozatali időszakra.
(3) Ahhoz, hogy elfogadhatók legyenek, az importengedély iránti kérelmek kérelmezőnként legfeljebb a következő mennyiségekre vonatkozhatnak:
a) az A. rész esetében legfeljebb azon mennyiség 125 %-ára, amelyet a kérelmező a 09.4195 vagy a 09.4182 számú kontingens keretében az előző kontingensév novemberét megelőző 24 hónap során importált;
b) a B. rész esetében legalább 20 tonnára, de legfeljebb az adott alidőszakra rendelkezésre álló mennyiség 10 %-ára, feltéve, hogy a kérelmező az érintett tagállam illetékes hatósága számára kielégítően igazolni tudja, hogy teljesíti az (1) bekezdés b) pontjában foglalt feltételeket.
Amennyiben a kérelmezők megfelelnek a jogosultági feltételeknek, a kontingens mindkét részére nyújthatnak be egyidejűleg kérelmet.
Az A. részre és a B. részre külön-külön kell behozatali engedély iránti kérelmet benyújtani.
(4) Az importengedély iránti kérelmet csak abban a tagállamban lehet benyújtani, amely a 7. cikk szerinti jóváhagyást megadta, és a kérelemben fel kell tüntetni az importőr jóváhagyási számát.
(5) Az (1) és a (3) bekezdésben említett igazolásoknak meg kell felelniük az 1301/2006/EK rendelet 5. cikke második bekezdésének.
Az igazolásokat az importengedély iránti kérelmek benyújtásával egyidejűleg kell benyújtani, és azoknak érvényesnek kell lenniük a vonatkozó kontingensévre.
35. cikk
Az 1291/2000/EK rendelet 15. cikkének (2) bekezdésében említett biztosíték a termék nettó 100 kilogrammjára 35 EUR.
35a. cikk
(1) A tagállamok legkésőbb a kérelmek benyújtására szolgáló időszak végét követő ötödik munkanapon értesítik a Bizottságot az egyes érintett termékekre vonatkozóan benyújtott kérelmekről.
(2) Az értesítés KN-kód szerinti lebontásban tartalmazza a kérelmezett mennyiségeket minden kontingensszám tekintetében.
A tagállamok legkésőbb a kérelmek benyújtására szolgáló időszak végét követő ötödik munkanapon megküldik a Bizottságnak a kérelmezők nevét és címét vámkontingensszám szerinti bontásban. Ezt az értesítést elektronikus úton, a Bizottság által a tagállamoknak eljuttatott formanyomtatványon kell megtenni.
(3) A Bizottság az (1) bekezdésben említett értesítési határidőt követő 5 munkanapon belül döntést hoz arról, hogy a kérelmeket milyen mértékben lehet elfogadni. Ha a kérelmezett mennyiségek nem haladják meg a rendelkezésre álló mennyiségeket, a Bizottság nem hoz döntést, és kiadják az engedélyeket a kérelmezett mennyiségekre.
Ha a valamely alkontingens iránti engedélykérelmek meghaladják a szóban forgó kontingensidőszakra rendelkezésre álló mennyiséget, a Bizottság egységes allokációs tényezőt alkalmaz a kérelmezett mennyiségekre. A biztosítéknak a fel nem osztott mennyiségeknek megfelelő részét fel kell szabadítani.
Ha valamelyik alkontingens esetében az allokációs tényező alkalmazása kérelmenként 20 tonnánál kisebb mennyiségekre vonatkozó engedélyek kibocsátását eredményezné, a megfelelő rendelkezésre álló mennyiségeket az érintett tagállamok kontingensenként sorshúzással ítélik oda; egyenként 20 tonnára szóló engedélyeket sorsolnak ki azok között a kérelmezők között, akiknek az elosztási együttható alkalmazásával 20 tonnánál kisebb mennyiséget osztottak volna ki.
Ha a 20 tonnás tételek megállapítása 20 tonnánál kisebb mennyiség megmaradását eredményezi, ezt a mennyiséget önálló tételként kell kezelni.
A sorshúzással történő szétosztás során sikertelenül járt kérelmekhez tartozó biztosítékot haladéktalanul fel kell szabadítani.
(4) Az engedélyeket legfeljebb 5 munkanapon belül kiadják azt követően, hogy a (3) bekezdésben említett döntés megszületett.
(5) Az e rendelet alapján kiállított importengedélyek a III.A. mellékletben említett féléves időszak utolsó napjáig érvényesek.
(6) Az e szakasz alapján kiállított importengedélyek csak a 7. cikkel összhangban jóváhagyott természetes vagy jogi személyekre ruházhatók át. Az átruházási kérelemmel együtt az átadó értesíti a kibocsátó szervet az átruházás kedvezményezettjének jóváhagyási számáról.
35b. cikk
Az engedélykérelmek és az engedélyek tartalmazzák a 28. cikkben meghatározott hivatkozásokat, kivéve az IMA 1 bizonyítványra vonatkozó hivatkozást.
Az engedélykérelmek 16. rovatában fel lehet tüntetni a III.A. mellékletben felsorolt KN-kódok közül egyet vagy többet.
Az engedélyek 20. rovata megjelöli azt az alkontingens-időszakot, amelyre az engedélyt kiadták.
Ha egy engedélykérelmen több KN-kódot tüntettek fel, minden egyes kódra meg kell határozni a kérelmezett mennyiséget, és minden kódra külön engedélyt kell kiadni.
36. cikk
Ha az új-zélandi vaj nem felel meg az összetételre vonatkozó előírásoknak, nem lehet a vámkontingens által nyújtott előnyöket a vonatkozó vámáru-nyilatkozat hatálya alá tartozó teljes mennyiségre biztosítani.
Amint a meg nem felelés megállapítást nyer, ha a szabad forgalomba bocsátáshoz benyújtott nyilatkozatot elfogadták, a vámhatóság beszedi a 2658/87/EGK tanácsi rendelet I. mellékletében meghatározott behozatali vámot. E célból a nem megfelelő mennyiségre teljesvám-hatály alá eső importengedélyt adnak ki.
A mennyiséget nem írják jóvá az engedélyen.
37. cikk
(1) A III.A. mellékletben meghatározott vámtételt csak akkor alkalmazzák az e szakasz alapján importált új-zélandi vaj esetében, ha a támogathatósági feltételek és a nyilatkozat hatálya alá tartozó termék eredetének igazolásaként bemutatják a szabad forgalomba bocsátásról szóló vámáru-nyilatkozatot, valamint a 35a. cikk rendelkezéseivel összhangban kiadott importengedélyt és a XII. mellékletben felsorolt kibocsátó szervek egyike által kiadott, a X. mellékletben említett IMA 1 bizonyítványt. A vámhatóságok feltüntetik az IMA 1 bizonyítvány sorozatszámát az importengedélyen.
(2) Az IMA 1 bizonyítványon feltüntetett mennyiség megegyezik a behozatali vámáru-nyilatkozaton szereplő mennyiséggel.
(3) Az IMA 1 bizonyítványok a kibocsátás időpontjától az éves behozatali kontingensidőszak utolsó napjáig érvényesek.
(4) Az importengedélyt egy vagy több behozatali nyilatkozathoz lehet használni.
40. cikk
(1) E rendelet IV. melléklete meghatározza az IMA 1 bizonyítványok kitöltése és a vaj tömegének és zsírtartalmának ellenőrzése során követendő szabályokat, valamint az ilyen ellenőrzés következményeit.
(2) A tagállamok a IV. melléklet értelmében negyedévente elvégzett ellenőrzés eredményeiről legkésőbb a következő hónap 10-ig tájékoztatják a Bizottságot. Ennek a bejelentésnek a következő adatokat kell tartalmaznia:
a) általános információk:
i. a vajgyártó neve;
ii. a szállítmány azonosító kódja;
iii. a szállítmány mérete kg-ban;
iv. az ellenőrzések időpontja (nap/hónap/év),
b) tömeg ellenőrzése:
i. a véletlenszerű minta mérete (dobozok száma);
ii. a középértékre vonatkozó adatok:
- a kg-ban kifejezett dobozonkénti nettó tömeg számtani közepe (az IMA 1 bizonyítványon meghatározottak szerint - 9. rovat),
- a mintadobozok kg-ban kifejezett nettó tömegének számtani közepe,
- annak megállapítása, hogy Unióban meghatározott nettó tömeg számtani közepe a bevallott értékhez képest jelentős eltérést mutat-e (N = nem, I = igen),
iii. a szórásra vonatkozó adatok:
- a kg-ban kifejezett dobozonkénti nettó tömeg szórása (az IMA 1 bizonyítványon meghatározottak szerint - 9. rovat),
- a mintadobozok nettó tömegének szórása (kg),
- annak megállapítása, hogy az Unióban meghatározott nettó tömeg szórása a bevallott értékhez képest jelentős eltérést mutat-e (N = nem, I = igen),
c) a zsírtartalom ellenőrzése:
i. a véletlenszerű minta nagysága (dobozok száma);
ii. a középértékre vonatkozó adatok:
- a mintadobozok zsírtartalmának számtani közepe a zsír %-ában megadva,
- annak megállapítása, hogy az Unióban meghatározott zsírtartalom számtani közepe meghaladja-e a 84,4 %-ot (N = nem, I = igen).
41. cikk
(1) A Közösségbe az e fejezet értelmében importált új-zélandi vaj forgalmazásának valamennyi szakaszában fel kell tüntetni az új-zélandi eredetet a csomagoláson és a megfelelő számlán vagy számlákon.
(2) Az (1) bekezdés alóli kivételként, amennyiben az új-zélandi vajat közösségi vajjal keverik, és ha a kevert vajat közvetlen fogyasztásra szánják, és 500 grammos vagy annál kisebb csomagokban kínálják, a kevert vaj új-zélandi származását csak a megfelelő számlán kell feltüntetni.
(3) Az (1) és (2) bekezdésben említett esetekben a számlának a következőket is tartalmaznia kell:
"A 2535/2001/EK bizottsági rendelet III. fejezetének 2. szakasza szerint importált vaj: nem jogosult a 429/90/EGK bizottsági rendelet 1. cikkének (1) bekezdése vagy a 2571/97/EK bizottsági rendelet 1. cikke (2) bekezdésének a) pontja értelmében a vajra járó támogatásra vagy az 1255/1999/EK tanácsi rendelet 31. cikkének (10) és (11) bekezdése szerinti export-visszatérítésre, kivéve amennyiben erről ez utóbbi rendelet 31. cikkének (12) bekezdése vagy az 1222/94/EK bizottsági rendelet 7a. cikke így rendelkezik."
42. cikk
Az IMA 1 bizonyítványokat a X. mellékletben szereplő mintának megfelelően kell kiállítani az ebben a szakaszban és az e rendelet 40. cikkének (1) bekezdésében meghatározott előírásoknak megfelelően.
IV. FEJEZET
A csökkentett vám hatálya alá tartozó behozatal ellenőrzése
43. cikk
(1) Azok a közösségi vámhivatalok, ahol az árukat a Közösségen belüli szabad forgalomba bocsátásra bejelentik, részletesen megvizsgálják a csökkentett vámtarifa alkalmazásának igénylésével a szabad forgalomba bocsátáshoz benyújtott vámáru-nyilatkozat alátámasztására benyújtott okmányokat.
Az említett okmányok alapján a termékeken fizikai ellenőrzést is végeznek.
(2) A tagállamok meghozzák azokat az intézkedéseket, amelyek az első bekezdés második albekezdése szerinti előzetes figyelmeztetés nélküli fizikai ellenőrzések elvégzését szolgáló rendszer létrehozásához szükségesek, kockázatelemzés alapján.
2003 végéig azonban a rendszernek biztosítania kell, hogy tagállamonként és naptári évenként a szabad forgalomba bocsátáshoz benyújtott vámáru-nyilatkozatok legalább 3 százalékát fizikailag ellenőrizzék.
Az elvégzendő fizikai ellenőrzések minimális mértékének kiszámítása során a tagállamok dönthetnek úgy, hogy az 500 kilogrammot meg nem haladó mennyiséget érintő behozatali nyilatkozatokat nem veszik figyelembe.
44. cikk
(1) Az e rendeletben említett termékek elemzésére használatos referenciamódszerek tekintetében a 213/2001/EK bizottsági rendeletet ( 11 ) kell alkalmazni annak meghatározására, hogy a termékek összetétele megfelel-e a szabad forgalomba bocsátáshoz benyújtott vámáru-nyilatkozatnak.
(2) Valamennyi vámhivatal minden egyes elvégzett fizikai ellenőrzésről részletes vizsgálati jelentést készít. A jelentésen fel kell tüntetni a vizsgálat napját, és a jelentést legalább három naptári évig meg kell őrizni.
(3) Amennyiben a fizikai ellenőrzést elvégezték, az importengedélyek 32. rovatában, vagy az elektronikus engedélyek üzenet rovatában fel kell tüntetni a XIX. mellékletben felsorolt bejegyzések egyikét.
A vámhatóságok az első elemzés eredményét a fizikai ellenőrzés elvégzésének napját követő 20 munkanapon belül értékelik. Amennyiben a végső eredmények meg nem felelést állapítanak meg, ezeket az eredményeket és megfelelő esetben az engedélyt megküldik az illetékes engedélykibocsátó hatóságnak az eredmények megállapításának napjától számított 10 munkanapon belül.
A 2454/93/EGK bizottsági rendelet ( 12 ) 248. cikkének sérelme nélkül amennyiben az 1291/2000/EK rendelet 33. cikke (1) bekezdésének a) pontja szerinti elfogadott importengedély bemutatását megelőzően az összetételre vonatkozó fizikai ellenőrzést elvégezték, a biztosítékot fel kell oldani.
(4) A Bizottságot értesíteni kell a szabad forgalomba bocsátáshoz benyújtott vámáru-nyilatkozatnak való minden egyes meg nem felelés esetéről 10 munkanapon belül attól számítva, hogy a vámhatóság megállapítja a meg nem felelést, annak megjelölésével, hogy a termékek milyen módon nem felelnek meg, valamint a meg nem felelés megállapítása eredményeként alkalmazott vámmértékről.
45. cikk
A behozatali vámkontingensek keretén belül a tagállamok az 1301/2006/EK rendelet 4. cikkével összhangban értesítik a Bizottságot a szabad forgalomba bocsátott termékek mennyiségére vonatkozó részletekről.
45a. cikk
Az e rendeletben említett értesítéseket, a 15. cikkben, a 35a. cikk (1) bekezdésében és a 45. cikkben említett értesítések kivételével a 792/2009/EK bizottsági rendelettel ( 13 ) összhangban kell megküldeni.
3. CÍM
ÁTMENETI ÉS ZÁRÓ RENDELKEZÉSEK
46. cįkk
A tagállamok meghozzák az e rendelettel bevezetett engedély- és bizonyítványrendszer helyes működésének ellenőrzéséhez szükséges intézkedéseket.
47. cikk
A 7. cikkben előírt jóváhagyás a 2002. január 1-jétől június 30-ig terjedő időszakra nem követelmény.
Erre az időszakra nézve a 2. cím I. fejezetében szereplő kontingensekre vonatkozó engedélykérelmeket csak abban a tagállamban lehet benyújtani, ahol a kérelmező székhellyel rendelkezik, és azokat csak akkor fogadják el, ha a kérelem benyújtásával egy időben az illetékes hatóság számára kielégítő módon bemutatják a 8. cikk (1) bekezdésének a) pontja szerinti bizonyítékot.
A 16. cikk (4) bekezdésében szereplő korlátozások nem vonatkoznak a 2002. január 1-je és június 30-a közötti időszak során kibocsátott importengedélyeknek a 2. cím I. fejezetében említett átruházására.
A 2002. január 1-jétől június 30-ig és a 2002. július 1-jétől december 31-ig terjedő időszakokra a 8. cikk (1) bekezdésének a) pontjában említett referenciaév 2001, illetve ha az érintett importőr bizonyítani tudja, hogy kivételes körülmények következtében 2001 során nem tudja a tejtermékek előírt mennyiségét importálni vagy exportálni, akkor a 2000. év.
48. cikk
A 2967/79/EGK, a 2508/97/EK, az 1374/98/EK és a 2414/98/EK rendeletet hatályát veszti.
A fenti rendeleteket továbbra is alkalmazni kell a 2002. január 1-je előtt kérelmezett engedélyekre.
A hatályon kívül helyezett rendeletekre történő hivatkozásokat az e rendeletre történő hivatkozásoknak kell tekinteni.
49. cikk
Ez a rendelet az Európai Közösségek Hivatalos Lapjában való kihirdetését követő hetedik napon lép hatályba.
Ezt a rendeletet a 2002. január 1-jétől kérelmezett importengedélyekre kell alkalmazni.
Ez a rendelet teljes egészében kötelező és közvetlenül alkalmazandó valamennyi tagállamban.
I. MELLÉKLET
I. A - SZÁRMAZÁSI ORSZÁGOK SZERINT LE NEM BONTOTT VÁMKONTINGENSEK
Kontingensszám | KN-kód | Megnevezés (1) | Behozatali vám (EUR/100 kg nettó tömeg) | Származási ország | Éves kontingens (tonna) | Hathavi kontingens (tonna) |
09.4590 | 0402 10 19 | Sovány tejpor | 47,50 | Valamennyi harmadik ország | 68 537 | 34 268,5 |
09.4599 | 0405 10 11 0405 10 19 0405 10 30 0405 10 50 0405 10 90 0405 90 10 (1) 0405 90 90 (1) | Vaj és tejből nyert más zsír és olaj | 94,80 | Valamennyi harmadik ország | 11 360 | 5 680 |
vajegyenértékben (1) | ||||||
09.4591 | ex 0406 10 30 ex 0406 10 50 ex 0406 10 80 | Pizzasajt, fagyasztva, egyenként 1 grammnál nem nagyobb tömegű darabokra felvágva, 5 kg vagy annál nagyobb nettó tartalmú tartályban, legalább 52 tömegszázalék víztartalommal, és szárazanyagra számítva legalább 38 tömegszázalék zsírtartalommal | 13,00 | Valamennyi harmadik ország | 5 360 | 2 680 |
09.4592 | ex 0406 30 10 | Ömlesztett ementáli | 71,90 | Valamennyi harmadik ország | 18 438 | 9 219 |
0406 90 13 | Ementáli | 85,80 | ||||
09.4593 | ex 0406 30 10 | Ömlesztett Gruyère | 71,90 | Valamennyi harmadik ország | 5 413 | 2 706,5 |
0406 90 15 | Gruyère, Sbrinz | 85,80 | ||||
09.4594 | 0406 90 01 (2) | Feldolgozásra szánt sajt | 83,50 | Valamennyi harmadik ország | 20 007 | 10 003,5 |
09.4595 | 0406 90 21 | Cheddar | 21,00 | Valamennyi harmadik ország | 15 005 | 7 502,5 |
09.4596 | ex 0406 10 30 ex 0406 10 50 ex 0406 10 80 | Friss (érleletlen vagy kezeletlen) sajt, beleértve a savósajtot és túrót, a 09.4591 számú kontingensbe tartozó pizzasajton kívül | 92,60 92,60 106,40 | Valamennyi harmadik ország | 19 525 | 9 762,5 |
0406 20 00 | Reszelt vagy őrölt sajt | 94,10 | ||||
0406 30 31 | Egyéb ömlesztett sajt, a reszelt vagy őrölt sajt kivételével | 69,00 | ||||
0406 30 39 | 71,90 | |||||
0406 30 90 | 102,90 | |||||
0406 40 10 0406 40 50 0406 40 90 | Kék erezetű sajt és egyéb sajtok, amelyek erezetét a Penicillium roqueforti hozza létre | 70,40 | ||||
0406 90 17 | Bergkäse és Appenzell | 85,80 | ||||
0406 90 18 | Fromage Fribourgeois, Vacherin Mont d'Or és Tête de Moine | 75,50 | ||||
0406 90 23 | Edam | 75,50 | ||||
0406 90 25 | Tilsit | 75,50 | ||||
0406 90 29 | Kashkaval | 75,50 | ||||
0406 90 32 | Feta | 75,50 | ||||
0406 90 35 | Kefalo-Tyri | 75,50 | ||||
0406 90 37 | Finlandia | 75,50 | ||||
0406 90 39 | Jarlsberg | 75,50 | ||||
0406 90 50 | Juh- vagy bivalytejből készült sajt sós lét tartalmazó tartályban vagy juh- vagy kecskebőrben | 75,50 | ||||
ex 0406 90 63 | Pecorino | 94,10 | ||||
0406 90 69 | Egyéb | 94,10 | ||||
0406 90 73 | Provolone | 75,50 | ||||
0406 90 74 | Maasdam | 75,50 | ||||
ex 0406 90 75 | Caciocavallo | 75,50 | ||||
ex 0406 90 76 | Danbo, Fontal, Fynbo, Havarti, Maribo, Samsø | 75,50 | ||||
0406 90 78 | Gouda | 75,50 | ||||
ex 0406 90 79 | Esrom, Italico, Kernhem, Saint-Paulin | 75,50 | ||||
ex 0406 90 81 | Cheshire, Wensleydale, Lancashire, Double Gloucester, Blarney, Colby, Monterey | 75,50 | ||||
0406 90 82 | Camembert | 75,50 | ||||
0406 90 84 | Brie | 75,50 | ||||
0406 90 86 | Egyéb sajtok legfeljebb 40 tömegszázalék zsírtartalommal, valamint a zsírmentes anyagra számítva 47 tömegszázalékot meghaladó, de legfeljebb 52 tömegszázalék víztartalommal | 75,50 | ||||
0406 90 89 | Egyéb sajtok legfeljebb 40 tömegszázalék zsírtartalommal, valamint a zsírmentes anyagra számítva 52 tömegszázalékot meghaladó, de legfeljebb 62 tömegszázalék víztartalommal | 75,50 | ||||
0406 90 92 | Egyéb sajtok legfeljebb 40 tömegszázalék zsírtartalommal, valamint a zsírmentes anyagra számítva 62 tömegszázalékot meghaladó, de legfeljebb 72 tömegszázalék víztartalommal | 75,50 | ||||
0406 90 93 | Egyéb sajtok legfeljebb 40 tömegszázalék zsírtartalommal, valamint a zsírmentes anyagra számítva 72 tömegszázalékot meghaladó víztartalommal | 92,60 | ||||
0406 90 99 | Egyéb sajtok 40 tömegszázalékot meghaladó zsírtartalommal | 106,40 | ||||
(*1) 1 kg termék = 1,22 kg vaj. (1) A Kombinált Nómenklatúra értelmezési szabályaitól függetlenül a termék megnevezésénél használt kifejezések csupán jelzésértékűnek tekintendők, mivel a kedvezményes feltételek alkalmazhatóságát e melléklettel összefüggésben a KN-kód alkalmazási tartománya határozza meg. Az „ex” megjelölésű KN-kódok esetében a kedvezményes feltételek alkalmazhatóságát a KN-kód és a megfelelő árumegnevezés együttesen határozza meg. (2) Az említett sajtok akkor minősülnek ömlesztettnek, ha a Kombinált Nómenklatúra 0406 30 alszáma alá tartozó termékké dolgozták fel őket. A 2454/93/EGK rendelet 291–300. cikkét kell alkalmazni. |
I. F. - A KÖZÖSSÉG ÉS SVÁJC KÖZÖTT A MEZŐGAZDASÁGI TERMÉKEK KERESKEDELMÉRŐL LÉTREJÖTT MEGÁLLAPODÁS II. MELLÉKLETÉBEN MEGHATÁROZOTT VÁMKONTINGENS
Kontingens szám | KN-kód | Árumegnevezés | Vámtétel | Kontingens július 1-jétől június 30-ig tonnában |
09.4155 | ex 0401 40 | — 6 tömegszázalékot meghaladó, de legfeljebb 10 tömegszázalék zsírtartalommal | mentes | 2 000 |
ex 0401 50 | — 10 tömegszázalékot meghaladó zsírtartalommal | |||
0403 10 | Joghurt |
I. H - A NORVÉGIÁVAL KÖTÖTT MEGÁLLAPODÁS I. MELLÉKLETE SZERINTI VÁMKONTINGENSEK
Kontingens januártól decemberig
Kontingensszám | KN-kód | Árumegnevezés | Vámtétel | Kontingens 2012. március 1-jétőljúnius 30-ig (tonna) | Kontingens 2012. július 1-jétőldecember 31-ig (tonna) | Kontingens 2013. január 1-jétől (tonna) | |
éves | hat hónapos | ||||||
09.4179 | 0406 | Sajt és túró | mentes | 1 600 | 3 000 | 7 200 | 3 600 |
I.I.
Az Izlanddal létrejött, az (EU) 2017/1913 határozattal jóváhagyott megállapodás V. melléklete szerinti vámkontingensek
Éves kontingens január 1-jétől december 31-ig
(Mennyiség, tonnában kifejezve)
Alkalmazandó vám: mentesítés
Kontingensszám | 09.4225 | 09.4226 | 09.4227 | |
Megnevezés (*1) | Természetes vaj | „Skyr” | Sajtok | |
KN-kód | 0405 10 11 0405 10 19 | ex 0406 10 50 (*2) | ex 04 06 A Kombinált Nómenklatúra 0406 10 50 alszáma alá tartozó „Skyr” kivételével (*2) | |
2018. május és december közötti mennyiség | 201 | 793 | 9 | |
2019. évi mennyiség | 439 | 2 492 | 31 | |
Január és június közötti mennyiség | 220 | 1 246 | 16 | |
Július és december közötti mennyiség | 219 | 1 246 | 15 | |
2020. évi mennyiség | 463 | 3 095 | 38 | |
Január és június közötti mennyiség | 232 | 1 548 | 19 | |
Július és december közötti mennyiség | 231 | 1 547 | 19 | |
2021. évi és azt követő éves mennyiség | 500 | 4 000 | 50 | |
Január és június közötti mennyiség | 250 | 2 000 | 25 | |
Július és december közötti mennyiség | 250 | 2 000 | 25 | |
(*1) A Kombinált Nómenklatúra értelmezési szabályai ellenére a termékek megnevezésénél használt kifejezések csupán jelzésértékűnek tekintendők, e melléklet alkalmazásában a kedvezményes feltételek alkalmazhatóságát a KN-kódok alkalmazási tartománya határozza meg. Az „ex” megjelölésű KN-kódok esetében a kedvezményes feltételek alkalmazhatóságát a KN-kód és a megfelelő árumegnevezés együttesen határozza meg. (*2) A KN-kód a termékbesorolás megerősítésének függvényében módosulhat. |
I.K.
A GATT/WTO MEGÁLLAPODÁSOK ALÁ TARTOZÓ, SZÁRMAZÁSI ORSZÁG ALAPJÁN MEGHATÁROZOTT VÁMKONTINGENSEK: ÚJ-ZÉLAND
Kontingensszám | KN-kód | Leírás | Származási ország | Éves kontingens január 1-jétől december 31-ig (tonna) | Mennyiség január 1-jétől június 30-ig (tonna) | Mennyiség július 1-jétől december 31-ig (tonna) | Mennyiség október 1-jétől december 31-ig (tonna) | Behozatali vám (EUR/100 kg nettó tömeg) |
09.4515 | 0406 90 01 | Feldolgozásra szánt sajt (1) | Új-Zéland | 4 000 | 4 000 | — | — | 17,06 |
09.4514 | ex 0406 90 21 | Egész cheddar sajtok (a hagyományos lapos, hengeres alakban, legalább 33 kg, de 44 kg-ot nem meghaladó nettó tömeggel, és kocka vagy paralelepipedon alakú sajtok, amelyek nettó tömege legalább 10 kg) legalább 50 tömegszázalék zsírtartalommal a szárazanyagban, legalább három hónapig érlelve | Új-Zéland | 7 000 | 7 000 | — | — | 17,06 |
(1) Az e meghatározott célra történő felhasználás figyelemmel kísérése a tárgyban megállapított uniós rendelkezések alkalmazásával történik. Az érintett sajtok akkor minősülnek feldolgozottnak, ha a Kombinált Nómenklatúra 040630 alszáma alá tartozó termékekké dolgozták fel őket. A 2454/93/EGK rendelet 291–300. cikke alkalmazandó. |
I. L. - AZ UKRAJNÁVAL LÉTREJÖTT TÁRSULÁSI MEGÁLLAPODÁS I. FEJEZETE I-A. MELLÉKLETÉNEK FÜGGELÉKÉBEN EMLÍTETT VÁMKONTINGENSEK
Kontingens szám | KN-kód | Leírás (1) | Származási ország | Behozatali időszak | Kontingensmennyiség (a termék tonnában kifejezett tömege) | Kontingensmennyiség hat hónapra (a termék tonnában kifejezett tömege) | Behozatali vám (EUR/100 kg nettó tömeg) |
09. 4600 | 0401 0402 91 0402 99 0403 10 11 0403 10 13 0403 10 19 0403 10 31 0403 10 33 0403 10 39 0403 90 51 0403 90 53 0403 90 59 0403 90 61 0403 90 63 0403 90 69 | Tej és tejszín nem por, granulátum vagy más szilárd alakban; joghurt ízesítés vagy gyümölcs, diófélék vagy kakaó hozzáadása nélkül; erjesztett vagy savanyított tejtermékek ízesítés vagy gyümölcs, diófélék vagy kakaó hozzáadása nélkül, nem por, granulátum vagy más szilárd alakban | UKRAJNA | 2016. év 2017. év 2018. év 2019. év 2020. év 2021-től kezdődően | 8 000 8 400 8 800 9 200 9 600 10 000 | 4 000 4 200 4 400 4 600 4 800 5 000 | 0 |
09. 4601 | 0402 10 0402 21 0402 29 0403 90 11 0403 90 13 0403 90 19 0403 90 31 0403 90 33 0403 90 39 0404 90 21 0404 90 23 0404 90 29 0404 90 81 0404 90 83 0404 90 89 | Tej és tejszín por, granulátum vagy más szilárd alakban; erjesztett vagy savanyított tejtermékek por, granulátum vagy más szilárd alakban, ízesítés és gyümölcs, diófélék vagy kakaó hozzáadása nélkül; máshol nem említett, természetes tejalkotórészeket tartalmazó termékek | UKRAJNA | 2016. év 2017. év 2018. év 2019. év 2020. év 2021-től kezdődően | 1 500 2 200 2 900 3 600 4 300 5 000 | 750 1 100 1 450 1 800 2 150 2 500 | 0 |
09. 4602 | 0405 10 0405 20 90 0405 90 | Vaj és tejből nyert más zsír és olaj; kenhető tejkészítmények, amelyek tömegszázalékban meghatározott zsírtartalma több mint 75 %, de kevesebb mint 80 % | UKRAJNA | 2016. év 2017. év 2018. év 2019. év 2020. év 2021-től kezdődően | 1 500 1 800 2 100 2 400 2 700 3 000 | 750 900 1 050 1 200 1 350 1 500 | 0 |
(1) A Kombinált Nómenklatúra értelmezésére vonatkozó szabályoktól függetlenül az Árumegnevezés oszlop tartalma csupán tájékoztató jellegű, mivel e melléklettel összefüggésben a kedvezményes feltételek alkalmazhatóságát a KN-kód alkalmazási tartománya határozza meg. |
II. MELLÉKLET
II. B - KEDVEZMÉNYES BEHOZATALI MEGÁLLAPODÁSOK - TÖRÖKORSZÁG
Tételszám | KN-kód | Árumegnevezés (1) | Származási ország | Behozatali vám (EUR/100 kg nettó tömeg további megjelölés nélkül) |
1 | 0406 90 29 | Kashkaval | Törökország | 67,19 |
2 | 0406 90 50 | Juh- vagy bivalytejből készült sajt sós lét tartalmazó tartályban vagy juh- vagy kecskebőrben | Törökország | 67,19 |
3 | ex 0406 90 86 ex 0406 90 89 ex 0406 90 92 | Juh- vagy bivalytejből készült Tulum peyniri műanyag vagy egyéb csomagolásban, 10 kg-nál kisebb kiszerelésben | Törökország | 67,19 |
(1) A Kombinált Nómenklatúra értelmezési szabályai ellenére a termékek megnevezésénél használt kifejezések csupán jelzésértékűnek tekintendők, e melléklet alkalmazásában a kedvezményes rendszer alkalmazhatóságát a KN-kód alkalmazási tartománya határozza meg. Az „ex” megjelölésű KN-kódok esetében a kedvezményes feltételek alkalmazhatóságát a KN-kód és a megfelelő árumegnevezés együttesen határozza meg. |
II. D - AZ EURÓPAI KÖZÖSSÉG ÉS SVÁJC KÖZÖTTI, A MEZŐGAZDASÁGI TERMÉKEK KERESKEDELMÉRE VONATKOZÓ MEGÁLLAPODÁS 2. MELLÉKLETE SZERINTI CSÖKKENTETT VÁM
KN-kód | Megnevezés | Vámtétel (euro/100 kg nettó tömeg) 2007. június 1-jétől |
0402 29 11 ex 0404 90 83 | Speciális csecsemőtej (1), légmentesen zárt, legfeljebb 500 g nettó tömegű tartályban, 10 tömegszázalékot meghaladó zsírtartalommal | 43,80 |
(1) A speciális csecsemőtej olyan, patogén csíráktól mentes termék, amely grammonként 10 000 -nél kevesebb újraéleszthető aerob baktériumot és 2-nél kevesebb kólibaktériumot tartalmaz. |
III. MELLÉKLET
III.A.
A GATT/WTO MEGÁLLAPODÁSOK ALÁ TARTOZÓ, SZÁRMAZÁSI ORSZÁG ALAPJÁN MEGHATÁROZOTT VÁMKONTINGENS: ÚJ-ZÉLANDI VAJ
KN-kód | Leírás | Származási ország | Éves kontingens január 1-jétől december 31-ig (tonna) | Mennyiség január 1-jétől június 30-ig (tonna) | Mennyiség július 1-jétől december 31-ig (tonna) | Mennyiség október 1-jétől december 31-ig (tonna) | Behozatali vám (EUR/100 kg nettó tömeg) |
ex 0405 10 11 ex 0405 10 19 | Legalább hat hétig érlelt vaj, amelynek zsírtartalma legalább 80 tömegszázalék, de kevesebb mint 85 tömegszázalék, és amelyet közvetlenül tejből vagy tejszínből állítottak elő, tárolt anyag felhasználása nélkül, egyfázisú, zárt és megszakítás nélküli folyamatban | Új-Zéland | 74 693 | 09.4195 számú kontingens A. rész: 20 540,5 | 09.4195 számú kontingens A. rész: 20 540,5 | 09.4195 számú kontingens A. rész: — | 70,00 |
ex 0405 10 30 | Legalább hat hétig érlelt vaj, amelynek zsírtartalma legalább 80 tömegszázalék, de kevesebb mint 85 tömegszázalék, és amelyet közvetlenül tejből vagy tejszínből állítottak elő, tárolt anyag felhasználása nélkül, egyfázisú, zárt és megszakítás nélküli folyamatban; az előállítási folyamat a tejszín esetében magában foglalhat egy olyan szakaszt, amelyben a vajzsírt koncentrálják és/vagy frakcionálják (az úgynevezett „Ammix” és „Spreadable” eljárások) | 09.4182 számú kontingens B. rész: 16 806 | 09.4182 számú kontingens B. rész: 16 806 | 09.4182 számú kontingens B. rész: — |
ΙII. B
A GATT/WTO MEGÁLLAPODÁSOK ALÁ TARTOZÓ, SZÁRMAZÁSI ORSZÁG ALAPJÁN MEGHATÁROZOTT VÁMKONTINGENS: EGYEBEK
Kontingensszám | KN-kód | Megnevezés | Származási ország | Éves kontingens január 1-jétől december 31-ig (tonnában) | Behozatali vám (EUR/100 kg nettó tömeg) | IMA 1 bizonyítványok kitöltésére vonatkozó szabályok |
09.4522 | 0406 90 01 | Feldolgozásra szánt sajt (1) | Ausztrália | 500 | 17,06 | Lásd a XI. melléklet C. és D. pontját |
09.4521 | ex 0406 90 21 | Egész Cheddar sajtok (a hagyományos lapos, hengeres alakban, legalább 33 kg, de 44 kg-ot nem meghaladó nettó tömeggel, és kocka vagy paralelepipedon alakú sajtok, amelyek nettó tömege 10 kg, vagy több) legalább 50 tömegszázalék zsírtartalommal szárazanyagra számítva, legalább három hónapig érlelve | Ausztrália | 3 711 | 17,06 | Lásd a XI. melléklet B. pontját |
(1) Az e különös célra történő felhasználást a tárgyban megállapított közösségi rendelkezések alkalmazásával kísérik figyelemmel. Az érintett sajtok akkor minősülnek összetettnek, ha a Kombinált Nómenklatúra 0406 30 alszáma alá tartozó termékekké dolgozták fel őket. A 2454/93/EGK rendelet 291–300. cikkét kell alkalmazni. |
IV. MELLÉKLET
A 2535/2001/EK RENDELET III. FEJEZETÉNEK 2. SZAKASZA SZERINT IMPORTÁLT, ÚJ-ZÉLANDBÓL SZÁRMAZÓ VAJ TÖMEGÉNEK ÉS ZSÍRTARTALMÁNAK ELLENŐRZÉSE
1. FOGALOMMEGHATÁROZÁSOK
E melléklet alkalmazásában a következő meghatározásokat kell alkalmazni:
a) "termelő": termelő telep vagy gyár, amelyben a III.A mellékletben említett vámkontingensek keretében a Közösségbe történő kivitelre szánt vajat gyártják;
b) "kód": egy termékbeszerzési előírás szerint egy termelő egységben egyetlen gyártási körben előállított vajmennyiség;
c) "szállítmány": olyan IMA 1 bizonyítványban szereplő vajmennyiség, amely bizonyítványt az illetékes vámhatóságnak a III.A. mellékletben említett vámkontingensek keretében szabad forgalomba bocsátásra mutattak be;
d) "illetékes hatóságok": a tagállamban az importált termékek ellenőrzéséért felelős hatóságok;
f) "termékazonosító jegyzék": olyan jegyzék, amely mindegyik szállítmányra nézve meghatározza az azoknak megfelelő IMA 1 bizonyítvány kontingensszámát, a termelő egységet vagy gyárat és a kódot vagy kódokat, és amely tartalmazza a vaj megnevezését. Meghatározhatja továbbá azt az előírást, amely szerint a vajat gyártották, a termelési szezont, az egyes kódoknak megfelelő kartonok számát, az összes karton számát, a kartonok névleges tömegét, az exportőr sorozatszámát, az Új-Zélandról az Európai Közösségbe történő szállítás szállítóeszközét és az útvonal számát.
2. AZ IMA 1 BIZONYÍTVÁNY KITÖLTÉSE ÉS HITELESÍTÉSE
2.1. Egy IMA 1 bizonyítvány az egy létesítményben egy termékbeszerzési előírás szerint gyártott vajat tartalmaz. Tartalmazhat az ugyanazon létesítményből származó, ugyanazon termékbeszerzési előírás egynél több kódját.
2.2. Az IMA 1 bizonyítvány csak akkor minősül a 32. cikk (2) bekezdése szerint megfelelően kitöltöttnek, ha a következő információk mindegyikét tartalmazza:
a) az 1. rovatban az eladó neve és címe;
b) a 2. rovatban a kibocsátási sorozatszám, amely meghatározza a származási országot, a behozatali megállapodást, a terméket, a kontingensévet és az egyedi bizonyítvány számot, amely minden évben 1-től újrakezdődik;
c) a 4. rovatban a számla száma és kelte;
d) az 5. rovatban az "Új-Zéland" bejegyzés;
e) a 7. rovatban:
- hivatkozás a termékazonosító jegyzékre (termék ID jegyzék), amelyet csatolni kell,
- a KN-kód, előtte az "ex" szócskával, és a III. melléklet A. pontjában meghatározott részletes megnevezés,
- a gyár regisztrációs száma,
- a vaj gyártásának napja, és
- a csomagolás göngyölegsúlyának szórása;
f) a 8. rovatban a bruttó tömeg kilogrammban;
g) a 9. rovatban:
- a dobozonkénti névleges nettó tömeg,
- a nettó össztömeg kilogrammban,
- a dobozok száma,
- a "μ" szimbólummal megjelölt dobozok nettó tömegének számtani közepe,
- a "σ" szimbólummal megjelölt dobozok nettó tömegének szórása;
h) a 10. rovatban: tejből vagy tejszínből;
i) a 13. rovatban, legalább 80 %, de kevesebb mint 85 % zsír;
j) a 16. rovatban:"Új-zélandi vajkontingens a ... [év] évre a .../.../EK rendeletnek megfelelően";
k) a 17. rovatban:
- az a nap, amelyen az IMA 1 bizonyítványban szereplő legutóbb gyártott vaj hathetes volt vagy lesz,
- a szóban forgó évre vonatkozó teljes kontingens,
- a kibocsátás napja és adott esetben az érvényesség utolsó napja,
- a kibocsátó szerv aláírása és pecsétje;
l) a 18. rovatban, a kibocsátó szerv pontos címe és elérhetőségének részletei.
3. A TÖMEG ELLENŐRZÉSE
3.1. Közösségi ellenőrzés
Az illetékes hatóságok az ellenőrzést egy szállítmányon végzik.
Az illetékes hatóságok a szállítmányból véletlenszerű mintát vesznek. A minta méretét a következő képlet szerint kell meghatározni:

ahol n a minta mérete; és
N a szállítmányban található dobozok száma.
A minimális n mintaméret azonban 10.
Az illetékes hatóságok kiszámítják a mintából nyert nettó tömegek számtani középértékét és szórását.
Az illetékes hatóságok az IMA 1 bizonyítványon megadott göngyölegsúlyra vonatkozó információ igazolására megfelelő ellenőrzéseket végeznek, amely magában foglalhatja a Közösségen belül használt műanyag göngyölegek tömegével történő összehasonlítást vagy a szállítmánynál felhasznált műanyag göngyölegek gyártója által adott tanúsítvány vizsgálatát.
3.2. Az ellenőrzés eredményeinek értelmezése - szórás
Az IMA 1 bizonyítványon meghatározott dobozok nettó tömegének szórását a következő eljárás szerint kell ellenőrizni.
Az s/σ arányszámot össze kell hasonlítani a következő táblázatban egy adott mintaméretre meghatározott minimális arányszámmal, ahol s a mintaszórás és σ az IMA 1 bizonyítványon meghatározott dobozok nettó tömegének szórása.
Amennyiben az s/σ arányszám alacsonyabb, mint a referenciaadat-táblázatban szereplő megfelelő minimális arányszám, az ellenőrzési eredmények a 3.3. pont szerinti értelmezése során a σ helyett az s értéket kell használni.
Adott (n) mintaméret esetén minimális s/s arányszám (1)
n | s/σ | n | s/σ | n | s/σ |
10 (2) | 0,608 | 21 | 0,737 | 32 | 0,789 |
11 | 0,628 | 22 | 0,743 | 33 | 0,792 |
12 | 0,645 | 23 | 0,749 | 34 | 0,795 |
13 | 0,660 | 24 | 0,754 | 35 | 0,798 |
14 | 0,673 | 25 | 0,760 | 36 | 0,801 |
15 | 0,685 | 26 | 0,764 | 37 | 0,804 |
16 | 0,696 | 27 | 0,769 | 38 | 0,807 |
17 | 0,705 | 28 | 0,773 | 39 | 0,809 |
18 | 0,714 | 29 | 0,778 | 40 | 0,812 |
19 | 0,722 | 30 | 0,781 | 41 | 0,814 |
20 | 0,730 | 31 | 0,785 | 42 | 0,816 |
43 | 0,819 | ||||
(*1) A minimális arányszámokat a tabulált Chi-2 értékek alkalmazásával számították ki (5 % osztóérték; n-1 szabadságfok). (*2) A minimális n mintaméret 10. |
3.3. Az ellenőrzés eredményének értelmezése - számtani középérték
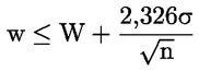
Az illetékes hatóságok a mintavétel eredményét a következő képlet alkalmazásával vetik össze az IMA 1 bizonyítványban szereplő információval:

ahol:
w a mintadobozok nettó tömegének számtani közepe,
W az IMA 1 bizonyítványon meghatározott dobozonkénti átlagos nettó tömeg,
σ az IMA 1 bizonyítványon meghatározott kartononkénti nettó tömeg szórása. Azonban a 3.2. pont szerint előírt esetben a σ helyett adobozonkénti nettó tömeg mintaszórását kell alkalmazni, és
n a mintaméret.
Amennyiben w kielégíti a fenti képletet, az IMA 1 bizonyítványon meghatározott átlagos nettó tömeget (W) kell használni a Közösségbe importált szállítmány nettó tömegének meghatározására.
Amennyiben w nem elégíti ki a fenti képletet, a Közösségbe importált szállítmány nettó tömegének meghatározásához a w értéket kell használni. A bevallott súlyt az importengedély 29. oszlopának 2. részében kell megjeleníteni, a bevallott tömeg feletti többletet pedig az 1255/1999/EK tanácsi rendelet 26. cikke szerint kell importálni.
4. A ZSÍRTARTALOM ELLENŐRZÉSE
4.1. Közösségi ellenőrzések
Az illetékes hatóságok a 3. pont szerinti mintavétellel érintett dobozok felében ellenőrzik a százalékos zsírtartalmat. A minimális n mintaméret azonban 5.
Az alkalmazandó mintavételi módszer a Nemzetközi Tejgazdasági Szövetség (IDF) 50C/1995 szabványa.
A zsírtartalom meghatározására alkalmazandó módszer a 213/2001/EK bizottsági rendelet IX., X. és XI. mellékletében meghatározott módszer (HL L 37., 2001.2.7.).
Az illetékes hatóságok ellenmintát vesznek, amelyből az egyiket vita esetére biztonságos helyen letétbe helyezik.
A vizsgálatokat végző laboratóriumnak rendelkeznie kell a tagállamok egyikének felhatalmazásával hivatalos elemzések lefolytatására, és e tagállamnak illetékesnek kell elismernie e laboratóriumot a fent említett módszer alkalmazására, amelyet az azonosítatlan minta elemzése során a megismételhetőségi kritérium teljesítésével és a szakmai vizsgálatokon történő sikeres részvétellel bizonyít.
4.3. Az ellenőrzés eredményeinek értelmezése - számtani középérték
a) A zsírtartalomra vonatkozó előírásoknak való megfelelést akkor kell feltételezni, ha a minta eredményeinek számtani középértéke nem haladja meg a 84,4 %-os értéket.
Az illetékes hatóságok haladéktalanul értesítik a Bizottságot valamennyi nem megfelelőnek bizonyuló esetről.
b) Amennyiben az a) pontban említett megfelelőségi követelmény nem teljesül, az érintett behozatali nyilatkozat és IMA 1 bizonyítvány alá tartozó szállítmányt a 36. cikknek megfelelően kell importálni, kivéve ha a 4.5. pontban említett ellenminták elemzésének eredményei megfelelnek a követelményeknek.
4.5. Vitatott eredmények
Az érintett importőr a fenti eredmények kézhezvételétől számított 7 munkanapon belül kifogást emelhet az illetékes hatóságok laboratóriuma által elvégzett elemzés eredményei ellen vállalva, hogy az ellenminták vizsgálatának költségét megfizeti. Ebben az esetben az illetékes hatóság a saját laboratóriuma által elemzett, leplombált ellenmintákat megküldi egy másik laboratóriumnak. E második laboratóriumnak rendelkeznie kell a tagállamok egyikének felhatalmazásával hivatalos elemzések lefolytatására, és e tagállamnak illetékesnek kell elismernie e második laboratóriumot a 4.1. pontban említett módszer alkalmazására, amelyet az azonosítatlan minta elemzése során a megismételhetőségi kritérium teljesítésével és a szakmai vizsgálatokon történő sikeres részvétellel bizonyít.
Ez a második laboratórium az elemzésének eredményeit haladéktalanul közli az illetékes hatóságokkal.
A második laboratórium megállapításai véglegesek.
VIIa. MELLÉKLET
1. A Chilével kötött társulási szerződés I. mellékletében szereplő vámkontingens
Éves mennyiség (tonnában) (alap = naptári év) | ||||||
Kontingens száma | KN-kód | Leírás (1) | Alkalmazandó vám (LKV %-a) | 2003.2.1-jétől 2003.12.31-ig | 2004 | Éves növekmény 2005-től |
09.1924 | 0406 | Sajt és túró | Mentesítés | 1 375 | 1 500 | 75 |
2. A 747/2001/EK rendelet VII. mellékletében szereplő vámkontingens egyes Izraelből származó mezőgazdasági termékekre vonatkozóan
Kontingens száma | KN-kód | Árumegnevezés (1) | Alkalmazandó vám | Éves mennyiség (tonnában) alap = naptári év |
09.1302 | 0404 10 | Tejsavó, módosított tejsavó | Mentes | 1 300 |
(1) A Kombinált Nómenklatúra értelmezésére szolgáló szabályok ellenére az árumegnevezés szövege csupán tájékoztató jellegűnek tekintendő, mivel e melléklet keretein belül a preferenciális rendszert az e rendelet elfogadásakor hatályos KN-kódok határozzák meg. Az "ex" megjelölésű KN-kódok esetén a preferenciális rendszert a KN-kód és az Árumegnevezés rovat együttes figyelembevételével kell meghatározni.
4. Az EK-Törökország Társulási Tanács 1/98 határozatának 1. jegyzőkönyve SZERINTI vámkontingensek
Kontingensszám | KN-kód | Megnevezés (1) | Származási ország | Éves kontingens január 1-jétől december 31-ig (tonna) | Behozatali vám (EUR/100 kg nettó tömeg) |
09.0243 | 0406 90 29 | Kashkaval | Törökország | 2 300 | 0 |
0406 90 50 | Juh- vagy bivalytejből készült sajt sós lét tartalmazó tartályban vagy juh- vagy kecskebőrben | ||||
ex 0406 90 86 ex 0406 90 89 ex 0406 90 92 | Juh- vagy bivalytejből készült Tulum peyniri műanyag vagy egyéb csomagolásban, 10 kg-nál kisebb kiszerelésben | ||||
(1) A Kombinált Nómenklatúra értelmezési szabályai ellenére a termékek megnevezésénél használt kifejezések csupán jelzésértékűnek tekintendők, e melléklet alkalmazásában a kedvezményes rendszer alkalmazhatóságát a KN-kódok alkalmazási tartománya határozza meg. Az „ex” megjelölésű KN-kódok esetén a kedvezményes feltételek alkalmazhatóságát a KN-kód és a megfelelő árumegnevezés együttesen határozza meg. |
VIII. MELLÉKLET
AZ IMA 1 BIZONYÍTVÁNY VAGY ANNAK EGY RÉSZE MEGSEMMISÍTÉSÉRE, MÓDOSÍTÁSÁRA, CSERÉJÉRE VAGY HELYESBÍTÉSÉRE OKOT ADÓ KÖRÜLMÉNYEK
1. Az IMA 1 bizonyítvány megsemmisítése, amikor az összetételre vonatkozó követelményeknek való meg nem felelés miatt teljes vámot kell fizetni.
Amennyiben egy szállítmányra a maximális zsírtartalomra vonatkozó követelmény be nem tartása miatt teljes vámot kell fizetni, a megfelelő IMA 1 bizonyítványt vissza lehet vonni, és az IMA 1 kibocsátó szerv az érintett mennyiségeket hozzáadhatja ahhoz a mennyiséghez, amelyre ugyanabban a kontingensévben IMA 1 bizonyítványokat lehet kibocsátani. A vámhatóságok visszatarthatják a vonatkozó importengedélyt, és azt megküldi az importengedélyt kibocsátó hatóságnak, amely azt az érintett mennyiségre vonatkozó, teljes vám hatálya alá tartozó importengedéllyé alakítja át a 36. cikk szerint.
2. Megsemmisült vagy eladásra alkalmatlanná vált termék.
Az IMA 1 kibocsátó szervek az IMA 1 bizonyítványt vagy annak egy részét megsemmisíthetik az abban szereplő, az exportőr hatáskörén kívül eső körülmények miatt megsemmisült vagy eladásra alkalmatlanná vált mennyiségére nézve. Amennyiben egy IMA 1 bizonyítványban szereplő mennyiség egy része megsemmisül vagy eladásra alkalmatlanná válik, a fennmaradó mennyiségre egy cserebizonyítványt lehet kibocsátani. A III.A. mellékletben említett új-zélandi vaj esetében e célból az eredeti termékazonosító jegyzéket kell használni. A cserebizonyítvány csak ugyanaddig a napig érvényes, mint az eredeti. Ebben az esetben a csere IMA 1 bizonyítvány 17. rovatában a következő kifejezést kell feltüntetni: "0000.0.0.-ig érvényes".
Amennyiben egy IMA 1 bizonyítványban szereplő mennyiség egésze vagy egy része az exportőrök tevékenységi körén kívül eső körülmények következtében megsemmisül vagy értékesítésre alkalmatlanná válik, az IMA 1 kibocsátó szerv e mennyiségeket hozzáadhatja ahhoz a mennyiséghez, amelyre nézve ugyanabban a kontingensévben IMA 1 bizonyítványokat lehet kibocsátani.
3. Rendeltetési tagállam változása
Amennyiben az exportőrnek a megfelelő importengedély kibocsátását megelőzően az IMA 1 bizonyítványon megjelölt rendeltetési tagállamot meg kell változtatnia, az IMA 1 kibocsátó szerv módosíthatja az eredeti IMA 1 bizonyítványt. Az ilyen, a kibocsátó szerv által megfelelően hitelesített és megfelelő módon azonosított, módosított eredeti IMA 1 bizonyítványt be lehet mutatni az engedélyező hatóságnak és a vámhatóságoknak.
4. Amennyiben a megfelelő importengedély kibocsátása előtt egy IMA 1 bizonyítványon elírást vagy technikai hibát fedeznek fel, a kibocsátó szerv helyesbítheti az eredeti bizonyítványt. Az ilyen helyesbített eredeti IMA 1 bizonyítványt be lehet mutatni az engedélyező hatóságnak és a vámhatóságoknak.
5. Amennyiben az exportőr tevékenységi körén kívül eső körülmények következtében az adott évben behozatalra szánt termék nem áll rendelkezésre, és a kontingens kitöltésének egyetlen módja a származási országból történő rendes szállítási időre tekintettel az, hogy azt az eredetileg a következő évben behozatalra szánt termékkel pótolják, a kibocsátó szerv a csere mennyiségre új IMA 1 bizonyítványt bocsáthat ki a 6. munkanapon attól a naptól számítva, amelyen megfelelő módon értesítette a Bizottságot az adott évre vonatkozóan törlendő IMA 1 bizonyítvány vagy annak egy részére vonatkozó részletes adatokról és a következő évre kibocsátott első IMA 1 bizonyítvány vagy annak egy része megsemmisítéséről.
Amennyiben a Bizottság úgy véli, hogy e rendelkezés nem alkalmazható az adott eset körülményeire, 5 munkanapon belül kifogást emelhet, a kifogás indoklásával. Amennyiben a pótolandó mennyiség meghaladja a következő évre kibocsátott első IMA 1 bizonyítványban szereplő mennyiséget, a szükséges mennyiséget a további IMA 1 bizonyítványok vagy azok részének sorrendben történő szükség szerinti megsemmisítésével is lehet biztosítani.
Minden olyan mennyiséget, amelynek tekintetében az érintett évre vonatkozó IMA 1 bizonyítványokat vagy azok egy részét megsemmisítették, hozzá kell adni ahhoz a mennyiséghez, amelyre vonatkozóan az adott kontingensévre IMA 1 bizonyítványt lehet kibocsátani.
Minden olyan, a következő kontingensévből előrehozott mennyiséget, amelyre IMA 1 bizonyítványt vagy bizonyítványokat vontak vissza, újra hozzá kell adni ahhoz a mennyiséghez, amelyre az adott kontingensévben IMA 1 bizonyítványt lehet kibocsátani.
IX. MELLÉKLET

X. MELLÉKLET

XI. MELLÉKLET
A BIZONYÍTVÁNYOK KITÖLTÉSÉNEK SZABÁLYAI
Az IMA 1 bizonyítvány 1., 2., 4., 5., 9., 17. és 18. rovatán kívül a következőket kell kitölteni:
B. Az ex 0406 90 21 KN-kód alá tartozó, az I. melléklet K. részében a 09.4514 kontingensszámnál, a III. melléklet B. részében pedig a 09.4521 kontingensszámnál említett cheddar sajtok tekintetében:
1.
7. rovat, az "egész cheddar sajtok" megjegyzés feltüntetésével;
2.
10. rovat, a "kizárólag hazai termelésű tehéntejből" megjegyzés feltüntetésével;
3.
11. rovat, a "legalább 50 %" megjegyzés feltüntetésével;
4.
14. rovat, a "legalább három hónap" megjegyzés feltüntetésével;
5.
16. rovat, a kontingens érvényességi időtartamának feltüntetésével.
C. Az ex 0406 90 01 KN-kód alá tartozó, az I. melléklet K. részében a 09.4515 kontingensszámnál, a III. melléklet B. részében pedig a 09.4522 kontingensszámnál említett, feldolgozásra szánt cheddar sajtok tekintetében:
1.
7. rovat, az "egész cheddar sajtok" megjegyzés feltüntetésével;
2.
10. rovat, a "kizárólag hazai termelésű tehéntejből" megjegyzés feltüntetésével;
3.
16. rovat, a kontingens érvényességi időtartamának feltüntetésével.
D. Az ex 0406 90 01 KN-kód alá tartozó, az I. melléklet K. részében a 09.4515 kontingensszámnál, a III. melléklet B. részében pedig a 09.4522 kontingensszámnál említett, feldolgozásra szánt cheddar sajtoktól eltérő sajtok tekintetében:
1.
10. rovat, a "kizárólag hazai termelésű tehéntejből" megjegyzés feltüntetésével;
2.
16. rovat, a kontingens érvényességi időtartamának feltüntetésével.
XII. MELLÉKLET
KIBOCSÁTÓ SZERVEK
Harmadik ország | KN-kód és termékmegnevezés | Kibocsátó szerv | ||
Név | Cím | |||
Ausztrália | 0406 90 01 0406 90 21 | Cheddar és más feldolgozásra szánt sajtok | Australian Quarantine Inspection Service | PO Box 60 World Trade Centre Melbourne VIC 3005 Australia Tel.: (613) 92 46 67 10 Fax: (613) 92 46 68 00 |
Cheddar | Department of Agriculture, Fisheries and Forestry | |||
Új-Zéland | ex 0405 10 11 | Vaj | Ministry for Primary Industries | Pastoral House 25 The Terrace PO Box 2526 Wellington 6140 Tel. +64 4 894 0100 Fax + 64 4 894 0720 www.mpi.govt.nz |
ex 0405 10 19 | Vaj | |||
ex 0405 10 30 | Vaj | |||
ex 0406 90 01 | Feldolgozásra szánt sajtok | |||
ex 0406 90 21 | Cheddar |
XV. MELLÉKLET
A 18. cikk (1) bekezdésének d) pontjában említett bejegyzések:
- bolgárul: Регламент (ЕО) No 2535/2001, член 5,
- spanyolul: Reglamento (CE) no 2535/2001, artículo 5,
- csehül: Článek 5 nařízení (ES) č. 2535/2001,
- dánul: Forordning (EF) nr. 2535/2001, artikel 5,
- németül: Verordnung (EG) Nr. 2535/2001, Artikel 5,
- észtül: Määruse (EÜ) nr 2535/2001 artikkel 5,
- görögül: Κανονισμός (ΕΚ) αριθ 2535/2001, άρθρο 5,
- angolul: Article 5 of Regulation (EC) No 2535/2001,
- franciául: Règlement (CE) no 2535/2001, article 5,
- horvátul: Članak 5. Uredbe (EZ) br. 2535/2001,
- olaszul: Regolamento (CE) n. 2535/2001, articolo 5,
- lettül: Regulas (EK) Nr.2535/2001 5.pants,
- litvánul: Reglamento (EB) Nr. 2535/2001 5 straipsnis,
- magyarul: 2535/2001/EK rendelet 5. cikk,
- máltaiul: Artikolu 5 tar-Regolament (KE) Nru 2535/2001,
- hollandul: Verordening (EG) nr 2535/2001, artikel 5,
- lengyelül: Artykuł 5 Rozporządzenia (WE) nr 2535/2001,
- portugálul: Regulamento (CE) no 2535/2001 artigo 5.o,
- románul: Regulamentul (CE) nr. 2535/2001, articolul 5,
- szlovákul: Článok 5 nariadenia (ES) č. 2535/2001,
- szlovénül: Člen 5 Uredbe (ES) št. 2535/2001,
- finnül: Asetus (EY) N:o 2535/2001 artikla 5,
- svédül: Förordning (EG) nr 2535/2001 artikel 5.
XVI. MELLÉKLET
A 21. cikk (1) bekezdésének d) pontjában említett bejegyzések:
- bolgárul: Регламент (ЕO) No 2535/2001, член 20,
- spanyolul: Reglamento (CE) no 2535/2001 artículo 20,
- csehül: Článek 20 nařízení (ES) č. 2535/2001,
- dánul: Forordning (EF) nr 2535/2001, artikel 20,
- németül: Verordnung (EG) Nr. 2535/2001, Artikel 20,
- észtül: Määruse (EÜ) nr 2535/2001 artikkel 20,
- görögül: Κανονισμός (ΕΚ) αριθ. 2535/2001, άρθρο 20,
- angolul: Article 20 of Regulation (EC) No 2535/2001,
- franciául: Règlement (CE) no 2535/2001, article 20,
- horvátul: Članak 20. Uredbe (EZ) br. 2535/2001,
- olaszul: Regolamento (CE) n. 2535/2001, articolo 20,
- lettül: Regulas (EK) Nr.2535/2001 20.pants,
- litvánul: Reglamento (EB) Nr. 2535/2001 20 straipsnis,
- magyarul: 2535/2001/EK rendelet 20. cikke,
- máltaiul: Artikolu 20 tar-Regolament (KE) Nru 2535/2001,
- hollandul: Verordening (EG) nr 2535/2001, artikel 20,
- lengyelül: Artykuł 20 Rozporządzenia (WE) nr 2535/2001,
- portugálul: Regulamento (CE) no 2535/2001, artigo 20o,
- románul: Regulamentul (CE) nr. 2535/2001, articolul 20,
- szlovákul: Clánok 20 nariadenia (ES) č. 2535/2001,
- szlovénül: Člen 20 Uredbe (ES) št. 2535/2001,
- finnül: Asetus (EY) N:o 2535/2001, artikla 20,
- svédül: Förordning (EG) nr 2535/2001, artikel 20.
XVII. MELLÉKLET
A 28. cikk (1) bekezdésének d) pontjában említett bejegyzések:
- bolgárul: Валидно, ако е придружено от IMA 1 сертификат No.., издаден на..,
- spanyolul: Válido si va acompañado del certificado IMA 1 no ... expedido el ...,
- csehül: Platné pouze při současném předložení osvědčení IMA 1 č. .... Vydaného dne ....,
- dánul: Kun gyldig ledsaget af IMA 1-certifikat nr. ..., udstedt den ...,
- németül: Nur gültig in Verbindung mit der Bescheinigung IMA 1 Nr. ..., ausgestellt am ...,
- észtül: Kehtiv, kui on kaasas IMA 1 sertifikaat nr ..., välja antud ...,
- görögül: Έγκυρο μόνο εφόσον συvοδεύεται από το πιστοποιητικό IMA 1 αριθ. ... που εξεδόθη στις ...,
- angolul: Valid if accompanied by the IMA 1 certificate No.. issued on..,
- franciául: Valable si accompagné du certificat IMA no.., délivré le..,
- horvátul: Vrijedi samo ako je popraćeno potvrdom IMA 1 br. .... izdanom dana ...,
- olaszul: Valido se accompagnato dal certificato IMA 1 n. ..., rilasciato il ...,
- lettül: Derīgs kopā ar IMA 1 sertifikātu Nr. ..., kas izdots ...,
- litvánul: Galioja tik kartu su IMA 1 sertifikatu Nr. ..., išduotu ...,
- magyarul: Csak a ... -án/én kiállított ... számú IMA 1 bizonyítvánnyal együtt érvényes,
- máltaiul: Validu jekk akkumpanjat b'ċertifikat IMA 1 Nru.. maħruġ fl-...,
- hollandul: Geldig indien vergezeld van een certificaat IMA nr. ... dat is afgegeven op ...,
- lengyelül: Ważne razem z certyfikatem IMA 1 nr.. wydanym dnia...,
- portugálul: Válido quando acompanhado do certificado IMA 1 com o número ... emitido ...,
- románul: Valabil doar însoțit de certificatul IMA 1 nr. ..... eliberat la ......
- szlovákul: Platné v prípade, že je pripojené osvedčenie IMA 1 č. ... vydané dňa...,
- szlovénül: Veljavno, če ga spremlja potrdilo IMA 1 št. ...., izdano dne....,
- finnül: Voimassa vain ... myönnetyn IMA 1-todistuksen N:o.. kanssa,
- svédül: Gäller endast tillsammans med IMA 1-intyg nr ... utfärdat den ...
XVIII. MELLÉKLET
A 37. cikk (1) bekezdésében említett bejegyzések:
- bolgárul: Сертификат за внос при намалено мито за продукта, съответстващ на нареждане No..., превърнат в сертификат за внос при пълно мито, за който ставката на приложимото мито от .../100 кг е била начислена и е платена; сертификатът вече е издаден,
- spanyolul: Certificado de importación con tipo reducido para el producto con el número de orden ... que se ha convertido en un certificado de importación con tipo pleno para el que se adeudaba, y se ha abonado, el tipo de derecho de .../100 kg; certificado ya anotado,
- csehül: Změněno z dovozní licence se sníženým clem pro produkt pod pořadovým č. ... na dovozní licenci s plným clem, na základě které bylo vyměřeno a uhrazeno clo v hodnotě .../100 kg; licence již byla započtena,
- dánul: Ændret fra en importlicens med nedsat toldsats for et produkt under nr ... til en importlicens med fuld toldsats, hvor den skyldige importtold på .../100 kg er betalt; licensen er allerede afskrevet,
- németül: Umwandlung einer Einfuhrlizenz zum ermäßigten Zollsatz für das Erzeugnis mit der lfd. Nr. ... in eine Einfuhrlizenz zum vollen Zollsatz von .../100 kg, der entrichtet wurde; Lizenz abgeschrieben,
- észtül: Ümber arvestatud vähendatud tollimaksuga impordilitsentsist, mis on välja antud tellimusele nr ... vastavale tootele, täieliku tollimaksuga impordilitsentsiks, mille puhul tuli maksta ja on makstud tollimaks ... 100 kilogrammi kohta; litsents juba lisatud,
- görögül: Μετατροπή από πιστοποιητικό εισαγωγής με μειωμένο δασμό για προϊόν βάσει του αύξοντος αριθμού ... της ποσόστωσης, σε πιστοποιητικό εισαγωγής με πλήρη δασμό για το οποίο το ποσοστό δασμού ποσού .../100 kg οφείλετο και πληρώθηκε· Το πιστοποιητικό ήδη χορηγήθηκε,
- angolul: Converted from a reduced duty import licence for product under order No ... to a full duty import licence on which the rate of duty of .../100 kg was due and has been paid; licence already attributed,
- franciául: Certificat d'importation à droit réduit pour le produit correspondant au contingent ..., converti en un certificat d'importation à taux plein, pour lequel le taux du droit applicable de .../100 kg a été acquitté; certificat déjà imputé,
- horvátul: Uvozna dozvola sa sniženom carinom za proizvod pod brojem narudžbe ... promijenjena u uvoznu dozvolu s punom carinom za koji je carina u visini .../100 kg obračunata i plaćena; dozvola je već dodijeljena,
- olaszul: Conversione da un titolo d'importazione a dazio ridotto per il prodotto corrispondente al contingente ... ad un titolo d'importazione a dazio pieno, per il quale è stata pagata l'aliquota di .../100 kg; titolo già imputato,
- lettül: Pāreja no samazināta nodokļa importa licences par produktu ar kārtas nr. ... uz pilna apjoma nodokļa importa licenci ar nodokļu likmi ... / 100 kg, kas ir samaksāta; licence jau izdota,
- litvánul: Licencija, pagal kurią taikomas sumažintas importo muitas, išduota produktui, kurio užsakymo Nr. ..., pakeista į licenciją, pagal kurią taikomas visas importo muitas, kurio norma yra .../100 kg, muitas sumokėtas; licencija jau priskirta,
- magyarul: ... kontingensszámú termék csökkentett vám hatálya alá tartozó importengedélye teljes vám hatálya alá tartozó importengedéllyé átalakítva, melyen a .../100 kg vámtétel kiszabva és leróva, az engedély már kiadva,
- máltaiul: Konvertit minn liċenzja tad-dazju fuq importazzjoni mnaqqsa għall-prodott li jaqa' taħt in-Nru ... għal dazju sħiħ fuq importazzjoni bir-rata tad-dazju ta' .../100 kg kien dovut u ġie imħallas; liċenzja diġà attribwita,
- hollandul: Invoercertificaat met verlaagd recht voor onder volgnummer ... vallend product omgezet in een invoercertificaat met volledig recht waarvoor het recht van .../100 kg verschuldigd was en is betaald; hoeveelheid reeds op het certificaat afgeschreven,
- lengyelül: Pozwolenie na przywóz produktu nr ... po obniżonej stawce należności celnych zmienione na pozwolenie na przywóz po pełnej stawce należności celnych, która to stawka wynosi .../100kg i została uiszczona; pozwolenie zostało już przyznane,
- portugálul: Obtido por conversão de um certificado de importação com direito reduzido para o produto com o número de ordem ... num certificado de importação com direito pleno, relativamente ao qual a taxa de direito aplicável de .../100 kg foi paga; certificado já imputado,
- románul: Licență de import cu taxe vamale reduse pentru produsul din contingentul ... transformată în licență de import cu taxe vamale întregi, pentru care taxa vamală aplicabilă de .../100 kg a fost achitată; licență atribuită deja,
- szlovákul: Osvedčenie na znížené dovozné clo na tovar č. ...zmenené na osvedčenie na riadne dovozné clo, ktorého sadzba za.../100 kg bola zaplatená; osvedčenie udelené,
- szlovénül: Spremenjeno iz uvoznega dovoljenja z znižanimi dajatvami za proizvod iz naročila št. ... v uvozno dovoljenje s polnimi dajatvami, v katerem je stopnja dajatev v višini .../100 kg zapadla in bila plačana; dovoljenje že podeljeno,
- finnül: Muutettu etuuskohteluun oikeuttavasta kiintiötuontitodistuksesta vakiotuontitodistukseksi tavaralle, joka kuuluu järjestysnumeroon ... ja josta on kannettu tariffin mukainen tulli .../100 kg; vähennysmerkinnät tehty,
- svédül: Omvandlad från importlicens med sänkt tull för produkt med löpnummer ... till importlicens med hel tullavgift för vilken gällande tullsats .../100 kg har betalats. Redan avskriven licens.
XIX. MELLÉKLET
A 44. cikk (3) bekezdésében említett bejegyzések:
- bolgárul: Извършена физическа проверка [Регламент (ЕО) no 2535/2001],
- spanyolul: Se ha realizado el control material [Reglamento (CE) no 2535/2001],
- csehül: Fyzická kontrola provedena [nařízení (ES) č. 2535/2001],
- dánul: Fysisk kontrol [forordning (EF) nr.2535/2001],
- németül: Warenkontrolle durchgeführt [Verordnung (EG) Nr. 2535/2001],
- észtül: Füüsiline kontroll tehtud [määrus (EÜ) nr 2535/2001],
- görögül: Πραγματοποιήθηκε φυσικός έλεγχος [Κανονισμός (ΕΚ) αριθ. 2535/2001],
- angolul: Physical check carried out [Regulation (EC) No 2535/2001],
- franciául: Contrôle physique effectué [règlement (CE) no 2535/2001],
- horvátul: Izvršena fizička kontrola (Uredba (EZ) br. 2535/2001),
- olaszul: Controllo fisico effettuato [regolamento (CE) n. 2535/2001],
- lettül: Fiziska pārbaude veikta [Regula (EK) Nr.2535/2001],
- litvánul: Fizinis patikrinimas atliktas [Reglamentas (EB) Nr. 2535/2001],
- magyarul: Fizikai ellenőrzés elvégezve [2535/2001/EK rendelet],
- máltaiul: Iċċekjar fiżiku mwettaq [Regolament (KE) Nru 2535/2001],
- hollandul: Fysieke controle uitgevoerd [Verordening (EG) nr. 2535/2001],
- lengyelül: Przeprowadzono kontrolę fizyczną [Rozporządzenie (WE) nr 2535/2001],
- portugálul: Controlo físico em conformidade com [Regulamento (CE) no 2535/2001],
- románul: Control fizic efectuat [Regulamentul (CE) nr. 2535/2001],
- szlovákul: Fyzická kontrola vykonaná [Nariadenie (ES) č. 2535/2001],
- szlovénül: Fizični pregled opravljen [Uredba (ES) št. 2535/2001],
- finnül: Fyysinen tarkastus suoritettu [asetus (EY) N:o 2535/2001],
- svédül: Fysisk kontroll utförd [förordning (EG) nr 2535/2001].
XX. MELLÉKLET
A 16. cikk (3) bekezdésében említett megjegyzések:
bolgárul : валидно от [дата на първия ден от подпериода] до [дата на последния ден от подпериода]
spanyolul : válido desde el [fecha del primer día del subperíodo] hasta el [fecha del último día del subperíodo]
csehül : platné od [první den podobdobí] do [poslední den podobdobí]
dánul : gyldig fra [datoen for den første dag i delperioden] til [datoen for den sidste dag i delperioden]
németül : gültig vom [Datum des ersten Tages des Teilzeitraums] bis [Datum des letzten Tages des Teilzeitraums]
észtül : kehtiv alates [alaperioodi alguskuupäev] kuni [alaperioodi lőpukuupäev]
görögül : ισχύει από [ημερομηνία της πρώτης ημέρας της υποπεριόδου] έως [ημερομηνία της τελευταίας ημέρας της υποπεριόδου]
angolul : valid from [date of the first day of the subperiod] to [date of the last day of the subperiod]
franciául : valable du [date du premier jour de la sous-période] au [date du dernier jour de la sous-période]
horvátul : vrijedi od [datum prvog dana podrazdoblja] do [datum posljednjeg dana podrazdoblja]
olaszul : valido dal [data del primo giorno del sottoperiodo] al [data dell'ultimo giorno del sottoperiodo]
lettül : spēkā no [apakšperioda pirmās dienas datums] līdz [apakšperioda pēdējās dienas datums]
litvánul : galioja nuo [pirmoji laikotarpio diena] iki [paskutinė laikotarpio diena]
magyarul : érvényes [az alidőszak első napja]-tól/től [az alidőszak utolsó napja]-ig
máltaiul : Validu mid-[data ta' l-ewwel jum tas-subperjodu] sad-[data ta' l-aħħar jum tas-subperjodu]
hollandul : geldig van [begindatum van de deelperiode] tot en met [einddatum van de deelperiode]
lengyelül : ważne od [data - pierwszy dzień podokresu] do [data - ostatni dzień podokresu]
portugálul : eficaz de [data do primeiro dia do subperíodo] até [data do último dia do subperíodo]
románul : valabilă de la [data primei zile a subperioadei] până la [data ultimei zile a subperioadei]
szlovákul : platná od [dátum prvého dňa čiastkového obdobia] do [dátum posledného dňa čiastkového obdobia]
szlovénul : velja od [datum prvega dne podobdobja] do [datum zadnjega dne podobdobja]
finnül : voimassa [osajakson ensimmäinen päivä]-[osajakson viimeinen päivä]
svédül : gäller från och med [delperiodens första dag] till och med [delperiodens sista dag].
( 1 ) HL L 114., 2008.4.26., 3. o.
( 2 ) HL L 238., 2006.9.1., 13. o.
( 3 ) HL L 114., 2002.4.30., 1. o
( 4 ) HL L 327., 2011.12.9., 1. o.
( 5 ) A Tanács (EU) 2017/1913 határozata (2017. október 9.) a mezőgazdasági termékekre alkalmazandó kiegészítő kereskedelmi kedvezményekről szóló, az Európai Unió és Izland között levélváltás formájában létrejött megállapodás megkötéséről (HL L 274., 2017.10.24., 57. o.).
( 6 ) HL L 300., 1972.12.31., 189. o.
( 7 ) Az Európai Parlament és a Tanács 2014. április 16-i 374/2014/EU rendelete az Ukrajnából származó árukra vonatkozó vámok csökkentéséről vagy eltörléséről (HL L 118., 2014.4.22., 1. o.)
( 8 ) HL L 46., 2003.2.20., 1. o.
( 9 ) HL L 109., 2001.4.19., 2. o.
( 10 ) HL L 86., 1998.3.20., 1. o.
( 11 ) HL L 37., 2001.2.7., 1. o.
( 12 ) HL L 253., 1993.10.11., 1. o.
( 13 ) HL L 228., 2009.9.1., 3. o.
( 14 ) A Kombinált Nómenklatúra értelmezésére szolgáló szabályok ellenére az árumegnevezés szövege csupán tájékoztató jellegűnek tekintendő, mivel e melléklet keretein belül a preferenciális rendszert az e rendelet elfogadásakor hatályos KN-kódok határozzák meg. Az "ex" megjelölésű KN-kódok esetén a preferenciális rendszert a KN-kód és az Árumegnevezés rovat együttes figyelembevételével kell meghatározni.
Lábjegyzetek:
[1] A dokumentum eredetije megtekinthető CELEX: 32001R2535 - https://eur-lex.europa.eu/legal-content/HU/ALL/?uri=CELEX:32001R2535&locale=hu Utolsó elérhető, magyar nyelvű konszolidált változat CELEX: 02001R2535-20180401 - https://eur-lex.europa.eu/legal-content/HU/ALL/?uri=CELEX:02001R2535-20180401&locale=hu