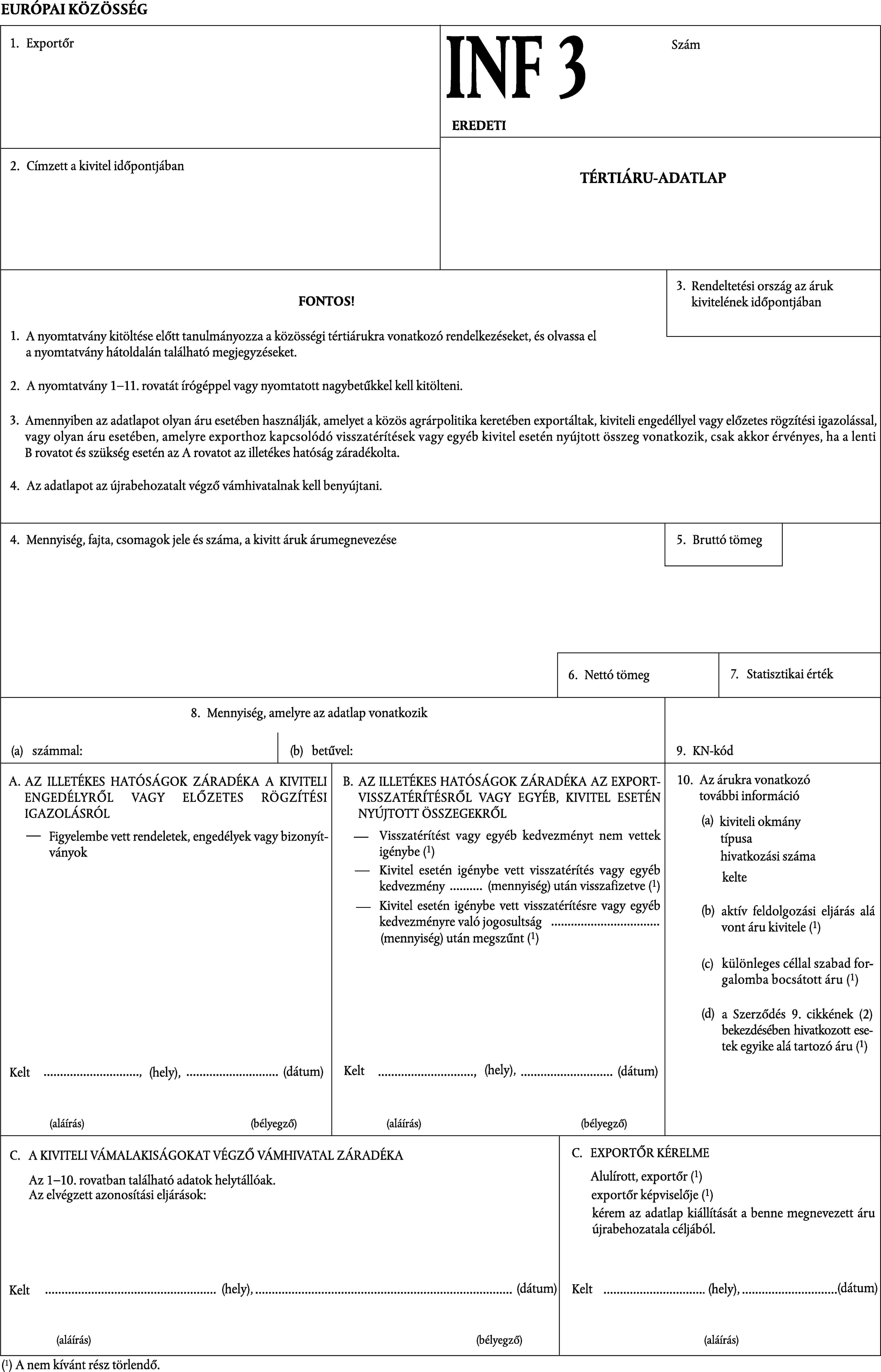
31993R2454[1]
A Bizottság 2454/93/EGK rendelete (1993. július 2.) a Közösségi Vámkódex létrehozásáról szóló 2913/92/EGK tanácsi rendelet végrehajtására vonatkozó rendelkezések megállapításáról
A BIZOTTSÁG 2454/93/EGK RENDELETE
(1993. július 2.)
a Közösségi Vámkódex létrehozásáról szóló 2913/92/EGK tanácsi rendelet végrehajtására vonatkozó rendelkezések megállapításáról
AZ EURÓPAI KÖZÖSSÉGEK BIZOTTSÁGA,
tekintettel az Európai Gazdasági Közösséget létrehozó szerződésre,
tekintettel a Közösségi Vámkódex ( 1 ) (a továbbiakban: Vámkódex) létrehozásáról szóló, 1992. október 12-i 2913/92/EGK tanácsi rendeletre és különösen annak 249. cikkére,
mivel a Vámkódex egyetlen jogszabályban gyűjtötte össze az összes létező vámjogszabályt; mivel ugyanakkor a Vámkódex e jogszabályokban némi módosítást is végzett, hogy összefüggőbbé, egyszerűbbé tegye azokat, és hogy megszüntessen egyes joghézagokat; mivel így ezen a területen a teljes közösségi joganyagot magában foglalja;
mivel azok az okok, amelyek a Vámkódex elfogadásához vezettek, éppúgy vonatkoznak a vámügyi végrehajtási jogszabályokra is; mivel ezért kívánatos egyetlen rendeletbe gyűjteni azokat a vámügyi végrehajtási rendelkezéseket, amelyek jelenleg nagyszámú közösségi rendeletben és irányelvben elszórtan találhatók meg;
mivel a Közösségi Vámkódex végrehajtási kódexe hivatott megállapítani a fennálló vámjogi végrehajtási szabályokat; mivel azonban a tapasztalatok fényében szükség van:
- bizonyos módosítások végrehajtására az említett szabályoknak a Vámkódex rendelkezéseihez való igazítása érdekében,
- egyes, jelenleg csak meghatározott vámeljárásokra vonatkozó rendelkezések hatályának kiterjesztésére annak érdekében, hogy számot lehessen adni a Vámkódex átfogó alkalmazásáról,
- egyes szabályok pontosabb megfogalmazására alkalmazásuk fokozott jogbiztonságának elérése érdekében;
mivel a végrehajtott változtatások főként a vámtartozásokra vonatkozó rendelkezésekkel kapcsolatosak;
mivel helyénvaló 1995. január 1-jéig korlátozni a 791. cikk (2) bekezdésének alkalmazását és az ezen időpontig szerzett tapasztalatok alapján felülvizsgálni e rendelkezést;
mivel az ebben a rendeletben szabályozott intézkedések összhangban vannak a Vámkódexbizottság véleményével,
ELFOGADTA EZT A RENDELETET:
I. RÉSZ
ÁLTALÁNOS VÉGREHAJTÁSI RENDELKEZÉSEK
I. CÍM
ÁLTALÁNOS RÉSZ
1. FEJEZET
Meghatározások
1. cikk
E rendelet alkalmazásában:
1. Vámkódex: a Közösségi Vámkódex létrehozásáról szóló, 1992. október 12-i 2913/92/EGK tanácsi rendelet;
2. ATA-igazolvány: az ATA-egyezmény vagy az Isztambuli Egyezmény alapján kiállított nemzetközi vámokmány ideiglenes behozatal céljára;
3. bizottság: a Vámkódex 247a. és 248a. cikke által létrehozott Vámkódex Bizottság;
4. Vám-együttműködési Tanács: a Vám-együttműködési Tanácsot létrehozó, 1950. december 15-én Brüsszelben kelt egyezmény alapján alapított szerve zet;
5. az áru azonosításához szükséges adatok: az áru kereskedelmi azonosításához használatos adatok, amelyek lehetővé teszik, hogy a vámhatóságok egyrészt az áru tarifális besorolását, másrészt mennyiségét meghatározzák;
6. nem kereskedelmi jellegű áru: olyan áru, amelynek a szóban forgó vámeljárás alá vonása eseti jelleggel történik, és amelynek a jellege és a mennyisége azt jelzi, hogy ezt az árut a címzett vagy az árut szállító személy magán-, személyes vagy családi használatára vagy nyilvánvalóan ajándéknak szántak;
7. kereskedelempolitikai intézkedések: a közös kereskedelempolitika részeként az áruk behozatalára és kivitelére vonatkozó közösségi rendelkezések formájában létrehozott nem tarifális intézkedések, úgymint felügyeleti vagy védintézkedések, mennyiségi korlátozások vagy határértékek, valamint behozatali vagy kiviteli tilalmak;
8. vámnómenklatúra: a Vámkódex 20. cikkének (6) bekezdésében említett nómenklatúrák valamelyike;
9. Harmonizált Rendszer: a Harmonizált Áruleíró és Kódrendszer;
10. Szerződés: az Európai Közösséget létrehozó szerződés;
11. Isztambuli Egyezmény: Az áruk ideiglenes behozataláról 1990. június 26-án, Isztambulban aláírt egyezmény;
12. Gazdasági szereplő: olyan személy, aki üzleti tevékenysége kapcsán vámjogszabályok hatálya alá tartozó tevékenységekben vesz részt;
13. egységes engedély: egynél több tagállam vámigazgatási szerveit érintő engedély a következő eljárások egyikére:
- a Vámkódex 76. cikkének (1) bekezdése szerinti egyszerűsített nyilatkozattételi eljárás, vagy
- a Vámkódex 76. cikkének (1) bekezdése szerinti helyi vámkezelési eljárás, vagy
- a Vámkódex 84. cikke (1) bekezdésének b) pontja szerinti gazdasági vámeljárások, vagy
- a Vámkódex 21. cikkének (1) bekezdése szerinti meghatározott célú felhasználás;
14. összevont engedély: a 13. pontban említett eljárások közül egynél többnek az alkalmazására szóló engedély; ez összevont egységes engedély formájában is kibocsátható abban az esetben, amikor egynél több vámigazgatási szerv érintett;
15. engedélyező vámhatóság: az engedélyt megadó vámhatóság;
16. EORI-szám (gazdasági szereplők nyilvántartási és azonosító száma): olyan, az Európai Közösségben egyedi szám, amelyet a 6. fejezetben meghatározott szabályoknak megfelelően a tagállami vámhatóság vagy a tagállam által kijelölt hatóság vagy hatóságok a gazdasági szereplőknek és más személyeknek kiad;
17. belépési gyűjtő vámáru-nyilatkozat: a Vámkódex 36a. cikke szerinti azon gyűjtő vámáru-nyilatkozat, amelyet - amennyiben e rendelet másként nem rendelkezik - a Közösség vámterületére beszállított árukra vonatkozóan be kell nyújtani;
18. Kilépési gyűjtő vámáru-nyilatkozat: a Vámkódex 182c. cikke szerinti gyűjtő vámáru-nyilatkozat, amelyet - amennyiben e rendelet másként nem rendelkezik - a Közösség vámterületéről történő kiszállításra szánt árukra vonatkozóan be kell nyújtani.
1a. cikk
A 291-300. cikk alkalmazásában a Benelux Gazdasági Unió országait egy tagállamnak kell tekinteni.
2. FEJEZET
Határozatok
2. cikk
Ha egy határozatot kérelmező személy nincs abban a helyzetben, hogy a döntéshez szükséges összes okmányt és információt benyújtsa, akkor a vámhatóságok kötelesek ezen okmányokat és információkat a rendelkezésére bocsátani.
3. cikk
Vissza kell vonni az olyan személy számára kedvező, biztosítékkal kapcsolatos határozatot, aki olyan kötelezettségvállalást írt alá, hogy a vámhatóságok első írásbeli kérelmére kifizeti az esedékes összeget, amennyiben az említett kötelezettségvállalás teljesítésére nem került sor.
4. cikk
A visszavonás nem érinti azt az árut, amelyet a visszavonás hatálybalépése előtt a visszavont engedély alapján már eljárás alá vontak.
Mindazonáltal a vámhatóságok megkövetelhetik, hogy az ilyen áru vámjogi sorsa valamely megengedett módon eldöntésre kerüljön a vámhatóságok által meghatározott időtartamon belül.
3. FEJEZET
Adatfeldolgozási eljárások
4a. cikk
(1) Az általuk meghatározott körülmények között és módon és a vámszabályok által előírt alapelvek kellő figyelembevételével a vámhatóságok rendelkezhetnek úgy, hogy az alakiságokat adatfeldolgozási eljárásokkal kell elvégezni.
E rendelkezés alkalmazásában:
- "adatfeldolgozási eljárás":
-
a) az EDI szabványú adatcsere a vámhatóságokkal;
b) az alakiságok elvégzéséhez szükséges információk bevitele a váminformatikai rendszerekbe;
- "EDI (Electronic Data Interchage)": a megállapodásban rögzített üzenetszabványok szerint strukturált adatok átvitele egyik számítógépes rendszerről a másikra elektronikus úton;
- "szabványüzenet": az adatok elektronikus átviteléhez elfogadott, előre meghatározott struktúra.
(2) Az alakiságok adatfeldolgozási eljárással történő elvégzésére megállapított feltételeknek többek között intézkedéseket kell tartalmazniuk az adatforrás ellenőrzésére és az adatok védelmére a jogtalan hozzáféréssel, az adatvesztéssel, az adatváltoztatással vagy az adatok megsemmisülésével szemben.
4b. cikk
Amennyiben az alakiságokat adatfeldolgozási eljárással végzik, a vámhatóságok meghatározzák a kézzel történő aláírás más technikával való helyettesítésének szabályait, amely technika kódok használatán alapulhat.
4c. cikk
A lehetséges egyszerűsítések értékelésére tervezett, adatfeldolgozási eljárásokat használó kísérleti programok esetében a vámhatóságok a program végrehajtásához feltétlenül szükséges időtartamra eltekinthetnek a következő információk biztosításának megkövetelésétől:
a) a 178. cikk (1) bekezdésében előírt vámértékbevallás;
b) a 222. cikk (1) bekezdésétől eltérve, az egységes vámokmány egyes olyan rovataihoz kapcsolódó adatok, amelyekre az áruk azonosításához nincs szükség, és amelyek nem a behozatali vagy kiviteli vámok megállapításának alapjául szolgáló tényezők.
Az információt azonban az ellenőrzési műveletek keretében érkező kérésre hozzáférhetővé kell tenni.
Az első albekezdésnek megfelelően alkalmazott eltérés időtartama alatt kiszabandó behozatali vámok összege nem lehet alacsonyabb annál, amit az eltérés nélkül szabtak volna ki.
Az ilyen kísérleti programokban részt venni kívánó tagállamoknak előzetesen be kell nyújtaniuk a Bizottságnak a tervezett kísérleti program összes részletét, beleértve annak tervezett időtartamát is. A tagállamoknak ezenkívül folyamatosan tájékoztatniuk kell a Bizottságot a program tényleges végrehajtásáról és az eredményekről. A Bizottság tájékoztatja az összes többi tagállamot.
4. FEJEZET
Vámhatóságok közötti adatcsere informatikai technológia és számítógépes hálózatok felhasználásával
4d. cikk
(1) A vámhatóságok - az esetleges különleges körülmények és az adott esetben értelemszerűen alkalmazandó, az érintett eljárásra vonatkozó rendelkezések sérelme nélkül - amennyiben valamely vámeljárással vagy gazdasági szereplőkkel kapcsolatos információcseréhez a tagállamok a Bizottsággal együttműködve elektronikus rendszereket alakítottak ki, ezeket a rendszereket használják az érintett vámhivatalok közötti információcseréhez.
(2) Amennyiben az eljárásban érintett vámhivatalok különböző tagállamokban találhatóak, az adatcseréhez használt üzenetek megfelelnek a vámhatóságok által egymással egyetértésben meghatározott szerkezetnek és adatoknak.
4e. cikk
(1) A 4a. cikk (2) bekezdésében említett feltételeken kívül a vámhatóságok megfelelő biztonsági intézkedéseket állapítanak meg és tartanak fenn a különféle rendszerek hatékony, megbízható és biztonságos működtetése érdekében.
(2) Az (1) bekezdésben említett rendszerbiztonsági szint biztosítása érdekében minden adatbevitelt, -módosítást vagy -törlést fel kell jegyezni az adatfeldolgozási művelet céljának és pontos időpontjának, valamint az azt végző személynek a megjelölésével. Eltérő rendelkezés hiányában az eredeti adatokat és bármely így feldolgozott adatot azon év végétől számított legalább három naptári évig kell megőrizni, amelyikre az ilyen adatok vonatkoznak.
(3) A vámhatóságok rendszeresen figyelemmel kísérik a biztonsági intézkedéseket.
(4) Az érintett vámhatóságok értesítik egymást - és adott esetben az érintett gazdasági szereplőt - a biztonsági intézkedések minden gyanítható megszegéséről.
5. FEJEZET
Kockázatkezelés
4f. cikk
(1) A vámhatóságoknak kockázatkezelést kell végezniük, hogy különbséget tegyenek a vámellenőrzés alá eső vagy vámfelügyelet alá tartozó árukhoz kapcsolódó kockázati szintek között és hogy meghatározzák, hogy az áruk különleges vámellenőrzés alá esnek-e, és ha igen, hol történik ez.
(2) A kockázati szintek meghatározása a kockázattal kapcsolatos esemény előfordulási valószínűségének és az esemény tényleges bekövetkezése esetén fellépő hatásnak a felmérésén alapul. A vámellenőrzésre kerülő szállítmányok vagy vámáru-nyilatkozatok kiválasztásának alapja véletlenszerű elemet is tartalmaz.
4g. cikk
(1) A közösségi szintű kockázatkezelés, amelyre a Vámkódex 13. cikkének (2) bekezdése utal, elektronikus közös kockázatkezelési keretrendszernek megfelelően kerül végrehajtásra, amely a következő elemeket tartalmazza:
a) a kockázatkezelés végrehajtását szolgáló Közösségi Vámügyi Kockázatkezelési Rendszer, a kockázattal összefüggő bármely információnak a tagállamok vámhatóságai és a Bizottság közötti továbbítására a vámellenőrzések hatékonyságának javítása érdekében;
b) közös kiemelt ellenőrzési területek;
c) közös kockázati kritériumok és standardok, a vámellenőrzések meghatározott esetekben történő összehangolt alkalmazása érdekében.
(2) A vámhatóságok a kockázattal kapcsolatos információkat az (1) bekezdés a) pontjában említett rendszert használva a következő körülmények fennállásakor cserélik ki:
a) egy vámhatóság úgy értékeli, hogy a kockázatok jelentősek és vámellenőrzést tesznek szükségessé, és az ellenőrzés eredményei azt mutatják, hogy a Vámkódex 4. cikkének (25) bekezdésében említett esemény bekövetkezett;
b) az ellenőrzés eredményei nem mutatják azt, hogy a Vámkódex 4. cikkének (25) bekezdésében említett esemény bekövetkezett, de az érintett vámhatóság úgy véli, hogy a veszély nagy kockázatot jelent valahol másutt a Közösségben.
4h. cikk
(1) A közös kiemelt ellenőrzési területek az egy bizonyos időszakban fokozott szintű kockázatelemzés vagy vámellenőrzés tárgyát képező konkrét vámjogi sorsokra, árutípusokra, útvonalakra, fuvarozási módokra vagy gazdasági szereplőkre terjednek ki.
(2) A közös kiemelt ellenőrzési területek alkalmazásának a kockázatelemzés közös megközelítési módján, és - az azonos szintű vámellenőrzés biztosítása érdekében - az áruk és gazdasági szereplők ellenőrzésre történő kiválasztásához alkalmazott közös kockázati kritériumokon és standardokon kell alapulnia.
(3) A közös kiemelt ellenőrzési területeken végzett vámellenőrzések nem sérthetik a vámhatóságok által rendszerint elvégzett egyéb ellenőrzéseket.
4i. cikk
(1) A 4g. cikk (1) bekezdésének c) pontjában említett közös kockázati kritériumok és standardok a következő elemeket tartalmazzák:
a) a kockázat(ok) leírása;
b) az áruk vagy gazdasági szereplők vámellenőrzésre történő kiválasztásához alkalmazandó kockázati tényezők vagy mutatók;
c) a vámhatóságok által végrehajtandó vámellenőrzések jellege;
d) a c) pontban hivatkozott vámellenőrzések végrehajtásának időtartama.
Az első albekezdésben említett elemek alkalmazásából eredő információkat a 4g. cikk (1) bekezdésének a) pontjában említett Közösségi Vámügyi Kockázatkezelési Rendszer használatával kell terjeszteni. A vámhatóságoknak saját kockázatkezelési rendszereikben kell alkalmazniuk azokat.
(2) A vámhatóságok tájékoztatják a Bizottságot az (1) bekezdésnek megfelelően elvégzett vámellenőrzések eredményeiről.
4j. cikk
A közös kiemelt ellenőrzési területek megállapítása és a közös kockázati kritériumok és standardok alkalmazása vonatkozásában figyelembe kell venni a következő elemeket:
a) arányosság a kockázattal szemben;
b) az ellenőrzések szükséges alkalmazásának sürgőssége;
c) a kereskedelmi forgalomra, az egyes tagállamokra és az ellenőrzési erőforrásokra gyakorolt valószínű hatás.
6. FEJEZET
Nyilvántartási és azonosítási rendszer
4k. cikk
(1) Az EORI-szám a gazdasági szereplők és más személyek azonosítását szolgálja a vámhatóságokkal való kapcsolattartásuk során.
Az EORI-szám felépítésének meg kell felelnie a 38. mellékletben meghatározott feltételeknek.
(2) Amennyiben az EORI-számok kiadásáért felelős hatóság nem a vámhatóság, a tagállamok kijelölik a gazdasági szereplők és más személyek nyilvántartásba vételéért és az EORI-számok kiadásáért felelős hatóságot vagy hatóságokat.
A tagállami vámhatóságok megküldik a Bizottságnak az EORI-számok kiadásáért felelős hatóság vagy hatóságok nevét és címét. A Bizottság ezeket az információkat közzéteszi a világhálón.
(3) A (1) bekezdés figyelembevételével a tagállamok a gazdasági szereplők vagy más személyek részére az illetékes hatóságok által adóügyi, statisztikai vagy egyéb célból már kiadott számot EORI-számként használhatják.
4l. cikk
(1) A Közösség vámterületén letelepedett gazdasági szereplőt a letelepedés helye szerinti tagállam vámhatósága vagy kijelölt hatósága veszi nyilvántartásba. A gazdasági szereplő, mielőtt az 1. cikk 12. pontjában említett tevékenységet megkezdi, köteles kérelmezni a nyilvántartásba vételét. Mindazonáltal az a gazdasági szereplő, amely a nyilvántartásba vételét még nem kérelmezte, ezt az első ügylete során megteheti.
(2) A 4k. cikk (3) bekezdése szerinti esetben a tagállam a gazdasági szereplőt vagy más személyt mentesítheti az EORI-szám kérelmezésével kapcsolatos kötelezettség alól.
(3) Ha a Közösség vámterületén nem letelepedett gazdasági szereplő nem rendelkezik EORI-számmal, akkor nyilvántartásba vételét azon tagállam vámhatósága vagy kijelölt hatósága végzi el, amelyben a gazdasági szereplő első ízben hajtja végre a következő műveletek valamelyikét:
a) gyűjtő vámáru-nyilatkozatot vagy vámáru-nyilatkozatot nyújt be a Közösségben, kivéve az alábbiak valamelyikét:
i. a 225-238. cikk szerint tett vámáru-nyilatkozatot;
ii. az ideiglenes behozatal, illetőleg az ezt az eljárást lezáró újrakivitel céljából tett vámáru-nyilatkozatot;
iii. az egységes árutovábbítási eljárásról szóló egyezmény valamely, az Európai Uniótól eltérő szerződő felének területén letelepedett gazdasági szereplő által az egységes árutovábbítási eljárás keretében tett vámáru-nyilatkozatot, hacsak ez a nyilatkozat egyben nem szolgál belépési vagy kilépési gyűjtő vámáru-nyilatkozatként is;
iv. az Andorrában vagy San Marinóban letelepedett gazdasági szereplő által a közösségi árutovábbítási eljárás keretében tett vámáru-nyilatkozatot, hacsak ez a nyilatkozat egyben nem szolgál belépési vagy kilépési gyűjtő vámáru-nyilatkozatként is.
b) ki- vagy belépési gyűjtő vámáru-nyilatkozatot nyújt be a Közösségben;
c) a 185. cikk (1) bekezdése szerinti átmeneti megőrzési raktárt üzemeltet;
d) a 324a. vagy a 372. cikk szerinti engedélykérelmet nyújt be;
e) a 14a. cikk szerinti engedélyezett gazdálkodói tanúsítvány iránti kérelmet nyújt be;
f) tengeri, belvízi vagy légi fuvarozás tekintetében a 181b. cikkben említett fuvarozóként jár el, kivéve, ha olyan harmadik országbeli egyedi azonosító számmal rendelkezik, amelyet az Unió által elismert harmadik országbeli kereskedelmi partnerségi program keretében bocsátottak rendelkezésre; ez a b) pont sérelme nélkül alkalmazandó;
g) a váminformatikai rendszerhez kapcsolódó fuvarozóként jár el, és a 183. cikk (6) vagy (8) bekezdésében vagy a 184d. cikk (2) bekezdésében előírt értesítést kívánja megkapni.
(4) Gazdasági szereplőnek nem minősülő személyt csak akkor lehet nyilvántartásba venni, ha az összes alábbi feltétel teljesül:
a) a nyilvántartásba vételt tagállami jogszabály előírja;
b) az adott személy korábban nem kapott EORI-számot;
c) az adott személy olyan műveletet hajt végre, amelyhez a 30A. melléklet vagy a 37. melléklet I. címe értelmében EORI-szám szükséges.
(5) A (4) bekezdésben említett esetben:
a) ha a személy a Közösség vámterületén letelepedett, és nem az (1) bekezdésben említett gazdasági szereplő, akkor a letelepedés helye szerinti tagállam vámhatósága vagy kijelölt hatósága veszi nyilvántartásba;
b) ha a személy a Közösség vámterületén nem letelepedett, és nem a (3) bekezdésben említett gazdasági szereplő, akkor a vámjogszabályok hatálya alá tartozó tevékenység végzésének helye szerinti tagállam vámhatósága vagy kijelölt hatósága veszi nyilvántartásba.
(6) Minden gazdasági szereplő és más személy csak egyetlen EORI-számmal rendelkezhet.
(7) E fejezet alkalmazásában annak meghatározását, hogy egy személy a tagállamok valamelyikében letelepedett-e, a Vámkódex 4. cikke 2. pontjának értelemszerű alkalmazásával kell eldönteni.
4m. cikk
(1) A gazdasági szereplőknek és - adott esetben - más személyeknek a 4o. cikkben említett rendszerben feldolgozott nyilvántartási és azonosítási adatainak tartalmazniuk kell - figyelembe véve a 4o. cikk (4) és (5) bekezdésében előírt különös feltételeket - a 38d. mellékletben felsorolt adatokat.
(2) Amennyiben az nemzeti jogszabályban megállapított célból szükséges, az EORI-szám kiadása céljából történő nyilvántartásba vétel során a tagállamok a gazdasági szereplőktől és más személyektől a 38d. mellékletben felsorolt adatokon túlmenően más adatokat is megkövetelhetnek.
(3) A tagállamok a gazdasági szereplőktől és - adott esetben - más személyektől megkövetelhetik, hogy az (1) és (2) bekezdés szerinti adatokat elektronikus úton nyújtsák be.
4n. cikk
Amennyiben szükséges, a vámhatóságokkal történő kommunikáció során, a gazdasági szereplők és más személyek az EORI-számot használják. A 4p. és a 4q. cikkekben meghatározott feltételek mellett ezt a számot kell továbbá használni a vámhatóságok közötti, illetve a vámhatóságok és más hatóságok közötti információcsere céljából is.
4o. cikk
(1) A tagállamok együttműködnek a Bizottsággal egy olyan központi elektronikus információs és kommunikációs rendszer kialakítása érdekében, amely a tagállamok által megadott, a 38d. mellékletben felsorolt adatokat tartalmazza.
(2) A vámhatóságok az (1) bekezdésben előírt rendszer használata révén együttműködnek a Bizottsággal a gazdasági szereplők és más személyek 38d. mellékletben felsorolt nyilvántartási és azonosítási adatainak feldolgozása, valamint ezen adatoknak a vámhatóságok közötti, illetve a Bizottság és a vámhatóságok közötti cseréje céljából. A központi rendszerben kizárólag a 38d. mellékletben felsorolt adatok dolgozhatók fel.
(3) A tagállamok gondoskodnak arról, hogy nemzeti rendszereik naprakészek, teljes körűek és pontosak legyenek.
(4) EORI-szám kiadásakor vagy adatváltozás esetén a tagállamok rendszeres időközönként feltöltik a központi rendszerbe a gazdasági szereplőkre és más személyekre vonatkozó, a 38d. melléklet 1-4. pontjában felsorolt adatokat.
(5) EORI-szám kiadásakor vagy adatváltozás esetén a tagállamok rendszeres időközönként feltöltik a központi rendszerbe a gazdasági szereplőkre és más személyekre vonatkozó, a 38d. melléklet 5-12. pontjában felsorolt adatokat is, amennyiben az adatok a nemzeti rendszerekben rendelkezésre állnak.
(6) A központi rendszerbe kizárólag a 4l. cikk (1)-(5) bekezdése alapján kiadott EORI-számokat és a 38d. mellékletben felsorolt egyéb adatokat kell feltölteni.
(7) Amennyiben megállapítást nyer, hogy valamely gazdasági szereplőnek vagy gazdasági szereplőnek nem minősülő más személynek megszűnik az 1. cikk 12. pontjában említett tevékenysége, a tagállamok jelzik ezt a 38d. melléklet 11. pontjában felsorolt adatokban.
4p. cikk
A tagállamokban a 4k. cikk (2) bekezdésével összhangban kijelölt hatóság a tagállam vámhatóságai számára közvetlen hozzáférést ad a 38d. mellékletben felsorolt adatokhoz.
4q. cikk
(1) A tagállamokban a következő hatóságok a 38d. melléklet 1-4. pontjában felsorolt, birtokukban lévő adatokhoz eseti alapon közvetlen hozzáférést adhatnak egymásnak:
a) vámhatóságok;
b) állat-egészségügyi hatóságok;
c) egészségügyi hatóságok;
d) statisztikai hatóságok;
e) adóhatóságok;
f) a csalás elleni küzdelemért felelős hatóságok;
g) a kereskedelempolitikáért felelős hatóságok, adott esetben beleértve a mezőgazdasági hatóságokat is;
h) a határellenőrzésért felelős hatóságok.
(2) Az (1) bekezdésben felsorolt hatóságok az (1) bekezdésben meghatározott adatokat csak abban az esetben őrizhetik meg és az adatokat csak abban az esetben cserélhetik ki egymás között, ha erre a vámeljárás tárgyát képező áru mozgása tekintetében fennálló kötelezettségeik teljesítéséhez szükség van.
(3) A tagállamok vámhatóságai eljuttatják a Bizottsághoz az (1) bekezdésben említett hatóságok címjegyzékét. A Bizottság ezeket az információkat közzéteszi a világhálón.
4r. cikk
Az EORI-számot és a 38d. mellékletben felsorolt adatokat a központi rendszerben az adatokat a 4o. cikk (4) és (5) bekezdése értelmében feltöltő tagállam nemzeti jogszabályaiban előírt időtartamig kell feldolgozni.
4s. cikk
(1) Ez a rendelet nem korlátozza és semmilyen módon nem érinti a közösségi és a nemzeti jogban a személyes adatok feldolgozása vonatkozásában az egyéneknek biztosított védelem szintjét és különösen nem változtatja meg a tagállamoknak a személyes adatok feldolgozása tekintetében a 95/46/EK irányelv alapján fennálló kötelezettségeit, sem pedig a közösségi intézményeknek és szerveknek a feladataik ellátása során általuk végrehajtott személyesadat-feldolgozás tekintetében a 45/2001/EK rendelet alapján fennálló kötelezettségeit.
(2) A 38d. melléklet 1., 2. és 3. pontjában felsorolt, a gazdasági szereplőkre és más személyekre vonatkozó nyilvántartási és azonosítási adatokat a Bizottság csak abban az esetben teheti közzé az világhálón, ha ehhez az érintett a helyzet ismeretében kifejezetten, önként és írásban hozzájárult. Ha a hozzájárulást megadták, azt a tagállam nemzeti jogszabályaival összhangban el kell juttatni a tagállamnak a 4k. cikk (2) bekezdésével összhangban kijelölt hatósága vagy hatóságai számára vagy a vámhatóságok számára.
(3) Bármely személy a 38d. mellékletben felsorolt, a nemzeti rendszerekben feldolgozott nyilvántartási adataira vonatkozó jogait a személyes adatokat őrző tagállam jogszabályaival és különösen - ha alkalmazandó - a 95/46/EK irányelvet a nemzeti jogba átültető rendelkezésekkel összhangban gyakorolhatja.
4t. cikk
A nemzeti adatvédelmi felügyelő hatóságok és az európai adatvédelmi biztos - a hatáskörük szabta keretek között - aktívan együttműködnek egymással, és biztosítják a 4o. cikk (1) bekezdésében említett rendszer összehangolt felügyeletét.
II. CÍM
KÖTELEZŐ ÉRVÉNYŰ FELVILÁGOSÍTÁS
1. FEJEZET
Meghatározások
5. cikk
E cím alkalmazásában:
1. kötelező érvényű felvilágosítás:
olyan tarifális vagy származási felvilágosítás, amely a Közösség tagállamainak vámigazgatásai számára kötelező érvénnyel bír, amennyiben a 6. és 7. cikkben megállapított feltételek teljesülnek;
2. kérelmező:
- tarifális kérdésekben az a személy, aki kötelező érvényű tarifális felvilágosításért folyamodott a vámhatóságokhoz,
- származási kérdésekben az a személy, aki kötelező érvényű származási felvilágosításért folyamodott a vámhatóságokhoz, és erre megfelelő indoka van;
3. a felvilágosítás jogosultja:
az a személy, akinek a nevére a kötelező érvényű felvilágosítást kiadták.
2. FEJEZET
Eljárás kötelező érvényű felvilágosítás kiadására - A felvilágosítás közlése a kérelmezővel és továbbítása a Bizottsághoz
6. cikk
(1) A kötelező érvényű felvilágosítás iránti kérelmet írásban kell benyújtani annak a tagállamnak, illetve azoknak a tagállamoknak az illetékes vámhatóságaihoz, ahol a felvilágosítást alkalmazni kívánják, vagy annak a tagállamnak az illetékes vámhatóságaihoz, ahol a kérelmező letelepedett.
A kötelező érvényű tarifális felvilágosítás iránti kérelem benyújtása az 1B. mellékletben bemutatott mintának megfelelő nyomtatványon történik.
(2) A kötelező érvényű tarifális felvilágosításra vonatkozó kérelem kizárólag egyfajta árura vonatkozhat. A kötelező érvényű származási felvilágosításra vonatkozó kérelmek kizárólag egyfajta árura és a származást biztosító körülményeknek csak egy csoportjára vonatkozhatnak.
(3) A. A kötelező érvényű tarifális felvilágosítás iránti kérelemnek a következő adatokat kell tartalmaznia:
a) felvilágosítás jogosultjának neve és címe;
b) kérelmező neve és címe, amennyiben az adott személy nem azonos a felvilágosítás jogosultjával;
c) azon vámnómenklatúra megnevezése, amelybe az árukat be kívánják sorolni. Ha a kérelmező az árunak a Vámkódex 20. cikke (3) bekezdésének b) pontjában és (6) bekezdése b) pontjában megadott nómenklatúrákba való besorolást kívánja megszerezni, a kötelező érvényű tarifális felvilágosításra vonatkozó kérelemben határozottan fel kell tüntetni a kérdéses nómenklatúrát;
d) olyan részletes áruleírás, amely lehetővé teszi az áru azonosítását és vámnómenklatúra szerinti besorolásának meghatározását;
e) az áru összetétele és az annak meghatározására alkalmazott valamennyi vizsgálati módszer, ha a besorolás ettől függ;
f) mellékletként csatolva minden rendelkezésre álló minta, fénykép, tervrajz, katalógus vagy bármilyen más dokumentum, amely segítheti a vámhatóságot az áruk vámnómenklatúra szerint történő helyes besorolásában;
g) a tervezett besorolás;
h) nyilatkozat arra vonatkozóan, hogy bármelyik mellékelt dokumentumot lefordítják az érintett tagállam hivatalos nyelvére (illetve egyik hivatalos nyelvére), ha ezt a vámhatóság kéri;
i) a bizalmasan kezelni kívánt adatok megjelölése;
j) a kérelmező nyilatkozata, hogy tudomása szerint a Közösségen belül kértek-e vagy adtak-e már kötelező érvényű tarifális felvilágosítást azonos vagy hasonló árura;
k) annak elfogadása, hogy a szolgáltatott információkat az Európai Közösségek Bizottságának adatbázisában tárolhatják, és hogy a kötelező tarifális felvilágosítás részleteit, beleértve minden fényképet, rajzot, brosúrát stb. - kivéve azonban a kérelmező által bizalmasként megjelölt adatokat - az Interneten keresztül közzétegyék; az adatvédelemre vonatkozó hatályos rendelkezéseket alkalmazni kell.
B. A kötelező származási felvilágosításra vonatkozó kérelmeknek a következő adatokat kell tartalmaznia:
a) a felvilágosítás jogosultjának neve és címe;
b) kérelmező neve és címe, amennyiben az adott személy nem azonos a jogosulttal;
c) a Vámkódex 22. és 27. cikke szerint alkalmazandó jogalap;
d) az áruk részletes leírása, és vámtarifa szerinti besorolása;
e) az áruk összetétele, és az annak meghatározására alkalmazott vizsgálati módszerek, továbbá szükség esetén azok gyártelepi ára;
f) a származás megállapítását lehetővé tevő körülmények, a felhasznált anyagok és azok származása, tarifális besorolása, a megfelelő értékek, továbbá mindazon körülmények (a vámtarifaszám változása, az értéknövekmény, a megmunkálás vagy feldolgozás leírása, vagy bármely más különös szabály) leírása, amelyek a kérdéses feltételek kielégítését lehetővé teszik; így különösen a pontos, alkalmazott származási szabály és az árukra előirányzott származás;
g) mellékletként csatolva minden rendelkezésre álló minta, fénykép, tervrajz, katalógus vagy bármilyen más dokumentum az áruk összetételéről és anyagaikról, továbbá azok, amelyek segíthetnek a gyártási folyamatoknak és az anyagok feldolgozásának leírásában;
h) nyilatkozat arra vonatkozóan, hogy bármelyik mellékelt dokumentumot lefordítják az érintett tagállam hivatalos nyelvére (illetve egyik hivatalos nyelvére), ha ezt a vámhatóság kéri;
i) az akár a nyilvánosság, akár a hatóságok tekintetében bizalmasan kezelni kívánt adatok megjelölése;
j) a kérelmező nyilatkozata, hogy tudomása szerint a Közösségen belül kértek-e vagy adtak-e már a d), illetve f) pontban megadott azonos vagy hasonló áruk vagy anyagok kapcsán kötelező tarifális, vagy származási felvilágosítást;
k) annak elfogadása, hogy a szolgáltatott információkat az Európai Közösségek Bizottságának adatbázisában tárolhatják; a Vámkódex 15. cikkétől eltérve azonban a tagállamokban hatályban lévő, adatvédelemre vonatkozó rendelkezéseket kell alkalmazni.
(4) Ha a kérelem kézhezvétele után a vámhatóságok úgy ítélik meg, hogy az nem tartalmazza a megalapozott vélemény kialakításához szükséges adatokat, felkérik a kérelmezőt a szükséges információk benyújtására. A 7. cikkben megadott három hónapos, illetve 150 napos határidőket attól az időponttól kell számítani, amikortól a vámhatóságoknak rendelkezésére áll az összes adat a döntés meghozatalához; a vámhatóságok értesítik a kérelmezőt arról, hogy a kérelmet megkapták, illetve az időpontról, amelytől az említett határidőt számítják.
(5) A kötelező érvényű felvilágosítás iránti kérelmek átvételére, illetve az ilyen felvilágosítások kiadására a tagállamok által kijelölt vámhatóságok jegyzékét az Európai Közösségek Hivatalos Lapjának"C" sorozatában közzé kell tenni.
7. cikk
(1) A kötelező érvényű felvilágosítást a kérelmezőkkel a lehető leghamarabb közölni kell.
a) Tarifális ügyek: amennyiben a kérelem kézhezvételétől számított három hónapon belül nem nyílik lehetőség a kötelező érvényű tarifális felvilágosítás megadására, a vámhatóságok megkeresik a kérelmezőt, megindokolják a késedelmet, és közlik, hogy várhatóan mikor tudják a felvilágosítást megadni.
b) Származási ügyek: a felvilágosítást a kérelem kézhezvételétől számított 150 napon belül meg kell küldeni.
(2) A kötelező érvényű felvilágosítás az 1. mellékletben (kötelező érvényű tarifális felvilágosítás), illetve az 1a. mellékletben (kötelező érvényű származási felvilágosítás) található mintának megfelelő nyomtatványon kell megadni. A felvilágosításban fel kell tüntetni, hogy mely adatokat kell bizalmasan kezelni. A Vámkódex 243. cikkében említett jogorvoslati lehetőséget is meg kell említeni.
8. cikk
(1) A kötelező érvényű tarifális felvilágosítás esetén a tagállamok vámhatóságai haladéktalanul megküldik a Bizottságnak a következőket:
a) a kötelező érvényű tarifális felvilágosítás iránti kérelem egy példányát (1. B. melléklet);
b) a kiadott kötelező érvényű tarifális felvilágosítás egy példányát (1. melléklet 2. példány);
c) a 4. példány adatait (1. melléklet).
A kötelező érvényű származási felvilágosítás esetén a tagállamok haladéktalanul közlik a Bizottsággal a kiadott kötelező származási felvilágosítás releváns adatait.
A közlés elektronikus úton történik.
(2) A tagállam kérelmére a Bizottság az (1) bekezdés alapján hozzá eljuttatott adatokat haladéktalanul megküldi a tagállamnak. A közlés elektronikus úton történik.
(3) A kötelező érvényű tarifális felvilágosítás iránti kérelem elektronikusan megküldött adatait, a kiadott kötelező érvényű tarifális felvilágosítást és az 1. melléklet 4. példányának adatait a Bizottság egy központi adatbázisában kell tárolni. A kötelező érvényű tarifális felvilágosítás adatai, beleértve minden fényképet, rajzot, brosúrát stb. - kivéve a kiadott kötelező érvényű tarifális felvilágosítás 3. és 8. rovatának adatait - közzétehetők az Interneten.
3. FEJEZET
A Kötelező érvényű felvilágosítás következetlenségei esetén alkalmazandó rendelkezések
9. cikk
(1) Ha ugyanazokra az árukra vonatkozóan különböző kötelező érvényű felvilágosítások léteznek
- a Bizottság saját kezdeményezésére, vagy egy tagállam képviselőjének kérésére az ügyet megvitatásra a bizottság következő hónapban tartandóvagy az ezt követő ülésének napirendjére tűzi,
- a bizottsági eljárási szabályzattal összhangban, a Bizottság a lehető leghamarabb, de mindenképpen az első francia bekezdésben megadott ülést követően hat hónapon belül intézkedést hoz a tarifális vagy származási szabályok egységes alkalmazásának biztosítása érdekében.
(2) Az (1) bekezdés alkalmazása szempontjából a kötelező érvényű származási felvilágosítás akkor tekintendő különbözőnek, ha olyan árukra ruház eltérő származást, amelyek:
- ugyanazon vámtarifaszám alá tartoznak, és származásukat ugyanazoknak a származási szabályoknak az alapján állapították meg, és
- ugyanolyan gyártási eljárással kerültek előállításra.
4. FEJEZET
A kötelező érvényű felvilágosítás joghatása
10. cikk
(1) A Vámkódex 5. és 64. cikkének sérelme nélkül, a kötelező érvényű felvilágosítást kizárólag a felvilágosítás jogosultja használhatja fel.
(2) a) Tarifális kérdésekben a vámhatóságok megkövetelhetik a felvilágosítás jogosultjától, hogy a vámalakiságok elvégzésekor közölje a vámhatósággal, hogy, a vámkezeltetni kívánt árura vonatkozóan kötelező érvényű tarifális felvilágosítással rendelkezik.
b) Származási kérdések esetén a kötelező származási felvilágosítás érvényességének ellenőrzéséért felelős hatóságok megkövetelhetik a felvilágosítás jogosultjától, hogy az alakiságok elvégzésekor közölje a vámhatósággal, hogy a vámkezeltetni kívánt árura vonatkozóan kötelező érvényű származási felvilágosítással rendelkezik.
(3) A kötelező érvényű felvilágosítást annak jogosultja bizonyos áruk tekintetében csak akkor használhatja fel, amennyiben megállapították
a) tarifális kérdésekben a vámhatóságok megelégedésére, hogy a szóban forgó áruk minden szempontból megegyeznek azokkal, amelyeket a benyújtott felvilágosításban leírnak;
b) származási ügyekben a (2) bekezdés b) pontjában megadott hatóságok megelégedésére, hogy a kérdéses áruk, és a származást meghatározó körülmények minden szempontból megfelelnek a benyújtott felvilágosításban leírtaknak.
(4) A vámhatóságok (kötelező érvényű tarifális felvilágosítás esetében), illetve a (2) bekezdés b) pontjában megadott hatóságok (kötelező érvényű származási felvilágosítás esetében) kérhetik a felvilágosítás lefordítását az érintett tagállam hivatalos nyelvére, vagy egyik hivatalos nyelvére.
11. cikk
A valamely tagállam vámhatóságai által 1991. január 1-je után kiadott kötelező tarifális felvilágosítások azonos feltételek mellettkötelező érvényűek a többi tagállam illetékes hatóságaira nézve.
12. cikk
(1) A Vámkódex 12. cikke (5) bekezdésében említett valamely jogi aktusok vagy intézkedés elfogadásakor a vámhatóságok megteszik a szükséges lépéseket annak biztosítására, hogy kötelező érvényű felvilágosítást azontúl csak a szóban forgó jogi aktussal, illetve intézkedéssel összhangban lehessen kiadni.
(2) a) A kötelező érvényű tarifális felvilágosítás esetében, a fenti (1) bekezdés alkalmazásában a figyelembe veendő időpontok a következők:
- a Vámkódex 12. cikke (5) bekezdése a) pontjának i. alpontjában említett, vámnómenklatúra változásáról szóló rendeleteknél azok alkalmazhatóságának időpontja,
- a Vámkódex 12. cikke (5) bekezdése a) pontjának i. alpontjában megadott, az árucikkek vámnómenklatúra szerinti besorolását meghatározó vagy érintő rendeleteknél azok Európai Közösségek Hivatalos Lapjának"L" sorozatában való közzétételének időpontja,
- a Vámkódex 12. cikke (5) bekezdése a) pontjának ii. alpontjában megadott, a kombinált nómenklatúra magyarázatainak módosításairól szóló rendeleteknél azok Európai Közösségek Hivatalos Lapjának"C" sorozatában való közzétételének időpontja,
- az Európai Közösségek Bíróságának a Vámkódex 12. cikke (5) bekezdése a) pontjának ii. alpontjában említett ítéleteinél az adott ítélet meghozatalának időpontja,
- a Vámkódex 12. cikke (5) bekezdése a) pontjának ii. alpontjában említett besorolásra vonatkozó vélemény, vagy a Harmonizált Rendszer Nómenklatúrájához fűzött magyarázó megjegyzések Vámigazgatások Világszervezete által történő módosításainak elfogadásával kapcsolatos intézkedéseknél a Bizottság általi közzététel időpontja az Európai Közösségek Hivatalos Lapjának"C" sorozatában.
b) A kötelező származási felvilágosítás esetében, a fenti (1) bekezdés alkalmazásában a figyelembe veendő időpont a következő:
- a Vámkódex 12. cikke (5) bekezdése b) pontjának i. alpontjában megadott, az áruk származásának meghatározásáról, vagy a 12. cikk (5) bekezdése b) pontjának ii. alpontjában említett szabályokról szóló rendeleteknél azok akalmazhatóságának időpontja,
- a Vámkódex 12. cikke (5) bekezdése b) pontjának ii. alpontjában említett, a közösségi szinten elfogadott magyarázó megjegyzések és vélemények módosításairól szóló rendeleteknél azok Európai Közösségek Hivatalos Lapjának"C" sorozatában való közzétételének időpontja,
- az Európai Közösségek Bíróságának a Vámkódex 12. cikke (5) bekezdése b) pontjának ii. alpontjában említett ítéleteinél az adott ítélet időpontja,
- a Vámkódex 12. cikke (5) bekezdése b) pontjának ii. alpontjában említett, a Kereskedelmi Világszervezet által elfogadott, származásra vonatkozó véleményekkel vagy magyarázó megjegyzésekkel kapcsolatos intézkedéseknél a Bizottság által az Európai Közösségek Hivatalos Lapjának"C" sorozatában megjelölt időpont,
- a Vámkódex 12. cikke (5) bekezdése b) pontjának ii. alpontjában említett, a Kereskedelmi Világszervezet származási szabályokról szóló megállapodásának mellékleteivel és a nemzetközi egyezmények értelmében elfogadott származási szabályokkal kapcsolatos intézkedéseknél azok hatálybalépésének időpontja.
(3) Az e cikkben leírt intézkedések és jogszabályok elfogadásának időpontjáról a Bizottság a lehető legrövidebb időn belül értesíti a vámhatóságokat.
5. FEJEZET
A kötelező érvényű felvilágosítás elévülésének esetében érvényes rendelkezések
13. cikk
Ha a Vámkódex 12. cikke (4) bekezdésének második mondata, illetve 12. cikke (5) bekezdésének alapján valamely kötelező érvényű felvilágosítás visszavonásra kerül vagy érvényét veszti, az azt kibocsátó vámhatóságok a lehető legrövidebb időn belül értesítik a Bizottságot.
14. cikk
(1) Ha a Vámkódex 12. cikke (5) bekezdésében megadott okok miatt érvényét vesztő kötelező érvényű felvilágosítás jogosultja továbbra is használni kívánja a felvilágosítást azon cikk (6) bekezdése szerint megadott időszak alatt, erről értesíti a vámhatóságokat gondoskodva a szükséges kísérő okmányokról, amelyek lehetővé teszik annak ellenőrzését, hogy a lényeges feltételek teljesülnek-e.
(2) Kivételes esetekben, amikor a Bizottság a Vámkódex 12. cikke (7) bekezdésének második albekezdésével összhangban olyan intézkedést fogad el, amely eltér az adott cikk (6) bekezdésének rendelkezéseitől, vagy amikor e cikk (1) bekezdésében megadott, a kötelező tarifális felvilágosítás vagy kötelező származási felvilágosítás folyamatos felhasználásának lehetőségéről szóló feltételek nem teljesülnek, a vámhatóságok erről írásban értesítik a felvilágosítás jogosultját.
IIA. CÍM
ENGEDÉLYEZETT GAZDÁLKODÓK
1. FEJEZET
A tanúsítványok kiadására vonatkozó eljárás
1. szakasz
Általános rendelkezések
14a. cikk
(1) A vámszabályokban egyébként meghatározott egyszerűsítések használatának sérelme nélkül, egy gazdasági szereplő kérelmére a vámhatóságok, a Vámkódex 5a. cikkének megfelelően, a következő engedélyezett gazdálkodói tanúsítványokat (a továbbiakban: AEO-tanúsítvány) állíthatják ki:
a) AEO-tanúsítvány "Vámjogi egyszerűsítések", azokra a gazdasági szereplőkre vonatkozóan, akik kérik, hogy a vámszabályokban meghatározott egyszerűsítésekben részesüljenek, és akik a 14h., 14i. és 14j. cikkben megállapított feltételeket teljesítik;
b) AEO-tanúsítvány "Biztonság és védelem" azokra a gazdasági szereplőkre vonatkozóan, akik kérik, hogy a biztonsággal és a védelemmel kapcsolatos vámellenőrzések során könnyítésekben részesüljenek az áruknak a Közösség vámterületére történő belépésekor, vagy amikor az áruk a Közösség vámterületét elhagyják és akik a 14h-14k. cikkben megállapított feltételeket teljesítik;
c) AEO-tanúsítvány "Vámjogi egyszerűsítések/Biztonság és védelem" azokra a gazdasági szereplőkre vonatkozóan, akik kérik, hogy az a) pontban meghatározott egyszerűsítésekben és a b) pontban meghatározott könnyítésekben részesüljenek, és akik a 14h-14k. cikkben megállapított feltételeket teljesítik.
(2) A vámhatóságok kellő mértékben figyelembe veszik a gazdasági szereplők sajátos jellemzőit, különösen a kis- és középvállalkozásoknál.
14b. cikk
(1) Ha a 14a. cikk (1) bekezdésének a) vagy c) pontjában említett AEO-tanúsítvány birtokosa a 260., 263., 269., 272., 276., 277., 282., 283., 313a., 313b., 324a., 324e., 372., 454a., 912g. cikkekben említett egy vagy több engedély iránt kérelmet nyújt be, a vámhatóságok nem vizsgálják meg újból azokat a feltételeket, amelyeket az AEO-tanúsítvány kiadásakor már megvizsgáltak.
(2) Amennyiben a belépési gyűjtő vámáru-nyilatkozatot a 14a. cikk (1) bekezdésének b) vagy c) pontjában említett AEO-tanúsítvány birtokosa nyújtotta be, az illetékes vámhivatal az árunak a Közösség vámterületére történő megérkezése előtt az engedélyezett gazdálkodót értesítheti arról, hogy - a biztonsági és védelmi kockázatelemzés alapján - a szállítmányt további fizikai ellenőrzésre választották ki. Ez az értesítés csak akkor történhet meg, ha az nem veszélyezteti az elvégzendő ellenőrzést.
A tagállamok azonban akkor is végezhetnek fizikai ellenőrzést, ha az engedélyezett gazdálkodót az árunak a Közösség vámterületére érkezése előtt nem értesítették arról, hogy a szállítmányt ilyen ellenőrzésre kiválasztották. Amennyiben az áruk a Közösség vámterületét elhagyják, az első és a második albekezdés értelemszerűen alkalmazandó.
(3) A 14a. cikk (1) bekezdésének b) vagy c) pontjában említett AEO-tanúsítvány birtokosai, akik árukat hoznak be vagy visznek ki, a 30A. melléklet 2.5 szakaszában meghatározott csökkentett adattartalmú belépési vagy kilépési gyűjtő vámáru-nyilatkozatot nyújthatnak be.
Azok a fuvarozók, szállítmányozók vagy vámügynökök, akik a 14a. cikk (1) bekezdésének b) vagy c) pontjában említett AEO-tanúsítvány birtokosai, és a 14a. cikk (1) bekezdésének b) vagy c) pontjában említett AEO-tanúsítvány birtokosainak érdekében végzett árubehozatalban vagy -kivitelben vesznek részt, szintén benyújthatnak a 30A. melléklet 2.5. szakaszában meghatározott, csökkentett adattartalmú belépési vagy kilépési gyűjtő vámáru-nyilatkozatokat.
A csökkentett adattartalom használatára feljogosított AEO-tanúsítvány birtokosoktól megkövetelhető, hogy kiegészítő adatelemeket szolgáltassanak a harmadik országokkal kötött, AEO-tanúsítványok és a biztonsági intézkedések kölcsönös elismerésére vonatkozó nemzetközi egyezményekben megállapított rendszerek megfelelő működésének biztosítása érdekében.
(4) Az AEO-tanúsítvány birtokosát kevesebb fizikai és okmányalapú ellenőrzésnek kell alávetni, mint más gazdasági szereplőket. A vámhatóságok ettől eltérően dönthetnek valamely konkrét veszély különös jellegének vagy más közösségi jogszabályokban meghatározott ellenőrzési kötelezettségnek a figyelembevétele érdekében.
Amennyiben a kockázatelemzést követően az illetékes vámhatóság mégis kiválaszt további vizsgálatra olyan szállítmányt, amelyre engedélyezett gazdálkodó által benyújtott belépési vagy kilépési gyűjtő vámáru-nyilatkozat vagy vámáru-nyilatkozat vonatkozik, a szükséges ellenőrzéseket elsőbbséggel kell elvégeznie. Amennyiben az engedélyezett gazdálkodó kéri, az érintett vámhatósággal történt megállapodástól függően, ezek az ellenőrzések az érintett vámhivatal helyétől eltérő helyen elvégezhetők.
(5) Az (1)-(4) bekezdésben meghatározott előnyök feltétele, hogy az érintett gazdasági szereplő megadja a szükséges AEO-tanúsítványszámokat.
2. szakasz
AEO-tanúsítvány iránti kérelem
14c. cikk
(1) Az AEO-tanúsítvány iránti kérelmet írásban vagy elektronikus formában kell benyújtani, az 1C. mellékletben bemutatott mintának megfelelően.
(2) Amennyiben a vámhatóság azt állapítja meg, hogy a kérelem nem tartalmazza az összes szükséges adatot, a vámhatóság a kérelem fogadása után 30 naptári napon belül, kérése indokolásával, felkéri a gazdasági szereplőt, hogy a vonatkozó információt adja meg.
A 14l. cikk (1) bekezdésében és a 14o. cikk (2) bekezdésében említett határidők attól a naptól számítandók, amikor a vámhatóság a kérelem befogadásához szükséges összes információt megkapta. A vámhatóságok tájékoztatják a gazdasági szereplőt a kérelem befogadásáról, valamint a fenti határidő kezdetének napjáról.
14d. cikk
(1) A kérelmet a következő vámhatóságok valamelyikéhez kell benyújtani:
a) annak a tagállamnak a vámhatósága, ahol a kérelmezőnek a vámügyi tevékenységekkel kapcsolatos főkönyveit vezetik, és ahol az AEO-tanúsítvány hatálya alá tartozó műveletek legalább egy részét folytatják;
b) annak a tagállamnak a vámhatósága, ahol a kérelmezőnek az érintett vámügyi tevékenységekkel kapcsolatos főkönyveihez az illetékes vámhatóság a kérelmező számítógépes rendszerén keresztül, az informatikai technológia és számítógépes hálózatok felhasználásával hozzáférhet és ahol a kérelmező általános logisztikai irányító tevékenységeit végzik, és ahol az AEO-tanúsítvány hatálya alá majd tartozó műveleteknek legalább egy részét végzik.
A kérelmezőnek az a) és b) pontokban említett főkönyvei olyan nyilvántartásokat és dokumentációt tartalmaznak, amelyek a vámhatóság számára lehetővé teszik az AEO-tanúsítvány megszerzéséhez szükséges feltételek és kritériumok ellenőrzését és figyelemmel kísérését.
(2) Ha az illetékes vámhatóság az (1) bekezdésben foglaltak alapján nem határozható meg, a kérelmet az alábbi vámhatóságok egyikéhez kell benyújtani:
a) annak a tagállamnak a vámhatósága, ahol a kérelmezőnek az érintett vámügyi tevékenységekkel kapcsolatos főkönyveit vezetik;
b) annak a tagállamnak a vámhatósága, ahol a kérelmezőnek az (1) bekezdés b) pontjában említett, az érintett vámügyi tevékenységekkel kapcsolatos főkönyvei hozzáférhetőek, és ahol a kérelmező általános logisztikai irányítási tevékenységeit végzik.
(3) Ha a vonatkozó nyilvántartásoknak és dokumentációnak egy részét egy másik tagállamban őrzik, mint amelyik vámhatóságához a kérelmet az (1) vagy a (2) bekezdés alapján benyújtották, a kérelmezőnek megfelelően ki kell töltenie az 1C. mellékletben meghatározott kérelem formanyomtatvány 13., 16., 17. és 18. rovatait.
(4) Amennyiben a kérelmező raktárlétesítményt vagy más helyiséget vagy területet tart fenn egy másik tagállamban, mint amelynek vámhatóságához a kérelmet az (1) vagy (2) bekezdés alapján benyújtotta, ezt az információt az 1C. mellékletben meghatározott kérelem formanyomtatvány 13. rovatában kell feltüntetnie, hogy megkönnyítse azon tagállam vámhatóságai által a feltételekre vonatkozóan a raktárlétesítményben vagy más helyiségben vagy területen végzett helyszíni vizsgálatot.
(5) A jelen cikk (2), (3) és (4) bekezdéseiben említett esetekben a 14m. cikkben említett egyeztetési eljárás alkalmazandó.
(6) A kérelmezőnek meg kell adnia a saját igazgatásán belül egy bármikor hozzáférhető központi egységet vagy kapcsolattartó személyt, hogy a vámhatóságok számára az AEO-tanúsítvány kiállítása céljából, a követelményeknek történő megfelelés igazolásához szükséges minden információ rendelkezésre álljon.
(7) A kérelmezőknek a szükséges adatokat, amennyire lehetséges, elektronikus úton kell benyújtaniuk a vámhatóságok számára.
14e. cikk
A tagállamok átadják a Bizottságnak azoknak az illetékes hatóságaiknak a jegyzékét, ahová a kérelmeket és azok esetleges későbbi módosításait be kell nyújtani. A Bizottság az ilyen információkat továbbítja a többi tagállamnak, vagy az interneten hozzáférhetővé teszi.
Ezek a hatóságok járnak el az AEO-tanúsítványokat kiállító vámhatóságként is.
14f. cikk
A kérelmet nem lehet befogadni az alábbi esetek egyikében sem:
a) a kérelem nem felel meg a 14c. és 14d. cikknek;
b) a kérelmezőt elítélték a kérelmező gazdasági tevékenységével összefüggő súlyos bűncselekmény elkövetéséért vagy ellene a kérelem benyújtásának időpontjában csődeljárás folyik;
c) a kérelmezőnek vámügyekben olyan jogi képviselője van, akit/amelyet a vámszabályok megszegésével és jogi képviselőként végzett tevékenységével kapcsolatos súlyos bűncselekmény elkövetéséért elítéltek;
d) a kérelmet az AEO-tanúsítvány 14v. cikk (4) bekezdésében meghatározott visszavonását követő három éven belül nyújtják be.
3. szakasz
Az AEO-tanúsítvány kiadásának feltételei és kritériumai
14g. cikk
A következő esetekben nem szükséges, hogy a kérelmező a Közösség vámterületén letelepedett legyen:
a) nemzetközi megállapodás szabályozza az AEO-tanúsítványok kölcsönös elfogadását a Közösség és azon harmadik ország között, amelyben a gazdasági szereplő letelepedett, és szükség esetére meghatározza az adminisztratív szabályokat a tagállam vámhatósága érdekében elvégzendő megfelelő ellenőrzésekhez;
b) amennyiben a 14a. cikk (1) bekezdésének b) pontja szerinti AEO-tanúsítvány iránti kérelmet olyan légitársaság vagy hajózási társaság nyújtotta be, amely a Közösségben nem letelepedett, de amely ott területi irodával rendelkezik és már részesül a 324e., 445. vagy 448. cikkben meghatározott egyszerűsítésekben.
Az első bekezdés b) pontjában említett esetben a kérelmezőről vélelmezni kell, hogy már teljesítette a 14h., 14i. és 14j. cikkben megállapított feltételeket, de még eleget kell tennie a 14k. cikk (2) bekezdésében meghatározott feltételnek.
14h. cikk
(1) A vámszabályok betartása tekintetében a Vámkódex 5a. cikke (2) bekezdésének első francia bekezdésében említett előélet akkor minősül megfelelőnek, ha a kérelem benyújtását megelőző utolsó három évben a következő személyek közül egyik sem követte el a vámszabályok súlyos vagy ismételt megszegését:
a) a kérelmező;
b) a kérelmező cégért felelős vagy annak vezetése felett ellenőrzést gyakorló személyek;
c) a kérelmező vámügyekben illetékes jogi képviselője, ha van ilyen;
d) az a személy, aki a kérelmező cégnél a vámügyekért felelős.
A vámszabályok betartása tekintetében az előélet azonban megfelelőnek tekinthető, ha az illetékes vámhatóság azok esetleges megszegését elhanyagolható jelentőségűnek tekinti a vámügyi műveletek számához vagy méreteihez viszonyítva és olyannak, amely nem teszi kétségessé a kérelmező jóhiszeműségét.
(2) Ha a kérelmező cég felett ellenőrzést gyakorló személyek egy harmadik országban telepedtek le vagy rendelkeznek lakóhellyel, a vámhatóságok a számukra rendelkezésre álló nyilvántartások és információk alapján értékelik előéletüket a vámszabályok betartása tekintetében.
(3) Ha a kérelmezőt három évnél rövidebb ideje alapították, a vámhatóságok a számukra rendelkezésre álló nyilvántartások és információk alapján értékelik előéletét a vámszabályok betartása tekintetében.
14i. cikk
Annak érdekében, hogy a vámhatóságok képesek legyenek annak megállapítására, hogy a kérelmező kielégítő színvonalú rendszerrel rendelkezik-e a Vámkódex 5a. cikke (2) bekezdésének második francia bekezdésében említett kereskedelmi és - adott esetben - szállítási nyilvántartások vezetésére, a kérelmezőnek teljesítenie kell az alábbi követelményeket:
a) olyan számviteli rendszert kell fenntartania, amely összhangban van az abban a tagállamban alkalmazott, általánosan elfogadott számviteli elvekkel, ahol a könyvelést vezetik és amely megkönnyíti a számviteli alapú vámellenőrzést;
b) a vámhatóság számára lehetővé kell tennie a vámügyekkel kapcsolatos, és adott esetben a szállítási nyilvántartásaihoz történő fizikai vagy elektronikus hozzáférést;
c) olyan logisztikai rendszerrel kell rendelkeznie, amely különbséget tesz a közösségi és a nem közösségi áruk között;
d) olyan igazgatási szervezettel kell rendelkeznie, amely a cég típusának és méretének megfelel és amely alkalmas arra, hogy az áruk áramlását kezelje, és olyan belső ellenőrzéssel kell rendelkeznie, amely képes a jogellenes vagy szabálytalan ügyletek felderítésére;
e) adott esetben rendelkeznie kell megfelelő, kialakult eljárásokkal a kereskedelempolitikai intézkedésekkel vagy a mezőgazdasági termékekkel folytatott kereskedelemmel kapcsolatos engedélyek kezelésére;
f) megfelelő, kialakult eljárásokkal kell rendelkeznie a cég nyilvántartásainak és információinak archiválásához és az információvesztés elleni védelemhez;
g) biztosítania kell, hogy munkavállalói legyenek tudatában annak, hogy a vámhatóságokat tájékoztatniuk kell, amennyiben a megfelelőséggel kapcsolatban nehézségeket fedeznek fel, és megfelelő kapcsolattartást kell kialakítaniuk ahhoz, hogy ennek előfordulása esetén a vámhatóságokat tájékoztassák;
h) rendelkeznie kell a megfelelő, informatikai-technológiai biztonsági intézkedésekkel a kérelmező számítógépes rendszerének a jogosulatlan behatolással szembeni védelme és a kérelmező dokumentációjának megóvása céljából.
Egy, a 14a. cikk (1) bekezdésének b) pontjában említett AEO-tanúsítványt kérelmező esetén ezen cikk első bekezdésének c) pontban meghatározott követelmény teljesítését nem kell előírni.
14j. cikk
(1) A Vámkódex 5a. cikke (2) bekezdésének harmadik francia bekezdésében említett, a kérelmező fizetőképességével kapcsolatos feltétel teljesítettnek tekintendő, ha fizetőképessége az elmúlt három évre vonatkozóan igazolható.
Ezen cikk alkalmazásában a fizetőképesség a jó pénzügyi helyzetet jelenti, amely elegendő a kérelmező kötelezettségeinek teljesítésére, az üzleti tevékenység típusa jellemzőinek kellő figyelembevétele mellett.
(2) Ha a kérelmezőt három évnél rövidebb ideje alapították, fizetőképességét a rendelkezésre álló nyilvántartások és információk alapján kell megítélni.
14k. cikk
(1) A kérelmező biztonsági és védelmi standardjai, amelyekre a Vámkódex 5a. cikke (2) bekezdésének negyedik francia bekezdése hivatkozik, akkor tekinthetők megfelelőknek, ha a következő feltételek teljesülnek:
a) a tanúsítvány hatálya alá tartozó műveletekkel kapcsolatban használandó épületek olyan anyagokból épültek, amelyek a jogellenes belépésnek ellenállnak és védelmet nyújtanak a jogellenes behatolással szemben;
b) megfelelő belépés ellenőrzési intézkedéseket alkalmaznak a szállítási területekre, a berakodási dokkokba és a rakományterekbe történő jogosulatlan belépés megelőzésére;
c) az áruk kezelését szolgáló intézkedések magukban foglalják a védelmet bármely anyag bejuttatása, kicserélése vagy elvesztése, valamint a rakománytételek meghamisítása ellen;
d) adott esetben vannak kialakult eljárások a tilalmakkal és korlátozásokkal kapcsolatos behozatali és/vagy kiviteli engedélyek kezelésére és ezeknek az áruknak a többi árutól történő megkülönböztetésére;
e) a kérelmező a nemzetközi ellátási lánc biztosítása érdekében olyan intézkedéseket hajtott végre, amelyek lehetővé teszik kereskedelmi partnereinek egyértelmű azonosítását;
f) a kérelmező - amennyiben a jogszabályok azt megengedik - biztonsági átvilágítást végez biztonsági szempontból érzékeny beosztásban dolgozó leendő alkalmazottainál; valamint időszakos háttérellenőrzéseket végez;
g) a gazdasági szereplő biztosítja, hogy az érintett alkalmazottai aktívan részt vegyenek a biztonsági tudatosságot elősegítő programokban.
(2) Amennyiben a 14a. cikk (1) bekezdésének b) pontjában említett AEO-tanúsítvány iránti kérelmet olyan légitársaság vagy hajózási társaság nyújtotta be, amely a Közösségben nem letelepedett, de amely ott területi irodával rendelkezik és már részesül a 324e., 445. vagy 448. cikkben meghatározott egyszerűsítésekben, akkor a következő feltételek egyikét kell teljesítenie:
a) rendelkeznie kell egy nemzetközileg elismert biztonsági és/vagy védelmi tanúsítvánnyal, amelyet az érintett szállítási ágazatokat szabályozó nemzetközi egyezmények alapján állítottak ki;
b) a 300/2008/EK európai parlamenti és tanácsi rendelet ( 2 ) 3. cikkében meghatározott meghatalmazott ügynöknek (a továbbiakban: meghatalmazott ügynök) kell lennie, és meg kell felelnie a 185/2010/EU bizottsági rendeletben ( 3 ) előírt követelményeknek;
c) rendelkeznie kell egy olyan tanúsítvánnyal, amelyet egy, a Közösség vámterületén kívüli országban állítottak ki, amennyiben a tanúsítvány elfogadásáról a Közösség és a harmadik ország között kétoldalú megállapodás rendelkezik, az abban a megállapodásban meghatározott feltételektől függően.
Ha a légitársaság vagy a hajózási társaság ezen bekezdés a) pontja szerinti tanúsítvány birtokosa, akkor annak teljesítenie kell az (1) bekezdésben megállapított kritériumokat. A kiállító vámhatóság az (1) bekezdésben meghatározott kritériumokat teljesítettnek tekinti, amennyiben a nemzetközi tanúsítvány kiállításához szükséges kritériumok az (1) bekezdésben foglaltakkal azonosak vagy azoknak megfelelnek.
Amennyiben a légitársaság meghatalmazott ügynök, az (1) bekezdésben meghatározott feltételeket teljesítettnek kell tekinteni azon helyszínek és műveletek tekintetében, amelyekre a kérelmező a meghatalmazott ügynök státusát megszerezte, amennyiben a meghatalmazott ügynök státus kibocsátásának feltételei azonosak, illetve megfelelnek az (1) bekezdésben foglaltaknak.
(3) Ha a kérelmező a Közösség vámterületén letelepedett és a 300/2008/EK rendelet (3) cikke szerint meghatalmazott ügynök vagy ismert szállító, valamint megfelel a 185/2010/EU rendeletben előírt követelményeknek, az (1) bekezdésben meghatározott feltételeket teljesítettnek kell tekinteni azon helyszínek és műveletek tekintetében, amelyekre a kérelmező a meghatalmazott ügynök vagy az ismert szállító státusát megszerezte, amennyiben a meghatalmazott ügynök vagy az ismert szállító státus kibocsátásának feltételei azonosak, illetve megfelelnek az (1) bekezdésben foglaltaknak.
(4) Ha a Közösségben letelepedett kérelmező rendelkezik nemzetközi egyezmények alapján kiállított, nemzetközileg elismert biztonsági és/vagy védelmi tanúsítvánnyal, közösségi jogszabályok alapján kiállított európai biztonsági és/vagy védelmi tanúsítvánnyal, a Nemzetközi Szabványügyi Szervezet nemzetközi szabványával vagy az Európai Szabványügyi Szervezet európai szabványával, az (1) bekezdésben előírt kritériumok teljesítettnek tekintendők, amennyiben ezen tanúsítványok kiállításához megkövetelt kritériumok az ebben a rendeletben meghatározottakkal azonosak vagy azoknak megfelelnek.
4. szakasz
Az AEO-tanúsítványok kiállítására vonatkozó eljárás
14l. cikk
(1) A kiállító vámhatóság - a 14x. cikkben említett kommunikációs rendszer felhasználásával - az összes többi tagállam vámhatóságait értesíti a kérelemről a kérelem 14c. cikkel összhangban történő fogadásának napjától számított öt munkanapon belül.
(2) Ha bármelyik másik tagállam vámhatósága rendelkezik olyan lényeges információval, amely a tanúsítvány kiadását akadályozhatja, erről az információról az (1) bekezdés szerinti értesítéstől számított 35 naptári napon belül - a 14x. cikkben említett kommunikációs rendszer felhasználásával - tájékoztatja a kiállító vámhatóságot.
14m. cikk
(1) A tagállamok vámhatóságai között az egyeztetés akkor kötelező, ha a 14g-14k. cikkben meghatározott egy vagy több kritérium vizsgálatát a kiállító vámhatóság nem tudja elvégezni, akár azért, mert az információk hiányosak, akár azért, mert nincs lehetősége azok ellenőrzésére. Ilyen esetekben a kiállító vámhatóság által a kérelemre vonatkozóan adott értesítés dátumától számított 60 naptári napon belül kell a tagállamok vámhatóságainak az egyeztetést végrehajtaniuk annak érdekében, hogy az AEO-tanúsítvány kiállítására vagy a kérelem elutasítására a 14o. cikk (2) bekezdésében meghatározott határidőkön belül sor kerülhessen.
Ha az egyeztetésre felkért vámhatóság 60 naptári napon belül nem válaszol, az egyeztetést kérő hatóság úgy tekintheti - az egyeztetésre felkért vámhatóság felelősségére -, hogy azok a kritériumok, amelyek miatt az egyeztetésre sor került, teljesülnek. Ez az időtartam meghosszabbítható, ha a kérelmező kiigazításokat végez annak érdekében, hogy ezeknek a kritériumoknak megfeleljen, és azokról az egyeztetésre felkért és az egyeztetést kérő hatóságot értesíti.
(2) Amennyiben a 14n. cikkben előírt vizsgálatot követően az egyeztetésre felkért vámhatóság azt állapítja meg, hogy a kérelmező egy vagy több kritériumnak nem felel meg, a kellőképpen dokumentált eredményeket eljuttatja a kiállító vámhatóságnak, amely a kérelmet elutasítja. A 14o. cikk (4), (5) és (6) bekezdését alkalmazni kell.
14n. cikk
(1) A kiállító vámhatóság megvizsgálja, hogy a tanúsítvány kiállításának a 14g-14k. cikkben meghatározott feltételei és kritériumai teljesülnek-e. A 14k. cikkben meghatározott kritériumok vizsgálatát minden olyan helyiségre vagy területre vonatkozóan el kell végezni, amely érintett a kérelmező vámügyekkel kapcsolatos tevékenységeiben. A vámhatóság dokumentálja mind a vizsgálatot, mind annak eredményeit.
Amennyiben a helyiségek vagy területek nagy száma esetén a tanúsítvány kiállításához rendelkezésre álló időtartam nem tenné lehetővé az összes érintett helyiség vagy terület vizsgálatát, azonban a vámhatóságnak nincsenek kétségei afelől, hogy a kérelmező az összes helyiségénél vagy területénél betartja az általánosan használt vállalati biztonsági standardokat, akkor dönthet úgy, hogy ezeknek a helyiségeknek vagy területeknek csak egy reprezentatív részét vizsgálja meg.
(2) A kiállító vámhatóság elfogadhatja a 14i., 14j. és 14k. cikkben említett vonatkozó területek szakértője által az egyes vonatkozó cikkekben említett feltételek és kritériumok teljesülése tekintetében adott megállapításokat. A szakértő és a kérelmező nem állhat kapcsolatban egymással.
14o. cikk
(1) A kiállító vámhatóság az AEO-tanúsítványt az 1D. mellékletben megállapított mintának megfelelően állítja ki.
(2) A vámhatóság a kérelemnek a 14c. cikk szerinti fogadásától számított 120 naptári napon belül kiállítja az AEO-tanúsítványt vagy elutasítja a kiadására vonatkozó kérelmet. Amennyiben a vámhatóság a határidőt nem tudja betartani, ez a határidő egy további 60 naptári napos időszakkal meghosszabbítható. Ilyen esetekben a vámhatóság a 120 naptári napos határidő lejárta előtt tájékoztatja a kérelmezőt a hosszabbítás indokairól.
(3) A (2) bekezdés első mondatában előírt időtartam meghosszabbítható, ha a kritériumok vizsgálata során a kérelmező kiigazításokat eszközöl ezen kritériumok teljesítése érdekében, és ezekről az illetékes hatóságot értesíti.
(4) Ha a 14l., 14m. és 14n. cikknek megfelelően elvégzett vizsgálat eredménye valószínűsíthetően a kérelem elutasításához vezetne, a kiállító vámhatóságnak közölnie kell a megállapításokat a kérelmezővel és a kérelem elutasítása előtt lehetőséget biztosít számára, hogy 30 naptári napon belül reagáljon. A (2) bekezdés első mondatában rőgzitett időtartam ennek megfelelően felfüggesztésre kerül.
(5) A kérelem elutasítása nem vezethet a vámszabályok szerint kiállított bármely meglévő engedély automatikus visszavonásához.
(6) Ha a kérelmet elutasítják, a vámhatóságnak tájékoztatnia kell a kérelmezőt a határozat alapjául szolgáló okokról. A kérelem elutasításáról szóló határozatot a kérelmezőhöz a (2), (3) és (4) bekezdésekben meghatározott határidőkön belül kell eljuttatni.
14p. cikk
A kiállító vámhatóság - a 14x. cikkben említett kommunikációs rendszer felhasználásával - öt munkanapon belül tájékoztatja a többi tagállam vámhatóságait arról, hogy AEO-tanúsítványt állított ki. Ugyanilyen határidőn belül kell tájékoztatást adni a kérelem elutasításáról is.
2. FEJEZET
Az AEO-tanúsítványok joghatásai
1. szakasz
Általános rendelkezések
14q. cikk
(1) Az AEO-tanúsítvány a kiállításának napjától számított tizedik munkanapon lép hatályba.
(2) Az AEO-tanúsítványokat minden tagállamban el kell ismerni.
(3) Az AEO-tanúsítvány érvényességének időtartama nem korlátozható.
(4) A vámhatóságok felügyelik az engedélyezett gazdálkodó által teljesítendő feltételeknek és kritériumoknak való megfelelést.
(5) A feltételek és kritériumok újbóli értékelését a kiállító vámhatóság az alábbi esetekben végzi el:
a) amennyiben jelentős változások történtek a vonatkozó közösségi jogszabályokban;
b) indokoltan feltételezhető, hogy a vonatkozó feltételeket és kritériumokat az engedélyezett gazdálkodó már nem teljesíti.
Három évnél rövidebb ideje alapított kérelmezőnek kiállított AEO-tanúsítvány esetében a kiállítás utáni első év folyamán szoros felügyeletet kell alkalmazni.
A 14n. cikk (2) bekezdését alkalmazni kell.
Az újbóli értékelés eredményeit, a 14x. cikkben említett kommunikációs rendszer felhasználásával, az összes tagállam vámhatóságai számára hozzáférhetővé kell tenni.
2. szakasz
Az engedélyezett gazdálkodói státusz felfüggesztése
14r. cikk
(1) Az engedélyezett gazdálkodói státuszt a kiállító vámhatóság az alábbi esetekben függeszti fel:
a) amennyiben az AEO-tanúsítványhoz megkövetelt feltételek vagy kritériumok be nem tartását fedik fel;
b) a vámhatóságoknak elegendő okuk van feltételezni, hogy az engedélyezett gazdálkodó olyan cselekményt követett el, amely büntetőeljárás megindítását eredményezi és a vámszabályok megszegésével kapcsolatos.
Az első albekezdés b) pontjában említett esetben azonban a vámhatóság dönthet úgy, hogy nem függeszti fel az engedélyezett gazdálkodói státuszt, amennyiben úgy ítéli meg, hogy a szabályszegés elhanyagolható jelentőségű a vám vonatkozású műveletek számához vagy méreteihez viszonyítva és nem teszi kétségessé az engedélyezett gazdálkodó jóhiszeműségét.
A határozat meghozatala előtt a vámhatóságoknak megállapításaikat közölniük kell az érintett gazdasági szereplővel. Az érintett gazdasági szereplőnek jogában áll, hogy a közléstől számított 30 naptári napon belül orvosolja a helyzetet és/vagy megtegye észrevételeit.
A felfüggesztés azonnali hatályú azonban, amennyiben a polgárok biztonságát és védelmét, a közegészségügyet vagy a környezetet érintően a veszély jellege vagy szintje ezt megköveteli. A felfüggesztő vámhatóság haladéktalanul tájékoztatja a többi tagállam vámhatóságait, a 14x. cikkben említett kommunikációs rendszer felhasználásával, hogy azok megtehessék a szükséges intézkedéseket.
(2) Amennyiben az AEO-tanúsítvány birtokosa az (1) bekezdés első albekezdésének a) pontjában említett helyzetet nem orvosolja az (1) bekezdés harmadik albekezdésében említett 30 naptári napon belül, az illetékes vámhatóság értesíti az érintett gazdasági szereplőt arról, hogy az engedélyezett gazdálkodói státusz 30 naptári napos időtartamra felfüggesztésre került annak érdekében, hogy a gazdasági szereplő a helyzet rendezéséhez szükséges intézkedéseket megtehesse. Az értesítést, a 14x. cikkben említett kommunikációs rendszer felhasználásával, a többi tagállam vámhatóságainak is meg kell küldeni.
(3) Ha az AEO-tanúsítvány birtokosa az (1) bekezdés első albekezdésének b) pontjában említett cselekményt követett el, a kiállító vámhatóság az engedélyezett gazdálkodói státuszt a büntetőeljárás idejére felfüggeszti. Erről a tanúsítvány birtokosát értesíti. Az értesítést, a 14x. cikkben említett kommunikációs rendszer felhasználásával, a többi tagállam vámhatóságainak is meg kell küldeni.
(4) Amennyiben az érintett gazdasági szereplő nem tudta rendezni a helyzetet 30 naptári napon belül, de bizonyítékot tud szolgáltatni arra, hogy a feltételek teljesíthetőek, ha a felfüggesztési időtartamot meghosszabbítják, a kiállító vámhatóság az engedélyezett gazdálkodói státuszt további 30 naptári napra felfüggeszti.
14s. cikk
(1) A felfüggesztés nem érinti a felfüggesztés napja előtt már megkezdett és még be nem fejezett vámeljárásokat.
(2) A felfüggesztés nem érinti automatikusan azokat az engedélyeket, amelyeket az AEO-tanúsítványra történő hivatkozás nélkül adtak ki, kivéve ha a felfüggesztés okai jelentőséggel bírnak ezekre az engedélyekre vonatkozóan is.
(3) A felfüggesztés nem érinti automatikusan az olyan vámjogi egyszerűsítés használatára szóló engedélyt, amelyet az AEO-tanúsítvány alapján adtak ki és amelynek feltételei még teljesülnek.
(4) A 14a. cikk (1) bekezdésének c) pontjában említett AEO-tanúsítvány esetén, amennyiben az érintett gazdasági szereplő csak a 14k. cikkben ismertetett feltételeket nem teljesíti, az engedélyezett gazdálkodói státusz részlegesen kerül felfüggesztésre, és kérelmére új, a 14a. cikk (1) bekezdésének a) pontjában említett AEO-tanúsítvány állítható ki.
14t. cikk
(1) Amennyiben az érintett gazdasági szereplő a vámhatóságok megelégedésére, megtette a szükséges intézkedéseket ahhoz, hogy eleget tegyen azoknak a feltételeknek és kritériumoknak, amelyeknek egy engedélyezett gazdálkodónak meg kell felelnie, a kiállító vámhatóság a felfüggesztést visszavonja, és erről tájékoztatja az érintett gazdasági szereplőt és a többi tagállam vámhatóságait. A felfüggesztés a 14r. cikk (2) vagy (4) bekezdésében meghatározott határidő lejárta előtt vonható vissza.
A 14s. cikk (4) bekezdésében említett helyzetben a felfüggesztő vámhatóság a felfüggesztett tanúsítványt hatályába visszahelyezi. Ezt követően a 14a. cikk (1) bekezdésének a) pontjában említett AEO-tanúsítványt visszavonja.
(2) Ha az érintett gazdasági szereplő a 14r. cikk (2) vagy (4) bekezdésében meghatározott felfüggesztési időtartamon belül a szükséges intézkedéseket nem teszi meg, a kiállító vámhatóság az AEO-tanúsítványt visszavonja és erről a 14x. cikkben említett kommunikációs rendszer felhasználásával haladéktalanul értesíti a többi tagállam vámhatóságait.
A 14s. cikk (4) bekezdésében említett helyzetben az eredeti tanúsítványt vissza kell vonni, és csak a 14a. cikk (1) bekezdésének a) pontjában említett új AEO-tanúsítvány lesz érvényes.
14u. cikk
(1) Amennyiben az engedélyezett gazdálkodó ideiglenesen nem tud megfelelni a 14a. cikkben meghatározott kritériumok bármelyikének, az engedélyezett gazdálkodói státusz felfüggesztését kérheti. Ilyen esetben az engedélyezett gazdálkodó értesíti a kiállító vámhatóságot, megadva azt a határidőt, amikorra ismét képes lesz arra, hogy a kritériumokat teljesítse. Szintén értesítenie kell a kiállító vámhatóságot minden tervezett intézkedésről és azok időbeli menetrendjéről.
Az értesítést kapó vámhatóság a többi tagállam vámhatóságai részére is megküldi az értesítést, a 14x. cikkben említett kommunikációs rendszer felhasználásával.
(2) Ha az engedélyezett gazdálkodó nem tudja rendezni a helyzetet az értesítésében megadott időtartamon belül, a kiállító vámhatóság ésszerű mértékű hosszabbítást engedélyezhet, feltéve hogy az engedélyezett gazdálkodó jóhiszeműen járt el. Erről a hosszabbításról, a 14x. cikkben említett kommunikációs rendszer felhasználásával, a többi tagállam vámhatóságait is értesíti.
Minden egyéb esetben az AEO-tanúsítványt vissza kell vonni és a kiállító vámhatóság haladéktalanul értesíti, a 14x. cikkben említett kommunikációs rendszer felhasználásával, a többi tagállam vámhatóságait.
(3) Ha a szükséges intézkedéseket a felfüggesztés ideje alatt nem teszik meg, a 14v. cikket kell alkalmazni.
3. szakasz
Az AEO-tanúsítvány visszavonása
14v. cikk
(1) Az AEO-tanúsítványt a kiállító vámhatóság az alábbi esetekben vonja vissza:
a) az engedélyezett gazdálkodó elmulasztja megtenni a 14t. cikk (1) bekezdésében említett intézkedéseket;
b) az engedélyezett gazdálkodó a vámszabályokhoz kapcsolódó súlyos szabályszegést követett el, és további fellebbezési joga nincs;
c) az engedélyezett gazdálkodó elmulasztja megtenni a szükséges intézkedéseket a 14u. cikkben említett felfüggesztés ideje alatt;
d) az engedélyezett gazdálkodó kérelmére.
A b) pontban említett esetben azonban a vámhatóság dönthet úgy, hogy nem vonja vissza az AEO-tanúsítványt, amennyiben úgy ítéli meg, hogy a szabályszegés elhanyagolható jelentőségű a vám vonatkozású műveletek számához vagy méreteihez viszonyítva és olyan, amely nem teszi kétségessé az engedélyezett gazdálkodó jóhiszeműségét.
(2) A visszavonás az arról szóló értesítést követő napon lép hatályba.
A 14a. cikk (1) bekezdésének c) pontjában említett AEO-tanúsítvány esetén, amennyiben az érintett gazdasági szereplő csak a 14k. cikkben ismertetett feltételeket nem teljesíti, a tanúsítványt a kiállító vámhatóság visszavonja, és egy új, a 14a. cikk (1) bekezdésének a) pontjában említett AEO-tanúsítványt állít ki.
(3) A kiállító vámhatóság egy AEO-tanúsítvány visszavonásról haladéktalanul értesíti, a 14x. cikkben említett kommunikációs rendszer felhasználásával, a többi tagállam vámhatóságait.
(4) Az (1) bekezdés c) és d) pontjában említett visszavonás eseteit kivéve, a gazdasági szereplő AEO-tanúsítvány iránti új kérelmet a visszavonás napjától számított három évig nem nyújthat be.
3. FEJEZET
Információcsere
14w. cikk
(1) Az engedélyezett gazdálkodó minden olyan, a tanúsítvány kiadása után felmerült tényezőről tájékoztatja a kiállító vámhatóságot, amely annak fenntartására vagy tartalmára hatást gyakorolhat.
(2) A kiállító vámhatóság rendelkezésére álló minden lényeges információt a többi olyan tagállam vámhatóságának rendelkezésére kell bocsátani, ahol az engedélyezett gazdálkodó vámügyekkel kapcsolatos tevékenységeket folytat.
(3) Ha a vámhatóság olyan konkrét engedélyt von vissza, amelyet az engedélyezett gazdálkodónak az AEO-tanúsítványa alapján egy bizonyos, a 260., 263., 269., 272., 276., 277., 282., 283., 313a. és 313b., 324a., 324e., 372., 454a., 912g. cikkekben meghatározott vámjogi egyszerűsítés alkalmazására adtak ki, erről értesítenie kell az AEO-tanúsítványt kiállító vámhatóságot.
(4) A kiállító vámhatóság haladéktalanul a polgári légiközlekedés-védelemért felelős nemzeti hatóság rendelkezésére bocsátja a következő, rendelkezésére álló minimális információkat az engedélyezett gazdálkodó státusával kapcsolatban:
a) a "Biztonság és védelem" - AEO-tanúsítvány (AEOS) és a "Vámjogi egyszerűsítések/Biztonság és védelem" - AEO-tanúsítvány (AEOF) - ideértve a tanúsítvány birtokosának nevét - és adott esetben ezek módosítása, visszavonása, vagy az engedélyezett gazdálkodói státus felfüggesztése és annak okai;
b) arról szóló információk, hogy a vámhatóságok látogatást tettek-e az érintett helyszínen, az utolsó látogatás időpontja és a látogatás célja (engedélyezési folyamat, újraértékelés, nyomon követés);
c) adott esetben az AEOS- és AEOF-tanúsítványok újraértékelése és annak eredményei.
A nemzeti vámhatóságok - a polgári légi közlekedés védelméért felelős nemzeti hatósággal egyetértésben - legkésőbb 2015. március 1-jéig, az első albekezdésben említetteknek megfelelően megállapítják azon információk cseréjének részletes módjait, amelyekre nem vonatkozik a 14x. cikkben említett elektronikus információs és kommunikációs rendszer.
A szóban forgó információt kezelő, a polgári légiközlekedés-védelemért felelős nemzeti hatóságok csak a meghatalmazott ügynökre és az ismert szállítóra vonatkozó programok céljából használják ezen információkat, valamint ezen információk védelmének biztosítása érdekében végrehajtják a megfelelő technikai és szervezeti intézkedéseket.
14x. cikk
(1) A vámhatóságok közötti információs és kommunikációs folyamatra, valamint a Bizottság és a gazdasági szereplők tájékoztatására a Bizottság és a vámhatóságok által, egymással egyetértésben meghatározott elektronikus információs és kommunikációs rendszert kell használni.
(2) A Bizottság és a vámhatóságok az (1) bekezdésben említett rendszer felhasználásával az alábbi információkat tárolják és tartanak fenn azokhoz hozzáférést:
a) a kérelmek elektronikus úton továbbított adatai;
b) az AEO-tanúsítványok, és adott esetben azok módosítása, visszavonása, vagy az engedélyezett gazdálkodói státusz felfüggesztése;
c) minden egyéb lényeges információ.
(2a) Adott esetben, különösen amennyiben az engedélyezett gazdálkodói státust egyéb uniós jogszabályok szerint megadandó jóváhagyás, engedélyek vagy könnyítések alapjának tekintik, a polgári légiközlekedés-védelemért felelős nemzeti hatóságok számára is hozzáférés biztosítható a 14w. cikk (4) bekezdésének a) és c) pontjában említett információkhoz.
(3) A kiállító vámhatóság értesíti a saját tagállamában működő kockázatelemzési hivatalokat az AEO-tanúsítvány kiadásáról, módosításáról, visszavonásáról vagy az engedélyezett gazdálkodói státusz felfüggesztéséről. Tájékoztatnia kell a többi tagállam valamennyi egyéb kiállító hatóságát is.
(4) Az engedélyezett gazdálkodók jegyzékét a Bizottság az érintett engedélyezett gazdálkodó előzetes beleegyezésével közzéteheti az interneten. A jegyzéket frissíteni kell.
IV. CÍM
AZ ÁRUK SZÁRMAZÁSA
1. FEJEZET
Nem preferenciális származás
1. szakasz
A származó helyzetet megalapozó megmunkálások vagy feldolgozások
35. cikk
Ez a fejezet a Kombinált Nómenklatúra XI. áruosztályába tartozó textilipari alapanyagokra és textilárukra, valamint egyes, a textilipari alapanyagoktól és textiláruktól eltérő termékekre vonatkozóan határozza meg, hogy milyen megmunkálást vagy feldolgozást kell olyannak tekinteni, hogy az teljesíti a Vámkódex 24. cikkében megállapított kritériumokat, és az érintett termékeket abból az országból származóvá teszi, amelyben ezt a megmunkálást vagy feldolgozást elvégezték.
Az "ország" kifejezés értelemszerűen vagy egy harmadik országot, vagy a Közösséget jelöli.
1. alszakasz - A Kombinált Nómenklatúra XI. áruosztályába tartozó textilipari alapanyagok és textiláruk
36. cikk
A Kombinált Nómenklatúra XI. áruosztályába tartozó textilipari alapanyagok és textiláruk tekintetében a 37. cikkben meghatározottak szerinti teljes megmunkálást vagy feldolgozást kell úgy tekintetni, mint olyan feldolgozást vagy megmunkálást, amely a Vámkódex 24. cikke értelmében a származó helyzetet megalapozza.
37. cikk
Teljes megmunkálásnak vagy feldolgozásnak az olyan megmunkálási vagy feldolgozási eljárást kell tekinteni, amelynek eredményeként az előállított terméket a Kombinált Nómenklatúra olyan vámtarifaszáma alá sorolják be, amely eltér azoktól a vámtarifaszámoktól, amelyek alá az eljárás során felhasznált nem származó anyagokat kell besorolni.
Ezzel szemben a 10. mellékletben felsorolt termékek vonatkozásában csak az abban a mellékletben szereplő táblázat 3. oszlopában, az egyes előállított termékekre előírt meghatározott eljárásokat lehet teljes megmunkálásnak vagy feldolgozásnak tekinteni, akár járnak vámtarifaszám-változással, akár nem.
A 10. mellékletben foglalt szabályok alkalmazásának módszerét a 9. mellékletben található bevezető megjegyzések írják le.
38. cikk
Az előző cikk alkalmazásában a származó helyzet megszerzéséhez minden esetben nem kielégítő megmunkálásnak vagy feldolgozásnak kell tekinteni az alábbiakat, akár bekövetkezett vámtarifaszám-változás, akár nem:
a) a fuvarozás és tárolás során az áru jó állapotban való megőrzését biztosító művelet (szellőztetés, szétterítés, szárítás, sérült részek eltávolítása és más hasonló műveletek);
b) a por eltávolításából, szitálásból vagy rostálásból, válogatásból, osztályozásból, összeállításból (beleértve a készletek összeállítását), mosásból, feldarabolásból álló egyszerű műveletek;
c) i. a szállítmány csomagolásának, felosztásának és összeállításának megváltoztatása;
ii. egyszerű zsákokba, ládákba, dobozokba helyezés, raklapokon vagy táblákon való rögzítés stb. és minden más egyszerű csomagolási művelet;
d) jelzések, címkék és más hasonló megkülönböztető jelek elhelyezése a termékeken vagy csomagolásukon;
e) termékek alkatrészeinek egyszerű összeillesztése, hogy azok egy teljes terméket képezzenek;
f) az a)-e) pontokban meghatározott két vagy több művelet kombinációja.
2. alszakasz - A Kombinált Nómenklatúra XI. áruosztályába tartozó textilipari alapanyagoktól és textiláruktól eltérő termékek
39. cikk
A 11. mellékletben felsorolt előállított termékek vonatkozásában az abban a mellékletben szereplő táblázat 3. oszlopában említett megmunkálást, illetve feldolgozást kell olyan eljárásnak vagy műveletnek tekinteni, amely a létrejött terméknek a Vámkódex 24. cikke szerinti származó helyzetet megalapozza.
A 11. mellékletben foglalt szabályok alkalmazásának módszerét a 9. mellékletben található bevezető megjegyzések írják le.
3. alszakasz - Minden termékre vonatkozó közös rendelkezések
40. cikk
Ha a 10. és 11. mellékletekben található felsorolások úgy rendelkeznek, hogy a származó helyzet csak akkor megalapozott, ha a felhasznált, nem származó anyagok értéke nem haladja meg az előállított termék gyártelepi árának adott százalékát, úgy e százalékos arány kiszámításánál az alábbiakat kell figyelembe venni:
- az "érték" a felhasznált nem származó anyagok behozatalakor megállapított vámértéke, vagy ha ez nem ismert, és nem is állapítható meg, akkor az ezekért az anyagokért a feldolgozó országban fizetett első megállapítható ár,
- a "gyártelepi ár" az előállított termék gyártelepi ára, levonva ebből bármely olyan belső adót, amely a termék kivitele esetén visszatérítendő vagy visszatéríthető,
- az "összeszerelési művelet eredményeként nyert érték" az az értéknövekedés, amely magából az összeszerelésből - továbbá bármely befejező és ellenőrző műveletből -, valamint a szóban forgó művelet helyszínéül szolgáló országból származó bármely alkatrész beépítéséből keletkezik, beleértve a hasznot és a műveletek eredményeként ebben az országban felmerült általános költségeket is.
2. szakasz
A pótalkatrészekre vonatkozó végrehajtási rendelkezések
41. cikk
(1) Bármely berendezéssel, géppel, készülékkel vagy járművel együtt szállított tartozékot, alkatrészt vagy szerszámot, amely ezek szokásos felszerelését képezi, ugyanolyan származásúnak kell tekinteni, mint a berendezést, gépet, készüléket vagy járműt.
(2) Bármely szabad forgalomba bocsátott vagy előzőleg kivitt berendezéshez, géphez, készülékhez vagy járműhöz történő felhasználásra szánt lényeges pótalkatrész ugyanolyan származásúnak minősül, mint a berendezés, gép, készülék, illetve jármű, feltéve, hogy az ebben a szakaszban foglalt feltételek teljesülnek.
42. cikk
Az előző cikkben említett származás vélelme csak akkor fogadható el:
- ha az szükséges a rendeltetési országba történő behozatalhoz,
- ha az említett lényeges pótalkatrészeknek az adott berendezésbe, gépbe, készülékbe, illetve járműbe a gyártási szakaszban történő beépítése nem akadályozta volna meg, hogy ez a berendezés, gép, készülék, illetve jármű közösségi vagy a gyártó országból való származást nyerjen.
43. cikk
A 41. cikk alkalmazásában:
a) a "berendezés, gép, készülék, illetve jármű" a Kombinált Nómenklatúra XVI., XVII. és XVIII. áruosztályaiba tartozó áru;
b) a "lényeges pótalkatrészek" azok a részek:
- amely alkotórészek nélkül az a) pontban említett, előzőleg szabad forgalomba bocsátott vagy kivitt áruk rendeltetésszerű üzemeltetése nem biztosítható, és
- amelyek ezekre az árukra jellemzőek, és
- amelyeket ezek szokásos karbantartására és a megsérült vagy működésképtelenné vált, ugyanilyen típusú alkatrészeknek a cseréjére szántak.
44. cikk
Amennyiben a tagállamok illetékes hatóságaihoz vagy meghatalmazott szerveihez a lényeges pótalkatrészekre vonatkozó származási bizonyítvány iránti kérelmet nyújtanak be a 41. cikk értelmében, akkor ennek a bizonyítványnak a 6. rovata (tételszám, jelek, számok, csomagok száma és fajtája, árumegnevezés) és a bizonyítvánnyal kapcsolatos kérelem tartalmazza az érintett személy olyan értelmű nyilatkozatát, hogy az abban említett árukat a korábban kivitt berendezés, gép, készülék, illetve jármű szokásos karbantartására szánták, valamint az említett berendezés, gép, készülék, illetve jármű pontos adatait is.
Ha lehetséges, az érintett személy közli annak a származási bizonyítványnak az adatait (kibocsátó hatóság, bizonyítvány száma és kelte) is, amelynek fedezete mellett azt a berendezést, gépet, készüléket, illetve járművet - amelynek karbantartásához az alkatrészeket szánták - kivitték.
45. cikk
Amennyiben a lényeges pótalkatrészeknek a 41. cikk értelmében vett származását ezeknek az alkatrészeknek a Közösségben való szabad forgalomba bocsátása érdekében származási bizonyítvánnyal kell igazolni, akkor ennek a bizonyítványnak tartalmaznia kell a 44. cikkben említett adatokat is.
46. cikk
Az ebben a szakaszban előírt szabályok alkalmazásának biztosítása érdekében a tagállamok illetékes hatóságai további bizonyítékokat is követelhetnek, különösen:
- a szabad forgalomba bocsátott vagy korábban kivitt berendezésre, gépre, készülékre, illetve járműre vonatkozó számla vagy számlamásolat benyújtását,
- azt a szerződést vagy szerződésmásolatot vagy bármely más olyan okmányt, amelyből kitűnik, hogy a szállítást a szokásos karbantartási szolgáltatás részeként végzik.
3. szakasz
A származási bizonyítványokra vonatkozó végrehajtási rendelkezések
1. alszakasz - A származási bizonyítványokra vonatkozó általános rendelkezések
47. cikk
Ha egy termék származását a behozatalkor származási bizonyítvány benyújtásával igazolják, illetve kell igazolni, úgy ezen bizonyítványnak az alábbi feltételeknek kell megfelelnie:
a) megbízható, a kiállító ország által erre kellően felhatalmazott hatóság vagy szerv állítja ki;
b) valamennyi, az érintett áruk azonosságának megállapításához szükséges adatot tartalmazza, különösen:
- a csomagok darabszámát, jellegét, a rajtuk lévő jeleket és számokat,
- a termékek fajtáját,
- a termékek bruttó és nettó tömegét; ezek az adatok azonban más adatokkal helyettesíthetők, így különösen a mennyiség és térfogat megadásával, ha a termékek tömege szállításuk során jelentősen változik, vagy ha a tömeg nem állapítható meg, illetve ha az áruk azonosságának megállapítását rendszerint ezek az egyéb adatok biztosítják,
- a feladó nevét;
c) a bizonyítványnak egyértelműen igazolnia kell, hogy a vonatkozó áru egy meghatározott országból származik.
48. cikk
(1) A tagállamok illetékes hatóságai vagy meghatalmazott szervei által kiállított származási bizonyítványnak meg kell felelnie a 47. cikk a) és b) bekezdésében előírt feltételeknek.
(2) A bizonyítványokat és a rájuk vonatkozó kérelmeket a 12. mellékletben szereplő mintáknak megfelelő nyomtatványokon kell kiállítani.
(3) Ezek a származási bizonyítványok azt igazolják, hogy az áruk a Közösségből származnak.
Amennyiben az exportkereskedelem szükségessége úgy kívánja, az adott bizonyítvány azt is igazolhatja, hogy az áruk egy bizonyos tagállamból származnak.
Ha a Vámkódex 24. cikkében foglalt feltételek csak egy sor, különböző tagállamban végrehajtott művelet vagy eljárás eredményeként teljesülnek, az áruknak kizárólag a közösségi származását lehet igazolni.
49. cikk
Származási bizonyítványt az érintett személy írásbeli kérelme alapján állítanak ki.
Ha a körülmények ezt indokolják, különösen, ha a kérelmező rendszeres kiviteli forgalmat bonyolít le, a tagállamok dönthetnek úgy, hogy nem követelnek meg külön kérelmet minden egyes kiviteli eljáráshoz, feltéve, hogy a származásra vonatkozó rendelkezéseket betartják.
Amennyiben a kereskedelem szükségessége úgy kívánja meg, a származási bizonyítványból egy vagy több további másodpéldány is kibocsátható.
Ezeket a másodpéldányokat a 12. mellékletben szereplő mintának megfelelő nyomtatványokon kell kiállítani.
50. cikk
(1) A bizonyítvány 210 x 297 mm méretű. Hosszirányban legfeljebb - 5 mm vagy + 8 mm eltérés megengedett. Az alkalmazott papír fehér, famentes, írás céljára előkészített, a tömege legalább 64 g/m2, illetve légipostapapír alkalmazása esetén 25-30 g/m2. A bizonyítvány nyomtatott guilloche-mintás szépiaháttérrel rendelkezik, amely láthatóvá tesz bárminemű - mechanikai vagy vegyi eszközzel megkísérelt - hamisítást.
(2) A kérelmet az exportáló tagállam hivatalos nyelvén vagy hivatalos nyelveinek valamelyikén vagy mindegyikén kell kinyomtatni. A származási bizonyítvány nyomtatványát a Közösség egy vagy több hivatalos nyelvén vagy - a kereskedelmi gyakorlattól és kívánalmaktól függően - valamely más nyelven kell kinyomtatni.
(3) A tagállamok fenntarthatják maguknak a jogot, hogy a származási bizonyítványok nyomtatványát ők maguk nyomtassák, vagy pedig az általuk felhatalmazott nyomdákban állíttassák elő. Ez utóbbi esetben minden egyes bizonyítványon fel kell tüntetni a nyomtatási engedélyre való hivatkozást. Minden egyes származási bizonyítványon fel kell tüntetni a nyomda nevét és címét vagy az azonosítására szolgáló jelet. A bizonyítványt el kell látni továbbá az azonosítására szolgáló nyomtatott vagy bélyegzett sorszámmal.
51. cikk
A kérelem formanyomtatványát és a származási bizonyítványt azonos módon gépírással vagy nyomtatott nagybetűs kézírással kell kitölteni a Közösség valamelyik hivatalos nyelvén vagy - a kereskedelmi gyakorlattól és kívánalmaktól függően - valamely más nyelven.
52. cikk
A 48. cikkben említett származási bizonyítvány mindegyikét az azonosítást szolgáló sorszámmal kell ellátni. A bizonyítvány iránti kérelmen és magának a bizonyítványnak minden egyes másolatán is szerepelnie kell ugyanennek a számnak.
Ezen túlmenően, a tagállamok illetékes hatóságai vagy meghatalmazott szervei ezen okmányokat kibocsátásuk sorrendjében beszámozhatják.
53. cikk
A tagállamok illetékes hatóságai határozzák meg, hogy milyen esetleges további adatokat kell megadni a kérelemben. Ezen további adatokat minimális szintre kell korlátozni.
Minden egyes tagállam tájékoztatja a Bizottságot azokról a rendelkezésekről, amelyeket a tagállam az előző bekezdés érvényre juttatása során meghoz. A Bizottság ezeket az információkat haladéktalanul közli a többi tagállammal.
54. cikk
A tagállamok származási bizonyítványt kiállító illetékes hatóságai vagy meghatalmazott szervei a kérelmeket legalább két évig megőrzik.
A kérelmeket másolati formában is meg lehet őrizni, feltéve, hogy ezek az érintett tagállam jogszabályai alapján ugyanolyan bizonyító erővel rendelkeznek.
2. alszakasz - A különleges behozatali szabályok alá tartozó egyes mezőgazdasági termékek származási bizonyítványára vonatkozó különös rendelkezések
55. cikk
Az 56-65. cikk rendelkezik a harmadik országból származó olyan mezőgazdasági termékekre vonatkozó származási bizonyítványok használatának feltételeiről, amelyek különleges nem preferenciális behozatali rendelkezések hatálya alá tartoznak, amennyiben ezek a rendelkezések az alábbiakra hivatkoznak.
a) Származási bizonyítványok
56. cikk
(1) Azokra a harmadik országból származó mezőgazdasági termékekre, amelyekre vonatkozóan különleges nem preferenciális behozatali rendelkezéseket állapítottak meg, a 13. mellékletben megtalálható mintának megfelelő származási bizonyítványt kell kiállítani.
(2) Ezeket a bizonyítványokat az érintett harmadik országok illetékes kormányzati hatóságai (a továbbiakban: kibocsátó hatóságok) bocsátják ki, amennyiben a termékeket, amelyekre a bizonyítványok vonatkoznak, a Közösségben hatályban lévő szabályok értelmében ezekből az országokból származónak lehet tekinteni.
(3) A bizonyítványok az 55. cikkben említett különleges behozatali rendelkezéseket szabályozó közösségi jogszabályokban előírt minden szükséges adatot is igazolnak.
(4) Az 55. cikkben említett különleges behozatali rendelkezésekre vonatkozó különös rendelkezések sérelme nélkül, a származási bizonyítványok érvényességi ideje a kibocsátó hatóság által történt kiadástól számított tíz hónap.
57. cikk
(1) Az ezen alszakasz rendelkezései szerint kiállított származási bizonyítvány csak egyetlen lapból áll, amelyet az okmány címe mellett szereplő "eredeti" szó azonosít.
Ha további példányokra van szükség, azokon az okmány címe mellett a "másolat" megjelölést kell feltüntetni.
(2) A Közösség illetékes hatóságai a származási bizonyítványnak csak az eredeti példányát fogadják el érvényesnek.
58. cikk
(1) A származási bizonyítvány 210 x 297 mm méretű. Hosszirányban legfeljebb + 8 mm vagy - 5 mm eltérés megengedett. Az alkalmazott papír fehér, famentes, írás céljára előkészített, a tömege legalább 40 g/m2. A bizonyítvány színoldala sárga, nyomtatott guilloche-mintás háttérrel rendelkezik, amely láthatóvá tesz bárminemű - mechanikai vagy vegyi eszközzel megkísérelt - hamisítást.
(2) A bizonyítványokat a Közösség egyik hivatalos nyelvén kell kinyomtatni és kitölteni.
59. cikk
(1) A bizonyítványt gépírással vagy valamely gépi adatfeldolgozó rendszer segítségével vagy hasonló eljárással kell kitölteni.
(2) A bejegyzések nem törölhetők ki, és nem írhatók át. Minden módosítást a téves beírás áthúzásával és szükség esetén a helyes adatok beírásával kell elvégezni. Az ilyen módosítást a kiállító személy kézjegyével kell ellátni, és a kibocsátó hatóságnak záradékolnia kell.
60. cikk
(1) Az 56-59. cikknek megfelelően kiállított származási bizonyítvány 5. rovata tartalmaz minden pótlólagos, az 56. cikk (3) bekezdésében említett adatot, amely szükséges lehet azon különleges behozatali rendelkezések végrehajtásához, amelyekhez kapcsolódnak.
(2) Az 5., 6. és 7. rovat fel nem használt részeit úgy kell áthúzni, hogy később oda semmit ne lehessen bejegyezni.
61. cikk
Minden származási bizonyítványt el kell látni az azonosítására szolgáló nyomtatott vagy nem nyomtatott sorszámmal, valamint minden bizonyítványon szerepelnie kell a kibocsátó hatóság bélyegzőlenyomatának és az arra felhatalmazott személy vagy személyek aláírásának.
A bizonyítványt a vonatkozó termék kivitelekor kell kibocsátani, és a kibocsátó hatóságnak egy példányt minden kibocsátott bizonyítványból meg kell őriznie.
62. cikk
Kivételes esetben a fent említett származási bizonyítványt a vonatkozó termékek kivitele után is ki lehet bocsátani, ha azt tévedés, nem szándékos mulasztás vagy különleges körülmények miatt a kivitel alkalmával nem bocsátották ki.
A kibocsátó hatóság mindaddig nem állíthatja ki utólag az 56-61. cikkben meghatározott származási bizonyítványt, amíg nem ellenőrizte, hogy az exportőr kérelmében szereplő adatok megegyeznek a vonatkozó kiviteli adatokkal.
Az utólag kiállított bizonyítványokon a következő bejegyzések egyikének kell szerepelnie a "Megjegyzések" rovatban:
- expedido a posteriori,
- udstedt efterfølgende,
- Nachträglich ausgestellt,
- Εκδοθέν εκ των υστέρων,
- Issued retrospectively,
- Délivré a posteriori,
- rilasciato a posteriori,
- afgegeven a posteriori,
- emitido a posteriori,
- annettu jälkikäteen/utfärdat i efterhand,
- utfärdat i efterhand,
- Vystaveno dodatečně,
- Välja antud tagasiulatuvalt,
- Izsniegts retrospektīvi,
- Retrospektyvusis išdavimas,
- Kiadva visszamenőleges hatállyal,
- Maħruġ retrospettivament,
- Wystawione retrospektywnie,
- Izdano naknadno,
- Vyhotovené dodatočne,
- издаден впоследствие,
- eliberat ulterior,
- Izdano naknadno.
b) Igazgatási együttműködés
63. cikk
(1) Ahol az egyes mezőgazdasági termékekhez kapcsolódó különleges behozatali rendelkezések az 56-62. cikkben foglalt származási bizonyítvány használatát írják elő, az ilyen rendelkezések alkalmazásának jogosultsága igazgatási együttműködési eljárás létrehozásának függvénye, amennyiben a vonatkozó rendelkezések másképpen nem szólnak.
Ehhez az érintett harmadik országoknak a következőket kell eljuttatniuk az Európai Közösségek Bizottságához:
- a származási bizonyítványokat kibocsátó hatóságok nevét és címét az általuk használt bélyegzők mintáival együtt,
- azoknak a kormányzati hatóságoknak a nevét és címét, amelyekhez az alábbi 64. cikkben előírt, a származási bizonyítvány utólagos megerősítésére vonatkozó megkeresést kell küldeni.
A Bizottság minden fent említett információt továbbít a tagállamok illetékes hatóságaihoz.
(2) Amennyiben a szóban forgó harmadik ország elmulasztja az (1) bekezdésben meghatározott információkat a Bizottságnak elküldeni, a Közösség illetékes hatóságai megtagadják a különleges behozatali rendelkezésekből eredő jogok érvényesítését.
64. cikk
(1) Az 56-62. cikkben említett származási bizonyítvány utólagos ellenőrzését szúrópróbaszerűen, valamint akkor kell elvégezni, ha alapos kétség merült fel az okmányok valódiságát vagy az általuk tartalmazott információ helyességét illetően.
A származással kapcsolatos ügyekben a ellenőrzést a vámhatóság kezdeményezésére kell végrehajtani.
Mezőgazdasági szabályok alkalmazása esetén a ellenőrzést más illetékes hatóságok is elvégezhetik.
(2) Az (1) bekezdés rendelkezéseinek alkalmazása céljából a Közösség illetékes hatóságai a származási bizonyítványt vagy annak egy másolatát visszaküldik az exportáló ország által kijelölt kormányzati hatóságnak, szükség szerint megadva azokat a formai és tartalmi okokat, amelyek az ellenőrzést szükségessé teszik. Ha számla is benyújtásra került, akkor annak eredeti vagy egy másolati példányát csatolni kell a visszaküldött bizonyítványhoz. A hatóságok minden olyan rendelkezésre álló információt elküldenek, amely arra utal, hogy a bizonyítványokon megadott adatok helytelenek, vagy a bizonyítvány nem hiteles.
Amennyiben a Közösség vámhatóságai úgy határoznak, hogy a vonatkozó különleges behozatali rendelkezések alkalmazását az ellenőrzés eredményének megérkezéséig felfüggesztik, az áruk kiadását csak az általuk szükségesnek ítélt óvintézkedések mellett engedélyezik.
65. cikk
(1) A Közösségen belüli illetékes hatóságot haladéktalanul tájékoztatni kell az utólagos ellenőrzés eredményéről.
A fent említett eredményeknek egyértelműen jelezniük kell, hogy a fenti 64. cikkben meghatározott feltételekkel elküldött származási bizonyítványok a ténylegesen kivitt árura vonatkoznak-e, és hogy az utóbbira alkalmazhatók-e a vonatkozó különleges behozatali rendelkezések.
(2) Ha az ellenőrzésre vonatkozó megkeresés keltétől számított legfeljebb 6 hónapon belül nem érkezik válasz, a Közösségen belüli illetékes hatóság véglegesen megtagadja a különleges behozatali rendelkezések alkalmazását.
2. FEJEZET
Preferenciális származás
1. Szakasz
Általános preferenciarendszer
1. Alszakasz - Általános rendelkezések
66. cikk
Ez a szakasz az Európai Unió által a 978/2012/EU európai parlamenti és tanácsi rendelet ( 4 ) alapján a fejlődő országoknak nyújtott általános tarifális preferenciák rendszerének (a továbbiakban: a rendszer) alkalmazásában megállapítja a "származó termék" fogalmát meghatározó szabályokat, valamint az ezzel összefüggő igazgatási együttműködés eljárásait és módszereit.
66a. cikk
(1) A 68-71. és 90-97j. cikk a regisztrált exportőrök öntanúsítási rendszerének ("regisztrált exportőri rendszer") a kedvezményezett országok és a tagállamok általi alkalmazásának dátumától alkalmazandó.
(2) A 97k-97w. cikk mindaddig alkalmazandó, amíg a kedvezményezett országok és a tagállamok FORM A származási bizonyítványokat vagy EUR.1 szállítási bizonyítványokat állítanak ki, vagy amíg az exportőreik számlanyilatkozatokat adnak ki, a 91. és 91a. cikkel összhangban.
67. cikk
(1) E szakasz, valamint e fejezet 1a. szakasza alkalmazásában:
a) "kedvezményezett ország" : a 978/2012/EU rendelet 2. cikkének d) pontjában meghatározott ország vagy terület;
b) "előállítás" : bármiféle megmunkálás vagy feldolgozás, beleértve az összeszerelést is;
c) "anyag" : a termék előállítása során felhasznált összetevő, alapanyag, alkotóelem vagy alkatrész stb.;
d) "termék" : az előállított termék, abban az esetben is, ha azt későbbi felhasználásra szánják egy másik előállítási műveletben;
e) "áruk" : anyagok és termékek egyaránt;
f) "kétoldalú kumuláció" : olyan rendszer, amelynek keretében az e rendelet értelmében az Európai Unióból származó termék valamely kedvezményezett országból származó anyagnak minősül abban az esetben, ha az adott kedvezményezett országban további feldolgozásnak vetik alá vagy termékbe beépítik;
g) "Norvégiával, Svájccal vagy Törökországgal való kumuláció" : olyan rendszer, amelynek keretében a Norvégiából, Svájcból vagy Törökországból származó termék valamely kedvezményezett országból származó anyagnak minősül abban az esetben, ha az adott kedvezményezett országban további feldolgozásnak vetik alá vagy termékbe beépítik, majd onnan az Európai Unióba importálják;
h) "regionális kumuláció" : olyan rendszer, amelynek keretében az e rendelet értelmében az egy adott regionális csoport valamely országából származó termék az adott regionális csoport másik országából (vagy másik regionális csoport valamely országából, ha lehetőség van a csoportok közötti kumulációra) származó anyagnak minősül abban az esetben, ha ez utóbbi országban további feldolgozásnak vetik alá vagy ott előállított termékbe beépítik;
i) "kiterjesztett kumuláció" : olyan, a Bizottság által valamely kedvezményezett ország kérelme alapján megadott engedélyhez kötött rendszer, amelynek keretében bizonyos olyan országból származó anyagok, amellyel az Európai Uniónak az Általános Vám- és Kereskedelmi Egyezmény (GATT) mindenkor hatályos változatának XXIV. cikke értelmében szabadkereskedelmi megállapodása áll fenn, az adott kedvezményezett országból származó anyagnak minősülnek abban az esetben, ha ez utóbbi országban további feldolgozásnak vetik alá vagy ott előállított termékbe beépítik;
j) "felcserélhető anyagok" : olyan anyagok, amelyek azonos jellegűek és kereskedelmi minőségűek, azonos műszaki és fizikai jellemzőkkel rendelkeznek, és a végtermékbe beépített állapotukban egymástól nem különböztethetők meg;
k) "regionális csoport" : olyan országok csoportja, amelyek között lehetőség van regionális kumulációra;
l) "vámérték" : az Általános Vámtarifa- és Kereskedelmi Egyezmény VII. cikkének végrehajtására vonatkozó 1994. évi megállapodás (a vámérték megállapításáról szóló WTO-egyezmény) szerint megállapított érték;
m) "anyag értéke" a 13a. mellékletben található listában : a felhasznált nem származó anyagok behozatalkor érvényes vámértéke, vagy ha ez nem ismert és nem állapítható meg, az anyagért az előállító ország területén fizetett első megállapítható ár; e pont rendelkezéseit a felhasznált származó anyagok vámértékének megállapítására is értelemszerűen alkalmazni kell;
n) "gyártelepi ár" :
a gyárból való elszállításkor a termékért azon gyártónak fizetett ár, amelynek vállalkozásában az utolsó megmunkálást vagy feldolgozást végezték, azzal a feltétellel, hogy az árnak magában kell foglalnia az összes felhasznált anyag értékét és a gyártással összefüggésben felmerülő összes költséget, de nem foglalhatja magában a létrejövő termék kivitele esetén visszatérítendő vagy visszatéríthető belső adókat.
Ha a ténylegesen kifizetett árban nem jelenik meg a termék előállításával összefüggésben az előállító országban ténylegesen felmerült valamennyi költség, akkor a gyártelepi ár az összes ilyen költség összegének a létrejövő termék kivitele esetén visszatérítendő vagy visszatéríthető mindennemű belső adóval csökkentett értékét jelenti;
o) "a nem származó anyagok megengedett legnagyobb részaránya" : a nem származó anyagok mennyiségének azon megengedett legnagyobb részaránya, amely mellett az előállítás a termék származó voltának biztosítása szempontjából még kielégítő megmunkálásnak vagy feldolgozásnak minősül. Bizonyos esetekben a termék gyártelepi árának százalékában, más esetekben árucsoportokba, árucsoport meghatározott csoportjába illetve vámtarifaszám, alszám meghatározott csoportjába tartozó felhasznált anyagok nettó tömegének százalékában van kifejezve;
p) "nettó tömeg" : magának a terméknek a tömege bárminemű csomagolóanyag vagy csomagolótartály nélkül;
q) "árucsoport", "vámtarifaszám", "alszám" : a Vámegyüttműködési Tanács 2004. június 26-án kelt ajánlásában foglaltak szerinti módosításokkal együtt a Harmonizált Rendszert alkotó nómenklatúrán belül meghatározott árucsoport, vámtarifaszám, alszám (négy vagy hat számjegyű kódok);
r) "besorolt" : utalás arra, hogy egy termék vagy anyag a Harmonizált Rendszer egy adott vámtarifaszáma vagy alszáma alá tartozik;
s) "szállítmány" :
olyan termékek, amelyeket vagy
- egy adott exportőr egy adott címzettnek egyidejűleg szállít, vagy
- az exportőrtől a címzettig való szállításuk során egyetlen fuvarokmány, ilyen okmány hiányában egyetlen számla kísér;
t) "exportőr" : az árut az Európai Unióba vagy kedvezményezett országba exportáló olyan személy, amely képes bizonyítani az áru származását, függetlenül attól, hogy az adott személy azonos-e a gyártóval, és függetlenül attól, hogy az exportügylettel kapcsolatos vámalakiságokat maga végzi-e vagy sem;
u) "regisztrált exportőr" :
i. kedvezményezett országban letelepedett exportőr, amelyet az adott kedvezményezett ország illetékes hatóságai nyilvántartásba vettek termékeknek a rendszer keretein belüli, akár az Unióba, akár más olyan kedvezményezett országba történő exportálása céljából, amellyel fennáll a regionális kumuláció lehetősége; vagy
ii. valamely tagállamban letelepedett exportőr, amelyet az adott tagország illetékes hatóságai nyilvántartásba vettek az Unióból származó termékek exportálása céljából, ezen termékek valamely kedvezményezett országban, kétoldalú kumuláció keretében anyagként történő felhasználása érdekében; vagy
iii. valamely tagállamban letelepedett továbbküldő, amelyet az adott tagország illetékes hatóságai helyettesítő származásmegjelölő nyilatkozatok kiállításának céljából nyilvántartásba vettek a származó termékeknek az Unió vámterületén belül máshová, vagy adott esetben Norvégiába, Svájcba vagy Törökországba történő továbbszállítása érdekében ("regisztrált továbbküldő");
v) "származásmegjelölő nyilatkozat" : az áruk exportőre vagy továbbküldője által kiadott nyilatkozat, amely jelzi, hogy a benne szereplő termékek megfelelnek a rendszer származási szabályainak.
(1a) Az (1) bekezdés a) pontja alkalmazásában, a "kedvezményezett országra" történő hivatkozás esetén a kifejezés magában foglalja továbbá az adott országnak vagy területnek az Egyesült Nemzetek Tengerjogi Egyezménye (Montego Bay-i Egyezmény, 1982. december 10.) értelmében vett parti tengerét is, annak határain azonban túl nem terjedhet.
(2) Az (1) bekezdés n) pontja alkalmazásában abban az esetben, ha az utolsó megmunkálást vagy feldolgozást egy bizonyos gyártó alvállalkozásban végezte, az (1) bekezdés n) pontjának első bekezdésében említett "gyártó" az alvállalkozót igénybe vevő vállalkozás is lehet.
(3) Az (1) bekezdés u) pontjának alkalmazásában, amennyiben az exportőrt kiviteli alakiságok elvégzése céljából képviselik, és az exportőr képviselője szintén regisztrált exportőr, ez a képviselő nem használhatja saját regisztráltexportőr-azonosító számát.
68. cikk
(1) A rendszer helyes alkalmazása érdekében a kedvezményezett országok kötelesek vállalni, hogy:
a) kialakítják és fenntartják azokat az igazgatási struktúrákat és rendszereket, amelyek az e szakaszban megállapított szabályoknak és eljárásoknak az adott országban való végrehajtásához és a kapcsolódó igazgatási feladatoknak az adott országban való ellátásához szükségesek, az adott esetnek megfelelően ideértve a kumuláció alkalmazásához szükséges feladatok ellátását is;
b) illetékes hatóságaik együttműködnek a Bizottsággal és a tagállamok vámhatóságaival.
(2) Az (1) bekezdés b) pontja szerinti együttműködés a következő elemekből áll:
a) minden szükséges támogatás megadásából abban az esetben, ha a Bizottság a rendszernek az adott országban való helyes igazgatásával kapcsolatos ellenőrzési tevékenysége keretében arra igényt tart, ideértve a Bizottság vagy a tagállamok vámhatóságai által tett helyszíni ellenőrző látogatásokat is;
b) a 97g. és a 97h. cikk sérelme nélkül a termékek származó voltának és az e szakaszban megállapított egyéb feltételek teljesülésének ellenőrzéséből, ideértve a helyszíni látogatások végrehajtását is, ha a Bizottság vagy valamely tagállam vámhatóságai a származásra vonatkozó vizsgálatok keretében arra igényt tartanak.
(3) A kedvezményezett országok az (1) bekezdés szerinti vállalásukat legalább három hónappal azt a dátumot megelőzően nyújtják be a Bizottsághoz, amikor az exportőrök regisztrálását meg akarják kezdeni.
69. cikk
(1) A kedvezményezett országok tájékoztatják a Bizottságot a területükön található azon hatóságokról, amelyek:
a) az adott ország kormányzati hatóságainak részeként vagy a kormány alá rendelt szervként illetékességgel rendelkeznek arra, hogy exportőröket regisztráljanak a REX-rendszerben, nyilvántartási adatokat módosítsanak, frissítsenek, és regisztrációt vonjanak vissza;
b) az adott ország kormányzati hatóságainak részeként felelősek a Bizottsággal és a tagállamok vámhatóságaival való közigazgatási együttműködés biztosításáért, az e szakaszban előírtak szerint.
A kedvezményezett országok tájékoztatják a Bizottságot e hatóságok nevéről, címéről és kapcsolatfelvételi adatairól. Az értesítést legalább három hónappal azt a dátumot megelőzően kell elküldeni a Bizottságnak, amikor a kedvezményezett országok meg akarják kezdeni az exportőrök regisztrálását.
A kedvezményezett országok haladéktalanul tájékoztatják a Bizottságot az első albekezdés szerint megküldött adatokban bekövetkező változásokról.
(2) A tagállamok tájékoztatják a Bizottságot azon vámhatóságaik nevéről, címéről és kapcsolatfelvételi adatairól, amelyek:
a) illetékességgel rendelkeznek arra, hogy exportőröket és továbbküldőket nyilvántartásba vegyenek a REX-rendszerben, nyilvántartási adatokat módosítsanak, frissítsenek, és regisztrációt vonjanak vissza;
b) felelősek a kedvezményezett országok vámhatóságaival való közigazgatási együttműködés biztosításáért az e szakaszban előírtak szerint.
A tájékoztatást 2016. szeptember 30-ig kell elküldeni a Bizottságnak.
A tagállamok haladéktalanul tájékoztatják a Bizottságot az első albekezdés szerint megküldött adatokban bekövetkező változásokról.
69a. cikk
(1) A Bizottság 2017. január 1-ig létrehozza és rendelkezésre bocsátja a REX-rendszert.
(2) A kedvezményezett országok illetékes hatóságai és a tagállamok vámhatóságai a 13c. mellékletben szereplő teljes jelentkezési lap kézhezvételekor haladéktalanul hozzárendelik a regisztrált exportőr számát az exportőrhöz vagy adott esetben a továbbküldőhöz, és rögzítik a REX-rendszerben a regisztrált exportőr számát, a nyilvántartási adatokat, és a dátumot, amelytől a regisztráció a 92. cikk (5) bekezdése értelmében érvényes.
Amennyiben az illetékes hatóságok úgy vélik, hogy a jelentkezés során benyújtott információk hiányosak, erről haladéktalanul értesítik az exportőrt.
A kedvezményezett országok illetékes hatóságai és a tagállamok vámhatóságai naprakészen tartják a nyilvántartott adatokat. A hatóságok a 93. cikkel összhangban a regisztrált exportőrtől kapott tájékoztatást követően haladéktalanul módosítják ezeket az adatokat.
69b. cikk
(1) A Bizottság gondoskodik a REX-rendszerhez való hozzáférés e cikk szerinti biztosításáról.
(2) A Bizottság valamennyi adathoz hozzáféréssel rendelkezik és betekinthet azokba.
(3) A kedvezményezett országok illetékes hatóságai hozzáféréssel rendelkeznek és betekinthetnek az általuk regisztrált exportőrökre vonatkozó adatokba.
(4) A tagállamok vámhatóságai hozzáféréssel rendelkeznek és betekinthetnek az általuk, más tagállamok vámhatóságai által és a kedvezményezett országok, valamint Norvégia, Svájc és Törökország illetékes hatóságai által bejegyzett adatokba. Az adatokhoz való hozzáférés célja a nyilatkozatok Vámkódex 68. cikke szerinti vagy 78. cikkének (2) bekezdése szerinti ellenőrzése.
(5) A Bizottság biztonságos hozzáférést biztosít a REX-rendszerhez a kedvezményezett országok illetékes hatóságai számára.
Amennyiben a 97 g. cikkben hivatkozott megállapodás szerint Norvégia és Svájc megegyeztek az Unióval a REX-rendszer megosztásában, a Bizottság biztonságos hozzáférést biztosít a REX-rendszerhez ezen országok vámhatóságai számára. Bizonyos feltételek teljesítését követően Törökország számára is biztonságos hozzáférést biztosítanak a REX-rendszerhez.
(6) Amennyiben egy országot vagy területet törölnek a 978/2012/EU rendelet II. mellékletéből, a kedvezményezett ország illetékes hatóságai addig tartják fenn a REX-rendszerhez való hozzáférésüket, amíg az szükséges ahhoz, hogy teljesítsék a 71. cikk szerinti kötelezettségeiket.
(7) A Bizottság az alábbi adatokat teszi nyilvánossá, amihez az exportőr a 13c. mellékletben rögzített nyomtatvány 6. rovatának aláírásával hozzájárul:
a) a regisztrált exportőr neve;
b) a regisztrált exportőr székhelyének címe;
c) a 13c. mellékletben előírt nyomtatvány 2. rovatában meghatározott kapcsolatfelvételi adatok;
d) a preferenciális elbánásra jogosult áruk indikatív leírása, beleértve a Harmonizált Rendszer vámtarifaszámainak vagy árucsoportjainak indikatív listáját, a 13c. mellékletben előírt nyomtatvány 4. rovatában meghatározottak szerint;
e) a regisztrált exportőr EORI száma vagy gazdálkodói azonosító száma (TIN).
A 6. rovat aláírásának megtagadása nem ad alapot az exportőr regisztrálásának megtagadására.
(8) A Bizottság mindig nyilvánosságra hozza az alábbi adatokat:
a) a regisztrált exportőr azonosító száma;
b) a dátum, amelytől a regisztráció érvényes;
c) adott esetben a regisztráció visszavonásának dátuma;
d) arra vonatkozó információ, hogy a regisztráció Norvégiába, Svájca és - amennyiben Törökország teljesít bizonyos feltételeket - Törökországba irányuló exportokra is vonatkozik-e;
e) a REX-rendszer és a nyilvános internetes oldal utolsó összehangolásának dátuma.
69c. cikk
(1) A REX-rendszerbe bejegyzett adatokat kizárólag a program e szakaszban leírtak szerinti alkalmazása céljából lehet feldolgozni.
(2) A regisztrált exportőrök rendelkezésére bocsátják a 45/2001/EK rendelet 11. cikke (1) bekezdésének a)-e) pontjában vagy a 95/46/EK irányelv 10. cikkében rögzített információkat. Ezeken felül még az alábbi információkat bocsátják rendelkezésükre:
a) azoknak az adatfeldolgozási műveleteknek a jogalapjára vonatkozó információ, amelyeknek az adatokat alá kívánják vetni;
b) az adatok megőrzési ideje.
Ezen információkat a 13c. mellékletben előírt, a regisztrált exportőrként való nyilvántartásba vétel iránti kérelemhez csatolt értesítés formájában bocsátják a regisztrált exportőrök rendelkezésére.
(3) A kedvezményezett országok 69. cikk (1) bekezdésének a) pontjában említett minden egyes olyan illetékes hatósága, és a tagállamok 69. cikk (2) bekezdésének a) pontjában említett minden egyes olyan vámhatósága, amelyek adatokat rögzítettek a REX-rendszerben, adatkezelőnek tekintendő ezen adatok feldolgozása tekintetében.
A Bizottság közös adatkezelőnek minősül minden adat feldolgozása tekintetében, annak biztosítása érdekében, hogy a regisztrált exportőr igénybe tudja venni jogait.
(4) A regisztrált exportőrök a REX-rendszerben tárolt, a 13c. mellékletben felsorolt és a nemzeti rendszerekben feldolgozott adatok feldolgozásához fűződő jogaikat az adataikat tároló tagállam 95/46/EK irányelvet végrehajtó adatvédelmi rendelkezéseinek megfelelően gyakorolják.
(5) Azok a tagállamok, amelyek saját nemzeti rendszerükben reprodukálják az általuk hozzáférhető REX-rendszerbeli adatokat, naprakészen tartják e reprodukált adatokat.
(6) A regisztrált exportőrök az őket a saját nyilvántartási adataiknak a Bizottság által történő feldolgozásával összefüggésben megillető jogokat a 45/2001/EK rendeletnek megfelelően gyakorolják.
(7) A regisztrált exportőrök az adatokhoz való hozzáféréshez, adatok kiigazításához, törléséhez és zárolásához való, a 45/2001/EK rendelet szerinti jog gyakorlása iránti minden kérelmet az adatkezelőnek nyújtanak be, és a kérelmeket az adatkezelők dolgozzák fel.
Amennyiben egy regisztrált exportőr anélkül nyújtja be kérelmét a Bizottsághoz, hogy megpróbálta volna jogait az adatkezelőn keresztül érvényesíteni, a Bizottság továbbítja a kérelmet a regisztrált exportőr adatkezelőjének.
Amennyiben a regisztrált exportőr nem tudja az adatkezelő révén érvényesíteni jogait, kérelmét a Bizottsághoz, mint adatkezelőhöz nyújtja be. A Bizottságnak jogában áll az adatokat kiigazítani, törölni vagy zárolni.
(8) A nemzeti adatvédelmi felügyelő hatóságok és az európai adatvédelmi biztos - a hatáskörük szabta keretek között - együttműködnek egymással, és biztosítják a nyilvántartásban szereplő adatok összehangolt felügyeletét.
Hatáskörük keretein belül eljárva kicserélik egymás között a vonatkozó információkat, segítik egymást a közös ellenőrzések és vizsgálatok lefolytatásában, megvizsgálják az e rendelettel kapcsolatos alkalmazási vagy értelmezési nehézségeket, tanulmányozzák a független felügyelet gyakorlása vagy az érintettek jogainak gyakorlása kapcsán felmerülő problémákat, összehangolt javaslatokat dolgoznak ki a problémák közös megoldására és szükség szerint előmozdítják az adatvédelmi jogokkal kapcsolatos ismeretek terjesztését.
70. cikk
A Bizottság internetes oldalán nyilvánosságra hozza azokat a dátumokat, amikor a kedvezményezett országok megkezdik a regisztrált exportőri rendszer alkalmazását. A Bizottság naprakészen tartja az információt.
71. cikk
Amennyiben egy országot vagy területet törölnek a 978/2012/EU rendelet II. mellékletéből, a 69. és 69a. cikkben, valamint a 86. cikk (10) bekezdésében és a 97 g. cikkben lefektetett igazgatási együttműködési kötelezettség a mellékletből való törlés időpontjától számított három évig továbbra is vonatkozik az adott országra vagy területre.
2. Alszakasz - A származó termék fogalmának meghatározása
72. cikk
Egy adott kedvezményezett országból származónak a következő termékek minősülnek:
a) a 75. cikk értelmében teljes egészében az adott országban létrejött termékek;
b) az adott országban olyan anyagok felhasználásával létrejött termékek, amelyek nem teljes egészében ott jöttek létre, de a 76. cikk értelmében kielégítő megmunkáláson vagy feldolgozáson estek át.
73. cikk
(1) Az ebben az alszakaszban a származónak minősüléshez előírt feltételeket az érintett kedvezményezett országban kell teljesíteni.
(2) Ha a kedvezményezett országból egy másik országba exportált származó terméket visszavisznek a kezdeményezett országba, azt a továbbiakban csak akkor szabad származónak tekinteni, ha az illetékes hatóságok számára hitelt érdemlően bizonyítható, hogy a visszavitt termék:
a) azonos az eredetileg kivitt termékkel; és
b) az adott országban való tartózkodása alatt és exportálása közben az állagmegőrzést biztosító műveleteket nem számítva semminemű műveleten nem esett át.
74. cikk
(1) Az Európai Unióban való szabad forgalomba bocsátás érdekében bejelentett terméknek meg kell egyeznie azzal a termékkel, amelyet abból a kedvezményezett országból kivittek, amelyből származónak minősül. Az ilyen termék a szabad forgalomba való bocsátás érdekében tett bejelentést megelőzően az állagmegőrzést biztosító műveleteket, vagy jelzések, címkék, pecsétek vagy bármely más, az Unióban alkalmazandó különleges nemzeti követelményeknek való megfelelés biztosítását szolgáló dokumentumok elhelyezését vagy felerősítését nem számítva, semminemű módosításon vagy más átalakításon nem eshetett át.
(2) A kedvezményezett országba a 84., 85. vagy 86. cikk alapján kumuláció céljából bevitt terméknek meg kell egyeznie azzal a termékkel, amelyet abból az országból kivittek, amelyből származónak minősül. Az ilyen termék a behozatali országban a megfelelő vámeljárás végett történő bejelentést megelőzően az állagmegőrzést biztosító műveleteket nem számítva semminemű módosításon vagy más átalakításon nem eshetett át.
(3) A termékek azzal a feltétellel tárolhatók, hogy vámfelügyelet alatt maradnak a tranzitország(ok)ban.
(4) A szállítmányok megbontására csak akkor kerülhet sor, ahol azt az exportőrök vagy az ő felelősségi körükben végzik, feltéve, hogy az érintett áruk vámfelügyelet alatt maradnak a tranzitország(ok)ban.
(5) Az (1)-(4) bekezdésben előírt feltételek teljesülését mindaddig vélelmezni kell, amíg a vámhatóságoknak nincs okuk ellenkező értelmű feltételezésre; ebben az esetben a vámhatóságok felkérhetik a nyilatkozattevőt az említett feltételek teljesülésének igazolására, aki ezt tetszőleges módon igazolhatja, ideértve a különböző fuvarokmányok, például a hajóraklevél, a csomagolási egységek jelölésén vagy számozásán alapuló ténybeli vagy konkrét bizonyítékok, valamint a magához az áruhoz kapcsolódó bárminemű bizonyíték bemutatását is.
75. cikk
(1) Teljes egészében egy adott kedvezményezett országban létrejöttnek minősülnek:
a) az adott ország területén a föld mélyéből vagy a tengerfenékről kitermelt ásványi termékek;
b) az adott ország területén betakarított növényi termékek;
c) az adott ország területén született és felnevelt élő állatok;
d) az adott ország területén felnevelt élő állatokból nyert termékek;
e) az adott ország területén született és felnevelt levágott állatokból nyert termékek;
f) az adott ország területén folytatott vadászat vagy halászat útján létrejött termékek;
g) az adott ország területén született és felnevelt halakból, rákfélékből és puhatestűekből nyert akvakultúra-termékek;
h) az adott ország hajóival az adott ország parti tengerén kívüli tengerszakaszból nyert halászati és más termékek;
i) az adott ország feldolgozóhajóin kizárólag a h) pontban körülírt termékekből nyert termékek;
j) a kizárólag a nyersanyagaik hasznosítására alkalmas, az adott ország területén összegyűjtött használt cikkek;
k) az adott ország területén végzett előállítási műveletekből visszamaradó hulladékok és maradékanyagok;
l) az adott ország parti tengerén kívül fekvő olyan tengerfenék felszínéről vagy mélyéből nyert termékek, amelynek hasznosítására az adott ország kizárólagos joggal rendelkezik;
m) az adott országban kizárólag az a)-l) pontban meghatározott termékekből létrehozott termékek.
(2) Az (1) bekezdés h) és i) pontja alkalmazásában az adott ország hajóinak, feldolgozóhajóinak teljesíteniük kell a következő feltételeket:
a) a kedvezményezett országban vagy valamely tagállamban vannak lajstromozva;
b) a kedvezményezett ország vagy valamely tagállam lobogója alatt hajóznak;
c) teljesítik a következő feltételek valamelyikét:
i. legalább 50 %-ban a kedvezményezett ország vagy a tagállamok állampolgárainak tulajdonában vannak;
ii. olyan társaság tulajdonában vannak:
- amelynek székhelye és tevékenysége gyakorlásának elsődleges helye a kedvezményezett országban vagy a tagállamokban van; és
- amely legalább 50 %-ban a kedvezményezett ország vagy a tagállamok, illetve a kedvezményezett ország vagy a tagállamok közjogi szervezetei vagy állampolgárai tulajdonában van.
(3) A (2) bekezdésben előírt feltételek mindegyike teljesíthető a tagállamokban vagy különböző kedvezményezett országokban azzal a feltétellel, hogy az összes érintett kedvezményezett országnak a 86. cikk (1) és (5) bekezdésében meghatározott regionális kumuláció jogosultjának kell lennie. Ez utóbbi esetben a terméket abból a kedvezményezett országból származónak kell tekinteni, amelynek lobogója alatt a (2) bekezdés b) pontja alkalmazásában a hajó vagy feldolgozóhajó hajózik.
Az első albekezdésben előírt rendelkezések csak a 86. cikk (2) bekezdésének a), c) és d) pontjában foglalt feltételek teljesülése esetén alkalmazhatók.
76. cikk
(1) A 78. és a 79. cikk sérelme nélkül a 75. cikk értelmében nem teljes egészében az érintett kedvezményezett országban létrejött termékek onnan származónak minősülnek, ha teljesülnek a 13a. melléklet listájában az érintett áruk vonatkozásában meghatározott feltételek.
(2) Ha egy olyan terméket, amely az (1) bekezdés alapján egy adott országból származónak minősül, ugyanebben az országban másik termék előállítása céljából mint anyagot további feldolgozásnak vetnek alá, akkor az előállítása során esetleg felhasznált nem származó anyagokat nem kell figyelembe venni.
77. cikk
(1) A 76. cikk (1) bekezdésében előírt követelmények teljesülését termékenként kell vizsgálni.
Ha azonban a vonatkozó szabály a nem származó anyagok megengedett legnagyobb részarányán alapul, akkor a költségek és az átváltási árfolyamok rövid távú változásainak figyelembevétele érdekében a nem származó anyagok értéke a (2) bekezdésben foglalt átlagolásos eljárással is meghatározható.
(2) Az (1) bekezdés második albekezdése szerinti esetben a termék átlagos gyártelepi árát és a felhasznált nem származó termékek átlagos értékét kell kiszámítani, előbbit az előző adóévben a termékért annak valamennyi eladását figyelembe véve felszámított gyártelepi árak összegéből, utóbbit az előző adóévben a termék előállítása során felhasznált összes nem származó anyag értékének összegéből, adóévként a kivitel szerinti országban meghatározott adóévet figyelembe véve, azzal, hogy ha a teljes adóévre vonatkozóan nem állnak rendelkezésre adatok, akkor rövidebb, legalább három hónap hosszúságú időtartam vehető figyelembe.
(3) Ha egy exportőr az átlagolásos eljárás alkalmazását választotta, akkor a referenciaként figyelembe vett adóévet, illetőleg a referenciaként figyelembe vett, az adóévnél rövidebb időszakot követő év során következetesen azt kell alkalmaznia. Az exportőr az átlagolásos eljárás alkalmazásával felhagyhat ugyanakkor abban az esetben, ha egy adott adóév vagy annál rövidebb, legalább három hónap hosszúságú reprezentatív időtartam alatt azt tapasztalja, hogy a költségeknek vagy az árfolyamoknak az eljárás alkalmazását megalapozó rövid távú változásai megszűntek.
(4) A nem származó anyagok megengedett legnagyobb részarányára vonatkozó kritérium teljesülésének vizsgálata során gyártelepi árként és a nem származó anyagok értékeként a (2) bekezdés szerinti átlagos értékeket kell figyelembe venni.
78. cikk
(1) A (3) bekezdés sérelme nélkül, függetlenül attól, hogy a 76. cikkben előírt követelmények teljesülnek-e, a termék származónak minősülése szempontjából nem kielégítő megmunkálásnak vagy feldolgozásnak kell tekinteni:
a) a szállítás és a tárolás során a termékek állagának megőrzését biztosító műveleteket;
b) a csomagok megbontását és összeállítását;
c) a mosást, a tisztítást, a por, az oxidáció, az olaj, a festék és más külső réteg eltávolítását;
d) a textilanyagok vasalását és simítását;
e) az egyszerű festési és fényezési műveleteket;
f) a rizs hántolását, részleges és teljes őrlését, a gabonafélék és a rizs fényezését, glazúrozását;
g) a cukor színezésére és ízesítésére, a formázott cukor előállítására irányuló műveleteket, a kristálycukor részleges és teljes őrlését;
h) a gyümölcsök, a dió- és a zöldségfélék héjtalanítását, magozását, hámozását;
i) az élezést, az egyszerű köszörülést, az egyszerű vágást;
j) a szitálást, a rostálást, a válogatást, az osztályozást, a méret szerinti osztályozást, az összepárosítást (ideértve az árucikk-készletek összeállítását is);
k) a palackba, üvegbe, konzervdobozba, flakonba, zsákba, ládába, dobozba való egyszerű behelyezést, a kartonra vagy táblára való egyszerű felrögzítést és minden más egyszerű csomagolási műveletet;
l) a jelzések, címkék, logók és más hasonló megkülönböztető jelek felhelyezését vagy rányomtatását a termékekre vagy csomagolásukra;
m) a különböző vagy azonos fajtájú termékek egyszerű keverését, a cukor keverését bármely anyaggal;
n) a termékekhez való egyszerű vízhozzáadást, vagy a termékek egyszerű hígítását vagy víztelenítését vagy denaturálását;
o) az árucikkek alkatrészeinek teljes árucikké való egyszerű összeszerelését, a termékek részekre való egyszerű szétszerelését;
p) az a)-o) pontban meghatározott műveletek közül kettő vagy több kombinációját;
q) az állatok levágását.
(2) Az (1) bekezdés alkalmazásában a művelet akkor egyszerű, ha elvégzéséhez sem speciális szaktudás, sem olyan speciális gép, felszerelés vagy szerszám nem szükséges, amelyet kifejezetten az adott művelet céljára gyártottak vagy állítottak üzembe.
(3) Annak eldöntése során, hogy az adott terméken végrehajtott megmunkálás vagy feldolgozás az (1) bekezdés értelmében nem kielégítőnek minősül-e, a terméken a kedvezményezett országban végrehajtott valamennyi műveletet figyelembe kell venni.
79. cikk
(1) A 76. cikktől eltérve, az e cikk (2) és (3) bekezdésében foglalt feltételek mellett a 13a. melléklet listája értelmében egy adott termék előállítása során nem felhasználható nem származó anyagok az adott termék előállítása során mégis felhasználhatók, ha teljes bizonyossággal megállapítható, hogy a termékben az összértékük, illetőleg nettó tömegük nem haladja meg:
a) a Harmonizált Rendszer 2. és a 4-24. árucsoportjába tartozó termékek esetében, a 16. árucsoportba tartozó feldolgozott halászati termékek kivételével, a termék tömegének 15 %-át;
b) más termékek esetében a Harmonizált Rendszer szerinti 50-63. árucsoportba tartozó termékek kivételével, amelyekre a 13a. melléklet I. részében foglalt 6. és 7. megjegyzés szerinti tűréshatár vonatkozik, a termék gyártelepi árának 15 %-át.
(2) Az (1) bekezdés alkalmazása következtében a nem származó anyagok részaránya nem lépheti túl a 13a. melléklet listájában található szabályokban megállapított megengedett legnagyobb értékeket.
(3) Az (1) és a (2) bekezdés nem alkalmazható a 75. cikk értelmében teljes egészében egy adott kedvezményezett országban létrejött termékekre. A 78. cikkben és a 80. cikk (2) bekezdésében foglalt rendelkezések sérelme nélkül azonban az említett bekezdésekben megállapított tűréshatárok alkalmazhatók a termék előállítása során felhasznált mindazon anyagok összességére, amelyeknek a 13a. melléklet listájában az adott termékre vonatkozóan található szabály értelmében teljes egészében egy adott helyen létrejöttnek kell lenniük.
80. cikk
(1) E szakasz rendelkezéseinek alkalmazásában a minősítés egysége az a termék, amelyet a Harmonizált Rendszer szerinti besorolás megállapítása során alapegységnek kell tekinteni.
(2) Ha egy szállítmány a Harmonizált Rendszer szerinti ugyanazon vámtarifaszám alá besorolt több azonos termékből áll, akkor e szakasz rendelkezéseinek alkalmazása során minden egyes terméket figyelembe kell venni.
(3) Ha a Harmonizált Rendszer 5. általános értelmező szabálya szerint a csomagolást a besorolás szempontjából a termék részének kell tekinteni, akkor azt a származás meghatározásakor is figyelembe kell venni.
81. cikk
A berendezés, gép, készülék vagy jármű részének kell tekinteni azokat a vele együtt szállított tartozékokat, pótalkatrészeket és szerszámokat, amelyek normál felszerelésének részét képezik, és gyártelepi árában benne foglaltatnak.
82. cikk
A Harmonizált Rendszer 3. általános értelmező szabálya értelmében vett készletet származónak kell tekinteni, ha az azt alkotó összes termék származó.
Ha a készlet származó és nem származó termékeket egyaránt tartalmaz, akkor a készletet mint egészet származónak kell tekinteni, amennyiben a nem származó termékek értéke nem haladja meg a készlet gyártelepi árának 15 %-át.
83. cikk
A termék származó voltának megállapítása céljából nem kell figyelembe venni az előállítása során esetleg felhasznált következő termékek származását:
a) energia és tüzelőanyag;
b) felszerelés és berendezések;
c) gépek és szerszámok;
d) minden más olyan áru, amely a termék végső összetételét figyelembe véve sem ténylegesen, sem szándék szerint nem épül be a termékbe.
3. Alszakasz - Kumuláció
84. cikk
A kétoldalú kumuláció keretében az Európai Unióból származó termék kedvezményezett országból származó anyagnak tekinthető abban az esetben, ha olyan termékbe építik be, amelynek előállítása az adott országban történik, és az ott végrehajtott megmunkálás vagy feldolgozás túlmegy a 78. cikk (1) bekezdésében körülírt műveleteken.
A 2. és 7. alszakaszok rendelkezéseit értelemszerűen alkalmazni kell az Unióból valamely kedvezményezett országba kétoldalú kumuláció alkalmazása céljából teljesített exportügyletekre.
85. cikk
(1) Abban a körben, amelyben Norvégia, Svájc és Törökország a kedvezményezett országokból származó termékekre vonatkozóan általános tarifális preferenciákat nyújt, és a származás fogalmát e szakasz szabályainak megfelelően határozza meg, a Norvégiával, Svájccal vagy Törökországgal való kumuláció keretében a Norvégiából, Svájcból vagy Törökországból származó termék kedvezményezett országból származó anyagnak tekinthető abban az esetben, ha az ott végrehajtott megmunkálás vagy feldolgozás túlmegy a 78. cikk (1) bekezdésében körülírt műveleteken.
(2) Az (1) bekezdés csak akkor alkalmazható, ha Törökország, Norvégia és Svájc viszonossági alapon azonos elbánásban részesíti a kedvezményezett országokból származó azon termékeket, amelyek az Európai Unióból származó anyagokat tartalmaznak.
(3) Az (1) bekezdés nem alkalmazható a Harmonizált Rendszer 1-24. árucsoportjába tartozó termékekre.
(4) A Bizottság Az Európai Unió Hivatalos Lapjának C sorozatában közzéteszi azt a dátumot, amelytől fogva az (1) és a (2) bekezdésben előírt feltételek teljesülnek.
86. cikk
(1) A regionális kumulációt a következő négy, egymástól különálló regionális csoport esetében kell alkalmazni:
a) I. csoport: Brunei, Fülöp-szigetek, Indonézia, Kambodzsa, Laosz, Malajzia, Mianmar/Burma, Thaiföld, Vietnam;
b) II. csoport: Bolívia, Costa Rica, Ecuador, Guatemala, Honduras, Kolumbia, Nicaragua, Panama, Peru, Salvador, Venezuela;
c) III. csoport: Banglades, Bhután, India, Maldív-szigetek, Nepál, Pakisztán, Srí Lanka;
d) IV. csoport: Argentína, Brazília, Paraguay és Uruguay.
(2) Az egyazon csoportba tartozó országok között a regionális kumuláció a következő feltételek együttes teljesülése esetén alkalmazható:
a) a termék Unióba történő kivitele idején a kumulációban részt vevő országok a 978/2012/EU rendelettel összhangban kedvezményezett országok, amelyek tekintetében nem vonták vissza ideiglenesen a preferenciális megállapodást;
b) a regionális csoport országai közötti regionális kumuláció alkalmazásában az e szakaszban megállapított származási szabályokat kell alkalmazni;
c) a regionális csoport országai vállalták, hogy:
i. teljesítik e szakasz rendelkezéseit, illetőleg biztosítják e rendelkezések teljesítését; és
ii. az e szakasz helyes végrehajtásának biztosításához szükséges mértékben igazgatási együttműködést folytatnak mind az Unióval, mind egymással;
d) az érintett regionális csoport titkársága vagy más, arra hatáskörrel rendelkező, az érintett csoport összes országát képviselő közös testület a c) pontban előírt vállalásokat megküldte a Bizottságnak.
A b) pont alkalmazásában, ha a 13a. melléklet II. része szerinti, a minősítést megalapozó művelet nem azonos a kumulációban részt vevő valamennyi országban, akkor a regionális kumuláció alkalmazásában a regionális csoport egyik országából a másik országába kivitt termékek származását annak a szabálynak az alapján kell megállapítani, amelyet akkor kellene alkalmazni, ha a termékek kivitele az Unióba történne.
Ha egy regionális csoport országai 2011. január 1-je előtt már teljesítették az első albekezdés c) és d) pontjában foglalt követelményeket, akkor új vállalást nem szükséges tenniük.
(3) A 13b. mellékletben felsorolt anyagok esetében a (2) bekezdésben előírt regionális kumuláció nem alkalmazható abban az esetben, ha:
a) az Európai Unióban alkalmazandó tarifális preferencia a kumulációban részt vevő országok esetében nem azonos; és
b) az érintett anyag a kumuláció alkalmazása következtében kedvezőbb tarifális elbánás alá esne, mint ha közvetlenül az Európai Unióba exportálnák.
(4) Egyazon regionális csoportba tartozó kedvezményezett országok között regionális kumuláció csak akkor alkalmazható, ha az abban a kedvezményezett országban elvégzett megmunkálás vagy feldolgozás, amelyben az anyagokat további feldolgozásnak vetik alá vagy termékbe beépítik, túlmegy a 78. cikk (1) bekezdésében körülírt műveleteken, továbbá textiltermékek esetében túlmegy a 16. mellékletben körülírt műveleteken is.
Ha az első albekezdésben előírt követelmény nem teljesül, a termék származási országának a regionális csoport azon országát kell tekinteni, amely a regionális csoport országaiból származó felhasznált anyagok értékében a legnagyobb részt képviseli.
A termék exportőre által - illetve a regisztrált exportőri rendszer alkalmazásáig az exportáló kedvezményezett ország hatóságai által - az Unióba való kivitel keretében kiállított származási igazoláson származási országként a következő országot kell megjelölni:
- további megmunkálás vagy feldolgozás nélkül kivitt termékek esetében a 95a. cikk (1) bekezdésében vagy a 97m. cikk (5) bekezdésének harmadik francia bekezdésében említett származási igazolásokon szereplő kedvezményezett ország,
- a további megmunkálás vagy feldolgozás után kivitt termékek esetében a második albekezdés alapján meghatározott származási ország.
(5) Valamely, az I. vagy a III. csoportba tartozó kedvezményezett ország hatóságainak kérelmére a Bizottság engedélyezheti a regionális kumuláció ezen csoportokba tartozó országok közötti alkalmazását, amennyiben meggyőződik arról, hogy az alábbi feltételek mindegyike teljesül:
a) teljesülnek a (2) bekezdés a) és b) pontjában előírt feltételek; és
b) a szóban forgó regionális kumulációban részt vevő országok vállalták a következőket, és ebbéli vállalásukat közösen megküldték a Bizottságnak:
i. teljesítik e szakasz rendelkezéseit, illetőleg biztosítják azt; és
ii. az e szakasz helyes végrehajtásának biztosításához szükséges mértékben igazgatási együttműködést folytatnak mind az Európai Unióval, mind egymással.
Az első albekezdésben említett kérelemben bizonyítékokat kell szolgáltatni az ugyanazon albekezdésben előírt követelmények teljesüléséről. A kérelmet a Bizottsághoz kell intézni. A Bizottság a kérelem elbírálását a kumulációhoz kapcsolódóan relevánsnak ítélt összes elem alapján végzi, ideértve a kumuláció tárgyát képező anyagokat is.
(6) Az I. vagy a III. csoportba tartozó valamely kedvezményezett országban a másik csoporthoz tartozó országok valamelyikéből származó anyagok felhasználásával előállított terméknek az Európai Unióba történő kivitelekor a termék származását a következők szerint kell megállapítani:
a) Az egyik regionális csoport valamely országából származó anyagokat a másik regionális csoport valamely országából származó anyagoknak kell tekinteni, ha ott létrejött termékbe vannak beépítve, és az utóbbi kedvezményezett országban elvégzett megmunkálás vagy feldolgozás túlmegy a 78. cikk (1) bekezdésében körülírt műveleteken, továbbá textiltermékek esetében túlmegy a 16. mellékletben körülírt műveleteken is.
b) Ha az a) pontban előírt követelmény nem teljesül, a termék származási országának a kumulációban részt vevő országok közül azt az országot kell tekinteni, amely a kumulációban részt vevő országokból származó felhasznált anyagok értékéből a legnagyobb mértékben részesül.
Ha a származási ország megállapítása az első albekezdés b) pontja alapján történik, akkor a termék exportőre által - illetőleg a regisztrált exportőri rendszer bevezetéséig az exportáló kedvezményezett ország hatóságai által - az Európai Unióba való kivitel keretében kiállított származási igazoláson származási országként az így megállapított országot kell megjelölni.
(7) Valamely kedvezményezett ország hatóságainak kérelmére a következő feltételek együttes teljesülése esetén a Bizottság engedélyezheti a kiterjesztett kumuláció alkalmazását egy meghatározott kedvezményezett ország és egy meghatározott olyan ország között, amellyel az Európai Uniónak az Általános Vám- és Kereskedelmi Egyezmény (GATT) mindenkor hatályos változatának XXIV. cikke értelmében szabadkereskedelmi megállapodása áll fenn:
a) a szóban forgó kumulációban részt vevő országok vállalták, hogy teljesítik e szakasz rendelkezéseit, illetőleg biztosítják azt, továbbá vállalták, hogy az e szakasz helyes végrehajtásának biztosításához szükséges mértékben igazgatási együttműködést folytatnak mind az Európai Unióval, mind egymással;
b) az a) pontban előírt vállalást az érintett kedvezményezett ország megküldte a Bizottságnak.
Az első albekezdésben említett kérelemben meg kell adni azon anyagok jegyzékét, amelyekre a kért kumuláció kiterjed, továbbá bizonyítékokat kell szolgáltatni az első albekezdés a) és b) pontjában előírt követelmények teljesüléséről. A kérelmet a Bizottsághoz kell intézni. Ha az érintett anyagok megváltoznak, akkor új kérelmet kell benyújtani.
A Harmonizált Rendszer 1-24. árucsoportjába tartozó termékek esetében kiterjesztett kumuláció nem alkalmazható.
(8) A (7) bekezdés szerinti kiterjesztett kumuláció alkalmazásában a felhasznált anyagok származását és a származásra vonatkozó okirati bizonyítékot a vonatkozó szabadkereskedelmi megállapodás rendelkezéseinek megfelelően kell megállapítani. Az Európai Unióba exportált termékek származását az e szakaszban megállapított származási szabályok alapján kell megállapítani.
A létrejött termék származónak minősüléséhez nem szükséges kielégítő megmunkáláson vagy feldolgozáson átesniük az Európai Unióba exportált termék előállítása során a kedvezményezett országok valamelyikében felhasznált azon anyagoknak, amelyek olyan országból származnak, amellyel az Európai Uniónak szabadkereskedelmi megállapodása áll fenn, amennyiben a kedvezményezett országban elvégzett megmunkálás vagy feldolgozás túlmegy a 78. cikk (1) bekezdésében körülírt műveleteken.
(9) A Bizottság Az Európai Unió Hivatalos Lapjának C sorozatában közzéteszi:
a) azt a dátumot, amelytől fogva az I. és a III. csoport meghatározott országai között az (5) bekezdés értelmében kumuláció alkalmazható, a kumulációban részt vevő országokat, valamint - adott esetben - azon anyagok jegyzékét, amelyekre a kumuláció kiterjed;
b) azt a dátumot, amelytől fogva a kiterjesztett kumuláció alkalmazható, a kumulációban részt vevő országokat, valamint azon anyagok jegyzékét, amelyekre a kumuláció kiterjed.
(10) A 2. alszakasz, a 90-95. cikk és a 7. alszakasz rendelkezései értelemszerűen alkalmazandók valamely kedvezményezett országból valamely más kedvezményezett országba regionális kumuláció alkalmazása céljából teljesített exportügyletekre.
87. cikk
Kétoldalú kumuláció vagy Norvégiával, Svájccal vagy Törökországgal való kumuláció és regionális kumuláció együttes alkalmazása esetén a létrejött terméknek a 86. cikk (4) bekezdésének első és második albekezdése alapján az érintett regionális csoport országainak valamelyikéből származónak kell minősülnie.
88. cikk
(2) Ha egy termék megmunkálása vagy feldolgozása során származó és nem származó felcserélhető anyagokat egyaránt felhasználnak, akkor a tagállamok vámhatóságai - gazdasági szereplők írásos kérelme alapján - a kétoldalú kumuláció keretében valamely kedvezményezett országba való későbbi kivitel céljából engedélyezhetik, hogy a szóban forgó anyagok kezelése az Európai Unióban a könyvelés szerinti elkülönítés módszere alapján, az érintett anyagok fizikailag elkülönített raktározása nélkül történjék.
(3) A tagállamok vámhatóságai a (2) bekezdés szerinti engedély megadását az általuk indokoltnak ítélt feltételekhez köthetik.
Az engedély csak akkor adható meg, ha a (2) bekezdésben említett módszer alkalmazása mellett biztosítható, hogy az Európai Unióból származónak tekinthető létrejött termékek száma mindenkor ugyanakkora legyen, mint amekkora az anyagok fizikailag elkülönített raktározása mellett volna.
Engedélyezése esetén a módszert az Európai Unióban alkalmazandó általános számviteli elvek alapján kell alkalmazni, és a módszer alkalmazását az Európai Unióban alkalmazandó általános számviteli elvek alapján kell nyilvántartani.
(4) A (2) bekezdésben említett módszer kedvezményezettje annyi termék esetében jogosult származási igazolást kiállítani, illetőleg a regisztrált exportőri rendszer bevezetéséig annyi termék esetében jogosult kérelmezni a származási igazolás kiállítását, amennyi az Európai Unióból származónak tekinthető. A tagállamok vámhatóságainak kérésére a kedvezményezett köteles nyilatkozatot tenni a készletek kezelésének módjáról.
(5) A tagállamok vámhatóságai figyelemmel kísérik a (2) bekezdés szerinti engedély felhasználását.
A tagállamok vámhatóságai az engedélyt visszavonhatják, ha:
a) a kedvezményezett bármilyen formában helytelenül használja fel az engedélyt; vagy
b) a kedvezményezett nem teljesíti maradéktalanul az e szakaszban és az 1a. szakaszban előírt követelményeket.
4. Alszakasz - Eltérések
89. cikk
(1) A Bizottság kezdeményezésére vagy valamely kedvezményezett ország kérésére bármely kedvezményezett országnak engedélyezhető, hogy átmenetileg eltérjen az e szakaszban foglalt rendelkezésektől, amennyiben:
a) az adott kedvezményezett országot belső vagy külső tényezők átmenetileg megakadályozzák abban, hogy a származás megszerzésére vonatkozóan a 72. cikkben rá nézve előírt követelményeket teljesítse annak ellenére, hogy korábban teljesíteni tudta őket; vagy
b) az adott kedvezményezett országnak időre van szüksége ahhoz, hogy a származás megszerzésére vonatkozóan a 72. cikkben rá nézve előírt követelményeket képes legyen teljesíteni.
(2) Az átmeneti eltérésnek az eltérés engedélyezését megalapozó belső vagy külső tényezők időtartamára, illetőleg arra az időtartamra kell korlátozódnia, amelyre a kedvezményezett országnak szüksége van a kérdéses feltételek teljesítéséhez.
(3) Az eltérés engedélyezése iránti kérelmet írásban kell benyújtani a Bizottsághoz. A kérelemben meg kell jelölni az (1) bekezdés értelmében az eltérést megalapozó tényezőket, és megfelelő dokumentumokat kell szolgáltatni a kérelem alátámasztására.
(4) Eltérés engedélyezése esetén az érintett kedvezményezett országnak maradéktalanul teljesítenie kell az eltérés felhasználásáról a Bizottság felé teljesítendő információszolgáltatással és az eltérés tárgyát képező mennyiségek kezelésével kapcsolatban megállapított követelményeket.
5. Alszakasz - A kedvezményezett országban és az Európai Unióban a regisztrált exportőri rendszer alkalmazási időpontjától a kivitellel összefüggésben alkalmazandó eljárások
90. cikk
(1) A rendszert a következo esetekben kell alkalmazni:
a) az e szakasz követelményeit teljesíto áruknak a regisztrált exportorök általi kivitelekor;
b) az egy vagy több csomagból álló, legfeljebb 6 000 EUR összértéku származó termékeket tartalmazó szállítmányok bármely exportor általi kivitelekor.
(2) A szállítmányban lévo származó termékek értéke megegyezik az exportáló ország által kiadott származásmegjelölo nyilatkozattal érintett egyazon szállítmányban lévo összes származó termék értékével.
91. cikk
(1) A kedvezményezett országok 2017. január 1-jén kezdik meg az exportorök regisztrálását.
Amennyiben azonban a kedvezményezett ország nincs abban a helyzetben, hogy ezen a napon elkezdje a regisztrálást, 2016. július 1-ig írásban értesíti a Bizottságot arról, hogy 2018. január 1-ig vagy 2019. január 1-ig elhalasztja az exportorök regisztrálását.
(2) Azon dátumot követo 12 hónapig, amely dátummal a kedvezményezett ország megkezdi az exportorök regisztrálását, az adott kedvezményezett ország illetékes hatóságai folytatják a FORM A származási bizonyítványok kiállítását azon exportorök kérésére, amelyeket a bizonyítvány kérésének idopontjában még nem regisztráltak.
A 97k. cikk (5) bekezdésének sérelme nélkül az e bekezdés elso albekezdése szerint kiadott FORM A származási bizonyítványok befogadhatók az Unióban származási igazolásként, amennyiben azokat az exportor regisztrálásának dátuma elott állítják ki.
Amennyiben valamely kedvezményezett ország illetékes hatóságai számára nehézséget jelent a regisztrációs eljárás fent említett 12 hónapon belüli lebonyolítása, a Bizottságtól kérhetik ezen idotartam meghosszabbítását. Ez a hosszabbítás nem haladhatja meg a hat hónapot.
(3) Attól a dátumtól kezdve, amelytol valamely kedvezményezett ország meg akarja kezdeni az exportorök regisztrálását, a kedvezményezett ország exportorei (függetlenül attól, hogy regisztráltak-e vagy sem) a legfeljebb 6 000 EUR összértéku származó termékeket tartalmazó szállítmányokra származásmegjelölo nyilatkozatot állítanak ki.
A regisztrálást követoen az exportorök attól a dátumtól, amelytol a regisztrációjuk a 92. cikk (5) bekezdése szerint érvényes, a 6 000 EUR-t meghaladó összértéku származó termékeket tartalmazó szállítmányokra származásmegjelölo nyilatkozatot állítanak ki.
(4) 2020. június 30-tól valamennyi kedvezményezett ország alkalmazza a regisztrált exportori rendszert.
91a. cikk
(1) 2017. január 1-jén a tagállamok vámhatóságai megkezdik a területükön letelepült exportorök és továbbküldok regisztrálását.
(2) 2018. január 1-tol valamennyi tagállam vámhatóságai beszüntetik a 84. cikk szerinti kumuláció céljára szolgáló EUR.1 szállítási bizonyítványok kiadását.
(3) 2017. december 31-ig a tagállamok vámhatóságai EUR.1 szállítási bizonyítványokat vagy helyettesíto FORM A származási bizonyítványokat állítanak ki a még nem regisztrált exportorök és továbbküldok kérésére. Ez arra az esetre is vonatkozik, amikor az Unióba küldött származó termékeket regisztrált exportor által egy kedvezményezett országban kiállított származásmegjelölo nyilatkozat kíséri.
(4) 2017. január 1-tol az unióbeli exportorök (függetlenül attól, hogy regisztráltak-e vagy sem) a legfeljebb 6 000 EUR összértéku származó termékeket tartalmazó szállítmányokra származásmegjelölo nyilatkozatot állítanak ki.
A regisztrált exportorök a 6 000 EUR-t meghaladó összértéku származó termékeket tartalmazó szállítmányokra származásmegjelölo nyilatkozatot állítanak ki attól az idoponttól, amelytol regisztrációjuk a 92. cikk (5) bekezdése szerint érvényes.
(5) A regisztrált továbbküldok helyettesíto származásmegjelölo nyilatkozatokat állíthatnak ki attól az idoponttól, amelytol a regisztrációjuk a 92. cikk (5) bekezdése szerint érvényes. Ez attól függetlenül alkalmazandó, hogy az árukat a kedvezményezett országban kiállított FORM A származási bizonyítvány vagy számlanyilatkozat vagy az exportor által kiállított származásmegjelölo nyilatkozat kíséri.
92. cikk
(1) Regisztrált exportorként való nyilvántartásba vételhez az exportornek kérelmet kell benyújtania azon kedvezményezett ország illetékes hatóságához, ahonnan az árukat exportálni szándékoznak, és ahol az áruk származónak minosülnek vagy olyan feldolgozásra kerültek, amely a 86. cikk (4) bekezdése elso albekezdése vagy a 86. cikk (6) bekezdés a) pontja nemteljesítésének minosül.
A kérelmet a 13c. mellékletben rögzített nyomtatványon kell leadni, és tartalmaznia kell az ott eloírt összes információt.
(2) Regisztrált exportorként való nyilvántartásba vételhez a valamely tagállamban letelepedett exportornek vagy továbbküldonek a 13c. mellékletben eloírt nyomtatványon kérelmet kell benyújtania az adott tagállam vámhatóságaihoz.
(3) Az exportorök közös regisztrációra kerülnek az Unió, valamint Norvégia, Svájc és - amennyiben Törökország teljesít bizonyos feltételeket - Törökország általános preferenciarendszere keretében történo exportok céljából.
A kedvezményezett ország illetékes hatóságai egy regisztráltexportor-azonosító számot rendelnek az exportorhöz az Unió, valamint Norvégia, Svájc és - amennyiben Törökország teljesít bizonyos feltételeket - Törökország GSP-rendszere keretében történo export érdekében, amennyiben ezek az országok kedvezményezett országként elismerték azt az országot, ahol a regisztráció megtörtént.
(4) A regisztrált exportorként való nyilvántartásba vétel iránti kérelemnek tartalmaznia kell a 13c. mellékletben meghatározott összes adatot.
(5) A regisztráció attól a naptól érvényes, amelyen a kedvezményezett ország illetékes hatóságai vagy a tagállam vámhatóságai megkapják a (4) bekezdéssel összhangban teljesen kitöltött nyilvántartásba vétel iránti kérelmet.
(6) A kedvezményezett ország illetékes hatóságai vagy a tagállam vámhatóságai közlik az exportorrel vagy adott esetben a továbbküldovel az adott exportorhöz, illetve továbbküldohöz rendelt regisztráltexportor-azonosító számot, valamint azt a dátumot, amelytol a regisztráció érvényes.
92a. cikk
Amennyiben egy ország felvételre kerül a 978/2012/EU rendelet II. mellékletében foglalt kedvezményezett országok közé, a Bizottság automatikusan aktiválja rendszere számára az adott országban nyilvántartott valamennyi exportor regisztrációját, feltéve, hogy az exportorök nyilvántartási adatai elérhetok a REX-rendszerben, és érvényesek legalább Norvégia, Svájc vagy - amennyiben Törökország teljesít bizonyos feltételeket - Törökország GSP-rendszeréhez.
Ebben az esetben annak az exportornek, amelyet már regisztráltak Norvégia, Svájc vagy - amennyiben Törökország teljesít bizonyos feltételeket - Törökország GSP-rendszere közül legalább az egyikbe, nem kell az Unó rendszerébe való regisztráció iránti kérelmet benyújtania az illetékes hatóságaihoz.
93. cikk
(1) A regisztrált exportorök haladéktalanul tájékoztatják a kedvezményezett ország illetékes hatóságait vagy a tagállam vámhatóságait a regisztrációhoz benyújtott adatokban történt változásokról.
(2) Azok a regisztrált exportorök, amelyek már nem felelnek meg a rendszer keretében történo áruexportálás feltételeinek, vagy már nem szándékoznak árukat exportálni a rendszer keretében, tájékoztatják errol a kedvezményezett ország illetékes hatóságait vagy a tagállam vámhatóságait.
(3) A kedvezményezett ország illetékes hatóságai vagy a tagállam vámhatóságai visszavonják a regisztrációt, amennyiben a regisztrált exportor:
a) már nem létezik;
b) már nem felel meg a rendszer keretében történo áruexportálás feltételeinek;
c) arról tájékoztatta a kedvezményezett ország illetékes hatóságait vagy a tagállam vámhatóságait, hogy már nem szándékozik árukat exportálni a rendszer keretében;
d) szándékosan vagy gondatlanul olyan származásmegjelölo nyilatkozatot állít vagy állíttat ki, amelyik valótlan adatokat tartalmaz, és a preferenciális tarifális elbánás jogtalan megszerzéséhez vezet.
(4) A kedvezményezett ország illetékes hatóságai vagy a tagállam vámhatóságai visszavonhatják a regisztrációt, amennyiben a regisztrált exportor nem frissíti nyilvántartási adatait.
(5) A regisztráció visszavonása csak a jövore vonatkozóan lép hatályba, vagyis a visszavonás dátuma után kiállított származásmegjelölo nyilatkozatok tekintetében. A regisztráció visszavonása nem befolyásolja az olyan származásmegjelölo nyilatkozatok érvényességét, amelyeket azt megelozoen állítottak ki, hogy a regisztrált exportort tájékoztatták a visszavonásról.
(6) A kedvezményezett ország illetékes hatóságai vagy a tagállam vámhatóságai tájékoztatják a regisztrált exportort regisztrációjának visszavonásáról, valamint a visszavonás hatálybalépésének idopontjáról.
(7) Az exportor vagy továbbküldo jogorvoslattal élhet regisztrációjának visszavonása esetén.
(8) Hibás visszavonás esetén törölheto a regisztrált exportor regisztrációjának visszavonása. Az exportor vagy továbbküldo jogosult a regisztráció idopontjában hozzárendelt regisztráltexportor-azonosító szám használatára.
(9) Az az exportor vagy továbbküldo, amelyiknek a regisztrációját visszavonták, a 92. cikk szerint újabb kérelmet nyújthat be regisztrált exportorként való nyilvántartásba vétel iránt. Azok az exportorök vagy továbbküldok, amelyeknek regisztrációját a (3) bekezdés d) pontja és a (4) bekezdés szerint vonták vissza, csak akkor vehetok ismét nyilvántartásba, ha igazolják azon kedvezményezett ország illetékes hatóságainak vagy azon tagállam vámhatóságainak, ahol regisztrálták oket, hogy orvosolták azt a helyzetet, amely regisztrációjuk visszavonását eredményezte.
(10) A visszavont regisztrációra vonatkozó adatokat az adatokat a rendszerben rögzíto kedvezményezett ország illetékes hatóságai, illetve tagállam vámhatóságai a REX-rendszerben tárolják a visszavonás naptári évét követo legfeljebb tíz naptári éven keresztül. E 10 naptári év lejárta után a kedvezményezett ország illetékes hatóságai vagy a tagállam vámhatóságai törlik az adatokat.
93a. cikk
(1) A Bizottság visszavonja a kedvezményezett országban regisztrált összes exportor regisztrációját, amennyiben a kedvezményezett országot törlik a 978/2012/EU rendelet II. mellékletében foglalt kedvezményezett országok közül vagy amennyiben a kedvezményezett országnak nyújtott tarifális preferenciákat a 978/2012/EU rendelettel összhangban ideiglenesen visszavonták.
(2) Amennyiben az ország ismét felvételre kerül ezen országok közé vagy amennyiben a kedvezményezett országnak nyújtott tarifális preferenciák ideiglenes visszavonása véget ért, a Bizottság újra aktiválja az adott országban regisztrált összes exportor regisztrációját, feltéve, hogy az exportorök nyilvántartási adatai elérhetok a rendszerben, és érvényesek maradtak legalább Norvégia, Svájc vagy - amennyiben Törökország teljesít bizonyos feltételeket - Törökország GSP-rendszeréhez. Ellenkezo esetben az exportoröket a 92. cikk szerint kell ismét regisztrálni.
(3) Valamely kedvezményezett országban regisztrált összes exportor regisztrációjának az (1) bekezdés szerinti visszavonása esetén a visszavont regisztrációk adatait a REX-rendszerben kell tárolni a visszavonás naptári évét követo tíz naptári éven keresztül. A tízéves idoszak lejárta után, ha a kedvezményezett ország már több mint tíz éve nem kedvezményezett ország Norvégia, Svájc vagy - amennyiben Törökország teljesít bizonyos feltételeket - Törökország GSP-rendszerében, a Bizottság törli a visszavont regisztrációkat a REX-rendszerbol.
94. cikk
(1) Az exportorök - függetlenül attól, hogy regisztrált exportornek minosülnek-e vagy sem - kötelesek:
a) megfelelo üzleti számviteli nyilvántartást vezetni a preferenciális elbánás alá eso áruk gyártásáról és beszállításáról;
b) teljes körben rendelkezésre tartani az eloállítás során felhasznált anyagokkal kapcsolatos bizonyítékokat;
c) teljes körben megorizni az eloállítás során felhasznált anyagokkal kapcsolatos vámokmányokat;
d) legalább a származásmegjelölo nyilatkozat kiállításának évét követo harmadik naptári év végéig - vagy a nemzeti jogszabályaikban eloírt ennél hosszabb idotartamig - megorizni nyilvántartásaikat:
i. az általuk kiállított származásmegjelölo nyilatkozatokról;
ii. származó és nem származó anyagaikról, gyártásukról és raktárkészleteikrol.
A nyilvántartások és származásmegjelölo nyilatkozatok elektronikus formában is orizhetok, azonban az exportált termékek eloállítása során felhasznált anyagok visszakeresését és származó voltának ellenorzését lehetové kell tenniük.
(2) Az (1) bekezdésben eloírt kötelezettségek azokra a beszállítókra is alkalmazandók, amelyek az exportorök számára az általuk szállított áruk származónak minosülésérol beszállítói nyilatkozatokat állítanak ki.
(3) Azok a továbbküldok - akár regisztráltak, akár nem -, amelyek a 97d. cikkben meghatározott helyettesíto származásmegjelölo nyilatkozatokat állítanak ki, legalább a helyettesíto származásmegjelölo nyilatkozat kiállításának évét követo harmadik naptári év végéig, vagy a nemzeti jogszabályaikban eloírt ennél hosszabb idotartamig megorzik az eredeti származásmegjelölo nyilatkozatot, amelyet helyettesítettek.
95. cikk
(1) Az exportor az érintett termékek kivitelekor származásmegjelölo nyilatkozatot állít ki, ha az érintett termékek a 86. cikk (4) bekezdésének második albekezdése vagy a 86. cikk (6) bekezdése elso albekezdésének (b) pontja értelmében az érintett kedvezményezett országból vagy másik kedvezményezett országból származónak tekinthetok.
(2) Az érintett termékek exportálását követoen is kiállítható származásmegjelölo nyilatkozat ("visszamenoleges nyilatkozat"). Az ilyen visszamenoleges nyilatkozat akkor fogadható el, ha azt legfeljebb két évvel a behozatal után bemutatják azon tagállam vámhatóságainak, ahol a szabad forgalomba bocsátásról szóló vámáru-nyilatkozatot benyújtották.
Amennyiben a szállítmányok megbontása a 74. cikk szerint történik, és feltéve, hogy betartják az elso albekezdésben meghatározott kétéves határidot, a termékeket exportáló ország exportore visszamenoleg kiállíthatja a származásmegjelölo nyilatkozatot. Ez értelemszeruen alkalmazandó, ha a szállítmányok megbontása egy másik kedvezményezett országban vagy Norvégiában, Svájcban vagy adott esetben Törökországban történik.
(3) A származásmegjelölo nyilatkozatot, amelynek a 13d. mellékletben eloírt információkat kell tartalmaznia, az exportor átadja uniós üzleti partnerének. Angol, francia vagy spanyol nyelven készül.
A származásmegjelölo nyilatkozat bármelyik olyan kereskedelmi okmányra rávezetheto, amely lehetové teszi az érintett exportor és az érintett áruk azonosítását.
(4) Az (1) és (3) bekezdés értelemszeruen alkalmazandó az Unióban kétoldalú kumuláció céljából kiállított származásmegjelölo nyilatkozatokra.
95a. cikk
(1) A kétoldalú vagy regionális kumuláció keretében felhasznált anyagok eredetének megállapítása érdekében az olyan országból származó anyagok felhasználásával készült termék exportore, amely országgal megengedett a kumuláció, az adott anyagok beszállítója által rendelkezésre bocsátott származásmegjelölo nyilatkozatra támaszkodik. Ilyenkor az exportor által kiállított származásmegjelölo nyilatkozatnak az adott esetnek megfeleloen tartalmaznia kell az "EU cumulation", "Regional cumulation", "Cumul UE", "Cumul regional", "Acumulación UE", "Acumulación regional" jelölést.
(2) A 85. cikk szerinti kumuláció keretében felhasznált anyagok eredetének megállapítása érdekében az olyan féltol származó anyagok felhasználásával készült termék exportore, amellyel megengedett a kumuláció, az adott anyagok beszállítója által rendelkezésre bocsátott származási igazolásra támaszkodik, feltéve, hogy az adott igazolást a Norvégia, Svájc vagy adott esetben Törökország GSP keretében alkalmazandó származási szabályainak megfeleloen állították ki. Ilyenkor az exportor által kiállított származásmegjelölo nyilatkozatnak az adott esetnek megfeleloen tartalmaznia kell a "Norway cumulation", "Switzerland cumulation", "Turkey cumulation", "Cumul Norvège", "Cumul Suisse", "Cumul Turquie" vagy "Acumulación Noruega", "Acumulación Suiza", "Acumulación Turquía". jelölést.
(3) A 86. cikk (7) és (8) bekezdése szerinti kiterjesztett kumuláció keretében felhasznált anyagok eredetének megállapítása érdekében az olyan féltol származó anyagok felhasználásával készült termék exportore, amellyel megengedett a kiterjesztett kumuláció, az adott anyagok beszállítója által rendelkezésre bocsátott származási igazolásra támaszkodik, feltéve, hogy az adott igazolást az Unió és az érintett fél között fennálló vonatkozó szabadkereskedelmi megállapodás rendelkezéseinek megfeleloen állították ki.
Ilyenkor az exportor által kiállított származásmegjelölo nyilatkozatnak az adott esetnek megfeleloen tartalmaznia kell az "extended cumulation with country x", "cumul étendu avec le pays x" vagy "Acumulación ampliada con el país x" jelölést.
96. cikk
(1) A származásmegjelölő nyilatkozatot szállítmányonként kell kiállítani.
(2) A származásmegjelölő nyilatkozat kiállítását követően tizenkét hónapig érvényes.
(3) Több szállítmányra egyetlen származásmegjelölő nyilatkozat állítható ki abban az esetben, ha az áruk:
a) a Harmonizált Rendszer 2. a) általános szabálya értelmében szétszerelt vagy összeszereletlen termékeknek minősülnek;
b) a Harmonizált Rendszer szerinti XVI. vagy XVII. áruosztályba vagy 7308 vagy 9406 vámtarifaszám alá tartoznak; és
c) tervezett behozataluk részszállítmányok formájában történik.
6. Alszakasz - Az Európai Unióban való szabad forgalomba bocsátással összefüggésben a regisztrált exportőri rendszer alkalmazási időpontjától alkalmazandó eljárások
96a. cikk
Ahhoz, hogy az importőrök jogosultak legyenek arra, hogy a származásmegjelölő nyilatkozat felmutatásával kedvezményt igényeljenek a rendszerből, az árukat azon a napon vagy azt a napot követően kellett exportálni, amelyen az a kedvezményezett ország, ahonnan az árukat exportálták, megkezdte az exportőrök regisztrálását a 91. cikk szerint.
97. cikk
(1) Amennyiben egy nyilatkozattevő preferenciális elbánást kér a rendszer keretén belül, a szabad forgalomba bocsátásra irányuló vámáru-nyilatkozatban hivatkoznia kell a származásmegjelölő nyilatkozatra. A származásmegjelölő nyilatkozatra való hivatkozás annak kibocsátási dátumával, yyyymmdd formátumban történik, ahol yyyy az év, mm a hónap és dd a nap. Amennyiben a szállítmányban található származó termékek összértéke meghaladja a 6 000 EUR-t, a nyilatkozattevőnek meg kell adnia a regisztráltexportőr-azonosító számát is.
(2) Ha a nyilatkozattevő a rendszer (1) bekezdés szerinti alkalmazását úgy kérte, hogy a szabad forgalomba bocsátásra vonatkozó vámáru-nyilatkozat befogadásakor nincs birtokában származásmegjelölő nyilatkozat, akkor a vámáru-nyilatkozatot a 253. cikk (1) bekezdése értelmében hiányosnak kell tekinteni és ennek megfelelően kell kezelni.
(3) A szabad forgalomba bocsátásra vonatkozó vámáru-nyilatkozat benyújtása előtt a nyilatkozattevő köteles megfelelően gondoskodni arról, hogy az áruk teljesítsék az e szakaszban foglalt rendelkezéseket; ennek érdekében különösen a következőket ellenőrzi:
i. a nyilvános internetes oldalon azt, hogy az exportőr be van jegyezve a REX-rendszerben, amennyiben a szállítmányban található származó termékek összértéke meghaladja a 6 000 EUR-t, valamint
ii. azt, hogy a származásmegjelölő nyilatkozat megfelel-e a 13d. mellékletben foglalt mintának.
97a. cikk
(1) A származásmegjelölő nyilatkozat megtételére és bemutatására vonatkozó kötelezettség nem áll fenn:
a) a magánszemély által magánszemélynek kiscsomagban küldött olyan termékek esetében, amelyek összértéke nem haladja meg az 500 EUR-t;
b) az utazók személyes poggyászának részét képező olyan termékek esetében, amelyek összértéke nem haladja meg az 1 200 EUR-t.
(2) Az (1) bekezdésben meghatározott termékeknek teljesíteniük kell a következő feltételeket:
a) behozataluk nem kereskedelmi forgalomban történik;
b) a nyilatkozattevő úgy nyilatkozott, hogy teljesítik a rendszer alkalmazásának feltételeit;
c) a b) pont szerinti nyilatkozat valóságtartalmával kapcsolatban nem merül fel kétség.
(3) A (2) bekezdés a) pontjának alkalmazásában a behozatal akkor nem kereskedelmi forgalomban történik, ha a következő feltételek együttesen teljesülnek:
a) a behozatal alkalmi jellegű;
b) a behozatal kizárólag a címzett vagy az utazó vagy családtagjaik személyes használatára szolgáló termékeket érint;
c) a termékek jellegéből és mennyiségéből nyilvánvaló, hogy behozataluk nem áll összefüggésben kereskedelmi célú megfontolással.
97b. cikk
(1) A származásmegjelölő nyilatkozatban szereplő adatok, illetve a termékek behozatalához szükséges vámalakiságok elvégzése céljából a vámhatóságokhoz benyújtott okmányokon feltüntetett adatok közötti kisebb ellentmondások felfedezése önmagában nem teszi a származásmegjelölő nyilatkozatot semmissé, ha hitelt érdemlően megállapítást nyer, hogy az okmány az adott termékekre vonatkozik.
(2) A származásmegjelölő nyilatkozat nyilvánvaló alaki hibái, mint például a gépelési hibák, nem eredményezik az okmány elutasítását, ha az okmányon tett nyilatkozatok helytálló voltát nem teszik kétségessé.
(3) Az importáló ország vámhatóságaihoz a 96. cikkben előírt érvényességi időtartam után benyújtott származásmegjelölő nyilatkozat a tarifális preferenciák alkalmazása céljából elfogadható abban az esetben, ha benyújtása az előírt határidőig rendkívüli körülmények miatt hiúsult meg. A késedelmes benyújtás más eseteiben az importáló ország vámhatóságai csak akkor fogadhatják el a származásmegjelölő nyilatkozatot, ha a termékeket az említett határidő előtt bemutatták számukra.
97c. cikk
(1) A 96. cikk (3) bekezdése szerinti eljárás a tagállamok vámhatóságai által meghatározott időtartamon belül alkalmazható.
(2) Az importáló tagállam vámhatóságai, amelyek a szabad forgalomba bocsátás egymást követő eseteit felügyelik, kötelesek ellenőrizni, hogy az egymást követő szállítmányok valóban azoknak a szétszerelt vagy összeszereletlen termékeknek a részét képezik-e, amelyekre a származásmegjelölő nyilatkozat vonatkozik.
97d. cikk
(1) Ha még nem történt meg a termékek szabad forgalomba bocsátása, akkor a termékeknek vagy azok egy részének az Unió vámterületén belül máshová vagy adott esetben Norvégiába, Svájcba vagy - amennyiben Törökország teljesít bizonyos feltételeket - Törökországba való továbbküldése céljából a származásmegjelölő nyilatkozat egy vagy több, az áruk feladója által kiállított helyettesítő származásmegjelölő nyilatkozattal helyettesíthető.
Helyettesítő származásmegjelölő nyilatkozat csak akkor állítható ki, ha az eredeti származásmegjelölő nyilatkozatot a 95. és 96. cikknek és a 13d. mellékletnek megfelelően állították ki.
(2) A továbbküldőket regisztrálni kell a származó termékeknek az Unió vámterületén belül máshová való továbbküldésére vonatkozó helyettesítő származásmegjelölő nyilatkozatok kiállítása céljából, amennyiben az eredeti megbontandó szállítmány származó termékeinek összértéke meghaladja a 6 000 EUR összeget.
Mindazonáltal a nem regisztrált továbbküldők számára is engedélyezni kell a helyettesítő származásmegjelölő nyilatkozatok kiállítását, amennyiben az eredeti megbontandó szállítmány származó termékeinek összértéke meghaladja a 6 000 EUR összeget, ha csatolják a kedvezményezett ország által kiállított eredeti származásmegjelölő nyilatkozat másolatát.
(3) Csak a REX-rendszerben regisztrált továbbküldők állíthatnak ki helyettesítő származásmegjelölő nyilatkozatokat a Norvégiába, Svájcba vagy - amennyiben Törökország teljesít bizonyos feltételeket - Törökországba küldendő származó termékekre vonatkozóan. Ez a rendelkezés az eredeti szállítmányban lévő származó termékek értékétől függetlenül alkalmazandó, tekintet nélkül arra, hogy a származási ország szerepel-e a 978/2012/EU rendelet II. mellékletében vagy sem.
(4) A helyettesítő származásmegjelölő nyilatkozat az eredeti származásmegjelölő nyilatkozat kiállítását követő tizenkét hónapig érvényes.
(5) Amennyiben egy származásmegjelölő nyilatkozat helyettesítésére kerül sor, a továbbküldőnek a következőket kell megadnia az eredeti származásmegjelölő nyilatkozaton:
a) a helyettesítő származásmegjelölő nyilatkozat vagy nyilatkozatok adatait;
b) a továbbküldő nevét és címét;
c) az uniós, illetve adott esetben norvég, svájci vagy - amennyiben Törökország teljesít bizonyos feltételeket - török címzettet vagy címzetteket.
Az eredeti származásmegjelölő nyilatkozaton fel kell tüntetni a "Replaced", "Remplacée" vagy a "Sustituida" jelölést.
(6) A továbbküldőnek az alábbiakat kell megadnia a helyettesítő származásmegjelölő nyilatkozaton:
a) a továbbküldött termékek összes adatát;
b) az eredeti származásmegjelölő nyilatkozat kiállításának dátumát;
c) a 13d. mellékletben előírt adatokat;
d) a termékek uniós továbbküldőjének nevét és címét, valamint adott esetben regisztráltexportőr-azonosító számát;
e) az uniós, illetve adott esetben norvég, svájci vagy - amennyiben Törökország teljesít bizonyos feltételeket - török címzett nevét és címét;
f) a helyettesítés dátumát és helyét.
A helyettesítő származásmegjelölő nyilatkozaton fel kell tüntetni a "Replacement statement", "Attestation de remplacement" vagy "Comunicación de sustitución" jelölést.
(7) Az (1)-(6) bekezdés alkalmazandó a helyettesítő származásmegjelölő nyilatkozat helyett kiállított nyilatkozatokra.
(8) E szakasz 7. alszakasza értelemszerűen alkalmazandó a helyettesítő származásmegjelölő nyilatkozatokra.
(9) Amennyiben a 89. cikk értelmében engedélyezett eltérés alapján a termékek tarifális preferenciákban részesülnek, az e cikkben előírt helyettesítésre csak akkor kerülhet sor, ha a termékek szándékolt rendeltetési helye az Unióban van.
97e. cikk
(1) Ha a vámhatóságok a termékek származó voltát kétségesnek tartják, felkérhetik a nyilatkozattevőt arra, hogy egy általuk ésszerűen meghatározott határidőn belül mutassa be mindazokat a rendelkezésére álló bizonyítékokat, amelyek alapján a vámáru-nyilatkozaton a származásra vonatkozóan tett utalás helytálló volta vagy a 74. cikkben előírt feltételek teljesülése ellenőrizhető.
(2) A vámhatóságok a 97h. cikkben előírt ellenőrzési eljárás időtartamára felfüggeszthetik a preferenciális tarifális intézkedés alkalmazását, ha:
a) a nyilatkozattevő által szolgáltatott információk nem elegendőek a termékek származó voltának, illetőleg a 73. vagy a 74. cikkben előírt feltételek teljesülésének ellenőrzéséhez; vagy
b) a nyilatkozattevő az (1) bekezdés értelmében meghatározott határidőn belül nem szolgáltat információkat.
(3) Az (1) bekezdés alapján a nyilatkozattevőtől kért adatok megérkezéséig, avagy a (2) bekezdésben említett ellenőrzési eljárás eredményeinek megszületéséig a szükségesnek ítélt óvintézkedések mellett az áruk kiadását az importőr részére fel kell ajánlani.
97f. cikk
(1) A behozatali tagállam vámhatóságai a következő esetekben a rendszer alkalmazását megtagadják, és nem kötelesek sem kiegészítő bizonyítékokat kérni, sem a kedvezményezett országtól ellenőrzést igényelni:
a) ha az áru nem egyezik meg a származásmegjelölő nyilatkozatban megjelölt áruval;
b) ha a nyilatkozattevő az érintett termékekre vonatkozóan nem mutat be származásmegjelölő nyilatkozatot annak ellenére, hogy ilyen nyilatkozatot be kellene mutatnia;
c) a 90. cikk b) pontjának és a 97d. cikk (1) bekezdésének sérelme nélkül akkor, ha a nyilatkozattevő birtokában lévő származásmegjelölő nyilatkozatot nem a kedvezményezett ország valamely regisztrált exportőre állította ki;
d) ha a származásmegjelölő nyilatkozat nem felel meg a 13d. mellékletben foglalt mintának;
e) ha a 74. cikkben foglalt feltételek nem teljesülnek.
(2) A behozatali tagállam vámhatóságai a rendszer alkalmazását megtagadják, ha a 97h. cikk értelmében a kedvezményezett ország illetékes hatóságaitól igényelt ellenőrzést követően:
a) olyan visszajelzést kaptak, amely szerint az exportőr nem volt jogosult a származásmegjelölő nyilatkozatot kiállítani;
b) olyan visszajelzést kaptak, amely szerint az érintett termékek nem kedvezményezett országból származnak, vagy a 73. cikkben foglalt feltételek nem teljesültek;
c) abban az esetben, ha az ellenőrzés igénylésekor alapos okkal kétségesnek tartották a származásmegjelölő nyilatkozat érvényességét vagy a kérdéses termékek valós származásával kapcsolatban a nyilatkozattevő által adott információk helytálló voltát:
i. a 97h. cikk alapján meghatározott határidőn belül nem kaptak visszajelzést; vagy
ii. olyan visszajelzést kaptak, amely nem válaszolta meg az ellenőrzés igénylésekor feltett kérdéseiket.
7. Alszakasz - A regisztrált exportőri rendszer alkalmazási időpontjától alkalmazandó származásellenőrzés
97g. cikk
(1) A termékek származónak minősülésére vonatkozó szabályok teljesülésének biztosítása érdekében a kedvezményezett ország illetékes hatóságai kötelesek:
a) a tagállamok vámhatóságai által a termékek származó voltával kapcsolatban igényelt ellenőrzéseket végrehajtani;
b) saját kezdeményezésből rendszeresen ellenőrizni az exportőröket.
Amennyiben Norvégia, Svájc és Törökország olyan megállapodást köt az Európai Unióval, amelynek értelmében a felek az igazgatási együttműködés területén kötelesek egymásnak megadni a szükséges támogatást, az első albekezdést a norvégiai, svájci és törökországi hatóságoktól a területükön kiállított helyettesítő származásmegjelölő nyilatkozatokkal kapcsolatban a kedvezményezett ország illetékes hatóságaival való további kapcsolatfelvétel kezdeményezése céljából igényelt ellenőrzésekre is értelemszerűen alkalmazni kell.
Kiterjesztett kumuláció a 86. cikk (7) és (8) bekezdése alapján csak akkor engedélyezhető, ha az az ország, amelynek az Európai Unióval hatályos szabadkereskedelmi megállapodása áll fenn, vállalta, hogy a kedvezményezett országnak az igazgatási együttműködés területén ugyanazt a támogatást megadja, amelyet az említett szabadkereskedelmi megállapodás vonatkozó rendelkezései értelmében a tagállamok vámhatóságainak megadna.
(2) Az (1) bekezdés b) pontja szerinti ellenőrzésnek biztosítania kell, hogy az exportőrök folyamatosan eleget tegyenek kötelezettségeiknek. Az ellenőrzések végrehajtásának gyakoriságát megfelelő kockázatelemzési kritériumok alapján kell meghatározni. Ebből a célból a kedvezményezett országok illetékes hatóságai kötelezhetik az exportőröket az általuk kiállított származásmegjelölő nyilatkozatok egy-egy példányának vagy átfogó listájának átadására.
(3) A kedvezményezett országok illetékes hatóságainak jogosultsággal kell rendelkezniük arra, hogy bizonyítékokat kérjenek, hogy betekintsenek az exportőrök és - az adott esetnek megfelelően - az exportőröknek termékeket szállító gyártók nyilvántartásaiba, beleértve az azok helyiségeiben végrehajtott ilyen célú ellenőrzéseket is, továbbá hogy elvégezzenek minden más szükségesnek ítélt ellenőrzést.
97h. cikk
(1) A származásmegjelölő nyilatkozatok utólagos ellenőrzését szúrópróba-szerűen kell elvégezni, továbbá minden olyan esetben, amikor a tagállamok vámhatóságai alapos okkal kétségesnek tartják hitelességüket, az érintett termékek származónak minősülését vagy az e szakaszban előírt más követelmények teljesülését.
Ha valamely tagállam vámhatóságai származásmegjelölő nyilatkozatok érvényességének, termékek származó voltának vagy mindkettőnek az ellenőrzése céljából egy kedvezményezett ország illetékes hatóságaitól együttműködést igényelnek, megkeresésükben az adott esetnek megfelelően megjelölik azokat a megfontolásokat, amelyek alapján alapos okuk van a származásmegjelölő nyilatkozat érvényességét, illetve a termékek származó helyzetét kétségesnek tartani.
Az ellenőrzés igénylésekor a tagállam vámhatóságai továbbíthatják a származásmegjelölő nyilatkozat másolatát és minden más olyan információt vagy okiratot, amely arra enged következtetni, hogy az adott nyilatkozatban szereplő információk helytelenek.
Az ellenőrzést igénylő tagállam első ízben hat hónapos határidőt tűz az ellenőrzés eredményeinek közlésére, melyet az ellenőrzés igénylésének napjától kell számítani; a Norvégiától, Svájctól vagy Törökországtól a területükön valamely kedvezményezett országban kiállított származásmegjelölő nyilatkozat alapján kiállított helyettesítő származásmegjelölő nyilatkozatra vonatkozóan igényelt ellenőrzés esetében azonban a határidőt nyolc hónapban kell megállapítani.
(2) Ha alapos kétség esetén az (1) bekezdésben megjelölt határidőn belül nem érkezik visszajelzés, vagy ha a visszajelzés nem tartalmaz elegendő információt a termékek valós származásának megállapításához, akkor az illetékes hatóságokhoz újabb megkeresést kell küldeni. Ebben a megkeresésben újabb, legfeljebb hat hónapos határidőt kell kitűzni.
(3) Ha az (1) bekezdésben előírt ellenőrzés vagy bármilyen más rendelkezésre álló információ azt jelzi, hogy a származási szabályokat megsértették, az exportáló kedvezményezett ország saját kezdeményezésére vagy a Bizottság vagy a tagállamok vámhatóságainak kérésére e szabályszegések megállapítása és megelőzése érdekében kellő sürgősséggel megfelelő vizsgálatokat hajt végre vagy gondoskodik e vizsgálatok végrehajtásáról. A Bizottság és a tagállamok vámhatóságai részt vehetnek a vizsgálatokban.
8. alszakasz - A regisztrált exportőri rendszer alkalmazási időpontjától alkalmazandó egyéb rendelkezések
97j. cikk
(1) Az 1., a 2. és a 3. alszakasz rendelkezéseit értelemszerűen alkalmazni kell annak megállapítására is, hogy a Ceutába vagy Melillába kivitt termék kedvezményezett országból származónak minősül-e, illetőleg hogy a kétoldalú kumuláció keretében kedvezményezett országba kivitt termék Ceutából és Melillából származónak minősül-e.
(2) Az 5., a 6. és a 7. alszakasz rendelkezéseit a kedvezményezett országból Ceutába vagy Melillába exportált, valamint a kétoldalú kumuláció keretében Ceutából vagy Melillából kedvezményezett országba exportált termékek esetében is értelemszerűen alkalmazni kell.
(3) Az 1., a 2., a 3., az 5., a 6. és a 7. alszakaszban foglalt rendelkezések Ceutában és Melillában való alkalmazásáról a spanyol vámhatóságok gondoskodnak.
(4) Az (1) és a (2) bekezdés alkalmazásában Ceutát és Melillát egyetlen területnek kell tekinteni.
1A. Szakasz
FORM A származási bizonyítvány, számlanyilatkozat vagy EUR.1 szállítási bizonyítvány használatával történő exportok tekintetében alkalmazandó igazgatási együttműködési eljárások és módszerek
1. Alszakasz - Általános elvek
97k. cikk
(1) Valamennyi kedvezményezett ország köteles betartani a következő rendelkezéseket, illetve köteles gondoskodni betartásukról:
a) az exportált termékekre vonatkozóan az 1. szakaszban előírt származási szabályokat;
b) a FORM A származási bizonyítványnak a 17. mellékletben foglalt mintának megfelelő kitöltésére és kiadására vonatkozó szabályokat;
c) a 18. mellékletben foglalt mintának megfelelő számlanyilatkozatok használatára vonatkozó szabályokat;
d) az igazgatási együttműködés módszereire vonatkozóan a 97s. cikkben megállapított rendelkezéseket;
e) az eltérések engedélyezésére vonatkozóan a 89. cikkben megállapított rendelkezéseket.
(2) A kedvezményezett országok illetékes hatóságai kötelesek együttműködni a Bizottsággal és a tagállamokkal, ennek keretében kötelesek különösen:
a) minden szükséges támogatást megadni abban az esetben, ha a Bizottság a rendszernek az adott országban való helyes igazgatásával kapcsolatos ellenőrzési tevékenysége keretében arra igényt tart, ideértve a Bizottság vagy a tagállamok vámhatóságai által tett helyszíni ellenőrző látogatásokat is;
b) a 97s. és a 97t. cikk sérelme nélkül ellenőrizni a termékek származó voltát és az e szakaszban megállapított egyéb feltételek teljesülését, ideértve a helyszíni látogatások végrehajtását is, ha a Bizottság vagy valamely tagállam vámhatóságai a származásra vonatkozó vizsgálatok keretében arra igényt tartanak.
(3) Ha egy kedvezményezett országban megtörténik az illetékes hatóság kijelölése a FORM A származási bizonyítványok kiadásának céljára, továbbá származásra vonatkozó okirati bizonyítékok ellenőrzése folyik és az Európai Unióba teljesítendő exportügyletek céljára FORM A származási bizonyítványok kerülnek kiadásra, akkor úgy kell tekinteni, hogy az adott kedvezményezett ország elfogadta az (1) bekezdésben előírt feltételeket.
(4) Ha egy ország vagy terület a 978/2012/EU rendeletben meghatározott termékek vonatkozásában akár újonnan, akár ismételten kedvezményezett országként elismerésre kerül, akkor az adott országból vagy területről származó termékekre az általános tarifális preferenciák rendszerét akkor kell alkalmazni, ha az adott kedvezményezett országból vagy területről való kivitelük a 97s. cikkben meghatározott napon vagy azt követően történt.
(5) A származási igazolás a kiviteli országban történő kiállításának napjától számítva tíz hónapig érvényes, és eddig a határidőig be kell nyújtani a behozatali ország vámhatóságainak.
(6) E szakasz 2. és 3. alszakaszának alkalmazásában, amennyiben egy országot vagy területet eltávolítanak a kedvezményezett országoknak a 97s. cikk (2) bekezdésében említett jegyzékéből, a 97k. cikk (2) bekezdésében, a 97 l. cikk (5) bekezdésében, a 97t. cikk (3), (4), (6) és (7) bekezdésében és a 97u. cikk (1) bekezdésében foglalt kötelezettségek a jegyzékről való eltávolítást követő hároméves időszakban továbbra is alkalmazandók az adott ország vagy terület vonatkozásában.
(7) A (6) bekezdésben említett kötelezettségek Szingapúr vonatkozásában 2014. január 1-jétől kezdődő hároméves időszakban alkalmazandók.
2. Alszakasz - A kedvezményezett országban a kivitellel összefüggésben alkalmazandó eljárások
97l. cikk
(1) A FORM A származási bizonyítványt a 17. mellékletben található mintának megfelelően, az exportőr vagy meghatalmazott képviselője írásos kérelmére kell kiállítani; a kérelemhez csatolni kell azokat a megfelelő okmányokat, amelyek tanúsítják, hogy az exportügylet tárgyát képező termék teljesíti a FORM A származási bizonyítvány kiadására vonatkozó követelményeket.
(2) A kedvezményezett országok illetékes hatóságai az exportőr rendelkezésére bocsátják a FORM A származási bizonyítványokat, amint a kivitel megtörtént vagy azt biztosították. A kedvezményezett országok illetékes hatóságai mindazonáltal az érintett termékek kivitelét követően is kiállíthatnak FORM A származási bizonyítványt, amennyiben:
a) a kivitel alkalmával tévedésből, nem szándékos mulasztásból, vagy egyéb különleges körülmények miatt nem állították ki; vagy
b) az illetékes hatóságok számára hitelt érdemlően bizonyítást nyer, hogy a FORM A származási bizonyítvány kiállítása megtörtént ugyan, de az behozatalkor technikai okok miatt nem került elfogadásra; vagy
c) az érintett termékek végleges rendeltetési helyét a szállítás vagy tárolás során és a szállítmány esetleges megbontását követően határozták meg, a 74. cikk szerint.
(3) A kedvezményezett országok illetékes hatóságai csak akkor állíthatnak ki visszamenőlegesen bizonyítványt, ha ellenőrizték, hogy az exportőr visszamenőlegesen kiállított FORM A származási bizonyítvány iránti kérelmében megadott adatok összhangban állnak-e a megfelelő kiviteli dokumentumokban megadott adatokkal, és hogy a FORM A származási bizonyítványt nem a szóban forgó termékek kivitelekor állították ki. A visszamenőlegesen kiállított FORM A származási bizonyítvány 4. rovatában fel kell tüntetni az "Issued retrospectively", "Délivré a posteriori" vagy "emitido a posteriori" jelölést.
(4) Ha a FORM A származási bizonyítványt ellopják, az elvész vagy megsemmisül, az exportőr a bizonyítványt eredetileg kibocsátó illetékes hatóságtól - az annak birtokában lévő kiviteli okmányok alapján - kérheti másodlat kibocsátását. A FORM A származási bizonyítvány másolatának 4. rovatában fel kell tüntetni a "Duplicate", "Duplicata" vagy "Duplicado" jelölést, a kiállítás dátumát és az eredeti bizonyítvány sorszámát. A másodlat az eredeti okmány kiállításának napjától fogva hatályos.
(5) Az illetékes kormányzati hatóságoknak jogosultsággal kell rendelkezniük arra, hogy minden olyan okirati bizonyítékot bekérjenek és minden olyan ellenőrzést lefolytassanak, amelyet szükségesnek tartanak annak ellenőrzéséhez, hogy a termék, amelyre a FORM A származási bizonyítvány kiállítására irányuló kérelem vonatkozik, teljesíti-e a vonatkozó származási szabályokat.
(6) A FORM A származási bizonyítvány 2. és 10. rovatának kitöltése nem kötelező. A 12. rovatban az "Európai Unió" megnevezést vagy valamely tagállam nevét kell feltüntetni. A 11. rovatban a FORM A származási bizonyítvány kiállításának dátumát kell feltüntetni. Ugyanezt a rovatot, mely a bizonyítványt kiállító illetékes kormányzati hatóság számára van fenntartva, valamint a 12. rovatot, mely az exportőr képviseletére jogosult személy aláírása számára van fenntartva, kézzel kell aláírni.
97m. cikk
(1) Egy vagy több csomagból álló, legfeljebb 6 000 EUR összértékű származó terméket tartalmazó szállítmány vonatkozásában a számlanyilatkozatot egy adott kedvezményezett országban tevékenykedő bármely exportőr kiállíthatja, amennyiben az adott eljárás a 97k. cikk (2) bekezdése szerinti igazgatási együttműködés hatálya alá tartozik.
(2) A számlanyilatkozatot kiállító exportőr köteles a kiviteli ország vámhatóságainak vagy más illetékes kormányzati hatóságainak kérésére bármely időpontban benyújtani minden olyan okiratot, amely igazolja, hogy az adott termékek származónak minősülnek.
(3) Az exportőr a számlanyilatkozatot francia vagy angol nyelven köteles kiállítani oly módon, hogy a számlára, a szállítólevélre vagy bármely más kereskedelmi okmányra rágépeli, rábélyegzi vagy rányomtatja a 18. mellékletben meghatározott szöveget. A kézzel írt nyilatkozatot nyomtatott betűkkel, tintával kell elkészíteni. A számlanyilatkozaton szerepelnie kell az exportőr saját kézzel írott eredeti aláírásának.
(4) A számlanyilatkozat használatának feltételei a következők:
a) minden egyes szállítmány esetében külön számlanyilatkozatot kell kiállítani;
b) ha a szállítmányt alkotó áruk származó voltát a kiviteli országban a származó termékek meghatározására vonatkozó szabályok szerint már ellenőrizték, az exportőr a számlanyilatkozatban erre az ellenőrzésre utalhat.
(5) A 84., a 85. vagy a 86. cikkben előírt kumuláció alkalmazása esetén a kedvezményezett ország azon illetékes kormányzati hatóságai, amelyektől FORM A származási bizonyítvány kibocsátását kérték olyan termékre vonatkozóan, amelynek előállítása olyan féltől származó anyagok felhasználásával történt, amellyel lehetőség van a kumulációra, a következő okmányokra támaszkodnak:
- kétoldalú kumuláció esetén az exportőr beszállítója által rendelkezésre bocsátott, az 5. alszakasz rendelkezéseinek megfelelően kiállított származási igazolásra,
- Norvégiával, Svájccal vagy Törökországgal való kumuláció esetén az exportőr beszállítója által rendelkezésre bocsátott, az adott esetnek megfelelően a Norvégia, Svájc vagy Törökország esetében a GSP keretében alkalmazandó származási szabályoknak megfelelően kiállított származási igazolásra,
- regionális kumuláció esetén az exportőr beszállítója által rendelkezésre bocsátott származási igazolásra, amely az adott esetnek megfelelően vagy a 17. mellékletben található minta szerint kiállított FORM A származási bizonyítvány, vagy a 18. mellékletben található szöveggel kiállított számlanyilatkozat,
- kiterjesztett kumuláció esetén az exportőr beszállítója által rendelkezésre bocsátott, az Európai Unió és az érintett ország között fennálló szabadkereskedelmi megállapodás rendelkezéseinek megfelelően kiállított származási igazolásra.
Az első albekezdés első, második, harmadik és negyedik francia bekezdésében említett esetekben a FORM A származási bizonyítvány 4. rovatába az adott esetnek megfelelően az "EU cumulation", "Norway cumulation", "Switzerland cumulation", "Turkey cumulation", "Regional cumulation", "Extended cumulation with country X" vagy a "Cumul UE", "Cumul Norvège", "Cumul Suisse", "Cumul Turquie", "Cumul régional", "Cumul étendu avec le pays X" szövegek valamelyikét kell beírni.
3. Alszakasz - Az Európai Unióban való szabad forgalomba bocsátással összefüggésben alkalmazandó eljárások
97n. cikk
(1) A FORM A származási bizonyítványokat és a számlanyilatkozatokat az importáló tagállam vámhatóságainál, a vámáru-nyilatkozatokra vonatkozó eljárásoknak megfelelően kell benyújtani.
(2) Az importáló ország vámhatóságainál a 97k. cikk (5) bekezdésében előírt érvényességi időtartam után benyújtott származási igazolás a tarifális preferenciák alkalmazása céljából abban az esetben fogadható el, ha benyújtása az előírt határidőig rendkívüli körülmények miatt hiúsult meg. A késedelmes benyújtás más eseteiben az importáló ország vámhatóságai csak akkor fogadhatják el a származási igazolást, ha a termékeket az említett határidő előtt bemutatták számukra.
97o. cikk
(1) Ha az importőr kérésére és a behozatali tagállam vámhatóságai által megszabott feltételek mellett a Harmonizált Rendszer 2. a) általános szabálya értelmében szétszereltnek vagy összeszereletlennek minősülő, a Harmonizált Rendszer szerinti XVI. vagy XVII. áruosztályba vagy 7308 vagy 9406 vámtarifaszám alá tartozó termékek behozatala részszállítmányok formájában történik, akkor ezekre a termékekre elegendő az első részszállítmány behozatalakor egyetlen származási igazolást benyújtani a vámhatóságokhoz.
(2) Az importőr kérésére és a behozatali tagállam vámhatóságai által megszabott feltételek mellett elegendő az első szállítmány behozatalakor egyetlen származási igazolást benyújtani a vámhatóságokhoz, ha az áruk:
a) behozatala rendszeres és folyamatos kereskedelmi forgalomban, jelentős értékben történik;
b) olyan egyetlen adásvételi szerződés tárgyát képezik, amelynek szerződő felei a kiviteli országban vagy a tagállamokban vagy azok valamelyikében vannak letelepedve;
c) a Kombinált Nómenklatúra azonos (nyolc számjegyű) kódja alá tartoznak;
d) kizárólag egyetlen exportőrtől származnak, a rendeltetésük egyetlen importőr, és egyetlen tagállam egyetlen vámhivatalában vetik őket alá a beléptetési alakiságoknak.
Ez az eljárás az illetékes vámhatóságok által meghatározott időtartam alatt alkalmazható.
97p. cikk
(1) Ha a származó termékek egyetlen tagállam egyetlen vámhivatalának felügyelete alatt vannak, akkor ezeknek a termékeknek vagy azok egy részének az Európai Unión belül máshová vagy - ha lehetséges - Norvégiába, Svájcba vagy Törökországba való továbbküldése céljából az eredeti származási igazolás egy vagy több FORM A származási bizonyítvánnyal helyettesíthető.
(2) A helyettesítő FORM A származási bizonyítványokat az a vámhivatal bocsátja ki, amelynek felügyelete alatt a termékek vannak. A helyettesítő bizonyítványt a reexportőr írásos kérelmére kell kiállítani.
(3) A helyettesítő bizonyítvány jobb felső rovatában fel kell tüntetni annak a közbülső országnak a nevét, ahol a bizonyítványt kibocsátották. A 4. rovatba a "Replacement certificate" vagy a "Certificat de remplacement" ("Helyettesítő bizonyítvány") szöveget, valamint az eredeti származási bizonyítvány kibocsátási dátumát és sorszámát kell beírni. Az 1. rovatban meg kell adni a reexportőr nevét. A 2. rovatban megadható a végső címzett nevét. A 3-9. rovatba a továbbküldött terméknek az eredeti bizonyítványon található összes adatát át kell vezetni, a 10. rovatba pedig a reexportőr által kiállított számla adatait kell beírni.
(4) A helyettesítő bizonyítványt kibocsátó vámhatóságok záradékkal látják el a 11. rovatot. A hatóságok felelőssége a helyettesítő bizonyítvány kiadására korlátozódik. A 12. rovatba a származási országra és a rendeltetési országra vonatkozó adatokat az eredeti bizonyítványról kell átvezetni. Ezt a rovatot a reexportőr köteles aláírni. A rovatot jóhiszeműen aláíró reexportőr nem felelős az eredeti bizonyítványon szereplő adatok helytálló voltáért.
(5) Az (1) bekezdésben körülírt művelet elvégzésére felkért vámhivatal az eredeti bizonyítványra feljegyzi a továbbított termékek tömegét, darabszámát és jellegét, valamint a helyettesítő bizonyítvány vagy bizonyítványok sorszámát. A vámhivatal az eredeti bizonyítványt legalább három évig megőrzi. Az eredeti bizonyítvány fénymásolatban a helyettesítő bizonyítványhoz csatolható.
(6) A 89. cikk értelmében engedélyezett eltérés alapján tarifális preferenciákban részesülő termékek esetében az e cikkben előírt eljárás csak akkor alkalmazható, ha a termékek szándékolt rendeltetési helye az Unióban van.
97q. cikk
(1) A magánszemély által magánszemélynek kiscsomagban küldött termékek és az utazók személyes poggyászának részét képező termékek FORM A származási bizonyítvány és számlanyilatkozat bemutatása nélkül is származónak tekinthetők és élvezhetik a 66. cikkben előírt tarifális preferenciákat, amennyiben:
a) a termékek:
i. behozatala nem kereskedelmi forgalomban történik;
ii. a nyilatkozattevő nyilatkozata szerint teljesítik a rendszer alkalmazásának feltételeit;
b) az a) pont ii. alpontja szerinti nyilatkozat valóságtartalmával kapcsolatban nem merül fel kétség.
(2) A behozatal a következő feltételek együttes teljesülése esetén nem kereskedelmi forgalomban történik:
a) a behozatal alkalmi jellegű;
b) a behozatal kizárólag a címzett vagy az utazó vagy családtagjaik személyes használatára szolgáló termékeket érint;
c) a termékek jellegéből és mennyiségéből nyilvánvaló, hogy behozataluk nem áll összefüggésben kereskedelmi célú megfontolással.
(3) A (2) bekezdés hatálya alá tartozó termékek összértéke kiscsomagok esetében az 500 EUR-t, az utazók személyes poggyászának részét képező termékek esetében az 1 200 EUR-t nem haladhatja meg.
97r. cikk
(1) A FORM A származási bizonyítványban vagy számlanyilatkozaton szereplő adatok, illetve a termékek behozatalához szükséges vámalakiságok elvégzése céljából a vámhivatalnak benyújtott okmányokon feltüntetett adatok közötti kisebb ellentmondások felfedezése önmagában nem teszi a bizonyítványt vagy számlanyilatkozatot semmissé, ha hitelt érdemlően megállapítást nyer, hogy az okmány a bemutatott termékekre vonatkozik.
(2) A FORM A származási bizonyítvány, az EUR.1 szállítási bizonyítvány vagy a számlanyilatkozat egyértelmű alaki hibái nem eredményezik az okmány elutasítását, ha az okmányon tett nyilatkozatok helytálló voltát nem teszik kétségessé.
4. Alszakasz - Az igazgatási együttműködés módszerei
97s. cikk
(1) A kedvezményezett országok kötelesek átadni a Bizottságnak a területükön lévő azon kormányzati hatóságok megnevezését és címét, amelyek jogosultak FORM A származási bizonyítványokat kibocsátani, az ilyen hatóságok által használt bélyegzők lenyomatmintáit, valamint a FORM A származási bizonyítványok és a számlanyilatkozatok ellenőrzéséért felelős kormányzati hatóságok megnevezését és címét.
A Bizottság ezeket az információkat továbbküldi a tagállamok vámhatóságainak. Ha az adatközlésre korábbi adatközlés módosítása keretében kerül sor, a Bizottság a kedvezményezett országok illetékes kormányzati hatóságai által rendelkezésre bocsátott információknak megfelelően jelzi az új bélyegzők használatba vételének napját. Ez a közlés bizalmas, azonban a termékek szabad forgalomba bocsátásakor a szóban forgó vámhatóságok lehetővé tehetik, hogy az importőr vagy annak kellően meghatalmazott képviselője megtekintse a bélyegzők lenyomatmintáit.
Azok a kedvezményezett országok, amelyek az első albekezdésben előírt információkat már átadták, csak akkor kötelesek ezeket az információkat ismételten átadni, ha azok közben megváltoztak.
(2) A 97k. cikk (4) bekezdésének alkalmazása céljából a Bizottság a 978/2012/EU rendeletben meghatározott termékek vonatkozásában újonnan vagy ismételten kedvezményezett országként elismert minden egyes ország és terület esetében közzéteszi Az Európai Unió Hivatalos Lapjának C sorozatában azt a dátumot, amelytől fogva az adott ország vagy terület teljesíti az e cikk (1) bekezdésében előírt kötelezettségeket.
(3) A Bizottság a kedvezményezett országok illetékes hatóságainak kérésére megküldi a kedvezményezett országoknak a tagállamok vámhatóságai által az EUR.1 szállítási bizonyítványok kiállítása céljából használt bélyegzők lenyomatmintáit.
97t. cikk
(1) A FORM A származási bizonyítványok és a számlanyilatkozatok utólagos ellenőrzését szúrópróba-szerűen kell elvégezni, továbbá minden olyan esetben, amikor a tagállamok vámhatóságai alapos okkal kétségesnek tartják hitelességüket, az érintett termékek származó helyzetét vagy az e szakaszban előírt követelmények bármelyikének teljesülését.
(2) Utólagos ellenőrzés igénylésekor a tagállamok vámhatóságai - szükség esetén az ok megjelölésével - visszaküldik az exportáló kedvezményezett ország illetékes kormányzati hatóságainak a FORM A származási bizonyítványt, a számlát (ha benyújtásra került), a számlanyilatkozatot vagy e dokumentumok másolatát. Az ellenőrzés igénylésének alátámasztására meg kell küldeni minden olyan rendelkezésre álló okiratot és adatot, amely a származási igazolás nem helytálló voltát jelzi.
Ha a tagállamok vámhatóságai úgy döntenek, hogy az ellenőrzés eredményének megszületéséig felfüggesztik a preferenciális tarifális elbánás alkalmazását, akkor az általuk szükségesnek ítélt óvintézkedések mellett felajánlják az áruk kiadását az importőrnek.
(3) Az utólagosan igényelt ellenőrzést a megkeresés megküldésétől számítva legfeljebb hat hónapon belül el kell végezni, és eredményeit meg kell küldeni a tagállamok vámhatóságainak; ez a határidő nyolc hónap abban az esetben, ha a megkeresés címzettje Norvégia, Svájc vagy Törökország, célja pedig az említett országok területén kedvezményezett országban kiállított FORM A származási bizonyítvány vagy számlanyilatkozat alapján kiállított helyettesítő származási igazolás ellenőrzése. Az eredményekből megállapíthatónak kell lennie, hogy a kérdéses származási igazolás a ténylegesen kivitt termékekre vonatkozik-e, és hogy ezek a termékek a kedvezményezett országból származónak tekinthetők-e.
(4) Kétoldalú kumuláció nyomán kibocsátott FORM A származási bizonyítványok esetében a visszajelzésnek tartalmaznia kell az EUR.1 szállítási bizonyítvány(ok) vagy - ha szükséges - a megfelelő számlanyilatkozat(ok) másolatát/másolatait.
(5) Ha alapos kétség esetén a (3) bekezdésben megjelölt hat hónapos határidőn belül nem érkezik visszajelzés, vagy ha a visszajelzés nem tartalmaz elegendő információt a kérdéses okmány hitelességének vagy a termékek valós származásának megállapításához, akkor az illetékes hatóságokhoz újabb megkeresést kell küldeni. Ha a második megkeresés megküldése után négy hónapon belül az ellenőrzést igénylő hatóság nem kapja meg az ellenőrzés eredményeit, vagy ha az eredmények nem teszik lehetővé a kérdéses okmány hitelességének vagy a termékek valós származásának megállapítását, akkor - hacsak kivételes körülmények nem állnak fenn - az ellenőrzést igénylő hatóság megtagadja a preferenciális tarifális elbánást.
(6) Ha az ellenőrzési eljárás vagy bármilyen más rendelkezésre álló információ azt jelzi, hogy a származási szabályokat megsértették, az exportáló kedvezményezett ország saját kezdeményezésre vagy a tagállamok vámhatóságainak kérésére e szabályszegések megállapítása és megelőzése érdekében köteles kellő sürgősséggel megfelelő vizsgálatokat lefolytatni vagy gondoskodni e vizsgálatok lefolytatásáról. Ezekben a vizsgálatokban a Bizottság és a tagállamok vámhatóságai részt vehetnek.
(7) A FORM A származási bizonyítványok utólagos ellenőrzése céljából az exportőr köteles megőrizni az érintett termékek származó voltának alátámasztására alkalmas valamennyi okmányt, az exportáló kedvezményezett ország illetékes kormányzati hatóságai pedig kötelesek másolatban megőrizni a bizonyítványt és az arra hivatkozó kiviteli okmányokat. Az említett okmányokat legalább a FORM A származási bizonyítvány kiállításának évét követő harmadik naptári év végéig kell megőrizni.
97u. cikk
(1) A 97s. és a 97t. cikk rendelkezéseit az egyazon regionális csoportba tartozó országok által a Bizottsággal vagy a tagállamok vámhatóságaival szemben fennálló információszolgáltatási kötelezettség teljesítése, valamint a regionális származási kumuláció szabályai alapján kiállított FORM A származási bizonyítványok és számlanyilatkozatok utólagos ellenőrzése céljából egymással folytatott együttműködésre is alkalmazni kell.
(2) A 85., a 97m. és a 97p. cikk alkalmazásában az Európai Unió, Norvégia, Svájc és Törökország által megkötendő megállapodásnak tartalmaznia kell egyebek mellett a felek azon vállalását, hogy az igazgatási együttműködés területén minden szükséges támogatást megadnak egymásnak.
A 86. cikk (7) és (8) bekezdése, valamint a 97k. cikk alkalmazása céljából az az ország, amelynek az Európai Unióval hatályos szabadkereskedelmi megállapodása áll fenn, és vállalta, hogy valamely kedvezményezett országgal kiterjesztett kumulációban vesz részt, köteles azt is vállalni, hogy a kérdéses kedvezményezett országnak az igazgatási együttműködés területén ugyanazt a támogatást megadja, amelyet az említett szabadkereskedelmi megállapodás vonatkozó rendelkezései értelmében a tagállamok vámhatóságainak megadna.
5. Alszakasz - A kétoldalú kumuláció céljából alkalmazandó eljárások
97v. cikk
(1) Az Európai Unióból származó termékek származónak minősülése igazolható:
a) a 21. mellékletben található mintának megfelelő EUR.1 szállítási bizonyítvány bemutatásával; vagy
b) a 18. mellékletben található szöveggel kiállított számlanyilatkozat bemutatásával. A számlanyilatkozat kiállítására legfeljebb 6 000 EUR összértékű származó terméket tartalmazó szállítmányok esetében bármely exportőr, más esetekben csak az elfogadott európai uniós exportőrök jogosultak.
(2) Az exportőr vagy meghatalmazott képviselője az EUR.1 szállítási bizonyítvány 2. rovatába a "GSP beneficiary countries" és az "EU" vagy a "Pays bénéficiaires du SPG" és az "UE" szöveget írja be.
(3) A FORM A származási bizonyítványok kibocsátására, használatára és utólagos ellenőrzésére vonatkozóan e szakaszban előírt rendelkezéseket az EUR.1 szállítási bizonyítványokra és - a kibocsátásukkal kapcsolatos rendelkezések kivételével - a számlanyilatkozatokra is értelemszerűen alkalmazni kell.
(4) A tagállamok vámhatóságai bármely olyan exportőrnek (a továbbiakban: elfogadott exportőr), amely a kétoldalú kumuláció keretében gyakran szállít az Európai Unióból származó termékeket, engedélyezhetik, hogy az érintett termékek értékétől függetlenül számlanyilatkozatot állítson ki, amennyiben a szóban forgó exportőr a vámhatóságok számára hitelt érdemlően minden szükséges garanciát megad annak ellenőrzéséhez, hogy:
a) a termékek valóban származónak minősülnek-e; és
b) az adott tagállamban alkalmazandó egyéb követelmények teljesülnek-e.
(5) A vámhatóságok az elfogadott exportőrként való engedélyezést az általuk megfelelőnek ítélt feltételekhez köthetik. A vámhatóságok az elfogadott exportőr részére vámfelhatalmazási számot adnak ki, amelyet az köteles feltüntetni a számlanyilatkozatokon.
(6) A vámhatóságok figyelemmel kísérik az engedélynek az elfogadott exportőr általi felhasználását. A vámhatóságok az engedélyt bármikor visszavonhatják.
Az engedélyt vissza kell vonni, ha:
a) az elfogadott exportőr többé nem biztosítja a (4) bekezdésben előírt garanciákat;
b) az elfogadott exportőr többé nem teljesíti az (5) bekezdésben előírt feltételeket;
c) az elfogadott exportőr az engedélyt helytelenül használja.
(7) Az elfogadott exportőr a számlanyilatkozatokat nem köteles aláírni, ha írásban nyilatkozik a vámhatóságok előtt arról, hogy a nevét tartalmazó minden számlanyilatkozatért úgy vállal teljes felelősséget, mintha saját kezűleg aláírta volna.
6. Alszakasz - Ceuta és Melilla
97w. cikk
A származási igazolások kibocsátására, használatára és utólagos ellenőrzésére vonatkozóan e szakaszban előírt rendelkezéseket a kedvezményezett országból Ceutába vagy Melillába exportált, valamint a kétoldalú kumuláció keretében Ceutából vagy Melillából kedvezményezett országba exportált termékek esetében is értelemszerűen alkalmazni kell.
Ceutát és Melillát egyetlen területnek kell tekinteni.
Az e szakaszban foglalt rendelkezések Ceutában és Melillában való alkalmazásáról a spanyol vámhatóságok gondoskodnak.
2. szakasz
A Közösség által bizonyos országok és területekvonatkozásában autonóm módon megállapítottpreferenciális tarifális intézkedésekből részesülőkedvezményezett országok és területek
97x. cikk
(1) E szakasz alkalmazásában:
a) "előállítás" : bármiféle megmunkálás vagy feldolgozás, beleértve az összeszerelést is;
b) "anyag" : a termék előállítása során felhasznált összetevő, alapanyag, alkotóelem, alkatrész stb.;
c) "termék" : az előállított termék, abban az esetben is, ha azt későbbi felhasználásra szánják egy másik előállítási műveletben;
d) "áruk" : anyagok és termékek egyaránt;
e) "vámérték" : az Általános Vámtarifa- és Kereskedelmi Egyezmény VII. cikkének végrehajtására vonatkozó 1994. évi megállapodás (a vámérték megállapításáról szóló WTO-egyezmény) szerint megállapított érték;
f) "gyártelepi ár" a 15. mellékletben található listán :
a gyártelepen a termékért azon gyártónak fizetett ár, amelynek vállalkozásában az utolsó megmunkálást vagy feldolgozást végezték, azzal a feltétellel, hogy az árnak magában kell foglalnia az összes felhasznált anyag értékét, levonva belőle a létrejövő termék kivitele esetén visszatérítendő vagy visszatéríthető mindennemű belső adót.
Ha a ténylegesen kifizetett árban nem jelenik meg a termék gyártásával összefüggésben a kedvezményezett országban ténylegesen felmerült valamennyi költség, akkor a gyártelepi ár az összes ilyen költség összegét jelenti, levonva belőle a létrejött vagy előállított termék kivitele esetén visszatérítendő vagy visszatéríthető mindennemű belső adót;
g) "anyag értéke" a 15. mellékletben található listában : a felhasznált nem származó anyagok behozatalkor érvényes vámértéke, vagy ha ez nem ismert és nem állapítható meg, az anyagért az Európai Unióban vagy a 98. cikk (1) bekezdése értelmében vett kedvezményezett országban fizetett első megállapítható ár. Ezen albekezdés rendelkezéseit a felhasznált származó anyagok vámértékének megállapítására is értelemszerűen alkalmazni kell;
h) "árucsoport", "vámtarifaszám", "alszám" : a Harmonizált Rendszert alkotó nómenklatúrán belül meghatározott árucsoport, vámtarifaszám, alszám (négy vagy hat számjegyű kódok);
i) "besorolt" : utalás arra, hogy egy termék vagy anyag a Harmonizált Rendszer egy adott vámtarifaszáma vagy alszáma alá tartozik;
j) "szállítmány" :
olyan termékek, amelyeket vagy
- egy adott exportőr egy adott címzettnek egyidejűleg szállít, vagy
- az exportőrtől a címzettig való szállításuk során egyetlen fuvarokmány, ilyen okmány hiányában egyetlen számla kísér.
(2) Az (1) bekezdés f) pontja alkalmazásában abban az esetben, ha az utolsó megmunkálást vagy feldolgozást egy bizonyos gyártó alvállalkozásban végezte, az (1) bekezdés f) pontjának első albekezdésében említett "gyártó" az alvállalkozót igénybe vevő vállalkozás is lehet
1. alszakasz - A származó termékek fogalmának meghatározása
98. cikk
(1) A Közösség által egyoldalúan elfogadott, bizonyos országokat, országcsoportokat vagy területeket (a továbbiakban: "kedvezményezett országok vagy területek") érintő preferenciális tarifális intézkedésekre vonatkozó rendelkezések alkalmazásában - az ennek a fejezetnek az 1. szakaszában említettek, valamint a Közösséggel társult tengerentúli országokat és területeket kivéve - a következő termékeket kell kedvezményezett országból vagy területekről származó termékeknek tekinteni:
a) a 99. cikk értelmében teljes egészében a kedvezményezett országban vagy területen létrejött vagy előállított termékek;
b) a kedvezményezett országban vagy területen létrejött termékek, amelynek előállítása során az a) pontban említettektől eltérő termékeket is felhasználtak, feltéve hogy az említett termékek a 100. cikk értelmében kielégítő megmunkáláson vagy feldolgozáson estek át.
(2) E szakasz alkalmazásában a (3) bekezdés értelmében a Közösségből származó olyan termékeket, amelyek egy kedvezményezett országban vagy területen a 101. cikkben leírtakon túlmenő megmunkáláson vagy feldolgozáson esnek át, az adott kedvezményezett országban vagy területről származónak kell tekinteni.
(3) Az (1) bekezdést értelemszerűen alkalmazni kell a Közösségben létrejött vagy előállított termékek származásának megállapításakor.
99. cikk
(1) Az alábbiak tekintendők teljes egészében egy kedvezményezett országból vagy területen vagy a Közösségben létrejöttnek vagy előállítottnak:
a) ott a föld mélyéből vagy a területéhez tartozó tengerfenékről kitermelt ásványi termékek;
b) az ott betakarított növényi termények;
c) az ott született és nevelt élő állatok;
d) az ott nevelt élő állatokból nyert termékek;
d) a a az adott ország területén született és felnevelt levágott állatokból nyert termékek;
e) az ott folytatott vadászatból és halászatból nyert termékek;
f) egy kedvezményezett országban vagy területen vagy a Közösség hajóival, azok felségvizein kívül a tengerből kinyert tengeri halászati termékek, illetve más, tengerből származó termékek;
g) a kizárólag az f) pontban említett termékekből a kedvezményezett ország vagy a Közösség feldolgozóhajói fedélzetén előállított termékek;
h) a kizárólag nyersanyagok visszanyerésére alkalmas, ott összegyűjtött használt cikkek;
i) az ott folytatott gyártási műveletekből származó hulladék és maradék;
j) a felségvizeken kívül fekvő tengerfenékből vagy altalajból kinyert termékek, feltéve hogy a kedvezményezett országnak vagy területnek vagy a Közösségnek kizárólagos joga van azok kiaknázására;
k) az ott kizárólag az a)-j) pontokban meghatározott termékekből előállított termékek.
(2) Az (1) bekezdés f) és g) pontjában szereplő "a kedvezményezett országban vagy területen vagy a Közösség hajói" és "a kedvezményezett ország vagy terület vagy a Közösség feldolgozóhajói" kifejezések csak olyan hajókra és feldolgozóhajókra vonatkoznak,
- amelyeket a kedvezményezett ország vagy területenban vagy egy tagállamban lajstromoztak, illetve vettek nyilvántartásba,
- amelyek a kedvezményezett ország vagy terület vagy a tagállam lobogója alatt hajóznak,
- amelyek legalább 50 %-ban a kedvezményezett ország vagy terület, illetve a tagállam állampolgárainak tulajdonában vannak, vagy olyan társaságok tulajdonát képezik, amelyek székhelye az adott köztársaságban, illetve valamely tagállamban található, amelynek vezetője vagy vezetői, igazgatótanácsának vagy felügyelő bizottságának elnöke és e testületek tagjainak többsége a kedvezményezett ország vagy terület, illetve a tagállam állampolgárai, továbbá - társaságok esetében - alaptőkéjének legalább a fele az adott köztársaságnak vagy tagállamnak, illetve az adott köztársaság vagy tagállam állampolgárainak vagy közjogi szerveinek a rendelkezési joga alá tartozik,
- amelynek kapitánya és tisztjei a kedvezményezett ország vagy terület vagy a tagállamok állampolgárai, és
- amelynek legénysége legalább 75 %-ban a kedvezményezett ország vagy terület vagy a tagállam állampolgáraiból áll.
(3) A " kedvezményezett ország vagy terület" és a "Közösség" kifejezések az adott köztársasághoz vagy tagállamhoz tartozó felségvizeket is magukban foglalják.
(4) A tengerjáró hajók - ideértve a kifogott halak feldolgozását végző feldolgozóhajókat is - azon kedvezményezett ország vagy tagállam területének részét képezik, amelyhez tartoznak, feltéve hogy a (2) bekezdésben előírt feltételeknek megfelelnek.
100. cikk
A 98. cikk alkalmazásában azok a termékek, amelyek nem teljes egészében egy kedvezményezett országban vagy területen vagy a Közösségben jöttek létre vagy kerültek előállításra, akkor tekintendők kielégítően megmunkáltnak vagy feldolgozottnak, ha a 15. mellékletben szereplő felsorolásban megállapított feltételek teljesülnek.
Ezek a feltételek az e szakaszban megemlített összes termék esetében meghatározzák azt a feldolgozást vagy a megmunkálást, amelyet az előállításkor használt nem származó anyagokon végre kell hajtani; a feltételek csak az ilyen anyagokra vonatkoznak. Ha egy olyan termék, amely a felsorolásban megállapított feltételeknek eleget téve a származó helyzetet megszerezte, felhasználásra kerül egy másik termék előállításához, nem vonatkoznak rá a felhasználásával előállított termékre vonatkozó feltételek, és nem kell figyelembe venni azokat a nem származó anyagokat, amelyeket az előállításához felhasználhattak.
101. cikk
(1) A (2) bekezdés sérelme nélkül, a származó helyzet megszerzéséhez nem elegendő megmunkálásnak vagy feldolgozásnak kell tekinteni a következő műveleteket, függetlenül attól, hogy a 100. cikkben foglalt követelmények teljesülnek-e:
a) a szállítás és a tárolás során a termékek jó állapotának megőrzését biztosító műveletek;
b) a csomagok megosztása vagy összeállítása;
c) a mosás, tisztítás; a por, oxidáció, olaj, festék vagy más külső réteg eltávolítása;
d) a textilanyagok vasalása vagy mángorlása;
e) az egyszerű festési vagy fényezési műveletek;
f) a gabonafélék és rizs hántolása, részleges vagy teljes őrlése; fényezése vagy glazúrozása;
g) a cukor színezésére és ízesítésére, a formázott cukor előállítására irányuló műveletek, a kristálycukor részleges és teljes őrlése;
h) a gyümölcsök, dió- és zöldségfélék héjtalanítása, magozása és hámozása;
i) az élezés, egyszerű köszörülés vagy egyszerű vágás;
j) a szitálás, rostálás, válogatás, osztályozás, méret szerinti osztályozás, összepárosítás (beleértve az árucikk-készletek összeállítását is);
k) az egyszerű palackba, üvegbe, konzervdobozba, flakonba, zsákba, ládába, dobozba való helyezés, kartonra vagy táblára való rögzítés, és minden egyéb egyszerű csomagolási művelet;
l) a jelzések, címkék, logók és más hasonló megkülönböztető jelek elhelyezése a termékeken vagy csomagolásukon, vagy azokra való rányomtatása;
m) a különböző vagy azonos fajtájú termékek egyszerű keverése, a cukor keverése bármely anyaggal;
m) a a termékekhez való egyszerű vízhozzáadás, vagy a termékek egyszerű hígítása vagy víztelenítése vagy denaturálása;
n) árucikkek alkatrészeinek egyszerű összeszerelése, hogy azok egy teljes árucikket képezzenek, vagy a termékek részekre való szétszerelése;
o) az a)-n) pontban meghatározott legalább két művelet kombinációja;
p) az állatok levágása.
(2) A kedvezményezett országban vagy területen vagy a Közösségben egy adott termékkel kapcsolatban végrehajtott összes művelet figyelembevételével történik annak meghatározása, hogy a terméken végrehajtott megmunkálás vagy feldolgozás nem elegendőnek tekintendő-e az (1) bekezdés értelmében.
101a. cikk
(1) E szakasz rendelkezéseinek alkalmazásában a minősítési egység az az adott termék, amelyet a Harmonizált Rendszer nómenklatúrája szerint történő besorolásánál alapegységnek kell tekinteni
Ebből tehát az következik, hogy:
a) amikor egy terméket a Harmonizált Rendszer alapján egyetlen vámtarifaszám alá besorolt áruk csoportja vagy halmaza alkot, akkor az egész együtt képezi a minősítés egységét;
b) amikor egy szállítmány a Harmonizált Rendszer azonos vámtarifaszáma alá sorolt több azonos termékből áll, e szakasz rendelkezéseinek alkalmazásakor minden egyes terméket egyedileg kell figyelembe venni.
(2) Amennyiben a Harmonizált Rendszer 5. általános szabálya szerint besorolási szempontból a csomagolás a termék részét képezi, akkor a származás meghatározásakor a termékkel megegyező megítélés alá esik.
102. cikk
(1) A 100. cikk rendelkezéseitől eltérve nem származó anyagok is felhasználhatók egy adott termék előállítása során, feltéve hogy azok összértéke nem haladja meg a termék gyártelepi árának 10 %-át.
Ahol a listában egynél több százalékos arány szerepel a nem származó anyagok maximális értékére vonatkozóan, az ilyen százalékos arányok nem léphetők túl az első albekezdés alkalmazásakor.
(2) Az (1) bekezdés nem vonatkozik a Harmonizált Rendszer 50-63. árucsoportjába tartozó termékekre.
103. cikk
Azok a berendezéssel, géppel, készülékkel vagy járművel együtt szállított tartozékok, pótalkatrészek és szerszámok, amelyek a normál felszerelés részét képezik, és annak árában benne foglaltatnak, vagy amelyek nem kerülnek külön számlázásra, úgy tekintendők, mint amelyek a kérdéses berendezés, gép, készülék vagy jármű részei, amelyek a berendezés szokásos tartozékai,
104. cikk
A Harmonizált Rendszer 3. általános szabálya szerint meghatározott készleteket származónak kell tekinteni, ha az azokat alkotó összes termék is származó. Mindazonáltal, ha egy készlet származó és nem származó termékeket egyaránt tartalmaz, a készletet, mint egészet származónak kell tekinteni, feltéve hogy a nem származó termékek értéke nem haladja meg a készlet gyártelepi árának 15 %-át.
105. cikk
Annak meghatározásához, hogy egy termék származó-e, nem szükséges meghatározni az alábbi, előállításkor használt áruk származását:
a) energia és tüzelőanyag;
b) felszerelés és berendezések;
c) gépek és szerszámok;
d) olyan áruk, amelyek nem kerülnek bele és amelyeket nem is terveznek beépíteni a termék végső összetételébe.
106. cikk
Az e szakaszban a származó helyzet megszerzéséhez meghatározott feltételeket folyamatosan teljesíteni kell a kedvezményezett országban vagy területen vagy a Közösségben.
Ha a kedvezményezett országból vagy területről vagy a Közösségből egy másik országba kivitt származó termékeket visszaviszik, azokat nem származónak kell tekinteni, kivéve, ha az illetékes hatóságok megelégedésére igazolható, hogy:
- a visszavitt termékek azonosak a kivitt termékekkel, és
- az adott országbeli tartózkodásuk vagy szállításuk alatt a jó állapotban való megőrzéséhez szükségeseken kívül semmilyen műveleten nem estek át.
107. cikk
(1) Az alábbiak tekintendők a kedvezményezett országból vagy területről a Közösségbe vagy a Közösségből a kedvezményezett országban vagy területreba történő közvetlen szállításnak:
a) a termékek szállítása más ország területének érintése nélkül;
b) a kedvezményezett országok vagy területek vagy a Közösségen kívül más ország területén átszállított, egyetlen szállítmányt alkotó termékek, amelyeket esetleg átrakodnak vagy ideiglenesen raktároznak az adott országban, feltéve hogy a termékek a tranzitországban vagy raktározás szerinti országban a vámhatóságok felügyelete alatt maradnak, és nem esnek át semmilyen műveleten, a kirakodáson, újra berakodáson vagy a jó állapotban történő megőrzést célzó bármilyen más műveleten kívül;
c) olyan termékek, amelyeket megszakítás nélkül, csővezetékeken szállítanak egy, a kedvezményezett országok vagy területek területén kívüli vagy a Közösség területén kívüli területen keresztül.
(2) Az (1) bekezdés b) pontjában meghatározott feltételek teljesítését az alábbi okmányokat benyújtásával kell bizonytani az illetékes vámhatóságnak:
a) az exportáló országból a tranzitországon való áthaladásra vonatkozó egyetlen fuvarokmány; vagy
b) a tranzitország vámhatóságai által kibocsátott igazolás, amely:
- pontos leírást ad a termékekről,
- tartalmazza a termék kirakodásának és újra berakodásának napját, illetve, ahol szükséges, a hajó vagy egyéb felhasznált szállítóeszköz nevét, és
- tanúsítja a termékek tranzitországban való tartózkodásának feltételeit;
c) vagy ezek hiányában bármilyen bizonyító erejű okmány.
108. cikk
(1) Egy kedvezményezett országból vagy területről egy másik országban megrendezett kiállításra küldött, és a kiállítást követően a Közösségbe történő behozatal céljára értékesített származó termékek a Közösségbe történő behozatalukkor jogosultak a 98. cikkben említett preferenciális tarifális elbánásra, feltéve hogy a termékek megfelelnek e szakasz szerinti, a kedvezményezett országból vagy területről származóként való elismerés feltételeinek, és feltéve hogy az illetékes Közösségen belüli vámhatóságok számára hitelt érdemlően igazolják, hogy:
a) az exportőr a termékeket a kedvezményezett országból vagy területről közvetlenül továbbította abba az országba, ahol a kiállítást tartották, és azokat ott kiállította;
b) a termékeket az exportőr egy közösségbeli személy részére értékesítette vagy más módon rendelkezett róla;
c) a termékeket a kiállítás ideje alatt vagy azt követően haladéktalanul továbbították a Közösségbe ugyanabban az állapotban, amelyben azokat a kiállításra küldték;
d) a termékeket a kiállításra küldésük óta a kiállításon való bemutatáson kívül semmilyen célra nem használták.
(2) Az EUR.1 szállítási bizonyítványt a szokásos módon kell benyújtani a közösségi vámhatóságoknak. Ezen fel kell tüntetni a kiállítás nevét és címét. Ha szükséges, a termékek jellegével és a kiállításuk körülményeivel kapcsolatos további okmányszerű bizonyíték is megkövetelhető.
(3) Az (1) bekezdést alkalmazni kell minden olyan kereskedelmi, ipari, mezőgazdasági vagy kézműves-kiállításra, -vásárra vagy hasonló nyilvános rendezvényre vagy bemutatóra, amelyet nem eladóhelyeken vagy üzlethelyiségekben magáncélra, külföldi áruk értékesítése céljából szerveznek, és amelynek során a termékek a vámhatóság felügyelete alatt maradnak.
2. alszakasz - A származás igazolása
109. cikk
A kedvezményezett országokból vagy területről származó termékek a 98. cikkben említett preferenciális tarifális elbánás kedvezményében az alábbi okmányok benyújtása esetén részesülhetnek:
a) EUR.1 szállítási bizonyítvány, amelynek mintája a 21. mellékletben látható; vagy
b) a 116. cikk (1) bekezdésében meghatározott esetekben egy, az exportőr által a számlán, szállítólevélen vagy bármilyen más kereskedelmi okmányon tett, a 22. mellékletben olvasható szövegű nyilatkozat, amely kellő részletességgel leírja az érintett terméket ahhoz, hogy lehetővé váljék annak azonosítása (a továbbiakban: "számlanyilatkozat").
Az EUR.1 szállítási bizonyítványok 7. rovatában vagy a számlanyilatkozaton fel kell tüntetni az "Autonomous trade measures" vagy a "Mesures commerciales autonomes" jelölést.
a) AZ EUR.1 SZÁLLÍTÁSI BIZONYÍTVÁNY
110. cikk
(1) Az e szakasz szerinti származó termékek a Közösségbe történő behozataluk esetén - amennyiben azokat a 107. cikk értelmében közvetlenül szállították a Közösségbe - a 98. cikkben meghatározott preferenciális elbánásban részesülhetnek olyan EUR.1 szállítási bizonyítvány bemutatásával, amelyet a kedvezményezett ország vagy terület vámhatósága vagy egyéb illetékes kormányzati hatósága állított ki feltéve, hogy ezen kedvezményezett országok vagy területek hatóságai:
- közölték a Bizottsággal a 121. cikkben megkövetelt információt, és
- segítséget nyújtanak a Közösségnek azáltal, hogy lehetővé teszik a tagállamok vámhatóságai számára az okmány hitelességének, illetve a szóban forgó termékek valódi származására vonatkozó tájékoztatás helytállóságának ellenőrzését.
(2) Az EUR.1 szállítási bizonyítvány csak akkor adható ki, ha a 98. cikkben említett preferenciális elbánás alkalmazása céljából előírt igazoló okmányként szolgál.
(3) Az EUR.1 szállítási bizonyítványt csak az exportőr vagy annak meghatalmazott képviselője által írásban benyújtott kérelemre lehet kiállítani. A kérelmet a 21. mellékletben szereplő mintának megfelelő nyomtatványon kell benyújtani és ezen alszakasz rendelkezései szerint kell kitölteni.
Az exportáló kedvezményezett ország vagy terület vagy a tagállam illetékes hatóságai legalább három évig megőrzik az EUR.1 szállítási bizonyítvány iránti kérelmeket.
(4) Az exportőr vagy annak meghatalmazott képviselője kérelmével együtt - annak alátámasztásaként - be kell nyújtania minden megfelelő okmányt, amely bizonyítja, hogy a kivitelre kerülő termékek az EUR.1 szállítási bizonyítvány kibocsátására vonatkozó feltételeknek eleget tesznek.
Az exportőr köteles vállalni, hogy az illetékes hatóságok kérésére benyújt bármilyen kiegészítő bizonyítékot, amelyet megkövetelhetnek ahhoz, hogy megállapítsák a preferenciális tarifális elbánásra jogosult termékek származó helyzetének helyességét, továbbá vállalnia kell, hogy hozzájárul nyilvántartásának vizsgálatához és ahhoz, hogy a hatáskörrel rendelkező hatóságok ellenőrizzék a termékek előállításának körülményeit.
(5) Az EUR.1 szállítási bizonyítványt a kedvezményezett országok vagy területek illetékes kormányzati hatóságai vagy a kiviteli tagállam vámhatóságai akkor bocsátják ki, ha a kivitelre kerülő termékek e szakasz értelmében származónak tekinthetők.
(6) Mivel az EUR.1 szállítási bizonyítvány a 98. cikkben meghatározott a preferenciális tarifális elbánással kapcsolatos előírások alkalmazásához szükséges igazoló okmány, a kedvezményezett országok vagy területek illetékes kormányzati hatóságainak, illetve a kiviteli tagállam vámhatóságainak feladata megtenni minden szükséges intézkedést a termékek származásának és a bizonyítványon szereplő egyéb adatoknak az ellenőrzése érdekében.
(7) Az (5) bekezdésben megállapított feltételek teljesítésének ellenőrzésére a kedvezményezett országok vagy területek illetékes kormányzati hatóságai vagy a kiviteli tagállam vámhatóságai jogosultak bekérni minden okmányszerű bizonyítékot, és elvégezni az általuk szükségesnek ítélt ellenőrzéseket.
(8) A kedvezményezett országok vagy területek illetékes kormányzati hatóságainak vagy a kiviteli tagállam vámhatóságainak felelőssége biztosítani az (1) bekezdésben hivatkozott nyomtatványok megfelelő kitöltését.
(9) Az EUR.1 szállítási bizonyítványon a vámhatóságoknak a nyomtatvány e célra fenntartott részén fel kel tüntetniük a bizonyítvány kiállításának napját.
(10) A kedvezményezett országok vagy területek illetékes kormányzati hatóságai vagy a kiviteli tagállam vámhatóságai a bizonyítvánnyal érintett termékek kivitelekor bocsátják ki az EUR.1 szállítási bizonyítványt. A bizonyítványt az exportőr rendelkezésére kell bocsátani, mihelyt a kivitel megtörtént, illetve bizonyossá vált, hogy meg fog történni.
111. cikk
Amennyiben az importőr kérésére és a behozatali ország vámhatóságai által megállapított feltételek mellett a Harmonizált Rendszer 2. a) általános szabálya értelmében vett és a Harmonizált Rendszer XVI. vagy XVII. áruosztályai, illetve a 7308 vagy 9406 vámtarifaszámai alá tartozó szétszedett vagy nem összeszerelt termékek behozatala részszállítmányok formájában történik, akkor az ilyen termékek esetében egyetlen származási bizonyítványt kell benyújtani a vámhatóságok részére az első részszállítmány behozatalakor.
112. cikk
A származási igazolásokat a behozatali tagállam vámhatóságai részére kell benyújtani a Vámkódex 62. cikkében előírt eljárásoknak megfelelően. Az említett hatóságok megkövetelhetik a származási igazolás lefordítását, és azt is, hogy a behozatali nyilatkozat mellé csatolják az importőr nyilatkozatát arra vonatkozóan, hogy a termékek megfelelnek az e szakasz alkalmazásához szükséges feltételeknek.
113. cikk
(1) A 110. cikk (10) bekezdésétől eltérve az EUR.1 szállítási bizonyítvány kivételesen az abban foglalt termékek kivitele után is kibocsátható, ha
a) azt a kivitelkor tévedés, nem szándékos mulasztás vagy más különleges körülmények miatt nem bocsátották ki; vagy
b) az illetékes hatóságok megelégedésére bizonyítást nyer, hogy az EUR.1 szállítási bizonyítványt kibocsátották, de behozatalkor technikai okok miatt nem fogadták el.
(2) Az illetékes kormányzati hatóságok csak akkor állíthatják ki utólag az EUR.1 szállítási bizonyítványt, ha ellenőrizték, hogy az exportőr kérelmében foglalt adatok megegyeznek a megfelelő kiviteli okmányokban szereplő adatokkal, valamint hogy a szóban forgó termék kivitele során nem adtak ki az e szakaszban foglalt rendelkezéseknek megfelelő EUR.1 szállítási bizonyítványt.
(3) Az utólag kiállított EUR.1 szállítási bizonyítványon az alábbi bejegyzések egyikét kell feltüntetni:
- "EXPEDIDO A POSTERIORI",
- "UDSTEDT EFTERFØLGENDE",
- "NACHTRÄGLICH AUSGESTELLT",
- "ΕΚΔΟΘΕΝ ΕΚ ΤΩΝ ΥΣΤΕΡΩΝ",
- "ISSUED RETROSPECTIVELY",
- "DÉLIVRÉ A POSTERIORI",
- "RILASCIATO A POSTERIORI",
- "AFGEGEVEN A POSTERIORI",
- "EMITIDO A POSTERIORI",
- "ANNETTU JÄLKIKÄTEEN",
- "UTFÄRDAT I EFTERHAND",
- "VYSTAVENO DODATEČNĚ",
- "VÄLJA ANTUD TAGASIULATUVALT",
- "IZSNIEGTS RETROSPEKTĪVI",
- "RETROSPEKTYVUSIS IŠDAVIMAS",
- "KIADVA VISSZAMENŐLEGES HATÁLLYAL",
- "MAĦRUĠ RETROSPETTIVAMENT",
- "WYSTAWIONE RETROSPEKTYWNIE",
- "IZDANO NAKNADNO",
- "VYHOTOVENÉ DODATOČNE",
- "ИЗДАДЕН ВПОСЛЕДСТВИЕ",
- "ELIBERAT ULTERIOR",
- "IZDANO NAKNADNO".
(4) A (3) bekezdésben említett záradékot az EUR.1 szállítási bizonyítvány "Megjegyzések" rovatába kell bejegyezni.
114. cikk
(1) Az EUR.1 szállítási bizonyítvány eltulajdonítása, elveszítése vagy megsemmisülése esetén az exportőr az azt kibocsátó illetékes kormányzati hatósághoz fordulhat, és - az annak birtokában lévő kiviteli okmányok alapján - másodlat kiállítását kérheti.
(2) Az ilyen módon kibocsátott másodlatot az alábbi bejegyzések egyikével kell ellátni:
- "DUPLICADO",
- "DUPLIKAT",
- "DUPLIKAT",
- "ΑΝΤΙΓΡΑΦΟ",
- "DUPLICATE",
- "DUPLICATA",
- "DUPLICATO",
- "DUPLICAAT",
- "SEGUNDA VIA",
- "KAKSOISKAPPALE",
- "DUPLIKAT",
- "DUPLIKÁT",
- "DUPLIKAAT",
- "DUBLIKĀTS",
- "DUBLIKATAS",
- "MÁSODLAT",
- "DUPLIKAT",
- "DUPLIKAT",
- "DVOJNIK",
- "DUPLIKÁT",
- "ДУБЛИКАТ",
- "DUPLICAT",
- "DUPLIKAT".
(3) A (2) bekezdésben említett záradékot az EUR.1 szállítási bizonyítvány "Megjegyzések" rovatába kell bejegyezni.
(4) A másodlaton fel kell tüntetni az eredeti EUR.1 szállítási bizonyítvány kibocsátásának napját, és a másodlat ettől a naptól érvényes.
115. cikk
Ha a származó termékeket a Közösségben lévő valamely vámhivatal felügyelete alá helyezik, az eredeti származási igazolás egy vagy több EUR.1 szállítási bizonyítvánnyal helyettesíthető a termékek összességének vagy egy részének a Közösségen belül máshová küldése céljából. Az EUR.1 szállítási bizonyítvány helyettesítő példányát az a vámhivatal bocsátja ki, amelynek felügyelete alá a termékeket helyezték.
b) SZÁMLANYILATKOZAT
116. cikk
(1) A számlanyilatkozatot az alábbiak állíthatják ki:
a) a 117. cikk szerinti elfogadott közösségi exportőr; vagy
b) egy vagy több csomagból álló és 6 000 euró összértéket meg nem haladó származó terméket tartalmazó szállítmány exportőre, feltéve hogy a 110. cikk (1) bekezdésében hivatkozott segítségnyújtás vonatkozik erre az eljárásra.
(2) A számlanyilatkozat akkor állítható ki, ha az érintett termékek a Közösségből vagy egy kedvezményezett országból vagy területről származónak tekinthetők, és eleget tesznek e szakasz egyéb követelményeinek.
(3) A számlanyilatkozatot kiállító exportőrnek késznek kell lennie arra, hogy a kiviteli ország vámhatóságának vagy egyéb illetékes kormányzati hatóságainak felszólítására bármikor benyújtsa az összes megfelelő okmányt, amelyek bizonyítják az érintett termékek származó helyzetét, illetve az e szakasz egyéb követelményeinek való megfelelést
(4) Az exportőrnek a számlanyilatkozatot oly módon kell kiállítania, hogy a számlára, a szállítólevélre vagy bármely egyéb kereskedelmi okmányra rágépeli, rábélyegzi vagy rányomtatja a 22. mellékletben olvasható szövegű nyilatkozatot a megadott nyelvi változatok egyikének használatával, a kiviteli ország nemzeti jogának rendelkezései szerint. Ha a nyilatkozatot kézírással írják, azt tintával és nyomtatott betűvel kell leírni.
(5) A számlanyilatkozaton szerepelnie kell az exportőr saját kezű eredeti aláírásának. Mindazonáltal a 117. cikk szerinti elfogadott exportőr nem köteles aláírni az ilyen nyilatkozatokat, amennyiben írásbeli kötelezettségvállalást tesz a vámhatóságok felé arról, hogy teljes felelősséget vállal a nevét tartalmazó bármely számlanyilatkozatért oly módon, mintha azt saját kezűleg aláírta volna.
(6) Az (1) bekezdés b) pontjában említett esetekben a számlanyilatkozat használatára az alábbi különleges feltételek vonatkoznak:
a) minden egyes szállítmány esetében külön számlanyilatkozatot kell kiállítani;
b) ha a szállítmányban lévő áru a kiviteli országban már átesett "származó termékek" meghatározására vonatkozó ellenőrzésen, számlanyilatkozatában az exportőr hivatkozhat erre az ellenőrzésre.
Az első albekezdés rendelkezései nem mentesítik az exportőrt az alól, hogy megfeleljen a vám- és postaügyi rendelkezésekben kötelezően előírt egyéb alakiságoknak.
117. cikk
(1) A közösségi vámhatóságok engedélyt adhatnak bármely exportőrnek (a továbbiakban: "elfogadott exportőr"), aki rendszeresen szállít a 98. cikk (2) bekezdés értelmében a Közösségből származó termékeket, és aki a vámhatóságok megelégedésére megad a termékek származó helyzetének ellenőrzéséhez szükséges minden garanciát, továbbá eleget tesz az e szakasz számlanyilatkozatok kiállításával kapcsolatos követelményeinek, arra hogy az adott termékek értékétől függetlenül számlanyilatkozatot állíthasson ki.
(2) A vámhatóságok az általuk szükségesnek tartott feltételek szerint adhatják meg az elfogadott exportőri státust.
(3) A vámhatóságok az elfogadott exportőr részére vámhatósági engedélyszámot adnak ki, amelyet az köteles feltüntetni a számlanyilatkozaton.
(4) A vámhatóságok figyelemmel kísérik az engedély elfogadott exportőr által történő felhasználását.
(5) A vámhatóságok bármikor visszavonhatják az engedélyt. Az engedélyt vissza kell vonni, ha az elfogadott exportőr már nem biztosítja az (1) bekezdésben említett minden garanciát, nem tesz eleget a (2) bekezdésben említett feltételeknek, vagy ha egyébként nem megengedett módon használja fel az engedélyt.
118. cikk
(1) A származási igazolás a kiviteli országban történő kiállítás napjától számított négy hónapig érvényes, és azt ezen időszak alatt be kell nyújtani a behozatali ország vámhatóságának.
(2) A behozatali ország vámhatósága részére az (1) bekezdésben meghatározott bemutatási határidő után benyújtott származási igazolások akkor fogadhatók el a 98. cikkben említett preferenciális tarifális kedvezmények alkalmazásának céljából, ha az okmányokat rendkívüli körülmények miatt nem tudták benyújtani a megállapított határidőre.
(3) A késedelmes bemutatás egyéb eseteiben a behozatali ország vámhatósága elfogadhatja a származási igazolást, ha a termékeket az említett határidő előtt bemutatták.
(4) Az importőr kérésére és tekintettel a behozatali tagállam vámhatósága által megállapított feltételekre, a vámhatóság részére elég egyetlen származási igazolást benyújtani az első szállítmány behozatalakor, ha az áruk:
a) behozatala rendszeres és folyamatos és jelentős értékű kereskedelmi forgalomban történik;
b) azonos adásvételi szerződés tárgyát képezik, amelynek szerződő felei a kiviteli országban és a Közösségben letelepedettek;
c) a Kombinált Nómenklatúra azonos (nyolc számjegyű) kódja alá tartoznak;
d) kizárólag ugyanattól az exportőrtől származnak, a végcéljuk ugyanaz az importőr, és azonos közösségbeli vámhivatalnál vetik őket alá a beléptetési alakiságoknak.
Ez az eljárás az illetékes vámhatóságok által meghatározott mennyiségekre és időtartamra alkalmazható. Ez az időtartam semmilyen körülmények között sem haladhatja meg a három hónapot.
119. cikk
(1) Azok a termékek, amelyeket magánszemély kiscsomagként ad fel magánszemély részére, vagy amelyek az utazók személyes poggyászának részét képezik, a 98. cikkben említett preferenciális tarifális elbánásra jogosult származó termékeknek minősülnek anélkül, hogy EUR.1 szállítási bizonyítványt vagy számlanyilatkozatot kellene benyújtani, amennyiben az ilyen termékeket nem kereskedelmi jelleggel hozzák be, és nyilatkozatot tettek róluk, hogy megfelelnek az e szakasz alkalmazásához szükséges feltételeknek, és nem kétséges az ilyen tartalmú nyilatkozat hitelessége.
(2) A nem kereskedelmi célú behozatalnak a címzettek vagy az utasok, illetve ezek családtagjainak személyes használatára szolgáló termékek alkalmi jellegű behozatala minősül, ha a termékek jellege és mennyisége alapján egyértelműen kizárható, hogy behozataluk kereskedelmi céllal történik.
Ezen túlmenően, az ilyen termékek összértéke nem haladja meg kiscsomagonként az 500 eurót, utazó személyes poggyászaként pedig az 1 200 eurót.
120. cikk
A származási igazoláson feltüntetett adatok és a vámhivatal számára a termékek behozatalával kapcsolatos alakiságok elvégzése céljából benyújtott okmányok adatai közti kisebb eltérések felfedezése önmagában nem teszi érvénytelenné a származási igazolást, ha kétséget kizáróan megállapítást nyer, hogy az adott okmány a bemutatott termékekre vonatkozik.
A származási igazolás egyértelmű alaki hibái, mint például a gépelési hibák, nem eredményezik ezen okmány elutasítását, ha ezek a hibák nem teszik kétségessé az adott okmányban közölt megállapítások helyességét.
3. alszakasz - Az igazgatási együttműködés módszerei
121. cikk
(1) A kedvezményezett országok vagy területek közlik a Bizottsággal a területükön lévő olyan kormányzati hatóságok nevét és címét, amelyek jogosultak EUR.1 szállítási bizonyítványokat kibocsátani, illetve az ilyen hatóságok által használt bélyegzők lenyomatmintáit, valamint az EUR.1 szállítási bizonyítványok és a számlanyilatkozatok ellenőrzéséért felelős megfelelő kormányzati hatóságok nevét és címét. A bélyegzők attól a naptól kezdve érvényesek, amikor a Bizottság átveszi azok lenyomatmintáit. A Bizottság továbbítja ezt a közlést a tagállamok vámhatóságai felé.
Ha e közlés korábbi közlések módosításával jár, a Bizottság a kedvezményezett országok vagy területek illetékes kormányzati hatóságai által adott útmutatás szerint jelzi az új bélyegzők használatbavételének napját. Ez a közlés bizalmas; azonban a termékek szabad forgalomba bocsátásakor a szóban forgó vámhatóságok lehetővé tehetik, hogy az importőr vagy annak megfelelően meghatalmazott képviselője megtekintse a bélyegzők e bekezdésben említett lenyomatmintáit.
(2) A Bizottság megküldi a kedvezményezett országoknak vagy területekneknak a tagállamok vámhatóságai által az EUR.1 szállítási bizonyítvány kibocsátására használt bélyegzők lenyomatmintáit.
122. cikk
(1) Az EUR.1 szállítási bizonyítványok és a számlanyilatkozatok utólagos ellenőrzését szúrópróbaszerűen, illetve akkor kell elvégezni, ha a vámhatóságok alapos okkal kételkedhetnek az okmány hitelességében vagy az érintett termékek származó helyzetét, illetve az e szakasz egyéb követelményeinek teljesítését illetően.
(2) Az (1) bekezdés rendelkezéseinek végrehajtása érdekében a behozatali tagállam vagy a kedvezményezett országból vagy területröl illetékes hatóságai visszaküldik az EUR.1 szállítási bizonyítványt és - amennyiben csatolták - a számlát, a számlanyilatkozatot vagy e dokumentumok másolatát a kedvezményezett kiviteli köztársaság vagy tagállam illetékes kormányzati hatóságai részére, szükség esetén, megadva a vizsgálat okát is. Az ellenőrzési kérelem alátámasztására továbbítanak minden okmányt és információt, amely arra enged következtetni, hogy a származási igazolásban megadott információ helytelen.
Ha a behozatali tagállam vámhatóságai úgy határoznak, hogy az ellenőrzés eredményének megszületéséig felfüggesztik a 98. cikkben említett preferenciális tarifális elbánás megadását, az áruk kiadását az importőrnek csak az általuk szükségesnek ítélt óvintézkedések mellett engedélyezik.
(3) Ha az (1) bekezdés rendelkezéseinek megfelelően utólagos ellenőrzést kérnek, az ellenőrzés elvégzésére és az eredmények közlésére a behozatali tagállam vámhatóságai vagy a kedvezményezett behozatali köztársaság illetékes kormányzati hatóságai felé legfeljebb hat hónap áll rendelkezésre. Az eredményekből megállapíthatónak kell lennie, hogy a szóban forgó származási igazolás a ténylegesen kivitt termékekre vonatkozik-e, és hogy e termékek a kedvezményezett ország vagy területból vagy a Közösségből származónak tekinthetők-e.
(4) Ha megalapozott kétség merül fel, és a (3) bekezdésben megjelölt hat hónapon belül nem érkezik válasz, vagy ha a válasz nem tartalmaz kielégítő információt a szóban forgó okmány hitelességének vagy a termékek tényleges származásának megállapításához, az illetékes hatóságokhoz újabb megkeresést kell küldeni. Ha a második megkeresés után az ellenőrzés eredményeit négy hónapon belül nem közlik a megkereső hatósággal, vagy ha az eredmények nem teszik lehetővé a szóban forgó okmány hitelességének vagy a termékek valódi származásának megállapítását, a megkereső hatóság - a kivételes körülményeket leszámítva - megtagadja a preferenciális tarifális elbánásra való jogosultságot.
(5) Ha az ellenőrzési eljárás vagy bármilyen más rendelkezésre álló információ azt jelzi, hogy e szakasz rendelkezéseit megsértették, a kedvezményezett kiviteli köztársaság saját kezdeményezésére vagy a Közösség kérésére kellő sürgősséggel megfelelő vizsgálatot folytat vagy gondoskodik annak lefolytatásáról az ilyen szabályszegések megállapítása és megelőzése érdekében. A Közösség részt vehet a vizsgálatban.
(6) Az EUR.1 szállítási bizonyítvány utólagos ellenőrzése céljából a kedvezményezett kiviteli köztársaság illetékes kormányzati hatóságai vagy a kiviteli tagállam vámhatóságai legalább három évig megőrzik a bizonyítványok másolatait, illetve az azokhoz kapcsolódó bármilyen kiviteli okmányt.
4. alszakasz - Ceuta és Melilla
123. cikk
(1) E szakasz alkalmazásában a "Közösség" kifejezés nem terjed ki Ceutára és Melillára. A "Közösségből származó termékek" kifejezés nem terjed ki a Ceutából és Melillából származó termékekre.
(2) Ezt a szakaszt értelemszerűen alkalmazni kell annak meghatározására, hogy a termékek Ceutába és Melillába történő behozatalukkor a preferenciális kedvezményekre jogosult exportáló kedvezményezett országból vagy területről származónak, illetőleg Ceutából és Melillából származónak tekinthetők-e.
(3) Ceuta és Melilla egyetlen területnek tekintendő.
(4) E szakasznak az EUR.1 szállítási bizonyítvány kibocsátásával, használatával és utólagos ellenőrzésével kapcsolatos rendelkezéseit értelemszerűen alkalmazni kell a Ceutából és Melillából származó termékekre.
(5) A spanyol vámhatóságok gondoskodnak ezen szakasz alkalmazásáról Ceuta és Melilla területén.
V. CÍM
VÁMÉRTÉK
1. FEJEZET
Általános rendelkezések
141. cikk
(1) A Vámkódex 28-36. cikkének és az ebben a címben szereplő cikkek rendelkezéseinek alkalmazásakor a tagállamoknak be kell tartaniuk a 23. mellékletben meghatározott rendelkezéseket.
A 23. melléklet első oszlopában hivatkozott rendelkezéseket a második oszlop értelmező megjegyzéseinek figyelembevételével kell alkalmazni.
(2) Ha a vámérték megállapításakor szükséges az általánosan elfogadott számviteli elvekre hivatkozni, a 24. melléklet rendelkezéseit kell alkalmazni.
142. cikk
(1) E cím alkalmazásában:
a) a "megállapodás" az 1973 és 1979 között folytatott többoldalú kereskedelmi tárgyalások keretében megkötött Általános Vám- és Kereskedelmi Egyezmény VII. cikkének végrehajtásáról szóló megállapodás, amelyre a Vámkódex 31. cikke (1) bekezdésének első francia bekezdése is utal;
b) az "előállított áruk" a termesztett, gyártott és bányászott áruk;
c) az "azonos áruk" olyan, ugyanabban az országban előállított áruk, amelyek minden tekintetben megegyeznek, beleértve a fizikai tulajdonságokat, a minőséget és megítélést is. A meghatározásnak egyébként megfelelő áruk kisebb megjelenésbeli eltérései nem zárják ki, hogy ezeket az árukat azonosnak tekintsék;
d) a "hasonló áruk" olyan, ugyanabban az országban előállított áruk, amelyek bár nem minden tekintetben egyeznek meg, de hasonló tulajdonságokkal rendelkeznek, és hasonló összetevő anyagokból állnak, ami lehetővé teszi, hogy megfeleljenek ugyanazon funkcióknak, és a kereskedelemben egymást kölcsönösen helyettesítsék; az áruk hasonlóságának megállapításakor a figyelembe veendő tényezők közé tartozik azok minősége, megítélése és az, hogy rendelkeznek-e védjeggyel;
e) az "azonos osztályú vagy fajtájú áruk" olyan áruk, amelyek egy adott ipar vagy iparág által előállított áruk csoportjába tartoznak; ez a kifejezés azonos vagy hasonló árukat foglal magában.
(2) Az "azonos áruk" vagy "hasonló áruk" kifejezés nem foglalja magában azokat az árukat, amelyek tervezői, fejlesztési, iparművészeti vagy formatervezői munkát, valamint olyan terveket és vázlatokat testesítenek meg vagy tükröznek, amelyekre nézve a Vámkódex 32. cikke (1) bekezdése b) pontja iv. alpontjának rendelkezése alapján semmiféle kiigazítást nem végeztek, mivel ezeket az elemeket a Közösségben készítették.
143. cikk
(1) A Vámkódex II. címe 3. fejezetének és ennek a címnek az alkalmazásában a személyeket kizárólag akkor kell egymással kapcsolatban állónak tekinteni, ha:
a) egymás üzleti vállalkozásainak tisztségviselői vagy igazgatói;
b) jogilag elismert üzlettársak;
c) alkalmazotti viszonyban állnak egymással;
d) bármely személy közvetve vagy közvetlenül tulajdonában tartja, ellenőrzi vagy birtokolja mindkettőjük kibocsátott, szavazati jogot biztosító részvényeinek vagy egyéb részesedéseinek 5 %-át vagy annál többet;
e) egyikük közvetve vagy közvetlenül ellenőrzi a másikat;
f) harmadik személy közvetve vagy közvetlenül mindkettőjüket ellenőrzi;
g) közvetve vagy közvetlenül együtt ellenőriznek egy harmadik személyt; vagy
h) ugyanannak a családnak a tagjai. A személyek kizárólag akkor minősülnek egy család tagjainak, ha az alábbi rokoni kapcsolatok valamelyikében állnak egymással:
- férj és feleség,
- szülő és gyermek,
- fivér és lánytestvér (akár vér szerinti, akár féltestvér),
- nagyszülő és unoka,
- nagybácsi vagy nagynéni és unokaöcs vagy unokahúg,
- após vagy anyós és vő vagy meny,
- sógor és sógornő.
(2) E cím alkalmazásában azok a személyek, akik egymással olyan üzleti kapcsolatban állnak, amelyben egyik a másiknak kizárólagos ügynöke, forgalmazója vagy engedményese, elnevezéstől függetlenül, csak akkor minősülnek egymástól függőnek, ha az (1) bekezdésben foglalt feltételeknek megfelelnek.
144. cikk
(1) A Vámkódex 29. cikke értelmében megállapított vámértékhez, olyan áruk vonatkozásában, amelyek árát a vámcélokra való értékelés tényleges időpontjában valójában még nem fizették ki, általános szabályként a kiegyenlítés időpontjában irányadó árat kell alapul venni.
(2) Az (1) bekezdés alkalmazásáról a Bizottság és a tagállamok a bizottságban konzultációkat folytatnak.
145. cikk
(1) Ha a szabad forgalomba bocsátásra bejelentett áruk egy ügylet során vásárolt, ugyanazon áruk nagyobb mennyiségéből álló szállítmány részét képezik, a Vámkódex 29. cikke (1) bekezdésének alkalmazásában a ténylegesen fizetett vagy fizetendő ár a teljes árnak az a hányada, amelyet a bejelentett árumennyiség a teljes megvásárolt mennyiségen belül képvisel.
A ténylegesen kifizetett vagy fizetendő ár arányos számítását kell alkalmazni olyan esetekben is, amikor a szállítmány egy része elvész, vagy amikor az értékelendő áruk a szabad forgalomba bocsátás előtt károsodtak.
(2) Az áru szabad forgalomba bocsátása után az eladó a vevő javára az áru ténylegesen kifizetett vagy kifizetendő árának kiigazítását - a Vámkódex 29. cikkével összhangban - mérlegelheti a vámérték meghatározása céljából, ha a vámhatóságok számára kielégítően bizonyítható, hogy:
a) az áru a Vámkódex 67. cikke szerint említett időpontban hibás volt;
b) az eladó a termékek szabad forgalomba bocsátása előtt kötött adásvételi szerződésben meghatározott garanciális kötelezettség teljesítése során ilyen kiigazítást tett;
c) a vonatkozó adásvételi szerződésben még nem vették figyelembe a termékek hibás természetét.
(3) Az áru ténylegesen kifizetett vagy kifizetendő, a (2) bekezdésnek megfelelően módosított árát kizárólag abban az esetben lehet figyelembe venni, ha az adott módosítást az áru szabad forgalomba bocsátásáról szóló nyilatkozat elfogadásának napjától számított 12 hónapon belül tették meg.
146. cikk
Ha a Vámkódex 29. cikke (1) bekezdésének alkalmazásában a ténylegesen kifizetett vagy fizetendő ár a szóban forgó áruk vonatkozásában tartalmazza a származási vagy exportáló ország belső adójának összegét is, ez az összeg nem képezi a vámérték részét, feltéve, hogy az érintett vámhatóságok számára meggyőzően bizonyítják, hogy a szóban forgó árukat ez alól a vevő javára mentesítették vagy mentesíteni fogják.
147. cikk
(1) A Vámkódex 29. cikke alkalmazásában azt a tényt, hogy az eladás tárgyát képező árukat a szabad forgalomba bocsátás számára kérik vámkezelni, megfelelő utalásnak kell tekinteni arra vonatkozóan, hogy azok eladása a Közösség vámterületére irányuló export céljából történt. Ez az utalás az értékelést megelőző egymást követő eladások esetében csak az utolsó olyan eladás tekintetében érvényes, amely az áruknak a Közösség vámterületére történő belépéséhez vezetett, illetve a Közösség vámterületén, az áruk szabad forgalomba bocsátása előtt történt eladás.
Ha olyan árat jelentenek be, amely olyan eladásra vonatkozik, amely az előtt az utolsó eladás előtt történt, amely alapján az árukat a Közösség vámterületére bevitték, a vámhatóságok felé hitelt érdemlően bizonyítani kell, hogy az áruknak ez az eladása a nevezett vámterületre való kivitel céljából történt.
A 178-181a. cikkek rendelkezéseit alkalmazni kell.
(2) Ha ----- az árukat az eladás időpontja és a szabad forgalomba bocsátás időpontja között egy harmadik országban használták, a vámérték nem feltétlenül azonos az ügyleti értékkel.
(3) A vevőnek nem kell megfelelnie semmilyen más feltételnek azonkívül, hogy szerződő fél az adásvételi szerződésben.
148. cikk
Ha a Vámkódex 29. cikke (1) bekezdése b) pontjának alkalmazásában megállapítják, hogy az importált áruk eladása vagy ára olyan feltételhez vagy ellenszolgáltatáshoz kötött, amelynek értéke az értékelendő áruk vonatkozásában meghatározható, ezt az értéket a vevő által az eladó részére történő közvetett kifizetésnek és a ténylegesen kifizetett vagy kifizetendő ár részének kell tekinteni, feltéve, hogy a feltétel vagy ellenszolgáltatás nincs összefüggésben:
a) sem olyan tevékenységgel, amely a Vámkódex 29. cikke (3) bekezdésének b) pontja hatálya alá esik; sem
b) olyan tényezővel, amely kapcsán a Vámkódex 32. cikke értelmében ténylegesen kifizetett vagy kifizetendő árat ki kell egészíteni.
149. cikk
(1) A Vámkódex 29. cikke (3) bekezdése b) pontjának alkalmazásában a "marketingtevékenység" kifejezés a szóban forgó áruk reklámozásával és eladásának ösztönzésével, valamint az árukra vonatkozó jótállásokkal és szavatossággal kapcsolatos valamennyi tevékenységet jelenti.
(2) A vevő által vállalt ilyen tevékenységeket saját számlájára végzett tevékenységnek kell tekinteni, még akkor is, ha azokat a vevő az eladóval kötött megállapodásból eredő kötelezettségvállalásként teljesíti.
150. cikk
(1) A Vámkódex 30. cikke (2) bekezdése a) pontjának (azonos áruk ügyleti értéke) alkalmazásában a vámértéket olyan azonos áruk ügyleti értéke alapján kell megállapítani, amelyeket ugyanazon a kereskedelmi szinten és lényegében ugyanakkora mennyiségben adtak el, mint az értékelendő árukat. Ha ilyen eladás nem található, olyan azonos áruk ügyleti értékét kell alapul venni, amelyeket más kereskedelmi szinten és/vagy más mennyiségben adtak el, kiigazítva azt az eltérő kereskedelmi szintből és/vagy mennyiségből adódó eltérésekkel, feltéve, hogy ezek a kiigazítások olyan bemutatott bizonyítékon alapulnak, amelyekből - függetlenül attól, hogy a kiigazítás értéknövekedést vagy értékcsökkenést eredményez - egyértelműen megállapítható a kiigazítás indokoltsága és helyessége.
(2) Ha az ügyleti érték tartalmazza a Vámkódex 32. cikke (1) bekezdésének e) pontjában említett költségeket, akkor az importált áruk és a szóban forgó azonos áruk ilyen költségei közötti - az eltérő távolságokból és szállítási módokból adódó - jelentős különbségek figyelembevételével kiigazítást kell végezni.
(3) Ha e cikk alkalmazásakor egynél több, azonos árukra vonatkozó ügyleti érték is található, az importált áruk vámértékének megállapításához a legalacsonyabb ilyen értéket kell alapul venni.
(4) E cikk alkalmazásakor a más személy által előállított áruk ügyleti értékét csak akkor kell figyelembe venni, ha az (1) bekezdés szerint nem állapítható meg ügyleti érték olyan azonos árukra, amelyek előállítója ugyanaz a személy, mint az értékelendő áruk előállítója.
(5) E cikk alkalmazásában az importált azonos áruk ügyleti értéke a Vámkódex 29. cikke értelmében korábban már megállapított, az e cikk (1) és (2) bekezdésében foglalt rendelkezések szerint kiigazított vámértéket jelenti.
151. cikk
(1) A Vámkódex 30. cikke (2) bekezdésének b) pontja (hasonló áruk ügyleti értéke) alkalmazásakor a vámértéket olyan hasonló áruk ügyleti értéke alapján kell megállapítani, amelyeket ugyanazon a kereskedelmi szinten és lényegében ugyanakkora mennyiségben adtak el, mint az értékelendő árukat. Ha ilyen eladás nem található, olyan hasonló áruk ügyleti értékét kell alapul venni, amelyeket más kereskedelmi szinten és/vagy más mennyiségben adtak el, kiigazítva azt az eltérő kereskedelmi szintből és/vagy mennyiségből adódó eltérésekkel, feltéve, hogy ezek a kiigazítások olyan bemutatott bizonyítékon alapulnak, amelyekből - függetlenül attól, hogy a kiigazítás értéknövekedést vagy értékcsökkenést eredményez - egyértelműen megállapítható a kiigazítás indokoltsága és pontossága.
(2) Ha az ügyleti érték tartalmazza a Vámkódex 32. cikke (1) bekezdésének e) pontjában említett költségeket, akkor az importált áruk és a szóban forgó hasonló áruk ilyen költségei közötti - az eltérő távolságokból és szállítási módokból adódó - jelentős különbségek figyelembevételével kiigazítást kell végezni.
(3) Ha e cikk alkalmazásakor egynél több, hasonló árukra vonatkozó ügyleti érték is található, az importált áruk vámértékének megállapításához a legalacsonyabb ilyen értéket kell alapul venni.
(4) E cikk alkalmazásakor a más személy által előállított áruk ügyleti értékét csak akkor kell figyelembe venni, ha az (1) bekezdés szerint nem található ügyleti érték olyan hasonló árukra, amelyek előállítója ugyanaz a személy, mint az értékelendő áruk előállítója.
(5) E cikk alkalmazásában az importált hasonló áruk ügyleti értéke a Vámkódex 29. cikke értelmében korábban már megállapított, az e cikk (1) és (2) bekezdésében foglalt rendelkezések szerint kiigazított vámértéket jelenti.
152. cikk
(1) a) Ha az importált árukat vagy azonos vagy hasonló importált árukat ugyanolyan állapotban értékesítik a Közösségben, mint amilyenben azokat importálták, az importált áruknak a Vámkódex 30. cikke (2) bekezdésének c) pontja szerint meghatározott vámértéke azon az egységáron alapul, amelyen az importált árukat vagy azonos vagy hasonló importált árukat a legnagyobb összmennyiségben, az értékelendő áruk behozatalával azonos vagy közel azonos időben olyan személyeknek értékesítenek, akik függetlenek azoktól, akiktől ilyen árukat vásárolnak, a következők levonásával:
i. a szokásosan fizetett vagy megállapodás szerint fizetendő jutalékok, vagy a szokásos nyereség és általános költségek fedezésére szolgáló kiegészítések (a szóban forgó áruk közvetlen vagy közvetett marketingköltségeit is beleértve), amelyek a Közösségben az azonos osztályú vagy fajtájú importált áruk eladásával kapcsolatosak;
ii. a Közösségben felmerülő szokásos szállítási és biztosítási, valamint járulékos költségek;
iii. a Közösségben az áruk behozatala vagy eladása kapcsán fizetendő behozatali vámok és egyéb díjak.
a) a Az egyes, bizományi szerződés alapján behozatalra kerülő romlandó áruk vámértéke meghatározható közvetlenül a Vámkódex 30. cikke (2) bekezdésének c) pontja alapján. Ennek érdekében a tagállamok az egységárakról tájékoztatják az Európai Bizottságot, amely a 2658/87/EGK rendelet 6. cikkével összhangban az adatokat a TARIC rendszeren keresztül közzéteszi ( 5 ).
Az egységárakat az alábbiak szerint számítják ki és teszik közzé:
i. E bekezdés a) pontjában felsorolt levonásokat követően tájékoztatják a Bizottságot az egyes termékkategóriák nettó 100 kg-jára vonatkozó egységárról. A tagállamok az a) pont ii. alpontjában említett költségekre vonatkozóan átalányösszegeket állapíthatnak meg, amelyekről a Bizottságot tájékoztatniuk kell.
ii. Az egységárat 14 napos időszakokra vonatkozóan kell alkalmazni a behozott áruk vámértékének megállapítására; az időszakok mindig pénteken kezdődnek.
iii. Az egységárak kiszámításának referencia-időszaka az a 14 napos időszak, amely az új egységárak megállapításának hetét megelőző csütörtökön ér véget.
iv. Az euróban megadott egységárakat legkésőbb a rendelkezésre bocsátásuk hetének hétfőjén déli 12 óráig közlik a Bizottsággal. Amennyiben ez munkaszüneti nap, a közlést az azt közvetlenül megelőző munkanapon kell megtenni. Az egységárak csak azután lépnek érvénybe, miután az erről szóló közleményt a Bizottság közzétette.
Az e rendelkezés hatálya alá eső termékeket a 26. melléklet tartalmazza.
b) Ha sem az importált árukat, sem az azonos vagy hasonló importált árukat nem értékesítik az értékelendő áruk behozatalával azonos vagy közel azonos időben, az importált áruk - e cikk szerint meghatározott, egyébként az (1) bekezdés a) pontjának hatálya alá eső - vámértéke azon az egységáron alapul, amelyen az importált árukat vagy azonos vagy hasonló importált árukat a Közösségben az értékelendő áruk importját követő legkorábbi időpontban, de a behozataltól számított 90. nap lejárta előtt olyan állapotban értékesítik, mint amilyenben azokat importálták.
(2) Ha sem az importált árukat, sem azonos vagy hasonló importált árukat nem értékesítik a Közösségben olyan állapotban, mint amilyenben azokat importálták, akkor - ha az importőr ezt kéri - a vámérték azon az egységáron alapul, amelyen az importált árukat további feldolgozás után a legnagyobb összmennyiségben olyan személyeknek értékesítik a Közösségben, akik függetlenek azoktól, akiktől ilyen árukat vásárolnak, kellőképpen figyelembe véve a további feldolgozás következtében keletkezett hozzáadott értéket, valamint az (1) bekezdés a) pontja szerinti levonásokat.
(3) E cikk alkalmazásában az az egységár, amelyen az importált árukat a legnagyobb összmennyiségben értékesítik, azt az árat jelenti, amelyen - a behozatalt követően az első olyan kereskedelmi szinten, amelyen ilyen eladások történnek - a legnagyobb számban értékesítettek egységeket olyan személyeknek, akik függetlenek azoktól, akiktől ilyen árukat vásárolnak.
(4) Az egységár megállapításakor e cikk alkalmazásában nem vehető figyelembe olyan személynek történő értékesítés a Közösségben, aki az importált áruk előállításával vagy exportcélú eladásával összefüggő felhasználáshoz a Vámkódex 32. cikke (1) bekezdésének b) pontjában meghatározott bármely elemet közvetve vagy közvetlenül, ingyenesen vagy csökkentett áron biztosítja.
(5) Az (1) bekezdés b) pontja alkalmazásában a "legkorábbi időpont" az az időpont, amikor az importált áruknak vagy az azonos vagy hasonló importált áruknak az egységár megállapításához megfelelő mennyiségben történő értékesítésére sor kerül.
153. cikk
(1) A Vámkódex 30. cikke (2) bekezdésének d) pontja (számított érték) alkalmazásakor a vámhatóságok nem kérhetik vagy kötelezhetik a Közösségben lakóhellyel vagy székhellyel nem rendelkező személyt, hogy ennek az értéknek a meghatározása érdekében ellenőrzés céljából bármilyen számlát vagy egyéb dokumentumot bemutasson, vagy ahhoz hozzáférést engedjen. Mindazonáltal az áruk előállítója által az e cikk szerinti vámérték meghatározása céljából adott információkat a tagállamok vámhatóságai egy nem közösségbeli országban ellenőrizhetik az előállító egyetértésével, és feltéve, hogy ezek a hatóságok előzetesen kellőképpen értesítik az érintett ország hatóságait, és azok nem ellenzik az ellenőrzést.
(2) A Vámkódex 30. cikke (2) bekezdése d) pontjának első francia bekezdésében említett anyagok és gyártási műveletek költségébe vagy értékébe be kell számítani a Vámkódex 32. cikke (1) bekezdése a) pontjának ii. és iii. alpontjaiban meghatározott elemek költségeit is.
Be kell számítani ezenkívül bármely olyan, a Vámkódex 32. cikke (1) bekezdésének b) pontjában meghatározott termék vagy szolgáltatás megfelelőképpen arányosan megosztott értékét, amelyet a vevő közvetlenül vagy közvetve az importált áruk előállításával kapcsolatos felhasználásra nyújt. A Vámkódex 32. cikke (1) bekezdése b) pontjának iv. alpontjában meghatározott olyan szolgáltatások értékét, amelyeket a Közösségben nyújtanak, csak olyan mértékben kell beszámítani, amilyen mértékben ezeket a szolgáltatásokat az előállítónak felszámítják.
(3) Ha a számított érték meghatározásának céljára az előállító által vagy annak nevében nyújtott információkon kívül más információkat is felhasználnak, a vámhatóságok - a Vámkódex 15. cikkét figyelembe véve - tájékoztatják a nyilatkozatottevőt, ha az ezt kéri, az ilyen információk forrásáról, a felhasznált adatokról és az ilyen adatokon alapuló számításokról.
(5) A Vámkódex 30. cikke (2) bekezdése d) pontjának második francia bekezdésében említett "általános költségek" magukban foglalják az áruk exportcélú előállításának és értékesítésének azon közvetlen és közvetett költségeit, amelyek nem tartoznak a Vámkódex 30. cikke (2) bekezdésének d) pontja első francia bekezdése alá.
154. cikk
Ha a Vámkódex 32. cikke (1) bekezdése a) pontjának ii. alpontjában említett tárolóeszközöket többször importálják, azok költségét a nyilatkozattevő kérelmére az általánosan elfogadott számviteli elvek szerint arányosan meg kell osztani.
155. cikk
A Vámkódex 32. cikke (1) bekezdése b) pontja iv. alpontjának alkalmazásában a kutatás és az előzetes tervezési vázlatok költségeit a vámértékbe nem lehet beszámítani.
156. cikk
A Vámkódex 33. cikke c) pontját értelemszerűen alkalmazni kell, ha a vámértéket nem az ügyleti érték, hanem más módszer alkalmazásával állapítják meg.
156a. cikk
(1) A vámhatóságok az érintett személy kérelmére engedélyezhetik,
- hogy a Vámkódex 32. cikk (2) bekezdésétől eltérve, bizonyos elemeket, amelyek a ténylegesen fizetett vagy fizetendő árhoz hozzáadandók, bár a vámtartozás keletkezése időpontjában nem számszerűsíthetők,
- a Vámkódex 33. cikkétől eltérve, olyan költségeket, amelyeket a vámértékbe nem kell beszámítani, azokban az esetekben, amikor az ilyen elemekkel kapcsolatos összegek a vámtartozás keletkezésének időpontjában nincsenek elkülönítetten feltüntetve,
megfelelő és konkrét kritériumok alapján állapítsák meg.
Ilyen esetekben a bejelentett vámérték a 254. cikk második francia bekezdése alkalmazásában nem tekinthető ideiglenesnek.
(2) Az engedély a következő feltételek esetén adható meg:
a) a 259. cikk szerinti eljárás végrehajtása az adott körülmények között aránytalan igazgatási költségekkel járna;
b) a Vámkódex 30. és 31. cikkének alkalmazása az adott körülmények között alkalmatlannak tűnik;
c) elfogadható okok szólnak amellett a feltételezés mellett, hogy az engedélyezéssel érintett időszakban kivetendő behozatali vámok összege nem lesz kevesebb, mint amennyi az engedélyezés hiányában kerülne kivetésre;
d) a piaci szereplők közötti versenyfeltételek nem torzulnak.
2. FEJEZET
Jogdíjakra és licencdíjakra vonatkozó rendelkezések
157. cikk
(1) A Vámkódex 32. cikke (1) bekezdése c) pontjának alkalmazásában a jogdíjak és licencdíjak különösen az alábbiakra vonatkozó jogok használatáért történő kifizetéseket jelentenek:
- importált áruk gyártása (különösen szabadalmak, formatervezési minták, használati minták és gyártási know-how), vagy
- importált áruk exportcélú eladása (különösen védjegyek, bejegyzett formatervezési minták), vagy
- importált áruk felhasználása vagy újraeladása (különösen szerzői jogok, az importált árukban elválaszthatatlanul megtestesített gyártási eljárások).
(2) A Vámkódex 32. cikke (5) bekezdésének sérelme nélkül, ha az importált áruk vámértékét a Vámkódex 29. cikkének rendelkezései szerint állapítják meg, a ténylegesen kifizetett vagy fizetendő árhoz csak akkor kell hozzászámítani a jogdíjat vagy licencdíjat, ha ez a kifizetés:
- az értékelendő árukra vonatkozik, és
- ezen áruk eladásának feltételét képezi.
158. cikk
(1) Amennyiben az importált áruk a Közösségben előállított áruknak csak összetevői vagy alkotóelemei, az importált árukért ténylegesen kifizetett vagy fizetendő árat csak akkor kell kiigazítani, ha a jogdíj vagy licencdíj ezekre az árukra vonatkozik.
(2) Ha az árukat összeszereletlen állapotban importálják, vagy az újraértékesítés előtt csak olyan kisebb feldolgozáson kell keresztülmenniük, mint a hígítás vagy csomagolás, ez nem akadálya annak, hogy a jogdíjat vagy licencdíjat az importált árukra vonatkozónak tekintsék.
(3) Ha a jogdíjak vagy licencdíjak részben az importált árukra, részben pedig egyéb olyan összetevőkre vagy alkotóelemekre vonatkoznak, amelyeket az árukhoz importálásuk után adnak hozzá, vagy az importálást követő tevékenységekre vagy szolgáltatásokra vonatkoznak, megfelelő arányú megosztást csak objektív és számszerűsíthető adatok alapján lehet tenni, a Vámkódex 32. cikke (2) bekezdéséhez fűzött, a 23. mellékletben megtalálható értelmező megjegyzéssel összhangban.
159. cikk
A védjegy használatának jogára vonatkozó jogdíjat vagy licencdíjat csak akkor kell hozzáadni az importált áruk után ténylegesen kifizetett vagy fizetendő árhoz, ha:
- a jogdíj vagy licencdíj olyan árukra vonatkozik, amelyeket a behozatal után ugyanolyan állapotban adnak el újra, vagy amelyek a behozatalt követően csak kismértékű feldolgozáson mentek keresztül,
- az árukat olyan védjeggyel - akár az áruk importálása előtt, akár utána látták el azzal az árukat - hozzák forgalomba, amiért jogdíjat vagy licencdíjat fizetnek, és
- a vevőnek nem áll módjában ilyen árukat az eladótól független más szállítóktól beszerezni.
160. cikk
Ha a vevő harmadik félnek fizet jogdíjat vagy licencdíjat, a 157. cikk (2) bekezdésében foglalt feltételek nem tekintendők teljesítettnek, kivéve, ha az eladó vagy egy vele függőségi viszonyban lévő személy követeli meg a vevőtől annak megfizetését.
161. cikk
Ha a jogdíj vagy licencdíj összegének kiszámolási módját az importált áruk árából vezetik le, úgy ellenkező bizonyíték hiányában feltételezhető, hogy ennek a jogdíjnak vagy licencdíjnak a kifizetése az értékelendő árukra vonatkozik.
Mindamellett, ha a jogdíj vagy licencdíj összegét az importált áruk árától függetlenül számolják ki, ezen jogdíjnak vagy licencdíjnak a kifizetése ennek ellenére vonatkozhat az értékelendő árukra.
162. cikk
A Vámkódex 32. cikke (1) bekezdése c) pontjának alkalmazásakor lényegtelen szempont az, hogy a fizetendő jogdíj vagy licencdíj kedvezményezettje mely országban letelepedett.
3. FEJEZET
A Közösségbe történő belépés helyére vonatkozó rendelkezések
163. cikk
(1) A Vámkódex 32. cikke (1) bekezdése e) pontjának és 33. cikke a) pontjának alkalmazásában a Közösség vámterületére történő belépés helye:
a) tengeri forgalomban a kirakodási kikötő vagy az átrakodási kikötő, amennyiben az átrakodást e kikötő vámhatósága igazolja;
b) tengeri, ezt követően átrakodás nélküli belvízi árufuvarozás esetén az első kikötő, ahol a kirakodás megtörténhet, akár a folyó vagy csatorna torkolatánál, akár belsőbb szakaszon, amennyiben a vámhivatalnak igazolják, hogy a fuvardíj a kirakodási kikötőig nagyobb, mint az első kikötőig;
c) vasúti, belvízi, vagy közúti árufuvarozás esetén az a hely, ahol az első vámhivatal található;
d) egyéb eszközökkel szállított áruk esetén az a hely, ahol a Közösség vámterületének szárazföldi határán azok áthaladnak.
(2) A Közösség vámterületére beléptetett, majd e vámterület egy másik részén található rendeltetési helyre Belarusz, Oroszország, Svájc, Bosznia-Hercegovina, a Jugoszláv Szövetségi Köztársaság, illetve Macedónia Volt Jugoszláv Köztársaság területén keresztül szállított áruk vámértékét a Közösség vámterületére történő első belépés helyére való hivatkozással kell meghatározni, feltéve, hogy ezen országok területén keresztül közvetlenül, a szokásos útvonalon szállították a rendeltetési helyére.
(3) A Közösség vámterületére belépett, majd tengeri úton a vámterület egy másik részén lévő rendeltetési helyre szállított áruk vámértékét a Közösség vámterületére történő első belépés helyére való hivatkozással kell meghatározni, feltéve, hogy az árukat közvetlenül, a szokásos útvonalon szállították a rendeltetési helyre.
(4) E cikk (2) és (3) bekezdése akkor is alkalmazandó, ha az árukat kizárólag a szállításukkal összefüggő okokból kirakodják, átrakodják vagy ideiglenesen várakoztatják Belarusz, Oroszország, Svájc, Bosznia-Hercegovina, a Jugoszláv Szövetségi Köztársaság, illetve Macedónia Volt Jugoszláv Köztársaság területén.
(5) Azon áruk esetében, amelyek a Közösség vámterületére beléptek, majd amelyeket az egyik francia tengerentúli megyéből közvetlenül a Közösség vámterületének egy másik részére szállítottak, vagy fordítva, az áruk belépésének helyeként azt az (1) és (2) bekezdésben említett helyet kell figyelembe venni, amely a Közösség vámterületének azon a részén található, ahonnan az áruk érkeztek, amennyiben azokat ott kirakodták vagy átrakodták, és ezt a vámhatóságok igazolták.
(6) Amennyiben a (2), (3) és (5) bekezdésben meghatározott feltételek nem teljesülnek, a belépés helyeként azt az (1) bekezdésben meghatározott helyet kell figyelembe venni, amely a Közösség vámterületének azon a részén található, ahová az árukat küldik.
4. FEJEZET
Szállítási költségekre vonatkozó rendelkezések
164. cikk
A Vámkódex 32. cikke (1) bekezdése e) pontjának és 33. cikke a) pontjának alkalmazásában:
a) amennyiben az árukat a Közösség vámterületére történő behozatal helyén túl azonos szállítási módon szállítják tovább, a szállítás költségeit a Közösség vámterületén kívül és azon belül megtett távolságok arányában kell megosztani, kivéve, ha a vámhatóságok számára olyan bizonyítékot nyújtanak be, amely igazolja azokat a költségeket, amelyek az áruk fuvarozására általánosan kötelező fuvardíjszabás szerint a Közösség vámterületére történő belépés helyéig merültek volna fel;
b) amennyiben az árukat olyan egységes, a vevő lakóhelyéig/telephelyéig költségmentes áron (free domicile) számlázták, amely megfelel a belépés helye szerinti árnak, a Közösségen belüli szállítási költségeket nem kell levonni ebből az árból. Mindamellett az ilyen levonás megengedett, ha a vámhatóságoknak benyújtott bizonyíték igazolja, hogy a határparitásos ár alacsonyabb lenne, mint az egységes, a vevő lakóhelyéig/telephelyéig költségmentes ár;
c) amennyiben a szállítás ingyenes, vagy a vevő intézi, a behozatal helyéig felmerülő, az azonos szállítási módok esetén szokásos fuvardíjszabás szerint kiszámított szállítási költségeket bele kell számítani a vámértékbe.
165. cikk
(1) A postán küldött áruk tekintetében a rendeltetési helyig felszámolt minden postaköltséget bele kell számítani az áruk vámértékébe, kivéve azokat a kiegészítő postai költségeket, amelyek az importáló országban merültek fel.
(2) Mindazonáltal a bejelentett értéket a nem kereskedelmi szállítmányok vámértékének meghatározásakor nem kell kiigazítani ezekkel a költségekkel.
(3) Az (1) és (2) bekezdés nem alkalmazható olyan árukra, amelyeket az EMS-Datapost néven ismert gyorspostaszolgálatok (Dániában EMS-Jetpost, Németországban EMS-Kurierpostsendungen, Olaszországban CAI-Post) szállítanak.
166. cikk
Az áruk vámértékébe beszámítandó légi szállítási költségeket a 25. mellékletben szereplő szabályok és százalékok alkalmazásával kell meghatározni.
6. FEJEZET
Átváltási árfolyamokra vonatkozó rendelkezések
168. cikk
E fejezet 169-172. cikkének alkalmazásában:
a) "jegyzett árfolyam":
- az érintett tagállam leginkább reprezentatív devizapiacán vagy-piacain a kereskedelmi ügyletekre vonatkozóan jegyzett legfrissebb eladási árfolyam, vagy
- valamely, a tagállam által egyéb módon jegyzett és "jegyzett árfolyam"-ként megjelölt átváltási árfolyam, feltéve, hogy az a lehető legpontosabban tükrözi az érintett pénznem aktuális értékét a kereskedelmi ügyletekben;
b) a "közzétett" kifejezés az érintett tagállam által megjelölt módon való általánosan ismertté tételt jelenti;
c) "pénznem": bármely olyan pénzegység, amelyet a pénzügyi hatóságok egymás között vagy amelyet a nemzetközi piacon elszámolási eszközként használnak.
169. cikk
(1) Amennyiben az áruk vámértékének meghatározásához szolgáló tényezőket a meghatározás időpontjában az értékelés színhelyéül szolgáló tagállam pénznemétől eltérő pénznemben fejezik ki, akkor ezen értéknek az érintett tagállam pénznemében történő meghatározásához a hónap utolsó előtti szerdáján jegyzett és azon a napon vagy másnap közzétett árfolyamot kell alkalmazni.
(2) A hónap utolsó előtti szerdáján jegyzett árfolyamot kell alkalmazni a következő naptári hónap egésze során, kivéve, ha azt egy, a 171. cikk értelmében megállapított árfolyam váltja fel.
(3) Amennyiben az (1) bekezdésben jelzett utolsó előtti szerdán nem került sor árfolyamjegyzésre, vagy bár volt árfolyamjegyzés, de azt sem aznap, sem pedig a következő napon nem tették közzé, akkor az érintett valuta utolsó jegyzett, a megelőző 14 napon belül közzétett árfolyamát kell az azon a szerdán jegyzett árfolyamnak tekinteni.
170. cikk
Amennyiben az árfolyam a 169. cikk rendelkezései alapján nem állapítható meg, úgy a Vámkódex 35. cikkének alkalmazásához használandó árfolyamot az érintett tagállam jelöli meg. Ennek az árfolyamnak a lehető legpontosabban kell tükröznie az érintett pénznem aktuális értékét az olyan kereskedelmi ügyletekben, amelyeket az adott tagállam pénznemében bonyolítottak le.
171. cikk
(1) Amennyiben a hónap utolsó szerdáján jegyzett és aznap vagy a következő napon közzétett árfolyam 5 %-kal vagy annál nagyobb mértékben eltér a 169. cikk értelmében megállapított, a következő hónapban alkalmazandó árfolyamtól, akkor ez az árfolyam a Vámkódex 35. cikkének alkalmazásakor felhasználandó árfolyamként az érintett hónap első szerdájától az utóbb említett árfolyam helyébe lép.
(2) Amennyiben az előző rendelkezésekben említett alkalmazási időszak során valamely szerdán jegyzett és aznap vagy a következő napon közzétett árfolyam 5 %-kal vagy annál nagyobb mértékben eltér az ennek a fejezetnek az alapján alkalmazott árfolyamtól, akkor a következő szerdától ez az árfolyam a Vámkódex 35. cikkének alkalmazásakor felhasználandó árfolyamként az utóbb említett árfolyam helyébe lép. A helyettesítő árfolyamot alkalmazni kell a hónap hátralevő részében, feltéve, hogy ezt az árfolyamot az ennek a bekezdésnek az első mondatában foglalt rendelkezések értelmében nem váltja fel másik.
(3) Amennyiben egy tagállamban az árfolyamot szerdán nem jegyzik, vagy ha jegyzik is, nem teszik közzé aznap vagy a következő napon, akkor a jegyzett árfolyam az (1) és (2) bekezdésben az érintett tagállamban való alkalmazásában a vonatkozó szerdai napot megelőzően legutoljára jegyzett és közzétett árfolyam.
172. cikk
Ha egy tagállam vámhatóságai engedélyezik a nyilatkozattevőnek, hogy az áruk szabad forgalomba bocsátására tett vámáru-nyilatkozatra vonatkozóan bizonyos adatokat egy későbbi időpontban időszakos vámáru-nyilatkozat formájában nyújtson be, illetve biztosítson, akkor ez az engedély a nyilatkozattevő kérelmére rendelkezhet úgy, hogy a vámérték részét képező - egy adott pénznemben kifejezett - tényezőket egységes árfolyamon váltsák át az adott tagállam pénznemére. Ez esetben az alkalmazandó árfolyam az az ennek a fejezetnek megfelelően megállapított árfolyam lesz, amely a szóban forgó időszakos vámáru-nyilatkozat által érintett időszak első napján alkalmazandó.
7. FEJEZET
Egyszerűsített eljárások egyes romlandó árukra vonatkozóan
8. FEJEZET
Adatszolgáltatás és benyújtandó okmányok
178. cikk
(1) Ha a Vámkódex 28-36. cikkének megfelelően a vámérték megállapítása szükséges, az importárukra vonatkozó vámáru-nyilatkozathoz egy, a vámértékre vonatkozó adatokat tartalmazó nyilatkozatot (vámértékbevallás) kell mellékelni. A vámértékbevallást a 28. mellékletben szereplő mintának megfelelő D.V.1. formanyomtatványon kell teljesíteni, amelyet szükség esetén egy vagy több, a 29. mellékletben szereplő mintának megfelelő D.V.1. bis nyomtatvánnyal lehet kiegészíteni.
(2) Az (1) bekezdésben említett vámértékbevallást csak a Közösségben letelepedett személy és csak a vonatkozó tények birtokában tehet.
A Vámkódex 64. cikke (2) bekezdése b) pontjának második francia bekezdését és 64. cikkének (3) bekezdését értelemszerűen alkalmazni kell.
(3) A vámhatóságok eltekinthetnek az (1) bekezdésben említett nyomtatványon megteendő nyilatkozat megkövetelésétől, ha a szóban forgó áruk vámértéke a Vámkódex 29. cikkének rendelkezései szerint nem határozható meg. Ilyen esetekben a (2) bekezdésben említett személy köteles olyan egyéb adatokat szolgáltatni a vámhatóságoknak - vagy azok hozzáférhetőségéről gondoskodni -, amelyek a vámértéknek a Vámkódex valamely másik cikke alapján történő meghatározása céljából kérhetők; az ilyen egyéb adatokat olyan formában és módon kell megadni, amilyen formában azokat a vámhatóságok előírják.
(4) Az (1) bekezdésben előírt vámértékbevallásnak a vámhivatal számára történő benyújtása - a büntetőjogi rendelkezések esetleges alkalmazásának sérelme nélkül - egyenértékű a (2) bekezdésben említett személy felelősségvállalásával az alábbiak tekintetében:
- a vámértékbevallásban megadott adatok pontossága és teljessége,
- ezen adatok alátámasztásaként benyújtott okmányok hitelessége, és
- az áruk vámértékének meghatározásához szükséges bármely további adat vagy okmány benyújtása.
(5) Ez a cikk nem alkalmazható olyan árukra, amelyek vámértékét a 173-177. cikk rendelkezései szerinti egyszerűsített eljárásban állapítják meg.
179. cikk
(1) A vámhatóságok - kivéve, ha az a behozatali vámok szabályszerű alkalmazása céljából elengedhetetlen - az alábbi esetekben eltekinthetnek a 178. cikk (1) bekezdésében előírt nyilatkozat egészének vagy egy részének a megkövetelésétől, amennyiben:
a) az egy szállítmányban behozott áruk vámértéke nem haladja meg az 10 000 EUR-t, feltéve, hogy azok nem egy azonos feladótól azonos címzettnek küldött osztott szállítmányt vagy többszöri szállítmányt alkotnak; vagy
b) a szóban forgó behozatal nem kereskedelmi jellegű; vagy
c) a szóban forgó adatok benyújtása nem szükséges az Európai Közösségek Vámtarifájának alkalmazásához, vagy ha a tarifában előírt vámokat különös vámjogi rendelkezések alapján nem kell kivetni.
(2) Az (1) bekezdés a) pontjában említett, ECU-ben kifejezett összeget a Vámkódex 18. cikke szerint át kell váltani. A vámhatóságok az átváltás után kapott összeget felfelé vagy lefelé kerekíthetik.
A vámhatóságok változatlanul fenntarthatják az ECU-ben meghatározott összeg nemzeti pénznemben kifejezett értékét, ha a Vámkódex 18. cikkében szabályozott éves kiigazítások időpontjában ennek az összegnek az átváltása - az ebben a bekezdésben szabályozott kerekítés előtt - a nemzeti pénznemben kifejezett értéknek kevesebb mint 5 %-os változását vagy annak csökkenését eredményezi.
(3) Az azonos eladótól azonos vevő részére azonos kereskedelmi feltételekkel történő folyamatos áruszállítások esetében a vámhatóságok eltekinthetnek attól, hogy a 178. cikk (1) bekezdése szerinti összes adatot minden egyes vámáru-nyilatkozathoz be kelljen nyújtani, de az adatok benyújtását a körülmények megváltozásakor, valamint legalább háromévente egyszer megkövetelik.
(4) Az e cikk alapján adott mentesítés visszavonható, és elrendelhető a D.V.1. benyújtása, ha megállapítást nyer, hogy a mentesítés alapjául szolgáló feltételek nem teljesültek, vagy már nem teljesülnek.
180. cikk
Ahol számítógépes rendszereket alkalmaznak, vagy ahol az érintett áruk általános, időszakos vagy összevont vámáru-nyilatkozat tárgyát képezik, a vámhatóságok különféle változatokat engedélyezhetnek a vámérték megállapításához szükséges adatszolgáltatás formáját illetően.
181. cikk
(1) A 178. cikk (2) bekezdésében említett személy köteles a vámhatóságoknak benyújtani az importált áruk vámértékbevallásának alapjául szolgáló számlamásolatot. Amennyiben a vámértékről írásban nyilatkoztak, a vámhatóságok megőrzik ezt a másolatot.
(2) Írásban tett vámértékbevallás esetében, ha az importált árukra vonatkozó számlát olyan személy részére állították ki, aki egy másik tagállamban rendelkezik lakóhellyel vagy székhellyel, mint amelyikben a vámértékről nyilatkoztak, akkor a nyilatkozattevőnek a számláról két másolatot kell benyújtania a vámhatóságnak. Az egyik másolatot a vámhatóság őrzi meg; a másikat pedig - a szóban forgó vámhivatal bélyegzőlenyomatával és a vámáru-nyilatkozat nyilvántartási számával ellátva - vissza kell juttatni a nyilatkozattevőnek azzal, hogy továbbítsa azt annak a személynek, akinek a részére a számlát kiállították.
(3) A vámhatóságok a (2) bekezdés rendelkezéseit olyan esetekre is kiterjeszthetik, amikor az a személy, akinek a részére a számlát kiállították, ugyanabban a tagállamban rendelkezik lakóhellyel vagy székhellyel, mint amelyikben a vámértékről nyilatkoztak.
181a. cikk
(1) A vámhatóságok nem kötelesek a behozott áruk vámértékét az ügyleti érték szerinti módszer alkalmazásával meghatározni abban az esetben, ha a (2) bekezdés rendelkezéseiben meghatározott eljárásnak megfelelően alapos okuk van kételkedni abban, hogy a bevallott érték a Vámkódex 29. cikkében hivatkozott teljes megfizetett vagy megfizetendő összeget jelenti.
(2) Ha a vámhatóság részéről az (1) bekezdésben említett kételyek merülnek fel, a 178. cikk (4) bekezdésének rendelkezései szerint további információk szolgáltatását kérheti. Ha a vámhatóság kételyei ezt követően továbbra is fennállnak, a vámhatóság kötelesek a végleges határozat meghozatalát megelőzően a kételyeit alátámasztó indokokról szükség esetén írásban értesíteni az érintett személyt, és lehetőséget biztosítani számára azok megválaszolására. A végleges határozatról és az azt alátámasztó indokolásról a vámhatóság az érintett személyt köteles írásban tájékoztatni.
VI. CÍM
AZ ÁRU BELÉPTETÉSE A VÁMTERÜLETRE
1. FEJEZET
Belépési gyűjtő vámáru-nyilatkozat
1. Szakasz
Hatály
181b. cikk
E fejezet és a 30A. melléklet alkalmazásában:
"fuvarozó" :
a Vámkódex 36b. cikkének (3) bekezdése szerinti azon személy, aki az árut a Közösség vámterületére beszállítja, vagy aki az áru közösségi vámterületre történő fuvarozásáért felelősséget vállal. Mindazonáltal:
- a 183b. cikk szerinti kombinált szállítás esetén "fuvarozó": az a személy, aki a Közösség vámterületére való beszállítást követően a saját erőből mozgó tényleges szállítóeszközt üzemelteti,
- a 183c. cikk szerinti olyan tengeri vagy légi fuvarozás esetén, amikor szállítóeszköz-megosztási vagy szerződéses megállapodás van hatályban, "fuvarozó": az a személy, aki az árunak a Közösség vámterületére való tényleges fuvarozására vonatkozóan szerződéses kötelezettséget vállalt, és hajóraklevelet vagy légi fuvarlevelet állított ki.
181c. cikk
A következő áruk esetében nem kell belépési gyűjtő vámáru-nyilatkozatot benyújtani:
a) villamos energia;
b) csővezetéken keresztül belépő áruk;
c) levelek, levelezőlapok és nyomtatott anyagok, beleértve az elektronikus adathordozón továbbítottakat is;
d) az Egyetemes Postaegyesület Egyezményének szabályai szerint továbbított áruk;
e) azok az áruk, amelyekre vonatkozóan a 230., a 232. és a 233. cikkel összhangban egyéb módon is vámáru-nyilatkozatot lehet tenni, kivéve azokat az 1186/2009/EK tanácsi rendelet ( 6 ) 2. cikke (1) bekezdésének d) pontja szerinti háztartási célú ingóságokat, továbbá azokat a raklapokat, konténereket, valamint közúti, vasúti, légi, tengeri és belvízi szállítóeszközöket, amelyek szállítása fuvarozási szerződés alapján történik;
f) az utasok személyes poggyászában lévő áruk;
g) azok az áruk, amelyek esetében a 225. és a 227. cikkel, valamint a 229. cikk (1) bekezdésével összhangban szóbeli vámáru-nyilatkozatot lehet tenni, kivéve azokat az 1186/2009/EK rendelet 2. cikke (1) bekezdésének d) pontja szerinti háztartási célú ingóságokat, továbbá azokat a raklapokat, konténereket, valamint közúti, vasúti, légi, tengeri és belvízi szállítóeszközöket, amelyek szállítása fuvarozási szerződés alapján történik;
h) ATA- vagy CPD- igazolvány fedezete alatt lévő áruk;
i) az Észak-atlanti Szerződés tagállamai közötti, a fegyveres erőik jogállásáról szóló, Londonban 1951. június 19-én aláírt egyezményben előírt 302. formanyomtatvánnyal továbbított áruk;
j) a 313b. cikknek megfelelően engedélyezett menetrend szerinti hajójárat fedélzetén fuvarozott áru, továbbá a közösségi kikötők vagy repülőterek között olyan hajón vagy légi járművön fuvarozott áru, amely a Közösség vámterületén kívül fekvő kikötőben, illetve repülőtéren nem köt ki, illetve nem száll le;
k) a diplomáciai kapcsolatokról szóló 1961. április 18-i Bécsi Egyezmény alapján, a konzuli kapcsolatokról szóló 1963. április 24-i Bécsi Egyezmény vagy más konzuli egyezmények alapján, vagy a különleges küldetésekről szóló 1969. december 16-i New York-i Egyezmény alapján mentességre jogosult áruk;
l) a Közösség vámterületére valamely tagállam katonai védelmével megbízott hatóság által katonai szállítmány részeként vagy kizárólagosan katonai hatóság részére végzett szállítás során beszállított fegyver és katonai felszerelés;
m) a Közösség vámterületén letelepedett személy által üzemeltetett tengeri fúró- vagy termelési platformokról, illetve szélturbinákból közvetlenül a Közösség vámterületére beszállított következő áruk:
i. olyan áruk, amelyeket az említett platformokba, illetve szélturbinákba beépítettek, ha a beszállítás célja ezen platformok vagy szélturbinák építése, javítása, karbantartása vagy átalakítása;
ii. az említett platformokra vagy szélturbinákba felszerelt, illetve az említett platformok vagy szélturbinák felszereléseként használt áruk;
iii. az említett platformokon, illetve szélturbinákban használt vagy elfogyasztott egyéb ellátmány; és
iv. az említett platformokról, illetve szélturbinákból származó, hulladéknak minősülő termék, ha nem minősül veszélyes hulladéknak;
n) olyan szállítmány részét képező áruk, amelynek belső értéke nem haladja meg a 22 EUR-t, amennyiben a vámhatóságok a gazdasági szereplő beleegyezésével vállalják, hogy a gazdasági szereplő által használt rendszerben található vagy e rendszer által szolgáltatott adatok alapján végzik el a kockázatelemzést.
o) a Közösség vámterületének részét képező olyan területekről beszállított áruk, ahol a 2006/112/EK tanácsi irányelv ( 7 ) és a 2008/118/EK tanácsi irányelv ( 8 ) nem alkalmazandó, valamint a Helgolandról, a San Marino Köztársaságból és a Vatikánváros Államból a Közösség vámterületére beszállított áruk.
181d. cikk
Ha a Közösség és egy harmadik ország közötti nemzetközi megállapodás előírja a kivitel országában elvégzett biztonsági ellenőrzések elismerését, a megállapodásban meghatározott feltételeket kell alkalmazni.
2. Szakasz
Belépési gyűjtő vámáru-nyilatkozat benyújtása
183. cikk
(1) A belépési gyűjtő vámáru-nyilatkozatot elektronikusan kell benyújtani. Annak tartalmaznia kell a 30A. mellékletben az ilyen vámáru-nyilatkozatokra előírt adatokat és az ebben a mellékletben foglalt kitöltési útmutatónak megfelelően kell azt kitölteni.
A belépési gyűjtő vámáru-nyilatkozatot benyújtó személy azt hitelesíti.
A 199. cikk (1) bekezdése értelemszerűen alkalmazandó.
(2) A vámhatóságok papíralapú belépési gyűjtő vámáru-nyilatkozat benyújtását vagy helyette a vámhatóságok egymás közötti megállapodása szerinti bármely más eljárást csak akkor engedik meg, ha a következő körülmények közül valamelyik fennáll:
a) a vámhatóságok számítógépes rendszere nem üzemel;
b) a belépési gyűjtő vámáru-nyilatkozatot benyújtó személy elektronikus alkalmazása nem üzemel.
Az első albekezdés a) és b) pontjában említett esetekben a papíralapú belépési gyűjtő vámáru-nyilatkozatot a 45i. mellékletben megadott mintának megfelelő biztonsági és védelmi okmányon kell benyújtani. Ha az a szállítmány, amelyre belépési gyűjtő vámáru-nyilatkozatot nyújtanak be, egynél több árutételből áll, a biztonsági és védelmi okmányt ki kell egészíteni a 45j. mellékletben megadott mintának megfelelő tételjegyzékkel. A tételjegyzék a biztonsági és védelmi okmány szerves részét képezi.
Az első albekezdés a) és b) pontjában említett esetekben a vámhatóságok engedélyezhetik a biztonsági és védelmi okmány kereskedelmi okmányokkal való helyettesítését vagy kiegészítését, feltéve, hogy a vámhatóságoknak benyújtott okmányok tartalmazzák a belépési gyűjtő vámáru-nyilatkozat tekintetében a 30A. mellékletben előírt adatokat.
(3) A vámhatóságok egymással egyetértésben határozzák meg a (2) bekezdés első albekezdésének a) pontjában említett esetekben követendő eljárást.
(4) A papíralapú belépési gyűjtő vámáru-nyilatkozat (2) bekezdés első albekezdésének b) pontja szerinti használatához a vámhatóságok jóváhagyása szükséges.
A papíralapú belépési gyűjtő vámáru-nyilatkozatot benyújtó személynek azt alá kell írnia.
(5) A belépési gyűjtő vámáru-nyilatkozatokat a vámhatóságoknak fogadásuk után haladéktalanul nyilvántartásba kell venniük.
(6) A vámhatóságok haladéktalanul értesítik a belépési gyűjtő vámáru-nyilatkozat benyújtóját a nyilatkozat nyilvántartásba vételéről. Ha a belépési gyűjtő vámáru-nyilatkozatot a Vámkódex 36b. cikkének (4) bekezdése szerinti személy nyújtja be, és a fuvarozó kapcsolódik a váminformatikai rendszerhez, akkor a vámhatóságok a nyilvántartásba vételről a fuvarozót is értesítik.
(7) Ha a Vámkódex 36b. cikkének (4) bekezdése szerinti személy nyújt be belépési gyűjtő vámáru-nyilatkozatot, akkor - ellenkező bizonyíték hiányában - a vámhatóságok vélelmezhetik, hogy a fuvarozó a szerződéses jogviszony keretében beleegyezését adta, és a nyilatkozat benyújtása a fuvarozó tudtával történt.
(8) A vámhatóságok haladéktalanul értesítik a belépési gyűjtő vámáru-nyilatkozatra vonatkozó módosítás benyújtóját a módosítás nyilvántartásba vételéről. Ha a belépési gyűjtő vámáru-nyilatkozatra vonatkozó módosítást a Vámkódex 36b. cikkének (4) bekezdése szerinti személy nyújtja be, továbbá ha a fuvarozó kérte a vámhatóságoktól az ilyen értesítések megküldését, és kapcsolódik a váminformatikai rendszerhez, akkor a vámhatóságok a nyilvántartásba vételről a fuvarozót is értesítik.
(9) Ha a belépési gyűjtő vámáru-nyilatkozat benyújtását követően 200 napon belül a 184g. cikk értelmében a vámhatóságokat nem értesítették a szállítóeszköz megérkezéséről, vagy a 186. cikk értelmében az árut nem állították vám elé, akkor úgy kell tekinteni, hogy a belépési gyűjtő vámáru-nyilatkozatot nem nyújtották be.
183a. cikk
(1) Az árutovábbítási eljárás szerint megadott adatok felhasználhatóak belépési gyűjtő vámáru-nyilatkozatként az alábbi feltételek teljesülése esetén:
a) az árukat a Közösség vámterületére árutovábbítási eljárás keretében szállítják be;
b) az árutovábbítási adatok cseréje informatikai technológia és számítógépes hálózatok felhasználásával történik;
c) az adatok magukba foglalják a belépési gyűjtő vámáru-nyilatkozathoz megkövetelt összes adatot.
(2) Feltéve, hogy a megkövetelt adatokat magukba foglaló árutovábbítási adatok cseréje a 184a. cikkben hivatkozott határidőn belül történik, a 183. cikk követelményei teljesítettnek tekintendők, még akkor is, ha az árukat a Közösség vámterületén kívül adták ki árutovábbításra.
183b. cikk
Kombinált szállítás esetén, ha a Közösség vámterületére belépő tényleges szállítóeszköz kizárólag egy, a Közösség vámterületére való belépést követően saját erőből tényleges szállítóeszközként mozgó másik szállítóeszköz szállítására szolgál, akkor a belépési gyűjtő vámáru-nyilatkozatot ez utóbbi szállítóeszköz üzemeltetője köteles benyújtani.
A belépési gyűjtő vámáru-nyilatkozat benyújtásának határideje a 184a. cikkben a Közösség vámterületére belépő tényleges szállítóeszközre vonatkozóan előírt határidőnek felel meg.
183c. cikk
Tengeri vagy légi forgalom esetén, amikor szállítóeszköz-megosztási vagy szerződéses megállapodás van hatályban, a belépési gyűjtő vámáru-nyilatkozat benyújtása annak a személynek a kötelezettsége, aki szerződéses kötelezettséget vállalt és hajóraklevelet vagy légi fuvarlevelet állított ki az áruknak a megállapodás tárgyát képező hajón vagy légi járműn történő tényleges fuvarozására vonatkozóan.
183d. cikk
(1) Ha a Közösség vámterületére belépő tényleges szállítóeszköz elsőként olyan - valamely tagállamban található - vámhivatalhoz érkezik, amelyet a belépési gyűjtő vámáru-nyilatkozaton nem jelentettek be, a szállítóeszköz üzemeltetője vagy az üzemeltető képviselője köteles erről "átirányítási kérelem" üzenet révén értesíteni a bejelentett beléptető vámhivatalt. Ennek az üzenetnek tartalmaznia kell a 30A. mellékletben előírt adatokat, és azt az említett mellékletben található kitöltési útmutatónak megfelelően kell kitölteni. Ez a bekezdés a 183a. cikkben említett esetekben nem alkalmazandó.
(2) A bejelentett beléptető vámhivatal az átirányításról, valamint a biztonsági és védelmi kockázatelemzés eredményeiről haladéktalanul értesíti a tényleges beléptető vámhivatalt.
184. cikk
(1) Azt a gyűjtő vámáru-nyilatkozattal kísért árut, amelyet a szállítóeszközről nem rakodtak ki, a 183. cikk (1) és (2) bekezdésben említett személynek érintetlen állapotban ismételten be kell mutatnia bármikor, ha a vámhatóság ezt kéri, mindaddig, amíg a szóban forgó áru vámjogi sorsát meghatározzák.
(2) Minden olyan személy, akinek az áru annak kirakodása után szállítás vagy raktározás céljából a birtokában van, felelős az árunak a vámhatóságok kérésére érintetlen állapotban való ismételt bemutatására vonatkozó kötelezettség teljesítéséért.
3. Szakasz
Határidők
184a. cikk
(1) A tengeri forgalom esetében a belépési gyűjtő vámáru-nyilatkozatot a beléptető vámhivatalnál a következő határidőkön belül kell benyújtani:
a) konténeres rakománynál - kivéve, ha a c) vagy d) pont alkalmazandó - legalább 24 órával az indulási kikötőben történő berakodást megelőzően;
b) olyan ömlesztett/darabáru rakomány esetén, amelyre a c) vagy d) pont nem alkalmazandó, legalább négy órával a Közösség vámterületén található első kikötőbe történő megérkezést megelőzően;
c) a Grönland, a Feröer-szigetek, Ceuta, Melilla, Norvégia, Izland vagy balti-tengeri, északi-tengeri, fekete-tengeri vagy földközi-tengeri kikötők, az összes marokkói kikötő, illetve Franciaország tengeren túli megyéi, az Azori-szigetek, Madeira és a Kanári-szigetek kivételével a Közösség vámterülete közötti fuvarozásnál legalább két órával a Közösség vámterületén található első kikötőbe történő megérkezést megelőzően;
d) a Közösség vámterületén kívüli terület és Franciaország tengeren túli megyéi, az Azori-szigetek, Madeira és a Kanári-szigetek közötti, a c) pontban említett esetektől különböző fuvarozásnál, ha az út időtartama 24 óránál kevesebb, akkor legalább két órával a Közösség vámterületén található első kikötőbe történő megérkezést megelőzően.
(2) A légi forgalom esetében a belépési gyűjtő vámáru-nyilatkozatot a beléptető vámhivatalnál az alábbi határidőkön belül kell benyújtani:
a) rövid távon közlekedő légi járatoknál legkésőbb akkor, amikor a légi jármű ténylegesen felszáll;
b) hosszú távon közlekedő légi járatoknál legalább négy órával a Közösség vámterületén lévő első repülőtérre történő megérkezést megelőzően.
Ennek a bekezdésnek az alkalmazásában "rövid távon közlekedő légi járat" az olyan légi járat, amelynek repülési ideje kevesebb, mint négy óra a harmadik országban lévő utolsó indulási repülőtértől az első közösségi repülőtérre történő megérkezésig. Minden egyéb légi járat hosszú távon közlekedő légi járatnak minősül.
(3) A vasúti és belvízi forgalom esetében a belépési gyűjtő vámáru-nyilatkozatot legalább két órával a Közösség vámterületére beléptető vámhivatalhoz történő megérkezés előtt kell benyújtani a beléptető vámhivatalnál.
(4) A közúti forgalom esetében a belépési gyűjtő vámáru-nyilatkozatot legalább egy órával a Közösség vámterületére beléptető vámhivatalhoz történő megérkezés előtt kell benyújtani a beléptető vámhivatalnál.
(5) Amennyiben egy belépési gyűjtő vámáru-nyilatkozatot nem adatfeldolgozási eljárás felhasználásával nyújtanak be, az (1) bekezdés c) és d) pontjában, a (2) bekezdés a) pontjában, valamint a (3) és a (4) bekezdésekben foglalt határidő legalább négy óra.
(6) Ha a vámhatóságok számítógépes rendszere ideiglenesen nem üzemel, az (1)-(4) bekezdésekben előírt határidőket akkor is alkalmazni kell.
184b. cikk
A 184a. cikk (1)-(4) bekezdéseiben foglalt határidőket a következő esetekben nem kell alkalmazni:
a) amennyiben a Közösség és harmadik országok közötti nemzetközi megállapodások előírják a 181d. cikkben említett biztonsági ellenőrzések elismerését;
b) amennyiben a Közösség és harmadik országok közötti nemzetközi megállapodások a vámáru-nyilatkozat adatainak cseréjét a 184a. cikk (1)-(4) bekezdéseitől eltérő határidők szerint követelik meg;
c) vis maior esetei.
184c. cikk
Amennyiben megállapítást nyer, hogy a vám elé állított árukra, amelyekre követelmény a belépési gyűjtő vámáru-nyilatkozat benyújtása, ilyen vámáru-nyilatkozatot nem nyújtottak be, annak a személynek, aki az árukat a Közösség vámterületére beszállította vagy aki az áruknak a Közösség vámterületére történt fuvarozásáért a felelősséget viselte, haladéktalanul be kell nyújtania egy belépési gyűjtő vámáru-nyilatkozatot.
Ha egy gazdasági szereplő a belépési gyűjtő vámáru-nyilatkozatot a 184a. cikkben előírt határidők letelte után nyújtja be, ez a nemzeti jogszabályokban meghatározott szankciók alkalmazását nem zárja ki.
4. Szakasz
Kockázatelemzés
184d. cikk
(1) A beléptető vámhivatal a belépési gyűjtő vámáru-nyilatkozatban foglalt információk fogadása után elvégzi a megfelelő kockázatelemzést, elsődlegesen biztonsági és védelmi célokra, az áruknak a Közösség vámterületére történő megérkezését megelőzően. Amennyiben a belépési gyűjtő vámáru-nyilatkozatot a beléptető vámhivataltól különböző vámhivatalnál nyújtották be és az adatokat a Vámkódex 36a. cikkének (2) bekezdésével és 36c. cikke (1) bekezdésének második albekezdésével összhangban rendelkezésre bocsátották, a vámhatóságoknak a beléptető vámhivatalnál vagy el kell fogadniuk a másik vámhivatal által elvégzett kockázatelemzés eredményeit, vagy figyelembe kell venniük annak eredményeit, amikor saját kockázatelemzésüket végzik.
(2) A vámhatóságoknak a kockázatelemzést az áruk megérkezését megelőzően kell elvégezniük, feltéve hogy a 184a. cikkben előírt vonatkozó határidő teljesül.
Ha azonban az árukat a 184a. cikk (1) bekezdésének a) pontjában említett típusú forgalomban fuvarozzák, a vámhatóságoknak a kockázatelemzést a belépési gyűjtő vámáru-nyilatkozat fogadásától számított 24 órán belül kell elvégezniük. Ha ez az elemzés ésszerű alapot szolgáltat a vámhatóságok számára annak vélelmezésére, hogy az áruknak a Közösség vámterületére történő beléptetése olyan komoly veszélyt jelentene a Közösség biztonsága és védelme számára, hogy azonnali beavatkozásra van szükség, akkor a vámhatóságok értesítik a belépési gyűjtő vámáru-nyilatkozat benyújtóját és ha attól különböző személy, a fuvarozót - amennyiben a fuvarozó kapcsolódik a váminformatikai rendszerhez -, hogy az árukat nem szabad berakodni. Az értesítést a belépési gyűjtő vámáru-nyilatkozat fogadásától számított 24 órán belül kell benyújtani.
(3) Ha olyan árukat szállítanak be a Közösség vámterületére, amelyekre vonatkozóan a 181c. cikk c)-i) és l)-o) pontjának megfelelően nem kell benyújtani belépési gyűjtő vámáru-nyilatkozatot, a kockázatelemzést az áruk vám elé állításakor - amennyiben rendelkezésre áll - az átmeneti megőrzésre vonatkozó gyűjtő vámáru-nyilatkozat vagy az árukra vonatkozó vámáru-nyilatkozat alapján kell elvégezni.
(4) A vám elé állított áruk kiadhatók valamely vámjogi sorsra, amint elvégezték a kockázatelemzést és az eredmények lehetővé teszik a kiadást.
184e. cikk
Amennyiben egy hajó vagy egy légi jármű a Közösség vámterületén egynél több kikötőben köt ki vagy repülőtéren száll le, akkor - feltéve hogy a fenti kikötők, illetve repülőterek között anélkül mozog, hogy kikötne/leszállna a Közösség vámterületén kívüli bármely kikötőben vagy repülőtéren - belépési gyűjtő vámáru-nyilatkozatot kell benyújtania az első közösségi kikötőben vagy repülőtéren az összes fuvarozott áru tekintetében. Ennek az első beléptető kikötőnek vagy repülőtérnek a vámhatóságai végzik el a biztonsági és védelmi kockázatelemzést az összes fuvarozott árura vonatkozóan. Ezen árukra vonatkozóan kiegészítő kockázatelemzés végezhető azon kikötőben vagy repülőtéren, ahol majd kirakodásra kerülnek.
Ha kockázatot állapítanak meg, az első beléptető kikötő vagy repülőtér vámhivatala - amennyiben a szállítmányról megállapítást nyert, hogy olyan súlyos veszélyt jelent, amely azonnali beavatkozást tesz szükségessé - tiltó intézkedéseket tesz, és a kockázatelemzés eredményeit minden esetben továbbítja a következő kikötőknek vagy repülőtereknek.
A Közösség vámterületén fekvő soron következő kikötőkben vagy repülőtereken az adott kikötőben vagy repülőtéren vám elé állított áruk tekintetében a 186. cikk szerint kell eljárni.
5. szakasz
Értesítés a megérkezésről
184g. cikk
A Közösség vámterületére belépő tényleges szállítóeszköz üzemeltetője vagy az üzemeltető képviselője értesíti az első beléptető vámhivatal vámhatóságait a szállítóeszköz megérkezéséről. Ennek a megérkezési értesítésnek tartalmaznia kell azokat az adatokat, amelyek alapján az adott szállítóeszközön szállított valamennyi árura vonatkozóan azonosíthatók a benyújtott belépési gyűjtő vámáru-nyilatkozatok. Amennyiben lehetséges, a megérkezési értesítés rendelkezésre álló módszereit kell igénybe venni.
2. FEJEZET
Átmeneti megőrzés
185. cikk
(1) Amennyiben a Vámkódex 51. cikke (1) bekezdésében említett helyeket állandó jelleggel elfogadták mint az átmeneti megőrzés alatt álló áruk elhelyezésére szolgáló helyeket, úgy ezek megnevezése "átmeneti megőrzési raktár".
(2) Amennyiben az átmeneti megőrzési raktár nem a vámhatóság saját kezelésében van, az a vámjogszabályok alkalmazásának biztosítása érdekében megkövetelheti, hogy:
a) az átmeneti megőrzési raktárak két zárral legyenek ellátva, és az egyik kulcs az említett vámhatóság birtokában legyen;
b) az átmeneti megőrzési raktárt üzemeltető személy olyan raktárnyilvántartást vezessen, amely lehetővé teszi az áruk mozgásának nyomon követését.
186. cikk
(1) A vám elé állított nem közösségi árukhoz a vámhatóságok által előírt módon átmeneti megőrzésre vonatkozó gyűjtő vámáru-nyilatkozatot kell benyújtani.
Az átmeneti megőrzésre vonatkozó gyűjtő vámáru-nyilatkozatot legkésőbb a vám elé állítás időpontjában kell benyújtani; a nyilatkozatot annak a személynek kell benyújtania, vagy azon személy érdekében kell benyújtani, aki az árut vám elé állítja. Ha az átmeneti megőrzésre vonatkozó gyűjtő vámáru-nyilatkozatot nem az átmeneti megőrzési raktár üzemeltetője nyújtja be, és ez az üzemeltető meg van nevezve az átmeneti megőrzésre vonatkozó gyűjtő vámáru-nyilatkozaton és kapcsolódik a váminformatikai rendszerhez, akkor a vámhatóságok ezt az üzemeltetőt értesítik a nyilatkozatról.
(2) Az átmeneti megőrzésre vonatkozó gyűjtő vámáru-nyilatkozat a vámhatóságok előírásának megfelelően a következő formákat öltheti:
a) hivatkozás a szóban forgó árura vonatkozó bármely belépési gyűjtő vámáru-nyilatkozatra, kiegészítve az átmeneti megőrzésre vonatkozó gyűjtő vámáru-nyilatkozaton feltüntetendő adatokkal;
b) olyan, átmeneti megőrzésre vonatkozó gyűjtő vámáru-nyilatkozat, beleértve a szóban forgó árura vonatkozó bármely belépési gyűjtő vámáru-nyilatkozatra való hivatkozást;
c) manifeszt vagy más fuvarokmány, ha az tartalmazza az átmeneti megőrzésre vonatkozó gyűjtő vámáru-nyilatkozaton feltüntetendő adatokat, beleértve a szóban forgó árura vonatkozó bármely belépési gyűjtő vámáru-nyilatkozatra való hivatkozást.
(3) Nem kell megkövetelni a bármely belépési gyűjtő vámáru-nyilatkozatra való hivatkozást, ha az áru már átmeneti megőrzés alatt állt, vagy már meghatározták vámjogi sorsát, és nem hagyta el a Közösség vámterületét.
(4) Kereskedelmi, kikötői vagy szállítási leltárrendszerek akkor használhatók, ha a vámhatóságok jóváhagyták őket.
(5) Az átmeneti megőrzésre vonatkozó gyűjtő vámáru-nyilatkozat benyújtható a 184 g. cikk szerinti megérkezési értesítéssel együtt, vagy tartalmazhatja ezt az értesítést.
(6) A Vámkódex 49. cikke alkalmazásában az átmeneti megőrzésre vonatkozó gyűjtő vámáru-nyilatkozatot az áru vám elé állításának napján kell benyújtottnak tekinteni.
(7) Az átmeneti megőrzésre vonatkozó gyűjtő vámáru-nyilatkozatot a vámhatóságok megőrzik annak ellenőrzése céljából, hogy megtörtént-e a nyilatkozatban szereplő áru vámjogi sorsának meghatározása.
(8) Nem kell megkövetelni átmeneti megőrzésre vonatkozó gyűjtő vámáru-nyilatkozatot, ha legkésőbb vám elé állításakor:
a) az árut vámeljárásra bejelentik, vagy vámjogi sorsát egyéb módon meghatározzák; vagy
b) az áruról a 314b-336. cikkel összhangban bizonyítást nyer, hogy közösségi vámjogi helyzetű.
(9) Ha egy vámáru-nyilatkozatot a beléptető vámhivatalnál a Vámkódex 36c. cikkének megfelelően belépési gyűjtő vámáru-nyilatkozatként nyújtottak be, akkor a vámhatóságok a vámáru-nyilatkozatot az áru vám elé állításakor haladéktalanul elfogadják, és az árut - az adott eljárásra vonatkozóan megállapított feltételek szerint - közvetlenül a vámáru-nyilatkozatban megjelölt eljárás alá vonják.
(10) Az (1)-(9) bekezdés alkalmazásában amennyiben az indító vámhivataltól árutovábbítási eljárás keretében szállított nem közösségi árut a Közösség vámterületén található rendeltetési hivatalban állítanak vám elé, a rendeltetési hivatal vámhatóságainak szánt árutovábbítási nyilatkozatot átmeneti megőrzésre vonatkozó gyűjtő vámáru-nyilatkozatnak kell tekinteni.
187. cikk
A Vámkódex 56. cikkének vagy az áruk vámhatóságok által történő értékesítésére vonatkozó rendelkezéseknek a sérelme nélkül, a gyűjtő vámáru-nyilatkozatot tevő személy, vagy ha ilyen bejelentést még nem nyújtottak be, a Vámkódex 36b. cikke (3) bekezdésében említett személyek felelnek a Vámkódex 53. cikke (1) bekezdése szerinti vámhatósági intézkedések végrehajtásáért, és viselik ezen intézkedések költségeit.
187a. cikk
(1) A vámhatóságok engedélyezhetik az áruk vámjogi sorsának meghatározására a vámszabályok szerint jogosult személy számára - szóbeli kérelmére - az áruknak a Vámkódex 42. cikke szerinti vizsgálatát. A körülményekre való tekintettel azonban a vámhatóságok dönthetnek úgy, hogy írásbeli kérelem szükséges.
(2) A mintavételt a vámhatóságok csak az (1) bekezdésben említett személy írásbeli kérelmére engedélyezhetik.
(3) Az írásbeli kérelem lehet papíralapú vagy elektronikus. Az érintett személynek alá kell írnia vagy hitelesítenie kell azt, és az illetékes vámhatóságokhoz kell benyújtani. A következő adatokat kell tartalmaznia:
a) a kérelmező neve és címe;
b) az áruk tárolási helye;
c) hivatkozás a következők egyikére:
i. a belépési gyűjtő vámáru-nyilatkozat;
ii. az előző vámeljárás;
iii. a szállítóeszköz;
d) minden egyéb, az áruk azonosításához szükséges adat.
(4) A vámhatóságok közlik határozatukat az érintett személlyel. Amennyiben mintavételre vonatkozik a kérelem, a határozatban meg kell határozni a kivételre kerülő áruk mennyiségét.
(5) Az áruk vizsgálatát és a mintavételt a vámhatóságok felügyelete mellett kell elvégezni, amelyek meghatározzák, hogy milyen eljárásokat kell alkalmazni.
A vizsgálattal, a mintavétellel és az áruk elemzésével kapcsolatos összes kockázatot és költséget az érintett személy viseli.
(6) Az árumintákat alakiságoknak kell alávetni vámjogi sorsuk meghatározása céljából. Amennyiben a minták vizsgálata azok megsemmisítésével vagy helyrehozhatatlan károsodásával jár, úgy kell tekinteni, hogy vámtartozás nem keletkezett.
A vizsgálat eredményeként keletkező hulladék vagy maradék számára a nem közösségi árukra vonatkozóan előírt vámjogi sorsot kell meghatározni.
3. FEJEZET
A tengeri vagy légi úton szállított árukra vonatkozó különös rendelkezések
1. szakasz
Általános rendelkezések
189. cikk
A Közösség vámterületére tengeren vagy légi úton beszállított, átrakodás nélkül ugyanazon szállítóeszköz fedélzetén maradó árut a Vámkódex 40. cikkének megfelelően csak abban a közösségi kikötőben vagy azon a közösségi repülőtéren kell vám elé állítani, ahol azt ki- vagy átrakodják.
Azokat a Közösség vámterületére beszállított árukat azonban, amelyeket a szállítás során egy adott szállítóeszközről lerakodnak, majd ugyanarra a szállítóeszközre visszarakodnak abból a célból, hogy lehetővé tegyék más áruk ki- vagy berakodását, nem kell vám elé állítani.
2. szakasz
Az utasok kézi- és feladott poggyászára vonatkozó különös rendelkezések
190. cikk
E szakasz alkalmazásában:
a) közösségi repülőtér: bármely, a Közösség vámterületén található repülőtér;
b) nemzetközi közösségi repülőtér: bármely olyan közösségi repülőtér, amely az illetékes hatóságok engedélyével harmadik államokkal légi forgalmat bonyolíthat le;
c) Közösségen belüli légi járat: egy légi jármű két közösségi repülőtér közötti, közbülső leszállás nélküli mozgása, amely nem kezdődik és nem végződik nem közösségi repülőtéren;
d) közösségi kikötő: bármely, a Közösség vámterületén elhelyezkedő tengeri kikötő;
e) Közösségen belüli tengeri utazás: olyan hajók közbülső megállás nélküli, két közösségi kikötő közötti mozgása, amelyek két vagy több meghatározott közösségi kikötő között rendszeresen közlekednek;
f) kedvtelési célú hajó: magánhajó, amelynek útvonalát a használók határozzák meg;
g) sport- és üzleti célú légi jármű: olyan magán-légijármű, amelynek útvonalát a használók határozzák meg;
h) poggyász: minden olyan tárgy, amelyet utazása során egy személy bármilyen módon magával visz.
191. cikk
E szakasz alkalmazásában légi utazás esetén a poggyász:
- "feladott poggyász", amennyiben azt az indító repülőtéren feladták, és az az utazó személy számára sem a repülés alatt, sem az e fejezet 192. cikkének (1) és (2) bekezdésében, illetve a 194. cikkének (1) és (2) bekezdésében említett esetleges közbülső leszállások alatt nem hozzáférhető,
- "kézipoggyász", amennyiben azt az utazó személy felviszi magával a légi jármű utasterébe.
192. cikk
Az alkalmazandó ellenőrzéseket és vámalakiságokat
1. azon személyek kézi- és feladott poggyásza esetén, akik olyan légi járaton utaznak, amely nem közösségi repülőtérről indult, és amely egy közösségi repülőtéren való közbülső leszállás után egy másik közösségi repülőtér felé folytatja útját, ezen utolsó repülőtéren kell elvégezni, feltéve, hogy ez egy nemzetközi közösségi repülőtér; ebben az esetben a poggyászokra a harmadik országból érkező személy poggyászaira vonatkozó szabályokat kell alkalmazni, ha az ilyen poggyászt szállító személy az illetékes hatóságoknak nem tudja hitelt érdemlően bizonyítani a poggyászaiban lévő áruk közösségi helyzetét;
2. azon személyek kézi- és feladott poggyásza esetén, akik olyan légi járaton utaznak, amely, mielőtt egy nem közösségi repülőtér felé folytatná útját, leszáll egy közösségi repülőtéren, az indító repülőtéren kell elvégezni, feltéve, hogy az egy nemzetközi közösségi repülőtér; ebben az esetben a kézipoggyász azon a közösségi repülőtéren is ellenőrizhető, ahol a légi jármű megszakítja az útját, annak megállapítása érdekében, hogy az abban lévő áruk megfelelnek-e a Közösségen belüli szabad árumozgás feltételeinek;
3. olyan személyek poggyásza esetén, akik ugyanazon hajón olyan egymás utáni útszakaszokból álló tengeri utazáson vesznek részt, amely egy nem közösségi kikötőből indul, ott áll meg, vagy oda érkezik, azon kikötőben kell elvégezni, amelyben a szóban forgó poggyászt berakják, illetve kirakják.
193. cikk
Az alkalmazandó ellenőrzéseket és alakiságokat az utazó személyek poggyásza tekintetében az alábbi járműveken a következők szerint kell elvégezni:
1. kedvtelési célú hajó esetén bármely közösségi kikötőben, függetlenül a hajó származásától vagy rendeltetési helyétől;
2. sport- és üzleti célú légi járművek esetében:
- a nem közösségi repülőtérről érkező légi járatoknál az első érkezési repülőtéren, melynek nemzetközi közösségi repülőtérnek kell lennie, amennyiben a légi jármű közbülső leszállás után egy másik közösségi repülőtérre folytatja útját,
- közösségi repülőtérről érkező légi járatoknál az utolsó nemzetközi közösségi repülőtéren, amennyiben a légi jármű közbülső leszállás után egy nem közösségi repülőtérre folytatja útját.
194. cikk
(1) Ha egy nem közösségi repülőtérről érkező légi járművön érkező poggyászokat valamely közösségi repülőtéren egy másik olyan légi járműre rakodnak át, amely Közösségen belüli légi járatként repül tovább:
- a feladott poggyászokra vonatkozó minden ellenőrzést és alakiságot a Közösségen belüli légi járat érkezési repülőterén kell elvégezni, feltéve, hogy ez utóbbi repülőtér nemzetközi közösségi repülőtér,
- a kézipoggyászok valamennyi ellenőrzését az első nemzetközi közösségi repülőtéren kell elvégezni; a Közösségen belüli légi járat további ellenőrzése az érkezési repülőtéren csak olyan kivételes esetben végezhető el, amennyiben az a feladott poggyászok ellenőrzését követően szükségesnek bizonyul,
- a feladott poggyászok ellenőrzése az első közösségi repülőtéren csak olyan kivételes esetekben végezhető el, ha az a kézipoggyászok ellenőrzését követően szükségesnek bizonyul.
(2) Ha a poggyászokat egy közösségi repülőtéren egy közösségen belüli légi járatként közlekedő légi járműre rakodják be, hogy azokat egy másik közösségi repülőtéren olyan légi járműre rakodják át, amelynek célállomása egy nem közösségi repülőtér:
- a feladott poggyászokra vonatkozó minden ellenőrzést és alakiságot a Közösségen belüli légi járat indító repülőterén kell elvégezni, feltéve, hogy ez a repülőtér nemzetközi közösségi repülőtér,
- a kézipoggyászok valamennyi ellenőrzését az utolsó nemzetközi közösségi repülőtéren kell elvégezni; az ilyen poggyászok előzetes ellenőrzése a Közösségen belüli légi járat indító repülőterén csak olyan kivételes esetekben végezhető el, ha az a feladott poggyászok ellenőrzését követően szükségesnek bizonyul,
- a feladott poggyászok ellenőrzése az utolsó közösségi repülőtéren csak olyan kivételes esetekben végezhető el, ha az a kézipoggyászok ellenőrzését követően szükségesnek bizonyul.
(3) Minden ellenőrzést és alakiságot, amely olyan poggyászokra alkalmazandó, amelyek valamely nem közösségi repülőtérről érkező menetrend szerinti vagy charter járaton érkeznek egy közösségi repülőtérre, és amelyeket ezen a közösségi repülőtéren egy Közösségen belüli légi járatként közlekedő sport- és üzleti célú légi járműre rakodnak át, a menetrend szerinti vagy charter járat érkezési repülőterén kell elvégezni.
(4) Minden ellenőrzést és alakiságot, amely olyan poggyászokra alkalmazandó, amelyeket egy közösségi repülőtéren egy Közösségen belüli légi járatként közlekedő sport- és üzleti célú légi járműre rakodnak be azzal a céllal, hogy ezeket a poggyászokat egy közösségi repülőtéren átrakodják egy olyan menetrend szerinti vagy charter járatra, amelynek célállomása egy nem közösségi repülőtér, a menetrend szerinti vagy charter járat indító repülőterén kell elvégezni.
(5) A tagállamok az ellenőrzéseket azon a nemzetközi közösségi repülőtéren végezhetik, ahol a feladott poggyászokat átrakodják, olyan poggyászok esetében:
- amelyek egy nem közösségi repülőtérről érkeztek, és amelyeket egy nemzetközi közösségi repülőtéren olyan légi járműre rakodnak át, amely ugyanazon államterület nemzetközi repülőterére tart,
- amelyeket egy nemzetközi repülőtéren azért rakodtak be egy légi járműbe, hogy az ugyanazon államterületen található másik nemzetközi repülőtéren olyan légi járműre rakodják át, amely nem közösségi repülőtérre tart.
195. cikk
A tagállamok megteszik a szükséges intézkedéseket annak biztosítása érdekében, hogy:
- érkezéskor a személyek ne csomagolhassanak ki semmilyen árut azelőtt, hogy elvégezték volna azon kézipoggyászok ellenőrzését, amelyekre nem terjed ki a 3925/91/EGK tanácsi rendelet ( 9 ) 1. cikke,
- induláskor a személyek ne csomagolhassanak ki semmilyen árut, miután elvégezték azon kézipoggyászok ellenőrzését, amelyekre nem terjed ki a 3925/91/EGK tanácsi rendelet 1. cikke,
- érkezéskor megtegyék a megfelelő intézkedéseket annak megakadályozása érdekében, hogy az áruk bármilyen átrakására sor kerüljön azelőtt, hogy elvégezték volna az ellenőrzést azokon a feladott poggyászokon, amelyekre nem terjed ki a 3925/91/EGK tanácsi rendelet 1. cikke,
- induláskor megtegyék a megfelelő intézkedéseket annak megakadályozása érdekében, hogy az áruk bármilyen átrakására sor kerüljön azután, hogy elvégezték az ellenőrzést azokon a feladott poggyászokon, amelyekre nem terjed ki a 3925/91/EGK tanácsi rendelet 1. cikke.
196. cikk
A közösségi repülőtéren feladott regisztrált poggyászt az érintett repülőtéren a hozzáerősített címkével kell azonosítani. A címke mintáját és technikai jellemzőit a 30. melléklet tartalmazza.
197. cikk
Minden tagállam megadja a Bizottságnak azon repülőterek jegyzékét, amelyek megfelelnek a 190. cikk b) pontban foglalt "nemzetközi közösségi repülőtér" meghatározásnak. A Bizottság ezt a jegyzéket az Európai Közösségek Hivatalos Lapjának C sorozatában közzéteszi.
VII. CÍM
VÁMÁRU-NYILATKOZATOK - RENDES ELJÁRÁS
1. FEJEZET
Írásbeli vámáru-nyilatkozatok
1. szakasz
Általános rendelkezések
198. cikk
(1) Amennyiben egy vámáru-nyilatkozat kettő vagy több árura terjed ki, az egyes árukra vonatkozó adatok úgy tekintendők, mint amelyek különálló vámáru-nyilatkozatot képeznek.
(2) Ipari berendezés egyazon KN-kód alá tartozó alkotóelemei egyetlen árutételnek tekintendők.
199. cikk
(1) A büntetőjogi rendelkezések esetleges alkalmazásának sérelme nélkül, a vámáru-nyilatkozatot tevő személy vagy képviselője az általa aláírt vámáru-nyilatkozat vagy elektronikus adatfeldolgozási módszerrel benyújtott árutovábbítási nyilatkozat vámhivatalhoz történő benyújtásával - a hatályos rendelkezéseknek megfelelően - felelősséget vállal az alábbiakért:
- a vámáru-nyilatkozatban megadott adatok helyessége,
- a bemutatott okmányok hitelessége, és
- a szóban forgó áruknak az adott vámeljárás alá vonásával kapcsolatos valamennyi kötelezettség betartása.
(2) Ha a nyilatkozattevő adatfeldolgozási rendszereket alkalmaz vámáru-nyilatkozatai - beleértve a 353. cikk (2) bekezdésének b) pontja szerinti árutovábbítási nyilatkozatokat is - benyújtásához, a vámhatóságok rendelkezhetnek úgy, hogy a kézzel írott aláírást más, kódokon alapuló azonosítási módszer helyettesítheti. Ez a lehetőség csak akkor adható meg, ha a vámhatóságok által előírt műszaki és igazgatási feltételek teljesülnek.
A vámhatóságok úgy is rendelkezhetnek, hogy a vám-adatfeldolgozási rendszerekkel benyújtott nyilatkozatokat - beleértve a 353. cikk (2) bekezdésének b) pontja szerint kitöltött árutovábbítási nyilatkozatokat is - közvetlenül ezek a rendszerek is hitelesíthetik a vámhivatali bélyegző kézi vagy gépi használata és az illetékes tisztviselő aláírása helyett.
(3) Az általuk meghatározott feltételekkel és módon a vámhatóságok engedélyezhetik, hogy a 37. mellékletben említett írásbeli nyilatkozat bizonyos részletei helyett ezeket a részleteket az e célra kijelölt vámhivatal számára elektronikus úton küldjék meg, esetleg kódolt formában.
200. cikk
A vámáru-nyilatkozatot kísérő okmányokat a vámhatóság - eltérő rendelkezés hiányában - bevonja, kivéve, ha a nyilatkozattevő más eljáráshoz is igényli azokat. Az utóbbi esetben a vámhatóság megteszi a szükséges intézkedéseket annak biztosítása érdekében, hogy a fenti okmányokat azt követően csak arra az árumennyiségre vagy -értékre vonatkozóan lehessen felhasználni, amelyre nézve azok továbbra is érvényesek.
201. cikk
(1) A vámáru-nyilatkozatot a következő vámhivatalok egyikénél kell benyújtani:
a) azon hely szerint illetékes vámhivatal, ahol az árukat a vámszabályoknak megfelelően vám elé állították vagy vám elé állítják;
b) az exportőr letelepedési helyének, vagy az áruk exportszállításra történő becsomagolása vagy berakodása helyének felügyeletéért felelős vámhivatal, kivéve a 789., 790., 791. és 794. cikkekben meghatározott esetekben.
A vámáru-nyilatkozatot azután lehet benyújtani, amint az árukat vám elé állították, vagy rendelkezésre bocsátották a vámhatóságoknak ellenőrzésre.
(2) A vámhatóság engedélyezheti, hogy a vámáru-nyilatkozat benyújtására azelőtt kerüljön sor, mielőtt a nyilatkozattevő vám elé tudná állítani az árut vagy az ellenőrzés számára rendelkezésre tudná bocsátani azt annál a vámhivatalnál, ahol a vámáru-nyilatkozatot benyújtották, vagy másik vámhivatalnál vagy a vámhatóságok által megjelölt helyen.
A vámhatóságok a körülmények figyelembevételével határidőt szabhatnak az áruk vám elé állítására vagy rendelkezésre bocsátására. Ha az áru vám elé állítása vagy rendelkezésre bocsátása a meghatározott határidőn belül nem történik meg, úgy kell tekinteni, mintha a vámáru-nyilatkozatot nem nyújtották volna be.
A vámáru-nyilatkozat csak a szóban forgó áru vám elé állítását vagy - a vámhatóságok által elfogadható módon - ellenőrzéshez történő rendelkezésre bocsátását követően fogadható el.
(3) Az alábbi feltételek egyikének teljesülése esetén a vámhatóságok engedélyezhetik, hogy a vámáru-nyilatkozatot attól eltérő vámhivatalhoz nyújtsák be, mint amelynek az árukat bemutatták, be fogják mutatni, vagy ellenőrzésre rendelkezésre fogják bocsátani.
a) a bevezető mondatban említett vámhivatalok ugyanabban a tagállamban vannak;
b) egyszerűsített nyilatkozattételi vagy helyi vámkezelési eljárásra szóló egységes engedély jogosultja kívánja az árukat vámeljárás alá vonni.
202. cikk
(1) A vámáru-nyilatkozatot az illetékes vámhivatalnál kell benyújtani az ott meghatározott nyitvatartási időben.
A vámhatóság azonban a nyilatkozattevő kérelmére és költségére engedélyezheti a vámáru-nyilatkozat nyitvatartási időn kívül történő benyújtását is.
(2) Minden olyan vámáru-nyilatkozatot, amelyet a vámhivatal vámtisztviselőjénél a vámhatóság és az érintett személy között létrejött megállapodás alapján az e célra megfelelően kijelölt egyéb helyen nyújtottak be, úgy kell tekinteni, mintha azt az említett vámhivatalban nyújtották volna be.
(3) Az árutovábbítási nyilatkozatot az indító vámhivatalhoz kell benyújtani és az árukat is itt kell bemutatni a vámhatóságok által megállapított nyitvatartási időben.
Az indító vámhivatal a főkötelezett kérésére és költségére egyéb helyen is engedélyezheti az áruk bemutatását.
203. cikk
(1) A vámáru-nyilatkozaton fel kell tüntetni az elfogadás időpontját.
(2) Az indító vámhivatal a vámhatóságok által megállapított nyitvatartási időben fogadja el és veszi nyilvántartásba a közösségi árutovábbítási nyilatkozatot.
204. cikk
A vámhatóság engedélyezheti vagy megkövetelheti, hogy a Vámkódex 65. cikkében említett kiigazításokat az eredeti vámáru-nyilatkozatot helyettesítő új vámáru-nyilatkozat benyújtásával tegyék meg. Ebben az esetben a fizetendő vám meghatározásának, valamint az adott vámeljárásra irányadó bármely egyéb rendelkezés alkalmazásának alapjául az a nap szolgál, amelyen az eredeti vámáru-nyilatkozatot elfogadták.
2. szakasz
A vámáru-nyilatkozat céljára alkalmazandó formanyomtatványok
205. cikk
(1) Az áruk vámeljárás alá vonása vagy a Vámkódex 182. cikkének (3) bekezdésével összhangban való újrakivitele céljából a vámhatósághoz benyújtandó, rendes eljárásoknál használatos írásbeli vámáru-nyilatkozat hivatalos formanyomtatványa az egységes vámokmány.
(2) Erre a célra más nyomtatványok is alkalmazhatók, ha a szóban forgó vámeljárás rendelkezései ezt megengedik.
(3) Az (1) és (2) bekezdés rendelkezései nem zárják ki:
- a 225-236. cikkben az áruk szabad forgalomba bocsátása, kivitele vagy ideiglenes behozatala esetén előírt írásbeli vámáru-nyilatkozat adása alóli mentesítést,
- hogy a tagállam mentesítést adjon az (1) bekezdésben említett formanyomtatvány alkalmazása alól, amennyiben a 237. és 238. cikkben foglalt, postai küldeményként (levél vagy csomag) beérkező küldeményekre vonatkozó különleges rendelkezéseket kell alkalmazni,
- különleges formanyomtatványok használatát a vámárunyilatkozat-adás megkönnyítése érdekében egyes esetekben, amennyiben a vámhatóság ezt engedélyezi,
- hogy a tagállam mentesítést adjon az (1) bekezdésben említett formanyomtatvány alkalmazása alól, amennyiben két vagy több tagállam vámigazgatásai között olyan megállapodások vagy egyezmények vannak vagy lesznek hatályban, amelyek célja az említett tagállamok közötti kereskedelem összes alakiságának vagy az alakiságok egy részének a nagyobb mértékű egyszerűsítése,
- hogy az érintett személy egynél több árufajtából álló szállítmányok esetén, a 353. cikk (2) bekezdése és a 441. cikk alkalmazásakor, a közösségi árutovábbítási eljárás alakiságainak teljesítése céljából rakományjegyzéket használjon,
- hogy a 353. cikk (2) bekezdésének alkalmazásakor a kiviteli, a behozatali vagy az árutovábbítási vámáru-nyilatkozatot, továbbá a nem a közösségi belső árutovábbítási eljárás alapján továbbított áruk közösségi helyzetét igazoló okmányokat köz- vagy magántulajdonban lévő adatfeldolgozó rendszerrel - szükség esetén normál papírra - nyomtassák ki a tagállamok által megállapított feltételek szerint,
- hogy a tagállamok úgy rendelkezzenek, hogy - amennyiben számítógépes vámárunyilatkozat-feldolgozási rendszert vesznek igénybe - az (1) bekezdés szerinti vámáru-nyilatkozatot az e rendszer által kinyomtatott egységes vámokmány formájában is meg lehessen tenni.
(5) Azokban az esetekben, amikor a Közösség jogszabályai a kivitelre, újrakivitelre, illetve a behozatalra vonatkozó vagy az árut más vámeljárás alá vonó vámáru-nyilatkozatra külön utalást tesznek, a tagállamok csak azokat az okmányokat követelhetik meg, amelyeket:
- kifejezetten a Közösség jogszabályai határoznak meg, vagy amelyekről ezek a jogszabályok rendelkeznek,
- a Szerződéssel összeegyeztethető nemzetközi egyezményekben foglaltak értelmében követelnek meg,
- a piaci szereplőktől követelnek meg ahhoz, hogy saját kérelmükre valamely kedvezményt vagy különleges könnyítést szerezzenek meg,
- a Szerződés rendelkezéseinek figyelembevételével olyan különleges rendelkezések végrehajtásához követelnek meg, amelyek nem hajthatók végre kizárólag az (1) bekezdésben említett okmány használata révén.
206. cikk
Szükség esetén az egységes vámokmányt kell igénybe venni a Spanyolország és Portugália csatlakozási okmányában megállapított átmeneti időszakban is az egyrészt az 1985. december 31-i állapot szerinti Közösség és Spanyolország, illetve Portugália közötti, másrészt e két utóbbi tagállam közötti olyan áruk vonatkozásában folytatott kereskedelem kapcsán, amelyek tekintetében bizonyos vámok, illetve azokkal azonos hatású díjak továbbra is fennmaradtak, illetve amelyekre továbbra is az említett csatlakozási okmányban megállapított egyéb intézkedéseket kell alkalmazni.
Az első bekezdés alkalmazásában a Spanyolországgal és Portugáliával, illetve a Spanyolország és Portugália között folytatott kereskedelem céljából használt nyomtatványok 2., vagy adott esetben 7. példányát meg kell semmisíteni.
Az egységes vámokmányt kell igénybe venni a közösségi árukkal folytatott olyan kereskedelem esetén is, amelyre egyrészt a Közösség vámterületének a 77/388/EGK tanácsi irányelv ( 10 ) rendelkezései által érintett és nem érintett részei között, másrészt a közösségi vámterületnek az e rendelkezések által nem érintett részei között kerül sor.
207. cikk
A 205. cikk (3) bekezdésének sérelme nélkül, a tagállamok vámhatóságai a kiviteli vagy a behozatali alakiságok teljesítése céljából az adott tagállam hatóságai által megkívánt egységes vámokmány egy vagy több példányának benyújtásától eltekinthetnek, feltéve, hogy a szóban forgó adatok más adathordozón rendelkezésre állnak.
208. cikk
(1) Az egységes vámokmányt olyan részgarnitúrákban kell benyújtani, amelyek annyi példányt tartalmaznak, ahány az áruk adott vámeljárás alá vonásához kapcsolódó alakiságok teljesítéséhez szükséges.
(2) Ha a közösségi árutovábbítási eljárást vagy az egységes árutovábbítási eljárást egy másik vámeljárás előzi meg vagy követi, olyan részgarnitúrát kell benyújtani, amely annyi példányt tartalmaz, amennyi a 353. cikk (2) bekezdésének alkalmazásával végzett árutovábbítási eljárással és az azt megelőző vagy követő vámeljárással kapcsolatos alakiságok teljesítéséhez szükséges.
(3) Az (1) és (2) bekezdésben említett részgarnitúrák
- vagy egy teljes, nyolcpéldányos, a 31. mellékletben szereplő mintának megfelelő okmánygarnitúrából,
- vagy - különösen a nyilatkozatok feldolgozására szolgáló számítógépes adatfeldolgozó rendszer révén történő kiállítás esetén - két egymást követő négypéldányos, a 32. mellékletben szereplő mintának megfelelő okmánygarnitúrából állnak.
(4) A 205. cikk (3) bekezdése, a 222-224. cikk, illetve a 254-289. cikk sérelme nélkül, a vámáru-nyilatkozatok adott esetben kiegészíthetőek egy vagy több, olyan részgarnitúrában megjelenő pótlappal, amelyek annyi nyilatkozati példányt tartalmaznak, ahány az áru adott vámeljárás alá vonásához szükséges. Adott esetben a megelőző vagy utólagos vámeljárásokkal kapcsolatos alakiságok teljesítéséhez szükséges példányokat is csatolni lehet.
A pótlapokból álló részgarnitúrák
- vagy egy nyolcpéldányos, a 33. mellékletben szereplő mintának megfelelő okmánygarnitúrából,
- vagy kettő négypéldányos, a 34. mellékletben szereplő mintának megfelelő okmánygarnitúrából állnak.
A pótlapok szerves részét képezik azon egységes vámokmánynak, amelyhez tartoznak.
(5) A (4) bekezdéstől eltérően a vámhatóságok rendelkezhetnek úgy, hogy a pótlapok nem használhatók abban az esetben, ha a vámáru-nyilatkozatok kiállításához számítógépes rendszert alkalmaztak.
209. cikk
(1) Amennyiben a 208. cikk (2) bekezdésben foglaltakat alkalmazzák, minden érintett fél csak azon vámeljárással kapcsolatos adatok tekintetében tartozik felelősséggel, amelyeket nyilatkozattevőként, főkötelezettként vagy ezek képviselőjeként maga kérelmezett.
(2) Az (1) bekezdés alkalmazásában, ha a nyilatkozattevő olyan egységes vámokmányt használ, amelyet a megelőző vámeljárás során bocsátottak ki, akkor a nyilatkozat benyújtását megelőzően köteles ellenőrizni az azokban a rovatokban szereplő adatok helyességét, amelyekért felelősséggel tartozik, valamint azt, hogy ezek az adatok alkalmazhatók-e az adott árukra és a kérelmezett vámeljárásra, és szükség esetén köteles kiegészíteni azokat.
Az első albekezdésben említett esetekben a nyilatkozattevő, ha bármilyen eltérést észlel a szóban forgó áru és a feltüntetett adatok között, köteles haladéktalanul értesíteni azt a vámhivatalt, ahová a vámáru-nyilatkozatot benyújtotta. Ebben az esetben a nyilatkozattevőnek a vámáru-nyilatkozatot egy új, üres egységes vámokmány példányain kell kiállítania.
210. cikk
Amennyiben az egységes vámokmányt több, egymást követő vámeljárásra kiterjedően használják, a vámhatóságoknak meg kell győződniük arról, hogy a szóban forgó különböző vámeljárásokkal kapcsolatos vámáru-nyilatkozatok adatai megegyeznek-e egymással.
211. cikk
A vámáru-nyilatkozatot a Közösség egyik olyan hivatalos nyelvén kell kitölteni, amely elfogadható azon tagállam vámhatóságai számára is, ahol az alakiságokat teljesítik.
Szükség esetén a rendeltetési tagállam vámhatósága a nyilatkozattevőtől vagy annak az adott tagállamban tevékenykedő képviselőjétől megkövetelheti, hogy fordíttassa le a vámáru-nyilatkozatot az adott tagállam hivatalos nyelvére vagy hivatalos nyelveinek egyikére. Ebben az esetben a fordítás lép a szóban forgó vámáru-nyilatkozatban szereplő megfelelő adatok helyébe.
Az előző albekezdéstől eltérve, a vámáru-nyilatkozatot minden olyan esetben a rendeltetési tagállam számára elfogadható közösségi hivatalos nyelven kell kiállítani, amikor a vámáru-nyilatkozat ez utóbbi tagállamban olyan példányokon készül, amelyek nem azonosak az indító tagállam vámhivatalához eredetileg benyújtott példányokkal.
212. cikk
(1) Az egységes vámokmányt a 37. mellékletben szereplő útmutatóban és a Közösség más jogszabályaiban megállapított további szabályokkal összhangban kell kitölteni.
Amennyiben egy vámáru-nyilatkozatot belépési gyűjtő vámáru-nyilatkozatként használnak, a Vámkódex 36c. cikkének (1) bekezdésével összhangban, ennek a nyilatkozatnak - a 37. melléklet szerint a konkrét eljáráshoz megkövetelt adatokon kívül - tartalmaznia kell a 30A. mellékletben a belépési gyűjtő vámáru-nyilatkozathoz meghatározott adatokat.
(2) A vámhatóságoknak biztosítaniuk kell, hogy a felhasználók szabadon hozzáférhessenek az (1) bekezdésben említett használati útmutató példányaihoz.
(3) Szükség esetén az egyes tagállamok vámhatóságai kiegészíthetik a használati útmutatót.
(4) A tagállamok megküldik a Bizottságnak azon adatok listáját, amelyek megadását a 37. mellékletben felsorolt egyes eljárások esetén megkövetelik. A Bizottság közzéteszi ezen adatok listáját.
213. cikk
A 205. cikk (1) bekezdésében említett nyomtatványok kitöltésénél alkalmazandó kódok felsorolása a 38. mellékletben található.
A tagállamok megküldik a Bizottságnak a 37. rovatban (második alrovat), a 44. és 47. rovatokban (első alrovat) alkalmazott nemzeti kódok listáját. A Bizottság közzéteszi ezen kódok listáját.
214. cikk
Azokban az esetekben, amikor a szabályok a 205. cikk (1) bekezdésében említett nyomtatvány további példányainak használatát írják elő, a nyilatkozattevő a pótlapokat vagy az említett nyomtatvány fénymásolatait használhatja erre a célra.
A pótlapokat vagy fénymásolatokat a nyilatkozattevőnek alá kell írnia, és be kell nyújtania a vámhatóságnak, ez utóbbi pedig ugyanolyan feltételekkel záradékolja ezeket, mint az egységes vámokmányt. Ezeket a vámhatóság eredeti okmányként fogadja el, feltéve, hogy minőségüket és olvashatóságukat kielégítőnek találja.
215. cikk
(1) A 205. cikk (1) bekezdésében említett nyomtatványokat olyan önmásoló papírra kell nyomtatni, amelyet írás céljára előkészítettek, és a súlya legalább 40 g/m2. Azért, hogy az egyik oldalon lévő adatok ne rontsák a másik oldalon szereplő adatok olvashatóságát, a papírnak eléggé átlátszatlannak és olyan szilárdnak kell lennie, hogy a rendeltetésszerű használat során ne szakadjon el vagy gyűrődjön könnyen.
Minden példány papírja fehér színű. A közösségi árutovábbítással kapcsolatban a 353. cikk (2) bekezdése szerint használt példányokon azonban az 1. (első és harmadik alrovat), 2., 3., 4., 5., 6., 8., 15., 17., 18., 19., 21., 25., 27., 31., 32., 33. (bal oldalon az első alrovat), 35., 38., 40., 44., 50., 51., 52., 53., 55. és 56. rovat zöld színű.
A nyomtatványokat zöld színű tintával kell kinyomtatni.
(2) A rovatok vízszintesen egytized, függőlegesen pedig egyhatod hüvelykes mértékegységeken alapulnak. Az alrovatok vízszintesen egytized hüvelykes mértékegységeken alapulnak.
(3) A különböző példányok színjelölése a következőképpen alakul:
a) a 31. és 33. mellékletben szereplő mintának megfelelő formanyomtatványokon:
- az 1., 2., 3. és 5. példányok jobb szélét folyamatos piros, zöld, sárga, illetve kék színű csíkkal kell ellátni,
- a 4., 6., 7. és 8. példányok jobb szélét szaggatott kék, piros, zöld, illetve sárga színű csíkkal kell ellátni;
b) a 32. és 34. mellékletben szereplő mintáknak megfelelő formanyomtatványokon az 1/6., 2/7., 3/8. és 4/5. példányok jobb szélét folyamatos, ettől jobbra pedig szaggatott piros, zöld, sárga, illetve kék színű csíkkal kell ellátni.
Ezen csíkok szélessége hozzávetőlegesen 3 mm. A szaggatott csíkok 3 mm oldalhosszúságú négyzetekből állnak, amelyeket 3 mm-es, üres szakaszok választanak el egymástól.
(4) Azokat a példányokat, amelyekre a 31. és 33. mellékletekben bemutatott formanyomtatványokon szereplő adatok önmásoló eljárással kerülnek, a 35. melléklet sorolja fel.
Azokat a példányokat, amelyekre a 32. és 34. mellékletekben bemutatott formanyomtatványokon szereplő adatok önmásoló eljárással kerülnek, a 36. melléklet sorolja fel.
(5) A nyomtatványok 210 x 297 mm méretűek, a mérettől való eltérés a hosszúságot illetően legfeljebb - 5 mm és + 8 mm lehet.
(6) A tagállamok vámhatóságai megkövetelhetik, hogy a nyomtatványokon feltüntessék az előállító nyomda nevét és címét, vagy egy olyan jelet, amely lehetővé teszi a nyomda azonosítását. A vámhatóságok ezenkívül a nyomtatványok nyomtatását előzetes műszaki jóváhagyáshoz köthetik.
3. szakasz
A vámeljáráshoz szükséges adatok
216. cikk
A 37. melléklet tartalmazza azoknak a rovatoknak a felsorolását, amelyeket áruknak egy adott vámeljárás alá vonása céljából az egységes vámokmány használatával tett vámáru-nyilatkozat esetében alkalmazni kell.
Amennyiben vámáru-nyilatkozat szükséges a Közösség vámterületéről kiszállításra kerülő árukra vonatkozóan a Vámkódex 182b. cikke értelmében, ennek a nyilatkozatnak - a 37. melléklet szerint a konkrét eljáráshoz megkövetelt adatokon kívül - tartalmaznia kell a 30A. mellékletben a kilépési gyűjtő vámáru-nyilatkozathoz meghatározott adatokat.
217. cikk
A 205. cikk (2) bekezdésében említett nyomtatványok valamelyikének alkalmazása esetén a szükséges adatok a szóban forgó nyomtatványtól függnek. Az adatokat adott esetben a szóban forgó vámeljárásra vonatkozó rendelkezések értelmében ki lehet egészíteni.
4. szakasz
A vámáru-nyilatkozathoz csatolandó okmányok
218. cikk
(1) A vámáru-nyilatkozathoz az alábbi okmányokat kell csatolni az áru szabad forgalomba bocsátása iránti kérelem esetén:
a) a számla, amely alapján az áru vámértékét a 181. cikkben előírtak szerint bejelentették;
b) amennyiben ez a 178. cikk szerint szükséges, a vámáru-nyilatkozaton szereplő áruk vámértékének megállapítása céljából adott vámértékbevallás, amelyet az említett cikkben megállapított feltételeknek megfelelően állítottak ki;
c) a preferenciális tarifális szabályok vagy egyéb, a bejelentett árura vonatkozó jogszabályoktól eltérő intézkedések alkalmazásához szükséges okmányok;
d) minden egyéb okmány, amely a bejelentett áruk szabad forgalomba bocsátását szabályozó rendelkezések alkalmazásához szükséges.
(2) A vámhatóság megkövetelheti, hogy a vámáru-nyilatkozat benyújtásával egyidejűleg a fuvarokmányokat vagy adott esetben az előző vámeljárással kapcsolatos okmányokat is benyújtsák.
Amennyiben egy árucikket több csomagban mutatnak be, a vámhatóság megkövetelheti csomagjegyzék vagy olyan, ezzel egyenértékű okmány bemutatását, amely jelzi az egyes csomagok tartalmát.
(3) Amennyiben az árukra a Kombinált Nómenklatúra bevezető rendelkezése II. D) részében említett átalányvámtételt kell alkalmazni, vagy ha az áruk a behozatali vámok alól mentességet élveznek, az 1. bekezdés a), b) és c) pontjában említett okmányokat nem kell megkövetelni, kivéve ha a vámhatóságok ezt a szóban forgó áruk szabad forgalomba bocsátására vonatkozó rendelkezések alkalmazásához szükségesnek tartják.
219. cikk
(1) Az árutovábbítási nyilatkozat tárgyát képező áruk bemutatásakor a fuvarokmányt is be kell mutatni.
Az indító vámhivatal eltekinthet ennek az okmánynak a vámalakiságok teljesítése során történő bemutatásától, ha az számára bármikor hozzáférhető.
A fuvarokmányt a szállítás ideje alatt a vámhatóságok vagy bármely más illetékes hatóság kérelmére be kell mutatni.
(2) Az esetlegesen alkalmazandó egyszerűsítő intézkedések sérelme nélkül, az áruknak a Közösség vámterületéről való kivitelére vagy újrakivitelére vonatkozó vámokmányt vagy bármely egyéb, azzal egyenértékű okmányt a hozzá tartozó árutovábbítási nyilatkozattal együtt be kell mutatni az indító vámhivatalnak.
(3) A vámhatóság adott esetben megkövetelheti az előző vámeljárásra vonatkozó okmány benyújtását.
220. cikk
(1) A különös rendelkezések sérelme nélkül, a gazdasági vámeljárás alá vonásra vonatkozó vámáru-nyilatkozathoy a következő okmányokat kell csatolni:
a) vámraktározási eljáráshoz:
- D típusú vámraktár esetén a 218. cikk (1) bekezdésének a) és b) pontjában meghatározott okmányok,
- D típusútól eltérő vámraktár esetén nincs ilyen okmány;
b) aktív feldolgozási eljáráshoz:
- vámvisszatérítési rendszer; a 218. cikk (1) bekezdésében meghatározott okmányok,
- felfüggesztő eljárás; a 218. cikk (1) bekezdésének a) és b) pontjában meghatározott okmányok,
továbbá szükség esetén a vámeljárásra vonatkozó írásos engedély, vagy az engedély kérelmének másolata az 508. cikk (1) bekezdésének alkalmazásakor;
c) a vámfelügyelet melletti feldolgozáshoz a 218. cikk (1) bekezdésének a) és b) pontjában meghatározott okmányok, továbbá szükség esetén a vámeljárásra vonatkozó írásos engedély , vagy amennyiben az 508. cikk (1) bekezdése alkalmazandó, az engedély iránti kérelem példánya;
d) az ideiglenes behozatali eljáráshoz:
- behozatali vámok alóli részleges mentesség esetén; a 218. cikk (1) bekezdésében meghatározott okmányok,
- behozatali vámok alóli teljes mentesség esetén; a 218. cikk (1) bekezdésének a) és b) pontjában meghatározott okmányok,
továbbá szükség esetén a vámeljárásra vonatkozó írásos engedély ,vagy amennyiben az 508. cikk (1) bekezdése alkalmazandó, az engedély iránti kérelem példánya;
e) passzív feldolgozási eljáráshoz a 221. cikk (1) bekezdésében meghatározott okmányok, továbbá szükség esetén az eljárásra vonatkozó írásos engedély, vagy az engedély kérelmének másolata, amennyiben az 508. cikk (1) bekezdése kerül alkalmazásra.
(2) A 218. cikk (2) bekezdésát alkalmazni kell a gazdasági vámeljárás alá vonás vonatkozó vámáru-nyilatkozatokra.
(3) A vámhatóságok határozhatnak úgy, hogy az eljárásra vonatkozó írásbeli engedélyt vagy az engedélykérelem másolatát nem kell csatolni, hanem azt vámhatóságok rendelkezésére magánál tartsa.
221. cikk
(1) A kiviteli vagy újrakiviteli nyilatkozatokhoz minden olyan okmányt csatolni kell, amely a kiviteli vámok, valamint a szóban forgó áruk kivitelét szabályozó rendelkezések helyes alkalmazásához szükséges.
(2) A kiviteli vagy újrakiviteli nyilatkozatokra a 218. cikk (2) bekezdését alkalmazni kell.
2. FEJEZET
Adatfeldolgozási eljárással készült vámáru-nyilatkozat
222. cikk
(1) Amennyiben a vámáru-nyilatkozatot adatfeldolgozási eljárással készítik, a 37. mellékletben hivatkozott írásbeli nyilatkozat részletei helyett számítógépes feldolgozás céljából, kódolt formájú adatok vagy a vámhatóságok által meghatározott más formájú adatok küldhetők az e célra kijelölt vámhatóság számára, amelyek megfelelnek az írásbeli nyilatkozatban előírt részleteknek.
(2) Az EDI alkalmazásával készített vámáru-nyilatkozatot akkor lehet benyújtottnak tekinteni, amikor az EDI-üzenetet a vámhatóságok megkapták.
Az EDI alkalmazásával készült vámáru-nyilatkozatok elfogadását olyan válaszüzenetben kell közölni a nyilatkozattevővel, amely a kapott üzenetnek legalább az azonosító jelzését és/vagy a vámáru-nyilatkozat nyilvántartási számát, valamint az elfogadás időpontját tartalmazza.
(3) Amennyiben a vámáru-nyilatkozatot EDI alkalmazásával készítik, a vámhatóságok meghatározzák a 247. cikkben előírt rendelkezések végrehajtásának szabályait.
(4) Amennyiben a vámáru-nyilatkozatot EDI alkalmazásával készítik, az áruk kiadásáról értesítik a nyilatkozattevőt, jelezve legalább a nyilatkozat azonosító jelzését és az árukiadás dátumát.
(5) Amennyiben a vámáru-nyilatkozat részleteit a váminformatikai rendszerekbe beviszik, a (2), (3) és (4) bekezdés értelemszerűen alkalmazandó.
223. cikk
Amennyiben az egyéb alakiságok elvégzéséhez a vámáru-nyilatkozatról papírra nyomtatott változat szükséges, ezt a nyilatkozattevő kérésére az érintett vámhivatal készíti el és hitelesíti, vagy az a 199. cikk (2) bekezdésének második albekezdése szerint készül és kerül hitelesítésre.
224. cikk
Az általuk meghatározott feltételekkel és módon a vámhatóságok engedélyezhetik, hogy az áruk vámeljárás alá vonásához szükséges okmányokat elektronikus úton elkészítsék és továbbítsák.
3. FEJEZET
Szóban vagy bármely más módon adott vámáru-nyilatkozatok
1. szakasz
Szóbeli vámáru-nyilatkozatok
225. cikk
Az alábbi áruk szabad forgalomba bocsátását célzó vámáru-nyilatkozatot szóban is meg lehet tenni:
a) nem kereskedelmi jellegű áruk esetén:
- az utasok személyi poggyászában található áruk, illetve
- a magánszemélyeknek küldött áruk, valamint
- egyéb elhanyagolható gazdasági jelentőségű esetekben, amennyiben ezt a vámhatóság engedélyezi;
b) kereskedelmi jellegű áruk esetén, amennyiben:
- az összérték szállítmányonként és nyilatkozattevőnként nem haladja meg a hatályban lévő közösségi rendelkezésekben megszabott statisztikai küszöbértéket, és
- a szállítmány nem része egy rendszeres, hozzá hasonló szállítmányokból álló sorozatnak, valamint
- az árukat nem független fuvarozó szállítja nagyobb szállítmány részeként;
c) a 229. cikkben említett áruk esetén, amennyiben azok mint tértiáruk mentességre jogosultak;
d) a 230. cikk b) és c) pontjában említett áruk esetén.
226. cikk
Vámáru-nyilatkozat szóban is adható az alábbi áruk kivitelekor:
a) nem kereskedelmi jellegű áruk:
- az utasok személyi poggyászában található áruk, illetve
- a magánszemélyek által küldött áruk;
b) a 225. cikk b) pontjában említett áruk;
c) a 231. cikk b) és c) pontjában említett áruk;
d) egyéb áruk elhanyagolható gazdasági jelentőségű esetekben, amennyiben ezt a vámhatóság engedélyezi.
227. cikk
(1) A vámhatóság rendelkezhet úgy, hogy a 225. és 226. cikk nem alkalmazható, amennyiben az áruk vámkezelését végző személy egy másik személy megbízásából vámügynökként jár el.
(2) Amennyiben a vámhatóság nincs meggyőződve a vámáru-nyilatkozat adatainak helyességéről vagy teljességéről, úgy írásbeli vámáru-nyilatkozatot követelhet meg.
228. cikk
Amennyiben a 225. vagy 226. cikk szerint szóban bejelentett árura behozatali vagy kiviteli vámkötelezettség áll fenn, a vámhatóság az érintett személynek a vámtartozás megfizetéséről elismervényt ad.
Az elismervénynek legalább a következő információkat kell tartalmaznia:
a) az áruk leírása, amely kellően pontos ahhoz, hogy lehetővé tegye azok azonosítását; ez tartalmazhatja a vámtarifaszámot;
b) az áruk számlaértéke és/vagy mennyisége, szükség szerint;
c) a beszedett vámok vagy egyéb terhek tagolása;
d) a kiállítás dátuma;
e) a kiállító hatóság neve.
A tagállamok értesítik a Bizottságot minden e cikk értelmében bevezetett szabványos elismervényről. A Bizottság az információt továbbítja a többi tagállamnak.
229. cikk
(1) Az alábbi áruk ideiglenes behozatala céljából szóbeli vámáru-nyilatkozat tehető a 497. cikk (3) bekezdésének második albekezdésében megállapított feltételek szerint:
a) - transzhumált, legeltetett, munkavégzés vagy szállítás céljára tartott állatok és más, az 567. cikk második albekezdésének a) pontjában meghatározott feltételeket teljesítő egyéb áruk,
- az 571. cikk a) pontjában említett göngyöleg, amely a Közösség vámterületén kívül letelepedett személy állandó kitörölhetetlen jelzésével van ellátva,
- olyan rádiós és televíziós gyártási és közvetítő-berendezések, valamint az erre a célra különlegesen átalakított járművek és berendezéseik, amelyeket a Közösség vámterületén kívüli székhellyel rendelkező állami vagy magánszervezetek hoztak be, és amelyeket az ilyen berendezések és járművek behozatali eljárását engedélyező vámhatóságok jóváhagytak,
- az 569. cikk értelmében olyan műszerek és berendezések, amelyekre a szervátültetésre váró betegeknek segítséget nyújtó orvosoknak van szükségük;
b) a 232. cikkben említett áruk;
c) a vámhatóságok által engedélyezett egyéb áruk.
(2) Az (1) bekezdésben említett áruk tekintetében az ideiglenes behozatali eljárást lezáró újrakivitel esetében is lehet szóbeli vámáru-nyilatkozatot tenni.
2. szakasz
Egyéb módon megtett vámáru-nyilatkozatok
230. cikk
Az alábbiakat - amennyiben azokra vonatkozóan nem tettek kifejezett vámáru-nyilatkozatot - úgy kell tekinteni, mint amelyekre vonatkozóan a 233. cikkben meghatározott cselekmény révén szabad forgalomba bocsátás iránti vámáru-nyilatkozatot tettek:
a) olyan nem kereskedelmi jellegű, az utas személyi poggyászában található áruk, amelyek vagy a 918/83/EGK tanácsi rendelet ( 11 ) XI. címe I. fejezetének értelmében vagy tértiáru címén vámmentességet élveznek;
b) a 918/83/EGK tanácsi rendelet IX. és X. címe I. fejezetének értelmében vámmentességet élvező áruk;
c) tértiáruk címén vámmentességet élvező szállítóeszközök;
d) elhanyagolható jelentőségű forgalomban behozott áruk, amelyek a Vámkódex 38. cikke (4) bekezdésével összhangban mentesülnek a vámhivatalnak történő bemutatás kötelezettsége alól, feltéve, hogy behozatali vámok nem vonatkoznak rájuk;
e) utasok által behozott és tértiáruk címén vámmentességet élvező hordozható hangszerek.
231. cikk
Az alábbiakat - amennyiben azokra vonatkozóan nem tettek kifejezett vámáru-nyilatkozatot - úgy kell tekinteni, mint amelyekre vonatkozóan a 233. cikk b) pontjában meghatározott cselekmény révén kiviteli vámáru-nyilatkozatot tettek:
a) nem kereskedelmi jellegű, az utasok személyi poggyászában található áruk, melyekre kiviteli vámok nem vonatkoznak;
b) a Közösség vámterületén nyilvántartásba vett és újrabehozatalra szánt szállítóeszközök;
c) a 918/83/EGK tanácsi rendelet II. fejezetében említett áruk;
d) egyéb áruk elhanyagolható gazdasági jelentőségű esetekben, amennyiben ezt a vámhatóság engedélyezi;
e) utasok hordozható hangszerei.
232. cikk
(1) Az alábbiakat - amennyiben azokat írásban vagy szóban nem jelentették be a vámhatóság felé - a 233. cikkben említett módon ideiglenes behozatalra bejelentettnek kell tekinteni az 579. cikktől függően:
a) az utasok által az 563. cikknek megfelelően személyes használatra, illetve sportcélokra behozott áruk;
b) az 556-561. cikkben említett szállítóeszközök;
c) az 564. cikk a) bekezdésének megfelelően a nemzetközi tengeri forgalomban résztvevő hajókon tengerészek számára felhasznált jóléti anyagok;
d) az 569. cikk (1a) bekezdésében említett hordozható hangszerek.
(2) Amennyiben az (1) bekezdésben említett árukat sem írásban, sem szóban nem jelentették be a vámhatóság felé, azokat úgy kell tekinteni, mint amelyekre vonatkozóan a 233. cikkben említett cselekmény révén az ideiglenes behozatalt lezáró újrakiviteli vámáru-nyilatkozatot tettek.
233. cikk
(1) A 230-232. cikk alkalmazásában vámáru-nyilatkozatnak tekintendő cselekmények az alábbiak lehetnek:
a) a vámhivatalhoz vagy a Vámkódex 38. cikke (1) bekezdésének a) pontja szerint kijelölt vagy jóváhagyott bármely egyéb helyre szállított áruk esetén:
- a vámhivatal zöld vagy "nincs elvámolnivaló" folyosóján történő áthaladás, ha kétfolyosós rendszer működik,
- kétfolyosós rendszert nem működtető vámhivatalon történő áthaladás, önként tett vámáru-nyilatkozat nélkül,
- a "nincs elvámolnivaló" feliratú matricának vagy vámárunyilatkozat-címkének a rögzítése az utasszállító jármű szélvédőjén, ahol a nemzeti rendelkezések biztosítják ezt a lehetőséget;
b) a Vámkódex 38. cikkének (4) bekezdésére vonatkozó végrehajtási rendelkezéseknek megfelelően az áruknak a vámhivatalnál történő bemutatási kötelezettség alóli mentessége esetén, a 231. cikk szerinti kivitel, valamint a 232. cikk (2) bekezdése szerinti újrakivitel esetén:
- a Közösség vámterületének határán történő egyszerű áthaladás.
(2) Ha egy utas csomagjában lévő, a 230. cikk a) pontja, a 231. cikk a) pontja, a 232. cikk (1) bekezdésének a) pontja, vagy a 232. cikk (2) bekezdése szerinti árukat az utas kísérete nélkül vasúton szállítják és róla vámáru-nyilatkozatot tesznek anélkül, hogy az utas személyesen jelen volna, a 38a. mellékletben hivatkozott okmányt lehet használni az abban rögzített feltételekkel és korlátozásokkal.
234. cikk
(1) Amennyiben a 230-232. cikk feltételei teljesülnek, az árut akkor kell a Vámkódex 63. cikke szerint a vámhivatalnál bemutatottnak, a vámáru-nyilatkozatot elfogadottnak, a kiadást pedig engedélyezettnek tekinteni, amikor a 233. cikkben említett cselekmény megvalósul.
(2) Amennyiben egy ellenőrzés felfedi, hogy a 233. cikkben említett cselekmény megvalósult, de a behozott, illetve kivitt áruk nem felelnek meg a 230-232. cikkben meghatározott feltételeknek, az érintett árukat jogellenesen behozott vagy kivitt áruknak kell tekinteni.
3. szakasz
Az 1. és 2. szakaszra vonatkozó közös rendelkezések
235. cikk
A 225-232. cikk rendelkezései nem alkalmazhatók azokra az árukra, amelyekre visszatérítések vagy más összegek kifizetését vagy vám visszafizetését kérik, vagy amelyekre tiltás vagy korlátozás vagy bármely más különleges alakiság vonatkozik.
236. cikk
Az 1. és 2. szakasz alkalmazásában "utas":
A. áru behozatala esetén:
1. minden olyan személy, aki ideiglenesen lép be a Közösség vámterületére, és akinek lakóhelye nem ott található, és
2. minden olyan személy, aki a Közösség vámterületére tér vissza, ahol egyébként lakóhellyel rendelkezik, miután ideiglenesen egy harmadik országban tartózkodott;
B. áru kivitele esetén:
1. minden olyan személy, aki ideiglenesen elhagyja a Közösség vámterületét, ahol egyébként lakóhellyel rendelkezik, és
2. minden olyan személy, aki ideiglenes ott-tartózkodását követően elhagyja a Közösség vámterületét, ahol egyébként nem rendelkezik lakóhellyel;
4. szakasz
Postai forgalom
237. cikk
(1) Az alábbi postai küldeményeket úgy kell tekinteni, mint amelyeket bejelentettek a vámhatóságnál:
A. szabad forgalomba bocsátás céljából:
a) a Közösség vámterületére való beléptetés időpontjában:
- olyan levelezőlapok és levelek, amelyek kizárólag személyes jellegű üzeneteket tartalmaznak,
- Braille-írással írott levelek,
- nyomtatott anyagok, amelyekhez behozatali vámok nem kapcsolódnak, és
- minden egyéb, levél vagy postai csomagküldemény formájában küldött szállítmány, amely a Vámkódex 38. cikke (4) bekezdésében foglalt rendelkezéseknek megfelelően mentes a vámhatóságnál való bemutatás kötelezettsége alól;
b) a vámhatóságnál történő bemutatás időpontjában:
- az a) pontban említettektől eltérő, levél vagy postai csomagküldemény formájában küldött szállítmányok, feltéve, hogy CN22 és/vagy CN23 vámáru-nyilatkozatot mellékeltek hozzájuk;
B. kivitel esetén:
a) olyan levél vagy postai csomagküldemény esetében, melyre kiviteli vámok nem vonatkoznak, a levél vagy postai csomagküldemény postahivatal által történő elfogadásakor;
b) olyan levél vagy postai csomagküldemény esetében, melyre kiviteli vámok vonatkoznak, a levél vagy postai csomagküldemény vámhatóságnál történő bemutatásakor, feltéve, hogy CN22 és/vagy CN23 vámáru-nyilatkozatot mellékeltek hozzá.
(2) Az (1) bekezdés A. pontjában említett esetekben a címzettet, az (1) bekezdés B. pontjában említett esetekben pedig a feladót kell nyilatkozattevőnek és adott esetben vámfizetésre kötelezettnek tekinteni. A vámhatóság rendelkezhet úgy, hogy a postaigazgatást kell nyilatkozattevőnek és adott esetben vámfizetésre kötelezettnek tekinteni.
(3) Az (1) bekezdés alkalmazásában a nem vámköteles árukat a Vámkódex 63. cikke értelmében a vámhatóságnál bemutatottaknak, a vámáru-nyilatkozatot elfogadottnak, a kiadást pedig engedélyezettnek kell tekinteni a következő esetekben:
a) behozatal esetén, amikor az árut a címzettnek kézbesítik;
b) kivitel esetén, amikor az árut a postahivatalok átvették.
(4) Amennyiben olyan levelet vagy postai csomagküldeményt, amely nem mentesül a Vámkódex 38. cikke (4) bekezdésben foglalt rendelkezések alapján a vámhatóságnál történő bemutatás kötelezettsége alól, CN22 és/vagy CN23 vámáru-nyilatkozat nélkül mutatnak be, vagy ha ezek a vámáru-nyilatkozatok hiányosak, a vámhatóság határozza meg, hogy a vámáru-nyilatkozatot milyen formában kell megtenni, illetve kiegészíteni.
238. cikk
A 237. cikk nem alkalmazható:
- az olyan kereskedelmi célú árukat tartalmazó küldeményekre, amelyek összértéke meghaladja a Közösség hatályos rendelkezéseiben megállapított statisztikai küszöbértéket; a vámhatóságnak jogában áll magasabb küszöbértéket meghatározni,
- az olyan kereskedelmi célú árukat tartalmazó küldeményekre, amelyek egy rendszeres, azokhoz hasonló szállítmányokból álló sorozat részét képezik,
- arra az esetre, amikor a vámáru-nyilatkozat megtétele írásban, szóban, vagy számítógépes rendszer alkalmazásával történik,
- a 235. cikkben meghatározott árukat tartalmazó küldeményekre.
VIII. CÍM
AZ ÁRUK VÁMVIZSGÁLATA, A VÁMHIVATAL TÉNYMEGÁLLAPÍTÁSAI ÉS EGYÉB INTÉZKEDÉSEI
239. cikk
(1) Az árut a vámhatóság által erre a célra kijelölt helyeken és időpontokban kell megvizsgálni.
(2) A vámhatóság azonban a nyilatkozattevő kérelmére engedélyezheti, hogy az áru vámvizsgálatára más helyeken és időpontokban kerüljön sor.
Minden ezzel kapcsolatosan felmerülő költség a nyilatkozattevőt terheli.
240. cikk
(1) Amennyiben a vámhatóság úgy határoz, hogy vámvizsgálatot tart, erről értesíti a nyilatkozattevőt, illetve annak képviselőjét.
(2) Ha a vámhatóság úgy dönt, hogy az áruknak csak egy részét vizsgálja meg, értesíti a nyilatkozattevőt vagy annak képviselőjét, hogy mely tételeket kívánja vizsgálat alá vonni. A vámhatóság választásával szemben nincs helye ellentmondásnak.
241. cikk
(1) A nyilatkozattevő vagy az általa az áruk vizsgálatánál történő részvételre kijelölt személy a vámhatóság munkájának elősegítéséhez szükséges minden segítséget köteles megadni. Amennyiben a vámhatóság úgy találja, hogy a nyújtott segítség nem kielégítő, jogában áll megkövetelni a nyilatkozattevőtől, hogy jelöljön ki egy másik személyt, aki képes megadni a szükséges segítséget.
(2) Amennyiben a nyilatkozattevő megtagadja, hogy az áru vámvizsgálatánál jelen legyen, vagy hogy olyan személyt jelöljön ki, aki képes megadni a vámhatóság által szükségesnek tartott segítséget, az említett hatóság határidőt állapít meg a kötelezettség teljesítésére, kivéve, ha úgy dönt, hogy a vámvizsgálattól el lehet tekinteni.
Ha a nyilatkozattevő a határidő lejártával sem teljesítette a vámhatóság által megszabott követelményeket, a vámhatóság a Vámkódex 75. cikke a) pontjának alkalmazása céljából a nyilatkozattevő kockázatára és költségére lefolytatja az áru vámvizsgálatát, és amennyiben szükséges, igénybe veszi szakértő vagy bármely más személy szolgáltatását is a hatályos rendelkezések alapján.
(3) Azok a megállapítások, amelyeket az előző bekezdésben említett feltételek szerint elvégzett vámvizsgálat során tett a vámhatóság, ugyanolyan érvényűek, mintha a vizsgálat során a nyilatkozattevő jelen lett volna.
(4) A vámhatóságnak lehetősége van, hogy a (2) és (3) bekezdésben megállapított intézkedések helyett a vámáru-nyilatkozatot érvénytelennek tekintse, amennyiben az a tény, hogy a nyilatkozattevő megtagadta az áru vámvizsgálatán való személyes részvételt, illetve helyettesítésére olyan másik személy megjelölését, aki képes megadni a vámhatóságnak a szükséges segítséget, sem célja, sem tényleges hatása szerint nem akadályozza ezt a hatóságot abban, hogy olyan megállapítást tegyen, miszerint az áruknak az érintett vámeljárás alá vonását szabályozó rendelkezéseket megsértették, illetve sem célja, sem tényleges hatása szerint nem eredményezi a Vámkódex 66. cikkének (1) bekezdésében vagy 80. cikkének (2) bekezdésében foglalt rendelkezések megkerülését.
242. cikk
(1) Ha a vámhatóság mintavétel mellett dönt, erről értesíti a nyilatkozattevőt vagy annak képviselőjét.
(2) A mintavételt a vámhatóság maga hajtja végre. Jogában áll azonban felkérni a nyilatkozattevőt vagy az általa kijelölt személyt, hogy az ő felügyelete alatt végezze el a mintavételt.
A mintavételt a hatályos rendelkezésekben meghatározott módszerek alapján kell elvégezni.
(3) A mintaként vett árumennyiség nem haladhatja meg azt a mennyiséget, amely az elemzéshez vagy részletesebb vizsgálathoz szükséges, beleértve az esetleges ellenőrző elemzést is.
243. cikk
(1) A nyilatkozattevő vagy az általa a mintavételnél történő részvételre kijelölt személy minden olyan segítséget köteles megadni a vámhatóságnak, amely a művelet elvégzéséhez szükséges.
(2) Ha a nyilatkozattevő megtagadja, hogy a mintavételnél jelen legyen, vagy másik személyt jelöljön ki a közreműködésre, vagy ha nem ad meg a vámhatóságoknak az intézkedést elősegítő minden segítséget, a 241. cikk (1) bekezdése második mondatának, valamint a 241. cikk (2), (3) és (4) bekezdésének rendelkezéseit kell alkalmazni.
244. cikk
Amennyiben elemzés vagy részletes vizsgálat céljából a vámhatóság mintát vesz, engedélyezi a szóban forgó áru kiadását anélkül, hogy az elemzés vagy vizsgálat eredményére várna, kivéve, ha valamilyen más ok merül fel a kiadás megtagadására, és feltéve, hogy - amennyiben vámtartozás keletkezett vagy valószínűsíthetően keletkezhet - a szóban forgó vámtartozást lekönyvelték, és kifizették, vagy arra biztosítékot nyújtottak.
245. cikk
(1) A vámhatóság által mintaként vett árumennyiséget nem kell levonni a bejelentett mennyiségből.
(2) A kiviteli vagy passzív feldolgozási eljárás során, amennyiben a körülmények lehetővé teszik, a vámhatóság engedélyezi a nyilatkozattevő számára, hogy az áruból vett mintamennyiséget a szállítmány kiegészítése érdekében azonos áruval pótolja.
246. cikk
(1) Amennyiben az elemzés vagy részletes vizsgálat során a minta nem semmisült meg, azt a nyilatkozattevő részére, annak kérelmére és költségére vissza kell szolgáltatni, ha arra a vámhatóságnak már nincs szüksége, különösen azután, hogy az ennek az elemzésnek vagy részletes vizsgálatnak az eredményein alapuló, a vámhatóság által hozott határozattal szemben a nyilatkozattevő már minden jogorvoslati lehetőségét kimerítette.
(2) Amennyiben a nyilatkozattevő nem kéri, hogy a mintát részére visszaadják, akkor azt a vámhatóság megsemmisítheti, vagy megőrizheti. Különleges esetekben azonban a vámhatóság kötelezheti a nyilatkozattevőt, hogy a megmaradt mintát szállítsa el.
247. cikk
(1) Amennyiben a vámhatóság ellenőrzi a vámáru-nyilatkozatot és a kísérő okmányokat, illetve megvizsgálja az árut, akkor legalább a vámáru-nyilatkozat általa visszatartott példányán vagy egy ahhoz csatolt okmányon meg kell jelölnie az ellenőrzés vagy vizsgálat alapját és eredményét. Az áru részleges vizsgálata esetén a vizsgált szállítmányra vonatkozó adatokat úgyszintén fel kell tüntetnie.
Adott esetben a vámhatóságnak azt is fel kell tüntetnie a vámáru-nyilatkozaton, hogy a nyilatkozattevő vagy képviselője nem volt jelen.
(2) Amennyiben a vámáru-nyilatkozat és a kísérő okmányok ellenőrzésének vagy az áruk vizsgálatának az eredménye nem egyezik meg a vámáru-nyilatkozatban feltüntetett adatokkal, akkor a vámhatóságnak legalább a vámáru-nyilatkozat általa visszatartott példányán vagy egy ahhoz csatolt okmányon meg kell jelölnie azokat az adatokat, amelyeket figyelembe kell venni a szóban forgó árura vonatkozó terhek alkalmazásához, a kivitelhez kapcsolódó esetleges visszatérítések vagy egyéb összegek kiszámításához, valamint az azon vámeljárást szabályozó többi rendelkezés alkalmazásához, amely alá az árut bejelentették.
(3) A vámhatóság ténymegállításában adott esetben feltünteti az alkalmazott azonosítási módokat. Ezt dátummal látja el, és feltünteti rajta az azt kibocsátó vámtisztviselő azonosításához szükséges adatokat.
(4) Amennyiben a vámhatóság nem ellenőrzi a vámáru-nyilatkozatot, és nem is vizsgálja meg az árut, úgy nem kell záradékolnia sem a vámáru-nyilatkozatot, sem az (1) bekezdésben említett kísérő okmányt.
(5) A közösségi árutovábbítási eljárás során az indító vámhivatal a vonatkozó adatok bejegyzésével rögzíti az ellenőrzés eredményét az árutovábbítási nyilatkozaton.
248. cikk
(1) A kiadás engedélyezése után el lehet végezni a vámáru-nyilatkozatban szereplő adatok szerint meghatározott behozatali vámok lekönyvelését. Amennyiben a vámhatóság úgy ítéli meg, hogy az általa elvégzett vizsgálat magasabb összegű behozatali vámot eredményezhet, mint amely a vámáru-nyilatkozaton feltüntetett adatokból következik, úgy olyan biztosíték nyújtását követeli meg, amely elegendő a vámáru-nyilatkozat adatai szerint megállapított és az áruk után végül adott esetben fizetendő összegek közötti különbözet fedezésére. A nyilatkozattevő azonban a biztosíték nyújtása helyett kérheti annak a vámösszegnek az azonnali lekönyvelését, amelyet az áruk után esetleg végül fizetni fog.
(2) Amennyiben a vámhatóság az általa elvégzett ellenőrzés alapján olyan összegű behozatali vámot állapít meg, amely eltér a vámáru-nyilatkozatban megadott adatok alapján kiszabható összegtől, az áruk kiadása után az így megállapított összeget haladéktalanul le kell könyvelni.
(3) Amennyiben a vámhatóságnak megalapozott kétségei merülnek fel azt illetően, hogy valamely tiltást vagy korlátozást kell-e alkalmazni, és ez nem tisztázható, amíg a hatóságok által elvégzett ellenőrzések eredménye nem áll rendelkezésre, a szóban forgó árukat nem lehet kiadni.
(4) Az (1) bekezdés sérelme nélkül a vámhatóságok eltekinthetnek a biztosíték megkövetelésétől az olyan áruk tekintetében, amelyek vámkontingens igénybevételére vonatkozó kérelem tárgyát képezik, ha a szabad forgalomba bocsátásra vonatkozó nyilatkozat elfogadásakor megállapítják, hogy a kérdéses vámkontingens a 308c. cikk értelmében nem kritikus.
249. cikk
(1) A kiadás formáját a vámhatóság határozza meg, kellőképpen figyelembe véve azt a helyet, ahol az áru található, valamint az áru felügyeletére vonatkozó külön rendelkezéseket.
(2) Amennyiben a vámáru-nyilatkozatot írásban nyújtották be, akkor azon vagy adott esetben a hozzá csatolt okmányon fel kell tüntetni a kiadás tényét és időpontját, és egy példányt vissza kell juttatni a nyilatkozattevőnek.
(3) Közösségi árutovábbítási eljárás során, ha az ellenőrzés eredménye lehetővé teszi, az indító vámhivatal engedélyezi az áruk kiadását, és rögzíti a kiadás időpontját a számítógépes rendszerben.
250. cikk
(1) Amennyiben a vámhatóság a Vámkódex 75. cikke a) pontjának második vagy harmadik francia bekezdésében felsorolt okok valamelyike miatt nem tudta engedélyezni az áruk kiadását, úgy határidőt állapít meg a nyilatkozattevőnek, hogy rendezze az áruk helyzetét.
(2) Amennyiben a nyilatkozattevő a Vámkódex 75. cikke a) pontjának második francia bekezdésében említett körülmények esetén elmulasztotta benyújtani a szükséges okmányokat az (1) bekezdésben említett határidőn belül, a szóban forgó vámáru-nyilatkozatot meg nem tettnek kell tekinteni, és a vámhivatal azt érvényteleníti. Ebben az esetben a Vámkódex 66. cikke (3) bekezdésének rendelkezéseit kell alkalmazni.
(3) A Vámkódex 75. cikke a) pontjának harmadik francia bekezdésében említett körülmények esetén és a Vámkódex 66. cikke (1) bekezdésének első albekezdése vagy 182. cikke értelmében hozott intézkedések sérelme nélkül, amennyiben a nyilatkozattevő az (1) bekezdésben említett határidőn belül nem fizette meg a fizetendő vámot, és nem is nyújtott annak összegére biztosítékot, úgy a vámhatóság előkészületeket tehet az áru értékesítésére. Ebben az esetben az árukat értékesíteni kell - amennyiben a szóban forgó vámhatóság tagállamának jogszabályai megengedik, szükség esetén kényszerértékesítés útján is -, kivéve, ha a szükséges feltételeket időközben teljesítették. A vámhatóság erről tájékoztatja a nyilatkozattevőt.
A vámhatóság a nyilatkozattevő kockázatára és költségére a szóban forgó árut a felügyelete alatt álló különleges helyiségbe vagy területre irányíthatja.
251. cikk
A Vámkódex 66. cikke (2) bekezdésétől eltérően a vámáru-nyilatkozatot az áru kiadását követően is érvényteleníteni lehet az alábbiak szerint:
1. amennyiben megállapítást nyer, hogy tévedésből a megfelelő vámeljárás helyett olyan vámeljárást kértek, amely behozatalivámteher-fizetéssel jár együtt, úgy a vámhatóság érvényteleníti a vámáru-nyilatkozatot, ha annak elfogadásától számított három hónapon belül erre vonatkozó kérelmet nyújtanak be hozzá, feltéve, hogy:
- az áru felhasználása nem sértette meg azon vámeljárás feltételeit, amely alá azt vonni kellett volna,
- a vámáru-nyilatkozat benyújtásakor az árut egy másik olyan vámeljárás alá vonásra szánták, amelynek valamennyi követelményét teljesítették, és
- az árut haladéktalanul azon vámeljárás alá vonják, amelyre ténylegesen szánták.
Az a vámáru-nyilatkozat, amely az árut az utóbb említett vámeljárás alá vonja, az érvénytelenített vámáru-nyilatkozat elfogadásának napjától hatályos.
Kivételes és megfelelően indokolt esetekben a vámhatóság engedélyezheti a három hónapos határidő túllépését;
1a. Ha az áruk más áruk helyett tévedésből kerültek bejelentésre olyan vámeljárásra, amely behozatali vám megfizetésének kötelezettségét vonja maga után, a vámhatóságok érvénytelenítik a vámáru-nyilatkozatot, ha ilyen értelmű kérést nyújtanak be a nyilatkozat elfogadásától számított három hónapon belül, feltéve, hogy:
- az eredetileg bejelentett árukat:
-
i. nem használták fel másképp, mint ahogy azt eredeti vámjogi helyzetükben engedélyezték; és
ii. visszaállították eredeti vámjogi helyzetükbe,
- és hogy
- azokat az árukat, amelyeket az eredeti szándék szerint kellett volna bejelenteni a vámeljárásra:
-
i. az eredeti vámáru-nyilatkozat benyújtásakor ugyanannál a vámhivatalnál tudták volna bemutatni; és
ii. ugyanarra a vámeljárásra jelentették be, amelyre eredetileg szánták.
A vámhatóságok a fent hivatkozott határidőt megfelelően indokolt, kivételes esetekben meghosszabbíthatják;
1b. A csomagküldő kereskedés keretében rendelé©sre szállított és visszaküldött áruk esetében a vámhatóságok érvénytelenítik a szabad forgalomba bocsátásra vonatkozó vámáru-nyilatkozatokat, ha a nyilatkozat elfogadásától számított három hónapon belül erre vonatkozó kérelmet nyújtanak be, feltéve hogy az árukat az eredeti küldő címére vagy az említett küldő által megadott más címre visszaküldve kivitték;
1c. Ha visszamenőleges hatályú engedélyt adnak ki:
- a 294. cikk szerint az áru meghatározott célú felhasználására tekintettel kedvezményes tarifális elbánás alkalmazásával, illetve csökkentett, vagy nulla vámtétellel való szabad forgalomba bocsátásával
- vagy
- az 508. cikk szerint valamely gazdasági vámeljárásra vonatkozóan;
2. amennyiben az áru tekintetében kiviteli vagy passzív feldolgozási eljárást kértek, a vámáru-nyilatkozatot érvényteleníteni kell, feltéve, hogy:
a) azon áruk esetében, amelyek kivitelivámteher-fizetési kötelezettség alá tartoznak, behozatalivám-visszatérítésre, kiviteli visszatérítésre vagy egyéb kivitellel kapcsolatos összegre vonatkozó kérelem tárgyát képezik, vagy amelyekre más különleges exportintézkedés vonatkozik:
- a nyilatkozattevő igazolást nyújt a kiviteli vámhivatal számára arra vonatkozóan, hogy az áru nem hagyta el a Közösség vámterületét,
- a nyilatkozattevő visszaszolgáltatja az említett vámhivatalnak a vámáru-nyilatkozat valamennyi példányát, valamint minden egyéb okmányt, amelyet annak elfogadásakor a részére kiállítottak,
- a nyilatkozattevő igazolja a kiviteli vámhivatalnál, hogy a szóban forgó árukra vonatkozó kiviteli nyilatkozat alapján kapott visszatérítéseket és egyéb összegeket visszafizette, vagy hogy az illetékes szervek megtették a szükséges intézkedéseket annak biztosítására, hogy azokat ne fizessék ki, és
- a nyilatkozattevő a hatályos rendelkezéseknek megfelelően teljesített minden olyan kötelezettséget, amelyet a kiviteli vámhivatal állapított meg az áru helyzetének rendezése érdekében.
A vámáru-nyilatkozat érvénytelenítése egyben a vámáru-nyilatkozattal együtt benyújtott kiviteli engedélyen vagy előzetes rögzítési igazoláson tett valamennyi módosítás visszavonását is jelenti.
Amennyiben a kiviteli nyilatkozaton szereplő árunak egy meghatározott határidőn belül el kell hagynia a Közösség vámterületét, a határidő betartásának elmulasztása a vonatkozó vámáru-nyilatkozat érvénytelenítésével jár;
b) egyéb áruk esetében a kiviteli vámhivatalt a 792a. cikk (1) bekezdésének megfelelően arról tájékoztatták, vagy a kiviteli vámhivatal a 796e. cikk (2) bekezdése alapján úgy tekinti, hogy a vámáru-nyilatkozatban szereplő áruk a Közösség vámterületét nem hagyták el;
3. Amennyiben az áru újrakivitele vámáru-nyilatkozat benyújtásával jár együtt, akkor a fenti 2. pontot kell megfelelően alkalmazni;
4. Amennyiben a közösségi árukat a Vámkódex 98. cikke (1) bekezdése b) pontja szerint vonták vámraktározási eljárás alá, úgy ezen vámeljárás alá vonás céljából tett vámáru-nyilatkozat érvénytelenítését kérelmezni lehet, és az végrehajtható, ha az áruk előírt vámjogi sorsa rendezésének elmulasztása esetére vonatkozó jogszabályokban meghatározott intézkedéseket megtették.
Amennyiben az áru vámraktározási eljárás alatt tartására megállapított határidő lejártáig nem kérvényezték a vonatkozó jogszabályokban megállapított vámjogi sors meghatározását, a vámhatóság megteszi az azon jogszabályokban előírt intézkedéseket.
252. cikk
Ha a vámhatóság a Vámkódex 75. cikkének b) pontja szerint közösségi árukat értékesít, úgy ezt a tagállamok hatályos előírásaiban foglaltaknak megfelelően kell végrehajtani.
IX. CÍM
EGYSZERŰSÍTETT ELJÁRÁSOK
1. FEJEZET
Általános rendelkezések
1. szakasz
Általános rendelkezések
253. cikk
(1) A hiányos vámáru-nyilatkozat esetén követendő eljárás lehetővé teszi a vámhatóság számára, hogy kellően indokolt esetben olyan vámáru-nyilatkozatot is elfogadjon, amely nem tartalmazza az összes szükséges adatot, vagy amelyhez nem csatolták a szóban forgó vámeljáráshoz szükséges valamennyi okmányt.
(2) Az egyszerűsített nyilatkozattételi eljárás lehetővé teszi, hogy az árukat a szóban fogó vámeljárás alá vonják egy egyszerűsített vámáru-nyilatkozat benyújtása mellett, amit követően kiegészítő vámáru-nyilatkozatot kell benyújtani, amely lehet általános, időszakos vagy összegző jellegű.
(3) A helyi vámkezelési eljárás lehetővé teszi, hogy az áruk szóban fogó vámeljárás alá vonását az érintett személy helyiségében vagy területén vagy a vámhatóság által megjelölt vagy jóváhagyott más helyen végezzék el.
(4) Bárki kérelmezhet egyszerűsített nyilatkozattételi vagy helyi vámkezelési eljárást saját maga számára - akár saját nevében, akár képviselőként jár el -, ha megfelelő nyilvántartások és eljárások révén az engedélyező vámhatóság azonosítani tudja a képviselt személyeket, és el tudja végezni a megfelelő vámellenőrzéseket.
Az ilyen kérelem vonatkozhat összevont engedélyre is, a Vámkódex 64. cikkének sérelme nélkül.
(5) Az egyszerűsített nyilatkozattételi vagy a helyi vámkezelési eljárás alkalmazásának feltétele a behozatali vámokra és egyéb terhekre adott biztosíték.
(6) Az engedély jogosultjának - a nyilatkozattevő kötelezettségei és a vámtartozás keletkezésére vonatkozó szabályok sérelme nélkül - meg kell felelnie az e fejezetben meghatározott feltételeknek és kritériumoknak, valamint az engedélyből származó kötelezettségeknek.
(7) Az engedély jogosultja minden olyan, az engedély kiadása után felmerült tényről köteles tájékoztatni az engedélyező vámhatóságot, amely hatással lehet az engedély fenntartására vagy tartalmára.
(8) Az egyszerűsített nyilatkozattételi vagy a helyi vámkezelési eljárásra vonatkozó engedélyt az engedélyező vámhatóság felülvizsgálja, ha:
a) a vonatkozó közösségi jogszabályok jelentősen megváltoztak;
b) alapos okkal feltételezhető, hogy a vonatkozó feltételeket az engedély jogosultja már nem teljesíti.
Három évnél rövidebb ideje alapított kérelmezőnek kiállított egyszerűsített nyilatkozattételi vagy helyi vámkezelési eljárásra vonatkozó engedély esetében a kiállítás utáni első év folyamán szoros felügyeletet kell alkalmazni.
253a. cikk
Amennyiben egyszerűsített eljárást alkalmaznak adatfeldolgozó rendszerek használatával történő nyilatkozattételre vagy adatfeldolgozási eljárás alkalmazásával, a 199. cikk (2) és (3) bekezdése és a 222., 223. és 224. cikk értelemszerűen alkalmazandó.
Az egyszerűsített nyilatkozattételi vagy a helyi vámkezelésieljárás alkalmazásának feltétele, hogy a vámáru-nyilatkozatokatés az értesítéseket elektronikus formában nyújtsákbe.
Abban az esetben azonban, ha nem áll a vámhatóságok vagy a gazdasági szereplők rendelkezésére az egyszerűsített vámáru-nyilatkozatok vagy a helyi vámkezelési eljáráshoz kapcsolódó értesítések benyújtására vagy fogadására szolgáló, adatfeldolgozási technikát alkalmazó számítógépes rendszer, a vámhatóságok az általuk meghatározott egyéb formában benyújtott nyilatkozatokat és értesítéseket is elfogadhatják, feltéve, hogy az alapján hathatós kockázatelemzés végezhető.
2. szakasz
Az egyszerűsített nyilatkozattételi vagy a helyi vámkezelési eljárásra vonatkozó engedélyek kiadása, felfüggesztése és visszavonása
253b. cikk
(1) Az egyszerűsített nyilatkozattételi vagy a helyi vámkezelési eljárásra vonatkozó engedély iránti kérelem benyújtására a 67. melléklet szerinti formanyomtatványt vagy az annak megfelelő elektronikus formanyomtatványt kell használni.
(2) Ha az engedélyező vámhatóság azt állapítja meg, hogy a kérelem nem tartalmazza az összes szükséges adatot, a kézhezvételtől számított 30 naptári napon belül kérése indokainak közlésével felkéri a kérelmezőt, hogy adja meg a szükséges információkat.
(3) A kérelmet nem lehet befogadni, ha:
a) nem felel meg az (1) bekezdésnek;
b) nem az illetékes vámhatósághoz nyújtották be;
c) a kérelmezőt gazdasági tevékenységével összefüggő súlyos bűncselekmény miatt elítélték;
d) a kérelem benyújtásának időpontjában a kérelmező ellen csődeljárás folyik.
(4) Az egyszerűsített nyilatkozattételi vagy a helyi vámkezelési eljárásra vonatkozó engedély megadása előtt a vámhatóságoknak ellenőrizniük kell a kérelmező nyilvántartásait, kivéve ha egy korábbi ellenőrzés eredménye is felhasználható.
253c. cikk
(1) Az egyszerűsített nyilatkozattételi eljárásra vonatkozó engedélyt akkor lehet megadni, ha teljesülnek a 14h. cikkben - az (1) bekezdés c) pontja kivételével -, a 14i. cikk d), e) és g) pontjában, valamint a 14j. cikkben meghatározott feltételek és kritériumok.
A helyi vámkezelési eljárásra vonatkozó engedélyt akkor lehet megadni, ha teljesülnek a 14h. cikkben - az (1) bekezdés c) pontja kivételével -, a 14i. cikkben és a 14j. cikkben meghatározott feltételek és kritériumok.
Az első és második albekezdésben említett engedélyek megadásakor a vámhatóságok a 14a. cikk (2) bekezdését alkalmazzák és a 67. mellékletben szereplő engedély-formanyomtatványt használják.
(2) Ha a kérelmező a 14a. cikk (1) bekezdésének a) vagy c) pontjában említett AEO-tanúsítvány jogosultja, akkor az e cikk (1) bekezdésében említett feltételek és kritériumok teljesítettnek tekintendők.
253d. cikk
(1) Az egyszerűsített nyilatkozattételi vagy a helyi vámkezelési eljárásra vonatkozó engedélyt az engedélyező vámhatóság felfüggeszti, ha:
a) megállapították, hogy nem tartották be a 253c. cikk (1) bekezdésében említett feltételeket és kritériumokat;
b) a vámhatóságok okkal feltételezik, hogy az engedély jogosultja vagy a 14h. cikk (1) bekezdésének a), b) vagy d) pontjában említett más személy olyan cselekményt követett el, amely büntetőeljárás megindítását eredményezi és a vámszabályok megszegésével kapcsolatos.
Az első albekezdés b) pontjában említett esetben azonban az engedélyező vámhatóság határozhat úgy, hogy nem függeszti fel az egyszerűsített nyilatkozattételi vagy a helyi vámkezelési eljárásra vonatkozó engedélyt, ha úgy ítéli meg, hogy a szabályszegés a vámeljárással kapcsolatos műveletek számához vagy nagyságrendjéhez viszonyítva elhanyagolható jelentőségű, és nem teszi kétségessé az engedély jogosultjának jóhiszeműségét.
A határozat meghozatala előtt az engedélyező vámhatóságnak közölnie kell megállapításait az engedély jogosultjával. Az engedély jogosultjának jogában áll, hogy a közléstől számított 30 naptári napon belül orvosolja a helyzetet és/vagy kifejtse álláspontját.
(2) Ha az engedély jogosultja nem orvosolja harminc naptári napon belül az (1) bekezdés első albekezdésének a) pontjában említett helyzetet, akkor az engedélyező vámhatóság értesíti arról, hogy 30 naptári napra felfüggeszti az egyszerűsített nyilatkozattételi vagy a helyi vámkezelési eljárásra vonatkozó engedélyét, hogy megtehesse a helyzet orvoslásához szükséges intézkedéseket.
(3) Az (1) bekezdés első albekezdésének b) pontjában említett esetekben az engedélyező vámhatóság az engedélyt a büntetőeljárás lezárulásáig felfüggeszti. Erről az engedély jogosultját értesíti.
(4) Ha az engedély jogosultja nem tudja orvosolni a helyzetet 30 naptári napon belül, de bizonyítani tudja, hogy a felfüggesztési idő meghosszabbítása esetén képes teljesíteni a feltételeket, akkor az engedélyező vámhatóság az egyszerűsített nyilatkozattételi vagy helyi vámkezelési eljárásra vonatkozó engedélyt további 30 naptári napra felfüggeszti.
(5) Az engedély felfüggesztése nem érinti a felfüggesztés napja előtt már megkezdett, de még be nem fejezett vámeljárásokat.
253e. cikk
(1) Ha az engedély jogosultja az engedélyező vámhatóság számára megfelelő módon megtette a szükséges intézkedéseket ahhoz, hogy megfeleljen az egyszerűsített nyilatkozattételi vagy a helyi vámkezelési eljárás engedélyezéséhez teljesítendő feltételeknek és kritériumoknak, az engedélyező vámhatóság visszavonja a felfüggesztést, és erről tájékoztatja az engedély jogosultját. A felfüggesztés a 253d. cikk (2) vagy (4) bekezdésében rögzített időtartam lejárta előtt vonható vissza.
(2) Ha az engedély jogosultja nem teszi meg a szükséges intézkedéseket a 253d. cikk (2) vagy (4) bekezdésében előírt felfüggesztési időn belül, akkor a 253 g. cikket kell alkalmazni.
253f. cikk
(1) Ha az engedély jogosultja ideiglenesen nem képes megfelelni az egyszerűsített nyilatkozattételi vagy a helyi vámkezelési eljárás engedélyezéséhez megállapított feltételeknek és kritériumoknak, kérheti az engedély felfüggesztését. Ilyen esetben az engedély jogosultjának értesítenie kell az engedélyező vámhatóságot, megadva azt az időpontot, amikor ismét képes lesz a feltételek és kritériumok teljesítésére. Szintén értesítenie kell az engedélyező vámhatóságot minden tervezett intézkedésről és azok menetrendjéről.
(2) Ha az engedély jogosultja nem tudja orvosolni a helyzetet az értesítésben megadott időn belül, akkor az engedélyező vámhatóság ésszerű mértékű hosszabbítást engedélyezhet, feltéve hogy az engedély jogosultja jóhiszeműen járt el.
253g. cikk
A Vámkódex 9. cikkének és e rendelet 4. cikkének sérelme nélkül az egyszerűsített nyilatkozattételi vagy a helyi vámkezelési eljárásra vonatkozó engedélyt az engedélyező vámhatóság a következő esetekben visszavonja:
a) ha az engedély birtokosa nem orvosolja a 253d. cikk (2) bekezdésében és a 253f. cikk (1) bekezdésében említett helyzetet;
b) ha az engedély birtokosa vagy a 14h. cikk (1) bekezdésének a), b) vagy d) pontjában említett más személy a vámszabályokhoz kapcsolódó súlyos vagy ismételt szabályszegést követett el, és nincs további fellebbezési joga;
c) az engedély jogosultjának kérelmére.
Az első albekezdés b) pontjában említett esetben azonban az engedélyező vámhatóság határozhat úgy, hogy nem vonja vissza az egyszerűsített nyilatkozattételi vagy a helyi vámkezelési eljárásra vonatkozó engedélyt, ha úgy ítéli meg, hogy a szabályszegés a vámeljárással kapcsolatos műveletek számához vagy nagyságrendjéhez viszonyítva elhanyagolható jelentőségű, és nem teszi kétségessé az engedély jogosultjának jóhiszeműségét.
1A. FEJEZET
Az egyszerűsített nyilatkozattételi vagy a helyi vámkezelési eljárásra vonatkozó egységes engedély
1. szakasz
Kérelmezési eljárás
253h. cikk
(1) Az egyszerűsített nyilatkozattételi vagy a helyi vámkezelési eljárásra vonatkozó egységes engedély iránti kérelmet a 14d. cikk (1) és (2) bekezdésében említett vámhatóságok egyikéhez kell benyújtani.
Ha azonban az egyszerűsített nyilatkozattételi vagy a helyi vámkezelési eljárásra vonatkozó engedélyt meghatározott célú felhasználásra vagy valamely gazdasági vámeljárásra vonatkozó egységes engedéllyel összefüggésben vagy azt követően kérelmezik, akkor a 292. cikk (5) és (6) bekezdését vagy az 500. és 501. cikket kell alkalmazni.
(2) Ha a vonatkozó nyilvántartások és dokumentáció egy részét a kérelmezés helye szerinti tagállamtól eltérő tagállamban őrzik, akkor a kérelmezőnek a kérelem-formanyomtatvány (amelynek mintája a 67. mellékletben szerepel) 5a., 5b. és 7. rovatait ennek megfelelően kell kitöltenie.
(3) A kérelmezőnek a kérelmezés helye szerinti tagállamban meg kell adnia egy saját szervezetén belüli, bármikor elérhető központi szervet vagy kapcsolattartó személyt, amely vagy aki a vámhatóságok számára minden olyan információt megad, amely az egységes engedély megadására vonatkozó követelményeknek való megfelelés igazolásához szükséges.
(4) A kérelmezőknek a szükséges adatokat, ha lehetséges, elektronikus úton kell megadniuk a vámhatóságoknak.
(5) Az érintett tagállamok közötti, a szóban forgó vámeljáráshoz szükséges elektronikus adatcsererendszer bevezetéséig az engedélyező vámhatóság elutasíthatja az (1) bekezdés szerint benyújtott kérelmeket, ha az egységes engedély kibocsátása aránytalan igazgatási terhet vonna maga után.
253i. cikk
(1) A tagállamok elküldik a Bizottságnak a 253h. cikk (1) bekezdésében említett azon vámhatóságaik jegyzékét, amelyekhez a kérelmeket és azok esetleges későbbi módosításait be kell nyújtani. A Bizottság ezeket az információkat a világhálón keresztül hozzáférhetővé teszi. Az egyszerűsített nyilatkozattételi vagy a helyi vámkezelési eljárásra vonatkozó egységes engedélyek tárgyában ezek a hatóságok járnak el engedélyező vámhatóságként.
(2) A tagállamok kijelölnek egy központi hivatalt, amely a tagállamok közötti, valamint a tagállamok és a Bizottság közötti adatcseréért felel, és erről tájékoztatják a Bizottságot.
2. szakasz
A kiállítási eljárás
253j. cikk
(1) Egyszerűsített nyilatkozattételi vagy helyi vámkezelési eljárásra vonatkozó egységes engedély kérelmezése esetén az engedélyező vámhatóság a következő információkat bocsátja a többi érintett vámhatóság rendelkezésére:
a) a kérelem;
b) az engedély tervezete;
c) minden, az engedély megadásához szükséges információ.
Az információk közlése a 253 m. cikkben említett kommunikációs rendszer használatával történik, amint a rendszer rendelkezésre áll.
(2) Az (1) bekezdés a), b) és c) pontjában említett információkat az engedélyező vámhatóság a következő határidőkön belül bocsátja rendelkezésre:
a) 30 naptári nap, ha a kérelmező korábban már kapott egyszerűsített nyilatkozattételi vagy a helyi vámkezelési eljárásra vonatkozó engedélyt vagy a 14a. cikk (1) bekezdésének a) vagy c) pontjában említett AEO-tanúsítványt;
b) minden más esetben 90 naptári nap.
Ha az engedélyező vámhatóság ezeket a határidőket nem tudja betartani, azokat 30 naptári nappal meghosszabbíthatja. Ilyen esetben az engedélyező vámhatóság a határidők lejárta előtt tájékoztatja a kérelmezőt a hosszabbítás indokairól.
A határidő attól a naptól számítandó, amikor az engedélyező vámhatóság az (1) bekezdés a), b) és c) pontjaiban említett összes szükséges információt megkapta. Az engedélyező vámhatóság tájékoztatja a kérelmezőt a kérelem befogadásáról, valamint a fenti határidő kezdetének napjáról.
(3) 2009. december 31-ig a (2) bekezdés első albekezdésében előírt 30, illetve 90 naptári napos maximális időtartamok helyébe 90, illetve 210 naptári nap lép.
253k. cikk
(1) A kérelem benyújtásának helye szerinti tagállam engedélyező vámhatósága és a kérelmezett egységes engedély által érintett többi tagállam vámhatóságai együttműködnek a működési és beszámolási követelmények kialakításában, ideértve az egységes engedély szerinti vámeljárás felügyeletére vonatkozó ellenőrzési terv kialakítását is. A vámeljárás(ok) céljaira az érintett vámhatóságok között továbbítandó adatok azonban a 30A. mellékletben meghatározott adatokra korlátozódnak.
(2) A kérelmezett egységes engedély által érintett többi tagállam vámhatóságai az engedély tervezetének kézhezvételétől számított 30 naptári napon belül értesítik az engedélyező vámhatóságot esetleges kifogásaikról. Ha az ilyen értesítéshez több időre van szükség, erről a lehető leghamarabb, de mindenképpen a határidőn belül értesíteni kell az engedélyező vámhatóságot. A határidő legfeljebb 30 naptári nappal meghosszabbítható. Ebben az esetben az engedélyező vámhatóság értesíti a kérelmezőt a határidő meghosszabbításáról.
Olyan kifogás esetén, amelyről a vámhatóságok nem tudtak a határidőn belül megállapodni, a kérelmet a felmerült kifogás(ok) vonatkozásában el kell utasítani.
Ha a megkeresett vámhatóság az első albekezdésben meghatározott határidő(kö)n belül nem válaszol, az engedélyező vámhatóság - a megkeresett vámhatóság felelőssége mellett - feltételezheti, hogy az engedély kiállításával kapcsolatban nincs kifogás.
(3) Mielőtt az engedélyező vámhatóság egy kérelmet részben vagy teljes egészében elutasítana, tervezett határozatának indokait közli a kérelmezővel, aki számára biztosítani kell a lehetőséget, hogy a közlés időpontjától számított 30 naptári napon belül kifejtse álláspontját.
253l. cikk
(1) Ha az egységes engedélyt olyan kérelmező kéri, aki a 14a. cikk (1) bekezdésének a) vagy c) pontjában említett AEO-tanúsítvány jogosultja, az engedélyt ki kell adni, amennyiben a szükséges információcsere megtörtént:
a) a kérelmező és az engedélyező vámhatóság között;
b) az engedélyező hatóság és más, a kérelmezett egységes engedély által érintett vámhatóságok között.
Abban az esetben, ha a kérelmező nem jogosultja a 14a. cikk (1) bekezdésének a) vagy c) pontjában említett AEO-tanúsítványnak, az engedélyt akkor kell megadni, ha az engedélyező vámhatóság meggyőződött arról, hogy a kérelmező képes lesz a 253., 253a. és 253c. cikkben meghatározott vagy említett engedélyezési feltételek és kritériumok teljesítésére, és ha az e bekezdés első albekezdésében említett szükséges információcsere megtörtént.
(2) Miután az engedélyező vámhatóság a többi vámhatóság beleegyezését megkapta, vagy nem kapott tőlük indokolt kifogást, a 67. mellékletben meghatározott engedély-formanyomtatványnak megfelelően kiállítja az engedélyt a 253k. cikk (2) vagy (3) bekezdésében rögzített időtartamok leteltét követő 30 naptári napon belül.
Az engedélyező vámhatóság hozzáférhetővé teszi az engedélyt az érintett tagállamok vámhatóságai számára, mégpedig a 253 m. cikkben említett információs és kommunikációs rendszeren keresztül, amint az rendelkezésre áll.
(3) Az egyszerűsített nyilatkozattételi és a helyi vámkezelési eljárásra vonatkozó egységes engedélyeket minden, az engedély 10., 11. vagy mindkét utóbb említett rovatában (értelemszerűen) felsorolt tagállamban el kell ismerni.
3. Szakasz
Információcsere
253m. cikk
(1) A vámhatóságok közötti információs és kommunikációs folyamatra, valamint a Bizottság és a gazdasági szereplők tájékoztatására a Bizottság és a vámhatóságok által kölcsönös egyetértéssel meghatározott elektronikus információs és kommunikációs rendszert kell használni, amint az rendelkezésre áll. A gazdasági szereplőknek nyújtott tájékoztatás a 67. mellékletben szereplő, az egyszerűsített eljárásokra vonatkozó kérelem-formanyomtatvány kitöltési útmutatójának II. címe 16. rovatában meghatározott nem bizalmas adatokra korlátozódik.
(2) A Bizottság és a vámhatóságok az (1) bekezdésben említett rendszer használatával a következő információkat cserélik ki és tárolják, illetve a következő információkhoz férnek hozzá:
a) a kérelmek adatai;
b) a kiállítási folyamat során szükséges információk;
c) az 1. cikk (13) és (14) bekezdésében említett eljárásokra vonatkozóan kiállított egységes engedélyek, és adott esetben azok módosítása, felfüggesztése és visszavonása;
d) a 253. cikk (8) bekezdése szerinti felülvizsgálat eredménye.
(3) A Bizottság és a tagállamok az engedély jogosultjának előzetes beleegyezésével közzétehetik a világhálón az egységes engedélyek, valamint a 67. mellékletben szereplő, az egyszerűsített eljárásokra vonatkozó kérelem-formanyomtatvány kitöltési útmutatójának II. címe 16. rovatában meghatározott nem bizalmas adatok jegyzékét. A jegyzéket frissíteni kell.
2. FEJEZET
Az áruk szabad forgalomba bocsátására irányuló vámáru-nyilatkozatok
1. szakasz
Hiányos vámáru-nyilatkozatok
254. cikk
A nyilatkozattevő kérelmére a vámhatóság elfogadhat szabad forgalomba bocsátásra vonatkozó olyan nyilatkozatokat, amelyek nem tartalmazzák a 37. mellékletben meghatározott összes adatot.
Ezeknek a vámáru-nyilatkozatoknak azonban legalább a 30A. mellékletben a hiányos vámáru-nyilatkozathoz megállapított adatokat tartalmazniuk kell.
255. cikk
(1) Azokhoz a szabad forgalomba bocsátásra irányuló vámáru-nyilatkozatokhoz, amelyeket a vámhatóság a nyilatkozattevő kérelmére elfogadhat a szükséges okmányok valamelyikének csatolása nélkül is, legalább azokat az okmányokat csatolni kell, amelyeket a bejelentett áruk szabad forgalomba bocsátása előtt be kell nyújtani.
(2) Az (1) bekezdéstől eltérve, az olyan vámáru-nyilatkozatot, amelyhez nem csatolták az áru szabad forgalomba bocsátása előtt benyújtandó okmányt vagy okmányokat, el lehet fogadni akkor, ha a vámhatóság számára hitelt érdemlően igazolták, hogy:
a) a szóban forgó okmány létezik, és érvényes;
b) az okmányt a nyilatkozattevő akaratán kívül álló okok miatt nem csatolták a vámáru-nyilatkozathoz;
c) a vámáru-nyilatkozat elfogadásának bármilyen késedelme megakadályozná az áru szabad forgalomba bocsátását, vagy a miatt az árura magasabb vámtételt kellene fizetni.
A hiányzó okmányokra vonatkozó adatokat minden esetben fel kell tüntetni a vámáru-nyilatkozaton.
256. cikk
(1) A vámhatóság által a nyilatkozattevő részére a vámáru-nyilatkozat elfogadásakor a hiányzó adatok közlésére vagy a hiányzó okmányok benyújtására engedélyezett határidő nem haladhatja meg a vámáru-nyilatkozat elfogadásának időpontjától számított egy hónapot.
Csökkentett vagy nulla behozatali vámtétel alkalmazásához szükséges okmány esetén, amennyiben a vámhatóság alapos okkal feltételezi, hogy a hiányos vámáru-nyilatkozatban foglalt áru ilyen csökkentett vagy nulla vámtételre lehet jogosult, a nyilatkozattevő kérelmére az első albekezdésben előírtnál hosszabb határidő is engedélyezhető a szóban forgó okmány bemutatására, ha azt a körülmények indokolják. Ez a határidő nem lehet hosszabb a vámáru-nyilatkozat elfogadásától számított négy hónapnál. Ezt a határidőt nem lehet meghosszabbítani.
Amennyiben a közlendő hiányzó adatok vagy a benyújtandó okmányok a vámértékre vonatkoznak, a vámhatóság - ha ez feltétlenül szükségesnek bizonyul - hosszabb határidőt állapíthat meg, vagy az előzetesen megállapított határidőt meghosszabbíthatja. Az engedélyezett teljes időszaknál számba kell venni a hatályos előírt időszakokat.
(2) Ha a vámkontingens keretén belül szabad forgalomba bocsátott árukra csökkentett vagy nulla behozatali vámot kell alkalmazni, vagy ha azokra, feltéve hogy a szokásos behozatali vámok kiszabására nem kerül újra sor, vámplafon vagy egyéb preferenciális tarifális intézkedések vonatkoznak, akkor a vámkontingens, illetve a preferenciális tarifális intézkedés csak azután vehető igénybe, hogy a vámhatóságokhoz benyújtották azt a okmányt, amely a csökkentett vagy nulla vámtétel alkalmazása engedélyezésének feltételét képezi. Az okmányt minden esetben:
- a vámkontingens kimerülése előtt, vagy
- egyéb esetekben a szokásos behozatali vámtételeket visszaállító közösségi intézkedést megelőzően kell benyújtani.
(3) Az (1) és (2) bekezdés sérelme nélkül is benyújtható azon okmány, amelynek benyújtása a csökkentett vagy nulla vámtétel alkalmazásának feltétele, azon határidő lejárta után is, amelyre a csökkentett vagy nulla vámtételt megállapították, feltéve, hogy a szóban forgó árukra vonatkozó vámáru-nyilatkozatot ezen időpont előtt elfogadták.
257. cikk
(1) A hiányos vámáru-nyilatkozatnak a vámhatóság részéről történő elfogadása nem akadályozhatja meg vagy nem késleltetheti az így bejelentett áru kiadását, feltéve, hogy ezt egyéb okok nem akadályozzák. A 248. cikk rendelkezéseinek sérelme nélkül az áruk kiadása az alábbi (2)-(5) bekezdésben foglalt feltételeknek megfelelően történik.
(2) Amennyiben a vámáru-nyilatkozat elfogadása idején hiányzó adatok, illetve alátámasztó okmányok késedelmes közlése, benyújtása nem befolyásolja az említett vámáru-nyilatkozatban feltüntetett áru után fizetendő vámösszeget, a vámhatóság a szokásos módon kiszámított fizetendő összeget haladéktalanul lekönyveli.
(3) Amennyiben a 254. cikknek megfelelően valamely vámáru-nyilatkozat ideiglenes értékmegjelölést tartalmaz, a vámhatóság:
- az ezen értékmegjelölés alapján meghatározott vámösszeget haladéktalanul lekönyveli,
- szükség esetén megköveteli olyan biztosíték nyújtását, amely elegendő ezen összeg és az áruk után végül adott esetben fizetendő összeg közötti különbség fedezésére.
(4) Amennyiben a (3) bekezdésben említettektől eltérő esetekben a vámáru-nyilatkozat elfogadása idején hiányzó adatok vagy valamely alátámasztó okmány késedelmes közlése, benyújtása befolyásolhatja azon vámösszeget, amely az említett vámáru-nyilatkozatban feltüntetett áru után fizetendő, a vámhatóság az alábbiak szerint jár el:
a) ha bármely hiányzó adat vagy alátámasztó okmány késedelmes közlése, benyújtása csökkentett vámtétel alkalmazásához vezethet,
- a csökkentett vámtétel szerint fizetendő behozatali vámokat haladéktalanul lekönyveli,
- megköveteli olyan biztosíték nyújtását, amely fedezi a különbséget az említett összeg és azon összeg között, amelyet akkor kellene fizetni, ha a behozatali vámot a szóban forgó árura a szokásos vámtétel szerint számítanák ki;
b) ha bármely hiányzó adat vagy alátámasztó okmány késedelmes közlése, benyújtása az áruk vámmentes beléptetéséhez vezethet, a vámhatóság megköveteli olyan biztosíték nyújtását, amely fedezi azt az összeget, amelyet akkor kellene fizetni, ha a behozatali vámot a szóban forgó árura a szokásos vámtétel szerint szabnák ki.
(5) Minden utólag - különösen a vámérték végleges meghatározásának eredményeképpen - felmerülő változtatás sérelme nélkül, a nyilatkozattevő a biztosíték nyújtása helyett kérheti az alábbi összeg haladéktalan lekönyvelését:
- azon vámösszeg, amelyet az áru után végül adott esetben fizetni kell, amennyiben a (3) bekezdés második francia bekezdését vagy a (4) bekezdés a) pontjának második francia bekezdését kell alkalmazni, vagy
- a szokásos vámtétel szerint számított vámösszeg, amennyiben a (4) bekezdés b) pontját kell alkalmazni.
258. cikk
Amennyiben a 256. cikkben említett határidő lejártakor a nyilatkozattevő még nem közölte az áru vámértékének végleges meghatározásához szükséges részleteket, vagy a hiányzó adatok vagy okmányok benyújtását elmulasztotta, a vámhatóság haladéktalanul lekönyveli a szóban forgó áru után fizetendő vámként a 257. cikk (3) bekezdésének második francia bekezdésében, a 257. cikk (4) bekezdése a) pontjának második francia bekezdésében és a 257. cikk (4) bekezdésének b) pontjában foglalt rendelkezéseknek alapján nyújtott biztosítéknak megfelelő összeget.
259. cikk
A 254-257. cikkben meghatározott feltételek szerint elfogadott hiányos vámáru-nyilatkozatot a nyilatkozattevő kiegészítheti, vagy a vámhatóság beleegyezésével olyan vámáru-nyilatkozattal helyettesítheti, amely megfelel a Vámkódex 62. cikkében megállapított feltételeknek.
Bármely vámösszeg megállapítása és az áru szabad forgalomba bocsátását szabályozó egyéb rendelkezés alkalmazása tekintetében mindkét esetben a hiányos vámáru-nyilatkozat elfogadásának időpontja lesz irányadó.
2. szakasz
Egyszerűsített nyilatkozattételi eljárás
260. cikk
(1) A kérelmező valamennyi szükséges adatot tartalmazó írásbeli kérelmére a 261. és 262. cikkben megállapított feltételek szerint és módon engedélyt kap arra, hogy a szabad forgalomba bocsátás iránti nyilatkozatot egyszerűsített formában tegye meg, amikor az árut a vámhatóságnak bemutatja.
(2) Az ilyen egyszerűsített vámáru-nyilatkozatnak legalább a 30A. mellékletben az egyszerűsített behozatali nyilatkozatra meghatározott adatokat tartalmaznia kell.
(3) Ha a körülmények ezt indokolják, a vámhatóság megengedheti, hogy a (2) bekezdés második francia bekezdésében említett szabad forgalomba bocsátás iránti kérelmet egy általános kérelem helyettesítse, amely egy adott időtartamon belül valamennyi szabad forgalomba bocsátási eljárásra vonatkozik. Az ilyen általános kérelemre válaszként megadott engedélyre történő hivatkozást rá kell vezetni az (1) bekezdésnek megfelelően bemutatott kereskedelmi vagy adminisztratív okmányra.
(4) Az egyszerűsített vámáru-nyilatkozathoz minden olyan okmányt csatolni kell, amelynek benyújtása az áru szabad forgalomba bocsátásának biztosításához szükséges. Ebben az esetben a 255. cikk (2) bekezdését alkalmazni kell.
(5) Ezt a cikket a 278. cikk sérelme nélkül kell alkalmazni.
261. cikk
(1) A kérelmező akkor kap engedélyt az egyszerűsített nyilatkozattételi eljárás alkalmazására, ha a 253., a 253a., a 253b. és a 253c. cikkben említett feltételek és kritériumok teljesülnek.
(2) Ha a kérelmező a 14a. cikk (1) bekezdésének a) vagy c) pontjában említett AEO-tanúsítvány jogosultja, az engedélyező vámhatóság akkor adja meg az engedélyt, ha a kérelmező és az engedélyező vámhatóság közötti szükséges információcsere megtörtént. Az e cikk (1) bekezdésében említett valamennyi feltételt és kritériumot teljesítettnek kell tekinteni.
262. cikk
(1) A 260. cikkben említett engedélynek a következő adatokat kell tartalmaznia:
a) az egyszerűsített vámáru-nyilatkozatok elfogadására illetékes vámhivatal(ok);
b) azon áruk, amelyekre az engedély vonatkozik; és
c) utalás az érintett személy által az esetlegesen felmerülő bármely vámtartozás fedezésére nyújtandó biztosítékra.
Abban meg kell határozni a kiegészítő vámáru-nyilatkozatok formáját és tartalmát is, valamint ki kell tűzni azokat a határidőket, amelyeken belül azokat az e célra kijelölt vámhatóságnál be kell nyújtani.
(2) A vámhatóság eltekinthet a kiegészítő vámáru-nyilatkozat benyújtásától, ha az egyszerűsített vámáru-nyilatkozat olyan árukra vonatkozik, amelyek értéke nem éri el a hatályos közösségi rendelkezésekben foglalt statisztikai küszöbértéket, és az egyszerűsített vámáru-nyilatkozat már tartalmazza a szabad forgalomba bocsátáshoz szükséges valamennyi adatot.
3. szakasz
Helyi vámkezelési eljárás
263. cikk
A helyi vámkezelési eljárásra vonatkozó engedélyt a 264-266. cikkben megállapított feltételek szerint és módon minden személynek meg kell adni, aki az árukat a saját helyiségében vagy területén, vagy a 253. cikkben megjelölt egyéb helyeken kívánja szabad forgalomba bocsátani, és aki a vámhatóságnál e célból az engedély megadásához szükséges valamennyi adatot tartalmazó írásbeli kérelmet nyújt be:
- olyan áruk tekintetében, amelyek közösségi vagy egységes árutovábbítási eljárás alatt állnak, és amelyekre vonatkozóan a fent említett személy a rendeltetési hivatalnál elvégzendő egyszerűsített eljárások igénybevételére vonatkozó engedéllyel rendelkezik a 406., 407. és 408. cikkben foglaltak szerint,
- olyan áruk tekintetében, amelyeket már korábban gazdasági vámeljárás alá vontak, a 278. cikk sérelme nélkül,
- olyan áruk tekintetében, amelyeket - a Vámkódex 40. cikke szerinti vám elé állításukat követően - az említett helyiségekbe vagy területekre vagy helyekre küldenek az első francia bekezdésben említettektől eltérő árutovábbítási eljárásban,
- olyan áruk tekintetében, amelyeket a vám elé állítás követelménye alóli mentesítéssel hoznak be a Közösség vámterületére a Vámkódex 41. cikkének b) pontja szerint.
264. cikk
(1) A kérelmező akkor kap engedélyt a helyi vámkezelési eljárás alkalmazására, ha a 253., a 253a., a 253b. és a 253c. cikkben említett feltételek és kritériumok teljesülnek.
(2) Ha a kérelmező a 14a. cikk (1) bekezdésének a) vagy c) pontjában említett AEO-tanúsítvány jogosultja, az engedélyező vámhatóság akkor adja meg az engedélyt, ha a kérelmező és az engedélyező vámhatóság közötti szükséges információcsere megtörtént. Az e cikk (1) bekezdésében említett valamennyi feltételt és kritériumot teljesítettnek kell tekinteni.
266. cikk
(1) Annak érdekében, hogy a vámhatóságok kielégítő módon meggyőződhessenek a műveletek megfelelő végrehajtásáról, a 263. cikkben említett engedélyes:
a) a 263. cikk első és harmadik francia bekezdésében említett esetekben:
i. amikor az árukat az e célra kijelölt helyre történő érkezésükkor szabad forgalomba bocsátják:
- köteles megfelelően értesíteni a vámhatóságokat az áruk érkezéséről a vámhatóságok által meghatározott formában és módon abból a célból, hogy az áruk kiadását elérje, és
- köteles az árukat bevezetni a nyilvántartásaiba;
ii. amikor a szabad forgalomba bocsátást az áruk ugyanazon a helyen történő átmeneti megőrzése előzi meg a Vámkódex 50. cikkének értelmében, a Vámkódex 49. cikke szerinti határidő lejárta előtt:
- köteles megfelelően értesíteni a vámhatóságokat az általuk meghatározott formában és módon arról, hogy az árukat szabad forgalomba kívánja bocsátani az áruk kiadása érdekében, és
- köteles az árukat bevezetni a nyilvántartásaiba;
b) a 263. cikk második francia bekezdésében említett esetekben:
- köteles megfelelő módon értesíteni a vámhatóságokat az általuk meghatározott formában és módon arról, hogy az árukat szabad forgalomba kívánja bocsátani az áruk kiadása érdekében, és
- köteles az árukat bevezetni a nyilvántartásaiba.
Az első francia bekezdésben említett értesítésre nincs szükség, ha a szabad forgalomba bocsátott árukat már vámraktározási eljárás alá vonták D típusú raktárban;
c) a 263. cikk negyedik francia bekezdésében említett esetekben az áruknak az e célra kijelölt helyre történő érkezésekor:
- köteles az árukat bevezetni a nyilvántartásaiba;
d) az a), b) és c) pontokban hivatkozott nyilvántartásokba való bevezetés idejétől kezdve köteles hozzáférhetővé tenni a vámhatóságok számára az összes olyan okmányt, amelynek elkészítése a szabad forgalomba bocsátásra vonatkozó rendelkezések alkalmazása céljából szükséges.
(2) A vámhatóság, azzal a feltétellel, hogy ez nem befolyásolja az eljárások megfelelő lefolytatásának ellenőrzését:
a) engedélyezheti, hogy az (1) bekezdés a) és b) pontjában említett értesítést közvetlenül az áruk megérkezése előtt tegyék meg;
b) bizonyos különleges körülmények között, amennyiben a szóban forgó áruk jellege és az áruforgalom gyorsasága ezt indokolja, a vámhatóság mentesítheti az engedélyest azon kötelezettség alól, hogy az áruk érkezéséről minden egyes alkalommal tájékoztassa az illetékes vámhivatalt, feltéve, hogy az engedélyes az említett vámhivatal rendelkezésére bocsát minden olyan adatot, amelyet a vámhatóság az áruk vizsgálatára vonatkozó jogának gyakorlásához szükségesnek tart.
Ebben az esetben az áruknak az érintett személy nyilvántartásába történő felvétele egyenértékű az áruk kiadásával.
(3) Az (1) bekezdés a), b) és c) pontjában hivatkozott nyilvántartásokba történő bevezetést bármely egyéb alakiság helyettesítheti, amely a vámhatóságok által előírt hasonló garanciákat kínál. A bevezetésnek tartalmaznia kell annak dátumát és legalább a helyi vámkezelési eljárás szerinti vámáru-nyilatkozathoz a 30A. mellékletben megállapított adatokat.
267. cikk
A 263. cikkben említett engedélyben meg kell határozni az eljárás lefolytatásának különös szabályait, és meg kell jelölni különösen:
- azon árukat, amelyekre az engedély vonatkozik,
- a 266. cikkben említett kötelezettségek formáját és az érintett személy által nyújtandó biztosítékra való figyelemfelhívást,
- a vámáruk kiadásának időpontját,
- azon határidőt, amelyen belül a kiegészítő vámáru-nyilatkozatot az e célra kijelölt illetékes vámhivatalhoz be kell nyújtani,
- azon feltételeket, amelyek mellett az árukra vonatkozóan általános, időszakos vagy összegző vámáru-nyilatkozatot kell tenni.
3. FEJEZET
A gazdasági vámeljárásokra vonatkozó vámáru-nyilatkozatok
1. szakasz
A gazdasági vámeljárások megindítása
1. alszakasz
Vámraktározási eljárás alá vonás
A.
Hiányos vámáru-nyilatkozatok
268. cikk
(1) A nyilatkozattevő kérelmére az eljárást megindító vámhivatal elfogadhat vámraktározási eljárásra vonatkozó olyan vámáru-nyilatkozatokat, amelyek nem tartalmazzák a 37. mellékletben meghatározott összes adatot.
Ezeknek a vámáru-nyilatkozatoknak azonban legalább a hiányos vámáru-nyilatkozatra vonatkozóan a 30A. mellékletben meghatározott adatokat tartalmazniuk kell.
(2) A 255., 256. és 259. cikket értelemszerűen alkalmazni kell.
(3) Ez a cikk nem vonatkozik az 524. cikkben említett közösségi mezőgazdasági termékekkel kapcsolatos eljárásra vonatkozó vámáru-nyilatkozatokra.
B.
Egyszerűsített nyilatkozattételi eljárás
269. cikk
(1) A kérelmező akkor kap engedélyt az egyszerűsített nyilatkozattételi eljárás alkalmazására, ha a 253., a 253a., a 253b., a 253c. és a 270. cikkben említett feltételek és kritériumok teljesülnek.
(2) Amennyiben ezt az eljárást D típusú vámraktárral kapcsolatban alkalmazzák, az egyszerűsített vámáru-nyilatkozatban fel kell tüntetni az érintett áruk jellegét is, olyan részletességgel, amely lehetővé teszi azonnali és egyértelmű besorolásukat, valamint fel kell tüntetni a vámértéket is.
(3) Az (1) bekezdésben említett eljárás nem alkalmazható sem az F típusú vámraktárakra, sem pedig az 524. cikkben említett közösségi mezőgazdasági termékek - bármely típusú raktárban történő - vámraktározási eljárás alá vonására.
(4) Az (1) bekezdés második francia bekezdésében említett eljárás a B típusú vámraktárakra azzal az eltéréssel alkalmazható, hogy itt nincs lehetőség kereskedelmi okmány alkalmazására. Amennyiben az adminisztratív okmány nem tartalmazza a 37. melléklet I. címe B. részében meghatározott valamennyi adatot, ezeket az ahhoz kapcsolódó kérelemben kell közölni.
270. cikk
(1) A 269. cikk (1) bekezdésében említett kérelmet írásban kell benyújtani, és annak az engedély megadásához szükséges minden adatot tartalmaznia kell.
Amennyiben a körülmények lehetővé teszik, a 269. cikk (1) bekezdésében említett kérelem egy meghatározott határidőn belül lefolytatandó eljárásokra vonatkozó általános kérelemmel helyettesíthető.
Ebben az esetben a kérelmet a 497., 498., illetve 499. cikkben megállapított feltételeknek megfelelően kell kiállítani, és a vámraktár működtetésére irányuló kérelemmel együtt vagy az eredeti engedély módosításaként be kell nyújtani ahhoz a vámhatósághoz, amely a vámeljárásra vonatkozó engedélyt kiadta.
(5) Ha a kérelmező a 14a. cikk (1) bekezdésének a) vagy c) pontjában említett AEO-tanúsítvány jogosultja, az engedélyező vámhatóság akkor adja meg az engedélyt, ha a kérelmező és az engedélyező vámhatóság közötti szükséges információcsere megtörtént. Az e cikk (1) bekezdésében említett valamennyi feltételt és kritériumot teljesítettnek kell tekinteni.
271. cikk
A 269. cikk (1) bekezdésében említett engedélyben meg kell határozni az eljárás lefolytatásának különös szabályait, ideértve az eljárást megindító vámhivatal(oka)t.
Kiegészítő vámáru-nyilatkozatra nincs szükség.
C. Helyi vámkezelési eljárás
272. cikk
(1) A kérelmező akkor kap engedélyt a helyi vámkezelési eljárás alkalmazására, ha a (2) bekezdésben és a 253., a 253a., a 253b., a 253c. és a 274. cikkben említett feltételek és kritériumok teljesülnek.
(2) A helyi vámkezelés nem alkalmazható a B. és F. típusú vámraktárakra, illetve a Közösségben forgalomban lévő, az 524. cikkben említett mezőgazdasági termékek bármely típusú raktárban történő vámraktározási eljárására.
(3) A 270. cikket értelemszerűen alkalmazni kell.
273. cikk
(1) Annak érdekében, hogy a vámhatóság biztosíthassa a vámraktározási eljárás megfelelő lefolytatását, az engedélyes az áruk e célra kijelölt helyre történő megérkezésekor:
a) a felügyeletet ellátó vámhivatal által meghatározott formában és módon köteles e vámhivatalt értesíteni az áruk megérkezéséről;
b) az említett árukat köteles felvenni a raktárnyilvántartásba;
c) köteles a felügyeletet ellátó vámhivatal rendelkezésére bocsátani minden, az áruk vámeljárás alá vonására vonatkozó okmányt.
A b) pontban említett raktárnyilvántartásba történő bejegyzésnek tartalmaznia kell legalább néhány, az áruk kereskedelmi azonosításához használt adatot, beleértve az áruk mennyiségét.
(2) A 266. cikk (2) bekezdését alkalmazni kell.
274. cikk
A 272. cikk (1) bekezdésében említett engedélyben meg kell határozni az eljárás lefolytatásának különös szabályait, és meg kell jelölni különösen:
- azon árukat, amelyekre az eljárás vonatkozik,
- a 273. cikkben említett kötelezettségek formáját,
- az áruk kiadásának időpontját.
Kiegészítő vámáru-nyilatkozatra nincs szükség.
2. alszakasz
Aktív feldolgozási, vámfelügyelet melletti feldolgozási, illetve ideiglenes behozatali eljárás alá vonás
A.
Hiányos vámáru-nyilatkozatok
275. cikk
(1) A nyilatkozattevő kérelmére az eljárást megindító vámhivatal elfogadhat az áruk passzív feldolgozástól, illetve vámraktározástól eltérő gazdasági vámeljárás alá vonására vonatkozó olyan vámáru-nyilatkozatokat, amelyek nem tartalmazzák a 37. mellékletben felsorolt valamennyi adatot, vagy amelyekhez nem csatolták a 220. cikkben említett valamennyi okmányt.
Ezeknek a vámáru-nyilatkozatoknak azonban legalább a hiányos vámáru-nyilatkozatra vonatkozóan a 30A. mellékletben meghatározott adatokat tartalmazniuk kell.
(2) A 255., 256. és a 259. cikket értelemszerűen alkalmazni kell.
(3) Az áruk vám-visszatérítési eljárás keretében történő aktív feldolgozási eljárás alá vonása esetén a 257. és 258. cikket szintén értelemszerűen alkalmazni kell.
B.
Egyszerűsített nyilatkozattételi és helyi vámkezelési eljárás
276. cikk
A 260-267. és a 270. cikkben foglalt rendelkezéseket megfelelően alkalmazni kell az ezen alszakasz hatálya alá tartozó gazdasági vámeljárások céljából bejelentett árukra.
3. alszakasz - Passzív feldolgozási eljárás céljából bejelentett áruk
277. cikk
A 279-289. cikk kivitel céljából bejelentett árukra vonatkozó rendelkezéseit megfelelően alkalmazni kell a passzív feldolgozási eljárás keretében történő kivitel céljára bejelentett árukra.
4. alszakasz - Közös rendelkezések
277a. cikk
Ha ugyanannak a személynek két vagy több gazdasági vámeljárásra vonatkozóan adnak ki engedélyt és egy vámeljárást a helyi vámkezelési eljárás alkalmazásával egy másik eljárás alá vonással zárnak le, a kiegészítő vámáru-nyilatkozatot nem kell megkövetelni.
2. szakasz
A gazdasági vámeljárások lezárása
278. cikk
(1) A passzív feldolgozástól, illetve vámraktározástól eltérő gazdasági vámeljárások lezárása esetén a szabad forgalomba bocsátásra, a kivitelre és az újrakivitelre vonatkozó egyszerűsített eljárások alkalmazhatók. Újrakivitel esetén a 279-289. cikk rendelkezéseit megfelelően alkalmazni kell.
(2) Az áruknak a passzív feldolgozási eljárás keretében történő szabad forgalomba bocsátására a 254-267. cikk rendelkezései szerinti egyszerűsített eljárások alkalmazhatók.
(3) A vámraktározási eljárás lezárása esetén a szabad forgalomba bocsátásra, a kivitelre és az újrakivitelre vonatkozó egyszerűsített eljárások alkalmazhatók.
Mindemellett azonban:
a) az áruk F típusú vámraktárba történő betárolása esetén nem engedélyezhető az egyszerűsített eljárás;
b) az áruk B típusú vámraktárba történő betárolása esetén csak a hiányos vámáru-nyilatkozat és az egyszerűsített nyilatkozattételi eljárás alkalmazható;
c) valamely D típusú vámraktárra vonatkozó engedély kibocsátása a szabad forgalomba bocsátásra irányuló helyi vámkezelési eljárás automatikus alkalmazását vonja maga után.
Olyan esetekben azonban, amikor az érintett személy valamely olyan tehermegállapítási szabály alkalmazását kívánja igénybe venni, amely az áruk fizikai megvizsgálása nélkül nem állapítható meg, ezen eljárás nem alkalmazható. Ebben az esetben olyan egyéb vámeljárások alkalmazhatók, amelyek az áruk vám elé állításával járnak;
d) az egyszerűsített eljárás nem alkalmazható az 524. cikkben említett és vámraktározási eljárás alá vont közösségi mezőgazdasági termékekre.
4. FEJEZET
Kiviteli vámáru-nyilatkozatok
279. cikk
A 786-796e. cikkben előírt kiviteli vámalakiságok az e fejezetben foglaltaknak megfelelően egyszerűsíthetőek.
1. szakasz
Hiányos vámáru-nyilatkozatok
280. cikk
(1) A nyilatkozattevő kérelmére a kiviteli vámhivatal elfogadhat olyan kiviteli nyilatkozatokat, amelyek nem tartalmazzák a 37. mellékletben meghatározott összes adatot.
Ezeknek a vámáru-nyilatkozatoknak azonban legalább a 30A. mellékletben a hiányos vámáru-nyilatkozathoz megállapított adatokat tartalmazniuk kell.
Amennyiben az árukra kiviteli vámok vagy bármely egyéb, a közös agrárpolitika keretében előírt intézkedések vonatkoznak, a kiviteli nyilatkozatoknak minden olyan információt is tartalmazniuk kell, amelyek az ilyen vámok vagy intézkedések megfelelő alkalmazásához szükségesek.
(2) A 255-259. cikket a kiviteli nyilatkozatokra értelemszerűen kell alkalmazni.
281. cikk
(1) A 789. cikk alkalmazása esetén a kiegészítő vámáru-nyilatkozatot az exportőr letelepedési helye szerint illetékes vámhivatalhoz lehet benyújtani.
(2) Amennyiben az alvállalkozó valamely más tagállamban letelepedett, mint az exportőr, az (1) bekezdés csak akkor alkalmazandó, ha a megkövetelt adatok cseréje elektronikusan történik, a 4d. cikkel összhangban.
(3) A hiányos kiviteli vámáru-nyilatkozatban fel kell tüntetni azt a vámhivatalt, ahová a kiegészítő vámáru-nyilatkozatot be kell nyújtani. Az a vámhivatal, amely a hiányos kiviteli nyilatkozatot fogadta, megküldi a hiányos kiviteli nyilatkozat adatait annak a vámhivatalnak, ahol az (1) bekezdésben foglaltak szerint a kiegészítő vámáru-nyilatkozatot majd benyújtják.
(4) A (2) bekezdésben említett esetekben az a vámhivatal, amely a kiegészítő vámáru-nyilatkozatot fogadta, haladéktalanul közli a kiegészítő vámáru-nyilatkozat adatait azzal a vámhivatallal, ahol a hiányos kiviteli nyilatkozatot benyújtották.
2. szakasz
Egyszerűsített nyilatkozattételi eljárás
282. cikk
(1) Az egyszerűsített nyilatkozattételi eljárás alkalmazása a 253., a 253a., a 253b., a 253c. cikkben, a 261. cikk (2) bekezdésében, valamint - értelemszerűen - a 262. cikkben megállapított feltételekkel és módon engedélyezhető.
(2) Az egyszerűsített vámáru-nyilatkozatnak legalább az egyszerűsített vámáru-nyilatkozathoz a 30A. mellékletben megállapított adatokat tartalmaznia kell.
A 255-259. cikket értelemszerűen kell alkalmazni.
3. szakasz
Helyi vámkezelési eljárás
283. cikk
A helyi vámkezelési eljárásra vonatkozó engedélyt a 253., a 253a., a 253b. és a 253c. cikkben foglalt feltételek szerint és módon minden olyan személynek (a továbbiakban: elfogadott exportőr) meg kell adni, aki a kiviteli eljárást a saját helyiségében vagy területén vagy a vámhatóság által kijelölt vagy jóváhagyott más helyen kívánja lefolytatni.
285. cikk
(1) Az elfogadott exportőr az áruknak a 283. cikkben említett helyekről történő elszállítása előtt a következő kötelezettségeknek eleget tesz:
a) megfelelően értesíti a kiviteli vámhivatalt az ilyen elszállításról, a 282. cikkben említett egyszerűsített kiviteli nyilatkozat benyújtásával;
b) a vámhatóság rendelkezésére bocsát minden olyan okmányt, amelyre az áruk kiviteléhez szükség van.
(2) Az elfogadott exportőr az egyszerűsített kiviteli nyilatkozat helyett teljes kiviteli nyilatkozatot is benyújthat. Ebben az esetben mentesül a kiegészítő vámáru-nyilatkozatra vonatkozó, a Vámkódex 76. cikkének (2) bekezdésében meghatározott követelmény alól.
285a. cikk
(1) A vámhatóság mentesítheti az elfogadott exportőrt azon kötelezettség alól, hogy az áruk elszállításáról minden egyes alkalommal egyszerűsített kiviteli nyilatkozatot nyújtson be a kiviteli vámhivatalnál. Ez a mentesség csak akkor adható meg, ha az elfogadott exportőr teljesíti a következő feltételeket:
a) az elfogadott exportőr a kiviteli vámhivatalt minden elszállításról értesíti, a fenti hivatal által megadott módon és formában;
b) az elfogadott exportőr - az áruknak a 283. cikkben említett helyekről történő elszállítása előtt - a vámhatóságoknak megad, vagy azok rendelkezésére bocsát minden olyan információt, amelyet utóbbiak a hatékony kockázatelemzéshez szükségesnek tartanak;
c) az elfogadott exportőr az árukat nyilvántartásba veszi.
Az első albekezdés c) pontjában említett nyilvántartásba vételt helyettesítheti bármely más, a vámhatóságok által megkövetelt alakiság, amely hasonló garanciákat kínál. Ez a nyilvántartásba vétel feltünteti azt a dátumot, amikor készült, és tartalmazza azokat az adatokat, amelyek az áruk azonosításához szükségesek.
(1a) Azokban az esetekben, amikor az 592a. vagy az 592d. cikk alkalmazandó, a vámhatóságok engedélyezhetik a gazdasági szereplőknek, hogy az egyes kiviteli műveleteket azonnal bejegyezzék saját nyilvántartásukba, és az összes műveletet együtt, rendszeres időközönként, legfeljebb egy hónappal az áruknak a közösségi vámterületről történő kiszállítását követően, kiegészítő vámáru-nyilatkozatban jelentsék be az engedélyező vámhivatalnak. Ilyen engedély a következő feltételekkel adható:
a) a gazdasági szereplő kizárólag tilalom vagy korlátozás alá nem eső áruk esetében használja az engedélyt;
b) a gazdasági szereplő minden olyan információt a kiviteli vámhivatal rendelkezésére bocsát, amelyet az említett vámhivatal szükségesnek ítél ahhoz, hogy elvégezhesse az áruk ellenőrzését;
c) amennyiben a kiviteli vámhivatal nem azonos a kiléptető vámhivatallal, a vámhatóságok előzetesen hozzájárulnak a szóban forgó eljárás alkalmazásához, és a b) pontban említett információkhoz a kiléptető vámhivatal is hozzáfér.
Az első albekezdésben említett eljárás alkalmazása esetén az áruk nyilvántartásba vétele egyenértékű azok kivitel, illetve kiléptetés céljára történő kiadásával.
(2) Bizonyos különleges körülmények között, amennyiben a szóban forgó áruk jellege és a kiviteli áruforgalom gyorsasága ezt indokolja, 2009. június 30-ig a vámhatóság mentesítheti az elfogadott exportőrt az (1) bekezdés első albekezdése a) és b) pontjában meghatározott követelmények alól, feltéve hogy a kiviteli vámhivatalnak szolgáltat minden olyan információt, amelyet a vámhatóság - adott esetben - az áruknak a kilépésük előtt történő vizsgálatára vonatkozó joga gyakorlásához szükségesnek tart.
Ebben az esetben az áruknak az elfogadott exportőr nyilvántartásába történő felvétele egyenértékű az áruk kiadásával.
285b. cikk
(1) A 285a. cikk (1) bekezdésének első albekezdése a) pontjában említett információt a kiviteli vámhivatalnak az 592b. és 592c. cikkben előírt határidőkön belül meg kell adni.
(2) A 285a. cikk (1) bekezdésének első albekezdése c) pontjában említett nyilvántartásba vételnek tartalmaznia kell a 30A. mellékletben a helyi vámkezelési eljárásra megállapított adatokat.
(3) A vámhatóságok biztosítják, hogy a 796a-796e. cikk követelményei teljesüljenek.
286. cikk
(1) Annak ellenőrzésére, hogy az áruk ténylegesen elhagyták a Közösség vámterületét, az egységes vámokmány 3. számú példánya szolgál a kiléptetés igazolásául.
Az engedélyben elő kell írni, hogy az egységes vámokmány 3. számú példányát előzetesen hitelesíttetni kell.
(2) Az előzetes hitelesítés az alábbi módok valamelyikén történhet:
a) az A rovat előre ellátható az illetékes vámhivatal bélyegzőlenyomatával és az említett vámhivatal egy tisztviselőjének aláírásával;
b) az elfogadott exportőr egy különleges, a 62. mellékletben bemutatott mintának megfelelő bélyegzővel lebélyegezheti a vámáru-nyilatkozatot.
E bélyegző lenyomata előre rányomtatható a nyomtatványokra, ha a nyomtatást egy erre engedéllyel rendelkező nyomdára bízzák.
(3) Az áruk indítása előtt az elfogadott exportőr eleget tesz a következő követelményeknek:
a) elvégzi a 285. vagy a 285a. cikkekben említett eljárásokat;
b) feltünteti bármelyik kísérő okmányon vagy azt helyettesítő bármely más adathordozón a következő adatokat:
i. a hivatkozást a nyilvántartásba vételre;
ii. azt a dátumot, amikor az i. alpontban említett nyilvántartásba vétel megtörtént;
iii. az engedély számát;
iv. az azt kiállító vámhivatal nevét.
287. cikk
(1) A 283. cikkben említett engedélyben meg kell határozni az eljárás lefolytatásának részletes szabályait, és meg kell jelölni különösen:
a) azon árukat, amelyekre az engedély vonatkozik;
b) a 285a. cikk (1) bekezdésében megállapított feltételek teljesítésének formáját;
c) az áruk kiadásának módját és időpontját;
d) bármely kísérő okmány vagy azt helyettesítő adathordozó tartalmát, és érvényesítésének módját;
e) a kiegészítő vámáru-nyilatkozat bemutatásának módját és azon határidőt, amelyen belül azt be kell nyújtani.
A 796a-796e. cikk alkalmazásakor az első albekezdés c) pontjában említett kiadást a 796b. cikknek megfelelően kell megadni.
(2) Az engedélynek tartalmaznia kell az elfogadott exportőr kötelezettségvállalását arra vonatkozóan, hogy megtesz minden szükséges intézkedést a különleges bélyegző vagy a kiviteli vámhivatal bélyegzőjének lenyomatával ellátott nyomtatványok, illetve a különleges bélyegző lenyomatának megőrzése érdekében.
4. szakasz
A 2. és 3. szakaszra vonatkozó közös rendelkezések
289. cikk
Amennyiben valamely kiviteli művelet egészét egyetlen tagállam területén hajtják végre, ez a tagállam a 2. és 3. szakaszban meghatározott eljárásokon kívül és a közösségi politikák figyelembevételével egyéb egyszerűsítéseket is elrendelhet.
A nyilatkozattevőnek azonban ezen áruk kilépése előtt a vámhatóságok rendelkezésére kell bocsátania a hatékony kockázatelemzéshez és az áruk vizsgálatához szükséges információkat.
II. RÉSZ
AZ ÁRUK VÁMJOGI SORSA
I. CÍM
SZABAD FORGALOMBA BOCSÁTÁS
1. FEJEZET
Általános rendelkezések
290. cikk
(1) Amennyiben közösségi árukat a 797. cikknek megfelelően ATA-igazolvány fedezete mellett visznek ki, úgy ezen árukat az ATA-igazolvány alapján szabad forgalomba lehet bocsátani.
(2) Ebben az esetben az a vámhivatal, ahol az árukat szabad forgalomba bocsátják, a következő alakiságokat végzi el:
a) ellenőrzi az újrabehozatali betétlap A-G. rovataiban megadott adatokat;
b) kitölti az ellenőrző szelvényt és az újrabehozatali betétlap H. rovatát;
c) megőrzi az újrabehozatali betétlapot.
(3) Ha közösségi áruk tekintetében az ideiglenes kiviteli eljárást lezáró alakiságokat nem annál a vámhivatalnál végzik el, ahol az áruk a Közösség vámterületére beléptek, akkor az áruknak ezen vámhivataltól ahhoz a vámhivatalhoz történő elszállítása, ahol az említett alakiságokat elvégzik, külön alakiságot nem igényel.
1a. FEJEZET
Banánra vonatkozó rendelkezések
290a. cikk
E fejezet, valamint a 38b. és 38c. melléklet alkalmazásában az alábbi meghatározásokat kell alkalmazni:
a) "engedélyes mérlegelő" az a gazdasági szereplő, akinek a vámhivatal a friss banán mérlegelésére engedélyt adott;
b) "kérelmező nyilvántartása" a friss banán méréséhez kapcsolódó bármely okmányt jelenti;
c) "friss banán nettó súlya" a banán önmagában, csomagolóanyag és minden fajta csomagolókonténer nélkül mért súlyát jelenti;
d) "frissbanán-szállítmány" az egy szállítóeszközre berakodott és egyetlen exportőr által egy vagy több címzettnek leszállított friss banánból álló szállítmány összmennyisége;
e) "bármely kirakodási hely" mindazok a helyek, amelyek alkalmasak a frissbanán-szállítmány kirakására, vagy ahol a vámeljárásnak megfelelően lerakhatók, vagy konténeres szállítás esetében az a hely, ahol a konténert a hajóról, repülőgépről vagy más fő szállítóeszközről lerakják, vagy ahol a banánt a konténerből kirakodják.
290b. cikk
(1) Az engedélyes mérlegelő státust kérelemre valamennyi vámhivatal megadja a friss banán behozatalában, szállításában, raktározásában vagy kezelésében részt vevő bármely gazdasági szereplőnek, amennyiben az alábbiakban meghatározott feltételeknek eleget tesz:
a) a kérelmező felajánlja a mérés megfelelő lefolytatásához szükséges minden szükséges biztosítékot;
b) a kérelmező rendelkezik a megfelelő mérlegelő berendezéssel;
c) a kérelmező nyilvántartása lehetővé teszi a vámhatóságok számára a hatékony ellenőrzések elvégzését.
A vámhivatal nem adja meg az engedélyes mérlegelő státust, amennyiben a kérelmező súlyosan vagy ismételten megsértette a vámjogszabályokat.
Az engedély az engedélyező vámhivatal illetékességi helyén elvégzett frissbanán-mérésre korlátozódik.
(2) Az engedélyező vámhivatal visszavonja az engedélyes mérlegelő státust, amennyiben az engedélyes már nem teljesíti az (1) bekezdésben felsorolt feltételeket.
290c. cikk
(1) A Közösségbe behozott és a 0803 00 19 KN-kód alá tartozó friss banán nettó tömegének ellenőrzése céljából a szabad forgalomba bocsátásra irányuló nyilatkozathoz az érintett frissbanán-szállítmány nettó tömegét csomagolástípusonként és származási helyenként igazoló banánmérlegelési bizonylatot kell csatolni.
A banánmérlegelési bizonylatot az engedélyes mérlegelő a 38b. mellékletben megállapított eljárásnak és 38c. mellékletben található mintának megfelelően állítja ki.
Az említett bizonylatot elektronikus formában is be lehet nyújtani a vámhatóságokhoz az általuk meghatározott feltételeknek megfelelően.
(2) Az engedélyes mérlegelőnek a vámhatóság részére előzetes értesítést kell küldenie a frissbanán-szállítmány mérlegeléséről szóló banánmérlegelési bizonylat kiállítása céljából, a csomagolás típusa, a származás, továbbá a mérlegelés időpontjának és helyének pontos megjelölésével.
(3) A vámhivatalok az évente benyújtott banánmérlegelési bizonylatok legalább 5 %-ának tekintetében kockázatelemzés alapján ellenőrzik a bizonylatokon feltüntetett friss banán nettó tömegét vagy úgy, hogy jelen vannak, amikor az engedélyes mérlegelő leméri a banán reprezentatív mintáit, vagy úgy, hogy a 38b. melléklet 1-3. pontjában megállapított eljárás szerint saját maga mérlegeli a mintákat.
290d. cikk
A tagállamok közlik a Bizottsággal az engedélyes mérlegelők névjegyzékét és az abban utólagosan bekövetkezett változásokat.
A Bizottság az információt továbbítja a többi tagállamnak.
2. FEJEZET
Meghatározott célú felhasználás
291. cikk
(1) E fejezet akkor alkalmazandó, ha valamely rendelkezés szerint a meghatározott célú felhasználásuk miatt kedvezményes tarifális elbánás, illetve csökkentett vagy nulla vámtétel mellett szabad forgalomba bocsátott áruk meghatározott célú felhasználás vámfelügyelete alá kel vonni.
(2) E fejezet alkalmazásában:
b) "könyvelés": az engedélyes kereskedelmi, adózási vagy egyéb számviteli adatai, vagy a részére nyilvántartott ilyen adatok;
c) a "nyilvántartás": az összes szükséges információt és műszaki részletet tartalmazó adatok bármilyen hordozón, amelyek lehetővé teszik, hogy a vámhatóságok felügyeljék és ellenőrizzék a műveleteket.
292. cikk
(1) Ha valamely rendelkezés szerint az árukat a meghatározott célú felhasználás vámfelügyelete alá kell vonni, a kedvezményes tarifális elbánásnak a Vámkódex 21. cikke szerinti megadásához írásbeli engedély szükséges.
Ha az árut meghatározott célú felhasználása miatt csökkentett vagy nulla vámtétellel bocsátják szabad forgalomba, és a hatályos rendelkezések kötelezővé teszik, hogy az áru a Vámkódex 82. cikke szerint vámfelügyelet alatt maradjon, a meghatározott célú felhasználás vámfelügyeletének alkalmazásához írásbeli engedély szükséges.
(2) A kérelmet írásban kell benyújtani a 67. mellékletben megadott minta szerint. A vámhatóságok engedélyezhetik, hogy az engedély megújítása vagy módosítása iránt egyszerű írásbeli kérelemmel lehessen folyamodni.
(3) Különleges körülmények fennállása esetén a vámhatóságok lehetővé tehetik, hogy a szabad forgalomba bocsátásra vonatkozó vámáru-nyilatkozat, amelyet rendes eljárásban írásban vagy adatfeldolgozási eljárással tettek, engedély iránti kérelemnek minősüljön, feltéve hogy:
- a kérelem csak egy vámigazgatást érint,
- a kérelmező teljes egészében az előírt meghatározott célú felhasználás alá vonja az árut, és
- biztosítják a műveletek szabályszerű elvégzését.
(4) Ha a vámhatóságok elégtelennek tekintik a kérelemben megadott információkat, további adatokat kérhetnek a kérelmezőtől.
Különösen azokban az esetekben, amikor a kérelem vámáru-nyilatkozattal is benyújtható, a vámhatóságoknak a 218. cikk sérelme nélkül kötelezővé kell tenniük a kérelem mellé egy, a nyilatkozattevő által kibocsátott okmány csatolását, amely legalább az alábbi adatokat tartalmazza kivéve, ha az ilyen adatot szükségtelennek ítélik, vagy már szerepel a vámáru-nyilatkozatban:
a) a kérelmező, a nyilatkozattevő és a gazdálkodó neve és címe;
b) a meghatározott célú felhasználás jellege;
c) az áruk, azok meghatározott célú felhasználása eredményeként létrejövő termékek műszaki leírása és azonosításuk módja;
d) becsült elszámolási kulcs vagy módszer, amely alapján a kulcsot megállapítják;
e) az áru meghatározott célú felhasználás alá vonásának becsült határideje;
f) az a hely, ahol az árut meghatározott célú felhasználás alá vonják.
(5) Amikor egységes engedélyért folyamodnak, az alábbi eljárás szerint a hatóságok előzetes beleegyezése szükséges.
A kérelmet az azon hely szerint illetékes vámhatósághoz kell benyújtani,
- ahol a kérelmezőnek a számviteli bizonylatok vizsgálatán alapuló ellenőrzést lehetővé tevő főkönyveit vezetik, és ahol az engedélyben érintett műveleteknek legalább egy részét végzik, illetve
- egyéb esetben az a hely, ahol a kérelmezőnek a számviteli alapuló ellenőrzést lehetővé tévő főkönyveit vezetik.
Ezek a vámhatóságok közlik a kérelmet és az engedélytervezetet a többi érintett vámhatósággal, amelyek 15 napon belül visszaigazolják a kézhezvétel napját.
A többi érintett vámhatóság az engedélytervezet kézhezvételének napjától számított 30 napon belül közli esetleges kifogásait. Amennyiben a fent említett időszakon belül kifogás érkezik, és ezekről nem születik megegyezés, a kérelmet a kifogással érintett részében el kell utasítani.
A vámhatóságok kiadhatják az engedélyt, ha 30 napon belül nem érkezett kifogás az engedélytervezettel kapcsolatban.
Az engedélyt kiadó vámhatóságok másolatot küldenek minden érintett vámhatóságnak.
(6) Ha kettő vagy több vámigazgatás között általános megegyezés születik az egységes engedély megadásának kritériumairól és feltételeiről, az említett vámigazgatások abban is megállapodhatnak, hogy egyszerű értesítéssel helyettesítik az előzetes konzultációt. Az ilyen értesítésnek mindig elegendőnek kell lennie, amikor az egységes engedélyt megújítják vagy visszavonják.
(7) A kérelmezőt a kérelem benyújtásának napjától számított vagy a kért nagy fontosságú vagy pótlólagos információk vámhivatalok általi kézhezvételétől számított harminc napon belül értesíteni kell az engedélyezésről szóló határozatról vagy a kérelem elutasításának okairól.
Ez a határidő az egységes engedély esetében nem alkalmazható kivéve, ha azt a (6) bekezdés alapján adják ki.
293. cikk
(1) A 67. mellékletben megadott mintának megfelelő engedélyt a Közösség vámterületén letelepedett személyek részére lehet megadni, amennyiben teljesülnek az alábbi feltételek:
a) a tervezett tevékenységek összhangban vannak az előírt meghatározott célú felhasználással és az árunak a 296. cikk szerinti átszállítására vonatkozó előírásokkal, valamint biztosított a műveletek szabályszerű elvégzése;
b) a kérelmező megad minden szükséges garanciát a tervezett műveletek szabályszerű elvégzéséhez, és vállalja az alábbi kötelezettségeket:
- az árut teljesen vagy részben az előírt meghatározott célú felhasználás alá vonja vagy átszállítja, és ezt a hatályos rendelkezések szerint bizonyítja,
- nem tesz olyan lépést, ami összeegyeztethetetlen az előírt meghatározott célú felhasználás szándékolt céljával,
- az illetékes vámhatóságokat értesíti az összes tényezőről, amely kihatással lehet az engedélyre;
c) biztosított a hatékony vámfelügyelet, és a vámhatóságok által megteendő igazgatási intézkedések arányban vannak az érintett gazdasági igényekkel;
d) kielégítő nyilvántartást vezetnek és őriznek meg;
e) biztosítékot nyújtanak, amennyiben a vámhatóságok ezt szükségesnek tartják.
(2) A 292. cikk (3) bekezdése szerinti engedélykérelem esetén az engedély megadása a Közösség vámterületén letelepedett személyek részére a vámáru-nyilatkozat elfogadásával történik az (1) bekezdésben meghatározott egyéb feltételek alapján.
(3) Az engedélynek az alábbi adatokat kell tartalmaznia, kivéve, ha azokat szükségtelennek ítélik:
a) az engedélyes azonosítása;
b) szükség esetén a Kombinált Nómenklatúra vagy TARIC-kód, az áru jellege és megnevezése, a meghatározott célú felhasználási műveletek leírása és az elszámolási kulcsra vonatkozó rendelkezések;
c) az azonosítás és a vámfelügyelet eszközei és módszerei, beleértve az alábbiakra vonatkozó előírásokat:
- közös tárolás, amelyre értelemszerűen alkalmazni kell az 534. cikk (2) és (3) bekezdését,
- a Kombinált Nómenklatúra 27. és 29. árucsoportjába tartozó, a meghatározott célú felhasználási felügyelet alá eső termékek vagy a 2709 00 KN-kód alá tartozó nyersolajtartalmú termékek vegyes tárolása;
d) az a határidő, ameddig az árut az előírt meghatározott célú felhasználás alá kell vonni;
e) a vámhivatalok, ahol az árut szabad forgalomba bocsátás céljára bejelentik, illetve az intézkedések felügyeletét végző vámhivatalok;
f) azok a helyek, ahol az árut az előírt meghatározott célú felhasználás alá kell vonni;
g) adott esetben a nyújtani szükséges biztosíték;
h) az engedély érvényességi ideje;
i) adott esetben, az áru átszállításának lehetősége a 296. cikk (1) bekezdése szerint;
j) adott esetben, az árunak a 296. cikk (2) bekezdése második albekezdése és a (3) bekezdés szerinti átszállítására vonatkozó egyszerűsített rendelkezések;
k) adott esetben, a Vámkódex 76. cikke szerint engedélyezett egyszerűsített eljárások;
l) a közlés módszerei.
Ha az első albekezdés c) pontjának második francia bekezdésében említett áruk nyolcjegyű KN-kódja, kereskedelmi minősége, valamint műszaki és fizikai jellemzői nem azonosak, a vegyes tárolást kizárólag abban az esetben lehet engedélyezni, ha a teljes keveréket alávetik a Kombinált Nómenklatúra 27. árucsoportjának 4. vagy 5. kiegészítő megjegyzésében említett kezelések egyikének.
(4) A 294. cikk sérelme nélkül, az engedély a kiadásának napján vagy az engedélyben megadott bármely későbbi napon lép hatályba.
Az érvényesség időszaka nem haladja meg az engedély hatálybalépésének napjától számított három évet, kivéve kellően indokolt, elfogadható okok megléte esetén.
294. cikk
(1) A vámhatóságok visszamenőleges hatályú engedélyt is kiadhatnak.
A (2) és (3) bekezdések sérelme nélkül, a visszamenőleges hatályú engedély a kérelem benyújtásának napjától hatályos.
(2) Ha a kérelem azonos jellegű műveletre és árura vonatkozó engedély megújítására irányul, az engedély visszamenőleges hatállyal is megadható az eredeti engedély lejáratának napjától kezdődően.
(3) Kivételes körülmények esetén egy engedély visszamenőleges hatálya tovább is kiterjeszthető, de a kérelem benyújtásának napjától számított egy évnél nem hosszabb időre, feltéve hogy bizonyított gazdasági igény áll fenn, és:
a) a kérelem nem megtévesztés kísérletével vagy nyilvánvaló gondatlansággal kapcsolatos;
b) a kérelmező könyvelése alapján a rendelkezések összes követelménye teljesítettnek tekinthető, és ahol szükséges, a kicserélés elkerülése érdekében az áru azonosítható a szóban forgó időszakra, és az ilyen könyvelés lehetővé teszi a rendelkezések ellenőrzését;
c) az áru helyzetét szabályossá tevő összes alakiság végrehajtható, ideértve szükség esetén a vámáru-nyilatkozat érvénytelenítését.
295. cikk
Egy engedély lejárta nem érinti azt az árut, amely az engedély értelmében, annak lejárta előtt már szabad forgalomban volt.
296. cikk
(1) Az áruk azonos engedélyben megjelölt helyek közötti átszállítása vámalakiságok nélkül végezhető.
(2) Ha két, különböző tagállamban letelepedett engedélyes között áruszállítás történik, és az érintett vámhatóságok nem egyeztek meg a (3) bekezdés szerinti egyszerűsített eljárásokban, a 63. melléklet szerinti T5 ellenőrző példányt kell használni az alábbi eljárás szerint:
a) az átszállító három példányban (egy eredeti és két másolat) kitölti a T5 ellenőrző példányt -----;
b) a T5 ellenőrző példánynak az alábbiakat kell tartalmaznia:
- az "A" rovatban ("Indító vámhivatal") az átszállító engedélyében meghatározott illetékes vámhivatal címe,
- a 2. rovatban az átszállító neve, illetve cégneve, teljes címe és engedélyének száma,
- a 8. rovatban a címzett neve, illetve cégneve, teljes címe és engedélyének száma,
- a "Fontos megjegyzés" rovatban és a "B" rovatban szereplő szöveg áthúzandó,
- a 31. rovatban az áruk megnevezése az átszállítás időpontjában, beleértve a tételek számát is, a 33. rovatban pedig a vonatkozó KN-kód,
- a 38. rovatban az áru nettó tömege,
- a 103. rovatban az áru nettó mennyisége betűvel kiírva,
- a 104. rovatban egy megjelölés az "Egyéb (részletezze)" rovatban, valamint a nyomtatott nagybetűkkel írt alábbi bejegyzések egyike:
-
- DESTINO ESPECIAL: MERCANCÍAS RESPECTO DE LAS CUALES, LAS OBLIGACIONES SE CEDEN AL CESIONARIO (REGLAMENTO (CEE) No 2454/93, ARTÍCULO 296)
- SÆRLIGT ANVENDELSESFORMÅL: VARER, FOR HVILKE FORPLIGTELSERNE OVERDRAGES TIL ERHVERVEREN (FORORDNING (EØF) Nr. 2454/93, ARTIKEL 296)
- BESONDERE VERWENDUNG: WAREN MIT DENEN DIE PFLICHTEN AUF DEN ÜBERNEHMER ÜBERTRAGEN WERDEN (ARTIKEL 296 DER VERORDNUNG (EWG) Nr. 2454/93)
- ΕΙΔΙΚΟΣ ΠΡΟΟΡΙΣΜΟΣ: ΕΜΠΟΡΕΓΜΑΤΑ ΓΙΑ ΤΑ ΟΠΟΙΑ ΟΙ ΥΠΟΧΡΕΩΣΕΙΣ ΕΚΧΩΡΟΥΝΤΑΙ ΣΤΟΝ ΕΚΔΟΧΕΑ (ΑΡΘΡΟ 296 ΚΑΝΟΝΙΣΜΟΣ (ΕΟΚ) αριθ. 2454/93)
- END-USE: GOODS FOR WHICH THE OBLIGATIONS ARE TRANSFERRED TO THE TRANSFEREE (REGULATION (EEC) No 2454/93, ARTICLE 296)
- DESTINATION PARTICULIÈRE: MARCHANDISES POUR LESQUELLES LES OBLIGATIONS SONT TRANSFÉRÉES AU CESSIONNAIRE [RÈGLEMENT (CEE) No 2454/93, ARTICLE 296]
- DESTINAZIONE PARTICOLARE: MERCI PER LE QUALI GLI OBBLIGHI SONO TRASFERITI AL CESSIONARIO (REGOLAMENTO (CEE) N. 2454/93, ARTICOLO 296)
- BIJZONDERE BESTEMMING: GOEDEREN WAARVOOR DE VERPLICHTINGEN AAN DE OVERNEMER WORDEN OVERGEDRAGEN (VERORDENING (EEG) Nr. 2454/93, ARTIKEL 296)
- DESTINO ESPECIAL: MERCADORIAS RELATIVAMENTE ÀS QUAIS AS OBRIGAÇÕES SÃO TRANSFERIDAS PARA O CESSIONÁRIO [REGULAMENTO (CEE) N.o 2454/93, ARTIGO 296.o]
- TIETTY KÄYTTÖTARKOITUS: TAVARAT, JOIHIN LIITTYVÄT VELVOITTEET SIIRRETÄÄN SIIRRONSAAJALLE (ASETUS (ETY) N:o 2454/93, 296 ARTIKLA)
- ANVÄNDNING FÖR SÄRSKILDA ÄNDAMÅL: VAROR FÖR VILKA SKYLDIGHETERNA ÖVERFÖRS TILL DEN MOTTAGANDE PARTEN (ARTIKEL 296 I FÖRORDNING (EEG) nr 2454/93)
- KONEČNÉ POUŽITÍ: ZBOŽÍ, U KTERÉHO PŘECHÁZEJÍ POVINNOSTI NA PŘÍJEMCE (ČLÁNEK 296 NAŘÍZENÍ (EHS) č. 2454/93)
- EESMÄRGIPÄRANE KASUTAMINE: KAUP, MILLE KORRAL KOHUSTUSED LÄHEVAD ÜLE KAUBA SAAJALE (MÄÄRUSE ((EMÜ) NR 2454/93 ARTIKKEL 296)
- IZMANTOŠANAS MĒR-IS: PREČU SAŅĒMĒJS ATBILDĪGS PAR PREČU IZMANTOŠANU (REGULA (EEK) NR.2454/93, 296.PANTS)
- GALUTINIS VARTOJIMAS: PREKĖS, SU KURIOMIS SUSIJUSIOS PRIEVOLĖS PERDUOTOS JŲ PERĖMĖJUI (REGLAMENTAS (EEB) NR. 2454/93, 296 STRAIPSNIS)
- MEGHATÁROZOTT CÉLRA TÖRTÉNŐ FELHASZNÁLÁS: AZ ÁRUKKAL KAPCSOLATOS KÖTELEZETTSÉGEK AZ ÁRUK ÁTVEVŐJÉRE SZÁLLTAK ÁT (A 2454/93/EGK RENDELET 296. CIKKE)
- UŻU AĦĦARI: OĠĠETTI LI GĦALIHOM L-OBBLIGI HUMA TRASFERITI LIL MIN ISIR IT-TRASFERIMENT (REGOLAMENT (KEE) 2454/93, ARTIKOLU 296)
- PRZEZNACZENIE SZCZEGÓLNE: TOWARY, W ODNIESIENIU DO KTÓRYCH ZOBOWIĄZANIA SĄ PRZENOSZONE NA OSOBĘ PRZEJMUJĄCĄ (ROZPORZĄDZENIE (EWG) NR 2454/93, ART. 296)
- POSEBEN NAMEN: BLAGO, ZA KATERO SE OBVEZNOSTI PRENESEJO NA PREJEMNIKA (UREDBA (EGS) ŠT. 2454/93, ČLEN 296)
- KONEČNÉ POUŽITIE: TOVAR, S KTORÝM PRECHÁDZAJÚ POVINNOSTI NA PRÍJEMCU (NARIADENIE (EHS) Č. 2454/93, ČLÁNOK 296)
- СПЕЦИФИЧНО ПРЕДНАЗНАЧЕНИЕ: СТОКИ, ЗА КОИТО ЗАДЪЛЖЕНИЯТА СА ПРЕХВЪРЛЕНИ НА ЛИЦЕТО, КОЕТО ГИ ПОЛУЧАВА (РЕГЛАМЕНТ (ЕИО) № 2454/93, ЧЛЕН 296)
- DESTINAȚIE FINALĂ: MĂRFURI PENTRU CARE OBLIGAȚIILE SUNT TRANSFERATE CESIONARULUI (REGULAMENTUL (CEE) Nr. 2454/93, ARTICOLUL 296)
- POSEBNA UPORABA: ROBA ZA KOJU SU OBVEZE PRENESENE NA PRIMATELJA (UREDBA (EEZ) BR. 2454/93, ČLANAK 296.)
- a 106. rovatban:
-
- az árura vonatkozó tehermegállapítási elemek, kivéve, ahol a vámhatóságok eltekintenek ennek megkövetelésétől,
- a szabad forgalomba bocsátásra vonatkozó vámáru-nyilatkozat nyilvántartási száma és dátuma, valamint annak a vámhivatalnak a neve és címe, ahol a vámáru-nyilatkozatot benyújtották;
c) az átszállító köteles megküldeni a címzettnek a T5 ellenőrző példány teljes garnitúráját;
d) a címzett köteles az engedélyében meghatározott vámhivatalnak benyújtani a T5 ellenőrző példány garnitúrát és ehhez csatolnia kell a kereskedelmi okmány eredeti példányát, amelyből kitűnik az áru átvételének dátuma. Haladéktalanul jeleznie kell e vámhivatalnak az esetleges többletet, hiányt, cserét vagy egyéb szabálytalanságot;
e) a címzett engedélyében megnevezett vámhivatalnak a vonatkozó kereskedelmi okmányok ellenőrzése után ki kell töltenie az eredeti T5 ellenőrző példány "J" rovatát, a címzett általi átvétel dátumát is ideértve, és dátummal és bélyegzővel kell ellátnia az eredeti példány "J" rovatát, illetve a két másolat "E" rovatát. A vámhivatal megőrzi a második másolatot a nyilvántartásában, és visszajuttatja a címzett részére az eredeti példányt és az első másolatot;
f) a címzett megőrzi a T5 első másolati példányát a nyilvántartásában, és továbbítja az eredetit az átszállító részére;
g) a címzett megőrzi az eredetit a nyilvántartásában.
Az érintett vámhatóságok egyszerűsített eljárásban is megállapodhatnak a T5 ellenőrző példány használatára vonatkozó rendelkezések szerint.
(3) Amennyiben az érintett vámhatóságok biztosítottnak tekintik a műveletek szabályszerű elvégzését, hozzájárulhatnak ahhoz, hogy az áruszállítás két, különböző tagállamban letelepedett engedélyes között a T5 ellenőrző példány nélkül történjen.
(4) Amikor két, azonos tagállamban letelepedett engedélyes között valósul meg áruátszállítás, azt a nemzeti szabályok szerint kell végrehajtani.
(5) Az áru átvételével a címzettre szállnak át az átszállított árukkal kapcsolatos, e fejezet szerinti kötelezettségek.
(6) Az átszállító akkor mentesül a kötelezettségei alól, ha az alábbi feltételek teljesülnek:
- a címzett átvette az árut, és tájékoztatást kapott arról, hogy az átruházott kötelezettségek alapját képező áruk meghatározott célú felhasználás vámfelügyelete alatt állnak,
- a vámfelügyeletet átvette a címzett vámhatósága; a vámhatóságok eltérő rendelkezésének hiányában ez akkor valósul meg, amikor a címzett nyilvántartásba veszi az árut.
297. cikk
(1) A T5 ellenőrző példány helyett légi fuvarlevél vagy azzal egyenértékű okmány használható abban az esetben, ha a légi járművek karbantartásához vagy javításához szükséges anyagok átszállítását a nemzetközi forgalomban részt vevő légitársaságok végzik cseremegállapodások vagy a légitársaság saját igényei alapján.
(2) A légi fuvarlevél vagy a vele egyenértékű okmánynak legalább az alábbi adatokat kell tartalmaznia:
a) a szállító légitársaság nevét;
b) az indulási repülőtér nevét;
c) a fogadó légitársaság nevét;
d) a rendeltetési repülőtér nevét;
e) az anyagok leírását;
f) az áruk darabszámát.
Az első albekezdésben említett adatok kódolt formában vagy egy csatolt okmányra való hivatkozással is megadhatók.
(3) A légi fuvarlevél vagy a vele egyenértékű okmány első oldalán a következő bejegyzések egyikét kell nyomtatott nagybetűkkel feltüntetni:
- DESTINO ESPECIAL
- SÆRLIGT ANVENDELSESFORMÅL
- BESONDERE VERWENDUNG
- ΕΙΔΙΚΟΣ ΠΡΟΟΡΙΣΜΟΣ
- END-USE
- DESTINATION PARTICULIÈRE
- DESTINAZIONE PARTICOLARE
- BIJZONDERE BESTEMMING
- DESTINO ESPECIAL
- TIETTY KÄYTTÖTARKOITUS
- ANVÄNDNING FÖR SÄRSKILDA ÄNDAMÅL
- KONEČNÉ POUŽITÍ
- EESMÄRGIPÄRANE KASUTAMINE
- IZMANTOŠANAS MĒRĶIS
- GALUTINIS VARTOJIMAS
- MEGHATÁROZOTT CÉLRA TÖRTÉNŐ FELHASZNÁLÁS
- UŻU AĦĦARI
- PRZEZNACZENIE SZCZEGÓLNE
- POSEBEN NAMEN
- KONEČNÉ POUŽITIE
- СПЕЦИФИЧНО ПРЕДНАЗНАЧЕНИЕ
- DESTINAȚIE FINALĂ
- POSEBNA UPORABA
(4) A feladó légitársaság nyilvántartása részeként köteles megőrizni a légi fuvarlevél vagy a vele egyenértékű okmány egy példányát, és az indító tagállam vámhatósága által előírt módon az illetékes vámhivatal rendelkezésére bocsátani egy további másolati példányt.
A fogadó légitársaság nyilvántartása részeként köteles megőrizni a légi fuvarlevél vagy a vele egyenértékű okmány egy példányát, és a rendeltetési tagállam vámhatósága által előírt módon az illetékes vámhivatal rendelkezésére bocsátani egy további másolati példányt.
(5) A sértetlen anyagokat és a légi fuvarlevél vagy a vele egyenértékű okmány példányait a légitársaság székhelye szerinti tagállam vámhatósága által meghatározott helyeken a fogadó légitársaság rendelkezésére kell bocsátani. A fogadó légitársaságnak az anyagokat be kell jegyeznie a nyilvántartásába.
(6) Az (1)-(5) bekezdések alapján fennálló kötelezettségek a szállító légitársaságról a fogadó légitársaságra akkor szállnak át, amikor a sértetlen árukat és a légi fuvarlevél vagy a vele egyenértékű okmány példányait átadják ez utóbbinak.
298. cikk
(1) Az általuk megállapított feltételek szerint a vámhatóságok jóváhagyhatják az áru kivitelét vagy megsemmisítését.
(2) Mezőgazdasági termékek kivitele esetében az egységes vámokmány 44. rovatában vagy az alkalmazott bármilyen más okmányon a következő bejegyzések egyikét kell feltüntetni nyomtatott nagybetűkkel:
- ARTÍCULO 298, REGLAMENTO (CEE) No 2454/93, DESTINO ESPECIAL: MERCANCÍAS DESTINADAS A LA EXPORTACIÓN - NO SE APLICAN RESTITUCIONES AGRÍCOLAS
- ART. 298 I FORORDNING (EØF) Nr. 2454/93 SÆRLIGT ANVENDELSESFORMÅL: VARER BESTEMT TIL UDFØRSEL - INGEN RESTITUTION
- ARTIKEL 298 DER VERORDNUNG (EWG) Nr. 2454/93 BESONDERE VERWENDUNG: ZUR AUSFUHR VORGESEHENE WAREN - ANWENDUNG DER LANDWIRTSCHAFTLICHEN AUSFUHRERSTATTUNGEN AUSGESCHLOSSEN
- ΑΡΘΡΟ 298 ΤΟΥ ΚΑΝ. (CEE) αριθ. 2454/93 ΕΙΔΙΚΟΣ ΠΡΟΟΡΙΣΜΟΣ: ΕΜΠΟΡΕΓΜΑΤΑ ΠΡΟΟΡΙΖΟΜΕΝΑ ΓΙΑ ΕΞΑΓΩΓΗ - ΑΠΟΚΛΕΙΟΝΤΑΙ ΟΙ ΓΕΩΡΓΙΚΕΣ ΕΠΙΣΤΡΟΦΕΣ
- ARTICLE 298 REGULATION (EEC) No 2454/93 END-USE: GOODS DESTINED FOR EXPORTATION - AGRICULTURAL REFUNDS NOT APPLICABLE
- ARTICLE 298, RÈGLEMENT (CEE) No 2454/93 DESTINATION PARTICULIÈRE: MARCHANDISES PRÉVUES POUR L'EXPORTATION - APPLICATION DES RESTITUTIONS AGRICOLES EXCLUE
- ARTICOLO 298 (CEE) No 2454/93 DESTINAZIONE PARTICOLARE: MERCI PREVISTE PER L'ESPORTAZIONE - APPLICAZIONE DELLE RESTITUZIONI AGRICOLE ESCLUSA
- ARTIKEL 298, VERORDENING (EEG) Nr. 2454/93 BIJZONDERE BESTEMMING: VOOR UITVOER BESTEMDE GOEDEREN - LANDBOUWRESTITUTIES NIET VAN TOEPASSING
- ARTIGO 298.o REG. (CEE) N.o 2454/93 DESTINO ESPECIAL: MERCADORIAS DESTINADAS À EXPORTAÇÃO - APLICAÇÃO DE RESTITUIÇÕES AGRÍCOLAS EXCLUÍDA
- 298 ART., AS. 2454/93 TIETTY KÄYTTÖTARKOITUS: VIETÄVIKSI TARKOITETTUJA TAVAROITA - MAATALOUSTUKEA EI SOVELLETA
- ARTIKEL 298 I FÖRORDNING (EEG) nr 2454/93 AVSEENDE ANVÄNDNING FÖR SÄRSKILDA ÄNDAMÅL: VAROR AVSEDDA FÖR EXPORT - JORDBRUKSBIDRAG EJ TILLÄMPLIGA
- ČLÁNEK 298 NAŘÍZENÍ (EHS) č. 2454/93 KONEČNÉ POUŽITÍ: ZBOŽÍ URČENO K VÝVOZU - ZEMĚDĚLSKÉ NÁHRADY NELZE UPLATNIT
- MÄÄRUSE (EMÜ) NR 2454/93 ARTIKKEL 298 "EESMÄRGIPÄRANE KASUTAMINE": KAUBALE, MIS LÄHEB EKSPORDIKS, PÕLLUMAJANDUSTOETUSI EI RAKENDATA
- REGULAS (EEK) NR.2454/93, 298.PANTS: IZMANTOŠANAS MĒR-IS: PRECES PAREDZĒTAS IZVEŠANAI - LAUKSAIMNIECĪBAS KOMPENSĀCIJU NEPIEMĒRO
- REGLAMENTAS (EEB) NR. 2454/93, 298 STRAIPSNIS, GALUTINIS VARTOJIMAS: EKSPORTUOJAMOS PREKĖS - ŽEMĖS ŪKIO GRĄŽINAMOSIOS IŠMOKOS NETAIKOMOS
- MEGHATÁROZOTT CÉLRA TÖRTÉNŐ FELHASZNÁLÁS A 2454/93/EGK RENDELET 298. CIKKE SZERINT: KIVITELI RENDELTETÉSŰ ÁRUK - MEZŐGAZDASÁGI VISSZATÉRÍTÉS NEM ALKALMAZHATÓ
- ARTIKOLU 298 REGOLAMENT (KEE) 2454/93 UŻU AĦĦARI: OĠĠETTI DESTINATI GĦALL-ESPORTAZZJONI RIFUŻJONIJIET AGRIKOLI MHUX APPLIKABBLI
- ARTYKUŁ 298 ROZPORZĄDZENIA (EWG) NR 2454/93 PRZEZNACZENIE SZCZEGÓLNE: TOWARY PRZEZNACZONE DO WYWOZU - NIE STOSUJE SIĘ DOPŁAT ROLNYCH
- ČLEN 298 UREDBE (EGS) ŠT. 2454/93 POSEBEN NAMEN: BLAGO DEKLARIRANO ZA IZVOZ - UPORABA KMETIJSKIH IZVOZNIH NADOMESTIL IZKLJUČENA
- ČLÁNOK 298 NARIADENIA (EHS) Č. 2454/93 KONEČNÉ POUŽITIE: TOVAR URČENÝ NA VÝVOZ - POĽNOHOSPODÁRSKE NÁHRADY NEMOŽNO UPLATNIŤ
- ЧЛЕН 298 НА РЕГЛАМЕНТ (ЕИО) № 2454/93 СПЕЦИФИЧНО ПРЕДНАЗНАЧЕНИЕ: СТОКИ, НАСОЧЕНИ ЗА ИЗНАСЯНЕ - СЕЛСКОСТОПАНСКИ ВЪЗСТАНОВЯВАНИЯ СА НЕПРИЛОЖИМИ
- ARTICOLUL 298 REGULAMENTUL (CEE) Nr. 2454/93 DESTINAȚIE FINALĂ: MĂRFURI DESTINATE PENTRU EXPORT - NU SE APLICĂ RESTITUIRI RESTITUȚII AGRICOLE
- ČLANAK 298. UREDBE (EEZ) BR. 2454/93, POSEBNA UPORABA: ROBA NAMIJENJENA IZVOZU - POLJOPRIVREDNE NAKNADE SE NE PRIMJENJUJU
(3) A kivitt árukat a kiviteli nyilatkozat elfogadásának idejétől kezdve nem közösségi árunak kell tekinteni.
(4) Megsemmisítés esetében a Vámkódex 182. cikk (5) bekezdését kell alkalmazni.
299. cikk
Ha a vámhatóságok egyetértenek azzal, hogy indokolt az áru engedélyben meghatározottól eltérő felhasználása, az ilyen felhasználás - a kivitelt és megsemmisítést kivéve - vámtartozás keletkezésével jár. A Vámkódex 208. cikkét értelemszerűen alkalmazni kell.
300. cikk
(1) A 291. cikk (1) bekezdésében említett áruk vámfelügyelet alatt maradnak, és behozatali vámok vonatkoznak rájuk mindaddig,
a) amíg azokat először az előírt meghatározott célú felhasználás alá nem vonják;
b) ameddig azok 298. és 299. cikk szerinti kivitelére, megsemmisítésére vagy más módon történő felhasználására sor nem kerül.
Ha azonban az áru ismételt használatra alkalmas, és a vámhatóságok a visszaélés elkerülése érdekében helyénvalónak tartják, a vámfelügyelet folytatódhat az első meghatározott célú felhasználás alá vonást követő legfeljebb két évig.
(2) Az áruk megmunkálásából vagy feldolgozásából származó hulladék és maradék, valamint a természetes súlyveszteségnek tulajdonítható veszteség az előírt meghatározott célú felhasználásra bocsátottnak tekintendő.
(3) Az áru megsemmisítéséből származó hulladék és maradék esetében akkor ér véget a vámfelügyelet, amikor az egy megengedett vámjogi sorsot kapott.
3. FEJEZET
A tarifális intézkedések kezelése
1. szakasz
A vámáru-nyilatkozatok időbeli sorrendje alapján felhasználásra kerülő vámkontingensek kezelése
308a. cikk
(1) Eltérő rendelkezés hiányában, ha valamely közösségi jogi aktus vámkontingenst nyit meg, a vámkontingenst a szabad forgalomba bocsátásról szóló nyilatkozatok elfogadásának időbeli sorrendje alapján kell kezelni.
(2) Ha egy szabad forgalomba bocsátásra vonatkozó olyan vámáru-nyilatkozat kerül elfogadásra, amely egy adott vámkontingensből való részesülésre vonatkozó érvényes kérelmet is magában foglal, az érintett tagállam a Bizottságon keresztül a szükségleteinek megfelelő mennyiséget igénybe veszi.
(3) A tagállamok mindaddig nem nyújthatnak be igénybevételre vonatkozó kérelmet, ameddig a 256. cikk (2) és (3) bekezdésében megállapított feltételek nem teljesültek.
(4) A (8) bekezdés figyelembevételével a Bizottság a kontingenseket a szabad forgalomba bocsátásra vonatkozó vámáru-nyilatkozat elfogadásának időpontja alapján, valamint olyan mértékben osztja fel, ahogy az adott vámkontingens egyenlege azt megengedi. Az elsőbbség megállapítására ezen időpontok időbeli sorrendje szerint kerülhet sor.
(5) A tagállamok késedelem nélkül tájékoztatják a Bizottságot minden érvényes igénybevételi kérelemről. E közléseknek tartalmazniuk kell a (4) bekezdésben említett időpontot, és az adott vámáru-nyilatkozatban kérelmezett pontos mennyiséget.
(6) A (4) és (5) bekezdés alkalmazása során a Bizottság rögzíti a sorrendet azokban az esetekben, amikor a vámkontingenst megnyitó közösségi jogi aktus azt nem állapítja meg.
(7) Ha a vámkontingens-igénybevételi kérelem nagyobb mennyiségre vonatkozik, mint a rendelkezésre álló keret, a vámkontingenst a kért mennyiségek figyelembevételével arányosan kell felosztani.
(8) E cikk alkalmazásában a vámhatóságok által január 1-jén, 2-án és 3-án elfogadott nyilatkozatokat január 3-án elfogadottnak kell tekinteni. Ha azonban e napok bármelyike szombatra vagy vasárnapra esik, a nyilatkozatokat január 4-én elfogadottnak kell tekinteni.
(9) Amikor új vámkontingens kerül megnyitásra, a Bizottság a vámkontingenst megnyitó rendelkezés közzétételének napját követő tizenegyedik munkanap előtt nem engedélyez igénybevételt.
(10) A tagállamok haladéktalanul visszatérítik a Bizottságnak az általuk fel nem használt lehívott mennyiségeket. Ha azonban egy 10 EUR vagy kisebb összegű vámtartozást képviselő téves lehívás felfedezésére az érintett vámkontingens érvényességi idejét követő első hónap után kerül sor, a tagállamoknak ezt nem szükséges visszatéríteniük.
(11) Ha a vámhatóságok olyan áruk tekintetében érvénytelenítenek egy szabad forgalomba bocsátásra irányuló vámáru-nyilatkozatot, amelyek vámkontingens igénybevételére vonatkozó kérelem tárgyát képezik, akkor az ezekre az árukra vonatkozó teljes kérelmet törölni kell. Az érintett tagállamok kötelesek azonnal visszatéríteni a Bizottságnak a vámkontingensből az ilyen árukra lehívott mennyiségeket.
(12) Az egyes tagállamok igénybevételi kérelmeiben foglalt adatokat a Bizottság és a többi tagállam bizalmasan kezeli.
308b. cikk
(1) A Bizottság minden munkanapon elvégzi a felosztást, kivéve:
- azokat a napokat, amelyek a Közösség brüsszeli intézményei számára munkaszüneti napok, vagy
- kivételes körülmények esetén bármely egyéb napot, feltéve hogy a tagállamok illetékes hatóságait erről előzetesen értesítik.
(2) A 308a. cikk (8) bekezdésére is figyelemmel, minden egyes felosztás során figyelembe kell venni azokat a még teljesítetlen kérelmeket, amelyek olyan szabad forgalomba bocsátásra irányuló vámáru-nyilatkozatokra vonatkoznak, amelyet két nappal korábban, vagy azt megelőzően fogadtak el, és amelyeket a Bizottsággal közöltek.
308c. cikk
(1) A vámkontingenst akkor kell kritikusnak tekinteni, ha az induló mennyiség 90 %-a felhasználásra került, vagy az illetékes hatóságok egyébként úgy ítélik meg.
(2) Az (1) bekezdéstől eltérve, a vámkontingenst a megnyitása napjától kezdve kritikusnak kell tekinteni, ha:
a) három hónapnál rövidebb időre nyitják meg;
b) az előző két évben nem nyitottak meg a szóban forgó vámkontingenssel megegyező termékkörre kiterjedő, megegyező származású árukra vonatkozó és azonos időtartamra szóló vámkontingenst (egyenértékű vámkontingens);
c) az előző két évben megnyitott egyenértékű vámkontingens a kontingensidőszak első három hónapjának utolsó napján vagy azt megelőzően kimerült, vagy nagyobb induló mennyiségre vonatkozott, mint a szóban forgó kontingens.
(3) Az olyan vámkontingenst, amelynek a WTO-szabályok alapján egyedüli célja védintézkedés vagy megtorló jellegű intézkedés alkalmazása, kritikusnak kell tekinteni, amint az induló mennyiség 90 %-a felhasználásra kerül, függetlenül attól, hogy nyitottak-e meg egyenértékű vámkontingenst az előző két évben.
2. szakasz
Közösségi Felügyelet
308d. cikk
(1) Ha közösségi felügyeletre van szükség, a tagállamok hetente legalább egy alkalommal közlik a Bizottsággal a szabad forgalomba bocsátásra irányuló vámáru-nyilatkozatokra vagy a kiviteli nyilatkozatokra vonatkozó adatokat.
A tagállamok együttműködnek a Bizottsággal a bizottság keretében annak meghatározása érdekében, hogy milyen adatok szükségesek a szabad forgalomba bocsátásra irányuló vámáru-nyilatkozatokról vagy a kiviteli nyilatkozatokról.
(2) Az 1. pont szerinti adatokat bizalmasan kell kezelni.
A tagállamokra vonatkozó konszolidált adatok azonban hozzáférhetőek minden tagállam jogosult felhasználói számára.
A tagállamok a Vámkódexbizottság keretében együttműködnek a Bizottsággal a konszolidált adatokhoz való jogszerű hozzáférésre vonatkozó gyakorlati szabályok meghatározásában.
(3) Bizonyos termékek esetében a felügyelet bizalmasan történik.
(4) Amennyiben a 253-267. és a 280-289. cikkek szerinti egyszerűsített eljárások keretében az e cikk 1. pontjában hivatkozott adatok nem állnak rendelkezésre, a tagállamoknak a kiegészített vagy a kiegészítő vámáru-nyilatkozat elfogadásának időpontjában rendelkezésre álló adatokat kell közölniük a Bizottsággal.
II. CÍM
AZ ÁRUK VÁMJOGI HELYZETE ÉS AZ ÁRUTOVÁBBÍTÁS
3. FEJEZET
Az áruk vámjogi helyzete
1. szakasz
Általános rendelkezések
313. cikk
(1) A Vámkódex 180. cikkére és az e cikk (2) bekezdésében felsorolt kivételekre is figyelemmel a Közösség vámterületén minden olyan árut közösségi árunak kell tekinteni, amelyről nem nyert megállapítást, hogy nincs közösségi vámjogi helyzete.
(2) A következő áruk nem tekinthetők közösségi árunak, kivéve, ha az e rendelet 314-323. cikke alapján megállapítást nyer róluk, hogy közösségi vámjogi helyzetűek:
a) a Vámkódex 37. cikkének megfelelően a Közösség vámterületére behozott áru;
b) az átmeneti megőrzésben lévő áru, vagy az e rendelet 799. cikke szerinti I. típusú ellenőrzés alá tartozó vámszabad területen vagy vámszabad raktárban tárolt áru;
c) a felfüggesztő eljárás alá vont áru, vagy az e rendelet 799. cikke szerinti II. típusú ellenőrzés alá tartozó vámszabad területre betárolt áru.
(3) A (2) bekezdés a) pontjában foglalt rendelkezéstől eltérően a következő esetekben a Közösség vámterületére beszállított árut közösségi árunak kell tekinteni, kivéve, ha megállapítást nyert róla, hogy nincs közösségi vámjogi helyzete:
a) ha a légi úton szállított árut a Közösség vámterületén lévő repülőtéren egy másik, a Közösség vámterületén található repülőtérre történő szállítás céljából be- vagy átrakodták, és az árut valamely tagállamban kiállított egyetlen fuvarokmány kíséretében szállítják; vagy
b) ha a tengeri úton szállított árut egy, a 313b. cikknek megfelelően engedélyezett menetrend szerinti hajójárat igénybevételével a Közösség vámterületén található kikötők között szállították.
313a. cikk
"Menetrend szerinti hajójárat" az a járat, amely kizárólag a Közösség vámterületén található kikötők között közlekedő hajókon szállít árut, és sem kiindulási vagy célállomása, sem egyetlen kikötési helye nincs sem a Közösség vámterületén kívül, sem a Közösség vámterületén található kikötőben a 799. cikk szerinti I. típusú ellenőrzés alá tartozó vámszabad területen.
313b. cikk
(1) Hajózási társaság számára menetrend szerinti hajójáratok létesítése akkor engedélyezhető, ha a társaság a letelepedési helye szerinti tagállam - vagy ennek hiányában a regionális irodájának helye szerinti tagállam - vámhatóságaihoz e célból kérelmet nyújt be, és teljesülnek az e cikkben és a 313c. cikkben előírt feltételek.
(2) Engedély csak olyan hajózási társaságnak adható ki, amely:
a) a Közösség vámterületén van letelepedve vagy ott regionális irodával rendelkezik, és nyilvántartásai az illetékes vámhatóságok számára hozzáférhetőek lesznek;
b) teljesíti a 14h. cikkben előírt feltételeket;
c) az engedély kiadását követően megjelöli a menetrend szerinti hajójárat céljából igénybe veendő hajó(ka)t és a kikötés céljából igénybe veendő kikötőket;
d) vállalja, hogy a menetrend szerinti hajójárat útvonalán sem a Közösség vámterületén kívül található kikötőben, sem a Közösség vámterületén található kikötőben az I. típusú ellenőrzés alá tartozó vámszabad területeken nem hajt végre kikötést, továbbá nem hajt végre áruátrakodást a tengeren;
e) vállalja, hogy az engedélyező vámhatóságnál nyilvántartásba véteti a menetrend szerinti hajójárat céljára kijelölt hajók nevét és a kikötés céljából igénybe veendő kikötőket.
(2a) A Bizottság és a tagállamok vámhatóságai a menetrend szerinti hajójáratokra vonatkozó elektronikus információs és kommunikációs rendszer használatával tárolják a következő információkat, illetve férnek hozzá azokhoz:
a) a kérelmek adatai;
b) a menetrend szerinti hajójáratokra vonatkozó engedélyek és adott esetben azok módosítása vagy visszavonása;
c) az érintett kikötők neve és a járathoz rendelt hajók neve;
d) minden egyéb lényeges információ.
(3) A menetrend szerinti hajójárat engedélyezése iránti kérelemben meg kell jelölni a járattal ténylegesen érintett tagállamokat és meg lehet jelölni azokat a tagállamokat, amelyek esetleg érintettek lehetnek, amelyekre vonatkozóan a kérelmező nyilatkozik arról, hogy a jövőben szolgáltatás nyújtását tervezi. Azon tagállam vámhatóságai, amelyekhez a kérelmet benyújtották (a továbbiakban: az engedélyező vámhatóság), a (2a) bekezdésben említett, menetrend szerinti hajójáratokra vonatkozó elektronikus információs és kommunikációs rendszeren keresztül értesítést küldenek a hajójárattal ténylegesen vagy esetleg érintett többi tagállam vámhatóságainak (a továbbiakban: az érintett vámhatóságok).
A (4) bekezdésben foglalt rendelkezés sérelme nélkül az érintett vámhatóságok az értesítés kézhezvételétől számított 15 napon belül elutasíthatják a kérelmet azon az alapon, hogy a (2) bekezdés b) pontjában foglalt feltétel nem teljesül, és a 14x. cikk szerinti elektronikus információs és kommunikációs rendszeren keresztül közlik ezt az elutasítást. Az érintett vámhatóság köteles megjelölni az elutasítás indokát és a szabályszegéssel kapcsolatos jogszabályi rendelkezéseket. Ilyen esetben az engedélyező vámhatóság az engedélyt nem állítja ki, és a kérelem elutasításáról az elutasítás indokainak megjelölésével értesíti a kérelmezőt.
Ha az érintett vámhatóságok az értesítésre nem válaszolnak és a kérelmet nem utasítják el, akkor az engedélyező vámhatóság - miután megvizsgálta, hogy az engedélyezés feltételei fennállnak-e - kiadja az engedélyt, amelyet a hajójárattal érintett tagállamok kötelesek elfogadni. Az engedélyek nyilvántartására és az érintett vámhatóságoknak az engedély kiadásáról való értesítésére a 14x. cikkben említett elektronikus információs és kommunikációs rendszert kell igénybe venni.
(4) A 14a. cikk (1) bekezdésének a) vagy c) pontja szerinti AEO-tanúsítvánnyal rendelkező hajózási társaság esetében az e cikk (2) bekezdésének a) és b) pontjában foglalt, valamint az e cikk (3) bekezdésében említett követelményeket teljesítettnek kell tekinteni.
313c. cikk
A menetrend szerinti hajójárat 313b. cikk szerinti engedélyezését követően az érintett hajózási társaság az engedélyt az e célra nyilvántartásba vett hajókra köteles használni.
(2) A hajózási társaság köteles értesíteni az engedélyező vámhatóságot az engedély kiadása után felmerülő minden olyan körülményről, amely az engedély fenntartását vagy tartalmát befolyásolhatja.
Az engedélynek az engedélyező vámhatóság általi vagy a hajózási társaság kérelmére történő visszavonását követően az engedélyező vámhatóság a visszavonásról a menetrend szerinti hajójáratokra vonatkozó, a 313b. cikk (2a) bekezdése szerinti elektronikus információs és kommunikációs rendszeren keresztül értesíti az érintett vámhatóságokat.
(3) Az engedély módosítása esetén a 313b. cikk (3) bekezdésében foglaltak szerint kell eljárni abban az esetben, ha a módosítás a hajójáratot olyan tagállamokra terjeszti ki, amelyek nem szerepeltek az eredeti engedélyben vagy egy korábbi engedélyben. A 313b. cikk (4) bekezdésében foglalt rendelkezéseket megfelelően alkalmazni kell.
313d. cikk
(1) A menetrend szerinti hajójárat létesítésére vonatkozó engedéllyel rendelkező hajózási társaság köteles bejelenteni az engedélyező vámhatóságnak:
a) a menetrend szerinti hajójárat céljára igénybe veendő hajók nevét;
b) azt az első kikötőt, amelyben az adott hajó a menetrend szerinti hajójárat teljesítését megkezdi;
c) a kikötés célját szolgáló kikötőket;
d) az a), a b) és a c) pont szerinti adatok változásait;
e) a d) pont szerinti változások életbelépésének napját és időpontját.
(2) Az (1) bekezdés alapján bejelentett adatokat az engedélyező vámhatóság a menetrend szerinti hajójáratokra vonatkozó, a 313b. cikk (2a) bekezdése szerinti elektronikus információs és kommunikációs rendszerben a bejelentéstől számított egy munkanapon belül nyilvántartásba veszi. Az ily módon nyilvántartásba vett adatoknak a Közösség vámterületén található kikötőkben működő vámhatóságok számára hozzáférhetőnek kell lenniük.
A nyilvántartásba vétel a nyilvántartásba vétel napját követő első munkanaptól hatályos.
313e. cikk
Ha menetrend szerinti hajójárat céljára nyilvántartásba vett hajó rajta kívül álló okok miatt arra kényszerül, hogy a tengeren átrakodjon vagy a menetrend szerinti hajójárat útvonalán kívül eső valamely kikötőben - beleértve a Közösség vámterületén kívül található kikötőket és a Közösség vámterületén található kikötőben I. típusú ellenőrzés alá tartozó vámszabad területeket is - ideiglenesen kikössön, akkor a hajózási társaság köteles haladéktalanul tájékoztatni a kikötés céljából igénybe venni tervezett további közösségi kikötők - beleértve a hajó menetrend szerinti útvonalán található kikötőket is - vámhatóságait. Az e kikötőkben be- vagy kirakodott áruk nem tekinthetők közösségi árunak.
313f. cikk
(1) A vámhatóságok megkövetelhetik a hajózási társaságtól a 313b-313e. cikkben foglalt rendelkezések betartásának igazolását.
(2) Ha a vámhatóságok megállapítják, hogy a hajózási társaság az (1) bekezdésben említett rendelkezéseket elmulasztotta betartani, akkor a szükséges intézkedések lehetővé tétele érdekében a menetrend szerinti hajójáratokra vonatkozó, a 313b. cikk (2a) bekezdése szerinti elektronikus információs és kommunikációs rendszeren keresztül haladéktalanul tájékoztatják a hajójárattal érintett valamennyi vámhatóságot.
314. cikk
(1) Amennyiben az áru a 313. cikk értelmében nem tekinthető közösségi árunak, akkor az áru közösségi helyzetét csak akkor lehet a 314c. cikk (1) bekezdésének megfelelően megállapítani, ha eleget tesznek az alábbi pontok bármelyikében foglalt feltételeknek:
a) az árut a Közösség vámterületén belüli egyik pontból a Közösség vámterületén belüli másik pontba szállították, és ideiglenesen elhagyják azt a területet anélkül, hogy egy harmadik ország területén áthaladnának;
b) az árut a Közösség vámterületén belüli egyik pontból a Közösség vámterületén belüli másik pontba egy harmadik ország területén keresztül szállították, egy tagállamban kibocsátott egyetlen fuvarokmány fedezete mellett;
c) az árut a Közösség vámterületén belüli egyik pontból a Közösség vámterületén belüli másik pontba szállították egy harmadik ország területén keresztül, ahol átrakodtak egy olyan szállítóeszközre, amelyik nem ugyanaz, mint amelyre eredetileg berakodtak, és egy új, a harmadik országból érkező rakományról szóló fuvarokmányt bocsátottak ki, amelyhez csatolták a Közösség vámterületén belüli egyik pontból egy másikba történő szállítást kísérő eredeti okmány egy másolatát.
(2a) Amennyiben az árut az (1) bekezdés c) pontjában említett módon szállították, az áruknak a Közösség vámterületére történő újbóli belépési pontban illetékes vámhatóságok a tagállamok közötti igazgatási együttműködés 314a. cikkben meghatározott követelményeinek megfelelően az eredeti fuvarokmány másolatában megadott információk helytállóságának megállapítása érdekében utólagos ellenőrzéseket hajtanak végre.
(3) A 314c. cikk (1) bekezdésében említett okmányok vagy szabályok nem alkalmazhatók olyan áruk vonatkozásában, amelyekre már elvégezték a kiviteli alakiságokat, vagy amelyeket az aktív feldolgozási eljárás alá vontak (vám-visszatérítési rendszer).
314a. cikk
A tagállamok vámigazgatásai egymást segítve ellenőrzik az okmányok hitelességét és pontosságát, és meggyőződnek arról, hogy az e cím rendelkezéseinek megfelelően használt eljárásokat helyesen alkalmazták az áruk közösségi helyzetének megállapítására.
2. szakasz
A közösségi helyzet igazolása
314b. cikk
E szakasz alkalmazásában az "illetékes vámhivatal" az áruk közösségi helyzetének igazolásáért felelős vámhatóság.
314c. cikk
(1) A közösségi belső árutovábbítási eljárás alá vont áruk sérelme nélkül, az áru közösségi helyzetének igazolása, kizárólag a következő eszközök által történhet:
a) a 315-317b. cikkben előírt okmányok egyike által;
b) a 319-323. cikkben megállapított szabályoknak megfelelően;
c) a 2719/92/EGK bizottsági rendeletben ( 12 ) említett kísérőokmány által;
d) a 325. cikkben előírt okmány által;
e) a 462a. cikk (2) bekezdésében előírt címke által;
f) a 812. cikkben előírt, az áruk közösségi helyzetét igazoló okmány által; vagy
g) a 843. cikkben leírt T5 ellenőrzőpéldány által.
(2) Amennyiben az (1) bekezdésben említett okmányokat vagy szabályokat a közösségi helyzettel nem rendelkező csomagolású közösségi áruk esetében használják, az áruk közösségi helyzetét igazoló okmányon a következő záradékok egyikének kell szerepelnie:
- envases N
- N-emballager
- N-Umschließungen
- Συσκευασία Ν
- N packaging
- emballages N
- imballaggi N
- N-verpakkingen
- embalagens N
- N-pakkaus
- N förpackning.
- obal N
- N-pakendamine
- N iepakojums
- N pakuotė
- N csomagolás
- ippakkjar N
- opakowania N
- N embalaža
- N - obal.
- опаковка N
- ambalaj N.
- N pakiranje.
(3) Az okmányok kiadási feltételeinek teljesítésétől függően a 315-323. cikkben említett okmányok utólagosan is kiadhatók. Ilyen esetben az okmányokon vörös színnel a következő bejegyzések egyikét kell feltüntetni:
- Expedido a posteriori,
- Udstedt efterfoelgende,
- Nachträglich ausgestellt,
- Εκδοθέν εκ των υστέρων,
- Issued retroactively,
- Délivré a posteriori,
- Rilasciato a posteriori,
- Achteraf afgegeven,
- Emitido a posteriori,
- Annettu jälkikäteen,
- Utfärdat i efterhand,
- Vystaveno dodatečně,
- Välja antud tagasiulatuvalt,
- Izsniegts retrospektīvi,
- Retrospektyvusis išdavimas,
- Kiadva visszamenőleges hatállyal,
- Maħruġ retrospettivament,
- Wystawione retrospektywnie,
- Izdano naknadno,
- Vyhotovené dodatočne,
- Издаден впоследствие,
- Eliberat ulterior,
- Izdano naknadno.
1. alszakasz - T2L okmány
315. cikk
(1) Az áruk közösségi helyzetének bizonyítékául a T2L okmány bemutatása szolgál. Ezt az okmányt a (3)-(5) bekezdés szerint kell kiállítani.
(2) A Közösség vámterületének azon részére vagy részéről küldött áruk esetén, ahol a 77/388/EGK irányelv nem alkalmazandó, a közösségi helyzet bizonyítékául a T2LF okmány bemutatása szolgál.
E cikk (3)-(5) bekezdését és a 316-324f. cikket a T2LF okmányra értelemszerűen alkalmazni kell.
(3) A T2L okmányt a 31. és a 32. mellékletben lévő minta 4. vagy 4/5. példányával megegyező nyomtatványon kell kiállítani.
Ha szükséges, az említett nyomtatványt egy vagy több, a 33. és a 34. mellékletekben lévő minta 4. vagy 4/5. példányával megegyező pótlappal lehet kiegészíteni.
Amennyiben a tagállamok a nyilatkozatok számítógépes rendszerben történő készítése esetében nem engedélyezik pótlapok használatát, a nyomtatványt egy vagy több, a 31. és a 32. mellékletekben lévő minta 4. vagy 4/5. példányával megegyező nyomtatvánnyal kell kiegészíteni.
(4) Az érintett személynek a nyomtatvány 1. rovatának jobb oldali alrovatába a "T2L" bejegyzést, az összes pótlap 1. rovatának jobb oldali alrovatába pedig a "T2Lbis" jelzést kell beírnia.
(5) Pótlapok helyett a T2L okmány leíró részeként a 45. mellékletben lévő mintának megfelelő és a 44a. mellékletnek megfelelően kiállított rakományjegyzékek is használhatók.
315a. cikk
A vámhatóságok bármely, a 373. cikk feltételeinek megfelelő személy számára engedélyezhetik a 44a. és 45. melléklet nem minden előírásának megfelelő rakományjegyzékek használatát.
A 385. cikk (1) bekezdése második albekezdését, valamint (2) és (3) bekezdését értelemszerűen alkalmazni kell.
316. cikk
(1) A 324f. cikk rendelkezéseire is figyelemmel a T2L okmányt egyetlen példányban kell kiállítani.
(2) Az érintett személy kérésére a T2L okmányt és - szükség esetén - az összes felhasznált pótlapot vagy rakományjegyzéket az illetékes vámhivatal záradékolja. Ez a záradék a következőkből áll, lehetőség szerint a "C. Indító vámhivatal" rovatban feltüntetve:
a) a T2L okmányok esetében az illetékes vámhivatal neve és bélyegzője, a hivatal egyik tisztviselőjének aláírása, a záradék dátuma és vagy a nyilvántartási szám vagy a feladási nyilatkozat száma, amennyiben az szükséges;
b) a pótlapok vagy rakományjegyzékek esetében a T2L okmányon szereplő szám, amelyet az illetékes vámhivatal nevét tartalmazó bélyegzővel vagy kézírással kell bejegyezni; amennyiben ezt kézzel töltik ki, az említett vámhivatal bélyegzőjének kell kísérnie.
Az okmányokat vissza kell adni az érintett személynek.
2. alszakasz - Kereskedelmi okmányok
317. cikk
(1) Az áru közösségi helyzetét az alábbiakban meghatározott feltételek szerint az árura vonatkozó számla vagy fuvarokmány bemutatásával kell igazolni.
(2) Az (1) bekezdésben említett számlának vagy fuvarokmánynak legalább a feladó teljes nevét és címét, vagy az érintett személy - ha az nem a feladó - teljes nevét és címét, a csomagok számát, helyzetét, jelzéseit és hivatkozási számait, az áruk megnevezését, a bruttó tömeget kilogrammban és, amennyiben szükséges, a szállítótartályok azonosítószámát kell tartalmaznia.
Az érintett személynek a szóban forgó okmányon jól láthatóan fel kell tüntetnie a "T2L" bejegyzést és saját kezű aláírását.
(3) Az érintett személy kérésére az általa megfelelően kitöltött és aláírt számlát vagy fuvarokmányt az illetékes vámhivatal záradékolja. A záradék tartalmazza az illetékes vámhivatal nevét és bélyegzőjét, a hivatal egyik tisztviselőjének aláírását, a záradék dátumát és vagy a nyilvántartási számot vagy a feladási nyilatkozat számát, amennyiben ez a nyilatkozat szükséges.
(4) Ha a közösségi áruknak az e cikk (2) bekezdése vagy a 224. cikk szerint kitöltött és aláírt számlán vagy a szállítási okmányon szereplő teljes értéke nem haladja meg a 10 000 eurót, az érintett személy az említett okmányt nem köteles záradékolás céljából benyújtani az illetékes vámhivatalnál.
Ebben az esetben a számlának vagy a szállítási okmánynak a (2) bekezdésben meghatározott adatokon kívül tartalmaznia kell az illetékes vámhivatalra történő hivatkozást.
(5) Ez a cikk csak akkor alkalmazható, ha a számla vagy fuvarokmány kizárólag közösségi árukra vonatkozik.
317a. cikk
(1) Az áru közösségi helyzetét az alábbiakban meghatározott feltételek szerint a hajózási társaság az árura vonatkozó manifesztjének bemutatásával kell igazolni.
(2) A manifesztnek legalább a következő információkat kell tartalmaznia:
a) a hajózási társaság neve és pontos címe;
b) a hajó neve;
c) a berakodás helye és időpontja;
d) a kirakodás helye.
Ezenkívül a manifesztnek minden küldeményre vonatkozóan tartalmaznia kell a következőket:
a) a hajórakjegyre vagy más kereskedelmi okmányra való hivatkozást;
b) a csomagok számát, jellegét, jelölését és hivatkozási számát;
c) az áruk szokásos kereskedelmi megnevezése, kellő részletességgel lehetővé téve az áruk azonosítását;
d) a bruttó tömeget kilogrammban kifejezve;
e) esetleg a szállítótartályt azonosító számokat; és
f) a következő bejegyzések az áruk vámjogi helyzetéről:
- a "C" betűt (egyenértékű a "T2L"-lel) azoknak az áruknak az esetében, amelyek közösségi helyzete bizonyítható,
- az "F" betűt (egyenértékű a "T2LF"-fel) azoknak az áruknak az esetében, amelyek közösségi helyzete bizonyítható, és amelyeket a Közösség vámterületének azon részéről érkeznek vagy oda tartanak, ahol a 77/388/EGK irányelv rendelkezései nem alkalmazandók,
- az "N" betűt az összes többi áru esetében.
(3) A hajózási társaság kérelmére az általa megfelelően kitöltött és aláírt manifesztet az illetékes vámhivatal záradékolja. A záradék tartalmazza az illetékes vámhivatal nevét és bélyegzőjét, a hivatal egy tisztviselőjének aláírását és a záradékolás dátumát.
317b. cikk
Amennyiben a 445. és 448. cikkben előírt egyszerűsített közösségi árutovábbítási eljárásokat alkalmazzák, a közösségi helyzet igazolására a "C" betűnek (egyenértékű a "T2L"-lel) a manifeszt érintett tételei melletti bejegyzése szolgál.
3. alszakasz - Egyes eljárásokhoz kötődő egyéb igazolások
319. cikk
(1) Amennyiben az árukat TIR-igazolvány vagy ATA-igazolvány fedezete mellett szállítják, a nyilatkozattevőnek - az áruk közösségi helyzetének bizonyítása érdekében ----- - a felhasznált igazolvány minden vonatkozó betétlapján aláírásával együtt olvashatóan fel kell tüntetnie a "T2L" jelet az árumegnevezésekre fenntartott helyen, mielőtt azt hitelesítés céljából benyújtaná az indító vámhivatalnak. A "T2L" jelet valamennyi betétlapon az indító vámhivatal bélyegzőlenyomatával és az illetékes tisztviselő aláírásával kell hitelesíteni.
(2) Amennyiben ugyanazon TIR-igazolvány vagy ATA-igazolvány fedezete mellett mind közösségi, mind nem közösségi árukat szállítanak, ezen két árukategóriát külön kell feltüntetni, és a "T2L" jelet úgy kell bejegyezni, hogy az egyértelműen csak a közösségi árukra vonatkozzon.
320. cikk
Ha a tagállamok valamelyikében nyilvántartott közúti gépjárművek közösségi helyzetét kell megállapítani, akkor a járműveket közösségi helyzettel rendelkezőnek kell tekinteni:
a) amennyiben rendszámtáblával és okmányokkal rendelkeznek, és az említett rendszámtáblák és az okmányokon feltüntetett nyilvántartási adatok alapján a közösségi helyzet egyértelműen megállapítható;
b) egyéb esetben a 315-319. és a 321., 322. és 323. cikknek megfelelően.
321. cikk
Ha valamely tagállam vasúttársaságának tulajdonában lévő tehervagonok közösségi helyzetének megállapítására van szükség, akkor a vagonokat közösségi helyzettel rendelkezőnek kell tekinteni:
a) amennyiben a rajtuk feltüntetett kódszám és tulajdoni jelzés (megkülönböztető betűk) alapján a közösségi helyzetük egyértelműen megállapítható;
b) egyéb esetekben, ha a 315-317b. cikkben említett okmányok egyikét bemutatják.
322. cikk
(1) Ha a Közösségen belüli kereskedelemben áruk szállításánál használt olyan csomagolóanyagok közösségi helyzetének megállapítására van szükség, amelyek a tagállamok valamelyikében letelepedett személy használatában álló csomagolóanyagokként azonosíthatók, és amelyeket használat után egy másik tagállamból üresen küldenek vissza, úgy ezen csomagolóanyagokat közösségi helyzettel rendelkezőnek kell tekinteni:
a) amennyiben azokat közösségi áruként jelentették be, és nem fér kétség a nyilatkozat valódiságához;
b) egyéb esetekben, a 315-323. cikknek megfelelően.
(2) Az (1) bekezdés által előírt könnyítést a tartályokra, csomagolóanyagokra, raklapokra és egyéb hasonló eszközökre vonatkozóan meg kell adni, kivéve a ----- szállítótartályokat.
323. cikk
Ha az utas poggyászában lévő áruk közösségi helyzetének megállapítására van szükség, feltéve, hogy azokat nem kereskedelmi célra szánják, akkor az árukat közösségi helyzettel rendelkezőnek kell tekinteni:
a) amennyiben azokat közösségi áruként jelentették be, és nem fér kétség a nyilatkozat valódiságához;
b) egyéb esetekben, a 315-322. cikknek megfelelően.
4. alszakasz - Az áruk közösségi helyzetének az engedélyezett feladó által nyújtott igazolása
324a. cikk
(1) Az egyes tagállamok vámhatóságai bármely személynek (a továbbiakban: engedélyezett feladó), aki megfelel a 373. cikk feltételeinek, és az áruk közösségi helyzetét a 315. cikk szerinti T2L okmány vagy a 317-317b. cikkben meghatározott okmányok egyike (a továbbiakban: kereskedelmi okmányok) által tervezi igazolni, engedélyezhetik, hogy ezeket az okmányokat anélkül használja, hogy benyújtaná őket az illetékes vámhivatalhoz záradékolás céljából.
(2) Az (1) bekezdésben említett engedélyezésre a 374-378. cikk rendelkezéseit értelemszerűen alkalmazni kell.
324b. cikk
Az engedélyben meg kell határozni különösen:
a) az érintett okmányok kiállításához használt nyomtatványoknak a 324c. cikk (1) bekezdése a) pontja szerinti előzetes jóváhagyását végző vámhivatalt;
b) azt a módot, amely által az engedélyezett feladó biztosítja, hogy a nyomtatványokat megfelelően használják;
c) a kizárt árufajtákat vagy árumozgásokat;
d) azt a határidőt, amelyen belül, és azt a módot, ahogyan az engedélyezett feladó értesíti az illetékes vámhivatalt abból a célból, hogy lehetővé tegye a hivatal számára a szükséges ellenőrzések elvégzését az áruk indulása előtt.
324c. cikk
(1) Az engedélyben elő kell írni, hogy az érintett kereskedelmi okmányok első oldalát vagy a T2L okmány kiállításának céljára használt nyomtatványok első oldalán lévő "C. Indító vámhivatal" rovatot és, adott esetben, a pótlapokat:
a) a 324b. cikk a) pontjában említett vámhivatal bélyegzőjével és e hivatal egyik tisztviselőjének aláírásával előzetesen el kell látni; vagy
b) az engedélyezett feladónak egy, a vámhatóságok által jóváhagyott és a 62. mellékletben látható mintával megegyező különleges fémbélyegzővel le kell bélyegeznie. A bélyegzőlenyomatot előre rá lehet nyomtatni a nyomtatványokra, amennyiben a nyomtatást egy erre felhatalmazott nyomda végzi.
A 37d. melléklet 27. szakaszában foglalt rendelkezéseket megfelelően alkalmazni kell.
(2) Legkésőbb az áruk elküldéséig az engedélyezett feladó kitölti és aláírja a nyomtatványt. A "D. Az indító vámhivatal által végzett ellenőrzés" rovatba vagy a használt kereskedelmi okmány jól meghatározható részére az engedélyezett feladó bejegyzi továbbá az illetékes vámhivatal nevét, az okmány kiállításának dátumát és az alábbi záradékok valamelyikét:
- Expedidor autorizado
- Godkendt afsender
- Zugelassener Versender
- Εγκεκριμένος αποστολέας
- Authorised consignor
- Expéditeur agréé
- Speditore autorizzato
- Toegelaten afzender
- Expedidor autorizado
- Hyväksytty lähettäjä
- Godkänd avsändare.
- Schválený odesílatel
- Volitatud kaubasaatja
- Atzītais nosūtītājs
- Įgaliotas siuntėjas
- Engedélyezett feladó
- Awtorizzat li jibgħat
- Upoważniony nadawca
- Pooblaščeni pošiljatelj
- Schválený odosielateľ.
- Одобрен изпращач
- Expeditor agreat autorizat autorizat.
- Ovlašteni pošiljatelj..
324d. cikk
(1) Az engedélyezett feladó számára engedélyezhető az, hogy ne írja alá azokat a 62. mellékletben említett, különleges bélyegzővel ellátott T2L okmányokat vagy kereskedelmi okmányokat, amelyeket elektronikus vagy automatikus adatfeldolgozó rendszerrel állítottak ki. Az ilyen felhatalmazás feltétele, hogy az engedélyezett feladó előzetesen nyújtson be e hatóságok részére egy írásos kötelezettségvállalást, amelyben elismeri a felelősségét az összes kiállított, különleges bélyegzővel ellátott T2L okmány vagy kereskedelmi okmány vonatkozásában felmerülő jogi következmények tekintetében.
(2) Az (1) bekezdés szerint kiállított T2L okmányok vagy kereskedelmi okmányokon az engedélyezett feladó aláírásának helyén a következő záradékok egyikét kell feltüntetni:
- Dispensa de firma
- Fritaget for underskrift
- Freistellung von der Unterschriftsleistung
- Δεν απαιτείται υπογραφή
- Signature waived
- Dispense de signature
- Dispensa dalla firma
- Van ondertekening vrijgesteld
- Dispensada a assinatura
- Vapautettu allekirjoituksesta
- Befriad från underskrift.
- Podpis se nevyžaduje
- Allkirjanőudest loobutud
- Derīgs bez paraksta
- Leista nepasirašyti
- Aláírás alól mentesítve
- Firma mhux meħtieġa
- Zwolniony ze składania podpisu
- Opustitev podpisa
- Oslobodenie od podpisu.
- Освободен от подпис
- Dispensă de semnătură.
- Oslobođeno potpisa..
324e. cikk
(1) A tagállamok vámhatóságai engedélyezhetik a hajózási társaságoknak, hogy legkésőbb a hajó elindulását követő napig, de mindenképpen a hajók rendeltetési kikötőbe történő érkezése előtt állítsák ki az áruk közösségi helyzetét igazoló manifeszteket.
(2) Az (1) bekezdésben említett engedély csak azoknak a nemzetközi hajózási társaságoknak adható meg, amelyek:
a) megfelelnek a 373. cikk feltételeinek; a 373. cikk (1) bekezdése a) pontjától eltérve, nem szükséges, hogy a hajózási társaságok a Közösségen belül letelepedettek legyenek, ha ott regionális irodával rendelkeznek, és
b) elektronikus adatcsererendszert használnak a Közösségben található indító és rendeltetési kikötők közötti információtovábbításra, és
c) jelentős számú utat bonyolítanak le a tagállamok között a jóváhagyott útvonalakon.
(3) A kérelem kézhezvételekor a hajózási társaság letelepedési helye szerinti tagállam vámhatóságai értesítik azon többi tagállamot, amelyek területén az adott indulási és rendeltetési kikötők vannak.
Ha az értesítést követő 60 napon belül nem érkezik ellenvetés, a vámhatóságok megadják az engedélyt a (4) cikkben leírt egyszerűsített eljárás használatára.
Ez az engedély az érintett tagállamokban érvényes, és csak azon kikötők közötti árutovábbítási műveletekre alkalmazandó, amelyekre az engedély hivatkozik.
(4) Az egyszerűsítést a következőképpen kell végrehajtani:
a) az indító kikötőben kiállított manifesztet elektronikus adatcsererendszeren keresztül továbbítják a rendeltetési kikötőbe;
b) a hajózási társaság beírja a manifesztre a 317a. cikk (2) bekezdésében megadott bejegyzéseket;
c) az elektronikus adatcsere útján továbbított manifesztet (a továbbiakban: adatcsererendszeren továbbított manifeszt) legkésőbb a hajó indulását követő első munkanapon, de minden esetben még a hajónak a rendeltetési kikötőbe való megérkezése előtt be kell nyújtani az indító kikötő vámhatóságainak. A vámhatóságok megkövetelhetik az adatcsererendszeren továbbított manifeszt kinyomtatott példányának benyújtását, amennyiben nem férnek hozzá olyan, a vámhatóságok által jóváhagyott információs rendszerhez, amely az adatcsererendszeren továbbított manifesztet tartalmazza;
d) az adatcsererendszeren továbbított manifesztet be kell nyújtani a rendeltetési kikötő vámhatóságainak. A vámhatóságok megkövetelhetik az adatcsererendszeren továbbított manifeszt kinyomtatott példányának benyújtását, amennyiben nem férnek hozzá olyan, a vámhatóságok által jóváhagyott információs rendszerhez, amely az adatcsererendszeren továbbított manifesztet tartalmazza.
(5) A 448. cikk (5) bekezdését értelemszerűen alkalmazni kell.
324f. cikk
Az engedélyezett feladó köteles az ezen alszakasz alapján kiállított összes T2L okmányról vagy kereskedelmi okmányról másolatot készíteni. A vámhatóságok meghatározzák azokat a feltételeket, amelyek mellett ezt a másolatot ellenőrzés céljából be kell mutatni és legalább két évig meg kell őrizni.
5. alszakasz - Halászati termékekre és hajóval a tengerből kinyert más termékekre vonatkozó különleges rendelkezések
325. cikk
(1) Ennek az alszakasznak az alkalmazásában szöveg lép:
a) közösségi halászhajó olyan hajó, amelyet a Közösség vámterülete részét képező tagállam valamely részén jegyeztek be és vettek nyilvántartásba, valamelyik tagállam lobogója alatt hajózik, tengeri halászattal és adott esetben a fedélzetén a termékek feldolgozásával foglalkozik;
b) közösségi feldolgozóhajó olyan hajó, amelyet a Közösség vámterülete részét képező tagállam valamely részén jegyeztek be vagy vettek nyilvántartásba, valamelyik tagállam lobogója alatt hajózik és nem foglalkozik halászattal, hanem kizárólag halászati termékek feldolgozásával.
(2) A közösségi helyzet igazolására, a 327-337. cikknek megfelelően elkészített T2M okmányt kell kiállítani
a) a közösségi halászhajók által valamelyik ország területi vizein vagy a közösség vámterületén kívül fogott tengeri halászati termékek vonatkozásában;
és
b) ezen hajónak vagy egy közösségi feldolgozóhajónak a fedélzetén az ilyen termékből nyert áruk vonatkozásában, amelyek előállítása során más, közösségi származó helyzetű termékeket használhattak fel,
és amelyeket adott esetben közösségi helyzetű csomagolásban, és várhatóan a 326. cikkben meghatározott körülmények között hozzák be a Közösség vámterületére.
(3) A közösségi származó helyzetet a halászati termékek és egyéb - a Közösség tagállamának felségvizein kívüli vizekben vagy a Közösség vámterületén kívüli területen, valamely tagállam lobogója alatt hajózó, vagy a közösségi vámterülethez tartozó tagállam valamely részén bejegyzett vagy nyilvántartásba vett hajó által kinyert vagy kifogott, illetve a közösségi vámterületen belüli felségvizeken nem tagállami hajó által kinyert vagy kifogott - termékek esetén a hajónaplóval vagy bármely más olyan eszközzel kell bizonyítani, amely az említett vámjogi helyzetet megállapítja.
326. cikk
(1) A T2M okmányt be kell mutatni azoknak a 325. cikk (2) bekezdésében említett termékeknek és áruknak a vonatkozásában, amelyeket
a) az a közösségi halászhajó, amely a termékeket kifogta és adott esetben feldolgozta; vagy
b) olyan másik közösségi halászhajó vagy közösségi feldolgozóhajó, amely az a) pontban említett hajóról való átrakást követően a termékeket feldolgozta; vagy
c) bármely más olyan hajó, amelyre az említett termékeket és árukat az a) és b) pontokban említett hajókról minden további változtatás nélkül átrakták; vagy
d) más szállítóeszköz, egy nem a Közösség vámterületéhez tartozó olyan országban vagy területen kiállított egyetlen fuvarokmánnyal, ahol a termékeket vagy árukat az a), b) és c) pontban említett járműből partra tették,
szállít közvetlenül a Közösség vámterületére.Ezt követően a T2M okmány nem használható azon termékek vagy áruk közösségi helyzetének igazolására, amelyekre vonatkozik.
(2) A vámhatóságok, amelyek felelősek azért a kikötőért, ahol az 1. bekezdés a) pontjában említett hajóról partra rakják a termékeket és/vagy árut, lemondhatnak az (1) bekezdés alkalmazásáról, ha nincs kétség a termékek és/vagy áruk származását illetően, vagy ha a 2847/93/EGK tanácsi rendelet ( 13 ). 8. cikkének (1) bekezdésében említett nyilatkozat alkalmazható.
327. cikk
(1) A T2M nyomtatványnak a 43. mellékletben szereplő mintának kell megfelelnie.
(2) Az eredeti példányt famentes, írásra előkészített, legalább 55 g/m2 tömegű papírra kell nyomtatni. A papír mindkét oldalának zöld, nyomtatott guilloche-mintás háttérrel kell rendelkeznie, hogy bárminemű, mechanikus vagy vegyi úton megkísérelt hamisítás kitűnjék.
(3) A T2M nyomtatvány 210 x 297 mm méretű. Hosszirányban legfeljebb + 8 mm és - 5 mm közötti eltérés megengedett.
(4) A nyomtatványt a Közösség valamelyik hivatalos nyelvén kell kinyomtatni, azon tagállam illetékes hatóságainak előírásai szerint, amelyhez a hajó tartozik.
(5) A T2M nyomtatványokat olyan 10 darabos garnitúrákba kell kötni, amelyek minden egyes nyomtatvány esetében egy leválasztható eredetit és egy le nem választható másolatot tartalmaznak. A nyomtatványgarnitúra borítójának 2. oldalán a 44. mellékletben szereplő megjegyzéseket kell feltüntetni.
(6) Minden egyes T2M formanyomtatványnak egyedi sorszáma van. Ez a szám megegyezik az eredetin és a másolaton.
(7) A tagállamok a nyomtatványok nyomtatását és a garnitúrák összeállítását maguk végzik, vagy a munkát az általuk felhatalmazott nyomdákra bízhatják. Ez utóbbi esetben a felhatalmazásra történő hivatkozást fel kell tüntetni minden nyomtatványgarnitúra borítójának 1. oldalán és minden nyomtatvány eredeti példányán. Az 1. oldalon és minden nyomtatvány eredeti példányán fel kell tüntetni ezenkívül a nyomda nevét és címét, vagy egy olyan jelzést, amely alapján a nyomda azonosítható.
(8) A T2M nyomtatványok a Közösség hivatalos nyelveinek egyikén, gépírással vagy olvasható kézírással - az utóbbi esetben tintával, nyomtatott betűvel - töltendők ki. Semmilyen törlés, illetve átírás nem végezhető. Javításokat a téves szó áthúzásával és a szükséges adatok beírásával lehet végezni. Az ilyen javításokat el kell látni azon személy kézjegyével, aki az azokat tartalmazó nyilatkozatot aláírta.
328. cikk
A T2M okmányok garnitúráját az érintett személy kérelmére az azon halászhajó hazai kikötőjéért felelős közösségi vámhivatal állítja ki, amelynek az okmánygarnitúrát szánják.
A T2M okmányok garnitúrája csak akkor állítható ki, ha az érintett személy a nyomtatvány nyelvén kitöltötte a garnitúrában található nyomtatványok minden eredeti és másolati példányának 1. és 2. rovatát és a füzetben található valamennyi okmány eredeti és másolati példányának 3. rovatában szereplő nyilatkozatot aláírta. A okmánygarnitúra kibocsátásakor a vámhatóság kitölti a garnitúrában található nyomtatványok összes eredeti és másolati példányának B. rovatát.
Az okmánygarnitúra a borító 2. oldalán feltüntetett kibocsátási naptól számított két évig érvényes. Ezenkívül az okmányok érvényességét annak a hatóságnak a minden egyes eredeti és másolati példány A. rovatában található bélyegzője garantálja, amelyik felelős annak a közösségi halászhajónak a nyilvántartásáért, amely számára a füzetet kibocsátották.
329. cikk
A közösségi halászhajó kapitányának minden esetben ki kell töltenie az okmánygarnitúrában lévő egyik nyomtatvány eredeti és másolati példányának 4. rovatát, és ha a halászzsákmányt a hajón dolgozták fel, akkor a 6. rovatot, és köteles kitölteni és aláírni a 9. rovatban szereplő nyilatkozatot, amikor:
a) a termékeket a 326. cikk (1) bekezdésének b) pontjában említett olyan hajóra rakodja át, amelyik feldolgozza azokat;
b) a terméket bármely más olyan hajóra rakodja át, amelyik nem dolgozza fel azokat, de közvetlenül vagy a Közösség vámterületére, vagy egy másik kikötőbe viszi a vámterületre való szállítás céljából;
c) a 326. cikk (2) bekezdésének sérelme nélkül a Közösség vámterületén lévő kikötőben kirakodja a termékeket vagy árukat;
d) a Közösség vámterületén kívüli kikötőben kirakodja a termékeket vagy az árut a vámterületre való szállítás céljából.
Az ilyen termékek feldolgozását a hajónaplóba kell bejegyezni.
330. cikk
A 326. cikk (1) bekezdésének b) pontjában említett hajó kapitánya mindannyiszor köteles kitölteni a 6. rovatot és aláírni a T2M okmány eredetijének 11. rovatában szereplő nyilatkozatot, amikor vagy a Közösség vámterületén lévő kikötőben, vagy az említett területen kívül található kikötőben a vámterületre való szállítás céljából kirakja az árut, vagy amikor ezzel a céllal másik hajóra rakja át az árut.
Az átrakott termékek feldolgozását be kell jegyezni a hajónaplóba.
331. cikk
Amikor a 329. cikk a) és b) pontjában említett termékeket vagy árut először átrakják, ki kell tölteni a T2M okmány eredetijének és másolatának 10. rovatát; ha a 330. cikkben említett további átrakásra kerül sor, a T2M okmány eredetijének 12. rovatát is ki kell tölteni. Az átrakási nyilatkozatot mind a két érintett kapitánynak alá kell írnia, és a T2M okmány eredetijét át kell adni annak a hajónak a kapitányának, amelyre a termékeket vagy árut átrakják. Minden átrakási műveletet az abban részt vevő mindkét hajó hajónaplójába be kell jegyezni.
332. cikk
(1) Ha a T2M okmányban szereplő termékek vagy árukat olyan országba vagy területre szállítják, amely nem tartozik a Közösség vámterületéhez, az említett okmány csak akkor érvényes, ha az okmány 13. rovatában található igazolást annak az országnak vagy területnek a vámhatóságai kitöltötték és aláírták.
(2) Ha a termékek vagy az áru egy része nem lép be a Közösség vámterületére, annak a részküldeménynek a nevét, jellegét, bruttó tömegét és rendeltetését be kell jegyezni a T2M okmány "Megjegyzés" rovatába.
333. cikk
(1) Ha a T2M okmányban szereplő termékek vagy áruk részszállítmányok formájában a Közösség vámterületéhez nem tartozó országba kerülnek, majd onnan azokat részszállítmányok formájában a Közösségbe továbbszállítják, az érintett személy vagy képviselője köteles:
a) bejegyezni az egyes csomagfajták számát, a bruttó tömeget, a rendeltetést, amelyre a küldeményt szánták és a b) pontban említett "Kivonat" számát a legelső T2M okmány "Megjegyzések" rovatába;
b) kitölteni egy T2M "Kivonatot", a 328. cikk rendelkezéseinek megfelelően kibocsátott T2M okmánygarnitúrából vett eredeti okmány felhasználásával.
Minden egyes "Kivonat"-nak és annak másolatának, amely a T2M okmánygarnitúrában marad, hivatkozást kell tartalmaznia az a) pontban említett legelső T2M okmányra, és tartalmaznia kell az alábbi bejegyzések egyikét:
- Extracto,
- Udskrift,
- Auszug,
- Aπóσπασμα,
- Extract,
- Extrait,
- Estratto,
- Uitrrreksel,
- Extracto,
- Ote,
- Utdrag,
- Výpis,
- Väljavőte,
- Izraksts,
- Išrašas,
- Kivonat,
- Estratt,
- Wyciąg,
- Izpisek,
- Výpis,
- Извлечение,
- Extras,
- Izvod.
A részszállítmányt a Közösség vámterületére kísérő T2M "Kivonat"-on a 4., 5., 6., 7., illetve a 8. rovatban fel kell tüntetni a küldeményt alkotó termékek vagy áruk nevét, jellegét, KN-kódját és mennyiségét. Ezenkívül annak az országnak vagy területnek a vámhatósága, ahol a termékek vagy áruk az árutovábbítás ideje alatt megtalálhatók voltak, kitölti és aláírja 13. rovatban szereplő igazolást.
(2) Amikor az (1) bekezdés a) pontjában említett legelső T2M okmányon szereplő valamennyi terméket és árut elküldték a Közösség vámterületére, a hivatkozott bekezdésben említett hatóságok kitöltik és aláírják az okmány 13. rovatában szereplő igazolást. Az okmányt azután megküldik a 328. cikkben említett vámhivatalnak.
(3) Ha a termékek vagy áru egy része nem lép be a Közösség vámterületére, ezek nevét, jellegét, bruttó tömegét és a rendeltetésükre vonatkozó információt be kell jegyezni a legelső T2M okmány "Megjegyzés" rovatába.
334. cikk
Valamennyi T2M okmányt, illetve "Kivonat"-ot be kell mutatni annál a vámhivatalnál, ahol azokat a termékeket vagy árukat, amelyekre vonatkoznak, beléptetik a Közösség vámterületére. Amikor azonban a termékeket vagy árukat a Közösség vámterületén kívül kezdeményezett árutovábbítási eljárás keretében viszik be, az okmányokat a rendeltetési hely szerinti vámhivatalnak kell bemutatni.
A rendeltetési vámhivatal kérheti az okmány fordítását. Ezenkívül a T2M okmányban megadott adatok helyességének ellenőrzéséhez megkövetelheti valamennyi vonatkozó dokumentum, köztük a hajó papírjainak bemutatását is. A vámhivatal minden egyes T2M okmány C. rovatát kitölti, melyek egy példányát el kell küldeni a 328. cikkben említett vámhivatalnak.
335. cikk
A 332., 333. és 334. cikktől eltérve, ha a T2M okmányon szereplő termékeket vagy árukat az egységes árutovábbítási eljárásról szóló egyezményt aláíró harmadik országba szállítják, és T2-eljárásban a közösségi vámterületre tervezik továbbszállítani egyetlen szállítmányként vagy részszállítmányok formájában, az említett eljárásra vonatkozó adatokat be kell jegyezni a T2M okmány "Megjegyzések" rovatába.
Ha a T2M okmányban szereplő valamennyi terméket vagy árut bevitték a Közösség vámterületére, a vámhatóságok kitöltik és aláírják az okmány 13. rovatában szereplő igazolást. Az okmány kitöltött másolatát meg kell küldeni a 328. cikkben említett vámhivatalnak.
A 332. cikk (2) bekezdésének rendelkezéseit értelemszerűen alkalmazni kell.
336. cikk
A T2M okmányokat tartalmazó nyomtatványgarnitúrát a vámhatóságok felszólítására minden esetben be kell mutatni.
Ha egy hajó, amely számára a 327. cikkben említett T2M okmánygarnitúrát kiadták, már nem felel meg ez előírt feltételeknek, vagy ha valamennyi okmányt felhasználták, vagy annak érvényességi ideje lejárt, az okmánygarnitúrát azonnal vissza kell juttatni a kibocsátó vámhivatalnak.
4. FEJEZET
Közösségi árutovábbítás
1. szakasz
Általános rendelkezések
340a. cikk
Eltérő rendelkezések hiányában, e fejezet rendelkezéseit a közösségi külső és belső árutovábbításra kell alkalmazni.
A magas kockázatot képviselő áruk felsorolása a 44c. mellékletben található. Amennyiben e rendelet egy rendelkezése hivatkozik az említett mellékletre, az abban a mellékletben szereplő árukra vonatkozó intézkedést csak akkor kell alkalmazni, ha az áruk mennyisége meghaladja a vonatkozó minimumot. A 44c. mellékletet legalább évente egyszer felül kell vizsgálni.
340b. cikk
E fejezet alkalmazásában a következő meghatározásokat kell alkalmazni:
1. "indító vámhivatal" : az a vámhivatal, ahol elfogadták az árukat a közösségi árutovábbítási eljárás alá vonó nyilatkozatokat;
2. "átléptető vámhivatal" :
a) a Közösség vámterülete elhagyásának pontján lévő vámhivatal, amennyiben a szállítmány egy tagállam és egy az EFTA-országokon kívüli harmadik ország közötti határon keresztül árutovábbítási művelet során hagyja el ezt a területet, vagy
b) a Közösség vámterületére való belépési ponton lévő vámhivatal, amennyiben az áruk az árutovábbítási művelet során egy harmadik ország területén is áthaladnak;
3. "rendeltetési vámhivatal" : az a vámhivatal, ahol a közösségi árutovábbítási eljárás alá vont árukat az eljárás lezárása céljából be kell mutatni;
4. "a kezességnyújtás helye szerinti vámhivatal" : az egyes tagállamok vámhatóságai által meghatározott az a vámhivatal, ahol kezességvállalás formájában biztosítékot nyújtanak;
5. "EFTA-országok" : azok az EFTA- és egyéb országok, amelyek csatlakoztak az egységes árutovábbítási eljárásról szóló, 1987. május 20-i egyezményhez ( 14 );
6. "árutovábbítási kísérőokmány" : a számítógépes rendszerből kinyomtatott bizonylat, amely az árukat kíséri, és az árutovábbítási nyilatkozat adatain alapul;
6a. "árutovábbítási/biztonsági kísérőokmány" : az a számítógépes rendszerből kinyomtatott okmány, amely az árukat kíséri, továbbá az árutovábbítási nyilatkozat és a belépési vagy a kilépési gyűjtő vámáru-nyilatkozat adatain alapul;
7. "eljárás üzemszünet esetén" : az árutovábbítási nyilatkozat benyújtását, ellenőrzését és az árutovábbítási művelet nyomon követését lehetővé tevő papíralapú okmányok felhasználásán alapuló eljárás, amennyiben a szokásos, elektronikus úton megvalósuló eljárás nem végezhető el.
340c. cikk
(1) Közösségi belső árutovábbítási eljárás alá azokat a közösségi árukat kell vonni, amelyeket:
a) a Közösség vámterületének egy olyan részéről, ahol a 2006/112/EK irányelv rendelkezéseit kell alkalmazni, a Közösség vámterületének olyan részére adták fel, ahol az említett rendelkezéseket nem kell alkalmazni; vagy
b) a Közösség vámterületének egy olyan részéről, ahol a 2006/112/EGK irányelv rendelkezéseit nem kell alkalmazni, a Közösség vámterületének olyan részére adták fel, ahol ezek a rendelkezések alkalmazandók; vagy
c) a Közösség vámterületének egy olyan részéről, ahol a 2006/112/EK irányelv rendelkezéseit nem kell alkalmazni, a Közösség vámterületének olyan részére adták fel, ahol az említett rendelkezéseket szintén nem kell alkalmazni.
(2) A (3) bekezdés sérelme nélkül, azokat a közösségi árukat, amelyeket az egységes árutovábbítási eljárásról szóló egyezmény alapján egy vagy több EFTA-országon keresztül a Közösség vámterületének egyik pontjáról egy másik pontjára szállítanak, a közösségi belső árutovábbítási eljárás alá kell vonni.
Azokat az első albekezdés alá tartozó árukat, amelyeket kizárólag tengeri vagy légi úton szállítanak, nem kötelező a közösségi belső árutovábbítási eljárás alá vonni.
(3) Amennyiben a közösségi árukat egy EFTA-országba exportálják, vagy ezek az áruk áthaladnak egy vagy több EFTA-ország területén, és az egységes árutovábbítási eljárásról szóló egyezmény rendelkezései alkalmazandók, az árukat a közösségi külső árutovábbítási eljárás alá kell vonni a következő feltételek mellett:
a) ha az árukat alávetették a kiviteli vámalakiságoknak a közös agrárpolitika keretében a harmadik országba irányuló kivitelre járó export-visszatérítések megadása céljából; vagy
b) ha az áruk intervenciós készletekből származnak, a felhasználásukra és/vagy a rendeltetésükre vonatkozó felügyelet alá esnek, és alávetették a közös agrárpolitika keretében a harmadik országba irányuló kivitelre vonatkozó kiviteli vámalakiságoknak; vagy
c) ha az áruk jogosultak az importvám visszafizetésére vagy elengedésére azzal a feltétellel, hogy az árukat a Közösség vámterületéről exportálják; vagy
d) ha végtermék vagy változatlan állapotú áru formájában alávetették az árukat a harmadik országba irányuló kivitelre vonatkozó kiviteli vámalakiságoknak az aktív feldolgozási eljárás (vámvisszatérítési eljárás) lezárása érdekében, azzal a céllal, hogy a vám visszafizetésére vagy elengedésére sor kerüljön.
340d. cikk
Azok az áruk, amelyekre a közösségi árutovábbítási eljárások vonatkoznak, közösségi árutovábbításban szállíthatók a Közösség vámterületén található két pont között egy, az EFTA-országok közé nem tartozó harmadik ország területén keresztül, feltéve, hogy ezeket az árukat egy tagállamban kiállított egyetlen fuvarokmány kíséretében szállítják át a harmadik ország területén. Ebben az esetben az árutovábbítási eljárás hatályát a harmadik ország területén fel kell függeszteni.
340e. cikk
(1) A közösségi árutovábbítási eljárás a légi úton szállított áruk esetében csak akkor kötelező, ha azokat a Közösség területén lévő repülőtéren rakodták be vagy át.
(2) A Vámkódex 91. cikke (1) bekezdésének sérelme nélkül, a közösségi árutovábbítási eljárás a tengeren szállított áruk esetében csak akkor kötelező, ha azokat a 313a. és 313b. cikknek megfelelően engedélyezett menetrend szerinti hajójáraton szállítják.
341. cikk
A Vámkódex VII. címe 1. és 2. fejezetének és ennek a címnek a rendelkezéseit értelemszerűen alkalmazni kell a Vámkódex 91. cikke (1) bekezdésének a) pontja szerinti egyéb terhekre.
342. cikk
(1) A főkötelezett által nyújtott biztosíték a Közösség egész területén érvényes.
(2) Amennyiben a biztosítéknyújtás kezességvállalás formájában történik, a kezes köteles megadni egy értesítési címet vagy kijelölni egy kézbesítésre meghatalmazottat minden egyes tagállamban.
(3) A tagállamok vasúttársaságai által a 372. cikk (1) bekezdése g) pontjának i. alpontjában említett egyszerűsített eljárástól különböző eljárások keretében végrehajtott közösségi árutovábbítási műveletek esetében kezességet kell nyújtani.
(4) Ha a biztosítékot a kezes a kezességnyújtás helye szerinti vámhivatalnál nyújtja:
a) a főkötelezett "biztosítékhivatkozási számot" kap, amely a biztosíték használatára és a kezes kötelezettségvállalásainak azonosítására szolgál;
b) a főkötelezett a "biztosítékhivatkozási számhoz" hozzáférési kódot kap, amelyet közölnek vele.
343. cikk
Minden tagállam beviszi a számítógépes rendszerbe a közösségi árutovábbítási műveletek kezelésére illetékes vámhivatalok jegyzékét, feltüntetve azonosító számukat, feladatkörüket és nyitvatartási idejüket. Ezen adatok módosításait is be kell vinni a számítógépes rendszerbe.
A Bizottság ezeket az információkat a számítógépes rendszeren keresztül közli a többi tagállammal.
343a. cikk
Minden tagállam értesíti a Bizottságot, ha központi vámhivatalt hoz létre; ilyenkor meg kell adni a hivatalnak a közösségi árutovábbítási eljárás lefolytatásában és nyomon követésében, valamint az okmányok fogadása és továbbítása terén biztosított feladatköreit az érintett okmányok típusával együtt.
A Bizottság tájékoztatja erről a többi tagállamot.
344. cikk
A közösségi árutovábbítási eljárásban használt, az egységes vámokmánytól eltérő egyéb nyomtatványok jellemzőit a 44b. melléklet határozza meg.
344a. cikk
(1) A közösségi árutovábbítási eljárás keretében az alakiságok teljesítése elektronikus adatfeldolgozási módszerrel történik.
(2) A vámigazgatási szervek között a közösségi árutovábbítás keretében használandó üzeneteknek meg kell felelniük a vámhatóságok kölcsönös egyetértésével meghatározott szerkezetnek és tartalmi elemeknek.
2. szakasz
Eljárás
1. alszakasz - Egyedi kezesség
345. cikk
(1) Az egyedi kezesség a várhatóan felmerülő vámtartozás teljes összegére vonatkozik az indító tagállam azonos természetű termékeire alkalmazott legmagasabb tehermegállapítási tételek alapján számítva. Ennek kiszámítása során az egységes árutovábbítási eljárásról szóló egyezmény szerint szállított közösségi árukat nem közösségi árunak kell tekinteni.
Az egyedi kezesség kiszámítása során figyelembe veendő tehermegállapítási tétel azonban nem lehet alacsonyabb a minimális díjtételnél, amennyiben ez a tétel feltüntetésre került a 44c. melléklet ötödik oszlopában.
(2) A készpénzletét formájában nyújtott egyedi kezességeket az indító vámhivatalban kell letétbe helyezni. Az eljárás lezárása után ezt visszafizetik.
(3) A kezes által nyújtott egyedi kezesség történhet 7 000 euróról szóló egyedi garanciajegyek formájában, amelyeket a kezes a főkötelezettként eljárni szándékozó személy számára bocsát ki.
A kezes garanciajegyenként 7 000 euró összegig felelős.
(4) Ha az egyedi kezesség nyújtása kezességvállalással történik, a főkötelezett a "biztosítékhivatkozási számhoz" tartozó hozzáférési kódot nem változtathatja meg, kivéve ha a 47a. melléklet 3. pontjának rendelkezéseit kell alkalmazni.
346. cikk
(1) A kezességvállalás formájában nyújtott egyedi kezességet a 49. mellékletben található mintának megfelelő kezesi nyilatkozattal kell vállalni.
A kezesi nyilatkozatot a kezességnyújtás helye szerinti vámhivatal megőrzi.
(2) Amennyiben nemzeti törvényi, rendeleti vagy közigazgatási rendelkezés vagy az általános kereskedelmi gyakorlat megköveteli, a tagállamok az (1) bekezdésben említettől eltérő formájú kötelezettségvállalás is engedélyezhető, feltéve, hogy az a mintán látható kötelezettségvállalással azonos jogi érvénnyel bír.
347. cikk
(1) A 345. cikk (3) bekezdésében említett esetben az egyedi kezességet az 50. mellékletben található mintának megfelelő kezesi nyilatkozattal kell vállalni.
A 346. cikk (2) bekezdését értelemszerűen alkalmazni kell.
(2) A kezes köteles az általa kibocsátott egyedi garanciajegyekre vonatkozóan minden kért adatot megadni a kezességnyújtás helye szerinti vámhivatalnak a vámhatóság által meghatározott módon.
A garanciajegyet legfeljebb a kibocsátásának dátumától számított egy évig lehet felhasználni.
(3) A kezes a főkötelezettnek juttatott minden egyedi garanciajegyre vonatkozóan megadja a "biztosítékhivatkozási számot" a főkötelezettnek; az ahhoz tartozó hozzáférési kódot a főkötelezett nem módosíthatja.
(4) A 353. cikk (2) bekezdésének b) pontja alkalmazásában a kezes a főkötelezettnek az egyedi garanciajegyeket papírra nyomtatva, az 54. mellékletben található mintának megfelelő formában adja át. A jegyen az azonosító számot fel kell tüntetni.
(5) A kezes kiadhat olyan egyedi garanciajegyeket, amelyek a 44c. mellékletben szereplő jegyzékben felsorolt árukkal kapcsolatos közösségi árutovábbítási műveletre nem érvényesek. Ebben az esetben a kezes minden papíralapú garanciajegyre átlósan rávezeti a következő záradékot:
- Korlátozott érvényű - 99200.
(6) A főkötelezett köteles benyújtani az indító vámhivatalhoz a 7 000 EUR többszörösének megfelelő értékű egyedi garanciajegyeket a 345. cikk (1) bekezdésében említett teljes összeg fedezéséhez szükséges számban. A 353. cikk (2) bekezdése b) pontjának alkalmazásában a papíralapú jegyeket az indító vámhivatalnak kell átadni, és ott meg kell őrizni; e vámhivatal minden egyes jegy azonosító számát közli a jegyen feltüntetett, a kezességnyújtás helye szerinti vámhivatallal.
348. cikk
(1) A kezességnyújtás helye szerinti vámhivatal visszavonja a kezes kötelezettségvállalását elfogadó határozatát, ha az annak kibocsátásakor meghatározott feltételek már nem teljesülnek.
Kötelezettségvállalását a kezes is bármikor visszavonhatja.
(2) A felmondás vagy visszavonás a kezes vagy - az esettől függően - a kezességnyújtás helye szerinti vámhivatal értesítésének napját követő 16. napon lép hatályba.
Attól a naptól kezdve, amikor a felmondás vagy visszavonás hatályba lép, a korábban kibocsátott egyedi garanciajegyeket nem lehet felhasználni az áruk közösségi árutovábbítási eljárás alá vonására.
(3) A visszavonás vagy felmondás tényét és hatálybalépése napját a kezességnyújtás helye szerinti vámhivatalért felelős tagállam vámhatóságai beviszik a számítógépes rendszerbe.
2. alszakasz - Szállítóeszközök és nyilatkozatok
349. cikk
(1) Minden árutovábbítási nyilatkozat csak ugyanazon indító vámhivatalból ugyanazon rendeltetési vámhivatalig történő szállításra használt, egyetlen szállítóeszközbe berakodott vagy berakandó árukat tartalmazhatja.
Ennek a cikknek az alkalmazásában a következők tekintendők egyetlen szállítóeszköznek, azzal a feltétellel, hogy a szállított árukat együtt küldik el:
a) a közúti járművek a pótkocsival/pótkocsikkal vagy a nyerges pótkocsival/nyerges pótkocsikkal együtt;
b) az összekapcsolt vasúti személy- vagy áruszállító kocsik;
c) egységet alkotó hajók;
d) az e cikk szerinti egyetlen szállítóeszközbe berakott szállítótartályok.
(2) Egyetlen szállítóeszköz használható az áruk különböző indító vámhivatalnál történő berakodására és különböző rendeltetési vámhivataloknál történő kirakodására.
351. cikk
Ha a szállítmányok egyaránt tartalmaznak olyan árukat, amelyeket közösségi külső árutovábbítási eljárás, illetve közösségi belső árutovábbítási eljárás alá kell vonni, a T jelzéssel ellátott árutovábbítási nyilatkozatot minden árutétel esetében ki kell egészíteni, a "T1", "T2" vagy "T2F" jellel.
353. cikk
(1) Az árutovábbítási nyilatkozatnak meg kell felelnie a 37a. mellékletben meghatározott szerkezetnek és tartalmi elemeknek.
(2) A vámhatóságok a 31. mellékletben található mintának megfelelő nyomtatványon, írásban, a vámhatóságok által kölcsönös egyetértéssel meghatározott eljárásnak megfelelően kiállított árutovábbítási nyilatkozatot is elfogadják a következő esetekben:
a) ha az árukat a vámhatóságok számítógépes rendszeréhez való közvetlen hozzáféréssel nem rendelkező utasok szállítják a 353a. cikkben foglaltak szerint;
b) a 37d. mellékletben meghatározott feltételek és szabályok szerinti üzemszüneti eljárás esetén.
(3) Ha a főkötelezett számítógépes rendszere és/vagy hálózata nem üzemel, az írásban kiállított árutovábbítási nyilatkozatnak a (2) bekezdés b) pontja szerinti használatához az illetékes vámhatóságok jóváhagyása szükséges.
(4) Az írásban kiállított árutovábbítási nyilatkozat kiegészíthető a 33. mellékletben található mintának megfelelő pótlappal vagy pótlapokkal. A pótlapok a nyilatkozat szerves részei.
(5) A 44a. mellékletnek és a 45. mellékletben található mintának megfelelően kiállított rakományjegyzékek - az írásos árutovábbítási nyilatkozat leíró részeként, ahhoz szervesen kapcsolódva - felhasználhatók pótlapok helyett.
353a. cikk
(1) A 353. cikk (2) bekezdése a) pontjának alkalmazásában az utas az árutovábbítási nyilatkozatot a 208. cikknek és a 37. mellékletnek megfelelően állítja ki.
(2) A vámhatóságok gondoskodnak arról, hogy az árutovábbítási adatok vámhatóságok közötti cseréje informatikai technológia és számítógépes hálózatok felhasználásával történjék.
3. alszakasz - Alakiságok az indító vámhivatalnál
355. cikk
(1) A közösségi árutovábbítási eljárás alá vont árukat a gazdaságilag indokolt útvonalon kell elszállítani a rendeltetési vámhivatalhoz.
(2) A 387. cikk sérelme nélkül, a 44c. mellékletben felsorolt áruk esetében, vagy ahol a vámhatóságok vagy a főkötelezett szükségesnek tartja, az indító vámhivatal kötelező szállítási útvonalat ír elő, és bejegyzi az árutovábbítási nyilatkozat 44. rovatába legalább azokat a tagállamokat, amelyeken a tranzitútvonal áthalad, figyelembe véve a főkötelezett által közölt adatokat.
356. cikk
(1) Az indító vámhivatal megállapítja azt a határidőt, amíg az árukat a rendeltetési vámhivatalban be kell mutatni, figyelembe véve az útvonalat, bármely hatályos szállítási vagy más jogszabályt és szükség esetén a főkötelezett által közölt adatokat.
(2) Az indító vámhivatal által előírt határidő kötelező azon tagállamok vámhatóságai számára, amelyek területére az áruk a közösségi árutovábbítási művelet során belépnek, és e hatóságok azt nem változtathatják meg.
357. cikk
(1) A (4) bekezdés sérelme nélkül, a közösségi árutovábbítási eljárás alá vonandó árukat addig nem lehet kiadni, amíg azokat nem látják el vámzárral. Az indító vámhivatal megteszi az általa szükségesnek tartott azonosítási intézkedéseket, és a vonatkozó adatokat rávezeti az árutovábbítási nyilatkozatra.
(2) A következőket kell vámzárral ellátni:
a) az árukat tartalmazó teret, amennyiben a szállítóeszközök más szabályok alapján jóváhagyásra kerültek, vagy azokat az indító vámhivatal vámzár felhelyezésére alkalmasnak nyilvánította;
b) a többi esetben minden egyes csomagot.
A vámzárnak a 46a. mellékletben meghatározott jellemzőkkel kell rendelkeznie.
(3) A szállítóeszközöket a következő feltételek mellett lehet vámzár felhelyezésére alkalmasnak nyilvánítani:
a) a vámzárakat egyszerűen és hatékonyan lehet rájuk felhelyezni;
b) úgy építették meg őket, hogy látható nyomok, illetve a vámzár feltörése nélkül nem lehet árukat ki- vagy berakni;
c) nem tartalmaznak olyan rejtekhelyeket, ahová árukat lehet elrejteni;
d) a rakomány számára fenntartott területek könnyen hozzáférhetőek a vámhatóságok által végzett vizsgálatok számára.
Bármely közúti gépjárművet, pótkocsit, nyerges pótkocsit vagy szállítótartályt, amely vámzárral történő áruszállítás céljának megfelel azon nemzetközi megállapodások szerint, amelyeknek az Európai Közösség szerződő fele, vámzár felhelyezésére alkalmas szállítóeszköznek kell tekinteni.
(4) Az indító vámhivatal eltekinthet a vámzártól, ha - tekintettel az egyéb lehetséges azonosítási intézkedésekre - az árutovábbítási nyilatkozatban vagy a kiegészítő okmányokon található árumegnevezés az árukat azonosíthatóvá teszi.
Az árumegnevezés akkor tekintendő azonosításra alkalmasnak, ha elég pontos az áruk mennyiségének és jellegének könnyű meghatározásához.
358. cikk
(1) A vámáru kiadásakor az indító vámhivatal a bejelentett rendeltetési vámhivatalnak az "előzetes érkezési értesítés" üzenet segítségével, a bejelentett átléptető vámhivataloknak pedig az "előzetes határátlépési értesítés" üzenet segítségével továbbítja a közösségi árutovábbítási művelet adatait. Ezeket az üzeneteket az árutovábbítási nyilatkozat adott esetben megfelelően módosított adatai alapján kell elkészíteni.
(2) A közösségi árutovábbítási eljárás alá vont árukat kiadásukat követően árutovábbítási kísérőokmány vagy árutovábbítási/biztonsági kísérőokmány kíséri. Az árutovábbítási kísérőokmányt a 45a. mellékletben megadott mintának és adatoknak, vagy - ha az árutovábbítási adatok mellett a 30A. mellékletben említett adatokat is megadják - az árutovábbítási/biztonsági kísérő okmány tekintetében a 45e. mellékletben, illetve az árutovábbítási/biztonsági tételjegyzék tekintetében a 45f. mellékletben megadott mintának és adatoknak kell megfelelnie. Ezt az okmányt a következő módok egyikének megfelelően kell a gazdasági szereplő rendelkezésére bocsátani:
a) az indító vámhivatal adja ki a főkötelezett részére, vagy a vámhatóságok engedélyével a főkötelezett számítógépes rendszeréből is kinyomtatható;
b) az engedélyezett feladó számítógépes rendszeréből nyomtatják ki, miután az indító vámhivataltól megkapták az áruk kiadását engedélyező üzenetet.
(3) Ha a nyilatkozat egynél több árutételből áll, a (2) bekezdésben említett árutovábbítási kísérőokmányt ki kell egészíteni a 45b. mellékletben megadott mintának megfelelő tételjegyzékkel. A (2) bekezdésben említett árutovábbítási/biztonsági kísérőokmányt mindig ki kell egészíteni a 45f. mellékletnek megfelelő tételjegyzékkel. A tételjegyzék az árutovábbítási kísérőokmány, illetve az árutovábbítási/biztonsági kísérőokmány szerves részét képezi.
4. alszakasz - Alakiságok útközben
359. cikk
(1) A szállítmányt és az árutovábbítási kísérőokmány - árutovábbítási/biztonsági kísérőokmány az összes átléptető vámhivatalnak be kell mutatni.
(2) Az átléptető vámhivatal az indító vámhivataltól kapott "előzetes áthaladási jelentés" üzenet alapján nyilvántartásba veszi az áthaladást. Az áthaladásról a "határátlépési értesítés" üzenettel tájékoztatja az indító vámhivatalt.
(3) Az átléptető vámhivatalok, ha szükségesnek ítélik, megvizsgálják az árukat. Az áruk esetleges ellenőrzését különösen az "előzetes áthaladási jelentés" üzenet alapján kell elvégezni.
(4) Ha az árukat nem a bejelentett és az árutovábbítási kísérőokmány - árutovábbítási/biztonsági kísérőokmány szereplő átléptető vámhivatalon keresztül szállítják, az érintett átléptető vámhivatal kéri az "előzetes áthaladási jelentés" üzenetet az indító vámhivataltól, és az átléptetésről a "határátlépési értesítés" üzenet megküldésével tájékoztatja az indító vámhivatalt.
360. cikk
(1) A fuvarozó köteles bejegyezni a szükséges adatokat az árutovábbítási kísérőokmány - árutovábbítási/biztonsági kísérőokmány, és azt a szállítmánnyal együtt bemutatni azon tagállam vámhatóságainak, amelynek területén a szállítóeszköz található.
a) ha az előírt útvonal megváltozott, és a 355. cikk (2) bekezdésének rendelkezéseit kell alkalmazni;
b) ha a szállítási művelet során a vámzár a fuvarozó által nem befolyásolható okok miatt megsérült;
c) ha az árukat átrakodják egy másik szállítóeszközre; minden ilyen átrakodást a vámhatóságok felügyelete mellett kell végrehajtani, amelyek azonban engedélyezhetik az átrakodást a felügyeletük nélkül is;
d) a szállítóeszköz azonnali, részleges vagy teljes kirakását szükségessé tevő fenyegető veszély esetén;
e) olyan esemény vagy baleset esetén, amely befolyásolhatja a főkötelezett vagy a fuvarozó képességét kötelezettségeik teljesítésére.
(2) Ha a vámhatóságok úgy ítélik meg, hogy az érintett közösségi árutovábbítási művelet a szokásos módon folytatódhat, megteszik az esetlegesen szükséges lépéseket, majd záradékolják az árutovábbítási kísérőokmány - árutovábbítási/biztonsági kísérőokmány.
A továbbításra vagy más eseményre vonatkozó információkat vagy az átléptető vámhivatal vagy a rendeltetési vámhivatal vámhatóságai viszik be a számítógépes rendszerbe.
5. alszakasz - Alakiságok a rendeltetési vámhivatalban
361. cikk
(1) Az árukat és a szükséges okmányokat a hivatal nyitvatartási idejében kell bemutatni a rendeltetési vámhivatalnak. Az említett vámhivatal azonban az érintett kérésére és költségére ettől eltérő időpontban is engedélyezheti a bemutatást. A rendeltetési vámhivatal az érintett kérésére és költségére az áruk és az okmányok más helyen történő bemutatását is engedélyezheti.
(2) Ha az árukat az indító vámhivatal által előírt határidő letelte után mutatják be a rendeltetési vámhivatalnak, és a határidő be nem tartása a rendeltetési vámhivatal számára elfogadható módon megindokolt, a fuvarozónak vagy a főkötelezettnek nem felróható körülmények következménye, úgy tekintendő, hogy ez utóbbi az előírt határidőt betartotta.
(3) A rendeltetési vámhivatal az árutovábbítási kísérőokmány - árutovábbítási/biztonsági kísérőokmány megőrzi, és az áruk megvizsgálását különösen az indító vámhivataltól kapott "előzetes érkezési jelentés" üzenet alapján végzi el.
(4) A főkötelezett kérésére, annak igazolása érdekében, hogy az eljárás a 366. cikk (1) bekezdésének megfelelően befejeződött, a rendeltetési vámhivatal az árutovábbítási kísérőokmány - árutovábbítási/biztonsági kísérőokmány példányát a következő záradékkal látja el:
- Alternatív igazolás - 99202.
(5) Az árutovábbítási művelet befejeződhet az árutovábbítási nyilatkozatban megadottól eltérő vámhivatalban is. Ebben az esetben ez a vámhivatal lesz a rendeltetési vámhivatal.
Ha az új rendeltetési vámhivatal az eredetileg tervezett vámhivatal tagállamától eltérő tagállamhoz tartozik, az új rendeltetési vámhivatal az indító vámhivataltól kéri az "előzetes érkezési jelentés" üzenetet.
362. cikk
(1) A rendeltetési vámhivatal az árukat és a szükséges okmányokat bemutató személy kérésére bemutatási igazolást állít ki.
(2) A bemutatási igazolás formájának meg kell felelnie a 47. mellékletben található mintának.
(3) A bemutatási igazolást az érintett személynek előre ki kell töltenie. Az igazoláson a szállítmányra vonatkozó egyéb adatokat is fel lehet tüntetni, kivéve a rendeltetési vámhivatal számára fenntartott helyen. A bemutatási igazolás nem szolgálhat annak bizonyítékául, hogy az eljárás a 366. cikk (1) bekezdése értelmében befejeződött.
363. cikk
(1) A rendeltetési vámhivatal az "érkezési értesítés" üzenet küldésével még az áruknak a rendeltetési vámhivatalban való bemutatása napján tájékoztatja az indító vámhivatalt az áruk megérkezéséről.
(2) Ha az árutovábbítási művelet az árutovábbítási nyilatkozatban megadott vámhivataltól eltérő vámhivatalban fejeződik be, az új rendeltetési vámhivatal az "érkezési értesítés" üzenettel tájékoztatja az érkezésről az indító vámhivatalt.
Az indító vámhivatal az érkezésről a "továbbított érkezési értesítés" üzenettel tájékoztatja az eredetileg kijelölt rendeltetési vámhivatalt.
(3) Az (1) és (2) bekezdésben említett "érkezési értesítés" üzenet nem szolgálhat annak bizonyítékául, hogy az eljárás a 366. cikk (1) bekezdése értelmében befejeződött.
(4) Indokolt esetek kivételével a rendeltetési vámhivatal az "ellenőrzés eredménye" üzenetet legkésőbb az áruknak a rendeltetési vámhivatalnál történt bemutatásától számított harmadik napon továbbítja az indító vámhivatalnak. A 408. cikk alkalmazása esetén azonban a rendeltetési vámhivatal az "ellenőrzés eredménye" üzenetet legkésőbb az áruk bemutatásától számított hatodik napon továbbítja az indító vámhivatalnak.
6. alszakasz - Keresési eljárás
365. cikk
(1) Ha az indító tagállam vámhatóságai az áruknak a rendeltetési vámhivatalban történő bemutatására előírt határidőn belül nem kapják meg az "érkezési értesítés" üzenetet, vagy ha az "érkezési értesítés" üzenet megérkezésétől számított hat napon belül nem kapják meg az "ellenőrzés eredménye" üzenetet, akkor mérlegelniük kell, hogy indítanak-e keresési eljárást a vámeljárás lezárásához szükséges információk megszerzése érdekében, vagy - ha ez nem lehetséges - abból a célból, hogy:
- megállapítsák, keletkezett-e vámtartozás,
- azonosítsák az adóst, és
- meghatározzák a beszedésben illetékes vámhatóságokat.
(2) A keresési eljárást legkésőbb az (1) bekezdésben említett határidők egyikének lejártát követő hét napon belül meg kell indítani, kivéve a tagállamok közötti megállapodásban meghatározott kivételes eseteket. Ha a vámhatóságok korábban értesülnek arról, hogy az árutovábbítási eljárás nem fejeződött be, vagy ennek gyanúja merül fel, kötelesek haladéktalanul megindítani a keresési eljárást.
(3) Ha az indító tagállam vámhatóságai csak az "érkezési értesítés" üzenetet kapják meg, úgy indítják meg a keresési eljárást, hogy az "érkezési értesítés" üzenetet küldő rendeltetési vámhivatalt felkérik az "ellenőrzés eredménye" üzenet elküldésére.
(4) Ha az indító tagállam vámhatóságai nem kapják meg az "érkezési értesítés" üzenetet, úgy indítják meg a keresési eljárást, hogy a főkötelezettől vagy - amennyiben a rendeltetési helyen való kereséshez elegendő információ áll rendelkezésre - a rendeltetési vámhivataltól kérik az eljárás lezárásához szükséges információkat.
Ha az árutovábbítási műveletet nem lehet lezárni, fel kell kérni a főkötelezettet, hogy legkésőbb a rendeltetési vámhivatalnál folytatott keresési eljárás megkezdésétől számított 28 napon belül bocsássa rendelkezésre az eljárás lezárásához szükséges információkat.
(5) A rendeltetési vámhivatalnak és a főkötelezettnek 28 napon belül kell válaszolnia a (4) bekezdésben említett megkeresésre. Ha a főkötelezett ezen időszak alatt elegendő információt szolgáltat, az indító tagállam vámhatóságainak figyelembe kell venniük ezeket az információkat vagy - ha a megadott információk ezt lehetővé teszik - le kell zárniuk az eljárást.
(6) Ha a főkötelezettől kapott információk nem teszik lehetővé az eljárás lezárását, de az indító tagállam vámhatóságai elégségesnek tartják azokat a keresési eljárás folytatásához, az erre irányuló kérést haladéktalanul meg kell küldeniük az érintett vámhivatalnak.
(7) Ha a keresési eljárás során azt állapítják meg, hogy az eljárás szabályszerűen befejeződött, az indító tagállam vámhatóságai lezárják az eljárást, és erről haladéktalanul tájékoztatják a főkötelezettet, valamint adott esetben azokat a vámhatóságokat, amelyek a Vámkódex 217-232. cikkének megfelelően beszedési eljárást kezdeményezhettek.
365a. cikk
(1) Ha a keresési eljárás során, de még a 450a. cikk első francia bekezdésében említett határidő letelte előtt az indító tagállam vámhatóságai (a továbbiakban: "megkereső hatóságok") bármely módon bizonyítékot szereznek arra a helyre vonatkozóan, ahol a vámtartozás keletkezését kiváltó események bekövetkeztek, és ez a hely egy másik tagállamban található, késedelem nélkül megküldenek minden rendelkezésre álló információt az említett hely szerint illetékes hatóságoknak (a továbbiakban: "megkeresett hatóságok").
(2) A megkeresett hatóságok nyugtázzák a tájékoztatás kézhezvételét, és jelzik, hogy felelősek-e a beszedésért. Ha huszonnyolc napon belül nem érkezik válasz, a megkereső hatóságok haladéktalanul folytatják az általuk megkezdett keresési eljárást.
366. cikk
(1) A főkötelezett az eljárásnak a nyilatkozatban megadott határidőn belüli befejezésére vonatkozó bizonyítékot a rendeltetési tagállam illetékes hatóságai által hitelesített olyan okmány formájában is benyújthatja az illetékes hatóságoknak, amely alapján azonosíthatók a szóban forgó áruk, és amely tanúsítja, hogy azokat bemutatták a rendeltetési vámhivatalnak vagy - a 64. cikk alkalmazása esetén - az engedélyezett címzettnek.
(2) A közösségi árutovábbítási eljárást akkor is befejezettnek kell tekinteni, ha a főkötelezett bemutatja az illetékes hatóságoknak a következő okmányok valamelyikét:
a) harmadik országban kibocsátott vámokmány az árunak meghatározott vámjogi sorsú áruként való beléptetéséről;
b) harmadik országban kibocsátott, ennek az országnak a vámhatóságai által lepecsételt okmány arról, hogy az áru az érintett harmadik országban szabad forgalomba bocsátottnak minősül.
(3) A (2) bekezdésben említett okmányokat azok másolatai vagy fénymásolatai is helyettesíthetik, ha hiteles másolati minőségüket az eredeti okmányokat hitelesítő szerv, az érintett harmadik ország hatóságai vagy az egyik tagállam hatóságai igazolják.
7. alszakasz - Kiegészítő rendelkezések a vámhatóságok között az árutovábbításra vonatkozó adatoknak információs technológia és számítógépes hálózatok használatával történő cseréjéről
367. cikk
A vámhatóságok közötti üzenetváltásra információs technológia és számítógépes hálózatok használatát előíró rendelkezések nem alkalmazhatók egyes szállítási módokra vonatkozó egyszerűsített eljárásokra, valamint a Vámkódex 97. cikke (2) bekezdésén alapuló és a 372. cikk (1) bekezdésének f) és g) pontjában említett egyszerűsített eljárásokra.
3. szakasz
Egyszerűsítések
1. alszakasz - Az egyszerűsítésekre vonatkozó általános rendelkezések
372. cikk
(1) A főkötelezett vagy adott esetben a címzett kérelmére a vámhatóságok a következő egyszerűsítéseket engedélyezhetik:
a) összkezesség vagy a biztosítéknyújtás alóli mentesség használata;
b) különleges vámzárak használata;
c) az előírt szállítási útvonal használata alóli mentesség;
d) engedélyezett feladói státus;
e) engedélyezett címzetti státus;
f) különös egyszerűsített eljárások alkalmazása:
i. vasúton vagy konténerben szállított áruk esetében;
ii. légi úton szállított áruk esetében;
iii. tengeren szállított áruk esetében;
iv. csővezetéken továbbított áruk esetében;
g) a Vámkódex 97. cikkének (2) bekezdésén alapuló egyéb egyszerűsített eljárás alkalmazása.
(2) Ha e szakasz vagy az engedély másként nem rendelkezik, az (1) bekezdés a) és f) pontjában említett egyszerűsítések engedélyezése esetén az egyszerűsítések minden tagállamban alkalmazandók. Az (1) bekezdés b), c) és d) pontjában említett egyszerűsítések engedélyezése esetén az egyszerűsítések csak azokra a közösségi árutovábbítási műveletekre alkalmazandók, amelyek az engedélyt kiadó tagállamban kezdődtek meg. Az (1) bekezdés e) pontjában említett egyszerűsítés engedélyezése esetén az egyszerűsítés kizárólag az engedélyt kiadó tagállamban alkalmazandó.
373. cikk
(1) A 372. cikk (1) bekezdésében említett engedélyeket csak azon személyek részére lehet kiadni, akik:
a) a Közösségben letelepedettek, azzal a kikötéssel, hogy az összkezesség alkalmazására vonatkozó engedély csak azoknak a személyeknek adható, akik abban a tagállamban letelepedettek, ahol a kezességet nyújtják,
b) rendszeresen alkalmazzák a közösségi árutovábbítási eljárást, vagy akikről a vámhatóságok tudják, hogy eleget tudnak tenni az eljáráshoz kapcsolódó kötelezettségeknek, vagy a 372. cikk (1) bekezdése e) pontjában említett egyszerűsítés esetén rendszeresen fogadnak olyan árukat, amelyeket közösségi árutovábbítási eljárás alá vontak, és
c) nem sértették meg súlyosan vagy ismételten a vám- vagy adójogszabályokat.
(2) Az egyszerűsítések megfelelő igazgatása érdekében engedély csak akkor adható, ha:
a) a vámhatóságok képesek felügyelni az eljárást, és az érintett személlyel kapcsolatos követelményekkel aránytalan igazgatási erőfeszítések nélkül képesek ellenőrzéseket végrehajtani, és
b) az érintett személyek olyan nyilvántartásokat vezetnek, amelyek lehetővé teszik a vámhatóságok számára a hatékony ellenőrzések elvégzését.
(3) Amennyiben az érintett személy a 14a. cikk (1) bekezdésének a) vagy c) pontjában említett AEO-tanúsítvánnyal rendelkezik, az e cikk (1) bekezdésének c) pontjában és (2) bekezdésének b) pontjában meghatározott követelményeket teljesítettnek kell tekinteni.
374. cikk
(1) Az egyszerűsítések alkalmazására vonatkozó engedély iránti kérelmet (a továbbiakban: a kérelem) dátummal kell ellátni és alá kell írni. A vámhatóságok az általuk meghatározott feltételek és szabályok alapján rendelkezhetnek úgy, hogy a kérelmet írásos formában kell elkészíteni vagy elektronikus adatfeldolgozási módszer segítségével benyújtani.
(2) A kérelemnek tartalmaznia kell minden olyan tényt, amely lehetővé teszi a vámhatóságok számára annak ellenőrzését, hogy teljesültek azok a feltételek, amelyek mellett az egyszerűsítések használatára vonatkozó engedély adható.
375. cikk
(1) A kérelmet annak a tagállamnak a vámhatóságaihoz kell benyújtani, ahol a kérelmező letelepedett.
(2) A kérelem benyújtásának dátumától számítva legfeljebb három hónapon belül az engedélyt meg kell adni, vagy a kérelmet el kell utasítani.
376. cikk
(1) Az engedély dátummal ellátott és aláírt eredeti példányát és egy vagy több másolatát át kell adni az engedélyesnek.
(2) Az engedélyben meg kell határozni az egyszerűsítés igénybevételének feltételeit, és az alkalmazás, illetve az ellenőrzés részletes szabályait. Az engedély a kiadásának napjától érvényes.
(3) A 372. cikk (1) bekezdésének b), c) és f) pontjában említett egyszerűsítések esetében az engedélyt az indító vámhivatal felszólítására be kell mutatni.
377. cikk
(1) Az engedély jogosultja köteles értesíteni a vámhatóságokat az engedély megadását követően felmerült bármely olyan tényezőről, amely befolyásolhatja az engedély fenntartását vagy tartalmát.
(2) Az engedély visszavonásáról vagy módosításáról szóló határozatban a hatálybalépés dátumát jelezni kell.
378. cikk
(1) A vámhatóságok a kiállított engedély egy példányával együtt megőrzik a kérelmet és a csatolt igazoló okmányokat.
(2) Amennyiben a kérelmet elutasítják, vagy az engedélyt érvénytelenítik vagy visszavonják, a kérelmet és adott esetben a kérelmet elutasító, az engedélyt érvénytelenítő vagy visszavonó határozatot és az összes csatolt igazoló okmányt meg kell őrizni a kérelem elutasítása, érvénytelenítése vagy visszavonása szerinti naptári év végétől számított három évig.
2. alszakasz - Összkezesség és a biztosítéknyújtás alóli mentesség
379. cikk
(1) A főkötelezett egy referenciaösszeg erejéig összkezességet vagy biztosítéknyújtás alóli mentességet vehet igénybe.
(2) A referenciaösszeg megegyezik azon vámtartozás összegével, amely a főkötelezett által közösségi árutovábbítási eljárás alá vont áruk tekintetében egy legalább egyhetes időszak során keletkezhet.
Ezt a becsült összeget a kezességnyújtás helye szerinti vámhivatal állapítja meg, az érdekelttel együttműködve:
a) az érintett által korábban szállított árukra vonatkozó információ alapján, valamint a végrehajtani szándékozott közösségi árutovábbítási műveletek nagyságrendjének többek között az érintett kereskedelmi nyilvántartásai és könyvelése alapján történő becslésével;
b) az árukra a kezességnyújtás helye szerinti vámhivatal tagállamában alkalmazandó legmagasabb vám- és díjtételek figyelembevételével a referenciaösszeg megállapításakor. A számítás során azokat a közösségi árukat, amelyeket az egységes árutovábbítási eljárásról szóló egyezmény alkalmazásában szállítottak vagy kell szállítani, nem közösségi áruként kell kezelni.
Minden egyes árutovábbítási műveletre vonatkozóan ki kell számítani a várhatóan keletkező vámtartozás összegét. Amennyiben a szükséges adatok nem állnak rendelkezésre, az összeget 7 000 EUR-nak kell feltételezni, kivéve ha a vámhatóságok által ismert más információkból ettől eltérő összeg következik.
(3) A kezességnyújtás helye szerinti vámhivatal - különösen, ha a főkötelezett kéri - felülvizsgálja, és szükség esetén kiigazítja a referenciaösszeget.
(4) Minden főkötelezett köteles gondoskodni arról, hogy a lekötött összegek - a még be nem fejezett eljárásokat is figyelembe véve - ne haladják meg a referenciaösszeget.
A referenciaösszegeket nyilván kell tartani a vámhatóságok számítógépes rendszerében, így azok minden egyes árutovábbítási művelet tekintetében nyomon követhetők.
380. cikk
(1) Az összkezesség által fedezendő összegnek meg kell egyeznie a 379. cikkben említett referenciaösszeggel.
(2) Az összkezesség összege csökkenthető:
a) a referenciaösszeg 50 %-ára, amennyiben a főkötelezett bizonyítja, hogy pénzügyi helyzete szilárd, és kellő tapasztalattal rendelkezik a közösségi árutovábbítási eljárást illetően;
b) a referenciaösszeg 30 %-ára, amennyiben a főkötelezett bizonyítja, hogy pénzügyi helyzete szilárd, kellő tapasztalattal rendelkezik a közösségi árutovábbítási eljárást illetően, továbbá szorosan együttműködik a vámhatóságokkal.
(3) A biztosítéknyújtás alóli mentesség akkor adható, ha a főkötelezett bizonyítja, hogy a (2) bekezdés b) pontjában szereplő megbízhatósági normát betartja, a szállítási tevékenységet ellenőrzése alatt tartja és kielégítő pénzügyi forrásokkal rendelkezik kötelezettségei teljesítéséhez.
(4) A (2) és (3) bekezdés alkalmazásában a tagállamok figyelembe veszik a 46b. mellékletben meghatározott feltételeket.
380a. cikk
Összkezesség és/vagy biztosítéknyújtás alóli mentesség esetén:
a) a főkötelezett referenciaösszegenként "biztosítékhivatkozási számot" kap a biztosíték használatára;
b) a kezességnyújtás helye szerinti vámhivatal a "biztosítékhivatkozási számhoz" hozzáférési kódot társít, amelyet közöl a főkötelezettel.
A főkötelezett ehhez a biztosítékhoz egy vagy több hozzáférési kódot kapcsolhat saját maga vagy képviselői számára.
381. cikk
(1) A 44c. mellékletben említett árutípusokra vonatkozó összkezesség nyújtásának engedélyezéséhez a főkötelezettnek nem csak azt kell bizonyítania, hogy megfelel a 373. cikk feltételeinek, de azt is, hogy a pénzügyi helyzete szilárd, kellő tapasztalattal rendelkezik a közösségi árutovábbítási eljárásra vonatkozóan, továbbá hogy szorosan együttműködik a vámhatóságokkal, vagy a szállítási tevékenységet ellenőrzése alatt tartja.
(2) Az (1) bekezdésben említett összkezesség összege csökkenthető:
a) a referenciaösszeg 50 %-ára, amennyiben a főkötelezett bizonyítja, hogy szorosan együttműködik a vámhatóságokkal, és a szállítási tevékenységet ellenőrzése alatt tartja;
b) a referenciaösszeg 30 %-ára, amennyiben a főkötelezett bizonyítja, hogy szorosan együttműködik a vámhatóságokkal, a szállítási tevékenységet ellenőrzése alatt tartja, továbbá hogy kielégítő pénzügyi forrásokkal rendelkezik kötelezettségei teljesítésére.
(3) Az (1) és (2) bekezdés alkalmazásában a vámhatóságok figyelembe veszik a 46b. mellékletben megállapított feltételeket.
(3a) Az (1), (2) és (3) bekezdést akkor is alkalmazni kell, ha egy kérelem kifejezetten az összkezességnek egyazon kezességi tanúsítvány keretében mind a 44c. mellékletben említett, mind a mellékletben fel nem sorolt árutípusok tekintetében való alkalmazására vonatkozik.
(4) A Vámkódex 94. cikke (6) és (7) bekezdésében meghatározott, a csökkentett összegű összkezesség vagy az összkezesség használatának ideiglenes tilalmára vonatkozó végrehajtási szabályokat a rendelet 47a. melléklete tartalmazza.
382. cikk
(1) Az összkezességet kezesnek kell nyújtania.
(2) A kezességvállalási nyilatkozatot a 48. mellékletben található mintának megfelelően kell elkészíteni. A nyilatkozatot a kezességnyújtás helye szerinti vámhivatal megőrzi.
(3) A 346. cikk (2) bekezdését értelemszerűen alkalmazni kell.
383. cikk
(1) Az engedély alapján a vámhatóságok a főkötelezett részére kiállítanak egy vagy több kezességi tanúsítványt vagy biztosítéknyújtás alóli mentességről szóló tanúsítványt (a továbbiakban: tanúsítvány), az 51. vagy az 51a. mellékletben található mintának megfelelő nyomtatványon, az 51b. melléklet szerint kitöltve, amely lehetővé teszi a főkötelezettnek az összkezesség vagy a biztosítéknyújtás alóli mentesség bizonyítását.
(2) A tanúsítvány érvényességének időtartama nem haladhatja meg a két évet. Ezt az időtartamot azonban a kezességnyújtás helye szerinti vámhivatal egy alkalommal, legfeljebb két évvel meghosszabbíthatja.
384. cikk
(1) Az összkezesség felmondására vagy visszavonására a 348. cikk (1) bekezdését és a (2) bekezdés első albekezdését értelemszerűen alkalmazni kell.
(2) Az összkezességre vagy a biztosítéknyújtás alóli mentességre vonatkozó engedély illetékes hatóságok általi visszavonását, valamint a kezességnyújtás helye szerinti vámhivatal kezesi kötelezettségvállalást elfogadó határozata visszavonása vagy a kezesi kötelezettségvállalás felmondása hatálybalépésének napját a kezességnyújtás helye szerinti vámhivatalnak kell bevinnie a számítógépes rendszerbe.
(3) A visszavonás vagy felmondás hatálybalépésétől a 353. cikk (2) bekezdésének b) pontja alapján kiadott tanúsítványok nem használhatók fel az áruk közösségi árutovábbítási eljárás alá vonására, és a főkötelezettnek haladéktalanul vissza kell küldenie azokat a kezességnyújtás helye szerinti vámhivatalnak.
Minden tagállam közli a Bizottsággal azokat az adatokat, amelyek segítségével az érvényben maradó, de még vissza nem küldött vagy lopottnak, elveszettnek, illetve hamisítottnak nyilvánított tanúsítványok azonosíthatók. A Bizottság tájékoztatja erről a többi tagállamot.
3. alszakasz
Különleges rakományjegyzékek
4. alszakasz - Különleges zárak használata
386. cikk
(1) A vámhatóságok engedélyezhetik a főkötelezett számára különleges zárak használatát a szállítóeszközökön vagy a csomagokon, feltéve, hogy a vámhatóságok jóváhagyják a zárakat, mint amelyek megfelelnek a 46a. mellékletben meghatározott jellemzőknek.
(2) A főkötelezettnek az árutovábbítási nyilatkozat adatai között fel kell tüntetnie az alkalmazott vámzárak típusát, számát és azonosítóját.
A főkötelezettnek legkésőbb az áruk kiadásakor fel kell helyeznie a vámzárakat.
5. alszakasz - Az előírt szállítási útvonal alóli mentesség
387. cikk
(1) A vámhatóságok mentességet biztosíthatnak az előírt szállítási útvonal alól azon főkötelezettnek, aki biztosítja, hogy a vámhatóságok mindenkor megbizonyosodhatnak az érintett szállítmány helyéről.
6. alszakasz - Engedélyezett feladói státusz
398. cikk
Azoknak a személyeknek, akik anélkül kívánnak közösségi árutovábbítási műveleteket végrehajtani, hogy az indító vámhivatalban vagy bármely más engedélyezett helyen bemutatnák az árukat és a rájuk vonatkozó árutovábbítási nyilatkozatokat, engedélyezett feladói státust lehet adni.
Ezt az egyszerűsítést csak azoknak a személyeknek lehet biztosítani, akik jogosultak az összkezesség használatára, vagy akik biztosítéknyújtás alóli mentességet kaptak.
399. cikk
Az engedélyben meg kell határozni különösen a következőket:
a) a jövőbeli közösségi árutovábbítási műveletekért felelős indító vámhivatalt vagy vámhivatalokat;
b) azt a határidőt, amelyen belül a vámhatóságok az árutovábbítási nyilatkozatnak az engedélyezett feladó általi benyújtása után, de még az áruk elszállítása előtt - adott esetben - elvégezhetik a szükséges ellenőrzéseket;
c) a végrehajtandó azonosítási intézkedéseket, amelyek esetében a vámhatóságok előírhatják, hogy a szállítóeszközt vagy a csomagot, illetve csomagokat az engedélyezett feladó által felhelyezett, a vámhatóságok által a 46a. mellékletben meghatározott jellemzőknek megfelelő, jóváhagyott különleges vámzárakkal kell ellátni;
d) a kizárt árukategóriákat vagy árumozgásokat.
400. cikk
Az engedélyezett feladó árutovábbítási nyilatkozatot nyújt be az indító vámhivatalnak. Az áruk kiadására a 399. cikk b) pontjában előírt határidő lejárta előtt nem kerülhet sor.
402. cikk
Az engedélyezett feladó szükség esetén beviszi a számítógépes rendszerbe a 355. cikk (2) bekezdésének megfelelően előírt útvonalat, azt a 356. cikknek megfelelően meghatározott határidőt, amelyen belül az árukat be kell mutatni a rendeltetési vámhivatalban, valamint a vámzárak számát, típusát és azonosítóját.
7. alszakasz - Engedélyezett címzetti státusz
406. cikk
(1) Azoknak a személyeknek, akik anélkül kívánnak a telephelyükön vagy más meghatározott helyen közösségi árutovábbítási kísérőokmány - árutovábbítási/biztonsági kísérőokmány alá vont árukat fogadni, hogy a rendeltetési vámhivatalban bemutatnák az árukat és az árutovábbítási nyilatkozatokat, engedélyezett címzetti státust lehet adni.
(2) A főkötelezett a Vámkódex 96. cikke (1) bekezdésének a) pontja értelmében rá háruló kötelezettségeket akkor teljesítette, és a közösségi árutovábbítási eljárás akkor tekintendő befejezettnek, ha a szállítmányt kísérő árutovábbítási kísérőokmány - árutovábbítási/biztonsági kísérőokmány és az érintetlen árukat az előírt határidőn belül, az azonosítási intézkedések betartásával, telephelyén vagy az engedélyben meghatározott más helyen átadták az engedélyezett címzettnek.
(3) A fuvarozó kérésére az engedélyezett címzett a (2) bekezdésnek megfelelően leszállított valamennyi szállítmány tekintetében kiállítja az - értelemszerűen alkalmazandó - 362. cikk szerinti bemutatási igazolást.
407. cikk
(1) Az engedélyben különösen a következőket kell meghatározni:
a) az engedélyezett címzett által fogadott árukért felelős rendeltetési vámhivatalt vagy vámhivatalokat;
b) azt a határidőt, amelyen belül az engedélyezett címzettnek a "kirakodási engedély" üzenet útján meg kell kapnia az "előzetes érkezési jelentés" üzenet vonatkozó adatait a rendeltetési vámhivataltól a 361. cikk (3) bekezdésének értelemszerű alkalmazása céljából;
c) a kizárt árukategóriákat és áruszállításokat.
(2) A vámhatóságok az engedélyben meghatározzák, hogy szükség van-e a rendeltetési vámhivatal részéről bármilyen intézkedésre azelőtt, hogy az engedélyezett címzett rendelkezhetne a beérkezett árukról.
408. cikk
(1) Az áruknak a telephelyére vagy az engedélyben megjelölt helyre való megérkezésekor az engedélyezett címzett köteles:
a) a szállítás során bekövetkezett esetleges eseményeket tartalmazó "érkezési értesítés" üzenet útján haladéktalanul tájékoztatni az illetékes rendeltetési vámhivatalt az áruk megérkezéséről;
b) megvárni a "kirakodási engedély" üzenetet a kirakodás megkezdése előtt;
c) a "kirakodási engedély" üzenet kézhezvételét követően, legkésőbb az áruk érkezése utáni harmadik napon a rendeltetési vámhivatalnak elküldeni a bekövetkezett változásokat is tartalmazó "megjegyzések a kirakodáshoz" üzenetet az engedélyben meghatározott eljárásnak megfelelően;
d) a rendeltetési vámhivatal számára hozzáférhetővé tenni vagy hozzá eljuttatni az árutovábbítási kísérőokmány - árutovábbítási/biztonsági kísérőokmány az árukat kísérő példányát az engedélyben foglalt rendelkezések szerint.
(2) A rendeltetési vámhivatal az "ellenőrzés eredménye" üzenetben található adatokat beviszi a számítógépes rendszerbe.
8. alszakasz
A vasúton vagy konténerben szállított árukra vonatkozó egyszerűsített eljárások
A.
A vasúti áruszállításra vonatkozó általános rendelkezések
412. cikk
A 359. cikk nem alkalmazandó az áruk vasúti szállítására.
413. cikk
A közösségi árutovábbítási eljárás alkalmazásakor az erre az eljárásra vonatkozó alakiságok a 414-425. cikk, a 441. cikk és a 442. cikk szerint egyszerűsödnek a "CIM fuvarlevél és expresszárulevél" (a továbbiakban: CIM fuvarlevél) fedezete mellett vasúttársaságok által szállított áruk esetében.
414. cikk
A CIM fuvarlevél egyenértékű a közösségi árutovábbítási nyilatkozattal.
415. cikk
A tagállamok vasúttársaságai kötelesek a központi elszámolási hivatalukban vagy hivatalaikban vezetett nyilvántartásaikat az országuk illetékes vámhatóságai részére ellenőrzési célokra hozzáférhetővé tenni.
416. cikk
(1) Az a vasúttársaság, amely az árut a közösségi árutovábbítási nyilatkozatként szolgáló CIM fuvarlevéllel történő fuvarozásra átveszi, ezen árutovábbítási művelet főkötelezettje lesz.
(2) Annak a tagállamnak a vasúttársasága, amelynek területén át az áruk a Közösségbe beléptek, főkötelezetté válik azon áruk szállítása tekintetében, amelyeket egy harmadik ország vasúttársasága vett át fuvarozásra.
417. cikk
A vasúttársaságok kötelesek gondoskodni arról, hogy a közösségi árutovábbítási eljárás keretében szállított szállítmányok az 58. mellékletben található minta szerinti piktogrammal ellátott öntapadó címkével legyenek ellátva.
A címkéket a CIM fuvarlevélre és zárt rakomány esetén a megfelelő vasúti kocsira, egyéb esetekben pedig a csomag(ok)ra kell ragasztani.
Az első bekezdésben említett címke helyettesíthető az 58. mellékletben feltüntetett piktogrammal megegyező, zöld színű bélyegzőlenyomattal.
418. cikk
Amennyiben a fuvarozási szerződést úgy módosítják, hogy:
- az a szállítás, amelynek a Közösség vámterületén kívül kellett volna befejeződnie, mégis azon belül ér véget,
- az a szállítás, amelynek a Közösség vámterületén belül kellett volna befejeződnie, mégis azon kívül ér véget,
akkor a vasúttársaságok a módosított szerződést az indító vámhivatal előzetes engedélye nélkül nem teljesíthetik.
A vasúttársaságok minden egyéb esetben teljesíthetik a módosított szerződést, az indító vámhivatalt azonban a módosításról haladéktalanul értesíteni kell.
419. cikk
(1) A CIM fuvarlevelet az indító vámhivatalnál kell bemutatni olyan közösségi árutovábbítási eljárásban történő szállítás esetében, amely a Közösség vámterületén belül indul és ér véget.
(2) Az indító vámhivatal a CIM fuvarlevél 1., 2. és 3. példányán a vámhatóság számára fenntartott rovatba jól láthatóan bejegyzi:
a) a "T1"; jelzést a közösségi külső árutovábbítási eljárás keretében szállított áruk esetén;
b) a "T2"; jelzést, ha az árut - a 340c. cikk (1) bekezdésében említett áruk kivételével - a Vámkódex 165. cikke szerint közösségi belső árutovábbítási eljárás keretében szállítják;
c) a "T2F"; jelzést, ha az árut a 340c. cikk (1) bekezdésének megfelelően közösségi belső árutovábbítási eljárás keretében szállítják.
A "T2"; vagy "T2F"; jelzést az indító vámhivatal bélyegzőlenyomatával hitelesíteni kell.
(3) A CIM fuvarlevél összes példányát vissza kell adni az érintett személynek.
(4) A 340c. cikk (2) bekezdésében említett árukat a közösségi indító pályaudvartól a Közösség vámterületén lévő rendeltetési pályaudvarig tartó teljes útra közösségi belső árutovábbítási eljárás alá kell vonni az egyes tagállamok által meghatározott intézkedéseknek megfelelően, anélkül hogy az indító vámhivatalnál az árukra vonatkozó CIM fuvarlevelet be kellene mutatni, és a 417. cikkben említett címkét fel kellene ragasztani. Ez a mentesség azonban nem vonatkozik azokra a CIM fuvarlevelekre, amelyeket a 843. cikk rendelkezéseivel érintett árukra bocsátottak ki.
(5) A (2) bekezdésben említett áruk tekintetében a rendeltetési pályaudvar helye szerinti vámhivatal látja el a rendeltetési vámhivatal teendőit. Ha azonban az árukat egy közbülső állomáson szabad forgalomba bocsátják, vagy más vámeljárás alá helyezik, akkor a pályaudvar helye szerint illetékes vámhivatal jár el rendeltetési vámhivatalként.
A 340c. cikk (2) bekezdésében említett áruk tekintetében a rendeltetési vámhivatalnál semmilyen alakiságot nem kell teljesíteni.
(6) A 415. cikkben említett ellenőrzés céljából a vasúttársaságoknak a rendeltetési országban a vámhatóság rendelkezésére kell bocsátaniuk a (4) bekezdésben említett közösségi árutovábbítási eljárásokra vonatkozó összes CIM fuvarlevelet az e hatóságokkal való kölcsönös megállapodás révén meghatározott rendelkezések szerint.
(7) Amennyiben közösségi árukat az egyik tagállamban lévő helyről egy másik tagállamban lévő helyre szállítanak egy harmadik, nem EFTA-ország területén keresztül, a közösségi belső árutovábbítási eljárást kell alkalmazni. Ebben az esetben a (4) bekezdés, az (5) bekezdés második albekezdése és a (6) bekezdés rendelkezéseit értelemszerűen alkalmazni kell.
420. cikk
Főszabályként, és a vasúttársaságok által az azonosság biztosítása érdekében tett intézkedéseket is figyelembe véve, az indító vámhivatal nem helyez fel zárat a szállítóeszközre vagy a csomagokra.
421. cikk
(1) A 419. cikk (5) bekezdésnek első albekezdésében említett esetekben a CIM fuvarlevél 2. és 3. példányát a rendeltetési vámhivatalért felelős tagállam vasúttársaságának kell benyújtania ennek a vámhivatalnak.
(2) A rendeltetési vámhivatal a 2. példányt annak záradékolása után haladéktalanul visszaküldi a vasúttársaságnak, a 3. példányt pedig megőrzi.
422. cikk
(1) Azokra a szállítási műveletekre, amelyeknek kiindulási és végpontja a Közösség vámterületén belül van, a 419-420. cikk rendelkezéseit kell alkalmazni.
(2) Rendeltetési vámhivatalként az a vámhivatal jár el, amelyhez tartozó határállomáson keresztül az áru elhagyja a Közösség vámterületét.
(3) A rendeltetési vámhivatalnál semmilyen alakiságot nem kell teljesíteni.
423. cikk
(1) Amennyiben egy szállítási művelet a Közösség vámterületén kívül indul, és azon belül kell véget érnie, akkor az a vámhivatal jár el indító vámhivatalként, amelyhez tartozó határállomáson keresztül az áru belép a Közösség vámterületére.
Az indító vámhivatalnál semmilyen alakiságot nem kell teljesíteni.
(2) Rendeltetési vámhivatalként a rendeltetési pályaudvar szerinti vámhivatal jár el. A 421. cikkben meghatározott alakiságokat a rendeltetési vámhivatalnál kell lefolytatni.
(3) Ha az árukat egy közbülső állomáson bocsátják szabad forgalomba, vagy vonják más vámeljárás alá, akkor az ezért az állomásért felelős vámhivatal jár el rendeltetési vámhivatalként. Ez a vámhivatal hitelesíti a 2. és 3. példányt, valamint a vasúttársaság által benyújtott 3. példány kiegészítő példányát, és ellátja ezeket az alábbi bejegyzések valamelyikével:
- Cleared
- Dédouané
- Verzollt
- Sdoganato
- Vrijgemaakt
- Toldbehandlet
- Εκτελωνισμένο
- Despachado de aduana
- Desalfandegado
- Tulliselvitetty
- Tullklarerat
- Propuštěno
- Lőpetatud
- Nomuitots
- Išleista
- Vámkezelve
- Mgħoddija
- Odprawiony
- Ocarinjeno
- Prepustené
- Оформено
- Vămuit
- Ocarinjeno.
Ez a vámhivatal késedelem nélkül visszaküldi a 2. és a 3. pédányt a vasúttársaság számára, miután hitelesítette ezeket, és megtartja a 3. példány kiegészítő példányát.
(4) A (3) bekezdésben említett eljárás nem alkalmazható a 92/12/EGK tanácsi irányelv ( 15 ) 3. cikkének (1) bekezdésében és 5. cikkének (1) bekezdésében meghatározott jövedéki adó alá eső termékekre.
(5) A (3) bekezdésben említett esetben a rendeltetési pályaudvar szerint illetékes vámhatóság kérheti a 2. és 3. példány hitelesítésének a közbülső pályaudvar szerint illetékes vámhatóság által történő utólagos ellenőrzését.
424. cikk
(1) Amennyiben egy szállítási művelet a Közösség vámterületén kívül kezdődik és ér véget, akkor a 423. cikk (1) bekezdésében említett vámhivatal jár el indító vámhivatalként, a 422. cikk (2) bekezdésében említett vámhivatal pedig rendeltetési vámhivatalként.
(2) Az indító és rendeltetési vámhivatalnál semmilyen alakiságot nem kell teljesíteni.
425. cikk
A 423. cikk (1) bekezdése vagy a 424. cikk (1) bekezdése szerint szállított árukat úgy kell tekinteni, mint amelyeket közösségi külső árutovábbítási eljárás keretében szállítanak, kivéve, ha a 313-340. cikknek megfelelően igazolják az áruk közösségi helyzetét.
B.
Konténerben szállított árukra vonatkozó rendelkezések
426. cikk
A közösségi árutovábbítási eljárás alkalmazásakor az eljárás alakiságai a 427-442. cikk szerint egyszerűsödnek a vasúttársaságok által, fuvarozási vállalatok igénybevételével, konténerekben szállított olyan áruk esetében, amelyeket TR-átadási jegyzékek fedezete mellett szállítanak. Ezek a szállítási műveletek magukban foglalhatják a szállítmányoknak a vasúti szállítástól eltérő szállítási módokat alkalmazó fuvarozási vállalatok általi, a berakodás helyéhez legközelebb eső alkalmas vasútállomásig, illetve a legközelebbi alkalmas vasútállomástól a kirakodás helyéig történő elszállítását, valamint az említett két állomás közötti bármely tengeri szállítást.
427. cikk
A 426-442. cikk alkalmazásában:
1. "fuvarozási vállalat": a vasúttársaságok által az áruk konténerekben, TR átadási jegyzékkel történő szállítására alapított, társas vállalkozási formában működő vállalkozás, amelynek társasági tagjai maguk a vasúttársaságok;
2. "konténer": olyan, a ----- szállítótartály:
- amelyet úgy terveztek, hogy a zárakat hatásosan fel lehessen rá helyezni, ha a 435. cikk alkalmazása ezt szükségessé teszi,
- amelyeknek mérete olyan, hogy az alaplap négy külső sarka által körbezárt terület legalább 7 m2;
3. "TR átadási jegyzék": a fuvarozási szerződést magában foglaló okmány, amely alapján a fuvarozási vállalat egy vagy több konténert a határt átlépő forgalomban egy adott feladótól egy címzettig szállíthat. Minden TR átadási jegyzék jobb felső sarkában azonosítás céljából egy sorszám található. A szám nyolc számjegyből áll, amelyeket a "TR" betűk előznek meg.
A TR átadási jegyzék az alábbi példányokból áll, a sorszámozásnak megfelelő sorrendben:
- 1: a fuvarozási vállalat vezérigazgatóságának példánya,
- 2: a rendeltetési pályaudvaron működő fuvarozási vállalat belföldi képviselőjének példánya,
- 3A: a vámhatóság példánya,
- 3B: a címzett példánya,
- 4: a fuvarozási vállalat vezérigazgatóságának példánya,
- 5: az indító pályaudvaron működő fuvarozási vállalat belföldi képviselőjének példánya,
- 6: a feladó példánya.
A 3A példány kivételével a TR átadási jegyzék minden példányának a jobb oldali szélét körülbelül négy centiméteres zöld csíkkal kell ellátni;
4. "TR átadási jegyzék pótlapja" (a továbbiakban: pótlap): az az okmány, amelyet a TR átadási jegyzékhez csatolnak annak elválaszthatatlan részeként, és amellyel több konténert ugyanazon indító pályaudvartól ugyanazon rendeletetési pályaudvarig szállítanak, ahol a vámalakiságokat teljesítik.
A pótlapot a hozzá tartozó TR átadási jegyzékkel azonos példányszámban kell kiállítani.
A pótlapok számát a TR átadási jegyzék jobb felső sarkában az erre a célra fenntartott rovatban kell feltüntetni.
Ezenkívül a pótlap jobb felső sarkában fel kell tüntetni a pótlaphoz tartozó valamennyi TR átadási jegyzék sorszámát;
5. "legközelebbi alkalmas vasútállomás" a berakodás vagy kirakodás helyéhez legközelebb eső vasútállomás vagy pályaudvar, amely rendelkezik a 2. pontban meghatározott konténerek kezelésére alkalmas berendezésekkel.
428. cikk
A fuvarozási vállalatok által használt TR átadási jegyzékek a közösségi árutovábbítási nyilatkozattal megegyező hatállyal bírnak.
429. cikk
(1) A fuvarozási vállalat minden tagállamban köteles a központi elszámolási hivatalában vagy a belföldi képviselőjénél, illetve képviselőinél vezetett nyilvántartásokat ellenőrzés céljára a vámhatóság részére belföldi képviselője vagy képviselői útján hozzáférhetővé tenni.
(2) Az illetékes vámhatóság megkeresésére a fuvarozási vállalat vagy annak belföldi képviselője vagy képviselői köteles(ek) haladéktalanul megküldeni az összes olyan okmányt, számviteli nyilvántartást vagy adatot, amelyek a végrehajtott vagy még folyamatban lévő szállításokkal kapcsolatosak, és amelyeket az illetékes vámhatóság szükségesnek lát megtekinteni.
(3) Azokban az esetekben, amikor a 428. cikknek megfelelően a TR átadási jegyzékeket a közösségi árutovábbítási nyilatkozatokkal vagy okmányokkal egyenértékűnek kell tekinteni, a fuvarozási vállalat vagy annak belföldi képviselője, illetve képviselői kötelesek tájékoztatni:
a) a rendeltetési vámhivatalt minden olyan TR átadási jegyzékről, amelynek 1. példányát úgy küldték meg részére, hogy arról a vámhivatali záradék hiányzik;
b) az indító vámhivatalt, ha a TR átadási jegyzék 1. példányát nem küldték vissza, és ha azzal kapcsolatban nem tudja megállapítani, hogy a szállítmány szabályszerű bemutatása megtörtént-e a rendeltetési vámhivatalnál, vagy hogy a 437. cikk szerinti esetekben a szállítmány elhagyta-e a Közösség vámterületét harmadik országbeli rendeltetéssel.
430. cikk
(1) A 426. cikk szerinti azon szállítmányok esetében, amelyeket a fuvarozási vállalat a tagállamok valamelyikében vett át, a szóban forgó tagállam vasúttársasága válik főkötelezetté.
(2) A 426. cikk szerinti azon szállítmányok esetében, amelyeket a fuvarozási vállalat egy harmadik országban vett át, annak a tagállamnak a vasúttársasága válik főkötelezetté, amelyen keresztül az áruk a Közösség vámterületére belépnek.
431. cikk
Amennyiben a vámalakiságokat nem az indító pályaudvarig vagy a rendeltetési pályaudvartól folytatott vasúti forgalomban végrehajtott szállítás során kell teljesíteni, akkor minden egyes TR átadási jegyzék csak egy konténert kísérhet.
432. cikk
A fuvarozási vállalatnak gondoskodnia kell arról, hogy a közösségi árutovábbítási eljárás alá vont szállítmányokat az 58. mellékletben található minta szerinti piktogrammal ellátott öntapadós címkével lássák el. A címkéket a TR átadási jegyzékre és az érintett konténerekre kell felragasztani.
Az első bekezdésben hivatkozott címke helyettesíthető az 58. mellékletben feltüntetett piktogrammal megegyező, zöld színű bélyegzőlenyomattal.
433. cikk
Amennyiben a fuvarozási szerződést úgy módosítják, hogy:
- az a szállítás, amelynek a Közösség vámterületén kívül kellett volna végződnie, mégis azon belül ér véget,
- az a szállítás, amelynek a Közösség vámterületén belül kellett volna végződnie, mégis azon kívül ér véget,
a fuvarozási vállalat a módosított szerződést az indító vámhivatal előzetes jóváhagyása nélkül nem teljesítheti.
A fuvarozási vállalat minden egyéb esetben teljesítheti a módosított szerződést; az indító vámhivatalt azonban a változásról haladéktalanul értesíteni kell.
434. cikk
(1) A TR átadási jegyzéket az indító vámhivatalnál kell bemutatni olyan szállítás esetében, amelynél a közösségi árutovábbítási eljárás a Közösség vámterületén belül indul, és ott is ér véget.
(2) Az indító vámhivatal a TR átadási jegyzék 1., 2., 3A. és 3B. példányán a vámhatóság számára fenntartott rovatba jól láthatóan bejegyzi:
a) a "T1" rövidítést a közösségi külső árutovábbítási eljárás keretében szállított áruk esetén;
b) a "T2" rövidítést, ha az árut - a 340c. cikk (1) bekezdésében említett áruk kivételével - a Vámkódex 165. cikke szerint közösségi belső árutovábbítási eljárás keretében szállítják;
c) a "T2F" rövidítést, ha az árut a 340c. cikk (1) bekezdése értelmében a közösségi belső árutovábbítási eljárás keretében szállítják.
A "T2" vagy "T2F" rövidítést az indító vámhivatal bélyegzőlenyomatával hitelesíteni kell.
(3) Az indító vámhivatal a TR átadási jegyzék 1., 2., 3A. és 3B. példányán a vámhatóság számára fenntartott rovatba az egyes konténerekre vonatkozó külön hivatkozásokat jegyez be, attól függően, hogy milyen típusú árukat tartalmaznak, és a megfelelő konténerekre való hivatkozás mellett értelemszerűen bejegyzi a "T1", "T2" vagy "T2F" rövidítést, amennyiben a TR átadási jegyzék egyidejűleg vonatkozik:
a) a közösségi külső árutovábbítási eljárásban szállított árukat tartalmazó konténerre;
b) a 340c. cikk (1) bekezdésében említett árukat kivéve a Vámkódex 165. cikke értelmében közösségi belső árutovábbítási eljárás keretében szállított árukat tartalmazó konténerre;
c) a 340c. cikk (1) bekezdése szerint közösségi belső árutovábbítási eljárás keretében szállított árukat tartalmazó konténerre.
(4) A (3) bekezdésben foglalt esetekben, amikor pótlapokat alkalmaznak, minden konténerfajtára vonatkozóan külön pótlapot kell készíteni, és az érintett pótlap vagy pótlapok sorszámát be kell írni a TR átadási jegyzék 1., 2., 3A. és 3B. példányán a vámhatóság számára fenntartott rovatba. A pótlap sorszámával együtt be kell jegyezni a konténer kategóriájának megfelelően a "T1", "T2" vagy "T2F" rövidítést.
(5) A TR átadási jegyzék összes példányát vissza kell juttatni az érintett személynek.
(6) A 340c. cikk (2) bekezdésében említett árukat a teljes útra közösségi belső árutovábbítási eljárás alá kell vonni az egyes tagállamok által meghatározott feltételeknek megfelelően, anélkül hogy az indító vámhivatalnál az árukra vonatkozó TR átadási jegyzéket be kellene mutatni, és a 432. cikkben említett címkét fel kellene ragasztani. Ez a mentesítés azonban nem vonatkozik azokra a TR átadási jegyzékekre, amelyeket a 843. cikk rendelkezéseivel érintett árukra bocsátottak ki.
(7) A (2) bekezdésben említett áruk tekintetében a TR átadási jegyzéket be kell mutatni a rendeltetési vámhivatalnál, ha az árukat szabad forgalomba bocsátják, vagy más vámeljárás alá vonják.
A 340c. cikk (2) bekezdésében említett áruk tekintetében a rendeltetési vámhivatalnál semmilyen alakiságot nem kell teljesíteni.
(8) A 429. cikkben említett ellenőrzés céljából a fuvarozási vállalatnak a rendeltetési országban a vámhatóság rendelkezésére kell bocsátania a (6) bekezdésben említett közösségi árutovábbítási eljárásokra vonatkozó összes TR átadási jegyzéket az ezekkel a hatóságokkal való kölcsönös megállapodás révén meghatározott rendelkezések szerint.
(9) Amennyiben közösségi árukat az egyik tagállamban lévő helyről egy másik tagállamban lévő helyre vasúton szállítanak egy harmadik, nem EFTA-ország területén keresztül, a közösségi belső árutovábbítási eljárást kell alkalmazni. Ebben az esetben a (6) bekezdést, a (7) bekezdés második albekezdését és a (8) bekezdést értelemszerűen alkalmazni kell.
435. cikk
Az áruk azonosságát a 357. cikknek megfelelően kell biztosítani. Az indító vámhivatal azonban főszabályként nem helyez fel zárat a konténerekre, amennyiben a vasúttársaságok megfelelő intézkedéseket tesznek az azonosság biztosítása érdekében. Ha zárat helyeztek fel, ezt a tényt a TR átadási jegyzék 3A és 3B példányán a vámhatóság számára fenntartott rovatba be kell jegyezni.
436. cikk
(1) A 434. cikk (7) bekezdésének első albekezdésében említett esetekben a fuvarozási vállalatnak be kell nyújtania a rendeltetési vámhivatalnak a TR átadási jegyzék 1., 2. és 3A példányát.
(2) A rendeltetési vámhivatal az 1. és 2. példányt záradékolás után haladéktalanul visszaküldi a fuvarozási vállalatnak, a 3A példányt pedig megőrzi.
437. cikk
(1) Amennyiben egy szállítási művelet a Közösség vámterületén belül indul, és azon kívül kell véget érnie, akkor a 434. cikk (1)-(5) bekezdésében és a 435. cikkben foglalt rendelkezéseket kell alkalmazni.
(2) Rendeltetési vámhivatalként az a vámhivatal jár el, amelyhez tartozó határállomáson keresztül az áru elhagyja a Közösség vámterületét.
(3) A rendeltetési vámhivatalnál semmilyen alakiságot nem kell teljesíteni.
438. cikk
(1) Amennyiben egy szállítási művelet a Közösség vámterületén kívül indul, és azon belül kell véget érnie, akkor az a vámhivatal jár el indító vámhivatalként, amelyhez tatozó határállomáson keresztül az áru belép a Közösség vámterületére. Az indító vámhivatalnál semmilyen alakiságot nem kell teljesíteni.
(2) Rendeltetési vámhivatalként az a vámhivatal jár el, amelynél az árukat bemutatták.
A 436. cikkben meghatározott alakiságokat a rendeltetési vámhivatalnál folytatják le.
(3) Ha az árukat szabad forgalomba bocsátják, vagy másik vámeljárás alá vonják egy közbülső állomáson, ennek az állomásnak a vámhivatala jár el rendeltetési vámhivatalként. Ez a vámhivatal lebélyegzi a fuvarozási vállalat által benyújtott TR átadási jegyzék 1., 2. és 3A. példányát és ellátja azokat legalább az egyik bejegyzéssel az alábbiak közül:
- Despachado de aduana,
- Toldbehandet,
- Verzollt,
- Εκτελωνισμένο,
- Cleared,
- Dédouané,
- Sdoganato,
- Vrijgemaakt,
- Desalfandegado,
- Tulliselvitetty,
- Tullklarerat,
- Propuštěno,
- Lőpetatud,
- Nomuitots,
- Išleista,
- Vámkezelve,
- Mgħoddija,
- Odprawiony,
- Ocarinjeno,
- Prepustené,
- Оформено,
- Vămuit,
- Ocarinjeno.
Ez a vámhivatal a lebélyegzés után késedelem nélkül visszajuttatja az 1. és 2. példányt a fuvarozási vállalatnak, és megtartja a 3A. példányt.
(4) A 423. cikk (4) és (5) bekezdésének rendelkezéseit értelemszerűen alkalmazni kell.
439. cikk
(1) Amennyiben egy szállítási művelet a Közösség vámterületén kívül indul, és azon kívül kell véget érnie, akkor a 438. cikk (1) bekezdésében említett vámhivatal jár el indító vámhivatalként, a 437. cikk (2) bekezdésében említett vámhivatal pedig rendeltetési vámhivatalként.
(2) Az indító és rendeltetési vámhivatalnál semmilyen alakiságot nem kell teljesíteni.
440. cikk
A 438. cikk (1) bekezdése vagy a 439. cikk (1) bekezdése szerint szállított árukat úgy kell tekinteni, mint amelyeket közösségi külső árutovábbítási eljárás keretében szállítanak, kivéve, ha a 313-340. cikknek megfelelően igazolják az áruk közösségi helyzetét.
C. Egyéb rendelkezések
441. cikk
A 353. cikk (5) bekezdése és a 37d. melléklet 23. pontja azokra a rakományjegyzékekre is alkalmazandó, amelyeket a CIM fuvarlevélhez vagy a TR átadási jegyzékhez csatoltak.
Ezen túlmenően a rakományjegyzéknek tartalmaznia kell azoknak a vasúti kocsiknak a számát, amelyekre a CIM fuvarlevél vonatkozik, vagy adott esetben az árukat tartalmazó konténer számát.
(2) Olyan szállítási műveletek esetében, amelyek a Közösség vámterületén belül kezdődnek, és mind közösségi külső árutovábbítási eljárás, mind pedig közösségi belső árutovábbítási eljárás keretében szállítandó árukra vonatkoznak, külön rakományjegyzékeket kell kiállítani; a TR átadási jegyzék fedezete mellett konténerekben szállított áruk esetében ezeket a külön jegyzékeket minden olyan konténerre vonatkozóan külön ki kell állítani, amely mindkét árufajtát tartalmazza.
Azoknak a rakományjegyzékeknek a sorszámát, amelyek mindkét árufajtára vonatkoznak, fel kell tüntetni a CIM fuvarlevélen vagy a TR átadási jegyzéken, az árumegnevezésekre fenntartott rovatban.
(3) Az (1) és (2) bekezdések szerinti esetekben és a 413-442. cikkben előírt eljárások alkalmazása során a CIM fuvarlevelet vagy a TR átadási jegyzéket kísérő rakományjegyzékek azok elválaszthatatlan részét képezik, és azokkal azonos joghatással bírnak.
Az ilyen rakományjegyzékek eredeti példányát a feladó pályaudvar bélyegzi le.
D. A rendes eljárások és az egyszerűsített eljárások hatálya
442. cikk
(1) A közösségi árutovábbítási eljárás alkalmazásakor, a 412-441. cikk nem zárja ki a 344-362. és a 367. cikkben, valamint a 37d. melléklet 22. pontjában meghatározott eljárások alkalmazásának lehetőségét; a 415. és a 417., vagy a 429. és a 432. cikket azonban alkalmazni kell.
(2) Az (1) bekezdésben említett esetekben a CIM fuvarlevél vagy a TR átadási jegyzék kiállításakor az alkalmazott közösségi árutovábbítási okmány(ok)ra való hivatkozást egyértelműen fel kell tüntetni a kísérő okmányok adatai számára fenntartott rovatban. A hivatkozásnak tartalmaznia kell az okmány típusát, a kiállító vámhivatal megnevezését és valamennyi felhasznált okmány keltét és nyilvántartási számát.
Ezen túlmenően a CIM fuvarlevél 2. példányát, illetve a TR átadási jegyzék 1. és 2. példányát a közösségi árutovábbítási eljárásban utoljára érintett pályaudvar illetékes vasúttársaságának kell hitelesítenie. Ez a vasúttársaság azt követően hitelesíti az okmányt, hogy megbizonyosodott arról, hogy az áruk szállítása az azokon hivatkozott közösségi árutovábbítási okmány vagy okmányok fedezete mellett történik.
(3) Amennyiben egy közösségi árutovábbítási eljárást a 426-440. cikknek megfelelően TR átadási jegyzék fedezete mellett hajtanak végre, úgy a művelethez kiállított CIM fuvarlevélre az (1) és (2) bekezdés és a 413-425. cikk nem alkalmazandó. A CIM fuvarlevélnek a kísérő okmányok adatai számára fenntartott rovatában egyértelműen utalni kell a TR átadási jegyzékre. A hivatkozásnak tartalmaznia kell a "TR átadási jegyzék" kifejezést és azt követően a sorszámot.
442a. cikk
(1) Amennyiben a közösségi árutovábbítási nyilatkozatnak az indító vámhivatalban történő bemutatása nem kötelező azoknak az áruknak az esetében, amelyeket a 413-442. cikkel összhangban CIM-fuvarlevél vagy TR átadási jegyzék kíséretében szándékoznak szállítani, a vámhatóságok megteszik a szükséges intézkedéseket annak érdekében, hogy a CIM-fuvarlevél 1., 2. és 3. példányán, illetve a TR átadási jegyzék 1., 2., 3A. és 3B. példányán fel legyen tüntetve a "T1", "T2" vagy "T2F" jelzés.
(2) Amennyiben a 413-442. cikknek megfelelően szállított árukat engedélyezett címzettnek szánják, a vámhatóságok a 406. cikk (2) bekezdésétől és a 408. cikk (1) bekezdésének b) pontjától eltérve előírhatják, hogy a CIM fuvarlevél 1., 2. és 3. példányát vagy a TR átadási jegyzék 1. 2. és 3A. példányát a vasúttársaság vagy a fuvarozási vállalat közvetlenül megküldje a rendeltetési vámhivatalnak.
9. alszakasz - Egyszerűsített eljárás légi szállításnál
444. cikk
(1) Egy légitársaság számára engedélyezhető az árujegyzék (manifeszt) árutovábbítási nyilatkozatként való használata, amennyiben a manifeszt megfelel Nemzetközi polgári repülésről szóló egyezmény 9. mellékletének 3. függelékében található mintának (egyszerűsített eljárás - 1. szint).
A közösségi árutovábbítási műveletek esetében az engedélynek meg kell jelölnie a manifeszt formáját és az indító és rendeltetési repülőtereket. A légitársaságnak valamennyi érintett repülőtér vámhatóságának meg kell küldeni az engedély hitelesített másolatát.
(2) Amennyiben a szállítási művelet egyszerre olyan árukra vonatkozik, amelyeket közösségi külső árutovábbítási eljárás alá és a 340c. cikk (1) bekezdésének rendelkezései alapján közösségi belső árutovábbítási eljárás alá kell helyezni, ezeket az árukat külön manifeszten kell felsorolni.
(3) Az összes manifeszten szerepelnie kell a légitársaság aláírással és dátummal ellátott záradékának, a következő jelölések valamelyikével:
- a "T1" jelzés, amennyiben az árukat a közösségi külső árutovábbítási eljárás alá vonták; vagy
- a "T2F" jelzés, amennyiben az árukat a 340c. cikk (1) bekezdésének rendelkezései alapján közösségi belső árutovábbítási eljárás alá vonták.
(4) A manifesztnek tartalmaznia kell továbbá a következő információkat is:
a) az árukat szállító légitársaság nevét;
b) a járatszámot;
c) a járat dátumát;
d) a berakodás helye szerinti repülőtér (indítói repülőtér) és a kirakodás helye szerinti repülőtér (rendeltetési repülőtér) nevét.
A manifesztnek az egyes szállítmányok tekintetében a következőket is tartalmaznia kell:
a) a légi fuvarlevél számát;
b) a csomagok számát;
c) az áruk szokásos kereskedelmi megnevezését, beleértve az azonosításukhoz szükséges adatokat;
d) a bruttó tömeget.
Gyűjtőszállítmányok esetén az áruk megnevezését - ahol alkalmazható - a "Consolidation" bejegyzéssel kell helyettesíteni, amelyet rövidíteni is lehet. Ilyen esetekben a manifeszten szereplő szállítmányok légi fuvarlevelének tartalmaznia kell az áruk szokásos kereskedelmi megnevezését, beleértve az azonosításukhoz szükséges adatokat.
(5) A manifeszt legalább két példányát be kell mutatni az indító repülőtér vámhatóságainak, amelyek egy példányt megtartanak.
(6) A manifeszt egy példányát be kell mutatni a rendeltetési repülőtér vámhatóságainak.
(7) Havonta egyszer - a jegyzék hitelesítését követően - minden rendeltetési repülőtér vámhatósága továbbítja minden indító repülőtér vámhatóságának a légitársaságok által összeállított jegyzéket az előző hónap során nekik bemutatott manifesztekről.
Az e jegyzéken szereplő összes manifeszt leírásának tartalmaznia kell a következő információkat:
a) a manifeszt hivatkozási számát;
b) a manifesztet a (3) bekezdésnek megfelelően árutovábbítási nyilatkozatként azonosító rövidítést;
c) az árukat szállító légitársaság nevét (amely rövidíthető);
d) a járatszámot; és
e) a járat dátumát.
Az engedély a légitársaság számára azt is előírhatja, hogy az első albekezdésben említett információkat saját maga továbbítsa.
Az említett jegyzéken szereplő manifeszteken feltüntetett információkkal kapcsolatban talált szabálytalanságok esetén a rendeltetési repülőtér vámhatóságai értesítik az indító repülőtér vámhatóságait és az engedélyt kiadó hatóságot, hivatkozva különösen a szóban forgó árukra vonatkozó légi fuvarlevelekre.
445. cikk
(1) Egy légitársaság számára engedélyezhető az elektronikus adatcsererendszerek által továbbított manifeszt árutovábbítási nyilatkozatként való használata, ha a légitársaság jelentős számú járatot üzemeltet a tagállamok között (egyszerűsített eljárás - 2. szint).
A 373. cikk (1) bekezdésének a) pontjától eltérve, nem szükséges, hogy a légitársaságok székhelye a Közösség területén legyen, ha ott regionális irodával rendelkeznek.
(2) Az engedélykérelem kézhezvételekor a vámhatóságok értesítik a többi olyan tagállamot, amelyek területén indító és rendeltetési repülőterek vannak, és amelyek csatlakoztak az elektronikus adatcsererendszerhez.
Amennyiben az értesítés dátumától számított 60 napon belül nem érkezik kifogás, a vámhatóságok kiállítják az engedélyt.
Ez az engedély az összes érintett tagállamban érvényes, és csak azokra a közösségi árutovábbítási műveletekre alkalmazandó, amelyek az engedélyben megjelölt repülőterek között történnek.
(3) Az egyszerűsítés alkalmazásában az indulási repülőtéren kiállított manifesztet elektronikus adattovábbítási rendszeren keresztül továbbítják a rendeltetési repülőtérnek.
A légitársaság a manifeszt vonatkozó tételei mellé bejegyzi:
a) a "T1" jelzést, amennyiben az árukat a közösségi külső árutovábbítási eljárás alá vonták;
b) a "TF" jelzést, amennyiben az árukat a 340c. cikk (1) bekezdése alapján közösségi belső árutovábbítási eljárás alá vonták;
c) a "TD" betűket a már korábban árutovábbítási eljárás alá vont, vagy aktív feldolgozásra, vámraktárba vagy ideiglenes behozatali eljárás keretében szállított áruk esetében. Ilyen esetekben a légitársaság is beírja a "TD" betűket a vonatkozó légi fuvarlevélre, valamint az alkalmazott eljárást, a hivatkozási számot, a dátumot, illetve az árutovábbítási nyilatkozatot vagy az átadási jegyzéket kiállító vámhivatal nevét;
d) a "C" betűt (a "T2L"-lel egyenértékű) azoknak az áruknak az esetében, amelyek közösségi helyzete bizonyítható;
e) az "X" betűt azoknak a közösségi áruknak az esetében, amelyeket exportálni fognak, és amelyeket nem vontak árutovábbítási eljárás alá.
A manifesztnek tartalmaznia kell a 444. cikk (4) bekezdésében előírt információkat is.
(4) A közösségi árutovábbítási eljárást akkor tekinthető befejezettnek, amikor az elektronikus adatcsererendszeren továbbított manifeszt a rendeltetési repülőtér vámhatóságainak rendelkezésére áll, és az árukat ott bemutatták.
A légitársaság által vezetett nyilvántartásoknak tartalmazniuk kell legalább a (3) bekezdés második albekezdésében említett információkat.
Ha szükséges, a rendeltetési repülőtér vámhatóságai ellenőrzés céljából továbbítják az indulási repülőtér vámhatóságainak az elektronikus adatcsererendszeren kapott manifesztek vonatkozó részleteit.
(5) A Vámkódex 365. és 366. cikkének, 450a-450d. cikkének és VII. címének sérelme nélkül:
a) a légitársaság köteles értesíteni a vámhatóságokat az összes szabályszegésről és szabálytalanságról;
b) a rendeltetési repülőtér vámhatóságai a lehető leghamarabb értesítik az indulási repülőtér vámhatóságait és az engedélyt kiállító hatóságot valamennyi szabályszegésről és szabálytalanságról.
10. alszakasz
A tengeri fuvarozás egyszerűsített eljárása.
446. cikk
Ha a 447. és 448. cikk alkalmazandó, nem szükséges biztosítékot nyújtani.
447. cikk
(1) A hajózási társaságok számára engedélyezni lehet a hajórakjegyzék (manifeszt) árutovábbítási nyilatkozatként történő használatát (egyszerűsített eljárás - 1. szint).
A közösségi árutovábbítási műveletek esetében az engedélynek jeleznie kell a manifeszt formáját és az indulási és rendeltetési kikötőket. A hajózási társaság az összes érintett kikötő vámhatóságainak megküldi az engedély egy hitelesített példányát.
(2) Amennyiben a szállítási művelet során olyan árukat szállítanak együtt, amelyeket közösségi külső árutovábbítási eljárás alá és a 340c. cikk (1) bekezdése alapján közösségi belső árutovábbítási eljárás alá vonnak, ezeket az árukat külön manifeszten kell felsorolni.
(3) Az összes manifeszten szerepelnie kell a hajózási társaság aláírással és dátummal ellátott záradékának a következő jelölések valamelyikével:
a) a "T1" jelzés, amennyiben az árukat a közösségi külső árutovábbítási eljárás alá vonták; vagy
b) a "T2F" jelzés, amennyiben az árukat a 340c. cikk (1) bekezdésének alapján közösségi belső árutovábbítási eljárás alá vonták.
(4) A manifesztnek tartalmaznia kell a következő információkat is:
a) az árukat fuvarozó hajózási társaság nevét és teljes címét;
b) a hajó nevét;
c) a berakodás helyét;
d) a kirakodás helyét.
A manifesztnek az összes szállítmány esetében szintén meg kell jelölnie:
a) a hajóraklevél hivatkozását;
b) a csomagok számát, jellegét, jelölését és azonosítási számát;
c) az áruk szokásos kereskedelmi megnevezését, beleértve az azonosításukhoz szükséges adatokat;
d) a bruttó tömeget kilogrammban;
e) szükség esetén a szállítótartályok azonosító számát.
(5) A manifeszt legalább két példányát be kell mutatni az indulási kikötő vámhatóságainak, amely egy példányt megtart.
(6) A manifeszt egy példányát be kell mutatni a rendeltetési kikötő vámhatóságainak.
(7) Havonta egyszer - a jegyzék hitelesítését követően - valamennyi rendeltetési kikötő vámhatósága továbbítja valamennyi indulási kikötő vámhatóságának a hajózási társaságok által összeállított jegyzéket az előző hónap során nekik bemutatott manifesztekről.
Az e jegyzéken szereplő összes manifeszthez fel kell tüntetni a következő információkat:
a) a manifeszt hivatkozási számát;
b) a manifesztet a (3) bekezdésnek megfelelően árutovábbítási nyilatkozatként azonosító jelzést;
c) az árukat fuvarozó hajózási társaság nevét (amely rövidíthető);
d) a tengeri szállítási művelet dátumát.
Az engedély előírhatja a hajózási társaság számára, hogy az első albekezdésben említett információkat saját maga továbbítsa.
Az említett jegyzéken szereplő manifeszteken feltüntetett információkkal kapcsolatban talált szabálytalanságok esetén a rendeltetési kikötő vámhatóságai értesítik az indulási kikötő vámhatóságait és az engedélyt megadó hatóságot, hivatkozva különösen a szóban forgó árukat tartalmazó hajóraklevelekre.
448. cikk
(1) Egy hajózási társaság számára engedélyezhető, hogy az egyetlen manifesztet használjon árutovábbítási nyilatkozatként, ha a társaság jelentős számú rendszeres hajójáratot működtet a tagállamok között (egyszerűsített eljárás - 2. szint).
A 373. cikk (1) bekezdése a) pontjának rendelkezéseitől eltérve, nem szükséges, hogy a hajózási társaság székhelye a Közösségben legyen, ha ott regionális irodát működtet.
(2) Az engedélykérelem kézhezvételekor a vámhatóságok értesítik a többi olyan tagállamot, amelyek területén az indulási és rendeltetési kikötők vannak.
Amennyiben az értesítés dátumától számított hatvan napon belül nem érkezik kifogás, a vámhatóságok kiállítják az engedélyt.
Ez az engedély az összes érintett tagállamban érvényes, és csak azokra a közösségi árutovábbítási műveletekre alkalmazandó, amelyek a benne megjelölt kikötők között történnek.
(3) Az egyszerűsítés alkalmazásában a hajózási társaság az összes szállított áru tekintetében egyetlen manifesztet használhat; amennyiben így tesz, a hajózási társaságnak a manifeszt vonatkozó tételei mellé be kell jegyeznie:
a) a "T1" jelzést, amennyiben az árukat a közösségi külső árutovábbítási eljárás alá vonták;
b) a "TF" jelzést, amennyiben az árukat a 340c. cikk (1) bekezdése alapján közösségi belső árutovábbítási eljárás alá vonták;
c) a "TD" betűket a már korábban árutovábbítási eljárás alá vont, vagy aktív feldolgozásra, vámraktárba vagy ideiglenes behozatali eljárásra beszállított áruk esetében. Ilyen esetekben a hajózási társaságnak a "TD" betűket a vonatkozó hajóraklevélre vagy más megfelelő kereskedelmi okmányra is rá kel vezetnie, valamint meg kell adnia az alkalmazott eljárást, a hivatkozási számot, a dátumot, és az árutovábbítási nyilatkozatot vagy az átadási jegyzéket kiállító vámhivatal nevét;
d) a "C" betűt (a "T2L"-lel egyenértékű) azoknak az áruknak az esetében, amelyek közösségi helyzete bizonyítható;
e) az "X" betűt azoknak a közösségi áruknak az esetében, amelyeket exportálni fognak, és amelyeket nem vontak árutovábbítási eljárás alá.
A manifesztnek tartalmaznia kell a 447. cikk (4) bekezdésében előírt információkat is.
(4) A közösségi árutovábbítási eljárást akkor kell befejezettnek tekinteni, amikor a manifesztet és az árukat bemutatták a rendeltetési kikötő vámhatóságainak.
A hajózási társaság által a 373. cikk (2) bekezdése b) pontjának megfelelően vezetett nyilvántartásoknak tartalmazniuk kell legalább a (3) bekezdés első albekezdésében említett információkat.
Ha szükséges, a rendeltetési kikötő vámhatóságai ellenőrzés céljából továbbítják az indulási kikötő vámhatóságainak a manifesztek vonatkozó részleteit.
(5) A Vámkódex 365. és 366. cikkének, a 450a-450d. cikkének és a VII. címének sérelme nélkül
a) a hajózási társaság köteles értesíteni a vámhatóságokat az összes szabályszegésről és szabálytalanságról;
b) a rendeltetési kikötő vámhatóságai a lehető leghamarabb értesítik az indulási kikötő vámhatóságait és az engedélyt kiállító hatóságot az összes szabályszegésről és szabálytalanságról.
11. alszakasz - A csővezetéken történő szállítás egyszerűsített eljárása
450. cikk
(1) A közösségi árutovábbítási eljárás alkalmazásakor az eljárásra vonatkozó alakiságokat a (2)-(6) bekezdésnek megfelelően kell alkalmazni a csővezetéken szállított árukra.
(2) A csővezetéken keresztül szállított árut a közösségi árutovábbítási eljárás alá vontnak kell tekinteni:
- a Közösség vámterületére való belépéskor azon áruk esetében, amelyek az említett területre csővezetéken keresztül lépnek be,
- a vezetékrendszerbe való bevezetéskor azon áruk esetében, amelyek már a Közösség vámterületén belül vannak.
Szükség esetén az áruk közösségi helyzetét a 313-340. cikknek megfelelően kell megállapítani.
(3) A (2) bekezdés szerinti áruk esetében a csővezetéknek a Közösségbe való belépés vagy szállítás megkezdésének helye szerinti tagállamban letelepedett üzemeltetője válik főkötelezetté.
(4) A Vámkódex 96. cikkének (2) bekezdése alkalmazásában a csővezeték azon tagállamban letelepedett üzemeltetője minősül fuvarozónak, amelynek a területén keresztül az árut csővezetéken átszállítják.
(5) A közösségi árutovábbítási eljárás akkor minősül befejezettnek, ha a csővezetéken szállított áru a címzett telephelyére megérkezik, vagy a címzett elosztó hálózata átvette, és a nyilvántartásába bevezették.
(6) Az ilyen áruk szállításában részt vevő vállalkozások kötelesek nyilvántartást vezetni, és azt a (2)-(4) bekezdés szerinti közösségi árutovábbítási eljárás kapcsán szükségesnek ítélt ellenőrzések elvégzése céljából az illetékes vámhatóság számára hozzáférhetővé tenni.
4. szakasz
Vámtartozás és beszedés
450a. cikk
A Vámkódex 215. cikke (1) bekezdésének harmadik francia bekezdésében említett határidő:
- attól a naptól számított hét hónap, ameddig az árukat a rendeltetési vámhivatalnak legkésőbb be kellett volna mutatni, kivéve a 365a. cikk szerinti beszedés iránti kérelem esetét, amikor ez az időszak legfeljebb egy hónappal meghosszabbodik, vagy
- a 365. cikk (5) bekezdésében említett határidő leteltét követő egy hónap, ha a főkötelezett nem megfelelő tájékoztatást adott, vagy nem adott tájékoztatást.
450b. cikk
(1) Amennyiben az egyéb terhek beszedése iránti eljárás kezdeményezését követően a Vámkódex 215. cikk szerint meghatározott vámhatóságok (a továbbiakban: megkereső hatóságok) bármilyen eszközzel bizonyítékot szereznek arra a helyre vonatkozóan, ahol a vámtartozás keletkezését kiváltó események bekövetkeztek, ezek a hatóságok késedelem nélkül megküldik a szükséges okmányokat - beleértve a bizonyíték hitelesített másolatát - az említett hely szerint illetékes hatóságoknak (a továbbiakban: megkeresett hatóságok).
A megkeresett hatóságok nyugtázzák a közlemény kézhezvételét, és jelzik, hogy felelősek-e a beszedésért. Amennyiben három hónapon belül nem érkezik válasz, a megkereső hatóságok késedelem nélkül folytatják az általuk megkezdett beszedési eljárást.
(2) Amennyiben a megkeresett hatóságok az illetékesek, az (1) bekezdés második albekezdésében említett három hónapos határidőt követően szükség esetén kezdeményezik az egyéb terhek beszedése iránti új eljárást, és a megkereső hatóságokat azonnal értesítik.
Az egyéb terheknek a megkereső hatóságok által kezdeményezett, még le nem zárt beszedési eljárását azonnal fel kell függeszteni, amint a megkeresett hatóságok értesítik a megkereső hatóságokat arról, hogy elhatározták a beszedés iránti intézkedések megtételét.
Amint a megkeresett hatóságok igazolják, hogy beszedték a szóban forgó összegeket, a megkereső hatóságok visszafizetik a már beszedett egyéb terheket, vagy megszüntetik a beszedési eljárást.
450c. cikk
(1) Ha az eljárást nem zárják le, az indító tagállam vámhatóságai az áruk rendeltetési vámhivatalnak való bemutatására előírt határidőtől számított kilenc hónapon belül értesítik a kezest arról, hogy az eljárás nem zárult le.
(1a) Ha az eljárást nem zárták le, a Vámkódex 215. cikke szerint meghatározott vámhatóságok az árutovábbítási nyilatkozat elfogadásának napjától számított három éven belül értesítik a kezest arról, hogy köteles vagy köteles lehet a kérdéses közösségi árutovábbítási műveletre vonatkozó tartozást - amiért felelős - megfizetni; az értesítésben meg kell jelölni az árutovábbítási nyilatkozat számát és keltét, az indító vámhivatal nevét, a főkötelezett nevét, valamint a szóban forgó összeget.
(2) A kezes mentesül kötelezettségei alól, ha a határidő lejárta előtt nem adják meg számára az (1) vagy az (1a) bekezdésben előírt értesítések bármelyikét.
(3) Amennyiben az értesítések egyikét megküldték, a kezest értesíteni kell a tartozás beszedéséről vagy az árutovábbítási eljárás lezárásáról.
450d. cikk
A tagállamok kölcsönösen segítik egymást a beszedés végrehajtására illetékes hatóságok meghatározásában.
Ezek a hatóságok értesítik az indító vámhivatalt és a kezességnyújtás helye szerinti vámhivatalt minden olyan esetről, amelynek során az indító vámhivatal által elfogadott közösségi árutovábbítási nyilatkozatokkal kapcsolatban vámtartozás keletkezett, valamint azokról az intézkedésekről, amelyeket az adóssal szemben az érintett összeg beszedése érdekében tettek. Ezenkívül tájékoztatják az indító vámhivatalt a vámok és egyéb terhek beszedéséről, hogy a vámhivatal az árutovábbítási műveletet lezárhassa.
9. FEJEZET
Árufuvarozás TIR- vagy ATA-eljárás keretében
1. szakasz
Közös rendelkezések
451. cikk
(1) Ha az árukat a TIR-igazolvánnyal (TIR-egyezmény) vagy ATA-igazolvánnyal (ATA-egyezmény /Isztambuli Egyezmény) történő nemzetközi árufuvarozásra vonatkozó eljárás keretében a Közösség vámterületének egyik pontjáról egy másikra szállítják, a Közösség vámterületét - az e fuvarozáshoz használt TIR- vagy ATA-igazolványok használatára vonatkozó szabályok alkalmazásában - egyetlen területet alkotónak kell tekinteni.
(2) Az ATA-igazolványok árutovábbítási okmányként való alkalmazásakor az "árutovábbítás" áruk fuvarozását jelenti a Közösség vámterületén lévő valamely vámhivataltól egy másik, ugyanazon a területen lévő vámhivatalig.
452. cikk
Amennyiben a Közösség vámterületének egyik pontjától egy másik pontjáig való fuvarozás során az áruk valamely harmadik ország területén haladnak át, a TIR- vagy ATA-eljárással kapcsolatos ellenőrzéseket és alakiságokat azokon a pontokon kell elvégezni, ahol az áruk ideiglenesen elhagyják a Közösség vámterületét, illetve ahol az említett területre újra belépnek.
453. cikk
(1) A TIR-igazolvány vagy az ATA-igazolvány fedezete mellett a Közösség vámterületén belül szállított áruk nem közösségi áruknak minősülnek, kivéve, ha közösségi helyzetüket hitelt érdemlően igazolják.
(2) Az (1) bekezdésben említett áruk közösségi helyzetét a 314. cikk-324f. cikknek megfelelően, illetve adott esetben a 325-334. cikknek megfelelően a 326. cikkben meghatározott keretek között kell megállapítani.
2. szakasz
TIR-eljárás
454. cikk
(1) E szakasz rendelkezéseit a TIR-igazolvány alapján történő, a Közösség vámterületén belüli árufuvarozásra kell alkalmazni.
(2) Az ebben a szakaszban említett üzenetek szerkezetét és tartalmi elemeit a vámhatóságok egymás közötti megállapodással állapítják meg.
(3) A TIR-igazolvány jogosultja az igazolványra vonatkozó adatokat - a 37a. és 37c. mellékletben meghatározott szerkezetnek és tartalmi elemeknek megfelelően - elektronikus úton nyújtja be az indító vagy a beléptető vámhivatalnak.
(4) Az áruk TIR-műveletre való kiadásakor az indító vagy a beléptető vámhivatal árutovábbítási kísérőokmány - árutovábbítási/biztonsági kísérőokmány állít ki, amelyet a TIR-igazolvány 2. számú leválasztható szelvényével együtt kell tartani, és az elektronikus adatokat az "előzetes érkezési jelentés" üzenettel továbbítja a bejelentett rendeltetési vagy kiléptető vámhivatalnak.
(5) A TIR-igazolvány elektronikusan benyújtott adatai és a TIR-igazolvány tartalmi elemei közötti eltérésekből adódó jogi következményeket a TIR-igazolvány tartalmi elemei alapján kell meghatározni.
(6) A TIR-igazolványra vonatkozó adatok elektronikus úton történő benyújtásának kötelezettsége alól csak a következő, kivételes esetekben adható mentesség:
a) a vámhatóságok számítógépes árutovábbítási rendszere nem működik;
b) a kérelem elektronikus benyújtására szolgáló számítógépes alkalmazás nem működik;
c) a vámhatóságok számítógépes árutovábbítási rendszere és a kérelem elektronikus benyújtására szolgáló számítógépes alkalmazás közötti hálózati összeköttetés nem működik.
(7) A (6) bekezdés b) és c) pontja szerinti mentesség a vámhatóságok jóváhagyásától függ.
454a. cikk
(1) A címzett kérelmére az engedélyezett címzetti státusz megadásával a vámhatóságok engedélyezhetik, hogy a címzett TIR-eljárás keretében szállított árukat fogadjon saját telephelyén vagy más meghatározott helyen.
(2) Az (1) bekezdésben említett engedély kizárólag olyan személynek adható, aki
a) a Közösségben letelepedett;
b) rendszeresen fogad olyan árukat, amelyeket a TIR-eljárás alá vontak, vagy akiről az illetékes vámhatóságok tudják, hogy képes az eljárás tekintetében előírt kötelezettségek teljesítésére;
c) a vám- vagy adójogszabályokat nem sértette meg súlyosan vagy ismételten;
d) adatfeldolgozási módszert használ a rendeltetési vámhivatallal való kapcsolattartáshoz.
A 373. cikk (2) bekezdését értelemszerűen alkalmazni kell.
Az engedély kizárólag az azt megadó tagállamban alkalmazható.
Az engedély kizárólag olyan TIR-eljárásokra vonatkozik, amelyeknek végső kirakodási helye az engedélyben meghatározott telephely.
(3) A 374. és 375. cikket, a 376. cikk (1) és (2) bekezdését, valamint a 377. és 378. cikket értelemszerűen alkalmazni kell az (1) bekezdésben meghatározott kérelemre vonatkozó eljárásra.
(4) A 407. cikket értelemszerűen alkalmazni kell az (1) bekezdésben hivatkozott engedélyre vonatkozó eljárás tekintetében.
(5) Amennyiben az érintett személy a 14a. cikk (1) bekezdésének a) vagy c) pontjában említett AEO-tanúsítvánnyal rendelkezik, az e cikk (2) bekezdése első albekezdésének c) pontjában és 373. cikk (2) bekezdésének b) pontjában meghatározott követelményeket teljesítettnek kell tekinteni.
454b. cikk
(1) Az áruknak a telephelyére vagy a 454a. cikkben említett engedélyben megjelölt helyre történő megérkezésekor az engedélyezett címzettnek az engedélyben megállapított eljárással összhangban a következő kötelezettségeknek kell eleget tennie:
a) az "érkezési értesítés" útján haladéktalanul tájékoztatja a rendeltetési vámhivatalt az áruk megérkezéséről és a szállítás során bekövetkezett szabálytalanságokról;
b) a kirakodás megkezdése előtt megvárja a "kirakodási engedély" üzenetet;
c) haladéktalanul bevezeti nyilvántartásába a kirakodás eredményét;
d) legkésőbb az áruk megérkezését követő három napon belül elküldi az esetleges szabálytalanságokat vagy más eseményt is tartalmazó "kirakodási megjegyzések" üzenetet a rendeltetési vámhivatalnak.
(2) Az engedélyezett címzett köteles gondoskodni arról, hogy a TIR-igazolványt és az árutovábbítási kísérőokmány - árutovábbítási/biztonsági kísérőokmány haladéktalanul bemutassák a rendeltetési vámhivatal vámhatóságainak. E hatóságok kitöltik a TIR-igazolvány 2. számú ellenőrző szelvényét, és gondoskodnak arról, hogy a TIR-igazolvány visszakerüljön a TIR-igazolvány jogosultjához vagy az ő nevében eljáró személyhez. A 2. számú leválasztható szelvényt a rendeltetési vagy a kiléptető vámhivatal megőrzi.
(3) A TIR-művelet befejezésének időpontja az (1) bekezdés c) pontjában említett nyilvántartásba vétel napja.
Ha azonban szállítás közben szabálytalanság vagy más esemény történt, a TIR-művelet befejezésének időpontja a 455. cikk (4) bekezdésében említett "az ellenőrzés eredménye" üzenet dátuma.
(4) A TIR-igazolvány jogosultjának kérelmére az engedélyezett címzett bemutatási igazolást állít ki arról, hogy az áruk megérkeztek telephelyére; az igazolásban hivatkozni kell az árutovábbítási kísérőokmány - árutovábbítási/biztonsági kísérőokmány és a TIR-igazolványra. A bemutatási igazolás nem használható annak igazolására, hogy a TIR-művelet a TIR-egyezmény 1. cikkének d) pontja vagy a 455b. cikk értelmében befejeződött.
(5) A rendeltetési vámhivatal beviszi az "ellenőrzés eredménye" üzenetet a számítógépes rendszerbe.
A vámhatóságok a TIR-egyezmény 10. mellékletében szereplő adatokat is továbbítják.
(6) Ha az engedélyezett címzett adatfeldolgozó alkalmazása nem működik, az illetékes hatóságok más módszereket is megengedhetnek a rendeltetési vámhivatal vámhatóságaival való kapcsolattartásra.
454c. cikk
(1) A TIR-igazolvány jogosultja akkor teljesíti a TIR-egyezmény 1. cikkének o) pontjában foglalt kötelezettségeit, amikor a TIR-igazolvány a közúti járművel, a járműszerelvénnyel vagy a szállítótartállyal és a rakománnyal együtt sértetlenül megérkezett az engedélyezett címzett telephelyére vagy az engedélyben meghatározott helyre.
(2) A TIR-műveletnek a TIR-egyezmény 1. cikkének d) pontja szerinti befejezése akkor történik meg, amikor a 454b. cikk (1) bekezdésében és a (2) bekezdése első mondatában meghatározott követelményeknek eleget tettek.
455. cikk
(1) A rendeltetési vagy a kiléptető vámhivatal az áruk bemutatásának napján kitölti a TIR-igazolvány 2. számú tőszelvényét, megőrzi a hozzá kapcsolódó 2. számú leválasztható szelvényt és az árutovábbítási kísérőokmány - árutovábbítási/biztonsági kísérőokmány, majd az "érkezési értesítés" üzenettel értesíti az indító vagy a beléptető vámhivatalt az áruk megérkezéséről.
(2) Ha a TIR-művelet nem az árutovábbítási nyilatkozatban eredetileg bejelentett vámhivatalban fejeződik be, az új rendeltetési vagy kiléptető vámhivatal az "érkezési értesítés" üzenettel értesíti az indító vagy a beléptető vámhivatalt az áruk megérkezéséről.
Az indító vagy a beléptető vámhivatal a "továbbított érkezési értesítés" üzenettel értesíti az eredetileg bejelentett rendeltetési vagy kiléptető vámhivatalt az áruk megérkezéséről.
(3) Az első és második bekezdésben említett "érkezési értesítés" üzenet nem használható az eljárás 455b.cikk szerinti befejezésének igazolására.
(4) Indokolt esetek kivételével a rendeltetési vagy a kiléptető vámhivatal legkésőbb az áruknak a rendeltetési vagy a kiléptető vámhivatalnál történő bemutatását követő harmadik napon továbbítja az indító vagy a beléptető hivatalnak az "ellenőrzés eredménye" üzenetet. A 454b. cikk alkalmazása esetén azonban, a rendeltetési vámhivatal legkésőbb az áruknak az engedélyezett címzett telephelyére történő megérkezését követő hatodik napon továbbítja az indító vagy a beléptető vámhivatalnak az "ellenőrzés eredménye" üzenetet.
A vámhatóságok a TIR-egyezmény 10. mellékletében szereplő adatokat is továbbítják.
(5) A 454. cikk (6) bekezdésének alkalmazása esetén a rendeltetési vagy a kiléptető tagállam vámhatóságai a TIR-igazolvány 2. számú leválasztható szelvényének megfelelő részét haladéktalanul, de legkésőbb a TIR-művelet befejezésének időpontjától számított nyolc napon belül visszaküldik az indító vagy a beléptető tagállam vámhatóságainak.
455a. cikk
(1) Ha az indító vagy a beléptető tagállam vámhatóságai az áruknak a rendeltetési vagy a kiléptető vámhivatalban történő bemutatására előírt határidőn belül nem kapják meg az "érkezési értesítés" üzenetet, vagy az "érkezési értesítés" üzenet megérkezését követő hat napon belül nem kapják meg az "ellenőrzés eredménye" üzenetet, akkor mérlegelniük kell, hogy megindítják-e a keresési eljárást a TIR-művelet lezárásához szükséges információk megszerzése érdekében, vagy - ha ez nem lehetséges - abból a célból, hogy:
- megállapítsák, keletkezett-e vámtartozás,
- azonosítsák az adóst, és
- meghatározzák a könyvelésért felelős vámhatóságokat.
(2) A keresési eljárást legkésőbb az (1) bekezdésben említett egyik határidő lejártát követő hét napon belül meg kell indítani, kivéve a tagállamok közötti megállapodásban meghatározott kivételes eseteket. Ha a vámhatóságok korábban értesülnek arról, hogy a TIR-művelet nem fejeződött be, vagy ennek gyanúja merül fel, kötelesek haladéktalanul megindítani a keresési eljárást.
(3) Ha az indító vagy a beléptető tagállamok vámhatóságai csak az "érkezési értesítés" üzenetet kapják meg, úgy indítják meg a keresési eljárást, hogy az "érkezési értesítés" üzenetet küldő rendeltetési vagy kiléptető vámhivatalokat felkérik az "ellenőrzés eredménye" üzenet elküldésére.
(4) Ha az indító vagy a beléptető vámhivatal vámhatóságai nem kapják meg az "érkezési értesítés" üzenetet, keresési eljárást indítanak a rendeltetési vagy a kiléptető vámhivatalnál a TIR-művelet lezárásához szükséges információk megszerzése érdekében. Ennek a hivatalnak 28 napon belül válaszolnia kell a megkeresésre.
(5) Ha a TIR-műveletet nem lehet lezárni, fel kell kérni a TIR-igazolvány jogosultját, hogy legkésőbb a rendeltetési vagy a kiléptető vámhivatalnál folytatott keresési eljárás megkezdésétől számított 28 napon belül bocsássa rendelkezésre az eljárás lezárásához szükséges információkat. A TIR-igazolvány jogosultjának 28 napon belül válaszolnia kell a megkeresésre. A TIR-igazolvány jogosultjának kérésére ez a határidő 28 nappal meghosszabbítható.
Nem érintve a TIR-egyezmény 11. cikke (1) bekezdése szerinti értesítés elküldésének kötelezettségét, az indító vagy a beléptető tagállam vámhatóságai tájékoztatják az érintett garanciavállaló egyesületet is, és felszólítják a TIR-művelet befejezésének bizonyítására.
(6) A 454. cikk (6) bekezdésének alkalmazása esetén az indító vagy a beléptető tagállam vámhatóságai megindítják az (1) bekezdésben említett keresési eljárást, ha nem kaptak bizonyítékot arra, hogy a TIR-műveletet a TIR-igazolvány elfogadásának napját követő két hónapon belül befejezték. Az említett hatóságok e célból megkeresést küldenek a rendeltetési vagy a kiléptető tagállam vámhatóságainak mellékelve a szükséges információkat. Ha a hatóságok korábban értesülnek arról, hogy a TIR-művelet nem fejeződött be, vagy ennek gyanúja merül fel, kötelesek haladéktalanul megindítani a keresési eljárást. A keresési eljárást akkor is meg kell indítani, ha utóbb nyilvánvalóvá válik, hogy a TIR-művelet befejezésének igazolását meghamisították, és az (1) bekezdésben említett célok eléréséhez keresési eljárásra van szükség.
Az (5) bekezdésben előírt eljárást értelemszerűen alkalmazni kell.
A rendeltetési vagy a kiléptető tagállam vámhatóságai 28 napon belül kötelesek válaszolni a megkeresésre.
(7) Ha a keresési eljárás során azt állapítják meg, hogy a TIR-művelet rendben befejeződött, az indító vagy a beléptető tagállam vámhatóságai lezárják az eljárást, és erről haladéktalanul tájékoztatják a garanciavállaló egyesületet és a TIR-igazolvány jogosultját, valamint adott esetben azokat a vámhatóságokat, amelyek a Vámkódex 217-232. cikkének megfelelően beszedési eljárást kezdeményezhettek.
455b. cikk
(1) A TIR-műveletnek a TIR-igazolványban előírt határidőn belüli befejezéséről szóló bizonyíték a rendeltetési vagy a kiléptető tagállam vámhatóságai által hitelesített olyan okmány formájában is benyújtható a vámhatóságoknak, amely alapján az áruk azonosíthatók, és amely tanúsítja, hogy azokat bemutatták a rendeltetési vagy a kiléptető vámhivatalnak, vagy - a 454a. cikk alkalmazása esetén - az engedélyezett címzettnek.
(2) A TIR-műveletet akkor is befejezettnek kell tekinteni, ha a TIR-igazolvány jogosultja vagy a garanciavállaló egyesület bemutatja a vámhatóságoknak a következő okmányok valamelyikét:
a) harmadik országban kibocsátott vámokmány az áru meghatározott vámjogi sorsú áruként való beléptetéséről;
b) harmadik országban kibocsátott, ennek az országnak a vámhatóságai által záradékolt okmány arról, hogy az áru az érintett harmadik országban szabad forgalomba bocsátottnak minősül.
(3) A (2) bekezdés a) és b) pontjában említett okmányokat azok másolati vagy fénymásolatai is helyettesíthetik, ha hiteles másolati minőségüket az eredeti okmányokat hitelesítő szerv, az érintett harmadik ország hatóságai vagy az egyik tagállam hatóságai igazolják.
456. cikk
(1) Amennyiben valamely TIR-egyezmény szerinti jogsértés vagy szabálytalanság miatt vámtartozás keletkezik a Közösségben, e szakasz rendelkezéseit értelemszerűen alkalmazni kell a Vámkódex 91. cikke (1) bekezdésének a) pontjában említett más terhekre is.
A Vámkódex 215. cikke (1) bekezdésének harmadik francia bekezdésében említett határidő hét hónap attól az utolsó naptól számítva, ameddig az árukat a rendeltetési vagy a kiléptető vámhivatalnak be kellett volna mutatni.
A 450b. és 450d. cikket értelemszerűen alkalmazni kell a TIR-eljáráshoz kapcsolódó beszedési eljárásra is.
457. cikk
(1) A TIR-egyezmény 8. cikke (4) bekezdésének alkalmazásában, ha valamely TIR-eljárást a Közösség vámterületén hajtanak végre, bármely, a Közösségben letelepedett garanciavállaló egyesület felelőssé válhat a TIR-eljárással érintett árukkal kapcsolatos vámtartozás biztosított összegének megfizetésért, TIR-igazolványonként 60 000 EUR vagy azzal egyenértékű nemzeti valutában kifejezett összeghatárig.
(2) A Vámkódex 215. cikke alapján a beszedésre illetékes tagállamban letelepedett garanciavállaló egyesület felel a vámtartozás biztosított összegének megfizetéséért.
(3) A Vámkódex 215. cikke (1) bekezdésének harmadik francia bekezdése alapján a beszedésre illetékesként azonosított tagállam vámhatósága által készített, a TIR- eljárás mentesülésének elmaradásáról szóló érvényes értesítés az említett hatóság által meghatalmazott garanciavállaló egyesület felé akkor is érvényes, ha egy másik - a Vámkódex 215. cikke (1) bekezdésének első vagy második francia bekezdése alapján illetékesként azonosított - tagállam vámhatóságai később eljárnak az utóbbi hatóságok által meghatalmazott garanciavállaló egyesülettel szembeni beszedésben.
457a. cikk
Ha egy tagállam vámhatóságai úgy határoznak, hogy valamely személyt a TIR-egyezmény 38. cikkének rendelkezései szerint kizárnak a TIR-eljárásból, ezt a határozatot a Közösség teljes vámterületén alkalmazni kell.
Ebből a célból a tagállam ezt a határozatot az alkalmazás idejével együtt közli a többi tagállammal és a Bizottsággal.
Ezt a határozatot a vámhivatalnál elfogadásra benyújtott minden TIR-igazolványra alkalmazni kell.
457b. cikk
(1) Ha a TIR-művelet a 340a. cikkben említett árukra vonatkozik, vagy ha a vámhatóságok szükségesnek tartják, az indító vagy a beléptető vámhivatal kötelező útvonalat írhat elő a szállítmánnyal kapcsolatban.
(2) Annak a tagállamnak a vámhatóságai, amelyben a szállítmány található, feljegyzik a megfelelő adatokat az árutovábbítási kísérőokmány - árutovábbítási/biztonsági kísérőokmány és a TIR-igazolvány 1. számú ellenőrző szelvényére, ha:
a) a TIR-igazolvány jogosultjának kérelmére megváltoztatták az útvonalat;
b) a fuvarozó vis maior miatt eltért az előírt útvonaltól.
A rendeltetési vagy a kiléptető vámhivatal beviszi a megfelelő információkat a számítógépes rendszerbe.
(3) A (2) bekezdés b) pontjában említett esetekben haladéktalanul be kell mutatni a szállítmányt, az árutovábbítási kísérőokmány - árutovábbítási/biztonsági kísérőokmány dokumentumot és a TIR-igazolványt a legközelebbi vámhatóságnak.
3. szakasz
Az ATA-eljárás
457c. cikk
(1) Ezt a cikket az ATA-egyezmény vagy az Isztambuli Egyezménynek az ATA-igazolvány használata esetén a garanciavállaló egyesületek felelősségére vonatkozó különös rendelkezéseinek sérelme nélkül kell alkalmazni.
(2) Amennyiben megállapítást nyer, hogy valamely ATA-igazolvány fedezete mellett végzett árutovábbítási művelet során vagy azzal összefüggésben egy adott tagállamban jogsértést vagy szabálytalanságot követtek el, az adott esetben fizetendő vámok és egyéb díjak beszedését - a büntetőjogi rendelkezések esetleges alkalmazásának sérelme nélkül - a közösségi vagy nemzeti rendelkezéseknek megfelelően az érintett tagállam végzi.
(3) Amennyiben a jogsértés vagy szabálytalanság elkövetésének helye nem állapítható meg, az ilyen jogsértést vagy szabálytalanságot abban a tagállamban elkövetettnek kell tekinteni, ahol azt felfedezték, kivéve, ha a 457d. cikk (2) bekezdésében meghatározott határidőn belül a vámhatóságok számára az eljárás szabályszerűségére, illetve a jogsértés vagy szabálytalanság tényleges elkövetésének helyére vonatkozóan hitelt érdemlő bizonyítékkal szolgálnak.
Amennyiben ilyen bizonyítékot nem mutatnak be, és az említett jogsértést vagy szabálytalanságot így abban a tagállamban elkövetettnek tekintik, amelyikben azt felfedezték, az érintett árukra vonatkozó vámokat és egyéb díjakat a közösségi vagy nemzeti rendelkezéseknek megfelelően az érintett tagállam szedi be.
Ha utólagosan megállapítják, hogy a jogsértést vagy szabálytalanságot ténylegesen melyik tagállamban követték el, az ebben a tagállamban az érintett árukra vonatkozó vámokat és egyéb díjakat (eltekintve azoktól, amelyeket a második albekezdés szerint mint a Közösség saját forrásait szedtek be) az azokat eredetileg beszedő tagállam köteles visszatéríteni ennek a tagállamnak. Ebben az esetben minden túlfizetést vissza kell téríteni annak a személynek, aki a terheket eredetileg megfizette.
Amennyiben azoknak a vámoknak és egyéb díjaknak az összege, amelyeket az azokat eredetileg beszedő tagállam beszedett és visszatérített, alacsonyabb, mint az abban a tagállamban fizetendő vámoknak és egyéb díjaknak az összege, ahol a jogsértést vagy szabálytalanságot ténylegesen elkövették, ennek a tagállamnak a közösségi vagy nemzeti rendelkezések értelmében be kell szednie a különbözetet.
A tagállamok vámigazgatási szervei megteszik a szükséges intézkedéseket annak érdekében, hogy minden jogsértés és szabálytalanság ügyében eljárjanak, és hatékony szankciókat alkalmazzanak.
457d. cikk
(1) Amennyiben megállapítást nyer, hogy egy jogsértést vagy szabálytalanságot valamely ATA-igazolvány fedezete mellett végzett árutovábbítási művelet során vagy azzal összefüggésben követtek el, a vámhatóságok az ATA-egyezmény 6. cikkének (4) bekezdésében vagy az Isztambuli Egyezmény A. melléklete 8. cikkének (4) bekezdésében előírt határidőn belül értesítik az ATA-igazolvány jogosultját és a garanciavállaló egyesületet.
(2) Az ATA-igazolvány fedezete mellett végrehajtott művelet szabályszerűségének a 457c. cikk (3) bekezdése szerinti bizonyítékát az ATA-egyezmény 7. cikkének (1) és (2) bekezdésében előírt határidőn belül kell benyújtani vagy az Isztambuli Egyezmény A. melléklete 9. cikkének (1) bekezdése a) és b) pontjában.
(3) A vámhatóságok előtt a következők minősülnek a (2) bekezdés szerinti, hitelt érdemlő bizonyítéknak:
a) egy, a vámhatóságok által igazolt vám- vagy kereskedelmi okmány bemutatása, amelyből kitűnik, hogy a szóban forgó árukat a rendeltetési vámhivatalnál bemutatták;
b) egy harmadik országban kiállított, valamely vámeljárás alá vonást igazoló vámokmánynak vagy másolatának, illetve fénymásolatának bemutatása; ezt a másolati vagy fénymásolati példányt hitelesíttetni kell azzal a szervvel, amely az eredeti okmányt záradékkal látta el, az érintett harmadik ország hatóságával vagy pedig a tagállamok valamelyikének hatóságával;
c) az ATA-egyezmény 8. cikkében vagy az Isztambuli Egyezmény A. melléklete 10. cikkében említett igazolás.
Az első albekezdés a) és b) pontjában említett okmányoknak tartalmazniuk kell a szóban forgó áruk azonosítását lehetővé tevő adatokat.
458. cikk
(1) A vámhatóságoknak minden tagállamban ki kell jelölniük egy koordinációs hivatalt az ATA-igazolvánnyal kapcsolatos jogsértésekre vagy szabálytalanságokra vonatkozó bármilyen eljárás lefolytatására.
Ezek a hatóságok kötelesek tájékoztatni a Bizottságot a koordinációs hivatalok kijelöléséről és azok teljes címéről. A Bizottság ezeket az információkat a világhálón, az Európai Unió hivatalos weboldalán keresztül közli a többi tagállammal.
(2) A fizetendő vámok és egyéb díjak beszedéséért felelős tagállam meghatározása céljából azt a tagállamot kell az ATA-igazolvány fedezete mellett végrehajtott árutovábbítási művelet során elkövetett jogsértés vagy szabálytalanság - a 457c. cikk (3) bekezdének második albekezdése értelmében - felfedezése helyének tekinteni, amelyben az árukat megtalálták, vagy ha az árukat nem találták meg, akkor azt a tagállamot, amelynek koordinációs hivatalánál az igazolvány legutolsó betétlapja megtalálható.
459. cikk
(1) Amennyiben valamely tagállam vámhatósága megállapítja, hogy vámtartozás keletkezett, igényét a lehető legrövidebb időn belül be kell benyújtania annak a garanciavállaló egyesületnek, amellyel ez a tagállam kapcsolatban áll. Amennyiben a tartozás amiatt merült fel, hogy az ATA-igazolvánnyal kísért árukat az ATA-egyezményben vagy az Isztambuli Egyezményben meghatározott időtartamon belül nem vitték ki újra, vagy vámjogi sorsukat nem rendezték, ezt az igényt legkorábban az igazolvány lejártától számított három hónap elteltével lehet elküldeni.
(2) Az igényt benyújtó koordinációs hivatalnak ugyanakkor lehetőség szerint az 59. mellékletben szereplő mintának megfelelően kiállított tájékoztatót kell küldenie annak a koordinációs hivatalnak, amelynek az illetékessége alá az ideiglenes behozatal vámhivatala tartozik.
A tájékoztatóhoz csatolni kell az el nem számolt okmány másolatát, amennyiben az a koordináló hivatalnak rendelkezésére áll. A tájékoztatót bármikor alkalmazni lehet, amikor szükséges.
460. cikk
(1) A 459. cikkben említett igényből eredő vámok és adók összegét a 60. mellékletben bemutatott elszámolásinyomtatvány-minta alapján kell kiszámolni, amelyet a csatolt útmutatónak megfelelően kell kitölteni.
Az elszámolási nyomtatványt az igény benyújtásától számított három hónapon belül, de legkésőbb a beszedési eljárás vámhatóság által történő megindításától számított hat hónapon belül az igény benyújtását követően is el lehet küldeni.
(2) A 461. cikkel összhangban és az abban foglaltak szerint az a tény, hogy ezt a nyomtatványt valamely garanciavállaló egyesületnek megküldi az a vámhatóság, amellyel ez a testület kapcsolatban áll, nem mentesíti a Közösségben működő többi garanciavállaló egyesületet a vámok és egyéb díjak megfizetése alól, ha megállapítják, hogy a jogsértést vagy szabálytalanságot nem abban a tagállamban követték el, amelyben az eljárásokat megindították.
(3) Az elszámolási nyomtatványt szükség szerint két vagy három példányban kell kitölteni. Az első példányt az igényt érvényesítő tagállam vámhatóságával kapcsolatban álló garanciavállaló egyesületnek a részére kell kiállítani. A második példányt a kibocsátó koordinációs hivatal őrzi meg. Szükség esetén a kibocsátó koordinációs hivatal elküldi a harmadik példányt annak a koordinációs hivatalnak, amelynek illetékessége alá az ideiglenes behozatalivám-hivatal tartozik.
461. cikk
(1) Amennyiben megállapítják, hogy a jogsértést vagy szabálytalanságot nem abban a tagállamban követték el, amelyben az eljárást megindították, az első tagállam koordinációs hivatala a maga részéről lezárja az ügyet.
(2) Az eljárás lezárása érdekében a koordinációs hivatal megküldi a másik tagállam koordinációs hivatalának a birtokában lévő iratokat, és szükség esetén visszatérít a vele kapcsolatban álló garanciavállaló egyesületnek minden olyan összeget, amelyet az az egyesület adott esetben letétbe helyezett, vagy ideiglenesen kifizetett.
Az ügy azonban csak akkor zárható le, ha az első tagállam koordinációs hivatala a második tagállam koordinációs hivatalától megkapja a nyilatkozatot, amelyben közlik, hogy ez utóbbi tagállamban az ATA-egyezmény vagy az Isztambuli Egyezmény szabályainak megfelelően megindították az eljárást. Ezt a nyilatkozatot a 61. mellékletben szereplő mintának megfelelően kell kiállítani.
(3) A behajtási eljárást a jogsértés vagy szabálytalanság helye szerinti tagállam koordinációs hivatala veszi át, és szükség esetén beszedi a vele kapcsolatban álló garanciavállaló egyesülettől az esedékes vámokat és egyéb díjakat az abban a tagállamban hatályban lévő mértéknek megfelelően, amelyben ez a hivatal található.
(4) Az eljárást az igazolvány lejártától számított egy éven belül át kell adni, feltéve, hogy a végleges kifizetés az ATA-egyezmény 7. cikkének (2) vagy (3) bekezdése vagy az Isztambuli Egyezmény A. melléklete 9. cikkének (1) bekezdése b) és c) pontja értelmében még nem történt meg. Amennyiben ezt a határidőt túllépik, a 457c. cikk (3) bekezdésének harmadik és negyedik albekezdését kell alkalmazni.
10. FEJEZET
Fuvarozás a 302. számú nyomtatvány fedezete mellett
462. cikk
(1) Amennyiben a Vámkódex 91. cikke (2) bekezdése e) pontjának, illetve a 163. cikke (2) bekezdése e) pontjának megfelelően az 1951. június 19-én Londonban aláírt, az Észak-atlanti Szerződés tagállamai közötti, a fegyveres erőik jogállásáról szóló egyezményben előírt 302. számú nyomtatvány fedezete mellett szállítanak árut a Közösség vámterületének egyik pontjáról egy másik pontjára, a Közösség vámterülete az említett nyomtatvány ilyen fuvarozáshoz történő felhasználására vonatkozó előírások alkalmazásában egyetlen területnek minősül.
(2) Amennyiben egy, az (1) bekezdésben említett szállítási művelet során az áruk valamely harmadik ország területén haladnak át, a 302. számú nyomtatvánnyal kapcsolatos ellenőrzéseket és alakiságokat azokon a pontokon kell elvégezni, ahol az áruk ideiglenesen elhagyják a Közösség vámterületét, illetve ahol az említett területre újra belépnek.
(3) Amennyiben megállapítást nyer, hogy egy 302. számú nyomtatvány fedezete mellett végrehajtott szállítási művelet során vagy azzal kapcsolatban egy meghatározott tagállamban jogsértést vagy szabálytalanságot követtek el, az esetleg fizetendő vámok és egyéb díjak beszedését - a büntetőjogi rendelkezések esetleges alkalmazásának sérelme nélkül - a közösségi vagy nemzeti rendelkezések szerint az érintett tagállam végzi.
(4) A 457c. cikk (3) bekezdését értelemszerűen kell alkalmazni.
10a. FEJEZET
Eljárás a postai küldemények esetében
462a. cikk
(1) Amennyiben a Vámkódex 91. cikke (2) bekezdésének f) pontja alapján a Közösség vámterületének egyik pontjáról egy másik pontjára nem közösségi árukat szállítanak postai úton (beleértve a csomagküldeményt), a feladási hely szerinti tagállam vámhatóságai kötelesek gondoskodni a csomagoknak és a kísérő okmányoknak a 42. mellékletben bemutatott mintának megfelelő címkével történő ellátásáról.
(2) Amennyiben a közösségi árukat postai úton (beleértve a csomagküldeményt) a Közösség vámterületének olyan részére vagy olyan részéről szállítják, ahol a 77/388/EGK irányelv nem alkalmazandó, a feladási hely szerinti tagállam vámhatóságai kötelesek gondoskodni a csomagoknak és a kísérő okmányoknak a 42b. mellékletben bemutatott mintának megfelelő címkével történő ellátásáról.
III. CÍM
GAZDASÁGI VÁMELJÁRÁSOK
1. FEJEZET
Egynél több vámeljárásnál alkalmazandó alaprendelkezések
1. szakasz
Meghatározások
496. cikk
E cím alkalmazásában:
a) "vámeljárás"gazdasági vámeljárás;
b) "engedély"a vámhatóság engedélye a vámeljárás alkalmazására;
d) "engedélyes"az engedély birtokosa;
e) "felügyeletet ellátó vámhivatal"az engedélyben megjelölt, az eljárás felügyeletére felhatalmazott vámhivatal;
f) "eljárást megindító vámhivatal"az engedélyben megjelölt vámhivatal vagy vámhivatalok, amelyek felhatalmazást kaptak az áruk vámeljárás alá vonására vonatkozó vámáru-nyilatkozat elfogadására;
g) "eljárást lezáró vámhivatal"az engedélyben megjelölt vámhivatal vagy vámhivatalok, amelyek felhatalmazást kaptak olyan vámáru-nyilatkozatok elfogadására, amelyek az árut a vámeljárás alá vonást követően, egy új engedélyezett vámjogi sors alá rendelik, illetve amelyek passzív feldolgozás esetén a szabad forgalomba hozatalra vonatkoznak;
h) "háromszögforgalom"azt a forgalmat jelenti, ahol az eljárást lezáró vámhivatal nem egyezik meg az eljárást megindító vámhivatallal;
i) "számviteli nyilvántartás"az engedélyes kereskedelmi, adózási vagy egyéb számviteli anyagait jelenti, vagy az ő nevében nyilvántartott ilyen adatokat;
j) "nyilvántartás"az összes szükséges információt és technikai részletet tartalmazó adat bármilyen adathordozón, lehetővé téve a vámhatóságoknak a vámeljárások felügyeletét és ellenőrzését, különös tekintettel az áruk áramlására és vámjogi helyzetének változására; a vámraktározási eljárás nyilvántartását raktárnyilvántartásnak nevezzük;
k) "fő végtermék"azok a végtermékek, amelyeknek az előállítására a vámeljárást engedélyezték;
l) "melléktermék"azok a végtermékek, amelyek a feldolgozási folyamatnak az engedélyben meghatározott fő végtermékeken kívüli szükségszerű melléktermékei;
m) "vámeljárás lezárására nyitva álló határidő"az az időtartam amelyen belül az árukat vagy termékeket az új engedélyezett vámjogi sors alá kell rendelni, ideértve - az esettől függően - az aktív feldolgozás után behozatali vámok visszafizetésének igénylése (vámvisszatérítési eljárás) érdekében, vagy passzív feldolgozás után a szabad forgalomba bocsátáskor a behozatali vámok alóli teljes vagy részleges mentesség megszerzése érdekében.
2. szakasz
Az engedély iránti kérelem
497. cikk
(1) Az engedély iránti kérelmet írásban a 67. mellékletben foglalt minta szerint kell benyújtani.
(2) A vámhatóság engedélyezheti az engedély megújításának vagy módosításának egyszerű, írásbeli kérelemmel történő igénylését.
(3) Az alábbi esetekben az engedély iránti kérelmet be lehet nyújtani írásbeli vámáru-nyilatkozattal, vagy adatfeldolgozási technika segítségével a rendes eljárás alkalmazásával:
a) aktív feldolgozásnál, amikor az 539. cikk szerint a gazdasági feltételeket teljesítettnek kell tekinteni, a helyettesítő árut érintő kérelmek kivételével;
b) vámfelügyelet melletti feldolgozásnál, ha az 552. cikk (1) bekezdésének első albekezdése szerint a gazdasági feltételeket teljesítettnek kell tekinteni;
c) ideiglenes behozatalnál, ideértve az ATA- vagy a CPD-igazolvány alkalmazását;
d) passzív feldolgozásnál: ha a feldolgozási művelet javításra vonatkozik, beleértve az előzetes behozatal nélküli szabványos csererendszert a következő esetekben:
i. előzetes behozatallal a szabványos csererendszert alkalmazó passzív feldolgozás utáni szabad forgalomba bocsátásnál;
ii. előzetes behozatal nélküli szabványos csererendszert alkalmazó passzív feldolgozás után a szabad forgalomba bocsátásnál, ha a meglévő engedély ilyen rendszerre nem vonatkozik, és a vámhatóság engedélyezi annak módosítását;
iii. passzív feldolgozás után szabad forgalomba bocsátásnál, amennyiben a feldolgozási művelet nem kereskedelmi jellegű árukat érint.
Az engedély iránti kérelmet a 229. cikk szerint ideiglenes behozatalra vonatkozó szóbeli vámáru-nyilatkozattal is be lehet nyújtani a 499. cikk harmadik albekezdése szerint kitöltött okmány bemutatása mellett.
Az engedély iránti kérelmet ideiglenes behozatalra vonatkozó vámáru-nyilatkozattal a 232. cikk (1) bekezdése szerinti bármilyen más módon is be lehet nyújtani.
(4) Az ideiglenes behozatal esetét kivéve, az egységes engedély iránti kérelmet az (1) bekezdés szerint kell benyújtani.
(5) A vámhatóságok előírhatják, hogy az ideiglenes behozatalnak az 578. cikk szerint a behozatali vámok alóli teljes mentességgel történő engedélyezése iránti kérelmeket az (1) bekezdés szerint nyújtsák be.
498. cikk
A 497. cikk szerinti engedélyek iránti kérelmet a következőképpen kell benyújtani:
a) vámraktározás esetén: a vámraktárként jóváhagyandó hely vagy azon hely szerint illetékes kijelölt vámhatósághoz, ahol a kérelmező főkönyveit tartják;
b) aktív feldolgozásnál és vámfelügyelet melletti feldolgozásnál: az azon hely szerint illetékes kijelölt vámhatósághoz, ahol a feldolgozási műveletet elvégzik;
c) ideiglenes behozatalnál: az azon hely szerint illetékes kijelölt vámhatósághoz, ahol az árut felhasználják az 580. cikk (2) bekezdése második albekezdésének sérelme nélkül;
d) passzív feldolgozásnál az azon hely szerint illetékes kijelölt vámhatósághoz, ahol az ideiglenes kivitelre bejelentett áruk találhatók.
499. cikk
Amennyiben a vámhatóságok szerint a kérelemben foglalt információk bármelyike nem kielégítő, a kérelmezőtől további részletes adatok szolgáltatását lehet kérni.
A vámhatóságoknak, különösen, amikor a kérelmet vámáru-nyilatkozat kiállításával lehet benyújtani, a 220. cikk sérelme nélkül elő kell írniuk hogy a kérelemhez csatolják a nyilatkozattevő által készített, legalább a következő információt tartalmazó dokumentumot, kivéve, ha az ilyen információt szükségtelennek tartják, vagy az az írásbeli vámáru-nyilatkozathoz felhasznált nyomtatványon megadható:
a) a kérelmező, a nyilatkozattevő és a feldolgozó neve és címe;
b) a feldolgozás vagy az áru felhasználásának jellege;
c) az áru és a végtermékek műszaki leírása és azonosításuk módja;
d) a 70. mellékletnek megfelelően a gazdasági feltételek kódja;
e) a becsült elszámolási kulcs vagy a kulcs meghatározásának módszere;
f) a vámeljárás lezárására nyitva álló becsült határidő;
g) a javasolt eljárást lezáró vámhivatal;
h) a feldolgozás vagy felhasználás helye;
i) javasolt átszállítási alakiságok;
j) szóbeli vámáru-nyilatkozat esetén az áru értéke és mennyisége.
Amennyiben a második albekezdésben említett dokumentumot egy ideiglenes behozatalra vonatkozó szóbeli vámáru-nyilatkozat mellett mutatják be, azt két példányban kell elkészíteni, és egy példányt a vámhatóságnak kell záradékolnia és a nyilatkozattevőnek átadnia.
3. szakasz
Egységes engedély
500. cikk
(1) Ha egységes engedély iránti kérelmet nyújtanak be, az érintett vámhatóságok előzetes hozzájárulása szükséges a (2) és (3) bekezdésben foglalt eljárásnak megfelelően.
(2) Ideiglenes behozatal esetén az első felhasználás helye szerint kijelölt vámhatóságnak kell benyújtani a kérelmet az 580. cikk (2) bekezdése második albekezdésének sérelme nélkül.
Más esetekben a kérelmet a kérelmezőnek a számviteli alapú ellenőrzést lehetővé tevő főkönyvei vezetésének és egyben az engedély szerinti raktározási, feldolgozási vagy ideiglenes kiviteli műveletek legalább egy része elvégzésének helye szerint illetékes vámhatóságnál kell benyújtani.
Azokban az esetekben, amikor az első vagy a második albekezdés alapján nem határozható meg az illetékes vámhatóság, a kérelmet a kérelmezőnek a számviteli alapú ellenőrzést lehetővé tevőfőkönyvei vezetésének helye szerint illetékes vámhatóságnál kell benyújtani.
(3) A (2) bekezdés szerint kijelölt vámhatóságok továbbítják a kérelmet és az engedély tervezetét a többi érintett vámhatóságnak, amelyek 15 napon belül nyugtázzák a kézhezvétel időpontját.
A többi érintett vámhivatal az engedély-tervezet kézhezvételének napjától számított 30 napon belül közli esetleges kifogásait. Amennyiben az ilyen kifogásokat ezen határidőn belül közölték és megállapodás nem született, a kérelmet el kell utasítani abban a részében, amelyre vonatkozóan a kifogások felmerültek.
(4) A vámhatóságok az engedélyt kiadhatják, amennyiben az engedélytervezetre 30 napon belül nem érkezett kifogás.
Az egyeztetett engedély másolatát meg kell küldeni az összes érintett vámhatóságnak.
501. cikk
(1) Amennyiben két vagy több vámigazgatás általánosságban megállapodik az egységes engedély megadásának szempontjairól és feltételeiről, az említett vámigazgatások megállapodhatnak abban is, hogy az 500. cikk (1) bekezdése szerinti előzetes hozzájárulást, illetve az 500. cikk (4) bekezdése második albekezdése szerinti tájékoztatást egyszerű értesítéssel váltják fel.
(2) Az értesítés mindig elegendő, amikor:
a) az egységes engedélyt megújítják, azon kisebb jelentőségű módosítást hajtanak végre, megsemmisítik vagy visszavonják;
b) az egységes engedély iránti kérelem ideiglenes behozatalra vonatkozik, és azt nem kell a 67. melléklet szerinti minta alkalmazásával benyújtani.
(3) Értesítésre nincs szükség, amikor:
a) a különféle vámigazgatásokat érintő egyetlen elem az aktív vagy passzív feldolgozás alatti háromszögforgalom az összegző adatlapok alkalmazása nélkül;
b) ATA- vagy CPD-igazolványokat használnak;
c) az ideiglenes behozatalra vonatkozó engedélyt szóbeli vámáru-nyilatkozat vagy bármilyen más módon tett vámáru-nyilatkozat elfogadásával adják meg.
4. szakasz
Gazdasági feltételek
502. cikk
(1) Kivéve azt az esetet, ha a 3., 4., vagy 6. fejezet szerint a gazdasági feltételeket teljesítettnek tekintik, az engedély nem adható meg anélkül, hogy a vámhatóságok megvizsgálnák a gazdasági feltételeket.
(2) Az aktív feldolgozási eljárásoknál (3. fejezet) a vizsgálatnak meg kell állapítania a közösségi források alkalmazásának gazdaságilag lehetetlen voltát, figyelembe véve különösen a következő ismérveket, amelyek részleteit a 70. melléklet B. része tartalmazza:
a) a tervezett feldolgozási műveletekhez behozni szándékozott árukkal azonos minőségű és műszaki jellemzőkkel rendelkező, a Közösségben előállított áruk rendelkezésre állásának hiánya;
b) árkülönbség a Közösségben előállított áruk, illetve a behozni szándékozott áruk között;
c) szerződéses kötelezettségek.
(3) A vámfelügyelet melletti feldolgozási eljárásokhoz (4. fejezet) a vizsgálatnak meg kell állapítania, hogy a nem közösségi források felhasználása lehetővé teszi-e a feldolgozási tevékenységek létrehozását vagy fenntartását a Közösségben.
(4) A passzív feldolgozási eljárásoknál (6. fejezet) a vizsgálatnak meg kell állapítania, hogy:
a) a feldolgozás Közösségen kívüli elvégzése várhatóan okoz-e súlyos hátrányt a Közösség feldolgozói számára; vagy
b) a feldolgozásnak a Közösségben történő elvégzése gazdaságilag lehetetlen-e, vagy műszaki okok miatt vagy szerződéses kötelezettségek miatt nem megvalósíthatatlan-e.
503. cikk
A gazdasági feltételek vizsgálata a Bizottság bevonásával, akkor lehetséges, ha:
a) az érintett vámhatóságok az engedély kiadása előtt vagy után konzultálni kívánnak;
b) egy másik vámigazgatás kifogással él a kiadott engedéllyel kapcsolatban;
c) azt a Bizottság kezdeményezi.
504. cikk
(1) Ha az 503. cikk szerinti vizsgálatot kezdeményeznek, az ügyiratot meg kell küldeni a Bizottságnak. Tartalmaznia kell a már elvégzett vizsgálat eredményeit.
(2) A Bizottság visszaigazolja ennek kézhezvételét, vagy tájékoztatja az érintett vámhatóságokat, amennyiben saját kezdeményezésére jár el. A Bizottság a vámhatóságokkal folytatott konzultáció során eldönti, hogy a bizottságban szükséges-e a gazdasági feltételek vizsgálata.
(3) Amennyiben az esetet a bizottság elé terjesztik, a vámhatóságok tájékoztatják a kérelmezőt vagy az engedélyest az ilyen eljárás kezdeményezéséről, és amennyiben a kérelem elbírálása még nem fejeződött be, arról, hogy az 506. cikkben meghatározott határidőt felfüggesztették.
(4) Az érintett vámhatóságok és minden más hasonló engedélyekkel vagy kérelmekkel foglalkozó vámhatóság figyelembe veszi a bizottság következtetéseit.
Az ilyen következtetésben elrendelhető annak az Európai Közösségek Hivatalos Lapja C sorozatában való közzététele.
5. szakasz
Határozat az engedélyről
505. cikk
A határozathozatalra illetékes vámhatóságok az engedélyt a következőképpen adják meg:
a) a 497. cikk (1) bekezdése szerinti kérelem esetén a 67. mellékletben foglalt nyomtatvány alkalmazásával;
b) a 497. cikk (3) bekezdése szerinti kérelem esetén a vámáru-nyilatkozat elfogadásával;
c) a megújítás vagy módosítás iránti kérelem esetén bármilyen megfelelő módon.
506. cikk
A kérelmezőt tájékoztatni kell az engedély kiadására vonatkozó határozatról, illetve a kérelem elutasításának indokairól a kérelem benyújtásától vagy attól a naptól számított 30 napon, illetve vámraktározási eljárás esetén 60 napon belül, hogy a vámhatóság megkapta a kért hiányzó vagy további információt.
Ezek a határidők nem vonatkoznak az egységes engedély esetére, kivéve, ha azt az 501. cikk alapján adták ki.
507. cikk
(1) Az 508. cikk sérelme nélkül, az engedély a kibocsátásának napján, vagy az abban foglalt bármely későbbi időpontban lép hatályba. Magánvámraktár esetén a vámhatóságok kivételesen közölhetik a vámeljárás alkalmazásával való egyetértésüket még az engedély tényleges kibocsátása előtt.
(2) Vámraktározási eljárásoknál az engedély érvényességi időtartamára határidőt nem lehet megállapítani.
(3) Aktív feldolgozásnál, vámfelügyelet melletti feldolgozásnál és passzív feldolgozásnál az érvényesség időtartama nem haladhatja meg a három évet az engedély hatálybalépésének napjától számítva, kivéve megfelelő indok esetén.
(4) A (3) bekezdéstől eltérően, a 73. melléklet A. része szerinti aktív feldolgozás alá tartozó áruknál az érvényesség időtartama nem haladhatja meg a hat hónapot.
Az 1255/1999/EK tanácsi rendeletben ( 16 ) említett tej és tejtermékek esetén az érvényesség időtartama nem haladhatja meg a három hónapot.
508. cikk
(1) A vámraktározási eljárások kivételével a vámhatóságok kiadhatnak visszamenőleges hatályú engedélyt is.
A (2) és (3) bekezdésben foglaltak sérelme nélkül, a visszamenőleges hatályú engedély legkorábban azon a napon léphet hatályba, amikor a kérelmet benyújtották.
(2) Amennyiben a kérelem ugyanolyan fajtájú műveletre és árukra vonatkozó engedély megújítását érinti, az engedély az eredeti engedély lejáratának napjára visszamenőleges hatállyal is kiadható.
(3) Rendkívüli körülmények között, az engedély visszamenőleges hatálya tovább bővíthető, de a kérelem benyújtásának napját megelőző 1 évnél nem hosszabb időre, feltéve, hogy igazolt gazdasági szükségszerűség áll fenn, valamint:
a) a kérelem nem kapcsolódik csalás kísérletéhez vagy nyilvánvaló hanyagsághoz;
b) az 507. cikk alapján megadható érvényességi időtartamot nem lépik túl;
c) a kérelmező számviteli nyilvántartásai igazolják, hogy a vámeljárás összes követelményei teljesítettnek tekinthetők, illetve ahol helyénvaló, az áru beazonosítható az érintett időszakban, és az ilyen számviteli nyilvántartások lehetővé teszik a vámeljárás ellenőrzését; valamint
d) az áru helyzetének szabályossá tételéhez szükséges összes alakiság elvégezhető, ideértve, szükség esetén, a vámáru-nyilatkozat érvénytelenítését.
6. szakasz
A vámeljárások lefolytatásával kapcsolatos egyéb rendelkezések
1. alszakasz - Általános rendelkezések
509. cikk
(1) A közösségi jogi aktusokban előírt kereskedelempolitikai intézkedések a nem közösségi áruk vámeljárás alá vonásakor csak annyiban alkalmazandók, amennyiben azok az áruknak a Közösség vámterületére történő beléptetésére vonatkoznak.
(2) Amikor aktív feldolgozási eljárásokból nyert, a 75. mellékletben említetteken kívüli végtermékeket bocsátanak szabad forgalomba, az alkalmazandó kereskedelempolitikai intézkedések azok, amelyeket a behozott áruk szabad forgalomba bocsátására kell alkalmazni.
(3) Amikor a vámfelügyelet melletti feldolgozásra vonatkozó eljárás során nyert végtermékeket szabad forgalomba bocsátják, az ilyen termékekre alkalmazandó kereskedelempolitikai intézkedéseket csak akkor kell alkalmazni, ha a behozott árukra is vonatkoznak az ilyen intézkedések.
(4) Amikor a közösségi jogi aktusok a szabad forgalomba bocsátáskor írnak elő kereskedelempolitikai intézkedéseket, az ilyen intézkedéseket nem kell alkalmazni a passzív feldolgozás utáni szabad forgalomba bocsátott végtermékekre, amennyiben:
- azok megtartották közösségi származásukat a Vámkódex 23. és 24. cikke szerint,
- javításról volt szó, beleértve a szabványos csererendszert,
- a Vámkódex 123. cikke szerinti egymást követő feldolgozási műveletek után történik.
510. cikk
A Vámkódex 161. cikke (5) bekezdésének sérelme nélkül, a felügyeletet ellátó vámhivatal engedélyezheti, hogy a vámáru-nyilatkozatot az engedélyben meghatározott vámhivataltól eltérő, más vámhivatalnál mutassák be. A felügyeletet ellátó vámhivatal meghatározza tájékoztatásának módját.
2. alszakasz - Átszállítások
511. cikk
Az engedélyben meg kell határozni, hogy lehetséges-e, illetve milyen feltételekkel a felfüggesztő eljárások alá vont áru vagy termékek mozgása különféle helyek között, vagy egy másik engedélyes helyiségébe vagy területére a vámeljárás lezárása nélkül (átszállítás), ugyanakkor - az ideiglenes behozatal esetét kivéve - a nyilvántartások vezetésére vonatkozó kötelezettség fenntartásával.
Az átszállítás nem lehetséges, amikor az áruk indulásának vagy érkezésének helye egy B-típusú vámraktár.
512. cikk
(1) Az ugyanazon engedélyben megjelölt különféle helyek közötti átszállítás vámalakiságok nélkül elvégezhető.
(2) Az eljárást megindító vámhivataltól az engedélyes vagy az üzemeltető létesítményébe vagy a felhasználás helyére történő átszállítás a vámeljárás alá vonásra vonatkozó vámáru-nyilatkozat mellett lehetséges.
(3) A vámeljárások mellett a kiléptető vámhivatalhoz történő átszállítás újrakivitel céljából lehetséges. Ebben az esetben a vámeljárás nem zárható le mindaddig, míg az újrakivitelre bejelentett áruk vagy termékek ténylegesen el nem hagyják a Közösség vámterületét.
513. cikk
Az egyik engedélyestől a másiknak történő átszállítás csak akkor lehetséges, ha az utóbbi az átadott árukat vagy termékeket a helyi vámkezelési eljárás alkalmazására vonatkozó engedély alapján vonja vámeljárás alá. A vámhatóságok értesítését és a 266. cikkben említett áruk vagy termékek nyilvántartásba vételét akkor kell megtenni, amikor azok a második engedélyes helyiségébe vagy területére megérkeznek. Nem szükséges előírni a kiegészítő vámáru-nyilatkozatot.
Ideiglenes behozatal esetén az egyik engedélyestől a másikhoz történő átszállítás akkor is lehetséges, amikor az utóbbi az árut a rendes eljárás alkalmazásával írásbeli vámáru-nyilatkozattal vonja vámeljárás alá.
A 68. cikk határozza meg az elvégzendő alakiságokat. Az áruk vagy termékek kézhezvételekor a második engedélyes köteles azokat vámeljárás alá vonni.
514. cikk
A 44c. mellékletben foglalt magas kockázatot képviselő áruk átszállítására kezességgel kell fedezetet nyújtani az árutovábbítási eljárásban előírtakkal egyenértékű feltételek mellett.
3. alszakasz - Nyilvántartások
515. cikk
A vámhatóságok előírják az engedélyes, a feldolgozó vagy a kijelölt raktárüzemeltető számára a nyilvántartások vezetését, kivéve az ideiglenes behozatal esetét, illetve amikor ezt nem tartják szükségesnek.
A vámhatóságok a vonatkozó részletes adatokat tartalmazó meglévő számviteli nyilvántartásokat is jóváhagyhatják nyilvántartásként.
A felügyeletet ellátó vámhivatal előírhatja, hogy a vámeljárások alá vont áruk mindegyikéről vagy némelyikéről leltárt készítsenek.
516. cikk
Az 515. cikkben említett nyilvántartások, valamint ahol megkövetelik, az 581. cikk (2) bekezdése alapján az ideiglenes behozatalra vonatkozó nyilvántartásoknak a következő információkat kell tartalmaznia:
a) a vámeljárás alá vonáshoz használt vámáru-nyilatkozat(ok)hoz a 37. mellékletben meghatározott minimumlista rovataiban lévő információkat;
b) a vámáru-nyilatkozatok adatait, amelyek révén az áruk vámjogi sorsát meghatározzák a vámeljárás lezárásához;
c) a vámeljárás alá vonáshoz, illetve annak lezárásához kapcsolódó vámokmányok és minden más okmány keltét és hivatkozási adatait;
d) a feldolgozási műveletek jellegét, a kezelés vagy ideiglenes használat típusát;
e) az elszámolási kulcsot, illetve adott esetben kiszámításának módszerét;
f) az áruk nyomon követését lehetővé tévő információt, ideértve azok fellelhetőségét és az esetleges átszállítás adatait;
g) az áruk azonosításához szükséges kereskedelmi vagy műszaki leírásokat;
h) a helyettesítő árukkal működő aktív feldolgozási eljárásokban történő árumozgások figyelemmel kísérését lehetővé tévő adatokat.
A vámhatóságok azonban mellőzhetik ezt az előírást az ilyen információ egy részére, ahol ez nem érinti hátrányosan a raktározandó, feldolgozandó vagy felhasználandó árukra vonatkozó vámeljárások ellenőrzését vagy felügyeletét.
4. alszakasz - Elszámolási kulcs és számítási módszere
517. cikk
(1) Ahol a 3., 4., és 6. fejezetek alá tartozó vámeljárásoknál releváns, az engedélyben vagy az áruk vámeljárás alá vonásának idején kell meghatározni az elszámolási kulcsot vagy a kulcs meghatározásának módszerét, ideértve az átlagos kulcsokat is. Amennyire csak lehetséges, az ilyen kulcsokat termelési vagy műszaki adatok alapján kell meghatározni, vagy ha ezek nem állnak rendelkezésre, akkor az ugyanilyen típusú műveletekre vonatkozó adatok alapján.
(2) Különleges körülmények esetén a vámhatóságok azt követően is meghatározhatják az elszámolási kulcsot, hogy az árukat vámeljárás alá vonták, de nem később, mint amikor az új vámjogi sorsát meghatározzák.
(3) Az aktív feldolgozásra a 69. mellékletben meghatározott átalány elszámolási kulcsokat kell alkalmazni az ott említett műveletekre.
518. cikk
(1) Ki kell számítani a végtermékekbe beépített behozott/ideiglenesen kivitt áruk részarányát annak érdekében, hogy:
- meg lehessen határozni a felszámítandó behozatali vámokat,
- meg lehessen határozni a vámtartozás felmerülésekor levonandó összeget, vagy
- kereskedelempolitikai intézkedéseket alkalmazni lehessen.
Ezeket a számításokat a mennyiségi kulcs szerinti számítási módszer vagy az értékkulcs szerinti elszámolás szerint kell elvégezni, ahogyan helyénvaló, vagy bármilyen más módszerrel, amely hasonló eredményeket ad.
A számítás céljára a aktív feldolgozás végtermékei magukban foglalják a vámfelügyelet melletti feldolgozás végtermékekeit vagy a közbenső feldolgozási szakaszban lévő termékeket is.
(2) A mennyiségi kulcs szerinti számítási módszert kell alkalmazni, amikor:
a) a feldolgozási műveletből csak egyfajta végtermék származik; ebben az esetben az olyan végtermékek mennyiségében jelenlévőnek tekintett behozott/ideiglenesen kivitt áruk mennyiségét, amelyre a vámtartozás felmerül, ez utóbbi termékkategóriára arányosan a végtermékek teljes mennyisége százalékaként kell kimutatni;
b) a feldolgozási műveletekből többfajta végtermék származik, és az importált/ideiglenesen exportált áruk minden eleme megtalálható az ilyen végtermékek mindegyikében; ebben az esetben az adott végtermék mennyiségében jelenlévőnek tekintett behozott/ideiglenesen kivitt áruk mennyisége, amelyre a vámtartozás felmerül, arányos:
i. az adott meghatározott fajtájú végtermék, és a valamennyi végtermék összes mennyisége közötti aránnyal; függetlenül attól, hogy az adott fatájú végterméknél felmerült-e vámtartozás; valamint
ii. az olyan végtermékek mennyisége, amelyre a vámtartozás felmerül, és az ugyanolyan fajtájú végtermékek teljes mennyisége közötti aránnyal.
A veszteségeket nem lehet figyelembe venni annak eldöntésekor, hogy az a) vagy b) pontban leírt módszerek alkalmazásának feltételei teljesültek-e. A 862. cikk sérelme nélkül, a veszteség a feldolgozási művelet során megsemmisült és különösen elpárolgás, kiszáradás, gáznemű állapotban történő kibocsátás vagy kilúgozás révén elvesztett behozott/ideiglenesen kivitt áruk részarányát jelenti. A passzív feldolgozásban azokat a melléktermékeket, amelyek hulladékot, selejtet, maradványokat, levágott részeket illetve maradékokat képeznek, veszteségként kell kezelni.
(3) Az értékkulcs szerinti elszámolás módszerét akkor kell alkalmazni, amikor a mennyiségi kulcs szerinti számítási módszer nem alkalmazható.
A vámtartozást keletkeztető adott végtermék mennyiségében jelenlévőnek tekintett behozott/ideiglenesen kivitt áruk mennyisége arányos:
a) az ilyen meghatározott fajtájú végterméknek az összes végtermék összértékének százalékában kifejezett értékével, függetlenül attól, hogy az adott fatájú végterméknél felmerült-e vámtartozás; valamint
b) a vámtartozást keletkeztető végtermékeknek az ilyen fajtájú végtermékek összértékének százalékában kifejezett értékével.
Az értékkulcs szerinti elszámolás alkalmazásánál felhasználandó érték a különféle végtermékekre a legutóbbi gyártelepi ár a Közösségben, vagy a hasonló vagy azonos termékek legutóbbi eladási ára a Közösségben, feltéve, hogy ezeket az árakat a vevő és az eladó közötti kapcsolat nem befolyásolta.
(4) Ha az értékről a (3) bekezdés szerint nem lehet meggyőződni, azt bármilyen ésszerű módszerrel meg lehet határozni.
5. alszakasz - Kiegyenlítő kamat
519. cikk
(1) Amennyiben aktív feldolgozás vagy ideiglenes behozatal alá tartozó végtermékek vagy importáruk tekintetében vámtartozás merül fel, az érintett időszakra vonatkozó behozatali vámok összegére kiegyenlítő kamat jár.
(2) Az Európai Központi Bank havi értesítőjének statisztikai mellékletében közölt 3 hónapos pénzpiaci kamatlábakat kell alkalmazni.
Az alkalmazandó kamatláb az a kamatláb, amelyet a vámtartozás felmerülésének hónapja előtt két hónappal arra a tagállamra alkalmaztak, ahol az engedélyben előírt első művelet vagy felhasználás megtörtént vagy meg kellett volna történnie.
(3) A kamatot havi kamatszámítással kell alkalmazni, amelynek időszaka azt a hónapot követő hónap első napján kezdődik, amikor az importárut, amely után a vámtartozás keletkezett, először vonták vámeljárás alá. Az időszak annak a hónapnak az utolsó napján zárul, amelyben a vámtartozás felmerült.
Ha aktív feldolgozásról (vámvisszatérítési eljárás) van szó, és a Vámkódex 128. cikke (4) bekezdése alapján a szabad forgalomba bocsátást kérik, az időszak azt a hónapot követő hónap első napján kezdődik, amelyben a behozatali vámot visszafizették vagy elengedték.
(4) Az (1), (2) és (3) bekezdés nem alkalmazandó a következő esetekben:
a) amikor a figyelembe veendő időszak kevesebb, mint egy hónap;
b) ha a felmerült vámtartozásonként az alkalmazandó kiegyenlítő kamat összege nem haladja meg a 20 eurót;
c) ha annak érdekében merült fel a vámtartozás, hogy lehetővé tegye a preferenciális tarifális elbánás kérelmezését a Közösség és egy harmadik ország közötti, az adott országba történő behozatalról szóló megállapodás alapján;
d) ha a megsemmisítésből adódó hulladékot és maradékot bocsátják szabad forgalomba;
e) ha a 75. mellékletben említett melléktermékeket bocsátják szabad forgalomba, feltéve, hogy ezek arányban állnak a fő végtermékek kivitt mennyiségeivel;
f) ha a vámtartozás a Vámkódex 128. cikke (4) bekezdése alapján a szabad forgalomba bocsátás kérelmezése eredményeként merül fel, mindaddig, amíg a kérdéses termékek után fizetendő behozatali vámot még ténylegesen nem fizették vissza vagy engedték el;
g) amikor az engedélyes kéri a szabad forgalomba bocsátást, és bizonyítékot nyújt be arról, hogy nem az ő hanyagságából vagy csalásából adódó különös körülmények lehetetlenítik el vagy teszik gazdaságtalanná az újrakiviteli művelet elvégzését az általa eredetileg elvárt feltételek mellett, amit megfelelően alá is támasztott, amikor az engedélyt kérelmezte;
h) ahol felmerült a vámtartozás, és addig a mértékig, ameddig az ilyen adóssággal kapcsolatban készpénzletéttel biztosítékot nyújtottak;
i) amikor a Vámkódex 201. cikke (1) bekezdése b) pontja szerint vámtartozás merült fel, vagy az olyan áruk szabad forgalomba bocsátása miatt merült fel, amelyeket az e rendelet 556-561., 563., 565., 568. cikke, az 573. cikke b) pontja illetve az 576. cikke alapján vontak ideiglenes behozatali vámeljárás alá.
(5) Azoknál az aktív feldolgozási műveleteknél, ahol a behozott áruk és/vagy végtermékek száma gazdaságtalanná teszi a (2) és (3) bekezdés rendelkezéseinek alkalmazását, az érintett személy kérésére a vámhatóságok engedélyezhetik hasonló eredményeket adó egyszerűsített módszerek alkalmazását a kiegyenlítő kamat számításához.
6. alszakasz - A vámeljárás lezárása
520. cikk
(1) Amennyiben egyetlen engedély alapján a behozott vagy ideiglenesen kivitt árut két vagy több vámáru-nyilatkozat alapján vonják vámeljárás alá:
- felfüggesztő vámeljárás esetén az áruk vagy termékek új vámjogi sorsának meghatározását kell a vámeljárás lezárásának tekinteni a legkorábbi vámáru-nyilatkozat alapján vámeljárás alá vont kérdéses importtermékek vonatkozásában,
- aktív feldolgozás esetén (vámvisszatérítési rendszer) vagy passzív feldolgozás esetén úgy kell tekinteni, hogy a végterméket a legkorábbi vámáru-nyilatkozat alapján vámeljárás alá vont behozott vagy ideiglenesen kivitt árukból nyerték.
Az első albekezdés alkalmazása nem vezethet indokolatlan behozatali vámelőnyökhöz.
Az engedélyes kérheti a vámeljárás lezárását meghatározott behozott vagy ideiglenesen kivitt árukkal kapcsolatban.
(2) Ahol a vámeljárás alá vont árukat más árukkal együtt helyezték el, és azok teljes mértékben megsemmisültek vagy helyrehozhatatlanul elvesztek, a vámhatóság elfogadhatja az engedélyes által bemutatott bizonyítékot, amely jelzi a vámeljárás alá vont megsemmisült vagy elveszett áruk tényleges mennyiségét. Ahol az engedélyes ilyen bizonyítékot nem tud bemutatni, a megsemmisült vagy elveszett áruk mennyiségét az ilyen típusú, a megsemmisülés vagy elveszés felmerülésekor vámeljárás alatt lévő áruk arányára való hivatkozással kell megállapítani.
521. cikk
(1) Legkésőbb a vámeljárás lezárására nyitva álló határidő lejártakor, függetlenül attól, hogy alkalmazták-e a Vámkódex 118. cikke (2) bekezdése második albekezdése szerinti összevonást:
- aktív feldolgozás (felfüggesztő eljárás) vagy vámfelügyelet melletti feldolgozás esetén a vámeljárás lezárásáról szóló igazolást a felügyeletet ellátó vámhivatalnak 30 napon belül kell benyújtani,
- aktív feldolgozás (vámvisszatérítési rendszer) esetén a behozatali vámok visszafizetésére vagy elengedésére vonatkozó igényt 6 hónapon belül kell a felügyeletet ellátó vámhivatalnak benyújtani.
Ha különleges körülmények indokolják, a vámhatóság a határidőt meghosszabbíthatja még akkor is, ha már lejárt.
(2) Az igazolásnak vagy az igénylésnek, ha a felügyeletet ellátó vámhivatal eltérően nem rendelkezik, tartalmaznia kell:
a) az engedély hivatkozási adatait;
b) minden egyes típusú importáru mennyiségét, amelyek tekintetében a vámeljárás lezárását, a visszatérítést vagy elengedést igénylik, vagy a háromszögforgalmi rendszer alapján vámeljárás alá vont importárukat;
c) az importáruk KN-kódját;
d) az importárukra vonatkozó behozatali vámtételeket, illetve ahol alkalmazható, vámértéküket;
e) az importárut a vámeljárás alá vonó vámáru-nyilatkozatok adatait;
f) az aktív feldolgozás végtermékei vagy a vámfelügyelet melletti feldolgozás végtermékei vagy a változatlan állapotú áruk típusát és mennyiségét, azt a vámjogi sorsot, amelyet ezekhez meghatároztak, beleértve a vonatkozó vámáru-nyilatkozatok, más vámokmányok illetve bármilyen más, a vámeljárás lezárásához illetve a vámeljárás lezárására nyitva álló határidőkhöz kapcsolódó egyéb dokumentum adatait;
g) az aktív feldolgozás végtermékei vagy a vámfelügyelet melletti feldolgozás végtermékei értékét, ha a vámeljárás lezárásához az értékkulcs szerinti elszámolásos módszert alkalmazzák;
h) az elszámolási kulcsot;
i) a fizetendő, illetve a visszafizetendő vagy elengedendő behozatali vámok összegét, valamint, ahol alkalmazandó, az esetlegesen fizetendő kiegyenlítő kamatot. Ahol ez az összeg az 546. cikk alkalmazására hivatkozik, erre utalni kell;
j) a vámfelügyelet melletti feldolgozás esetén a végtermékek KN-kódját és a vámérték meghatározásához szükséges elemeket.
(3) A felügyeletet ellátó vámhivatal állíthatja ki az elszámolási okmányt.
7. szakasz
Igazgatási együttműködés
522. cikk
A vámhatóságok a 70. mellékletben foglalt esetekben, az ott meghatározott határidőn belül és formátumban a következő információt közlik a Bizottsággal:
a) aktív feldolgozás és vámfelügyelet melletti feldolgozás tekintetében:
i. a kiadott engedélyeket;
ii. a visszautasított kérelmeket vagy a gazdasági feltételek nem teljesítése miatt érvénytelenített vagy visszavont engedélyeket;
b) passzív feldolgozás tekintetében:
i. a Vámkódex 147. cikke (2) bekezdése szerint kiadott engedélyeket;
ii. a visszautasított kérelmeket vagy a gazdasági feltételek nem teljesítése miatt érvénytelenített vagy visszavont engedélyeket.
A Bizottság ezeket az adatokat a vámigazgatások számára hozzáférhetővé teszi.
523. cikk
A vámeljárások alkalmazásában érintett vámhivatalok számára a szükséges információ rendelkezésre bocsátása érdekében a 71. mellékletben előírt alábbi adatlapokat lehet az érdekelt személy kérelmére vagy a vámhatóságok kezdeményezésére kiadni, kivéve, ha a vámhatóságok az információcsere más eszközében állapodnak meg:
a) a vámraktározásnál az INF8 adatlapot, hogy közöljék az árukra alkalmazandó vámtartozás megállapításához szükséges elemeket, még mielőtt a szokásos kezelési módok megtörténnek;
b) aktív feldolgozásnál:
i. az INF1 adatlapot, a vámok összegére, a kiegyenlítő kamatra, a biztosítékra és kereskedelempolitikai intézkedésekre vonatkozó információ közlésére;
ii. az INF9 adatlapot a háromszögforgalomban más vámjogi sors alá rendelendő végtermékekre vonatkozó információ közlésére;
iii. az INF5 adatlapot az importáruk vámmentességének megszerzéséhez szükséges, a háromszögforgalomban az előzetes kivitelre vonatkozó információ közlésére;
iv. az INF7 adatlapot a vámvisszatérítési rendszerben a vámok visszafizetését vagy elengedését lehetővé tevő információ közlésére;
c) ideiglenes behozatalnál az INF6 adatlapot a vámtartozás, illetve a más helyre elszállított árukra már kivetett vámok összegének megállapításához szükséges elemek közlésére;
d) passzív feldolgozásnál az INF2 adatlapot a háromszögforgalomban az ideiglenesen kivitt árura vonatkozó információ közlésére, hogy részleges vagy teljes mentességet kapjanak a végtermékekre.
2. FEJEZET
Vámraktározás
1. szakasz
Általános rendelkezések
524. cikk
E fejezet alkalmazásában mezőgazdasági termékekre vonatkozóan az "előfinanszírozott áruk" kifejezés olyan változatlan állapotban kivitelre szánt közösségi árukat jelent, amelyek a kivitelük előtt export-visszatérítéssel egyenlő összegű kifizetés alá esnek, ha az 565/80/EGK tanácsi rendelet ( 17 ) az ilyen kifizetést előírja.
525. cikk
(1) Amennyiben a vámraktár közvámraktár, a következő osztályozást kell alkalmazni:
a) A-típusú, ha a felelősséget a vámraktár üzemeltetője viseli;
b) B-típusú, ha a felelősséget a beraktározó viseli;
c) F-típusú, ha a vámraktárt a vámhatóság üzemelteti.
(2) Amennyiben a vámraktár magánvámraktár, és a felelősséget a vámraktár üzemeltetője viseli, aki ugyanaz a személy, mint a beraktározó, de nem szükségszerűen az áru tulajdonosa, a következő osztályozást kell alkalmazni:
a) D-típusú, ha a szabad forgalomba bocsátást helyi vámkezelési eljárásban végzik, és ez engedélyezhető az áruknak a vámeljárás alá vonásuk időpontjában figyelembe vett jellege, vámértéke és mennyisége alapján;
b) E-típusú, ha a vámeljárás alkalmazandó, ugyanakkor az árut nem szükséges vámraktárként jóváhagyott helyen tárolni;
c) C-típusú, amennyiben az a), illetve b) pont alatt meghatározott különleges helyzetek egyike sem érvényesül.
(3) Az E-típusú vámraktárra vonatkozó engedély előírhatja a D-típusnál meghatározott eljárások alkalmazását.
2. szakasz
Az engedély kiadásával kapcsolatos további feltételek
526. cikk
(1) Az engedély kiadásakor a vámhatóság meghatározza az A, B, C vagy D-típusú vámraktárként jóváhagyott helyiséget vagy bármilyen más helyet. Ilyen típusú vámraktárként jóváhagyhatnak átmeneti megőrzési raktárat is, vagy üzemeltethetik azokat F-típusú vámraktárként.
(2) Egyidejűleg egy adott hely nem hagyható jóvá egynél több vámraktárként.
(3) Amennyiben az áruk veszélyesek vagy várhatóan tönkretesznek más árukat, vagy más okoknál fogva igényelnek különleges létesítményeket, az engedély meghatározhatja, hogy az ilyen árukat csak a fogadásukra különlegesen felszerelt helyiségben vagy területen lehet tárolni.
(4) Az A, C, D és E-típusú vámraktárakat a 800/99/EK bizottsági rendelet ( 18 ) 40. cikke szerinti élelmiszerraktárként is jóvá lehet hagyni.
(5) Egységes engedély csak a magánvámraktárra adható ki.
527. cikk
(1) Engedély csak akkor adható ki, ha az áruk tervezett szokásos kezelési módjai, az aktív feldolgozás vagy a vámfelügyelet melletti feldolgozás nincsenek túlsúlyban az áruk raktározásához képest.
(2) Engedély nem adható ki, ha a vámraktár helyiségeit, illetve területeit vagy a megőrzési raktárakat kiskereskedelmi célra használják.
Az engedély azonban kiadható, amikor behozatali vámok alóli mentességgel kiskereskedelmi forgalomban értékesítik az árut:
a) utasoknak harmadik országokba irányuló forgalomban;
b) diplomáciai vagy konzuli megállapodások alapján;
c) nemzetközi szervezetek vagy a NATO-erők tagjainak.
(3) A Vámkódex 86. cikke második francia bekezdésének alkalmazásában, amikor azt vizsgálják, hogy a vámraktározási eljárás igazgatási költségei arányban állnak-e az érintett gazdasági igényekkel, a vámhatóságok egyebek között figyelembe veszik a vámraktár típusát és az ott alkalmazható eljárást.
3. szakasz
Raktárnyilvántartás
528. cikk
(1) Az A, C, D és E-típusú vámraktárban a vámraktár üzemeltetője a raktárnyilvántartások vezetésére kijelölt személy.
(2) Az F-típusú vámraktárban az üzemeltető vámhivatal raktárnyilvántartás helyett vámnyilvántartást vezet.
(3) A B-típusú vámraktárban raktárnyilvántartás helyett a felügyeletet ellátó vámhivatal a vámeljárás alá vonásra vonatkozó vámáru-nyilatkozatokat tartja meg.
529. cikk
(1) A raktárnyilvántartásnak minden időpontban mutatnia kell az éppen akkor vámraktározási eljárás alatt lévő árukészletet. A vámraktár üzemeltetőjének a vámhatóság által meghatározott időközönként az említett készletről jegyzéket kell benyújtania a felügyeletet ellátó vámhivatalhoz.
(2) A Vámkódex 112. cikke (2) bekezdésének alkalmazásakor, az áruknak a szokásos kezelési módok elvégzése előtt érvényes vámértékét kell feltüntetni a raktárnyilvántartásban.
(3) A raktárnyilvántartásban fel kell tüntetni az áruk ideiglenes kitárolására, illetve az 534. cikk (2) bekezdése szerinti közös raktározásban tárolt árukra vonatkozó információt.
530. cikk
(1) Amikor az árukat E-típusú vámraktár szerinti vámeljárás alá vonják, a raktárnyilvántartásba az árukat akkor kell felvenni, amikor azok az engedélyes raktározási létesítményébe beérkeznek.
(2) Ha a vámraktár átmeneti megőrzési raktárként is szolgál, az árukat akkor kell felvenni a raktárnyilvántartásba, amikor a vámeljárásra vonatkozó vámáru-nyilatkozatot elfogadják.
(3) A vámeljárás lezárására vonatkozó bejegyzést legkésőbb akkor kell a raktárnyilvántartásba bevezetni, amikor az áruk elhagyják a vámraktárt, vagy az engedélyes raktározási létesítményét.
4. szakasz
A vámeljárás lefolytatására vonatkozó egyéb rendelkezések
531. cikk
A nem közösségi áruk a 72. mellékletben felsorolt a szokásos kezelési módok alá vonhatók.
532. cikk
Az áruk ideiglenesen három hónapot meg nem haladó időtartamra tárolhatók ki. Amennyiben a körülmények indokolják, ez a határidő meghosszabbítható.
533. cikk
A szokásos kezelési módok elvégzésére, vagy az áruknak a vámraktárból történő ideiglenes kitárolására vonatkozó engedély iránti kérelmet írásban, esetenként külön-külön kell a felügyeletet ellátó vámhivatalnak benyújtani. A kérelemnek tartalmaznia kell a vámeljárás alkalmazásához szükséges összes adatot.
Ilyen engedély adható a vámraktározási eljárás működtetésére vonatkozó engedély részeként is. Ilyen esetben a felügyeletet ellátó vámhivatalt az általa meghatározott módon kell értesíteni, hogy ilyen kezelést fognak végrehajtani, vagy hogy az árukat ideiglenesen kitárolják.
534. cikk
(1) Amikor közösségi árukat vámraktárban vagy vámraktározási eljárás alatt álló áruk tárolására használt raktározási létesítményben tárolnak, az ilyen áruk azonosítására különleges módszerek határozhatók meg, különösen az ilyen áruknak a vámraktározási eljárás alá vont áruktól való megkülönböztetése végett.
(2) A vámhatóság engedélyezheti a közös raktározást, amikor lehetetlen minden időpontban azonosítani az egyes árutípusok vámjogi helyzetét. Az előfinanszírozott árukat az ilyen engedélyből ki kell zárni.
A közösen raktározott áruknak ugyanazzal a nyolcszámjegyű KN-kóddal, ugyanazzal a kereskedelmi minőséggel és ugyanazokkal a műszaki jellemzőkkel kell rendelkezniük.
(3) Az áruk vámjogi sorsának meghatározása érdekében, valamint különleges körülmények között a (2) bekezdés második albekezdésének feltételeit teljesítő, azonosítható árukat akár közösségi áruknak, akár nem közösségi áruknak lehet tekinteni.
Az első albekezdés alkalmazása azonban nem vezethet olyan eredményre, hogy az adott vámjogi helyzetet rendelik az áruk egy olyan mennyiségéhez, amely nagyobb, mint az adott helyzetet ténylegesen rendelkező, vámraktárban vagy raktározási létesítményben tárolt mennyiség, amikor a vámjogi sorsra bejelentett árukat kitárolják.
535. cikk
(1) Amikor aktív feldolgozást vagy vámfelügyelet melletti feldolgozási műveleteket végeznek a vámraktárban vagy a raktározási létesítményben, az 534. cikk rendelkezéseit értelemszerűen az ilyen vámeljárások alá vont árukra is alkalmazni kell.
Ahol azonban egyenértékű árukkal való helyettesítés nélküli aktív feldolgozásról vagy vámfelügyelet melletti feldolgozásról van szó, az 534. cikk közös raktározásra vonatkozó rendelkezései a közösségi árukra nem alkalmazhatók.
(2) A nyilvántartások bejegyzéseinek lehetővé kell tenniük a vámhatóságok számára, hogy a vámeljárások alatt álló összes áru, illetve termék pontos helyzetét mindenkor figyelemmel kísérhessék.
3. FEJEZET
Aktív feldolgozás
1. szakasz
Általános rendelkezések
536. cikk
E fejezet alkalmazásában:
a) "előzetes kivitel"azt a rendszert jelenti, amelyben a helyettesítő áruból nyert végtermékeket azelőtt viszik ki, hogy az importárukat a felfüggesztő eljárás alkalmazásával a vámeljárás alá vonnák;
b) "bérmunka"a közvetlenül vagy közvetetten az engedélyes rendelkezésére bocsátott importáruk olyan feldolgozását jelenti, amelyet egy harmadik országban letelepedett megbízó nevében tett utasítások szerint végeznek el, általában kizárólag a feldolgozási költségek megfizetése ellenében.
2. szakasz
Az engedély kiadásával kapcsolatos további feltételek
537. cikk
Engedély csak akkor adható ki, ha a kérelmezőnek szándékában áll a fő végterméket újra kivinni vagy kivinni.
538. cikk
A Vámkódex 114. cikke (2) bekezdése c) pontjának negyedik francia bekezdésében említett árukra is kiadható engedély a következők kivételével:
a) a végtermékek teszteléséhez vagy a javításra szorult importáruk hibájának felfedéséhez szükségesen kívüli üzemanyag és energiaforrás;
b) a végtermékek teszteléséhez, beállításához vagy visszavonásához szükségesen kívüli kenőanyagok;
c) berendezések és szerszámok.
539. cikk
(1) A gazdasági feltételeket teljesítettnek kell tekinteni, kivéve ott, ahol a kérelem a 73. mellékletben említett importárukra vonatkozik.
(2) Mindazonáltal a feltételeket teljesítettnek kell tekinteni akkor is, ha a kérelem a 73. mellékletben említett importárukra vonatkozik, feltéve, hogy:
a) a kérelem:
i. nem kereskedelmi jellegű árukat érintő műveletekre;
ii. bérmunkaszerződésre;
iii. korábbi engedély alapján végzett feldolgozásból nyert végtermékek feldolgozására, amely engedélyt a gazdasági feltételek vizsgálatától függően adták ki;
iv. az 531. cikkben említett a szokásos kezelési módokra;
v. javításra;
vi. az 1001 10 00 KN-kód alá tartozó durumbúzának a 1902 11 00 , illetve 1902 19 KN-kód alá tartozó tészta előállításához szükséges feldolgozására vonatkozik; vagy
b) kérelmezőnként és naptári évenként az egyes nyolcszámjegyű KN-kódok tekintetében az importáruk összesített értéke nem haladja meg a 150 000 eurót; vagy
c) a 3448/93/EK tanácsi rendelet ( 19 ) 11. cikke szerint, a 73. melléklet A. részében említett importárukról van szó, és a kérelmező az illetékes hatóság által kibocsátott, az ilyen áruknak a vámeljárás alá vonását engedélyező okmányt mutat be az ellátási mérleg alapján meghatározott mennyiség korlátai között.
540. cikk
Az engedélyben meg kell határozni a végtermékekben lévő importáruk azonosításának eszközeit és módszereit, valamint a helyettesítő árukat felhasználó műveletek megfelelő végrehajtásának feltételeit.
Az azonosítás ilyen módszerei vagy a feltételek magukban foglalhatják a nyilvántartások vizsgálatát.
3. szakasz
A vámeljárások lefolytatására vonatkozó rendelkezések
541. cikk
(1) Az engedélyben meg kell határozni, hogy a Vámkódex 114. cikke (2) bekezdésének e) pontjában említett és az importárukkal azonos nyolcszámjegyű KN-kóddal, ugyanazon kereskedelmi minőséggel és ugyanazon műszaki jellemzőkkel rendelkező helyettesítő áruk felhasználhatók-e feldolgozási műveletekre és milyen feltételek mellett.
(2) A helyettesítő áruknál engedélyezhető, hogy azok az előállítás előrehaladottabb fázisában legyenek, mint az importáruk, amikor az ilyen helyettesítő árukra tekintettel a feldolgozás lényeges részét az engedélyes vállalkozásában, vagy olyan vállalkozásban végzik, ahol a műveletet az ő nevében hajtják végre, kivéve a kivételes esetekben.
(3) A 74. melléklet szerinti különleges rendelkezéseket kell alkalmazni az e mellékletben említett árukra.
542. cikk
(1) Az engedélyben meg kell határozni a vámeljárás lezárására nyitva álló határidőt. Amennyiben a körülmények indokolják, ez a határidő meghosszabbítható akkor is, ha az eredetileg meghatározott határidő már lejárt.
(2) Amennyiben a vámeljárás lezárására nyitva álló határidő egy adott napon lejár a vámeljárás alá vont összes árura vonatkozóan egy adott határidőn belül, az engedély előírhatja, hogy a vámeljárás lezárására nyitva álló határidőt automatikusan meg kell hosszabbítani az ilyen napon még vámeljárás alatt álló összes árura. Azonban a vámhatóságok előírhatják, hogy az ilyen árukra nézve egy új vámjogi sorsot határozzanak meg az általuk megadott határidőn belül.
(3) Függetlenül attól, hogy használnak-e összesítést vagy a (2) bekezdést alkalmazzák-e, a vámeljárás lezárására nyitva álló határidő az alábbi végtermékekre vagy változatlan állapotú árura nem haladhatja meg:
a) a négy hónapot az 1255/1999/EK rendelet 1. cikkében említett tej és tejtermékek esetén;
b) a két hónapot a Kombinált Nómenklatúra 1. árucsoportjába tartozó állatok hízlalás nélküli vágása esetén;
c) a három hónapot a 0104 és 0105 KN-kód alá tartozó állatok hízlalása (beleértve a vágást is, ahol releváns) esetén;
d) a hat hónapot a Kombinált Nómenklatúra 1. árucsoportjába tartozó egyéb állatok hízlalása (beleértve a vágást is, ahol releváns) esetén;
e) a hat hónapot húsfeldolgozás esetén;
f) a hat hónapot az 565/80/EGK rendelet 1. cikkében említett, az export-visszatérítésnél előlegfizetésre jogosult egyéb olyan mezőgazdasági termékek feldolgozása esetén, amelyeket ugyanezen rendelet 2. cikke b) vagy c) pontjában említett termékké vagy áruvá dolgoznak fel.
Ahol egymást követő feldolgozási műveleteket végeznek, vagy a kivételes körülmények indokolják, a fenti határidők kérelemre meghosszabbíthatók, de a teljes határidő nem haladhatja meg a tizenkét hónapot.
543. cikk
(1) Előzetes kivitel esetén az engedélyben meg kell határozni azt a határidőt, amelyen belül a nem közösségi árukat vámeljárásra be kell jelenteni, figyelembe véve a beszerzéshez és a Közösségbe történő szállításhoz szükséges időt.
(2) Az (1) bekezdésben említett határidő nem haladhatja meg:
a) a három hónapot a piacok közös szervezésének hatálya alá tartozó áruknál,
b) a hat hónapot minden egyéb árura.
A hathónapos határidő azonban meghosszabbítható, amennyiben az engedélyes megindokolt kérelmet nyújt be, feltéve, hogy a teljes határidő nem haladja meg a 12 hónapot. Amennyiben a körülmények indokolják, a meghosszabbítás engedélyezhető azt követően is, hogy az eredeti határidő lejárt.
544. cikk
A vámeljárások lezárása vagy a behozatali vámok visszafizetése iránti igénylés alkalmazásában, az alábbiakat kell újrakivitelnek vagy kivitelnek tekinteni:
a) a végtermékeknek olyan személyeknek történő leszállítását, akik behozatali vámok alóli mentességre jogosultak A diplomáciai kapcsolatokról szóló, 1961. április 18-i Bécsi Szerződés, vagy A konzuli kapcsolatokról szóló, 1963. április 24-i Bécsi Szerződés, vagy más konzuli egyezmények, vagy a különleges missziókról szóló, 1969. december 16-i New York-i egyezmény alapján;
b) a végtermékeknek a valamely tagállam területén állomásozó más országok fegyveres erőinek történő leszállítását, amikor az ilyen tagállam a 918/83/EGK rendelet 136. cikke szerint különleges behozatali vámok alóli mentességet biztosít;
c) légi jármű leszállítását; a felügyeletet ellátó vámhivatal azonban azzal a feltétellel engedélyezi a vámeljárás lezárását azt követően, hogy az importárut első alkalommal használták fel légi járművek vagy azok részeinek gyártására, javítására, módosítására vagy átalakítására, hogy az engedélyes nyilvántartásai lehetővé teszik annak igazolását, hogy a vámeljárást helyesen alkalmazzák és működtetik;
d) űrjármű és hozzá kapcsolódó berendezés leszállítását; azonban a felügyeletet ellátó vámhivatal azzal a feltétellel engedélyezi a vámeljárás lezárását azt követően, hogy az importárut első alkalommal használták fel műholdak, az őket feljuttató berendezések és a földi állomások berendezései, illetve az ilyen rendszerek integráns elemeit képező részeinek gyártására, javítására, módosítására vagy átalakítására, hogy az engedélyes nyilvántartásai lehetővé teszik annak igazolását, hogy a vámeljárást helyesen alkalmazzák és működtetik;
e) olyan melléktermékek elhelyezését a vonatkozó rendelkezésekkel összhangban, amelyek vámfelügyelet melletti megsemmisítése környezetvédelmi okok miatt tilos; emiatt az engedélyesnek kell bizonyítania, hogy a vámeljárás lezárása a szokásos szabályok szerint lehetetlen vagy nem gazdaságos.
4. szakasz
A felfüggesztő eljárás lefolytatásával kapcsolatos rendelkezések
545. cikk
(1) A Vámkódex 115. cikke szerint a helyettesítő áruk feldolgozási műveletekre történő felhasználása nem függ az áruk vámeljárás alá vonására vonatkozó alakiságoktól.
(2) A helyettesítő áruk és az azokból előállított végtermékek nem közösségi árukká válnak, és az importáruk közösségi árukká válnak a vámeljárások lezárásáról szóló nyilatkozat elfogadásának időpontjában.
Ha azonban az importárukat a vámeljárások lezárása előtt piaci forgalomba hozzák, vámjogi helyzetüket a piaci forgalomba hozatal időpontjában változtatják meg. Kivételes esetekben, amikor a helyettesítő áruktól nem várják el, hogy abban az időpontban jelen legyenek, a vámhatóság az engedélyes kérésére engedélyezheti, hogy a helyettesítő áruk egy későbbi, ésszerű határidőn belül általuk meghatározott időpontban legyenek jelen.
(3) Előzetes kivitel esetén:
- a végtermékek a kiviteli nyilatkozat elfogadásakor válnak nem közösségi árukká, azzal a feltétellel, hogy az importárukat vámeljárás alá vonják,
- az importáruk a vámeljárás alá vonásuk időpontjában válnak közösségi árukká.
546. cikk
Az engedélyben meg kell határozni, hogy a végtermékek vagy a változatlan állapotú áruk vámáru-nyilatkozat nélkül is szabad forgalomba bocsáthatók-e a tiltó vagy korlátozó intézkedések sérelme nélkül. Ebben az esetben akkor kell az ilyen árukat szabad forgalomba bocsátottnak tekinteni, ha azok vámjogi sorsát a vámeljárás lezárására nyitva álló határidő lejáratakor nem határozták meg.
A Vámkódex 218. cikke (1) bekezdésének első albekezdése alkalmazásában a szabad forgalomba bocsátásra vonatkozó nyilatkozatot a vámeljárás lezárásáról szóló igazolás bemutatásakor kell benyújtottnak, elfogadottnak és a forgalomba bocsátást engedélyezettnek tekinteni.
A termékek vagy áruk piaci forgalomba hozatalukkor válnak közösségi árukká.
547. cikk
A végtermékek szabad forgalomba bocsátása esetén a vámáru-nyilatkozat 15., 16., 34., 41. és 42. rovataiban kell hivatkozni az importárukra. Alternatívaként, a vonatkozó információ szolgáltatható az INF1 adatlap vagy bármilyen más, a vámáru-nyilatkozatot kísérő egyéb okmányok segítségével is.
547a. cikk
Amennyiben az eljárás alá vonásra irányuló nyilatkozat elfogadásakor meghatározott célú felhasználásuk okán az importáruk kedvező tarifális elbánásra voltak jogosultak, a Vámkódex 121. cikkének (1) bekezdése alapján kiróható behozatali vámokat az adott meghatározott célú felhasználásnak megfelelő tétellel kell kiszámítani. Ez kizárólag akkor engedélyezett, ha a meghatározott célú felhasználásra vonatkozó engedély megadható volt, valamint ha a kedvezményes tarifális elbánás nyújtásához kapcsolódó feltételeknek megfeleltek volna.
548. cikk
(1) A 75. melléklet határozza meg azoknak a végtermékeknek a listáját, amelyekre a Vámkódex 122. cikke a) pontja első francia bekezdése szerint a rájuk vonatkozó behozatali vámokat kell alkalmazni.
(2) Amennyiben az (1) bekezdésben említett listán nem szereplő végtermékek megsemmisülnek, azokat úgy kell kezelni, mintha újra kivitték volna őket.
549. cikk
(1) Amikor a végtermékeket vagy a változatlan állapotú árukat valamelyik felfüggesztő vámeljárás alá vonják, vagy a 799. cikk szerinti I. típusú ellenőrzés alatti vámszabad területen, vagy vámszabad raktárban, vagy a 799. cikk szerinti II. típusú ellenőrzés alatti vámszabad területen helyezik el, lehetővé téve a vámeljárások lezárását, a vámjogi sors meghatározásához alkalmazott okmányokon vagy nyilvántartásokon vagy az őket helyettesítő bármiféle okmányokon a következő jelölések egyikét kell alkalmazni:
- Mercancías PA/S,
- AF/S-varer,
- AV/S-Waren,
- Εμπορεύματα ET/A,
- IP/S goods,
- Marchandises PA/S,
- Merci PA/S,
- AV/S-goederen,
- Mercadorias AA/S,
- SJ/S-tavaroita,
- AF/S-varor,
- Zboží AZS/P,
- ST/P kaup,
- IP/ATL preces,
- LP/S prekės,
- AF/F áruk,
- Oġġetti PI/S,
- Towary UCz/Z,
- AO/O blago,
- AZS/PS tovar,
- Стоки АУ/ОП,
- Mărfuri PA/S,
- UP/O roba.
(2) Amikor a vámeljárás alá vont importáruk meghatározott kereskedelempolitikai intézkedések alá tartoznak, és az ilyen intézkedéseket akkor is alkalmazni kell, amikor az árukat vagy változatlan állapotban, vagy végtermékek formájában valamelyik felfüggesztő vámeljárás alá vonják, vagy a 799. cikk szerinti I. típusú ellenőrzés alatti vámszabad területen vagy vámszabad raktárban, vagy a 799. cikk szerinti II. típusú ellenőrzés alatti vámszabad területen helyezik el, az (1) bekezdésben említett jelzést a következők valamelyikével kell kiegészíteni:
- Política comercial,
- Handelspolitik,
- Handelspolitik,
- Εμπορική πολιτική,
- Commercial policy,
- Politique commerciale,
- Politica commerciale,
- Handelspolitiek,
- Politica comercial,
- Kauppapolitiikka,
- Handelspolitik,
- Obchodní politika,
- Kaubanduspoliitika,
- Tirdzniecības politika,
- Prekybos politika,
- Kereskedelempolitika,
- Politika kummerċjali,
- Polityka handlowa,
- Trgovinska politika,
- Obchodná politika,
- Търговска политика,
- Politică comercială,
- Trgovinska politika.
5. szakasz
A vámvisszatérítési eljárás lefolytatásával kapcsolatos rendelkezések
550. cikk
Amikor a vámvisszatérítéses rendszerben az árukra nézve az 549. cikk (1) bekezdésében említett vámjogi sorsot határozzák meg, az e rendelkezéshez előírt jelzések a következők:
- Mercancías PA/R,
- AF/T-varer,
- AV/R-Waren,
- Εμπορεύματα ET/E,
- IP/D goods,
- Marchandises PA/R,
- Merci PA/R,
- AV/T-goederen,
- Mercadorias AA/D,
- SJ/T-tavaroita,
- AF/R-varor,
- Zboží AZS/N,
- ST/T kaup,
- IP/ATM preces,
- LP/D prekės,
- AF/V áruk,
- Oġġetti PI/SR,
- Towary UCz/Zw,
- AO/P blago,
- AZS/SV tovar,
- Стоки АУ/В,
- Mărfuri PA/R,
- UP/P roba.
4. FEJEZET
vámfelügyelet melletti feldolgozás
551. cikk
(1) A vámfelügyelet melletti feldolgozásra vonatkozó vámeljárás olyan áruknál alkalmazandó, amelyek feldolgozása alacsonyabb összegű behozatalai vámok alá tartozó termékeket eredményez, mint amekkora az importárukra alkalmazandó.
A vámeljárás azokra az árukra is alkalmazandó, amelyeket műveleteknek kell alávetni ahhoz, hogy szabad forgalomba bocsátásukhoz a műszaki előírásoknak megfeleljenek.
(2) (542) cikk (1) és (2) bekezdését értelemszerűen alkalmazni kell.
(3) A szabad forgalomba bocsátásra bejelentett végtermékek vámértékének meghatározásához a nyilatkozattevő választhatja a Vámkódex 30. cikke (2) bekezdésének a), b) vagy c) pontjában említett bármelyik módszert, vagy az importáruk vámértékét, a feldolgozási költségekkel növelve. A feldolgozási költség a végtermék előállítása során felmerülő összes költség, beleértve az általános költségeket és bármely felhasznált közösségi áru értékét.
552. cikk
(1) A 76. melléklet A. részében említett áru- és műveletfajtáknál a gazdasági feltételeket teljesítettnek kell tekinteni.
A más típusú áruknál és műveleteknél a gazdasági feltételeket meg kell vizsgálni.
(2) A 76. melléklet B. részében említett, és az A. részében nem említett áru- és műveletfajtáknál a gazdasági feltételek vizsgálatára a bizottságban kerül sor. Az 504. cikk (3) és (4) bekezdését alkalmazni kell.
5. FEJEZET
Ideiglenes behozatal
1. szakasz
Általános rendelkezések
553. cikk
(1) A vámeljárás alatt álló állatoktól született állatokat, kivéve, ha kereskedelmi értékük elhanyagolható, nem közösségi áruknak és egyúttal a vámeljárás alatt állóknak kell tekinteni.
(2) A vámhatóságok biztosítják, hogy a teljes időtartam, melynek során az áruk az ugyanazon célból és ugyanazon engedélyes felelőssége mellett vámeljárás alatt állnak, ne haladja meg a 24 hónapot még akkor sem, ha a vámeljárást egy másik felfüggesztő vámeljárás alá vonással zárták le, és utóbb az árukat ismételten ideiglenes behozatal alá vonják.
Az engedélyes kérelmére azonban a vámhatóságok ezt az időtartamot meghosszabbíthatják, azzal idővel, amelynek során az árukat nem használják, az általuk meghatározott feltételek mellett.
(3) A Vámkódex 140. cikke (3) bekezdésének alkalmazásában kivételes körülmény bármilyen olyan esemény, melynek eredményeként az árukat egy további időszakon át fel kell használni ahhoz, hogy az ideiglenes behozatali művelet célját elérjék.
(4) A vámeljárás alá vont áruknak ugyanabban az állapotban kell maradniuk.
A vámeljárásban megengedett a javítás és karbantartás, beleértve a nagyjavítást és a beállításokat, vagy az áruk állagmegőrzésére vagy a használatukra vonatkozó műszaki előírásoknak való megfelelés biztosítására irányuló intézkedéseket.
554. cikk
Ideiglenes behozatal a behozatali vámok alóli teljes mentességgel (a továbbiakban: behozatali vámok alóli teljes mentesség) csak az 555-578. cikk szerint adható meg. Ideiglenes behozatal a behozatali vámok alóli részleges mentességgel fogyasztási cikkekre nem adható.
2. szakasz
A behozatali vámok alóli teljes mentesség feltételei
1. alszakasz - Szállítóeszközök
555. cikk
(1) Ezen alszakasz alkalmazásában:
a) a "kereskedelmi célú felhasználás"a szállítóeszköznek személyek díjazás ellenében történő szállítására, illetve áruk akár ingyenesen, akár díjazás ellenében történő, ipari vagy kereskedelmi jellegű szállítására való felhasználását jelenti;
b) "magáncélú felhasználás"valamely szállítóeszköz kereskedelmi célú felhasználáson kívüli felhasználását jelenti;
c) "belső forgalom"a Közösség vámterületén belül felszállt személyeknek, illetve berakodott áruknak a szállítását jelenti az említett területen belül történő kiszállás, illetve kirakodás céljával.
(2) A szállítóeszközök magukban foglalják a szokásos pótalkatrészeket, tartozékokat és az őket kísérő felszerelést.
556. cikk
A raklapok a behozatali vámok alól teljes mentességben részesülnek.
A vámeljárás akkor is lezárásra kerül, amikor ugyanazon típusú és lényegében ugyanolyan értékű raklapokat kivisznek vagy újra kivisznek.
557. cikk
(1) Behozatali vámok alóli teljes mentességben részesülnek a konténerek, amennyiben azokat megfelelő és világosan látható helyen tartósan megjelölték valamennyi következő információval:
a) a tulajdonos vagy az üzemeltető azonosítása, amely feltüntethető nevének teljes kiírásával vagy szokásosan használt azonosító rendszer segítségével, kivéve az olyan jeleket, mint az embléma vagy a zászló;
b) a konténernek a tulajdonos vagy az üzemeltető által megadott azonosító jelzései és számai;
c) a konténer önsúlya, beleértve valamennyi tartósan rögzített felszerelését is.
A tengeri használatra szánt szállítókonténer vagy bármely más, ISO szabvány előtagot - azaz az U-ra végződő, négy nagy nyomtatott betűt - használó konténer esetében a tulajdonos vagy a fő üzemeltető azonosítója, valamint a konténer sorozatszáma és ellenőrző számjegye megfelel a nemzetközi ISO 6346 szabványnak és mellékleteinek.
Amikor az engedély iránti kérelmet a 497. cikk (3) bekezdése c) pontjának első albekezdése szerint nyújtják be, a Közösség vámterületén képviselettel rendelkező személynek a szállítótartályokat figyelemmel kell kísérnie oly módon, hogy mindenkor közölhesse tartózkodási helyüket, valamint vámeljárás alá vonásuk, illetve annak lezárásának adatait.
(2) Az újrakivitel előtt a szállítótartályok használhatók belső forgalomban. Az ugyanazon tagállam területén belül berakodott és ott kirakodni szánt áruk szállítására azonban a szállítótartályokat csak egyszer lehet felhasználni a tagállamban való minden egyes tartózkodás során, akkor, amikor a szállítótartályoknak egyébként ezen a területen belül rakomány nélkül kellene az utat megtenniük.
(3) A 95/137/EK tanácsi határozattal ( 20 ) jóváhagyott, a nemzetközi fuvarozás közös használatú konténereinek vámkezeléséről szóló, 1994. január 21-i genfi egyezmény feltételei szerint, a vámhatóságok engedélyezniük kell a vámeljárások lezárását, amikor ugyanolyan típusú vagy ugyanolyan értékű szállítótartályokat kivisznek vagy újra kivisznek.
558. cikk
(1) A közúti, vasúti, légi, tengeri vagy belvízi szállítóeszközök a behozatali vámok alóli teljes mentességben részesülnek, amikor azokat:
a) a Közösség vámterületén kívül vették nyilvántartásba e területen kívül letelepedett személy nevében; azonban ha a szállítóeszközöket nem vették nyilvántartásba, a fenti feltétel teljesítettnek tekinthető, amennyiben a tulajdonos a Közösség vámterületén kívül letelepedett személy;
b) e területen kívül letelepedett személy használja az 559., 560. és 561. cikk sérelme nélkül; valamint
c) kereskedelmi célú felhasználás esetén és a vasúti szállítóeszközök kivételével kizárólag olyan szállításra használják, amely a Közösség vámterületén kívül kezdődik vagy végződik; azonban felhasználhatók belső forgalomban, amennyiben a szállítás területén hatályos rendelkezések, különösen a beléptetésre és üzemeltetésre vonatkozók, így rendelkeznek.
(2) Amikor az (1) bekezdésben említett szállítóeszközöket egy, a Közösség vámterületén letelepedett bérbeadással foglalkozó szakszolgáltató e területen kívül letelepedett személynek adja újra bérbe, a szerződés hatálybalépésétől számított nyolc napon belül a szállítóeszközt újra ki kell vinni.
559. cikk
A Közösség vámterületén belül letelepedett személyek a behozatali vámok alóli teljes mentességben részesülnek, amikor:
a) vasúti szállítóeszközöket ilyen személyek rendelkezésére bocsátanak olyan megállapodás alapján, miszerint az egyes hálózatok sajátjukként használhatják más hálózatok gördülőállományát;
b) a Közösség vámterületén nyilvántartásba vett közúti szállítóeszközhöz pótkocsit csatolnak;
c) a szállítóeszközöket vészhelyzettel kapcsolatban használják, és használatuk időtartama nem haladja meg az öt napot; vagy
d) a szállítóeszközöket bérbeadással foglalkozó szakszolgáltató cég használja öt napot nem meghaladó időtartamon belüli újrakivitel céljából.
560. cikk
(1) A Közösség vámterületén belül letelepedett természetes személyek a behozatali vámok alóli teljes mentességben részesülnek, amennyiben a szállítóeszközöket magáncélra használják alkalomszerűen, a nyilvántartás szerinti üzemeltető utasításai szerint, ha a üzemeltető a vámterületen tartózkodik a használat idején. Ilyen személyek a behozatali vámok alóli teljes mentességben részesülnek az írásos szerződés alapján bérbe vett szállítóeszköz magáncélú használata esetén is, ha azt alkalomszerűen arra használják:
a) hogy visszatérjenek a Közösségen belüli lakóhelyükre;
b) hogy elhagyják a Közösséget; vagy
c) ahol ezt általánosságban az érintett vámigazgatások engedélyezik.
(2) A szállítóeszközt újra ki kell vinni, vagy vissza kell juttatni a Közösség vámterületén belül letelepedett bérbeadó szolgáltatóhoz:
a) az (1) bekezdés a) pontjában említett esetben a szerződés hatálybalépésétől számított öt napon belül;
b) az (1) bekezdés c) pontjában említett esetben a szerződés hatálybalépésétől számított nyolc napon belül.
Az (1) bekezdés b) pontjában említett esetben a szállítóeszközt újra ki kell vinni a szerződés hatálybalépésétől számított két napon belül.
561. cikk
(1) A behozatali vámok alóli teljes mentességet meg kell adni, amikor a szállítóeszközt a Közösség vámterületén belül valamely ideiglenes rendszámmal kerülnek nyilvántartásba vételre a következő személyek valamelyikének nevében történő újrakivitel céljából:
a) e területen kívül letelepedett személy;
b) e területen belül letelepedett természetes személy, ha az érintett személy arra készül, hogy szokásos lakóhelyét e területen kívüli helyre helyezi át.
A b) pontban említett esetben a szállítóeszközt a nyilvántartásba vétel időpontjától számított három hónapon belül ki kell vinni.
(2) A behozatali vámok alóli teljes mentességet meg kell adni, amikor a szállítóeszközt olyan, az Unió vámterületén belül lakóhellyel rendelkező természetes személy használja kereskedelmi vagy magáncélra, aki a szállítóeszköz e területen kívül letelepedett tulajdonosának, bérlőjének vagy lízingbe vevőjének alkalmazásában áll.
A szállítóeszköz magáncélú használata az alkalmazott munkahely és lakóhely közötti közlekedése, illetve az alkalmazott munkaszerződésben rögzített szakmai feladatának ellátása céljából engedélyezett.
A szállítóeszközt használó személy a vámhatóság kérésére bemutatja a munkaszerződés másolatát.
(3) Kivételes esetekben megadható a behozatali vámok alóli teljes mentesség akkor is, amikor a szállítóeszközt kereskedelmi célra a Közösség vámterületén belül letelepedett személyek korlátozott ideig használják.
562. cikk
Más különleges rendelkezések sérelme nélkül, a vámeljárás lezárására nyitva álló határidő a következő:
a) a vasúti szállítóeszközöknél: 12 hónap;
b) vasúti szállítóeszközökön kívüli kereskedelmi célra használt szállítóeszközöknél a szállítási művelet végrehajtásához szükséges idő;
c) a magáncélra használt közúti szállítóeszközöknél:
- diákoknál: az az időszak, amíg a diák kizárólag tanulmányok folytatásának céljára a Közösség vámterületén tartózkodik,
- meghatározott időtartamú megbízásokat teljesítő személyeknél: az az időszak, amíg az ilyen személy a Közösség vámterületén tartózkodik kizárólag megbízatások teljesítése végett,
- más esetekben, ideértve a hátas és igavonó állatokat és az általuk vont járműveket: 6 hónap;
d) a magáncélra használt légi szállítóeszközöknél: 6 hónap;
e) a magáncélra használt tengeri és belvízi szállítóeszközöknél: 18 hónap.
2. alszakasz - Utasok személyes használatú tárgyai és sportcélokra behozott áruk; jóléti anyagok tengerészek számára
563. cikk
Meg kell adni a behozatali vámok alóli teljes mentességet, amikor az utas a 236. cikk A. pontjának 1. alpontjában meghatározottak szerint az útra ésszerűen szükséges személyes használatú tárgyakat, illetve sportcélú árukat hoz be.
564. cikk
A következő esetekben meg kell adni a behozatali vámok alóli teljes mentességet a tengerészeknek szánt jóléti anyagokra:
a) amikor azokat nemzetközi tengeri forgalomban részt vevő hajón használják;
b) amikor azokat ilyen hajóról kirakodják és a hajózó személyzet ideiglenesen a parton használja azokat;
c) amikor az ilyen hajó hajózó személyzete használja ezeket nonprofit szervezetek által működtetett kulturális vagy szociális létesítményekben vagy a vallásgyakorlás olyan helyein, ahol tengerészek számára rendszeresen tartanak istentiszteleteket.
3. alszakasz - Katasztrófák következményeinek felszámolásához használt anyagok; orvosi, sebészeti és laboratóriumi felszerelés; állatok, határövezetekben történő felhasználásra szánt áruk
565. cikk
Behozatali vámok alóli teljes mentességet kell adni katasztrófák következményeinek felszámolására szánt anyagokra, ahol azokat a Közösség vámterületét érintő katasztrófák vagy hasonló helyzetek hatásai ellen bevezetett intézkedésekkel kapcsolatban használják fel, és állami szerveknek, vagy az illetékes hatóságok által jóváhagyott testületeknek szánják.
566. cikk
A behozatali vámok alóli teljes mentességet meg kell adni, amikor valamely kórház vagy más gyógyintézmény kérésére kölcsönként küldenek orvosi, sebészeti vagy laboratóriumi felszerelést, amikor az ilyen intézménynek sürgős szüksége van az ilyen felszerelésre saját felszerelésének elégtelensége miatt, és ahol az ilyen felszerelést diagnosztikai vagy terápiás célra kívánják használni.
567. cikk
A Közösség vámterületén kívül letelepedett személy tulajdonában álló állatokra behozatali vámok alóli teljes mentességet kell adni.
A mentességet a hatályos rendelkezések szerint meghatározott határövezet jellegzetességeivel összhangban álló tevékenységekre szánt alábbi árukra kell megadni:
a) az ideiglenes behozatal határövezetével szomszédos határövezetben letelepedett személy tulajdonában álló és az ilyen szomszédos határövezetben letelepedett személy által használt felszerelésre;
b) az állami hatóságok felelősségével az ilyen határövezetben az infrastruktúra kiépítéséhez, javításához vagy karbantartásához felhasznált árukra.
4. alszakasz - Hang-, kép- és adathordozó, reklámanyag; szakmai felszerelés; pedagógiai anyag és tudományos felszerelés
568. cikk
Behozatali vámok alóli teljes mentességet kell adni:
a) a hang-, kép- vagy adatfeldolgozási információhordozó árukra, melyek célja a kereskedelmi forgalomba hozatal előtti bemutatás, vagy amelyek ingyenesek, vagy amelyek célja a hangsávval történő ellátás, szinkronizálás vagy másolás; vagy
b) a kizárólag reklámcélra használt árukra.
569. cikk
(1) A behozatali vámok alóli teljes mentességet meg kell adni, amikor a szakmai felszerelés:
a) a Közösség vámterületén kívül letelepedett személy tulajdonában áll;
b) azt a Közösség vámterületén kívül letelepedett személy vagy a tulajdonos egy alkalmazottja hozza be, az alkalmazott lehet a Közösség vámterületén letelepedett személy; és
c) az importőr használja fel, vagy az ő felügyelete alatt használják fel, kivéve az audiovizuális koprodukciók eseteit.
(1a) Teljes behozatalivám-mentességet kell megadni a 236. cikk A. pontjában meghatározottak szerinti utasnak szakmai felszerelésként történő használat szándékával ideiglenesen behozott hordozható hangszerekre.
(2) Teljes mentesség nem adható meg, amikor a felszerelést ipari gyártáshoz vagy áruk csomagolásához, vagy, a kéziszerszámok esetét kivéve, természeti erőforrások kiaknázásához, épületek építéséhez, javításához vagy karbantartásához vagy földmunkához és hasonló projektekhez használják fel.
570. cikk
A behozatali vámok alóli teljes mentességet meg kell adni, amikor a pedagógiai anyagok és tudományos felszerelések:
a) a Közösség vámterületén kívül letelepedett személy tulajdonában állnak;
b) azokat állami vagy magántulajdonú, tudományos, oktató vagy szakképző intézmények hozzák be, amelyek alapvetően nem nyereségérdekeltek, és azokat kizárólag az oktatásban, szakképzésben vagy tudományos kutatásban az ő felelősségük mellett használják fel;
c) azokat ésszerű számban hozzák be, tekintettel a behozatal céljára; valamint
d) nem használják tisztán kereskedelmi célra.
5. alszakasz - Göngyöleg, öntőformák, dombornyomó szerszámok, nyomólemezek, rajzok, vázlatok, mérő, ellenőrző és tesztelő műszerek és más hasonló cikkek, különleges szerszámok és eszközök; tesztek elvégzésére szolgáló vagy tesztelendő áruk; minták; termelőeszközök pótlása
571. cikk
A behozatali vámok alóli teljes mentességet kell megadni, amikor a göngyöleget:
a) ha töltve importálják, újrakivitelre szánják akár üresen akár töltve;
b) ha üresen importálják, töltve szánják újrakivitelre.
A göngyöleg nem használható belső forgalomban, kivéve áruk kivitele céljából. A töltve importált göngyölegek esetén ez attól az időponttól alkalmazandó, amikor azok tartalmát kiürítik.
572. cikk
(1) A behozatali vámok alóli teljes mentességet kell adni, amikor öntőformák, dombornyomó szerszámok, nyomólemezek, rajzok, vázlatok, mérő, ellenőrző és tesztelő műszerek és más hasonló cikkek:
a) a Közösség vámterületén kívül letelepedett személy tulajdonában állnak; és
b) a Közösség vámterületén belül letelepedett személy használja azokat gyártáshoz, és a felhasználásukból származó termelés legalább 75 %-át kiviszik.
(2) A behozatali vámok alóli teljes mentességet kell adni a különleges szerszámokra és eszközökre, amikor:
a) azok Közösség vámterületén kívül letelepedett személy tulajdonában állnak; és
b) azokat ingyenesen a Közösség vámterületén belül letelepedett személy rendelkezésére bocsátották olyan áruk előállításához, amelyeket teljes egészében kivitelre szánnak.
573. cikk
A következő árukra a behozatali vámok alól teljes mentességet kell adni:
a) tesztek, kísérletek vagy bemutatók tárgyát képező árukra;
b) a kielégítő eredményű elfogadási tesztekre vonatkozó rendelkezéseket tartalmazó adásvételi szerződéssel kapcsolatban kielégítő eredményű elfogadási tesztektől függően importárukra, amelyeket az ilyen teszteknek alávetnek;
c) pénzügyi nyereséget nem hozó tesztek, kísérletek vagy bemutatók végrehajtására használt árukra.
A b) pontban említett árukra a vámeljárás lezárására nyitva álló határidő hat hónap.
574. cikk
A behozatali vámok alól teljes mentességet kell adni az ésszerű mennyiségben behozott, és kizárólag a Közösség vámterületén történő bemutatásra vagy szemléltetésre felhasznált mintákra.
575. cikk
A behozatali vámok alóli teljes mentességet kell megadni, amikor termelési eszközök pótlását a szállító vagy a javítást végző bocsátja ideiglenesen a vevő rendelkezésére a hasonló áruk leszállításáig vagy kijavításáig.
A vámeljárás lezárására nyitva álló határidő hat hónap.
6. alszakasz - Rendezvényekre vagy értékesítésre szánt áruk
576. cikk
(1) A behozatali vámok alóli teljes mentességet kell adni az olyan nyilvános rendezvényen kiállításra vagy felhasználásra kerülő árukra, amelyeket nem pusztán az áruk kereskedelmi értékesítése érdekében szerveztek, vagy az ilyen rendezvényeken a vámeljárás alá vont árukból nyert árukra.
Kivételes esetekben az illetékes vámhatóságok más rendezvényekre is engedélyezhetik a vámeljárást.
(2) A behozatali vámok alóli teljes mentességet kell megadni a jóváhagyás érdekében behozott árukra, amennyiben ezeket nem lehet mintaként behozni és a feladó az ő részéről értékesíteni kívánja az árukat és a címzett bevizsgálás után dönthet arról, hogy megvásárolja-e azokat.
A vámeljárás lezárására nyitva álló határidő két hónap.
(3) A behozatali vámok alóli teljes mentességet kell megadni a következőkre:
a) művészeti tárgyakra, gyűjteménydarabokra és régiségekre a 77/388/EGK irányelv I. mellékletében meghatározottak szerint, ha azokat kiállítás céljára az esetleges értékesítés szándékával importálják;
b) az újonnan előállítottakon kívüli árukra, amelyeket aukció útján történő értékesítés érdekében hoznak be.
7. alszakasz - Pótalkatrészek, tartozékok és felszerelések; egyéb áruk
577. cikk
A behozatali vámok alóli teljes mentességet kell megadni a vámeljárás alá vont áruk nagyjavítását, beállítását és állagmegőrzését is magában foglaló javításra és karbantartásra használt pótalkatrészek, tartozékok és felszerelések behozatalára.
578. cikk
A behozatali vámok alóli teljes mentességet lehet megadni, amikor az 556-577. cikkben felsoroltakon kívüli, vagy az e cikkekben foglalt feltételeket nem teljesítő árukat hoznak be:
a) alkalmanként és három hónapot nem meghaladó időtartamra; vagy
b) gazdasági hatással nem járó különleges helyzetekben.
3. szakasz
A vámeljárások lefolytatására vonatkozó rendelkezések
579. cikk
Amikor a személyi használati tárgyakat, sportcélra behozott árut vagy szállítóeszközöket szóban vagy más cselekménnyel jelentenek be a vámeljárás alá vonásra, a vámhatóságok előírhatják az írásbeli vámáru-nyilatkozatot, amikor nagy összegű behozatali vámokról van szó, vagy a vámeljárásokhoz kapcsolódó kötelezettségek be nem tartásának komoly kockázata áll fenn.
580. cikk
(1) Az ATA/CPD-igazolványok alkalmazásával történő vámeljárás alá vonásra vonatkozó nyilatkozatokat akkor kell elfogadni, ha azokat egy részt vevő országban bocsátották ki, és egy nemzetközi garanciavállaló láncolat részét képező egyesület azt záradékolja és arra vonatkozóan garanciát vállal. Kivéve, ha erről bilaterális vagy multilaterális megállapodások másként rendelkeznek, a "részt vevő ország" az ATA-egyezményben vagy az Isztambuli Egyezményben résztvevő szerződő felet jelenti, amely elfogadta a Vámegyüttműködési Tanács 1992. június 25-i, az ATA-igazolvány és a CPD-igazolvány ideiglenes behozatali eljáráshoz történő elfogadásáról szóló ajánlásait.
(2) Az (1) bekezdés csak akkor alkalmazható, ha az ATA/CPD-igazolvány:
a) az ezen egyezmények vagy megállapodások szerinti árukhoz és felhasználásokhoz kapcsolódik;
b) azt a vámhatóság a borítólap megfelelő részén igazolja; és
c) érvényes a Közösség teljes vámterületén.
Az ATA/CPD-igazolvány a Közösség vámterületére való beléptetést végző vámhivatalnál kell bemutatni, kivéve, ha ez a vámhivatal nem tudja az eljárásra vonatkozó feltételek teljesítését ellenőrizni.
(3) A 457c., 457d., valamint 458-461. cikket értelemszerűen alkalmazni kell a vámeljárás alá vont és az ATA-igazolvány fedezete alatt lévő árukra.
581. cikk
(1) Az ATA/CPD-igazolványokra vonatkozó különleges garanciarendszer sérelme nélkül, az írásbeli vámáru-nyilatkozattal történő vámeljárás alá vonás biztosíték nyújtásától függ, kivéve a 77. mellékletben meghatározott eseteket.
(2) A vámeljárás ellenőrzésének elősegítése érdekében a vámhatóságok előírhatják a nyilvántartások vezetését.
582. cikk
(1) Amikor az 576. cikk szerint vámeljárás alá vont árukra vonatkozó vámeljárást szabad forgalomba bocsátással zárják le, a vámtartozás összegét a szabad forgalomba bocsátásra vonatkozó nyilatkozat elfogadásának időpontjában az ilyen árukra vonatkozó tehermegállapítási elemek alapján kell meghatározni.
Amennyiben az 576. cikk szerint vámeljárás alá vont árukat piaci forgalomba hozzák, azokat akkor kell a vám elé állítottnak tekinteni, amikor azokat szabad forgalomba bocsátásra bejelentik a vámeljárás lezárására nyitva álló határidő lejárta előtt.
(2) Az 576. cikk (1) bekezdésében említett áruk tekintetében a vámeljárás lezárásához azok valamely nyilvános rendezvényen történő ingyenes szétosztását újrakivitelnek kell tekinteni, feltéve, hogy mennyiségük megfelel a rendezvény jellegének, a látogatók számának és az engedélyes abban való részvétele mértékének.
Az első albekezdés nem alkalmazható szeszes italokra, dohányárura vagy üzemanyagra.
583. cikk
Ahol a vámeljárás alá vont árukat valamelyik felfüggesztő vámeljárás alá vonják, vagy a 799. cikk szerinti I. típusú ellenőrzés alatt álló vámszabad területen vagy vámszabad raktárban, vagy a 799. cikk szerinti II. típusú ellenőrzés alatti vámszabad területen helyezik el, lehetővé téve az ideiglenes behozatal lezárását, az áruk említett vámjogi sorsának meghatározásához alkalmazott, az ATA/CPD-igazolványokon kívüli okmányokon vagy nyilvántartásokban, vagy az azokat helyettesítő bármilyen más okmányon a következő jelzések valamelyikét kell feltüntetni:
- Mercancías IT,
- MI-varer,
- VV-Waren,
- Εμπορεύματα ΠΕ,
- ΤA goods,
- Marchandises ΑΤ,
- Merci ΑΤ,
- TI-goederen,
- Mercadorias IT,
- VM-tavaroita,
- TI-varor,
- Zboží DP,
- AI kaup,
- PI preces,
- LĮ prekės,
- IB áruk,
- Oġġetti TA,
- Towary OCz,
- ZU blago,
- DP tovar,
- Стоки от ВВ,
- Mărfuri AT,
- PU roba.
584. cikk
Megállapodás alapján közösen használt vasúti szállítóeszközöknél a vámeljárást akkor is le kell zárni, amikor ugyanolyan típusú vagy ugyanolyan értékű vasúti szállítóeszközöket, mint amelyeket a Közösség vámterületén letelepedett személy rendelkezésére bocsátottak, kivisznek vagy újra kivisznek.
6. FEJEZET
Passzív feldolgozás
1. szakasz
Az engedély megadásának további feltételei
585. cikk
(1) Amennyiben az ellenkezőjére utaló jelek nincsenek, a közösségi feldolgozók alapvető érdekeit úgy kell tekinteni, hogy azok súlyosan nem sérülnek.
(2) Amikor olyan személy nyújt be engedély iránti kérelmet, aki ideiglenes exportárut visz ki a feldolgozási műveletek megszervezése nélkül, a vámhatóság előzetesen elvégzi a Vámkódex 147. cikke (2) bekezdésében foglalt feltételek vizsgálatát az alátámasztó dokumentumok alapján. Az 503. és 504. cikket értelemszerűen alkalmazni kell.
586. cikk
(1) Az engedélyben meg kell határozni azokat az eszközöket és módszereket amelyek annak megállapításához szü kségesek, hogy a végtermékek az ideiglenes exportáruk feldolgozásából származnak, illetve amelyek révén igazolható, hogy a szabványos csererendszer alkalmazásának feltételei teljesülnek.
Az ilyen eszközök és módszerek magukban foglalhatják a 104. mellékletben foglalt adatlap felhasználását és a nyilvántartások vizsgálatát.
(2) Amikor a feldolgozási művelet jellege nem teszi lehetővé annak megállapítását, hogy a végtermékek az ideiglenes exportárukból származnak, megfelelően indokolt esetekben az engedély mégis kiadható, feltéve, hogy a kérelmező megfelelő garanciát tud felajánlani arra, hogy a feldolgozási műveletekben használt áruk ugyanazzal a nyolcszámjegyű KN-kóddal, ugyanazzal a kereskedelmi minőséggel és ugyanazokkal a műszaki jellemzőkkel rendelkeznek, mint az ideiglenes exportáruk. Az engedélyben meg kell határozni a vámeljárás alkalmazásának feltételeit.
587. cikk
Ha a vámeljárást javítás miatt kérelmezik, az ideiglenes exportáruknak javíthatónak kell lenniük, és a vámeljárást nem lehet az áruk műszaki teljesítményének fokozására felhasználni.
2. szakasz
A vámeljárás lefolytatására vonatkozó rendelkezések
588. cikk
(1) Az engedélyben meg kell határozni a vámeljárás lezárására nyitva álló határidőt. Amikor a körülmények indokolják, ez a határidő meghosszabbítható még akkor is, ha az eredetileg meghatározott határidő már lejárt.
(2) A Vámkódex 157. cikke (2) bekezdését alkalmazni kell az eredeti határidő lejárta után is.
589. cikk
(1) Az ideiglenes exportáruk vámeljárás alá vonására vonatkozó nyilatkozatot az exportra meghatározott rendelkezések szerint kell kiállítani.
(2) Előzetes behozatal esetén a szabad forgalomba bocsátásra vonatkozó nyilatkozatot kísérő dokumentumok között kell lennie az engedély egy másolatának is, kivéve, ha az engedélyért a 497. cikk (3) bekezdés d) pontja szerint folyamodnak. A 220. cikk (3) bekezdését értelemszerűen alkalmazni kell.
3. szakasz
A vámmentesség számítására vonatkozó rendelkezések
590. cikk
(1) A levonandó összeg kiszámításához nem lehet figyelembe venni a dömpingellenes vámokat és a kiegyenlítő vámokat.
A hulladékot, selejtet, maradványt, levágott részeket és maradékot képező melléktermékeket beszámítottnak kell tekinteni.
(2) Az ideiglenes exportáru értékének a Vámkódex 151. cikke (2) bekezdése második albekezdésében említett módszerek valamelyike szerinti meghatározásánál az ideiglenes exportáru berakodásának, szállításának és biztosításának költségei a feldolgozási művelet helyéig vagy addig a helyig, ahol az utolsó ilyen művelet megtörtént, nem számíthatók be:
a) az ideiglenes exportáru értékébe, amelyet figyelembe vesznek a végtermékek vámértékének meghatározásánál a Vámkódex 32. cikke (1) bekezdése b) pontjának i. alpontja szerint; vagy
b) a feldolgozási költségekbe, amikor az ideiglenes exportáru értéke a Vámkódex 32. cikke (1) bekezdése b) pontjának i. alpontja szerint nem határozható meg.
A végtermékek rakodási, szállítási és biztosítási költségeit a feldolgozási művelet vagy az utolsó feldolgozási művelet helyéről a Közösség vámterületére történő belépésük helyéig be kell számítani a feldolgozási költségekbe.
A rakodási, szállítási és biztosítási költségek magukban foglalják:
a) jutalékokat és ügynöki jutalékokat, a vételi jutalékok kivételével;
b) az ideiglenes exportárut tartalmazó, annak integráns részét nem képező anyagok, illetve eszközök költségét;
c) a csomagolás költségét, beleértve a bér- és anyagköltséget;
d) az áru szállításával kapcsolatban felmerülő kezelési költségeket.
591. cikk
Kérelemre a behozatali vámok alól részleges mentesség adható azzal, hogy a feldolgozási művelet költségét tekintik a vámérték alapjának.
A vámhatóságok megtagadják a behozatali vámok alóli részleges mentesség e rendelkezés szerinti kiszámítását, ha a végtermék szabad forgalomba bocsátását megelőzően megállapításra kerül, hogy a Vámkódex II. címe 2. fejezetének 1. szakasza szerint nem közösségi származású ideiglenes exportáruk nulla vámtétel melletti szabad forgalomba bocsátásának egyedüli célja az e rendelkezés szerinti részleges mentesség igénybevétele volt.
A Vámkódex 29-35. cikkét értelemszerűen alkalmazni kell azokra a feldolgozási költségekre, amelyeknél nem veszik figyelembe az ideiglenes exportárut.
592. cikk
Azoknál a vállalkozásoknál, amelyek gyakran végeznek feldolgozási műveleteket javításra ki nem terjedő engedély alapján, a vámhatóságok az engedélyes kérésére mindezen műveletekre alkalmazandó átlagos vámtételt állapíthatnak meg (a vámeljárás összesített lezárása).
Ezt a vámtételt minden egyes 12 hónapot meg nem haladó időszakra meg kell határozni, és az adott időszakban szabad forgalomba bocsátásra kerülő végtermékekre kell alkalmazni ideiglenesen. Minden egyes időszak végén a vámhatóságok elvégzik a végleges számítást, és ahol helyénvaló, alkalmazzák a Vámkódex 220. cikke (1) bekezdésének vagy 236. cikkének a rendelkezéseit.
IV. CÍM
A KIVITELRE VONATKOZÓ VÉGREHAJTÁSI RENDELKEZÉSEK
1. FEJEZET
A vámáru-nyilatkozatokra vonatkozó általános rendelkezések
592a. cikk
Az 592b-592f. cikkek nem vonatkoznak a következő árukra:
a) villamos energia;
b) csővezetéken keresztül kilépő áruk;
c) levelek, levelezőlapok és nyomtatott anyagok, beleértve az elektronikus adathordozón továbbítottakat is;
d) az Egyetemes Postaegyesület Egyezményének szabályai szerint továbbított áruk;
e) azok az áruk, amelyekre vonatkozóan a 231. cikkel, a 232. cikk (2) bekezdésével és a 233. cikkel összhangban egyéb módon is vámáru-nyilatkozatot lehet tenni, kivéve azokat az 1186/2009/EK rendelet 2. cikke (1) bekezdésének d) pontja szerinti háztartási célú ingóságokat, továbbá azokat a raklapokat, konténereket, valamint közúti, vasúti, légi, tengeri és belvízi szállítóeszközöket, amelyek szállítása fuvarozási szerződés alapján történik;
f) az utasok személyes poggyászában lévő áruk;
g) azok az áruk, amelyek esetében a 226. és a 227. cikkel, valamint a 229. cikk (2) bekezdésével összhangban szóbeli vámáru-nyilatkozatot lehet tenni, kivéve azokat az 1186/2009/EK rendelet 2. cikke (1) bekezdésének d) pontja szerinti háztartási célú ingóságokat, továbbá azokat a raklapokat, konténereket, valamint közúti, vasúti, légi, tengeri és belvízi szállítóeszközöket, amelyek szállítása fuvarozási szerződés alapján történik;
h) ATA- vagy CPD-igazolvány fedezete alatt lévő áruk;
i) az Észak-atlanti Szerződés tagállamai közötti, a fegyveres erőik jogállásáról szóló, Londonban 1951. június 19-én aláírt egyezményben előírt 302. formanyomtatvánnyal továbbított áruk;
j) a 313b. cikknek megfelelően engedélyezett menetrend szerinti hajójárat fedélzetén fuvarozott áru, továbbá az olyan hajón vagy légi járművön lévő áru, amely közösségi kikötők vagy repülőterek között közlekedik oly módon, hogy közben a Közösség vámterületén kívül fekvő kikötőben, illetve repülőtéren nem köt ki, illetve nem száll le;
k) a Közösség vámterületéről valamely tagállam katonai védelmével megbízott hatóság által katonai szállítmány részeként vagy kizárólagosan katonai hatóság részére végzett szállítás során kiszállított fegyver és katonai felszerelés;
l) a közvetlenül a Közösség vámterületén letelepedett személy által üzemeltetett tengeri fúró- vagy termelési platformokra, illetve szélturbinákba a Közösség vámterületéről kiszállított következő áruk:
i. az említett platformok, illetve szélturbinák építése, javítása, karbantartása vagy átalakítása céljából való felhasználásra szánt áruk;
ii. az említett platformokra vagy szélturbinákba való felszerelésre, illetve az említett platformok vagy szélturbinák felszereléseként való használatra szánt áruk;
iii. az említett platformokon, illetve szélturbinákban történő használatra vagy fogyasztásra szánt egyéb ellátmány;
m) olyan szállítmány részét képező áruk, amelynek belső értéke nem haladja meg a 22 EUR-t, amennyiben a vámhatóságok a gazdasági szereplő beleegyezésével vállalják, hogy a gazdasági szereplő által használt rendszerben található vagy a rendszer által szolgáltatott adatok alapján végzik el a kockázatelemzést;
n) azok az áruk, amelyekre a diplomáciai kapcsolatokról szóló, 1961. április 18-i Bécsi Szerződés, a konzuli kapcsolatokról szóló, 1963. április 24-i Bécsi Egyezmény vagy más konzuli egyezmények alapján, vagy a különleges küldetésekről szóló, 1969. december 16-i New York-i Egyezmény alapján mentesség biztosítható;
o) a hajókba vagy légi járművekbe alkatrészként vagy tartozékként történő beszerelés céljából szállított áruk, a hajók vagy légi járművek üzemeltetéséhez szükséges üzemanyagok, kenőanyagok és gáz, valamint a fedélzeten elfogyasztandó vagy értékesítendő élelmiszerek és egyéb árucikkek;
p) az olyan, a Közösség vámterületének részét képező területekre szánt áruk, ahol a 2006/112/EK irányelv és a 2008/118/EK irányelv nem alkalmazandó, valamint az e területekről egyéb, a Közösség vámterületén található rendeltetési helyre feladott áruk, továbbá a Közösség vámterületéről Helgolandra, a San Marino Köztársaságba és a Vatikánváros Államba feladott áruk.
592b. cikk
(1) Amennyiben a Közösség vámterületét elhagyó árukra vámáru-nyilatkozatot nyújtanak be, ezt a vámáru-nyilatkozatot az illetékes vámhivatalnál a következő határidőkkel kell benyújtani:
a) tengeri forgalom esetében:
i. konténeres rakomány esetében - kivéve, ha a iii. vagy a iv. pont alkalmazandó - legalább 24 órával azelőtt, hogy az árukat arra a hajóra berakodnák, amelyen a Közösség vámterületét el fogják hagyni;
ii. olyan ömlesztett/darabáru rakomány esetén, amelyre a iii. vagy iv. alpont nem alkalmazandó, legalább négy órával a Közösség vámterületén található kikötő elhagyását megelőzően;
iii. Franciaország tengeren túli megyéi, az Azori-szigetek, Madeira és a Kanári-szigetek kivételével a Közösség vámterülete, illetve Grönland, a Feröer-szigetek, Ceuta, Melilla, Norvégia, Izland, a balti-tengeri, északi-tengeri, fekete-tengeri, a földközi-tengeri kikötők, vagy az összes marokkói kikötő közötti fuvarozásnál legalább két órával a Közösség vámterületén található kikötő elhagyását megelőzően;
iv. a Franciaország tengeren túli megyéi, az Azori-szigetek, Madeira és a Kanári-szigetek, valamint a Közösség vámterületén kívüli területek közötti, a iii. pontban említett esetektől különböző fuvarozásnál, ha az út időtartama 24 óránál kevesebb; legalább két órával a Közösség vámterületén található kikötő elhagyását megelőzően;
b) légi forgalom esetében legalább 30 perccel a Közösség vámterületén lévő repülőtérről történő indulást megelőzően;
c) a vasúti és belvízi forgalom esetében legalább két órával a kiléptető vámhivataltól történő indulást megelőzően;
d) a közúti forgalom esetében legalább egy órával a kiléptető vámhivataltól történő indulást megelőzően;
f) olyan esetekben, amikor a 800/1999/EK rendeletet kell alkalmazni, akkor annak a rendeletnek a szabályai szerint.
(2) Amennyiben a vámáru-nyilatkozat benyújtása nem adatfeldolgozási eljárás útján történik, az (1) bekezdés a) pontjának iii. és iv. alpontjában, valamint b), c) és d) pontjában megállapított határidő legalább négy óra.
(3) Ha a vámhatóságok számítógépes rendszere ideiglenesen nem üzemel, az (1) bekezdésben előírt határidőket akkor is alkalmazni kell.
592c. cikk
(1) Intermodális szállítás esetén, amikor az árukat a Közösség vámterületén kívülre irányuló szállítás céljából egyik szállítóeszközről egy másikra átrakják, a nyilatkozat benyújtására megadott határidő megfelel a Közösség vámterületét elhagyó szállítóeszközre vonatkozó, az 592b. cikkben meghatározott határidőnek.
(2) Kombinált szállítás esetén, amikor a határt átlépő tényleges szállítóeszköz mindössze egy másik tényleges szállítóeszközt fuvaroz, a vámáru-nyilatkozat benyújtására megadott határidő a határt átlépő tényleges szállítóeszközre vonatkozó - az 592b. cikkben meghatározott - határidőnek felel meg.
592d. cikk
(1) Az 592b. és 592c. cikkben említett határidők nem alkalmazandók, amikor a Közösség és harmadik országok közötti nemzetközi megállapodások a vámáru-nyilatkozat adatainak cseréjét az e cikkekben említettektől eltérő határidők szerint követelik meg.
(2) A határidő semmiképpen sem lehet rövidebb, mint az az időtartam, amely a kockázatelemzés elvégzéséhez szükséges, mielőtt az áruk a Közösség vámterületét elhagynák.
592e. cikk
(1) Az illetékes vámhivatal a vámáru-nyilatkozat fogadása után elvégzi a megfelelő kockázatelemzéseket és vámellenőrzéseket, mielőtt az árukat kivitelre kiadná.
(2) Az áruk kiadhatók, amint elvégezték a kockázatelemzést és az eredmények lehetővé teszik a kiadást.
592f. cikk
(1) Amikor megállapítást nyer, hogy a vám elé állított árukra vonatkozóan nem nyújtottak be a kilépési gyűjtő vámáru-nyilatkozathoz szükséges adatokat tartalmazó vámáru-nyilatkozatot, annak a személynek, aki a Közösség vámterületéről az árukat kiszállítja, vagy aki az áruknak onnan történő kiszállításáért a felelősséget viseli, haladéktalanul be kell nyújtania egy vámáru-nyilatkozatot vagy egy kilépési gyűjtő vámáru-nyilatkozatot.
(2) Ha a nyilatkozattevő a vámáru-nyilatkozatot az 592b. és 592c. cikkben előírt határidők letelte után nyújtja be, ez a nemzeti jogszabályokban meghatározott szankciók alkalmazását nem zárja ki.
592g. cikk
Ha a Közösség vámterületéről olyan árukat szállítanak ki, amelyek az 592a. cikk c)-p) pontja értelmében mentesek a vámáru-nyilatkozatnak az 592b. és 592c. cikkben megállapított határidőn belül történő benyújtásának kötelezettsége alól, a kockázatelemzést az áruk vám elé állításakor - amennyiben rendelkezésre áll - az ezen árukra vonatkozó vámáru-nyilatkozat alapján kell elvégezni.
2. FEJEZET
Végleges kivitel
786. cikk
(1) A Vámkódex 161. cikkének (1) bekezdése szerinti kiviteli eljárás a Közösség vámterületén kívüli rendeltetési helyre szállítandó közösségi áruk esetében alkalmazandó.
(2) A kiviteli nyilatkozatra vonatkozóan e fejezetben megállapított alakiságok alkalmazandók abban az esetben is, ha
a) közösségi árukat olyan, a Közösség vámterületén belüli területre, illetve területről kell szállítani, ahol a 2006/112/EK, illetve a 2008/118/EK tanácsi irányelv nem alkalmazandó;
b) közösségi árukat repülési és hajózási készletekként adómentesen szállítanak, függetlenül a légi jármű vagy a hajó úti céljától.
Az a) és a b) pontban említett esetekben azonban nem szükséges feltüntetni a kiviteli nyilatkozatban a 30A. mellékletben a kilépési gyűjtő vámáru-nyilatkozatra vonatkozóan meghatározott adatokat.
787. cikk
(1) A kiviteli nyilatkozatoknak az ebben a fejezetben, a 279-289. cikkben, a 37. mellékletben és a 30A. mellékletben megállapított szerkezetre és adatokra vonatkozó rendelkezéseknek kell megfelelniük. Az illetékes vámhivatalhoz adatfeldolgozási eljárás felhasználásával kell ezeket benyújtani.
(2) Ha a vámhatóságok számítógépes rendszere, vagy a kiviteli nyilatkozatot benyújtó személy számítógépes alkalmazása nem működik, a vámhatóságoknak a papíralapú kiviteli nyilatkozatot is elfogadják, feltéve, hogy azt a következő módok egyikén nyújtják be:
a) a 31-34. mellékletben megadott mintáknak megfelelő formanyomtatványon készült, amelyet kiegészítettek a 45i. mellékletben megadott mintának megfelelő biztonsági és védelmi okmánnyal és a 45j. mellékletben megadott mintának megfelelő biztonsági és védelmi tételjegyzékkel;
b) a 45k. mellékletben megadott mintának megfelelő kiviteli/biztonsági egységes vámokmányon, amelyet kiegészítettek a 45l. mellékletben megadott mintának megfelelő kiviteli/biztonsági tételjegyzékkel.
A formanyomtatványnak legalább a kiviteli eljárás tekintetében a 30A. és a 37. mellékletben megadott adatokat tartalmaznia kell.
(3) A vámhatóságok egymással egyetértésben határozzák meg a (2) bekezdés a) pontjában említett esetekben követendő eljárást.
(4) A papíralapú kiviteli nyilatkozatnak a (2) bekezdés b) pontja szerinti használatához a vámhatóság jóváhagyása szükséges.
(5) Amennyiben az árukat a vámhatóság számítógépes rendszeréhez való közvetlen hozzáférést nélkülöző, és ily módon a kiviteli vámhivatalnál a kiviteli nyilatkozat adatfeldolgozási eljárás felhasználásával történő benyújtásának lehetőségével nem rendelkező utasok viszik ki, a vámhatóságoknak engedélyezniük kell az utasok számára a 31-34. mellékletekben meghatározott mintának megfelelő formanyomtatványon benyújtásra kerülő és a kiviteli eljáráshoz a 37. mellékletben és a 30A. mellékletben meghatározott minimum adatlistát tartalmazó papíralapú vámáru-nyilatkozat használatát.
(6) Az e cikk (4) és (5) bekezdéseiben említett esetekben a vámhatóságok biztosítják, hogy a 796a-796e. cikk követelményei teljesüljenek.
788. cikk
(1) A Vámkódex 161. cikke (5) bekezdésének alkalmazásában exportőrnek azt a személyt kell tekinteni, akinek a nevében a kiviteli nyilatkozatot tették, és aki az áruk tulajdonosa, vagy akinek az áruk felett hasonló rendelkezési joga van a vámáru-nyilatkozat elfogadásának időpontjában.
(2) Ha a tulajdonjog vagy az áruk feletti hasonló rendelkezési jog olyan személyt illet, aki - a kivitel alapjául szolgáló szerződés szerint - a Közösségen kívül letelepedett, akkor exportőrnek a Közösségen belül letelepedett szerződő felet kell tekinteni.
789. cikk
Alvállalkozás esetén a kiviteli nyilatkozat az alvállalkozó letelepedési helye szerint illetékes vámhivatalhoz is benyújtható.
790. cikk
Ha adminisztratív okoknál fogva a Vámkódex 161. cikke (5) bekezdésének első mondata nem alkalmazható, a vámáru-nyilatkozat az érintett tagállam bármely vámhivatalához benyújtható, amely a szóban forgó eljárásra illetékes.
791. cikk
(1) Indokolt esetben a kiviteli nyilatkozat
- a Vámkódex 161. cikke (5) bekezdésének első mondatában említett vámhivataltól eltérő másik vámhivatalnál,
- vagy
- a 790. cikkben említett vámhivataltól eltérő másik vámhivatalnál
is elfogadható.
Ebben az esetben a tilalmak és korlátozások alkalmazásával kapcsolatos ellenőrzéseknél figyelembe kell venni a helyzet különleges jellegét.
792. cikk
(1) A 207. cikk sérelme nélkül, ha a kiviteli nyilatkozat egységes vámokmány alapján kerül benyújtásra, az 1., 2. és 3. példányt kell használni. Az a vámhivatal, ahol a kiviteli nyilatkozatot benyújtották, lebélyegzi az A. rovatot, és adott esetben kitölti a D. rovatot.
Az áruk kiadásakor ez a vámhivatal az 1. példányt megtartja, a 2. példányt megküldi a kiviteli vámhivatal szerinti tagállam statisztikai hivatalának, a 3. példányt pedig, amennyiben a 796a-796e. cikkek nem alkalmazandók, visszajuttatja az érintett személyhez.
(2) Ha a kiviteli nyilatkozatot a kiviteli vámhivatalnál adatfeldolgozási eljárás használatával dolgozzák fel, az egységes vámokmány 3. példányát a vámhatóság számítógépes rendszeréből kinyomtatott kísérő okmány is helyettesítheti. Ennek az okmánynak legalább a 796a. cikkben említett kiviteli kísérő okmányhoz megkövetelt adatokat tartalmaznia kell.
A vámhatóságok a nyilatkozattevőt felhatalmazhatják arra, hogy a kísérő okmányt számítógépes rendszeréből nyomtassa ki.
(3) Ha az egész kiviteli műveletre egyetlen tagállam területén kerül sor, ez a tagállam eltekinthet az egységes vámokmány 3. példányának vagy a kiviteli kísérő okmánynak a használatától, feltéve hogy a Vámkódex 182b. cikkének (2) bekezdésében foglalt követelmények teljesülnek.
(4) A 796a-796e. cikkek sérelme nélkül, ha a vámszabályok az egységes vámokmány 3. példányának helyettesítésére másik okmányt írnak elő, ennek a fejezetnek a rendelkezéseit arra a másik okmányra értelemszerűen kell alkalmazni.
792a. cikk
(1) Ha a kivitelre kiadott áruk nem hagyják el a Közösség vámterületét, az exportőr vagy a nyilatkozattevő köteles haladéktalanul tájékoztatni a kiviteli vámhivatalt. Adott esetben az egységes vámokmány 3. példányát vissza kell juttatni ehhez a vámhivatalhoz. -----
(2) Ha a 793. cikk (2) bekezdés második albekezdésének b) pontjában vagy a 793b. cikkben említett esetekben a fuvarozási szerződés módosítása azzal a következménnyel jár, hogy a Közösség vámterületén fejeződik be egy olyan fuvarozási művelet, amelynek ezen vámterületen kívül kellett volna befejeződnie, a szóban forgó társaságok vagy hatóságok csak a 793. cikk (2) bekezdése második albekezdésének b) pontjában említett vámhivatal, illetve árutovábbítási eljárás esetén az indító vámhivatal beleegyezésével hajthatják végre a módosított szerződést. A kiviteli nyilatkozat 3. példányát a kiviteli vámhivatalhoz vissza kell juttatni és a nyilatkozatot ennek a vámhivatalnak érvénytelenítenie kell.
792b. cikk
Papíralapú kiviteli nyilatkozat benyújtása esetén a 796da. és 796e. cikk rendelkezéseit értelemszerűen alkalmazni kell.
793. cikk
(1) Az egységes vámokmány 3. példányát vagy a 792. cikk (2) bekezdésében említett kísérő okmányt a kivitelre kiadott árukkal együtt a kiléptető vámhivatalnál vám elé kell állítani.
(2) A kiléptető vámhivatal az utolsó vámhivatal azt megelőzően, hogy az áruk elhagyják a Közösség vámterületét.
Az első albekezdéstől eltérve, a kiléptető vámhivatal a következők valamelyike:
a) csővezetéken kilépő áru, valamint villamos energia esetén az exportőr letelepedési helye szerinti tagállam által kijelölt vámhivatal;
b) az azon a területen illetékes vámhivatal, ahol az árut a vasúttársaság, a postahivatal, a légitársaság vagy a hajózási társaság egyazon fuvarozási szerződés alapján a Közösség vámterületéről történő kiszállításra átveszi, feltéve hogy teljesülnek a következő feltételek:
i. az áruk a Közösség vámterületét vasúton, postán, légi úton vagy tengeren hagyják el;
ii. a nyilatkozattevő vagy képviselője kéri, hogy a 793a. cikk (2) bekezdésében vagy a 796e. cikk (1) bekezdésében említett alakiságokat ennél a hivatalnál végezzék el.
(3) A (2) bekezdés második albekezdésének b) pontjában említett esetekben, amikor az egyetlen fuvarozási szerződés alapján átvett áruk a Közösség vámterületéről történő kiléptetés tényleges helye szerinti vámhivatalba érkeznek, a fuvarozó kérésre közli az adott hivatallal az alábbi adatok valamelyikét:
a) a kiviteli nyilatkozatban szereplő művelethivatkozási szám, ha van ilyen; vagy
b) az érintett árukra vonatkozó egyetlen fuvarozási szerződés vagy kiviteli nyilatkozat példánya; vagy
c) az egyedi szállítmányhivatkozási szám vagy a fuvarokmány hivatkozási száma, valamint a csomagok száma és - konténerben történő szállítás esetén - a berendezés azonosító száma; vagy
d) az egyetlen fuvarozási szerződésre vagy az áruknak a Közösség vámterületéről történő kiszállítására vonatkozó, az árukat átvevő személy adatfeldolgozó rendszerében vagy valamely más kereskedelmi adatfeldolgozó rendszerben szereplő információk.
793a. cikk
(1) A kiléptető vámhivatal, mielőtt az áruk a Közösség vámterületéről kiléptetésre kerülnének, elvégzi a megfelelő kockázatalapú ellenőrzéseket, elsősorban azért, hogy biztosítsa a vám elé állított áruknak a vámáru-nyilatkozatban szereplőknek való megfelelőségét. A kiléptető vámhivatal felügyeli az áruk tényleges kiléptetését.
Amennyiben a kiviteli nyilatkozatot a kiléptető vámhivataltól különböző hivatalnál nyújtották be, és az adatokat a Vámkódex 182b. cikkének (2) bekezdésével összhangban továbbították, a kiléptető hivatal figyelembe veheti a másik hivatal által esetleg elvégzett ellenőrzés eredményeit.
(2) Amennyiben a nyilatkozattevő a 44. rovatba a "RET-EXP" bejegyzést vagy a 30400 kódot írja be, vagy más módon jelzi azt a kívánságát, hogy a 3. példányt juttassák vissza neki, akkor a kiléptető vámhivatalnak az áruk tényleges kiléptetését a hátoldalra felvitt záradékkal igazolnia kell.
Ezt a példányt annak a személynek kell adni, aki azt bemutatta, vagy az abban megjelölt és a kiléptető vámhivatal körzetében letelepedett közvetítőnek, hogy azt a nyilatkozattevőnek visszajuttassa.
Az ilyen záradékolás olyan bélyegzéssel történik, amelyből kitűnik a kiléptető vámhivatal neve és az áruk kilépésének napja.
(3) Ugyanazon kiléptető vámhivatalon keresztül történő megosztott kivitel esetén a záradék csak a ténylegesen kivitelre került áruk vonatkozásában adható meg.
Több különböző kiléptető vámhivatalon keresztül történő megosztott kivitel esetén az a kiviteli vámhivatal vagy kiléptető vámhivatal, ahová a 3. példány eredetijét bemutatták, a megfelelően megindokolt kérelem fogadásakor a szóban forgó áruk minden egyes részszállítmányára vonatkozóan igazolja a 3. példány egyik másodpéldányát, tekintettel arra, hogy egy másik kiléptető vámhivatalnál a másodpéldány bemutatásra kerül.
Az első és a második albekezdésben említett esetekben a 3. példány eredetijét ennek megfelelő megjegyzéssel kell ellátni.
(4) Ha az egész kiviteli műveletre egyetlen tagállam területén kerül sor, ez a tagállam úgy is rendelkezhet, hogy a 3. példányt nem kell záradékkal ellátni. Ebben az esetben a 3. példányt nem kell visszaküldeni a nyilatkozattevőnek.
(5) Ha a kiléptető vámhivatal áruhiányt állapít meg, akkor rávezeti ezt a benyújtott kiviteli nyilatkozat példányára, és erről tájékoztatja a kiviteli vámhivatalt.
Ha a kiléptető vámhivatal árutöbbletet állapít meg, mindaddig megtagadja az áruk kiléptetését, amíg a kiviteli alakiságokat nem teljesítik.
Ha a kiléptető vámhivatal az áruk jellegében eltérést állapít meg, mindaddig megtagadja az áruk kiléptetését, amíg a kiviteli alakiságokat nem teljesítik, és erről tájékoztatja a kiviteli vámhivatalt is.
793b. cikk
(1) Ha árutovábbítási eljárás keretében a Közösség vámterületéről kiszállításra kerülő vagy valamely kiléptető vámhivatalhoz továbbított árukról van szó, az indító vámhivatal a 3. példányt a 793a. cikk (2) bekezdése szerint záradékolja, majd visszajuttatja az abban a cikkben említett személynek.
Ha kísérő okmányra van szükség, azt is záradékolni kell az "Export" szóval. A kiviteli nyilatkozat 3. példányán hivatkozni kell a kísérő okmányra, és ez fordítva is érvényes.
Ezen cikk első és második albekezdése nem alkalmazandó akkor, ha az áruknak az indító hivatalban történő vám elé állításától a 419. cikk (4) és (7) bekezdésében és a 434. cikk (6) és (9) bekezdésében említettek szerint eltekintenek.
(2) A 3. példánynak az e cikk (1) bekezdésének első albekezdésében említett záradékolása és visszajuttatása azokra a kivitelre kiadott árukra is vonatkozik, amelyeket nem vontak árutovábbítási eljárás alá, hanem a 445. cikkben vagy a 448. cikkben előírt, árutovábbítási nyilatkozatként használt egyetlen manifeszten szereplő kiléptető vámhivatalhoz küldik, és amelyeket a 445. cikk (3) bekezdése e) pontjának vagy a 448. cikk (3) bekezdése e) pontjának megfelelően azonosítottak.
(3) A kiléptető vámhivatal ellenőrzi az áruk tényleges kiléptetését.
794. cikk
(1) A kiléptető vámhivatalnál is bejelenthető az olyan áru, amelyre nem vonatkoznak tilalmak, illetve korlátozások, és amelynek értéke szállítmányonként és nyilatkozattevőnként nem haladja meg a 3 000 ECU-t.
A tagállamok úgy is rendelkezhetnek, hogy ez a rendelkezés nem alkalmazható arra az esetre, ha a kiviteli nyilatkozatot tevő személy mások nevében hivatásos vámügynökként lép fel.
(2) Szóbeli vámáru-nyilatkozat csak a kiléptető vámhivatalnál tehető.
795. cikk
(1) Ha az áruk kiviteli nyilatkozat nélkül hagyták el a Közösség vámterületét, úgy az exportőr köteles az erre vonatkozó vámáru-nyilatkozatot utólag benyújtani a letelepedési helye szerint illetékes vámhivatalhoz.
A 790. cikket alkalmazni kell.
A vámhatóságok ezt a vámáru-nyilatkozatot akkor fogadják el, ha az exportőr az alábbiak valamelyikét bemutatja:
a) hivatkozás a kilépési gyűjtő vámáru-nyilatkozatra;
b) elegendő bizonyíték az áruk jellegére és mennyiségére, valamint azokra a körülményekre vonatkozóan, amelyek között azok a Közösség vámterületét elhagyták.
Ez a hivatal a nyilatkozattevő kérelmére kiadja a 793a. cikk (2) bekezdésében vagy a 796e. cikk (1) bekezdésében említett kiléptetési igazolást is.
(2) A kiviteli nyilatkozat utólagos elfogadása a vámhatóságok részéről nem zárja ki a következők bármelyikének alkalmazását:
a) nemzeti jogszabályok szerint hatályos szankciók;
b) a közös agrár- vagy kereskedelempolitika szerinti intézkedések következményei.
3. FEJEZET
Kiviteli adatok vámhatóságok közötti cseréje informatikai technológia és számítógépes hálózatok felhasználásával
796a. cikk
(1) A kiviteli vámhivatal az áruk kiadását a kiviteli kísérő okmánynak a nyilatkozattevő számára történő kiállításával engedélyezi. A kiviteli kísérő okmány a 45g. mellékletben megadott mintának és útmutatónak felel meg.
(2) Amennyiben egy exportszállítmány egynél több tételből áll, a kiviteli kísérő okmányt ki kell egészíteni a 45h. mellékletben megadott mintának és útmutatónak megfelelő tételjegyzékkel. Ez a kiviteli kísérő okmány szerves részét képezi.
(3) Ha engedélyezett, a kiviteli kísérő okmány a nyilatkozattevő számítógépes rendszeréből is kinyomtatható.
796b. cikk
(1) Az áruk kiadásakor a kiviteli vámhivatal a kiviteli árumozgás adatait az "Előzetes kiviteli jelentés" üzenet felhasználásával továbbítja a bejelentett kiléptető vámhivatalnak. Ez az üzenet a kiviteli nyilatkozatból származó és a vámhatóságok által adott esetben kiegészített adatokon alapul.
(2) Ha az árukat egynél több kiléptető vámhivatalhoz szállítják, egynél több szállítmányként, minden egyes szállítmányra vonatkozóan egyedi "Előzetes kiviteli jelentés" üzenetnek és egyedi kiviteli kísérő okmánynak kell vonatkoznia.
796c. cikk
A vámhatóságok megkövetelhetik, hogy az áruknak a kiléptető vámhivatalba történő megérkezéséről elektronikusan küldjenek nekik értesítést. Ebben az esetben a kiviteli kísérő okmányt a vámhatóságoknak nem kell ténylegesen bemutatni, de a nyilatkozattevőnek azt meg kell őriznie.
Az ilyen értesítésnek tartalmaznia kell a kiviteli nyilatkozatban szereplő művelethivatkozási számot.
796d. cikk
(1) A 793. cikk (2) bekezdése második albekezdésének b) pontjában foglaltak sérelme nélkül, a kiléptető vámhivatalnak meg kell győződnie arról, hogy a vám elé állított áruk megfelelnek a nyilatkozatban szereplő áruknak, és felügyelnie kell az áruknak a közösségi vámterületről való tényleges kiléptetését. Az áruk vizsgálatát a kiléptető vámhivatal a kiviteli vámhivataltól kapott és az ilyen vizsgálat alapjául szolgáló "Előzetes kiviteli jelentés" üzenet felhasználásával végzi el.
Annak érdekében, hogy lehetővé váljon a vámfelügyelet gyakorlása az olyan esetekben, amikor az árukat kirakodják egy adott szállítóeszközről és átadják egy másik, azokat birtokló személynek, majd berakodják őket egy másik szállítóeszközre, amely a kiléptető vámhivatalnál történő vám elé állítás után kiszállítja az árukat a Közösség vámterületéről, a következő rendelkezéseket kell alkalmazni:
a) Az áruk birtokosa legkésőbb az áruk átadásakor közli az áruk következő birtokosával az egyedi szállítmányhivatkozási számot vagy a fuvarokmány hivatkozási számát, valamint a csomagok számát vagy - konténerben történő szállítás esetén - a berendezés azonosító számát, továbbá a kiviteli nyilatkozatban szereplő művelethivatkozási számot, amennyiben kiadtak ilyet. Ezen adatok közlése történhet elektronikus úton és/vagy kereskedelmi, kikötői vagy szállítási információs rendszerek és eljárások alkalmazásával, illetve - amennyiben ezek egyike sem áll rendelkezésre - bármely más módon. Az árukat átvevő személy legkésőbb az átvételkor rögzíti az árukat közvetlenül előtte birtokló személy által közölt adatokat.
b) A fuvarozó addig nem rakodhatja be a Közösség vámterületén kívülre szállítandó árukat, amíg rendelkezésére nem állnak az a) pontban említett információk.
c) A fuvarozó az a) pontban említett információk benyújtása útján értesíti a kiléptető vámhivatalt az áruk kilépéséről, kivéve, ha a szóban forgó információk a meglévő kereskedelmi, kikötői vagy szállítási információs rendszereken vagy eljárásokon keresztül már hozzáférhetők a vámhatóságok számára. Ez az értesítés lehetőség szerint valamely meglévő manifeszt vagy más, fuvarozással kapcsolatos jelentéstételi kötelezettség részét képezi.
A második albekezdés alkalmazásában "fuvarozó" az a személy, aki az árukat a Közösség vámterületéről kiszállítja, vagy aki az áruknak a Közösség vámterületéről történő kiszállításáért a felelősséget viseli. Mindazonáltal:
- kombinált szállítás esetén, amikor a Közösség vámterületét elhagyó tényleges szállítóeszköz csupán egy másik, olyan szállítóeszközt szállít, amely, miután a tényeges szállítóeszköz megérkezett rendeltetési helyére, maga is saját erőből tényleges szállítóeszközként kezd mozogni, akkor fuvarozón az a személy értendő, aki azt a szállítóeszközt üzemelteti, amelyik a Közösség vámterületét elhagyó szállítóeszköznek a maga rendeltetési helyére történő megérkezését követően saját erőből mozog,
- a tengeri vagy légi fuvarozás azon eseteiben, amikor szállítóeszköz-megosztási vagy szerződéses megállapodás van hatályban, a fuvarozó az a személy, aki az árunak a Közösség vámterületéről való tényleges fuvarozására vonatkozóan szerződéses kötelezettséget vállalt, és hajóraklevelet vagy légi fuvarlevelet állított ki.
(2) A kiléptető vámhivatal a "Kiléptetés eredményei" üzenetet a kiviteli vámhivatalhoz legkésőbb a Közösség vámterületének az áruk által történt elhagyását követő munkanapon továbbítja. Különleges körülmények miatt indokolt esetekben a kiléptető vámhivatal ezt az üzenetet későbbi időpontban is továbbíthatja.
(3) Megosztott kivitel esetén, amikor egy "Előzetes kiviteli jelentés" üzenet hatálya alá tartozó áruk a kiléptető vámhivatalhoz egy szállítmányként jutnak el, de ezt követően a Közösség vámterületét abból a kiléptető hivatalból egynél több szállítmányként hagyják el, a kiléptető vámhivatal ellenőrzi az áruk tényleges kilépéseit és a "Kiléptetés eredményei" üzenetet csak akkor küldi el, amikor az összes áru elhagyta a Közösség vámterületét.
Kivételes körülmények között, ha egy "Előzetes kiviteli jelentés" üzenet fedezete alá tartozó áruk egy kiléptető vámhivatalhoz egy szállítmányként jutnak el, de ezt követően a Közösség vámterületét egynél több szállítmányként és több kiléptető vámhivatalon keresztül hagyják el, megfelelően indokolt kérelem fogadása esetén az a kiléptető vámhivatal látja el igazolással a kiviteli kísérő okmány egy példányát minden egyes részszállítmányra vonatkozóan, ahol egy részszállítmány vám elé állítása először megtörtént.
Ezt az igazolást a vámhatóságok csak akkor adhatják meg, ha a kiviteli kísérő okmányban foglalt adatok az "Előzetes kiviteli jelentés" üzenetben szereplő adatoknak megfelelnek.
A kiviteli kísérő okmány vonatkozó példányát és az árukat együtt kell bemutatni az érintett kiléptető vámhivatalnak. Mindegyik kiléptető vámhivatal záradékkal látja el a 793a. cikk (2) bekezdésében említett adatokat tartalmazó kiviteli kísérő okmány másolatát, és azt visszaküldi annak a kiléptető vámhivatalnak, ahol a szállítmányt először mutatták be. Ez a hivatal a "Kiléptetés eredményei" üzenetet csak akkor küldi el, ha a Közösség vámterületét valamennyi áru elhagyta.
(4) A 792a. cikkben foglaltak sérelme nélkül, ha a kivitelre bejelentett árukat időközben már nem kívánják kiszállítani a Közösség vámterületéről, az a személy, aki az árukat elszállítja a kiléptető vámhivataltól azzal a céllal, hogy azokat valamely, a Közösség vámterületén található helyre fuvarozza, benyújtja a kiléptető vámhivatalnak az (1) bekezdés második albekezdésének a) pontjában említett információkat. Ezeket az információkat bármilyen formában meg lehet adni.
796da. cikk
(1) Ha az áru kivitelre történő kiadását követően 90 napon belül a kiviteli vámhivatal nem kapta meg a 796d. cikk (2) bekezdése szerinti "Kiléptetés eredményei" üzenetet, akkor a kiviteli vámhivatal szükség szerint kérheti az exportőrt vagy a nyilatkozattevőt azon időpont és vámhivatal megjelölésére, amikor és ahol az áru a Közösség vámterületét elhagyta.
(2) Az exportőr vagy a nyilatkozattevő - saját kezdeményezésére vagy az (1) bekezdésnek megfelelő kérés alapján, azon időpont és vámhivatal megjelölésével, amikor és ahol az áru a Közösség vámterületét elhagyta - tájékoztathatja a kiviteli vámhivatalt arról, hogy az áru a Közösség vámterületét elhagyta, és kérheti a kiviteli vámhivatalt az áru kilépésének igazolására. A kiviteli vámhivatal ebben az esetben kéri a kiléptető vámhivataltól a "Kiléptetés eredményei" üzenetet, amire ez utóbbi vámhivatal köteles 10 napon belül válaszolni.
(3) Ha a (2) bekezdésben említett esetben a kiléptető vámhivatal a (2) bekezdésben meghatározott határidőn belül nem igazolja vissza az áru kilépését, akkor a kiviteli vámhivatal értesíti az exportőrt vagy nyilatkozattevőt.
Az exportőr vagy nyilatkozattevő bizonyítékot szolgáltathat a kiviteli vámhivatalnak arról, hogy az áru elhagyta a Közösség vámterületét.
(4) A (3) bekezdésben említett bizonyíték különösen a következő lehetőségek közül egy vagy több igénybevételével szolgáltatható:
a) a Közösség vámterületén kívüli címzett által aláírt vagy hitelesített szállítólevél másolatával;
b) az árut a Közösség vámterületéről kiszállító gazdasági szereplő által szabályszerűen aláírt vagy hitelesített fizetési bizonylattal, számlával vagy szállítólevéllel;
c) az árut a Közösség vámterületéről kiszállító cég által aláírt vagy hitelesített nyilatkozattal;
d) valamely tagállam vagy egy, a Közösség vámterületén kívül fekvő ország vámhatóságai által igazolással ellátott okmánnyal;
e) a kőolaj- vagy földgázkitermelésre szolgáló fúró- vagy termelési platformokra, illetve a szélturbinákba szállított áruról a gazdasági szereplő által vezetett nyilvántartással.
796e. cikk
(1) A kiviteli vámhivatal az exportőr vagy a nyilatkozattevő számára igazolja a kilépést:
a) ha a kiléptető vámhivataltól megkapta a "Kiléptetés eredményei" üzenetet;
b) ha - a 796da. cikk (2) bekezdésében meghatározott esetekben - nem kapta meg ugyan 10 napon belül a kiléptető vámhivataltól a "Kiléptetés eredményei" üzenetet, de meggyőződött a 796da. cikk (4) bekezdése értelmében szolgáltatott bizonyíték kielégítő voltáról.
(2) Ha a kiviteli vámhivatal az áru kivitelre történő kiadásától számítva 150 napon belül nem kapott a kiléptető vámhivataltól "Kiléptetés eredményei" üzenetet, sem a 796da. cikk (4) bekezdésének megfelelően kielégítő bizonyítékot, akkor a kiviteli vámhivatal ezt úgy tekintheti, hogy az áru nem hagyta el a Közösség vámterületét.
(3) A kiviteli vámhivatal az exportőrt vagy nyilatkozattevőt és a bejelentett kiléptető vámhivatalt tájékoztatja a kiviteli nyilatkozat érvénytelenítéséről. A kiviteli vámhivatal tájékoztatja a bejelentett kiléptető vámhivatalt, ha az (1) bekezdés b) pontja alapján bizonyítékot fogadott el.
4. FEJEZET
Ideiglenes kivitel ATA-igazolvánnyal
797. cikk
(1) ATA-igazolvány akkor használható fel kivitel céljából, ha teljesülnek az alábbi feltételek:
a) az ATA-igazolványt a Közösség egyik tagállamában bocsátották ki, és egy nemzetközi garanciavállaló-lánc részét képező, a Közösségben letelepedett egyesület azt záradékkal látta el, és kezességet vállalt rá.
A Bizottság közzéteszi ezeknek az egyesületeknek a listáját;
b) az ATA-igazolvány hatálya csak közösségi árukra terjed ki,
- amelyeket a Közösség vámterületéről történő kivitelükkor nem vetettek alá kiviteli vámalakiságoknak a közös agrárpolitika alapján fennálló visszatérítések, illetve egyéb kivitellel kapcsolatos összegek fizetése céljából,
- amelyek tekintetében a közös agrárpolitika alapján nem biztosítottak semmilyen más olyan pénzügyi előnyt, amely az említett áruk kivitelének kötelezettségével jár együtt,
- amelyek tekintetében nem nyújtottak be visszafizetés iránti kérelmet;
c) a 221. cikkben említett okmányokat bemutatták. A vámhatóság a fuvarokmány bemutatását is kérheti;
d) az árukat újrabehozatalra szánják.
(2) Ha ATA-igazolvánnyal szállított árukat vonnak ideiglenes kiviteli eljárás alá, a kiviteli vámhivatal az alábbi vámalakiságokat végzi el:
a) az ATA-igazolvány kiviteli betétlapjának A. és G. rovatában feltüntetett adatokat összeveti az igazolvány fedezete mellett fuvarozott árukkal;
b) szükség esetén kitölti az igazolvány borítólapján "A vámhatóság igazolása" megjelölésű rovatot;
c) kitölti az ellenőrző szelvényt és a kiviteli betétlap H. rovatát;
d) az újrabehozatali betétlap H. rovatának b) pontjába bejegyzi a saját nevét;
e) megőrzi a kiviteli betétlapot.
(3) Ha a kiviteli vámhivatal nem azonos a kiléptető vámhivatallal, a kiviteli vámhivatal elvégzi a (2) bekezdésben említett alakiságokat, de nem tölti ki a kiviteli ellenőrző szelvény 7. rovatát, amelyet a kiléptető vámhivatal tölt ki.
(4) Az áruk újrabehozatalának a vámhatóság által a kiviteli betétlap H. rovatának b) pontjában megállapított határideje nem lépheti túl az igazolvány érvényességi idejét.
798. cikk
Ha az ATA-igazolvánnyal a Közösség vámterületéről kilépő árukat már nem kívánják újra behozni, akkor egy, a 37. mellékletben említett adatokat tartalmazó kiviteli nyilatkozatot kell benyújtani a kiviteli vámhivatalnak.
A szóban forgó igazolvány benyújtásakor a fent említett kiviteli vámhivatal a kiviteli nyilatkozat 3. példányát záradékolja, és az újrabehozatali betétlapot, valamint az ellenőrző szelvényt érvényteleníti.
V. CÍM
EGYÉB VÁMJOGI SORSOK
1. FEJEZET
vámszabad területek és vámszabad raktárak
1. szakasz
A 2. és 3. szakasz közös rendelkezései
1. alszakasz - Meghatározások és általános rendelkezések
799. cikk
E fejezet alkalmazásában:
a) "I. típusú ellenőrzés"alapvetően egy kerítés létére alapuló ellenőrzés;
b) "II. típusú ellenőrzés"elsősorban a vámraktározási eljárás követelményeinek megfelelően végrehajtott alakiságokra alapuló ellenőrzés;
c) "üzemeltető"vámszabad területen vagy vámszabad raktárban tárolást, megmunkálást, feldolgozást, áruértékesítést vagy -vásárlást érintő tevékenységet folytató bármely személy.
800. cikk
Bármely személy kérheti a tagállamok által kijelölt vámhatóságokat, hogy a Közösség vámterületének valamely részét vámszabad területként vagy létrehozandó vámszabad raktárként jelölje ki.
801. cikk
(1) A vámszabad területen épület létesítésének engedélyezése iránti kérelmet írásban kell benyújtani.
(2) Az (1) bekezdésben említett kérelemben meg kell határozni azt a tevékenységet, amelyre az épületet használni fogják, és meg kell adni minden olyan információt, amely a tagállamok által kijelölt vámhatóságok számára lehetővé teszi az engedély megadása indokainak értékelését.
(3) Az illetékes vámhatóságok azokban az esetekben adják meg az engedélyt, amikor annak eredményeképp a vámszabályok alkalmazása nem ütközik akadályba.
(4) az (1), (2) és (3) bekezdést alkalmazni kell akkor is, amikor a vámszabad területen lévő épületet vagy a vámszabad raktárt képező épületet átalakítják.
802. cikk
A tagállamok vámhatóságainak a következő információt kell közölniük a Bizottsággal:
a) a Közösségben létező és üzemelő vámszabad területeket a 799. cikk osztályozása szerint;
b) azokat a kijelölt vámhatóságokat, amelyekhez a 804. cikkben említett kérelmet be kell nyújtani.
A Bizottság az a) és b) pontban említett információt közzéteszi az Európai Közösségek Hivatalos Lapja C sorozatában.
2. alszakasz - A raktárnyilvántartások jóváhagyása
803. cikk
(1) Az, hogy az üzemeltető végezhet-e tevékenységeket, attól függ, hogy a vámhatóságok jóváhagyják-e:
- a Vámkódex 176. cikkében említett raktárnyilvántartásokat az I. ellenőrzési típusú vámszabad terület vagy a vámszabad raktár esetében,
- a Vámkódex 105. cikkében említett raktárnyilvántartásokat a II. ellenőrzési típusú vámszabad terület esetében.
(2) A jóváhagyást írásban kell kiadni. Az csak olyan személyeknek adható ki, akik a vámszabad területekre vagy vámszabad raktárakra vonatkozó rendelkezések alkalmazására vonatkozóan minden szükséges garanciát megadnak.
804. cikk
(1) A raktárnyilvántartások jóváhagyására vonatkozó kérelmet írásban, a tagállamok által kijelölt vámhatóságnak kell benyújtani ott, ahol a vámszabad terület vagy a vámszabad raktár van.
(2) Az (1) bekezdésben említett kérelemben meg kell határozni, hogy milyen tevékenységeket terveznek; ezt az információt a Vámkódex 172. cikke (1) bekezdésében említett értesítésnek kell tekinteni. A szolgáltatandó információnak tartalmaznia kell a következőket:
a) a vezetett vagy a jövőben vezetendő raktárnyilvántartások részletes leírása;
b) azoknak az áruknak a jellege és vámjogi helyzete, amelyekre ezek a tevékenységek vonatkoznak;
c) ahol alkalmazandó, azt a vámeljárást, amely alapján a tevékenységeket végzik;
d) minden egyéb olyan adat, amelyre a vámhatóságoknak szükségük van a rendelkezések megfelelő alkalmazásának biztosításához.
2. szakasz
Az I. ellenőrzési típusú vámszabad területekre és vámszabad raktárakra alkalmazandó rendelkezések
1. alszakasz - Ellenőrzés
805. cikk
A vámszabad területet körbevevő kerítésnek elő kell segítenie a vámhatóságok felügyeletét a vámszabad területen kívül és meg kell akadályoznia, hogy bármilyen árut jogellenesen eltávolítsanak a vámszabad területről.
Az első albekezdést értelemszerűen alkalmazni kell a vámszabad raktárakra is.
A közvetlenül a kerítésen kívüli területnek olyannak kell lennie, hogy lehetővé tegye a vámhatóságok általi megfelelő felügyeletet. Az erre a területre való belépéshez az említett hatóságok hozzájárulása szükséges.
806. cikk
A vámszabad területeken vagy vámszabad raktárakban vezetett raktárnyilvántartásoknak különösen a következőket kell tartalmazniuk:
a) a csomagok jelöléseinek, azonosítószámának, mennyiségének és fajtájának adatait, az áru mennyiségét és szokásos kereskedelmi leírását, illetve adott esetben releváns, a szállítótartály azonosító jelölését;
b) az áruk bármely időpontban történő figyelemmel kísérését lehetővé tévő információt, különösen azok helyét, a vámszabad területen vagy vámszabad raktárban történő tárolásuk, illetve a Közösség vámterületének más részére történő újrabelépésük után hozzájuk rendelt vámjogi sorsot;
c) az áru betárolásakor és kitárolásakor használt fuvarozási okmányok hivatkozási adatait;
d) a vámjogi helyzet jelzését, és ahol releváns, a 812. cikkben említett ilyen vámjogi helyzetet igazoló igazolás hivatkozási adatait;
e) a szokásos kezelési módok adatait;
f) az esettől függően, az 549., 550. vagy 583. cikkben említett jelzések valamelyikét;
g) azoknak az áruknak az adatait, amelyek szabad forgalomba bocsátáskor vagy ideiglenes behozatalnál nem tartoznak behozatali vámok vagy kereskedelempolitikai intézkedések hatálya alá, és amelyek felhasználását vagy rendeltetési helyét ellenőrizni kell;
h) a kilépési gyűjtő vámáru-nyilatkozathoz előírt, a 30A. mellékletben megállapított további adatokat, ha azokat a Vámkódex 182c. cikke előírja.
A vámhatóságok mellőzhetik az ilyen információ egy részének előírását ott, ahol a vámszabad terület vagy a vámszabad raktár felügyeletét vagy ellenőrzését ez nem érinti.
Ha a vámeljárások céljára nyilvántartásokat kell vezetni, az ilyen nyilvántartásokban foglalt információnak nem kell a raktárnyilvántartásokban megjelenniük.
807. cikk
Az aktív feldolgozást vagy a vámfelügyelet melletti feldolgozást a vámszabad területen vagy a vámszabad raktárban lévő végtermékek, vagy változatlan állapotú áru tekintetében a vámszabad terület vagy vámszabad raktár raktárnyilvántartásába történő felvétellel kell lezárni. Az ilyen felvétel hivatkozási adatait - az esettől függően - az aktív feldolgozás vagy a vámfelügyelet melletti feldolgozás nyilvántartásaiba kell felvenni.
2. alszakasz - Az I. ellenőrzési típusú vámszabad terület és a vámszabad raktár működésével kapcsolatos egyéb rendelkezések
808. cikk
A közösségi jogi aktusokban előírt kereskedelempolitikai intézkedéseket a vámszabad területre vagy vámszabad raktárba betárolt nem közösségi árukra csak annyiban kell alkalmazni, amennyiben azok az árunak a Közösség vámterületére történő beléptetésére vonatkoznak.
809. cikk
Ha a vámtartozás meghatározásához azokat a tehermegállapítási elemeket kell figyelembe venni, amelyeket azt megelőzően kell alkalmazni, hogy az árut a 72. mellékletben említett szokásos kezelési formáknak alávetették volna, az INF8 adatlapot ki lehet adni az 523. cikk szerint.
810. cikk
A 800/1999/EK rendelet 40. cikke szerint vámszabad területen vagy vámszabad raktárban létrehozható élelmiszerraktár.
812. cikk
Amikor a vámhatóságok igazolják az áru közösségi vagy nem közösségi helyzetét a Vámkódex 170. cikke (4) bekezdésével összhangban, a 109. mellékletben foglalt mintának megfelelő űrlapot és rendelkezéseket kell alkalmazniuk.
Az üzemeltető az áru közösségi helyzetét azzal a nyomtatvánnyal igazolja, amelyen a nem közösségi árut a Vámkódex 173. cikke a) pontjának megfelelően szabad forgalomra bocsátásra bejelentik, ideértve az aktív feldolgozás vagy a vámfelügyelet melletti feldolgozás lezárását.
3. szakasz
A II. ellenőrzési típusú vámszabad területekre vonatkozó rendelkezések
813. cikk
Az 1. szakasz és a 814. cikk rendelkezéseinek sérelme nélkül, a vámraktározási eljárásra meghatározott rendelkezéseket a II. ellenőrzési típusú vámszabad területre is alkalmazni kell.
2. FEJEZET
Újrakivitel, megsemmisítés és felajánlás az Államkincstár javára
1. szakasz
Újrakivitel
841. cikk
(1) Ha az újrakivitelhez vámáru-nyilatkozat benyújtása szükséges, az áruk újrakivitelét megelőző gazdasági vámeljárás lezárása esetén alkalmazandó különös rendelkezések sérelme nélkül a 786. cikk (1) bekezdését, és (2) bekezdésének b) pontját, valamint a 787-796e. cikket értelemszerűen alkalmazni kell.
(2) Ha az ideiglenes behozatalban lévő áruk újrakiviteléhez ATA-igazolvány kerül kiállításra, a vámáru-nyilatkozat a Vámkódex 161. cikke (5) bekezdésében említettől eltérő vámhivatalnál is benyújtható.
841a. cikk
(1) A Vámkódex 182. cikke (3) bekezdésének harmadik mondatában meghatározottaktól eltérő esetekben az újrakivitelt kilépési gyűjtő vámáru-nyilatkozat benyújtásával, a 842a-842e. cikkben foglaltaknak megfelelően be kell jelenteni, kivéve, ha e követelmény alól a 842a. cikk (3) vagy (4) bekezdése mentességet ad.
(2) Azokban az esetekben, amikor átmeneti megőrzésben lévő vagy I. típusú ellenőrzés alá tartozó vámszabad területen tárolt áruk újrakivitelére kerül sor, és ehhez nincs szükség vámáru-nyilatkozatra vagy kilépési gyűjtő vámáru-nyilatkozatra, az újrakivitelről az áruknak a vámhatóságok által előírt formában történő kiléptetését megelőzően értesíteni kell az azon hely szerint illetékes vámhivatalt, ahonnan az áruk a Közösségi vámterületén kívülre kerülnek.
A (3) bekezdésben említett személy saját kérésére engedélyt kap arra, hogy az értesítés egy vagy több adatát módosítsa. Azt követően, hogy az értesítésben szereplő áruk elhagyták a Közösség vámterületét, már nem hajtható végre ilyen módosítás.
(3) A (2) bekezdés első albekezdésében említett értesítést a fuvarozónak kell megküldenie. Az átmeneti megőrzésre igénybe vett létesítmény üzemeltetőjének, az I. típusú ellenőrzés alá tartozó vámszabad területen található raktárlétesítmény üzemeltetőjének vagy bármely más, az áruk vám elé állítására képes személynek kell azonban benyújtania az értesítést abban az esetben, ha a fuvarozó előzetesen tájékoztatást kapott arról, hogy az e bekezdés második mondatában említett személy benyújtja az értesítést, és ehhez szerződéses megállapodás alapján hozzájárulását adta. A kiléptető vámhivatal ellenkező bizonyíték hiányában vélelmezheti, hogy a fuvarozó szerződéses megállapodás alapján hozzájárulását adta, és az értesítés benyújtása az ő tudtával történt.
A fuvarozó fogalmának meghatározását illetően a 796d. cikk (1) bekezdésének utolsó albekezdését kell alkalmazni.
(4) Azokban az esetekben, amikor a (2) bekezdés első albekezdésében említett értesítést követően az árukat mégsem kívánják már kiszállítani a Közösség vámterületéről, a 796d. cikk (4) bekezdését kell értelemszerűen alkalmazni.
2. szakasz
Megsemmisítés és felajánlás az államkincstár javára
842. cikk
(1) A Vámkódex 182. cikke (3) bekezdése szerinti, az áru megsemmisítésére vonatkozó értesítést írásban kel megtenni, és azt az érintett személynek alá kell írnia. Az értesítést megfelelő időben kell benyújtani annak érdekében, hogy a vámhatóság számára lehetővé váljon a megsemmisítés felügyelete.
(2) Ha a szóban forgó árukra már benyújtották a vámhatóság által elfogadott vámáru-nyilatkozatot, a vámhatóság jelzi a megsemmisítés tényét a vámáru-nyilatkozaton, és a Vámkódex 66. cikkével összhangban a vámáru-nyilatkozatot érvényteleníti.
Az áruk megsemmisítésekor jelen lévő vámhatóság a formanyomtatványon vagy vámáru-nyilatkozaton meghatározza a megsemmisítés eredményeképpen keletkező hulladék vagy maradék jellegét és mennyiségét abból a célból, hogy egy másik vámjogi sors meghatározása során meg lehessen állapítani az alkalmazandó terheket.
(3) A (2) bekezdés első albekezdésének rendelkezéseit értelemszerűen alkalmazni kell az Államkincstár számára átengedett árukra.
VI. CÍM
A KÖZÖSSÉG VÁMTERÜLETÉT ELHAGYÓ ÁRUK
1. FEJEZET
Kilépési gyűjtő vámáru-nyilatkozat
842a. cikk
(1) A (3) és a (4) bekezdésben foglaltak sérelme nélkül, amennyiben az áruknak a közösségi vámterületről történő kiszállításához nincs szükség vámáru-nyilatkozatra, a kilépési gyűjtő vámáru-nyilatkozatot a kiléptető vámhivatalnál kell benyújtani.
(2) E fejezet alkalmazásában a "kiléptető vámhivatal":
a) az azon hely szerint illetékes vámhivatal, ahonnan az áruk a Közösség vámterületén kívülre kerülnek; vagy
b) amennyiben az áruk légi vagy tengeri úton hagyják el a Közösség vámterületét, az azon hely szerint illetékes vámhivatal, ahol az árukat berakodják arra a hajóra vagy légi járműre, amelyen valamely, a Közösség vámterületén kívüli rendeltetési helyre szállítják őket.
(3) Nem kell benyújtani kilépési gyűjtő vámáru-nyilatkozatot akkor, ha az abban feltüntetendő adatok szerepelnek valamely elektronikus árutovábbítási nyilatkozatban, feltéve, hogy a rendeltetési vámhivatal megegyezik a kiléptető vámhivatallal vagy a Közösség vámterületén kívül van.
(4) Nem szükséges kilépési gyűjtő vámáru-nyilatkozatot benyújtani a következő esetekben:
a) az 592a. cikkben felsorolt mentesítések;
b) ha az árukat valamely, a Közösség vámterületén lévő kikötőben vagy repülőtéren rakodják be, és az érintett áruk rendeltetési helye egy másik közösségi kikötő vagy repülőtér, feltéve, hogy a kiléptető vámhivatalnak kérésre megfelelő bizonyítékot bocsátanak rendelkezésére - kereskedelmi, kikötői vagy fuvarozási árujegyzék vagy rakományjegyzék formájában - a kirakodás tervezett helyére vonatkozóan. Ugyanez vonatkozik azokra az esetekre, amikor az érintett árukat szállító hajónak vagy légi járműnek ki kell kötnie, illetve le kell szállnia valamely, a Közösség vámterületén kívül található kikötőben vagy repülőtéren, és az áruknak a hajó vagy a légi jármű fedélzetén kell maradniuk a szóban forgó kikötőben vagy repülőtéren való tartózkodás ideje alatt;
c) ha az árukat egy adott kikötőben vagy repülőtéren nem rakodják ki arról a szállítóeszközről, amely azokat a Közösség vámterületére beszállította és onnan ki is fogja szállítani;
d) ha az árukat valamely, a Közösség vámterületén belüli előző kikötőben vagy repülőtéren rakodták be, és azon a szállítóeszközön maradnak, amely kiszállítja őket a Közösség vámterületéről;
e) ha az átmeneti megőrzésben lévő vagy I. típusú ellenőrzés alá tartozó vámszabad területen tárolt árukat az őket az adott átmeneti megőrzési raktárba vagy vámszabad területre fuvarozó szállítóeszközről egyazon vámhivatal felügyelete mellett átrakodják arra a hajóra, repülőgépre vagy vonatra, amely azután az említett átmeneti megőrzési raktárból vagy vámszabad területről kiszállítja őket a Közösség vámterületéről, feltéve, hogy
i. az átrakodásra attól az időponttól számítva tizennégy naptári napon belül kerül sor, amikor az árukat átmeneti megőrzés alá helyezés vagy I. típusú ellenőrzés alá tartozó vámszabad területen való elhelyezés céljából vám elé állították; rendkívüli körülmények fennállása esetén a vámhatóságok meghosszabbíthatják ezt az időszakot a szóban forgó körülmények elhárítása érdekében;
ii. a vámhatóságok rendelkeznek az árukra vonatkozó információkkal; és
iii. a fuvarozó tudomása szerint nincs változás az áruk rendeltetési helyét és a címzettet illetően;
f) ha az átmeneti megőrzésre szolgáló létesítmény üzemeltetőjének, a fuvarozónak vagy a kikötő/repülőtér üzemeltetőjének adatfeldolgozó rendszerén vagy egyéb, a vámhatóságok által előzetesen jóváhagyott kereskedelmi adatfeldolgozó rendszeren keresztül a kiléptető vámhivatal rendelkezésére áll annak bizonyítéka, hogy a Közösség vámterületéről kiszállítandó áruk már szerepeltek valamely, a kilépési gyűjtő vámáru-nyilatkozat adatait tartalmazó vámáru-nyilatkozatban.
A 842d. cikk (2) bekezdésében foglaltak sérelme nélkül, az a)-f) pontban említett esetekben a vámellenőrzések során figyelembe kell venni a helyzet különleges jellegét.
(5) A kilépési gyűjtő vámáru-nyilatkozatot - amenynyiben szükség van ilyenre - a fuvarozónak kell benyújtania. Az átmeneti megőrzésre igénybe vett létesítmény üzemeltetőjének, az I. típusú ellenőrzés alá tartozó vámszabad területen található raktárlétesítmény üzemeltetőjének vagy bármely más, az áruk vám elé állítására képes személynek kell azonban benyújtania ezt a nyilatkozatot abban az esetben, ha a fuvarozó előzetesen tájékoztatást kapott arról, hogy az e bekezdés második mondatában említett személy benyújtja a nyilatkozatot, és ehhez szerződéses megállapodás alapján hozzájárulását adta. A kiléptető vámhivatal ellenkező bizonyíték hiányában vélelmezheti, hogy a fuvarozó szerződéses megállapodás alapján hozzájárulását adta, és a nyilatkozat benyújtása az ő tudtával történt.
A fuvarozó fogalmának meghatározását illetően a 796d. cikk (1) bekezdésének utolsó albekezdését kell alkalmazni.
(6) Azokban az esetekben, amikor kilépési gyűjtő vámáru-nyilatkozat benyújtását követően az árukat mégsem kívánják már kiszállítani a Közösség vámterületéről, a 796d. cikk (4) bekezdését kell értelemszerűen alkalmazni.
842b. cikk
(1) A kilépési gyűjtő vámáru-nyilatkozatot adatfeldolgozási eljárás felhasználásával kell benyújtani. Annak tartalmaznia kell a 30A. mellékletben az ilyen nyilatkozat számára megállapított adatokat, és azt az abban a mellékletben foglalt kitöltési útmutatónak megfelelően kell kitölteni.
A kilépési gyűjtő vámáru-nyilatkozatot az azt benyújtó személy hitelesíti.
(2) Az (1) bekezdésben megállapított feltételeknek megfelelő kilépési gyűjtő vámáru-nyilatkozatokat a vámhatóságok fogadásukkor haladéktalanul nyilvántartásba veszik.
A 199. cikk (1) bekezdését értelemszerűen alkalmazni kell.
(3) A vámhatóságok papíralapú kilépési gyűjtő vámáru-nyilatkozat benyújtását csak akkor engedik meg, ha a következő körülmények közül bármelyik teljesül:
a) a vámhatóságok számítógépes rendszere nem üzemel;
b) a kilépési gyűjtő vámáru-nyilatkozatot benyújtó személy elektronikus alkalmazása nem üzemel.
Az első albekezdés a) és b) pontjában említett esetekben a papíralapú kilépési gyűjtő vámáru-nyilatkozatot a 45i. mellékletben megadott mintának megfelelő biztonsági és védelmi okmányon kell benyújtani. Ha az a szállítmány, amelyre kilépési gyűjtő vámáru-nyilatkozatot nyújtanak be, egynél több árutételből áll, a biztonsági és védelmi okmányt ki kell egészíteni a 45j. mellékletben megadott mintának megfelelő tételjegyzékkel. A tételjegyzék a biztonsági és védelmi okmány szerves részét képezi.
Az első albekezdés a) és b) pontjában említett esetekben a vámhatóságok engedélyezhetik a biztonsági és védelmi okmány kereskedelmi okmányokkal való helyettesítését vagy kiegészítését, feltéve, hogy a vámhatóságoknak benyújtott okmányok tartalmazzák a kilépési gyűjtő vámáru-nyilatkozat tekintetében a 30A. mellékletben előírt adatokat.
(4) A vámhatóságok egymással egyetértésben határozzák meg a (3) bekezdés első albekezdésének a) pontjában említett esetekben követendő eljárást.
(5) A papíralapú kilépési gyűjtő vámáru-nyilatkozat (3) bekezdés első albekezdésének b) pontja szerinti használatához a vámhatóságok jóváhagyása szükséges.
A papíralapú kilépési gyűjtő vámáru-nyilatkozatot az azt benyújtó személy aláírja.
842c. cikk
(1) Intermodális szállítás esetén, amikor az árukat a Közösség vámterületén kívülre irányuló szállítás céljából egyik szállítóeszközről egy másikra átrakják, a kilépési gyűjtő vámáru-nyilatkozat benyújtására megadott határidő megfelel a Közösség vámterületét elhagyó szállítóeszközre vonatkozó, a 842d. cikk (1) bekezdésében meghatározott határidőnek.
(2) Kombinált szállítás esetén, amikor a határt átlépő tényleges szállítóeszköz mindössze egy másik tényleges szállítóeszközt fuvaroz, a kilépési gyűjtő vámáru-nyilatkozat benyújtása a másik szállítóeszköz üzemeltetőjének a kötelezettsége.
A vámáru-nyilatkozat benyújtására megadott határidő a határt átlépő tényleges szállítóeszközre vonatkozó, a 842d. cikk (1) bekezdésében megadott határidőnek felel meg.
842d. cikk
(1) A kilépési gyűjtő vámáru-nyilatkozatot a kiléptető hivatalnál az 592b. cikk (1) bekezdésében szabályozott határidőn belül kell benyújtani.
Az 592b. cikk (2) és (3) bekezdésében és az 592c. cikkben foglalt rendelkezések értelemszerűen alkalmazandók.
(2) Az illetékes vámhivatal, a kilépési gyűjtő vámáru-nyilatkozat benyújtásakor, mielőtt az árukat a Közösségből történő kiléptetésre kiadná, elvégzi a megfelelő kockázatalapú ellenőrzéseket, elsősorban a biztonság és a védelem szempontjából, egyrészről az adott forgalom típushoz a vámáru-nyilatkozat benyújtására vonatkozóan az 592b. cikkben megállapított határidő, másrészről az áruk rakodása vagy indulása közötti időpontnak megfelelő időtartamon belül.
Ha olyan árukat szállítanak ki a Közösség területéről, amelyekre kiterjed a 842a. cikk (4) bekezdésében a kilépési gyűjtő vámáru-nyilatkozatra vonatkozó követelmény tekintetében biztosított mentesítések valamelyike, a kockázatelemzést szükség esetén az áruk vám elé állításakor kell elvégezni, az árukra vonatkozó okmányok vagy egyéb információ alapján.
Amint a kockázatelemzést elvégezték, az áruk kiléptetésre kiadhatók.
(3) Ha megállapítást nyer, hogy a Közösség vámterületéről történő kiszállításra szánt árukra vonatkozóan, amelyekre követelmény a kilépési gyűjtő vámáru-nyilatkozat benyújtása, ilyen vámáru-nyilatkozatot nem nyújtottak be, annak a személynek, aki a Közösség vámterületéről az árukat kiszállítja vagy az áruk onnan kívülre történő fuvarozásáért a felelősséget viseli, haladéktalanul be kell nyújtania egy kilépési gyűjtő vámáru-nyilatkozatot.
Ha ez a személy a kilépési gyűjtő vámáru-nyilatkozatot az 592b. és 592c. cikkben előírt határidők letelte után nyújtja be, ez a nemzeti jogszabályokban megállapított szankciók alkalmazását nem zárja ki.
(4) Ha a vámhatóságok, az általuk elvégzett ellenőrzések alapján az árukat nem tudják kiléptetésre kiadni, az illetékes vámhivatal értesíti a kilépési gyűjtő vámáru-nyilatkozatot benyújtó személyt, ha pedig attól különbözik, az áruknak a Közösség vámterületéről kívülre történő fuvarozásáért felelős személyt, hogy az áruk nem adhatók ki.
Az ilyen értesítést az ezekre az árukra vonatkozó kockázatelemzés befejezése után ésszerű időn belül meg kell tenni.
842e. cikk
(1) A 842d. cikk (1) bekezdésében említett határidők nem alkalmazandók, amikor a Közösség és harmadik országok közötti nemzetközi megállapodások a vámáru-nyilatkozat adatainak cseréjét a fenti cikkben említettől eltérő határidők szerint követelik meg.
(2) A határidő semmiképpen sem lehet rövidebb, mint a kockázatelemzés elvégzéséhez szükséges időtartam, mielőtt az áruk a Közösség vámterületét elhagynák.
842f. cikk
Ha a kilépési gyűjtő vámáru-nyilatkozatban megjelölt áru a nyilatkozat benyújtását követően 150 napon belül nem hagyta el a Közösség vámterületét, a kilépési gyűjtő vámáru-nyilatkozatot be nem nyújtottnak kell tekinteni.
2. FEJEZET
Ideiglenes kivitel
843. cikk
(1) Ez a fejezet határozza meg az azon árura alkalmazandó feltételeket, amelyet a Közösség vámterületének egyik pontjáról e vámterület egy másik pontjára oly módon szállítanak, hogy az átmenetileg elhagyja e vámterületet, függetlenül attól, hogy harmadik ország területén áthalad vagy sem, és valamilyen közösségi intézkedés nyomán ezen áru Közösségből történő kivitele tilos, illetve korlátozás alá esik, vám- vagy egyéb díjfizetési kötelezettség alá esik, az említett intézkedésben esetlegesen található különleges rendelkezések sérelme nélkül.
Ezek a feltételek azonban nem alkalmazandók az alábbi esetekben:
- amikor az áruknak a Közösség vámterületéről történő kivitelére vonatkozó nyilatkozat megtételekor a kiviteli alakiságokat elvégző vámhivatalnál igazolják, hogy a korlátozás alól mentesítő igazgatási intézkedés született, illetve megfizették az esedékes vámot, adókat vagy egyéb díjakat, vagy hogy az adott helyzetben az áru további alakiságok nélkül elhagyhatja a Közösség vámterületét, vagy
- amikor az áru szállítása a Közösség vámterületén kívüli leszállás nélkül közvetlen repülőjárattal, illetve a 313a. cikk értelmében vett menetrend szerinti hajójárattal történik.
(3) Ha az árukat:
a) a közösségi árutovábbítási eljárástól eltérő vámeljárás alá vonják; vagy
b) anélkül szállítják, hogy vámeljárás alatt állnának,
a 912a-912g. cikk szerint T5 ellenőrző példányt kell kiállítani. A T5 ellenőrző példány 104. rovatában lévő "Egyéb (részletezze)" négyzetbe egy X-et kell írni, és a rovatba be kell vezetni a (2) bekezdésben meghatározott bejegyzést.
Az első albekezdés a) pontja szerinti áruk esetében a T5 ellenőrző példány kiállítása annál a vámhivatalnál történik, amelynél elvégzik az áru feladásához szükséges alakiságokat. Az első albekezdés b) pontja szerinti áruk esetében a T5 ellenőrző példány bemutatása az áruval együtt azon a területen illetékes vámhivatalnál történik, ahol az áru elhagyja a Közösség vámterületét.
Ezen vámhivatalok határozzák meg azt a határidőt, ameddig az árut be kell mutatni a rendeltetési vámhivatalnál, és arra a vámokmányra, amelynek fedezete alatt az árut szállítják, szükség esetén beírják a (2) bekezdésben meghatározott bejegyzést.
A T5 ellenőrző példány vonatkozásában rendeltetési vámhivatalnak az első albekezdés a) pontja szerinti vámeljárás rendeltetési vámhivatalát, illetve az első albekezdés b) pontja esetén az azon hely szerint illetékes vámhivatalt kell tekinteni, ahol az árut visszahozzák a Közösség vámterületére.
(4) A (3) bekezdést az olyan árukra is alkalmazni kell, amelyeket a Közösség vámterületének egyik pontjából egy másikba szállítanak a 309. cikk f) pontjában említett egy vagy több EFTA-ország területén keresztül, és amelyeket ezekből az országokból újra feladnak.
(5) Ha az (1) bekezdésben említett közösségi intézkedés biztosíték nyújtását írja elő, a biztosíték nyújtása a 912b. cikk (2) bekezdése szerint történik.
(6) Amikor az áruk rendeltetési vámhivatalhoz érkezésekor vagy nem ismerik el azonnal azok közösségi helyzetét, vagy azokat nem vetik alá azonnal a Közösség vámterületére való behozatalukkor előírt vámalakiságoknak, a rendeltetési vámhivatal foganatosítja az azokra előírt intézkedéseket.
(7) A (3) bekezdésben ismertetett esetben a rendeltetési vámhivatal valamennyi szükséges alakiság elvégzése után haladéktalanul visszaküldi a T5 ellenőrző példány eredetijét a B rovatban ("Visszaküldeni: ...") feltüntetett címre, a szükséges megjegyzésekkel együtt.
(8) Amennyiben az árukat nem hozzák vissza a Közösség vámterületére, azok úgy tekintendők, mint amelyek szabálytalanul hagyták el a Közösség vámterületét abból a tagállamból, amelyben azokat a (2) bekezdésben említett eljárás alá vonták, vagy amelyben a T5 ellenőrző példányt kiállították.
III. RÉSZ
KÜLÖNLEGES MŰVELETEK
I. CÍM
TÉRTIÁRUK
844. cikk
(1) A Vámkódex 185. cikke (2) bekezdésének b) pontjával összhangban mentesülnek a behozatali vám alól az alábbiak:
- a Közösség vámterületéről korábban már kivitt áruk, amelyek tekintetében a kiviteli vámalakiságok lefolytatására a közös agrárpolitika alapján, a kivitel megvalósulásához kötött visszatérítésekhez vagy egyéb összegekhez való hozzájutás céljából került sor,
- illetve
- azok az áruk, amelyek vonatkozásában a fent említett visszatérítéstől vagy más összegtől eltérő olyan pénzügyi előny nyújtására került sor a közös agrárpolitika alapján, amely az adott áruk kivitelére vonatkozó kötelezettséggel jár,
amennyiben megállapítást nyer, hogy az említett visszatérítés vagy más összeg már visszafizetésre került, vagy hogy az illetékes hatóságok részéről megtörténtek a fenti összegek visszatartásához szükséges intézkedések, illetve hogy a megadott egyéb pénzügyi előnyök érvénytelenítése megtörtént, és az árukat:
i. a rendeltetési országban érvényben lévő jogszabályok szerint, belföldi felhasználás céljából nem bocsátották belföldi forgalomba az adott ország területén;
ii. a címzett visszaküldte vagy azért, mert hibásak voltak, vagy azért, mert nem feleltek meg a felek közötti szerződés rendelkezéseinek;
iii. azért hozták be újra a Közösség vámterületére, mert az exportőrtől független körülmények következtében nem lehetett azokat olyan célokra használni, amelyekre az adott árukat szánták.
(2) Az (1) bekezdés iii. pontja szerinti körülmény, ha:
a) a Közösség vámterületére azért küldték vissza az árukat, mert azok a címzett részére történő leszállítás előtt sérülést szenvedtek oly módon, hogy vagy maga az áru, vagy az árut szállító eszköz sérült meg;
b) az árukat eredetileg szakmai vásáron vagy ehhez hasonló eseményen történő felhasználás vagy eladás céljából exportálták, és az áruk nem kerültek felhasználásra vagy eladásra;
c) az áruk azért nem kerülhettek a címzett részére leszállításra, mert a címzett valamely ténybeli vagy jogi okból kifolyólag az áruk kivitelének alapjául szolgáló szerződést nem volt képes teljesíteni;
d) az áruk természeti, politikai vagy társadalmi akadályok következtében nem kerülhettek a címzett részére leszállításra, vagy az áruk azután jutottak el a címzetthez, hogy lejárt az áruk kivitelének alapjául szolgáló szerződésben kikötött kötelező szállítási határidő;
e) a gyümölcs- és zöldségfélék piacának közös szervezése alá tartozó, bizományi szerződés alapján feladott és kivitt áruk a célállomásként szereplő harmadik ország piacán nem kerültek eladásra.
(3) A közös agrárpolitika keretében kiviteli engedéllyel, illetve előzetes rögzítési igazolással kivitt áruk csak akkor mentesülnek a behozatali vámok alól, ha igazolják, hogy a vonatkozó közösségi előírásoknak megfeleltek.
(4) Az (1) bekezdésben említett áruk csak akkor mentesülhetnek a behozatali vámok alól ha azokat a kivitelükkel kapcsolatos kiviteli vámalakiságok elvégzése időpontjától számított tizenkét hónapon belül a Közösség vámterületén szabad forgalomba bocsátják.
Ha azonban az áru szabad forgalomba bocsátására vonatkozó bejelentésre az első albekezdésben említett határidő lejárta után kerül sor, az újrabehozatal tagállamának vámhatóságai engedélyezhetik ennek a határidőnek a meghosszabbítását, ha azt kivételes körülmények indokolják. Ha a vámhatóságok engedélyezik a határidő meghosszabbítását, az eset részleteit meg kell küldeniük a Bizottságnak.
845. cikk
A térti áruk abban az esetben is mentesülnek a behozatali vámok alól, ha a Közösség területéről korábban kivitt áruknak csak részét képezik.
Ugyanez vonatkozik arra az esetre is, amikor az áru olyan alkatrészekből, illetve tartozékokból áll, amelyek a Közösség vámterületéről korábban kivitt gépekhez, berendezésekhez, készülékekhez vagy más termékekhez tartoztak.
846. cikk
(1) A Vámkódex 186. cikkétől eltérve, mentesülnek a behozatali vámok alól azok a térti áruk:
a) amelyeken a Közösség vámterületéről történt kivitelük után nem végeztek a jó állapotban tartásukhoz szükséges kezelésen kívüli kezelést, vagy amelyeken kizárólag a külső megjelenésüket megváltoztató kezelést végeztek;
b) amelyeken a Közösség vámterületéről történt kivitelük után nem kizárólag a jó állapotban tartásukhoz szükséges vagy a külső megjelenésüket megváltoztató kezelést végeztek, de amelyek hibásnak, illetve alkalmatlannak bizonyultak az eredeti felhasználásra, feltéve, hogy az alábbi feltételek valamelyike teljesül:
- ez a kezelés kizárólag azzal a céllal került alkalmazásra, hogy az árukat megjavítsák, vagy azok jó állapotát visszaállítsák,
- az áruk eredeti felhasználásra való alkalmatlansága csak azután vált nyilvánvalóvá, hogy az ilyen kezeléshez már hozzáfogtak.
(2) Ha a térti árukon az (1) bekezdés b) pontjában megengedett kezelést végeztek, és az ilyen kezelés alapján behozatalivám-fizetési kötelezettség alá esnének, amennyiben passzív feldolgozási eljáráson mentek volna keresztül, akkor a passzív feldolgozási eljárás szerint alkalmazandó vámkivetési szabályokat kell alkalmazni.
Ha azonban az áruk olyan műveleteken mentek át, amelyek a jó állapotba hozás érdekében szükségessé vált javításból vagy helyreállításból álltak, és amelyek olyan, előre nem látható körülmények következtében váltak szükségessé, amelyek a Közösség vámterületén kívül merültek fel, és mindezt a vámhatóság számára hitelt érdemlően igazolták, akkor meg kell adni a behozatali vám megfizetése alóli mentességet, feltéve, hogy a tértiáruk értéke a fenti tevékenységek következtében nem lett magasabb, mint a Közösség vámterületéről történt kivitelük időpontjában.
(3) A (2) bekezdés második albekezdésének alkalmazásában:
a) jó állapotba hozás érdekében szükségessé vált javítás vagy helyreállítás: minden olyan tevékenység, amelynek célja azon működési hibák, illetve az árukban bekövetkezett sérülések kijavítása, amelyeket az áruk a Közösség vámterületén kívül szenvedtek el, és amely nélkül az áruk nem használhatók fel az eredetileg tervezett célokra;
b) a térti áruk értéke a rajtuk végzett műveletek következtében nem tekintendő magasabbnak, mint amekkora a Közösség vámterületéről történő kivitelük időpontjában volt, ha a rajtuk elvégzett tevékenységek nem haladták meg azt a mértéket, amire feltétlenül szükség volt annak érdekében, hogy lehetővé váljon a kérdéses áruknak ugyanazon módon történő felhasználása, mint amire a kivitelük idején alkalmasak voltak.
Ha az áruk jó állapotba hozása érdekében végzett javítás vagy helyreállítás szükségessé teszi alkatrészek beépítését is, akkor ez a beépítés szigorúan csak azokra az alkatrészekre korlátozódhat, amelyek feltétlenül szükségesek ahhoz, hogy az árukat pontosan úgy lehessen használni, mint kivitelük idején.
847. cikk
A kiviteli vámalakiságok elvégzésekor a vámhatóság az érintett személy kérelmére az áruk azonosításához szükséges adatokat tartalmazó okmányt bocsát ki arra az esetre, ha az áruk a Közösség vámterületére visszaküldésre kerülnek.
848. cikk
(1) Térti áruként az alábbiak fogadhatók el:
- azok az áruk, amelyekhez a szabad forgalomba bocsátásra vonatkozó vámáru-nyilatkozat alátámasztásául bemutatják az alábbi okmányokat:
-
a) a kiviteli nyilatkozatnak a vámhatóságok által az exportőrnek visszaküldött példánya vagy a fenti okmánynak az említett hatóság által hitelesként igazolt másolata; vagy
b) a 850. cikkben előírt adatlap.
- Ha a vámhatóság számára az újrabehozatali vámhivatalnál rendelkezésre álló vagy a vámhivatal által az érintett személyektől nyert bizonyíték arra utal, hogy a szabad forgalomba bocsátás céljából bejelentett áruk eredetileg a Közösség vámterületéről kerültek kivitelre, és hogy abban az időpontban eleget tettek a térti áruként való elfogadásra meghatározott feltételeknek, akkor az a) és b) pontban említett dokumentumokra nincs szükség.
- a Közösségben kibocsátott ATA-igazolvánnyal kísért áruk.
- Ezek az áruk abban az esetben is elfogadhatók térti áruként a Vámkódex 185. cikkében megállapított korlátozásokon belül, ha az ATA-igazolvány érvényessége lejárt.
- A 290. cikk (2) bekezdésében megállapított alakiságokat minden esetben el kell végezni.
(2) Az (1) bekezdés első francia bekezdése nem alkalmazható a csomagolóanyagok, szállítóeszközök nemzetközi forgalma, illetve bizonyos különleges vámeljárás alá tartozó termékek esetén, ha az autonóm vagy a szerződéses rendelkezések megállapítják, hogy a vámokmányokra ilyen esetben nincs szükség.
Az első francia bekezdés azokban az esetekben sem alkalmazható, ha az árukat szabad forgalomba bocsátás céljából szóban vagy bármilyen más cselekménnyel is be lehet jelenteni.
(3) Ha szükségesnek ítélik, a vámhatóságok az újrabehozatali vámhivatalnál adott esetben felszólíthatják az érintett személyt, hogy - különösen a térti áru azonosítása céljából - nyújtson be további bizonyítékot.
849. cikk
(1) Azon térti áruk szabad forgalomba bocsátására vonatkozó vámáru-nyilatkozathoz, amelyek kivitelénél a kiviteli vámalakiságok elvégzésére a közös agrárpolitika alapján a kivitel megvalósulásához kötött visszatérítésekhez vagy egyéb összegekhez való hozzájutás céljából került sor, a 848. cikkben felsorolt okmányokon kívül csatolni kell az exportáló tagállamban a fenti visszatérítések vagy egyéb összegek nyújtásáért felelős hatóság(ok) által kiállított igazolást is. Ennek az igazolásnak tartalmaznia kell azokat az adatokat, amelyek lehetővé teszik azon vámhivatal számára, ahol az érintett áruk a szabad forgalomba bocsátás céljából bejelentésre kerültek, annak ellenőrzését, hogy az igazolás a fent nevezett árukra vonatkozik.
(2) Ha az árukivitel során a kiviteli vámalakiságok elvégzésére a közös agrárpolitika alapján a kivitelre előírt visszatérítések vagy egyéb összegekhez való hozzájutás céljából nem került sor, az igazolásnak tartalmaznia kell az alábbi bejegyzések egyikét:
- Sin concesión de restituciones u otras cantidades a la exportación;
- Ingen restitutioner eller andre beløb ydet ved udførslen;
- Keine Ausfuhrerstattungen oder sonstige Ausfuhrvergünstigungen;
- Δεν έτυχαν επιδοτήσεων ή άλλων χορηγήσεων κατά την εξαγωγή;
- No refunds or other amounts granted on exportation;
- Sans octroi de restitutions ou autres montants à l'exportation;
- Senza concessione di restituzioni o altri importi all'esportazione;
- Geen restituties of andere bij de uitvoer verleende bedragen;
- Sem concessão de restituicőes ou outros montantes na exportação;
- Vietäessa ei myönnetty vientitukea eikä muita määriä/Inga bidrag eller andra belopp har beviljats vid exporten;
- Inga bidrag eller andra belopp har beviljats vid exporten;
- Bez vývozních náhrad nebo jiných částek poskytovaných při vývozu;
- Ekspordil ei makstud toetusi ega muid summasid;
- Bez kompensācijas vai citām summām, kas paredzētas par preču izvešanu;
- Eksportas teisės į grąžinamąsias išmokas arba kitas pinigų sumas nesuteikia;
- Kivitel esetén visszatérítést vagy egyéb kedvezményt nem vettek igénybe;
- L-ebda rifużjoni jew ammonti oħra mogħtija fuq esportazzjoni;
- Nie przyznano dopłat lub innych kwot wynikających z wywozu;
- Brez izvoznih nadomestil ali drugih izvoznih ugodnosti;
- Pri vývoze sa neposkytujú žiadne náhrady alebo iné peňažné čiastky;
- Без възстановявания или други предоставяни суми за или при износ;
- Fără acordarea de restituiri restituții sau alte sume la export,
- Bez izvoznih naknada ili drugih iznosa pri izvozu.
(3) Ha az árukivitel során a kiviteli vámalakiságok elvégzésére a közös agrárpolitika alapján a kivitelre előírt visszatérítések vagy egyéb összegek megszerzése céljából került sor, az igazolásnak az alábbi bejegyzések egyikét kell tartalmaznia:
- Restituciones y otras cantidades a la exportación reintegradas por ... (cantidad);
- De ved udførslen ydede restitutioner eller andre beløb er tilbagebetalt for ... (mængde);
- Ausfuhrerstattungen und sonstige Ausfuhrvergünstigungen für ... (Menge) zurückbezahlt;
- Επιδοτήσεις και άλλες χορηγήσεις κατά την εξαγωγή επεστράφησαν για ... (ποσότης);
- Refunds and other amounts on exportation repaid for ... (quantity);
- Restitutions et autres montants à l'exportation remboursés pour ... (quantité);
- Restituzioni e altri importi all'esportazione rimborsati per ... (quantità);
- Restituties en andere bedragen bij de uitvoer voor ... (hoeveelheid) terugbetaald;
- Restituiçőes e outros montantes na exportação reembolsados para ... (quantidade);
- [Kép #1]

Kép #1
- [Kép #2]

Kép #2
- Vývozní náhrady nebo jiné částky poskytované při vývozu vyplaceny za ...(množství);
- Ekspordil makstud toetused ja muud summad tagastatud... (kogus) eest;
- Kompensācijas un citas par preču izvešanu paredzētas summas atmaksātas par ... (daudzums);
- Grąžinamosios išmokos ir kitos eksporto atveju mokamos pinigų sumos išmokėtos už ... (kiekis);
- Kivitel esetén igénybevett visszatérítés vagy egyéb kedvezmény ... (mennyiség) után visszafizetve;
- Rifużjoni jew ammonti oħra fuq esportazzjoni mogħtija lura għal ... (kwantita');
- Dopłaty i inne kwoty wynikające z wywozu wypłacono za ... (ilość);
- Izvozna nadomestila ali zneski drugih izvoznih ugodnosti povrnjeni za ... (količina);
- Náhrady a iné peňažné čiastky pri vývoze vyplatené za ... (množstvo);
- Възстановявания и други суми за ...(количество), изплатени за износа;
- Restituiri și alte sume rambursate la export pentru ... (cantitatea);
- Izvozna naknada ili drugi iznos pri izvozu isplaćeni za ... (količina),
vői
- Titulo de pago de restituciones u otras cantidades a la exportación anulado por ... (cantidad);
- Ret til udbetaling af restitutioner eller andre beløb ved udførslen er annullerei for ... (mængde);
- Auszahlungsanordnung über die Ausfuhrerstattungen und sonstigen Ausfuhrvergünstigungen für ... (Menge) ungültig gemacht;
- Αποδεικτικό πληρωμής επιδοτήσεων ή άλλων χορηγήσεων κατά την εξαγωγή ακυρωμένο για ... (ποσότης);
- Entitlement to payment of refunds or other amounts on exportation cancelled for ... (quantity);
- Titre de paiement des restitutions ou autres montants à l'exportation annulé pour ... (quantité);
- Titolo di pagamento delle restituzioni o di altri importi all'esportazione annullato per ... (quantità);
- Aanspraak op restituties of andere bedragen bij uitvoer vervallen voor ... (hoeveelheid);
- Titulo de pagamento de restituiçőes ou outros montantes na exportação anulado para ... (quantidade);
- [Kép #3]

Kép #3
- Nárok na vyplacení vývozních náhrad nebo jiných částek poskytovaných při vývozu za ...(množství) zanikl;
- Õigus saada toetusi vői muid summasid ekspordil on ... (kogus) eest kehtetuks tunnistatud;
- Tiesības izmaksāt kompensācijas vai citas summas, kas paredzētas par preču izvešanu, atceltas attiecībā uz ... (daudzums);
- Teisė į grąžinamųjų išmokų arba kitų eksporto atveju mokamų pinigų sumų mokėjimą už ... (kiekis) panaikinta;
- Kivitel esetén ... igénybevett visszatérítésre vagy egyéb kedvezményre való jogosultság ... (mennyiség) után megszűnt;
- Mhux intitolati għal ħlas ta' rifużjoni jew ammonti oħra fuq l-esportazzjoni għal ... (kwantita');
- Uprawnienie do otrzymania dopłat lub innych kwot wynikających z wywozu anulowano dla ... (ilość);
- Upravičenost do izplačila izvoznih nadomestil ali zneskov drugih izvoznih ugodnosti razveljavljena za ... (količina);
- Nárok na vyplatenie náhrad alebo iných peňažných čiastok pri vývoze za...(množstvo) zanikol;
- Право за плащане на възстановявания или други суми за износа е отменено за ... (количество);
- Dreptul la plata restituirilor sau a altor sume la export a fost anulat pentru ... (cantitatea);
- Pravo na izvoznu naknadu ili drugi iznos pri izvozu poništeno za ... (količina),
attól függően, hogy a kivitelre előírt visszatérítéseket vagy egyéb összegeket az illetékes hatóságok kifizették-e már, vagy sem.
(4) A 848. cikk (1) bekezdése első francia bekezdésének b) alpontjában említett esetben az (1) bekezdésben említett igazolást a 850. cikkben előírt INF 3. adatlapon kel megadni.
(5) Ha a vámhatóság annál a vámhivatalnál, ahol az árukat szabad forgalomba bocsátás céljából bejelentették, rendelkezik azokkal az eszközökkel, amelyekkel meggyőződhet arról, hogy a közös agrárpolitika keretében a kivitelre előírt visszatérítést vagy egyéb összeget nem nyújtottak, és ezt követően sem nyújthatnak, az (1) bekezdésben említett igazolásra nincs szükség.
850. cikk
Az INF 3. adatlapot egy eredeti és két másolati példányban kell kiállítani a 110. mellékletben feltüntetett mintáknak megfelelő formanyomtatványokon.
851. cikk
(1) A (3) bekezdésre is figyelemmel, az INF 3. adatlapot az exportőr kérelmére a vámhatóságok a kiviteli vámhivatalnál állítják ki az adott árura vonatkozó kiviteli vámalakiságok elvégzésekor, ha az exportőr kijelenti, hogy ezek az áruk feltehetően a kiviteli vámhivataltól eltérő vámhivatalon keresztül kerülnek visszaszállításra.
(2) Az INF 3. adatlapot az exportőr kérelmére a vámhatóságok a kiviteli vámhivatalnál az adott árura vonatkozó kiviteli vámalakiságok elvégzése után is kiállíthatják, amennyiben ez a hatóság a rendelkezésére álló adatok alapján megállapítja, hogy az exportőr kérelmében szereplő adatok az exportált árura vonatkoznak.
(3) A 849. cikk (1) bekezdésében említett áruk esetén az INF 3. adatlap csak a vonatkozó kiviteli vámalakiságok lezárása után, a (2) bekezdésben foglalt feltétellel bocsátható ki.
Ezen túlmenően az INF 3. adatlap csak akkor bocsátható ki, ha:
a) a B. rovatot a vámhivatal előzetesen kitöltötte, és záradékkal látta el; valamint
b) az A. rovatot a vámhivatal előzetesen kitöltötte, és záradékkal látta el, ha az abban foglalt adatokra szükség van.
852. cikk
(1) Az INF 3. adatlapon fel kell tüntetni a vámhatóság által az exportált áru azonosítása céljából előírt összes adatot.
(2) Ha várható, hogy az exportált áruk a Közösség vámterületére a kiviteli vámhivataltól eltérő több vámhivatalon keresztül érkeznek vissza, az exportőr több INF 3. adatlap kiadását kérheti annak érdekében, hogy azok a kivitt áru teljes mennyiségére kiterjedjenek.
Ehhez hasonlóan az exportőr kérheti az INF 3. adatlapot kiállító vámhatóságot, hogy annak helyettesítésére több INF 3. adatlapot állítsanak ki, amelyek kiterjednek az eredetileg kibocsátott INF 3. adatlapban foglalt teljes árumennyiségre.
Az exportőr olyan INF 3. adatlap kiállítását is kérheti, amely a kivitt áruknak csak egy részére vonatkozik.
853. cikk
Az INF 3. adatlap eredeti és másolati példányát vissza kell küldeni az exportőrnek, hogy az exportőr az újrabehozatali vámhivatalnál azt bemutathassa. A második másolati példányt az azt kibocsátó vámhivatal őrzi meg hivatalos nyilvántartásában.
854. cikk
Az újrabehozatali vámhivatal feltünteti az INF 3. adatlap eredeti és másolati példányán a behozatali vám alól mentesülő térti áruk mennyiségét, az eredeti példányt megtartja, a másolati példányt pedig a szabad forgalomba bocsátásra vonatkozó vámáru-nyilatkozat hivatkozási számának és időpontjának feltüntetésével megküldi az azt kibocsátó vámhivatalnak.
Az adott vámhatóság összehasonlítja ezt a példányt a birtokában lévő példánnyal, és megőrzi azt hivatalos nyilvántartásában.
855. cikk
Az INF 3. adatlap eltulajdonítása, elvesztése vagy megsemmisülése esetén az érintett személy kérheti az azt kibocsátó vámhatóságtól másodlat kibocsátását. Az említett vámhivatal eleget tesz a kérelemnek, ha a körülmények ezt indokolják. Az így kibocsátott másodlaton fel kell tüntetni az alábbi megjelölések egyikét:
- DUPLICADO,
- DUPLIKAT,
- DUPLIKAT,
- ΑΝΤΙΓΡΑΦΟ,
- DUPLICATE,
- DUPLICATA,
- DUPLICATO,
- DUPLICAAT,
- SEGUNDA VIA,
- KAKSOISKAPPALE/DUPLIKAT,
- DUPLIKAT,
- DUPLIKÁT,
- DUPLIKAAT,
- DUBLIKĀTS,
- DUBLIKATAS,
- MÁSODLAT,
- DUPLIKAT,
- DUPLIKAT,
- DVOJNIK,
- DUPLIKÁT,
- ДУБЛИКАТ,
- DUPLICAT,
- DUPLIKAT.
A vámhatóság a birtokában lévő INF 3. adatlap másolatán feltünteti, hogy másodlatot bocsátottak ki.
856. cikk
(1) A kiviteli vámhivatal vámhatósága az újrabehozatali vámhivatal vámhatóságának megkeresésére minden rendelkezésére álló adatot közöl az előbbivel annak érdekében, hogy az meg tudja állapítani, hogy az áruk megfelelnek-e az ebben a részben foglalt rendelkezések igénybevételéhez szükséges feltételeknek.
(2) Az INF 3. adatlap az (1) bekezdésben említett kérelemhez és adattovábbításhoz használható fel.
II. CÍM
TENGERI HALÁSZATI TERMÉKEK ÉS KÖZÖSSÉGI HALÁSZHAJÓK ÁLTAL HARMADIK ORSZÁG FELSÉGVIZEIN KINYERT EGYÉB TENGERI TERMÉKEK
856a. cikk
(1) A Vámkódex 188. cikkében foglalt termékekre vonatkozó behozatali vámmentesség feltétele egy, az árukkal kapcsolatos szabad forgalomba bocsátásra irányuló vámáru-nyilatkozathoz csatolt igazolás bemutatása.
(2) A Közösség területén szabad forgalomba bocsátandó termékeknél a 329. cikk a)-d) pontjában említett esetekben a közösségi halászhajó kapitánya köteles kitölteni az igazolás 3., 4. és 5., valamint szükséges esetén 9. rovatát. Ha a halászzsákmányt a hajó fedélzetén feldogozták, a hajó kapitányának a 6., 7. és 8. rovatot is ki kel töltenie.
A 330., 331. és 332. cikket alkalmazni kell az igazolás megfelelő rovatainak kitöltésénél.
Ha a vámáru-nyilatkozatot az áruk szabad forgalomba bocsátása céljából teszik, a nyilatkozattevőnek ki kell töltenie az igazolás 1. és 2. rovatát is.
(3) Az igazolásnak meg kell felelnie a 110A. mellékletben lévő mintának, és azt a (2) bekezdés szerint kell kiállítani.
(4) Ha a terméket abban a kikötőben jelentik be szabad forgalomba bocsátásra, amelyben a halászzsákmányt kifogó közösségi halászhajóról azt kirakták, akkor a 326. cikk (2) bekezdésében említett eltérés értelemszerűen alkalmazandó.
(5) Az (1)-(4) bekezdés alkalmazásában a "közösségi halászhajó" és a "közösségi feldolgozóhajó" kifejezés értelmezése megegyezik a 325. cikk (1) bekezdésében meghatározottakkal, míg a "termék" kifejezés a 326-332. cikkben említett termékeket és árukat jelenti, amennyiben utalás történik az említett rendelkezésekre.
(6) Az (1)-(5) bekezdés megfelelő alkalmazása érdekében a tagállamok vámhatóságai segítséget nyújtanak az igazolások hitelességének és az azokban szereplő adatok pontosságának ellenőrzésében.
IV. RÉSZ
VÁMTARTOZÁS
I. CÍM
VÁMBIZTOSÍTÉK
857. cikk
(1) A Vámkódex 193., 194. és 195. cikke szerinti készpénzletét vagy kezességvállalás formájában nyújtott biztosítékon kívüli, illetve a tagállamok által adott esetben a Vámkódex 194. cikkének (1) bekezdésében megállapított feltételeket nem kielégítő voltuk ellenére megengedhető készpénzletét vagy más értékek átengedése formájában nyújtott biztosítékok a következők lehetnek:
a) jelzálogjog alapítása, ingatlan megterhelése, kézizálog vagy egy ingatlanhoz tartozó joggal egyenértékűnek tekintett egyéb jog;
b) követelés átruházása, áruk, értékpapírok vagy követelések, így különösen takarékkönyvek vagy a nemzeti adósság-nyilvántartásban való bejegyzés elzálogosítása - birtoklással vagy a nélkül;
c) a vámhatóság által e célból jóváhagyott harmadik fél által egyetemleges szerződéses felelősség vállalása a tartozás teljes összegére, így különösen olyan váltó átadása, amelynek kifizetéséért ilyen harmadik fél kezeskedik;
d) azon tagállam valutájától eltérő valutában nyújtott készpénzletét vagy ezzel egyenértékű biztosíték, amelyben a biztosítékot nyújtják;
e) a vámhatóság által kezelt általános kezességi rendszerben történő részvétel a hozzájárulás befizetésének függvényében.
(2) A vámhatóság meghatározza azokat a körülményeket és feltételeket, amelyek között és amelyek esetén az (1) bekezdésben említett biztosítéktípusok igénybe vehetők.
858. cikk
Ha a biztosíték készpénzletét, akkor a vámhatóság nem köteles ezen összeg után kamatot fizetni.
II. CÍM
VÁMTARTOZÁS KELETKEZÉSE
1. FEJEZET
Mulasztások, amelyeknek nincs jelentős kihatásuk az átmeneti megőrzésre, illetve a vámeljárásra
859. cikk
A Vámkódex 204. cikke (1) bekezdésének értelmében az alábbi mulasztásoknak nincs jelentős kihatásuk az átmeneti megőrzés helyes lefolytatására vagy az adott vámeljárásra, amennyiben:
- nem tekinthetők kísérletnek arra nézve, hogy az árukat jogellenesen kivonják a vámfelügyelet alól,
- az érintett személy részéről nem utalnak súlyos gondatlanságra, és
- az áruk helyzetének rendezéséhez szükséges minden alakiság utólagosan elvégzésre kerül:
-
1. az adott átmeneti megőrzés vagy vámeljárás keretében az áruk vámjogi sorsának meghatározására engedélyezett határidő túllépésekor azzal a feltétellel, hogy a határidő meghosszabbításra került volna, ha a meghosszabbítás iránti kérelmet időben benyújtják;
2. az árutovábbítási eljárás alá vont áruk esetében, az adott eljárás alkalmazásával járó valamely kötelezettség teljesítésének elmulasztása, ha a következő feltételek teljesülnek:
a) az eljárás alá vont árukat sértetlen állapotban mutatták be a rendeltetési vámhivatalnak;
b) a rendeltetési vámhivatal megállapította, hogy az árutovábbítási eljárás befejezésekor az áru vámjogi sorsa rendezésre került, vagy átmeneti megőrzésbe helyezték;
c) ha a 356. cikkben meghatározott határidőnek nem tettek eleget és ugyanazon cikk (3) bekezdése nem alkalmazható, ennek ellenére a termékeket belátható időn belül bemutatták a rendeltetési vámhivatalnak;
3. az átmeneti megőrzés vagy vámraktározási eljárás alá vont áruk esetében a vámhatóság által előzetesen nem engedélyezett kezelés elvégzésekor, amennyiben a kezelést engedélyezték volna, ha azt kérelmezik;
4. az ideiglenes behozatali eljárás alá vont áruk esetében az áruknak az engedélyezettől eltérő felhasználásakor, amennyiben ezt a felhasználást a fenti eljárás keretében engedélyezték volna, ha azt kérelmezik;
5. az átmeneti megőrzés vagy vámeljárás alá vont áruk esetében az áruk helyének nem engedélyezett megváltoztatásakor, amennyiben az árukat be tudják mutatni a vámhatóságnak annak felszólítására;
6. Az átmeneti megőrzésben lévő vagy vámeljárás alá vont áruk esetén az áru kiszállítása a Közösség vámterületéről, vagy a 799. cikk szerinti I. típusú ellenőrzés alá tartozó vámszabad területre vagy vámszabad raktárba történő betárolása a szükséges alakiságok elvégzése nélkül;
7. a 296., 297. vagy 511. cikk értelmében fizikailag átszállított áru vagy termékek esetében, az átszállítás végrehajtásának egyik feltétele teljesítésének elmulasztása, ha a következő feltételek teljesülnek:
a) az érintett személy a vámhatóságok számára kielégítően bizonyítani tudja, hogy az áruk vagy termékek megérkeztek a meghatározott helyszínre vagy rendeltetési helyre, és a 296., 297., 512. cikk (2) bekezdése vagy az 513. cikk értelmében történő átszállítás esetén azt, hogy az árukat vagy termékeket a meghatározott helyszín vagy rendeltetési hely nyilvántartásába megfelelően bejegyezték, ha a fenti cikkek ilyen bejegyzést előírnak;
b) ha az engedélyben megállapított határidőt nem tartották be, az áruk vagy termékek azonban belátható időn belül megérkeztek a meghatározott helyszínre vagy rendeltetési helyre;
8. a Vámkódex 145. cikke szerint teljes vagy részleges vámmentességgel szabad forgalomba bocsátható áruk esetében, a Vámkódex 204. cikke (1) bekezdésének a) vagy b) pontjában említett körülmények egyikének fennállásakor, mialatt az érintett áruk átmeneti megőrzés vagy más vámeljárás alatt állnak a szabad forgalomba bocsátás előtt;
9. az aktív feldolgozás és a vámfelügyelet melletti feldolgozás keretében az elszámolási okmány benyújtására engedélyezett határidő túllépése, feltéve hogy a határidőt meghosszabbították volna, ha a meghosszabbítást időben kérelmezték volna;
10. a vámszabad raktárból történő ideiglenes kitárolásra engedélyezett határidő túllépése, feltéve, hogy a határidőt meghosszabbították volna, ha a meghosszabbítást időben kérelmezték volna.
860. cikk
A vámhatóság úgy tekinti, hogy a Vámkódex 204. cikkének (1) bekezdése alapján vámtartozás keletkezik, kivéve, ha az a személy, aki az adós lenne, bebizonyítja, hogy a 859. cikkben foglalt feltételek teljesülnek.
861. cikk
Az a tény, hogy a 859. cikkben említett mulasztások nem eredményeznek vámtartozást, nem zárja ki a hatályos büntetőjogi rendelkezések vagy az adott vámeljárás során kibocsátott engedélyek visszavonását lehetővé tevő rendelkezések alkalmazását.
2. FEJEZET
Természetes veszteség
862. cikk
(1) A Vámkódex 206. cikkének értelmében a vámhatóság az érintett személy kérelmére figyelembe veszi a hiányzó mennyiségeket, ha kimutatható, hogy az észlelt veszteségek kizárólag az áruk jellegéből és nem a fenti személynél felmerülő bármilyen gondatlanságból vagy csalási szándékból származnak.
(2) Gondatlanság vagy csalási szándék alatt különösen az adott áruk szállítására, tárolására, kezelésére, megmunkálására vagy feldolgozására vonatkozó, a vámhatóságok által meghatározott vagy a szokásos eljárás keretében alkalmazott szabályok betartásának figyelmen kívül hagyását kell érteni.
863. cikk
A vámhatóság eltekinthet attól, hogy az érintett személynek igazolnia kelljen, hogy az árukban helyrehozhatatlan veszteség következett be a természetükben rejlő okoknál fogva, ha meggyőződik arról, hogy nincs egyéb magyarázat a veszteségre.
864. cikk
A tagállamok hatályos nemzeti rendelkezéseit kell alkalmazni az áruk természetéből eredő helyrehozhatatlan veszteségek veszteségnormájának meghatározására, ha az érintett személy nem igazolja, hogy a tényleges veszteség meghaladja az adott árura vonatkozó veszteségnorma alkalmazásával kiszámított veszteséget.
3. FEJEZET
Áruk különleges helyzetekben
865. cikk
A szóban forgó árukra vonatkozó vámáru-nyilatkozat bemutatását vagy azonos joghatással bíró egyéb cselekményt, valamint az okmányoknak az illetékes hatóságok általi záradékolásra történő benyújtását az árunak a Vámkódex 203. cikkének (1) bekezdése szerint a vámfelügyelet alóli elvonásának kell tekinteni, ha ezek a cselekmények azzal a következménnyel járnak, hogy az áruk szabálytalanul a közösségi áruk vámjogi helyzetét kapják meg.
Az elektronikus manifeszt segítségével egyszerűsített árutovábbítási eljárás alkalmazására jogosult légitársaságok esetében azonban az áruk nem minősülnek a vámfelügyelet alól elvontnak, ha a rendellenes helyzet vámhatóságok általi felfedezése előtt az árukat az érdekelt személy kezdeményezésére vagy nevében azok nem közösségi vámjogi helyzetével összhangban kezelték, és ha az érdekelt személy magatartása nem veti fel csalás gyanúját.
865a. cikk
Ha a belépési gyűjtő vámáru-nyilatkozatot módosították és az érintett személy viselkedése nem veti fel csalás gyanúját, a Vámkódex 202. cikkének alapján nem keletkezik vámtartozás a vámáru-nyilatkozat módosítását megelőzően helytelenül bejelentett áruk jogellenes bejuttatása miatt.
866. cikk
Az adott árukra alkalmazandó tilalmakra vagy korlátozásokra vonatkozóan megállapított rendelkezések sérelme nélkül, ha behozatali vámtartozás keletkezik a Vámkódex 202., 203., 204. vagy 205. cikke értelmében, és a behozatali vámot kifizették, a fenti árukat közösségi árunak kell tekinteni, amelyeknek szabad forgalomba bocsátását nem kell bejelenteni.
867. cikk
A Vámkódex 233. cikkének c) és d) pontja alapján történő elkobzás nem érinti a szóban forgó áruk vámjogi helyzetét.
867a. cikk
(1) Azokat a nem közösségi árukat, amelyeket felajánlottak az államkincstár javára, lefoglaltak vagy elkoboztak, úgy kell tekinteni, mint amelyeket vámraktározási eljárás alá vontak.
(2) Az (1) bekezdésben említett árukat a vámhatóság csak azzal a feltétellel értékesíteti, hogy a vevő a valamely vámjogi sors alá vonáshoz szükséges minden alakiságot azonnal elvégzi.
Amennyiben az értékesítés a behozatali vámokat is magában foglaló áron történik, az eladást egyenértékűnek kell tekinteni a szabad forgalomba bocsátással, és a vámhatóságoknak ki kell számolniuk a vámot, és le kell könyvelniük az összeget.
Ezekben az esetekben az értékesítést a tagállamokban hatályban lévő eljárások szerint kell végrehajtani.
(3) Amennyiben a igazgatási szerv úgy határoz, hogy az (1) bekezdésben hivatkozott árukról nem értékesítés útján kell intézkedni, azonnal köteles a Vámkódex 4. cikke (15) bekezdésének a), b), c) és d) pontja valamelyike szerinti vámjogi sorshoz szükséges alakiságokat elvégezni.
III. CÍM
A VÁMTARTOZÁS ÖSSZEGÉNEK BESZEDÉSE
868. cikk
A tagállamoknak nem kell a 10 ECU-nél kisebb összegeket lekönyvelniük.
A behozatali vagy kiviteli vámok utólagos beszedésére nincs szükség, ha a beszedésenkénti összeg 10 ECU-nél kevesebb.
869. cikk
A vámhatóságok maguk is határozhatnak úgy, hogy nem könyvelnek le beszedetlen vámokat:
a) ha a preferenciális tarifális elbánás alkalmazására vámkontingens, vámplafon vagy egyéb megállapodás alapján kerül sor, és az erre az elbánásra vonatkozó jogosultság anélkül szűnt meg a vámáru-nyilatkozat elfogadásának időpontjában, hogy ezt a tényt az Európai Közösségek Hivatalos Lapjában az adott áru szabad forgalomba bocsátása előtt kihirdették volna, vagy - ha ezt a tényt nem hirdetik ki - az érintett tagállamban szokásos megfelelő módon erről tájékoztatást adtak volna, és a fizetésre kötelezett személy a maga részéről jóhiszeműen cselekedett, és eleget tett a vámáru-nyilatkozatra vonatkozó hatályos jogszabályokban megállapított minden rendelkezésnek;
b) ha úgy ítéli meg, hogy a Vámkódex 220. cikke (2) bekezdésének b) pontjában megállapított feltételek teljesülnek, kivéve azokat az eseteket, amikor a 871. cikk értelmében az ügyet a Bizottság elé kell utalni. Amennyiben azonban a 871. cikk (2) bekezdésének második francia bekezdését kell alkalmazni, a 871-876. cikkel összhangban indított eljárás végéig a vámhatóságok nem fogadhatnak el olyan értelmű határozatot, amely mentességet biztosít a szóban forgó vámok lekönyvelésének kötelezettsége alól.
Amennyiben a Vámkódex 236. cikke alapján, összefüggésben a Vámkódex 220. cikke (2) bekezdésének b) pontjával, vám visszafizetésére vagy elengedésére irányuló kérelem kerül benyújtásra, e cikk első bekezdésének b) pontját és a 871-876. cikket értelemszerűen alkalmazni kell.
A fenti bekezdések alkalmazásában a tagállamok kölcsönös segítséget nyújtanak egymásnak, különösen az érintett határozat meghozataláért felelős tagállamon kívüli tagállam vámhatóságai által elkövetett hiba esetén.
870. cikk
(1) Az egyes tagállamok a Bizottság rendelkezésére listát vezetnek azokról az ügyekről, amelyekben az alábbi rendelkezéseket alkalmazták:
- a 869. cikk a) pontja,
- a Vámkódex 236. cikke, összefüggésben a Vámkódex 220. cikke (2) bekezdésének b) pontjával, amennyiben a (2) bekezdés értelmében nem áll fenn közlési kötelezettség,
- a 869. cikk b) pontja, amennyiben a (2) bekezdés szerint nem áll fenn közlési kötelezettség.
(2) Minden egyes tagállam megküldi a Bizottságnak azon ügyek listáját, amelyekben az érintett személytől egy vagy több behozatali vagy kiviteli művelet tekintetében, de egyazon hiba következtében be nem szedett összeg meghaladja az 50 000 EUR-t, és a Vámkódex 236. cikkének - összefüggésben a Vámkódex 220. cikke (2) bekezdésének b) pontjával - illetve a 869. cikk b) pontjának rendelkezéseit alkalmazták, megadva valamennyi ügy rövid összefoglalását. Ezt a listát minden év első és harmadik negyedévében továbbítani kell a Bizottsághoz valamennyi olyan ügy vonatkozásában, amelyekben az előző félév során úgy határoztak, hogy eltekintenek a be nem szedett vámok utólagos könyvelésbe vételétől.
871. cikk
(1) A vámhatóság köteles az ügyet a 872-876. cikkben megállapított eljárás szerinti határozathozatal céljából az ügyet a Bizottság elé utalni, amennyiben úgy ítéli meg, hogy teljesültek a Vámkódex 220. cikke (2) bekezdésének b) pontjában rögzített feltételek, és:
- úgy ítéli meg, hogy a Bizottság a Vámkódex 220. cikke (2) bekezdésének b) pontja értelmében hibát követett el,
- az ügy körülményei a tagállamok közigazgatási hatóságai közötti kölcsönös segítségnyújtásról, valamint a vám- és mezőgazdasági szabályozás helyes alkalmazásának biztosítása érdekében e hatóságok és a Bizottság együttműködéséről szóló, 1997. március 13-i 515/97/EK tanácsi rendelet ( 21 ) vagy bármely más közösségi jogszabály, vagy a Közösség által olyan országgal vagy olyan országok csoportjával kötött bármely megállapodás alapján végrehajtott közösségi vizsgálat eredményeivel függnek össze, ahol rendelkezést hoztak az ilyen irányú közösségi vizsgálatok végrehajtásáról, vagy
- az egy vagy több behozatali vagy kiviteli művelet tekintetében, de egyazon hiba következtében az érintett személytől be nem szedett összeg eléri vagy meghaladja az 500 000 EUR-t.
(2) Az (1) bekezdésben említett ügyeket azonban nem kell a Bizottság elé utalni, ha:
- a Bizottság a 872-876. cikkben megállapított eljárásnak megfelelően valamely hasonló jogi megítélésű és hasonló ténybeli alapokon nyugvó ügyben már határozatot hozott,
- a Bizottság előtt egy hasonló jogi megítélésű és hasonló ténybeli alapokon nyugvó ügy elbírálása már folyamatban van.
(3) A Bizottság elé terjesztett ügyre vonatkozóan az eset teljes körű vizsgálatához szükséges valamennyi adatot a Bizottság rendelkezésére kell bocsátani. Részletes adatokat kell szolgáltatni az érintett személy magatartására, és különösen szakmai tapasztalatára, jóhiszeműségére és gondosságára vonatkozóan. Ezen értékeléshez csatolni kell minden olyan adatot, amely bizonyíthatja, hogy az érintett személy jóhiszeműen járt el. Az ügyirathoz csatolni kell ezenfelül egy, a visszafizetésért vagy elengedésért folyamodó kérelmező által aláírt nyilatkozatot, amely tanúsítja, hogy az érintett személy elolvasta az ügy iratait, és kijelenti, hogy nincs észrevétele, illetve megadja a további információkat, amelyeket szerinte az előterjesztésbe bele kellene foglalni.
(4) A Bizottság az ügy beérkezésekor erről megfelelően tájékoztatja az érintett tagállamot.
(5) Ha megállapítást nyer, hogy a tagállam által szolgáltatott adatok nem elegendőek ahhoz, hogy az adott ügyben a tények teljes ismeretében határozatot lehessen hozni, a Bizottság további adatok szolgáltatását kérheti.
(6) Az alább felsorolt helyzetek bármelyike esetén a Bizottság visszaküldi az ügyiratot a vámhatóságnak, és a 872-876. cikkben említett eljárást meg nem indítottnak kell tekinteni:
- az ügyirat alapján nézeteltérés mutatkozik a tényállás tekintetében az ügyiratot átadó vámhatóság és azon személy között, aki aláírta a (3) bekezdésben említett nyilatkozatot,
- az ügyirat nyilvánvalóan hiányos, mivel egyetlen olyan tényt vagy bizonyítékot sem tartalmaz, amely megalapozhatná az ügy Bizottság általi elbírálását,
- az (1) és a (2) bekezdés értelmében az ügyiratot nem kellene a Bizottság elé utalni,
- nem állapították meg vámtartozás fennállását,
- az ügy Bizottság általi elbírálására vonatkozó eljárás során a vámhatóság olyan jellegű új adatokat tárt a Bizottság elé az ügyirattal kapcsolatban, amelyek lényegesen megváltoztatják az ügyirat szerinti tényállás bemutatását, illetve az ügy jogi megítélését.
872. cikk
A Bizottság a 871. cikk (3) bekezdésében említett ügyirat beérkezésétől számított 15 napon belül megküldi az előterjesztés egy-egy másolati példányát a tagállamoknak.
Az adott ügyet a lehető leghamarabb a 873. cikkben előírt szakértői csoport ülésének napirendjére kell tűzni.
872a. cikk
Ha a Bizottság a 872. és 873. cikkben meghatározott eljárás során bármikor kedvezőtlen döntést szándékozik hozni az előterjesztett ügyben érintett személlyel szemben, kifogásait írásban közölnie kell az érintettel, csatolva minden olyan okmányt, amelyekre a kifogásokat alapozza. A Bizottság elé terjesztett ügyben érintett személynek álláspontját a kifogás megküldésének időpontjától számított egy hónapon belül írásban kell kifejtenie. Ha e határidőn belül nem közli álláspontját, úgy kell tekinteni, mintha lemondott volna állásfoglalási jogáról.
873. cikk
Az adott ügyet vizsgáló bizottság keretében egy valamennyi tagállam képviselőiből álló szakértői csoporttal történő konzultáció után a Bizottság határoz arról, hogy a vizsgált körülmények alapján a kérdéses vámokat le kell-e könyvelni.
Ezt a határozatot a 871. cikk (3) bekezdésében említett ügyiratnak a Bizottsághoz történő beérkezésétől számított kilenc hónapon belül kell meghozni. Ha azonban a ügyirat nem foglalja magában a 871. cikk (3) bekezdésében említett nyilatkozatot vagy az érintett személy magatartásának részletes értékelését, a kilenc hónapot attól a naptól kell számítani, amikor a Bizottság ezeket az iratokat kézhez vette. A Bizottságnak ennek megfelelően értesíti a vámhatóságot és az adott ügyben érintett személyt.
Amennyiben a Bizottság úgy ítéli meg, hogy határozatának meghozatala céljából a tagállamtól további adatokat kell kérni, a kilenc hónapos határidő a további adatszolgáltatásra vonatkozó bizottsági megkeresés és az ezen adatok kézhezvétele között eltelt időszakkal meghosszabbítható. A Bizottság értesíti az érintett személyt az eljárás meghosszabbításáról.
Amennyiben a Bizottság saját maga folytat vizsgálatokat a határozat meghozatalának céljából, a kilenc hónap meghosszabbodik a vizsgálatok befejezéséhez szükséges időtartammal. Az ilyen meghosszabbítás nem haladhatja meg a kilenc hónapot. A Bizottságnak értesítenie kell a vámhatóságot és az érintett személyt a vizsgálatok megkezdésének és lezárásának napjáról.
Amennyiben a Bizottság a 872a. cikkel összhangban értesítette kifogásairól az érintett személyt, a kilenc hónapos határidő egy hónappal meghosszabbodik.
874. cikk
Az érintett tagállamot a 873. cikkben említett határozatról a lehető legrövidebb időn belül, de legkésőbb az ugyanabban a cikkben meghatározott határidő lejáratától számított egy hónapon belül értesíteni kell.
A Bizottság értesíti a tagállamokat az általa elfogadott határozatokról annak érdekében, hogy segítse a vámhatóságokat a tényállásukat és jogi megítélésüket tekintve hasonló ügyekben történő határozathozatal során.
875. cikk
Ha a 873. cikkben említett határozat azt állapítja meg, hogy a vizsgált körülmények alapján a kérdéses vámokat nem kell lekönyvelni, a Bizottság meghatározhatja azokat a feltételeket, amelyek mellett a tagállamok a tényállásukat és jogi megítélésüket tekintve hasonló ügyekben eltekinthetnek az utólagos lekönyveléstől.
876. cikk
Ha a Bizottság nem hozza meg határozatát a 873. cikkben említett határidőn belül, vagy határozatáról az érintett tagállamot a 874. cikkben meghatározott határidőn belül nem értesíti, az adott tagállam vámhatóságai nem könyvelik le a szóban forgó vámokat.
876a. cikk
(1) A vámhatóságok felfüggesztik az adós vámfizetésére vonatkozó kötelezettségeit addig az időpontig, amíg nem hoztak határozatot, feltéve, hogy amennyiben az áruk már nincsenek vámfelügyelet alatt, biztosítékot nyújtanak a vámok összegére, továbbá:
a) ha egy nyilatkozat érvénytelenítése iránt kérelmet adtak be, és az valószínűleg kedvező elbírálásban részesül;
b) ha a Vámkódex 236. cikke és ezzel összefüggésben a 220. cikke (2) bekezdésének b) pontja, vagy a Vámkódex 238. cikke, vagy a 239. cikke alapján történő elengedése iránti kérelmet nyújtottak be, és a vámhatóságok úgy ítélik meg, hogy az alkalmazandó rendelkezésekben meghatározott feltételek teljesülnek;
c) ha a b) pontban megadottaktól eltérő esetekben a Vámkódex 236. cikke alapján történő elengedés iránti kérelmet nyújtottak be, és a Vámkódex 244. cikkének második albekezdésében megadott feltételek teljesültek.
Nem szükséges biztosítékot megkövetelni akkor, ha az az adós körülményei miatt az valószínűleg komoly gazdasági vagy szociális problémákat okozna.
(2) Olyan esetekben, ahol a Vámkódex 233. cikke c) bekezdésének második francia bekezdésében, vagy 233. cikkének d) pontjában megadott feltételek merülnek fel, a vámhatóságok felfüggesztik az adós vámfizetésre vonatkozó kötelezettségét, amennyiben úgy ítélik meg, hogy az elkobzás feltételei teljesülnek.
(3) Amennyiben a Vámkódex 203. cikke szerint vámtartozás keletkezik, a vámhatóságok felfüggesztik az említett cikk (3) bekezdésének negyedik francia bekezdésében említett személy vámfizetési kötelezettségét, ha legalább még egy adóst azonosítottak, és a vámok összegét vele is közölték a Vámkódex 221. cikkének megfelelően.
A felfüggesztés csak azzal a feltétellel adható meg, hogy a Vámkódex 203. cikke (3) bekezdésének negyedik francia bekezdésében említett személyre az említett bekezdés más francia bekezdései nem vonatkoznak, és kötelezettségei teljesítése során nem járt el nyilvánvaló hanyagsággal.
A felfüggesztés időtartama egy évre korlátozódik. Ezt az időszakot azonban a vámhatóságok megfelelően indokolt esetben meghosszabbíthatják.
A felfüggesztés feltétele, hogy az abban részesülő személy érvényes biztosítékot nyújtson az érintett vámok összegére, kivéve, ha az érintett vámok összegének egészét fedező biztosíték már létezik, és a kezest nem mentették fel kötelezettségvállalásai alól. Az ilyen biztosítéktól el lehet tekinteni, ha annak megkövetelése az adós körülményei miatt előreláthatóan súlyos gazdasági vagy társadalmi nehézségeket okozna.
IV. CÍM
BEHOZATALI ÉS KIVITELI VÁMOK VISSZAFIZETÉSE VAGY ELENGEDÉSE
1. FEJEZET
Általános rendelkezések
877. cikk
(1) E cím alkalmazásában:
a) könyvelést végző vámhivatal: az a vámhivatal, ahol azok a behozatali vagy kiviteli vámok kerültek lekönyvelésre, amelyek visszafizetését vagy elengedését kérelmezték;
b) döntéshozó vámhatóság: az a vámhatóság, amely a behozatali vagy kiviteli vámok visszafizetésére vagy elengedésére vonatkozó kérelem ügyében határozathozatalra illetékes abban a tagállamban, ahol az érintett vámokat lekönyvelték;
c) felügyelő vámhivatal: az a vámhivatal, amelynek hatáskörébe tartoznak azok az áruk, amelyekkel kapcsolatban a felmerülő és lekönyvelésre került behozatali és kiviteli vámok visszafizetését vagy elengedését kérelmezik, és amely a kérelem elbírálásához szükséges meghatározott ellenőrzéseket elvégzi;
d) végrehajtó vámhivatal: az a vámhivatal, amely megteszi a szükséges intézkedéseket a behozatali vagy kiviteli vámok visszafizetéséről vagy elengedéséről szóló határozat megfelelő végrehajtására.
(2) A könyvelést végző vámhivatal, a döntéshozó vámhatóság, a felügyelő vámhivatal és a végrehajtó vámhivatal funkcióit teljes egészében vagy részben ugyanazon vámhivatal is elláthatja.
2. FEJEZET
A Vámkódex 236-239. cikkéhez kapcsolódó végrehajtási rendelkezések
1. szakasz
Kérelem
878. cikk
(1) A behozatali vagy kiviteli vámok visszafizetésére vagy elengedésére vonatkozó kérelmet (a továbbiakban: visszafizetésre vagy elengedésre vonatkozó kérelem) a vámtartozás kötelezettjének vagy az e személy jogait és kötelezettségeit átvállaló személynek kell benyújtania.
A visszafizetésre vagy elengedésre vonatkozó kérelmet az első albekezdésben említett személy vagy személyek képviselője is benyújthatja.
(2) A 882. cikk sérelme nélkül, a visszafizetésre vagy elengedésre vonatkozó kérelmet egy eredeti és egy másolati példányban kell benyújtani a 111. mellékletben foglalt mintának és rendelkezéseknek megfelelő formanyomtatványon.
Az (1) bekezdésben említett személy vagy személyek kérelmére azonban a visszafizetésre vagy elengedésre vonatkozó kérelem más iraton is benyújtható, ha az tartalmazza a fenti mellékletben szereplő adatokat.
879. cikk
(1) A Vámkódex 6. cikke (1) bekezdésében említett okmányokkal együtt benyújtott, visszafizetésre vagy elengedésre vonatkozó kérelmet a könyvelést végző vámhivatalnál kell benyújtani, kivéve, ha a vámhatóság e célra egy másik vámhivatalt jelöl ki; ez a vámhivatal - ha a határozathozatalra maga nem jogosult - az átvétel után haladéktalanul továbbítja a kérelmet a döntéshozó vámhatósághoz.
(2) Az (1) bekezdésben említett vámhivatal rávezeti az átvétel dátumát a kérelem eredeti és másolati példányára, és a másolatot visszaküldi a kérelmezőnek.
A 878. cikk (2) bekezdése második albekezdésének alkalmazása esetén a szóban forgó vámhivatal írásban igazolja az átvételt a kérelmezőnek.
880. cikk
A közös agrárpolitika keretében ebben a vonatkozásban elfogadott különös rendelkezések sérelme nélkül, az olyan árukra vonatkozó kérelemhez, amelyekre behozatali vagy kiviteli engedély, illetve előzetes rögzítési igazolás került kiadásra az adott vámáru-nyilatkozat benyújtásakor, csatolni kell a fenti engedély vagy igazolás kibocsátásáért felelős hatóságok által kiadott igazolást, amely tanúsítja, hogy megtették a szükséges intézkedéseket a fenti engedély vagy igazolás érvénytelenítésére.
Erre az igazolásra azonban nincs szükség, ha:
- az adott engedélyt vagy igazolást az a vámhatóság adta ki, ahová a kérelmet benyújtják,
- a kérelem alapja olyan lényegi tévedés, melynek nincs hatása az adott engedélyre vagy igazolványra.
881. cikk
(1) A 879. cikkben említett vámhivatal elfogadhat olyan kérelmet is, amely nem tartalmazza a 878. cikk (2) bekezdésében említett formanyomtatványon előírt valamennyi adatot. A kérelemnek azonban legalább az 1-3. és 7. rovatba bejegyzendő adatokat tartalmaznia kell.
(2) Az (1) bekezdés alkalmazása esetén az adott vámhivatal a hiányzó adatok és/vagy okmányok benyújtására határidőt szab.
(3) Ha a (2) bekezdés szerint a vámhivatal által meghatározott határidőt nem tartják be, a kérelmet visszavontnak kell tekinteni.
A kérelmezőt erről haladéktalanul értesíteni kell.
882. cikk
(1) Olyan térti áruk esetén, amelyekre a Közösség vámterületéről történő kivitelükkor kiviteli vámot vetettek ki, a fenti vámok visszafizetésének vagy elengedésének feltétele, hogy az alábbi okmányok által kísért kérelmeket a vámhatósághoz benyújtsák:
a) a fizetés megtörténtének igazolására kibocsátott okmány, amennyiben a kérdéses összegeket már beszedték;
b) a térti áruk szabad forgalomba bocsátására vonatkozó vámáru-nyilatkozatnak az újrabehozatali vámhivatal által hitelesített eredeti vagy másolati példánya.
Ezen az okmányon az újrabehozatali vámhivatalnak fel kell tüntetnie az alábbi bejegyzések egyikét:
- Mercancías de retorno en aplicación de la letra b) del apartado 2 del artículo 185 del Código
- Returvarer i henhold til kodeksens artikel 185, stk. 2, litra b)
- Rückwaren gemäß Artikel 185 Absatz 2 Buchstabe b) des Zollkodex
- Εμπορεύματα επανεισαγόμενα κατ' εφαρμογή του άρθρου 185 παράγραφος 2 στοιχείο β) του κώδικα
- Goods admitted as returned goods under Article 185 (2) (b) of the Code
- Marchandises en retour en application de l'article 185 paragraphe 2 point b) du code
- Merci in reintroduzione in applicazione dell'arti-colo 185, parágrafo 2, lettera b) del códice
- Goederen die met toepassing van artikel 185, lid 2, onder b), van het Wetboek kunnen worden toegelaten als terugkerende goederen
- Mercadorias de retorno por aplicação da alínea b) do n.o 2 do artigo 185.o do código;
- Yhteisön tullikoodeksin 185 artiklan 2 kohdan b alakohdan mukaista palautustavaraa/Returvaror enligt artikel 185.2 b) i gemenskapens tullkodex
- Returvaror enligt artikel 185.2 (b) i gemenskapens tullkodex;
- Vrácené zboží podle čl. 185 odst. 2 písm. b) kodexu
- Seadustiku artikli 185(2)(b) alusel tagasitoodud kaubaks tunnistatud kaup
- Preces atzītas par atpakaļievestām saskaņā ar Kodeksa 185. panta 2. punkta b) apakšpunktu
- Prekės įvežtos kaip grąžintos prekės vadovaujantis Kodekso 185 straipsnio 2 dalies b punktu
- A Vámkódex 185. cikke (2) bekezdésének b) pontja értelmében tértiáruként behozott áruk
- Oġġetti mdaħħla bħala oġġetti miġjuba lura taħt Artikolu 185(2)(b) tal-Kodiċi
- Towary dopuszczone jako towary powracające zgodnie z art. 185 ust. 2 lit. b) Kodeksu
- Blago se ponovno uvaža v skladu s členom 185(2)(b) Zakonika
- Vrátený tovar podľa článku 185 ods. 2 písm. b) colného zákonníka;
- Стоки, допуснати като върнати съгласно член 185, параграф 2, точка б от Кодекса
- Mărfuri admise ca returnate în baza Articolului 185 (2) (b) din Cod;
- Roba se ponovno uvozi u skladu s člankom 185. stavkom 2. točkom (b) Kodeksa;
c) az exportőr részére az árukra vonatkozó kiviteli vámalakiságok befejezése időpontjában visszaküldött kiviteli nyilatkozat másolata vagy annak a kiviteli vámhivatal által hitelesített másolata.
Ha a döntéshozó vámhatóságnál már rendelkezésére állnak a fenti a), b) vagy c) pontban említett vámáru-nyilatkozat(ok)ban szereplő adatok, az adott vámáru-nyilatkozato(ka)t nem kell bemutatni.
(2) Az (1) bekezdésben említett kérelmet a 879. cikkben említett vámhivatalnál a kiviteli nyilatkozat átvételének napjától számított 12 hónapon belül kell benyújtani.
2. szakasz
A visszafizetés vagy az elengedés megadására irányuló eljárás
883. cikk
A döntéshozó vámhatóság engedélyezheti, hogy az adott esetben a visszafizetés vagy elengedés feltételét képező vámalakiságokat a visszafizetésre vagy elengedésre vonatkozó kérelemre vonatkozó határozat meghozatala előtt elvégezzék. Ez az engedély semmiképpen sem befolyásolhatja a vámhatóságnak a kérelemről hozott határozatát.
884. cikk
A 883. cikk sérelme nélkül, és amíg nem születik határozat a visszafizetésre vagy elengedésre vonatkozó kérelemről, nem szállíthatók el az adott kérelemben meghatározott helyen kívüli helyre azok az áruk, amelyekre a visszafizetést vagy elengedést kérelmezték, kivéve, ha a kérelmező előzetesen értesíti a 879. cikkben említett vámhivatalt, amely ennek megfelelően tájékoztatja a döntéshozó vámhatóságot.
885. cikk
(1) Ha a visszafizetésre vagy elengedésre vonatkozó kérelem olyan esetre vonatkozik, amelynek során kiegészítő adatokat kell beszerezni, vagy az árukat meg kell vizsgálni annak biztosítása érdekében, hogy a Vámkódexben és az ebben a címben megállapított visszafizetésre vagy elengedésre vonatkozó feltételek teljesüljenek, a döntéshozó vámhatóság megteszi az e célból szükséges intézkedéseket, szükség esetén a felügyelő vámhivatal segítségét kérve, a beszerezni kívánt adatok vagy az elvégzendő ellenőrzések jellegének meghatározásával.
A felügyelő vámhivatal haladéktalanul eleget tesz ennek a kérelemnek, és továbbítja a beszerzett adatokat, valamint az elvégzett ellenőrzések eredményét a döntéshozó vámhatóságnak.
(2) Ha a kérelem olyan árukra vonatkozik, amelyek nem abban a tagállamban találhatók, ahol a behozatali vagy kiviteli vámokat lekönyvelték, e cím 4. fejezetének rendelkezéseit kell alkalmazni.
886. cikk
(1) Ha a döntéshozó vámhatóságnak valamennyi szükséges adat a rendelkezésére áll, a Vámkódex 6. cikkének (2) és (3) bekezdésével összhangban írásban határozatot hoz a visszafizetésre vagy elengedésre vonatkozó kérelemről.
(2) A kérelem jóváhagyása esetén a határozatnak tartalmaznia kell a végrehajtásához szükséges valamennyi adatot.
A körülményektől függően a határozatban szerepelnie kell az alábbi adatok egy részének vagy mindegyikének:
a) a határozattal érintett áruk azonosításához szükséges adatok;
b) a behozatali vagy kiviteli vám visszafizetésének vagy elengedésének oka és a Vámkódexnek, valamint adott esetben ennek a címnek a megfelelő cikkére történő hivatkozás;
c) az alkalmazható felhasználás, illetve rendeltetés, amelynek céljából az áruk elküldhetők, a Vámkódex és adott esetben a döntéshozó vámhatóság megfelelő engedélye alapján a konkrét esetben rendelkezésre álló lehetőségektől függően;
d) a behozatali vagy kiviteli vámok visszafizetésének vagy elengedésének feltételét képező vámalakiságok elvégzésének határideje;
e) annak megjelölése, hogy a behozatali vagy kiviteli vámok nem kerülnek visszafizetésre vagy elengedésre addig, amíg a végrehajtó vámhivatal nem tájékoztatta a döntéshozó vámhatóságot arról, hogy a visszafizetés vagy elengedés feltételét képező vámalakiságokat elvégezték;
f) a határozat végrehajtása során az árukra mindvégig vonatkozó követelmények részletei;
g) a határozat címzettjének szóló felhívás arra vonatkozóan, hogy az áruk bemutatásakor a határozat eredeti példányát át kell adnia az általa megválasztott végrehajtó vámhivatalnak.
887. cikk
(1) A végrehajtó vámhivatal megteszi az intézkedéseket annak biztosítása érdekében, hogy:
- adott esetben betartsák a 886. cikk (2) bekezdésének f) pontjában említett követelményeket,
- az áruk minden esetben ténylegesen oly módon kerüljenek felhasználásra, illetve arra a rendeltetési helyre kerüljenek elküldésre, ahogy az a behozatali vagy kiviteli vámok visszafizetéséről vagy elengedéséről szóló határozatban szerepel.
(2) Ha a határozat úgy rendelkezik, hogy az árukat vámraktárban el lehet elhelyezni, vagy vámszabad területre, illetve vámszabad raktárba lehet elhelyezni, és a jogosult igénybe veszi ezt a lehetőséget, a szükséges vámalakiságokat a végrehajtó vámhivatalnál kell elvégezni.
(3) Abban az esetben, ha csak egy, a végrehajtó vámhivatal szerinti tagállamtól eltérő tagállamban állapítható meg, hogy az árukat a vámtartozás visszafizetéséről vagy elengedéséről szóló határozatban előírt felhasználás alá vonták-e, illetve az abban a határozatban előírt rendeltetési helyre szállították-e, a megfelelő teljesítés igazolásául az e cikk, illetve a 912a-912g. cikk rendelkezéseinek megfelelően kiadott és használt T 5 ellenőrző példányt kell bemutatni.
A T5 ellenőrző példánynak az alábbi adatokat kell tartalmaznia:
a) a 33. rovat: az áruk Kombinált Nómenklatúra szerinti besorolása;
b) a 103. rovat: az áruk nettó mennyisége betűkkel jelölve;
c) a 104. rovat: értelemszerűen vagy a "Kilépés a Közösség vámterületéről" megjelölés, vagy az "Egyéb (részletezze)" sor alatt az alábbi bejegyzések egyike:
- Ingyenes küldemény az alábbi jótékonysági intézmény számára ...,
- Vámfelügyelet melletti megsemmisítés,
- Az áru következő vámeljárás alá vonása: ...,
- Vámszabad területen vagy vámszabad raktárban történő elhelyezés;
d) a 106. rovat: hivatkozás a vám visszafizetését vagy elengedését engedélyező határozatra;
e) a 107. rovat: a "2454/93/EGK rendelet 877-912. cikke" szöveg.
(4) A felügyelő vámhivatal, amely megállapítja, vagy amelyiknek feladata megállapítani, hogy az árukat ténylegesen a meghatározott célra használták fel, illetve az előírt rendeltetési helyre szállították, kitölti az ellenőrző példány "A felhasználás és/vagy rendeltetés ellenőrzése" című rovatát úgy, hogy keresztet tesz a "túloldalon bejelentett felhasználásra és/vagy rendeltetésre ...-án/-én került sor" szövegnél, és feltünteti a megfelelő dátumot.
(5) Ha a végrehajtó vámhivatal meggyőződött arról, hogy az (1) bekezdésben foglalt feltételek teljesülnek, igazolást küld erről a döntéshozó vámhatóságnak.
888. cikk
A vám visszafizetésére vagy elengedésére vonatkozó kérelmet jóváhagyó döntéshozó vámhatóság a fenti vámot csak a 887. cikk (5) bekezdésében említett igazolás kézhezvétele után fizeti vissza vagy engedi el.
889. cikk
(1) Ha a visszafizetésre vagy elengedésre vonatkozó kérelem vámkontingens, vámplafon vagy egyéb preferenciális tarifális szabály szerint az árura a szabad forgalomba bocsátásra vonatkozó vámáru-nyilatkozat elfogadásának időpontjában alkalmazott csökkentett vagy nulla behozatali vámtételen alapul, a visszafizetés vagy elengedés csak akkor engedélyezhető, ha a visszafizetésre vagy elengedésre vonatkozó kérelem benyújtásának időpontjában az alábbi szükséges okmányokat csatolták arról, hogy:
- vámkontingens esetén annak mennyisége még nem merült ki,
- egyéb esetekben a rendszerint fizetendő vámtételt nem határozták meg újra.
Ha az előző bekezdésben megállapított feltételek nem teljesülnek, a visszafizetést vagy elengedést ettől függetlenül engedélyezhetik, ha az árukra a vámhatóság hibájából nem alkalmazták a csökkentett vagy nulla vámtételt, és a szabad forgalomba bocsátásra vonatkozó vámáru-nyilatkozat, amelyhez a csökkentett vagy nulla vámtétel alkalmazásához szükséges minden okmányt csatoltak, tartalmazott minden adatot.
(2) Minden tagállam a Bizottság rendelkezésére listát vezet azokról az esetekről, amelyekben az (1) bekezdés második albekezdésének rendelkezéseit alkalmazták.
890. cikk
A döntéshozó vámhatóság akkor hagyja jóvá a visszafizetésre vagy elengedésre irányuló kérelmet, ha:
a) a kérelmet származási bizonyítvány, szállítási bizonyítvány, eredetiségigazolás, közösségi belső árutovábbítási okmány vagy bármely más megfelelő okmány kíséri, amelyből kitűnik, hogy az importált áruk a szabad forgalomba bocsátásra irányuló vámáru-nyilatkozat elfogadásának időpontjában az áruk jellege miatt közösségi elbánásra, preferenciális elbánásra vagy kedvezményes tarifális elbánásra voltak jogosultak;
b) az így kiállított okmány kifejezetten utal a szóban forgó árukra;
c) az említett okmány elfogadására vonatkozó összes feltétel teljesül;
d) az áruk jellege miatti közösségi elbánás, preferenciális tarifális elbánás vagy kedvezményes tarifális elbánás megadásának minden más feltétele teljesül.
A visszafizetésre vagy elengedésre az áruk bemutatásakor kerül sor. Ha az áruk nem mutathatók be a végrehajtó vámhivatalnak, a döntéshozó vámhatóság csak akkor engedélyezi a visszafizetést vagy elengedést, ha rendelkezésre álló adatok vagy okmányok alapján egyértelmű, hogy az utólagosan bemutatott bizonyítvány vagy okmány az adott árukra vonatkozik.
891. cikk
Nem engedélyezhető a vám visszafizetése vagy elengedése, ha a kérelem alátámasztására a lefölözések előzetes rögzítését alátámasztó igazolásokat nyújtanak be.
892. cikk
A behozatali vámoknak a Vámkódex 238. cikke szerinti visszafizetésére vagy elengedésére nem kerül sor, ha:
- az áruk hibás voltát a szerződés feltételei - különösen az ár - meghatározásakor figyelembe vették, és e szerződés szolgált alapul az áruk behozatalivám-fizetési kötelezettséggel járó vámeljárás alá vonására,
- az árukat az importőr azután értékesíti, miután megállapította, hogy azok hibásak, vagy nem felelnek meg a szerződés feltételeinek.
893. cikk
(1) A 900. cikk (1) bekezdése c) pontjának sérelme nélkül a döntéshozó vámhatóság a behozatali vagy kiviteli vámok visszafizetését vagy elengedését megalapozó vámalakiságok elvégzésére határidőt szab, amely a visszafizetéséről vagy elengedéséről szóló határozat közlésének napjától számított legfeljebb két hónap lehet.
(2) Az (1) bekezdésben említett határidő elmulasztása esetén elvész a visszafizetésre vagy elengedésre vonatkozó jogosultság, kivéve, ha a határozattal érintett személy igazolja, hogy előre nem látható körülmények vagy vis maior következtében nem tudta a határidőt betartani.
894. cikk
Ha a döntéshozó vámhatóság által engedélyezett árumegsemmisítés során hulladék vagy maradék keletkezett, ezt a hulladékot vagy maradékot nem közösségi árunak kell tekinteni, ha a visszafizetésre vagy elengedésre vonatkozó kérelem már elfogadásra került.
895. cikk
Ha a Vámkódex 238. cikke (2) bekezdése b) pontjának második albekezdésében említett engedélyt megadják, a vámhatóság minden szükséges lépést megtesz annak biztosítására, hogy a vámraktárban, vámszabad területen vagy vámszabad raktárban elhelyezett árukat ezt követően nem közösségi árunak tekintsék.
896. cikk
(1) A közös agrárpolitika keretében behozatali engedély vagy előzetes rögzítési igazolás alapján behozatalivám-fizetési kötelezettséggel járó vámeljárás alá vont árukra a Vámkódex 237., 238. és 239. cikke csak akkor alkalmazható, ha a 879. cikkben említett vámhivatal meggyőződik arról, hogy az illetékes hatóság megtette a szükséges intézkedéseket a behozatal alapjául szolgáló engedély, illetve igazolás joghatásainak megszüntetése érdekében.
(2) Az (1) bekezdést újrakivitel, vámraktárban, vámszabad területen vagy vámszabad raktárban történő elhelyezés, illetve az áruk megsemmisítése esetén is alkalmazni kell.
897. cikk
Ha nem a teljes áru, hanem ezen áru egy vagy több alkatrészének vagy összetevőjének a kivitelére, újrakivitelére vagy megsemmisítésére, illetve egy másik vámjogi sors meghatározására kerül sor, a visszafizetésre vagy elengedésre kerülő összeg a teljes árura kivetett behozatali vám és azon behozatali vám összegének a különbsége, amely az áru fennmaradó részére lett volna kivethető, ha azt változatlan állapotban vonnák ilyen vámfizetési kötelezettséggel járó vámeljárás alá azon a napon, amikor a teljes áru bejelentésre került.
898. cikk
A Vámkódex 240. cikkében hivatkozott összeg 10 ECU.
3. FEJEZET
A Vámkódex 239. cikkének alkalmazására vonatkozó különös rendelkezések
1. szakasz
A tagállamok vámhatóságai által meghozandó határozatok
899. cikk
(1) Ha a döntéshozó vámhatóság megállapítja, hogy a Vámkódex 239. cikkének (2) bekezdése alapján visszafizetés vagy elengedés iránt hozzá benyújtott kérelem
- a 900-903. cikkben említett körülmények egyikének megfelelő indokon alapul, és hogy ez nem az érintett személy megtévesztő magatartásának vagy nyilvánvaló gondatlanságának eredménye, visszafizeti vagy elengedi a szóban forgó behozatali vagy kiviteli vám összegét,
- a 904. cikkben említett körülmények egyikének megfelelő indokon alapul, nem fizeti vissza vagy engedi el a szóban forgó behozatali vagy kiviteli vám összegét.
(2) Egyéb esetekben, kivéve ha az ügyet a 905. cikk alapján a Bizottság elé kell utalni, a döntéshozó vámhatóság maga határoz a behozatali vagy kiviteli vám visszafizetéséről vagy elengedéséről, amennyiben a körülményekből eredő olyan különleges helyzet áll fenn, amelynek során sem megtévesztő magatartás, sem nyilvánvaló gondatlanság nem róható fel az érintett személynek.
Amennyiben a 905. cikk (2) bekezdésének második francia bekezdését kell alkalmazni, a vámhatóság a 906-909. cikkel összhangban indított eljárás végéig nem hozhat olyan értelmű határozatot, amely engedélyezi a szóban forgó vámok visszafizetését vagy elengedését.
(3) A Vámkódex 239. cikkének (1) bekezdése és e cikk alkalmazásában az "érintett személy" a 878. cikk (1) bekezdésében említett egy vagy több személy, illetve annak képviselője, valamint minden olyan személy értendő, aki az adott árura vonatkozó vámalakiságok elvégzésében részt vett, vagy annak elvégzésére vonatkozóan utasításokat adott.
(4) Az (1) és a (2) bekezdés alkalmazásában a tagállamok kölcsönös segítséget nyújtanak egymásnak, különösen az érintett határozatért felelős tagállamon kívüli tagállam vámhatóságai által elkövetett hiba esetén.
900. cikk
(1) A behozatali vámokat vissza kell fizetni, vagy el kell engedni, ha:
a) a teljes vagy részleges behozatalivám-mentességgel járó vámeljárás alá vont nem közösségi árukat vagy a meghatározott célú felhasználásuk miatt kedvezményes tarifális elbánással szabad forgalomba bocsátott árukat eltulajdonítják, feltéve, hogy az árukat azonnal visszaszerzik, és ismét eredeti vámjogi helyzetükbe állítják vissza olyan állapotban, amelyben eltulajdonításukkor voltak;
b) a nem közösségi árukat a teljes vagy részleges vámmentességgel járó vámeljárás alól tévedésből kivonják, feltéve, hogy a hiba felfedésekor azonnal ismét az eredeti vámjogi helyzetükbe kerülnek vissza olyan állapotban, amelyben az elvonáskor voltak;
c) a szabad forgalomba bocsátott árukat a rendeltetési helyre való megérkezéskor nem lehet kirakodni a szállítóeszköz zárszerkezetének meghibásodása miatt, feltéve, hogy az áruk haladéktalanul újrakivitelre kerülnek;
d) az eredetileg szabad forgalomba bocsátott áruk passzív feldolgozási eljárás alapján visszaküldésre kerülnek nem közösségi beszállítójukhoz annak érdekében, hogy a beszállító számára lehetővé tegyék az árukban a szabad forgalomba bocsátása előtt is fennálló hibák - ingyenes - kijavítását (még akkor is, ha a hibákat csak a szabad forgalomba bocsátás után fedezték fel), vagy annak érdekében, hogy az áruk a szabad forgalomba bocsátásra vonatkozó szerződés rendelkezéseivel összhangba kerüljenek, és az adott beszállító úgy dönt, hogy az árukat véglegesen megtartja, mert a hibákat nem képes kijavítani, vagy a javítás nem lenne gazdaságos;
e) amikor a vámhatóság a teljes behozatali vámmentességet élvező áruk szabad forgalomba bocsátásakor ténylegesen esedékes ilyen vámok utólagos lekönyveléséről határoz, az derül ki, hogy a szóban forgó áruk a Közösség vámterületéről vámfelügyelet nélkül kerültek újrakivitelre, feltéve, hogy megállapításra kerül, miszerint az ilyen behozatali vámok visszafizetésével vagy elengedésével kapcsolatban a Vámkódexben megállapított lényeges feltételeknek az újrakivitel idején eleget tettek volna, ha az áruk szabad forgalomba bocsátásakor az adott összeg kivetésre került volna;
f) valamely igazságügyi szerv olyan áru forgalmazását tiltotta meg, amelyet korábban az érintett személy a szokásos feltételek szerinti behozatali vámok megfizetésére kötelező vámeljárás alá vont, és amelyet a Közösség vámterületéről újra kivisznek, vagy a vámhatóságok ellenőrzése alatt megsemmisítenek, feltéve, hogy megállapítást nyer, hogy az adott áru a Közösség területén nem került tényleges felhasználásra;
g) a saját nevében vámárunyilatkozat-adásra felhatalmazott bejelentő által ilyen vámok megfizetésével járó vámeljárás alá vont áruknak a nyilatkozattevőnek fel nem róható okból a címzetthez történő leszállítása nem lehetséges;
h) a feladó hibájából az áruk tévesen kerültek a címzett részére leszállításra;
i) az áruk a címzett megrendelésében található nyilvánvaló ténybeli tévedés következtében nem alkalmasak arra a felhasználásra, amelyre a címzett szánta azokat;
j) miután az áruk behozatali vámfizetési kötelezettséggel járó vámeljárás alá kerültek, megállapítást nyer, hogy az áruk a vámeljárás alá kerülésük időpontjában nem feleltek meg a felhasználásukra vagy a forgalmazásukra vonatkozó hatályos rendelkezéseknek, és ezért nem használhatók fel arra a célra, amelyre a címzett szánta azokat;
k) az áruknak a címzett által tervezett célra történő felhasználását megakadályozza vagy lényegesen korlátozza a megfelelő döntési jogkörrel rendelkező hatóság vagy egyéb szerv valamely olyan általános érvényű intézkedése, amelynek meghozatalára a behozatali vám megfizetésének kötelezettségével járó vámeljárás alá vonás után került sor;
l) az érintett személy által kérelmezett teljes vagy részleges behozatali vámmentességet a fennálló rendelkezések értelmében az érintett személy hibáján kívül eső okokból a vámhatóság nem adhatja meg, és ebből következően az esedékes behozatali vámokat lekönyveli;
m) a címzett az árukat csak az áruk behozatali vámok megfizetésének kötelezettségével járó vámeljárás alá vonásának alapját képező szerződésben megállapított szállítási határidő lejárta után kapta meg;
n) a Közösség vámterületén belül nem volt lehetséges az áruk eladása, és ezért ingyenesen olyan jótékonysági szervezetek részére kerülnek elküldésre:
- amelyek tevékenységüket egy harmadik országban folytatják, feltéve, hogy ezeknek a jótékonysági szervezeteknek van képviseletük a Közösségben,
- vagy
- a Közösség vámterületén belül folytatják tevékenységüket, feltéve, hogy jogosultak a hasonló áruknak harmadik országokból történő és szabad forgalomba bocsátás céljából megvalósuló behozatala esetén a mentességre;
o) vámtartozás keletkezett a Vámkódex 201. cikkének rendelkezéseitől eltérő módon, és az érintett személy be tud mutatni származási bizonyítványt, szállítási bizonyítványt, belső közösségi árutovábbítási okmányt, vagy olyan egyéb megfelelő okmányt, amely igazolja, hogy a behozott áruk a szabad forgalomba bocsátás esetén jogosultak lettek volna közösségi elbánásra vagy preferenciális elbánásra, feltéve hogy a 890. cikk rendelkezéseiben meghatározott egyéb feltételek teljesülnek.
(2) Az (1) bekezdés c) és f)-n) pontjában említett esetekben a behozatali vámok visszafizetésének vagy elengedésének feltétele a szóban forgó áruknak a Közösség vámterületéről a vámhatóságok felügyelete mellett történő újrakivitele, kivéve, ha azokat hatósági rendelkezés alapján megsemmisítik, vagy ingyenesen a Közösségben tevékenykedő jótékonysági szervezetek rendelkezésére bocsátják.
Kérelemre a döntéshozó hatóság engedélyezi az áruk újrakivitele helyett azok megsemmisítését vagy közösségi külső árutovábbítási eljárás vagy vámraktározási eljárás alá vonását, illetve valamely vámszabad területen vagy vámszabad raktárban történő elhelyezését.
Az ilyen vámjogi sorsok bármelyike alá vont árukat nem közösségi áruknak kell tekinteni.
Ebben az esetben a vámhatóságok megtesznek minden szükséges intézkedést annak biztosítására, hogy a vámraktárban, vámszabad területen vagy vámszabad raktárban elhelyezett áruk a későbbiekben nem közösségi árukként azonosíthatók legyenek.
(4) Ezen túlmenően a felügyelő vámhivatalnak meg kell győződnie arról, hogy az áruk újrakivitelük előtt sem felhasználásra, sem pedig eladásra nem kerülnek.
901. cikk
(1) A behozatali vámokat vissza kell fizetni, vagy el kell engedni, ha:
a) az árukat tévesen vonták a behozatalivám-fizetési kötelezettséggel járó vámeljárás alá, és ezek az áruk anélkül kerültek újrakivitelre a Közösség vámterületéről, hogy korábban a megfelelő vámeljárás alá kerültek volna, feltéve, hogy a Vámkódex 237. cikkében meghatározott egyéb feltételek teljesültek;
b) az áruk a Vámkódex 238. cikke (2) bekezdésének b) pontja szerint, vámellenőrzés nélkül kerültek újrakivitelre vagy megsemmisítésre, feltéve, hogy az említett cikkben meghatározott egyéb feltételek teljesültek;
c) a 900. cikk (1) bekezdésének c), illetve f)-n) pontja szerint az áruk vámellenőrzés nélkül újrakivitelre vagy megsemmisítésre kerültek, feltéve, hogy a 900. cikk (2) és (4) bekezdésében megállapított egyéb feltételek teljesültek.
(2) Az (1) bekezdésben említett körülmények esetén a behozatali vámok visszafizetésének vagy elengedésének feltételei a következők:
a) minden olyan igazolás bemutatása, amely szükséges ahhoz, hogy a döntéshozó vámhatóság meggyőződhessen arról, hogy azokat az árukat, amelyek vonatkozásában a visszafizetést vagy az elengedést kérelmezték:
- ténylegesen újra kivitték a Közösség vámterületéről, vagy
- olyan hatóságok vagy személyek felügyelete mellett semmisítették meg, akik az ilyen megsemmisítések hivatalos igazolására jogosultak;
b) az adott áruk közösségi helyzetét igazoló azon okmány visszaküldése a döntéshozó vámhatóság részére, amely alapján az adott áruk elhagyhatták a Közösség vámterületét, vagy az említett hatóság által annak bizonyításához szükségesnek tartott bármilyen olyan bizonyíték bemutatása, hogy a szóban forgó okmány ezt követően nem használható fel áruknak a Közösség területére történő behozatalával kapcsolatban.
902. cikk
(1) A 901. cikk (2) bekezdése alkalmazásában:
a) a szükséges igazoláshoz, amely alapján a döntéshozó vámhatóság meggyőződik arról, hogy az áruk, amelyek vonatkozásában visszafizetési vagy elengedési kérelem került benyújtásra, ténylegesen újrakivitelre kerültek a Közösség vámterületéről, a kérelmezőnek be kell mutatnia:
- az árunak a Közösség vámterületéről történő kivitelére vonatkozó vámáru-nyilatkozat eredeti példányát vagy hitelesített másolatát,
- és
- azon vámhivatal igazolását, amelyen keresztül az áru ténylegesen elhagyta a Közösség vámterületét.
Ha ilyen igazolást nem lehet bemutatni, akkor az, hogy az áruk ténylegesen elhagyták a Közösség vámterületét, az alábbi okmányok bemutatásával is igazolható:
- a harmadik ország rendeltetési vámhivatala által kiadott igazolás, amely igazolja, hogy az áruk megérkeztek, vagy
- a rendeltetés szerinti harmadik országban az árukról készült vámáru-nyilatkozat eredeti vagy hitelesített másolati példánya.
Ezekhez az okmányokhoz csatolni kell azokat az adminisztratív és kereskedelmi okmányokat, amelyek lehetővé teszik a döntéshozó vámhatóság részére annak ellenőrzését, hogy a Közösség vámterületéről kivitt áruk azonosak azokkal, amelyeket a behozatalivám-fizetési kötelezettséggel járó vámeljárás alá bejelentettek, nevezetesen:
- az adott eljárással kapcsolatos vámáru-nyilatkozat eredeti példányát vagy hitelesített másolatát,
- és
- ha a döntéshozó vámhatóság szükségesnek tartja, olyan kereskedelmi vagy adminisztratív okmányokat (például számlákat, feladással kapcsolatos adatokat, árutovábbítási okmányokat vagy egészségügyi igazolásokat) az áruk teljes körű leírásával (kereskedelmi megnevezés, mennyiségek, jelzések és egyéb azonosító adatok), amelyek az említett eljárásra vonatkozó vámáru-nyilatkozattal vagy a Közösség vámterületéről történő kiviteli nyilatkozattal vagy adott esetben a rendeltetés szerinti harmadik országban az áruk vámáru-nyilatkozatával kapcsolatban kerültek bemutatásra;
b) a szükséges igazoláshoz, amely alapján a döntéshozó vámhatóság meggyőződik arról, hogy az áruk, a visszafizetési vagy elengedési kérelemmel érintett áruk ténylegesen megsemmisítésre kerültek az ilyen megsemmisítés hivatalos igazolására jogosult hatóságok vagy személyek felügyelete mellett, a kérelmezőnek be kell mutatnia:
- az áruk megsemmisítését felügyelő hatóságok által kiállított megsemmisítéssel kapcsolatos jegyzőkönyvet vagy nyilatkozatot, illetve annak hitelesített másolatát, vagy
- a megsemmisítés igazolására jogosult személy által kiadott igazolást az adott személy jogosultságának igazolásával együtt.
Ezeknek az okmányoknak tartalmazniuk kell a megsemmisített áruk kielégítően teljes körű leírását (kereskedelmi megnevezés, mennyiségek, jelzések és egyéb azonosító adatok) annak érdekében, hogy a vámhatóság a behozatalivám-fizetési kötelezettséggel járó vámeljárásra vonatkozó vámáru-nyilatkozaton megadott adatokkal való összevetés, valamint a csatolt kereskedelmi okmányok (számlák, feladással kapcsolatos adatok stb.) alapján meggyőződhessen arról, hogy a megsemmisített áruk azonosak azokkal, amelyek az adott eljárás vonatkozásában bejelentésre kerültek.
(2) Ha az (1) bekezdésben felsorolt igazolások nem elegendőek ahhoz, hogy a döntéshozó vámhatóság az előtte folyó ügyben a tények teljes körű ismeretében hozhassa meg határozatát, vagy ha egyes igazolások nem állnak rendelkezésre, akkor ezeket az adott hatóság által szükségesnek ítélt egyéb okmányokkal lehet helyettesíteni vagy kiegészíteni.
903. cikk
(1) Az olyan térti áruk esetében, amelyekre a Közösség vámterületéről történő kivitelükkor kiviteli vám került beszedésre, a szabad forgalomba bocsátás engedélyezése feljogosít a beszedett összegek visszafizetésére.
(2) Az (1) bekezdést csak azokra az árukra kell alkalmazni, amelyek a 844. cikkben említett helyzetek egyikében vannak.
Az áru szabad forgalomba bocsátás céljából való bejelentésének vámhivatalánál hitelt érdemlően igazolni kell, hogy az áruk a Vámkódex 185. cikke (2) bekezdésének b) pontja alatt felsorolt helyzetek egyikében vannak.
(3) Az (1) bekezdést akkor is alkalmazni kell, ha a térti áru csak egy részét képezi a korábban a Közösség vámterületéről kivitt árunak.
904. cikk
A behozatali vám nem fizethető vissza, illetve nem engedhető el, ha a visszafizetésre vagy adott esetben az elengedésre irányuló kérelem egyetlen indoka az, hogy:
a) a Vámkódex 237. vagy 238. cikkében, illetve e rendelet 900. vagy 901. cikkében említett okoktól eltérő okok miatt - nevezetesen azért, mert nem lehetett azokat eladni - a Közösség vámterületéről olyan áru kerül újrakivitelre, amely korábban behozatalivám-fizetési kötelezettséggel járó vámeljárás alapján került beléptetésre;
b) a behozatalivám-fizetési kötelezettséggel járó vámeljárás keretében vámkezelt áruk a vámhatóság által történő kiadásuk után bármilyen, a közösségi jogszabályokban kifejezetten nem említett okból megsemmisítésre kerültek;
c) a szabad forgalomba bocsátásra preferenciális tarifális elbánás céljából bejelentett áruk esetében olyan okmányokat mutatnak be, amelyekről utólag kiderül, hogy hamisítottak, tévesek, vagy a preferenciális tarifális elbánás alkalmazása céljára nem alkalmasak, még akkor is, ha ezek jóhiszeműen kerültek bemutatásra.
904a. cikk
(1) Amennyiben a (2) bekezdés értelmében nem áll fenn közlési kötelezettség, az egyes tagállamok a Bizottság rendelkezésére listát vezetnek azokról az ügyekről, amelyekben a 899. cikk (2) bekezdését alkalmazták.
(2) Minden egyes tagállam megküldi a Bizottságnak azon ügyek listáját, amelyekben a 899. cikk (2) bekezdésének rendelkezéseit alkalmazták, és az egy vagy több behozatali vagy kiviteli művelet tekintetében, de egyazon különleges helyzet következtében visszafizetett vagy elengedett összeg meghaladta az 50 000 EUR-t, megadva valamennyi ügy rövid összefoglalását. Ezt a listát minden év első és harmadik negyedévében továbbítani kell a Bizottsághoz valamennyi olyan ügy vonatkozásában, amelyekben az előző félév során vámok visszafizetéséről vagy elengedéséről hoztak határozatot.
2. szakasz
A Bizottság által meghozandó határozatok
905. cikk
(1) Ha a Vámkódex 239. cikkének (2) bekezdése alapján visszafizetés vagy elengedés iránt benyújtott kérelmet olyan bizonyíték támasztja alá, amely olyan körülményekből eredő különleges helyzetet képezhet, amelynek során az érintett személynek sem megtévesztés, sem nyilvánvaló gondatlanság nem róható fel, a döntéshozó vámhatóság tagállama köteles az ügyet a 906-909. cikkben megállapított eljárás szerinti határozathozatal céljából a Bizottság elé utalni, amennyiben:
- a vámhatóság úgy ítéli meg, hogy a különleges helyzet a Bizottság kötelezettségmulasztásának eredménye,
- az ügy körülményei az 515/97/EK rendelet vagy bármely más közösségi jogszabály, vagy a Közösség által olyan országgal vagy olyan országok csoportjával kötött bármely megállapodás alapján végrehajtott közösségi vizsgálat eredményeivel függnek össze, ahol rendelkezést hoztak az ilyen irányú közösségi vizsgálatok végrehajtásáról, vagy
- az az összeg, amelyért az érintett személy egy vagy több behozatali vagy kiviteli művelet tekintetében, de egyazon különleges helyzet következtében felelőssé tehető, eléri vagy meghaladja az 500 000 EUR-t.
Az "érintett személy" fogalma megfelel a 899. cikkben foglalt meghatározásnak.
(2) Az (1) bekezdésben említett ügyeket nem kell azonban a Bizottság elé utalni, ha:
- a Bizottság a 906-909. cikkben megállapított eljárásnak megfelelően valamely hasonló jogi megítélésű és hasonló ténybeli alapokon nyugvó ügyben már határozatot hozott,
- a Bizottság előtt egy hasonló jogi megítélésű és hasonló ténybeli alapokon nyugvó ügy elbírálása már folyamatban van.
(3) A Bizottság elé terjesztett ügyre vonatkozóan az eset teljes körű vizsgálatához szükséges valamennyi adatot a Bizottság rendelkezésére kell bocsátani. Részletes adatokat kell szolgáltatni az érintett személy magatartására, és különösen szakmai tapasztalatára, jóhiszeműségére és gondosságára vonatkozóan. Ezen értékeléshez csatolni kell minden olyan adatot, amely bizonyíthatja, hogy az érintett személy jóhiszeműen járt el. Az ügyirathoz csatolni kell ezenfelül egy, a visszafizetésért vagy elengedésért folyamodó kérelmező által aláírt nyilatkozatot, amely tanúsítja, hogy az érintett személy elolvasta az ügy iratait, és kijelenti, hogy nincs észrevétele, illetve megadja a további információkat, amelyeket szerinte az előterjesztésbe bele kellene foglalni.
(4) A Bizottság az ügy beérkezésekor erről megfelelően tájékoztatja az érintett tagállamot.
(5) Ha megállapítást nyer, hogy a tagállam által szolgáltatott adatok nem elegendők ahhoz, hogy az adott ügyben a tények teljes ismeretében határozatot lehessen hozni, a Bizottság további adatok szolgáltatását kérheti.
(6) Az alább felsorolt helyzetek bármelyike esetén a Bizottság visszaküldi az ügyiratot a vámhatóságnak, és a 906-909. cikkben említett eljárást meg nem indítottnak kell tekinteni:
- az ügyirat alapján nézeteltérés mutatkozik a tényállás tekintetében az ügyiratot átadó vámhatóság és azon személy között, aki aláírta a (3) bekezdésben említett nyilatkozatot,
- az ügyirat nyilvánvalóan hiányos, mivel egyetlen olyan tényt vagy bizonyítékot sem tartalmaz, amely megalapozhatná az ügy Bizottság általi elbírálását,
- az (1) és a (2) bekezdés értelmében az ügyiratot nem kellene a Bizottság elé utalni,
- nem állapították meg vámtartozás fennállását,
- az ügy Bizottság általi elbírálására vonatkozó eljárás során a vámhatóság olyan jellegű új adatokat tárt a Bizottság elé az ügyirattal kapcsolatban, amelyek lényegesen megváltoztatják az ügyirat szerinti tényállás bemutatását, illetve az ügy jogi megítélését.
906. cikk
A Bizottság a 905. cikk (3) bekezdésében említett ügyirat beérkezésétől számított 15 napon belül megküldi az előterjesztés egy-egy másolati példányát a tagállamoknak.
Az adott ügyet a lehető leghamarabb a 907. cikkben előírt szakértői csoport ülésének napirendjére kell tűzni.
906a. cikk
Ha a Bizottság a 906. és 907. cikkben meghatározott eljárás során bármikor kedvezőtlen döntést szándékozik hozni a visszafizetést vagy elengedést kérelmező személlyel szemben, kifogásait írásban közölnie kell az érintettel, csatolva minden olyan okmányt, amelyekre a kifogásokat alapozza. A visszafizetést vagy elengedést kérelmező személynek álláspontját a kifogás megküldésének időpontjától számított egy hónapon belül írásban kell kifejtenie. Ha e határidőn belül nem közli álláspontját, úgy kell tekinteni, mintha lemondott volna állásfoglalási jogáról.
907. cikk
Az adott ügyet vizsgáló bizottság keretében egy valamennyi tagállam képviselőiből álló szakértői csoporttal történő konzultáció után a Bizottság határoz arról, hogy a vizsgált helyzet alapján indokolt-e a visszafizetés vagy elengedés.
Ezt a határozatot a 905. cikk (3) bekezdésében említett ügyiratnak a Bizottsághoz történő beérkezésétől számított kilenc hónapon belül kell meghozni. Ha azonban a ügyirat nem foglalja magában a 905. cikk (3) bekezdésében említett nyilatkozatot vagy az érintett személy magatartásának részletes értékelését, a kilenc hónapot attól a naptól kell számítani, amikor a Bizottság ezeket az iratokat kézhez vette. A Bizottságnak ennek megfelelően értesíti a vámhatóságot és a visszafizetést vagy elengedést kérelmező személyt.
Amennyiben a Bizottság úgy ítéli meg, hogy határozatának meghozatala céljából a tagállamtól további adatokat kell kérni, a kilenc hónapos határidő a további adatszolgáltatásra vonatkozó bizottsági megkeresés és az ezen adatok kézhezvétele között eltelt időszakkal meghosszabbítható. A Bizottság értesíti a visszafizetést vagy elengedést kérelmező személyt az eljárás meghosszabbításáról.
Amennyiben a Bizottság saját maga folytat vizsgálatokat a határozat meghozatalának céljából, a kilenc hónap meghosszabbodik a vizsgálatok befejezéséhez szükséges időtartammal. Az ilyen meghosszabbítás nem haladhatja meg a kilenc hónapot. A Bizottságnak értesítenie kell a vámhatóságot és a visszafizetést vagy elengedést kérelmező személyt a vizsgálatok megkezdésének és lezárásának napjáról.
Amennyiben a Bizottság a 906a. cikkel összhangban értesítette kifogásairól a visszafizetésért vagy elengedésért folyamodó személyt, a kilenc hónapos időtartam egy hónappal meghosszabbodik.
908. cikk
(1) Az érintett tagállamot a 907. cikkben említett határozatról a lehető legrövidebb időn belül, de legkésőbb az ugyanabban a cikkben meghatározott határidő lejáratától számított egy hónapon belül értesíteni kell.
A Bizottság értesíti a tagállamokat az általa elfogadott határozatokról annak érdekében, hogy segítse a vámhatóságokat a tényállásukat és jogi megítélésüket tekintve hasonló ügyekben történő határozathozatal során.
(2) A Bizottságnak az (1) bekezdés szerint közölt határozata alapján a döntéshozó vámhatóság határozatot hoz a hozzá benyújtott kérelem elfogadásáról vagy elutasításáról.
(3) Amennyiben a 907. cikkben említett határozat azt állapítja meg, hogy a vizsgált körülmények alapján indokolt a visszafizetés, illetve az elengedés, a Bizottság meghatározhatja azokat a feltételeket, amelyek mellett a tagállamok a tényállásukat és jogi megítélésüket tekintvehasonló ügyekben visszafizethetik illetve elengedhetik a vámok összegét.
909. cikk
Ha a Bizottság nem hozza meg határozatát a 907. cikkben említett határidőn belül, vagy határozatáról az érintett tagállamot a 908. cikkben meghatározott határidőn belül nem értesíti, akkor a döntéshozó vámhatóság helyt ad a kérelemnek.
4. FEJEZET
A tagállamok vámhatóságai közötti igazgatási segítségnyújtás
910. cikk
A 885. cikk (2) bekezdésében említett esetekben a döntéshozó vámhatóság a 112. mellékletben foglalt mintának megfelelő formanyomtatványon két példányban kiállított írásos megkeresést küld a felügyelő vámhivatal részére. A megkereséshez csatolja a visszafizetésre vagy elengedésre vonatkozó kérelem eredeti vagy másolati példányait, továbbá minden ahhoz szükséges dokumentumot, hogy a felügyelő vámhivatal a kért adatokat beszerezze, vagy a kért ellenőrzéseket elvégezze.
911. cikk
(1) A felügyelő vámhivatal a megkeresés átvételétől számított két héten belül beszerzi a döntéshozó vámhatóság által kért adatokat, vagy elvégzi a kért ellenőrzéseket. A felügyelő vámhivatal a beszerzett adatokat vagy az elvégzett vizsgálatok eredményeit bevezeti a 910. cikkben említett okmány eredeti példányának erre a célra fenntartott részére, és azt a neki megküldött minden egyéb irattal együtt visszaküldi a döntéshozó vámhatóságnak.
(2) Ha a ellenőrzést végző vámhivatal az (1) bekezdésben említett két héten belül nem tudja beszerezni a kért adatokat vagy elvégezni a kért ellenőrzéseket, a fenti időszakon belül visszaigazolja a részére megküldött megkeresés átvételét a 910. cikkben említett okmány megfelelő megjegyzésekkel ellátott egy példányának a döntéshozó vámhatóság részére történő visszaküldésével.
912. cikk
A végrehajtó vámhivatal a 887. cikk (5) bekezdésében említett igazolást az ellenőrzést végző vámhivatalnak a 113. mellékletben megadott mintának megfelelő formanyomtatványon küldi meg.
IVa. RÉSZ
AZ ÁRU FELHASZNÁLÁSÁNAK ÉS/VAGY RENDELTETÉSÉNEK ELLENŐRZÉSE
912a. cikk
(1) E rész alkalmazásában:
a) az "illetékes hatóságok" a tagállamok e rész alkalmazásáért felelős vámhatóságai vagy bármely más hatóságai;
b) "vámhivatal" e rész alkalmazásáért helyi szinten felelős vámhivatal vagy szerv;
c) a "T5 ellenőrző példány" a 63. mellékletben található minta szerint kiállított T5 nyomtatvány (eredeti és másolat), amelyet esetleg egy vagy több, a 64. mellékletben található mintának megfelelő T5 bis nyomtatvány (eredeti és másolat) vagy a 65. mellékletben található mintának megfelelő T5 rakományjegyzék (eredeti és másolat) egészít ki. A nyomtatvány kinyomtatása és kitöltése a 66. melléklet útmutatója, és adott esetben az egyéb közösségi szabályokban megállapított további előírások szerint történik.
(2) Ha a Közösség vámterületére történő árubehozatallal, árukivitellel vagy a Közösségen belüli áruforgalommal kapcsolatos szabályok előírják annak igazolását, hogy az áruk ezen szabályok szerinti felhasználására és/vagy rendeltetésére sor került, az igazolás e rész rendelkezései szerint kitöltött és felhasznált T5 ellenőrző példány bemutatásával történik.
(3) Egy adott T5 ellenőrző példányon csak olyan áruk tüntethetők fel, amelyeket a 349. cikk (1) bekezdésének második albekezdése szerint egy szállítóeszközre rakodtak fel, amelyeket egyetlen címzettnek küldenek azonos felhasználásra és/vagy rendeltetésre szánnak.
Az illetékes hatóságok lehetővé tehetik, hogy a 65. mellékletben szereplő mintának megfelelő nyomtatvány helyett az elektronikus adatfeldolgozó rendszer által kiállított T5 rakományjegyzékeket vagy a feladási/kiviteli alakiságok elvégzése céljára kiállított jegyzékeket használják, amelyek tartalmazzák a 65. mellékletben szereplő mintaokmányon szereplő összes adatot, amennyiben e jegyzékek kialakítása és kitöltése oly módon történik, hogy a szóban forgó hatóságok nehézség nélkül használhatják azokat, és biztosítani tudják a hatóságok által szükségesnek ítélt biztonságot.
(4) A külön szabályokban előírt kötelezettségeken túlmenően bármely személy, aki aláírja a T5 ellenőrző példányt, köteles az okmányban feltüntetett árut a bejelentett felhasználás és/vagy rendeltetés alá vonni.
Az illető személy a felelős abban az esetben, ha bárki más visszaélést követ el az általa kiállított T5 ellenőrző példánnyal.
(5) Az áru felhasználásának és/vagy rendeltetésének felügyeletét szükségessé tevő közösségi szabályok eltérő rendelkezésének hiányában a (2) bekezdéstől eltérve minden tagállam jogosult kötelezővé tenni, hogy az előírt felhasználás és/vagy rendeltetés alá vonás igazolása a nemzeti eljárások szerint történjék, amennyiben az áru nem hagyja el az adott állam területét, mielőtt megtörténnék az említett felhasználás és/vagy rendeltetés alá vonás.
912b. cikk
(1) A T5 ellenőrző példányt egy eredeti példányban és legalább egy másolati példányban kell kitölteni. Minden egyes okmányon szerepelnie kell az érintett személy eredeti aláírásának, és tartalmaznia kell az áru leírásával kapcsolatos összes adatot, illetve az ellenőrzését kötelezővé tevő közösségi szabályokkal kapcsolatos rendelkezések által előírt minden további információt.
(2) Ha az ellenőrzést kötelezővé tevő közösségi szabályok biztosíték nyújtását írják elő, annak benyújtása az alábbiak szerint történik:
- az adott szabályok által megjelölt ügynökségnél, illetve ennek hiányában a T5 ellenőrző példányt kibocsátó vámhivatalnál, vagy e vámhivatal helye szerinti tagállam által erre a célra kijelölt másik vámhivatalnál, és
- az említett szabályokban, vagy ha ilyen nincs, a tagállam hatóságai által megállapított módon.
Ebben az esetben az alábbi bejegyzések egyikét kell feltüntetni a T5 nyomtatvány 106. rovatában:
- Garantía constituida por un importe de ... euros
- Sikkerhed på ... EUR
- Sicherheit in Höhe von ... EURO geleistet
- Κατατεθείσα εγγύηση ποσού ... ΕΥΡΩ
- Guarantee of EUR ... lodged
- Garantie d'un montant de ... euros déposée
- Garanzia dell'importo di ... EURO depositata
- Zekerheid voor ... euro
- Entregue garantia num montante de ... EURO
- Annettu ... euron suuruinen vakuus
- Säkerhet ställd till et belopp av ... euro.
- Celní dluh ve výši ... EUR zajištěn
- Esitatud tagatis EUR ...
- Galvojums par EUR ...iesniegts
- Pateikta garantija ... EUR sumai
- ... EUR vámbiztosíték letétbe helyezve
- Garanzija fuq l-EUR ... saret
- Złożono zabezpieczenie w wysokości ... EUR
- Položeno zavarovanje v višini ... EUR
- Poskytnuté zabezpečenie vo výške ... EUR.
- Обезпечение от ... EUR представено
- Garanție depusă în sumă de ... EUR.
- Položeno osiguranje u visini ... EUR.
(3) Amennyiben az ellenőrzést előíró közösségi szabályok határidőt szabnak meg az áru meghatározott felhasználás/rendeltetés alá vonására, a T5 nyomtatvány 104. rovatában ki kell egészíteni a "... nap határidő a teljesítésre." mondattal.
(4) Amennyiben az árut vámeljárásban szállítják, az áru feladásának helye szerinti vámhivatal bocsátja ki a T5 ellenőrző példányt.
Az eljárás okmányán hivatkozni kell a kibocsátott T5 ellenőrző példányra. Hasonló módon, a T5 nyomtatvány 109. rovatában hivatkozni kell az eljáráshoz használt okmányra.
(5) Ha az árut nem vonják vámeljárás alá, az áru feladásának helye szerinti vámhivatal bocsátja ki a T5 ellenőrző példányt.
Az alábbi bejegyzések valamelyikét kell feltüntetni a T5 nyomtatvány 109. rovatában:
- Mercancías no incluidas en un régimen aduanero
- Ingen forsendelsesprocedure
- Nicht in einem Zollverfahren befindliche Waren
- Εμπορεύματα εκτός τελωνειακού καθεστώτος
- Goods not covered by a customs procedure
- Marchandises hors régime douanier
- Merci non vincolate ad un regime doganale
- Geen douaneregeling
- Mercadorias não sujeitas a regime aduaneiro
- Tullimenettelyn ulkopuolella olevat tavarat
- Varorna omfattas inte av något tullförfarande.
- Zboží mimo celní režim
- Kaup, millele ei rakendata tolliprotseduuri
- Preces, kurām nav piemērota muitas procedūra
- Prekės, kurioms netaikoma muitinės procedūra
- Vámeljárás alá nem vont áruk
- Oġġetti mhux koperti bi proċedura tad-Dwana
- Towary nieobjęte procedurą celną
- Blago ni vključeno v carinski postopek
- Tovar nie je v colnom režime.
- Стоки, които не са под митнически режим
- Mărfuri care nu sunt acoperite de un regim vamal.
- Roba nije obuhvaćena carinskim postupkom.
(6) A T5 ellenőrző példányt a (4) és az (5) bekezdésben említett vámhivatal látja el záradékkal. A záradék az alábbiakból áll, amelyeket az említett okmányok "A." rovatában ("Indító vámhivatal") kell bejegyezni:
a) a T5 okmány esetében a vámhivatal neve és bélyegzőlenyomata, a hatáskörrel rendelkező személy aláírása, a hitelesítés dátuma, illetve a nyilvántartási szám, amely lehet előnyomott is;
b) a T5 bis nyomtatvány vagy a T5 rakományjegyzék esetében a T5 okmányon szereplő nyilvántartási szám. Ezt a számot vagy a vámhivatal nevét is tartalmazó bélyegzővel vagy kézzel lehet beírni; ez utóbbi esetben az említett vámhivatal hivatalos bélyegzőjének is szerepelnie kell rajta.
(7) Az áru felhasználásának és/vagy rendeltetésének ellenőrzését előíró közösségi szabályok eltérő rendelkezése hiányában a 357. cikket értelemszerűen alkalmazni kell. A (4) és (5) bekezdésben említett vámhivatal ellenőrzi a szállítmányt, és kitölti, illetve záradékkal látja el a "D" rovatot ("Az indító vámhivatal által végzett ellenőrzés") a T5 nyomtatvány első oldalán.
(8) A (4) és (5) bekezdésekben említett vámhivatal megőrzi minden egyes T5 ellenőrző példány egy másolatát. Az okmányok eredetijeit vissza kell küldeni az érdekelt személynek, amint az összes alakiságot elvégezték, és megfelelő módon kitöltötték a T5 okmány "A." rovatát ("Indító vámhivatal") és "B." rovatát ("Visszaküldési cím:").
(9) A 360. cikket értelemszerűen alkalmazni kell.
912c. cikk
(1) Az árut és a T5 ellenőrző példány eredetijét be kell mutatni a rendeltetési vámhivatalnál.
Az áru felhasználásának és/vagy rendeltetésének ellenőrzését előíró közösségi szabályok eltérő rendelkezése hiányában a rendeltetési vámhivatal lehetővé teheti, hogy az árut közvetlenül a címzettnek kézbesítsék az általa megállapított feltételekkel, amelyek lehetővé teszik az áru ellenőrzésének elvégzését az áru megérkezésekor vagy azt követően.
A személy, aki a rendeltetési vámhivatalnak bemutatja a T5 ellenőrző példányt és a hozzá kapcsolódó szállítmányt kérelemre igazolást kaphat erről a 47. mellékletben szereplő mintának megfelelő nyomtatványon kiállítva. Az igazolás nem helyettesítheti a T5 ellenőrző példányt.
(2) Amennyiben a közösségi szabályok kötelezővé teszik az áruknak a Közösség vámterületéről való kilépésének ellenőrzését:
- a tengeri úton kilépő áru esetében a rendeltetési vámhivatal az a kikötői vámhivatal, ahol az árut a 313a cikknek megfelelő menetrend szerinti hajójárattól eltérő járathoz tartozó vízi járműbe rakják be,
- a légi úton kilépő áru esetében a rendeltetési vámhivatal a 190. cikk b) pontja értelmében vett közösségi nemzetközi repülőtéri vámhivatal, ahol az árut a Közösségen kívüli repülőtérre induló légi járműbe rakodják,
- a Közösséget bármely más szállítási eszközön elhagyó áru esetén a rendeltetési vámhivatal a 793. cikk (2) bekezdésében említett kiléptető vámhivatal.
(3) A rendeltetési vámhivatalnak kell ellenőriznie a meghatározott felhasználást és/vagy a rendeltetést. Rögzíti - adott esetben az okmány egy másolatának megőrzésével - a T5 ellenőrző példány adatait és az elvégzett ellenőrzésének eredményeit.
(4) Valamennyi szükséges alakiság elvégzése után a rendeltetési vámhivatal visszaküldi a T5 ellenőrző példány eredetijét a B rovatban ("Visszaküldeni: ...") feltüntetett címre, a szükséges megjegyzések feltüntetésével.
912d. cikk
(1) Ha a T5 ellenőrző példány kibocsátása szükségessé teszi a 912b. cikk (2) bekezdése szerinti biztosítékot, a (2) és (3) bekezdés rendelkezéseit kell alkalmazni.
(2) Ha a 912b. cikk (3) bekezdése szerinti határidő leteltével bizonyos árumennyiséget még nem vontak az előírt felhasználás és/vagy rendeltetés alá, az illetékes hatóságok megteszik az ahhoz szükséges lépéseket, hogy a 912b. cikk (2) bekezdésében említett vámhivatalnak lehetősége legyen az e mennyiségek után kiszabható megfelelő összeg beszedésére, adott esetben a nyújtott biztosíték felhasználásával.
Az érdekelt személy kérelmére azonban ezek a hatóságok úgy határozhatnak, hogy adott esetben a biztosíték terhére beszedik az összeget, amely
az előírt felhasználás és/vagy rendeltetés alá a határidő lejártáig át nem vont árumennyiségnek megfelelő biztosíték részösszege megszorozva
a felhasználás és/vagy a rendeltetés alá vonandó mennyiségek esetében a megadott határidőn túli napok számának, és a határidő napokban kifejezett hosszának elosztásából kapott hányadosával.
Ez a bekezdés nem alkalmazható, ha az érintett személy igazolni tudja, hogy a szóban forgó áru vis major következtében elveszett vagy megsemmisült.
(3) Ha a T5 ellenőrző példány kibocsátásának napjától, vagy a T5 okmány 104. rovatában a "... nap határidő a teljesítésre" mondatba beírt határidő lejártától számított hat hónapon belül az okmány B rovatában megadott vámhivatal nem kapja meg a rendeltetési vámhivatal által záradékkal megfelelően ellátott példányt, az illetékes hatóságok kötelesek megtenni a szükséges intézkedéseket, hogy a 912b. cikk (2) bekezdésében említett vámhivatal beszedje az említett cikkben meghatározott biztosítékot.
Ez a bekezdés nem alkalmazandó, amikor a T5 ellenőrző példány késedelmes visszaküldése nem az érintett személynek róható fel.
(4) A (2) és (3) bekezdés rendelkezései az áru felhasználásának és/vagy rendeltetésének ellenőrzését kötelezővé tevő közösségi szabályok eltérő rendelkezéseinek hiányában és a vámtartozásra vonatkozó rendelkezések sérelme nélkül kell alkalmazni.
912e. cikk
(1) Az áru felhasználásának és/vagy rendeltetésének ellenőrzését előíró közösségi szabályok eltérő rendelkezéseinek hiányában a T5 ellenőrző példány és az azzal kísért szállítmány megosztható az eljárás lezárása előtt, amelyre az okmányt kibocsátották. A megosztás eredményeként létrejövő szállítmányok maguk is tovább oszthatók.
(2) Annak a vámhivatalnak, ahol a megosztás történik, a megosztott szállítmány minden egyes részéhez a 912b. cikk szerint ki kell bocsátania a T5 ellenőrző példány kivonatát.
Minden egyes kivonatnak tartalmaznia kell többek között az eredeti T5 ellenőrző példány 100., 104., 105., 106. és 107. rovatában feltüntetett információkat, valamint annak az árumennyiségnek a nettó tömegét és nettó mennyiségét, amelyre a kivonat vonatkozik. A kivonatok céljára használt T5 nyomtatvány 106. rovatában az alábbi bejegyzések egyikét kell feltüntetni:
- Extracto del ejemplar de control T5 inicial (número de registro, fecha, oficina y país de expedición): ...
- Udskrift af det oprindelige kontroleksemplar T5 (registreringsnummer, dato, sted og udstedelsesland): ...
- Auszug aus dem ursprünglichen Kontrollexemplar T5 (Registriernummer, Datum, ausstellende Stelle und Ausstellungsland): ...
- Απόσπασμα του αρχικού αντιτύπου ελέγχου Τ5 (αριθμός πρωτοκόλλου, ημερομηνία, τελωνείο και χώρα έκδοσης): ...
- Extract of the initial T5 control copy (registration number, date, office and country of issue): ...
- Extrait de l'exemplaire de contrôle T5 initial (numéro d'enregistrement, date, bureau et pays de délivrance): ...
- Estratto dell'esemplare di controllo T5 originale (numero di registrazione, data, ufficio e paese di emissione): ...
- Uittreksel van het oorspronkelijke controle-exemplaar T5 (registratienummer, datum, kantoor en land van afgifte): ...
- Extracto do exemplar de controlo T5 inicial (número de registo, data, estância e país de emissão): ...
- Ote alun perin annetusta T5-valvontakappaleesta (kirjaamisnumero, antamispäivämäärä, -toimipaikka ja -maa): ...
- Utdrag ur ursprungligt kontrollexemplar T5 (registreringsnummer, datum, utfärdande kontor och land): ....
- Výpis z původního kontrolního výtisku T5 (evidenční číslo, datum, úřad a země vystavení): ...
- Väljavőte esialgsest T5 kontrolleksemplarist (registreerimisnumber, kuupäev, väljaandnud asutus ja riik):...
- Izraksts no sākotnējā T5 kontroleksemplāra (reģistrācijas numurs, datums, izdevēja iestāde un valsts):...
- Išrašas iš pirminio T5 kontrolinio egzemplioriaus (registracijos numeris, data, išdavusi įstaiga ir valstybė): ...
- Az eredeti T5 ellenőrző példány kivonata ( nyilvántartási szám, kiállítás dátuma, a kiállító ország és hivatal neve): ...
- Estratt tal-kopja ta' kontroll tat-T5 inizjali (numru ta' reġistrazzjoni, data, uffiċċju u pajjiż fejn ġie maħruġ id-dokument): ...
- Wyciąg z wyjściowej karty kontrolnej T5 (numer ewidencyjny, data, urząd i kraj wystawienia): ...
- Izpisek iz prvotnega kontrolnega izvoda T5 (evidenčna številka, datum, urad in država izdaje): ...
- Výpis z pôvodného kontrolného výtlačku T5 (registračné číslo, dátum, vydávajúci úrad a krajina vydania): ....
- Извлечение от първоначално издадения оначалния контролен формуляр Т5 (регистрационен номер, дата, митническо учреждение и страна на издаване): ...
- Extras din exemplarul de control T5 inițial (număr de înregistrare, data, biroul și țara emitente): ....
- Izvod prvobitnog kontrolnog primjerka T5 (registracijski broj, datum, ispostava i zemlja izdavanja): ....
A T5 okmány B. rovatának ("Visszaküldési cím:...") tartalmaznia kell az eredeti T5 okmány megfelelő rovatában feltüntetett információt.
Az eredeti T5 nyomtatvány J. rovatában ("Felhasználás és/vagy rendeltetés ellenőrzése") az alábbi bejegyzések egyikét kell feltüntetni:
- ... (número) extractos expedidos - copias adjuntas
- ... (antal) udstedte udskrifter - kopier vedføjet
- ... (Anzahl) Auszüge ausgestellt - Durchschriften liegen bei
- ... (αριθμός) εκδοθέντα αποσπάσματα - συνημμένα αντίγραφα
- ... (number) extracts issued - copies attached
- ... (nombre) extraits délivrés - copies ci-jointes
- ... (numero) estratti rilasciati - copie allegate
- ... (aantal) uittreksels afgegeven - kopieën bijgevoegd
- ... (número) de extractos emitidos - cópias juntas
- Annettu ... (lukumäärä) otetta - jäljennökset liitteenä
- ... (antal) utdrag utfärdade - kopier bifogas.
- ... (počet) vystavených výpisů - kopie přiloženy
- väljavőtted ... (arv) - koopiad lisatud
- Izsniegti... (skaits) izraksti - kopijas pielikumā
- Išduota ... (skaičius) išrašų - kopijos pridedamos
- ... (számú) kivonat kiadva - másolatok csatolva
- ... (numru) estratti maħruġa kopji mehmuża
- ... (ilość) wydanych wyciągów - kopie załączone
- ... (število) izdani izpiski - izvodi priloženi
- ... (počet) vyhotovených výpisov - kópie priložené.
- ... (брой) издадени извлечения - приложени формуляри
- ... (numărul) de extrase emise - copii anexate.
- ... (broj) izdanih izvadaka - preslike u prilogu.
Az eredeti T5 ellenőrző példányt a kibocsátott kivonatok másolatainak kíséretében késedelem nélkül vissza kell küldeni a T5 okmány B rovatában ("Visszaküldeni:...") feltüntetett címre.
Az a vámhivatal, ahol a megosztás történik, megőrzi az eredeti T5 ellenőrző példány és a kivonatok egy-egy másolatát. A megosztott szállítmány minden egyes részét a T5 ellenőrző példányok eredeti kivonatainak kell kísérnie a megfelelő rendeltetési vámhivatalhoz, ahol a 912c. cikkben említett rendelkezéseket kell alkalmazni.
(3) Az (1) bekezdés szerinti további megosztás esetén a (2) bekezdést értelemszerűen alkalmazni kell.
912f. cikk
(1) A T5 ellenőrző példány utólag is kibocsátható, amennyiben:
- az érdekelt személy nem felelős az okmány kérelmezésének vagy kibocsátásának elmaradásáért az áru feladásakor, vagy bizonyítani tudja, hogy ennek elmaradása a részéről nem megtévesztés vagy nyilvánvaló gondatlanság miatt történt,
- az érdekelt személy bizonyítékot szolgáltat arról, hogy a T5 ellenőrző példány olyan árura vonatkozik, amely vonatkozásában valamennyi alakiságot elintézték,
- az érdekelt személy bemutatja az említett T5 ellenőrző példány kibocsátásához szükséges dokumentumokat,
- a hatáskörrel rendelkező hatóság hitelt érdemlően megállapítja, hogy a T5 ellenőrző példány utólagos kibocsátása nem eredményezheti olyan pénzügyi előnyök megszerzését, amelyek nem indokolhatók az alkalmazott eljárás, az áru vámjogi helyzete, illetve annak felhasználása és/vagy rendeltetése alapján.
Ha a T5 ellenőrző példányt utólag bocsátják ki, a T5 okmánynak az alábbi bejegyzések valamelyikét kell tartalmaznia piros színnel:
- Expedido a posteriori
- Udstedt efterfølgende
- nachträglich ausgestellt
- Εκδοθέν εκ των υστέρων
- Issued retrospectively
- Délivré a posteriori
- Rilasciato a posteriori
- achteraf afgegeven
- Emitido a posteriori
- Annettu jälkikäteen
- Utfärdat i efterhand
- Vystaveno dodatečně
- Välja antud tagasiulatuvalt
- Izsniegts retrospektīvi
- Retrospektyvusis išdavimas
- Kiadva visszamenőleges hatállyal
- Maħruġ retrospettivament
- Wystawiona retrospektywnie
- Izdano naknadno
- Vyhotovené dodatočne
- Издаден впоследствие
- Eliberat ulterior Emis a posteriori
- Izdano naknadno.
és az érdekelt személy feltünteti annak a szállítóeszköznek az azonosítóját, amellyel az áruk feladásra kerültek, az indulás dátumát és adott esetben azt a dátumot, amikor az árut bemutatták a rendeltetési vámhivatalnál.
(2) Az eredeti példányok és azok kivonatai elveszítése esetén az érdekelt személy kérésére a kibocsátó vámhivatal másodlatot bocsáthat ki a T5 ellenőrző példányokról. A másodlaton szerepelnie kell a vámhivatal bélyegzőlenyomatának és az illetékes ügyintéző aláírásának, valamint pirossal írt nyomtatott nagybetűkkel az alábbi bejegyzések egyikének:
- DUPLICADO
- DUPLIKAT
- DUPLIKAT
- ΑΝΤΙΓΡΑΦΟ
- DUPLICATE
- DUPLICATA
- DUPLICATO
- DUPLICAAT
- SEGUNDA VIA
- KAKSOISKAPPALE
- DUPLIKAT.
- DUPLIKÁT
- DUPLIKAAT
- DUBLIKĀTS
- DUBLIKATAS
- MÁSODLAT
- DUPLIKAT
- DUPLIKAT
- DVOJNIK
- DUPLIKÁT.
- ДУБЛИКАТ
- DUPLICAT.
- DUPLIKAT..
(3) A rendeltetési vámhivatal csak akkor láthatja el záradékkal az utólag kibocsátott T5 ellenőrző példányokat illetve másodlatokat, ha megállapítja, hogy a szóban forgó okmány alapját képező árukat a közösségi szabályok által lehetővé tett vagy meghatározott felhasználás vagy rendeltetés alá vonták.
912g. cikk
(1) Minden egyes tagállam illetékes hatóságai a hatáskörükön belül feljogosíthatnak arra bármely olyan személyt, aki teljesíti a (4) bekezdésben meghatározott feltételeket, és aki olyan árut szándékozik feladni, amely esetében T5 ellenőrző példányt kell kiállítani (a továbbiakban: "engedélyezett feladó"), hogy az indító vámhivatalban ne kelljen bemutatnia az érintett árut vagy a rá vonatkozó T5 ellenőrző példányt.
(2) Az engedélyezett feladók által használt T5 ellenőrző példány vonatkozásában az illetékes hatóságok:
a) előírhatják megkülönböztető jelzéssel ellátott okmányok használatát az engedélyezett feladók azonosításának eszközeként;
b) kiköthetik, hogy az okmány A. rovatát ("Indító vámhivatal")
- előre lebélyegezzék az indító vámhivatal bélyegzőjével, és az adott vámhivatal ügyintézője azt aláírja, vagy
- bélyegezze le az engedélyezett feladó egy jóváhagyott, a 62. mellékletben szereplő mintának megfelelő különleges fémbélyegzővel, vagy
- lássák el előre a 62. mellékletben szereplő mintának megfelelő különleges bélyegző lenyomatával, ha a nyomtatást erre a célra jóváhagyott nyomda készíti. Ez a lenyomat elektronikus vagy automatikus adatfeldolgozási rendszerrel is felvihető;
c) felhatalmazza az engedélyezett feladót, hogy ne kelljen aláírnia a 62. cikkben említett, jóváhagyott különleges bélyegzővel ellátott és elektronikus vagy automatikus adatfeldolgozó rendszerrel előállított okmányokat. Ebben az esetben a nyilatkozattevő aláírására a nyomtatványok 110. rovatában fenntartott helyen az alábbi bejegyzések egyikét kell feltüntetni:
- Dispensa de la firma, artículo 912 octavo del Reglamento (CEE) no 2454/93
- Underskriftsdispensation, artikel 912g i forordning (EØF) nr. 2454/93
- Freistellung von der Unterschriftsleistung, Artikel 912g der Verordnung (EWG) Nr. 2454/93
- Απαλλαγή από την υποχρέωση υπογραφής, άρθρο 912 ζ του κανονισμού (ΕΟΚ) αριθ. 2454/93
- Signature waived - Article 912g of Regulation (EEC) No 2454/93
- Dispense de signature, article 912 octies du règlement (CEE) no 2454/93
- Dispensa dalla firma, articolo 912 octies del regolamento (CEE) n. 2454/93
- Vrijstelling van ondertekening - artikel 912 octies van Verordening (EEG) nr. 2454/93
- Dispensada a assinatura, artigo 912.o - G do Regulamento (CE) n. 2454/93
- Vapautettu allekirjoituksesta - asetuksen (ETY) N:o 2454/93 912g artikla
- Befriad från underskrift, artikel 912g i förordning (EEG) nr 2454/93.
- Podpis se nevyžaduje - článek 912g nařízení (EHS) č. 2454/93
- Allkirjanőudest loobutud - määruse (EMÜ) nr 2454/93 artikkel 912g
- Derīgs bez paraksta - Regulas (EEK) Nr.2454/93 912.g pants
- Leista nepasirašyti - Reglamentas (EEB) Nr. 2454/93, 912g straipsnis
- Aláírás alól mentesítve - a 2454/93/EGK rendelet 912g. cikke
- Firma mhux meħtieġa - Artikolu 912g tar-Regolament (KEE) 2454/93
- Zwolniony ze składania podpisu - art. 912g rozporządzenia (EWG) nr 2454/93
- Opustitev podpisa - člen 912g uredbe (EGS) št. 2454/93
- Oslobodenie od podpisu - článok 912g nariadenia (EHS) č. 2454/93.
- Освободен от подпис - член 912ж на Регламент (ЕИО) № 2454/93
- Dispensă de semnătură - Articolul 912g din Regulamentul (CEE) Nr. 2454/93.
- Oslobođeno potpisa - članak 912.g Uredbe (EEZ) br. 2454/93.
(3) Az engedélyezett feladó köteles a T5 ellenőrző példányt kitölteni a szükséges adatok megadásával, ideértve:
- az A. rovatban ("Indító vámhivatal") az áru feladásának napját és a vámáru-nyilatkozathoz rendelt számot, és
- a T5 nyomtatvány D. rovatában ("Az indító vámhivatal által végzett ellenőrzés") az alábbi bejegyzések egyikét:
-
- Procedimiento simplificado, artículo 912 octavo del Reglamento (CEE) no 2454/93
- Forenklet fremgangsmåde, artikel 912g i forordning (EØF) nr. 2454/93
- Vereinfachtes Verfahren, Artikel 912g der Verordnung (EWG) Nr. 2454/93
- Απλουστευμένη διαδικασία, άρθρο 912 ζ) του κανονισμού (ΕΟΚ) αριθ. 2454/93
- Simplified procedure - Article 912g of Regulation (EEC) No 2454/93
- Procédure simplifiée, article 912 octies du règlement (CEE) no 2454/93
- Procedura semplificata, articolo 912 octies del regolamento (CEE) n. 2454/93
- Vereenvoudigde procedure, artikel 912 octies van Verordening (EEG) nr. 2454/93
- Procedimento simplificado, artigo 912.o - G do Regulamento (CE) n.o 2454/93
- Yksinkertaistettu menettely - asetuksen (ETY) N:o 2454/93 912g artikla
- Förenklat förfarande, artikel 912g i förordning (EEG) nr 2454/93
- Zjednodušený postup-článek 912 g nařízení (EHS) č. 2454/93
- Lihtsustatud tolliprotseduur - määruse (EMÜ) nr 2454/93 artikkel 912g
- Vienkāršota procedūra - Regulas (EEK) Nr.2454/93 912.g pants
- Supaprastinta procedūra - Reglamentas (EEB) Nr. 2454/93, 912g straipsnis
- Egyszerűsített eljárás - a 2454/93/EGK rendelet 912g. cikke
- Proċedura simplifikata - Artikolu 912 g tar-Regolament (KEE) 2454/93
- Procedura uproszczona - art. 912g rozporządzenia (EWG) nr 2454/93
- Poenostavljen postopek - člen 912g uredbe (EGS) št. 2454/93
- Zjednodušený postup - článok 912 g nariadenia (EHS) č. 2454/93
- Опростена процедура - член 912ж на Регламент (ЕИО) № 2454/93
- Procedură simplicată - Articolul 912g din Regulamentul (CEE) Nr. 2454/93
- Pojednostavnjeni postupak - članak 912.g Uredbe (EEZ) br. 2454/93.
- és szükség esetén azt a határidőt, amelyen belül az árut be kell mutatni a rendeltetési vámhivatalban, az alkalmazott azonosítási intézkedéseket és a feladási okmányra való hivatkozást.
Ezt a megfelelően kitöltött és adott esetben az engedélyezett feladó által aláírt T5 ellenőrző példányt úgy kell tekinteni, mint amelyet a (2) bekezdés b) pontjában említett bélyegzőn feltüntetett vámhivatal bocsátott ki.
Az áru feladása után az engedélyezett feladó köteles haladéktalanul megküldeni az indító vámhivatalnak a T5 ellenőrző példány egy másolatát valamennyi olyan okmánnyal együtt, amely alapján a T5 ellenőrző példányt kiállították.
(4) Az (1) bekezdésben említett engedély csak olyan személyeknek adható meg, akik rendszeresen adnak fel árukat, és akiknek nyilvántartása lehetővé teszi, hogy az illetékes hatóságok ellenőrizzék a tevékenységeiket, és akik nem szegték még meg súlyosan vagy ismételten a hatályos jogszabályokat.
Az engedélynek tartalmaznia kell különösen:
- a szállítmányok esetében indító vámhivatalként eljárni jogosult vámhivatalt vagy vámhivatalokat,
- azt a határidőt, amelyen belül és azt az eljárást, amellyel az engedélyezett feladó köteles tájékoztatni az indító vámhivatalt az indítandó szállítmányról annak érdekében, hogy a vámhivatal az áru indítása előtt elvégezhesse az ellenőrzéseket, ideértve azokat is, amelyeket a közösségi szabályok kötelezővé tesznek,
- azt a határidőt, amelyen belül az árut be kell mutatni a rendeltetési vámhivatalban; a határidő meghatározása a szállítási feltételek, illetve a közösségi szabályok szerint történik,
- az áru azonosítása érdekében tett intézkedéseket, amelyek magukban foglalhatják az illetékes hatóságok által jóváhagyott és az engedélyezett feladó által elhelyezett különleges zárak használatát,
- a biztosítéknyújtás módját, ha a biztosíték feltétele a T5 ellenőrző példány kibocsátásának.
(5) Az engedélyezett feladó köteles minden szükséges intézkedést megtenni annak érdekében, hogy biztosítsa a különleges bélyegző, az indító vámhivatal bélyegzőjének lenyomatát vagy a különleges bélyegző lenyomatát viselő okmányok biztonságos megőrzését.
Az engedélyezett feladó viseli az általa kiállított T5 ellenőrző példányokkal vagy az (1) bekezdés rendelkezése szerinti engedély alapján általa lefolytatott eljárások végrehajtásával kapcsolatos minden hiba, mulasztás vagy egyéb hiányosság következményét, különös tekintettel a pénzügyi következményekre.
Amennyiben bármely személy visszaél az indító vámhivatal bélyegzőjével vagy a különleges bélyegzővel előre lebélyegzett T5 ellenőrző példánnyal, az engedélyezett feladó a büntetőjogi szabályok sérelme nélkül felelősséggel tartozik a meg nem fizetett vámok és egyéb díjak megfizetéséért és az ilyen visszaélés nyomán jogtalanul szerzett minden pénzügyi előny visszafizetéséért, kivéve, ha hitelt érdemlően bizonyítani tudja a neki engedélyt adó illetékes hatóságnak, hogy minden szükséges intézkedést megtett a különleges bélyegző, illetve az indító vámhivatal bélyegzőjének vagy a különleges bélyegzőnek a lenyomatát viselő okmányok biztonságos megőrzése érdekében.
V. RÉSZ
ZÁRÓ RENDELKEZÉSEK
913. cikk
Az alábbi rendeletek és irányelvek hatályukat vesztik:
- a Bizottság 1970. január 9-i 37/70/EGK rendelete az előzetesen leszállított berendezések, gépek, készülékek vagy járművek lényeges pótalkatrészei származásának meghatározásáról ( 22 ),
- a Bizottság 1970. december 23-i 2632/70/EGK rendelete a rádió- és televízió-vevőkészülékek származásának meghatározásáról ( 23 ),
- a Bizottság 1971. február 12-i 315/71/EGK rendelete vermut készítésére szánt alapborok és a vermut származásának meghatározásáról ( 24 ),
- a Bizottság 1971. április 27-i 861/71/EGK rendelete a magnetofonok származásának meghatározásáról ( 25 ),
- a Bizottság 1973. november 14-i 3103/73/EGK rendelete a származási bizonyítványokról és azok alkalmazásáról ( 26 ),
- a Bizottság 1976. november 26-i 2945/76/EGK rendelete a Közösség vámterületére visszaszállított árukra alkalmazandó vámkezelésről szóló 754/76/EGK tanácsi rendelet végrehajtására vonatkozó rendelkezésekről ( 27 ), amelyet legutóbb Spanyolország és Portugália csatlakozási okmánya módosított,
- a Bizottság 1978. december 19-i 137/79/EGK rendelete a tagállamok hajói által kifogott halászzsákmányok Közösségen belüli kezelésének alkalmazására vonatkozó igazgatási együttműködés különleges módszereinek bevezetéséről ( 28 ), amelyet legutóbb a 3399/91/EGK rendelet ( 29 ) módosított,
- a Bizottság 1980. június 11-i 1494/80/EGK rendelete a vámértékre vonatkozó értelmező megjegyzésekről és általánosan elfogadott számviteli elvekről ( 30 ),
- a Bizottság 1980. június 11-i 1495/80/EGK rendelete az áruk vámértékéről szóló 1224/80/EGK tanácsi rendelet bizonyos rendelkezéseinek végrehajtásáról ( 31 ), amelyet legutóbb az 558/91/EGK rendelet ( 32 ) módosított,
- a Bizottság 1980. június 11-i 1496/80/EGK rendelete a vámértékre vonatkozó adatok bejelentéséről és a benyújtandó okmányokról ( 33 ), amelyet legutóbb a 979/93/EGK rendelet ( 34 ) módosított,
- a Bizottság 1980. június 20-i 1574/80/EGK rendelete a behozatali és kiviteli vámok visszafizetéséről vagy elengedéséről szóló 1430/79/EGK tanácsi rendelet 16. és 17. cikkének végrehajtására vonatkozó rendelkezésekről ( 35 ),
- a Bizottság 1980. december 5-i 3177/80/EGK rendelete az áruk vámértékéről szóló 1224/80/EGK tanácsi rendelet 14. cikke (2) bekezdésének alkalmazása során az irányadó beléptetési helyről ( 36 ), amelyet legutóbb a 2779/90/EGK rendelet ( 37 ) módosított,
- a Bizottság 1980. december 5-i 3179/80/EGK rendelete a postán küldött áruk vámértékének meghatározásakor figyelembe veendő postai díjakról ( 38 ), amelyet legutóbb az 1264/90/EGK rendelet ( 39 ) módosított,
- a Bizottság 1981. február 12-i 553/81/EGK rendelete a származási bizonyítványokról és azok igényléséről ( 40 ),
- a Bizottság 1981. június 12-i 1577/81/EGK rendelete az egyes romlandó áruk vámértékének meghatározására vonatkozó egyszerűsített eljárások rendszeréről ( 41 ), amelyet legutóbb a 3334/90/EGK rendelet ( 42 ) módosított,
- a Bizottság 1981. december 17-i 82/57/EGK irányelve az áruk szabad forgalomba bocsátására vonatkozó eljárások összehangolásáról szóló 79/695/EGK tanácsi irányelv végrehajtására vonatkozó bizonyos rendelkezésekről ( 43 ), amelyet legutóbb a 83/371/EGK irányelv ( 44 ) módosított,
- a Bizottság 1982. április 23-i 82/347/EGK irányelve a közösségi áruk kivitelére vonatkozó eljárások összehangolásáról szóló 81/177/EGK tanácsi irányelv végrehajtására vonatkozó bizonyos rendelkezésekről ( 45 ),
- a Bizottság 1983. október 28-i 3040/83/EGK rendelete a behozatali vagy kiviteli vámok visszafizetéséről vagy elengedéséről szóló 1430/79/EGK tanácsi rendelet 2. és 14. cikkének végrehajtására vonatkozó rendelkezésekről ( 46 ),
- a Bizottság 1983. november 9-i 3158/83/EGK rendelete a jogdíjak vámértékre tett hatásáról ( 47 ),
- a Bizottság 1984. június 13-i 1751/84/EGK rendelete a 3599/82/EGK tanácsi rendelet alkalmazására vonatkozó egyes rendelkezésekről ( 48 ), amelyet legutóbb a 3693/92/EGK rendelet ( 49 ) módosított,
- a Bizottság 1984. december 17-i 3548/84/EGK rendelete az áruk szabad forgalomba bocsátása előtti vámfelügyelet melletti feldolgozását lehetővé tevő intézkedésekről szóló 2763/83/EGK rendelet alkalmazására vonatkozó bizonyos rendelkezésekről ( 50 ), amelyet legutóbb a 2361/87/EGK rendelet ( 51 ) módosított,
- a Bizottság 1985. június 27-i 1766/85/EGK rendelete a vámérték meghatározásánál alkalmazandó átváltási árfolyamokról ( 52 ), amelyet legutóbb az 593/91/EGK rendelet ( 53 ) módosított,
- a Bizottság 1986. december 11-i 3787/86/EGK rendelete egyes gazdasági vámeljárások keretében kibocsátott engedélyek érvénytelenítéséről vagy visszavonásáról ( 54 ),
- a Bizottság 1986. december 12-i 3799/86/EGK rendelete a behozatali vagy kiviteli vámok visszafizetéséről vagy elengedéséről szóló 1430/79/EGK tanácsi rendelet végrehajtására vonatkozó rendelkezésekről ( 55 ),
- a Bizottság 1987. július 31-i 2458/87/EGK rendelete a passzív feldolgozási eljárásról és a szabvány csererendszerről szóló 2473/86/EGK tanácsi rendelet végrehajtására vonatkozó rendelkezésekről ( 56 ), amelyet legutóbb a 3692/92/EGK rendelet ( 57 ) módosított,
- a Bizottság 1987. december 9-i 4128/87/EGK rendelete a Kombinált Nómenklatúra 2401 10 10 -2401 10 49 és a 2401 20 10 -2401 20 49 alszáma alá tartozó, mesterséges hővel szárított Virginia típusú és természetes úton szárított, világos Burley típusú dohány (beleértve a Burley-hibrideket is) és a természetes úton szárított, világos Maryland típusú és a füstöléssel szárított dohány behozatalának feltételeiről ( 58 ),
- a Bizottság 1987. december 9-i 4129/87/EGK rendelete az Európai Gazdasági Közösség és Jugoszlávia közötti megállapodáshoz csatolt C. mellékletben felsorolt egyes házi szarvasmarhafajok alá tartozó élő állatok és egyes szarvasmarhafajok húsának a Kombinált Nómenklatúrába való besorolásának feltételeiről ( 59 ),
- a Bizottság 1987. december 9-i 4130/87/EGK rendelete a Kombinált Nómenklatúra 0806 10 11 alszáma alá tartozó Emperor (Vitis vinifera cv) fajtájú friss csemegeszőlő behozatalának feltételeiről ( 60 ),
- a Bizottság 1987. december 9-i 4131/87/EGK rendelete portói, madeira, sherry, setubal, muskotály és tokaji (aszú és szamorodni) boroknak a Kombinált Nómenklatúra 2204 21 41 , 2204 21 51 , 2204 29 41 , 2204 29 45 , 2204 29 51 és 2204 29 55 alszáma alá történő besorolásának feltételei ről ( 61 ), amelyet legutóbb a 2490/91/EGK rendelet ( 62 ) módosított,
- a Bizottság 1987. december 9-i 4132/87/EGK rendelete a Bourbon whiskey Kombinált Nómenklatúra 2208 30 11 és 2208 30 19 alszáma alá történő besorolásának feltételeiről ( 63 ),
- a Bizottság 1987. december 9-i 4133/87/EGK rendelete a Kombinált Nómenklatúra 2208 90 31 és 2208 90 59 alszáma alá tartozó vodka behozatalának az Európai Gazdasági Közösség és Finnország között létrejött, a borok és szeszes italok kölcsönös kereskedelméről szóló megállapodásban előírt tarifális feltételeiről ( 64 ),
- a Bizottság 1987. december 9-i 4134/87/EGK rendelete a Kombinált Nómenklatúra 2106 90 10 alszáma alá tartozó sajtfondü néven ismert készítmények behozatalának feltételeiről ( 65 ),
- a Bizottság 1987. december 9-i 4135/87/EGK rendelete a Kombinált Nómenklatúra 3102 50 10 és 3105 91 10 alszáma alá tartozó természetes nátrium-nitrát és természeteskálium-tartalmú nátrium-nitrát behozatalának feltételeiről ( 66 ),
- a Bizottság 1987. december 9-i 4136/87/EGK rendelete a Kombinált Nómenklatúra 0101 19 10 alszáma alá tartozó vágólovak behozatalának feltételeiről ( 67 ),
- a Bizottság 1987. december 9-i 4137/87/EGK rendelete a Kombinált Nómenklatúra 0408 11 90 , 0408 91 90 , 0408 99 90 , 1106 20 10 , 2501 00 51 , 3502 10 10 és 3502 90 10 alszáma alá tartozó áruk behozatalának feltételeiről ( 68 ),
- a Bizottság 1987. december 9-i 4138/87/EGK rendelete a meghatározott célú felhasználásuk következtében kedvezményes tarifális elbánás alá tartozó vetésre szánt burgonya, csemegekukorica, gabonafélék, olajos magvak és olajtartalmú gyümölcsök behozatalának feltételeiről ( 69 ),
- a Bizottság 1987. december 9-i 4139/87/EGK rendelete a meghatározott célú felhasználásuk következtében kedvezményes tarifális elbánás alá tartozó bizonyos kőolajtermékek behozatalának feltételeiről ( 70 ),
- a Bizottság 1987. december 9-i 4140/87/EGK rendelete a Kombinált Nómenklatúra 5911 20 00 alszáma alá tartozó kikészítetlen szitaszövet behozatalának feltételeiről ( 71 ),
- a Bizottság 1987. december 9-i 4141/87/EGK rendelete a meghatározott célú felhasználásuk következtében kedvezményes tarifális elbánás alá tartozó egyes repülőgép- és hajótípusokhoz szánt áruk behozatalának feltételeiről ( 72 ), amelyet legutóbb az 1418/81/EGK rendelet ( 73 ) módosított,
- a Bizottság 1987. december 9-i 4142/87/EGK rendelete a meghatározott célú felhasználásuk következtében kedvezményes tarifális elbánás alá tartozó egyes áruk behozatalának feltételeiről ( 74 ), amelyet legutóbb a 3803/92/EGK rendelet ( 75 ) módosított,
- a Bizottság 1988. március 4-i 693/88/EGK rendelete a származó termék fogalmának az Európai Gazdasági Közösség által a fejlődő országokból származó egyes áruk vonatkozásában nyújtott preferenciális tarifális elbánás alkalmazásához történő meghatározásáról ( 76 ), amelyet legutóbb a 3660/92/EGK rendelet ( 77 ) módosított,
- a Bizottság 1988. március 14-i 809/88/EGK rendelete a "származó termék" fogalmának meghatározásáról és a megszállt területekről származó áruknak a Közösségbe történő behozatalakor alkalmazandó igazgatási együttműködés módszereiről ( 78 ), amelyet legutóbb a 2774/88/EGK rendelet ( 79 ) módosított,
- a Bizottság 1988. december 21-i 4027/88/EGK rendelete a szállítótartályok ideiglenes behozatalára vonatkozó rendelkezésekről ( 80 ), amelyet legutóbb a 3348/89/EGK rendelet ( 81 ) módosított,
- a Bizottság 1989. február 3-i 288/89/EGK rendelete az integrált áramkörök származásának meghatározásáról ( 82 ),
- a Bizottság 1989. március 8-i 597/89/EGK rendelete a vámtartozásról szóló 2144/87/EGK tanácsi rendelet végrehajtására vonatkozó rendelkezésekről ( 83 ),
- a Bizottság 1989. július 11-i 2071/89/EGK rendelete az optikai rendszert tartalmazó vagy résszűkítős típusú fénymásoló berendezések származásának meghatározásáról ( 84 ),
- a Bizottság 1989. december 15-i 3850/89/EGK rendelete a különleges behozatali szabályok hatálya alá tartozó bizonyos mezőgazdasági termékek tekintetében az áruk származása fogalmának közös meghatározásáról szóló, 1968. június 27-i 802/68/EGK tanácsi rendelet alkalmazásával kapcsolatos rendelkezések megállapításáról ( 85 ),
- a Bizottság 1990. július 30-i 2561/90/EGK rendelete a vámraktárakról szóló 2503/88/EGK tanácsi rendelet végrehajtására vonatkozó rendelkezésekről ( 86 ), amelyet legutóbb a 3001/92/EGK bizottsági rendelet ( 87 ) módosított,
- a Bizottság 1990. július 30-i 2562/90/EGK rendelete a vámszabad területekről és vámszabad raktárakról szóló 2504/88/EGK tanácsi rendelet végrehajtására vonatkozó rendelkezésekről ( 88 ), amelyet legutóbb a 2485/91/EGK bizottsági rendelet ( 89 ) módosított,
- a Bizottság 1990. október 5-i 2883/90/EGK rendelete a szőlőlé származásának meghatározásáról ( 90 ),
- a Bizottság 1990. október 5-i 2884/90/EGK rendelete egyes tojásból előállított áruk származásának meghatározásáról ( 91 ),
- a Bizottság 1990. december 11-i 3561/90/EGK rendelete egyes kerámiatermékek származásának meghatározásáról ( 92 ),
- a Bizottság 1990. december 14-i 3620/90/EGK rendelete egyes háziállatok friss, hűtött vagy fagyasztott húsa és nyesedéke származásának meghatározásáról ( 93 ),
- a Bizottság 1990. december 18-i 3672/90/EGK rendelete a gömbcsészés, gördülő- és tűgörgős csapágyak származásának meghatározásáról ( 94 ),
- a Bizottság 1990. december 19-i 3716/90/EGK rendelete a vámtartozások kifizetésének biztosítása érdekében nyújtandó biztosítékról szóló 4046/89/EGK tanácsi rendelet végrehajtására vonatkozó rendelkezésekről ( 95 ),
- a Bizottság 1990. december 21-i 3796/90/EGK rendelete a tagállamok vámhatóságai által az áruknak a vámnómenklatúrába történő besorolásával kapcsolatban szolgáltatott adatokról szóló 1714/90/EGK tanácsi rendelet végrehajtására vonatkozó rendelkezésekről ( 96 ), amelyet legutóbb a 2674/92/EGK rendelet ( 97 ) módosított,
- a Bizottság 1991. május 24-i 1364/91/EGK rendelete a Kombinált Nómenklatúra XI. áruosztályába tartozó textilipari alapanyagok és textiláruk származásának meghatározásáról ( 98 ),
- a Bizottság 1991. május 24-i 1365/91/EGK rendelete pamuthulladékok, impregnált filc és nem-szőtt áruk, bőrruházati cikkek, lábbelik és textilből készült óraszíjak származásának meghatározásáról ( 99 ),
- a Bizottság 1991. június 12-i 1593/91/EGK rendelete a TIR és az ATA-igazolványok árutovábbítási okmányként történő Közösségen belüli használatáról szóló 719/91/EGK tanácsi rendelet végrehajtásáról ( 100 ),
- a Bizottság 1991. június 13-i 1656/91/EGK rendelete az aktív feldolgozási eljárások vagy a vámfelügyelet melletti feldolgozások meghatározott típusaira alkalmazandó különleges rendelkezésekről ( 101 ),
- a Bizottság 1991. július 23-i 2164/91/EGK rendelete a megfizetésért felelős személyek részéről az áruk vámfizetéssel járó vámeljárás alá vonásakor meg nem fizetett behozatali vagy kiviteli vámok vámkezelés utáni behajtásáról szóló 1697/79/EGK tanácsi rendelet 5. cikke (2) bekezdésének végrehajtására vonatkozó rendelkezésekről ( 102 ),
- a Bizottság 1991. június 26-i 2228/91/EGK rendelete az aktív feldolgozást könnyítő intézkedésekről szóló 1999/85/EGK rendelet végrehajtására vonatkozó rendelkezésekről ( 103 ), amelyet legutóbb a 3709/92/EGK rendelet ( 104 ) módosított,
- a Bizottság 1991. július 25-i 2249/91/EGK rendelete a szállítóeszközök ideiglenes behozataláról szóló 1855/89/EGK tanácsi rendelet végrehajtására vonatkozó rendelkezésekről ( 105 ),
- a Bizottság 1991. július 31-i 2365/91/EGK rendelete az áruknak a Közösség vámterületére történő ideiglenes behozatalához vagy a Közösség vámterületéről történő ideiglenes kiviteléhez szükséges ATA-igazolvány alkalmazásának feltételeiről ( 106 ),
- a Bizottság 1991. december 18-i 3717/91/EGK rendelete a szabad forgalomba bocsátásuk előtt történő vámfelügyelet melletti feldolgozás által nyújtott előnyök igénybevételét lehetővé tévő áruk felsorolásáról ( 107 ), amelyet legutóbb a 209/93/EGK rendelet ( 108 ) módosított,
- a Bizottság 1992. január 22-i 343/92/EGK rendelete a Horvát és Szlovén Köztársaságból, valamint a Bosznia-Hercegovina és Macedónia Jugoszláv Köztársaságból származó termékeknek a Közösségbe történő behozatala esetén a származó termék fogalmának meghatározásáról és az igazgatási együttműködés módszereiről ( 109 ), amelyet legutóbb a 3660/92/EGK rendelet módosított ( 110 ),
- a Bizottság 1992. április 12-i 1214/92/EGK rendelete a közösségi árutovábbítási eljárás végrehajtására és ezen eljárás bizonyos egyszerűsítésére vonatkozó rendelkezésekről ( 111 ), amelyet legutóbb a 3712/92/EGK rendelet ( 112 ) módosított,
- a Bizottság 1992. július 3-i 1823/92/EGK rendelete a Közösségen belüli légi járatokat igénybe vevő személyek feladott és kézipoggyászaira, valamint a Közösségen belüli tengeri átkeléseken részt vevő személyek poggyászaira alkalmazandó ellenőrzések és alakiságok eltörléséről szóló 3925/91/EGK tanácsi rendelet alkalmazásának részletes szabályairól ( 113 ),
- a Bizottság 1992. július 31-i 2453/92/EGK rendelete az egységes vámokmányról szóló 717/91/EGK tanácsi rendelet végrehajtásáról ( 114 ), amelyet legutóbb a 607/93/EGK rendelet módosított ( 115 ),
- a Bizottság 1992. szeptember 15-i 2674/92/EGK rendelete a tagállamok vámhatóságai által az áruknak a vámnómenklatúrába történő besorolásával kapcsolatban szolgáltatott adatokról szóló 1715/90/EGK tanácsi rendelet végrehajtó rendelkezéseinek kiegészítéséről ( 116 ),
- a Bizottság 1992. szeptember 17-i 2713/92/EGK rendelete a Közösség vámterületének bizonyos részei közötti árumozgásról ( 117 ),
- a Bizottság 1992. november 10-i 3269/92/EGK rendelete a Közösségi Vámkódexet létrehozó 2913/92/EGK tanácsi rendeletnek a kiviteli és újrakiviteli eljárásra, valamint a Közösség vámterületét elhagyó árukra vonatkozó 161., 182. és 183. cikke végrehajtására vonatkozó egyes rendelkezésekről ( 118 ),
- a Bizottság 1992. december 8-i 3566/92/EGK rendelete az áruk felhasználásának és/vagy rendeltetésének igazolását előíró közösségi intézkedések alkalmazásának céljából felhasználandó okmányokról ( 119 ),
- a Bizottság 1992. december 21-i 3689/92/EGK rendelete a TIR-igazolványoknak és ATA-igazolványoknak a Közösségen belül fuvarokmányként történő használatáról szóló 719/91/EGK tanácsi rendelet és az ideiglenes behozatali intézkedésekről szóló 3599/82/EGK tanácsi rendelet alkalmazására vonatkozó részletes szabályokról ( 120 ),
- a Bizottság 1992. december 21-i 3691/92/EGK rendelete a TIR-igazolványoknak és ATA-igazolványoknak a Közösségen belül fuvarokmányként történő használatáról szóló719/91/EGK tanácsi rendelet és az ideiglenes behozatali intézkedésekről szóló 3599/82/EGK tanácsi rendelet végrehajtására vonatkozó rendelkezésekről ( 121 ),
- a Bizottság 1992. december 21-i 3710/92/EGK rendelete az aktív feldolgozási intézkedések (felfüggesztő eljárás) alá tartozó áruk vagy termékek szállítására vonatkozó eljárásokról ( 122 ),
- a Bizottság 1992. december 21-i 3903/92/EGK rendelete a légi szállítás költségeiről ( 123 ).
914. cikk
A hatályon kívül helyezett rendelkezésekre vonatkozó hivatkozásokat az erre a rendeletre történő hivatkozásnak kell tekinteni.
915. cikk
Ez a rendelet az Európai Közösségek Hivatalos Lapjában való kihirdetését követő harmadik napon lép hatályba.
Ezt a rendeletet 1994. január 1-jétől kell alkalmazni.
Ez a rendelet teljes egészében kötelező és közvetlenül alkalmazandó valamennyi tagállamban.
VÉGREHAJTÁSI RENDELKEZÉSEK A KÖZÖSSÉGI VÁMKÓDEXHEZ
MELLÉKLETEK
A MELLÉKLETEK JEGYZÉKE
| Sorszám | Tárgy |
| 1 . | Kötelező érvényű tarifális felvilágosítás (KTF) – értesítési nyomtatvány mintája |
| 1a. | Kötelező érvényű származási felvilágosítás |
| 1b. | Kötelező érvényű tarifális felvilágosítás (KTF) – kérelem nyomtatványának mintája |
| 1c. | |
| 1d. | |
| 6 . | Hatályon kívül helyezve |
| 6a. | Hatályon kívül helyezve |
| 9 . | Bevezető megjegyzések az előállított termékeknek származó helyzetet biztosító, illetve nem biztosító megmunkálási vagy feldolgozási műveletek listáihoz, amennyiben a műveleteket nem származó anyagokon hajtották végre általános szempontok |
| 10 . | Nem származó anyagokon végrehajtott, az előállított termék származó helyzetét megalapozó, illetve nem megalapozó megmunkálási vagy feldolgozási műveletek listája. A XI. áruosztály alá tartozó textilipari alapanyagok és textiláruk |
| 11 . | Nem származó anyagokon végrehajtott, az előállított termék származó helyzetét megalapozó, illetve nem megalapozó megmunkálási vagy feldolgozási műveletek listája. A XI. áruosztály alá tartozó textilipari alapanyagoktól és textiláruktól eltérő termékek |
| 12 . | Származási bizonyítvány és kérelem |
| 13 . | Származási bizonyítvány mezőgazdasági termékeknek az Európai Gazdasági Közösségbe történő behozatalához |
| 13a | (a 76. cikk (1) bekezdésében említettek szerint) |
| 13b | (Lásd a 86. cikk (3) bekezdését) |
| 13c | (Lásd a 92. cikket) |
| 13d | (Lásd a 95. cikk (3) bekezdését) |
| 14 . | Bevezető megjegyzések a 15. Mellékletben foglalt listához |
| 15 . | Az előállított termék származó helyzetének megalapozása érdekében a nem származó anyagokon végzendő megmunkálási vagy feldolgozási műveletek listája |
| 16 . | A GSP szerinti regionális kumulációból kizárt megmunkálás |
| 17 . | Form A származási bizonyítvány |
| 18 | (Lásd a 97m. cikk (3) bekezdését) |
| 21 . | EUR.1 szállítási bizonyítvány és kérelem |
| 22 . | Számlanyilatkozat |
| 23 . | Értelmező megjegyzések a vámértékre vonatkozóan |
| 24 . | Általánosan elfogadott számviteli elvek alkalmazása a vámérték megállapítása során |
| 25 . | A vámértékbe beszámítandó légi fuvarozási költségek |
| 26 . | A 152. Cikk (1) bekezdés a)a albekezdésében említett termékek listája |
| 28 . | Nyilatkozat a vámértékre vonatkozó adatokról – D.V.1. |
| 29 . | Pótlap – D.V.1. bis |
| 30 . | A közösségi repülőtéren feladott poggyászra erősítendő címke |
| 30 a. | |
| 31 . | Az egységes vámokmány mintája |
| 32 . | Az egységes vámokmány mintája a nyilatkozatok feldolgozására szolgáló számítógépes adatfeldolgozó rendszerrel való nyomtatás céljára (két, egyenként négypéldányos okmánygarnitúra) |
| 33 . | Az egységes vámokmány pótlapjainak mintája |
| 34 . | Az egységes vámokmány pótlapjainak mintája a nyilatkozatok feldolgozására szolgáló számítógépes adatfeldolgozó rendszerrel való nyomtatás céljára (két, egyenként négypéldányos okmánygarnitúra) |
| 35 . | A 31. és a 33. mellékletekben bemutatott nyomtatványok azon példányai, amelyeken az adatoknak önmásoló eljárással kell megjelenniük |
| 36 . | A 32. és a 34. mellékletekben bemutatott nyomtatványok azon példányai, amelyeken az adatoknak önmásoló eljárással kell megjelenniük |
| 37 . | Útmutató az egységes vámokmány használatához |
| 37 a. | Magyarázat az árutovábbítási nyilatkozatok EDI-szabványüzenetek cseréjével történő felhasználásához |
| 37 c. | Kiegészítő kódok a számítógépesített árutovábbítási rendszer számára |
| 37 d. | A 353. cikk (2) bekezdésének b) pontjában megemlítve |
| 38 . | A nyomtatványokon alkalmazandó kódok |
| 38 a. | Vámáru-nyilatkozat feladott poggyászra |
| 38 b. | A 290c. cikk (1) bekezdésében említett eljárás |
| 38 c. | A 290c. cikk (1) bekezdésében említett formanyomtatvány |
| 38 d. | (lásd a 4o. cikket) |
| 42 . | Sárga címke |
| 42 b. | Sárga címke |
| 43 . | T2M okmány |
| 44 . | Megjegyzések (függelék a T2M okmánygarnitúrát tartalmazó füzethez) |
| 44 a. | A rakományjegyzékre vonatkozó útmutató |
| 44 b. | A közösségi árutovábbítás során használt nyomtatványokra vonatkozó rendelkezések |
| 44 c. | Magas csalási kockázattal járó áruk |
| 45 . | Rakományjegyzék |
| 45a | Árutovábbítási kísérőokmány |
| 45b | Tételjegyzék |
| 45e | (a 358. cikk (2) bekezdésében említve) |
| 45f | (a 358. cikk (3) bekezdésében említve) |
| 45g | (a 796a. cikkben említve) |
| 45h | (a 796a. cikkben említve) |
| 45i | (a 183. cikk (2) bekezdésében, a 787. cikk (2) bekezdésének a) pontjában és a 842b. cikk (3) bekezdésében említve) |
| 45j | (a 183. cikk (2) bekezdésében, a 787. cikk (2) bekezdésének a) pontjában és a 842b. cikk (3) bekezdésében említve) |
| 45k | (a 787. cikkben említve) |
| 45l | (a 787. cikkben említve) |
| 46 . | TC 10 – Határátlépési igazolás |
| 46 a. | A zárak jellemzői |
| 46 b. | A 380. és 381. cikkben említett feltételek |
| 47 . | TC 11 – Bemutatási igazolás |
| 47 a. | A vámkódex 94. cikke (6) és (7) bekezdésének végrehajtására vonatkozó rendelkezések |
| 48 . | Egységes/közösségi árutovábbítási eljárás – Összkezesség |
| 49 . | Egységes/közösségi árutovábbítási eljárás – Egyedi kezesség |
| 50 . | Egységes/közösségi árutovábbítási eljárás – Egyedi kezességvállalás garanciajegyek formájában |
| 51 . | TC 31 – Kezességi tanúsítvány |
| 51 a. | TC 33 – Tanúsítvány a biztosítéknyújtás alóli mentességről |
| 51 b. | Útmutató a kezességi tanúsítvány és tanúsítvány a biztosítéknyújtás alóli mentesség igazolásának kitöltéséhez |
| 54 . | TC 32 – Átalánykezességi garanciajegy |
| 58 . | Öntapadós piktogram (417. és 432. cikkek) |
| 59 . | A 459. Cikkben említett tájékoztató mintája |
| 60 . | Elszámolási nyomtatvány |
| 61 . | Eljárásátvételi nyilatkozat – minta |
| 62 . | Különleges bélyegző |
| 63 . | T5 eredeti ellenőrző példány |
| 64 . | T5 BIS eredeti ellenőrző példány |
| 65 . | T5 rakományjegyzék |
| 66 . | A T5 ellenőrző példány kiállításához szükséges nyomtatványok kitöltési útmutatója |
| 67 . | Kérelem és engedély formanyomtatványok |
| 68 . | A vámeljárások alatt álló áruknak vagy terméknek az egyik engedélyestől egy másiknak történő átszállítása |
| 69 . | Átalányelszámolási kulcsok |
| 70 . | Gazdasági feltételek és igazgatási együttműködés |
| 71 . | Adatlapok |
| 72 . | Az 531. és 809. cikkben említett szokásos kezelési módok listája |
| 73 . | Importáruk, amelyeknél a gazdasági feltételeket az 539. Cikk első bekezdése értelmében nem lehet teljesítettnek tekinteni |
| 74 . | Helyettesítő árukra vonatkozó különleges rendelkezések |
| 75 . | Azon végtermékek listája, amelyek a rájuk vonatkozó behozatali vámok alá tartoznak |
| 76 . | Gazdasági feltételek a vámfelügyelet melletti feldolgozásra vonatkozó vámeljárás keretében |
| 77 . | (581. cikk) |
| 104 . | Adatlap átalakítás, feldolgozás vagy javítás céljából egyik országból a másikba történő ideiglenes árukivitel megkönnyítéséhez |
| 109 . | Vámjogi helyzet igazolása |
| 110 . | INF 3 adatlap |
| 110 a. | Igazolás közösségi halászhajók által harmadik ország felségvizein fogott halászati termékekről |
| 111 . | Vámvisszafizetés/vám elengedése iránti kérelem |
| 112 . | Vizsgálati megkeresés |
| 113 . | Vám visszafizetése vagy elengedése |
1. MELLÉKLET
KÖTELEZŐ ÉRVÉNYŰ TARIFÁLIS FELVILÁGOSÍTÁS (KTF) - ÉRTESÍTÉSI NYOMTATVÁNY MINTÁJA





1a. MELLÉKLET



1b. MELLÉKLET
KÖTELEZŐ ÉRVÉNYŰ TARIFÁLIS FELVILÁGOSÍTÁS (KTF) - KÉRELEM NYOMTATVÁNYÁNAK MINTÁJA


1c. MELLÉKLET


Kitöltési útmutató
1. : Írja be a kérelmező gazdasági szereplő teljes nevét.
2. Jogi forma : Írja be a jogi formát, ahogyan azt az alapító okmány megnevezi.
3. Alapítás időpontja : Írja be - számokkal - az alapítás napját, hónapját és évét.
4. Alapítás címe : Írja be annak a helynek a teljes címét, ahol az Ön cégét alapították, beleértve az országot is.
5. Az üzleti tevékenység végzésének fő helye : Írja be annak a helynek a teljes címét, ahol a főbb üzleti tevékenységeket végzik.
6. Kapcsolattartó személy : Jelölje meg az Ön cégénél kijelölt kapcsolattartó személy teljes nevét, telefon- és faxszámait és e-mail címét, akivel a vámhatóságok kapcsolatba léphetnek a kérelem vizsgálata során.
7. Levelezési cím : Csak akkor töltse ki, amennyiben az különbözik az alapítás címétől.
8. , 9. és 10. HÉA azonosítószám, Gazdálkodói azonosítószám és Cégnyilvántartási szám : Írja be a kért számokat. A gazdálkodói azonosítószám(ok) a vámhatóság(ok) által nyilvántartásba vett azonosítószám(ok). A cégnyilvántartási szám a cégnyilvántartásért felelős hivatal által adott nyilvántartási szám. Ha ezek a számok azonosak, akkor csak a HÉA azonosítószámot írja be. Ha a kérelmező azért nem rendelkezik gazdálkodói azonosítószámmal, mert például a kérelmező tagállamában ilyen szám nem létezik, hagyja üresen a rovatot.
11. A kért tanúsítvány típusa : Jelölje kereszttel a vonatkozó rovatot.
12. A tevékenység gazdasági ágazata : Ismertesse tevékenységét.
13. Tagállam(ok), amely(ek)ben vámügyekkel kapcsolatos tevékenységeket végez : Írja be a vonatkozó, ISO alfa-2 országkódo(ka)t.
14. Határátlépési információk : Jelölje meg azoknak a vámhivataloknak a nevét, amelyeket határátlépéskor rendszeresen használ.
15. Már megadott egyszerűsítések vagy könnyítések, a 14k. cikk (4) bekezdésében említett tanúsítványok és/vagy a 14k. cikk (2) és (3) bekezdésében foglaltak szerint megszerzett meghatalmazott ügynök vagy ismert szállító státus: : Már megadott egyszerűsítések esetén jelölje meg az egyszerűsítés típusát, a vonatkozó vámeljárást és az engedélyszámot.A vonatkozó vámeljárást a 37. melléklet I. címének B. pontjában levő mátrixban az oszlopok fejlécében a vámeljárás azonosításához használt betűkkel (A-tól K-ig) kell jelölni. A 14k. cikk (2) és (3) bekezdése esetében jelölje meg a megszerzett státust: meghatalmazott ügynök vagy ismert szállító státusát és a tanúsítvány számát. Amennyiben a kérelmezőnek birtokában van egy vagy több a 14k. cikk (4) bekezdésében említett tanúsítványok közül, jelölje a tanúsítvány(ok) típusát és számát.
16. , 17. és 18. : Írja be a vonatkozó hivatalok teljes címét. Ha a hivatalok címe ugyanaz, csak a 16. rovatot töltse ki.
19. A kérelmező neve, dátum és aláírás : Aláírás : az aláíró személynek meg kell adnia a tisztségét, ill. beosztását is. Az aláíró személynek mindig annak a személynek kell lennie, aki a kérelmező általános képviseletére jogosult. Név : a kérelmező neve és a kérelmező bélyegzője. Mellékletek száma : a kérelmezőnek a következő általános információkat kell megadnia:
1. A fő tulajdonosok/részvényesek áttekintése, neveik, címeik és részesedési arányaik megadásával. Áttekintés az igazgatótanács tagjairól. Ismertek-e a tulajdonosok a vámhatóságok számára korábbi, szabályszegő magatartásuk miatt?
2. Az a személy, aki a kérelmező vámügyi ügyintézéséért felel.
3. A kérelmező gazdasági tevékenységeinek ismertetése.
4. A kérelmező különféle telephelyeinek elhelyezkedése és minden egyes telephely tevékenységeinek rövid ismertetése. Annak megadása, hogy a kérelmező és az egyes telephelyek az ellátási láncon belül saját nevükben és érdekükben tevékenykednek-e, vagy saját nevükben és egy másik személy érdekében, vagy egy másik személy nevében és érdekében.
5. Annak megadása, hogy az árukat a kérelmezőhöz kapcsolódó cégektől vásárolják-e vagy ilyeneknek szállítják-e.
6. A kérelmező belső szervezeti struktúrájának ismertetése. Kérjük, hogy amennyiben rendelkezésre áll, csatoljon dokumentációt minden egyes részleg és/vagy tisztség feladatköréről/hatásköréről.
7. Az alkalmazottak száma összesen és minden egyes divízióban.
8. A legfontosabb tisztségviselők neve (ügyvezető igazgatók, a divíziók vezetői, számviteli vezetők, a vámügyi részleg vezetője stb.). A kialakult gyakorlat ismertetése olyan helyzetekben, amikor az illetékes alkalmazott ideiglenesen vagy tartósan távol van.
9. Azoknak a neve és beosztása, akik a kérelmező szervezetén belül konkrét vámügyi tapasztalattal rendelkeznek. Értékelés arról, hogy milyen szintű ismereteik vannak ezeknek a személyeknek az IT technológiának a vám- és kereskedelmi folyamatokban és az általános kereskedelmi ügyekben való felhasználásában.
10. Beleegyezés vagy bele nem egyezés azzal kapcsolatban, hogy az AEO-tanúsítványban foglalt információt az engedélyezett gazdálkodóknak a 14x. cikk (4) bekezdésében említett jegyzékében közzétegyék.
1d. MELLÉKLET

Kitöltési útmutató
Tanúsítvány száma
A tanúsítvány számának mindig a kiállító tagállamnak az ISO alfa-2 országkódjával kell kezdődnie, amelyet a következő betűk valamelyike követ:
AEOC az AEO-tanúsítvány "Vámjogi egyszerűsítések" esetében
AEOS az AEO-tanúsítvány "Biztonság és védelem" esetében
AEOF az AEO-tanúsítvány "Vámjogi egyszerűsítések/Biztonság és védelem" esetében.
A fent ismertetett betűket a nemzeti engedélyszámnak kell követnie.
Az AEO-tanúsítvány birtokosa
Meg kell adni a birtokos teljes nevét, ahogyan azt az 1C. mellékletben szereplő kérelem formanyomtatvány 1. rovatában feltüntették, valamint a HÉA azonosítószámo(ka)t, ahogyan azt a kérelem formanyomtatvány 8. rovatában feltüntették, szükség esetén a gazdálkodói azonosítószámo(ka)t, ahogyan azt a kérelem formanyomtatvány 9. rovatában feltüntették és a cégnyilvántartási számot, ahogyan azt a kérelem formanyomtatvány 10. rovatában feltüntették.
Kiállító hatóság
Aláírás, a tagállam vámigazgatásának neve és bélyegzője.
A tagállam vámigazgatásának neve megadható regionális szinten, amennyiben a vámigazgatás szervezeti felépítése ezt követeli meg.
Hivatkozás a tanúsítvány típusára
Jelölje kereszttel a vonatkozó rovatot.
A tanúsítvány hatálybalépésének dátuma
Adja meg a napot, a hónapot és az évet, a 14q. cikk (1) bekezdésének megfelelően.
6. MELLÉKLET
Hatályon kívül helyezve.
6a. MELLÉKLET
Hatályon kívül helyezve.
9. MELLÉKLET
BEVEZETŐ MEGJEGYZÉSEK AZ ELŐÁLLÍTOTT TERMÉKEK SZÁRMAZÓ HELYZETÉT MEGALAPOZÓ, ILLETVE NEM MEGALAPOZÓ MEGMUNKÁLÁSI VAGY FELDOLGOZÁSI MŰVELETEK LISTÁIHOZ, AMENNYIBEN A MŰVELETEKET NEM SZÁRMAZÓ ANYAGOKON HAJTOTTÁK VÉGRE
ÁLTALÁNOS SZEMPONTOK
1. megjegyzés
1.1. A 10. és a 11. melléklet listáinak első két oszlopa az előállított terméket írja le. Az első oszlopban a Kombinált Nómenklatúra szerinti vámtarifaszám vagy a megfelelő árucsoport száma található, míg a második oszlop a Kombinált Nómenklatúra adott vámtarifaszámának vagy árucsoportjának megfelelő árumegnevezést adja meg. Az első két oszlop valamennyi tételéhez a 3. oszlopban egy-egy szabály tartozik. Az első oszlopban feltüntetett szám előtt álló "ex" arra utal, hogy a 3. oszlopban feltüntetett szabály a leírt vámtarifaszámnak, illetve árucsoportnak csak a 2. oszlopban megnevezett részére vonatkozik.
1.2. Ha az 1. oszlopban csoportba rendezve több vámtarifaszám vagy több árucsoport száma van feltüntetve, és a termék leírása a 2. oszlopban ennélfogva általános jellegű, akkor a 3. oszlopban hozzájuk tartozó szabály az összes olyan termékre vonatkozik, amely a Kombinált Nómenklatúra alapján a feltüntetett árucsoport valamelyik vámtarifaszáma vagy az 1. oszlopban csoportba rendezett vámtarifaszámok bármelyike alá tartozik.
1.3. Amennyiben a listákban egy-egy vámtarifaszámon belül különböző termékekre különböző szabályok vonatkoznak, úgy az egyes francia bekezdések a vámtarifaszám adott részének leírását tartalmazzák a 3. oszlopban hozzájuk tartozó szabállyal együtt.
2. megjegyzés
2.1. Az "előállítás" kifejezés mindenfajta megmunkálásra vagy feldolgozásra vonatkozik, köztük az "összeszerelésre" vagy a különleges műveletekre is.
2.2. Az "anyag" kifejezés a termék előállításánál felhasznált valamennyi "összetevőre,""nyersanyagra", "alkotóelemre" vagy "alkatrészre" stb. vonatkozik.
2.3. A "termék" kifejezés az előállított termékre utal abban az esetben is, ha ezt a terméket a későbbiekben egy másik előállítási műveletben való felhasználásra szánják.
3. megjegyzés
3.1. A 3. oszlopban megadott szabályban előírt megmunkálást vagy feldolgozást csak a felhasznált nem származó anyagok vonatkozásában kell végrehajtani. A 3. oszlopban feltüntetett valamely szabályban szereplő korlátozások hasonlóképpen csak a felhasznált nem származó anyagokra vonatkoznak.
3.2. Ha egy újabb termék előállítása folyamán kiindulási anyagként olyan nem származó anyagokból készült termék kerül felhasználásra, amelyik előállítása során már maga származó helyzetet nyert, akkor az ilyen termékre nem vonatkozik a listában a végső termékre előírt szabály.
Például:
A hímzés nélküli szövet azáltal nyerhet származó helyzetet, ha fonálból szövik. Ha ezt az anyagot később hímzett ágynemű készítésére használják fel, akkor a hímzés nélküli szövet felhasználására előírt százalékos határérték ebben az esetben nem alkalmazandó.
4. megjegyzés
4.1. A listákban feltüntetett szabályok az előírt megmunkálás, illetve feldolgozás minimális mértékét jelölik, és az ezt meghaladó mértékben végrehajtott megmunkálás, illetve feldolgozás szintén biztosítja a származó helyzetet. Ezzel szemben az előírtnál kisebb mértékű megmunkálás, illetve feldolgozás nem biztosíthat származó helyzetet. Ha tehát egy szabály úgy szól, hogy a nem származó anyag az előállítás egy bizonyos szintjén használható fel, akkor az ilyen anyag felhasználása az előállítás bármely azt megelőző fázisában is megengedett, azonban bármely azt követő fázisában már nem.
4.2. Ha a listán szereplő valamelyik szabály azt írja elő, hogy egy termék több anyagból is előállítható, akkor ez azt jelenti, hogy a felsorolt anyagok közül egy, de több is felhasználható. Nem szükséges mindegyik anyag felhasználása.
Például:
A fonálra vonatkozó szabály úgy szól, hogy természetes szálak és - egyéb anyagok mellett - vegyi anyagok ugyancsak felhasználhatók. Ez nem jelenti, hogy mindkettőt fel kell használni, csak azt, hogy felhasználható egyik is, másik is, vagy mindkettő.
4.3. Ha a listán szereplő valamelyik szabály azt írja elő, hogy egy terméket egy bizonyos anyagból kell előállítani, akkor ez a feltétel nyilvánvalóan nem akadálya más olyan anyagok használatának, amelyek természetükből eredő belső tulajdonságaiknál fogva nem tudnak eleget tenni a szabályban foglaltaknak.
5. megjegyzés
Az összes olyan anyag vonatkozásában, amelyet a 11. melléklet (a XI. áruosztály alá tartozó textilipari alapanyagoktól és textiláruktól eltérő termékek) nem említ, a származó helyzet megállapítására eseti alapon kerül sor minden egyes folyamatnak vagy műveletnek a Vámkódex 24. cikkében meghatározott utolsó lényeges feldolgozás, illetve megmunkálás fogalma alapján történő értékelésével.
6. megjegyzés
6.1. A 10. melléklet szerinti listában használt "szálak" kifejezés alatt "természetes szálak" és az 5501 -5507 KN-kód alá tartozó "vágott műszál" értendő, továbbá a papír előállítására szolgáló rostanyag.
6.2. A 10. melléklet szerinti listában használt "természetes szálak" kifejezés a mesterséges vagy szintetikus szálaktól különböző szálakra vonatkozik, és a fonás megtörténtét megelőző fázisokra korlátozódik, a hulladékot is beleértve, továbbá - hacsak másképp nincsen meghatározva - a "természetes szálak" kifejezés magában foglalja a kártolt, fésült vagy más módon feldolgozott, de nem font szálakat.
6.3. A "természetes szálak" kifejezés magában foglalja az 0503 KN-kód alá tartozó lószőrt, az 5002 és 5003 KN-kód alá tartozó selymet, az 5101 -5105 KN-kód alá tartozó gyapjúszálat, finom és durva állati szőrt, az 5201 -5203 KN-kód alá tartozó pamutszálat és az 5301 -5305 KN-kód alá tartozó egyéb növényi eredetű szálakat.
6.4. A 10. melléklet szerinti listában használt "vágott műszál" kifejezés az 5501 -5507 KN-kód alá tartozó szintetikus vagy mesterséges szálból készült fonókábelt, a vágott műszálat és ezek hulladékát foglalja magában.
6.5. A 10. melléklet szerinti listában használt "textilpép" és "vegyi anyagok" kifejezés azokat a nem textil anyagokat (ezek nem az 50-63. árucsoportok alá vannak osztályozva) jelöli, amelyek mesterséges vagy szintetikus szálak vagy fonalak, illetve papírgyártásra alkalmas bizonyos fajtájú rostanyag előállítására használhatók fel.
6.6. A két- vagy többféle textilanyagból előállított termékek esetében a 3. oszlopban feltüntetett rendelkezések a kevert textil előállításánál felhasznált valamennyi textilanyagra vonatkoznak.
7. megjegyzés
7.1. A 10. melléklet szerinti listában használt, az előállításnak bizonyos nem származó anyagok felhasználásánál megkövetelt szintjét jelző "előfehérített" kifejezés bizonyos olyan fonalakra, szőtt kelmékre és kötött vagy hurkolt kelmékre vonatkozik, amelyek mosására csak a fonás vagy a szövés műveletét követően kerül sor.
Az előfehérített termékek az előállításnak egy korábbi fázisában vannak, mint a fehérített termékek, amelyek fehérítőszerekben (oxidálószerek, mint például a hidrogén-peroxid és redukálószerek) végzett többszöri fürdőn is túlestek.
7.2. A 10. melléklet szerinti listában használt "teljes elkészítés" kifejezés azt jelenti, hogy az anyag vágását, illetve az anyag közvetlenül formára történő kötését vagy horgolását követő összes műveletet végre kell hajtani.
Az elkészítés azonban nem feltétlenül tekinthető hiányosnak, ha egy vagy több kikészítő művelet végrehajtására nem került sor.
Az alábbi lista példákat tartalmaz a kikészítő műveletekre:
- gombok és/vagy más típusú kapcsok és rögzítők felhelyezése,
- gomblyuk készítése,
- nadrágszár, ing- és ruhaujj vagy ing és ruha alsó szegélyének eldolgozása,
- díszek és tartozékok, például zsebek, címkék, jelvények stb. felvarrása,
- ruha vasalása és egyéb előkészítése a "konfekcióáruként" történő értékesítésre.
Kikészítő műveletekkel kapcsolatos megjegyzések - különleges esetek
Előfordulhat, hogy az előállítás bizonyos műveleteiben a kikészítő műveletek végrehajtása, különösen több művelet kombinációja esetében, annyira fontos, hogy ezeket a műveleteket egyszerű kikészítésnél többnek kell tekinteni.
Ezekben a különleges esetekben a kikészítő eljárás végrehajtásának elmulasztása komplett jellegétől fosztja meg a kiszerelést.
7.3. Az "impregnálás, bevonás, beborítás vagy rétegelés" kifejezés nem foglalja magában a kelmék egymáshoz rögzítésére szolgáló műveleteket.
10. MELLÉKLET
NEM SZÁRMAZÓ ANYAGOKON VÉGREHAJTOTT, AZ ELŐÁLLÍTOTT TERMÉK SZÁRMAZÓ HELYZETÉT MEGALAPOZÓ, ILLETVE NEM MEGALAPOZÓ MEGMUNKÁLÁSI VAGY FELDOLGOZÁSI MŰVELETEK LISTÁJA
A XI. áruosztály alá tartozó textilipari alapanyagok és textiláruk
| KN-kód | Árumegnevezés | A nem származó anyagokon végzett olyan megmunkálás vagy feldolgozás, amely a származó helyzetet megalapozza |
| (1) | (2) | (3) |
| ex 51 01 | Gyapjú, nem kártolva, nem fésülve: | |
| – Zsírtalanított, nem karbonizált gyapjú | Előállítás zsíros gyapjúból, beleértve a gyapjúhulladékot is, amelynek értéke nem haladja meg a termék gyártelepi árának 50 %-át. | |
| – Karbonizált | Előállítás zsírtalanított, nem karbonizált gyapjúból, amelynek értéke nem haladja meg a termék gyártelepi árának 50 %-át. | |
| ex 51 03 | Gyapjú, finom vagy durva állati szőr hulladéka, karbonizált | Előállítás nem karbonizált hulladékból, amelynek értéke nem haladja meg a termék gyártelepi árának 50 %-át. |
| ex 52 01 | Pamut nem kártolva, nem fésülve, fehérített | Előállítás nyers gyapotból, amelynek értéke nem haladja meg a termék gyártelepi árának 50 %-át. |
| 5501 –5507 | Vágott műszál: | |
| – Nem kártolt, nem fésült vagy fonásra másként nem előkészített | Előállítás vegyi anyagból vagy textilpépből. | |
| – Kártolt, fésült vagy egyéb | Előállítás vegyi anyagból vagy textilpépből vagy az 5505 KN-kód alá tartozó hulladékból. | |
| ex 50–55. árucsoport | Fonal, monofil és cérna, a papírfonalon kívül: | |
| – Nyomott vagy festett | Előállítás: — nem kártolt, nem fésült vagy fonásra másként nem előkészített természetes szálból, — nyersselyemből vagy selyemhulladékból, — vegyi anyagból, textilpépből, vagy — vágott, nem kártolt, nem fésült vagy fonásra másként nem előkészített műszálból, fonókábelből vagy szálhulladékból vagy A fehérítetlen vagy az előfehérített (1)fonal vagy monofil nyomása vagy festése előkészítő vagy kikészítő műveletek kíséretében, ahol az összesodrás és a texturálás nem tekintendő ilyen műveletnek, és a nem származó anyag (a fonalat is beleértve) értéke nem haladja meg a termék gyártelepi árának 48 %-át. | |
| – Egyéb | Előállítás: — nem kártolt, nem fésült vagy fonásra másként nem előkészített természetes szálból, — nyersselyemből vagy selyemhulladékból, — vegyi anyagból, textilpépből, vagy — vágott, nem kártolt, nem fésült vagy fonásra másként nem előkészített műszálból, fonókábelből vagy szálhulladékból. | |
| Szőtt szövetek, a papírfonalból szőtt szöveteken kívül: | ||
| – Nyomott vagy festett | Előállítás fonalból vagy Fehérítetlen vagy előfehérített szövet nyomása vagy festése előkészítő vagy kikészítő műveletek kíséretében. (1), (2) | |
| – Egyéb | Előállítás fonalból. | |
| 5601 | Vatta textilanyagokból és ebből készült áruk; legfeljebb 5 mm hosszú textilszál (pihe), textilpor és őrölt elemi szál | Előállítás szálból. |
| 5602 | Nemez, impregnált, bevont, beborított vagy rétegelt is: | |
| – Nyomott vagy festett | Előállítás szálból vagy Fehérítetlen vagy előfehérített nemez nyomása vagy festése előkészítő vagy kikészítő műveletek kíséretében. (1), (2) | |
| – Impregnált, bevont, beborított vagy rétegelt | Fehérítetlen nem szőt szövet impregnálása, bevonása, beborítása vagy rétegelése (3) | |
| – Egyéb | Előállítás szálból. | |
| 5603 | Nem szőtt szövet, az impregnált, bevont, beborított vagy rétegelt is: | |
| – Nyomott vagy festett | Előállítás szálból vagy Fehérítetlen vagy előfehérített nem szőtt szövet nyomása vagy festése előkészítő vagy kikészítő műveletek kíséretében. (1), (2) | |
| – Impregnált, bevont, beborított vagy rétegelt | Fehérítetlen nem szőtt szövet impregnálása, bevonása, beborítása vagy rétegelése (3) | |
| – Egyéb | Előállítás szálból. | |
| 5604 | Gumifonal és -zsineg textilanyaggal bevonva; az 5404 vagy az 5405 KN-kód alá tartozó textilszál, -szalag és hasonlók gumival vagy műanyaggal impregnálva, bevonva, beborítva vagy ezekbe az anyagokba bemártva: | |
| – Gumifonal és -zsineg textilanyaggal bevonva | Előállítás textilanyaggal nem bevont gumifonalból és -zsinegből. | |
| – Egyéb | Fehérítetlen textilszál, -szalag és hasonlók impregnálása, bevonása, beborítása vagy burkolása. | |
| 5607 | Zsineg, kötél és hajókötél fonva vagy sodorva, gumival vagy műanyaggal impregnálva, bevonva, beborítva vagy burkolva is | Előállítás szálból, kókuszrost fonalból, szintetikus vagy mesterséges filamens szálból készült fonalból vagy monofilből. |
| 5609 | Fonalból, az 5404 és az 5405 KN-kód alá tartozó szalagból és hasonlóból készült áru, másutt nem említett zsineg, kötél, hajókötél és kötéláru | Előállítás szálból, kókuszrost fonalból, szintetikus vagy mesterséges filamens szálból készült fonalból vagy monofilből. |
| 5704 | Szőnyeg és más textil padlóborító nemezből, nem tűzve, nem pelyhesítve, konfekcionálva is | Előállítás szálból. |
| 58. árucsoport | Különleges szövetek; bolyhos szövetek; csipke; kárpit; paszomány; hímzés: | |
| – Hímzés méteráruban, szalagban vagy mintázott darabokban (5810 KN-kód) | Előállítás, amelyben a felhasznált anyagok értéke nem haladja meg a termék gyártelepi árának 50 %-át. | |
| – Nyomott vagy festett | Előállítás fonalból vagy Fehérítetlen vagy előfehérített szövet, nemez vagy nem szőtt szövet nyomása vagy festése előkészítő vagy kikészítő műveletek kíséretében. (1), (2) | |
| – Impregnált, bevont vagy beborított | Előállítás fehérítetlen szövetből, nemezből vagy nem szőtt szövetből | |
| – Egyéb | Előállítás fonalból. | |
| 5901 | Szövetek mézgával vagy keményítőtartalmú anyaggal bevonva, amelyeket könyvfedélnek vagy hasonló célokra használnak; pauszvászon; előkészített festővászon; kalapvászon (kanavász) és hasonló merevített textilszövet kalapkészítéshez | Előállítás fehérítetlen szövetből. |
| 5902 | Kerékköpeny kordszövet magas szakítószilárdságú nejlon vagy más poliamid-, poliészter- vagy viszkóz műselyem fonalból | Előállítás fonalból. |
| 5903 | Szövet műanyaggal impregnálva, bevonva, beborítva vagy rétegelve, az 5902 vámtarifaszám alá tartozó szövetek kivételével | Előállítás fehérítetlen szövetből vagy Fehérítetlen vagy előfehérített szövet nyomása vagy festése előkészítő vagy kikészítő műveletek kíséretében. (1), (2) |
| 5904 | Linóleum, formára vágva is; padlóborító, amely textilalapra alkalmazott bevonatból vagy borításból áll, formára vágva is | Előállítás fehérítetlen szövetből, nemezből vagy nem szőtt textíliából. |
| 5905 | Textil falborító | Előállítás fehérítetlen szövetből vagy Fehérítetlen vagy előfehérített szövet nyomása vagy festése előkészítő vagy kikészítő műveletek kíséretében. (1), (2) |
| 5906 | Gumizott szövet, az 5902 KN-kód alá tartozó kivételével | Előállítás fehérített kötött vagy hurkolt szövetből vagy más fehérítetlen szövetből. |
| 5907 | Más módon impregnált, bevont vagy beborított szövet; festett szövet színházi vagy stúdió- (műtermi) díszletek, vagy hasonlók számára | Előállítás fehérítetlen szövetből vagy Fehérítetlen vagy előfehérített szövet nyomása vagy festése előkészítő vagy kikészítő műveletek kíséretében. (1), (2) |
| 5908 | Szőtt, font vagy kötött textil bél lámpához, tűzhelyhez, öngyújtóhoz, gyertyához és hasonlóhoz; fehér izzású gázharisnya és annak előállítására csőszerűen kötött gázharisnya-szövet, impregnálva is | Előállítás fonalból. |
| 5909 | Textiltömlő öntözéshez és hasonló célra, bélelve is, és más anyagokból készült szerelékkel vagy tartozékkal is | Előállítás fonalból vagy szálból. |
| 5910 | Szállítószalag, meghajtó- vagy erőátviteli szíj textilanyagból, fémmel vagy más anyaggal megerősítve is | Előállítás fonalból vagy szálból. |
| 5911 | A Nómenklatúra 59. árucsoportjához tartozó 7. megjegyzésben meghatározott textiltermék és textiláru műszaki célra: | |
| – Polírozókorong vagy -gyűrű a nemezből készült polírozókorong vagy -gyűrű kivételével | Előállítás fonalból, szövethulladékból vagy a 6310 KN-kód alá tartozó rongyból. | |
| – Egyéb | Előállítás fonalból vagy szálból. | |
| 60. árucsoport | Kötött és hurkolt kelmék: | |
| – Nyomott vagy festett | Előállítás fonalból vagy Fehérítetlen vagy előfehérített szövet nyomása vagy festése előkészítő vagy kikészítő műveletek kíséretében. (1), (2) | |
| – Egyéb | Előállítás fonalból. | |
| 61. árucsoport | Kötött és hurkolt ruházati cikkek, kellékek és tartozékok: | |
| – Két vagy több formára vágott vagy mindjárt formára készített, kötött vagy hurkolt anyagdarab összevarrásával vagy más módon történő összeállításával elkészítve | Teljes elkészítés (4) | |
| – Egyéb | Előállítás fonalból. | |
| ex 62. árucsoport | A 6213 és 6214 KN-kód alá nem tartozó ruházati cikkek, kellékek és tartozékok, a kötött és hurkolt áruk kivételével, amelyek vonatkozó szabályai az alábbiakban vannak részletezve: | |
| – Kész vagy teljes | Teljes elkészítés. (4) | |
| – Nem kész vagy hiányos | Előállítás fonalból. | |
| 6213 ès 6214 | Zsebkendő, kendő, sál, nyaksál, mantilla, fátyol és hasonló: | |
| – Hímzett | Előállítás fonalból vagy Előállítás hímzés nélküli anyagból azzal a feltétellel, hogy a felhasznált hímzés nélküli anyag értéke nem haladja meg a termék gyártelepi árának 40 %-át. | |
| – Egyéb | Előállítás fonalból. | |
| 6301 –ex 63 06 | Takaró és útitakaró; ágynemű, asztalnemű, testápolási és konyhai textília; függöny (drapéria is) és belső vászonroló; ágyfüggöny; más lakástextília (a 9494 KN-kód alá tartozók kivételével); zsák és zacskó áruk csomagolására; ponyva, vászontető és napellenző; kempingcikk: | |
| – Nemezből, nem szőtt szövetből: | ||
| – Nem impregnált, bevont, beborított vagy rétegelt | Előállítás szálból. | |
| – Impregnált, bevont, beborított vagy rétegelt | Fehérítetlen nemez vagy nem szőtt szövet impregnálása, bevonása, beborítása vagy rétegelése. (4) | |
| – Egyéb: | ||
| – Kötött vagy hurkolt | ||
| – Hímzés nélküli | Teljes elkészítés. (4) | |
| – Hímzett | Teljes elkészítés (4) vagy Előállítás hímzés nélküli kötött vagy hurkolt anyagból azzal a feltétellel, hogy a felhasznált hímzés nélküli kötött vagy hurkolt anyag értéke nem haladja meg a termék gyártelepi árának 40 %-át. | |
| – Nem kötött vagy hurkolt: | ||
| – Hímzés nélküli | Előállítás fonalból. | |
| – Hímzett | Előállítás fonalból vagy Előállítás hímzés nélküli szövetből azzal a feltétellel, hogy a felhasznált hímzés nélküli szövet értéke nem haladja meg a termék gyártelepi árának 40 %-át. | |
| 6307 | Más konfekcionált áru, beleértve a szabásmintát is, a nem mechanikus legyező és kézben tartható ellenző, a hozzájuk tartozó keret és nyél, valamint az ilyen keret és nyél alkatrészei kivételével: | |
| – Felmosórongy, mosogatórongy, portörlő rongy és hasonlók | Előállítás fonalból. | |
| – Egyéb | Előállítás, amelyben a felhasznált anyag értéke nem haladja meg a termék gyártelepi árának 40 %-át. | |
| 6308 | Szőnyeg, faliszőnyeg, hímzett asztalterítő vagy szalvéta és hasonló hímzett cikkek készítésére szolgáló, szövetből és fonalból álló készlet, tartozékokkal, kellékekkel is, a kiskereskedelmi forgalom számára kiszerelve | Készlet kialakítása, amelyben az összes felhasznált nem származó áru összértéke nem haladja meg a készlet gyártelepi árának 25 %-át. |
| 6309 | Használt ruházat és más használt cikkek | Összegyűjtés és szállításra csomagolás. |
| (1) Lásd a 7.1. bevezető megjegyzést a 9. mellékletben. (2) A származó helyzetet biztosító megmunkálásnak, illetve feldolgozásnak tekintendő hőnyomást azonban pauszpapírral végzett nyomásnak kell kísérnie. (3) Lásd a 7.3. bevezető megjegyzést a 9. mellékletben. (4) Lásd a 7.2. bevezető megjegyzést a 9. mellékletben. | ||
11. MELLÉKLET
NEM SZÁRMAZÓ ANYAGOKON VÉGREHAJTOTT, AZ ELŐÁLLÍTOTT TERMÉK SZÁRMAZÓ HELYZETÉT MEGALAPOZÓ, ILLETVE NEM MEGALAPOZÓ MEGMUNKÁLÁSI VAGY FELDOLGOZÁSI MŰVELETEK LISTÁJA
A XI. áruosztály alá tartozó textilipari alapanyagoktól és textiláruktól eltérő termékek
| KN-kód | A termékek leírása | A nem származó anyagokon végzett olyan megmunkálás vagy feldolgozás, amely a származó helyzetet megalapozza |
| (1) | (2) | (3) |
| 0201 | Szarvasmarhafélék húsa frissen vagy hűtve | Az állat levágása, amelyet legalább háromhavi hizlalási idő előz meg (1) |
| 0202 | Szarvasmarhafélék húsa fagyasztva | Az állat levágása, amelyet legalább háromhavi hizlalási idő előz meg. (1) |
| 0203 | Sertéshús frissen, hűtve vagy fagyasztva | Az állat levágása, amelyet legalább kéthavi hizlalási idő előz meg. (1) |
| 0204 | Juh- vagy kecskehús frissen, hűtve vagy fagyasztva | Az állat levágása, amelyet legalább kéthavi hizlalási idő előz meg. (1) |
| 0205 | Ló, szamár, lóöszvér (muli) vagy szamáröszvér húsa frissen, hűtve vagy fagyasztva | Az állat levágása, amelyet legalább háromhavi hizlalási idő előz meg. (1) |
| 0206 | Szarvasmarhafélék, sertés, juh, kecske, ló, szamár, lóöszvér (muli) vagy szamáröszvér élelmezési célra alkalmas vágási mellékterméke és belsősége frissen, hűtve vagy fagyasztva | Az állat levágása, amelyet legalább háromhavi, illetve a sertés, a juh vagy a kecske esetében kéthavi hizlalási idő előz meg. (1) |
| ex 04 08 | Madártojás héj nélkül, szárítva és tojássárgája szárítva | Az alábbiak szárítása (a tojáshéj feltörése és indokolt esetben a fehérje, illetve a sárgája elválasztása után): — Az ex 04 07 KN-kód alá tartozó madártojás héjában, frissen vagy tartósítva — Az ex 04 08 KN-kód alá tartozó madártojás héj nélkül, a szárított tojás kivételével — Az ex 04 08 KN-kód alá tartozó tojásfehérje, a szárított tojásfehérje kivételével |
| ex 14 04 | Gyapothulladék (pamutlinters), fehérítő | Előállítás nyers gyapotból, amelynek értéke nem haladja meg a termék gyártelepi árának 50 %-át. |
| Nem származó anyagon végzett megmunkálás vagy feldolgozás, ami származó helyzetet nem biztosít. | ||
| ex 20 09 | Gyümölcslé, nem erjesztve, alkohol hozzáadása nélkül, cukor vagy más édesítőanyag hozzáadásával is | Előállítás szőlőmustból. |
| ex 22 04 | Vermut előállítására szolgáló bor friss szőlőből, friss szőlőből készült sűrített vagy nem sűrített must vagy alkohol hozzáadásával | Előállítás friss szőlőből készült borból. |
| Nem származó anyagon végzett olyan eljárás vagy művelet, ami származó helyzetet biztosít. | ||
| ex 22 05 | Vermut | Előállítás friss szőlőből készült, sűrített vagy nem sűrített mustot vagy alkoholt tartalmazó friss szőlőből készült, a 2204 KN-kód alá tartozó borból. |
| ex 34 01 | Szappannal vagy tisztítószerrel impregnált, bevont vagy borított nemez vagy nem szőtt szövet | Előállítás nemezből vagy nem szőtt szövetből. |
| ex 34 05 | Lábbeli-, bútor-, padló-, autókarosszéria-, üvegfényesítőkkel, fémpolírozókkal és krémekkel, súrolókrémekkel, porokkal és hasonló készítményekkel impregnált, bevont, beborított nemez és nem szőtt szövet | Előállítás nemezből és nem szőtt szövetből. |
| ex 35 02 | Szárított tojásfehérje | Az alábbiak szárítása (a tojáshéj feltörése és indokolt esetben a fehérje, illetve a sárgája elválasztása után): — Az ex 04 07 KN-kód alá tartozó madártojás héjában, frissen vagy tartósítva — Az ex 04 08 KN-kód alá tartozó madártojás héj nélkül, a szárított tojás kivételével — Az ex 35 02 KN-kód alá tartozó tojásfehérje, a szárított tojásfehérje kivételével |
| ex 42 03 | Ruházati cikk bőrből vagy rekonstruált bőrből | Bőr vagy rekonstruált bőr két vagy több darabjának összevarrása vagy összeállítása. |
| ex 49 10 | Bármilyen kerámiaanyagú nyomtatott naptár, naptárblokk is, díszítve | Az érintett kerámiaáru díszítése azzal a feltétellel, hogy a díszítés következtében a létrejött termék vámtarifaszám szerinti besorolása eltér a felhasznált termékekétől. |
| 6401 –6405 | Lábbeli | Előállítás bármelyik vámtarifaszám alá tartozó anyagból, a 6406 KN-kód alá tartozó, talpbéléshez vagy más talprészhez erősített felsőrész-összeállítások kivételével. |
| ex 69 11 ex 69 13 | Asztali, konyhai, egyéb háztartási és tisztálkodási áru kerámiából; szobrocska és más dísztárgy kerámiából; díszítve | Az érintett kerámiaáru díszítése azzal a feltétellel, hogy a díszítés következtében a létrejött termék vámtarifaszám szerinti besorolása eltér a felhasznált termékekétől. |
| ex 71 17 | Ékszerutánzat kerámiából, díszítve | Az érintett kerámiaáru díszítése azzal a feltétellel, hogy a díszítés következtében a létrejött termék vámtarifaszám szerinti besorolása eltér a felhasznált termékekétől. |
| ex 8473 30 10 és ex 8473 50 10 | Dinamikus véletlen hozzáférésű memória néven ismert elektronikus integrált áramkörök (DRAM) | Előállítás, amelyben a megmunkálás vagy feldolgozás, és indokolt esetben az összeszerelés helyének megfelelő országból származó alkatrészek beépítése következtében elért értéknövekedés a termék gyártelepi árának legalább 45 %-át teszi ki Amikor a 45 %-os szabály nem teljesül, a DRAM okat azon országból származónak kell tekinteni, amely ország felhasznált származó anyagainak értékhányada a legmagasabb. |
| ex 84 82 | Golyós-, görgős- vagy tűgörgős csapágy, összeállítva (2) | A belső és a külső gyűrű hőkezelését, köszörülését és polírozását követő összeállítás. |
| ex 85 01 | Kristályos szilícium fotovillamos modulok vagy panelek | Előállítás bármely vámtarifaszám alá tartozó anyagból a termék vámtarifaszáma és a 8541 vámtarifaszám alá tartozó anyagok kivételével. Ha a termék a 8501 vagy a 8541 vámtarifaszám alá sorolt anyagokból került előállításra, a termék származása ezen anyagok származásának felel meg. Ha a termék a 8501 vagy a 8541 vámtarifaszám alá sorolt, egynél több országból származó anyagokból került előállításra, a termék származása az ezen anyagok legnagyobb értékhányada származásának felel meg |
| ex 85 20 | Mágnesszalagos hangfelvevő készülékek, lejátszó szerkezettel vagy a nélkül | Előállítás, amelyben az összeszerelő műveletek és, indokolt esetben, az összeszerelés helyének megfelelő országból származó alkatrészek beépítése következtében elért értéknövekedés a termék gyártelepi árának legalább 45 %-át teszi ki. Ha a 45 %-os szabály nem teljesül, akkor a készülék azoknak az alkatrészeknek a származási országában kezelendő származóként, amelyek gyártelepi ára a készülék gyártelepi árának több mint 35 %-át adja. Ha a 35 %-os szabálynak két ország is eleget tesz, akkor a készülék azoknak az alkatrészeknek a származási országában kezelendő származóként, amelyek nagyobb százalékos arányt képviselnek. |
| ex 8523 20 90 | Nem megírt 3,5′ mágneses mikrolemezek, függetlenül attól,hogy előre formázottak, vagy sem, illetve a lemez bevonataminőségének ellenőrzése céljából felvett analóg jelet tartalmaznak,vagy sem | A lemez összeszerelése (beleértve a mágneslemez beillesztését ésa burkolat összerakását), továbbá a következők gyártása: mágneslemez (polírozással együtt), vagy a felső és alsó borítás. Ha sem a mágneslemez, sem a felső és alsó borítás nem abbanaz országban készült, ahol az összeszerelést végzik, akkor alemezek származási helye az az ország, ahonnan a gyártelepi árlegmagasabb arányát képviselő összetevők származnak. A lemezekösszeszerelése (beleértve a mágneses lemez beillesztését és aburkolat összerakását) és a csomagolás önmagában nem biztosítszármazó helyzetet. |
| ex 85 27 | Rádióműsor-vevőkészülék, hangfelvevő vagy -lejátszó készülékkel vagy órával közös házban is | Előállítás, amelyben az összeszerelő műveletek és, indokolt esetben, az összeszerelés helyének megfelelő országból származó alkatrészek beépítése következtében elért értéknövekedés a termék gyártelepi árának legalább 45 %-át teszi ki. Ha a 45 %-os szabály nem teljesül, akkor a készülék azoknak az alkatrészeknek a származási országában kezelendő származóként, amelyek gyártelepi ára a készülék gyártelepi árának több mint 35 %-át adja. Ha a 35 %-os szabálynak két ország is eleget tesz, akkor a készülék azoknak az alkatrészeknek a származási országában kezelendő származóként, amelyek nagyobb százalékos arányt képviselnek. |
| ex 85 28 | Televízióadás vételére alkalmas készülék (a videotuner, a video-vetítőkészülék és a videomonitor kivételével), rádióműsor-vevőkészüléket vagy hangfelvevő vagy -lejátszó készüléket magában foglaló is, de képfelvevő és -lejátszó készülék nélkül | Előállítás, amelyben az összeszerelő műveletek és, indokolt esetben, az összeszerelés helyének megfelelő országból származó alkatrészek beépítése következtében elért értéknövekedés a termék gyártelepi árának legalább 45 %-át teszi ki. Ha a 45 %-os szabály nem teljesül, akkor a készülék azoknak az alkatrészeknek a származási országában kezelendő származóként, amelyek gyártelepi ára a készülék gyártelepi árának több mint 35 %-át adja. Ha a 35 %-os szabálynak két ország is eleget tesz, akkor a készülék azoknak az alkatrészeknek a származási országában kezelendő származóként, amelyek nagyobb százalékos arányt képviselnek. |
| ex 85 41 | Kristályos szilícium fotovillamos elemek, modulok vagy panelek | Előállítás bármely vámtarifaszám alá tartozó anyagból a termék vámtarifaszáma alá tartozó anyagok kivételével. Ha a termék a 8541 vámtarifaszám alá sorolt anyagokból került előállításra, a termék származása ezen anyagok származásának felel meg. Ha a termék a 8541 vámtarifaszám alá sorolt, egynél több országból származó anyagokból került előállításra, a termék származása az ezen anyagok legnagyobb értékhányada származásának felel meg |
| ex 85 42 | Integrált áramkörök | A diffúzió művelete (ahol az integrált áramkör félvezető hordozón van kialakítva megfelelő adalékanyag szelektív adalékolásával) |
| ex 8548 90 10 | Dinamikus véletlen hozzáférésű memória néven ismert elektronikus integrált áramkörök (DRAM) | Előállítás, amelyben a megmunkálás és feldolgozás, és indokolt esetben az összeszerelés helyének megfelelő országból származó alkatrészek beépítése következtében elért értéknövekedés a termék gyártelepi árának legalább 45 %-át teszi ki. Amikor a 45 %-os szabály nem teljesül, a DRAM okat azon országból származónak kell tekinteni, amely ország felhasznált származó anyagainak értékhányada a legmagasabb. |
| Nem származó anyagon végzett megmunkálás vagy feldolgozás, ami származó helyzetet nem biztosít. | ||
| ex 90 09 | Optikai rendszerű vagy kontakt fénymásoló készülék | A fénymásoló készülék összeszerelése, amit a papírmozgató szerkezet, a henger, a papírtovábbító görgők, az oldallemezek, a görgőscsapágyak, a csavarok és a csavaranyák előállítása kísér. |
| Nem származó anyagon végzett olyan eljárás vagy művelet, ami származó helyzetet biztosít. | ||
| ex 91 13 | Szíj, szalag és karkötő karórához és ezek alkatrésze textíliából | Előállítás, amelyben a felhasznált anyagok értéke nem haladja meg a termék gyártelepi árának 40 %-át. |
| ex 94 01 ès ex 94 03 | Kerámia ülőbútor (a 9402 KN-kód alá tartozó kivételével), ággyá átalakítható ülőbútor és más bútor is, és ezek része, díszítve | Az érintett kerámiaáru díszítése azzal a feltétellel, hogy a díszítés következtében a létrejött termék vámtarifaszám szerinti besorolása eltér a felhasznált termékekétől. |
| ex 94 05 | Kerámialámpa és kerámia világítófelszerelés, beleértve a fényszórót és a spotlámpát is, és mindezek másutt nem említett alkatrésze; megvilágított kerámiajelzések, reklámfeliratok, névtáblák és hasonlók, állandó jellegű fényforrással szerelve, valamint mindezek másutt nem említett alkatrésze, díszítve | Az érintett kerámiaáru díszítése azzal a feltétellel, hogy a díszítés következtében a létrejött termék vámtarifaszám szerinti besorolása eltér a felhasznált termékekétől. |
| (1) Ahol ezek a feltételek nem teljesülnek, ott a húst (a vágási mellékterméket és a belsőséget) abban az országban kell származónak tekinteni, amelyben a húst adó állatot a leghosszabb ideig hizlalták vagy tartották. (2) Az „összeállítva” kifejezés a részlegesen összeállított alkatrészeket is jelöli, de nem vonatkozik a szétszerelt állapotban lévő alkatrészekre. | ||
12. MELLÉKLET




13. MELLÉKLET

13a. MELLÉKLET
(a 76. cikk (1) bekezdésében említettek szerint)
BEVEZETŐ MEGJEGYZÉSEK ÉS A SZÁRMAZÓ HELYZETET BIZTOSÍTÓ MEGMUNKÁLÁSI VAGY FELDOLGOZÁSI MŰVELETEK LISTÁJA
I. RÉSZ
BEVEZETŐ MEGJEGYZÉSEK
1. megjegyzés - Általános bevezetés
1.1. E melléklet valamennyi termék vonatkozásában szabályokat állapít meg, ám önmagában az a tény, hogy valamely termék szerepel benne, nem jelenti azt, hogy az általános tarifális preferenciák rendszere (GSP) feltétlenül kiterjed a szóban forgó termékre. A GSP hatálya alá tartozó termékek jegyzékét, a rendszer által biztosított kedvezmények alkalmazási körét és a bizonyos kedvezményezett országokra alkalmazandó kizárásokat a 978/2012/EU rendelet határozza meg (a 2014. január 1-jétől2023. december 31-ig tartó időszakra vonatkozóan).
1.2. Ez a melléklet azokat a 76. cikk szerinti feltételeket állapítja meg, amelyek teljesülése esetén a termékek az érintett kedvezményezett országból származónak minősülnek. Négy különböző, a terméktől függően változó szabálytípus különböztetendő meg:
a) a megmunkálás vagy feldolgozás nem eredményezi a nem származó anyagok megengedett legnagyobb részarányának túllépését;
b) a megmunkálás vagy feldolgozás eredményeképpen az előállított termékek Harmonizált Rendszer szerinti, 4 számjegyből álló vámtarifaszáma vagy 6 számjegyből álló alszáma különböző lesz a felhasznált anyagok Harmonizált Rendszer szerinti, 4 számjegyből álló vámtarifaszámától vagy 6 számjegyből álló alszámától;
c) meghatározott megmunkálási vagy feldolgozási művelet végrehajtására kerül sor;
d) egyes, teljes egészében az adott helyen létrejött anyagok megmunkálásra vagy feldolgozásra kerülnek.
2. megjegyzés - A lista felépítése
2.1. Az 1. és a 2. oszlop a létrejött termék megnevezésére szolgál. Az 1. oszlopban a Harmonizált Rendszer szerinti árucsoport száma, illetve a 4 számjegyből álló vámtarifaszám vagy - adott esetben - a 6 számjegyből álló alszám szerepel. A 2. oszlopban az említett rendszerben a szóban forgó vámtarifaszámra vagy árucsoportra vonatkozóan használt árumegnevezés található. Az 1. és a 2. oszlop minden egyes bejegyzésénél - a 2.4. megjegyzésre is figyelemmel - egy vagy több szabály ("a minősítést megalapozó művelet") kerül meghatározásra a 3. oszlopban. A minősítést megalapozó műveletek csak a nem származó anyagokat érintik. Amennyiben néhány esetben az 1. oszlopban lévő szám előtt az "ex" szó szerepel, ez azt jelenti, hogy a 3. oszlopban szereplő szabály csupán az adott vámtarifaszámnak a 2. oszlopban meghatározott részére vonatkozik.
2.2. Amennyiben az 1. oszlopban több összevont vámtarifaszám vagy alszám található, illetve valamely árucsoport száma szerepel, és ezért a termékek megnevezésére a 2. oszlopban általános kifejezéseket alkalmaznak, a 3. oszlop szerinti megfelelő szabály mindazon termékekre vonatkozik, amelyek a Harmonizált Rendszer alapján az árucsoport vámtarifaszámai vagy az 1. oszlopban összevont vámtarifaszámok vagy alszámok bármelyike alá vannak besorolva.
2.3. Ha a listában egy adott vámtarifaszámon belüli különböző termékekre különböző szabályok vonatkoznak, minden egyes francia bekezdés tartalmazza a vámtarifaszám azon részének megnevezését, amelyre a 3. oszlop azonos sorában megállapított szabály vonatkozik.
2.4. Amennyiben a 3. oszlopban két alternatív szabály szerepel, amelyeket a "vagy" szó választ el egymástól, az exportőr választhat, hogy melyiket alkalmazza.
2.5. Az esetek többségében a 3. oszlopban megállapított szabály (szabályok) a 978/2012/EU rendelet II. mellékletében felsorolt valamennyi kedvezményezett országra vonatkozik (vonatkoznak). A 978/2012/EU rendelet IV. mellékletében felsorolt, a legkevésbé fejlett országokra vonatkozó különleges előírás kedvezményezett országaiból származó termékekre azonban kevésbé szigorú szabály vonatkozik. Ezekben az esetekben a 3. oszlop két - a) és b) - aloszlopra oszlik: az a) aloszlopban a legkevésbé fejlett kedvezményezett országokra, a b) aloszlopban pedig az összes többi kedvezményezett országra, valamint az Európai Unióból valamely kedvezményezett országba a kétoldalú kumuláció alkalmazása céljából teljesített exportügyletekre alkalmazandó szabály szerepel.
3. megjegyzés - Példák a szabályok alkalmazására
3.1. A 76. cikk (2) bekezdésének az adott országból származónak minősülő, más termékek előállításához felhasznált termékekre vonatkozó rendelkezéseit attól függetlenül alkalmazni kell, hogy a termékek a származó helyzetet abban a gyárban nyerték-e el, ahol azokat felhasználják, vagy pedig a kedvezményezett ország vagy az Európai Unió más gyárában.
3.2. A 78. cikk értelmében a terméken végrehajtott megmunkálás vagy feldolgozás mértékének meg kell haladnia az említett cikkben felsorolt műveletek szintjét. Ha nem haladja meg ezt a szintet, akkor a kérdéses áru tekintetében nem biztosítható a kedvezményes tarifális bánásmód, még akkor sem, ha az alábbi listában szereplő feltételek teljesülnek.
Az első albekezdésben foglalt rendelkezésre is figyelemmel, a listában szereplő szabályok a megmunkálás vagy feldolgozás minimálisan megkövetelt mértékét jelölik; az ezen túlmenő megmunkálás vagy feldolgozás szintén származó helyzetet biztosít, az ezt el nem érő megmunkálás vagy feldolgozás ugyanakkor nem biztosíthat származó helyzetet. Ha tehát a szabály lehetővé teszi nem származó anyag felhasználását az előállítás egy bizonyos szakaszában, akkor a szóban forgó anyag felhasználása az előállítás korábbi szakaszaiban megengedett, későbbi szakaszaiban viszont már nem.
3.3. A 3.2. megjegyzés sérelme nélkül, ha egy szabályban az "Előállítás bármely vámtarifaszám alá tartozó anyagból" kifejezés szerepel, akkor bármely vámtarifaszám alá tartozó anyagot (tehát akár a termékével azonos árumegnevezéssel bíró és vámtarifaszám alá tartozó anyagot is) fel lehet használni, figyelembe véve azonban azokat a konkrét korlátozásokat, amelyek az adott szabályban esetleg szintén szerepelnek.
Az "Előállítás bármely vámtarifaszám alá tartozó anyagból, a(z) ... vámtarifaszám alá tartozó egyéb anyagokat is beleértve", illetve az "Előállítás bármely vámtarifaszám alá tartozó anyagból, a termékével azonos vámtarifaszám alá tartozó egyéb anyagokat is beleértve" kifejezés azonban azt jelenti, hogy bármely vámtarifaszám alá tartozó anyag felhasználható, kivéve a szóban forgó termékre vonatkozó, a lista 2. oszlopában szereplővel azonos árumegnevezésű anyagokat.
3.4. Ha a listában szereplő szabály értelmében egy termék egynél több anyagból is előállítható, akkor az előállításhoz egy vagy több anyag is felhasználható. Ez nem jelenti azt, hogy mindegyiket fel kell használni.
3.5. Ha a listában szereplő szabály értelmében egy terméket egy bizonyos anyagból kell előállítani, ez nem zárja ki más olyan anyagok használatát, amelyek jellegüknél fogva nem felelhetnek meg ennek a feltételnek.
4. megjegyzés - Egyes mezőgazdasági árukra vonatkozó általános rendelkezések
4.1. Azokat a 6., a 7., a 8., a 9., a 10. és a 12. árucsoport, valamint a 2401 vámtarifaszám alá tartozó mezőgazdasági árukat, amelyeket valamely kedvezményezett ország területén termesztenek vagy takarítanak be, a szóban forgó ország területéről származónak kell minősíteni, még akkor is, ha az adott árukat valamely más országból behozott vetőmagokból, hagymákból, gyökértörzsből, dugványokból, oltványokból, hajtásokból, rügyekből vagy növények egyéb élő részeiből termesztik.
4.2. Azokban az esetekben, amikor a nem származó cukor adott terméken belüli aránya nem haladhat meg bizonyos határértékeket, ezen határértékek kiszámításához a 1701 vámtarifaszám (szacharóz) és a 1702 vámtarifaszám (pl. gyümölcscukor, szőlőcukor, tejcukor, malátacukor, izoglükóz vagy invertcukor) alá tartozó, a végtermék előállításához és a végtermékbe beledolgozott nem származó termékek előállításához felhasznált cukrok tömegét kell figyelembe venni.
5. megjegyzés - Egyes textiltermékek vonatkozásában használt kifejezések
5.1. A listában szereplő "természetes szálak" kifejezésen mesterséges és szintetikus szálaktól eltérő szálak értendők. A szóban forgó kifejezés a fonást megelőző állapotokra, köztük a hulladékállapotra vonatkozik, és - amennyiben másként nem határozzák meg - a kártolt, fésült vagy másként feldolgozott, de nem fonott szálakat jelölik vele.
5.2. A "természetes szálak" fogalma a 0503 vámtarifaszám alá tartozó lószőrt, az 5002 és az 5003 vámtarifaszám alá tartozó selymet, továbbá az 5101 -5105 vámtarifaszám alá tartozó gyapjúszálat és finom vagy durva állati szőrt, az 5201 -5203 vámtarifaszám alá tartozó pamutszálat, valamint az 5301 -5305 vámtarifaszám alá tartozó egyéb növényi szálakat foglalja magában.
5.3. A listában szereplő "textilpép", "vegyi anyagok" és "papír előállítására szolgáló anyagok" kifejezések a mesterséges, szintetikus vagy papírszálak vagy -fonalak előállítására felhasználható, az 50-63. árucsoportba nem besorolt anyagok megnevezésére szolgálnak.
5.4. A listában szereplő "vágott műszál" kifejezés az 5501 -5507 vámtarifaszám alá tartozó szintetikus vagy mesterséges végtelen szálból készült fonókábel, vágott szál vagy hulladék megjelölésére szolgál.
6. megjegyzés - A textilanyagok keverékéből készülő termékekre alkalmazandó tűréshatárok
6.1. Amennyiben valamely, a listában szereplő termékkel kapcsolatban erre a megjegyzésre történik hivatkozás, a 3. oszlopban meghatározott feltételek nem alkalmazandók az e termék előállítása során felhasznált, együttesen a felhasznált textilalapanyagok teljes tömegének legfeljebb 10 %-át kitevő textil alapanyagokra. (Lásd még a 6.3. és a 6.4. megjegyzést.).
6.2. A 6.1. megjegyzésben említett tűréshatárt azonban csak a kevert, két vagy több textil alapanyagból készült termékekre lehet alkalmazni.
A textil alapanyagok a következők:
- selyem,
- gyapjú,
- durva állati szőr,
- finom állati szőr,
- lószőr,
- pamut,
- papír előállítására szolgáló anyag és papír,
- len,
- valódi kender,
- juta és más textilháncsrost,
- szizál és az Agave nemhez tartozó más növények rostjai,
- kókuszdiórost, manilakender, rami és más növényi eredetű textilrostok,
- szintetikus végtelen szál,
- mesterséges végtelen szál,
- áramvezető végtelen szál,
- szintetikus polipropilén vágott szál,
- szintetikus poliészter vágott szál,
- szintetikus poliamid vágott szál,
- szintetikus poliakrilnitril vágott szál,
- szintetikus poliimid vágott szál,
- szintetikus politetrafluor-etilén vágott szál,
- szintetikus polifenilén-szulfid vágott szál,
- szintetikus polivinil-klorid vágott szál,
- egyéb szintetikus vágott szál,
- mesterséges viszkóz vágott szál,
- egyéb mesterséges vágott szál,
- rugalmas poliéter szegmensekkel készült poliuretán fonal, paszományozott is,
- rugalmas poliészter szegmensekkel készült poliuretán fonal, paszományozott is,
- az 5605 vámtarifaszám (fémezett fonal) alá tartozó termékek, amelyek két műanyagfilm-réteg közé - átlátszó vagy színezett ragasztóval - illesztett, legfeljebb 5 mm széles alumíniumfólia- vagy (alumíniumporral bevont vagy nem bevont) műanyagfilm-magból álló szalagot tartalmaznak,
- az 5605 vámtarifaszám alá tartozó más termékek,
- üvegszálak,
- fémszálak.
Az az 5205 vámtarifaszám alá tartozó fonal, amely az 5203 vámtarifaszám alá tartozó pamutszálból és az 5506 vámtarifaszám alá tartozó szintetikus vágott szálból készült, kevert fonal. Ezért az olyan nem származó szintetikus vágott szál, amely nem tesz eleget a származási szabályoknak, felhasználható, feltéve, hogy teljes tömege nem haladja meg a fonal tömegének 10 %-át.
Az az 5112 vámtarifaszám alá tartozó gyapjúszövet, amely az 5107 vámtarifaszám alá tartozó gyapjúfonalból és az 5509 vámtarifaszám alá tartozó, vágott szálból álló szintetikus fonalból készült, kevert szövet. Ezért az olyan szintetikus fonal, illetve az olyan gyapjúfonal, amely nem felel meg a származási szabályoknak, vagy az ilyen fonalak kombinációja felhasználható, feltéve, hogy teljes tömege nem haladja meg a szövet tömegének 10 %-át.
Az 5205 vámtarifaszám alá tartozó pamutfonalból és az 5210 vámtarifaszám alá tartozó pamutszövetből készült, az 5802 vámtarifaszám alá tartozó tűzött szövet csak akkor kevert termék, ha maga a pamutszövet két különböző vámtarifaszám alá besorolt fonalból készült kevert szövet, vagy ha maguk a felhasznált pamutfonalak keverékek.
Ha a szóban forgó tűzött szövet az 5205 vámtarifaszám alá tartozó pamutfonalból és az 5407 vámtarifaszám alá tartozó szintetikus szövetből készült, a felhasznált két fonal nyilvánvalóan két különböző textil alapanyag, tehát a tűzött szövet ennek megfelelően kevert termék.
6.3. A "rugalmas poliéter szegmensekkel készült poliuretán fonal, paszományozott is" megnevezésű fonalat tartalmazó termék esetében a tűréshatár e fonal tekintetében 20 %.
6.4. Az olyan termékek esetében, amelyek "két műanyagfilm-réteg közé - átlátszó vagy színezett ragasztóval - illesztett, legfeljebb 5 mm széles alumíniumfólia- vagy (alumíniumporral bevont vagy nem bevont) műanyagfilm-magból álló szalagot" tartalmaznak, a tűréshatár az érintett szalag tekintetében 30 %.
7. megjegyzés - Egyes textiltermékekre alkalmazandó egyéb tűréshatárok
7.1. Amennyiben e listában erre a megjegyzésre történik hivatkozás, az érintett konfekcionált termékre a lista 3. oszlopában meghatározott szabálynak meg nem felelő textilanyagok felhasználhatók, feltéve, hogy a termékétől eltérő vámtarifaszám alá vannak besorolva, és hogy értékük nem haladja meg a termék gyártelepi árának 8 %-át.
7.2. A 7.3. megjegyzés sérelme nélkül, azok az anyagok, amelyek nem az 50-63. árucsoportba vannak besorolva, textiltartalmuktól függetlenül korlátlanul felhasználhatók a textiltermékek előállítása során.
Ha a lista szerinti szabály értelmében egy bizonyos textiltermék (például nadrág) előállításához fonalat kell használni, ez a feltétel nem zárja ki a fém részek - például gombok - használatát, mivel a gombokat nem az 50-63. árucsoportba sorolták be. Ugyanezen okból a fenti feltétel a húzózár használatát sem zárja ki, noha a húzózárak rendszerint textilt is tartalmaznak.
7.3. Amennyiben százalékos szabály alkalmazandó, a nem az 50-63. árucsoportba besorolt anyagok értékét figyelembe kell venni a felhasznált nem származó anyagok értékének kiszámításakor.
8. megjegyzés - A 27. árucsoport egyes termékei tekintetében végrehajtott meghatározott eljárások és egyszerű műveletek meghatározása
8.1. Az ex 2707 és a 2713 vámtarifaszám alkalmazásában a "meghatározott eljárások" a következők:
a) vákuumdesztilláció;
b) átdesztillálás nagyon alapos frakcionált eljárással ( 124 );
c) krakkolás;
d) reformálás;
e) extrakció szelektív oldószerrel;
f) a következő műveletek mindegyikét magában foglaló eljárás: kezelés tömény kénsavval, óleummal vagy kénsavanhidriddel; semlegesítés alkáli reagenssel; színtelenítés és tisztítás természetes aktív földdel, aktivált földdel, aktivált faszénnel vagy bauxittal;
g) polimerizáció;
h) alkilezés;
i) izomerizálás.
8.2. A 2710 , a 2711 és a 2712 vámtarifaszám alkalmazásában a "meghatározott eljárások" a következők:
a) vákuumdesztilláció;
b) átdesztillálás nagyon alapos frakcionált eljárással ( 125 );
c) krakkolás;
d) reformálás;
e) extrakció szelektív oldószerrel;
f) a következő műveletek mindegyikét magában foglaló eljárás: kezelés tömény kénsavval, óleummal vagy kénsavanhidriddel; semlegesítés alkáli reagenssel; színtelenítés és tisztítás természetes aktív földdel, aktivált földdel, aktivált faszénnel vagy bauxittal;
g) polimerizáció;
h) alkilezés;
i) izomerizálás;
j) csak az ex 2710 vámtarifaszám alá tartozó nehézolajok tekintetében: hidrogénnel történő kéntelenítés, amely a kezelt termék kéntartalmának legalább 85 %-os csökkenését eredményezi (ASTM D 1266-59 T módszer);
k) csak a 2710 vámtarifaszám alá tartozó termékek tekintetében: paraffinmentesítés a szűrés kivételével;
l) csak az ex 2710 vámtarifaszám alá tartozó nehézolajok tekintetében: hidrogénnel több mint 20 bar nyomáson és több mint 250 °C hőmérsékleten végzett katalitikus kezelés, a kéntelenítési eljáráson kívül, ha a hidrogén a vegyi folyamat aktív szereplője. Az ex 2710 vámtarifaszám alá tartozó kenőolajok további, különösen a szín vagy a stabilitás javítása céljából végzett hidrogénes kezelését (pl. a hidrofiniselést vagy a színtelenítést) azonban nem lehet "meghatározott eljárásnak" tekinteni;
m) csak az ex 2710 vámtarifaszám alá tartozó fűtőolajok tekintetében: atmoszferikus desztilláció, azzal a feltétellel, hogy ezeknek a termékeknek az ASTM D 86 módszerrel, a veszteségeket is beleértve, kevesebb mint 30 térfogatszázaléka desztillál át 300 °C-on;
n) csak az ex 2710 vámtarifaszám alá tartozó, a gázolajon és a fűtőolajon kívüli egyéb nehézolajok esetében: kezelés nagyfrekvenciás elektromos koronakisülésekkel;
o) csak az ex 2712 vámtarifaszám alá tartozó nyerstermékek (a vazelin, az ozokerit, a lignitviasz vagy tőzegviasz és a 0,75 tömegszázaléknál kisebb olajtartalmú paraffinviasz kivételével) tekintetében: olajmentesítés frakcionált kristályosítással.
8.3. Az ex 2707 és a 2713 vámtarifaszám alkalmazásában az olyan egyszerű műveletek, mint a tisztítás, az ülepítés, a sótalanítás, a víztelenítés, a szűrés, a színezés, a jelölés, a kéntartalom-beállítás különböző kéntartalmú termékek keverése révén, vagy e műveletek bármilyen kombinációja, illetve az ezekhez hasonló műveletek nem biztosítanak származó helyzetet.
II. RÉSZ
A TERMÉKEK ÉS A SZÁRMAZÓ HELYZETET BIZTOSÍTÓ MEGMUNKÁLÁSI VAGY FELDOLGOZÁSI MŰVELETEK LISTÁJA
| A Harmonizált Rendszer szerinti vámtarifaszám | Árumegnevezés | A termék minősítését megalapozó művelet (A nem származó anyagokon végrehajtott olyan megmunkálás vagy feldolgozás, amely származónak minősülést eredményez) | |
| (1) | (2) | (3) | |
| 1. árucsoport | Élő állatok | Az 1. árucsoportba tartozó valamennyi állat teljes egészében az adott helyen jött létre | |
| 2. árucsoport | Hús és élelmezési célra alkalmas vágási melléktermék és belsőség | Előállítás, amely során az összes, az ezen árucsoportba tartozó termékek által tartalmazott hús és élelmezési célra alkalmas vágási melléktermék és belsőség teljes egészében az adott helyen létrejöttnek minősül | |
| ex 3. árucsoport | Halak és rákfélék, puhatestű és más gerinctelen víziállatok; a következők kivételével: | Az összes hal és rák, puhatestű és más gerinctelen víziállat teljes egészében az adott helyen jött létre | |
| 0304 | Halfilé és más halhús (aprított is), frissen, hűtve vagy fagyasztva | Előállítás, amely során a 3. árucsoportba tartozó összes felhasznált anyag teljes egészében az adott helyen létrejöttnek minősül | |
| 0305 | Szárított, sózott vagy sós lében tartósított hal; füstölt hal, a füstölési eljárás előtt vagy alatt főzött is; emberi fogyasztásra alkalmas liszt, dara és labdacs (pellet) halból | Előállítás, amely során a 3. árucsoportba tartozó összes felhasznált anyag teljes egészében az adott helyen létrejöttnek minősül | |
| ex 0306 | Rákféle héjában is, szárítva, sózva vagy sós lében tartósítva; rákféle héjában gőzölve vagy vízben forrázva, hűtve, fagyasztva, szárítva, sózva vagy sós lében tartósítva is; emberi fogyasztásra alkalmas liszt, dara és labdacs (pellet) rákféléből | Előállítás, amely során a 3. árucsoportba tartozó összes felhasznált anyag teljes egészében az adott helyen létrejöttnek minősül | |
| ex 0307 | Puhatestű állat kagylóban is, szárítva, sózva vagy sós lében tartósítva; gerinctelen víziállatok, a rákfélék és puhatestűek kivételével, szárítva, sózva vagy sós lében tartósítva; emberi fogyasztásra alkalmas liszt, dara és labdacs (pellet) gerinctelen víziállatból a rákfélék kivételével | Előállítás, amely során a 3. árucsoportba tartozó összes felhasznált anyag teljes egészében az adott helyen létrejöttnek minősül | |
| 4. árucsoport | Tejtermékek; madártojás; természetes méz; máshol nem említett, élelmezési célra alkalmas állati eredetű élelmiszer | Előállítás, amely során: — a 4. árucsoportba tartozó összes felhasznált anyag teljes egészében az adott helyen létrejöttnek minősül, valamint — a felhasznált cukor tömege (1) nem haladja meg a végtermék tömegének 40 %-át | |
| ex 5. árucsoport | Máshol nem említett állati eredetű termékek, a következők kivételével: | Előállítás bármely vámtarifaszám alá tartozó anyagokból | |
| ex 0511 91 | Élelmezési célra nem alkalmas haltojás és ikra | Az összes haltojás és ikra teljes egészében az adott helyen jött létre | |
| 6. árucsoport | Élő fák és egyéb növények; hagymák, gumók, gyökerek és hasonlók; vágott virágok és díszítőlombozat | Előállítás, amely során a 6. árucsoportba tartozó összes felhasznált anyag teljes egészében az adott helyen létrejöttnek minősül | |
| 7. árucsoport | Élelmezési célra alkalmas zöldségfélék, és egyes gyökerek és gumók | Előállítás, amely során a 7. árucsoportba tartozó összes felhasznált anyag teljes egészében az adott helyen létrejöttnek minősül | |
| 8. árucsoport | Élelmezési célra alkalmas gyümölcs és diófélék; citrusfélék vagy a dinnyefélék héja | Előállítás, amely során: — a 8. árucsoportba tartozó összes felhasznált gyümölcs, diófélék, valamint a citrus- vagy a dinnyefélék héja teljes egészében az adott helyen létrejöttnek minősül, és — a felhasznált cukor tömege (1) nem haladja meg a végtermék tömegének 40 %-át | |
| 9. árucsoport | Kávé, tea, matétea és fűszerek | Előállítás bármely vámtarifaszám alá tartozó anyagokból | |
| 10. árucsoport | Gabonafélék | Előállítás, amely során a 10. árucsoportba tartozó összes felhasznált anyag teljes egészében az adott területen létrejöttnek minősül | |
| ex 11. árucsoport | Malomipari termékek; maláta; keményítők; inulin; búzasikér; a következők kivételével: | Előállítás, amely során a 10. és a 11. árucsoport, a 0701 és a 2303 vámtarifaszám, valamint a 0710 10 alszám alá tartozó összes felhasznált anyag teljes egészében az adott helyen létrejöttnek minősül | |
| ex 1106 | Liszt, dara és por a 0713 vtsz. alá tartozó szárított, kifejtett hüvelyes zöldségből | A 0708 vámtarifaszám alá tartozó hüvelyes zöldségek szárítása és őrlése | |
| 12. árucsoport | Olajos magvak és olajtartalmú gyümölcsök; különféle magvak és gyümölcsök; ipari vagy gyógynövények; szalma és takarmány | Előállítás a termékétől eltérő bármely vámtarifaszám alá tartozó anyagokból | |
| 13. árucsoport | Sellak; mézga, gyanta és más növényi nedv és kivonat | Előállítás bármely vámtarifaszám alá tartozó anyagokból; az előállítás során a felhasznált cukor tömege (1) nem haladja meg a végtermék tömegének 40 %-át | |
| 14. árucsoport | Növényi eredetű nyersanyag fonásra; másutt nem említett növényi termékek | Előállítás bármely vámtarifaszám alá tartozó anyagokból | |
| ex 15. árucsoport | Állati vagy növényi zsír és olaj, és ezek bontási termékei; elkészített ételzsír; állati vagy növényi eredetű viasz; a következők kivételével: | Előállítás a termékétől eltérő bármely alszám alá tartozó anyagokból | |
| 1501 –1504 | Sertés- és baromfizsír, szarvasmarha-, birka- vagy kecskefaggyú, halból nyert zsír stb. | Előállítás a termékétől eltérő bármely vámtarifaszám alá tartozó anyagokból | |
| 1505 , 1506 és 1520 | Gyapjúzsír és ennek zsíros származékai (beleértve a lanolint is). Más állati zsír és olaj és ezek frakciói finomítva is, de vegyileg nem átalakítva. Nyers glicerin; glicerinvíz és glicerinlúg | Előállítás bármely vámtarifaszám alá tartozó anyagokból | |
| 1509 és 1510 | Olívaolaj és frakciói | Előállítás, amely során az összes felhasznált növényi anyag teljes egészében az adott helyen létrejöttnek minősül | |
| 1516 és 1517 | Állati vagy növényi zsír és olaj és ezek frakciói részben vagy teljesen hidrogénezve, közbeesően észterezve, újraészterezve vagy elaidinizálva, finomítva is, de tovább nem elkészítve Margarin; ebbe az árucsoportba tartozó állati vagy növényi zsírok vagy olajok vagy különböző zsírok vagy olajok frakcióinak étkezésre alkalmas keveréke vagy készítménye, a 1516 vtsz. alá tartozó étkezési zsír vagy olaj és ezek frakciói kivételével | Előállítás a termékétől eltérő bármely vámtarifaszám alá tartozó anyagokból; az előállítás során a 4. árucsoportba tartozó felhasznált anyagok tömege nem haladja meg a végtermék tömegének 40 %-át | |
| 16. árucsoport | Húsból, halból, vagy rákféléből, puhatestűből vagy más gerinctelen víziállatból készült termékek | Előállítás: — bármely vámtarifaszám alá tartozó anyagokból, kivéve a 2. árucsoportba tartozó húsból és élelmezési célra alkalmas vágási melléktermékből és belsőségből, valamint a 16. árucsoportba tartozó, a 2. árucsoportba tartozó húsból és élelmezési célra alkalmas vágási melléktermékből és belsőségből előállított anyagokból, és, — amely során valamennyi, a 3. árucsoportba tartozó anyag valamint a 16. árucsoportba tartozó, a 3. árucsoportba tartozó halakból és rákfélékből, puhatestű és más gerinctelen víziállatokból előállított anyag teljes egészében az adott helyen létrejött | |
| ex 17. árucsoport | Cukor és cukoráruk; a következők kivételével: | Előállítás a termékétől eltérő bármely vámtarifaszám alá tartozó anyagból | |
| ex 1702 | Más cukor, beleértve a vegytiszta tejcukrot és szőlőcukrot is, szilárd állapotban; cukorszirup; műméz, természetes mézzel keverve is; égetett cukor | Előállítás a termékétől eltérő bármely vámtarifaszám alá tartozó anyagokból; az előállítás során a 1101 –1108 , a 1701 és a 1703 vámtarifaszám alá tartozó felhasznált anyagok tömege nem haladja meg a végtermék tömegének 30 %-át | |
| ex 1702 | Vegytiszta malátacukor és gyümölcscukor | Előállítás bármely vámtarifaszám alá tartozó anyagokból, a 1702 vámtarifaszám alá tartozó egyéb anyagokat is beleértve | |
| 1704 | Cukorkaáru (beleértve a fehér csokoládét is) kakaótartalom nélkül | Előállítás a termékétől eltérő bármely vámtarifaszám alá tartozó anyagból; az előállítás során: — a felhasznált cukor (1) és a 4. árucsoportba tartozó felhasznált anyagok tömege külön-külön nem haladja meg a végtermék tömegének 40 %-át, és — a felhasznált cukor (1) és a 4. árucsoportba tartozó felhasznált anyagok együttes tömege nem haladja meg a végtermék tömegének 60 %-át | |
| 18. árucsoport | Kakaó és kakaókészítmények | Előállítás a termékétől eltérő bármely vámtarifaszám alá tartozó anyagból; az előállítás során: — a felhasznált cukor (1) és a 4. árucsoportba tartozó felhasznált anyagok tömege külön-külön nem haladja meg a végtermék tömegének 40 %-át, és — a felhasznált cukor (1) és a 4. árucsoportba tartozó felhasznált anyagok együttes tömege nem haladja meg a végtermék tömegének 60 %-át | |
| 19. árucsoport | Gabona, liszt, keményítő vagy tej felhasználásával készült termékek; cukrászati termékek | Előállítás a termékétől eltérő bármely vámtarifaszám alá tartozó anyagból; az előállítás során: — a 2., a 3. és a 16. árucsoportba tartozó felhasznált anyagok tömege nem haladja meg a végtermék tömegének 20 %-át, és — a 1006 és a 1101 –1108 vámtarifaszám alá tartozó felhasznált anyagok tömege nem haladja meg a végtermék tömegének 20 %-át, és — a felhasznált cukor (1) és a 4. árucsoportba tartozó felhasznált anyagok tömege külön-külön nem haladja meg a végtermék tömegének 40 %-át, és — a felhasznált cukor (1) és a 4. árucsoportba tartozó felhasznált anyagok együttes tömege nem haladja meg a végtermék tömegének 60 %-át | |
| ex 20. árucsoport | Zöldségfélékből, gyümölcsből, diófélékből vagy más növényrészekből előállított készítmények; a következők kivételével: | Előállítás a termékétől eltérő bármely vámtarifaszám alá tartozó anyagokból; az előállítás során a felhasznált cukor tömege (1) nem haladja meg a végtermék tömegének 40 %-át | |
| 2002 és 2003 | Paradicsom, ehető gomba és szarvasgomba, ecet vagy ecetsav nélkül elkészítve vagy tartósítva | Előállítás, amely során a 7. és a 8. árucsoportba tartozó összes felhasznált anyag teljes egészében az adott helyen létrejöttnek minősül. | |
| ex 21. árucsoport | Különféle ehető készítmények; a következők kivételével: | Előállítás a termékétől eltérő bármely vámtarifaszám alá tartozó anyagból; az előállítás során: — a felhasznált cukor (1) és a 4. árucsoportba tartozó felhasznált anyagok tömege külön-külön nem haladja meg a végtermék tömegének 40 %-át, és — a felhasznált cukor (1) és a 4. árucsoportba tartozó felhasznált anyagok együttes tömege nem haladja meg a végtermék tömegének 60 %-át | |
| 2103 | Mártás (szósz) és ennek előállítására szolgáló készítmény; ételízesítő keverék; mustárliszt és -dara, elkészített mustár | ||
| – Mártás (szósz) és ennek előállítására szolgáló készítmény; ételízesítő keverék | Előállítás a termékétől eltérő bármely vámtarifaszám alá tartozó anyagokból. Mustárliszt vagy -dara, illetve elkészített mustár azonban felhasználható | ||
| – Mustárliszt és -dara, elkészített mustár | Előállítás bármely vámtarifaszám alá tartozó anyagokból | ||
| 22. árucsoport | Italok, alkoholtartalmú folyadékok és ecet | Előállítás a termékétől, valamint a 2207 és a 2208 vámtarifaszámtól eltérő bármely vámtarifaszám alá tartozó anyagokból; az előállítás során: — a 0806 10 , a 2009 61 és a 2009 69 alszám alá tartozó összes felhasznált anyag teljes egészében az adott helyen létrejöttnek minősül, és — a felhasznált cukor (1) és a 4. árucsoportba tartozó felhasznált anyagok tömege külön-külön nem haladja meg a végtermék tömegének 40 %-át, és — a felhasznált cukor (1) és a 4. árucsoportba tartozó felhasznált anyagok együttes tömege nem haladja meg a végtermék tömegének 60 %-át | |
| ex 23. árucsoport | Az élelmiszeripar melléktermékei és hulladékai; elkészített állati takarmány; a következők kivételével: | Előállítás a termékétől eltérő bármely vámtarifaszám alá tartozó anyagokból | |
| ex 2303 | Keményítő gyártásánál keletkező maradék | Előállítás a termékétől eltérő bármely vámtarifaszám alá tartozó anyagokból; az előállítás során a 10. árucsoportba tartozó felhasznált anyagok tömege nem haladja meg a végtermék tömegének 20 %-át | |
| 2309 | Állatok etetésére szolgáló készítmény | Előállítás a termékétől eltérő bármely vámtarifaszám alá tartozó anyagokból; az előállítás során: — a 2. és a 3. árucsoportba tartozó összes felhasznált anyag teljes egészében az adott helyen létrejöttnek minősül, és — a 10. és a 11. árucsoportba, valamint a 2302 és a 2303 vámtarifaszám alá tartozó felhasznált anyagok tömege nem haladja meg a végtermék tömegének 20 %-át, és — a felhasznált cukor (1) és a 4. árucsoportba tartozó felhasznált anyagok tömege külön-külön nem haladja meg a végtermék tömegének 40 %-át, és — a felhasznált cukor és a 4. árucsoportba tartozó felhasznált anyagok együttes tömege nem haladja meg a végtermék tömegének 60 %-át | |
| ex 24. árucsoport | Dohány és feldolgozott dohánypótló; a következők kivételével: | Előállítás bármely vámtarifaszám alá tartozó anyagokból; az előállítás során a 24. árucsoportba tartozó felhasznált anyagok tömege nem haladja meg a 24. árucsoportba tartozó felhasznált anyagok teljes tömegének 30 %-át | |
| 2401 | Feldolgozatlan dohány; dohányhulladék | A 24. árucsoportba tartozó összes feldolgozatlan dohány és dohányhulladék teljes egészében az adott helyen jött létre. | |
| 2402 | Szivar, mindkét végén levágott végű szivar (manillaszivar), kis alakú szivar (cigarillos) és cigaretta dohányból vagy dohánypótlóból | Előállítás bármely vámtarifaszám alá tartozó anyagokból, a termékével azonos vámtarifaszám és a 2403 vámtarifaszám alá tartozók kivételével; az előállítás során a 2401 vámtarifaszám alá tartozó felhasznált anyagok tömege nem haladja meg a 2401 vámtarifaszám alá tartozó felhasznált anyagok teljes tömegének 50 %-át | |
| ex 25. árucsoport | Só; kén; földek és kövek; gipsz, mész és cement; a következők kivételével: | Előállítás a termékétől eltérő bármely vámtarifaszám alá tartozó anyagokból vagy Előállítás, amely során a felhasznált anyagok összértéke nem haladja meg a termék gyártelepi árának 70 %-át | |
| ex 2519 | Zúzott természetes magnézium-karbonát (magnezit), légmentesen lezárt konténerekben, és magnézium-oxid, vegyileg tisztán is, az olvasztott magnézián és a kiégetett (szinterezett) magnézián kívül | Előállítás a termékétől eltérő bármely vámtarifaszám alá tartozó anyagokból. Természetes magnézium-karbonát (magnezit) azonban felhasználható | |
| 26. árucsoport | Ércek, salakok és hamu | Előállítás a termékétől eltérő bármely vámtarifaszám alá tartozó anyagokból | |
| ex 27. árucsoport | Ásványi tüzelőanyagok, ásványi olajok és ezek desztillációs termékei; bitumenes anyagok; ásványi viaszok, a következők kivételével: | Előállítás a termékétől eltérő bármely vámtarifaszám alá tartozó anyagból vagy Előállítás, amely során a felhasznált anyagok összértéke nem haladja meg a termék gyártelepi árának 70 %-át | |
| ex 2707 | Kőszénkátrány magas hőfokon történő lepárlásából nyert ásványolajhoz hasonló olajok, amelyekben az aromás alkotórészek tömege meghaladja a nem aromás alkotórészek tömegét, ha legalább 65 térfogatszázalékuk 250 °C hőmérsékleten átdesztillál (beleértve a könnyűbenzin és benzol keverékét is), energetikai vagy fűtőanyagként történő felhasználásra | Finomítási műveletek és/vagy egy vagy több meghatározott eljárás (2) vagy Más műveletek, amelyek során valamennyi felhasznált anyag a termékétől eltérő vámtarifaszám alá van besorolva. A termékével azonos vámtarifaszám alá tartozó anyagok azonban felhasználhatók, ha összértékük nem haladja meg a termék gyártelepi árának 50 %-át | |
| 2710 | Kőolaj és bitumenes ásványokból előállított olaj, a nyers kivételével; máshol nem említett olyan készítmény, amely legkevesebb 70 tömegszázalékban kőolajat vagy bitumenes anyagokból előállított olajat tartalmaz, és amelynek ez az olaj lényeges alkotórésze; olajhulladék | Finomítási műveletek és/vagy egy vagy több meghatározott eljárás (3) vagy Más műveletek, amelyek során valamennyi felhasznált anyag a termékétől eltérő vámtarifaszám alá van besorolva. A termékével azonos vámtarifaszám alá tartozó anyagok azonban felhasználhatók, ha összértékük nem haladja meg a termék gyártelepi árának 50 %-át | |
| 2711 | Földgáz és gáz-halmazállapotú más szénhidrogén | Finomítási műveletek és/vagy egy vagy több meghatározott eljárás (3) vagy Más műveletek, amelyek során valamennyi felhasznált anyag a termékétől eltérő vámtarifaszám alá van besorolva. A termékével azonos vámtarifaszám alá tartozó anyagok azonban felhasználhatók, ha összértékük nem haladja meg a termék gyártelepi árának 50 %-át | |
| 2712 | Vazelin; paraffinviasz, mikrokristályos kőolajviasz, paraffingács, ozokerit, lignitviasz, tőzegviasz, más ásványi viasz és szintézissel vagy más eljárással előállított hasonló termék, színezve is | Finomítási műveletek és/vagy egy vagy több meghatározott eljárás (3) vagy Más műveletek, amelyek során valamennyi felhasznált anyag a termékétől eltérő vámtarifaszám alá van besorolva. A termékével azonos vámtarifaszám alá tartozó anyagok azonban felhasználhatók, ha összértékük nem haladja meg a termék gyártelepi árának 50 %-át | |
| 2713 | Ásványolajkoksz, ásványolaj-bitumen és kőolaj vagy bitumenes ásványból előállított olaj más maradéka | Finomítási műveletek és/vagy egy vagy több meghatározott eljárás (2) vagy Más műveletek, amelyek során valamennyi felhasznált anyag a termékétől eltérő vámtarifaszám alá van besorolva. A termékével azonos vámtarifaszám alá tartozó anyagok azonban felhasználhatók, ha összértékük nem haladja meg a termék gyártelepi árának 50 %-át | |
| ex 28. árucsoport | Szervetlen vegyi anyagok; szervetlen vagy szerves vegyületek nemesfémből, ritkaföldfémből, radioaktív elemekből vagy izotópokból; a következők kivételével: | a) Legkevésbé fejlett országok (least developed countries, a továbbiakban: LDC-k) Előállítás a termékétől eltérő bármely vámtarifaszám alá tartozó anyagokból. A termékével azonos vámtarifaszám alá tartozó anyagok azonban felhasználhatók, ha összértékük nem haladja meg a termék gyártelepi árának 20 %-átvagyElőállítás, amely során az összes felhasznált anyag értéke nem haladja meg a termék gyártelepi árának 70 %-át | b) Egyéb kedvezményezett országok Előállítás a termékétől eltérő bármely vámtarifaszám alá tartozó anyagokból. A termékével azonos vámtarifaszám alá tartozó anyagok azonban felhasználhatók, ha összértékük nem haladja meg a termék gyártelepi árának 20 %-átvagyElőállítás, amely során az összes felhasznált anyag értéke nem haladja meg a termék gyártelepi árának 50 %-át |
| ex 2811 | Kén-trioxid | a) LDC-k Előállítás kén-dioxidbólvagyElőállítás, amely során az összes felhasznált anyag értéke nem haladja meg a termék gyártelepi árának 70 %-át | b) Egyéb kedvezményezett országok Előállítás kén-dioxidbólvagyElőállítás, amely során az összes felhasznált anyag értéke nem haladja meg a termék gyártelepi árának 50 %-át |
| ex 2840 | Nátrium-perborát | a) LDC-k Előállítás dinátrium-tetraborát-pentahidrátbólvagyElőállítás, amely során az összes felhasznált anyag értéke nem haladja meg a termék gyártelepi árának 70 %-át | b) Egyéb kedvezményezett országok Előállítás dinátrium-tetraborát-pentahidrátbólvagyElőállítás, amely során az összes felhasznált anyag értéke nem haladja meg a termék gyártelepi árának 50 %-át |
| 2843 | Nemesfémek kolloid állapotban; nemesfémek szervetlen vagy szerves vegyületei, vegyileg nem meghatározottak is; nemesfémek amalgámjai | Előállítás bármely vámtarifaszám alá tartozó anyagokból, a 2843 vámtarifaszám alá tartozó egyéb anyagokat is beleértve | |
| ex 2852 | - Belső éterek és ezek halogén-, szulfo-, nitro- vagy nitrozoszármazékainak higanyvegyületei | a) LDC-k Előállítás bármely vámtarifaszám alá tartozó anyagokból. A 2909 vámtarifaszám alá tartozó összes felhasznált anyag értéke azonban nem haladhatja meg a termék gyártelepi árának 20 %-átvagyElőállítás, amely során az összes felhasznált anyag értéke nem haladja meg a termék gyártelepi árának 70 %-át | b) Egyéb kedvezményezett országok Előállítás bármely vámtarifaszám alá tartozó anyagokból. A 2909 vámtarifaszám alá tartozó összes felhasznált anyag értéke azonban nem haladhatja meg a termék gyártelepi árának 20 %-átvagyElőállítás, amely során az összes felhasznált anyag értéke nem haladja meg a termék gyártelepi árának 50 %-át |
| - Nukleinsavak és sóik higanyvegyületei, vegyileg nem meghatározottak is; más heterociklikus vegyületek | a) LDC-k Előállítás bármely vámtarifaszám alá tartozó anyagokból. A 2852 , a 2932 , a 2933 és a 2934 vámtarifaszám alá tartozó felhasznált anyagok értéke azonban nem haladhatja meg a termék gyártelepi árának 20 %-átvagyElőállítás, amely során az összes felhasznált anyag értéke nem haladja meg a termék gyártelepi árának 70 %-át | b) Egyéb kedvezményezett országok Előállítás bármely vámtarifaszám alá tartozó anyagokból. A 2852 , a 2932 , a 2933 és a 2934 vámtarifaszám alá tartozó felhasznált anyagok értéke azonban nem haladhatja meg a termék gyártelepi árának 20 %-átvagyElőállítás, amely során az összes felhasznált anyag értéke nem haladja meg a termék gyártelepi árának 50 %-át | |
| ex 29. árucsoport | Szerves vegyi anyagok; a következők kivételével: | a) LDC-k Előállítás a termékétől eltérő bármely vámtarifaszám alá tartozó anyagokból. A termékével azonos vámtarifaszám alá tartozó anyagok azonban felhasználhatók, ha összértékük nem haladja meg a termék gyártelepi árának 20 %-átvagyElőállítás, amely során az összes felhasznált anyag értéke nem haladja meg a termék gyártelepi árának 70 %-át | b) Egyéb kedvezményezett országok Előállítás a termékétől eltérő bármely vámtarifaszám alá tartozó anyagokból. A termékével azonos vámtarifaszám alá tartozó anyagok azonban felhasználhatók, ha összértékük nem haladja meg a termék gyártelepi árának 20 %-átvagyElőállítás, amely során az összes felhasznált anyag értéke nem haladja meg a termék gyártelepi árának 50 %-át |
| ex 2905 | Az e vámtarifaszám alá tartozó alkoholok és az etanol fémalkoholátjai; a következők kivételével: | a) LDC-k Előállítás bármely vámtarifaszám alá tartozó anyagokból, a 2905 vámtarifaszám alá tartozó egyéb anyagokat is beleértve. Az e vámtarifaszám alá tartozó fémalkoholátok is felhasználhatók azonban, ha összértékük nem haladja meg a termék gyártelepi árának 20 %-átvagyElőállítás, amely során az összes felhasznált anyag értéke nem haladja meg a termék gyártelepi árának 70 %-át | b) Egyéb kedvezményezett országok Előállítás bármely vámtarifaszám alá tartozó anyagokból, a 2905 vámtarifaszám alá tartozó egyéb anyagokat is beleértve. Az e vámtarifaszám alá tartozó fémalkoholátok is felhasználhatók azonban, ha összértékük nem haladja meg a termék gyártelepi árának 20 %-átvagyElőállítás, amely során az összes felhasznált anyag értéke nem haladja meg a termék gyártelepi árának 50 %-át |
| 2905 43 ; 2905 44 ; 2905 45 | Mannit; D-glucitol (szorbit); glicerin | a) LDC-k Előállítás a termékétől eltérő bármely alszám alá tartozó anyagokból. A termékével azonos alszám alá tartozó anyagok azonban felhasználhatók, ha összértékük nem haladja meg a termék gyártelepi árának 20 %-átvagyElőállítás, amely során az összes felhasznált anyag értéke nem haladja meg a termék gyártelepi árának 70 %-át | b) Egyéb kedvezményezett országok Előállítás a termékétől eltérő bármely alszám alá tartozó anyagokból. A termékével azonos alszám alá tartozó anyagok azonban felhasználhatók, ha összértékük nem haladja meg a termék gyártelepi árának 20 %-átvagyElőállítás, amely során az összes felhasznált anyag értéke nem haladja meg a termék gyártelepi árának 50 %-át |
| 2915 | Telített, aciklikus, egybázisú karbonsavak és ezek anhidridjei, halogenidjei, peroxidjai és peroxisavai; ezek halogén-, szulfo-, nitro- vagy nitrozoszármazékai | a) LDC-k Előállítás bármely vámtarifaszám alá tartozó anyagokból. A 2915 és a 2916 vámtarifaszám alá tartozó felhasznált anyagok értéke azonban nem haladhatja meg a termék gyártelepi árának 20 %-átvagyElőállítás, amely során az összes felhasznált anyag értéke nem haladja meg a termék gyártelepi árának 70 %-át | b) Egyéb kedvezményezett országok Előállítás bármely vámtarifaszám alá tartozó anyagokból. A 2915 és a 2916 vámtarifaszám alá tartozó felhasznált anyagok értéke azonban nem haladhatja meg a termék gyártelepi árának 20 %-átvagyElőállítás, amely során az öszes felhasznált anyag értéke nem haladja meg a termék gyártelepi árának 50 %-át |
| ex 2932 | – Belső éterek és ezek halogén-, szulfo-, nitro- vagy nitrozoszármazékai | a) LDC-k Előállítás bármely vámtarifaszám alá tartozó anyagokból. A 2909 vámtarifaszám alá tartozó felhasznált anyagok értéke azonban nem haladhatja meg a termék gyártelepi árának 20 %-átvagyElőállítás, amely során az összes felhasznált anyag értéke nem haladja meg a termék gyártelepi árának 70 %-át | b) Egyéb kedvezményezett országok Előállítás bármely vámtarifaszám alá tartozó anyagokból. A 2909 vámtarifaszám alá tartozó felhasznált anyagok értéke azonban nem haladhatja meg a termék gyártelepi árának 20 %-átvagyElőállítás, amely során az összes felhasznált anyag értéke nem haladja meg a termék gyártelepi árának 50 %-át |
| – Ciklikus acetálok és belső félacetálok és ezek halogén-, szulfo-, nitro- vagy nitrozoszármazékai | a) LDC-k Előállítás bármely vámtarifaszám alá tartozó anyagokbólvagyElőállítás, amely során az összes felhasznált anyag értéke nem haladja meg a termék gyártelepi árának 70 %-át | b) Egyéb kedvezményezett országok Előállítás bármely vámtarifaszám alá tartozó anyagokbólvagyElőállítás, amely során az összes felhasznált anyag értéke nem haladja meg a termék gyártelepi árának 50 %-át | |
| 2933 | Csak nitrogén-heteroatomos heterociklikus vegyületek | a) LDC-k Előállítás bármely vámtarifaszám alá tartozó anyagokból. A 2932 és a 2933 vámtarifaszám alá tartozó felhasznált anyag értéke azonban nem haladhatja meg a termék gyártelepi árának 20 %-átvagyElőállítás, amely során az összes felhasznált anyag értéke nem haladja meg a termék gyártelepi árának 70 %-át | b) Egyéb kedvezményezett országok Előállítás bármely vámtarifaszám alá tartozó anyagokból. A 2932 és a 2933 vámtarifaszám alá tartozó felhasznált anyag értéke azonban nem haladhatja meg a termék gyártelepi árának 20 %-átvagyElőállítás, amely során az összes felhasznált anyag értéke nem haladja meg a termék gyártelepi árának 50 %-át |
| 2934 | Nukleinsavak és sóik, vegyileg nem meghatározottak is; más heterociklikus vegyületek | a) LDC-k Előállítás bármely vámtarifaszám alá tartozó anyagokból. A 2932 , a 2933 és a 2934 vámtarifaszám alá tartozó felhasznált anyag értéke azonban nem haladhatja meg a termék gyártelepi árának 20 %-átvagyElőállítás, amely során az összes felhasznált anyag értéke nem haladja meg a termék gyártelepi árának 70 %-át | b) Egyéb kedvezményezett országok Előállítás bármely vámtarifaszám alá tartozó anyagokból. A 2932 , a 2933 és a 2934 vámtarifaszám alá tartozó felhasznált anyag értéke azonban nem haladhatja meg a termék gyártelepi árának 20 %-átvagyElőállítás, amely során az összes felhasznált anyag értéke nem haladja meg a termék gyártelepi árának 50 %-át |
| 30. árucsoport | Gyógyszeripari termékek | Előállítás bármely vámtarifaszám alá tartozó anyagokból | |
| 31. árucsoport | Trágyázószerek | a) LDC-k Előállítás a termékétől eltérő bármely vámtarifaszám alá tartozó anyagokból. A termékével azonos vámtarifaszám alá tartozó anyagok azonban felhasználhatók, ha összértékük nem haladja meg a termék gyártelepi árának 20 %-átvagyElőállítás, amely során az összes felhasznált anyag értéke nem haladja meg a termék gyártelepi árának 70 %-át | b) Egyéb kedvezményezett országok Előállítás a termékétől eltérő bármely vámtarifaszám alá tartozó anyagokból. A termékével azonos vámtarifaszám alá tartozó anyagok azonban felhasználhatók, ha összértékük nem haladja meg a termék gyártelepi árának 20 %-átvagyElőállítás, amely során az összes felhasznált anyag értéke nem haladja meg a termék gyártelepi árának 50 %-át |
| 32. árucsoport | Cserző- vagy színezőkivonatok; tanninok és származékaik; színezékek, pigmentek és más színezőanyagok; festékek és lakkok; gitt és más masztix (simító- és tömítőanyagok); tinták | a) LDC-k Előállítás a termékétől eltérő bármely vámtarifaszám alá tartozó anyagokból. A termékével azonos vámtarifaszám alá tartozó anyagok azonban felhasználhatók, ha összértékük nem haladja meg a termék gyártelepi árának 20 %-átvagyElőállítás, amely során az összes felhasznált anyag értéke nem haladja meg a termék gyártelepi árának 70 %-át | b) Egyéb kedvezményezett országok Előállítás a termékétől eltérő bármely vámtarifaszám alá tartozó anyagokból. A termékével azonos vámtarifaszám alá tartozó anyagok azonban felhasználhatók, ha összértékük nem haladja meg a termék gyártelepi árának 20 %-átvagyElőállítás, amely során az összes felhasznált anyag értéke nem haladja meg a termék gyártelepi árának 50 %-át |
| ex 33. árucsoport | Illóolajok és rezinoidok; illatszerek, szépség- vagy testápoló készítmények; a következők kivételével: | a) LDC-k Előállítás a termékétől eltérő bármely vámtarifaszám alá tartozó anyagokból. A termékével azonos vámtarifaszám alá tartozó anyagok azonban felhasználhatók, ha összértékük nem haladja meg a termék gyártelepi árának 20 %-átvagyElőállítás, amely során az összes felhasznált anyag értéke nem haladja meg a termék gyártelepi árának 70 %-át | b) Egyéb kedvezményezett országok Előállítás a termékétől eltérő bármely vámtarifaszám alá tartozó anyagokból. A termékével azonos vámtarifaszám alá tartozó anyagok azonban felhasználhatók, ha összértékük nem haladja meg a termék gyártelepi árának 20 %-átvagyElőállítás, amely során az összes felhasznált anyag értéke nem haladja meg a termék gyártelepi árának 50 %-át |
| 3301 | Szilárd és vízmentes illóolajok (terpénmentesek is); rezinoidok; kivont oleorezinek; illóolaj-koncentrátum zsírban, szilárd olajban, viaszban vagy hasonló anyagban, amelyet hideg abszorpció vagy macerálás útján nyernek; illóolajok terpénmentesítésekor nyert terpéntartalmú melléktermék; illóolajok vizes desztillátuma és vizes oldata | a) LDC-k Előállítás bármely vámtarifaszám alá tartozó anyagokból, beleértve az e vámtarifaszámon belül valamely másik „csoportba” (4) tartozó anyagokat is. A termékével azonos csoportba tartozó anyagok azonban felhasználhatók, ha összértékük nem haladja meg a termék gyártelepi árának 20 %-átvagyElőállítás, amely során az összes felhasznált anyag értéke nem haladja meg a termék gyártelepi árának 70 %-át | b) Egyéb kedvezményezett országok Előállítás a termékétől eltérő bármely vámtarifaszám alá tartozó anyagokból. A termékével azonos vámtarifaszám alá tartozó anyagok azonban felhasználhatók, ha összértékük nem haladja meg a termék gyártelepi árának 20 %-átvagyElőállítás, amely során az összes felhasznált anyag értéke nem haladja meg a termék gyártelepi árának 50 %-át |
| ex 34. árucsoport | Szappan, szerves felületaktív anyagok, mosószerek, kenőanyagok, műviaszok, elkészített viaszok, fényesítő- vagy polírozó anyagok, gyertya és hasonló termékek, mintázópaszta, „fogászati viasz” és gipsz alapú fogászati készítmények, a következők kivételével: | Előállítás a termékétől eltérő bármely vámtarifaszám alá tartozó anyagokból. A termékével azonos vámtarifaszám alá tartozó anyagok azonban felhasználhatók, ha összértékük nem haladja meg a termék gyártelepi árának 20 %-át vagy Előállítás, amely során az összes felhasznált anyag értéke nem haladja meg a termék gyártelepi árának 70 %-át | |
| ex 3404 | Műviaszok és elkészített viaszok: — paraffin, ásványolajviasz, bitumenes ásványi anyagból nyert viasz, paraffingács vagy izzasztott préselt paraffinviasz alapanyagból | Előállítás bármely vámtarifaszám alá tartozó anyagokból | |
| 35. árucsoport | Fehérjeanyagok; átalakított keményítők; enyvek; enzimek | a) LDC-kElőállítás a termékétől eltérő bármely vámtarifaszám alá tartozó anyagokból; az előállítás során az összes felhasznált anyag értéke nem haladja meg a termék gyártelepi árának 70 %-át | b) Egyéb kedvezményezett országokElőállítás a termékétől eltérő bármely vámtarifaszám alá tartozó anyagokból; az előállítás során az összes felhasznált anyag értéke nem haladja meg a termék gyártelepi árának 50 %-át |
| 36. árucsoport | Robbanóanyagok; pirotechnikai készítmények; gyufák; piroforos ötvözetek; egyes gyúlékony anyagok | a) LDC-k Előállítás a termékétől eltérő bármely vámtarifaszám alá tartozó anyagokból. A termékével azonos vámtarifaszám alá tartozó anyagok azonban felhasználhatók, ha összértékük nem haladja meg a termék gyártelepi árának 20 %-átvagyElőállítás, amely során az összes felhasznált anyag értéke nem haladja meg a termék gyártelepi árának 70 %-át | b) Egyéb kedvezményezett országok Előállítás a termékétől eltérő bármely vámtarifaszám alá tartozó anyagokból. A termékével azonos vámtarifaszám alá tartozó anyagok azonban felhasználhatók, ha összértékük nem haladja meg a termék gyártelepi árának 20 %-átvagyElőállítás, amely során az összes felhasznált anyag értéke nem haladja meg a termék gyártelepi árának 50 %-át |
| 37. árucsoport | Fényképészeti vagy mozgófényképészeti termékek | a) LDC-k Előállítás a termékétől eltérő bármely vámtarifaszám alá tartozó anyagokból. A termékével azonos vámtarifaszám alá tartozó anyagok azonban felhasználhatók, ha összértékük nem haladja meg a termék gyártelepi árának 20 %-átvagyElőállítás, amely során az összes felhasznált anyag értéke nem haladja meg a termék gyártelepi árának 70 %-át | b) Egyéb kedvezményezett országok Előállítás a termékétől eltérő bármely vámtarifaszám alá tartozó anyagokból. A termékével azonos vámtarifaszám alá tartozó anyagok azonban felhasználhatók, ha összértékük nem haladja meg a termék gyártelepi árának 20 %-átvagyElőállítás, amely során az összes felhasznált anyag értéke nem haladja meg a termék gyártelepi árának 50 %-át |
| ex 38. árucsoport | A vegyipar különféle termékei; a következők kivételével: | a) LDC-k Előállítás a termékétől eltérő bármely vámtarifaszám alá tartozó anyagokból. A termékével azonos vámtarifaszám alá tartozó anyagok azonban felhasználhatók, ha összértékük nem haladja meg a termék gyártelepi árának 20 %-átvagyElőállítás, amely során az összes felhasznált anyag értéke nem haladja meg a termék gyártelepi árának 70 %-át | b) Egyéb kedvezményezett országok Előállítás a termékétől eltérő bármely vámtarifaszám alá tartozó anyagokból. A termékével azonos vámtarifaszám alá tartozó anyagok azonban felhasználhatók, ha összértékük nem haladja meg a termék gyártelepi árának 20 %-átvagyElőállítás, amely során az összes felhasznált anyag értéke nem haladja meg a termék gyártelepi árának 50 %-át |
| ex 3803 | Finomított tallolaj | a) LDC-k Nyers tallolaj finomításavagyElőállítás, amely során az összes felhasznált anyag értéke nem haladja meg a termék gyártelepi árának 70 %-át | b) Egyéb kedvezményezett országok Nyers tallolaj finomításavagyElőállítás, amely során az összes felhasznált anyag értéke nem haladja meg a termék gyártelepi árának 50 %-át |
| ex 3805 | Tisztított szulfátterpentin-alkohol | a) LDC-k A nyers szulfátterpentin-alkohol tisztítása desztillálással vagy finomítássalvagyElőállítás, amely során az összes felhasznált anyag értéke nem haladja meg a termék gyártelepi árának 70 %-át | b) Egyéb kedvezményezett országok A nyers szulfátterpentin-alkohol tisztítása desztillálással vagy finomítássalvagyElőállítás, amely során az összes felhasznált anyag értéke nem haladja meg a termék gyártelepi árának 50 %-át |
| 3806 30 | Észtergyanta | a) LDC-k Előállítás gyantasavbólvagyElőállítás, amely során az összes felhasznált anyag értéke nem haladja meg a termék gyártelepi árának 70 %-át | b) Egyéb kedvezményezett országok Előállítás gyantasavbólvagyElőállítás, amely során az öszes felhasznált anyag értéke nem haladja meg a termék gyártelepi árának 50 %-át |
| ex 3807 | Faszurok (fakátrányszurok) | a) LDC-k Fakátrány desztillációjavagyElőállítás, amely során az összes felhasznált anyag értéke nem haladja meg a termék gyártelepi árának 70 %-át | b) Egyéb kedvezményezett országok Fakátrány desztillációjavagyElőállítás, amely során az összes felhasznált anyag értéke nem haladja meg a termék gyártelepi árának 50 %-át |
| 3809 10 | Textil-, papír-, bőr- vagy hasonló iparban használt, máshol nem említett végkikészítő szerek, festést gyorsító és elősegítő vagy színtartóságot növelő anyagok, valamint más termékek és készítmények (pl. appretálószerek és pácanyagok), keményítőtartalommal | a) LDC-kElőállítás, amely során az összes felhasznált anyag értéke nem haladja meg a termék gyártelepi árának 70 %-át | b) Egyéb kedvezményezett országokElőállítás, amely során az összes felhasznált anyag értéke nem haladja meg a termék gyártelepi árának 50 %-át |
| 3823 | Ipari monokarboxil-zsírsav; finomításból nyert savas olaj; ipari zsíralkohol | a) LDC-k Előállítás bármely vámtarifaszám alá tartozó anyagokból, a 3823 vámtarifaszám alá tartozó egyéb anyagokat is beleértvevagyElőállítás, amely során az összes felhasznált anyag értéke nem haladja meg a termék gyártelepi árának 70 %-át | b) Egyéb kedvezményezett országok Előállítás bármely vámtarifaszám alá tartozó anyagokból, a 3823 vámtarifaszám alá tartozó egyéb anyagokat is beleértvevagyElőállítás, amely során az összes felhasznált anyag értéke nem haladja meg a termék gyártelepi árának 50 %-át |
| 3824 60 | Szorbit, a 2905 44 alszám alá tartozó kivételével | a) LDC-k Előállítás a termékétől és a 2905 44 alszámtól eltérő bármely alszám alá tartozó anyagokból. A termékével azonos alszám alá tartozó anyagok azonban felhasználhatók, ha összértékük nem haladja meg a termék gyártelepi árának 20 %-átvagyElőállítás, amely során az összes felhasznált anyag értéke nem haladja meg a termék gyártelepi árának 70 %-át | b) Egyéb kedvezményezett országok Előállítás a termékétől és a 2905 44 alszámtól eltérő bármely alszám alá tartozó anyagokból. A termékével azonos alszám alá tartozó anyagok azonban felhasználhatók, ha összértékük nem haladja meg a termék gyártelepi árának 20 %-átvagyElőállítás, amely során az összes felhasznált anyag értéke nem haladja meg a termék gyártelepi árának 50 %-át |
| ex 39. árucsoport | Műanyagok és ezekből készült áruk; a következők kivételével: | a) LDC-k Előállítás a termékétől eltérő bármely vámtarifaszám alá tartozó anyagokból.vagyElőállítás, amely során az összes felhasznált anyag értéke nem haladja meg a termék gyártelepi árának 70 %-át | b) Egyéb kedvezményezett országok Előállítás a termékétől eltérő bármely vámtarifaszám alá tartozó anyagokból.vagyElőállítás, amely során az összes felhasznált anyag értéke nem haladja meg a termék gyártelepi árának 50 %-át |
| ex 3907 | – Polikarbonátból és akrilnitril-butadién-sztirol kopolimerből (ABS) előállított kopolimer | a) LDC-k Előállítás a termékétől eltérő bármely vámtarifaszám alá tartozó anyagokból. A termékével azonos vámtarifaszám alá tartozó anyagok azonban felhasználhatók, ha összértékük nem haladja meg a termék gyártelepi árának 50 %-át (5) vagyElőállítás, amely során az összes felhasznált anyag értéke nem haladja meg a termék gyártelepi árának 70 %-át | b) Egyéb kedvezményezett országok Előállítás a termékétől eltérő bármely vámtarifaszám alá tartozó anyagokból. A termékével azonos vámtarifaszám alá tartozó anyagok azonban felhasználhatók, ha összértékük nem haladja meg a termék gyártelepi árának 50 %-át (5) vagyElőállítás, amely során az összes felhasznált anyag értéke nem haladja meg a termék gyártelepi árának 50 %-át |
| – Poliészter | a) LDC-k Előállítás a termékétől eltérő bármely vámtarifaszám alá tartozó anyagokbólvagyElőállítás tetrabróm-(biszfenol-A) polikarbonátbólvagyElőállítás, amely során az összes felhasznált anyag értéke nem haladja meg a termék gyártelepi árának 70 %-át | b) Egyéb kedvezményezett országok Előállítás a termékétől eltérő bármely vámtarifaszám alá tartozó anyagokbólvagyElőállítás tetrabróm-(biszfenol-A) polikarbonátbólvagyElőállítás, amely során az összes felhasznált anyag értéke nem haladja meg a termék gyártelepi árának 50 %-át | |
| ex 3920 | Ionomer lap vagy film | a) LDC-k Előállítás hőre lágyuló parciális sóból, amely fémionokkal, főleg cink- és nátriumionokkal részben semlegesített etilén és metakrilsav kopolimerevagyElőállítás, amely során az összes felhasznált anyag értéke nem haladja meg a termék gyártelepi árának 70 %-át | b) Egyéb kedvezményezett országok Előállítás hőre lágyuló parciális sóból, amely fémionokkal, főleg cink- és nátriumionokkal részben semlegesített etilén és metakrilsav kopolimerevagyElőállítás, amely során az összes felhasznált anyag értéke nem haladja meg a termék gyártelepi árának 50 %-át |
| ex 3921 | Fémezett műanyag fólia | a) LDC-k Előállítás kevesebb mint 23 mikron vastagságú, különösen átlátszó poliészterfóliából (6) vagyElőállítás, amely során az összes felhasznált anyag értéke nem haladja meg a termék gyártelepi árának 70 %-át | b) Egyéb kedvezményezett országok Előállítás kevesebb mint 23 mikron vastagságú, különösen átlátszó poliészterfóliából (6) vagyElőállítás, amely során az összes felhasznált anyag értéke nem haladja meg a termék gyártelepi árának 50 %-át |
| ex 40. árucsoport | Gumi és ebből készült áruk; a következők kivételével: | Előállítás a termékétől eltérő bármely vámtarifaszám alá tartozó anyagokból vagy Előállítás, amely során az összes felhasznált anyag értéke nem haladja meg a termék gyártelepi árának 70 %-át | |
| 4012 | Újrafutózott vagy használt gumi légabroncs; tömör vagy kisnyomású gumiabroncs, gumiabroncs-futófelület és gumiabroncs-tömlővédő szalag: | ||
| – Újrafutózott tömör vagy kisnyomású gumi légabroncs | A használt gumiabroncsok újrafutózása | ||
| – Más | Előállítás bármely vámtarifaszám alá tartozó anyagokból, a 4011 és a 4012 vámtarifaszám alá tartozók kivételével vagy Előállítás, amely során az összes felhasznált anyag értéke nem haladja meg a termék gyártelepi árának 70 %-át | ||
| ex 41. árucsoport | Nyersbőr (a szőrme kivételével) és kikészített bőr; a következők kivételével: | Előállítás a termékétől eltérő bármely vámtarifaszám alá tartozó anyagokból | |
| 4101 –4103 | Szarvasmarhafélék (a bivalyt is beleértve) vagy lófélék nyers bőre (kezeletlenül vagy sózva, szárítva, meszezve, pácolva vagy másképpen tartósítva, a cserzett, a pergamentált vagy tovább kikészített bőrök kivételével), szőrtelenítve vagy hasítva is; juh- vagy báránybőr nyersen (kezeletlenül vagy sózva, szárítva, meszezve, pácolva vagy másképp tartósítva, a cserzett, pergamentált vagy tovább kikészített bőrök kivételével), gyapjasan vagy hasítva is, a 41. árucsoporthoz tartozó Megjegyzések 1. c) pontjában felsoroltak kivételével; más nyersbőr (kezeletlenül vagy sózva, szárítva, meszezve, pácolva vagy másképp tartósítva, a cserzett, pergamentált vagy tovább kikészített bőrök kivételével), szőrtelenítve vagy hasítva is, a 41. árucsoporthoz tartozó Megjegyzések 1. b) és c) pontjában felsoroltak kivételével | Előállítás bármely vámtarifaszám alá tartozó anyagokból | |
| 4104 –4106 | Szőrtelen vagy gyapjú nélküli, cserzett vagy crust bőr, hasítva is, de tovább nem kikészítve | A 4104 11 , a 4104 19 , a 4105 10 , a 4106 21 , a 4106 31 vagy a 4106 91 alszám alá tartozó, cserzett vagy előcserzett bőr újracserzése vagy Előállítás a termékétől eltérő bármely vámtarifaszám alá tartozó anyagokból | |
| 4107 , 4112 , 4113 | Cserzés vagy kérgesítés után tovább kikészített bőr | Előállítás a termékétől eltérő bármely vámtarifaszám alá tartozó anyagokból. A 4104 41 , a 4104 49 , a 4105 30 , a 4106 22 , a 4106 32 és a 4106 92 alszám alá tartozó anyagok azonban csak akkor használhatók fel, ha száraz állapotban lévő, cserzett vagy kérgesített bőrök esetében újracserzési műveletre kerül sor | |
| 42. árucsoport | Bőráruk; nyerges- és szíjgyártóáruk; utazási cikkek, kézitáskák és hasonló tartók; állati bélből készült áruk (a selyemhernyóbélből készült áruk kivételével) | Előállítás a termékétől eltérő bármely vámtarifaszám alá tartozó anyagokból vagy Előállítás, amely során az összes felhasznált anyag értéke nem haladja meg a termék gyártelepi árának 70 %-át | |
| ex 43. árucsoport | Szőrme és műszőrme; ezekből készült áruk; a következők kivételével: | Előállítás a termékétől eltérő bármely vámtarifaszám alá tartozó anyagokból vagy Előállítás, amely során az összes felhasznált anyag értéke nem haladja meg a termék gyártelepi árának 70 %-át | |
| 4301 | Nyers szőrme (beleértve a szűcsáruként felhasználható fejet, farkat, lábat és más részeket vagy vágott darabokat is), a 4101 , 4102 és a 4103 vtsz. alá tartozó nyers szőrös bőr kivételével | Előállítás bármely vámtarifaszám alá tartozó anyagokból | |
| ex 4302 | Cserzett vagy kikészített szőrme, összeállítva: | ||
| – Lap, kereszt és más hasonló formák | A nem összeállított, cserzett vagy kikészített szőrme fehérítése vagy festése a vágáson és összeállításon felül | ||
| – Más | Előállítás nem összeállított, cserzett vagy kikészített szőrméből | ||
| 4303 | Ruházati cikkek, ruházati tartozékok és más szőrmeáruk | Előállítás a 4302 vámtarifaszám alá tartozó, nem összeállított, cserzett vagy kikészített szőrméből | |
| ex 44. árucsoport | Fa és faipari termékek; faszén; a következők kivételével: | Előállítás a termékétől eltérő bármely vámtarifaszám alá tartozó anyagokból vagy Előállítás, amely során az összes felhasznált anyag értéke nem haladja meg a termék gyártelepi árának 70 %-át | |
| ex 4407 | Hosszában fűrészelt vagy szélezett, vágott vagy hántolt, 6 mm-nél vastagabb fa, gyalulva, csiszolva vagy végillesztéssel összeállítva | Gyalulás, csiszolás vagy végillesztés | |
| ex 4408 | Furnérlap (beleértve a rétegelt fa szeletelésével készítettet is) és rétegelt lemez legfeljebb 6 mm vastagságban, lapolva, és hosszában fűrészelt, vágott vagy hántolt más falemez, legfeljebb 6 mm vastagságban, gyalulva, csiszolva vagy végillesztéssel összeállítva | Részekből összeállítás, gyalulás, csiszolás vagy végillesztés | |
| ex 4410 – ex 4413 | Szegélyléc és gyöngyléc, beleértve a padló szegélylécet és más szegélylemezt is | Peremezés vagy mintázás | |
| ex 4415 | Fából készült láda, doboz, rekesz, dob és hasonló csomagolóanyag | Előállítás méretre nem vágott falemezekből | |
| ex 4418 | – Ács- és épületasztalos-ipari termék | Előállítás a termékétől eltérő bármely vámtarifaszám alá tartozó anyagokból. Üreges fapanel és zsindely és hasíték azonban felhasználható | |
| – Szegélyléc és gyöngyléc | Peremezés vagy mintázás | ||
| ex 4421 | Gyufaszál; cipész faszeg vagy facsap | Előállítás bármely vámtarifaszám alá tartozó fából a 4409 vámtarifaszám alá tartozó fadrót kivételével | |
| 45. árucsoport | Parafa és parafa áruk | Előállítás a termékétől eltérő bármely vámtarifaszám alá tartozó anyagokból vagy Előállítás, amely során az összes felhasznált anyag értéke nem haladja meg a termék gyártelepi árának 70 %-át | |
| 46. árucsoport | Szalmából, eszpartófűből vagy más fonásanyagból készült áruk; kosárkötő- és fonásáruk | Előállítás a termékétől eltérő bármely vámtarifaszám alá tartozó anyagokból vagy Előállítás, amely során a felhasznált anyagok összértéke nem haladja meg a termék gyártelepi árának 70 %-át | |
| 47. árucsoport | Papíripari rostanyag fából vagy más cellulóztartalmú anyagból; visszanyert (hulladék és használt) papír vagy karton | Előállítás a termékétől eltérő bármely vámtarifaszám alá tartozó anyagokból vagy Előállítás, amely során az összes felhasznált anyag értéke nem haladja meg a termék gyártelepi árának 70 %-át | |
| 48. árucsoport | Papír és karton; papíripari rostanyagból, papírból vagy kartonból készült áruk | Előállítás a termékétől eltérő bármely vámtarifaszám alá tartozó anyagokból vagy Előállítás, amely során a felhasznált anyagok összértéke nem haladja meg a termék gyártelepi árának 70 %-át | |
| 49. árucsoport | Könyvek, újságok, képek és más nyomdaipari termékek; kéziratok, gépírásos szövegek és tervrajzok | Előállítás a termékétől eltérő bármely vámtarifaszám alá tartozó anyagokból vagy Előállítás, amely során az összes felhasznált anyag értéke nem haladja meg a termék gyártelepi árának 70 %-át | |
| ex 50. árucsoport | Selyem; a következők kivételével: | Előállítás a termékétől eltérő bármely vámtarifaszám alá tartozó anyagokból | |
| ex 5003 | Selyemhulladék (beleértve a le nem gombolyítható selyemgubót, fonalhulladékot, a foszlatott anyagot is), kártolva vagy fésülve | A selyemhulladék kártolása vagy fésülése | |
| 5004 – ex 5006 | Selyemfonal és selyemhulladékból készült fonal | Természetes szálak fonása, illetve műszálak sajtolása, amihez fonás vagy sodrás társul (7) | |
| 5007 | Szövet selyemből vagy selyemhulladékból | a) LDC-k Szövés (7) vagyA nyomáshoz legalább két előkészítő vagy befejező művelet társul (pl. szennyeződés eltávolítása, fehérítés, mercerezés, hőrögzítés, bolyhozás, mángorlás, zsugorodásmentesítés, tartós kikészítés, avatás, impregnálás, javítás és a csomók eltávolítása), amennyiben a felhasznált nem nyomott szövet értéke nem haladja meg a termék gyártelepi árának 47,5 %-át | b) Egyéb kedvezményezett országok Természetes szálak és/vagy vágott műszálak fonása, vagy végtelen műszálak sajtolása, vagy sodrás; e műveletek mindegyikéhez szövés társulvagyA szövéshez festés társulvagyA fonalfestéshez szövés társulvagyA nyomáshoz legalább két előkészítő vagy befejező művelet társul (pl. szennyeződés eltávolítása, fehérítés, mercerezés, hőrögzítés, bolyhozás, mángorlás, zsugorodásmentesítés, tartós kikészítés, avatás, impregnálás, javítás és a csomók eltávolítása), amennyiben a felhasznált nem nyomott szövet értéke nem haladja meg a termék gyártelepi árának 47,5 %-át (7) |
| ex 51. árucsoport | Gyapjú, finom vagy durva állati szőr; lószőr fonal és szövet; a következők kivételével: | Előállítás a termékétől eltérő bármely vámtarifaszám alá tartozó anyagokból | |
| 5106 –5110 | Fonal gyapjúból, finom vagy durva állati szőrből vagy lószőrből | Természetes szálak fonása vagy műszálak sajtolása, amihez fonás társul (7) | |
| 5111 –5113 | Szövet gyapjúból, finom vagy durva állati szőrből vagy lószőrből | a) LDC-k Szövés (7) vagyA nyomáshoz legalább két előkészítő vagy befejező művelet társul (pl. szennyeződés eltávolítása, fehérítés, mercerezés, hőrögzítés, bolyhozás, mángorlás, zsugorodásmentesítés, tartós kikészítés, avatás, impregnálás, javítás és a csomók eltávolítása), amennyiben a felhasznált nem nyomott szövet értéke nem haladja meg a termék gyártelepi árának 47,5 %-át | b) Egyéb kedvezményezett országok Természetes szálak és/vagy vágott műszálak fonása, vagy végtelen műszálak sajtolása; e műveletek mindegyikéhez szövés társulvagyA szövéshez festés társulvagyA fonalfestéshez szövés társulvagyA nyomáshoz legalább két előkészítő vagy befejező művelet társul (pl. szennyeződés eltávolítása, fehérítés, mercerezés, hőrögzítés, bolyhozás, mángorlás, zsugorodásmentesítés, tartós kikészítés, avatás, impregnálás, javítás és a csomók eltávolítása), amennyiben a felhasznált nem nyomott szövet értéke nem haladja meg a termék gyártelepi árának 47,5 %-át (7) |
| ex 52. árucsoport | Pamut; a következők kivételével: | Előállítás a termékétől eltérő bármely vámtarifaszám alá tartozó anyagokból | |
| 5204 –5207 | Pamutfonal és -cérna | Természetes szálak fonása vagy műszálak sajtolása, amihez fonás társul (7) | |
| 5208 –5212 | Pamutszövet | a) LDC-k Szövés (7) vagyA nyomáshoz legalább két előkészítő vagy befejező művelet társul (pl. szennyeződés eltávolítása, fehérítés, mercerezés, hőrögzítés, bolyhozás, mángorlás, zsugorodásmentesítés, tartós kikészítés, avatás, impregnálás, javítás és a csomók eltávolítása), amennyiben a felhasznált nem nyomott szövet értéke nem haladja meg a termék gyártelepi árának 47,5 %-át | b) Egyéb kedvezményezett országok Természetes szálak és/vagy vágott műszálak fonása, vagy végtelen műszálak sajtolása; e műveletek mindegyikéhez szövés társulvagyA szövéshez festés vagy bevonás társulvagyA fonalfestéshez szövés társulvagyA nyomáshoz legalább két előkészítő vagy befejező művelet társul (pl. szennyeződés eltávolítása, fehérítés, mercerezés, hőrögzítés, bolyhozás, mángorlás, zsugorodásmentesítés, tartós kikészítés, avatás, impregnálás, javítás és a csomók eltávolítása), amennyiben a felhasznált nem nyomott szövet értéke nem haladja meg a termék gyártelepi árának 47,5 %-át (7) |
| ex 53. árucsoport | Más növényi textilszálak; papírfonal és papírfonalból szőtt szövet; a következők kivételével: | Előállítás a termékétől eltérő bármely vámtarifaszám alá tartozó anyagokból | |
| 5306 –5308 | Fonal más növényi textilszálból; papírfonal | Természetes szálak fonása vagy műszálak sajtolása, amihez fonás társul (7) | |
| 5309 –5311 | Szövet más növényi textilszálból; szövet papírfonalból | a) LDC-k Szövés (7) vagyA nyomáshoz legalább két előkészítő vagy befejező művelet társul (pl. szennyeződés eltávolítása, fehérítés, mercerezés, hőrögzítés, bolyhozás, mángorlás, zsugorodásmentesítés, tartós kikészítés, avatás, impregnálás, javítás és a csomók eltávolítása), amennyiben a felhasznált nem nyomott szövet értéke nem haladja meg a termék gyártelepi árának 47,5 %-át | b) Egyéb kedvezményezett országok Természetes szálak és/vagy vágott műszálak fonása, vagy végtelen műszálak sajtolása; e műveletek mindegyikéhez szövés társulvagyA szövéshez festés vagy bevonás társulvagyA fonalfestéshez szövés társulvagyA nyomáshoz legalább két előkészítő vagy befejező művelet társul (pl. szennyeződés eltávolítása, fehérítés, mercerezés, hőrögzítés, bolyhozás, mángorlás, zsugorodásmentesítés, tartós kikészítés, avatás, impregnálás, javítás és a csomók eltávolítása), amennyiben a felhasznált nem nyomott szövet értéke nem haladja meg a termék gyártelepi árának 47,5 %-át (7) |
| 5401 –5406 | Fonal, monofil és cérna végtelen műszálból | Műszálak sajtolása, amihez fonás társul, vagy természetes szálak fonása (7) | |
| 5407 és 5408 | Végtelen műszálból készült szövet | a) LDC-k Szövés (7) vagyA nyomáshoz legalább két előkészítő vagy befejező művelet társul (pl. szennyeződés eltávolítása, fehérítés, mercerezés, hőrögzítés, bolyhozás, mángorlás, zsugorodásmentesítés, tartós kikészítés, avatás, impregnálás, javítás és a csomók eltávolítása), amennyiben a felhasznált nem nyomott szövet értéke nem haladja meg a termék gyártelepi árának 47,5 %-át | b) Egyéb kedvezményezett országok Természetes szálak és/vagy vágott műszálak fonása, vagy végtelen műszálak sajtolása; e műveletek mindegyikéhez szövés társulvagyA szövéshez festés vagy bevonás társulvagySodrás vagy szálszerkezet-átalakítás, amihez szövés társul, feltéve, hogy a felhasznált nem sodort/nem átalakított szálszerkezetű fonal értéke nem haladja meg a termék gyártelepi árának 47,5 %-átvagyA nyomáshoz legalább két előkészítő vagy befejező művelet társul (pl. szennyeződés eltávolítása, fehérítés, mercerezés, hőrögzítés, bolyhozás, mángorlás, zsugorodásmentesítés, tartós kikészítés, avatás, impregnálás, javítás és a csomók eltávolítása), amennyiben a felhasznált nem nyomott szövet értéke nem haladja meg a termék gyártelepi árának 47,5 %-át (7) |
| 5501 –5507 | Vágott műszál | Műszálak sajtolása | |
| 5508 –5511 | Vágott műszálból készült fonal és varrócérna | Természetes szálak fonása vagy műszálak sajtolása, amihez fonás társul (7) | |
| 5512 –5516 | Szövet vágott műszálból | a) LDC-k Szövés (7) vagyA nyomáshoz legalább két előkészítő vagy befejező művelet társul (pl. szennyeződés eltávolítása, fehérítés, mercerezés, hőrögzítés, bolyhozás, mángorlás, zsugorodásmentesítés, tartós kikésztés, avatás, impregnálás, javítás és a csomók eltávolítása), amennyiben a felhasznált nem nyomott szövet értéke nem haladja meg a termék gyártelepi árának 47,5 %-át | b) Egyéb kedvezményezett országok Természetes szálak és/vagy vágott műszálak fonása, vagy végtelen műszálak sajtolása; e műveletek mindegyikéhez szövés társulvagyA szövéshez festés vagy bevonás társulvagyA fonalfestéshez szövés társulvagyA nyomáshoz legalább két előkészítő vagy befejező művelet társul (pl. szennyeződés eltávolítása, fehérítés, mercerezés, hőrögzítés, bolyhozás, mángorlás, zsugorodásmentesítés, tartós kikészítés, avatás, impregnálás, javítás és a csomók eltávolítása), amennyiben a felhasznált nem nyomott szövet értéke nem haladja meg a termék gyártelepi árának 47,5 %-át (7) |
| ex 56. árucsoport | Vatta, nemez és nem szőtt textília; különleges fonalak; zsineg, kötél, hajókötél és kábel, valamint ezekből készült áruk; a következők kivételével: | Műszálak sajtolása, amihez fonás társul, vagy természetes szálak fonása vagy A pelyhesítéshez festés vagy nyomás társul (7) | |
| 5602 | Nemez, impregnált, bevont, beborított vagy rétegelt is: | ||
| – Tűnemez | A műszálak sajtolásához szövetképzés társul. Mindazonáltal: — az 5402 vámtarifaszám alá tartozó polipropilén végtelen szál, — az 5503 vagy az 5506 vámtarifaszám alá tartozó polipropilén szál, vagy — az 5501 vámtarifaszám alá tartozó polipropilén fonókábel, ahol egy egyágú végtelen szál vagy egy szál finomsági száma minden esetben kisebb 9 decitexnél, felhasználható, ha összértékük nem haladja meg a termék gyártelepi árának 40 %-át vagy Egyedül szövetképzés a természetes szálakból készült nemez esetében (7) | ||
| – Más | A műszálak sajtolásához szövetképzés társul vagy A természetes szálakból készült nemez esetében önmagában a szövetképzés (7) | ||
| 5603 | Nem szőtt textília, impregnált, bevont, beborított vagy rétegelt is | a) LDC-kBármely, nem szőtt textíliák készítésére irányuló eljárás, a tűlyukasztást is beleértve | b) Egyéb kedvezményezett országokA műszálak sajtolásához vagy a természetes szálak használatához nem szőtt textíliák készítésére szolgáló technikák társulnak, a tűlyukasztást is beleértve |
| 5604 | Gumifonal és -zsineg textilanyaggal bevonva; az 5404 vagy az 5405 vtsz. alá tartozó textilszál, -szalag és hasonlók gumival vagy műanyaggal impregnálva, bevonva, beborítva vagy burkolva: | ||
| – Gumifonal és -zsineg, textilanyaggal bevonva | Előállítás textilanyaggal be nem vont gumifonalból vagy -zsinegből | ||
| – Más | Műszálak sajtolása, amihez fonás társul, vagy természetes szálak fonása (7) | ||
| 5605 | Fémezett fonal, paszományozott is, az 5404 vagy az 5405 vtsz. alá tartozó olyan textilszálból vagy szalagból vagy hasonló termékből is, amelyet fémszállal, fémcsíkkal vagy fémporral kombináltak vagy fémmel bevontak | Műszálak sajtolása, amihez fonás társul, vagy természetes szálak és/vagy vágott műszálak fonása (7) | |
| 5606 | Paszományozott fonal, az 5404 és az 5405 vtsz. alá tartozó szalag és hasonló áru paszományozva (az 5605 vtsz. alá tartozók és a paszományozott lószőrfonal kivételével); zseníliafonal (beleértve a pelyhes zseníliafonalat is); hurkolt, bordázott fonal | Műszálak sajtolása, amihez fonás társul, vagy természetes szálak és/vagy vágott műszálak fonása vagy A fonáshoz pelyhesítés társul vagy A pelyhesítéshez festés társul (7) | |
| 57. árucsoport | Szőnyegek és más textil padlóborítók | Természetes szálak és/vagy vágott műszálak fonása, vagy végtelen műszálak sajtolása; e műveletek mindegyikéhez szövés társul vagy Előállítás kókuszrost fonalból vagy szizálfonalból vagy jutafonalból vagy A pelyhesítéshez festés vagy nyomás társul vagy A tűzéshez festés vagy nyomás társul A műszálak sajtolásához nem szőtt textíliák készítésére szolgáló technikák alkalmazása társul, a tűlyukasztást is beleértve (7) Mindazonáltal: — az 5402 vámtarifaszám alá tartozó polipropilén végtelen szál, — az 5503 vagy az 5506 vámtarifaszám alá tartozó polipropilén szál, vagy — az 5501 vámtarifaszám alá tartozó polipropilén fonókábel, ahol egy egyágú végtelen szál vagy egy szál finomsági száma minden esetben kisebb 9 decitexnél, felhasználható, ha összértékük nem haladja meg a termék gyártelepi árának 40 %-át Jutaszövet hátoldalként felhasználható | |
| ex 58. árucsoport | Különleges szövetek; bolyhos szövetek; csipke; kárpit; paszomány; hímzés; a következők kivételével: | a) LDC-k Szövés (7) vagyA nyomáshoz legalább két előkészítő vagy befejező művelet társul (pl. szennyeződés eltávolítása, fehérítés, mercerezés, hőrögzítés, bolyhozás, mángorlás, zsugorodásmentesítés, tartós kikészítés, avatás, impregnálás, javítás és a csomók eltávolítása), amennyiben a felhasznált nem nyomott szövet értéke nem haladja meg a termék gyártelepi árának 47,5 %-át | b) Egyéb kedvezményezett országok Természetes szálak és/vagy vágott műszálak fonása, vagy végtelen műszálak sajtolása; e műveletek mindegyikéhez szövés társulvagyA szövéshez festés, pelyhesítés vagy bevonás társulvagyA pelyhesítéshez festés vagy nyomás társulvagyA fonalfestéshez szövés társulvagyA nyomáshoz legalább két előkészítő vagy befejező művelet társul (pl. szennyeződés eltávolítása, fehérítés, mercerezés, hőrögzítés, bolyhozás, mángorlás, zsugorodásmentesítés, tartós kikészítés, avatás, impregnálás, javítás és a csomók eltávolítása), amennyiben a felhasznált nem nyomott szövet értéke nem haladja meg a termék gyártelepi árának 47,5 %-át (7) |
| 5805 | Kézi szövésű faliszőnyeg, kárpit, mint pl. Gobelin, Flanders, Aubusson, Beauvais és hasonló fajták és a tűvarrással (pl. pontöltéssel, keresztöltéssel) előállított faliszőnyeg, kárpit, konfekcionálva is | Előállítás a termékétől eltérő bármely vámtarifaszám alá tartozó anyagokból | |
| 5810 | Hímzés méteráruban, szalagban, vagy mintázott darabokban | Előállítás, amely során az összes felhasznált anyag értéke nem haladja meg a termék gyártelepi árának 50 %-át | |
| 5901 | Szövetek mézgával vagy keményítőtartalmú anyaggal bevonva, amelyeket külső könyvborítónak vagy hasonló célokra használnak; pauszvászon; előkészített festővászon; kalapvászon (kanavász) és hasonló merevített textilszövet kalapkészítéshez | A szövéshez festés, pelyhesítés vagy bevonás társul vagy A pelyhesítéshez festés vagy nyomás társul | |
| 5902 | Kerékköpeny kordszövet magas szakítószilárdságú nejlon- vagy más poliamid, poliészter vagy viszkóz műselyem fonalból: | ||
| – Legfeljebb 90 tömegszázalék textilanyag-tartalommal | Szövés | ||
| – Más | A műszálak sajtolásához szövés társul | ||
| 5903 | Textilszövet műanyaggal impregnálva, bevonva, beborítva vagy laminálva, az 5902 vtsz. alá tartozó szövetek kivételével | A szövéshez festés vagy bevonás társul vagy A nyomáshoz legalább két előkészítő vagy befejező művelet társul (pl. szennyeződés eltávolítása, fehérítés, mercerezés, hőrögzítés, bolyhozás, mángorlás, zsugorodásmentesítés, tartós kikészítés, avatás, impregnálás, javítás és a csomók eltávolítása), amennyiben a felhasznált nem nyomott szövet értéke nem haladja meg a termék gyártelepi árának 47,5 %-át | |
| 5904 | Linóleum, kiszabva is; padlóborító, amely textilalapra alkalmazott bevonatból vagy borításból áll, kiszabva is | A szövéshez festés vagy bevonás társul (7) | |
| 5905 | Textil falborító: | ||
| – Gumival, műanyaggal vagy más anyaggal impregnált, bevont, beborított vagy laminált szövet | A szövéshez festés vagy bevonás társul | ||
| – Más | Természetes szálak és/vagy vágott műszálak fonása, vagy végtelen műszálak sajtolása; e műveletek mindegyikéhez szövés társul vagy A szövéshez festés vagy bevonás társul vagy A nyomáshoz legalább két előkészítő vagy befejező művelet társul (pl. szennyeződés eltávolítása, fehérítés, mercerezés, hőrögzítés, bolyhozás, mángorlás, zsugorodásmentesítés, tartós kikészítés, avatás, impregnálás, javítás és a csomók eltávolítása), amennyiben a felhasznált nem nyomott szövet értéke nem haladja meg a termék gyártelepi árának 47,5 %-át (7) | ||
| 5906 | Gumizott textilszövet, az 5902 vtsz. alá tartozó kivételével: | ||
| – Kötött vagy hurkolt kelmék | Természetes szálak és/vagy vágott műszálak fonása, vagy végtelen műszálak sajtolása; e műveletek mindegyikéhez kötés társul vagy A kötéshez festés vagy bevonás társul vagy A természetes szálakból készült fonal festéséhez kötés társul (7) | ||
| – Szintetikus végtelen szálból készült más szövet több mint 90 tömegszázalék textilanyag-tartalommal | A műszálak sajtolásához szövés társul | ||
| – Más | A szövéshez festés vagy bevonás társul vagy A természetes szálakból készült fonal festéséhez szövés társul | ||
| 5907 | Más módon impregnált, bevont vagy beborított textilszövet; festett kanavász színházi vagy stúdió- (műtermi) díszletek vagy hasonlók számára | A szövéshez festés, pelyhesítés vagy bevonás társul vagy A pelyhesítéshez festés vagy nyomás társul vagy A nyomáshoz legalább két előkészítő vagy befejező művelet társul (pl. szennyeződés eltávolítása, fehérítés, mercerezés, hőrögzítés, bolyhozás, mángorlás, zsugorodásmentesítés, tartós kikészítés, avatás, impregnálás, javítás és a csomók eltávolítása), amennyiben a felhasznált nem nyomott szövet értéke nem haladja meg a termék gyártelepi árának 47,5 %-át | |
| 5908 | Textilalapanyagból szőtt, fonott vagy kötött bél lámpához, tűzhelyhez, öngyújtóhoz, gyertyához vagy hasonlóhoz; fehérizzású gázharisnya és annak előállítására csőszerűen kötött gázharisnyaszövet, impregnálva is: | ||
| – Fehérizzású gázharisnya, impregnált | Előállítás csőszerűen kötött gázharisnya-szövetből | ||
| – Más | Előállítás a termékétől eltérő bármely vámtarifaszám alá tartozó anyagokból | ||
| 5909 –5911 | Ipari felhasználásra alkalmas textiltermékek: | ||
| – Polírozó korong vagy gyűrű az 5911 vtsz. alá tartozó, nemezből készítettek kivételével | Szövés | ||
| – Az 5911 vtsz. alá tartozó, papírgyártásnál vagy más műszaki céllal általánosan használt, csőszerű vagy végtelenített egyszeres vagy többszörös lánc- és/vagy vetülékfonallal, vagy laposszövésű, többszörös lánc- és/vagy vetülékfonallal szőtt textilszövet, nemezelve, impregnálva vagy bevonva is | a) LDC-k Szövés (7) | b) Egyéb kedvezményezett országok Műszálak sajtolása vagy természetes szálak és/vagy vágott műszálak fonása; e műveletek mindegyikéhez szövés társulvagyA szövéshez festés vagy bevonás társulCsak a következő szálak használata engedélyezett: – – kókuszrost fonal, – – politetrafluoretilén fonal (8), – – fenolgyantával bevont, impregnált vagy beborított, többágú poliamid fonal, – – m-feniléndiaminból és izoftálsavból polikondenzációval előállított aromás poliamid szálból készült szintetikus fonal, – – egyágú politetrafluoretilén fonal (8), – – poli(p-fenilén-tereftalamid) szintetikus textilszálból álló fonal, – – fenolgyanta bevonatú, akrilfonallal paszományozott üvegrost fonal (8) – – poliészterből, valamint tereftálsav, 1,4-ciklohexándietanol és izoftálsav gyantából készült kopoliészter monofil | |
| – Más | Végtelen műszálak sajtolása vagy természetes szálak vagy vágott műszálak fonása, amihez szövés társul (7) vagy A szövéshez festés vagy bevonás társul | ||
| 60. árucsoport | Kötött vagy hurkolt kelmék | Természetes szálak és/vagy vágott műszálak fonása, vagy végtelen műszálak sajtolása; e műveletek mindegyikéhez kötés társul vagy A kötéshez festés, pelyhesítés vagy bevonás társul vagy A pelyhesítéshez festés vagy nyomás társul vagy A természetes szálakból készült fonal festéséhez kötés társul vagy Sodrás vagy szálszerkezet-átalakítás, amihez kötés társul, feltéve, hogy a felhasznált nem sodort/nem átalakított szálszerkezetű fonal értéke nem haladja meg a termék gyártelepi árának 47,5 %-át | |
| 61. árucsoport | Kötött vagy hurkolt ruházati cikkek, kellékek és tartozékok: | ||
| – Két vagy több darab, közvetlenül alakra szabott vagy alakra kötött vagy hurkolt kelme, összevarrásával vagy más módon történő összeállításával elkészítve | a) LDC-kGyártás kötött vagy hurkolt kelméből | b) Egyéb kedvezményezett országok Kötés és konfekcionálás (a szabást is beleértve) (7) (9) | |
| – Más | Természetes szálak és/vagy vágott műszálak fonása, vagy végtelen műszálak sajtolása; e műveletek mindegyikéhez kötés társul (alakra kötött termékek) vagy A természetes szálakból készült fonal festéséhez kötés társul (formára kötött termékek) (7) | ||
| ex 62. árucsoport | Ruházati cikkek, kellékek és tartozékok, a kötött vagy hurkolt áruk kivételével; a következők kivételével: | a) LDC-kElőállítás szövetből | b) Egyéb kedvezményezett országok A szövéshez konfekcionálás társul (a szabást is beleértve)vagyA konfekcionálást megelőző nyomáshoz legalább két előkészítő vagy befejező művelet társul (pl. szennyeződés eltávolítása, fehérítés, mercerezés, hőrögzítés, bolyhozás, mángorlás, zsugorodásmentesítés, tartós kikészítés, avatás, impregnálás, javítás és a csomók eltávolítása), amennyiben a felhasznált nem nyomott szövet értéke nem haladja meg a termék gyártelepi árának 47,5 %-át (7) (9) |
| ex 6202 , ex 6204 , ex 6206 , ex 6209 és ex 6211 | Női, leányka és csecsemőruha, valamint csecsemőruha-tartozékok, hímzéssel | a) LDC-kAz árucsoportra vonatkozó szabály alkalmazandó | b) Egyéb kedvezményezett országok A szövéshez konfekcionálás társul (a szabást is beleértve)vagyElőállítás hímzés nélküli szövetből, feltéve, hogy a felhasznált hímzés nélküli szövet értéke nem haladja meg a termék gyártelepi árának 40 %-át (9) |
| ex 62 12 | Melltartó, csípőszorító, fűző, nadrágtartó, harisnyatartó, zoknitartó és hasonló áru és ezek részei, kötött vagy hurkolt anyagból is | ||
| — Két vagy több formára vágott vagy eleve formára készített, kötött vagy hurkolt anyagdarab összevarrásával vagy más módon történő összeállításával elkészítve | a) LDC-k Gyártás kötött vagy hurkolt kelméből | b) Egyéb kedvezményezett országok Kötés és konfekcionálás (a szabást is beleértve) (7) (9) | |
| — Egyéb | Természetes szálak és/vagy vágott műszálak fonása, vagy végtelen műszálak préselése; e műveletek mindegyikéhez kötés társul (formára kötött termékek) vagy A természetes szálakból készült fonal festéséhez kötés társul (formára kötött termékek) (7) | ||
| ex 6210 és ex 6216 | Tűzálló felszerelés alumíniumozott poliészter fóliával borított szövetből | a) LDC-kAz árucsoportra vonatkozó szabály alkalmazandó | b) Egyéb kedvezményezett országok A szövéshez konfekcionálás társul (a szabást is beleértve)vagyBevonás – feltéve, hogy a felhasznált be nem vont szövet értéke nem haladja meg a termék gyártelepi árának 40 %-át –, amihez konfekcionálás társul (a szabást is beleértve) (9) |
| 6213 és 6214 | Zsebkendő, kendő, sál, nyaksál, mantilla, fátyol és hasonló: | ||
| – Hímzett | A szövéshez konfekcionálás társul (a szabást is beleértve) vagy Előállítás hímzés nélküli szövetből, feltéve, hogy a felhasznált hímzés nélküli szövet értéke nem haladja meg a termék gyártelepi árának 40 %-át (9) vagy A konfekcionálást megelőző nyomáshoz legalább két előkészítő vagy befejező művelet társul (pl. szennyeződés eltávolítása, fehérítés, mercerezés, hőrögzítés, bolyhozás, mángorlás, zsugorodásmentesítés, tartós kikészítés, avatás, impregnálás, javítás és a csomók eltávolítása), amennyiben a felhasznált nem nyomott szövet értéke nem haladja meg a termék gyártelepi árának 47,5 %-át (7) (9) | ||
| – Más | A szövéshez konfekcionálás társul (a szabást is beleértve) vagy A konfekcionálást megelőző nyomáshoz legalább két előkészítő vagy befejező művelet társul (pl. szennyeződés eltávolítása, fehérítés, mercerezés, hőrögzítés, bolyhozás, mángorlás, zsugorodásmentesítés, tartós kikészítés, avatás, impregnálás, javítás és a csomók eltávolítása), amennyiben a felhasznált nem nyomott szövet értéke nem haladja meg a termék gyártelepi árának 47,5 %-át (7) (9) | ||
| 6217 | Más konfekcionált ruházati kellékek és tartozékok; ruhák vagy ruházati kellékek és tartozékok részei, a 6212 vtsz. alá tartozók kivételével: | ||
| – Hímzett | A szövéshez konfekcionálás társul (a szabást is beleértve) vagy Előállítás hímzés nélküli szövetből, feltéve, hogy a felhasznált hímzés nélküli szövet értéke nem haladja meg a termék gyártelepi árának 40 %-át (9) | ||
| – Tűzálló felszerelés alumíniumozott poliészter fóliával borított szövetből | A szövéshez konfekcionálás társul (a szabást is beleértve) vagy Bevonás, feltéve, hogy a felhasznált be nem vont szövet értéke nem haladja meg a termék gyártelepi árának 40 %-á, amihez konfekcionálás társul (a szabást is beleértve) (9) | ||
| – Közbélés gallérhoz és mandzsettához, kiszabva | Előállítás a termékétől eltérő bármely vámtarifaszám alá tartozó anyagokból; az előállítás során az összes felhasznált anyag értéke nem haladja meg a termék gyártelepi árának 40 %-át | ||
| – Más | a) LDC-kAz árucsoportra vonatkozó szabály alkalmazandó | b) Egyéb kedvezményezett országok A szövéshez konfekcionálás társul (a szabást is beleértve) (9) | |
| ex 63. árucsoport | Más készáru textilanyagból; készletek; használt ruha és használt textiláru; rongy; a következők kivételével: | Előállítás a termékétől eltérő bármely vámtarifaszám alá tartozó anyagokból | |
| 6301 –6304 | Takaró, útitakaró, ágynemű stb.; függöny stb.; más lakástextília: | ||
| – Nemezből, nem szőtt textíliából | a) LDC-kBármely, nem szőtt textíliák készítésére irányuló eljárás, a tűlyukasztást is beleértve, amihez konfekcionálás társul (a szabást is beleértve) | b) Egyéb kedvezményezett országok Műszálak sajtolása vagy természetes szálak felhasználása; e műveletek mindegyikéhez tűlyukasztást és konfekcionálást (a szabást is beleértve) is magában foglaló, nem szőtt textíliák készítésére irányuló eljárás társul (7) | |
| – Más: | |||
| – – Hímzett | A szövéshez vagy a kötéshez konfekcionálás társul (a szabást is beleértve) vagy Előállítás hímzés nélküli szövetből, feltéve, hogy a felhasznált hímzés nélküli szövet értéke nem haladja meg a termék gyártelepi árának 40 %-át (9) (10) | ||
| – – Más | A szövéshez vagy a kötéshez konfekcionálás társul (a szabást is beleértve) | ||
| 6305 | Zsák és zacskó áruk csomagolására | a) LDC-k Szövés vagy kötés és konfekcionálás (a szabást is beleértve) (7) | b) Egyéb kedvezményezett országok Műszálak sajtolása vagy természetes szálak és/vagy vágott műszálak fonása, amihez szövés vagy kötés és konfekcionálás (a szabást is beleértve) társul (7) |
| 6306 | Ponyva, vászontető és napellenző; sátor; csónakvitorla, szörfvitorla, vagy szárazföldi járművek vitorlája; kempingcikk: | ||
| – Nem szőtt textíliából | a) LDC-kBármely, nem szőtt textíliák készítésére irányuló eljárás, a tűlyukasztást is beleértve, amihez konfekcionálás társul (a szabást is beleértve) | b) Egyéb kedvezményezett országokA műszálak vagy természetes szálak sajtolásához bármely, nem szőtt textíliák készítésére irányuló eljárás társulhat, a tűlyukasztást is beleértve | |
| – Más | A szövéshez konfekcionálás társul (a szabást is beleértve) (7) (9) vagy Bevonás, feltéve, hogy a felhasznált be nem vont szövet értéke nem haladja meg a termék gyártelepi árának 40 %-át, amihez konfekcionálás társul (a szabást is beleértve) | ||
| 6307 | Más készáru, beleértve a szabásmintát is | Előállítás, amely során az összes felhasznált anyag értéke nem haladja meg a termék gyártelepi árának 40 %-át | |
| 6308 | Szőnyeg, faliszőnyeg, hímzett asztalterítő vagy szalvéta vagy hasonló textiltermékek készítésére szolgáló, szövetből és fonalból álló készlet, tartozékokkal, kellékekkel is, a kiskereskedelmi forgalomban szokásos kiszerelésben | a) LDC-kA készletben lévő termékek mindegyikének meg kell felelnie annak a szabálynak, amely akkor vonatkozna rá, ha nem lenne készletbe foglalva. Nem származó árucikkek azonban részét képezhetik a készletnek, ha összértékük nem haladja meg a készlet gyártelepi árának 25 %-át | b) Egyéb kedvezményezett országokA készletben lévő termékek mindegyikének meg kell felelnie annak a szabálynak, amely akkor vonatkozna rá, ha nem lenne készletbe foglalva. Nem származó árucikkek azonban részét képezhetik a készletnek, ha összértékük nem haladja meg a készlet gyártelepi árának 15 %-át |
| ex 64. árucsoport | Lábbeli, lábszárvédő és hasonló áruk; ezek részei; a következők kivételével: | Előállítás bármely vámtarifaszám alá tartozó anyagokból, a 6406 vámtarifaszám alá tartozó, a talpbéléshez vagy más talprészhez erősített felsőrész-összeállítások kivételével | |
| 6406 | Lábbelirész (beleértve a felsőrészt is, a belső talphoz erősítve is); kiemelhető talpbélés, sarokemelő és hasonló áru; lábszárvédő, bokavédő és hasonló áru és ezek részei | Előállítás a termékétől eltérő bármely vámtarifaszám alá tartozó anyagokból | |
| 65. árucsoport | Kalap és más fejfedők, valamint ezek részei | Előállítás a termékétől eltérő bármely vámtarifaszám alá tartozó anyagokból | |
| 66. árucsoport | Esernyők, napernyők, sétabotok, botszékek, ostorok, lovaglókorbácsok és ezek részei | Előállítás a termékétől eltérő bármely vámtarifaszám alá tartozó anyagokból vagy Előállítás, amely során az összes felhasznált anyag értéke nem haladja meg a termék gyártelepi árának 70 %-át | |
| 67. árucsoport | Kikészített toll és pehely, valamint ezekből készült áruk; művirágok; emberhajból készült áruk | Előállítás a termékétől eltérő bármely vámtarifaszám alá tartozó anyagokból | |
| ex 68. árucsoport | Kőből, gipszből, cementből, azbesztből, csillámból vagy hasonló anyagokból készült áruk, a következők kivételével: | Előállítás a termékétől eltérő bármely vámtarifaszám alá tartozó anyagokból vagy Előállítás, amely során az összes felhasznált anyag értéke nem haladja meg a termék gyártelepi árának 70 %-át | |
| ex 6803 | Palakőből vagy agglomerált palából készült áru | Előállítás megmunkált palakőből | |
| ex 6812 | Azbesztből készült áru; azbeszt alapú vagy azbeszt és magnézium-karbonát alapú keverékekből készült áru | Előállítás bármely vámtarifaszám alá tartozó anyagokból | |
| ex 6814 | Csillámból készült áru, beleértve az agglomerált vagy rekonstruált csillámot is, papír-, karton- vagy más anyag alátéten | Előállítás megmunkált csillámból (az agglomerált vagy rekonstruált csillámot is beleértve) | |
| 69. árucsoport | Kerámiatermékek | a) LDC-k Előállítás a termékétől eltérő bármely vámtarifaszám alá tartozó anyagokbólvagyElőállítás, amely során az összes felhasznált anyag értéke nem haladja meg a termék gyártelepi árának 70 %-át | b) Egyéb kedvezményezett országok Előállítás a termékétől eltérő bármely vámtarifaszám alá tartozó anyagokbólvagyElőállítás, amely során az összes felhasznált anyag értéke nem haladja meg a termék gyártelepi árának 50 %-át |
| ex 70. árucsoport | Üveg és üvegáruk, a következők kivételével: | Előállítás a termékétől eltérő bármely vámtarifaszám alá tartozó anyagokból vagy Előállítás, amely során az összes felhasznált anyag értéke nem haladja meg a termék gyártelepi árának 70 %-át | |
| 7006 | A 7003 , 7004 vagy a 7005 vtsz. alá tartozó üvegek hajlítva, megmunkált széllel, metszve, fúrva, zománcozva vagy másképp megmunkálva, de nem keretben vagy más anyaggal nem összeszerelve: | ||
| – Dielektromos vékony filmmel és a SEMII szabványának megfelelő minőségű félvezetővel bevont üveglap szubsztrátum (11) | Előállítás a 7006 vámtarifaszám alá tartozó nem bevont üveglap szubsztrátumokból | ||
| – Más | Előállítás a 7001 vámtarifaszám alá tartozó anyagokból | ||
| 7010 | Üvegballon (fonatos is), üvegpalack, flaska, konzervüveg, üvegedény, fiola, ampulla és más üvegtartály áru szállítására vagy csomagolására; befőzőüveg; dugasz, fedő és más lezáró üvegből | Előállítás a termékétől eltérő bármely vámtarifaszám alá tartozó anyagokból vagy Üvegáru metszése, feltéve, hogy a felhasznált nem metszett üvegáru összértéke nem haladja meg a termék gyártelepi árának 50 %-át | |
| 7013 | Asztali, konyhai, tisztálkodási, irodai, lakásdíszítési vagy hasonló célra szolgáló üvegáru (a 7010 vagy 7018 vtsz. alá tartozók kivételével) | Előállítás a termékétől eltérő bármely vámtarifaszám alá tartozó anyagokból vagy Üvegáru metszése, feltéve, hogy a felhasznált nem metszett üvegáru összértéke nem haladja meg a termék gyártelepi árának 50 %-át vagy A kézi munkával készült fúvott üveg kézi díszítése (a szitanyomás kivételével), feltéve, hogy a felhasznált kézi készítésű fúvott üveg összértéke nem haladja meg a termék gyártelepi árának 50 %-át | |
| ex 7019 | Üvegrostból készült áru (a fonal kivételével) | Előállítás: — színezetlen pászmából, előfonatból, fonalból vagy vágott szálból, vagy — üveggyapotból | |
| ex 71. árucsoport | Természetes vagy tenyésztett gyöngyök, drágakövek vagy féldrágakövek, nemesfémek, nemesfémmel plattírozott fémek és ezekből készült áruk; ékszerutánzatok; érmék; a következők kivételével: | Előállítás a termékétől eltérő bármely vámtarifaszám alá tartozó anyagokból vagy Előállítás, amely során az összes felhasznált anyag értéke nem haladja meg a termék gyártelepi árának 70 %-át | |
| 7106 , 7108 és 7110 | Nemesfémek: | ||
| – Megmunkálatlan | Előállítás bármely vámtarifaszám alá tartozó anyagokból, kivéve a 7106 , a 7108 és a 7110 vámtarifaszám alá tartozókat vagy A 7106 , a 7108 vagy a 7110 vámtarifaszám alá tartozó nemesfémek elektrolitos, hőkezeléses vagy vegyi szétválasztása vagy A 7106 , a 7108 vagy a 7110 vámtarifaszám alá tartozó nemesfémek összeolvasztása és/vagy ötvözése egymással vagy nem nemesfémmel | ||
| – Félgyártmány vagy por alakban | Előállítás megmunkálatlan nemesfémből | ||
| ex 7107 , ex 7109 és ex 7111 | Nemesfémmel plattírozott nem nemesfém, félgyártmány | Előállítás nemesfémmel plattírozott nem nemesfémből, megmunkálatlanul | |
| 7115 | Más áru nemesfémből vagy nemesfémmel plattírozott fémből | Előállítás a termékétől eltérő bármely vámtarifaszám alá tartozó anyagokból | |
| 7117 | Ékszerutánzat | Előállítás a termékétől eltérő bármely vámtarifaszám alá tartozó anyagokból vagy Előállítás nemesfémmel nem plattírozott vagy bevont nem nemesfém részekből, feltéve, hogy a felhasznált anyagok összértéke nem haladja meg a termék gyártelepi árának 50 %-át | |
| ex 72. árucsoport | Vas és acél; a következők kivételével: | Előállítás a termékétől eltérő bármely vámtarifaszám alá tartozó anyagokból | |
| 7207 | Félkész termék vasból vagy ötvözetlen acélból | Előállítás a 7201 , a 7202 , a 7203 , a 7204 , a 7205 vagy a 7206 vámtarifaszám alá tartozó anyagokból | |
| 7208 –7216 | Síkhengerelt termék, rúd, szögvas, idomvas és szelvény vasból vagy ötvözetlen acélból | Előállítás a 7206 vagy a 7207 vámtarifaszám alá tartozó ingotból vagy más elsődleges formából, illetve félkész anyagból | |
| 7217 | Huzal vasból vagy ötvözetlen acélból | Előállítás a 7207 vámtarifaszám alá tartozó félkész anyagból | |
| 7218 91 és 7218 99 | Félkész termék | Előállítás a 7201 , a 7202 , a 7203 , a 7204 , a 7205 vámtarifaszám vagy a 7218 10 alszám alá tartozó anyagokból | |
| 7219 –7222 | Síkhengerelt termék, rúd, szögvas, idomvas és szelvény rozsdamentes acélból | Előállítás a 7218 vámtarifaszám alá tartozó ingotból vagy más elsődleges formából, illetve félkész anyagból | |
| 7223 | Huzal rozsdamentes acélból | Előállítás a 7218 vámtarifaszám alá tartozó félkész anyagból | |
| 7224 90 | Félkész termék | Előállítás a 7201 , a 7202 , a 7203 , a 7204 , a 7205 vámtarifaszám vagy a 7224 10 alszám alá tartozó anyagokból | |
| 7225 –7228 | Síkhengerelt termék, melegen hengerelt rúd, szabálytalanul felgöngyölt tekercsben; szögvas, idomvas és szelvény más ötvözött acélból; üreges fúrórúdvas és -rúdacél ötvözött vagy ötvözetlen acélból | Előállítás a 7206 , a 7207 , a 7218 vagy a 7224 vámtarifaszám alá tartozó ingotból vagy más elsődleges formából, illetve félkész anyagból | |
| 7229 | Huzal más ötvözött acélból | Előállítás a 7224 vámtarifaszám alá tartozó félkész anyagokból | |
| ex 73. árucsoport | Vas- vagy acéláruk; a következők kivételével: | Előállítás a termékétől eltérő bármely vámtarifaszám alá tartozó anyagokból | |
| ex 7301 | Szádpalló | Előállítás a 7207 vámtarifaszám alá tartozó anyagokból | |
| 7302 | Vasúti vagy villamosvasúti pályaépítő anyag vasból vagy acélból, úgymint: sín, terelősín és fogazott sín, váltósín, sínkeresztezés, váltóállító rúd és más keresztezési darab, sínaljzat (talpfa), csatlakozólemez, sínsaru, befogópofa, alátétlemez, sínkapocs, nyomtávlemez, kengyel, továbbá más, a vasúti sín összeszereléséhez vagy rögzítéséhez szükséges speciális anyag | Előállítás a 7206 vámtarifaszám alá tartozó anyagokból | |
| 7304 , 7305 és 7306 | Cső és üreges profil vasból (az öntöttvas kivételével) vagy acélból | Előállítás a 7206 , a 7207 , a 7208 , a 7209 , a 7210 , a 7211 , a 7212 , a 7218 , a 7219 , a 7220 vagy a 7224 vámtarifaszám alá tartozó anyagokból | |
| ex 7307 | Csőszerelvény rozsdamentes acélból | A kovácsdarabok esztergálása, fúrása, dörzsárazása, menetvágása, lesorjázása és homokfúvása, feltéve, hogy a felhasznált kovácsdarabok összértéke nem haladja meg a termék gyártelepi árának 35 %-át | |
| 7308 | Szerkezet (a 9406 vtsz. alá tartozó előre gyártott épületek kivételével) és részei (pl. híd és hídrész, zsilipkapu, torony, rácsszerkezetű oszlop, tető, tetőszerkezet, ajtó és ablak és ezek kerete, valamint ajtóküszöb, zsaluzat, korlát, pillér és oszlop) vasból vagy acélból; szerkezetben való felhasználásra előkészített lemez, rúd, szögvas, idomvas, szelvény, cső és hasonló termék vasból vagy acélból | Előállítás a termékétől eltérő bármely vámtarifaszám alá tartozó anyagokból. A 7301 vámtarifaszám alá tartozó hegesztett szögvas, idomvas és szelvény azonban nem használható fel | |
| ex 7315 | Hólánc | Előállítás, amely során a 7315 vámtarifaszám alá tartozó felhasznált anyagok összértéke nem haladja meg a termék gyártelepi árának 50 %-át | |
| ex 74. árucsoport | Réz és ebből készült áruk; a következők kivételével: | Előállítás a termékétől eltérő bármely vámtarifaszám alá tartozó anyagokból | |
| 7403 | Finomított réz és rézötvözet, megmunkálatlan | Előállítás bármely vámtarifaszám alá tartozó anyagokból | |
| 75. árucsoport | Nikkel és ebből készült áruk | Előállítás a termékétől eltérő bármely vámtarifaszám alá tartozó anyagokból | |
| ex 76. árucsoport | Alumínium és ebből készült áruk; a következők kivételével: | Előállítás a termékétől eltérő bármely vámtarifaszám alá tartozó anyagokból | |
| 7601 | Megmunkálatlan alumínium | Előállítás bármely vámtarifaszám alá tartozó anyagokból | |
| 7607 | Alumíniumfólia (papír, karton, műanyag vagy hasonló alátéten, nyomtatva is), ha vastagsága (az alátétet nem számítva) legfeljebb 0,2 mm | Előállítás bármely vámtarifaszám alá tartozó anyagokból, a termékével azonos és a 7606 vámtarifaszám alá tartozók kivételével | |
| 77. árucsoport | A Harmonizált Rendszerben történő későbbi felhasználásra fenntartva | ||
| ex 78. árucsoport | Ólom és ebből készült áruk, a következők kivételével: | Előállítás a termékétől eltérő bármely vámtarifaszám alá tartozó anyagokból | |
| 7801 | Megmunkálatlan ólom: | ||
| – Finomított ólom | Előállítás bármely vámtarifaszám alá tartozó anyagokból | ||
| – Más | Előállítás a termékétől eltérő bármely vámtarifaszám alá tartozó anyagokból. A 7802 vámtarifaszám alá tartozó hulladékot vagy törmeléket azonban nem lehet felhasználni | ||
| 79. árucsoport | Cink és ebből készült áruk | Előállítás a termékétől eltérő bármely vámtarifaszám alá tartozó anyagokból | |
| 80. árucsoport | Ón és ebből készült áruk | Előállítás a termékétől eltérő bármely vámtarifaszám alá tartozó anyagokból | |
| 81. árucsoport | Más nem nemesfém; cermet; ezekből készült áruk | Előállítás bármely vámtarifaszám alá tartozó anyagokból | |
| ex 82. árucsoport | Szerszámok, késművesáruk, evőeszközök, kanál és villa nem nemesfémből; mindezek részei nem nemesfémből; a következők kivételével: | Előállítás a termékétől eltérő bármely vámtarifaszám alá tartozó anyagokból vagy Előállítás, amely során az összes felhasznált anyag értéke nem haladja meg a termék gyártelepi árának 70 %-át | |
| 8206 | A 8202 –8205 vtsz.-ok közül két vagy több vtsz. alá tartozó szerszámok a kiskereskedelemben szokásos kiszerelt készletben | Előállítás a 8202 –8205 kivételével bármely vámtarifaszám alá tartozó anyagokból. A 8202 –8205 vámtarifaszám alá tartozó szerszámokat is be lehet azonban foglalni a készletbe, ha az összértékük nem haladja meg a készlet gyártelepi árának 15 %-át | |
| 8211 | Kés sima vagy fogazott pengével (beleértve a kertészkést is), a 8208 vtsz. alá tartozó kés kivételével, és ezek vágópengéi | Előállítás a termékétől eltérő bármely vámtarifaszám alá tartozó anyagokból. Nem nemesfémből készült késpenge és nyél azonban felhasználható | |
| 8214 | Máshol nem említett késművesáru (pl. hajnyíró gép, mészárosbárd vagy konyhai bárd, aprító- és darabolókés, papírvágó kés); manikűr- vagy pedikűrkészlet és felszerelés (körömreszelő is) | Előállítás a termékétől eltérő bármely vámtarifaszám alá tartozó anyagokból. Nem nemesfémből készült nyél azonban felhasználható | |
| 8215 | Kanál, villa, merőkanál, szűrőkanál, tortalapát, halkés, vajkés, cukorfogó és hasonló konyhai vagy asztali eszköz | Gyártás a termékétől eltérő bármely vámtarifaszám alá tartozó anyagokból. Nem nemesfémből készült nyél azonban felhasználható | |
| ex 83. árucsoport | Máshol nem említett különféle áruk nem nemesfémből; a következők kivételével: | Előállítás a termékétől eltérő bármely vámtarifaszám alá tartozó anyagokból vagy Előállítás, amely során az összes felhasznált anyag értéke nem haladja meg a termék gyártelepi árának 70 %-át | |
| ex 8302 | Más vasalás, veret, szerelvény és hasonló áru épülethez, és automatikus ajtócsukó | Előállítás a termékétől eltérő bármely vámtarifaszám alá tartozó anyagokból. A 8302 vámtarifaszám alá tartozó más anyagok azonban felhasználhatók, ha összértékük nem haladja meg a termék gyártelepi árának 20 %-át | |
| ex 8306 | Kis szobor és más dísztárgy nem nemesfémből | Előállítás a termékétől eltérő bármely vámtarifaszám alá tartozó anyagokból. A 8306 vámtarifaszám alá tartozó más anyagok azonban felhasználhatók, ha összértékük nem haladja meg a termék gyártelepi árának 30 %-át | |
| ex 84. árucsoport | Atomreaktorok, kazánok, gépek és mechanikus berendezések; ezek alkatrészei; a következők kivételével: | Előállítás a termékétől eltérő bármely vámtarifaszám alá tartozó anyagokból vagy Előállítás, amely során az összes felhasznált anyag értéke nem haladja meg a termék gyártelepi árának 70 %-át | |
| 8401 | Atomreaktor; nem besugárzott fűtőanyagelem (patron) atomreaktorhoz; izotóp szétválasztására szolgáló gép és berendezés | Előállítás, amely során az összes felhasznált anyag értéke nem haladja meg a termék gyártelepi árának 70 %-át | |
| 8407 | Szikragyújtású, belső égésű, dugattyús vagy forgódugattyús motor | a) LDC-kElőállítás, amely során az összes felhasznált anyag értéke nem haladja meg a termék gyártelepi árának 70 %-át | b) Egyéb kedvezményezett országokElőállítás, amely során az összes felhasznált anyag értéke nem haladja meg a termék gyártelepi árának 50 %-át |
| 8408 | Kompressziós gyújtású, belső égésű, dugattyús motor (dízel vagy féldízel) | a) LDC-kElőállítás, amely során az összes felhasznált anyag értéke nem haladja meg a termék gyártelepi árának 70 %-át | b) Egyéb kedvezményezett országokElőállítás, amely során az összes felhasznált anyag értéke nem haladja meg a termék gyártelepi árának 50 %-át |
| 8427 | Villás emelőtargonca; más üzemi targonca emelő- vagy szállítószerkezettel | Előállítás, amely során az összes felhasznált anyag értéke nem haladja meg a termék gyártelepi árának 70 %-át | |
| 8482 | Golyós vagy görgős gördülőcsapágy | a) LDC-kElőállítás, amely során az összes felhasznált anyag értéke nem haladja meg a termék gyártelepi árának 70 %-át | b) Egyéb kedvezményezett országokElőállítás, amely során az összes felhasznált anyag értéke nem haladja meg a termék gyártelepi árának 50 %-át |
| ex 85. árucsoport | Elektromos gépek és elektromos felszerelések és ezek alkatrészei; hangfelvevő és -lejátszó, televíziós kép- és hangfelvevő és -lejátszó készülékek és ezek alkatrészei és tartozékai; a következők kivételével: | Előállítás a termékétől eltérő bármely vámtarifaszám alá tartozó anyagokból vagy Előállítás, amely során az összes felhasznált anyag értéke nem haladja meg a termék gyártelepi árának 70 %-át | |
| 8501 , 8502 | Elektromotor és elektromos generátor; Elektromos áramfejlesztő egység (aggregát) és forgó áramátalakító | a) LDC-k Előállítás bármely vámtarifaszám alá tartozó anyagokból, a termékével azonos és a 8503 vámtarifaszám alá tartozók kivételévelvagyElőállítás, amely során az összes felhasznált anyag értéke nem haladja meg a termék gyártelepi árának 70 %-át | b) Egyéb kedvezményezett országok Előállítás bármely vámtarifaszám alá tartozó anyagokból, a termékével azonos és a 8503 vámtarifaszám alá tartozók kivételévelvagyElőállítás, amely során az összes felhasznált anyag értéke nem haladja meg a termék gyártelepi árának 50 %-át |
| 8513 | Hordozható elektromos lámpa saját (pl. szárazelemes, akkumulátoros, elektromágneses) energiaforrással, a 8512 vtsz. alá tartozó világítókészülék kivételével | a) LDC-k Előállítás a termékétől eltérő bármely vámtarifaszám alá tartozó anyagokbólvagyElőállítás, amely során az összes felhasznált anyag értéke nem haladja meg a termék gyártelepi árának 70 %-át | b) Egyéb kedvezményezett országok Előállítás a termékétől eltérő bármely vámtarifaszám alá tartozó anyagokból.vagyElőállítás, amely során az összes felhasznált anyag értéke nem haladja meg a termék gyártelepi árának 50 %-át |
| 8519 | Hangfelvevő vagy hanglejátszó készülék | a) LDC-k Előállítás bármely vámtarifaszám alá tartozó anyagokból, a termékével azonos és a 8522 vámtarifaszám alá tartozók kivételévelvagyElőállítás, amely során az összes felhasznált anyag értéke nem haladja meg a termék gyártelepi árának 70 %-át | b) Egyéb kedvezményezett országok Előállítás bármely vámtarifaszám alá tartozó anyagokból, a termékével azonos és a 8522 vámtarifaszám alá tartozók kivételévelvagyElőállítás, amely során az összes felhasznált anyag értéke nem haladja meg a termék gyártelepi árának 50 %-át |
| 8521 | Videofelvevő vagy -lejátszó készülék, videotunerrel egybeépítve is | a) LDC-k Előállítás bármely vámtarifaszám alá tartozó anyagokból, a termékével azonos és a 8522 vámtarifaszám alá tartozók kivételévelvagyElőállítás, amely során az összes felhasznált anyag értéke nem haladja meg a termék gyártelepi árának 70 %-át | b) Egyéb kedvezményezett országok Előállítás bármely vámtarifaszám alá tartozó anyagokból, a termékével azonos és a 8522 vámtarifaszám alá tartozók kivételévelvagyElőállítás, amely során az összes felhasznált anyag értéke nem haladja meg a termék gyártelepi árának 50 %-át |
| 8523 | Lemezek, szalagok, szilárd, állandó nem felejtő tároló eszközök, „intelligens kártyák” és más adathordozók hang vagy más jel rögzítésére, rögzített is, beleértve a matricát és a mesterlemezt lemezek gyártásához, a 37. árucsoportba tartozó termékek kivételével | a) LDC-kElőállítás, amely során az összes felhasznált anyag értéke nem haladja meg a termék gyártelepi árának 70 %-át | b) Egyéb kedvezményezett országokElőállítás, amely során az összes felhasznált anyag értéke nem haladja meg a termék gyártelepi árának 50 %-át |
| 8525 | Rádió- vagy televízióműsor-adókészülék, -vevőkészülékkel vagy hangfelvevő vagy -lejátszó készülékkel egybeépítve is; televíziós kamerák (felvevők), digitális fényképezőgépek és videokamera-felvevők | a) LDC-k Előállítás bármely vámtarifaszám alá tartozó anyagokból, a termékével azonos és a 8529 vámtarifaszám alá tartozók kivételévelvagyElőállítás, amely során az összes felhasznált anyag értéke nem haladja meg a termék gyártelepi árának 70 %-át | b) Egyéb kedvezményezett országok Előállítás bármely vámtarifaszám alá tartozó anyagokból, a termékével azonos és a 8529 vámtarifaszám alá tartozók kivételévelvagyElőállítás, amely során az összes felhasznált anyag értéke nem haladja meg a termék gyártelepi árának 50 %-át |
| 8526 | Radarkészülék, rádiónavigációs segédkészülék és rádiós távirányító készülék | a) LDC-k Előállítás bármely vámtarifaszám alá tartozó anyagokból, a termékével azonos és a 8529 vámtarifaszám alá tartozók kivételévelvagyElőállítás, amely során az összes felhasznált anyag értéke nem haladja meg a termék gyártelepi árának 70 %-át | b) Egyéb kedvezményezett országok Előállítás bármely vámtarifaszám alá tartozó anyagokból, a termékével azonos és a 8529 vámtarifaszám alá tartozók kivételévelvagyElőállítás, amely során az összes felhasznált anyag értéke nem haladja meg a termék gyártelepi árának 50 %-át |
| 8527 | Rádióműsor-vevőkészülék, hangfelvevő vagy -lejátszó készülékkel vagy órával kombinálva is, közös házban | a) LDC-k Előállítás bármely vámtarifaszám alá tartozó anyagokból, a termékével azonos és a 8529 vámtarifaszám alá tartozók kivételévelvagyElőállítás, amely során az összes felhasznált anyag értéke nem haladja meg a termék gyártelepi árának 70 %-át | b) Egyéb kedvezményezett országok Előállítás bármely vámtarifaszám alá tartozó anyagokból, a termékével azonos és a 8529 vámtarifaszám alá tartozók kivételévelvagyElőállítás, amely során az összes felhasznált anyag értéke nem haladja meg a termék gyártelepi árának 50 %-át |
| 8528 | Monitorok és kivetítők, beépített televízióvevő-készülék nélkül; televíziós adás vételére alkalmas készülék, rádióműsor-vevőkészüléket vagy hang- vagy képfelvevő vagy -lejátszó készüléket magában foglaló is | a) LDC-k Előállítás bármely vámtarifaszám alá tartozó anyagokból, a termékével azonos és a 8529 vámtarifaszám alá tartozók kivételévelvagyElőállítás, amely során az összes felhasznált anyag értéke nem haladja meg a termék gyártelepi árának 70 %-át | b) Egyéb kedvezményezett országok Előállítás bármely vámtarifaszám alá tartozó anyagokból, a termékével azonos és a 8529 vámtarifaszám alá tartozók kivételévelvagyElőállítás, amely során az összes felhasznált anyag értéke nem haladja meg a termék gyártelepi árának 50 %-át |
| 8535 –8537 | Elektromos áramkör összekapcsolására vagy védelmére vagy elektromos áramkörbe vagy azon belüli összekapcsolásra szolgáló elektromos készülék; optikai szálakhoz, optikai szálból álló nyalábokhoz vagy kábelekhez való csatlakozók; kapcsolótábla, -panel, -tartó (konzol), -asztal, -doboz és egyéb foglalat, amely elektromos vezérlésre vagy az elektromosság elosztására szolgál | a) LDC-k Előállítás bármely vámtarifaszám alá tartozó anyagokból, a termékével azonos és a 8538 vámtarifaszám alá tartozók kivételévelvagyElőállítás, amely során az összes felhasznált anyag értéke nem haladja meg a termék gyártelepi árának 70 %-át | b) Egyéb kedvezményezett országok Előállítás bármely vámtarifaszám alá tartozó anyagokból, a termékével azonos és a 8538 vámtarifaszám alá tartozók kivételévelvagyElőállítás, amely során az összes felhasznált anyag értéke nem haladja meg a termék gyártelepi árának 50 %-át |
| 8540 11 és 8540 12 | Katódsugaras televízió-képcső, beleértve a katódsugaras videomonitor-csövet is | a) LDC-kElőállítás, amely során az összes felhasznált anyag értéke nem haladja meg a termék gyártelepi árának 70 %-át | b) Egyéb kedvezményezett országokElőállítás, amely során az összes felhasznált anyag értéke nem haladja meg a termék gyártelepi árának 50 %-át |
| ex 8542 31 , ex 8542 32 , ex 8542 33 és ex 8542 39 | Monolitikus integrált áramkörök | Előállítás, amely során az összes felhasznált anyag értéke nem haladja meg a termék gyártelepi árának 50 %-át vagy A diffúziós művelet során az integrált áramkört félvezető szubsztrátumon, megfelelő adalékanyag szelektív hozzáadásával alakítják ki, függetlenül attól, hogy összeszerelést és/vagy tesztelést valamely, e rendelet által nem érintett országban végezték-e | |
| 8544 | Szigetelt elektromos huzal (zománcozott vagy anódosan oxidált is), kábel (a koaxiális kábel is) és egyéb szigetelt elektromos vezeték, csatlakozóval vagy anélkül; önállóan beburkolt optikai szálakból álló kábel, elektromos vezetékkel összeállítva vagy csatlakozóval felszerelve is | a) LDC-kElőállítás, amely során az összes felhasznált anyag értéke nem haladja meg a termék gyártelepi árának 70 %-át | b) Egyéb kedvezményezett országokElőállítás, amely során az összes felhasznált anyag értéke nem haladja meg a termék gyártelepi árának 50 %-át |
| 8545 | Szénelektróda, szénkefe, ívlámpaszén, galvánelemhez való szén és más elektromos célra szolgáló, grafitból vagy más szénből készült cikk, fémmel vagy anélkül | Előállítás, amely során az összes felhasznált anyag értéke nem haladja meg a termék gyártelepi árának 70 %-át | |
| 8546 | Bármilyen anyagból készült elektromos szigetelő | a) LDC-kElőállítás, amely során az összes felhasznált anyag értéke nem haladja meg a termék gyártelepi árának 70 %-át | b) Egyéb kedvezményezett országokElőállítás, amely során az összes felhasznált anyag értéke nem haladja meg a termék gyártelepi árának 50 %-át |
| 8547 | Szigetelőszerelvény elektromos géphez, készülékhez vagy berendezéshez, kizárólag szigetelőanyagból, eltekintve bármilyen apróbb fémrésztől (pl. belső menetes foglalat), amelyeket az öntésnél csak a szerelhetőség érdekében helyeztek az anyagba, a 8546 vtsz. alá tartozó szigetelő kivételével; szigetelőanyaggal bélelt, nem nemesfémből készült elektromos szigetelőcső és annak csatlakozó darabjai | a) LDC-kElőállítás, amely során az összes felhasznált anyag értéke nem haladja meg a termék gyártelepi árának 70 %-át | b) Egyéb kedvezményezett országokElőállítás, amely során az összes felhasznált anyag értéke nem haladja meg a termék gyártelepi árának 50 %-át |
| 8548 | Primer cella, primer elem és elektromos akkumulátor selejtje és hulladéka; kimerült primer cella, kimerült primer elem és kimerült elektromos akkumulátor; gépnek vagy készüléknek ebben az árucsoportban másutt nem említett elektromos alkatrésze | a) LDC-kElőállítás, amely során az összes felhasznált anyag értéke nem haladja meg a termék gyártelepi árának 70 %-át | b) Egyéb kedvezményezett országokElőállítás, amely során az összes felhasznált anyag értéke nem haladja meg a termék gyártelepi árának 50 %-át |
| 86. árucsoport | Vasúti mozdonyok vagy villamos-motorkocsik, sínhez kötött járművek és alkatrészeik; vasúti vagy villamosvágány-tartozékok, és -felszerelések és alkatrészeik; mindenféle mechanikus (beleértve az elektromechanikusat is) közlekedési jelzőberendezés | Előállítás, amely során az összes felhasznált anyag értéke nem haladja meg a termék gyártelepi árának 70 %-át | |
| ex 87. árucsoport | Járművek és ezek alkatrészei és tartozékai, a vasúti vagy villamosvasúti sínhez kötött járművek kivételével; a következőket kivéve: | a) LDC-kElőállítás, amely során az összes felhasznált anyag értéke nem haladja meg a termék gyártelepi árának 70 %-át | b) Egyéb kedvezményezett országokElőállítás, amely során az összes felhasznált anyag értéke nem haladja meg a termék gyártelepi árának 50 %-át |
| 8711 | Motorkerékpár (beleértve a segédmotoros kerékpárt is), és kerékpár kisegítő motorral felszerelve, oldalkocsival is; oldalkocsi | a) LDC-k Előállítás a termékétől eltérő bármely vámtarifaszám alá tartozó anyagokbólvagyElőállítás, amely során az összes felhasznált anyag értéke nem haladja meg a termék gyártelepi árának 70 %-át | b) Egyéb kedvezményezett országok Előállítás a termékétől eltérő bármely vámtarifaszám alá tartozó anyagokbólvagyElőállítás, amely során az összes felhasznált anyag értéke nem haladja meg a termék gyártelepi árának 50 %-át |
| ex 88. árucsoport | Légi járművek, űrhajók és ezek részei, a következők kivételével: | Előállítás a termékétől eltérő bármely vámtarifaszám alá tartozó anyagokból vagy Előállítás, amely során az összes felhasznált anyag értéke nem haladja meg a termék gyártelepi árának 70 %-át | |
| ex 8804 | Forgó (rotáló) ejtőernyő | Előállítás bármely vámtarifaszám alá tartozó anyagokból, a 8804 vámtarifaszám alá tartozó egyéb anyagokat is beleértve vagy Előállítás, amely során az összes felhasznált anyag értéke nem haladja meg a termék gyártelepi árának 70 %-át | |
| 89. árucsoport | Hajók, csónakok és más úszószerkezetek | Előállítás a termékétől eltérő bármely vámtarifaszám alá tartozó anyagokból vagy Előállítás, amely során az összes felhasznált anyag értéke nem haladja meg a termék gyártelepi árának 70 %-át | |
| ex 90. árucsoport | Optikai, fényképészeti, mozgófényképészeti, mérő-, ellenőrző-, precíziós, orvosi vagy sebészeti műszerek és készülékek; mindezek alkatrészei és tartozékai, a következők kivételével: | Előállítás a termékétől eltérő bármely vámtarifaszám alá tartozó anyagokból vagy Előállítás, amely során az összes felhasznált anyag értéke nem haladja meg a termék gyártelepi árának 70 %-át | |
| 9002 | Lencse, prizma, tükör és más optikai elem bármilyen anyagból, szerelve, amely a műszer vagy készülék alkatrésze vagy szerelvénye, az optikailag nem megmunkált üvegből készült elem kivételével | a) LDC-kElőállítás, amely során az összes felhasznált anyag értéke nem haladja meg a termék gyártelepi árának 70 %-át | b) Egyéb kedvezményezett országokElőállítás, amely során az összes felhasznált anyag értéke nem haladja meg a termék gyártelepi árának 50 %-át |
| 9033 | A 90. árucsoportba tartozó gép, készülék, műszer vagy berendezés (ebben az árucsoportban másutt nem említett) alkatrésze és tartozéka | a) LDC-kElőállítás, amely során az összes felhasznált anyag értéke nem haladja meg a termék gyártelepi árának 70 %-át | b) Egyéb kedvezményezett országokElőállítás, amely során az összes felhasznált anyag értéke nem haladja meg a termék gyártelepi árának 50 %-át |
| 91. árucsoport | Órák és kisórák és ezek alkatrészei | Előállítás, amely során a felhasznált anyagok összértéke nem haladja meg a termék gyártelepi árának 70 %-át | |
| 92. árucsoport | Hangszerek; mindezek alkatrésze és tartozéka | Előállítás, amely során az összes felhasznált anyag értéke nem haladja meg a termék gyártelepi árának 70 %-át | |
| 93. árucsoport | Fegyverek és lőszerek; ezek alkatrészei és tartozékai | Előállítás, amely során az összes felhasznált anyag értéke nem haladja meg a termék gyártelepi árának 50 %-át | |
| 94. árucsoport | Bútor; ágyfelszerelés, matracok, ágybetétek, párnák és hasonló párnázott lakberendezési cikkek; másutt nem említett lámpák és világítófelszerelések; megvilágított jelzések, reklámfeliratok, névtáblák és hasonlók; előre gyártott épületek | Előállítás a termékétől eltérő bármely vámtarifaszám alá tartozó anyagokból vagy Előállítás, amely során az összes felhasznált anyag értéke nem haladja meg a termék gyártelepi árának 70 %-át | |
| ex 95. árucsoport | Játékok, játékszerek és sporteszközök; mindezek alkatrésze és tartozéka, a következők kivételével: | Előállítás a termékétől eltérő bármely vámtarifaszám alá tartozó anyagokból vagy Előállítás, amely során az összes felhasznált anyag értéke nem haladja meg a termék gyártelepi árának 70 %-át | |
| ex 9506 | Golfütő és alkatrészei | Előállítás a termékétől eltérő bármely vámtarifaszám alá tartozó anyagokból. A golfütőfejek készítéséhez azonban durván megmunkált tömbök felhasználhatók | |
| ex 96. árucsoport | Különböző áruk, a következők kivételével: | Előállítás a termékétől eltérő bármely vámtarifaszám alá tartozó anyagokból vagy Előállítás, amely során az összes felhasznált anyag értéke nem haladja meg a termék gyártelepi árának 70 %-át | |
| 9601 és 9602 | Megmunkált elefántcsont, csont, teknősbékahéj, szarv, agancs, korall, gyöngyház és faragásra alkalmas más állati eredetű anyag és ezekből készült áru (beleértve az öntéssel formázott árut is). Megmunkált növényi vagy ásványi eredetű, faragásra alkalmas anyag és ezekből készült áru; öntött vagy faragott tárgy viaszból, sztearinból, természetes mézgából vagy természetes gyantából vagy mintázó pasztából, és másutt nem említett formázott vagy faragott tárgy; nem kemény, megmunkált zselatin (a 3503 vtsz. alá tartozó zselatin kivételével) és ebből készült áru | Előállítás bármely vámtarifaszám alá tartozó anyagokból | |
| 9603 | Seprű, kefe és ecset (gép, készülék vagy jármű alkatrészét képező kefe is), kézi működtetésű, mechanikus padlóseprő motor nélkül, nyeles felmosó-, mosogatóruha és tollseprű; kefe, seprű vagy ecset előállításához előkészített csomó és nyaláb; szobafestő párna és henger; gumibetétes törlő (a gumihengeres kivételével) | Előállítás, amely során az összes felhasznált anyag értéke nem haladja meg a termék gyártelepi árának 70 %-át | |
| 9605 | Utazási készlet testápoláshoz, varráshoz vagy cipő- vagy ruhatisztításhoz | A készletben lévő termékek mindegyikének meg kell felelnie annak a szabálynak, amely akkor vonatkozna rá, ha nem lenne készletbe foglalva. Nem származó árucikkek azonban részét képezhetik a készletnek, ha összértékük nem haladja meg a készlet gyártelepi árának 15 %-át | |
| 9606 | Gomb, franciakapocs, patentkapocs és patent, gombtest és ezek más részei; nyers gomb | Előállítás: — a termékétől eltérő bármely vámtarifaszám alá tartozó anyagokból, — amely során az összes felhasznált anyag értéke nem haladja meg a termék gyártelepi árának 70 %-át | |
| 9608 | Golyóstoll; filc- és más, szivacsvégű toll és jelző; töltőtoll, rajzolótoll és egyéb toll; másoló töltőtoll (átírótoll); töltőceruza vagy csúszóbetétes ceruza; tollszár, ceruzahosszabbító és hasonló; mindezek részei (beleértve a kupakot és a klipszet is), a 9609 vtsz. alá tartozó áru kivételével | Előállítás a termékétől eltérő bármely vámtarifaszám alá tartozó anyagokból. A termékével azonos vámtarifaszám alá tartozó tollhegy vagy tollhegycsúcs azonban felhasználható | |
| 9612 | Írógép- vagy hasonló szalag, tintával vagy más anyaggal – lenyomat készítésére – átitatva, orsón vagy kazettában is; bélyegzőpárna, dobozzal is, átitatva vagy sem | Előállítás: — a termékétől eltérő bármely vámtarifaszám alá tartozó anyagokból, — amely során az összes felhasznált anyag értéke nem haladja meg a termék gyártelepi árának 70 %-át | |
| 9613 20 | Zseböngyújtó, gáztöltésű, újratölthető | Előállítás, amelynek során a 9613 vámtarifaszám alá tartozó felhasznált anyagok összértéke nem haladja meg a termék gyártelepi árának 30 %-át | |
| 9614 | Pipa (pipafej is), és szivar- és cigarettaszipka és ezek részei | Előállítás bármely vámtarifaszám alá tartozó anyagokból | |
| 97. árucsoport | Művészeti tárgyak, gyűjteménydarabok és régiségek | Előállítás a termékétől eltérő bármely vámtarifaszám alá tartozó anyagokból | |
| (1) Lásd a 4.2. bevezető megjegyzést. (2) A „meghatározott eljárások” különleges feltételeit lásd a 8.1. és a 8.3. bevezető megjegyzésben. (3) A „meghatározott eljárások” különleges feltételeit lásd a 8.2. bevezető megjegyzésben. (4) „Csoportnak” minősül a vámtarifaszám bármely, a többi résztől pontosvesszővel elválasztott része. (5) Az egyfelől a 3901 –3906 vámtarifaszám alá, másfelől a 3907 –3911 vámtarifaszám alá besorolt anyagokból álló termékek esetében ez a korlátozás csak arra az anyagcsoportra érvényes, amely tömegét tekintve a termék legfontosabb alkotóeleme. (6) A következő fóliák minősülnek különösen átlátszónak: olyan fóliák, amelyek optikai tompítása a Gardner Hazemeter ASTM-D 1003-16 (azaz Hazefactor) módszerrel mérve kevesebb, mint 2 %. (7) A textilanyagok keverékéből készült termékekre vonatkozó különleges feltételeket lásd a 6. bevezető megjegyzésben. (8) Ennek az anyagnak a felhasználása a papírgyártó gépekhez használatos szövet előállítására korlátozódik. (9) Lásd a 7. bevezető megjegyzést. (10) A kötött vagy hurkolt kelméből (formára kiszabott vagy közvetlenül alakra kötött kelméből) a darabok összevarrásával vagy összeállításával készített nem rugalmas vagy nem gumizott kötött vagy hurkolt árucikkekre vonatkozóan lásd a 7. magyarázó megjegyzést. (11) SEMII – Semiconductor Equipment and Materials Institute Incorporated. | |||
13b. MELLÉKLET
(Lásd a 86. cikk (3) bekezdését)
A regionális kumulációból kizárt anyagok (1) (2)
| I. csoport: Brunei, Fülöp-szigetek, Indonézia, Kambodzsa, Laosz, Malajzia, Mianmar/Burma, Thaiföld, Vietnam | III. csoport: Banglades, Bhután, India, Maldív-szigetek, Nepál, Pakisztán, Srí Lanka | IV. csoport (3): Argentína, Brazília, Paraguay, Uruguay | ||
| Harmonizált Rendszer vagy a Kombinált Nómenklatúra szerinti kód | Az anyag megnevezése | |||
| 0207 | A 0105 vtsz. alá tartozó baromfi élelmezési célra alkalmas húsa, vágási mellékterméke és belsősége frissen, hűtve vagy fagyasztva | X | ||
| ex 02 10 | Baromfi élelmezési célra alkalmas húsa, vágási mellékterméke és belsősége sózva, sós lében tartósítva, szárítva vagy füstölve | X | ||
| 03. árucsoport | Halak és rákfélék, puhatestű és más gerinctelen víziállatok | X | ||
| ex 04 07 | Baromfitojás héjában, nem keltetésre | X | ||
| ex 04 08 | Tojás héj nélkül és tojássárgája, az emberi fogyasztásra alkalmatlan kivételével | X | ||
| 0709 51 ex 0710 80 0711 51 0712 31 | Ehető gomba frissen vagy hűtve, fagyasztva, ideiglenesen tartósítva, szárítva | X | X | X |
| 0714 20 | Édesburgonya | X | ||
| 0811 10 0811 20 | Földieper, málna, földi szeder, faeper és kaliforniai málna, fekete, fehér vagy piros ribiszke és egres | X | ||
| 1006 | Rizs | X | X | |
| ex 1102 90 ex 1103 19 ex 1103 20 ex 1104 19 ex 1108 19 | Liszt, durva őrlemény, dara, labdacs (pellet), lapított vagy pelyhesített gabona, keményítő rizsből | X | X | |
| 1108 20 | Inulin | X | ||
| 1604 és 1605 | Elkészített vagy konzervált hal; kaviár és halikrából készített kaviárpótló; elkészített vagy konzervált rákféle, puhatestű és más gerinctelen víziállat | X | ||
| 1701 és 1702 | Nád- vagy répacukor és vegytiszta szacharóz, más cukor, műméz és égetett cukor | X | X | |
| ex 1704 90 | Cukorkaáru kakaótartalom nélkül, a rágógumi kivételével | X | X | |
| ex 1806 10 | Kakaópor legalább 65 tömegszázalék szacharóz-/izoglükóztartalommal | X | X | |
| 1806 20 | Más készítmény legalább 2 kg tömegű tömb, tábla vagy rúd formában, vagy folyadék, massza, por, szemcse vagy más ömlesztett alakban, tartályban vagy más közvetlen csomagolásban, 2 kg-nál nagyobb tömegben | X | X | |
| ex 1901 90 | Más élelmiszer-készítmény 40 tömegszázaléknál kisebb kakaótartalommal, a malátakivonat kivételével, kevesebb mint 1,5 % tejzsír-, 5 % szacharóz- vagy izoglükóz-, 5 % szőlőcukor- vagy keményítőtartalommal | X | X | |
| ex 1902 20 | Töltött tészta főzve vagy másképp elkészítve is, 20 tömegszázalékot meghaladó hal-, rákféle-, puhatestű- vagy más gerinctelen víziállat-tartalommal vagy 20 tömegszázalékot meghaladó kolbász- és más hasonló, bármely fajta hús- vagy belsőségtartalommal, beleértve a bármely fajta vagy eredetű zsírt is | X | ||
| 2003 10 | Ehető gomba ecet vagy ecetsav nélkül elkészítve vagy tartósítva | X | X | X |
| ex 2007 10 | Homogenizált dzsem, gyümölcskocsonya (zselé), gyümölcsíz, püré és krém gyümölcsből vagy diófélékből, 13 tömegszázaléknál nagyobb cukortartalommal | X | ||
| 2007 99 | Nem homogenizált dzsem, gyümölcskocsonya (zselé), gyümölcsíz, püré és krém gyümölcsből vagy diófélékből, nem citrusféléből | X | ||
| 2008 20 2008 30 2008 40 2008 50 2008 60 2008 70 2008 80 2008 92 2008 99 | Más módon elkészített vagy tartósított gyümölcs, dióféle és más ehető növényrész | X | ||
| 2009 | Gyümölcslé (beleértve a szőlőmustot is) és zöldséglé, nem erjesztve és hozzáadott alkoholtartalom nélkül, cukor vagy más édesítőanyag hozzáadásával is | X | ||
| ex 2101 12 | Kávén alapuló készítmények | X | X | |
| ex 2101 20 | Teán vagy matéteán alapuló készítmények | X | X | |
| ex 2106 90 | Másutt nem említett élelmiszer-készítmény a fehérjekoncentrátum és a texturált fehérje kivételével: ízesített vagy színezett cukorszirup, az izoglükóz-, a szőlőcukor- és a maltodextrinszirup kivételével; készítmény több mint 1,5 % tejzsír-, 5 % szacharóz- vagy izoglükóz-, 5 % szőlőcukor- vagy keményítőtartalommal | X | X | |
| 2204 30 | Szőlőmust, az erjedésében gátolt és az alkohol hozzáadásával lefojtott kivételével | X | ||
| 2205 | Vermut és friss szőlőből készült más bor növényekkel vagy aromatikus anyagokkal ízesítve | X | ||
| 2206 | Más erjesztett ital; erjesztett italok keverékei és erjesztett italok és alkoholmentes italok máshol nem említett keverékei | X | ||
| 2207 | Nem denaturált etil-alkohol legalább 80 térfogatszázalék alkoholtartalommal | X | X | |
| ex 2208 90 | Nem denaturált etil-alkohol kevesebb mint 80 térfogatszázalék alkoholtartalommal, a rizspálinka, a szilva-, a körte-, a cseresznye- és a meggypárlat, valamint a más szesz, likőr és szeszes ital kivételével | X | X | |
| ex 3302 10 | Italgyártáshoz használt, az egy italfajtára jellemző összes ízesítő anyagot tartalmazó illatanyag-keverékek több mint 1,5 % tejzsír-, 5 % szacharóz- vagy izoglükóz-, 5 % szőlőcukor- vagy keményítőtartalommal | X | X | |
| 3302 10 29 | Italgyártáshoz használt, az egy italfajtára jellemző összes ízesítő anyagot tartalmazó készítmények, a 0,5 térfogatszázalékot meghaladó tényleges alkoholtartalommal rendelkezők kivételével, több mint 1,5 tömegszázalék tejzsír-, 5 tömegszázalék szacharóz- vagy izoglükóz-, 5 tömegszázalék szőlőcukor- vagy keményítőtartalommal | X | X | X |
| (1) Az „X” jellel jelölt anyagok. (2) Ezen anyagok esetében minden egyes regionális csoporton belül lehetőség van a kumulációra a legkevésbé fejlett országok között (az I. csoport esetében Kambodzsa és Laosz, a III. csoport esetében Banglades, Bhután, a Maldív-szigetek és Nepál között). Hasonlóképpen ezen anyagok esetében lehetőség van a kumulációra akkor is, ha egy regionális csoport legkevésbé fejlett országnak nem minősülő országa ugyanezen regionális csoport bármely más országából származó anyagot használ fel. (3) Ezeknek az anyagoknak a kumulációja nem lehetséges Paraguayban, ha Argentínából, Brazíliából vagy Uruguayból származnak. A 16–24. árucsoportba tartozó anyagok kumulációja továbbá nem lehetséges Argentínában, Paraguayban és Uruguayban, ha Brazíliából származnak. | ||||
13c. MELLÉKLET
(lásd a 92. cikket)



13d. MELLÉKLET
(Lásd a 95. cikk (3) bekezdését)
SZÁRMAZÁSMEGJELÖLŐ NYILATKOZAT
Az alábbi nyilatkozat bármely olyan kereskedelmi okmányra rávezethető, amely tartalmazza az exportőr és a címzett nevét és teljes címét, a termékek megnevezését és a kiállítás dátumát ( 126 ).
Francia változat
L'exportateur ... (Numéro d'exportateur enregistré ( 127 ) ( 128 ) ( 129 )) des produits couverts par le présent document déclare que, sauf indication claire du contraire, ces produits ont l'origine préférentielle ... ( 130 ) au sens des règles d'origine du Système des préférences tarifaires généralisées de l'Union européenne et que le critère d'origine satisfait est ... ... ( 131 ).
Angol változat
The exporter ... (Number of Registered Exporter (131) (131) (131) ) of the products covered by this document declares that, except where otherwise clearly indicated, these products are of ... preferential origin (131) according to rules of origin of the Generalised System of Preferences of the European Union and that the origin criterion met is ... ... (131) .
Spanyol változat
El exportador ... [Número de exportador registrado (131) (131) (131) ) de los productos incluidos en el presente documento declara que, salvo indicación en sentido contrario, estos productos gozan de un origen preferencial ... (131) en el sentido de las normas de origen del Sistema de preferencias generalizado de la Unión europea y que el criterio de origen satisfecho es ... ... (131) .
14. MELLÉKLET
BEVEZETŐ MEGJEGYZÉSEK A 15. MELLÉKLETBEN FOGLALT LISTÁHOZ
1. megjegyzés
A lista meghatározza azokat a szükséges feltételeket, amelyek alapján a termékek a 100. cikk értelmében kielégítően megmunkáltnak vagy feldolgozottnak tekinthetők.
2. megjegyzés
2.1. A lista első két oszlopa a létrejött terméket írja le. Az első oszlop tartalmazza a Harmonizált Rendszerben használt vámtarifaszámot vagy árucsoportszámot, a második oszlop pedig megadja az ebben a rendszerben az adott vámtarifaszámhoz vagy árucsoporthoz tartozó árumegnevezést. Az első két oszlopban szereplő minden egyes tételre egy - a 3. vagy a 4. oszlopban megállapított - szabály vonatkozik. Ahol néhány esetben az első oszlop tételét az ex szó előzi meg, ez azt jelenti, hogy a 3. vagy 4. oszlopban szereplő szabály csak a vámtarifaszámnak a 2. oszlopban megnevezett részére vonatkozik.
2.2. Ahol az 1. oszlopban vámtarifaszámok csoportja vagy egy árucsoport száma szerepel, és ezért a 2. oszlop a termékeket általános kifejezésekkel nevezi meg, a 3. vagy 4. oszlop azonos sorában szereplő szabály mindazokra a termékekre vonatkozik, amelyek a Harmonizált Rendszer szerint az adott árucsoport vámtarifaszámai vagy az 1. oszlopban összevont vámtarifaszámok valamelyike alá tartoznak.
2.3. Ha a listában egy vámtarifaszámon belüli különböző termékekre különböző szabályok vonatkoznak, az egyes francia bekezdések a vámtarifaszám azon részének leírását tartalmazzák, amelyre a 3. vagy a 4. oszlop azonos sorában szereplő szabály vonatkozik.
2.4. Ahol az első két oszlopban szereplő tételre mind a 3., mind a 4. oszlop meghatároz egy szabályt, az exportőr választhat, hogy a 3. vagy a 4. oszlopban ismertetett szabályt alkalmazza. Ha a 4. oszlopban nem szerepel származási szabály, a 3. oszlopban ismertetett szabályt kell alkalmazni.
3. megjegyzés
3.1. A 100. cikknek a származó helyzetű, más termékek előállításához felhasznált termékekre vonatkozó rendelkezéseit attól függetlenül alkalmazni kell, hogy a származó helyzetet abban a gyárban nyerték-e el, ahol e termékeket felhasználják, vagy a kedvezményezett ország vagy köztársaság, illetve a Közösség egy másik gyárában.
Példa:
Egy, a 8407 vámtarifaszám alá tartozó motort - amelyre a szabály kimondja, hogy a beépíthető nem származó anyagok értéke nem haladhatja meg a gyártelepi ár 40 %-át - az ex 72 24 vámtarifaszám alá tartozó "kovácsolással durván alakított más acélötvözet"-ből készítettek.
Ha ezt a kovácsolást a kedvezményezett országban vagy köztársaságban végezték el nem származó öntvényből, akkor a kovácsolt termék már megszerezte a származó helyzetet a listának az ex 72 24 vámtarifaszámra vonatkozó szabálya értelmében. A kovácsolás által hozzáadott érték ekkor származó helyzetű résznek számíthat a motor értékkalkulációjában, függetlenül attól, hogy ugyanabban a gyárban vagy a kedvezményezett ország vagy köztársaság egy másik gyárában állították-e elő. A nem származó öntvény értéke így nem kerül figyelembevételre a felhasznált nem származó anyagok értékének összegzésekor.
3.2. A listában szereplő szabály az előírt minimális megmunkálást vagy feldolgozást adja meg, több megmunkálás vagy feldolgozás elvégzése szintén a származó helyzet megszerzéséhez vezet; ellenben kevesebb megmunkálás vagy feldolgozás elvégzése nem jogosíthat származó helyzetre. Így, ha valamely szabály előírja, hogy az előállítás bizonyos szintjén a nem származó anyag felhasználható, az előállítás korábbi szakaszában az ilyen anyag felhasználása megengedett, de a későbbi szakaszban már nem.
3.3. A 3.2. megjegyzés sérelme nélkül, ha valamely szabály az "Előállítás bármely vámtarifaszám alá tartozó anyagból" kifejezést használja, akkor bármely vámtarifaszám alá tartozó anyagot (a termékkel azonos vámtarifaszám és árumegnevezés alá tartozó anyagot is) fel lehet használni, figyelemmel azonban azokra a különös korlátozásokra, amelyeket a szabály ezeken túl tartalmazhat.
Az "Előállítás bármely vámtarifaszám alá tartozó anyagból, a ... vámtarifaszám alá tartozó egyéb anyagokat is beleértve", illetve az "Előállítás bármely vámtarifaszám alá tartozó anyagból, a termékkel megegyező vámtarifaszám alá tartozó egyéb anyagokat is beleértve" kifejezés azonban azt jelenti, hogy bármely vámtarifaszám alá tartozó termék felhasználható, kivéve azokat, amelyek megnevezése megegyezik a terméknek a 2. oszlopban szereplő megnevezésével.
3.4. Ha a lista valamely szabálya úgy rendelkezik, hogy valamely terméket egynél több anyagból is elő lehet állítani, ez azt jelenti, hogy az anyagok bármelyike vagy több anyag is felhasználható. Ez nem jelenti azt, hogy mindegyiket fel kell használni.
Példa:
Az 5208 -5212 vámtarifaszám alá tartozó szövetekre vonatkozó szabály úgy rendelkezik, hogy természetes szálak használhatók, és hogy egyéb anyagok mellett vegyi anyagok is felhasználhatók. Ez nem jelenti azt, hogy mindkettőt fel is kell használni; lehet az egyiket, a másikat vagy mindkettőt.
3.5. Ha a lista valamely szabálya úgy rendelkezik, hogy egy terméket egy bizonyos anyagból kell előállítani, a feltétel nyilvánvalóan nem tiltja olyan más anyagok felhasználását, amelyek jellegüknél fogva nem felelhetnek meg a szabálynak (lásd még az alábbi 6.2. megjegyzést a textíliákkal kapcsolatban).
Példa:
A 1904 vámtarifaszám alá tartozó elkészített élelmiszerre vonatkozó szabály, amely kifejezetten kizárja a gabonafélék és származékaik felhasználását, nem tiltja ásványi sók, vegyi anyagok és egyéb olyan adalékanyagok használatát, amelyeket nem gabonafélékből állítanak elő.
Ez azonban nem vonatkozik olyan termékekre, amelyek - bár nem állíthatók elő a listában szereplő adott anyagból - az előállítás korábbi szakaszában ugyanolyan jellegű anyagból gyárthatók.
Példa:
Az ex 62. árucsoportba tartozó, nem szőtt anyagokból készült ruházati cikkek esetében, ha az árucikkek ezen osztályára vonatkozóan csupán a nem származó fonal felhasználása megengedett, nem lehet a nem szőtt szövetből kiindulni, még akkor sem, ha a nem szőtt szövetet általában nem is lehet fonalból készíteni. Ilyen esetekben a kiinduló anyag általában a fonal előtti fázis - azaz a szál fázis lenne.
3.6. Ha a lista valamely szabályában két százalékértéket is megadnak a felhasználható nem származó anyagok maximális értékére, akkor e százalékértékeket nem lehet összeadni. Más szóval, a felhasznált nem származó anyagok maximális értéke semmiképpen nem haladhatja meg a megadott magasabb százalékértéket. Nem lehet továbbá túllépni az egyes adott anyagok vonatkozásában alkalmazandó egyedi százalékos arányokat sem.
4. megjegyzés
4.1. A listában használt "természetes szálak" kifejezés a mesterséges és szintetikus szálaktól eltérő egyéb szálakra vonatkozik. A fonást megelőző fázisokra korlátozódik, beleértve a hulladékot is, és - amennyiben eltérő rendelkezés nincs - tartalmazza a kártolt, fésült vagy másként feldolgozott, de nem fonott szálakat.
4.2. A "természetes szálak" kifejezés magában foglalja a 0503 vámtarifaszám alá tartozó lószőrt, az 5002 és az 5003 vámtarifaszám alá tartozó selymet, valamint az 5101 -5105 vámtarifaszám alá tartozó gyapjúszálakat és a finom vagy durva állati szőrt, az 5201 -5203 vámtarifaszám alá tartozó pamutszálakat és az 5301 -5305 vámtarifaszám alá tartozó más növényi szálakat is.
4.3. A listában használt "textilpép", "vegyi anyagok" és "papír előállítására szolgáló anyag" kifejezések a mesterséges, szintetikus vagy papírszálak vagy -fonalak előállítására felhasználható, az 50-63. árucsoportba nem sorolható anyagok megnevezésére szolgálnak.
4.4. A listában használt "vágott műszál" kifejezés az 5501 -5507 vámtarifaszám alá tartozó szintetikus vagy mesterséges fonókábel, vágott szál vagy hulladék megnevezésére szolgál.
5. megjegyzés
5.1. Ha a listában egy adott termékkel kapcsolatban e megjegyzésre történik hivatkozás, a 3. oszlopban meghatározott feltételek nem alkalmazandók az e termék előállítása során felhasznált azon textilalapanyagokra, amelyek együttesen a felhasznált textilalapanyagok teljes tömegének legfeljebb 10 százalékát teszik ki (lásd még az alábbi 5.3. és 5.4. megjegyzést is).
5.2. Az 5.1. megjegyzésben említett tűréshatárt azonban csak a kevert összetételű, két vagy több textilalapanyagból készült termékekre lehet alkalmazni.
A textilalapanyagok a következők:
- selyem;
- gyapjú;
- durva állati szőr;
- finom állati szőr;
- lószőr;
- pamut;
- papír előállítására szolgáló anyag és papír;
- len;
- valódi kender;
- juta és más textilháncsrost;
- szizál és az Agave nemhez tartozó más növények textilrostjai;
- kókuszdiórost, abaka (manilakender), rami és más növényi eredetű rost;
- szintetikus végtelen szál;
- mesterséges végtelen szál;
- áramvezető végtelen szál;
- szintetikus polipropilén vágott műszál;
- szintetikus poliészter vágott műszál;
- szintetikus poliamid vágott műszál;
- szintetikus poliakrilnitril vágott műszál;
- szintetikus poliimid vágott műszál;
- szintetikus politetrafluor-etilén vágott műszál;
- szintetikus polifenilén-szulfid vágott műszál;
- szintetikus polivinil-klorid vágott szál;
- egyéb szintetikus vágott műszál;
- mesterséges viszkóza vágott műszál;
- egyéb mesterséges vágott műszál;
- rugalmas poliéter szegmensekkel szegmentált poliuretán fonal, paszományozott is;
- rugalmas poliészter szegmensekkel szegmentált poliuretán fonal, paszományozott is;
- az 5605 vámtarifaszám alá tartozó termékek (fémezett fonal), amelyek egy legfeljebb 5 mm széles, alumíniumfólia-magból vagy műanyagfilm-magból - alumíniumporral bevonva is - álló, két műanyagfilm-réteg között átlátszó vagy színezett ragasztóval összeillesztett szalagot tartalmaznak;
- az 5605 vámtarifaszám alá tartozó más termékek.
Példa:
Egy, az 5205 vámtarifaszám alá tartozó fonal, amelyet az 5203 vámtarifaszám alá tartozó pamutszálból és az 5506 vámtarifaszám alá tartozó szintetikus vágott szálból készítenek, kevert fonal. Ezért a nem származó szintetikus vágott szálak, amelyek nem felelnek meg a származási szabályoknak (amelyek a vegyi anyagból vagy textilpépből történő előállítást írják elő), felhasználhatók, feltéve, hogy össztömegük nem haladja meg a fonal tömegének 10 %-át.
Példa:
Egy, az 5112 vámtarifaszám alá tartozó gyapjúszövet, amelyet az 5107 vámtarifaszám alá tartozó gyapjúfonalból és az 5509 vámtarifaszám alá tartozó szintetikus vágott szálból készült fonalból készítenek, kevert szövet. Ezért a szintetikus fonal, amely nem felel meg a származási szabályoknak (amelyek előírják a vegyi anyagokból vagy textilpépből történő előállítást), vagy a fésült gyapjúfonal, amely nem felel meg a származási szabályoknak (amelyek előírják a nem kártolt vagy nem fésült vagy fonásra más módon nem előkészített természetes szálakból történő előállítást), vagy a kettő keveréke azzal a feltétellel használható fel, hogy e fonalak össztömege nem haladja meg a szövet tömegének 10 %-át.
Példa:
Az 5802 vámtarifaszám alá tartozó, az 5205 vámtarifaszám alá tartozó pamutfonalból és az 5210 vámtarifaszám alá tartozó pamutszövetből készített frottírszövet csak akkor kevert termék, ha a pamutszövet maga két különböző vámtarifaszám alá tartozó fonalból készült kevert szövet, vagy ha a felhasznált pamutfonalak önmagukban keverékek.
Példa:
Ha a szóban forgó frottírszövetet az 5205 vámtarifaszám alá tartozó pamutfonalból és az 5407 vámtarifaszám alá tartozó szintetikus szövetből készítik, a felhasznált két fonal nyilvánvalóan két különböző textilalapanyag, így a pamutszövet ennek megfelelően kevert termék.
5.3. A "rugalmas poliéter szegmensekkel szegmentált poliuretán fonal, paszományozott is" megnevezésű fonalat tartalmazó termék esetében ez a tűréshatár e fonal tekintetében 20 %.
5.4. A "legfeljebb 5 mm széles, alumíniumfólia-magból vagy műanyagfilm-magból - alumíniumporral bevonva is - álló, két műanyagfilm-réteg között átlátszó vagy színezett ragasztóval összeillesztett szalag"-ot tartalmazó termékek tekintetében ez a tűréshatár 30 százalék.
6. megjegyzés
6.1. Ahol a listában erre a megjegyzésre történik hivatkozás, az érintett konfekcionált termékre a lista 3. oszlopában meghatározott szabálynak nem megfelelő textilanyagok (a bélések és közbélések kivételével) azzal a feltétellel használhatók fel, hogy az adott termékétől eltérő vámtarifaszám alá tartoznak, és értékük nem haladja meg a termék gyártelepi árának 8 %-át.
6.2. A 6.3. megjegyzés sérelme nélkül, az 50-63. árucsoportba nem sorolható anyagok korlátlanul felhasználhatók a textiltermékek előállítása során, textiltartalmuktól függetlenül.
Példa:
Ha a lista valamely szabálya azt írja elő, hogy bizonyos textiltermék (például nadrág) előállításához fonalat kell használni, ez nem akadályozza meg a fémrészek - például gombok - használatát, mivel a gombok nem sorolandók az 50-63. árucsoportba. Ugyanebből az okból kifolyólag a húzózár használatát sem akadályozza, annak ellenére, hogy a húzózárak rendszerint textilt is tartalmaznak.
6.3. Amennyiben a százalékos szabály alkalmazandó, a nem az 50-63. árucsoportba tartozó anyagok értékét figyelembe kell venni a felhasznált nem származó anyagok értékének kiszámításakor.
7. megjegyzés
7.1. Az ex 27 07 , 2713 -2715 , ex 29 01 , ex 29 02 és ex 34 03 vámtarifaszám alkalmazásában a "meghatározott eljárások" a következők:
a) vákuumdesztilláció;
b) átdesztillálás nagyon alapos frakcionált desztillációval ( 132 );
c) krakkolás;
d) reformálás;
e) extrakció szelektív oldószerrel;
f) a következő műveleteket magukban foglaló eljárások: kezelés tömény kénsavval, óleummal vagy kénsav-anhidriddel; semlegesítés alkáli reagenssel; színtelenítés és tisztítás természetes aktív földdel, aktivált földdel, aktivált faszénnel vagy bauxittal;
g) polimerizáció;
h) alkilezés;
i) izomerizálás.
7.2. A 2710 , 2711 és 2712 vámtarifaszám alkalmazásában a "meghatározott eljárások" a következők:
a) vákuumdesztilláció;
b) átdesztillálás nagyon alapos frakcionált desztillációval ( 133 );
c) krakkolás;
d) reformálás;
e) extrakció szelektív oldószerrel;
f) a következő műveleteket magukban foglaló eljárások: kezelés tömény kénsavval, óleummal vagy kénsav-anhidriddel; semlegesítés alkáli reagenssel; színtelenítés és tisztítás természetes aktív földdel, aktivált földdel, aktivált faszénnel vagy bauxittal;
g) polimerizáció;
h) alkilezés;
ij) izomerizálás;
k) kizárólag az ex 27 10 vámtarifaszám alá tartozó nehézolajok tekintetében olyan, hidrogénnel történő kéntelenítés, amelynek eredményeképpen a kezelt termék kéntartalmának legalább 85 térfogatszázaléka redukálódik (ASTM D 1266-59 T módszer);
l) kizárólag a 2710 vámtarifaszám alá tartozó termékek esetében: paraffinmentesítés a szűrés kivételével;
m) kizárólag az ex 27 10 vámtarifaszám alá tartozó nehézolajok esetén: hidrogénnel legalább 20 bar nyomáson és legalább 250 °C hőmérsékleten végzett katalitikus kezelés, a kéntelenítési eljáráson kívül, ha a hidrogén a vegyi folyamat aktív szereplője. Az ex 27 10 vámtarifaszám alá tartozó kenőolajok további, különösen a szín vagy stabilitás javítása céljából végzett hidrogénes kezelését (pl. hidrofiniselés vagy a színtelenítés) azonban nem lehet "meghatározott eljárásnak" tekinteni;
n) kizárólag az ex 27 10 vámtarifaszám alá tartozó fűtőolajok esetében: atmoszferikus desztilláció, azzal a feltétellel, hogy ezeknek a termékeknek az ASTM D 86 módszerrel, a veszteségeket is beleértve, kevesebb mint 30 térfogatszázaléka desztillál át 300 °C-on;
o) kizárólag az ex 27 10 vámtarifaszám alá tartozó gázolajon és fűtőolajon kívüli egyéb nehézolajok esetében: kezelés nagyfrekvenciás elektromos koronakisülésekkel;
p) kizárólag az ex 27 12 vámtarifaszám alá tartozó nyers termékek tekintetében (a 0,75 tömegszázaléknál kevesebb olajat tartalmazó vazelin, ozokerit, lignitviasz, tőzegviasz, paraffinviasz kivételével) olajmentesítés frakcionált kristályosítással.
7.3. Az ex 27 07 , 2713 -2715 , ex 29 01 , ex 29 02 és az ex 34 03 vámtarifaszám alkalmazásában az olyan egyszerű műveletek, mint a tisztítás, ülepítés, sótalanítás, víztelenítés, szűrés, színezés, jelölés, kéntartalom-beállítás különböző kéntartalmú termékek keverése révén vagy e műveletek bármilyen kombinációja, illetve hasonló műveletek elvégzése nem elegendő a származó helyzet megalapozásához.
15. MELLÉKLET
AZ ELŐÁLLÍTOTT TERMÉK SZÁRMAZÓ HELYZETÉNEK MEGALAPOZÁSA ÉRDEKÉBEN A NEM SZÁRMAZÓ ANYAGOKON VÉGZENDŐ MEGMUNKÁLÁSI VAGY FELDOLGOZÁSI MŰVELETEK LISTÁJA
| HR-vámtarifaszám | Árumegnevezés | A nem származó anyagokon végzett olyan megmunkálás vagy feldolgozás, amely a származó helyzetet megalapozza | |
| (1) | (2) | (3) vagy (4) | |
| 1. árucsoport | Élő állatok | Az 1. árucsoportba tartozó összes állatnak teljes egészében létrejöttnek vagy előállítottnak kell lennie | |
| 2. árucsoport | Élelmezési célra alkalmas hús, vágási melléktermék és belsőség | Előállítás, amelynek során az 1. és 2. árucsoportba tartozó valamennyi felhasznált anyag teljes egészében létrejött vagy előállított | |
| 3. árucsoport | Halak, rákok, puhatestű és más gerinctelen víziállatok | Előállítás, amelynek során a 3. árucsoportba tartozó valamennyi felhasznált anyag teljes egészében létrejött vagy előállított | |
| ex 4. árucsoport | Tejtermékek; madártojás; természetes méz; másutt nem említett, élelmezési célra alkalmas állati eredetű élelmiszer; kivéve: | Előállítás, amelynek során a 4. árucsoportba tartozó valamennyi felhasznált anyag teljes egészében létrejött vagy előállított | |
| 0403 | Író, aludttej, tejföl, joghurt, kefir és más erjesztett vagy savanyított tej, tejföl sűrítve is, cukrozva vagy más anyaggal édesítve, ízesítve, gyümölcs, diófélék vagy kakaó hozzáadásával is | Előállítás, amelynek során: — a 4. árucsoportba tartozó valamennyi felhasznált anyag teljes egészében létrejött vagy előállított, — a 2009 vámtarifaszám alá tartozó valamennyi gyümölcslé (az ananász-, lime- vagy grapefruitlé kivételével) származó, és — a 17. árucsoportba tartozó felhasznált anyagok összértéke nem haladja meg a termék gyártelepi árának 30 %-át | |
| ex 5. árucsoport | Másutt nem említett állati eredetű termékek; kivéve: | Előállítás, amelynek során az 5. árucsoportba tartozó valamennyi felhasznált anyag teljes egészében létrejött vagy előállított | |
| ex 05 02 | Sertés- és vaddisznószőr, -sörte előkészítve | A szőr, sörte tisztítása, fertőtlenítése, válogatása és egyenesítése | |
| 6. árucsoport | Élő fa és egyéb növény; hagyma, gumó, gyökér és hasonló; vágott virág és díszítő lombozat | Előállítás, amelynek során: — a 6. árucsoportba tartozó valamennyi felhasznált anyag teljes egészében létrejött vagy előállított, — a felhasznált anyagok összértéke nem haladja meg a termék gyártelepi árának 50 %-át | |
| 7. árucsoport | Élelmezési célra alkalmas zöldségfélék, gyökerek és gumók | Előállítás, amelynek során a 7. árucsoportba tartozó valamennyi felhasznált anyag teljes egészében létrejött vagy előállított | |
| 8. árucsoport | Élelmezési célra alkalmas gyümölcs és diófélék; citrusfélék és a dinnyefélék héja | Előállítás, amelynek során: — valamennyi felhasznált gyümölcs és dió teljes egészében létrejött vagy előállított — a 17. árucsoportba tartozó felhasznált anyagok összértéke nem haladja meg a termék gyártelepi árának 30 %-át | |
| ex 9. árucsoport | Kávé, tea, matétea és fűszerek; kivéve: | Előállítás, amelynek során a 9. árucsoportba tartozó valamennyi felhasznált anyag teljes egészében létrejött vagy előállított | |
| 0901 | Kávé nyersen, pörkölve vagy koffeinmentesen is; kávéhéj és -burok; bármilyen arányban valódi kávét tartalmazó pótkávé | Előállítás bármely vámtarifaszám alá tartozó anyagból | |
| 0902 | Tea aromásítva is | Előállítás bármely vámtarifaszám alá tartozó anyagból | |
| ex 09 10 | Fűszerkeverékek | Előállítás bármely vámtarifaszám alá tartozó anyagból | |
| 10. árucsoport | Gabonafélék | Előállítás, amelynek során a 10. árucsoportba tartozó valamennyi felhasznált anyag teljes egészében létrejött vagy előállított | |
| ex 11. árucsoport | Malomipari termékek; maláta; keményítő; inulin; búzasikér; kivéve: | Előállítás, amelynek során valamennyi felhasznált gabonaféle, a 0714 vámtarifaszám alá tartozó ehető zöldségek, gyökerek és gumók, valamint gyümölcsök teljes egészében létrejöttek vagy előállítottak | |
| ex 11 06 | Liszt, dara és por a 0713 vámtarifaszám alá tartozó szárított, kifejtett hüvelyes zöldségből | A 0708 vámtarifaszám alá tartozó hüvelyes zöldségek szárítása és őrlése | |
| 12. árucsoport | Olajos magvak és olajtartalmú gyümölcsök; különféle magvak és gyümölcsök; ipari és gyógynövények; szalma és takarmány | Előállítás, amelynek során a 12. árucsoportba tartozó valamennyi felhasznált anyag teljes egészében létrejött vagy előállított | |
| 1301 | Sellak, természetes mézga, gyanta, mézgagyanta és oleorezin (például balzsam) | Előállítás, amelynek során a 1301 vámtarifaszám alá tartozó felhasznált anyagok összértéke nem haladhatja meg a termék gyártelepi árának 50 %-át | |
| 1302 | Növényi nedv és kivonat; pektintartalmú anyag, pektinát és pektát; agar-agar és más növényi anyagból nyert nyálka és dúsító modifikálva (átalakítva) is: | ||
| – Növényi anyagból nyert nyálka és dúsító, modifikálva (átalakítva) | Előállítás nem modifikált (átalakított) nyálkából és dúsítóból | ||
| – Más | Előállítás, amelynek során a felhasznált anyagok összértéke nem haladja meg a termék gyártelepi árának 50 %-át | ||
| 14. árucsoport | Növényi eredetű nyersanyag fonásra; másutt nem említett növényi termék | Előállítás, amelynek során a 14. árucsoportba tartozó valamennyi felhasznált anyag teljes egészében létrejött vagy előállított | |
| ex 15. árucsoport | Állati és növényi zsír és olaj; ezek bontási terméke; elkészített ételzsír; állati és növényi eredetű viasz, kivéve: | Előállítás a terméktől eltérő vámtarifaszám alá tartozó anyagokból | |
| 1501 | Sertészsír (zsiradék is) és baromfizsír, a 0209 vagy a 1503 vámtarifaszám alá tartozók kivételével: | ||
| – Zsír csontokból vagy hulladékból | Előállítás bármely vámtarifaszám alá tartozó anyagból, kivéve a 0203 , 0206 vagy 0207 vámtarifaszám alá tartozó anyagokat vagy a 0506 vámtarifaszám alá tartozó csontokat | ||
| – Más | Előállítás a 0203 vagy 0206 vámtarifaszám alá tartozó sertéshúsból vagy élelmezési célra alkalmas belsőségből, vagy a 0207 vámtarifaszám alá tartozó baromfihúsból és élelmezési célra alkalmas belsőségből | ||
| 1502 | Szarvasmarhafaggyú, birka- vagy kecskefaggyú, a 1503 vámtarifaszám alá tartozók kivételével: | ||
| – Faggyú csontokból vagy hulladékból | Előállítás bármely vámtarifaszám alá tartozó anyagból, kivéve a 0201 , 0202 , 0204 vagy 0206 vámtarifaszám alá tartozó anyagokat vagy a 0506 vámtarifaszám alá tartozó csontokat | ||
| – Más | Előállítás, amelynek során a 2. árucsoportba tartozó valamennyi felhasznált anyag teljes egészében létrejött vagy előállított | ||
| 1504 | Halból vagy tengeri emlősből nyert zsír, olaj és ezek frakciói finomítva is, de vegyileg nem átalakítva: | ||
| – Szilárd frakciók | Előállítás bármely vámtarifaszám alá tartozó anyagból, a 1504 vámtarifaszám alá tartozó egyéb anyagokat is beleértve | ||
| – Más | Előállítás, amelynek során a 2. és 3. árucsoportba tartozó valamennyi felhasznált anyag teljes egészében létrejött vagy előállított | ||
| ex 15 05 | Finomított lanolin | Előállítás a 1505 vámtarifaszám alá tartozó nyers gyapjúzsírból | |
| 1506 | Más állati zsír és olaj és ezek frakciói finomítva is, de vegyileg nem átalakítva: | ||
| – Szilárd frakciók | Előállítás bármely vámtarifaszám alá tartozó anyagból, a 1506 vámtarifaszám alá tartozó egyéb anyagokat is beleértve | ||
| – Más | Előállítás, amelynek során a 2. árucsoportba tartozó valamennyi felhasznált anyag teljes egészében létrejött vagy előállított | ||
| 1507 –1515 | Növényi olajok és frakcióik: | ||
| – Szójababolaj, földimogyoró-olaj, pálmaolaj, kókuszdió-(kopra-) olaj, pálmamagbél- és babassuolaj, tungolaj és oiticicaolaj, mirtuszviasz és japánviasz, jojobaolaj frakciói és olajok műszaki vagy ipari felhasználásra, az emberi fogyasztásra alkalmas élelmiszer-előállítás kivételével | Előállítás a terméktől eltérő bármely vámtarifaszám alá tartozó anyagokból | ||
| – Szilárd frakciók a jojobaolaj szilárd frakcióinak kivételével | Előállítás a 1507 –1515 vámtarifaszám alá tartozó egyéb anyagokból | ||
| – Más | Előállítás, amelynek során valamennyi felhasznált növényi anyag teljes egészében létrejött vagy előállított | ||
| 1516 | Állati vagy növényi zsír és olaj és ezek frakciói részben vagy teljesen hidrogénezve, közbeesően vagy újraészterezve és elaidinizálva, finomítva is, de tovább nem elkészítve | Előállítás, amelynek során: — a 2. árucsoportba tartozó valamennyi felhasznált anyag teljes egészében létrejött vagy előállított, és — valamennyi felhasznált növényi anyag teljes egészében létrejött vagy előállított. A 1507 , 1508 , 1511 és 1513 vámtarifaszám alá tartozó anyagok azonban felhasználhatók | |
| 1517 | Margarin; ebbe az árucsoportba tartozó állati vagy növényi zsírok vagy olajok vagy ezek frakcióinak étkezésre alkalmas keveréke vagy készítménye, a 1516 vámtarifaszám alá tartozó étkezési zsír vagy olaj és ezek frakciói kivételével | Előállítás, amelynek során: — a 2. és 4. árucsoportba tartozó valamennyi felhasznált anyag teljes egészében létrejött vagy előállított, és — valamennyi felhasznált növényi anyag teljes egészében létrejött vagy előállított A 1507 , 1508 , 1511 és 1513 vámtarifaszám alá tartozó anyagok azonban felhasználhatók | |
| 16. árucsoport | Húsból, halból, rákból, rákféléből, puhatestű vagy más gerinctelen víziállatból készült termék | Előállítás: — az 1. árucsoportba tartozó állatokból, és/vagy — amelynek során a 3. árucsoportba tartozó valamennyi felhasznált anyag teljes egészében létrejött vagy előállított | |
| ex 17. árucsoport | Cukor és cukoráruk; kivéve: | Előállítás a terméktől eltérő bármely vámtarifaszám alá tartozó anyagokból | |
| ex 17 01 | Nád- vagy répacukor és vegytiszta szacharóz szilárd állapotban, ízesítő- vagy színezőanyagok hozzáadásával | Előállítás, amelynek során a 17. árucsoportba tartozó felhasznált anyagok összértéke nem haladja meg a termék gyártelepi árának 30 %-át | |
| 1702 | Más cukor, beleértve a vegytiszta tejcukrot, malátacukrot, szőlőcukrot és a gyümölcscukrot is, szilárd állapotban; cukorszirup hozzáadott ízesítő- vagy színezőanyagok nélkül; műméz, természetes mézzel keverve is; égetett cukor | ||
| — Vegytiszta malátacukor és gyümölcscukor | Előállítás bármely vámtarifaszám alá tartozó anyagból, a 1702 vámtarifaszám alá tartozó egyéb anyagot is beleértve | ||
| — Más cukor szilárd állapotban, ízesítő- vagy színezőanyagok hozzáadásával | Előállítás, amelynek során a 17. árucsoportba tartozó felhasznált anyagok összértéke nem haladja meg a termék gyártelepi árának 30 %-át | ||
| — Más | Előállítás, amelynek során valamennyi felhasznált anyag származó | ||
| ex 17 03 | Cukor kivonása vagy finomítása során nyert melasz, ízesítő- vagy színezőanyagok hozzáadásával | Előállítás, amelynek során a 17. árucsoportba tartozó felhasznált anyagok összértéke nem haladja meg a termék gyártelepi árának 30 %-át | |
| 1704 | Cukorkaáru (beleértve a fehér csokoládét is), kakaótartalom nélkül | Előállítás: — a terméktől eltérő bármely vámtarifaszám alá tartozó anyagokból, és — amelynek során a 17. árucsoportba tartozó felhasznált anyagok összértéke nem haladja meg a termék gyártelepi árának 30 %-át | |
| 18. árucsoport | Kakaó és kakaókészítmények | Előállítás: — a terméktől eltérő bármely vámtarifaszám alá tartozó anyagokból, és — amelynek során a 17. árucsoportba tartozó felhasznált anyagok összértéke nem haladja meg a termék gyártelepi árának 30 %-át | |
| 1901 | Malátakivonat; lisztből, darából, durva őrleményből, keményítőből vagy malátakivonatból előállított, másutt nem említett élelmiszer-készítmény, amely kakaót nem vagy teljesen zsírtalanított anyagra számítva 40 tömegszázaléknál kisebb mennyiségben tartalmaz; a 0401 –0404 vámtarifaszám alá tartozó árukból készített, másutt nem említett olyan élelmiszer-készítmény, amely kakaót nem vagy teljesen zsírtalanított anyagra számítva 5 tömegszázaléknál kisebb mennyiségben tartalmaz: | ||
| – Malátakivonat | Előállítás a 10. árucsoportba tartozó gabonafélékből | ||
| – Más | Előállítás: — a terméktől eltérő bármely vámtarifaszám alá tartozó anyagból, és — amelynek során a 4., illetve a 17. árucsoportba tartozó felhasznált anyagok összértéke nem haladja meg a termék gyártelepi árának 30 %-át | ||
| 1902 | Tészta főzve és töltve (hússal vagy más anyaggal) vagy másképp elkészítve is, mint pl. spagetti, makaróni, metélt, lasagne, gnocchi, ravioli, cannelloni; kuszkusz (búzadarakása) elkészítve is: | ||
| – Legfeljebb 20 tömegszázalék hús-, belsőség-, hal-, rák-, rákféle-, puhatestű- és más gerinctelenvíziállat-tartalommal | Előállítás, amelynek során valamennyi felhasznált gabonaféle és származékai (a durumbúza és származékai kivételével) teljes egészében létrejött vagy előállított | ||
| – 20 tömegszázalékot meghaladó hús-, belsőség-, hal-, rák-, rákféle-, puhatestű- és más gerinctelenvíziállat-tartalommal | Előállítás, amelynek során: — valamennyi felhasznált gabonaféle és származékai (a durumbúza és származékai kivételével) teljes egészében létrejött vagy előállított, — a 2. és 3. árucsoportba tartozó valamennyi felhasznált anyag teljes egészében létrejött vagy előállított | ||
| 1903 | Tápióka és keményítőből készült tápiókapótló, mindezek pehely, szem, gyöngy és hasonló formában | Előállítás bármely vámtarifaszám alá tartozó anyagból, a 1108 vámtarifaszám alá tartozó burgonyakeményítő kivételével | |
| 1904 | Gabonából puffasztással vagy pirítással előállított, elkészített élelmiszer (pl. kukoricapehely); másutt nem említett gabona (a kukorica kivételével) szem formában, pehely formában vagy más megmunkált szem formában (a liszt és őrlemény kivételével), előfőzve vagy másképp elkészítve | Előállítás: — a 1806 kivételével bármely vámtarifaszám alá tartozó anyagokból, — amelynek során a felhasznált gabonaféléknek és lisztnek (a durumbúza és származékai, illetve a Zea indurata [gömbölyű] kukorica és származékai kivételével) teljes egészében létrejött vagy előállított, és — amelynek során a 17. árucsoportba tartozó felhasznált anyagok összértéke nem haladja meg a termék gyártelepi árának 30 %-át | |
| 1905 | Kenyér, cukrászsütemény, kalács, biszkvit és más pékáru kakaótartalommal is; áldozóostya, üres gyógyszerkapszula, pecsételőostya, rizspapír és hasonló termék | Előállítás bármely vámtarifaszám alá tartozó anyagból a 11. árucsoportba tartozók kivételével | |
| ex 20. árucsoport | Zöldségfélékből, gyümölcsből, diófélékből és más növényrészekből előállított készítmények, kivéve: | Előállítás, amelynek során valamennyi felhasznált gyümölcs, dióféle vagy zöldség teljes egészében létrejött vagy előállított | |
| ex 20 01 | Jamgyökér, édesburgonya (batáta) és hasonló ehető növényi részek, legalább 5 tömegszázalék keményítőtartalommal, ecettel vagy ecetsavval elkészítve vagy tartósítva | Előállítás a terméktől eltérő bármely vámtarifaszám alá tartozó anyagokból | |
| ex 20 04 és ex 20 05 | Burgonya liszt, dara vagy pehely formában, ecet vagy ecetsav nélkül elkészítve vagy tartósítva | Előállítás a terméktől eltérő bármely vámtarifaszám alá tartozó anyagokból | |
| 2006 | Zöldség, gyümölcs, diófélék, gyümölcshéj és más növényrész, cukorral tartósítva (drénezett, cukrozott vagy kandírozott) | Előállítás, amelynek során a 17. árucsoportba tartozó felhasznált anyagok összértéke nem haladja meg a termék gyártelepi árának 30 %-át | |
| 2007 | Dzsem, gyümölcskocsonya (zselé), gyümölcsíz, gyümölcs- vagy dió-(mogyoró-) püré, gyümölcs- vagy dió-(mogyoró-) krém, főzéssel készítve, cukorral vagy más édesítőanyag hozzáadásával is | Előállítás: — a terméktől eltérő bármely vámtarifaszám alá tartozó anyagokból, és — amelynek során a 17. árucsoportba tartozó felhasznált anyagok összértéke nem haladja meg a termék gyártelepi árának 30 %-át | |
| ex 20 08 | – Diófélék cukor vagy alkohol hozzáadása nélkül | Előállítás, amelynek során a 0801 , 0802 és 1202 –1207 vámtarifaszám alá tartozó felhasznált származó diófélék és olajos magvak összértéke meghaladja a termék gyártelepi árának 60 %-át | |
| – Amerikaimogyoró-vaj; gabonaféléken alapuló keverékek; pálmafacsúcsrügy, kukorica | Előállítás a terméktől eltérő bármely vámtarifaszám alá tartozó anyagokból | ||
| – Más, kivéve a más módon főzött, nem gőzölt vagy nem vízben forrázott gyümölcsöt és diót (mogyorót), cukor hozzáadása nélkül, fagyasztva | Előállítás: — a terméktől eltérő bármely vámtarifaszám alá tartozó anyagokból, és — amelynek során a 17. árucsoportba tartozó felhasznált anyagok összértéke nem haladja meg a termék gyártelepi árának 30 %-át | ||
| 2009 | Gyümölcslé (beleértve a szőlőmustot is) és zöldséglé, nem erjesztve, alkohol hozzáadása nélkül, cukor vagy más édesítőanyag hozzáadásával is | Előállítás: — a terméktől eltérő bármely vámtarifaszám alá tartozó anyagokból, és — amelynek során a 17. árucsoportba tartozó felhasznált anyagok összértéke nem haladja meg a termék gyártelepi árának 30 %-át | |
| ex 21. árucsoport | Különböző ehető készítmények; kivéve: | Előállítás a terméktől eltérő bármely vámtarifaszám alá tartozó anyagból | |
| 2101 | Kávé-, tea- vagy matétea-kivonat, -eszencia és -koncentrátum és ezen termékeken vagy kávén, teán, matéteán alapuló készítmények; pörkölt cikória és más pörkölt pótkávé, valamint ezek kivonata, eszenciája és koncentrátuma | Előállítás: — a terméktől eltérő bármely vámtarifaszám alá tartozó anyagból, és — amelynek során valamennyi felhasznált cikória teljes egészében létrejött vagy előállított | |
| 2103 | Mártás (szósz) és ennek előállítására szolgáló készítmény; ételízesítőkeverék; mustárliszt és -dara, elkészített mustár: | ||
| – Mártás és ennek előállítására szolgáló készítmény; ételízesítőkeverék | Előállítás a terméktől eltérő bármely vámtarifaszám alá tartozó anyagból. A mustárliszt vagy -dara, vagy elkészített mustár azonban felhasználható | ||
| – Mustárliszt és -dara és elkészített mustár | Előállítás bármely vámtarifaszám alá tartozó anyagból | ||
| ex 21 04 | Leves és erőleves és ezek előállítására szolgáló készítmény | Előállítás bármely vámtarifaszám alá tartozó anyagból a 2002 –2005 vámtarifaszám alá tartozó elkészített vagy tartósított zöldség kivételével | |
| 2106 | Másutt nem említett élelmiszer-készítmény | Előállítás: — a terméktől eltérő bármely vámtarifaszám alá tartozó anyagokból, és — amelynek során a 17. árucsoportba tartozó felhasznált anyagok összértéke nem haladja meg a termék gyártelepi árának 30 %-át | |
| ex 22. árucsoport | Italok, szesz és ecet; kivéve: | Előállítás: — a terméktől eltérő bármely vámtarifaszám alá tartozó anyagból, és — amelynek során valamennyi felhasznált szőlő vagy szőlőszármazék teljes egészében létrejött vagy előállított | |
| 2202 | Víz, beleértve a természetes vagy mesterséges ásványvizet és szénsavas vizet is, cukor vagy más édesítőanyag hozzáadásával vagy ízesítve, és más alkoholmentes ital, a 2009 vámtarifaszám alá tartozó gyümölcs- és zöldséglevek kivételével | Előállítás: — a terméktől eltérő bármely vámtarifaszám alá tartozó anyagból, — amelynek során a 17. árucsoportba tartozó felhasznált anyagok összértéke nem haladja meg a termék gyártelepi árának 30 %-át, és — amelynek során minden felhasznált gyümölcslé (az ananász-, citrom- és grapefruitlé kivételével) származó | |
| 2207 | Nem denaturált etil-alkohol 80 vagy nagyobb térfogatszázalék alkoholtartalommal; etil-alkohol és más szesz denaturálva, bármilyen alkoholtartalommal | Előállítás: — a 2207 vagy 2208 kivételével bármely vámtarifaszám alá tartozó anyagból, és — amelynek során minden felhasznált szőlő és szőlőszármazék teljes egészében létrejött vagy előállított, vagy ha minden más felhasznált anyag származó, a rizspálinka legfeljebb 5 térfogatszázalékban felhasználható | |
| 2208 | Nem denaturált etil-alkohol, kevesebb mint 80 térfogatszázalék alkoholtartalommal; szesz, likőr és más szeszes ital | Előállítás: — a 2207 vagy 2208 kivételével bármely vámtarifaszám alá tartozó anyagból, és — amelynek során minden felhasznált szőlő és szőlőszármazék teljes egészében létrejött vagy előállított, vagy ha minden más felhasznált anyag származó, a rizspálinka legfeljebb 5 térfogatszázalékban felhasználható | |
| ex 23. árucsoport | Az élelmiszeripar melléktermékei és hulladékai; elkészített állati takarmány; kivéve: | Előállítás a terméktől eltérő bármely vámtarifaszám alá tartozó anyagból | |
| ex 23 01 | Bálnadara; emberi fogyasztásra alkalmatlan liszt, dara és labdacs (pellet) halból, rákból, rákféléből, puhatestűből vagy más gerinctelen víziállatból | Előállítás, amelynek során a 2. és 3. árucsoportba tartozó valamennyi felhasznált anyag teljes egészében létrejött vagy előállított | |
| ex 23 03 | Keményítő gyártásánál keletkező maradék kukoricából (kivéve az áztatólé-koncentrátumot), amelynek szárazanyagra számított fehérjetartalma meghaladja a 40 tömegszázalékot | Előállítás, amelynek során valamennyi felhasznált kukorica teljes egészében létrejött vagy előállított | |
| ex 23 06 | Olívaolaj kivonásakor keletkező olajpogácsa és más szilárd maradék, 3 %-ot meghaladó olívaolaj-tartalommal | Előállítás, amelynek során valamennyi felhasznált olajbogyó teljes egészében létrejött vagy előállított | |
| 2309 | Állatok etetésére szolgáló készítmény | Előállítás, amelynek során: — valamennyi felhasznált gabonaféle, cukor vagy melasz, hús vagy tej származó, és — a 3. árucsoportba tartozó valamennyi felhasznált anyag teljes egészében létrejött vagy előállított | |
| ex 24. árucsoport | Dohány és feldolgozott dohánypótló; kivéve: | Előállítás, amelynek során a 24. árucsoportba tartozó valamennyi felhasznált anyag teljes egészében létrejött vagy előállított | |
| 2402 | Szivar, mindkét végén levágott végű szivar (manillaszivar), szivarka, cigaretta dohányból vagy dohánypótlóból | Előállítás, amelynek során a feldolgozatlan dohány vagy a 2401 vámtarifaszám alá tartozó dohányhulladék legalább 70 tömegszázaléka származó | |
| ex 24 03 | Fogyasztási dohány | Előállítás, amelynek során a feldolgozatlan dohány vagy a 2401 vámtarifaszám alá tartozó dohányhulladék legalább 70 tömegszázalékának már származónak kell lennie | |
| ex 25. árucsoport | Só, kén, földek és kövek, gipsz, mész és cement; kivéve: | Előállítás a terméktől eltérő bármely vámtarifaszám alá tartozó anyagból | |
| ex 25 04 | Természetes kristályos grafit, dúsított széntartalommal, tisztítva és őrölve | A nyers kristályos grafit széntartalmának dúsítása, tisztítása és őrlése | |
| ex 25 15 | Márvány, fűrésszel vagy más módon egyszerűen vágva, tömb vagy négyzetes vagy téglalap alakú tábla formában, legfeljebb 25 cm vastagságú | A 25 cm-t meghaladó vastagságú márvány (a fűrészelt is) vágása fűrésszel vagy más módon | |
| ex 25 16 | Gránit, porfír, bazalt, homokkő és más emlékművi vagy építőkő, durván nagyolva vagy egyszerűen vágva (fűrészelve vagy más módon alakítva), tömb, négyzetes vagy téglalap alakú tábla formában, legfeljebb 25 cm vastagságú | A 25 cm-t meghaladó vastagságú kő (a fűrészelt is) vágása fűrésszel vagy más módon | |
| ex 25 18 | Kalcinált dolomit | A nem kalcinált dolomit kalcinálása | |
| ex 25 19 | Aprított természetes magnézium-karbonát (magnezit), hermetikusan lezárt tartályban, és magnézium-oxid, vegyileg tisztán is, kivéve az olvasztott vagy kiégetett (szinterezett) magnéziumot | Előállítás a terméktől eltérő bármely vámtarifaszám alá tartozó anyagokból. Természetes magnézium-karbonát (magnezit) azonban felhasználható | |
| ex 25 20 | Fogászati kötőanyag | Előállítás, amelynek során a felhasznált anyagok összértéke nem haladja meg a termék gyártelepi árának 50 %-át | |
| ex 25 24 | Természetes azbesztszál | Előállítás azbesztkoncentrátumból | |
| ex 25 25 | Csillámpor | A csillám vagy csillámhulladék őrlése | |
| ex 25 30 | Földfesték, kalcinálva vagy por alakban | A földfestékek kalcinálása vagy őrlése | |
| 26. árucsoport | Ércek, salakok és hamuk | Előállítás a terméktől eltérő bármely vámtarifaszám alá tartozó anyagból | |
| ex 27. árucsoport | Ásványi tüzelőanyagok, ásványi olajok és ezek desztillációs termékei; bitumenes anyagok; ásványi viaszok; kivéve: | Előállítás a terméktől eltérő bármely vámtarifaszám alá tartozó anyagból | |
| ex 27 07 | Olaj, amelyben az aromás alkotórészek tömege meghaladja a nem aromás alkotórészek tömegét, lévén ezek az olajok hasonlóak a kőszénkátrány magas hőfokon történő lepárlásából nyert ásványolajokhoz, amelyeknek legalább 65 tömegszázaléka átdesztillál 250 °C-ig (beleértve a lakkbenzin- és benzolkeverékeket), energetikai vagy tüzelőanyag-célra | Finomítási műveletek és/vagy egy vagy több meghatározott eljárás (1) vagy Más műveletek, amelyek során valamennyi felhasznált anyag a terméktől eltérő vámtarifaszám alá tartozik. A termékével megegyező vámtarifaszám alá tartozó anyagok azonban felhasználhatók, ha összértékük nem haladja meg a termék gyártelepi árának 50 %-át | |
| ex 27 09 | Bitumenes ásványokból előállított nyersolaj | A bitumenes anyagok roncsoló lepárlása | |
| 2710 | Kőolaj és bitumenes ásványokból előállított olaj, a nyers- kivételével; másutt nem említett olyan készítmény, amely legkevesebb 70 tömegszázalékban kőolajat vagy bitumenes ásványokból előállított olajat tartalmaz, és amelynek ez az olaj a lényeges alkotórésze; olajhulladék | Finomítási műveletek és/vagy egy vagy több meghatározott eljárás (2) vagy Más műveletek, amelyek során valamennyi felhasznált anyag a terméktől eltérő vámtarifaszám alá tartozik. A termékével megegyező vámtarifaszám alá tartozó anyagok azonban felhasználhatók, ha összértékük nem haladja meg a termék gyártelepi árának 50 %-át | |
| 2711 | Földgáz és gáz-halmazállapotú más szénhidrogén | Finomítási műveletek és/vagy egy vagy több meghatározott eljárás (2) vagy Más műveletek, amelyek során valamennyi felhasznált anyag a terméktől eltérő vámtarifaszám alá tartozik. A termékével megegyező vámtarifaszám alá tartozó anyagok azonban felhasználhatók, ha összértékük nem haladja meg a termék gyártelepi árának 50 %-át | |
| 2712 | Vazelin, paraffinviasz, mikrokristályos kőolajviasz, paraffingacs, ozokerit, lignitviasz, tőzegviasz, más ásványi viasz és szintézissel vagy más eljárással előállított hasonló termék, színezve is | Finomítási műveletek és/vagy egy vagy több meghatározott eljárás (2) vagy Más műveletek, amelyek során valamennyi felhasznált anyag a terméktől eltérő vámtarifaszám alá tartozik. A termékével megegyező vámtarifaszám alá tartozó anyagok felhasználhatók, ha összértékük nem haladja meg a termék gyártelepi árának 50 %-át | |
| 2713 | Ásványolajkoksz, ásványolaj-bitumen, kőolaj vagy más bitumenes ásványból előállított olaj egyéb maradéka | Finomítási műveletek és/vagy egy vagy több meghatározott eljárás (1) vagy Más műveletek, amelyek során valamennyi felhasznált anyag a terméktől eltérő vámtarifaszám alá tartozik. A termékével megegyező vámtarifaszám alá tartozó anyagok azonban felhasználhatók, ha összértékük nem haladja meg a termék gyártelepi árának 50 %-át | |
| 2714 | Természetes bitumen és aszfalt; bitumenes vagy olajpala és kátrányos homok; aszfaltit és aszfaltkő | Finomítási műveletek és/vagy egy vagy több meghatározott eljárás (1) vagy Más műveletek, amelyek során valamennyi felhasznált anyag a terméktől eltérő vámtarifaszám alá tartozik. A termékével megegyező vámtarifaszám alá tartozó anyagok azonban felhasználhatók, ha összértékük nem haladja meg a termék gyártelepi árának 50 %-át | |
| 2715 | Természetes aszfaltot vagy természetes bitument, ásványolaj-bitument, ásványi kátrányt vagy ásványi kátrányszurkot tartalmazó bitumenes keverék (pl. bitumenes masztix, lepárlási maradvány) | Finomítási műveletek és/vagy egy vagy több meghatározott eljárás (1) vagy Más műveletek, amelyek során valamennyi felhasznált anyag a terméktől eltérő vámtarifaszám alá tartozik. A termékével megegyező vámtarifaszám alá tartozó anyagok azonban felhasználhatók, ha összértékük nem haladja meg a termék gyártelepi árának 50 %-át | |
| ex 28. árucsoport | Szervetlen vegyi anyagok, szervetlen vagy szerves vegyületek nemesfémből, ritkaföldfémből, radioaktív elemekből vagy izotópokból; kivéve: | Előállítás a terméktől eltérő bármely vámtarifaszám alá tartozó anyagból. A termékével megegyező vámtarifaszám alá tartozó anyagok azonban felhasználhatók, ha összértékük nem haladja meg a termék gyártelepi árának 20 %-át | Előállítás, amelynek során a felhasznált anyagok összértéke nem haladja meg a termék gyártelepi árának 40 %-át |
| ex 28 05 | Kevert fém („Mischmetall”) | Előállítás elektrolízissel vagy hőkezeléssel, amelynek során a felhasznált anyagok összértéke nem haladja meg a termék gyártelepi árának 50 %-át | |
| ex 28 11 | Kén-trioxid | Előállítás kén-dioxidból | Előállítás, amelynek során a felhasznált anyagok összértéke nem haladja meg a termék gyártelepi árának 40 %-át |
| ex 28 33 | Alumínium-szulfát | Előállítás, amelynek során a felhasznált anyagok összértéke nem haladja meg a termék gyártelepi árának 50 %-át | |
| ex 28 40 | Nátrium-perborát | Előállítás dinátrium-tetraborát-pentahidrátból | Előállítás, amelynek során a felhasznált anyagok összértéke nem haladja meg a termék gyártelepi árának 40 %-át |
| ex 29. árucsoport | Szerves vegyi anyagok; kivéve: | Előállítás a terméktől eltérő bármely vámtarifaszám alá tartozó anyagokból. A termékével megegyező vámtarifaszám alá tartozó anyagok azonban felhasználhatók, ha összértékük nem haladja meg a termék gyártelepi árának 20 %-át | Előállítás, amelynek során a felhasznált anyagok összértéke nem haladja meg a termék gyártelepi árának 40 %-át |
| ex 29 01 | Aciklikus szénhidrogének energetikai és tüzelőanyag-célra | Finomítási műveletek és/vagy egy vagy több meghatározott eljárás (1) vagy Más műveletek, amelyek során valamennyi felhasznált anyag a terméktől eltérő vámtarifaszám alá tartozik. A termékével megegyező vámtarifaszám alá tartozó anyagok azonban felhasználhatók, ha összértékük nem haladja meg a termék gyártelepi árának 50 %-át | |
| ex 29 02 | Ciklánok és ciklének (az azulének kivételével), benzol, toluol, xilolok energetikai vagy tüzelőanyag-célra | Finomítási műveletek és/vagy egy vagy több meghatározott eljárás (1) vagy Más műveletek, amelyek során valamennyi felhasznált anyag a terméktől eltérő vámtarifaszám alá tartozik. A termékével megegyező vámtarifaszám alá tartozó anyagok azonban felhasználhatók, ha összértékük nem haladja meg a termék gyártelepi árának 50 %-át | |
| ex 29 05 | Az e vámtarifaszám alá tartozó alkoholok és az etanol fémalkoholátjai | Előállítás bármely vámtarifaszám alá tartozó anyagból, a 2905 vámtarifaszám alá tartozó egyéb anyagokat is beleértve. Az e vámtarifaszám alá tartozó fémalkoholátok azonban felhasználhatók, ha összértékük nem haladja meg a termék gyártelepi árának 20 %-át | Előállítás, amelynek során a felhasznált anyagok összértéke nem haladja meg a termék gyártelepi árának 40 %-át |
| 2915 | Telített aciklikus egybázisú karbonsavak és ezek anhidridjei, halogenidjei, peroxidjai és peroxisavai; valamint ezek halogén-, szulfo-, nitro- vagy nitrozoszármazékai | Előállítás bármely vámtarifaszám alá tartozó anyagból. A 2915 és a 2916 vámtarifaszám alá tartozó felhasznált anyagok összértéke azonban nem haladhatja meg a termék gyártelepi árának 20 %-át | Előállítás, amelynek során a felhasznált anyagok összértéke nem haladja meg a termék gyártelepi árának 40 %-át |
| ex 29 32 | – Belső éterek és ezek halogén-, szulfo-, nitro- vagy nitrozoszármazékai | Előállítás bármely vámtarifaszám alá tartozó anyagból. A 2909 vámtarifaszám alá tartozó felhasznált anyagok összértéke azonban nem haladhatja meg a termék gyártelepi árának 20 %-át | Előállítás, amelynek során a felhasznált anyagok összértéke nem haladja meg a termék gyártelepi árának 40 %-át |
| – Ciklikus acetálok és belső félacetálok és ezek halogén-, szulfo-, nitro- vagy nitrozoszármazékai | Előállítás bármely vámtarifaszám alá tartozó anyagból | Előállítás, amelynek során a felhasznált anyagok összértéke nem haladja meg a termék gyártelepi árának 40 %-át | |
| 2933 | Csak nitrogén-heteroatomos heterociklikus vegyületek | Előállítás bármely vámtarifaszám alá tartozó anyagból. A 2932 és a 2933 vámtarifaszám alá tartozó felhasznált anyagok értéke azonban nem haladhatja meg a termék gyártelepi árának 20 %-át | Előállítás, amelynek során a felhasznált anyagok összértéke nem haladja meg a termék gyártelepi árának 40 %-át |
| 2934 | Nukleinsavak és sóik, vegyileg nem meghatározottak is; más heterociklikus vegyületek | Előállítás bármely vámtarifaszám alá tartozó anyagokból. A 2932 , 2933 és a 2934 vámtarifaszám alá tartozó felhasznált anyagok összértéke azonban nem haladhatja meg a termék gyártelepi árának 20 %-át | Előállítás, amelynek során a felhasznált anyagok összértéke nem haladja meg a termék gyártelepi árának 40 %-át |
| ex 29 39 | Mákszalma-koncentrátum, legalább 50 tömegszázalék alkaloidatartalommal | Előállítás, amelynek során a felhasznált anyagok összértéke nem haladja meg a termék gyártelepi árának 50 %-át | |
| ex 30. árucsoport | Gyógyszeripari termékek; kivéve: | Előállítás a terméktől eltérő bármely vámtarifaszám alá tartozó anyagokból. A termékével megegyező vámtarifaszám alá tartozó anyagok azonban felhasználhatók, ha összértékük nem haladja meg a termék gyártelepi árának 20 %-át | |
| 3002 | Emberi vér; állati vér terápiás, megelőzési vagy diagnosztikai célra előkészítve; ellenszérumok és más vérfrakciók, valamint módosult immunológiai termékek biotechnológiai eljárással előállítva is; vakcinák, toxinok, mikrobiológiai kultúrák (az élesztők kivételével) és hasonló termékek: | ||
| – Két vagy több alkotórész összekeveréséből készült termékek terápiás vagy megelőzési célra, vagy nem kevert termékek e célra, kimért adagokban vagy formában vagy a kiskereskedelemben szokásos kiszerelésben | Előállítás bármely vámtarifaszám alá tartozó anyagból, a 3002 vámtarifaszám alá tartozó egyéb anyagokat is beleértve. A termékkel megegyező áruleírású anyagok azonban felhasználhatók, ha összértékük nem haladja meg a termék gyártelepi árának 20 %-át | ||
| – Más: | |||
| – – Emberi vér | Előállítás bármely vámtarifaszám alá tartozó anyagokból, a 3002 vámtarifaszám alá tartozó egyéb anyagokat is beleértve. A termékével megegyező áruleírású anyagok azonban felhasználhatók, ha összértékük nem haladja meg a termék gyártelepi árának 20 %-át | ||
| – – Állati vérkészítmény terápiás vagy megelőzési célra | Előállítás bármely vámtarifaszám alá tartozó anyagokból, a 3002 vámtarifaszám alá tartozó egyéb anyagokat is beleértve. A termékével megegyező áruleírású anyagok azonban felhasználhatók, ha összértékük nem haladja meg a termék gyártelepi árának 20 %-át | ||
| – – Vérfrakciók az ellenszérumok, a hemoglobin és a szérumglobulin kivételével | Előállítás bármely vámtarifaszám alá tartozó anyagból, a 3002 vámtarifaszám alá tartozó egyéb anyagokat is beleértve. A termékével megegyező áruleírású anyagok azonban felhasználhatók, ha összértékük nem haladja meg a termék gyártelepi árának 20 %-át | ||
| – – Hemoglobin, vérglobulin és szérumglobulin | Előállítás bármely vámtarifaszám alá tartozó anyagból, a 3002 vámtarifaszám alá tartozó egyéb anyagokat is beleértve. A termékével megegyező áruleírású anyagok azonban felhasználhatók, ha összértékük nem haladja meg a termék gyártelepi árának 20 %-át | ||
| – – Más | Előállítás bármely vámtarifaszám alá tartozó anyagból, a 3002 vámtarifaszám alá tartozó egyéb anyagokat is beleértve. A termékével megegyező áruleírású anyagok azonban felhasználhatók, ha összértékük nem haladja meg a termék gyártelepi árának 20 %-át | ||
| 3003 és 3004 | Gyógyszerek (a 3002 , 3005 vagy 3006 vámtarifaszám alá tartozó áruk kivételével): | ||
| – A 2941 vámtarifaszám alá tartozó amikacinból | Előállítás a terméktől eltérő bármely vámtarifaszám alá tartozó anyagokból. A 3003 vagy 3004 vámtarifaszám alá tartozó anyagok azonban felhasználhatók, ha összértékük nem haladja meg a termék gyártelepi árának 20 %-át | ||
| — Más | Előállítás: — a terméktől eltérő bármely vámtarifaszám alá tartozó anyagokból. A 3003 vagy 3004 vámtarifaszám alá tartozó anyagok azonban felhasználhatók, ha összértékük nem haladja meg a termék gyártelepi árának 20 %-át, és — amelynek során a felhasznált anyagok összértéke nem haladja meg a termék gyártelepi árának 50 %-át | ||
| ex 30 06 | A 30. árucsoporthoz tartozó megjegyzések 4. k) pontjában meghatározott gyógyszerhulladék | A termék eredeti besorolása szerinti származását meg kell tartani | |
| ex 31. árucsoport | Trágyázószerek; kivéve: | Előállítás a terméktől eltérő bármely vámtarifaszám alá tartozó anyagokból. A termékével megegyező vámtarifaszám alá tartozó anyagok azonban felhasználhatók, ha összértékük nem haladja meg a termék gyártelepi árának 20 %-át | Előállítás, amelynek során a felhasznált anyagok összértéke nem haladja meg a termék gyártelepi árának 40 %-át |
| ex 31 05 | Két vagy három trágyázóelemet (a nitrogén, a foszfor és a kálium közül) tartalmazó ásványi vagy vegyi trágyázószer; más trágyázószer; ebbe az árucsoportba tartozó termékek tablettázva vagy hasonló formában, illetve legfeljebb 10 kg bruttó tömegű csomagolásban, kivéve: — nátrium-nitrát — kalcium-cianamid — kálium-szulfát — kálium-magnézium-szulfát | Előállítás: — a terméktől eltérő bármely vámtarifaszám alá tartozó anyagokból. A termékével megegyező vámtarifaszám alá tartozó anyagok azonban felhasználhatók, ha összértékük nem haladja meg a termék gyártelepi árának 20 %-át, és — amelynek során a felhasznált anyagok összértéke nem haladja meg a termék gyártelepi árának 50 %-át | Előállítás, amelynek során a felhasznált anyagok összértéke nem haladja meg a termék gyártelepi árának 40 %-át |
| ex 32. árucsoport | Cserző- és színezőkivonatok; tanninok és származékaik; festőanyagok, pigmentek és más színezékek; festékek, lakkok; gitt és masztix (simító- és tömítőanyagok); tinták; kivéve: | Előállítás a terméktől eltérő bármely vámtarifaszám alá tartozó anyagokból. A termékével megegyező vámtarifaszám alá tartozó anyagok azonban felhasználhatók, ha összértékük nem haladja meg a termék gyártelepi árának 20 %-át | Előállítás, amelynek során a felhasznált anyagok összértéke nem haladja meg a termék gyártelepi árának 40 %-át |
| ex 32 01 | Tanninok és sóik, étereik, észtereik és más származékaik | Előállítás növényi eredetű cserzőkivonatból | Előállítás, amelynek során a felhasznált anyagok összértéke nem haladja meg a termék gyártelepi árának 40 %-át |
| 3205 | Színes lakkfesték; az ehhez az árucsoporthoz tartozó megjegyzések 3. pontjában meghatározott színező-alapanyagon alapuló készítmények (3) | Előállítás bármely vámtarifaszám alá tartozó anyagból, a 3203 , 3204 és 3205 vámtarifaszám kivételével. A 3205 vámtarifaszám alá tartozó anyagok azonban felhasználhatók, ha összértékük nem haladja meg a termék gyártelepi árának 20 %-át | Előállítás, amelynek során a felhasznált anyagok összértéke nem haladja meg a termék gyártelepi árának 40 %-át |
| ex 33. árucsoport | Illóolajok és rezinoidok; illatszerek, szépség- és testápoló készítmények; kivéve: | Előállítás a terméktől eltérő bármely vámtarifaszám alá tartozó anyagokból. A termékével megegyező vámtarifaszám alá tartozó anyagok azonban felhasználhatók, ha összértékük nem haladja meg a termék gyártelepi árának 20 %-át | Előállítás, amelynek során a felhasznált anyagok összértéke nem haladja meg a termék gyártelepi árának 40 %-át |
| 3301 | Szilárd és vízmentes illóolajok (terpénmentesek is); rezinoidok; kivont oleorezinek; illóolaj-koncentrátum szilárd és vízmentes is, zsírban, szilárd olajban, viaszban vagy hasonló anyagban, amelyet hideg abszorpció vagy macerálás útján nyernek; illóolajok terpénmentesítésekor nyert terpéntartalmú melléktermék; illóolajok vizes desztillátuma és vizes oldata | Előállítás bármely vámtarifaszám alá tartozó anyagból az e vámtarifaszám alá tartozó anyagok eltérő „csoportját” (4) is beleértve. A termékével megegyező csoportba tartozó anyagok azonban felhasználhatók, ha összértékük nem haladja meg a termék gyártelepi árának 20 %-át | Előállítás, amelynek során a felhasznált anyagok összértéke nem haladja meg a termék gyártelepi árának 40 %-át |
| ex 34. árucsoport | Szappanok, szerves felületaktív anyagok, mosószerek, kenőanyagok, műviaszok, elkészített viaszok, fényesítő- és polírozóanyagok, gyertya és hasonló termékek, mintázópaszta, „fogászati viasz” és gipszalapú fogászati készítmények, kivéve: | Előállítás a terméktől eltérő bármely vámtarifaszám alá tartozó anyagokból. A termékével megegyező vámtarifaszám alá tartozó anyagok azonban felhasználhatók, ha összértékük nem haladja meg a termék gyártelepi árának 20 %-át | Előállítás, amelynek során a felhasznált anyagok összértéke nem haladja meg a termék gyártelepi árának 40 %-át |
| ex 34 03 | Kenőanyag-készítmények 70 tömegszázaléknál kevesebb kőolaj- vagy bitumenes ásványból nyert olajtartalommal | Finomítási műveletek és/vagy egy vagy több meghatározott eljárás (1) vagy Más műveletek, amelyek során valamennyi felhasznált anyag a terméktől eltérő vámtarifaszám alá tartozik. A termékével megegyező vámtarifaszám alá tartozó anyagok azonban felhasználhatók, ha összértékük nem haladja meg a termék gyártelepi árának 50 %-át | |
| 3404 | Műviaszok és elkészített viaszok: | ||
| – Paraffin-, ásványolajviasz, bitumenes ásványi anyagból nyert viasz, paraffingacs, izzasztott préselt paraffinviasz alappal | Előállítás a terméktől eltérő bármely vámtarifaszám alá tartozó anyagokból. A termékével megegyező vámtarifaszám alá tartozó anyagok azonban felhasználhatók, ha összértékük nem haladja meg a termék gyártelepi árának 50 %-át | ||
| – Más | Előállítás bármely vámtarifaszám alá tartozó anyagból, kivéve: — a 1516 vámtarifaszám alá tartozó viasz jellegű hidrogénezett olajok, — vegyileg nem meghatározott zsírsavak vagy ipari zsíralkoholok, amelyek hasonlóak a 3823 vámtarifaszám alá tartozó viaszokhoz, és — a 3404 vámtarifaszám alá tartozó anyagok. Ezek az anyagok azonban felhasználhatók, ha összértékük nem haladja meg a termék gyártelepi árának 20 %-át | Előállítás, amelynek során a felhasznált anyagok összértéke nem haladja meg a termék gyártelepi árának 40 %-át | |
| ex 35. árucsoport | Fehérjeanyagok; átalakított keményítők; enyvek; enzimek; kivéve: | Előállítás a terméktől eltérő bármely vámtarifaszám alá tartozó anyagokból. A termékével megegyező vámtarifaszám alá tartozó anyagok azonban felhasználhatók, ha összértékük nem haladja meg a termék gyártelepi árának 20 %-át | Előállítás, amelynek során a felhasznált anyagok összértéke nem haladja meg a termék gyártelepi árának 40 %-át |
| 3505 | Dextrin és más átalakított keményítő (pl. előkocsonyásított vagy észterizált keményítő); keményítő-, dextrin- vagy átalakított más keményítő-alapanyagból készített enyv: | ||
| – Észterezett vagy éterezett keményítők | Előállítás bármely vámtarifaszám alá tartozó anyagból, a 3505 vámtarifaszám alá tartozó egyéb anyagokat is beleértve | Előállítás, amelynek során a felhasznált anyagok összértéke nem haladja meg a termék gyártelepi árának 40 %-át | |
| – Más | Előállítás bármely vámtarifaszám alá tartozó anyagból, a 1108 vámtarifaszám alá tartozók kivételével | Előállítás, amelynek során a felhasznált anyagok összértéke nem haladja meg a termék gyártelepi árának 40 %-át | |
| ex 35 07 | Másutt nem említett elkészített enzimek | Előállítás, amelynek során a felhasznált anyagok összértéke nem haladja meg a termék gyártelepi árának 50 %-át | |
| 36. árucsoport | Puskapor és robbanóanyagok; pirotechnikai készítmények; gyufa; piroforos ötvözetek; gyúlékony anyagok | Előállítás a terméktől eltérő bármely vámtarifaszám alá tartozó anyagokból. A termékével megegyező vámtarifaszám alá tartozó anyagok azonban felhasználhatók, ha összértékük nem haladja meg a termék gyártelepi árának 20 %-át | Előállítás, amelynek során a felhasznált anyagok összértéke nem haladja meg a termék gyártelepi árának 40 %-át |
| ex 37. árucsoport | Fényképészeti és mozgófényképészeti termékek; kivéve: | Előállítás a terméktől eltérő bármely vámtarifaszám alá tartozó anyagokból. A termékével megegyező vámtarifaszám alá tartozó anyagok azonban felhasználhatók, ha összértékük nem haladja meg a termék gyártelepi árának 20 %-át | Előállítás, amelynek során a felhasznált anyagok összértéke nem haladja meg a termék gyártelepi árának 40 %-át |
| 3701 | Fényérzékeny, megvilágítatlan fényképészeti lemez és síkfilm bármilyen anyagból, a papír, a karton és a textil kivételével; fényérzékeny, megvilágítatlan, azonnal előhívó síkfilm, csomagolva is: | ||
| – Azonnal előhívó film színes fényképezéshez, csomagolva | Előállítás a 3701 vagy a 3702 kivételével bármely vámtarifaszám alá tartozó anyagokból. A 3702 vámtarifaszám alá tartozó anyagok azonban felhasználhatók, ha összértékük nem haladja meg a termék gyártelepi árának 30 %-át | Előállítás, amelynek során a felhasznált anyagok összértéke nem haladja meg a termék gyártelepi árának 40 %-át | |
| – Más | Előállítás a 3701 vagy 3702 kivételével bármely vámtarifaszám alá tartozó anyagokból. A 3701 és 3702 vámtarifaszám alá tartozó anyagok azonban felhasználhatók, ha összértékük nem haladja meg a termék gyártelepi árának 20 %-át | Előállítás, amelynek során a felhasznált anyagok összértéke nem haladja meg a termék gyártelepi árának 40 %-át | |
| 3702 | Fényérzékeny, megvilágítatlan fényképészeti film tekercsben, bármilyen anyagból a papír, a karton és a textil kivételével; fényérzékeny, megvilágítatlan, azonnal előhívó film tekercsben | Előállítás a 3701 és 3702 kivételével bármely vámtarifaszám alá tartozó anyagból | Előállítás, amelynek során a felhasznált anyagok összértéke nem haladja meg a termék gyártelepi árának 40 %-át |
| 3704 | Megvilágított, de nem előhívott fényképészeti lemez, film, papír, karton és textil | Előállítás a 3701 –3704 kivételével bármely vámtarifaszám alá tartozó anyagokból | Előállítás, amelynek során a felhasznált anyagok összértéke nem haladja meg a termék gyártelepi árának 40 %-át |
| ex 38. árucsoport | A vegyipar különböző termékei; kivéve: | Előállítás a terméktől eltérő bármely vámtarifaszám alá tartozó anyagokból. A termékével megegyező vámtarifaszám alá tartozó anyagok azonban felhasználhatók, ha összértékük nem haladja meg a termék gyártelepi árának 20 %-át | Előállítás, amelynek során a felhasznált anyagok összértéke nem haladja meg a termék gyártelepi árának 40 %-át |
| ex 38 01 | – Kolloid grafit olajos szuszpenzióban és szemikolloid grafit; szénmassza elektródokhoz | Előállítás, amelynek során a felhasznált anyagok összértéke nem haladja meg a termék gyártelepi árának 50 %-át | |
| – Legalább 30 tömegszázalékban grafit és kőolaj keverékéből álló grafit, paszta formában | Előállítás, amelynek során a 3403 vámtarifaszám alá tartozó felhasznált anyagok összértéke nem haladja meg a termék gyártelepi árának 20 %-át | Előállítás, amelynek során a felhasznált anyagok összértéke nem haladja meg a termék gyártelepi árának 40 %-át | |
| ex 38 03 | Finomított tallolaj | Nyers tallolaj finomítása | Előállítás, amelynek során a felhasznált anyagok összértéke nem haladja meg a termék gyártelepi árának 40 %-át |
| ex 38 05 | Tisztított szulfátterpentin-szesz | A finomítatlan szulfátterpentin-szesz tisztítása desztillálással vagy finomítással | Előállítás, amelynek során a felhasznált anyagok összértéke nem haladja meg a termék gyártelepi árának 40 %-át |
| ex 38 06 | Észtergyanta | Előállítás gyantasavból | Előállítás, amelynek során a felhasznált anyagok összértéke nem haladja meg a termék gyártelepi árának 40 %-át |
| ex 38 07 | Fakátrány (fakátrányszurok) | Fakátrány desztillációja | Előállítás, amelynek során a felhasznált anyagok összértéke nem haladja meg a termék gyártelepi árának 40 %-át |
| 3808 | Rovarölők, gombaölők, gyomirtók, patkányirtók, csírázásgátló termékek, növénynövekedés-szabályozó szerek, fertőtlenítők és hasonló készítmények, kimért adagokban és formákban a kiskereskedelemben szokásos módon kiszerelve vagy mint készítmények vagy készáruk (pl. kénezett szalag, kénezett kanóc, kéngyertya, légyfogó papír) | Előállítás, amelynek során a felhasznált anyagok összértéke nem haladja meg a termék gyártelepi árának 50 %-át | |
| 3809 | Textil-, papír-, bőr- és hasonló iparban használt, másutt nem említett végkikészítő szerek, festést gyorsító és elősegítő, színtartóságot növelő anyagok, valamint másutt nem említett termékek és készítmények (pl. appretálószerek és pácanyagok) | Előállítás, amelynek során a felhasznált anyagok összértéke nem haladja meg a termék gyártelepi árának 50 %-át | |
| 3810 | Fémfelületet marató szerek; folyósítószerek és más segédanyagok hegesztéshez vagy forrasztáshoz; forrasztó-, hegesztőporok és -paszták, fém- vagy más anyagtartalommal; hegesztőelektródák és -pálcák mag- és bevonóanyagai | Előállítás, amelynek során a felhasznált anyagok összértéke nem haladja meg a termék gyártelepi árának 50 %-át | |
| 3811 | Kopogásgátló szerek, antioxidánsok, gyantásodásgátlók, viszkozitást javítók, rozsdagátlók és egyéb hasonló adalékanyagok ásványolajhoz (beleértve a benzinhez valót is) vagy egyéb, hasonló céllal használt oldatokhoz: | ||
| – Kenőolaj-adalékok kőolaj- vagy bitumenesásványokbólnyertolaj-tartalommal | Előállítás, amelynek során a 3811 vámtarifaszám alá tartozó felhasznált anyagok összértéke nem haladja meg a termék gyártelepi árának 50 %-át | ||
| – Más | Előállítás, amelynek során a felhasznált anyagok összértéke nem haladja meg a termék gyártelepi árának 50 %-át | ||
| 3812 | Elkészített vulkanizálást gyorsítók; másutt nem említett gumi- vagy műanyaglágyítók; antioxidánsok és egyéb gumi- vagy műanyag-stabilizátorok | Előállítás, amelynek során a felhasznált anyagok összértéke nem haladja meg a termék gyártelepi árának 50 %-át | |
| 3813 | Készítmények és töltetek tűzoltó készülékekhez; töltött tűzoltó gránátok | Előállítás, amelynek során a felhasznált anyagok összértéke nem haladja meg a termék gyártelepi árának 50 %-át | |
| 3814 | Másutt nem említett szerves oldószerkeverékek és hígítók; lakk- és festékeltávolítók | Előállítás, amelynek során a felhasznált anyagok összértéke nem haladja meg a termék gyártelepi árának 50 %-át | |
| 3818 | Elektronikai célokra kémiai elemekkel átitatott anyagok korong, ostya vagy hasonló formában; kémiai vegyületekkel átitatott anyagok elektronikai célokra | Előállítás, amelynek során a felhasznált anyagok összértéke nem haladja meg a termék gyártelepi árának 50 %-át | |
| 3819 | Hidraulikusfék-folyadék és más folyadék hidraulikus célra, amely kőolajat vagy bitumenes ásványokból nyert olajat nem vagy 70 tömegszázaléknál kisebb arányban tartalmaz | Előállítás, amelynek során a felhasznált anyagok összértéke nem haladja meg a termék gyártelepi árának 50 %-át | |
| 3820 | Fagyásgátló és jégoldó készítmények | Előállítás, amelynek során a felhasznált anyagok összértéke nem haladja meg a termék gyártelepi árának 50 %-át | |
| 3822 | Hordozóra felvitt diagnosztikai vagy laboratóriumi reagensek, elkészített diagnosztikai vagy laboratóriumi reagensek hordozón is, a 3002 vagy 3006 vámtarifaszám alá tartozók kivételével; tanúsítvánnyal ellátott referenciaanyagok | Előállítás, amelynek során a felhasznált anyagok összértéke nem haladja meg a termék gyártelepi árának 50 %-át | |
| 3823 | Ipari monokarboxil-zsírsav; finomításból nyert olajsav; ipari zsíralkohol | ||
| – Ipari monokarboxil-zsírsav, finomításból nyert olajsav | Előállítás a terméktől eltérő bármely vámtarifaszám alá tartozó anyagból | ||
| – Ipari zsíralkoholok | Előállítás bármely vámtarifaszám alá tartozó anyagból a 3823 vámtarifaszám alá tartozó egyéb anyagokat is beleértve | ||
| 3824 | Elkészített kötőanyagok öntödei formához vagy maghoz; másutt nem említett vegyipari és rokon ipari termékek és készítmények (beleértve a természetes termékek keverékét is): | ||
| — Az e vámtarifaszám alá tartozók közül a következők:— – – Természetesgumi-alapú elkészített kötőanyagok öntödei formához vagy maghoz – – Nafténsavak, vízben oldhatatlan sóik és észtereik – – Szorbit, a 2905 vámtarifaszám alá tartozó kivételével – – Kőolaj-szulfonátok (az alkálifémek, az ammónium vagy az etanol-aminok kőolaj-szulfonátjai kivételével); bitumenes ásványokból nyert olajok tiofénezett szulfonsavai és sói – – Ioncserélők – – Getterek vákuumcsövekhez – – Alkáli vas-oxidok gáztisztításhoz – – Ammóniákvíz és a gáztisztítás folyamán kimerült oxid – – Szulfonafténsavak, vízben oldhatatlan sóik és észtereik – – Kozma- és Dippel-olaj – – Különböző anionokat tartalmazó sókeverékek – – Zselatinalapú másolópaszták, papír- vagy textilalapra is | Előállítás a terméktől eltérő bármely vámtarifaszám alá tartozó anyagból. A termékével megegyező vámtarifaszám alá tartozó anyagok azonban felhasználhatók, ha összértékük nem haladja meg a termék gyártelepi árának 20 %-át | Előállítás, amelynek során a felhasznált anyagok összértéke nem haladja meg a termék gyártelepi árának 40 %-át | |
| – Más | Előállítás, amelynek során a felhasznált anyagok összértéke nem haladja meg a termék gyártelepi árának 50 %-át | ||
| 3901 –3915 | Műanyagok alapanyag formájában, hulladék, forgács és törmelék; kivéve az ex 39 07 és 3912 vámtarifaszám alá tartozókat, amelyekre az alább meghatározott szabályok vonatkoznak: | ||
| – Addíciós homopolimerizációs termékek, amelyekben egyetlen monomer a teljes polimertartalom több mint 99 tömegszázalékát teszi ki | Előállítás, amelynek során: — a felhasznált anyagok összértéke nem haladja meg a termék gyártelepi árának 50 %-át, és — a fenti korlátozáson belül a 39. árucsoportba tartozó felhasznált anyagok összértéke nem haladja meg a termék gyártelepi árának 20 %-át (5) | Előállítás, amelynek során a felhasznált anyagok összértéke nem haladja meg a termék gyártelepi árának 25 %-át | |
| – Más | Előállítás, amelynek során a 39. árucsoportba tartozó felhasznált anyagok összértéke nem haladja meg a termék gyártelepi árának 20 %-át (5) | Előállítás, amelynek során a felhasznált anyagok összértéke nem haladja meg a termék gyártelepi árának 25 %-át | |
| ex 39 07 | – Polikarbonátból és akrilnitril-butadiénsztirol kopolimerből (ABS) készült kopolimer | Előállítás a terméktől eltérő bármely vámtarifaszám alá tartozó anyagból. A termékével megegyező vámtarifaszám alá tartozó anyagok azonban felhasználhatók, ha összértékük nem haladja meg a termék gyártelepi árának 50 %-át (5) | |
| – Poliészter | Előállítás, amelynek során a 39. árucsoportba tartozó felhasznált anyagok összértéke nem haladja meg a termék gyártelepi árának 20 %-át, és/vagy előállítás tetrabromo-(biszfenol A)-polikarbonátból | ||
| 3912 | Másutt nem említett cellulóz és kémiai származékai, alapanyag formájában | Előállítás, amelynek során a termékkel azonos vámtarifaszám alá tartozó anyagok összértéke nem haladja meg a termék gyártelepi árának 20 %-át | |
| 3916 –3921 | Műanyag félgyártmányok és árucikkek; kivéve az ex 39 16 , ex 39 17 , ex 39 20 és ex 39 21 vámtarifaszám alá tartozókat, amelyekre az alább meghatározott szabályok vonatkoznak: | ||
| – Sík termékek, a felületi megmunkáláson túlmenően megmunkálva vagy a téglalaptól vagy négyzettől eltérő alakra vágva; más termékek, a felületi megmunkáláson túlmenően megmunkálva | Előállítás, amelynek során a 39. árucsoportba tartozó felhasznált anyagok összértéke nem haladja meg a termék gyártelepi árának 50 %-át | Előállítás, amelynek során a felhasznált anyagok összértéke nem haladja meg a termék gyártelepi árának 25 %-át | |
| – Más: | |||
| – – Addíciós homopolimerizációs termékek, amelyekben egyetlen monomer a teljes polimertartalom több mint 99 tömegszázalékát teszi ki | Előállítás, amelynek során: — a felhasznált anyagok összértéke nem haladja meg a termék gyártelepi árának 50 %-át, és — a fenti korlátozáson belül a 39. árucsoportba tartozó felhasznált anyagok összértéke nem haladja meg a termék gyártelepi árának 20 %-át (5) | Előállítás, amelynek során a felhasznált anyagok összértéke nem haladja meg a termék gyártelepi árának 25 %-át | |
| – – Más | Előállítás, amelynek során a 39. árucsoportba tartozó felhasznált anyagok összértéke nem haladja meg a termék gyártelepi árának 20 %-át (5) | Előállítás, amelynek során a felhasznált anyagok összértéke nem haladja meg a termék gyártelepi árának 25 %-át | |
| ex 39 16 és ex 39 17 | Profil és cső | Előállítás, amelynek során: — a felhasznált anyagok összértéke nem haladja meg a termék gyártelepi árának 50 %-át, és — a fenti korlátozáson belül a termékkel azonos vámtarifaszám alá tartozó anyagok összértéke nem haladja meg a termék gyártelepi árának 20 %-át | Előállítás, amelynek során a felhasznált anyagok összértéke nem haladja meg a termék gyártelepi árának 25 %-át |
| ex 39 20 | – Ionomer lap vagy film | Előállítás hőre lágyuló parciális sóból, amely fémionokkal, főleg cink- és nátriumionokkal részben semlegesített etilén és metakrilsav kopolimere | Előállítás, amelynek során a felhasznált anyagok összértéke nem haladja meg a termék gyártelepi árának 25 %-át |
| – Regenerált cellulóz, poliamid- vagy polietilénlap | Előállítás, amelynek során a termékkel azonos vámtarifaszám alá tartozó anyagok összértéke nem haladja meg a termék gyártelepi árának 20 %-át | ||
| ex 39 21 | Fémezett műanyag fólia | Előállítás kevesebb mint 23 mikron vastagságú víztiszta poliészterfóliából (6) | Előállítás, amelynek során a felhasznált anyagok összértéke nem haladja meg a termék gyártelepi árának 25 %-át |
| 3922 –3926 | Műanyag áruk | Előállítás, amelynek során a felhasznált anyagok összértéke nem haladja meg a termék gyártelepi árának 50 %-át | |
| ex 40. árucsoport | Gumi és ebből készült áruk; kivéve: | Előállítás a terméktől eltérő bármely vámtarifaszám alá tartozó anyagokból | |
| ex 40 01 | Rétegelt kreppgumi lap lábbelihez | Természetes gumilemezek laminálása | |
| 4005 | Vulkanizálatlan gumikeverék alapanyag formában vagy lap, lemez és szalag alakban | Előállítás, amelynek során a felhasznált anyagok összértéke, a természetes gumi kivételével, nem haladja meg a termék gyártelepi árának 50 %-át | |
| 4012 | Újrafutózott vagy használt gumi légabroncs; tömör vagy kis nyomású gumiabroncs, gumiabroncs-futófelület és gumiabroncs-tömlővédő szalag: | ||
| – Újrafutózott gumi légabroncs, tömör vagy kis nyomású gumiabroncs | A használt gumiabroncsok újrafutózása | ||
| – Más | Előállítás bármely vámtarifaszám alá tartozó anyagból, a 4011 és 4012 vámtarifaszám alá tartozók kivételével | ||
| ex 40 17 | Keménygumiból készült áruk | Előállítás keménygumiból | |
| ex 41. árucsoport | Nyersbőr (a szőrme kivételével) és kikészített bőr; kivéve: | Előállítás a terméktől eltérő bármely vámtarifaszám alá tartozó anyagokból | |
| ex 41 02 | Juh- és báránybőr nyersen, gyapjú nélkül | A gyapjú eltávolítása a gyapjas juh- és báránybőrről | |
| 4104 –4106 | Szőrtelenül cserzett vagy crust bőr, hasítva is, de tovább nem megmunkálva | Az előcserzett bőr ismételt cserzése vagy Előállítás a terméktől eltérő bármely vámtarifaszám alá tartozó anyagból | |
| 4107 , 4112 és 4113 | Szőrtelen, cserzés vagy kérgesítés után tovább kikészített bőr, beleértve a pergamentált bőrt, hasítva is, a 4114 vámtarifaszám alá tartozó bőr kivételével | Előállítás a 4104 –4113 vámtarifaszámok kivételével bármely vámtarifaszám alá tartozó anyagokból | |
| ex 41 14 | Lakkbőr és laminált lakkbőr; fémezett bőr | Előállítás a 4104 –4106 , a 4107 , a 4112 vagy a 4113 vámtarifaszám alá tartozó anyagból, feltéve, hogy összértékük nem haladja meg a termék gyártelepi árának 50 %-át | |
| 42. árucsoport | Bőráruk; nyerges- és szíjgyártóáruk; utazási cikkek, kézitáskák és hasonló tartók; állati bélből készült áruk (a selyemhernyóbélből készült áruk kivételével) | Előállítás a terméktől eltérő bármely vámtarifaszám alá tartozó anyagból | |
| ex 43. árucsoport | Szőrme, műszőrme; ezekből készült áruk; kivéve: | Előállítás a terméktől eltérő bármely vámtarifaszám alá tartozó anyagból | |
| ex 43 02 | Cserzett vagy kikészített szőrme, összeállítva: | ||
| – Összevarrt lap, kereszt és hasonló formák | Az össze nem állított, cserzett vagy kikészített szőrme fehérítése vagy festése a vágáson és összeállításon felül | ||
| – Más | Előállítás össze nem állított, cserzett vagy kikészített szőrméből | ||
| 4303 | Ruházati cikk, ruházati tartozék és más szőrmeáru | Előállítás a 4302 vámtarifaszám alá tartozó össze nem állított, cserzett vagy kikészített szőrméből | |
| ex 44. árucsoport | Fa és faipari termékek; faszén; kivéve: | Előállítás a terméktől eltérő bármely vámtarifaszám alá tartozó anyagból | |
| ex 44 03 | Gömbfa, négy oldalán durván faragva | Előállítás farönkből, kéregtelenítve vagy ahogyan kivágták | |
| ex 44 07 | Hosszában fűrészelt vagy szélezett, vágott vagy hántolt, 6 mm-nél vastagabb fa gyalulva, csiszolva vagy végillesztéssel összeállítva | Gyalulás, csiszolás vagy végillesztés | |
| ex 44 08 | Furnérlap rétegelt lemez készítésére (beleértve a rétegelt fa szeletelésével készítettet is), legfeljebb 6 mm vastagságban lapolva és hosszában fűrészelt, vágott vagy hántolt más falemez, gyalulva, csiszolva vagy végillesztéssel összeállítva, legfeljebb 6 mm vastagságban | Részekből összeragasztás, csiszolás, gyalulás vagy végillesztés | |
| ex 44 09 | Fa, bármelyik széle vagy felülete mentén összefüggő (folytatólagos) összeillesztésre előkészítve, gyalulva, csiszolva vagy végillesztéssel összeállítva is: | ||
| – Csiszolt vagy végillesztéssel összeállított | Csiszolás vagy végillesztés | ||
| – Szegélyléc és gyöngyléc | Formázás vagy profilírozás | ||
| ex 44 10 –ex 44 13 | Szegélyléc és díszléc, beleértve a padlószegélylécet és más szegélylemezt is | Formázás vagy profilírozás | |
| ex 44 15 | Fából készült láda, doboz, rekesz, dob és hasonló csomagolóanyag | Előállítás méretre nem vágott falemezből | |
| ex 44 16 | Hordó, kád, dézsa és fából készült más kádáripari termék és azok elemei | Előállítás hasított dongákból, a két főfelület fűrészelésén túl nem megmunkálva | |
| ex 44 18 | – Ács- és épületasztalos-ipari termék fából | Előállítás a terméktől eltérő bármely vámtarifaszám alá tartozó anyagokból. A parkettalécek, zsindelyek és hasítékok azonban felhasználhatók | |
| – Szegélyléc és gyöngyléc | Formázás vagy profilírozás | ||
| ex 44 21 | Gyufaszál; cipészfaszeg vagy -facsap | Előállítás bármely vámtarifaszám alá tartozó fából a 4409 vámtarifaszám alá tartozó „fadrót”(Holzdraht) kivételével | |
| ex 45. árucsoport | Parafa és parafa áruk; kivéve: | Előállítás a terméktől eltérő bármely vámtarifaszám alá tartozó anyagból | |
| 4503 | Természetes parafából készült áruk | Előállítás a 4501 vámtarifaszám alá tartozó parafából | |
| 46. árucsoport | Szalmából, eszpartófűből és más fonásanyagból készült áruk; kosárkötő- és fonásáruk | Előállítás a terméktől eltérő bármely vámtarifaszám alá tartozó anyagokból | |
| 47. árucsoport | Papíripari rostanyag fából vagy más cellulóztartalmú anyagból; visszanyert (hulladék és használt) papír vagy karton | Előállítás a terméktől eltérő bármely vámtarifaszám alá tartozó anyagból | |
| ex 48. árucsoport | Papír és karton; papíripari rostanyagból, papírból vagy kartonból készült áruk; kivéve: | Előállítás a terméktől eltérő bármely vámtarifaszám alá tartozó anyagból | |
| ex 48 11 | Vonalas, négyzethálós vagy margós papír és karton | Előállítás a 47. árucsoportba tartozó papíripari rostanyagból | |
| 4816 | Karbonpapír, önmásoló papír, másoló- vagy átíró- más papír (a 4809 vámtarifaszám alá tartozók kivételével), a sokszorosítóstencil- és az ofszetnyomólemez-papír dobozba kiszerelve is | Előállítás a 47. árucsoportba tartozó papíripari rostanyagból | |
| 4817 | Boríték, zárt levelezőlap, postai levelezőlap és más levelezőlapok papírból vagy kartonból; levelezőpapír-készletet tartalmazó, papírból vagy kartonból készült doboz, tasak, tárca és mappa | Előállítás: — a terméktől eltérő bármely vámtarifaszám alá tartozó anyagból, és — amelynek során a felhasznált anyagok összértéke nem haladja meg a termék gyártelepi árának 50 %-át | |
| ex 48 18 | Toalett- (WC-) papír | Előállítás a 47. árucsoportba tartozó papíripari rostanyagból | |
| ex 48 19 | Doboz, láda, tok, zsák és más csomagolóeszköz papírból, kartonból, cellulózvattából vagy cellulózszálból álló szövedékből | Előállítás: — a terméktől eltérő bármely vámtarifaszám alá tartozó anyagból, és — amelynek során a felhasznált anyagok összértéke nem haladja meg a termék gyártelepi árának 50 %-át | |
| ex 48 20 | Írótömb | Előállítás, amelynek során a felhasznált anyagok összértéke nem haladja meg a termék gyártelepi árának 50 %-át | |
| ex 48 23 | Más papír, karton, cellulózvatta és cellulózszálból álló szövedék méretre vagy alakra vágva | Előállítás a 47. árucsoportba tartozó papíripari rostanyagból | |
| ex 49. árucsoport | Könyv, újság, kép és más nyomdaipari termék; kézirat, gépírásos szöveg és tervrajz; kivéve: | Előállítás a terméktől eltérő bármely vámtarifaszám alá tartozó anyagból | |
| 4909 | Nyomtatott vagy illusztrált postai képes levelezőlap; nyomtatott lapok személyes üdvözlettel, üzenettel vagy bejelentéssel, mindezek illusztrálva, díszítve és borítékkal is | Előállítás a 4909 és a 4911 kivételével bármely vámtarifaszám alá tartozó anyagból | |
| 4910 | Bármilyen nyomtatott naptár, beleértve a naptárblokkot is: | ||
| – Nem papír- vagy kartonalapú öröknaptár vagy cserélhető lapos naptár | Előállítás: — a terméktől eltérő bármely vámtarifaszám alá tartozó anyagból, és — amelynek során a felhasznált anyagok összértéke nem haladja meg a termék gyártelepi árának 50 %-át | ||
| – Más | Előállítás a 4909 és a 4911 kivételével bármely vámtarifaszám alá tartozó anyagból | ||
| ex 50. árucsoport | Selyem; kivéve: | Előállítás a terméktől eltérő bármely vámtarifaszám alá tartozó anyagból | |
| ex 50 03 | Selyemhulladék (a le nem gombolyítható selyemgubó, a fonalhulladék, a foszlatott anyag is), kártolt vagy fésült | Selyemhulladék kártolása vagy fésülése | |
| 5004 – ex 50 06 | Fonal selyemből és selyemhulladékból | Előállítás (7): — kártolt vagy fésült vagy fonásra más módon előkészített nyers selyemből vagy selyemhulladékból, — nem kártolt, nem fésült vagy fonásra más módon elő nem készített természetes szálakból, — vegyi anyagokból vagy textilpépből, vagy — papír előállítására szolgáló anyagból | |
| 5007 | Szövet selyemből vagy selyemhulladékból: | ||
| – Gumifonalat tartalmazó | Előállítás egyágú fonalból (7) | ||
| – Más | Előállítás (7): — kókuszrost fonalból, — természetes szálakból, — nem kártolt, nem fésült vagy fonásra más módon elő nem készített vágott műszálból, — vegyi anyagokból vagy textilpépből, vagy — papírból vagy A nyomáshoz legalább két előkészítő vagy befejező művelet társul (pl. szennyeződés eltávolítása, fehérítés, mercerezés, hőrögzítés, bolyhozás, kalanderezés, zsugorodásmentesítés, tartós kikészítés, avatás, impregnálás, javítás és a csomók eltávolítása), ahol a felhasznált nem nyomott szövet értéke nem haladja meg a termék gyártelepi árának 47,5 %-át | ||
| ex 51. árucsoport | Gyapjú, finom és durva állati szőr; lószőr fonal és szövet; kivéve: | Előállítás a terméktől eltérő bármely vámtarifaszám alá tartozó anyagból | |
| 5106 –5110 | Fonal gyapjúból, finom és durva állati szőrből és lószőrből készült fonal | Előállítás (7): — kártolt vagy fésült vagy fonásra más módon előkészített nyersselyemből vagy selyemhulladékból, — nem kártolt, nem fésült vagy fonásra más módon elő nem készített természetes szálakból, — vegyi anyagokból vagy textilpépből, vagy — papír előállítására szolgáló anyagból | |
| 5111 –5113 | Szövet gyapjúból, finom vagy durva állati szőrből vagy lószőrből: | ||
| – Gumifonalat tartalmazó | Előállítás egyágú fonalból (7) | ||
| – Más | Előállítás (7): — kókuszrost fonalból, — természetes szálakból, — nem kártolt, nem fésült vagy fonásra más módon elő nem készített vágott műszálból, — vegyi anyagokból vagy textilpépből, vagy — papírból vagy A nyomáshoz legalább két előkészítő vagy befejező művelet társul (pl. szennyeződés eltávolítása, fehérítés, mercerezés, hőrögzítés, bolyhozás, kalanderezés, zsugorodásmentesítés, tartós kikészítés, avatás, impregnálás, javítás és a csomók eltávolítása), ahol a felhasznált nem nyomott szövet értéke nem haladja meg a termék gyártelepi árának 47,5 %-át | ||
| ex 52. árucsoport | Pamut; kivéve: | Előállítás a terméktől eltérő bármely vámtarifaszám alá tartozó anyagból | |
| 5204 –5207 | Pamutfonal és -cérna | Előállítás (7): — kártolt vagy fésült vagy fonásra más módon előkészített nyersselyemből vagy selyemhulladékból, — nem kártolt, nem fésült vagy fonásra más módon elő nem készített természetes szálakból, — vegyi anyagokból vagy textilpépből, vagy — papír előállítására szolgáló anyagból | |
| 5208 –5212 | Pamutszövet: | ||
| – Gumifonalat tartalmazó | Előállítás egyágú fonalból (7) | ||
| – Más | Előállítás (7): — kókuszrost fonalból, — természetes szálakból, — nem kártolt, nem fésült vagy fonásra más módon elő nem készített vágott műszálból, — vegyi anyagokból vagy textilpépből, vagy — papírból vagy A nyomáshoz legalább két előkészítő vagy befejező művelet társul (pl. szennyeződés eltávolítása, fehérítés, mercerezés, hőrögzítés, bolyhozás, kalanderezés, zsugorodásmentesítés, tartós kikészítés, avatás, impregnálás, javítás, és a csomók eltávolítása), ahol a felhasznált nem nyomott szövet értéke nem haladja meg a termék gyártelepi árának 47,5 %-át | ||
| ex 53. árucsoport | Más növényi textilszál; papírfonal és papírszövet; kivéve: | Előállítás a terméktől eltérő bármely vámtarifaszám alá tartozó anyagból | |
| 5306 –5308 | Fonal más növényi textilszálból; papírfonal | Előállítás (7): — kártolt vagy fésült vagy fonásra más módon előkészített nyersselyemből vagy selyemhulladékból, — nem kártolt, nem fésült vagy fonásra más módon elő nem készített természetes szálakból, — vegyi anyagokból vagy textilpépből, vagy — papír előállítására szolgáló anyagból | |
| 5309 –5311 | Szövet más növényi rostból; szövet papírfonalból: | ||
| – Gumifonalat tartalmazó | Előállítás egyágú fonalból (7) | ||
| – Más | Előállítás (7): — kókuszrost fonalból, — természetes szálakból, — nem kártolt, nem fésült vagy fonásra más módon elő nem készített vágott műszálból, — vegyi anyagokból vagy textilpépből, vagy — papírból vagy A nyomáshoz legalább két előkészítő vagy befejező művelet társul (pl. szennyeződés eltávolítása, fehérítés, mercerezés, hőrögzítés, bolyhozás, kalanderezés, zsugorodásmentesítés, tartós kikészítés, avatás, impregnálás, javítás és a csomók eltávolítása), ahol a felhasznált nem nyomott szövet értéke nem haladja meg a termék gyártelepi árának 47,5 %-át | ||
| 5401 –5406 | Fonal, szál és cérna műszálból | Előállítás (7): — kártolt vagy fésült vagy fonásra más módon előkészített nyersselyemből vagy selyemhulladékból, — nem kártolt, nem fésült vagy fonásra más módon elő nem készített természetes szálakból, — vegyi anyagokból vagy textilpépből, vagy — papír előállítására szolgáló anyagból | |
| 5407 és 5408 | Szövet végtelen műszálból | ||
| – Gumifonalat tartalmazó | Előállítás egyágú fonalból (7) | ||
| – Más | Előállítás (7): — kókuszrost fonalból, — természetes szálakból, — nem kártolt, nem fésült vagy fonásra más módon elő nem készített vágott műszálból, — vegyi anyagokból vagy textilpépből, vagy — papírból vagy A nyomáshoz legalább két előkészítő vagy befejező művelet társul (pl. szennyeződés eltávolítása, fehérítés, mercerezés, hőrögzítés, bolyhozás, kalanderezés, zsugorodásmentesítés, tartós kikészítés, avatás, impregnálás, javítás és a csomók eltávolítása), ahol a felhasznált nem nyomott szövet értéke nem haladja meg a termék gyártelepi árának 47,5 %-át | ||
| 5501 –5507 | Vágott műszálak | Előállítás vegyi anyagokból vagy textilpépből | |
| 5508 –5511 | Fonal és varrócérna vágott műszálból | Előállítás (7): — kártolt vagy fésült vagy fonásra más módon előkészített nyersselyemből vagy selyemhulladékból, — nem kártolt, nem fésült vagy fonásra más módon elő nem készített természetes szálakból, — vegyi anyagokból vagy textilpépből, vagy — papír előállítására szolgáló anyagból | |
| 5512 –5516 | Szövet vágott műszálból: | ||
| – Gumifonalat tartalmazó | Előállítás egyágú fonalból (7) | ||
| – Más | Előállítás (7): — kókuszrost fonalból, — természetes szálakból, — nem kártolt vagy nem fésült vagy fonásra más módon elő nem készített vágott műszálból, — vegyi anyagokból vagy textilpépből, vagy — papírból vagy A nyomáshoz legalább két előkészítő vagy befejező művelet társul (pl. szennyeződés eltávolítása, fehérítés, mercerezés, hőrögzítés, bolyhozás, kalanderezés, zsugorodásmentesítés, tartós kikészítés, avatás, impregnálás, javítás és a csomók eltávolítása), ahol a felhasznált nem nyomott szövet értéke nem haladja meg a termék gyártelepi árának 47,5 %-át | ||
| ex 56. árucsoport | Vatta, nemez és nem szőtt textília; különleges fonalak; zsineg, kötél és hajókötél és ezekből készült árucikkek; kivéve: | Előállítás (7): — kókuszrost fonalból, — természetes szálakból, — vegyi anyagokból vagy textilpépből, vagy — papír előállítására szolgáló anyagból | |
| 5602 | Nemez, impregnált, bevont, beborított vagy rétegelt is: | ||
| – Tűnemezből | Előállítás (7): — természetes szálakból, — vegyi anyagokból vagy textilpépből Azonban: — az 5402 vámtarifaszám alá tartozó polipropilén végtelen szál, — az 5503 vagy az 5506 vámtarifaszám alá tartozó polipropilén vágott szál, vagy — az 5501 vámtarifaszám alá tartozó polipropilén fonókábel, amelyek esetében az egyes végtelen szálak vagy vágott szálak finomsági száma minden esetben kisebb 9 decitexnél, felhasználható, ha összértékük nem haladja meg a termék gyártelepi árának 40 %-át | ||
| – Más | Előállítás (7): — természetes szálakból, — kazeinből készített vágott műszálból, vagy — vegyi anyagokból vagy textilpépből | ||
| 5604 | Gumifonal és -zsineg textilanyaggal bevonva; az 5404 vagy az 5405 vámtarifaszám alá tartozó textilszál, -szalag és hasonlók gumival vagy műanyaggal impregnálva, bevonva, beborítva vagy ezekbe az anyagokba bemártva: | ||
| – Gumifonal és -zsineg, textilanyaggal bevonva | Előállítás textilanyaggal be nem vont gumifonalból és zsinegből | ||
| – Más | Előállítás (7): — nem kártolt, nem fésült vagy más módon fonásra elő nem készített természetes szálakból, — vegyi anyagokból vagy textilpépből, vagy — papír előállítására szolgáló anyagból | ||
| 5605 | Fémezett fonal, paszományozott is, az 5404 vagy az 5405 vámtarifaszám alá tartozó olyan szálból, szalagból vagy hasonló termékből is, amelyet fémszállal, fémcsíkkal vagy fémporral egyesítettek vagy fémmel bevontak | Előállítás (7): — természetes szálakból, — nem kártolt, nem fésült vagy fonásra más módon elő nem készített vágott műszálból, — vegyi anyagokból vagy textilpépből, vagy — papír előállítására szolgáló anyagból | |
| 5606 | Paszományozott fonal, az 5404 vagy az 5405 vámtarifaszám alá tartozó szalag és hasonló áru paszományozva (az 5605 vámtarifaszám alá tartozók és a paszományozott lószőr fonal kivételével); zseníliafonal (beleértve a zseníliapehelyből készült zseníliafonalat is); hurkolt, bordázott fonal | Előállítás (7): — természetes szálakból, — nem kártolt, nem fésült vagy fonásra más módon elő nem készített vágott műszálból, — vegyi anyagokból vagy textilpépből, vagy — papíripari rostanyagból | |
| 57. árucsoport | Szőnyegek és más textil padlóborítók: | ||
| – Tűnemezből | Előállítás (7): — természetes szálakból, vagy — vegyi anyagokból vagy textilpépből Azonban: — az 5402 vámtarifaszám alá tartozó polipropilén végtelen szál, — az 5503 vagy az 5506 vámtarifaszám alá tartozó polipropilén vágott szál, vagy — az 5501 vámtarifaszám alá tartozó polipropilén fonókábel, amelyek esetében az egyes végtelen szálak vagy vágott szálak finomsági száma minden esetben kisebb 9 decitexnél, felhasználható, ha összértékük nem haladja meg a termék gyártelepi árának 40 %-át Jutaszövet hátoldalként felhasználható | ||
| – Más nemezből | Előállítás (7): — nem kártolt, nem fésült vagy fonásra más módon elő nem készített természetes szálakból, vagy | ||
| – Más | Előállítás (7): — kókuszrost vagy jutafonalból — szintetikus vagy mesterséges végtelen szálból készült fonalból, — természetes szálakból, vagy — nem kártolt, nem fésült vagy fonásra más módon nem előkészített vágott műszálból Jutaszövet hátoldalként felhasználható | ||
| ex 58. árucsoport | Különleges szövetek; bolyhos szövetek; csipke; kárpit; paszomány; hímzés; kivéve: | ||
| – Gumifonallal kombinált | Előállítás egyágú fonalból (7) | ||
| – Más | Előállítás (7): — természetes szálakból, — nem kártolt, nem fésült vagy fonásra más módon nem előkészített vágott műszálból, vagy — vegyi anyagokból vagy textilpépből vagy A nyomáshoz legalább két előkészítő vagy befejező művelet társul (pl. szennyeződés eltávolítása, fehérítés, mercerezés, hőrögzítés, bolyhozás, kalanderezés, zsugorodásmentesítés, tartós kikészítés, avatás, impregnálás, javítás és a csomók eltávolítása), ahol a felhasznált nem nyomott szövet értéke nem haladja meg a termék gyártelepi árának 47,5 %-át | ||
| 5805 | Kézi szövésű faliszőnyeg, kárpit, mint pl. Gobelin, Flanders, Aubusson, Beauvais és hasonló fajták és a tűvarrással (pl. pontöltéssel és keresztöltéssel) előállított faliszőnyeg, kárpit, konfekcionálva is | Előállítás a terméktől eltérő bármely vámtarifaszám alá tartozó anyagokból | |
| 5810 | Hímzés méteráruban, szalagban vagy mintázott darabokban | Előállítás: — a terméktől eltérő bármely vámtarifaszám alá tartozó anyagokból, és — amelynek során a felhasznált anyagok összértéke nem haladja meg a termék gyártelepi árának 50 %-át | |
| 5901 | Szövetek mézgával vagy keményítőtartalmú anyaggal bevonva, amelyeket könyvfedélnek vagy hasonló célokra használnak; pauszvászon; előkészített festővászon; kalapvászon (kanavász) és hasonló merevített textilszövet kalapkészítéshez | Előállítás fonalból | |
| 5902 | Kerékköpeny-kordszövet nagy szakítószilárdságú nejlon vagy más poliamid-, poliészter- vagy viszkózműselyem fonalból: | ||
| – Legfeljebb 90 tömegszázalék textilanyag-tartalommal | Előállítás fonalból | ||
| – Más | Előállítás vegyi anyagokból vagy textilpépből | ||
| 5903 | Szövet műanyaggal impregnálva, bevonva, beborítva vagy rétegelve, az 5902 vámtarifaszám alá tartozó szövetek kivételével | Előállítás fonalból vagy A nyomáshoz legalább két előkészítő vagy befejező művelet társul (pl. szennyeződés eltávolítása, fehérítés, mercerezés, hőrögzítés, bolyhozás, kalanderezés, zsugorodásmentesítés, tartós kikészítés, avatás, impregnálás, javítás és a csomók eltávolítása), ahol a felhasznált nem nyomott szövet értéke nem haladja meg a termék gyártelepi árának 47,5 %-át | |
| 5904 | Linóleum, kiszabva is; padlóborító, amely textilalapra alkalmazott bevonatból vagy borításból áll, kiszabva is | Előállítás fonalból (7) | |
| 5905 | Textil falborító: | ||
| – Gumival, műanyaggal vagy más anyaggal impregnálva, bevonva, beborítva vagy rétegelve | Előállítás fonalból | ||
| – Más | Előállítás (7): — kókuszrost fonalból, — természetes szálakból, — nem kártolt, nem fésült vagy fonásra más módon elő nem készített vágott műszálból, vagy — vegyi anyagokból vagy textilpépből vagy A nyomáshoz legalább két előkészítő vagy befejező művelet társul (pl. szennyeződés eltávolítása, fehérítés, mercerezés, hőrögzítés, bolyhozás, kalanderezés, zsugorodásmentesítés, tartós kikészítés, avatás, impregnálás, javítás és a csomók eltávolítása), ahol a felhasznált nem nyomott szövet értéke nem haladja meg a termék gyártelepi árának 47,5 %-át | ||
| 5906 | Gumizott szövet, az 5902 vámtarifaszám alá tartozó kivételével: | ||
| – Kötött vagy hurkolt | Előállítás (7): — természetes szálakból, — nem kártolt, nem fésült vagy fonásra más módon elő nem készített vágott műszálból, vagy — vegyi anyagokból vagy textilpépből | ||
| – Szintetikus végtelen szálból készült más szövet több mint 90 tömegszázalék textilanyag-tartalommal | Előállítás vegyi anyagokból | ||
| – Más | Előállítás fonalból | ||
| 5907 | Más módon impregnált, bevont vagy beborított szövet; festett szövet színházi vagy stúdió- (műtermi) díszletek vagy hasonlók számára | Előállítás fonalból vagy A nyomáshoz legalább két előkészítő vagy befejező művelet társul (pl. szennyeződés eltávolítása, fehérítés, mercerezés, hőrögzítés, bolyhozás, kalanderezés, zsugorodásmentesítés, tartós kikészítés, avatás, impregnálás, javítás és a csomók eltávolítása), ahol a felhasznált nem nyomott szövet értéke nem haladja meg a termék gyártelepi árának 47,5 %-át | |
| 5908 | Textilalapanyagból szőtt, font vagy kötött bél, lámpához, tűzhelyhez, öngyújtóhoz, gyertyához és hasonlóhoz; fehér izzású gázharisnya és annak előállítására csőszerűen kötött gázharisnyaszövet, impregnálva is: | ||
| – Fehér izzású gázharisnya, impregnálva | Előállítás csőszerűen kötött gázharisnyaszövetből | ||
| – Más | Előállítás a terméktől eltérő bármely vámtarifaszám alá tartozó anyagból | ||
| 5909 –5911 | Ipari felhasználásra alkalmas textiltermékek: | ||
| – Polírozókorong vagy -gyűrű az 5911 vámtarifaszám alá tartozó, nemezből készítettek kivételével | Előállítás fonalból vagy a 6310 vámtarifaszám alá tartozó textilhulladékból vagy rongyból | ||
| – Az 5911 vámtarifaszám alá tartozó textilszövet nemezelve, impregnálva vagy bevonva is, amelyet általában papírgyártásnál vagy más műszaki céllal használnak, csőszerű vagy végtelenített egyszeres vagy többszörös lánc- és/vagy vetülékfonallal, vagy sima textilszövet többszörös lánc- és/vagy vetülékfonallal | Előállítás (7): — kókuszrost fonalból, — a következő anyagokból:— – – politetrafluor-etilén fonalból (8), – – fenolgyantával bevont, impregnált vagy beborított, többágú poliamidfonalból, – – m-feniléndiaminból és izoftálsavból polikondenzációval előállított aromás szintetikus poliamidszálból készült fonalból, – – politetrafluor-etilén monofilből (8), – – poli(p-fenilén tetraftalimid) szintetikus textilszálból álló fonalból, – – fenolgyanta bevonatú, akrilfonallal paszományozott üvegrost fonalból (8), – – poliészterből, valamint tereftálsav és 1,4-ciklohexándietanol és izoftálsav gyantából készült kopoliészter monofilből, – – természetes szálakból, – – nem kártolt, nem fésült vagy fonásra más módon elő nem készített vágott műszálból, vagy – – vegyi anyagokból vagy textilpépből | ||
| – Más | Előállítás (7): — kókuszrost fonalból, — természetes szálakból, — nem kártolt, nem fésült vagy fonásra más módon elő nem készített vágott műszálból, vagy — vegyi anyagokból vagy textilpépből | ||
| 60. árucsoport | Kötött és hurkolt kelmék | Előállítás (7): — természetes szálakból, — nem kártolt, nem fésült vagy fonásra más módon elő nem készített vágott műszálból, vagy — vegyi anyagokból vagy textilpépből | |
| 61. árucsoport | Kötött és hurkolt ruházati árucikkek, kellékek és tartozékok: | ||
| – Két vagy több, formára kiszabott vagy közvetlenül alakra kötött vagy hurkolt darab összevarrásával vagy más módon történő összeállításával készítve | Előállítás fonalból (7) (9) | ||
| – Más | Előállítás (7): — természetes szálakból, — nem kártolt, nem fésült vagy fonásra más módon elő nem készített vágott műszálból, vagy — vegyi anyagokból vagy textilpépből | ||
| ex 62. árucsoport | Ruházati cikkek, kellékek és tartozékok, a kötött és hurkolt áruk kivételével; kivéve: | Előállítás fonalból (7), (9) | |
| ex 62 02 , ex 62 04 ex 62 06 , ex 62 09 és ex 62 11 | Női, leányka- és csecsemőruha és tartozékai, hímzéssel | Előállítás fonalból (9) vagy Előállítás hímzés nélküli szövetből, feltéve, hogy a felhasznált hímzés nélküli szövet értéke nem haladja meg a termék gyártelepi árának 40 %-át (9) | |
| ex 62 10 és ex 62 16 | Tűzálló felszerelés alumíniumozott poliészter fóliával borított szövetből | Előállítás fonalból (9) vagy Előállítás nem bevont szövetből, ha a felhasznált nem bevont szövet értéke nem haladja meg a termék gyártelepi árának 40 %-át (9) | |
| 6213 és 6214 | Zsebkendő, kendő, sál, nyaksál, mantilla, fátyol és hasonló: | ||
| – Hímzett | Előállítás fehérítetlen egyágú fonalból (7) (9) vagy Előállítás hímzés nélküli szövetből, ha a felhasznált hímzés nélküli szövet értéke nem haladja meg a termék gyártelepi árának 40 %-át (9) | ||
| – Más | Előállítás fehérítetlen egyágú fonalból (7) (9) vagy Az előállítást nyomás követi, amelyhez legalább két előkészítő vagy két befejező művelet társul (pl. mosás, fehérítés, bolyhozás, mercerizálás, hőrögzítés, mángorlás, gyűrtelenítés, kikészítés, avatás, impregnálás, kivarrás és a csomók eltávolítása), ahol a 6213 és a 6214 vámtarifaszám alá tartozó felhasznált nem nyomott áruk összértéke nem haladja meg a termék gyártelepi árának 47,5 %-át | ||
| 6217 | Egyéb konfekcionált ruházati kellékek és tartozékok; ruhák, ruházati kellékek és tartozékok részei a 6212 vámtarifaszám alá tartozó áruk kivételével: | ||
| – Hímzett | Előállítás fonalból (9) vagy Előállítás nem hímzett szövetből, ha a felhasznált nem hímzett szövet értéke nem haladja meg a termék gyártelepi árának 40 %-át (9) | ||
| – Tűzálló felszerelés alumíniumozott poliészter fóliával borított szövetből | Előállítás fonalból (9) vagy Előállítás nem bevont szövetből, ha a felhasznált nem bevont szövet értéke nem haladja meg a termék gyártelepi árának 40 %-át (9) | ||
| – Közbélés gallérhoz és mandzsettához, kiszabva | Előállítás: — a terméktől eltérő bármely vámtarifaszám alá tartozó anyagokból, és — amelynek során a felhasznált anyagok összértéke nem haladja meg a termék gyártelepi árának 40 %-át | ||
| – Más | Előállítás fonalból (9) | ||
| ex 63. árucsoport | Más készáru textilanyagból; készletek; használt ruha és egyéb használt textiláru; rongy; kivéve: | Előállítás a terméktől eltérő bármely vámtarifaszám alá tartozó anyagból | |
| 6301 –6304 | Takaró, útitakaró, ágynemű stb.; függöny stb.; más lakástextília: | ||
| – Nemezből, nem szőtt textíliából | Előállítás (7): — természetes szálakból, vagy — vegyi anyagokból vagy textilpépből | ||
| – Más: | |||
| – – Hímzett | Előállítás fehérítetlen egyágú fonalból (9) (10) vagy Előállítás nem hímzett szövetből (kivéve a kötött vagy hurkolt kelmét), ha a felhasznált nem hímzett szövet értéke nem haladja meg a termék gyártelepi árának 40 %-át | ||
| – – Más | Előállítás fehérítetlen egyágú fonalból (9) (10) | ||
| 6305 | Zsák és zacskó áruk csomagolására | Előállítás (7): — természetes szálakból, — nem kártolt, nem fésült vagy fonásra más módon elő nem készített vágott műszálból, vagy — vegyi anyagokból vagy textilpépből | |
| 6306 | Ponyva, vászontető és napellenző; sátor; csónakvitorla, szörfvitorla, szárazföldi járművek vitorlája; kempingcikk: | ||
| – Nem szőtt textíliából | Előállítás (7) (9): — természetes szálakból, vagy — vegyi anyagokból vagy textilpépből | ||
| – Más | Előállítás fehérítetlen egyágú fonalból (7) (9) | ||
| 6307 | Más készáru, beleértve a szabásmintát is | Előállítás, amelynek során a felhasznált anyagok összértéke nem haladja meg a termék gyártelepi árának 40 %-át | |
| 6308 | Szőnyeg, faliszőnyeg, hímzett asztalterítő vagy szalvéta és hasonló textiltermékek készítésére szolgáló, szövetből és fonalból álló készlet, tartozékokkal, kellékekkel is, a kiskereskedelmi forgalom számára kiszerelve | A készletben minden összetevőnek meg kell felelnie annak a szabálynak, amely akkor vonatkozna rá, ha nem lenne készletbe foglalva. Nem származó árucikkek azonban beépíthetők, ha összértékük nem haladja meg a készlet gyártelepi árának 15 %-át | |
| ex 64. árucsoport | Lábbeli, lábszárvédő és hasonló áru; ezek részei; kivéve: | Előállítás bármely vámtarifaszám alá tartozó anyagból, a 6406 vámtarifaszám alá tartozó, a talpbéléshez vagy más talprészhez erősített felsőrész-összeállítások kivételével | |
| 6406 | Lábbelirész (beleértve a felsőrészt is, a belső talphoz erősítve is); kiemelhető talpbélés, sarokemelő és hasonló áru; lábszárvédő, bokavédő és hasonló áru és ezek részei | Előállítás a terméktől eltérő bármely vámtarifaszám alá tartozó anyagból | |
| ex 65. árucsoport | Kalap és más fejfedő, valamint ezek részei; kivéve: | Előállítás a terméktől eltérő bármely vámtarifaszám alá tartozó anyagokból | |
| 6503 | Kalap és más fejfedő nemezből, a 6501 vámtarifaszám alá tartozó kalaptestből, kalaptompból vagy nemezkorongból előállítva, bélelve vagy díszítve is | Előállítás fonalból vagy textilszálból (9) | |
| 6505 | Kalap és más fejfedő kötött és hurkolt kelméből, csipkéből, nemezből vagy más textilanyagból (de nem szalagból) előállítva, bélelve vagy díszítve is, hajháló bármilyen anyagból, bélelve vagy díszítve is | Előállítás fonalból vagy textilszálból (9) | |
| ex 66. árucsoport | Esernyő, napernyő, sétapálca, botszék, sétabot, ostor, lovaglókorbács és ezek részei; kivéve: | Előállítás a terméktől eltérő bármely vámtarifaszám alá tartozó anyagokból | |
| 6601 | Esernyő, napernyő (beleértve a boternyőt, kerti és hasonló napernyőt is) | Előállítás, amelynek során a felhasznált anyagok összértéke nem haladja meg a termék gyártelepi árának 50 %-át | |
| 67. árucsoport | Kikészített toll és pehely, valamint ezekből készült áruk; művirágok, valamint emberhajból készült áruk | Előállítás a terméktől eltérő bármely vámtarifaszám alá tartozó anyagokból | |
| ex 68. árucsoport | Kőből, gipszből, cementből, azbesztből, csillámból és hasonló anyagokból készült áruk; kivéve: | Előállítás a terméktől eltérő bármely vámtarifaszám alá tartozó anyagokból | |
| ex 68 03 | Palakőből vagy agglomerált palából készült áru | Előállítás megmunkált palakőből | |
| ex 68 12 | Azbesztrostból készült áru; azbesztalapú vagy azbeszt- és magnézium-karbonát-alapú keverékekből készült áru | Előállítás bármely vámtarifaszám alá tartozó anyagból | |
| ex 68 14 | Csillámból készült áru, beleértve az agglomerált vagy rekonstruált csillámot is, valamint a papír, karton vagy más anyagból készült alátéten is | Előállítás megmunkált csillámból (beleértve az agglomerált vagy rekonstruált csillámot is) | |
| 69. árucsoport | Kerámiatermékek | Előállítás a terméktől eltérő bármely vámtarifaszám alá tartozó anyagokból | |
| ex 70. árucsoport | Üveg és üvegáruk; kivéve: | Előállítás a terméktől eltérő bármely vámtarifaszám alá tartozó anyagokból | |
| ex 70 03 , ex 70 04 és ex 70 05 | Üveg fényvisszaverődést gátló réteggel | Előállítás a 7001 vámtarifaszám alá tartozó anyagból | |
| 7006 | A 7003 , 7004 vagy 7005 vámtarifaszám alá tartozó üvegek hajlítva, megmunkált széllel, metszve, fúrva, fényezve vagy zománcozva vagy másképp megmunkálva, de nem keretben vagy más anyaggal nem összeszerelve: | ||
| – Dielektromos vékony filmmel bevont üveglapszubsztrátum, félvezetői minőségben, a SEMII-szabványokkal összhangban (11) | Előállítás a 7006 vámtarifaszám alá tartozó nem bevont üveglapszubsztrátumokból | ||
| – Más | Előállítás a 7001 vámtarifaszám alá tartozó anyagokból | ||
| 7007 | Biztonsági üveg, szilárdított (edzett) vagy többrétegű üveg | Előállítás a 7001 vámtarifaszám alá tartozó anyagból | |
| 7008 | Többrétegű szigetelő üveg | Előállítás a 7001 vámtarifaszám alá tartozó anyagból | |
| 7009 | Üvegtükör, beleértve a visszapillantó tükröt is, keretezve is | Előállítás a 7001 vámtarifaszám alá tartozó anyagból | |
| 7010 | Üvegballon (fonatos is), üvegpalack, flaska, lombik, konzervüveg, üvegedény, fiola, ampulla és más hasonló üvegtartály, áru szállítására vagy csomagolására; befőzőüveg; dugasz, fedő és más lezáró üvegből | Előállítás a terméktől eltérő bármely vámtarifaszám alá tartozó anyagokból, vagy Üveg árucikkek metszése, ha a felhasznált nem metszett üveg árucikkek összértéke nem haladja meg a termék gyártelepi árának 50 %-át | |
| 7013 | Asztali, konyhai, tisztálkodási, irodai, lakásdíszítési vagy hasonló célra szolgáló üvegáru, a 7010 és a 7018 vámtarifaszám alá tartozók kivételével | Előállítás a terméktől eltérő bármely vámtarifaszám alá tartozó anyagból, vagy Üveg árucikkek metszése, ha a felhasznált nem metszett üveg árucikkek összértéke nem haladja meg a termék gyártelepi árának 50 %-át vagy A kézi munkával készült fúvott üveg kézi díszítése (a szitafestés kivételével), ha a felhasznált kézi készítésű fúvott üveg összértéke nem haladja meg a termék gyártelepi árának 50 %-át | |
| ex 70 19 | Üvegrostból készült áru (a fonal kivételével) | Előállítás: — színezetlen pászmából, előfonatból, fonalból vagy vágott szálból, vagy — üveggyapotból | |
| ex 71. árucsoport | Természetes vagy tenyésztett gyöngy, drágakő, féldrágakő, nemesfém, nemesfémmel plattírozott fém és ezekből készült áruk; ékszerutánzat; érme; kivéve: | Előállítás a terméktől eltérő bármely vámtarifaszám alá tartozó anyagból | |
| ex 71 01 | Természetes vagy tenyésztett gyöngy, osztályozva és a szállítás megkönnyítésére ideiglenesen felfűzve | Előállítás, amelynek során a felhasznált anyagok összértéke nem haladja meg a termék gyártelepi árának 50 %-át | |
| ex 71 02 , ex 71 03 és ex 71 04 | Drágakő vagy féldrágakő megmunkálva (természetes, szintetikus vagy rekonstruált) | Előállítás megmunkálatlan drágakőből vagy féldrágakőből | |
| 7106 , 7108 és 7110 | Nemesfém: | ||
| – Megmunkálatlan | Előállítás a 7106 , 7108 vagy 7110 kivételével bármely vámtarifaszám alá tartozó anyagból vagy A 7106 , 7108 vagy 7110 vámtarifaszám alá tartozó nemesfémek elektrolitos, hőkezeléses vagy vegyi szétválasztása vagy A 7106 , 7108 vagy 7110 vámtarifaszám alá tartozó nemesfémek ötvözése egymással vagy nem nemesfémmel | ||
| – Félgyártmány vagy por alakban | Előállítás megmunkálatlan nemesfémekből | ||
| ex 71 07 , ex 71 09 és ex 71 11 | Nemesfémmel plattírozott nem nemesfém félgyártmány | Előállítás nemesfémmel plattírozott megmunkálatlan nem nemesfémekből | |
| 7116 | Természetes vagy tenyésztett gyöngyből, drágakőből vagy féldrágakőből (természetes, szintetikus vagy rekonstruált) készült áru | Előállítás, amelynek során a felhasznált anyagok összértéke nem haladja meg a termék gyártelepi árának 50 %-át | |
| 7117 | Ékszerutánzat | Előállítás a terméktől eltérő bármely vámtarifaszám alá tartozó anyagokból vagy Előállítás nem plattírozott vagy nemesfémmel nem bevont nem nemesfém részekből, ha a felhasznált anyagok összértéke nem haladja meg a termék gyártelepi árának 50 %-át | |
| ex 72. árucsoport | Vas és acél; kivéve: | Előállítás a terméktől eltérő bármely vámtarifaszám alá tartozó anyagokból | |
| 7207 | Félkész termék vasból vagy nem ötvözött acélból | Előállítás a 7201 , 7202 , 7203 , 7204 vagy 7205 vámtarifaszám alá tartozó anyagokból | |
| 7208 –7216 | Síkhengerelt termék, rúdvas, szögvas, idomvas és szelvény vasból vagy nem ötvözött acélból | Előállítás a 7206 vámtarifaszám alá tartozó ingotból vagy más elsődleges formából | |
| 7217 | Huzal vasból vagy nem ötvözött acélból | Előállítás a 7207 vámtarifaszám alá tartozó félkész anyagokból | |
| ex 72 18 7219 –7222 | Félkész termék, síkhengerelt termék, rúd, szögvas, idomvas és szelvény rozsdamentes acélból | Előállítás a 7218 vámtarifaszám alá tartozó ingotból vagy más elsődleges formából | |
| 7223 | Huzal rozsdamentes acélból | Előállítás a 7218 vámtarifaszám alá tartozó félkész anyagokból | |
| ex 72 24 7225 –7228 | Félkész termék, síkhengerelt termék, melegen hengerelt rúd, szabálytalanul felgöngyölt tekercsben; szögvas, idomvas és szelvény ötvözött acélból; üreges fúrórúdvas és -rúdacél ötvözött vagy nem ötvözött acélból | Előállítás a 7206 , 7218 vagy 7224 vámtarifaszám alá tartozó ingotból vagy más elsődleges formából | |
| 7229 | Huzal más ötvözött acélból | Előállítás a 7224 vámtarifaszám alá tartozó félkész anyagból | |
| ex 73. árucsoport | Vas- és acéláruk; kivéve: | Előállítás a terméktől eltérő bármely vámtarifaszám alá tartozó anyagokból | |
| ex 73 01 | Szádpalló | Előállítás a 7206 vámtarifaszám alá tartozó anyagokból | |
| 7302 | Vasúti vagy villamosvasúti pályaépítő anyag vasból vagy acélból, úgymint: sín, terelősín, fogazott sín, váltósín, sínkeresztezés, váltóállító rúd és más kereszteződési darab, sínaljzat (keresztkengyel), csatlakozólemez, sínsaru, befogópofa, alátétlemez, sínkapocs, nyomtávlemez, kengyel, továbbá más, a vasúti sín összeszereléséhez szükséges speciá¡lis anyag | Előállítás a 7206 vámtarifaszám alá tartozó anyagokból | |
| 7304 , 7305 és 7306 | Cső és üreges profil vasból (az öntöttvas kivételével) vagy acélból | Előállítás a 7206 , 7207 , 7218 vagy 7224 vámtarifaszám alá tartozó anyagokból | |
| ex 73 07 | Több részből álló csőszerelvény rozsdamentes acélból (ISO X5CrNiMo 1712) | A kovácsolt öntvények esztergálása, fúrása, dörzsárazása, menetvágása, lesorjázása és homokfúvása, feltéve, hogy a felhasznált kovácsolt öntvények összértéke nem haladja meg a termék gyártelepi árának 35 %-át | |
| 7308 | Szerkezet (a 9406 vámtarifaszám alá tartozó előre gyártott épület kivételével) és részei (pl. híd és hídrész, zsilipkapu, torony, rácsszerkezetű oszlop, tető, tetőszerkezet, ajtó, ablak és ezek kerete, ajtóküszöb, zsaluzat, korlát, pillér és oszlop) vasból vagy acélból; szerkezetben való felhasználásra előkészített lemez, rúd, szögvas, idomvas, szelvény, cső és hasonló termék vasból vagy acélból | Előállítás a terméktől eltérő bármely vámtarifaszám alá tartozó anyagokból. A 7301 vámtarifaszám alá tartozó hegesztett szögvasakat, idomokat és szelvényeket azonban nem lehet felhasználni | |
| ex 73 15 | Hólánc | Előállítás, amelynek során a 7315 vámtarifaszám alá tartozó felhasznált anyagok összértéke nem haladja meg a termék gyártelepi árának 50 %-át | |
| ex 74. árucsoport | Réz és ebből készült áruk; kivéve: | Előállítás: — a terméktől eltérő bármely vámtarifaszám alá tartozó anyagokból, és — amelynek során a felhasznált anyagok összértéke nem haladja meg a termék gyártelepi árának 50 %-át | |
| 7401 | Nyersréz (szulfid-fémkeverék); cementréz (kicsapott réz) | Előállítás a terméktől eltérő bármely vámtarifaszám alá tartozó anyagokból | |
| 7402 | Finomítatlan réz; rézanód elektrolízises finomításhoz | Előállítás a terméktől eltérő bármely vámtarifaszám alá tartozó anyagokból | |
| 7403 | Finomított réz és rézötvözet, megmunkálatlan: | ||
| – Finomított réz | Előállítás a terméktől eltérő bármely vámtarifaszám alá tartozó anyagokból | ||
| – Rézötvözet és más elemeket is tartalmazó finomított réz | Előállítás finomított, megmunkálatlan rézből vagy rézhulladékból és -törmelékből | ||
| 7404 | Rézhulladék és -törmelék | Előállítás a terméktől eltérő bármely vámtarifaszám alá tartozó anyagokból | |
| 7405 | Mesterötvözet | Előállítás a terméktől eltérő bármely vámtarifaszám alá tartozó anyagokból | |
| ex 75. árucsoport | Nikkel és ebből készült áruk; kivéve: | Előállítás: — a terméktől eltérő bármely vámtarifaszám alá tartozó anyagokból, és — amelynek során a felhasznált anyagok összértéke nem haladja meg a termék gyártelepi árának 50 %-át | |
| 7501 –7503 | Nyersnikkel (szulfid-fémkeverék), zsugorított nikkel-oxid és a nikkelkohászat más közbeeső termékei; megmunkálatlan nikkel; nikkelhulladék és -törmelék | Előállítás a terméktől eltérő bármely vámtarifaszám alá tartozó anyagokból | |
| ex 76. árucsoport | Alumínium és ebből készült áruk; kivéve: | Előállítás: — a terméktől eltérő bármely vámtarifaszám alá tartozó anyagokból, és — amelynek során a felhasznált anyagok összértéke nem haladja meg a termék gyártelepi árának 50 %-át | |
| 7601 | Megmunkálatlan alumínium | Előállítás: — a terméktől eltérő bármely vámtarifaszám alá tartozó anyagokból, és — amelynek során a felhasznált anyagok összértéke nem haladja meg a termék gyártelepi árának 50 %-át, vagy Előállítás ötvözetlen alumíniumból vagy alumíniumhulladékból és -törmelékből hőkezeléssel vagy elektrolízissel | |
| 7602 | Alumíniumhulladék és -törmelék | Előállítás a terméktől eltérő bármely vámtarifaszám alá tartozó anyagokból | |
| ex 76 16 | Alumíniumáruk, az alumíniumhuzalból készült háló, drótszövet, rács, sodronyfonat, kerítésfonat, erősítőszövet és hasonló anyagok (a végtelen szalagot is beleértve) és a terpesztett alumínium kivételével | Előállítás: — a terméktől eltérő bármely vámtarifaszám alá tartozó anyagokból. Az alumíniumhuzalból készült hálót, drótszövetet, rácsot, sodronyfonatot, kerítésfonatot, erősítőszövetet és hasonló anyagokat (a végtelen szalagot is beleértve) és a terpesztett alumíniumot azonban fel lehet használni, és — amelynek során a felhasznált anyagok összértéke nem haladja meg a termék gyártelepi árának 50 %-át | |
| 77. árucsoport | Esetleges későbbi felhasználásra fenntartva a HR-ben | ||
| ex 78. árucsoport | Ólom és ebből készült áruk; kivéve: | Előállítás: — a terméktől eltérő bármely vámtarifaszám alá tartozó anyagokból, és — amelynek során a felhasznált anyagok összértéke nem haladja meg a termék gyártelepi árának 50 %-át | |
| 7801 | Megmunkálatlan ólom: | ||
| – Finomított ólom | Előállítás „nyers-” vagy „kohóólomból” | ||
| – Más | Előállítás a terméktől eltérő bármely vámtarifaszám alá tartozó anyagokból. A 7802 vámtarifaszám alá tartozó hulladékot vagy törmeléket azonban nem lehet felhasználni | ||
| 7802 | Ólomhulladék és -törmelék | Előállítás a terméktől eltérő bármely vámtarifaszám alá tartozó anyagokból | |
| ex 79. árucsoport | Cink és ebből készült árucikkek; kivéve: | Előállítás: — a terméktől eltérő bármely vámtarifaszám alá tartozó anyagokból, és — amelynek során a felhasznált anyagok összértéke nem haladja meg a termék gyártelepi árának 50 %-át | |
| 7901 | Megmunkálatlan cink | Előállítás a terméktől eltérő bármely vámtarifaszám alá tartozó anyagokból. A 7902 vámtarifaszám alá tartozó hulladékot vagy törmeléket azonban nem lehet felhasználni | |
| 7902 | Cinkhulladék és -törmelék | Előállítás a terméktől eltérő bármely vámtarifaszám alá tartozó anyagokból | |
| ex 80. árucsoport | Ón és ebből készült áruk; kivéve: | Előállítás: — a terméktől eltérő bármely vámtarifaszám alá tartozó anyagokból, és — amelynek során a felhasznált anyagok összértéke nem haladja meg a termék gyártelepi árának 50 %-át | |
| 8001 | Megmunkálatlan ón | Előállítás a terméktől eltérő bármely vámtarifaszám alá tartozó anyagokból. A 8002 vámtarifaszám alá tartozó hulladékot vagy törmeléket azonban nem lehet felhasználni | |
| 8002 és 8007 | Ónhulladék és -törmelék; más áru ónból | Előállítás a terméktől eltérő bármely vámtarifaszám alá tartozó anyagokból | |
| 81. árucsoport | Más nem nemesfém; cermet; ezekből készült áruk: | ||
| – Más nem nemesfém, megmunkált, és ezekből készült áruk | Előállítás, amelynek során a termékkel azonos vámtarifaszám alá tartozó felhasznált anyagok összértéke nem haladja meg a termék gyártelepi árának 50 %-át | ||
| – Más | Előállítás a terméktől eltérő bármely vámtarifaszám alá tartozó anyagból | ||
| ex 82. árucsoport | Szerszámok, késművesáruk, evőeszközök nem nemesfémből; mindezek részei nem nemesfémből; kivéve: | Előállítás a terméktől eltérő bármely vámtarifaszám alá tartozó anyagból | |
| 8206 | A 8202 –8205 vámtarifaszámok közül két vagy több vámtarifaszám alá tartozó szerszámok a kiskereskedelemben szokásos kiszerelt készletben | Előállítás a 8202 –8205 kivételével bármely vámtarifaszám alá tartozó anyagból. A 8202 –8205 vámtarifaszám alá tartozó szerszámokat azonban be lehet illeszteni a készletbe, ha az összértékük nem haladja meg a készlet gyártelepi árának 15 %-át | |
| 8207 | Cserélhető szerszám kézi vagy gépi működtetésű kéziszerszámhoz vagy szerszámgéphez (pl. sajtoló-, csákoló-, lyukasztó-, menetfúró, menetvágó, fúró-, furatmegmunkáló, üregelő-, maró-, esztergályozó- vagy csavarhúzó szerszám), beleértve a fém húzásához vagy extrudálásához való süllyesztéket és a sziklafúráshoz vagy talajfúráshoz való szerszámot is | Előállítás: — a terméktől eltérő bármely vámtarifaszám alá tartozó anyagokból, és — amelynek során a felhasznált anyagok összértéke nem haladja meg a termék gyártelepi árának 40 %-át | |
| 8208 | Kés és vágópenge géphez vagy mechanikus készülékhez | Előállítás: — a terméktől eltérő bármely vámtarifaszám alá tartozó anyagokból, és — amelynek során a felhasznált anyagok összértéke nem haladja meg a termék gyártelepi árának 40 %-át | |
| ex 82 11 | Kés, sima vagy fogazott pengével (beleértve a kertészkést is), a 8208 vámtarifaszám alá tartozó kés kivételével | Előállítás a terméktől eltérő bármely vámtarifaszám alá tartozó anyagokból. A nem nemesfémből készült késpenge és nyél azonban felhasználható | |
| 8214 | Másutt nem említett késművesáru (pl. hajnyíró gép, mészárosbárd, konyhai bárd, aprító- és darabolókés, papírvágó kés); manikűr- és pedikűrkészlet és felszerelés (körömreszelő is) | Előállítás a terméktől eltérő bármely vámtarifaszám alá tartozó anyagokból. A nem nemesfémből készült nyél azonban felhasználható | |
| 8215 | Kanál, villa, merőkanál, szűrőkanál, tortalapát, halkés, vajkés, cukorfogó és hasonló konyhai vagy asztali eszköz | Előállítás a terméktől eltérő bármely vámtarifaszám alá tartozó anyagokból. A nem nemesfémből készült nyél azonban felhasználható | |
| ex 83. árucsoport | Különféle áruk nem nemesfémből; kivéve: | Előállítás a terméktől eltérő bármely vámtarifaszám alá tartozó anyagokból | |
| ex 83 02 | Más vasalás, veret, szerelvény és hasonló áru épülethez és automatikus ajtócsukó | Előállítás a terméktől eltérő bármely vámtarifaszám alá tartozó anyagokból. A 8302 vámtarifaszám alá tartozó más anyagok azonban felhasználhatók, ha összértékük nem haladja meg a termék gyártelepi árának 20 %-át | |
| ex 83 06 | Kis szobor és más dísztárgy nem nemesfémből | Előállítás a terméktől eltérő bármely vámtarifaszám alá tartozó anyagokból. A 8306 vámtarifaszám alá tartozó más anyagok azonban felhasználhatók, ha összértékük nem haladja meg a termék gyártelepi árának 30 %-át | |
| ex 84. árucsoport | Atomreaktorok, kazánok, gépek és mechanikus berendezések; ezek alkatrészei, kivéve: | Előállítás: — a terméktől eltérő bármely vámtarifaszám alá tartozó anyagokból, és — amelynek során a felhasznált anyagok összértéke nem haladja meg a termék gyártelepi árának 40 %-át | Előállítás, amelynek során a felhasznált anyagok összértéke nem haladja meg a termék gyártelepi árának 30 %-át |
| ex 84 01 | Nukleáris fűtőanyagelem | Előállítás a terméktől eltérő bármely vámtarifaszám alá tartozó anyagokból (12) | Előállítás, amelynek során a felhasznált anyagok összértéke nem haladja meg a termék gyártelepi árának 30 %-át |
| 8402 | Vízgőzt vagy más gőzt fejlesztő kazán (az alacsony nyomású gőz előállítására alkalmas, központi fűtés céljára szolgáló forróvízkazán kivételével); túlhevítő vízkazán | Előállítás: — a terméktől eltérő bármely vámtarifaszám alá tartozó anyagokból, és — amelynek során a felhasznált anyagok összértéke nem haladja meg a termék gyártelepi árának 40 %-át | Előállítás, amelynek során a felhasznált anyagok összértéke nem haladja meg a termék gyártelepi árának 25 %-át |
| 8403 és ex 84 04 | Központi fűtés céljára szolgáló kazán, a 8402 vámtarifaszám alá tartozó kazán kivételével és segédberendezés a központi fűtés céljára szolgáló kazánhoz | Előállítás a 8403 vagy a 8404 kivételével bármely vámtarifaszám alá tartozó anyagból | Előállítás, amelynek során a felhasznált anyagok összértéke nem haladja meg a termék gyártelepi árának 40 %-át |
| 8406 | Gőzturbina (víz- vagy más gőzüzemű) | Előállítás, amelynek során a felhasznált anyagok összértéke nem haladja meg a termék gyártelepi árának 40 %-át | |
| 8407 | Szikragyújtású, belső égésű, dugattyús vagy forgódugattyús motor | Előállítás, amelynek során a felhasznált anyagok összértéke nem haladja meg a termék gyártelepi árának 40 %-át | |
| 8408 | Kompressziós gyújtású, belső égésű, dugattyús motor (dízel- vagy féldízel-) | Előállítás, amelynek során a felhasznált anyagok összértéke nem haladja meg a termék gyártelepi árának 40 %-át | |
| 8409 | Kizárólag vagy elsősorban a 8407 vagy a 8408 vámtarifaszám alá tartozó motor alkatrésze | Előállítás, amelynek során a felhasznált anyagok összértéke nem haladja meg a termék gyártelepi árának 40 %-át | |
| 8411 | Sugárhajtású gázturbina, légcsavaros gázturbina és más gázturbina | Előállítás: — a terméktől eltérő bármely vámtarifaszám alá tartozó anyagokból, és — amelynek során a felhasznált anyagok összértéke nem haladja meg a termék gyártelepi árának 40 %-át | Előállítás, amelynek során a felhasznált anyagok összértéke nem haladja meg a termék gyártelepi árának 25 %-át |
| 8412 | Más erőgép és motor | Előállítás, amelynek során a felhasznált anyagok összértéke nem haladja meg a termék gyártelepi árának 40 %-át | |
| ex 84 13 | Dugattyús forgószivattyú | Előállítás: — a terméktől eltérő bármely vámtarifaszám alá tartozó anyagból, és — amelynek során a felhasznált anyagok összértéke nem haladja meg a termék gyártelepi árának 40 %-át | Előállítás, amelynek során a felhasznált anyagok összértéke nem haladja meg a termék gyártelepi árának 25 %-át |
| ex 84 14 | Ipari ventilátor és hasonló ventilátorok | Előállítás: — a terméktől eltérő bármely vámtarifaszám alá tartozó anyagokból, és — amelynek során a felhasznált anyagok összértéke nem haladja meg a termék gyártelepi árának 40 %-át | Előállítás, amelynek során a felhasznált anyagok összértéke nem haladja meg a termék gyártelepi árának 25 %-át |
| 8415 | Légkondicionáló berendezés motormeghajtású ventilátorral, hőmérséklet- és nedvességszabályozó szerkezettel, beleértve az olyan berendezést is, amelyben a nedvesség külön nem szabályozható | Előállítás, amelynek során a felhasznált anyagok összértéke nem haladja meg a termék gyártelepi árának 40 %-át | |
| 8418 | Hűtőgép, fagyasztógép és egyéb hűtő- vagy fagyasztókészülék, elektromos vagy más működésű is; hőszivattyú a 8415 vámtarifaszám alá tartozó légkondicionáló berendezés kivételével | Előállítás: — a terméktől eltérő bármely vámtarifaszám alá tartozó anyagokból, — amelynek során a felhasznált anyagok összértéke nem haladja meg a termék gyártelepi árának 40 %-át, és — amelynek során a felhasznált nem származó anyagok összértéke nem haladja meg a felhasznált származó anyagok összértékét | Előállítás, amelynek során a felhasznált anyagok összértéke nem haladja meg a termék gyártelepi árának 25 %-át |
| ex 84 19 | Fa-, papíriparirostanyag- és kartonipari gépek | Előállítás, amelynek során: — a felhasznált anyagok összértéke nem haladja meg a termék gyártelepi árának 40 %-át, és — a fenti korlátozáson belül, a termékkel azonos vámtarifaszám alá tartozó felhasznált anyagok összértéke nem haladja meg a termék gyártelepi árának 25 %-át | Előállítás, amelynek során a felhasznált anyagok összértéke nem haladja meg a termék gyártelepi árának 30 %-át |
| 8420 | Kalander vagy más hengerlőgép, ezekhez való henger is, a fém- vagy üveghengermű kivételével | Előállítás, amelynek során: — a felhasznált anyagok összértéke nem haladja meg a termék gyártelepi árának 40 %-át, és — a fenti korlátozáson belül, a termékkel azonos vámtarifaszám alá tartozó felhasznált anyagok összértéke nem haladja meg a termék gyártelepi árának 25 %-át | Előállítás, amelynek során a felhasznált anyagok összértéke nem haladja meg a termék gyártelepi árának 30 %-át |
| 8423 | Mérleg, vizsgáló és ellenőrző mérleg is (az 50 mg vagy ennél nagyobb érzékenységű mérleg kivételével); súly mindenfajta mérleghez | Előállítás: — a terméktől eltérő bármely vámtarifaszám alá tartozó anyagokból, és — amelynek során a felhasznált anyagok összértéke nem haladja meg a termék gyártelepi árának 40 %-át | Előállítás, amelynek során a felhasznált anyagok összértéke nem haladja meg a termék gyártelepi árának 25 %-át |
| 8425 –8428 | Emelő-, mozgató-, be- és kirakógépek | Előállítás, amelynek során: — a felhasznált anyagok összértéke nem haladja meg a termék gyártelepi árának 40 %-át, és — a fenti korlátozáson belül, a 8431 vámtarifaszám alá tartozó felhasznált anyagok összértéke nem haladja meg a termék gyártelepi árának 10 %-át | Előállítás, amelynek során a felhasznált anyagok összértéke nem haladja meg a termék gyártelepi árának 30 %-át |
| 8429 | Önjáró buldózer, homlokgyalu, földgyalu, talajegyengető, földnyeső (szkréper), lapátos kotró, exkavátor, kanalas rakodógép, döngölőgép és úthenger: | ||
| – Úthenger | Előállítás, amelynek során a felhasznált anyagok összértéke nem haladja meg a termék gyártelepi árának 40 %-át | ||
| – Más | Előállítás, amelynek során: — a felhasznált anyagok összértéke nem haladja meg a termék gyártelepi árának 40 %-át, és — a fenti korlátozáson belül, a 8431 vámtarifaszám alá tartozó felhasznált anyagok összértéke nem haladja meg a termék gyártelepi árának 10 %-át | Előállítás, amelynek során a felhasznált anyagok összértéke nem haladja meg a termék gyártelepi árának 30 %-át | |
| 8430 | Föld, ásvány vagy érc mozgatására, gyalulására, egyengetésére, nyesésére, kotrására, döngölésére, tömörítésére, kitermelésére vagy fúrására szolgáló más gép; cölöpverő és cölöpkiemelő; hóeke és hókotró | Előállítás, amelynek során: — a felhasznált anyagok összértéke nem haladja meg a termék gyártelepi árának 40 %-át, és — a fenti korlátozáson belül, a 8431 vámtarifaszám alá tartozó felhasznált anyagok összértéke nem haladja meg a termék gyártelepi árának 10 %-át | Előállítás, amelynek során a felhasznált anyagok összértéke nem haladja meg a termék gyártelepi árának 30 %-át |
| ex 84 31 | Kizárólag vagy elsősorban az úthenger alkatrésze | Előállítás, amelynek során a felhasznált anyagok összértéke nem haladja meg a termék gyártelepi árának 40 %-át | |
| 8439 | Papíripari rostanyag készítésére, valamint papír vagy karton előállítására és kikészítésére szolgáló gép | Előállítás, amelynek során: — a felhasznált anyagok összértéke nem haladja meg a termék gyártelepi árának 40 %-át, és — a fenti korlátozáson belül, a termékkel azonos vámtarifaszám alá tartozó felhasznált anyagok összértéke nem haladja meg a termék gyártelepi árának 25 %-át | Előállítás, amelynek során a felhasznált anyagok összértéke nem haladja meg a termék gyártelepi árának 30 %-át |
| 8441 | Papíripari rostanyag, papír vagy karton feldolgozására szolgáló más gép, beleértve a bármilyenfajta papír- vagy kartonvágó gépet is | Előállítás, amelynek során: — a felhasznált anyagok összértéke nem haladja meg a termék gyártelepi árának 40 %-át, és — a fenti korlátozáson belül, a termékkel azonos vámtarifaszám alá tartozó felhasznált anyagok összértéke nem haladja meg a termék gyártelepi árának 25 %-át | Előállítás, amelynek során a felhasznált anyagok összértéke nem haladja meg a termék gyártelepi árának 30 %-át |
| 8444 –8447 | E vámtarifaszámok alá tartozó textilipari gépek | Előállítás, amelynek során a felhasznált anyagok összértéke nem haladja meg a termék gyártelepi árának 40 %-át | |
| ex 84 48 | A 8444 és 8445 vámtarifaszám alá tartozó gépek segédgépei | Előállítás, amelynek során a felhasznált anyagok összértéke nem haladja meg a termék gyártelepi árának 40 %-át | |
| 8452 | Varrógép, a 8440 vámtarifaszám alá tartozó könyvkötő gép (fűzőgép) kivételével; varrógép beépítésére alkalmas bútor, állvány és speciálisan varrógéphez kialakított borító; varrógéptű: | ||
| – Varrógép (csak zárt öltésű), motor nélkül legfeljebb 16 kg tömegű fejjel, vagy motorral legfeljebb 17 kg tömegű fejjel | Előállítás, amelynek során: — a felhasznált anyagok összértéke nem haladja meg a termék gyártelepi árának 40 %-át, — (a motor nélküli) fej összeállítására felhasznált nem származó anyagok összértéke nem haladja meg a felhasznált származó anyagok összértékét, és — a felhasznált szálfeszítő, hurkoló- és cikcakkszerkezet már származó | ||
| – Más | Előállítás, amelynek során a felhasznált anyagok összértéke nem haladja meg a termék gyártelepi árának 40 %-át | ||
| 8456 –8466 | A 8456 –8466 vámtarifaszám alá tartozó szerszámgépek és gépek, valamint alkatrészeik és tartozékaik | Előállítás, amelynek során a felhasznált anyagok összértéke nem haladja meg a termék gyártelepi árának 40 %-át | |
| 8469 –8472 | Irodagépek (pl. írógépek, számológépek, automatikus adatfeldolgozó gépek, másológépek, fűzőgépek) | Előállítás, amelynek során a felhasznált anyagok összértéke nem haladja meg a termék gyártelepi árának 40 %-át | |
| 8480 | Öntödei formázószekrény; öntőformafedő lap; öntőminta; öntőforma (a bugaöntő forma kivételével) fém, keményfém, üveg, ásványi anyag, gumi vagy műanyag formázásához | Előállítás, amelynek során a felhasznált anyagok összértéke nem haladja meg a termék gyártelepi árának 50 %-át | |
| 8482 | Golyós- vagy görgős gördülőcsapágy | Előállítás: — a terméktől eltérő bármely vámtarifaszám alá tartozó anyagokból, és — amelynek során a felhasznált anyagok összértéke nem haladja meg a termék gyártelepi árának 40 %-át | Előállítás, amelynek során a felhasznált anyagok összértéke nem haladja meg a termék gyártelepi árának 25 %-át |
| 8484 | Két vagy több fém-, illetve más anyagból rétegelt tömítés és tömítőelem; különböző anyagokból készült tömítés és hasonló kötőelem, készletben kiszerelve, tasakban, burkolatban vagy hasonló csomagolásban; mechanikus tömítőelem | Előállítás, amelynek során a felhasznált anyagok összértéke nem haladja meg a termék gyártelepi árának 40 %-át | |
| 8485 | Ebben az árucsoportban másutt nem említett elektromos csatlakozót, szigetelőt, tekercset, érintkezőt és más elektromos alkatrészt nem tartalmazó gépalkatrész | Előállítás, amelynek során a felhasznált anyagok összértéke nem haladja meg a termék gyártelepi árának 40 %-át | |
| ex 85. árucsoport | Elektromos gépek és elektromos felszerelések és ezek alkatrészei; hangfelvevő és -visszaadó, televíziós kép- és hangfelvevő és -visszaadó készülékek és ezek alkatrészei és tartozékai; kivéve: | Előállítás: — a terméktől eltérő bármely vámtarifaszám alá tartozó anyagokból, és — amelynek során a felhasznált anyagok összértéke nem haladja meg a termék gyártelepi árának 40 %-át | Előállítás, amelynek során a felhasznált anyagok összértéke nem haladja meg a termék gyártelepi árának 30 %-át |
| 8501 | Elektromotor és elektromos generátor (az áramfejlesztő egység [aggregát] kivételével) | Előállítás, amelynek során: — a felhasznált anyagok összértéke nem haladja meg a termék gyártelepi árának 40 %-át, és — a fenti korlátozáson belül, a 8503 vámtarifaszám alá tartozó felhasznált anyagok összértéke nem haladja meg a termék gyártelepi árának 10 %-át | Előállítás, amelynek során a felhasznált anyagok összértéke nem haladja meg a termék gyártelepi árának 30 %-át |
| 8502 | Elektromos áramfejlesztő egység (aggregát) és forgó áramátalakító | Előállítás, amelynek során: — a felhasznált anyagok összértéke nem haladja meg a termék gyártelepi árának 40 %-át, és — a fenti korlátozáson belül, a 8501 vagy 8503 vámtarifaszám alá tartozó felhasznált anyagok összértéke nem haladja meg a termék gyártelepi árának 10 %-át | Előállítás, amelynek során a felhasznált anyagok összértéke nem haladja meg a termék gyártelepi árának 30 %-át |
| ex 85 04 | Tápegység az automatikus adatfeldolgozó gépekhez | Előállítás, amelynek során a felhasznált anyagok összértéke nem haladja meg a termék gyártelepi árának 40 %-át | |
| ex 85 18 | Mikrofon és tartószerkezete; hangszóró, dobozba szerelve is; hangfrekvenciás elektromos erősítő; elektromos hangerősítő egység | Előállítás, amelynek során: — a felhasznált anyagok összértéke nem haladja meg a termék gyártelepi árának 40 %-át, és — a felhasznált nem származó anyagok összértéke nem haladja meg a felhasznált származó anyagok értékét | Előállítás, amelynek során a felhasznált anyagok összértéke nem haladja meg a termék gyártelepi árának 25 %-át |
| 8519 | Lemezjátszó, erősítő nélkül is, kazettalejátszó és más hangvisszaadó készülék, hangfelvevő szerkezet nélkül | Előállítás, amelynek során: — a felhasznált anyagok összértéke nem haladja meg a termék gyártelepi árának 40 %-át, és — a felhasznált nem származó anyagok összértéke nem haladja meg a felhasznált származó anyagok értékét | Előállítás, amelynek során a felhasznált anyagok összértéke nem haladja meg a termék gyártelepi árának 30 %-át |
| 8520 | Magnetofon és más hangfelvevő készülék, lejátszószerkezettel vagy anélkül is | Előállítás, amelynek során: — a felhasznált anyagok összértéke nem haladja meg a termék gyártelepi árának 40 %-át, és — a felhasznált nem származó anyagok összértéke nem haladja meg a felhasznált származó anyagok összértékét | Előállítás, amelynek során a felhasznált anyagok összértéke nem haladja meg a termék gyártelepi árának 30 %-át |
| 8521 | Videofelvevő és -lejátszó készülék, videotunerrel egybeépítve is | Előállítás, amelynek során: — a felhasznált anyagok értéke nem haladja meg a termék gyártelepi árának 40 %-át, és — a felhasznált nem származó anyagok összértéke nem haladja meg a felhasznált származó anyagok összértékét | Előállítás, amelynek során a felhasznált anyagok összértéke nem haladja meg a termék gyártelepi árának 30 %-át |
| 8522 | Kizárólag vagy elsősorban a 8519 –8521 vámtarifaszám alá tartozó készülékek alkatrésze és tartozéka | Előállítás, amelynek során a felhasznált anyagok összértéke nem haladja meg a termék gyártelepi árának 40 %-át | |
| 8523 | Hang vagy más jelenség felvételére alkalmas vagy ilyen célra előkészített, de felvételt nem tartalmazó anyag, a 37. árucsoportba tartozó termékek kivételével | Előállítás, amelynek során a felhasznált anyagok összértéke nem haladja meg a termék gyártelepi árának 40 %-át | |
| 8524 | Lemez, szalag és más anyag, amelyen hangot vagy más jelet rögzítettek, beleértve a lemez készítésére szolgáló matricát és mesterlemezt is, a 37. árucsoportba tartozó termékek kivételével: | ||
| – Lemez készítésére szolgáló matrica és mesterlemez | Előállítás, amelynek során a felhasznált anyagok összértéke nem haladja meg a termék gyártelepi árának 40 %-át | ||
| – Más | Előállítás, amelynek során: — a felhasznált anyagok összértéke nem haladja meg a termék gyártelepi árának 40 %-át, és — a fenti korlátozáson belül, a 8523 vámtarifaszám alá tartozó felhasznált anyagok összértéke nem haladja meg a termék gyártelepi árának 10 %-át | Előállítás, amelynek során a felhasznált anyagok összértéke nem haladja meg a termék gyártelepi árának 30 %-át | |
| 8525 | Rádiótelefon-, rádiótávíró-, rádió- és televízióműsor- adókészülék, vevőkészülékkel vagy anélkül, hangfelvevő vagy -lejátszó készülékkel egybeépítve is; televíziós kamera (felvevő), állóképes videokamera és más videokamera felvevők; digitális fényképezőgép | Előállítás, amelynek során: — a felhasznált anyagok összértéke nem haladja meg a termék gyártelepi árának 40 %-át, és — a felhasznált nem származó anyagok összértéke nem haladja meg a felhasznált származó anyagok összértékét | Előállítás, amelynek során a felhasznált anyagok összértéke nem haladja meg a termék gyártelepi árának 25 %-át |
| 8526 | Radarkészülék, rádiónavigációs segédkészülék és rádiós távirányító készülék | Előállítás, amelynek során: — a felhasznált anyagok összértéke nem haladja meg a termék gyártelepi árának 40 %-át, és — a felhasznált nem származó anyagok összértéke nem haladja meg a felhasznált származó anyagok összértékét | Előállítás, amelynek során a felhasznált anyagok összértéke nem haladja meg a termék gyártelepi árának 25 %-át |
| 8527 | Rádiótelefon-, rádiótávíró- és rádióműsor-vevőkészülék, hangfelvevő vagy -lejátszó készülékkel vagy órával közös házban is | Előállítás, amelynek során: — a felhasznált anyagok összértéke nem haladja meg a termék gyártelepi árának 40 %-át, és — a felhasznált nem származó anyagok összértéke nem haladja meg a felhasznált származó anyagok összértékét | Előállítás, amelynek során a felhasznált anyagok összértéke nem haladja meg a termék gyártelepi árának 25 %-át |
| 8528 | Televíziós adás vételére alkalmas készülék, rádióműsor-vevőkészüléket, hang- vagy képfelvevő vagy -lejátszó készüléket magában foglaló is; videomonitor és videovetítő készülék | Előállítás, amelynek során: — a felhasznált anyagok összértéke nem haladja meg a termék gyártelepi árának 40 %-át, és — a felhasznált nem származó anyagok összértéke nem haladja meg a felhasznált származó anyagok összértékét | Előállítás, amelynek során a felhasznált anyagok összértéke nem haladja meg a termék gyártelepi árának 25 %-át |
| 8529 | Kizárólag vagy elsősorban a 8525 –8528 vámtarifaszám alá tartozó készülékek alkatrészei: | ||
| – Kizárólag vagy elsősorban videofelvevő vagy -lejátszó készülékhez | Előállítás, amelynek során a felhasznált anyagok összértéke nem haladja meg a termék gyártelepi árának 40 %-át | ||
| – Más | Előállítás, amelynek során: — a felhasznált anyagok összértéke nem haladja meg a termék gyártelepi árának 40 %-át, és — a felhasznált nem származó anyagok összértéke nem haladja meg a felhasznált származó anyagok értékét | Előállítás, amelynek során a felhasznált anyagok összértéke nem haladja meg a termék gyártelepi árának 25 %-át | |
| 8535 és 8536 | Elektromos áramkör összekapcsolására, védelmére vagy elektromos áramkörbe vagy azon belüli összekapcsolásra szolgáló elektromos készülék | Előállítás, amelynek során: — a felhasznált anyagok összértéke nem haladja meg a termék gyártelepi árának 40 %-át, és — a fenti korlátozáson belül, a 8538 vámtarifaszám alá tartozó felhasznált anyagok összértéke nem haladja meg a termék gyártelepi árának 10 %-át | Előállítás, amelynek során a felhasznált anyagok összértéke nem haladja meg a termék gyártelepi árának 30 %-át |
| 8537 | Kapcsolótábla, -panel, -tartó (konzol), -asztal, -doboz és egyéb foglalat, amely a 8535 vagy a 8536 vámtarifaszám alá tartozó készülékből legalább kettőt foglal magában, és elektromos vezérlésre vagy az elektromosság elosztására szolgál, beleértve azt is, amely a 90. árucsoportba tartozó szerkezetet vagy készüléket és numerikus vezérlésű készüléket tartalmaz, a 8517 vámtarifaszám alá tartozó kapcsolókészülékek kivételével | Előállítás, amelynek során: — a felhasznált anyagok összértéke nem haladja meg a termék gyártelepi árának 40 %-át, és — a fenti korlátozáson belül, a 8538 vámtarifaszám alá tartozó felhasznált anyagok összértéke nem haladja meg a termék gyártelepi árának 10 %-át | Előállítás, amelynek során a felhasznált anyagok összértéke nem haladja meg a termék gyártelepi árának 30 %-át |
| ex 85 41 | Dióda, tranzisztor és hasonló félvezető eszköz; a csipekre még nem vágott, egyben lévő félvezetőszelet kivételével | Előállítás: — a terméktől eltérő bármely vámtarifaszám alá tartozó anyagokból, és — amelynek során a felhasznált anyagok összértéke nem haladja meg a termék gyártelepi árának 40 %-át | Előállítás, amelynek során a felhasznált anyagok összértéke nem haladja meg a termék gyártelepi árának 25 %-át |
| 8542 | Elektronikus integrált áramkör és mikroszerkezet | ||
| Előállítás, amelynek során: — a felhasznált anyagok összértéke nem haladja meg a termék gyártelepi árának 40 %-át, és — a fenti korlátozáson belül, a 8541 vagy 8542 vámtarifaszám alá tartozó felhasznált anyagok összértéke nem haladja meg a termék gyártelepi árának 10 %-át | Előállítás, amelynek során a felhasznált anyagok összértéke nem haladja meg a termék gyártelepi árának 25 %-át | ||
| 8544 | Szigetelt elektromos huzal (zománcozott vagy anódosan oxidált is), kábel (a koaxiális kábel is) és egyéb szigetelt elektromos vezeték csatlakozóval vagy anélkül; önállóan beburkolt optikai szálakból álló kábel, elektromos vezetékkel összeállítva vagy csatlakozóval felszerelve is | Előállítás, amelynek során a felhasznált anyagok összértéke nem haladja meg a termék gyártelepi árának 40 %-át | |
| 8545 | Szénelektróda, szénkefe, ívlámpaszén, galvánelemhez való szén és más, elektromos célra szolgáló, szénből, grafitból készült árucikk, fémmel vagy anélkül | Előállítás, amelynek során a felhasznált anyagok összértéke nem haladja meg a termék gyártelepi árának 40 %-át | |
| 8546 | Bármilyen anyagból készült elektromos szigetelő | Előállítás, amelynek során a felhasznált anyagok összértéke nem haladja meg a termék gyártelepi árának 40 %-át | |
| 8547 | Szigetelőszerelvény elektromos géphez, készülékhez és berendezéshez, kizárólag szigetelőanyagból, eltekintve bármilyen apróbb fémrésztől (pl. belső menetes foglalat), amelyeket az öntésnél csak a szerelhetőség érdekében helyeztek az anyagba, a 8546 vámtarifaszám alá tartozó szigetelő kivételével; szigetelőanyaggal bélelt, nem nemesfémből készült elektromos szigetelőcső és ezek csatlakozó darabjai | Előállítás, amelynek során a felhasznált anyagok összértéke nem haladja meg a termék gyártelepi árának 40 %-át | |
| 8548 | Használt primer cella, primer elem és elektromos akkumulátor, ezek hulladéka; kimerült primer cella, kimerült primer elem és kimerült elektromos akkumulátor; gépnek és készüléknek ebben az árucsoportban másutt nem említett elektromos alkatrésze | Előállítás, amelynek során a felhasznált anyagok összértéke nem haladja meg a termék gyártelepi árának 40 %-át | |
| ex 86. árucsoport | Vasúti mozdonyok és villamos-motorkocsik, más, sínhez kötött járművek és alkatrészeik; vasúti- és villamosvágány-tartozékok, -felszerelések és -alkatrészeik; mindenféle mechanikus (beleértve az elektromechanikusat is) közlekedési jelzőberendezés; kivéve: | Előállítás, amelynek során a felhasznált anyagok összértéke nem haladja meg a termék gyártelepi árának 40 %-át | |
| 8608 | Vasúti és villamosvasúti vágánytartozék és felszerelés; mechanikus (beleértve az elektromechanikusat is) ellenőrző, jelző- és biztonsági berendezés vasút, villamosvasút, közút, belvízi út, parkolóhely, kikötő vagy repülőtér számára; mindezek alkatrésze | Előállítás: — a terméktől eltérő bármely vámtarifaszám alá tartozó anyagokból, és — amelynek során a felhasznált anyagok összértéke nem haladja meg a termék gyártelepi árának 40 %-át | Előállítás, amelynek során a felhasznált anyagok összértéke nem haladja meg a termék gyártelepi árának 30 %-át |
| ex 87. árucsoport | Járművek és ezek alkatrészei, a vasúti vagy villamosvasúti sínhez kötött járművek kivételével; kivéve: | Előállítás, amelynek során a felhasznált anyagok összértéke nem haladja meg a termék gyártelepi árának 40 %-át | |
| 8709 | Önjáró üzemi targonca, rakodó- vagy emelőszerkezettel nem felszerelve, gyárban, áruházban, kikötő területén vagy repülőtéren áru rövid távolságra történő szállítására; vasúti pályaudvar peronján használt vontató; az idetartozó jármű alkatrésze | Előállítás: — a terméktől eltérő bármely vámtarifaszám alá tartozó anyagokból, és — a felhasznált anyagok összértéke nem haladja meg a termék gyártelepi árának 40 %-át | Előállítás, amelynek során a felhasznált anyagok összértéke nem haladja meg a termék gyártelepi árának 30 %-át |
| 8710 | Harckocsi és más páncélozott harci jármű motorral, fegyverzettel vagy anélkül, valamint az ilyen jármű alkatrésze | Előállítás: — a terméktől eltérő bármely vámtarifaszám alá tartozó anyagokból, és — a felhasznált anyagok összértéke nem haladja meg a termék gyártelepi árának 40 %-át | Előállítás, amelynek során a felhasznált anyagok összértéke nem haladja meg a termék gyártelepi árának 30 %-át |
| 8711 | Motorkerékpár (robogó is), segédmotoros kerékpár, oldalkocsival is; oldalkocsi: | ||
| – Szikragyújtású, dugattyús, belső égésű motorral, amelynek hengerűrtartalma: | |||
| – – Legfeljebb 50 cm3 | Előállítás, amelynek során: — a felhasznált anyagok összértéke nem haladja meg a termék gyártelepi árának 40 %-át, és — a felhasznált nem származó anyagok összértéke nem haladja meg a felhasznált származó anyagok összértékét | Előállítás, amelynek során a felhasznált anyagok összértéke nem haladja meg a termék gyártelepi árának 20 %-át | |
| – – 50 cm3-t meghaladó | Előállítás, amelynek során: — a felhasznált anyagok összértéke nem haladja meg a termék gyártelepi árának 40 %-át, és — a felhasznált nem származó anyagok összértéke nem haladja meg a felhasznált származó anyagok összértékét | Előállítás, amelynek során a felhasznált anyagok összértéke nem haladja meg a termék gyártelepi árának 25 %-át | |
| – Más | Előállítás, amelynek során: — a felhasznált anyagok összértéke nem haladja meg a termék gyártelepi árának 40 %-át, és — a felhasznált nem származó anyagok összértéke nem haladja meg a felhasznált származó anyagok összértékét | Előállítás, amelynek során a felhasznált anyagok összértéke nem haladja meg a termék gyártelepi árának 30 %-át | |
| ex 87 12 | Kerékpár golyóscsapágy nélkül | Előállítás a 8714 kivételével bármely vámtarifaszám alá tartozó anyagokból | Előállítás, amelynek során a felhasznált anyagok összértéke nem haladja meg a termék gyártelepi árának 30 %-át |
| 8715 | Gyermekkocsi és alkatrésze | Előállítás: — a terméktől eltérő bármely vámtarifaszám alá tartozó anyagokból, és — a felhasznált anyagok összértéke nem haladja meg a termék gyártelepi árának 40 %-át | Előállítás, amelynek során a felhasznált anyagok összértéke nem haladja meg a termék gyártelepi árának 30 %-át |
| 8716 | Pótkocsi (utánfutó) és félpótkocsi; más jármű géperejű hajtás nélkül; mindezek alkatrésze | Előállítás: — a terméktől eltérő bármely vámtarifaszám alá tartozó anyagokból, és — a felhasznált anyagok összértéke nem haladja meg a termék gyártelepi árának 40 %-át | Előállítás, amelynek során a felhasznált anyagok összértéke nem haladja meg a termék gyártelepi árának 30 %-át |
| ex 88. árucsoport | Légi járművek, űrhajók és ezek részei; kivéve: | Előállítás a terméktől eltérő bármely vámtarifaszám alá tartozó anyagokból | Előállítás, amelynek során a felhasznált anyagok összértéke nem haladja meg a termék gyártelepi árának 40 %-át |
| ex 88 04 | Forgó (rotáló) ejtőernyő | Előállítás bármely vámtarifaszám alá tartozó anyagból, a 8804 vámtarifaszám alá tartozó egyéb anyagokat is beleértve | Előállítás, amelynek során a felhasznált anyagok összértéke nem haladja meg a termék gyártelepi árának 40 %-át |
| 8805 | Légijármű-indító szerkezet; fedélzeti leszállásfékező készülék és hasonló fékezőszerkezet; repülőkiképző földi berendezés; mindezek alkatrésze | Előállítás a terméktől eltérő bármely vámtarifaszám alá tartozó anyagokból | Előállítás, amelynek során a felhasznált anyagok összértéke nem haladja meg a termék gyártelepi árának 30 %-át |
| 89. árucsoport | Hajó, csónak és más úszószerkezet | Előállítás a terméktől eltérő bármely vámtarifaszám alá tartozó anyagokból. A 8906 vámtarifaszám alá tartozó hajótesteket azonban nem lehet felhasználni | Előállítás, amelynek során a felhasznált anyagok összértéke nem haladja meg a termék gyártelepi árának 40 %-át |
| ex 90. árucsoport | Optikai, fényképészeti, mozgófényképészeti, mérő-, ellenőrző, precíziós, orvosi vagy sebészeti műszerek és készülékek; mindezek alkatrészei és tartozékai; kivéve: | Előállítás: — a terméktől eltérő bármely vámtarifaszám alá tartozó anyagokból, és — amelynek során a felhasznált anyagok összértéke nem haladja meg a termék gyártelepi árának 40 %-át | Előállítás, amelynek során a felhasznált anyagok összértéke nem haladja meg a termék gyártelepi árának 30 %-át |
| 9001 | Optikai szál és optikai szálból álló nyaláb; optikai szálból készült kábel, a 8544 vámtarifaszám alá tartozók kivételével; polarizáló anyagból készült lap és lemez; bármilyen anyagból készült lencse (kontaktlencse is), prizma, tükör és más optikai elem nem szerelve, az optikailag nem megmunkált üvegből készült elem kivételével | Előállítás, amelynek során a felhasznált anyagok összértéke nem haladja meg a termék gyártelepi árának 40 %-át | |
| 9002 | Lencse, prizma, tükör és más optikai elem bármilyen anyagból, szerelve, amely a műszer vagy készülék alkatrésze vagy szerelvénye, az optikailag nem megmunkált üvegből készült elem kivételével | Előállítás, amelynek során a felhasznált anyagok összértéke nem haladja meg a termék gyártelepi árának 40 %-át | |
| 9004 | Szemüveg, látásjavító, védő- és más szemüveg | Előállítás, amelynek során a felhasznált anyagok összértéke nem haladja meg a termék gyártelepi árának 40 %-át | |
| ex 90 05 | Távcső, látcső (két és egy szemlencsés) és más teleszkóp és ezek foglalata, a prizmás csillagászati távcsövek és ezek foglalata kivételével | Előállítás: — a terméktől eltérő bármely vámtarifaszám alá tartozó anyagokból, — amelynek során a felhasznált anyagok összértéke nem haladja meg a termék gyártelepi árának 40 %-át, és — amelynek során a felhasznált nem származó anyagok összértéke nem haladja meg a felhasznált származó anyagok összértékét | Előállítás, amelynek során a felhasznált anyagok összértéke nem haladja meg a termék gyártelepi árának 30 %-át |
| ex 90 06 | Fényképezőgép (a mozgó-fényképészeti kamera kivételével); fényképészeti villanófény-készülék és villanókörte, az elektromos gyújtású villanókörte kivételével | Előállítás: — a terméktől eltérő bármely vámtarifaszám alá tartozó anyagokból, — amelynek során a felhasznált anyagok összértéke nem haladja meg a termék gyártelepi árának 40 %-át, és — amelynek során a felhasznált nem származó anyagok összértéke nem haladja meg a felhasznált származó anyagok összértékét | Előállítás, amelynek során a felhasznált anyagok összértéke nem haladja meg a termék gyártelepi árának 30 %-át |
| 9007 | Mozgóképfelvevő (kamera) és -vetítő, hangfelvevő és hangvisszaadó készülékkel vagy anélkül | Előállítás: — a terméktől eltérő bármely vámtarifaszám alá tartozó anyagokból, — amelynek során a felhasznált anyagok összértéke nem haladja meg a termék gyártelepi árának 40 %-át, és — amelynek során a felhasznált nem származó anyagok összértéke nem haladja meg a felhasznált származó anyagok összértékét | Előállítás, amelynek során a felhasznált anyagok összértéke nem haladja meg a termék gyártelepi árának 30 %-át |
| 9011 | Összetett optikai mikroszkóp, mikrofényképészeti, mikro-mozgófényképészeti mikroszkóp vagy mikroképvetítő is | Előállítás: — a terméktől eltérő bármely vámtarifaszám alá tartozó anyagokból, — amelynek során a felhasznált anyagok összértéke nem haladja meg a termék gyártelepi árának 40 %-át, és — amelynek során a felhasznált nem származó anyagok összértéke nem haladja meg a felhasznált származó anyagok összértékét | Előállítás, amelynek során a felhasznált anyagok összértéke nem haladja meg a termék gyártelepi árának 30 %-át |
| ex 90 14 | Más navigációs eszköz és készülék | Előállítás, amelynek során a felhasznált anyagok összértéke nem haladja meg a termék gyártelepi árának 40 %-át | |
| 9015 | Földmérő (a fotogrammetriai földmérő is), hidrográfiai, oceanográfiai, hidrológiai, meteorológiai vagy geofizikai műszer és készülék, az iránytű kivételével; távolságmérő | Előállítás, amelynek során a felhasznált anyagok összértéke nem haladja meg a termék gyártelepi árának 40 %-át | |
| 9016 | Mérleg 50 mg vagy ennél nagyobb érzékenységgel, súllyal együtt is | Előállítás, amelynek során a felhasznált anyagok összértéke nem haladja meg a termék gyártelepi árának 40 %-át | |
| 9017 | Rajzoló-, jelölő- vagy matematikai számolóműszer és eszköz (pl. rajzológép, pantográf, szögmérő, rajzolókészlet, logarléc, logartárcsa); ebben az árucsoportban más vámtarifaszám alá nem besorolható kézi hosszúságmérő eszköz (pl. mérőrúd és -szalag, mikrométer, körző) | Előállítás, amelynek során a felhasznált anyagok összértéke nem haladja meg a termék gyártelepi árának 40 %-át | |
| 9018 | Orvosi, sebészeti, fogászati, állatorvosi műszer és készülék, szcintigráfkészülék is, más elektromos gyógyászati és látásvizsgáló készülék: | ||
| – Fogorvosi szék műszerrel felszerelve | Előállítás bármely vámtarifaszám alá tartozó anyagból, a 9018 vámtarifaszám alá tartozó egyéb anyagokat is beleértve | Előállítás, amelynek során a felhasznált anyagok összértéke nem haladja meg a termék gyártelepi árának 40 %-át | |
| – Más | Előállítás: — a terméktől eltérő bármely vámtarifaszám alá tartozó anyagokból, és — amelynek során a felhasznált anyagok összértéke nem haladja meg a termék gyártelepi árának 40 %-át | Előállítás, amelynek során a felhasznált anyagok összértéke nem haladja meg a termék gyártelepi árának 25 %-át | |
| 9019 | Mechanikus gyógyászati készülék; masszírozókészülék; pszichológiai képességvizsgáló készülék; ózon-, oxigén- és aeroszol-terápiai készülék, mesterséges lélegeztető vagy más gyógyászati légzőkészülék | Előállítás: — a terméktől eltérő bármely vámtarifaszám alá tartozó anyagokból, és — amelynek során a felhasznált anyagok összértéke nem haladja meg a termék gyártelepi árának 40 %-át | Előállítás, amelynek során a felhasznált anyagok összértéke nem haladja meg a termék gyártelepi árának 25 %-át |
| 9020 | Más légzőkészülék és gázálarc a mechanikus részekkel és cserélhető szűrőkkel nem rendelkező védőálarc kivételével | Előállítás: — a terméktől eltérő bármely vámtarifaszám alá tartozó anyagokból, és — amelynek során a felhasznált anyagok összértéke nem haladja meg a termék gyártelepi árának 40 %-át | Előállítás, amelynek során a felhasznált anyagok összértéke nem haladja meg a termék gyártelepi árának 25 %-át |
| 9024 | Keménység-, szakító- és nyomásszilárdság-, rugalmasság-vizsgáló gép és készülék vagy más mechanikai anyagvizsgáló gép (pl. fém, fa, textil, papír, műanyag vizsgálatához) | Előállítás, amelynek során a felhasznált anyagok összértéke nem haladja meg a termék gyártelepi árának 40 %-át | |
| 9025 | Fajsúlymérő és hasonló, folyadékban úszó mérőműszer, hőmérő, pirométer, barométer, higrométer, pszichrométer (regisztrálóval is) és mindezek egymással kombinálva is | Előállítás, amelynek során a felhasznált anyagok összértéke nem haladja meg a termék gyártelepi árának 40 %-át | |
| 9026 | Folyadék vagy gáz áramlásának, szintjének, nyomásának vagy más változó jellemzőinek mérésére és ellenőrzésére szolgáló eszköz, műszer és készülék (pl. áramlásmérő, szintjelző, manométer, hőmennyiségmérő), a 9014 , 9015 , 9028 vagy 9032 vámtarifaszám alá tartozó műszer és készülék kivételével | Előállítás, amelynek során a felhasznált anyagok összértéke nem haladja meg a termék gyártelepi árának 40 %-át | |
| 9027 | Fizikai vagy vegyi analízisre szolgáló készülék és műszer (pl. polariméter, refraktométer, spektrométer, füst- vagy gázanalizátor); viszkozitást, porozitást, nyúlást, felületi feszültséget vagy hasonló jellemzőket mérő és ellenőrző eszköz és készülék; hő-, hang- és fénymennyiségek mérésére és ellenőrzésére szolgáló eszköz és készülék (a megvilágításiidő-mérő is); mikrotom (metszetkészítő) | Előállítás, amelynek során a felhasznált anyagok összértéke nem haladja meg a termék gyártelepi árának 40 %-át | |
| 9028 | Gáz, folyadék és áram fogyasztásának vagy előállításának mérésére szolgáló készülék, ezek hitelesítésére szolgáló mérőeszköz is: | ||
| – Alkatrész és tartozék | Előállítás, amelynek során a felhasznált anyagok összértéke nem haladja meg a termék gyártelepi árának 40 %-át | ||
| – Más | Előállítás, amelynek során: — a felhasznált anyagok összértéke nem haladja meg a termék gyártelepi árának 40 %-át, és — a felhasznált nem származó anyagok összértéke nem haladja meg a felhasznált származó anyagok összértékét | Előállítás, amelynek során a felhasznált anyagok összértéke nem haladja meg a termék gyártelepi árának 30 %-át | |
| 9029 | Fordulatszámláló, termékszámláló, taxióra, kilométer-számláló, lépésszámláló és hasonló készülék; sebességmérő és tachométer, a 9014 vagy a 9015 vámtarifaszám alá tartozó készülék kivételével; stroboszkóp | Előállítás, amelynek során a felhasznált anyagok összértéke nem haladja meg a termék gyártelepi árának 40 %-át | |
| 9030 | Oszcilloszkóp, spektrumanalizátor és elektromos mennyiségek mérésére vagy ellenőrzésére szolgáló más műszer és készülék a 9028 vámtarifaszám alá tartozó mérőműszerek kivételével; alfa-, béta-, gamma-, röntgen-, kozmikus vagy más ionizáló sugárzás kimutatására vagy mérésére szolgáló műszer és készülék | Előállítás, amelynek során a felhasznált anyagok összértéke nem haladja meg a termék gyártelepi árának 40 %-át | |
| 9031 | Ebben az árucsoportban másutt nem említett, más vámtarifaszám alá nem besorolható mérő- vagy ellenőrző műszer, készülék és gép; profilvetítő | Előállítás, amelynek során a felhasznált anyagok összértéke nem haladja meg a termék gyártelepi árának 40 %-át | |
| 9032 | Automata szabályozó- vagy ellenőrző műszer és készülék | Előállítás, amelynek során a felhasznált anyagok összértéke nem haladja meg a termék gyártelepi árának 40 %-át | |
| 9033 | A 90. árucsoportba tartozó gép, készülék, műszer vagy berendezés ebben az árucsoportban másutt nem említett alkatrésze és tartozéka | Előállítás, amelynek során a felhasznált anyagok összértéke nem haladja meg a termék gyártelepi árának 40 %-át | |
| ex 91. árucsoport | Órák és ezek alkatrésze; kivéve: | Előállítás, amelynek során a felhasznált anyagok összértéke nem haladja meg a termék gyártelepi árának 40 %-át | |
| 9105 | Más óra | Előállítás, amelynek során: — a felhasznált anyagok összértéke nem haladja meg a termék gyártelepi árának 40 %-át, és — a felhasznált nem származó anyagok összértéke nem haladja meg a felhasznált származó anyagok összértékét | Előállítás, amelynek során a felhasznált anyagok összértéke nem haladja meg a termék gyártelepi árának 30 %-át |
| 9109 | Óraszerkezet, teljes (komplett) és összeszerelt | Előállítás, amelynek során: — a felhasznált anyagok összértéke nem haladja meg a termék gyártelepi árának 40 %-át, és — a felhasznált nem származó anyagok összértéke nem haladja meg a felhasznált származó anyagok összértékét | Előállítás, amelynek során a felhasznált anyagok összértéke nem haladja meg a termék gyártelepi árának 30 %-át |
| 9110 | Komplett „kisóraszerkezet” vagy óraszerkezet nem összeszerelve vagy részben összeszerelve (szerkezetkészlet); nem teljes „kisóraszerkezet” vagy óraszerkezet összeszerelve; nyers „kisóraszerkezet” vagy óraszerkezet | Előállítás, amelynek során: — a felhasznált anyagok összértéke nem haladja meg a termék gyártelepi árának 40 %-át, és — a fenti korlátozáson belül, a 9114 vámtarifaszám alá tartozó felhasznált anyagok összértéke nem haladja meg a termék gyártelepi árának 10 %-át | Előállítás, amelynek során a felhasznált anyagok összértéke nem haladja meg a termék gyártelepi árának 30 %-át |
| 9111 | Tok „kisóraszerkezethez” és ennek részei | Előállítás: — a terméktől eltérő bármely vámtarifaszám alá tartozó anyagokból, és — amelynek során a felhasznált anyagok összértéke nem haladja meg a termék gyártelepi árának 40 %-át | Előállítás, amelynek során a felhasznált anyagok összértéke nem haladja meg a termék gyártelepi árának 30 %-át |
| 9112 | Tok órához és hasonló tok ebbe az árucsoportba tartozó más áruhoz és ezek része | Előállítás: — a terméktől eltérő bármely vámtarifaszám alá tartozó anyagokból, és — amelynek során a felhasznált anyagok összértéke nem haladja meg a termék gyártelepi árának 40 %-át | Előállítás, amelynek során a felhasznált anyagok összértéke nem haladja meg a termék gyártelepi árának 30 %-át |
| 9113 | Szíj, szalag és karkötő karórához és ezek alkatrésze: | ||
| – Nem nemesfémből, arannyal vagy ezüsttel lemezelve is, vagy nemesfémmel plattírozott fémből is | Előállítás, amelynek során a felhasznált anyagok összértéke nem haladja meg a termék gyártelepi árának 40 %-át | ||
| – Más | Előállítás, amelynek során a felhasznált anyagok összértéke nem haladja meg a termék gyártelepi árának 50 %-át | ||
| 92. árucsoport | Zenei eszközök; mindezek alkatrésze és tartozéka | Előállítás, amelynek során a felhasznált anyagok összértéke nem haladja meg a termék gyártelepi árának 40 %-át | |
| 93. árucsoport | Fegyver és lőszer; ezek alkatrésze és tartozéka | Előállítás, amelynek során a felhasznált anyagok összértéke nem haladja meg a termék gyártelepi árának 50 %-át | |
| ex 94. árucsoport | Bútor; ágyfelszerelés, matrac, ágybetét, párna és más párnázott lakberendezési árucikk; másutt nem említett lámpa és világítófelszerelés; megvilágított jelzések, reklámfeliratok, névtáblák és hasonlók; előre gyártott épület; kivéve: | Előállítás a terméktől eltérő bármely vámtarifaszám alá tartozó anyagokból | Előállítás, amelynek során a felhasznált anyagok összértéke nem haladja meg a termék gyártelepi árának 40 %-át |
| ex 94 01 és ex 94 03 | Nem nemesfémből készült, nem párnázott, legfeljebb 300 g/m2 tömegű pamutszövetet tartalmazó bútor | Előállítás a terméktől eltérő bármely vámtarifaszám alá tartozó anyagokból vagy Előállítás a 9401 vagy 9403 vámtarifaszám alá tartozó, felhasználásra kész pamutszövetből, ha: — az értéke nem haladja meg a termék gyártelepi árának 25 %-át, — valamennyi felhasznált anyag már származó, és nem a 9401 vagy 9403 vámtarifaszám alá tartozik | Előállítás, amelynek során a felhasznált anyagok összértéke nem haladja meg a termék gyártelepi árának 40 %-át |
| 9405 | Lámpa és világítófelszerelés, beleértve a fényszórót és a spotlámpát is, és mindezek másutt nem említett alkatrésze; megvilágított jelzések, reklámfeliratok, névtáblák és hasonlók, állandó jellegű fényforrással szerelve, valamint mindezek másutt nem említett alkatrésze | Előállítás, amelynek során a felhasznált anyagok összértéke nem haladja meg a termék gyártelepi árának 50 %-át | |
| 9406 | Előre gyártott épület | Előállítás, amelynek során a felhasznált anyagok összértéke nem haladja meg a termék gyártelepi árának 50 %-át | |
| ex 95. árucsoport | Játékok, játékszerek és sporteszközök; mindezek alkatrésze és tartozéka; kivéve | Előállítás a terméktől eltérő bármely vámtarifaszám alá tartozó anyagokból | |
| 9503 | Más játék; kicsinyített méretű („méretarányos”) modell és szórakozásra szánt hasonló modell, működő is; mindenféle kirakós játék (puzzle) | Előállítás: — a terméktől eltérő bármely vámtarifaszám alá tartozó anyagokból, és — amelynek során a felhasznált anyagok összértéke nem haladja meg a termék gyártelepi árának 50 %-át | |
| ex 95 06 | Golfütő és más golffelszerelés | Előállítás a terméktől eltérő bármely vámtarifaszám alá tartozó anyagokból. A golfütőfejek készítéséhez azonban durván megmunkált tömbök felhasználhatók | |
| ex 96. árucsoport | Különböző áruk; kivéve: | Előállítás a terméktől eltérő bármely vámtarifaszám alá tartozó anyagokból | |
| ex 96 01 és ex 96 02 | Állati, növényi vagy ásványi eredetű, faragásra alkalmas anyagból készült áru | Előállítás a termékével megegyező vámtarifaszám alá tartozó, „megmunkált”, faragásra alkalmas anyagokból | |
| ex 96 03 | Seprű, kefe és ecset (a nyest- és a mókusszőrből készült seprűk és hasonlók és kefék kivételével), kézi működtetésű, mechanikus padlóseprű motor nélkül, szobafestőpárna és -henger, gumibetétes törlő és nyeles felmosó | Előállítás, amelynek során a felhasznált anyagok összértéke nem haladja meg a termék gyártelepi árának 50 %-át | |
| 9605 | Utazási készlet testápoláshoz, varráshoz vagy cipő- vagy ruhatisztításhoz | A készletben lévő minden egyes tételnek meg kell felelnie annak a szabálynak, amely akkor vonatkozna rá, ha nem lenne készletbe foglalva. Nem származó árucikkek azonban beépíthetők, ha összértékük nem haladja meg a készlet gyártelepi árának 15 %-át | |
| 9606 | Gomb, franciakapocs, patentkapocs, nyomógomb, gombtest és ezek részei; nyers gomb | Előállítás: — a terméktől eltérő bármely vámtarifaszám alá tartozó anyagokból, és — amelynek során a felhasznált anyagok összértéke nem haladja meg a termék gyártelepi árának 50 %-át | |
| 9608 | Golyóstoll, filc- és más, szivacsvégű toll és jelző; töltőtoll, rajzolótoll és egyéb toll; másoló töltőtoll (átírótoll); töltőceruza vagy csúszóbetétes ceruza; tollszár, ceruzahosszabbító és hasonló; mindezek részei (beleértve a kupakot és a klipszet is), a 9609 vámtarifaszám alá tartozó áru kivételével | Előállítás a terméktől eltérő bármely vámtarifaszám alá tartozó anyagokból. A termékével megegyező vámtarifaszám alá tartozó tollhegy vagy tollhegycsúcs azonban felhasználható | |
| 9612 | Írógép- és hasonló szalag, tintával vagy más anyaggal – lenyomatkészítésre – átitatva, orsón vagy kazettában is; bélyegzőpárna, dobozzal is, átitatva vagy sem | Előállítás: — a terméktől eltérő bármely vámtarifaszám alá tartozó anyagokból, és — amelynek során a felhasznált anyagok összértéke nem haladja meg a termék gyártelepi árának 50 %-át | |
| ex 96 13 | Öngyújtó, piezoelektromos gyújtóval | Előállítás, amelynek során a 9613 vámtarifaszám alá tartozó felhasznált anyagok összértéke nem haladja meg a termék gyártelepi árának 30 %-át | |
| ex 96 14 | Pipa és pipafej | Előállítás durván megmunkált tömbből | |
| 97. árucsoport | Művészeti tárgyak, gyűjteménydarabok és régiségek | Előállítás a terméktől eltérő bármely vámtarifaszám alá tartozó anyagokból | |
| (1) A meghatározott eljárásokra vonatkozó külön feltételeket lásd a 7.1. és 7.3. bevezető megjegyzésben. (2) A „meghatározott eljárásokra” vonatkozó külön feltételeket lásd a 7.2. bevezető megjegyzésben. (3) A vámtarifa 32. árucsoportjához tartozó megjegyzések 3. pontja kimondja, hogy ezek a készítmények bármely anyag festésénél vagy színezőkészítmények előállításánál azok alkotóelemeiként használatosak, amennyiben nem tartoznak a 32. árucsoport más vámtarifaszáma alá. (4) A „csoport” kifejezés úgy értendő, mint a vámtarifaszám szövegének a többi résztől pontosvesszővel elválasztott bármely része. (5) Az egyrészről a 3901 –3906 vámtarifaszám, másrészről a 3907 –3911 vámtarifaszám alá sorolt anyagokból álló termékek esetében ez a korlátozás csak az anyagok azon csoportjára vonatkozik, amelyik nagyobb tömegben van jelen a termékben. (6) A következő fóliákat kell víztisztának tekinteni: fóliák, amelyeknek optikai fénytompítása – az ASTM-D 1003-16 szerint Gardner Hazeméterrel (azaz Hazefaktor) mérve – kevesebb mint 2 %. (7) A textilanyagok keverékéből készült termékekre vonatkozó különleges feltételeket lásd az 5. bevezető megjegyzésben. (8) Ezen anyag használata a papírgyártó gépekhez használatos szövet előállítására korlátozódik. (9) Lásd a 6. bevezető megjegyzést. (10) A kötött vagy hurkolt kelméből (formára kiszabott vagy közvetlenül alakra kötött kelméből) a darabok összevarrásával vagy összeállításával készített, nem rugalmas vagy nem gumizott, kötött vagy hurkolt árucikkek esetében lásd a 6. magyarázó megjegyzést. (11) SEMII = Semiconductor Equipment and Materials Institute Incorporated. (12) Ezt a szabályt 2005. december 31-ig kell alkalmazni. | |||
16. MELLÉKLET
A GSP SZERINTI REGIONÁLIS KUMULÁCIÓBÓL KIZÁRT MEGMUNKÁLÁS
Az olyan megmunkálás, mint:
- gombok és/vagy más típusú kapcsok és rögzítők felhelyezése,
- gomblyuk készítése,
- nadrágszár, ing- és ruhaujj vagy ing és ruha alsó szegélyének eldolgozása,
- zsebkendő, asztalterítő stb. beszegése,
- díszek és tartozékok, például zsebek, címkék, jelvények stb. rögzítése,
- ruha vasalása és egyéb előkészítése a "konfekcióáruként" történő értékesítésre,
- vagy e megmunkálások bármely kombinációja.
17. MELLÉKLET
FORM "A" SZÁRMAZÁSI BIZONYÍTVÁNY
1. A FORM A származási bizonyítványt az e mellékletben található mintának megfelelően kell kiállítani. A bizonyítvány hátoldalán található megjegyzések esetében nem kötelező az angol vagy francia nyelv használata. A bizonyítványt angol vagy francia nyelven kell kitölteni. Kézzel való kitöltés esetén az adatokat tintával, nagybetűkkel kell beírni.
2. Minden egyes bizonyítványt 210 × 297 mm méretű lapon kell kiállítani; hosszirányban és szélességben legfeljebb mínusz 5 mm, illetve plusz 8 mm eltérés megengedett. A felhasznált papírnak fehérnek, famentesnek és legalább 25 g/m2 tömegűnek kell lennie. A lapot nyomtatott zöld, gilosmintás háttérrel kell ellátni, hogy bármilyen mechanikus vagy vegyi úton történő hamisítás szemmel jól látható legyen.
Amennyiben a bizonyítvány többpéldányos, úgy csak a felső, eredeti példányt kell nyomtatott zöld, gilosmintás hátterű papírlapon kiállítani.
3. A bizonyítványok azonosíthatóságát nyomtatott vagy másként kialakított sorszámozás útján kell biztosítani.
4. A bizonyítvány a meglévő készletek kimerüléséig olyan űrlapon is kiállítható, amelynek hátoldalán a megjegyzések a régebbi szövegükkel szerepelnek.

NOTES (2013)
I. Countries which accept Form A for the purposes of the Generalised System of Preferences (GSP)
| Australia (1) | European Union: | France | Netherlands |
| Belarus | Austria | Germany | Poland |
| Canada | Belgium | Greece | Portugal |
| Iceland | Bulgaria | Hungary | Romania |
| Japan | Croatia | Ireland | Slovakia |
| New Zealand (2) | Cyprus | Italy | Slovenia |
| Norway | Czech Republic | Latvia | Spain |
| Russian Federation | Denmark | Lithuania | Sweden |
| Switzerland including Liechtenstein (3) | Estonia | Luxembourg | United Kingdom |
| Turkey | Finland | Malta | |
| United States of America (4) | |||
| (1) For Australia, the main requirement is the exporter's declaration on the normal commercial invoice. Form A, accompanied by the normal commercial invoice, is an acceptable alternative, but official certification is not required. (2) Official certification is not required. (3) The Principality of Liechtenstein forms, pursuant to the Treaty of 29 March 1923, a customs union with Switzerland. (4) The United States does not require GSP Form A. A declaration setting forth all pertinent detailed information concerning the production or manufacture of the merchandise is considered sufficient only if requested by the district collector of Customs. | |||
Full details of the conditions covering admission to the GSP in these countries are obtainable from the designated authorities in the exporting preference-receiving countries or from the customs authorities of the preference-giving countries listed above. An information note is also obtainable from the UNCTAD secretariat.
II. General conditions
To qualify for preference, products must:
(a) fall within a description of products eligible for preference in the country of destination. The description entered on the form must be sufficiently detailed to enable the products to be identified by the customs officer examining them;
(b) comply with the rules of origin of the country of destination. Each article in a consignment must qualify separately in its own right; and,
(c) comply with the consignment conditions specified by the country of destination. In general, products must be consigned direct from the country of exportation to the country of destination but most preference-giving countries accept passage through intermediate countries subject to certain conditions. (For Australia, direct consignment is not necessary).
III. Entries to be made in Box 8
Preference products must either be wholly obtained in accordance with the rules of the country of destination or sufficiently worked or processed to fulfil the requirements of that country's origin rules.
(a) Products wholly obtained: for export to all countries listed in Section I, enter the letter ‘P' in Box 8 (for Australia and New Zealand Box 8 may be left blank).
(b) Products sufficiently worked or processed: for export to the countries specified below, the entry in Box 8 should be as follows:
(1) United States of America: for single country shipments, enter the letter ‘Y' in Box 8, for shipments from recognised associations of counties, enter the letter ‘Z', followed by the sum of the cost or value of the domestic materials and the direct cost of processing, expressed as a percentage of the ex-factory price of the exported products; (example ‘Y' 35 % or ‘Z' 35 %).
(2) Canada: for products which meet origin criteria from working or processing in more than one eligible least developed country, enter letter ‘G' in Box 8; otherwise ‘F'.
(3) Iceland, the European Union, Japan, Norway, Switzerland including Liechtenstein, and Turkey; enter the letter ‘W' in Box 8 followed by the Harmonised Commodity Description and coding system (Harmonised System) heading at the 4-digit level of the exported product (example ‘W' 96.18).
(4) Russian Federation: for products which include value added in the exporting preference-receiving country, enter the letter ‘Y' in Box 8 followed by the value of imported materials and components expressed as a percentage of the fob price of the exported products (example ‘Y' 45 %); for products obtained in a preference-receiving country and worked or processed in one or more other such countries, enter ‘Pk'.
(5) Australia and New Zealand: completion of Box 8 is not required. It is sufficient that a declaration be properly made in Box 12.

NOTES (2013)
I. Pays acceptant la formule A aux fins du système des préférences généralisées (SPG):
| Australie (1) | Union européenne: | Finlande | Pays-Bas |
| Bélarus | Allemagne | France | Pologne |
| Canada | Autriche | Grèce | Portugal |
| Etats-Unis d'Amérique (3) | Belgique | Hongrie | République tchèque |
| Fédération de Russie | Bulgarie | Irlande | Roumanie |
| Islande | Chypre | Italie | Royaume-Uni |
| Japon | Croatie | Lettonie | Slovaquie |
| Norvège | Danemark | Lituanie | Slovénie |
| Nouvelle-Zélande (2) | Espagne | Luxembourg | Suède |
| Suisse y compris Liechtenstein (4) | Estonie | Malte | |
| Turquie | |||
| (1) Pour l'Australie, l'exigence de base est une attestation de l'exportateur sur la facture habituelle. La formule A, accompagnée de la facture habituelle, peut être acceptée en remplacement, mais une certification officielle n'est pas exigée. (2) Un visa officiel n'est pas exigé. (3) Les Etats-Unis n'exigent pas de certificat SGP Formule A. Une déclaration reprenant toute information appropriée et détaillée concernant la production ou la fabrication de la marchandise est considérée comme suffisante, et doit être présentée uniquement à la demande du receveur des douanes du district (District collector of Customs). (4) D'après l'Accord du 29 mars 1923, la Principauté du Liechtenstein forme une union douanière avec la Suisse. | |||
Des détails complets sur les conditions régissant l'admission au bénéfice du SGP dans ce pays peuvent être obtenus des autorités désignées par les pays exportateurs bénéficiaires ou de l'administration des douanes des pays donneurs qui figurent dans la liste ci-dessus. Une note d'information peut également être obtenue du secrétariat de la CNUCED.
II. Conditions générales
Pour être admis au bénéfice des préférences, les produits doivent:
(a) correspondre à la définition établie des produits pouvant bénéficier du régime de préférences dans les pays de destination. La description figurant sur la formule doit être suffisamment détaillée pour que les produits puissent être identifiés par l'agent des douanes qui les examine;
(b) satisfaire aux règles d'origine du pays de destination. Chacun des articles d'une même expédition doit répondre aux conditions prescrites; et
(c) satisfaire aux conditions d'expédition spécifiées par le pays de destination. En général, les produits doivent être expédiés directement du pays d'exportation au pays de destination; toutefois, la plupart des pays donneurs de préférences acceptent sous certaines conditions le passage par des pays intermédiaires (pour l'Australie, l'expédition directe n'est pas nécessaire).
III. Indications à porter dans la case 8
Pour bénéficier des préférences, les produits doivent avoir été, soit entièrement obtenus, soit suffisamment ouvrés ou transformés conformément aux règles d'origine des pays de destination.
(a) Produits entièrement obtenus: pour l'exportation vers tous les pays figurant dans la liste de la section, il y a lieu d'inscrire la lettre «P» dans la case 8 (pour l'Australie et la Nouvelle-Zélande, la case 8 peut être laissée en blanc).
(b) Produits suffisamment ouvrés ou transformés: pour l'exportation vers les pays figurant ci-après, les indications à porter dans la case 8 doivent être les suivantes:
(1) Etats Unis d'Amérique: dans le cas d'expédition provenant d'un seul pays, inscrire la lettre «Y» ou, dans le cas d'expéditions provenant d'un groupe de pays reconnu comme un seul, la lettre «Z», suivie de la somme du coűt ou de la valeur des matières et du coűt direct de la transformation, exprimée en pourcentage du prix départ usine des marchandises exportées (exemple: «Y» 35 % ou «Z» 35 %);
(2) Canada: il y a lieu d'inscrire dans la case 8 la lettre «G» pur les produits qui satisfont aux critères d'origine après ouvraison ou transformation dans plusieurs des pays les moins avancés; sinon, inscrire la lettre «F»;
(3) Islande, Japon, Norvège, Suisse y compris Liechtenstein, Turquie et l'Union européenne: inscrire dans la case 8 la lettre «W» suivie de la position tarifaire à quatre chiffres occupée par le produit exporté dans le Système harmonisé de désignation et de codification des marchandises (Système harmonisé) (exemple «W» 96.18);
(4) Fédération de Russie: pour les produits avec valeur ajoutée dans le pays exportateur bénéficiaire de préférences, il y a lieu d'inscrire la lettre «Y» dans la case 8, en la faisant suivre de la valeur des matières et des composants importés, exprimée en pourcentage du prix fob des marchandises exportées (exemple: «Y» 45 %); pour les produits obtenus dans un pays bénéficiaire de préférences et ouvrés ou transformés dans un ou plusieurs autres pays bénéficiaires, il y a lieu d'inscrire les lettre «Pk» dans la case 8;
(5) Australie et Nouvelle-Zélande: il n'est pas nécessaire de remplir la case 8. Il suffit de faire une déclaration appropriée dans la case 12.
18. MELLÉKLET
(Lásd a 97m. cikk (3) bekezdését)
Számlanyilatkozat
Az alábbi szövegű számlanyilatkozatot a lábjegyzeteknek megfelelően kell kiállítani. A nyilatkozatnak a lábjegyzetek szövegét nem kell tartalmaznia.
Francia változat
L'exportateur des produits couverts par le présent document (autorisation douanière no ... ( 134 )) déclare que, sauf indication claire du contraire, ces produits ont l'origine préférentielle ... ( 135 ) au sens des règles d'origine du Système des préférences tarifaires généralisées de la Communauté européenne et ... ( 136 ).
Angol változat
The exporter of the products covered by this document (customs authorization No ... (136) ) declares that, except where otherwise clearly indicated, these products are of ... preferential origin (136) according to rules of origin of the Generalized System of Preferences of the European Community and ... (136) .
...
(helység és dátum) ( 137 )
(Az exportőr aláírása; az okmányt aláíró személy nevét olvasható írással is fel kell tüntetni) ( 138 ).
21. MELLÉKLET
EUR.1 SZÁLLÍTÁSI BIZONYÍTVÁNY ÉS KÉRELEM
1. Az EUR.1 szállítási bizonyítványt az ebben a mellékletben megadott mintának megfelelő nyomtatványon kell kiállítani. A nyomtatvány a Közösség valamelyik hivatalos nyelvén készül. A bizonyítványokat ezeknek a nyelveknek az egyikén kell kiállítani az exportáló ország vagy terület jogszabályaiban rögzített rendelkezésekkel összhangban. Ha a nyomtatványt kézzel töltik ki, akkor abba tollal és nyomtatott nagybetűkkel kell beírni.
2. Valamennyi bizonyítvány 210 × 297 mm méretű. Hosszirányban legfeljebb + 8 mm és - 5 mm eltérés megengedett. Az alkalmazandó papír fehér, famentes, írás céljára előkészített, tömege legalább 25 g/m2. A nyomtatványt nyomtatott guilloche-mintás, zöld háttérel kell ellátni, amely bármilyen, a mechanikus vagy vegyi eszközökkel megkísérelt hamisítást láthatóvá tesz.
3. Az exportáló ország vagy terület illetékes hatóságai fenntarthatják a jogot arra, hogy a nyomtatványokat maguk állítsák elő, vagy arra felhatalmazott nyomdákkal készíttessék el. Ez utóbbi esetben valamennyi bizonyítványon hivatkozni kell a felhatalmazásra. Valamennyi bizonyítványon fel kell tüntetni a nyomda megnevezését, címét vagy azonosító jelzését. Ezenkívül minden bizonyítványt nyomtatott vagy más módon rögzített azonosító sorszámmal kell ellátni.
[Kép #4] [Kép #5]

Kép #4

Kép #5


22. MELLÉKLET
SZÁMLANYILATKOZAT
A számlanyilatkozatot, amelynek szövege alább található, a lábjegyzetekkel összhangban kell kitölteni. Azonban a lábjegyzeteket nem szükséges feltüntetni.
Spanyol változat
El exportador de los productos incluidos en el presente documento (autorización aduanera no... ( 139 ))declara que, salvo indicación en sentido contrario, estos productos gozan de un origen preferencial ... ( 140 )
Dán változat
Eksportøren af varer, der er omfattet af nærværende dokument (toldmyndighedernes tilladelse nr.... (140) ),erklærer, at varerne, medmindre andet tydeligt er angivet, har præferenceoprindelse i ... (140) .
Német változat
Der Ausführer (Ermächtigter Ausführer; Bewilligungs-Nr. ... (140) )der Waren, auf die sich dieses Handelspapier bezieht, erklärt, daß diese Waren, soweit nicht anderes angegeben, präferenzbegünstigte ... (140) Ursprungswaren sind.
Görög változat
Ο εξαγωγέας των προϊόντων που καλύπτονται από το παρόν έγγραφο (άδεια τελωνείου υπ' αριθ. ... (140) )δηλώνει ότι, εκτός εάν δηλώνεται σαφώς άλλως, τα προϊόντα αυτά είναι προτιμησιακής καταγωγής ... (140) .
Angol változat
The exporter of the products covered by this document (customs authorization No ... (140) )declares that, except where otherwise clearly indicated, these products are of ... (140) preferential origin..
Francia változat
L'exportateur des produits couverts par le présent document (autorisation douanière no ... (140) )déclare que, sauf indication claire du contraire, ces produits ont l'origine préférentielle ... (140) .
Olasz változat
L'esportatore delle merci contemplate nel presente documento (autorizzazione doganale n. ... (140) )dichiara che, salvo indicazione contraria, le merci sono di origine preferenziale ... (140)
Holland változat
De exporteur van de goederen waarop dit document van toepassing is (douanevergunning nr. ... (140) )verklaart dat, behoudens uitdrukkelijke andersluidende vermelding, deze goederen van preferentiële ... oorsprong zijn (140) .
Portugál változat
O abaixo assinado, exportador dos produtos cobertos pelo presente documento (autorização aduaneira n.o ... (140) )declara que, salvo expressamente indicado em contrário, estes produtos são de origem preferencial ... (140) .
Finn változat
Tässä asiakirjassa mainittujen tuotteiden viejä (tullin lupan:o ... (140) )ilmoittaa, että nämä tuotteet ovat, ellei toisin ole selvästi merkitty, etuuskohteluun oikeutettuja ... alkuperätuotteita (140)
Svéd változat
Exportören av de varor som omfattas av detta dokument (tullmyndighetens tillstånd nr. ... (140) )försäkrar att dessa varor, om inte annat tydligt markerats, har förmånsberättigande ... ursprung (140) .
Cseh változat
Vývozce výrobků uvedených v tomto dokumentu (číslo povolení ... (140) ) prohlašuje, že kromě zřetelně označených, mají tyto výrobky preferenční původ v ... (140) .
Észt változat
Käesoleva dokumendiga hőlmatud toodete eksportija (tolliameti kinnitus nr ... (140) ) deklareerib, et need tooted on ... (140) sooduspäritoluga, välja arvatud juhul kui on selgelt näidatud teisiti.
Lett változat
Eksportētājs produktiem, kuri ietverti šajā dokumentā (muitas pilnvara Nr. ... (140) ), deklarē, ka, izņemot tur, kur ir citādi skaidri noteikts, šiem produktiem ir priekšrocību izcelsme no ... (140) .
Litván változat
Šiame dokumente išvardintų prekių eksportuotojas (muitinės liudijimo Nr ... (140) ) deklaruoja, kad, jeigu kitaip nenurodyta, tai yra ... (140) preferencinės kilmės prekės.
Magyar változat
A jelen okmányban szereplő áruk exportőre (vámfelhatalmazási szám: ... (140) ) kijelentem, hogy eltérő jelzés hiányában az áruk kedvezményes ... (140) származásúak.
Máltai változat
L-esportatur tal-prodotti koperti b'dan id-dokument (awtorizzazzjoni tad-dwana nru. ... (140) ) jiddikjara li, ħlief fejn indikat b'mod ċar li mhux hekk, dawn il-prodotti huma ta' oriġini preferenzjali ... (140)
Lengyel változat
Eksporter produktów objętych tym dokumentem (upoważnienie władz celnych nr ... (140) ) deklaruje, że z wyjątkiem gdzie jest to wyraźnie określone, produkty te mają ... (140) preferencyjne pochodzenie.
Szlovén változat
Izvoznik blaga, zajetega s tem dokumentom (pooblastilo carinskih organov št .... (140) ) izjavlja, da, razen če ni drugače jasno navedeno, ima to blago preferencialno .... (140) poreklo.
Szlovák változat
Vývozca výrobkov uvedených v tomto doklade (číslo povolenia ... (140) ) vyhlasuje, že okrem zreteľne označených, majú tieto výrobky preferenčný pôvod v ... (140) .
Bolgár változat
Износителят на продуктите, обхванати от този документ (митническо разрешение № .... (140) ), декларира, че освен където ясно е отбелязано друго, тези продукти са с ... преференциален произход (140) .
Román változat
Exportatorul produselor ce fac obiectul acestui document (autorizația vamală nr... (140) ) declară că, exceptând cazul în care în mod expres este indicat altfel, aceste produse sunt de origine preferențială... (140) .
Horvát változat
Izvoznik proizvoda obuhvaćenih ovom ispravom (carinsko ovlaštenje br. ...(1)) izjavljuje da su, osim ako je drukčije izričito navedeno, ovi proizvodi ...(2) preferencijalnog podrijetla.
...
(Hely és keltezés) ( 141 )
...
(Exportőr aláírása, illetve a nyilatkozatot aláíró személy neve olvashatóan) ( 142 )
23. MELLÉKLET
ÉRTELMEZŐ MEGJEGYZÉSEK A VÁMÉRTÉKRE VONATKOZÓAN
| SZÖVEG HIÁNYZIK |
24. MELLÉKLET
ÁLTALÁNOSAN ELFOGADOTT SZÁMVITELI ELVEK ALKALMAZÁSA A VÁMÉRTÉK MEGÁLLAPÍTÁSA SORÁN
1. Az "általánosan elfogadott számviteli elvek" kifejezés azon elvekre vonatkozik, amelyek egy országon belül egy adott időpontban egyhangúan vagy a szakmai körökben elismert módon meghatározzák, hogy mely anyagi eszközöket és kötelezettségeket szükséges mint rendelkezésre álló eszközöket, illetve forrásokat nyilvántartani, az eszközöket és forrásokat illetően mely változásokat kell nyilvántartani, hogyan kell értékelni az eszközöket és forrásokat, illetve az ezeket érintő változásokat, mely információkat kell nyilvánosságra hozni, és hogyan és milyen pénzügyi kimutatásokat kell készíteni. Ezek a normák lehetnek általánosan alkalmazandó átfogó útmutatók vagy éppen részletes gyakorlati módszerek és eljárások.
2. A vámérték megállapítására vonatkozó rendelkezések alkalmazásában, az érintett vámhatóság felhasználja mindazt az információt, amelyet a kérdéses árunak megfelelő országban általánosan elfogadott számviteli elveknek megfelelően rögzítettek. Például az e rendelet 152. cikk (1) bekezdése a) pontjának i. alpontja szerinti szokásos nyereség és általános költségek megállapítása az importáló országban általánosan elfogadott számviteli elveknek megfelelően rögzített információ felhasználásával történik. Másrészt a szokásos nyereség és általános költségek megállapítása a Vámkódex 30. cikke (2) bekezdésének d) pontja szerint, a termelő országban általánosan elfogadott számviteli elveknek megfelelően rögzített információ felhasználásával történik. További példaként a Vámkódex 32. cikk (1) bekezdése b) pontjának ii. alpontja szerinti alkotóelem értékének meghatározása az importáló országban ezen ország általánosan elfogadott számviteli elvei alapján rögzített információ felhasználásával történik.
25. MELLÉKLET
A VÁMÉRTÉKBE BESZÁMÍTANDÓ LÉGI FUVAROZÁSI KÖLTSÉGEK
1. A következő táblázat az alábbiakat mutatja be:
a) a harmadik országok felsorolása kontinensek és zónák szerint ( 143 ) (1. oszlop);
b) az egy adott harmadik országból az EK-ba légi úton történő fuvarozás költségei azon része százalékértékben kifejezve, amelyet a vámértékbe be kell számítani (2. oszlop).
2. Amennyiben az árukat a következő táblázatban nem szereplő országokból vagy repülőterekről szállítják - a 3. pontban említett repülőterek kivételével -, az indító repülőtérhez legközelebb eső repülőtérnél megadott százalékértéket kell alkalmazni.
3. Franciaország Guadeloupe, Guyana, Martinique és Réunion tengerentúli megyéi tekintetében, amely területek repülőterei nem szerepelnek a táblázatban, a következő szabályokat kell alkalmazni:
a) a harmadik országokból közvetlenül e megyékbe szállított áruknál a vámértékbe a légi fuvarozás teljes költségét be kell számítani;
b) a harmadik országokból a Közösség európai részére szállított és az említett megyék valamelyikében átrakott vagy kirakott áruk esetében a vámértékbe a légi fuvarozás költségéből csak azt a részt kell beszámítani, amely az áruknak az átrakás vagy kirakás pontjáig való fuvarozásánál merült volna fel;
c) a harmadik országokból az említett megyékbe szállított és a Közösség európai részének egy repülőterén átrakott vagy kirakott áruk esetében a vámértékbe azokat a légi fuvarozási költségeket kell beszámítani, amelyek a következő táblázatban megadott százalékoknak azokra a költségekre vonatkozó alkalmazásából származnak, amelyek az áruknak az indító repülőtértől az átrakás vagy kirakás szerinti repülőtérig történő fuvarozásánál merültek volna fel.
Az átrakodást vagy kirakodást a vámhatóságoknak a légifuvarlevélen vagy más légi fuvarozási okmányon egy, az érintett vámhivatal bélyegzőjével ellátott megfelelő záradékkal kell igazolniuk; ilyen igazolás hiányában e rendelet 163. cikke (6) bekezdése utolsó albekezdésének rendelkezéseit kell alkalmazni.
| 1 | 2 |
| Indító zóna (ország) (harmadik ország) | A légi fuvarozási költségeknek a vámértékbe beszámítandó százaléka, az EK-érkezési zónára |
| Amerika | |
| A. zóna | 70 |
| Kanada: Gander, Halifax, Moncton, Montreal, Ottawa, Québec, Toronto (a további repülőtereket lásd a B. zónánál) | |
| Grönland | |
| Amerikai Egyesült Államok: Akron, Albany, Atlanta, Baltimore, Boston, Buffalo, Charleston, Chicago, Cincinnati, Columbus, Detroit, Indianapolis, Jacksonville, Kansas City, Lexington, Louisville, Memphis, Milwaukee, Minneapolis, Nashville, New Orleans, New York, Philadelphia, Pittsburgh, St. Louis, Washington DC (a további repülőtereket lásd a B. és C. zónánál) | |
| B. zóna | 78 |
| Kanada: Edmonton, Vancouver, Winnipeg (a további repülőtereket lásd az A. zónánál) | |
| Amerikai Egyesült Államok: Albuquerque, Austin, Billings, Dallas, Denver, Houston, Las Vegas, Los Angeles, Miami, Oklahoma, Phoenix, Portland, Puerto Rico, Salt Lake City, San Francisco, Seattle (a további repülőtereket lásd az A. és C. zónánál) | |
| Közép-Amerika (minden ország) | |
| Dél-Amerika (minden ország) | |
| C. zóna | 89 |
| Amerikai Egyesült Államok: Anchorage, Fairbanks, Honolulu, Juneau (a további repülőtereket lásd az A. és B. zónánál) | |
| Afrika | |
| D. zóna Algéria, Egyiptom, Líbia, Marokkó, Tunézia | 33 |
| E. zóna Benin, Bissau-Guinea, Burkina Faso, Csád, Dzsibuti, Elefántcsontpart, Etiópia, Gambia, Ghána, Guinea, Kamerun, Közép-afrikai Köztársaság, Libéria, Mali, Mauritánia, Niger, Nigéria, Sierra Leone, Szenegál, Szudán, Togo, Zöld-foki Köztársaság | 50 |
| F. zóna Burundi, Egyenlítői-Guinea, Gabon, Kenya, Kongói Demokratikus Köztársaság, Kongó (Brazzaville), Ruanda, São Tomé és Príncipe, Seychelle-szigetek, Szent Ilona, Szomália, Tanzánia, Uganda | 61 |
| G. zóna Angola, Botswana, Comore-szigetek, Dél-afrikai Köztársaság, Lesotho, Madagaszkár, Malawi, Mauritius, Mozambik, Namíbia, Szváziföld, Zambia, Zimbabwe | 74 |
| Ázsia | |
| H. zóna Azerbajdzsán, Grúzia, Irak, Irán, Izrael, Jordánia, Kuvait, Libanon, Örményország, Szíria | 27 |
| I. zóna Bahrein, Egyesült Arab Emírségek, Jemen (Arab Köztársaság), Katar, Maszkat és Omán, Szaúd-Arábia | 43 |
| J. zóna Afganisztán, Banglades, Bhután, India, Nepál, Pakisztán | 46 |
| K. zóna Kazahsztán, Kirgizisztán, Tádzsikisztán, Türkmenisztán, Üzbegisztán, Oroszország: Novoszibirszk, Omszk, Perm, Szverdlovszk (a további repülőtereket lásd az L., M. és O. zónánál) | 57 |
| L. zóna Brunei, Fülöp-szigetek, Indonézia, Kambodzsa, Kína, Laosz, Makaó, Malajzia, Maldív-szigetek, Mianmar, Mongólia, Srí Lanka, Szingapúr, Tajvan, Thaiföld, Vietnam Oroszország: Irkutszk, Kirenszk, Krasznojarszk (a további repülőtereket lásd a K., M. és O. zónánál) | 70 |
| M. zóna Japán, Korea (Észak-), Korea (Dél-) Oroszország: Habarovszk, Vlagyivosztok (a további repülőtereket lásd a K., L. és O. zónánál) | 83 |
| Ausztrália és Óceánia | |
| N. zóna Ausztrália és Óceánia | 79 |
| Európa | |
| O. zóna Izland, Oroszország: Gorkij, Kujbisev, Moszkva, Orel, Rosztov, Volgográd, Voronyezs (a további repülőtereket lásd a K., L. és M. zónánál) Ukrajna | 30 |
| P. zóna Albánia, Bosznia-Hercegovina, Bulgária, Fehéroroszország, Feröer-szigetek, Macedónia Volt Jugoszláv Köztársaság, Moldova, Norvégia, Románia, Szerbia és Montenegró, Törökország | 15 |
| Q. zóna Horvátország, Svájc | 5 |
26. MELLÉKLET
A 152. CIKK (1) BEKEZDÉS a)a ALBEKEZDÉSÉBEN EMLÍTETT TERMÉKEK LISTÁJA
Egyszerűsített eljárás a bizományi szerződés alapján behozott egyes romlandó áruk vámértékének megállapítására a vámkódex 30. cikk (2) bekezdés c) pontja alapján ( 144 )
| KN- (TARIC-) kód | Árumegnevezés | Érvényességi idő |
| 0701 90 50 | Új burgonya | 1.1.–6.30. |
| 0703 10 19 | Hagyma | 1.1.–12.31. |
| 0703 20 00 | Fokhagyma | 1.1.–12.31. |
| 0708 20 00 | Bab | 1.1.–12.31. |
| 0709200010 | Spárga: — zöld | 1.1.–12.31. |
| 0709200090 | Spárga: — más | 1.1.–12.31. |
| 0709 60 10 | Édes paprika | 1.1.–12.31. |
| ex 0714 20 | Édesburgonya frissen vagy hűtve, egészben | 1.1.–12.31. |
| 0804300090 | Ananász | 1.1.–12.31. |
| 0804400010 | Avokádó | 1.1.–12.31. |
| 0805 10 20 | Édes narancs | 6.1.–11.30. |
| 0805201005 | Clementine | 3.1.–10.31. |
| 0805203005 | Monreale és satsuma | 3.1.–10.31. |
| 0805205007 0805205037 | Mandarin és wilking | 3.1.–10.31. |
| 0805207005 0805209005 0805209009 | Tangerine és más | 3.1.–10.31. |
| 0805400011 | Grépfrút: — fehér | 1.1.–12.31. |
| 0805400019 | Grépfrút: — rózsaszínű | 1.1.–12.31. |
| 0805509011 0805509019 | Lime (Citrus aurantifolia, Citrus latifolia) | 1.1.–12.31. |
| 0806 10 10 | Csemege szőlő | 11.21.–7.20. |
| 0807 11 00 | Görögdinnye | 1.1.–12.31. |
| 0807190010 0807190030 | Amarillo, Cuper, Honey Dew (beleértve a Cantalene fajtát), Onteniente, Piel de Sapo, (beleértve a Verde Liso fajtákat), Rochet, Tendral, Futuro fajták | 1.1.–12.31. |
| 0807190091 0807190099 | Más dinnye | 1.1.–12.31. |
| 0808205010 | Körte: — Nashi (Pyrus pyrifolia) — Ya (Pyrus bretscheideri) | 5.1.–6.30. |
| 0808205090 | Körte: — más | 5.1.–6.30. |
| 0809 10 00 | Kajszibarack | 1.1.–5.30. és 8.1.–12.31. |
| 0809 30 10 | Nektarin | 1.1.–6.10. és 10.1.–12.31. |
| 0809 30 90 | Őszibarack | 1.1.–6.10. és 10.1.–12.31. |
| 0809 40 05 | Szilva | 10.1.–6.10. |
| 0810 10 00 | Földieper | 1.1.–12.31. |
| 0810 20 10 | Málna | 1.1.–12.31. |
| 0810 50 00 | Kiwi | 1.1.–12.31. |
28. MELLÉKLET
[Kép #6] [Kép #7]

Kép #6

Kép #7
29. MELLÉKLET


30. MELLÉKLET
A KÖZÖSSÉGI REPÜLŐTÉREN FELADOTT POGGYÁSZRA ERŐSÍTENDŐ CÍMKE
1. JELLEMZŐK
A 196. cikkben hivatkozott címkét úgy kell kialakítani, hogy anak újbóli felhasználása lehetetlen legyen.
a) A címkén legalább 5 mm széles zöld csíkot kell elhelyezni a szállítási útvonalat jelző és az azonosító információt tartalmazó rész két szélének teljes hosszában.
A zöld csíkok kiterjedhetnek a poggyászcímke egyéb részeire is, a vonalkódot jelölő területek kivételével, amelyeket tiszta fehér háttérre kell nyomtatni. (Lásd a 2. a) mintákat.)
b) Sürgős jelzéssel feladott poggyásznál a címke hasonló az IATA 743a. határozatában meghatározott címkéhez, azzal a különbséggel, hogy piros csíkok helyett zöld csíkokat kell a szélek mentén elhelyezni. (Lásd a 2. b) mintát.)
2. MINTÁK
a)

b)

30A. MELLÉKLET
1. Bevezető megjegyzések a táblázatokhoz
1. megjegyzés Általános ismertetés
1.1. A Közösség vámterületére belépő vagy onnan kilépő árukhoz benyújtani szükséges gyűjtő vámáru-nyilatkozat tartalmazza az 1-5. táblázatokban részletezett információkat mindes egyes fuvarozási esetre és módra vonatkozóan. Az átirányítási kérelem - amelyet akkor kell benyújtani, ha a Közösség vámterületére belépő tényleges szállítóeszköz olyan tagállam vámhivatalához érkezik először, amely nem szerepel a belépési gyűjtő vámáru-nyilatkozaton - a 6. táblázatban meghatározott információkat tartalmazza.
1.2. Az 1-7. táblázat tartalmazza az érintett eljárásokhoz, nyilatkozatokhoz és átirányítási kérelmekhez szükséges összes adatelemet. A táblázatok összefoglaló áttekintést adnak a különféle eljárásokhoz, nyilatkozatokhoz és átirányítási kérelmekhez szükséges követelményekről.
1.3. Az oszlopok megnevezései magyarázatra nem szorulnak, és ezekre az eljárásokra és nyilatkozatokra vonatkoznak. -----
1.4. A táblázatok egy adott mezőjében az "X" azt jelzi, hogy az adott adatelemre a vonatkozó oszlop címében meghatározott eljáráshoz vagy nyilatkozathoz tételsori szinten van szükség. A táblázatok adott mezőjében az "Y" azt jelzi, hogy az adott adatelemre a vonatkozó oszlop címében meghatározott eljáráshoz vagy nyilatkozathoz fejsori szinten van szükség. A táblázatok adott mezőjében a "Z" azt jelzi, hogy az adott adatelemre a vonatkozó oszlop címében meghatározott eljáráshoz vagy nyilatkozathoz a szállítmány szintjén van szükség. Az említett "X", "Y" és "Z" jelzések bármely kombinációja azt jelenti, hogy az adott adatelemet a vonatkozó oszlop címében meghatározott eljáráshoz vagy nyilatkozathoz bármelyik érintett szinten be lehet kérni.
1.5. E melléklet alkalmazásában a "belépési gyűjtő vámáru-nyilatkozatok" és "kilépési gyűjtő vámáru-nyilatkozatok" kifejezések a Vámkódex 36a. cikkének (1) bekezdésében és 182a. cikkének (1) bekezdésében meghatározott gyűjtő vámáru-nyilatkozatokra vonatkoznak.
1.6. A 4. szakaszban található, a belépési és a kilépési gyűjtő vámáru-nyilatkozatokra, az egyszerűsített eljárásokra és az átirányítási kérelmekre vonatkozó leírások és megjegyzések az 1-7. táblázatban szereplő adatelemekre alkalmazandók.
2. megjegyzés Belépési gyűjtő vámáru-nyilatkozatként használt vámáru-nyilatkozat
2.1. Amikor egy, a Vámkódex 62. cikk (1) bekezdésében említett vámáru-nyilatkozatot a Vámkódex 36c. cikkének (1) bekezdésével összhangban gyűjtő vámáru-nyilatkozatként használnak, ennek a nyilatkozatnak a 37. melléklet vagy a 37A. melléklet szerinti konkrét eljáráshoz megkövetelt adatokon kívül tartalmaznia kell az 1-4. táblázat "Belépési gyűjtő vámáru-nyilatkozat" oszlopaiban felsorolt adatokat.
Amikor egy, a Vámkódex 76. cikk (1) bekezdésében említett vámáru-nyilatkozatot a Vámkódex 36c. cikkének (1) bekezdésével összhangban gyűjtő vámáru-nyilatkozatként használnak, ennek a nyilatkozatnak a 7. táblázat szerinti konkrét eljáráshoz megkövetelt adatokon kívül tartalmaznia kell az 1-4. táblázat "Belépési gyűjtő vámáru-nyilatkozat" oszlopaiban felsorolt adatokat.
2.2. Amennyiben a 14b. cikk (3) bekezdése alkalmazandó, és amikor egy, a Vámkódex 62. cikk (1) bekezdésében említett vámáru-nyilatkozatot a Vámkódex 36c. cikkének (1) bekezdésével összhangban gyűjtő vámáru-nyilatkozatként használnak, ennek a nyilatkozatnak a 37. melléklet vagy a 37A. melléklet szerinti konkrét eljáráshoz megkövetelt adatokon kívül tartalmaznia kell az 5. táblázat "AEO Belépési gyűjtő vámáru-nyilatkozat" oszlopaiban felsorolt adatokat.
Amennyiben a 14b. cikk (3) bekezdése alkalmazandó, és amikor egy, a Vámkódex 76. cikk (1) bekezdésében említett vámáru-nyilatkozatot a Vámkódex 36c. cikkének (1) bekezdésével összhangban gyűjtő vámáru-nyilatkozatként használnak, ennek a nyilatkozatnak a 7. táblázat szerinti konkrét eljáráshoz megkövetelt adatokon kívül tartalmaznia kell az 5. táblázat "AEO Belépési gyűjtő vámáru-nyilatkozat" oszlopaiban felsorolt adatokat.
3. megjegyzés Vámáru-nyilatkozat kivitelnél
3.1. Amikor a Vámkódex 182b. cikkével összhangban egy, a Vámkódex 62. cikk (1) bekezdésében említett vámáru-nyilatkozatra van szükség, ennek a nyilatkozatnak a 37. melléklet vagy a 37A. melléklet szerinti konkrét eljáráshoz megkövetelt adatokon kívül tartalmaznia kell az 1-2. táblázat "Kilépési gyűjtő vámáru-nyilatkozat" oszlopaiban felsorolt adatokat.
Amikor a Vámkódex 182b. cikkével összhangban egy, a Vámkódex 76. cikk (1) bekezdésében említett vámáru-nyilatkozatra van szükség, ennek a nyilatkozatnak a 7. táblázat szerinti konkrét eljáráshoz megkövetelt adatokon kívül tartalmaznia kell az 1-2. táblázat "Kilépési gyűjtő vámáru-nyilatkozat" oszlopaiban felsorolt adatokat.
3.2. Amennyiben a 14b. cikk (3) bekezdése alkalmazandó, és amikor a Vámkódex 182b. cikkével összhangban egy, a Vámkódex 62. cikk (1) bekezdésében említett vámáru-nyilatkozatra van szükség, ennek a nyilatkozatnak a 37. melléklet vagy a 37A. melléklet szerinti konkrét eljáráshoz megkövetelt adatokon kívül tartalmaznia kell az 5. táblázat "AEO Kilépési gyűjtő vámáru-nyilatkozat" oszlopaiban felsorolt adatokat.
Amennyiben a 14b. cikk (3) bekezdése alkalmazandó, és amikor a Vámkódex 182b. cikkével összhangban egy, a Vámkódex 76. cikk (1) bekezdésében említett vámáru-nyilatkozatra van szükség, ennek a nyilatkozatnak a 7. táblázat szerinti konkrét eljáráshoz megkövetelt adatokon kívül tartalmaznia kell az 5. táblázat "AEO Kilépési gyűjtő vámáru-nyilatkozat" oszlopaiban felsorolt adatokat.
4. megjegyzés Más speciális körülmények a kilépési és belépési gyűjtő vámáru-nyilatkozatokra és különleges áruforgalom típusokra vonatkozóan. Megjegyzések a 2-4. táblázatokra vonatkozóan.
4.1. A 2. táblázat "Kilépési gyűjtő vámáru-nyilatkozat - Gyorspostai küldemények" és "Belépési gyűjtő vámáru-nyilatkozat - Gyorspostai küldemények" oszlopai azokat a szükséges adatokat tartalmazzák, amelyeket gyorspostai küldemények indítása vagy érkezése előtt a vámhatóságok számára elektronikus úton kockázatelemzési célokra meg kell adni. A postai szolgáltatók dönthetnek úgy, hogy a 2. táblázat említett oszlopaiban szereplő adatokat kockázatelemzési célokra a postai küldemény indítását vagy érkezését megelőzően elektronikus úton szolgáltatják a vámhatóságoknak.
4.2. E melléklet alkalmazásában "gyorspostai küldemény": olyan egyedi tétel, amelyet a csomagok meghatározott időn belül történő begyűjtését, szállítását, vámkezelését és kézbesítését végző gyorspostaszolgálat fuvaroz, miközben a szolgáltatás nyújtása során a tételek hollétét nyomon követi, és azok felett az ellenőrzést fenntartja.
4.3. E melléklet alkalmazásában "postai küldemény": olyan, legfeljebb 50 kg tömegű egyedi tétel, amelyet postai úton, az Egyetemes Postaegyesület Egyezménye szabályainak megfelelően szállítanak, amennyiben az áruk szállítása az említett szabályok szerinti jogok és kötelezettségek jogosultjai és kötelezettjei által vagy e jogosultak és kötelezettek érdekében történik.
4.5. A 3. és 4. táblázat a közúti és vasúti fuvarozási módokra vonatkozó belépési gyűjtő vámáru-nyilatkozatokhoz szükséges információkat tartalmazza.
4.6. A közúti fuvarozási módra vonatkozó 3. táblázat alkalmazandó a multimodális fuvarozásra is, kivéve ha a 4. szakasz másként nem rendelkezik.
5. megjegyzés Egyszerűsített eljárások
5.1. A 254., 260., 266., 268., 275., 280., 282., 285., 285a. ----- és 289. cikkben hivatkozott egyszerűsített eljárások nyilatkozatai a 7. táblázat részletezett információkat tartalmazzák.
5.2. Az egyszerűsített eljárásokhoz előírt egyes adatelemek egyszerűsített formátuma a 37. és a 38. mellékletekben előírt követelményeket - különösen a kiegészítő vámáru-nyilatkozatokban megadandó információkat - nem korlátozza vagy befolyásolja.
2. Kilépési és belépési gyűjtő vámáru-nyilatkozatokra vonatkozó követelmények
2.1. Légi, tengeri, belvízi és más fuvarozási módra vonatkozó, vagy a 2-4. táblázatban nem szereplő fuvarozási esetek - 1. táblázat
| Név | Kilépési gyűjtő vámárunyilatkozat (Lásd 3.1. megjegyzés) | Belépési gyűjtő vámárunyilatkozat (Lásd 2.1. megjegyzés) |
| Tételek száma | Y | Y |
| Egyedi szállítmány hivatkozási szám | X/Y | X/Y |
| Fuvarokmány száma | X/Y | X/Y |
| Feladó | X/Y | X/Y |
| A gyűjtő vámáru-nyilatkozatot benyújtó személy | Y | Y |
| Címzett | X/Y | X/Y |
| Fuvarozó | Z | |
| Értesítendő fél | X/Y | |
| A határon átlépő tényleges szállítóeszköz azonosítója és honossága | Z | |
| Forgalom hivatkozási száma | Z | |
| Az érkezés első helyének kódja | Z | |
| Az érkezés napja és ideje a vámterületre való érkezés első helyére | Z | |
| Az útvonal országának (országainak) kódjai | Y | Y |
| Fuvarozási mód a határon | Z | |
| Kiléptető vámhivatal | Y | |
| Az áruk tárolási helye | Y | |
| Rakodás helye | X/Y | |
| Kirakodás helyének kódja | X/Y | |
| Árumegnevezés | X | X |
| A csomagok típusa (kód) | X | X |
| A csomagok száma | X | X |
| Fuvarozási jelzések | X/Y | X/Y |
| Berendezés azonosítószáma, amennyiben konténerben van | X/Y | X/Y |
| Az árutétel sorszáma | X | X |
| Vámtarifaszám | X | X |
| Bruttó tömeg (kg) | X/Y | X/Y |
| ENSZ Veszélyes Áruk szerinti kód | X | X |
| Vámzár száma | X/Y | X/Y |
| Fuvarozási díjak fizetési módjának kódja | X/Y | X/Y |
| A nyilatkozat dátuma | Y | Y |
| Aláírás/hitelesítés | Y | Y |
| Más speciális körülmény jelzése | Y | Y |
| Következő beléptető vámhivatal(ok) kódja | Z | |
2.2. Gyorspostai küldemények - 2. táblázat
| Név | Kilépési gyűjtő vámáru-nyilatkozat – Gyorspostai küldemények (Lásd a 3.1. és 4.1–4.3. megjegyzést) | Belépési gyűjtő vámáru-nyilatkozat – Gyorspostai küldemények (Lásd a 2.1. és 4.1–4.3. megjegyzést) | |
| Egyedi szállítmányhivatkozási szám | X/Y | ||
| Fuvarokmány száma | X/Y | ||
| Feladó | X/Y | X/Y | X/Y |
| A gyűjtő vámáru-nyilatkozatot benyújtó személy | Y | Y | Y |
| Címzett | X/Y | X/Y | X/Y |
| Fuvarozó | Z | ||
| Forgalom hivatkozási száma | Z | ||
| Az érkezés napja és ideje a vámterületre való érkezés első helyére | Z | ||
| Az útvonal országának (országainak) kódjai | Y | Y | |
| Fuvarozási mód a határon | Z | ||
| Kiléptető vámhivatal | Y | Y | |
| Az áruk tárolási helye | Y | Y | |
| Rakodás helye | Y | ||
| Kirakodás helyének kódja | X/Y | ||
| Árumegnevezés | X | X | X |
| Berendezés azonosítószáma, amennyiben konténerben van | X/Y | ||
| Az áruk tételsorszáma | X | X | X |
| Vámtarifaszám | X | X | X |
| Bruttó tömeg (kg) | X/Y | X/Y | X/Y |
| ENSZ Veszélyes Áruk szerinti kód | X | X | |
| Fuvarozási díjak fizetési módjának kódja | X/Y | X/Y | X/Y |
| A nyilatkozat dátuma | Y | Y | Y |
| Aláírás/hitelesítés | Y | Y | Y |
| Más speciális körülmény jelzése | Y | Y | Y |
| Következő beléptető vámhivatal(ok) kódja | Z | ||
2.3. Közúti fuvarozás - Belépési gyűjtő vámáru-nyilatkozatokra vonatkozó információk - 3. táblázat
| Név | Közút – Belépési gyűjtő vámárunyilatkozat (Lásd 2.1. megjegyzés) |
| Tételek száma | Y |
| Egyedi szállítmányhivatkozási szám | X/Y |
| Fuvarokmány száma | X/Y |
| Feladó | X/Y |
| A gyűjtő vámáru-nyilatkozatot benyújtó személy | Y |
| Címzett | X/Y |
| Fuvarozó | Z |
| A határon átlépő tényleges szállítóeszköz azonosítója és honossága | Z |
| Az érkezés első helyének kódja | Z |
| Az érkezés napja és ideje a vámterületre való érkezés első helyére | Z |
| Az útvonal országainak kódjai | Y |
| Fuvarozási mód a határon | Z |
| Rakodás helye | X/Y |
| Kirakodás helyének kódja | X/Y |
| Árumegnevezés | X |
| A csomagok típusának kódja | X |
| A csomagok száma | X |
| Berendezés azonosítószáma, amennyiben konténerben van | X/Y |
| Az árutétel sorszáma | X |
| Vámtarifaszám | X |
| Bruttó tömeg | X/Y |
| Fuvarozási díjak fizetési módjának kódja | X/Y |
| ENSZ Veszélyes Áruk szerinti kód | X |
| Vámzár száma | X/Y |
| A nyilatkozat dátuma | Y |
| Aláírás/hitelesítés | Y |
| Más speciális körülmény jelzése | Y |
2.4. Vasúti fuvarozás - Belépési gyűjtő vámáru-nyilatkozatokra vonatkozó információk - 4. táblázat
| Név | Vasút – Belépési gyűjtő vámárunyilatkozat (Lásd 2.1. megjegyzés) |
| Tételek száma | Y |
| Egyedi szállítmányhivatkozási szám | X/Y |
| Fuvarokmány száma | X/Y |
| Feladó | X/Y |
| A belépési gyűjtő vámáru-nyilatkozatot benyújtó személy | Y |
| Címzett | X/Y |
| Fuvarozó | Z |
| A határon átlépő tényleges szállítóeszköz azonosítója és honossága | Z |
| Forgalom hivatkozási száma | Z |
| Az érkezés első helyének kódja | Z |
| Az érkezés napja és ideje a vámterületre való érkezés első helyére | Z |
| Az útvonal országainak kódjai | Y |
| Fuvarozási mód a határon | Z |
| Rakodás helye | X/Y |
| Kirakodás helyének kódja | X/Y |
| Árumegnevezés | X |
| A csomagok típusának kódja | X |
| A csomagok száma | X |
| Berendezés azonosítószáma, amennyiben konténerben van | X/Y |
| Az árutétel sorszáma | X |
| Vámtarifaszám | X |
| Bruttó tömeg | X/Y |
| Fuvarozási díjak fizetési módjának kódja | X/Y |
| ENSZ Veszélyes Áruk szerinti kód | X |
| Vámzár száma | X/Y |
| A nyilatkozat dátuma | Y |
| Aláírás/hitelesítés | Y |
| Más speciális körülmény jelzése | Y |
2.5. Engedélyezett gazdálkodók - Kilépési és belépési gyűjtő vámáru-nyilatkozatokra vonatkozó csökkentett adatszolgáltatási követelmények - 5. táblázat
| Név | Kilépési gyűjtő vámárunyilatkozat (Lásd 3.2. megjegyzés) | Belépési gyűjtő vámárunyilatkozat (Lásd 2.2. megjegyzés) |
| Egyedi szállítmányhivatkozási szám | X/Y | X/Y |
| Fuvarokmány száma | X/Y | X/Y |
| Feladó | X/Y | X/Y |
| A gyűjtő vámáru-nyilatkozatot benyújtó személy | Y | Y |
| Címzett | X/Y | X/Y |
| Fuvarozó | Z | |
| Értesítendő fél | X/Y | |
| A határon átlépő tényleges szállítóeszköz azonosítója és honossága | Z | |
| Forgalom hivatkozási száma | Z | |
| Az érkezés első helyének kódja | Z | |
| Az érkezés napja és ideje a vámterületre való érkezés első helyére | Z | |
| Az útvonal országának (országainak) kódjai | Y | Y |
| Fuvarozási mód a határon | Z | |
| Kiléptető vámhivatal | Y | |
| Rakodás helye | X/Y | |
| Árumegnevezés | X | X |
| A csomagok száma | X | X |
| Berendezés azonosítószáma, amennyiben konténerben van | X/Y | X/Y |
| Az árutétel sorszáma | X | X |
| Vámtarifaszám | X | X |
| A nyilatkozat dátuma | Y | Y |
| Aláírás/hitelesítés | Y | Y |
| Más speciális körülmény jelzése | Y | Y |
| Következő beléptető vámhivatal(ok) kódja | Z | |
2.6. Az átirányítási kérelmekre vonatkozó követelmények - 6. táblázat
| Név | |
| Fuvarozási mód a határon | Z |
| A határon átlépő szállítóeszköz azonosítója | Z |
| Az érkezés napja és ideje a vámterületre való érkezés első helyére | Z |
| A bejelentett első beléptető vámhivatal országkódja | Z |
| Az átirányítást kérő személy | Z |
| MRN | X |
| Az árutétel sorszáma | X |
| Az érkezés első helyének kódja | Z |
| Az érkezés tényleges első helyének kódja | Z |
3. Egyszerűsített eljárásokkal kapcsolatos követelmények - 7. táblázat
| Név | Helyi vámkezelés, kivitel (Lásd 3.1. megjegyzés) | Egyszerűsített vámáru-nyilatkozat, kivitel (Lásd 3.1. megjegyzés) | Hiányos vámáru-nyilatkozat, kivitel (Lásd 3.1. megjegyzés) | Helyi vámkezelés, behozatal (Lásd 2.1. megjegyzés) | Egyszerűsített vámáru-nyilatkozat, behozatal (Lásd 2.1. megjegyzés) | Hiányos vámáru-nyilatkozat, behozatal (Lásd 2.1. megjegyzés) |
| Nyilatkozat | Y | Y | Y | Y | ||
| Tételek száma | Y | Y | Y | Y | ||
| Egyedi szállítmányhivatkozási szám | X | X | X | X | X | X |
| Fuvarokmány száma | X/Y | X/Y | X/Y | X/Y | X/Y | X/Y |
| Feladó/exportőr | X/Y | X/Y | X/Y | |||
| Címzett | X/Y | X/Y | X/Y | |||
| Nyilatkozattevő/képviselő | Y | Y | Y | Y | Y | Y |
| Nyilatkozattevő/képviselő jogállásának kódja | Y | Y | Y | Y | Y | Y |
| A pénznem kódja | X | X | X | |||
| Kiléptető vámhivatal | Y | Y | Y | |||
| Kiegészítő vámáru-nyilatkozat vámhivatala | Y | |||||
| Árumegnevezés | X | X | X | X | X | X |
| A csomagok típusa (kód) | X | X | X | X | X | X |
| A csomagok száma | X | X | X | X | X | X |
| Fuvarozási jelzések | X/Y | X/Y | X/Y | X/Y | X/Y | X/Y |
| Berendezés azonosítószáma, amennyiben konténerben van | X/Y | X/Y | X/Y | |||
| Az árutétel sorszáma | X | X | X | X | ||
| Vámtarifaszám | X | X | X | X | X | X |
| Bruttó tömeg (kg) | X | X | X | |||
| Eljárás | X | X | X | X | X | X |
| Nettó tömeg (kg) | X | X | X | X | X | X |
| Tételsor összege | X | X | X | |||
| Hivatkozási szám az egyszerűsített eljárásokhoz | X | X | ||||
| Az engedély száma | X | X | X | X | ||
| Különleges megjegyzések | X | X | X | |||
| A nyilatkozat dátuma | Y | Y | Y | Y | Y | Y |
| Aláírás/hitelesítés | Y | Y | Y | Y | Y | Y |
4. Kitöltési útmutató az adatelemekhez
MRN
Átirányítási kérelem: az MRN (művelethivatkozási szám) a következő két adatelem alternatívája:
- a határon átlépő szállítóeszköz azonosítója,
- az érkezés napja és ideje a vámterületre való érkezés első helyére.
Nyilatkozat
Írja be a 38. mellékletben az EV 1. rovatának 1. és 2. alrovata számára előírt kódokat.
Tételek száma ( 145 )
A vámáru-nyilatkozatban vagy a gyűjtő vámáru-nyilatkozatban bejelentett tételek száma összesen.
[Hiv.: EV, 5. rovat]
Egyedi szállítmányhivatkozási szám
Az árukhoz rendelt egyedi szám, mind belépéskor, behozatalnál, kilépéskor és kivitelnél. A VVSz- (ISO15459) vagy azzal egyenértékű kódokat kell használni.
Gyűjtő vámáru-nyilatkozatok : ez a fuvarokmány számának alternatívája, amennyiben az utóbbi nem áll rendelkezésre.
Egyszerűsített eljárások : az információ megadható, ha rendelkezésre áll.
Ez az elem biztosít kapcsolatot más hasznos információforrásokhoz.
[Hiv.: EV, 7. rovat]
Fuvarokmány száma
Az áruknak a vámterületre történő beszállítására vagy onnan történő kiszállítására vonatkozó fuvarokmányra való hivatkozás. Ha a belépési gyűjtő vámáru-nyilatkozatot nem a fuvarozó nyújtja be, a fuvarozó fuvarokmányszámát is meg kell adni.
Ez tartalmazza a fuvarokmány típusának kódját, ahogyan azt a 38. melléklet előírja, amelyet az érintett okmány azonosítószáma követ.
Ez az elem az egyedi szállítmányhivatkozási számnak (Unique consignement reference number [UCR]) alternatívája, amennyiben az utóbbi nem áll rendelkezésre. Kapcsolatot biztosít más hasznos információforrásokhoz)
Hajózási és repülési készletek kilépési gyűjtő vámáru-nyilatkozatai : számla vagy rakományjegyzék száma.
Közúti fuvarozás belépési gyűjtő vámáru-nyilatkozatai : ezt az információt akkor kell megadni, ha rendelkezésre áll, és hivatkozásokat tartalmazhat mind a TIR-igazolványra, mind a CMR-re.
Feladó
Az árukat feladó fél, ahogyan a fuvarozást megrendelő fél a fuvarozási szerződésben azt meghatározza.
Kilépési gyűjtő vámáru-nyilatkozatok:
Ezt az adatot akkor kell megadni, ha a gyűjtő vámáru-nyilatkozatot nem a feladó nyújtja be. Ha a gyűjtő vámáru-nyilatkozatot benyújtó személynek rendelkezésére áll a feladó EORI-száma, akkor ezt a számot kell megadni. Ha nem áll rendelkezésre a feladó EORI-száma, a feladó teljes nevét és címét kell megadni. Ha a kilépési gyűjtő vámáru-nyilatkozathoz szükséges adatok a Vámkódex 182b. cikke (3) bekezdésének és ezen rendelet 216. cikkének megfelelő vámáru-nyilatkozaton már szerepelnek, akkor ez az adat megfelel a vámáru-nyilatkozat "Feladó/exportőr" rovatában megadott adatnak.
Amennyiben a harmadik országok Unió által elismert kereskedelmi partnerségi programjainak keretében könnyítéseket biztosítanak, ezen adatként megadható egy harmadik ország olyan egyedi azonosító száma, amelyet az érintett harmadik ország az Unió rendelkezésére bocsátott. Ezt a számot minden olyan esetben meg lehet adni, ha az a gyűjtő vámáru-nyilatkozatot benyújtó személy rendelkezésére áll.
A szám felépítése a következő:
| Mező | Tartalom | Mező típusa | Formátum | Példák |
| 1 | A harmadik ország azonosítója (ISO alpha-2-es országkód) | Alfabetikus 2 | a2 | US JP CH |
| 2 | Egy harmadik országban használt egyedi azonosító szám | Alfanumerikus 15-ig | an..15 | 1234567890ABCDE AbCd9875F pt20130101aa |
Példák: Az "US1234567890ABCDE" olyan egyesült államokbeli (országkód: US) feladót jelöl, akinek egyedi azonosító száma 1234567890ABCDE. A "JPAbCd9875F" olyan japán (országkód: JP) feladót jelöl, akinek egyedi azonosító száma AbCd9875F. A "CHpt20130101aa" olyan svájci (országkód: CH) feladót jelöl, akinek egyedi azonosító száma pt20130101aa.
A harmadik ország azonosítója: az országok és területek uniós alfabetikus kódjai az ISO szerinti hatályos alpha-2-es kódokon (a2) alapulnak, amennyiben azok összeegyeztethetők a 471/2009/EK európai parlamenti és tanácsi rendelet ( 146 ) 5. cikkének (2) bekezdésével összhangban meghatározott országkódokkal.
A feladó EORI-számának vagy a feladó harmadik országbeli azonosító számának feltüntetése esetén a feladó nevét és címét nem kell feltüntetni.
Belépési gyűjtő vámáru-nyilatkozatok:
Ha a gyűjtő vámáru-nyilatkozatot benyújtó személy rendelkezésére áll a feladó EORI-száma, akkor ezt a számot kell megadni. Ha nem áll rendelkezésre a feladó EORI-száma, a feladó teljes nevét és címét kell megadni.
Amennyiben a harmadik országok Unió által elismert kereskedelmi partnerségi programjainak keretében könnyítéseket biztosítanak, ezen adatként megadható egy harmadik ország olyan egyedi azonosító száma, amelyet az érintett harmadik ország az Unió rendelkezésére bocsátott. Ezt a számot minden olyan esetben meg lehet adni, ha az a gyűjtő vámáru-nyilatkozatot benyújtó személy rendelkezésére áll. A szám szerkezete megfelel az ezen adatelemhez tartozó kitöltési útmutató "Kilépési gyűjtő vámáru-nyilatkozatok" részében meghatározott szerkezetnek.
A feladó EORI-számának vagy a feladó harmadik országbeli azonosító számának feltüntetése esetén a feladó nevét és címét nem kell feltüntetni.
Feladó/exportőr
Az a fél, amely a kiviteli nyilatkozatot benyújtja - vagy amelynek érdekében azt benyújtják - és amely az áruk tulajdonosa vagy azok felett hasonló rendelkezési joggal bír a vámáru-nyilatkozat elfogadásának időpontjában.
Az 1. cikk 16. pontja szerinti EORI-számot kell megadni. Ha a feladó/exportőr nem rendelkezik EORI-számmal, akkor a vámigazgatás az adott nyilatkozat céljából eseti számot adhat ki részére.
[Hiv.: EV, 2. rovat]
A gyűjtő vámáru-nyilatkozatot benyújtó személy
Ezen adatként a gyűjtő vámáru-nyilatkozatot benyújtó személy EORI-számát kell megadni. A személy nevét és címét nem kell feltüntetni.
Belépési gyűjtő vámáru-nyilatkozatok : a Vámkódex 36b. cikkének (3) és (4) bekezdéseiben említett személyek valamelyike.
Kilépési gyűjtő vámáru-nyilatkozatok : a Vámkódex 182d. cikkének (3) bekezdésében meghatározott fél. Ezt az információt nem kell megadni akkor, ha a Vámkódex 182a. cikke (1) bekezdésének megfelelően az árukra vámáru-nyilatkozatot nyújtottak be.
Megjegyzés: Ez az információ a nyilatkozat benyújtásáért felelős személy azonosításához szükséges.
Átirányítást kérő személy
Átirányítási kérelem: a belépéskor átirányítási kérelmet benyújtó személy. Ezen adatként az átirányítást kérő személy EORI-számát kell megadni. A személy nevét és címét nem kell feltüntetni.
Címzett
Az a fél, akinek az árukat ténylegesen szállítják.
Kilépési gyűjtő vámáru-nyilatkozatok: A 789. cikkben említett esetekben ezen adatként a címzett teljes nevét és címét kell megadni, amennyiben rendelkezésre áll. Ha az árut "üresen forgatott, rendeletre szóló" átruházható hajóraklevéllel szállítják, a címzett ismeretlen, és a rá vonatkozó adatok helyébe a kiviteli nyilatkozat 44. rovatában a következő kód lép:
| Jogalap | Tárgy | Rovat | Kód |
| 30A. melléklet | Olyan esetek, amelyekben „üresen forgatott, rendeletre szóló” átruházható hajóraklevelek érintettek, a kilépési gyűjtő vámáru-nyilatkozatok esetében, ha a címzett adatai ismeretlenek. | 44 | 30600 |
Ha a gyűjtő vámáru-nyilatkozatot benyújtó személynek rendelkezésére áll a címzett EORI-száma, akkor ezt a számot kell megadni. Ha nem áll rendelkezésre a címzett EORI-száma, a címzett teljes nevét és címét kell megadni.
Amennyiben a harmadik országok Unió által elismert kereskedelmi partnerségi programjainak keretében könnyítéseket biztosítanak, ezen adatként megadható egy harmadik ország olyan egyedi azonosító száma, amelyet az érintett harmadik ország az Unió rendelkezésére bocsátott. Ezt a számot minden olyan esetben meg lehet adni, ha az a gyűjtő vámáru-nyilatkozatot benyújtó személy rendelkezésére áll. A szám szerkezete megfelel a "Feladó" című adatelemhez tartozó kitöltési útmutató "Kilépési gyűjtő vámáru-nyilatkozatok" részében meghatározott szerkezetnek.
A címzett EORI-számának vagy a címzett harmadik országbeli azonosító számának a feltüntetése esetén a címzett nevét és címét nem kell feltüntetni.
Belépési gyűjtő vámáru-nyilatkozatok: Ezt az adatot akkor kell megadni, ha a gyűjtő vámáru-nyilatkozatot nem a címzett nyújtja be. Ha az árut "üresen forgatott, rendeletre szóló" átruházható hajóraklevéllel szállítják, a címzett ismeretlen, és a rá vonatkozó adatok helyébe az alábbi 10600 kód lép:
| Jogalap | Tárgy | Kód | |
| 30A. melléklet | Olyan esetek, amelyekben „üresen forgatott, rendeletre szóló” átruházható hajóraklevelek érintettek, a belépési gyűjtő vámáru-nyilatkozatok esetében, ha a címzett adatai ismeretlenek | 10600 |
Ha ezt az adatot meg kell adni, és ha a gyűjtő vámáru-nyilatkozat benyújtójának rendelkezésére áll a címzett EORI-száma, akkor ezt a számot kell megadni. Ha nem áll rendelkezésre a címzett EORI-száma, a címzett teljes nevét és címét kell megadni.
Amennyiben a harmadik országok Unió által elismert kereskedelmi partnerségi programjainak keretében könnyítéseket biztosítanak, ezen adatként megadható egy harmadik ország olyan egyedi azonosító száma, amelyet az érintett harmadik ország az Unió rendelkezésére bocsátott. Ezt a számot minden olyan esetben meg lehet adni, ha az a gyűjtő vámáru-nyilatkozatot benyújtó személy rendelkezésére áll. A szám szerkezete megfelel a "Feladó" című adatelemhez tartozó kitöltési útmutató "Kilépési gyűjtő vámáru-nyilatkozatok" részében meghatározott szerkezetnek.
A címzett EORI-számának vagy a címzett harmadik országbeli azonosító számának a feltüntetése esetén a címzett nevét és címét nem kell feltüntetni.
Nyilatkozattevő/képviselő
Akkor szükséges, ha a kivitel esetében a feladótól/exportőrtől/behozatal esetében a címzettől eltérő személy.
A nyilatkozattevő/képviselő EORI-számát kell megadni.
[Hiv.: EV, 14. rovat]
Nyilatkozattevő/képviselő jogállásának kódja
A nyilatkozattevőt vagy a képviselő jogállását jelző kód. A 38. mellékletben az EV 14. rovata számára előírt kódokat kell használni.
Fuvarozó
Ezt az adatot nem kell megadni, ha azonos a belépési gyűjtő vámáru-nyilatkozatot benyújtó személlyel, kivéve, ha valamely harmadik ország Unió által elismert kereskedelmi partnerségi programjának keretében könnyítéseket biztosítanak. Ebben az esetben ezen adatként megadható egy harmadik ország olyan egyedi azonosító száma, amelyet az érintett harmadik ország az Unió rendelkezésére bocsátott. A szám szerkezete megfelel a "Feladó" című adatelemhez tartozó kitöltési útmutató "Kilépési gyűjtő vámáru-nyilatkozatok" részében meghatározott szerkezetnek.
Amennyiben ez az adat eltér a belépési gyűjtő vámáru-nyilatkozatot benyújtó személytől, ezen adatként a fuvarozó teljes nevét és címét kell megadni.
Ezen adatként a fuvarozó EORI-számát vagy a fuvarozó harmadik országbeli egyedi azonosító számát kell megadni:
- ha a belépési gyűjtő vámáru-nyilatkozatot benyújtó személy rendelkezésére áll, és/vagy
- tengeri, belvízi vagy légi fuvarozás esetében.
Ezen adatként a fuvarozó EORI-számát kell megadni, ha a fuvarozó a váminformatikai rendszerhez kapcsolódik, és a 183. cikk (6) vagy (8) bekezdésében vagy a 184d. cikk (2) bekezdésében előírt értesítést kíván kapni.
A fuvarozó EORI-számának vagy a fuvarozó harmadik országbeli azonosító számának feltüntetése esetén a fuvarozó nevét és címét nem kell feltüntetni.
Értesítendő fél
Az a fél, amelyet az áruk megérkezéséről a belépéskor értesíteni kell. Ezt az adatot az adott esetnek megfelelően kell megadni. Ha a gyűjtő vámáru-nyilatkozatot benyújtó személynek rendelkezésére áll az értesítendő fél EORI-száma, akkor ezen adatként ezt a számot kell megadni. Ha nem áll rendelkezésre az értesítendő fél EORI-száma, az értesítendő fél teljes nevét és címét kell megadni.
Amennyiben a harmadik országok Unió által elismert kereskedelmi partnerségi programjainak keretében könnyítéseket biztosítanak, ezen adatként megadható egy harmadik ország olyan egyedi azonosító száma, amelyet az érintett harmadik ország az Unió rendelkezésére bocsátott. Ezt a számot minden olyan esetben meg lehet adni, ha az a gyűjtő vámáru-nyilatkozatot benyújtó személy rendelkezésére áll. A szám szerkezete megfelel a "Feladó" című adatelemhez tartozó kitöltési útmutató "Kilépési gyűjtő vámáru-nyilatkozatok" részében meghatározott szerkezetnek.
Az értesítendő fél EORI-számának vagy az értesítendő fél harmadik országbeli azonosító számának feltüntetése esetén az értesítendő fél nevét és címét nem kell feltüntetni.
Belépési gyűjtő vámáru-nyilatkozat: Ha az árukat "üresen forgatott, rendeletre szóló" átruházható hajóraklevéllel szállítják, amely esetben a címzett nincs megjelölve és a 10600 kód van feltüntetve, akkor minden esetben meg kell adni az értesítendő felet.
Kilépési gyűjtő vámáru-nyilatkozat: Ha az árukat "üresen forgatott, rendeletre szóló" átruházható hajóraklevéllel szállítják, amely esetben a címzett nincs megjelölve, akkor a "Címzett" mezőben a címzett adatai helyett minden esetben az értesítendő fél adatait kell megadni. Ha egy kiviteli nyilatkozaton szerepelnek a kilépési gyűjtő vámáru-nyilatkozaton feltüntetendő adatok, akkor az adott kiviteli nyilatkozat 44. rovatába a 30600 kódot kell beírni.
A határon átlépő tényleges szállítóeszköz azonosítója és honossága
A Közösség vámterületének határát átlépő tényleges szállítóeszköz azonosítója és honossága. Azonosítóként a 37. mellékletben az egységes vámokmány 18. rovatához előírt meghatározásokat kell felhasználni. Tengeri és belvízi szállítás esetén a hajó IMO-azonosítószámát vagy egyedi európai hajóazonosító számát (ENI) kell megadni. Légi szállítás esetén nem kell információt szolgáltatni.
A honossághoz a 38. mellékletben az egységes vámokmány 21. rovatához előírt kódokat kell felhasználni, amennyiben ez az információ nem szerepel az azonosítóban.
Vasúti fuvarozási mód : meg kell adni a vagon számát.
A határon átlépő szállítóeszköz azonosítója
Átirányítási kérelem: tengeri szállítás esetén a hajó IMO-azonosítószámát, belvízi szállítás esetén az ENI kódot, légi szállítás esetén az IATA-járatszámot kell megadni.
Légi szállítás esetén, ha a légi jármű üzemeltetője az árut partnerekkel kötött közös üzemeltetési megállapodás keretében fuvarozza, akkor a partnerek járatszámát kell megadni.
Forgalom hivatkozási száma ( 147 )
A szállítóeszköz útját azonosító adat, például a hajóút száma, a légi járat száma, az útvonal száma, ha van ilyen.
Légi szállítás esetén, ha a légi jármű üzemeltetője az árut partnerekkel kötött közös üzemeltetési megállapodás keretében fuvarozza, akkor a partnerek járatszámát kell megadni.
Vasúti fuvarozási mód : meg kell adni a vonatszerelvény számát. Adott esetben ezt az adatot multimodális szállítás esetén is meg kell adni.
Az érkezés első helyének kódja
A vámterületre történő első érkezés helyének meghatározása. Ez lehet egy kikötő a tengeri, repülőtér a légi, illetve határállomás a szárazföldi határátlépésnél.
A kódnak a következő mintához kell igazodnia: UN/LOCODE (an..5) + nemzeti kód (an..6).
Közúti és vasúti fuvarozási mód : a kódnak a 38. mellékletben a vámhivatalok számára előírt mintához kell igazodnia.
Átirányítási kérelem: a bejelentett első beléptető vámhivatal kódját kell megadni.
Az érkezés tényleges első helyének kódja
Átirányítási kérelem: az első tényleges beléptető vámhivatal kódját kell megadni.
A bejelentett első beléptető vámhivatal országkódja
Átirányítási kérelem: a 38. mellékletben az egységes vámokmány 2. rovatához előírt kódokat kell felhasználni.
Az érkezés napja és ideje a vámterületre való érkezés első helyére
A szállítóeszköz megérkezésének napja és ideje/kitűzött napja és ideje az első repülőtérre (légi fuvarozás esetén), az első határátkelőhelyre (szárazföldön) és az első kikötőbe (tengeren), kódolva. Az n12 (OOÉÉHHNNÓÓPP) kódot kell használni. Az érkezés első helye szerinti helyi időt kell alkalmazni.
Átirányítási kérelem: csak a dátumot kell megadni, 8 jegyű numerikus kód (OOÉÉHHNN) formájában.
Az útvonal országának (országainak) kódjai
Azoknak az országoknak az időrendi sorrendben történő azonosítása, amelyeken az áruk végighaladnak az eredeti indulás és a végső rendeltetés országa között. Magában foglalja az áruk eredeti indulásának és végső rendeltetésének országait. A 38. mellékletben az EV 2. rovata számára előírt kódokat kell felhasználni. Ezt az információt meg kell adni, amennyiben ismeretes.
Gyorspostai küldemények kilépési gyűjtő vámáru-nyilatkozatai - postai küldemények: csak az áru végső rendeltetési országát kell megadni.
Gyorspostai küldemények belépési gyűjtő vámáru-nyilatkozatai - postai küldemények: csak az áru eredeti indulási országát kell megadni.
A pénznem kódja
A 38. mellékletben az EV 22. rovata számára előírt kód arra a pénznemre vonatkozóan, amelyben a kereskedelmi számlát kiállították.
Ezt az információt a "Tételsor összege" kapcsán kell felhasználni, amikor a behozatali vámok kiszámításához ez szükséges.
A tagállamok eltekinthetnek ettől a követelménytől az egyszerűsített vámáru-nyilatkozatoknál és a helyi vámkezelési eljárásoknál behozatal esetén, amikor az ezekhez az eljárásokhoz kapcsolódó engedélyekben előírt feltételek lehetővé teszik számukra, hogy ennek az adatelemnek a beszerzését a kiegészítő vámáru-nyilatkozatra halasszák. [Hiv.: az EV 22. és 44. rovata]
Fuvarozási mód a határon
Belépési gyűjtő vámáru-nyilatkozat: Azon tényleges szállítóeszköznek megfelelő fuvarozási mód, amelyben az áru a Közösség vámterületére várhatóan belép. Kombinált szállítás esetén a 37. mellékletben a 21. rovathoz adott magyarázatban található szabályokat kell alkalmazni.
Ha a légi szállítmányt a légitől eltérő más fuvarozási módon szállítják, ezt a más fuvarozási módot kell megadni.
A 38. mellékletben az egységes vámokmány 25. rovatához előírt 1-es, 2-es, 3-as, 4-es, 7-es, 8-as vagy 9-es kódot kell felhasználni.
[Hiv.: EV, 25. rovat]
Kiléptető vámhivatal
A 38. mellékletben az EV 29. rovata számára előírt kód a tervezett kiléptető vámhivatalra vonatkozóan.
Gyorspostai küldemények kilépési gyűjtő vámáru-nyilatkozatai - postai küldemények: ezt az adatelemet nem kell megadni, ha a gazdasági szereplő által megadott más adatelemekből automatikusan és egyértelműen kikövetkeztethető.
Kiegészítő vámáru-nyilatkozat vámhivatala
Hiányos kiviteli nyilatkozatok : ezt az adatelemet csak a 281. cikk (3) bekezdésében említett esetekben lehet használni.
Az áruk tárolási helye (147)
A pontos hely, ahol az áruk megvizsgálhatóak.
[Hiv.: EV, 30. rovat]
Rakodás helye ( 148 )
Annak a tengeri kikötőnek, repülőtérnek, teheráru terminálnak, vasútállomásnak vagy más helynek a neve, ahol az árukat a fuvarozásukhoz használt szállítóeszközre berakodják, beleértve azt az országot, ahol az található.
Gyorspostai küldemények belépési gyűjtő vámáru-nyilatkozatai : postai küldemények: ezt az adatelemet nem kell megadni, ha a gazdasági szereplő által megadott más adatelemekből automatikusan és egyértelműen kikövetkeztethető.
Közúti és vasúti fuvarozási mód : ez lehet az a hely, ahol a fuvarozási szerződés szerint az árukat átvették, vagy a TIR indító vámhivatal.
Kirakodás helye (148)
Annak a tengeri kikötőnek, repülőtérnek, teheráru terminálnak, vasútállomásnak vagy más helynek a neve, ahol az árukat a fuvarozásukhoz használt szállítóeszközről kirakodják, beleértve azt az országot, ahol az található.
Közúti és vasúti fuvarozási mód : amennyiben a kód nem áll rendelkezésre, a hely nevét a lehető legnagyobb pontossággal kell megadni.
Megjegyzés: ez az adatelem hasznos információkat biztosít az eljárás lefolytatásához.
Árumegnevezés
Gyűjtő vámáru-nyilatkozatok : egy kellően pontos köznyelvi leírás ahhoz, hogy a vámhatóság az árukat azonosítani tudja. Általános kifejezések (azaz "gyűjtőáru", "általános rakomány" vagy "alkatrészek") nem fogadhatóak el. Ezeknek az általános kifejezéseknek a jegyzékét a Bizottság közzéteszi. Ezt az információt nem kell megadni akkor, amikor a vámtarifaszámot megadták.
Egyszerűsített eljárások : a leírás tarifális célokat szolgál.
[Hiv.: EV, 31. rovat]
A csomagok típusa (kód)
A csomagok típusát megadó kód, ahogyan azt a 38. melléklet az EV 31. rovata számára előírja (ENSZ EGB 21. ajánlás, VI. melléklet)
A csomagok száma
Az egyedi tételek száma, ha azokat oly módon csomagolták, hogy a csomagolás megbontása nélkül nem választhatók külön, vagy - ha csomagolás nincs - a darabszám. Ezt az információt nem kell megadni, ha ömlesztett áruról van szó.
[Hiv.: EV, 31. rovat]
Fuvarozási jelzések
Szabad formátumú jelzések és számok a szállított egységeken vagy csomagokon.
Ezt az információt csak a csomagolt árukra kell megadni, ha van ilyen. Amikor az árukat konténerben szállítják, a konténer száma helyettesítheti a fuvarozási jelzéseket, amelyeket azonban a gazdasági szereplő megadhat, ha azok rendelkezésre állnak. Egy UCR vagy a fuvarokmány hivatkozásai, amelyek a szállítmányon belül lehetővé teszik az összes csomag egyértelmű azonosítását, helyettesíthetik a fuvarozási jelzéseket.
Megjegyzés: ez az adatelem segíti a szállítmányok azonosítását.
[Hiv.: EV, 31. rovat]
Berendezés azonosítószáma, amennyiben konténerben van
Jelölések (betűk és/vagy számok), amelyek a konténert azonosítják.
[Hiv.: EV, 31. rovat]
Az árutétel sorszáma ( 149 )
A tétel sorszáma a nyilatkozatban, a gyűjtő vámáru-nyilatkozatban vagy az átirányítási kérelemben szereplő tételek teljes számához képest.
Átirányítási kérelem: ha az MRN meg van adva, és az átirányítási kérelem a belépési gyűjtő vámáru-nyilatkozatban szereplő tételek nem mindegyikére vonatkozik, akkor az átirányítást kérő személynek meg kell adnia az eredeti belépési gyűjtő vámáru-nyilatkozatban a kérdéses árukhoz rendelt tételszámokat.
Csak akkor használandó, ha egynél több árutétel van.
Megjegyzés: ez az adatelem, amelyet a számítógépes rendszerek automatikusan generálnak, segít a nyilatkozaton belül az érintett árutételnek az azonosításában.
[Hiv.: EV, 32. rovat]
Vámtarifaszám
A kérdéses tételnek megfelelő kódszám;
Belépési gyűjtő vámáru-nyilatkozatok : A KN-kód első négy számjegye; Ezt az információt nem kell megadni akkor, amikor az árumegnevezést megadják.
Egyszerűsített behozatali eljárások : 10-jegyű TARIC kód. A gazdasági szereplők ezt az információt adott esetben további TARIC-kódokkal egészíthetik ki. A tagállamok eltekinthetnek ettől a követelménytől az egyszerűsített vámáru-nyilatkozatoknál és a helyi vámkezelési eljárásoknál behozatal esetén, amikor az ezekhez az eljárásokhoz kapcsolódó engedélyekben előírt feltételek lehetővé teszik számukra, hogy ennek az adatelemnek a beszerzését a kiegészítő vámáru-nyilatkozatra halasszák.
Kilépési gyűjtő vámáru-nyilatkozatok : a KN-kód első négy számjegye. Ezt az információt nem kell megadni akkor, amikor az árumegnevezést megadták.
Egyszerűsített kiviteli eljárások : 8-jegyű KN-kód. A gazdasági szereplők ezt az információt adott esetben TARIC -kiegészítő kódokkal egészíthetik ki. A tagállamok eltekinthetnek ettől a követelménytől az egyszerűsített vámáru-nyilatkozatoknál és a helyi vámkezelési eljárásoknál kivitel esetén, amikor az ezekhez az eljárásokhoz kapcsolódó engedélyekben előírt feltételek lehetővé teszik számukra, hogy ennek az adatelemnek a beszerzését a kiegészítő vámáru-nyilatkozatra halasszák.
[Hiv.: EV, 33. rovat]
Bruttó tömeg (kg)
Az áruk tömege, a csomagolással együtt, de a fuvarozónak a nyilatkozathoz használt berendezése nélkül.
Amikor az lehetséges, a gazdasági szereplő ezt a tömeget megadhatja a vámáru-nyilatkozat tételsori szintjén.
Egyszerűsített behozatali eljárások : ezt az információt csak akkor kell megadni, amennyiben erre szükség van a behozatali vámok kiszámításához.
A tagállamok eltekinthetnek ettől a követelménytől az egyszerűsített vámáru-nyilatkozatoknál és a helyi vámkezelési eljárásoknál behozatal esetén, amikor az ezekhez az eljárásokhoz kapcsolódó engedélyekben előírt feltételek lehetővé teszik számukra, hogy ennek az adatelemnek a beszerzését a kiegészítő vámáru-nyilatkozatra halasszák.
[Hiv.: EV, 35. rovat]
Eljárás
A 38. mellékletben az EV 37. rovatának 1. és 2. alrovata számára előírt eljáráskódok.
A tagállamok eltekinthetnek a 38. mellékletben az EV 37. rovatának 2. alrovata számára meghatározott kódok megadásának kötelezettségétől az egyszerűsített vámáru-nyilatkozatoknál és a helyi vámkezelési eljárásoknál behozatal és kivitel esetén, amikor az ezekhez az eljárásokhoz kapcsolódó engedélyekben előírt feltételek lehetővé teszik számukra, hogy ennek az adatelemnek a beszerzését a kiegészítő vámáru-nyilatkozatra halasszák.
Nettó tömeg (kg)
Maguknak az áruknak a tömege, csomagolás nélkül.
A tagállamok eltekinthetnek ettől a követelménytől az egyszerűsített vámáru-nyilatkozatoknál és a helyi vámkezelési eljárásoknál behozatal és kivitel esetén, amikor az ezekhez az eljárásokhoz kapcsolódó engedélyekben előírt feltételek lehetővé teszik számukra, hogy ennek az adatelemnek a beszerzését a kiegészítő vámáru-nyilatkozatra halasszák.
[Hiv.: EV, 38. rovat]
Tételsor összege
A vámáru-nyilatkozat érintett tételsorában szereplő áruk ára. Ezt az információt a "Pénznem kódja" kapcsán kell használni, amikor a behozatali vámok kiszámításához ez szükséges.
A tagállamok eltekinthetnek ettől a követelménytől az egyszerűsített vámáru-nyilatkozatoknál és a helyi vámkezelési eljárásoknál behozatal esetén, amikor az ezekhez az eljárásokhoz kapcsolódó engedélyekben előírt feltételek lehetővé teszik számukra, hogy ennek az adatelemnek a beszerzését a kiegészítő vámáru-nyilatkozatra halasszák.
[Hiv.: EV, 42. rovat]
Hivatkozási szám az egyszerűsített eljárásokhoz
Ez egy hivatkozási szám a nyilvántartásba vételről a 266. és a 285a. cikkekben ismertetett eljárásokhoz. A tagállamok eltekinthetnek ettől a követelménytől, amikor léteznek más, megfelelő szállítmánykövető rendszerek.
Különleges megjegyzések
Írja be a 10100 kódot, ha az 1147/2002/EK rendelet ( 150 ) (egyes légi alkalmassági bizonyítvánnyal behozott termékek) 2. cikkének (1) bekezdése alkalmazandó.
[Hiv.: EV, 44. rovat]
Az engedély száma
Az engedély száma az egyszerűsített eljárásoknál. A tagállamok eltekinthetnek ettől a követelménytől, amikor elegendő számukra, hogy számítógépes rendszereik ezt az információt egyértelműen ki tudják szűrni a vámáru-nyilatkozat más elemei közül, mint például a gazdálkodói azonosító.
ENSZ Veszélyes Áruk szerinti kód
Az Egyesült Nemzetek Veszélyes Áruk szerinti azonosító (United Nations Dangerous Goods Identifier, UNDG) a leggyakrabban fuvarozott veszélyes áruk jegyzékében szereplő anyagokhoz és cikkekhez az ENSZ-en belül rendelt egyedi sorszám (n4).
Ezt az elemet csak akkor kell megadni, amikor értelmezhető.
Vámzár száma ( 151 )
A szállítóeszközre felrakott vámzárak azonosítószámai, ha vannak ilyenek.
Fuvarozási díjak fizetési módjának kódja
A következő kódokat kell használni:
A Készpénzfizetés
B Fizetés hitelkártyával
C Fizetés csekkel
D Egyéb (pl. közvetlen terhelés számlára)
H Elektronikus számlajóváírás átutalással
Y Számlatulajdonos a fuvarozónál
Z Nincs előre kifizetve
Ezt az információt csak akkor kell megadni, ha ismert.
A nyilatkozat dátuma ( 152 )
Az a dátum, amikor a vonatkozó nyilatkozatokat kiállították és szükség esetén aláírták vagy más módon hitelesítették.
A 266. és a 285a. cikkek szerinti helyi vámkezelési eljárások esetében ez a nyilvántartásba vétel dátuma.
[Hiv.: EV, 54. rovat]
Aláírás/Hitelesítés (152)
Megjegyzés : ez az elem, amelyet a számítógépes rendszerek automatikusan generálnak, biztonsági szempontból nem bír jelentőséggel.
[Hiv.: EV, 54. rovat]
Más speciális körülmény jelzése
Kódolt elem, amely jelzi azt a speciális körülményt, amelyből fakadóan az érintett gazdasági szereplő előnyre tart igényt.
A Postai és gyorspostai küldemények
B Hajózási és repülési készletek
C Közúti fuvarozási mód
D Vasúti fuvarozási mód
E Engedélyezett gazdálkodók
Ezt az adatelemet csak akkor kell megadni, amikor a gyűjtő vámáru-nyilatkozatot benyújtó személy egy, az 1. táblázatban felsoroltakon kívüli speciális körülményből fakadó előnyt kér.
Ezt az adatelemet nem kell megadni akkor, ha arra a gazdasági szereplő által megadott más adatelemekből automatikusan és egyértelműen következtetni lehet.
Következő beléptető vámhivatal(ok) kódja
A Közösség vámterületén lévő következő beléptető vámhivatalok megjelölése.
Ezt a kódot akkor kell megadni, ha a "Fuvarozási mód a határon" kód értéke 1, 4 vagy 8.
A kódnak követnie kell a 38. mellékletben az egységes vámokmány 29. rovata kapcsán a beléptető vámhivatal kódjára vonatkozóan megadott formátumot.
31. MELLÉKLET ( 153 ) - AZ EGYSÉGES VÁMOKMÁNY MINTÁJA
(nyolcpéldányos okmánygarnitúra)












32. MELLÉKLET ( 154 ) - AZ EGYSÉGES VÁMOKMÁNY MINTÁJA A NYILATKOZATOK FELDOLGOZÁSÁRA SZOLGÁLÓ SZÁMÍTÓGÉPES ADATFELDOLGOZÓ RENDSZERREL VALÓ NYOMTATÁS CÉLJÁRA (KÉT, EGYENKÉNT NÉGYPÉLDÁNYOS OKMÁNYGARNITÚRA)






33. MELLÉKLET ( 155 ) - AZ EGYSÉGES VÁMOKMÁNY PÓTLAPJAINAK MINTÁJA
(nyolcpéldányos okmánygarnitúra)








34. MELLÉKLET ( 156 ) - AZ EGYSÉGES VÁMOKMÁNY PÓTLAPJAINAK MINTÁJA A NYILATKOZATOK FELDOLGOZÁSÁRA SZOLGÁLÓ SZÁMÍTÓGÉPES ADATFELDOLGOZÓ RENDSZERREL VALÓ NYOMTATÁS CÉLJÁRA (KÉT, EGYENKÉNT NÉGYPÉLDÁNYOS OKMÁNYGARNITÚRA)




35. MELLÉKLET
A 31. ÉS A 33. MELLÉKLETEKBEN BEMUTATOTT NYOMTATVÁNYOK AZON PÉLDÁNYAI, AMELYEKEN AZ ADATOKNAK ÖNMÁSOLÓ ELJÁRÁSSAL KELL MEGJELENNIÜK
(beleértve az 1. példányt)
| Rovatszám | Példányok | Rovatszám | Példányok |
| I. AZ ÉRINTETT SZEMÉLYEK ÁLTAL KITÖLTENDŐ ROVATOK | |||
| 1 | 1–8., | 27 | 1-től 5. (1) |
| kivéve a középső alrovat, ahol: | 28 | 1–3. | |
| 1–3. | 29 | 1–3. | |
| 2 | 1–5. (1) | 30 | 1–3. |
| 3 | 1–8. | 31 | 1–8. |
| 4 | 1–8. | 32 | 1–8. |
| 5 | 1–8. | 33 | a bal oldali első alrovat: |
| 6 | 1–8. | 1–8. | |
| 7 | 1–3. | a többi: 1–3. | |
| 8 | 1–5. (1) | 34a | 1–3. |
| 9 | 1–3. | 34b | 1–3. |
| 10 | 1–3. | 35 | 1–8. |
| 11 | 1–3. | 36 | – |
| 12 | – | 37 | 1–3. |
| 13 | 1–3. | 38 | 1–8. |
| 14 | 1–4. | 39 40 | 1–3. 1–5. (1) |
| 15 | 1–8. | 41 | 1–3. |
| 15a | 1–3. | 42 | – |
| 15b | 1–3. | 43 | – |
| 16 | 1., 2., 3., 6., 7. és 8. | 44 | 1–5. (1) |
| 17 | 1–8. | 45 | – |
| 17a | 1–3. | 46 | 1–3. |
| 17b | 1–3. | 47 | 1–3. |
| 18 | 1–5. (1) | 48 | 1–3. |
| 19 | 1–5. (1) | 49 | 1–3. |
| 20 | 1–3. | 50 | 1–8. |
| 21 | 1–5. (1) | 51 | 1–8. |
| 22 | 1–3. | 52 | 1–8. |
| 23 | 1–3. | 53 | 1–8. |
| 24 | 1–3. | 54 | 1–4. |
| 25 | 1–5. (1) | 55 | – |
| 26 | 1–3. | 56 | – |
| II. A HATÓSÁG RÉSZÉRE FENNTARTOTT ROVATOK | |||
| A | 1–4. (2) | C | 1–8. (2) |
| B | 1–3. | D | 1–4. |
| (1) Az érintett személy számára semmilyen körülmények között nem írható elő ezeknek a rovatoknak a kitöltése közösségi árutovábbítás céljából az 5. példányon. (2) A feladó tagállam megválaszthatja, hogy ezeknek az adatoknak szerepelniük kell-e a meghatározott példányokon. | |||
36. MELLÉKLET
A 32. ÉS A 34. MELLÉKLETEKBEN BEMUTATOTT NYOMTATVÁNYOK AZON PÉLDÁNYAI, AMELYEKEN AZ ADATOKNAK ÖNMÁSOLÓ ELJÁRÁSSAL KELL MEGJELENNIÜK
(Beleértve az 1/6. példányt)
| Rovatszám | Példányok | Rovatszám | Példányok |
| I. AZ ÉRINTETT SZEMÉLY ÁLTAL KITÖLTENDŐ ROVATOK | |||
| 1 | 1–4., | 27 | 1–4. |
| kivéve a középső alrovatot, ahol: | 28 | 1–3. | |
| 1–3. | |||
| 2 | 1–4. | 29 | 1–3. |
| 3 | 1–4. | 30 | 1–3. |
| 4 | 1–4. | 31 | 1–4. |
| 5 | 1–4. | 32 | 1–4. |
| 6 | 1–4. | 33 | a bal oldali első alrovat: 1–4. |
| 7 | 1–3. | a többi: 1–3. | |
| 8 | 1–4. | 34a | 1–3. |
| 9 | 1–3. | 34b | 1–3. |
| 10 | 1–3. | 35 | 1–4. |
| 11 | 1–3. | 36 | 1–3. |
| 12 | 1–3. | 37 | 1–3. |
| 13 | 1–3. | 38 | 1–4. |
| 14 | 1–4. | 39 | 1–3. |
| 15 | 1–4. | 40 | 1–4. |
| 15a | 1–3. | 41 42 | 1–3. 1–3. |
| 15b | 1–3. | 43 | 1–3. |
| 16 | 1–3. | 44 | 1–4. |
| 17 | 1–4. | 45 | 1–3. |
| 17a | 1–3. | 46 | 1–3. |
| 17b | 1–3. | 47 | 1–3. |
| 18 | 1–4. | 48 | 1–3. |
| 19 | 1–4. | 49 | 1–3. |
| 20 | 1–3. | 50 | 1–4. |
| 21 | 1–4. | 51 | 1–4. |
| 22 | 1–3. | 52 | 1–4. |
| 23 | 1–3. | 53 | 1–4. |
| 24 | 1–3. | 54 | 1–4. |
| 25 | 1–4. | 55 | – |
| 26 | 1–3. | 56 | – |
| II. A HATÓSÁG RÉSZÉRE FENNTARTOTT ROVATOK | |||
| A | 1–4. (1) | C | 1–4. |
| B | 1–3. | D/J | 1–4. |
| (1) A feladó tagállam megválaszthatja, hogy ezeknek az adatoknak szerepelniük kell-e a meghatározott példányokon. | |||
37. MELLÉKLET
ÚTMUTATÓ AZ EGYSÉGES VÁMOKMÁNY HASZNÁLATÁHOZ ( 157 )
1. CÍM ÁLTALÁNOS MEGJEGYZÉSEK
A. ÁLTALÁNOS ELŐÍRÁSOK
A nyomtatványokat és a pótlapokat akkor kell alkalmazni:
a) amikor a közösségi szabályozás valamely vámeljárás alá vonásra vagy újrakivitelre irányuló vámáru-nyilatkozatot ír elő;
b) szükség esetén a valamely csatlakozási okmányban megállapított átmeneti időszakban is az egyrészt a csatlakozást megelőző állapot szerinti Közösség és az új tagállamok közötti, másrészt ez utóbbiak közötti olyan áruk vonatkozásában folytatott kereskedelem kapcsán, amelyek tekintetében bizonyos vámok, illetve azokkal azonos hatású díjak továbbra is fennmaradtak, illetve amelyekre továbbra is a csatlakozási okmányban megállapított egyéb intézkedéseket kell alkalmazni;
c) ha egy közösségi rendelkezés a használatát kifejezetten előírja, különösen a közösségi árutovábbítási eljárás keretében az utasok árutovábbítási nyilatkozatával és az üzemszüneti eljárással kapcsolatban.
Az erre a célra használt nyomtatványok és pótlapok alkotják azt a nyomtatványgarnitúrát, amely egy vagy több vámeljáráshoz kapcsolódó alakiságok elvégzéséhez szükséges. A nyomtatványgarnitúra nyolc példányból áll:
- az 1. példányt annak a tagállamnak a hatóságai őrzik meg, amelyben a kiviteli (feladási) vagy a közösségi árutovábbítási alakiságokat elvégezték,
- a 2. példányt a kiviteli tagállam statisztikai célokra használja. Ezt a példányt a feladó tagállam is felhasználhatja statisztikai célokra, amikor a kereskedelmi tevékenység a Közösség vámterületének olyan részei között folyik, ahol eltérő adórendszer működik,
- a 3. példányt a vámhatóság bélyegzőjével ellátva vissza kell juttatni az exportőrnek,
- a 4. példányt a rendeltetési vámhivatal őrzi meg a közösségi árutovábbítási művelet befejezését követően, vagy az áruk közösségi helyzetét igazoló okmányként,
- az 5. példány a közösségi árutovábbítási eljárás visszpéldánya,
- a 6. példányt annak a tagállamnak a hatóságai őrzik meg, ahol a behozatali alakiságokat elvégzik,
- a 7. példányt a behozatali tagállam használja statisztikai célokra. Ezt a példányt a behozatali tagállam akkor is felhasználhatja statisztikai célokra, amikor a kereskedelmi tevékenység a Közösség vámterületének olyan részei között folyik, ahol eltérő adórendszer működik,
- a 8. példányt vissza kell juttatni a címzettnek.
A nyomtatványok különböző kombinációi lehetségesek, mint pl.:
- kivitel, passzív feldolgozás vagy újrakivitel: 1., 2. és 3. példány,
- közösségi árutovábbítás: 1., 4. és 5. példány,
- behozatallal kapcsolatos vámeljárások: 6., 7. és 8. példány.
Emellett előfordulhatnak olyan körülmények, amelyek esetén a kérdéses áruk közösségi helyzetét a rendeltetési helyen igazolni kell. Ilyen esetekben T2L okmányként a 4. példány alkalmazandó.
A gazdasági szereplők, amennyiben úgy kívánják, alkalmazhatnak magánúton nyomtatott nyomtatványgarnitúrákat, feltéve, hogy azok megfelelnek a hivatalos mintának.
Minden ilyen nyomtatványgarnitúrát úgy kell kialakítani, hogy azoknál a rovatoknál, amelyeknek a két érintett tagállamban azonos adatokat kell tartalmazniuk, lehetőség legyen arra, hogy az exportőr vagy a főkötelezett az adatokat közvetlenül az 1. példányon írhassa be, és azok a papír vegyi kezelése következtében minden példányon megjelenjenek. Ahol azonban valamilyen okból (különösen ahol az információtartalom az érintett művelet szakaszától függően eltér) az információt nem kell átadni egyik tagállamtól a másiknak, az önmásoló papír érzéketlenné tételével az érintett példányokra kell korlátozni a másolást.
Ahol a nyilatkozatok feldolgozása számítógéppel történik, lehetőség van olyan nyomtatványgarnitúrák alkalmazására, amelyekben minden egyes példánynak kettős funkciója van: 1/6, 2/7, 3/8, 4/5.
Ebben az esetben minden egyes garnitúrában jelezni kell a felhasznált példányok számait úgy, hogy a nyomtatvány margóján törölni kell annak a nyomtatványnak a számát, amelyet nem használnak.
Ezen garnitúrákat úgy kell kialakítani, hogy a papíron végrehajtott vegyi kezelés eredményeként átmásolásra kerüljenek azok az adatok, amelyeknek minden egyes példányon meg kell jelenniük.
Amennyiben e rendelet 205. cikkének (3) bekezdése értelmében az áruk valamely vámeljárás alá vonására, újrakivitelére vonatkozó vámáru-nyilatkozat, vagy a nem a belső közösségi árutovábbítási eljárás szerint szállított áruk közösségi helyzetét igazoló okmányok rendes papíron, hivatalos vagy magáncélú adatfeldolgozó rendszerek segítségével készülnek, az említett nyilatkozatoknak vagy okmányoknak formátumukat illetően meg kell felelniük a Vámkódexben vagy ebben a rendeletben megállapított összes feltételnek, beleértve azokat is, amelyek a nyomtatvány hátoldalára vonatkoznak (a közösségi árutovábbítási eljárás során használt példányok tekintetében), kivéve:
- a nyomtatás színét,
- a dőlt betűk alkalmazását,
- a közösségi árutovábbításra vonatkozó rovatok hátterének nyomtatását.
B. SZÜKSÉGES ADATOK
A nyomtatványokon szereplő rovatoknak csak egy részét kell kitölteni az adott vámeljárás(ok)tól függően.
A egyszerűsített eljárások sérelme nélkül az egyes eljárásokkal kapcsolatban adott esetben kitöltendő rovatokat az alábbi táblázat tartalmazza: az egyes rovatokra vonatkozóan a II. címben meghatározott különös rendelkezések alkalmazása a rovatoknak a táblázatban meghatározott státusát nem érinti.
Fontos azonban megjegyezni, hogy az alábbiakban felsorolt státusz nem érinti azt a tényt, hogy bizonyos adatokat természetszerűleg csak bizonyos körülmények között kell megadni. Így például a 41. rovatban ("A" státus) a kiegészítő mértékegység megadása csak akkor kötelező, ha a TARIC azt előírja.
| SZÖVEG HIÁNYZIK |
C. A NYOMTATVÁNY HASZNÁLATÁRA VONATKOZÓ ELŐÍRÁSOK
Minden esetben, ha a nyomtatványgarnitúra egy vagy több olyan példányt tartalmaz, amelyeket olyan tagállamban is fel lehet használni, amely különbözik attól, ahol a nyomtatvány először kitöltésre került, a nyomtatványokat írógéppel, mechanográfiai vagy hasonló eljárással kell kitölteni. Az írógéppel történő kitöltés megkönnyítésére a nyomtatványt úgy kell befűzni az írógépbe, hogy a 2. rovatba beírásra kerülő adatok első betűje a bal felső sarokban lévő megjelölt helyre kerüljön.
Amennyiben egy nyomtatványgarnitúra minden példányát ugyanabban a tagállamban történő felhasználásra szánják, azokat olvashatóan, tintával és nyomtatott betűkkel kézzel is ki lehet tölteni, feltéve, hogy ez az adott tagállamban megengedett. Ugyanez vonatkozik a közösségi árutovábbítási eljárás céljára felhasznált példányokon megadott adatokra is.
A nyomtatványokon nem történhet törlés vagy felülírás. A módosításkor a nem megfelelő adatot át kell húzni, és a szükségeset be kell írni. Az ilyen módon végrehajtott változtatást az azt végző személynek kézjegyével el kell látni, és azt az illetékes hatóságnak záradékolnia kell. Ez utóbbi, szükség esetén, kérheti új nyilatkozat benyújtását.
Emellett a nyomtatványokat a fent említett eljárások mellett más, automatikus másolási eljárással is ki lehet tölteni. Előállításuk és kitöltésük is történhet ezzel a módszerrel, azzal a feltétellel, hogy a mintanyomtatványokra, a formátumra, az alkalmazott nyelvre, az olvashatóságra, a törlés és felülírás kizárására és a módosításokra vonatkozó rendelkezéseket szigorúan betartják.
Az érintett személyek csak a számmal megjelölt rovatokat töltik ki. A többi, nagybetűvel jelölt rovat hatósági alkalmazásra szolgál.
A 205. cikk sérelme nélkül azokon a példányokon, amelyek a kiviteli/feladó vagy indító vámhivatalnál maradnak, az érintett személyek eredeti aláírásának kell szerepelnie.
Amennyiben a nyilatkozattevő vagy képviselője által aláírt nyilatkozat benyújtásra kerül egy vámhivatalhoz, az azt jelzi, hogy az érintett személy bejelenti a kérdéses árukat az alkalmazott eljárásra, és - a büntetőjogi rendelkezések esetleges alkalmazásának sérelme nélkül - a tagállamok hatályos rendelkezései szerint felelősséget vállal a következők tekintetében:
- a nyilatkozatban megadott adatok pontossága,
- a csatolt okmányok hitelessége,
- a kérdéses áruknak a szóban forgó eljárás alá vonásával járó, az érintett eljárás szerinti összes kötelezettség betartása.
A főkötelezett a saját vagy, adott esetben, meghatalmazott képviselőjének aláírásával felelősséget vállal a Vámkódexben és ebben a rendeletben megállapított, valamint a fenti B. pontban felsorolt, a közösségi árutovábbításra vonatkozó rendelkezések értelmében a közösségi árutovábbítási eljárás valamennyi adatával kapcsolatban.
Ami a közösségi árutovábbítási eljárás céljából és a rendeltetési helyen végzett alakiságokat illeti, meg kell jegyezni, hogy a műveletben részt vevő minden személy érdeke, hogy ellenőrizze nyilatkozatának tartalmát. Ha az érintett személy eltérést talál az általa bejelenteni szándékozott áru és az alkalmazott nyomtatványra már beírt adatok között, arról a vámhatóságot azonnal tájékoztatnia kell. Ilyen esetekben a nyilatkozatot új nyomtatványon kell benyújtani.
Ha a III. cím eltérő rendelkezést nem tartalmaz, amennyiben egy rovatot nem kell használni, azt üresen kell hagyni.
II. CÍM AZ EGYES ROVATOKBAN FELTÜNTETENDŐ ADATOK
A. A KIVITELRE/FELADÁSRA, ÚJRAKIVITELRE, EXPORT-VISSZATÉRÍTÉS HATÁLYA ALÁ TARTOZÓ ÁRUK VÁMRAKTÁROZÁSÁRA VAGY VÁMFELÜGYELET ÉS VÁMELLENŐRZÉS ALATT TÖRTÉNŐ ELŐÁLLÍTÁSÁRA, PASSZÍV FELDOLGOZÁSRA, KÖZÖSSÉGI ÁRUTOVÁBBÍTÁSRA ÉS/VAGY ÁRUK KÖZÖSSÉGI HELYZETÉNEK IGAZOLÁSÁRA VONATKOZÓ ALAKISÁGOK
1. rovat: Nyilatkozat
Az első alrovatba írja be a megfelelő közösségi kódot a 38. melléklet szerint.
A második alrovatban tüntesse fel a megfelelő nyilatkozattípust a 38. melléklet szerinti közösségi kódok használatával.
A harmadik alrovatba írja be a megfelelő közösségi kódot a 38. melléklet szerint.
2. rovat: Feladó/exportőr
Ebbe a rovatba az 1. cikk 16. pontja szerinti EORI-számot kell feltüntetni. Ha a feladó vagy exportőr nem rendelkezik EORI-számmal, a vámigazgatás az adott nyilatkozat céljából eseti számot adhat ki részére.
E melléklet alkalmazásában az "exportőr" kifejezést a közösségi vámjogszabályokban foglalt meghatározás szerint kell érteni. Ebben az összefüggésben a "feladó" olyan gazdasági szereplőre utal, aki exportőrként jár el a 206. cikk harmadik bekezdése szerinti esetekben.
Adja meg az érintett személy teljes nevét, ill. cégnevét és címét.
Gyűjtőszállítmány esetén a tagállamok előírhatják, hogy ebbe a rovatba a "különféle" szót kell beírni, és a feladók/exportőrök listáját csatolni kell a nyilatkozathoz.
3. rovat: Nyomtatványok
Írja be az aktuális nyomtatványgarnitúra számát a felhasznált nyomtatványgarnitúrák és pótlapok teljes számához viszonyítva. Ha például egy EX nyomtatványról és két EX/c nyomtatványról van szó, az EX nyomtatványon "1/3"-at írjon a rovatba, az első EX/c nyomtatványon "2/3"-at, a második EX/c nyomtatványon pedig "3/3"-at.
Amennyiben a nyilatkozat két darab négy példányból álló nyomtatványgarnitúrából áll egy darab nyolcpéldányos helyett, a két garnitúrát a nyomtatványok számának megjelölésekor egy sorozatnak kell tekinteni.
4. rovat: Rakományjegyzék
Számjeggyel írja be az esetleg csatolt rakományjegyzékek számát vagy az illetékes hatóság által jóváhagyott, kereskedelmi árujegyzékek darabszámát.
5. rovat: Tételszám
Ebben a rovatban a felhasznált nyomtatványokon és pótlapokon (vagy rakomány- vagy egyéb kereskedelmi árujegyzékeken) az érintett személy által bejelentett összes tétel számát kell feltüntetni. A megadott tételszámnak meg kell felelnie a kitöltendő 31. rovatok számának.
6. rovat: Összes csomag száma
Adja meg az adott szállítmányt alkotó csomagok teljes számát.
7. rovat: Hivatkozási szám
A rovatban azt a kereskedelmi hivatkozási számot kell megadni, amelyet az érintett személy rendelt az adott szállítmányhoz. Ez a szám a Unique consignment reference number (UCR) ( 158 ) (egyedi szállítmányhivatkozási szám) alapján is képezhető.
8. rovat: Címzett
Ebben a rovatban azon személy(ek) teljes nevét, ill. cégnevét és pontos címét kell feltüntetni, aki(k) részére az árukat le kell szállítani. -----
Abban az esetben, ha azonosító számot kell megadni, ebben a rovatban az 1. cikk 16. pontja szerinti EORI-számot kell feltüntetni. Ha a címzett nem rendelkezik EORI-számmal, az érintett tagállam nemzeti jogszabályaiban előírt számot kell feltüntetni.
Amennyiben azonosító számot kell megadni, és a nyilatkozat tartalmazza a kilépési gyűjtő vámáru-nyilatkozat 30A. mellékletben előírt adatait, és valamely harmadik ország Unió által elismert kereskedelmi partnerségi programjának keretében könnyítéseket biztosítanak, azonosító számként megadható egy harmadik ország olyan egyedi azonosító száma, amelyet az érintett harmadik ország az Unió rendelkezésére bocsátott. A harmadik országbeli egyedi azonosító szám szerkezete megfelel a 30A. melléklet "Feladó" című adateleméhez tartozó kitöltési útmutató "Kilépési gyűjtő vámáru-nyilatkozatok" részében meghatározott szerkezetnek.
Gyűjtőszállítmány esetén a tagállamok előírhatják, hogy ebbe a rovatba a "különféle" szót kell beírni, és a címzettek listáját csatolni kell a nyilatkozathoz.
14. rovat: Nyilatkozattevő/képviselő
Ebbe a rovatba az 1. cikk 16. pontja szerinti EORI-számot kell feltüntetni. Ha a nyilatkozattevő vagy képviselő nem rendelkezik EORI-számmal, a vámigazgatás az adott nyilatkozat céljából eseti számot adhat ki részére.
Adja meg az érintett személy teljes nevét, ill. cégnevét és címét.
Ha a nyilatkozattevő azonos az exportőrrel/feladóval, az "exportőr" vagy "feladó" kifejezéseket kell beírni.
A nyilatkozattevő megjelölésére vagy a képviselő jogállásának meghatározására a 38. mellékletben megadott megfelelő közösségi kódot kell használni.
15. rovat: Feladó/kiviteli ország
A kiviteli alakiságok tekintetében a "tényleges kivitel szerinti tagállam" az a tagállam, ahonnan az árukat először adták fel kiviteli céllal, ha az exportőr nem a kivitel tagállamában letelepedett. Ha másik tagállam nem érintett, akkor a kiviteli tagállam a tényleges kivitel szerinti tagállam.
A 15a. rovatba annak a tagállamnak a 38. melléklet szerinti közösségi kódját kell beírni, ahonnan az árut kiviszik/feladják. Árutovábbítás esetén a 15. rovatba az áru feladásának helyes szerinti tagállamot kell feltüntetni.
17. rovat: Rendeltetési ország
A 38. melléklet szerinti megfelelő közösségi kód használatával a 17a. rovatban jelölje meg a kivinni szándékozott áruknak a kivitel időpontjában ismert végső rendeltetési országának kódját.
18. rovat: A szállítóeszköz azonosítója és honossága induláskor
Ebbe a rovatba írja be annak a szállítóeszköznek az azonosítóját, amelyre az árukat közvetlenül berakodták, amikor a kiviteli vagy árutovábbítási alakiságok végrehajtására sor került, majd a szállítóeszköz honosságát (vagy több szállítóeszköz esetén annak a szállítóeszköznek a honosságát, amely a többi meghajtását biztosítja) a 38. melléklet szerinti megfelelő közösségi kód alkalmazásával. Például, ha különböző rendszámú vontatót és pótkocsit alkalmaznak, a vontató és a pótkocsi rendszámát és a vontató honosságát kell feltüntetni.
A szóban forgó szállítóeszköztől függően a következő azonosításra szolgáló adatokat lehet beírni:
| Szállítóeszköz | Azonosítási mód |
| Tengeri és belvízi szállítás | Hajó neve |
| Légi szállítás | Járatszám és dátum (ha a járatnak nincs száma, a légi jármű nyilvántartási számát kell beírni) |
| Közúti szállítás | Rendszám |
| Vasúti szállítás | Vagonszám |
Tranzitműveletek tekintetében azonban, közúti járművekkel szállított konténerekben történő áruszállítás esetén a vámhatóságok felhatalmazhatják a felelős vezetőt, hogy ezen rovatot üresen hagyja, abban az esetben, ha az indulási helyen az árutovábbítási nyilatkozat kiállításakor a logisztikai helyzet nem teszi lehetővé a jármű azonosítójára és honosságára vonatkozó adatok megállapítását, valamint biztosítható, hogy a szállítóeszközre vonatkozó adatok az 55. rovatba utólag bejegyzésre kerülnek.
19. rovat: Szállítótartály/konténer
A 38. melléklet szerinti megfelelő közösségi kód alkalmazásával a kiviteli alakiságok lebonyolításakor rendelkezésre álló információk alapján fel kell tüntetni a feltételezett állapotot a Közösség külső határának átlépésekor.
20. rovat: Szállítási feltételek
A 38. melléklet szerinti megfelelő közösségi kódok és jelölések alkalmazásával a kereskedelmi szerződésben foglalt feltételekről kell tájékoztatást adni.
21. rovat: A határon átlépő tényleges szállítóeszköz azonosítója és honossága
A 38. melléklet szerinti megfelelő közösségi kód alkalmazásával fel kell tüntetni a Közösség külső határát átlépő tényleges szállítóeszköznek az alakiságok elvégzésekor ismert honosságát.
Kombinált szállítás esetén, vagy ha több szállítóeszközt alkalmaznak, tényleges szállítóeszköznek az a szállítóeszköz minősül, amely a hajtóművet szolgáltatja a teljes összetételhez. Például, ha egy tengerjáró hajón lévő teherautóról van szó, akkor a hajó a tényleges szállítóeszköz; ha egy vontatóról és egy pótkocsiról van szó, akkor a vontató a tényleges szállítóeszköz.
A szóban forgó szállítóeszköztől függően a következő azonosításra szolgáló adatokat lehet beírni:
| Szállítóeszköz | Azonosítási mód |
| Tengeri és belvízi szállítás | Hajó neve |
| Légi szállítás | Járatszám és dátum (ha a járatnak nincs száma, a légi jármű nyilvántartási számát kell beírni) |
| Közúti szállítás | Rendszám |
| Vasúti szállítás | Vagonszám |
22. rovat: A számlán feltüntetett pénznem és teljes összeg
A 38. melléklet szerinti megfelelő kód használatával az első alrovatban meg kell jelölni azt a pénznemet, amelyen a számlát kiállították.
A második alrovatba az összes bejelentett áru számlán feltüntetett árát kell beírni.
23. rovat: Átváltási árfolyam
Ebben a rovatban a számla pénzneme és az adott tagállam pénzneme közti érvényben lévő átváltási árfolyamot kell megadni.
24. rovat: Az ügylet típusa
A 38. melléklet szerinti megfelelő kódok alkalmazásával adja meg az adott ügylet típusát.
25. rovat: Fuvarozási mód a határon
A 38. melléklet szerinti megfelelő közösségi kód alkalmazásával írja be annak a tényleges szállítóeszköznek megfelelő szállítási módot, amelyet a Közösség vámterületéről történő kilépéskor várhatóan alkalmazni fognak.
26. rovat: Fuvarozási mód belföldön
A 38. melléklet szerinti megfelelő közösségi kód alkalmazásával írja be a feladáskori szállítási módot.
27. rovat: Rakodás helye
Szükség esetén a megfelelő kód alkalmazásával adja meg az alakiságok elvégzésekor ismert azon helyet, ahol az árukat berakodták arra a tényleges szállítóeszközre, amelyen az áruk átlépik a Közösség határát.
29. rovat: Kiléptető vámhivatal
A 38. melléklet szerinti megfelelő közösségi kód alkalmazásával meg kell jelölni azt a vámhivatalt, amelynél az áruk a tervek szerint elhagyják a Közösség vámterületét.
30. rovat: Az áruk tárolási helye
Azt a pontos helyet kell beírni, ahol az áruvizsgálat elvégezhető.
31. rovat: Csomagok és árumegnevezés; jelek és számok; szállítótartály/konténer száma; mennyiség és fajta
Ebbe a rovatban fel kell tüntetni a csomagok jeleit, számát, mennyiségét és fajtáját, vagy ömlesztett áruk esetén a nyilatkozattal bejelentett áruk számát, az azonosításukhoz szükséges adatokkal együtt. Az árumegnevezés a kereskedelemben szokásos megnevezést jelenti. Amennyiben a 33. rovatot (vámtarifaszám) ki kell tölteni, úgy a megnevezésnek olyan pontosnak kell lennie, hogy lehetséges legyen az áruk besorolása. Ennek a rovatnak tartalmaznia kell továbbá a bármely különös jogi szabályozás által előírt adatokat. A 38. melléklet szerinti megfelelő közösségi kóddal meg kell jelölni a csomagok fajtáját.
Szállítótartály/konténer használata esetén azok azonosító jeleit ebben a rovatban kell feltüntetni.
32. rovat: Tételsorszám
Az 5. rovatra vonatkozó útmutatásban leírtak szerint adja meg az aktuális tétel számát a nyomtatványokon és a pótlapokon bejelentett összes tételsor számához viszonyítva.
33. rovat: Vámtarifaszám
Adja meg a szóban forgó tételre vonatkozó megfelelő vámtarifaszámot a 38. mellékletben foglaltak szerint.
34. rovat: Származási ország kódja
A 34a. rovatban a Vámkódex II. címében meghatározottak szerinti származási ország 38. mellékletben szereplő közösségi kódját kell feltüntetni.
Az adott áru feladási vagy előállítási régióját a 34b. rovatba kell beírni.
35. rovat: Bruttó tömeg (kg)
Kilogrammban kifejezve adja meg a vonatkozó 31. rovatban megnevezett áru bruttó tömegét. A bruttó tömeg az áruk teljes tömegét jelenti a csomagolással együtt, kivéve a szállítótartályokat és egyéb szállítóberendezéseket.
Amennyiben valamely árutovábbítási nyilatkozat több árutípusra vonatkozik, elegendő az összes bruttó tömeget csak az első 35. rovatba beírni, és a többi 35. rovatot üresen kell hagyni. A tagállamok kiterjeszthetik e szabályt az I. cím B. pontjában szereplő táblázat A-E, illetve G oszlopában jelölt eljárásokra.
Az 1 kg-ot meghaladó bruttó tömeg esetén a mértékegység (kg) tört része kerekíthető az alábbiak szerint:
- 0,001-0,499: lefelé kell kerekíteni a legközelebbi egész kg-ig,
- 0,5-0,999: felfelé kell kerekíteni a legközelebbi egész kg-ig.
Ha a bruttó tömeg kevesebb mint 1 kg, akkor 0,xyz-ként kell bejegyezni (pl.: 0,654, ha a csomag 654 gramm).
37. rovat: Eljárás
A 38. melléklet szerinti megfelelő közösségi kódok alkalmazásával fel kell tüntetni azt az eljárást, amelyre az árukat bejelentették.
38. rovat: Nettó tömeg (kg)
Kilogrammban kifejezve adja meg a vonatkozó 31. rovatban megnevezett áruk nettó tömegét. A nettó tömeg az áruk tömege csomagolás nélkül.
40. rovat: Gyűjtő vámáru-nyilatkozat/előokmány
A 38. melléklet szerinti közösségi kódok alkalmazásával adja meg a harmadik országba irányuló kivitel vagy - adott esetben - egy tagállamba történő feladást megelőző eljárásra vonatkozó okmányok azonosító adatait.
Ha a vámáru-nyilatkozat olyan árukra vonatkozik, amelyeket B. típusú vámraktárban végzett vámraktározási eljárás lezárásaként újra kivisznek, az áruk ezen eljárás alá vonására vonatkozó vámáru-nyilatkozatnak az azonosító számát kell megadni.
Áruk közösségi továbbítási eljárás alá vonására vonatkozó vámáru-nyilatkozat esetén meg kell adni megelőző vámjogi rendeltetésre vagy a vonatkozó vámokmányokra való hivatkozást. Ha nem számítógépesített árutovábbítási eljárás esetén egynél több hivatkozást kellene beírni, a tagállamok előírhatják, hogy ebbe a rovatba a "különféle" szót kell beírni, és a hivatkozások listáját csatolni kell az árutovábbítási nyilatkozathoz.
41. rovat: Kiegészítő mértékegység
Ahol szükséges, be kell írni a szóban forgó tétel mennyiségét az árunómenklatúrában feltüntetett mértékegységben kifejezve.
44. rovat: Különleges megjegyzések/benyújtott okmányok/igazolások és engedélyek
A 38. melléklet szerinti megfelelő kódok alkalmazásával meg kell jelölni az alkalmazandó különös szabályokban előírt adatokat, valamint a vámáru-nyilatkozat alátámasztására benyújtott okmányok hivatkozási adatait, beleértve a T5 ellenőrző példányok sorszámát, illetve az azonosító számokat is.
A "K.M. kód" (Különleges megjegyzés) alrovat használata tilos.
Amennyiben a vámraktározási eljárást lezáró újrakiviteli nyilatkozatot más vámhivatalban nyújtják be, mint a felügyeletet ellátó vámhivatal, be kell írni a felügyeletet ellátó vámhivatal teljes nevét és pontos címét.
Az olyan vámáru-nyilatkozatokon, amelyeket azon tagállamokban nyújtottak be, amelyek az euró bevezetésének átmeneti időszakasza alatt a gazdálkodóknak lehetővé teszik az euró alkalmazását vámáru-nyilatkozataik megtételekor, ebbe a rovatba - lehetőleg a jobb alsó sarokban levő alrovatba - be kell írni a használt pénznem (a nemzeti pénznem vagy az euró) jelölését.
A tagállamok úgy is rendelkezhetnek, hogy e jelzést csak a nyilatkozaton szereplő áruk első tétele esetében kell feltüntetni a 44. rovatban. Ebben az esetben ezt a nyilatkozaton szereplő összes árutételre érvényesnek kell tekinteni.
Ezt a jelet a pénznemek ISO-alpha-3 kódja (ISO 4217) szerint kell feltüntetni.
46. rovat: Statisztikai érték
A 44. rovatban kóddal jelzett pénznemben vagy ennek hiányában a kiviteli alakiságok elvégzésének helye szerinti tagállam pénznemében kifejezett statisztikai értéket kell megadni a hatályos közösségi rendelkezésekkel összhangban.
47. rovat: Fizetendő terhek kiszámítása
Meg kell adni az alkalmazandó teher kiszámításának alapját (érték, tömeg, vagy egyéb). Szükség esetén a 38. melléklet szerinti megfelelő közösségi kód alkalmazásával az egyes sorokban a következő adatokat kell megadni:
- alkalmazandó teher típusa (pl. jövedéki adó),
- a kiszabás alapja,
- az alkalmazandó teher mértéke,
- a fizetendő teher összege,
- a választott fizetési mód (F.M.).
Az e rovatban szereplő összegeket a 44. rovatban kóddal jelzett pénznemben - vagy ennek hiányában - a kiviteli alakiságok elvégzésének helye szerinti tagállam pénznemében kifejezve kell megadni.
48. rovat: Halasztott fizetés
Ahol alkalmazandó, ott be kell írni a vonatkozó engedély hivatkozási adatait. A halasztott fizetés itt mind a vámok halasztott fizetésére, mind pedig az adófelfüggesztésre vonatkozik.
49. rovat: A raktár megjelölése
A 38. melléklet szerinti megfelelő közösségi kód használatával meg kell jelölni a raktár azonosító számát (megjelölését).
50. rovat: Főkötelezett
Ebbe a rovatba a főkötelezett teljes nevét, illetve cégnevét és címét, valamint az 1. cikk 16. pontja szerinti EORI-számát kell feltüntetni. EORI-szám megadása esetén a tagállamok mentesítést adhatnak a főkötelezett teljes neve, illetve cégneve és a cím feltüntetésének kötelezettsége alól. Amennyiben alkalmazható, írja be a főkötelezett nevében aláírásra jogosult meghatalmazott képviselő teljes nevét, ill. cégnevét.
A számítógépes rendszerek alkalmazásáról elfogadásra kerülő külön rendelkezések értelmében az érintett személy eredeti, kézzel írt aláírásának azon a példányon kell szerepelnie, amely az indító vámhivatalban marad. Amennyiben a főkötelezett jogi személy, az aláírónak az aláírása mellett a teljes nevét és tisztségét, ill. beosztását is fel kell tüntetnie.
Kivitel esetén a nyilatkozattevő vagy annak képviselője megadhatja egy, a kiléptető vámhivatal illetékességi területén letelepedett személy nevét, ill. cégnevét és címét, akinek az említett vámhivatal által záradékolt nyilatkozat 3. példánya átadható.
51. rovat: Tervezett átléptető vámhivatalok (és országok)
Be kell írni azon EFTA-országok tervezett beléptető vámhivatalainak kódját, amelyeken az áru áthalad, és azt a beléptető vámhivatalt, amelyben az áruk újra belépnek a Közösség vámterületére, miután egy EFTA-ország területén áthaladtak, vagy amennyiben a szállítmány nem a Közösség vagy egy EFTA-ország területén halad át, annak a kiléptető vámhivatalnak a nevét, ahol az áru elhagyja a Közösség területét, és annak a beléptető vámhivatalnak a nevét, ahol az áru újra belép a Közösség területére.
A 38. melléklet szerinti megfelelő közösségi kód alkalmazásával jelölje meg a vonatkozó vámhivatalokat.
52. rovat: Biztosíték
A 38. melléklet szerinti megfelelő közösségi kód alkalmazásával adja meg a művelethez igénybe vett kezesség vagy a biztosítéknyújtás alóli mentesség típusát, és adott esetben a kezességi tanúsítvány, a tanúsítvány a biztosítéknyújtás alóli mentességről vagy az egyedi garanciajegy számát és a kezességnyújtás helye szerinti hivatalt.
Amennyiben egy összkezesség, biztosítéknyújtás alóli mentesség vagy egyedi kezesség az alábbi országok közül egyben vagy többen nem érvényes, a "nem érvényes" szövegrész után adja meg az érintett országnak vagy országoknak a 38. melléklet szerinti kódját:
- az egységes árutovábbítási eljárásról szóló egyezmény és az áruforgalom alakiságainak egyszerűsítéséről szóló egyezmény olyan szerződő felei, amelyek nem tagjai az EU-nak,
- Andorra,
- San Marino.
Ha az egyedi kezesség készpénzletét vagy garanciajegy formájában valósul meg, akkor ennek az egységes árutovábbítási eljárásról szóló egyezmény és az áruforgalom alakiságainak egyszerűsítéséről szóló egyezmény valamennyi szerződő felében érvényesnek kell lennie.
53. rovat: Rendeltetési vámhivatal (és ország)
A 38. melléklet szerinti megfelelő kód alkalmazásával meg kell adni azt a vámhivatalt, ahol a közösségi árutovábbítás lezárása céljából az árukat be kell mutatni.
54. rovat: Hely és dátum, nyilatkozattevő/képviselő aláírása és neve
Adja meg a nyilatkozat kitöltésének helyét és idejét.
A számítógépes rendszerek alkalmazásáról elfogadásra kerülő külön rendelkezések értelmében az érintett személy eredeti, kézzel írt aláírásának, amely mellett a teljes nevét is fel kell tüntetni, azon a példányon kell szerepelnie, amely a feladó/kiviteli vámhivatalban marad. Amennyiben az illető jogi személy, az aláírónak az aláírása mellett a teljes nevét és tisztségét, ill. beosztását is fel kell tüntetnie.
B. ALAKISÁGOK A SZÁLLÍTÁS ALATT
Az árukat kísérő egységes vámokmány példányaira bizonyos adatokat rá kell vezetni a között a két időpont között, amikor az áruk elhagyják a kiviteli és/vagy indító vámhivatalt, és amikor megérkeznek a rendeltetési vámhivatalba. Ezek az adatok a szállítási műveletet érintik, és annak a fuvarozónak kell azokat az okmányra vezetni a szállítási művelet során, aki azért a szállítóeszközért felelős, amelyre az árukat közvetlenül berakodták. Az adatok olvasható kézírással is beírhatók; ebben az esetben a nyomtatványt tintával és nyomtatott nagybetűkkel kell kitölteni.
Ezek az adatok, amelyek csak a 4-es és 5-ös példányokon jelennek meg, a következő rovatokat érintik:
- Átrakodás: az 55. rovatot kell használni.
55. rovat: Átrakodások
E rovat első három sorát a fuvarozónak kell kitöltenie, amennyiben az adott árutovábbítási művelet során az árukat az egyik szállítóeszközről átrakodják egy másikra vagy egyik szállítótartályból/konténerből a másikba.
A fuvarozó nem végezheti el az áruk átrakodását azon tagállam illetékes vámhatóságának az előzetes engedélye nélkül, ahol az átrakodást végre kívánja hajtani.
Amennyiben ezek a hatóságok úgy találják, hogy az árutovábbítási művelet a szokásos módon folytatódhat, az esetleg szükséges intézkedések megtételét követően záradékolják az árutovábbítási nyilatkozat 4. és 5. példányát.
- Egyéb események: Ki kell tölteni az 56. rovatot.
56. rovat: Szállítás alatt előforduló egyéb események
A közösségi árutovábbítási eljárásban foglalt kötelezettségeknek megfelelően kell kitölteni ezt a rovatot.
Ha az árukat félpótkocsira rakták, és csak a vontatót cserélik le az úton (az áruk kezelése vagy átrakodása nélkül), ebbe a rovatba kell beírni az új vontató rendszámát. Ilyen esetekben nem szükséges az illetékes hatóságok záradéka.
C. SZABAD FORGALOMBA BOCSÁTÁSRA, AKTÍV FELDOLGOZÁSRA, IDEIGLENES BEHOZATALRA, VÁMFELÜGYELET MELLETTI FELDOLGOZÁSRA, VÁMRAKTÁROZÁSRA ÉS II. TÍPUSÚ ELLENŐRZÉS ALÁ TARTOZÓ VÁMSZABAD TERÜLETRE TÖRTÉNŐ BETÁROLÁSRA VONATKOZÓ ALAKISÁGOK
1. rovat: Nyilatkozat
Az első alrovatba írja be a megfelelő közösségi kódot a 38. melléklet szerint.
A második alrovatban tüntesse fel a nyilatkozattípust a 38. melléklet szerinti közösségi kódok alkalmazásával.
2. rovat: Feladó/exportőr
Az áruk Közösségbe történő behozatala előtti utolsó eladójának teljes nevét, ill. cégnevét és pontos címét kell beírni.
Ahol azonosító szám megadása kötelező, a tagállam mentesítést adhat az érintett személy teljes nevének, ill. cégnevének és pontos címének feltüntetése alól.
Abban az esetben, ha azonosító számot kell megadni, ebben a rovatban az 1. cikk 16. pontja szerinti EORI-számot kell feltüntetni. Ha a feladó vagy exportőr nem rendelkezik EORI-számmal, az érintett tagállam nemzeti jogszabályaiban előírt számot kell feltüntetni.
Gyűjtőszállítmány esetén a tagállamok előírhatják, hogy ebbe a rovatba a "különféle" szót kell beírni, és a feladók/exportőrök listáját csatolni kell a nyilatkozathoz.
3. rovat: Nyomtatványok
Írja be az aktuális nyomtatványgarnitúra számát a felhasznált nyomtatványgarnitúrák és pótlapok teljes számához viszonyítva. Ha például egy IM nyomtatványról és két IM/c nyomtatványról van szó, az IM nyomtatványon "1/3"-at írjon a rovatba, az első IM/c nyomtatványon "2/3"-at, a második IM/c nyomtatványon pedig "3/3"-at.
4. rovat: Rakományjegyzék
Számjeggyel írja be az esetleg csatolt rakományjegyzékek számát vagy az illetékes hatóság által jóváhagyott, kereskedelmi árujegyzékek darabszámát.
5. rovat: Tételszám
Ebben a rovatban a felhasznált nyomtatványokon és pótlapokon (vagy rakomány- vagy egyéb kereskedelmi árujegyzékeken) bejelentett összes tétel számát kell feltüntetni. A megadott számnak meg kell felelnie a kitöltendő 31. rovatok számának.
6. rovat: Összes csomag száma
Adja meg az adott szállítmányt alkotó csomagok teljes számát.
7. rovat: Hivatkozási szám
A rovatban azt a kereskedelmi hivatkozási számot kell megadni, amelyet az érintett személy rendelt az adott szállítmányhoz. Ez a szám a Unique consignment reference number (UCR) ( 159 ) (egyedi szállítmányhivatkozási szám) alapján is képezhető.
8. rovat: Címzett
Ebbe a rovatba az 1. cikk 16. pontja szerinti EORI-számot kell feltüntetni. Ha a címzett nem rendelkezik EORI-számmal, a vámigazgatás az adott nyilatkozat céljából eseti számot adhat ki részére.
Adja meg az érintett személy teljes nevét, ill. cégnevét és címét.
Amennyiben a vámraktározási eljárás során az árut privát vámraktárba helyezik (C, D vagy E típus), adja meg a behelyező teljes nevét és címét, ahol nem ő a nyilatkozattevő.
Gyűjtőszállítmány esetén a tagállamok előírhatják, hogy ebbe a rovatba a "különféle" szót kell beírni, és a címzettek listáját csatolni kell a nyilatkozathoz.
12. rovat: Értékre vonatkozó adatok
Ebben a rovatban az értékre vonatkozó adatokat kell megadni, pl. annak az engedélynek a hivatkozási számát, amely alapján a vámhatóság eltekinthet a vámértékbevallás (D.V.1. nyomtatvány) valamennyi vámáru-nyilatkozathoz előírt benyújtásától, vagy a korrekció adatait.
14. rovat: Nyilatkozattevő/képviselő
Ebbe a rovatba az 1. cikk 16. pontja szerinti EORI-számot kell feltüntetni. Ha a nyilatkozattevő vagy képviselő nem rendelkezik EORI-számmal, a vámigazgatás az adott nyilatkozat céljából eseti számot adhat ki részére.
Adja meg az érintett személy teljes nevét, ill. cégnevét és pontos címét.
Ha a nyilatkozattevő azonos a címzettel, a "címzett" szót kell beírni.
A nyilatkozattevő megjelölésére vagy a képviselő jogállásának meghatározására a 38. mellékletben megadott megfelelő közösségi kódot kell használni.
15. rovat: Feladó/kiviteli ország
Ha valamely közbenső országban nem történt a szállítással össze nem függő útmegszakítás vagy jogcselekmény, a 15a. rovatba annak az országnak a 38. melléklet szerinti közösségi kódját kell beírni, ahonnan az árut először feladták a behozatali tagállamba. Ilyen útmegszakítás vagy jogcselekmény esetén az utolsó közbenső országot kell feladó/kiviteli országnak tekinteni.
17. rovat: Rendeltetési ország
A 38. melléklet szerinti megfelelő kód használatával a 17a. rovatban jelölje meg az áruknak a behozataluk időpontjában ismert végső rendeltetési országának kódját.
Az adott áru rendeltetési régióját a 17b. rovatba kell beírni.
18. rovat: A szállítóeszköz azonosítója és honossága érkezéskor
Ebbe a rovatba írja be annak a szállítóeszköznek az azonosítóját, amelyre az árukat közvetlenül berakodták, amikor az árukat bemutatják azon vámhivatalnál, ahol a rendeltetési alakiságok végrehajtására sor kerül. Ha különböző rendszámú vontatót és pótkocsit alkalmaznak, a vontató és a pótkocsi rendszámát egyaránt fel kell tüntetni.
A szóban forgó szállítóeszköztől függően a következő azonosításra szolgáló adatokat lehet beírni:
| Szállítóeszköz | Azonosítási mód |
| Tengeri és belvízi szállítás | Hajó neve |
| Légi szállítás | Járatszám és dátum (ha a járatnak nincs száma, a légi jármű nyilvántartási számát kell beírni) |
| Közúti szállítás | Rendszám |
| Vasúti szállítás | Vagonszám |
19. rovat: Szállítótartály/konténer
A 38. melléklet szerinti megfelelő közösségi kód alkalmazásával fel kell tüntetni a Közösség külső határának átlépésekor fennálló állapotot.
20. rovat: Szállítási feltételek
A 38. melléklet szerinti megfelelő közösségi kódok és jelölések alkalmazásával a kereskedelmi szerződésben foglalt feltételekről kell tájékoztatást adni.
21. rovat: A határon átlépő tényleges szállítóeszköz azonosítója és honossága
A 38. melléklet szerinti megfelelő közösségi kód alkalmazásával fel kell tüntetni a Közösség külső határát átlépő tényleges szállítóeszköz honosságát.
Kombinált szállítás esetében, vagy ha több szállítóeszközt alkalmaznak, tényleges szállítóeszköznek az a szállítóeszköz minősül, amely a hajtóművet szolgáltatja a teljes összetételhez. Például, ha egy tengerjáró hajón lévő teherautóról van szó, akkor a hajó a tényleges szállítóeszköz; ha egy vontatóról és egy pótkocsiról van szó, akkor a vontató a tényleges szállítóeszköz.
22. rovat: A számlán feltüntetett pénznem és teljes összeg
A 38. melléklet szerinti megfelelő kód használatával az első alrovatban meg kell jelölni azt a pénznemet, amelyen a számlát kiállították.
A második alrovatba az összes bejelentett áru számlán feltüntetett árát kell beírni.
23. rovat: Átváltási árfolyam
Ebben a rovatban a számla pénzneme és az adott tagállam pénzneme közti érvényben lévő átváltási árfolyamot kell megadni.
24. rovat: Az ügylet típusa
A 38. melléklet szerinti megfelelő kódok alkalmazásával adja meg az adott ügylet típusát.
25. rovat: Fuvarozási mód a határon
A 38. melléklet szerinti megfelelő közösségi kód alkalmazásával írja be annak a tényleges szállítóeszköznek megfelelő szállítási módot, amellyel az áruk beléptek a Közösség vámterületére.
26. rovat: Fuvarozási mód belföldön
A 38. melléklet szerinti megfelelő közösségi kód alkalmazásával írja be az érkezéskori szállítási módot.
29. rovat: Beléptető vámhivatal
A 38. melléklet szerinti megfelelő közösségi kód alkalmazásával meg kell jelölni azt a vámhivatalt, amelynél az áruk beléptek a Közösség vámterületére.
30. rovat: Az áruk tárolási helye
Azt a pontos helyet kell beírni, ahol az áruvizsgálat elvégezhető.
31. rovat: Csomagok és árumegnevezés; jelek és számok; szállítótartály/konténer száma; mennyiség és fajta
Ebben a rovatban fel kell tüntetni a csomagok jeleit, számát, mennyiségét és fajtáját, vagy ömlesztett áruk esetén a nyilatkozattal bejelentett áruk számát, az azonosításukhoz szükséges adatokkal együtt. Az árumegnevezés a kereskedelemben szokásos megnevezést jelenti. Nem közösségi áruk A, B, C, E vagy F típusú vámraktárba betárolása kivételével a megnevezésnek olyan pontosnak kell lennie, hogy lehetséges legyen az áruk azonnali és egyértelmű azonosítása és besorolása. Ennek a rovatnak tartalmaznia kell továbbá a bármely különös jogi szabályozás (pl. hozzáadottérték-adó [HÉA], jövedéki adók) által előírt adatokat. A 38. melléklet szerinti megfelelő közösségi kóddal meg kell jelölni a csomagok fajtáját.
Szállítótartály/konténer használata esetén azok azonosító jeleit ebben a rovatban kell feltüntetni.
32. rovat: Tételsorszám
Az 5. rovatra vonatkozó útmutatásban leírtak szerint adja meg az aktuális tétel számát a nyomtatványokon és a pótlapokon bejelentett összes tételsor számához viszonyítva.
33. rovat: Vámtarifaszám
Adja meg a szóban forgó tételre vonatkozó megfelelő vámtarifaszámot a 38. mellékletben foglaltak szerint. A tagállamok előírhatják, hogy a jövedéki adóra vonatkozó külön nómenklatúrát be kell írni az ötödik alrovatba.
34. rovat: Származási ország kódja
A 34a. rovatban a Vámkódex II. címében meghatározottak szerinti származási ország 38. mellékletben szereplő közösségi kódját kell feltüntetni.
35. rovat: Bruttó tömeg (kg)
Kilogrammban kifejezve adja meg a vonatkozó 31. rovatban megnevezett áru bruttó tömegét. A bruttó tömeg az áruk teljes tömegét jelenti a csomagolással együtt, kivéve a szállítótartályokat és egyéb szállítóberendezéseket.
Amennyiben a vámáru-nyilatkozat több árutípusra vonatkozik, a tagállamok úgy is rendelkezhetnek, hogy az I. cím B. pontjában szereplő táblázat H-K oszlopában jelölt eljárásokra elegendő az összes bruttó tömeget csak az első 35. rovatba kell beírni, és a többi 35. rovatot nem kell kitölteni.
Az 1 kg-ot meghaladó bruttó tömeg esetén a mértékegység (kg) tört része kerekíthető az alábbiak szerint:
- 0,001-0,499: lefelé kell kerekíteni a legközelebbi egész kg-ig;
- 0,5-0,999: felfelé kell kerekíteni a legközelebbi egész kg-ig.
- Ha a bruttó tömeg kevesebb, mint 1 kg, akkor 0,xyz-ként kell bejegyezni (pl.: 0,654, ha a csomag 654 gramm).
36. rovat: Preferencia
Ez a rovat az áruk tarifális elbánásáról tartalmaz adatokat. Ha használata az I. cím B. pontjában szereplő táblázat alapján kötelező, akkor is ki kell tölteni, ha nem kérelmeznek preferenciális elbánást. Azonban a Közösség vámterületének olyan részei közötti áruforgalomban, amelyek közül az egyikre a 77/388/EGK tanácsi irányelv rendelkezései alkalmazandók, míg a másikra ezek a rendelkezések nem alkalmazandók, illetve a vámterület olyan részei közötti kereskedelem vonatkozásában, amelyekre a fenti rendelkezések nem vonatkoznak, ezt a rovatot tilos kitölteni. E rovatba a 38. melléklet szerinti megfelelő közösségi kódot kell beírni.
A Bizottság az Európai Unió Hivatalos Lapjának C sorozatában rendszeresen közzéteszi az ebben az esetben alkalmazandó kódok kombinációs lehetőségeit tartalmazó listát a szükséges példákkal és magyarázatokkal együtt.
37. rovat: Eljárás
A 38. melléklet szerinti megfelelő közösségi kód alkalmazásával fel kell tüntetni azt az eljárást, amelyre az árukat bejelentették.
38. rovat: Nettó tömeg (kg)
Kilogrammban kifejezve adja meg a vonatkozó 31. rovatban megnevezett áruk nettó tömegét. A nettó tömeg az áruk tömege csomagolás nélkül.
39. rovat: Kontingens
Annak a vámkontingensnek a számát kell beírni, amelyet a nyilatkozattevő igénybe kíván venni.
40. rovat: Gyűjtő vámáru-nyilatkozat/előokmány
A 38. melléklet szerinti közösségi kódok alkalmazásával adja meg a behozatali tagállamban használt gyűjtő vámáru-nyilatkozat vagy bármely megelőző eljárásra vonatkozó okmány azonosító adatait.
41. rovat: Kiegészítő mértékegység
Ahol szükséges, be kell írni a szóban forgó tétel mennyiségét az árunómenklatúrában feltüntetett mértékegységben kifejezve.
42. rovat: Tételsor ára
Adja meg az adott tételsorban megnevezett árucikkek árát.
43. rovat: Értékelési mód (É.M.)
A 38. melléklet szerinti megfelelő kód alkalmazásával adja meg az értékeléshez használt módszert.
44. rovat: Különleges megjegyzések/benyújtott okmányok/igazolások és engedélyek
A 38. melléklet szerinti megfelelő kódok alkalmazásával meg kell jelölni az alkalmazandó különös szabályokban előírt adatokat, valamint a vámáru-nyilatkozat alátámasztására benyújtott okmányok hivatkozási adatait, beleértve a T5 ellenőrző példányok sorszámát, illetve az azonosító számokat is.
A "K.M. kód" (Különleges megjegyzés) alrovat használata tilos.
Amennyiben a vámraktározási eljárás alá vonásra irányuló nyilatkozatot más vámhivatalban nyújtják be, mint a felügyeletet ellátó vámhivatal, be kell írni a felügyeletet ellátó vámhivatal teljes nevét és teljes címét.
Az olyan vámáru-nyilatkozatokon, amelyeket azon tagállamokban nyújtottak be, amelyek az euró bevezetésének átmeneti időszakasza alatt a gazdálkodóknak lehetővé teszik az euró alkalmazását vámáru-nyilatkozataik megtételekor, ebbe a rovatba - lehetőleg a jobb alsó sarokban levő alrovatba - be kell írni a használt pénznem (a nemzeti pénznem vagy az euró) jelölését.
A tagállamok úgy is rendelkezhetnek, hogy e jelzést csak a nyilatkozaton szereplő áruk első tétele esetében kell feltüntetni a 44. rovatban. Ebben az esetben ezt az információt a nyilatkozaton szereplő összes árutételre érvényesnek kell tekinteni.
Ezt a jelet a pénznemek ISO-alpha-3 kódja (ISO 4217) szerint kell feltüntetni.
Ha az árukat héamentesség hatálya alatt másik tagállamba értékesítik, akkor a 44. rovatban fel kell tüntetni a 2006/112/EK irányelv 143. cikkének (2) bekezdésében előírt adatokat; amennyiben egy tagállam azt megköveteli, itt kell megjelölni annak igazolását is, hogy a behozott árukat a behozatal szerinti tagállamból másik tagállamba szándékozzák elfuvarozni vagy feladni.
45. rovat: Korrekció
Ebben a rovatban kell megadni az érték korrekciójára vonatkozó adatokat, ha a nyilatkozat mellé nem csatoltak vámértékbevallást (D.V.1. nyomtatványt). Az e rovatban feltüntetésre kerülő összegeket a 44. rovatban kóddal jelzett pénznemben - vagy ennek hiányában - a behozatali alakiságok elvégzésének helye szerinti tagállam pénznemében kifejezve kell megadni.
46. rovat: Statisztikai érték
A 44. rovatban kóddal jelzett pénznemben - vagy ennek hiányában - a behozatali alakiságok elvégzésének helye szerinti tagállam pénznemében kifejezett statisztikai értéket kell megadni a hatályos közösségi rendelkezésekkel összhangban.
47. rovat: Fizetendő terhek kiszámítása
Meg kell adni az alkalmazandó teher kiszámításának alapját (érték, tömeg vagy egyéb). Szükség esetén a 38. melléklet szerinti megfelelő közösségi kód alkalmazásával az egyes sorokban a következő adatokat kell megadni:
- alkalmazandó közteher típusa (pl. jövedéki adó, hozzáadottérték-adó stb.),
- a kiszabás alapja,
- az alkalmazandó teher mértéke,
- a fizetendő teher összege,
- a választott fizetési mód (F.M.).
Az e rovatban szereplő összegeket a 44. rovatban kóddal jelzett pénznemben - vagy ennek hiányában - a behozatali alakiságok elvégzésének helye szerinti tagállam pénznemében kifejezve kell megadni.
48. rovat: Halasztott fizetés
Ahol alkalmazandó, ott be kell írni a vonatkozó engedély hivatkozási adatait. A halasztott fizetés itt mind a vámok halasztott fizetésére, mind pedig az adófelfüggesztésre vonatkozik.
49. rovat: A raktár megjelölése
A 38. melléklet szerinti megfelelő közösségi kód használatával meg kell jelölni a raktár azonosító számát (megjelölését).
54. rovat: Hely és dátum, nyilatkozattevő/képviselő aláírása és neve
Adja meg a nyilatkozat kitöltésének helyét és idejét.
A számítógépes rendszerek alkalmazásáról elfogadásra kerülő külön rendelkezések értelmében az érintett személy eredeti, kézzel írt aláírásának, amely mellett a teljes nevét is fel kell tüntetni, azon a példányon kell szerepelnie, amely a behozatali vámhivatalban marad. Amennyiben az illető jogi személy, az aláírónak az aláírása mellett a teljes nevét és tisztségét, ill. beosztását is fel kell tüntetnie.
III. CÍM A PÓTLAPOKRA VONATKOZÓ MEGJEGYZÉSEK
A. Pótlapokat csak abban az esetben kell alkalmazni, amennyiben a vámáru-nyilatkozat egynél több tételre vonatkozik (vö. 5. rovat). Ezeket az IM, EX, illetve EU vagy CO nyomtatványokkal együtt kell bemutatni.
B. Az I. és II. címben foglalt útmutatásokat a pótlapokra is alkalmazni kell.
Azonban:
- az 1. rovat első alrovatának tartalmaznia kell az "IM/c", az "EX/c", illetve az "EU/c" (vagy adott esetben a "CO/c") jelöléseket. Ez az alrovat csak akkor maradhat üresen, ha:
- a nyomtatványt csak közösségi árutovábbítási eljárásra használják; ebben az esetben az érintett árura alkalmazandó közösségi árutovábbítási eljárástól függően az 1. rovat harmadik alrovatában "T1bis", "T2bis", "T2Fbis" vagy "T2SMbis" jelölést kell alkalmazni,
- a nyomtatványt kizárólag az áru közösségi helyzetének igazolására használják; ebben az esetben az érintett áru helyzetétől függően a rovat harmadik alrovatában "T2Lbis", "T2LFbis" vagy "T2LSMbis" jelölést kell alkalmazni,
- a tagállamok eldönthetik, hogy alkalmazzák-e a 2/8 rovatot; ebben a rovatban csak az érintett személy nevét és esetlegesen az azonosító számát kell feltüntetni,
- a 47. rovat "összesítés" részében a felhasznált IM és IM/c, EX és EX/c, illetve EU és EU/c (vagy adott esetben (CO és CO/c) nyomtatványok alá tartozó összes tétel végső összegzését kell megadni. Ezért azt csak az IM, EX, illetve EU (vagy adott esetben CO) nyomtatványokhoz csatolt utolsó IM/c, EX/c, illetve EU/c (vagy adott esetben CO/c) nyomtatványon kell kitölteni az egyes teherfajtánként fizetendő teljes összeg megadásával.
C. Amennyiben pótlapok alkalmazására kerül sor,
- az összes ki nem töltött 31. rovatot (csomagok és árumegnevezés) át kell húzni a további felhasználás megakadályozása céljából,
- ha az 1. rovat harmadik alrovata a "T" jelzést tartalmazza, a használt árutovábbítási nyilatkozaton feltüntetett áru első tételének 32. (Tételsorszám), 33. (Vámtarifaszám), 35. (Bruttó tömeg [kg]), 38. (Nettó tömeg [kg]), 40. (Gyűjtő vámáru-nyilatkozat/előokmány) és a 44. (Különleges megjegyzések/benyújtott okmányok/igazolások és engedélyek) rovatát át kell húzni, és ezen okmány első 31. rovata (csomagok és árumegnevezés) nem használható a jelek, a számok, a csomagok mennyisége és fajtája vagy az árumegnevezés feltüntetésére. Az ilyen okmány 31. rovatában megfelelően hivatkozni kell a T1bis, T2bis, T2Fbis vagy T2SMbis jelzésekkel ellátott pótlapok számára.
37a. MELLÉKLET
MAGYARÁZAT AZ ÁRUTOVÁBBÍTÁSI NYILATKOZATOK EDI-SZABVÁNYÜZENETEK CSERÉJÉVEL TÖRTÉNŐ FELHASZNÁLÁSÁHOZ
(EDI ÁRUTOVÁBBÍTÁSI NYILATKOZAT)
I. CÍM
ÁLTALÁNOS FELTÉTELEK
Az EDI árutovábbítási nyilatkozat a 37. és 38. mellékletekben meghatározott módon az egységes vámokmány (EV) különböző rovataiba bevezetett adatokon alapul, szükség esetén kóddal kiegészítve vagy azzal helyettesítve.
Ez a melléklet kizárólag azokat a különös alapelőírásokat tartalmazza, amelyeket akkor kell alkalmazni, amikor az alakiságokat az EDI-szabványüzenetek cseréjével végzik el. Ezenkívül a 37c. mellékletben megadott kiegészítő kódok alkalmazandók. A 37. és 38. mellékletet alkalmazni kell az EDI árutovábbítási nyilatkozatra, ha ez a melléklet vagy a 37c. melléklet másként nem rendelkezik.
Az EDI árutovábbítási nyilatkozat részletes szerkezete és tartalma a rendszer megfelelő működtetésének biztosítása érdekében az illetékes hatóságok által a főkötelezett felé továbbított műszaki előírásokat követi. Ezek az előírások az ebben a mellékletben megállapított követelményeken alapulnak.
Ez a melléklet leírja az információcsere szerkezetét. Az árutovábbítási nyilatkozat adatcsoportokba szerveződik, amelyek adat attribútumokat tartalmaznak. Az attribútumokat oly módon kell csoportosítani, hogy azok koherens logikai tömböket képezzenek az üzeneten belül. Egy adatcsoport behúzása azt jelzi, hogy az adatcsoport egy kisebb behúzású adatcsoport alá tartozik.
Amennyiben rendelkezésre áll, fel kell tüntetni az EV megfelelő rovatának számát.
A szám kifejezés az adatcsoport magyarázatában azt jelzi, hogy az adatcsoport hány alkalommal használható az árutovábbítási nyilatkozatban.
A "típus/hosszúság" kifejezés az adat attribútumának magyarázatában az adat típusára és adat hosszúságára vonatkozó követelményeket jelzi. Az adat típusának kódjai a következők:
a alfabetikus
n numerikus
an alfanumerikus
A kódot követő szám a megengedett adathosszúságot jelzi. A következő alkalmazandó.
A hosszúság jelzése előtti szabadon választható két pont azt jelenti, hogy az adatoknak nincs rögzített hosszúsága, de legfeljebb csak a hosszúság jelzésben meghatározott számjegyből állhatnak. Az adathosszúságban lévő vessző azt jelenti, hogy az attribútum tartalmazhat tizedes jegyeket, a vessző előtti számjegy az attribútum teljes hosszát jelzi, a vessző utáni számjegy a tizedesvessző utáni számjegyek maximális számát jelzi.
II. CÍM
AZ EDI ÁRUTOVÁBBÍTÁSI NYILATKOZAT SZERKEZETE
A. Az adatcsoportok táblázata - ÁRUTOVÁBBÍTÁSI MŰVELET
KERESKEDŐ Feladó
KERESKEDŐ Címzett
ÁRUTÉTEL
- KERESKEDŐ Feladó
- KERESKEDŐ Címzett
- KONTÉNEREK
- ÉRZÉKENY ÁRUK - KÓDOK (SGI KÓDOK)
- CSOMAGOK
- HIVATKOZÁS ELŐZŐ ELJÁRÁSRA
- BENYÚJTOTT OKMÁNYOK/IGAZOLÁSOK
- KÜLÖNLEGES MEGJEGYZÉSEK
INDÍTÓ VÁMHIVATAL
KERESKEDŐ Főkötelezett
KÉPVISELŐ
Átléptető VÁMHIVATAL
Rendeltetési VÁMHIVATAL
KERESKEDŐ Engedélyezett címzett
ELLENŐRZÉS EREDMÉNYE
VÁMZÁR-INFORMÁCIÓ
- VÁMZÁRAK AZONOSÍTÓ SZÁMA (ID)
BIZTOSÍTÉK
- BIZTOSÍTÉKHIVATKOZÁS
- ÉRVÉNYESSÉG KORLÁTOZÁSA (EK)
- ÉRVÉNYESSÉG KORLÁTOZÁSA (NEM EK)
B. Az árutovábbítási nyilatkozat adatainak részletei - ÁRUTOVÁBBÍTÁSI MŰVELET
Szám: 1
Az adatcsoportot használni kell.
LRN
Típus/hosszúság: an..22
A helyi hivatkozási számot (LRN) kell használni. Ezt nemzeti szinten határozzák meg, és a felhasználó az illetékes hatóságokkal egyetértésben adja meg minden egyes nyilatkozat azonosítására.
Nyilatkozattípus
(1. rovat)
Típus/hosszúság: an..5
Az attribútumot használni kell.
A tételek teljes száma
(5. rovat)
Típus/hosszúság: n..5
Az attribútumot használni kell.
Összes csomag száma
(6. rovat)
Típusa/hosszúság: n ..7
Az attribútum megadása nem kötelező. Az összes csomag száma megegyezik az összes "Csomagok száma", az összes "Darabszám" attribútum értékének, továbbá a minden egyes bejelentett "ömlesztett" szállítmányra vonatkozó "1" értékek összegével.
Feladó ország
(15a. rovat)
Típus/hosszúság: a2
Az attribútumot használni kell, ha csak egy feladó országot jelentenek be. A 37c. mellékletben megadott országkódokat kell használni. Ebben az esetben az "ÁRUTÉTEL" adatcsoport "Feladó ország" attribútuma nem használható. Ha egynél több feladó országot jelentenek be, az "ÁRUTOVÁBBÍTÁSI MŰVELET" adatcsoport ezen attribútuma nem használható. Ebben az esetben az "ÁRUTÉTEL" adatcsoport "Feladó ország" attribútumát kell használni.
Rendeltetési ország
(17a. rovat)
Típus/hosszúság: a2
Az attribútumot használni kell, ha csak egy rendeltetési országot jelentenek be. A 37c. mellékletben megadott országkódokat kell használni. Ebben az esetben az "ÁRUTÉTEL" adatcsoport "Rendeltetési ország" attribútuma nem használható. Ha egynél több rendeltetési országot jelentenek be, az "ÁRUTOVÁBBÍTÁSI MŰVELET" adatcsoport ezen attribútuma nem használható. Ebben az esetben az "ÁRUTÉTEL" adatcsoport "Rendeltetési ország" attribútumát kell használni.
Azonosító induláskor
(18. rovat)
Típus/hosszúság: an..27
A jellemzőt a 37. melléklet szerint kell használni.
Azonosító induláskor LNG
Típus/hosszúság: a2
A nyelv (LNG) meghatározására a 37c. mellékletben megadott nyelvkódot kell használni, ha a vonatkozó üres szövegmezőt használják.
Honosság induláskor
(18. rovat)
Típus/hosszúság: a2
A 37c. mellékletben megadott országkódot kell használni a 37. melléklet szerint.
Konténer
(19. rovat)
Típus/hosszúság: n1
A következő kódokat kell használni:
0 : nem
1 : igen.
Honosság határátlépéskor
(21. rovat)
Típus/hosszúság: a2
A 37c. mellékletben megadott országkódot kell használni a 37. melléklet szerint.
Azonosító határátlépéskor
(21. rovat)
Typ/délka: an ..27
A 37. mellékletnek megfelelően ennek az attribútumnak a használata nem kötelező a tagállamok számára.
Azonosító határátlépéskor LNG
Típus/hosszúság: a2
A nyelv (LNG) meghatározására a 37c. mellékletben megadott nyelvkódot kell használni, ha a vonatkozó üres szövegmezőt használják.
A szállítás típusa határátlépéskor
(21. rovat)
Típus/hosszúság: n..2
A tagállamok számára ennek az attribútumnak a használata a 37. melléklet szerint szabadon választható.
Fuvarozási mód a határon
(25. rovat)
Típus/hosszúság: n..2
A tagállamok számára ennek az attribútumnak a használata a 37. melléklet szerint szabadon választható.
Fuvarozási mód belföldön
(26. rovat)
Típus/hosszúság: n..2
A tagállamok számára ennek az attribútumnak a használata szabadon választható. Amennyiben használják, a 38. mellékletben megadott, a 25. rovatra vonatkozó útmutató szerint kell használni.
Rakodás helye
(27. rovat)
Típus/hosszúság: an..17
A tagállamok számára ennek az attribútumnak a használata szabadon választható.
Megállapodott tárolási hely kódja
(30. rovat)
Típus/hosszúság: an..17
Az attribútum nem használható, ha az "ELLENŐRZÉS EREDMÉNYE" adatcsoportot használják. Ha ezt az adatcsoportot nem használják, akkor az attribútum szabadon választható. Ha ezt az attribútumot használják, akkor szükséges annak a helynek a kódolt formában történő pontos feltüntetése, ahol az áruk megvizsgálhatók. Az "Áruk megállapodott tárolási helye"/"Megállapodott tárolási hely kódja", "Az áruk engedélyezett tárolási helye" és a "Vámkirendeltség" attribútumok nem használhatók egyszerre.
Áruk megállapodott tárolási helye
(30. rovat)
Típus/hosszúság: an..35
Az attribútum nem használható, ha az "ELLENŐRZÉS EREDMÉNYE" adatcsoportot használják. Ha ezt az adatcsoportot nem használják, akkor az attribútum szabadon választható. Ha ezt az attribútumot használják, akkor szükséges annak a helynek a pontos feltüntetése, ahol az áruk megvizsgálhatók. Az "Áruk megállapodott tárolási helye"/"Megállapodott tárolási hely kódja", "Az áruk engedélyezett tárolási helye" és a "Vámkirendeltség" attribútumok nem használhatók egyszerre.
Áruk megállapodott tárolási helye LNG (30. rovat)
Típus/hosszúság: a2
A nyelv (LNG) meghatározására a 37c. mellékletben megadott nyelvkódot kell használni, ha a vonatkozó üres szövegmezőt használják.
Az áruk engedélyezett tárolási helye
(30. rovat)
Típus/hosszúság: an..17
Az attribútum szabadon választható, ha az "ELLENŐRZÉS EREDMÉNYE" adatcsoportot használják. Ha ezt az attribútumot használják, akkor szükséges annak a helynek a pontos feltüntetése, ahol az áruk megvizsgálhatók. Ha az "ELLENŐRZÉS EREDMÉNYE" adatcsoportot nem használják, az attribútum nem használható. Az "Áruk megállapodott tárolási helye"/"Megállapodott tárolási hely kódja", "Az áruk engedélyezett tárolási helye" és a "Vámkirendeltség" attribútumok nem használhatók egyszerre.
Vámvizsgálatot végző vámhivatal
(30. rovat)
Típus/hosszúság: an..17
Az attribútum nem használható, ha az "ELLENŐRZÉS EREDMÉNYE" adatcsoportot használják. Ha ezt az adatcsoportot nem használják, akkor az attribútum szabadon választható. Ha ezt az attribútumot használják, akkor szükséges annak a helynek a kódolt formában történő pontos feltüntetése, ahol az áruk megvizsgálhatók. Az "Áruk megállapodott tárolási helye"/"Megállapodott tárolási hely kódja", "Az áruk engedélyezett tárolási helye" és a "Vámkirendeltség" attribútumok nem használhatók egyszerre.
Bruttó össztömeg
(35. rovat)
Típus/hosszúság: n..11,3
Az attribútumot használni kell.
NCTS kísérő okmány nyelvkódja
Típus/hosszúság: a2
A 37c. mellékletben megadott nyelvkódot kell használni az árutovábbítási kísérő okmány (NCTS kísérő okmány) nyelvének meghatározására.
A párbeszéd nyelvének jelzése induláskor
Típus/hosszúság: a2
A 37c. mellékletben megadott nyelvkód használata szabadon választható. Ha ezt az attribútumot nem használják, a rendszer az indító vámhivatal alapértelmezés szerinti nyelvét használja.
A nyilatkozat dátuma
(50. rovat)
Típus/hosszúság: n8
Az attribútumot használni kell.
A nyilatkozat helye
(50. rovat)
Típus/hosszúság: an..35
Az attribútumot használni kell.
A nyilatkozat helye LNG
Típus/hosszúság: a2
A megfelelő üres szövegmező nyelvének (LNG) meghatározására 37c. mellékletben megadott nyelvkódot kell használni.
KERESKEDŐ Feladó
(2. rovat)
Szám: 1
Ezt az adatcsoportot akkor használják, ha csak egy feladót jelentenek be. Ebben az esetben az "ÁRUTÉTEL" adatcsoport "KERESKEDŐ Feladó" adatcsoportja nem használható.
Név
(2. rovat)
Típus/hosszúság: an..35
Az attribútumot használni kell.
Utca és házszám
(2. rovat)
Típus/hosszúság: an..35
Az attribútumot használni kell.
Ország
(2. rovat)
Típus/hosszúság: a2
A 37c. mellékletben megadott országkódot kell használni.
Postai irányítószám
(2. rovat)
Típus/hosszúság: an..9
Az attribútumot használni kell.
Város
(2. rovat)
Típus/hosszúság: an..35
Az attribútumot használni kell.
NÉV ÉS CÍM LNG (NAD LNG)
Típus/hosszúság: a2
A 37c. mellékletben megadott nyelvkódot kell használni a név és cím nyelvének (NAD LNG) meghatározására.
TIN (adószám)
(2. rovat)
Típus/hosszúság: an..17
Az attribútum használata szabadon választható a tagállamok számára a gazdálkodók adóazonosító számának (TIN) megadására.
KERESKEDŐ Címzett
(8. rovat)
Szám: 1
Az adatcsoportot akkor kell használni, ha csak egy címzettet jelentettek be és az "ÁRUTOVÁBBÍTÁSI MŰVELET" adatcsoport "Rendeltetési ország" attribútuma egy tagállamot vagy egy EFTA-országot tartalmaz. Ebben az esetben az "ÁRUTÉTEL" adatcsoport "KERESKEDŐ Címzett" adatcsoportja nem használható.
Név
(8. rovat)
Típus/hosszúság: an..35
Az attribútumot használni kell.
Utca és házszám
(8. rovat)
Típus/hosszúság: an..35
Az attribútumot használni kell.
Ország
(8. rovat)
Típus/hosszúság: a2
A 37c. mellékletben megadott országkódot kell használni.
Postai irányítószám
(8. rovat)
Típus/hosszúság: an..9
Az attribútumot használni kell.
Város
(8. rovat)
Típus/hosszúság: an..35
Az attribútumot használni kell.
NÉV ÉS CÍM LNG (NAD LNG)
Típus/hosszúság: a2
A 37c. mellékletben megadott nyelvkódot kell használni a név és cím nyelvének (NAD LNG) meghatározására.
TIN (adószám)
(8. rovat)
Típus/hosszúság: an..17
Az attribútum használata szabadon választható a tagállamok számára a gazdálkodók adóazonosító számának (TIN) megadására.
ÁRUTÉTEL
Szám: 999
Az adatcsoportot használni kell.
Nyilatkozattípus
(ex 1. rovat)
Típus/hosszúság: an..5
Az attribútumot használni kell, ha az "ÁRUTOVÁBBÍTÁSI MŰVELET" adatcsoport "Nyilatkozattípus" attribútumában a "T-" kódot használták. Más esetekben ezt az attribútumot nem lehet használni.
Feladó ország
(ex 15a. rovat)
Típus/hosszúság: a2
Az attribútumot használni kell, ha egynél több feladó országot jelentettek be. A 37c. mellékletben megadott országkódot kell használni. Az "ÁRUTOVÁBBÍTÁSI MŰVELET" adatcsoport "Feladó ország" attribútuma nem használható. Ha csak egy feladó országot jelentettek be, akkor az "ÁRUTOVÁBBÍTÁSI MŰVELET" adatcsoport vonatkozó attribútumát kell használni.
Rendeltetési ország
(ex 17a. rovat)
Típus/hosszúság: a2
Az attribútumot használni kell, ha egynél több rendeltetési országot jelentettek be. A 37c mellékletben megadott országkódot kell használni. Az "ÁRUTOVÁBBÍTÁSI MŰVELET" adatcsoport "Rendeltetési ország" attribútuma nem használható. Ha csak egy rendeltetési országot jelentettek be, akkor az "ÁRUTOVÁBBÍTÁSI MŰVELET" adatcsoport vonatkozó attribútumát kell használni.
Árumegnevezés
(31. rovat)
Típus/hosszúság: an..140
Az attribútumot használni kell.
Árumegnevezés LNG
Típus/hosszúság: a2
A 37c. mellékletben megadott nyelvkódot kell használni a megfelelő üres szövegmező nyelvének (LNG) meghatározására.
Tételsorszám
(32. rovat)
Típus/hosszúság: n..5
Az attribútumot használni kell akkor is, ha az "ÁRUTOVÁBBÍTÁSI MŰVELET" adatcsoport "Tételek összes száma" attribútuma az "1" számot tartalmazza. Ebben az esetben az "1" számot kell használni ezen attribútum vonatkozásában. A nyilatkozatban minden egyes tételsorszám egyszer fordulhat elő.
Vámtarifaszám
(33. rovat)
Típus/hosszúság: n..8
Az attribútumot a 37. melléklet szerint legalább négy, de legfeljebb nyolc számjegy beírásával kell használni.
Bruttó tömeg
(35. rovat)
Típus/hosszúság: n..11,3
Ez az attribútum szabadon választható, amennyiben az ugyanabban a nyilatkozatban szereplő különböző típusú árukat olyan módon csomagolják egybe, hogy lehetetlen meghatározni az egyes árutípusok bruttó tömegét.
Nettó tömeg
(38. rovat)
Típus/hosszúság: n..11,3
Ennek a attribútumnak a használata a 37. melléklet szerint szabadon választható.
KERESKEDŐ Feladó
(ex 2. rovat)
Szám: 1
A "KERESKEDŐ Feladó" adatcsoportot nem lehet használni, amennyiben csak egy feladót jelentenek be. Ebben az esetben a "KERESKEDŐ Feladó" adatcsoport az "ÁRUTOVÁBBÍTÁSI MŰVELET" szintjén kerül felhasználásra.
Típus/hosszúság: an..35
Az attribútumot használni kell.
Típus/hosszúság: an..35
Az attribútumot használni kell.
Típus/hosszúság: a2
A 37c. mellékletben megadott országkódot kell használni.
Típus/hosszúság: an..9
Az attribútumot használni kell.
Típus/hosszúság: an..35
Az attribútumot használni kell.
Típus/hosszúság: a2
A 37c. mellékletben megadott nyelvkódot kell használni a név és cím nyelvének (NAD LNG) meghatározására.
Típus/hosszúság: an..17
Az attribútum használata szabadon választható a tagállamok számára a gazdálkodó adóazonosító számának (TIN) megadására.
KERESKEDŐ Címzett
(ex 8. rovat)
Szám: 1
Az adatcsoportot akkor kell használni, ha egynél több címzettet jelentettek be, és az "ÁRUTÉTEL" adatcsoport "Rendeltetési ország" attribútuma egy tagállamot vagy egy EFTA-országot tartalmaz. Amennyiben csak egy címzettet jelentettek be, akkor az "ÁRUTÉTEL" adatcsoport "KERESKEDŐ Címzett" adatcsoportja nem használható.
Típus/hosszúság: an..35
Az attribútumot használni kell.
Típus/hosszúság: an..35
Az attribútumot használni kell.
Típus/hosszúság: a2
A 37c. mellékletben megadott országkódot kell használni.
Típus/hosszúság: an..9
Az attribútumot használni kell.
Típus/hosszúság: an..35
Az attribútumot használni kell.
Típus/hosszúság: a2
A 37c. mellékletben megadott nyelvkódot kell használni a név és cím nyelvének (NAD LNG) meghatározására.
Típus/hosszúság: an..17
A attribútum használata szabadon választható a tagállamok számára a gazdálkodó adóazonosító számának (TIN) megadására.
KONTÉNEREK
(31. rovat)
Szám: 99
Amennyiben az "ÁRUTOVÁBBÍTÁSI MŰVELET" adatcsoport "Konténer" attribútuma tartalmazza az "1" kódot, az adatcsoportot használni kell.
Típus/hosszúság: an..11
Az attribútumot használni kell.
SGI kódok
(31. rovat)
Szám: 9
Ezt az adatcsoportot akkor kell használni, ha az árutovábbítási nyilatkozat a 44c. mellékletben szereplő jegyzékben felsorolt árukra vonatkozik.
Típus/hosszúság: n ..2
A 37c. mellékletben szereplő kódot kell használni, ha a vámtarifaszám önmagában nem elegendő a 44c. mellékletben szereplő áruk azonosításához.
Típus/hosszúság: n ..11,3
Ezt az attribútumot akkor kell használni, ha az árutovábbítási nyilatkozat a 44c. mellékletben szereplő jegyzékben felsorolt árukra vonatkozik.
CSOMAGOK
(31. rovat)
Szám: 99
Az adatcsoportot használni kell.
Típus/Hosszúság: an ..42
Ezt az attribútumot akkor kell használni, ha a "Csomagok jellege" attribútum a 38. mellékletben az ömlesztett árukra megadottaktól (VQ, VG, VL, VY, VR vagy VO) vagy a csomagolatlan árukra megadottaktól (NE, NF, NG) eltérő kódokat tartalmaz. Használata nem kötelező, ha a "Csomagok jellege" attribútum a felsorolt kódok valamelyikét tartalmazza.
Típus/hosszúság: a2
A 37c. mellékletben megadott nyelvkódot kell használni a nyelv (LNG) meghatározására, ha a vonatkozó üres szövegmezőt használták.
Típus/hosszúság: an2
A 38. melléklet 31. rovatában szereplő csomagkódokat kell használni.
Típus/Hosszúság: n ..5
Ezt az attribútumot akkor kell használni, ha a "Csomagok jellege" attribútum a 38. mellékletben az ömlesztett árukra megadottaktól (VQ, VG, VL, VY, VR vagy VO) vagy a csomagolatlan árukra megadottaktól (NE, NF, NG) eltérő kódokat tartalmaz. Nem használható, ha a "Csomagok jellege" attribútum a felsorolt kódok valamelyikét tartalmazza.
HIVATKOZÁS ELŐZŐ ELJÁRÁSRA
(40. rovat)
Szám: 9
Az adatcsoportot a 37. melléklet szerint használni kell.
Típus/hosszúság: an..6
Ha az adatcsoportot használni kell, az előokmányok típusai közül legalább egyet használni kell.
Típus/hosszúság: an..20
Az előokmány hivatkozását kell használni.
Típus/hosszúság: a2
A vonatkozó üres szövegmező nyelvének (LNG) meghatározásához a 37c. mellékletben megadott nyelvkódot kell használni.
Típus/hosszúság: an..26
Az attribútum használata szabadon választható a tagállamok számára.
Típus/hosszúság: a2
A 37c. mellékletben megadott nyelvkódot kell használni a nyelvének (LNG) meghatározására, ha a vonatkozó üres szövegmezőt használták.
BENYÚJTOTT OKMÁNYOK/IGAZOLÁSOK
(44. rovat)
Szám: 99
Az adatcsoportot a TIR-üzenetek céljára kell használni. Egyéb esetekben az adatcsoportot a 37. mellékletnek megfelelően kell használni. Az adatcsoport használatakor a következő attribútumok közül legalább egyet használni kell.
Típus/hosszúság: an..3
A 37c. mellékletben megadott kódot kell használni.
Típus/hosszúság: an..20
Típus/hosszúság: a2
A 37c. mellékletben megadott nyelvkódot kell használni a nyelv (LNG) meghatározására, ha a vonatkozó üres szövegmezőt használják.
Típus/hosszúság: an..26
Típus/hosszúság: a2
A 37c. mellékletben megadott nyelvkódot kell használni a nyelv (LNG) meghatározására, ha a vonatkozó üres szövegmezőt használták.
KÜLÖNLEGES MEGJEGYZÉSEK
(44. rovat)
Szám: 99
Az adatcsoportot a 37. melléklet szerint kell használni. Ha az adatcsoportot használják, akkor vagy a "További információk - azonosító" vagy a "Szöveg" attribútumot kell használni.
Típus/hosszúság: an..3
A 37c. mellékletben megadott kódot kell használni a további információk azonosító beillesztésére.
Típus/hosszúság: n1
Ha a "További információk - azonosító" attribútum a "DG0" vagy "DG1" kódot tartalmazza, a "Kivitel az EK-ból" vagy a "Kivitel az országból" attribútumot kell használni. A két attribútum nem használható egyszerre. Egyéb esetekben az attribútum nem használható. Ha ezt az attribútumot használják, akkor a következő kódokat kell használni:
0 = nem
1 = igen.
Típus/hosszúság: a2
Ha a "További információk - azonosító" attribútum a "DG0" vagy "DG1" kódot tartalmazza, a "Kivitel az EK-ból" vagy a "Kivitel az országból" attribútumot kell használni. A két attribútum nem használható egyszerre. Egyéb esetekben az attribútum nem használható. Ha ezt az attribútumot használják, akkor a 37c. mellékletben megadott országkódot kell használni.
Típus/hosszúság: an..70
Típus/hosszúság: a2
A 37c. mellékletben megadott nyelvkódot kell használni nyelv (LNG) meghatározására, ha a vonatkozó üres szövegmezőt használták.
INDÍTÓ VÁMHIVATAL
(C. rovat)
Szám: 1
Az adatcsoportot használni kell.
Hivatkozási szám
(C. rovat)
Típus/hosszúság: an8
A 37c. mellékletben megadott kódot kell használni.
KERESKEDŐ Főkötelezett
(50. rovat)
Szám: 1
Az adatcsoportot használni kell.
(TIN)
(50. rovat)
Típus/hosszúság: an ... 17
Ezt a jelzetet abban az esetben használják, ha az "Eredményellenőrzés" adatcsoport tartalmazza az A3 kódot, vagy ha az "NRG" jelzetet alkalmazzák.
Név
(50. rovat)
Típus/hosszúság: an..35
Az attribútumot használni kell, ha a "TIN" attribútumot használják, és ennek az adatcsoportnak más attribútumait a rendszer még nem ismeri.
Utca és házszám
(50. rovat)
Típus/hosszúság: an..35
Az attribútumot használni kell, ha a "TIN" attribútumot használják, és ennek az adatcsoportnak más attribútumait a rendszer még nem ismeri.
Ország
(50. rovat)
Típus/hosszúság: a2
A 37c. mellékletben megadott országkódot kell használni, ha a "TIN" attribútumot használják, és ennek az adatcsoportnak más attribútumát a rendszer még nem ismeri.
Postai irányítószám
(50. rovat)
Típus/hosszúság: an..9
Az attribútumot használni kell, ha a "TIN" attribútumot használják, és ennek az adatcsoportnak más attribútumait a rendszer még nem ismeri.
Város
(50. rovat)
Típus/hosszúság: an..35
Az attribútumot használni kell, ha a "TIN" attribútumot használják, és ennek az adatcsoportnak más attribútumait a rendszer még nem ismeri.
NÉV ÉS CÍM LNG (NAD LNG)
Típus/hosszúság: a2
A 37c. mellékletben megadott nyelvkódot kell használni a név és cím nyelvének (NAD LNG) meghatározására, ha a vonatkozó üres szövegmezőt használták.
KÉPVISELŐ
(50. rovat)
Szám: 1
Az adatcsoportot használni kell, ha a főkötelezett meghatalmazott képviselőt alkalmaz.
Név
(50. rovat)
Típus/hosszúság: an..35
Az attribútumot használni kell.
A képviselő jogosultsága
(50. rovat)
Típus/hosszúság: a..35
Ennek az attribútumnak a használata szabadon választható.
A képviselő jogosultsága LNG
Típus/hosszúság: a2
A 37c. mellékletben megadott nyelvkódot kell használni a nyelv (LNG) meghatározására (LNG), ha a vonatkozó üres szövegmezőt használták.
ÁTLÉPTETŐ VÁMHIVATAL
(51. rovat)
Szám: 9
Az adatcsoportot a 37. melléklet szerint kell használni.
Hivatkozási szám
(51. rovat)
Típus/hosszúság: an8
A 37c. mellékletben megadott kódot kell használni.
RENDELTETÉSI VÁMHIVATAL
(53. rovat)
Szám: 1
Az adatcsoportot használni kell.
Hivatkozási szám
(53. rovat)
Típus/hosszúság: an8
A 37c. mellékletben megadott kódot kell használni.
KERESKEDŐ Engedélyezett címzett
(53. rovat)
Szám: 1
Az adatcsoport annak jelzésére használható, hogy az árukat egy engedélyezett címzett részére fogják szállítani.
Engedélyezett címzett TIN (adószám)
(53. rovat)
Típus/hosszúság: an..17
A attribútumot a gazdálkodó adóazonosító számának (TIN) a megadására kell használni.
ELLENŐRZÉS EREDMÉNYE
(D. rovat)
Szám: 1
Az adatcsoportot akkor kell használni, ha az engedélyezett feladó nyújtja be a nyilatkozatot.
Ellenőrzés eredményének kódja
(D. rovat)
Típus/hosszúság: an2
Az A3 kódot kell használni.
Határidő
(D. rovat)
Típus/hosszúság: n8
Az attribútumot használni kell.
VÁMZÁR-INFORMÁCIÓK
(D. rovat)
Szám: 1
Az adatcsoportot akkor kell használni, ha az engedélyezett feladó olyan nyilatkozatot nyújt be, amelyre vonatkozóan a számára kiadott engedély zárak használatát írja elő, vagy a főkötelezett különleges zárak használatára jogosult.
Vámzárak darabszáma
(D. rovat)
Típus/hosszúság: n..4
Az attribútumot használni kell.
VÁMZÁRAK AZONOSSÁGA
(D. rovat)
Szám: 99
Az adatcsoportot a vámzárak azonosítására (id) használni kell.
Típus/hosszúság: an..20
Az attribútumot használni kell.
Típus/hosszúság: a2
A 37c. mellékletben megadott nyelvkódot (LNG) kell használni.
BIZTOSÍTÉK
Szám: 9
Az adatcsoportot használni kell.
A biztosíték típusa
(52. rovat)
Típus/hosszúság: an ... 1
A 38. mellékletben megadott kódot kell használni.
BIZTOSÍTÉK HIVATKOZÁS
(52. rovat)
Szám: 99
Ezt az adatcsoportot akkor kell használni, ha a "biztosíték típusa" attribútum a "0", "1", "2", "4" vagy "9" kódot tartalmazza.
Típus/hosszúság: an ... 24
Az attribútumot a biztosíték hivatkozási száma (GRN) beillesztésére kell használni, ha a "biztosíték típusa" attribútum a "0", "1", "2", "4" vagy "9" kódot tartalmazza. Ebben az esetben az "egyéb kezességi referencia" attribútum nem használható.
| Mező | Tartalom | Mező típusa | Példák |
| 1 | A kezesség elfogadása évének utolsó két számjegye (ÉÉ) | Numerikus 2 | 97 |
| 2 | A kezesség benyújtása országának azonosítója (ISO alfa- 2 országkód) | Alfabetikus 2 | IT |
| 3 | Egyedi azonosító a kezességnyújtás helye szerinti vámhivatal által adott elfogadásra év és ország szerint | Alfanumerikus 12 | 1234AB788966 |
| 4 | Ellenőrző számjegy | Alfanumerikus 1 | 8 |
| 5 | A garanciajegy útján nyújtott egyedi kezesség azonosítója (1 betű + 6 számjegy) vagy NULLA más kezességtípusokra | Alfanumerikus 7 | A001017 |
Az 1. és 2. mező a fenti magyarázat szerint.
A 3. mezőt év és ország szerint a kezességnyújtás helye szerinti vámhivatal által a biztosíték elfogadására kiadott egyedi azonosítóval kell kitölteni. Azok a nemzeti vámigazgatások, amelyek a GRN-be felvenni kívánják a kezességnyújtás helye szerinti vámhivatal referenciaszámát is, az első 6 karaktert használhatják fel a kezességnyújtás helye szerinti vámhivatal nemzeti számának beillesztésére.
A 4. mezőt a GRN 1-3. mezőjének ellenőrző számjegyét jelentő értékkel kell kitölteni. Ez a mező lehetővé teszi a hibák felfedezését a GRN első négy mezője adatainak bevitelekor.
Az 5. mezőt csak akkor kell használni, amikor a GRN a számítógépesített árutovábbítási rendszerben nyilvántartott garanciajegy útján nyújtott egyedi kezességre vonatkozik. Ebben az esetben a mezőt a bizonylat azonosítójával kell kitölteni.
Típus/hossz: an..35
Ezt az attribútumot akkor kell használni, ha a "biztosíték típusa" attribútum a "0", "1", "2", "4" vagy "9" kódokon kívüli kódokat tartalmaz. Ebben az esetben a "GRN" attribútum nem használható.
Típus/hossz: an4
Ezt az attribútumot akkor kell használni, amikor a "GRN" attribútumot használják, egyébként ezt az attribútumot a tagállamok választhatják. A kezesség típusától függően azt a kezességnyújtás helye szerinti vámhivatal, a kezes vagy a főkötelezett bocsátja ki, és azt egy meghatározott kezesség biztosítására használják.
ÉRVÉNYESSÉGI KORLÁTOZÁS (EK)
Szám: 1
Típus/hosszúság: n1
A 0 = nem kód használandó a közösségi árutovábbítás esetében.
ÉRVÉNYESSÉGI KORLÁTOZÁS (NEM EK)
Szám: 99
Típus/hosszúság: a2
A 37c. mellékletben megadott országkódot kell használni az érintett EFTA-ország jelzésére.
37c. MELLÉKLET
KIEGÉSZÍTŐ KÓDOK A SZÁMÍTÓGÉPESÍTETT ÁRUTOVÁBBÍTÁSI RENDSZER SZÁMÁRA
1. Országkódok (CNT)
| Mező | Tartalom | Mezőtípus | Példa |
| 1 | ISO alfa 2 országkód | Alfabetikus 2 | IT |
Az ISO alfa 2 országkódot kell használni (lásd a 38. mellékletet).
2. Nyelvkód
Az ISO - 639:1988 szerint meghatározott ISO alfa 2 kódolás alkalmazandó.
3. Vámtarifaszám (COM)
| Mező | Tartalom | Mezőtípus | Példa |
| 1 | HR6 | Numerikus 6 (balra igazítva) | 010290 |
A Harmonizált Rendszer hat számjegyét kell beírni (HR6). A nemzeti felhasználáshoz a vámtarifaszám kiterjeszthető nyolc számjegyig.
4. Érzékeny áruk kódja
| Mező | Tartalom | Mezőtípus | Példa |
| 1 | Kiegészítő kód érzékeny áruk számára | Numerikus..2 | 2 |
A kód a HR6 kód kiterjesztéseként használatos a 44c. mellékletben bemutatott módon, amennyiben egy érzékeny áru a HR6 kóddal nem azonosítható kielégítően.
6. A benyújtott okmányok/igazolások kódja
| Megfelelőségi igazolása | 2 |
| Minőségi tanúsítvány | 3 |
| A.TR.1. áruforgalmi igazolás | 18 |
| Szállítótartály-jegyzék (konténerjegyzék) | 235 |
| Csomagjegyzék | 271 |
| Proforma számla | 325 |
| Kereskedelmi számla | 380 |
| Házi fuvarlevél | 703 |
| Gyűjtő hajóraklevél | 704 |
| Hajóraklevél | 705 |
| Házi hajóraklevél | 714 |
| SMGS-kísérőjegyzék | 722 |
| Tehergépkocsi fuvarlevél | 730 |
| Légi fuvarlevél | 740 |
| A légitársaság által kiadott légi fuvarlevél (master air waybill) | 741 |
| Csomagkártya (postai csomag) | 750 |
| Multimodális/kombinált fuvarokmány | 760 |
| Cargo manifest | 785 |
| Bordereau | 787 |
| T feladási nyilatkozat | 820 |
| T1 feladási nyilatkozat | 821 |
| T2 feladási nyilatkozat | 822 |
| T5 ellenőrző példány | 823 |
| T2L feladási nyilatkozat | 825 |
| Kiviteli árunyilatkozat | 830 |
| Növény-egészségügyi bizonyítvány | 851 |
| Egészségügyi tanúsítvány | 852 |
| Állat-egészségügyi bizonyítvány | 853 |
| Származási igazolás | 861 |
| Származási nyilatkozat | 862 |
| Preferenciális származás igazolása | 864 |
| GSP származási igazolás | 865 |
| Behozatali engedély | 911 |
| Szállítmány bejelentése (érkezés) | 933 |
| Kiviteli engedély embargós árukra | 941 |
| TIF nyomtatvány | 951 |
| TIR-igazolvány | 952 |
| EUR 1 származási bizonyítvány | 954 |
| ATA-igazolvány | 955 |
| Egyéb | zzz |
7. További információ/különleges megjegyzések kódja
Az alkalmazandó kódok a következők:
DG0 = Korlátozás alá eső kivitel egy EFTA-országból vagy korlátozás alá eső kivitel az EK-ból.
DG1 = Vámköteles kivitel egy EFTA-országból vagy vámköteles kivitel az EK-ból.
DG2 = Kivitel.
Különleges megjegyzésekre vonatkozó speciális, kiegészítő kódok meghatározhatók nemzeti szinten is.
8. Vámhivatal hivatkozási szám (COR)
| Mező | Tartalom | Mezőtípus | Példa |
| 1 | A vámhivatal országának azonosítója (lásd a CNT-t) | Alfabetikus 2 | IT |
| 2 | A vámhivatal nemzeti kódszáma | Alfanumerikus 6 | 0830AB |
Az 1. mező a fenti magyarázat szerint.
A 2. mezőbe hatjegyű alfanumerikus kódot kell beírni. Ezzel a hatjegyű kóddal a nemzeti hatóságok szüksége esetén a vámhivatalok közötti hierarchiát is meghatározhatják.
9. A "nyilatkozattípus" (1. rovat) attribútumban: TIR-nyilatkozatok esetében a "TIR" kódot kell használni.
10. A "biztosíték típusa" (52. rovat) attribútumban: TIR-nyilatkozatok esetében a "B" kódot kell használni.
37d. MELLÉKLET
(a 353. cikk (2) bekezdésének b) pontjában megemlítve)
I. RÉSZ
ELJÁRÁS ÜZEMSZÜNET ESETÉN
I. FEJEZET
Általános rendelkezések
1. Ez a melléklet a 353. cikk (2) bekezdésében említett üzemszüneti eljárásnak a következő esetekben történő alkalmazására vonatkozó különös rendelkezéseket határozza meg:
a) utasok esetében:
- ha a vámhatóságok számítógépes rendszere nem működik;
b) a főkötelezettek - az engedélyezett feladókat is beleértve - esetében:
- ha a vámhatóságok számítógépes rendszere nem működik,
- ha a főkötelezett számítógépes rendszere nem működik, vagy
- ha a főkötelezett és a vámhatóságok közötti hálózati összeköttetés nem működik.
2. Az e melléklet 3-31. pontjában foglalt eltérő rendelkezés hiányában az üzemszüneti eljárásra az I. rész VII. és VIII. címét, valamint a II. rész II. címe 4. fejezetének 1. és 2. szakaszát, továbbá 3. szakaszának 1-7. alszakaszát kell alkalmazni.
3. Árutovábbítási nyilatkozatok
3.1. Az üzemszüneti eljárás során használt árutovábbítási nyilatkozatnak az árutovábbítási műveletben érintett valamennyi fél számára felismerhetőnek kell lennie, hogy az átléptető vámhivatal(ok)ban és a rendeltetési vámhivatalban ne merülhessenek fel problémák. Ezért a felhasznált okmányok köre a következőkre korlátozódik:
- egységes vámokmány,
- a gazdasági szereplő rendszeréből a 37. melléklet szerint rendes papírlapra kinyomtatott egységes vámokmány, vagy
- ha vámhatóságok a gazdasági szereplő igényeit indokoltnak tartva jóváhagyják, az egységes vámokmány árutovábbítási kísérőokmánnyal (ÁKO) - árutovábbítási/biztonsági kísérőokmánnyal (ÁBKO) is helyettesíthető.
3.2. Az e melléklet 3.1. pontja harmadik francia bekezdésének alkalmazásakor az ÁKO/ÁBKO a 37., 45a. és 45e. mellékletnekss megfelelően kell kiállítani.
3.3. Amikor e melléklet rendelkezései a szállítmányt kísérő árutovábbítási nyilatkozat példányaira utalnak, értelemszerűen alkalmazandók az ÁKO/ÁBKO is.
II. FEJEZET
A végrehajtásra vonatkozó szabályok
4. A vámhatóságok számítógépes rendszerének üzemképtelensége
4.1. A szabályokat a felhasznált okmánytól függetlenül a következőképpen kell alkalmazni:
- az árutovábbítási nyilatkozatot ki kell tölteni, és az indító vámhivatalnak három, az egységes vámokmány esetében a 37., az ÁKO/ÁBKO esetében pedig a 37. és a 45a. mellékletnek megfelelően kiállított példányban be kell mutatni,
- az árutovábbítási nyilatkozatot a C. rovatban, a számítógépes rendszertől eltérő számozási rendszer segítségével kell nyilvántartásba venni,
- az üzemszüneti eljárást az árutovábbítási nyilatkozat példányain az e melléklet II. részében szereplő mintának megfelelő bélyegzővel, az egységes vámokmányon az A. rovatban, az ÁKO/ÁBKO pedig a művelethivatkozási szám és a vonalkód helyén kell jelezni,
- egyszerűsített eljárás esetén a gazdasági szereplőnek a C., illetve a D. rovat kitöltésével meg kell felelnie a nyilatkozatba írandó bejegyzésekkel és a 26-29. pontban említett külön bélyegző használatával kapcsolatos valamennyi kötelezettségnek és feltételnek,
- az okmányt rendes eljárás esetén az indító vámhivatal, egyszerűsített eljárás esetén az engedélyezett feladó látja el bélyegzővel,
- ÁKO/ÁBKO használata esetén a nyilatkozaton sem vonalkódot, sem művelethivatkozási számot (MRN) nem kell feltüntetni.
4.2. Ha üzemszüneti eljárás alkalmazása mellett döntenek, a számítógépes rendszerbe bevitt, de a rendszer üzemzavara miatt fel nem dolgozott valamennyi nyilatkozatot törölni kell. A gazdasági szereplő köteles tájékoztatni a vámhatóságokat, ha a rendszerbe már bevitt nyilatkozat esetében később üzemszüneti eljárásra kerül sor.
4.3. A visszaélések elkerülése érdekében a vámhatóság felügyeli az üzemszüneti eljárás alkalmazását.
5. A főkötelezettek számítógépes rendszerének és/vagy hálózatának üzemképtelensége
- Az egyszerűsített eljárásra vonatkozó rendelkezések kivételével a 4. pont rendelkezéseit alkalmazni kell.
- A főkötelezettnek értesítenie kell a vámhatóságokat, ha számítógépes rendszere és/vagy hálózata ismét üzemképessé válik.
6. Az engedélyezett feladó számítógépes rendszerének és/vagy hálózatának üzemképtelensége
Ha az engedélyezett feladó számítógépes rendszere és/vagy hálózata üzemképtelen, a következő eljárást kell alkalmazni:
- a 4. pontban megállapított rendelkezéseket alkalmazni kell,
- az engedélyezett feladónak tájékoztatnia kell a vámhatóságokat, ha számítógépes rendszere és/vagy hálózata ismét üzemképessé válik,
- ilyen esetekben, vagy ha az engedélyezett feladó hálózati problémák miatt nyilatkozatainak évente több mint 2 %-át üzemszüneti eljárás útján nyújtja be, az engedélyt felül kell vizsgálni annak értékelésére, hogy kiállításának feltételei továbbra is teljesülnek-e.
7. A nemzeti hatóságok általi adatrögzítés
A 5. és 6. pontban említett esetekben a nemzeti vámhatóságok engedélyezhetik a gazdasági szereplők számára, hogy az árutovábbítási nyilatkozatot (egységes vámokmány vagy adott esetben ÁKO/ÁBKO használatával) egy példányban nyújtsák be az indító vámhivatalnak a számítógépes rendszerben való feldolgozás céljából.
III. FEJEZET
Az eljárás menete
8. A közösségi árutovábbítási eljárás alá vont áruk szállítása az egységes vámokmány 4. és 5. példányának vagy az indító vámhivatal által a főkötelezettnek visszaadott ÁKO/ÁBKO a kíséretében történik.
9. A kezes által nyújtott egyedi kezesség szabályai
Ha nem az árutovábbítási művelet indító vámhivatala a kezességnyújtás helye szerinti vámhivatal, az utóbbi megőrzi az általa elfogadott kezesi nyilatkozat egy példányát. A főkötelezett az eredeti példányt átadja az indító vámhivatalnak, ahol azt megőrzik. Ha szükséges, ez a vámhivatal kérheti az okmány lefordítását az érintett ország hivatalos nyelvére vagy hivatalos nyelveinek egyikére.
10. Vegyes szállítmányok
Azoknak a szállítmányoknak az esetében, amelyek egyszerre tartalmaznak T1 és T2 eljárás szerint szállítandó árukat, a "T" jelzéssel ellátott árutovábbítási nyilatkozatot ki kell egészíteni:
- az esettől függően "T1bis", "T2bis" vagy "T2Fbis" jellel ellátott pótlapokkal, vagy
- az esettől függően "T1", "T2" vagy "T2F" jellel ellátott rakományjegyzékekkel.
11. T1 eljárás vélelme
Ha az árutovábbítási nyilatkozat 1. rovatának jobb oldali alrovatában nem szerepel a T1, T2 vagy T2F jelzés, vagy ha a T1 és T2 eljárás alá vont árukat egyaránt tartalmazó szállítmány esetén nem tartották be a fenti 10. pont előírásait, az árukat a T1 eljárás szerint továbbított áruknak kell tekinteni.
12. Az árutovábbítási nyilatkozat aláírása és a főkötelezett kötelezettségvállalása
Az árutovábbítási nyilatkozat aláírásával a főkötelezett felelősséget vállal a 199. cikk (1) bekezdésében foglalt rendelkezések betartásáért.
13. Azonosítási intézkedések
A 357. cikk (4) bekezdésének alkalmazása esetén az indító vámhivatal a következő megjegyzést vezeti be az árutovábbítási nyilatkozat D. ("Az indító vámhivatal által végzett ellenőrzés") rovatába az "alkalmazott vámzárak" szöveg mellé:
- Mentesség - 99201.
14. Az árutovábbítási nyilatkozatba tett bejegyzések és az áruk kiadása
- Az indító vámhivatal az ellenőrzés eredményét bejegyzi az árutovábbítási nyilatkozat valamennyi példányába.
- Ha a nyilatkozatban foglaltak megfelelnek az ellenőrzés megállapításainak, az indító vámhivatal kiadja az árukat, és a kiadás időpontját rögzíti az árutovábbítási nyilatkozat példányain.
15. Átléptető vámhivatal
15.1. A fuvarozó minden átléptető vámhivatalnak a 46. mellékletben található mintának megfelelő nyomtatványon kiállított határátlépési igazolást mutat be, amelyet a vámhivatal megőriz.
15.2. Ha az árukat az árutovábbítási nyilatkozat 4. és 5. példányában nem említett átléptető vámhivatalon keresztül szállítják, a szóban forgó vámhivatal:
- haladéktalanul megküldi a határátlépési igazolást az eredetileg kijelölt átléptető vámhivatalnak, vagy
- a vámhatóságok által kölcsönös egyetértésben meghatározott esetekben és eljárás szerint tájékoztatja az indító vámhivatalt.
16. Az áruk bemutatása a rendeltetési vámhivatalnak
16.1. A rendeltetési vámhivatal nyilvántartásba veszi az árutovábbítási nyilatkozat 4. és 5. példányát, rögzíti azokon a beérkezés napját és bejegyzi a végrehajtott ellenőrzések eredményét.
16.2. Az árutovábbítási művelet befejeződhet az árutovábbítási nyilatkozatban megadott vámhivataltól eltérő vámhivatalban. Ebben az esetben ez a vámhivatal lesz a rendeltetési vámhivatal.
Ha az új rendeltetési vámhivatal az eredetileg kijelölt vámhivatal tagállamától eltérő tagállam joghatósága alá tartozik, az új rendeltetési vámhivatal a tőle elvárt szokásos észrevételeken felül a következőt jegyzi be az árutovábbítási nyilatkozat 5. példányának I. ("A rendeltetési vámhivatal által végzett ellenőrzés") rovatába:
- Eltérések: hivatal, ahol az áruk bemutatása megtörtént ...... (név és ország) - 99203.
16.3. Az új rendeltetési vámhivatalnak ellenőrzése alatt kell tartania az árut, és az indító vámhivatal kifejezett engedélye nélkül nem teheti lehetővé annak az indító vámhivatal tekintetében joghatósággal rendelkező tagállamtól eltérő tagállamba való szállítását, ha a 16.2. pont második bekezdése alkalmazandó, és az árutovábbítási nyilatkozaton az alábbi bejegyzés szerepel:
- a Közösség területéről való kilépés a ... rendelet/irányelv/határozat szerinti korlátozás vagy díjfizetési kötelezettség alá esik - 99204.
17. Bemutatási igazolás
A bemutatási igazolás az egységes vámokmányban lévő árutovábbítási nyilatkozat 5. példánya hátoldalának alján található helyen állítható ki.
18. Az 5. példány visszaküldése
A rendeltetési tagállam vámhatóságai késedelem nélkül, de legfeljebb az árutovábbítási művelet befejezésétől számított nyolc napon belül visszaküldik az árutovábbítási nyilatkozat 5. példányát az indító tagállam vámhatóságainak. ÁKO/ÁBKO használata esetén a bemutatott kísérőokmány másolatát küldik vissza az 5. példányéval megegyező feltételekkel.
19. A főkötelezett tájékoztatása és az eljárás befejezésének alternatív igazolása
Ha az áruknak a rendeltetési vámhivatalnál való bemutatása határidejét követő egy hónapon belül az árutovábbítási nyilatkozat 5. példányát nem küldik vissza az indító tagállam vámhatóságainak, az említett hatóságok értesítik erről a főkötelezettet, és felkérik, hogy szolgáltasson bizonyítékot az eljárás befejezéséről.
20. Keresési eljárás
20.1. Ha az indító tagállam vámhatóságai az áruknak a rendeltetési vámhivatalnál való bemutatása határidejét követő két hónapon belül nem szereznek bizonyítékot arról, hogy az eljárás befejeződött, haladéktalanul keresési eljárást indítanak az eljárás lezárásához szükséges információk beszerzésére vagy, amennyiben ez nem lehetséges:
- annak megállapítására, hogy keletkezett-e vámtartozás,
- az adós azonosítására,
- a tartozás beszedésért felelős vámhatóságok meghatározására.
20.2. Ha a vámhatóságok előzetesen arról értesülnek, hogy az árutovábbítási eljárás nem fejeződött be, vagy feltételezik, hogy ez a helyzet áll fenn, haladéktalanul megindítják a keresési eljárást.
20.3. A keresési eljárást akkor is meg kell indítani, ha utólag kiderül, hogy meghamisították az eljárás befejezésének bizonyítékát, és a 20.1. pontban szereplő célok eléréséhez keresési eljárásra van szükség.
21. Biztosíték - referenciaösszeg
21.1. A 379. cikk (1) bekezdésének alkalmazásakor a főkötelezett minden árutovábbítási műveletre vonatkozóan kiszámítja a várhatóan keletkező vámtartozás összegét és gondoskodik arról, hogy a lekötött összegek - a még be nem fejezett eljárásokat is figyelembe véve - ne haladják meg a referenciaösszeget.
21.2. A főkötelezett értesíti a kezességnyújtás helye szerinti vámhivatalt, ha a referenciaösszeg nem éri el a közösségi árutovábbítási eljárások fedezéséhez elegendő mértéket.
22. A kezességi tanúsítvány és a biztosítéknyújtás alóli mentességről szóló tanúsítvány
A 372. cikk (1) bekezdésének a) pontja szerinti engedély alapján a vámhatóságok által kiadott kezességi tanúsítványt vagy biztosítéknyújtás alóli mentességről szóló tanúsítványt az indító vámhivatalnak be kell mutatni. A tanúsítvány adatait fel kell tüntetni az árutovábbítási nyilatkozaton.
23. Különleges rakományjegyzékek
23.1. A vámhatóságok a 373. cikkben felsorolt általános feltételeknek megfelelő főkötelezettnek engedélyezhetik az olyan rakományjegyzékek használatát, amelyek nem felelnek meg a 44a., 44b. és 45. melléklet minden előírásának.
Az ilyen jegyzékek használata csak akkor engedélyezhető, ha:
- azokat olyan cégek készítették, amelyek a nyilvántartásaik vezetésére integrált elektronikus vagy automatikus adatfeldolgozó rendszert használnak,
- ha azokat oly módon szerkesztették és töltötték ki, hogy a vámhatóságok nehézség nélkül tudják használni őket,
- ha minden egyes tétel tekintetében tartalmazzák a 44a. melléklet alapján megkövetelt információkat.
23.2. A feladási/kiviteli alakiságok teljesítése céljából kiállított leíró jegyzékeknek a 23.1. pont szerinti rakományjegyzékként való használatát akkor is engedélyezni lehet, ha azokat olyan cégek állították ki, amelyek a nyilvántartásaik vezetésére nem használnak integrált elektronikus vagy automatikus adatfeldolgozó rendszert.
23.3. Azok a cégek, amelyek a nyilvántartásaik vezetésére elektronikus vagy automatikus adatfeldolgozó rendszert használnak, és amelyek a 23.1. és 23.2. pont alapján már engedélyt kaptak a különleges rakományjegyzékek használatára, felhatalmazhatók e jegyzékek használatára a kizárólag egy árutípust érintő közösségi árutovábbítási műveletek tekintetében is, ha ezt az érintett cégek számítógépes programjai szükségessé teszik.
24. Különleges vámzárak használata
A főkötelezettnek az árutovábbítási nyilatkozat D. ("Az indító vámhivatal által végzett ellenőrzés") rovatában, az "alkalmazott vámzár" mellett fel kell tüntetnie az alkalmazott zárak típusát, számát és azonosítóját.
25. Az előírt útvonal alóli mentesség
A mentesség jogosultjának a következőt kell bejegyeznie az árutovábbítási nyilatkozat 44. rovatába:
- Előírt útvonal alól mentesítve - 99205
26. Engedélyezett feladó - Előzetes hitelesítés és alakiságok az indításnál
26.1. E melléklet 4. és 6. pontjának alkalmazásakor az engedélyben elő kell írni, hogy az árutovábbítási nyilatkozat nyomtatványainak C. ("Indító vámhivatal") rovatát:
- előzetesen le kell bélyegezni az indító vámhivatal bélyegzőjével, és e vámhivatal egyik tisztviselőjének alá kell írnia, vagy
- az engedélyezett feladónak kell lebélyegeznie az illetékes vámhatóságok által jóváhagyott és a 62. mellékletben szereplő mintának megfelelő különleges fémbélyegzővel. A bélyegzőlenyomatot előre rá lehet nyomtatni a nyomtatványokra, ha a nyomtatást egy erre felhatalmazott nyomda végzi.
Az engedélyezett feladó az áruk feladása napjának beírásával köteles kitölteni a rovatot, és az engedélyben meghatározott szabályoknak megfelelően számmal kell ellátnia az árutovábbítási nyilatkozatot.
26.2. A vámhatóságok az azonosítás eszközeként megkülönböztető jelzéssel ellátott nyomtatványok használatát írhatják elő.
27. Engedélyezett feladó - A bélyegzőre vonatkozó biztonsági intézkedések
27.1. Az engedélyezett feladó köteles minden szükséges intézkedést megtenni a különleges bélyegzők vagy az indító vámhivatal bélyegzőjével vagy különleges bélyegzővel ellátott nyomtatványok biztonságos megőrzése érdekében.
Az előző albekezdés értelmében megtett biztonsági intézkedésekről tájékoztatnia kell a vámhatóságokat.
27.2. Az indító vámhivatal bélyegzőjével vagy a különleges bélyegzővel előzetesen ellátott nyomtatványokkal való bármilyen visszaélés esetén, a büntetőjogi szabályok sérelme nélkül, az engedélyezett feladó felel az adott országban az e nyomtatványok kíséretében szállított áruk vonatkozásában fizetendő vámok és egyéb díjak kifizetéséért, kivéve ha az engedélyezett feladó az engedélyt kiadó vámhatóságoknak megfelelően bizonyítja, hogy megtette a 27.1. pont alapján megkövetelt intézkedéseket.
28. Engedélyezett feladó - Kötelező bejegyzések
28.1. Az engedélyezett feladó legkésőbb az áruk elküldésekor köteles kiállítani az árutovábbítási nyilatkozatot, valamint adott esetben beírni a 44. rovatba a 355. cikk (2) bekezdésével összhangban előírt szállítási útvonalat, illetve a D. ("Az indító vámhivatal által végzett ellenőrzés") rovatba az áruknak a rendeltetési vámhivatalban való bemutatására a 356. cikkel összhangban meghatározott határidőt, az alkalmazott azonosítási intézkedéseket és a következő záradékot:
- Engedélyezett feladó - 99206.
28.2. Ha az indító tagállam illetékes vámhatóságai az indítás előtt átvizsgálnak egy szállítmányt, ennek tényét bejegyzik az árutovábbítási nyilatkozat D. ("Az indító vámhivatal által végzett ellenőrzés") rovatába.
28.3. Az áruk feladása után az árutovábbítási nyilatkozat 1. példányát haladéktalanul meg kell küldeni az indító vámhivatalnak. A vámhatóságok az engedélyben előírhatják, hogy az 1. példányt az árutovábbítási nyilatkozat kiállítása után meg kell küldeni az indító tagállam vámhatóságainak. A többi példány - e melléklet 8. pontjával összhangban - az árukat kíséri.
29. Engedélyezett feladó - Az aláírás alóli mentesség.
29.1. Az engedélyezett feladó számára engedélyezhető, hogy ne írja alá azokat a 62. mellékletben említett különleges bélyegzővel ellátott árutovábbítási nyilatkozatokat, amelyeket integrált elektronikus vagy automatikus adatfeldolgozó rendszer segítségével állítottak ki. E mentesség feltétele az engedélyezett feladónak a vámhatóságokhoz korábban benyújtott írásos kötelezettségvállalása, amelyben vállalja, hogy minden, a különleges bélyegzővel ellátott árutovábbítási nyilatkozat alapján végzett közösségi árutovábbítási műveletben főkötelezettként jár el.
29.2. A 29.1. pont szerint kiállított árutovábbítási nyilatkozatokon a főkötelezett aláírása számára fenntartott rovatban a következő bejegyzésnek kell szerepelnie:
- Aláírás alól mentesítve - 99207.
30. Engedélyezett címzett - Kötelezettségek
30.1. A telephelyére vagy az engedélyben meghatározott helyre megérkező áruk tekintetében az engedélyezett címzett köteles haladéktalanul megküldeni a rendeltetési vámhivatalnak az árukat kísérő ÁKO/ÁBKO vagy az árutovábbítási nyilatkozat 4. és 5. példányát, feltüntetve rajtuk az érkezés időpontját, az esetleg felhelyezett vámzárak állapotát, valamint az esetleges szabálytalanságokat.
30.2. A rendeltetési vámhivatal bejegyzi az e melléklet 16. pontjában előírtakat az árutovábbítási nyilatkozat 4. és 5. példányára.
31. A csökkentett összegre vonatkozó összkezesség használatának, illetve az összkezesség használatának ideiglenes tilalma
A 381. cikk (4) bekezdésének a 47a. mellékletben említett alkalmazási szabályait a következő rendelkezések egészítik ki.
31.1. Olyan árutovábbítási műveletek esetében, amelyek az összkezesség használatát megtiltó határozat tárgyát képező árukra vonatkoznak, a következő intézkedéseket kell alkalmazni:
- az árutovábbítási nyilatkozat összes példányát a következő, legalább 100 × 10 mm méretű, nyomtatott piros nagybetűkkel átlósan írt szöveggel kell ellátni:
-
- ÖSSZKEZESSÉG HASZNÁLATÁNAK TILALMA - 99208.
- A 18. ponttól eltérve, a rendeltetési vámhivatal legkésőbb a szállítmánynak és a nyilatkozat szükséges példányainak az e vámhivatalnak történő bemutatása napját követő munkanapon köteles visszaküldeni az árutovábbítási nyilatkozatok e záradékkal ellátott 5. példányát. Ha az ilyen szállítmányt a 406. cikk értelmében vett engedélyezett címzettnek mutatják be, a címzett legkésőbb a szállítmány átvételének napját követő munkanapon továbbítja az 5. példányt a helyi rendeltetési vámhivatalnak.
31.2. Az összkezesség tilalmának pénzügyi következményeit enyhítő intézkedések
Ha a 44c. mellékletben szereplő jegyzékben felsorolt áruk esetében az összkezesség használatát ideiglenesen megtiltották, az összkezesség engedélyesei, kérelem alapján, egyedi kezességet használhatnak. Ebben az esetben a következő különleges rendelkezéseket kell alkalmazni:
- ez az egyedi kezesség az üzemszüneti eljárás keretében csak a kezességvállalási okmányban meghatározott indító vámhivatal tekintetében használható.
II. RÉSZ
MINTABÉLYEGZŐ
NCTS ÜZEMSZÜNETI ELJÁRÁS
A RENDSZERBEN NEM ÁLL RENDELKEZÉSRE ADAT
KEZDŐIDŐPONT _________________________________
(Nap/óra)
(méretek: 26 x 59 mm; vörös tintával)
38. MELLÉKLET
A NYOMTATVÁNYOKON ALKALMAZANDÓ KÓDOK ( 160 ) ( 161 )
I. CÍM ÁLTALÁNOS MEGJEGYZÉSEK
Ez a melléklet csak a papíralapú nyomtatványok használata során alkalmazandó alapkövetelményeket határozza meg. Ha az árutovábbítási alakiságok EDI-üzenetcserével valósulnak meg, a 37a. vagy a 37c. melléklet eltérő rendelkezéseinek hiányában az e mellékletben foglalt rendelkezéseket kell alkalmazni.
Egyes esetekben az adatok típusa és hossza meg van határozva. A különböző adattípusok kódjai a következők:
a alfabetikus
n numerikus
an alfanumerikus
A kódot követő szám a engedélyezett adathosszúságot jelzi. A hosszúság jelzése előtti két pont azt jelenti, hogy az adatoknak nincs rögzített hosszúsága, de legfeljebb csak a megjelölt számú karakterből állhatnak.
II. CÍM KÓDOK
1. rovat: Nyilatkozat
Első alrovat:
Az alkalmazandó kódok (a2) a következők:
EX
:
A Közösség vámterületén kívüli országokkal és területekkel - kivéve az EFTA-országokat - folytatott áruforgalom esetén
A 37. melléklet I. címének B. pontjában szereplő táblázat A és E oszlopában jelzett valamely vámeljárás alá vonás esetén
A 37. melléklet I. címének B. pontjában szereplő táblázat C és D oszlopában jelzett valamely vámjogi sorsra rendelés esetén
Nem közösségi áruk közösségi tagállamok közti áruforgalomba való feladása esetén
IM
:
A Közösség vámterületen kívüli országokkal és területekkel - kivéve az EFTA-országokat - folytatott áruforgalom esetén
A 37. melléklet I. címének B. pontjában szereplő táblázat H-K oszlopában jelzett valamely vámeljárás alá vonás esetén
Nem közösségi áruk tagállamok közti áruforgalom keretében való vámeljárás alá vonása esetén
EU
:
EFTA-országokkal folytatott áruforgalom esetén
A 37. melléklet I. címének B. pontjában szereplő táblázat A, E és H-K oszlopában jelzett valamely vámeljárás alá vonás esetén
A 37. melléklet I. címének B. pontjában szereplő táblázat C és D oszlopában jelzett valamely vámjogi sorsra rendelés esetén
CO
:
Az új tagállamok csatlakozását követő átmeneti időszakban különleges intézkedések alá tartozó közösségi árukra
Áruk kivitel előtti vámraktározási eljárás alá vonása különleges export-visszatérítés kifizetése céljából vagy vámfelügyelet és vámellenőrzés alatt történő előállítása a kivitel és az export-visszatérítés kifizetése előtt.
Közösségi árukra a Közösség vámterületének olyan részei közötti kereskedelemben, amelyek közül az egyikre a 77/388/EGK tanácsi irányelv rendelkezései alkalmazandók, míg a másikra ezek a rendelkezések nem alkalmazandók, illetve a vámterület olyan részei közötti kereskedelem vonatkozásában, amelyekre a fenti rendelkezések nem vonatkoznak.
Második alrovat:
Az alkalmazandó kódok (a1) a következők:
A normál vámáru-nyilatkozat (normál eljárás a Vámkódex 62. cikke szerint)
B hiányos vámáru-nyilatkozat (egyszerűsített eljárás a Vámkódex 76. cikke (1) bekezdésének a) pontja szerint)
C egyszerűsített vámáru-nyilatkozat (egyszerűsített eljárás a Vámkódex 76. cikke (1) bekezdésének b) pontja szerint)
D normál vámáru-nyilatkozat (az A. kódnál említettek szerint) benyújtására azt megelőzően, hogy a nyilatkozattevő az árut be tudná mutatni
E hiányos vámáru-nyilatkozat (a B. kódnál említettek szerint) benyújtására azt megelőzően, hogy a nyilatkozattevő az árut be tudná mutatni
F egyszerűsített vámáru-nyilatkozat (a C. kódnál említettek szerint) benyújtására azt megelőzően, hogy a nyilatkozattevő az árut be tudná mutatni
X a B és az E szerinti egyszerűsített eljárás keretében benyújtott kiegészítő vámáru-nyilatkozat
Y a C és az F szerinti egyszerűsített eljárás keretében benyújtott kiegészítő vámáru-nyilatkozat.
Z a Vámkódex 76. cikke (1) bekezdésének c) pontja szerinti egyszerűsített eljárás (nyilvántartásba történő bejegyzés) keretében benyújtott kiegészítő vámáru-nyilatkozat
A D., E. és F. kódok csak a 201. cikk (2) bekezdésében meghatározott eljárás keretében alkalmazhatók, amennyiben a vámhatóság engedélyezi a vámáru-nyilatkozat benyújtását azelőtt, hogy a nyilatkozattevő be tudná mutatni az árukat.
Harmadik alrovat:
Az alkalmazandó kódok (an..5) a következők:
T1 : közösségi külső árutovábbítási eljárás keretében szállítani szükséges áruk
T2 : A Vámkódex 163. vagy 165. cikkével összhangban a közösségi belső árutovábbítási eljárás keretében szállítani szükséges áruk, kivéve, ha a 340c. cikk (2) bekezdése alkalmazandó
T2F : A 340c. cikk (1) bekezdésével összhangban a közösségi belső árutovábbítási eljárás keretében szállítani szükséges áruk
T2SM : Közösségi belső árutovábbítási eljárás alá vont áruk az 1992. december 22-i EGK-San Marino Együttműködési Bizottság 4/92 határozata 2. cikkének alkalmazása esetén
T : A 351. cikk szerinti vegyes szállítmányok; ebben az esetben a "T"-t követő helyet át kell húzni
T2L : az áruk közösségi helyzetét igazoló okmány
T2LF : olyan közösségi vámterületről vagy vámterületre szállított áruk közösségi helyzetét igazoló okmány, ahol a 77/388/EGK irányelv rendelkezései nem alkalmazandók
T2LSM : a San Marinói rendeltetésű áruk vámjogi helyzetét igazoló okmány az 1992. december 22-i EGK-San Marino Együttműködési Bizottság 4/92 határozata 2. cikkének alkalmazása esetén.
2. rovat: Feladó/exportőr
Amennyiben azonosító számot kell megadni, az EORI-számot kell használni. Az EORI-szám felépítése a következő:
| Mező | Tartalom | A mező típusa | Formátum | Példák |
| 1. | A számot kiadó tagállam azonosítója (ISO alfa 2-országkód) | 2 alfabetikus karakter | a2 | PL |
| 2. | Egyedi azonosító az adott tagállamon belül | 15 alfanumerikus karakter | an..15 | 1234567890ABCDE |
Példa: a "PL1234567890ABCDE" azt a lengyel exportőrt jelöli (országkód: PL), amelynek egyedi nemzeti EORI-száma: "1234567890ABCDE".
Országkód: Az országok és területek közösségi betűkódjai az ISO szerinti hatályos alpha-2-es kódokon (a2) alapulnak, amennyiben azok összeegyeztethetők a Közösség harmadik országokkal folytatott külkereskedelmére vonatkozó statisztikáról, valamint az 1172/95/EK tanácsi rendelet hatályon kívül helyezéséről szóló, 2009. május 6-i 471/2009/EK európai parlamenti és tanácsi rendelet ( 162 ) 5. cikkének (2) bekezdésével összhangban meghatározott kódokkal.
8. rovat: Címzett
Amennyiben azonosító számot kell megadni, a 2. rovathoz tartozó leírásban meghatározott felépítésű EORI-számot kell használni.
Amennyiben azonosító számot kell megadni, és a nyilatkozat tartalmazza a kilépési gyűjtő vámáru-nyilatkozat 30A. mellékletben előírt adatait, használható a harmadik ország olyan egyedi azonosító száma, amelyet az érintett harmadik ország az Unió rendelkezésére bocsátott.
14. rovat: Nyilatkozattevő/képviselő
a) A nyilatkozattevő vagy a képviselő jogállásának megjelölésére a teljes név, ill. cégnév és a pontos cím elé a következő kódok (n1) egyikét kell beírni:
1. Nyilatkozattevő
2. Képviselő (közvetlen képviselet a Vámkódex 5. cikke (2) bekezdésének első francia bekezdése szerint)
3. Képviselő (közvetett képviselet a Vámkódex 5. cikke (2) bekezdésének második francia bekezdése szerint)
Amennyiben ezt a kódot papírra nyomtatják, akkor szögletes zárójelbe kell tenni (pl.: [1], [2] vagy [3]).
b) Amennyiben azonosító számot kell megadni, a 2. rovathoz tartozó leírásban meghatározott felépítésű EORI-számot kell használni.
15a. rovat: Feladó/kiviteli ország kódja
A 2. rovatban feltüntetett országkódokat kell alkalmazni.
17a. rovat: Rendeltetési ország kódja
A 2. rovatban feltüntetett országkódokat kell alkalmazni.
17b. rovat: Rendeltetési régió kódja
A tagállamok által meghatározásra kerülő kódokat kell alkalmazni.
18. rovat: Szállítóeszköz honossága induláskor
A 2. rovatban feltüntetett országkódokat kell alkalmazni.
19. rovat: Konténer (Ktr.)
A következő kódokat (n1) kell alkalmazni:
0 Nem szállítótartályban/konténerben szállított áruk
1 Szállítótartályban/konténerben szállított áruk
20. rovat: Szállítási feltételek
E rovat első két alrovatába az alábbi táblázatban foglalt kódokat és bejegyzéseket kell megfelelően beírni:
| Első alrovat | Jelentés | Második alrovat |
| Incoterms-kód | Incoterms – ICC/EGB | Meghatározandó hely |
| Általában a közúti és a vasúti fuvarozásban alkalmazható kód | ||
| DAF (Incoterms 2000) | Határra szállítva | Megnevezett hely |
| Valamennyi fuvarozási mód esetében alkalmazható kódok | ||
| EXW (Incoterms 2010) | Üzemből | Megnevezett hely |
| FCA (Incoterms 2010) | Költségmentesen a fuvarozónak | Megnevezett hely |
| CPT (Incoterms 2010) | Fuvarozás fizetve …-ig | Megnevezett rendeltetési hely |
| CIP (Incoterms 2010) | Fuvarozás és biztosítás fizetve …-ig | Megnevezett rendeltetési hely |
| DAT (Incoterms 2010) | Terminálra leszállítva | Megnevezett terminál a rendeltetési kikötőben vagy a rendeltetési helyen |
| DAP (Incoterms 2010) | Megjelölt helyre leszállítva | Megnevezett rendeltetési hely |
| DDP (Incoterms 2010) | Vámfizetéssel leszállítva | Megnevezett rendeltetési hely |
| DDU (Incoterms 2000) | Vámfizetés nélkül leszállítva | Megnevezett rendeltetési hely |
| Általában a tengeri és a belvízi fuvarozásban alkalmazható kódok | ||
| FAS (Incoterms 2010) | Költségmentesen a hajó oldalához | Megnevezett berakodási kikötő |
| FOB (Incoterms 2010) | Költségmentesen a hajófedélzetre | Megnevezett berakodási kikötő |
| CFR (Incoterms 2010) | Költség és fuvardíj | Megnevezett rendeltetési kikötő |
| CIF (Incoterms 2010) | Költség, biztosítás és fuvardíj | Megnevezett rendeltetési kikötő |
| DES (Incoterms 2000) | Leszállítva, hajón | Megnevezett rendeltetési kikötő |
| DEQ (Incoterms 2000) | Leszállítva, rakparton | Megnevezett rendeltetési kikötő |
| XXX | A fent felsoroltaktól eltérő szállítási feltételek | A szerződésben megadott szállítási feltételek szöveges leírása |
A tagállamok előírhatják a következő kódok (n1) alkalmazását a harmadik alrovatban:
1 : A megadott hely az érintett tagállamban van
2 : A megadott hely egy másik tagállamban van
3 : Egyéb (a megadott hely a Közösség területén kívül van).
21. rovat: A határon átlépő tényleges szállítóeszköz honossága
A 2. rovatban feltüntetett országkódokat kell alkalmazni.
22. rovat: A számlán feltüntetett pénznem
A számlán feltüntetett pénznemet az ISO-alpha-3 valutakóddal kell feltüntetni (ISO-4217 kódok a valuták és egyéb kiegészítő fizetőeszközök jelölésére).
24. rovat: Az ügylet típusa
Azoknak a tagállamoknak, amelyek megkövetelik ezt az adatot, a 113/2010/EU bizottsági rendelet ( 163 ) 10. cikkének (2) bekezdésében hivatkozott táblázat A. oszlopában található egy számjegyű kódokat kell alkalmazniuk oly módon, hogy ezt a kódot a rovat bal oldalába írják be. Ezek a tagállamok emellett második számjegyként alkalmazhatják az említett táblázat B. oszlopában található kódokat is oly módon, hogy ezt a kódot a rovat jobb oldalába írják be.
| A. oszlop | B. oszlop |
| 1. A tulajdonjog (pénz vagy egyéb) ellenszolgáltatás fejében történő tényleges vagy szándékolt átruházásával járó ügyletek (kivéve a 2., 7. és 8. kódnál felsorolt ügyleteket (1) (2) (3) | 1. Végleges vásárlás/eladás (2) 2. Bemutatásra, kipróbálásra szánt áruk, a visszaküldés lehetőségével feladott áruk és bizományosi ügyletek 3. Árucsere (Természetbeni ellenszolgáltatással járó ügyletek) 4. Külföldi utasok személyes használatára történő eladás 5. Pénzügyi lízing (3) |
| 2. Olyan áruk visszaküldése, amelyeket már az 1. kód alatt regisztráltak (4); áruk ingyenes pótlása4 | 1. Áruk visszaküldése 2. Visszaküldött áruk cseréje 3. Vissza nem küldött áruk cseréje (pl.: jótállás vagy szavatosság címén) |
| 3. A tulajdonjog (pénz vagy egyéb) ellenszolgáltatás nélküli átruházásával járó (nem ideiglenes jellegű) ügylet | 1. Részben vagy egészben az Európai Közösség által finanszírozott segélyprogramok keretében szállított áruk 2. Egyéb kormányzati segélyszállítmányok 3. Egyéb segélyszállítmányok (magánszervezetek vagy nem kormányzati szervezetek) 4. Egyéb |
| 4. Bérmunkára (5) vagy szerződés szerinti javításra (6) irányuló ügyletek (a 7. kódnál megjelölt ügyletek kivételével) | 1. Bérmunka 2. Javítás és karbantartás ellenszolgáltatás fejében 3. Javítás és karbantartás ellenszolgáltatás nélkül |
| 5. Bérmunkát (5) vagy szerződés szerinti javítást (6) követő ügyletek (a 7 kódnál megjelölt ügyletek kivételével) | 1. Bérmunka 2. Javítás és karbantartás ellenszolgáltatás fejében 3. Javítás és karbantartás ellenszolgáltatás nélkül |
| 6. Tulajdon-átruházással nem járó ügyletek, pl. bérlet, kölcsön, operatív lízing (7) egyéb ideiglenes használatba adás (8), kivéve a szerződés szerinti bérmunkát és a javítást (kiszállítás és visszaszállítás) | 1. Bérlet, kölcsön, operatív lízing 2. Egyéb ideiglenes használatba adás |
| 7. Közös védelmi programokkal vagy egyéb kormányközi gyártási programokkal összefüggő ügyletek (pl.: Airbus) | |
| 8. Építőanyagok és felszerelések, berendezések szállítása vállalkozói keretszerződés alapján végzett építési vagy magas- és mélyépítési tevékenységgel összefüggésben (9) | |
| 9. Egyéb ügyletek | |
| (1) Ez a tétel vonatkozik a legtöbb behozatalra és kivitelre, azaz a következő ügyletekre, amelyeknél: — a tulajdonjog belföldiről külföldire vagy külföldiről belföldire száll át, és — fizetésre vagy egyéb csereügyletre (természetbeni ellenszolgáltatás) kerül sor vagy fog sor kerülni. (2) Beleértve alkatrészek vagy más helyettesítő áruk ellenszolgáltatás fejében történő szállítását is. (3) Beleértve a pénzügyi lízinget: a lízingrészleteket úgy kell kiszámítani, hogy fedezzék az áruk teljes vagy szinte teljes értékét. A tulajdonjog kockázatai és hasznai a lízingbevevőre szállnak át. A szerződés végén a lízingbevevő jogi értelemben az áruk tulajdonosává válik. (4) Az eredetileg az A. oszlop 3–9. kód alatt regisztrált áruk visszaküldését vagy pótlását a megfelelő kód alá kel besorolni. (5) A bérmunka-műveleteket (függetlenül attól, hogy azokat vámfelügyelet mellett vagy anélkül végzik) az A. oszlop 4., ill. 5. kódja alá kell besorolni. A feldolgozó saját számlájára történő feldolgozás nem ezek, hanem az A. oszlop 1. kódja alá tartozik. (6) A javítás az áru eredeti funkciójának helyreállítását jelenti. Ez bizonyos mértékű átalakítással vagy feljavítással is járhat. (7) Operatív lízing: minden olyan lízingszerződés, amely nem pénzügyi lízing (lásd a 3. megjegyzést). (8) Ez a tétel olyan árukra vonatkozik, amelyeket későbbi újrabehozatal/újrakivitel szándékával kivittek vagy behoztak, a tulajdonjog változása nélkül. (9) Az A. oszlop 8 kódja alá azok az ügyletek tartoznak, amelyeket külön nem számláznak ki, de amelyekre a munkálatok teljes értékét magába foglaló egységes számlát állítanak ki. Amennyiben nem ez az eset áll fenn, akkor ezek az ügyleteket az 1. kód alatt kel regisztrálni. | |
25. rovat: Fuvarozási mód a határon
A következő kódokat (n1) kell alkalmazni:
| Kód | Megnevezés |
| 1 | Tengeri szállítás |
| 2 | Vasúti szállítás |
| 3 | Közúti szállítás |
| 4 | Légi szállítás |
| 5 | Postai küldemények |
| 7 | Helyhez kötött szállító berendezés |
| 8 | Belvízi szállítás |
| 9 | Saját hajtás |
26. rovat: Fuvarozási mód belföldön
A 25. rovatra meghatározott kódokat kell alkalmazni.
29. rovat: Kiléptető/Beléptető vámhivatal
Az alkalmazandó kódokat (an8) a következőképpen kell képezni:
- az első két karakter (a2) az ország megjelölésére szolgál, és megfelel a 2. rovatban feltüntetett országkódnak,
- a következő 6 karakter (an6) az ország érintett vámhivatalát jelöli. A következő felépítés ajánlott:
-
Az első 3 karakter (a3) az UN/LOCODE, amelyet egy háromjegyű nemzeti alfanumerikus albontás (an3) követ. Amennyiben ezt az albontást nem alkalmazzák, akkor a második három karakterként "000"-t kell megadni.
Példa:
BEBRU000: BE = ISO 3166 kód Belgium jelölésére, BRU = UN/LOCODE Brüsszel városát jelenti, 000 jelzi a nem használt albontást.
31. rovat: Csomagok és árumegnevezés; jelek és számok - szállítótartály/konténer száma - mennyiség és fajta
Csomagok fajtája
A következő kódokat kell alkalmazni.
(Az ENSZ-EGB 21. számú ajánlása, 8.1. számú felülvizsgálat, 2010. július 12.)
CSOMAGOLÁSKÓDOK
| Adagoló | DN |
| Aeroszol | AE |
| Alátétgerenda | SI |
| Állvány | RK |
| Állvány, ruhaszárító | RJ |
| Ampulla, nem védett | AM |
| Ampulla, védett | AP |
| Bádoglemez | SM |
| Bála, nem préselt | BN |
| Bála, préselt | BL |
| Ballon, nem védett | BF |
| Ballon, védett | BP |
| Befőzőüveg | JR |
| Bevásárlótáska; füles nyitott táska | TT |
| Blokk, méretre vágott darab | OK |
| Boríték | EN |
| Boríték, acél | SV |
| Boroshordó, gallonos | TI |
| Buga | IN |
| Buga, kötegben/csomóban/nyalábban | IZ |
| Cséve | SO |
| Cséve, orsó, bobina | BB |
| Csomag | PK |
| Csomag, kartonpapír, palackrögzítő nyílásokkal | IK |
| Csomagolás, bemutató | IE |
| Csomagolás, display, fa | IA |
| Csomagolás, display, fém | ID |
| Csomagolás, display, karton | IB |
| Csomagolás, display, műanyag | IC |
| Csomagolás, papírba csomagolt | IG |
| Csomó, csokor | BH |
| Cső | TU |
| Cső, ürítőnyílással | TV |
| Csőkígyó | CL |
| Csövek, kötegben/csomóban/nyalábban | TZ |
| Csővezeték | PI |
| Csővezetékhez való csövek, kötegben/csomóban/nyalábban | PV |
| Csúszódeszka | SL |
| Darab | PP |
| Darab: rúd, tömb, tárgy | T1 |
| Darabáru | LT |
| Demizson, nem védett | DJ |
| Demizson, védett | DP |
| Deszka | BD |
| Deszka, kötegben/csomóban/nyalábban | BY |
| Dézsa, kád | VA |
| Dézsa, kád, teknő | TB |
| Dob (vashordó) | DR |
| Dob, acél | 1A |
| Dob, acél, kivehető fejjel | QB |
| Dob, acél, nem kivehető fejjel | QA |
| Dob, alumínium | 1B |
| Dob, alumínium, kivehető fejjel | QD |
| Dob, alumínium, nem kivehető fejjel | QC |
| Dob, fa | 1W |
| Dob, műanyag | IH |
| Dob, műanyag, kivehető fejjel | QG |
| Dob, műanyag, nem kivehető fejjel | QF |
| Dob, rétegelt lemez | 1D |
| Dob, rost | 1G |
| Dob, vas | DI |
| Doboz, folyadékok számára | BW |
| Edény, gömb alakú | AL |
| Egység | UN |
| Egységcsomag | VK |
| Élelmiszertároló (foodtainer) | FT |
| Emelőtargonca | LV |
| Erjesztőkád, hordó | TO |
| Fahordó | CK |
| Faláda, dézsa | BI |
| Fazék | PT |
| Fedeles kosár | HR |
| Fedőponyva | CV |
| Felakasztható tartó, vállfa | HN |
| Fémdoboz, füllel és kiöntővel | CD |
| Fémdoboz, hengeres | CX |
| Fémdoboz, szögletes | CA |
| Filmcsomag | FP |
| Fiola | VI |
| Flexibag | FB |
| Flexitank | FE |
| Folyékony tömegáru | VL |
| Fonatos palack | WB |
| Füleskorsó | PH |
| Fűzfakosár | CE |
| Gázpalack | GB |
| Gerendaszelvény | GI |
| Gerendaszelvény, kötegben/csomóban/nyalábban | GZ |
| Gombolyag, tekercs | RL |
| Gumiabroncs | TE |
| Gyékény-, szalma-, nádfonat | MT |
| Gyufásdoboz | MX |
| Gyűjtőedény, fa | AD |
| Gyűjtőedény, fém | MR |
| Gyűjtőedény, műanyag | PR |
| Gyűjtőedény, műanyag borítású | MW |
| Gyűjtőedény, papír | AC |
| Gyűjtőedény, rost | AB |
| Gyűjtőedény, üveg | GR |
| Gyümölcskosár | PJ |
| Gyümölcsös láda | LU |
| Háló | NT |
| Háló, cső, műanyag | NU |
| Háló, cső, textil | NV |
| Hanglemezborító, könyvborító | SY |
| Henger | CY |
| Heveder | B4 |
| Hordó, fa | 2C |
| Hordó, fa, dugasszal | QH |
| Hordó, fa, kivehető fejjel | QJ |
| Hordó, olajos | BA |
| Illatszeres zacskó | SH |
| Jármű | VN |
| Jutazsák | JT |
| Kád fedéllel | TL |
| Kalitka, ketrec, kas | CG |
| Kalitka, ketrec, kas: Commonwealth Handling Equipment Pool (CHEP), Eurobox | DG |
| Kalitka, ketrec, kas: hengeres | CW |
| Kalitka, ketrec, kas nélkül | UC |
| Kanna, fém | CI |
| Kapszula | AV |
| Karika, abroncs | RG |
| Karton | CT |
| Kártya | CM |
| Katonaláda | FO |
| „Keg” hordó | KG |
| Keret | FR |
| Készlet | SX |
| Kézibőrönd | SU |
| Kicsomagolt vagy csomagolatlan | NE |
| Kicsomagolt vagy csomagolatlan, egy egység | NF |
| Kicsomagolt vagy csomagolatlan, több egység | NG |
| Kishordó | FI |
| Kisméretű csomag | PA |
| Koffer, bőrönd | TR |
| Konzervdoboz | TN |
| Koporsó | CJ |
| Korsó | JG |
| Kosár | BK |
| Kosár, füllel, fából | HB |
| Kosár, füllel, kartonpapírból | HC |
| Kosár, füllel, műanyagból | HA |
| Kölcsönösen meghatározott | ZZ |
| Köteg | BE |
| Köteg, nyaláb: faáru | 8C |
| Köztes ömlesztettáru-tartály | WA |
| Köztes ömlesztettáru-tartály, acél | WC |
| Köztes ömlesztettáru-tartály, acél, folyadékok számára | WK |
| Köztes ömlesztettáru-tartály, acél, túlnyomásos, > 10 kPa nyomás alatt | WG |
| Köztes ömlesztettáru-tartály, alumínium | WD |
| Köztes ömlesztettáru-tartály, alumínium, folyadék számára | WL |
| Köztes ömlesztettáru-tartály, alumínium, túlnyomásos, > 10 kPa nyomás alatt | WH |
| Köztes ömlesztettáru-tartály, az acéltól eltérő fémből | ZV |
| Köztes ömlesztettáru-tartály, fém | WF |
| Köztes ömlesztettáru-tartály, fém, 10 kPa nyomás alatt | WJ |
| Köztes ömlesztettáru-tartály, fém, folyadék számára | WM |
| Köztes ömlesztettáru-tartály, furnérlemez | ZX |
| Köztes ömlesztettáru-tartály, furnérlemez, béléssel | WY |
| Köztes ömlesztettáru-tartály, merev műanyag | AA |
| Köztes ömlesztettáru-tartály, merev műanyag, szabadon álló, folyadékok számára | ZK |
| Köztes ömlesztettáru-tartály, merev műanyag, szabadon álló, szilárd anyagok számára | ZF |
| Köztes ömlesztettáru-tartály, merev műanyag, szabadon álló, túlnyomásos | ZH |
| Köztes ömlesztettáru-tartály, merev műanyag, szerkezeti berendezéssel, folyadékok számára | ZJ |
| Köztes ömlesztettáru-tartály, merev műanyag, szerkezeti berendezéssel, túlnyomásos | ZG |
| Köztes ömlesztettáru-tartály, merev műanyag, szerkezeti berendezéssel, szilárd anyagok számára | ZD |
| Köztes ömlesztettáru-tartály, műanyag fóliával | WS |
| Köztes ömlesztettáru-tartály, összetett | ZS |
| Köztes ömlesztettáru-tartály, összetett, merev műanyag, folyadékok számára | ZQ |
| Köztes ömlesztettáru-tartály, összetett, merev műanyag, szilárd anyagok számára | PLN |
| Köztes ömlesztettáru-tartály, összetett, merev műanyag, túlnyomásos | ZN |
| Köztes ömlesztettáru-tartály, összetett, rugalmas műanyag, folyadék számára | ZR |
| Köztes ömlesztettáru-tartály, összetett, rugalmas műanyag, szilárd anyagok számára | ZM |
| Köztes ömlesztettáru-tartály, összetett, rugalmas műanyag, túlnyomásos | ZP |
| Köztes ömlesztettáru-tartály, papír, többrétegű | ZA |
| Köztes ömlesztettáru-tartály, papír, többrétegű, vízálló | ZC |
| Köztes ömlesztettáru-tartály, regenerált fa | ZY |
| Köztes ömlesztettáru-tartály, regenerált fa, béléssel | WZ |
| Köztes ömlesztettáru-tartály, rostlemez | ZT |
| Köztes ömlesztettáru-tartály, rugalmas | ZU |
| Köztes ömlesztettáru-tartály, szőtt műanyag, béléssel | WQ |
| Köztes ömlesztettáru-tartály, szőtt műanyag, borítás és bélés nélkül | WN |
| Köztes ömlesztettáru-tartály, szőtt műanyag, borítással | WP |
| Köztes ömlesztettáru-tartály, szőtt műanyag, borítással és béléssel | WR |
| Köztes ömlesztettáru-tartály, természetes fa | ZW |
| Köztes ömlesztettáru-tartály, természetes fa, béléssel | WU |
| Köztes ömlesztettáru-tartály, textil, béléssel | WW |
| Köztes ömlesztettáru-tartály, textil, borítás és bélés nélkül | WT |
| Köztes ömlesztettáru-tartály, textil, borítással | WV |
| Köztes ömlesztettáru-tartály, textil, borítással és béléssel | WX |
| Láda | CS |
| Láda, acél | SS |
| Láda, doboz | BX |
| Láda, doboz: acél | 4A |
| Láda, doboz: alumínium | 4B |
| Láda, doboz: műanyag | 4H |
| Láda, doboz: műanyag, szélesített | QR |
| Láda, doboz: regenerált fa | 4F |
| Láda, doboz: rétegelt lemez | 4D |
| Láda, doboz: rostlemez | 4G |
| Láda, doboz: szilárd | QS |
| Láda, doboz: természetes fa | 4C |
| Láda, doboz: természetes fa, közönséges | QP |
| Láda, doboz: természetes fa, szóródásbiztos fallal | |
| Láda, fa | 7B |
| Láda, izotermikus | EI |
| Láda, raklapalapú | ED |
| Láda, raklapalapú, fa | EE |
| Láda, raklapalapú, fém | EH |
| Láda, raklapalapú, karton | EF |
| Láda, raklapalapú, műanyag | EG |
| Láda: Commonwealth Handling Equipment Pool (CHEP), Eurobox | DH |
| Ládaváz | SK |
| Lemez, ív | ST |
| Lemez, műanyag borítással | SP |
| Lemezek, kötegben/csomóban/nyalábban | SZ |
| Lombik; lapos palack | FL |
| Marmonkanna, acél | 3A |
| Marmonkanna, acél, kivehető fejjel | QL |
| Marmonkanna, acél, nem kivehető fejjel | QK |
| Marmonkanna, hengeres | JY |
| Marmonkanna, műanyag | 3H |
| Marmonkanna, műanyag, kivehető fejjel | QN |
| Marmonkanna, műanyag, nem kivehető fejjel | QM |
| Marmonkanna, szögletes | JC |
| Nagyhordó (kb. 240 l) | HG |
| Nem áll rendelkezésre | NA |
| Nyaláb | TS |
| Nyitott tetejű, állatszállításra használt doboz | PF |
| Orsó | SD |
| Önkiürítő függőveder | AI |
| Összetett csomagolás, műanyag edény | 6H |
| Összetett csomagolás, műanyag edény acéldobban | YA |
| Összetett csomagolás, műanyag edény acélrekeszben | YB |
| Összetett csomagolás, műanyag edény alumíniumrekeszben | YD |
| Összetett csomagolás, műanyag edény alumíniumdobban | YC |
| Összetett csomagolás, műanyag edény fadobozban | YF |
| Összetett csomagolás, műanyag edény furnérlemez dobban | YG |
| Összetett csomagolás, műanyag edény furnérlemez dobozban | YH |
| Összetett csomagolás, műanyag edény műanyag dobban | YL |
| Összetett csomagolás, műanyag edény rostdobban | YJ |
| Összetett csomagolás, műanyag edény rostlemez dobozban | YK |
| Összetett csomagolás, műanyag edény szilárd műanyag csomagolásban | YM |
| Összetett csomagolás, üvegedény | 6P |
| Összetett csomagolás, üvegedény acéldobban | YN |
| Összetett csomagolás, üvegedény acélrekeszben | YP |
| Összetett csomagolás, üvegedény alumíniumdobban | YQ |
| Összetett csomagolás, üvegedény alumíniumrekeszben | YR |
| Összetett csomagolás, üvegedény fadobozban | YS |
| Összetett csomagolás, üvegedény fonott kosárban | YV |
| Összetett csomagolás, üvegedény furnérlemez dobban | YT |
| Összetett csomagolás, üvegedény habosított műanyag csomagolásban | YY |
| Összetett csomagolás, üvegedény rostdobban | YW |
| Összetett csomagolás, üvegedény rostlemez dobozban | YX |
| Összetett csomagolás, üvegedény szilárd műanyag csomagolásban | YZ |
| Palack, nem védett, hasas | BS |
| Palack, nem védett, hengeres | BO |
| Palack, védett, hasas | BV |
| Palack, védett, hengeres | BQ |
| Palackkosár, nem védett | CO |
| Palackkosár, védett | CP |
| Palacktartó láda, palackállvány | BC |
| Pallódeszka | PN |
| Pallók, kötegben/csomóban/nyalábban | PZ |
| Papírláda (oktabin) | OT |
| Papírzsák, többrétegű | MS |
| Patron, kazetta | CQ |
| Pénzesláda | CF |
| Platform, ismeretlen tömegű vagy méretű | OF |
| Poggyász | LE |
| Pohár | CU |
| Postai csomag | PC |
| Postai egységláda, merev, fedeles, rakatolható (CEN TS 14482:2002) | IL |
| Pumpás palack | AT |
| Raklap | PX |
| Raklap, 100 cm × 110 cm | AH |
| Raklap, AS 4068-1993 | OD |
| Raklap, CHEP 100 cm × 120 cm | OC |
| Raklap, CHEP 40 cm × 60 cm | OA |
| Raklap, CHEP 80 cm × 120 cm | OB |
| Raklap, doboz: kombinált nyitott végű doboz és raklap | PB |
| Raklap, fa | 8A |
| Raklap, ISO T11 | OE |
| Raklap, könnyűszerkezetes, hullámlemezből | TW |
| Raklap, moduláris, 80 cm × 100 cm peremmel | PD |
| Raklap, moduláris, 80 cm × 120 cm peremmel | PE |
| Raklap, moduláris, 80 cm × 60 cm peremmel | AF |
| Raklap, zsugorfóliás | AG |
| Raschel-háló | RT |
| Rekesz | CR |
| Rekesz, fa | 8B |
| Rekesz, fém | MA |
| Rekesz, gyümölcsös | FC |
| Rekesz, keretes | FD |
| Rekesz, lapos | SC |
| Rekesz, tejes | MC |
| Rekesz, többrétegű, fa | DB |
| Rekesz, többrétegű, kartonpapír | DC |
| Rekesz, többrétegű, műanyag | DA |
| Rekesz, tömegáru, fa | DM |
| Rekesz, tömegáru, kartonpapír | DK |
| Rekesz, tömegáru, műanyag | DL |
| Rekesz/láda, sörös | CB |
| Rönk | LG |
| Rönk, kötegben/csomóban/nyalábban | LZ |
| Rúd | BR |
| Rúd, huzal | RD |
| Rudak, huzalok: kötegben/csomóban/nyalábban | RZ |
| Rudak, kötegben/csomóban/nyalábban | BZ |
| Sajtár; puttony | PL |
| Serpenyő | P2 |
| Skatulya (fészekalja) | NS |
| Sörös/boros hordó | BU |
| Szállítótartály, 1 gallon űrtartalmú | GL |
| Szállítótartály, fém | ME |
| Szállítótartály, kizárólag szállítóeszközként meghatározva | CN |
| Szállítótartály, külső | OU |
| Szállítótartály, rugalmas építésű | 1F |
| Szerszámkészlet | KI |
| Szilárd tömegáru, apró szemcsés (por) | VY |
| Szilárd tömegáru, darabos | VO |
| Szilárd tömegáru: fémtörmelék | VS |
| Szilárd tömegáru: granulátum | VR |
| Tábla | SB |
| Tábla (üveg, fém) | PG |
| Táblák, kötegben/csomóban/nyalábban | PY |
| Tálca, egyrétegű, borítás nélkül, fa | DT |
| Tálca, egyrétegű, borítás nélkül, kartonpapír | DV |
| Tálca, egyrétegű, borítás nélkül, műanyag | DS |
| Tálca, egyrétegű, borítás nélkül, polisztirol | DU |
| Tálca, kétrétegű, borítás nélkül, fa | DX |
| Tálca, kétrétegű, borítás nélkül, kartonpapír | DY |
| Tálca, kétrétegű, borítás nélkül, műanyag | DW |
| Tálca, tálcás göngyöleg | PU |
| Tálca, tálcás göngyöleg: vízszintesen rakott lapos darabokkal | GU |
| Taliga, lapos fenekű | FW |
| Tartály | BM |
| Tartány, általában | TG |
| Tartány, hengeres | TY |
| Tartány, szögletes | TK |
| Tasak, polietilén | 44 |
| Táska, láda: gépkocsiban való szállításhoz | 7A |
| Teásláda | TC |
| Tejeskanna | CC |
| Tekercs, vég | RO |
| Tengerészláda | SE |
| Tölcsér | AJ |
| Tömegáru, folyékony gáz (nem normális nyomáson/hőmérsékleten) | VQ |
| Tömegáru, gáz (1 031 mbar-on, 15 °C-on) | VG |
| Tömlő, műbél | IF |
| Tubus | TD |
| Utazóláda | CH |
| Vákuumcsomagolt | VP |
| Vászonzsák | SA |
| Veder | BJ |
| Vég (vászon) | BT |
| Vitorlavászon | CZ |
| Zacskó | BG |
| Zacskó, durva zsákvászonból | GY |
| Zacskó, műanyag | EC |
| Zacskó, műanyag fólia | XD |
| Zacskó, nagyméretű | ZB |
| Zacskó, papír | 5M |
| Zacskó, papír, többrétegű | XJ |
| Zacskó, papír, többrétegű, vízálló | XK |
| Zacskó, rugalmas tartály | FX |
| Zacskó, szőtt műanyag | 5H |
| Zacskó, szőtt műanyag, bélés nélkül | XA |
| Zacskó, szőtt műanyag, szóródásbiztos | XB |
| Zacskó, szőtt műanyag, vízálló | XC |
| Zacskó, táska, tasak | PO |
| Zacskó, textil | 5L |
| Zacskó, textil, bélés nélkül | XF |
| Zacskó, textil, szóródásbiztos | XG |
| Zacskó, textil, vízálló | XH |
| Zacskó, zsákolt tömegáru | 43 |
| Zsák, jumbó | JB |
| Zsebes zsák | MB |
| Zsugorfólia | SW |
33. rovat: Vámtarifaszám
Első alrovat (8 számjegy)
A Kombinált Nómenklatúra szerinti vámtarifaszámokat kell megadni.
Amennyiben a nyomtatványt közösségi árutovábbítási eljárásra használják, akkor ebben az alrovatban legalább a Harmonizált Áruleíró és Kódrendszer (HR) hatjegyű kódját meg kell adni. Ha azonban valamely közösségi jogszabály úgy rendelkezik, akkor a Kombinált Nómenklatúra szerinti vámtarifaszámot kell megadni.
Második alrovat (2 karakter)
A TARIC-kód szerint kell kitölteni (a két karakter a rendeltetési helyen elvégzendő alakiságokra vonatkozó különleges közösségi intézkedések alkalmazására vonatkozik).
Harmadik alrovat (4 karakter)
A TARIC-kód szerint töltendő ki (első kiegészítő kód).
Negyedik alrovat (4 karakter)
A TARIC-kód szerint töltendő ki (második kiegészítő kód).
Ötödik alrovat (4 karakter)
A kódokat az érintett tagállamok állapítják meg.
34a. rovat: Származási ország kódja
A 2. rovatnál említett országkódokat kell alkalmazni.
34b. rovat: Származási/előállítási régió kódja
A kódokat az érintett tagállamok állapítják meg.
36. rovat: Preferencia
Az ebben a rovatban feltüntetendő kódok olyan háromjegyű kódok, amelyeket az 1. pont alatt feltüntetett egyjegyű számból és a 2. pont alatt feltüntetett kétjegyű számból kell képezni.
A következő kódokat kell alkalmazni:
1. A kód első számjegye
1 "Erga omnes" tarifális intézkedés
2 Általános Preferenciális Rendszer (GSP)
3 A 2. kód szerintitől eltérő tarifális preferencia
4 Az Európai Unió által kötött vámunió-megállapodások rendelkezései szerinti vám
2. A kód következő két számjegye
00 Az alábbi esetek közül egyik sem
10 Vámfelfüggesztés
15 Vámfelfüggesztés meghatározott célra történő felhasználással
18 Vámfelfüggesztés az áru különleges jellegének igazolásával
19 Ideiglenes felfüggesztés áruk légi alkalmassági bizonyítvánnyal történő behozatala esetén
20 Vámkontingens ( 164 )
23 Vámkontingens meghatározott célra történő felhasználással (164)
25 Vámkontingens az áru különleges jellegének igazolásával (164)
28 Vámkontingens passzív feldolgozás után (164)
40 A Közös Vámtarifa szerinti meghatározott célú felhasználás
50 Igazolás az áru különleges jellegéről
37. rovat: Eljárás
A. Első alrovat
Az ebben a rovatban feltüntetendő négyszámjegyű kódokat egy kétszámjegyű, a kért eljárás jelölésére szolgáló és egy ezt követő, a megelőző eljárást jelölő kétszámjegyű kódból kell képezni. A kétszámjegyű kódok listája az alábbiakban szerepel.
A "megelőző eljárás" azt az eljárást jelenti, amely alá az árukat a kért eljárás alá vonást megelőzően vonták.
Amennyiben a megelőző eljárás raktározási eljárás vagy ideiglenes behozatal, vagy amennyiben az áruk vámszabad területről érkeztek, a vonatkozó kódokat csak akkor lehet alkalmazni, ha az árukat ezt megelőzően nem vonták gazdasági vámeljárás alá (aktív feldolgozás, passzív feldolgozás vagy vámfelügyelet melletti feldolgozás)
Például: az aktív feldolgozási eljárásban (felfüggesztő eljárás) behozott, majd azt követően vámraktározási eljárás alá vont áruk újrakivitele = 3151 (nem 3171). (Első művelet = 5100; második művelet = 7151; újrakivitel = 3151).
Ehhez hasonlóan, amennyiben a korábban ideiglenesen kivitt áruk kerülnek újrabehozatalra, a fent említett felfüggesztő eljárások valamelyike alá vonás azon eljárás alatti egyszerű behozatalnak minősül. Az "újrabehozatalt" csak akkor kell feltüntetni, ha az árukat szabad forgalomba bocsátják.
Például: a passzív feldolgozási eljárás alatt kivitt, és újrabehozatalakor vámraktározási eljárás alá vont áruk egyidejű vám- és adójogi szempontból történő szabad forgalomba bocsátása = 6121 (nem 6171). (Első művelet = ideiglenes kivitel passzív feldolgozás céljából = 2100; második művelet: tárolás vámraktárban = 7121; harmadik művelet: egyidejű vám- és adójogi szempontból történő szabad forgalomba bocsátás = 6121).
Az alábbi listában (a) betűvel jelzett kódokat nem lehet az eljáráskód első két számjegyeként használni, csak a megelőző eljárás jelölésére.
Például: 4054 = olyan áruk egyidejű vám- és adójogi szempontból történő szabad forgalomba bocsátása, amelyeket egy másik tagállamban megelőzően aktív feldolgozási eljárás (felfüggesztő eljárás) alá vontak.
Eljárások listája kódolási célokra:
(Ezen alapelemekből kettőt kell kombinálni ahhoz, hogy négyszámjegyű kód keletkezzen)
00 Ez a kód jelöli, hogy nem volt megelőző eljárás (a)
01. Az áruk szabad forgalomba bocsátása azok egyidejű újbóli feladásával a Közösség vámterületének olyan részei közötti kereskedelemben, amelyek közül az egyikre a 77/388/EGK tanácsi irányelv rendelkezései alkalmazandók, míg a másikra ezek a rendelkezések nem alkalmazandók, illetve a vámterület olyan részei közötti kereskedelem vonatkozásában, amelyekre a fenti rendelkezések nem vonatkoznak.
Az áruk szabad forgalomba bocsátása azok egyidejű újbóli feladásával a Közösség és a Közösséggel vámuniót alkotó országok közötti kereskedelem vonatkozásában.
Példa:
Harmadik országból érkező áru, amelyet Franciaországban szabad forgalomba bocsátottak és egyidejűleg a Csatorna-szigetekre küldtek tovább.
02. Szabad forgalomba bocsátás az aktív feldolgozási eljárás (vámvisszatérítési eljárás) végrehajtása érdekében.
Magyarázat:
A Vámkódex 114. cikkének (1) bekezdése b) pontja szerinti aktív feldolgozási eljárás (vámvisszatérítési eljárás).
07. Szabad forgalomba bocsátás raktározási eljárás (kivéve a vámraktározási eljárás) alá vonással egyidejűleg.
Magyarázat:
Ezt a kódot akkor kell alkalmazni, ha az áruk szabad forgalomba bocsátásra kerülnek, de a hozzáadottérték-adót (HÉA) és az esetleges jövedéki adót még nem fizették meg.
Példák:
Importált gépeket szabad forgalomba bocsátanak, de az HÉA-t nem fizetik meg. Amíg az áruk adóraktárban vagy más engedélyezett helyen vannak elhelyezve, addig a HÉA megfizetése felfüggesztettnek tekintendő.
HÉA és jövedéki adók megfizetése nélkül bocsátanak szabad forgalomba cigarettát. Amíg az áruk adóraktárban vagy más engedélyezett helyen vannak elhelyezve, addig a HÉA és jövedéki adók megfizetése felfüggesztettnek tekintendő.
10. Végleges kivitel.
Példa:
Közösségi áruk rendes kivitele harmadik országba, de ugyanígy közösségi áruk kivitele a Közösség vámterületeinek olyan részeire, amelyekre a 77/388/EGK tanácsi irányelv (HL L 145., 1977.6.13., 1. o.) rendelkezései nem alkalmazandók.
11. Aktív feldolgozási eljárás (felfüggesztő eljárás) keretében helyettesítő árukból előállított végtermékek kivitele az importáruk eljárás alá vonását megelőzően.
Magyarázat:
A Vámkódex 115. cikke (1) bekezdésének b) pontja szerinti előzetes kivitel (EX-IM).
Példa:
A harmadik országból érkező dohánylevél aktív feldolgozási eljárás alá vonását megelőzően közösségi dohánylevélből készült cigaretta kivitele.
21. Ideiglenes kivitel passzív feldolgozási eljárás keretében.
Magyarázat:
A Vámkódex 145-160. cikkében említett passzív feldolgozási eljárás. Lásd még a 22. kódot.
22. A 21. kódtól eltérő ideiglenes kivitel.
Példa:
Passzív feldolgozási eljárás és gazdasági passzív feldolgozási eljárás (3036/94/EK tanácsi rendelet) egyidejű alkalmazása textiltermékekre.
23. Ideiglenes kivitel változatlan állapotban történő visszahozatallal.
Példa:
Árucikkek, mint pl. minták, szakmai felszerelések stb. ideiglenes kivitele kiállításra.
31. Újrakivitel
Magyarázat:
Nem közösségi áruk gazdasági vámeljárást (felfüggesztő eljárás) követő újrakivitele.
Példa:
Az árukat vámraktározási eljárás alá vonják, majd azt követően az árukra kiviteli nyilatkozatot adnak.
40. Olyan áruk egyidejű vám- és adójogi szempontból történő szabad forgalomba bocsátása, amelyekre HÉA-mentesség nem vonatkozik.
Példa:
Harmadik országból érkező áruk vám- és adófizetéssel.
41. Aktív feldolgozási eljárás (visszatérítési eljárás) alá vont áruk egyidejű vám- és adójogi szempontból történő szabad forgalomba bocsátása.
Példa:
Aktív feldolgozási eljárás alá vonás a behozatali vámok és nemzeti behozatali adók megfizetésével.
42. Másik tagállamba történő héamentes termékértékesítés hatálya és - ha alkalmazandó - jövedékiadó-felfüggesztés hatálya alá tartozó áruk egyidejű vám- és adójogi szabad forgalomba bocsátása.
Magyarázat: A héamentességet és - adott esetben - a jövedékiadó-felfüggesztést az alapozza meg, hogy az importot az áru Közösségen belüli értékesítése vagy másik tagállamba történő továbbítása követi. Ebben az esetben a héát és - adott esetben - a jövedéki adót a végső rendeltetés szerinti tagállamban kell megfizetni. Ezen eljárás igénybevételének feltétele, hogy a személyek teljesítsék a 2006/112/EK irányelv 143. cikkének (2) bekezdésében és - adott esetben - a 2008/118/EK irányelv 17. cikke (1) bekezdésének b) pontjában felsorolt feltételeket.
1. példa : Héamentes áruk behozatala adóképviselő útján.
2. példa : Harmadik országból behozott, szabad forgalomba bocsátott, másik tagállamban héamentesen értékesített jövedéki termékek. A szabad forgalomba bocsátást követően az árut - egy, a 2008/118/EK irányelv 17. cikke (1) bekezdésének b) pontja értelmében vett bejegyzett feladó kezdeményezésére - jövedékiadó-felfüggesztés hatálya alatt azonnal elszállítják a behozatal helyéről.
43. Az új tagállamok csatlakozását követő átmeneti időszak alatt egyes összegek beszedésével kapcsolatos különleges intézkedések hatálya alá tartozó áruk egyidejű vám- és adójogi szempontból történő szabad forgalomba bocsátása.
Példa
Az új tagállamok csatlakozását követő különleges átmeneti időszak alatt olyan mezőgazdasági termékek szabad forgalomba bocsátása, melyek az új tagállam és a Közösség többi része közt ugyanolyan különleges vámeljárás alá vagy különleges intézkedés alá esnek, mint amelyek a csatlakozás után Spanyolország és Portugália esetében vonatkoztak.
45. Áruk egyidejű szabad forgalomba és HÉA vagy jövedéki adó tekintetében való szabad forgalomba bocsátása és adóraktározási eljárás alá vonása.
Magyarázat:
HÉA vagy jövedéki adó megfizetése alóli mentesség az áruk adóraktározási eljárás alá vonásával.
Példák:
Harmadik országból behozott cigarettát vámjogilag szabad forgalomba bocsátanak, és megfizetik a HÉÁ-t. Egy adóraktárban vagy más adófelügyelet alatt álló helyiségben a jövedéki adó megfizetésének felfüggesztése mellett lehet az árukat tárolni.
Harmadik országból behozott cigarettát vámjogilag szabad forgalomba bocsátanak, és megfizetik a jövedéki adót. Egy adóraktárban vagy más adófelügyelet alatt álló helyiségben a HÉA megfizetésének felfüggesztése mellett lehet az árukat tárolni.
48. Helyettesítő termékek egyidejű vám- és adójogi szempontból történő szabad forgalomba bocsátása passzív feldolgozás keretében az ideiglenesen exportálandó áruk kivitele előtt.
Magyarázat
szabványcsere (IM-EX), előzetes behozatal a Vámkódex 154. cikkének (4) bekezdése alapján.
49. Közösségi áruk adójogi szempontból történő szabad forgalomba bocsátása a Közösség vámterületének olyan részei közötti kereskedelemben, amelyek közül az egyikre a 77/388/EGK tanácsi irányelv rendelkezései alkalmazandók, míg a másikra ezek a rendelkezések nem alkalmazandók, illetve a vámterület olyan részei közötti kereskedelem vonatkozásában, amelyekre a fenti rendelkezések nem vonatkoznak.
Áruk adójogi szempontból történő szabad forgalomba bocsátása a Közösség és az olyan országok közötti áruforgalom keretében, melyekkel a Közösség vámuniót alkot.
Magyarázat:
A Közösség olyan részeiből származó áruk adójogi szempontból történő szabad forgalomba bocsátása, amelyekre a hatodik HÉA-irányelv (77/388/EGK) nem alkalmazandó. Az egységes vámokmány használatát a 206. cikk szabályozza.
Példák:
Martinique-ről érkező olyan áru, amelyet Belgiumban adójogi szempontból szabad forgalomba helyeznek.
Andorrából érkező olyan áru, amelyet Németországban adójogi szempontból szabad forgalomba helyeznek.
51. Aktív feldolgozási eljárás alá vonás (felfüggesztő eljárás).
Magyarázat:
Aktív feldolgozás (felfüggesztő eljárás) a Vámkódex 114. cikke (1) bekezdésének a) pontja és (2) bekezdésének a) pontja szerint.
53. Ideiglenes behozatali eljárás céljából történő behozatal.
Példa:
Ideiglenes behozatal például kiállítási célra.
54. Aktív feldolgozási eljárás alá vonás (felfüggesztő eljárás) egy másik tagállamban (anélkül, hogy az árut abban a tagállamban előzőleg vámjogi szempontból történő szabad forgalomba bocsátották volna). (a)
Magyarázat:
Ez a kód a Közösségen belüli áruforgalomra vonatkozó statisztikák céljából a művelet regisztrálására szolgál.
Példa:
Harmadik országból érkezett árut Belgiumban aktív feldolgozási eljárás alá vonnak (5100). Az aktív feldolgozás után Németországba szállítják tovább, hogy ott szabad forgalomba bocsássák (4054), ill. hogy egy további feldolgozás alá vonják (5154).
61 Olyan áruk újrabehozatala egyidejűleg vám- és adójogi szempontból történő szabad forgalomba bocsátással, amelyekre a HÉA-mentesség nem vonatkozik.
63. Másik tagállamba történő héamentes termékértékesítés hatálya és - ha alkalmazandó - jövedékiadó-felfüggesztés hatálya alá tartozó áruk újrabehozatala és egyidejű vám- és adójogi szabad forgalomba bocsátása.
Magyarázat: A héamentességet és - adott esetben - a jövedékiadó-felfüggesztést az alapozza meg, hogy az újrabehozatalt az áru Közösségen belüli értékesítése vagy másik tagállamba történő továbbítása követi. Ebben az esetben a héát és - adott esetben - a jövedéki adót a végső rendeltetés szerinti tagállamban kell megfizetni. Ezen eljárás igénybevételének feltétele, hogy a személyek teljesítsék a 2006/112/EK irányelv 143. cikkének (2) bekezdésében és - adott esetben - a 2008/118/EK irányelv 17. cikke (1) bekezdésének b) pontjában felsorolt feltételeket.
1. példa : Újrabehozatal passzív feldolgozás vagy ideiglenes kivitel után, amennyiben az esetleges héát az adóképviselő terhére szabják ki.
2. példa : Passzív feldolgozás után újrabehozott, szabad forgalomba bocsátott, másik tagállamban héamentesen értékesített jövedéki termékek. A szabad forgalomba bocsátást követően az árut - egy, a 2008/118/EK irányelv 17. cikke (1) bekezdésének b) pontja értelmében vett bejegyzett feladó kezdeményezésére - jövedékiadó-felfüggesztés hatálya alatt azonnal elszállítják az újrabehozatal helyéről.
68. Újrabehozatal egyidejűleg vám- és részben adójogi szempontból történő szabad forgalomba bocsátás, és egy, a vámraktározástól eltérő raktározási eljárás alá vonása.
Példa
Feldolgozott alkoholtermékek, melyeket újra behoznak, és jövedéki adóraktárba tárolnak be.
71. Vámraktározási eljárás alá vonás.
Magyarázat:
Az áruk vámraktározási eljárás alá vonása. Ez nem zárja ki az áru egyidejű, pl. jövedéki vagy HÉA-adóraktárba történő betárolását.
76. Áruk kivitel előtti vámraktározási eljárás alá vonása különleges export-visszatérítés kifizetése céljából.
Példa:
Kifejlett hímivarú szarvasmarhafélék kicsontozott húsának kivitel előtti vámraktározási eljárás alá vonása (a kifejlett, hímivarú szarvasmarhafélék kivitel előtt vámraktározási eljárás alá vont, kicsontozott húsára nyújtott különleges export-visszatérítésre vonatkozó feltételek megállapításáról szóló, 2006. november 24-i 1741/2006/EK bizottsági rendelet ( 165 ) 4. cikke).
77. Áruk vámfelügyelet és vámellenőrzés alatt történő előállítása (a Vámkódex 4. cikkének 13. és 14. pontja értelmében) a kivitel és az export-visszatérítés kifizetése előtt.
Példa:
Marha- és borjúhúsból készült tartósított termékek előállítása vámfelügyelet és vámellenőrzés alatt a kivitel előtt (a Bizottság a marha- és borjúhúsból készült egyes tartósított termékekre nyújtott export-visszatérítések alkalmazására vonatkozó különös részletes szabályokról szóló, 2006. november 23-i 1731/2006/EK bizottsági rendelet ( 166 ) 2. és 3. cikke).
78 Áruk II. típusú ellenőrzés alá tartozó vámszabad területre történő betárolása.
91 Áruk vámfelügyelet melletti feldolgozás alá vonása.
92. Vámfelügyelet melletti feldolgozás egy másik tagállamban (anélkül, hogy az árut abban a tagállamban vámjogi szempontból szabad forgalomba bocsátották volna). (a)
Magyarázat:
Ez a kód a közösségen belüli áruforgalomra vonatkozó statisztikák céljából a művelet regisztrálására szolgál.
Példa:
Harmadik országból érkező árut Belgiumban vámfelügyelet mellett feldolgoznak (9100). A feldolgozás után Németországba szállítják tovább, hogy ott szabad forgalomba bocsássák (4092), ill. hogy egy további feldolgozás alá vonják (9192).
B. Második alrovat
1. Ahol ezt a rovatot valamely közösségi eljárás megjelölésére használják, egy alfabetikus karakterből és azután két alfanumerikus karakterből álló kódot kell alkalmazni. Az első karakter az intézkedés típusát jelöli az alábbi módon:
| Aktív feldolgozás: | Axx |
| Passzív feldolgozás: | Bxx |
| Vámmentesség: | Cxx |
| Ideiglenes behozatal: | Dxx |
| Mezőgazdasági termékek: | Exx |
| Egyéb: | Fxx |
Aktív feldolgozás (AF)
| Eljárás | Kód |
| Behozatal | |
| Áruk AF-eljárás alá vonása (felfüggesztő eljárás) tejből és tejtermékből előállított végtermék előzetes kivitele után | A01 |
| Áruk AF-eljárás alá vonása (felfüggesztő eljárás) külföldi katonai használat céljával | A02 |
| Áruk AF-eljárás alá vonása (felfüggesztő eljárás) a kontinentális talapzatra való újrakivitel céljából | A03 |
| Áruk AF-eljárás alá vonása (felfüggesztő eljárás)(csak HÉA) | A04 |
| Áruk AF-eljárás alá vonása (felfüggesztő eljárás)(csak HÉA) a kontinentális talapzatra való újrakivitel céljából | A05 |
| Áruk AF-eljárás alá vonása (vámvisszatérítési eljárás) külföldi katonai használat céljával | A06 |
| Áruk AF-eljárás alá vonása (vámvisszatérítési eljárás) a kontinentális talapzatra való újrakivitel céljából | A07 |
| Áruk AF-eljárás alá vonása (vámvisszatérítési eljárás) jövedéki adó felfüggesztés nélkül | A08 |
| Kivitel | |
| Tejből és tejtermékből előállított végtermékek | A51 |
| Végtermékek AF-eljárás alá vonása (felfüggesztő eljárás) (csak HÉA) | A52 |
| Végtermékek AF-eljárás alá vonása külföldi katonai használat céljával | A53 |
Passzív feldolgozás (PF)
| Eljárás | Kód |
| Behozatal | |
| Végtermékek visszahozatala abba a tagállamba, ahol a vámokat megfizették | B01 |
| Végtermékek visszahozatala garanciális javítás után | B02 |
| Végtermékek visszahozatala garanciális csere után | B03 |
| Végtermékek visszahozatala passzív feldolgozást és meghatározott célú felhasználáson alapuló HÉA-felfüggesztést követően | B04 |
| Végtermékek visszahozatala részleges vámmentességgel, ahol a feldolgozási művelet költségét tekintik a vámérték kiszámítása alapjának (591. cikk) | B05 |
| 3. Kivitel | |
| AF-ra behozott áruk PF-eljárás keretében történő javítási célú kivitele | B51 |
| AF-ra behozott áruk garanciális cserére történő kivitele | B52 |
| PF harmadik országgal kötött megállapodás alapján, adott esetben PF-HÉÁ-val együtt | B53 |
| Csak PF-HÉA | B54 |
Vámmentesség
| Cikk száma | Kód | |
| Behozatali vámok alóli mentesség | ||
| A szokásos lakóhelyüket a Közösségbe áthelyező természetes személyek személyes vagyontárgyai | 3. cikk | C01 |
| Házasságkötés alkalmából behozott kelengyék és háztartási célú ingóságok | 12. cikk (1) bekezdés | C02 |
| Házasságkötés alkalmából szokás szerint adott ajándékok | 12. cikk (2) bekezdés | C03 |
| Öröklés útján szerzett személyes vagyontárgyak | 17. cikk | C04 |
| Iskolai ruházatok, oktatási anyagok, valamint iskolai tanulók és a felsőoktatási intézmények hallgatói háztartási célú ingóságai | 21. cikk | C06 |
| Elhanyagolható értékű küldemények | 23. cikk | C07 |
| Magánszemély által magánszemélynek küldött küldemények | 25. cikk | C08 |
| Tevékenységeknek harmadik országból a Közösségbe való áthelyezésekor behozott termelési eszközök és egyéb berendezések | 28. cikk | C09 |
| Szellemi szabadfoglalkozást űző személyekhez vagy nonprofit tevékenységet folytató jogi személyekhez tartozó termelési eszközök és egyéb berendezések | 34. cikk | C10 |
| Oktatási, tudományos és kulturális anyagok; az I. mellékletben felsorolt tudományos műszerek és készülékek | 42. cikk | C11 |
| Oktatási, tudományos és kulturális anyagok; a II. mellékletben felsorolt tudományos műszerek és készülékek | 43. cikk | C12 |
| Oktatási, tudományos és kulturális anyagok; kizárólag nem kereskedelmi célokra behozott tudományos műszerek és készülékek (beleértve a tartalék alkatrészeket, alkotóelemeket, tartozékokat, szerszámokat is) | 44–45. cikk | C13 |
| A Közösségen kívüli tudományos kutatóintézetek vagy szervezetek által vagy az ő érdekükben eljárva nem kereskedelmi céllal behozott felszerelések | 51. cikk | C14 |
| Kutatási célokra szánt laboratóriumi állatok és biológiai vagy vegyi anyagok | 53. cikk | C15 |
| Emberi eredetű gyógyászati anyagok, valamint vércsoport és szövettípus meghatározására szolgáló reagensek | 54. cikk | C16 |
| Az orvostudományi kutatásokban, az orvosi diagnózis felállításában és a gyógykezelésben történő használatra szánt műszerek és készülékek | 57. cikk | C17 |
| A gyógyszerkészítmények minőség-ellenőrzéséhez használt összehasonlító anyagok | 59. cikk | C18 |
| A nemzetközi sporteseményeken használt gyógyszerészeti termékek | 60. cikk | C19 |
| Árucikkek jótékonysági vagy emberbaráti szervezetek részére | 61. cikk | C20 |
| A III. mellékletben felsorolt, vakoknak szánt árucikkek | 66. cikk | C21 |
| Vakok által személyesen, saját használatra behozott, a IV. mellékletben felsorolt árucikkek (beleértve a tartalék alkatrészeket, alkotóelemeket, tartozékokat, szerszámokat is) | 67. cikk (1) bekezdés a) pont és 67. cikk (2) bekezdés | C22 |
| Egyes intézmények vagy szervezetek által behozott, vakoknak szánt, a IV. mellékletben felsorolt árucikkek (beleértve a tartalék alkatrészeket, alkotóelemeket, tartozékokat, szerszámokat is) | 67. cikk (1) bekezdés b) pont és 67. cikk (2) bekezdés | C23 |
| Más fogyatékos személyek (nem vakok) által személyesen, saját használatra behozott árucikkek (beleértve a tartalék alkatrészeket, alkotóelemeket, tartozékokat, szerszámokat is) | 68. cikk (1) bekezdés a) pont és 68. cikk (2) bekezdés | C24 |
| Egyes intézmények vagy szervezetek által behozott, más fogyatékos személyeknek (nem vakoknak) szánt árucikkek (beleértve a tartalék alkatrészeket, alkotóelemeket, tartozékokat, szerszámokat is) | 68. cikk (1) bek. b) pont és 68. cikk (2) bek. | C25 |
| Katasztrófa áldozatainak javára behozott áruk | 74. cikk | C26 |
| Tiszteletbeli kitüntetések vagy díjak | 81. cikk | C27 |
| Nemzetközi kapcsolatokkal összefüggésben kapott ajándékok | 82. cikk | C28 |
| Uralkodók vagy államfők által használandó árucikkek | 85. cikk | C29 |
| Kereskedelmi promóció céljára behozott, elhanyagolható értékű áruminták | 86. cikk | C30 |
| Kereskedelmi promóció céljára behozott nyomtatványok és reklámanyagok | 87–89. cikk | C31 |
| Szakmai vásárokon vagy hasonló rendezvényeken felhasznált vagy elfogyasztott termékek | 90. cikk | C32 |
| Vizsgálati, elemzési vagy tesztelési célokra behozott árucikkek | 95. cikk | C33 |
| A szerzői jogokat vagy az ipari és kereskedelmi szabadalmi jogokat védő szervezetek részére küldött szállítmányok | 102. cikk | C34 |
| Idegenforgalmi tájékoztató anyagok | 103. cikk | C35 |
| Különféle dokumentumok és árucikkek | 104. cikk | C36 |
| Szállításuk ideje alatt az árucikkek rakodásához és védelméhez használt segédanyagok | 105. cikk | C37 |
| Állatok szállításakor használt alom, abrak és takarmányok | 106. cikk | C38 |
| Közúti gépjárművek és különleges konténerek üzemanyagai és kenőanyagai | 107. cikk | C39 |
| A háborús áldozatok emlékműveinek vagy temetőinek létesítéséhez, fenntartásához vagy díszítéséhez használt anyagok | 112. cikk | C40 |
| Koporsók, urnák és temetői díszítőtárgyak | 113. cikk | C41 |
| Kiviteli vámok alóli mentesség | ||
| A mezőgazdasági tevékenységnek a Közösségből harmadik országba történő áthelyezése idején kivitt háziállatok | 115. cikk | C51 |
| Az állatokat exportálásuk közben kísérő abrak és takarmányok | 121. cikk | C52 |
Ideiglenes behozatal
(Vámkódex és e rendelet)
| Eljárás | E rendelet cikke | Kód |
| Raklapok | 556 | D01 |
| Szállítótartályok/konténerek | 557 | D02 |
| Szállítóeszközök | 558 | D03 |
| Az utasok személyes használati tárgyai, illetve sportcélú áruk | 563 | D04 |
| Tengerészeknek szánt jóléti anyagok | 564 | D05 |
| Katasztrófák következményeinek felszámolásához használt anyagok | 565 | D06 |
| Orvosi, sebészeti vagy laboratóriumi felszerelés | 566 | D07 |
| Állatok | 567 | D08 |
| A határövezet jellegzetességeivel összhangban álló tevékenységekre szánt javak | 567 | D09 |
| Hang-, kép- vagy adatfeldolgozási információhordozó áruk | 568 | D10 |
| Reklámanyag | 568 | D11 |
| Szakmai felszerelés | 569 | D12 |
| Pedagógiai anyagok és tudományos felszerelések | 570 | D13 |
| Töltött göngyöleg | 571 | D14 |
| Üres göngyöleg | 571 | D15 |
| Öntőformák, dombornyomó szerszámok, nyomólemezek, rajzok, vázlatok, mérő, ellenőrző és tesztelő műszerek és más hasonló cikkek | 572 | D16 |
| Különleges szerszámok és eszközök | 572 | D17 |
| Kísérletek tárgyát képező áruk | 573, a) pont | D18 |
| A kielégítő eredményű elfogadási tesztekre vonatkozó rendelkezéseket tartalmazó adásvételi szerződéssel kapcsolatban behozott áruk | 573, b) pont | D19 |
| Kísérletek végrehajtására használt áruk | 573, c) pont | D20 |
| Minták | 574 | D21 |
| Termelési eszközök pótlására szolgáló áruk | 575 | D22 |
| Kiállításra szánt vagy nyilvános eseményen felhasználásra kerülő áru | 576, (1) bek. | D23 |
| Jóváhagyás érdekében behozott áruk (két hónap) | 576, (2) bek. | D24 |
| Művészeti tárgyak, gyűjteménydarabok és régiségek | 576, (3) bek., a) pont | D25 |
| Az újonnan előállítottakon kívüli áru, amelyet aukció útján történő értékesítés érdekében hoznak be | 576, (3) bek., b) pont | D26 |
| Pótalkatrészek, tartozékok és felszerelések | 577 | D27 |
| Gazdasági hatással nem járó különleges helyzetekben behozott áruk | 578, b) pont | D28 |
| Alkalmanként és három hónapot nem meghaladó időtartamra behozott áruk | 578, a) pont | D29 |
| Eljárás | E rendelet cikke | Kód |
| Részleges vámmentességgel járó ideiglenes behozatal | 142 | D51 |
Mezőgazdasági termékek
| Eljárás | Kód |
| Behozatal | |
| Bizonyos romlandó áruk vámértékének meghatározása az egységár alapján (152. cikk (1) bekezdés a)a pont) | E01 |
| Behozatali átalányérték (például 543/2011/EU rendelet) | E02 |
| Kivitel | |
| Kiviteliengedély-köteles mezőgazdasági termékek, melyekre visszatérítést kérnek (I. mellékletben szereplő áruk) | E51 |
| Nem kiviteliengedély-köteles mezőgazdasági termékek, melyekre visszatérítést kérnek (I. mellékletben szereplő áruk) | E52 |
| Kis mennyiségben kiszállított, nem kiviteliengedély-köteles mezőgazdasági termékek, melyekre visszatérítést kérnek (I. mellékletben szereplő áruk) | E53 |
| Visszatérítésigazolás-köteles mezőgazdasági termékek, melyekre visszatérítést kérnek (I. mellékletben nem szereplő áruk) | E61 |
| Nem visszatérítésigazolás-köteles mezőgazdasági termékek, melyekre visszatérítést kérnek (I. mellékletben nem szereplő áruk) | E62 |
| Kis mennyiségben kiszállított, nem visszatérítésigazolás-köteles mezőgazdasági termékek, melyekre visszatérítést kérnek (I. mellékletben nem szereplő áruk) | E63 |
| Kis mennyiségben kiszállított mezőgazdasági termékek, melyekre visszatérítést kérnek és amelyeket a minimális ellenőrzési tétel számításánál nem vesznek figyelembe. | E71 |
| (1) HL L 350., 2007.12.31., 1. o. | |
Egyéb
| Eljárás | Kód |
| Behozatal | |
| Tértiáruk behozatali vámmentessége (Vámkódex, 185. cikk) | F01 |
| Tértiáruk behozatali vámmentessége (különleges körülmények a 844. cikk (1) bekezdése szerint: mezőgazdasági termékek) | F02 |
| Tértiáruk behozatali vámmentessége (különleges körülmények a 846. cikk (2) bekezdése szerint: javítás vagy helyreállítás) | F03 |
| Kivitelt vagy újrakivitelt követően a Közösségbe visszaszállított végtermékek (Vámkódex, 187. cikk) | F04 |
| Jövedéki termékek jövedékiadó-felfüggesztés hatálya alatt történő szállítása a behozatal helyéről a 2008/118/EK irányelv 17. cikke (1) bekezdésének b) pontjával összhangban | F06 |
| Vámfelügyelet melletti feldolgozás, amennyiben a gazdasági feltételeket teljesítettnek kell tekinteni (552. cikk, (1) bekezdés, első albekezdés) | F11 |
| Behozatali vámmentesség olyan harmadik ország felségvizein kinyert tengeri halászati és egyéb tengeri termékekre, melyeket egy tagállamban lajstromozott vagy nyilvántartásba vett, ezen ország lobogója alatt hajózó hajók nyernek ki | F21 |
| Behozatali vámmentesség olyan termékekre, melyeket harmadik ország felségvizein kinyert tengeri halászati és egyéb tengeri termékekből egy tagállamban lajstromozott vagy nyilvántartásba vett, ezen ország zászlója alatt hajózó feldolgozó hajó fedélzetén állítanak elő | F22 |
| Passzív feldolgozási eljárás után jövedéki adó felfüggesztése nélkül raktározási eljárás alá vont áruk | F31 |
| Aktív feldolgozási eljárás után jövedéki adó felfüggesztése nélkül raktározási eljárás alá vont áruk | F32 |
| II. típusú ellenőrzés alá tartozó vámszabad területen tárolás után jövedéki adó felfüggesztése nélkül raktározási eljárás alá vont áruk | F33 |
| Vámfelügyelet melletti feldolgozási eljárás után jövedéki adó felfüggesztése nélkül raktározási eljárás alá vont áruk | F34 |
| Rendezvények vagy eladás céljából ideiglenesen behozott áruk szabad forgalomba bocsátása, a szabad forgalomba bocsátásra vonatkozó vámáru-nyilatkozat elfogadásának időpontjában hatályban lévő tehermegállapítási szabályok alkalmazásával | F41 |
| Végtermékek szabad forgalomba bocsátása, amennyiben azok a rájuk vonatkozó behozatali vámok hatálya alá esnek (Vámkódex, 122. cikk, a) pont) | F42 |
| Aktív feldolgozási eljárás alá vont áruk vagy végtermékek szabad forgalomba bocsátása kiegyenlítő kamat nélkül (519. cikk, (4) bekezdés) | F43 |
| Kivitel | |
| Katonai célú kivitel | F51 |
| Élelmiszerellátás | F61 |
| Élelmiszerellátás kiviteli visszatérítésre jogosult árukkal | F62 |
| Élelmiszerraktárba történő betárolás (a 612/2009/EK bizottsági rendelet (1) 37–40. cikke) | F63 |
| Élelmiszerellátásra szánt áruk élelmiszerraktárból történő kitárolása | F64 |
| (1) HL L 186., 2009.7.17., 1. o. | |
2. A kizárólag nemzeti használatra szánt kódoknak egy numerikus karakterből és két azt követő alfanumerikus karakterből kell állniuk, a tagállam nómenklatúrájának megfelelően.
40. rovat: Gyűjtő vámáru-nyilatkozat/előokmány
Ebben a rovatban alfanumerikus kódokat kell megadni (an..26).
Minden kód három különböző elemből áll. Az elemeket egy kötőjel (-) választja el egymástól. Az első elemet (a1) három különböző betű alkothatja, és a három alábbiakban megadott kategória megkülönböztetésére szolgál. A második elem (an..3), amely számjegyekből vagy betűkből vagy számjegyek és betűk kombinációjából állhat, az okmánytípust jelöli. A harmadik elem (an..20) az okmány azonosításához szükséges adatok, mint az azonosító szám vagy más egyértelmű hivatkozás leírására szolgál.
1. Az első elem (a1):
Gyűjtő vámáru-nyilatkozat = X
Első vámáru-nyilatkozat = Y
Előokmány = Z
2. A második elem (an..3):
Válassza ki "Az okmányok rövidítésének jegyzéké"-ből az okmány rövidítését!
Ez a jegyzék tartalmazza a "CLE" kódot is az áru nyilvántartásba történő bejegyzésének időpontja és azonosító száma kódolására (Vámkódex 76. cikk, (1) bekezdés, c) pont) Az időpont a következőképpen kódolandó: ÉÉÉÉHHNN.
3. A harmadik elem (an..20):
Itt az azonosító számot vagy egy más olyan hivatkozást kell megadni, amely alapján az okmány azonosítható.
Példák:
- Az előokmány egy T1 árutovábbítási okmány, amelyet a rendeltetési vámhivatal a "238544" szám alatt vett nyilvántartásba. A kód így "Z-821-238544" lesz (A "Z" jelenti az előokmány jelleget, a "821" az árutovábbítási eljárást és a "238544" az okmány nyilvántartási számát [ill. az MRN-t az NCTS-műveletek esetén]).
- Gyűjtő vámáru-nyilatkozatként egy "2222" sz. cargo manifestet használnak; ennek alapján az "X-785-2222" kódot kell képezni. ("X" jelenti a gyűjtő vámáru-nyilatkozatot, a "785" a cargo manifestet és a "2222" a manifeszt azonosító számát).
- Az áruk nyilvántartásba történő bejegyzése 2002. február 14-én történt. A kód így "Y-CLE-20020214-5" lesz. (Az "Y" jelenti az eredeti vámáru-nyilatkozatot, a "CLE" a nyilvántartásba történő bejegyzést, az időpont "20020214" számjegyei az évet (2002), a hónapot (02) és a napot (14), az "5" pedig a bejegyzés nyilvántartásbeli hivatkozási számát).
Az okmányok rövidítésének jegyzéke
| Szállítótartály-jegyzék (konténerjegyzék) | 235 |
| Rakományjegyzék | 270 |
| Csomagjegyzék | 271 |
| Proforma számla | 325 |
| Kereskedelmi számla | 380 |
| Házi fuvarlevél | 703 |
| Gyűjtő hajóraklevél | 704 |
| Hajóraklevél | 705 |
| CIM fuvarlevél (vasút) | 720 |
| SzMGSz-kísérőjegyzék | 722 |
| Tehergépkocsi fuvarlevél | 730 |
| Légi fuvarlevél | 740 |
| A légitársaság által kiadott légi fuvarlevél (master air waybill) | 741 |
| Csomagkártya (postai csomag) | 750 |
| Multimodális/kombinált fuvarokmány | 760 |
| Cargo manifest | 785 |
| Bordereau | 787 |
| Közösségi árutovábbítási nyilatkozat – vegyes küldemények (T) | 820 |
| Közösségi külső árutovábbítási nyilatkozat (T1) | 821 |
| Közösségi belső árutovábbítási nyilatkozat (T2) | 822 |
| T5 ellenőrző példány | 823 |
| TIR-igazovány | 952 |
| ATA-igazolvány | 955 |
| Nyilvántartásba történő bejegyzés hivatkozási száma/időpontja | CLE |
| INF 3 adatlap | IF3 |
| INF 8 adatlap | IF8 |
| Manifeszt – egyszerűsített eljárás | MNS |
| Közösségi belső árutovábbítási nyilatkozat – 340c cikk, (1) bekezdés | T2F |
| T2M | T2M |
| Belépési gyűjtő vámáru-nyilatkozat | 355 |
| Átmeneti megőrzés céljából benyújtott gyűjtő vámáru-nyilatkozat | 337 |
| Egyéb | ZZZ |
Amennyiben a fenti okmányt az EV alapján állítják ki, akkor a rövidítésnek tartalmaznia kell az 1. rovat 1. alrovatában feltüntetendő kódokat (IM, EX, CO és EU).
43. rovat: Értékelési mód (É.M.)
A behozott áruk értékelési módjára a következő kódok alkalmazandók:
| Kód | a Vámkódex vonatkozó cikke | Mód |
| 1 | 29. cikk, (1) bekezdés | Behozott áruk ügyleti értéke |
| 2 | 30. cikk, (2) bekezdés, a) pont | Azonos áruk ügyleti értéke |
| 3 | 30. cikk, (2) bekezdés, b) pont | Hasonló áruk ügyleti értéke |
| 4 | 30. cikk, (2) bekezdés, c) pont | Következtetéses módszer |
| 5 | 30. cikk, (2) bekezdés, d) pont | Számított érték |
| 6 | 31. cikk | Vámérték-meghatározás a Közösségben rendelkezésre álló adatok alapján („fall-back” [tartalék]-módszer]) |
44. rovat: Különleges megjegyzések/benyújtott okmányok/igazolások és engedélyek
1. Különleges megjegyzések
Egy ötjegyű numerikus kód használatos különleges vámjellegű megjegyzésekre. Ezt a kódot a vonatkozó különleges megjegyzés mögé kell tenni, kivéve ha a közösségi előírások arról rendelkeznek, hogy a szöveget a kód helyettesítse.
Példa:
A nyilatkozattevő a 3. példány hozzá történő visszaküldésére vonatkozó igényét jelezheti azzal, ha a 44. rovatba beírja a "RET-EXP" szöveget vagy a 30400 kódot (793a. cikk (2) bekezdés).
A közösségi jog előírja egyes különleges megjegyzéseknek a 44. rovattól eltérő rovatokban való feltüntetését. Ezen megjegyzések kódolására azonban ugyanazok a szabályok vonatkoznak, mint a 44. rovatban feltüntetendő megjegyzésekre. Továbbá, amennyiben a közösségi jogszabályokból nem tűnik ki, hogy melyik rovatokban tüntetendő fel a különleges megjegyzés, akkor azt a 44. rovatban kell feltüntetni.
A különleges megjegyzések típusainak teljes felsorolását az e cím végén található lista tartalmazza.
A tagállamok rendelkezhetnek különleges nemzeti megjegyzésekről, amennyiben azok kódolása más szerkezetű, mint a különleges közösségi megjegyzések kódolása.
2. Benyújtott okmányok, igazolások és engedélyek
a) A vámáru-nyilatkozat alátámasztására benyújtott okmányokat, igazolásokat és közösségi vagy nemzetközi engedélyeket vagy más referenciákat egy négyjegyű alfanumerikus kód formájában kell feltüntetni, amelyet - adott esetben - egy azonosító számnak vagy más egyértelmű hivatkozásnak kell követnie. Az okmányok, igazolások, engedélyek és más referenciák listáját és kódjait a Taric adatbázis tartalmazza.
b) Ami a vámáru-nyilatkozat alátámasztására benyújtott nemzeti okmányokat, igazolásokat és engedélyeket illeti, ezeket egy numerikus és három azt követő alfanumerikus karakter formájú kód formájában kell beírni (pl.: 2123, 34d5), amelyet adott esetben egy azonosító szám vagy más egyértelmű hivatkozás követ. A négy karakter az adott tagállam nómenklatúráján alapuló kódokat képvisel.
47. rovat: Fizetendő terhek kiszámítása
Első oszlop: teher fajtája
a) A következő kódokat kell alkalmazni:
| Ipari vámok | A00 |
| Mezőgazdasági vámok | A10 |
| Kiegészítő vámtétel | A20 |
| Végleges antidömpingvámok | A30 |
| Ideiglenes antidömpingvámok | A35 |
| Végleges kiegyenlítő vámok | A40 |
| Ideiglenes kiegyenlítő vámok | A45 |
| Hozzáadottérték-adó (HÉA) | B00 |
| Kiegyenlítő kamat (HÉA) | B10 |
| Késedelmi kamat (HÉA) | B20 |
| Kiviteli adók | C00 |
| Mezőgazdasági termékekre vonatkozó kiviteli adók | C10 |
| Késedelmi kamat | D00 |
| Kiegyenlítő kamat (pl. aktív feldolgozás) | D10 |
| Más országok nevében beszedett vámok | E00 |
b) A kizárólag nemzeti használatra szánt kódoknak egy numerikus karakterből és két azt követő alfanumerikus karakterből kell állniuk, a tagállam nómenklatúrájának megfelelően.
Utolsó oszlop: Fizetési mód
A tagállamok a következő kódokat használhatják:
A : Készpénzfizetés
B : Fizetés hitelkártyával
C : Fizetés csekkel
D : Egyéb (pl.: közvetlen terhelés vámügynök számlájára)
E : Halasztott fizetés
F : Halasztott vámfizetés - a vámjogszabályok szerint
G : Halasztott HÉA-fizetés (a hatodik HÉA-irányelv, 23. cikk)
H : Elektronikus számlajóváírás átutalással
J : Postahivatalon (postai szállítmány) vagy egyéb közintézményen vagy állami szerven keresztül történő fizetés
K : Jövedékiadó-jóváírás vagy visszatérítés
M : Biztosíték, beleértve a készpénzletétet
P : Készpénzletét vámügynök készpénzszámláján
R : Kezesség
S : Egyedi készpénzbiztosíték kezességszámlán
T : Vámügynöki készpénzbiztosíték kezességszámlán
U : Vámügynöki kezesség (folyamatos engedély)
V : Vámügynöki kezesség (egyedi engedély)
O : Intervenciós ügynökségnél nyújtott kezesség
49. rovat: Raktár megjelölése
A kódot három elemből kell képezni az alábbiak szerint:
- a raktártípust azonosító betűjel az 525. cikkben leírtaknak megfelelően (a1). Az 525. cikkben említettektől eltérő raktárakra a következő kódokat kell megadni:
-
Y vámraktártól eltérő raktár
Z vámszabadterület vagy vámszabad raktár
- a tagállam által kiadott engedély azonosító száma (an..14)
- az engedélyező tagállam 2. rovatnál megadottak szerinti országkódja (a2).
50. rovat: Főkötelezett
Amennyiben azonosító számot kell megadni, a 2. rovathoz tartozó leírásban meghatározott felépítésű EORI-számot kell használni.
51. rovat: Tervezett átléptető vámhivatalok (és országok)
A 29. rovatnál megadott kódokat kell alkalmazni.
52. rovat: Biztosíték
Biztosítéknyújtás kódja
A következő kódokat kell alkalmazni:
| Tényállás | Kód | Egyéb bejegyzések |
| Biztosítéknyújtás alóli mentesség (a Vámkódex 94. cikkének (4) bekezdése és e rendelet 380. cikkének (3) bekezdése alapján) | 0 | — a tanúsítvány a biztosítéknyújtás alóli mentességről száma |
| Összkezesség | 1 | — a kezességi tanúsítvány száma — kezességnyújtás helye szerinti vámhivatal |
| Kezes által nyújtott egyedi kezesség | 2 | — kezességvállalási nyilatkozatra való hivatkozás — kezességnyújtás helye szerinti vámhivatal |
| Készpénzben nyújtott egyedi kezesség | 3 | |
| Garanciajegy formájában nyújtott egyedi kezesség | 4 | — egyedi garanciajegy száma |
| Biztosítéknyújtás alóli mentesség esetén, amikor a biztosíték összege nem haladja meg az 500 eurót (a Vámkódex 189. cikkének (5) bekezdése) | 5 | |
| Biztosítéknyújtás alóli mentesség (a Vámkódex 95. cikke) | 6 | |
| Meghatározott közszervezetek biztosítéknyújtás alóli mentessége | 8 | |
| Egyedi kezesség (a 47a. melléklet 3. pontja) | 9 | — hivatkozás a kezességvállalási nyilatkozatra — kezességnyújtás helye szerinti vámhivatal |
Ország megadása a "nem érvényes" rovatban:
A 2. rovatnál említett országkódokat kell alkalmazni.
53. rovat: Rendeltetési vámhivatal (és ország)
A 29. rovatnál említett kódokat kell alkalmazni.
Különleges megjegyzések - kód: XXXXX
Általános kategória - kód: 0xxxx
| Jogalap | Tényállás | Különleges megjegyzés | Rovat | Kód |
| 497. cikk (3) bekezdése | Engedély iránti kérelem gazdasági vámeljárásra vonatkozó vámáru-nyilatkozaton | „Egyszerűsített engedélyezés” | 44 | 00100 |
| 37. melléklet | Több exportőr, címzett vagy előokmány | „Egyéb” | 2, 8 és 40 | 00200 |
| 37. melléklet | A feladó azonos a nyilatkozattevővel | „Feladó” | 14 | 00300 |
| 37. melléklet | Az exportőr azonos a nyilatkozattevővel | „Exportőr” | 14 | 00400 |
| 37. melléklet | A címzett azonos a nyilatkozattevővel | „Címzett” | 14 | 00500 |
Behozatal - kód: 1xxxx
| Cikk | Tényállás | Különleges megjegyzés | Rovat | Kód |
| 1147/2002/EK rendelet 2. cikk (1) bekezdése | Autonóm vámtételek ideiglenes felfüggesztése | „Behozatal légialkalmassági bizonyítvánnyal” | 44 | 10100 |
| 549. cikk (1) bekezdése | Aktív feldolgozási eljárás lezárása (felfüggesztő eljárás) | „AF/F áruk” | 44 | 10200 |
| 549. cikk (2) bekezdése | Aktív feldolgozási eljárás lezárása (felfüggesztő eljárás)(különös kereskedelempolitikai intézkedések) | AF/F áruk, Kereskedelempolitika | 44 | 10300 |
| 550. cikk | Aktív feldolgozási eljárás lezárása (vámvisszatérítési eljárás) | AF/V áruk | 44 | 10400 |
| 583. cikk | Ideiglenes behozatal | IB áruk | 44 | 10500 |
Kivitel - kód: 3xxxx
| Cikk | Tényállás | Különleges megjegyzés | Rovat | Kód |
| 298. cikk | Meghatározott célú felhasználás alatt álló mezőgazdasági termékek kivitele | „Meghatározott célra történő felhasználás” a 2454/93/EGK rendelet 298. cikke szerint: kiviteli rendeltetésű áruk – mezőgazdasági visszatérítés nem alkalmazható | 44 | 30 300 |
| 793a. cikk (2) bekezdés | A 3. példány visszaküldésének igénylése | „RET-EXP” | 44 | 30 400 |
III. CÍM
NYELVI HIVATKOZÁSOK ÉS KÓDJAIK
| Nyelvi hivatkozások | Kódok |
| – BG Ограничена валидност – CS Omezená platnost – DA Begrænset gyldighed – DE Beschränkte Geltung – EE Piiratud kehtivus – EL Περιορισμένη ισχύς – ES Validez limitada – FR Validité limitée — HR Ograničena valjanost – IT Validità limitata – LV Ierobežots derīgums – LT Galiojimas apribotas – HU Korlátozott érvényű – MT Validità limitata – NL Beperkte geldigheid – PL Ograniczona ważność – PT Validade limitada – RO Validitate limitată – SL Omejena veljavnost – SK Obmedzená platnosť – FI Voimassa rajoitetusti – SV Begränsad giltighet – EN Limited validity | Korlátozott érvényű – 99200 |
| – BG Освободено – CS Osvobození – DA Fritaget – DE Befreiung – EE Loobutud – EL Απαλλαγή – ES Dispensa – FR Dispense — HR Oslobođeno – IT Dispensa – LV Derīgs bez zīmoga – LT Leista neplombuoti – HU Mentesség – MT Tneħħija – NL Vrijstelling – PL Zwolnienie – PT Dispensa – RO Dispensa – SL Opustitev – SK Oslobodenie – FI Vapautettu – SV Befrielse – EN Waiver | Mentesség – 99201 |
| – BG Алтернативно доказателство – CS Alternativní důkaz – DA Alternativt bevis – DE Alternativnachweis – EE Alternatiivsed tõendid – EL Εναλλακτική απόδειξη – ES Prueba alternativa – FR Preuve alternative — HR Alternativni dokaz – IT Prova alternativa – LV Alternatīvs pierādījums – LT Alternatyvusis įrodymas – HU Alternatív igazolás – MT Prova alternattiva – NL Alternatief bewijs – PL Alternatywny dowód – PT Prova alternativa – RO Probă alternativă – SL Alternativno dokazilo – SK Alternatívny dôkaz – FI Vaihtoehtoinen todiste – SV Alternativt bevis – EN Alternative proof | Alternatív igazolás – 99202 |
| – BG Различия: митническо учреждение, където стоките са представени (наименование и страна – CS Nesrovnalosti: úřad, kterému bylo zboží předloženo … (název a země) – DA Forskelle: det sted, hvor varerne blev frembudt …… (navn og land) – DE Unstimmigkeiten: Stelle, bei der die Gestellung erfolgte …… (Name und Land) – EE Erinevused: asutus, kuhu kaup esitati………….(nimi ja riik) – EL Διαφορές: εμπορεύματα προσκομισθέντα στο τελωνείο …… (Όνομα και χώρα) – ES Diferencias: mercancías presentadas en la oficina …… (nombre y país) – FR Différences: marchandises présentées au bureau …… (nom et pays) — HR Razlike: carinarnica kojoj je roba podnesena … (naziv i zemlja) – IT Differenze: ufficio al quale sono state presentate le merci ……(nome e paese) – LV Atšķirības: muitas iestāde, kurā preces tika uzrādītas (nosaukums un valsts) – LT Skirtumai: įstaiga, kuriai pateiktos prekės (pavadinimas ir valstybė) – HU Eltérések: hivatal, ahol az áruk bemutatása megtörtént …… (név és ország) – MT Differenzi: uffiċċju fejn l-oġġetti kienu ppreżentati (isem u pajjiż) – NL Verschillen: kantoor waar de goederen zijn aangebracht ……(naam en land) – PL Niezgodności: urząd w którym przedstawiono towar……(nazwa i kraj) – PT Diferenças: mercadorias apresentadas na estãncia …… (nome e país) – RO Diferențe: mărfuri prezentate la biroul vamal …… (nume și țara) – SL Razlike: urad, pri katerem je bilo blago predloženo … (naziv in država) – SK Nezrovnalosti: úrad, ktorému bol tovar dodaný …… (názov a krajina) – FI Muutos: toimipaikka, jossa tavarat esitetty …… (nimi ja maa) – SV Avvikelse: tullkontor där varorna anmäldes …… (namn och land) – EN Differences: office where goods were presented …… (name and country) | Eltérések: hivatal, ahol az áruk bemutatása megtörtént …… (név és ország) – 99203 |
| – BG Излизането от ………… подлежи на ограничения или такси съгласно Регламент/Директива/Решение № … – CS Výstup ze ………… podléhá omezením nebo dávkám podle nařízení/směrnice/rozhodnutí č … – DA Udpassage fra ………… undergivet restriktioner eller afgifter i henhold til forordning/direktiv/afgørelse nr. … – DE Ausgang aus …………- gemäß Verordnung/Richtlinie/Beschluss Nr. … Beschränkungen oder Abgaben unterworfen – EE … territooriumilt väljumine on aluseks piirangutele ja maksudele vastavalt määrusele/direktiivile/otsusele nr. … – EL Η έξοδος από ……………. υποβάλλεται σε περιοριορισμούς ή σε επιβαρύνσεις από τον Κανονισμό/την Οδηγία/την Απόφαση αριθ. … – ES Salida de ………… sometida a restricciones o imposiciones en virtud del (de la) Reglamento/Directiva/Decisión no … – FR Sortie de ………… soumise à des restrictions ou à des impositions par le règlement ou la directive/décision no … — HR Izlaz iz podliježe …ograničenjima ili pristojbama na temelju Uredbe/Direktive/Odluke br. … – IT Uscita dalla ………… soggetta a restrizioni o ad imposizioni a norma del(la) regolamento/direttiva/decisione n. … – LV Izvešana no ……………, piemērojot ierobežojumus vai maksājumus saskaņā ar Regulu/Direktīvu/Lēmumu No…, – LT Išvežimui iš ………… taikomi apribojimai arba mokesčiai, nustatyti Reglamentu/Direktyva/Sprendimu Nr.…, – HU A kilépés ………… területéről a … rendelet/irányelv/határozat szerinti korlátozás vagy teher megfizetésének kötelezettsége alá esik – MT Ħruġ mill- ………… suġġett għall-restrizzjonijiet jew ħlasijiet taħt Regola/Direttiva/Deċiżjoni Nru… – NL Bij uitgang uit de ………… zijn de beperkingen of heffingen van Verordening/Richtlijn/Besluit nr. … van toepassing – PL Wyprowadzenie z………… podlega ograniczeniom lub opłatom zgodnie z rozporządzeniem/dyrektywą/decyzją nr … – PT Saída da ………… sujeita a restrições ou a imposições pelo(a) Regulamento/Directiva/Decisão n.o … – RO Ieșire din………… supusă restricțiilor sau impozitelor prin Regulamentul/Directiva/Decizia nr … – SL Iznos iz ………… zavezan omejitvam ali obveznim dajatvam na podlagi Uredbe/Direktive/Odločbe št … – SK Výstup z………… podlieha obmedzeniam alebo platbám podľa nariadenia/smernice/rozhodnutia č … – FI ………… vientiin sovelletaan asetuksen/direktiivin/päätöksen N:o … mukaisia rajoituksia tai maksuja – SV Utförsel från ………… underkastad restriktioner eller avgifter i enlighet med förordning/direktiv/beslut nr … – EN Exit from ………… subject to restrictions or charges under Regulation/Directive/Decision No … | A kilépés ………… területéről a … rendelet/irányelv/határozat szerinti korlátozás vagy teher megfizetésének kötelezettsége alá esik – 99204 |
| – BG Освободено от задължителен маршрут – CS Osvobození od stanovené trasy – DA fritaget for bindende transportrute – DE Befreiung von der verbindlichen Beförderungsroute – EE Ettenähtud marsruudist loobutud – EL Απαλλαγή από την υποχρέωση τήρησης συγκεκριμένης διαδρομής – ES Dispensa de itinerario obligatorio – FR Dispense d’itinéraire contraignant — HR Oslobođeno od propisanog plana puta – IT Dispensa dall’itinerario vincolante – LV Atļauts novirzīties no noteiktā maršruta – LT Leista nenustatyti maršruto – HU Előírt útvonal alól mentesítve – MT Tneħħija ta' l-itinerarju preskitt – NL Geen verplichte route – PL Zwolniony z wiążącej trasy przewozu – PT Dispensa de itinerário vinculativo – RO Dispensă de la itinerarul obligatoriu – SL Opustitev predpisane poti – SK Oslobodenie od predpísanej trasy – FI Vapautettu sitovan kuljetusreitin noudattamisesta – SV Befrielse från bindande färdväg – EN Prescibed itinerary waived | Előírt útvonal alól mentesítve – 99205 |
| – BG Одобрен изпращач – CS Schválený odesílatel – DA Godkendt afsender – DE Zugelassener Versender – EE Volitatud kaubasaatja – EL Εγκεκριμένος αποστολέας – ES Expedidor autorizado – FR Expéditeur agréé — HR Ovlašteni pošiljatelj – IT Speditore autorizzato – LV Atzītais nosūtītājs – LT Įgaliotas siuntėjas – HU Engedélyezett feladó – MT Awtorizzat li jibgħat – NL Toegelaten afzender – PL Upoważniony nadawca – PT Expedidor autorizado – RO Expeditor agreat – SL Pooblaščeni pošiljatelj – SK Schválený odosielateľ – FI Valtuutettu lähettäjä – SV Godkänd avsändare – EN Authorised consignor | Engedélyezett feladó – 99206 |
| – BG Освободен от подпис – CS Podpis se nevyžaduje – DA Fritaget for underskrift – DE Freistellung von der Unterschriftsleistung – EE Allkirjanõudest loobutud – EL Δεν απαιτείται υπογραφή – ES Dispensa de firma – FR Dispense de signature — HR Oslobođeno potpisa – IT Dispensa dalla firma – LV Derīgs bez paraksta – LT Leista nepasirašyti – HU Aláírás alól mentesítve – MT Firma mhux meħtieġa – NL Van ondertekening vrijgesteld – PL Zwolniony ze składania podpisu – PT Dispensada a assinatura – RO Dispensă de semnătură – SL Opustitev podpisa – SK Oslobodenie od podpisu – FI Vapautettu allekirjoituksesta – SV Befrielse från underskrift – EN Signature waived | Aláírás alól mentesítve – 99207 |
| – BG ЗАБРАНЕНО ОБЩО ОБЕЗПЕЧЕНИЕ – CS ZÁKAZ SOUBORNÉ JISTOTY – DA FORBUD MOD SAMLET KAUTION – DE GESAMTBÜRGSCHAFT UNTERSAGT – EE ÜLDTAGATISE KASUTAMINE KEELATUD – EL ΑΠΑΓΟΡΕΥΕΤΑΙ Η ΣΥΝΟΛΙΚΗ ΕΓΓΥΗΣΗ – ES GARANTÍA GLOBAL PROHIBIDA – FR GARANTIE GLOBALE INTERDITE — HR ZABRANJENO ZAJEDNIČKO JAMSTVO – IT GARANZIA GLOBALE VIETATA – LV VISPĀRĒJS GALVOJUMS AIZLIEGTS – LT NAUDOTI BENDRĄJĄ GARANTIJĄ UŽDRAUSTA – HU ÖSSZKEZESSÉG TILOS – MT MHUX PERMESSA GARANZIJA KOMPRENSIVA – NL DOORLOPENDE ZEKERHEID VERBODEN – PL ZAKAZ KORZYSTANIA Z GWARANCJI GENERALNEJ – PT GARANTIA GLOBAL PROIBIDA – RO GARANȚIA GLOBALĂ INTERZISĂ – SL PREPOVEDANO SKUPNO ZAVAROVANJE – SK ZÁKAZ CELKOVEJ ZÁRUKY – FI YLEISVAKUUDEN KÄYTTÖ KIELLETTY – SV SAMLAD SÄKERHET FÖRBJUDEN – EN COMPREHENSIVE GUARANTEE PROHIBITED | ÖSSZKEZESSÉG TILOS – 99208 |
| – BG ИЗПОЛЗВАНЕ БЕЗ ОГРАНИЧЕНИЯ – CS NEOMEZENÉ POUŽITÍ – DA UBEGRÆNSET ANVENDELSE – DE UNBESCHRÄNKTE VERWENDUNG – EE PIIRAMATU KASUTAMINE – EL ΑΠΕΡΙΟΡΙΣΤΗ ΧΡΗΣΗ – ES UTILIZACIÓN NO LIMITADA – FR UTILISATION NON LIMITÉE — HR NEOGRANIČENA UPORABA – IT UTILIZZAZIONE NON LIMITATA – LV NEIEROBEŽOTS IZMANTOJUMS – LT NEAPRIBOTAS NAUDOJIMAS – HU KORLÁTOZÁS ALÁ NEM ESŐ HASZNÁLAT – MT UŻU MHUX RISTRETT – NL GEBRUIK ONBEPERKT – PL NIEOGRANICZONE KORZYSTANIE – PT UTILIZAÇÃO ILIMITADA – RO UTILIZARE NELIMITATĂ – SL NEOMEJENA UPORABA – SK NEOBMEDZENÉ POUŽITIE – FI KÄYTTÖÄ EI RAJOITETTU – SV OBEGRÄNSAD ANVÄNDNING – EN UNRESTRICTED USE | KORLÁTOZÁS ALÁ NEM ESŐ HASZNÁLAT – 99209 |
| – BG Разни – CS Různí – DA Diverse – DE Verschiedene – EE Erinevad – EL Διάφορα – ES Varios – FR Divers — HR Razni – IT Vari – LV Dažādi – LT Įvairūs – HU Többféle – MT Diversi – NL Diverse – PL Różne – PT Diversos – RO Diverși – SL Razno – SK Rôzne – FI Useita – SV Flera – EN Various | Többféle – 99211 |
| – BG Насипно – CS Volně loženo – DA Bulk – DE Lose – EE Pakendamata – EL Χύμα – ES A granel – FR Vrac — HR Rasuto – IT Alla rinfusa – LV Berams – LT Nesupakuota – HU Ömlesztett – MT Bil-kwantitá – NL Los gestort – PL Luzem – PT A granel – RO Vrac – SL Razsuto – SK Voľne – FI Irtotavaraa – SV Bulk – EN Bulk | Ömlesztett – 99212 |
| – BG Изпращач – CS Odesílatel – DA Afsender – DE Versender – EE Saatja – EL Αποστολέας – ES Expedidor – FR Expéditeur — HR Pošiljatelj – IT Speditore – LV Nosūtītājs – LT Siuntėjas – HU Feladó – MT Min jikkonsenja – NL Afzender – PL Nadawca – PT Expedidor – RO Expeditor – SL Pošiljatelj – SK Odosielateľ – FI Lähettäjä – SV Avsändare – EN Consignor | Feladó – 99213 |
38a. MELLÉKLET
VÁMÁRU-NYILATKOZAT FELADOTT POGGYÁSZRA

38b. MELLÉKLET
A 290c. cikk (1) bekezdésében említett eljárás
A 290c. cikk alkalmazása céljából az engedélyes mérlegelők állapítják meg minden egyes frissbanán-szállítmány esetében a nettó tömeget a banán kirakodásának bármely helyszínén, az alább megállapított eljárás szerint:
1. Minden csomagolástípusra és származási helyre vonatkozóan a csomagolt banán egységeiből mintát kell venni. A csomagolt banán egységeiből vett mérlegelendő mintának a szállítmány tekintetében reprezentatívnak kell lennie. A mintának legalább az alább feltüntetett mennyiségekre kell kiterjednie:
| Csomagolt banán egységeinek száma (csomagolástípus és származás szerint) | A vizsgálandó csomagolt banán egységeinek száma |
| — legfeljebb 400 | 5 |
| — 401-től 700-ig | 7 |
| — 701-től 1 000 -ig | 10 |
| — 1 001 -től 2 000 -ig | 13 |
| — 2 001 -től 4 000 -ig | 15 |
| — 4 001 -től 6 000 -ig | 18 |
| — 6 000 felett | 21 |
2. A nettó tömeget a következőképpen kell meghatározni:
a) az ellenőrizendő banán minden csomagolási egységét meg kell mérni (bruttó tömeg);
b) a banán legalább egy csomagolási egységét meg kell nyitni, és ki kell számítani a csomagolás tömegét;
c) a csomagolás tömegét valamennyi azonos típusú és származású csomagolásra vonatkozóan el kell fogadni, és a banán minden lemért csomagolási egységének tömegéből le kell vonni;
d) a banán csomagolási egységeinek az ellenőrzött minta tömege alapján minden típusra és származási helyre vonatkozóan így megállapított átlagos tömegét kell elfogadni a frissbanán-szállítmány nettó tömege meghatározásának alapjául.
3. Amennyiben a vámhatóság egyidejűleg nem ellenőrzi le a banánmérlegelési bizonylatokat, a mérlegelési bizonylaton bejelentett nettó tömeg a vámhatóság számára elfogadható, ha a bejelentett nettó tömeg a vámhatóságok által megállapított átlagos tömeghez képest legfeljebb 1 %-os eltérést mutat.
4. A banánmérlegelési bizonylatot annak a vámhivatalnak kell bemutatni, amelyhez a szabad forgalomba bocsátásra irányuló nyilatkozatot benyújtották. A vámhatóságnak a banánmérlegelési bizonylaton szereplő mintavételi eredményeket kell a bizonylatban feltüntetett frissbanán-szállítmány egészére alkalmaznia.
38c. MELLÉKLET

38D. MELLÉKLET
(lásd a 4o. cikket)
A 4o. cikk (1) bekezdésében előírt központi rendszerben feldolgozott adatok
1. Az 1. cikk 16. pontja szerinti EORI-szám.
2. A személy teljes neve.
3. Székhely/lakóhely címe: annak a helynek a teljes címe, ahol a személy letelepedett/lakik, beleértve az ország vagy terület azonosítóját (amennyiben rendelkezésre áll, a 38. melléklet II. címének 2. rovatában meghatározottak szerinti ISO alfa 2-országkód formájában) is.
4. héaazonosító szám(ok), ha ilyet a tagállam kiadott.
5. Adott esetben a társasági forma, a társasági szerződésben megjelölt módon.
6. Az alapítás időpontja, természetes személy esetén a születési idő.
7. A személy típusa (a Vámkódex 4. cikkének 1. pontjában említett természetes személy, jogi személy, személyegyesülés), kódolt formában. A következő kódokat kell alkalmazni:
1. természetes személy;
2. jogi személy;
3. a Vámkódex 4. cikkének 1. pontja szerinti személyegyesülés.
8. Elérhetőség: a kapcsolattartó személy neve, címe és a következő adatok bármelyike: telefonszám, faxszám, e-mail cím.
9. A Közösség vámterületén kívül letelepedett személy esetében: az az egy vagy több azonosító szám, amelyet az érintett személy részére vámigazgatási célból olyan harmadik ország illetékes hatóságai adtak ki, amellyel a vámügyekben történő kölcsönös igazgatási segítségnyújtás tárgyában kötött megállapodás hatályban van. Ennek az egy vagy több azonosító számnak tartalmaznia kell az ország vagy terület azonosítóját (amennyiben rendelkezésre áll, a 38. melléklet II. címének 2. rovatában meghatározottak szerinti ISO alfa 2-országkód formájában).
10. Adott esetben az érintett tagállam cégnyilvántartásában található, a gazdasági tevékenységek Európai Közösségen belüli statisztikai osztályozásának (NACE) megfelelő, a fő gazdasági tevékenységet jelölő négyjegyű szám.
11. Az EORI-szám lejárati ideje, ha van ilyen.
12. Az 1., 2. és 3. pontban felsorolt személyes adatok nyilvánosságra hozatalához való hozzájárulás, ha a szóban forgó személy azt megadta.
42. MELLÉKLET
SÁRGA CÍMKE
Szín:
fekete betűk sárga háttérben.

42b. MELLÉKLET
SÁRGA CÍMKE

Szín:
fekete betűk sárga háttéren.
43. MELLÉKLET
T2M OKMÁNY



44. MELLÉKLET
MEGJEGYZÉSEK
(függelék a T2M okmánygarnitúrát tartalmazó füzethez)
1. Általános szempontok
1. A T2M okmány arra szolgál, hogy egy közösségi halászhajó a Közösség vámterületéhez nem tartozó ország vagy terület felségvizein kívül szerzett halászzsákmányának és/vagy az abból származó, a zsákmányt szerző hajó, egy másik közösségi halászhajó vagy egy közösségi feldolgozóhajó fedélzetén történt feldolgozással nyert áruknak a közösségi helyzetét igazolja a Közösség vámterületére történő belépéskor.
2. A közösségi halászhajó olyan hajó, amelyet a Közösség vámterületéhez tartozó állam területén jegyeztek be és tartanak nyilván, valamelyik tagállam zászlaja alatt hajózik, halászati tevékenységet végez és a halászzsákmányt esetleg a fedélzetén feldolgozza. A közösségi feldolgozóhajó olyan hasonlóan bejegyzett és nyilvántartott hajó, amely csak átrakott halászzsákmányt dolgoz fel.
3. Ez a füzet 10 okmányt tartalmaz, amelyek mindegyike egy eredetiből és egy másolatból áll. A másolatokat nem szabad a füzetből kitépni.
4. A füzetet a vámhatóságok kérésére be kell mutatni.
5. A füzetet vissza kell juttatni az azt kibocsátó vámhatóságnak, ha a hajó, amelyhez kiadták, már nem felel meg az előírt feltételeknek, ha a füzetben található valamennyi okmányt felhasználták, vagy ha a füzet érvényességi ideje lejárt.
II. A T2M okmányok hitelesítése
6. Az okmányokat írógéppel vagy olvashatóan kézzel kell kitölteni; az utóbbi esetben tintával és nyomtatott betűkkel. Törlés vagy felülírás tilos. Javításnál a hibás adatot át kell húzni és a helyeset kell beírni. Az ilyen javítást annak a személynek, aki a nyilatkozatot aláírta, kézjegyével el kell látnia.
7. Az okmány 1-3. rovatait a feltüntetett személynek azon a nyelven kell kitöltenie, amelyen az okmányt kinyomtatták. Az okmány 4-12. rovatát a Közösség valamelyik hivatalos nyelvén kell kitölteni.
8. A T2M okmányokat annak a hatóságnak az eredeti példány és a másolat A. rovatában található aláírása érvényesíti, amelyik annak a közösségi halászhajónak a nyilvántartásba vételéért felelős, amely számára a füzetet kiadták. A füzet a borítójának 2. oldalán feltüntetett időponttól számított két évig érvényes.
III. A T2M okmányok használata
9. A közösségi halászhajó kapitányának a T2M okmány eredetijén és másolatán minden esetben ki kell töltenie a 4., 5. rovatokat és/vagy 6., 7., 8. rovatokat, valamint ki kell töltenie és alá kell írnia a 9. rovatban szereplő nyilatkozatot, amikor:
- a halászzsákmányt és/vagy az annak a fedélzeten történt feldolgozásából eredő árukat kirakodják a Közösség vámterületén található kikötőben vagy másik kikötőben, ahonnan a Közösség vámterületre indulnak,
- a zsákmányt és/vagy az árukat másik közösségi halászhajóra, közösségi feldolgozóhajóra - ahol a zsákmányt a fedélzeten feldolgozzák - vagy bármely más hajóra átrakják, amely feldolgozás nélkül elviszi a zsákmányt és/vagy árukat közvetlenül a Közösség vámterületén lévő kikötőbe vagy olyan kikötőbe, ahonnan azokat a Közösség vámterületére továbbszállítják. Ebben az esetben a közösségi halászhajó kapitányának és azon hajó kapitányának, amelyre a halászzsákmányt és/vagy árut átrakják, ki kell töltenie és alá kell írnia az eredeti példány és a másolat 10. rovatát.
10. Azon feldolgozóhajó kapitányának, amelyre a fedélzeten való feldolgozásra átrakják a közösségi halászhajó halászzsákmányát, minden esetben ki kell töltenie a 6., 7. és 8. rovatot, és ki kell töltenie és alá kell írnia az eredeti példány 11. rovatában szereplő nyilatkozatot, amikor:
- a fedélzeten való feldolgozásból származó árukat partra teszik a Közösség vámterületéhez tartozó kikötőben, vagy a Közösség vámterületéhez nem tartozó kikötőben, ahonnan azokat a Közösség vámterületére továbbszállítják,
- az árukat átrakják olyan hajóra, amely feldolgozás nélkül közvetlenül egy a Közösség vámterületén lévő kikötőbe, vagy a Közösség vámterületén kívüli kikötőbe viszi azokat, ahonnan azokat a Közösség vámterületére továbbszállítják. Ebben az esetben a feldolgozóhajó kapitánya és annak a hajónak a kapitánya, amelyre az árut átrakják, kitölti és aláírja az eredeti példány 12. rovatát.
11. Ha a zsákmány vagy az áruk a Közösség vámterületére történő szállításuk előtt a Közösség vámterületéhez nem tartozó országba vagy területre kerülnek, az ország vagy terület vámhatóságának ki kell töltenie és alá kell írnia az okmány 13. rovatát. Ha a zsákmány egy része nem kerül a Közösség vámterületére, akkor ezen termékek megnevezését, jellegét, bruttó tömegét és tervezett vámjogi sorsát az okmány "Megjegyzések" rovatában fel kell tüntetni.
12. A T2M okmány eredetije kíséri a halászzsákmányt és/vagy árut valamennyi átrakáskor és a Közösség vámterületére történő közvetett vagy közvetlen szállításkor.
IV. A T2M okmányok "Kivonatának" használata - Ha a zsákmányt és/vagy árut a Közösség vámterületéhez nem tartozó országba vagy területre szállítják és osztott szállítmányként a Közösség vámterületére tervezik továbbszállítani,
13. Az érintett halászhajónak kiállított füzetből a részszállítmányok számának megfelelő számú eredeti T2M okmányt kell kivenni, és jól láthatóan fel kell tüntetni a "Kivonat" jelölést és az eredeti szállítmányra vonatkozó T2M okmány adatait. Ezt az információt a "Kivonatok" másolatain is fel kell tüntetni, amelyeket a füzetből nem szabad kitépni.
14. Minden egyes részszállítmányra vonatkozóan:
- ki kell tölteni a T2M "Kivonat" 4., 5. és/vagy 6., 7., 8. rovatát, feltüntetve a szállított zsákmány és/vagy áruk mennyiségét,
- az érintett ország vagy terület vámhatóságainak ki kell tölteniük, záradékolniuk kell és alá kell írniuk a "Kivonat" okmány eredetijének 13. rovatát,
- a legelső T2M okmány "Megjegyzések" rovatába be kell írni a csomagok számát és jellegét, bruttó tömegét, a szállítmány tervezett vámjogi sorsát, valamint a "Kivonat" okmány számát és keltét,
- a "Kivonat" okmánynak kísérnie kell a zsákmányt és/vagy áruszállítmányt.
15. Ha a T2M okmányban szereplő teljes halászzsákmányt és/vagy árut a Közösség vámterületére szállították, az érintett ország vagy terület vámhatóságainak ki kell töltenie, záradékolnia kell és alá kell írnia a okmány 13. rovatát. Ezt a okmányt el kell küldeni annak a vámhivatalnak, amelyik a T2M füzetet kibocsátotta. Ha a zsákmány vagy az áruk egy része nem megy a Közösség vámterületére, az érintett szállítmány nevét, jellegét és bruttó tömegét, valamint a tervezett vámjogi sorsot fel kell tüntetni az okmány "Megjegyzések" rovatában.
V. A T2M okmányok kiadása
16. Valamennyi T2M okmányt (legelső vagy "Kivonat") be kell mutatni annál a vámhivatalnál, ahol a halászzsákmányt vagy árut, amelyre vonatkozik, a Közösség vámterületére bevitték. Ha a zsákmányt vagy árut árutovábbítási eljárással hozták be a Közösség vámterületére és az eljárás a Közösség vámterületén kívül kezdődött, a T2M okmányokat az eljárás rendeltetési helye szerinti vámhivatalnak kell bemutatni.
44a. MELLÉKLET
A RAKOMÁNYJEGYZÉKRE VONATKOZÓ ÚTMUTATÓ
I. CÍM
ÁLTALÁNOS
1. Definice
1.1. A rakományjegyzék az ebben a mellékletben meghatározott jellemzőkkel rendelkező okmány.
1.2. Az árutovábbítási nyilatkozattal együtt, a 353. cikk (2) bekezdése alkalmazásakor használható.
2. Rakományjegyzék-nyomtatvány felépítése
2.1. Csak a nyomtatvány első oldala használható rakományjegyzékként.
2.2. A rakományjegyzék a következőkből áll:
a) Rakományjegyzék felirat;
b) egy 70×55 milliméteres rovat egy 70×15 milliméteres felső és egy 70×40 milliméteres alsó részre osztva;
c) a következő fejléccel ellátott oszlopokból áll a következő sorrendben:
- szám,
- jelölések, számok, a csomagok száma és jellege, árumegnevezés,
- feladó/kiviteli ország,
- bruttó tömeg (kg),
- a hivatal tölti ki.
A nyomtatvány használói az oszlopok szélességét szükség szerint változtathatják. Azonban az "A hivatal tölti ki" oszlopnak legalább 30 milliméter szélességűnek kell lennie. A nyomtatvány használói azt is eldönthetik, hogy hogyan használják az a), b) és c) pontban meghatározott területen kívüli területet.
2.3. Közvetlenül az utolsó bejegyzés alatt egy vízszintes vonalat kell húzni, és a fennmaradt szabad területet át kell húzni a későbbi bejegyzések megakadályozása érdekében.
II. CÍM
A KÜLÖNBÖZŐ ROVATOKBA BEJEGYZENDŐ ADATOK
1. Bekeretezett rovat
1.1. Felső rész
Amennyiben a rakományjegyzéket árutovábbítási nyilatkozathoz csatolják, a főkötelezettnek a rovat felső részébe be kell jegyeznie a "T1", "T2" vagy "T2F" jelet.
Amennyiben a rakományjegyzéket T2L okmányhoz csatolják, az érintett személynek a rovat felső részébe be kell jegyeznie a "T2L" vagy "T2LF" jelet.
1.2. Alsó rész
A rovatnak ebbe a részébe az alábbi III. cím 4. pontjában felsorolt adatokat kell bejegyezni.
2. Oszlopok
2.1. Szám
A rakományjegyzékben szereplő minden tételt egy sorszámnak kell megelőznie.
2.2. Jelölések, számok, a csomagok száma és jellege, árumegnevezés
Az előírt adatokat a 37. és 38. mellékletnek megfelelően kell bejegyezni.
Ha az árutovábbítási nyilatkozatot rakományjegyzék kíséri, a rakományjegyzéknek tartalmaznia kell az árutovábbítási nyilatkozat 31. (csomagok és árumegnevezés), 40. (gyűjtő vámáru-nyilatkozat/előokmány), 44. (különleges megjegyzések, benyújtott okmányok, igazolások és engedélyek) és szükség esetén a 33. (vámtarifaszám), valamint a 38. [nettó tömeg (kg)] rovataiban feltüntetett adatokat.
2.3. Feladó/kiviteli ország
Írja be annak a tagállamnak a nevét, ahonnan az árukat küldik vagy exportálják.
Ne használja ezt az oszlopot, amennyiben a rakományjegyzéket T2L okmányhoz csatolják.
2.4. Bruttó tömeg (kg)
Írja be az EV okmány 35. rovatába bejegyzett adatokat (ld. a 37. mellékletet).
III. CÍM
A RAKOMÁNYJEGYZÉKEK HASZNÁLATA
1. Egy árutovábbítási nyilatkozathoz nem lehet egyidejűleg rakományjegyzéket és egy vagy több pótlapot is csatolni.
2. Rakományjegyzék alkalmazása esetén az árutovábbítási nyilatkozat nyomtatványa 15. (feladó/kiviteli ország), 32. (tételsorszám), 33. (vámtarifaszám), 35. [bruttó tömeg (kg)], 38. [nettó tömeg (kg)], 40. (gyűjtő vámáru-nyilatkozat/előokmány) és szükség esetén a 44. (különleges megjegyzések, benyújtott okmányok, igazolások és engedélyek) rovatait át kell húzni, és a 31. (csomagok és az árumegnevezés) rovatát nem lehet felhasználni a jelek, számok, a csomagok száma és jellege vagy az árumegnevezés feltüntetésére.Az árutovábbítási nyilatkozat nyomtatvány 31. (Csomagok és árumegnevezés) rovatába be kell jegyezni a különböző rakományjegyzékek sorszámára és jelzésére való hivatkozást.
3. A rakományjegyzéket ugyanannyi példányban kell elkészíteni, mint azt a nyomtatványt, amire vonatkozik.
4. Amennyiben az árutovábbítási nyilatkozatot nyilvántartásba vették, a rakományjegyzéknek ugyanazt a nyilvántartási számot kell adni, mint a nyomtatványnak, amelyre vonatkozik. Ezt a számot kézzel, illetve egy olyan bélyegző segítségével kell bejegyezni, amely tartalmazza az indító vámhivatal nevét. Ha kézzel jegyezték be, a nyilvántartási számot az indító vámhivatal hivatalos bélyegzőjével kell hitelesíteni.
Az indító vámhivatal tisztviselői számára nem kötelező a nyomtatványok aláírása.
5. Amennyiben egy közösségi árutovábbítás céljára használt nyomtatványhoz több rakományjegyzéket csatolnak, a jegyzékeken szerepelniük kell a főkötelezett által adott sorszámnak, és a csatolt rakományjegyzékek darabszámát be kell írni az említett nyomtatvány 4. (Rakományjegyzékek) rovatába.
6. Az (1)-(5) bekezdés rendelkezéseit értelemszerűen kell alkalmazni, amennyiben a rakományjegyzéket egy T2L vagy T2LF okmányhoz csatolják.
44b. MELLÉKLET
A KÖZÖSSÉGI ÁRUTOVÁBBÍTÁS SORÁN HASZNÁLT NYOMTATVÁNYOKRA VONATKOZÓ RENDELKEZÉSEK
Ez a melléklet a közösségi árutovábbítás során használt, az egységes vámokmánytól eltérő nyomtatványok jellemzőit határozza meg.
1. Rakományjegyzékek
1.1. A nyomtatványokat legalább 40 g/m2 tömegű írópapírra kell nyomtatni, amely elég erős ahhoz, hogy a szokásos használat során ne szakadjon vagy gyűrődjön könnyen. A papír színét az érintettek határozzák meg.
1.2. A nyomtatványok mérete 210 × 297 milliméter, a megengedett maximális eltérés a hosszúság esetében mínusz 5 milliméter vagy plusz 8 milliméter.
2. Határátlépési igazolás
2.1. A nyomtatványokat legalább 40 g/m2 tömegű írópapírra kell nyomtatni, amely elég erős ahhoz, hogy a szokásos használat során ne szakadjon vagy gyűrődjön könnyen. A papír színe fehér.
2.2. A nyomtatványok mérete 210 × 148 milliméter.
3. Bemutatási igazolás
3.1. A nyomtatványt olyan papírra kell nyomtatni, amely elég erős ahhoz, hogy a szokásos használat során ne szakadjon vagy gyűrődjék könnyen. Fehér színű papírt kell használni.
3.2. A nyomtatványok mérete 148 × 105 milliméter.
4. Egyedi kezesség
4.1. A nyomtatványokat famentes, legalább 55 g/m2 tömegű írópapírra kell nyomtatni. A papírt vörös színű, guilloche mintájú háttérrel kell ellátni, hogy bármilyen mechanikai vagy vegyi hamisítás kimutatható legyen. A papír színe fehér.
4.2. A nyomtatványok mérete 148 × 105 milliméter.
4.3. Az egyedi garanciajegy nyomtatványán fel kell tüntetni a nyomda nevét és címét vagy a nyomda azonosítására alkalmas jelzést, valamint egy azonosító számot.
5. Kezességi tanúsítvány és tanúsítvány a biztosítéknyújtás alóli mentességről
5.1. A kezességi tanúsítványt és a tanúsítványt a biztosítéknyújtás alóli mentességről - a továbbiakban: tanúsítványok - famentes, legalább 100 g/m2 tömegű fehér írópapírra kell nyomtatni. A papír mindkét oldalán guilloche mintájú háttérnek kell lennie, hogy bármilyen mechanikai vagy vegyi hamisítás kimutatható legyen. A minta színe:
- zöld a kezességi tanúsítvány esetében,
- világoskék a tanúsítvány a biztosítéknyújtás alóli mentességesetében.
5.2. A nyomtatványok mérete 210 × 148 milliméter.
5.3. A tagállamok felelősek a nyomtatványok kinyomtatásáért vagy kinyomtattatásáért. Minden tanúsítványt azonosító sorszámmal kell ellátni.
6. A II. cím egészére vonatkozó közös rendelkezések
6.1. A nyomtatványokat írógéppel vagy egyéb mechanográfiai íróeszközzel vagy más hasonló módon kell kitölteni. A rakományjegyzék, határátlépési igazolás és bemutatási igazolás nyomtatványait olvashatóan kézzel is ki lehet tölteni, ebben az esetben tintával és nyomtatott nagybetűkkel.
6.2. A nyomtatványokat a tagállamok hivatalos nyelvének egyikén kell kitölteni, amely nyelv az indító tagállam vámhatóságai számára elfogadható. Ez a rendelkezés nem alkalmazandó az egyedi kezesség esetében.
6.3. Annak a tagállamnak a vámhatóságai, ahol a nyomtatványokat be kell mutatni, szükség esetén kérhetik a nyomtatványok lefordítását a tagállam hivatalos nyelvére vagy egyik hivatalos nyelvére.
6.4. A kezességi tanúsítvány és a tanúsítvány a biztosítéknyújtás alóli mentességről esetében használandó nyelvet a kezességnyújtás helye szerinti vámhivatal tagállamának vámhatósága jelöli ki.
6.5. A nyomtatványokon a törlés és a felülírás nem megengedett. A módosításokat a hibás adatok áthúzásával és, szükség esetén a helyes adatok beírásával kell végrehajtani. Az ilyen módosításokat a módosítást végző személy a kézjegyével ellátja és a vámhatóságok záradékolják.
44c. MELLÉKLET
MAGAS CSALÁSI KOCKÁZATTAL JÁRÓ ÁRUK
(a 340a. cikk értelmében)
| 1 | 2 | 3 | 4 | 5 |
| HR-kód | Árumegnevezés | Minimum mennyiség | Érzékeny áruk kódja (1) | Egyéni biztosíték minimum értéke |
| 0207 12 | A 0105 vtsz. alá tartozó baromfi, a Gallus domesticus fajba tartozó szárnyasok húsa, élelmezési célra alkalmas vágási mellékterméke és belsősége fagyasztva | 3 000 kg | — | |
| 0207 14 | ||||
| 1701 12 | Nád- vagy répacukor és vegytiszta szacharóz szilárd állapotban | 7 000 kg | — | |
| 1701 13 | — | |||
| 1701 14 | — | |||
| 1701 91 | — | |||
| 1701 99 | ||||
| 2208 20 | Szesz, likőr és más szeszes ital | 5 hl | 2 500 EUR/hl tiszta alkohol | |
| 2208 30 | ||||
| 2208 40 | ||||
| 2208 50 | ||||
| 2208 60 | ||||
| 2208 70 | ||||
| ex 2208 90 | 1 | |||
| 2402 20 | Cigaretta dohánytöltettel | 35 000 darab | 120 EUR/1 000 darab | |
| 2403 11 | Fogyasztási dohány (elszívásra), bármilyen mennyiségű dohánypótló-tartalommal is | 35 kg | – | |
| 2403 19 | ||||
| (1) Ha az árutovábbításra vonatkozó adatok cseréje elektronikus adatfeldolgozási módszerrel történik és a második oszlopban szereplő áruk nem azonosíthatók egyértelműen a HR-kóddal, mind a negyedik oszlopban megadott érzékeny áruk kódot, mind az első oszlopban megadott HR-kódot alkalmazni kell. | ||||
45. MELLÉKLET

45a. MELLÉKLET
ÁRUTOVÁBBÍTÁSI KÍSÉRŐOKMÁNY
I. fejezet
Az árutovábbítási kísérő okmány mintája

II. fejezet
Az árutovábbítási kísérőokmányra vonatkozó kitöltési útmutató és tartalmi elemek (adatok)
Az árutovábbítási kísérőokmányhoz használt papír zöld színű is lehet.
Az árutovábbítási kísérőokmányt az adott esetben a főkötelezett által módosított, és/vagy az indító vámhivatal által jóváhagyott árutovábbítási nyilatkozatból származó adatok alapján kell kinyomtatni a következő kiegészítéssel:
1. MRN (művelethivatkozási szám)
Az információt alfanumerikus formában, 18 karakterrel, a következő minta alapján kell megadni:
| Mező | Tartalom | Mező típusa | Példa |
| 1 | Az árutovábbítási művelet hivatalos elfogadási évének utolsó két számjegye (ÉÉ) | Numerikus 2 | 97 |
| 2 | A művelet indító országának azonosítója (ISO alfa-2 országkód) | Alfabetikus 2 | IT |
| 3 | Az árutovábbítási művelet évenkénti és országonkénti egyedi azonosítója | Alfanumerikus 13 | 9876AB8890123 |
| 4 | Ellenőrző szám | Alfanumerikus 1 | 5 |
Az 1. és a 2. mező kitöltését a fenti magyarázat szerint kell elvégezni.
A 3. mezőt az árutovábbítási művelet azonosító kódjával kell kitölteni. A mező használatának módja a nemzeti igazgatási szervek felelősségi körébe tartozik, de az adott országban egy éven belül kezelt minden árutovábbítási műveletet egyedi számmal kell ellátni.
Azok a nemzeti igazgatási szervek, amelyek a vámhatóságok hivatali hivatkozási számát bele kívánják foglalni az MRN-be, az első 6 karaktert használhatják a hivatal nemzeti számának beírására.
A 4. mezőt az egész MRN-re vonatkozó ellenőrző számmal kell kitölteni. Szerepe az MRN rögzítése során keletkező hibák felismerése.
Az MRN-t vonalkód módban is ki kell nyomtatni, a standard "128 kód" segítségével, a "B" karakterkészlet alkalmazásával.
2.
3. rovat:
- első alrovat: az adott kinyomtatott példány sorszáma,
- második alrovat: a kinyomtatott példányok teljes száma (a tételjegyzéket is beleértve),
- nem használható, ha csak egy tétel van.
3. A 8. rovattól jobbra lévő terület:
Annak a vámhivatalnak a neve és címe, ahová az árutovábbítási kísérőokmány visszpéldányát vissza kell küldeni, amennyiben az üzemszüneti eljárást alkalmazzák.
4. C. rovat:
- az indító vámhivatal neve,
- az indító vámhivatal hivatkozási száma,
- az árutovábbítási nyilatkozat elfogadásának napja,
- az engedélyezett feladó neve és engedélyezési száma (ha van ilyen).
5. D. rovat:
- az ellenőrzés eredménye,
- a felhelyezett vámzárak vagy a "- -" jelzés, a "Mentesség - 99201" jelölésére,
- adott esetben az "Előírt útvonal" jelzés.
Az árutovábbítási kísérőokmány nem módosítható, nem lehet belőle törölni, nem lehet kiegészíteni, kivéve ha e rendelet másként rendelkezik.
6. Alakiságok szállítás közben
Előfordulhat, hogy az áruk indító vámhivatalától történő szállításának megkezdése és a rendeltetési vámhivatalhoz történő megérkezésének időpontja között bizonyos kiegészítő adatokat kell feltüntetni az árukat kísérő árutovábbítási kísérőokmányon. Ezek az adatok a szállítási műveletekre vonatkoznak, és annak a fuvarozónak kell bejegyeznie őket, aki azért a szállítóeszközért felelős, amelybe az árukat a szállítási művelet adott szakaszában berakodták. Az adatokat fel lehet tüntetni olvasható kézírással is; ebben az esetben a bejegyzéshez tintát és nyomtatott nagybetűket kell használni.
A fuvarozó csak akkor rakodhat át árukat, ha erre engedélyt kapott annak a tagállamnak a vámhatóságaitól, amelynek területén az átrakodás történik.
Amennyiben a vámhatóságok úgy ítélik meg, hogy az adott közösségi árutovábbítási művelet a szokásos módon folytatódhat, megteszik az esetlegesen szükséges lépéseket, majd záradékolják az árutovábbítási kísérőokmányt.
Előfordulhat, hogy az átléptető vámhivatal vagy a rendeltetési vámhivatal vámhatóságainak kell bevinniük a rendszerbe az árutovábbítási kísérőokmányon szereplő kiegészítő adatokat. Az adatokat az engedélyezett címzett is beírhatja.
Az érintett rovatok és tevékenységek a következők:
- Átrakodás: az 55. rovatot kell kitölteni.
55. rovat: Átrakodás
E rovat első három sorát a fuvarozónak kell kitöltenie, ha az adott árutovábbítási művelet során az árukat szállítóeszközről szállítóeszközre vagy konténerből konténerbe rakodják át.
Közúti járművekkel szállított konténerekben történő áruszállítás esetén azonban a tagállamok engedélyezhetik a főkötelezett számára a 18. rovat üresen hagyását, ha az indulási helyen tapasztalható logisztikai helyzet miatt az árutovábbítási nyilatkozat kiállításakor nem állapítható meg a szállítóeszköz azonosítója és honossága, és gondoskodni tudnak arról, hogy utólag bejegyzik a szállítóeszközre vonatkozó megfelelő adatokat az 55. rovatba.
- Egyéb események: az 56. rovatot kell kitölteni.
56. rovat: A szállítás alatt előforduló egyéb események
A rovatot az árutovábbítással kapcsolatos kötelezettségeknek megfelelően kell kitölteni.
Ezenfelül, ha az árukat félpótkocsira rakják és a szállítás alatt vontatót váltanak (anélkül, hogy az árukat kezelnék vagy átrakodnák), az új vontató rendszámát és honosságát ebben a rovatban kell feltüntetni. Ebben az esetben a vámhatóságoknak nem kell záradékot készíteniük.
45b. MELLÉKLET
TÉTELJEGYZÉK
1. fejezet
Tételjegyzékminta


II. fejezet
A tételjegyzékre vonatkozó útmutató és további információk (adatok)
Egynél több tétel szállítása esetén a tételjegyzék A. nyomtatványát mindig ki kell nyomtatni a számítógépes rendszerből, és csatolni kell az árutovábbítási kísérőokmányhoz.
A tételjegyzék rovatai függőlegesen bővíthetők.
Az adatokat az alábbiak szerint kell kinyomtatni.
1. Az azonosító rovatban (bal felső sarok):
a) tételjegyzék;
b) az adott lap sorszáma és a lapok teljes száma (beleértve az árutovábbítási kísérőokmányt is).
2. IVH - az indító vámhivatal megnevezése.
3. Keltezés - az árutovábbítási nyilatkozat elfogadásának napja.
4. MRN - a 45a. melléklet szerinti művelethivatkozási szám.
5. A tételjegyzék különböző rovataiban feltüntetett adatokat az alábbiak szerint kell kinyomtatni.
a) Tételszám - az aktuális tétel sorszáma;
b) Eljárás - ha az áruk státusa az egész nyilatkozat vonatkozásában azonos, akkor ezt a rovatot nem kell kitölteni;
c) vegyes szállítmány esetén a tényleges státust (T1, T2 vagy T2F) kell kinyomtatni.
45e. MELLÉKLET
(a 358. cikk (2) bekezdésében említve)
ÁRUTOVÁBBÍTÁSI/BIZTONSÁGI KÍSÉRŐOKMÁNY (ÁBKO)
I. FEJEZET
Az árutovábbítási/biztonsági kísérőokmány mintája

II. FEJEZET
Az árutovábbítási/biztonsági kísérőokmányra vonatkozó kitöltési útmutató és részletek (adatok)
Az e fejezetben használt BCP betűszó (Business continuity plan, üzletmenet-folytonossági terv) olyan helyzetekre vonatkozik, amikor a 340b. cikk 7. pontjában meghatározott üzemszüneti eljárásra alkalmazandó.
Az árutovábbítási/biztonsági kísérőokmány a nyilatkozat egészére érvényes adatokat tartalmaz.
Az árutovábbítási/biztonsági kísérőokmányban szereplő információknak az árutovábbítási nyilatkozatból származó adatokon kell alapulniuk; ezeket az információkat szükség esetén a főkötelezett módosítja és/vagy az indító vámhivatal ellenőrzi.
Az árutovábbítási/biztonsági kísérőokmányhoz használt papír zöld színű is lehet.
A 30A. a 37. és a 38. melléklet kitöltési útmutatójában foglalt rendelkezéseken túlmenően az adatokat az alábbiak szerint kell kinyomtatni:
1. MRN (MŰVELETHIVATKOZÁSI SZÁM)
Az MRN-t az első oldalra, továbbá valamennyi tételjegyzékre ki kell nyomtatni, kivéve, ha ezeket a formanyomtatványokat a BCP-vel összefüggésben használják fel, amely esetben nem adnak ki MRN-t.
Az információ alfanumerikus, és 18 karakterből áll az alábbi előírások szerint:
| Mező | Tartalom | Mező típusa | Példa |
| 1 | Az árutovábbítási nyilatkozat hivatalos elfogadási évének utolsó két számjegye (ÉÉ) | Numerikus 2 | 06 |
| 2 | A művelet indító országának azonosítója (ISO alfa-2 országkód) | Alfabetikus 2 | RO |
| 3 | Az árutovábbítási művelet évenkénti és országonkénti egyedi azonosítója | Alfanumerikus 13 | 9876AB8890123 |
| 4 | Ellenőrző karakter | Alfanumerikus 1 | 5 |
Az 1. és a 2. mezőre a fenti magyarázat vonatkozik.
A 3. mezőt az árutovábbítási művelet azonosító jelével kell kitölteni. A mező használatának módja a nemzeti igazgatás felelőssége alá tartozik, de az adott országban egy éven belül kezelt minden árutovábbítási műveletet egyedi számmal kell ellátni.
Azok a nemzeti igazgatások, amelyek a vámhatóságok hivatali hivatkozási számát bele kívánják foglalni az MRN-be, az első 6 karaktert használhatják a hivatal nemzeti számának beírására.
A 4. mezőt az egész MRN-re vonatkozó ellenőrző karakterrel kell kitölteni. Ez a mező lehetővé teszi hibák felfedezését az egész MRN rögzítése során.
Az "MRN"-t vonalkód módban is ki kell nyomtatni, a standard "128 kód""B" karakterkészlet alkalmazásával.
2. "BIZT. NYIL. (S00)" ROVAT:
Jelölje "S" kóddal, amennyiben az árutovábbítási/biztonsági kísérőokmány biztonsági információt is tartalmaz. Ha ez az okmány nem tartalmaz biztonsági információt, a rovatot üresen kell hagyni.
3. "NYOMTATV." ROVAT (3):
Első alrovat: az adott kinyomtatott példány sorszáma.
Második alrovat: a kinyomtatott példányok teljes száma (a tételjegyzéket is beleértve).
4. "HIVATKOZÁSI SZÁMOK (7)" ROVAT:
Jelölje az LRN-t és/vagy az UCR-t.
LRN - a 37a. melléklet szerinti helyi hivatkozási szám.
UCR - a 37. melléklet II. címének 7. rovatában említett egyedi szállítmányhivatkozási szám.
5. A "CÍMZETT (8)" ROVATTÓL JOBBRA LÉVŐ TERÜLET:
Annak a vámhivatalnak a neve és címe, ahová az árutovábbítási/biztonsági kísérőokmány visszpéldányát vissza kell küldeni.
6. "MÁS SKJ (S32)" ROVAT:
Más speciális körülmény jelzése.
7. "INDÍTÓ VÁMHIVATAL (C)" ROVAT:
- az indító vámhivatal hivatkozási száma,
- az árutovábbítási nyilatkozat elfogadásának dátuma,
- az engedélyezett feladó neve és engedélyszáma (ha van ilyen).
8. "AZ INDÍTÓ VÁMHIVATAL ÁLTAL VÉGZETT ELLENŐRZÉS (D)" ROVAT:
- az ellenőrzés eredménye,
- a felhelyezett vámzárak vagy a "- -" jelzés, a "Mentesség - 99201" jelölésére,
- az "Előírt útvonal" jelzése, ha szükséges.
Az árutovábbítási/biztonsági kísérőokmány nem módosítható, és sem törlések, sem kiegészítések nem tehetők rajta, kivéve, ha e rendelet másként rendelkezik.
9. ALAKISÁGOK A SZÁLLÍTÁS ALATT
Előfordulhat, hogy az áruknak az indító vámhivataltól történő elszállításának és a rendeltetési vámhivatalhoz történő megérkezésének időpontja között bizonyos adatokat meg kell adni az árukat kísérő árutovábbítási/biztonsági kísérőokmányon. Ezek az adatok a szállítási műveletekre vonatkoznak, és annak a fuvarozónak kell bejegyeznie őket, aki azért a szállítóeszközért felelős, amelybe az árukat a szállítási művelet adott szakaszában berakodták. Az adatokat fel lehet tüntetni olvasható kézírással is; ebben az esetben a bejegyzéshez tintát és nyomtatott nagybetűket kell használni.
A fuvarozó csak akkor rakodhat át árukat, ha erre engedélyt kapott annak a tagállamnak a vámhatóságaitól, amelynek területén az átrakodás történik.
Amennyiben a vámhatóságok úgy ítélik meg, hogy az adott közösségi árutovábbítási művelet a szokásos módon folytatódhat, megteszik az esetlegesen szükséges lépéseket, majd záradékolják az árutovábbítási/biztonsági kísérőokmányt.
Az átléptető vagy, az esettől függően, a rendeltetési vámhivatal vámhatóságainak az árutovábbítási/biztonsági kísérőokmányhoz kiegészítésként fűzött adatokat be kell vinniük a rendszerbe. Az adatokat az engedélyezett címzett is beviheti.
Az érintett rovatok és tevékenységek a következők:
10. ÁTRAKODÁS: AZ 55. ROVATOT KELL KITÖLTENI
"Átrakodás (55)" rovat
E rovat első három sorát a fuvarozónak kell kitöltenie, ha az adott árutovábbítási művelet során az árukat szállítóeszközről szállítóeszközre vagy konténerből konténerbe rakodják át.
Közúti járművekkel szállított konténerekben történő áruszállítás esetén azonban a vámhatóságok engedélyezhetik a főkötelezett számára a 18. rovat üresen hagyását, ha az indulási helyen tapasztalható logisztikai helyzet miatt az árutovábbítási nyilatkozat kiállításakor nem állapítható meg a szállítóeszköz azonosítója és honossága, és gondoskodni tudnak arról, hogy utólag bejegyzik a szállítóeszközre vonatkozó megfelelő adatokat az 55. rovatba.
11. EGYÉB ESEMÉNYEK: AZ 56. ROVATOT KELL KITÖLTENI
"Szállítás alatt előforduló egyéb események (56)" rovat
A rovatot az árutovábbítással kapcsolatos hatályos kötelezettségeknek megfelelően kell kitölteni.
Ezenfelül, ha az árukat félpótkocsira rakják és a szállítás alatt vontatót váltanak (anélkül, hogy az árukat kezelnék vagy átrakodnák), az új vontató rendszámát és honosságát ebben a rovatban kell feltüntetni. Ebben az esetben a vámhatóságok általi záradékolás nem kötelező.
45f. MELLÉKLET
(a 358. cikk (3) bekezdésében említve)
ÁRUTOVÁBBÍTÁSI/BIZTONSÁGI TÉTELJEGYZÉK (ÁBTJ)
I. FEJEZET
Az árutovábbítási/biztonsági tételjegyzék mintája

II. FEJEZET
Az árutovábbítási/biztonsági tételjegyzékre vonatkozó kitöltési útmutató és részletek (adatok)
Az e fejezetben használt BCP betűszó (Business continuity plan, üzletmenet-folytonossági terv) olyan helyzetekre vonatkozik, amikor a 340b. cikk (7) bekezdésében meghatározott üzemszüneti eljárás alkalmazandó.
Az árutovábbítási/biztonsági tételjegyzék a nyilatkozatban szereplő adott árutételre vonatkozó adatokat tartalmazza.
A tételjegyzék rovatai függőlegesen bővíthetők. A 30A. és a 37. melléklet kitöltési útmutatójában foglalt rendelkezéseken túlmenően az adatokat az alábbiak szerint kell kinyomtatni, szükség esetén kódok feltüntetésével:
1. MRN rovat - a 45e. melléklet szerinti művelethivatkozási szám. Az MRN-t az első oldalra, továbbá valamennyi tételjegyzékre ki kell nyomtatni, kivéve, ha ezeket a formanyomtatványokat a BCP-vel összefüggésben használják fel, amely esetben nem adnak ki MRN-t.
2. A különböző rovatokban tétel szinten feltüntetett adatokat az alábbiak szerint kell kinyomtatni.
a) "T.sorsz." rovat (32) - az adott tétel sorszáma;
b) "Fuv.díj.fiz.mód.kód (S29)" rovat - adja meg a fuvarozási díjak fizetési módjának kódját;
c) UNDG (44/4) rovat - ENSZ Veszélyes Áruk szerinti kód
d) "Nyomtatv." rovat (3):
- Első alrovat: az adott kinyomtatott példány sorszáma,
- Második alrovat: a kinyomtatott példányok teljes száma (árutovábbítási/biztonsági tételjegyzék).
45g. MELLÉKLET
(a 796a. cikkben említve)
KIVITELI KÍSÉRŐOKMÁNY (KKO)
I. FEJEZET
A kiviteli kísérőokmány mintapéldánya

II. FEJEZET
A kiviteli kísérőokmányra vonatkozó kitöltési útmutató és részletek (adatok)
Az e fejezetben használt BCP betűszó (Business continuity plan, üzletmenet-folytonossági terv) olyan helyzetekre vonatkozik, amikor a 787. cikk (2) bekezdésében meghatározott üzemszüneti eljárás alkalmazandó.
A kiviteli kísérőokmány a nyilatkozat egészére, illetve egyetlen árutételre érvényes adatokat tartalmaz.
A kiviteli kísérőokmányban szereplő információknak a kiviteli nyilatkozatból származó adatokon kell alapulniuk; ezeket az információkat szükség esetén a nyilatkozattevő/annak képviselője módosítja és/vagy a kiviteli vámhivatal ellenőrzi.
A 30A. és a 37. melléklet kitöltési útmutatójában foglalt rendelkezéseken túlmenően az adatokat az alábbiak szerint kell kinyomtatni:
1. MRN ROVAT (művelethivatkozási szám)
Az MRN-t az első oldalra, továbbá valamennyi tételjegyzékre ki kell nyomtatni, kivéve, ha ezeket a formanyomtatványokat a BCP-vel összefüggésben használják fel, amely esetben nem adnak ki MRN-t.
Az információ alfanumerikus, és 18 karakterből áll az alábbi előírások szerint:
| Mező | Tartalom | Mező típusa | Példa |
| 1 | A kiviteli nyilatkozat hivatalos elfogadási évének utolsó két számjegye (ÉÉ) | Numerikus 2 | 06 |
| 2 | A kiviteli ország azonosítója (alfa 2 kód, a 38. mellékletnek az egységes vámokmány 2. rovatára vonatkozó rendelkezései szerint) | Alfabetikus 2 | RO |
| 3 | A kiviteli művelet évenkénti és országonkénti egyedi azonosítója | Alfanumerikus 13 | 9876AB8890123 |
| 4 | Ellenőrző karakter | Alfanumerikus 1 | 5 |
Az 1. és a 2. mezőre a fenti magyarázat vonatkozik.
A 3. mezőt a kiviteli ellenőrző rendszer keretében végrehajtott művelet azonosítójával kell kitölteni. A mező használatának módja a nemzeti igazgatások felelőssége alá tartozik, de az adott országban egy éven belül kezelt minden egyes kiviteli műveletet egyedi számmal kell ellátni. Azok a nemzeti igazgatások, amelyek az illetékes hatóságok hivatalainak hivatkozási számát bele kívánják foglalni az MRN-be, az első hat karaktert használhatják a hivatal nemzeti számának beírására.
A 4. mezőt az egész MRN-re vonatkozó ellenőrző karakterrel kell kitölteni. Ez a mező lehetővé teszi hibák felfedezését az egész MRN rögzítése során.
Az "MRN"-t vonalkód módban is ki kell nyomtatni, a standard "128 kód""B" karakterkészlet alkalmazásával.
2. "BIZT. NYIL. (S00)" ROVAT:
Jelölje "S" kóddal, amennyiben a kiviteli kísérőokmány biztonsági információt is tartalmaz. Ha ez az okmány nem tartalmaz biztonsági információt, a rovatot üresen kell hagyni.
3. "VÁMHIVATAL" ROVAT
A kiviteli vámhivatal hivatkozási száma.
4. "Hivatkozási számok (7)" rovat:
Jelölje az LRN-t és/vagy az UCR-t.
LRN - a 37a. melléklet szerinti helyi hivatkozási szám.
UCR - a 37. melléklet II. címének 7. rovatában említett egyedi szállítmányhivatkozási szám.
5. "MÁS SKJ (S32)" ROVAT:
Más speciális körülmény jelzése.
6. A KÜLÖNBÖZŐ ROVATOKBAN TÉTEL SZINTEN FELTÜNTETETT ADATOKAT AZ ALÁBBIAK SZERINT KELL KINYOMTATNI:
a) "T.sorsz. (32)" rovat - az adott tétel sorszáma;
b) "UNDG (44/4)" rovat - ENSZ Veszélyes Áruk szerinti kód.
A kiviteli kísérőokmány nem módosítható, és sem törlések, sem kiegészítések nem tehetők rajta, kivéve, ha e rendelet másként rendelkezik.
45h. MELLÉKLET
(a 796a. cikkben említve)
KIVITELI TÉTELJEGYZÉK (KTJ)
I. FEJEZET
A kiviteli tételjegyzék mintapéldánya

II. FEJEZET
A kiviteli tételjegyzékre vonatkozó kitöltési útmutató és részletek (adatok)
A kiviteli tételjegyzék a nyilatkozatban szereplő árutételekre vonatkozó adatokat tartalmazza.
A kiviteli tételjegyzék rovatai függőlegesen bővíthetők.
A 30A. és a 37. melléklet kitöltési útmutatójában foglalt rendelkezéseken túlmenően az adatokat az alábbiak szerint kell kinyomtatni, szükség esetén kódok feltüntetésével:
1. "MRN" rovat - a 45g. mellékletben meghatározott művelethivatkozási szám. Az MRN-t valamennyi tételjegyzék első oldalára kell nyomtatni.
2. A különböző rovatokban tétel szinten feltüntetett adatokat az alábbiak szerint kell kinyomtatni.
a) "T.sorsz. (32)" rovat - az adott tétel sorszáma;
b) "UNDG (44/4)" rovat - ENSZ Veszélyes Áruk szerinti kód.
45i. MELLÉKLET
(a 183. cikk (2) bekezdésében, a 787. cikk (2) bekezdésének a) pontjában és a 842b. cikk (3) bekezdésében említve)
BIZTONSÁGI ÉS VÉDELMI OKMÁNY (BVO)
I. FEJEZET
A biztonsági és védelmi okmány mintája

II. FEJEZET
A biztonsági és védelmi okmányra vonatkozó kitöltési útmutató és részletek (adatok)
A formanyomtatvány fejsori szintű információkat, valamint egyetlen árutételre vonatkozó adatokat tartalmaz.
A biztonsági és védelmi okmányban szereplő információknak a belépési vagy kilépési gyűjtő vámáru-nyilatkozatból származó adatokon kell alapulniuk; ezeket az információkat szükség esetén a gyűjtő vámáru-nyilatkozatot benyújtó személy módosítja és/vagy a beléptető vagy kiléptető vámhivatal ellenőrzi.
A biztonsági és védelmi okmányt a gyűjtő vámáru-nyilatkozatot benyújtó személy tölti ki.
A 30A. és a 37. melléklet kitöltési útmutatójában foglalt rendelkezéseken túlmenően az adatokat az alábbiak szerint kell kinyomtatni:
1. "MRN" rovat - a 45e. mellékletben meghatározott művelethivatkozási szám vagy a vámhivatal által kiadott ad hoc hivatkozások. Az MRN-t az első oldalra és valamennyi tételjegyzékre kell nyomtatni.
2. Vámhivatal
A beléptető/kiléptető vámhivatal hivatkozási száma.
3. "Nyilatkozattípus (1)" rovat
"IM" vagy "EX" kód attól függően, hogy az okmány belépési gyűjtő vámáru-nyilatkozatra vagy kilépési gyűjtő vámáru-nyilatkozatra vonatkozó adatokat tartalmaz.
4. "Hivatkozási szám (7)" rovat:
Adja meg az LRN-t - a 37a. melléklet szerint meghatározott helyi hivatkozási szám.
5. "Érk. első hely. kód (S11)":
Az érkezés első helyének kódja.
6. "Érk. nap. és id. vámt. érk. első h. (S12)" rovat:
Adja meg az érkezés napját és idejét a vámterületre való érkezés első helyére vonatkozóan.
7. "Fuv.díj.fiz.mód.kód (S29)" rovat:
Adja meg a fuvarozási díjak fizetési módjának kódját.
8. "UNDG (S27)" rovat - ENSZ Veszélyes Áruk szerinti kód.
9. "Más SKJ (S32)" rovat:
Más speciális körülmény jelzése.
A biztonsági és védelmi okmány nem módosítható, és sem törlések, sem kiegészítések nem tehetők rajta, kivéve, ha e rendelet másként rendelkezik.
45j. MELLÉKLET
(a 183. cikk (2) bekezdésében, a 787. cikk (2) bekezdésének a) pontjában és a 842b. cikk (3) bekezdésében említve)
BIZTONSÁGI ÉS VÉDELMI TÉTELJEGYZÉK (BVTJ)
I. FEJEZET
A biztonsági és védelmi tételjegyzék mintája

II. FEJEZET
A biztonsági és védelmi tételjegyzékre vonatkozó kitöltési útmutató és részletek (adatok)
A tételjegyzék rovatai függőlegesen nem bővíthetők.
A 30A. és a 37. melléklet kitöltési útmutatójában foglalt rendelkezéseken túlmenően a különböző rovatokban szereplő adatokat az alábbiak szerint kell kinyomtatni:
"T.sorsz. (32)" rovat - az adott tétel sorszáma;
"Fuv.díj.fiz.mód.kód (S29)" rovat - a fuvarozási díjak fizetési módjának kódja;
"UNDG (S27)" rovat - ENSZ Veszélyes Áruk szerinti kód.
45k. MELLÉKLET
(a 787. cikkben említve)
KIVITELI/BIZTONSÁGI EV (KBEV)
I. FEJEZET
A kiviteli/biztonsági EV mintája



II. FEJEZET
A kiviteli/biztonsági EV-re vonatkozó kitöltési útmutató és részletek (adatok)
Az e fejezetben használt BCP betűszó (Business continuity plan, üzletmenet-folytonossági terv) olyan helyzetekre vonatkozik, amikor a 787. cikk (2) bekezdésében meghatározott üzemszüneti eljárás alkalmazandó.
A formanyomtatvány a kivitel és a kiléptetési adatokhoz szükséges valamennyi információt tartalmazza, amennyiben a kiviteli és biztonsági vonatkozású adatok együtt kerülnek megadásra. A formanyomtatvány fejsor szintű információkat, valamint egy árutételre vonatkozó adatokat tartalmaz. Ezt a nyomtatványt a BCP összefüggésében kell felhasználni:
A kiviteli/biztonsági EV-nek három példánya van:
Az 1. példányt annak a tagállamnak a hatóságai őrzik meg, amelyben a kiviteli (feladási) vagy a közösségi árutovábbítási alakiságokat végzik.
A 2. példányt a kiviteli tagállam statisztikai célokra használja fel.
A 3. példányt a vámhatóság bélyegzőjével ellátva vissza kell juttatni az exportőrnek.
A kiviteli/biztonsági EV a nyilatkozat egészére érvényes adatokat tartalmaz.
A kiviteli/biztonsági EV-n szereplő információknak a kiviteli és kilépési nyilatkozatból származó adatokon kell alapulniuk; ezeket az információkat szükség esetén a nyilatkozattevő/képviselő módosítja és/vagy a kiviteli vámhivatal ellenőrzi.
A 30A. és a 37. melléklet kitöltési útmutatójában foglalt rendelkezéseken túlmenően az adatokat az alábbiak szerint kell kinyomtatni:
1. "MRN" rovat (művelethivatkozási szám)
Az MRN-t az első oldalra, továbbá valamennyi tételjegyzékre ki kell nyomtatni, kivéve, ha ezeket a formanyomtatványokat a BCP-vel összefüggésben használják fel, amely esetben nem adnak ki MRN-t.
Az információ alfanumerikus és 18 karakterből áll az alábbi előírások szerint:
| Mező | Tartalom | Mező típusa | Példa |
| 1 | A kiviteli nyilatkozat hivatalos elfogadási évének utolsó két számjegye (ÉÉ) | Numerikus 2 | 06 |
| 2 | A kiviteli ország azonosítója (alfa 2 kód, a 38. mellékletnek az egységes vámokmány 2. rovatára vonatkozó rendelkezései szerint) | Alfabetikus 2 | RO |
| 3 | A kiviteli művelet évenkénti és országonkénti egyedi azonosítója | Alfanumerikus 13 | 9876AB8890123 |
| 4 | Ellenőrző karakter | Alfanumerikus 1 | 5 |
Az 1. és a 2. mezőre a fenti magyarázat vonatkozik.
A 3. mezőt a kiviteli ellenőrző rendszer keretében végrehajtott művelet azonosítójával kell kitölteni. A mező használatának módja a nemzeti igazgatások felelőssége alá tartozik, de az adott országban egy éven belül kezelt minden egyes kiviteli műveletet egyedi számmal kell ellátni. Azok a nemzeti igazgatások, amelyek az illetékes hatóságok hivatalainak hivatkozási számát bele kívánják foglalni az MRN-be, az első hat karaktert használhatják a hivatal nemzeti számának beírására.
A 4. mezőt az egész MRN-re vonatkozó ellenőrző karakterrel kell kitölteni. Ez a mező lehetővé teszi hibák felfedezését az egész MRN rögzítése során.
Az "MRN"-t vonalkód módban is ki kell nyomtatni, a standard "128 kód""B" karakterkészlet alkalmazásával.
2. "Hivatkozási számok (7)" rovat:
Jelölje az LRN-t és/vagy UCR-t.
LRN - a 37a. melléklet szerint meghatározott helyi hivatkozási szám.
UCR - a 37. melléklet II. címének 7. rovatában említett egyedi szállítmányhivatkozási szám.
3. "Más SKJ (S32)" rovat:
Más speciális körülmény jelzése.
A kiviteli/biztonsági EV nem módosítható, és sem törlések, sem kiegészítések nem tehetők rajta, kivéve, ha e rendelet másként rendelkezik.
45l. MELLÉKLET
(a 787. cikkben említve)
A KIVITELI/BIZTONSÁGI EV TÉTELJEGYZÉK (KBEVTJ)
I. FEJEZET
A kiviteli/biztonsági EV tételjegyzék mintája

II. FEJEZET
A kiviteli/biztonsági EV tételjegyzékre vonatkozó kitöltési útmutató és részletek (adatok)
A kiviteli/biztonsági EV tételjegyzék a nyilatkozatban szereplő árutételekre vonatkozó adatokat tartalmazza.
A tételjegyzék rovatai függőlegesen bővíthetők.
A 30A. és a 37. melléklet kitöltési útmutatójában foglalt rendelkezéseken túlmenően az adatokat az alábbiak szerint kell kinyomtatni:
1. "MRN" rovat - a 45k. mellékletben meghatározott művelethivatkozási szám. Az MRN-t valamennyi tételjegyzék első oldalára kell nyomtatni.
2. A különböző rovatokban tétel szinten feltüntetett adatokat az alábbiak szerint kell kinyomtatni.
- "T.sorsz. (32)" rovat - az adott tétel sorszáma,
- "Benyújtott okmányok/igazolások (44/1)" rovat: ez a rovat adott esetben a fuvarokmány számát is tartalmazza;
- "UNDG (44/4)" rovat - ENSZ Veszélyes Áruk szerinti kód.
46. MELLÉKLET

46a. MELLÉKLET
A ZÁRAK JELLEMZŐI
A 357. cikkben említett záraknak legalább a következő jellemzőkkel kell rendelkezniük és a következő műszaki előírásoknak kell megfelelniük:
a) Elengedhetetlen jellemzők:
A záraknak:
1. biztonságosnak kell maradniuk a szokásos használat során;
2. könnyen ellenőrizhetőnek és felismerhetőnek kell lenniük;
3. úgy kell készülniük, hogy a feltörés vagy eltávolítás szemmel látható nyomot hagyjon rajtuk;
4. egyszeri használatra kell készülniük, vagy ha többszöri használatra szánják őket, akkor úgy kell elkészíteni őket, hogy minden egyes újabb használatkor jól látható, egyedi jelzéssel lehessen őket ellátni;
5. azonosító jelzésekkel kell ellátni.
b) Műszaki előírások:
1. a zár formája és méretei változhatnak a zárási eljárástól függően, de a méreteknek az azonosító jelek könnyű olvashatóságát biztosítaniuk kell;
2. a zárak azonosító jeleinek hamisíthatatlannak és nehezen utánozhatónak kell lenniük;
3. a használt anyagnak ellen kell állnia a véletlenszerű eltörésnek, és meg kell akadályoznia a nem felismerhető hamisítást vagy újbóli felhasználást.
46b. MELLÉKLET
A 380. ÉS 381. CIKKBEN EMLÍTETT FELTÉTELEK
| Feltétel | Megjegyzések |
| 1. Kellő tapasztalat | A kellő tapasztalat a közösségi árutovábbítási eljárásnak a kérelmet megelőzően, a következő időtartamok egyike alatt – főkötelezetti minőségben – folytatott helyes és rendszeres használatával igazolható: — hat hónap a 380. cikk (2) bekezdése a) pontjának és 381. cikke (1) bekezdésének alkalmazása esetén, — egy év a 380. cikk (2) bekezdése b) pontjának és a 381. cikk (2) bekezdése a) pontjának alkalmazása esetén, — két év a 380. cikk (3) bekezdésének és a 381. cikk (2) bekezdése b) pontjának alkalmazása esetén. |
| 2. Szoros együttműködés a vámhatóságokkal | A főkötelezett és a vámhatóságok közötti együttműködés szorosnak tekinthető, ha a főkötelezett olyan sajátos intézkedéseket hoz tevékenységeinek irányításával kapcsolatban, amelyek a vámhatóságok számára megkönnyítik az ellenőrzések elvégzését és az érintett érdekek védelmét. Az intézkedések – feltéve, hogy a vámhatóságok számára megfelelőek – többek között a következőkre vonatkozhatnak: — az árutovábbítási nyilatkozat kiállításának módszerei, vagy — az árutovábbítási nyilatkozat tartalma, ha a főkötelezett kiegészítő információt szolgáltat olyan esetekben, amikor ez nem kötelező, vagy — az áruk eljárás alá vonására vonatkozó alakiságok elvégzésének módszerei (például a főkötelezett mindig ugyanabban a vámhivatalban mutatja be nyilatkozatait). |
| 3. A szállítási tevékenység ellenőrzés alatt tartása | A főkötelezett bizonyítja, hogy szállítási tevékenységet ellenőrzése alatt tartja, többek között a következők által: a) a fuvarozási művelet személyesen történő végrehajtása és magas szintű biztonsági intézkedések alkalmazása, vagy b) olyan fuvarozó alkalmazása, akivel hosszú távú szerződéses viszonyban áll, és aki kielégíti a magas szintű biztonsági követelményeket, vagy c) közvetítő kereskedő alkalmazása, aki szerződéssel kötődik egy olyan szállítóhoz, aki kielégíti a magas szintű biztonsági követelményeket. |
| 4. Kielégítő pénzügyi források a kötelezettségek teljesítésére | A főkötelezett bizonyítja, hogy megvannak a pénzügyi forrásai a kötelezettségei teljesítésére, bizonyítékot szolgáltatva a vámhatóságok számára arról, hogy megvannak az eszközei az érintett áruk vonatkozásában valószínűleg felmerülő vámtartozás kifizetéséhez. |
47. MELLÉKLET

47a. MELLÉKLET
A VÁMKÓDEX 94. CIKKE (6) ÉS (7) BEKEZDÉSÉNEK VÉGREHAJTÁSÁRA VONATKOZÓ RENDELKEZÉSEK
A csökkentett összegre vonatkozó összkezesség vagy az összkezesség használatának ideiglenes tilalma
1. Olyan körülmények, amikor a csökkentett összegre vonatkozó összkezesség vagy az összkezesség használata ideiglenesen megtiltható
1. 1 A csökkentett összegre vonatkozó összkezesség ideiglenes tilalma
A Vámkódex 94. cikkének (6) bekezdésében említett "különleges körülmények" olyan helyzetet jelentenek, amikor jelentős számú, több főkötelezettet érintő és az eljárás gördülékeny lefolytatását veszélyeztető esetben bebizonyosodik, hogy a 384. cikk és a Vámkódex 9. cikkének alkalmazása ellenére a Vámkódex 94. cikkének (4) bekezdésében említett csökkentett összegre vonatkozó összkezesség már nem elegendő azon vámtartozások előírt határidőn belüli kifizetésének biztosítására, amelyek a 44c. mellékletben szereplő jegyzékben felsorolt áruknak a közösségi árutovábbítási eljárásból való kivonásakor keletkeznek.
1. 2 Az összkezesség használatának ideiglenes tilalma
A Vámkódex 94. cikkének (7) bekezdésében említett "nagy összegű csalás" olyan helyzetet jelent, amikor bebizonyosodik, hogy a 384. cikknek, a Vámkódex 9. cikkének és adott esetben a Vámkódex 94. cikke (6) bekezdésének alkalmazása ellenére a Vámkódex 94. cikke (2) bekezdésének b) pontjában említett összkezesség már nem elegendő azon vámtartozások előírt határidőn belüli kifizetésének biztosítására, amelyek a 44c. mellékletben szereplő jegyzékben felsorolt áruknak a közösségi árutovábbítási eljárásból való kivonásakor keletkeznek. Ebben az összefüggésben figyelembe kell venni az eljárásból kivont áruk mennyiségét és a kivonásuk körülményeit, különösen ha a kivonás nemzetközi szinten szervezett bűncselekmények következménye.
2. A határozat érvényessége
2.1. A csökkentett összegre vonatkozó összkezesség vagy az összkezesség használatát ideiglenesen megtiltó határozat hatálya 12 hónapra korlátozódik, feltéve, hogy a Bizottság a Vámkódex Bizottság eljárása alapján nem dönt az időszak meghosszabbításáról, vagy a határozat hatályon kívül helyezéséről.
3. Az összkezesség használata tilalmának pénzügyi következményeit enyhítő intézkedések
Amennyiben a 44c. melléklet áruinak esetében az összkezesség használatát ideiglenesen megtiltották, az összkezesség engedélyesei, kérésre, egyedi kezességet használhatnak. Ekkor azonban a következő különös feltételeket kell alkalmazni:
- az egyedi kezességet egy olyan különleges kezességvállalási okmány által kell biztosítani, amely tartalmaz egy hivatkozást erre a mellékletre, és csak a határozatban említett árukra vonatkozik,
- több egyidejű vagy egymást követő árutovábbítási műveletre felhasználható, feltéve, ha az olyan folyó műveletek esetében, ahol az eljárást még nem került lezárásra, az érintett összegek összege nem haladja meg az egyedi kezesség összegét,
- minden alkalommal, amikor az ezzel az egyedi kezességgel fedezett közösségi árutovábbítási műveletre vonatkozó eljárás lezárásra kerül, az adott műveletre vonatkozó összeg felszabadításra kerül, és így ismét fel lehet használni egy másik művelet fedezésére a kezesség összegének erejéig.
4. Eltérés a csökkentett összegű összkezesség vagy összkezesség használatának ideiglenes tilalmára vonatkozó határozattól
4.1. A főkötelezettek számára engedélyezhető csökkentett összegre vonatkozó összkezesség vagy összkezesség használata olyan áruk közösségi árutovábbítási eljárás alá vonására, amelyek esetében az ilyen használat ideiglenes tilalmára vonatkozó határozat van hatályban, ha a főkötelezettek bizonyítani tudják, hogy a határozathozatalt megelőző két évben az általuk végzett közösségi árutovábbítási eljárások során a szóban forgó árukkal kapcsolatban nem keletkeztek vámtartozások, vagy amennyiben keletkeztek vámtartozások ebben az időszakban, akkor a főkötelezettek bizonyítani tudják, hogy ezeket a tartozásokat az adós vagy adósok, vagy a kezes az előírt határidőn belül teljes mértékben kifizette.
Az ideiglenesen tilalom alá vont összkezesség használatára vonatkozó engedély megszegése érdekében a főkötelezettnek ezenkívül meg kell felelnie a 381. cikk (2) bekezdése b) pontjában meghatározott feltételeknek.
4.2. A 374-378. cikket értelemszerűen kell alkalmazni a 4.1. pontban említett eltérésekre irányuló kérelemre és engedélyre.
4. 3 Ha az illetékes hatóságok engedélyezik az eltérést, az összkezességi tanúsítvány 8. rovatába a következőt jegyzik be:
- KORLÁTOZÁS ALÁ NEM ESŐ HASZNÁLAT - 99209.
48. MELLÉKLET
EGYSÉGES/KÖZÖSSÉGI ÁRUTOVÁBBÍTÁSI ELJÁRÁS
ÖSSZKEZESSÉG
I. Kezesi nyilatkozat
1. Alulírott ( 167 ) ...
lakóhelye (székhelye) ( 168 ) ...
a kezességnyújtás helye szerinti ...
vámhivatalnál ... legfeljebb összeg erejéig, ...
... azaz a referenciaösszeg 100/50/30 %-áig ( 169 ) készfizető kezességet vállal az Európai Unió
(melynek tagjai a Belga Királyság, a Bolgár Köztársaság, a Cseh Köztársaság, a Dán Királyság, a Németországi Szövetségi Köztársaság, az Észt Köztársaság, Írország, a Görög Köztársaság, a Spanyol Királyság, a Francia Köztársaság, a Horvát Köztársaság, az Olasz Köztársaság, a Ciprusi Köztársaság, a Lett Köztársaság, a Litván Köztársaság, a Luxemburgi Nagyhercegség, Magyarország, a Máltai Köztársaság, a Holland Királyság, az Osztrák Köztársaság, a Lengyel Köztársaság, a Portugál Köztársaság, Románia, a Szlovén Köztársaság, a Szlovák Köztársaság, a Finn Köztársaság, a Svéd Királyság, valamint Nagy-Britannia és Észak-Írország Egyesült Királysága),
valamint az Izlandi Köztársaság, a Norvég Királyság, a Svájci Államszövetség, a Török Köztársaság, az Andorrai Hercegség és a San Marino Köztársaság ( 170 ) javára mindazon kötelezettségekért, amelyekkel a főkötelezett ( 171 ) a fent említett országoknak a közösségi vagy egységes árutovábbítási eljárás során szállított áruk után fizetendő vámok vagy egyéb díjak tekintetében - a pénzbüntetést vagy pénzbírságot kivéve - tartozik vagy tartozni fog mind a fő- és mellékkötelezettségekre, mind pedig a költségekre és pótlékokra vonatkozóan.
2. Alulírott kötelezettséget vállal arra, hogy az 1. pontban említett országok illetékes hatóságainak első írásos felszólítására a felszólítástól számított 30 napon belül a fent említett összeghatárig haladéktalanul kifizeti a követelt összeget, kivéve, ha ő vagy más érintett személy az említett időszak lejárta előtt az illetékes hatóságok megelégedésére bizonyítja, hogy a művelet rendben befejeződött.
Az illetékes hatóságok az érdekelt kérelmére és jogos indokok alapján meghosszabbíthatják az írásbeli felszólítást követő 30 napos határidőt, amelyen belül alulírottnak a követelt összeget ki kell fizetnie. A póthatáridő engedélyezéséből adódó költségeket, különösen a kamatokat úgy kell kiszámítani, hogy annak az összegnek feleljenek meg, amelyet ezért az adott állam mindenkori pénz- és tőkepiacán megkövetelnek.
Ez a maximumösszeg csak akkor csökkenthető azokkal az összegekkel, amelyeket e kezesi nyilatkozat alapján már kifizettek, ha alulírottat az egységes vagy közösségi árutovábbítási eljárás keretében a tartozás megfizetésére felszólítják, és ez az eljárás az előző fizetési felszólítás kézhezvétele előtt vagy a kézhezvételt követő 30 napon belül kezdődött meg.
3. Ez a kezesi nyilatkozat a kezességnyújtás helye szerinti vámhivatal által történt elfogadásának napjától érvényes. Alulírott felel továbbá az e kezesi nyilatkozat fedezete alatt álló, minden olyan közösségi vagy egységes árutovábbítási művelet során keletkezett bármilyen tartozás megfizetéséért, amely az előtt a nap előtt kezdődött meg, amikor a kezesség felmondása hatályba lépett, akkor is, ha a fizetési felszólítás ezen időpont után készült.
4. E kezesi nyilatkozat alapján alulírott megadja az értesítési címét ( 172 ) az 1. pontban említett országok mindegyikében:
| Ország | Teljes név, illetve cégnév és pontos cím |
| … … … … … … | … … … … … … |
Alulírott elismeri, hogy ezt a kezesi nyilatkozatot érintő minden olyan postai küldeményt, értesítést, illetve alakiságot vagy eljárási intézkedést, amelyet az értesítési címek egyikére írásban elküldenek, megfelelően kézbesítettnek fogad el.
Alulírott elismeri az értesítési címek helye szerint illetékes bíróságok joghatóságát.
Alulírott kötelezettséget vállal, hogy fenntartja az értesítési címeket, vagy ezen értesítési címek közül egyet vagy többet csak a kezességnyújtás helye szerinti vámhivatal előzetes tájékoztatása után változtat meg.
Kelt ... ...án/-én.
...
(aláírás) ( 173 )
II. Elfogadás a kezességnyújtás helye szerinti vámhivatal által
Kezességnyújtás helye szerinti vámhivatal:
...
A kezesi nyilatkozat elfogadva
...
...
(bélyegző és aláírás)
49. MELLÉKLET
EGYSÉGES/KÖZÖSSÉGI ÁRUTOVÁBBÍTÁSI ELJÁRÁS
EGYEDI KEZESSÉG
I. Kezesi nyilatkozat
1. Alulírott ( 174 ) ...
lakóhelye (székhelye) ( 175 ) ...
a kezességnyújtás helye szerinti ...
vámhivatalnál legfeljebb összeg ...erejéig,
az Európai Unió
(melynek tagjai a Belga Királyság, a Bolgár Köztársaság, a Cseh Köztársaság, a Dán Királyság, a Németországi Szövetségi Köztársaság, az Észt Köztársaság, Írország, a Görög Köztársaság, a Spanyol Királyság, a Francia Köztársaság, a Horvát Köztársaság, az Olasz Köztársaság, a Ciprusi Köztársaság, a Lett Köztársaság, a Litván Köztársaság, a Luxemburgi Nagyhercegség, Magyarország, a Máltai Köztársaság, a Holland Királyság, az Osztrák Köztársaság, a Lengyel Köztársaság, a Portugál Köztársaság, Románia, a Szlovén Köztársaság, a Szlovák Köztársaság, a Finn Köztársaság, a Svéd Királyság, valamint Nagy-Britannia és Észak-Írország Egyesült Királysága),
valamint az Izlandi Köztársaság, a Norvég Királyság, a Svájci Államszövetség, a Török Köztársaság, az Andorrai Hercegség és a San Marino Köztársaság ( 176 ) javára mindazon kötelezettségekért, amelyekkel a főkötelezett ( 177 ) ...
a fent említett országoknak a(z) ... indító vámhivataltól
a(z) ... rendeltetési vámhivatalig - történő közösségi vagy egységes árutovábbítási eljárás során szállított lent megnevezett áruk után fizetendő vámok vagy egyéb díjak tekintetében - a pénzbüntetést vagy pénzbírságot kivéve - tartozik vagy tartozni fog mind a fő- és mellékkötelezettségekre, mind pedig a költségekre és pótlékokra vonatkozóan.
Az áruk megnevezése ...
2. Alulírott kötelezettséget vállal arra, hogy az 1. pontban említett országok illetékes hatóságainak első írásos felszólítására a felszólítástól számított 30 napon belül haladéktalanul kifizeti a követelt összeget, kivéve, ha ő vagy más érintett személy az említett időszak lejárta előtt az illetékes hatóságok megelégedésére bizonyítja, hogy a művelet rendben befejeződött.
Az illetékes hatóságok az érdekelt kérelmére és jogos indokok alapján meghosszabbíthatják az írásbeli felszólítást követő 30 napos határidőt, amelyen belül alulírottnak a követelt összeget ki kell fizetnie. A póthatáridő engedélyezéséből adódó költségeket, különösen a kamatokat úgy kell kiszámítani, hogy annak az összegnek feleljenek meg, amelyet ezért az adott állam mindenkori pénz- és tőkepiacán megkövetelnek.
3. Ez a kezesi nyilatkozat a kezességnyújtás helye szerinti vámhivatal által történt elfogadásának napjától érvényes. Alulírott felel továbbá az e kezesi nyilatkozat fedezete alatt álló azon közösségi vagy egységes árutovábbítási művelet során keletkezett tartozás megfizetéséért, amely az előtt a nap előtt kezdődött meg, amikor a kezesség felmondása hatályba lépett, akkor is, ha a fizetési felszólítás ezen időpont után készült.
4. E kezesi nyilatkozat alapján alulírott megadja az értesítési címét ( 178 ) az 1. pontban említett országok mindegyikében:
| Ország | Teljes név, illetve cégnév és pontos cím |
| … … … … … … | … … … … … … |
Alulírott elismeri, hogy ezt a kezesi nyilatkozatot érintő minden olyan postai küldeményt, értesítést, illetve alakiságot vagy eljárási intézkedést, amelyet az értesítési címek egyikére írásban elküldenek, megfelelően kézbesítettnek fogad el.
Alulírott elismeri az értesítési címek helye szerint illetékes bíróságok joghatóságát.
Alulírott kötelezettséget vállal, hogy fenntartja az értesítési címeket, vagy ezen értesítési címek közül egyet vagy többet csak a kezességnyújtás helye szerinti vámhivatal előzetes tájékoztatása után változtat meg.
Kelt ..., ...-án/-én.
...
(aláírás) ( 179 )
II. Elfogadás a kezességnyújtás helye szerinti vámhivatal által
Kezességnyújtás helye szerinti vámhivatal
...
A kezesi nyilatkozat elfogadva ...-án/-én a ... számú közösségi/egységes árutovábbítási műveletre vonatkozó árutovábbítási nyilatkozathoz.... ( 180 )
...
(bélyegző és aláírás)
50. MELLÉKLET
EGYSÉGES/KÖZÖSSÉGI ÁRUTOVÁBBÍTÁSI ELJÁRÁS
EGYEDI KEZESSÉGVÁLLALÁS GARANCIAJEGYEK FORMÁJÁBAN
I. Kezesi nyilatkozat
1. Alulírott ( 181 ) ...
lakóhelye (székhelye) ( 182 ) ...
a kezességnyújtás helye szerinti ...
az Európai Unió ...
(melynek tagjai a Belga Királyság, a Bolgár Köztársaság, a Cseh Köztársaság, a Dán Királyság, a Németországi Szövetségi Köztársaság, az Észt Köztársaság, a Görög Köztársaság, a Spanyol Királyság, a Francia Köztársaság, a Horvát Köztársaság, Írország, az Olasz Köztársaság, a Ciprusi Köztársaság, a Lett Köztársaság, a Litván Köztársaság, a Luxemburgi Nagyhercegség, a Magyar Köztársaság, a Máltai Köztársaság, a Holland Királyság, az Osztrák Köztársaság, a Lengyel Köztársaság, a Portugál Köztársaság, Románia, a Szlovén Köztársaság, a Szlovák Köztársaság, a Finn Köztársaság, a Svéd Királyság, Nagy-Britannia és Észak-Írország Egyesült Királysága),
valamint az Izlandi Köztársaság, a Norvég Királyság, a Svájci Államszövetség, a Török Köztársaság, az Andorrai Hercegség és a San Marino Köztársaság ( 183 ),
mindazon kötelezettségekért, amelyekkel a főkötelezett a fent említett országoknak a közösségi vagy egységes árutovábbítási eljárás során szállított alább megnevezett áruk után fizetendő vámok vagy egyéb díjak tekintetében - a pénzbüntetést vagy pénzbírságot kivéve - tartozik vagy tartozni fog mind a fő- és mellékkötelezettségekre, mind pedig a költségekre és pótlékokra vonatkozóan, amelyekkel kapcsolatban alulírott egyedi garanciajegyek kiállítására vállal kötelezettséget, garanciajegyenként maximum 7 000 EUR értékben.
2. Alulírott kötelezettséget vállal arra, hogy az 1. pontban említett országok illetékes hatóságainak első írásos felszólítására a felszólítástól számított 30 napon belül a fent említett, garanciajegyenként 7 000 EUR összeghatárig haladéktalanul kifizeti a követelt összeget, kivéve, ha ő vagy más érintett személy az említett időszak lejárta előtt az illetékes hatóságok megelégedésére bizonyítja, hogy a művelet rendben befejeződött.
Az illetékes hatóságok az érdekelt kérelmére és jogos indokok alapján meghosszabbíthatják az írásbeli felszólítást követő 30 napos határidőt, amelyen belül alulírottnak a követelt összeget ki kell fizetnie. A póthatáridő engedélyezéséből adódó költségeket, különösen a kamatokat úgy kell kiszámítani, hogy annak az összegnek feleljenek meg, amelyet ezért az adott állam mindenkori pénz- és tőkepiacán megkövetelnek.
3. Ez a kezesi nyilatkozat a kezességnyújtás helye szerinti vámhivatal által történt elfogadásának napjától érvényes. Alulírott felel továbbá az e kezesi nyilatkozat fedezete alatt álló, minden olyan közösségi vagy egységes árutovábbítási művelet során keletkezett bármilyen tartozás megfizetéséért, amely az előtt a nap előtt kezdődött meg, amikor a kezesség felmondása hatályba lépett, akkor is, ha a fizetési felszólítás ezen időpont után készült.
4. E kezesi nyilatkozat alapján alulírott megadja az értesítési címét ( 184 ) az 1. pontban említett országok mindegyikében:
| Ország | Teljes név, illetve cégnév és pontos cím |
| … … … … | … … … … … |
Alulírott elismeri, hogy ezt a kezesi nyilatkozatot érintő minden olyan postai küldeményt, értesítést, illetve alakiságot vagy eljárási intézkedést, amelyet az értesítési címek egyikére írásban elküldenek, megfelelően kézbesítettnek fogad el.
Alulírott elismeri az értesítési címek helye szerint illetékes bíróságok joghatóságát.
Alulírott kötelezettséget vállal, hogy fenntartja az értesítési címeket, vagy ezen értesítési címek közül egyet vagy többet csak a kezességnyújtás helye szerinti vámhivatal előzetes tájékoztatása után változtat meg.
Kelt ..., ...-án/-én.
...
(aláírás) ( 185 )
II. Elfogadás a kezességnyújtás helye szerinti vámhivatal által
Kezességnyújtás helye szerinti vámhivatal:
...
A kezesi nyilatkozat elfogadva
...-án/-én.
...
(bélyegző és aláírás)
51. MELLÉKLET


51a. MELLÉKLET


51b. MELLÉKLET
ÚTMUTATÓ A KEZESSÉGI TANÚSÍTVÁNY ÉS TANÚSÍTVÁNY A BIZTOSÍTÉKNYÚJTÁS ALÓLI MENTESSÉG IGAZOLÁSÁNAK KITÖLTÉSÉHEZ
1. A tanúsítvány előoldalán feltüntetendő adatok
A kiadását követően a kezességi tanúsítvány 1-8. rovatában, illetve a tanúsítvány a biztosítéknyújtás alóli mentességről 1-7. rovatában nem lehet javításokat, kiegészítéseket vagy törléseket eszközölni.
1.1. A pénznem kódja
A tagállamok a kezességi tanúsítvány 6. rovatába és a tanúsítvány a biztosítéknyújtás alóli mentességről 5. rovatába bejegyzik a használt pénznem ISO ALFA 3 (ISO 4217) kódját.
1.2. Különleges megjegyzések
1.2.1. Ha az összkezesség nem alkalmazható a 44c. mellékletben szereplő jegyzékben felsorolt árukra, a tanúsítvány 8. rovatába a következőt kell bejegyezni:
- Korlátozott érvényű - 99200.
1.2.2. Amennyiben a főkötelezett vállalta, hogy egyetlen indító vámhivatalban mutatja be az árutovábbítási nyilatkozatait, a kezességi tanúsítvány 8. rovatában vagy a tanúsítvány a biztosítéknyújtás alóli mentességről igazolásának 7. rovatában nagybetűkkel fel kell tüntetni a vámhivatal nevét.
1.3. A tanúsítványok záradékolása érvényességük meghosszabbítása esetében
Amennyiben egy tanúsítvány érvényességét meghosszabbítják, a kezességnyújtás helye szerinti vámhivatal záradékolja a kezességi tanúsítvány 9. rovatát vagy a tanúsítvány a biztosítéknyújtás alóli mentességről 8. rovatát.
2. A tanúsítvány hátoldalára beírandó adatok. Az árutovábbítási nyilatkozat aláírására jogosult személyek
2.1. A tanúsítvány kiállításakor, illetve az érvényességének ideje alatt bármikor, a főkötelezett beírja a tanúsítvány hátoldalára azoknak a személyeknek a nevét, akiket felhatalmaz az árutovábbítási nyilatkozatok aláírására. A bejegyzések tartalmazzák a felhatalmazott személy családi és utónevét, valamint aláírásának mintáját, és a főkötelezett az összes bejegyzést ellenjegyzi. A főkötelezettnek lehetősége van áthúzni azokat a rovatokat, amelyeket nem kíván használni.
2.2. A főkötelezett ezt a meghatalmazást bármikor visszavonhatja.
2.3. Bármely olyan személy, akinek a neve szerepel az indító vámhivatalban bemutatott ilyen típusú tanúsítvány hátoldalán, a főkötelezett felhatalmazott képviselője.
3. A tanúsítványok használata az összkezesség használatának tilalma alóli kivétel esetén
Az eljárásra nézve lásd a 47A. melléklet 4. pontját.
54. MELLÉKLET


58. MELLÉKLET
ÖNTAPADÓS PIKTOGRAM (417. és 432. cikk)

Szín:
zöld alapon fekete
59. MELLÉKLET
A 459. CIKKBEN EMLÍTETT TÁJÉKOZTATÓ MINTÁJA
A jogvitát kezdeményező koordinációs hivatal levelezési fejléce
Címzett: az ideiglenes behozatal szerinti vámhivatalért felelős koordinációs hivatal, vagy egyéb koordinációs hivatal
TÁRGY: ATA-IGAZOLVÁNY - IGÉNY ÉRVÉNYESÍTÉSE
Értesítjük, hogy az ATA-egyezmény/Isztambuli Egyezmény ( 186 ) rendelkezéseinek megfelelő vámok és adók kifizetésére vonatkozó igény ...-án/én ( 187 ) elküldésre került a garanciavállaló egyesületünkhöz az alábbiak tekintetében:
1. ATA-igazolvány száma:
2. Kibocsátó kereskedelmi kamara:
Város:
Ország:
3. ... nevében.
Jogosult:
Cím:
4. Az igazolvány érvényessége:
5. Az újrakivitelre meghatározott határnap ( 188 ):
6. A árutovábbítási/behozatali betétlap száma ( 189 ):
7. A betétlap záradékolásának dátuma:
A kibocsátó koordinációs hivatal bélyegzője és aláírása.
60. MELLÉKLET
ELSZÁMOLÁSI NYOMTATVÁNY
... számú példány a(z) ... példányból álló nyomtatványcsomagból
Az alábbi adatokat kell a megadott sorrendben feltüntetni:
1. ATA-igazolvány száma: ...
2. Árutovábbításit/behozatali betétlap száma ( 190 ) ...
3. Betétlap záradékolásának dátuma: ...
4. Jogosult és cím:...
5. Kereskedelmi kamara: ...
6. Származási ország: ...
7. Az igazolvány lejáratának időpontja ...:
8. Áruk újrakivitelének időpontja: ...
9. Beléptető vámhivatal: ...
10. Ideiglenes behozatal vámhivatala: ...
11. Áruk kereskedelmi leírása: ...
12. KN-kód ...:
13. Darabszám: ...
14. Tömeg vagy térfogat: ...
15. Érték: ...
16. Vám és adók bontása: ...
| Fajta | A kiszabás alapja | Tétel | Összeg | Átváltási árfolyam |
| (Végösszeg betűkkel:) |
Összesen: ...
17. Vámhivatal: . ....
Hely és dátum: ...
| aláírás | bélyegző |
ELSZÁMOLÁSI NYOMTATVÁNY "BIS"
... számú példány a(z) ... példányból álló nyomtatványcsomagból
11. Áruk kereskedelmi leírása: ...
12. KN-kód ...:
13. Darabszám: ...
14. Tömeg vagy térfogat: ...
15. Érték: ...
16. Vám és adók bontása: ...
| Fajta | A kiszabás alapja | Tétel | Összeg | Átváltási árfolyam |
| Összesen: |
(Végösszeg betűkkel: ......)
11. Áruk kereskedelmi leírása: ...
12. KN-kód ...:
13. Darabszám: ...
14. Tömeg vagy térfogat: ...
15. Érték ...:
16. Vám és adók bontása: ...
| Fajta | A kiszabás alapja | Tétel | Összeg | Átváltási árfolyam |
| Összesen: |
(Végösszeg betűkkel: ...)
Összegzés
| Fajta | Összeg | Fizetési mód | Átváltási árfolyam |
| Összesen: |
(Végösszeg betűkkel: ...)
AZ ELSZÁMOLÁSI NYOMTATVÁNYON FELTÜNTETENDŐ ADATOKRA VONATKOZÓ RENDELKEZÉSEK
Általános rendelkezések
Az elszámolási nyomtatványon a nyomtatványt kibocsátó tagállamot a következő betűkkódokkal kell fetüntetni:
AT = Ausztria
BE = Belgium
DK = Dánia
DE = Németország
EL = Görögország
ES = Spanyolország
FI = Finnország
FR = Franciaország
IE = Írország
IT = Olaszország
LU = Luxemburg
NL = Hollandia
PT = Portugália
SE = Svédország
UK = Egyesült Királyság
CZ = Cseh Köztársaság
EE = Észtország
CY = Ciprus
LV = Lettország
LT = Litvánia
HU = Magyarország
MT = Málta
PL = Lengyelország
SI = Szlovénia
SK = Szlovákia
BG = Bulgária
RO = Románia
HR = Horvátország
Az elszámolási nyomtatványnak az alábbi adatokat kell tartalmaznia a megfelelő rovatokban. A nyomtatványt a rendelet 458. cikkének (1) bekezdésében említett koordinációs hivatalnak kell olvashatóan kitöltenie.
1. , 2., 3., 4., 5., 6., 7., 8., 11., 13. és 14. rovatok: Az árutovábítási betétlapon vagy a behozatali betétlapon szereplő adatokat kell itt feltüntetni, amelyek a betétlap alján, a vámhatóságnak fenntartott hely alján, valamint az A., G. a) rovatokban, a hátoldali 6. oszlopban, a G. c)-ben, a H. b)-ben, a hátoldali 1. oszlopban, a hátoldali 2. oszlopban, a hátoldali 3. oszlopban, illetve a hátoldali 4. oszlopban találhatók. Amennyiben a koordinációs hivatalnak nincs birtokában a betétlap, a rendelkezésére álló információ alapján kell az adatokat megadni. Amennyiben egynél több fajta árut kell a nyomtatványban szerepeltetni, azokat a "BIS" jelölésű elszámolási nyomtatványra kell beírni, az ezen útmutatás által kijelölt rovatokba.
9. rovat: Azon vámhivatal nevét kell megadni, amely az árutovábítási betétlap H. a)-e) rovatait, illetve - értelemszerűen - a behozatali betétlap H. rovatát kitöltötte. Ezek hiányában a koordinációs hivatal tudomása szerinti beléptető vámhivatal kerül beírásra.
10. rovat: Azon vámhivatal nevét kell megadni, amely az árutovábítási betétlap H. e) rovatában szerepel, illetve amely a behozatali betétlap H. rovatát kitöltötte. Ezek hiányában az ideiglenes behozatali eljárás - a koordinációs hivatal tudomása szerinti - vámhivatalát kell beírni.
15. rovat: Meg kell adni a vámérték összegét, azon tagállam által meghatározott pénznemben kifejezve, amelyben az igényt benyújtották.
16. rovat: Meg kell adni az elszámolási nyomtatványon a követelt vám és adók összegét. Az összegeket az e célból megállapított közösségi kódok segítségével úgy kell feltüntetni, hogy egyértelműen kitűnjenek az ATA-egyezmény 6. cikkében /az Isztambuli Egyezmény A. mellékletének 8. cikkében említett vámok és egyéb adók, mind számokkal, mind betűkkel megadva. Az összegeket a nyomtatványt kibocsátó tagállam pénznemében kell kifizetni, amelynek kódját a második oszlop tetejére kell beírni:
BEF = belga frank
DEM = német márka
ESP = spanyol peseta
IEP = ír font
LUF = luxemburgi frank
PTE = portugál escudo
DKK = dán korona
GRD = görög drachma
FRF = francia frank
ITL = olasz líra
NLG = holland gulden
GBP = font sterling
ATS = osztrák schilling
FIM = finn márka
SEK = svéd korona
CZK = cseh korona
EEK = észt korona
CYP = ciprusi font
LVL = lett lat
LTL = litván litas
HUF = magyar forint
MTL = máltai líra
PLN = lengyel zloty
SIT = szlovén tolar
SKK = szlovák korona
BGN = bolgár leva
RON = új román lej
HRK = horvát kuna
17. rovat: Fel kell tüntetni a koordinációs hivatal nevét és a nyomtatvány kitöltésének dátumát; a hivatal bélyegzőjét és a meghatalmazott tisztviselő aláírását a megfelelő helyre kell helyezni.
Megjegyzések a "BIS" nyomtatványhoz
A. A "BIS" nyomtatvány csak akkor hasznáható, amikor több árucikkel kapcsolatban történik vám-, illetve adókiszabás. Ezt az alapnyomtatvánnyal együtt kell benyújtani. Az alapnyomtatványon és a "BIS" nyomtatványon szereplő terhek teljes összegét az "Összesítés" rovatba kell írni.
B. Az I. pont alatti általános rendelkezések a "BIS" nyomtatványra is vonatkoznak.
61. MELLÉKLET
ELJÁRÁSÁTVÉTELI NYILATKOZAT - MINTA
Az igényt benyújtó második tagállam koordinációs hivatalának levelezési fejléce
Címzett: az eredeti igényt benyújtó első tagállam koordinációs hivatala.
TÁRGY: ATA-IGAZOLVÁNY - ELJÁRÁS ÁTVÉTELÉNEK IGAZOLÁSA
Értesítjük, hogy az ATA-egyezmény/Isztambuli Egyezmény ( 191 ) rendelkezéseinek megfelelő vámok és adók kifizetésére vonatkozó igény ...-án/én ( 192 ) elküldésre került a garanciavállaló egyesületünkhöz az alábbiak tekintetében:
1. ATA-igazolvány száma:
2. Kibocsátó kereskedelmi kamara:
Város:
Ország:
3. ... nevében.
Jogosult:
Cím:
4. Az igazolvány érvényessége:
5. Az újrakivitelre meghatározott határnap ( 193 ):
6. A árutovábbítási/behozatali betétlap száma ( 194 ):
7. A betétlap záradékolásának dátuma:
Ez a nyilatkozat megszünteti az Ön kötelezettségét ebben az ügyben.
A kibocsátó koordinációs hivatal bélyegzője és aláírása.
62. MELLÉKLET
KÜLÖNLEGES BÉLYEGZŐ

1. A tagállam címere, egyéb jele vagy betűjele
2. Vámhivatal ( 195 )
3. Az okmány száma
4. Dátum
5. Engedélyezett feladó ( 196 )
6. Engedély
63. MELLÉKLET


[Kép #8] [Kép #9]

Kép #8

Kép #9
64. MELLÉKLET


65. MELLÉKLET
[Kép #10] [Kép #11]

Kép #10

Kép #11
[Kép #12] [Kép #13]

Kép #12

Kép #13
66. MELLÉKLET
A T5 ELLENŐRZŐ PÉLDÁNY KIÁLLÍTÁSÁHOZ SZÜKSÉGES NYOMTATVÁNYOK KITÖLTÉSI ÚTMUTATÓJA
A. Általános megjegyzések
1. A T5 ellenőrző példány olyan okmány, amelyet a T5 nyomtatványon, és amennyiben szükséges, az ahhoz kapcsolódó egy vagy több T5 bis pótlap nyomtatványon, illetve egy vagy több T5 rakományjegyzéken állítanak ki.
2. A T5 ellenőrző példány annak igazolására szolgál, hogy azok az áruk, amelyekre vonatkozóan kiállították, felhasználásra kerültek, vagy elérték rendeltetési céljukat a használatukat szabályozó különös közösségi rendelkezések előírásai szerint; az illetékes vámhivatal feladata, hogy közvetlenül vagy a nevükben eljáró személyek segítségével meggyőződjenek az áruk felhasználásáról és/vagy rendeltetéséről. Egyes esetekben a T5 ellenőrző példány tájékoztatja a rendeltetési hely illetékes hatóságait arról, hogy az ilyen okmánnyal kísért áruk különös intézkedések alá esnek. Az így elindított eljárás kereteljárás, amely csak akkor lép hatályba, ha a különleges közösségi szabályok azt kifejezetten előírják. Akkor is alkalmazható, ha az áru szállítása nem vámeljárás keretében történik.
3. A T5 ellenőrző példányt egy eredeti példányban és legalább egy másolatban kell kiállítani, amelyek mindegyikén az érdekelt személy eredeti aláírásának kell szerepelnie.
Ha az árukat vámeljárásban szállítják, a T5 ellenőrző példány eredetijét és másolatát vagy másolatait együttesen be kell nyújtani az indító vagy feladó vámhivatalnak, amely egy másolatot megőriz. Az eredeti példány az árukat kíséri, és azt azokkal együtt be kell mutatni a rendeltetési vámhivatalban.
Ha az árut nem vonják vámeljárás alá, a feladó vámhivatalnak kell kiállítania a T5 ellenőrző példányt, amelyből az egy példányt megőriz. A T5 nyomtatvány 109. rovatába fel kell tüntetni a Vámeljárás alá nem vont áru bejegyzést. A T5 ellenőrző példány eredetijét az áruval együtt be kell mutatni az illetékes rendeltetési vámhivatalban.
4. A T5 bis nyomtatványok használata esetén ki kell tölteni a T5 nyomtatványt és a T5 bis nyomtatványokat.
T5 rakományjegyzékek használata esetén a T5 okmányt ki kell tölteni, de a 31., 32., 33., 35., 38., 100., 103. és 105. rovatokat át kell húzni, és a vonatkozó adatokat csak a T5 rakományjegyzéken vagy jegyzékeken kell feltüntetni.
5. A T5 nyomtatványt nem kísérheti egyszerre T5 bis és T5 rakományjegyzék.
6. A nyomtatványokat világoskék famentes írópapírra kell kinyomtatni, amelynek tömege legalább 40 g/m2. A papírnak megfelelően átlátszatlannak kell lennie, hogy így egyik oldalon lévő írás ne befolyásolja a másik oldalon lévő írás olvashatóságát, és elég erősnek kell lennie ahhoz, hogy ne szakadjon el vagy gyűrődjön meg a normál használat során.
Az nyomtatványok mérete 210 × 297 mm a T5 és T5 bis okmányok esetében, illetve 297 × 420 mm a T5 rakományjegyzékek esetében, és a hosszúság vonatkozásában legfeljebb -5 és +8 mm eltérés megengedett.
Az első oldalon a visszaküldési cím és a fontos megjegyzés piros színnel is beírható.
A tagállamok illetékes hatóságai kötelezővé tehetik, hogy a T5 ellenőrző példányon a nyomda neve és címe vagy az azonosítószáma feltüntetésre kerüljön.
7. A T5 ellenőrző példányt a Közösség azon hivatalos nyelvén kell kitölteni, amelyet az indító tagállam illetékes hatóságai elfogadnak.
Szükség esetén annak a másik tagállamnak az illetékes rendelkező hatóságai, ahol az okmányt bemutatják, megkövetelhetik az adott tagállam hivatalos nyelvére vagy egyik hivatalos nyelvére való fordítást.
8. A T5 és T5 bis nyomtatványokat és a T5 rakományjegyzékeket írógéppel, mechanografikai vagy hasonló eljárással kell kitölteni. A nyomtatványok kitölthetők olvasható kézírással is, tintával és nyomtatott betűkkel. Az írógéppel történő egyszerűbb kitöltés érdekében nyomtatványt úgy kell befűzni, hogy a 2. rovatba beírt első betű a bal felső sarokban lévő kis helyzetjelző négyzetbe kerüljön.
A nyomtatványokon nem szerepelhet törlés vagy felülírás. A módosításkor a nem megfelelő adatot át kell húzni, és a helyeset be kell írni. Az ilyen módon végrehajtott változtatást az azt végző személynek kézjegyével el kell látni, és azt az illetékes hatóságnak hitelesítenie kell. Ez utóbbi, ha szükséges, kérheti új nyomtatvány benyújtását.
Emellett a nyomtatványokat a fent említett eljárások helyett automatikus másolási eljárással is ki lehet tölteni. Előállításuk és kitöltésük is történhet ezzel a módszerrel, azzal a feltétellel, hogy a nyomtatványmintákra, a papírra a formátumra, az alkalmazott nyelvre, az olvashatóságra, a törlés és felülírás tilalmára és a módosításokra vonatkozó rendelkezéseket szigorúan betartják.
B. A T5 nyomtatványokkal kapcsolatos rendelkezések
Csak a sorszámmal ellátott rovatokat kell adott esetben kitölteni, ha szükséges. A nyomtatott nagybetűkkel megjelölt többi rovatot a vámhivatal tölti ki, kivéve azokat az eseteket, amelyekre különös szabályok vagy az engedélyezett feladókkal kapcsolatos rendelkezések vonatkoznak.
2. ROVAT
:
FELADÓ/EXPORTŐR
Írja be az érdekelt személy vagy vállalat teljes nevét és címét. A tagállamok utasításokat adhatnak ki az azonosítószámmal kapcsolatban (az azonosítószám olyan szám, amelyet az illetékes hatóságok adózási, statisztikai vagy egyéb célokból adtak ki az érdekelt személy számára).
3. ROVAT
:
NYOMTATVÁNYOK
Írja be az okmány sorszámát a felhasznált T5 és T5 bis nyomtatványok összes számához viszonyítva. Például ha egy T5 és két T5 bis nyomtatvány van, írjon az "1/3"-ot a T5 nyomtatványra, "2/3"-ot az első T5 bis nyomtatványra, és a "3/3"-ot a második T5 bis nyomtatványra.
Ha a szállítmány csak egy tételből áll, azaz csak egy "Árumegnevezés" rovatot kell kitölteni, a 3. rovatot hagyja üresen, és az 5. rovatba írja be az 1-es számjegyet.
4. ROVAT
:
RAKOMÁNYJEGYZÉKEK
Írja be számokkal az esetlegesen csatolt T5 rakományjegyzékek teljes darabszámát.
5. ROVAT
:
TÉTELSZÁM
Írja be számokkal az érdekelt személy által a felhasznált T5 és T5 bis nyomtatványokon és T5 rakományjegyzékeken bejelentett tételek teljes számát. A tételszám 1, ha csak T5 okmányt használnak, illetve meg kell felelnie a T5 bis nyomtatványok 31. rovatában vagy a T5 rakományjegyzékekben jelzett áruk teljes számának.
6. ROVAT
:
ÖSSZES CSOMAG SZÁMA
Írja be az adott szállítmányt alkotó összes csomag számát.
7. ROVAT
:
HIVATKOZÁSI SZÁM
Kitöltése nem kötelező. A rovat azt a kereskedelmi hivatkozási számot tartalmazza, amelyet az érdekelt személy adott a szóban forgó szállítmánynak.
8. ROVAT
:
CÍMZETT
Írja be annak a személynek/azoknak a személyeknek vagy vállalat(ok)nak a teljes nevét és címét, aki(k) számára az árukat leszállítják.
14. ROVAT
:
NYILATKOZATTEVŐ/KÉPVISELŐ
Írja be az érdekelt személy vagy vállalat teljes nevét és címét a hatályos rendelkezések szerint. Amennyiben a nyilatkozattevő és a feladó/exportőr ugyanaz a személy, írja be: "feladó/exportőr". A tagállamok utasításokat adhatnak ki az azonosítószámmal kapcsolatban (az azonosítószám olyan szám, amelyet az illetékes hatóságok adózási, statisztikai vagy egyéb célokból adtak ki az érdekelt személy vagy vállalat számára).
15. ROVAT
:
FELADÓ/KIVITELI ORSZÁG
Írja be annak az országnak a nevét, ahonnan az árukat feladják/kiviszik.
17. ROVAT
:
RENDELTETÉSI ORSZÁG
Írja be a rendeltetési ország nevét.
18. ROVAT
:
SZÁLLÍTÓESZKÖZ AZONOSÍTÓJA ÉS HONOSSÁGA INDULÁSKOR
A megfelelő közösségi kódokat használva írja be annak a szállítóeszköznek (tehergépkocsi, hajó, vasúti kocsi, légi jármű) az azonosítóját, például rendszámát vagy nevét, amelyre az árut közvetlenül berakodják vagy berakodták a szállítmánnyal kapcsolatos alakiságok elvégzését követően, majd (a vasúti szállítást kivéve) a szállítóeszköz (vagy több szállítóeszköz esetén a többit tolató vagy vontató jármű) honosságát.
19. ROVAT
:
KONTÉNER (Ktr.)
A megfelelő közösségi kódokat használva jelezze az indulási állapotot ("0" - Az áru szállítása nem szállítótartályban/konténerben történik vagy "1" - Az áru szállítása szállítótartályban/konténerben történik).
31. ROVAT
:
CSOMAGOK ÉS ÁRUMEGNEVEZÉS - JELEK ÉS SZÁMOK - SZÁLLÍTÓTARTÁLY/KONTÉNER SZÁMA - MENNYISÉG ÉS FAJTA
Írja be a csomagok jelét, számát, mennyiségét és fajtáját, vagy csomagolatlan áruk esetén írja be az okmányban jelzett áruk számát, vagy, ha szükséges, az "ömlesztett" szót az áruk azonosításához szükséges adatokkal együtt. Az áruk leírása az áruk kielégítően pontos szokásos kereskedelmi leírását jelenti, ami lehetővé teszi az áruk egyértelmű azonosítását és besorolását.
Amennyiben az érintett árukra vonatkozó közösségi szabályok ebben a tekintetben különös eljárásokat írnak elő, az áruk leírásának meg kell felelnie az adott szabályoknak.
Az említett szabályok által előírt minden kiegészítő információt is ebbe a rovatba kell beírni. A mezőgazdasági termékek leírásának meg kell felelnie a mezőgazdasági szektorra vonatkozó, hatályos közösségi rendelkezéseknek.
Amennyiben az árukat szállítótartályban/konténerben szállítják, annak azonosító jelét is be kell írni ebbe a rovatba. A rovatban fel nem használt részeket ki kell húzni.
32. ROVAT
:
TÉTELSORSZÁM
Az 5. rovatra vonatkozó megjegyzésben leírtak szerint írja be a kérdéses tétel sorszámát az alkalmazott T5 és T5 bis nyomtatványon bejelentett tételek összes számához viszonyítva.
Ha a szállítmány csak egy tételből áll (egyetlen T5 okmány van), ezt a rovatot hagyja üresen, és az 5. rovatba írja be az 1-es számjegyet.
33. ROVAT
:
VÁMTARIFASZÁM
Írja be az adott árunak megfelelő vámtarifaszámot adott esetben az export-visszatérítési nómenklatúra szerint.
35. ROVAT
:
BRUTTÓ TÖMEG
Kilogrammban kifejezve adja meg a vonatkozó 31. rovatban leírt áruk bruttó tömegét. A bruttó tömeg az áruk teljes tömegét jelenti csomagolással együtt, kivéve a szállítótartályokat/konténereket és egyéb szállítóeszközöket.
38. ROVAT
:
NETTÓ TÖMEG
Amennyiben a közösségi szabályok úgy rendelkeznek, kilogrammban kifejezve adja meg a vonatkozó 31. rovatban leírt áru nettó tömegét. A nettó tömeg az áruk tömege csomagolás nélkül.
40. ROVAT
:
ELŐOKMÁNY
A tagállamok eldönthetik, hogy használják-e ezt a rovatot (a feladást/kivitelt megelőző igazgatási eljárásra vonatkozó okmányok hivatkozási számai).
41. ROVAT
:
KIEGÉSZÍTŐ MÉRTÉKEGYSÉG
Amennyiben szükséges, az áru nómenklatúrájával összhangban kell kitölteni (valamennyi tétel mennyiségét a nómenklatúra szerinti mértékegységben kell megadni).
100. ROVAT
:
NEMZETI FELHASZNÁLÁSRA
A feladó/kiviteli tagállam szabályai szerint kell kitölteni.
103. ROVAT
:
NETTÓ MENNYISÉG (kg, liter vagy egyéb egység) BETŰVEL
A közösségi szabályok szerint kell kitölteni.
104. ROVAT
:
FELHASZNÁLÁS ÉS/VAGY RENDELTETÉS
Jelezze az áru szándékolt vagy előírt felhasználását és/vagy rendeltetését X-et írva a megfelelő rovatba. Amennyiben nincsen megfelelő válasz, írjon X-et az "Egyéb" rovatba, és határozza meg a felhasználást és/vagy rendeltetést.
Ha a közösségi szabályok határidőt állapítanak meg, ameddig az áru felhasználásának és/vagy a rendeltetésének teljesülnie kell, a napok számának beírásával töltse ki a "... nap határidő a teljesítésre" mondatot.
105. ROVAT
:
ENGEDÉLYEK
A közösségi szabályok szerint kell kitölteni.
Írja be a típust, a sorszámot, a kiállítás napját és a kibocsátó hatóságot.
106. ROVAT
:
TOVÁBBI ADATOK
A közösségi szabályok és a 912b. cikk (9) bekezdésének alkalmazása szerint kell kitölteni.
107. ROVAT
:
ALKALMAZANDÓ JOGSZABÁLYOK
Írja be az áruk felhasználásának és/vagy rendeltetésének ellenőrzését előíró intézkedéssel kapcsolatos közösségi rendelet, irányelv vagy határozat számát.
108. ROVAT
:
CSATOLT OKMÁNYOK
Sorolja fel a T5 ellenőrző példányhoz csatolt olyan kísérő okmányokat, amelyek azt a rendeltetési helyig kísérik.
109. ROVAT
:
ADMINISZTRATÍV VAGY VÁMOKMÁNY
Írja be az áru szállításával kapcsolatos okmány típusát, számát és nyilvántartásba vételének napját és a kibocsátó vámhivatalt, vagy adott esetben a "Vámeljárás alá nem vont áru" bejegyzést.
110. ROVAT
:
HELY ÉS DÁTUM; A NYILATKOZATTEVŐ/KÉPVISELŐ ALÁÍRÁSA ÉS NEVE
A számítógépes adatfeldolgozó rendszerek alkalmazása tekintetében elfogadott különös rendelkezések figyelembevételével az érdekelt személy eredeti kézzel írt aláírását fel kell tüntetni a T5 nyomtatvány eredeti példányán és másolatán is. Ha az érdekelt személy jogi személy, az aláírónak az aláírása után meg kell adnia teljes nevét és beosztását.
C. A T5 bis nyomtatványok használatával kapcsolatos rendelkezések
Lásd a B. szakasz megjegyzéseit.
A számítógépes adatfeldolgozó rendszerek használata tekintetében esetlegesen elfogadott különös rendelkezések figyelembevételével a T5 nyomtatvány aláírójának eredeti aláírását fel kell tüntetni a T5 bis nyomtatvány eredeti példányán és másolatain is.
A ki nem töltött "Csomagok és az árumegnevezés" rovatokat át kell húzni, a későbbi beírás megakadályozása érdekében.
D. A T5 rakományjegyzék használatával kapcsolatos rendelkezések
A rakományjegyzékek minden oszlopát ki kell tölteni, kivéve a hivatalos célokat szolgáló oszlopokat. A T5 rakományjegyzék nyomtatványnak kizárólag az első oldala használható.
A T5 ellenőrző példány nyilvántartási számát fel kell tüntetni a T5 rakományjegyzék erre szolgáló rovatában.
A T5 rakományjegyzéken feltüntetett árukat sorszámmal kell ellátni a "tételsorszám" című oszlopban (lásd tételsorszám, 32. rovat), oly módon, hogy az utolsó szám a T5 okmány 5. rovatában szereplő összeggel egyezzen meg.
A T5 okmány 31., 33., 35., 38., 100., 103. és 105. rovataiba általában beírt adatokat a T5 rakományjegyzékre kell feltüntetni.
A 100. rovatra (Belső nemzeti felhasználásra) és a 105. rovatra (Engedélyek) vonatkozó adatokat az áruk leírására szolgáló oszlopba kell beírni, közvetlenül az adott árukra vonatkozó információt követően.
Az utolsó beírás után húzni kell egy vízszintes vonalat, és a fel nem használt helyeket át kell húzni a későbbi felhasználás megakadályozása érdekében.
A megfelelő oszlopok alján kell feltüntetni a felsorolt árukat tartalmazó csomagok teljes számát, illetve az áruk teljes bruttó és nettó tömegét.
A számítógépes adatfeldolgozó rendszerek alkalmazása tekintetében elfogadott különös rendelkezések értelmében a megfelelő T5 okmány aláírójának eredeti aláírását fel kell tüntetni a T5 rakományjegyzék eredeti példányán és másolatán is.
67. MELLÉKLET
KÉRELEM ÉS ENGEDÉLY FORMANYOMTATVÁNYOK
( 253b., 253c., 253h. és a 253l. 292., 293., 497. és 505. cikk)
ÁLTALÁNOS MEGJEGYZÉSEK
1. A minta formanyomtatványok szerinti elrendezés nem kötelező; például a rovatok helyett a tagállamok előírhatják a "soras" szerkezetű formanyomtatványokat is, vagy ha szükséges, a rovatok bővíthetők.
A sorszámok és a vonatkozó szövegek azonban kötelező érvényűek.
2. A tagállamok nemzeti célokra előírhatnak rovatokat vagy sorokat. Ezeket a rovatokat vagy sorokat sorszámmal, valamint egy nagybetűvel (pl.: 5A) kell jelölni.
3. Főszabályként, a vastagon szedett sorszámú rovatokat ki kell tölteni. Az útmutató hivatkozik a kivételekre. A vámhatóságok csak akkor írhatják elő az 5. rovat kötelező kitöltését, amikor egységes engedélyt kérelmeznek.
4. Az útmutató függeléke tartalmazza az aktív feldolgozás gazdasági feltételeire vonatkozó 70. melléklet szerinti kódokat.






KITÖLTÉSI ÚTMUTATÓ AZ EGYSZERŰSÍTETT ELJÁRÁSOKRA VONATKOZÓ KÉRELMEK FORMANYOMTATVÁNYAIHOZ
I. CÍM
A kérelem formanyomtatványának különböző rovataiba beírandó adatok
Általános megjegyzés:
Szükség esetén a kért információk a kérelem formanyomtatványának külön mellékletében is megadhatók, utalással a formanyomtatvány vonatkozó rovatára.
A tagállamok további információkat is kérhetnek.
1. Adja meg a kérelmező teljes nevét és címét. A kérelmező az a személy, aki számára az engedélyt kiállítják.
1. a Adja meg a gazdálkodói azonosítószámot.
1. b Adott esetben adja meg az esetleges belső hivatkozási számot, hogy az engedélyben legyen hivatkozás erre a kérelemre.
1. c Adja meg az elérhetőségi adatokat (kapcsolattartó személy, levélcím, telefonszám, faxszám, e-mail cím).
1. d A megfelelő rovatban elhelyezett "x"-szel jelölje meg a vámáru-nyilatkozat benyújtására vonatkozó képviselet típusát.
2. A megfelelő rovatban elhelyezett "x"-szel jelölje meg az egyszerűsített eljárás fajtáját (helyi vámkezelés és/vagy egyszerűsített nyilatkozat), valamint azt, hogy milyen vámeljárást alkalmaznak (a behozatalnál és/vagy a kivitelnél).
2. a és 2.b Az aktív feldolgozási eljárást illetően az 1-es kódot vámfelfüggesztési rendszer, a 2-es kódot vám-visszatérítési rendszer esetén írja be.
Az újrakivitel tekintetében egyszerűsített eljárást kell kérelmezni, ha vámáru-nyilatkozatra van szükség.
3. Írja be a megfelelő kódot:
1. első kérelem az egységes engedélytől különböző engedély iránt;
2. kérelem módosított vagy megújított engedély iránt (jelezze a megfelelő engedélyszámot is);
3. első kérelem egységes engedély iránt.
4. a Jelezze, hogy az engedélyezett gazdálkodói státus igazolt-e; ha "IGEN", akkor írja be a megfelelő számot.
4. b Adja meg azon engedély(ek) fajtáját, hivatkozási számát és adott esetben lejáratának időpontját, amely(ek) kiállítására a kért egyszerűsített eljárás(oka)t használni fogják; ha az engedély(eke)t csak most kérelmezik, adja meg a kérelmezett engedély(ek) fajtáját és a kérelem időpontját.
Az engedély fajtájához írja be az alábbi kódok egyikét:
| Kód | Engedélyezett eljárás |
| 1 | Vámraktározási eljárás |
| 2 | Aktív feldolgozás |
| 3 | Ideiglenes behozatal |
| 4 | Meghatározott célú felhasználás |
| 5 | Vámfelügyelet melletti feldolgozás |
| 6 | Passzív feldolgozás |
5. Információk a főkönyvekről.
- kereskedelmi, adózási vagy más számviteli anyag.
5. a Adja meg annak a helynek a pontos címét, ahol a főkönyveket vezetik.
5. b Adja meg a főkönyvek típusát (elektronikus vagy papíralapú, a használt rendszer és szoftver típusa).
6. Adja meg a kérelemhez csatolt pótlapok számát.
II. CÍM
A pótlap különböző rovataiba beírandó adatok behozatal és kivitel esetén
7. Információk a nyilvántartásokról (a vámmal kapcsolatos főkönyvek).
7. a Adja meg annak a helynek a pontos címét, ahol a nyilvántartásokat vezetik.
7. b Adja meg a nyilvántartások típusát (elektronikus vagy papíralapú, a használt rendszer és szoftver típusa).
7. c Adott esetben adja meg a nyilvántartásokkal kapcsolatos egyéb fontos információkat.
8. Információk az áruk és ügyletek fajtáiról.
8. a Adott esetben adja meg a vonatkozó KN-kódot, vagy adja meg legalább a KN-árucsoportokat és az áruk leírását.
8. b-e Adja meg a vonatkozó információkat havi bontásban.
8. f A behozatalnál a kérelmező jelezheti, hogy a 172. cikkel összhangban a vámáru-nyilatkozat időtartamának első napján érvényes valutaárfolyamot kívánja használni.
Ha kérik, írjon be egy "x"-et a megfelelő rovatba.
9. Írja be a vámeljárásra vonatkozó kódokat a 38. mellékletben foglaltak szerint (pl. 40-es kód a szabad forgalomba bocsátásra és a belföldi felhasználásra).
10. Az áruk engedélyezett tárolási helyeinek és a felelős vámhivatalnak az adatai.
10. a A helyi vámkezelési eljárásnál az országkód (ISO alfa 2) megadásával írja be azokat a részt vevő tagállamokat, ahol a 10.b. rovatban említett áruk tárolási helye található.
10. b A helyi vámkezelési eljárásnál írja be az áruk tárolási helyének pontos címét.
10. c Adja meg az áruknak a 10.b. rovatban említett tárolási helyéért felelős helyi vámhivatal teljes nevét, címét és elérhetőségi adatait.
11. Adja meg azoknak a vámhivataloknak a teljes nevét, címét és elérhetőségi adatait, ahol az egyszerűsített vámáru-nyilatkozatot be kell nyújtani.
12. Adott esetben adja meg az egységes engedély hatálya alá tartozó, az egységes engedély jogosultjának érdekében eljáró cégekre vonatkozó információkat.
12. a Az országkód (ISO alfa 2) használatával adja meg a részt vevő tagállamot.
12. b Adja meg annak a cégnek a teljes nevét és címét, amely az egységes engedély jogosultja érdekében a 12.a. rovatban említett tagállamban eljár.
13. Adott esetben adja meg a felügyeletet ellátó vámhivatal teljes nevét, címét és elérhetőségi adatait.
14. A megfelelő rovatba beírt "x"-szel jelezze az egyszerűsített nyilatkozat fajtáját; kereskedelmi vagy más adminisztratív okmányok esetén a használt okmányok fajtáját kell megadni.
15. Adott esetben térjen ki azokra a további információkra vagy feltételekre, amelyek az érintett egyszerűsített eljárás szempontjából fontosak lehetnek, mint például a kiegészítő vámáru-nyilatkozat benyújtására vonatkozó eljárás és határidő.
16. Egységes engedély iránti kérelem benyújtása esetén a kérelmező:
hozzájárul az információk más tagállamok vámhatóságaival és a Bizottsággal való közléséhez;
a megfelelő rovatban elhelyezett "x"-szel hozzájárulhat a nem bizalmas adatoknak a világhálón keresztül történő közzétételéhez.
A szélesebb nyilvánosság számára hozzáférhető nem bizalmas adatok:
A szélesebb nyilvánosság számára a következő adatokat kell megadni (a kérelemhez használt formanyomtatvány rovatszámára való utalással):
- az egyszerűsített eljárásokra vonatkozó egységes engedély jogosultjának neve és címe (1. rovat),
- (a vámhatóság által kiadott) engedélyszám,
- az eljárás(ok) kódja a 38. mellékletben foglaltak szerint (9. rovat),
- annak megjelölése, hogy az egyszerűsített eljárást behozatalra vagy kivitelre adták-e meg (2.a. vagy 2.b. rovat),
- az érintett tagállamok ISO alfa 2 országkódja a 38. mellékletben foglaltak szerint (10.a. rovat),
- az egységes engedélyben szereplő, az egységes engedély jogosultjának érdekében eljáró cégek neve és címe (12.b. rovat).














Függelék
(A 70. melléklet szerinti kódok az aktív feldolgozás gazdasági feltételeire vonatkozóan)
68. MELLÉKLET
A VÁMELJÁRÁSOK ALATT ÁLLÓ ÁRUKNAK VAGY TERMÉKNEK AZ EGYIK ENGEDÉLYESTŐL EGY MÁSIKNAK TÖRTÉNŐ ÁTSZÁLLÍTÁSA
A. Rendes eljárás (három EV példány)
1. Amennyiben az árukat vagy termékeket a vámeljárások lezárása nélkül szállítják át az egyik engedélyestől a másiknak, egy, a 205-215. cikk szerint kialakított mintának megfelelő formanyomtatványt kell kitölteni az 1., 4. és egy, az 1. példánnyal megegyező további példányon.
2. A szükségesnek tartott ellenőrzések végrehajtásának lehetővé tétele érdekében az első engedélyessel foglalkozó felügyeletet ellátó vámhivatalt az átszállítás megtörténtét megelőzően, az e vámhivatal által meghatározott módon értesíteni kell a tervezett átszállításról.
3. A további 1. példányt az első engedélyesnek (az áruk vagy termékek feladójának) kell megtartania, és az 1. példányt az illetékes felügyeletet ellátó vámhivatalnak kell megküldenie.
4. A 4. példány elkíséri az árut vagy terméket és azt a második engedélyes tartja meg.
5. Az első engedélyes felügyeletét ellátó vámhivatal az 1. példányt a második engedélyes felügyeletét ellátó vámhivatalnak továbbítja.
6. A második engedélyes egy, a nyilvántartásba vétel (ideiglenes behozatal esetén az írásbeli vámáru-nyilatkozat átvétele) napját tartalmazó elismervényt bocsát ki az átszállított árukról vagy termékekről az első engedélyesnek, aki ezt megőrzi.
B. Egyszerűsített eljárások
I. Két EV példányt használva:
1. Amennyiben az árukat vagy termékeket a vámeljárások lezárása nélkül szállítják át az egyik engedélyestől a másiknak, az A. rész (1) bekezdésében említett dokumentumnak csak az 1. és 4. példányát kell kitölteni.
2. Annak érdekében, hogy a felügyeletet ellátó vámhivatalok végre tudják hajtani az általuk szükségesnek tartott ellenőrzést, az áruk vagy termékek tervezett átszállításáról ezen vámhivatalokat még annak megtörténte előtt, az általuk előírt módon kell értesíteni.
3. Az 1. példányt az első engedélyes (az áruk vagy termékek feladója) őrzi meg.
4. A 4. példány elkísérheti az árukat vagy termékeket, és azt a második engedélyes megtarthatja.
5. Az A. rész (6) bekezdését alkalmazni kell.
II. Egyéb módszerek használata az EV helyett, ahol a szükséges információ rendelkezésre áll:
- adatfeldolgozás,
- kereskedelmi vagy adminisztratív okmányok, vagy
- bármilyen egyéb dokumentum.
Függelék
Amennyiben az EV példányokat alkalmazzák, a jelzett rovatoknak tartalmazniuk kell a következő információt:
2. Feladó: adja meg az első engedélyes nevét és címét, a felügyeletét ellátó vámhivatal nevét és címét, az engedélyszámot és a kiállító vámhivatalt.
3. Nyomtatványok: jelezze a felhasznált formanyomtatványok sorszámát az összes felhasznált nyomtatvány-sorozaton belül.
Amennyiben a vámáru-nyilatkozat egyetlen tételre vonatkozik, (azaz, amikor csak egy az árumegnevezés rovatot kell kitölteni), hagyja a 3. rovatot üresen, de írjon 1-et az 5. rovatba.
5. Tételszám: tüntesse fel a felhasznált formanyomtatványokon vagy kiegészítő formanyomtatványokon szerepeltetett tételek teljes számát. A tételek száma megegyezik a kitöltendő, "az árumegnevezés" rovatok számával.
8. Címzett: adja meg a második engedélyes nevét, a felügyeletét ellátó vámhivatal nevét és címét, és azt a címet, ahol az árukat vagy termékeket raktározni, felhasználni vagy feldolgozni fogják, az engedély számát és a kiállító vámhatóságot.
15. Feladó ország: jelezze azt a tagállamot, ahol az árukat feladják.
31. A csomagok és árumegnevezés; jelek és számok - szállítótartály/konténer száma - mennyiség és fajta: írja be a jeleket, (azonosító) számokat, a csomagok számát és fajtáját, vagy, csomagolatlan áruk esetén, értelemszerűen a nyilatkozat alá tartozó áruk számát, vagy az "ömlesztve" jelzést, és az azonosításukhoz szükséges információt.
Az árukat a szokásos kereskedelmi megnevezésüket használva, az azonosításukat lehetővé tevő kellő részletezettséggel kell leírni. Szállítótartály/konténer használata esetén e rovatban a szállítótartály/konténer azonosító jeleit is meg kell adni.
32. Tételsorszám: tüntesse fel a kérdéses tételnek a felhasznált formanyomtatványokon vagy kiegészítő formanyomtatványokon bejelentett összes tételszámon belüli, az 5. rovatban meghatározott sorszámát.
Amennyiben a vámáru-nyilatkozat egyetlen tételre vonatkozik, a vámhatóságok úgy is rendelkezhetnek, hogy ezt a rovatot nem kell kitölteni.
33. Vámtarifaszám: írja be a kérdéses tétel KN-kódját ( 197 ).
35. Bruttó tömeg: ahol szükséges, tüntesse fel a megfelelő 31. rovatban leírt áruk bruttó tömegét kilogrammban. A bruttó tömeg az áru és teljes csomagolása együttes összes tömege, kivéve a szállítótartályokat/konténereket és az egyéb szállítóeszközöket.
38. Nettó tömeg: tüntesse fel a megfelelő 31. rovatban leírt áruk nettó tömegét kilogrammban. A nettó tömeg az áru mindennemű csomagolás nélküli tömege.
41. Kiegészítő mértékegységek: ahol szükséges, jelezze a mennyiséget Kombinált Nómenklatúrában megállapított egységben.
44. Különleges megjegyzések ; benyújtott okmányok, igazolások és engedélyek: írja be az első vámeljárás alá vonás dátumát és nagybetűkkel "Átszállítás", ezt követően a következők közül értelemszerűen:
- "CW" - (VR = vámraktár)
- "IP/S" - (AF/F = aktív feldolgozás/felfüggesztéses eljárás)
- "PCC" - (VMF = vámfelügyelet melletti feldolgozás)
- "TI" - (IB = ideiglenes behozatal)
Amennyiben az importárura egyedi kereskedelempolitikai intézkedések vonatkoznak, és ezeket az intézkedéseket az átszállítás időpontjában még mindig alkalmazni kell, e bejegyzéshez tegye hozzá a "Kereskedelempolitika" szót.
47. A fizetendő terhek kiszámítása: írja be a teher alapját (érték, súly vagy egyéb).
54. Hely és dátum; a nyilatkozattevő vagy képviselője aláírása és neve: itt szerepeltesse a 2. rovatban jelzett személy eredeti kézírásos aláírását, ezt követően a nevét. Amennyiben az érintett személy jogi személy, a formanyomtatványt aláíró személy aláírása és neve után tüntesse fel, hogy milyen minőségben írta alá a formanyomtatványt.
69. MELLÉKLET
ÁTALÁNYELSZÁMOLÁSI KULCSOK
Általános megjegyzés:
Az átalányelszámolási kulcsok csak a közösségi jogszabályokban meghatározott minőségi előírásoknak megfelelő, eredeti és forgalomképes, jó minőségű importárukra vonatkoznak azzal a feltétellel, hogy a végtermékeket nem különleges feldolgozási módszerekkel nyerik a különleges minőségi követelményeknek való megfelelés céljából.
| Importáruk | Sorszám | Végtermékek | A végtermékek mennyisége minden 100 kg importáru után (kg) (3) | ||
| KN-kód | Megnevezés | Kód (2) | Megnevezés | ||
| (1) | (2) | (3) | (4) | (5) | |
| 0407 00 30 | Madártojás héjában | 1 | ex 0408 99 80 | a) Madártojás héj nélkül, folyékonyan vagy fagyasztva | 86,00 |
| ex 0511 99 90 | b) Tojáshéj | 12,00 | |||
| 2 | 0408 19 81 ex 0408 19 89 | a) Tojássárgája folyékonyan vagy fagyasztva | 33,00 | ||
| ex 3502 19 90 | b) Tojásfehérje folyékonyan vagy fagyasztva | 53,00 | |||
| ex 0511 99 90 | c) Tojáshéj | 12,00 | |||
| 3 | 0408 91 80 | a) Tojás, héj nélkül, szárítva | 22,10 | ||
| ex 0511 99 90 | b) Tojáshéj | 12,00 | |||
| 4 | 0408 11 80 | a) Tojássárgája, szárítva | 15,40 | ||
| ex 3502 11 90 | b) Tojásfehérje, szárítva (kristály) | 7,40 | |||
| ex 0511 99 90 | c) Tojáshéj | 12,00 | |||
| 5 | 0408 11 80 | a) Tojássárgája, szárítva | 15,40 | ||
| ex 3502 11 90 | b) Tojásfehérje, szárítva (más formában) | 6,50 | |||
| ex 0511 99 90 | c) Tojáshéj | 12,00 | |||
| ex 0408 99 80 | Madártojás, héj nélkül, folyékonyan vagy fagyasztva | 6 | 0408 91 80 | Madártojás héj nélkül, szárítva | 25,70 |
| 0408 19 81 és ex 0408 19 89 | Tojássárgája, folyékonyan vagy fagyasztva | 7 | 0408 11 80 | Tojássárgája, szárítva | 46,60 |
| ex 1001 90 99 | Közönséges búza | 8 | ex 1101 00 15 (100) | a) Búzaliszt közönséges búzából, kevesebb, mint 0,60 tömegszázalék hamu tartalommal szárazanyagra számítva | 73,00 |
| ex 2302 30 10 | b) Korpa | 22,50 | |||
| ex 2302 30 90 | c) Korpás liszt | 2,50 | |||
| 9 | ex 1101 00 15 (130) | a) Búzaliszt közönséges búzából, legalább 0,60, de kevesebb, mint 0,90 tömegszázalék hamu tartalommal szárazanyagra számítva | 78,13 | ||
| ex 2302 30 10 | b) Korpa | 20,00 | |||
| 10 | 1101 00 15 (150) | a) Búzaliszt közönséges búzából, legalább 0,90, de kevesebb, mint 1,10 tömegszázalék hamu tartalommal szárazanyagra számítva | 84,75 | ||
| ex 2302 30 10 | b) Korpa | 13,25 | |||
| 11 | 1101 00 15 (170) | a) Búzaliszt közönséges búzából, legalább 0,10, de kevesebb, mint 1,65 tömegszázalék hamu tartalommal szárazanyagra számítva | 91,75 | ||
| ex 2302 30 10 | b) Korpa | 6,25 | |||
| 12 | 1101 00 15 (180) | Búzaliszt közönséges búzából, legalább 1,65, de kevesebb, mint 1,90 tömegszázalék hamu tartalommal szárazanyagra számítva | 98,03 | ||
| 13 | 1104 29 11 | Hántolt búza (héjazott vagy tisztított), szeletelve vagy durván darálva is (4) | (1) | ||
| 14 | 1107 10 11 | a) Maláta, pörkölés nélkül, búzából, liszt formában | (1) | ||
| ex 1001 90 99 | b) Nem csíráztatott közönséges búza | 1,00 | |||
| ex 2302 30 10 | c) Korpa | 19,00 | |||
| ex 2303 30 00 | d) Gyökérrost | 3,50 | |||
| 15 | 1107 10 19 | a) Maláta, pörkölés nélkül, búzából, nem liszt formában | (1) | ||
| ex 1001 90 99 | b) Nem csíráztatott közönséges búza | 0,95 | |||
| ex 2303 30 00 | c) Gyökérrost | 3,33 | |||
| 16 | 1108 11 00 | a) Búzakeményítő | 45,46 | ||
| 1109 00 00 | b) Búza sikér | 7,50 | |||
| ex 2302 30 10 | c) Korpa | 25,50 | |||
| ex 2303 10 90 | d) Keményítő gyártásánál keletkező maradék | 12,00 | |||
| 1001 10 00 | Durumbúza | 17 | ex 1103 11 10 | a) Gabonaliszt kuszkusz (5) | 50,00 |
| 1103 11 10 | b) Gabonadara és gabonaliszt legalább 0,95, de kevesebb, mint 1,30 tömegszázalék hamutartalommal szárazanyagra számítva | 17,00 | |||
| 1101 00 11 | c) Liszt | 8,00 | |||
| ex 2302 30 10 | d) Korpa | 20,00 | |||
| 18 | ex 1103 11 10 | a) Gabonadara és gabonaliszt kevesebb, mint 0,95 tömegszázalék hamutartalommal szárazanyagra számítva | 60,00 | ||
| 1101 00 11 | b) Liszt | 15,00 | |||
| ex 2302 30 10 | c) Korpa | 20,00 | |||
| 19 | ex 1103 11 10 | a) Gabonadara és gabonaliszt legalább 0,95, de kevesebb, mint 1,30 tömegszázalék hamutartalommal szárazanyagra számítva | 67,00 | ||
| 1101 00 11 | b) Liszt | 8,00 | |||
| ex 2302 30 10 | c) Korpa | 20,00 | |||
| 20 | ex 1103 11 10 | a) Gabonadara és gabonaliszt legalább 1,30 tömegszázalék hamutartalommal szárazanyagra számítva | 75,00 | ||
| ex 2302 30 10 | b) Korpa | 20,00 | |||
| 21 | ex 1902 19 10 | a) Tészta, tojás és közönséges búzaliszt nélkül, kevesebb, mint 0,95 tömegszázalék hamutartalommal szárazanyagra számítva | 62,50 | ||
| 1101 00 11 | b) Liszt | 13,70 | |||
| ex 2302 30 10 | b) Korpa | 18,70 | |||
| 22 | ex 1902 19 10 | a) Tészta, tojás és közönséges búzaliszt nélkül legalább 0,95, de kevesebb, mint 1,10 tömegszázalék hamutartalommal szárazanyagra számítva | 66,67 | ||
| 1101 00 11 | b) Liszt | 8,00 | |||
| ex 2302 30 10 | c) Korpa | 20,00 | |||
| 23 | ex 1902 19 10 | a) Tészta, tojás és közönséges búzaliszt nélkül legalább 1,10, de kevesebb, mint 1,30 tömegszázalék hamutartalommal szárazanyagra számítva | 71,43 | ||
| 1101 00 11 | b) Liszt | 3,92 | |||
| ex 2302 30 10 | c) Korpa | 19,64 | |||
| 24 | ex 1902 19 10 | a) Tészta, tojástartalommal és búzaliszt nélkül legalább 1,30 tömegszázalék hamutartalommal szárazanyagra számítva | 79,36 | ||
| ex 2302 30 10 | b) Korpa | 15,00 | |||
| 25 | ex 1902 11 00 | a) Tészta, tojástartalommal és búzaliszt nélkül kevesebb, mint 0,95 tömegszázalék hamutartalommal szárazanyagra számítva (6) | (6) | ||
| 1101 00 11 | b) Liszt | 13,70 | |||
| ex 2302 30 10 | c) Korpa | 18,70 | |||
| 26 | ex 1902 11 00 | a) Tészta, tojástartalommal és búzaliszt nélkül legalább 0,95, de kevesebb, mint 1,10 tömegszázalék hamutartalommal szárazanyagra számítva (6) | (6) | ||
| 1101 00 11 | c) Liszt | 8,00 | |||
| ex 2302 30 10 | c) Korpa | 20,00 | |||
| 27 | ex 1902 11 00 | a) Tészta, tojástartalommal és búzaliszt nélkül legalább 1,10, de kevesebb, mint 1,30 tömegszázalék hamutartalommal szárazanyagra számítva (6) | (6) | ||
| 1101 00 11 | b) Liszt | 3,92 | |||
| ex 2302 30 10 | c) Korpa | 19,64 | |||
| 28 | ex 1902 11 00 | a) Tészta, tojástartalommal és búzaliszt nélkül legalább 1,30 tömegszázalék hamutartalommal szárazanyagra számítva (6) | (6) | ||
| ex 2302 30 10 | b) Korpa | 15,00 | |||
| 1003 00 90 | Árpa | 29 | ex 1102 90 10 (100) | a) Árpaliszt kevesebb, mint 0,9 tömegszázalék hamutartalommal szárazanyagra számítva és kevesebb, mint 0,9 tömegszázalék nyersrosttartalommal szárazanyagra számítva | 66,67 |
| ex 2302 40 10 | b) Korpa | 10,00 | |||
| ex 2302 40 90 | c) Korpás liszt | 21,50 | |||
| 30 | ex 1103 19 30 (100) | a) Árpadara és liszt kevesebb, mint 1 tömegszázalék hamutartalommal szárazanyagra számítva és kevesebb, mint 0,9 tömegszázalék nyersrosttartalommal szárazanyagra számítva | (1) | ||
| 1102 90 10 | b) Árpaliszt | 2,00 | |||
| ex 2302 40 10 | c) Korpa | 10,00 | |||
| ex 2302 40 90 | d) Korpás liszt | 21,50 | |||
| 31 | ex 1104 21 10 (100) | a) Hántolt (héjazott vagy tisztított) árpa kevesebb, mint 1 tömegszázalék hamutartalommal szárazanyagra számítva és kevesebb, mint 0,9 tömegszázalék nyersrosttartalommal szárazanyagra számítva (4) | (1) | ||
| ex 2302 40 10 | b) Korpa | 10,00 | |||
| ex 2302 40 90 | c) Korpás liszt | 21,50 | |||
| 32 | ex 1104 21 30 (100) | a) Hántolt és szeletelt vagy durván darált árpa kevesebb, mint 1 tömegszázalék hamutartalommal szárazanyagra számítva és kevesebb, mint 0,9 tömegszázalék nyersrosttartalommal szárazanyagra számítva („Grütze” vagy „Grutten”) (4) | (1) | ||
| ex 2302 40 10 | b) Korpa | 10,00 | |||
| ex 2302 40 90 | c) Korpás liszt | 21,50 | |||
| 33 | ex 1104 21 50 (100) | a) Fényezett árpa (7), kevesebb, mint 1 tömegszázalék hamutartalommal (zsírkő nélkül) szárazanyagra számítva, első kategória | 50,00 | ||
| ex 2302 40 10 | b) Korpa | 20,00 | |||
| ex 2302 40 90 | c) Korpás liszt | 27,50 | |||
| 34 | ex 1104 21 50 (100) | a) Fényezett árpa, (7) kevesebb, mint 1 tömegszázalék hamutartalommal (zsírkő nélkül) szárazanyagra számítva, második kategória | (1) | ||
| ex 2302 40 10 | b) Korpa | 20,00 | |||
| ex 2302 40 90 | c) Korpás liszt | 15,00 | |||
| 35 | ex 1104 11 90 | a) Pelyhesített árpa, kevesebb, mint 1 tömegszázalék hamutartalommal szárazanyagra számítva és kevesebb, mint 0,9 tömegszázalék nyersrosttartalommal szárazanyagra számítva | 66,67 | ||
| ex 2302 40 10 | b) Korpa | 10,00 | |||
| ex 2302 40 90 | c) Korpás liszt | 21,33 | |||
| 36 | ex 1107 10 91 | a) Maláta, pörkölés nélkül, liszt formában | (1) | ||
| ex 1003 00 90 | b) Árpa, nem csíráztatott | 1,00 | |||
| ex 2302 40 10 | c) Korpa | 19,00 | |||
| ex 2303 30 00 | d) Gyökérrost | 3,50 | |||
| 37 | ex 1107 10 99 | a) Maláta, pörkölés nélkül | (1) | ||
| ex 1003 00 90 | b) Árpa, nem csíráztatott | 0,98 | |||
| ex 2303 30 00 | c) Gyökérrost | 3,42 | |||
| 38 | 1107 20 00 | a) Maláta, pörkölt | (1) | ||
| ex 1003 00 90 | b) Árpa, nem csíráztatott | 0,96 | |||
| ex 2303 30 00 | c) Gyökérrost | 3,36 | |||
| 1004 00 00 | Zab | 39 | ex 1102 90 30 (100) | a) Zabliszt kevesebb, mint 2,3 tömegszázalék hamutartalommal szárazanyagra számítva, kevesebb, mint 1,8 tömegszázalék nyersrosttartalommal szárazanyagra számítva, kevesebb, mint 11 tömegszázalék nedvességtartalommal, és amelyben a peroxidáz lényegében véve inaktív | 55,56 |
| ex 2302 40 10 | b) Korpa | 33,00 | |||
| ex 2302 40 90 | c) Korpás liszt | 7,50 | |||
| 40 | ex 1103 12 00 (100) | a) Zab dara és liszt, kevesebb, mint 2,3 tömegszázalék hamutartalommal szárazanyagra számítva, kevesebb, mint 0,1 tömegszázalék burok tartalommal, kevesebb, mint 11 tömegszázalék nedvességtartalommal, és amelyben a peroxidáz lényegében véve inaktív | (1) | ||
| ex 1102 90 30 | b) Liszt | 2,00 | |||
| ex 2302 40 10 | c) Korpa | 33,00 | |||
| ex 2302 40 90 | d) Korpás liszt | 7,50 | |||
| 41 | ex 1104 22 98 | Zabhulladék | 98,04 | ||
| 42 | ex 1104 22 20 (100) | a) Hántolt (héjazott vagy tisztított) zab, kevesebb, mint 2,3 tömegszázalék hamutartalommal szárazanyagra számítva, kevesebb, mint 0,5 tömegszázalék burok tartalommal, kevesebb, mint 11 tömegszázalék nedvességtartalommal, és amelyben a peroxidáz lényegében véve inaktív (4) | (1) | ||
| ex 2302 40 10 | b) Korpa | 33,00 | |||
| 43 | ex 1104 22 30 (100) | a) Hántolt és szeletelt vagy durván darált zab, kevesebb, mint 2,3 tömegszázalék hamutartalommal szárazanyagra számítva, kevesebb, mint 0,1 tömegszázalék burok tartalommal, kevesebb, mint 11 tömegszázalék nedvességtartalommal, és amelyben a peroxidáz lényegében véve inaktív („Grütze” vagy „Grutten”) (4) | (1) | ||
| ex 2302 40 10 | b) Korpa | 33,00 | |||
| ex 2302 40 90 | c) Korpás liszt | 3,50 | |||
| 44 | ex 1104 12 90 (100) | a) Pelyhesített zab, kevesebb, mint 2,3 tömegszázalék hamutartalommal szárazanyagra számítva, kevesebb, mint 0,1 tömegszázalék burok tartalommal, kevesebb, mint 12 tömegszázalék nedvességtartalommal, és amelyben a peroxidáz lényegében véve inaktív | 50,00 | ||
| ex 2302 40 10 | b) Korpa | 33,00 | |||
| ex 2302 40 90 | c) Korpás liszt | 13,00 | |||
| 45 | ex 1104 12 90 (300) | a) Pelyhesített zab, kevesebb, mint 2,3 tömegszázalék hamutartalommal szárazanyagra számítva, legalább 0,1, de kevesebb, mint 1,5 tömegszázalék burok tartalommal, kevesebb, mint 12 tömegszázalék nedvességtartalommal, és amelyben a peroxidáz lényegében véve inaktív | 62,50 | ||
| ex 2302 40 10 | b) Korpa | 33,00 | |||
| 1005 90 00 | Kukorica, egyéb | 46 | ex 1102 20 10 (100) | a) Kukoricaliszt, kevesebb, mint 1,3 tömegszázalék zsírtartalommal szárazanyagra számítva és kevesebb, mint 0,8 tömegszázalék nyersrosttartalommal szárazanyagra számítva | 71,43 |
| ex 1104 30 90 | b) Kukoricacsíra | 12,00 | |||
| ex 2302 10 10 | c) Korpa | 14,00 | |||
| 47 | ex 1102 20 10 (200) | a) Kukoricaliszt, legalább 1,3, de kevesebb, mint 1,5 tömegszázalék zsírtartalommal és kevesebb, mint 0,8 tömegszázalék nyersrosttartalommal szárazanyagra számítva | (1) | ||
| ex 1104 30 90 | b) Kukoricacsíra | 8,00 | |||
| ex 2302 10 10 | c) Korpa | 6,50 | |||
| 48 | ex 1102 20 90 (100) | a) Kukoricaliszt, legalább 1,5, de kevesebb, mint 1,7 tömegszázalék zsírtartalommal és kevesebb, mint 1 tömegszázalék nyersrosttartalommal szárazanyagra számítva | 83,33 | ||
| ex 1104 30 90 | b) Kukoricacsíra | 8,00 | |||
| ex 2302 10 10 | c) Korpa | 6,50 | |||
| 49 | ex 1103 13 10 (100) | a) Kukorica dara és liszt, kevesebb, mint 0,9 tömegszázalék zsírtartalommal és kevesebb, mint 0,6 tömegszázalék nyersrosttartalommal szárazanyagra számítva (8) | 55,56 | ||
| 1102 20 10 vagy 1102 20 90 | b) Kukoricaliszt | 16,00 | |||
| ex 1104 30 90 | c) Kukoricacsíra | 12,00 | |||
| ex 2302 10 10 | c) Korpa | 14,00 | |||
| 50 | ex 1103 13 10 (300) | a) Kukorica dara és liszt, kevesebb, mint 1,3 tömegszázalék zsírtartalommal és kevesebb, mint 0,8 tömegszázalék nyersrosttartalommal szárazanyagra számítva (8) | 71,43 | ||
| ex 1104 30 90 | b) Kukoricacsíra | 12,00 | |||
| ex 2302 10 10 | c) Korpa | 14,00 | |||
| 51 | ex 1103 13 10 (500) | a) Kukorica dara és liszt, legalább 1,3, de kevesebb, mint 1,5 tömegszázalék zsírtartalommal és kevesebb, mint 1 tömegszázalék nyersrosttartalommal szárazanyagra számítva (8) | (1) | ||
| ex 1104 30 90 | b) Kukoricacsíra | 8,00 | |||
| ex 2302 10 10 | c) Korpa | 6,50 | |||
| 52 | ex 1103 13 90 (100) | a) Kukorica dara és liszt, legalább 1,5, de kevesebb, mint 1,7 tömegszázalék zsírtartalommal és kevesebb, mint 1 tömegszázalék nyersrosttartalommal szárazanyagra számítva (8) | (1) | ||
| ex 1104 30 90 | b) Kukoricacsíra | 8,00 | |||
| ex 2302 10 10 | c) Korpa | 6,50 | |||
| 53 | ex 1104 19 50 (110) | a) Pelyhesített kukorica, kevesebb, mint 0,9 tömegszázalék zsírtartalommal szárazanyagra számítva és kevesebb, mint 0,7 tömegszázalék nyersrosttartalommal szárazanyagra számítva | 62,50 | ||
| ex 2302 10 10 | b) Korpa | 35,50 | |||
| 54 | ex 1104 19 50 (130) | a) Pelyhesített kukorica, kevesebb, mint 1,3 tömegszázalék zsírtartalommal szárazanyagra számítva és kevesebb, mint 0,8 tömegszázalék nyersrosttartalommal szárazanyagra számítva | 76,92 | ||
| ex 2302 10 10 | b) Korpa | 21,08 | |||
| 55 | ex 1104 19 50 (150) | a) Pelyhesített kukorica, legalább 1,3, de kevesebb, mint 1,7 tömegszázalék zsírtartalommal szárazanyagra számítva és kevesebb, mint 1 tömegszázalék nyersrosttartalommal szárazanyagra számítva | 90,91 | ||
| ex 2302 10 10 | b) Korpa | 7,09 | |||
| 56 | 1108 12 00 | a) Kukoricakeményítő | (1) | ||
| A 62. sorszám alatti termékek | 29,91 | ||||
| 57 | ex 1702 30 51 vagy ex 1702 30 91 | a) Glukóz, fehér kristályos por alakjában, összetömörítve is (9) | (1) | ||
| b) A 62. sorszám alatti termékek | 29,91 | ||||
| ex 1702 30 99 | c) Glukóz hulladék | 9,95 | |||
| 58 | ex 1702 30 59 vagy ex 1702 30 99 | a) Glukóz, nem fehér kristályos por alakban, összetömörítve is (10) | (1) | ||
| b) A 62. sorszám alatti termékek | 29,91 | ||||
| 59 | ex 2905 44 11 vagy ex 3824 60 11 | a) D-glucit (szorbit) vizes oldatban, kevesebb, mint 2 tömegszázalék D-mannit tartalmú, D-glucit tartalom alapján számítva (11) | 59,17 | ||
| b) A 63. sorszám alatti termékek | 29,10 | ||||
| 60 | ex 2905 44 19 vagy ex 3824 60 19 | a) D-glucit (szorbit) vizes oldatban, legalább 2 tömegszázalék D-mannit tartalmú, D-glucit tartalom alapján számítva (12) | 67,56 | ||
| b) A 63. sorszám alatti termékek | 29,10 | ||||
| 61 | ex 2905 44 91 vagy ex 2905 44 99 vagy ex 3824 60 91 vagy ex 3824 60 99 | a) D-glucit (szorbit) 100 kg szárazanyagra számítva | 41,32 | ||
| b) A 63. sorszám alatti termékek | 29,10 | ||||
| Importáruk | Sorszám | Végtermékek | (3)A végtermékek mennyisége minden 100 kg importáru után (kg) | |||||||
| KN-kód | Megnevezés | Kód (2) | Megnevezés | (a) | (b) | (c) | (d) | (e) | (f) | |
| (1) | (2) | (3) | (4) | (5) | ||||||
| 1005 90 00 | 62 | Kiegészítő termékek az 56–58 sorszám alatti végtermékekhez (13) | ||||||||
| ex 1104 30 90 | Kukoricacsíra | 6,06 | 6,06 | |||||||
| ex 15 15 | Kukoricaolaj | 2,88 | 2,88 | 2,88 | 2,88 | |||||
| ex 2303 10 11 | Kukoricasikér | 4,47 | 4,47 | 4,47 | ||||||
| ex 2303 10 19 vagy ex 2309 90 20 | Gabona sikér takarmány Kukoricaolaj maradványt tartalmazó sikér takarmány | 23,85 | 19,38 | 23,85 | 19,38 | 22,56 | 27,03 | |||
| ex 2306 70 00 | Kukoricacsíra olajpogácsa | 3,18 | 3,18 | |||||||
| 29,91 | 29,91 | 29,91 | 29,91 | 29,91 | 29,91 | |||||
| 63 | Kiegészítő termékek az 59–61. sorszám alatti végtermékekhez (13) | |||||||||
| ex 1104 30 90 | Kukoricacsíra | 6,10 | 6,10 | |||||||
| ex 15 15 | Kukoricaolaj | 2,90 | 2,90 | 2,90 | 2,90 | |||||
| ex 2303 10 11 | Kukoricasikér | 4,50 | 4,50 | 4,50 | ||||||
| ex 2303 10 19 vagy ex 2309 90 20 | Gabona sikér takarmány Kukoricaolaj maradványt tartalmazó sikér takarmány | 23,00 | 18,50 | 23,00 | 18,50 | 21,70 | 26,20 | |||
| ex 2306 70 00 | Kukoricacsíra olajpogácsa | 3,20 | 3,20 | |||||||
| 29,10 | 29,10 | 29,10 | 29,10 | 29,10 | 29,10 | |||||
| Importáruk | Sor szám | Végtermékek | A végtermékek mennyisége minden 100 kg importáru után (kg) (3) | ||
| KN-kód | Megnevezés | Kód (1) | Megnevezés | ||
| (1) | (2) | (3) | (4) | (5) | |
| 1006 10 21 | Hántolatlan nyers rizs (vetésre vagy durva), forrázott, kerek szemű | 64 | 1006 20 11 | a) Előmunkált (barna) forrázott rizs, kerek szemű | 80,00 |
| ex 1213 00 00 | b) Héj | 20,00 | |||
| 65 | 1006 30 21 | a) Félig hántolt rizs, polírozva vagy fényezve is, forrázott, kerek szemű | 71,00 | ||
| 1102 30 00 vagy ex 2302 20 10 vagy ex 2302 20 90 | b) Rizsliszt vagy korpa | 6,00 | |||
| 1006 40 00 | c) Törmelék rizs | 3,00 | |||
| ex 1213 00 00 | d) Héj | 20,00 | |||
| 66 | 1006 30 61 | a) Teljesen hántolt rizs, polírozva vagy fényezve is, forrázott, kerek szemű | 65,00 | ||
| 1102 30 00 vagy ex 2302 20 10 vagy ex 2302 20 90 | b) Rizsliszt vagy korpa | 8,00 | |||
| 1006 40 00 | c) Törmelék rizs | 7,00 | |||
| ex 1213 00 00 | d) Héj | 20,00 | |||
| 1006 10 23 | Hántolatlan nyers rizs (vetésre vagy durva), forrázott, közepes szemű | 67 | 1006 20 13 | a) Előmunkált (barna) forrázott rizs, közepes szemű | 80,00 |
| ex 1213 00 00 | b) Héj | 20,00 | |||
| 68 | 1006 30 23 | a) Félig hántolt rizs, polírozva vagy fényezve is, forrázva, közepes szemű | 71,00 | ||
| 1102 30 00 vagy ex 2302 20 10 vagy ex 2302 20 90 | b) Rizsliszt vagy korpa | 6,00 | |||
| 1006 40 00 | c) Törmelék rizs | 3,00 | |||
| ex 1213 00 00 | d) Héj | 20,00 | |||
| 69 | 1006 30 63 | a) Teljesen hántolt rizs, polírozva vagy fényezve is, forrázva, közepes szemű | 65,00 | ||
| 1102 30 00 vagy ex 2302 20 10 vagy ex 2302 20 90 | b) Rizsliszt vagy korpa | 8,00 | |||
| 1006 40 00 | c) Törmelék rizs | 7,00 | |||
| ex 1213 00 00 | d) Héj | 20,00 | |||
| 1006 10 25 | Hántolatlan nyers rizs (vetésre vagy durva), forrázott, hosszú szemű, a hosszúság-szélesség aránya 2 és 3 közötti | 70 | 1006 20 15 | a) Előmunkált (barna) forrázott rizs, hosszú szemű, a hosszúság-szélesség aránya 2 és 3 közötti | 80,00 |
| ex 1213 00 00 | b) Héj | 20,00 | |||
| 71 | 1006 30 25 | a) Félig hántolt rizs, polírozva vagy fényezve is, forrázott, hosszú szemű, a hosszúság-szélesség aránya 2 és 3 közötti | 71,00 | ||
| 1102 30 00 vagy ex 2302 20 10 vagy ex 2302 20 90 | b) Rizsliszt vagy korpa | 6,00 | |||
| 1006 40 00 | c) Törmelék rizs | 3,00 | |||
| ex 1213 00 00 | d) Héj | 20,00 | |||
| 72 | 1006 30 65 | a) Teljesen hántolt rizs, polírozva vagy fényezve is, forrázott, hosszú szemű, hosszúság-szélesség aránya 2 és 3 közötti | 65,00 | ||
| 1102 30 00 vagy ex 2302 20 10 vagy ex 2302 20 90 | b) Rizsliszt vagy korpa | 8,00 | |||
| 1006 40 00 | c) Törmelék rizs | 7,00 | |||
| ex 1213 00 00 | d) Héj | 20,00 | |||
| 1006 10 27 | Hántolatlan nyers rizs (vetésre vagy durva), forrázott, hosszú szemű, a hosszúság-szélesség aránya 3 vagy nagyobb | 73 | 1006 20 17 | a) Előmunkált (barna) forrázott, hosszú szemű rizs, a hosszúság-szélesség aránya 3 vagy nagyobb | 80,00 |
| ex 1213 00 00 | b) Héj | 20,00 | |||
| 74 | 1006 30 27 | a) Félig hántolt rizs, polírozva vagy fényezve is, forrázott, hosszú szemű, a hosszúság-szélesség aránya 3 vagy annál nagyobb | 68,00 | ||
| 1102 30 00 vagy ex 2302 20 10 vagy ex 2302 20 90 | b) Rizsliszt vagy korpa | 6,00 | |||
| 1006 40 00 | c) Törmelék rizs | 6,00 | |||
| ex 1213 00 00 | d) Héj | 20,00 | |||
| 75 | 1006 30 67 | a) Teljesen hántolt rizs, polírozva vagy fényezve is, forrázott, hosszú szemű, hosszúság-szélesség aránya 3 vagy annál nagyobb | 62,00 | ||
| 1102 30 00 vagy ex 2302 20 10 vagy ex 2302 20 90 | b) Rizsliszt vagy korpa | 8,00 | |||
| 1006 40 00 | c) Törmelék rizs | 10,00 | |||
| ex 1213 00 00 | d) Héj | 20,00 | |||
| 1006 10 92 | Hántolatlan nyers rizs (vetésre vagy durva), kerek szemű | 76 | 1006 20 11 | a) Előmunkált (barna) forrázott, kerek szemű rizs | 80,00 |
| ex 1213 00 00 | b) Héj | 20,00 | |||
| 77 | 1006 20 92 | a) Előmunkált (barna), kerek szemű rizs | 80,00 | ||
| ex 1213 00 00 | b) Héj | 20,00 | |||
| 78 | 1006 30 21 | a) Félig hántolt rizs, polírozva vagy fényezve is, forrázott, kerek szemű | 71,00 | ||
| 1102 30 00 vagy ex 2302 20 10 vagy ex 2302 20 90 | b) Rizsliszt vagy korpa | 6,00 | |||
| 1006 40 00 | c) Törmelék rizs | 3,00 | |||
| ex 1213 00 00 | d) Héj | 20,00 | |||
| 79 | 1006 30 42 | a) Félig hántolt rizs, polírozva vagy fényezve is, kerek szemű | 65,00 | ||
| 1102 30 00 vagy ex 2302 20 10 vagy ex 2302 20 90 | b) Rizsliszt vagy korpa | 5,00 | |||
| 1006 40 00 | c) Törmelék rizs | 10,00 | |||
| ex 1213 00 00 | d) Héj | 20,00 | |||
| 80 | 1006 30 61 | a) Teljesen hántolt rizs, polírozva vagy fényezve is, forrázott, kerek szemű | 65,00 | ||
| 1102 30 00 vagy ex 2302 20 10 vagy ex 2302 20 90 | b) Rizsliszt vagy korpa | 8,00 | |||
| 1006 40 00 | c) Törmelék rizs | 7,00 | |||
| ex 1213 00 00 | d) Héj | 20,00 | |||
| 81 | 1006 30 92 | a) Teljesen hántolt rizs, polírozva vagy fényezve is, kerek szemű | 60,00 | ||
| 1102 30 00 vagy ex 2302 20 10 vagy ex 2302 20 90 | b) Rizsliszt vagy korpa | 8,00 | |||
| 1006 40 00 | c) Törmelék rizs | 12,00 | |||
| ex 1213 00 00 | d) Héj | 20,00 | |||
| 1006 10 94 | Hántolatlan nyers rizs (vetésre vagy durva), közepes szemű | 82 | 1006 20 13 | a) Előmunkált (barna) forrázott, közepes szemű rizs | 80,00 |
| ex 1213 00 00 | b) Héj | 20,00 | |||
| 83 | 1006 20 94 | a) Előmunkált (barna), közepes szemű rizs | 80,00 | ||
| ex 1213 00 00 | b) Héj | 20,00 | |||
| 84 | 1006 30 23 | a) Félig hántolt rizs, polírozva vagy fényezve is, forrázott, közepes szemű | 71,00 | ||
| 1102 30 00 vagy ex 2302 20 10 vagy ex 2302 20 90 | b) Rizsliszt vagy korpa | 6,00 | |||
| 1006 40 00 | c) Törmelék rizs | 3,00 | |||
| ex 1213 00 00 | d) Héj | 20,00 | |||
| 85 | 1006 30 44 | a) Félig hántolt rizs, polírozva vagy fényezve is, közepes szemű | 65,00 | ||
| 1102 30 00 vagy ex 2302 20 10 vagy ex 2302 20 90 | b) Rizsliszt vagy korpa | 5,00 | |||
| 1006 40 00 | c) Törmelék rizs | 10,00 | |||
| ex 1213 00 00 | d) Héj | 20,00 | |||
| 86 | 1006 30 63 | a) Teljesen hántolt rizs, polírozva vagy fényezve is, forrázott, közepes szemű | 65,00 | ||
| 1102 30 00 vagy ex 2302 20 10 vagy ex 2302 20 90 | b) Rizsliszt vagy korpa | 8,00 | |||
| 1006 40 00 | c) Törmelék rizs | 7,00 | |||
| ex 1213 00 00 | d) Héj | 20,00 | |||
| 87 | 1006 30 94 | a) Teljesen hántolt rizs, polírozva vagy fényezve is, forrázott, közepes szemű | 60,00 | ||
| 1102 30 00 vagy ex 2302 20 10 vagy ex 2302 20 90 | b) Rizsliszt vagy korpa | 8,00 | |||
| 1006 40 00 | c) Törmelék rizs | 12,00 | |||
| ex 1213 00 00 | d) Héj | 20,00 | |||
| 1006 10 96 | Hántolatlan nyers rizs (vetésre vagy durva), hosszú szemű, a hosszúság-szélesség aránya 2 és 3 közötti | 88 | 1006 20 15 | a) Előmunkált (barna) forrázott, hosszú szemű rizs, a hosszúság-szélesség aránya 2 és 3 közötti | 80,00 |
| ex 1213 00 00 | b) Héj | 20,00 | |||
| 89 | 1006 20 96 | a) Előmunkált (barna) hosszú szemű rizs, a hosszúság-szélesség aránya 2 és 3 közötti | 80,00 | ||
| ex 1213 00 00 | b) Héj | 20,00 | |||
| 90 | 1006 30 25 | a) Félig hántolt rizs, polírozva vagy fényezve is, forrázott, hosszú szemű, a hosszúság-szélesség aránya 2 és 3 közötti | 71,00 | ||
| 1102 30 00 vagy ex 2302 20 10 vagy ex 2302 20 90 | b) Rizsliszt vagy korpa | 6,00 | |||
| 1006 40 00 | c) Törmelék rizs | 3,00 | |||
| ex 1213 00 00 | d) Héj | 20,00 | |||
| 91 | 1006 30 46 | a) Félig hántolt rizs, polírozva vagy fényezve is, hosszú szemű, a hosszúság-szélesség aránya 2 és 3 közötti | 65,00 | ||
| 1102 30 00 vagy ex 2302 20 10 vagy ex 2302 20 90 | b) Rizsliszt vagy korpa | 5,00 | |||
| ex 1006 40 00 | c) Törmelék rizs | 10,00 | |||
| ex 1213 00 00 | d) Héj | 20,00 | |||
| 92 | 1006 30 65 | a) Teljesen hántolt rizs, polírozva vagy fényezve is, forrázott, hosszú szemű, a hosszúság-szélesség aránya 2 és 3 közötti | 65,00 | ||
| 1102 30 00 vagy ex 2302 20 10 vagy ex 2302 20 90 | b) Rizsliszt vagy korpa | 8,00 | |||
| 1006 40 00 | c) Törmelék rizs | 7,00 | |||
| ex 1213 00 00 | d) Héj | 20,00 | |||
| 93 | 1006 30 96 | a) Teljesen hántolt rizs, polírozva vagy fényezve is, hosszú szemű, a hosszúság-szélesség aránya 2 és 3 közötti | 60,00 | ||
| 1102 30 00 vagy ex 2302 20 10 vagy ex 2302 20 90 | b) Rizsliszt vagy korpa | 8,00 | |||
| 1006 40 00 | c) Törmelék rizs | 12,00 | |||
| ex 1213 00 00 | d) Héj | 20,00 | |||
| 1006 10 98 | Hántolatlan nyers rizs (vetésre vagy durva), hosszú szemű, a hosszúság-szélesség aránya 3 vagy nagyobb | 94 | 1006 20 17 | a) Előmunkált (barna) forrázott, hosszú szemű rizs, a hosszúság-szélesség aránya 3 vagy nagyobb | 80,00 |
| ex 1213 00 00 | b) Héj | 20,00 | |||
| 95 | 1006 20 98 | a) Előmunkált (barna) hosszú szemű rizs, a hosszúság-szélesség aránya 3 vagy annál nagyobb | 80,00 | ||
| ex 1213 00 00 | b) Héj | 20,00 | |||
| 96 | 1006 30 27 | a) Félig hántolt rizs, polírozva vagy fényezve is, forrázott, a hosszúság-szélesség aránya 3 vagy annál nagyobb | 68,00 | ||
| 1102 30 00 vagy ex 2302 20 10 vagy ex 2302 20 90 | b) Rizsliszt vagy korpa | 6,00 | |||
| 1006 40 00 | c) Törmelék rizs | 6,00 | |||
| ex 1213 00 00 | d) Héj | 20,00 | |||
| 97 | 1006 30 48 | a) Félig hántolt rizs, polírozva vagy fényezve is, a hosszúság-szélesség aránya 3 vagy annál nagyobb | 58,00 | ||
| 1102 30 00 vagy ex 2302 20 10 vagy ex 2302 20 90 | b) Rizsliszt vagy korpa | 7,00 | |||
| 1006 40 00 | c) Törmelék rizs | 15,00 | |||
| ex 1213 00 00 | d) Héj | 20,00 | |||
| 98 | 1006 30 67 | a) Teljesen hántolt rizs, polírozva vagy fényezve is, forrázott, hosszú szemű, a hosszúság-szélesség aránya 3 vagy annál nagyobb | 62,00 | ||
| 1102 30 00 vagy ex 2302 20 10 vagy ex 2302 20 90 | b) Rizsliszt vagy korpa | 8,00 | |||
| 1006 40 00 | c) Törmelék rizs | 10,00 | |||
| ex 1213 00 00 | d) Héj | 20,00 | |||
| 99 | 1006 30 98 | a) Teljesen hántolt rizs, polírozva vagy fényezve is, hosszú szemű, a hosszúság-szélesség aránya 3 vagy annál nagyobb | 55,00 | ||
| 1102 30 00 vagy ex 2302 20 10 vagy ex 2302 20 90 | b) Rizsliszt vagy korpa | 9,00 | |||
| 1006 40 00 | c) Törmelék rizs | 16,00 | |||
| ex 1213 00 00 | d) Héj | 20,00 | |||
| 1006 20 11 | Előmunkált (barna) rizs, forrázott, kerek szemű | 100 | 1006 30 21 | a) Félig hántolt rizs, polírozva vagy fényezve is, forrázott, kerek szemű | 93,00 |
| 1102 30 00 vagy ex 2302 20 10 vagy ex 2302 20 90 | b) Rizsliszt vagy korpa | 5,00 | |||
| 1006 40 00 | c) Törmelék rizs | 2,00 | |||
| 101 | 1006 30 61 | a) Teljesen hántolt rizs, polírozva vagy fényezve is, forrázott, kerek szemű | 88,00 | ||
| 1102 30 00 vagy ex 2302 20 10 vagy ex 2302 20 90 | b) Rizsliszt vagy korpa | 10,00 | |||
| 1006 40 00 | c) Törmelék rizs | 2,00 | |||
| 1006 20 13 | Előmunkált (barna) rizs, forrázott közepes szemű | 102 | 1006 30 23 | a) Félig hántolt rizs, polírozva vagy fényezve is, forrázott, közepes szemű | 93,00 |
| 1102 30 00 vagy ex 2302 20 10 vagy ex 2302 20 90 | b) Rizsliszt vagy korpa | 5,00 | |||
| 1006 40 00 | c) Törmelék rizs | 2,00 | |||
| 103 | 1006 30 63 | a) Teljesen hántolt rizs, polírozva vagy fényezve is, forrázott, közepes szemű | 88,00 | ||
| 1102 30 00 vagy ex 2302 20 10 vagy ex 2302 20 90 | b) Rizsliszt vagy korpa | 10,00 | |||
| 1006 40 00 | c) Törmelék rizs | 2,00 | |||
| 1006 20 15 | Előmunkált (barna) rizs, forrázott hosszú szemű, a hosszúság-szélessége aránya 2–3 közötti | 104 | 1006 30 25 | a) Félig hántolt rizs, polírozva vagy fényezve is, forrázott, hosszú szemű, a hosszúság-szélesség aránya 2 és 3 közötti | 93,00 |
| 1102 30 00 vagy ex 2302 20 10 vagy ex 2302 20 90 | b) Rizsliszt vagy korpa | 5,00 | |||
| 1006 40 00 | c) Törmelék rizs | 2,00 | |||
| 105 | 1006 30 65 | a) Teljesen hántolt rizs, polírozva vagy fényezve is, forrázott, hosszú szemű, a hosszúság-szélesség aránya 2 és 3 közötti | 88,00 | ||
| 1102 30 00 vagy ex 2302 20 10 vagy ex 2302 20 90 | b) Rizsliszt vagy korpa | 10,00 | |||
| 1006 40 00 | c) Törmelék rizs | 2,00 | |||
| 1006 20 17 | Előmunkált (barna) rizs, forrázott hosszú szemű, a hosszúság-szélesség aránya 3 vagy nagyobb | 106 | 1006 30 27 | a) Félig hántolt rizs, polírozva vagy fényezve is, forrázott, hosszú szemű, a hosszúság-szélesség aránya 3 vagy nagyobb | 93,00 |
| 1102 30 00 vagy ex 2302 20 10 vagy ex 2302 20 90 | b) Rizsliszt vagy korpa | 5,00 | |||
| 1006 40 00 | c) Törmelék rizs | 2,00 | |||
| 107 | 1006 30 67 | a) Teljesen hántolt rizs, polírozva vagy fényezve is, forrázott, hosszú szemű, a hosszúság-szélesség aránya 3 vagy nagyobb | 88,00 | ||
| 1102 30 00 vagy ex 2302 20 10 vagy ex 2302 20 90 | b) Rizsliszt vagy korpa | 10,00 | |||
| 1006 40 00 | c) Törmelék rizs | 2,00 | |||
| 1006 20 92 | Előmunkált (barna) rizs, kerek szemű | 108 | 1006 30 42 | a) Félig hántolt rizs, polírozva vagy fényezve is, kerek szemű | 84,00 |
| 1102 30 00 vagy ex 2302 20 10 vagy ex 2302 20 90 | b) Rizsliszt vagy korpa | 6,00 | |||
| 1006 40 00 | c) Törmelék rizs | 10,00 | |||
| 109 | 1006 30 92 | a) Teljesen hántolt rizs, polírozva vagy fényezve is, kerek szemű | 77,00 | ||
| 1102 30 00 vagy ex 2302 20 10 vagy ex 2302 20 90 | b) Rizsliszt vagy korpa | 12,00 | |||
| 1006 40 00 | c) Törmelék rizs | 11,00 | |||
| 1006 20 94 | Előmunkált (barna) rizs, közepes szemű | 110 | 1006 30 44 | a) Félig hántolt rizs, polírozva vagy fényezve is, közepes szemű | 84,00 |
| 1102 30 00 vagy ex 2302 20 10 vagy ex 2302 20 90 | b) Rizsliszt vagy korpa | 6,00 | |||
| 1006 40 00 | c) Törmelék rizs | 10,00 | |||
| 111 | 1006 30 94 | a) Teljesen hántolt rizs, polírozva vagy fényezve is, közepes szemű | 77,00 | ||
| 1102 30 00 vagy ex 2302 20 10 vagy ex 2302 20 90 | b) Rizsliszt vagy korpa | 12,00 | |||
| 1006 40 00 | c) Törmelék rizs | 11,00 | |||
| 1006 20 96 | Előmunkált (barna) rizs, hosszú szemű, a hosszúság-szélessége aránya 2 és 3 közötti | 112 | 1006 30 46 | a) Félig hántolt rizs, polírozva vagy fényezve is, hosszú szemű, a hosszúság-szélesség aránya 2 és 3 közötti | 84,00 |
| 1102 30 00 vagy ex 2302 20 10 vagy ex 2302 20 90 | b) Rizsliszt vagy korpa | 6,00 | |||
| 1006 40 00 | c) Törmelék rizs | 10,00 | |||
| 113 | 1006 30 96 | a) Teljesen hántolt rizs, polírozva vagy fényezve is, hosszú szemű, a hosszúság-szélesség aránya 2 és 3 közötti | 77,00 | ||
| 1102 30 00 vagy ex 2302 20 10 vagy ex 2302 20 90 | b) Rizsliszt vagy korpa | 12,00 | |||
| 1006 40 00 | c) Törmelék rizs | 11,00 | |||
| 1006 20 98 | Előmunkált (barna) rizs, hosszú szemű, a hosszúság-szélessége aránya 3 vagy nagyobb | 114 | 1006 30 48 | a) Félig hántolt rizs, polírozva vagy fényezve is, hosszú szemű, a hosszúság-szélesség aránya 3 vagy nagyobb | 78,00 |
| 1102 30 00 vagy ex 2302 20 10 vagy ex 2302 20 90 | b) Rizsliszt vagy korpa | 10,00 | |||
| 1006 40 00 | c) Törmelék rizs | 12,00 | |||
| 115 | 1006 30 98 | a) Teljesen hántolt rizs, polírozva vagy fényezve is, hosszú szemű, a hosszúság-szélesség aránya 3 vagy nagyobb | 73,00 | ||
| 1102 30 00 vagy ex 2302 20 10 vagy ex 2302 20 90 | b) Rizsliszt vagy korpa | 12,00 | |||
| 1006 40 00 | c) Törmelék rizs | 15,00 | |||
| 1006 30 21 | Félig hántolt rizs polírozva vagy fényezve is, forrázott, kerek szemű | 116 | 1006 30 61 | a) Teljesen hántolt rizs, polírozva vagy fényezve is, forrázott, kerek szemű | 96,00 |
| 1102 30 00 vagy ex 2302 20 10 vagy ex 2302 20 90 | b) Rizsliszt vagy korpa | 2,00 | |||
| 1006 40 00 | c) Törmelék rizs | 2,00 | |||
| 1006 30 23 | Félig hántolt rizs polírozva vagy fényezve is, forrázott, közepes szemű | 117 | 1006 30 63 | a) Teljesen hántolt rizs, polírozva vagy fényezve is, forrázott, közepes szemű | 96,00 |
| 1102 30 00 vagy ex 2302 20 10 vagy ex 2302 20 90 | b) Rizsliszt vagy korpa | 2,00 | |||
| 1006 40 00 | c) Törmelék rizs | 2,00 | |||
| 1006 30 25 | Félig hántolt rizs polírozva vagy fényezve is, forrázott, hosszú szemű, a hosszúság-szélesség aránya 2 és 3 közötti | 118 | 1006 30 65 | a) Teljesen hántolt rizs, polírozva vagy fényezve is, forrázott, hosszú szemű, a hosszúság-szélesség aránya 2 és 3 közötti | 96,00 |
| 1102 30 00 vagy ex 2302 20 10 vagy ex 2302 20 90 | b) Rizsliszt vagy korpa | 2,00 | |||
| 1006 40 00 | c) Törmelék rizs | 2,00 | |||
| 1006 30 27 | Félig hántolt rizs polírozva vagy fényezve is, forrázott, hosszú szemű, a hosszúság-szélesség aránya 3 vagy nagyobb | 119 | 1006 30 67 | a) Teljesen hántolt rizs, polírozva vagy fényezve is, forrázott, hosszú szemű, a hosszúság-szélesség aránya 3 vagy nagyobb | 96,00 |
| 1102 30 00 vagy ex 2302 20 10 vagy ex 2302 20 90 | b) Rizsliszt vagy korpa | 2,00 | |||
| 1006 40 00 | c) Törmelék rizs | 2,00 | |||
| 1006 30 42 | Félig hántolt rizs polírozva vagy fényezve is, kerek szemű | 120 | 1006 30 92 | a) Teljesen hántolt rizs, polírozva vagy fényezve is, kerek szemű | 94,00 |
| 1102 30 00 vagy ex 2302 20 10 vagy ex 2302 20 90 | b) Rizsliszt vagy korpa | 2,00 | |||
| 1006 40 00 | c) Törmelék rizs | 4,00 | |||
| 1006 30 44 | Félig hántolt rizs polírozva vagy fényezve is, közepes szemű | 121 | 1006 30 94 | a) Teljesen hántolt rizs, polírozva vagy fényezve is, közepes szemű | 94,00 |
| 1102 30 00 vagy ex 2302 20 10 vagy ex 2302 20 90 | b) Rizsliszt vagy korpa | 2,00 | |||
| 1006 40 00 | c) Törmelék rizs | 4,00 | |||
| 1006 30 46 | Félig hántolt rizs polírozva vagy fényezve is, hosszú szemű, a hosszúság-szélesség aránya 2 és 3 közötti | 122 | 1006 30 96 | a) Teljesen hántolt rizs, polírozva vagy fényezve is, hosszú szemű, a hosszúság-szélesség aránya 2 és 3 közötti | 94,00 |
| 1102 30 00 vagy 2302 20 10 vagy 2302 20 90 | b) Rizsliszt vagy korpa | 2,00 | |||
| 1006 40 00 | c) Törmelék rizs | 4,00 | |||
| 1006 30 48 | Félig hántolt rizs polírozva vagy fényezve is, hosszú szemű, a hosszúság-szélesség aránya 3 vagy nagyobb | 123 | 1006 30 98 | a) Teljesen hántolt rizs, polírozva vagy fényezve is, hosszú szemű, a hosszúság-szélesség aránya 3 vagy nagyobb | 93,00 |
| 1102 30 00 vagy 2302 20 10 vagy 2302 20 90 | b) Rizsliszt vagy korpa | 2,00 | |||
| 1006 40 00 | c) Törmelék rizs | 5,00 | |||
| 1006 30 61 -től 1006 30 98 -ig | Teljesen hántolt rizs | 124 | ex 1006 30 61 -től ex 1006 30 98 -ig | Teljesen hántolt rizs, polírozva, fényezve vagy előre csomagolva (14) | 100,00 |
| 1006 30 92 1006 30 94 1006 30 96 1006 30 98 | Teljesen hántolt rizs, másféle | 125 | ex 1904 10 30 | Puffasztott rizs | 60,61 |
| 1006 30 61 1006 30 63 1006 30 65 1006 30 67 | Teljesen hántolt rizs, forrázott | 126 | ex 1904 90 10 | Előfőzött rizs (15) | 80,00 |
| 1006 30 92 1006 30 94 1006 30 96 1006 30 98 | Teljesen hántolt rizs, másféle | 127 | ex 1904 90 10 | Előfőzött rizs (15) | 70,00 60,00 60,00 50,00 |
| 1006 40 00 | Törmelék rizs | 128 | 1102 30 00 | Rizsliszt | (1) |
| 129 | 1103 14 00 | Rizsdara és liszt | (1) | ||
| 130 | 1104 19 91 | Pelyhesített rizs | (1) | ||
| 1509 10 10 | Lampant szűz olívaolaj | 131 | ex 1509 90 00 | a) Finomított olívaolaj vagy olívaolaj | 98,00 |
| ex 3823 19 90 | b) Lepárlási savas olajok (16) | ||||
| ex 1510 00 10 | Nyers olajseprő olaj | 132 | ex 1510 00 90 | a) Finomított olajseprő olaj vagy olajseprő olaj | 95,00 |
| ex 1522 00 39 | b) Sztearin | 3,00 | |||
| ex 3823 19 90 | c) Finomítási savas olajok () | ||||
| ex 1801 00 00 | Kakaóbab, egészben vagy törve, nyersen | 133 | ex 1801 00 00 | a) Kakaóbab, egészben vagy törve, tisztítva és pörkölve | 76,3 |
| 1802 00 00 | b) Kakaóhéj, kakaóhártya, -bőr és más kakaóhulladék | 16,7 | |||
| 1801 00 00 | Kakaóbab egészben vagy törve, nyersen vagy pörkölve | 134 | 1803 | a) Kakaómassza | 76,3 |
| 1802 00 00 | b) Kakaóhéj, kakaóhártya, -bőr és más kakaóhulladék | 16,7 | |||
| 135 | ex 1803 20 00 | a) Kakaómassza, kevesebb, mint 14 tömegszázalék zsírtartalommal | 40,3 | ||
| ex 1804 00 00 | b) Kakaóvaj | 36,0 | |||
| 1802 00 00 | c) Kakaóhéj, kakaóhártya, -bőr és más kakaóhulladék | 16,7 | |||
| 136 | ex 1803 20 00 | a) Kakaómassza, legalább 14, kevesebb, mint 18 tömegszázalék zsírtartalommal | 42,7 | ||
| ex 1804 00 00 | b) Kakaóvaj | 33,6 | |||
| 1802 00 00 | c) Kakaóhéj, kakaóhártya, -bőr és más kakaóhulladék | 16,7 | |||
| 137 | ex 1803 20 00 | a) Kakaómassza, 18 tömegszázaléknál nagyobb zsírtartalommal | 44,8 | ||
| ex 1804 00 00 | b) Kakaóvaj | 31,5 | |||
| 1802 00 00 | c) Kakaóhéj, kakaóhártya, -bőr és más kakaóhulladék | 16,7 | |||
| 138 | ex 1804 00 00 | a) Kakaóvaj | 36,0 | ||
| ex 1805 00 00 | b) Kakaópor kevesebb, mint 14 tömegszázalék zsírtartalommal (18) | 40,3 | |||
| 1802 00 00 | c) Kakaóhéj, kakaóhártya, -bőr és más kakaóhulladék | 16,7 | |||
| 139 | ex 1804 00 00 | a) Kakaóvaj | 33,6 | ||
| ex 1805 00 00 | b) Kakaópor legalább 14, de kevesebb, mint 18 tömegszázalék zsírtartalommal (18) | 42,7 | |||
| 1802 00 00 | c) Kakaóhéj, kakaóhártya, -bőr és más kakaóhulladék | 16,7 | |||
| 140 | ex 1804 00 00 | a) Kakaóvaj | 31,5 | ||
| ex 1805 00 00 | b) Kakaópor legalább 18 tömegszázalék zsírtartalommal (18) | 44,8 | |||
| 1802 00 00 | c) Kakaóhéj, kakaóhártya, -bőr és más kakaóhulladék | 16,7 | |||
| 1803 10 00 | Kakaómassza, nem zsírtalanítva | 141 | ex 1804 00 00 | a) Kakaóvaj | 46,7 |
| ex 1803 20 00 | b) Kakaómassza, kevesebb, mint 14 tömegszázalék zsírtartalommal | 52,2 | |||
| 142 | ex 1804 00 00 | a) Kakaóvaj | 43,6 | ||
| ex 1803 20 00 | b) Kakaómassza, legalább 14, de kevesebb, mint 18 tömegszázalék zsírtartalommal | 55,3 | |||
| 143 | ex 1804 00 00 | a) Kakaóvaj | 40,8 | ||
| ex 1803 20 00 | b) Kakaómassza, 18 tömegszázaléknál nagyobb zsírtartalommal | 58,1 | |||
| 144 | ex 1804 00 00 | a) Kakaóvaj | 46,7 | ||
| ex 1805 00 00 | b) Kakaópor, kevesebb, mint 14 tömegszázalék zsírtartalommal (18) | 52,2 | |||
| 145 | ex 1804 00 00 | a) Kakaóvaj | 43,6 | ||
| ex 1805 00 00 | b) Kakaópor, legalább 14, de kevesebb, mint 18 tömegszázalék zsírtartalommal (18) | 55,3 | |||
| 146 | ex 1804 00 00 | a) Kakaóvaj | 40,8 | ||
| ex 1805 00 00 | b) Kakaómassza, 18 tömegszázaléknál nagyobb zsírtartalommal (18) | 58,1 | |||
| 1803 20 00 | Kakaómassza, zsírtalanítva | 147 | 1805 00 00 | Kakaópor (18) | 99,00 |
| 1701 99 10 | Fehér cukor | 148 | 2905 44 19 vagy 2905 44 91 | a) D-Glucit (szorbit) 100 kg szárazanyagra számítva | 73,53 |
| 2905 44 99 3824 60 19 3824 60 91 3824 60 99 2905 43 00 | b) D-mannit (mannit) | 24,51 | |||
| 1703 | Melasz | 149 | 2102 10 31 | Szárított sütőélesztő (19) | 23,53 |
| 150 | 2102 10 39 | Másféle sütőélesztő (20) | 80,00 | ||
(1) Az átalány elszámolási kulcsot a 1520/2000/EK bizottsági rendelet E mellékletében közölt (HL L 177., 2000.7.15., 1. o.) megfelelő átszámítási szorzó alapján kell számítani.
(2) Ebben az oszlopban az alszámok a Kombinált Nómenklatúrában alkalmazott alszámoknak felelnek meg. Ha további felosztás szükséges, ezt zárójelben ( ) jelezzük. Ezek a felosztások megfelelnek az export visszatérítéseket megállapító rendeletekben használtaknak.
(3) A veszteséget úgy számítjuk ki, hogy levonjuk 100-ból az ebben az oszlopban jelzett mennyiségek összegét.
(4) A hántolt gabona a 821/68/EGK bizottsági rendelet mellékletében közölt meghatározásnak felel meg. (HL L 149., 1968.6.29., 46. o.).
(5) Gabonaliszt szárazanyagra számítva 0,95 tömegszázaléknál kevesebb hamutartalommal, melynek 0,25 mm nyílású szitán való áthaladási százaléka kevesebb, mint 10 tömegszázalék.
(
6
) Az alkalmazandó átalány elszámolási kulcs 1 kg előállított tésztához felhasznált tojások számán alapul a következő képletek segítségével:
- 25. sorszám:
-
- 26. sorszám:
-
- 27. sorszám:
-
- 28. sorszám:
-
X a héjában lévő madártojások számát jelenti (vagy más tojástermékekben megadott egyenértékese grammban kifejezett súlyának ötvenedét), amit 1 kg tészta előállításához használtak fel. Az eredmény két tizedes jegyre van megadva.
(7) A fényezett gabona a 821/68/EGK rendelet mellékletében megadott meghatározásnak felel meg.
( 8 ) Ez a kukoricadarára és -lisztre vonatkozik:
- melynek 30 tömegszázalékot meg nem haladó hányada halad át a 315 mikron nyílású szitán, vagy
- melynek 5 tömegszázalékot meg nem haladó hányada halad át a 150 mikron nyílású szitán.
(9) Fehér kristálypor alakú, nem 92 tömegszázalék koncentrációjú glukóz esetében a feltüntetendő mennyiség 43,81 kg D-glucit anhidrát 100 kg kukoricára.
(10) Nem fehér kristálypor alakú, nem 82 tömegszázalék koncentrációjú glukóz esetében a feltüntetendő mennyiség 50,93 kg D-glucit anhidrát 100 kg kukoricára.
(11) Nem 70 tömegszázalék koncentrációjú D-glucit esetén a feltüntetendő mennyiség 41,4 kg D-glucit anhidrát 100 kg kukoricára.
(12) Nem 70 tömegszázalék koncentrációjú D-glucit esetén a feltüntetendő mennyiség 47,3 kg D-glucit anhidrát 100 kg kukoricára.
(13) Az a)-f) alternatívák alkalmazása esetén a műveletek valódi eredményét kell figyelembe venni.
(14) A vámeljárások befejezése érdekében a kapott törmelék rizs mennyiség feleljen meg a 1006 30 61 -1006 30 98 KN-kódok szerinti rizs feldolgozás céljából történő behozatalakor meghatározott törmelék rizs mennyiségnek. Polírozás esetén ezt a mennyiséget az importált rizs 2 %-ával növelni kell, kivéve a behozatalkor meghatározott törmelék rizst.
(15) Az előfőzött rizs az előfőzésen és a végső főzés megkönnyítésére részlegesen víztelenített, fehérített rizsszemeket jelenti.
(16) A lampant szűz olívaolaj olajsavtartalmaként kifejezett százalékarány kétszeresét kell levonni a finomított olívaolaj/olívaolaj esetében az 5. oszlopban feltüntetett termékmennyiségből, és ez képezi a finomítási savas olaj mennyiséget.
(17) A nyers olívaolaj maradék olajsavtartalmaként kifejezett százalékarány kétszeresét kell levonni a finomított olívaolaj maradék/olívaolaj maradék esetében az 5. oszlopban feltüntetett termékmennyiségből, és ez képezi a finomítási savas olaj mennyiséget.
(18) Oldható kakaó esetén hozzá kell adni 1,5 tömegszázalék lúgot az 5. oszlopban feltüntetett mennyiséghez.
(19) 48 tömegszázalék cukortartalmú répamelaszból, vagy 52 tömegszázalék cukortartalmú cukornád melaszból előállított, 95 tömegszázalék szárazanyag-tartalmú sütőélesztőre megállapított hozam. Eltérő szárazanyag-tartalmú sütőélesztő esetén a megadandó mennyiség 22,4 kg élesztőanhidrát 100 kg 48 tömegszázalék cukortartalmú répamelaszra vagy 52 tömegszázalék cukortartalmú cukornádmelaszra.
(20) 48 tömegszázalék cukortartalmú répamelaszból, vagy 52 tömegszázalék cukortartalmú cukornád melaszból
70. MELLÉKLET
GAZDASÁGI FELTÉTELEK ÉS IGAZGATÁSI EGYÜTTMŰKÖDÉS
A. ÁLTALÁNOS RENDELKEZÉSEK
Ez a melléklet egyrészt az aktív feldolgozási vámeljárásra vonatkozó gazdasági feltételekkel kapcsolatos részletes kritériumokkal, másrészt pedig az igazgatási együttműködés keretében megvalósuló információcserével foglalkozik.
Az egyes vámeljárásokra vonatkozóan jelzésre kerültek az 522. cikk szerint nyújtani szükséges adatszolgáltatás esetei, formátuma és határideje. Akkor is kell tájékoztatást adni, ha a kiadott engedélyekkel kapcsolatos információ módosul.
B. AZ AKTÍV FELDOLGOZÁSI VÁMELJÁRÁSRA VONATKOZÓ GAZDASÁGI FELTÉTELEK RÉSZLETES KRITÉRIUMAI
Kódok és részletes kritériumok
01 : Ahol a 73. mellékletben nem említett importárukról van szó, és a 30-as kód nem alkalmazható.
10 :
A kérelemben feltüntetett importárukkal azonos nyolcszámjegyű KN-kód alá tartozó, azonos kereskedelmi minőségű és azonos műszaki jellemzőkkel rendelkező, a Közösségben előállított áruk (hasonló áruk) hiánya.
A hiány a hasonló áruk Közösségbeli előállításának teljes hiányát jelenti, valamint azt, hogy ilyen áru nem áll rendelkezésre megfelelő mennyiségben az előirányzott feldolgozási tevékenységek megvalósításához, illetve azt a tényt is, hogy hasonló közösségi áruk nem állnak a kérelmező rendelkezésére a megvalósításra javasolt kereskedelmi tevékenység időpontjában, annak ellenére, hogy időben benyújtotta a kérelmét.
11 :
Bár rendelkezésre állnak hasonló áruk, de azok nem használhatók, mert azok ára a javasolt kereskedelmi tevékenységet gazdaságilag lehetetlenné tenné.
Annak eldöntésénél, hogy a Közösségben előállított hasonló áruk ára gazdaságilag lehetetlenné tenné-e a javasolt kereskedelmi tevékenységet, többek között figyelembe kell venni a Közösségben előállított áruk használatával a végtermékek önköltségi árára és így harmadik ország piacán a termék értékesítésére gyakorolt hatást, tekintettel a következőkre:
- a feldolgozásra váró áruk vámok alkalmazása előtti ára és a Közösségben előállított hasonló áruk ára csökkentve az export esetén visszatérített vagy visszatéríthető belföldi adókkal, figyelembe véve az értékesítési feltételeket és minden a közös mezőgazdasági politika keretében alkalmazott visszafizetést vagy más összeget,
- harmadik ország piacán a végtermékekre elérhető ár, a kereskedelmi levelezésből vagy más adatok alapján felmérve.
12 : A végtermékek harmadik országbeli vevője részéről kifejezett követelményeknek meg nem felelő hasonló árukat vagy a végtermékeket importárukból kell beszerezni az ipari vagy kereskedelmi tulajdonjogok védelmével kapcsolatos rendelkezések (szerződéses kötelezettségek) betartása miatt.
30 :
A következők érintettek:
1. nem kereskedelmi jellegű importárukkal kapcsolatos tevékenységek;
2. bérmunkaszerződés keretében végzett tevékenységek;
3. az 531. cikkben említett szokásos kezelési módok;
4. javítás;
5. korábbi aktív feldolgozási engedély - melynek megadása gazdasági feltételek vizsgálatától függött - alapján nyert végtermékeken végzett feldolgozási műveletek;
6. a 1902 11 00 és 1902 19 KN-kód alá tartozó tészta gyártására szolgáló, a 1001 10 00 KN-kód alá tartozó durumbúza feldolgozása;
7. olyan műveletek, amelyekben a nyolcszámjegyű KN-kód alá tartozó importáruk értéke ( 218 ) nem haladja meg a 73. mellékletben felsorolt áruk esetében a 150 000 eurót, vagy más áruk esetében az 500 000 eurót kérelmezőnként és naptári évenként (de minimis érték); vagy
8. polgári légi jármű vagy műhold vagy azok részeinek építése, módosítása vagy átalakítása.
31 : A 3448/93/EK tanácsi rendelet 11. cikke szerint, ha a 73. melléklet A. részében említett importárukról van szó, és a kérelmező bemutatja az illetékes hatóságok által kiállított azon okmányt, amely engedélyezi az említett áruknak az eljárás alá vonását egy ellátási mérleg segítségével meghatározott mennyiségi kereten belül.
99 : A kérelmező a gazdasági feltételeket a fenti kódokhoz tartozó okoktól eltérő okok miatt tartja teljesítettnek. Az okokat a kérelemben fel kell tüntetni.
Megjegyzés:
A 10-es, 11-es, 12-es, 31-es és 99-es kód csak akkor alkalmazható, ha a 73. mellékletben említett árukról van szó.
C. A BIZOTTSÁG TÁJÉKOZTATÁSA VALAMENNYI ÉRINTETT VÁMELJÁRÁS ESETÉN
A Bizottságnak szolgáltatandó információ a függelékben közölt minta-formanyomtatvány rovatainak felel meg.
C. 1. Aktív feldolgozás
A gazdasági feltételekre vonatkozó tájékoztatást a B. részben meghatározott egy vagy több kód alkalmazásával kell megadni.
A gazdasági feltételek be nem tartása miatt a kérelem elutasításának vagy az engedély érvénytelenítésének vagy visszavonásának okát kóddal/kódokkal kell jelezni. A gazdasági feltételek meghatározására alkalmazott kódokkal azonos kódokat kell használni, előtte a mínuszjellel (például: -10).
A tájékoztatás kötelező esetei
Amikor a gazdasági feltételeket a 01-es, 10-es, 11-es, 31-es vagy 99-es kód azonosítja.
Az 1255/1999/EK tanácsi rendelet 1. cikkében említett tej és tejtermékek esetében az adatszolgáltatás akkor is kötelező, ha a 30-as kódot az e kód 2., 5. és 7. albontásában említett helyzetekkel kapcsolatban használják.
Az adatszolgáltatás
A függelékben közölt formanyomtatvány 2-10 oszlopának kitöltésére szolgáló adatokat elektronikus úton kell közölni a Bizottsággal. Ezek az adatok csak a függelékben közölt formanyomtatvány alkalmazásával közölhetők, ha technikai problémák miatt átmenetileg lehetetlen lenne elektronikus úton megadni a tájékoztatást.
Az adatszolgáltatás határideje
Az adatokat a lehető leghamarabb közölni kell. Ha a függelékben közölt formanyomtatványt használják, az adatokat az ott feltüntetett határidőre kell közölni.
C. 2. Vámfelügyelet melletti feldolgozás
Tájékoztatást kell adni, ha a 76. melléklet A. részében említetteken kívüli árutípusokról és műveletekről van szó.
A tájékoztatást a függelékben közölt formanyomtatványon kell megadni az ott megjelölt határidőre.
C. 3. Passzív feldolgozás
Az engedély megadva rovat 8. és 9. oszlopát csak akkor kell kitölteni, ha az engedélyt a Vámkódex 147. cikke (2) bekezdése szerint adták meg.
Az "Indokolás" (10) oszlopban azt is fel kell tüntetni, ha a kérelem elutasítása, az engedély érvénytelenítése vagy visszavonása a Vámkódex 147. cikkének (2) bekezdése szerint benyújtott kérelemre vagy megadott engedélyre vonatkozik.
A tájékoztatást a függelékben közölt formanyomtatvány használatával kell közölni az ott megadott határidőre.
Függelék a 70. melléklethez

71. MELLÉKLET
ADATLAPOK














Függelék
1. ÁLTALÁNOS MEGJEGYZÉSEK
1.1. Az adatlapoknak meg kell felelniük az e Mellékletben közzétett mintának és azokat famentes, 40-65 g/m2 súlyú, fehér írólapra kell nyomtatni.
1.2. A nyomtatvány mérete 210 mm × 297 mm.
1.3. A formanyomtatványok nyomtattatása a vámhatóságok felelőssége. Minden nyomtatványon, az egyedi sorszám előtt fel kell tüntetni a kibocsátó tagállam ISO Alfa-2 szabványnak megfelelő országjelét.
1.4. A formanyomtatványt a Közösség valamely hivatalos nyelvén kell kinyomtatni és kitölteni. Az információ szolgáltatására kért vámhivatal, vagy az azt felhasználó vámhivatal kérheti a hozzá benyújtott formanyomtatványon szereplő információnak a vámhatóság hivatalos, vagy egyik hivatalos nyelvére történő fordítását.
2. AZ ADATLAPOK HASZNÁLATA
2.1. Közös rendelkezések
a) Amennyiben az adatlapot kibocsátó vámhatóság úgy ítéli meg, hogy az adatlapon szereplőn kívül további információ szükséges, e további adatokat feltünteti a lapon. Amennyiben nem marad elegendő hely, egy pótlapot kell csatolni. Ezt az eredeti lapon meg kell említeni.
b) Az adatlapot záradékkal ellátó vámhivataltól kérhetik a lap hitelességének és a rajta feltüntetett adatok pontosságának a utólagos igazolását.
c) Az egymást követő szállítmányok esetében a vámeljárás alá vont áruk vagy termékek mennyiségére ki lehet állítani a szükséges számú adatlapot. Az első adatlapot további adatlapokkal lehet helyettesíteni, vagy, amennyiben csak egy adatlapot használtak, a lapot záradékkal ellátó vámhivatal feljegyezheti az áruk vagy termékek mennyiségét az eredeti példányon. Amennyiben nem marad elegendő hely, pótlapot kell csatolni és ezt az eredeti példányon meg kell említeni.
d) A vámhatóságok nagy számú műveletet magában foglaló háromszögforgalom esetén engedélyezhetik olyan összevont adatlapok használatát, amelyek egy adott időszak behozatalának/kivitelének teljes mennyiségét felölelik.
e) Kivételes körülmények esetén az adatlapot ki lehet bocsátani utólagosan, de még az előírt iratmegőrzési határidő lejárata előtt.
f) Az adatlap eltulajdonítása, elvesztése vagy megsemmisülése esetén az ügyfél másodlat kibocsátását kérheti a lapot záradékkal ellátó vámhivataltól.
Az így kibocsátott adatlapok eredeti és másodlati példányain fel kell tüntetni a következő jelzések egyikét:
- DUPLICADO,
- DUPLIKAT,
- DUPLIKAT,
- ΑΝΤΙΓΡΑΦΟ,
- DUPLICATE,
- DUPLICATA,
- DUPLICATO,
- DUPLICAAT,
- SEGUNDA VIA,
- KAKSOISKAPPALE,
- DUPLIKAT,
- DUPLIKÁT,
- DUPLIKAAT,
- DUBLIKĀTS,
- DUBLIKATAS,
- MÁSODLAT,
- DUPLIKAT,
- DUPLIKAT,
- DVOJNIK,
- DUPLIKÁT,
- ДУБЛИКАТ,
- DUPLICAT,
- DUPLIKAT.
2.2. Különös rendelkezések
2.2.1. INF 8 adatlap (vámraktározás)
a) Az INF 8 adatlapot (a továbbiakban: INF 8) a szokásos kezelési módokat megelőzően, a vámtartozás megállapításához szükséges elemek meghatározása céljából akkor lehet használni, amikor az árukat új vámjogi sorsra jelentik be.
b) Az INF 8-at egy eredeti és egy másolati példányban kell kiállítani.
c) A felügyeletet ellátó vámhivatal szolgáltatja a 11., 12. és 13. rovatokban említett információt, záradékolja a 15. rovatot és az INF 8 eredeti példányát visszajuttatja a nyilatkozattevőnek.
2.2.2. INF 1 adatlap (aktív feldolgozás)
a) Az INF 1 adatlapot (a továbbiakban INF 1):
- a vámösszegekkel és kiegyenlítő kamattal,
- a kereskedelempolitikai intézkedések alkalmazásával,
- a biztosíték összegével
kapcsolatos információ szolgáltatására lehet felhasználni.
b) Az INF 1-et egy eredeti és két másolati példányban kell kiállítani.
Az INF 1 eredeti és egy másolati példányát a felügyeletet ellátó vámhivatalnak kell megküldeni és egy másolati példányt az INF 1-et záradékkal ellátó vámhivatalnak kell megőriznie.
A felügyeletet ellátó vámhivatal szolgáltatja az INF 1 8., 9. és 11. rovataiban kért információt, záradékolja azt, és a másolatot megtartva visszaküldi az eredetit.
c) Amennyiben a végtermékek vagy változatlan állapotú áruk szabad forgalomba bocsátását az eljárást megindító vámhivataltól eltérő vámhivataltól kérik, az INF 1-et záradékkal ellátó vámhivatal a következők jelzésére kéri a felügyeletet ellátó vámhivatalt:
- a 9. rovat a) pontjában a Vámkódex 121. cikke (1) vagy 128. cikke (4) bekezdésének megfelelő behozatali vámok összege,
- a 9. rovat b) pontjában az 519. cikknek megfelelő kiegyenlítő kamat összege,
- a szabad forgalomba bocsátott végtermékek előállításánál felhasznált importáru mennyisége, KN-kódja és származása.
d) Amennyiben az aktív feldolgozással (vámvisszatérítési eljárás) nyert végtermékeket egy másik, a behozatali vámok visszafizetését vagy elengedését lehetővé tevő, vámjogi sors alá rendelik, és a termékek aktív feldolgozási vámeljárására új engedélyt kell kérni, az INF 1-et ezen engedélyt kiadó vámhatóság használhatja a kivetendő behozatali vámok, vagy a felmerülő vámtartozás összegének meghatározására.
e) Amennyiben a szabad forgalomba bocsátásra vonatkozó nyilatkozat olyan, importáruból nyert végtermékekre, vagy változatlan állapotú árukra vonatkozik, amelyekre egyedi kereskedelempolitikai intézkedések vonatkoztak a vámeljárás (felfüggesztő eljárás) alá vonáskor, és ezen intézkedéseket továbbra is alkalmazzák, a nyilatkozatot átvevő és az INF 1-et záradékkal ellátó vámhivatal a kereskedelempolitikai intézkedések alkalmazásához szükséges adatok jelzésére kéri a felügyeletet ellátó vámhivatalt.
f) Amennyiben a szabad forgalomba bocsátást a vámbiztosíték összegének megállapítására kiállított INF 1 esetében kérik, ugyanaz az INF 1 használható, feltéve, hogy tartalmazza a következőket:
- a 9a. rovatban az importárukra a Vámkódex 121. cikke (1) vagy 128. cikke (4) bekezdése szerint fizetendő behozatali vámok összegét, és
- a 11. rovatban azt az időpontot, amikor az érintett importárukat először vonták a vámeljárás alá, vagy azt az időpontot, amikor a behozatali vámokat a Vámkódex 128. cikke (1) bekezdésének megfelelően visszafizették vagy elengedték.
2.2.3. INF 9 adatlap (aktív feldolgozás)
a) Az INF 9 adatlapot (a továbbiakban: INF 9) akkor lehet felhasználni, amikor végtermékekre a háromszögforgalomban (IM/EX) más vámjogi sorsot határoznak meg.
b) Az INF 9-et egy eredeti és három másolati példányban kell kiállítani a vámeljárás alá vont importáruk mennyiségére.
c) Az eljárást megindító vámhivatal záradékolja az INF 9 11. rovatát és jelzi, hogy a helyettesítő termékek azonosítására milyen eszközöket, illetve felhasználásuk ellenőrzésére milyen intézkedéseket alkalmaznak (például a minták, illusztrációk vagy műszaki leírások, vagy elemzések elvégzése).
Az eljárást megindító vámhivatal a 3. másolati példányt megküldi a felügyeletet ellátó vámhivatalnak, az eredeti és a többi másolati példányt pedig visszajuttatja a nyilatkozattevőnek.
d) A vámeljárást lezáró nyilatkozathoz csatolni kell az INF 9 eredeti, és 1. és 2. másolati példányait.
Az eljárást lezáró vámhivatal feltünteti a végtermékek mennyiségét és az elfogadás időpontját. A 2. másolati példányt megküldi a felügyeletet ellátó vámhivatalnak, az eredetit visszaküldi a nyilatkozattevőnek és megőrzi az 1. másolati példányt.
2.2.4. INF 5 adatlap (aktív feldolgozás)
a) Az INF 5 adatlapot (a továbbiakban INF 5) akkor lehet felhasználni, amikor a helyettesítő áruból nyert végtermékeket előzetes kivitellel (EX/IM) háromszögforgalomban kiviszik.
b) Az INF 5-öt egy eredeti és három másolati példányban kell az exportált végtermékek mennyiségének megfelelő importáru mennyiségére vonatkozóan kiállítani.
c) A kiviteli nyilatkozatot elfogadó vámhivatal záradékolja az INF 5 9. rovatát és visszajuttatja az eredeti és a három másolati példányt a nyilatkozattevőhöz.
d) A kiléptető vámhivatal kitölti a 10. rovatot, megküldi a 3. másolati példányt a felügyeletet ellátó vámhivatalnak és visszaküldi az eredeti és a többi másolati példányt a nyilatkozattevőnek.
e) Amikor a 1001 10 00 KN-kód alá tartozó durumbúzát dolgozzák fel a 1902 11 00 és 1902 19 KN-kódok alá tartozó tésztává, az importárukat a vámeljárás alá vonásra felhatalmazott importőr nevét kell megadni az INF 5 2. rovatában, ami kitölthető az után is, hogy az INF 5-öt bemutatták annak a vámhivatalnak, amelyhez a kiviteli nyilatkozatot benyújtották. Az információt az INF 5 eredeti, és 1. és 2. másolati példányain kell megadni még az előtt, hogy az importáruk vámeljárás alá vonására vonatkozó nyilatkozatot benyújtják.
f) A vámeljárás alá vonásra vonatkozó nyilatkozathoz csatolni kell az INF 5 eredeti, és 1. és 2. másolati példányait.
Az a vámhivatal, amelynek az eljárás alá vonásra vonatkozó nyilatkozatot bemutatták, feljegyzi az INF 5 eredeti, és 1. és 2. másolati példányán a vámeljárás alá vont importáruk mennyiségét, valamint a nyilatkozat elfogadásának időpontját. A 2. másolati példányt megküldi a felügyeletet ellátó vámhivatalnak, és visszajuttatja az eredetit a nyilatkozattevőnek, valamint megőrzi az 1. másolati példányt.
2.2.5. INF 7 adatlap (aktív feldolgozás)
a) Az INF 7 adatlapot (a továbbiakban INF 7) akkor lehet használni, amikor a végtermékekre vagy a változatlan állapotú árukra a vámvisszatérítési rendszerben olyan vámjogi sorsot határoznak meg, ami lehetővé teszi a visszafizetést vagy elengedést a Vámkódex 128. cikke (1) bekezdésének megfelelően, a visszafizetési igénylés beterjesztése nélkül.
Amikor az engedélyes a Vámkódex 90. cikkének megfelelően hozzájárulását adta, hogy a visszafizetés igénylésének jogát egy másik személyre ruházza, ezt az információt fel kell tüntetni az INF 7-en.
b) Az INF 7-et egy eredeti és két másolati példányban kell kiállítani.
c) Az eljárást lezáró nyilatkozatot elfogadó vámhivatal záradékolja az INF 7-et, visszajuttatja az eredeti és egy másolati példányt az engedélyesnek, és megőrzi a másik másolati példányt.
d) Amikor benyújtják a visszafizetési igénylést, ahhoz csatolni kell az INF 7 megfelelően záradékolt eredeti példányát.
2.2.6. INF 6 adatlap (ideiglenes behozatal)
a) Az INF 6 adatlapot (a továbbiakban INF 6) lehet felhasználni a vámtartozás megállapításához szükséges elemek, vagy a már kivetett vámok összegeinek közlésére, amikor az importárukat a Közösség vámterületén belül mozgatják.
b) Az INF 6 tartalmazza mindazt az információt, ami szükséges ahhoz, hogy a vámhatóságnak mutassa:
- azt az időpontot, amikor az importárukat az ideiglenes behozatali vámeljárás alá vonták,
- az ezen a napon meghatározott vámtartozás megállapításához szükséges elemeket,
- a részleges vámmentesítési eljárásban már kivetett esetleges behozatali vámok összegét és az ehhez figyelembe vett időszakot.
c) Az INF 6-ot egy eredeti és két másolati példányban kell kitölteni.
d) Az INF 6-ot vagy akkor kell záradékolni, amikor az árukat külső árutovábbítási eljárás alá vonják, az átszállítási művelet kezdetén, vagy korábban.
e) Az azt záradékkal ellátó vámhivatal megtart egy példányt. Az eredeti és a másik másolati példányt vissza kell juttatni az érdekelt személynek, aki ezt a példányt az eljárást lezáró vámhivatalnak adja át. Záradékolás után ezt a példányt az érdekelt személy visszajuttatja az azt eredetileg záradékkal ellátó vámhivatalnak.
2.2.7. INF 2 adatlap (passzív feldolgozás)
a) Az INF 2 adatlapot (a továbbiakban INF 2) akkor lehet felhasználni, amikor vég- vagy helyettesítő termékeket importálnak háromszögforgalomban.
b) Az INF 2-t egy eredeti és egy másolati példányban kell kiállítani az eljárás alá vont áruk mennyiségére.
c) Az INF 2 kiállítására irányuló kérelem egyben az engedélyes hozzájárulása a behozatali vámok alóli teljes vagy részleges mentesség jogának egy másik, a vég- vagy helyettesítő termékeket háromszögforgalomban importáló személyre történő átruházásához.
d) Az eljárást megindító vámhivatal záradékolja az INF 2 eredeti és másolati példányát. Megtartja a másolati példányt, és az eredetit visszajuttatja a nyilatkozattevőhöz.
A 16. rovatban jelzi az ideiglenes exportáruk azonosítására alkalmazott eszközöket.
Amikor mintákat vesznek, vagy illusztrációt, illetve műszaki leírásokat használnak, ez a vámhivatal hitelesíti az ilyen mintákat, illusztrációkat vagy műszaki leírásokat azzal, hogy vagy az árut látja el vámzárral, ha annak jellege megengedi, vagy annak csomagolását oly módon, hogy azt megváltoztatni ne lehessen.
A mintákhoz, illusztrációkhoz vagy műszaki leírásokhoz csatolni kell egy, a vámhivatal bélyegzőjét és a kiviteli nyilatkozat hivatkozási adatait tartalmazó címkét, oly módon, hogy azt ne lehessen kicserélni.
A hitelesített és vámzárral ellátott mintákat, illusztrációkat vagy műszaki leírásokat vissza kell juttatni az exportőrnek, aki azokat érintetlen vámzárral bemutatja, amikor a vég- vagy helyettesítő termékek behozatalra kerülnek.
Amikor elemzésre van szükség, melynek eredményei nem ismertek addig, ameddig az eljárást megindító vámhivatal az INF 2-t záradékolja, az elemzés eredményeit tartalmazó dokumentumot vámzárral ellátott, változtatást megakadályozó borítékban kell átadni az exportőrnek.
e) A kiléptető vámhivatal az eredeti példányon igazolja, hogy az áru elhagyta a Közösség vámterületét, majd visszajuttatja az azt bemutató személynek.
f) A vég- vagy helyettesítő termékek importőre az INF 2 eredeti példányát, és adott esetben, az azonosítási eszközeit bemutatja az eljárást lezáró vámhivatalnak.
72. MELLÉKLET
AZ 531. ÉS 809. CIKKBEN EMLÍTETT SZOKÁSOS KEZELÉSI MÓDOK LISTÁJA
Amennyiben másképpen nem határozták meg, a következő kezelési módok egyike sem keletkeztethet más nyolcszámjegyű KN-kódot.
Az alább felsorolt szokásos kezelési módok nem engedélyezhetők, ha a vámhatóság véleménye szerint a művelet várhatóan növeli a csalás kockázatát:
1. szellőztetés, szétterítés, szárítás, por eltávolítása, egyszerű tisztítási műveletek, csomagolás javítása, a szállítás vagy tárolás során felmerült károsodás alapvető javítása, amennyiben az csak egyszerű műveletekre, illetve a szállításra használt védőburkolat használatára és eltávolítására vonatkozik;
2. szállítás után az áru helyreállítása;
3. leltározás, mintavétel, szortírozás, szitálás, mechanikus szűrés, illetve az áru mérése;
4. károsodott vagy szennyezett alkotóelemek eltávolítása;
5. konzerválás pasztörizálással, sterilizálással, besugárzással, vagy tartósítószerek hozzáadásával;
6. paraziták elleni kezelés;
7. rozsda elleni kezelés;
8. kezelés:
- a hőmérséklet egyszerű növelésével, további kezelés vagy desztillációs folyamat nélkül, vagy
- a hőmérséklet egyszerű csökkentésével;
még akkor is, ha ez eltérő nyolcszámjegyű KN-kódot eredményez;
9. elektrosztatikus kezelés, textíliák gyűrődésmentesítése vagy vasalása;
10. az alábbiakból álló kezelés:
- a gyümölcs szár-, illetve kocsánytalanítása és/vagy kimagvazása, szárított gyümölcs vagy zöldség feldarabolása és felaprítása, gyümölcs rehidratálása, vagy
- gyümölcs dehidratálása, még akkor is, ha ez más nyolcszámjegyű KN-kódot eredményez;
11. bőrök sótalanítása, tisztítása és kruponálása;
12. áruk hozzáadása, vagy kiegészítő összetevők hozzáadása vagy pótlása, mindaddig, amíg az ilyen hozzáadás vagy pótlás viszonylag korlátozott, vagy célja a műszaki szabványoknak való megfelelés biztosítása, és nem változtatja meg az eredeti áru jellegét, és nem javítja annak teljesítményét, még akkor is, ha a hozzáadott vagy pótolt áruk tekintetében ez más nyolcszámjegyű KN-kódot eredményez;
13. folyadékok hígítása vagy sűrítése, további kezelés vagy desztillációs folyamat nélkül, még akkor is, ha ez egy más nyolcszámjegyű KN-kódot eredményez;
14. ugyanazon fajtájú áruk más minőségűvel történő keverése annak érdekében, hogy állandó minőséget vagy olyan minőséget nyerjenek, ami megfelel az ügyfél követelményeinek, az áruk jellegének megváltoztatása nélkül;
14a. biodízelt nem tartalmazó gáz- vagy tüzelőolajok biodízelt tartalmazó, a KN 27. árucsoportjába sorolt gáz- vagy tüzelőolajokkal történő keverése állandó minőségű vagy az ügyfél által megkívánt minőségű áru előállítása érdekében, az áru jellegének megváltoztatása nélkül, még akkor is, ha ez más nyolc számjegyű KN-kódot eredményez;
14b. biodízel keverése gáz- vagy tüzelőolajokhoz oly módon, hogy a kapott keverékben a biodízel aránya 0,5 térfogatszázalék alatt maradjon, valamint gáz- vagy tüzelőolajok keverése biodízelhez oly módon, hogy a kapott keverékben a gáz- vagy a tüzelőolaj aránya 0,5 térfogatszázalék alatt maradjon;
15. az áruk megosztása vagy méretre vágása, ha csak egyszerű műveletekről van szó;
16. csomagolás, kicsomagolás, a csomagolás megváltoztatása, lefejtés, szállítótartályokba történő egyszerű áthelyezés még akkor is, ha ez más nyolcszámjegyű KN-kódot eredményez, jelzések, pecsétek, címkék, árcédulák vagy más hasonló megkülönböztető jelek rögzítése, eltávolítása és megváltoztatása;
17. gépek, berendezések és járművek tesztelése, beállítása, beszabályozása és üzembe helyezése, különösen a műszaki szabványoknak való megfelelés ellenőrzése végett, ha csak egyszerű műveletekről van szó;
18. csőszerelvények mattírozása, hogy az árut bizonyos piacokra előkészítsék;
19. A fent említettektől eltérő bármely, az importáruk megjelenésének vagy kereskedelmi minőségének javítását vagy elosztásuk vagy újraelosztásuk előkészítését célzó szokásos kezelési mód annyiban, amennyiben e műveletek nem változtatják meg az eredeti áruk jellegét, illetve nem javítják teljesítményét. Ha a szokásos kezelési módokra vonatkozó költségek merültek fel, akkor az ilyen költségek vagy az értéknövekedés nem vehetők figyelembe a behozatali vámok kiszámításánál, amennyiben a nyilatkozattevő a költségeket kielégítő módon igazolja. A műveletekben felhasznált nem közösségi áruk vámértékét, jellegét és származását azonban a behozatali vámok kiszámításánál figyelembe kell venni.
73. MELLÉKLET
IMPORTÁRUK, AMELYEKNÉL A GAZDASÁGI FELTÉTELEKET AZ 539. CIKK ELSŐ BEKEZDÉSE ÉRTELMÉBEN NEM LEHET TELJESÍTETTNEK TEKINTENI
A. rész: A Szerződés I. mellékletében szereplő mezőgazdasági termékek
1. Az alábbi közös piacszervezések egyike alá tartozó következő termékek:
gabonaágazat: a 1766/92/EGK tanácsi rendelet ( 219 ) 1. cikkének (1) bekezdésében hivatkozott termékek,
rizságazat: a 3072/95/EK tanácsi rendelet ( 220 ) 1. cikkének (1) bekezdésében hivatkozott termékek,
cukorágazat: a 2038/1999/EK tanácsi rendelet ( 221 ) 1. cikkének (1) bekezdésében hivatkozott termékek,
olívaolaj-ágazat: a 136/66/EK tanácsi rendelet ( 222 ) 1. cikke (2) bekezdésének c) pontjában hivatkozott termékek,
tej- és tejtermékágazat: a 1255/1999/EK tanácsi rendelet 1. cikkében hivatkozott termékek,
borágazat: a 1493/1999/EK tanácsi rendelet ( 223 ) 1. cikkének (2) bekezdésében hivatkozott, és az alábbi KN-kódok alá tartozó termékek:
0806 10 90
2009 60
2204 21 (a minőségi bor kivételével)
2204 29 (a minőségi bor kivételével)
2204 30
2. A következő KN-kódok alá tartozó termékek:
0204 10 -0204 43
2207 10
2207 20
2208 90 91
2208 90 99
3. Az 1. és 2. pontban felsoroltakon kívüli termékek, amelyeknél a mezőgazdasági export-visszatérítést a nulla vagy annál magasabb összegben rögzítették.
B.rész: A Szerződés I. mellékletében nem szereplő mezőgazdasági termékek feldolgozásából származó áruk
Azok az áruk, amelyek mezőgazdasági termékek feldolgozásából származnak, és amelyeket a mezőgazdasági ágazatban a piacok közös szervezéséről, vagy termelési visszatérítésekről szóló rendeletek alábbi mellékleteiben soroltak fel:
- az 1766/92/EGK tanácsi rendelet B. melléklete (gabonaágazat),
- a 3072/95/EK tanácsi rendelet B. melléklete (rizságazat),
- a 2038/1999/EK tanácsi rendelet I. melléklete (cukorágazat),
- az 1255/1999/EK tanácsi rendelet II. melléklete (tej- és tejtermékágazat),
- a 2771/75/EGK tanácsi rendelet ( 224 ) I. melléklete (tojáságazat),
- a 1010/86/EGK tanácsi rendelet ( 225 ) melléklete (a vegyiparban használt bizonyos cukortermékekre vonatkozó termelési visszatérítés), valamint
- a 1722/93/EGK bizottsági rendelet ( 226 ) I. melléklete (termelési visszatérítések a gabona- és rizságazatban).
C. rész: Halászati termékek
A halászati és akvakultúra-termékek piacának közös szervezéséről szóló 104/2000/EK tanácsi rendelet ( 227 ) I., II. és V. mellékletében felsorolt halászati termékek, valamint az e rendelet VI. mellékletében felsorolt, részleges autonóm felfüggesztés alatt álló termékek.
Minden halászati termék autonóm kontingens hatálya alá tartozik.
74. MELLÉKLET
HELYETTESÍTŐ ÁRUKRA VONATKOZÓ KÜLÖNLEGES RENDELKEZÉSEK
1. Rizs
Az 1006 KN-kód alá sorolt rizs nem tekinthető helyettesítőnek, kivéve, ha a Kombinált Nómenklatúra ugyanazon nyolcszámjegyű KN-kódja alá tartozik. Olyan rizs esetében azonban, amelynek hosszúsága nem haladja meg a 6,0 mm-t és hosszúság-szélesség aránya egyenlő, vagy nagyobb, mint 3, és olyan rizs esetében, amelynek hosszúsága egyenlő, vagy kisebb, mint 5,2 mm, és hosszúság-szélesség aránya egyenlő, vagy nagyobb, mint 2, az egyenértékűséget csak a hosszúság-szélesség arány meghatározásával kell megállapítani. A szemek mérését a rizs piacának közös szervezéséről szóló 3072/95/EK rendelet A. melléklete 2. pontja d) pontjának megfelelően kell elvégezni.
Amennyiben az aktív feldolgozási műveletek az e rendelet 72. mellékletében felsorolt szokásos kezelési módok-ból állnak, tilos a helyettesítő áruk használata.
2. Búza
Nem közösségi búza helyett helyettesítő áruként csak ugyanazon nyolcszámjegyű KN-kód alá tartozó, ugyanazon kereskedelmi minőségű, és ugyanolyan műszaki jellemzőkkel rendelkező, egy harmadik országban betakarított, és már szabad forgalomba bocsátott búzát lehet használni.
Azonban:
- a bizottság keretében folytatott vizsgálatot követően, a tagállamok Bizottság általi értesítése alapján a búza tekintetében el lehet térni a helyettesítő áru felhasználásának tilalmától,
- a közösségi durumbúza harmadik országból származó durumbúza helyett helyettesítő áruként csak akkor használható fel, ha azt a 1902 11 00 -1902 19 KN-kódok alá tartozó tészta gyártására használják.
3. Cukor
A (1701 13 90 és/vagy 1701 14 90 KN-kód alá tartozó) nem uniós nyers nádcukor helyett a (1212 91 80 KN-kód alá tartozó) cukorrépa akkor használható fel helyettesítő áruként, ha a 1701 99 10 KN-kód alá tartozó végtermékeket (fehércukor) nyernek.
Az 1234/2007/EK ( 228 ) tanácsi rendelet IV. melléklete B. részének III. pontjában meghatározottak szerinti szabványos minőségű nyers nádcukor egyenértékű mennyiségét a fehércukor mennyiségének az 1,0869565 együtthatóval való szorzatával kell kiszámítani.
A nem szabványos minőségű nyers nádcukor egyenértékű mennyiségét úgy kell kiszámítani, hogy megszorozzuk a fehércukor mennyiségét a 100-at a nyers nádcukor hozamával való osztása révén kapott együtthatóval. A nyers nádcukor hozamát az 1234/2007/EK rendelet IV. melléklete B. része III. 3. pontjában meghatározott módon kell kiszámítani.
4. Élőállat és hús
Élőállat vagy hús aktív feldolgozási műveleteihez helyettesítő áru nem használható.
Hús esetén, amennyiben a kérelmező bizonyítani tudja, hogy a helyettesítő áru felhasználása gazdaságilag szükséges, és amennyiben a vámhatóságok továbbítják a művelet ellenőrzésére tervbe vett eljárások tervezetét, a bizottság keretében folytatott vizsgálatot követően a tagállamok Bizottság általi értesítése alapján el lehet térni a helyettesítő áru felhasználásának tilalmától.
5. Kukorica
A közösségi kukorica nem közösségi kukorica helyetti helyettesítő áruként történő felhasználása csak a következő esetekben, és a következő feltételekkel lehetséges:
1. Az állati takarmányozásra használt kukorica esetében lehetséges a helyettesítő áru használata, feltéve, hogy vámellenőrzési rendszert állítanak fel annak biztosítására, hogy a nem közösségi kukoricát ténylegesen állati takarmánnyá dolgozzák fel.
2. A keményítő és keményítőtermékek előállításában használt kukorica esetében a helyettesítő áru használata minden fajta helyett lehetséges, kivéve az amilopektinben gazdag kukoricákat (viaszos kukorica vagy "waxy" kukorica), amelyek csak egymással helyettesíthetők.
3. A hústermékek előállításában használt kukorica esetében a helyettesítő áru használata minden fajta helyett lehetséges, kivéve az üveges fajtájú kukoricákat (a "Duro" fajtájú "Plata" kukorica, "Flint" kukorica), amelyek csak egymással helyettesíthetők.
6. Olívaolaj
A. Helyettesítő áru használatához csak a következő esetekben és a következő feltételek alapján szabad folyamodni:
1. szűz olívaolaj
a) a 136/66/EGK rendelet mellékletének 1. a) pontjában szereplő leírásnak megfelelő, 1509 10 90 KN-kód alá tartozó közösségi extra szűz olívaolaj felhasználható az ugyanezen KN-kód alá tartozó nem közösségi extra szűz olívaolaj helyett, feltéve, hogy a feldolgozási művelet ugyanezen KN-kód alá tartozó, és a hivatkozott 1. a) pont követelményeit kielégítő extra szűz olívaolajat eredményez;
b) a 136/66/EGK rendelet mellékletének 1. b) pontjában szereplő leírásnak megfelelő, 1509 10 90 KN-kód alá tartozó közösségi szűz olívaolaj felhasználható az ugyanezen KN-kód alá tartozó nem közösségi szűz olívaolaj helyett, feltéve, hogy a feldolgozási művelet ugyanezen KN-kód alá tartozó, és a hivatkozott 1. b) pont követelményeit kielégítő szűz olívaolajat eredményez;
c) a 136/66/EGK rendelet mellékletének 1. c) pontjában szereplő leírásnak megfelelő, 1509 10 90 KN-kód alá tartozó közösségi közönséges szűz olívaolaj felhasználható az ugyanezen KN-kód alá tartozó nem közösségi közönséges szűz olívaolaj helyett, feltéve, hogy a végtermék:
- az előzőekben hivatkozott melléklet 2. pontjában szereplő leírásnak megfelelő, a 1509 90 00 KN-kód alá tartozó finomított olívaolaj,
- a hivatkozott melléklet 3. pontjában szereplő leírásnak megfelelő, a 1509 90 00 KN-kód alá tartozó olívaolaj, és azt a 1509 10 90 KN-kód alá tartozó közösségi szűz olívaolajjal való keveréssel nyerik;
d) a 136/66/EGK rendelet melléklete 1. d) pontjában szereplő leírásnak megfelelő, 1509 10 10 KN-kód alá tartozó Közösségi közönséges lampante szűz olívaolaj felhasználható az ugyanezen KN-kód alá tartozó nem közösségi lampante szűz olívaolaj helyett, feltéve, hogy a végtermék:
- az előzőekben hivatkozott melléklet 2. pontjában szereplő leírásnak megfelelő, a 1509 90 00 KN-kód alá tartozó finomított olívaolaj, vagy
- a hivatkozott melléklet 3. pontjában szereplő leírásnak megfelelő, a 1509 90 00 KN-kód alá tartozó olívaolaj, és azt a 1509 10 90 KN-kód alá tartozó közösségi szűz olívaolajjal való keveréssel nyerik;
2. olívapogácsa-olaj
A 136/66/EGK rendelet melléklete 4. pontjában szereplő leírásnak megfelelő, 1510 00 10 KN-kód alá tartozó közösségi, nem finomított olívapogácsa-olaj felhasználható az ugyanezen KN-kód alá tartozó nem közösségi, nem finomított olívapogácsa-olaj helyett, feltéve, hogy a 1510 00 90 KN-kód alá tartozó, és a hivatkozott melléklet 6. pontjában szereplő leírásnak megfelelő olívapogácsa-olaj végterméket a 1509 10 90 KN-kód alá tartozó közösségi szűz olívaolajjal való keveréssel nyerik.
B. Az A. pont 1. c) alpontjának második francia bekezdésében, 1. d) alpontjának második francia bekezdésében és az A. pont 2. alpontjában említett, azonos módon végrehajtott, nem közösségi szűz olívaolajjal történő keverések csak akkor engedélyezettek, ha az eljárás ellenőrzésével kapcsolatos intézkedéseket oly módon szervezik meg, amely lehetővé teszi a nem közösségi szűz olívaolajnak az exportált kevert olaj teljes mennyiségén belüli aránya azonosítását.
C. A végtermékeket legfeljebb 220 literes közvetlen csomagolásban kell elhelyezni. Ettől eltérve, a legfeljebb 20 tonnás, engedélyezett tartályok esetén a vámhatóságok engedélyezhetik az előző pontokban szereplő olajok exportját, feltéve, hogy az exportált termékek minőségét és mennyiségét rendszeresen ellenőrzik.
D. Az egyenértékűséget a keverésre felhasznált olajok mennyiségét igazoló kereskedelmi nyilvántartások felhasználásával, és az érintett minőség igazolásának céljából a nem-közösségi olajnak a vámeljárás alá vonáskor vett mintái műszaki jellemzőinek, illetve a felhasznált közösségi olajból az érintett végtermék feldolgozásakor vett minták műszaki jellemzőinek a végtermékek tényleges exportálásakor, a kiléptetési ponton vett mintái technikai jellemzőinek összehasonlításával kell ellenőrizni. A mintavételt az EN ISO 5555 (mintavétel) és EN ISO 661 (a minták laboratóriumokba küldése és a minták vizsgálatokra történő előkészítése) nemzetközi szabványoknak megfelelően kell elvégezni. Az elemzést a 2568/91/EGK bizottsági rendelet ( 229 ) I. mellékletében szereplő paraméterek vonatkozásában kell elvégezni.
7. Tej és tejtermékek
A helyettesítő termékek használata csak az alábbi feltételekkel megengedett:
Az importáru tejszárazanyag-, tejzsír-, illetve tejfehérje-tartalmának tömege egyik összetevő esetében sem haladhatja meg a helyettesítő áruban található megfelelő összetevő tömegét. Ha azonban az importáru gazdasági értékét csak a fent említett egy vagy két összetevő alapján határozzák meg, a tömeg kizárólag ezen egy vagy két összetevő alapján is számítható. Az engedélyben pontosan meg kell határozni a részleteket, különösen azt a referencia-időszakot, amelyre vonatkozóan a teljes tömeget ki kell számolni. A referencia-időszak nem haladhatja meg a 4 hónapot.
Annak érdekében, hogy a vámhatóságok ezen összetevők alapján ellenőrizni tudják a helyettesíthetőséget, az importáru és a helyettesítő áru vonatkozó összetevőinek tömegét fel kell tüntetni a vámáru-nyilatkozaton és minden INF 9, illetve INF 5 adatlapon.
Az importáruk eljárás alá vonására vonatkozó vámáru-nyilatkozatok és kiviteli nyilatkozatok (IM/EX) legalább 5 %-ára fizikai ellenőrzést kell lefolytatni, amelynek az importárukra és a szóban forgó helyettesítő árukra egyaránt ki kell terjednie.
Az előzetes kivitelei nyilatkozatok és az eljárás alá vonásra irányuló vámáru-nyilatkozatok (EX/IM) legalább 5 %-ára szintén fizikai ellenőrzést kell lefolytatni. Ezeknek az ellenőrzéseknek egyaránt ki kell terjedniük a helyettesítő árukra, amelyeket a feldolgozási műveletek kezdete előtt kell ellenőrizni, és az importárukra, amelyeket az eljárás alá vonásuk időpontjában kell ellenőrizni.
A fizikai ellenőrzés során meg kell vizsgálni a vámáru-nyilatkozat és az ahhoz csatolt okmányokat, továbbá az összetevőknek az illetékes laboratórium által történő elemzése céljára reprezentatív mintákat kell venni.
Ha a tagállam kockázatelemzési rendszert alkalmaz, a fizikai ellenőrzések kisebb aránya is megengedett.
Minden fizikai ellenőrzésről az ellenőrzést lefolytató tisztviselőnek részletes jelentést kell készítenie. Ezeket a jelentéseket minden tagállamban az erre kijelölt vámhatóságnál központilag össze kell gyűjteni.
75. MELLÉKLET
Azon végtermékek listája, amelyek a rájuk vonatkozó behozatali vámok alá tartoznak
| Melléktermékek megjelölése | Annak a feldolgozási műveletnek a megnevezése, amelyből keletkeznek |
| (1) | (2) |
| Hulladék, selejt, levágott részek, maradvány és maradékok | Bármilyen megmunkálás vagy feldolgozás |
76. MELLÉKLET
GAZDASÁGI FELTÉTELEK A VÁMFELÜGYELET MELLETTI FELDOLGOZÁSRA VONATKOZÓ VÁMELJÁRÁS KERETÉBEN
(551. cikk, (1) bekezdés, 2 paragrafus)
A. RÉSZ
| 1. oszlop | 2. oszlop | |
| Sorszám | Áruk | Feldolgozás módja |
| 1 | Bármilyen típusú áru | Feldolgozás mintaként történő bemutatás céljából, vagy készletté történő összeállításra |
| 2 | Bármilyen típusú áru | Hulladékká lerontás, selejtezés vagy megsemmisítés |
| 3 | Bármilyen típusú áru | Denaturálás |
| 4 | Bármilyen típusú áru | Alkatrészek vagy alkotóelemek visszanyerése |
| 5 | Bármilyen típusú áru | Megsérült alkatrészek különválasztása és/vagy megsemmisítése |
| 6 | Bármilyen típusú áru | Feldolgozás az árukban keletkezett kár hatásainak a kiküszöbölésére |
| 7 | Bármilyen típusú áru | A vámraktárban vagy a vámszabad területen megengedett szokásos kezelési módok |
| 8 | Bármilyen típusú áru | Olyan termékekké történő feldolgozás, amelyeket polgári légi járművekbe építenek be, illetve azokban használnak fel, amelyek légialkalmassági bizonyítványát az európai repülésügyi hatóságok vagy harmadik országok repülésügyi hatóságai által az ilyen tevékenységre felhatalmazott vállalatok bocsátottak ki |
| 8a | Bármelyfajta áruk | Feldolgozás olyan termékekké, amelyek részesülhetnek az egyes fegyverekre és katonai felszerelésekre vonatkozó behozatali vámok autonóm felfüggesztéséből |
| 9 | Az 551. cikk (1) bekezdés második francia bekezdésének hatálya alá tartozó áruk | A feldolgozás bármilyen formája |
| 10 | Mezőgazdasági vagy kereskedelempolitikai intézkedés, vagy átmeneti vagy végleges antidömping intézkedés, vagy átmeneti vagy végleges kiegyenlítő vámmal kapcsolatos intézkedés hatálya alá nem tartozó bármely típusú áruk | A feldolgozás bármilyen formája, amennyiben a vámeljárás alkalmazásából származó importvám-előny nem haladja meg kérelmezőnként és naptári évenként az 50 000 eurót. |
| 11 | Bármilyen elektronikus alkatrész, rész, szerelvény (a szerelvények elemeit is beleértve) vagy anyagok (beleértve a nem elektronikus anyagokat is), amelyek meghatározóak a végtermék elektronikus munkateljesítménye szempontjából, a szolárüveg kivételével, amely szabad forgalomba bocsátásra történő bejelentés esetén ideiglenes vagy végleges dömpingellenes vám, illetve ideiglenes vagy végleges kiegyenlítő vám hatálya alá tarozik. | Feldolgozása az alábbi informatikai termékekké: 1. a 97/359/EK tanácsi határozattal (HL L 155., 1997.6.12., 1. o.) jóváhagyott, az informatikai termékekkel folytatott kereskedelemről szóló egyezmény hatálya alá tartozó termékek, amennyiben vámmentesség van érvényben az engedélyezés időpontjában; vagy 2. a 2216/97/EK tanácsi rendelet (HL L 305., 1997.11.8., 1. o.) 1., 2. vagy 3. cikkében megjelölt KN-kód alá tartozó termékek, amennyiben vámmentesség van érvényben az engedélyezés napján |
| 12 | A pálmaolaj 1511 90 19 KN-kód alá tartozó szilárd frakciói, illetve a pálmaolaj 1511 90 91 KN-kód alá tartozó folyékony frakciói, vagy a 1513 11 10 KN-kód alá tartozó kókuszdióolaj, vagy a kókuszdióolaj ex 1513 19 30 KN-kód alá tartozó folyékony frakciói, vagy a 1513 21 11 KN-kód alá tartozó pálmabélolaj, vagy a pálmabélolaj ex 1513 29 30 KN-kód alá tartozó folyékony frakciói, vagy a 1513 21 19 KN-kód alá tartozó Babassu olaj | Feldolgozása a következő termékekké: — a 3823 11 00 , 3823 12 00 , ex 3823 19 10 , ex 3823 19 30 és az ex 3823 19 90 KN-kódok alá tartozó zsírsavak keveréke, — a 2915 70 15 , 2915 70 25 , ex 2915 90 10 , ex 2915 90 80 , ex 2916 15 00 és ex 2916 19 80 KN-kódok alá tartozó zsírsavak, — a ex 3824 90 95 KN-kód alá tartozó zsírsavak metil-észtereinek a keveréke, — a ex 2915 70 20 , ex 2915 70 80 , ex 2915 90 80 , ex 2916 15 00 és ex 2916 19 80 KN-kódok alá tartozó zsírsavak metil-észterei, — a 3823 70 00 KN-kód alá tartozó zsíralkoholok keveréke, — a 2905 16 80 , 2905 17 00 és 2905 19 00 KN-kódok alá tartozó zsíralkoholok, — a 1520 00 00 KN-kód alá tartozó glicerin |
| 13 | A 1515 30 90 KN-kód alá tartozó ricinusolaj | Feldolgozása a következő termékekké: — a 1516 20 10 KN-kód alá tartozó hidrogénezett ricinusolaj (opálviasz) — a ex 3823 19 10 KN-kód alá tartozó (90 %-osnál kisebb tisztaságú) 12-hidroxi-sztearinssav — a ex 2918 19 99 KN- kód alá tartozó (90 %-osnál nagyobb tisztaságú) 12-hidroxi-sztearinssav — a KN 2905 45 00 KN-kód alá tartozó glicerin |
| 14 | A Kombinált Nómenklatúra 24. árucsoportja alá tartozó dohányfélék | Feldolgozása a 2403 91 00 KN-kód alá tartozó homogenizált vagy „visszanyert” dohánnyá és/vagy a 2403 99 90 KN-kód alá tartozó dohányporrá |
| 15 | A 2401 10 KN-kód alá tartozó nyers vagy feldolgozatlan dohány A ex 2401 20 KN-kód alá tartozó nyers vagy feldolgozatlan, részben kocsánytalanított dohány | Feldolgozása a 2401 20 KN-kód alá tartozó részben vagy egészben kocsánytalanított dohánnyá és a 2401 30 00 KN-kód alá tartozó dohányhulladékká |
| 16 | Az alábbi 2707 10 , 2707 20 , 2707 30 , 2707 50 , 2707 91 00 , 2707 99 30 , 2707 99 91 , 2707 99 99 és 2710 00 KN-kódok alá tartozó termékek: | Feldolgozása a 2710 00 71 vagy 2710 00 72 KN-kód alá tartozó termékekké |
| 17 | A 2707 99 11 KN-kód alá tartozó nyersolajok | Feldolgozása a 2707 10 90 , 2707 20 90 , 2707 30 90 , 2707 50 90 , 2707 99 30 , 2707 99 99 , 2902 20 90 , 2902 30 90 , 2902 41 00 , 2902 42 00 , 2902 43 00 , 2902 44 90 KN-kódok alá tartozó termékekké: |
| 18 | A 2710 00 68 KN-kód alá tartozó, 0,2 tömegszázalékot meghaladó kéntartalmú gázolajok, a 2710 00 55 KN-kód alá tartozó kerozin, a 2710 00 21 KN-kód alá tartozó könnyűbenzin | Feldolgozása az 1. oszlopban felsorolt árukkal, vagy az 1. oszlopban felsorolt egy vagy több árunak a 2710 00 66 vagy 2710 00 67 KN-kód alá tartozó, legfeljebb 0,2 tömegszázalékos kéntartalmú gázolajjal alkotott elegye, a 2710 00 66 vagy 2710 00 67 KN-kód alá tartozó, legfeljebb 0,2 tömegszázalékban ként tartalmazó gázolaj nyerésére |
| 19 | A 3921 90 60 KN-kód alá tartozó PVC | Feldolgozása a 9010 60 00 KN-kód alá tartozó vetítővászonná |
| 20 | A 6402 19 00 KN-kód alá tartozó, rászerelt görkorcsolya nélküli korcsolyacipő A 6403 19 00 KN-kód alá tartozó, rászerelt görkorcsolya nélküli görkorcsolyacipő | Feldolgozása: a 9506 70 10 KN-kód alá tartozó korcsolyává a 9506 70 30 KN-kód alá tartozó görkorcsolyává |
| 21 | A 8704 21 31 KN-kód alá tartozó kocsiszekrénnyel szerelt alváz | Feldolgozása a 8705 30 00 KN-kód alá tartozó saját tűzoltó berendezéssel és/vagy életmentő berendezéssel felszerelt tűzoltóautóvá |
B. RÉSZ
| 1. oszlop | 2. oszlop | |
| Áruk | Feldolgozás módja | |
| Mezőgazdasági vagy átmeneti vagy végleges antidömping intézkedés, vagy átmeneti vagy végleges kiegyenlítő vámmal kapcsolatos intézkedés hatálya alá tartozó áruk | A feldolgozás bármely módja |
77. MELLÉKLET
Azok az esetek, amikor az áruk írásbeli vámáru-nyilatkozat alapján történő ideiglenes behozatal alá vonásához nincs szükség biztosítékra
1. Légitársaságok, hajózási társaságok vagy vasúttársaságok, illetve postai szolgáltatást végző vállalkozások birtokában lévő és az általuk a nemzetközi forgalomban felhasznált anyagok, amennyiben ezek megkülönböztető jelzéssel vannak ellátva.
2. Nem letörölhető, eltávolíthatatlan jelzéssel ellátott, üresen behozott csomagolóanyag.
3. Állami, vagy engedéllyel rendelkező szervezetek számára, katasztrófaenyhítésre szánt anyagok.
4. Olyan kórháznak vagy egészségügyi intézménynek szánt egészségügyi, orvosi és laboratóriumi felszerelések, amelyeknek sürgős szükségük van az ilyen felszerelésekre.
5. Az 513. cikk értelmében átszállított, ideiglenes behozatal alá vonása, amennyiben a korábbi engedélyes az árukat a 229. vagy a 232. cikk szerint vonta ideiglenes behozatal alá.
104. MELLÉKLET
[Kép #14] [Kép #15] [Kép #16] [Kép #17]

Kép #14

Kép #15

Kép #16

Kép #17
[Kép #18] [Kép #19] [Kép #20] [Kép #21]

Kép #18

Kép #19

Kép #20

Kép #21
109. MELLÉKLET


A VÁMSZABAD TERÜLETRE VAGY VÁMSZABAD RAKTÁRBA BESZÁLLÍTOTT ÁRU VÁMJOGI HELYZETÉNEK IGAZOLÁSÁRA VONATKOZÓ RENDELKEZÉSEK
1. A vámszabad területre vagy vámszabad raktárba beszállított áru vámjogi helyzetét igazoló nyomtatványt írásra alkalmas, fehér, famentes papírra nyomtatják, amelynek tömege 40-65 g/m2.
2. A nyomtatvány mérete 210 x 297 mm.
3. A tagállamok felelősek a nyomtatvány nyomtatásáért. Minden nyomtatvány egyedi sorszámmal rendelkezik.
4. A nyomtatványt a Közösség egyik hivatalos nyelvén kell kinyomtatni, amelyet az igazolást kibocsátó tagállam vámhivatala jelöl ki. A rovatokat a Közösségnek azon a hivatalos nyelvén kell kitölteni, amelyet az igazolást kibocsátó vámhivatal meghatároz.
5. A nyomtatvány nem tartalmazhat törlést vagy felülírást. A szükséges változtatásokat a helytelen adatok áthúzásával és a megfelelő adatok beírásával kell elvégezni. A változtatásokat mind az igazolás kitöltője, mind a vámhatóság hitelesíti.
6. Az igazolásban hivatkozott árucikkeket egyes sorközzel kell felsorolni, és minden egyes árucikk elé sorszámot kell írni. Közvetlenül az utolsó árucikk után vízszintes vonalat kell húzni. A fennmaradó helyeket úgy kell áthúzni, hogy további változtatás ne legyen lehetséges.
7. A nyomtatvány megfelelően kitöltött eredeti és egy másodpéldányát az illetékes vámhivatalhoz kell benyújtani, amikor az áru a vámszabad területre vagy vámszabad raktárba érkezik, vagy amikor a vámáru-nyilatkozatot benyújtják.
A vámhatóság hitelesíti a nyomtatványt, és megőrzi a másolatot.
8. Amennyiben az üzemeltető tölti ki az igazolást, a 819. cikk (2) pontjának megfelelően, az 5. rovatot:
- előzetesen a vámhivatal lebélyegezheti, és a hivatal egy tisztségviselője aláírhatja, vagy
- az üzemeltető lebélyegezheti saját - a vámhatóságok által elfogadott - speciális fémbélyegzőjével.
Az üzemeltető az igazolást a készletnyilvántartásával együtt köteles megőrizni.
110. MELLÉKLET
[Kép #22] [Kép #23]

Kép #22

Kép #23
[Kép #24] [Kép #25]

Kép #24

Kép #25
AZ INF 3 ADATLAPRA VONATKOZÓ MEGJEGYZÉSEK
1. A nyomtatványt fehér, kézírásra alkalmas, famentes papírra nyomtatják, amelynek tömege legalább 40 g/m2.
2. A nyomtatvány mérete 210 × 297 mm, a hosszúság ettől legfeljebb - 5 és + 8 milliméterrel térhet el; a nyomtatvány megjelenési formáját pontosan követni kell, kivéve a 6. és 7. rovat tekintetében.
3. A tagállamok felelősek a nyomtatványok nyomtattatásához szükséges intézkedések megtételéért. Minden nyomtatványt egyedi sorszámmal kel ellátni, amely előre is nyomtatható.
4. A nyomtatványokat a Közösség egyik hivatalos nyelvén kell kinyomtatni, amelyet a kivitelt végző tagállam illetékes hatósága elfogad. A nyomtatványt a kinyomtatásával megegyező nyelven kell kitölteni. Amennyiben szükséges, az újrabehozatalt végző vámhivatal illetékes hatósága, amelynél az INF 3 adatlapot be kell nyújtani, kérheti az INF 3 adatlap lefordítását saját állama hivatalos nyelvére vagy egyik hivatalos nyelvére.
110a. MELLÉKLET


111. MELLÉKLET



112. MELLÉKLET




113. MELLÉKLET
[Kép #26] [Kép #27]

Kép #26

Kép #27
( 1 ) HL L 302., 1992.10.19., 1. o.
( 2 ) HL L 97., 2008.4.9., 72. o.
( 3 ) HL L 55., 2010.3.5., 1. o.
( 4 ) HL L 303., 2012.10.31., 1. o.
( 5 ) HL L 256., 1987.9.7., 1. o.
( 6 ) HL L 324., 2009.12.10., 23. o.
( 7 ) HL L 347., 2006.12.11., 1. o.
( 8 ) HL L 9., 2009.1.14., 12. o.
( 9 ) HL L 374., 1991.12.31., 4. o.
( 10 ) HL L 145., 1977.6.13., 1. o.
( 11 ) HL L 105., 1983.4.23., 1. o.
( 12 ) HL L 276., 1992.9.19., 1. o.
( 13 ) HL L 261., 1993.10.20., 1. o.
( 14 ) HL L 226., 1987.8.13., 2. o.
( 15 ) HL L 76., 1992.3.23., 1. o.
( 16 ) HL L 160., 1999.6.26., 48. o.
( 17 ) HL L 62., 1980.3.7., 5. o.
( 18 ) HL L 102., 1999.4.17., 11. o.
( 19 ) HL L 318., 1993.12.20., 18. o.
( 20 ) HL L 91., 1995.4.22., 45. o.
( 21 ) HL L 82., 1997.3.22., 1. o.
( 22 ) HL L 7., 1970.1.10., 6. o.
( 23 ) HL L 279., 1970.12.24., 35. o.
( 24 ) HL L 36., 1971.2.13., 10. o.
( 25 ) HL L 95., 1971.4.28., 11. o.
( 26 ) HL L 315., 1973.11.16., 34. o.
( 27 ) HL L 335., 1976.12.4., 1. o.
( 28 ) HL L 20., 1979.1.27., 1. o.
( 29 ) HL L 320., 1991.11.22., 19. o.
( 30 ) HL L 154., 1980.6.21., 3. o.
( 31 ) HL L 154., 1980.6.21., 14. o.
( 32 ) HL L 62., 1991.3.8., 24. o.
( 33 ) HL L 154., 1980.6.21., 16. o.
( 34 ) HL L 101., 1993.4.27., 7. o.
( 35 ) HL L 161., 1980.6.26., 3. o.
( 36 ) HL L 335., 1980.12.12., 1. o.
( 37 ) HL L 267., 1990.9.29., 36. o.
( 38 ) HL L 335., 1980.12.12., 62. o.
( 39 ) HL L 124., 1990.5.15., 32. o.
( 40 ) HL L 59., 1981.3.5., 1. o.
( 41 ) HL L 154., 1981.6.13., 26. o.
( 42 ) HL L 321., 1990.11.21., 6. o.
( 43 ) HL L 28., 1982.2.5., 38. o.
( 44 ) HL L 204., 1983.7.28., 63. o.
( 45 ) HL L 156., 1982.6.7., 1. o.
( 46 ) HL L 297., 1983.10.29., 13. o.
( 47 ) HL L 309., 1983.11.10., 19. o.
( 48 ) HL L 171., 1984.6.29., 1. o.
( 49 ) HL L 374., 1992.12.22., 28. o.
( 50 ) HL L 331., 1984.12.19., 5. o.
( 51 ) HL L 215., 1987.8.5., 9. o.
( 52 ) HL L 168., 1985.6.28., 21. o.
( 53 ) HL L 66., 1991.3.13., 14. o.
( 54 ) HL L 350., 1986.12.12., 14. o.
( 55 ) HL L 352., 1986.12.13., 19. o.
( 56 ) HL L 230., 1987.8.17., 1. o.
( 57 ) HL L 374., 1992.12.22., 26. o.
( 58 ) HL L 387., 1987.12.31., 1. o.
( 59 ) HL L 387., 1987.12.31., 9. o.
( 60 ) HL L 387., 1987.12.31., 16. o.
( 61 ) HL L 387., 1987.12.31., 22. o.
( 62 ) HL L 231., 1991.8.20., 1. o.
( 63 ) HL L 387., 1987.12.31., 36. o.
( 64 ) HL L 387., 1987.12.31., 42. o.
( 65 ) HL L 387., 1987.12.31., 48. o.
( 66 ) HL L 387., 1987.12.31., 54. o.
( 67 ) HL L 387., 1987.12.31., 60. o.
( 68 ) HL L 387., 1987.12.31., 63. o.
( 69 ) HL L 387., 1987.12.31., 67. o.
( 70 ) HL L 387., 1987.12.31., 70. o.
( 71 ) HL L 387., 1987.12.31., 74. o.
( 72 ) HL L 387., 1987.12.31., 76. o.
( 73 ) HL L 135., 1991.5.30., 28. o.
( 74 ) HL L 387., 1987.12.31., 82. o.
( 75 ) HL L 384., 1992.12.30., 15. o.
( 76 ) HL L 77., 1988.3.22., 77. o.
( 77 ) HL L 370., 1992.12.19., 11. o.
( 78 ) HL L 86., 1988.3.30., 1. o.
( 79 ) HL L 249., 1988.9.8., 5. o.
( 80 ) HL L 355., 1988.12.23., 22. o.
( 81 ) HL L 323., 1989.11.8., 17. o.
( 82 ) HL L 33., 1989.2.4., 23. o.
( 83 ) HL L 65., 1989.3.9., 11. o.
( 84 ) HL L 196., 1989.7.12., 24. o.
( 85 ) HL L 374., 1989.12.22., 8. o.
( 86 ) HL L 246., 1990.9.10., 1. o.
( 87 ) HL L 301., 1992.10.17., 16. o.
( 88 ) HL L 246., 1990.9.10., 33. o.
( 89 ) HL L 228., 1991.8.17., 34. o.
( 90 ) HL L 276., 1990.10.6., 13. o.
( 91 ) HL L 276., 1990.10.6., 14. o.
( 92 ) HL L 347., 1990.12.12., 10. o.
( 93 ) HL L 351., 1990.12.15., 25. o.
( 94 ) HL L 356., 1990.12.19., 30. o.
( 95 ) HL L 358., 1990.12.21., 48. o.
( 96 ) HL L 365., 1990.12.28., 17. o.
( 97 ) HL L 271., 1992.9.16., 5. o.
( 98 ) HL L 130., 1991.5.25., 18. o.
( 99 ) HL L 130., 1991.5.25., 28. o.
( 100 ) HL L 148., 1991.6.13., 11. o.
( 101 ) HL L 151., 1991.6.15., 39. o.
( 102 ) HL L 201., 1991.7.24., 16. o.
( 103 ) HL L 210., 1991.7.31., 1. o.
( 104 ) HL L 378., 1992.12.23., 6. o.
( 105 ) HL L 204., 1991.7.27., 31. o.
( 106 ) HL L 216., 1991.8.3., 24. o.
( 107 ) HL L 351., 1991.12.20., 23. o.
( 108 ) HL L 25., 1993.2.2., 18. o.
( 109 ) HL L 38., 1992.2.14., 1. o.
( 110 ) HL L 370., 1992.12.19., 11. o.
( 111 ) HL L 132., 1992.5.16., 1. o.
( 112 ) HL L 378., 1992.12.23., 15. o.
( 113 ) HL L 185., 1992.7.4., 8. o.
( 114 ) HL L 249., 1992.8.28., 1. o.
( 115 ) HL L 65., 1993.3.17., 5. o.
( 116 ) HL L 271., 1992.9.16., 1. o.
( 117 ) HL L 275., 1992.9.18., 11. o.
( 118 ) HL L 326., 1992.11.12., 11. o.
( 119 ) HL L 362., 1992.12.11., 11. o.
( 120 ) HL L 374., 1992.12.22., 14. o.
( 121 ) HL L 374., 1992.12.22., 25. o.
( 122 ) HL L 378., 1992.12.23., 9. o.
( 123 ) HL L 393., 1992.12.31., 1. o.
( 124 ) Lásd a Kombinált Nómenklatúra 27. árucsoportjához fűzött 4. kiegészítő megjegyzés b) pontját.
( 125 ) Lásd a Kombinált Nómenklatúra 27. árucsoportjához fűzött 4. kiegészítő megjegyzés b) pontját.
( 126 ) Amennyiben a származásmegjelölő nyilatkozat egy másik nyilatkozatot helyettesít a 97d. cikk (2) és (3) bekezdése szerint, a helyettesítő nyilatkozaton fel kell tüntetni a "Replacement statement" vagy "Attestation de remplacement" vagy "Comunicación de sustitución" jelölést. A helyettesítésen fel kell tüntetni továbbá az eredeti nyilatkozat kiállításának dátumát és minden más, a 97d. cikk (6) bekezdés szerint szükséges adatot.
( 127 ) Amennyiben a származásmegjelölő nyilatkozat egy másik nyilatkozatot helyettesít a 97d. cikk (2) bekezdésének első albekezdése és a 97d. cikk (3) bekezdése szerint, az ilyen nyilatkozatot kiállító továbbküldő megadja nevét és teljes címét, valamint regisztráltexportőr-azonosító számát.
( 128 ) Amennyiben a származásmegjelölő nyilatkozat egy másik nyilatkozatot helyettesít a 97d. cikk (2) bekezdésének második albekezdése szerint, az ilyen nyilatkozatot kiállító továbbküldő megadja nevét és teljes címét, valamint feltünteti a következőt: (francia változat)"agissant sur la base de l'attestation d'origine établie par [nom et adresse complète de l'exportateur dans le pays bénéficiaire] enregistré sous le numéro suivant [Numéro d'exportateur enregistré dans le pays bénéficiaire]", (angol változat)"acting on the basis of the statement on origin made out by [name and complete address of the exporter in the beneficiary country] registered under the following number [Number of Registered Exporter of the exporter in the beneficiary country]", (spanyol változat)"actuando sobre la base de la comunicación extendida por [nombre y dirección completa del exportador en el país beneficiario], registrado con el número siguiente [Número de exportador registrado del exportador en el país beneficiario]".
( 129 ) Amennyiben a származásmegjelölő nyilatkozat egy másik nyilatkozatot helyettesít a 97d. cikk (2) bekezdése szerint, az ilyen nyilatkozatot kiállító továbbküldő csak akkor tünteti fel regisztráltexportőr-azonosító számát, ha az eredeti szállítmányban a származó termékek értéke meghaladja a 6 000 EUR összeget.
( 130 ) Meg kell jelölni a termékek származási országát. Ha a származásmegjelölő nyilatkozat teljes egészében vagy részben a 97j. cikk értelmében Ceuta vagy Melilla területéről származó termékekre vonatkozik, azt az exportőrnek világosan jelölnie kell oly módon, hogy a nyilatkozatot tartalmazó okmányon feltünteti az "XC/XL" jelölést.
( 131 ) Teljes egészében egyetlen országban előállított termék: "P" betű; Kielégítően megmunkált vagy feldolgozott termékek: "W" betű, amit a Harmonizált Rendszer egyik vámtarifaszáma követ (például: "W"9618 ).
Adott esetben a fenti megjelölés helyett a következő utalások valamelyikét kell beírni:
a) Kétoldalú kumuláció esetén: "EU cumulation", "Cumul UE" vagy "Acumulación UE".
b) Norvégiával, Svájccal vagy Törökországgal való kumuláció esetén: "Norway cumulation", "Switzerland cumulation", "Turkey cumulation", "Cumul Norvège", "Cumul Suisse", "Cumul Turquie" vagy "Acumulación Noruega", "Acumulación Suiza", vagy "Acumulación Turquía".
c) Regionális kumuláció esetén: "regional cumulation", "cumul regional" vagy "Acumulación regional".
d) Kiterjesztett kumuláció esetén: "extended cumulation with country x", "cumul étendu avec le pays x" vagy "Acumulación ampliada con el país x".
( 132 ) Lásd a Kombinált Nómenklatúra 27. árucsoportjának 4. b) kiegészítő megjegyzését.
( 133 ) Lásd a Kombinált Nómenklatúra 27. árucsoportjának 4. b) kiegészítő megjegyzését.
( 134 ) Ha a számlanyilatkozatot a 97v. cikk (4) bekezdése értelmében vett elfogadott európai uniós exportőr állítja ki, az elfogadott exportőr engedélyszámát kell beírni. Ha (ahogyan az a kedvezményezett országokban kiállított számlanyilatkozatok esetében mindig történni fog) a számlanyilatkozatot nem elfogadott exportőr állítja ki, a zárójelben lévő szavakat el kell hagyni vagy a helyet üresen kell hagyni.
( 135 ) Meg kell jelölni a termék származási országát. Ha a számlanyilatkozat teljes egészében vagy részben a 97j. cikk értelmében Ceuta vagy Melilla területéről származó termékekre vonatkozik, azt az exportőrnek világosan jelölnie kell oly módon, hogy a nyilatkozatot tartalmazó okmányon feltünteti a "CM" utalást.
( 136 ) Az adott esetnek megfelelően a következő utalások valamelyikét kell beírni: "EU cumulation", "Norway cumulation", "Switzerland cumulation", "Turkey cumulation", "Regional cumulation", "Extended cumulation with country X", illetőleg "Cumul UE", "Cumul Norvège", "Cumul Suisse", "Cumul Turquie", "Cumul régional", "Cumul étendu avec le pays X".
( 137 ) Elhagyható, ha a kérdéses információkat maga az okmány már tartalmazza.
( 138 ) Lásd a 97v. cikk (7) bekezdését - csak elfogadott európai uniós exportőrök esetében. Ha az exportőrnek a nyilatkozatot nem kell aláírnia, az aláírás alóli mentesség az aláíró nevének feltüntetése alóli mentességet is magával vonja.
( 139 ) mennyiben a számlanyilatkozatot elfogadott exportőr tölti ki, erre a helyre kell beírni az elfogadott exportőr engedélyszámát. Amennyiben a számlanyilatkozatot nem elfogadott exportőr tölti ki, a zárójelben lévő szavak figyelmen kívül hagyhatók, illetve a hely marad üresen.
( 140 ) lölendő a termékek származása. Amennyiben a számlanyilatkozat részben vagy egészében olyan termékekre vonatkozik, amelyek származási helye Ceuta és Melilla, az exportőr köteles azt feltüntetni a "CM" jelöléssel azon az okmányon, amelyen a számlanyilatkozat szerepel.
( 141 ) Ezek feltüntetése kihagyható, amennyiben az információt már az okmány is tartalmazza
( 142 ) Lásd a 117. cikk (5) bekezdését. Ha az exportőr aláírása nem szükséges, az aláírás alóli mentesség magában foglaja az aláíró nevének feltüntetése alóli mentességet.
( 143 ) A százalékok egy adott ország valamennyi repülőterére érvényesek, kivéve, ha konkrét indító repülőterek vannak feltüntetve.
( 144 ) A Kombinált Nómenklatúra értelmezésére vonatkozó szabályoktól függetlenül a termékek árumegnevezését kizárólag jelzés értékűnek kell tekinteni, a termékek listáját - e melléklet keretében - az e rendelet elfogadásának időpontjában meglévő KN- és TARIC-kódok szerint állapítják meg. Ahol ex kódok szerepelnek, a kódokat és a vonatkozó árumegnevezéseket együttesen kell figyelembe venni.
( 145 ) A számítógépes rendszerek automatikusan hozzák létre.
( 146 ) HL L 152., 2009.6.16., 23. o.
( 147 ) Az információt adott esetben meg kell adni.
( 148 ) Kódolt változat, ha rendelkezésre áll.
( 149 ) A számítógépes rendszerek automatikusan hozzák létre.
( 150 ) HL L 170., 2002.6.29., 8. o.
( 151 ) Az információt adott esetben meg kell adni.
( 152 ) A számítógépes rendszerek automatikusan hozzák létre.
( 153 ) A nyomtatványok műszaki jellemzőire, így különösen a méretükre vonatkozó előírásokat a 215. cikk tartalmazza.
( 154 ) A nyomtatványok műszaki jellemzőire, így különösen a méretükre vonatkozó előírásokat a 215. cikk tartalmazza.
( 155 ) A nyomtatványok műszaki jellemzőire, így különösen a méretükre vonatkozó előírásokat a 215. cikk tartalmazza.
( 156 ) A nyomtatványok műszaki jellemzőire, így különösen a méretükre vonatkozó előírásokat a 215. cikk tartalmazza.
( 157 ) E mellékletben az EFTA kifejezés nem csak az EFTA-országokat, hanem az egységes árutovábbítási eljárásról, illetve az áruforgalom alakiságainak egyszerűsítéséről szóló egyezmények nem közösségi szerződő feleit is jelenti.
( 158 ) A Vám-együttműködési Tanács ajánlása az egyedi szállítmányhivatkozási szám (UCR) vámcélokra történő felhasználásáról (2001. június 30.).
( 159 ) A Vám-együttműködési Tanács ajánlása az egyedi szállítmányhivatkozási szám (UCR) vámcélokra történő felhasználásáról (2001. június 30.)
( 160 ) E mellékletben a "kivitel", "újrakivitel", "behozatal" és "újrabehozatal" kifejezések alatt a feladást, újrafeladást, a beléptetést és az újrabeléptetést és érteni kell.
( 161 ) E mellékletben az EFTA kifejezés nem csak az EFTA-országokat, hanem az egységes árutovábbítási eljárásról, illetve az áruforgalom alakiságainak egyszerűsítéséről szóló egyezmények nem közösségi szerződő feleit is jelenti.
( 162 ) HL L 152., 2009.6.16., 23. o.
( 163 ) HL L 37., 2010.2.10., 1. o.
( 164 ) Azokban az esetekben, amikor a kérelmezett vámkontingens kimerült, a tagállamok úgy is rendelkezhetnek, hogy a kérelmet bármely egyéb létező preferenciára érvényesnek lehet tekinteni.
( 165 ) HL L 329., 2006.11.25., 7. o.
( 166 ) HL L 325., 2006.11.24., 12. o.
( 167 ) Teljes név, illetve cégnév.
( 168 ) Teljes cím.
( 169 ) A nem kívánt rész törlendő.
( 170 ) Törölje azon szerződő félnek, feleknek, vagy államoknak (Andorra vagy San Marino) a nevét, amelyeket az árutovábbítás nem érint. Az Andorrai Hercegségre és a San Marino Köztársaságra vonatkozó hivatkozásokat csak a közösségi árutovábbítási műveletekre kell alkalmazni.
( 171 ) A főkötelezett teljes neve vagy cégneve és teljes címe.
( 172 ) Ha az ország jogszabályai nem rendelkeznek értesítési címről, a kezes ebben az országban kijelöl egy, a neki címzett értesítések átvételére felhatalmazott képviselőt, és a 4. pont második bekezdésében lévő elismervényt és a negyedik bekezdésében lévő kötelezettségvállalást ennek megfelelően kell elkészíteni. A kezességgel kapcsolatos vitás kérdésekben a kezes értesítési címei vagy képviselői szerinti bíróságok illetékesek.
( 173 ) Az aláírás előtt az aláírónak kézírással a következőket kell leírnia: "Kezességvállalás ...összeg erejéig" (az összeget betűvel kiírva).
( 174 ) Teljes név, illetve cégnév.
( 175 ) Teljes cím.
( 176 ) Törölje azon szerződő félnek, feleknek, vagy államoknak (Andorra vagy San Marino) a nevét, amelyeket az árutovábbítás nem érint. Az Andorrai Hercegségre és a San Marino Köztársaságra vonatkozó hivatkozásokat csak a közösségi árutovábbítási műveletekre kell alkalmazni
( 177 ) A főkötelezett teljes neve vagy cégneve és teljes címe.
( 178 ) Ha az ország jogszabályai nem rendelkeznek értesítési címről, a kezes ebben az országban kijelöl egy, a neki címzett értesítések átvételére felhatalmazott képviselőt, és a 4. pont második bekezdésében lévő elismervényt és a negyedik bekezdésében lévő kötelezettségvállalást ennek megfelelően kell elkészíteni. A kezességgel kapcsolatos vitás kérdésekben a kezes értesítési címei vagy képviselői szerinti bíróságok illetékesek.
( 179 ) Az okmányt aláíró személynek az aláírása előtt kézírással a következőket kell bejegyeznie: "Kezességvállalás ... összeg erejéig" (az összeget betűvel kiírva).
( 180 ) Az indító vámhivatal tölti ki.
( 181 ) Teljes név, illetve cégnév.
( 182 ) Teljes cím.
( 183 ) Csak közösségi árutovábbítási műveletek esetében.
( 184 ) Ha az ország jogszabályai nem rendelkeznek értesítési címről, a kezes ebben az országban kijelöl egy, a neki címzett értesítések átvételére felhatalmazott képviselőt, és a 4. pont második bekezdésében lévő elismervényt és a negyedik bekezdésében lévő kötelezettségvállalást ennek megfelelően kell elkészíteni. A kezességgel kapcsolatos vitás kérdésekben a kezes értesítési címei vagy képviselői szerinti bíróságok illetékesek.
( 185 ) Az aláírás előtt az aláírónak kézírással a következőket kell leírnia: "Kezesség".
( 186 ) Az ATA-egyezmény 7. cikke, Brüsszel, 1961. december 6./az Isztambuli Egyezmény A. mellékletének 9. cikke, 1990. június 26.
( 187 ) A feladás dátuma.
( 188 ) Adatok a le nem zárt árutovábbítási vagy ideiglenes behozatali betétlapról, vagy, amennyiben betétlap nem áll rendelkezésre, a kibocsátó koordinációs hivatalnál rendelkezésre álló információk alapján.
( 189 ) A nem kívánt rész törlendő.
( 190 ) A nem kívánt rész törlendő.
( 191 ) Az ATA-egyezmény 7. cikke, Brüsszel, 1961. december 6./az Isztambuli Egyezmény A. mellékletének 9. cikke, 1990. június 26.
( 192 ) A feladás dátuma.
( 193 ) Adatok a le nem zárt árutovábbítási vagy ideiglenes behozatali betétlapról, vagy, amennyiben betétlap nem áll rendelkezésre, a kibocsátó koordinációs hivatalnál rendelkezésre álló információk alapján.
( 194 ) A nem kívánt rész törlendő.
( 195 ) Amennyiben a bélyegzőt e rendelet 912g cikke alapján alkalmazzák, az indító vámhivatal.
( 196 ) Amennyiben a bélyegzőt e rendelet 286. cikke alapján alkalmazzák, az elfogadott exportőr.
( 197 ) E rovat kitöltése vámraktározási vámeljárás esetén nem kötelező.
( 198 ) Az átalány elszámolási kulcsot a 1520/2000/EK bizottsági rendelet E mellékletében közölt (HL L 177., 2000.7.15., 1. o.) megfelelő átszámítási szorzó alapján kell számítani.
( 199 ) Ebben az oszlopban az alszámok a Kombinált Nómenklatúrában alkalmazott alszámoknak felelnek meg. Ha további felosztás szükséges, ezt zárójelben ( ) jelezzük. Ezek a felosztások megfelelnek az export visszatérítéseket megállapító rendeletekben használtaknak.
( 200 ) A veszteséget úgy számítjuk ki, hogy levonjuk 100-ból az ebben az oszlopban jelzett mennyiségek összegét.
( 201 ) A hántolt gabona a 821/68/EGK bizottsági rendelet mellékletében közölt meghatározásnak felel meg. (HL L 149., 1968.6.29., 46. o.).
( 202 ) Gabonaliszt szárazanyagra számítva 0,95 tömegszázaléknál kevesebb hamutartalommal, melynek 0,25 mm nyílású szitán való áthaladási százaléka kevesebb, mint 10 tömegszázalék.
( 203 ) Az alkalmazandó átalány elszámolási kulcs 1 kg előállított tésztához felhasznált tojások számán alapul a következő képletek segítségével:
- 25. sorszám:
-
- 26. sorszám:
-
- 27. sorszám:
-
- 28. sorszám:
-
X a héjában lévő madártojások számát jelenti (vagy más tojástermékekben megadott egyenértékese grammban kifejezett súlyának ötvenedét), amit 1 kg tészta előállításához használtak fel. Az eredmény két tizedes jegyre van megadva.
( 204 ) A fényezett gabona a 821/68/EGK rendelet mellékletében megadott meghatározásnak felel meg.
( 205 ) Ez a kukoricadarára és -lisztre vonatkozik:
- melynek 30 tömegszázalékot meg nem haladó hányada halad át a 315 mikron nyílású szitán, vagy
- melynek 5 tömegszázalékot meg nem haladó hányada halad át a 150 mikron nyílású szitán.
( 206 ) Fehér kristálypor alakú, nem 92 tömegszázalék koncentrációjú glukóz esetében a feltüntetendő mennyiség 43,81 kg D-glucit anhidrát 100 kg kukoricára.
( 207 ) Nem fehér kristálypor alakú, nem 82 tömegszázalék koncentrációjú glukóz esetében a feltüntetendő mennyiség 50,93 kg D-glucit anhidrát 100 kg kukoricára.
( 208 ) Nem 70 tömegszázalék koncentrációjú D-glucit esetén a feltüntetendő mennyiség 41,4 kg D-glucit anhidrát 100 kg kukoricára.
( 209 ) Nem 70 tömegszázalék koncentrációjú D-glucit esetén a feltüntetendő mennyiség 47,3 kg D-glucit anhidrát 100 kg kukoricára.
( 210 ) Az a)-f) alternatívák alkalmazása esetén a műveletek valódi eredményét kell figyelembe venni.
( 211 ) A vámeljárások befejezése érdekében a kapott törmelék rizs mennyiség feleljen meg a 1006 30 61 -1006 30 98 KN-kódok szerinti rizs feldolgozás céljából történő behozatalakor meghatározott törmelék rizs mennyiségnek. Polírozás esetén ezt a mennyiséget az importált rizs 2 %-ával növelni kell, kivéve a behozatalkor meghatározott törmelék rizst.
( 212 ) Az előfőzött rizs az előfőzésen és a végső főzés megkönnyítésére részlegesen víztelenített, fehérített rizsszemeket jelenti.
( 213 ) A lampant szűz olívaolaj olajsavtartalmaként kifejezett százalékarány kétszeresét kell levonni a finomított olívaolaj/olívaolaj esetében az 5. oszlopban feltüntetett termékmennyiségből, és ez képezi a finomítási savas olaj mennyiséget.
( 214 ) A nyers olívaolaj maradék olajsavtartalmaként kifejezett százalékarány kétszeresét kell levonni a finomított olívaolaj maradék/olívaolaj maradék esetében az 5. oszlopban feltüntetett termékmennyiségből, és ez képezi a finomítási savas olaj mennyiséget.
( 215 ) Oldható kakaó esetén hozzá kell adni 1,5 tömegszázalék lúgot az 5. oszlopban feltüntetett mennyiséghez.
( 216 ) 48 tömegszázalék cukortartalmú répamelaszból, vagy 52 tömegszázalék cukortartalmú cukornád melaszból előállított, 95 tömegszázalék szárazanyag-tartalmú sütőélesztőre megállapított hozam. Eltérő szárazanyag-tartalmú sütőélesztő esetén a megadandó mennyiség 22,4 kg élesztőanhidrát 100 kg 48 tömegszázalék cukortartalmú répamelaszra vagy 52 tömegszázalék cukortartalmú cukornádmelaszra.
( 217 ) 48 tömegszázalék cukortartalmú répamelaszból, vagy 52 tömegszázalék cukortartalmú cukornád melaszból
( 218 ) Az érték az áruknak az ismert adatok és a kérelem benyújtása időpontjában benyújtott okmányok alapján becsült vámértéke.
( 219 ) HL L 181., 1992.7.1., 21. o.
( 220 ) HL L 329., 1995.12.30., 18. o.
( 221 ) HL L 252., 1999.9.25., 1. o.
( 222 ) HL 172., 1966.9.30., 3025/66. o.
( 223 ) HL L 179., 1999.7.14., 1. o.
( 224 ) HL L 282., 1975.11.1., 49. o.
( 225 ) HL L 94., 1986.4.9., 9. o.
( 226 ) HL L 159., 1993.7.1., 112. o.
( 227 ) HL L 17., 2000.1.21., 22. o.
( 228 ) A Tanács 2007. október 22-i 1234/2007/EK rendelete a mezőgazdasági piacok közös szervezésének létrehozásáról, valamint egyes mezőgazdasági termékekre vonatkozó egyedi rendelkezésekről ("az egységes közös piacszervezésről szóló rendelet") (HL L 299., 2007.11.16., 1. o.).
( 229 ) HL L 248., 1991.9.5., 1. o.
Lábjegyzetek:
[1] A dokumentum eredetije megtekinthető CELEX: 31993R2454 - https://eur-lex.europa.eu/legal-content/HU/ALL/?uri=CELEX:31993R2454&locale=hu Utolsó elérhető, magyar nyelvű konszolidált változat CELEX: 01993R2454-20151208 - https://eur-lex.europa.eu/legal-content/HU/ALL/?uri=CELEX:01993R2454-20151208&locale=hu