32014R0680[1]
A Bizottság 680/2014/EU végrehajtási rendelete ( 2014. április 16. ) az intézmények 575/2013/EU európai parlamenti és tanácsi rendelet szerinti felügyeleti adatszolgáltatása tekintetében végrehajtás-technikai standardok megállapításáról
A BIZOTTSÁG 680/2014/EU VÉGREHAJTÁSI RENDELETE
(2014. április 16.)
az intézmények 575/2013/EU európai parlamenti és tanácsi rendelet szerinti felügyeleti adatszolgáltatása tekintetében végrehajtás-technikai standardok megállapításáról
(EGT-vonatkozású szöveg)
1. FEJEZET
TÁRGY ÉS HATÁLY
1. cikk
Tárgy és hatály
Ez a rendelet egységes követelményeket állapít meg az alábbi területek vonatkozásában az illetékes hatóságok felé teljesítendő felügyeleti adatszolgáltatással kapcsolatban:
a) tőkekövetelmények és pénzügyi információk, az 575/2013/EU rendelet 99. cikkének megfelelően;
b) ingatlanfedezetű hitelekből származó veszteségek, az 575/2013/EU rendelet 101. cikke (4) bekezdése a) pontjának megfelelően;
c) nagykockázat-vállalás és más legnagyobb kitettségek, az 575/2013/EU rendelet 394. cikkének (1) bekezdésének megfelelően;
d) tőkeáttételi mutató, az 575/2013/EU rendelet 430. cikkének megfelelően;
e) likviditásfedezeti követelmények és nettó stabil forrásellátottsági követelmények, az 575/2013/EU rendelet 415. cikkének megfelelően;
f) megterhelt eszközök az 575/2013/EU rendelet 100. cikkének megfelelően;
g) a likviditási helyzet monitorozására alkalmas további mérési módszerek az 575/2013/EU rendelet 415. cikke (3) bekezdésének b) pontja szerint.
2. FEJEZET
ADATSZOLGÁLTATÁSI VONATKOZÁSI IDŐPONTOK ÉS BEKÜLDÉSI HATÁRIDŐK, VALAMINT ADATSZOLGÁLTATÁSI KÜSZÖBÉRTÉKEK
2. cikk
Adatszolgáltatási vonatkozási időpontok
(1) Az intézmények az alábbi vonatkozási időpontokban fennálló állapot szerinti információkat nyújtják be az illetékes hatóságoknak:
a) havi adatszolgáltatás: minden hónap utolsó napján;
b) negyedéves adatszolgáltatás: március 31., június 30., szeptember 30. és december 31.;
c) féléves adatszolgáltatás: június 30. és december 31.;
d) éves adatszolgáltatás: december 31.
(2) Az V. melléklet útmutatója szerint a III. és a IV. mellékletben foglalt táblákban egy adott időszakra vonatkozó információkat az üzleti év első napjától a vonatkozási időpontig összesítve kell jelenteni.
(3) Amennyiben a nemzeti jogszabályok lehetővé teszik az intézmények számára, hogy a pénzügyi információikra vonatkozó adatszolgáltatást a naptári évtől eltérő üzleti évük vége alapján teljesítsék, az adatszolgáltatási vonatkozási időpontokat ennek megfelelően módosíthatják annak érdekében, hogy a pénzügyi információkra vonatkozó adatszolgáltatásra az üzleti évük végétől számított három, hat, illetve tizenkét havonta sor kerülhessen.
3. cikk
Adatszolgáltatás-beküldési határidők
(1) Az intézmények az alábbi beküldési határidőkig szolgáltatnak információt az illetékes hatóságoknak:
a) havi adatszolgáltatás: az adatszolgáltatási vonatkozási időpontot követő 15. naptári nap;
b) negyedéves adatszolgáltatás: május 12., augusztus 11., november 11. és február 11.;
c) féléves adatszolgáltatás: augusztus 11. és február 11;
d) éves adatszolgáltatás: február 11.
(2) Ha a beküldési határidő hivatalos munkaszüneti napra esik abban a tagállamban, ahol az az illetékes hatóság található, amelynek részére az adatszolgáltatás teljesítendő, illetve ha az adott időpont szombatra vagy vasárnapra esik, az adatokat a következő munkanapon kell benyújtani.
(3) Ha az intézmények a pénzügyi információikra vonatkozó adatszolgáltatást a 2. cikk (3) bekezdésében foglaltak szerint az üzleti évük vége alapján módosított adatszolgáltatási vonatkozási időpontokban teljesítik, a beküldési határidők is megfelelően módosíthatók annak érdekében, hogy az adatszolgáltatási vonatkozási időponttól számított beküldési időszak változatlan maradjon.
(4) Az intézmények benyújthatnak nem auditált adatokat. Amennyiben az auditált adatok eltérnek a benyújtott nem auditált adatoktól, a felülvizsgált auditált adatokat indokolatlan késedelem nélkül be kell nyújtani. A nem auditált adatok olyan adatok, amelyekről külső könyvvizsgáló nem alkotott könyvvizsgálói véleményt, míg az auditált adatok olyan adatok, amelyeket külső könyvvizsgáló auditált és amelyekről könyvvizsgálói véleményt alkotott.
(5) A benyújtott adatszolgáltatások egyéb helyesbítéseit is indokolatlan késedelem nélkül kell benyújtani az illetékes hatóságok részére.
4. cikk
Adatszolgáltatási küszöbértékek - belépési és kilépési kritériumok
(1) Az intézmények attól az adatszolgáltatási vonatkozási időponttól kezdik meg a küszöbértékekhez kötött adatszolgáltatást, ahol két egymást követő adatszolgáltatási vonatkozási időpontban átlépték a küszöbértéket.
(2) Az e rendeletben foglalt követelmények intézmények általi teljesítésére előírt első két adatszolgáltatási vonatkozási időpont esetében az intézmények attól a vonatkozási időponttól kezdődően teljesítik a küszöbértékekhez kötött adatszolgáltatást, amely vonatkozási időpontban átlépték a vonatkozó küszöbértékeket.
(3) Az intézmények attól az adatszolgáltatási vonatkozási időponttól kezdődően megszüntethetik a küszöbértékekhez kötött adatszolgáltatást, amennyiben három egymást követő adatszolgáltatási vonatkozási időpontban nem érték el a vonatkozó küszöbértékeket.
3. FEJEZET
A SZAVATOLÓ TŐKÉRE, A TŐKEKÖVETELMÉNYEKRE ÉS A PÉNZÜGYI INFORMÁCIÓKRA VONATKOZÓ ADATSZOLGÁLTATÁS FORMÁTUMA ÉS GYAKORISÁGA
1. SZAKASZ
A szavatoló tőkére és a tőkekövetelményekre vonatkozó adatszolgáltatás formátuma és gyakorisága
5. cikk
A szavatoló tőkére és a tőkekövetelményekre vonatkozóan - az 575/2013/EU rendelet 95. és 96. cikkének hatálya alá tartozó befektetési vállalkozások kivételével - az intézmények által egyedi alapon teljesítendő adatszolgáltatás formátuma és gyakorisága
Annak érdekében, hogy az intézmények egyedi alapon teljesítsék a szavatoló tőkére és a tőkekövetelményekre vonatkozó adatszolgáltatást az 575/2013/EU rendelet 99. cikkének megfelelően, az a) és b) pontban felsorolt információkat kötelesek benyújtani:
a) Az intézmények az alábbi információkat negyedévente nyújtják be:
(1) a szavatoló tőkére és a tőkekövetelményekre vonatkozóan az I. melléklet 1-5. tábláiban meghatározott információk, a II. melléklet II. részének 1. pontjában foglalt útmutatónak megfelelően;
(2) a sztenderd módszer alapján kezelt hitelkockázati kitettségre és a partnerkockázati kitettségre vonatkozóan az I. melléklet 7. táblájában meghatározott információk, a II. melléklet II. részének 3.2. pontjában foglalt útmutatónak megfelelően;
(3) a belső minősítésen alapuló módszer alapján kezelt hitelkockázati kitettségre és a partnerkockázati kitettségre vonatkozóan az I. melléklet 8. táblacsoportjában meghatározott információk, a II. melléklet II. részének 3.3. pontjában foglalt útmutatónak megfelelően;
(4) a kitettségek országonként megadott földrajzi megoszlására, valamint aggregált szintjére vonatkozóan az I. melléklet 9. táblacsoportjában meghatározott információk, a II. melléklet II. részének 3.4. pontjában foglalt útmutatónak megfelelően. A 9.1. és a 9.2. táblában meghatározott információk tekintetében a kitettségek országonkénti földrajzi megoszlására vonatkozó adatokat akkor kell megadni, ha az összes, külföldnek tekintett országban valamennyi kitettségi osztályban felmerült, az I. melléklet 4. táblájának 850. sorában jelentett, nem hazai eredeti kitettségek értéke az I. melléklet 4. táblájának 860. sorában jelentett összes hazai és nem hazai eredeti kitettségnek legalább 10 %-a. E célból a kitettségek hazainak tekintendők, ha azok az intézmény helye szerinti tagállamban lévő ügyfelekkel szembeni kitettségek. Alkalmazni kell a 4. cikk belépési és kilépési kritériumait;
(5) a belső minősítésen alapuló módszer alapján kezelt részvényjellegű kitettségekre vonatkozóan az I. melléklet 10. táblájában meghatározott információk, a II. melléklet II. részének 3.5. pontjában foglalt útmutatónak megfelelően;
(6) az elszámolási kockázatra vonatkozóan az I. melléklet 11. táblájában meghatározott információk, a II. melléklet II. részének 3.6. pontjában foglalt útmutatónak megfelelően;
(8) az értékpapírosítási kitettségekre vonatkozóan az I. melléklet 13.01. táblájában meghatározott információk, a II. melléklet II. részének 3.7. pontjában foglalt útmutatónak megfelelően;
(9) a működési kockázathoz kapcsolódó tőkekövetelményekre és a veszteségekre vonatkozóan az I. melléklet 16. táblájában meghatározott információk, a II. melléklet II. részének 4.1. pontjában foglalt útmutatónak megfelelően;
(10) a piaci kockázathoz kapcsolódó tőkekövetelményekre vonatkozóan az I. melléklet 18-24. tábláiban meghatározott információk, a II. melléklet II. részének 5.1-5.7. pontokban foglalt útmutatónak megfelelően;
(11) a hitelértékelési korrekciós kockázathoz kapcsolódó tőkekövetelményekre vonatkozóan az I. melléklet 25. táblájában meghatározott információk, a II. melléklet II. részének 5.8. pontjában foglalt útmutatónak megfelelően;
(12) a prudens értékelésre vonatkozóan az I. melléklet 32. táblájában meghatározott információk a II. melléklet II. részének 6. pontjában foglalt útmutatónak megfelelően, a következők szerint:
i. valamennyi intézménynek meg kell adnia az I. melléklet 32.1. táblájában meghatározott információkat a II. melléklet II. részének 6. pontjában foglalt útmutatónak megfelelően;
ii. az (EU) 2016/101 rendelet szerinti alapvető módszert alkalmazó intézményeknek az i. alpontban említett adatszolgáltatás mellett meg kell adniuk az I. melléklet 32.2. táblájában meghatározott információkat is a II. melléklet II. részének 6. pontjában foglalt útmutatónak megfelelően;
iii. az (EU) 2016/101 rendelet szerinti alapvető módszert alkalmazó, és az említett rendelet 4. cikkének (1) bekezdésében említett értékhatárt a megfelelő adatszolgáltatási szinten meghaladó intézményeknek az i. és ii. alpontban előírtak mellett meg kell adniuk az I. melléklet 32.3. és 32.4. táblájában meghatározott információkat is a II. melléklet II. részének 6. pontjában foglalt útmutatónak megfelelően.
Az a) pont (12) alpontjával összefüggésben a 4. cikk belépési és kilépési kritériumai nem alkalmazandók;
b) Az intézmények az alábbi információkat félévente nyújtják be:
(1) az összes értékpapírosítási kitettségre vonatkozóan az I. melléklet 14. és 14.01. táblájában meghatározott információk, a II. melléklet II. részének 3.9. pontjában foglalt útmutatónak megfelelően.
Az intézmények mentesülnek az említett értékpapírosítási adatok benyújtása alól, amennyiben ugyanazon országban lévő csoport tagjai, amely ország szavatolótőke-követelményeinek hatálya alá tartoznak;
(2) működési kockázati eseményekből származó jelentős veszteségekkel kapcsolatos információk a következőkképpen:
a) azok az intézmények, amelyek a működési kockázathoz kapcsolódó szavatolótőke-követelményeket az 575/2013/EU rendelet harmadik része III. címének 4. fejezete szerint számítják ki, ezeket az információkat az I. melléklet 17.01. és 17.02. táblájában meghatározottak szerint kötelesek bejelenteni a II. melléklet II. részének 4.2. pontjában foglalt útmutatónak megfelelően;
b) azok az intézmények, amelyek a működési kockázathoz kapcsolódó szavatolótőke-követelményeket az 575/2013/EU rendelet harmadik része III. címének 3. fejezete szerint számítják ki, és amelyek a következő kritériumok közül legalább egynek megfelelnek, ezeket az információkat az I. melléklet 17.01. és 17.02. táblájában meghatározottak szerint kötelesek bejelenteni a II. melléklet II. részének 4.2. pontjában foglalt útmutatónak megfelelően:
i. az egyéni mérlegfőösszegnek az ugyanazon tagállamon belüli összes intézmény összesített mérlegfőösszegéhez viszonyított aránya legalább 1 %, ahol a mérlegfőösszeg-adatok az adatszolgáltatási vonatkozási időpontot megelőző év végi adatokon alapulnak;
ii. az intézmény eszközeinek összértéke meghaladja a 30 milliárd EUR-t;
iii. az intézmény eszközeinek összértéke meghaladja mind az 5 milliárd EUR-t, mind azon tagállam GDP-jének 20 %-át, amelyben letelepedett;
iv. eszközeinek összértéke alapján mérve az intézmény az adott tagállamban letelepedett három legnagyobb intézmény egyike;
v. az intézmény olyan leányvállalatok anyavállalata, amelyek maguk is hitelintézetek, és legalább kettő, azon tagállamtól eltérő tagállamban letelepedettek, mint amelyben az anyaintézmény engedéllyel rendelkezik, és ha mindkét következő feltétel teljesül:
- az intézmény összes konszolidált eszközének értéke meghaladja az 5 milliárd EUR-t,
- az intézmény III. (adott esetben IV.) melléklet 1.1. táblája szerinti összes konszolidált eszközének, vagy a III. (adott esetben IV.) melléklet 1.2. táblája szerinti összes konszolidált kötelezettségének több mint 20 %-a olyan tagállamban elhelyezkedő partnerekkel folytatott tevékenységekhez kapcsolódik, amely eltér attól a tagállamtól, amelyben az anyavállalatot engedélyezték;
c) azok az intézmények, amelyek a működési kockázathoz kapcsolódó szavatolótőke-követelményeket az 575/2013/EU rendelet harmadik része III. címének 3. fejezete szerint számítják ki, és amelyek esetében a b) pontban szereplő egyik feltétel sem teljesül, az alábbi i. és ii. pontban említett információkat kötelesek bejelenteni a II. melléklet II. részének 4.2. pontjában foglalt útmutatónak megfelelően:
i. az I. melléklet 17.01. táblájának 080-as oszlopára vonatkozóan meghatározottak szerinti információk a következő sorok esetében:
- események száma (új események) (910-es sor),
- bruttó veszteségérték (új események) (920-as sor),
- veszteségkorrekcióval érintett események száma (930-as sor),
- korábbi adatszolgáltatási időszakokhoz kapcsolódó veszteségkorrekciók (940-es sor),
- legnagyobb egyedi veszteség (950-es sor),
- az öt legnagyobb veszteség összege (960-as sor),
- teljes közvetlen megtérült veszteség (biztosítás és egyéb kockázat-átruházási mechanizmusok nélkül) (970-es sor),
- biztosításból és más kockázat-átruházási mechanizmusokból származó teljes megtérülés (980-as sor);
ii. az I. melléklet 17.02. táblájában meghatározott információ;
d) a c) pontban említett intézmények feltüntethetik az I. melléklet 17.01. és 17.02. táblájában meghatározott teljes információkészletet, a II. melléklet II. részének 4.2. pontjában foglalt útmutatónak megfelelően;
e) azok az intézmények, amelyek a működési kockázathoz kapcsolódó szavatolótőke-követelményeket az 575/2013/EU rendelet harmadik része III. címének 2. fejezete szerint számítják ki, és amelyek a b) pont ii-v. alpontjában szereplő kritériumok közül legalább egynek megfelelnek, ezeket az információkat az I. melléklet 17.01. és 17.02. táblájában meghatározottak szerint kötelesek bejelenteni a II. melléklet II. részének 4.2. pontjában foglalt útmutatónak megfelelően:
f) azok az intézmények, amelyek a működési kockázathoz kapcsolódó szavatolótőke-követelményeket az 575/2013/EU rendelet harmadik része III. címének 2. fejezete szerint számítják ki, és amelyek esetében a b) pont ii-v. alpontjában szereplő egyik feltétel sem teljesül, az I. melléklet 17.01. és 17.02. táblájában említett információkat bejelenthetik a II. melléklet II. részének 4.2. pontjában foglalt útmutatónak megfelelően;
g) a 4. cikk belépési és kilépési kritériumai alkalmazandók;
(3) az állampapír-kitettségekkel kapcsolatos információk a következőképpen:
a) az intézményeknek jelenteniük kell az I. melléklet 33. táblájában meghatározott információkat a II. melléklet II. részének 7. pontjában foglalt útmutatónak megfelelően, amennyiben az "államháztartás" partnerágazattól származó pénzügyi eszközök aggregált könyv szerinti értéke legalább akkora, mint a "hitelviszonyt megtestesítő értékpapírok" és a "kölcsönök és előlegek" teljes könyv szerinti értéke összegének 1 %-a. Az említett könyv szerinti értékek meghatározása céljából az intézmények a III. melléklet 4.1-4.4.1. táblájában, illetve adott esetben a IV. melléklet 4.1-4.4.1. és 4.6-4.10. táblájában használt fogalommeghatározásokat alkalmazzák;
b) azok az intézmények, amelyek megfelelnek az a) pontban említett kritériumnak, és ha az I. melléklet 33. táblája 010-es oszlopának 010-es sorában meghatározottak szerinti nem származtatott pénzügyi eszközök hazai kitettségeinél feltüntetett érték kevesebb, mint az ugyanazon adatpontra vonatkozóan a hazai és nem hazai kitettségekre feltüntetett érték 90 %-a, az I. melléklet 33. táblájában meghatározott információkat a II. melléklet II. részének 7. pontjában pontjában foglalt útmutatónak megfelelően kötelesek bejelenteni, összesített szinten aggregálva és minden egyes olyan országra vonatkozóan, amellyel szemben kitettségük van;
c) azok az intézmények, amelyek megfelelnek az a) pontban említett kritériumnak, de nem felelnek meg a b) pontban említett kritériumnak, az I. melléklet 33. táblájában meghatározott információkat a II. melléklet II. részének 7. pontjában pontjában foglalt útmutatónak megfelelően kötelesek bejelenteni, a kitettségeket mind összesített szinten, mind hazai szinten aggregálva;
d) a 4. cikk belépési és kilépési kritériumai alkalmazandók.
6. cikk
A szavatoló tőkére és a tőkekövetelményekre vonatkozóan - a kizárólag az 575/2013/EU rendelet 95. és 96. cikkének hatálya alá tartozó befektetési vállalkozásokból álló csoportok kivételével - összevont alapon teljesítendő adatszolgáltatás formátuma és gyakorisága
Annak érdekében, hogy valamely tagállam intézményei összevont alapon teljesítsék a szavatoló tőkére és a tőkekövetelményekre vonatkozó adatszolgáltatást az 575/2013/EU rendelet 99. cikkének megfelelően, kötelesek benyújtani:
a) az 5. cikkben meghatározott információkat az ott megállapított gyakorisággal, de összevont alapon;
b) az I. melléklet 6. táblájában meghatározott információkat félévente, a konszolidáció körébe bevont szervezetekre vonatkozó II. melléklet II. része 2. pontjában foglalt útmutatónak megfelelően.
7. cikk
A szavatoló tőkére és a tőkekövetelményekre vonatkozóan az 575/2013/EU rendelet 95. és 96. cikkének hatálya alá tartozó befektetési vállalkozások által egyedi alapon teljesítendő adatszolgáltatás formátuma és gyakorisága
(1) Annak érdekében, hogy az 575/2013/EU rendelet 95. cikkének hatálya alá tartozó befektetési vállalkozások egyedi alapon teljesítsék a szavatoló tőkére és a tőkekövetelményekre vonatkozó adatszolgáltatást az 575/2013/EU rendelet 99. cikkének megfelelően, az I. melléklet 1-5. tábláiban meghatározott információkat a II. melléklet II. részének 1. pontjában foglalt útmutató szerint negyedévente kötelesek benyújtani.
(2) Annak érdekében, hogy az 575/2013/EU rendelet 96. cikkének hatálya alá tartozó befektetési vállalkozások egyedi alapon teljesítsék a szavatoló tőkére és a tőkekövetelményekre vonatkozó adatszolgáltatást az 575/2013/EU rendelet 99. cikkének megfelelően, az e rendelet 5. cikke a) pontjában és b) pontjának 1. alpontjában meghatározott információkat az ott meghatározott gyakorisággal kötelesek benyújtani.
8. cikk
A szavatoló tőkére és a tőkekövetelményekre vonatkozóan a kizárólag az 575/2013/EU rendelet 95. és 96. cikkének hatálya alá tartozó befektetési vállalkozásokból álló csoportok által összevont alapon teljesítendő adatszolgáltatás formátuma és gyakorisága
(1) Annak érdekében, hogy a kizárólag az 575/2013/EU rendelet 95. cikkének hatálya alá tartozó befektetési vállalkozásokból álló csoportok összevont alapon teljesítsék a szavatoló tőkére és a tőkekövetelményekre vonatkozó adatszolgáltatást az 575/2013/EU rendelet 99. cikkének megfelelően, a következő információkat összevont alapon kötelesek benyújtani:
a) a szavatoló tőkére és a tőkekövetelményekre vonatkozóan az I. melléklet 1-5. tábláiban meghatározott információkat negyedévente, a II. melléklet II. részének 1. pontjában foglalt útmutatónak megfelelően;
b) a konszolidáció körébe bevont szervezetek tekintetében a szavatoló tőkére és a tőkekövetelményekre vonatkozóan az I. melléklet 6. táblájában meghatározott információkat félévente, a II. melléklet II. részének 2. pontjában foglalt útmutatónak megfelelően.
(2) Annak érdekében, hogy az 575/2013/EU rendelet 95. és 96. cikkének hatálya alá egyaránt tartozó befektetési vállalkozásokból álló csoportok, valamint a kizárólag az 575/2013/EU rendelet 96. cikkének hatálya alá tartozó befektetési vállalkozásokból álló csoportok összevont alapon teljesítsék a szavatoló tőkére és a tőkekövetelményekre vonatkozó adatszolgáltatást az 575/2013/EU rendelet 99. cikkének megfelelően, összevont alapon kötelesek benyújtani:
a) az 5. cikk a) pontjában és b) pontjának 1. alpontjában meghatározott információkat az ott megállapított gyakorisággal;
b) a konszolidáció körébe bevont szervezetek tekintetében az I. melléklet 6. táblájában meghatározott információkat félévente, a II. melléklet II. része 2. pontjának megfelelően.
2. SZAKASZ
A pénzügyi információkra vonatkozó összevont alapon teljesítendő adatszolgáltatás formátuma és gyakorisága
9. cikk
A pénzügyi információkra vonatkozó az 1606/2002/EK rendelet 4. cikkének hatálya alá tartozó intézmények és az 1606/2002/EK rendeletet alkalmazó egyéb hitelintézetek által összevont alapon teljesítendő adatszolgáltatás formátuma és gyakorisága
(1) Annak érdekében, hogy valamely tagállamban letelepedett intézmények összevont alapon teljesítsék a pénzügyi információkra vonatkozó adatszolgáltatást az 575/2013/EU rendelet 99. cikke (2) bekezdésének megfelelően, a III. mellékletben meghatározott információkat az V. mellékletben foglalt útmutató szerint összevont alapon, valamint a VIII. mellékletben meghatározott információkat az IX. mellékletben foglalt útmutató szerint összevont alapon kötelesek benyújtani.
(2) Az (1) bekezdésben említett információkat a következő előírásokkal összhangban kell benyújtani:
a) negyedévenkénti gyakorisággal a III. melléklet 1. részében meghatározott információkat;
b) félévenkénti gyakorisággal a III. melléklet 3. részében meghatározott információkat;
c) évenkénti gyakorisággal a III. melléklet 4. részében meghatározott információkat a 47. táblában meghatározott információk kivételével;
d) negyedévenkénti gyakorisággal a III. melléklet 2. részében található 20. táblában meghatározott információkat, amennyiben az intézmény meghaladja az 5. cikk a) pontja (4) alpontjának második mondatában meghatározott küszöbértéket. Alkalmazni kell a 4. cikkben említett belépési és kilépési kritériumokat;
e) negyedévenkénti gyakorisággal a III. melléklet 2. részében található 21. táblában meghatározott információkat, amennyiben az operatív lízing körébe vont tárgyi eszközök értéke a III. melléklet 1. részében található 1.1. táblában jelentett összes tárgyi eszköz értékének legalább 10 %-a. Alkalmazni kell a 4. cikkben említett belépési és kilépési kritériumokat;
f) negyedévenkénti gyakorisággal a III. melléklet 2. részében található 22. táblacsoportban meghatározott információkat, amennyiben a nettó díj- és jutalékbevétel a III. melléklet 1. részében található 2. táblában jelentett nettó díj- és jutalékbevétel és nettó kamatbevétel összegének legalább 10 %-a. Alkalmazni kell a 4. cikkben említett belépési és kilépési kritériumokat;
g) negyedéves gyakorisággal a VIII. mellékletben meghatározott információkat azon kitettségekre vonatkozóan, amelyek kitettségértéke 300 millió EUR vagy annál nagyobb, de kisebb, mint az intézmény figyelembe vehető tőkéjének 10 %-a;
h) negyedévenkénti gyakorisággal a III. melléklet 2. részének 23-26. táblájában meghatározott információkat, amennyiben teljesül mindkét következő feltétel:
i. az intézmény nem az 575/2013/EU rendelet 4. cikke (1) bekezdésének 145. pontja szerinti kis méretű és nem összetett intézmény;
ii. az intézmény esetében a nemteljesítő hitelek és előlegek bruttó könyv szerinti értékének és az e rendelet V. melléklete 2. részének 17. szakaszában meghatározott nemteljesítő kitettségek kategóriájába tartozó hitelek és előlegek teljes bruttó könyv szerinti értékének aránya legalább 5 %. E pont alkalmazásában az említett arány sem a számlálóban, sem a nevezőben nem tartalmazza az értékesítésre tartottnak minősülő hiteleket és előlegeket, a központi bankokkal szembeni számlaköveteléseket és az egyéb látra szóló betéteket.
Alkalmazni kell a 4. cikkben említett belépési és kilépési kritériumokat;
i) évenkénti gyakorisággal a III. melléklet 4. részének 47. táblájában meghatározott információkat, amennyiben teljesül az e bekezdés h) pontjának i. és ii. alpontjában említett mindkét feltétel. Alkalmazni kell a 4. cikkben említett belépési és kilépési kritériumokat.
10. cikk
A pénzügyi információkra vonatkozóan az 1606/2002/EK rendeletet alkalmazó hitelintézetek által az 575/2013/EU rendelet 99. cikkének (3) bekezdése értelmében összevont alapon teljesítendő adatszolgáltatás formátuma és gyakorisága
Amennyiben az illetékes hatóság a pénzügyi információkra vonatkozóan összevont alapon teljesítendő adatszolgáltatási kötelezettségeket az 575/2013/EU rendelet 99. cikkének (3) bekezdésével összhangban kiterjeszti valamely tagállam intézményeire, az intézmények a pénzügyi információkat a 9. cikknek megfelelően kötelesek benyújtani.
11. cikk
A pénzügyi információkra vonatkozóan a 86/635/EGK irányelv alapján kidolgozott nemzeti számviteli szabályozást alkalmazó intézmények által összevont alapon teljesítendő adatszolgáltatás formátuma és gyakorisága
(1) Amennyiben az illetékes hatóság a pénzügyi információkra vonatkozóan összevont alapon teljesítendő adatszolgáltatási kötelezettségeket az 575/2013/EU rendelet 99. cikkének (6) bekezdésével összhangban kiterjeszti valamely tagállamban letelepedett intézményekre, az intézmények a IV. mellékletben meghatározott információkat az V. mellékletben foglalt útmutató szerint összevont alapon, valamint a VIII. mellékletben meghatározott információkat az IX. mellékletben foglalt útmutató szerint összevont alapon kötelesek benyújtani.
(2) Az 1. bekezdésben említett információkat a következő előírásokkal összhangban kell benyújtani
a) negyedévenkénti gyakorisággal a IV. melléklet 1. részében meghatározott információkat;
b) félévenkénti gyakorisággal a IV. melléklet 3. részében meghatározott információkat;
c) évenkénti gyakorisággal a IV. melléklet 4. részében meghatározott információkat a 47. táblában meghatározott információk kivételével;
d) negyedévenkénti gyakorisággal, az 5. cikk a) pontjának 4. alpontjában előírt módon a IV. melléklet 2. részében található 20. táblacsoportjában meghatározott információkat. Alkalmazni kell a 4. cikkben említett belépési és kilépési kritériumokat;
e) negyedévenkénti gyakorisággal a IV. melléklet 2. részében található 21. táblában meghatározott információkat, amennyiben az operatív lízingbe adott tárgyi eszközök értéke a IV. melléklet 1. részében található 1.1. táblában jelentett összes tárgyi eszköz értékének legalább 10 %-a. Alkalmazni kell a 4. cikkben említett belépési és kilépési kritériumokat;
f) negyedévenkénti gyakorisággal a IV. melléklet 2. részében található 22. táblacsoportban meghatározott információkat, amennyiben a nettó díj- és jutalékbevétel a IV. melléklet 1. részében található 2. táblában bejelentett nettó díj- és jutalékbevétel és nettó kamatbevétel összegének legalább 10 %-a. Alkalmazni kell a 4. cikkben említett belépési és kilépési kritériumokat;
g) negyedéves gyakorisággal a VIII. mellékletben meghatározott információkat azon kitettségekre vonatkozóan, amelyek kitettségértéke 300 millió EUR vagy annál nagyobb, de kisebb, mint az intézmény figyelembe vehető tőkéjének 10 %-a;
h) negyedévenkénti gyakorisággal a IV. melléklet 2. részének 23-26. táblájában meghatározott információkat, amennyiben teljesülnek a 9. cikk (2) bekezdése h) pontjának i. és ii. alpontjában említett feltételek. Alkalmazni kell a 4. cikkben említett belépési és kilépési kritériumokat;
i) évenkénti gyakorisággal a IV. melléklet 4. részének 47. táblájában meghatározott információkat, amennyiben teljesülnek a 9. cikk (2) bekezdése h) pontjának i. és ii. alpontjában említett feltételek. Alkalmazni kell a 4. cikkben említett belépési és kilépési kritériumokat.
4. FEJEZET
AZ INGATLANFEDEZETŰ HITELEKBŐL SZÁRMAZÓ VESZTESÉGEKRE VONATKOZÓAN AZ 575/2013/EU RENDELET 101. CIKKE SZERINT TELJESÍTENDŐ EGYEDI ADATSZOLGÁLTATÁSI KÖTELEZETTSÉGEK FORMÁTUMA ÉS GYAKORISÁGA
12. cikk
(1) Az intézmények a VI. mellékletben meghatározott információkat - a VII. mellékletben foglalt útmutatónak megfelelően - összevont alapon félévente nyújtják be.
(2) Az intézmények a VI. mellékletben meghatározott információkat - a VII. mellékletben foglalt útmutatónak megfelelően - egyedi alapon félévente nyújtják be.
(3) A más tagállamban lévő fióktelepek a VI. mellékletben meghatározott, rájuk vonatkozó információkat - a VII. mellékletben foglalt útmutatónak megfelelően - szintén félévente nyújtják be a fogadó tagállam illetékes hatóságának.
5. FEJEZET
A NAGYKOCKÁZAT-VÁLLALÁSRA VONATKOZÓAN EGYEDI ÉS ÖSSZEVONT ALAPON TELJESÍTENDŐ ADATSZOLGÁLTATÁS FORMÁTUMA ÉS GYAKORISÁGA
13. cikk
(1) Az ügyfelekkel vagy egymással kapcsolatban álló ügyfelek csoportjával szembeni nagykockázat-vállalásra vonatkozóan az 575/2013/EU rendelet 394. cikkének (1) bekezdése szerint egyedi és összevont alapon teljesítendő adatszolgáltatás érdekében az intézmények a VIII. mellékletben meghatározott információkat a IX. mellékletben foglalt útmutató szerint negyedévente nyújtják be.
(2) Az ügyfelekkel vagy egymással kapcsolatban álló ügyfelek csoportjával szembeni húsz legnagyobb kitettségre vonatkozóan az 575/2013/EU rendelet 394. cikke (1) bekezdésének utolsó mondata szerint összevont alapon teljesítendő adatszolgáltatás érdekében az 575/2013/EU rendelet harmadik része II. címe 3. fejezetének hatálya alá tartozó intézmények a VIII. mellékletben meghatározott információkat a IX. mellékletben foglalt útmutató szerint negyedévente nyújtják be.
(3) Az intézményekkel szembeni tíz legnagyobb kitettségre vonatkozóan és a nem szabályozott pénzügyi vállalkozásokkal szembeni tíz legnagyobb kitettségre vonatkozóan az 575/2013/EU rendelet 394. cikkének (2) bekezdése szerint összevont alapon teljesítendő adatszolgáltatás érdekében az intézmények a VIII. mellékletben meghatározott információkat a IX. mellékletben foglalt útmutató szerint negyedévente nyújtják be.
6. FEJEZET
A TŐKEÁTTÉTELI MUTATÓRA VONATKOZÓAN EGYEDI ÉS ÖSSZEVONT ALAPON TELJESÍTENDŐ ADATSZOLGÁLTATÁS FORMÁTUMA ÉS GYAKORISÁGA
14. cikk
(1) A tőkeáttételi mutatóra vonatkozóan az 575/2013/EU rendelet 430. cikkének (1) bekezdése szerint egyedi és összevont alapon teljesítendő adatszolgáltatás érdekében az intézmények a X. mellékletben meghatározott információkat a XI. mellékletben foglalt útmutató szerint negyedévente nyújtják be.
(2) Az adatszolgáltatás a negyedév végi tőkeáttételi mutató kiszámítására használt módszertanon alapul.
(3) Az intézmények a XI. melléklet II. részének 14. pontjában említett információkat kötelesek jelenteni a következő adatszolgáltatási időszakban, amennyiben a következő feltételek bármelyike teljesül:
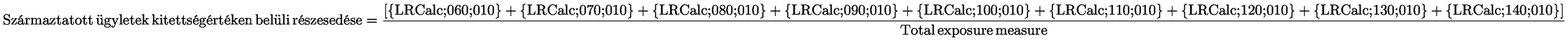
a) a származtatott ügyleteknek a XI. melléklet II. részének 7. pontjában említett, kitettségértéken belüli részesedése meghaladja a 1,5 %-ot;
b) a származtatott ügyleteknek a XI. melléklet II. részének 7. pontjában említett, kitettségértéken belüli részesedése meghaladja a 2,0 %-ot.
A 4. cikkben meghatározott belépési kritériumokat kell alkalmazni az ezen bekezdés első albekezdésének b) pontja kivételével, amely esetében az intézmények attól a következő adatszolgáltatási vonatkozási időponttól kezdik meg az adatszolgáltatást, ahol egy adatszolgáltatási vonatkozási időpontban átlépték a küszöbértéket.
(4) Azon intézmények, amelyek esetében a származtatott ügyleteknek a XI. melléklet II. részének 9. pontjában meghatározott névértéke meghaladja a 10 milliárd EUR-t, attól függetlenül kötelesek a XI. melléklet II. részének 14. pontjában említett információkat bejelenteni, hogy a származtatott ügyletek kitettségértéken belüli részesedése megfelel-e a (3) bekezdésben előírt feltételeknek.
A 4. cikkben meghatározott belépési kritériumok nem alkalmazandók. Az intézmények attól a következő adatszolgáltatási vonatkozási időponttól kezdik meg az adatszolgáltatást, ahol egy adatszolgáltatási vonatkozási időpontban túllépték a releváns alkalmazandó küszöbértéket.
(5) Az intézmények a következő adatszolgáltatási időszakban jelentik a XI. melléklet II. részének 15. pontjában említett információkat, amennyiben a következő feltételek bármelyike teljesül:
a) a hitelderivatíváknak a XI. melléklet II. része 10. pontjában említett értéke meghaladja a 300 millió EUR-t,
b) a hitelderivatíváknak a XI. melléklet II. része 10. pontjában említett értéke meghaladja az 500 millió EUR-t.
A 4. cikkben foglalt belépési kritériumokat kell alkalmazni a b) pont kivételével, amely esetében az intézmények attól a következő adatszolgáltatási vonatkozási időponttól kezdik meg az adatszolgáltatást, ahol egy adatszolgáltatási vonatkozási időpontban átlépték a releváns alkalmazandó küszöbértéket.
7. FEJEZET
A LIKVIDITÁSRA ÉS A STABIL FORRÁSELLÁTOTTSÁGRA VONATKOZÓAN EGYEDI ÉS ÖSSZEVONT ALAPON TELJESÍTENDŐ ADATSZOLGÁLTATÁS FORMÁTUMA ÉS GYAKORISÁGA
15. cikk
A likviditásfedezeti követelményre vonatkozóan teljesítendő adatszolgáltatás formátuma és gyakorisága
(1) A likviditásfedezeti követelményre vonatkozóan az 575/2013/EU rendelet 415. cikke szerint egyedi és összevont alapon teljesítendő adatszolgáltatás érdekében az intézményeknek a következőket kell alkalmazniuk:
a) a hitelintézetek a XXIV. mellékletben meghatározott információkat a XXV. mellékletben foglalt útmutató szerint havonta nyújtják be;
b) az a) pontban meghatározottakon kívül a többi intézmény a XII. mellékletben meghatározott információkat a XIII. mellékletben foglalt útmutató szerint havonta nyújtja be.
(2) A XII és XXII. mellékletben meghatározott információknál figyelembe kell venni a vonatkozási időpontra benyújtott információkat, valamint a következő 30 naptári nap alatti pénzforgalomra vonatkozó információkat.
16. cikk
A stabil forrásellátottságra vonatkozóan teljesítendő adatszolgáltatás formátuma és gyakorisága
A stabil forrásellátottságra vonatkozóan az 575/2013/EU rendelet 415. cikke szerint egyedi és összevont alapon teljesítendő adatszolgáltatás érdekében az intézmények a XII. mellékletben meghatározott információkat a XIII. mellékletben foglalt útmutató szerint negyedévente nyújtják be.
7a. FEJEZET
A MEGTERHELT ESZKÖZÖKRE VONATKOZÓAN EGYEDI ÉS ÖSSZEVONT ALAPON TELJESÍTENDŐ ADATSZOLGÁLTATÁS FORMÁTUMA ÉS GYAKORISÁGA
16a. cikk
A megterhelt eszközökre vonatkozóan egyedi és összevont alapon teljesítendő adatszolgáltatás formátuma és gyakorisága
(1) A megterhelt eszközökre vonatkozóan az 575/2013/EU rendelet 100. cikke szerint egyedi és összevont alapon teljesítendő adatszolgáltatás érdekében az intézmények az e rendelet XVI. mellékletében meghatározott információkat az e rendelet XVII. mellékletében foglalt útmutató szerint nyújtják be.
(2) Az (1) bekezdésben említett információt a következőképpen kell benyújtani:
a) a XVI. melléklet A., B., és D. részében meghatározott információkat negyedévente;
b) a XVI. melléklet C. részében meghatározott információkat évente;
c) a XVI. melléklet E. részében meghatározott információkat félévente.
(3) Az intézményeknek nem kell benyújtaniuk a XVI. melléklet B., C. vagy E. részében meghatározott információkat, amennyiben az alábbi feltételek mindegyike teljesül:
a) az intézmény XVII. melléklet 1.6. pontjának 10. alpontja szerint számított összes eszköze kevesebb mint 30 milliárd EUR;
b) az intézmény XVII. melléklet 1.6. pontjának 9. alpontja szerint számított eszközterhelésének szintje 15 % alatt van.
(4) Az intézményeknek csak akkor kell benyújtaniuk a XVI. melléklet D. részében meghatározott információkat, amennyiben a 2009/65/EK európai parlamenti és tanácsi irányelv ( 1 ) 52. cikke (4) bekezdésének első albekezdésében említett kötvényeket bocsátanak ki.
7b. FEJEZET
A LIKVIDITÁSI HELYZET MONITOROZÁSÁRA ALKALMAS TOVÁBBI MÉRÉSI MÓDSZEREKRE VONATKOZÓAN EGYEDI ÉS ÖSSZEVONT ALAPON TELJESÍTENDŐ ADATSZOLGÁLTATÁS FORMÁTUMA ÉS GYAKORISÁGA
16b. cikk
(1) A likviditási helyzet monitorozására alkalmas további mérési módszerekre vonatkozóan az 575/2013/EU rendelet 415. cikke (3) bekezdésének b) pontja szerint egyedi és összevont alapon teljesítendő adatszolgáltatás érdekében az intézményeknek valamennyi következő információt havi gyakorisággal kell benyújtaniuk:
a) a XVIII. mellékletben meghatározott információ a XIX. mellékletben foglalt útmutató szerint;
b) a XX. mellékletben meghatározott információ a XXI. mellékletben foglalt útmutató szerint;
c) a XXII. mellékletben meghatározott információ a XXIII. mellékletben foglalt útmutató szerint.
(2) Az (1) bekezdéstől eltérve, az intézmény a likviditási helyzet monitorozására alkalmas további mérési módszerekre vonatkozó információt benyújthatja negyedéves gyakorisággal, ha valamennyi következő feltétel teljesül:
a) az intézmény nem része egy hitelintézeteket, befektetési vállalkozásokat vagy pénzügyi intézményeket magában foglaló olyan csoportnak, amelynek leányvállalatai vagy anyaintézményei az intézmény cégbejegyzése szerinti joghatóságtól eltérő joghatóságban találhatók;
b) az adatszolgáltatás évét megelőző két egymást követő évben az intézmény egyedi mérlegfőösszegének az adott tagállamban található valamennyi intézmény összesített mérlegfőösszegéhez viszonyított aránya 1 % alatti;
c) az intézmény 86/635/EGK tanácsi irányelv ( 2 ) szerint számított teljes eszközállománya kevesebb mint 30 milliárd EUR.
A b) pont alkalmazásában az arány kiszámításakor figyelembe vett mérlegfőösszeg-adatoknak az adatszolgáltatás vonatkozási időpontját megelőző év végi auditált adatokon kell alapulniuk.
(3) Az (1) és (2) bekezdésben meghatározott kötelezettségek céljából az első hónap, amelyre vonatkozóan a likviditási helyzet monitorozására alkalmas további mérési módszerekre vonatkozó információkat kell szolgáltatni 2016. áprilisáig.
8. FEJEZET
AZ INTÉZMÉNYEK ÁLTAL AZ ILLETÉKES HATÓSÁGOK RÉSZÉRE TELJESÍTENDŐ ADATSZOLGÁLTATÁSHOZ KAPCSOLÓDÓ INFORMATIKAI MEGOLDÁSOK
17. cikk
(1) Az intézmények az e rendeletben említett információkat az illetékes hatóságok által meghatározott adatcsere-formátumban és megjelenítési formában nyújtják be, betartva az adatpontok XIV. mellékletben található egységes adatmodellben szereplő fogalommeghatározását, a XV. mellékletben említett ellenőrzési szabályokat, valamint a következőket:
a) a nem szükséges vagy nem alkalmazandó információkat nem kell szerepeltetni az adatszolgáltatásban;
b) a numerikus értékeket tényként kell közölni a következők szerint:
i. a "monetáris" típusú adatokat minimum ezres nagyságrendű pontossággal kell jelenteni;
ii. a "százalék" típusú adatokat egységnyi értékben kifejezve, minimum négy tizedesjegy pontossággal kell jelenteni;
iii. az "egész szám" típusú adatokat tizedesjegyek alkalmazása nélkül, egész számnak megfelelő pontossággal kell jelenteni.
(2) Az intézmények által benyújtott adatokkal együtt a következő információkat kell bejelenteni:
a) adatszolgáltatási vonatkozási időpont és vonatkozási időszak;
b) adatszolgáltatás pénzneme;
c) számviteli standard;
d) az adatszolgáltató intézmény azonosítója;
e) alkalmazás szintje: egyedi vagy összevont.
9. FEJEZET
ÁTMENETI ÉS ZÁRÓ RENDELKEZÉSEK
18. cikk
Átmeneti időszak
A 2014. március 31-i adatszolgáltatási vonatkozási időpontra vonatkozó negyedévenkénti adatszolgáltatás hatálya alá tartozó, jelentendő információk legkésőbbi beküldési határideje 2014. június 30.
A 2014. március 31-től2014. április 30-ig terjedő időszakra - a 3. cikk (1) bekezdésének a) pontjától eltérve - a havi adatszolgáltatáshoz kapcsolódó adatszolgáltatási beküldési határidő 2014. június 30.
A 2014. május 31-től2014. december 31-ig terjedő időszakra - a 3. cikk (1) bekezdésének a) pontjától eltérve - a havi adatszolgáltatáshoz kapcsolódó adatszolgáltatási beküldési határidő az adatszolgáltatási vonatkozási időpontot követő harmincadik naptári nap.
A 16a. cikknek megfelelően közlendő információ tekintetében az első adatszolgáltatási vonatkozási időpont 2014. december 31.
A 2. cikk sérelme nélkül a III. melléklet 18. és 19. táblájának első beküldési határideje 2014. december 31.. A III. melléklet 6., 9.1., 20.4., 20.5. és 20.7. tábláinak az átstrukturált kitettségekre és a nemteljesítő kitettségekre vonatkozó sorait és oszlopait a 2014. december 31-i beküldési határidőig kell kitölteni.
A 3. cikk (1) bekezdésének a) pontjától eltérve, a 2016. április és október közötti hónapokban (utóbbival bezárólag) a likviditási helyzet monitorozására alkalmas további mérési módszerekre vonatkozó havi adatszolgáltatáshoz kapcsolódó adatszolgáltatási beküldési határidő az adatszolgáltatási vonatkozási időpontot követő harmincadik naptári nap.
A 2016. szeptember 10. és 2017. március 10. közötti időszak esetében - a 3. cikk (1) bekezdésének a) pontjától eltérve - a hitelintézetek likviditásfedezeti követelményének havi adatszolgáltatásához kapcsolódó adatszolgáltatási beküldési határidő az adatszolgáltatási vonatkozási időpontot követő harmincadik naptári nap.
19. cikk
Hatálybalépés
Ez a rendelet az Európai Unió Hivatalos Lapjában való kihirdetését követő napon lép hatályba.
Ezt a rendeletet 2014. január 1-jétől kell alkalmazni.
A 9., 10. és 11. cikket 2014. július 1-jétől kell alkalmazni.
A 15. cikket 2014. március 1-jétől kell alkalmazni.
A 16a. cikk 2014. december 1-jétől alkalmazandó.
Ez a rendelet teljes egészében kötelező és közvetlenül alkalmazandó valamennyi tagállamban.
I. MELLÉKLET
A SZAVATOLÓTŐKÉRE ÉS A SZAVATOLÓTŐKE-KÖVETELMÉNYEKRE VONATKOZÓ ADATSZOLGÁLTATÁS
| COREP TÁBLÁK | |||
| Tábla száma | Tábla kódja | Tábla/táblacsoport megnevezése | Rövid név | 
| TŐKEMEGFELELÉS | CA | ||
| 1 | C 01.00 | SZAVATOLÓTŐKE | CA1 | 
| 2 | C 02.00 | SZAVATOLÓTŐKE-KÖVETELMÉNY | CA2 | 
| 3 | C 03.00 | TŐKEMEGFELELÉSI MUTATÓK | CA3 | 
| 4 | C 04.00 | TÁJÉKOZTATÓ ADATOK: | CA4 | 
| ÁTMENETI RENDELKEZÉSEK | CA5 | ||
| 5.1 | C 05.01 | ÁTMENETI RENDELKEZÉSEK | CA5.1 | 
| 5.2 | C 05.02 | SZERZETT JOGOK ALAPJÁN FIGYELEMBE VETT TŐKEINSTRUMENTUMOK: ÁLLAMI TÁMOGATÁSNAK NEM MINŐSÜLŐ INSTRUMENTUMOK | CA5.2 | 
| CSOPORTSZINTŰ SZAVATOLÓTŐKE-MEGFELELÉS | GS | ||
| 6.1 | C 06.01 | CSOPORTSZINTŰ SZAVATOLÓTŐKE-MEGFELELÉS: INFORMÁCIÓK A CSOPORTBA TARTOZÓ SZERVEZETEKRŐL – ÖSSZESEN | GS Összesen | 
| 6.2 | C 06.02 | CSOPORTSZINTŰ SZAVATOLÓTŐKE-MEGFELELÉS: INFORMÁCIÓK A CSOPORTBA TARTOZÓ SZERVEZETEKRŐL | GS | 
| HITELKOCKÁZAT | CR | ||
| 7 | C 07.00 | HITELKOCKÁZAT, PARTNERKOCKÁZAT ÉS NYITVA SZÁLLÍTÁSOK: A SZTENDERD MÓDSZER SZERINTI TŐKEKÖVETELMÉNY | CR SA | 
| HITELKOCKÁZAT, PARTNERKOCKÁZAT ÉS NYITVA SZÁLLÍTÁSOK: AZ IRB MÓDSZER SZERINTI TŐKEKÖVETELMÉNY | CR IRB | ||
| 8.1 | C 08.01 | HITELKOCKÁZAT, PARTNERKOCKÁZAT ÉS NYITVA SZÁLLÍTÁSOK: AZ IRB MÓDSZER SZERINTI TŐKEKÖVETELMÉNY | CR IRB 1 | 
| 8.2 | C 08.02 | HITELKOCKÁZAT, PARTNERKOCKÁZAT ÉS NYITVA SZÁLLÍTÁSOK: AZ IRB-MÓDSZER SZERINTI TŐKEKÖVETELMÉNY (Ügyfél-kategória vagy -halmaz [pool] szerint) | CR IRB 2 | 
| FÖLDRAJZI BONTÁS | CR GB | ||
| 9.1 | C 09.01 | 9.1. tábla – Kitettségek földrajzi bontása a kötelezett illetősége szerint (SA kitettségek) | CR GB 1 | 
| 9.2 | C 09.02 | 9.2. tábla – Kitettségek földrajzi bontása a kötelezett illetősége szerint (IRB kitettségek) | CR GB 2 | 
| 9.4 | C 09.04 | 9.4. tábla – A lényeges hitelkockázati kitettségek országonkénti bontása az anticiklikus tőkepuffer és az intézményspecifikus anticiklikus tőkepuffer kiszámításához | CCB | 
| HITELKOCKÁZAT: RÉSZVÉNYJELLEGŰ KITETTSÉGEK – AZ IRB-MÓDSZER SZERINTI TŐKEKÖVETELMÉNY | CR EQU IRB | ||
| 10.1 | C 10.01 | HITELKOCKÁZAT: RÉSZVÉNYJELLEGŰ KITETTSÉGEK – AZ IRB-MÓDSZER SZERINTI TŐKEKÖVETELMÉNY | CR EQU IRB 1 | 
| 10.2 | C 10.02 | HITELKOCKÁZAT: RÉSZVÉNYJELLEGŰ KITETTSÉGEK – AZ IRB-MÓDSZER SZERINTI TŐKEKÖVETELMÉNY. A TELJES KITETTSÉG ÜGYFÉL-KATEGÓRIA SZERINTI BONTÁSA A PD/LGD-MÓDSZER ALAPJÁN | CR EQU IRB 2 | 
| 11 | C 11.00 | ELSZÁMOLÁSI/TELJESÍTÉSI KOCKÁZAT | CR SETT | 
| 13.1 | C 13.01 | HITELKOCKÁZAT: ÉRTÉKPAPÍROSÍTÁS | CR SEC | 
| 14 | C 14.00 | AZ ÉRTÉKPAPÍROSÍTÁSSAL KAPCSOLATOS RÉSZLETES INFORMÁCIÓK | CR SEC Details | 
| 14.1 | C 14.01 | AZ ÉRTÉKPAPÍROSÍTÁSSAL KAPCSOLATOS RÉSZLETES INFORMÁCIÓK MÓDSZEREK SZERINT | CR SEC Details 2 | 
| MŰKÖDÉSI KOCKÁZAT | OPR | ||
| 16 | C 16.00 | MŰKÖDÉSI KOCKÁZAT | OPR | 
| MŰKÖDÉSI KOCKÁZAT: VESZTESÉGEK ÉS MEGTÉRÜLT VESZTESÉGEK | |||
| 17.1 | C 17.01 | MŰKÖDÉSI KOCKÁZAT: AZ ELŐZŐ ÉVI VESZTESÉGEK ÉS MEGTÉRÜLT VESZTESÉGEK ÜZLETÁGANKÉNT ÉS VESZTESÉGESEMÉNY-TÍPUSONKÉNT | OPR DETAILS 1 | 
| 17.2 | C 17.02 | MŰKÖDÉSI KOCKÁZAT: NAGY VESZTESÉGESEMÉNYEK | OPR DETAILS 2 | 
| PIACI KOCKÁZAT | MKR | ||
| 18 | C 18.00 | PIACI KOCKÁZAT: A FORGALMAZOTT, HITELVISZONYT MEGTESTESÍTŐ ÉRTÉKPAPÍROK POZÍCIÓKOCKÁZATÁNAK SZTENDERD MÓDSZERE | MKR SA TDI | 
| 19 | C 19.00 | PIACI KOCKÁZAT: AZ ÉRTÉKPAPÍROSÍTÁSOK EGYEDI KOCKÁZATÁNAK SZTENDERD MÓDSZERE | MKR SA SEC | 
| 20 | C 20.00 | PIACI KOCKÁZAT: A KORRELÁCIÓKERESKEDÉSI PORTFÓLIÓ EGYEDI KOCKÁZATÁNAK SZTENDERD MÓDSZERE | MKR SA CTP | 
| 21 | C 21.00 | PIACI KOCKÁZAT: A RÉSZVÉNYEK POZÍCIÓKOCKÁZATÁNAK SZTENDERD MÓDSZERE | MKR SA EQU | 
| 22 | C 22.00 | PIACI KOCKÁZAT: A DEVIZAÁRFOLYAM-KOCKÁZAT SZTENDERD MÓDSZEREI | MKR SA FX | 
| 23 | C 23.00 | PIACI KOCKÁZAT: AZ ÁRUPOZÍCIÓK SZTENDERD MÓDSZEREI | MKR SA COM | 
| 24 | C 24.00 | PIACI KOCKÁZAT: BELSŐ MODELLEK | MKR IM | 
| 25 | C 25.00 | HITELÉRTÉKELÉSI KORREKCIÓK KOCKÁZATA | CVA | 
| PRUDENS ÉRTÉKELÉS | MKR | ||
| 32.1 | C 32.01 | PRUDENS ÉRTÉKELÉS: VALÓS ÉRTÉKEN ÉRTÉKELT ESZKÖZÖK ÉS KÖTELEZETTSÉGEK | PRUVAL 1 | 
| 32.2 | C 32.02 | PRUDENS ÉRTÉKELÉS: ALAPVETŐ MÓDSZER | PRUVAL 2 | 
| 32.3 | C 32.03 | PRUDENS ÉRTÉKELÉS: MODELLKOCKÁZAT KIEGÉSZÍTŐ ÉRTÉKELÉSI KORREKCIÓJA | PRUVAL 3 | 
| 32.4 | C 32.04 | PRUDENS ÉRTÉKELÉS: KONCENTRÁLT POZÍCIÓK KIEGÉSZÍTŐ ÉRTÉKELÉSI KORREKCIÓJA | PRUVAL 4 | 
| ÁLLAMHÁZTARTÁSOKKAL SZEMBENI KITETTSÉGEK | MKR | ||
| 33 | C 33.00 | ÁLLAMHÁZTARTÁSI KITETTSÉGEK A PARTNER ORSZÁGA SZERINT | GOV | 
C 01.00 - SZAVATOLÓTŐKE (CA1)
| Sorok | Azonosító | Tétel | Összeg | 
| 010 | 1 | SZAVATOLÓTŐKE | |
| 015 | 1.1 | ALAPVETŐ TŐKE (TIER 1 VAGY T1 TŐKE) | |
| 020 | 1.1.1 | ELSŐDLEGES ALAPVETŐ TŐKE (CET1) | |
| 030 | 1.1.1.1 | CET1 tőkeelemként figyelembe vehető tőkeinstrumentumok | |
| 040 | 1.1.1.1.1 | Befizetett tőkeinstrumentumok | |
| 045 | 1.1.1.1.1* | Ebből: sürgősségi helyzetekben állami hatóságok által lejegyzett tőkeinstrumentumok | |
| 050 | 1.1.1.1.2* | Tájékoztató adat: figyelembe nem vehető tőkeinstrumentumok | |
| 060 | 1.1.1.1.3 | Névértéken felüli befizetés (ázsió) | |
| 070 | 1.1.1.1.4 | (–) Saját CET1 tőkeinstrumentumok | |
| 080 | 1.1.1.1.4.1 | (–) Közvetlen részesedések CET1 tőkeinstrumentumokban | |
| 090 | 1.1.1.1.4.2 | (–) Közvetett részesedések CET1 tőkeinstrumentumokban | |
| 091 | 1.1.1.1.4.3 | (–) Szintetikus részesedések CET1 tőkeinstrumentumokban | |
| 092 | 1.1.1.1.5 | (–) Saját CET1 tőkeinstrumentumok megvásárlására vonatkozó tényleges vagy függő kötelezettségek | |
| 130 | 1.1.1.2 | Eredménytartalék | |
| 140 | 1.1.1.2.1 | Előző évek eredménytartaléka | |
| 150 | 1.1.1.2.2 | Figyelembe vehető nyereség/veszteség | |
| 160 | 1.1.1.2.2.1 | Az anyavállalat tulajdonosainak tulajdonítható eredmény | |
| 170 | 1.1.1.2.2.2 | (–) Az évközi vagy év végi nyereség figyelembe nem vehető része | |
| 180 | 1.1.1.3 | Halmozott egyéb átfogó jövedelem | |
| 200 | 1.1.1.4 | Egyéb tartalékok | |
| 210 | 1.1.1.5 | Általános banki kockázatok fedezetére képzett tartalékok | |
| 220 | 1.1.1.6 | Szerzett jogok alapján figyelembe vett CET1 tőkeinstrumentumok miatti átmeneti kiigazítások | |
| 230 | 1.1.1.7 | CET1 tőkében megjelenített kisebbségi részesedés | |
| 240 | 1.1.1.8 | Kisebbségi részesedések és megfelelőik miatti átmeneti kiigazítások | |
| 250 | 1.1.1.9 | Prudenciális szűrők miatt végrehajtott kiigazítások a CET1 tőkében | |
| 260 | 1.1.1.9.1 | (–) Értékpapírosított eszközökből származó növekedés a saját tőkében | |
| 270 | 1.1.1.9.2 | Cash flow fedezeti ügyletek tartaléka | |
| 280 | 1.1.1.9.3 | Valós értéken értékelt kötelezettségekben a saját hitelkockázat változásából származó halmozott nyereség vagy veszteség | |
| 285 | 1.1.1.9.4 | Származtatott ügyletekből eredő kötelezettségekhez kapcsolódó, az intézmény saját hitelkockázatából adódó valósérték-növekedés és -csökkenés | |
| 290 | 1.1.1.9.5 | (–) Prudens értékelés követelményei miatti értékelési korrekció | |
| 300 | 1.1.1.10 | (–) Cégérték (goodwill) | |
| 310 | 1.1.1.10.1 | (–) Immateriális javak között elszámolt cégérték | |
| 320 | 1.1.1.10.2 | (–) Jelentős részesedések értékelésébe beszámított cégérték | |
| 330 | 1.1.1.10.3 | Cégértékhez kapcsolódó halasztott adókötelezettségek | |
| 340 | 1.1.1.11 | (–) Egyéb immateriális javak | |
| 350 | 1.1.1.11.1 | (–) Egyéb immateriális javak a halasztott adókötelezettségek levonása előtt | |
| 360 | 1.1.1.11.2 | Egyéb immateriális javakhoz kapcsolódó halasztott adókötelezettségek | |
| 370 | 1.1.1.12 | (–) Jövőbeli nyereségtől függően érvényesíthető, nem átmeneti különbözetből eredő halasztott adókövetelések kapcsolódó adókötelezettségek levonásával | |
| 380 | 1.1.1.13 | (–) Hitelkockázati kiigazítások IRB-módszerrel számított hiánya a várható veszteséghez viszonyítva | |
| 390 | 1.1.1.14 | (–) Meghatározott szolgáltatást nyújtó nyugdíjalapban lévő eszközök | |
| 400 | 1.1.1.14.1 | (–) Meghatározott szolgáltatást nyújtó nyugdíjalapban lévő eszközök | |
| 410 | 1.1.1.14.2 | Meghatározott szolgáltatást nyújtó nyugdíjalapban lévő eszközökhöz kapcsolódó halasztott adókötelezettségek | |
| 420 | 1.1.1.14.3 | Meghatározott szolgáltatást nyújtó nyugdíjalapban lévő eszközök, amelyeket az intézmény korlátlanul képes felhasználni | |
| 430 | 1.1.1.15 | (–) Kölcsönös részesedések CET1 tőkeinstrumentumokban | |
| 440 | 1.1.1.16 | (-) AT1 tőkeelemek összegét meghaladó AT1 levonások többlete | |
| 450 | 1.1.1.17 | (–) A pénzügyi ágazaton kívüli befolyásoló részesedések, amelyekre alternatívaként 1 250 %-os kockázati súly alkalmazható | |
| 460 | 1.1.1.18 | (–) Értékpapírosítási pozíciók, amelyekre alternatívaként 1 250 %-os kockázati súly alkalmazható | |
| 470 | 1.1.1.19 | (–) Nyitva szállítások, amelyekre alternatívaként 1 250 %-os kockázati súly alkalmazható | |
| 471 | 1.1.1.20 | (–) Egy kosárban lévő azon pozíciók, amelyekre az intézmény nem tudja az IRB-módszer alapján meghatározni a kockázati súlyt, és amelyekre így alternatívaként 1 250 %-os kockázati súly alkalmazható | |
| 472 | 1.1.1.21 | (–) Belső modelleken alapuló módszer hatálya alá tartozó részvényjellegű kitettségek, amelyekre alternatívaként 1 250 %-os kockázati súly alkalmazható | |
| 480 | 1.1.1.22 | (–) Pénzügyi ágazatbeli szervezetek által kibocsátott CET1 tőkeinstrumentumok, ha az intézmény nem rendelkezik jelentős részesedéssel az említett vállalkozásokban | |
| 490 | 1.1.1.23 | (–) Levonható, jövőbeli nyereségtől függően érvényesíthető, átmeneti különbözetből eredő halasztott adókövetelések | |
| 500 | 1.1.1.24 | (–) Pénzügyi ágazatbeli szervezetek által kibocsátott CET1 tőkeinstrumentumok, ha az intézmény jelentős részesedéssel rendelkezik az említett vállalkozásokban | |
| 510 | 1.1.1.25 | (–) A 17,65 %-os küszöbértéket meghaladó összeg | |
| 520 | 1.1.1.26 | CET1 tőke egyéb átmeneti kiigazításai | |
| 524 | 1.1.1.27 | (–) Pótlólagos levonások a CET1 tőkéből a CRR 3. cikke alapján | |
| 529 | 1.1.1.28 | CET1 tőkeelemek vagy levonások – egyéb | |
| 530 | 1.1.2 | KIEGÉSZÍTŐ ALAPVETŐ TŐKE (AT1 TŐKE) | |
| 540 | 1.1.2.1 | Kiegészítő alapvető tőkeként (AT1) figyelembe vehető tőkeinstrumentumok | |
| 550 | 1.1.2.1.1 | Befizetett tőkeinstrumentumok | |
| 560 | 1.1.2.1.2* | Tájékoztató adat: figyelembe nem vehető tőkeinstrumentumok | |
| 570 | 1.1.2.1.3 | Névértéken felüli befizetés (ázsió) | |
| 580 | 1.1.2.1.4 | (–) Saját AT1 tőkeinstrumentumok | |
| 590 | 1.1.2.1.4.1 | (–) Közvetlen részesedések AT1 tőkeinstrumentumokban | |
| 620 | 1.1.2.1.4.2 | (–) Közvetett részesedések AT1 tőkeinstrumentumokban | |
| 621 | 1.1.2.1.4.3 | (–) Szintetikus részesedések AT1 tőkeinstrumentumokban | |
| 622 | 1.1.2.1.5 | (–) Saját AT1 tőkeinstrumentumok megvásárlására vonatkozó tényleges vagy függő kötelezettségek | |
| 660 | 1.1.2.2 | Szerzett jogok alapján figyelembe vett AT1 tőkeinstrumentumok miatti átmeneti kiigazítások | |
| 670 | 1.1.2.3 | Leányvállalatok által kibocsátott, AT1 tőkeként megjelenített instrumentumok | |
| 680 | 1.1.2.4 | Átmeneti kiigazítások a leányvállalatok által kibocsátott instrumentumok AT1 tőkeként való pótlólagos megjelenítése miatt | |
| 690 | 1.1.2.5 | (–) Kölcsönös részesedések AT1 tőkeinstrumentumokban | |
| 700 | 1.1.2.6 | (–) Pénzügyi ágazatbeli szervezetek által kibocsátott AT1 tőkeinstrumentumok, ha az intézmény nem rendelkezik jelentős részesedéssel az említett vállalkozásokban | |
| 710 | 1.1.2.7 | (–) Pénzügyi ágazatbeli szervezetek által kibocsátott AT1 tőkeinstrumentumok, ha az intézmény jelentős részesedéssel rendelkezik az említett vállalkozásokban | |
| 720 | 1.1.2.8 | (–) T2 tőkeelemek összegét meghaladó T2 levonások többlete | |
| 730 | 1.1.2.9 | AT1 tőke egyéb átmeneti kiigazításai | |
| 740 | 1.1.2.10 | AT1 tőkeelemek összegét meghaladó AT1 levonások többlete (levonás a CET1 tőkében) | |
| 744 | 1.1.2.11 | (–) Pótlólagos levonások az AT1 tőkéből a CRR 3. cikke alapján | |
| 748 | 1.1.2.12 | AT1 tőkeelemek vagy levonások – egyéb | |
| 750 | 1.2 | JÁRULÉKOS TŐKE (T2 TŐKE) | |
| 760 | 1.2.1 | T2 tőkeként és alárendelt kölcsönként figyelembe vehető tőkeinstrumentumok | |
| 770 | 1.2.1.1 | Befizetett tőkeinstrumentumok és alárendelt kölcsönök | |
| 780 | 1.2.1.2* | Tájékoztató adat: figyelembe nem vehető tőkeinstrumentumok és alárendelt kölcsönök | |
| 790 | 1.2.1.3 | Névértéken felüli befizetés (ázsió) | |
| 800 | 1.2.1.4 | (–) Saját T2 tőkeinstrumentumok | |
| 810 | 1.2.1.4.1 | (–) Közvetlen részesedések T2 tőkeinstrumentumokban | |
| 840 | 1.2.1.4.2 | (–) Közvetett részesedések T2 tőkeinstrumentumokban | |
| 841 | 1.2.1.4.3 | (–) Szintetikus részesedések T2 tőkeinstrumentumokban | |
| 842 | 1.2.1.5 | (–) Saját T2 tőkeinstrumentumok megvásárlására vonatkozó tényleges vagy függő kötelezettségek | |
| 880 | 1.2.2 | Szerzett jogok alapján figyelembe vett T2 tőkeinstrumentumok és alárendelt kölcsönök miatti átmeneti kiigazítások | |
| 890 | 1.2.3 | Leányvállalatok által kibocsátott, T2 tőkeként megjelenített instrumentumok | |
| 900 | 1.2.4 | Átmeneti kiigazítások a leányvállalatok által kibocsátott instrumentumok T2 tőkeként való pótlólagos megjelenítése miatt | |
| 910 | 1.2.5 | Az IRB-módszerrel számított céltartalékok többlete a figyelembe vehető várható veszteségekhez viszonyítva | |
| 920 | 1.2.6 | Általános hitelkockázati kiigazítások – sztenderd módszer (SA) | |
| 930 | 1.2.7 | (–) Kölcsönös részesedések T2 tőkeinstrumentumokban | |
| 940 | 1.2.8 | (–) Pénzügyi ágazatbeli szervezetek által kibocsátott T2 tőkeinstrumentumok, ha az intézmény nem rendelkezik jelentős részesedéssel az említett vállalkozásokban | |
| 950 | 1.2.9 | (–) Pénzügyi ágazatbeli szervezetek által kibocsátott T2 tőkeinstrumentumok, ha az intézmény jelentős részesedéssel rendelkezik az említett vállalkozásokban | |
| 960 | 1.2.10 | T2 tőke egyéb átmeneti kiigazításai | |
| 970 | 1.2.11 | T2 tőkeelemek összegét meghaladó T2 levonások többlete (levonás az AT1 tőkében) | |
| 974 | 1.2.12 | (–) Pótlólagos levonások a T2 tőkéből a CRR 3. cikke alapján | |
| 978 | 1.2.13 | T2 tőkeelemek vagy levonások – egyéb | 
C 02.00 - SZAVATOLÓTŐKE-KÖVETELMÉNY (CA2)
| Sorok | Tétel | Azonosító | Összeg | 
| 010 | 1 | TELJES KOCKÁZATI KITETTSÉGÉRTÉK | |
| 020 | 1* | Ebből: befektetési vállalkozások a CRR 95. cikkének (2) bekezdése, valamint 98. cikke szerint | |
| 030 | 1** | Ebből: befektetési vállalkozások a CRR 96. cikkének (2) bekezdése, valamint 97. cikke szerint | |
| 040 | 1.1 | HITELKOCKÁZATRA, PARTNERKOCKÁZATRA ÉS FELHÍGULÁSI KOCKÁZATRA, VALAMINT NYITVA SZÁLLÍTÁSOKRA VONATKOZÓ, KOCKÁZATTAL SÚLYOZOTT KITETTSÉGÉRTÉKEK | |
| 050 | 1.1.1 | Sztenderd módszer (SA) | |
| 051 | 1.1.1* | Ebből: kiegészítő szigorúbb prudenciális követelmények a CRR 124. cikke alapján | |
| 060 | 1.1.1.1 | Sztenderd módszer (SA) szerinti kitettségi osztályok értékpapírosítási pozíciók nélkül | |
| 070 | 1.1.1.1.01 | Központi kormányzatok vagy központi bankok | |
| 080 | 1.1.1.1.02 | Regionális kormányzatok vagy helyi hatóságok | |
| 090 | 1.1.1.1.03 | Közszektorbeli intézmények | |
| 100 | 1.1.1.1.04 | Multilaterális fejlesztési bankok | |
| 110 | 1.1.1.1.05 | Nemzetközi szervezetek | |
| 120 | 1.1.1.1.06 | Intézmények | |
| 130 | 1.1.1.1.07 | Vállalkozások | |
| 140 | 1.1.1.1.08 | Lakosság | |
| 150 | 1.1.1.1.09 | Ingatlanra bejegyzett zálogjoggal fedezett kitettségek | |
| 160 | 1.1.1.1.10 | Nemteljesítő kitettségek | |
| 170 | 1.1.1.1.11 | Kiemelkedően magas kockázatú tételek | |
| 180 | 1.1.1.1.12 | Fedezett kötvények | |
| 190 | 1.1.1.1.13 | Rövid távú hitelminősítéssel rendelkező intézményekkel és vállalkozásokkal szembeni követelések | |
| 200 | 1.1.1.1.14 | Kollektív befektetési formák (KBF) | |
| 210 | 1.1.1.1.15 | Részvényjellegű kitettségek | |
| 211 | 1.1.1.1.16 | Egyéb tételek | |
| 240 | 1.1.2 | Belső minősítésen alapuló módszer (IRB) | |
| 241 | 1.1.2* | Ebből: kiegészítő szigorúbb prudenciális követelmények a CRR 164. cikke alapján | |
| 242 | 1.1.2** | Ebből: kiegészítő szigorúbb prudenciális követelmények a CRR 124. cikke alapján | |
| 250 | 1.1.2.1 | IRB-módszer a nemteljesítéskori veszteségrátára (LGD) vonatkozó saját becslés és hitel-egyenértékesítési tényező (CCF) mellőzésekor | |
| 260 | 1.1.2.1.01 | Központi kormányzatok és központi bankok | |
| 270 | 1.1.2.1.02 | Intézmények | |
| 280 | 1.1.2.1.03 | Vállalkozások – kkv | |
| 290 | 1.1.2.1.04 | Vállalkozások – speciális hitelezés | |
| 300 | 1.1.2.1.05 | Vállalkozások – egyéb | |
| 310 | 1.1.2.2 | IRB-módszer a nemteljesítéskori veszteségrátára (LGD) vonatkozó saját becslés és/vagy hitel-egyenértékesítési tényező (CCF) alkalmazásakor | |
| 320 | 1.1.2.2.01 | Központi kormányzatok és központi bankok | |
| 330 | 1.1.2.2.02 | Intézmények | |
| 340 | 1.1.2.2.03 | Vállalkozások – kkv | |
| 350 | 1.1.2.2.04 | Vállalkozások – speciális hitelezés | |
| 360 | 1.1.2.2.05 | Vállalkozások – egyéb | |
| 370 | 1.1.2.2.06 | Lakosság – ingatlannal fedezett (kkv) | |
| 380 | 1.1.2.2.07 | Lakosság – ingatlannal fedezett (nem kkv) | |
| 390 | 1.1.2.2.08 | Lakosság – a rulírozó állományba beszámítható | |
| 400 | 1.1.2.2.09 | Lakosság – egyéb kkv | |
| 410 | 1.1.2.2.10 | Lakosság – egyéb nem kkv | |
| 420 | 1.1.2.3 | Részvényjellegű kitettségek (IRB) | |
| 450 | 1.1.2.5 | Egyéb, nem hitelkötelezettséget megtestesítő eszközök | |
| 460 | 1.1.3 | Központi szerződő fél garanciaalapjába befizetett hozzájárulások kockázati kitettségértéke | |
| 470 | 1.1.4 | Értékpapírosítási pozíciók | |
| 490 | 1.2 | ELSZÁMOLÁSI/TELJESÍTÉSI KOCKÁZAT TELJES KOCKÁZATI KITETTSÉGÉRTÉKE | |
| 500 | 1.2.1 | Nem kereskedési könyvi elszámolási/teljesítési kockázat | |
| 510 | 1.2.2 | Kereskedési könyvi elszámolási/teljesítési kockázat | |
| 520 | 1.3 | POZÍCIÓKOCKÁZAT, DEVIZAÁRFOLYAM-KOCKÁZAT ÉS ÁRUKOCKÁZAT TELJES KOCKÁZATI KITETTSÉGÉRTÉKE | |
| 530 | 1.3.1 | Pozíciókockázat, devizaárfolyam-kockázat és árukockázat sztenderd módszer (SA) szerinti kockázati kitettségértéke | |
| 540 | 1.3.1.1 | Forgalmazott, hitelviszonyt megtestesítő értékpapírok | |
| 550 | 1.3.1.2 | Részvényjellegű kitettségek | |
| 555 | 1.3.1.3 | Egyedi módszer a kollektív befektetési formák pozíciókockázatára | |
| 556 | 1.3.1.3* | Tájékoztató adat: kizárólag forgalmazott, hitelviszonyt megtestesítő értékpapírokba befektetett kollektív befektetési formák | |
| 557 | 1.3.1.3** | Tájékoztató adat: kizárólag tulajdoni részesedést megtestesítő instrumentumokba vagy vegyes eszközökbe befektetett kollektív befektetési formák | |
| 560 | 1.3.1.4 | Deviza | |
| 570 | 1.3.1.5 | Áru | |
| 580 | 1.3.2 | Pozíciókockázat, devizaárfolyam-kockázat és árukockázat belső modelleken alapuló módszer (IM) szerinti kockázati kitettségértéke | |
| 590 | 1.4 | MŰKÖDÉSI KOCKÁZAT (OpR) TELJES KOCKÁZATI KITETTSÉGÉRTÉKE | |
| 600 | 1.4.1 | Működési kockázatra vonatkozó alapmutató módszere (BIA) | |
| 610 | 1.4.2 | Működési kockázatra vonatkozó sztenderd (STA) / alternatív sztenderd módszer (ASA) | |
| 620 | 1.4.3 | Működési kockázatra vonatkozó fejlett mérési módszerek (AMA) | |
| 630 | 1.5 | FIX MŰKÖDÉSI KÖLTSÉGEKBŐL EREDŐ PÓTLÓLAGOS KOCKÁZATI KITETTSÉGÉRTÉK | |
| 640 | 1.6 | A HITELÉRTÉKELÉSI KORREKCIÓ TELJES KOCKÁZATI KITETTSÉGÉRTÉKE | |
| 650 | 1.6.1 | Fejlett módszer | |
| 660 | 1.6.2 | Sztenderd módszer | |
| 670 | 1.6.3 | Eredeti kitettség szerinti módszer (OEM) alapján | |
| 680 | 1.7 | KERESKEDÉSI KÖNYVBEN NYILVÁNTARTOTT NAGYKOCKÁZATOK TELJES KOCKÁZATI KITETTSÉGÉRTÉKE | |
| 690 | 1.8 | EGYÉB KOCKÁZATI KITETTSÉGÉRTÉKEK | |
| 710 | 1.8.2 | Ebből: kiegészítő szigorúbb prudenciális követelmények a CRR 458. cikke alapján | |
| 720 | 1.8.2* | Ebből: nagykockázat-vállalással kapcsolatos követelmények | |
| 730 | 1.8.2** | Ebből: a lakóingatlanok és kereskedelmi ingatlanok piacán jelentkező eszközbuborékok kezelését célzó kockázati súlyok módosításából eredő követelmények | |
| 740 | 1.8.2*** | Ebből: a pénzügyi szektoron belüli kitettségekből eredő követelmények | |
| 750 | 1.8.3 | Ebből: kiegészítő szigorúbb prudenciális követelmények a CRR 459. cikke alapján | |
| 760 | 1.8.4 | Ebből: a CRR 3. cikkéből eredő pótlólagos kockázati kitettségérték | 
C 03.00 - TŐKEMEGFELELÉSI MUTATÓK ÉS TŐKESZINTEK (CA3)
| Sorok | Azonosító | Tétel | Összeg | 
| 010 | 1 | CET1 tőkemegfelelési mutató | |
| 020 | 2 | A CET1 tőke többlete (+)/hiánya (–) | |
| 030 | 3 | T1 tőkemegfelelési mutató | |
| 040 | 4 | A T1 tőke többlete (+)/hiánya (–) | |
| 050 | 5 | Teljes tőkemegfelelési mutató | |
| 060 | 6 | A teljes tőke többlete (+)/hiánya (–) | |
| Tájékoztató adatok: teljes SREP-tőkekövetelmény (TSCR), teljes tőkekövetelmény (OCR), 2. pillér szerinti tőke-iránymutatás (P2G) | |||
| 130 | 13 | Teljes-SREP-tőkekövetelmény-mutató (TSCR-mutató) | |
| 140 | 13* | TSCR: SREP-CET1 tőkekövetelmény-mutató | |
| 150 | 13** | TSCR: SREP-T1 tőkekövetelmény-mutató | |
| 160 | 14 | Teljestőkekövetelmény-mutató (OCR-mutató) | |
| 170 | 14* | OCR: CET1 tőkekövetelmény-mutató | |
| 180 | 14** | OCR: T1 tőkekövetelmény-mutató | |
| 190 | 15 | OCR és 2. pillér szerinti tőke-iránymutatás (P2G) tőkekövetelmény-mutató | |
| 200 | 15* | OCR és P2G: CET1 tőkekövetelmény-mutató | |
| 210 | 15** | OCR és P2G: T1 tőkekövetelmény-mutató | |
C 04.00 - TÁJÉKOZTATÓ ADATOK (CA4)
| Sor | Azonosító | Tétel | Oszlop | 
| Halasztott adókövetelések és adókötelezettségek | 010 | ||
| 010 | 1 | Halasztott adókövetelések összesen | |
| 020 | 1.1 | Nem a jövőbeli nyereségtől függően érvényesíthető halasztott adókövetelések | |
| 030 | 1.2 | Jövőbeli nyereségtől függően érvényesíthető, nem átmeneti különbözetből eredő halasztott adókövetelések | |
| 040 | 1.3 | Jövőbeli nyereségtől függően érvényesíthető, átmeneti különbözetből eredő halasztott adókövetelések | |
| 050 | 2 | Halasztott adókötelezettségek összesen | |
| 060 | 2.1 | Jövőbeli nyereségtől függően érvényesíthető, halasztott adókövetelésekhez kapcsolódó, nem levonható halasztott adókötelezettségek | |
| 070 | 2.2 | Jövőbeli nyereségtől függően érvényesíthető, halasztott adókövetelésekhez kapcsolódó, levonható halasztott adókötelezettségek | |
| 080 | 2.2.1 | Nem átmeneti különbözetből eredő, jövőbeli nyereségtől függően érvényesíthető, halasztott adókövetelésekhez kapcsolódó, levonható halasztott adókötelezettségek | |
| 090 | 2.2.2 | Átmeneti különbözetből eredő, jövőbeli nyereségtől függően érvényesíthető, halasztott adókövetelésekhez kapcsolódó, levonható halasztott adókötelezettségek | |
| 093 | 2A | Adótúlfizetések és negatív adóalaphoz kapcsolódó visszakönyvelések | |
| 096 | 2B | 250 %-os kockázati súlyú halasztott adókövetelések | |
| 097 | 2C | 0 %-os kockázati súlyú halasztott adókövetelések | |
| Hitelkockázati kiigazítások és várható veszteség | |||
| 100 | 3 | Hitelkockázati kiigazítások és a kiegészítő értékelési korrekciók, valamint az egyéb szavatolótőke-csökkentések IRB-módszerrel számított többlete (+) vagy hiánya (–) a várható veszteséghez viszonyítva, teljesítő kitettségek esetén | |
| 110 | 3.1 | A hitelkockázati kiigazítások és a kiegészítő értékelési korrekciók, valamint az egyéb szavatolótőke-csökkentések teljes, a várható veszteség kiszámításakor figyelembe vehető összege | |
| 120 | 3.1.1 | Általános hitelkockázati kiigazítások | |
| 130 | 3.1.2 | Egyedi hitelkockázati kiigazítások | |
| 131 | 3.1.3 | Kiegészítő értékelési korrekciók és egyéb szavatolótőke-csökkentések | |
| 140 | 3.2 | Figyelembe vehető várható veszteségek összesen | |
| 145 | 4 | Az egyedi hitelkockázati kiigazítások IRB-módszerrel számított többlete (+) vagy hiánya (–) a várható veszteséghez viszonyítva, nemteljesítő kitettségek esetén | |
| 150 | 4.1 | Hasonló módon kezelt egyedi hitelkockázati kiigazítások és pozíciók | |
| 155 | 4.2 | Figyelembe vehető várható veszteségek összesen | |
| 160 | 5 | Kockázattal súlyozott kitettségérték a T2 tőkeként figyelembe vehető céltartaléktöbblet felső határának kiszámításához | |
| 170 | 6 | A T2 tőkébe beszámítható bruttó céltartalékok összesen | |
| 180 | 7 | Kockázattal súlyozott kitettségérték a T2 tőkeként figyelembe vehető céltartalék felső határának kiszámításához | |
| Az elsődleges alapvető tőkéből történő levonások küszöbértékei | |||
| 190 | 8 | Pénzügyi ágazatbeli szervezetekben lévő részesedések nem levonható részének küszöbértéke, ha az intézmény nem rendelkezik jelentős részesedéssel az említett vállalkozásokban | |
| 200 | 9 | A CET1 tőkére vonatkozóan rögzített 10 %-os küszöb | |
| 210 | 10 | A CET1 tőkére vonatkozóan rögzített 17,65 %-os küszöb | |
| 225 | 11.1 | Pénzügyi ágazaton kívüli befolyásoló részesedés szempontjából figyelembe vehető szavatolótőke | |
| 226 | 11.2 | Nagykockázat-vállalás korlátozása szempontjából figyelembe vehető szavatolótőke | |
| Pénzügyi ágazatbeli szervezetek tőkéjében fennálló részesedések, ha az intézmény nem rendelkezik jelentős részesedéssel az említett vállalkozásokban | |||
| 230 | 12 | Pénzügyi ágazatbeli szervezetek CET1 tőkéjében lévő részesedések, ha az intézmény nem rendelkezik jelentős részesedéssel az említett vállalkozásokban, a rövid pozíciók levonásával | |
| 240 | 12.1 | Pénzügyi ágazatbeli szervezetek CET1 tőkéjében lévő közvetlen részesedések, ha az intézmény nem rendelkezik jelentős részesedéssel az említett vállalkozásokban | |
| 250 | 12.1.1 | Pénzügyi ágazatbeli szervezetek CET1 tőkéjében lévő bruttó közvetlen részesedések, ha az intézmény nem rendelkezik jelentős részesedéssel az említett vállalkozásokban | |
| 260 | 12.1.2 | (–) A fent figyelembe vett bruttó közvetlen részesedésekkel kapcsolatban megengedett kiegyenlítő rövid pozíciók | |
| 270 | 12.2 | Pénzügyi ágazatbeli szervezetek CET1 tőkéjében lévő közvetett részesedések, ha az intézmény nem rendelkezik jelentős részesedéssel az említett vállalkozásokban | |
| 280 | 12.2.1 | Pénzügyi ágazatbeli szervezetek CET1 tőkéjében lévő bruttó közvetett részesedések, ha az intézmény nem rendelkezik jelentős részesedéssel az említett vállalkozásokban | |
| 290 | 12.2.2 | (–) A fent figyelembe vett bruttó közvetett részesedésekkel kapcsolatban megengedett kiegyenlítő rövid pozíciók | |
| 291 | 12.3 | Pénzügyi ágazatbeli szervezetek CET1 tőkéjében lévő szintetikus részesedések, ha az intézmény nem rendelkezik jelentős részesedéssel az említett vállalkozásokban | |
| 292 | 12.3.1 | Pénzügyi ágazatbeli szervezetek CET1 tőkéjében lévő bruttó szintetikus részesedések, ha az intézmény nem rendelkezik jelentős részesedéssel az említett vállalkozásokban | |
| 293 | 12.3.2 | (–) A fent figyelembe vett bruttó szintetikus részesedésekkel kapcsolatban megengedett kiegyenlítő rövid pozíciók | |
| 300 | 13 | Pénzügyi ágazatbeli szervezetek AT1 tőkéjében lévő részesedések, ha az intézmény nem rendelkezik jelentős részesedéssel az említett vállalkozásokban, a rövid pozíciók levonásával | |
| 310 | 13.1 | Pénzügyi ágazatbeli szervezetek AT1 tőkéjében lévő közvetlen részesedések, ha az intézmény nem rendelkezik jelentős részesedéssel az említett vállalkozásokban | |
| 320 | 13.1.1 | Pénzügyi ágazatbeli szervezetek AT1 tőkéjében lévő bruttó közvetlen részesedések, ha az intézmény nem rendelkezik jelentős részesedéssel az említett vállalkozásokban | |
| 330 | 13.1.2 | (–) A fent figyelembe vett bruttó közvetlen részesedésekkel kapcsolatban megengedett kiegyenlítő rövid pozíciók | |
| 340 | 13.2 | Pénzügyi ágazatbeli szervezetek AT1 tőkéjében lévő közvetett részesedések, ha az intézmény nem rendelkezik jelentős részesedéssel az említett vállalkozásokban | |
| 350 | 13.2.1 | Pénzügyi ágazatbeli szervezetek AT1 tőkéjében lévő bruttó közvetett részesedések, ha az intézmény nem rendelkezik jelentős részesedéssel az említett vállalkozásokban | |
| 360 | 13.2.2 | (–) A fent figyelembe vett bruttó közvetett részesedésekkel kapcsolatban megengedett kiegyenlítő rövid pozíciók | |
| 361 | 13.3 | Pénzügyi ágazatbeli szervezetek AT1 tőkéjében lévő szintetikus részesedések, ha az intézmény nem rendelkezik jelentős részesedéssel az említett vállalkozásokban | |
| 362 | 13.3.1 | Pénzügyi ágazatbeli szervezetek AT1 tőkéjében lévő bruttó szintetikus részesedések, ha az intézmény nem rendelkezik jelentős részesedéssel az említett vállalkozásokban | |
| 363 | 13.3.2 | (–) A fent figyelembe vett bruttó szintetikus részesedésekkel kapcsolatban megengedett kiegyenlítő rövid pozíciók | |
| 370 | 14 | Pénzügyi ágazatbeli szervezetek T2 tőkéjében lévő részesedések, ha az intézmény nem rendelkezik jelentős részesedéssel az említett vállalkozásokban, a rövid pozíciók levonásával | |
| 380 | 14.1 | Pénzügyi ágazatbeli szervezetek T2 tőkéjében lévő közvetlen részesedések, ha az intézmény nem rendelkezik jelentős részesedéssel az említett vállalkozásokban | |
| 390 | 14.1.1 | Pénzügyi ágazatbeli szervezetek T2 tőkéjében lévő bruttó közvetlen részesedések, ha az intézmény nem rendelkezik jelentős részesedéssel az említett vállalkozásokban | |
| 400 | 14.1.2 | (–) A fent figyelembe vett bruttó közvetlen részesedésekkel kapcsolatban megengedett kiegyenlítő rövid pozíciók | |
| 410 | 14.2 | Pénzügyi ágazatbeli szervezetek T2 tőkéjében lévő közvetett részesedések, ha az intézmény nem rendelkezik jelentős részesedéssel az említett vállalkozásokban | |
| 420 | 14.2.1 | Pénzügyi ágazatbeli szervezetek T2 tőkéjében lévő bruttó közvetett részesedések, ha az intézmény nem rendelkezik jelentős részesedéssel az említett vállalkozásokban | |
| 430 | 14.2.2 | (–) A fent figyelembe vett bruttó közvetett részesedésekkel kapcsolatban megengedett kiegyenlítő rövid pozíciók | |
| 431 | 14.3 | Pénzügyi ágazatbeli szervezetek T2 tőkéjében lévő szintetikus részesedések, ha az intézmény nem rendelkezik jelentős részesedéssel az említett vállalkozásokban | |
| 432 | 14.3.1 | Pénzügyi ágazatbeli szervezetek T2 tőkéjében lévő bruttó szintetikus részesedések, ha az intézmény nem rendelkezik jelentős részesedéssel az említett vállalkozásokban | |
| 433 | 14.3.2 | (–) A fent figyelembe vett bruttó szintetikus részesedésekkel kapcsolatban megengedett kiegyenlítő rövid pozíciók | |
| Pénzügyi ágazatbeli szervezetek tőkéjében lévő részesedések, ha az intézmény jelentős részesedéssel rendelkezik az említett vállalkozásokban | |||
| 440 | 15 | Pénzügyi ágazatbeli szervezetek CET1 tőkéjében lévő részesedések, ha az intézmény jelentős részesedéssel rendelkezik az említett vállalkozásokban, a rövid pozíciók levonásával | |
| 450 | 15.1 | Pénzügyi ágazatbeli szervezetek CET1 tőkéjében lévő közvetlen részesedések, ha az intézmény jelentős részesedéssel rendelkezik az említett vállalkozásokban | |
| 460 | 15.1.1 | Pénzügyi ágazatbeli szervezetek CET1 tőkéjében lévő bruttó közvetlen részesedések, ha az intézmény jelentős részesedéssel rendelkezik az említett vállalkozásokban | |
| 470 | 15.1.2 | (–) A fent figyelembe vett bruttó közvetlen részesedésekkel kapcsolatban megengedett kiegyenlítő rövid pozíciók | |
| 480 | 15.2 | Pénzügyi ágazatbeli szervezetek CET1 tőkéjében lévő közvetett részesedések, ha az intézmény jelentős részesedéssel rendelkezik az említett vállalkozásokban | |
| 490 | 15.2.1 | Pénzügyi ágazatbeli szervezetek CET1 tőkéjében lévő bruttó közvetett részesedések, ha az intézmény jelentős részesedéssel rendelkezik az említett vállalkozásokban | |
| 500 | 15.2.2 | (–) A fent figyelembe vett bruttó közvetett részesedésekkel kapcsolatban megengedett kiegyenlítő rövid pozíciók | |
| 501 | 15.3 | Pénzügyi ágazatbeli szervezetek CET1 tőkéjében lévő szintetikus részesedések, ha az intézmény jelentős részesedéssel rendelkezik az említett vállalkozásokban | |
| 502 | 15.3.1 | Pénzügyi ágazatbeli szervezetek CET1 tőkéjében lévő bruttó szintetikus részesedések, ha az intézmény jelentős részesedéssel rendelkezik az említett vállalkozásokban | |
| 503 | 15.3.2 | (–) A fent figyelembe vett bruttó szintetikus részesedésekkel kapcsolatban megengedett kiegyenlítő rövid pozíciók | |
| 510 | 16 | Pénzügyi ágazatbeli szervezetek AT1 tőkéjében lévő részesedések, ha az intézmény jelentős részesedéssel rendelkezik az említett vállalkozásokban, a rövid pozíciók levonásával | |
| 520 | 16.1 | Pénzügyi ágazatbeli szervezetek AT1 tőkéjében lévő közvetlen részesedések, ha az intézmény jelentős részesedéssel rendelkezik az említett vállalkozásokban | |
| 530 | 16.1.1 | Pénzügyi ágazatbeli szervezetek AT1 tőkéjében lévő bruttó közvetlen részesedések, ha az intézmény jelentős részesedéssel rendelkezik az említett vállalkozásokban | |
| 540 | 16.1.2 | (–) A fent figyelembe vett bruttó közvetlen részesedésekkel kapcsolatban megengedett kiegyenlítő rövid pozíciók | |
| 550 | 16.2 | Pénzügyi ágazatbeli szervezetek AT1 tőkéjében lévő közvetett részesedések, ha az intézmény jelentős részesedéssel rendelkezik az említett vállalkozásokban | |
| 560 | 16.2.1 | Pénzügyi ágazatbeli szervezetek AT1 tőkéjében lévő bruttó közvetett részesedések, ha az intézmény jelentős részesedéssel rendelkezik az említett vállalkozásokban | |
| 570 | 16.2.2 | (–) A fent figyelembe vett bruttó közvetett részesedésekkel kapcsolatban megengedett kiegyenlítő rövid pozíciók | |
| 571 | 16.3 | Pénzügyi ágazatbeli szervezetek AT1 tőkéjében lévő szintetikus részesedések, ha az intézmény jelentős részesedéssel rendelkezik az említett vállalkozásokban | |
| 572 | 16.3.1 | Pénzügyi ágazatbeli szervezetek AT1 tőkéjében lévő bruttó szintetikus részesedések, ha az intézmény jelentős részesedéssel rendelkezik az említett vállalkozásokban | |
| 573 | 16.3.2 | (–) A fent figyelembe vett bruttó szintetikus részesedésekkel kapcsolatban megengedett kiegyenlítő rövid pozíciók | |
| 580 | 17 | Pénzügyi ágazatbeli szervezetek T2 tőkéjében lévő részesedések, ha az intézmény jelentős részesedéssel rendelkezik az említett vállalkozásokban, a rövid pozíciók levonásával | |
| 590 | 17.1 | Pénzügyi ágazatbeli szervezetek T2 tőkéjében lévő közvetlen részesedések, ha az intézmény jelentős részesedéssel rendelkezik az említett vállalkozásokban | |
| 600 | 17.1.1 | Pénzügyi ágazatbeli szervezetek T2 tőkéjében lévő bruttó közvetlen részesedések, ha az intézmény jelentős részesedéssel rendelkezik az említett vállalkozásokban | |
| 610 | 17.1.2 | (–) A fent figyelembe vett bruttó közvetlen részesedésekkel kapcsolatban megengedett kiegyenlítő rövid pozíciók | |
| 620 | 17.2 | Pénzügyi ágazatbeli szervezetek T2 tőkéjében lévő közvetett részesedések, ha az intézmény jelentős részesedéssel rendelkezik az említett vállalkozásokban | |
| 630 | 17.2.1 | Pénzügyi ágazatbeli szervezetek T2 tőkéjében lévő bruttó közvetett részesedések, ha az intézmény jelentős részesedéssel rendelkezik az említett vállalkozásokban | |
| 640 | 17.2.2 | (–) A fent figyelembe vett bruttó közvetett részesedésekkel kapcsolatban megengedett kiegyenlítő rövid pozíciók | |
| 641 | 17.3 | Pénzügyi ágazatbeli szervezetek T2 tőkéjében lévő szintetikus részesedések, ha az intézmény jelentős részesedéssel rendelkezik az említett vállalkozásokban | |
| 642 | 17.3.1 | Pénzügyi ágazatbeli szervezetek T2 tőkéjében lévő bruttó szintetikus részesedések, ha az intézmény jelentős részesedéssel rendelkezik az említett vállalkozásokban | |
| 643 | 17.3.2 | (–) A fent figyelembe vett bruttó szintetikus részesedésekkel kapcsolatban megengedett kiegyenlítő rövid pozíciók | |
| A megfelelő tőkekategóriából le nem vont részesedések teljes kockázati kitettségértéke: | |||
| 650 | 18 | Pénzügyi ágazatbeli szervezetek CET1 tőkéjében meglévő olyan részesedések kockázattal súlyozott kitettségei, amelyeket az intézmény CET1 tőkéjéből nem vonnak le | |
| 660 | 19 | Pénzügyi ágazatbeli szervezetek AT1 tőkéjében meglévő olyan részesedések kockázattal súlyozott kitettségei, amelyeket az intézmény AT1 tőkéjéből nem vonnak le | |
| 670 | 20 | Pénzügyi ágazatbeli szervezetek T2 tőkéjében meglévő olyan részesedések kockázattal súlyozott kitettségei, amelyeket az intézmény T2 tőkéjéből nem vonnak le | |
| A szavatolótőke levonása alóli átmeneti felmentés | |||
| 680 | 21 | Pénzügyi ágazatbeli szervezetek által kibocsátott CET1 tőkeinstrumentumokban lévő részesedések, ha az intézmény nem rendelkezik átmenetileg mentesülő jelentős részesedéssel az említett vállalkozásokban | |
| 690 | 22 | Pénzügyi ágazatbeli szervezetek által kibocsátott CET1 tőkeinstrumentumokban lévő részesedések, ha az intézmény átmenetileg mentesülő jelentős részesedéssel rendelkezik az említett vállalkozásokban | |
| 700 | 23 | Pénzügyi ágazatbeli szervezetek által kibocsátott kiegészítő AT1 tőkeinstrumentumokban lévő részesedések, ha az intézmény nem rendelkezik átmenetileg mentesülő jelentős részesedéssel az említett vállalkozásokban | |
| 710 | 24 | Pénzügyi ágazatbeli szervezetek által kibocsátott AT1 tőkeinstrumentumokban lévő részesedések, ha az intézmény átmenetileg mentesülő jelentős részesedéssel rendelkezik az említett vállalkozásokban | |
| 720 | 25 | Pénzügyi ágazatbeli szervezetek által kibocsátott T2 tőkeinstrumentumokban lévő részesedések, ha az intézmény nem rendelkezik átmenetileg mentesülő jelentős részesedéssel az említett vállalkozásokban | |
| 730 | 26 | Pénzügyi ágazatbeli szervezetek által kibocsátott T2 tőkeinstrumentumokban lévő részesedések, ha az intézmény átmenetileg mentesülő jelentős részesedéssel rendelkezik az említett vállalkozásokban | |
| Tőkepufferek | |||
| 740 | 27 | Kombinált pufferkövetelmény | |
| 750 | Tőkefenntartási puffer | ||
| 760 | A tagállamok szintjén azonosított makroprudenciális vagy rendszerkockázatokra képzett tőkefenntartási puffer | ||
| 770 | Intézményspecifikus anticiklikus tőkepuffer | ||
| 780 | Rendszerkockázati tőkepuffer | ||
| 800 | Globálisan rendszerszinten jelentős intézményekre vonatkozó tőkepuffer | ||
| 810 | Egyéb rendszerszinten jelentős intézményekre vonatkozó tőkepuffer | ||
| II. pillér szerinti követelmények | |||
| 820 | 28 | A II. pillérből eredő kiigazításokhoz kapcsolódó szavatolótőke-követelmények | |
| Kiegészítő információk befektetési vállalkozások esetében | |||
| 830 | 29 | Induló tőke | |
| 840 | 30 | Fix működési költségeken alapuló szavatolótőke-követelmény | |
| Kiegészítő információk az adatszolgáltatási küszöbök számításához | |||
| 850 | 31 | Nem hazai eredeti kitettségek | |
| 860 | 32 | Teljes eredeti kitettség | |
| Bázel I-es alsó korlát | |||
| 870 | Szavatolótőke teljes összegének kiigazítása | ||
| 880 | A szavatolótőke Bázel I-es alsó korlátnak megfelelő teljes kiigazítása | ||
| 890 | A Bázel I-es alsó korlátnak megfelelő szavatolótőke-követelmény | ||
| 900 | A Bázel I-es alsó korlátnak megfelelő szavatolótőke-követelmény – Sztenderd módszer | ||
| 910 | A teljes tőke hiánya a Bázel I-es alsó korlátnak megfelelő minimális szavatolótőke-követelmények tekintetében | ||
C 05.01 - ÁTMENETI RENDELKEZÉSEK (CA5.1)
| A CET1 tőke kiigazításai | Az AT1 tőke kiigazításai | A T2 tőke kiigazításai | A kockázattal súlyozott eszközértékekben figyelembe vett kiigazítások | Tájékoztató adatok | ||||
| Alkalmazandó százalékos arány | Figyelembe vehető összeg az átmeneti rendelkezések nélkül | |||||||
| Kód | Azonosító | Tétel | 010 | 020 | 030 | 040 | 050 | 060 | 
| 010 | 1 | KIIGAZÍTÁSOK ÖSSZESEN | ||||||
| 020 | 1.1 | SZERZETT JOGOK ALAPJÁN FIGYELEMBE VETT TŐKEINSTRUMENTUMOK | cella kapcsolata {CA1;r220} | cella kapcsolata {CA1;r660} | cella kapcsolata {CA1;r880} | |||
| 030 | 1.1.1 | Szerzett jogok alapján figyelembe vett tőkeinstrumentumok: állami támogatásnak minősülő instrumentumok | ||||||
| 040 | 1.1.1.1 | A 2006/48/EK irányelv értelmében szavatolótőkének minősülő instrumentumok | ||||||
| 050 | 1.1.1.2 | Gazdasági kiigazítási programban részt vevő EU-tagállamban bejegyzett intézmények által a program keretében kibocsátott instrumentumok | ||||||
| 060 | 1.1.2 | Állami támogatásnak nem minősülő instrumentumok | cella kapcsolata {CA5.2; r010;c060} | cella kapcsolata {CA5.2; r020;c060} | cella kapcsolata {CA5.2; r090;c060} | |||
| 070 | 1.2 | KISEBBSÉGI RÉSZESEDÉSEK ÉS AZOK MEGFELELŐI | cella kapcsolata {CA1;r240} | cella kapcsolata {CA1;r680} | cella kapcsolata {CA1;r900} | |||
| 080 | 1.2.1 | Kisebbségi részesedésnek nem minősülő tőkeinstrumentumok és egyéb tőkeelemek | ||||||
| 090 | 1.2.2 | A kisebbségi részesedések átmeneti figyelembevétele a konszolidált szavatolótőkében | ||||||
| 091 | 1.2.3 | Az AT1 tőkébe beszámítható elemek átmeneti figyelembevétele a konszolidált szavatolótőkében | ||||||
| 092 | 1.2.4 | A T2 tőkébe beszámítható elemek átmeneti figyelembevétele a konszolidált szavatolótőkében | ||||||
| 100 | 1.3 | EGYÉB ÁTMENETI KIIGAZÍTÁSOK | cella kapcsolata {CA1;r520} | cella kapcsolata {CA1;r730} | cella kapcsolata {CA1;r960} | |||
| 110 | 1.3.1 | Nem realizált nyereség és veszteség | ||||||
| 120 | 1.3.1.1 | Nem realizált nyereség | ||||||
| 130 | 1.3.1.2 | Nem realizált veszteség | ||||||
| 133 | 1.3.1.3. | Az EU által jóváhagyott IAS 39 szerint az „értékesíthető” kategóriába sorolt, központi kormányzattal szembeni kitettségek nem realizált nyeresége | ||||||
| 136 | 1.3.1.4 | A központi kormányzatokkal szembeni, az EU által jóváhagyott IAS 39 szerint „értékesíthető” kategóriába sorolt kitettségek nem realizált vesztesége | ||||||
| 138 | 1.3.1.5 | Származtatott ügyletekből eredő kötelezettségekhez kapcsolódó, az intézmény saját hitelkockázatából adódó valósérték-növekedés és -csökkenés | ||||||
| 140 | 1.3.2 | Levonások | ||||||
| 150 | 1.3.2.1 | Folyó üzleti év veszteségei | ||||||
| 160 | 1.3.2.2 | Immateriális javak | ||||||
| 170 | 1.3.2.3 | Jövőbeli nyereségtől függően érvényesíthető, nem átmeneti különbözetből eredő halasztott adókövetelések | ||||||
| 180 | 1.3.2.4 | Értékvesztés és céltartalékhiány az IRB szerinti várható veszteséghez viszonyítva | ||||||
| 190 | 1.3.2.5 | Meghatározott szolgáltatást nyújtó nyugdíjalapban lévő eszközök | ||||||
| 194 | 1.3.2.5* | ebből: az IAS 19 módosításainak bevezetése – pozitív tétel | ||||||
| 198 | 1.3.2.5** | ebből: az IAS 19 módosításainak bevezetése – negatív tétel | ||||||
| 200 | 1.3.2.6 | Saját tőkeinstrumentumok | ||||||
| 210 | 1.3.2.6.1 | Saját CET1 tőkeinstrumentumok | ||||||
| 211 | 1.3.2.6.1** | ebből: közvetlen részesedések | ||||||
| 212 | 1.3.2.6.1* | ebből: közvetett részesedések | ||||||
| 220 | 1.3.2.6.2 | Saját AT1 tőkeinstrumentumok | ||||||
| 221 | 1.3.2.6.2** | ebből: közvetlen részesedések | ||||||
| 222 | 1.3.2.6.2* | ebből: közvetett részesedések | ||||||
| 230 | 1.3.2.6.3 | Saját T2 tőkeinstrumentumok | ||||||
| 231 | 1.3.2.6.3* | ebből: közvetlen részesedések | ||||||
| 232 | 1.3.2.6.3** | ebből: közvetett részesedések | ||||||
| 240 | 1.3.2.7 | Kölcsönös részesedések | ||||||
| 250 | 1.3.2.7.1 | Kölcsönös részesedések CET1 tőkeinstrumentumokban | ||||||
| 260 | 1.3.2.7.1.1 | Pénzügyi ágazatbeli szervezetek CET1 tőkeinstrumentumaiban lévő kölcsönös részesedések, ha az intézmény nem rendelkezik jelentős részesedéssel az említett vállalkozásokban | ||||||
| 270 | 1.3.2.7.1.2 | Pénzügyi ágazatbeli szervezetek CET1 tőkeinstrumentumaiban lévő kölcsönös részesedések, ha az intézmény jelentős részesedéssel rendelkezik az említett vállalkozásokban | ||||||
| 280 | 1.3.2.7.2 | Kölcsönös részesedések AT1 tőkeinstrumentumokban | ||||||
| 290 | 1.3.2.7.2.1 | Pénzügyi ágazatbeli szervezetek AT1 tőkeinstrumentumaiban lévő kölcsönös részesedések, ha az intézmény nem rendelkezik jelentős részesedéssel az említett vállalkozásokban | ||||||
| 300 | 1.3.2.7.2.2 | Pénzügyi ágazatbeli szervezetek AT1 tőkeinstrumentumaiban lévő kölcsönös részesedések, ha az intézmény jelentős részesedéssel rendelkezik az említett vállalkozásokban | ||||||
| 310 | 1.3.2.7.3 | Kölcsönös részesedések T2 tőkeinstrumentumokban | ||||||
| 320 | 1.3.2.7.3.1 | Pénzügyi ágazatbeli szervezetek T2 tőkeinstrumentumaiban lévő kölcsönös részesedések, ha az intézmény nem rendelkezik jelentős részesedéssel az említett vállalkozásokban | ||||||
| 330 | 1.3.2.7.3.2 | Pénzügyi ágazatbeli szervezetek T2 tőkeinstrumentumaiban lévő kölcsönös részesedések, ha az intézmény jelentős részesedéssel rendelkezik az említett vállalkozásokban | ||||||
| 340 | 1.3.2.8 | Pénzügyi ágazatbeli szervezetek által kibocsátott szavatolótőke-instrumentumok, ha az intézmény nem rendelkezik jelentős részesedéssel az említett vállalkozásokban | ||||||
| 350 | 1.3.2.8.1 | Pénzügyi ágazatbeli szervezetek által kibocsátott CET1 tőkeinstrumentumok, ha az intézmény nem rendelkezik jelentős részesedéssel az említett vállalkozásokban | ||||||
| 360 | 1.3.2.8.2 | Pénzügyi ágazatbeli szervezetek által kibocsátott AT1 tőkeinstrumentumok, ha az intézmény nem rendelkezik jelentős részesedéssel az említett vállalkozásokban | ||||||
| 370 | 1.3.2.8.3 | Pénzügyi ágazatbeli szervezetek által kibocsátott T2 tőkeinstrumentumok, ha az intézmény nem rendelkezik jelentős részesedéssel az említett vállalkozásokban | ||||||
| 380 | 1.3.2.9 | A jövőbeni nyereségtől függően érvényesíthető és átmeneti különbözetekből eredő halasztott adókövetelések, valamint a pénzügyi ágazatbeli szervezetek által kibocsátott CET1 tőkeinstrumentumok, ha az intézmény jelentős részesedéssel rendelkezik az említett vállalkozásokban | ||||||
| 385 | 1.3.2.9a | Jövőbeli nyereségtől függően érvényesíthető és átmeneti különbözetből eredő halasztott adókövetelések | ||||||
| 390 | 1.3.2.10 | Pénzügyi ágazatbeli szervezetek által kibocsátott szavatolótőke-instrumentumok, ha az intézmény jelentős részesedéssel rendelkezik az említett vállalkozásokban | ||||||
| 400 | 1.3.2.10.1 | Pénzügyi ágazatbeli szervezetek által kibocsátott CET1 tőkeinstrumentumok, ha az intézmény jelentős részesedéssel rendelkezik az említett vállalkozásokban | ||||||
| 410 | 1.3.2.10.2 | Pénzügyi ágazatbeli szervezetek által kibocsátott AT1 tőkeinstrumentumok, ha az intézmény jelentős részesedéssel rendelkezik az említett vállalkozásokban | ||||||
| 420 | 1.3.2.10.3 | Pénzügyi ágazatbeli szervezetek által kibocsátott T2 tőkeinstrumentumok, ha az intézmény jelentős részesedéssel rendelkezik az említett vállalkozásokban | ||||||
| 425 | 1.3.2.11 | Mentesség a biztosítókban lévő tulajdoni részesedésnek a CET1 tőkeelemekből történő levonása alól | ||||||
| 430 | 1.3.3 | További szűrők és levonások | ||||||
| 440 | 1.3.4 | Az IFRS 9-hez kapcsolódó átmeneti intézkedések miatti kiigazítások | ||||||
C 05.02 - SZERZETT JOGOK ALAPJÁN FIGYELEMBE VETT TŐKEINSTRUMENTUMOK: ÁLLAMI TÁMOGATÁSNAK NEM MINŐSÜLŐ INSTRUMENTUMOK (CA5.2)
| CA 5.2 – Szerzett jogok alapján figyelembe vett tőkeinstrumentumok: állami támogatásnak nem minősülő instrumentumok | Az instrumentumok kapcsolódó ázsióval növelt értéke | A korlátszámítás alapja | Alkalmazandó százalékos arány | Korlát | (–) A szerzett jogok figyelembevételének korlátját meghaladó összeg | A szerzett jogok alapján figyelembe vett teljes összeg | ||
| Kód | Azonosító | Tétel | 010 | 020 | 030 | 040 | 050 | 060 | 
| 010 | 1. | A 2006/48/EK irányelv 57. cikkének a) pontja értelmében a szavatolótőkében figyelembe vett instrumentumok | cella kapcsolata {CA5.1;r060;c010) | |||||
| 020 | 2. | A 2006/48/EK irányelv 57. cikkének ca) pontja, valamint 154. cikkének (8) és (9) bekezdése értelmében figyelembe vett instrumentumok, a 489. cikkben rögzített korlát alkalmazásával | cella kapcsolata {CA5.1;r060;c020) | |||||
| 030 | 2.1 | Visszavásárlásra nem ösztönző, visszahívási opciót nem tartalmazó instrumentumok összesen | ||||||
| 040 | 2.2 | Visszavásárlásra ösztönző, visszahívási opciót tartalmazó, de a szerzett jogok alapján figyelembe vett instrumentumok | ||||||
| 050 | 2.2.1 | Az adatszolgáltatás időpontja után érvényesíthető visszahívási opcióval rendelkező, a CRR 52. cikkében foglalt feltételeket a tényleges lejáratot követően teljesítő instrumentumok | ||||||
| 060 | 2.2.2 | Az adatszolgáltatás időpontja után érvényesíthető visszahívási opcióval rendelkező, a CRR 52. cikkében foglalt feltételeket a tényleges lejáratot követően nem teljesítő instrumentumok | ||||||
| 070 | 2.2.3 | 2011. július 20-ig érvényesíthető visszahívási opcióval rendelkező, a CRR 52. cikkében foglalt feltételeket a tényleges lejáratot követően nem teljesítő instrumentumok | ||||||
| 080 | 2.3 | A szerzett jogok alapján figyelembe vett CET1 tőkeinstrumentumok korlátját meghaladó érték | ||||||
| 090 | 3 | A 2006/48/EK irányelv 57. cikkének e), f), g) vagy h) pontja értelmében figyelembe vett tételek, a 490. cikkben rögzített korlát alkalmazásával | cella kapcsolata {CA5.1;r060;c030) | |||||
| 100 | 3.1 | Visszavásárlásra nem ösztönző tételek összesen | ||||||
| 110 | 3.2 | Visszavásárlásra ösztönző, a szerzett jogok alapján figyelembe vett tételek | ||||||
| 120 | 3.2.1 | Az adatszolgáltatás időpontja után érvényesíthető visszahívási opcióval rendelkező, a CRR 63. cikkében foglalt feltételeket a tényleges lejáratot követően teljesítő tételek | ||||||
| 130 | 3.2.2 | Az adatszolgáltatás időpontja után érvényesíthető visszahívási opcióval rendelkező, a CRR 63. cikkében foglalt feltételeket a tényleges lejáratot követően nem teljesítő tételek | ||||||
| 140 | 3.2.3 | 2011. július 20-ig érvényesíthető visszahívási opcióval rendelkező, a CRR 63. cikkében foglalt feltételeket a tényleges lejáratot követően nem teljesítő tételek | ||||||
| 150 | 3.3 | A szerzett jogok alapján figyelembe vett AT1 tőkeinstrumentumok korlátját meghaladó érték | ||||||
C 06.01 - CSOPORTSZINTŰ SZAVATOLÓTŐKE-MEGFELELÉS: INFORMÁCIÓK A CSOPORTBA TARTOZÓ SZERVEZETEKRŐL - ÖSSZESEN (GS TOTAL)
| AZ EGYES SZERVEZETEKNEK A CSOPORTSZINTŰ SZAVATOLÓTŐKE-MEGFELELÉSHEZ VALÓ HOZZÁJÁRULÁSÁVAL KAPCSOLATOS INFORMÁCIÓK | TŐKEPUFFEREK | |||||||||||||||||||||||
| TELJES KOCKÁZATI KITETTSÉGÉRTÉK | A KONSZOLIDÁLT SZAVATOLÓTŐKE RÉSZÉT KÉPEZŐ, A SZAVATOLÓTŐKÉBE BESZÁMÍTHATÓ TŐKE | KONSZOLIDÁLT SZAVATOLÓTŐKE | KOMBINÁLT PUFFERKÖVETELMÉNYEK | |||||||||||||||||||||
| HITELKOCKÁZAT; PARTNERKOCKÁZAT; FELHÍGULÁSI KOCKÁZAT, NYITVA SZÁLLÍTÁSOK, ELSZÁMOLÁSI/TELJESÍTÉSI KOCKÁZAT | POZÍCIÓKOCKÁZAT, DEVIZAÁRFOLYAM-KOCKÁZAT ÉS ÁRUKOCKÁZAT | MŰKÖDÉSI KOCKÁZAT | EGYÉB KOCKÁZATI KITETTSÉGÉRTÉKEK | A KONSZOLIDÁLT T1 TŐKE RÉSZÉT KÉPEZŐ, A T1 TŐKÉBE BESZÁMÍTHATÓ INSTRUMENTUMOK | A KONSZOLIDÁLT T2 TŐKE RÉSZÉT KÉPEZŐ, A SZAVATOLÓTŐKÉBE BESZÁMÍTHATÓ INSTRUMENTUMOK | TÁJÉKOZTATÓ ADAT: (–) CÉGÉRTÉK / (+) NEGATÍV CÉGÉRTÉK | EBBŐL: CET1 TŐKE | EBBŐL: AT1 TŐKE | EBBŐL: HOZZÁJÁRULÁS A KONSZOLIDÁLT EREDMÉNYHEZ | EBBŐL: (–) CÉGÉRTÉK / (+) NEGATÍV CÉGÉRTÉK | TŐKEFENNTARTÁSI PUFFER | INTÉZMÉNYSPECIFIKUS ANTICIKLIKUS TŐKEPUFFER | A TAGÁLLAMOK SZINTJÉN AZONOSÍTOTT MAKROPRUDENCIÁLIS VAGY RENDSZERKOCKÁZATOKRA KÉPZETT FENNTARTÁSI PUFFER | RENDSZERKOCKÁZATI TŐKEPUFFER | GLOBÁLISAN RENDSZERSZINTEN JELENTŐS INTÉZMÉNYEKRE VONATKOZÓ TŐKEPUFFER | EGYÉB RENDSZERSZINTEN JELENTŐS INTÉZMÉNYEKRE VONATKOZÓ TŐKEPUFFER | ||||||||
| A KONSZOLIDÁLT CET1 TŐKE RÉSZÉT KÉPEZŐ KISEBBSÉGI RÉSZESEDÉSEK | A KONSZOLIDÁLT AT1 TŐKE RÉSZÉT KÉPEZŐ, A T1 TŐKÉBE BESZÁMÍTHATÓ INSTRUMENTUMOK | |||||||||||||||||||||||
| 250 | 260 | 270 | 280 | 290 | 300 | 310 | 320 | 330 | 340 | 350 | 360 | 370 | 380 | 390 | 400 | 410 | 420 | 430 | 440 | 450 | 470 | 480 | ||
| 010 | ÖSSZESEN | |||||||||||||||||||||||
C 06.02 - CSOPORTSZINTŰ SZAVATOLÓTŐKE-MEGFELELÉS: INFORMÁCIÓK A CSOPORTBA TARTOZÓ SZERVEZETEKRŐL (GS)
| A KONSZOLIDÁCIÓ KÖRÉBE BEVONT SZERVEZETEK | SZAVATOLÓTŐKE-KÖVETELMÉNY HATÁLYA ALÁ TARTOZÓ SZERVEZETEKKEL KAPCSOLATOS INFORMÁCIÓK | AZ EGYES SZERVEZETEKNEK A CSOPORTSZINTŰ SZAVATOLÓTŐKE-MEGFELELÉSHEZ VALÓ HOZZÁJÁRULÁSÁVAL KAPCSOLATOS INFORMÁCIÓK | TŐKEPUFFEREK | |||||||||||||||||||||||||||||||||||||||||||||
| NÉV | KÓD | LEI-kód | INTÉZMÉNY VAGY ANNAK MEGFELELŐ (IGEN / NEM) | SZERVEZET TÍPUSA | AZ ADATOK TERJEDELME: EGYEDI ALAPON TELJESKÖRŰEN KONSZOLIDÁLT (SF) VAGY EGYEDI ALAPON RÉSZLEGESEN KONSZOLIDÁLT (SP) | ORSZÁGKÓD | RÉSZESEDÉS ARÁNYA (%) | TELJES KOCKÁZATI KITETTSÉGÉRTÉK | SZAVATOLÓTŐKE | TELJES KOCKÁZATI KITETTSÉGÉRTÉK | A KONSZOLIDÁLT SZAVATOLÓTŐKE RÉSZÉT KÉPEZŐ, A SZAVATOLÓTŐKÉBE BESZÁMÍTHATÓ TŐKE | KONSZOLIDÁLT SZAVATOLÓTŐKE | KOMBINÁLT PUFFERKÖVETELMÉNY | |||||||||||||||||||||||||||||||||||
| HITELKOCKÁZAT; PARTNERKOCKÁZAT; FELHÍGULÁSI KOCKÁZAT, NYITVA SZÁLLÍTÁSOK, ELSZÁMOLÁSI/TELJESÍTÉSI KOCKÁZAT | POZÍCIÓKOCKÁZAT, DEVIZAÁRFOLYAM-KOCKÁZAT ÉS ÁRUKOCKÁZAT | MŰKÖDÉSI KOCKÁZAT | EGYÉB KOCKÁZATI KITETTSÉGÉRTÉKEK | T1 TŐKE ÖSSZESEN | T2 TŐKE | HITELKOCKÁZAT; PARTNERKOCKÁZAT; FELHÍGULÁSI KOCKÁZAT, NYITVA SZÁLLÍTÁSOK, ELSZÁMOLÁSI/TELJESÍTÉSI KOCKÁZAT | POZÍCIÓKOCKÁZAT, DEVIZAÁRFOLYAM-KOCKÁZAT ÉS ÁRUKOCKÁZAT | MŰKÖDÉSI KOCKÁZAT | EGYÉB KOCKÁZATI KITETTSÉGÉRTÉKEK | A KONSZOLIDÁLT T1 TŐKE RÉSZÉT KÉPEZŐ, A T1 TŐKÉBE BESZÁMÍTHATÓ INSTRUMENTUMOK | A KONSZOLIDÁLT T2 TŐKE RÉSZÉT KÉPEZŐ, A SZAVATOLÓTŐKÉBE BESZÁMÍTHATÓ INSTRUMENTUMOK | TÁJÉKOZTATÓ ADAT: (–) CÉGÉRTÉK / (+) NEGATÍV CÉGÉRTÉK | EBBŐL: CET1 TŐKE | EBBŐL: AT1 TŐKE | EBBŐL: HOZZÁJÁRULÁS A KONSZOLIDÁLT EREDMÉNYHEZ | EBBŐL: (–) CÉGÉRTÉK / (+) NEGATÍV CÉGÉRTÉK | TŐKEFENNTARTÁSI PUFFER | INTÉZMÉNYSPECIFIKUS ANTICIKLIKUS TŐKEPUFFER | A TAGÁLLAMOK SZINTJÉN AZONOSÍTOTT MAKROPRUDENCIÁLIS VAGY RENDSZERKOCKÁZATOKRA KÉPZETT FENNTARTÁSI PUFFER | RENDSZERKOCKÁZATI TŐKEPUFFER | GLOBÁLISAN RENDSZERSZINTEN JELENTŐS INTÉZMÉNYEKRE VONATKOZÓ TŐKEPUFFER | EGYÉB RENDSZERSZINTEN JELENTŐS INTÉZMÉNYEKRE VONATKOZÓ TŐKEPUFFER | ||||||||||||||||||||||||||
| CET1 TŐKE | AT1 TŐKE | |||||||||||||||||||||||||||||||||||||||||||||||
| EBBŐL: A SZAVATOLÓTŐKÉBE BESZÁMÍTHATÓ | KAPCSOLÓDÓ SZAVATOLÓTŐKE-INSTRUMENTUMOK, KAPCSOLÓDÓ EREDMÉNYTARTALÉKOK ÉS NÉVÉRTÉKEN FELÜLI BEFIZETÉSEK | EBBŐL: A T1 TŐKÉBE BESZÁMÍTHATÓ | KAPCSOLÓDÓ T1 INSTRUMENTUMOK, KAPCSOLÓDÓ EREDMÉNYTARTALÉKOK ÉS NÉVÉRTÉKEN FELÜLI BEFIZETÉSEK | EBBŐL: KISEBBSÉGI RÉSZESEDÉSEK | KAPCSOLÓDÓ SZAVATOLÓTŐKE-INSTRUMENTUMOK, KAPCSOLÓDÓ EREDMÉNYTARTALÉKOK, NÉVÉRTÉKEN FELÜLI BEFIZETÉSEK ÉS EGYÉB TARTALÉKOK | EBBŐL: AZ AT1 TŐKÉBE BESZÁMÍTHATÓ | EBBŐL: A T2 TŐKÉBE BESZÁMÍTHATÓ | A KONSZOLIDÁLT CET1 TŐKE RÉSZÉT KÉPEZŐ KISEBBSÉGI RÉSZESEDÉSEK | A KONSZOLIDÁLT AT1 TŐKE RÉSZÉT KÉPEZŐ, A T1 TŐKÉBE BESZÁMÍTHATÓ INSTRUMENTUMOK | |||||||||||||||||||||||||||||||||||||||
| 010 | 020 | 025 | 030 | 035 | 040 | 050 | 060 | 070 | 080 | 090 | 100 | 110 | 120 | 130 | 140 | 150 | 160 | 170 | 180 | 190 | 200 | 210 | 220 | 230 | 240 | 250 | 260 | 270 | 280 | 290 | 300 | 310 | 320 | 330 | 340 | 350 | 360 | 370 | 380 | 390 | 400 | 410 | 420 | 430 | 440 | 450 | 470 | 480 | 
C 07.00 -HITELKOCKÁZAT, PARTNERKOCKÁZAT ÉS NYITVA SZÁLLÍTÁSOK: A SZTENDERD MÓDSZER SZERINTI TŐKEKÖVETELMÉNY (CR SA)
SA kitettségi osztály
| HITEL-EGYENÉRTÉKESÍTÉSI TÉNYEZŐK ELŐTTI EREDETI KITETTSÉG | (–) AZ EREDETI KITETTSÉGGEL ÖSSZEFÜGGŐ ÉRTÉKELÉSI KORREKCIÓK ÉS CÉLTARTALÉKOK | ÉRTÉKELÉSI KORREKCIÓKKAL ÉS CÉLTARTALÉKOKKAL CSÖKKENTETT KITETTSÉG | A KITETTSÉGRE HELYETTESÍTÉSI HATÁSSAL JÁRÓ HITELKOCKÁZAT-MÉRSÉKLÉSI (CRM) TECHNIKÁK | HELYETTESÍTÉSI HATÁSSAL JÁRÓ CRM-TECHNIKÁK UTÁNI, HITEL-EGYENÉRTÉKESÍTÉSI TÉNYEZŐK ELŐTTI NETTÓ KITETTSÉG | A KITETTSÉGÉRTÉKET ÉRINTŐ HITELKOCKÁZAT-MÉRSÉKLÉSI TECHNIKÁK: ELŐRE RENDELKEZÉSRE BOCSÁTOTT HITELKOCKÁZATI FEDEZET. PÉNZÜGYI BIZTOSÍTÉKOK ÖSSZETETT MÓDSZERE | TELJES MÉRTÉKBEN KORRIGÁLT KITETTSÉGÉRTÉK (E*) | A MÉRLEGEN KÍVÜLI TÉTELEK TELJES MÉRTÉKBEN KORRIGÁLT KITETTSÉGÉRTÉKE HITEL-EGYENÉRTÉKESÍTÉSI TÉNYEZŐK SZERINTI BONTÁSBAN | KITETTSÉGÉRTÉK | A KKV-SZORZÓ ELŐTTI, KOCKÁZATTAL SÚLYOZOTT KITETTSÉGÉRTÉK | A KKV-SZORZÓ UTÁNI, KOCKÁZATTAL SÚLYOZOTT KITETTSÉGÉRTÉK | |||||||||||||||
| ELŐRE NEM RENDELKEZÉSRE BOCSÁTOTT HITELKOCKÁZATI FEDEZET: KORRIGÁLT ÉRTÉKEK (Ga) | ELŐRE RENDELKEZÉSRE BOCSÁTOTT HITELKOCKÁZATI FEDEZET | A KITETTSÉG HITELKOCKÁZAT-MÉRSÉKLÉS MIATTI HELYETTESÍTÉSE | A KITETTSÉG VOLATILITÁSI KORREKCIÓS TÉNYEZŐJE | (–) PÉNZÜGYI BIZTOSÍTÉKOK EGYSZERŰ MÓDSZERE: KORRIGÁLT ÉRTÉK (Cvam) | 0% | 20% | 50% | 100% | EBBŐL: PARTNERKOCKÁZATBÓL SZÁRMAZÓ | EBBŐL: KIJELÖLT KHMI ÁLTAL KÉSZÍTETT HITELMINŐSÍTÉSSEL | EBBŐL: KÖZPONTI KORMÁNYZATTAL MEGEGYEZŐ HITELMINŐSÍTÉSSEL | ||||||||||||||
| (–) GARANCIÁK | (–) HITELDERIVATÍVÁK | (–) PÉNZÜGYI BIZTOSÍTÉKOK: EGYSZERŰ MÓDSZER | (–) EGYÉB ELŐRE RENDELKEZÉSRE BOCSÁTOTT HITELKOCKÁZATI FEDEZET | (–) KIÁRAMLÁSOK ÖSSZESEN | BEÁRAMLÁSOK ÖSSZESEN (+) | (–) EBBŐL: VOLATILITÁSI ÉS LEJÁRATI KORREKCIÓ | |||||||||||||||||||
| 010 | 030 | 040 | 050 | 060 | 070 | 080 | 090 | 100 | 110 | 120 | 130 | 140 | 150 | 160 | 170 | 180 | 190 | 200 | 210 | 215 | 220 | 230 | 240 | ||
| 010 | TELJES KITETTSÉG | Cella kapcsolata: CA | |||||||||||||||||||||||
| 015 | ebből: Nemteljesítő kitettségek a „Kiemelkedően magas kockázatú tételek” és a „Részvényjellegű kitettségek” kitettségi osztályokban | ||||||||||||||||||||||||
| 020 | ebből: KKV | ||||||||||||||||||||||||
| 030 | ebből: Kitettség a kkv-szorzó alkalmazásával | ||||||||||||||||||||||||
| 040 | ebből: Ingatlanra bejegyzett zálogjoggal fedezett – lakóingatlan | ||||||||||||||||||||||||
| 050 | ebből: Tartós mentesítés alapján a sztenderd módszerrel kezelt kitettségek | ||||||||||||||||||||||||
| 060 | ebből: Az IRB-módszer fokozatos bevezetésére vonatkozó előzetes felügyeleti engedély alapján sztenderd módszerrel kezelt kitettségek | ||||||||||||||||||||||||
| A TELJES KITETTSÉG KITETTSÉGTÍPUS SZERINTI BONTÁSA | |||||||||||||||||||||||||
| 070 | Hitelkockázattal érintett mérlegen belüli kitettségek | ||||||||||||||||||||||||
| 080 | Hitelkockázattal érintett mérlegen kívüli kitettségek | ||||||||||||||||||||||||
| Partnerkockázattal érintett kitettségek/ügyletek | |||||||||||||||||||||||||
| 090 | Értékpapír-finanszírozási ügyletek | ||||||||||||||||||||||||
| 100 | ebből: minősített központi szerződő félen keresztül központilag elszámolt | ||||||||||||||||||||||||
| 110 | Származtatott és hosszú teljesítési idejű ügyletek | ||||||||||||||||||||||||
| 120 | ebből: minősített központi szerződő félen keresztül központilag elszámolt | ||||||||||||||||||||||||
| 130 | Eltérő termékkategóriák közötti nettósításról szóló szerződéses megállapodásból | ||||||||||||||||||||||||
| TELJES KITETTSÉG KOCKÁZATI SÚLY SZERINTI BONTÁSA: | |||||||||||||||||||||||||
| 140 | 0% | ||||||||||||||||||||||||
| 150 | 2% | ||||||||||||||||||||||||
| 160 | 4% | ||||||||||||||||||||||||
| 170 | 10% | ||||||||||||||||||||||||
| 180 | 20% | ||||||||||||||||||||||||
| 190 | 35% | ||||||||||||||||||||||||
| 200 | 50% | ||||||||||||||||||||||||
| 210 | 70% | ||||||||||||||||||||||||
| 220 | 75% | ||||||||||||||||||||||||
| 230 | 100% | ||||||||||||||||||||||||
| 240 | 150% | ||||||||||||||||||||||||
| 250 | 250% | ||||||||||||||||||||||||
| 260 | 370% | ||||||||||||||||||||||||
| 270 | 1 250 % | ||||||||||||||||||||||||
| 280 | Egyéb kockázati súlyok | ||||||||||||||||||||||||
| TÁJÉKOZTATÓ ADATOK | |||||||||||||||||||||||||
| 290 | Kereskedelmi ingatlanra bejegyzett zálogjoggal fedezett kitettségek | ||||||||||||||||||||||||
| 300 | 100 %-os kockázati súlyú nemteljesítő kitettségek | ||||||||||||||||||||||||
| 310 | Lakóingatlanra bejegyzett jelzáloggal fedezett kitettségek | ||||||||||||||||||||||||
| 320 | 150 %-os kockázati súlyú nemteljesítő kitettségek | ||||||||||||||||||||||||
C 08.01 -HITELKOCKÁZAT, PARTNERKOCKÁZAT ÉS NYITVA SZÁLLÍTÁSOK: IRB MÓDSZER SZERINTI TŐKEKÖVETELMÉNY (CR IRB 1)
IRB kitettségi osztály:
Az LGD-kre vonatkozó saját becslések és/vagy hitel-egyenértékesítési tényezők:
| BELSŐ MINŐSÍTÉSI RENDSZER | HITEL-EGYENÉRTÉKESÍTÉSI TÉNYEZŐK ELŐTTI EREDETI KITETTSÉG | A KITETTSÉGRE HELYETTESÍTÉSI HATÁSSAL JÁRÓ HITELKOCKÁZAT-MÉRSÉKLÉSI (CRM) TECHNIKÁK | HELYETTESÍTÉSI HATÁSSAL JÁRÓ CRM-TECHNIKÁK UTÁNI, A HITEL-EGYENÉRTÉKESÍTÉSI TÉNYEZŐK ELŐTTI KITETTSÉG | KITETTSÉGÉRTÉK | AZ LGD-BECSLÉSEK SORÁN FIGYELEMBE VETT HITELKOCKÁZAT-MÉRSÉKLÉSI TECHNIKÁK, KIVÉVE AZ EGYÜTTES NEMTELJESÍTÉSRE VONATKOZÓ ELJÁRÁST | EGYÜTTES NEMTELJESÍTÉSRE VONATKOZÓ ELJÁRÁS | KITETTSÉGGEL SÚLYOZOTT ÁTLAGOS LGD (%) | NAGY MÉRETŰ PÉNZÜGYI ÁGAZATBELI SZERVEZETEK ÉS NEM SZABÁLYOZOTT PÉNZÜGYI VÁLLALATOK KITETTSÉGGEL SÚLYOZOTT ÁTLAGOS LGD-ÉRTÉKE (%) | KITETTSÉGGEL SÚLYOZOTT ÁTLAGOS LEJÁRATI ÉRTÉK (NAP) | A KKV-SZORZÓ ELŐTTI, KOCKÁZATTAL SÚLYOZOTT KITETTSÉGÉRTÉK | A KKV-SZORZÓ UTÁNI, KOCKÁZATTAL SÚLYOZOTT KITETTSÉGÉRTÉK | TÁJÉKOZTATÓ ADATOK: | ||||||||||||||||||||
| ELŐRE NEM RENDELKEZÉSRE BOCSÁTOTT HITELKOCKÁZATI FEDEZET | (–) EGYÉB ELŐRE RENDELKEZÉSRE BOCSÁTOTT HITELKOCKÁZATI FEDEZET | A KITETTSÉG HITELKOCKÁZAT-MÉRSÉKLÉS MIATTI HELYETTESÍTÉSE | SAJÁT LGD-BECSLÉS ALKALMAZÁSA: ELŐRE NEM RENDELKEZÉSRE BOCSÁTOTT HITELKOCKÁZATI FEDEZET | ELŐRE RENDELKEZÉSRE BOCSÁTOTT HITELKOCKÁZATI FEDEZET | ELŐRE NEM RENDELKEZÉSRE BOCSÁTOTT HITELKOCKÁZATI FEDEZET | |||||||||||||||||||||||||||
| AZ ÜGYFÉL-KATEGÓRIÁHOZ VAGY -HALMAZHOZ (POOLHOZ) RENDELT NEMTELJESÍTÉSI VALÓSZÍNŰSÉG (PD) (%) | EBBŐL: NAGY MÉRETŰ PÉNZÜGYI ÁGAZATBELI SZERVEZETEK ÉS NEM SZABÁLYOZOTT PÉNZÜGYI VÁLLALATOK | (–) GARANCIÁK | (–) HITELDERIVATÍVÁK | (–) KIÁRAMLÁSOK ÖSSZESEN | BEÁRAMLÁSOK ÖSSZESEN (+) | EBBŐL: MÉRLEGEN KÍVÜLI TÉTELEK | EBBŐL: MÉRLEGEN KÍVÜLI TÉTELEK | EBBŐL: PARTNERKOCKÁZATBÓL SZÁRMAZÓ | EBBŐL: NAGY MÉRETŰ PÉNZÜGYI ÁGAZATBELI SZERVEZETEK ÉS NEM SZABÁLYOZOTT PÉNZÜGYI VÁLLALATOK | GARANCIÁK | HITELDERIVATÍVÁK | SAJÁT LGD-BECSLÉS ALKALMAZÁSA: EGYÉB ELŐRE RENDELKEZÉSRE BOCSÁTOTT HITELKOCKÁZATI FEDEZET | ELISMERT PÉNZÜGYI BIZTOSÍTÉKOK | EGYÉB ELISMERT BIZTOSÍTÉK | VÁRHATÓ VESZTESÉGÉRTÉK | (–) ÉRTÉKELÉSI KORREKCIÓK ÉS CÉLTARTALÉKOK | A KÖTELEZETTEK SZÁMA | |||||||||||||||
| INGATLAN | EGYÉB DOLOGI BIZTOSÍTÉKOK | KÖVETELÉSEK | EBBŐL: NAGY MÉRETŰ PÉNZÜGYI ÁGAZATBELI SZERVEZETEK ÉS NEM SZABÁLYOZOTT PÉNZÜGYI VÁLLALATOK | |||||||||||||||||||||||||||||
| 010 | 020 | 030 | 040 | 050 | 060 | 070 | 080 | 090 | 100 | 110 | 120 | 130 | 140 | 150 | 160 | 170 | 180 | 190 | 200 | 210 | 220 | 230 | 240 | 250 | 255 | 260 | 270 | 280 | 290 | 300 | ||
| 010 | TELJES KITETTSÉG | Cella kapcsolata: CA | ||||||||||||||||||||||||||||||
| 015 | ebből: Kitettség a kkv-szorzó alkalmazásával | |||||||||||||||||||||||||||||||
| A TELJES KITETTSÉG KITETTSÉGTÍPUS SZERINTI BONTÁSA | ||||||||||||||||||||||||||||||||
| 020 | Hitelkockázattal érintett mérlegtételek | |||||||||||||||||||||||||||||||
| 030 | Hitelkockázattal érintett mérlegen kívüli tételek | |||||||||||||||||||||||||||||||
| Partnerkockázattal érintett kitettségek/ügyletek | ||||||||||||||||||||||||||||||||
| 040 | Értékpapír-finanszírozási ügyletek | |||||||||||||||||||||||||||||||
| 050 | Származtatott és hosszú teljesítési idejű ügyletek | |||||||||||||||||||||||||||||||
| 060 | Eltérő termékkategóriák közötti nettósításról szóló szerződéses megállapodásból | |||||||||||||||||||||||||||||||
| 070 | ÜGYFÉL-KATEGÓRIÁKBA VAGY –HALMAZOKBA (POOLOKBA) SOROLT KITETTSÉGEK: ÖSSZESEN | |||||||||||||||||||||||||||||||
| 080 | SLOTTING KRITÉRIUM SZERINTI SPECIÁLIS HITELEZÉSI KITETTSÉGEK: ÖSSZESEN | |||||||||||||||||||||||||||||||
| A SLOTTING KRITÉRIUM SZERINTI TELJES SPECIÁLIS HITELEZÉSI KITETTSÉG KOCKÁZATI SÚLY SZERINTI BONTÁSA: | ||||||||||||||||||||||||||||||||
| 090 | KOCKÁZATI SÚLY: 0 % | |||||||||||||||||||||||||||||||
| 100 | 50% | |||||||||||||||||||||||||||||||
| 110 | 70% | |||||||||||||||||||||||||||||||
| 120 | Ebből: az 1. kategóriában | |||||||||||||||||||||||||||||||
| 130 | 90% | |||||||||||||||||||||||||||||||
| 140 | 115% | |||||||||||||||||||||||||||||||
| 150 | 250% | |||||||||||||||||||||||||||||||
| 160 | ALTERNATÍV KEZELÉS: INGATLANNAL FEDEZETT | |||||||||||||||||||||||||||||||
| 170 | NYITVA SZÁLLÍTÁSBÓL EREDŐ, ALTERNATÍV KEZELÉS ALAPJÁN MEGÁLLAPÍTOTT VAGY 100 %-OS KOCKÁZATI SÚLYÚ KITETTSÉGEK, VALAMINT EGYÉB, KOCKÁZATI SÚLYOZÁS ALÁ TARTOZÓ KITETTSÉGEK | |||||||||||||||||||||||||||||||
| 180 | FELHÍGULÁSI KOCKÁZAT: VÁSÁROLT KÖVETELÉSEK ÖSSZESEN | |||||||||||||||||||||||||||||||
C 08.02 -HITELKOCKÁZAT, PARTNERKOCKÁZAT ÉS NYITVA SZÁLLÍTÁSOK: IRB MÓDSZER SZERINTI TŐKEKÖVETELMÉNY: ÜGYFÉL-KATEGÓRIA VAGY -HALMAZ (POOL) SZERINT (CR IRB 2)
IRB kitettségi osztály:
Az LGD-kre vonatkozó saját becslések és/vagy hitel-egyenértékesítési tényezők:
| ÜGYFÉL-KATEGÓRIA (SORAZONOSÍTÓ) | BELSŐ MINŐSÍTÉSI RENDSZER | HITEL-EGYENÉRTÉKESÍTÉSI TÉNYEZŐK ELŐTTI EREDETI KITETTSÉG | A KITETTSÉGRE HELYETTESÍTÉSI HATÁSSAL JÁRÓ HITELKOCKÁZAT-MÉRSÉKLÉSI (CRM) TECHNIKÁK | HELYETTESÍTÉSI HATÁSSAL JÁRÓ CRM-TECHNIKÁK UTÁNI, A HITEL-EGYENÉRTÉKESÍTÉSI TÉNYEZŐK ELŐTTI KITETTSÉG | KITETTSÉGÉRTÉK | AZ LGD-BECSLÉSEK SORÁN FIGYELEMBE VETT HITELKOCKÁZAT-MÉRSÉKLÉSI TECHNIKÁK, KIVÉVE AZ EGYÜTTES NEMTELJESÍTÉSRE VONATKOZÓ ELJÁRÁST | EGYÜTTES NEMTELJESÍTÉSRE VONATKOZÓ ELJÁRÁS | KITETTSÉGGEL SÚLYOZOTT ÁTLAGOS LGD (%) | NAGY MÉRETŰ PÉNZÜGYI ÁGAZATBELI SZERVEZETEK ÉS NEM SZABÁLYOZOTT PÉNZÜGYI VÁLLALATOK KITETTSÉGGEL SÚLYOZOTT ÁTLAGOS LGD-ÉRTÉKE (%) | KITETTSÉGGEL SÚLYOZOTT ÁTLAGOS LEJÁRATI ÉRTÉK (NAP) | A KKV-SZORZÓ ELŐTTI, KOCKÁZATTAL SÚLYOZOTT KITETTSÉGÉRTÉK | A KKV-SZORZÓ UTÁNI, KOCKÁZATTAL SÚLYOZOTT KITETTSÉGÉRTÉK | TÁJÉKOZTATÓ ADATOK: | ||||||||||||||||||
| ELŐRE NEM RENDELKEZÉSRE BOCSÁTOTT HITELKOCKÁZATI FEDEZET | (–) EGYÉB ELŐRE RENDELKEZÉSRE BOCSÁTOTT HITELKOCKÁZATI FEDEZET | A KITETTSÉG HITELKOCKÁZAT-MÉRSÉKLÉS MIATTI HELYETTESÍTÉSE | SAJÁT LGD-BECSLÉS ALKALMAZÁSA: ELŐRE NEM RENDELKEZÉSRE BOCSÁTOTT HITELKOCKÁZATI FEDEZET | ELŐRE RENDELKEZÉSRE BOCSÁTOTT HITELKOCKÁZATI FEDEZET | ELŐRE NEM RENDELKEZÉSRE BOCSÁTOTT HITELKOCKÁZATI FEDEZET | VÁRHATÓ VESZTESÉGÉRTÉK | (–) ÉRTÉKELÉSI KORREKCIÓK ÉS CÉLTARTALÉKOK | A KÖTELEZETTEK SZÁMA | |||||||||||||||||||||||
| AZ ÜGYFÉL-KATEGÓRIÁHOZ VAGY -HALMAZHOZ (POOLHOZ) RENDELT NEMTELJESÍTÉSI VALÓSZÍNŰSÉG (PD) (%) | EBBŐL: NAGY MÉRETŰ PÉNZÜGYI ÁGAZATBELI SZERVEZETEK ÉS NEM SZABÁLYOZOTT PÉNZÜGYI VÁLLALATOK | (–) GARANCIÁK | (–) HITELDERIVATÍVÁK | (–) KIÁRAMLÁSOK ÖSSZESEN | BEÁRAMLÁSOK ÖSSZESEN (+) | EBBŐL: MÉRLEGEN KÍVÜLI TÉTELEK | EBBŐL: MÉRLEGEN KÍVÜLI TÉTELEK | EBBŐL: PARTNERKOCKÁZATBÓL SZÁRMAZÓ | EBBŐL: NAGY MÉRETŰ PÉNZÜGYI ÁGAZATBELI SZERVEZETEK ÉS NEM SZABÁLYOZOTT PÉNZÜGYI VÁLLALATOK | GARANCIÁK | HITELDERIVATÍVÁK | SAJÁT LGD-BECSLÉS ALKALMAZÁSA: EGYÉB ELŐRE RENDELKEZÉSRE BOCSÁTOTT HITELKOCKÁZATI FEDEZET | ELISMERT PÉNZÜGYI BIZTOSÍTÉKOK | EGYÉB ELISMERT BIZTOSÍTÉK | EBBŐL: NAGY MÉRETŰ PÉNZÜGYI ÁGAZATBELI SZERVEZETEK ÉS NEM SZABÁLYOZOTT PÉNZÜGYI VÁLLALATOK | ||||||||||||||||
| INGATLAN | EGYÉB DOLOGI BIZTOSÍTÉKOK | KÖVETELÉSEK | |||||||||||||||||||||||||||||
| 005 | 010 | 020 | 030 | 040 | 050 | 060 | 070 | 080 | 090 | 100 | 110 | 120 | 130 | 140 | 150 | 160 | 170 | 180 | 190 | 200 | 210 | 220 | 230 | 240 | 250 | 255 | 260 | 270 | 280 | 290 | 300 | 
C 09.01 - KITETTSÉGEK FÖLDRAJZI BONTÁSA A KÖTELEZETT ILLETŐSÉGE SZERINT: SA KITETTSÉGEK (CR GB 1)
Ország:
| HITEL-EGYENÉRTÉKESÍTÉSI TÉNYEZŐK ELŐTTI EREDETI KITETTSÉG | Az időszakban megállapított új nemteljesítések | Általános hitelkockázati kiigazítások | Egyedi hitelkockázati kiigazítások | Leírások | A megállapított új nemteljesítések utáni hitelkockázati kiigazítások/leírások | KITETTSÉGÉRTÉK | A KKV-SZORZÓ ELŐTTI, KOCKÁZATTAL SÚLYOZOTT KITETTSÉGÉRTÉK | A KKV-SZORZÓ UTÁNI, KOCKÁZATTAL SÚLYOZOTT KITETTSÉGÉRTÉK | |||
| Nemteljesítő kitettségek | |||||||||||
| 010 | 020 | 040 | 050 | 055 | 060 | 070 | 075 | 080 | 090 | ||
| 010 | Központi kormányzatok vagy központi bankok | ||||||||||
| 020 | Regionális kormányzatok vagy helyi hatóságok | ||||||||||
| 030 | Közszektorbeli intézmények | ||||||||||
| 040 | Multilaterális fejlesztési bankok | ||||||||||
| 050 | Nemzetközi szervezetek | ||||||||||
| 060 | Intézmények | ||||||||||
| 070 | Vállalkozások | ||||||||||
| 075 | Ebből: KKV | ||||||||||
| 080 | Lakosság | ||||||||||
| 085 | Ebből: KKV | ||||||||||
| 090 | Ingatlanra bejegyzett zálogjoggal fedezett kitettségek | ||||||||||
| 095 | Ebből: KKV | ||||||||||
| 100 | Nemteljesítő kitettségek | ||||||||||
| 110 | Kiemelkedően magas kockázatú tételek | ||||||||||
| 120 | Fedezett kötvények | ||||||||||
| 130 | Rövid távú hitelminősítéssel rendelkező intézményekkel és vállalkozásokkal szembeni követelések | ||||||||||
| 140 | Kollektív befektetési formák (KBF) | ||||||||||
| 150 | Részvényjellegű kitettségek | ||||||||||
| 160 | Egyéb kitettségek | ||||||||||
| 170 | Teljes kitettség | ||||||||||
C 09.02 - KITETTSÉGEK FÖLDRAJZI BONTÁSA A KÖTELEZETT ILLETŐSÉGE SZERINT: IRB KITETTSÉGEK (CR GB 2)
Ország:
| HITEL-EGYENÉRTÉKESÍTÉSI TÉNYEZŐK ELŐTTI EREDETI KITETTSÉG | Az időszakban megállapított új nemteljesítések | Általános hitelkockázati kiigazítások | Egyedi hitelkockázati kiigazítások | Leírások | A megállapított új nemteljesítések utáni hitelkockázati kiigazítások/leírások | AZ ÜGYFÉL-KATEGÓRIÁHOZ VAGY -HALMAZHOZ (POOLHOZ) RENDELT NEMTELJESÍTÉSI VALÓSZÍNŰSÉG (PD) (%) | KITETTSÉGGEL SÚLYOZOTT ÁTLAGOS LGD (%) | KITETTSÉGÉRTÉK | A KKV-SZORZÓ ELŐTTI, KOCKÁZATTAL SÚLYOZOTT KITETTSÉGÉRTÉK | A KKV-SZORZÓ UTÁNI, KOCKÁZATTAL SÚLYOZOTT KITETTSÉGÉRTÉK | VÁRHATÓ VESZTESÉGÉRTÉK | |||||
| Ebből: nemteljesítő | Ebből: nemteljesítő | Ebből: nemteljesítő | ||||||||||||||
| 010 | 030 | 040 | 050 | 055 | 060 | 070 | 080 | 090 | 100 | 105 | 110 | 120 | 125 | 130 | ||
| 010 | Központi kormányzatok vagy központi bankok | |||||||||||||||
| 020 | Intézmények | |||||||||||||||
| 030 | Vállalkozások | |||||||||||||||
| 042 | Ebből: speciális hitelezés (kivéve a slotting kritérium szerinti speciális hitelezés) | |||||||||||||||
| 045 | Ebből: speciális hitelezés (slotting kritérium szerinti speciális hitelezés) | |||||||||||||||
| 050 | Ebből: KKV | |||||||||||||||
| 060 | Lakosság | |||||||||||||||
| 070 | ingatlannal fedezett | |||||||||||||||
| 080 | KKV | |||||||||||||||
| 090 | Nem kkv | |||||||||||||||
| 100 | A rulírozó állományba beszámítható | |||||||||||||||
| 110 | Egyéb lakosság | |||||||||||||||
| 120 | KKV | |||||||||||||||
| 130 | Nem kkv | |||||||||||||||
| 140 | Részvényjellegű kitettségek | |||||||||||||||
| 150 | Teljes kitettség | |||||||||||||||
C 09.04 - A LÉNYEGES HITELKOCKÁZATI KITETTSÉGEK ORSZÁGONKÉNTI BONTÁSA AZ ANTICIKLIKUS TŐKEPUFFER ÉS AZ INTÉZMÉNYSPECIFIKUS ANTICIKLIKUS TŐKEPUFFER KISZÁMÍTÁSÁHOZ (CCB)
Ország:
| Összeg | Százalék | Kvalitatív információk | ||
| 010 | 020 | 030 | ||
| Lényeges hitelkockázati kitettségek – hitelkockázat | ||||
| 010 | Kitettségérték a sztenderd módszer szerint | |||
| 020 | Kitettségérték az IRB-módszer szerint | |||
| Lényeges hitelkockázati kitettségek – piaci kockázat | ||||
| 030 | Kereskedési könyvi kitettségek hosszú és rövid pozícióinak összege a sztenderd módszer szerint | |||
| 040 | Kereskedési könyvi kitettségek értéke a belső modellek szerint | |||
| Lényeges hitelkockázati kitettségek – értékpapírosítás | ||||
| 055 | Banki könyvi értékpapírosítási pozíciók kitettségértéke | |||
| Szavatolótőke-követelmények és súlyok | ||||
| 070 | Az anticiklikus tőkepufferre vonatkozó teljes szavatolótőke-követelmény | |||
| 080 | A lényeges hitelkockázati kitettségekre vonatkozó szavatolótőke-követelmény – hitelkockázat | |||
| 090 | A lényeges hitelkockázati kitettségekre vonatkozó szavatolótőke-követelmény – piaci kockázat | |||
| 100 | A lényeges hitelkockázati kitettségekre vonatkozó szavatolótőke-követelmény – banki könyvi értékpapírosítási pozíciók | |||
| 110 | Szavatolótőke-követelmények súlyai | |||
| Anticiklikustőkepuffer-ráták | ||||
| 120 | A kijelölt hatóság által meghatározott anticiklikustőkepuffer-ráta | |||
| 130 | Az intézmény helye szerinti országban alkalmazandó anticiklikustőkepuffer-ráta | |||
| 140 | Intézményspecifikus anticiklikustőkepuffer-ráta | |||
| 2 %-os küszöbérték alkalmazása | ||||
| 150 | 2 %-os küszöbérték alkalmazása az általános hitelkockázati kitettségekre | |||
| 160 | 2 %-os küszöbérték alkalmazása a kereskedési könyvi kitettségekre | |||
C 10.01 - HITELKOCKÁZAT: RÉSZVÉNYJELLEGŰ KITETTSÉGEK - AZ IRB-MÓDSZER SZERINTI TŐKEKÖVETELMÉNY (CR EQU IRB 1)
| BELSŐ MINŐSÍTÉSI RENDSZER | HITEL-EGYENÉRTÉKESÍTÉSI TÉNYEZŐK ELŐTTI EREDETI KITETTSÉG | A KITETTSÉGRE HELYETTESÍTÉSI HATÁSSAL JÁRÓ HITELKOCKÁZAT-MÉRSÉKLÉSI (CRM) TECHNIKÁK | KITETTSÉGÉRTÉK | KITETTSÉGGEL SÚLYOZOTT ÁTLAGOS LGD (%) | KOCKÁZATTAL SÚLYOZOTT KITETTSÉGÉRTÉK | TÁJÉKOZTATÓ ADAT: | ||||
| ELŐRE NEM RENDELKEZÉSRE BOCSÁTOTT HITELKOCKÁZATI FEDEZET | A KITETTSÉG HITELKOCKÁZAT-MÉRSÉKLÉS MIATTI HELYETTESÍTÉSE | VÁRHATÓ VESZTESÉGÉRTÉK | ||||||||
| AZ ÜGYFÉL-KATEGÓRIÁHOZ RENDELT NEMTELJESÍTÉSI VALÓSZÍNŰSÉG (PD) (%) | (–) GARANCIÁK | (–) HITELDERIVATÍVÁK | (–) KIÁRAMLÁSOK ÖSSZESEN | |||||||
| 010 | 020 | 030 | 040 | 050 | 060 | 070 | 080 | 090 | ||
| 010 | IRB RÉSZVÉNYJELLEGŰ KITETTSÉGEK ÖSSZESEN | Cella kapcsolata: CA | ||||||||
| 020 | PD/LGD-MÓDSZER: ÖSSZESEN | |||||||||
| 050 | EGYSZERŰ KOCKÁZATI SÚLYOZÁSI MÓDSZER: ÖSSZESEN | |||||||||
| 060 | A TELJES KITETTSÉG KOCKÁZATI SÚLY SZERINTI BONTÁSA AZ EGYSZERŰ KOCKÁZATI SÚLYOZÁSI MÓDSZER ALAPJÁN: | |||||||||
| 070 | KOCKÁZATI SÚLY: 190 % | |||||||||
| 080 | 290% | |||||||||
| 090 | 370% | |||||||||
| 100 | BELSŐ MODELLEKEN ALAPULÓ MÓDSZER | |||||||||
| 110 | KOCKÁZATI SÚLYOZÁS ALÁ TARTOZÓ RÉSZVÉNYJELLEGŰ KITETTSÉGEK | |||||||||
C 10.02 - HITELKOCKÁZAT: RÉSZVÉNYJELLEGŰ KITETTSÉGEK - AZ IRB-MÓDSZER SZERINTI TŐKEKÖVETELMÉNY. A TELJES KITETTSÉG ÜGYFÉL-KATEGÓRIA SZERINTI BONTÁSA A PD/LGD-MÓDSZER ALAPJÁN (CR EQU IRB 2)
| ÜGYFÉL-KATEGÓRIA (SORAZONOSÍTÓ) | BELSŐ MINŐSÍTÉSI RENDSZER | HITEL-EGYENÉRTÉKESÍTÉSI TÉNYEZŐK ELŐTTI EREDETI KITETTSÉG | A KITETTSÉGRE HELYETTESÍTÉSI HATÁSSAL JÁRÓ HITELKOCKÁZAT-MÉRSÉKLÉSI (CRM) TECHNIKÁK | KITETTSÉGÉRTÉK | KITETTSÉGGEL SÚLYOZOTT ÁTLAGOS LGD (%) | KOCKÁZATTAL SÚLYOZOTT KITETTSÉGÉRTÉK | TÁJÉKOZTATÓ ADAT: | ||
| ELŐRE NEM RENDELKEZÉSRE BOCSÁTOTT HITELKOCKÁZATI FEDEZET | A KITETTSÉG HITELKOCKÁZAT-MÉRSÉKLÉS MIATTI HELYETTESÍTÉSE | VÁRHATÓ VESZTESÉGÉRTÉK | |||||||
| AZ ÜGYFÉL-KATEGÓRIÁHOZ RENDELT NEMTELJESÍTÉSI VALÓSZÍNŰSÉG (PD) (%) | (–) GARANCIÁK | (–) HITELDERIVATÍVÁK | (–) KIÁRAMLÁSOK ÖSSZESEN | ||||||
| 005 | 010 | 020 | 030 | 040 | 050 | 060 | 070 | 080 | 090 | 
C 11.00 - ELSZÁMOLÁSI/TELJESÍTÉSI KOCKÁZAT (CR SETT)
| KI NEM EGYENLÍTETT ÜGYLETEK TELJESÍTÉSI ÁRA | A KI NEM EGYENLÍTETT ÜGYLETEKBŐL EREDŐ ÁRKÜLÖNBÖZETI KITETTSÉG | SZAVATOLÓTŐKE-KÖVETELMÉNY | ELSZÁMOLÁSI KOCKÁZAT TELJES KOCKÁZATI KITETTSÉGÉRTÉKE | ||
| 010 | 020 | 030 | 040 | ||
| 010 | A nem kereskedési könyvi ki nem egyenlített ügyletek összesen | Cella kapcsolata: CA | |||
| 020 | Legfeljebb 4 napig ki nem egyenlített ügyletek (0 %-os szorzó) | ||||
| 030 | 5–15 napig ki nem egyenlített ügyletek (8 %-os szorzó) | ||||
| 040 | 16–30 napig ki nem egyenlített ügyletek (50 %-os szorzó) | ||||
| 050 | 31–45 napig ki nem egyenlített ügyletek (75 %-os szorzó) | ||||
| 060 | Legalább 46 napig ki nem egyenlített ügyletek (100 %-os szorzó) | ||||
| 070 | A kereskedési könyvi ki nem egyenlített ügyletek összesen | Cella kapcsolata: CA | |||
| 080 | Legfeljebb 4 napig ki nem egyenlített ügyletek (0 %-os szorzó) | ||||
| 090 | 5–15 napig ki nem egyenlített ügyletek (8 %-os szorzó) | ||||
| 100 | 16–30 napig ki nem egyenlített ügyletek (50 %-os szorzó) | ||||
| 110 | 31–45 napig ki nem egyenlített ügyletek (75 %-os szorzó) | ||||
| 120 | Legalább 46 napig ki nem egyenlített ügyletek (100 %-os szorzó) | ||||
C 13.01 - HITELKOCKÁZAT: ÉRTÉKPAPÍROSÍTÁS (CR SEC)
| ÉRTÉKPAPÍROSÍTÁSRA KERÜLŐ KITETTSÉGEK ÖSSZÉRTÉKE | SZINTETIKUS ÉRTÉKPAPÍROSÍTÁS: ÉRTÉKPAPÍROSÍTOTT KITETTSÉGEK HITELKOCKÁZATI FEDEZETE | ÉRTÉKPAPÍROSÍTÁSI POZÍCIÓK | (–) ÉRTÉKELÉSI KORREKCIÓK ÉS CÉLTARTALÉKOK | ÉRTÉKELÉSI KORREKCIÓKKAL ÉS CÉLTARTALÉKOKKAL CSÖKKENTETT KITETTSÉG | A KITETTSÉGRE HELYETTESÍTÉSI HATÁSSAL JÁRÓ HITELKOCKÁZAT-MÉRSÉKLÉSI (CRM) TECHNIKÁK | HELYETTESÍTÉSI HATÁSSAL JÁRÓ CRM-TECHNIKÁK UTÁNI, HITEL-EGYENÉRTÉKESÍTÉSI TÉNYEZŐK ELŐTTI NETTÓ KITETTSÉG | (-) A KITETTSÉGÉRTÉKET ÉRINTŐ HITELKOCKÁZAT-MÉRSÉKLÉSI TECHNIKÁK: ELŐRE RENDELKEZÉSRE BOCSÁTOTT HITELKOCKÁZATI FEDEZET, A PÉNZÜGYI BIZTOSÍTÉKOK ÖSSZETETT MÓDSZERE, KORRIGÁLT ÉRTÉK (Cvam) | TELJES MÉRTÉKBEN KORRIGÁLT KITETTSÉGÉRTÉK (E*) | (–) VISSZA NEM FIZETENDŐ ÁRENGEDMÉNYEK | (–) AZ ALAPUL SZOLGÁLÓ KITETTSÉGEK EGYEDI HITELKOCKÁZATI KIIGAZÍTÁSA | KITETTSÉGÉRTÉK | KOCKÁZATI SÚLYOZÁS ALÁ TARTOZÓ KITETTSÉGÉRTÉK BONTÁSA | KOCKÁZATTAL SÚLYOZOTT KITETTSÉGÉRTÉK | A KOCKÁZATTAL SÚLYOZOTT KITETTSÉGÉRTÉK LEJÁRATI ELTÉRÉS MIATTI KORREKCIÓJA | AZ (EU) 2017/2402 RENDELET 2. FEJEZETÉNEK MEGSÉRTÉSE MIATTI ÁLTALÁNOS HATÁS (KORREKCIÓ) | FELSŐ KORLÁT FIGYELEMBEVÉTELE ELŐTT | (–) A KOCKÁZATI SÚLYRA VONATKOZÓ FELSŐ KORLÁT MIATTI CSÖKKENTÉS | (–) AZ ÁLTALÁNOS FELSŐ KORLÁT MIATTI CSÖKKENTÉS | KOCKÁZATTAL SÚLYOZOTT TELJES KITETTSÉGÉRTÉK | TÁJÉKOZTATÓ ADAT: AZ ÉRTÉKPAPÍROSÍTÁSBÓL MÁS KITETTSÉGI OSZTÁLYOKBA IRÁNYULÓ KIÁRAMLÁSNAK MEGFELELŐ KOCKÁZATTAL SÚLYOZOTT KITETTSÉGÉRTÉK | ||||||||||||||||||||||||||||||||||||||||||||||||||||||||||||||||||||||||||
| (–) ELŐRE RENDELKEZÉSRE BOCSÁTOTT HITELKOCKÁZATI FEDEZET (Cva) | (–) KIÁRAMLÁSOK ÖSSZESEN | A VISSZATARTOTT VAGY VISSZAVÁSÁROLT HITELKOCKÁZATI FEDEZET NÉVLEGES ÖSSZEGE | HITEL-EGYENÉRTÉKESÍTÉSI TÉNYEZŐK ELŐTTI EREDETI KITETTSÉG | (–) ELŐRE NEM RENDELKEZÉSRE BOCSÁTOTT HITELKOCKÁZATI FEDEZET: KORRIGÁLT ÉRTÉKEK (Ga) | (–) ELŐRE RENDELKEZÉSRE BOCSÁTOTT HITELKOCKÁZATI FEDEZET | A KITETTSÉG HITELKOCKÁZAT-MÉRSÉKLÉS MIATTI HELYETTESÍTÉSE | EBBŐL: 0 %-OS HITEL-EGYENÉRTÉKESÍTÉSI TÉNYEZŐ (CCF) ALÁ TARTOZÓ | (–) SZAVATOLÓTŐKÉBŐL LEVONT | KOCKÁZATI SÚLYOZÁS ALÁ TARTOZÓ | SEC-IRBA | SEC-SA | SEC-ERBA | BELSŐ ÉRTÉKELÉSI MÓDSZER | EGYÉB (KOCKÁZATI SÚLY = 1 250 %) | SEC-IRBA | SEC-SA | SEC-ERBA | BELSŐ ÉRTÉKELÉSI MÓDSZER | EGYÉB (KOCKÁZATI SÚLY = 1 250 %) | EBBŐL: SZINTETIKUS ÉRTÉKPAPÍROSÍTÁS | ||||||||||||||||||||||||||||||||||||||||||||||||||||||||||||||||||||||||||
| KOCKÁZATISÚLY-SÁVOK SZERINTI BONTÁS | EBBŐL: A 255. CIKK (4) BEKEZDÉSE SZERINT SZÁMÍTVA (VÁSÁROLT KÖVETELÉSEK) | KOCKÁZATISÚLY-SÁVOK SZERINTI BONTÁS | HITELMINŐSÉGI BESOROLÁSOK SZERINTI BONTÁS | A SEC-ERBA ALKALMAZÁSÁNAK INDOKAI SZERINTI BONTÁS | KOCKÁZATISÚLY-SÁVOK SZERINTI BONTÁS | EBBŐL: A 255. CIKK (4) BEKEZDÉSE SZERINT SZÁMÍTVA (VÁSÁROLT KÖVETELÉSEK) | EBBŐL: KOCKÁZATI SÚLY = 1 250 % (W ISMERETLEN) | GÉPJÁRMŰHITELEK, GÉPJÁRMŰ- ÉS ESZKÖZLÍZINGEK | SEC-ERBA OPCIÓ | A CRR 254. CIKKE (2) BEKEZDÉSÉNEK a) PONTJA SZERINTI POZÍCIÓK | A CRR 254. CIKKE (2) BEKEZDÉSÉNEK b) PONTJA SZERINTI POZÍCIÓK | A CRR 254. CIKKÉNEK (4) BEKEZDÉSE VAGY 258. CIKKÉNEK (2) BEKEZDÉSE SZERINTI POZÍCIÓK | A MÓDSZEREK HIERARCHIÁJÁT KÖVETVE | ÁTLAGOS KOCKÁZATI SÚLY (%) | ||||||||||||||||||||||||||||||||||||||||||||||||||||||||||||||||||||||||||||||||
| (–) ELŐRE NEM RENDELKEZÉSRE BOCSÁTOTT HITELKOCKÁZATI FEDEZET: KORRIGÁLT ÉRTÉKEK (G*) | (–) KIÁRAMLÁSOK ÖSSZESEN | BEÁRAMLÁSOK ÖSSZESEN | KOCKÁZATI SÚLY =< 20 % | KOCKÁZATI SÚLY >20 %–50 % | KOCKÁZATI SÚLY >50 %–100 % | KOCKÁZATI SÚLY >100 %–< 1 250 % | KOCKÁZATI SÚLY: 1 250 % | KOCKÁZATI SÚLY =< 20 % | KOCKÁZATI SÚLY >20 %–50 % | KOCKÁZATI SÚLY >50 %–100 % | KOCKÁZATI SÚLY >100 %–< 1 250 % | KOCKÁZATI SÚLY: 1 250 % (W ISMERETLEN) | KOCKÁZATI SÚLY: 1 250 % (EGYÉB) | RÖVID TÁVÚ HITELMINŐSÉGI BESOROLÁSOK | HOSSZÚ TÁVÚ HITELMINŐSÉGI BESOROLÁSOK | GÉPJÁRMŰHITELEK, GÉPJÁRMŰ- ÉS ESZKÖZLÍZINGEK | SEC-ERBA OPCIÓ | A CRR 254. CIKKE (2) BEKEZDÉSÉNEK a) PONTJA SZERINTI POZÍCIÓK | A CRR 254. CIKKE (2) BEKEZDÉSÉNEK b) PONTJA SZERINTI POZÍCIÓK | A CRR 254. CIKKÉNEK (4) BEKEZDÉSE VAGY 258. CIKKÉNEK (2) BEKEZDÉSE SZERINTI POZÍCIÓK | A MÓDSZEREK HIERARCHIÁJÁT KÖVETVE | KOCKÁZATI SÚLY =< 20 % | KOCKÁZATI SÚLY >20 %–50 % | KOCKÁZATI SÚLY >50 %–100 % | KOCKÁZATI SÚLY >100 %–< 1 250 % | KOCKÁZATI SÚLY: 1 250 % | ||||||||||||||||||||||||||||||||||||||||||||||||||||||||||||||||||||
| CQS 1 | CQS 2 | CQS 3 | MINDEN EGYÉB HITELMINŐSÉGI BESOROLÁS | CQS 1 | CQS 2 | CQS 3 | CQS 4 | CQS 5 | CQS 6 | CQS 7 | CQS 8 | CQS 9 | CQS 10 | CQS 11 | CQS 12 | CQS 13 | CQS 14 | CQS 15 | CQS 16 | CQS 17 | MINDEN EGYÉB HITELMINŐSÉGI BESOROLÁS | |||||||||||||||||||||||||||||||||||||||||||||||||||||||||||||||||||||||||
| 0010 | 0020 | 0030 | 0040 | 0050 | 0060 | 0070 | 0080 | 0090 | 0100 | 0110 | 0120 | 0130 | 0140 | 0150 | 0160 | 0170 | 0180 | 0190 | 0200 | 0210 | 0220 | 0230 | 0240 | 0250 | 0260 | 0270 | 0280 | 0290 | 0300 | 0310 | 0320 | 0330 | 0340 | 0350 | 0360 | 0370 | 0380 | 0390 | 0400 | 0410 | 0420 | 0430 | 0440 | 0450 | 0460 | 0470 | 0480 | 0490 | 0500 | 0510 | 0520 | 0530 | 0540 | 0550 | 0560 | 0570 | 0580 | 0590 | 0600 | 0610 | 0620 | 0630 | 0640 | 0650 | 0660 | 0670 | 0680 | 0690 | 0700 | 0710 | 0720 | 0730 | 0740 | 0750 | 0760 | 0770 | 0780 | 0790 | 0800 | 0810 | 0820 | 0830 | 0840 | 0850 | 0860 | 0870 | 0880 | 0890 | 0900 | 0910 | 0920 | 0930 | ||
| 0010 | TELJES KITETTSÉG | Cella kapcsolata: CA | ||||||||||||||||||||||||||||||||||||||||||||||||||||||||||||||||||||||||||||||||||||||||||||
| 0020 | ÉRTÉKPAPÍROSÍTÁSI POZÍCIÓK | |||||||||||||||||||||||||||||||||||||||||||||||||||||||||||||||||||||||||||||||||||||||||||||
| 0030 | DIFFERENCIÁLT TŐKEKÖVETELMÉNY-MEGÁLLAPÍTÁSRA JOGOSULT | |||||||||||||||||||||||||||||||||||||||||||||||||||||||||||||||||||||||||||||||||||||||||||||
| 0040 | STS KITETTSÉGEK | |||||||||||||||||||||||||||||||||||||||||||||||||||||||||||||||||||||||||||||||||||||||||||||
| 0050 | KKV-ÉRTÉKPAPÍROSÍTÁSBAN LÉVŐ ELŐRESOROLT POZÍCIÓK | |||||||||||||||||||||||||||||||||||||||||||||||||||||||||||||||||||||||||||||||||||||||||||||
| 0060 | DIFFERENCIÁLT TŐKEKÖVETELMÉNY-MEGÁLLAPÍTÁSRA NEM JOGOSULT | |||||||||||||||||||||||||||||||||||||||||||||||||||||||||||||||||||||||||||||||||||||||||||||
| 0070 | ÚJRA-ÉRTÉKPAPÍROSÍTÁSI POZÍCIÓK | |||||||||||||||||||||||||||||||||||||||||||||||||||||||||||||||||||||||||||||||||||||||||||||
| 0080 | ÉRTÉKPAPÍROSÍTÁST KEZDEMÉNYEZŐ: TELJES KITETTSÉG | |||||||||||||||||||||||||||||||||||||||||||||||||||||||||||||||||||||||||||||||||||||||||||||
| 0090 | ÉRTÉKPAPÍROSÍTÁSI POZÍCIÓK: MÉRLEGTÉTELEK | |||||||||||||||||||||||||||||||||||||||||||||||||||||||||||||||||||||||||||||||||||||||||||||
| 0100 | DIFFERENCIÁLT TŐKEKÖVETELMÉNY-MEGÁLLAPÍTÁSRA JOGOSULT | |||||||||||||||||||||||||||||||||||||||||||||||||||||||||||||||||||||||||||||||||||||||||||||
| 0110 | EBBŐL: ELŐRESOROLT KITETTSÉGEK | |||||||||||||||||||||||||||||||||||||||||||||||||||||||||||||||||||||||||||||||||||||||||||||
| 0120 | DIFFERENCIÁLT TŐKEKÖVETELMÉNY-MEGÁLLAPÍTÁSRA NEM JOGOSULT | |||||||||||||||||||||||||||||||||||||||||||||||||||||||||||||||||||||||||||||||||||||||||||||
| 0130 | EBBŐL: ELŐRESOROLT KITETTSÉGEK | |||||||||||||||||||||||||||||||||||||||||||||||||||||||||||||||||||||||||||||||||||||||||||||
| 0140 | ÉRTÉKPAPÍROSÍTÁSI POZÍCIÓK: MÉRLEGEN KÍVÜLI TÉTELEK ÉS SZÁRMAZTATOTT ÜGYLETEK | |||||||||||||||||||||||||||||||||||||||||||||||||||||||||||||||||||||||||||||||||||||||||||||
| 0150 | DIFFERENCIÁLT TŐKEKÖVETELMÉNY-MEGÁLLAPÍTÁSRA JOGOSULT | |||||||||||||||||||||||||||||||||||||||||||||||||||||||||||||||||||||||||||||||||||||||||||||
| 0160 | EBBŐL: ELŐRESOROLT KITETTSÉGEK | |||||||||||||||||||||||||||||||||||||||||||||||||||||||||||||||||||||||||||||||||||||||||||||
| 0170 | DIFFERENCIÁLT TŐKEKÖVETELMÉNY-MEGÁLLAPÍTÁSRA NEM JOGOSULT | |||||||||||||||||||||||||||||||||||||||||||||||||||||||||||||||||||||||||||||||||||||||||||||
| 0180 | EBBŐL: ELŐRESOROLT KITETTSÉGEK | |||||||||||||||||||||||||||||||||||||||||||||||||||||||||||||||||||||||||||||||||||||||||||||
| 0190 | ÚJRA-ÉRTÉKPAPÍROSÍTÁSI POZÍCIÓK | |||||||||||||||||||||||||||||||||||||||||||||||||||||||||||||||||||||||||||||||||||||||||||||
| 0200 | BEFEKTETŐ: TELJES KITETTSÉG | |||||||||||||||||||||||||||||||||||||||||||||||||||||||||||||||||||||||||||||||||||||||||||||
| 0210 | ÉRTÉKPAPÍROSÍTÁSI POZÍCIÓK: MÉRLEGTÉTELEK | |||||||||||||||||||||||||||||||||||||||||||||||||||||||||||||||||||||||||||||||||||||||||||||
| 0220 | DIFFERENCIÁLT TŐKEKÖVETELMÉNY-MEGÁLLAPÍTÁSRA JOGOSULT | |||||||||||||||||||||||||||||||||||||||||||||||||||||||||||||||||||||||||||||||||||||||||||||
| 0230 | EBBŐL: ELŐRESOROLT KITETTSÉGEK | |||||||||||||||||||||||||||||||||||||||||||||||||||||||||||||||||||||||||||||||||||||||||||||
| 0240 | DIFFERENCIÁLT TŐKEKÖVETELMÉNY-MEGÁLLAPÍTÁSRA NEM JOGOSULT | |||||||||||||||||||||||||||||||||||||||||||||||||||||||||||||||||||||||||||||||||||||||||||||
| 0250 | EBBŐL: ELŐRESOROLT KITETTSÉGEK | |||||||||||||||||||||||||||||||||||||||||||||||||||||||||||||||||||||||||||||||||||||||||||||
| 0260 | ÉRTÉKPAPÍROSÍTÁSI POZÍCIÓK: MÉRLEGEN KÍVÜLI TÉTELEK ÉS SZÁRMAZTATOTT ÜGYLETEK | |||||||||||||||||||||||||||||||||||||||||||||||||||||||||||||||||||||||||||||||||||||||||||||
| 0270 | DIFFERENCIÁLT TŐKEKÖVETELMÉNY-MEGÁLLAPÍTÁSRA JOGOSULT | |||||||||||||||||||||||||||||||||||||||||||||||||||||||||||||||||||||||||||||||||||||||||||||
| 0280 | EBBŐL: ELŐRESOROLT KITETTSÉGEK | |||||||||||||||||||||||||||||||||||||||||||||||||||||||||||||||||||||||||||||||||||||||||||||
| 0290 | DIFFERENCIÁLT TŐKEKÖVETELMÉNY-MEGÁLLAPÍTÁSRA NEM JOGOSULT | |||||||||||||||||||||||||||||||||||||||||||||||||||||||||||||||||||||||||||||||||||||||||||||
| 0300 | EBBŐL: ELŐRESOROLT KITETTSÉGEK | |||||||||||||||||||||||||||||||||||||||||||||||||||||||||||||||||||||||||||||||||||||||||||||
| 0310 | ÚJRA-ÉRTÉKPAPÍROSÍTÁSI POZÍCIÓK | |||||||||||||||||||||||||||||||||||||||||||||||||||||||||||||||||||||||||||||||||||||||||||||
| 0320 | SZPONZOR: TELJES KITETTSÉG | |||||||||||||||||||||||||||||||||||||||||||||||||||||||||||||||||||||||||||||||||||||||||||||
| 0330 | ÉRTÉKPAPÍROSÍTÁSI POZÍCIÓK: MÉRLEGTÉTELEK | |||||||||||||||||||||||||||||||||||||||||||||||||||||||||||||||||||||||||||||||||||||||||||||
| 0340 | DIFFERENCIÁLT TŐKEKÖVETELMÉNY-MEGÁLLAPÍTÁSRA JOGOSULT | |||||||||||||||||||||||||||||||||||||||||||||||||||||||||||||||||||||||||||||||||||||||||||||
| 0350 | EBBŐL: ELŐRESOROLT KITETTSÉGEK | |||||||||||||||||||||||||||||||||||||||||||||||||||||||||||||||||||||||||||||||||||||||||||||
| 0360 | DIFFERENCIÁLT TŐKEKÖVETELMÉNY-MEGÁLLAPÍTÁSRA NEM JOGOSULT | |||||||||||||||||||||||||||||||||||||||||||||||||||||||||||||||||||||||||||||||||||||||||||||
| 0370 | EBBŐL: ELŐRESOROLT KITETTSÉGEK | |||||||||||||||||||||||||||||||||||||||||||||||||||||||||||||||||||||||||||||||||||||||||||||
| 0380 | ÉRTÉKPAPÍROSÍTÁSI POZÍCIÓK: MÉRLEGEN KÍVÜLI TÉTELEK ÉS SZÁRMAZTATOTT ÜGYLETEK | |||||||||||||||||||||||||||||||||||||||||||||||||||||||||||||||||||||||||||||||||||||||||||||
| 0390 | DIFFERENCIÁLT TŐKEKÖVETELMÉNY-MEGÁLLAPÍTÁSRA JOGOSULT | |||||||||||||||||||||||||||||||||||||||||||||||||||||||||||||||||||||||||||||||||||||||||||||
| 0400 | EBBŐL: ELŐRESOROLT KITETTSÉGEK | |||||||||||||||||||||||||||||||||||||||||||||||||||||||||||||||||||||||||||||||||||||||||||||
| 0410 | DIFFERENCIÁLT TŐKEKÖVETELMÉNY-MEGÁLLAPÍTÁSRA NEM JOGOSULT | |||||||||||||||||||||||||||||||||||||||||||||||||||||||||||||||||||||||||||||||||||||||||||||
| 0420 | EBBŐL: ELŐRESOROLT KITETTSÉGEK | |||||||||||||||||||||||||||||||||||||||||||||||||||||||||||||||||||||||||||||||||||||||||||||
| 0430 | ÚJRA-ÉRTÉKPAPÍROSÍTÁSI POZÍCIÓK | |||||||||||||||||||||||||||||||||||||||||||||||||||||||||||||||||||||||||||||||||||||||||||||
| 0440 | A FENNÁLLÓ POZÍCIÓK KEZDETI HITELMINŐSÉGI BESOROLÁS SZERINTI BONTÁSA Rövid távú | |||||||||||||||||||||||||||||||||||||||||||||||||||||||||||||||||||||||||||||||||||||||||||||
| 0450 | CQS 1 | |||||||||||||||||||||||||||||||||||||||||||||||||||||||||||||||||||||||||||||||||||||||||||||
| 0460 | CQS 2 | |||||||||||||||||||||||||||||||||||||||||||||||||||||||||||||||||||||||||||||||||||||||||||||
| 0470 | CQS 3 | |||||||||||||||||||||||||||||||||||||||||||||||||||||||||||||||||||||||||||||||||||||||||||||
| 0480 | MINDEN EGYÉB HITELMINŐSÉGI BESOROLÁS ÉS NEM MINŐSÍTETT | |||||||||||||||||||||||||||||||||||||||||||||||||||||||||||||||||||||||||||||||||||||||||||||
| 0490 | A FENNÁLLÓ POZÍCIÓK KEZDETI HITELMINŐSÉGI BESOROLÁS SZERINTI BONTÁSA Hosszú távú | |||||||||||||||||||||||||||||||||||||||||||||||||||||||||||||||||||||||||||||||||||||||||||||
| 0500 | CQS 1 | |||||||||||||||||||||||||||||||||||||||||||||||||||||||||||||||||||||||||||||||||||||||||||||
| 0510 | CQS 2 | |||||||||||||||||||||||||||||||||||||||||||||||||||||||||||||||||||||||||||||||||||||||||||||
| 0520 | CQS 3 | |||||||||||||||||||||||||||||||||||||||||||||||||||||||||||||||||||||||||||||||||||||||||||||
| 0530 | CQS 4 | |||||||||||||||||||||||||||||||||||||||||||||||||||||||||||||||||||||||||||||||||||||||||||||
| 0540 | CQS 5 | |||||||||||||||||||||||||||||||||||||||||||||||||||||||||||||||||||||||||||||||||||||||||||||
| 0550 | CQS 6 | |||||||||||||||||||||||||||||||||||||||||||||||||||||||||||||||||||||||||||||||||||||||||||||
| 0560 | CQS 7 | |||||||||||||||||||||||||||||||||||||||||||||||||||||||||||||||||||||||||||||||||||||||||||||
| 0570 | CQS 8 | |||||||||||||||||||||||||||||||||||||||||||||||||||||||||||||||||||||||||||||||||||||||||||||
| 0580 | CQS 9 | |||||||||||||||||||||||||||||||||||||||||||||||||||||||||||||||||||||||||||||||||||||||||||||
| 0590 | CQS 10 | |||||||||||||||||||||||||||||||||||||||||||||||||||||||||||||||||||||||||||||||||||||||||||||
| 0600 | CQS 11 | |||||||||||||||||||||||||||||||||||||||||||||||||||||||||||||||||||||||||||||||||||||||||||||
| 0610 | CQS 12 | |||||||||||||||||||||||||||||||||||||||||||||||||||||||||||||||||||||||||||||||||||||||||||||
| 0620 | CQS 13 | |||||||||||||||||||||||||||||||||||||||||||||||||||||||||||||||||||||||||||||||||||||||||||||
| 0630 | CQS 14 | |||||||||||||||||||||||||||||||||||||||||||||||||||||||||||||||||||||||||||||||||||||||||||||
| 0640 | CQS 15 | |||||||||||||||||||||||||||||||||||||||||||||||||||||||||||||||||||||||||||||||||||||||||||||
| 0650 | CQS 16 | |||||||||||||||||||||||||||||||||||||||||||||||||||||||||||||||||||||||||||||||||||||||||||||
| 0660 | CQS 17 | |||||||||||||||||||||||||||||||||||||||||||||||||||||||||||||||||||||||||||||||||||||||||||||
| 0670 | MINDEN EGYÉB HITELMINŐSÉGI BESOROLÁS ÉS NEM MINŐSÍTETT | |||||||||||||||||||||||||||||||||||||||||||||||||||||||||||||||||||||||||||||||||||||||||||||
C 14.00 - AZ ÉRTÉKPAPÍROSÍTÁSSAL KAPCSOLATOS RÉSZLETES INFORMÁCIÓK (SEC Details)
| SOR SZÁMA | BELSŐ KÓD | AZ ÉRTÉKPAPÍROSÍTÁS AZONOSÍTÓJA | CSOPORTON BELÜLI, MAGÁN VAGY NYILVÁNOS ÉRTÉKPAPÍROSÍTÁS? | AZ INTÉZMÉNY SZEREPE: (ÉRTÉKPAPÍROSÍTÁST KEZDEMÉNYEZŐ / SZPONZOR / EREDETI HITELEZŐ / BEFEKTETŐ) | AZ ÉRTÉKPAPÍROSÍTÁST KEZDEMÉNYEZŐ AZONOSÍTÓJA | ÉRTÉKPAPÍROSÍTÁS TÍPUSA: (HAGYOMÁNYOS / SZINTETIKUS / ABCP-PROGRAM / ABCP-ÜGYLET) | SZÁMVITELI KEZELÉS: AZ ÉRTÉKPAPÍROSÍTOTT KITETTSÉGEK A MÉRLEGBEN MARADNAK, VAGY KIVEZETÉSRE KERÜLNEK? | A FIZETŐKÉPESSÉG KEZELÉSE: Az értékpapírosítási pozíciókra szavatolótőke-követelmény vonatkozik? | JELENTŐS KOCKÁZATÁTRUHÁZÁS | ÉRTÉKPAPÍROSÍTÁS VAGY ÚJRA-ÉRTÉKPAPÍROSÍTÁS? | STS ÉRTÉKPAPÍROSÍTÁS VAGY NEM STS ÉRTÉKPAPÍROSÍTÁS? | DIFFERENCIÁLT TŐKEKÖVETELMÉNY-MEGÁLLAPÍTÁSRA JOGOSULT ÉRTÉKPAPÍROSÍTÁS? | MEGTARTOTT ÉRDEKELTSÉGEK | NEM ABCP-PROGRAMOK | ÉRTÉKPAPÍROSÍTOTT KITETTSÉGEK | ÉRTÉKPAPÍROSÍTÁSI STRUKTÚRA | ||||||||||||||||||||||||||||||||||||
| AZ ÉRDEKELTSÉG MEGTARTÁSÁNAK MÓDJA | A MEGTARTOTT ÉRDEKELTSÉGEK ARÁNYA AZ ADATSZOLGÁLTATÁS IDŐPONTJÁBAN (%) | A MEGTARTÁSI KÖVETELMÉNY TELJESÜL? | KEZDEMÉNYEZÉS IDŐPONTJA (hh/éééé) | A LEGUTOLSÓ KIBOCSÁTÁS IDŐPONTJA (hh/éééé) | AZ ÉRTÉKPAPÍROSÍTOTT KITETTSÉGEK ÖSSZÉRTÉKE A KEZDEMÉNYEZÉS IDŐPONTJÁBAN | ÖSSZÉRTÉK | AZ INTÉZMÉNY RÉSZESEDÉSE (%) | TÍPUS | AZ IRB %-OS ARÁNYA AZ ALKALMAZOTT MÓDSZEREK KÖZÖTT | A KITETTSÉGEK SZÁMA | NEMTELJESÍTŐ KITETTSÉGEK W (%) | ORSZÁG | LGD (%) | EL% | UL% | AZ ESZKÖZÖK KITETTSÉGGEL SÚLYOZOTT ÁTLAGOS LEJÁRATA | (–) ÉRTÉKELÉSI KORREKCIÓK ÉS CÉLTARTALÉKOK | ÉRTÉKPAPÍROSÍTÁS ELŐTTI SZAVATOLÓTŐKE-KÖVETELMÉNY (%) Kirb | A LAKOSSÁGGAL SZEMBENI KITETTSÉGEK %-OS ARÁNYA AZ IRB-HALMAZOKBAN | ÉRTÉKPAPÍROSÍTÁS ELŐTTI SZAVATOLÓTŐKE-KÖVETELMÉNY (%) Ksa | TÁJÉKOZTATÓ ADATOK | MÉRLEGTÉTELEK | MÉRLEGEN KÍVÜLI TÉTELEK ÉS SZÁRMAZTATOTT ÜGYLETEK | LEJÁRAT | TÁJÉKOZTATÓ ADATOK | |||||||||||||||||||||||||||
| HITELKOCKÁZATI KIIGAZÍTÁSOK A TÁRGYIDŐSZAKBAN | ELŐRESOROLT | KÖZTES | ELSŐ VESZTESÉGVISELŐ | ELŐRESOROLT | KÖZTES | ELSŐ VESZTESÉGVISELŐ | A FELMONDÁS VÁRHATÓ LEGKORÁBBI IDŐPONTJA | AZ ÉRTÉKPAPÍROSÍTÁST KEZDEMÉNYEZŐ ÜGYLETBE FOGLALT VISSZAVÁSÁRLÁSI JOGA | JOGSZERŰ VÉGSŐ LEJÁRATI IDŐPONT | AZ ELADOTT KOCKÁZAT ALSÓ VESZTESÉGVISELÉSI HATÁRA (%) | AZ ELADOTT KOCKÁZAT FELSŐ VESZTESÉGVISELÉSI HATÁRA (%) | AZ ÉRTÉKPAPÍROSÍTÁST KEZDEMÉNYEZŐ ÁLTAL MEGÁLLAPÍTOTT KOCKÁZATÁTRUHÁZÁS (%) | ||||||||||||||||||||||||||||||||||||||||
| ÖSSZEG | ALSÓ VESZTESÉGVISELÉSI HATÁR (%) | CQS | ÖSSZEG | AZ ÜGYLETRÉSZSOROZATOK SZÁMA | A LEGINKÁBB ALÁRENDELT ÜGYLETRÉSZSOROZAT HITELMINŐSÉGI BESOROLÁSA | ÖSSZEG | FELSŐ VESZTESÉGVISELÉSI HATÁR (%) | CQS | ||||||||||||||||||||||||||||||||||||||||||||
| 005 | 010 | 020 | 021 | 110 | 030 | 040 | 051 | 060 | 061 | 070 | 075 | 446 | 080 | 090 | 100 | 120 | 121 | 130 | 140 | 150 | 160 | 171 | 180 | 181 | 190 | 201 | 202 | 203 | 204 | 210 | 221 | 222 | 223 | 225 | 230 | 231 | 232 | 240 | 241 | 242 | 250 | 251 | 252 | 260 | 270 | 280 | 290 | 291 | 300 | 302 | 303 | 304 | 
C 14.01 - AZ ÉRTÉKPAPÍROSÍTÁSSAL KAPCSOLATOS RÉSZLETES INFORMÁCIÓK MÓDSZEREK SZERINT (SEC Details Approach)
Módszer:
| SOR SZÁMA | BELSŐ KÓD | AZ ÉRTÉKPAPÍROSÍTÁS AZONOSÍTÓJA | ÉRTÉKPAPÍROSÍTÁSI POZÍCIÓK | KITETTSÉGÉRTÉK | (–) A SZAVATOLÓTŐKÉBŐL LEVONT KITETTSÉGÉRTÉK | KOCKÁZATTAL SÚLYOZOTT TELJES KITETTSÉGÉRTÉK | TÁJÉKOZTATÓ ADATOK | ÉRTÉKPAPÍROSÍTÁSI POZÍCIÓK – KERESKEDÉSI KÖNYV | |||||||||||||||||
| HITEL-EGYENÉRTÉKESÍTÉSI TÉNYEZŐK ELŐTTI EREDETI KITETTSÉG | TÁJÉKOZTATÓ ADATOK: MÉRLEGEN KÍVÜLI TÉTELEK ÉS SZÁRMAZTATOTT ÜGYLETEK HITEL-EGYENÉRTÉKESÍTÉSI TÉNYEZŐK ELŐTT | KOCKÁZATTAL SÚLYOZOTT KITETTSÉGÉRTÉK A SEC-ERBA SZERINT | KOCKÁZATTAL SÚLYOZOTT KITETTSÉGÉRTÉK A SEC-SA SZERINT | CTP/NEM CTP | NETTÓ POZÍCIÓK | ||||||||||||||||||||
| MÉRLEGTÉTELEK | MÉRLEGEN KÍVÜLI TÉTELEK ÉS SZÁRMAZTATOTT ÜGYLETEK | KÖZVETLEN HITELHELYETTESÍTŐK | IRS / CRS | LIKVIDITÁSI HITELKERETEK | EGYÉB | ||||||||||||||||||||
| ELŐRESOROLT | KÖZTES | ELSŐ VESZTESÉGVISELŐ | ELŐRESOROLT | KÖZTES | ELSŐ VESZTESÉGVISELŐ | FELSŐ KORLÁT FIGYELEMBEVÉTELE ELŐTT | (–) A KOCKÁZATI SÚLYRA VONATKOZÓ FELSŐ KORLÁT MIATTI CSÖKKENTÉS | (–) AZ ÁLTALÁNOS KORLÁT MIATTI CSÖKKENTÉS | FELSŐ KORLÁT FIGYELEMBEVÉTELE UTÁN | ||||||||||||||||
| A FEDEZETNYÚJTÓNAK / INSTRUMENTUMNAK MEGFELELŐ KOCKÁZATI SÚLY | A FEDEZETNYÚJTÓNAK / INSTRUMENTUMNAK MEGFELELŐ KOCKÁZATI SÚLY | HOSSZÚ | RÖVID | ||||||||||||||||||||||
| 005 | 010 | 020 | 310 | 320 | 330 | 340 | 350 | 351 | 360 | 361 | 370 | 380 | 390 | 400 | 411 | 420 | 430 | 431 | 432 | 440 | 447 | 448 | 450 | 460 | 470 | 
C 16.00 - MŰKÖDÉSI KOCKÁZAT (OPR)
| BANKI TEVÉKENYSÉGEK | IRÁNYADÓ MUTATÓ | KÖLCSÖNÖK ÉS ELŐLEGEK (ALTERNATÍV SZTENDERD MÓDSZER ALKALMAZÁSA ESETÉN) | SZAVATOLÓTŐKE- KÖVETELMÉNY | Teljes működési kockázati kitettségérték | TÁJÉKOZTATÓ ADATOK A FEJLETT MÉRÉSI MÓDSZEREK ALKALMAZÁSÁRÓL, ADOTT ESETBEN SZOLGÁLTATANDÓ | |||||||||
| 3 ÉVVEL EZELŐTT | 2 ÉVVEL EZELŐTT | ELŐZŐ ÉV | 3 ÉVVEL EZELŐTT | 2 ÉVVEL EZELŐTT | ELŐZŐ ÉV | EBBŐL: ALLOKÁCIÓS ELJÁRÁSBÓL SZÁRMAZÓ | SZAVATOLÓTŐKE-KÖVETELMÉNY A VÁRHATÓ VESZTESÉG, A DIVERZIFIKÁCIÓ ÉS A KOCKÁZATMÉRSÉKLÉSI TECHNIKÁK MIATTI MÉRSÉKLÉS ELŐTT | (–) A SZAVATOLÓTŐKE-KÖVETELMÉNY MÉRSÉKLÉSE A BELSŐ ÜZLETVITELI GYAKORLATBAN FIGYELEMBE VETT VÁRHATÓ VESZTESÉG MIATT | (–) A SZAVATOLÓTŐKE-KÖVETELMÉNY MÉRSÉKLÉSE DIVERZIFIKÁCIÓ MIATT | (–) A SZAVATOLÓTŐKE-KÖVETELMÉNY MÉRSÉKLÉSE KOCKÁZATMÉRSÉKLÉSI TECHNIKÁK (BIZTOSÍTÁS ÉS EGYÉB KOCKÁZATÁTRUHÁZÁSI MECHANIZMUSOK) MIATT | ||||
| 010 | 020 | 030 | 040 | 050 | 060 | 070 | O71 | 080 | 090 | 100 | 110 | 120 | ||
| 010 | 1. AZ ALAPMUTATÓ-MÓDSZER (BIA) SZERINTI BANKI TEVÉKENYSÉGEK | Cella kapcsolata: CA2 | ||||||||||||
| 020 | 2. A SZTENDERD (TSA) / ALTERNATÍV SZTENDERD (ASA) MÓDSZER SZERINTI BANKI TEVÉKENYSÉGEK | Cella kapcsolata: CA2 | ||||||||||||
| A SZTENDERD MÓDSZER SZERINT: | ||||||||||||||
| 030 | VÁLLALATI PÉNZÜGYEK (CF) | |||||||||||||
| 040 | KERESKEDÉS ÉS ÉRTÉKESÍTÉS (TS) | |||||||||||||
| 050 | LAKOSSÁGI KÖZVETÍTŐI TEVÉKENYSÉG (RBr) | |||||||||||||
| 060 | KERESKEDELMI BANKI TEVÉKENYSÉG (CB) | |||||||||||||
| 070 | LAKOSSÁGI BANKI TEVÉKENYSÉG (RB) | |||||||||||||
| 080 | FIZETÉSI ÉS ELSZÁMOLÁSI SZOLGÁLTATÁSOK (PS) | |||||||||||||
| 090 | ÜGYNÖKI SZOLGÁLTATÁSOK (AS) | |||||||||||||
| 100 | VAGYONKEZELÉS (AM) | |||||||||||||
| AZ ALTERNATÍV SZTENDERD MÓDSZER SZERINT: | ||||||||||||||
| 110 | KERESKEDELMI BANKI TEVÉKENYSÉG (CB) | |||||||||||||
| 120 | LAKOSSÁGI BANKI TEVÉKENYSÉG (RB) | |||||||||||||
| 130 | 3. A FEJLETT MÉRÉSI MÓDSZEREK (AMA) SZERINTI BANKI TEVÉKENYSÉGEK | Cella kapcsolata: CA2 | ||||||||||||
C 17.01 - MŰKÖDÉSI KOCKÁZAT: AZ ELŐZŐ ÉVI VESZTESÉGEK ÉS MEGTÉRÜLT VESZTESÉGEK ÜZLETÁGANKÉNT ÉS VESZTESÉGESEMÉNY-TÍPUSONKÉNT (OPR DETAILS 1)
| A VESZTESÉGEK ÜZLETÁGHOZ RENDELÉSE | VESZTESÉGESEMÉNY-TÍPUSOK | VESZTESÉGESEMÉNY-TÍPUSOK ÖSSZESEN | TÁJÉKOZTATÓ ADAT: AZ ADATGYŰJTÉS SORÁN ALKALMAZOTT KÜSZÖBÉRTÉK | |||||||||
| BELSŐ CSALÁS | KÜLSŐ CSALÁS | MUNKÁLTATÓI GYAKORLAT ÉS MUNKAHELYI BIZTONSÁG | ÜGYFELEK, TERMÉKEK ÉS ÜZLETI GYAKORLAT | TÁRGYI ESZKÖZÖKET ÉRT KÁROK | ÜZLETMENET FENNAKADÁSA ÉS RENDSZERHIBA | VÉGREHAJTÁS, TELJESÍTÉS ÉS FOLYAMATKEZELÉS | LEGALACSONYABB | LEGMAGASABB | ||||
| Sor | 0010 | 0020 | 0030 | 0040 | 0050 | 0060 | 0070 | 0080 | 0090 | 0100 | ||
| 0010 | VÁLLALATI PÉNZÜGYEK [CF] | Veszteségesemények száma (új veszteségesemények) | ||||||||||
| 0020 | Bruttó veszteségérték (új veszteségesemények) | |||||||||||
| 0030 | Veszteségkorrekcióval érintett veszteségesemények száma | |||||||||||
| 0040 | Korábbi adatszolgáltatási időszakokhoz kapcsolódó veszteségkorrekciók | |||||||||||
| 0050 | Legnagyobb egyedi veszteség | |||||||||||
| 0060 | Az öt legnagyobb veszteség összege | |||||||||||
| 0070 | Teljes közvetlen megtérült veszteség | |||||||||||
| 0080 | Biztosításból és más kockázatátruházási mechanizmusokból származó teljes megtérülés | |||||||||||
| 0110 | KERESKEDÉS ÉS ÉRTÉKESÍTÉS [TS] | Veszteségesemények száma (új veszteségesemények) | ||||||||||
| 0120 | Bruttó veszteségérték (új veszteségesemények) | |||||||||||
| 0130 | Veszteségkorrekcióval érintett veszteségesemények száma | |||||||||||
| 0140 | Korábbi adatszolgáltatási időszakokhoz kapcsolódó veszteségkorrekciók | |||||||||||
| 0150 | Legnagyobb egyedi veszteség | |||||||||||
| 0160 | Az öt legnagyobb veszteség összege | |||||||||||
| 0170 | Teljes közvetlen megtérült veszteség | |||||||||||
| 0180 | Biztosításból és más kockázatátruházási mechanizmusokból származó teljes megtérülés | |||||||||||
| 0210 | LAKOSSÁGI KÖZVETÍTŐI TEVÉKENYSÉG [RBr] | Veszteségesemények száma (új veszteségesemények) | ||||||||||
| 0220 | Bruttó veszteségérték (új veszteségesemények) | |||||||||||
| 0230 | Veszteségkorrekcióval érintett veszteségesemények száma | |||||||||||
| 0240 | Korábbi adatszolgáltatási időszakokhoz kapcsolódó veszteségkorrekciók | |||||||||||
| 0250 | Legnagyobb egyedi veszteség | |||||||||||
| 0260 | Az öt legnagyobb veszteség összege | |||||||||||
| 0270 | Teljes közvetlen megtérült veszteség | |||||||||||
| 0280 | Biztosításból és más kockázatátruházási mechanizmusokból származó teljes megtérülés | |||||||||||
| 0310 | KERESKEDELMI BANKI TEVÉKENYSÉG [CB] | Események száma (új veszteségesemények) | ||||||||||
| 0320 | Bruttó veszteségérték (új veszteségesemények) | |||||||||||
| 0330 | Veszteségkorrekcióval érintett veszteségesemények száma | |||||||||||
| 0340 | Korábbi adatszolgáltatási időszakokhoz kapcsolódó veszteségkorrekciók | |||||||||||
| 0350 | Legnagyobb egyedi veszteség | |||||||||||
| 0360 | Az öt legnagyobb veszteség összege | |||||||||||
| 0370 | Teljes közvetlen megtérült veszteség | |||||||||||
| 0380 | Biztosításból és más kockázatátruházási mechanizmusokból származó teljes megtérülés | |||||||||||
| 0410 | LAKOSSÁGI BANKI TEVÉKENYSÉG [RB] | Veszteségesemények száma (új veszteségesemények) | ||||||||||
| 0420 | Bruttó veszteségérték (új veszteségesemények) | |||||||||||
| 0430 | Veszteségkorrekcióval érintett veszteségesemények száma | |||||||||||
| 0440 | Korábbi adatszolgáltatási időszakokhoz kapcsolódó veszteségkorrekciók | |||||||||||
| 0450 | Legnagyobb egyedi veszteség | |||||||||||
| 0460 | Az öt legnagyobb veszteség összege | |||||||||||
| 0470 | Teljes közvetlen megtérült veszteség | |||||||||||
| 0480 | Biztosításból és más kockázatátruházási mechanizmusokból származó teljes megtérülés | |||||||||||
| 0510 | FIZETÉSI ÉS ELSZÁMOLÁSI SZOLGÁLTATÁSOK [PS] | Veszteségesemények száma (új veszteségesemények) | ||||||||||
| 0520 | Bruttó veszteségérték (új veszteségesemények) | |||||||||||
| 0530 | Veszteségkorrekcióval érintett veszteségesemények száma | |||||||||||
| 0540 | Korábbi adatszolgáltatási időszakokhoz kapcsolódó veszteségkorrekciók | |||||||||||
| 0550 | Legnagyobb egyedi veszteség | |||||||||||
| 0560 | Az öt legnagyobb veszteség összege | |||||||||||
| 0570 | Teljes közvetlen megtérült veszteség | |||||||||||
| 0580 | Biztosításból és más kockázatátruházási mechanizmusokból származó teljes megtérülés | |||||||||||
| 0610 | ÜGYNÖKI SZOLGÁLTATÁSOK [AS] | Veszteségesemények száma (új veszteségesemények) | ||||||||||
| 0620 | Bruttó veszteségérték (új veszteségesemények) | |||||||||||
| 0630 | Veszteségkorrekcióval érintett veszteségesemények száma | |||||||||||
| 0640 | Korábbi adatszolgáltatási időszakokhoz kapcsolódó veszteségkorrekciók | |||||||||||
| 0650 | Legnagyobb egyedi veszteség | |||||||||||
| 0660 | Az öt legnagyobb veszteség összege | |||||||||||
| 0670 | Teljes közvetlen megtérült veszteség | |||||||||||
| 0680 | Biztosításból és más kockázatátruházási mechanizmusokból származó teljes megtérülés | |||||||||||
| 0710 | VAGYONKEZELÉS [AM] | Veszteségesemények száma (új veszteségesemények) | ||||||||||
| 0720 | Bruttó veszteségérték (új veszteségesemények) | |||||||||||
| 0730 | Veszteségkorrekcióval érintett veszteségesemények száma | |||||||||||
| 0740 | Korábbi adatszolgáltatási időszakokhoz kapcsolódó veszteségkorrekciók | |||||||||||
| 0750 | Legnagyobb egyedi veszteség | |||||||||||
| 0760 | Az öt legnagyobb veszteség összege | |||||||||||
| 0770 | Teljes közvetlen megtérült veszteség | |||||||||||
| 0780 | Biztosításból és más kockázatátruházási mechanizmusokból származó teljes megtérülés | |||||||||||
| 0810 | TÁRSASÁGI SZINTŰ TÉTELEK [CI] | Veszteségesemények száma (új veszteségesemények) | ||||||||||
| 0820 | Bruttó veszteségérték (új veszteségesemények) | |||||||||||
| 0830 | Veszteségkorrekcióval érintett veszteségesemények száma | |||||||||||
| 0840 | Korábbi adatszolgáltatási időszakokhoz kapcsolódó veszteségkorrekciók | |||||||||||
| 0850 | Legnagyobb egyedi veszteség | |||||||||||
| 0860 | Az öt legnagyobb veszteség összege | |||||||||||
| 0870 | Teljes közvetlen megtérült veszteség | |||||||||||
| 0880 | Biztosításból és más kockázatátruházási mechanizmusokból származó teljes megtérülés | |||||||||||
| 0910 | ÜZLETÁGAK ÖSSZESEN | Veszteségesemények száma (új veszteségesemények) Ebből: | ||||||||||
| 0911 | ≥ 10 000 és < 20 000 veszteséghez kapcsolódó | |||||||||||
| 0912 | ≥ 20 000 és < 100 000 veszteséghez kapcsolódó | |||||||||||
| 0913 | ≥ 100 000 és < 1 000 000 veszteséghez kapcsolódó | |||||||||||
| 0914 | ≥ 1 000 000 veszteséghez kapcsolódó | |||||||||||
| 0920 | Bruttó veszteségérték (új veszteségesemények). Ebből: | |||||||||||
| 0921 | ≥ 10 000 és < 20 000 veszteséghez kapcsolódó | |||||||||||
| 0922 | ≥ 20 000 és < 100 000 veszteséghez kapcsolódó | |||||||||||
| 0923 | ≥ 100 000 és < 1 000 000 veszteséghez kapcsolódó | |||||||||||
| 0924 | ≥ 1 000 000 veszteséghez kapcsolódó | |||||||||||
| 0930 | Veszteségkorrekcióval érintett veszteségesemények száma. Ebből: | |||||||||||
| 0935 | Ebből: pozitív veszteségkorrekcióval érintett veszteségesemények száma | |||||||||||
| 0936 | Ebből: negatív veszteségkorrekcióval érintett veszteségesemények száma | |||||||||||
| 0940 | Korábbi adatszolgáltatási időszakokhoz kapcsolódó veszteségkorrekciók | |||||||||||
| 0945 | Ebből: pozitív veszteségkorrekciók összege (+) | |||||||||||
| 0946 | Ebből: negatív veszteségkorrekciók összege (–) | |||||||||||
| 0950 | Legnagyobb egyedi veszteség | |||||||||||
| 0960 | Az öt legnagyobb veszteség összege | |||||||||||
| 0970 | Teljes közvetlen megtérült veszteség | |||||||||||
| 0980 | Biztosításból és más kockázatátruházási mechanizmusokból származó teljes megtérülés | |||||||||||
C 17.02 - MŰKÖDÉSI KOCKÁZAT: NAGY VESZTESÉGESEMÉNYEK (OPR DETAILS 2)
| Eseményazonosító | Elszámolás napja | Esemény napja | Felismerés napja | Veszteségesemény-típus | Bruttó veszteség | Bruttó veszteség a közvetlen megtérülések levonásával | BRUTTÓ VESZTESÉG ÜZLETÁGANKÉNT | Jogalany neve | Jogalany-azonosító | Üzleti egység | Leírás | |||||||||
| Vállalati pénzügyek [CF] | Kereskedés és értékesítés [TS] | Lakossági közvetítői tevékenység [RBr] | Kereskedelmi banki tevékenység [CB] | Lakossági banki tevékenység [RB] | Fizetési és elszámolási szolgáltatások [PS] | Ügynöki szolgáltatások [AS] | Vagyonkezelés [AM] | Társasági szintű tételek [CI] [CI] | ||||||||||||
| Sorok | 0010 | 0020 | 0030 | 0040 | 0050 | 0060 | 0070 | 0080 | 0090 | 0100 | 0110 | 0120 | 0130 | 0140 | 0150 | 0160 | 0170 | 0180 | 0190 | 0200 | 
| … | ||||||||||||||||||||
C 18.00 - PIACI KOCKÁZAT: A FORGALMAZOTT, HITELVISZONYT MEGTESTESÍTŐ ÉRTÉKPAPÍROK POZÍCIÓKOCKÁZATÁNAK SZTENDERD MÓDSZERE (MKR SA TDI)
Deviza:
| POZÍCIÓK | SZAVATOLÓTŐKE-KÖVETELMÉNY | TELJES KOCKÁZATI KITETTSÉGÉRTÉK | ||||||
| ÖSSZES POZÍCIÓ | NETTÓ POZÍCIÓK | TŐKEKÖVETELMÉNNYEL ÉRINTETT POZÍCIÓK | ||||||
| HOSSZÚ | RÖVID | HOSSZÚ | RÖVID | |||||
| 010 | 020 | 030 | 040 | 050 | 060 | 070 | ||
| 010 | KERESKEDÉSI KÖNYVBEN NYILVÁNTARTOTT, FORGALMAZOTT, HITELVISZONYT MEGTESTESÍTŐ ÉRTÉKPAPÍROK | Cella kapcsolata: CA2 | ||||||
| 011 | Általános kockázat | |||||||
| 012 | Származtatott ügyletek | |||||||
| 013 | Egyéb eszközök és kötelezettségek | |||||||
| 020 | Lejáraton alapuló módszer | |||||||
| 030 | 1. zóna | |||||||
| 040 | 0 ≤ 1 hónap | |||||||
| 050 | > 1 ≤ 3 hónap | |||||||
| 060 | > 3 ≤ 6 hónap | |||||||
| 070 | > 6 ≤ 12 hónap | |||||||
| 080 | 2. zóna | |||||||
| 090 | > 1 ≤ 2 (3 %-nál alacsonyabb kamatszelvény esetében 1,9 ) év | |||||||
| 100 | > 2 ≤ 3 (3 %-nál alacsonyabb kamatszelvény esetében > 1,9 ≤ 2,8 ) év | |||||||
| 110 | > 3 ≤ 4 (3 %-nál alacsonyabb kamatszelvény esetében > 2,8 ≤ 3,6 ) év | |||||||
| 120 | 3. zóna | |||||||
| 130 | > 4 ≤ 5 (3 %-nál alacsonyabb kamatszelvény esetében > 3,6 ≤ 4,3 ) év | |||||||
| 140 | > 5 ≤ 7 (3 %-nál alacsonyabb kamatszelvény esetében > 4,3 ≤ 5,7 ) év | |||||||
| 150 | > 7 ≤ 10 (3 %-nál alacsonyabb kamatszelvény esetében > 5,7 ≤ 7,3 ) év | |||||||
| 160 | > 10 ≤ 15 (3 %-nál alacsonyabb kamatszelvény esetében > 7,3 ≤ 9,3 ) év | |||||||
| 170 | > 15 ≤ 20 (3 %-nál alacsonyabb kamatszelvény esetében > 9,3 ≤ 10,6 ) év | |||||||
| 180 | > 20 (3 %-nál alacsonyabb kamatszelvény esetében > 10,6 ≤ 12,0 ) év | |||||||
| 190 | (3 %-nál alacsonyabb kamatszelvény esetében > 12,0 ≤ 20,0 ) év | |||||||
| 200 | (3 %-nál alacsonyabb kamatszelvény esetében > 20) év | |||||||
| 210 | Az átlagos hátralévő futamidőn alapuló módszer | |||||||
| 220 | 1. zóna | |||||||
| 230 | 2. zóna | |||||||
| 240 | 3. zóna | |||||||
| 250 | Egyedi kockázat | |||||||
| 251 | A nem értékpapírosítási pozíciót jelentő, hitelviszonyt megtestesítő értékpapírok szavatolótőke-követelménye | |||||||
| 260 | Az 1. táblázat első kategóriája szerinti hitelviszonyt megtestesítő értékpapírok | |||||||
| 270 | Az 1. táblázat második kategóriája szerinti hitelviszonyt megtestesítő értékpapírok | |||||||
| 280 | Hátralévő futamidő ≤ 6 hónap | |||||||
| 290 | Hátralévő futamidő > 6 hónap és ≤ 24 hónap | |||||||
| 300 | Hátralévő futamidő > 24 hónap | |||||||
| 310 | Az 1. táblázat harmadik kategóriája szerinti hitelviszonyt megtestesítő értékpapírok | |||||||
| 320 | Az 1. táblázat negyedik kategóriája szerinti hitelviszonyt megtestesítő értékpapírok | |||||||
| 321 | Minősített n-edik nemteljesítéskor lehívható hitelderivatívák | |||||||
| 325 | Az értékpapírosított eszközök szavatolótőke-követelménye | |||||||
| 330 | A korrelációkereskedési portfólió szavatolótőke-követelménye | |||||||
| 350 | Opciókra vonatkozó további követelmények (nem delta kockázatok) | |||||||
| 360 | Egyszerűsített módszer | |||||||
| 370 | Delta plusz módszer – a gammakockázat kiegészítő követelményei | |||||||
| 380 | Delta plusz módszer – a vegakockázat kiegészítő követelményei | |||||||
| 385 | Delta plusz módszer –nem folytonos opciók és opciós utalványok | |||||||
| 390 | Forgatókönyvmátrix módszer | |||||||
C 19.00 - PIACI KOCKÁZAT: AZ ÉRTÉKPAPÍROSÍTÁSOK EGYEDI KOCKÁZATÁNAK SZTENDERD MÓDSZERE (MKR SA SEC)
| ÖSSZES POZÍCIÓ | (–) SZAVATOLÓ TŐKÉBŐL LEVONT POZÍCIÓK | NETTÓ POZÍCIÓK | A NETTÓ (HOSSZÚ) POZÍCIÓK KOCKÁZATI SÚLY SZERINTI BONTÁSA | A NETTÓ (RÖVID) POZÍCIÓK KOCKÁZATI SÚLY SZERINTI BONTÁSA | A NETTÓ POZÍCIÓK MÓDSZEREK SZERINTI BONTÁSA | AZ (EU) 2017/2402 RENDELET 2. FEJEZETÉNEK MEGSÉRTÉSE MIATTI ÁLTALÁNOS HATÁS (KORREKCIÓ) | FELSŐ KORLÁT FIGYELEMBEVÉTELE ELŐTT | FELSŐ KORLÁT FIGYELEMBEVÉTELE UTÁN /TELJES SZAVATOLÓTŐKE-KÖVETELMÉNY | ||||||||||||||||||||||||||||||||||||||||||||
| HOSSZÚ | RÖVID | (–) HOSSZÚ | (–) RÖVID | HOSSZÚ | RÖVID | [0 – 10 %[ | [10 – 12 %[ | [12 – 20 %[ | [20 – 40 %[ | [40 – 100 %[ | [100 – 150 %[ | [150 – 200 %[ | [200 – 225 %[ | [225 – 250 %[ | [250 – 300 %[ | [300 – 350 %[ | [350 – 425 %[ | [425 – 500 %[ | [500 – 650 %[ | [650 – 750 %[ | [750 – 850 %[ | [850 – 1 250 %[ | 1 250 % | [0 – 10 %[ | [10 – 12 %[ | [12 – 20 %[ | [20 – 40 %[ | [40 – 100 %[ | [100 – 150 %[ | [150 – 200 %[ | [200 – 225 %[ | [225 – 250 %[ | [250 – 300 %[ | [300 – 350 %[ | [350 – 425 %[ | [425 – 500 %[ | [500 – 650 %[ | [650 – 750 %[ | [750 – 850 %[ | [850 – 1 250 %[ | 1 250 % | SEC-IRBA | SEC-SA | SEC-ERBA | BELSŐ ÉRTÉKELÉSI MÓDSZER | EGYÉB (KOCKÁZATI SÚLY = 1 250 %) | SÚLYOZOTT NETTÓ HOSSZÚ POZÍCIÓK | SÚLYOZOTT NETTÓ RÖVID POZÍCIÓK | ||||
| 010 | 020 | 030 | 040 | 050 | 060 | 061 | 062 | 063 | 064 | 065 | 066 | 071 | 072 | 073 | 074 | 075 | 076 | 077 | 078 | 079 | 081 | 082 | 083 | 085 | 086 | 087 | 088 | 089 | 091 | 092 | 093 | 094 | 095 | 096 | 097 | 098 | 099 | 101 | 102 | 103 | 0104 | 402 | 403 | 404 | 405 | 406 | 530 | 540 | 570 | 601 | ||
| 010 | TELJES KITETTSÉG | cella kapcsolata: MKR SA TDI {325:060} | ||||||||||||||||||||||||||||||||||||||||||||||||||
| 020 | Ebből: ÚJRA-ÉRTÉKPAPÍROSÍTÁS | |||||||||||||||||||||||||||||||||||||||||||||||||||
| 030 | ÉRTÉKPAPÍROSÍTÁST KEZDEMÉNYEZŐ: TELJES KITETTSÉG | |||||||||||||||||||||||||||||||||||||||||||||||||||
| 040 | ÉRTÉKPAPÍROSÍTÁSI POZÍCIÓK | |||||||||||||||||||||||||||||||||||||||||||||||||||
| 041 | EBBŐL: DIFFERENCIÁLT TŐKEKÖVETELMÉNY-MEGÁLLAPÍTÁSRA JOGOSULT | |||||||||||||||||||||||||||||||||||||||||||||||||||
| 050 | ÚJRA-ÉRTÉKPAPÍROSÍTÁSI POZÍCIÓK | |||||||||||||||||||||||||||||||||||||||||||||||||||
| 060 | BEFEKTETŐ: TELJES KITETTSÉG | |||||||||||||||||||||||||||||||||||||||||||||||||||
| 070 | ÉRTÉKPAPÍROSÍTÁSI POZÍCIÓK | |||||||||||||||||||||||||||||||||||||||||||||||||||
| 071 | EBBŐL: DIFFERENCIÁLT TŐKEKÖVETELMÉNY-MEGÁLLAPÍTÁSRA JOGOSULT | |||||||||||||||||||||||||||||||||||||||||||||||||||
| 080 | ÚJRA-ÉRTÉKPAPÍROSÍTÁSI POZÍCIÓK | |||||||||||||||||||||||||||||||||||||||||||||||||||
| 090 | SZPONZOR: TELJES KITETTSÉG | |||||||||||||||||||||||||||||||||||||||||||||||||||
| 100 | ÉRTÉKPAPÍROSÍTÁSI POZÍCIÓK | |||||||||||||||||||||||||||||||||||||||||||||||||||
| 101 | EBBŐL: DIFFERENCIÁLT TŐKEKÖVETELMÉNY-MEGÁLLAPÍTÁSRA JOGOSULT | |||||||||||||||||||||||||||||||||||||||||||||||||||
| 110 | ÚJRA-ÉRTÉKPAPÍROSÍTÁSI POZÍCIÓK | |||||||||||||||||||||||||||||||||||||||||||||||||||
C 20.00 - PIACI KOCKÁZAT: A KORRELÁCIÓKERESKEDÉSI PORTFÓLIÓ EGYEDI KOCKÁZATÁNAK SZTENDERD MÓDSZERE (MKR SA CTP)
| ÖSSZES POZÍCIÓ | (–) SZAVATOLÓ TŐKÉBŐL LEVONT POZÍCIÓK | NETTÓ POZÍCIÓK | A NETTÓ (HOSSZÚ) POZÍCIÓK KOCKÁZATI SÚLY SZERINTI BONTÁSA | A NETTÓ (RÖVID) POZÍCIÓK KOCKÁZATI SÚLY SZERINTI BONTÁSA | A NETTÓ POZÍCIÓK MÓDSZEREK SZERINTI BONTÁSA | FELSŐ KORLÁT FIGYELEMBEVÉTELE ELŐTT | FELSŐ KORLÁT FIGYELEMBEVÉTELE UTÁN | TELJES SZAVATOLÓTŐKE-KÖVETELMÉNY | |||||||||||||||||||||||||||||||
| HOSSZÚ | RÖVID | (–) HOSSZÚ | (–) RÖVID | HOSSZÚ | RÖVID | [0 – 10 %[ | [10 – 12 %[ | [12 – 20 %[ | [20 – 40 %[ | [40 – 100 %[ | [100 – 250 %[ | [250 – 350 %[ | [350 – 425 %[ | [425 – 650 %[ | [650 – 1 250 %[ | 1 250 % | [0 – 10 %[ | [10 – 12 %[ | [12 – 20 %[ | [20 – 40 %[ | [40 – 100 %[ | [100 – 250 %[ | [250 – 350 %[ | [350 – 425 %[ | [425 – 650 %[ | [650 – 1 250 %[ | 1 250 % | SEC-IRBA | SEC-SA | SEC-ERBA | BELSŐ ÉRTÉKELÉSI MÓDSZER | EGYÉB (KOCKÁZATI SÚLY = 1 250 %) | SÚLYOZOTT NETTÓ HOSSZÚ POZÍCIÓK | SÚLYOZOTT NETTÓ RÖVID POZÍCIÓK | SÚLYOZOTT NETTÓ HOSSZÚ POZÍCIÓK | SÚLYOZOTT NETTÓ RÖVID POZÍCIÓK | |||
| 010 | 020 | 030 | 040 | 050 | 060 | 071 | 072 | 073 | 074 | 075 | 076 | 077 | 078 | 079 | 081 | 082 | 086 | 087 | 088 | 089 | 091 | 092 | 093 | 094 | 095 | 096 | 097 | 402 | 403 | 404 | 405 | 406 | 410 | 420 | 430 | 440 | 450 | ||
| 010 | TELJES KITETTSÉG | cella kapcsolata: MKR SA TDI {330:060} | |||||||||||||||||||||||||||||||||||||
| ÉRTÉKPAPÍROSÍTÁSI POZÍCIÓK: | |||||||||||||||||||||||||||||||||||||||
| 020 | ÉRTÉKPAPÍROSÍTÁST KEZDEMÉNYEZŐ: TELJES KITETTSÉG | ||||||||||||||||||||||||||||||||||||||
| 030 | ÉRTÉKPAPÍROSÍTÁSI POZÍCIÓK | ||||||||||||||||||||||||||||||||||||||
| 040 | EGYÉB CTP-POZÍCIÓK | ||||||||||||||||||||||||||||||||||||||
| 050 | BEFEKTETŐ: TELJES KITETTSÉG | ||||||||||||||||||||||||||||||||||||||
| 060 | ÉRTÉKPAPÍROSÍTÁSI POZÍCIÓK | ||||||||||||||||||||||||||||||||||||||
| 070 | EGYÉB CTP-POZÍCIÓK | ||||||||||||||||||||||||||||||||||||||
| 080 | SZPONZOR: TELJES KITETTSÉG | ||||||||||||||||||||||||||||||||||||||
| 090 | ÉRTÉKPAPÍROSÍTÁSI POZÍCIÓK | ||||||||||||||||||||||||||||||||||||||
| 100 | EGYÉB CTP-POZÍCIÓK | ||||||||||||||||||||||||||||||||||||||
| N-EDIK NEMTELJESÍTÉSKOR LEHÍVHATÓ HITELDERIVATÍVÁK: | |||||||||||||||||||||||||||||||||||||||
| 110 | N-EDIK NEMTELJESÍTÉSKOR LEHÍVHATÓ HITELDERIVATÍVÁK | ||||||||||||||||||||||||||||||||||||||
| 120 | EGYÉB CTP-POZÍCIÓK | ||||||||||||||||||||||||||||||||||||||
C 21.00 - PIACI KOCKÁZAT: AZ ÉRTÉKPAPÍROSÍTÁSOK EGYEDI KOCKÁZATÁNAK SZTENDERD MÓDSZERE (MKR SA SEC)
Nemzeti piac:
| POZÍCIÓK | SZAVATOLÓTŐKE-KÖVETELMÉNY | TELJES KOCKÁZATI KITETTSÉGÉRTÉK | ||||||
| ÖSSZES POZÍCIÓ | NETTÓ POZÍCIÓK | TŐKEKÖVETELMÉNNYEL ÉRINTETT POZÍCIÓK | ||||||
| HOSSZÚ | RÖVID | |||||||
| HOSSZÚ | RÖVID | |||||||
| 010 | 020 | 030 | 040 | 050 | 060 | 070 | ||
| 010 | KERESKEDÉSI KÖNYVBEN NYILVÁNTARTOTT RÉSZVÉNYEK | Cella kapcsolata: CA | ||||||
| 020 | Általános kockázat | |||||||
| 021 | Származtatott ügyletek | |||||||
| 022 | Egyéb eszközök és kötelezettségek | |||||||
| 030 | Tőzsdei forgalomban szereplő, megfelelően diverzifikált, egyedi módszer alkalmazási körébe tartozó határidős részvényindex-ügyletek | |||||||
| 040 | A tőzsdei forgalomban szereplő, megfelelően diverzifikált határidős részvényindex-ügyleteken kívüli részvények | |||||||
| 050 | Egyedi kockázat | |||||||
| 090 | Opciókra vonatkozó további követelmények (nem delta kockázatok) | |||||||
| 100 | Egyszerűsített módszer | |||||||
| 110 | Delta plusz módszer – a gammakockázat kiegészítő követelményei | |||||||
| 120 | Delta plusz módszer – a vegakockázat kiegészítő követelményei | |||||||
| 125 | Delta plusz módszer –nem folytonos opciók és opciós utalványok | |||||||
| 130 | Forgatókönyvmátrix módszer | |||||||
C 22.00 - PIACI KOCKÁZAT: A DEVIZAÁRFOLYAM-KOCKÁZAT SZTENDERD MÓDSZEREI (MKR SA FX)
| ÖSSZES POZÍCIÓ | NETTÓ POZÍCIÓK | TŐKEKÖVETELMÉNNYEL ÉRINTETT POZÍCIÓK (A speciálisan kezelt, a beszámoló pénznemén kívüli pénznemekben lévő kiegyenlítetlen pozícióknak a kiegyenlített pozíciók közötti újrafelosztásával) | SZAVATOLÓTŐKE-KÖVETELMÉNY | TELJES KOCKÁZATI KITETTSÉGÉRTÉK | ||||||
| HOSSZÚ | RÖVID | HOSSZÚ | RÖVID | HOSSZÚ | RÖVID | KIEGYENLÍTETT | ||||
| 020 | 030 | 040 | 050 | 060 | 070 | 080 | 090 | 100 | ||
| 010 | POZÍCIÓK ÖSSZESEN | Cella kapcsolata: CA | ||||||||
| 020 | Egymással nagymértékben korreláló pénznemek | |||||||||
| 025 | Ebből: a beszámoló pénzneme | |||||||||
| 030 | Minden egyéb pénznem (a kollektív befektetési formákat külön pénznemként kezelve) | |||||||||
| 040 | Arany | |||||||||
| 050 | Opciókra vonatkozó további követelmények (nem delta kockázatok) | |||||||||
| 060 | Egyszerűsített módszer | |||||||||
| 070 | Delta plusz módszer – a gammakockázat kiegészítő követelményei | |||||||||
| 080 | Delta plusz módszer – a vegakockázat kiegészítő követelményei | |||||||||
| 085 | Delta plusz módszer –nem folytonos opciók és opciós utalványok | |||||||||
| 090 | Forgatókönyvmátrix módszer | |||||||||
| A BESZÁMOLÓ PÉNZNEMÉVEL EGYÜTT SZÁMÍTOTT ÖSSZES POZÍCIÓ KITETTSÉGTÍPUS SZERINTI BONTÁSA | ||||||||||
| 100 | Mérlegen kívüli tételnek és származtatott ügyletnek nem minősülő egyéb eszközök és kötelezettségek | |||||||||
| 110 | Mérlegen kívüli tételek | |||||||||
| 120 | Származtatott ügyletek | |||||||||
| Tájékoztató adatok: DEVIZAPOZÍCIÓK | ||||||||||
| 130 | Euró | |||||||||
| 140 | Lek | |||||||||
| 150 | Argentin peso | |||||||||
| 160 | Ausztrál dollár | |||||||||
| 170 | Brazil real | |||||||||
| 180 | Bolgár leva | |||||||||
| 190 | Kanadai dollár | |||||||||
| 200 | Cseh korona | |||||||||
| 210 | Dán korona | |||||||||
| 220 | Egyiptomi font | |||||||||
| 230 | Font sterling | |||||||||
| 240 | Forint | |||||||||
| 250 | Jen | |||||||||
| 270 | Litván litas | |||||||||
| 280 | Dinár | |||||||||
| 290 | Mexikói peso | |||||||||
| 300 | Zloty | |||||||||
| 310 | Román lej | |||||||||
| 320 | Orosz rubel | |||||||||
| 330 | Szerb dinár | |||||||||
| 340 | Svéd korona | |||||||||
| 350 | Svájci frank | |||||||||
| 360 | Török líra | |||||||||
| 370 | Hrivnya | |||||||||
| 380 | USA-dollár | |||||||||
| 390 | Izlandi korona | |||||||||
| 400 | Norvég korona | |||||||||
| 410 | Hongkongi dollár | |||||||||
| 420 | Új tajvani dollár | |||||||||
| 430 | Új-zélandi dollár | |||||||||
| 440 | Szingapúri dollár | |||||||||
| 450 | Dél-koreai won | |||||||||
| 460 | Renminbi jüan | |||||||||
| 470 | Egyéb | |||||||||
| 480 | Horvát kuna | |||||||||
C 23.00 - PIACI KOCKÁZAT: AZ ÁRUPOZÍCIÓK SZTENDERD MÓDSZEREI (MKR SA COM)
| ÖSSZES POZÍCIÓ | NETTÓ POZÍCIÓK | TŐKEKÖVETELMÉNNYEL ÉRINTETT POZÍCIÓK | SZAVATOLÓTŐKE-KÖVETELMÉNY | TELJES KOCKÁZATI KITETTSÉGÉRTÉK | ||||
| HOSSZÚ | RÖVID | |||||||
| HOSSZÚ | RÖVID | |||||||
| 010 | 020 | 030 | 040 | 050 | 060 | 070 | ||
| 010 | ÁRUPOZÍCIÓK ÖSSZESEN | Cella kapcsolata: CA | ||||||
| 020 | Nemesfémek (az arany kivételével) | |||||||
| 030 | Nem nemesfémek | |||||||
| 040 | Mezőgazdasági termékek (softs) | |||||||
| 050 | Egyéb | |||||||
| 060 | Ebből energiatermékek (olaj, gáz) | |||||||
| 070 | Futamidőtáblás módszer | |||||||
| 080 | Kiterjesztett lejárati táblás módszer | |||||||
| 090 | Egyszerűsített módszer: összes pozíció | |||||||
| 100 | Opciókra vonatkozó további követelmények (nem delta kockázatok) | |||||||
| 110 | Egyszerűsített módszer | |||||||
| 120 | Delta plusz módszer – a gammakockázat kiegészítő követelményei | |||||||
| 130 | Delta plusz módszer – a vegakockázat kiegészítő követelményei | |||||||
| 135 | Delta plusz módszer –nem folytonos opciók és opciós utalványok | |||||||
| 140 | Forgatókönyvmátrix módszer | |||||||
C 24.00 - PIACI KOCKÁZAT: BELSŐ MODELLEK (MKR IM)
| Kockáztatott érték (VaR) | STRESSZHELYZETI KOCKÁZTATOTT ÉRTÉK | A JÁRULÉKOS NEMTELJESÍTÉSI ÉS ÁTMINŐSÍTÉSI KOCKÁZATRA VONATKOZÓ TŐKEKÖVETELMÉNY | TELJES ÁRKOCKÁZATI TŐKEKÖVETELMÉNY A CTP-RE VONATKOZÓAN | SZAVATOLÓTŐKE-KÖVETELMÉNY | TELJES KOCKÁZATI KITETTSÉGÉRTÉK | Túllépések száma az előző 250 munkanap során | VaR szorzó (mc) | SVaR szorzó (ms) | CTP-TŐKEKÖVETELMÉNY FELTÉTELEZETT ALSÓ KORLÁTJA – SÚLYOZOTT NETTÓ HOSSZÚ POZÍCIÓK A FELSŐ KORLÁT FIGYELEMBEVÉTELÉVEL | CTP-TŐKEKÖVETELMÉNY FELTÉTELEZETT ALSÓ KORLÁTJA – SÚLYOZOTT NETTÓ RÖVID POZÍCIÓK A FELSŐ KORLÁT FIGYELEMBEVÉTELÉVEL | |||||||
| SZORZÓ (mc)x ELŐZŐ 60 MUNKANAP ÁTLAGA (VaRavg) | ELŐZŐ NAPI KOCKÁZTATOTT ÉRTÉK (VaRt–1) | SZORZÓ (ms ) x ELŐZŐ 60 MUNKANAP ÁTLAGA (SVaRavg) | LEGFRISSEBB (SVaRt–1) | 12 HETES ÁTLAGOS MÉRŐSZÁM | LEGFRISSEBB MÉRŐSZÁM | ALSÓ KORLÁT | 12 HETES ÁTLAGOS MÉRŐSZÁM | LEGFRISSEBB MÉRŐSZÁM | |||||||||
| 030 | 040 | 050 | 060 | 070 | 080 | 090 | 100 | 110 | 120 | 130 | 140 | 150 | 160 | 170 | 180 | ||
| 010 | POZÍCIÓK ÖSSZESEN | Cella kapcsolata: CA | |||||||||||||||
| Tájékoztató adatok: A PIACI KOCKÁZAT BONTÁSA | |||||||||||||||||
| 020 | Forgalmazott, hitelviszonyt megtestesítő értékpapírok | ||||||||||||||||
| 030 | TDI – Általános kockázat | ||||||||||||||||
| 040 | TDI – Egyedi kockázat | ||||||||||||||||
| 050 | Részvények | ||||||||||||||||
| 060 | Részvények – Általános kockázat | ||||||||||||||||
| 070 | Részvények – Egyedi kockázat | ||||||||||||||||
| 080 | Devizaárfolyam-kockázat | ||||||||||||||||
| 090 | Árukockázat | ||||||||||||||||
| 100 | Általános kockázat összesen | ||||||||||||||||
| 110 | Egyedi kockázat összesen | ||||||||||||||||
C 25.00 - HITELÉRTÉKELÉSI KORREKCIÓK KOCKÁZATA (CVA)
| KITETTSÉGÉRTÉK | KOCKÁZTATOTT ÉRTÉK | STRESSZHELYZETI KOCKÁZTATOTT ÉRTÉK | SZAVATOLÓTŐKE- KÖVETELMÉNY | TELJES KOCKÁZATI KITETTSÉGÉRTÉK | TÁJÉKOZTATÓ ADATOK | CVA KOCKÁZATHOZ KAPCSOLÓDÓ FEDEZETI ÜGYLET NÉVLEGES ÉRTÉKE | |||||||||
| Ebből: tőzsdén kívüli származtatott ügyletek | Ebből: értékpapír-finanszírozási ügylet | SZORZÓ (mc) x ELŐZŐ 60 MUNKANAP ÁTLAGA (VaRavg) | ELŐZŐ NAPI (VaRt-1) | SZORZÓ (ms) x ELŐZŐ 60 MUNKANAP ÁTLAGA (SVaRavg) | LEGFRISSEBB (SVaRt–1) | Partnerek száma | Ebből: közelítő érték alapján meghatározott hitelkockázati felár | VISELT CVA-KOCKÁZAT | EGY ALAPTERMÉKES CDS | INDEX CDS | |||||
| 010 | 020 | 030 | 040 | 050 | 060 | 070 | 080 | 090 | 100 | 110 | 120 | 130 | 140 | ||
| 010 | CVA-kockázat összesen | Cella kapcsolata {CA2;r640;c010} | |||||||||||||
| 020 | Fejlett módszer szerint | Cella kapcsolata {CA2;r650;c010} | |||||||||||||
| 030 | Sztenderd módszer szerint | Cella kapcsolata {CA2;r660;c010} | |||||||||||||
| 040 | Eredeti kitettség szerinti módszer (OEM) alapján | Cella kapcsolata {CA2;r670;c010} | |||||||||||||
C 32.01 - PRUDENS ÉRTÉKELÉS: VALÓS ÉRTÉKEN ÉRTÉKELT ESZKÖZÖK ÉS KÖTELEZETTSÉGEK (PRUVAL 1)
| VALÓS ÉRTÉKEN ÉRTÉKELT ESZKÖZÖK ÉS KÖTELEZETTSÉGEK | A CET1 TŐKÉRE GYAKOROLT RÉSZLEGES HATÁS MIATT KIZÁRT, VALÓS ÉRTÉKEN ÉRTÉKELT ESZKÖZÖK ÉS KÖTELEZETTSÉGEK | A 4. CIKK (1) BEKEZDÉSE SZERINTI KÜSZÖBÉRTÉKBE BELETARTOZÓ VALÓS ÉRTÉKEN ÉRTÉKELT ESZKÖZÖK ÉS KÖTELEZETTSÉGEK | |||||||||
| EBBŐL: KERESKEDÉSI KÖNYV | PONTOSAN MEGEGYEZŐ | FEDEZETI ELSZÁMOLÁSOK | PRUDENCIÁLIS SZŰRŐK | EGYÉB | AZ „EGYÉB” TÉTELRE VONATKOZÓ MEGJEGYZÉSEK | EBBŐL: KERESKEDÉSI KÖNYV | |||||
| 0010 | 0020 | 0030 | 0040 | 0050 | 0060 | 0070 | 0080 | 0090 | |||
| 0010 | 1 | VALÓS ÉRTÉKEN ÉRTÉKELT ESZKÖZÖK ÉS KÖTELEZETTSÉGEK ÖSSZESEN | |||||||||
| 0020 | 1.1 | VALÓS ÉRTÉKEN ÉRTÉKELT ESZKÖZÖK ÖSSZESEN | |||||||||
| 0030 | 1.1.1 | KERESKEDÉSI CÉLLAL TARTOTT PÉNZÜGYI ESZKÖZÖK | |||||||||
| 0040 | 1.1.2 | KERESKEDÉSI CÉLÚ PÉNZÜGYI ESZKÖZÖK | |||||||||
| 0050 | 1.1.3 | KÖTELEZŐEN AZ EREDMÉNNYEL SZEMBEN VALÓS ÉRTÉKEN ÉRTÉKELT, NEM KERESKEDÉSI CÉLÚ PÉNZÜGYI ESZKÖZÖK | |||||||||
| 0060 | 1.1.4 | AZ EREDMÉNNYEL SZEMBEN VALÓS ÉRTÉKEN ÉRTÉKELTNEK MEGJELÖLT PÉNZÜGYI ESZKÖZÖK | |||||||||
| 0070 | 1.1.5 | AZ EGYÉB ÁTFOGÓ JÖVEDELEMMEL SZEMBEN VALÓS ÉRTÉKEN ÉRTÉKELT PÉNZÜGYI ESZKÖZÖK | |||||||||
| 0080 | 1.1.6 | EREDMÉNNYEL SZEMBEN VALÓS ÉRTÉKEN ÉRTÉKELT, NEM KERESKEDÉSI CÉLÚ, NEM SZÁRMAZTATOTT PÉNZÜGYI ESZKÖZÖK | |||||||||
| 0090 | 1.1.7 | A SAJÁT TŐKÉVEL SZEMBEN VALÓS ÉRTÉKEN ÉRTÉKELT, NEM KERESKEDÉSI CÉLÚ, NEM SZÁRMAZTATOTT PÉNZÜGYI ESZKÖZÖK | |||||||||
| 0100 | 1.1.8 | EGYÉB NEM KERESKEDÉSI CÉLÚ, NEM SZÁRMAZTATOTT PÉNZÜGYI ESZKÖZÖK | |||||||||
| 0110 | 1.1.9 | SZÁRMAZTATOTT ÜGYLETEK – FEDEZETI ELSZÁMOLÁSOK | |||||||||
| 0120 | 1.1.10 | KAMATLÁBKOCKÁZATRA VONATKOZÓ PORTFÓLIÓFEDEZETI ÜGYLET SORÁN FEDEZETT TÉTELEK VALÓS ÉRTÉKÉNEK VÁLTOZÁSA | |||||||||
| 0130 | 1.1.11 | LEÁNYVÁLLALATOKBAN, KÖZÖS VÁLLALKOZÁSOKBAN ÉS TÁRSULT VÁLLALKOZÁSOKBAN LÉVŐ BEFEKTETÉSEK | |||||||||
| 0140 | 1.1.12 | (-) VALÓS ÉRTÉKEN ÉRTÉKELT, KERESKEDÉSI CÉLÚ ESZKÖZÖKRE VONATKOZÓ HAIRCUTOK | |||||||||
| 0150 | 1.2 | VALÓS ÉRTÉKEN ÉRTÉKELT KÖTELEZETTSÉGEK ÖSSZESEN | |||||||||
| 0160 | 1.2.1 | KERESKEDÉSI CÉLLAL TARTOTT PÉNZÜGYI KÖTELEZETTSÉGEK | |||||||||
| 0170 | 1.2.2 | KERESKEDÉSI CÉLÚ PÉNZÜGYI KÖTELEZETTSÉGEK | |||||||||
| 0180 | 1.2.3 | AZ EREDMÉNNYEL SZEMBEN VALÓS ÉRTÉKEN ÉRTÉKELTNEK MEGJELÖLT PÉNZÜGYI KÖTELEZETTSÉGEK | |||||||||
| 0190 | 1.2.4 | SZÁRMAZTATOTT ÜGYLETEK – FEDEZETI ELSZÁMOLÁSOK | |||||||||
| 0200 | 1.2.5 | KAMATLÁBKOCKÁZATRA VONATKOZÓ PORTFÓLIÓFEDEZETI ÜGYLET SORÁN FEDEZETT TÉTELEK VALÓS ÉRTÉKÉNEK VÁLTOZÁSA | |||||||||
| 0210 | 1.2.6 | VALÓS ÉRTÉKEN ÉRTÉKELT, KERESKEDÉSI CÉLÚ KÖTELEZETTSÉGEKRE VONATKOZÓ HAIRCUTOK | |||||||||
C 32.02 - PRUDENS ÉRTÉKELÉS: ALAPVETŐ MÓDSZER (PRUVAL 2)
| KATEGÓRIASZINTŰ KIEGÉSZÍTŐ ÉRTÉKELÉSI KORREKCIÓ | KIEGÉSZÍTŐ ÉRTÉKELÉSI KORREKCIÓ ÖSSZESEN | FELSŐ BIZONYTALANSÁGI ÉRTÉK | VALÓS ÉRTÉKEN ÉRTÉKELT ESZKÖZÖK ÉS KÖTELEZETTSÉGEK | QTD BEVÉTEL | IPV KÜLÖNBÖZET | VALÓSÉRTÉK-KORREKCIÓK | 1. NAPI EREDMÉNY | MAGYARÁZAT | |||||||||||||||||||||
| PIACI ÁR BIZONYTALANSÁGA | POZÍCIÓZÁRÁSI KÖLTSÉGEK | MODELLKOCKÁZAT | KONCENTRÁLT POZÍCIÓK | JÖVŐBELI ADMINISZTRATÍV KÖLTSÉGEK | LEJÁRAT ELŐTTI VISSZAVÁLTÁS | MŰKÖDÉSI KOCKÁZAT | VALÓS ÉRTÉKEN ÉRTÉKELT ESZKÖZÖK | VALÓS ÉRTÉKEN ÉRTÉKELT KÖTELEZETTSÉGEK | PIACI ÁR BIZONYTALANSÁGA | POZÍCIÓZÁRÁSI KÖLTSÉGEK | MODELL- KOCKÁZAT | KONCENTRÁLT POZÍCIÓK | NEM REALIZÁLT HITELKOCKÁZATI FELÁR | BEFEKTETÉSI ÉS FINANSZÍROZÁSI KÖLTSÉGEK | JÖVŐBELI ADMINISZTRATÍV KÖLTSÉGEK | LEJÁRAT ELŐTTI VISSZAVÁLTÁS | MŰKÖDÉSI KOCKÁZAT | ||||||||||||
| EBBŐL: A SZAKÉRTŐI MÓDSZERREL SZÁMÍTVA | EBBŐL: A SZAKÉRTŐI MÓDSZERREL SZÁMÍTVA | EBBŐL: A SZAKÉRTŐI MÓDSZERREL SZÁMÍTVA | |||||||||||||||||||||||||||
| 0010 | 0020 | 0030 | 0040 | 0050 | 0060 | 0070 | 0080 | 0090 | 0100 | 0110 | 0120 | 0130 | 0140 | 0150 | 0160 | 0170 | 0180 | 0190 | 0200 | 0210 | 0220 | 0230 | 0240 | 0250 | 0260 | 0270 | |||
| 0010 | 1 | ALAPVETŐ MÓDSZER ÖSSZESEN | |||||||||||||||||||||||||||
| 0020 | EBBŐL: KERESKEDÉSI KÖNYV | ||||||||||||||||||||||||||||
| 0030 | 1.1 | AZ (EU) 2016/101 FELHATALMAZÁSON ALAPULÓ BIZOTTSÁGI RENDELET 9–17. CIKKE SZERINTI PORTFÓLIÓK – KATEGÓRIASZINTŰ ÖSSZESÍTÉS DIVERZIFIKÁCIÓ UTÁN | |||||||||||||||||||||||||||
| 0040 | 1.1.1 | KATEGÓRIASZINTŰ ÖSSZESÍTÉS DIVERZIFIKÁCIÓ ELŐTT | |||||||||||||||||||||||||||
| 0050 | 1.1.1* | EBBŐL: NEM REALIZÁLT HITELKOCKÁZATI FELÁR KIEGÉSZÍTŐ ÉRTÉKELÉSI KORREKCIÓJA | |||||||||||||||||||||||||||
| 0060 | 1.1.1** | EBBŐL: BEFEKTETÉSI ÉS FINANSZÍROZÁSI KÖLTSÉGEK KIEGÉSZÍTŐ ÉRTÉKELÉSI KORREKCIÓJA | |||||||||||||||||||||||||||
| 0070 | 1.1.1*** | EBBŐL: AZ (EU) 2016/101 FELHATALMAZÁSON ALAPULÓ RENDELET 9. CIKKÉNEK (2) BEKEZDÉSE SZERINT NULLA ÉRTÉKKEL ÉRTÉKELT KIEGÉSZÍTŐ ÉRTÉKELÉSI KORREKCIÓ | |||||||||||||||||||||||||||
| 0080 | 1.1.1**** | EBBŐL: AZ (EU) 2016/101 FELHATALMAZÁSON ALAPULÓ RENDELET 10. CIKKÉNEK (2) ÉS (3) BEKEZDÉSE SZERINT NULLA ÉRTÉKKEL ÉRTÉKELT KIEGÉSZÍTŐ ÉRTÉKELÉSI KORREKCIÓ | |||||||||||||||||||||||||||
| 0090 | 1.1.1.1 | KAMATOK | |||||||||||||||||||||||||||
| 0100 | 1.1.1.2 | DEVIZA | |||||||||||||||||||||||||||
| 0110 | 1.1.1.3 | HITEL | |||||||||||||||||||||||||||
| 0120 | 1.1.1.4 | RÉSZVÉNYEK | |||||||||||||||||||||||||||
| 0130 | 1.1.1.5 | ÁRUK | |||||||||||||||||||||||||||
| 0140 | 1.1.2 | DIVERZIFIKÁCIÓS ELŐNY | |||||||||||||||||||||||||||
| 0150 | 1.1.2.1 | (–) AZ 1. MÓDSZERREL SZÁMÍTOTT DIVERZIFIKÁCIÓS ELŐNY | |||||||||||||||||||||||||||
| 0160 | 1.1.2.2 | (–) A 2. MÓDSZERREL SZÁMÍTOTT DIVERZIFIKÁCIÓS ELŐNY | |||||||||||||||||||||||||||
| 0170 | 1.1.2.2* | TÁJÉKOZTATÓ ADAT: DIVERZIFIKÁCIÓ ELŐTTI KIEGÉSZÍTŐ ÉRTÉKELÉSI KORREKCIÓK, AMELYEK 90 %-OT MEGHALADÓ MÉRTÉKBEN CSÖKKENNEK A 2. MÓDSZER SZERINTI DIVERZIFIKÁCIÓVAL | |||||||||||||||||||||||||||
| 0180 | 1.2 | A TARTALÉKMÓDSZER (FALL-BACK APPROACH) SZERINTI PORTFÓLIÓK | |||||||||||||||||||||||||||
| 0190 | 1.2.1 | A NETTÓ NEM REALIZÁLT NYERESÉG 100 %-A | |||||||||||||||||||||||||||
| 0200 | 1.2.2 | A NÉVLEGES ÉRTÉK 10 %-A | |||||||||||||||||||||||||||
| 0210 | 1.2.3 | A KEZDETI ÉRTÉK 25 %-A | |||||||||||||||||||||||||||
C 32.03 - PRUDENS ÉRTÉKELÉS: MODELLKOCKÁZAT KIEGÉSZÍTŐ ÉRTÉKELÉSI KORREKCIÓJA (PRUVAL 3)
| BESOROLÁS | MODELL | KOCKÁZATI KATEGÓRIA | TERMÉK | MEGFIGYELHETŐSÉG | MODELLKOCKÁZAT KIEGÉSZÍTŐ ÉRTÉKELÉSI KORREKCIÓJA | A 2. MÓDSZER SZERINT SZÁMÍTOTT ÖSSZESÍTETT KIEGÉSZÍTŐ ÉRTÉKELÉSI KORREKCIÓ | VALÓS ÉRTÉKEN ÉRTÉKELT ESZKÖZÖK ÉS KÖTELEZETTSÉGEK | IPV KÜLÖNBÖZET (OUTPUT-TESZTELÉS) | IPV FEDEZET (OUTPUT-TESZTELÉS) | VALÓSÉRTÉK-KORREKCIÓK | 1. NAPI EREDMÉNY | ||||
| EBBŐL: SZAKÉRTŐI MÓDSZER HASZNÁLATÁVAL | EBBŐL: A 2. MÓDSZER HASZNÁLATÁVAL ÖSSZESÍTVE | VALÓS ÉRTÉKEN ÉRTÉKELT ESZKÖZÖK | VALÓS ÉRTÉKEN ÉRTÉKELT KÖTELEZETTSÉGEK | MODELLKOCKÁZAT | LEJÁRAT ELŐTTI VISSZAVÁLTÁS | ||||||||||
| 0005 | 0010 | 0020 | 0030 | 0040 | 0050 | 0060 | 0070 | 0080 | 0090 | 0100 | 0110 | 0120 | 0130 | 0140 | 0150 | 
C 32.04 - PRUDENS ÉRTÉKELÉS: KONCENTRÁLT POZÍCIÓK KIEGÉSZÍTŐ ÉRTÉKELÉSI KORREKCIÓJA (PRUVAL 4)
| BESOROLÁS | KOCKÁZATI KATEGÓRIA | TERMÉK | MÖGÖTTES | KONCENTRÁLT POZÍCIÓK MÉRETE | MÉRTÉKEGYSÉG | PIACI ÉRTÉK | PRUDENS KILÉPÉSI IDŐSZAK | KONCENTRÁLT POZÍCIÓK KIEGÉSZÍTŐ ÉRTÉKELÉSI KORREKCIÓJA | KONCENTRÁLT POZÍCIÓK VALÓSÉRTÉK-KORREKCIÓJA | IPV KÜLÖNBÖZET | 
| 0005 | 0010 | 0020 | 0030 | 0040 | 0050 | 0060 | 0070 | 0080 | 0090 | 0100 | 
C 33.00 - ÁLLAMHÁZTARTÁSOKKAL SZEMBENI KITETTSÉGEK A PARTNER ORSZÁGA SZERINT (GOV)
Ország:
| Közvetlen kitettségek | Tájékoztató adat: államháztartásokkal szembeni kitettségekre értékesített hitelderivatívák | Kitettségérték | Kockázattal súlyozott kitettségérték | ||||||||||||||||||||||||||||
| Mérlegen belüli kitettségek | Halmozott értékvesztés | A hitelkockázat változásából származó negatív valósérték-változás halmozott összege | Származtatott ügyletek | Mérlegen kívüli kitettségek | |||||||||||||||||||||||||||
| Nem származtatott pénzügyi eszközök bruttó könyv szerinti értéke összesen | Nem származtatott pénzügyi eszközök könyv szerinti értéke összesen (a rövid pozíciók levonásával) | Nem származtatott pénzügyi eszközök számviteli portfóliók szerint | Rövid pozíciók | Származtatott ügyletek pozitív valós értékkel | Származtatott ügyletek negatív valós értékkel | Névérték | Céltartalékok | A hitelkockázat változásából származó negatív valósérték-változás halmozott összege | Származtatott ügyletek pozitív valós értékkel – könyv szerinti érték | Származtatott ügyletek negatív valós értékkel – könyv szerinti érték | |||||||||||||||||||||
| Kereskedési céllal tartott pénzügyi eszközök | Kereskedési célú pénzügyi eszközök | Kötelezően az eredménnyel szemben valós értéken értékelt, nem kereskedési célú pénzügyi eszközök | Az eredménnyel szemben valós értéken értékeltnek megjelölt pénzügyi eszközök | Eredménnyel szemben valós értéken értékelt, nem kereskedési célú, nem származtatott pénzügyi eszközök | Az egyéb átfogó jövedelemmel szemben valós értéken értékelt pénzügyi eszközök | A saját tőkével szemben valós értéken értékelt, nem kereskedési célú, nem származtatott pénzügyi eszközök | Amortizált bekerülési értéken értékelt pénzügyi eszközök | Bekerülésiérték-módszerrel értékelt nem kereskedési célú, nem származtatott pénzügyi eszközök | Egyéb nem kereskedési célú, nem származtatott pénzügyi eszközök | Ebből: kereskedési céllal tartott vagy kereskedési célú pénzügyi eszközként besorolt, fordított visszavásárlási hitelekből származó rövid pozíciók | Ebből: egyéb átfogó jövedelemmel szemben valós értéken értékelt pénzügyi eszközökből vagy saját tőkével szemben valós értéken értékelt, nem kereskedési célú, nem származtatott pénzügyi eszközökből | Ebből: kötelezően az eredménnyel szemben valós értéken értékelt, nem kereskedési célú pénzügyi eszközökből, az eredménnyel szemben valós értéken értékeltnek megjelölt pénzügyi eszközökből vagy eredménnyel szemben valós értéken értékelt nem kereskedési célú pénzügyi eszközökből | Ebből: egyéb átfogó jövedelemmel szemben valós értéken értékelt pénzügyi eszközökből vagy saját tőkével szemben valós értéken értékelt, nem kereskedési célú, nem származtatott pénzügyi eszközökből | Könyv szerinti érték | Névleges összeg | Könyv szerinti érték | Névleges összeg | ||||||||||||||
| 010 | 020 | 030 | 040 | 050 | 060 | 070 | 080 | 090 | 100 | 110 | 120 | 130 | 140 | 150 | 160 | 170 | 180 | 190 | 200 | 210 | 220 | 230 | 240 | 250 | 260 | 270 | 280 | 290 | 300 | ||
| 010 | Teljes kitettség | ||||||||||||||||||||||||||||||
| A TELJES KITETTSÉG KOCKÁZAT, SZABÁLYOZÁSI MÓDSZER ÉS KITETTSÉGI OSZTÁLY SZERINTI BONTÁSA | |||||||||||||||||||||||||||||||
| 020 | Kitettségek a hitelkockázati módszerek alapján | ||||||||||||||||||||||||||||||
| 030 | Sztenderd módszer | ||||||||||||||||||||||||||||||
| 040 | Központi kormányzatok | ||||||||||||||||||||||||||||||
| 050 | Regionális kormányzatok vagy helyi hatóságok | ||||||||||||||||||||||||||||||
| 060 | Közszektorbeli intézmények | ||||||||||||||||||||||||||||||
| 070 | Nemzetközi szervezetek | ||||||||||||||||||||||||||||||
| 075 | Egyéb államháztartási kitettségek a sztenderd módszer szerint | ||||||||||||||||||||||||||||||
| 080 | IRB-módszer | ||||||||||||||||||||||||||||||
| 090 | Központi kormányzatok | ||||||||||||||||||||||||||||||
| 100 | Regionális kormányzatok vagy helyi hatóságok [Központi kormányzatok] | ||||||||||||||||||||||||||||||
| 110 | Regionális kormányzatok vagy helyi hatóságok [Intézmények] | ||||||||||||||||||||||||||||||
| 120 | Közszektorbeli intézmények [Központi kormányzatok] | ||||||||||||||||||||||||||||||
| 130 | Közszektorbeli intézmények [Intézmények] | ||||||||||||||||||||||||||||||
| 140 | Nemzetközi szervezetek [Központi kormányzatok] | ||||||||||||||||||||||||||||||
| 155 | Egyéb államháztartási kitettségek az IRB módszer szerint | ||||||||||||||||||||||||||||||
| 160 | Kitettségek a piaci kockázati módszer alapján | ||||||||||||||||||||||||||||||
| TELJES KITETTSÉG HÁTRALÉVŐ FUTAMIDŐ SZERINTI BONTÁSA | |||||||||||||||||||||||||||||||
| 170 | [ 0 – 3 HÓNAP [ | ||||||||||||||||||||||||||||||
| 180 | [ 3 HÓNAP – 1 ÉV [ | ||||||||||||||||||||||||||||||
| 190 | [ 1 ÉV – 2 ÉV [ | ||||||||||||||||||||||||||||||
| 200 | [ 2 ÉV – 3 ÉV [ | ||||||||||||||||||||||||||||||
| 210 | [ 3 ÉV – 5 ÉV [ | ||||||||||||||||||||||||||||||
| 220 | [ 5 ÉV – 10 ÉV [ | ||||||||||||||||||||||||||||||
| 230 | [10 ÉV – hosszabb | ||||||||||||||||||||||||||||||
II. MELLÉKLET
A SZAVATOLÓTŐKÉRE ÉS A SZAVATOLÓTŐKE-KÖVETELMÉNYEKRE VONATKOZÓ ADATSZOLGÁLTATÁS
I. RÉSZ: ÁLTALÁNOS ÚTMUTATÓ
1. FELÉPÍTÉS ÉS SZABÁLYOK
1.1. FELÉPÍTÉS
1. Általánosságban a keretrendszer öt táblacsoportból áll:
a) tőkemegfelelés, a szavatolótőke áttekintése; teljes kockázati kitettségérték;
b) csoportszintű szavatolótőke-megfelelés, áttekintés a tőkemegfelelési követelményeknek az adatszolgáltató intézmény konszolidációs körébe bevont valamennyi szervezet általi teljesítéséről;
c) hitelkockázat (partner-, felhígulási és elszámolási kockázat);
d) piaci kockázat (kereskedési könyvi pozíciókockázat, devizaárfolyam-kockázat, árukockázat, CVA-kockázat);
e) működési kockázat.
2. Minden táblához biztosított a jogszabályi hivatkozás. Az egyes táblacsoportok felhasználásával történő adatközlés általános szempontjaival kapcsolatos további részletes információkat, a tábla egyes részeire vonatkozó útmutatót, valamint a validálási szabályokat e végrehajtási rendelet jelen része tartalmazza.
3. Az intézményeknek kizárólag azokon a táblákon kell adatot szolgáltatniuk, amelyek a szavatolótőke-követelmények meghatározása során alkalmazott megközelítés szempontjából relevánsak.
1.2. SZÁMOZÁSI SZABÁLYOK
4. A táblák oszlopaira, soraira és celláira való hivatkozáskor a dokumentum az 5-8. pontban meghatározott jelölési szabályokat követi. A numerikus kódokat kimerítően használják a validálási szabályok.
5. Az útmutató a következő általános jelölést követi: {Tábla; Sor; Oszlop}.
6. Olyan táblán belüli validálás esetén, amelynél az adott táblából csak adatpontokat használunk, a jelölés nem hivatkozik a táblára: {Sor; Oszlop}.
7. Az olyan táblák esetében, amelyek csak egy oszlopot tartalmaznak, a jelölés csak a sorokra hivatkozik. {Tábla; Sor}.
8. Csillag jelöli, hogy a validálás a korábban meghatározott sorra vagy oszlopra megtörtént.
1.3. ELŐJELRE VONATKOZÓ SZABÁLYOK
9. A szavatolótőkét vagy a tőkekövetelményeket növelő összegeket pozitív számként kell feltüntetni. Ugyanakkor a szavatolótőke teljes összegét vagy a tőkekövetelményeket csökkentő bármely összeg előjele negatív. Ha egy tétel megnevezése előtt mínuszjel (-) található, akkor az adott tételről nem szolgáltatható pozitív adat.
1.4. RÖVIDÍTÉSEK
9a. E melléklet alkalmazásában az 575/2013/EU európai parlamenti és tanácsi rendeletre ( 3 )"CRR"-ként, a 2013/36/EU európai parlamenti és tanácsi irányelvre ( 4 )"CRD"-ként, a 2013/34/EU európai parlamenti és tanácsi irányelvre ( 5 )"AD"-ként, és a 86/635/EGK tanácsi irányelvre ( 6 )"BAD"-ként történik hivatkozás.
II. RÉSZ: A TÁBLÁHOZ KAPCSOLÓDÓ ÚTMUTATÓ
1. TŐKEMEGFELELÉSI ÁTTEKINTÉS (CA)
1.1. ÁLTALÁNOS MEGJEGYZÉSEK
10. A CA táblacsoport az I. pillér szerinti mutatók számlálóiban szereplő tőketípusokra (szavatolótőke, alapvető tőke [T1], elsődleges alapvető tőke [CET1]) és nevezőjére (szavatolótőke-követelmény), valamint a CRR-ben és a CRD-ben található átmeneti rendelkezések alkalmazására vonatkozó információkat tartalmazza. A CA táblacsoport öt táblát foglal magában:
a) A CA1 tábla az egyes intézmények szavatoló tőkéjének összegét tartalmazza, az összeg meghatározásához szükséges tételek szerinti bontásban. A szavatolótőke számított értéke magában foglalja a CRR és a CRD egyes tőkeelemekre vonatkozó átmeneti rendelkezései alkalmazásának összesített hatását is.
b) A CA2 tábla a CRR 92. cikkének (3) bekezdése szerinti teljes kockázati kitettségértékeket foglalja össze.
c) A CA3 tábla egyrészt azokat a mutatókat tartalmazza, amelyek minimális szintjét a CRR rögzíti, másrészt a mutatókhoz és a tőketípusokhoz kapcsolódó egyéb adatokat.
d) A CA4 tábla többek között a CA1 elemeinek kiszámításához szükséges tájékoztató adatokat, valamint a CRD szerinti tőkepufferekkel kapcsolatos információkat tartalmazza.
e) A CA5 tábla a CRR szavatolótőkét érintő átmeneti rendelkezései alkalmazásából eredő hatások kiszámításához szükséges adatokat tartalmazza. A CA5 tábla hatálya az említett átmeneti rendelkezések végső lejáratát követően megszűnik.
11. A táblákat valamennyi, a CRR szerint adatszolgáltatásra kötelezett intézménynek használnia kell, függetlenül az intézmény nemzeti jog szerint irányadó számvitelére, azonban a számláló egyes elemei kizárólag az IAS/IFRS típusú értékelési szabályokat alkalmazó intézményekre vonatkoznak. A nevezőben foglalt adatok kevés kivételtől eltekintve a teljes kockázati kitettségérték kiszámítására szolgáló, kockázati típusonkénti táblákban meghatározott végeredményekhez kapcsolódnak.
12. A szavatolótőke teljes összege különböző típusú tőketípusokból áll: az alapvető tőkéből (T1), amely az elsődleges alapvető tőke (CET1) és a kiegészítő alapvető tőke (AT1) összege, valamint a járulékos tőkéből (T2).
13. A CA táblák a CRR és a CRD átmeneti rendelkezéseinek alkalmazását az alábbiak szerint kezelik:
a) A CA1 elemei általában bruttó módon, az átmeneti kiigazítások előtti értéken szerepelnek. Ez azt jelenti, hogy a CA1-elemek adatait - az átmeneti rendelkezések hatását összesítő elemek adatainak kivételével - a végleges rendelkezések alapján úgy kell kiszámítani, mintha nem lennének átmeneti rendelkezések. Mindegyik tőketípus (CET1, AT1 és T2) esetében három olyan különböző elem van, amely magában foglalja az átmeneti rendelkezések miatti kiigazításokat.
b) Az átmeneti rendelkezések módosíthatják az AT1 tőke és a T2 tőke hiányát is (az AT1 tőke vagy a T2 tőke azon hiányát, amely a CRR 36. cikke (1) bekezdésének j) pontjában, illetve 56. cikkének e) pontjában leírtak szerint az adott tőketípusokba tartozó tőkeelemek összegét meghaladó levonások többlete miatt keletkezik), és így azokat az elemeket, amelyek az említett átmeneti rendelkezések hatását közvetett módon esetleg tükröző hiányokat tartalmazzák.
c) A CA5 tábla kizárólag a CRR átmeneti rendelkezéseinek alkalmazásából eredő hatásokkal kapcsolatos adatszolgáltatásra használható.
14. A II. pillér szerinti követelmények kezelése az EU-n belül eltérő lehet (a CRD 104. cikkének (2) bekezdését át kell ültetni a tagállami szabályozásba). A CRR alapján teljesített tőkemegfelelési adatszolgáltatás kizárólag a II. pillérben a szolvenciamutatóra vagy az elérendő arányra vonatkozóan rögzített követelmények hatására terjedhet ki. A II. pillér szerinti követelményekre vonatkozó részletes adatszolgáltatásra a CRR 99. cikkében foglalt előírások nem vonatkoznak.
a) A CA1, CA2 és CA5 tábla kizárólag az I. pillérrel kapcsolatos kérdésekre vonatkozó adatokat tartalmaz.
b) A CA3 tábla a II. pillér szolvenciamutatóra vonatkozó egyéb követelményeinek összesített hatását tartalmazza. Az egyik csoport az összegeknek az adott mutatóra kifejtett hatásával, míg a másik csoport magával a mutatóval foglalkozik. Egyik mutatócsoport sem kapcsolódik egyéb módon a CA1, CA2 vagy CA5 táblához.
c) A CA4 tábla egy cellát tartalmaz a II. pillérhez kapcsolódó pótlólagos szavatolótőke-követelményekre vonatkozóan. Az említett cella nem kapcsolódik validálási szabályokon keresztül a CA3 tábla tőkemegfelelési mutatóihoz, és megfelel a CRD 104. cikke (2) bekezdésének, amely kifejezetten megemlíti a pótlólagos szavatolótőke-követelményeket mint a II. pillérre vonatkozó döntésekkel kapcsolatos lehetőséget.
1.2. C 01.00 - SZAVATOLÓTŐKE (CA1)
1.2.1. A tábla egyes részeire vonatkozó útmutató
| Sor | Jogszabályi hivatkozások és útmutató | 
| 010 | 1.  Szavatolótőke A CRR 4. cikke (1) bekezdésének 118. pontja, valamint 72. cikke Egy intézmény szavatolótőkéje az alapvető tőkéjének és a járulékos tőkéjének összegéből áll. | 
| 015 | 1.1.  Alapvető tőke (Tier 1 vagy T1 tőke) A CRR 25. cikke Az alapvető tőke az elsődleges alapvető tőke és a kiegészítő alapvető tőke összege. | 
| 020 | 1.1.1.  Elsődleges alapvető tőke (CET1) A CRR 50. cikke | 
| 030 | 1.1.1.1.  CET1 tőkeelemként figyelembe vehető tőkeinstrumentumok A CRR 26. cikke (1) bekezdésének a) és b) pontja, 27–30. cikke, 36. cikke (1) bekezdésének f) pontja, valamint 42. cikke | 
| 040 | 1.1.1.1.1.  Befizetett tőkeinstrumentumok A CRR 26. cikke (1) bekezdésének a) pontja, valamint 27–31. cikke Magában foglalja a kölcsönös biztosítók, szövetkezeti társaságok és hasonló intézmények tőkeinstrumentumait (a CRR 27. és 29. cikke). Nem foglalhatja magában az instrumentumokhoz kapcsolódó ázsiót. A sürgősségi helyzetekben állami hatóságok által lejegyzett tőkeinstrumentumokat akkor tartalmazza, ha a CRR 31. cikkében foglalt minden feltétel teljesül. | 
| 045 | 1.1.1.1.1*  Ebből: sürgősségi helyzetekben állami hatóságok által lejegyzett tőkeinstrumentumok A CRR 31. cikke A sürgősségi helyzetekben állami hatóságok által lejegyzett tőkeinstrumentumok akkor vehetők figyelembe CET1 tőkeelemként, ha a CRR 31. cikkében foglalt minden feltétel teljesül. | 
| 050 | 1.1.1.1.2*  Tájékoztató adat: figyelembe nem vehető tőkeinstrumentumok A CRR 28. cikke (1) bekezdésének b), l) és m) pontja Az e pontokban említett feltételek különböző visszafordítható tőkehelyzeteket tükröznek, így az itt feltüntetett összeg a későbbi időszakokban figyelembe vehető lehet. A feltüntetendő érték nem foglalhatja magában az instrumentumokhoz kapcsolódó ázsiót. | 
| 060 | 1.1.1.1.3.  Névértéken felüli befizetés (ázsió) A CRR 4. cikke (1) bekezdésének 124. pontja, és 26. cikke (1) bekezdésének b) pontja Az ázsió jelentése egyezik az alkalmazandó számviteli szabályozás szerinti jelentéssel. Az ebben az elemben feltüntetendő érték a befizetett tőkeinstrumentumokhoz kapcsolódó rész. | 
| 070 | 1.1.1.1.4.  (–) Saját CET1 tőkeinstrumentumok A CRR 36. cikke (1) bekezdésének f) pontja, valamint 42. cikke Az adatot szolgáltató intézmény vagy csoport saját CET1 tőkéje az adatszolgáltatás vonatkozási dátumának időpontjában. A CRR 42. cikkében említett kivételek figyelembevételével. Ebben a sorban nem tüntethetők fel a figyelembe nem vehető tőkeinstrumentumként szerepeltetett részvények. A feltüntetendő érték magában foglalja a saját részvényekhez kapcsolódó ázsiót. Az 1.1.1.1.4–1.1.1.1.4.3. tételek nem foglalják magukban a saját CET1 tőkeinstrumentumok megvásárlására vonatkozó tényleges vagy függő kötelezettségeket. A saját CET1 tőkeinstrumentumok megvásárlására vonatkozó tényleges vagy függő kötelezettségeket külön kell feltüntetni az 1.1.1.1.5. tételben. | 
| 080 | 1.1.1.1.4.1.  (–) Közvetlen részesedések CET1 tőkeinstrumentumokban A CRR 36. cikke (1) bekezdésének f) pontja, valamint 42. cikke A konszolidált csoportba tartozó intézmények tulajdonában lévő, az 1.1.1.1. tételnél megadott elsődleges alapvető tőkeinstrumentumok. A feltüntetendő érték magában foglalja a kereskedési könyvben nyilvántartott, a nettó hosszú pozíció alapján a CRR 42. cikkének a) pontja szerint számított részesedéseket. | 
| 090 | 1.1.1.1.4.2.  (–) Közvetett részesedések CET1 tőkeinstrumentumokban A CRR 4. cikke (1) bekezdésének 114. pontja, 36. cikke (1) bekezdésének f) pontja, valamint 42. cikke | 
| 091 | 1.1.1.1.4.3.  (–) Szintetikus részesedések CET1 tőkeinstrumentumokban A CRR 4. cikke (1) bekezdésének 126. pontja, 36. cikke (1) bekezdésének f) pontja, valamint 42. cikke | 
| 092 | 1.1.1.1.5.  (–) Saját CET1 tőkeinstrumentumok megvásárlására vonatkozó tényleges vagy függő kötelezettségek A CRR 36. cikke (1) bekezdésének f) pontja, valamint 42. cikke A CRR 36. cikke (1) bekezdésének f) pontja szerint le kell vonni „az olyan elsődleges alapvető tőkeinstrumentumokat […], amelyek megvásárlására az intézménynek tényleges vagy függő kötelezettsége van egy hatályos szerződéses kötelezettség értelmében”. | 
| 130 | 1.1.1.2.  Eredménytartalék A CRR 26. cikke (1) bekezdésének c) pontja, valamint 26. cikkének (2) bekezdése Az eredménytartalék az előző évi eredménytartalékot és a figyelembe vehető évközi vagy év végi nyereséget vagy veszteséget foglalja magában. | 
| 140 | 1.1.1.2.1.  Előző évek eredménytartaléka A CRR 4. cikke (1) bekezdésének 123. pontja, valamint 26. cikke (1) bekezdésének c) pontja A CRR 4. cikke (1) bekezdésének 123. pontja szerint az eredménytartalék „az alkalmazandó számviteli szabályozás alapján az eredmény végső alkalmazásának következtében áthozott eredmény”. | 
| 150 | 1.1.1.2.2.  Figyelembe vehető nyereség/veszteség A CRR 4. cikke (1) bekezdésének 121. pontja, 26. cikkének (2) bekezdése, valamint 36. cikke (1) bekezdésének a) pontja A CRR 26. cikkének (2) bekezdése bizonyos feltételek teljesülése esetén megengedi az évközi vagy év végi nyereségnek az eredménytartalékba történő beszámítását, ha azt az illetékes hatóságok előzetesen engedélyezik. Ugyanakkor a veszteségeket a CRR 36. cikke (1) bekezdésének a) pontja szerint le kell vonni a CET1 tőkéből. | 
| 160 | 1.1.1.2.2.1.  Az anyavállalat tulajdonosainak tulajdonítható eredmény A CRR 26. cikkének (2) bekezdése, valamint 36. cikke (1) bekezdésének a) pontja A feltüntetendő érték a számviteli eredménykimutatásban szereplő eredmény. | 
| 170 | 1.1.1.2.2.2.  (–) Az évközi vagy év végi nyereség figyelembe nem vehető része A CRR 26. cikkének (2) bekezdése Ebben a sorban nem szerepelhet adat akkor, ha az intézmény a referencia-időszakra veszteséget számolt el. Ennek az az oka, hogy a veszteségek teljes összegét le kell vonni a CET1 tőkéből. Ha az intézmény nyereséget számol el, akkor a CRR 26. cikkének (2) bekezdése szerint figyelembe nem vehető részt (vagyis a nem auditált nyereséget és az előre látható terhet vagy osztalékot) kell feltüntetni. Ügyelni kell arra, hogy nyereség esetén legalább az évközi osztalék összege levonandó. | 
| 180 | 1.1.1.3.  Halmozott egyéb átfogó jövedelem A CRR 4. cikke (1) bekezdésének 100. pontja, valamint 26. cikke (1) bekezdésének d) pontja A feltüntetendő érték a kiszámítás időpontjában előre látható adóterhek levonásával kapott, a prudenciális szűrők alkalmazása előtti összeg. A feltüntetendő értéket a 241/2014/EU felhatalmazáson alapuló bizottsági rendelet (1) 13. cikke (4) bekezdésének megfelelően kell meghatározni. | 
| 200 | 1.1.1.4.  Egyéb tartalékok A CRR 4. cikke (1) bekezdésének 117. pontja, valamint 26. cikke (1) bekezdésének e) pontja A CRR meghatározása szerint az egyéb tartalékok „az alkalmazandó számviteli szabályozás szerinti tartalékok, amelyeket az említett alkalmazandó számviteli standard alapján nyilvánosságra kell hozni, kivéve azokat az összegeket, amelyeket már tartalmaz a halmozott egyéb átfogó jövedelem vagy az eredménytartalék”. A feltüntetendő érték a kiszámítás időpontjában előre látható adóterhek levonásával kapott összeg. | 
| 210 | 1.1.1.5.  Általános banki kockázatok fedezetére képzett tartalékok A CRR 4. cikke (1) bekezdésének 112. pontja, valamint 26. cikke (1) bekezdésének f) pontja A BAD 38. cikkének meghatározása szerint az általános banki kockázatok fedezetére képzett tartalékok olyan összegek, „amelyeknek elkülönítéséről a hitelintézet a szóban forgó kockázatok fedezetének biztosítása érdekében dönt, amennyiben ezt a banki ügyletekhez kapcsolódó különleges kockázat megköveteli.” A feltüntetendő érték a kiszámítás időpontjában előre látható adóterhek levonásával kapott összeg. | 
| 220 | 1.1.1.6.  Szerzett jogok alapján figyelembe vett CET1 tőkeinstrumentumok miatti átmeneti kiigazítások A CRR 483. cikkének (1)–(3) bekezdése, valamint 484–487. cikke A szerzett jogokkal kapcsolatos rendelkezések alapján átmenetileg CET1 tőkének minősített tőkeinstrumentumok összege. A feltüntetendő értéket közvetlenül a CA5 tábláról kell átvezetni. | 
| 230 | 1.1.1.7.  CET1 tőkében megjelenített kisebbségi részesedés A CRR 4. cikke (1) bekezdésének 120. pontja, valamint 84. cikke A leányvállalatok összes kisebbségi részesedésének a konszolidált elsődleges alapvető tőkébe beszámított összege. | 
| 240 | 1.1.1.8.  Kisebbségi részesedések és megfelelőik miatti átmeneti kiigazítások A CRR 479. és 480. cikke A kisebbségi részesedésekben az átmeneti rendelkezések miatt végrehajtott kiigazítások. A tételt közvetlenül a CA5 tábláról kell átvezetni. | 
| 250 | 1.1.1.9.  Prudenciális szűrők miatt végrehajtott kiigazítások a CET1 tőkében A CRR 32–35. cikke | 
| 260 | 1.1.1.9.1.  (–) Értékpapírosított eszközökből származó növekedés a saját tőkében A CRR 32. cikkének (1) bekezdése A feltüntetendő érték az intézmény saját tőkéjének az alkalmazandó számviteli szabályozás szerint az értékpapírosított eszközökből származó növekedése. Ez a tétel magában foglalja például azt a jövőbeli kamatjövedelmet, amely az intézmény számára értékesítésből származó nyereséget eredményez, vagy az értékpapírosítás kezdeményezője esetében az értékpapírosított eszközökből származó jövőbeni jövedelem tőkésítéséből származó és az értékpapírosítás hitelminőségét javító nettó nyereséget. | 
| 270 | 1.1.1.9.2.  Cash flow fedezeti ügyletek tartaléka A CRR 33. cikke (1) bekezdésének a) pontja A feltüntetendő érték pozitív vagy negatív lehet. Pozitív akkor, ha a cash flow fedezeti ügyleteken veszteség keletkezik (vagyis ha az csökkenti a számviteli tőkét), és fordítva. Ennélfogva előjele ellentétes a számviteli kimutatásokban szereplő tételek előjelével. Az összeg a kiszámítás időpontjában előre látható adóterhek levonásával kapott összeg. | 
| 280 | 1.1.1.9.3.  Valós értéken értékelt kötelezettségekben a saját hitelkockázat változásából származó halmozott nyereség vagy veszteség A CRR 33. cikke (1) bekezdésének b) pontja A feltüntetendő érték pozitív vagy negatív lehet. Pozitív akkor, ha a saját hitelkockázat változásaiból veszteség származik (vagyis ha az csökkenti a számviteli tőkét), és fordítva. Ennélfogva előjele ellentétes a számviteli kimutatásokban szereplő tételek előjelével. A tétel nem tartalmazhat nem auditált nyereséget. | 
| 285 | 1.1.1.9.4.  Származtatott ügyletekből eredő kötelezettségekhez kapcsolódó, az intézmény saját hitelkockázatából adódó valósérték-növekedés és -csökkenés A CRR 33. cikke (1) bekezdésének c) pontja, valamint 33. cikkének (2) bekezdése A feltüntetendő érték pozitív vagy negatív lehet. Pozitív akkor, ha a saját hitelkockázat változásaiból veszteség származik, és fordítva. Ennélfogva előjele ellentétes a számviteli kimutatásokban szereplő tételek előjelével. A tétel nem tartalmazhat nem auditált nyereséget. | 
| 290 | 1.1.1.9.5.  (–) Prudens értékelés követelményei miatti értékelési korrekció A CRR 34. és 105. cikke A kereskedési könyvben vagy a nem kereskedési könyvben nyilvántartott kitettségek valós értékének kiigazításai, amelyekre a CRR 105. cikkében a prudenciális értékelésre vonatkozóan előírt szigorúbb szabályok miatt kerül sor. | 
| 300 | 1.1.1.10.  (–) Cégérték (goodwill) A CRR 4. cikke (1) bekezdésének 113. pontja, 36. cikke (1) bekezdésének b) pontja, valamint 37. cikke | 
| 310 | 1.1.1.10.1.  (–) Immateriális javak között elszámolt cégérték A CRR 4. cikke (1) bekezdésének 113. pontja, valamint 36. cikke (1) bekezdésének b) pontja A cégérték jelentése egyezik az alkalmazandó számviteli szabályozás szerinti jelentéssel. Az itt feltüntetendő érték azonos a mérlegben szerepeltetett összeggel. | 
| 320 | 1.1.1.10.2.  (–) Jelentős részesedések értékelésébe beszámított cégérték A CRR 37. cikkének b) pontja, valamint 43. cikke | 
| 330 | 1.1.1.10.3.  Cégértékhez kapcsolódó halasztott adókötelezettségek A CRR 37. cikkének a) pontja Azon halasztott adókötelezettségek összege, amelyek megszűnnének, ha a cégérték értékvesztést szenvedne el, vagy az alkalmazandó számviteli szabályozás szerint kivezetésre kerülne. | 
| 340 | 1.1.1.11.  (–) Egyéb immateriális javak A CRR 4. cikke (1) bekezdésének 115. pontja, 36. cikke (1) bekezdésének b) pontja, valamint 37. cikkének a) pontja Az egyéb immateriális javak értéke az alkalmazandó számviteli szabályozás szerint immateriális javaknak minősülő eszközök értéke, amelyet a cégérték az alkalmazandó számviteli szabályozás szerint csökkent. | 
| 350 | 1.1.1.11.1.  (–) Egyéb immateriális javak a halasztott adókötelezettségek levonása előtt A CRR 4. cikke (1) bekezdésének 115. pontja, valamint 36. cikke (1) bekezdésének b) pontja Az egyéb immateriális javak értéke az alkalmazandó számviteli szabályozás szerint immateriális javaknak minősülő eszközök értéke, amelyet a cégérték az alkalmazandó számviteli szabályozás szerint csökkent. Az itt feltüntetendő érték megegyezik a mérlegben szerepeltetett, a cégértéken kívüli immateriális javak értékével. | 
| 360 | 1.1.1.11.2.  Egyéb immateriális javakhoz kapcsolódó halasztott adókötelezettségek A CRR 37. cikkének a) pontja Azon halasztott adókötelezettségek összege, amelyek megszűnnének, ha a cégértéken kívüli immateriális javak értékvesztést szenvednének el, vagy az alkalmazandó számviteli szabályozás szerint kivezetésre kerülnének. | 
| 370 | 1.1.1.12.  (–) Jövőbeli nyereségtől függően érvényesíthető, nem átmeneti különbözetből eredő halasztott adókövetelések kapcsolódó adókötelezettségek levonásával A CRR 36. cikke (1) bekezdésének c) pontja, valamint 38. cikke | 
| 380 | 1.1.1.13.  (–) Hitelkockázati kiigazítások IRB-módszerrel számított hiánya a várható veszteséghez viszonyítva A CRR 36. cikke (1) bekezdésének d) pontja, valamint 40., 158. és 159. cikke A feltüntetendő érték nem csökkenhet a jövőbeli nyereségtől függően érvényesíthető halasztott adókövetelések szintjének emelkedésével vagy egyéb kiegészítő adóhatással, amely akkor keletkezhet, ha a céltartalékok a várható veszteségek szintjére emelkednének (a CRR 40. cikke). | 
| 390 | 1.1.1.14.  (–) Meghatározott szolgáltatást nyújtó nyugdíjalapban lévő eszközök A CRR 4. cikke (1) bekezdésének 109. pontja, 36. cikke (1) bekezdésének e) pontja, valamint 41. cikke | 
| 400 | 1.1.1.14.1.  (–) Meghatározott szolgáltatást nyújtó nyugdíjalapban lévő eszközök A CRR 4. cikke (1) bekezdésének 109. pontja, valamint 36. cikke (1) bekezdésének e) pontja A meghatározott szolgáltatást nyújtó nyugdíjalapban lévő eszközök egy meghatározott szolgáltatást nyújtó nyugdíjalap vagy adott esetben konstrukció eszközei, az ugyanazon alap vagy konstrukció kötelezettségeinek összegével csökkentve. Az itt feltüntetendő érték megegyezik a mérlegben szerepeltetett összeggel, ha ott is külön tüntették fel. | 
| 410 | 1.1.1.14.2.  Meghatározott szolgáltatást nyújtó nyugdíjalapban lévő eszközökhöz kapcsolódó halasztott adókötelezettségek A CRR 4. cikke (1) bekezdésének 108. és 109. pontja, valamint 41. cikke (1) bekezdésének a) pontja Azon halasztott adókötelezettségek összege, amelyek megszűnnének, ha a meghatározott szolgáltatást nyújtó nyugdíjalapban lévő eszközök értékvesztést szenvednének el, vagy az alkalmazandó számviteli szabályozás szerint kivezetésre kerülnének. | 
| 420 | 1.1.1.14.3.  Meghatározott szolgáltatást nyújtó nyugdíjalapban lévő eszközök, amelyeket az intézmény korlátlanul képes felhasználni A CRR 4. cikke (1) bekezdésének 109. pontja, valamint 41. cikke (1) bekezdésének b) pontja Ennél a tételnél akkor adható meg összeg, ha az illetékes hatóság előzetesen engedélyezte a meghatározott szolgáltatást nyújtó nyugdíjalapban lévő eszközök összegének csökkentését. Az ebben a sorban szereplő eszközökhöz a hitelkockázati követelményeknek megfelelő kockázati súlyt kell rendelni. | 
| 430 | 1.1.1.15.  (–) Kölcsönös részesedések CET1 tőkeinstrumentumokban A CRR 4. cikke (1) bekezdésének 122. pontja, 36. cikke (1) bekezdésének g) pontja, valamint 44. cikke A CRR 4. cikke (1) bekezdésének 27. pontjában meghatározott pénzügyi ágazatbeli szervezetek által kibocsátott CET1 tőkeinstrumentumok állománya olyan kölcsönös részesedés esetében, amelynek célja az illetékes hatóság véleménye szerint az intézmény szavatoló tőkéjének mesterséges megemelése. A feltüntetendő értéket a bruttó hosszú pozíciók alapján kell kiszámítani, és annak tartalmaznia kell a biztosítói 1. szintű szavatolótőke-elemeket. | 
| 440 | 1.1.1.16.  (–) AT1 tőkeelemek összegét meghaladó AT1 levonások többlete A CRR 36. cikke (1) bekezdésének j) pontja A feltüntetendő értéket közvetlenül a CA1 tábla „AT1 tőkeelemek összegét meghaladó AT1 levonások többlete” tételéből kell átvezetni. Az összeget a CET1 tőkéből kell levonni. | 
| 450 | 1.1.1.17.  (–) A pénzügyi ágazaton kívüli befolyásoló részesedések, amelyekre alternatívaként 1 250 %-os kockázati súly alkalmazható A CRR 4. cikke (1) bekezdésének 36. pontja, 36. cikke (1) bekezdése k) pontjának i. alpontja, valamint 89–91. cikke A befolyásoló részesedés olyan „közvetlen vagy közvetett részesedés egy vállalkozásban, amely a tőke vagy a szavazati jogok legalább 10 %-át képviseli, illetve amely lehetővé teszi számottevő befolyás gyakorlását annak a vállalkozásnak az irányítása felett”. A CRR 36. cikke (1) bekezdése k) pontjának i. alpontja szerint a befolyásoló részesedés (e tétel alapján) levonható a CET1 tőkéből, vagy arra 1 250 %-os kockázati súly alkalmazható. | 
| 460 | 1.1.1.18.  (–) Értékpapírosítási pozíciók, amelyekre alternatívaként 1 250 %-os kockázati súly alkalmazható A CRR 244. cikke (1) bekezdésének b) pontja, 245. cikke (1) bekezdésének b) pontja, valamint 253. cikkének (1) bekezdése Az olyan értékpapírosítási pozíciókat, amelyekre 1 250 %-os kockázati súly alkalmazható, vagy amelyek levonhatók a CET1 tőkéből (a CRR 36. cikke (1) bekezdése k) pontjának ii. alpontja), ebben a tételben kell feltüntetni | 
| 470 | 1.1.1.19.  (–) Nyitva szállítások, amelyekre alternatívaként 1 250 %-os kockázati súly alkalmazható A CRR 36. cikke (1) bekezdése k) pontjának iii. alpontja, valamint 379. cikkének (3) bekezdése A nyitva szállításokra a második szerződés szerinti fizetést vagy szállítási szakaszt követő 5. munkanaptól az ügylet megszűntéig 1 250 %-os kockázati súlyt kell alkalmazni az elszámolási kockázatra vonatkozó szavatolótőke-követelményeknek megfelelően. Alternatívaként az ilyen szállítások levonhatók a CET1 tőkéből (a CRR 36. cikke (1) bekezdése k) pontjának iii. alpontja). Ez utóbbi esetben azokat ebben a tételben kell feltüntetni. | 
| 471 | 1.1.1.20.  (–) Egy kosárban lévő azon pozíciók, amelyekre az intézmény nem tudja az IRB-módszer alapján meghatározni a kockázati súlyt, és amelyekre így alternatívaként 1 250 %-os kockázati súly alkalmazható A CRR 36. cikke (1) bekezdése k) pontjának iv. alpontja, valamint 153. cikkének (8) bekezdése A CRR 36. cikke (1) bekezdése k) pontjának iv. alpontja szerint az egy kosárban lévő azon pozíciók, amelyekre az intézmény nem tudja az IRB-módszer alapján meghatározni a kockázati súlyt, alternatív módon levonhatók (e tétel alapján) a CET1 tőkéből, vagy azokra 1 250 %-os kockázati súly alkalmazható. | 
| 472 | 1.1.1.21.  (–) Belső modelleken alapuló módszer hatálya alá tartozó részvényjellegű kitettségek, amelyekre alternatívaként 1 250 %-os kockázati súly alkalmazható A CRR 36. cikke (1) bekezdése k) pontjának v. alpontja, valamint 155. cikkének (4) bekezdése A CRR 36. cikke (1) bekezdése k) pontjának v. alpontja szerint a belső modelleken alapuló hatálya alá tartozó részvényjellegű kitettségek alternatívaként (e tétel alapján) levonhatók a CET1 tőkéből, vagy azokra 1 250 %-os kockázati súly alkalmazható. | 
| 480 | 1.1.1.22.  (–) Pénzügyi ágazatbeli szervezetek által kibocsátott CET1 tőkeinstrumentumok, ha az intézmény nem rendelkezik jelentős részesedéssel az említett vállalkozásokban A CRR 4. cikke (1) bekezdésének 27. pontja, 36. cikke (1) bekezdésének h) pontja, 43–46. cikke, 49. cikkének (2) és (3) bekezdése, valamint 79. cikke A CRR 4. cikke (1) bekezdésének 27. pontjában meghatározott pénzügyi ágazatbeli szervezetek által kibocsátott instrumentumokban lévő intézményi részesedés, ha az intézmény nem rendelkezik a CET1 tőkéből levonandó jelentős részesedéssel. Levonás helyett konszolidáció esetén a 49. cikk (2) és (3) bekezdésében leírt alternatívák alkalmazhatók. | 
| 490 | 1.1.1.23.  (–) Levonható, jövőbeli nyereségtől függően érvényesíthető, átmeneti különbözetből eredő halasztott adókövetelések A CRR 36. cikke (1) bekezdésének c) pontja; a CRR 38. cikke és 48. cikke (1) bekezdésének a) pontja Az átmeneti különbözetből eredő, jövőbeli nyereségtől függően érvényesíthető halasztott adókövetelések azon része (a kapcsolódó halasztott adókötelezettségeknek a CRR 38. cikke (5) bekezdésének b) pontja szerint a halasztott adókötelezettségekre jutó, átmeneti különbözetből eredő része nélkül), amelyet a CRR 48. cikke (1) bekezdésének a) pontjában említett 10 %-os küszöb alkalmazásával le kell vonni. | 
| 500 | 1.1.1.24.  (–) Pénzügyi ágazatbeli szervezetek által kibocsátott CET1 tőkeinstrumentumok, ha az intézmény jelentős részesedéssel rendelkezik az említett vállalkozásokban A CRR 4. cikke (1) bekezdésének 27. pontja, 36. cikke (1) bekezdésének i) pontja, 43., 45., 47. cikke, 48. cikke (2) bekezdésének b) pontja, 49. cikkének (1), (2) és (3) bekezdése, valamint 79. cikke A CRR 4. cikke (1) bekezdésének 27. pontjában meghatározott pénzügyi ágazatbeli szervezetek által kibocsátott CET1 tőkeinstrumentumokban lévő intézményi részesedés, ha az intézmény a CET1 tőkéből a CRR 48. cikke (1) bekezdésének b) pontjában említett 10 %-os küszöb alkalmazásával levonandó jelentős részesedéssel rendelkezik. Levonás helyett konszolidáció esetén a CRR 49. cikkének (1), (2) és (3) bekezdésében leírt alternatívák alkalmazhatók. | 
| 510 | 1.1.1.25.  (–) A 17,65 %-os küszöbértéket meghaladó összeg A CRR 48. cikkének (2) bekezdése Átmeneti különbözetből eredő, jövőbeli nyereségtől függően érvényesíthető halasztott adókövetelések, valamint a CRR 4. cikke (1) bekezdésének 27. pontjában meghatározott pénzügyi ágazatbeli szervezetek által kibocsátott CET1 tőkeinstrumentumokban lévő közvetlen, közvetett és szintetikus intézményi részesedés, ha az intézmény a CET1 tőkéből a CRR 48. cikkének (2) bekezdése szerinti 17,65 %-os küszöb alkalmazásával levonandó jelentős részesedéssel rendelkezik. | 
| 520 | 1.1.1.26.  CET1 tőke egyéb átmeneti kiigazításai A CRR 469–472., 478. és 481. cikke A levonásokban az átmeneti rendelkezések miatt végrehajtott kiigazítások. A feltüntetendő értéket közvetlenül a CA5 tábláról kell átvezetni. | 
| 524 | 1.1.1.27.  (–) Pótlólagos levonások a CET1 tőkéből a CRR 3. cikke alapján A CRR 3. cikke | 
| 529 | 1.1.1.28.  CET1 tőkeelemek vagy levonások – egyéb E sor kizárólagos célja, hogy biztosítsa az adatszolgáltatás rugalmasságát. Csak azokban a ritka esetekben tölthető ki, amikor nincs végleges döntés az aktuális CA1 táblában szereplő egyes tőkeelemekkel vagy levonásokkal kapcsolatos adatszolgáltatásról. Következésképpen a sor csak akkor tölthető ki, ha egy CET1 tőkeelem, vagy egy CET1 tőkeelemet érintő levonás nem szerepeltethető a 020–524. sorok egyikében sem. Ez a sor nem használható a CRR-ben nem szabályozott tőkeelemeknek, illetve levonásoknak a szolvenciamutató kiszámításán belüli besorolásához (pl. olyan tagállami tőkeelemek vagy levonások besorolásához, amelyek a CRR hatályán kívül esnek). | 
| 530 | 1.1.2.  KIEGÉSZÍTŐ ALAPVETŐ TŐKE (AT1 TŐKE) A CRR 61. cikke | 
| 540 | 1.1.2.1.  Kiegészítő alapvető tőkeként figyelembe vehető tőkeinstrumentumok A CRR 51. cikkének a) pontja, 52–54. cikke, 56. cikkének a) pontja, valamint 57. cikke | 
| 550 | 1.1.2.1.1.  Befizetett tőkeinstrumentumok A CRR 51. cikkének a) pontja, valamint 52., 53. és 54. cikke A feltüntetendő érték nem foglalhatja magában az instrumentumokhoz kapcsolódó ázsiót. | 
| 560 | 1.1.2.1.2*  Tájékoztató adat: figyelembe nem vehető tőkeinstrumentumok A CRR 52. cikke (1) bekezdésének c), e) és (f) pontja Az e pontokban említett feltételek különböző visszafordítható tőkehelyzeteket tükröznek, így az itt feltüntetett összeg a későbbi időszakokban figyelembe vehető lehet. A feltüntetendő érték nem foglalhatja magában az instrumentumokhoz kapcsolódó ázsiót. | 
| 570 | 1.1.2.1.3.  Névértéken felüli befizetés (ázsió) A CRR 51. cikkének b) pontja Az ázsió jelentése egyezik az alkalmazandó számviteli szabályozás szerinti jelentéssel. Az ebben az elemben feltüntetendő érték a befizetett tőkeinstrumentumokhoz kapcsolódó rész. | 
| 580 | 1.1.2.1.4.  (–) Saját AT1 tőkeinstrumentumok A CRR 52. cikke (1) bekezdésének b) pontja, 56. cikkének a) pontja, valamint 57. cikke Az adatot szolgáltató intézmény vagy csoport saját AT1 tőkéje az adatszolgáltatás időpontjában. A CRR 57. cikkében említett kivételek figyelembevételével. Ebben a sorban nem tüntethetők fel a figyelembe nem vehető tőkeinstrumentumként szerepeltetett részvények. A feltüntetendő érték magában foglalja a saját részvényekhez kapcsolódó ázsiót. Az 1.1.2.1.4–1.1.2.1.4.3. tételek nem foglalják magukban a saját CET1 tőkeinstrumentumok megvásárlására vonatkozó tényleges vagy függő kötelezettségeket. A saját AT1 tőkeinstrumentumok megvásárlására vonatkozó tényleges vagy függő kötelezettségeket külön kell feltüntetni az 1.1.2.1.5. tételben. | 
| 590 | 1.1.2.1.4.1.  (–) Közvetlen részesedések AT1 tőkeinstrumentumokban A CRR 4. cikke (1) bekezdésének 144. pontja, 52. cikke (1) bekezdésének b) pontja, 56. cikkének a) pontja, valamint 57. cikke A konszolidált csoportba tartozó intézmények tulajdonában lévő, az 1.1.2.1.1. tételnél megadott AT1 tőkeinstrumentumok. | 
| 620 | 1.1.2.1.4.2.  (–) Közvetett részesedések AT1 tőkeinstrumentumokban A CRR 52. cikke (1) bekezdése b) pontjának ii. alpontja, 56. cikkének a) pontja, valamint 57. cikke | 
| 621 | 1.1.2.1.4.3.  (–) Szintetikus részesedések AT1 tőkeinstrumentumokban A CRR 4. cikke (1) bekezdésének 126. pontja, 52. cikke (1) bekezdésének b) pontja, 56. cikkének a) pontja, valamint 57. cikke | 
| 622 | 1.1.2.1.5.  (–) Saját AT1 tőkeinstrumentumok megvásárlására vonatkozó tényleges vagy függő kötelezettségek A CRR 56. cikkének a) pontja, valamint 57. cikke A CRR 56. cikkének a) pontja szerint le kell vonni „az olyan saját kiegészítő alapvető tőkeinstrumentumokat …, amelyeket az intézmény hatályos szerződéses kötelezettségekből eredően köteles lehet megvásárolni”. | 
| 660 | 1.1.2.2.  Szerzett jogok alapján figyelembe vett AT1 tőkeinstrumentumok miatti átmeneti kiigazítások A CRR 483. cikkének (4) és (5) bekezdése, 484–487. cikke, 489. és 491. cikke A szerzett jogokkal kapcsolatos rendelkezések alapján átmenetileg AT1 tőkének minősített tőkeinstrumentumok összege. A feltüntetendő értéket közvetlenül a CA5 tábláról kell átvezetni. | 
| 670 | 1.1.2.3.  Leányvállalatok által kibocsátott, AT1 tőkeként megjelenített instrumentumok A CRR 83., 85. és 86. cikke A leányvállalatok T1 tőkéjébe beszámítható összes tőkeelemnek a konszolidált AT1 tőke részét képező összege. Tartalmazza a különleges célú gazdasági egység által kibocsátott, AT1 tőkébe beszámítható tőkeelemeket (a CRR 83. cikke). | 
| 680 | 1.1.2.4.  Átmeneti kiigazítások a leányvállalatok által kibocsátott instrumentumok AT1 tőkeként való pótlólagos megjelenítése miatt A CRR 480. cikke A T1 tőkébe beszámítható tőkeelemeknek a konszolidált AT1 tőke részét képező összegében az átmeneti rendelkezések miatt végrehajtott kiigazítások. A tételt közvetlenül a CA5 tábláról kell átvezetni. | 
| 690 | 1.1.2.5.  (–) Kölcsönös részesedések AT1 tőkeinstrumentumokban A CRR 4. cikke (1) bekezdésének 122. pontja, 56. cikkének b) pontja, valamint 58. cikke A CRR 4. cikke (1) bekezdésének 27. pontjában meghatározott pénzügyi ágazatbeli szervezetek által kibocsátott AT1 tőkeinstrumentumok állománya olyan kölcsönös részesedés esetében, amelynek célja az illetékes hatóság véleménye szerint az intézmény szavatolótőkéjének mesterséges megemelése. A feltüntetendő értéket a bruttó hosszú pozíciók alapján kell kiszámítani, és annak tartalmaznia kell a biztosítói AT1 szavatolótőke-elemeket. | 
| 700 | 1.1.2.6.  (–) Pénzügyi ágazatbeli szervezetek által kibocsátott AT1 tőkeinstrumentumok, ha az intézmény nem rendelkezik jelentős részesedéssel az említett vállalkozásokban A CRR 4. cikke (1) bekezdésének 27. pontja, 56. cikkének c) pontja, a CRR 59., 60. és 79. cikke A CRR 4. cikke (1) bekezdésének 27. pontjában meghatározott pénzügyi ágazatbeli szervezetek által kibocsátott instrumentumokban lévő intézményi részesedés, ha az intézmény nem rendelkezik a AT1 tőkéből levonandó jelentős részesedéssel. | 
| 710 | 1.1.2.7.  (–) Pénzügyi ágazatbeli szervezetek által kibocsátott AT1 tőkeinstrumentumok, ha az intézmény jelentős részesedéssel rendelkezik az említett vállalkozásokban A CRR 4. cikke (1) bekezdésének 27. pontja, valamint 56. cikkének d) pontja, 59. és 79. cikke A CRR 4. cikke (1) bekezdésének 27. pontjában meghatározott pénzügyi ágazatbeli szervezetek által kibocsátott AT1 tőkeinstrumentumokban lévő intézményi részesedést, ha az intézmény az elsődleges jelentős részesedéssel rendelkezik, teljes összegben le kell vonni. | 
| 720 | 1.1.2.8.  (–) T2 tőkeelemek összegét meghaladó T2 levonások többlete A CRR 56. cikkének e) pontja A feltüntetendő értéket közvetlenül a CA1 tábla „T2 tőkeelemek összegét meghaladó T2 levonások többlete” tételéből kell átvezetni (levonás az AT1 tőkében). | 
| 730 | 1.1.2.9.  AT1 tőke egyéb átmeneti kiigazításai A CRR 474., 475., 478. és 481. cikke Az átmeneti rendelkezések miatt végrehajtott kiigazítások. A feltüntetendő értéket közvetlenül a CA5 tábláról kell átvezetni. | 
| 740 | 1.1.2.10.  AT1 tőkeelemek összegét meghaladó AT1 levonások többlete (levonás a CET1 tőkében) A CRR 36. cikke (1) bekezdésének j) pontja Az AT1 tőke nem lehet negatív, ugyanakkor lehetséges, hogy az AT1 tőkét érintő levonások összege meghaladja az AT1 tőke és a kapcsolódó ázsió együttes összegét. Ilyenkor az AT1 tőke összegét nullára kell csökkenteni, a levonásnak az eredeti tőkeösszeget meghaladó részét pedig a CET1 tőkéből kell levonni. E tétel segítségével érhető el, hogy az 1.1.2.1–1.1.2.12. tételek összege egyetlen esetben se lehessen nullánál kisebb. Ha e tétel értéke pozitív, akkor az 1.1.1.16. tételben ezzel megegyező, ellenkező előjelű számot kell feltüntetni. | 
| 744 | 1.1.2.11.  (–) Pótlólagos levonások az AT1 tőkéből a CRR 3. cikke alapján A CRR 3. cikke | 
| 748 | 1.1.2.12.  AT1 tőkeelemek vagy levonások – egyéb E sor kizárólagos célja, hogy biztosítsa az adatszolgáltatás rugalmasságát. Csak azokban a ritka esetekben tölthető ki, amikor nincs végleges döntés az aktuális CA1 táblában szereplő egyes tőkeelemekkel vagy levonásokkal kapcsolatos adatszolgáltatásról. Következésképpen a sor csak akkor tölthető ki, ha egy AT1 tőkeelem, vagy egy AT1 tőkeelemet érintő levonás nem szerepeltethető az 530–744. sorok egyikében sem. A sor nem használható a CRR-ben nem szabályozott tőkeelemeknek, illetve levonásoknak a szolvenciamutató kiszámításán belüli besorolásához (pl. olyan tagállami tőkeelemek vagy levonások besorolásához, amelyek a CRR hatályán kívül esnek). | 
| 750 | 1.2.  JÁRULÉKOS TŐKE (T2 TŐKE) A CRR 71. cikke | 
| 760 | 1.2.1.  T2 tőkeként és alárendelt kölcsönként figyelembe vehető tőkeinstrumentumok A CRR 62. cikkének a) pontja, 63–65. cikke, 66. cikkének a) pontja, valamint 67. cikke | 
| 770 | 1.2.1.1.  Befizetett tőkeinstrumentumok és alárendelt kölcsönök A CRR 62. cikkének a) pontja, valamint 63. és 65. cikke A feltüntetendő érték nem foglalhatja magában az instrumentumokhoz kapcsolódó ázsiót. | 
| 780 | 1.2.1.2*  Tájékoztató adat: figyelembe nem vehető tőkeinstrumentumok és alárendelt kölcsönök A CRR 63. cikkének (c), (e) és (f) pontja, valamint 64. cikke Az e pontokban említett feltételek különböző visszafordítható tőkehelyzeteket tükröznek, így az itt feltüntetett összeg a későbbi időszakokban figyelembe vehető lehet. A feltüntetendő érték nem foglalhatja magában az instrumentumokhoz kapcsolódó ázsiót. | 
| 790 | 1.2.1.3.  Névértéken felüli befizetés (ázsió) A CRR 62. cikkének b) pontja, valamint 65. cikke Az ázsió jelentése egyezik az alkalmazandó számviteli szabályozás szerinti jelentéssel. Az ebben az elemben feltüntetendő érték a befizetett tőkeinstrumentumokhoz kapcsolódó rész. | 
| 800 | 1.2.1.4.  (–) Saját T2 tőkeinstrumentumok A CRR 63. cikke b) pontjának i. alpontja, 66. cikkének a) pontja, valamint 67. cikke Az adatot szolgáltató intézmény vagy csoport saját T2 tőkéje az adatszolgáltatás időpontjában. A CRR 67. cikkében említett kivételek figyelembevételével. Ebben a sorban nem tüntethetők fel a figyelembe nem vehető tőkeinstrumentumként szerepeltetett részvények. A feltüntetendő érték magában foglalja a saját részvényekhez kapcsolódó ázsiót. Az 1.2.1.4–1.2.1.4.3. tételek nem foglalják magukban a saját T2 tőkeinstrumentumok megvásárlására vonatkozó tényleges vagy függő kötelezettségeket. Saját T2 tőkeinstrumentumok megvásárlására vonatkozó tényleges vagy függő kötelezettségeket külön kell feltüntetni az 1.2.1.5. tételben. | 
| 810 | 1.2.1.4.1.  (–) Közvetlen részesedések T2 tőkeinstrumentumokban A CRR 63. cikkének b) pontja, 66. cikkének a) pontja, valamint 67. cikke A konszolidált csoportba tartozó intézmények tulajdonában lévő, az 1.2.1.1. tételnél megadott T2 tőkeinstrumentumok. | 
| 840 | 1.2.1.4.2.  (–) Közvetett részesedések T2 tőkeinstrumentumokban A CRR 4. cikke (1) bekezdésének 114. pontja, 63. cikkének b) pontja, 66. cikkének a) pontja, valamint 67. cikke | 
| 841 | 1.2.1.4.3.  (–) Szintetikus részesedések T2 tőkeinstrumentumokban A CRR 4. cikke (1) bekezdésének 126. pontja, 63. cikkének b) pontja, 66. cikkének a) pontja, valamint 67. cikke | 
| 842 | 1.2.1.5.  (–) Saját T2 tőkeinstrumentumok megvásárlására vonatkozó tényleges vagy függő kötelezettségek A CRR 66. cikkének a) pontja, valamint 67. cikke A CRR 66. cikkének a) pontja szerint le kell vonni „az olyan saját T2 tőkeinstrumentumokat …, amelyeket az intézmény hatályos szerződéses kötelezettségekből eredően köteles lehet megvásárolni”. | 
| 880 | 1.2.2.  Szerzett jogok alapján figyelembe vett T2 tőkeinstrumentumok és alárendelt kölcsönök miatti átmeneti kiigazítások A CRR 483. cikkének (6) és (7) bekezdése, valamint 484., 486., 488., 490. és 491. cikke A szerzett jogokkal kapcsolatos rendelkezések alapján átmenetileg T2 tőkének minősített tőkeinstrumentumok összege. A feltüntetendő értéket közvetlenül a CA5 tábláról kell átvezetni. | 
| 890 | 1.2.3.  Leányvállalatok által kibocsátott, T2 tőkeként megjelenített instrumentumok A CRR 83., 87. és 88. cikke A leányvállalatok szavatolótőkéjébe beszámítható összes tőkeelemnek a konszolidált T2 tőke részét képező összege. Tartalmazza a különleges célú gazdasági egység által kibocsátott, T2 tőkébe beszámítható tőkeelemeket (a CRR 83. cikke). | 
| 900 | 1.2.4.  Átmeneti kiigazítások a leányvállalatok által kibocsátott instrumentumok T2 tőkeként való pótlólagos megjelenítése miatt A CRR 480. cikke A szavatolótőkébe beszámítható tőkeelemeknek a konszolidált T2 tőke részét képező összegében az átmeneti rendelkezések miatt végrehajtott kiigazítások. A tételt közvetlenül a CA5 tábláról kell átvezetni. | 
| 910 | 1.2.5.  Az IRB-módszerrel számított céltartalékok többlete a figyelembe vehető várható veszteségekhez viszonyítva A CRR 62. cikkének d) pontja A kockázattal súlyozott kitettség értékét IRB-módszerrel számító intézmények esetében ez a tétel a céltartalékok és a T2 tőkeként figyelembe vehető várható veszteségek összehasonlításából adódó pozitív összeget tartalmazza. | 
| 920 | 1.2.6.  Általános hitelkockázati kiigazítások – sztenderd módszer (SA) A CRR 62. cikkének c) pontja A kockázattal súlyozott kitettség értékét sztenderd módszerrel számító intézmények esetében ez a tétel az általános hitelkockázati kiigazításoknak a T2 tőkeként figyelembe vehető összegét tartalmazza. | 
| 930 | 1.2.7.  (–) Kölcsönös részesedések T2 tőkeinstrumentumokban A CRR 4. cikke (1) bekezdésének 122. pontja, 66. cikkének b) pontja, valamint 68. cikke A CRR 4. cikke (1) bekezdésének 27. pontjában meghatározott pénzügyi ágazatbeli szervezetek által kibocsátott T2 tőkeinstrumentumok állománya olyan kölcsönös részesedés esetében, amelynek célja az illetékes hatóság véleménye szerint az intézmény szavatolótőkéjének mesterséges megemelése. A feltüntetendő értéket a bruttó hosszú pozíciók alapján kell kiszámítani, és annak tartalmaznia kell a biztosítói 2. és 3. szintű szavatolótőke-elemeket. | 
| 940 | 1.2.8.  (–) Pénzügyi ágazatbeli szervezetek által kibocsátott T2 tőkeinstrumentumok, ha az intézmény nem rendelkezik jelentős részesedéssel az említett vállalkozásokban A CRR 4. cikke (1) bekezdésének 27. pontja, 66. cikkének c) pontja, valamint 68–70. és 79. cikke A CRR 4. cikke (1)bekezdésének 27. pontjában meghatározott pénzügyi ágazatbeli szervezetek által kibocsátott instrumentumokban lévő intézményi részesedés, ha az intézmény nem rendelkezik a T2 tőkéből levonandó jelentős részesedéssel. | 
| 950 | 1.2.9.  (–) Pénzügyi ágazatbeli szervezetek által kibocsátott T2 tőkeinstrumentumok, ha az intézmény jelentős részesedéssel rendelkezik az említett vállalkozásokban A CRR 4. cikke (1) bekezdésének 27. pontja, 66. cikkének d) pontja, 68., 69. és 79. cikke A CRR 4. cikke (1) bekezdésének 27. pontjában meghatározott pénzügyi ágazatbeli szervezetek által kibocsátott T2 tőkeinstrumentumokban lévő intézményi részesedést, ha az intézmény az elsődleges jelentős részesedéssel rendelkezik, teljes összegben le kell vonni. | 
| 960 | 1.2.10.  T2 tőke egyéb átmeneti kiigazításai A CRR 476., 477., 478. és 481. cikke Az átmeneti rendelkezések miatt végrehajtott kiigazítások. A feltüntetendő értéket közvetlenül a CA5 tábláról kell átvezetni. | 
| 970 | 1.2.11.  T2 tőkeelemek összegét meghaladó T2 levonások többlete (levonás az AT1 tőkében) A CRR 56. cikkének e) pontja A T2 tőke nem lehet negatív, ugyanakkor lehetséges, hogy a T2 tőkét érintő levonások összege meghaladja a T2 tőke és a kapcsolódó ázsió együttes összegét. Ilyenkor a T2 tőke összegét nullára kell csökkenteni, a levonásnak az eredeti tőkeösszeget meghaladó részét pedig az AT1 tőkéből kell levonni. E tételnek köszönhetően az 1.2.1–1.2.13. tételek összege egyetlen esetben sem kisebb nullánál. Ha e tétel értéke pozitív, akkor az 1.1.2.8. tételben ezzel megegyező, ellenkező előjelű számot kell feltüntetni. | 
| 974 | 1.2.12.  (–) Pótlólagos levonások a T2 tőkéből a CRR 3. cikke alapján A CRR 3. cikke | 
| 978 | 1.2.13.  T2 tőkeelemek vagy levonások – egyéb E sor kizárólagos célja, hogy biztosítsa az adatszolgáltatás rugalmasságát. Csak azokban a ritka esetekben tölthető ki, amikor nincs végleges döntés az aktuális CA1 táblában szereplő egyes tőkeelemekkel vagy levonásokkal kapcsolatos adatszolgáltatásról. Következésképpen a sor csak akkor tölthető ki, ha egy T2 tőkeelem, vagy egy T2 tőkeelemet érintő levonás nem szerepeltethető a 750–974. sorok egyikében sem. A sor nem használható a CRR-ben nem szabályozott tőkeelemeknek, illetve levonásoknak a szolvenciamutató kiszámításán belüli besorolásához (pl. olyan tagállami tőkeelemek vagy levonások besorolásához, amelyek a CRR hatályán kívül esnek). | 
| (1) A Bizottság 241/2014/EU felhatalmazáson alapuló rendelete (2014. január 7.) az 575/2013/EU európai parlamenti és tanácsi rendeletnek az intézményekre vonatkozó tőkekövetelményekre alkalmazandó szabályozástechnikai standardok tekintetében való kiegészítéséről (HL L 74., 2014.3.14., 8. o.). | |
1.3. C 02.00 - SZAVATOLÓTŐKE-KÖVETELMÉNY (CA2)
1.3.1. A tábla egyes részeire vonatkozó útmutató
| Sor | Jogszabályi hivatkozások és útmutató | 
| 010 | 1.  TELJES KOCKÁZATI KITETTSÉGÉRTÉK A CRR 92. cikkének (3) bekezdése, valamint 95., 96. és 98. cikke | 
| 020 | 1.*  Ebből: befektetési vállalkozások a CRR 95. cikkének (2) bekezdése, valamint 98. cikke szerint A CRR 95. cikkének (2) bekezdése, valamint 98. cikke szerinti befektetési vállalkozások | 
| 030 | 1.**  Ebből: befektetési vállalkozások a CRR 96. cikkének (2) bekezdése, valamint 97. cikke szerint A CRR 96. cikkének (2) bekezdése, valamint 97. cikke szerinti befektetési vállalkozások | 
| 040 | 1.1.  HITELKOCKÁZATRA, PARTNERKOCKÁZATRA ÉS FELHÍGULÁSI KOCKÁZATRA, VALAMINT NYITVA SZÁLLÍTÁSOKRA VONATKOZÓ, KOCKÁZATTAL SÚLYOZOTT KITETTSÉGÉRTÉKEK A CRR 92. cikke (3) bekezdésének a) és f) pontja | 
| 050 | 1.1.1.  Sztenderd módszer (SA) CR SA és SEC SA tábla az összesített kitettség szintjén. | 
| 051 | 1.1.1*  Ebből: kiegészítő szigorúbb prudenciális követelmények a CRR 124. cikke alapján Az intézményeknek adatot kell szolgáltatniuk azokról a pótlólagos kockázati kitettségértékekről, amelyek a CRR 124. cikkének (2) és (5) bekezdésével összhangban az EBH-val folytatott konzultációt követően az intézmények számára közzétett, szigorúbb prudenciális követelményeknek való megfeleléshez szükségesek. | 
| 060 | 1.1.1.1.  Sztenderd módszer (SA) szerinti kitettségi osztályok értékpapírosítási pozíciók nélkül CR SA tábla az összesített kitettség szintjén. A sztenderd módszer szerinti kitettségi osztályok közé a CRR 112. cikkében felsoroltak tartoznak, az értékpapírosítási pozíciók kivételével. | 
| 070 | 1.1.1.1.01.  Központi kormányzatok vagy központi bankok Lásd a CR SA táblát | 
| 080 | 1.1.1.1.02.  Regionális kormányzatok vagy helyi hatóságok Lásd a CR SA táblát | 
| 090 | 1.1.1.1.03.  Közszektorbeli intézmények Lásd a CR SA táblát | 
| 100 | 1.1.1.1.04.  Multilaterális fejlesztési bankok Lásd a CR SA táblát | 
| 110 | 1.1.1.1.05.  Nemzetközi szervezetek Lásd a CR SA táblát | 
| 120 | 1.1.1.1.06.  Intézmények Lásd a CR SA táblát | 
| 130 | 1.1.1.1.07.  Vállalkozások Lásd a CR SA táblát | 
| 140 | 1.1.1.1.08.  Lakosság Lásd a CR SA táblát | 
| 150 | 1.1.1.1.09.  Ingatlanra bejegyzett zálogjoggal fedezett kitettségek Lásd a CR SA táblát | 
| 160 | 1.1.1.1.10.  Nemteljesítő kitettségek Lásd a CR SA táblát | 
| 170 | 1.1.1.1.11.  Kiemelkedően magas kockázatú tételek Lásd a CR SA táblát | 
| 180 | 1.1.1.1.12.  Fedezett kötvények Lásd a CR SA táblát | 
| 190 | 1.1.1.1.13.  Rövid távú hitelminősítéssel rendelkező intézményekkel és vállalkozásokkal szembeni követelések Lásd a CR SA táblát | 
| 200 | 1.1.1.1.14.  Kollektív befektetési formák (KBF) Lásd a CR SA táblát | 
| 210 | 1.1.1.1.15.  Részvényjellegű kitettségek Lásd a CR SA táblát | 
| 211 | 1.1.1.1.16.  Egyéb tételek Lásd a CR SA táblát | 
| 240 | 1.1.2. Belső minősítésen alapuló módszer (IRB) | 
| 241 | 1.1.2*  Ebből: kiegészítő szigorúbb prudenciális követelmények a CRR 164. cikke alapján Az intézményeknek adatot kell szolgáltatniuk a szigorúbb prudenciális követelményeknek való megfeleléshez szükséges pótlólagos kockázati kitettségértékekről; e követelményekről – az EBH-val folytatott konzultációt követően – tájékoztatják az intézményeket a CRR 164. cikkének (5) és (7) bekezdésével összhangban. | 
| 242 | 1.1.2**  Ebből: kiegészítő szigorúbb prudenciális követelmények a CRR 124. cikke alapján Az intézményeknek adatot kell szolgáltatniuk azokról a pótlólagos kockázati kitettségértékekről, amelyek a CRR 124. cikkének (2) és (5) bekezdésével összhangban az EBH-val folytatott konzultációt követően az intézmények számára közzétett, szigorúbb prudenciális követelményeknek való megfeleléshez szükségesek, és amelyek kapcsolódnak a biztosíték figyelembe vehető piaci értékére vonatkozó, a CRR 125. cikke (2) bekezdésének d) pontjában és 126. cikke (2) bekezdésének d) pontjában meghatározott korlátokhoz. | 
| 250 | 1.1.2.1.  IRB-módszer a nemteljesítéskori veszteségrátára (LGD) vonatkozó saját becslés és hitel-egyenértékesítési tényező (CCF) mellőzésekor CR IRB tábla az összesített kitettség szintjén (saját LGD-becslés vagy CCF mellőzésével) | 
| 260 | 1.1.2.1.01.  Központi kormányzatok és központi bankok Lásd a CR IRB táblát | 
| 270 | 1.1.2.1.02.  Intézmények Lásd a CR IRB táblát | 
| 280 | 1.1.2.1.03.  Vállalkozások – kkv Lásd a CR IRB táblát | 
| 290 | 1.1.2.1.04.  Vállalkozások – speciális hitelezés Lásd a CR IRB táblát | 
| 300 | 1.1.2.1.05.  Vállalkozások – egyéb Lásd a CR IRB táblát | 
| 310 | 1.1.2.2.  IRB-módszer a nemteljesítéskori veszteségrátára (LGD) vonatkozó saját becslés és/vagy hitel-egyenértékesítési tényező (CCF) alkalmazásakor CR IRB tábla az összesített kitettség szintjén (saját LGD-becslés és/vagy CCF alkalmazásával) | 
| 320 | 1.1.2.2.01.  Központi kormányzatok és központi bankok Lásd a CR IRB táblát | 
| 330 | 1.1.2.2.02.  Intézmények Lásd a CR IRB táblát | 
| 340 | 1.1.2.2.03.  Vállalkozások – kkv Lásd a CR IRB táblát | 
| 350 | 1.1.2.2.04.  Vállalkozások – speciális hitelezés Lásd a CR IRB táblát | 
| 360 | 1.1.2.2.05.  Vállalkozások – egyéb Lásd a CR IRB táblát | 
| 370 | 1.1.2.2.06.  Lakosság – ingatlannal fedezett (kkv) Lásd a CR IRB táblát | 
| 380 | 1.1.2.2.07.  Lakosság – ingatlannal fedezett (nem kkv) Lásd a CR IRB táblát | 
| 390 | 1.1.2.2.08.  Lakosság – a rulírozó állományba beszámítható Lásd a CR IRB táblát | 
| 400 | 1.1.2.2.09.  Lakosság – egyéb kkv Lásd a CR IRB táblát | 
| 410 | 1.1.2.2.10.  Lakosság – egyéb nem kkv Lásd a CR IRB táblát | 
| 420 | 1.1.2.3.  Részvényjellegű kitettségek (IRB) Lásd a CR EQU IRB táblát | 
| 450 | 1.1.2.5.  Egyéb, nem hitelkötelezettséget megtestesítő eszközök A feltüntetendő érték a CRR 156. cikke szerint kiszámított, kockázattal súlyozott kitettségérték. | 
| 460 | 1.1.3.  Központi szerződő fél garanciaalapjába befizetett hozzájárulások kockázati kitettségértéke A CRR 307., 308. és 309. cikke | 
| 470 | 1.1.4  Értékpapírosítási pozíciók Lásd a CR SEC táblát | 
| 490 | 1.2.  ELSZÁMOLÁSI/TELJESÍTÉSI KOCKÁZAT TELJES KOCKÁZATI KITETTSÉGÉRTÉKE A CRR 92. cikke (3) bekezdése c) pontjának ii. alpontja, valamint 92. cikke (4) bekezdésének b) pontja | 
| 500 | 1.2.1.  Nem kereskedési könyvi elszámolási/teljesítési kockázat Lásd a CR SETT táblát | 
| 510 | 1.2.2.  Kereskedési könyvi elszámolási/teljesítési kockázat Lásd a CR SETT táblát | 
| 520 | 1.3.  POZÍCIÓKOCKÁZAT, DEVIZAÁRFOLYAM-KOCKÁZAT ÉS ÁRUKOCKÁZAT TELJES KOCKÁZATI KITETTSÉGÉRTÉKE A CRR 92. cikke (3) bekezdése b) pontjának i. alpontja, c) pontjának i. és iii. alpontja, valamint 92. cikke (4) bekezdésének b) pontja | 
| 530 | 1.3.1. Pozíciókockázat, devizaárfolyam-kockázat és árukockázat sztenderd módszer (SA) szerinti kockázati kitettségértéke | 
| 540 | 1.3.1.1.  Forgalmazott, hitelviszonyt megtestesítő értékpapírok MKR SA TDI tábla az összesített devizanemek szintjén. | 
| 550 | 1.3.1.2.  Részvényjellegű kitettségek MKR SA EQU tábla az összesített nemzeti piacok szintjén. | 
| 555 | 1.3.1.3.  Egyedi módszer a kollektív befektetési formák pozíciókockázatára A CRR 348. cikkének (1) bekezdése, 350. cikke (3) bekezdésének c) pontja, valamint 364. cikke (2) bekezdésének a) pontja A kollektív befektetési formákban lévő pozíciók teljes kockázati kitettségértéke, ha a tőkekövetelmény kiszámítása a CRR 348. cikke (1) bekezdésének megfelelően azonnal, vagy a CRR 350. cikke (3) bekezdésének c) pontjában meghatározott korlátnak megfelelően történik. A CRR az ilyen pozíciókat nem rendeli kifejezetten sem kamatlábkockázathoz, sem részvénypiaci kockázathoz. A CRR 348. cikke (1) bekezdésének első mondata szerinti egyedi módszer alkalmazásakor a feltüntetendő érték a kérdéses KBF-kitettség nettó pozíciójának 32 %-a, szorozva 12,5 -del. A CRR 348. cikke (1) bekezdésének második mondata szerinti egyedi módszer alkalmazásakor a feltüntetendő érték a kérdéses KBF-kitettség nettó pozíciójának 32 %-a, valamint e nettó pozíció 40 %-a és az adott KBF-kitettséghez kapcsolódó devizaárfolyam-kockázatból eredő szavatolótőke-követelmény különbözete közül az alacsonyabb érték, szorozva 12,5 -del. | 
| 556 | 1.3.1.3.*  Tájékoztató adat: kizárólag forgalmazott, hitelviszonyt megtestesítő értékpapírokba befektetett kollektív befektetési formák Kollektív befektetési formákban lévő pozíciók teljes kockázati kitettségértéke, amennyiben a KBF eszközökbe való befektetése kizárólag a kamatlábkockázattól függ. | 
| 557 | 1.3.1.3.**  Kizárólag tulajdoni részesedést megtestesítő instrumentumokba vagy vegyes eszközökbe befektetett kollektív befektetési formák Kollektív befektetési formákban lévő pozíciók teljes kockázati kitettségértéke, amennyiben a KBF-et kizárólag részvénypiaci kockázattól függő instrumentumokba vagy vegyes instrumentumokba fektetik be vagy a KBF összetevői nem ismertek. | 
| 560 | 1.3.1.4.  Deviza Lásd az MKR SA FX táblát | 
| 570 | 1.3.1.5.  Áru Lásd az MKR SA COM táblát | 
| 580 | 1.3.2.  Pozíciókockázat, devizaárfolyam-kockázat és árukockázat belső modelleken alapuló módszer (IM) szerinti kockázati kitettségértéke Lásd az MKR IM táblát | 
| 590 | 1.4.  MŰKÖDÉSI KOCKÁZAT (OpR) TELJES KOCKÁZATI KITETTSÉGÉRTÉKE A CRR 92. cikke (3) bekezdésének e) pontja és 92. cikke (4) bekezdésének b) pontja A CRR 95. cikkének (2) bekezdése, 96. cikkének (2) bekezdése, valamint 98. cikke szerinti befektetési vállalkozások esetében a tétel értéke nulla. | 
| 600 | 1.4.1.  Működési kockázatra vonatkozó alapmutató módszere (BIA) Lásd az OPR táblát | 
| 610 | 1.4.2.  Működési kockázatra vonatkozó sztenderd (TSA)/alternatív sztenderd módszer (ASA) Lásd az OPR táblát | 
| 620 | 1.4.3.  Működési kockázatra vonatkozó fejlett mérési módszerek (AMA) Lásd az OPR táblát | 
| 630 | 1.5.  FIX MŰKÖDÉSI KÖLTSÉGEKBŐL EREDŐ PÓTLÓLAGOS KOCKÁZATI KITETTSÉGÉRTÉK A CRR 95. cikkének (2) bekezdése és 96. cikkének (2) bekezdése, 97. cikke, valamint 98. cikke (1) bekezdésének a) pontja Kizárólag a CRR 95. cikkének (2) bekezdése, 96. cikkének (2) bekezdése, valamint 98. cikke szerinti befektetési vállalkozások esetében. Lásd még a CRR 97. cikkét. A CRR 96. cikke szerinti befektetési vállalkozásoknak a 97. cikkben meghatározott összeg 12,5 -szeresét kell feltüntetniük. A CRR 95. cikke szerinti befektetési vállalkozásoknak az alábbi összeget kell feltüntetniük: — Ha a CRR 95. cikke (2) bekezdésének a) pontjában említett összeg meghaladja a CRR 95. cikke (2) bekezdésének b) pontjában említett összeget, akkor a feltüntetendő érték nulla. — Ha a CRR 95. cikke (2) bekezdésének b) pontjában említett összeg meghaladja a CRR 95. cikke (2) bekezdésének a) pontjában említett összeget, akkor a feltüntetendő érték az első és a második összeg különbözete. | 
| 640 | 1.6.  A HITELÉRTÉKELÉSI KORREKCIÓ TELJES KOCKÁZATI KITETTSÉGÉRTÉKE A CRR 92. cikke (3) bekezdésének d) pontja Lásd a CVA táblát. | 
| 650 | 1.6.1.  Fejlett módszer A hitelértékelési korrekciós kockázathoz kapcsolódó szavatolótőke-követelmény a CRR 383. cikke szerint. Lásd a CVA táblát. | 
| 660 | 1.6.2.  Sztenderd módszer A hitelértékelési korrekciós kockázathoz kapcsolódó szavatolótőke-követelmény a CRR 384. cikke szerint. Lásd a CVA táblát. | 
| 670 | 1.6.3.  Eredeti kitettség szerinti módszer (OEM) alapján A hitelértékelési korrekciós kockázathoz kapcsolódó szavatolótőke-követelmény a CRR 385. cikke szerint. Lásd a CVA táblát. | 
| 680 | 1.7.  KERESKEDÉSI KÖNYVBEN NYILVÁNTARTOTT NAGYKOCKÁZATOK TELJES KOCKÁZATI KITETTSÉGÉRTÉKE A CRR 92. cikke (3) bekezdése b) pontjának ii. alpontja, valamint 395–401. cikke | 
| 690 | 1.8.  EGYÉB KOCKÁZATI KITETTSÉGÉRTÉKEK A CRR 3., 458. és 459. cikke szerint, valamint az olyan kockázati kitettségértékek, amelyek az 1.1–1.7. tételek egyikébe sem sorolhatók. Az intézményeknek az alábbi követelmények teljesítéséhez szükséges összegeket kell feltüntetniük: a Bizottság által előírt szigorúbb prudenciális követelmények, a CRR 458. és 459. cikkével összhangban; a CRR 3. cikkéből eredő pótlólagos kockázati kitettségérték; A tétel nem kapcsolódik részletes kockázati táblához. | 
| 710 | 1.8.2.  Ebből: kiegészítő szigorúbb prudenciális követelmények a CRR 458. cikke alapján A CRR 458. cikke | 
| 720 | 1.8.2*  Ebből: nagykockázat-vállalással kapcsolatos követelmények A CRR 458. cikke | 
| 730 | 1.8.2**  Ebből: a lakóingatlanok és kereskedelmi ingatlanok piacán jelentkező eszközbuborékok kezelését célzó kockázati súlyok módosításából eredő követelmények A CRR 458. cikke | 
| 740 | 1.8.2*  Ebből: a pénzügyi szektoron belüli kitettségekből eredő követelmények A CRR 458. cikke | 
| 750 | 1.8.3.  Ebből: kiegészítő szigorúbb prudenciális követelmények a CRR 459. cikke alapján A CRR 459. cikke | 
| 760 | 1.8.4.  Ebből: a CRR 3. cikkéből eredő pótlólagos kockázati kitettségérték A CRR 3. cikke A pótlólagos kockázati kitettségértéket kell feltüntetni. A feltüntetett pótlólagos kockázati kitettségérték csak a pótlólagos értéket foglalhatja magában (pl. ha 100 egységnyi kitettség kockázati súlya 20 % és az intézmény a CRR 3. cikke alapján 50 %-os kockázati súlyt alkalmaz, akkor a feltüntetendő érték 30). | 
1.4. C 03.00 - TŐKEMEGFELELÉSI MUTATÓK ÉS TŐKESZINTEK (CA3)
1.4.1. A tábla egyes részeire vonatkozó útmutató
| Sor | |
| 010 | 1.  CET1 tőkemegfelelési mutató A CRR 92. cikke (2) bekezdésének a) pontja A CET1 tőkemegfelelési mutató az intézmény CET1 tőkéje, a teljes kockázati kitettségérték százalékaként kifejezve. | 
| 020 | 2.  A CET1 tőke többlete (+)/hiánya (–) A tétel abszolút értéken jeleníti meg a CET1 tőkének a CRR 92. cikke (1) bekezdésének a) pontjában rögzített követelményhez (4,5 %) viszonyított többletét vagy hiányát, vagyis nem veszi figyelembe a tőkepuffereket és a mutatóra vonatkozó átmeneti rendelkezéseket. | 
| 030 | 3.  T1 tőkemegfelelési mutató A CRR 92. cikke (2) bekezdésének b) pontja A T1 tőkemegfelelési mutató az intézmény T1 tőkéje, a teljes kockázati kitettségérték százalékaként kifejezve. | 
| 040 | 4.  A T1 tőke többlete (+)/hiánya (–) A tétel abszolút értéken jeleníti meg a T1 tőkének a CRR 92. cikke (1) bekezdésének b) pontjában rögzített követelményhez (6 %) viszonyított többletét vagy hiányát, vagyis nem veszi figyelembe a tőkepuffereket és a mutatóra vonatkozó átmeneti rendelkezéseket. | 
| 050 | 5.  Teljes tőkemegfelelési mutató A CRR 92. cikke (2) bekezdésének c) pontja a teljes tőkemegfelelési mutató az intézmény szavatolótőkéje, a teljes kockázati kitettségérték százalékaként kifejezve. | 
| 060 | 6.  A teljes tőke többlete (+)/hiánya (–) A tétel abszolút értéken jeleníti meg a szavatolótőkének a CRR 92. cikke (1) bekezdésének c) pontjában rögzített követelményhez (8 %) viszonyított többletét vagy hiányát, vagyis nem veszi figyelembe a tőkepuffereket és a mutatóra vonatkozó átmeneti rendelkezéseket. | 
| 130 | 13.  Teljes-SREP-tőkekövetelmény-mutató (TSCR-mutató) Az i. és ii. összege a következők szerint: i) a CRR 92. cikke (1) bekezdésének c) pontjában meghatározott teljes tőkemegfelelési mutató (8 %); ii) a felügyeleti felülvizsgálati és értékelési eljárásra vonatkozó egységes eljárásokról és módszerekről és a felügyeleti stressztesztekről szóló EBH-iránymutatásokban (EBA SREP GL) meghatározott kritériumokkal összhangban meghatározott pótlólagos szavatolótőke-megfelelési (2. pillér szerinti követelmények – P2R) mutató. Ebben a tételben a teljes-SREP-tőkekövetelmény-mutatót (TSCR) kell megjeleníteni, amint azt az illetékes hatóság az intézménnyel közölte. A TSCR fogalommeghatározása az EBA SREP GL 1.2. szakaszában található. Ha az illetékes hatóság nem közölt kiegészítő szavatolótőke-követelményeket, akkor csak az i. pontot kell jelenteni. | 
| 140 | 13.*  TSCR: SREP-CET1 tőkekövetelmény-mutató Az i. és ii. összege a következők szerint: i) a CRR 92. cikke (1) bekezdésének a) pontjában meghatározott elsődleges alapvető tőkemegfelelési mutató (4,5 %); ii) a 130 sor ii. pontjában említett P2R mutató azon része, amely az illetékes hatóság által előírtak szerint CET1 tőke formájában tartandó. Ha az illetékes hatóság nem közölt CET1 tőke formájában fenntartandó kiegészítő szavatolótőke-követelményeket, akkor csak az i. pontot kell jelenteni. | 
| 150 | 13.**  TSCR: SREP-T1 tőkekövetelmény-mutató Az i. és ii. összege a következők szerint: i) a CRR 92. cikke (1) bekezdésének b) pontjában meghatározott alapvető tőkemegfelelési mutató (6 %); ii) a 130 sor ii. pontjában említett P2R mutató azon része, amely az illetékes hatóság által előírtak szerint alapvető tőke formájában tartandó. Ha az illetékes hatóság nem közölt T1 tőke formájában fenntartandó kiegészítő szavatolótőke-követelményeket, akkor csak az i. pontot kell jelenteni. | 
| 160 | 14.  Teljestőkekövetelmény-mutató (OCR-mutató) Az i. és ii. összege a következők szerint: i) a 130. sorban említett TSCR mutató; ii) amennyiben jogilag alkalmazandó, a CRD 128. cikkének 6. pontjában említett kombinált pufferkövetelmény mutatója. Ebben a tételben az EBA SREP GL 1.2. szakaszában meghatározott teljestőkekövetelmény-mutatót (OCR) kell megjeleníteni. Ha nem alkalmazandó pufferkövetelmény, csak az i. pontot kell feltüntetni. | 
| 170 | 14.*  OCR: CET1 tőkekövetelmény-mutató Az i. és ii. összege a következők szerint: i) a 140. sorban említett CET1 tőkéből képzendő TSCR mutató; ii) amennyiben jogilag alkalmazandó, a CRD 128. cikkének 6. pontjában említett kombinált pufferkövetelmény mutatója. Ha nem alkalmazandó pufferkövetelmény, csak az i. pontot kell feltüntetni. | 
| 180 | 14.**  OCR: T1 tőkekövetelmény-mutató Az i. és ii. összege a következők szerint: i) a 150. sorban említett alapvető tőkéből képzendő TSCR mutató; ii) amennyiben jogilag alkalmazandó, a CRD 128. cikkének 6. pontjában említett kombinált pufferkövetelmény mutatója. Ha nem alkalmazandó pufferkövetelmény, csak az i. pontot kell feltüntetni. | 
| 190 | 15.  OCR és 2. pillér szerinti tőke-iránymutatás (P2G) tőkekövetelmény-mutató Az i. és ii. összege a következők szerint: i) a 160. sorban említett OCR mutató; ii) ahol alkalmazandó, az EBA SREP GL-ben meghatározott 2. pillér szerinti tőke-iránymutatás (P2G). A P2G-t csak akkor kell feltüntetni, ha azt az illetékes hatóság közli az intézménnyel. Ha az illetékes hatóság nem közölt ilyen iránymutatást, akkor csak az i. pontot kell jelenteni. | 
| 200 | 15.*  OCR és P2G: CET1 tőkekövetelmény-mutató Az i. és ii. összege a következők szerint: i) a 170. sorban említett CET1 tőkéből képzendő OCR mutató; ii) ahol alkalmazandó, a 190. sor ii. pontjában említett P2G azon része, amely az illetékes hatóság által előírtak szerint CET1 tőke formájában tartandó. A P2G-t csak akkor kell feltüntetni, ha azt az illetékes hatóság közli az intézménnyel. Ha az illetékes hatóság nem közölt ilyen iránymutatást, akkor csak az i. pontot kell jelenteni. | 
| 210 | 15.**  OCR és P2G: T1 tőkekövetelmény-mutató Az i. és ii. összege a következők szerint: i) a 180. sorban említett alapvető tőkéből képzendő OCR mutató; ii) ahol alkalmazandó, a 190. sor ii. pontjában említett P2G azon része, amely az illetékes hatóság által előírtak szerint alapvető tőke formájában tartandó. A P2G-t csak akkor kell feltüntetni, ha azt az illetékes hatóság közli az intézménnyel. Ha az illetékes hatóság nem közölt ilyen iránymutatást, akkor csak az i. pontot kell jelenteni. | 
1.5. C 04.00 - TÁJÉKOZTATÓ ADATOK (CA4)
1.5.1. A tábla egyes részeire vonatkozó útmutató
| Sor | |
| 010 | 1.  Halasztott adókövetelések összesen Az e tételben megadott érték megegyezik a legújabb ellenőrzött/hitelesített számviteli mérlegben szereplő összeggel. | 
| 020 | 1.1.  Nem a jövőbeli nyereségtől függően érvényesíthető halasztott adókövetelések A CRR 39. cikkének (2) bekezdése Nem a jövőbeli nyereségtől függően érvényesíthető halasztott adókövetelések, amelyekre kockázati súlyt kell alkalmazni. | 
| 030 | 1.2.  Jövőbeli nyereségtől függően érvényesíthető, nem átmeneti különbözetből eredő halasztott adókövetelések A CRR 36. cikke (1) bekezdésének c) pontja, valamint 38. cikke Jövőbeli nyereségtől függően érvényesíthető halasztott adókövetelések, amelyek nem átmeneti különbözetből erednek, így küszöbérték nem vonatkozik rájuk, vagyis a CET1 tőkéből teljes összegben levonandók. | 
| 040 | 1.3.  Jövőbeli nyereségtől függően érvényesíthető, átmeneti különbözetből eredő halasztott adókövetelések A CRR 36. cikke (1) bekezdésének c) pontja, 38. cikke és 48. cikke (1) bekezdésének a) pontja Jövőbeli nyereségtől függően érvényesíthető halasztott adókövetelések, amelyek átmeneti különbözetből erednek, így a CET1 tőkéből való levonásukkor a CRR 48. cikkében rögzített 10 %, illetve 17,65 %-os küszöböt kell alkalmazni. | 
| 050 | 2.  Halasztott adókötelezettségek összesen Az e tételben megadott érték megegyezik a legutóbbi ellenőrzött/hitelesített számviteli mérlegben szereplő összeggel. | 
| 060 | 2.1.  Jövőbeli nyereségtől függően érvényesíthető, halasztott adókövetelésekhez kapcsolódó, nem levonható halasztott adókötelezettségek A CRR 38. cikkének (3) és (4) bekezdése Azok a halasztott adókötelezettségek, amelyek esetében a CRR 38. cikkének (3) és (4) bekezdésében foglalt feltételek nem teljesülnek. Így a tétel magában foglalja az olyan halasztott adókötelezettségeket, amelyek csökkentik a levonandó cégérték, egyéb immateriális javak vagy meghatározott szolgáltatást nyújtó nyugdíjalapban lévő eszközöknek az 1.1.1.10.3., 1.1.1.11.2., illetve 1.1.1.14.2. CA1-tételben megadott összegét. | 
| 070 | 2.2.  Jövőbeli nyereségtől függően érvényesíthető, halasztott adókövetelésekhez kapcsolódó, levonható halasztott adókötelezettségek A CRR 38. cikke | 
| 080 | 2.2.1.  Nem átmeneti különbözetből eredő, jövőbeli nyereségtől függően érvényesíthető, halasztott adókövetelésekhez kapcsolódó, levonható halasztott adókötelezettségek A CRR 38. cikkének (3), (4) és (5) bekezdése Azon halasztott adókötelezettségek, amelyek a CRR 38. cikkének (3) és (4) bekezdése szerint csökkenthetik az átmeneti különbözetből eredő, jövőbeli nyereségtől függően érvényesíthető halasztott adókövetelések összegét, és a CRR 38. cikkének (5) bekezdése értelmében nem tartoznak az átmeneti különbözetből eredő, jövőbeli nyereségtől függően érvényesíthető halasztott adókövetelésekhez. | 
| 090 | 2.2.2.  Átmeneti különbözetből eredő, jövőbeli nyereségtől függően érvényesíthető, halasztott adókövetelésekhez kapcsolódó, levonható halasztott adókötelezettségek A CRR 38. cikkének (3), (4) és (5) bekezdése Azon halasztott adókötelezettségek, amelyek a CRR 38. cikkének (3) és (4) bekezdése szerint csökkenthetik az átmeneti különbözetből eredő, jövőbeli nyereségtől függően érvényesíthető halasztott adókövetelések összegét, és a CRR 38. cikkének (5) bekezdése értelmében az átmeneti különbözetből eredő, jövőbeli nyereségtől függően érvényesíthető halasztott adókövetelésekhez tartoznak. | 
| 093 | 2A  Adótúlfizetések és negatív adóalaphoz kapcsolódó visszakönyvelések A CRR 39. cikkének (1) bekezdése Az adótúlfizetések és negatív adóalaphoz kapcsolódó visszakönyvelések azon összege, amelyet a CRR 39. cikke (1) bekezdésének megfelelően nem vonnak le a szavatolótőkéből; a feltüntetett összeg a kockázati súlyok alkalmazása előtti összeg. | 
| 096 | 2B  250 %-os kockázati súlyú halasztott adókövetelések A CRR 48. cikkének (4) bekezdése Jövőbeli nyereségtől függően érvényesíthető és átmeneti különbözetből eredő azon halasztott adókövetelések összege, amelyeket a CRR 48. cikke (1) bekezdésének megfelelően nem vonnak le, de amelyekre a CRR 48. cikkének (4) bekezdése értelmében 250 %-os kockázati súly alkalmazható, figyelembe véve a CRR 470. cikkének a hatását. A feltüntetett összeg a halasztott adókövetelések kockázati súlyok alkalmazása előtti összege. | 
| 097 | 2C  0 %-os kockázati súlyú halasztott adókövetelések A CRR 469. cikke (1) bekezdésének d) pontja, 470. cikke, 472. cikkének (5) bekezdése, valamint 478. cikke Jövőbeli nyereségtől függően érvényesíthető és átmeneti különbözetből eredő azon halasztott adókövetelések összege, amelyeket a CRR 469. cikke (1) bekezdése d) pontjának és 470. cikkének megfelelően nem vonnak le, de amelyekre a CRR 472. cikkének (5) bekezdése értelmében 0 %-os kockázati súly alkalmazható. A feltüntetett összeg a halasztott adókövetelések kockázati súlyok alkalmazása előtti összege. | 
| 100 | 3.  Hitelkockázati kiigazítások és a kiegészítő értékelési korrekciók, valamint az egyéb szavatolótőke-csökkentések IRB-módszerrel számított többlete (+) vagy hiánya (–) a várható veszteséghez viszonyítva, teljesítő kitettségek esetén A CRR 36. cikke (1) bekezdésének d) pontja, valamint 62. cikkének d) pontja, 158. és 159. cikke A tételt kizárólag az IRB-módszert alkalmazó intézményeknek kell megadniuk. | 
| 110 | 3.1.  A hitelkockázati kiigazítások és a kiegészítő értékelési korrekciók, valamint az egyéb szavatolótőke-csökkentések teljes, a várható veszteség kiszámításakor figyelembe vehető összege A CRR 159. cikke A tételt kizárólag az IRB-módszert alkalmazó intézményeknek kell megadniuk. | 
| 120 | 3.1.1.  Általános hitelkockázati kiigazítások A CRR 159. cikke A tételt kizárólag az IRB-módszert alkalmazó intézményeknek kell megadniuk. | 
| 130 | 3.1.2.  Egyedi hitelkockázati kiigazítások A CRR 159. cikke A tételt kizárólag az IRB-módszert alkalmazó intézményeknek kell megadniuk. | 
| 131 | 3.1.3.  Kiegészítő értékelési korrekciók és egyéb szavatolótőke-csökkentések A CRR 34., 110. és 159. cikke A tételt kizárólag az IRB-módszert alkalmazó intézményeknek kell megadniuk. | 
| 140 | 3.2.  Figyelembe vehető várható veszteségek összesen A CRR 158. cikkének (5), (6) és (10) bekezdése, valamint 159. cikke A tételt kizárólag az IRB-módszert alkalmazó intézményeknek kell megadniuk. Kizárólag a teljesítő kitettségekhez kapcsolódó várható veszteségek adhatók meg. | 
| 145 | 4.  Az egyedi hitelkockázati kiigazítások IRB-módszerrel számított többlete (+) vagy hiánya (–) a várható veszteséghez viszonyítva, nemteljesítő kitettségek esetén A CRR 36. cikke (1) bekezdésének d) pontja, valamint 62. cikkének d) pontja, 158. és 159. cikke A tételt kizárólag az IRB-módszert alkalmazó intézményeknek kell megadniuk. | 
| 150 | 4.1.  Hasonló módon kezelt egyedi hitelkockázati kiigazítások és pozíciók A CRR 159. cikke A tételt kizárólag az IRB-módszert alkalmazó intézményeknek kell megadniuk. | 
| 155 | 4.2.  Figyelembe vehető várható veszteségek összesen A CRR 158. cikkének (5), (6) és (10) bekezdése, valamint 159. cikke A tételt kizárólag az IRB-módszert alkalmazó intézményeknek kell megadniuk. Kizárólag a nemteljesítő kitettségekhez kapcsolódó várható veszteségek adhatók meg. | 
| 160 | 5.  Kockázattal súlyozott kitettségérték a T2 tőkeként figyelembe vehető céltartaléktöbblet felső határának kiszámításához A CRR 62. cikkének d) pontja Az IRB-módszert alkalmazó intézmények esetében a céltartalékoknak a várható veszteségek feletti összege az IRB-módszerrel kiszámított kockázattal súlyozott kitettségértékek legfeljebb 0,6 %-áig számíthatók be a T2 tőkébe a CRR 62. cikke d) pontjának megfelelően. Az ebben a tételben feltüntetendő érték a kockázattal súlyozott kitettségérték (a 0,6 %-os szorzó alkalmazása nélkül), amelyen a felső határ számítása alapul. | 
| 170 | 6.  A T2 tőkébe beszámítható bruttó céltartalékok összesen A CRR 62. cikkének c) pontja A tétel azokat az általános hitelkockázati kiigazításokat foglalja magában, amelyeknek a felső határ alatti része beszámítható a T2 tőkébe. A feltüntetendő értéknek tartalmaznia kell az adóhatásokat is. | 
| 180 | 7.  Kockázattal súlyozott kitettségérték a T2 tőkeként figyelembe vehető céltartalék felső határának kiszámításához A CRR 62. cikkének c) pontja A CRR 62. cikkének c) pontja alapján a hitelkockázati kiigazítások a kockázattal súlyozott kitettségértékek legfeljebb 1,25 %-áig számíthatók be a T2 tőkébe. Az ebben a tételben feltüntetendő érték a kockázattal súlyozott kitettségérték (a 1,25 %-os szorzó alkalmazása nélkül), amelyen a felső határ számítása alapul. | 
| 190 | 8.  Pénzügyi ágazatbeli szervezetekben lévő részesedések nem levonható részének küszöbértéke, ha az intézmény nem rendelkezik jelentős részesedéssel az említett vállalkozásokban A CRR 46. cikke (1) bekezdésének a) pontja A tétel azt a küszöbértéket tartalmazza, amely alatt a pénzügyi ágazatbeli szervezetekben lévő részesedések levonására nem kerül sor, ha az intézmény nem rendelkezik jelentős részesedéssel az említett vállalkozásokban. Az érték a küszöb számításánál alapul vett értékek összege, szorozva 10 %-kal. | 
| 200 | 9.  A CET1 tőkére vonatkozóan rögzített 10 %-os küszöb A CRR 48. cikke (1) bekezdésének a) és b) pontja A tétel a pénzügyi ágazatbeli szervezetekben lévő jelentős intézményi részesedésekre, valamint a jövőbeni nyereségtől függően érvényesíthető és átmeneti különbözetekből eredő halasztott adókövetelésekre vonatkozó 10 %-os küszöböt tartalmazza. Az érték a küszöb számításánál alapul vett értékek összege, szorozva 10 %-kal. | 
| 210 | 10.  A CET1 tőkére vonatkozóan rögzített 17,65 %-os küszöb A CRR 48. cikkének (1) bekezdése A tétel a pénzügyi ágazatbeli szervezetekben lévő jelentős intézményi részesedésekre, valamint a jövőbeni nyereségtől függően érvényesíthető és átmeneti különbözetekből eredő halasztott adókövetelésekre vonatkozó 17,65 %-os küszöböt tartalmazza, amelyet a 10 %-os küszöb után kell alkalmazni. A küszöböt úgy kell kiszámítani, hogy a két megjelenített tétel összege nem haladja meg az összes levonás után, az átmeneti rendelkezésekből eredő kiigazítások nélkül számított végső elsődleges alapvető tőke, azaz CET1 tőke 15 %-át. | 
| 225 | 11.1.  Pénzügyi ágazaton kívüli befolyásoló részesedés szempontjából figyelembe vehető szavatolótőke A CRR 4. cikke (1) bekezdése 71. pontjának a) alpontja | 
| 226 | 11.2.  Nagykockázat-vállalás korlátozása szempontjából figyelembe vehető szavatolótőke A CRR 4. cikke (1) bekezdése 71. pontjának b) alpontja | 
| 230 | 12.  Pénzügyi ágazatbeli szervezetek CET1 tőkéjében lévő részesedések, ha az intézmény nem rendelkezik jelentős részesedéssel az említett vállalkozásokban, a rövid pozíciók levonásával A CRR 44., 45., 46. és 49. cikke | 
| 240 | 12.1.  Pénzügyi ágazatbeli szervezetek CET1 tőkéjében lévő közvetlen részesedések, ha az intézmény nem rendelkezik jelentős részesedéssel az említett vállalkozásokban A CRR 44., 45., 46. és 49. cikke | 
| 250 | 12.1.1.  Pénzügyi ágazatbeli szervezetek CET1 tőkéjében lévő bruttó közvetlen részesedések, ha az intézmény nem rendelkezik jelentős részesedéssel az említett vállalkozásokban A CRR 44., 46. és 49. cikke Pénzügyi ágazatbeli szervezetek elsődleges alapvető tőkéjében lévő közvetlen részesedések, ha az intézmény nem rendelkezik jelentős részesedéssel az említett vállalkozásokban, az alábbiak kivételével: a) az öt munkanapig vagy annál rövidebb ideig tartott, jegyzési garanciavállalásból eredő pozíciók; b) olyan befektetéshez kapcsolódó összegek, amelyekre a 49. cikkben felsorolt alternatívák valamelyikét alkalmazzák; továbbá c) a CRR 36. cikke (1) bekezdésének g) pontja alapján kölcsönös részesedésként kezelt részesedések | 
| 260 | 12.1.2.  (–) A fent figyelembe vett bruttó közvetlen részesedésekkel kapcsolatban megengedett kiegyenlítő rövid pozíciók A CRR 45. cikke A CRR 45. cikke megengedi az azonos alapul szolgáló kitettségen belüli kiegyenlítő rövid pozíciókat akkor, ha a rövid pozíció lejárata illeszkedik a hosszú pozíció lejáratához vagy legalább egy éves hátralévő futamidővel rendelkezik. | 
| 270 | 12.2.  Pénzügyi ágazatbeli szervezetek CET1 tőkéjében lévő közvetett részesedések, ha az intézmény nem rendelkezik jelentős részesedéssel az említett vállalkozásokban A CRR 4. cikke (1) bekezdésének 114. pontja, valamint 44. és 45. cikke | 
| 280 | 12.2.1.  Pénzügyi ágazatbeli szervezetek CET1 tőkéjében lévő bruttó közvetett részesedések, ha az intézmény nem rendelkezik jelentős részesedéssel az említett vállalkozásokban A CRR 4. cikke (1) bekezdésének 114. pontja, valamint 44. és 45. cikke A feltüntetendő érték a pénzügyi ágazatbeli szervezetek tőkeinstrumentumaiban lévő, kereskedési könyvben nyilvántartott olyan közvetett részesedések értéke, amelyek indexhez kötött értékpapírokban lévő részesedés formáját öltik. Meghatározása a pénzügyi ágazatbeli szervezeteknek az adott indexekben foglalt tőkeinstrumentumaival szembeni, alapul szolgáló kitettség kiszámításával történik. A CRR 36. cikke (1) bekezdésének g) pontja alapján kölcsönös részesedésként kezelt részesedések nem számíthatók be. | 
| 290 | 12.2.2.  (–) A fent figyelembe vett bruttó közvetett részesedésekkel kapcsolatban megengedett kiegyenlítő rövid pozíciók A CRR 4. cikke (1) bekezdésének 114. pontja, valamint 45. cikke A CRR 45. cikkének a) pontja megengedi az azonos alapul szolgáló kitettségen belüli kiegyenlítő rövid pozíciókat akkor, ha a rövid pozíció lejárata illeszkedik a hosszú pozíció lejáratához vagy legalább egy éves hátralévő futamidővel rendelkezik. | 
| 291 | 12.3.1.  Pénzügyi ágazatbeli szervezetek CET1 tőkéjében lévő szintetikus részesedések, ha az intézmény nem rendelkezik jelentős részesedéssel az említett vállalkozásokban A CRR 4. cikke (1) bekezdésének 126. pontja, valamint 44. és 45. cikke | 
| 292 | 12.3.2.  Pénzügyi ágazatbeli szervezetek CET1 tőkéjében lévő bruttó szintetikus részesedések, ha az intézmény nem rendelkezik jelentős részesedéssel az említett vállalkozásokban A CRR 4. cikke (1) bekezdésének 126. pontja, valamint 44. és 45. cikke | 
| 293 | 12.3.3.  (–) A fent figyelembe vett bruttó szintetikus részesedésekkel kapcsolatban megengedett kiegyenlítő rövid pozíciók A CRR 4. cikke (1) bekezdésének 126. pontja, valamint 45. cikke | 
| 300 | 13.  Pénzügyi ágazatbeli szervezetek AT1 tőkéjében lévő részesedések, ha az intézmény nem rendelkezik jelentős részesedéssel az említett vállalkozásokban, a rövid pozíciók levonásával A CRR 58., 59. és 60. cikke | 
| 310 | 13.1.  Pénzügyi ágazatbeli szervezetek AT1 tőkéjében lévő közvetlen részesedések, ha az intézmény nem rendelkezik jelentős részesedéssel az említett vállalkozásokban A CRR 58. és 59. cikke, valamint 60. cikkének (2) bekezdése | 
| 320 | 13.1.1.  Pénzügyi ágazatbeli szervezetek AT1 tőkéjében lévő bruttó közvetlen részesedések, ha az intézmény nem rendelkezik jelentős részesedéssel az említett vállalkozásokban A CRR 58. cikke, valamint 60. cikkének (2) bekezdése Pénzügyi ágazatbeli szervezetek AT1 tőkéjében lévő közvetlen részesedések, ha az intézmény nem rendelkezik jelentős részesedéssel az említett vállalkozásokban, az alábbiak kivételével: a) az öt munkanapig vagy annál rövidebb ideig tartott, jegyzési garanciavállalásból eredő pozíciók; továbbá b) a CRR 56. cikkének b) pontja alapján kölcsönös részesedésként kezelt részesedések. | 
| 330 | 13.1.2.  (–) A fent figyelembe vett bruttó közvetlen részesedésekkel kapcsolatban megengedett kiegyenlítő rövid pozíciók A CRR 59. cikke A CRR 59. cikkének a) pontja megengedi az azonos alapul szolgáló kitettségen belüli kiegyenlítő rövid pozíciókat akkor, ha a rövid pozíció lejárata illeszkedik a hosszú pozíció lejáratához vagy legalább egy éves hátralévő futamidővel rendelkezik. | 
| 340 | 13.2.  Pénzügyi ágazatbeli szervezetek AT1 tőkéjében lévő közvetett részesedések, ha az intézmény nem rendelkezik jelentős részesedéssel az említett vállalkozásokban A CRR 4. cikke (1) bekezdésének 114. pontja, valamint 58. és 59. cikke | 
| 350 | 13.2.1.  Pénzügyi ágazatbeli szervezetek AT1 tőkéjében lévő bruttó közvetett részesedések, ha az intézmény nem rendelkezik jelentős részesedéssel az említett vállalkozásokban A CRR 4. cikke (1) bekezdésének 114. pontja, valamint 58. és 59. cikke A feltüntetendő érték a pénzügyi ágazatbeli szervezetek tőkeinstrumentumaiban lévő, kereskedési könyvben nyilvántartott olyan közvetett részesedések értéke, amelyek indexhez kötött értékpapírokban lévő részesedés formáját öltik. Meghatározása a pénzügyi ágazatbeli szervezeteknek az adott indexekben foglalt tőkeinstrumentumaival szembeni, alapul szolgáló kitettség kiszámításával történik. A CRR 56. cikkének b) pontja alapján kölcsönös részesedésként kezelt részesedések nem számíthatók be. | 
| 360 | 13.2.2.  (–) A fent figyelembe vett bruttó közvetett részesedésekkel kapcsolatban megengedett kiegyenlítő rövid pozíciók A CRR 4. cikke (1) bekezdésének 114. pontja, valamint 59. cikke A CRR 59. cikkének a) pontja megengedi az azonos alapul szolgáló kitettségen belüli kiegyenlítő rövid pozíciókat akkor, ha a rövid pozíció lejárata illeszkedik a hosszú pozíció lejáratához vagy legalább egy éves hátralévő futamidővel rendelkezik. | 
| 361 | 13.3.  Pénzügyi ágazatbeli szervezetek AT1 tőkéjében lévő szintetikus részesedések, ha az intézmény nem rendelkezik jelentős részesedéssel az említett vállalkozásokban A CRR 4. cikke (1) bekezdésének 126. pontja, valamint 58. és 59. cikke | 
| 362 | 13.3.1.  Pénzügyi ágazatbeli szervezetek AT1 tőkéjében lévő bruttó szintetikus részesedések, ha az intézmény nem rendelkezik jelentős részesedéssel az említett vállalkozásokban A CRR 4. cikke (1) bekezdésének 126. pontja, valamint 58. és 59. cikke | 
| 363 | 13.3.2.  (–) A fent figyelembe vett bruttó szintetikus részesedésekkel kapcsolatban megengedett kiegyenlítő rövid pozíciók A CRR 4. cikke (1) bekezdésének 126. pontja, valamint 59. cikke | 
| 370 | 14.  Pénzügyi ágazatbeli szervezetek T2 tőkéjében lévő részesedések, ha az intézmény nem rendelkezik jelentős részesedéssel az említett vállalkozásokban, a rövid pozíciók levonásával A CRR 68., 69. és 70. cikke | 
| 380 | 14.1.  Pénzügyi ágazatbeli szervezetek T2 tőkéjében lévő közvetlen részesedések, ha az intézmény nem rendelkezik jelentős részesedéssel az említett vállalkozásokban A CRR 68. és 69. cikke, valamint 70. cikkének (2) bekezdése | 
| 390 | 14.1.1.  Pénzügyi ágazatbeli szervezetek T2 tőkéjében lévő bruttó közvetlen részesedések, ha az intézmény nem rendelkezik jelentős részesedéssel az említett vállalkozásokban A CRR 68. cikke, valamint 70. cikkének (2) bekezdése Pénzügyi ágazatbeli szervezetek T2 tőkéjében lévő közvetlen részesedések, ha az intézmény nem rendelkezik jelentős részesedéssel az említett vállalkozásokban, az alábbiak kivételével: a) az öt munkanapig vagy annál rövidebb ideig tartott, jegyzési garanciavállalásból eredő pozíciók; továbbá b) a CRR 66. cikkének b) pontja alapján kölcsönös részesedésként kezelt részesedések. | 
| 400 | 14.1.2.  (–) A fent figyelembe vett bruttó közvetlen részesedésekkel kapcsolatban megengedett kiegyenlítő rövid pozíciók A CRR 69. cikke A CRR 69. cikkének a) pontja megengedi az azonos alapul szolgáló kitettségen belüli kiegyenlítő rövid pozíciókat akkor, ha a rövid pozíció lejárata illeszkedik a hosszú pozíció lejáratához vagy legalább egy éves hátralévő futamidővel rendelkezik. | 
| 410 | 14.2.  Pénzügyi ágazatbeli szervezetek T2 tőkéjében lévő közvetett részesedések, ha az intézmény nem rendelkezik jelentős részesedéssel az említett vállalkozásokban A CRR 4. cikke (1) bekezdésének 114. pontja, valamint 68. és 69. cikke | 
| 420 | 14.2.1.  Pénzügyi ágazatbeli szervezetek T2 tőkéjében lévő bruttó közvetett részesedések, ha az intézmény nem rendelkezik jelentős részesedéssel az említett vállalkozásokban A CRR 4. cikke (1) bekezdésének 114. pontja, valamint 68. és 69. cikke A feltüntetendő érték a pénzügyi ágazatbeli szervezetek tőkeinstrumentumaiban lévő, kereskedési könyvben nyilvántartott olyan közvetett részesedések értéke, amelyek indexhez kötött értékpapírokban lévő részesedés formáját öltik. Meghatározása a pénzügyi ágazatbeli szervezeteknek az adott indexekben foglalt tőkeinstrumentumaival szembeni, alapul szolgáló kitettség kiszámításával történik. A CRR 66. cikkének b) pontja alapján kölcsönös részesedésként kezelt részesedések nem számíthatók be. | 
| 430 | 14.2.2.  (–) A fent figyelembe vett bruttó közvetett részesedésekkel kapcsolatban megengedett kiegyenlítő rövid pozíciók A CRR 4. cikke (1) bekezdésének 114. pontja, valamint 69. cikke A CRR 69. cikkének a) pontja megengedi az azonos alapul szolgáló kitettségen belüli kiegyenlítő rövid pozíciókat akkor, ha a rövid pozíció lejárata illeszkedik a hosszú pozíció lejáratához vagy legalább egy éves hátralévő futamidővel rendelkezik. | 
| 431 | 14.3.  Pénzügyi ágazatbeli szervezetek T2 tőkéjében lévő szintetikus részesedések, ha az intézmény nem rendelkezik jelentős részesedéssel az említett vállalkozásokban A CRR 4. cikke (1) bekezdésének 126. pontja, valamint 68. és 69. cikke | 
| 432 | 14.3.1.  Pénzügyi ágazatbeli szervezetek T2 tőkéjében lévő bruttó szintetikus részesedések, ha az intézmény nem rendelkezik jelentős részesedéssel az említett vállalkozásokban A CRR 4. cikke (1) bekezdésének 126. pontja, valamint 68. és 69. cikke | 
| 433 | 14.3.2.  (–) A fent figyelembe vett bruttó szintetikus részesedésekkel kapcsolatban megengedett kiegyenlítő rövid pozíciók A CRR 4. cikke (1) bekezdésének 126. pontja, valamint 69. cikke | 
| 440 | 15.  Pénzügyi ágazatbeli szervezetek CET1 tőkéjében lévő részesedések, ha az intézmény jelentős részesedéssel rendelkezik az említett vállalkozásokban, a rövid pozíciók levonásával A CRR 44., 45., 47. és 49. cikke | 
| 450 | 15.1.  Pénzügyi ágazatbeli szervezetek CET1 tőkéjében lévő közvetlen részesedések, ha az intézmény jelentős részesedéssel rendelkezik az említett vállalkozásokban A CRR 44., 45., 47. és 49. cikke | 
| 460 | 15.1.1.  Pénzügyi ágazatbeli szervezetek CET1 tőkéjében lévő bruttó közvetlen részesedések, ha az intézmény jelentős részesedéssel rendelkezik az említett vállalkozásokban A CRR 44., 45., 47. és 49. cikke Pénzügyi ágazatbeli szervezetek CET1 tőkéjében lévő közvetlen részesedések, ha az intézmény jelentős részesedéssel rendelkezik az említett vállalkozásokban, az alábbiak kivételével: a) az öt munkanapig vagy annál rövidebb ideig tartott, jegyzési garanciavállalásból eredő pozíciók; b) olyan befektetéshez kapcsolódó összegek, amelyekre a 49. cikkben felsorolt alternatívák valamelyikét alkalmazzák; továbbá c) a CRR 36. cikke (1) bekezdésének g) pontja alapján kölcsönös részesedésként kezelt részesedések | 
| 470 | 15.1.2.  (–) A fent figyelembe vett bruttó közvetlen részesedésekkel kapcsolatban megengedett kiegyenlítő rövid pozíciók A CRR 45. cikke A CRR 45. cikkének a) pontja megengedi az azonos alapul szolgáló kitettségen belüli kiegyenlítő rövid pozíciókat akkor, ha a rövid pozíció lejárata illeszkedik a hosszú pozíció lejáratához vagy legalább egy éves hátralévő futamidővel rendelkezik. | 
| 480 | 15.2.  Pénzügyi ágazatbeli szervezetek CET1 tőkéjében lévő közvetett részesedések, ha az intézmény jelentős részesedéssel rendelkezik az említett vállalkozásokban A CRR 4. cikke (1) bekezdésének 114. pontja, valamint 44. és 45. cikke | 
| 490 | 15.2.1.  Pénzügyi ágazatbeli szervezetek CET1 tőkéjében lévő bruttó közvetett részesedések, ha az intézmény jelentős részesedéssel rendelkezik az említett vállalkozásokban A CRR 4. cikke (1) bekezdésének 114. pontja, valamint 44. és 45. cikke A feltüntetendő érték a pénzügyi ágazatbeli szervezetek tőkeinstrumentumaiban lévő, kereskedési könyvben nyilvántartott olyan közvetett részesedések értéke, amelyek indexhez kötött értékpapírokban lévő részesedés formáját öltik. Meghatározása a pénzügyi ágazatbeli szervezeteknek az adott indexekben foglalt tőkeinstrumentumaival szembeni, alapul szolgáló kitettség kiszámításával történik. A CRR 36. cikke (1) bekezdésének g) pontja alapján kölcsönös részesedésként kezelt részesedések nem számíthatók be. | 
| 500 | 15.2.2.  (–) A fent figyelembe vett bruttó közvetett részesedésekkel kapcsolatban megengedett kiegyenlítő rövid pozíciók A CRR 4. cikke (1) bekezdésének 114. pontja, valamint 45. cikke A CRR 45. cikkének a) pontja megengedi az azonos alapul szolgáló kitettségen belüli kiegyenlítő rövid pozíciókat akkor, ha a rövid pozíció lejárata illeszkedik a hosszú pozíció lejáratához vagy legalább egy éves hátralévő futamidővel rendelkezik. | 
| 501 | 15.3.  Pénzügyi ágazatbeli szervezetek CET1 tőkéjében lévő szintetikus részesedések, ha az intézmény jelentős részesedéssel rendelkezik az említett vállalkozásokban A CRR 4. cikke (1) bekezdésének 126. pontja, valamint 44. és 45. cikke | 
| 502 | 15.3.1.  Pénzügyi ágazatbeli szervezetek CET1 tőkéjében lévő bruttó szintetikus részesedések, ha az intézmény jelentős részesedéssel rendelkezik az említett vállalkozásokban A CRR 4. cikke (1) bekezdésének 126. pontja, valamint 44. és 45. cikke | 
| 503 | 15.3.2.  (–) A fent figyelembe vett bruttó szintetikus részesedésekkel kapcsolatban megengedett kiegyenlítő rövid pozíciók A CRR 4. cikke (1) bekezdésének 126. pontja, valamint 45. cikke | 
| 510 | 16.  Pénzügyi ágazatbeli szervezetek AT1 tőkéjében lévő részesedések, ha az intézmény jelentős részesedéssel rendelkezik az említett vállalkozásokban, a rövid pozíciók levonásával A CRR 58. és 59. cikke | 
| 520 | 16.1.  Pénzügyi ágazatbeli szervezetek AT1 tőkéjében lévő közvetlen részesedések, ha az intézmény jelentős részesedéssel rendelkezik az említett vállalkozásokban A CRR 58. és 59. cikke | 
| 530 | 16.1.1.  Pénzügyi ágazatbeli szervezetek AT1 tőkéjében lévő bruttó közvetlen részesedések, ha az intézmény jelentős részesedéssel rendelkezik az említett vállalkozásokban A CRR 58. cikke Pénzügyi ágazatbeli szervezetek AT1 tőkéjében lévő közvetlen részesedések, ha az intézmény jelentős részesedéssel rendelkezik az említett vállalkozásokban, az alábbiak kivételével: a) az öt munkanapig vagy annál rövidebb ideig tartott, jegyzési garanciavállalásból eredő pozíciók (a CRR 56. cikkének d) pontja); továbbá b) a CRR 56. cikkének b) pontja alapján kölcsönös részesedésként kezelt részesedések. | 
| 540 | 16.1.2.  (–) A fent figyelembe vett bruttó közvetlen részesedésekkel kapcsolatban megengedett kiegyenlítő rövid pozíciók A CRR 59. cikke A CRR 59. cikkének a) pontja megengedi az azonos alapul szolgáló kitettségen belüli kiegyenlítő rövid pozíciókat akkor, ha a rövid pozíció lejárata illeszkedik a hosszú pozíció lejáratához vagy legalább egy éves hátralévő futamidővel rendelkezik. | 
| 550 | 16.2.  Pénzügyi ágazatbeli szervezetek AT1 tőkéjében lévő közvetett részesedések, ha az intézmény jelentős részesedéssel rendelkezik az említett vállalkozásokban A CRR 4. cikke (1) bekezdésének 114. pontja, valamint 58. és 59. cikke | 
| 560 | 16.2.1.  Pénzügyi ágazatbeli szervezetek AT1 tőkéjében lévő bruttó közvetett részesedések, ha az intézmény jelentős részesedéssel rendelkezik az említett vállalkozásokban A CRR 4. cikke (1) bekezdésének 114. pontja, valamint 58. és 59. cikke A feltüntetendő érték a pénzügyi ágazatbeli szervezetek tőkeinstrumentumaiban lévő, kereskedési könyvben nyilvántartott olyan közvetett részesedések értéke, amelyek indexhez kötött értékpapírokban lévő részesedés formáját öltik. Meghatározása a pénzügyi ágazatbeli szervezeteknek az adott indexekben foglalt tőkeinstrumentumaival szembeni, alapul szolgáló kitettség kiszámításával történik. A CRR 56. cikkének b) pontja alapján kölcsönös részesedésként kezelt részesedések nem számíthatók be. | 
| 570 | 16.2.2.  (–) A fent figyelembe vett bruttó közvetett részesedésekkel kapcsolatban megengedett kiegyenlítő rövid pozíciók A CRR 4. cikke (1) bekezdésének 114. pontja, valamint 59. cikke A CRR 59. cikkének a) pontja megengedi az azonos alapul szolgáló kitettségen belüli kiegyenlítő rövid pozíciókat akkor, ha a rövid pozíció lejárata illeszkedik a hosszú pozíció lejáratához vagy legalább egy éves hátralévő futamidővel rendelkezik. | 
| 571 | 16.3.  Pénzügyi ágazatbeli szervezetek AT1 tőkéjében lévő szintetikus részesedések, ha az intézmény jelentős részesedéssel rendelkezik az említett vállalkozásokban A CRR 4. cikke (1) bekezdésének 126. pontja, valamint 58. és 59. cikke | 
| 572 | 16.3.1.  Pénzügyi ágazatbeli szervezetek AT1 tőkéjében lévő bruttó szintetikus részesedések, ha az intézmény jelentős részesedéssel rendelkezik az említett vállalkozásokban A CRR 4. cikke (1) bekezdésének 126. pontja, valamint 58. és 59. cikke | 
| 573 | 16.3.2.  (–) A fent figyelembe vett bruttó szintetikus részesedésekkel kapcsolatban megengedett kiegyenlítő rövid pozíciók A CRR 4. cikke (1) bekezdésének 126. pontja, valamint 59. cikke | 
| 580 | 17.  Pénzügyi ágazatbeli szervezetek T2 tőkéjében lévő részesedések, ha az intézmény jelentős részesedéssel rendelkezik az említett vállalkozásokban, a rövid pozíciók levonásával A CRR 68. és 69. cikke | 
| 590 | 17.1.  Pénzügyi ágazatbeli szervezetek T2 tőkéjében lévő közvetlen részesedések, ha az intézmény jelentős részesedéssel rendelkezik az említett vállalkozásokban A CRR 68. és 69. cikke | 
| 600 | 17.1.1.  Pénzügyi ágazatbeli szervezetek T2 tőkéjében lévő bruttó közvetlen részesedések, ha az intézmény jelentős részesedéssel rendelkezik az említett vállalkozásokban A CRR 68. cikke Pénzügyi ágazatbeli szervezetek T2 tőkéjében lévő közvetlen részesedések, ha az intézmény jelentős részesedéssel rendelkezik az említett vállalkozásokban, az alábbiak kivételével: a) az öt munkanapig vagy annál rövidebb ideig tartott, jegyzési garanciavállalásból eredő pozíciók (a CRR 66. cikkének d) pontja); továbbá b) a CRR 66. cikkének b) pontja alapján kölcsönös részesedésként kezelt részesedések. | 
| 610 | 17.1.2.  (–) A fent figyelembe vett bruttó közvetlen részesedésekkel kapcsolatban megengedett kiegyenlítő rövid pozíciók A CRR 69. cikke A CRR 69. cikkének a) pontja megengedi az azonos alapul szolgáló kitettségen belüli kiegyenlítő rövid pozíciókat akkor, ha a rövid pozíció lejárata illeszkedik a hosszú pozíció lejáratához vagy legalább egy éves hátralévő futamidővel rendelkezik. | 
| 620 | 17.2.  Pénzügyi ágazatbeli szervezetek T2 tőkéjében lévő közvetett részesedések, ha az intézmény jelentős részesedéssel rendelkezik az említett vállalkozásokban A CRR 4. cikke (1) bekezdésének 114. pontja, valamint 68. és 69. cikke | 
| 630 | 17.2.1.  Pénzügyi ágazatbeli szervezetek T2 tőkéjében lévő bruttó közvetett részesedések, ha az intézmény jelentős részesedéssel rendelkezik az említett vállalkozásokban A CRR 4. cikke (1) bekezdésének 114. pontja, valamint 68. és 69. cikke A feltüntetendő érték a pénzügyi ágazatbeli szervezetek tőkeinstrumentumaiban lévő, kereskedési könyvben nyilvántartott olyan közvetett részesedések értéke, amelyek indexhez kötött értékpapírokban lévő részesedés formáját öltik. Meghatározása a pénzügyi ágazatbeli szervezeteknek az adott indexekben foglalt tőkeinstrumentumaival szembeni, alapul szolgáló kitettség kiszámításával történik. A CRR 66. cikkének b) pontja alapján kölcsönös részesedésként kezelt részesedések nem számíthatók be. | 
| 640 | 17.2.2.  (–) A fent figyelembe vett bruttó közvetett részesedésekkel kapcsolatban megengedett kiegyenlítő rövid pozíciók A CRR 4. cikke (1) bekezdésének 114. pontja, valamint 69. cikke A CRR 69. cikkének a) pontja megengedi az azonos alapul szolgáló kitettségen belüli kiegyenlítő rövid pozíciókat akkor, ha a rövid pozíció lejárata illeszkedik a hosszú pozíció lejáratához vagy legalább egy éves hátralévő futamidővel rendelkezik. | 
| 641 | 17.3.  Pénzügyi ágazatbeli szervezetek T2 tőkéjében lévő szintetikus részesedések, ha az intézmény jelentős részesedéssel rendelkezik az említett vállalkozásokban A CRR 4. cikke (1) bekezdésének 126. pontja, valamint 68. és 69. cikke | 
| 642 | 17.3.1.  Pénzügyi ágazatbeli szervezetek T2 tőkéjében lévő bruttó szintetikus részesedések, ha az intézmény jelentős részesedéssel rendelkezik az említett vállalkozásokban A CRR 4. cikke (1) bekezdésének 126. pontja, valamint 68. és 69. cikke | 
| 643 | 17.3.2.  (–) A fent figyelembe vett bruttó szintetikus részesedésekkel kapcsolatban megengedett kiegyenlítő rövid pozíciók A CRR 4. cikke (1) bekezdésének 126. pontja, valamint 69. cikke | 
| 650 | 18.  Pénzügyi ágazatbeli szervezetek CET1 tőkéjében meglévő olyan részesedések kockázattal súlyozott kitettségei, amelyeket az intézmény CET1 tőkéjéből nem vonnak le A CRR 46. cikkének (4) bekezdése, 48. cikkének (4) bekezdése és 49. cikkének (4) bekezdése | 
| 660 | 19.  Pénzügyi ágazatbeli szervezetek AT1 tőkéjében meglévő olyan részesedések kockázattal súlyozott kitettségei, amelyeket az intézmény AT1 tőkéjéből nem vonnak le A CRR 60. cikkének (4) bekezdése | 
| 670 | 20.  Pénzügyi ágazatbeli szervezetek T2 tőkéjében meglévő olyan részesedések kockázattal súlyozott kitettségei, amelyeket az intézmény T2 tőkéjéből nem vonnak le A CRR 70. cikkének (4) bekezdése | 
| 680 | 21.  Pénzügyi ágazatbeli szervezetek által kibocsátott CET1 tőkeinstrumentumokban lévő részesedések, ha az intézmény nem rendelkezik átmenetileg mentesülő jelentős részesedéssel az említett vállalkozásokban A CRR 79. cikke Egy illetékes hatóság átmenetileg eltekinthet a CET1 tőkéből egy pénzügyi ágazatbeli szervezet által kibocsátott instrumentumokban meglévő részesedések miatti levonásra vonatkozó rendelkezésektől, ha az illetékes hatóság megítélése szerint ez a részesedés az adott szervezet reorganizációjára és megmentésére kialakított pénzügyi támogatási művelet célját szolgálja. Ügyelni kell arra, hogy az ilyen instrumentumokat a 12.1. tételben is szerepeltetni kell. | 
| 690 | 22.  Pénzügyi ágazatbeli szervezetek által kibocsátott CET1 tőkeinstrumentumokban lévő részesedések, ha az intézmény átmenetileg mentesülő jelentős részesedéssel rendelkezik az említett vállalkozásokban A CRR 79. cikke Egy illetékes hatóság eltekinthet a CET1 tőkéből egy pénzügyi ágazatbeli szervezet által kibocsátott instrumentumokban meglévő részesedések miatti levonásra vonatkozó rendelkezésektől, ha az illetékes hatóság megítélése szerint ez a részesedés az adott szervezet reorganizációjára és megmentésére kialakított pénzügyi támogatási művelet célját szolgálja. Ügyelni kell arra, hogy az ilyen instrumentumokat a 15.1. tételben is szerepeltetni kell. | 
| 700 | 23.  Pénzügyi ágazatbeli szervezetek által kibocsátott AT1 tőkeinstrumentumokban lévő részesedések, ha az intézmény nem rendelkezik átmenetileg mentesülő jelentős részesedéssel az említett vállalkozásokban A CRR 79. cikke Egy illetékes hatóság átmenetileg eltekinthet az AT1 tőkéből egy pénzügyi ágazatbeli szervezet által kibocsátott instrumentumokban meglévő részesedések miatti levonásra vonatkozó rendelkezésektől, ha az illetékes hatóság megítélése szerint ez a részesedés az adott szervezet reorganizációjára és megmentésére kialakított pénzügyi támogatási művelet célját szolgálja. Ügyelni kell arra, hogy az ilyen instrumentumokat a 13.1. tételben is szerepeltetni kell. | 
| 710 | 24.  Pénzügyi ágazatbeli szervezetek által kibocsátott AT1 tőkeinstrumentumokban lévő részesedések, ha az intézmény átmenetileg mentesülő jelentős részesedéssel rendelkezik az említett vállalkozásokban A CRR 79. cikke Egy illetékes hatóság átmenetileg eltekinthet az AT1 tőkéből egy pénzügyi ágazatbeli szervezet által kibocsátott instrumentumokban meglévő részesedések miatti levonásra vonatkozó rendelkezésektől, ha az illetékes hatóság megítélése szerint ez a részesedés az adott szervezet reorganizációjára és megmentésére kialakított pénzügyi támogatási művelet célját szolgálja. Ügyelni kell arra, hogy az ilyen instrumentumokat a 16.1. tételben is szerepeltetni kell. | 
| 720 | 25.  Pénzügyi ágazatbeli szervezetek által kibocsátott T2 tőkeinstrumentumokban lévő részesedések, ha az intézmény nem rendelkezik átmenetileg mentesülő jelentős részesedéssel az említett vállalkozásokban A CRR 79. cikke Egy illetékes hatóság eltekinthet a T2 tőkéből egy pénzügyi ágazatbeli szervezet által kibocsátott instrumentumokban meglévő részesedések miatti levonásra vonatkozó rendelkezésektől, ha az illetékes hatóság megítélése szerint ez a részesedés az adott szervezet reorganizációjára és megmentésére kialakított pénzügyi támogatási művelet célját szolgálja. Ügyelni kell arra, hogy az ilyen instrumentumokat a 14.1. tételben is szerepeltetni kell. | 
| 730 | 26.  Pénzügyi ágazatbeli szervezetek által kibocsátott T2 tőkeinstrumentumokban lévő részesedések, ha az intézmény átmenetileg mentesülő jelentős részesedéssel rendelkezik az említett vállalkozásokban A CRR 79. cikke Egy illetékes hatóság eltekinthet a T2 tőkéből egy pénzügyi ágazatbeli szervezet által kibocsátott instrumentumokban meglévő részesedések miatti levonásra vonatkozó rendelkezésektől, ha az illetékes hatóság megítélése szerint ez a részesedés az adott szervezet reorganizációjára és megmentésére kialakított pénzügyi támogatási művelet célját szolgálja Ügyelni kell arra, hogy az ilyen instrumentumokat a 17.1. tételben is szerepeltetni kell. | 
| 740 | 27.  Kombinált pufferkövetelmény A CRD 128. cikkének 6. pontja | 
| 750 | Tőkefenntartási puffer A CRD 128. cikkének 1. pontja és 129. cikke A CRD 129. cikkének (1) bekezdése szerint a tőkefenntartási puffer CET1 tőkén felüli CET1 tőkeelemekből áll. Mivel a tőkefenntartási puffer 2,5 %-os mértéke állandó, ebben a sorban összeget kell feltüntetni. | 
| 760 | A tagállamok szintjén azonosított makroprudenciális vagy rendszerkockázatokra képzett tőkefenntartási puffer A CRR 458. cikke (2) bekezdése d) pontjának iv. alpontja Ebben a sorban a tagállamok szintjén azonosított makroprudenciális vagy rendszerkockázatokra képzett fenntartási puffer értékét kell feltüntetni, amely a CRR 458. cikkével összhangban a tőkefenntartási pufferen felül kérhető. A feltüntetett összeg a vonatkozó tőkepuffer-követelményeknek az adatszolgáltatás időpontjában való teljesítéséhez szükséges szavatolótőke összege. | 
| 770 | Intézményspecifikus anticiklikus tőkepuffer A CRD 128. cikkének 2. pontja, valamint 130. és 135–140. cikke A feltüntetett összeg a vonatkozó tőkepuffer-követelményeknek az adatszolgáltatás időpontjában való teljesítéséhez szükséges szavatolótőke összege. | 
| 780 | Rendszerkockázati tőkepuffer A CRD 128. cikkének 5. pontja, valamint 133. és 134. cikke A feltüntetett összeg a vonatkozó tőkepuffer-követelményeknek az adatszolgáltatás időpontjában való teljesítéséhez szükséges szavatolótőke összege. | 
| 800 | Globálisan rendszerszinten jelentős intézményekre vonatkozó tőkepuffer A CRD 128. cikkének 3. pontja és 131. cikke A feltüntetett összeg a vonatkozó tőkepuffer-követelményeknek az adatszolgáltatás időpontjában való teljesítéséhez szükséges szavatolótőke összege. | 
| 810 | Egyéb rendszerszinten jelentős intézményekre vonatkozó tőkepuffer A CRD 128. cikkének 4. pontja és 131. cikke A feltüntetett összeg a vonatkozó tőkepuffer-követelményeknek az adatszolgáltatás időpontjában való teljesítéséhez szükséges szavatolótőke összege. | 
| 820 | 28.  A II. pillérből eredő kiigazításokhoz kapcsolódó szavatolótőke-követelmények A CRD 104. cikkének (2) bekezdése Ha az illetékes hatóság döntése szerint egy intézménynek a II. pillérrel összefüggő okból pótlólagos szavatolótőke-követelményt kell számítania, akkor a pótlólagos szavatolótőke-követelményt ebben a sorban kell megadni. | 
| 830 | 29.  Induló tőke A CRD 12. és 28–31. cikke, valamint a CRR 93. cikke | 
| 840 | 30.  Fix működési költségeken alapuló szavatolótőke-követelmény A CRR 96. cikke (2) bekezdésének b) pontja, 97. cikke, valamint 98. cikke (1) bekezdésének a) pontja | 
| 850 | 31.  Nem hazai eredeti kitettségek A CR GB táblán történő adatszolgáltatásra vonatkozó küszöbértéknek az e végrehajtási rendelet 5. cikke a) pontjának 4. alpontja szerinti kiszámításához szükséges információk. A küszöbértéket a hitel-egyenértékesítési tényezők előtti eredeti kitettség alapján kell kiszámítani. A kitettségek hazainak tekintendők, ha azok az intézmény helye szerinti tagállamban lévő partnerekkel szembeni kitettségek. | 
| 860 | 32.  Teljes eredeti kitettség A CR GB táblán történő adatszolgáltatásra vonatkozó küszöbértéknek az e végrehajtási rendelet 5. cikke a) pontjának 4. alpontja szerinti kiszámításához szükséges információk. A küszöbértéket a hitel-egyenértékesítési tényezők előtti eredeti kitettség alapján kell kiszámítani. A kitettségek hazainak tekintendők, ha azok az intézmény helye szerinti tagállamban lévő partnerekkel szembeni kitettségek. | 
| 870 | Szavatolótőke teljes összegének kiigazítása A CRR 500. cikkének (4) bekezdése Ebben a sorban a 880-as sorban feltüntetett összeg és a CRR szerinti teljes tőkekövetelmény különbözetét kell megadni. A sztenderd módszer alternatívájának (a CRR 500. cikkének (2) bekezdése) alkalmazása esetén ezt a sort üresen kell hagyni. | 
| 880 | A szavatolótőke Bázel I-es alsó korlátnak megfelelő teljes kiigazítása A CRR 500. cikkének (4) bekezdése A CRR szerinti teljes tőkekövetelmény a CRR 500. cikkének (4) bekezdésében előírtaknak megfelelően kiigazítva (vagyis teljes mértékben kiigazítva, hogy tükrözze a szavatolótőkének a 93/6/EGK tanácsi irányelv (1) és a 2000/12/EK európai parlamenti és tanácsi irányelv (2)2007. január 1. előtt hatályos szövege szerinti számítása, illetve a CRR szerinti szavatolótőke-számítás közötti mindazon különbségeket, amelyek abból adódnak, hogy a CRR harmadik része II. címének 3. fejezete értelmében a várható és a nem várható veszteséget elkülönítetten kell kezelni). A sztenderd módszer alternatívájának (a CRR 500. cikkének (2) bekezdése) alkalmazása esetén ezt a sort üresen kell hagyni. | 
| 890 | A Bázel I-es alsó korlátnak megfelelő szavatolótőke-követelmény A CRR 500. cikke (1) bekezdésének b) pontja Itt a CRR 500. cikke (1) bekezdésének b) pontjában előírtaknak megfelelően tartandó szavatolótőke összegét kell feltüntetni (ez azon szavatolótőke teljes minimumösszegének 80 %-a, amelyet az intézmény a 93/6/EGK irányelv 4. cikke és a 2000/12/EK irányelv értelmében lenne köteles tartani). | 
| 900 | A Bázel I-es alsó korlátnak megfelelő szavatolótőke-követelmény – Sztenderd módszer A CRR 500. cikkének (2) és (3) bekezdése Itt a CRR 500. cikkének (2) bekezdésében előírtaknak megfelelően tartandó szavatolótőke összegét kell feltüntetni (ez azon szavatolótőke 80 %-a, amelyet az intézmény a CRR 92. cikke értelmében lenne köteles tartani, a kockázattal súlyozott kitettségértékeket adott esetben a CRR harmadik része II. címe 3. fejezete vagy harmadik része III. címe 4. fejezete helyett adott esetben a CRR harmadik része II. címe 2. fejezete vagy harmadik része III. címe 2. vagy 3. fejezete szerint számítva). | 
| 910 | A teljes tőke hiánya a Bázel I-es alsó korlátnak (vagy sztenderd módszernek) megfelelő szavatolótőke-követelmények tekintetében A CRR 500. cikke (1) bekezdésének b) pontja, valamint 500. cikkének (2) bekezdése Ezt a sort a következőképpen kell kitölteni: — a CRR 500. cikke (1) bekezdése b) pontjának alkalmazása esetén és ha a 880-as sor < a 890-es sor: a 890-es sor és a 880-as sor különbsége — a CRR 500. cikke (2) bekezdésének alkalmazása esetén és ha a C 01.00. tábla 010-es sora < a C 04.00-es tábla 900-as sora: a C 04.00-es tábla 900-as sora és a C 01.00-es tábla 010-es sora közötti különbség. | 
| (1)   A Tanács 93/6/EGK irányelve (1993. március 15.) a befektetési vállalkozások és hitelintézetek tőkemegfeleléséről (HL L 141., 1993.6.11., 1. o.). (2) Az Európai Parlament és a Tanács 2000/12/EK irányelve (2000. március 20.) a hitelintézetek tevékenységének megkezdéséről és folytatásáról (HL L 126., 2000.5.26., 1. o.). | |
1.6. ÁTMENETI RENDELKEZÉSEK ÉS SZERZETT JOGOK ALAPJÁN FIGYELEMBE VETT TŐKEINSTRUMENTUMOK: ÁLLAMI TÁMOGATÁSNAK NEM MINŐSÜLŐ INSTRUMENTUMOK (CA5)
1.6.1. Általános megjegyzések
15. A CA5 a CRR 465-491. cikkében foglalt átmeneti rendelkezések hatálya alá eső szavatolótőke-elemeket és levonásokat foglalja össze.
16. A CA5 az alábbi szerkezetet követi:
a) Az 5.1. tábla azokat a kiigazításokat foglalja össze, amelyeket a CA1 táblán (a végleges rendelkezésekkel összhangban) megadott szavatolótőke-elemeket érintően az átmeneti rendelkezések alkalmazása miatt kell végrehajtani. E tábla elemei a CA1 táblán szereplő különböző tőkeelemek "kiigazításaként" jelennek meg annak érdekében, hogy tükrözzék az átmeneti rendelkezések hatását a szavatolótőke elemeire.
b) Az 5.2. tábla a szerzett jogok alapján figyelembe vett, állami támogatásnak nem minősülő instrumentumok kiszámítását mutatja be részletesen.
17. Az intézményeknek az első négy oszlopban a CET1 tőke, az AT1 tőke és a T2 tőke kiigazításait, valamint a teljes kockázati kitettségértéket kell megadni. Az intézményeknek ezenkívül meg kell adniuk az átmeneti rendelkezés szerint alkalmazandó százalékos arányt (050. oszlop), valamint az átmeneti rendelkezések alkalmazása nélkül figyelembe vehető összeget (060. oszlop).
18. Az intézmények a CA5. táblán kizárólag abban az időszakban szolgáltatnak adatot a tőkeelemekről, amelynek során a CRR tizedik részében meghatározott átmeneti rendelkezéseket alkalmazni kell.
19. Egyes átmeneti rendelkezések a T1 tőkét érintő levonást írnak elő. Ilyenkor a T1 tőkét érintő levonásnak vagy levonásoknak az AT1 tőkén felüli maradványösszegét a CET1 tőkéből kell levonni.
1.6.2. C 05.01 - ÁTMENETI RENDELKEZÉSEK (CA5.1)
20. Az intézményeknek a CA5.1. táblában a CRR 465-491. cikkében előírt átmeneti rendelkezéseknek a szavatolótőke-elemeket érintő alkalmazásáról kell adatot szolgáltatniuk a CRR második része II. címében foglalt végleges rendelkezésekhez képest.
21. Az intézmények a 020-060. sorban az átmeneti rendelkezések értelmében a szerzett jogok alapján figyelembe vett instrumentumokról szolgáltatnak adatot. A CA5.1. tábla 060. sorának 010-030. oszlopaiban feltüntetendő értékek, amelyek a CA5.2. tábla megfelelő részeiből vezethetők le.
22. Az intézmények a 070-092. sorban a kisebbségi részesedésekre, valamint a leányvállalatok által kibocsátott AT1 és T2 tőkeinstrumentumokra vonatkozó átmeneti rendelkezésekről szolgáltatnak adatot a CRR 479. és 480. cikke szerint.
23. A 100. sortól kezdődően az intézmények a nem realizált nyereségre és veszteségre, a levonásokra, valamint a további szűrőkre és levonásokra vonatkozó átmeneti rendelkezésekről szolgáltatnak adatot.
24. Egyes esetekben a CET1 tőke, az AT1 tőke vagy a T2 tőke átmeneti levonásai meghaladják az adott intézmény CET1 tőkéjét, AT1 tőkéjét vagy T2 tőkéjét. Ezt a hatást - ha átmeneti rendelkezések eredménye - a CA1 tábla megfelelő celláiban kell kimutatni. Következésképpen a CA5. tábla oszlopaiban megadott kiigazítások nem foglalhatnak magukban áttételes hatásokat akkor, ha a rendelkezésre álló tőke mennyisége nem elégséges.
1.6.2.1. A tábla egyes részeire vonatkozó útmutató
| Oszlop | |
| 010 | A CET1 tőke kiigazításai | 
| 020 | Az AT1 tőke kiigazításai | 
| 030 | A T2 tőke kiigazításai | 
| 040 | A kockázattal súlyozott eszközértékekben figyelembe vett kiigazítások A 040-es oszlop tartalmazza azokat a megfelelő összegeket, amelyekkel a CRR 92. cikkének (3) bekezdése szerinti teljes kockázati kitettségértéket az átmeneti rendelkezések miatt kiigazítják. A feltüntetett összegeknél figyelembe kell venni a harmadik rész II. címének 2. vagy 3. fejezetében, vagy a harmadik rész IV. címében foglalt rendelkezések alkalmazását, a CRR 92. cikkének (4) bekezdésével összhangban. Ez azt jelenti, hogy a harmadik rész II. címének 2. vagy 3. fejezete szerinti átmeneti összegeket kockázattal súlyozott kitettségértékként kell feltüntetni, míg a harmadik rész IV. címének hatálya alá tartozó átmeneti összegek a 12,5 -del megszorzott szavatolótőke-követelményt jelentik. Míg a 010–030. oszlop közvetlenül kapcsolódik a CA1 táblához, a teljes kockázati kitettségérték kiigazításai nem kapcsolódnak közvetlenül a megfelelő hitelkockázati táblákhoz. A teljes kockázati kitettségértékre vonatkozó átmeneti rendelkezésekből eredő kiigazításokat – ha vannak ilyenek – közvetlenül a CR SA, CR IRB, CR EQU IRB, MKR SA TDI, MKR SA EQU illetve MKR IM tartalmazza. Ezenkívül e hatásokat a CA5.1 tábla 040. oszlopában is fel kell tüntetni. Ebből adódóan az ilyen értékek kizárólag tájékoztató adatok. | 
| 050 | Alkalmazandó százalékos arány | 
| 060 | Figyelembe vehető összeg az átmeneti rendelkezések nélkül A 060. oszlop az egyes instrumentumoknak az átmeneti rendelkezések alkalmazása előtti értékét, vagyis a kiigazítások kiszámításához használandó alapösszeget tartalmazza. | 
| Sor | |
| 010 | 1.  Kiigazítások összesen Ez a sor az átmeneti kiigazítások általános hatását mutatja az egyes tőketípusokon belül, valamint az említett kiigazításokból eredő, kockázattal súlyozott összegeket. | 
| 020 | 1.1.  Szerzett jogok alapján figyelembe vett tőkeinstrumentumok A CRR 483–491. cikke Ez a sor az ideiglenesen a szerzett jogokkal kapcsolatos rendelkezések hatálya alá tartozó instrumentumok általános hatását mutatja az egyes tőketípusokon belül. | 
| 030 | 1.1.1.  Szerzett jogok alapján figyelembe vett tőkeinstrumentumok: állami támogatásnak minősülő instrumentumok A CRR 483. cikke | 
| 040 | 1.1.1.1.  A 2006/48/EK irányelv értelmében szavatolótőkének minősülő instrumentumok A CRR 483. cikkének (1), (2), (4) és (6) bekezdése | 
| 050 | 1.1.1.2.  Gazdasági kiigazítási programban részt vevő EU-tagállamban bejegyzett intézmények által a program keretében kibocsátott instrumentumok A CRR 483. cikkének (1), (3), (5), (7) és (8) bekezdése | 
| 060 | 1.1.2.  Állami támogatásnak nem minősülő instrumentumok A feltüntetendő értékeket a CA5.2. tábla 060-as oszlopából kell átvezetni. | 
| 070 | 1.2.  Kisebbségi részesedések és azok megfelelői A CRR 479. és 480. cikke Ez a sor az átmeneti rendelkezések hatásait mutatja a CET1 tőkeként figyelembe vehető kisebbségi részesedésekben; a konszolidált AT1 tőke részét képező, a T1 tőkébe beszámítható instrumentumokban; valamint a konszolidált T2 tőkeként figyelembe vehető, a szavatolótőkébe beszámítható tőkeelemekben. | 
| 080 | 1.2.1.  Kisebbségi részesedésnek nem minősülő tőkeinstrumentumok és egyéb tőkeelemek A CRR 479. cikke A sor 060-as oszlopában feltüntetendő érték a korábbi szabályozás szerint konszolidált tartaléknak minősülő összeg. | 
| 090 | 1.2.2.  A kisebbségi részesedések átmeneti figyelembevétele a konszolidált szavatolótőkében A CRR 84. és 480. cikke A sor 060-as oszlopában feltüntetendő érték a figyelembe vehető összeg az átmeneti rendelkezések nélkül. | 
| 091 | 1.2.3.  Az AT1 tőkébe beszámítható elemek átmeneti figyelembevétele a konszolidált szavatolótőkében A CRR 85. és 480. cikke A sor 060-as oszlopában feltüntetendő érték a figyelembe vehető összeg az átmeneti rendelkezések nélkül. | 
| 092 | 1.2.4.  A T2 tőkébe beszámítható elemek átmeneti figyelembevétele a konszolidált szavatolótőkében A CRR 87. és 480. cikke A sor 060-as oszlopában feltüntetendő érték a figyelembe vehető összeg az átmeneti rendelkezések nélkül. | 
| 100 | 1.3.  Egyéb átmeneti kiigazítások A CRR 467–478., valamint 481. cikke Ez a sor az átmeneti kiigazítások általános hatását mutatja az egyes tőketípusokon belüli levonásokban, a nem realizált nyereségben és veszteségben, valamint a további szűrőkben és levonásokban, továbbá a megadott kiigazításokból eredő, kockázattal súlyozott összegeket. | 
| 110 | 1.3.1.  Nem realizált nyereség és veszteség A CRR 467. és 468. cikke Ez a sor a valós értéken értékelt nem realizált nyereségre és veszteségre vonatkozó átmeneti rendelkezések általános hatását mutatja. | 
| 120 | 1.3.1.1.  Nem realizált nyereség A CRR 468. cikkének (1) bekezdése | 
| 130 | 1.3.1.2.  Nem realizált veszteség A CRR 467. cikkének (1) bekezdése | 
| 133 | 1.3.1.3.  Az EU által jóváhagyott IAS 39 szerint az „értékesíthető” kategóriába sorolt, központi kormányzattal szembeni kitettségek nem realizált nyeresége A CRR 468. cikke | 
| 136 | 1.3.1.4.  A központi kormányzatokkal szembeni, az EU által jóváhagyott IAS 39 szerint „értékesíthető” kategóriába sorolt kitettségek nem realizált vesztesége A CRR 467. cikke | 
| 138 | 1.3.1.5.  Származtatott ügyletekből eredő kötelezettségekhez kapcsolódó, az intézmény saját hitelkockázatából adódó valósérték-növekedés és -csökkenés A CRR 468. cikke | 
| 140 | 1.3.2.  Levonások A CRR 36. cikkének (1) bekezdése, valamint 469–478. cikke Ez a sor a levonásokra vonatkozó átmeneti rendelkezések általános hatását mutatja. | 
| 150 | 1.3.2.1.  Folyó üzleti év veszteségei A CRR 36. cikke (1) bekezdésének a) pontja, 469. cikkének (1) bekezdése, 472. cikkének (3) bekezdése, valamint 478. cikke A sor 060-as oszlopában feltüntetendő érték a CRR 36. cikke (1) bekezdésének a) pontja szerinti eredeti levonás. Akkor, ha a vállalkozásoknak csak a jelentős veszteségeket kell levonniuk: — ha a teljes nettó évközi veszteség jelentős, akkor a teljes maradványösszeget a T1 tőkéből kell levonni; vagy — ha a teljes nettó évközi veszteség nem jelentős, akkor maradványösszeg levonására nem kerül sor. | 
| 160 | 1.3.2.2.  Immateriális javak A CRR 36. cikke (1) bekezdésének b) pontja, 469. cikkének (1) bekezdése, 472. cikkének (4) bekezdése, valamint 478. cikke Az immateriális javak levonandó összegének meghatározásakor az intézményeknek figyelembe kell venniük a CRR 37. cikkének rendelkezéseit. A sor 060-as oszlopában feltüntetendő érték a CRR 36. cikke (1) bekezdésének b) pontja szerinti eredeti levonás. | 
| 170 | 1.3.2.3.  Jövőbeli nyereségtől függően érvényesíthető, nem átmeneti különbözetből eredő halasztott adókövetelések A CRR 36. cikke (1) bekezdésének c) pontja, 469. cikkének (1) bekezdése, 472. cikkének (5) bekezdése, valamint 478. cikke A halasztott adókövetelések levonandó összegének meghatározásakor az intézményeknek figyelembe kell venniük a CRR 38. cikkének azon rendelkezéseit, amelyek a halasztott adóköveteléseknek a halasztott adókötelezettségekkel való csökkentésére vonatkoznak. A sor 060. oszlopában feltüntetendő érték: a CRR 469. cikkének (1) bekezdése szerinti teljes érték. | 
| 180 | 1.3.2.4.  Értékvesztés és céltartalékhiány az IRB szerinti várható veszteséghez viszonyítva A CRR 36. cikke (1) bekezdésének d) pontja, 469. cikkének (1) bekezdése, 472. cikkének (6) bekezdése, valamint 478. cikke A céltartalékoknak a várható veszteséghez viszonyítva IRB-módszerrel számított hiányaként levonandó összeg meghatározásakor az intézményeknek figyelembe kell venniük a CRR 40. cikkének rendelkezéseit. A sor 060. oszlopában feltüntetendő érték: a CRR 36. cikke (1) bekezdésének d) pontja szerinti eredeti levonás | 
| 190 | 1.3.2.5.  Meghatározott szolgáltatást nyújtó nyugdíjalapban lévő eszközök A CRR 33. cikke (1) bekezdésének e) pontja, 469. cikkének (1) bekezdése, 472. cikkének (7) bekezdése, valamint 473. és 478. cikke A meghatározott szolgáltatást nyújtó nyugdíjalapban lévő eszközök levonandó összegének meghatározásakor az intézményeknek figyelembe kell venniük a CRR 41. cikkének rendelkezéseit. A sor 060. oszlopában feltüntetendő érték: a CRR 36. cikke (1) bekezdésének e) pontja szerinti eredeti levonás | 
| 194 | 1.3.2.5.*  ebből: az IAS 19 módosításainak bevezetése – pozitív tétel A CRR 473. cikke | 
| 198 | 1.3.2.5.**  ebből: az IAS 19 módosításainak bevezetése – negatív tétel A CRR 473. cikke | 
| 200 | 1.3.2.6.  Saját tőkeinstrumentumok A CRR 36. cikke (1) bekezdésének f) pontja, 469. cikkének (1) bekezdése, 472. cikkének (8) bekezdése, valamint 478. cikke A sor 060. oszlopában feltüntetendő érték: a CRR 36. cikke (1) bekezdésének f) pontja szerinti eredeti levonás | 
| 210 | 1.3.2.6.1.  Saját CET1 tőkeinstrumentumok A CRR 36. cikke (1) bekezdésének f) pontja, 469. cikkének (1) bekezdése, 472. cikkének (8) bekezdése, valamint 478. cikke A saját CET1 tőkeinstrumentumok levonandó összegének meghatározásakor az intézményeknek figyelembe kell venniük a CRR 42. cikkét. Mivel a maradványösszeg kezelése az eszköz jellegétől függően változik, az intézményeknek a saját CET1 tőkeinstrumentumokban meglévő részesedéseiket közvetlen és közvetett részesedésre kell bontaniuk. A sor 060. oszlopában feltüntetendő érték: a CRR 36. cikke (1) bekezdésének f) pontja szerinti eredeti levonás | 
| 211 | 1.3.2.6.1**  ebből: közvetlen részesedések A CRR 469. cikke (1) bekezdésének b) pontja, valamint 472. cikke (8) bekezdésének a) pontja A sor 060. oszlopában feltüntetendő érték: a közvetlen részesedések teljes összege, ideértve az olyan instrumentumokat, amelyeket az intézmény hatályos vagy függő szerződéses kötelezettségekből eredően köteles lehet megvásárolni. | 
| 212 | 1.3.2.6.1*  ebből: közvetett részesedések A CRR 469. cikke (1) bekezdésének b) pontja, valamint 472. cikke (8) bekezdésének b) pontja A sor 060. oszlopában feltüntetendő érték: a közvetett részesedések teljes összege, ideértve az olyan instrumentumokat, amelyeket az intézmény hatályos vagy függő szerződéses kötelezettségekből eredően köteles lehet megvásárolni. | 
| 220 | 1.3.2.6.2.  Saját AT1 tőkeinstrumentumok A CRR 56. cikkének a) pontja, 474. cikke, 475. cikkének (2) bekezdése, valamint 478. cikke A fenti részesedések levonandó összegének meghatározásakor az intézményeknek figyelembe kell venniük a CRR 57. cikkének rendelkezéseit. Mivel a maradványösszeg kezelése az eszköz jellegétől függően változik (CRR 475. cikk, (2) bekezdés), az intézményeknek az említett részesedéseiket a saját AT1 tőkében lévő közvetlen és közvetett részesedésre kell bontaniuk. A sor 060. oszlopában feltüntetendő érték: a CRR 56. cikkének a) pontja szerinti eredeti levonás | 
| 221 | 1.3.2.6.2**  ebből: közvetlen részesedések A sor 060. oszlopában feltüntetendő érték: a közvetlen részesedések teljes összege, ideértve az olyan instrumentumokat, amelyeket az intézmény hatályos vagy függő szerződéses kötelezettségekből eredően köteles lehet megvásárolni; a CRR 474. cikkének b) pontja, valamint 475. cikke (2) bekezdésének a) pontja. | 
| 222 | 1.3.2.6.2*  ebből: közvetett részesedések A sor 060. oszlopában feltüntetendő érték: a közvetett részesedések teljes összege, ideértve az olyan instrumentumokat, amelyeket az intézmény hatályos vagy függő szerződéses kötelezettségekből eredően köteles lehet megvásárolni; a CRR 474. cikkének b) pontja, valamint 475. cikke (2) bekezdésének b) pontja. | 
| 230 | 1.3.2.6.3.  Saját T2 tőkeinstrumentumok A CRR 66. cikkének a) pontja, 476. cikke, 477. cikkének (2) bekezdése, valamint 478. cikke A részesedések levonandó összegének meghatározásakor az intézményeknek figyelembe kell venniük a CRR 67. cikkének rendelkezéseit. Mivel a maradványösszeg kezelése az eszköz jellegétől függően változik (CRR 477. cikk, (2) bekezdés), az intézményeknek az említett részesedéseiket a saját T2 tőkében lévő közvetlen és közvetett részesedésre kell bontaniuk. A sor 060. oszlopában feltüntetendő érték: a CRR 66. cikkének a) pontja szerinti eredeti levonás | 
| 231 | ebből: közvetlen részesedések A sor 060. oszlopában feltüntetendő érték: a közvetlen részesedések teljes összege, ideértve az olyan instrumentumokat, amelyeket az intézmény hatályos vagy függő szerződéses kötelezettségekből eredően köteles lehet megvásárolni; a CRR 476. cikkének b) pontja, valamint 477. cikke (2) bekezdésének a) pontja. | 
| 232 | ebből: közvetett részesedések A sor 060. oszlopában feltüntetendő érték: a közvetett részesedések teljes összege, ideértve az olyan instrumentumokat, amelyeket az intézmény hatályos vagy függő szerződéses kötelezettségekből eredően köteles lehet megvásárolni; a CRR 476. cikkének b) pontja, valamint 477. cikke (2) bekezdésének b) pontja. | 
| 240 | 1.3.2.7.  Kölcsönös részesedések Mivel a maradványösszeg kezelése attól függően változik, hogy a pénzügyi ágazatbeli szervezet CET1 tőkéjében, AT1 tőkéjében vagy járulékos tőkéjében lévő részesedés jelentősnek minősül-e vagy sem (a CRR 472. cikkének (9) bekezdése, 475. cikkének (3) bekezdése, valamint 477. cikkének (3) bekezdése), az intézményeknek a kölcsönös részesedéseiket jelentős részesedésre és nem jelentős részesedésre kell lebontaniuk. | 
| 250 | 1.3.2.7.1.  Kölcsönös részesedések CET1 tőkeinstrumentumokban A CRR 36. cikke (1) bekezdésének g) pontja, 469. cikkének (1) bekezdése, 472. cikkének (9) bekezdése, valamint 478. cikke A sor 060. oszlopában feltüntetendő érték: a CRR 36. cikke (1) bekezdésének g) pontja szerinti eredeti levonás. | 
| 260 | 1.3.2.7.1.1.  Pénzügyi ágazatbeli szervezetek CET1 tőkeinstrumentumaiban lévő kölcsönös részesedések, ha az intézmény nem rendelkezik jelentős részesedéssel az említett vállalkozásokban A CRR 36. cikke (1) bekezdésének g) pontja, 469. cikkének (1) bekezdése, 472. cikke (9) bekezdésének a) pontja, valamint 478. cikke A sor 060. oszlopában feltüntetendő érték: a CRR 469. cikke (1) bekezdésének b) pontja szerinti maradványösszeg. | 
| 270 | 1.3.2.7.1.2.  Pénzügyi ágazatbeli szervezetek CET1 tőkeinstrumentumaiban lévő kölcsönös részesedések, ha az intézmény jelentős részesedéssel rendelkezik az említett vállalkozásokban A CRR 36. cikke (1) bekezdésének g) pontja, 469. cikkének (1) bekezdése, 472. cikke (9) bekezdésének b) pontja, valamint 478. cikke A sor 060. oszlopában feltüntetendő érték: a CRR 469. cikke (1) bekezdésének b) pontja szerinti maradványösszeg. | 
| 280 | 1.3.2.7.2.  Kölcsönös részesedések AT1 tőkeinstrumentumokban A CRR 56. cikkének b) pontja, 474. cikke, 475. cikkének (3) bekezdése, valamint 478. cikke A sor 060. oszlopában feltüntetendő érték: a CRR 56. cikkének b) pontja szerinti eredeti levonás. | 
| 290 | 1.3.2.7.2.1.  Pénzügyi ágazatbeli szervezetek AT1 tőkeinstrumentumaiban lévő kölcsönös részesedések, ha az intézmény nem rendelkezik jelentős részesedéssel az említett vállalkozásokban A CRR 56. cikkének b) pontja, 474. cikke, 475. cikke (3) bekezdésének a) pontja, valamint 478. cikke A sor 060. oszlopában feltüntetendő érték: a CRR 475. cikkének (3) bekezdése szerinti maradványösszeg. | 
| 300 | 1.3.2.7.2.2.  Pénzügyi ágazatbeli szervezetek AT1 tőkeinstrumentumaiban lévő kölcsönös részesedések, ha az intézmény jelentős részesedéssel rendelkezik az említett vállalkozásokban A CRR 56. cikkének b) pontja, 474. cikke, 475. cikke (3) bekezdésének b) pontja, valamint 478. cikke A sor 060. oszlopában feltüntetendő érték: a CRR 475. cikkének (3) bekezdése szerinti maradványösszeg. | 
| 310 | 1.3.2.7.3.  Kölcsönös részesedések T2 tőkeinstrumentumokban A CRR 66. cikkének b) pontja, 476. cikke, 477. cikkének (3) bekezdése, valamint 478. cikke A sor 060. oszlopában feltüntetendő érték: a CRR 66. cikkének b) pontja szerinti eredeti levonás. | 
| 320 | 1.3.2.7.3.1.  Pénzügyi ágazatbeli szervezetek T2 tőkeinstrumentumaiban lévő kölcsönös részesedések, ha az intézmény nem rendelkezik jelentős részesedéssel az említett vállalkozásokban A CRR 66. cikkének b) pontja, 476. cikke, 477. cikke (3) bekezdésének a) pontja, valamint 478. cikke A sor 060. oszlopában feltüntetendő érték: a CRR 477. cikkének (3) bekezdése szerinti maradványösszeg. | 
| 330 | 1.3.2.7.3.2.  Pénzügyi ágazatbeli szervezetek T2 tőkeinstrumentumaiban lévő kölcsönös részesedések, ha az intézmény jelentős részesedéssel rendelkezik az említett vállalkozásokban A CRR 66. cikkének b) pontja, 476. cikke, 477. cikke (3) bekezdésének a) pontja, valamint 478. cikke A sor 060. oszlopában feltüntetendő érték: a CRR 477. cikkének (3) bekezdése szerinti maradványösszeg. | 
| 340 | 1.3.2.8. Pénzügyi ágazatbeli szervezetek által kibocsátott szavatolótőke-instrumentumok, ha az intézmény nem rendelkezik jelentős részesedéssel az említett vállalkozásokban | 
| 350 | 1.3.2.8.1.  Pénzügyi ágazatbeli szervezetek által kibocsátott CET1 tőkeinstrumentumok, ha az intézmény nem rendelkezik jelentős részesedéssel az említett vállalkozásokban A CRR 36. cikke (1) bekezdésének h) pontja, 469. cikkének (1) bekezdése, 472. cikkének (10) bekezdése, valamint 478. cikke A sor 060. oszlopában feltüntetendő érték: a CRR 36. cikke (1) bekezdésének h) pontja szerinti eredeti levonás. | 
| 360 | 1.3.2.8.2.  Pénzügyi ágazatbeli szervezetek által kibocsátott AT1 tőkeinstrumentumok, ha az intézmény nem rendelkezik jelentős részesedéssel az említett vállalkozásokban A CRR 56. cikkének c) pontja, 474. cikke, 475. cikkének (4) bekezdése, valamint 478. cikke A sor 060. oszlopában feltüntetendő érték: a CRR 56. cikkének c) pontja szerinti eredeti levonás. | 
| 370 | 1.3.2.8.3.  Pénzügyi ágazatbeli szervezetek által kibocsátott T2 tőkeinstrumentumok, ha az intézmény nem rendelkezik jelentős részesedéssel az említett vállalkozásokban A CRR 66. cikkének c) pontja, 476. cikke, 477. cikkének (4) bekezdése, valamint 478. cikke A sor 060. oszlopában feltüntetendő érték: a CRR 66. cikkének c) pontja szerinti eredeti levonás | 
| 380 | 1.3.2.9.  A jövőbeni nyereségtől függően érvényesíthető és átmeneti különbözetekből eredő halasztott adókövetelések, valamint a pénzügyi ágazatbeli szervezetek által kibocsátott CET1 tőkeinstrumentumok, ha az intézmény jelentős részesedéssel rendelkezik az említett vállalkozásokban A CRR 470. cikkének (2) és (3) bekezdése A sor 060. oszlopában feltüntetendő érték: A CRR 470. cikkének (1) bekezdése | 
| 385 | Jövőbeli nyereségtől függően érvényesíthető és átmeneti különbözetből eredő halasztott adókövetelések A CRR 469. cikke (1) bekezdésének c) pontja, 472. cikkének (5) bekezdése, valamint 478. cikke A jövőbeli nyereségtől függően érvényesíthető és átmeneti különbözetből eredő halasztott adókövetelések azon része, amely meghaladja a CRR 470. cikke (2) bekezdésének a) pontjában foglalt 10 %-os küszöböt. | 
| 390 | 1.3.2.10. Pénzügyi ágazatbeli szervezetek által kibocsátott szavatolótőke-instrumentumok, ha az intézmény jelentős részesedéssel rendelkezik az említett vállalkozásokban | 
| 400 | 1.3.2.10.1.  Pénzügyi ágazatbeli szervezetek által kibocsátott CET1 tőkeinstrumentumok, ha az intézmény jelentős részesedéssel rendelkezik az említett vállalkozásokban A CRR 36. cikke (1) bekezdésének i) pontja, 469. cikkének (1) bekezdése, 472. cikkének (11) bekezdése, valamint 478. cikke A sor 060. oszlopában feltüntetendő érték: a CRR 36. cikke (1) bekezdésének i) pontja szerinti eredeti levonás. | 
| 410 | 1.3.2.10.2.  Pénzügyi ágazatbeli szervezetek által kibocsátott AT1 tőkeinstrumentumok, ha az intézmény jelentős részesedéssel rendelkezik az említett vállalkozásokban A CRR 56. cikkének d) pontja, 474. cikke, 475. cikkének (4) bekezdése, valamint 478. cikke A sor 060. oszlopában feltüntetendő érték: a CRR 56. cikkének d) pontja szerinti eredeti levonás | 
| 420 | 1.3.2.10.2.  Pénzügyi ágazatbeli szervezetek által kibocsátott T2 tőkeinstrumentumok, ha az intézmény jelentős részesedéssel rendelkezik az említett vállalkozásokban A CRR 66. cikkének d) pontja, 476. cikke, 477. cikkének (4) bekezdése, valamint 478. cikke A sor 060. oszlopában feltüntetendő érték: a CRR 66. cikkének d) pontja szerinti eredeti levonás. | 
| 425 | 1.3.2.11.  Mentesség a biztosítókban lévő tulajdoni részesedésnek a CET1 tőkeelemekből történő levonása alól A CRR 471. cikke | 
| 430 | 1.3.3.  További szűrők és levonások A CRR 481. cikke Ez a sor a további szűrőkre és levonásokra vonatkozó átmeneti rendelkezések általános hatását mutatja. A CRR 481. cikkével összhangban az intézmények az 1.3.3. tételben adatot szolgáltatnak a 2006/48/EK irányelv 57. és 66. cikkét, valamint a 2006/49/EK irányelv 13. és 16. cikkét átültető nemzeti intézkedések által előírt, a CRR második része szerint azonban elő nem írt szűrőkről és levonásokról. | 
| 440 | 1.3.4.  Az IFRS 9-hez kapcsolódó átmeneti intézkedések miatti kiigazítások Az intézmények az IFRS 9 miatti átmeneti intézkedésekkel összefüggésben szolgáltatnak adatokat az alkalmazandó jogszabályi rendelkezéseknek megfelelően. | 
1.6.3. C 05.02 - SZERZETT JOGOK ALAPJÁN FIGYELEMBE VETT TŐKEINSTRUMENTUMOK: ÁLLAMI TÁMOGATÁSNAK NEM MINŐSÜLŐ INSTRUMENTUMOK (CA5.2)
25. Az intézmények a szerzett jogok alapján figyelembe vett, állami támogatásnak nem minősülő instrumentumokra vonatkozó átmeneti rendelkezésekkel összefüggésben szolgáltatnak adatokat (a CRR 484-491. cikke).
1.6.3.1. A tábla egyes részeire vonatkozó útmutató
| Oszlop | |
| 010 | Az instrumentumok kapcsolódó ázsióval növelt értéke A CRR 484. cikkének (3), (4) és (5) bekezdése Az egyes sorokban figyelembe vehető instrumentumok a kapcsolódó ázsióval együtt. | 
| 020 | A korlátszámítás alapja A CRR 486. cikkének (2), (3) és (4) bekezdése | 
| 030 | Alkalmazandó százalékos arány A CRR 486. cikkének (5) bekezdése | 
| 040 | Korlát A CRR 486. cikkének (2)–(5) bekezdése | 
| 050 | (–) A szerzett jogok figyelembevételének korlátját meghaladó összeg A CRR 486. cikkének (2)–(5) bekezdése | 
| 060 | A szerzett jogok alapján figyelembe vett teljes összeg A feltüntetendő értékek megegyeznek a CA5.1. tábla 060-as sorának megfelelő oszlopaiban megadott összegekkel. | 
| Sor | |
| 010 | 1.  A 2006/48/EK irányelv 57. cikkének a) pontja értelmében a szavatolótőkében figyelembe vett instrumentumok A CRR 484. cikkének (3) bekezdése A feltüntetendő érték magában foglalja a kapcsolódó ázsiót. | 
| 020 | 2.  A 2006/48/EK irányelv 57. cikkének ca) pontja, valamint 154. cikkének (8) és (9) bekezdése értelmében figyelembe vett instrumentumok, a CRR 489. cikkében rögzített korlát alkalmazásával A CRR 484. cikkének (4) bekezdése | 
| 030 | 2.1.  Visszavásárlásra nem ösztönző, visszahívási opciót nem tartalmazó instrumentumok összesen A CRR 484. cikkének (4) bekezdése és 489. cikke A feltüntetendő érték magában foglalja a kapcsolódó ázsiót. | 
| 040 | 2.2.  Visszavásárlásra ösztönző, visszahívási opciót tartalmazó, de a szerzett jogok alapján figyelembe vett instrumentumok A CRR 489. cikke | 
| 050 | 2.2.1.  Az adatszolgáltatás időpontja után érvényesíthető visszahívási opcióval rendelkező, a CRR 52. cikkében foglalt feltételeket a tényleges lejáratot követően teljesítő instrumentumok A CRR 489. cikkének (3) bekezdése, valamint 491. cikkének a) pontja A feltüntetendő érték magában foglalja a kapcsolódó ázsiót. | 
| 060 | 2.2.2.  Az adatszolgáltatás időpontja után érvényesíthető visszahívási opcióval rendelkező, a CRR 52. cikkében foglalt feltételeket a tényleges lejáratot követően nem teljesítő instrumentumok A CRR 489. cikkének (5) bekezdése, valamint 491. cikkének a) pontja A feltüntetendő érték magában foglalja a kapcsolódó ázsiót. | 
| 070 | 2.2.3.  2011. július 20-ig érvényesíthető visszahívási opcióval rendelkező, a CRR 52. cikkében foglalt feltételeket a tényleges lejáratot követően nem teljesítő instrumentumok A CRR 489. cikkének (6) bekezdése, valamint 491. cikkének c) pontja A feltüntetendő érték magában foglalja a kapcsolódó ázsiót. | 
| 080 | 2.3.  A szerzett jogok alapján figyelembe vett CET1 tőkeinstrumentumok korlátját meghaladó érték A CRR 487. cikkének (1) bekezdése A szerzett jogok alapján figyelembe vett CET1 tőkeinstrumentumok korlátját meghaladó érték olyan eszközként kezelhető, amely az AT1 tőkén belül a szerzett jogok alapján figyelembe vehető. | 
| 090 | 3.  A 2006/48/EK irányelv 57. cikkének e), f), g) vagy h) pontja értelmében figyelembe vett tételek, a 490. cikkben rögzített korlát alkalmazásával A CRR 484. cikkének (5) bekezdése | 
| 100 | 3.1.  Visszavásárlásra nem ösztönző tételek összesen A CRR 490. cikke | 
| 110 | 3.2.  Visszavásárlásra ösztönző, a szerzett jogok alapján figyelembe vett tételek A CRR 490. cikke | 
| 120 | 3.2.1.  Az adatszolgáltatás időpontja után érvényesíthető visszahívási opcióval rendelkező, a CRR 63. cikkében foglalt feltételeket a tényleges lejáratot követően teljesítő tételek A CRR 490. cikkének (3) bekezdése, valamint 491. cikkének a) pontja A feltüntetendő érték magában foglalja a kapcsolódó ázsiót. | 
| 130 | 3.2.2.  Az adatszolgáltatás időpontja után érvényesíthető visszahívási opcióval rendelkező, a CRR 63. cikkében foglalt feltételeket a tényleges lejáratot követően nem teljesítő tételek A CRR 490. cikkének (5) bekezdése, valamint 491. cikkének a) pontja A feltüntetendő érték magában foglalja a kapcsolódó ázsiót. | 
| 140 | 3.2.3.  2011. július 20-ig érvényesíthető visszahívási opcióval rendelkező, a CRR 63. cikkében foglalt feltételeket a tényleges lejáratot követően nem teljesítő tételek A CRR 490. cikkének (6) bekezdése, valamint 491. cikkének c) pontja A feltüntetendő érték magában foglalja a kapcsolódó ázsiót. | 
| 150 | 3.3.  A szerzett jogok alapján figyelembe vett AT1 tőkeinstrumentumok korlátját meghaladó érték A CRR 487. cikkének (2) bekezdése A szerzett jogok alapján figyelembe vett AT1 tőkeinstrumentumok korlátját meghaladó érték olyan eszközként kezelhető, amely a T2 tőkén belül a szerzett jogok alapján figyelembe vehető. | 
2. CSOPORTSZINTŰ SZAVATOLÓTŐKE-MEGFELELÉS: INFORMÁCIÓK A CSOPORTBA TARTOZÓ SZERVEZETEKRŐL (GS)
2.1. ÁLTALÁNOS MEGJEGYZÉSEK
26. A C 06.01-es és C 06.02-es táblán a szavatolótőke-követelmények konszolidált alapon történő számítása esetén kell adatot szolgáltatni. A C 06.02-es tábla négy részből áll, amelyek célja különböző információk gyűjtése a konszolidációs körbe bevont valamennyi szervezetről, ezen belül az adatot szolgáltató intézményről:
a) a konszolidáció körébe bevont szervezetek;
b) részletes információk a csoportszintű szavatolótőke-megfelelésről;
c) az egyes szervezeteknek a csoportszintű szavatolótőke-megfeleléshez való hozzájárulásával kapcsolatos információk;
d) a tőkepufferekkel kapcsolatos információk.
27. A CRR 7. cikke alapján mentesülő intézmények kizárólag a 010-060-as és 250-400-as oszlopban szolgáltatnak adatot.
28. A feltüntetett adatoknak figyelembe kell venniük a CRR összes olyan átmeneti rendelkezését, amely az adott adatszolgáltatási időpontban alkalmazandó volt.
2.2. RÉSZLETES INFORMÁCIÓK A CSOPORTSZINTŰ SZAVATOLÓTŐKE-MEGFELELÉSRŐL
29. A C 06.02 tábla második része (részletes információk a csoportszintű szavatolótőke-megfelelésről, 070-210-es oszlop) célja információk gyűjtése azon hitel- és egyéb szabályozott pénzügyi vállalkozásokról, amelyek egyedi alapon ténylegesen konkrét tőkemegfelelési követelmények hatálya alá tartoznak. Az adatszolgáltatás körébe tartozó valamennyi szervezetre vonatkozóan rögzíti az egyes kockázati kategóriák szavatolótőke-követelményeit, valamint a tőkemegfelelés megállapításához szükséges szavatolótőke mértékét.
30. A részesedések arányos konszolidálása esetében a szavatolótőke-követelményekkel és a szavatolótőkével kapcsolatos adatok az adott arányos összegeknek felelnek meg.
2.3. AZ EGYES SZERVEZETEKNEK A CSOPORTSZINTŰ SZAVATOLÓTŐKE-MEGFELELÉSHEZ VALÓ HOZZÁJÁRULÁSÁVAL KAPCSOLATOS INFORMÁCIÓK
31. A C 06.02 tábla harmadik része és a C 06.01 tábla (a CRR szerinti konszolidációs körbe vont egyes szervezeteknek - ezen belül azoknak, amelyekre egyedi alapon nem vonatkoznak konkrét tőkemegfelelési követelmények - a csoportszintű szavatolótőke-megfeleléshez való hozzájárulásával kapcsolatos információk, 250-400. oszlop) meghatározza, hogy a csoporton belül mely szervezetek generálják a kockázatokat és vonnak be szavatolótőkét a piacról, amelyhez a könnyen hozzáférhető vagy könnyen újrafeldolgozható adatokat használja fel a tőkemegfelelési mutató egyedi vagy szubkonszolidált alapon történő rekonstruálása nélkül. A szervezet szintjén a kockázatra és a szavatolótőkére vonatkozó adatok egyaránt a csoportszintű adatokhoz járulnak hozzá, és nem egyedi alapon számított szolvenciamutató részei, így egymással nem hasonlíthatók össze.
32. A harmadik rész ezenkívül magában foglalja a konszolidált szavatolótőkében figyelembe vehető, a kisebbségi részesedésekbe, AT1 tőkébe és T2 tőkébe beszámítható elemek összegét is.
33. Mivel a tábla harmadik része "hozzájárulásokat" említ, az itt feltüntetendő adatok adott esetben elmaradnak a csoportszintű szavatolótőke-megfeleléssel kapcsolatos részletes információkat tartalmazó oszlopokban megadott adatoktól.
34. A követendő alapelv szerint mind a kockázatok, mind a szavatolótőke szempontjából egységes módon kell kiküszöbölni az azonos csoporton belüli kölcsönös kitettségeket annak érdekében, hogy a csoport konszolidált CA táblában magadott értékek fedezete az egyes szervezetek csoportszintű szavatolótőke-megfelelésre vonatkozó táblában feltüntetett értékek hozzáadásával biztosítható legyen. Azokban az esetekben, amikor az 1 %-os küszöb túllépésére nem kerül sor, a CA táblához nem alkalmazható közvetlen kapcsolat.
35. Az intézményeknek meg kell határozniuk a szervezetek közötti legcélszerűbb felosztási módszert a piaci kockázatot és működési kockázatot érintő esetleges diverzifikációs hatások figyelembevétele céljából.
36. Egy konszolidált csoport magában foglalhat egy másik konszolidált csoportot. Ez azt jelenti, hogy a részcsoportba tartozó szervezetekről külön-külön kell adatot szolgáltatni a teljes csoport GS tábláján, még akkor is, ha a részcsoportra magára is vonatkoznak adatszolgáltatási követelmények. Az a részcsoport, amelyre adatszolgáltatási követelmények vonatkoznak, szintén benyújtja a GS táblát a csoportot alkotó minden egyes szervezetre vonatkozóan külön-külön, annak ellenére, hogy ezeket az adatokat tartalmazza a magasabb szinten konszolidált csoportra vonatkozó GS tábla.
37. Az intézmény egy szervezetnek a teljes kockázati kitettségértékhez való hozzájárulásáról adatot szolgáltat akkor, ha szervezet teljes kockázati kitettségértéke meghaladja a csoport teljes kockázati kitettségértékének 1 %-át, vagy ha a szervezet teljes szavatoló tőkéje meghaladja a csoport teljes szavatoló tőkéjének 1 %-át. Ez a küszöbérték nem alkalmazandó olyan leányvállalatok vagy alcsoportok esetében, amelyek kisebbségi részesedés vagy a szavatolótőke részét képező, az AT1 tőkébe vagy T2 tőkébe beszámítható instrumentumok formájában szavatolótőkét bocsátanak a csoport rendelkezésére.
2.4. C 06.01 - CSOPORTSZINTŰ SZAVATOLÓTŐKE-MEGFELELÉS: INFORMÁCIÓK A CSOPORTBA TARTOZÓ SZERVEZETEKRŐL - ÖSSZESEN (GS TOTAL)
| Oszlop | Útmutató | 
| 250–400 | A KONSZOLIDÁCIÓ KÖRÉBE BEVONT SZERVEZETEK Lásd a 06.02-es táblához tartozó útmutatót. | 
| 410-480 | TŐKEPUFFEREK Lásd a 06.02-es táblához tartozó útmutatót. | 
| Sor | Útmutató | 
| 010 | ÖSSZESEN Ebben a sorban a C 06.02-es tábla soraiban feltüntetett értékek összegét kell szerepeltetni. | 
2.5. C 06.02 - CSOPORTSZINTŰ SZAVATOLÓTŐKE-MEGFELELÉS: INFORMÁCIÓK A CSOPORTBA TARTOZÓ SZERVEZETEKRŐL (GS)
| Oszlop | Útmutató | 
| 010-060 | A KONSZOLIDÁCIÓ KÖRÉBE BEVONT SZERVEZETEK E tábla célja, hogy a CRR első része II. címének 2. fejezete szerinti konszolidációba bevont valamennyi szervezetről egyedileg gyűjtsön információkat. | 
| 010 | NÉV A konszolidáció körébe bevont szervezet neve. | 
| 020 | KÓD Ez a kód egy sorazonosító, amely a tábla minden egyes sorát egyedileg azonosítja. A konszolidáció körébe bevont szervezethez tartozó kód. A kód összetétele a nemzeti adatszolgáltatási rendszertől függ. | 
| 025 | LEI-KÓD A LEI a Pénzügyi Stabilitási Tanács (FSB) által referenciakódként javasolt, a G20 által elfogadott jogalany-azonosító, amely a pénzügyi tranzakciókban részt vevő felek egyedi és globális azonosítására szolgál. A LEI-rendszer teljeskörű bevezetéséig a tranzakciós partnerekhez előzetes LEI kódot rendel a Szabályozói Felügyeleti Bizottság (ROC) által jóváhagyott Helyi Operatív Egység (LOU) (részletes információk a következő weboldalon találhatók: www.leiroc.org). Ha egy adott partner rendelkezik LEI-kóddal, akkor ezt a kódot kell feltüntetni a partner azonosítására. | 
| 030 | INTÉZMÉNY VAGY ANNAK MEGFELELŐ (IGEN/NEM) Az IGEN értéket kell megadni akkor, ha a szervezetre a CRR és a CRD szerinti szavatolótőke-követelmények, vagy legalább a Bázel-szabályokkal egyenértékű rendelkezések vonatkoznak. Egyéb esetben a NEM értéket kell megadni. [Kép #1] Kisebbségi részesedések: A CRR 81. cikke (1) bekezdése a) pontjának ii. alpontja, valamint 82. cikke (1) bekezdése a) pontjának ii. alpontja A kisebbségi részesedések, valamint a leányvállalatok által kibocsátott AT1 tőke és T2 tőkeinstrumentumok szempontjából az olyan leányvállalatok instrumentumai vehetők figyelembe, amelyek az alkalmazandó nemzeti jognál fogva a CRR követelményeinek hatálya alá tartozó intézmények vagy vállalkozások. | 
| 035 | SZERVEZET TÍPUSA A szervezet típusát a következő kategóriák alapján kell feltüntetni: a) hitelintézet A CRR 4. cikke (1) bekezdésének 1. pontja; b) befektetési vállalkozás A CRR 4. cikke (1) bekezdésének 2. pontja; c) pénzügyi intézmény (egyéb) A CRR 4. cikke (1) bekezdésének 20., 21. és 26. pontja; A CRR 4. cikke (1) bekezdésének 26. pontja szerinti pénzügyi intézmények, amelyek a d), f) vagy g) kategória egyikébe sem tartoznak; d) (vegyes) pénzügyi holdingtársaság A CRR 4. cikke (1) bekezdésének 20. és 21. pontja; e) kiegészítő szolgáltatásokat nyújtó (járulékos) vállalkozás A CRR 4. cikke (1) bekezdésének 18. pontja; f) különleges célú gazdasági egység A CRR 4. cikke (1) bekezdésének 66. pontja; g) fedezettkötvény-társaság Fedezett kötvények kibocsátása vagy fedezett kötvény fedezetéül szolgáló biztosíték tartása céljából létrehozott szervezet, ha a fenti a), b) vagy d)–f) kategóriák egyikébe sem tartozik; h) egyéb típusú szervezet Az a)–g) pontban említettektől eltérő szervezet. Amennyiben valamely szervezet nem tartozik a CRR és a CRD hatálya alá, de a bázeli előírásokkal legalább egyenértékű előírások hatálya alá tartozik, a vonatkozó kategóriát a legnagyobb gondosság elve alapján kell meghatározni. | 
| 040 | AZ ADATOK TERJEDELME: EGYEDI ALAPON TELJESKÖRŰEN KONSZOLIDÁLT (SF) VAGY EGYEDI ALAPON RÉSZLEGESEN KONSZOLIDÁLT (SP) Az SF értéket teljeskörűen konszolidált egyedi leányvállalatok esetében kell megadni. Az SP értéket részlegesen konszolidált egyedi leányvállalatok esetében kell megadni. | 
| 050 | ORSZÁGKÓD Az intézményeknek a kétbetűs országkódot az ISO 3166-2 szabvány szerint kell megadniuk. | 
| 060 | RÉSZESEDÉS ARÁNYA (%) Az anyavállalat által a leányvállalatokban birtokolt tényleges tőkerészesedés. Közvetlen leányvállalat teljeskörű konszolidálása esetében a tényleges részesedés pl. 70 %. A CRR 4. cikke (1) bekezdése 16. pontjának megfelelően egy leányvállalatban birtokolt, feltüntetendő részesedés az érintett leányvállalatok közötti részesedések szorzataként adódik. | 
| 070–240 | SZAVATOLÓTŐKE-KÖVETELMÉNY HATÁLYA ALÁ TARTOZÓ SZERVEZETEKKEL KAPCSOLATOS INFORMÁCIÓK A részletes információkat tartalmazó rész (070–240-es oszlop) kizárólag az olyan szervezetekről és alcsoportokról gyűjt információkat, amelyekre – mivel a CRR első része II. címének 2. fejezete szerinti konszolidáció körébe tartoznak – a CRR-ben meghatározott tőkemegfelelési követelmények, vagy legalább a Bázel-szabályokkal egyenértékű rendelkezések ténylegesen vonatkoznak (vagyis amelyeknél a 030-as oszlop értéke „igen”). Egy konszolidált csoporton belüli valamennyi olyan egyedi intézményről, amelyre szavatolótőke-követelmények vonatkoznak, az intézmény helyétől függetlenül információt kell adni. Az ebben a részben megadott adatoknak tükrözniük kell az intézmény tevékenységének helye szerinti tőkemegfelelési szabályokat (ezért ehhez a táblához nem szükséges egyedi alapon az anyaintézmény szabályai szerinti kettős számítást végezni). A CRR-től eltérő helyi tőkemegfelelési szabályok esetén hasonló felosztás hiányában az információkat akkor kell megadni, ha a megfelelő tagoltságú adatok rendelkezésre állnak. Ez a rész tehát olyan konkrét adatokat tartalmazó tábla, amely a csoport egyedi intézményei által elvégzendő számításokat összegzi, figyelembe véve azt, hogy az intézmények közül egyesekre eltérő tőkemegfelelési szabályok vonatkozhatnak. Adatszolgáltatás a befektetési vállalkozások fix működési költségeiről: A befektetési vállalkozásoknak meg kell adniuk a tőkemegfelelési mutató CRR 95., 96., 97. és 98. cikke szerinti számításában figyelembe vett fix működési költségekkel kapcsolatos szavatolótőke-követelményeket. A teljes kockázati kitettségértéknek a fix működési költségekhez kapcsolódó részét e tábla 2. részének 100. oszlopában kell megadni. | 
| 070 | TELJES KOCKÁZATI KITETTSÉGÉRTÉK A 080–110-es oszlopok összegét kell megadni. | 
| 080 | HITELKOCKÁZAT; PARTNERKOCKÁZAT; FELHÍGULÁSI KOCKÁZAT, NYITVA SZÁLLÍTÁSOK, ELSZÁMOLÁSI/TELJESÍTÉSI KOCKÁZAT Az ebben az oszlopban feltüntetendő érték a CA2 tábla 040. sorában (HITELKOCKÁZATRA, PARTNERKOCKÁZATRA ÉS FELHÍGULÁSI KOCKÁZATRA, VALAMINT NYITVA SZÁLLÍTÁSOKRA VONATKOZÓ, KOCKÁZATTAL SÚLYOZOTT KITETTSÉGÉRTÉKEK) feltüntetendő értékekkel megegyező vagy egyenértékű kockázattal súlyozott kitettségértékeknek, valamint a 490. sorában (AZ ELSZÁMOLÁSI/TELJESÍTÉSI KOCKÁZAT TELJES KOCKÁZATI KITETTSÉGÉRTÉKE) feltüntetendő értékekkel megegyező vagy egyenértékű szavatolótőkekövetelmény-összegeknek az összege. | 
| 090 | POZÍCIÓKOCKÁZAT, DEVIZAÁRFOLYAM-KOCKÁZAT ÉS ÁRUKOCKÁZAT Az ebben az oszlopban feltüntetendő érték a CA2-es tábla 520-as sorában (A POZÍCIÓKOCKÁZAT, DEVIZAÁRFOLYAM-KOCKÁZAT ÉS ÁRUKOCKÁZAT TELJES KOCKÁZATI KITETTSÉGÉRTÉKE) megadott összeggel megegyező vagy egyenértékű tőkekövetelmény-összeg. | 
| 100 | MŰKÖDÉSI KOCKÁZAT Az ebben az oszlopban feltüntetendő érték a CA2-es tábla 590-es sorában (MŰKÖDÉSI KOCKÁZAT (OpR) TELJES KOCKÁZATI KITETTSÉGÉRTÉKE) megadott összeggel megegyező vagy egyenértékű kitettségérték. Ebben az oszlopban kell megadni a fix működési költségeket, ezen belül a CA2-es tábla 630-as sorának értékét (FIX MŰKÖDÉSI KÖLTSÉGEKBŐL EREDŐ PÓTLÓLAGOS KOCKÁZATI KITETTSÉGÉRTÉK). | 
| 110 | EGYÉB KOCKÁZATI KITETTSÉGÉRTÉKEK Az ebben az oszlopban feltüntetendő érték az előzőekben külön nem említett kitettségértékeket foglalja magában. A CA2-es tábla 640-es, 680-as és 690-es sorában megadott értékek összege. | 
| 120-240 | RÉSZLETES INFORMÁCIÓK A CSOPORTSZINTŰ SZAVATOLÓTŐKE-MEGFELELÉSRŐL Az alábbi oszlopokban feltüntetett információk tükrözik azon tagállam helyi tőkemegfelelési szabályait, ahol a szervezet vagy alcsoport tevékenységi helye van. | 
| 120 | SZAVATOLÓTŐKE Az ebben az oszlopban feltüntetendő érték a CA1-es tábla 010-es sorában (SZAVATOLÓTŐKE) megadott összeggel megegyező vagy egyenértékű szavatolótőke-összeg. | 
| 130 | EBBŐL: A SZAVATOLÓTŐKÉBE BESZÁMÍTHATÓ A CRR 82. cikke Az oszlop csak az egyedi adatszolgáltatás hatálya alá tartozó, teljes mértékben konszolidált intézményi leányvállalatok adatait tartalmazza. A fenti leányvállalatok esetében befolyásoló részesedésnek minősülnek a vállalkozásokon kívüli és a CRR szerinti konszolidáció körébe bevont személyek tulajdonában álló instrumentumok, valamint az ezekhez kapcsolódó eredménytartalékok, ázsió és egyéb tartalékok. A feltüntetendő érték magában foglalja az átmeneti rendelkezések hatásait. Az adatszolgáltatás időpontjában figyelembe vehető összeg. | 
| 140 | KAPCSOLÓDÓ SZAVATOLÓTŐKE-INSTRUMENTUMOK, KAPCSOLÓDÓ EREDMÉNYTARTALÉKOK, NÉVÉRTÉKEN FELÜLI BEFIZETÉSEK ÉS EGYÉB TARTALÉKOK A CRR 87. cikke (1) bekezdésének b) pontja | 
| 150 | T1 TŐKE ÖSSZESEN A CRR 25. cikke | 
| 160 | EBBŐL: A T1 TŐKÉBE BESZÁMÍTHATÓ A CRR 82. cikke Az oszlop csak az egyedi adatszolgáltatás hatálya alá tartozó, teljes mértékben konszolidált intézményi leányvállalatok adatait tartalmazza. A fenti leányvállalatok esetében befolyásoló részesedésnek minősülnek a CRR szerinti konszolidáció körébe bevont vállalkozásokon kívüli személyek tulajdonában álló instrumentumok, valamint az ezekhez kapcsolódó eredménytartalékok és ázsió. A feltüntetendő érték magában foglalja az átmeneti rendelkezések hatásait. Az adatszolgáltatás időpontjában figyelembe vehető összeg. | 
| 170 | KAPCSOLÓDÓ T1 INSTRUMENTUMOK, KAPCSOLÓDÓ EREDMÉNYTARTALÉKOK ÉS NÉVÉRTÉKEN FELÜLI BEFIZETÉSEK A CRR 85. cikke (1) bekezdésének b) pontja | 
| 180 | CET1 TŐKE A CRR 50. cikke | 
| 190 | EBBŐL: KISEBBSÉGI RÉSZESEDÉSEK A CRR 81. cikke Az oszlop kizárólag a teljeskörűen konszolidált intézményi leányvállalatok adatait tartalmazza, a CRR 84. cikkének (3) bekezdésében említett leányvállalatok kivételével. A CRR 84. cikkében előírt valamennyi számítás szempontjából az egyes leányvállalatokat adott esetben a 84. cikk (2) bekezdésének megfelelően szubkonszolidált alapon, egyéb esetekben egyedi alapon kell figyelembe venni. A fenti leányvállalatok esetében befolyásoló kisebbségi részesedésnek minősülnek a CRR szerinti konszolidáció körébe bevont vállalkozásokon kívüli személyek tulajdonában álló CET1 tőkeinstrumentumok, valamint az ezekhez kapcsolódó eredménytartalékok és ázsió. A feltüntetendő érték magában foglalja az átmeneti rendelkezések hatásait. Az adatszolgáltatás időpontjában figyelembe vehető összeg. | 
| 200 | KAPCSOLÓDÓ SZAVATOLÓTŐKE-INSTRUMENTUMOK, KAPCSOLÓDÓ EREDMÉNYTARTALÉKOK, NÉVÉRTÉKEN FELÜLI BEFIZETÉSEK ÉS EGYÉB TARTALÉKOK A CRR 84. cikke (1) bekezdésének b) pontja | 
| 210 | AT1 TŐKE A CRR 61. cikke | 
| 220 | EBBŐL: AZ AT1 TŐKÉBE BESZÁMÍTHATÓ A CRR 82. és 83. cikke Az oszlop kizárólag a teljeskörűen konszolidált intézményi leányvállalatok adatait tartalmazza, a CRR 85. cikkének (2) bekezdésében említett leányvállalatok kivételével. A CRR 85. cikkében előírt valamennyi számítás szempontjából az egyes leányvállalatokat adott esetben a 85. cikk (2) bekezdésének megfelelően szubkonszolidált alapon, egyéb esetekben egyedi alapon kell figyelembe venni. A fenti leányvállalatok esetében kisebbségi részesedésnek minősülnek a CRR szerinti konszolidáció körébe bevont vállalkozásokon kívüli személyek tulajdonában álló AT1 tőkeinstrumentumok, valamint az ezekhez kapcsolódó eredménytartalékok és ázsió. A feltüntetendő érték magában foglalja az átmeneti rendelkezések hatásait. Az adatszolgáltatás időpontjában figyelembe vehető összeg. | 
| 230 | T2 TŐKE A CRR 71. cikke | 
| 240 | EBBŐL: A T2 TŐKÉBE BESZÁMÍTHATÓ A CRR 82. és 83. cikke Az oszlop csak a teljes mértékben konszolidált intézményi leányvállalatok adatait tartalmazza, a CRR 87. cikkének (2) bekezdésében említett leányvállalatok kivételével. A CRR 87. cikkében előírt valamennyi számítás szempontjából az egyes leányvállalatokat a CRR 87. cikke (2) bekezdésének alkalmazásakor szubkonszolidált alapon, egyéb esetekben egyedi alapon kell figyelembe venni. A fenti leányvállalatok esetében kisebbségi részesedésnek minősülnek a CRR szerinti konszolidáció körébe bevont vállalkozásokon kívüli személyek tulajdonában álló T2 tőkeinstrumentumok, valamint az ezekhez kapcsolódó eredménytartalékok és ázsió. A feltüntetendő érték magában foglalja az átmeneti rendelkezések hatásait, vagyis az az adatszolgáltatás időpontjában figyelembe vehető összeg. | 
| 250–400 | AZ EGYES SZERVEZETEKNEK A CSOPORTSZINTŰ SZAVATOLÓTŐKE-MEGFELELÉSHEZ VALÓ HOZZÁJÁRULÁSÁVAL KAPCSOLATOS INFORMÁCIÓK | 
| 250-290 | KOCKÁZATI HOZZÁJÁRULÁS Az alábbi oszlopokban feltüntetett információkat az adatot szolgáltató intézményre vonatkozó tőkemegfelelési szabályok alapján kell megadni. | 
| 250 | TELJES KOCKÁZATI KITETTSÉGÉRTÉK A 260–290. oszlopok összegét kell megadni. | 
| 260 | HITELKOCKÁZAT; PARTNERKOCKÁZAT; FELHÍGULÁSI KOCKÁZAT, NYITVA SZÁLLÍTÁSOK, ELSZÁMOLÁSI/TELJESÍTÉSI KOCKÁZAT A feltüntetendő érték a kockázattal súlyozott hitelkockázati kitettségérték, valamint az elszámolási/teljesítési kockázatra vonatkozó, CRR szerinti szavatolótőke-követelmények összege, a más szervezetekkel bonyolított ügyletekhez kapcsolódó, a csoportszintű konszolidált szolvenciamutató kiszámításakor figyelembe vett összegek nélkül. | 
| 270 | POZÍCIÓKOCKÁZAT, DEVIZAÁRFOLYAM-KOCKÁZAT ÉS ÁRUKOCKÁZAT A piaci kockázatra vonatkozó kockázati kitettségértékeket az egyes szervezetek szintjén a CRR szerint kell kiszámítani. A szervezeteknek a pozíciókockázat, devizaárfolyam-kockázat és árukockázat csoportszintű teljes kockázati kitettségértékéhez való hozzájárulásukat kell megadniuk. Az itt feltüntetendő érték megegyezik a konszolidált jelentés 520-as sorában (A POZÍCIÓKOCKÁZAT, DEVIZAÁRFOLYAM-KOCKÁZAT ÉS ÁRUKOCKÁZAT TELJES KOCKÁZATI KITETTSÉGÉRTÉKE) megadott összeggel. | 
| 280 | MŰKÖDÉSI KOCKÁZAT Fejlett mérési módszerek (AMA) alkalmazásakor a működési kockázatra vonatkozóan megadott kockázati kitettségértékeknek magukban kell foglalniuk a diverzifikáció hatásait is. A fix működési költségeket ebben az oszlopban kell feltüntetni. | 
| 290 | EGYÉB KOCKÁZATI KITETTSÉGÉRTÉKEK Az ebben az oszlopban feltüntetendő érték a fentiekben felsoroltaktól eltérő kockázatokhoz kapcsolódó kitettségértékeket foglalja magában. | 
| 300–400 | HOZZÁJÁRULÁS A SZAVATOLÓTŐKÉHEZ A tábla e része nem írja elő az intézmények számára, hogy az egyes szervezetek szintjén teljeskörűen kiszámítsák a tőkemegfelelési mutatót. A 300–350. oszlopot azon konszolidált szervezetek esetében kell kitölteni, amelyek a szavatolótőkéhez kisebbségi részesedéssel, a T1 tőkébe beszámítható vagy a szavatolótőkébe beszámítható tőkével járulnak hozzá. A II. rész 2.3. fejezetének utolsó bekezdésében említett küszöbérték függvényében a 360–400. oszlopot minden olyan konszolidált szervezetre vonatkozóan ki kell tölteni, amely hozzájárul a konszolidált szavatolótőkéhez. Egy szervezet számára az adatszolgáltató intézmény körébe vont egyéb szervezetek által biztosított szavatolótőke nem vehető figyelembe; az oszlopban kizárólag a csoport szavatolótőkéjéhez való nettó hozzájárulás, főként a harmadik felektől és a felhalmozott tartalékokból származó szavatolótőke adható meg. Az alábbi oszlopokban feltüntetett információkat az adatot szolgáltató intézményre vonatkozó tőkemegfelelési szabályok alapján kell megadni. | 
| 300–350 | A KONSZOLIDÁLT SZAVATOLÓTŐKE RÉSZÉT KÉPEZŐ, A SZAVATOLÓTŐKÉBE BESZÁMÍTHATÓ TŐKE A „KONSZOLIDÁLT SZAVATOLÓTŐKE RÉSZÉT KÉPEZŐ, A SZAVATOLÓTŐKÉBE BESZÁMÍTHATÓ TŐKE” alatt feltüntetendő érték a CRR második részének II. címéből származó összeg, a csoport más szervezetei által rendelkezésre bocsátott források nélkül. | 
| 300 | A KONSZOLIDÁLT SZAVATOLÓTŐKE RÉSZÉT KÉPEZŐ, A SZAVATOLÓTŐKÉBE BESZÁMÍTHATÓ TŐKE A CRR 87. cikke | 
| 310 | A KONSZOLIDÁLT T1 TŐKE RÉSZÉT KÉPEZŐ, A T1 TŐKÉBE BESZÁMÍTHATÓ INSTRUMENTUMOK A CRR 85. cikke | 
| 320 | A KONSZOLIDÁLT CET1 TŐKE RÉSZÉT KÉPEZŐ KISEBBSÉGI RÉSZESEDÉSEK A CRR 84. cikke A feltüntetendő érték a leányvállalat kisebbségi részesedésének CRR szerint a konszolidált CET1 tőkébe beszámított összege. | 
| 330 | A KONSZOLIDÁLT AT1 TŐKE RÉSZÉT KÉPEZŐ, A T1 TŐKÉBE BESZÁMÍTHATÓ INSTRUMENTUMOK A CRR 86. cikke A feltüntetendő érték a leányvállalat T1 tőkébe beszámítható tőkéjének, a CRR szerint a konszolidált AT1 tőkébe beszámított összege. | 
| 340 | A KONSZOLIDÁLT T2 TŐKE RÉSZÉT KÉPEZŐ, A SZAVATOLÓTŐKÉBE BESZÁMÍTHATÓ INSTRUMENTUMOK A CRR 88. cikke A feltüntetendő érték a leányvállalat szavatolótőkébe beszámítható tőkéjének, a CRR szerint a konszolidált T2 tőkébe beszámított összege. | 
| 350 | TÁJÉKOZTATÓ ADAT: (–) CÉGÉRTÉK/(+) NEGATÍV CÉGÉRTÉK | 
| 360–400 | KONSZOLIDÁLT SZAVATOLÓTŐKE A CRR 18. cikke A „KONSZOLIDÁLT SZAVATOLÓTŐKE” alatt feltüntetendő érték a mérlegből származó összeg, a csoport más szervezetei által rendelkezésre bocsátott források nélkül. | 
| 360 | KONSZOLIDÁLT SZAVATOLÓTŐKE | 
| 370 | EBBŐL: CET1 TŐKE | 
| 380 | EBBŐL: AT1 TŐKE | 
| 390 | EBBŐL: HOZZÁJÁRULÁS A KONSZOLIDÁLT EREDMÉNYHEZ Itt az egyes szervezeteknek a konszolidált eredményhez való hozzájárulását (nyereség vagy (–) veszteség) kell feltüntetni. Ez magában foglalja a kisebbségi részesedéseknek tulajdonítható eredményt is. | 
| 400 | EBBŐL: (–) CÉGÉRTÉK/(+) NEGATÍV CÉGÉRTÉK Itt az adatszolgáltató intézménynek a leányvállalatban meglévő cégértékét vagy negatív cégértékét kell feltüntetni. | 
| 410-480 | TŐKEPUFFEREK A GS táblában a tőkepufferekkel kapcsolatos adatszolgáltatás szerkezete a CA4-es tábla általános felépítését követi, és azzal azonos adatszolgáltatási fogalmakat alkalmaz. A GS táblában a tőkepufferekkel kapcsolatos adatszolgáltatás során a megfelelő összegeket a csoport konszolidált helyzetére vonatkozó pufferkövetelmény meghatározására alkalmazandó rendelkezéseknek megfelelően kell feltüntetni. Ezért a tőkepufferek feltüntetett összegei az egyes szervezeteknek a csoportszintű tőkepufferekhez való hozzájárulását jelentik. A feltüntetett összegek a CRD-t átültető nemzeti intézkedéseken és a CRR-n alapulnak, beleértve minden azokban foglalt átmeneti rendelkezést is. | 
| 410 | KOMBINÁLT PUFFERKÖVETELMÉNY A CRD 128. cikkének 6. pontja | 
| 420 | TŐKEFENNTARTÁSI PUFFER A CRD 128. cikkének 1. pontja és 129. cikke A CRD 129. cikkének (1) bekezdése szerint a tőkefenntartási puffer CET1 tőkén felüli CET1 tőkeelemekből áll. Mivel a tőkefenntartási puffer 2,5 %-os mértéke állandó, ebben a cellában összeget kell feltüntetni. | 
| 430 | INTÉZMÉNYSPECIFIKUS ANTICIKLIKUS TŐKEPUFFER A CRD 128. cikkének 2. pontja, valamint 130. és 135–140. cikke Ebben a cellában az anticiklikus puffer konkrét összegét kell megadni. | 
| 440 | A TAGÁLLAMOK SZINTJÉN AZONOSÍTOTT MAKROPRUDENCIÁLIS VAGY RENDSZERKOCKÁZATOKRA KÉPZETT FENNTARTÁSI PUFFER A CRR 458. cikke (2) bekezdése d) pontjának iv. alpontja Ebben a cellában a tagállamok szintjén azonosított makroprudenciális vagy rendszerkockázatokra képzett fenntartási puffer értékét kell feltüntetni, amely a CRR 458. cikkével összhangban a tőkefenntartási pufferen felül kérhető. | 
| 450 | RENDSZERKOCKÁZATI TŐKEPUFFER A CRD 128. cikkének 5. pontja, valamint 133. és 134. cikke Ebben a cellában a rendszerkockázati tőkepuffer összegét kell megadni. | 
| 470 | GLOBÁLISAN RENDSZERSZINTEN JELENTŐS INTÉZMÉNYEKRE VONATKOZÓ TŐKEPUFFER A CRD 128. cikkének 3. pontja és 131. cikke Ebben a cellában a globális rendszerszinten jelentős intézményekre vonatkozó tőkepuffer összegét kell megadni. | 
| 480 | EGYÉB RENDSZERSZINTEN JELENTŐS INTÉZMÉNYEKRE VONATKOZÓ TŐKEPUFFER A CRD 128. cikkének 4. pontja és 131. cikke Ebben a cellában az egyéb rendszerszinten jelentős intézményekre vonatkozó tőkepuffer összegét kell megadni. | 

Kép #1
3. HITELKOCKÁZATI TÁBLACSOPORT
3.1. ÁLTALÁNOS MEGJEGYZÉSEK
38. A hitelkockázat kiszámításakor alkalmazott sztenderd módszerhez és IRB-módszerhez külön táblacsoport tartozik. Emellett az ezen végrehajtási rendelet 5. cikk a) pontjának 4. alpontjában rögzített küszöbérték túllépése esetén a hitelkockázattal érintett pozíciók földrajzi bontásához külön táblákon kell adatot szolgáltatni.
3.1.1. Helyettesítési hatással járó hitelkockázat-mérséklési technikák
39. A CRR 235. cikke az előre nem rendelkezésre bocsátott hitelkockázati fedezettel teljes mértékben fedezett kitettség számítási módját mutatja be.
40. A CRR 236. cikke az előre nem rendelkezésre bocsátott hitelkockázati fedezettel teljes mértékben/részlegesen fedezett kitettség számítási módját mutatja be (a veszteségviselési rangsorban azonos hely).
41. A CRR 196., 197. és 200. cikke az előre rendelkezésre bocsátott hitelkockázati fedezetet szabályozza.
42. Az azonos kitettségi osztályba tartozó kötelezettekkel (közvetlen partnerekkel) és fedezetnyújtókkal szembeni kitettségek adatszolgáltatásának tartalmaznia kell az adott kitettségi osztályt érintő be- és kiáramlásokat egyaránt.
43. Az előre nem rendelkezésre bocsátott hitelkockázati fedezet miatt a kitettség típusa nem változik.
44. Az előre nem rendelkezésre bocsátott hitelkockázati fedezettel rendelkező kitettség esetében a fedezett részt kiáramlásként kell figyelembe venni pl. a kötelezett kitettségi osztályában, és beáramlásként a fedezetnyújtó kitettségi osztályában. A kitettség típusa azonban a kitettségi osztály változása következtében nem módosul.
45. A COREP adatszolgáltatási rendszerben megjelenő helyettesítési hatás a kitettség fedezett részére ténylegesen alkalmazandó kockázati súlyozást tükrözi. Így a kitettségek fedezett részének kockázati súlyozása a sztenderd módszer szerint történik, és arról a CR SA táblán kell adatot szolgáltatni.
3.1.2. A partnerkockázattal kapcsolatos adatszolgáltatás
46. A partnerkockázati pozíciókból eredő kitettségeket a CR SA vagy CR IRB táblákon kell feltüntetni attól függetlenül, hogy azokat a banki könyvben vagy a kereskedési könyvben tartják nyilván.
3.2. C 07.00 - HITELKOCKÁZAT, PARTNERKOCKÁZAT ÉS NYITVA SZÁLLÍTÁSOK: A SZTENDERD MÓDSZER SZERINTI TŐKEKÖVETELMÉNY (CR SA)
3.2.1. Általános megjegyzések
47. A CR SA táblák a hitelkockázat szavatolótőke-követelményének sztenderd módszer szerinti kiszámításához szükséges információkat tartalmazzák. Különösen az alábbiakról tartalmaznak részletes információkat:
a) a kitettségértékek különböző kitettségtípusok, kockázati súlyok és kitettségi osztályok szerinti megoszlása;
b) a kockázatok mérséklésére alkalmazott hitelkockázat-mérséklési technikák mértéke és típusa.
3.2.2. A CR SA tábla alkalmazási köre
48. A CRR 112. cikke szerint minden SA kitettséget a 16 SA kitettségi osztály valamelyikébe kell sorolni a szavatolótőke-követelmény kiszámításához.
49. A CR SA táblán feltüntetett adatokra a kitettségi osztályok összegzésében, valamint a sztenderd módszer szerint meghatározott egyes kitettségi osztályokban van szükség. Az összesített adatokat és az egyes kitettségi osztályokban szereplő információkat külön dimenzióban kell megadni.
50. Az alábbi pozíciók azonban nem tartoznak a CR SA alkalmazási körébe:
a) a CRR 112. cikkének m) pontjában említett "értékpapírosítási pozíciókat megtestesítő tételek" kitettségi osztályba sorolt kitettségek, amelyekről a CR SEC táblákon kell adatot szolgáltatni;
b) a szavatolótőkéből levont kitettségek.
51. A CR SA tábla alkalmazási köre az alábbi szavatolótőke-követelményekre terjed ki:
a) a banki könyvben nyilvántartott, a CRR harmadik része II. címének 2. fejezete (Sztenderd módszer) szerinti hitelkockázat, ezen belül a banki könyvben nyilvántartott, a CRR harmadik része II. címének 6. fejezete (Partnerkockázat) szerinti partnerkockázat;
b) a kereskedési könyvben nyilvántartott, a CRR harmadik része II. címének 6. fejezete (Partnerkockázat) szerinti partnerkockázat;
c) a CRR 379. cikke szerinti nyitva szállításokból eredő elszámolási kockázat az üzleti tevékenységek teljes körére vonatkozóan.
52. A tábla alkalmazási köre minden olyan kitettségre kiterjed, amelynek szavatolótőke-követelményét a CRR harmadik része II. címének 2., valamint 4. és 6. fejezete szerint kell kiszámítani. A CRR 94. cikkének (1) bekezdését alkalmazó intézményeknek ezen a táblán kell adatot szolgáltatniuk a kereskedési könyvi pozícióikról is akkor, ha az azokra vonatkozó szavatolótőke-követelményeket a CRR harmadik része II. címének 2. fejezete (a CRR harmadik része II. címének 2. és 6. fejezete és V. címe) alapján számítják ki. Ebből adódóan a tábla nem csupán a kitettség típusáról nyújt részletes tájékoztatást (pl. mérlegtételek/mérlegen kívüli tételek), hanem a kockázati súlyoknak az adott kitettségi osztályon belüli eloszlásáról is.
53. Ezenkívül a CR SA táblában a 290-320. sorok további tájékoztató adatokat tartalmaznak az ingatlanra bejegyzett zálogjoggal fedezett kitettségekről, valamint a nemteljesítő kitettségekről.
54. Ezeket a tájékoztató adatokat kizárólag az alábbi kitettségi osztályokra vonatkozóan kell megadni:
a) központi kormányzatok vagy központi bankok (a CRR 112. cikkének a) pontja);
b) regionális kormányzatok vagy helyi hatóságok (a CRR 112. cikkének b) pontja);
c) közszektorbeli intézmények (a CRR 112. cikkének c) pontja);
d) intézmények (a CRR 112. cikkének f) pontja);
e) vállalkozások (a CRR 112. cikkének g) pontja);
f) lakosság (a CRR 112. cikkének h) pontja).
55. A tájékoztató adatok megadása sem a CRR 112. cikkének a)-c) és f)-h) pontjában említett kitettségi osztályok, sem pedig a CR SA táblán feltüntetett, a CRR 112. cikkének i) és j) pontjában említett kitettségi osztályok kockázattal súlyozott kitettségértékének kiszámítását nem érinti.
56. A tájékoztató sorok kiegészítő információkat nyújtanak a "nemteljesítő" és "ingatlanra bejegyzett zálogjoggal fedezett" kitettségi osztályok kötelezetti struktúrájáról. E sorokban azokat a kitettségeket kell megadni, amelyeknél a kötelezetteket a CR SA tábla "központi kormányzatok vagy központi bankok", "regionális kormányzatok vagy helyi hatóságok", "közszektorbeli intézmények", "intézmények", "vállalkozások" és "lakosság" kitettségi osztályaiba kellene sorolni akkor, ha a kitettségek nem a "nemteljesítő" vagy "ingatlanra bejegyzett zálogjoggal fedezett" kitettségi osztályba tartoznának. Mindazonáltal a megadott számadatoknak meg kell egyezniük a "nemteljesítő" és "ingatlanra bejegyzett zálogjoggal fedezett" kitettségi osztályok kockázattal súlyozott kitettségértékeinek számításához használt adatokkal.
57. Pl. egy olyan kitettség esetében, amelynek kitettségértékeit a CRR 127. cikke alapján számítják ki 20 % alatti értékelési korrekció mellett, ezt az információt a CR SA 320. sorában az összesített adatok között, valamint a "nemteljesítő" kitettségi osztályban kell feltüntetni. Ha ugyanez a kitettség a nemteljesítést megelőzően intézménnyel szembeni kitettség volt, akkor ezt az információt az "intézmények" kitettségi osztály 320. sorában is fel kell tüntetni.
3.2.3. A kitettségek kitettségi osztályba sorolása a sztenderd módszerrel
58. A kitettségeknek a CRR 112. cikkében említett különböző kitettségi osztályokba történő következetes besorolása érdekében az alábbi lépcsőzetes módszert kell alkalmazni:
a) első lépésben a hitel-egyenértékesítési tényezők előtti eredeti kitettséget a CRR 112. cikkében említettek közül a megfelelő (eredeti) kitettségi osztályba kell sorolni attól függetlenül, hogy az egyes kitettségek a besorolásuk szerinti kitettségi osztályban milyen kockázati súlyt kapnak;
b) második lépésben a kitettségek a rájuk helyettesítési hatást kifejtő hitelkockázat-mérséklési (CRM) technikák (garanciák, hitelderivatívák, a pénzügyi biztosítékok egyszerű módszere) be- és kiáramlás formájában történő alkalmazásából eredően átsorolhatók más kitettségi osztályokba.
59. A hitel-egyenértékesítési tényezők előtti eredeti kitettségnek a különböző kitettségi osztályokba sorolására (első lépés) - függetlenül a kitettségre helyettesítési hatással járó hitelkockázat-mérséklési technikák alkalmazása miatti későbbi átsorolástól, valamint attól, hogy az egyes kitettségek a besorolásuk szerinti kitettségi osztályban milyen kockázati súlyt kapnak - az alábbi kritériumok vonatkoznak.
60. A hitel-egyenértékesítési tényezők előtti eredeti kitettségnek az első lépésben történő besorolása céljából a kitettséghez kapcsolódó hitelkockázat-mérséklési technikák nem vehetők figyelembe (részletes vizsgálatukra a második lépésben kerül sor), kivéve akkor, ha a fedezeti hatást a kitettségi osztály meghatározása magában foglalja, mint a CRR 112. cikkének i) pontjában említett kitettségi osztály esetében (ingatlanra bejegyzett zálogjoggal fedezett kitettségek).
61. A CRR 112. cikke nem rögzíti a kitettségi osztályok különválasztásának kritériumait. Ez azt jelentheti, hogy egy adott kitettség különböző kitettségi osztályokba lenne esetleg sorolható akkor, ha a besorolásra vonatkozó értékelési kritériumokat nem rangsorolják. Ennek legnyilvánvalóbb esete a rövid távú hitelminősítéssel rendelkező intézményekkel és vállalkozásokkal szembeni kitettségek (a CRR 112. cikkének n) pontja), illetve az intézményekkel szembeni kitettségek (a CRR 112. cikkének f) pontja) vagy vállalkozásokkal szembeni kitettségek (a CRR 112. cikkének g) pontja) besorolása. Ebben az esetben egyértelmű, hogy a CRR burkoltan rangsorol, mivel először annak értékelésére kerül sor, hogy egy bizonyos kitettség az intézményekkel és vállalkozásokkal szembeni rövid távú kitettségek közé sorolható-e, és csak ezután értékelhető, hogy a kitettség intézményekkel vagy vállalkozásokkal szemben áll-e fenn. Magától értetődik, hogy egyébként a CRR 112. cikkének n) pontjában említett kitettségi osztályba egyetlen esetben sem lenne sorolható kitettség. A példa a legnyilvánvalóbbak közé tartozik, de nem az egyetlen. Érdemes megjegyezni, hogy a sztenderd módszer keretében a kitettségi osztályok meghatározása különböző kritériumok mentén történik (intézményi besorolás, a kitettség időtartama, késedelmes státusz stb.), ezért a besoroláskor alkalmazott csoportok nem különállóak (nem diszjunkt halmazok).
62. A homogén és összehasonlítható adatszolgáltatáshoz rangsorolási célú értékelési kritériumok meghatározása szükséges annak érdekében, hogy a hitel-egyenértékesítési tényezők előtti eredeti kitettséget kitettségi osztályba lehessen sorolni attól függetlenül, hogy az egyes kitettségek a besorolásuk szerinti kitettségi osztályban milyen kockázati súlyt kapnak. Az alábbiakban bemutatott, döntési fába rendezett rangsorolási kritériumok azon feltételek értékelésére épülnek, amelyeket a CRR egyértelműen rögzít arra vonatkozóan, hogy egy adott kitettség besorolható-e egy bizonyos kitettségi osztályba, és ha igen, akkor az adatot szolgáltató intézménynek vagy a felügyeleti hatóságnak milyen döntéseket kell hoznia az egyes kitettségi osztályok alkalmazhatóságával kapcsolatban. Következésképpen a kitettségek adatszolgáltatási célú besorolási folyamatának eredménye megfelel a CRR rendelkezéseinek. Ez nem tiltja meg, hogy az intézmények egyéb olyan belső besorolási eljárásokat alkalmazzanak, amelyek szintén megfelelnek a CRR valamennyi vonatkozó rendelkezésének, valamint a CRR megfelelő fórumokon közzétett értelmezéseinek.
63. Egy kitettségi osztály a döntési fán belüli értékelési rangsorban elsőbbséget élvez (tehát először annak értékelésére kerül sor, hogy egy adott kitettség abba a kitettségi osztályba sorolható-e, függetlenül az értékelés eredményétől), ha egyébként abba az osztályba nem lehetne kitettséget sorolni. Ez a helyzet akkor, ha rangsorolási kritériumok hiányában egy kitettségi osztály egy másiknak a részhalmaza. Következésképpen az alábbi döntési fán grafikusan ábrázolt kritériumok lépcsőzetes folyamatot alkotnának.
64. Ennek alapján a döntési fán belüli értékelési rangsorolásnak az alábbi sorrendet kell követnie:
1. értékpapírosítási pozíciók;
2. kiemelkedően magas kockázatú tételek;
3. részvényjellegű kitettségek
4. nemteljesítő kitettségek;
5. kollektív befektetési formák (KBF-ek) befektetési jegyeinek vagy részvényeinek formájában fennálló kitettségek/fedezett kötvények formájában fennálló kitettségek (diszjunkt kitettségi osztályok);
6. ingatlanra bejegyzett zálogjoggal fedezett kitettségek;
7. egyéb tételek;
8. rövid távú hitelminősítéssel rendelkező intézményekkel és vállalkozásokkal szembeni kitettségek;
9. valamennyi egyéb kitettségi osztály (diszjunkt kitettségi osztályok): központi kormányzattal vagy központi bankkal szembeni kitettségek; regionális kormányzatokkal vagy helyi hatóságokkal szembeni kitettségek; közszektorbeli intézményekkel szembeni kitettségek; multilaterális fejlesztési bankokkal szembeni kitettségek; nemzetközi szervezetekkel szembeni kitettségek; intézményekkel szembeni kitettségek; vállalkozásokkal és lakossággal szembeni kitettségek.
65. A kollektív befektetési formák befektetési jegyeinek vagy részvényeinek formájában fennálló kitettségek esetében, valamint az alapul szolgáló eszközök vizsgálata esetén (a CRR 132. cikkének (3)-(5) bekezdése) figyelembe kell venni az alapul szolgáló egyedi kitettségeket, majd azokhoz a kezelésüknek megfelelő kockázati súlyt kell rendelni, azonban valamennyi egyedi kitettséget a kollektív befektetési formák (KBF-ek) befektetési jegyeinek vagy részvényeinek formájában fennálló kitettségek osztályába kell besorolni.
66. A CRR 134. cikkének (6) bekezdésében meghatározott, n-edik nemteljesítéskor lehívható hitelderivatívákat minősítésük esetén közvetlenül az értékpapírosítási pozíciók közé kell sorolni. Minősítés hiányában az "egyéb tételek" kitettségi osztályban kell figyelembe venni ezeket. Ez utóbbi esetben a szerződés névértékét hitel-egyenértékesítési tényezők előtti eredeti kitettségként kell feltüntetni az "egyéb kockázati súlyok" sorban (az alkalmazott kockázati súly a CRR 134. cikkének (6) bekezdésében megadott összeg).
67. A második lépésben a helyettesítési hatással járó hitelkockázat-mérséklési technikák következtében a kitettségeket a fedezetnyújtó kitettségi osztályába kell átsorolni.
DÖNTÉSI FA A HITEL-EGYENÉRTÉKESÍTÉSI TÉNYEZŐK ELŐTTI EREDETI KITETTSÉGNEK A CRR SZERINTI SZTENDERD MÓDSZER KITETTSÉGI OSZTÁLYAIBA SOROLÁSÁHOZ
| Hitel-egyenértékesítési tényezők előtti eredeti kitettség | ||
| A CRR 112. cikkének m) pontja szerinti kitettségi osztályba sorolható? | IGEN [Kép #2] | Értékpapírosítási pozíciók | 
| NEM [Kép #3] | ||
| A CRR 112. cikkének k) pontja szerinti kitettségi osztályba sorolható? | IGEN [Kép #4] | Kiemelkedően magas kockázatú tételek (lásd még a CRR 128. cikkét) | 
| NEM [Kép #5] | ||
| A CRR 112. cikkének p) pontja szerinti kitettségi osztályba sorolható? | IGEN [Kép #6] | Részvényjellegű kitettségek (lásd még a CRR 133. cikkét) | 
| NEM [Kép #7] | ||
| A CRR 112. cikkének j) pontja szerinti kitettségi osztályba sorolható? | IGEN [Kép #8] | Nemteljesítő kitettségek | 
| NEM [Kép #9] | ||
| A CRR 112. cikkének l) és o) pontja szerinti kitettségi osztályba sorolható? | IGEN [Kép #10] | Kollektív befektetési formák (KBF-ek) befektetési jegyeinek vagy részvényeinek formájában fennálló kitettségek Fedezett kötvények formájában fennálló kitettségek (lásd még a CRR 129. cikkét) E két kitettségi osztály diszjunkt (lásd a fenti válaszban az alapul szolgáló eszközök vizsgálatának módszerével kapcsolatos megjegyzéseket). Ennélfogva a kitettség egyértelműen besorolható az egyik osztályba. | 
| NEM [Kép #11] | ||
| A CRR 112. cikkének i) pontja szerinti kitettségi osztályba sorolható? | IGEN [Kép #12] | Ingatlanra bejegyzett zálogjoggal fedezett kitettségek (lásd még a CRR 124. cikkét) | 
| NEM [Kép #13] | ||
| A CRR 112. cikkének q) pontja szerinti kitettségi osztályba sorolható? | IGEN [Kép #14] | Egyéb tételek | 
| NEM [Kép #15] | ||
| A CRR 112. cikkének n) pontja szerinti kitettségi osztályba sorolható? | IGEN [Kép #16] | Rövid távú hitelminősítéssel rendelkező intézményekkel és vállalkozásokkal szembeni kitettségek | 
| NEM [Kép #17] | ||
| Az alábbi kitettségi osztályok diszjunktak. Ennélfogva a kitettség egyértelműen besorolható az egyik osztályba. Központi kormányzatokkal vagy központi bankokkal szembeni kitettségek Regionális kormányzatokkal vagy helyi hatóságokkal szembeni kitettségek Közszektorbeli intézményekkel szembeni kitettségek Multilaterális fejlesztési bankokkal szembeni kitettségek Nemzetközi szervezetekkel szembeni kitettségek Intézményekkel szembeni kitettségek Vállalkozásokkal szembeni kitettségek Lakossággal szembeni kitettségek | ||

Kép #2

Kép #3

Kép #4

Kép #5

Kép #6

Kép #7

Kép #8

Kép #9

Kép #10

Kép #11

Kép #12

Kép #13

Kép #14

Kép #15

Kép #16

Kép #17
3.2.4. A CRR 112. cikkében említett egyes kitettségi osztályok terjedelmének magyarázata
3.2.4.1. Az "intézmények" kitettségi osztály
68. A CRR 113. cikkének (6)-(7) bekezdésében említett, csoporton belüli kitettségekre vonatkozó adatszolgáltatás módja:
69. A CRR 113. cikkének (7) bekezdésében rögzített követelményeket teljesítő kitettségeket azokba a kitettségi osztályokba kell besorolni, amelyekbe akkor tartoznának, ha nem minősülnének csoporton belüli kitettségnek.
70. A CRR 113. cikkének (6) és (7) bekezdése szerint "az intézmények az illetékes hatóságok általi előzetes engedélyezés függvényében dönthetnek úgy, hogy nem alkalmazzák e cikk (1) bekezdésének követelményeit az adott intézmény olyan partnerrel szembeni kitettségeire, amely az anyavállalata, leányvállalata, anyavállalatának leányvállalata vagy olyan vállalat, amely vele a 83/349/EGK irányelv 12. cikkének (1) bekezdése szerinti kapcsolatban áll." Ez azt jelenti, hogy a csoporton belüli partnerek nem feltétlenül intézmények, hanem lehetnek egyéb kitettségi osztályba sorolt vállalkozások, pl. kiegészítő szolgáltatásokat nyújtó vállalkozások vagy a 83/349/EGK tanácsi irányelv ( 7 ) 12. cikkének (1) bekezdésében meghatározott vállalkozások is. A csoporton belüli kitettségekről ezért a megfelelő kitettségi osztályban kell adatot szolgáltatni.
3.2.4.2. A "fedezett kötvények" kitettségi osztály
71. Az SA-kitettségek az alábbiak szerint sorolhatók a "fedezett kötvények" kitettségi osztályba:
72. A 2009/65/EK európai parlamenti és tanácsi irányelv ( 8 ) 52. cikkének (4) bekezdésében említett kötvényeknek a "fedezett kötvények" kitettségi osztályba történő besoroláshoz teljesíteniük kell a CRR 129. cikkének (1) és (2) bekezdésében előírt követelményeket. A követelmények teljesülését minden esetben ellenőrizni kell. Ettől függetlenül a 2009/65/EK irányelv 52. cikkének (4) bekezdésében említett, 2007. december 31. előtt kibocsátott kötvények a CRR 129. cikkének (6) bekezdése alapján is a "fedezett kötvények" kitettségi osztályba sorolandók.
3.2.4.3. A "kollektív befektetési formák" kitettségi osztály
73. A CRR 132. cikkének (5) bekezdésében említett lehetőség kihasználásakor a kollektív befektetési formák befektetési jegyeinek vagy részvényeinek formájában fennálló kitettségeket a CRR 111. cikke (1) bekezdésének első mondatával összhangban mérlegtételként kell feltüntetni.
3.2.5. A tábla egyes részeire vonatkozó útmutató
| Oszlop | |
| 010 | HITEL-EGYENÉRTÉKESÍTÉSI TÉNYEZŐK ELŐTTI EREDETI KITETTSÉG Az értékelési korrekció, a céltartalékok, a hitel-egyenértékesítési tényezők és a hitelkockázat-mérséklési technikák hatásának figyelembevétele nélküli, a CRR 111. cikkének megfelelően kiszámított kitettségérték, a CRR 111. cikkének (2) bekezdésén alapuló alábbi rendelkezéseknek megfelelően: 1. A CRR harmadik része II. címének 6. fejezete, vagy a CRR 92. cikke (3) bekezdésének f) pontja szerinti származtatott ügyletek, repoügyletek, értékpapír- és áru-kölcsönbeadási, illetve -kölcsönvételi ügyletek, hosszú teljesítési idejű ügyletek és értékpapírügylethez kapcsolódó hitelek eredeti kitettségértéke a CRR harmadik része II. címének 6. fejezetében rögzített módszer szerint számított partnerkockázati kitettség. 2. A lízing kitettségértékét a CRR 134. cikkének (7) bekezdése szabályozza. 3. A CRR 219. cikke szerinti mérlegen belüli nettósítás esetében a kitettségértékeket a kapott készpénzbiztosíték figyelembevételével kell feltüntetni. 4. A CRR harmadik része II. címének 6. fejezete szerinti repoügyletekre, értékpapír, áru kölcsönbe adására, kölcsönbe vételére, illetve egyéb tőkepiac-vezérelt ügyletekre kiterjedő nettósítási keretmegállapodások esetében a CRR 220. cikkének (4) bekezdése szerinti nettósítási keretmegállapodás formájában megjelenő, előre rendelkezésre bocsátott hitelkockázati fedezet hatását a 010. oszlopban kell feltüntetni. Emiatt a CRR harmadik része II. címének 6. fejezete szerinti, repoügyletre vonatkozó nettósítási keretmegállapodások esetében a CRR 220. és 221. cikke szerint számított E* értékét a CR SA tábla 010-es oszlopában kell feltüntetni. | 
| 030 | (–) Az eredeti kitettséggel összefüggő értékelési korrekciók és céltartalékok A CRR 24. és 111. cikke Az adatszolgáltató intézményre alkalmazandó számviteli szabályozásnak megfelelő értékelési korrekciók és hitelveszteségre képzett céltartalékok. | 
| 040 | Értékelési korrekciókkal és céltartalékokkal csökkentett kitettség A 010-es és 030-as oszlop összege. | 
| 050–100 | A KITETTSÉGRE HELYETTESÍTÉSI HATÁSSAL JÁRÓ HITELKOCKÁZAT-MÉRSÉKLÉSI (CRM) TECHNIKÁK A CRR 4. cikke (1) bekezdésének 57. pontjában meghatározott hitelkockázat-mérséklési technikák, amelyek egy vagy több kitettség hitelkockázatát csökkentik a kitettségeknek az alább „A kitettség hitelkockázat-mérséklés miatti helyettesítése” részben ismertetett helyettesítésével. A kitettségértéket befolyásoló biztosíték (pl. ha azt a kitettségre helyettesítési hatással járó hitelkockázat-mérséklési technikákhoz használják fel) értéke legfeljebb a kitettségérték lehet. Itt az alábbi tételeket kell feltüntetni: — a pénzügyi biztosítékok egyszerű módszerével képzett biztosíték; — figyelembe vehető, előre nem rendelkezésre bocsátott hitelkockázati fedezet. Lásd még a 3.1.1. pontban található útmutatót. | 
| 050–060 | Előre nem rendelkezésre bocsátott hitelkockázati fedezet: korrigált értékek (GA) A CRR 235. cikke A CRR 239. cikkének (3) bekezdése tartalmazza az előre nem rendelkezésre bocsátott hitelkockázati fedezet GA korrigált értékének kiszámításához használandó képletet. | 
| 050 | Garanciák A CRR 203. cikke A CRR 4. cikke (1) bekezdésének 59. pontjában meghatározott, a hitelderivatívákat nem tartalmazó előre nem rendelkezésre bocsátott hitelkockázati fedezet. | 
| 060 | Hitelderivatívák A CRR 204. cikke | 
| 070–080 | Előre rendelkezésre bocsátott hitelkockázati fedezet Ezek az oszlopok a CRR 4. cikke (1) bekezdésének 58. pontjában meghatározott és a CRR 196., 197. és 200. cikke szerinti szabályok hatálya alá tartozó, előre rendelkezésre bocsátott hitelkockázati fedezetre vonatkoznak Az összegek nem foglalják magukban a nettósítási keretmegállapodásokat, mivel azok értékét a hitel-egyenértékesítési tényezők előtti eredeti kitettség már tartalmazza. A CRR 218. cikkében említett, hitelkockázati eseményhez kapcsolt értékpapírokba történő befektetéseket és a CRR 219. cikkében említett, figyelembe vehető mérlegen belüli nettósítási megállapodásokból eredő mérlegen belüli nettósítási pozíciókat készpénzbiztosítékként kell kezelni. | 
| 070 | Pénzügyi biztosítékok: egyszerű módszer A CRR 222. cikkének (1) és (2) bekezdése | 
| 080 | Egyéb előre rendelkezésre bocsátott hitelkockázati fedezet A CRR 232. cikke | 
| 090–100 | A KITETTSÉG HITELKOCKÁZAT-MÉRSÉKLÉS MIATTI HELYETTESÍTÉSE A CRR 222. cikkének (3) bekezdése, 235. cikkének (1)–(2) bekezdése, valamint 236. cikke A kiáramlások értéke megegyezik a hitel-egyenértékesítési tényezők előtti eredeti kitettség fedezett részével, amelyet a kötelezett kitettségi osztályából való levonást követően a fedezetnyújtó kitettségi osztályába kell sorolni. Ezt az összeget a fedezetnyújtó kitettségi osztályába irányuló beáramlásnak kell tekinteni. Az azonos kitettségi osztályba tartozó be- és kiáramlásokat szintén fel kell tüntetni. Figyelembe kell venni az egyéb táblákhoz kapcsolódó esetleges ki- és beáramlásokból eredő kitettségeket is. | 
| 110 | HELYETTESÍTÉSI HATÁSSAL JÁRÓ CRM-TECHNIKÁK UTÁNI, HITEL-EGYENÉRTÉKESÍTÉSI TÉNYEZŐK ELŐTTI NETTÓ KITETTSÉG Az értékelési korrekció nélküli kitettségérték A KITETTSÉGRE HELYETTESÍTÉSI HATÁSSAL JÁRÓ HITELKOCKÁZAT-MÉRSÉKLÉSI TECHNIKÁK miatti ki- és beáramlások figyelembevétele után | 
| 120–140 | A KITETTSÉGÉRTÉKET ÉRINTŐ HITELKOCKÁZAT-MÉRSÉKLÉSI TECHNIKÁK. ELŐRE RENDELKEZÉSRE BOCSÁTOTT HITELKOCKÁZATI FEDEZET, A PÉNZÜGYI BIZTOSÍTÉKOK ÖSSZETETT MÓDSZERE A CRR 223–228. cikke Magukban foglalják a CRR 218. cikke szerinti hitelkockázati eseményhez kapcsolt értékpapírokat is. A CRR 218. cikkében említett, hitelkockázati eseményhez kapcsolt értékpapírokat és a CRR 219. cikkében említett, figyelembe vehető mérlegen belüli nettósítási megállapodásokból eredő mérlegen belüli nettósítási pozíciókat készpénzbiztosítékként kell kezelni. Ha a pénzügyi biztosítékok összetett módszerét egy figyelembe vehető pénzügyi biztosítékkal fedezett kitettségre alkalmazzák, akkor az e módszer szerinti fedezettség hatását a CRR 223–228. cikkének megfelelően kell kiszámítani. | 
| 120 | A kitettség volatilitási korrekciós tényezője A CRR 223. cikkének (2) és (3) bekezdése A feltüntetendő érték a kitettség volatilitási korrekciós tényezőjének hatása: (Eva–E) = E*He. | 
| 130 | (–) Pénzügyi biztosíték korrigált értéke (Cvam) A CRR 239. cikkének (2) bekezdése Kereskedési könyvben nyilvántartott műveletek esetében a tétel magában foglalja a CRR 299. cikke (2) bekezdésének c)–f) pontja alapján a kereskedési könyvi kitettségekre vonatkozóan figyelembe vehető pénzügyi biztosítékokat és árukat. A feltüntetendő érték kiszámítása: Cvam = C*(1–Hc–Hfx)*(t–t*)/(T–t*). A C, Hc, Hfx, t, T és t* értékek meghatározását a CRR harmadik része II. címe 4. fejezetének 4. és 5. szakasza tartalmazza. | 
| 140 | (–) Ebből: volatilitási és lejárati korrekció A CRR 223. cikkének (1) bekezdése és 239. cikkének (2) bekezdése A feltüntetendő érték a volatilitási és lejárati korrekció együttes hatása: (Cvam–C) = C*[(1–Hc–Hfx)*(t–t*)/(T–t*)–1], ahol a volatilitási korrekció hatása (Cva–C) = C*[(1–Hc–Hfx)–1], a lejárati korrekció hatása pedig (Cvam–Cva) = C*(1–Hc–Hfx)*[(t–t*)/(T–t*)–1]. | 
| 150 | Teljes mértékben korrigált kitettségérték (E*) A CRR 220. cikkének (4) bekezdése, 223. cikkének (2)–(5) bekezdése, valamint 228. cikkének (1) bekezdése. | 
| 160–190 | A mérlegen kívüli tételek teljes mértékben korrigált kitettségértéke hitel-egyenértékesítési tényezők szerinti bontásban A CRR 111. cikkének (1) bekezdése és 4. cikke (1) bekezdésének 56. pontja Lás még a CRR 222. cikkének (3) bekezdését és 228. cikkének (1) bekezdését A feltüntetett adatoknak a hitel-egyenértékesítési tényező alkalmazása előtti, teljes mértékben korrigált kitettségértékeknek kell lenniük. | 
| 200 | Kitettségérték A CRR 111. cikke és a CRR harmadik része II. címe 4. fejezete 4. szakasza Az értékelési korrekciók, valamint az összes hitelkockázat-mérséklő eszköz és hitel-egyenértékesítési tényező figyelembevétele utáni kitettségérték, amelyhez a CRR 113. cikke, valamint harmadik része II. címe 2. fejezetének 2. szakaszával összhangban kockázati súlyt kell rendelni. | 
| 210 | Ebből: Partnerkockázatból származó A CRR harmadik része II. címének 6. fejezete szerinti származtatott ügyletek, repoügyletek, értékpapír- és áru-kölcsönbeadási, illetve -kölcsönvételi ügyletek, hosszú teljesítési idejű ügyletek és értékpapírügylethez kapcsolódó hitelek esetében a CRR harmadik része II. címe 6. fejezetének 2–5. szakaszában rögzített módszer szerint számított partnerkockázati kitettségérték. | 
| 215 | A kkv-szorzó előtti, kockázattal súlyozott kitettségérték A CRR 113. cikkének (1)–(5) bekezdése, a CRR 501. cikke szerinti kkv-szorzó figyelembevétele nélkül. | 
| 220 | A kkv-szorzó utáni, kockázattal súlyozott kitettségérték A CRR 113. cikkének (1)–(5) bekezdése, a CRR 501. cikke szerinti kkv-szorzó figyelembevételével. | 
| 230 | Ebből: kijelölt khmi által készített hitelminősítéssel A CRR 112. cikkének a)–d), f), g), l), n), o) és q) pontja | 
| 240 | Ebből: központi kormányzattal megegyező hitelminősítéssel A CRR 112. cikkének b)–d), f), g), l), és o) pontja | 
| Sorok | Útmutató | 
| 010 | Teljes kitettség | 
| 015 | ebből: Nemteljesítő kitettségek a „Kiemelkedően magas kockázatú tételek” és a „Részvényjellegű kitettségek” kitettségi osztályokban A CRR 127. cikke Ezt a sort csak a „Kiemelkedően magas kockázatú tételek” és a „Részvényjellegű kitettségek” kitettségi osztályokban kell jelenteni. Egy olyan kitettséget, amely a CRR 128. cikkének (2) bekezdésében felsorolt, vagy teljesíti a CRR 128. cikkének (3) bekezdésében vagy 133. cikkében meghatározott kritériumokat, a „Kiemelkedően magas kockázatú tételek” vagy a „Részvényjellegű kitettségek” kitettségi osztályba kell sorolni. Következésképpen más besorolás nem lehetséges, még akkor sem, ha a CRR 127. cikkében említett nemteljesítő kitettségről van szó. | 
| 020 | ebből: KKV Itt a kkv-kal szembeni összes kitettséget fel kell tüntetni. | 
| 030 | ebből: Kitettség a kkv-szorzó alkalmazásával Itt csak azokat a kkv-kal szembeni kitettségeket kell feltüntetni, amelyek teljesítik a CRR 501. cikkében előírt követelményeket. | 
| 040 | ebből: Ingatlanra bejegyzett zálogjoggal fedezett – lakóingatlan A CRR 125. cikke Csak az „ingatlanra bejegyzett zálogjoggal fedezett” kitettségi osztályban kell jelenteni. | 
| 050 | ebből: Tartós mentesítés alapján a sztenderd módszerrel kezelt kitettségek Olyan kitettségek, amelyekre a CRR 150. cikke (1) bekezdésének megfelelően a sztenderd módszert alkalmazták | 
| 060 | ebből: Az IRB-módszer fokozatos bevezetésére vonatkozó előzetes felügyeleti engedély alapján sztenderd módszerrel kezelt kitettségek A CRR 148. cikkének (1) bekezdése | 
| 070–130 | A TELJES KITETTSÉG KITETTSÉGTÍPUS SZERINTI BONTÁSA Az adatot szolgáltató intézmény banki könyvben nyilvántartott pozícióit az alábbiakban megadott kritériumok szerint hitelkockázattal érintett mérlegen belüli kitettségekre, hitelkockázattal érintett mérlegen kívüli kitettségekre, valamint partnerkockázattal érintett kitettségekre kell bontani. Az intézmény kereskedési könyvi tevékenységéből származó, a CRR 92. cikke (3) bekezdésének f) pontjában, valamint 299. cikkének (2) bekezdésében említett partnerkockázati kitettségeit a partnerkockázattal érintett kitettségek közé kell sorolni. A CRR 94. cikkének (1) bekezdését alkalmazó intézményeknek ezenkívül a kereskedési könyvi pozícióikat az alábbiakban megadott kritériumok szerint hitelkockázattal érintett mérlegen belüli kitettségekre, hitelkockázattal érintett mérlegen kívüli kitettségekre, valamint partnerkockázattal érintett kitettségekre kell bontaniuk. | 
| 070 | Hitelkockázattal érintett mérlegen belüli kitettségek A CRR 24. cikkében említett, más kategóriába nem sorolt eszközök. Azokat a mérlegtételnek minősülő kitettségeket, amelyeket értékpapír-finanszírozási ügyletként vagy származtatott ügyletként, illetve hosszú teljesítési idejű ügyletként számítanak be, vagy eltérő termékkategóriák közötti nettósításról szóló szerződéses megállapodásból erednek, a 090., 110. és 130. sorban kell feltüntetni, így ebben a sorban nem szerepeltethetők. A CRR 379. cikkének (1) bekezdésében említett, le nem vont nyitva szállítások nem minősülnek mérlegtételnek, azonban azokat ebben a sorban fel kell tüntetni. A CRR 4. cikke (1) bekezdésének 90. pontja értelmében a központi szerződő félre könyvelt eszközből eredő kitettségeket be kell számítani akkor, ha azok a 080. sorban nem szerepelnek. | 
| 080 | Hitelkockázattal érintett mérlegen kívüli kitettségek A mérlegen kívüli pozíciók közé a CRR I. mellékletében felsorolt tételek tartoznak. Azokat a mérlegen kívüli tételnek minősülő kitettségeket, amelyeket értékpapír-finanszírozási ügyletként vagy származtatott ügyletként, illetve hosszú teljesítési idejű ügyletként számítanak be, vagy eltérő termékkategóriák közötti nettósításról szóló szerződéses megállapodásból erednek, a 090., 110. és 130. sorban kell feltüntetni, így ebben a sorban nem szerepeltethetők. A CRR 4. cikke (1) bekezdésének 90. pontjában meghatározottaknak megfelelően a központi szerződő félre könyvelt eszközből eredő kitettségeket be kell számítani akkor, ha azok mérlegen kívüli tételnek minősülnek. | 
| 090–130 | Partnerkockázattal érintett kitettségek/ügyletek | 
| 090 | Értékpapír-finanszírozási ügyletek A Bázeli Bankfelügyeleti Bizottság „A Bázel II alkalmazása a kereskedési tevékenységek és az együttes nemteljesítés kezelése terén” c. dokumentumának 17. bekezdésében meghatározott értékpapír-finanszírozási ügyletek (SFT) magukban foglalják: i. a CRR 4. cikke (1) bekezdésének 82. pontjában meghatározott repo- és fordított repomegállapodásokat, valamint az értékpapír- és áru-kölcsönbeadási, illetve -kölcsönvételi ügyleteket; ii. a CRR 272. cikkének (3) bekezdésében meghatározott értékpapírügylethez kapcsolódó hiteleket. | 
| 100 | ebből: minősített központi szerződő félen keresztül központilag elszámolt A CRR 306. cikke a CRR 4. cikke (1) bekezdésének 88. pontjában meghatározott minősített központi szerződő felek esetében, a CRR 301. cikke (2) bekezdésének megfelelően Központi szerződő féllel szembeni kereskedési kitettségek, a CRR 4. cikke (1) bekezdésének 91. pontjában meghatározottak szerint | 
| 110 | Származtatott és hosszú teljesítési idejű ügyletek A származtatott ügyletek a CRR II. mellékletében felsorolt szerződéseket foglalják magukban. A hosszú teljesítési idejű ügyleteket a CRR 272. cikkének (2) bekezdése határozza meg. Azok a származtatott ügyletek és hosszú teljesítési idejű ügyletek, amelyek termékkategóriák közötti nettósítás részét képezik, és ennélfogva a 130. sorban szerepelnek, ebben a sorban nem tüntethetők fel. | 
| 120 | ebből: minősített központi szerződő félen keresztül központilag elszámolt A CRR 306. cikke a CRR 4. cikke (1) bekezdésének 88. pontjában meghatározott minősített központi szerződő felek esetében, a CRR 301. cikke (2) bekezdésének megfelelően Központi szerződő féllel szembeni kereskedési kitettségek, a CRR 4. cikke (1) bekezdésének 91. pontjában meghatározottak szerint | 
| 130 | Eltérő termékkategóriák közötti nettósításról szóló szerződéses megállapodásból Ebben a sorban kell feltüntetni azokat a kitettségeket, amelyek a CRR 272. cikkének 11. pontjában meghatározott eltérő termékkategóriák közötti nettósításról szóló szerződéses megállapodás megléte miatt nem sorolhatók sem a származtatott ügyletek és hosszú teljesítési idejű ügyletek, sem az értékpapír-finanszírozási ügyletek közé. | 
| 140–280 | KITETTSÉGEK KOCKÁZATI SÚLY SZERINTI BONTÁSA | 
| 140 | 0 % | 
| 150 | 2 % A CRR 306. cikkének (1) bekezdése | 
| 160 | 4 % A CRR 305. cikkének (3) bekezdése | 
| 170 | 10 % | 
| 180 | 20 % | 
| 190 | 35 % | 
| 200 | 50 % | 
| 210 | 70 % A CRR 232. cikke (3) bekezdésének c) pontja | 
| 220 | 75 % | 
| 230 | 100 % | 
| 240 | 150 % | 
| 250 | 250 % A CRR 133. cikkének (2) bekezdése, valamint 48. cikkének (4) bekezdése | 
| 260 | 370 % A CRR 471. cikke | 
| 270 | 1 250 % A CRR 133. cikkének (2) bekezdése és 379. cikke | 
| 280 | Egyéb kockázati súlyok Ez a sor a „kormányzat”, „vállalkozások”, „intézmények” és „lakosság” kitettségi osztályok esetében nem tölthető ki. Itt olyan kitettségek adhatók meg, amelyekre nem vonatkoznak a táblán felsorolt kockázati súlyok. A CRR 113. cikkének (1)–(5) bekezdése A nem minősített, a sztenderd módszer szerinti n-edik nemteljesítéskor lehívható hitelderivatívákat (a CRR 134. cikkének (6) bekezdése) ebben a sorban az „egyéb tételek” kitettségi osztályban kell feltüntetni. A CRR 124. cikkének (2) bekezdése, valamint 152. cikke (2) bekezdésének b) pontja | 
| 290–320 | Tájékoztató adatok Lásd még a tájékoztató adatok céljának ismertetését a CR SA általános szakaszában. | 
| 290 | Kereskedelmi ingatlanra bejegyzett zálogjoggal fedezett kitettségek A CRR 112. cikkének i) pontja Kizárólag tájékoztató adat. A CRR 124. és 126. cikkében említetteknek megfelelően kereskedelmi ingatlannal fedezett kitettséghez kapcsolódó kockázati kitettségértékek számításától függetlenül a kitettségeket ebben a sorban kell megbontani és feltüntetni, ha azokra kereskedelmi ingatlan nyújt fedezetet. | 
| 300 | 100 %-os kockázati súlyú nemteljesítő kitettségek A CRR 112. cikkének j) pontja A „nemteljesítő kitettségek” kitettségi osztályba sorolt kitettségek, amelyeket teljesítésük esetén ebbe a kitettségi osztályba kellene sorolni. | 
| 310 | Lakóingatlanra bejegyzett jelzáloggal fedezett kitettségek A CRR 112. cikkének i) pontja Kizárólag tájékoztató adat. A CRR 124. és 125. cikkének megfelelően lakóingatlannal fedezett kitettséghez kapcsolódó kockázati kitettségértékek számításától függetlenül a kitettségeket ebben a sorban kell megbontani és feltüntetni, ha azokra ingatlan nyújt fedezetet. | 
| 320 | 150 %-os kockázati súlyú nemteljesítő kitettségek A CRR 112. cikkének j) pontja A „nemteljesítő kitettségek” kitettségi osztályba sorolt kitettségek, amelyeket teljesítésük esetén ebbe a kitettségi osztályba kellene sorolni. | 
3.3. HITELKOCKÁZAT, PARTNERKOCKÁZAT ÉS NYITVA SZÁLLÍTÁSOK: AZ IRB-MÓDSZER SZERINTI SZAVATOLÓTŐKE-KÖVETELMÉNY (CR IRB)
3.3.1. A CR IRB tábla alkalmazási köre
74. A CR IRB tábla alkalmazási köre az alábbiakra vonatkozó szavatolótőke-követelményekre terjed ki:
i. banki könyvben nyilvántartott hitelkockázat, ezen belül:
- banki könyvben nyilvántartott partnerkockázat;
- vásárolt követelések felhígulási kockázata;
ii. kereskedési könyvben nyilvántartott partnerkockázat;
iii. az összes üzleti tevékenységből származó nyitva szállítások.
75. A tábla alkalmazási köre azokra a kitettségekre terjed ki, amelyeknek kockázattal súlyozott kitettségértékét a CRR harmadik része II. címe 3. fejezetének 151-157. cikke alapján (IRB-módszerrel) számítják ki.
76. A CR IRB tábla alkalmazási köre nem terjed ki a következő adatokra:
i. a CR EQU IRB táblán feltüntetett részvényjellegű kitettségek;
ii. a CR SEC és/vagy a CR SEC Details táblán feltüntetett értékpapírosítási pozíciók;
iii. A CRR 147. cikke (2) bekezdésének g) pontjában említett egyéb, nem hitelkötelezettséget megtestesítő eszközök. E kitettségi osztály kockázati súlya minden esetben 100 %, kivéve a készpénz-állományt és az azzal egyenértékű készpénztételeket, valamint a lízingelt eszközök maradványértékét a CRR 156. cikke szerint. Az ehhez a kitettségi osztályhoz tartozó, kockázattal súlyozott kitettségértékeket közvetlenül a CA táblán kell feltüntetni;
iv. a CVA-kockázat tábláján feltüntetett hitelértékelési korrekciós kockázatra;
A CR IRB táblán nem szükséges az IRB kitettségeket a partner székhelye szerinti földrajzi bontásban megadni. Az így csoportosított adatok a CR GB táblán szerepelnek.
77. Annak egyértelművé tétele érdekében, hogy az intézmény az LGD vagy a hitel-egyenértékesítési tényezők értékét saját becsléssel állapítja-e meg, az adatszolgáltatásban szereplő minden kitettségi osztályra vonatkozóan meg kell adni az alábbi információkat:
NEM = az LGD és a hitel-egyenértékesítési tényezők felügyeleti becslése esetén (IRB alapmódszer);
IGEN = az LGD és a hitel-egyenértékesítési tényezők saját becslése esetén (fejlett IRB- módszer).
A lakossági portfóliókra vonatkozó adatszolgáltatáshoz minden esetben az IGEN értéket kell megadni.
Ha egy intézmény az IRB kitettségek egy részére vonatkozó kockázattal súlyozott kitettségértékeket saját LGD-értékek alapján, az IRB kitettségek fennmaradó részére vonatkozó kockázattal súlyozott kitettségértékeket pedig felügyeleti LGD-értékek alapján számítja ki, akkor egy CR IRB Összesen táblát kell jelenteni az F-IRB pozíciókra és egy külön CR IRB Összesen táblát az A-IRB pozíciókra vonatkozóan.
3.3.2. A CR IRB táblacsoport felosztása
78. A CR IRB táblacsoport két táblából áll. A CR IRB 1 általános áttekintést nyújt az IRB kitettségekről és a teljes kockázati kitettségértékek különböző számítási módszereiről, továbbá kitettségtípusok szerint csoportosítja a teljes kitettségállományt. A CR IRB 2 a teljes kitettségállományt ügyfél-kategóriák vagy -halmazok (pool) szerinti bontásban mutatja be. Az alábbi kitettségi osztályokra és alosztályokra vonatkozóan a CR IRB 1 és CR IRB 2 táblán külön kell adatot szolgáltatni:
1. Összesen
(Az Összesen táblát külön ki kell tölteni az IRB alapmódszer és a fejlett IRB-módszer szerint is)
2. Központi kormányzatok és központi bankok
(A CRR 147. cikke (2) bekezdésének a) pontja)
3. Intézmények
(A CRR 147. cikke (2) bekezdésének b) pontja)
4.1. Vállalkozások - kkv
(A CRR 147. cikke (2) bekezdésének c) pontja)
4.2. Vállalkozások - speciális hitelezés
(A CRR 147. cikkének (8) bekezdése)
4.3. Vállalkozások - egyéb
(A CRR 147. cikke (2) bekezdésének c) pontjában említett, a 4.1. és 4.2. pontban nem szereplő vállalkozásokkal szembeni kitettségek)
5.1. Lakosság - ingatlannal fedezett (kkv)
(Lakossággal szembeni, ingatlannal fedezett kitettségek a CRR 147. cikke (2) bekezdésének d) pontjában említetteknek megfelelően, összefüggésben a CRR 154. cikkének (3) bekezdésével)
5.2. Lakosság - ingatlannal fedezett (nem kkv)
(Lakossággal szembeni, ingatlannal fedezett kitettségek a CRR 147. cikke (2) bekezdésének d) pontjában említetteknek megfelelően, amelyek nem szerepelnek az 5.1. pontban)
5.3. Lakosság - a rulírozó állományba beszámítható
(Lakossággal szembeni kitettségek a CRR 147. cikke (2) bekezdésének d) pontjában említetteknek megfelelően, összefüggésben a CRR 154. cikkének (4) bekezdésével)
5.4. Lakosság - egyéb kkv
(Lakossággal szembeni kitettségek a CRR 147. cikke (2) bekezdésének d) pontjában említetteknek megfelelően, amelyek nem szerepelnek az 5.1. és az 5.3. pontban)
5.5. Lakosság - egyéb nem kkv
(Lakossággal szembeni kitettségek a CRR 147. cikke (2) bekezdésének d) pontjában említetteknek megfelelően, amelyek nem szerepelnek az 5.2. és az 5.3. pontban)
3.3.3. C 08.01 - Hitelkockázat, partnerkockázat és nyitva szállítások: az IRB-módszer szerinti tőkekövetelmény (CR IRB 1)
3.3.3.1. A tábla egyes részeire vonatkozó útmutató
| Oszlop | Útmutató | 
| 010 | BELSŐ MINŐSÍTÉSI RENDSZER/AZ ÜGYFÉL-KATEGÓRIÁHOZ VAGY -HALMAZHOZ (POOLHOZ) RENDELT NEMTELJESÍTÉSI VALÓSZÍNŰSÉG (%) Az ügyfél-kategóriához vagy -halmazhoz rendelt, feltüntetendő PD-értéket a CRR 180. cikkében foglalt rendelkezések alapján kell megállapítani. Az egyes ügyfél-kategóriákhoz vagy -halmazokhoz rendelt PD-értéket kell feltüntetni. Az ügyfélkategóriák vagy -halmazok összesítő adataira (pl. a teljes kitettségre) vonatkozóan az összesítésbe beszámított ügyfél-kategóriákhoz vagy -halmazokhoz rendelt PD-értékek kitettséggel súlyozott átlagát kell feltüntetni. A kitettségérték (110-es oszlop) alapján kell kiszámítani a kitettséggel súlyozott átlagos PD értéket. | 
| Az egyes ügyfél-kategóriákhoz vagy -halmazokhoz rendelt PD-értéket kell feltüntetni. A feltüntetett kockázati paramétereket az adott illetékes hatóság által jóváhagyott belső minősítési rendszerben alkalmazott kockázati paraméterekből kell származtatni. Irányadó felügyeleti skála alkalmazása nem előírás, és nem is szükséges. Ha az adatot szolgáltató intézmény egyedi minősítési rendszert alkalmaz, vagy az adatszolgáltatást irányadó belső skála alapján tudja teljesíteni, akkor azt a skálát kell alkalmazni. Egyébként a különböző minősítési rendszereket a következő kritériumok alapján kell összevonni és rangsorolni: a különböző minősítési rendszerek ügyfél-kategóriáit össze kell vonni, majd az egyes ügyfél-kategóriákhoz rendelt PD-érték alapján növekvő sorrendbe kell állítani. Ha az intézmény nagyszámú ügyfél-kategóriát vagy -halmazt alkalmaz, akkor adatszolgáltatási célból a kategóriák vagy -halmazok csökkentett számáról állapodhat meg az illetékes hatóságokkal. Az intézményeknek előzetesen meg kell keresniük az illetékes hatóságot akkor, ha a belső kategóriák számától eltérő számú kategóriában kívánnak adatot szolgáltatni. Az átlagos PD-értéket a 110-es oszlopban feltüntetett kitettségértékkel kell súlyozni. A kitettséggel súlyozott átlagos PD (pl. teljes kitettség) kiszámításakor valamennyi kitettséget figyelembe kell venni, ideértve a nemteljesítő kitettségeket is. A nemteljesítő kitettségek az utolsó minősítési kategóriá(k)ba sorolt, 100 %-os PD-értékű kitettségek. | |
| 020 | HITEL-EGYENÉRTÉKESÍTÉSI TÉNYEZŐK ELŐTTI EREDETI KITETTSÉG Az intézményeknek az értékelési korrekciók, céltartalékok, hitelkockázat-mérséklési technikákból eredő hatások és hitel-egyenértékesítési tényezők figyelembevétele előtti kitettségértéket kell feltüntetniük. Az eredeti kitettségértéket a CRR 24. cikkével, valamint 166. cikkének (1), (2), (4), (5), (6) és (7) bekezdésével összhangban kell megadni. A CRR 166. cikkének (3) bekezdéséből eredő hatást (mérlegen belüli nettósítás alá eső kölcsönök és betétek hatása) előre rendelkezésre bocsátott hitelkockázati fedezetként külön kell feltüntetni, így az az eredeti kitettséget nem csökkenti. | 
| 030 | EBBŐL: NAGY MÉRETŰ PÉNZÜGYI ÁGAZATBELI SZERVEZETEK ÉS NEM SZABÁLYOZOTT PÉNZÜGYI VÁLLALATOK A hitel-egyenértékesítési tényezők előtti eredeti kitettség felosztása a CRR 142. cikkének 4. és 5. pontjában említett szervezetek összes kitettségére a CRR 153. cikkének (2) bekezdése szerinti magasabb korrelációs együttható alkalmazásával. | 
| 040–080 | A KITETTSÉGRE HELYETTESÍTÉSI HATÁSSAL JÁRÓ HITELKOCKÁZAT-MÉRSÉKLÉSI (CRM) TECHNIKÁK A CRR 4. cikke (1) bekezdésének 57. pontjában meghatározott hitelkockázat-mérséklés, amely egy vagy több kitettség hitelkockázatát csökkenti a kitettségeknek az alább „A KITETTSÉG HITELKOCKÁZAT-MÉRSÉKLÉS MIATTI HELYETTESÍTÉSE” részben ismertetett helyettesítésével. | 
| 040–050 | ELŐRE NEM RENDELKEZÉSRE BOCSÁTOTT HITELKOCKÁZATI FEDEZET Előre nem rendelkezésre bocsátott hitelkockázati fedezet a CRR 4. cikke (1) bekezdésének 59. pontjában meghatározottaknak megfelelően. A kitettséget befolyásoló biztosíték (pl. ha azt a kitettségre helyettesítési hatással járó hitelkockázat-mérséklési technikákhoz használják fel) értéke legfeljebb a kitettségérték lehet. | 
| 040 | GARANCIÁK: Ha az intézmény nem alkalmaz saját LGD-becslést: a CRR 236. cikkének (3) bekezdésében meghatározott korrigált értéket (GA) kell megadni. Ha az intézmény saját LGD-becslést alkalmaz a CRR 183. cikkének megfelelően, akkor a belső modellben használt releváns értéket kell feltüntetni. A garanciákat a 040-es oszlopban kell feltüntetni akkor, ha a kiigazítás nem az LGD értékében történik. Ha a kiigazítás az LGD értékében történik, akkor a garancia összegét a 150-es oszlopban kell feltüntetni. Az együttes nemteljesítés hatásának kezelésében érintett kitettségekre vonatkozóan az előre nem rendelkezésre bocsátott hitelkockázati fedezet értékét a 220-as oszlopban kell megadni. | 
| 050 | HITELDERIVATÍVÁK: Ha az intézmény nem alkalmaz saját LGD-becslést: a CRR 236. cikkének (3) bekezdésében meghatározott korrigált értéket (GA) kell megadni. Ha az intézmény saját LGD-becslést alkalmaz a CRR 183. cikkének megfelelően, akkor a belső modellben használt releváns értéket kell feltüntetni. Ha az LGD értékében kiigazítás történik, akkor a hitelderivatívák összegét a 160-as oszlopban kell feltüntetni. Az együttes nemteljesítés hatásának kezelésében érintett kitettségekre vonatkozóan az előre nem rendelkezésre bocsátott hitelkockázati fedezet értékét a 220-as oszlopban kell megadni. | 
| 060 | EGYÉB ELŐRE RENDELKEZÉSRE BOCSÁTOTT HITELKOCKÁZATI FEDEZET A kitettséget befolyásoló biztosíték (pl. ha azt a kitettségre helyettesítési hatással járó hitelkockázat-mérséklési technikákhoz használják fel) értéke legfeljebb a kitettségérték lehet. Ha az intézmény nem alkalmaz saját LGD-becslést, akkor a CRR 232. cikke alkalmazandó. Ha az intézmény saját LGD-becslést alkalmaz, akkor a CRR 212. cikke szerinti feltételeket teljesítő hitelkockázat-mérséklést kell megadni. A belső modellben használt releváns értéket kell feltüntetni. Az összeget a 060-es oszlopban kell feltüntetni akkor, ha a kiigazítás nem az LGD értékében történik. Ha az LGD értékében kiigazítás történik, akkor az összeget a 170-es oszlopban kell feltüntetni. | 
| 070–080 | A KITETTSÉG HITELKOCKÁZAT-MÉRSÉKLÉS MIATTI HELYETTESÍTÉSE A kiáramlások értéke megegyezik a hitel-egyenértékesítési tényezők előtti eredeti kitettség fedezett részével, amelyet a kötelezett kitettségi osztályából, illetve adott esetben ügyfél-kategóriájából vagy -halmazából való levonást követően a fedezetnyújtó kitettségi osztályába, illetve adott esetben ügyfél-kategóriájába vagy -halmazába kell sorolni. Ezt az összeget a fedezetnyújtó kitettségi osztályába, illetve adott esetben ügyfél-kategóriájába vagy -halmazába irányuló beáramlásnak kell tekinteni. Az azonos kitettségi osztályba, illetve adott esetben ügyfél-kategóriába vagy -halmazba tartozó be- és kiáramlásokat szintén figyelembe kell venni. Figyelembe kell venni az egyéb táblákhoz kapcsolódó esetleges ki- és beáramlásokból eredő kitettségeket is. | 
| 090 | HELYETTESÍTÉSI HATÁSSAL JÁRÓ CRM-TECHNIKÁK UTÁNI, A HITEL-EGYENÉRTÉKESÍTÉSI TÉNYEZŐK ELŐTTI KITETTSÉG A megfelelő ügyfél-kategóriába vagy -halmazba, illetve kitettségi osztályba sorolt kitettségérték a kitettségre helyettesítési hatással járó hitelkockázat-mérséklési technikák miatti ki- és beáramlások figyelembevétele után. | 
| 100, 120 | Ebből: Mérlegen kívüli tételek Lásd a CR SA táblához tartozó útmutatót. | 
| 110 | KITETTSÉGÉRTÉK A CRR 166. cikkének, valamint 230. cikke (1) bekezdése második mondatának megfelelően meghatározott kitettségértéket kell feltüntetni. Az I. mellékletben említett instrumentumok esetében a CRR 166. cikkének (8)–(10) bekezdése szerinti hitel-egyenértékesítési tényezőket az intézmény által választott módszertől függetlenül alkalmazni kell. A CRR harmadik része II. címe 6. fejezetének alkalmazásakor a 040–060. sorban (értékpapír-finanszírozási ügyletek, származtatott ügyletek és hosszú teljesítési idejű ügyletek, eltérő termékkategóriák közötti nettósításról szóló szerződéses megállapodásból eredő kitettségek) a kitettségérték megegyezik a CRR harmadik része II. címe 6. fejezetének 3–7. szakaszának megfelelően számított partnerkockázati kitettséggel. Az említett értékeket ebben az oszlopban, és nem a 130-as oszlopban („Ebből: partnerkockázatból származó”) kell feltüntetni. | 
| 130 | Ebből: Partnerkockázatból származó Lásd a CR SA táblához tartozó útmutatót. | 
| 140 | EBBŐL: NAGY MÉRETŰ PÉNZÜGYI ÁGAZATBELI SZERVEZETEK ÉS NEM SZABÁLYOZOTT PÉNZÜGYI VÁLLALATOK A kitettségérték felosztása a CRR 142. cikkének 4. és 5. pontjában említett szervezetekkel szembeni összes kitettségre a CRR 153. cikkének (2) bekezdése szerint meghatározott magasabb korrelációs együttható alkalmazásával. | 
| 150–210 | AZ LGD-BECSLÉSEK SORÁN FIGYELEMBE VETT HITELKOCKÁZAT-MÉRSÉKLÉSI TECHNIKÁK, KIVÉVE AZ EGYÜTTES NEMTELJESÍTÉSRE VONATKOZÓ ELJÁRÁST Ezekben az oszlopokban nem tüntethetők fel azok a hitelkockázat-mérséklési technikák, amelyek e technikák helyettesítési hatásának alkalmazásából adódóan befolyásolják az LGD-értékeket. Ha az intézmény nem alkalmaz saját LGD-becslést: a CRR 228. cikkének (2) bekezdését, 230. cikkének (1) és (2) bekezdését, valamint 231. cikkét kell figyelembe venni. Ha az intézmény saját LGD-becslést alkalmaz: — Az előre nem rendelkezésre bocsátott hitelkockázati fedezetet illetően a központi kormányzattal, központi bankkal, intézményekkel és vállalkozásokkal szembeni kitettségek esetében a CRR 161. cikkének (3) bekezdését kell figyelembe venni. Lakossággal szembeni kitettségek esetében a CRR 164. cikkének (2) bekezdését kell figyelembe venni. — Az előre rendelkezésre bocsátott hitelkockázati fedezetet illetően az LGD-becslés során a CRR 181. cikke (1) bekezdésének e) és f) pontjának megfelelően a biztosítékot kell figyelembe venni. | 
| 150 | GARANCIÁK Lásd a 040-es oszlopra vonatkozó útmutatót. | 
| 160 | HITELDERIVATÍVÁK Lásd a 050-es oszlopra vonatkozó útmutatót. | 
| 170 | SAJÁT LGD-BECSLÉS ALKALMAZÁSA: EGYÉB ELŐRE RENDELKEZÉSRE BOCSÁTOTT HITELKOCKÁZATI FEDEZET Az intézmény belső modelljében alkalmazott vonatkozó érték. A CRR 212. cikkében megadott kritériumokat teljesítő hitelkockázat-mérséklő eszközök. | 
| 180 | ELISMERT PÉNZÜGYI BIZTOSÍTÉKOK Kereskedési könyvben nyilvántartott műveletek esetében a tétel a CRR 299. cikke (2) bekezdésének c)–f) pontja alapján a kereskedési könyvi kitettségekre vonatkozóan elismert pénzügyi instrumentumokat és árukat foglalja magában. A hitelkockázati eseményhez kapcsolt értékpapírokat és mérlegen belüli nettósítási pozíciókat a CRR harmadik része II. címe 4. fejezetének 4. szakasza alapján készpénzbiztosítékként kell kezelni. Ha az intézmény nem alkalmaz saját LGD-becslést, az értékeket a CRR 193. cikkének (1)–(4) bekezdése, valamint 194. cikkének (1) bekezdése szerint kell meghatározni. A CRR 223. cikkének (2) bekezdése szerinti korrigált értéket (Cvam) kell feltüntetni. Ha az intézmény saját LGD-becslést alkalmaz, az LGD-becslés során a pénzügyi biztosítékot a CRR 181. cikke (1) bekezdésének e) és f) pontja szerint kell figyelembe venni. A feltüntetendő érték a biztosíték becsült piaci értéke. | 
| 190-210 | EGYÉB ELISMERT BIZTOSÍTÉK Ha az intézmény nem alkalmaz saját LGD-becslést, az értékeket a CRR 199. cikkének (1)–(8) bekezdése, valamint 229. cikke szerint kell meghatározni. Ha az intézmény saját LGD-becslést alkalmaz, az LGD-becslés során az egyéb biztosítékot a CRR 181. cikke (1) bekezdésének e) és f) pontja szerint kell figyelembe venni. | 
| 190 | INGATLAN Ha az intézmény nem alkalmaz saját LGD-becslést, az értékeket a CRR 199. cikkének (2)–(4) bekezdése szerint kell meghatározni és ebben az oszlopban kell feltüntetni. Be kell számítani az ingatlan lízingbe adását is (lásd a CRR 199. cikkének (7) bekezdését). Lásd még a CRR 229. cikkét. Ha az intézmény saját LGD-becslést alkalmaz, akkor a feltüntetendő érték a becsült piaci érték. | 
| 200 | EGYÉB DOLOGI BIZTOSÍTÉKOK Ha az intézmény nem alkalmaz saját LGD-becslést, az értékeket a CRR 199. cikkének (6)–(8) bekezdése szerint kell meghatározni és ebben az oszlopban kell feltüntetni. Be kell számítani az ingatlanon kívüli vagyontárgyak lízingbe adását is (lásd a CRR 199. cikkének (7) bekezdését). Lásd még a CRR 229. cikkének (3) bekezdését. Ha az intézmény saját LGD-becslést alkalmaz, akkor a feltüntetendő érték a biztosíték becsült piaci értéke. | 
| 210 | KÖVETELÉSEK Ha az intézmény nem alkalmaz saját LGD-becslést, az értékeket a CRR 199. cikkének (5) bekezdése és 229. cikkének (2) bekezdése szerint kell meghatározni és ebben az oszlopban kell feltüntetni. Ha az intézmény saját LGD-becslést alkalmaz, akkor a feltüntetendő érték a biztosíték becsült piaci értéke. | 
| 220 | EGYÜTTES NEMTELJESÍTÉSRE VONATKOZÓ ELJÁRÁS: ELŐRE NEM RENDELKEZÉSRE BOCSÁTOTT HITELKOCKÁZATI FEDEZET Az együttes nemteljesítésre vonatkozó eljárással érintett kitettségeket fedező garanciák és hitelderivatívák a CRR 202. cikkének és 217. cikke (1) bekezdésének figyelembevételével. Lásd még a 040. „Garanciák” és a 050. „Hitelderivatívák” oszlopot. | 
| 230 | KITETTSÉGGEL SÚLYOZOTT ÁTLAGOS LGD (%) Figyelembe kell venni a hitelkockázat-mérséklési technikáknak az LGD-értékekre gyakorolt, a CRR harmadik része II. címe 3. és 4. fejezetében meghatározott teljes hatását. Az együttes nemteljesítésre vonatkozó eljárással érintett kitettségek esetében a feltüntetendő LGD a CRR 161. cikkének (4) bekezdése alapján kiválasztott LGD-nek felel meg. Nemteljesítő kitettségek esetében a CRR 181. cikke (1) bekezdésének h) pontját kell figyelembe venni. A 110-es oszlopban említett kitettségérték alapján kell kiszámítani a kitettséggel súlyozott átlagokat. Valamennyi hatást figyelembe kell venni, így az adatszolgáltatás kiterjed a jelzálogra alkalmazandó alsó határértékre is. Az IRB-módszert alkalmazó, de saját LGD-becslést nem használó intézményeknél a pénzügyi biztosítékok kockázatmérséklő hatásait a kitettség teljes mértékben korrigált értéke (E* tükrözi, majd azok a CRR 228. cikkének (2) bekezdésében említett LGD*-értékben is megjelennek. Az egyes PD-ügyfélkategóriákhoz vagy -halmazokhoz tartozó, kitettséggel súlyozott átlagos LGD az adott PD-kategóriához vagy -halmazhoz kapcsolt prudenciális LGD-értékeknek a 110. oszlop vonatkozó kitettségértékével súlyozott átlaga. Ha az intézmény saját LGD-becslést alkalmaz, akkor figyelembe kell venni a CRR 175. cikkét, valamint 181. cikkének (1) és (2) bekezdését. Az együttes nemteljesítésre vonatkozó eljárással érintett kitettségek esetében a feltüntetendő LGD a CRR 161. cikkének (4) bekezdése alapján kiválasztott LGD-nek felel meg. A kitettséggel súlyozott átlagos LGD-értéket az adott illetékes hatóság által jóváhagyott belső minősítési rendszerben ténylegesen alkalmazott kockázati paraméterekből kell származtatni. Az adatszolgáltatás nem terjed ki a 153. cikk (5) bekezdésében említett speciális hitelezési kitettségekre. A 230. oszlop számításakor nem vehetők figyelembe a nagy méretű szabályozott pénzügyi ágazatbeli szervezetek, valamint a nem szabályozott pénzügyi vállalatok kitettségei és az azokhoz kapcsolódó LGD-értékek, ezek kizárólag a 240. oszlop kiszámításánál vehetők figyelembe. | 
| 240 | NAGY MÉRETŰ PÉNZÜGYI ÁGAZATBELI SZERVEZETEK ÉS NEM SZABÁLYOZOTT PÉNZÜGYI VÁLLALATOK KITETTSÉGGEL SÚLYOZOTT ÁTLAGOS LGD-ÉRTÉKE (%) Kitettséggel súlyozott átlagos LGD-érték (%) a CRR 142. cikkének 4. pontjában meghatározott nagy méretű pénzügyi ágazatbeli szervezetekkel, valamint a CRR 142. cikkének 5. pontjában meghatározott nem szabályozott pénzügyi ágazatbeli szervezetekkel szembeni összes kitettségre vonatkozóan, a CRR 153. cikkének (2) bekezdése szerinti magasabb korrelációs együttható alkalmazásával. | 
| 250 | KITETTSÉGGEL SÚLYOZOTT ÁTLAGOS LEJÁRATI ÉRTÉK (NAP) A feltüntetendő értéket a CRR 162. cikkével összhangban kell meghatározni. A kitettségérték (110-es oszlop) alapján kell kiszámítani a kitettséggel súlyozott átlagokat. Az átlagos lejáratot napban kell megadni. Ez az adat nem adható meg olyan kitettségérték esetén, amelynél a lejáratot nem veszik figyelembe a kockázattal súlyozott kitettségérték kiszámításakor. Ez azt jelenti, hogy az oszlop a „lakosság” kitettségi osztályra vonatkozóan nem tölthető ki. | 
| 255 | A KKV-SZORZÓ ELŐTTI, KOCKÁZATTAL SÚLYOZOTT KITETTSÉGÉRTÉK A központi kormányzatok és központi bankok, a vállalkozások és az intézmények kitettségi osztályra vonatkozóan lásd a CRR 153. cikkének (1) és (3) bekezdését. A lakosság kitettségi osztályra vonatkozóan lásd a CRR 154. cikkének (1) bekezdését. A CRR 501. cikkének (1) bekezdésében említett kkv-szorzót nem kell figyelembe venni. | 
| 260 | A KKV-SZORZÓ UTÁNI, KOCKÁZATTAL SÚLYOZOTT KITETTSÉGÉRTÉK A központi kormányzatok és központi bankok, a vállalkozások és az intézmények kitettségi osztályra vonatkozóan lásd a CRR 153. cikkének (1) és (3) bekezdését. A lakosság kitettségi osztályra vonatkozóan lásd a CRR 154. cikkének (1) bekezdését. A CRR 501. cikkének (1) bekezdésében említett kkv-szorzót figyelembe kell venni. | 
| 270 | EBBŐL: NAGY MÉRETŰ PÉNZÜGYI ÁGAZATBELI SZERVEZETEK ÉS NEM SZABÁLYOZOTT PÉNZÜGYI VÁLLALATOK A kkv-szorzó utáni, kockázattal súlyozott kitettségérték lebontása a CRR 142. cikkének 4. pontjában meghatározott nagy méretű pénzügyi ágazatbeli szervezetekkel szembeni valamennyi kitettségre és a CRR 142. cikkének 5. pontjában meghatározott nem szabályozott pénzügyi ágazatbeli szervezetekkel szembeni valamennyi kitettségre a CRR 153. cikkének (2) bekezdése szerinti magasabb korrelációs együttható alkalmazásával. | 
| 280 | VÁRHATÓ VESZTESÉGÉRTÉK A várható veszteség meghatározását a CRR 5. cikkének (3) bekezdése, a várható veszteség összegének kiszámítását a CRR 158. cikke tartalmazza. A várható veszteség feltüntetendő értékét az adott illetékes hatóság által jóváhagyott belső minősítési rendszerben ténylegesen alkalmazott kockázati paraméterek alapján kell kiszámítani. | 
| 290 | (–) ÉRTÉKELÉSI KORREKCIÓK ÉS CÉLTARTALÉKOK Az értékelési korrekciót, valamint a CRR 159. cikke szerinti egyedi és általános hitelkockázati kiigazításokat kell feltüntetni. Az általános hitelkockázati kiigazításokat az egyes ügyfél-kategóriák várható vesztesége alapján arányosítva kell megadni. | 
| 300 | A KÖTELEZETTEK SZÁMA A CRR 172. cikkének (1) és (2) bekezdése A lakossági kitettségi osztály, valamint a CRR 172. cikke (1) bekezdése e) pontjának második mondatában említett esetek kivételével az intézmény valamennyi kitettségi osztályra vonatkozóan a külön minősített jogi személyek/kötelezettek számát adja meg a különböző fennálló hitelek vagy kitettségek számától függetlenül. A lakossági kitettségi osztályon belül, vagy ha más kitettségi osztályokban ugyanazon kötelezettel szembeni külön kitettségeket különböző ügyfél-kategóriákhoz rendelnek a CRR 172. cikke (1) bekezdése e) pontjának második mondatával összhangban, az intézmény azon kitettségek számát adja meg, amelyeket külön soroltak be egy bizonyos minősítési kategóriába vagy -halmazba. A CRR 172. cikke (2) bekezdésének alkalmazásakor egy kötelezett egynél több kategóriában is figyelembe vehető. Mivel ez az oszlop a minősítési rendszerek egyik szerkezeti elemét érinti, az egyes ügyfél-kategóriákba vagy -halmazokba sorolt hitel-egyenértékesítési tényezők előtti eredeti kitettséghez kapcsolódik, a hitelkockázat-mérséklési technikák hatásainak (különösen a redisztribúciós hatás) figyelembevétele nélkül. | 
| Sor | Útmutató | 
| 010 | TELJES KITETTSÉG | 
| 015 | Ebből: Kitettség a kkv-szorzó alkalmazásával Itt csak azokat a kkv-kal szembeni kitettségeket kell feltüntetni, amelyek teljesítik a CRR 501. cikkének (2) bekezdésében előírt követelményeket. | 
| 020–060 | A TELJES KITETTSÉG KITETTSÉGTÍPUS SZERINTI BONTÁSA | 
| 020 | Hitelkockázattal érintett mérlegtételek A CRR 24. cikkében említett, más kategóriába nem sorolt eszközök. Azokat a mérlegtételnek minősülő kitettségeket, amelyeket értékpapír-finanszírozási ügyletként vagy származtatott ügyletként, illetve hosszú teljesítési idejű ügyletként számítanak be, vagy eltérő termékkategóriák közötti nettósításról szóló szerződéses megállapodásból erednek, a 040–060. sorban kell feltüntetni, így ebben a sorban nem szerepeltethetők. A CRR 379. cikkének (1) bekezdésében említett, le nem vont nyitva szállítások nem minősülnek mérlegtételnek, azonban azokat ebben a sorban fel kell tüntetni. A CRR 4. cikke (1) bekezdésének 91. pontja értelmében a központi szerződő félre könyvelt eszközből eredő kitettségeket be kell számítani akkor, ha azok a 030. sorban nem szerepelnek. | 
| 030 | Hitelkockázattal érintett mérlegen kívüli tételek A mérlegen kívüli tételek közé a CRR I. mellékletében felsorolt tételek tartoznak. Azokat a mérlegen kívüli tételnek minősülő kitettségeket, amelyek értékpapír-finanszírozási ügyletek vagy származtatott ügyletek, illetve hosszú teljesítési idejű ügyletek, vagy eltérő termékkategóriák közötti nettósításról szóló szerződéses megállapodásból erednek, a 040–060. sorban kell feltüntetni, így ebben a sorban nem szerepeltethetők. A CRR 4. cikke (1) bekezdésének 91. pontja értelmében a központi szerződő félre könyvelt eszközből eredő kitettségeket be kell számítani akkor, ha azok mérlegen kívüli tételnek minősülnek. | 
| 040–060 | Partnerkockázattal érintett kitettségek/ügyletek | 
| 040 | Értékpapír-finanszírozási ügyletek A Bázeli Bankfelügyeleti Bizottság „A Bázel II alkalmazása a kereskedési tevékenységek és az együttes nemteljesítés kezelése terén” c. dokumentumának 17. bekezdésében meghatározott értékpapír-finanszírozási ügyletek (SFT) magukban foglalják: i. a CRR 4. cikke (1) bekezdésének 82. pontjában meghatározott repo- és fordított repomegállapodásokat, valamint az értékpapír- és áru-kölcsönbeadási, illetve -kölcsönvételi ügyleteket, valamint ii. a CRR 272. cikkének (3) bekezdésében meghatározott értékpapírügylethez kapcsolódó hiteleket. Azok az értékpapír-finanszírozási ügyletek, amelyek termékkategóriák közötti nettósítás részét képezik és ennélfogva a 060. sorban szerepelnek, ebben a sorban nem tüntethetők fel. | 
| 050 | Származtatott és hosszú teljesítési idejű ügyletek A származtatott ügyletek a CRR II. mellékletében felsorolt szerződéseket foglalják magukban. Azok a származtatott ügyletek és hosszú teljesítési idejű ügyletek, amelyek termékkategóriák közötti nettósítás részét képezik, és ennélfogva a 060-as sorban szerepelnek, ebben a sorban nem tüntethetők fel. | 
| 060 | Eltérő termékkategóriák közötti nettósításról szóló szerződéses megállapodásból Lásd a CR SA táblához tartozó útmutatót. | 
| 070 | ÜGYFÉL-KATEGÓRIÁKBA VAGY –HALMAZOKBA (POOLOKBA) SOROLT KITETTSÉGEK: ÖSSZESEN Vállalkozásokkal, intézményekkel és központi kormányzatokkal, valamint központi bankokkal szembeni kitettségekkel kapcsolatban lásd a CRR 142. cikke (1) bekezdésének 6. pontját, valamint 170. cikke (1) bekezdésének c) pontját. A lakossággal szembeni kitettségekkel kapcsolatban lásd a CRR 170. cikke (3) bekezdésének b) pontját. A vásárolt követelésekből eredő kitettségekkel kapcsolatban lásd a CRR 166. cikkének (6) bekezdését. A vásárolt követelések felhígulási kockázatával összefüggő kitettségeket nem kell ügyfél-kategóriák és -halmazok szerint jelenteni, így az ilyen kitettségeket a 180. sorban kell feltüntetni. Ha az intézmény nagyszámú ügyfél-kategóriát vagy -halmazt alkalmaz, akkor adatszolgáltatási célból a kategóriák vagy -halmazok csökkentett számáról állapodhat meg az illetékes hatóságokkal. Nincs irányadó skála. Ehelyett az intézmények az alkalmazni kívánt skálát saját maguk határozzák meg. | 
| 080 | SLOTTING KRITÉRIUM SZERINTI SPECIÁLIS HITELEZÉSI KITETTSÉGEK: ÖSSZESEN A CRR 153. cikkének (5) bekezdése Kizárólag a vállalkozásokkal, intézményekkel és központi kormányzatokkal, valamint központi bankokkal szembeni kitettségekre vonatkozik. | 
| 090–150 | A SLOTTING KRITÉRIUM SZERINTI TELJES SPECIÁLIS HITELEZÉSI KITETTSÉG KOCKÁZATI SÚLY SZERINTI BONTÁSA: | 
| 120 | Ebből: az 1. kategóriában A CRR 153. cikkének (5) bekezdése, 1. táblázat | 
| 160 | ALTERNATÍV KEZELÉS: INGATLANNAL FEDEZETT A CRR 193. cikkének (1) és (2) bekezdése, 194. cikkének (1)–(7) bekezdése, valamint 230. cikkének (3) bekezdése | 
| 170 | NYITVA SZÁLLÍTÁSBÓL EREDŐ, ALTERNATÍV KEZELÉS ALAPJÁN MEGÁLLAPÍTOTT VAGY 100 %-OS KOCKÁZATI SÚLYÚ KITETTSÉGEK, VALAMINT EGYÉB, KOCKÁZATI SÚLYOZÁS ALÁ TARTOZÓ KITETTSÉGEK Olyan nyitva szállításokból eredő kitettségek, amelyek a CRR 379. cikke (2) bekezdése első albekezdésének utolsó mondatában említett alternatív kezelés körébe tartoznak, vagy amelyek a CRR 379. cikke (2) bekezdésének utolsó albekezdése alapján 100 %-os kockázati súlyt kapnak. A nem minősített, a CRR 153. cikkének (8) bekezdése szerinti n-edik nemteljesítéskor lehívható hitelderivatívákat, valamint a máshová nem sorolt, kockázati súlyozás alá tartozó egyéb kitettségeket ebben a sorban kell feltüntetni. | 
| 180 | FELHÍGULÁSI KOCKÁZAT: VÁSÁROLT KÖVETELÉSEK ÖSSZESEN A felhígulási kockázat meghatározását a CRR 4. cikke (1) bekezdésének 53. pontja tartalmazza. A felhígulási kockázatra vonatkozó kockázati súly kiszámításával kapcsolatban lásd a CRR 157. cikkének (1) bekezdését. A CRR 166. cikkének (6) bekezdése szerint a vásárolt követelések kitettségértéke a kintlévőség összege a felhígulási kockázatra vonatkozó, kockázattal súlyozott, hitelkockázat-mérséklés előtti kitettségértékekkel csökkentve. | 
3.3.4. C 08.02 - Hitelkockázat, partnerkockázat és nyitva szállítások: IRB-módszer szerinti tőkekövetelmény: ügyfél-kategória vagy -halmaz [pool] szerint) (CR IRB 2 tábla)
| Oszlop | Útmutató | 
| 005 | Ügyfél-kategória (sorazonosító) Ez egy sorazonosító, amely a tábla egyes lapjainak minden sorát egyedileg azonosítja. Sorrendje: 1, 2, 3 stb. | 
| 010–300 | Az itt található oszlopokra vonatkozó útmutató azonos a CR IRB 1 tábla megfelelő számú oszlopaira vonatkozó útmutatóval. | 
| Sor | Útmutató | 
| 010–001 – 010–NNN | Az e sorokban feltüntetett értékeket az adott ügyfél-kategóriához vagy -halmazhoz tartozó PD-érték szerint növekvő sorrendben kell megadni. A nem teljesítő ügyfelekhez tartozó PD-érték 100 %. Az ingatlanbiztosíték alternatív kezelési körébe vont kitettségek (ez kizárólag akkor lehetséges, ha az intézmény nem alkalmaz saját LGD-becslést) nem sorolhatók be a kötelezett PD-értéke alapján, így ezek adatait e tábla nem tartalmazza. | 
3.4. HITELKOCKÁZAT, PARTNERKOCKÁZAT ÉS NYITVA SZÁLLÍTÁSOK: FÖLDRAJZI MEGOSZLÁS
79. Minden intézménynek összesített szinten aggregált információkat kell benyújtania. Emellett az e végrehajtási rendelet 5. cikke a) pontjának 4. alpontjában rögzített küszöbértéket elérő intézményeknek belföldre és külföldre vonatkozóan egyaránt, országonkénti bontásban adatot kell szolgáltatniuk. A küszöbérték kizárólag a CR GB 1 és a CR GB 2 táblára vonatkozik. A szupranacionális szervezetekkel szembeni kitettségeket az "Egyéb országok" földrajzi területhez kell sorolni.
80. A kötelezett székhelye a kötelezett bejegyzése szerinti országot jelenti. A fogalom a közvetlen kötelezett és a végső kockázatviselő alapján is alkalmazható. A helyettesítési hatással járó hitelkockázat-mérséklési technikákkal módosítható egy kitettség ország szerinti besorolása. A szupranacionális szervezetekkel szembeni kitettségeket nem az intézmény székhelye szerinti országhoz, hanem az "Egyéb országok" földrajzi területhez kell sorolni, a szupranacionális szervezettel szembeni kitettség kitettségosztályától függetlenül.
81. A hitel-egyenértékesítési tényezők előtti eredeti kitettségre vonatkozó adatokat a közvetlen kötelezett székhelye szerint kell feltüntetni. A kitettségértékre és kockázattal súlyozott kitettségértékre vonatkozó adatokat a végső kötelezett székhelye szerint kell feltüntetni.
3.4.1. C 09.01 - Kitettségek földrajzi bontása a kötelezett illetősége szerint: SA kitettségek (CR GB 1)
3.4.1.1. A tábla egyes részeire vonatkozó útmutató
| Oszlopok | |
| 010 | HITEL-EGYENÉRTÉKESÍTÉSI TÉNYEZŐK ELŐTTI EREDETI KITETTSÉG A CR SA tábla 010. oszlopával azonos meghatározás. | 
| 020 | Nemteljesítő kitettségek A nemteljesítő kitettségként besorolt kitettségek, valamint a „kiemelkedően magas kockázatú tételek” vagy a „részvényjellegű kitettségek” kitettségi osztályba sorolt nemteljesítő kitettségek hitel-egyenértékesítési tényezők előtti eredeti kitettsége. Ez a tájékoztató adat kiegészítő információt nyújt a nemteljesítő kitettségek kötelezetti struktúrájáról. A CRR 112. cikkének j) pontjában említett „nemteljesítő kitettségekhez” sorolt kitettségeket kell megadni, amelyeknél a kötelezettekről adatot kellett volna szolgáltatni, ha a kitettségek nem a „nemteljesítő kitettségek” kitettségi osztályba tartoznának. A megadott érték tájékoztató adat, így nem érinti a CRR 112. cikkének j), k), és p) pontjában említett „nemteljesítő kitettségek”, „kiemelkedően magas kockázatú tételek” vagy „részvényjellegű kitettségek” kitettségi osztályba sorolt, kockázattal súlyozott kitettségértékek kiszámítását. | 
| 040 | Az időszakban megállapított új nemteljesítések A legutóbbi adatszolgáltatási vonatkozási időpont óta eltelt 3 hónap során a „nemteljesítő kitettségek” kitettségi osztályba átsorolt eredeti kitettségek összegét abban a kitettségi osztályban kell feltüntetni, amelybe a kötelezett eredetileg tartozott. | 
| 050 | Általános hitelkockázati kiigazítások A CRR 110. cikkében említett hitelkockázati kiigazítások. A tétel azokat az általános hitelkockázati kiigazításokat foglalja magában, amelyek beszámíthatók a T2 tőkébe, a CRR 62. cikkének c) pontjában említett felső határ alkalmazása előtt. A feltüntetendő értéknek tartalmaznia kell az adóhatásokat is. | 
| 055 | Egyedi hitelkockázati kiigazítások A CRR 110. cikkében említett hitelkockázati kiigazítások. | 
| 060 | Leírások A leírások magukban foglalják a közvetlenül az eredményben elszámolt értékvesztett pénzügyi eszközök könyv szerinti értékének csökkentését [IFRS 7.B5.(d).(i)], valamint az értékvesztett pénzügyi eszközökkel szembeállított értékvesztési számlák összegének csökkentését [IFRS 7.B5.(d).(ii)]. | 
| 070 | A megállapított új nemteljesítések utáni hitelkockázati kiigazítások/leírások A legutóbbi adatszolgáltatás óta eltelt 3 hónap során a „nemteljesítő kitettségek” közé sorolt kitettségek utáni hitelkockázati kiigazítások és leírások összege. | 
| 075 | Kitettségérték A CR SA tábla 200. oszlopával azonos meghatározás. | 
| 080 | A KKV-SZORZÓ ELŐTTI, KOCKÁZATTAL SÚLYOZOTT KITETTSÉGÉRTÉK A CR SA tábla 215. oszlopával azonos meghatározás. | 
| 090 | A KKV-SZORZÓ UTÁNI, KOCKÁZATTAL SÚLYOZOTT KITETTSÉGÉRTÉK A CR SA tábla 220. oszlopával azonos meghatározás. | 
| Sor | |
| 010 | Központi kormányzatok vagy központi bankok A CRR 112. cikkének a) pontja | 
| 020 | Regionális kormányzatok vagy helyi hatóságok A CRR 112. cikkének b) pontja | 
| 030 | Közszektorbeli intézmények A CRR 112. cikkének c) pontja | 
| 040 | Multilaterális fejlesztési bankok A CRR 112. cikkének d) pontja | 
| 050 | Nemzetközi szervezetek A CRR 112. cikkének e) pontja | 
| 060 | Intézmények A CRR 112. cikkének f) pontja | 
| 070 | Vállalkozások A CRR 112. cikkének g) pontja | 
| 075 | Ebből: KKV A CR SA tábla 020. sorával azonos meghatározás | 
| 080 | Lakosság A CRR 112. cikkének h) pontja | 
| 085 | Ebből: KKV A CR SA tábla 020. sorával azonos meghatározás | 
| 090 | Ingatlanra bejegyzett zálogjoggal fedezett kitettségek A CRR 112. cikkének i) pontja | 
| 095 | Ebből: KKV A CR SA tábla 020. sorával azonos meghatározás | 
| 100 | Nemteljesítő kitettségek A CRR 112. cikkének j) pontja | 
| 110 | Kiemelkedően magas kockázatú tételek A CRR 112. cikkének k) pontja | 
| 120 | Fedezett kötvények A CRR 112. cikkének l) pontja | 
| 130 | Rövid távú hitelminősítéssel rendelkező intézményekkel és vállalkozásokkal szembeni követelések A CRR 112. cikkének n) pontja | 
| 140 | Kollektív befektetési formák (KBF) A CRR 112. cikkének o) pontja | 
| 150 | Részvényjellegű kitettségek A CRR 112. cikkének p) pontja | 
| 160 | Egyéb kitettségek A CRR 112. cikkének q) pontja | 
| 170 | Teljes kitettség | 
3.4.2. C 09.02 - Kitettségek földrajzi bontása a kötelezett illetősége szerint: IRB kitettségek (CR GB 2)
3.4.2.1. A tábla egyes részeire vonatkozó útmutató
| Oszlop | |
| 010 | HITEL-EGYENÉRTÉKESÍTÉSI TÉNYEZŐK ELŐTTI EREDETI KITETTSÉG A CR IRB tábla 020-as oszlopával azonos meghatározás | 
| 030 | Ebből: nemteljesítő A CRR 178. cikke szerint nemteljesítő kitettségként besorolt kitettségek eredeti kitettségértéke. | 
| 040 | Az időszakban megállapított új nemteljesítések A legutóbbi adatszolgáltatási vonatkozási időpont óta eltelt 3 hónap során a „nemteljesítő kitettségek” kitettségi osztályba átsorolt eredeti kitettségek összegét abban a kitettségi osztályban kell feltüntetni, amelybe a kötelezett eredetileg tartozott. | 
| 050 | Általános hitelkockázati kiigazítások A CRR 110. cikkében említett hitelkockázati kiigazítások. | 
| 055 | Egyedi hitelkockázati kiigazítások A CRR 110. cikkében említett hitelkockázati kiigazítások. | 
| 060 | Leírások A leírások magukban foglalják a közvetlenül az eredményben elszámolt értékvesztett pénzügyi eszközök könyv szerinti értékének csökkentését [IFRS 7.B5.(d).(i)], valamint az értékvesztett pénzügyi eszközökkel szembeállított értékvesztési számlák összegének csökkentését [IFRS 7.B5.(d).(ii)]. | 
| 070 | A megállapított új nemteljesítések utáni hitelkockázati kiigazítások/leírások A legutóbbi adatszolgáltatás óta eltelt 3 hónap során a „nemteljesítő kitettségek” közé sorolt kitettségek utáni hitelkockázati kiigazítások és leírások összege. | 
| 080 | BELSŐ MINŐSÍTÉSI RENDSZER/AZ ÜGYFÉL-KATEGÓRIÁHOZ VAGY -HALMAZHOZ (POOLHOZ) RENDELT NEMTELJESÍTÉSI VALÓSZÍNŰSÉG (%) A CR IRB tábla 010-as oszlopával azonos meghatározás. | 
| 090 | KITETTSÉGGEL SÚLYOZOTT ÁTLAGOS LGD (%) A CR IRB tábla 230. és 240. oszlopával azonos meghatározás: a kitettséggel súlyozott átlagos LGD-érték (%) minden kitettségre utal, beleértve a nagy méretű pénzügyi ágazatbeli szervezetekkel és a nem szabályozott pénzügyi vállalatokkal szembeni kitettségeket. A CRR 181. cikke (1) bekezdésének h) pontját kell alkalmazni. Az adatszolgáltatás nem terjed ki a CRR 153. cikkének (5) bekezdésében említett speciális hitelezési kitettségekre. | 
| 100 | Ebből: nemteljesítő A CRR 178. cikke szerint nemteljesítő kitettségként besorolt kitettségek kitettséggel súlyozott LGD-értéke. | 
| 105 | Kitettségérték A CR IRB tábla 110. oszlopával azonos meghatározás. | 
| 110 | A KKV-SZORZÓ ELŐTTI, KOCKÁZATTAL SÚLYOZOTT KITETTSÉGÉRTÉK A CR IRB tábla 255-as oszlopával azonos meghatározás. | 
| 120 | Ebből: nemteljesítő A CRR 178. cikkének (1) bekezdése szerint nemteljesítő kitettségként besorolt kitettségek kockázattal súlyozott kitettségértéke. | 
| 125 | A KKV-SZORZÓ UTÁNI, KOCKÁZATTAL SÚLYOZOTT KITETTSÉGÉRTÉK A CR IRB tábla 260-as oszlopával azonos meghatározás. | 
| 130 | VÁRHATÓ VESZTESÉGÉRTÉK A CR IRB tábla 280-as oszlopával azonos meghatározás. | 
| Sor | |
| 010 | Központi kormányzatok és központi bankok A CRR 147. cikke (2) bekezdésének a) pontja | 
| 020 | Intézmények A CRR 147. cikke (2) bekezdésének b) pontja | 
| 030 | Vállalkozások A CRR 147. cikke (2) bekezdésének c) pontjában említett vállalkozásokkal szembeni valamennyi kitettség | 
| 042 | Ebből: speciális hitelezés (kivéve a slotting kritérium szerinti speciális hitelezés) A CRR 147. cikke (8) bekezdésének a) pontja Az adatszolgáltatás nem terjed ki a CRR 153. cikkének (5) bekezdésében említett speciális hitelezési kitettségekre. | 
| 045 | Ebből: slotting kritérium szerinti speciális hitelezés A CRR 147. cikke (8) bekezdésének a) pontja, valamint 153. cikkének (5) bekezdése | 
| 050 | Ebből: KKV A CRR 147. cikke (2) bekezdésének c) pontja | 
| 060 | Lakosság A CRR 147. cikke (2) bekezdésének d) pontjában említett valamennyi részvényjellegű kitettség | 
| 070 | Lakosság – ingatlannal fedezett Ingatlannal fedezett, lakossággal szembeni kitettségek a CRR 147. cikke (2) bekezdésének d) pontjában említetteknek megfelelően | 
| 080 | KKV Ingatlannal fedezett, lakossággal szembeni kitettségek a CRR 147. cikke (2) bekezdésének d) pontjában és 154. cikkének (3) bekezdésében említetteknek megfelelően | 
| 090 | Nem KKV Ingatlannal fedezett, lakossággal szembeni kitettségek a CRR 147. cikke (2) bekezdésének d) pontjában említetteknek megfelelően | 
| 100 | Lakosság – a rulírozó állományba beszámítható Lakossággal szembeni kitettségek a CRR 147. cikke (2) bekezdésének d) pontja és a 154. cikk (4) bekezdése együttes alkalmazásával | 
| 110 | Egyéb lakosság A CRR 147. cikke (2) bekezdésének d) pontjában említett, a 070–100. sorban nem szereplő, egyéb lakossággal szembeni kitettségek | 
| 120 | KKV A CRR 147. cikke (2) bekezdésének d) pontjában említett, lakossággal szembeni egyéb kkv-kitettségek | 
| 130 | Nem kkv A CRR 147. cikke (2) bekezdésének d) pontjában említett, lakossággal szembeni egyéb nem kkv-kitettségek | 
| 140 | Részvényjellegű kitettségek A CRR 147. cikke (2) bekezdésének e) pontjában említett részvényjellegű kitettségek | 
| 150 | Teljes kitettség | 
3.4.3. C 09.04 - A lényeges hitelkockázati kitettségek országonkénti bontása az anticiklikus tőkepuffer és az intézményspecifikus anticiklikus tőkepuffer kiszámításához (CCB)
3.4.3.1. Általános megjegyzések
82. A tábla célja bővebb információ gyűjtése az intézményspecifikus anticiklikus tőkepuffer elemeiről. Az előírt információ a CRR harmadik része II. és IV. címének megfelelően meghatározott szavatolótőke-követelményre, a hitelkockázati kitettségek földrajzi helyére, az intézményspecifikus anticiklikus tőkepuffer CRD 140. cikke szerinti (lényeges hitelkockázati kitettség) számításához releváns értékpapírosítási kitettségekre és kereskedési könyvi kitettségekre vonatkozik.
83. A C 09.04. táblában meg kell adni a lényeges hitelkockázati kitettségekre vonatkozó összesített adatot e kitettségek helye szerinti valamennyi joghatóság tekintetében, továbbá egyedileg az egyes olyan joghatóságokra vonatkozóan, ahol a lényeges hitelkockázati kitettségek elhelyezkednek. Az összesített adatokat és az egyes joghatóságokra vonatkozó információkat külön dimenzióban kell megadni.
84. Az e végrehajtási rendelet 5. cikke a) pontjának 4. alpontjában rögzített küszöbérték az e megoszlás szerinti adatszolgáltatás szempontjából nem alkalmazandó.
85. A földrajzi hely meghatározásához a kitettségek hozzárendelése az 1152/2014/EU felhatalmazáson alapuló bizottsági rendeletben ( 9 ) előírtaknak megfelelően közvetlen kötelezetti alapon történik. Ezért a hitelkockázat-mérséklési technikák nem változtatják meg egy kitettség földrajzi helyhez való hozzárendelését az e táblában meghatározott információ megadása céljából.
3.4.3.2. A tábla egyes részeire vonatkozó útmutató
| Oszlop | |
| 010 | Összeg A lényeges hitelkockázati kitettségek értéke és a kapcsolódó szavatolótőke-követelmények az adott sorra vonatkozó útmutatónak megfelelően meghatározva. | 
| 020 | Százalék | 
| 030 | Kvalitatív információk Ezt az információt csak az intézmény székhelye szerinti országra vonatkozóan kell megadni (az intézmény székhelye szerinti tagállamnak megfelelő joghatóság), és meg kell adni az „Összesen” adatot az összes országra vonatkozóan. Az intézménynek {y} vagy {n} adatot kell megadnia a megfelelő sorra vonatkozó útmutatóval összhangban. | 
| Sor | |
| 010–020 | Lényeges hitelkockázati kitettségek – hitelkockázat A CRD 140. cikke (4) bekezdése a) pontjában említett lényeges hitelkockázati kitettség. | 
| 010 | Kitettségérték a sztenderd módszer szerint A CRD 140. cikke (4) bekezdése a) pontjában említett lényeges hitelkockázati kitettségekre vonatkozó, a CRR 111. cikkének megfelelően kiszámított kitettségérték. A banki könyvi értékpapírosítási pozíciók kitettségértékét ebben a sorban nem kell megadni, hanem az 055-ös sorban kell jelenteni. | 
| 020 | Kitettségérték az IRB-módszer szerint A CRD 140. cikke (4) bekezdése a) pontjában említett lényeges hitelkockázati kitettségekre vonatkozó, a CRR 166. cikkének megfelelően kiszámított kitettségérték. A banki könyvi értékpapírosítási pozíciók kitettségértékét ebben a sorban nem kell megadni, hanem az 055-ös sorban kell jelenteni. | 
| 030–040 | Lényeges hitelkockázati kitettségek – piaci kockázat A CRD 140. cikke (4) bekezdése b) pontjában említett lényeges hitelkockázati kitettségek. | 
| 030 | Kereskedési könyvi kitettségek hosszú és rövid pozícióinak összege a sztenderd módszer szerint A CRD 140. cikke (4) bekezdésének b) pontjában említett, a CRR harmadik része IV. címe 2. fejezetében előírt szavatolótőke-követelmények hatálya alá tartozó lényeges hitelkockázati kitettségek hosszú és rövid pozícióinak összege a CRR 327. cikkének megfelelően: — hitelviszonyt megtestesítő instrumentumokkal szembeni, értékpapírosítástól eltérő kitettségek, — kereskedési könyvi értékpapírosítási pozíciókkal szembeni kitettségek, — korrelációkereskedési portfóliókkal szembeni kitettségek, — tulajdonviszonyt megtestesítő instrumentumokkal szembeni kitettségek, — kollektív befektetési formákkal szembeni kitettségek, ha a tőkekövetelmény kiszámítása a CRR 348. cikke szerint történik. | 
| 040 | Kereskedési könyvi kitettségek értéke a belső modellek szerint A CRD 140. cikke (4) bekezdésének b) pontjában említett, a CRR harmadik része IV. címe 2. és 5. fejezetében előírt szavatolótőke-követelmények hatálya alá tartozó lényeges hitelkockázati kitettségek esetében a következők összegét kell jelenteni: — olyan nem származtatott pozíciók CRR 104. cikkével összhangban meghatározott valós értéke, amelyek a CRD 140. cikke (4) bekezdésének b) pontjában említett lényeges hitelkockázati kitettségeket jelentenek, — olyan származtatott ügyletek névleges értéke, amelyek a CRD 140. cikke (4) bekezdése b) pontjában említett lényeges hitelkockázati kitettségeket jelentenek. | 
| 055 | Lényeges hitelkockázati kitettségek – banki könyvi értékpapírosítási pozíciók A CRD 140. cikke (4) bekezdése c) pontjában említett lényeges hitelkockázati kitettségekre vonatkozó, a CRR 248. cikkének megfelelően kiszámított kitettségérték. | 
| 070–110 | Szavatolótőke-követelmények és súlyok | 
| 070 | Az anticiklikus tőkepufferre vonatkozó teljes szavatolótőke-követelmény A 080-as, 090-es és 100-as sorok összege. | 
| 080 | A lényeges hitelkockázati kitettségekre vonatkozó szavatolótőke-követelmény – hitelkockázat A CRD 140. cikke (4) bekezdése a) pontjában említett lényeges hitelkockázati kitettségekre vonatkozó, a CRR harmadik része II. címe 1–4. és 6. fejezete szerint kiszámított szavatolótőke-követelmények a szóban forgó országban. A banki könyvi értékpapírosítási pozíciókra vonatkozó szavatolótőke-követelményeket ebben a sorban nem kell megadni, hanem a 100-as sorban kell jelenteni. A szavatolótőke-követelmény a CRR harmadik része II. címe 1–4. és 6. fejezete szerint meghatározott kockázattal súlyozott kitettségérték 8 %-a. | 
| 090 | A lényeges hitelkockázati kitettségekre vonatkozó szavatolótőke-követelmény – piaci kockázat A CRD 140. cikke (4) bekezdése b) pontjában említett lényeges hitelkockázati kitettségekre vonatkozó, az egyedi kockázat esetében a CRR harmadik része IV. címe 2. fejezetének megfelelően kiszámított szavatolótőke-követelmény, vagy a járulékos nemteljesítési és átminősítési kockázat esetében a CRR harmadik része IV. címének 5. fejezete szerint kiszámított szavatolótőke-követelmény a szóban forgó országban. A lényeges hitelkockázati kitettségekre vonatkozó szavatolótőke-követelmények a piaci kockázati szabályok értelmében többek között magukban foglalják az értékpapírosítási pozíciókra vonatkozó, a CRR harmadik része IV. címe 2. fejezete szerint kiszámított szavatolótőke-követelményeket, továbbá a kollektív befektetési formákkal szembeni kitettségekre vonatkozó, a CRR 348. cikkének megfelelően meghatározott szavatolótőke-követelményeket. | 
| 100 | A lényeges hitelkockázati kitettségekre vonatkozó szavatolótőke-követelmény – banki könyvi értékpapírosítási pozíciók A CRD 140. cikke (4) bekezdése c) pontjában említett lényeges hitelkockázati kitettségekre vonatkozó, a CRR harmadik része II. címe 5. fejezete szerint kiszámított szavatolótőke-követelmények a szóban forgó országban. A szavatolótőke-követelmény a CRR harmadik része II. címének 5. fejezete szerint kiszámított kockázattal súlyozott kitettségérték 8 %-a. | 
| 110 | Szavatolótőke-követelmények súlyai Az egyes országokban az anticiklikustőkepuffer-rátára alkalmazott súly a következőképpen meghatározott szavatolótőke-követelmény arányában kerül kiszámításra: 1. Számláló: A szóban forgó országban a lényeges hitelkockázati kitettségekhez kapcsolódó teljes szavatolótőke-követelmény [r070; c010; országadatlap], 2. Nevező: A CRD 140. cikkének (4) bekezdésében említett anticiklikus puffer kiszámításához releváns valamennyi hitelkockázati kitettséghez kapcsolódó teljes szavatolótőke-követelmény [r070; c010; Összesen]. A szavatolótőke-követelményekhez tartozó súlyokra vonatkozó adatokat nem kell megadni az összes országra vonatkozó összesített adatban. | 
| 120–140 | Anticiklikustőkepuffer-ráták | 
| 120 | A kijelölt hatóság által meghatározott anticiklikustőkepuffer-ráta A szóban forgó országra vonatkozóan az adott ország kijelölt hatósága által megállapított anticiklikustőkepuffer-ráta a CRD 136., 137., 139. cikkének, 140. cikke (2) bekezdése a) és c) pontjának, valamint 140. cikke (3) bekezdése b) pontjának megfelelően. Ezt a sort üresen kell hagyni, amennyiben a kijelölt hatóság nem állapított meg anticiklikustőkepuffer-rátát a szóban forgó országra vonatkozóan. A kijelölt hatóság által megállapított, de az adatszolgáltatás vonatkozási időpontjában a szóban forgó országban még nem alkalmazandó anticiklikustőkepuffer-rátát nem kell jelenteni. A kijelölt hatóság által megállapított anticiklikustőkepuffer-rátára vonatkozó adatot nem kell jelenteni az összes országra vonatkozó összesített adatban. | 
| 130 | Az intézmény helye szerinti országban alkalmazandó anticiklikustőkepuffer-ráta A szóban forgó országban alkalmazandó anticiklikustőkepuffer-ráta, amelyet az intézmény székhelye szerinti ország kijelölt hatósága állapított meg a CRD 137., 138., 139. cikkének, 140. cikke (2) bekezdése b pontjának, valamint 140. cikke (3) bekezdése a) pontjának megfelelően. Az adatszolgáltatás vonatkozási időpontjában még nem alkalmazandó anticiklikustőkepuffer-rátákat nem kell jelenteni. Az intézmény országában alkalmazandó anticiklikustőkepuffer-rátára vonatkozó adatot nem kell jelenteni az összes országra vonatkozó összesített adatban. | 
| 140 | Intézményspecifikus anticiklikustőkepuffer-ráta A CRD 140. cikke (1) bekezdésének megfelelően kiszámított intézményspecifikus anticiklikustőkepuffer-ráta. Az intézményspecifikus anticiklikustőkepuffer-ráta az azon joghatóságokban alkalmazandó anticiklikustőkepuffer-ráták súlyozott átlaga, amelyekben az intézmény lényeges hitelkockázati kitettségei elhelyezkednek vagy amelyek a 140. cikk céljából alkalmazottak a CRD 139. cikkének (2) vagy (3) bekezdése értelmében. A releváns anticiklikustőkepuffer-rátát az [r120; c020; országadatlap] mezőben vagy adott esetben az [r130; c020; országadatlap] mezőben kell megadni. Az anticiklikustőkepuffer-rátára vonatkozóan az egyes országokban alkalmazandó súly a szavatolótőke-követelménynek a teljes szavatolótőke-követelményhez viszonyított aránya, és az [r110; c020; országadatlap] mezőben kell megadni. Az intézményspecifikus anticiklikustőkepuffer-rátára vonatkozó adatot csak az összes országra vonatkozó összesített adatban kell jelenteni, az egyes országokra vonatkozóan nem. | 
| 150–160 | 2 %-os küszöbérték alkalmazása | 
| 150 | 2 %-os küszöbérték alkalmazása az általános hitelkockázati kitettségekre Az 1152/2014/EU felhatalmazáson alapuló bizottsági rendelet 2. cikke (5) bekezdése b) pontjának megfelelően azok a külföldi általános hitelkockázati kitettségek, amelyek együttesen nem haladják meg az adott intézmény összesített általános hitelkockázati, kereskedési könyvi és értékpapírosítási kitettségének 2 %-át, hozzárendelhetők az intézmény székhelye szerinti tagállamhoz. Az összesített általános hitelkockázati, kereskedési könyvi és értékpapírosítási kitettségeket az 1152/2014/EU felhatalmazáson alapuló bizottsági rendelet 2. cikke (5) bekezdése a) pontjának és 2. cikke (4) bekezdésének megfelelően lokalizált általános hitelkockázati kitettség kizárásával kell kiszámítani. Ha egy intézmény alkalmazza ezt az eltérést, a táblában a székhelye szerinti tagállamnak megfelelő joghatóság és az összes országra vonatkozó összesített adat tekintetében y-t kell megadnia. Ha egy intézmény nem alkalmazza ezt az eltérést, a megfelelő cellában n-t kell megadnia. | 
| 160 | 2 %-os küszöbérték alkalmazása a kereskedési könyvi kitettségekre Az 1152/2014/EU felhatalmazáson alapuló bizottsági rendelet 3. cikke (3) bekezdésének megfelelően az intézmények a székhelyük szerinti tagállamhoz rendelhetik a kereskedési könyvi kitettségeket, amennyiben a teljes kereskedési könyvi kitettség nem haladja meg teljes általános hitelkockázati, kereskedési könyvi és értékpapírosítási kitettségük 2 %-át. Ha egy intézmény alkalmazza ezt az eltérést, a táblában a székhelye szerinti tagállamnak megfelelő joghatóság és az összes országra vonatkozó összesített adat tekintetében y-t kell megadnia. Ha egy intézmény nem alkalmazza ezt az eltérést, a megfelelő cellában n-t kell megadnia. | 
3.5. C 10.01 ÉS C 10.02 - A BELSŐ MINŐSÍTÉSEN ALAPULÓ MÓDSZER SZERINTI RÉSZVÉNYJELLEGŰ KITETTSÉGEK (CR EQU IRB 1 ÉS CR EQU IRB 2)
3.5.1. Általános megjegyzések
86. A CR EQU IRB két táblából áll: A CR EQU IRB 1 általános áttekintést nyújt a részvényjellegű kitettségi osztályba sorolt IRB kitettségekről, valamint a teljes kockázati kitettségértékek különböző számítási módszereiről. A CR EQU IRB 2 a teljes kitettségállományt ügyfél-kategóriák szerinti bontásban mutatja be a PD/LGD-módszerrel összefüggésben. Az alábbi útmutatóban a CR EQU IRB megjelölés a CR EQU IRB 1 és CR EQU IRB 2 táblára egyaránt vonatkozik a helyzettől függően.
87. A CR EQU IRB tábla a kockázattal súlyozott hitelkockázati kitettségértékeknek (a CRR 92. cikke (3) bekezdésének a) pontja) a CRR harmadik része II. címének 3. fejezete szerinti kiszámításával kapcsolatos információkat nyújt a CRR 147. cikke (2) bekezdésének e) pontjában említett részvényjellegű kitettségekre vonatkozóan.
88. A CRR 147. cikkének (6) bekezdése szerint a következő kitettségeket a részvényjellegű kitettségi osztályba kell sorolni:
a) nem hitelviszonyt megtestesítő kitettségek, amelyek a kibocsátó eszközeivel vagy jövedelmével szembeni hátrasorolt maradványkövetelést testesítenek meg;
b) hitelviszonyt megtestesítő kitettségek és egyéb értékpapírok, partnerségek, származtatott ügyletek és egyéb eszközök, amelyek gazdasági tartalma hasonló az a) pontban ismertetett kitettségekhez.
89. A CR EQU IRB táblán kell feltüntetni továbbá a CRR 152. cikkében említett egyszerű kockázati súlyozási módszerrel kezelt kollektív befektetési formákat is.
90. A CRR 151. cikkének (1) bekezdése szerint az intézményeknek ki kell tölteniük a CR EQU IRB táblát akkor, ha a CRR 155. cikkében említett három módszer valamelyikét alkalmazzák:
- egyszerű kockázati súlyozási módszer;
- PD/LGD-módszer;
- belső modelleken alapuló módszer.
Ezenfelül az IRB-módszert alkalmazó intézményeknek a CR EQU IRB táblán adatot kell szolgáltatniuk az olyan részvényjellegű kitettségekre vonatkozó kockázattal súlyozott kitettségértékekről is, amelyekre fix kockázati súly vonatkozik (azonban az egyszerű kockázati súlyozási módszer kifejezett alkalmazása, vagy a hitelkockázati sztenderd módszer átmeneti vagy tartós mentesítés alapján történő alkalmazása nélkül; például a CRR 48. cikkének (4) bekezdése szerint 250 %-os, a CRR 471. cikkének (2) bekezdése szerint 370 %-os kockázati súllyal kezelt részvényjellegű kitettségek esetében).
91. A CR EQU IRB táblán nem tüntethetők fel az alábbi részvényjellegű követelések:
- a kereskedési könyvben nyilvántartott részvényjellegű kitettségek (ha az intézmények nem mentesülnek a kereskedési könyvi pozíciókra vonatkozó szavatolótőke-követelmények kiszámítása alól (a CRR 94. cikke));
- a mentesítés alapján a sztenderd módszerrel kezelt részvényjellegű kitettségek (a CRR. 150. cikke), ezen belül:
- a CRR 495. cikkének (1) bekezdése szerint a szerzett jogok alapján figyelembe vett részvényjellegű kitettségek;
- az olyan szervezetekkel szembeni részvényjellegű kitettségek, amelyek hitelkötelezettségei a sztenderd módszer alapján 0 %-os kockázati súlyt kapnak, ideértve azokat a köztámogatásban részesülő szervezeteket is, amelyeknél alkalmazható a 0 %-os kockázati súly (a CRR 150. cikke (1) bekezdésének g) pontja);
- a gazdaság meghatározott ágazatainak előmozdítására irányuló olyan állami programok keretében felmerült részvényjellegű kitettségek, amelyek esetében az intézmény jelentős támogatást kap a befektetésre, és amelyekre a kormányzati felvigyázás bizonyos formája és a tőkerészesedés-befektetések korlátozása vonatkozik (a CRR 150. cikke (1) bekezdésének h) pontja);
- az olyan járulékos vállalkozásokkal szembeni részvényjellegű kitettségek, amelyek kockázattal súlyozott kitettségértéke az egyéb, nem hitelkötelezettséget megtestesítő eszközök kezelésének megfelelő módon számítható ki (a CRR 155. cikkének (1) bekezdése szerint);
- a szavatolótőkéből a CRR 46. és 48. cikkével összhangban levont részvényjellegű követelések.
3.5.2. A tábla egyes részeire vonatkozó útmutató (mind a CR EQU IRB 1, mind a CR EQU IRB 2 táblára alkalmazandó)
| Oszlop | |
| 005 | ÜGYFÉL-KATEGÓRIA (SORAZONOSÍTÓ) Az ügyfél-kategória egy sorazonosító, amely a tábla egyes lapjainak minden sorát egyedileg azonosítja. Sorrendje: 1, 2, 3 stb. | 
| 010 | BELSŐ MINŐSÍTÉSI RENDSZER AZ ÜGYFÉL-KATEGÓRIÁHOZ RENDELT NEMTELJESÍTÉSI VALÓSZÍNŰSÉG (PD, %) A PD/LGD-módszert alkalmazó intézmények a 010. oszlopban a CRR 165. cikkének (1) bekezdése szerint kiszámított nemteljesítési valószínűséget (PD) tüntetik fel. Az ügyfél-kategóriához vagy -halmazhoz rendelt, feltüntetendő PD-értéket a CRR harmadik része II. címe 3. fejezetének 6. szakaszában foglalt minimumkövetelményeknek megfelelően kell megállapítani. Az egyes ügyfél-kategóriákhoz vagy -halmazokhoz rendelt PD-értéket kell feltüntetni. A feltüntetett kockázati paramétereket az adott illetékes hatóság által jóváhagyott belső minősítési rendszerben alkalmazott kockázati paraméterekből kell származtatni. Az ügyfélkategóriák vagy -halmazok összesítő adataira (pl. a teljes kitettségre) vonatkozóan az összesítésbe beszámított ügyfél-kategóriákhoz vagy -halmazokhoz rendelt PD-értékek kitettséggel súlyozott átlagát kell feltüntetni. A kitettséggel súlyozott átlagos PD kiszámításakor valamennyi kitettséget figyelembe kell venni, ideértve a nemteljesítő kitettségeket is. A kitettséggel súlyozott átlagos PD érték kiszámításánál a súlyozást az előre nem rendelkezésre bocsátott hitelkockázati fedezet (060-as oszlop) figyelembevételével megállapított kitettségérték alapján kell végezni. | 
| 020 | HITEL-EGYENÉRTÉKESÍTÉSI TÉNYEZŐK ELŐTTI EREDETI KITETTSÉG Az intézmények a 020-as sorban a hitel-egyenértékesítési tényezők előtti eredeti kitettségértéket tüntetik fel. A CRR 167. cikke szerint a részvényjellegű kitettségekhez tartozó kitettségérték az egyedi hitelkockázati kiigazítások alkalmazását követően fennmaradó könyv szerinti értéknek felel meg. A mérlegen kívüli részvényjellegű kitettségekhez tartozó kitettségérték az egyedi hitelkockázati kiigazításokkal csökkentett névérték. Az intézmények ezenkívül a 020-as oszlopban tüntetik fel a CRR I. mellékletében említett, a részvényjellegű kitettségi osztályba sorolt mérlegen kívüli tételeket (pl. a részben kifizetett részvények és értékpapírok kifizetetlen részét). Az egyszerű kockázati súlyozási módszert vagy a CRR 165. cikkének (1) bekezdésében említett PD/LGD-módszert alkalmazó intézményeknek figyelembe kell venniük a CRR 155. cikke (2) bekezdésének második albekezdésében említett beszámítást (offset) is. | 
| 030–040 | A KITETTSÉGRE HELYETTESÍTÉSI HATÁSSAL JÁRÓ HITELKOCKÁZAT-MÉRSÉKLÉSI (CRM) TECHNIKÁK ELŐRE NEM RENDELKEZÉSRE BOCSÁTOTT HITELKOCKÁZATI FEDEZET GARANCIÁK HITELDERIVATÍVÁK A részvényjellegű kitettségekre vonatkozó kockázattal súlyozott kitettségértékek kiszámításához alkalmazott módszertől függetlenül az intézmények a részvényjellegű kitettségek előre nem rendelkezésre bocsátott hitelkockázati fedezetét is elismerhetik (a CRR 155. cikkének (2), (3) és (4) bekezdése). Az egyszerű kockázati súlyozási módszert vagy a PD/LGD-módszert alkalmazó intézmények a 030-as és 040-es oszlopban a CRR harmadik része II. címének 4. fejezetében foglalt módszerek szerint elismert, előre nem rendelkezésre bocsátott hitelkockázati fedezet összegét garanciák (030-as oszlop) vagy hitelderivatívák (040-es oszlop) formájában tüntetik fel. | 
| 050 | A KITETTSÉGRE HELYETTESÍTÉSI HATÁSSAL JÁRÓ HITELKOCKÁZAT-MÉRSÉKLÉSI (CRM) TECHNIKÁK A KITETTSÉG HITELKOCKÁZAT-MÉRSÉKLÉS MIATTI HELYETTESÍTÉSE (–) KIÁRAMLÁSOK ÖSSZESEN Az intézmények az 050-es oszlopban tüntetik fel a hitel-egyenértékesítési tényezők előtti eredeti kitettségnek azt a részét, amely a CRR harmadik része II. címének 4. fejezetében foglalt módszerek szerint megjelenített, előre nem rendelkezésre bocsátott hitelkockázati fedezettel rendelkezik. | 
| 060 | KITETTSÉGÉRTÉK Az egyszerű kockázati súlyozási módszert vagy a PD/LGD-módszert alkalmazó intézmények a 060. oszlopban a kitettségértéket tüntetik fel az előre nem rendelkezésre bocsátott hitelkockázati fedezetből eredő helyettesítési hatások figyelembevételével (a CRR 155. cikkének (2) és (3) bekezdése, valamint 167. cikke). A mérlegen kívüli részvényjellegű kitettségek esetében a kitettségérték az egyedi hitelkockázati kiigazításokkal csökkentett névérték (a CRR 167. cikke). | 
| 070 | KITETTSÉGGEL SÚLYOZOTT ÁTLAGOS LGD (%) A PD/LGD-módszert alkalmazó intézmények az összesítésben szereplő ügyfél-kategóriákba vagy -halmazokba sorolt LGD-értékek kitettséggel súlyozott átlagát tüntetik fel. Az előre nem rendelkezésre bocsátott hitelkockázati fedezet figyelembevételével meghatározott kitettségérték (060-as oszlop) alapján kell kiszámítani a kitettséggel súlyozott átlagos LGD-értéket. Az intézményeknek figyelembe kell venniük a CRR 165. cikkének (2) bekezdésében foglalt rendelkezéseket. | 
| 080 | KOCKÁZATTAL SÚLYOZOTT KITETTSÉGÉRTÉK Az intézményeknek adatot kell szolgáltatniuk a részvényjellegű kitettségekre vonatkozó, a CRR 155. cikke szerint kiszámított kockázattal súlyozott kitettségértékekről. Ha a PD/LGD-módszert alkalmazó intézmények nem rendelkeznek elegendő információval a nemteljesítés CRR 178. cikkében meghatározott fogalmának használatához, akkor a kockázattal súlyozott kitettségértékek kiszámításakor a kockázati súlyokra 1,5 -es szorzót kell alkalmazni (a CRR 155. cikkének (3) bekezdése). A kockázatisúly-függvény M (lejárat) bemenő paramétere tekintetében a részvényjellegű kitettségekhez rendelt lejárat 5 év (a CRR 165. cikkének (3) bekezdése). | 
| 090 | TÁJÉKOZTATÓ ADAT: VÁRHATÓ VESZTESÉGÉRTÉK Az intézmények a 090-es oszlopban tüntetik fel a részvényjellegű kitettségekre vonatkozó várható veszteségértéket, amelyeket a CRR 158. cikkének (4), (7), (8) és (9) bekezdése szerint kell kiszámítani. | 
92. A CRR 155. cikke szerint az intézmények a különböző portfóliók esetében különböző módszereket (egyszerű kockázati súlyozási módszere, PD/LGD-módszer, belső modelleken alapuló módszer) alkalmazhatnak akkor, ha ezeket szervezeten belül alkalmazzák. Az intézményeknek a CR EQU IRB 1 táblán adatot kell szolgáltatniuk az olyan részvényjellegű kitettségekre vonatkozó kockázattal súlyozott kitettségértékekről is, amelyekre fix kockázati súly vonatkozik (azonban az egyszerű kockázati súlyozási módszer kifejezett alkalmazása, vagy a hitelkockázati sztenderd módszer átmeneti vagy tartós mentesítés alapján történő alkalmazása nélkül).
| Sor | |
| CR EQU IRB 1 – 020. sor | PD/LGD-MÓDSZER: ÖSSZESEN A PD/LGD-módszert alkalmazó intézmények (a CRR 155. cikkének (3) pontja) a kért információkat a CR EQU IRB 1 tábla 020. sorában tüntetik fel. | 
| CR EQU IRB 1 – 050–090. sor | EGYSZERŰ KOCKÁZATI SÚLYOZÁSI MÓDSZER: ÖSSZESEN A TELJES KITETTSÉG KOCKÁZATI SÚLY SZERINTI BONTÁSA AZ EGYSZERŰ KOCKÁZATI SÚLYOZÁSI MÓDSZER ALAPJÁN: Az egyszerű kockázati súlyozási módszert alkalmazó intézmények (a CRR 155. cikkének (2) bekezdése) a kért információkat az alapul szolgáló kitettségek jellemzőinek megfelelően az 050–090. sorban adják meg. | 
| CR EQU IRB 1 – 100. sor | BELSŐ MODELLEKEN ALAPULÓ MÓDSZER A belső modelleken alapuló módszert alkalmazó intézmények (a CRR 155. cikkének (4) bekezdése) a kért információkat a 100. sorban tüntetik fel. | 
| CR EQU IRB 1 – 110. sor | KOCKÁZATI SÚLYOZÁS ALÁ TARTOZÓ RÉSZVÉNYJELLEGŰ KITETTSÉGEK Az IRB-módszert alkalmazó intézményeknek adatot kell szolgáltatniuk az olyan részvényjellegű kitettségekre vonatkozó kockázattal súlyozott kitettségértékekről, amelyekre fix kockázati súly alkalmazandó (azonban az egyszerű kockázati súlyozási módszer kifejezett alkalmazása, vagy a hitelkockázati sztenderd módszer átmeneti vagy tartós mentesítés alapján történő alkalmazása nélkül). Például: — a pénzügyi ágazatbeli szervezetekkel szemben fennálló, a CRR 48. cikkének (4) bekezdése szerint kezelt részvényjellegű pozíciók kockázattal súlyozott kitettségértékét, valamint — a CRR 471. cikkének (2) bekezdése szerint 370 %-os kockázati súlyú részvényjellegű pozíciókat a 110. sorban kell feltüntetni. | 
| CR EQU IRB 2 | A TELJES KITETTSÉG ÜGYFÉL-KATEGÓRIA SZERINTI BONTÁSA A PD/LGD-MÓDSZER ALAPJÁN A PD/LGD-módszert alkalmazó intézmények (a CRR 155. cikkének (3) bekezdése) a kért információkat a CR EQU IRB 2 táblán tüntetik fel. Annak a PD/LGD-módszert alkalmazó intézménynek, amely egyedi minősítési rendszert alkalmaz, vagy az adatszolgáltatást irányadó belső skála alapján tudja teljesíteni, a CR EQU IRB 2 táblán az egyedi minősítési rendszer/irányadó skála szerinti minősítési kategóriákat vagy halmazokat kell megadnia. Minden más esetben a különböző minősítési rendszereket a következő kritériumok alapján kell összevonni és rangsorolni: a különböző minősítési rendszerek ügyfél-kategóriáit vagy -halmazait össze kell vonni, majd az egyes ügyfél-kategóriákhoz vagy -halmazokhoz rendelt PD-érték alapján növekvő sorrendbe kell állítani. | 
3.6. C 11.00 - ELSZÁMOLÁSI/TELJESÍTÉSI KOCKÁZAT (CR SETT)
3.6.1. Általános megjegyzések
93. A tábla a kereskedési könyvben és a nem kereskedési könyvben nyilvántartott olyan ügyletekről kér információt, amelyek kiegyenlítése a teljesítési határidejükig nem történt meg, továbbá az elszámolási kockázat kapcsolódó szavatolótőke-követelményéről a CRR 92. cikke (3) bekezdése c) pontjának ii. alpontjában, valamint 378. cikkében említetteknek megfelelően.
94. Az intézmények a CR SETT táblán az elszámolási/teljesítési kockázattal kapcsolatos információkat adnak meg a kereskedési könyvben és a nem kereskedési könyvben nyilvántartott hitelviszonyt megtestesítő értékpapírokra, részvényekre, külföldi pénznemekre és árukra vonatkozóan.
95. A CRR 378. cikke szerint az elszámolási/teljesítési kockázatra vonatkozó szavatolótőke-követelmény nem érinti a repoügyleteket, valamint a hitelviszonyt megtestesítő értékpapírokkal, részvényekkel, külföldi pénznemekkel vagy áruval kapcsolatos értékpapír- és áru-kölcsönbeadási, illetve -kölcsönvételi ügyleteket. Ügyelni kell azonban arra, hogy a teljesítési határidőig ki nem egyenlített származtatott ügyletek és hosszú teljesítési idejű ügyletek ettől függetlenül a CRR 378. cikke szerint meghatározott, az elszámolási/teljesítési kockázatra vonatkozó szavatolótőke-követelmény hatálya alá esnek.
96. A teljesítési határidőig ki nem egyenlített ügyletek esetében az intézményeknek ki kell számítaniuk a felmerült árkülönbözetet. Ez az adott hitelviszonyt megtestesítő értékpapír, részvény, külföldi pénznem vagy áru kikötött teljesítési ára és aktuális piaci értéke közötti különbözet, ahol a különbözet veszteséget is jelenthet az intézmény számára.
97. Az intézmények a különbözetet a CRR 378. cikkében található 1. táblázat megfelelő szorzójával megszorozva határozzák meg a vonatkozó szavatolótőke-követelményt.
98. A 92. cikk (4) bekezdésének b) pontja szerint a kockázati kitettség összegének kiszámításához az elszámolási/teljesítési kockázatra vonatkozó szavatolótőke-követelményt 12,5 -del kell megszorozni.
99. Ügyelni kell arra, hogy a CR SETT tábla alkalmazás köre nem terjed ki a nyitva szállításokra vonatkozó, a CRR 379. cikkében rögzített szavatolótőke-követelményre; azt a hitelkockázati táblacsoporton (CR SA, CR IRB) kell feltüntetni.
3.6.2. A tábla egyes részeire vonatkozó útmutató
| Oszlopok | |
| 010 | KI NEM EGYENLÍTETT ÜGYLETEK TELJESÍTÉSI ÁRA A CRR 378. cikkében említetteknek megfelelően az intézmények a teljesítési határidőig ki nem egyenlített ügyleteket azok elfogadott teljesítési árán tüntetik fel. Ebben az oszlopban minden ki nem egyenlített ügyletet fel kell tüntetni attól függetlenül, hogy a teljesítési határidőt követően nyereséget vagy veszteséget mutatnak. | 
| 020 | A KI NEM EGYENLÍTETT ÜGYLETEKBŐL EREDŐ ÁRKÜLÖNBÖZETI KITETTSÉG Az intézmények feltüntetik az adott hitelviszonyt megtestesítő értékpapír, részvény, külföldi pénznem vagy áru kikötött teljesítési ára és aktuális piaci értéke közötti különbözetet, ahol a különbözet veszteséget is jelenthet az intézmény számára, a CRR 378. cikkében említetteknek megfelelően. Ebben az oszlopban kizárólag azokat a ki nem egyenlített ügyleteket kell feltüntetni, amelyek a teljesítési határidőt követően veszteséget mutatnak. | 
| 030 | SZAVATOLÓTŐKE-KÖVETELMÉNY Az intézmények feltüntetik a CRR 378. cikke szerint kiszámított szavatolótőke-követelményt. | 
| 040 | ELSZÁMOLÁSI KOCKÁZAT TELJES KOCKÁZATI KITETTSÉGÉRTÉKE A CRR 92. cikke (4) bekezdésének b) pontja szerint az intézmények az elszámolási kockázati kitettség összegének kiszámításához a 030-as oszlopban feltüntetett szavatolótőke-követelményt 12,5 -del szorozzák meg. | 
| Sor | |
| 010 | A nem kereskedési könyvi ki nem egyenlített ügyletek összesen Az intézmények összesített információkat közölnek a nem kereskedési könyvi pozíciók elszámolási/teljesítési kockázatával kapcsolatban (a CRR 92. cikke (3) bekezdése c) pontjának ii. alpontjában, valamint 378. cikkében említetteknek megfelelően). Az intézmények az {r010;c010} cellában a teljesítési határidőig ki nem egyenlített ügyletek összesített értékét tüntetik fel azok elfogadott teljesítési árfolyamán. Az intézmények az {r010;c020} cellában a nem teljesített, veszteséges ügyletekből eredő árkülönbözeti kitettségre vonatkozó összesített információkat tüntetik fel. Az intézmények az {r010;c030] cellában az összesített szavatolótőke-követelményt tüntetik fel, amely a teljesítési határidő után eltelt munkanapok száma szerinti szorzó és a 020. oszlopban megadott árkülönbözet szorzatából adódó, a ki nem egyenlített ügyletekre vonatkozó szavatolótőke-követelmény (a CRR 378. cikkében található 1. táblázatban említett kategóriáknak megfelelően). | 
| 020–060 | Legfeljebb 4 napig ki nem egyenlített ügyletek (0 %-os szorzó) 5–15 napig ki nem egyenlített ügyletek (8 %-os szorzó) 16–30 napig ki nem egyenlített ügyletek (50 %-os szorzó) 31–45 napig ki nem egyenlített ügyletek (75 %-os szorzó) Legalább 46 napig ki nem egyenlített ügyletek (100 %-os szorzó) Az intézmények a 020–060. sorban a nem kereskedési könyvi pozíciókra vonatkozó elszámolási/teljesítési kockázattal kapcsolatos információkat a CRR 378. cikkében található 1. táblázatban említett kategóriák szerint tüntetik fel. A teljesítési határidőt követően 5 munkanapnál rövidebb ideig ki nem egyenlített ügyletek esetében az elszámolási/teljesítési kockázatra nem vonatkozik szavatolótőke-követelmény. | 
| 070 | A kereskedési könyvi ki nem egyenlített ügyletek összesen Az intézmények összesített információkat közölnek a kereskedési könyvi pozíciók elszámolási/teljesítési kockázatával kapcsolatban (a CRR 92. cikke (3) bekezdése c) pontjának ii. alpontjában, valamint 378. cikkében említetteknek megfelelően). Az intézmények az {r070;c010} cellában a teljesítési határidőig ki nem egyenlített ügyletek összesített értékét tüntetik fel azok elfogadott teljesítési árfolyamán. Az intézmények az {r070;c020} cellában a nem teljesített, veszteséges ügyletekből eredő árkülönbözeti kitettségre vonatkozó összesített információkat tüntetik fel. Az intézmények az {r070;c030} cellában az összesített szavatolótőke-követelményt tüntetik fel, amely a teljesítési határidő után eltelt munkanapok száma szerinti szorzó és a 020. oszlopban megadott árkülönbözet szorzatából adódó, a ki nem egyenlített ügyletekre vonatkozó szavatolótőke-követelmény (a CRR 378. cikkében található 1. táblázatban említett kategóriáknak megfelelően). | 
| 080–120 | Legfeljebb 4 napig ki nem egyenlített ügyletek (0 %-os szorzó) 5–15 napig ki nem egyenlített ügyletek (8 %-os szorzó) 16–30 napig ki nem egyenlített ügyletek (50 %-os szorzó) 31–45 napig ki nem egyenlített ügyletek (75 %-os szorzó) Legalább 46 napig ki nem egyenlített ügyletek (100 %-os szorzó) Az intézmények a 080–120. sorban a kereskedési könyvi pozíciókra vonatkozó elszámolási/teljesítési kockázattal kapcsolatos információkat a CRR 378. cikkében található 1. táblázatban említett kategóriák szerint tüntetik fel. A teljesítési határidőt követően 5 munkanapnál rövidebb ideig ki nem egyenlített ügyletek esetében az elszámolási/teljesítési kockázatra nem vonatkozik szavatolótőke-követelmény. | 
3.7. C 13.01 - HITELKOCKÁZAT - ÉRTÉKPAPÍROSÍTÁS (CR SEC)
3.7.1. Általános megjegyzések
100. Amennyiben az intézmény értékpapírosítást kezdeményezőként jár el, ezt a táblát minden olyan értékpapírosításra vonatkozóan ki kell tölteni, amely jelentős kockázatátruházás elismerésével jár. Amennyiben az intézmény befektetőként jár el, minden kitettséget fel kell tüntetni.
101. A feltüntetendő információk az intézménynek az értékpapírosítási folyamatban betöltött szerepétől függnek. Így külön adatszolgáltatási tételek vonatkoznak az értékpapírosítást kezdeményezőkre, a szponzorokra és a befektetőkre.
102. Ez a tábla összesített információkat gyűjt a banki könyvben nyilvántartott hagyományos és szintetikus értékpapírosításokról.
3.7.2. A tábla egyes részeire vonatkozó útmutató
| Oszlop | |
| 0010 | ÉRTÉKPAPÍROSÍTÁSRA KERÜLŐ KITETTSÉGEK ÖSSZÉRTÉKE Az értékpapírosítást kezdeményező intézményeknek a pozíciót tartó személyétől függetlenül az értékpapírosítási ügyletből eredő valamennyi aktuális értékpapírosítási kitettségre vonatkozóan jelenteniük kell az adatszolgáltatás időpontjában fennálló összeget. Így fel kell tüntetni az értékpapírosításból eredő mérlegen belüli értékpapírosítási kitettségeket (pl. kötvényeket, alárendelt kölcsönöket), valamint a mérlegen kívüli kitettségeket és származtatott ügyleteket (pl. alárendelt hitelkereteket, likviditási hitelkereteket, kamatcsereügyleteket, hitel-nemteljesítési csereügyleteket stb.) Azoknál a hagyományos értékpapírosításoknál, amelyeknél az értékpapírosítást kezdeményező nem rendelkezik pozícióval, az értékpapírosítást kezdeményező az értékpapírosítást nem veheti figyelembe az e táblán történő adatszolgáltatás során. E tekintetben az értékpapírosítást kezdeményező értékpapírosítási pozíciói magukban foglalják rulírozó kitettség értékpapírosítására vonatkozóan a CRR 242. cikkének 16. pontjában meghatározott gyorsított visszafizetést biztosító rendelkezéseket. | 
| 0020–0040 | SZINTETIKUS ÉRTÉKPAPÍROSÍTÁS: ÉRTÉKPAPÍROSÍTOTT KITETTSÉGEK HITELKOCKÁZATI FEDEZETE A CRR 251. és 252. cikke Az értékpapírosítási struktúrában foglalt hitelkockázat-mérséklési technikák korrigált értékében a lejárati eltérések nem vehetők figyelembe. | 
| 0020 | (–) ELŐRE RENDELKEZÉSRE BOCSÁTOTT HITELKOCKÁZATI FEDEZET (CVA) A biztosítéknak az ebben az oszlopban feltüntetendő volatilitással korrigált értékére (CVA) vonatkozó részletes számítási eljárást a CRR 223. cikkének (2) bekezdése határozza meg. | 
| 0030 | (–) KIÁRAMLÁSOK ÖSSZESEN: ELŐRE NEM RENDELKEZÉSRE BOCSÁTOTT HITELKOCKÁZATI FEDEZET: KORRIGÁLT ÉRTÉKEK (G*) A be- és kiáramlások általános szabálya szerint az ebben az oszlopban feltüntetett összegek a megfelelő hitelkockázati táblán (CR SA vagy CR IRB), valamint az adatszolgáltató szervezet által a fedezetnyújtóhoz (vagyis ahhoz a harmadik félhez, amelynek az ügyletrészsorozatot az előre nem rendelkezésre bocsátott hitelkockázati fedezet útján átadják) hozzárendelt kitettségi osztályban beáramlásként jelennek meg. A hitelkockázati fedezet devizaárfolyam-kockázattal korrigált értékére (G* vonatkozó részletes számítási eljárást a CRR 233. cikkének (3) bekezdése határozza meg. | 
| 0040 | A VISSZATARTOTT VAGY VISSZAVÁSÁROLT HITELKOCKÁZATI FEDEZET NÉVLEGES ÖSSZEGE Valamennyi visszatartott vagy visszavásárolt ügyletrészsorozatot, pl. a visszatartott, első veszteségviselő kategóriába tartozó pozíciókat névleges összegen kell feltüntetni. A hitelkockázati fedezet visszatartott vagy visszavásárolt összegének kiszámításakor nem vehető figyelembe a hitelkockázati fedezetben végrehajtott felügyeleti korrekció hatása. | 
| 0050 | ÉRTÉKPAPÍROSÍTÁSI POZÍCIÓK: HITEL-EGYENÉRTÉKESÍTÉSI TÉNYEZŐK ELŐTTI EREDETI KITETTSÉG Ez az oszlop tartalmazza az adatszolgáltató intézmény által tartott értékpapírosítási pozíciók CRR 248. cikkének (1) és (2) bekezdése alapján számított kitettségértékeit hitel-egyenértékesítési tényezők alkalmazása nélkül, az értékelési korrekciók és a céltartalékok, valamint az értékpapírosított kitettségekre vonatkozó, a CRR 248. cikke (1) bekezdésének d) pontjában említett vissza nem fizetendő árengedmények levonása nélkül, továbbá az értékpapírosítási pozíciókra vonatkozó értékelési korrekciók és céltartalékok levonása nélkül. Nettósítás kizárólag akkor alkalmazható, ha egy különleges célú gazdasági egységnek (SSPE) egy elismert nettósítási megállapodás keretében több származtatott ügylete áll fenn. A szintetikus értékpapírosításoknál az értékpapírosítást kezdeményező által mérlegtételek és/vagy befektetői érdekeltség formájában tartott pozíciók értéke a 0010–0040. oszlopok összesítéséből adódik. | 
| 0060 | (–) ÉRTÉKELÉSI KORREKCIÓK ÉS CÉLTARTALÉKOK A CRR 248. cikke Az ebben az oszlopban feltüntetendő értékelési korrekciók és céltartalékok kizárólag az értékpapírosítási pozíciókra vonatkoznak. Az értékpapírosított kitettségek értékelési korrekciója nem vehető figyelembe. | 
| 0070 | ÉRTÉKELÉSI KORREKCIÓKKAL ÉS CÉLTARTALÉKOKKAL CSÖKKENTETT KITETTSÉG Ez az oszlop tartalmazza az értékpapírosítási pozíciók CRR 248. cikkének (1) és (2) bekezdése alapján számított kitettségértékeit az értékelési korrekciók és a céltartalékok levonásával, valamint hitel-egyenértékesítési tényezők alkalmazása nélkül, továbbá az értékpapírosított kitettségekre vonatkozó, a CRR 248. cikke (1) bekezdésének d) pontjában említett vissza nem fizetendő árengedmények levonása nélkül, valamint az értékpapírosítási pozíciókra alkalmazott értékelési korrekciók és a céltartalékok levonásával. | 
| 0080–0110 | A KITETTSÉGRE HELYETTESÍTÉSI HATÁSSAL JÁRÓ HITELKOCKÁZAT-MÉRSÉKLÉSI (CRM) TECHNIKÁK A CRR 4. cikke (1) bekezdésének 57. pontja, a CRR harmadik része II. címének 4. fejezete, és a CRR 249. cikke Az intézmények ezekben az oszlopokban az olyan hitelkockázat-mérséklési technikákra vonatkozóan szolgáltatnak adatot, amelyek egy vagy több kitettség hitelkockázatát csökkentik a kitettségeknek az alább a be- és kiáramlásokra vonatkozóan meghatározott helyettesítésével. A kitettségértéket befolyásoló biztosíték (pl. ha azt a kitettségre helyettesítési hatással járó hitelkockázat-mérséklési technikákhoz használják fel) értéke legfeljebb a kitettségérték lehet. Itt az alábbi tételeket kell feltüntetni: 1. A CRR 222. cikkének megfelelően a pénzügyi biztosítékok egyszerű módszerével képzett biztosíték; 2. figyelembe vehető, előre nem rendelkezésre bocsátott hitelkockázati fedezet. | 
| 0080 | (–) ELŐRE NEM RENDELKEZÉSRE BOCSÁTOTT HITELKOCKÁZATI FEDEZET: KORRIGÁLT ÉRTÉKEK (GA) Előre nem rendelkezésre bocsátott hitelkockázati fedezet a CRR 4. cikke (1) bekezdésének 59. pontjában, valamint 234–236. cikkében meghatározottak szerint. | 
| 0090 | (–) ELŐRE RENDELKEZÉSRE BOCSÁTOTT HITELKOCKÁZATI FEDEZET Előre rendelkezésre bocsátott hitelkockázati fedezet a CRR 4. cikke (1) bekezdésének 58. pontjában, a CRR 249. cikke (2) bekezdésének első albekezdésében említetteknek megfelelően, valamint a CRR 195., 197. és 200 cikkében előírtaknak megfelelően. A CRR 218. és 219. cikkében említett, hitelkockázati eseményhez kapcsolt értékpapírokat és mérlegen belüli nettósítási pozíciókat készpénzbiztosítékként kell kezelni. | 
| 0100–0110 | A KITETTSÉG HITELKOCKÁZAT-MÉRSÉKLÉS MIATTI HELYETTESÍTÉSE Fel kell tüntetni az azonos kitettségi osztályba, illetve adott esetben kockázatisúly- vagy ügyfél-kategóriába tartozó be- és kiáramlásokat. | 
| 0100 | (–) KIÁRAMLÁSOK ÖSSZESEN A CRR 222. cikkének (3) bekezdése, 235. cikkének (1)–(2) bekezdése, valamint 236. cikke A kiáramlások értéke megegyezik az értékelési korrekciókkal és céltartalékokkal csökkentett kitettség fedezett részével, amelyet a kötelezett kitettségi osztályából, illetve adott esetben kockázatisúly- vagy ügyfél-kategóriájából való levonást követően a fedezetnyújtó kitettségi osztályába, illetve adott esetben kockázatisúly- vagy ügyfél-kategóriájába kell sorolni. Ezt az összeget a fedezetnyújtó kitettségi osztályába, illetve adott esetben kockázatisúly- vagy ügyfél-kategóriájába irányuló beáramlásnak kell tekinteni. | 
| 0110 | BEÁRAMLÁSOK ÖSSZESEN Az olyan értékpapírosítási pozíciókat, amelyek hitelviszonyt megtestesítő értékpapírnak minősülnek és a CRR 197. cikkének (1) bekezdése szerint elismert pénzügyi biztosítékként kerülnek felhasználásra, továbbá amelyekre a pénzügyi biztosítékok egyszerű módszerét alkalmazzák, ebben az oszlopban beáramlásként kell feltüntetni. | 
| 0120 | HELYETTESÍTÉSI HATÁSSAL JÁRÓ CRM-TECHNIKÁK UTÁNI, HITEL-EGYENÉRTÉKESÍTÉSI TÉNYEZŐK ELŐTTI NETTÓ KITETTSÉG Ez az oszlop tartalmazza a megfelelő kockázatisúly-kategóriába, illetve kitettségi osztályba sorolt kitettségeket a kitettségre helyettesítési hatással járó hitelkockázat-mérséklési (CRM) technikák miatti ki- és beáramlások figyelembevétele után. | 
| 0130 | (–) A KITETTSÉGÉRTÉKET ÉRINTŐ HITELKOCKÁZAT-MÉRSÉKLÉSI TECHNIKÁK: ELŐRE RENDELKEZÉSRE BOCSÁTOTT HITELKOCKÁZATI FEDEZET, A PÉNZÜGYI BIZTOSÍTÉKOK ÖSSZETETT MÓDSZERE, KORRIGÁLT ÉRTÉK (CVAM) A CRR 223–228. cikke A feltüntetett összeg magában foglalja a CRR 218. cikke szerinti hitelkockázati eseményhez kapcsolt értékpapírokat is. | 
| 0140 | TELJES MÉRTÉKBEN KORRIGÁLT KITETTSÉGÉRTÉK (E*) Az értékpapírosítási pozíciók CRR 248. cikkének megfelelően kiszámított kitettségértéke a CRR 248. cikke (1) bekezdésének b) pontjában meghatározott hitel-egyenértékesítési tényezők alkalmazása nélkül. | 
| 0150 | EBBŐL: 0 %-OS HITEL-EGYENÉRTÉKESÍTÉSI TÉNYEZŐ (CCF) ALÁ TARTOZÓ A CRR 248. cikke (1) bekezdésének b) pontja Erre vonatkozóan a hitel-egyenértékesítési tényezőt a CRR 4. cikke (1) bekezdésének 56. pontja határozza meg. Az adatszolgáltatás során a 0 %-os hitel-egyenértékesítési tényezőre vonatkozóan teljes mértékben korrigált kitettségértéket (E* kell megadni. | 
| 0160 | (–) VISSZA NEM FIZETENDŐ ÁRENGEDMÉNY A CRR 248. cikke (1) bekezdésének d) pontja szerint az értékpapírosítást kezdeményező intézmény az olyan értékpapírosítási pozíciók esetében, amelyekhez 1 250 %-os kockázati súlyt rendeltek, levonhatja az értékpapírosítási pozíció kitettségértékéből az ilyen alapul szolgáló kitettségekhez kapcsolódó vissza nem fizetendő árengedményeket, amennyiben ezek az árengedmények a szavatolótőke csökkenését eredményezték. | 
| 0170 | (–) AZ ALAPUL SZOLGÁLÓ KITETTSÉGEK EGYEDI HITELKOCKÁZATI KIIGAZÍTÁSA A CRR 248. cikke (1) bekezdésének d) pontja szerint az értékpapírosítást kezdeményező intézmény az olyan értékpapírosítási pozíció esetében, amelyekhez 1 250 %-os kockázati súlyt rendeltek, vagy amely levonásra került az elsődleges alapvető tőkéből, a 110. cikknek megfelelően levonhatja a kitettségértékből az alapul szolgáló kitettségekre vonatkozó egyedi hitelkockázati kiigazításokat. | 
| 0180 | KITETTSÉGÉRTÉK Az értékpapírosítási pozíciók CRR 248. cikke szerint kiszámított kitettségértéke. | 
| 0190 | (–) A SZAVATOLÓTŐKÉBŐL LEVONT KITETTSÉGÉRTÉK A CRR 244. cikke (1) bekezdésének b) pontja, 245. cikke (1) bekezdésének b) pontja és 253. cikkének (1) bekezdése szerint az intézmények az olyan értékpapírosítási pozíciók esetében, amelyekhez 1 250 %-os kockázati súlyt rendeltek, a pozícióknak a kockázattal súlyozott kitettségérték kiszámításánál történő figyelembevétele helyett a pozíciók kitettségértékét levonhatják szavatolótőkéjükből. | 
| 0200 | KOCKÁZATI SÚLYOZÁS ALÁ TARTOZÓ KITETTSÉGÉRTÉK A szavatolótőkéből levont kitettségértékkel csökkentett kitettségérték. | 
| 0210 | SEC-IRBA A CRR 254. cikke (1) bekezdésének a) pontja | 
| 0220–0260 | KOCKÁZATISÚLY-SÁVOK SZERINTI BONTÁS SEC-IRBA kitettségek kockázatisúly-sávok szerinti bontásban. | 
| 0270 | EBBŐL: A 255. CIKK (4) BEKEZDÉSE SZERINT SZÁMÍTVA (VÁSÁROLT KÖVETELÉSEK) A CRR 255. cikkének (4) bekezdése Ezzel az oszloppal összefüggésben a lakossági kitettségeket vásárolt lakossági követelésként, a nem lakossági kitettségeket pedig vásárolt vállalati követelésként kell kezelni. | 
| 0280 | SEC-SA A CRR 254. cikke (1) bekezdésének b) pontja | 
| 0290–0340 | KOCKÁZATISÚLY-SÁVOK SZERINTI BONTÁS SEC-SA kitettségek kockázatisúly-sávok szerinti bontásban. Amennyiben a kockázati súly = 1 250 % (W ismeretlen), a CRR 261. cikke (2) bekezdése b) pontjának negyedik bekezdése előírja, hogy az értékpapírosítási pozícióra 1 250 %-os kockázati súlyt kell alkalmazni, ha az intézmény a halmaz alapul szolgáló kitettségeinek több mint 5 %-a esetében nem ismeri a késedelmi státuszt. | 
| 0350 | SEC-ERBA A CRR 254. cikke (1) bekezdésének c) pontja | 
| 0360–0570 | HITELMINŐSÉGI BESOROLÁSOK SZERINTI BONTÁS (RÖVID/HOSSZÚ TÁVÚ HITELMINŐSÉGI BESOROLÁSOK) A CRR 263. cikke A CRR 254. cikkének (2) bekezdésében említett származtatott hitelminősítéssel rendelkező SEC-ERBA értékpapírosítási pozíciókat minősített pozícióként kell feltüntetni. A kockázati súlyozás alá tartozó kitettségértékeket a CRR 263. cikkének 1. és 2. táblázatában, valamint 264. cikkének 3. és 4. táblázatában meghatározott rövid és hosszú lejárat és hitelminőségi besorolások (CQS) szerint kell csoportosítani. | 
| 0580–0630 | A SEC-ERBA ALKALMAZÁSÁNAK INDOKAI SZERINTI BONTÁS Az intézményeknek minden egyes értékpapírosítási pozíció esetében az alábbi opciók egyikét kell figyelembe venniük a 0580–0620. oszlopban. | 
| 0580 | GÉPJÁRMŰHITELEK, GÉPJÁRMŰ- ÉS ESZKÖZLÍZINGEK A CRR 254. cikke (2) bekezdésének c) pontja Ebben az oszlopban kell feltüntetni minden gépjárműhitelt, gépjármű- és eszközlízinget, akkor is, ha a CRR 254. cikke (2) bekezdése a) vagy b) pontja alkalmazható rájuk. | 
| 0590 | SEC-ERBA OPCIÓ A CRR 254. cikkének (3) bekezdése | 
| 0600 | A CRR 254. CIKKE (2) BEKEZDÉSÉNEK A) PONTJA SZERINTI POZÍCIÓK A CRR 254. cikke (2) bekezdésének a) pontja | 
| 0610 | A CRR 254. CIKKE (2) BEKEZDÉSÉNEK B) PONTJA SZERINTI POZÍCIÓK A CRR 254. cikke (2) bekezdésének b) pontja | 
| 0620 | A CRR 254. CIKKÉNEK (4) BEKEZDÉSE VAGY 258. CIKKÉNEK (2) BEKEZDÉSE SZERINTI POZÍCIÓK A SEC-ERBA hatálya alá tartozó értékpapírosítási pozíciók, amennyiben az illetékes hatóságok a CRR 254. cikkének (4) bekezdésével vagy 258. cikkének (2) bekezdésével összhangban kizárták a SEC-IRBA vagy a SEC-SA alkalmazását. | 
| 0630 | A MÓDSZEREK HIERARCHIÁJÁT KÖVETVE Értékpapírosítási pozíciók, amelyek esetében a SEC-ERBA-t a módszerek CRR 254. cikkének (1) bekezdésében meghatározott hierarchiáját követve alkalmazzák. | 
| 0640 | BELSŐ ÉRTÉKELÉSI MÓDSZER A CRR 254. cikkének (5) bekezdése az ABCP-programokon belüli pozíciókra vonatkozóan a belső értékelési módszerről (IAA). | 
| 0650–0690 | KOCKÁZATISÚLY-SÁVOK SZERINTI BONTÁS A belső értékelési módszer szerinti kitettségek kockázatisúly-sávok szerinti bontásban | 
| 0700 | EGYÉB (KOCKÁZATI SÚLY = 1 250 %) Amennyiben az előző módszerek egyikét sem alkalmazzák, a CRR 254. cikkének (7) bekezdésével összhangban az értékpapírosítási pozíciókhoz 1 250 %-os kockázati súlyt kell rendelni. | 
| 0710–0860 | KOCKÁZATTAL SÚLYOZOTT KITETTSÉGÉRTÉK Teljes kockázattal súlyozott kitettségérték a CRR harmadik része II. címe 5. fejezetének 3. szakasza szerinti számítás alapján, a lejárati eltérések vagy az előzetes vizsgálatra vonatkozó rendelkezések megsértése miatti kiigazítások előtt, a más táblára irányuló kiáramlás útján átcsoportosított kitettségeknek megfelelő, kockázattal súlyozott kitettségértékek nélkül. | 
| 0840 | IAA: ÁTLAGOS KOCKÁZATI SÚLY (%) Ebben az oszlopban az értékpapírosítási pozíciók kitettséggel súlyozott átlagos kockázati súlyait kell feltüntetni. | 
| 0860 | KOCKÁZATTAL SÚLYOZOTT KITETTSÉGÉRTÉK, EBBŐL: SZINTETIKUS ÉRTÉKPAPÍROSÍTÁS A lejárati eltéréssel rendelkező szintetikus értékpapírosításokra vonatkozóan az ebben az oszlopban feltüntetendő érték nem foglalja magában a lejárati eltéréseket. | 
| 0870 | A KOCKÁZATTAL SÚLYOZOTT KITETTSÉGÉRTÉK LEJÁRATI ELTÉRÉS MIATTI KORREKCIÓJA A szintetikus értékpapírosításokban megjelenő, a CRR 252. cikke szerint kiszámított RW*–RW(SP) lejárati eltéréseket be kell számítani, kivéve az 1 250 %-os kockázati súlyú ügyletrészsorozatokat, amelyeknél a feltüntetendő érték nulla. Az RW(SP) nemcsak a 0650-es oszlopban feltüntetett kockázattal súlyozott kitettségértékeket foglalja magában, hanem a más táblára irányuló kiáramlás útján átcsoportosított kitettségeknek megfelelő, kockázattal súlyozott kitettségértékeket is. | 
| 0880 | AZ (EU) 2017/2402 RENDELET 2. FEJEZETÉNEK MEGSÉRTÉSE MIATTI ÁLTALÁNOS HATÁS (KORREKCIÓ) (1) A CRR 270a. cikkének megfelelően, ha egy intézmény bizonyos követelményeknek nem tesz eleget, az illetékes hatóságok arányos addicionális kockázati súlyt szabnak ki, amely annak a kockázati súlynak legalább 250 %-a (de legfeljebb 1 250 %-a), amely a CRR harmadik része II. címe 5. fejezetének 3. szakaszában meghatározott módon alkalmazandó az érintett értékpapírosított pozíciókra. | 
| 0890 | FELSŐ KORLÁT FIGYELEMBEVÉTELE ELŐTT A CRR harmadik része II. címe 5. fejezetének 3. szakasza szerint számított teljes kockázattal súlyozott kitettségérték a CRR 267. és 268. cikkében meghatározott határértékek alkalmazása előtt. | 
| 0900 | (–) A KOCKÁZATI SÚLYRA VONATKOZÓ FELSŐ KORLÁT MIATTI CSÖKKENTÉS A CRR 267. cikkének megfelelően az az intézmény, amely mindenkor ismeri az alapul szolgáló kitettségek összetételét, az előresorolt értékpapírosítási pozícióhoz olyan maximális kockázati súlyt rendelhet, amely egyenlő az alapul szolgáló kitettségekre alkalmazandó, kitettséggel súlyozott azon átlagos kockázati súllyal, amely akkor lenne alkalmazandó az alapul szolgáló kitettségekre, ha azokat nem értékpapírosították volna. | 
| 0910 | (–) AZ ÁLTALÁNOS FELSŐ KORLÁT MIATTI CSÖKKENTÉS A CRR 268. cikkével összhangban a SEC-IRBA-t használó értékpapírosítást kezdeményező intézmény, szponzor vagy más intézmény, vagy a SEC-SA-t, illetőleg a SEC-ERBA-t használó értékpapírosítást kezdeményező vagy szponzor intézmény az általa tartott értékpapírosítási pozícióra azzal a tőkekövetelménnyel egyenlő maximális tőkekövetelményt alkalmazhat, amelyet a harmadik rész II. címe 2. vagy 3. fejezetének megfelelően úgy számítanának ki az alapul szolgáló kitettségekre, mintha azokat nem értékpapírosították volna. | 
| 0920 | KOCKÁZATTAL SÚLYOZOTT TELJES KITETTSÉGÉRTÉK A CRR harmadik része II. címe 5. fejezetének 3. szakasza szerint számított teljes kockázattal súlyozott kitettségérték, figyelembe véve a CRR 247. cikkének (6) bekezdésében meghatározott teljes kockázati súlyt. | 
| 0930 | TÁJÉKOZTATÓ ADAT: AZ ÉRTÉKPAPÍROSÍTÁSBÓL MÁS KITETTSÉGI OSZTÁLYOKBA IRÁNYULÓ KIÁRAMLÁSNAK MEGFELELŐ KOCKÁZATTAL SÚLYOZOTT KITETTSÉGÉRTÉK A hitelkockázat-mérséklő eszközök nyújtójához átcsoportosított, így a megfelelő táblán számított, az értékpapírosítási pozíciók felső határának kiszámításánál figyelembe vett kitettségekből eredő, kockázattal súlyozott kitettségérték. | 
| (1) Az Európai Parlament és a Tanács (EU) 2017/2402 rendelete (2017. december 12.) az értékpapírosítás általános keretrendszerének meghatározásáról, az egyszerű, átlátható és egységesített értékpapírosítás egyedi keretrendszerének létrehozásáról, valamint a 2009/65/EK, a 2009/138/EK és a 2011/61/EU irányelv és az 1060/2009/EK és a 648/2012/EU rendelet módosításáról (HL L 347., 2017.12.28., 35. o.). | |
103. A tábla három fő sorcsoportból áll, amelyek a kezdeményezett, szponzorált, illetve visszatartott vagy visszavásárolt kitettségekről gyűjtenek adatokat értékpapírosítást kezdeményező, befektető és szponzor szerint. Ezek mindegyikére vonatkozóan az adatok mérlegtételek, mérlegen kívüli tételek és származtatott ügyletek, valamint aszerint oszlanak meg, hogy sor kerül-e differenciált tőkekövetelmény-megállapításra.
104. A SEC-ERBA szerint kezelt pozíciókat és a nem minősített pozíciókat (az adatszolgáltatás időpontjában fennálló kitettség) fel kell tüntetni a kezdeti hitelminőségi besorolás szerinti bontásban (az utolsó sorcsoport). Ezeket az információkat az értékpapírosítást kezdeményezőknek, a szponzoroknak és a befektetőknek is meg kell adniuk.
| Sor | |
| 0010 | TELJES KITETTSÉG A teljes kitettség a fennálló értékpapírosítások és az újra-értékpapírosítások teljes összegét jelenti. Ez a sor összesíti a későbbi sorokban az értékpapírosítást kezdeményezők, a szponzorok és a befektetők által megadott valamennyi információt. | 
| 0020 | ÉRTÉKPAPÍROSÍTÁSI POZÍCIÓK A CRR 4. cikke (1) bekezdésének 62. pontjában meghatározott olyan fennálló értékpapírosítási pozíciók teljes összege, amelyek nem a CRR 4. cikke (1) bekezdésének 63. pontja szerinti újra-értékpapírosítások. | 
| 0030 | DIFFERENCIÁLT TŐKEKÖVETELMÉNY-MEGÁLLAPÍTÁSRA JOGOSULT Azon értékpapírosítási pozíciók teljes összege, amelyek megfelelnek a CRR 243. vagy 270. cikkében foglalt kritériumoknak, és ezért differenciált tőkekövetelmény-megállapításra jogosultak. | 
| 0040 | STS KITETTSÉGEK Azon STS értékpapírosítási pozíciók teljes összege, amelyek megfelelnek a CRR 243. cikkében foglalt kritériumoknak. | 
| 0050 | KKV-ÉRTÉKPAPÍROSÍTÁSBAN LÉVŐ ELŐRESOROLT POZÍCIÓK Azon kkv-értékpapírosítási előresorolt pozíciók teljes összege, amelyek megfelelnek a CRR 270. cikkében foglalt kritériumoknak. | 
| 0060, 0120, 0170, 0240, 0290, 0360 és 0410 | DIFFERENCIÁLT TŐKEKÖVETELMÉNY-MEGÁLLAPÍTÁSRA NEM JOGOSULT ÉRTÉKPAPÍROSÍTÁS A CRR 254. cikkének (1), (4), (5) és (6) bekezdése, valamint 259., 261., 263., 265., 266. és 269. cikke Azon értékpapírosítási pozíciók teljes összege, amelyek nem jogosultak differenciált tőkekövetelmény-megállapításra. | 
| 0070, 0190, 0310 és 0430 | ÚJRA-ÉRTÉKPAPÍROSÍTÁSI POZÍCIÓK A CRR 4. cikke (1) bekezdésének 64. pontjában meghatározott, fennálló újra-értékpapírosítási pozíciók összértéke. | 
| 0080 | ÉRTÉKPAPÍROSÍTÁST KEZDEMÉNYEZŐ: TELJES KITETTSÉG Ez a sor összefoglalja az olyan értékpapírosítási és újra-értékpapírosítási pozíciókkal kapcsolatos mérlegtételekre, mérlegen kívüli tételekre és származtatott ügyletekre vonatkozó információkat, amelyeknél az intézmény a CRR 4. cikke (1) bekezdésének 13. pontja szerinti értékpapírosítást kezdeményező szerepét tölti be. | 
| 0090–0130, 0210–0250 és 0330–0370 | ÉRTÉKPAPÍROSÍTÁSI POZÍCIÓK: MÉRLEGTÉTELEK A CRR 248. cikke (1) bekezdése a) pontjának megfelelően a mérlegen belüli értékpapírosítási pozíció kitettségértéke az egyedi hitelkockázati kiigazításoknak az értékpapírosítási pozícióra történő, a CRR 110. cikkének megfelelő alkalmazását követően fennmaradó számviteli értéke. A mérlegtételeket a 0100. és a 0120. sorban a CRR 243. cikkében említett differenciált tőkekövetelmény alkalmazására vonatkozó információk, a 0110. és a 0130. sorban pedig a CRR 242. cikkének 6. pontjában meghatározott előresorolt értékpapírosítási pozíciók teljes összegére vonatkozó információk figyelembevétele érdekében kell lebontani. | 
| 0100, 0220 és 0340 | DIFFERENCIÁLT TŐKEKÖVETELMÉNY-MEGÁLLAPÍTÁSRA JOGOSULT Azon értékpapírosítási pozíciók teljes összege, amelyek megfelelnek a CRR 243. cikkében foglalt kritériumoknak, és ezért differenciált tőkekövetelmény-megállapításra jogosultak. | 
| 0110, 0130, 0160, 0180, 0230, 0250, 0280, 0300, 0350, 0370, 400 és 420 | EBBŐL: ELŐRESOROLT KITETTSÉGEK Az előresorolt értékpapírosítási pozíciók teljes összege a CRR 242. cikke 6. pontjának megfelelően. | 
| 0140–0180, 0260–0300 és 0380–0420 | ÉRTÉKPAPÍROSÍTÁSI POZÍCIÓK: MÉRLEGEN KÍVÜLI TÉTELEK ÉS SZÁRMAZTATOTT ÜGYLETEK Ezek a sorok az olyan mérlegen kívüli tételnek és származtatott ügyletnek minősülő értékpapírosítási pozíciókkal kapcsolatos információkat gyűjtenek, amelyekre az értékpapírosítás keretében hitel-egyenértékesítési tényezőt kell alkalmazni. A mérlegen kívüli értékpapírosítási pozíció kitettségértéke az adott értékpapírosítási pozíciónak az esetleges egyedi hitelkockázati kiigazítások levonásával számított névértéke, egyéb rendelkezés hiányában 100 %-os hitel-egyenértékesítési tényezővel megszorozva. A CRR II. mellékletében felsorolt származtatott ügyletekből eredő mérlegen kívüli értékpapírosítási pozíciókat a CRR harmadik része II. címének 6. fejezete alapján kell megállapítani. A CRR II. mellékletében felsorolt származtatott ügyletek partnerkockázatához kapcsolódó kitettségértéket a CRR harmadik része II. címének 6. fejezete alapján kell megállapítani. A likviditási hitelkeretek, hitelkeretek és hitelkezeléssel kapcsolatos szolgáltatásnyújtók által biztosított készpénzelőlegek esetében az intézményeknek a le nem hívott összeget kell megadniuk. Kamatcsereügyletek és deviza-csereügyletek esetében a CRR 248. cikkének (1) bekezdése szerint kiszámított kitettségértéket kell feltüntetni. A mérlegen kívüli tételeket és a származtatott ügyleteket a 0150. és a 0170. sorban a CRR 270. cikkében említett differenciált tőkekövetelmény alkalmazására vonatkozó információk, a 0160. és a 0180. sorban pedig a CRR 242. cikkének 6. pontjában meghatározott előresorolt értékpapírosítási pozíciók teljes összegére vonatkozó információk figyelembevétele érdekében kell lebontani. Ugyanazok a jogi hivatkozások alkalmazandók, mint a 0100–0130 sorok esetében. | 
| 0150, 0270 és 0390 | DIFFERENCIÁLT TŐKEKÖVETELMÉNY-MEGÁLLAPÍTÁSRA JOGOSULT Azon értékpapírosítási pozíciók teljes összege, amelyek megfelelnek a CRR 243. vagy 270. cikkében foglalt kritériumoknak, és ezért differenciált tőkekövetelmény-megállapításra jogosultak. | 
| 0200 | BEFEKTETŐ: TELJES KITETTSÉG Ez a sor összefoglalja az olyan értékpapírosítási és újra-értékpapírosítási pozíciókkal kapcsolatos mérlegtételekre, mérlegen kívüli tételekre és származtatott ügyletekre vonatkozó információkat, amelyeknél az intézmény a befektető szerepét tölti be. E táblával összefüggésben a befektető olyan intézmény, amely értékpapírosítási pozícióval rendelkezik egy olyan értékpapírosítási ügyletben, amelyben sem az értékpapírosítást kezdeményező, sem a szponzor szerepét nem tölti be. | 
| 0320 | SZPONZOR: TELJES KITETTSÉG Ez a sor összefoglalja az olyan értékpapírosítási és újra-értékpapírosítási pozíciókkal kapcsolatos mérlegtételekre, mérlegen kívüli tételekre és származtatott ügyletekre vonatkozó információkat, amelyeknél az intézmény a CRR 4. cikke (1) bekezdésének 14. pontja szerinti szponzor szerepét tölti be. Ha egy szponzor saját eszközt is értékpapírosít, akkor a saját értékpapírosított eszközökkel kapcsolatos információkat az értékpapírosítást kezdeményezőre vonatkozó sorokban kell megadnia. | 
| 0440–0670 | A FENNÁLLÓ POZÍCIÓK KEZDETI HITELMINŐSÉGI BESOROLÁS SZERINTI BONTÁSA Ezek a sorok az adatszolgáltatás időpontjában fennálló olyan pozíciókra vonatkozóan gyűjtenek információkat, amelyekre vonatkozóan a kezdeményezésük (keletkezésük) időpontjában meghatározták a CRR 263. cikkének 1. és 2. táblázatában, valamint 264. cikkének 3. és 4. táblázatában megadott hitelminőségi besorolásokat. Az IAA szerint kezelt értékpapírosítási pozíciók esetében a hitelminőségi besorolás az IAA-minősítés első kibocsátásakor érvényes hitelminőségi besorolás. Ezen adatok hiányában a hitelminőségi besorolásnak megfelelő, rendelkezésre álló adatok közül a legkorábbiakat kell megadni. Ezeket a sorokat kizárólag a 0180–0210., 0280., 0350–0640., 0700–0720., 0740., 0760–0830. és 0850. oszlopban kell kitölteni. | 
3.9. AZ ÉRTÉKPAPÍROSÍTÁSSAL KAPCSOLATOS RÉSZLETES INFORMÁCIÓK (SEC DETAILS)
3.9.1. A SEC DETAILS tábla alkalmazási köre
109. Ez a tábla - a CR SEC SA, MKR SA SEC, MKR SA CTP, CA1 és CA2 tábla összesített információival szemben - ügyletenkénti információkat gyűjt valamennyi olyan értékpapírosításról, amelyben az adatot szolgáltató intézmény érintett. Meg kell adni az egyes értékpapírosítások főbb jellemzőit, például az alapul szolgáló halmaz jellegét és a szavatolótőke-követelményt.
110. Ezeket a táblákat az alábbi esetekben kell kitölteni:
a) Az adatszolgáltató intézmény által kezdeményezett vagy szponzorált értékpapírosítások esetében, beleértve azt is, amikor az intézmény nem rendelkezik pozícióval az értékpapírosításban. Abban az esetben, ha az intézmény legalább egy pozícióval rendelkezik az értékpapírosításban - attól függetlenül, hogy jelentős kockázat átruházására sor került-e vagy sem -, az intézményeknek az általuk - akár a banki könyvben, akár a kereskedési könyvben - tartott valamennyi pozícióról adatot kell szolgáltatniuk. A tartott pozíciók magukban foglalják az (EU) 2017/2402 rendelet 6. cikke szerint megtartott pozíciókat, és - amennyiben az említett rendelet 43. cikkének (6) bekezdése alkalmazandó - a CRR 2018. december 31-én hatályos változatának 405. cikke alapján megtartott pozíciókat.
b) Olyan értékpapírosítások, amelyek végső alapeszköze eredetileg az adatszolgáltató intézmény által kibocsátott és az értékpapírosítási eszköz által (részben) megszerzett pénzügyi kötelezettség. Ez az alapeszköz fedezett kötvény vagy más kötelezettség is lehet, amelyet ilyenként a 160. oszlopban fel kell tüntetni.
c) Az értékpapírosításokban meglévő olyan pozíciók, amelyeknél az adatszolgáltató intézmény nem értékpapírosítást kezdeményező és nem szponzor (tehát befektetők és eredeti hitelezők esetében).
111. Ezeket a táblákat kizárólag az abban az országban található konszolidált csoportok és önálló intézmények ( 10 ) alkalmazhatják, ahol szavatolótőke-követelmény hatálya alá esnek. Ha egy értékpapírosításban egy konszolidált csoporton belül több intézmény is részt vesz, akkor az adatokat intézményenkénti részletes bontásban kell megadni.
112. Az (EU) 2017/2402 rendelet 5. cikke alapján, amely szerint az értékpapírosítási pozíciókba fektető intézményeknek az ilyen pozíciókról nagy mennyiségű információt kell beszerezniük az előzetes vizsgálatra vonatkozó követelmények teljesítéséhez, a tábla alkalmazási köre bizonyos mértékig a befektetőkre is kiterjed. Így különösen a 010-040., 070-110., 161., 190., 290-300., 310-470.
113. oszlopot kell kitölteniük. Az eredeti hitelező szerepét betöltő intézményeknek (amelyek ugyanabban az értékpapírosításban nem értékpapírosítást kezdeményezők vagy szponzorok) a táblát általában a befektetőkkel azonos terjedelemben kell kitölteniük.
3.9. 2 A SEC DETAILS tábla alkalmazási köre
113a. A SEC DETAILS táblacsoport két táblából áll. A SEC DETAILS általános áttekintést nyújt az értékpapírosításokról, a SEC DETAILS 2 pedig ugyanazon értékpapírosítások alkalmazott módszer szerinti bontását tartalmazza.
113b. A kereskedési könyvben szereplő értékpapírosítási pozíciókat csak a 005-020., 420., 430., 431., 432., 440. és 450-470. oszlopban kell feltüntetni. A 420., 430. és 440. oszlop esetében az intézményeknek a nettó pozíció szavatolótőke-követelményének megfelelő kockázati súlyt kell figyelembe venniük.
3.9. 3 C 14.00 - Az értékpapírosítással kapcsolatos részletes információk (SEC DETAILS)
| Oszlop | |
| 005 | SOR SZÁMA A sor száma egy sorazonosító, amely a tábla minden sorát egyedileg azonosítja. Sorrendje: 1, 2, 3 stb. | 
| 010 | BELSŐ KÓD Belső (alfanumerikus) kód, amelyet az intézmény az értékpapírosítás azonosítására használ. A belső kódot az értékpapírosítási ügylet azonosítójához kell hozzárendelni. | 
| 020 | AZ ÉRTÉKPAPÍROSÍTÁS AZONOSÍTÓJA (kódja/neve) Az értékpapírosítási ügylet jogszabályban előírt nyilvántartásba vételéhez használt kód, vagy ha ilyen nincs, akkor az a név, amelyen az értékpapírosítási ügylet a piacon vagy – belső, illetve magán értékpapírosítás esetén – az intézményen belül ismert. Ha van nemzetközi értékpapír-azonosító szám (ISIN) – nyilvános ügyletnél –, akkor az oszlopban az értékpapírosítás valamennyi ügyletrészsorozatában közös karaktereket kell megadni. | 
| 021 | CSOPORTON BELÜLI, MAGÁN VAGY NYILVÁNOS ÉRTÉKPAPÍROSÍTÁS? Ebben az oszlopban azt kell feltüntetni, hogy az értékpapírosítás csoporton belüli, magán- vagy nyilvános értékpapírosítás-e. Az intézményeknek a következő rövidítések egyikét kell feltüntetniük: — „PRI”: magán — „INT”: csoporton belüli — „PUB”: nyilvános. | 
| 110 | AZ INTÉZMÉNY SZEREPE: (ÉRTÉKPAPÍROSÍTÁST KEZDEMÉNYEZŐ/SZPONZOR/EREDETI HITELEZŐ/BEFEKTETŐ) Az intézményeknek a következő rövidítéseket kell feltüntetniük: — „O”: értékpapírosítást kezdeményező; — „S”: szponzor; — „I”: befektető. — „L”: eredeti hitelező; A CRR 4. cikke (1) bekezdésének 13. pontja szerinti értékpapírosítást kezdeményező és 14. pontja szerinti szponzor. Befektetőknek azok az intézmények tekinthetők, amelyekre az (EU) 2017/2402 rendelet 5. cikke alkalmazandó. Amennyiben az (EU) 2017/2402 rendelet 43. cikkének (5) bekezdése alkalmazandó, a CRR 2018. december 31-én hatályos változatának 406. és 407. cikkét kell alkalmazni. | 
| 030 | AZ ÉRTÉKPAPÍROSÍTÁST KEZDEMÉNYEZŐ AZONOSÍTÓJA (kódja/neve) Az oszlopban az értékpapírosítást kezdeményezőre alkalmazandó LEI-kódot, vagy ha az nem áll rendelkezésre, az értékpapírosítást kezdeményező részére a felügyeleti hatóság által megállapított kódot, vagy ha ilyen nincs, akkor az intézmény nevét kell megadni. Több eladó részvételével végrehajtott olyan értékpapírosítás esetén, amelyben az intézmény mint értékpapírosítást kezdeményező, szponzor vagy eredeti hitelező vesz részt, az adatszolgáltató intézménynek meg kell adnia a konszolidált csoportján belüli valamennyi olyan intézmény azonosítóját, amely az ügyletben (mint kezdeményező, szponzor vagy eredeti hitelező) részt vesz. Ha kód nem áll rendelkezésre, vagy azt az adatszolgáltató intézmény nem ismeri, akkor az intézmény nevét kell megadni. Több eladó részvételével végrehajtott olyan értékpapírosítás esetén, amelyben az adatszolgáltató intézmény befektetőként pozícióval rendelkezik, az adatszolgáltató intézménynek meg kell adnia az értékpapírosításban részt vevő összes különböző értékpapírosítást kezdeményező azonosítóját, vagy ha az nem áll rendelkezésre, az értékpapírosítást kezdeményezők nevét. Amennyiben az adatszolgáltató intézmény nem ismeri a neveket, az adatszolgáltató intézménynek azt kell feltüntetnie, hogy az értékpapírosítás „több eladó részvételével végrehajtott”. | 
| 040 | ÉRTÉKPAPÍROSÍTÁS TÍPUSA: HAGYOMÁNYOS/SZINTETIKUS/ABCP-PROGRAM/ABCP-ÜGYLET) Az intézményeknek a következő rövidítéseket kell feltüntetniük: — „AP”: ABCP-program; — „AT”: ABCP-ügylet; — „T”: hagyományos; — „S”: szintetikus. Az „eszközfedezetű kereskedelmiértékpapír-kibocsátási program”, az „eszközfedezetű kereskedelmiértékpapír-ügylet”, a „hagyományos értékpapírosítás” és a „szintetikus értékpapírosítás” meghatározását a CRR 242. cikkének 11–14. pontja tartalmazza. | 
| 051 | SZÁMVITELI KEZELÉS: AZ ÉRTÉKPAPÍROSÍTOTT KITETTSÉGEK A MÉRLEGBEN MARADNAK, VAGY KIVEZETÉSRE KERÜLNEK? Az értékpapírosítást kezdeményezőként, szponzorként vagy eredeti hitelezőként eljáró intézmények a következő rövidítések egyikét kötelesek feltüntetni: — „K”: teljes megjelenítés; — „P”: részleges kivezetés; — „R”: teljes kivezetés; — „N”: nem alkalmazható. Az oszlop az ügylet elszámolási módját foglalja össze. A CRR 244. és 245. cikke szerinti jelentős kockázat átruházása nem befolyásolja az ügylet vonatkozó számviteli szabályozás szerinti elszámolását. Kötelezettségek értékpapírosítása esetében az értékpapírosítást kezdeményezők az oszlopot nem töltik ki. A „P” (részleges kivezetés) értéket kell megadni akkor, ha az értékpapírosított eszközöket a mérlegben az adatszolgáltató intézménynek az IFRS 9 3.2.16–3.2.21. bekezdése szerinti folytatódó részvétele mértékéig jelenítik meg. | 
| 060 | A FIZETŐKÉPESSÉG KEZELÉSE: AZ ÉRTÉKPAPÍROSÍTÁSI POZÍCIÓKRA SZAVATOLÓTŐKE-KÖVETELMÉNY VONATKOZIK? Kizárólag az értékpapírosítást kezdeményezőknek a következő rövidítéseket kell megadniuk: — „N”: nincs vonatkozó szavatolótőke-követelmény; — „B”: banki könyv; — „T”: kereskedési könyv; — „A”: részben mindkét könyv. A CRR 109., 244. és 245. cikke Az oszlop azt foglalja össze, hogy az értékpapírosítási programot az értékpapírosítást kezdeményező hogyan kezeli a fizetőképesség szempontjából. Azt mutatja, hogy a szavatolótőke-követelmény számítása az értékpapírosított kitettségek vagy az értékpapírosítási pozíciók alapján történik (banki könyv/kereskedési könyv). Ha a szavatolótőke-követelmény alapját értékpapírosított kitettségek képezik (vagyis jelentős kockázat átruházására nem kerül sor), akkor a hitelkockázat szavatolótőke-követelményének kiszámítását az intézmény a CR SA táblán tünteti fel azon értékpapírosított kitettségek esetén, amelyeknél a sztenderd módszert alkalmazza, a CR IRB táblán pedig azon értékpapírosított kitettségek esetén, amelyeknél a belső minősítésen alapuló módszert alkalmazza. Ugyanakkor, ha a szavatolótőke-követelmény alapját a banki könyvben nyilvántartott értékpapírosítási pozíciók képezik (jelentős kockázat átruházására kerül sor), akkor a hitelkockázat szavatolótőke-követelményének kiszámítására vonatkozó információt az intézmény a CR SEC táblán adja meg. A kereskedési könyvben nyilvántartott értékpapírosítási pozíciók esetében a piaci kockázat szavatolótőke-követelményének kiszámítására vonatkozó információt az MKR SA TDI (sztenderd módszer szerinti általános pozíciókockázat), az MKR SA SEC vagy MKR SA CTP (sztenderd módszer szerinti egyedi pozíciókockázat), vagy az MKR IM (belső modellek) táblán kell feltüntetni. Kötelezettségek értékpapírosítása esetében az értékpapírosítást kezdeményezők az oszlopot nem töltik ki. | 
| 061 | JELENTŐS KOCKÁZATÁTRUHÁZÁS Kizárólag az értékpapírosítást kezdeményezőknek a következő rövidítéseket kell megadniuk: — „N”: a jelentős kockázatátruházásra nem alkalmazandó, és az adatszolgáltató intézmény kockázati súlyt alkalmaz az értékpapírosított kitettségeire; — „A”: megvalósított SRT a CRR 244. cikke (2) bekezdésének a) pontja vagy 245. cikke (2) bekezdésének a) pontja szerint; — „B”: megvalósított SRT a CRR 244. cikke (2) bekezdésének b) pontja vagy 245. cikke (2) bekezdésének b) pontja szerint; — „C”: megvalósított SRT a CRR 244. cikke (3) bekezdésének a) pontja vagy 245. cikke (3) bekezdésének a) pontja szerint; — „D”: 1 250 %-os kockázati súly alkalmazása vagy a megtartott pozíciók levonása a CRR 244. cikke (1) bekezdésének b) pontjával vagy 245. cikke (1) bekezdésének b) pontjával összhangban. Ez az oszlop összefoglalja, hogy történt-e jelentős átruházás, és ha igen, milyen módon. A megvalósított jelentős kockázatátruházás meghatározza az értékpapírosítást kezdeményező megfelelő fizetőképesség-kezelését. | 
| 070 | ÉRTÉKPAPÍROSÍTÁS VAGY ÚJRA-ÉRTÉKPAPÍROSÍTÁS? Az értékpapírosítás fogalmának a CRR 4. cikke (1) bekezdésének 61. és az újra-értékpapírosítás fogalmának a CRR 4. cikke (1) bekezdésének 64. pontjában foglalt meghatározása szerint az alábbi rövidítésekkel meg kell adni az alapul szolgáló értékpapírok típusát: — „S”: értékpapírosítás; — „R”: újra-értékpapírosítás. | 
| 075 | STS ÉRTÉKPAPÍROSÍTÁS Az (EU) 2017/2402 rendelet 18. cikke A következő rövidítések egyikét kell megadni: Y – igen N – nem | 
| 446 | DIFFERENCIÁLT TŐKEKÖVETELMÉNY-MEGÁLLAPÍTÁSRA JOGOSULT ÉRTÉKPAPÍROSÍTÁS A CRR 243. és 270. cikke Az intézményeknek a következő rövidítések egyikét kell feltüntetniük: Y – igen N – nem „igen” értéket kell feltüntetni mind a CRR 243. cikke szerint differenciált tőkekövetelmény-megállapításra jogosult STS értékpapírosítások, mind a CRR 270. cikke szerint differenciált tőkekövetelmény-megállapításra jogosult (nem STS) kkv-értékpapírosításokban lévő előresorolt pozíciók esetében. | 
| 080–100 | MEGTARTOTT ÉRDEKELTSÉGEK Az (EU) 2017/2402 rendelet 6. cikke. Amennyiben az (EU) 2017/2402 rendelet 43. cikkének (6) bekezdése alkalmazandó, a CRR 2018. december 31-én hatályos változatának 405. cikkét kell alkalmazni. | 
| 080 | AZ ÉRDEKELTSÉG MEGTARTÁSÁNAK MÓDJA Minden egyes kezdeményezett értékpapírosítási programnál fel kell tüntetni a nettó gazdasági érdekeltség megtartásának módját az (EU) 2017/2402 rendelet 6. cikke alapján: A – Függőleges szelet (értékpapírosítási pozíciók): „a befektetőknek eladott vagy a befektetőkre átruházott minden egyes ügyletrészsorozat névértéke legalább 5 %-ának megtartása.” V – Függőleges szelet (értékpapírosított kitettségek): legalább 5 % megtartása az egyes értékpapírosított kitettségek hitelkockázatából akkor, ha az értékpapírosított kitettségek így megtartott hitelkockázatának besorolása minden esetben megegyezik (pari passu) az ugyanazon kitettségekre vonatkozóan értékpapírosított hitelkockázatéval, vagy annál alacsonyabb besorolású. B – Rulírozó kitettségek: „rulírozó kitettségek értékpapírosítása esetén az értékpapírosított kitettségek névértékének legalább 5 %-a mértékéig az értékpapírosítást kezdeményező érdekeltségének megtartása”. C – Mérlegen belüli: „véletlenszerűen kiválasztott – legalább az értékpapírosított kitettségek névértékének 5 %-ával egyenértékű – kitettségek megtartása, amennyiben ezeket az értékpapírosítás során egyébként értékpapírosították volna, feltéve, hogy a potenciálisan értékpapírosítandó kitettségek száma az értékpapírosítás kezdeményezésekor legalább 100”. D – Első veszteségviselő: „az első veszteségviselő ügyletrészsorozat és szükség esetén a befektetőkre átruházott vagy a befektetőknek eladott ügyletrészsorozatokkal azonos vagy magasabb kockázati profilú, és a befektetőkre átruházott vagy a befektetőknek eladott ügyletrészsorozatoknál nem korábbi lejáratú ügyletrészsorozatok megtartása úgy, hogy a megtartott rész összesen legalább az értékpapírosított kitettségek névértékének 5 %-ával egyenlő”. E – Mentesül. Ezt a kódot az (EU) 2017/2402 rendelet 6. cikke (6) bekezdésének alkalmazása által érintett értékpapírosításoknál kell megadni. U – Nem megfelelő vagy ismeretlen. Ezt a kódot akkor kell megadni, ha az adatszolgáltató intézmény nem tudja biztosan, hogy a megtartás melyik módját alkalmazzák, vagy az nem felel meg a szabályoknak. | 
| 090 | A MEGTARTOTT ÉRDEKELTSÉGEK ARÁNYA AZ ADATSZOLGÁLTATÁS IDŐPONTJÁBAN (%) Az értékpapírosítást kezdeményező, a szponzor vagy az eredeti hitelező által megtartott jelentős mértékű nettó gazdasági érdekeltség aránya a kezdeményezés időpontjában legalább 5 %. Az oszlop nem töltendő ki akkor, ha a 080-as oszlopban (Az érdekeltség megtartásának módja) az „E” (Mentesül) vagy „N” (Nem alkalmazható) kód szerepel. | 
| 100 | A MEGTARTÁSI KÖVETELMÉNY TELJESÜL? Az intézményeknek a következő rövidítéseket kell feltüntetniük: Y – igen; N – nem. Az oszlop nem töltendő ki akkor, ha a 080-as oszlopban (Az érdekeltség megtartásának módja) az „E” (Mentesül) kód szerepel. | 
| 120–130 | NEM ABCP-PROGRAMOK Az ABCP-programok speciális jellegéből adódóan, ami azzal függ össze, hogy több egyedi értékpapírosítási pozíciót foglalnak magukban, a CRR 242. cikkének 11. pontjában meghatározott ABCP-programokról a 120-as, 121-es és 130-as oszlopban nem kell adatot szolgáltatni. | 
| 120 | KEZDEMÉNYEZÉS IDŐPONTJA (hh/éééé) Az értékpapírosítás kezdeményezésének időpontjában (a halmazra [poolra] vonatkozó határidőben vagy záró dátumban) a hónapot és az évet a „hh/éééé” formában kell megadni. Az egyes értékpapírosítási programok kezdeményezésének időpontja az adatszolgáltatás időpontjai között nem változhat. A nyitott halmazokkal fedezett értékpapírosítási programok esetében a kezdeményezés napja az értékpapírok első kibocsátásának napja. Ezt az információt akkor is fel kell tüntetni, ha az adatszolgáltató intézmény nem rendelkezik pozícióval az értékpapírosításban. | 
| 121 | A LEGUTOLSÓ KIBOCSÁTÁS IDŐPONTJA (hh/éééé) Az értékpapírosítás keretében az értékpapírok legutóbbi kibocsátásának időpontjában a hónapot és az évet a „hh/éééé” formában kell megadni. Az (EU) 2017/2402 rendeletet csak azon értékpapírosításokra kell alkalmazni, amelyek értékpapírjait 2019. január 1-jén vagy azt követően bocsátották ki. Az értékpapírok legutolsó kibocsátásának időpontja határozza meg, hogy az egyes értékpapírosítási programok az (EU) 2017/2402 rendelet hatálya alá tartoznak-e. Ezt az információt akkor is fel kell tüntetni, ha az adatszolgáltató intézmény nem rendelkezik pozícióval az értékpapírosításban. | 
| 130 | AZ ÉRTÉKPAPÍROSÍTOTT KITETTSÉGEK ÖSSZÉRTÉKE A KEZDEMÉNYEZÉS IDŐPONTJÁBAN Ez az oszlop az értékpapírosított portfóliónak a kezdeményezés időpontjában érvényes (a hitel-egyenértékesítési tényezők előtti eredeti kitettség alapján kiszámított) értékét összesíti. A nyitott halmazokkal fedezett értékpapírosítási programok esetében az értékpapírok első kibocsátásának napjára vonatkozó értéket kell megadni. A hagyományos értékpapírosítások esetében az értékpapírosítási halmaz más eszközei nem számíthatók be. A több eladó (azaz egynél több értékpapírosítást kezdeményező) részvételével működő értékpapírosítási programoknál kizárólag az adatszolgáltató intézménynek az értékpapírosított portfólióhoz való hozzájárulásának megfelelő összeget kell feltüntetni. Kötelezettségek értékpapírosítása esetében kizárólag az adatszolgáltató intézmény által kibocsátott összeget kell megadni. Ezt az információt akkor is fel kell tüntetni, ha az adatszolgáltató intézmény nem rendelkezik pozícióval az értékpapírosításban. | 
| 140-225 | ÉRTÉKPAPÍROSÍTOTT KITETTSÉGEK A 140–225. oszlopban az adatszolgáltató intézménynek az értékpapírosított portfólió több jellemzőjére vonatkozó információkat kell feltüntetnie. | 
| 140 | ÖSSZÉRTÉK Az intézményeknek az értékpapírosított portfóliónak az adatszolgáltatás időpontjában érvényes értékét, vagyis a fennálló értékpapírosított kitettségek összegét kell megadniuk. A hagyományos értékpapírosítások esetében az értékpapírosítási halmaz más eszközei nem számíthatók be. A több eladó (azaz egynél több értékpapírosítást kezdeményező) részvételével működő értékpapírosítási programoknál kizárólag az adatszolgáltató intézménynek az értékpapírosított portfólióhoz való hozzájárulásának megfelelő összeget kell feltüntetni. A zárt halmazzal fedezett értékpapírosítási programoknál (vagyis ahol az értékpapírosított eszközportfólió a kezdeményezés napját követően nem bővíthető) az értéket fokozatosan csökkenteni kell. Ezt az információt akkor is fel kell tüntetni, ha az adatszolgáltató intézmény nem rendelkezik pozícióval az értékpapírosításban. | 
| 150 | AZ INTÉZMÉNY RÉSZESEDÉSE (%) Az intézménynek az értékpapírosított portfólióban az adatszolgáltatás időpontjában meglévő részesedését kell megadni (százalékban, két tizedesjegy pontossággal). Az ebben az oszlopban feltüntetendő érték alapértelmezés szerint 100 %, kivéve a több eladó részvételével működő értékpapírosítási programokat. Az utóbbi esetben az adatszolgáltató intézménynek az értékpapírosított portfólióban meglévő aktuális hozzájárulását kell megadnia (arányát tekintve a 140-es oszlopnak felel meg). Ezt az információt akkor is fel kell tüntetni, ha az adatszolgáltató intézmény nem rendelkezik pozícióval az értékpapírosításban. | 
| 160 | TÍPUS Ez az oszlop az értékpapírosított portfólióban lévő eszközökről (lakóingatlant terhelő jelzálog – egyéb nem lakossági kitettségek) és kötelezettségekről (fedezett kötvények és egyéb kötelezettségek) gyűjt információkat. Az intézménynek a következő opciók egyikét kell feltüntetnie a legmagasabb EAD figyelembevételével: Lakosság: lakóingatlant terhelő jelzálog; hitelkártya-követelés; fogyasztási hitel; kkv-knak nyújtott hitel (lakosságiként kezelt); egyéb lakossággal szembeni kitettségek. Nem lakosság: kereskedelmi ingatlant terhelő jelzálog; lízing; vállalatoknak nyújtott hitelek; kkv-knak nyújtott hitel (vállalatiként kezelt); kereskedelemfinanszírozás; egyéb nem lakossági kitettségek. Kötelezettségek: fedezett kötvények; egyéb kötelezettségek. Ha az értékpapírosított kitettségek halmaza a fent felsorolt típusokat vegyesen tartalmazza, akkor az intézménynek a legfontosabb típust kell feltüntetnie. Újra-értékpapírosítás esetén az intézménynek a végső alapul szolgáló eszközhalmazt kell megjelölnie. Az „egyéb kötelezettség” típus az államkötvényeket és a hitelkockázati eseményhez kapcsolt értékpapírokat foglalja magában. A zárt halmazzal fedezett értékpapírosítási programoknál a típus az adatszolgáltatás időpontjai között nem változhat. | 
| 171 | AZ IRB %-OS ARÁNYA AZ ALKALMAZOTT MÓDSZEREK KÖZÖTT Ez az oszlop arról a módszerről (azokról a módszerekről) gyűjt információkat, amelye(ke)t az intézmény az adatszolgáltatás időpontjában alkalmazna az értékpapírosított kitettségekre. Az intézményeknek azon értékpapírosított kitettségek kitettségértékkel mért százalékos arányát kell megadniuk, amelyekre az adatszolgáltatás időpontjában a belső minősítésen alapuló módszer alkalmazandó. Ezt az információt akkor is fel kell tüntetni, ha az adatszolgáltató intézmény nem rendelkezik pozícióval az értékpapírosításban. Ez az oszlop azonban nem vonatkozik a kötelezettségek értékpapírosítására. | 
| 180 | A KITETTSÉGEK SZÁMA A CRR 259. cikkének (4) bekezdése Az oszlopot azoknak az intézményeknek kötelező kitölteniük, amelyek az értékpapírosítási pozíciókra a SEC-IRBA-módszert alkalmazzák (és ennek megfelelően a 171-es oszlopban 95 %-nál nagyobb értéket adnak meg). Az intézmény a kitettségek tényleges számáról szolgáltat adatot. Az oszlop nem töltendő ki kötelezettségek értékpapírosítása esetén, valamint akkor, ha a szavatolótőke-követelmény az értékpapírosított kitettségeken alapul (eszközök értékpapírosítása esetén). Az oszlop nem töltendő ki, ha az adatszolgáltató intézmény nem rendelkezik pozícióval az értékpapírosításban. Az oszlopot a befektetők nem töltik ki. | 
| 181 | NEMTELJESÍTŐ KITETTSÉGEK „W” (%) A CRR 261. cikkének (2) bekezdése Az intézménynek meg kell adnia a CRR 261. cikkének (2) bekezdése szerint kiszámított W-t (a nemteljesítő alapul szolgáló kitettségekre), még abban az esetben is, ha nem alkalmazza a SEC-SA módszert az értékpapírosítási pozíciókra. | 
| 190 | ORSZÁG Az intézmény az ISO 3166-1 alpha-2 szabvány szerinti kód alapján az ügylet végső alapul szolgáló eszközeinek származási országát adja meg, vagyis az eredeti értékpapírosított kitettségek közvetlen kötelezettjének az országát (alapul szolgáló eszközök vizsgálata). Ha az értékpapírosítás halmaza több országot tartalmaz, akkor az intézménynek a legfontosabb országot kell feltüntetnie. Ha az eszközök és kötelezettségek összege alapján számított 20 %-os küszöböt egyik ország sem lépi túl, akkor az „egyéb országok” értéket kell feltüntetni. | 
| 201 | LGD (%) A kitettséggel súlyozott átlagos LGD értékét csak azok az intézmények adják meg, amelyek a SEC-IRBA-t alkalmazzák (és ennek megfelelően a 170-es oszlopban legalább 95 %-os értéket tüntetnek fel). Az LGD értékét a CRR 259. cikkének (5) bekezdése alapján kell kiszámítani. Az oszlop nem töltendő ki kötelezettségek értékpapírosítása esetén, valamint akkor, ha a szavatolótőke-követelmény az értékpapírosított kitettségeken alapul (eszközök értékpapírosítása esetén). | 
| 202 | EL (%) Az értékpapírosított eszközök kitettséggel súlyozott átlagos várható veszteségének (EL) értékét csak azok az intézmények adják meg, amelyek a SEC-IRBA-t alkalmazzák (és ennek megfelelően a 171-es oszlopban legalább 95 %-os értéket tüntetnek fel). SA értékpapírosított eszközök esetében a feltüntetendő EL a CRR 111. cikkében említett egyedi hitelkockázati kiigazítás. Az EL-t a CRR harmadik része II. címe 3. fejezetének 3. szakaszában foglaltak szerint kell kiszámítani. Az oszlop nem töltendő ki kötelezettségek értékpapírosítása esetén, valamint akkor, ha a szavatolótőke-követelmény az értékpapírosított kitettségeken alapul (eszközök értékpapírosítása esetén). | 
| 203 | UL (%) Az értékpapírosított eszközök kitettséggel súlyozott átlagos nem várható veszteségének (UL) értékét csak azok az intézmények adják meg, amelyek a SEC-IRBA-t alkalmazzák (és ennek megfelelően a 170-es oszlopban legalább 95 %-os értéket tüntetnek fel). Az eszközök UL-értéke a kockázattal súlyozott kitettségérték (RWEA) szorozva 8 %-kal. Az RWEA-t a CRR harmadik része II. címe 3. fejezetének 2. szakaszában foglaltak szerint kell kiszámítani. Az oszlop nem töltendő ki kötelezettségek értékpapírosítása esetén, valamint akkor, ha a szavatolótőke-követelmény az értékpapírosított kitettségeken alapul (eszközök értékpapírosítása esetén). | 
| 204 | AZ ESZKÖZÖK KITETTSÉGGEL SÚLYOZOTT ÁTLAGOS LEJÁRATA Minden intézménynek meg kell adnia az értékpapírosított eszközök adatszolgáltatás időpontjára vonatkozó, kitettséggel súlyozott átlagos lejáratát (WAM), függetlenül a tőkekövetelmények kiszámításához használt módszertől. Az intézményeknek az egyes eszközök lejáratát a CRR 162. cikke (2) bekezdésének a) és f) pontja szerint, az ötéves felső korlát alkalmazása nélkül kell kiszámítaniuk. | 
| 210 | (–) ÉRTÉKELÉSI KORREKCIÓK ÉS CÉLTARTALÉKOK Az adatszolgáltató intézményre alkalmazandó számviteli szabályozásnak megfelelő értékelési korrekciók és hitelveszteségre képzett céltartalékok (a CRR 159. cikke). Az értékelési korrekciók magukban foglalják a pénzügyi eszközökön a mérlegben történő kezdeti megjelenítésük óta keletkezett hitelveszteségnek az eredményben elszámolt összegét (ideértve a valós értéken értékelt pénzügyi eszközök hitelkockázatából eredő, a kitettségértékből nem levonható veszteségeket), valamint a CRR 166. cikkének (1) bekezdésében említetteknek megfelelően nemteljesítőként megvásárolt eszközökre kapott kedvezményeket. A céltartalékok a mérlegen kívüli tételeken keletkezett hitelveszteségek halmozott összegét foglalják magukban. Ez az oszlop az értékpapírosított kitettségekre alkalmazott értékelési korrekciókról és céltartalékokról gyűjt információkat. Az oszlop nem töltendő ki kötelezettségek értékpapírosítása esetén. Ezt az információt akkor is fel kell tüntetni, ha az adatszolgáltató intézmény nem rendelkezik pozícióval az értékpapírosításban. | 
| 221 | ÉRTÉKPAPÍROSÍTÁS ELŐTTI SZAVATOLÓTŐKE-KÖVETELMÉNY (%) KIRB Ezt az oszlopot csak a SEC-IRBA-t alkalmazó (és ezért az 171. oszlopban legalább 95 %-ot feltüntető) intézmények töltik ki, és ebben az oszlopban a CRR 255. cikkében említettek szerint a KIRB-re vonatkozó adatokat kell megadni. A KIRB értékét százalékban (két tizedesjegy pontossággal) kell kifejezni. Az oszlop nem töltendő ki kötelezettségek értékpapírosítása esetén. Eszközök értékpapírosítása esetén ezt az információt akkor is fel kell tüntetni, ha az adatszolgáltató intézmény nem rendelkezik pozícióval az értékpapírosításban. | 
| 222 | A LAKOSSÁGGAL SZEMBENI KITETTSÉGEK %-OS ARÁNYA AZ IRB-HALMAZOKBAN A CRR 242. cikkének 7. pontjában meghatározott IRB-halmazok, feltéve, hogy az intézmény a CRR harmadik része II. címe 6. fejezetének 3. szakaszával összhangban az alapul szolgáló kitettségérték legalább 95 %-ára ki tudja számítani a KIRB értékét (a CRR 259. cikkének (2) bekezdése). | 
| 223 | ÉRTÉKPAPÍROSÍTÁS ELŐTTI SZAVATOLÓTŐKE-KÖVETELMÉNY (%) KSA Az intézménynek abban az esetben is ki kell töltenie ezt az oszlopot, ha nem alkalmazza a SEC-SA módszert az értékpapírosítási pozíciókra. Ebben az oszlopban a KSA értékére vonatkozó információkat kell megadni a CRR 255. cikke (6) bekezdésének megfelelően. A KSA értékét százalékban (két tizedesjegy pontossággal) kell kifejezni. Az oszlop nem töltendő ki kötelezettségek értékpapírosítása esetén. Eszközök értékpapírosítása esetén ezt az információt akkor is fel kell tüntetni, ha az adatszolgáltató intézmény nem rendelkezik pozícióval az értékpapírosításban. | 
| 225 | TÁJÉKOZTATÓ ADATOK | 
| 225 | HITELKOCKÁZATI KIIGAZÍTÁSOK A TÁRGYIDŐSZAKBAN A CRR 110. cikke | 
| 230–304 | ÉRTÉKPAPÍROSÍTÁSI STRUKTÚRA Az oszlopcsoport az értékpapírosítás struktúrájáról gyűjt adatokat mérlegen belüli/kívüli pozíciók, ügyletrészsorozatok (előresorolt, köztes, első veszteségviselő), valamint az adatszolgáltatás időpontjában érvényes lejárat alapján. Több eladó részvételével végrehajtott értékpapírosítás esetén kizárólag az adatot szolgáltató intézménynek megfelelő, vagy annak tulajdonított összeget kell feltüntetni. | 
| 230–252 | MÉRLEGTÉTELEK Ez az oszlopcsoport a mérlegtételekről gyűjt információkat ügyletrészsorozatok szerinti bontásban (előre sorolt, köztes, első veszteségviselő). | 
| 230–232 | ELŐRESOROLT | 
| 230 | ÖSSZEG Az előresorolt értékpapírosítási pozíciók összege a CRR 242. cikke 6. pontjának megfelelően. | 
| 231 | ALSÓ VESZTESÉGVISELÉSI HATÁR (%) A CRR 256. cikkének (1) bekezdésében említett alsó veszteségviselési határ (%) | 
| 232 és 252 | CQS A SEC-ERBA-t alkalmazó intézmények esetében előirányzott hitelminőségi besorolások (a CRR 263. cikkének 1. és 2. táblázata, valamint 264. cikkének 3. és 4. táblázata). Ezeket az oszlopokat az alkalmazott módszertől függetlenül valamennyi minősített ügyletre vonatkozóan meg kell adni. | 
| 240–242 | KÖZTES | 
| 240 | ÖSSZEG A feltüntetendő érték magában foglalja: — a CRR 242. cikkének 18. pontja szerinti köztes értékpapírosítási pozíciót; — további értékpapírosítási pozíciókat, amelyek nem a CRR 242. cikkének 6., 17. vagy 18. pontjában meghatározott pozíciók. | 
| 241 | AZ ÜGYLETRÉSZSOROZATOK SZÁMA A köztes ügyletrészsorozatok száma. | 
| 242 | A LEGINKÁBB ALÁRENDELT ÜGYLETRÉSZSOROZAT HITELMINŐSÉGI BESOROLÁSA A leginkább alárendelt köztes ügyletrészsorozatnak a CRR 263. cikkében található 2. táblázat és 264. cikkében található 3. táblázat szerint meghatározott hitelminőségi besorolása. | 
| 250–252 | ELSŐ VESZTESÉGVISELŐ | 
| 250 | ÖSSZEG Az első veszteségviselő ügyletrészsorozat összege a CRR 242. cikke 17. pontjának megfelelően. | 
| 251 | FELSŐ VESZTESÉGVISELÉSI HATÁR (%) A CRR 256. cikkének (2) bekezdésében említett felső veszteségviselési határ (%) | 
| 260–280 | MÉRLEGEN KÍVÜLI TÉTELEK ÉS SZÁRMAZTATOTT ÜGYLETEK Ez az oszlopcsoport a mérlegen kívüli tételekről és származtatott ügyletekről gyűjt információkat ügyletrészsorozatok szerinti bontásban (előre sorolt, köztes, első veszteségviselő). Itt is ugyanazokat a besorolási kritériumokat kell alkalmazni, amelyek alapján a mérlegtételek oszthatók fel ügyletrészsorozatok szerint. | 
| 290–300 | LEJÁRAT | 
| 290 | A FELMONDÁS VÁRHATÓ LEGKORÁBBI IDŐPONTJA A teljes értékpapírosítás felmondásának valószínű időpontja a szerződési feltételek és a jelenleg várható pénzügyi feltételek alapján. Általában az alábbiak közül a legkorábbi időpont: i. az a nap, amelyen a CRR 242. cikkének 1. pontjában meghatározott maradék pozíciókra vonatkozó visszavásárlási jog az alapul szolgáló kitettségek lejáratát, valamint azok előtörlesztési rátáit és esetleges újratárgyalását figyelembe véve először gyakorolható; ii. az a nap, amelyen az értékpapírosítást kezdeményező először érvényesíthet az értékpapírosítás szerződési feltételeiben foglalt olyan egyéb lehívási opciót, amely az értékpapírosítás teljes visszaváltását eredményezi. A felmondás várható legkorábbi időpontja tekintetében a napot, a hónapot és az évet kell megadni. Amennyiben ismert, a pontos napot kell feltüntetni, egyéb esetben a hónap első napját. | 
| 291 | AZ ÉRTÉKPAPÍROSÍTÁST KEZDEMÉNYEZŐ ÜGYLETBE FOGLALT VISSZAVÁSÁRLÁSI JOGA A felmondás várható legkorábbi időpontja szempontjából releváns visszavásárlási jog típusa: — maradék pozíciókra vonatkozó visszavásárlási jog, amely megfelel a CRR 244. cikke (4) bekezdése g) pontjának; — maradék pozíciókra vonatkozó egyéb visszavásárlási jog; — egyéb típusú visszavásárlási jog. | 
| 300 | JOGSZERŰ VÉGSŐ LEJÁRATI IDŐPONT Az a nap, amelyen az értékpapírosítás teljes tőke- és kamatrészét jogszerűen vissza kell fizetni (az ügylet dokumentációja alapján). A jogszerű végső lejárati időpont tekintetében a napot, a hónapot és az évet kell megadni. Amennyiben ismert, a pontos napot kell feltüntetni, egyéb esetben a hónap első napját. | 
| 302–304 | TÁJÉKOZTATÓ ADATOK | 
| 302 | AZ ELADOTT KOCKÁZAT ALSÓ VESZTESÉGVISELÉSI HATÁRA (%) Kizárólag az értékpapírosítást kezdeményezőknek kell megadniuk a hagyományos értékpapírosítások esetében harmadik feleknek eladott, vagy szintetikus értékpapírosítások esetében harmadik fél általi hitelkockázati fedezetben részesülő leginkább alárendelt ügyletrészsorozat alsó veszteségviselési határát. | 
| 303 | AZ ELADOTT KOCKÁZAT FELSŐ VESZTESÉGVISELÉSI HATÁRA (%) Kizárólag az értékpapírosítást kezdeményezőknek kell megadniuk a hagyományos értékpapírosítások esetében harmadik feleknek eladott, vagy szintetikus értékpapírosítások esetében harmadik fél általi hitelkockázati fedezetben részesülő leginkább előresorolt ügyletrészsorozat felső veszteségviselési határát. | 
| 304 | AZ ÉRTÉKPAPÍROSÍTÁST KEZDEMÉNYEZŐ ÁLTAL MEGÁLLAPÍTOTT KOCKÁZATÁTRUHÁZÁS (%) Kizárólag az értékpapírosítást kezdeményezőknek kell megadniuk az értékpapírosított eszközök harmadik felekre átruházott, nem várható veszteséggel (UL) növelt várható veszteségét (EL) a teljes várható veszteség és nem várható veszteség összegének százalékos arányában kifejezve. Meg kell adni az alapul szolgáló kitettségek EL- és UL-értékét, amelyeket ezt követően a többlépcsős értékpapírosítási veszteségviselés szerint hozzá kell rendelni az értékpapírosítás megfelelő ügyletrészsorozataihoz. SA bankok esetében az EL az értékpapírosított eszközök egyedi hitelkockázati kiigazítása, az UL pedig az értékpapírosított kitettségek tőkekövetelménye. | 
3.9.4. C 14.01 - Az értékpapírosítással kapcsolatos részletes információk (SEC DETAILS 2)
113c. Az alábbi módszerekre vonatkozóan a SEC DETAILS 2 táblán külön kell adatot szolgáltatni:
1) SEC-IRBA;
2) SEC-SA;
3) SEC-ERBA;
4) 1 250 %.
| Oszlop | |
| 005 | SOR SZÁMA A sor száma egy sorazonosító, amely a tábla minden sorát egyedileg azonosítja. Sorrendje: 1, 2, 3 stb. | 
| 010 | BELSŐ KÓD Belső (alfanumerikus) kód, amelyet az intézmény az értékpapírosítás azonosítására használ. A belső kódot az értékpapírosítási ügylet azonosítójához kell hozzárendelni. | 
| 020 | AZ ÉRTÉKPAPÍROSÍTÁS AZONOSÍTÓJA (KÓDJA/NEVE) Az értékpapírosítás vagy – amennyiben ugyanabban a sorban több pozíció megadható – az ügylet jogszabályban előírt nyilvántartásba vételéhez használt kód, vagy ha ilyen nincs, akkor az a név, amelyen az értékpapírosítás vagy az ügylet a piacon, illetőleg belső vagy magán értékpapírosítás esetében az intézményen belül ismert. Ha van nemzetközi értékpapír-azonosító szám (ISIN) – nyilvános ügyletnél –, akkor az oszlopban az értékpapírosítás valamennyi ügyletrészsorozatában közös karaktereket kell megadni. | 
| 310–400 | ÉRTÉKPAPÍROSÍTÁSI POZÍCIÓK: HITEL-EGYENÉRTÉKESÍTÉSI TÉNYEZŐK ELŐTTI EREDETI KITETTSÉG Az oszlopcsoport az értékpapírosítási pozíciókról gyűjt adatokat az adatszolgáltatás időpontjában fennálló mérlegen belüli/kívüli pozíciók, valamint ügyletrészsorozatok (előre sorolt, köztes, első veszteségviselő) szerinti bontásban. | 
| 310–330 | MÉRLEGTÉTELEK Itt is ugyanazokat az ügyletrészsorozatok szerinti besorolási kritériumokat kell alkalmazni, mint a 230., 240. és 250. oszlop esetében. | 
| 340–361 | MÉRLEGEN KÍVÜLI TÉTELEK ÉS SZÁRMAZTATOTT ÜGYLETEK Itt is ugyanazokat az ügyletrészsorozatok szerinti besorolási kritériumokat kell alkalmazni, mint a 260–280. oszlop esetében. | 
| 351 és 361 | A FEDEZETNYÚJTÓNAK/INSTRUMENTUMNAK MEGFELELŐ KOCKÁZATI SÚLY Az elismert garanciavállaló %-os kockázati súlya vagy a CRR 249. cikke szerinti hitelkockázati fedezetet nyújtó megfelelő instrumentum %-os kockázati súlya. | 
| 370–400 | TÁJÉKOZTATÓ ADATOK MÉRLEGEN KÍVÜLI TÉTELEK ÉS SZÁRMAZTATOTT ÜGYLETEK HITEL-EGYENÉRTÉKESÍTÉSI TÉNYEZŐK ELŐTT Ez az oszlopcsoport a 340–361. oszlopban más bontásban már megadott mérlegen kívüli tételekről és származtatott ügyletekről gyűjt kiegészítő információkat. | 
| 370 | KÖZVETLEN HITELHELYETTESÍTŐK (DCS) Ez az oszlop az értékpapírosítást kezdeményező által tartott és közvetlen hitelhelyettesítőkkel garantált értékpapírosítási pozíciókra vonatkozik. A CRR I. melléklete szerint közvetlen hitelhelyettesítőnek az alábbi teljes kockázatú mérlegen kívüli tételek minősülnek: — a hitelhelyettesítő jellegű garanciák; — a hitelhelyettesítő jellegű visszavonhatatlan készenléti hitellevelek. | 
| 380 | IRS/CRS Az IRS a kamatcsereügyletek, a CRS a deviza-csereügyletek rövidítése. Ezeket a származtatott ügyleteket a CRR II. melléklete sorolja fel. | 
| 390 | LIKVIDITÁSI KERETEK A CRR 242. cikkének 3. pontjában meghatározott likviditási hitelkeretek. | 
| 400 | EGYÉB Fennmaradó mérlegen kívüli tételek. | 
| 411 | KITETTSÉGÉRTÉK Ez az információ szorosan kapcsolódik a CR SEC tábla 0180-as oszlopához. | 
| 420 | (–) A SZAVATOLÓTŐKÉBŐL LEVONT KITETTSÉGÉRTÉK Ez az információ szorosan kapcsolódik a CR SEC tábla 0190-es oszlopához. Ebben az oszlopban negatív értéket kell megadni. | 
| 430 | KOCKÁZATTAL SÚLYOZOTT TELJES KITETTSÉGÉRTÉK A FELSŐ KORLÁT FIGYELEMBEVÉTELE ELŐTT Ez az oszlop a kockázattal súlyozott kitettségértéknek az értékpapírosítási pozíciókra vonatkozó felső határ alkalmazása előtti értékéről gyűjt információkat (jelentős kockázat átruházásával járó értékpapírosítási programok esetében). A jelentős kockázat átruházásával nem járó értékpapírosítási programok esetében (ahol a kockázattal súlyozott kitettségérték meghatározása az értékpapírosított kitettségek alapján történik) az oszlop nem tartalmaz adatot. Az oszlop nem töltendő ki kötelezettségek értékpapírosítása esetén. A kereskedési könyvi értékpapírosítások esetében az egyedi kockázatra vonatkozó RWEA-t kell feltüntetni. Lásd az MKR SA SEC 570. oszlopát, illetve az MKR SA CTP 410. és 420. oszlopát (amennyiben a szavatolótőke-követelmény szempontjából releváns). | 
| 431 | (–) A KOCKÁZATI SÚLYRA VONATKOZÓ FELSŐ KORLÁT MIATTI CSÖKKENTÉS A CRR 267. cikke | 
| 432 | (–) AZ ÁLTALÁNOS KORLÁT MIATTI CSÖKKENTÉS A CRR 268. cikke | 
| 440 | KOCKÁZATTAL SÚLYOZOTT TELJES KITETTSÉGÉRTÉK A FELSŐ KORLÁT FIGYELEMBEVÉTELE UTÁN Ez az oszlop a kockázattal súlyozott kitettségértéknek az értékpapírosítási pozíciókra vonatkozó felső korlátok alkalmazása utáni értékéről gyűjt információkat (jelentős kockázat átruházásával járó értékpapírosítási programok esetében). A jelentős kockázat átruházásával nem járó értékpapírosítási programok esetében (ahol a szavatolótőke-követelmény meghatározása az értékpapírosított kitettségek alapján történik) az oszlop nem tartalmaz adatot. Az oszlop nem töltendő ki kötelezettségek értékpapírosítása esetén. A kereskedési könyvi értékpapírosítások esetében az egyedi kockázatra vonatkozó RWEA-t kell feltüntetni. Lásd az MKR SA SEC 600-as, illetve az MKR SA CTP 450-es oszlopát. | 
| 447–448 | TÁJÉKOZTATÓ ADATOK | 
| 447 | KOCKÁZATTAL SÚLYOZOTT KITETTSÉGÉRTÉK A SEC-ERBA SZERINT A CRR 263. és 264. cikke Ezt az oszlopot csak a felső korlát alkalmazása előtti minősített ügyletek esetében kell kitölteni, és nem kell megadni a SEC-ERBA szerinti ügyletek esetében. | 
| 448 | KOCKÁZATTAL SÚLYOZOTT KITETTSÉGÉRTÉK A SEC-SA SZERINT A CRR 261. és 262. cikke. Ezt az oszlopot a felső korlát alkalmazása előtt kell megadni, és nem kell megadni a SEC-SA szerinti ügyletek esetében. | 
| 450–470 | ÉRTÉKPAPÍROSÍTÁSI POZÍCIÓK – KERESKEDÉSI KÖNYV | 
| 450 | CTP/NEM CTP Az intézményeknek a következő rövidítéseket kell feltüntetniük: C – korrelációkereskedési portfólió (CTP); N – nem CTP. | 
| 460–470 | NETTÓ POZÍCIÓK – HOSSZÚ/RÖVID Lásd az MKR SA SEC, illetve MKR SA CTP 050. és 060. oszlopát. | 
4. MŰKÖDÉSI KOCKÁZATI TÁBLACSOPORT
4.1. C 16.00 - MŰKÖDÉSI KOCKÁZAT (OPR)
4.1.1. Általános megjegyzések
114. Ez a tábla a működési kockázat szavatolótőke-követelményének a CRR 312-324. cikke szerinti, az alapmutató módszere (BIA), a sztenderd módszer (TSA), az alternatív sztenderd módszer (ASA), valamint a fejlett mérési módszerek (AMA) alkalmazásával történő kiszámításával kapcsolatos információkat nyújt. Egy intézmény egyedi alapon nem alkalmazhatja egyidejűleg a sztenderd módszert és az alternatív sztenderd módszert "lakossági banki tevékenység" és "kereskedelmi banki tevékenység" üzletágára.
115. Az alapmutató módszerét, a sztenderd módszert vagy alternatív sztenderd módszert alkalmazó intézmények a szavatolótőke-követelményt a pénzügyi év végén rendelkezésre álló információk alapján számítják ki. Ha nem állnak rendelkezésre auditált adatok, az intézmények használhatnak üzleti becsléseket. Ha auditált adatokat használnak, akkor az intézményeknek a várhatóan változatlan auditált adatokat kell feltüntetniük. A változtatás nélküli adatszolgáltatás elvétől az intézmények eltérhetnek például akkor, ha az adott időszakban rendkívüli körülmények merülnek fel, például szervezetekben vagy tevékenységekben részesedésszerzés, illetve -elidegenítés történik.
116. Amennyiben az intézmény bizonyítani tudja az illetékes hatóság számára, hogy - rendkívüli körülmény, például egyesülés vagy bizonyos egységek vagy tevékenységek megszűnése miatt - a hároméves átlagnak az irányadó mutató kiszámítása céljára való felhasználása a működési kockázathoz kapcsolódó szavatolótőke-követelmény torz becslését eredményezné, az illetékes hatóság engedélyezheti az intézmény számára a számítás olyan módon történő módosítását, amely figyelembe veszi az említett eseményeket. Az illetékes hatóság saját kezdeményezésre is előírhatja az intézmény számára a számítás módosítását. Az az intézmény, amely három évnél rövidebb ideje működik, az irányadó mutató kiszámításához a jövőre vonatkozó üzleti becsléseket is felhasználhat, feltéve, hogy amint a tényleges múltbeli adatok legkorábban rendelkezésre állnak, attól az időponttól azokra támaszkodik.
117. A tábla oszlopai a legutóbbi három évre vonatkozóan mutatják be a működési kockázattal érintett banki tevékenységek irányadó mutatójának értékével, valamint a kölcsönök és előlegek összegével kapcsolatos információkat (az utóbbi csak az alternatív sztenderd módszer esetében alkalmazható). Ezután kell feltüntetni a működési kockázathoz kapcsolódó szavatolótőke-követelmény értékével kapcsolatos információkat. Adott esetben részletezni kell, hogy az összeg mely része származik allokációs eljárásból. A fejlett mérési módszerekkel kapcsolatban további tájékoztató adatok mutatják be a várható veszteségnek, a diverzifikációnak és a mérséklési technikáknak a működési kockázathoz kapcsolódó szavatolótőke-követelményre gyakorolt hatását.
118. Az egyes sorokban a működési kockázathoz kapcsolódó szavatolótőke-követelmény számítási módszerére vonatkozó információk találhatók, üzletáganként a sztenderd módszer és alternatív sztenderd módszer szerinti részletezésben.
119. A táblát minden olyan intézménynek be kell nyújtania, amelyre a működési kockázathoz kapcsolódó szavatolótőke-követelmény vonatkozik.
4.1.2. A tábla egyes részeire vonatkozó útmutató
| Oszlop | |
| 010–030 | IRÁNYADÓ MUTATÓ A működési kockázathoz kapcsolódó szavatolótőke-követelményt az irányadó mutató segítségével (az alapmutató módszerével, a sztenderd módszerrel vagy az alternatív sztenderd módszerrel) számító intézmények a megfelelő évekre vonatkozó irányadó mutatót a 010–030. oszlopban tüntetik fel. Ezenkívül a különböző módszerek együttes, a CRR 314. cikkében említett alkalmazása esetén az intézmények tájékoztató jelleggel megadják a fejlett mérési módszerek alkalmazási körébe tartozó tevékenységekre vonatkozó irányadó mutatót is. Ugyanígy kell eljárni a fejlett mérési módszereket alkalmazó egyéb bankokkal is. A továbbiakban az irányadó mutató a CRR 316. cikke 1. táblázatának 1. pontjában említett elemek pénzügyi év végén mért értékének az összege. Ha az intézmény az irányadó mutatóról 3 évnél rövidebb időszakra vonatkozóan rendelkezik adatokkal, akkor a rendelkezésre álló historikus (auditált) adatokat kell a tábla megfelelő oszlopaiban szerepeltetni. Ha például korábbi adatok csak egy évről állnak rendelkezésre, akkor azokat a 030-as oszlopban kell feltüntetni. Indokolt esetben a jövőre vonatkozó becsléseket a 020-as oszlopban (a t+1 évre vonatkozó becslés), valamint a 010-es oszlopban (a t+2 évre vonatkozó becslés) kell feltüntetni. Ha az irányadó mutatóra vonatkozóan korábbi adatok nem állnak rendelkezésre, akkor az intézmény a jövőre vonatkozó üzleti becslést is alkalmazhat. | 
| 040–060 | KÖLCSÖNÖK ÉS ELŐLEGEK (AZ ALTERNATÍV SZTENDERD MÓDSZER ALKALMAZÁSA ESETÉN) Ezekben az oszlopokban a CRR 319. cikke (1) bekezdésének b) pontjában említett „kereskedelmi banki tevékenység” és „lakossági banki tevékenység” üzletágban nyújtott hitelek és előlegek állományát kell feltüntetni. Ezen állományok alapján számítható ki az alternatív irányadó mutató, amelyből megállapítható az alternatív sztenderd módszer alkalmazási körébe tartozó tevékenységek szavatolótőke-követelménye (a CRR 319. cikke (1) bekezdésének a) pontja). A „kereskedelmi banki tevékenység” üzletág esetében a nem kereskedési könyvben szereplő értékpapírokat is meg kell adni. | 
| 070 | SZAVATOLÓTŐKE-KÖVETELMÉNY A szavatolótőke-követelményt az alkalmazott módszerekkel, a CRR 312–324. cikkének megfelelően kell kiszámítani. Az eredményül kapott összeget a 070-es oszlopban kell feltüntetni. | 
| 071 | TELJES MŰKÖDÉSI KOCKÁZATI KITETTSÉGÉRTÉK A CRR 92. cikkének (4) bekezdése A 070. oszlopban megadott szavatolótőke-követelmény szorozva 12,5 -del. | 
| 080 | EBBŐL: ALLOKÁCIÓS ELJÁRÁSBÓL SZÁRMAZÓ Ha az intézmény a CRR 312. cikke (2) bekezdésének megfelelően engedélyt kapott a fejlett mérési módszer konszolidált szintű alkalmazására (a CRR 18. cikkének (1) bekezdése), akkor a működési kockázati tőkének a csoporthoz tartozó különböző szervezetek közötti allokálása az intézmények által arra alkalmazott módszer alapján történik, amely alapján figyelembe veszik az EU-szintű hitelintézeti anyavállalat és leányvállalatai, vagy egy EU-szintű pénzügyi holdingtársaság anyavállalat vagy egy EU-szintű vegyes pénzügyi holdingtársaság anyavállalat leányvállalatai által együttesen használt kockázatmérési rendszerben a diverzifikációs hatásokat. Az említett allokáció eredményét ebben az oszlopban kell feltüntetni. | 
| 090–120 | TÁJÉKOZTATÓ ADATOK A FEJLETT MÉRÉSI MÓDSZEREK ALKALMAZÁSÁRÓL, ADOTT ESETBEN SZOLGÁLTATANDÓ | 
| 090 | SZAVATOLÓTŐKE-KÖVETELMÉNY A VÁRHATÓ VESZTESÉG, A DIVERZIFIKÁCIÓ ÉS A KOCKÁZATMÉRSÉKLÉSI TECHNIKÁK MIATTI MÉRSÉKLÉS ELŐTT A 090-es oszlopban feltüntetett szavatolótőke-követelmény megegyezik a 070-es oszlopban szereplő adatnak a várható veszteség, a diverzifikáció és a kockázatmérséklési technikák miatti mérséklő hatás figyelembevétele előtt számított értékével (lásd lejjebb). | 
| 100 | (–) A SZAVATOLÓTŐKE-KÖVETELMÉNY MÉRSÉKLÉSE A BELSŐ ÜZLETVITELI GYAKORLATBAN FIGYELEMBE VETT VÁRHATÓ VESZTESÉG MIATT A 100-as oszlopban a szavatolótőke-követelménynek a belső üzletviteli gyakorlatban figyelembe vett várható veszteség miatti mérséklését kell megadni a CRR 322 cikke (2) bekezdésének a) pontjában említetteknek megfelelően. | 
| 110 | (–) A SZAVATOLÓTŐKE-KÖVETELMÉNY MÉRSÉKLÉSE DIVERZIFIKÁCIÓ MIATT A 110-es oszlopban szereplő diverzifikációs hatás az egyes működésikockázat-osztályokra vonatkozóan külön számított szavatolótőke-követelmények összegének (tökéletes függőségi helyzet), valamint a függőségi és korrelációs hatások figyelembevételével számított diverzifikált szavatolótőke-követelménynek (a kockázati osztályok között feltételezett nem tökéletes függőségi helyzet) a különbsége. Tökéletes függőségi helyzet az alapesetben áll fenn, vagyis amikor az intézmény nem alkalmaz kifejezetten a kockázati osztályok közötti korrelációt mérő struktúrát, így a fejlett mérési módszerrel megállapított tőke a választott kockázati osztályok egyedi működési kockázati mérőszámainak az összegeként számítható ki. Ilyenkor a kockázati osztályok között 100 %-os korrelációt kell feltételezni, és az oszlopban a nulla értéket kell megadni. Ezzel szemben akkor, ha az intézmény kifejezetten a kockázati osztályok közötti korrelációt mérő struktúrát alkalmaz, akkor ebben az oszlopban az alapesetből eredő, fejlett mérési módszerrel megállapított tőke és a kockázati osztályok közötti korrelációt mérő struktúra alkalmazása után kapott érték különbözetét kell feltüntetnie. Ez az érték a fejlett mérési módszerre épülő modell diverzifikációs kapacitását mutatja, vagyis a modell azon képességét, hogy a működési kockázatból eredő súlyos veszteséget okozó, nem egyidejű veszteségesemények előfordulását figyelembe vegye. A 110-es oszlopban azt az összeget kell feltüntetni, amellyel a feltételezett korrelációs struktúra a fejlett mérési módszerrel megállapított tőkét csökkenti a 100 %-os feltételezéshez képest. | 
| 120 | (–) A SZAVATOLÓTŐKE-KÖVETELMÉNY MÉRSÉKLÉSE KOCKÁZATMÉRSÉKLÉSI TECHNIKÁK (BIZTOSÍTÁS ÉS EGYÉB KOCKÁZATÁTRUHÁZÁSI MECHANIZMUSOK) MIATT A 120-as oszlopban a CRR 323. cikkében említett biztosítás és más kockázatátruházási mechanizmusok hatását kell feltüntetni. | 
| Sor | |
| 010 | AZ ALAPMUTATÓ-MÓDSZER (BIA) SZERINTI BANKI TEVÉKENYSÉGEK Ez a sor az alapmutató módszerének alkalmazási körébe tartozó banki tevékenységekre vonatkozó összegeket mutatja be a működési kockázathoz kapcsolódó szavatolótőke-követelmény kiszámítása céljából (a CRR 315. és 316. cikke). | 
| 020 | A SZTENDERD (TSA)/ALTERNATÍV SZTENDERD MÓDSZER (ASA) SZERINTI BANKI TEVÉKENYSÉGEK A sztenderd módszerrel és alternatív sztenderd módszerrel (a CRR 317–319. cikke alapján) kiszámított szavatolótőke-követelményt kell feltüntetni. | 
| 030–100 | A SZTENDERD MÓDSZER SZERINT A sztenderd módszer alkalmazása esetén az adott évekre vonatkozó irányadó mutatót a 030–100. sorban a CRR 317. cikkében található 2. táblázatban említett üzletágak között kell felosztani. A tevékenységek üzletág szerinti besorolásakor a CRR 318. cikkében foglalt elveket kell követni. | 
| 110–120 | AZ ALTERNATÍV SZTENDERD MÓDSZER SZERINT A CRR 319. cikke szerinti alternatív sztenderd módszert alkalmazó intézményeknek a vonatkozó évekre az irányadó mutatót üzletáganként elkülönítve kell megadniuk a 030–050. és 080–100. sorban, valamint a „kereskedelmi banki tevékenység” és „lakossági banki tevékenység” üzletágra vonatkozóan a 110-es és 120-as sorban. A 110-es és 120-as sor az alternatív sztenderd módszer alkalmazási körébe tartozó tevékenységekre vonatkozóan mutatja az irányadó mutató értékét, megkülönböztetve a „kereskedelmi banki tevékenység” üzletágba és a „lakossági banki tevékenység” üzletágba tartozó tevékenységeknek megfelelő összegeket (a CRR 319. cikke). Egyszerre szerepelhet érték a „kereskedelmi banki tevékenység” és „lakossági banki tevékenység” üzletágaknak a sztenderd módszer szerinti 060. és 070. sorában és az alternatív sztenderd módszer szerinti 110. és 120. sorában, pl. ha egy leányvállalat a sztenderd módszer, míg anyavállalata az alternatív sztenderd módszer alkalmazási körébe tartozik. | 
| 130 | A FEJLETT MÉRÉSI MÓDSZEREK (AMA) SZERINTI BANKI TEVÉKENYSÉGEK Ebben a sorban a CRR 312. cikkének (2) bekezdése, valamint 321–323. cikke szerint a fejlett mérési módszerek alkalmazási körébe tartozó intézmények vonatkozó adatait kell megadni. A különböző módszerek együttes (a CRR 314. cikkében említett) alkalmazása esetén ebben a sorban kell megadni a fejlett mérési módszerek szerinti tevékenységek irányadó mutatójával kapcsolatos információkat. Ugyanígy kell eljárni a fejlett mérési módszereket alkalmazó egyéb bankokkal is. | 
4.2. MŰKÖDÉSI KOCKÁZAT: AZ ELŐZŐ ÉVI VESZTESÉGEKRE VONATKOZÓ RÉSZLETES INFORMÁCIÓK (OPR DETAILS)
4.2.1. Általános megjegyzések
120. A C 17.01 (OPR DETAILS 1) tábla az intézmény által az előző évben elkönyvelt bruttó veszteséggel és megtérült veszteséggel kapcsolatos információkat összesíti eseménytípusonként és üzletáganként. A C 17.02 (OPR DETAILS 2) tábla az előző évi legnagyobb veszteségeseményekről ad részletes információkat.
121. A hitelkockázathoz kapcsolódó és a hitelkockázatra vonatkozó szavatolótőke-követelmény hatálya alá tartozó működési kockázati veszteségeket (határhelyzetű hitelvonatkozású működési kockázati események) sem a C 17.01 sem a C 17.02 táblában nem kell figyelembe venni.
122. Amennyiben a CRR 314. cikkének megfelelően a működési kockázat szavatolótőke-követelményének kiszámítása különböző módszerek együttes alkalmazásával történik, az intézmény által regisztrált veszteségeket és a megtérült veszteségeket jelenteni kell a C 17.01 és C 17.02 táblában, tekintet nélkül a szavatolótőke-követelmény kiszámításához használt módszerre.
123. A "bruttó veszteség" a CRR 322. cikke (3) bekezdésének b) pontjában említetteknek megfelelően a működési kockázati eseményből vagy veszteségesemény-típusból adódó, az esetleges megtérült veszteség előtti veszteség, az alább definiált "gyorsan megtérült veszteségesemények" sérelme nélkül.
124. A "megtérült veszteség" az eredeti működési kockázati veszteséggel összefüggő, attól időben elkülönülő, független esemény, amelynek során az intézményhez első vagy harmadik felektől - például biztosítóktól vagy más felektől - pénz vagy gazdasági előny folyik be. A megtérült veszteségeket biztosításból és más kockázatátruházási mechanizmusokból származó megtérült veszteségekre és közvetlenül megtérült veszteségekre kell bontani.
125. A "gyorsan megtérült veszteségesemény" olyan működési kockázati esemény, amelynek veszteségei részben vagy egészben öt munkanapon belül megtérülnek. Gyorsan megtérült veszteségesemény esetében a bruttó veszteségnek csak a maradéktalanul meg nem térült veszteségrész (a gyorsan megtérült veszteségrész levonásával képzett veszteség) képezi részét. Következésképpen sem a bruttó veszteség meghatározása, sem az OPR DETAILS adatszolgáltatás egyéb elemei nem tartalmazzák az öt munkanapon belül teljes mértékben megtérült veszteségekhez vezető veszteségeseményeket.
126. Az "elszámolás napja" az a nap, amikor a veszteség vagy tartalék/céltartalék először került megjelenítésre az eredménykimutatásban a működési kockázati veszteséggel szemben. Logikus módon, ez a nap későbbi, mint az "esemény napja" (az a nap, amikor a működési kockázati esemény bekövetkezett vagy kezdetét vette) és a "felismerés napja" (az a nap, amikor a működési kockázati esemény az intézmény tudomására jutott).
127. A közös működési kockázati esemény vagy eseményeket/veszteségeket generáló egyetlen eredeti működési kockázati eseményhez ("alapesemény") kapcsolódó több esemény által okozott veszteségeket össze kell vonni. Az összevont eseményeket egy eseményként kell figyelembe venni és jelenteni, így a vonatkozó bruttó veszteségeket, illetve a veszteségkorrekciókat összegezni kell.
128. Az adott év júniusában jelentett adatok köztes adatok; a végleges adatokat decemberben jelentik az intézmények. Így a júniusban jelentett adatok hat hónapos referencia-időszakra vonatkoznak (január 1-től június 30-ig), míg a decemberben jelentett adatok tizenkét hónapos referencia-időszakra vonatkoznak (január 1-től december 31-ig). A "korábbi adatszolgáltatási referencia-időszakok" kifejezés mind a júniusban, mind a decemberben jelentett adatok esetében a megelőző naptári év végéig lezárult összes adatszolgáltatási referencia-időszakot jelöli (beleértve tehát azt is, amely a megelőző naptári év végén zárul).
129. Az e végrehajtási rendelet 5. cikke b) pontja 2.b) pontjának i. alpontjában meghatározott feltételeknek való megfelelés ellenőrzése céljából az intézmények "az ugyanazon tagállamon belüli összes intézmény összesített mérlegfőösszegének" meghatározásához az EBA "Supervisory Disclosure" weboldalán megtalálható legfrissebb statisztikai adatokat kötelesek használni. Az e végrehajtási rendelet 5. cikke b) pontja 2.b) pontjának iii. alpontjában meghatározott feltételeknek való megfelelés ellenőrzése céljából az 549/2013/EU európai parlamenti és tanácsi rendelet (ESA 2010) ( 11 ) A. mellékletének 8.89. pontjában meghatározott, az Eurostat által az előző naptári évre vonatkozóan közzétett, piaci áron számolt bruttó hazai terméket kell használni.
4.2.2. C 17.01: Működési kockázat: Az előző évi veszteségek és megtérült veszteségek üzletáganként és veszteségesemény-típusonként (OPR DETAILS 1)
4.2.2.1. Általános megjegyzések
130. A C 17.01 táblában az információkat a belső küszöbértékeket meghaladó veszteségek és megtérült veszteségek üzletágak (a CRR 317. cikkében található 2. táblázatban meghatározott üzletágak, valamint a CRR 322. cikke (3) bekezdésének b) pontjában említett "társasági szintű tételek" üzletág) és (a CRR 324. cikkében meghatározott) veszteségesemény-típusok közötti felosztásával kell bemutatni. Lehetséges, hogy egy adott eseményhez tartozó veszteségek több üzletág között kerülnek felosztásra.
131. Az oszlopok a különböző veszteségesemény-típusokat és az egyes üzletágakra vonatkozó összértéket jelenítik meg egy tájékoztató adattal együtt, amely a veszteségekre vonatkozó adatgyűjtés során alkalmazott legalacsonyabb belső küszöbértéket mutatja, amelyből egynél több küszöbérték esetén az egyes üzletágakon belül megállapítható a legalacsonyabb és legmagasabb küszöbérték.
132. A sorok az üzletágakat jelenítik meg, valamint az egyes üzletágakon belül a veszteségesemények számára (új veszteségesemények), a bruttó veszteségértékre (új veszteségesemények), a veszteségkorrekcióval érintett veszteségesemények számára, a korábbi adatszolgáltatási időszakokhoz kapcsolódó veszteségkorrekciókra, a legnagyobb egyedi veszteségre, az öt legnagyobb veszteség összegére és a teljes megtérült veszteségre (közvetlen megtérült veszteség és biztosításból és más kockázatátruházási mechanizmusokból származó megtérülés) vonatkozó információkat tartalmaznak.
133. Az "üzletágak összesen" sorokban a veszteségesemények számát és a bruttó veszteségértéket megadott küszöbértékek (10 000 , 20 000 , 100 000 és 1 000 000 ) szerint rendezett tartományokba sorolva kell megadni. A küszöbértékek EUR-ban vannak megadva, és céljuk a megadott veszteségértékek intézmények közötti összehasonlíthatóságának biztosítása. Az említett küszöbértékek ezért nem szükségképpen felelnek meg a veszteségadatok belső gyűjtésekor használt, a tábla más szakaszában megadott alsó küszöbértékeknek.
4.2.2.2. A tábla egyes részeire vonatkozó útmutató
| Oszlop | |
| 0010–0070 | ESEMÉNYTÍPUSOK Az intézmények a veszteségeket a 010–070. oszlopban a CRR 324. cikkében említett veszteségesemény-típusoknak megfelelően tüntetik fel. A szavatolótőke-követelményt az alapmutató módszere szerint számító intézmények a felsorolt veszteségesemény-típusokba nem sorolható veszteségeket csak a 080-as oszlopban adhatják meg. | 
| 0080 | VESZTESÉGESEMÉNY-TÍPUSOK ÖSSZESEN A 080-as oszlopban az egyes üzletágakra vonatkozóan az intézmények a veszteségesemények száma (új veszteségesemények) sor összesenjét, a bruttó veszteségérték (új veszteségesemények) sor összesenjét, a veszteségkorrekcióval érintett veszteségesemények száma sor összesenjét, a korábbi adatszolgáltatási időszakokhoz kapcsolódó veszteségkorrekciók sor összesenjét, a legnagyobb egyedi veszteséget, az öt legnagyobb veszteség összegét, valamint a teljes közvetlen megtérült veszteség sor összesenjét és a biztosításból és más kockázatátruházási mechanizmusokból származó teljes megtérülés sor összesenjét jelentik. Amennyiben az intézmény minden veszteség esetében azonosított veszteségesemény-típust, a 080-as oszlopban a 010–070. oszlopban megadott eseményszámok, teljes bruttó veszteségértékek, teljes megtérült veszteségek és korábbi adatszolgáltatási időszakokhoz kapcsolódó veszteségkorrekciók egyszerű összegét tüntetik fel. Amennyiben az intézmény minden veszteség esetében azonosított veszteségesemény-típust, a 080. oszlopban feltüntetendő legnagyobb egyedi veszteség a 010–070. oszlopokban feltüntetett legnagyobb egyedi veszteségek közül a legnagyobb. Az öt legnagyobb veszteség összegénél a 080-as oszlopban az egy üzletágon belüli öt legnagyobb veszteség összegét kell megadni. | 
| 0090–0100 | TÁJÉKOZTATÓ ADAT: AZ ADATGYŰJTÉS SORÁN ALKALMAZOTT KÜSZÖBÉRTÉK A 090-es és 100-as oszlopban az intézmények azokat az alsó küszöbértékeket tüntetik fel, amelyeket a CRR 322. cikke (3) bekezdése c) pontjának utolsó mondata alapján a veszteségadatok belső gyűjtésekor alkalmaznak. Ha az intézmény az egyes üzletágakon belül csak egy küszöbértéket alkalmaz, akkor csak a 090-es oszlopot kell kitölteni. Ha az intézmény azonos üzletágon belül több különböző küszöbértéket alkalmaz, akkor a legmagasabb alkalmazott küszöbértéket is meg kell adni (100-as oszlop). | 
| Sor | |
| 0010–0880 | ÜZLETÁGAK: VÁLLALATI PÉNZÜGYEK, KERESKEDÉS ÉS ÉRTÉKESÍTÉS, LAKOSSÁGI KÖZVETÍTŐI TEVÉKENYSÉG, KERESKEDELMI BANKI TEVÉKENYSÉG, LAKOSSÁGI BANKI TEVÉKENYSÉG, FIZETÉSI ÉS ELSZÁMOLÁSI SZOLGÁLTATÁSOK, ÜGYNÖKI SZOLGÁLTATÁSOK, VAGYONKEZELÉS, TÁRSASÁGI SZINTŰ TÉTELEK A CRR 317. cikkének (4) bekezdésének 2. táblázatában említett üzletágakra, ideértve a 322. cikk (3) bekezdésének b) pontjában említett „társasági szintű tételek” üzletágat, valamint az egyes veszteségesemény-típusokra vonatkozóan az intézmény a belső küszöbértékeknek megfelelően a következő információkat tünteti fel: a események száma (új veszteségesemények), a bruttó veszteségérték (új veszteségesemények), a veszteségkorrekcióval érintett veszteségesemények száma, a korábbi adatszolgáltatási időszakokhoz kapcsolódó veszteségkorrekciók, a legnagyobb egyedi veszteség, az öt legnagyobb veszteség összege, teljes közvetlen megtérült veszteség és a biztosításból és más kockázatátruházási mechanizmusokból származó teljes megtérülés). Az olyan veszteséget okozó eseménynél, amely több üzletágat érint, a bruttó veszteségértéket fel kell osztani az összes érintett üzletág között. A szavatolótőke-követelményt az alapmutató módszere szerint számító intézmények az üzletághoz nem sorolt veszteségeket csak a 910–980-as oszlopban vehetik figyelembe. | 
| 0010, 0110, 0210, 0310, 0410, 0510, 0610, 0710, 0810 | Veszteségesemények száma (új veszteségesemények) A „veszteségesemények száma” azon veszteségesemények száma, amelyek vonatkozásában az aktuális adatszolgáltatási vonatkozási időszakban bruttó veszteség elszámolására került sor. Az itt megadott veszteségesemények „új események”, azaz olyan működési kockázati események, amelyeket i. először az adatszolgáltatási vonatkozási időszakban számoltak el, vagy ii. először egy korábbi adatszolgáltatási vonatkozási időszakban számoltak el, amikor a veszteségeseményről korábbi felügyeleti jelentésben nem számolt be az intézmény, például azért, mert az eseményt csak a jelenlegi adatszolgáltatási vonatkozási időszakban minősítették működési kockázati eseménynek, vagy mert az adott veszteségeseménynek betudható kumulált veszteség (az eredeti veszteség +/– a korábbi adatszolgáltatási vonatkozási időszakokban eszközölt veszteségkorrekciók eredője) csak az aktuális adatszolgáltatási vonatkozási időszakban haladta meg a belső adatgyűjtési küszöbértéket. Az „új veszteségesemények” nem tartalmazzák az először egy korábbi adatszolgáltatási vonatkozási időszakban elszámolt azon veszteségeseményeket, amelyekről korábbi felügyeleti jelentésekben már jelentett az intézmény. | 
| 0020, 0120, 0220, 0320, 0420, 0520, 0620, 0720, 0820 | Bruttó veszteségérték (új veszteségesemények) A bruttó veszteségérték a működési kockázati veszteségeseményekkel összefüggő bruttó veszteség értéke (pl. közvetlen díjfizetések, céltartalékok, elszámolások). Az egy adott veszteségeseményhez kapcsolódó minden, az adatszolgáltatási vonatkozási időszakban elszámolt veszteséget össze kell adni, és ez képezi az adott adatszolgáltatási vonatkozási időszakban az adott veszteségeseményhez tartozó bruttó veszteséget. A feltüntetett bruttó veszteségérték az e táblázat fenti sorában meghatározott „új veszteségeseményekre” vonatkozik. Az először egy korábbi adatszolgáltatási vonatkozási időszakban elszámolt azon veszteségesemények esetében, amelyekről korábbi felügyeleti jelentésekben még nem jelentett az intézmény, az adatszolgáltatási vonatkozási időpontban bruttó veszteségként az adatszolgáltatási vonatkozási időpontig felhalmozott teljes veszteségértéket kell feltüntetni (azaz az eredeti veszteséget +/– a korábbi adatszolgáltatási vonatkozási időszakokban eszközölt veszteségkorrekciók eredőjét). A jelentett értékben nem vehető figyelembe a már megtérült veszteség. | 
| 0030, 0130, 0230, 0330, 0430, 0530, 0630, 0730, 0830 | Veszteségkorrekcióval érintett veszteségesemények száma A veszteségkorrekcióval érintett veszteségesemények száma az először egy korábbi adatszolgáltatási vonatkozási időszakban elszámolt és korábbi jelentésekben már jelentett azon működési kockázati események száma, amelyek tekintetében az aktuális adatszolgáltatási vonatkozási időszakban veszteségkorrekciót eszközöltek. Amennyiben az adatszolgáltatási vonatkozási időszakban egy veszteségeseményre vonatkozóan több veszteségkorrekció történt, ezek összegét egy korrekciónak kell tekinteni az időszakban. | 
| 0040, 0140, 0240, 0340, 0440, 0540, 0640, 0740, 0840 | Korábbi adatszolgáltatási időszakokhoz kapcsolódó veszteségkorrekciók A korábbi adatszolgáltatási vonatkozási időszakokhoz kapcsolódó veszteségkorrekciókat a következő (pozitív vagy negatív) elemek összegeként kell kiszámolni: i. azon működési kockázati események aktuális adatszolgáltatási vonatkozási időszakban végrehajtott pozitív veszteségkorrekcióival (pl. céltartalék-emelés, kapcsolódó veszteségesemények, kiegészítő elszámolások) összefüggő bruttó veszteség, amelyeket korábbi adatszolgáltatási vonatkozási időszakban számolt el és jelentett először az intézmény; ii. azon működési kockázati veszteségesemények aktuális adatszolgáltatási vonatkozási időszakban végrehajtott negatív veszteségkorrekcióival (pl. céltartalék-csökkentés) összefüggő bruttó veszteség, amelyeket korábbi adatszolgáltatási vonatkozási időszakban számolt el és jelentett először az intézmény. | 
| Amennyiben az adatszolgáltatási vonatkozási időszakban egy veszteségeseményre vonatkozóan több veszteségkorrekció történt, ezek értékét összegezni kell, figyelembe véve a korrekció előjelét (pozitív vagy negatív). Az adott veszteségesemény és adatszolgáltatási vonatkozási időszak tekintetében ez az összeg tekintendő a veszteségkorrekciónak. Amennyiben negatív veszteségkorrekció miatt a veszteségeseménynek tulajdonítható kiigazított veszteségérték az intézmény belső adatgyűjtési küszöbértéke alá csökken, az intézménynek nem magát a negatív veszteségkorrekciót kell jelentenie, hanem negatív előjellel a veszteségeseményhez kapcsolódó, az esemény legutóbbi decemberi referencia-időponttal történő jelentéséig felhalmozott teljes veszteségértéket (az eredeti veszteség +/– a korábbi adatszolgáltatási vonatkozási időszakokban eszközölt veszteségkorrekciók eredője). A jelentett értékben nem vehető figyelembe a már megtérült veszteség. | |
| 0050, 0150, 0250, 0350, 0450, 0550, 0650, 0750, 0850 | Legnagyobb egyedi veszteség A legnagyobb egyedi veszteség i. az adatszolgáltatási vonatkozási időszakban először jelentett valamely veszteségeseményhez kapcsolódó legnagyobb bruttó veszteségérték; és ii. egy korábbi adatszolgáltatási vonatkozási időszakban először jelentett valamely veszteségeseményhez kapcsolódó (a fenti 040, 0140, …, 0840 sorokban említett) legnagyobb pozitív veszteségkorrekció. A jelentett értékben nem vehető figyelembe a már megtérült veszteség. | 
| 0060, 0160, 0260, 0360, 0460, 0560, 0660, 0760, 0860 | Az öt legnagyobb veszteség összege Az öt legnagyobb veszteség összege az alábbiak közüli öt legmagasabb érték összege: i. az adatszolgáltatási vonatkozási időszakban első alkalommal bejelentett veszteségeseményekhez kapcsolódó legnagyobb bruttó veszteségértékek; valamint ii. egy korábbi adatszolgáltatási vonatkozási időszakban először jelentett veszteségeseményekhez kapcsolódó (a fenti 040, 140, …, 840 sorokban meghatározott) pozitív veszteségkorrekciók. Az öt legmagasabb összeg között csak maga a veszteségkorrekció összege vehető számításba, nem pedig az adott eseményhez kapcsolódó, a korrekció előtti vagy utáni teljes veszteségérték. A jelentett értékben nem vehető figyelembe a már megtérült veszteség. | 
| 0070, 0170, 0270, 0370, 0470, 0570, 0670, 0770, 0870 | Teljes közvetlen megtérült veszteség A közvetlen megtérült veszteség valamennyi megtérült veszteség a CRR 323. cikkének hatálya alá tartozó, az e tábla alábbi sorában jelentett megtérülések kivételével. A teljes közvetlen megtérült veszteség az aktuális vagy a korábbi adatszolgáltatási vonatkozási időszakban először elszámolt működési kockázati eseményekkel összefüggő, az aktuális adatszolgáltatási időszakban elszámolt közvetlen megtérült veszteségek és ezek korrekcióinak összege. | 
| 0080, 0180, 0280, 0380, 0480, 0580, 0680, 0780, 0880 | Biztosításból és más kockázatátruházási mechanizmusokból származó teljes megtérülés A CRR 323. cikkének hatálya alá tartozó megtérülések tartoznak ide. A biztosításból és más kockázatátruházási mechanizmusokból származó teljes megtérülés az aktuális vagy a korábbi adatszolgáltatási vonatkozási időszakban először elszámolt működési kockázati veszteségeseményekkel összefüggő, az aktuális adatszolgáltatási időszakban elszámolt, biztosításból és más kockázatátruházási mechanizmusokból származó megtérülések és ezek korrekcióinak összege. | 
| 0910–0980 | ÜZLETÁGAK ÖSSZESEN Az üzletágak összesen sorokon az összesítő információkat kell feltüntetni az egyes veszteségesemény-típusok (0010–0080. oszlop) szerint. | 
| 0910–0914 | Veszteségesemények száma A 0910-es sorban kell feltüntetni a belső küszöbértéket meghaladó veszteségesemények számát veszteségesemény-típusonként az összes üzletágra összesítve. Lehetséges, hogy ez az érték alacsonyabb az üzletáganként összesített veszteségesemény-számnál, mivel a többszörös hatású (több üzletágat érintő) veszteségesemények egy eseménynek minősülnek. Az érték ennél magasabb is lehet, ha a szavatolótőke-követelményt az alapmutató módszere szerint számító intézmény nem tudja minden esetben azonosítani a veszteség által érintett üzletágat. A 0911–0914. sorban azon veszteségesemények száma jelentendő, amelyek bruttó veszteségértéke a tábla vonatkozó sorában megadott tartományba esik. Feltéve, hogy az intézmény valamennyi veszteségét hozzárendelte a CRR 317. cikke (4) bekezdésében szereplő 2. táblázatban felsorolt üzletágak valamelyikéhez vagy a CRR 322. cikke (3) bekezdésének b) pontjában említett „társasági szintű tételek” üzletághoz, illetve hogy minden veszteség esetében azonosította a veszteségesemény-típust, a 080-as oszlopra a következők vonatkoznak, értelemszerűen: — A 0910–0914. sorokban jelentett teljes veszteségesemény-szám megegyezik a megfelelő sorban szereplő veszteségesemény-számok vízszintes összegével, mivel ezen adatok között a több üzletágat érintő veszteségeseményeket már egy veszteségeseményként számították be. — A 0910-es sor 0080-as oszlopban feltüntetett adata nem feltétlenül egyezik meg a 080-as oszlopban szereplő veszteségesemény-számok függőleges összegével, mivel egy veszteségesemény egyszerre több üzletágat is érinthet. | 
| 0920–0924 | Bruttó veszteségérték (új veszteségesemények) Feltéve, hogy az intézmény valamennyi veszteségét hozzárendelte a CRR 317. cikke (4) bekezdésében szereplő 2. táblázatban felsorolt üzletágak valamelyikéhez vagy a CRR 322. cikke (3) bekezdésének b) pontjában említett „társasági szintű tételek” üzletághoz, a 0920-as sorban jelentett bruttó veszteségérték (új veszteségesemények) az új veszteségesemények egyes üzletágak szerinti bruttó veszteségértékeinek összege. A 0921–0924. sorban azon veszteségesemények bruttó veszteségértéke jelentendő, amelyek bruttó veszteségértéke a vonatkozó sorban megadott tartományba esik. | 
| 0930, 0935, 0936 | Veszteségkorrekcióval érintett veszteségesemények száma A 0930-as sorban a 0030, 0130, …, 0830-as sorokban megadott, veszteségkorrekcióval érintett veszteségesemények teljes száma jelentendő. Lehetséges, hogy ez az érték alacsonyabb a veszteségkorrekcióval érintett, üzletáganként összesített veszteségesemény-számnál, mivel a többszörös hatású (több üzletágat érintő) veszteségesemények egy eseménynek minősülnek. Az érték ennél magasabb is lehet, ha a szavatolótőke-követelményt az alapmutató módszere szerint számító intézmény nem tudja minden esetben azonosítani a veszteség által érintett üzletágat. A veszteségkorrekcióval érintett veszteségesemények számát le kell bontani az adatszolgáltatási vonatkozási időszakban pozitív veszteségkorrekcióval érintett veszteségesemények száma és az adatszolgáltatási időszakban negatív veszteségkorrekcióval érintett események száma szerint (mindkettőt pozitív előjellel kell feltüntetni). | 
| 0940, 0945, 0946 | Korábbi adatszolgáltatási időszakokhoz kapcsolódó veszteségkorrekciók A 0940-es sorban az üzletáganként a 0040, 0140, …, 0840-es sorokban megadott, korábbi adatszolgáltatási időszakokhoz kapcsolódó veszteségkorrekciók teljes összege jelentendő. Feltéve, hogy az intézmény valamennyi veszteségét hozzárendelte a CRR 317. cikke (4) bekezdésében szereplő 2. táblázatban felsorolt üzletágak valamelyikéhez vagy a CRR 322. cikke (3) bekezdésének b) pontjában említett „társasági szintű tételek” üzletághoz, a 0940-es sorban jelentett összeg a korábbi adatszolgáltatási időszakokhoz kapcsolódó veszteségkorrekciók egyes üzletágak szerinti értékeinek összege. A veszteségkorrekciók összegét le kell bontani az adatszolgáltatási vonatkozási időszakban pozitív veszteségkorrekcióval érintett eseményekhez kapcsolódó összeg (0945-ös sor, pozitív előjellel) és az adatszolgáltatási időszakban negatív veszteségkorrekcióval érintett veszteségeseményekhez kapcsolódó összeg szerint (0946-os sor, negatív előjellel). Amennyiben negatív veszteségkorrekció miatt a veszteségeseménynek tulajdonítható kiigazított veszteségérték az intézmény belső adatgyűjtési küszöbértéke alá csökken, az intézménynek nem magát a negatív veszteségkorrekciót kell jelentenie, hanem a 946-os sorban negatív előjellel az eseményhez kapcsolódó, az esemény legutóbbi decemberi referencia-időponttal történő jelentéséig felhalmozott teljes veszteségértéket (az eredeti veszteség +/– a korábbi adatszolgáltatási vonatkozási időszakokban eszközölt veszteségkorrekciók eredője). | 
| 0950 | Legnagyobb egyedi veszteség Feltéve, hogy az intézmény valamennyi veszteségét hozzárendelte a CRR 317. cikke (4) bekezdésében szereplő 2. táblázatban felsorolt üzletágak valamelyikéhez vagy a CRR 322. cikke (3) bekezdésének b) pontjában említett „társasági szintű tételek” üzletághoz, a legnagyobb egyedi veszteség a belső küszöbértéket meghaladó legnagyobb veszteség az egyes veszteségesemény-típusokon belül, minden üzletágra vonatkozóan. Abban az esetben, ha egy veszteségesemény több üzletágat is érint, ez az adat magasabb lehet, mint az egyes üzletágaknál rögzített legmagasabb egyedi veszteség értéke. Feltéve, hogy az intézmény valamennyi veszteségét hozzárendelte a CRR 317. cikke (4) bekezdésében szereplő 2. táblázatban felsorolt üzletágak valamelyikéhez vagy a CRR 322. cikke (3) bekezdésének b) pontjában említett „társasági szintű tételek” üzletághoz, illetve hogy minden veszteség esetében azonosította a veszteségesemény-típust, a 0080-as oszlopra a következők vonatkoznak: — Az itt jelentett legnagyobb egyedi veszteség az e sor 0010–0070-es oszlopában jelentett értékek közül a legnagyobb. — Amennyiben vannak olyan veszteségesemények, amelyek több üzletágra is hatnak, a {r950, c080} cellában jelentett összeg magasabb lehet, mint a 080-as oszlop más soraiban jelentett üzletágankénti legnagyobb egyedi veszteség. | 
| 0960 | Az öt legnagyobb veszteség összege Az egyes üzletágakon belüli öt legnagyobb bruttó veszteség összegét kell megadni az egyes veszteségesemény-típusokra és minden üzletágra vonatkozóan. Lehetséges, hogy ez az összeg magasabb, mint az egyes üzletágaknál rögzített öt legnagyobb egyedi veszteség összege. Az összeget a veszteségek számától függetlenül meg kell adni. Feltéve, hogy az intézmény valamennyi veszteségét hozzárendelte a CRR 317. cikke (4) bekezdésében szereplő 2. táblázatban felsorolt üzletágak valamelyikéhez vagy a CRR 322. cikke (3) bekezdésének b) pontjában említett „társasági szintű tételek” üzletághoz, illetve hogy minden veszteség esetében azonosította a veszteségesemény-típust, a 0080-as oszlopra vonatkozóan az öt legnagyobb veszteség összege a teljes mátrixban szereplő öt legnagyobb veszteség összege, ami azt jelenti, hogy ez nem szükségképpen egyenlő sem a 0960-as „Az öt legnagyobb veszteség összege” sor maximális értékével, sem a 0080-as oszlopban feltüntetett „öt legnagyobb veszteségösszegek” maximális értékével. | 
| 0970 | Teljes közvetlen megtérült veszteség Feltéve, hogy az intézmény valamennyi veszteségét hozzárendelte a CRR 317. cikke (4) bekezdésében szereplő 2. táblázatban felsorolt üzletágak valamelyikéhez vagy a CRR 322. cikke (3) bekezdésének b) pontjában említett „társasági szintű tételek” üzletághoz, a teljes közvetlen megtérült veszteség az üzletáganként megadott teljes közvetlen megtérült veszteségek összege. | 
| 0980 | Biztosításból és más kockázatátruházási mechanizmusokból származó teljes megtérülés Feltéve, hogy az intézmény valamennyi veszteségét hozzárendelte a CRR 317. cikke (4) bekezdésében szereplő 2. táblázatban felsorolt üzletágak valamelyikéhez vagy a CRR 322. cikke (3) bekezdésének b) pontjában említett „társasági szintű tételek” üzletághoz, a biztosításból és más kockázatátruházási mechanizmusokból származó teljes megtérülés az üzletáganként megadott biztosításból és más kockázat-átruházási mechanizmusokból származó teljes megtérült veszteségek összege. | 
4.2.3. C 17.02: Működési kockázat: Az utolsó évi nagy veszteségeseményekre vonatkozó részletes információk (OPR DETAILS 2)
4.2.3.1. Általános megjegyzések
134. A C 17.02 táblában egyedi veszteségeseményekre vonatkozó információkat kell közölni (soronként egy veszteségesemény).
135. Az ebben a táblában megadott információk "új veszteségeseményekre", azaz olyan működési kockázati eseményekre vonatkoznak, amelyeket
a) először az adatszolgáltatási vonatkozási időszakban számoltak el, vagy
b) először egy korábbi adatszolgáltatási vonatkozási időszakban számoltak el, amikor a veszteségeseményről korábbi felügyeleti jelentésben nem számolt be az intézmény, például azért, mert a veszteségeseményt csak a jelenlegi adatszolgáltatási vonatkozási időszakban minősítették működési kockázati eseménynek, vagy mert az adott eseménynek betudható kumulált veszteség (az eredeti veszteség +/- a korábbi adatszolgáltatási vonatkozási időszakokban eszközölt veszteségkorrekciók eredője) csak az aktuális adatszolgáltatási vonatkozási időszakban haladta meg a belső adatgyűjtési küszöbértéket.
136. Csak a legalább 100 000 EUR bruttó veszteségértéket magukban foglaló veszteségeseményeket kell itt jelenteni.
E küszöbértéktől függően:
a) A táblában fel kell tüntetni minden egyes eseménytípus legnagyobb veszteségeseményét, amennyiben az intézmény a veszteséget eseménytípushoz rendelte, valamint
b) a fennmaradó veszteségesemények közül a tíz legnagyobb bruttó veszteséget okozó veszteségeseményt, függetlenül attól, hogy ezeket az intézmény eseménytípushoz rendelte-e vagy sem.
c) A veszteségeseményeket a hozzájuk rendelt bruttó veszteség szerinti sorrendben kell feltüntetni.
d) Egy veszteségesemény csak egyszer vehető figyelembe.
4.2.3.2. A tábla egyes részeire vonatkozó útmutató
| Oszlop | |
| 0010 | Eseményazonosító Az eseményazonosító egy sorazonosító, amely a tábla minden sorát egyedileg azonosítja. Amennyiben létezik belső azonosító, az intézmények ezt adják meg. Másként a természetes számok sorrendjét kell követni (1, 2, 3 stb.). | 
| 0020 | Elszámolás napja Az elszámolás napja az a nap, amikor a veszteség vagy tartalék/céltartalék először került megjelenítésre az eredménykimutatásban a működési kockázati veszteséggel szemben. | 
| 0030 | Esemény napja Az esemény napja az a nap, amikor a működési kockázati veszteségesemény bekövetkezett vagy kezdetét vette. | 
| 0040 | Felismerés napja A felismerés napja az a nap, amikor a működési kockázati veszteségesemény az intézmény tudomására jutott. | 
| 0050 | Veszteségesemény-típus A CRR 324. cikkében említett veszteségesemény-típusok. | 
| 0060 | Bruttó veszteség A 17.01 tábla 0020, 0120 stb. sorában megadott, a veszteségeseményhez kapcsolódó bruttó veszteség. | 
| 0070 | Bruttó veszteség a közvetlen megtérülések levonásával A 17.01 tábla 0020, 0120 stb. sorában megadott, a veszteségeseményhez kapcsolódó bruttó veszteség az adott veszteségeseményhez kapcsolódó közvetlen megtérülések levonásával. | 
| 0080–0160 | Bruttó veszteség üzletáganként A 0060-as oszlopban feltüntetett bruttó veszteséget a CRR 317. cikke (4) bekezdésének 2. táblázatában és 322. cikke (3) bekezdésének b) pontjában említett megfelelő üzletágba kell sorolni. | 
| 0170 | Jogalany neve Annak a jogalanynak a C 06.02 tábla 010-es oszlopában jelentett neve, amelynél a veszteség – vagy ha több jogalany is érintett volt, a veszteség legnagyobb része – felmerült. | 
| 0180 | Jogalany-azonosító Annak a jogalanynak a C 06.02 tábla 025-ös oszlopában jelentett jogalany-azonosítója (LEI), amelynél a veszteség – vagy ha több jogalany is érintett volt, a veszteség legnagyobb része – felmerült. | 
| 0190 | Üzleti egység Az intézmény azon üzleti egysége vagy vállalati divíziója, amelynél a veszteség – vagy ha több egység vagy divízió is érintett volt, a veszteség legnagyobb része – felmerült. | 
| 0200 | Leírás A veszteségesemény szöveges ismertetése, szükség esetén általános vagy anonimizált módon, amelynek ki kell terjednie legalább magára az eseményre és – amennyiben ismertek – a veszteségesemény okaira vonatkozó információkra. | 
5. PIACI KOCKÁZATI TÁBLACSOPORT
137. Az itt megadott útmutató a devizaárfolyam-kockázathoz (MKR SA FX), árukockázathoz (MKR SA COM), kamatlábkockázathoz (MKR SA TDI, MKR SA SEC, MKR SA CTP) és részvénypiaci kockázathoz (MKR SA EQU) kapcsolódó szavatolótőke-követelmény sztenderd módszer szerinti kiszámításáról történő adatszolgáltatáshoz használt táblákra terjed ki. Ebben a részben útmutató található továbbá a szavatolótőke-követelmény belső modelleken alapuló módszer szerinti kiszámításáról történő adatszolgáltatáshoz használt táblára vonatkozóan (MKR IM) is.
138. A forgalmazott, hitelviszonyt megtestesítő értékpapírok vagy tulajdoni részesedést megtestesítő instrumentumok, illetve ezek származtatott eszközének pozíciókockázatát tőkeszükségletük kiszámítása céljából két összetevőre kell bontani. Az első elem az egyedi kockázati összetevő - azaz az adott eszköz árváltozásának kockázata, ami a kibocsátójával, illetve, származtatott eszköz esetében, az alapul szolgáló eszköz kibocsátójával kapcsolatos tényezőkből adódik. A második elem az általános kockázatot foglalja magában: az eszköz árváltozásának azt a kockázatát, amely forgalmazott, hitelviszonyt megtestesítő értékpapírok vagy azok származtatott eszköze esetében a kamatszintek változásából, tőkeinstrumentum vagy annak származtatott eszköze esetében az egyes értékpapírok sajátos tulajdonságaival kapcsolatban nem lévő, általános részvénypiaci mozgásokból adódik. Az egyes instrumentumok és nettósítási eljárások általános kezelését a CRR 326-333. cikke ismerteti.
5.1. C 18.00 - PIACI KOCKÁZAT: A FORGALMAZOTT, HITELVISZONYT MEGTESTESÍTŐ ÉRTÉKPAPÍROK POZÍCIÓKOCKÁZATÁNAK SZTENDERD MÓDSZERE (MKR SA TDI)
5.1.1. Általános megjegyzések
139. Ez a tábla a forgalmazott, hitelviszonyt megtestesítő értékpapírok sztenderd módszer szerinti pozíciókockázatát érintő pozíciókat és az azokhoz kapcsolódó szavatolótőke-követelményt rögzíti (a CRR 102. cikke, valamint 105. cikkének (1) bekezdése). A különböző kockázatok és a CRR alapján alkalmazható módszerek az egyes sorokban vehetők figyelembe. Az MKR SA SEC és MKR SA CTP táblán szereplő kitettségekkel összefüggő egyedi kockázatok kizárólag az MKR SA TDI Total táblán tüntethetők fel. Az említett táblákon feltüntetett szavatolótőke-követelményt át kell vinni a {325;060} (értékpapírosítások), illetve {330;060} (CTP) cellába.
140. A táblát külön ki kell tölteni összesítve, valamint az alábbi előre meghatározott felsorolásban szereplő pénznemekre vonatkozóan: EUR, ALL, BGN, CZK, DKK, EGP, GBP, HRK, HUF, ISK, JPY, MKD, NOK, PLN, RON, RUB, RSD, SEK, CHF, TRY, UAH, USD, továbbá egy táblát minden egyéb pénznemre összevontan.
5.1.2. A tábla egyes részeire vonatkozó útmutató
| Oszlop | |
| 010–020 | ÖSSZES POZÍCIÓ (HOSSZÚ ÉS RÖVID) A CRR 102. cikke, valamint 105. cikkének (1) bekezdése Bruttó, instrumentumonként nem nettósított pozíciók azon jegyzési pozíciók levonásával, amelyeket harmadik fél az intézménytől lejegyzett, vagy amelyekre jegyzési garanciát vállal a CRR 345. cikke (1) bekezdése, első albekezdése második mondatának megfelelően. A hosszú és rövid pozícióknak az említett bruttó pozíciókra is alkalmazandó megkülönböztetésével kapcsolatban lásd a CRR 328. cikkének (2) bekezdését. | 
| 030–040 | NETTÓ POZÍCIÓK (HOSSZÚ ÉS RÖVID) A CRR 327–329., valamint 334. cikke A hosszú és rövid pozíciók megkülönböztetésével kapcsolatban lásd a CRR 328. cikkének (2) bekezdését. | 
| 050 | TŐKEKÖVETELMÉNNYEL ÉRINTETT POZÍCIÓK Azok a nettó pozíciók, amelyekre a CRR harmadik része IV. címének 2. fejezetében foglalt különböző módszerek szerint tőkekövetelmény vonatkozik. | 
| 060 | SZAVATOLÓTŐKE-KÖVETELMÉNY A CRR harmadik része IV. címének 2. fejezete szerinti releváns pozíciók tőkekövetelménye. | 
| 070 | TELJES KOCKÁZATI KITETTSÉGÉRTÉK A CRR 92. cikke (4) bekezdésének b) pontja A szavatolótőke-követelmény 12,5 -del való szorzásának az eredménye. | 
| Sor | |
| 010–350 | KERESKEDÉSI KÖNYVBEN NYILVÁNTARTOTT, FORGALMAZOTT, HITELVISZONYT MEGTESTESÍTŐ ÉRTÉKPAPÍROK A forgalmazott, hitelviszonyt megtestesítő értékpapírokban meglévő, kereskedési könyvben nyilvántartott pozíciókat és az azoknak megfelelő, a CRR 92. cikke (3) bekezdése b) pontjának i. alpontja, valamint a CRR harmadik része IV. címének 2. fejezete szerinti pozíciókockázathoz kapcsolódó szavatolótőke-követelményt a kockázati kategóriától, a lejárattól és az alkalmazott módszertől függően kell feltüntetni. | 
| 011 | ÁLTALÁNOS KOCKÁZAT | 
| 012 | Származtatott ügyletek A kereskedési könyvi pozíciók kamatlábkockázatának számítása során figyelembe vett származtatott ügyletek, a CRR 328–331. cikkének figyelembevételével, ha e cikkek alkalmazhatók. | 
| 013 | Egyéb eszközök és kötelezettségek A kereskedési könyvi pozíciók kamatlábkockázatának számítása során figyelembe vett származtatott ügyleteken kívüli instrumentumok. | 
| 020-200 | LEJÁRATON ALAPULÓ MÓDSZER A forgalmazott, hitelviszonyt megtestesítő értékpapírokban meglévő pozíciók, amelyek a CRR 339. cikkének (1)–(8) bekezdésében említett, lejáraton alapuló módszer, valamint az annak megfelelő, a CRR 339. cikkének (9) bekezdése szerint kiszámított szavatolótőke-követelmények alkalmazási körébe tartoznak. A pozíciót az 1., 2. és 3. zónákra, ezeket pedig az instrumentumok lejárata szerint kell felosztani. | 
| 210–240 | ÁLTALÁNOS KOCKÁZAT ÁTLAGOS HÁTRALÉVŐ FUTAMIDŐN ALAPULÓ MÓDSZER A forgalmazott, hitelviszonyt megtestesítő értékpapírokban meglévő pozíciók, amelyek a CRR 340. cikkének (1)–(6) bekezdésében említett, hátralévő futamidőn alapuló módszer, valamint az annak megfelelő, a CRR 340. cikkének (7) bekezdése szerint kiszámított szavatolótőke-követelmények alkalmazási körébe tartoznak. A pozíciót az 1., 2. és 3. zónákra kell felosztani. | 
| 250 | EGYEDI KOCKÁZAT A 251-es, 325-ös és 330-as sorban megadott értékek összege. A forgalmazott, hitelviszonyt megtestesítő értékpapírokban meglévő pozíciók, amelyek az egyedi kockázathoz kapcsolódó tőkekövetelmény hatálya alá tartoznak, valamint a rájuk vonatkozó tőkekövetelmények a CRR 92. cikke (3) bekezdésének b) pontja, 335. cikke, 336. cikkének (1)–(3) bekezdése, valamint 337. és 338. cikke szerint. Figyelembe kell venni továbbá a CRR 327. cikke (1) bekezdésének utolsó mondatát. | 
| 251–321 | A nem értékpapírosítási pozíciót jelentő, hitelviszonyt megtestesítő értékpapírok szavatolótőke-követelménye A 260–321. sorokban megadott értékek összege. A külső minősítéssel nem rendelkező, n-edik nemteljesítéskor lehívható hitelderivatívák szavatolótőke-követelményét az alaptermék-kibocsátók kockázati súlyainak összeadásával kell kiszámítani (a CRR 332. cikke (1) bekezdése e) pontja és a CRR 332. cikke (1) bekezdésének második albekezdése – az alapul szolgáló eszközök vizsgálata). A külső minősítéssel rendelkező, n-edik nemteljesítéskor lehívható hitelderivatívákat (a CRR 332. cikke (1) bekezdésének harmadik albekezdése) külön kell feltüntetni a 321. sorban. A CRR 336. cikkének (3) bekezdése szerinti pozíciókkal kapcsolatos adatszolgáltatás: A CRR 129. cikkének (3) bekezdése szerint speciálisan kezelendők azok a kötvények, amelyek a banki könyvben 10 %-ot elérő kockázati súlyt képviselnek (fedezett kötvények). Az egyedi szavatolótőke-követelmény a CRR 336. cikke 1. táblázatának második kategóriájában említett százalékos arány fele. Ezeket a pozíciókat a végső lejáratig hátralévő idő alapján kell a 280–300. sorokban feltüntetni. Ha a kamatláb-pozíciók általános kockázatát hitelderivatíva fedezi, akkor a CRR 346. és 347. cikkét kell alkalmazni. | 
| 325 | Az értékpapírosított eszközök szavatolótőke-követelménye Az MKR SA SEC tábla 610-es oszlopában feltüntetett teljes szavatolótőke-követelmény. Az említett teljes szavatolótőke-követelményt csak az MKR SA TDI „Összesen” sorában kell megadni. | 
| 330 | A korrelációkereskedési portfólió szavatolótőke-követelménye Az MKR SA CTP tábla 450-es oszlopában feltüntetett teljes szavatolótőke-követelmény. Az említett teljes szavatolótőke-követelmény csak az MKR SA TDI összesítésében adható meg. | 
| 350–390 | OPCIÓKRA VONATKOZÓ TOVÁBBI KÖVETELMÉNYEK (NEM DELTA KOCKÁZATOK) A CRR 329. cikkének (3) bekezdése A nem delta kockázatokkal kapcsolatos, opciókra vonatkozó további követelményeket a kiszámításukhoz használt módszer szerinti bontásban kell feltüntetni. | 
5.2. C 19.00 - PIACI KOCKÁZAT: AZ ÉRTÉKPAPÍROSÍTÁSOK EGYEDI KOCKÁZATÁNAK SZTENDERD MÓDSZERE (MKR SA SEC)
5.2.1. Általános megjegyzések
141. Ezen a táblán a sztenderd módszer alkalmazási körébe tartozó pozíciókról (összes/nettó, hosszú/rövid), valamint az ezekhez kapcsolódóan a kereskedési könyvben nyilvántartott (a korrelációkereskedési portfólióban figyelembe nem vehető) értékpapírosítások és újra-értékpapírosítások pozíciókockázatán belüli egyedi kockázatra vonatkozó szavatolótőke-követelményről kell adatot szolgáltatni.
142. Az MKR SA SEC tábla kizárólag a CRR 335. cikke, valamint azzal összefüggésben a CRR 337. cikke szerinti értékpapírosítási pozíciók egyedi kockázatához kapcsolódó szavatolótőke-követelményt adja meg. Ha a kereskedési könyvben nyilvántartott értékpapírosítási pozíciókat hitelderivatívákkal fedezik, akkor a CRR 346. és 347. cikkét kell alkalmazni. Valamennyi kereskedési könyvi pozícióról egy táblán kell adatot szolgáltatni attól függetlenül, hogy az intézmény melyik módszert alkalmazza a CRR harmadik része II. címének 5. fejezete szerinti egyes pozíciók kockázati súlyának meghatározásakor. Az e pozíciók általános kockázatához kapcsolódó szavatolótőke-követelményre vonatkozó adatszolgáltatás az MKR SA TDI vagy az MKR IM táblán történik.
143. Az 1 250 %-os kockázati súlyú pozíciók az elsődleges alapvető tőkéből (CET1) is levonhatók (lásd a CRR 244. cikke (1) bekezdésének b) pontját, 245. cikke (1) bekezdésének b) pontját és 253. cikkét). Ebben az esetben a pozícióról a CA1 tábla 460-as sorában kell adatot szolgáltatni.
5.2.2. A tábla egyes részeire vonatkozó útmutató
| Oszlop | |
| 010–020 | ÖSSZES POZÍCIÓ (HOSSZÚ ÉS RÖVID) A CRR 102. cikke, valamint 105. cikkének (1) bekezdése a CRR 337. cikkével összefüggésben (értékpapírosítási pozíciók). A hosszú és rövid pozícióknak az említett bruttó pozíciókra is alkalmazandó megkülönböztetésével kapcsolatban lásd a CRR 328. cikkének (2) bekezdését. | 
| 030–040 | (–) SZAVATOLÓTŐKÉBŐL LEVONT POZÍCIÓK (HOSSZÚ ÉS RÖVID) A CRR 244. cikke (1) bekezdésének b) pontja, 245. cikke (1) bekezdésének b) pontja, valamint 253. cikke | 
| 050–060 | NETTÓ POZÍCIÓK (HOSSZÚ ÉS RÖVID) A CRR 327., 328., 329. és 334. cikke. A hosszú és rövid pozíciók megkülönböztetésével kapcsolatban lásd a CRR 328. cikkének (2) bekezdését. | 
| 061–104 | A NETTÓ POZÍCIÓK KOCKÁZATI SÚLY SZERINTI BONTÁSA A CRR 259–262. cikke, 263. cikkének 1. és 2. táblázata, 264. cikkének 3. és 4. táblázata, valamint 266. cikke A hosszú és rövid pozíciókat külön kell csoportosítani. | 
| 402–406 | A NETTÓ POZÍCIÓK MÓDSZEREK SZERINTI BONTÁSA A CRR 254. cikke | 
| 402 | SEC-IRBA A CRR 259. és 260. cikke | 
| 403 | SEC-SA A CRR 261. és 262. cikke | 
| 404 | SEC-ERBA A CRR 263. és 264. cikke | 
| 405 | BELSŐ ÉRTÉKELÉSI MÓDSZER A CRR 254. és 265. cikke, valamint 266. cikkének (5) bekezdése. | 
| 406 | EGYÉB (KOCKÁZATI SÚLY = 1 250 %) A CRR 254. cikkének (7) bekezdése | 
| 530–540 | AZ (EU) 2017/2402 RENDELET 2. FEJEZETÉNEK MEGSÉRTÉSE MIATTI ÁLTALÁNOS HATÁS (KORREKCIÓ) A CRR 270a. cikke | 
| 570 | FELSŐ KORLÁT FIGYELEMBEVÉTELE ELŐTT A CRR 337. cikke, figyelmen kívül hagyva a CRR 335. cikkében biztosított jogosultságot, amely alapján egy intézmény a nemteljesítési kockázathoz kapcsolódó veszteség lehetséges maximális összegében korlátozhatja a súly és a nettó pozíció szorzatát. | 
| 601 | FELSŐ KORLÁT FIGYELEMBEVÉTELE UTÁN/TELJES SZAVATOLÓTŐKE-KÖVETELMÉNY A CRR 337. cikke, figyelembe véve a CRR 335. cikkében biztosított jogosultságot. | 
| Sor | |
| 010 | TELJES KITETTSÉG A kereskedési könyvben nyilvántartott, fennálló értékpapírosítások és újra-értékpapírosítások összértéke az értékpapírosítást kezdeményező vagy befektető vagy szponzor szerepét betöltő intézmény adatszolgáltatása szerint. | 
| 040, 070 és 100 | ÉRTÉKPAPÍROSÍTÁSI POZÍCIÓK A CRR 4. cikke (1) bekezdésének 62. pontja. | 
| 020, 050, 080 és 110 | ÚJRA-ÉRTÉKPAPÍROSÍTÁSI POZÍCIÓK A CRR 4. cikke (1) bekezdésének 64. pontja. | 
| 041, 071 és 101 | EBBŐL: DIFFERENCIÁLT TŐKEKÖVETELMÉNY-MEGÁLLAPÍTÁSRA JOGOSULT Azon értékpapírosítási pozíciók teljes összege, amelyek megfelelnek a CRR 243. vagy 270. cikkében foglalt kritériumoknak, és ezért differenciált tőkekövetelmény-megállapításra jogosultak. | 
| 030–050 | ÉRTÉKPAPÍROSÍTÁST KEZDEMÉNYEZŐ A CRR 4. cikke (1) bekezdésének 13. pontja. | 
| 060–080 | BEFEKTETŐ Olyan hitelintézet, amely értékpapírosítási pozícióval rendelkezik egy olyan értékpapírosítási ügyletben, amelyben sem az értékpapírosítást kezdeményező, sem a szponzor, sem az eredeti hitelező szerepét nem tölti be. | 
| 090–110 | SZPONZOR A CRR 4. cikke (1) bekezdésének 14. pontja. Annak a szponzornak, aki saját eszközt is értékpapírosít, a saját értékpapírosított eszközökkel kapcsolatos információkat az értékpapírosítást kezdeményezőre vonatkozó sorokban kell megadnia. | 
5.3. C 20.00 - PIACI KOCKÁZAT: A KORRELÁCIÓKERESKEDÉSI PORTFÓLIÓBA SOROLT POZÍCIÓK EGYEDI KOCKÁZATÁNAK SZTENDERD MÓDSZERE (MKR SA CTP)
5.3.1. Általános megjegyzések
144. Ezen a táblán a sztenderd módszer alkalmazási körébe tartozó korrelációkereskedési portfólióban (CTP) levő pozíciókról (értékpapírosításokról, n-edik nemteljesítéskor lehívható hitelderivatívákról és a CRR 338. cikkének (3) bekezdése alapján besorolt egyéb CTP-pozíciókról), valamint az ezekhez kapcsolódó szavatolótőke-követelményről kell adatot szolgáltatni.
145. Az MKR SA CTP tábla kizárólag a CRR 335. cikke, valamint azzal összefüggésben a CRR 338. cikkének (2) és (3) bekezdése szerint a CTP-be sorolt pozíciók egyedi kockázatához kapcsolódó szavatolótőke-követelményt mutatja be. Ha a kereskedési könyvben nyilvántartott CTP-pozíciókat hitelderivatívákkal fedezik, akkor a CRR 346. és 347. cikkét kell alkalmazni. Valamennyi kereskedési könyvi CTP-pozícióról egy táblán kell adatot szolgáltatni attól függetlenül, hogy az intézmény melyik módszert alkalmazza a CRR harmadik része II. címének 5. fejezete szerinti egyes pozíciók kockázati súlyának meghatározásakor. Az e pozíciók általános kockázatához kapcsolódó szavatolótőke-követelményre vonatkozó adatszolgáltatás az MKR SA TDI vagy az MKR IM táblán történik.
146. A tábla elkülöníti az értékpapírosítási pozíciókat, az n-edik nemteljesítéskor lehívható hitelderivatívákat, valamint az egyéb CTP-pozíciókat. Az értékpapírosítási pozíciókat minden esetben a 030-as, 060-as vagy 090-es sorban kell feltüntetni az intézmény által az értékpapírosításban betöltött szereptől függően. Az n-edik nemteljesítéskor lehívható hitelderivatívákat minden esetben a 110-es sorban kell feltüntetni. Az "egyéb CTP-pozíciók" nem értékpapírosítási pozíciók és nem az n-edik nemteljesítéskor lehívható hitelderivatívák (lásd a CRR 338. cikkének (3) bekezdését), de a fedezési szándék miatt egyértelműen kapcsolódnak e két pozíció egyikéhez.
147. Az 1 250 %-os kockázati súlyú pozíciók az elsődleges alapvető tőkéből (CET1) is levonhatók (lásd a CRR 244. cikke (1) bekezdésének b) pontját, 245. cikke (1) bekezdésének b) pontját és 253. cikkét). Ebben az esetben a pozícióról a CA1 tábla 460-as sorában kell adatot szolgáltatni.
5.3.2. A tábla egyes részeire vonatkozó útmutató
| Oszlop | |
| 010–020 | ÖSSZES POZÍCIÓ (HOSSZÚ ÉS RÖVID) A CRR 102. cikke, valamint 105. cikkének (1) bekezdése a CRR 338. cikke (2) és (3) bekezdésével összefüggésben (a korrelációkereskedési portfólióba sorolt pozíciókkal) A hosszú és rövid pozícióknak az említett bruttó pozíciókra is alkalmazandó megkülönböztetésével kapcsolatban lásd a CRR 328. cikkének (2) bekezdését. | 
| 030–040 | (–) SZAVATOLÓTŐKÉBŐL LEVONT POZÍCIÓK (HOSSZÚ ÉS RÖVID) A CRR 253. cikke | 
| 050–060 | NETTÓ POZÍCIÓK (HOSSZÚ ÉS RÖVID) A CRR 327., 328., 329. és 334. cikke A hosszú és rövid pozíciók megkülönböztetésével kapcsolatban lásd a CRR 328. cikkének (2) bekezdését. | 
| 071–097 | A NETTÓ POZÍCIÓK KOCKÁZATI SÚLY SZERINTI BONTÁSA A CRR 259–262. cikke, 263. cikkének 1. és 2. táblázata, 264. cikkének 3. és 4. táblázata, valamint 266. cikke | 
| 402–406 | A NETTÓ POZÍCIÓK MÓDSZEREK SZERINTI BONTÁSA A CRR 254. cikke | 
| 402 | SEC-IRBA A CRR 259. és 260. cikke | 
| 403 | SEC-SA A CRR 261. és 262. cikke | 
| 404 | SEC-ERBA A CRR 263. és 264. cikke | 
| 405 | BELSŐ ÉRTÉKELÉSI MÓDSZER A CRR 254. és 265. cikke, valamint 266. cikkének (5) bekezdése. | 
| 406 | EGYÉB (KOCKÁZATI SÚLY = 1 250 %) A CRR 254. cikkének (7) bekezdése | 
| 410–420 | FELSŐ KORLÁT FIGYELEMBEVÉTELE ELŐTT – SÚLYOZOTT NETTÓ HOSSZÚ ÉS RÖVID POZÍCIÓK A CRR 338. cikke, a CRR 335. cikkében biztosított jogosultság figyelmen kívül hagyásával | 
| 430-440 | FELSŐ KORLÁT FIGYELEMBEVÉTELE UTÁN – SÚLYOZOTT NETTÓ HOSSZÚ ÉS RÖVID POZÍCIÓK A CRR 338. cikke, a CRR 335. cikkében biztosított jogosultság figyelembevételével | 
| 450 | TELJES SZAVATOLÓTŐKE-KÖVETELMÉNY A szavatolótőke-követelmény az i. kizárólag a nettó hosszú pozíciók egyedi kockázatához kapcsolódó szavatolótőke-követelmény (430. oszlop), valamint ii. kizárólag a nettó rövid pozíciók egyedi kockázatához kapcsolódó szavatolótőke-követelmény (440. oszlop) közül a nagyobb érték. | 
| Sor | |
| 010 | TELJES KITETTSÉG A korrelációkereskedési portfólióban nyilvántartott, fennálló pozíciók összértéke az értékpapírosítást kezdeményező, befektető vagy szponzor szerepét betöltő intézmény adatszolgáltatása szerint. | 
| 020-040 | ÉRTÉKPAPÍROSÍTÁST KEZDEMÉNYEZŐ A CRR 4. cikke (1) bekezdésének 13. pontja | 
| 050–070 | BEFEKTETŐ Olyan hitelintézet, amely értékpapírosítási pozícióval rendelkezik egy olyan értékpapírosítási ügyletben, amelyben sem az értékpapírosítást kezdeményező, sem a szponzor, sem az eredeti hitelező szerepét nem tölti be. | 
| 080–100 | SZPONZOR A CRR 4. cikke (1) bekezdésének 14. pontja Annak a szponzornak, aki saját eszközt is értékpapírosít, a saját értékpapírosított eszközökkel kapcsolatos információkat az értékpapírosítást kezdeményezőre vonatkozó sorokban kell megadnia. | 
| 030, 060 és 090 | ÉRTÉKPAPÍROSÍTÁSI POZÍCIÓK A korrelációkereskedési portfólió értékpapírosításokat, n-edik nemteljesítéskor lehívható hitelderivatívákat, valamint esetlegesen a CRR 338. cikkének (2) és (3) bekezdésében előírt kritériumokat teljesítő egyéb fedezeti pozíciókat foglal magában. Az értékpapírosítási kitettségek arányos részesedést biztosító származtatott ügyleteit, valamint a CTP-pozíciókat fedező pozíciókat az „Egyéb CTP-pozíciók” sorban kell feltüntetni. | 
| 110 | N-EDIK NEMTELJESÍTÉSKOR LEHÍVHATÓ HITELDERIVATÍVÁK Itt az n-edik nemteljesítéskor lehívható hitelderivatívákat, valamint az azokat a CRR 347. cikke szerint fedező n-edik nemteljesítéskor lehívható hitelderivatívákat kell megadni. Az értékpapírosítást kezdeményező, a befektető és szponzor pozíciói az n-edik nemteljesítéskor lehívható hitelderivatívákkal nem egyeztethetők össze. Emiatt az értékpapírosítási pozícióknál alkalmazott megbontás az n-edik nemteljesítéskor lehívható hitelderivatívák esetében nem alkalmazható. | 
| 040, 070, 100 és 120 | EGYÉB CTP-POZÍCIÓK Az alábbi pozíciók tartoznak ide: — az értékpapírosítási kitettségek arányos részesedést biztosító származtatott ügyletei, valamint a CTP-pozíciókat fedező pozíciók; — a CRR 346. cikke szerint hitelderivatívákkal fedezett CTP-pozíciók; — a CRR 338. cikkének (3) bekezdése szerinti egyéb pozíciók. | 
5.4. C 21.00 - PIACI KOCKÁZAT: AZ ÉRTÉKPAPÍROSÍTÁSOK EGYEDI KOCKÁZATÁNAK SZTENDERD MÓDSZERE (MKR SA SEC)
5.4.1. Általános megjegyzések
148. Ezen a táblán a sztenderd módszer alkalmazási körébe tartozó pozíciókról, valamint az ezekhez kapcsolódóan a kereskedési könyvben nyilvántartott részvények pozíciókockázatára vonatkozó szavatolótőke-követelményről kell adatot szolgáltatni.
149. A táblát külön ki kell tölteni összesítve, valamint az alábbi előre meghatározott felsorolásban szereplő piacokra vonatkozóan: Albánia, Bulgária, Csehország, Dánia, Egyesült Államok, Egyesült Királyság, Egyiptom, Horvátország, Izland, Japán, Lengyelország, Liechtenstein, Macedónia, Magyarország, Norvégia, Oroszország, Románia, Svájc, Svédország, Szerbia, Törökország, Ukrajna, az euróövezet továbbá egy táblát az összes többi piacra összesítve. Ezen adatszolgáltatási kötelezettség alkalmazásában piac alatt országot kell érteni (kivéve az euróövezethez tartozó országokat, lásd az 525/2014/EU felhatalmazáson alapuló bizottsági rendeletet ( 12 ).
5.4.2. A tábla egyes részeire vonatkozó útmutató
| Oszlop | |
| 010–020 | ÖSSZES POZÍCIÓ (HOSSZÚ ÉS RÖVID) A CRR 102. cikke, valamint 105. cikkének (1) bekezdése. Bruttó, instrumentumonként nem nettósított pozíciók azon jegyzési pozíciók levonásával, amelyeket harmadik fél az intézménytől lejegyzett, vagy amelyekre jegyzési garanciát vállalt a CRR 345. cikke (1) bekezdése első albekezdésének második mondatában említettek szerint. | 
| 030–040 | NETTÓ POZÍCIÓK (HOSSZÚ ÉS RÖVID) A CRR 327., 329., 332., 341. és 345. cikke. | 
| 050 | TŐKEKÖVETELMÉNNYEL ÉRINTETT POZÍCIÓK Azok a nettó pozíciók, amelyekre a CRR harmadik része IV. címének 2. fejezetében foglalt különböző módszerek szerint tőkekövetelmény vonatkozik. A tőkekövetelményt az egyes nemzeti piacokra külön kell kiszámítani. A CRR 344. cikke (4) bekezdésének második mondatában említett tőzsdei határidős részvényindex-ügyletekben levő pozíciókat nem kell feltüntetni ebben az oszlopban. | 
| 060 | SZAVATOLÓTŐKE-KÖVETELMÉNY A CRR harmadik része IV. címe 2. fejezete szerint megállapított, bármely releváns pozícióra vonatkozó szavatolótőke-követelmény | 
| 070 | TELJES KOCKÁZATI KITETTSÉGÉRTÉK A CRR 92. cikke (4) bekezdésének b) pontja A szavatolótőke-követelmény 12,5 -del való szorzásának az eredménye. | 
| Sor | |
| 010–130 | KERESKEDÉSI KÖNYVBEN NYILVÁNTARTOTT RÉSZVÉNYEK A CRR 92. cikke (3) bekezdése b) pontjának i. alpontjában, valamint a CRR harmadik része IV. címe 2. fejezete 3. szakaszában említett pozíciókockázathoz kapcsolódó szavatolótőke-követelmény. | 
| 020–040 | ÁLTALÁNOS KOCKÁZAT Az általános kockázattal érintett részvényekben lévő pozíciók (a CRR 343. cikke), valamint az azoknak megfelelő, a CRR harmadik része IV. címe 2. fejezetének 3. szakasza szerinti szavatolótőke-követelmény. Mindkét felosztás (021/022 és 030/040) valamennyi olyan pozícióhoz kapcsolódik, amelyet általános kockázat érint. A 021-es és 022-es sorban az információkat eszközönkénti bontásban kell megadni. A szavatolótőke-követelmény számításakor kizárólag a 030-as és 040-es sorban csoportosított adatok vehetők figyelembe. | 
| 021 | Származtatott ügyletek A kereskedési könyvi pozíciók részvénypiaci kockázatának számítása során figyelembe vett származtatott ügyletek, a 329. cikk és a 332. cikk figyelembevételével, ha e cikkek alkalmazhatók. | 
| 022 | Egyéb eszközök és kötelezettségek A kereskedési könyvi pozíciók részvénypiaci kockázatának számítása során figyelembe vett származtatott ügyleteken kívüli instrumentumok. | 
| 030 | Tőzsdei forgalomban szereplő, megfelelően diverzifikált, egyedi módszer alkalmazási körébe tartozó határidős részvényindex-ügyletek Tőzsdei forgalomban szereplő, megfelelően diverzifikált, egyedi módszer alkalmazási körébe tartozó határidős részvényindex-ügyletek a 945/2014/EU bizottsági végrehajtási rendelet szerint (1) Ezeknél a pozícióknál csak általános kockázat áll fenn, így azok az 050-es sorban nem tüntethetők fel. | 
| 040 | A tőzsdei forgalomban szereplő, megfelelően diverzifikált határidős részvényindex-ügyleteken kívüli részvények Az egyedi kockázattal érintett részvényekben lévő egyéb pozíciók, valamint az azoknak megfelelő szavatolótőke-követelmények a CRR 343. cikkének megfelelően, ideértve a CRR 344. cikke (3) bekezdésének megfelelően kezelt tőzsdei határidős részvényindex-ügyletekben lévő pozíciókat. | 
| 050 | EGYEDI KOCKÁZAT Az egyedi kockázattal érintett részvényekben lévő pozíciók, valamint az azoknak megfelelő szavatolótőke-követelmények a CRR 342. cikkének megfelelően, kivéve a CRR 344. cikke (4) bekezdése második mondatának megfelelően kezelt tőzsdei határidős részvényindex-ügyletekben lévő pozíciókat | 
| 090–130 | OPCIÓKRA VONATKOZÓ TOVÁBBI KÖVETELMÉNYEK (NEM DELTA KOCKÁZATOK) A CRR 329. cikkének (2) és (3) bekezdése A nem delta kockázatokkal kapcsolatos, opciókra vonatkozó további követelményeket a számítási módszerben kell feltüntetni. | 
| (1) A Bizottság 945/2014/EU végrehajtási rendelete (2014. szeptember 4.) az 575/2013/EU európai parlamenti és tanácsi rendelet szerinti releváns, megfelelően diverzifikált indexek tekintetében végrehajtás-technikai standardok megállapításáról | |
5.5. C 22.00 - PIACI KOCKÁZAT: A DEVIZAÁRFOLYAM-KOCKÁZAT SZTENDERD MÓDSZEREI (MKR SA FX)
5.5.1. Általános megjegyzések
150. Ezen a táblán az egyes devizákban lévő pozíciókról (ideértve a beszámoló pénznemét is), valamint ezekhez kapcsolódóan a devizaárfolyam-kockázatra vonatkozó, sztenderd módszer szerinti szavatolótőke-követelményről kell az intézményeknek adatot szolgáltatniuk. A pozíciót az egyes pénznemekre (ideértve az EUR-t is), aranyra, valamint a kollektív befektetési formákra is ki kell számítani.
151. A tábla 100-480. sorában akkor is adatot kell szolgáltatni, ha az intézmény nem köteles szavatolótőke-követelményt számolni a devizaárfolyam-kockázatra a CRR 351. cikke szerint. E tájékoztató adatok körében a beszámoló pénznemében lévő összes pozíciót is jelenteni kell, függetlenül attól, hogy ezeket figyelembe veszik-e a CRR 354. cikkének alkalmazásában. A tábla tájékoztató adatainak 130-480-as sorát külön-külön ki kell tölteni az Unió tagállamaiban használt valamennyi pénznemre, a következő pénznemekre: USD, CHF, JPY, RUB, TRY, AUD, CAD, RSD, ALL, UAH, MKD, EGP, ARS, BRL, MXN, HKD, ICK, TWD, NZD, NOK, SGD, KRW, CNY, valamint minden egyéb pénznemre.
5.5.2. A tábla egyes részeire vonatkozó útmutató
| Oszlop | |
| 020–030 | ÖSSZES POZÍCIÓ (HOSSZÚ ÉS RÖVID) Az eszközökből, a jövőben befolyó összegekből és a CRR 352. cikkének (1) bekezdésében említett egyéb tételekből eredő bruttó pozíciók. A CRR 352. cikkének (2) bekezdése alapján és az illetékes hatóságok engedélyének függvényében nem tüntetendők fel azok a pozíciók, amelyeket az intézmény kifejezetten azért vállal, hogy ezzel a devizaárfolyamnak a CRR 92. cikkének (1) bekezdése szerinti tőkemegfelelési mutatókra gyakorolt negatív hatását fedezze, és az olyan tételekhez kapcsolódó pozíciók sem, amelyeket a szavatolótőke-számítás során már levontak. | 
| 040–050 | NETTÓ POZÍCIÓK (HOSSZÚ ÉS RÖVID) A CRR 352. cikkének (3) bekezdése, 352. cikke (4) bekezdésének első két mondata, valamint 353. cikke A nettó pozíciókat pénznemenként kell kiszámítani a CRR 352. cikkének (1) bekezdése szerint. Következésképpen a hosszú és a rövid pozíciókat egyszerre lehet jelenteni. | 
| 060–080 | TŐKEKÖVETELMÉNNYEL ÉRINTETT POZÍCIÓK A CRR 352. cikke (4) bekezdésének harmadik mondata, valamint 353. és 354. cikke | 
| 060–070 | TŐKEKÖVETELMÉNNYEL ÉRINTETT POZÍCIÓK (HOSSZÚ ÉS RÖVID) Az egyes pénznemekben lévő nettó hosszú és rövid pozíciókat a rövid pozíciók összegének a hosszú pozíciók összegéből való kivonásával kell kiszámítani. Egy pénznemben meglévő nettó hosszú pozíció az adott pénznemben végrehajtott műveletekhez tartozó nettó hosszú pozíciók összeadásával számítható ki. Egy pénznemben meglévő nettó rövid pozíció az adott pénznemben végrehajtott műveletekhez tartozó nettó rövid pozíciók összeadásával számítható ki. A beszámoló pénznemén kívüli pénznemben lévő kiegyenlítetlen pozíciókat az egyéb pénznemben lévő, tőkekövetelménnyel érintett pozíciókhoz (030-as sor) kell adni a 060-as vagy 070-es oszlopban attól függően, hogy a pozíciók rövidek vagy hosszúak. | 
| 080 | TŐKEKÖVETELMÉNNYEL ÉRINTETT POZÍCIÓK (KIEGYENLÍTETT) Egymással nagymértékben korreláló pénznemekben lévő kiegyenlített pozíciók. | 
| 090 | SZAVATOLÓTŐKE-KÖVETELMÉNY A CRR harmadik része IV. címének 3. fejezete szerint releváns pozíciók tőkekövetelménye. | 
| 100 | TELJES KOCKÁZATI KITETTSÉGÉRTÉK A CRR 92. cikke (4) bekezdésének b) pontja A szavatolótőke-követelmény 12,5 -del való szorzásának az eredménye. | 
| Sor | |
| 010 | POZÍCIÓK ÖSSZESEN A nem a beszámoló pénznemében meglévő összes pozíció és a beszámoló pénznemében lévő azon pozíciók, amelyeket figyelembe vesznek a CRR 354. cikke alkalmazásában, valamint az ezekhez kapcsolódó, a devizaárfolyam-kockázatra vonatkozó szavatolótőke-követelmény a CRR 92. cikke (3) bekezdése c) pontjának i. alpontjában említettek szerint, figyelembe véve a CRR 352. cikkének (2) és (4) bekezdését (a beszámoló pénznemére történő átváltás tekintetében). | 
| 020 | EGYMÁSSAL NAGYMÉRTÉKBEN KORRELÁLÓ PÉNZNEMEK A CRR 354. cikkében említett, egymással nagymértékben korreláló pénznemekben lévő pozíciók, valamint az ezekhez kapcsolódó szavatolótőke-követelmény. | 
| 025 | Egymással nagymértékben korreláló pénznemek: Ebből: a beszámoló pénzneme A beszámoló pénznemében lévő pozíciók, amelyeket figyelembe vesznek a szavatolótőke-követelmény CRR 354. cikke szerinti kiszámítása során. | 
| 030 | MINDEN EGYÉB PÉNZNEM (a kollektív befektetési formákat külön pénznemként kezelve) A CRR 351. cikkében, valamint 352. cikkének (2) és (4) bekezdésében említett általános eljárás alkalmazási körébe tartozó pénznemekben lévő pozíciók, valamint az ezekhez kapcsolódó szavatolótőke-követelmény. A CRR 353. cikke szerint külön pénznemként kezelt kollektív befektetési formákkal kapcsolatos adatszolgáltatás: A külön pénznemként kezelt kollektív befektetési formák tőkekövetelménye kétféle módszerrel számítható ki: 1. a módosított aranymódszerrel, ha a KBF-ek befektetésének az iránya nem ismert (az ilyen KBF-eket az intézmény teljes nettó devizapozíciójához kell hozzáadni); 2. ha a KBF-ek befektetésének az iránya ismert, akkor a KBF-eket a teljes nyitott devizapozícióhoz kell hozzáadni (hosszú vagy rövid, az egyes KBF-ek irányától függően). Az érintett KBF-ekről a tőkekövetelmény számításának megfelelően kell adatot szolgáltatni. | 
| 040 | ARANY A CRR 351. cikkében, valamint 352. cikkének (2) és (4) bekezdésében említett általános eljárás alkalmazási körébe tartozó pénznemekben lévő pozíciók, valamint az ezekhez kapcsolódó szavatolótőke-követelmény. | 
| 050–090 | OPCIÓKRA VONATKOZÓ TOVÁBBI KÖVETELMÉNYEK (NEM DELTA KOCKÁZATOK) A CRR 352. cikkének (5) és (6) bekezdése A nem delta kockázatokkal kapcsolatos, opciókra vonatkozó további követelményeket a kiszámításukhoz használt módszer szerinti bontásban kell feltüntetni. | 
| 100–120 | A beszámoló pénznemével együtt számított összes pozíció kitettségtípus szerinti bontása Az összes pozíciót származtatott ügyletek, egyéb eszközök és kötelezettségek, valamint mérlegen kívüli tételek szerint kell felosztani. | 
| 100 | Mérlegen kívüli tételnek és származtatott ügyletnek nem minősülő egyéb eszközök és kötelezettségek A 110-es vagy 120-as sorban nem szerepeltetett pozíciókat itt kell megadni. | 
| 110 | Mérlegen kívüli tételek A CRR 352. cikkének hatályába tartozó tételek, tekintet nélkül a denomináció pénznemére, amely tételek a CRR I. mellékletében szerepelnek az értékpapír-finanszírozási ügyletként vagy hosszú teljesítési idejű ügyletként beszámított, vagy eltérő termékkategóriák közötti nettósításról szóló szerződéses megállapodásból eredő tételek kivételével. | 
| 120 | Származtatott ügyletek A CRR 352. cikkének megfelelően értékelt pozíciók. | 
| 130–480 | TÁJÉKOZTATÓ ADATOK: DEVIZAPOZÍCIÓK A tábla tájékoztató adatait külön-külön meg kell adni az Unió tagállamaiban használt valamennyi pénznemre, a következő pénznemekre: USD, CHF, JPY, RUB, TRY, AUD, CAD, RSD, ALL, UAH, MKD, EGP, ARS, BRL, MXN, HKD, ICK, TWD, NZD, NOK, SGD, KRW, CNY, valamint összevontan minden egyéb pénznemre. | 
5.6. C 23.00 - PIACI KOCKÁZAT: AZ ÁRUPOZÍCIÓK SZTENDERD MÓDSZEREI (MKR SA COM)
5.6.1. Általános megjegyzések
152. Ezen a táblán a sztenderd módszer alkalmazási körébe tartozó árupozíciókról, valamint a rájuk vonatkozó szavatolótőke-követelményről kell adatot szolgáltatni.
5.6.2. A tábla egyes részeire vonatkozó útmutató
| Oszlop | |
| 010–020 | ÖSSZES POZÍCIÓ (HOSSZÚ ÉS RÖVID) A CRR 357. cikkének (4) bekezdése szerint azonos áruban lévő pozícióknak minősülő bruttó hosszú/rövid pozíciók (lásd még a CRR 359. cikkének (1) bekezdését). | 
| 030–040 | NETTÓ POZÍCIÓK (HOSSZÚ ÉS RÖVID) A CRR 357. cikkének (3) bekezdésében található meghatározás szerint. | 
| 050 | TŐKEKÖVETELMÉNNYEL ÉRINTETT POZÍCIÓK Azok a nettó pozíciók, amelyekre a CRR harmadik része IV. címének 4. fejezetében foglalt különböző módszerek szerint tőkekövetelmény vonatkozik. | 
| 060 | SZAVATOLÓTŐKE-KÖVETELMÉNY A CRR harmadik része IV. címének 4. fejezete szerint számított szavatolótőke-követelmény bármely releváns pozícióra vonatkozóan | 
| 070 | TELJES KOCKÁZATI KITETTSÉGÉRTÉK A CRR 92. cikke (4) bekezdésének b) pontja A szavatolótőke-követelmény 12,5 -del való szorzásának az eredménye. | 
| Sor | |
| 010 | ÁRUPOZÍCIÓK ÖSSZESEN Árupozíciók és a rájuk vonatkozó piaci kockázat szavatolótőke-követelménye a CRR 92. cikke (3) bekezdése c) pontjának iii. alpontja, valamint a CRR harmadik része IV. címének 4. fejezete szerint. | 
| 020–060 | POZÍCIÓK ÁRUKATEGÓRIA SZERINT Adatszolgáltatás céljából az árukat a CRR 361. cikkében található 2. táblázatban említett négy árucsoportba kell sorolni. | 
| 070 | FUTAMIDŐTÁBLÁS MÓDSZER A CRR 359. cikkében említett futamidőtáblás módszer alkalmazási körébe tartozó árupozíciók. | 
| 080 | KITERJESZTETT LEJÁRATI TÁBLÁS MÓDSZER A CRR 361. cikkében említett kiterjesztett lejárati táblás módszer alkalmazási körébe tartozó árupozíciók. | 
| 090 | EGYSZERŰSÍTETT MÓDSZER A CRR 360. cikkében említett egyszerűsített módszer alkalmazási körébe tartozó árupozíciók. | 
| 100–140 | OPCIÓKRA VONATKOZÓ TOVÁBBI KÖVETELMÉNYEK (NEM DELTA KOCKÁZATOK) A CRR 358. cikkének (4) bekezdése A nem delta kockázatokkal kapcsolatos, opciókra vonatkozó további követelményeket a számítási módszerben kell feltüntetni. | 
5.7. C 24.00 - PIACI KOCKÁZAT: BELSŐ MODELLEK (MKR IM)
5.7.1. Általános megjegyzések
153. Ez a tábla a kockáztatott érték (VaR) és a stresszhelyzeti kockáztatott érték (sVaR) adatait mutatja be különböző (adósságinstrumentumokkal, részvényekkel, külföldi pénznemekkel vagy áruval kapcsolatos) piaci kockázatok szerinti bontásban, továbbá a szavatolótőke-követelmény számítása szempontjából lényeges egyéb információkat.
154. Általában az intézményi modell felépítésétől függ, hogy az általános és egyedi kockázatra vonatkozó adatokat elkülönítve vagy csak összesítve lehet-e meghatározni és feltüntetni. Ugyanez vonatkozik a VaR/Stress-VaR értékek kockázati kategóriák (kamatlábkockázat, részvénypiaci kockázat, árukockázat, valamint devizaárfolyam-kockázat) szerinti bontására is. Az intézmény eltekinthet a fenti bontásban történő adatszolgáltatástól, ha bizonyítani tudja, hogy az indokolatlan terhet jelentene számára.
5.7.2. A tábla egyes részeire vonatkozó útmutató
| Oszlop | |
| 030–040 | Kockáztatott érték (VaR) Egy adott valószínűséggel, meghatározott időtávon bekövetkező árváltozásból származó veszteség maximális lehetséges mértéke. | 
| 030 | Szorzó (mc) x Előző 60 munkanap átalagos kockáztatott értéke (VaRavg) A CRR 364. cikke (1) bekezdése a) pontjának ii. alpontja, valamint 365. cikkének (1) bekezdése | 
| 040 | Előző napi kockáztatott érték (VaRt–1) A CRR 364. cikke (1) bekezdése a) pontjának i. alpontja, valamint 365. cikkének (1) bekezdése | 
| 050–060 | Stresszhelyzeti kockáztatott érték Egy adott valószínűséggel, meghatározott időtávon bekövetkező árváltozásból származó veszteség maximális lehetséges mértéke, amelynek kiszámításához a bemeneti adatokat az intézmény portfóliója szempontjából lényeges, számottevő pénzügyi stresszhelyzetet jelentő, folyamatos 12 hónapos időszak történeti adatai alapján kell kalibrálni. | 
| 050 | Szorzó (ms) x Előző 60 munkanap átlaga (SVaRavg) A CRR 364. cikke (1) bekezdése b) pontjának ii. alpontja, valamint 365. cikkének (1) bekezdése | 
| 060 | Legfrissebb (SVaRt–1) A CRR 364. cikke (1) bekezdése b) pontjának i. alpontja, valamint 365. cikkének (1) bekezdése | 
| 070–080 | A JÁRULÉKOS NEMTELJESÍTÉSI ÉS ÁTMINŐSÍTÉSI KOCKÁZATRA VONATKOZÓ TŐKEKÖVETELMÉNY A járulékos nemteljesítési és átminősítési kockázatra vonatkozó tőkekövetelmény a nemteljesítési és átminősítési kockázatokkal összefüggésben bekövetkező árváltozásból származó veszteség maximális lehetséges mértéke, amelynek kiszámítása a CRR harmadik része IV. címe 5. fejezetének 4. szakaszával összefüggésben a CRR 364. cikke (2) bekezdésének b) pontja alapján történik. | 
| 070 | 12 hetes átlagos mérőszám A CRR 364. cikke (2) bekezdése b) pontjának ii. alpontja, a CRR harmadik része IV. címe 5. fejezetének 4. szakaszával összefüggésben | 
| 080 | Legfrissebb mérőszám A CRR 364. cikke (2) bekezdése b) pontjának i. alpontja, a CRR harmadik része IV. címe 5. fejezetének 4. szakaszával összefüggésben. | 
| 090–110 | TELJES ÁRKOCKÁZATI TŐKEKÖVETELMÉNY A CTP-RE VONATKOZÓAN | 
| 090 | ALSÓ KORLÁT A CRR 364. cikke (3) bekezdésének c) pontja = azon tőkekövetelmény 8 %-a, amely a CRR 338. cikkének (1) bekezdése szerint került volna kiszámításra a teljes árkockázati tőkekövetelménnyel érintett valamennyi pozíció tekintetében. | 
| 100–110 | 12 HETES ÁTLAGOS MÉRŐSZÁM ÉS LEGFRISSEBB MÉRŐSZÁM A CRR 364. cikke (3) bekezdésének b) pontja | 
| 110 | LEGFRISSEBB MÉRŐSZÁM A CRR 364. cikke (3) bekezdésének a) pontja | 
| 120 | SZAVATOLÓTŐKE-KÖVETELMÉNY A CRR 364. cikkében említett szavatolótőke-követelmények az összes kockázati tényezőre vonatkozóan, adott esetben figyelembe véve a korrelációs hatásokat, valamint a járulékos nemteljesítési és átminősítési kockázatot és a CTP-ben árazott valamennyi kockázatot, figyelmen kívül hagyva azonban a CRR 364. cikkének (2) bekezdése szerinti, az értékpapírosításhoz és az n-edik nemteljesítéskor lehívható hitelderivatívákhoz kapcsolódó tőkekövetelményt. | 
| 130 | TELJES KOCKÁZATI KITETTSÉGÉRTÉK A CRR 92. cikke (4) bekezdésének b) pontja A szavatolótőke-követelmény 12,5 -del való szorzásának az eredménye. | 
| 140 | Túllépések száma az előző 250 munkanap során A CRR 366. cikkében említettek szerint Azon túllépések számát kell feltüntetni, amelyek alapján a kiegészítő tétel meghatározásra kerül. | 
| 150–160 | VaR szorzó (mc) és SVaR szorzó (ms) A CRR 366. cikkében említettek szerint | 
| 170–180 | A CTP-TŐKEKÖVETELMÉNY FELTÉTELEZETT ALSÓ KORLÁTJA – SÚLYOZOTT NETTÓ HOSSZÚ/RÖVID POZÍCIÓK A FELSŐ KORLÁT FIGYELEMBEVÉTELÉVEL A feltüntetett és a teljes árkockázati tőkekövetelményre vonatkozó, a CRR 364. cikke (3) bekezdésének c) pontja szerinti alsó határ kiszámításához felhasznált összeg figyelembe veszi a CRR 335. cikkében biztosított jogosultságot, amely előírja, hogy egy intézmény a nemteljesítési kockázathoz kapcsolódó veszteség lehetséges maximális összegében korlátozhatja a súly és a nettó pozíció szorzatát. | 
| Sor | |
| 010 | POZÍCIÓK ÖSSZESEN A CRR 363. cikkének (1) bekezdésében említett pozíció-, devizaárfolyam- és árukockázatnak az a része, amely a CRR 367. cikkének (2) bekezdésében meghatározott kockázati tényezőkhöz kapcsolódik. A 030–060. oszlop VaR és Stress-VaR értékeit illetően az összesítő sorban szereplő adatok nem egyeznek meg a vonatkozó kockázati elemek szerint lebontott VaR és Stress-VaR értékekkel. | 
| 020 | FORGALMAZOTT, HITELVISZONYT MEGTESTESÍTŐ ÉRTÉKPAPÍROK A CRR 363. cikkének (1) bekezdésében említett pozíciókockázatnak az a része, amely a CRR 367. cikke (2) bekezdésének a) pontjában meghatározott kamatláb-kockázati tényezőkhöz kapcsolódik. | 
| 030 | TDI – ÁLTALÁNOS KOCKÁZAT A CRR 362. cikkében említett általános kockázati elem | 
| 040 | TDI – EGYEDI KOCKÁZAT A CRR 362. cikkében említett egyedi kockázati elem | 
| 050 | RÉSZVÉNYEK A CRR 363. cikkének (1) bekezdésében említett pozíciókockázatnak az a része, amely a CRR 367. cikke (2) bekezdésének c) pontjában meghatározott részvénypiaci kockázati tényezőkhöz kapcsolódik. | 
| 060 | RÉSZVÉNYEK – ÁLTALÁNOS KOCKÁZAT A CRR 362. cikkében említett általános kockázati elem | 
| 070 | RÉSZVÉNYEK – EGYEDI KOCKÁZAT A CRR 362. cikkében említett egyedi kockázati elem | 
| 080 | DEVIZAÁRFOLYAM-KOCKÁZAT A CRR 363. cikkének (1) bekezdése, valamint 367. cikke (2) bekezdésének b) pontja | 
| 090 | ÁRUKOCKÁZAT A CRR 363. cikkének (1) bekezdése és 367. cikke (2) bekezdésének d) pontja | 
| 100 | ÁLTALÁNOS KOCKÁZAT ÖSSZESEN A forgalmazott, hitelviszonyt megtestesítő értékpapírok, részvények, külföldi pénznemek és áruk általános piaci mozgásaiból eredő piaci kockázat. Az összes kockázati tényező általános kockázatára vonatkozó VaR érték (az esetleges korrelációs hatások figyelembevételével). | 
| 110 | EGYEDI KOCKÁZAT ÖSSZESEN A forgalmazott, hitelviszonyt megtestesítő értékpapírok és részvények egyedi kockázati eleme. A kereskedési könyvben nyilvántartott, forgalmazott, hitelviszonyt megtestesítő értékpapírok és részvények egyedi kockázatára vonatkozó VaR érték (az esetleges korrelációs hatások figyelembevételével). | 
5.8. C 25.00 - HITELÉRTÉKELÉSI KORREKCIÓK KOCKÁZATA (CVA)
5.8.1. A tábla egyes részeire vonatkozó útmutató
| Oszlop | |
| 010 | Kitettségérték A CRR 271. cikke, összefüggésben 382. cikkével A CVA-tőkekövetelménnyel érintett összes ügyletből eredő teljes nemteljesítéskori kitettség (EAD). | 
| 020 | Ebből: tőzsdén kívüli származtatott ügyletek A CRR 271. cikke, összefüggésben 382. cikkének (1) bekezdésével. A teljes partnerkockázati kitettségnek az a része, amely kizárólag tőzsdén kívüli származtatott ügyletből ered. Az információt nem kötelező megadniuk azoknak a belső modell módszerét alkalmazó intézményeknek, amelyek azonos nettósítási halmazban tőzsdén kívüli származtatott ügylettel és értékpapír-finanszírozási ügylettel is rendelkeznek. | 
| 030 | Ebből: értékpapír-finanszírozási ügylet A CRR 271. cikke, összefüggésben 382. cikkének (2) bekezdésével. A teljes partnerkockázati kitettségnek az a része, amely kizárólag származtatott értékpapír-finanszírozási ügyletből ered. Az információt nem kötelező megadniuk azoknak a belső modell módszerét alkalmazó intézményeknek, amelyek azonos nettósítási halmazban tőzsdén kívüli származtatott ügylettel és értékpapír-finanszírozási ügylettel is rendelkeznek. | 
| 040 | SZORZÓ (mc) x ELŐZŐ 60 MUNKANAP ÁTALAGA (VaRavg) A CRR 383. cikke, összefüggésben 363. cikke (1) bekezdésének d) pontjával. A VaR kiszámítása a piaci kockázatra vonatkozó belső modell alapján. | 
| 050 | ELŐZŐ NAPI (VARt-1) Lásd a 040-es oszlopra vonatkozó útmutatót. | 
| 060 | SZORZÓ (ms) X ELŐZŐ 60 MUNKANAP ÁTLAGA (SVaRavg) Lásd a 040-es oszlopra vonatkozó útmutatót. | 
| 070 | LEGFRISSEBB (SVaRt–1) Lásd a 040-es oszlopra vonatkozó útmutatót. | 
| 080 | SZAVATOLÓTŐKE-KÖVETELMÉNY A CRR 92. cikke (3) bekezdésének d) pontja. A CVA-kockázathoz kapcsolódó szavatolótőke-követelmény kiszámítása a választott modell alapján. | 
| 090 | TELJES KOCKÁZATI KITETTSÉGÉRTÉK A CRR 92. cikke (4) bekezdésének b) pontja A szavatolótőke-követelmény 12,5 -del szorozva. | 
| Tájékoztató adatok | |
| 100 | Partnerek száma A CRR 382. cikke A CVA-kockázathoz kapcsolódó szavatolótőke kiszámításánál figyelembe vett partnerek száma. A partnerek a kötelezettek részhalmazát képezik. Kizárólag származtatott ügyletek vagy értékpapír-finanszírozási ügyletek esetében léteznek, ahol a másik szerződő felet jelentik. | 
| 110 | Ebből: közelítő érték alapján meghatározott hitelkockázati felár Az olyan partnerek száma, amelyeknél a hitelkockázati felárat a közvetlenül észlelt piaci adatok helyett közelítő érték alapján határozták meg. | 
| 120 | VISELT CVA-KOCKÁZAT A származtatott ügyletekben részes partnerek romló hitelképességére képzett számviteli céltartalék. | 
| 130 | EGY ALAPTERMÉKES CDS A CRR 386. cikke (1) bekezdésének a) pontja A CVA-kockázatot fedező egy alaptermékes hitel-nemteljesítési csereügylet teljes névleges összege. | 
| 140 | INDEX CDS A CRR 386. cikke (1) bekezdésének b) pontja A CVA-kockázatot fedező index CDS teljes névleges összege. | 
| Sor | |
| 010 | CVA-kockázat összesen A 020–040. sorok összege | 
| 020 | Fejlett módszer szerint Fejlett CVA-kockázati módszer a CRR 383. cikkének előírásai szerint. | 
| 030 | Sztenderd módszer szerint Sztenderd CVA-kockázati módszer a CRR 384. cikkének előírásai szerint. | 
| 040 | Eredeti kitettség szerinti módszer (OEM) alapján A CRR 385. cikkének alkalmazási körébe tartozó összegek. | 
6. PRUDENS ÉRTÉKELÉS (PRUVAL)
6.1. C 32.01 - PRUDENS ÉRTÉKELÉS: VALÓS ÉRTÉKEN ÉRTÉKELT ESZKÖZÖK ÉS KÖTELEZETTSÉGEK (PRUVAL 1)
6.1.1. Általános megjegyzések
154a. Ezt a táblát minden intézménynek ki kell töltenie függetlenül attól, hogy a kiegészítő értékelési korrekciók (AVA) meghatározásához az egyszerűsített módszert alkalmazza-e. Ebben a táblában a valós értéken értékelt eszközök és kötelezettségek abszolút értékét kell feltüntetni annak meghatározásához, hogy teljesülnek-e az (EU) 2016/101 felhatalmazáson alapuló bizottsági rendelet ( 13 ) 4. cikkében meghatározott azon feltételek, amelyek alapján a kiegészítő értékelési korrekciók meghatározásához az egyszerűsített módszer alkalmazható.
154b. Az egyszerűsített módszert alkalmazó intézmények tekintetében ebben a táblában a CRR 34. és 105. cikke szerint a szavatolótőkéből levonandó kiegészítő értékelési korrekciók teljes összegét kell megadni, az (EU) 2016/101 felhatalmazáson alapuló rendelet 5. cikkében meghatározottak szerint, és az adatot a C 01.00 tábla 290. sorában fel kell tüntetni.
6.1.2. A tábla egyes részeire vonatkozó útmutató
| Oszlop | |
| 0010 | VALÓS ÉRTÉKEN ÉRTÉKELT ESZKÖZÖK ÉS KÖTELEZETTSÉGEK A valós értéken értékelt eszközök és kötelezettségek abszolút értéke, ahogy az az intézmény alkalmazandó számviteli keret szerint elkészített pénzügyi kimutatásában szerepel, az (EU) 2016/101 felhatalmazáson alapuló rendelet 4. cikkének (1) bekezdésében említettek szerint, az (EU) 2016/101 felhatalmazáson alapuló rendelet 4. cikkének (2) bekezdése szerinti kizárások végrehajtása előtt. | 
| 0020 | EBBŐL: kereskedési könyv A valós értéken értékelt eszközök és kötelezettségek 010. oszlopban feltüntetett abszolút értéke, a kereskedési könyvben lévő pozícióknak megfelelően. | 
| 0030–0070 | A CET1 TŐKÉRE GYAKOROLT RÉSZLEGES HATÁS MIATT KIZÁRT, VALÓS ÉRTÉKEN ÉRTÉKELT ESZKÖZÖK ÉS KÖTELEZETTSÉGEK Az (EU) 2016/101 felhatalmazáson alapuló rendelet 4. cikkének (2) bekezdése szerint kizárt valós értéken értékelt eszközök és kötelezettségek abszolút értéke. | 
| 0030 | Pontosan megegyező Az (EU) 2016/101 felhatalmazáson alapuló rendelet 4. cikkének (2) bekezdése szerint kizárt, pontosan megegyező, valós értéken értékelt kiegyenlítő eszközök és kötelezettségek. | 
| 0040 | Fedezeti elszámolások Az alkalmazandó számviteli keret szerint fedezeti elszámolás alá tartozó pozíciók esetében az (EU) 2016/101 felhatalmazáson alapuló rendelet 4. cikke (2) bekezdésének megfelelően a CET1 tőkét befolyásoló értékváltozás hatásának mértékéig kizárt, valós értéken értékelt eszközök és kötelezettségek abszolút értéke. | 
| 0050 | PRUDENCIÁLIS szűrők Az (EU) 2016/101 felhatalmazáson alapuló rendelet 4. cikke (2) bekezdésének megfelelően a CRR 467. és 468. cikkében említett prudenciális szűrők átmeneti alkalmazása miatt kizárt, valós értéken értékelt eszközök és kötelezettségek abszolút értéke. | 
| 0060 | Egyéb Az (EU) 2016/101 felhatalmazáson alapuló rendelet 4. cikke (2) bekezdésének megfelelően a számviteli értéküknek a CET1 tőkét csak részben befolyásoló kiigazítása miatt kizárt egyéb pozíciók. Ezt a sort azokban a ritka esetekben kell csak kitölteni, amikor az (EU) 2016/101 felhatalmazáson alapuló rendelet 4. cikke (2) bekezdésének megfelelően kizárt elemek nem rendelhetők hozzá a tábla 0030., 0040. vagy 0050. oszlopához. | 
| 0070 | Az „Egyéb” tételre vonatkozó megjegyzések Meg kell adni a 0060. oszlopban feltüntetett pozíciók kizárásának fő okait. | 
| 0080 | A 4. CIKK (1) BEKEZDÉSE SZERINTI KÜSZÖBÉRTÉKBE BELETARTOZÓ VALÓS ÉRTÉKEN ÉRTÉKELT ESZKÖZÖK ÉS KÖTELEZETTSÉGEK Az (EU) 2016/101 felhatalmazáson alapuló rendelet 4. cikke (1) bekezdésének megfelelően a küszöbérték számításába ténylegesen bevont valós értéken értékelt eszközök és kötelezettségek abszolút értéke. | 
| 0090 | EBBŐL: kereskedési könyv A valós értéken értékelt eszközök és kötelezettségek 0080. oszlopban feltüntetett abszolút értéke, a kereskedési könyvben lévő pozícióknak megfelelően. | 
| Sor | |
| 0010–0210 | E kategóriák definícióinak illeszkedniük kell az 1.1. és 1.2. FINREP tábla megfelelő sorainak definícióihoz. | 
| 0010 | 1.  VALÓS ÉRTÉKEN ÉRTÉKELT ESZKÖZÖK ÉS KÖTELEZETTSÉGEK ÖSSZESEN A 20–210. sorban feltüntetett valós értéken értékelt eszközök és kötelezettségek teljes összege. | 
| 0020 | 1.1  VALÓS ÉRTÉKEN ÉRTÉKELT ESZKÖZÖK ÖSSZESEN A 0030–0140. sorban feltüntetett valós értéken értékelt eszközök teljes összege. A 0030–0130. sorok releváns mezőit az e végrehajtási rendelet III. és IV. mellékletének FINREP F 01.01. táblájával összhangban kell kitölteni, az intézmény alkalmazandó standardjai függvényében: — Az 1606/2002/EK európai parlamenti és tanácsi rendelet alkalmazásában az Unió által jóváhagyott IFRS („EU IFRS”) (1); — az EU IFRS standardokkal kompatibilis nemzeti számviteli standardok („IFRS-kompatibilis nemzeti GAAP”); vagy — a BAD irányelven alapuló nemzeti GAAP (FINREP „BAD alapján kidolgozott nemzeti GAAP”). | 
| 0030 | 1.1.1  KERESKEDÉSI CÉLLAL TARTOTT PÉNZÜGYI ESZKÖZÖK IFRS 9 A. függelék. Az ebben a sorban feltüntetett információ megfelel az e végrehajtási rendelet III. és IV. melléklete F 01.01. táblája 050. sorának. | 
| 0040 | 1.1.2.  KERESKEDÉSI CÉLÚ PÉNZÜGYI ESZKÖZÖK A BAD 32. és 33. cikke; E végrehajtási rendelet V. mellékletének 1.17. része Az ebben a sorban feltüntetett információ megfelel az e végrehajtási rendelet III. és IV. melléklete F 01.01. táblája 091. sorának. | 
| 0050 | 1.1.3  KÖTELEZŐEN AZ EREDMÉNNYEL SZEMBEN VALÓS ÉRTÉKEN ÉRTÉKELT, NEM KERESKEDÉSI CÉLÚ PÉNZÜGYI ESZKÖZÖK IFRS 7 8. bekezdésének a) ii. pontja; IFRS 9 4.1.4. bekezdése. Az ebben a sorban feltüntetett információ megfelel az e végrehajtási rendelet III. és IV. melléklete F 01.01. táblája 096. sorának. | 
| 0060 | 1.1.4  AZ EREDMÉNNYEL SZEMBEN VALÓS ÉRTÉKEN ÉRTÉKELTNEK MEGJELÖLT PÉNZÜGYI ESZKÖZÖK IFRS 7 8. bekezdésének a) i. pontja; IFRS 9 4.1.5. bekezdése; az AD 8. cikke (1) bekezdésének a) pontja, valamint 8. cikkének (6) bekezdése Az ebben a sorban feltüntetett információ megfelel az e végrehajtási rendelet III. és IV. melléklete F 01.01. táblája 100. sorának. | 
| 0070 | 1.1.5  AZ EGYÉB ÁTFOGÓ JÖVEDELEMMEL SZEMBEN VALÓS ÉRTÉKEN ÉRTÉKELT PÉNZÜGYI ESZKÖZÖK IFRS 7 8. bekezdésének h) pontja; IFRS 9 4.1.2A. bekezdése. Az ebben a sorban feltüntetett információ megfelel az e végrehajtási rendelet III. és IV. melléklete F 01.01. táblája 141. sorának. | 
| 0080 | 1.1.6  EREDMÉNNYEL SZEMBEN VALÓS ÉRTÉKEN ÉRTÉKELT, NEM KERESKEDÉSI CÉLÚ, NEM SZÁRMAZTATOTT PÉNZÜGYI ESZKÖZÖK A BAD 36. cikkének (2) bekezdése. Az ebben a sorban feltüntetett információ megfelel az e végrehajtási rendelet III. és IV. melléklete F 01.01. táblája 171. sorának. | 
| 0090 | 1.1.7  A SAJÁT TŐKÉVEL SZEMBEN VALÓS ÉRTÉKEN ÉRTÉKELT, NEM KERESKEDÉSI CÉLÚ, NEM SZÁRMAZTATOTT PÉNZÜGYI ESZKÖZÖK Az AD 8. cikke (1) bekezdésének a) pontja és 8. cikkének (8) bekezdése Az ebben a sorban feltüntetett információ megfelel az e végrehajtási rendelet III. és IV. melléklete F 01.01. táblája 175. sorának. | 
| 0100 | 1.1.8  EGYÉB NEM KERESKEDÉSI CÉLÚ, NEM SZÁRMAZTATOTT PÉNZÜGYI ESZKÖZÖK A BAD 37. cikke; Az AD 12. cikkének (7) bekezdése; E végrehajtási rendelet V. mellékletének 1.20. része Az ebben a sorban feltüntetett információ megfelel az e végrehajtási rendelet III. és IV. melléklete F 01.01. táblája 234. sorának. | 
| 0110 | 1.1.9  SZÁRMAZTATOTT ÜGYLETEK – FEDEZETI ELSZÁMOLÁSOK IFRS 9 6.2.1. bekezdése; E végrehajtási rendelet V. mellékletének 1.22. része; az AD 8. cikke (1) bekezdésének a) pontja, valamint 8. cikkének (6) és (8) bekezdése; IAS 39 9. bekezdése Az ebben a sorban feltüntetett információ megfelel az e végrehajtási rendelet III. és IV. melléklete F 01.01. táblája 240. sorának. | 
| 0120 | 1.1.10  KAMATLÁBKOCKÁZATRA VONATKOZÓ PORTFÓLIÓFEDEZETI ÜGYLET SORÁN FEDEZETT TÉTELEK VALÓS ÉRTÉKÉNEK VÁLTOZÁSA IAS 39 89A. bekezdésének a) pontja; IFRS 9 6.5.8. bekezdése; Az AD 8. cikkének (5) és (6) bekezdése. Az ebben a sorban feltüntetett információ megfelel az e végrehajtási rendelet III. és IV. melléklete F 01.01. táblája 250. sorának. | 
| 0130 | 1.1.11  LEÁNYVÁLLALATOKBAN, KÖZÖS VÁLLALKOZÁSOKBAN ÉS TÁRSULT VÁLLALKOZÁSOKBAN LÉVŐ BEFEKTETÉSEK IAS 1 54. bekezdésének e) pontja; E végrehajtási rendelet V. mellékletének 1.21. és 2.4. része; a BAD 4. cikkének 7. és 8. pontja; az AD 2. cikkének (2) bekezdése Az ebben a sorban feltüntetett információ megfelel az e végrehajtási rendelet III. és IV. melléklete F 01.01. táblája 260. sorának. | 
| 0140 | 1.1.12  (–) VALÓS ÉRTÉKEN ÉRTÉKELT, KERESKEDÉSI CÉLÚ ESZKÖZÖKRE VONATKOZÓ HAIRCUTOK E végrehajtási rendelet V. mellékletének 1.29. része Az ebben a sorban feltüntetett információ megfelel az e végrehajtási rendelet III. és IV. melléklete F 01.01. táblája 375. sorának. | 
| 0150 | 1.2  VALÓS ÉRTÉKEN ÉRTÉKELT KÖTELEZETTSÉGEK ÖSSZESEN A 0160–0210. sorban feltüntetett valós értéken értékelt kötelezettségek teljes összege. A 0150–0190. sorok releváns mezőit az e végrehajtási rendelet III. és IV. mellékletének FINREP F 01.02. táblájával összhangban kell kitölteni, az intézmény alkalmazandó standardjai függvényében: — az 1606/2002/EK rendelet alkalmazásában az Unió által jóváhagyott IFRS („EU IFRS”) — az EU IFRS standardokkal kompatibilis nemzeti számviteli standardok („IFRS-kompatibilis nemzeti GAAP”) — vagy a BAD irányelven alapuló nemzeti GAAP (FINREP „BAD alapján kidolgozott nemzeti GAAP”). | 
| 0160 | 1.2.1  KERESKEDÉSI CÉLLAL TARTOTT PÉNZÜGYI ESZKÖZÖK IFRS 7 8. bekezdésének e) ii. pontja; IFRS 9 BA.6 bekezdése. Az ebben a sorban feltüntetett információ megfelel az e végrehajtási rendelet III. és IV. melléklete F 01.02. táblája 010. sorának. | 
| 0170 | 1.2.2.  KERESKEDÉSI CÉLÚ PÉNZÜGYI KÖTELEZETTSÉGEK Az AD 8. cikke (1) bekezdésének a) pontja, valamint 8. cikkének (3) és (6) bekezdése Az ebben a sorban feltüntetett információ megfelel az e végrehajtási rendelet III. és IV. melléklete F 01.02. táblája 061. sorának. | 
| 0180 | 1.2.3  AZ EREDMÉNNYEL SZEMBEN VALÓS ÉRTÉKEN ÉRTÉKELTNEK MEGJELÖLT PÉNZÜGYI KÖTELEZETTSÉGEK IFRS 7 8. bekezdésének e) i. pontja IFRS 9 4.2.2. bekezdése; Az AD 8. cikke (1) bekezdésének a) pontja, valamint 8. cikkének (6) bekezdése; IAS 39 9. bekezdése. Az ebben a sorban feltüntetett információ megfelel az e végrehajtási rendelet III. és IV. melléklete F 01.02. táblája 070. sorának. | 
| 0190 | 1.2.4  SZÁRMAZTATOTT ÜGYLETEK – FEDEZETI ELSZÁMOLÁSOK IFRS 9 6.2.1. bekezdése; E végrehajtási rendelet V. mellékletének 1.26. része; az AD 8. cikke (1) bekezdésének a) pontja, 8. cikkének (6) bekezdése, valamint 8. cikke (8) bekezdésének a) pontja; Az ebben a sorban feltüntetett információ megfelel az e végrehajtási rendelet III. és IV. melléklete F 01.02. táblája 150. sorának. | 
| 0200 | 1.2.5  KAMATLÁBKOCKÁZATRA VONATKOZÓ PORTFÓLIÓFEDEZETI ÜGYLET SORÁN FEDEZETT TÉTELEK VALÓS ÉRTÉKÉNEK VÁLTOZÁSA IAS 39 89A. bekezdésének b) pontja, IFRS 9 6.5.8. bekezdése; Az AD 8. cikkének (5) és (6) bekezdése; E végrehajtási rendelet V. mellékletének 2.8. része Az ebben a sorban feltüntetett információ megfelel az e végrehajtási rendelet III. és IV. melléklete F 01.02. táblája 160. sorának. | 
| 0210 | 1.2.6  VALÓS ÉRTÉKEN ÉRTÉKELT, KERESKEDÉSI CÉLÚ KÖTELEZETTSÉGEKRE VONATKOZÓ HAIRCUTOK E végrehajtási rendelet V. mellékletének 1.29. része Az ebben a sorban feltüntetett információ megfelel az e végrehajtási rendelet III. és IV. melléklete F 01.02. táblája 295. sorának. | 
| (1) Az Európai Parlament és a Tanács 1606/2002/EK rendelete (2002. július 19.) a nemzetközi számviteli standardok alkalmazásáról (HL L 243., 2002.9.11., 1. o.). | |
6.2. C 32.02 - PRUDENS ÉRTÉKELÉS: ALAPVETŐ MÓDSZER (PRUVAL 2)
6.2.1. Általános megjegyzések
154c. E tábla célja a CRR 34. és 105. cikke szerint a szavatolótőkéből levonandó kiegészítő értékelési korrekciók teljes összegének összetételére vonatkozó információt nyújtani, a kiegészítő értékelési korrekciók meghatározását indokolttá tevő pozíciók számviteli értékelésére vonatkozó releváns információk mellett.
154d. Ezt a táblát minden olyan intézménynek ki kell töltenie, amely:
a) az alapvető módszert köteles használni az (EU) 2016/101 felhatalmazáson alapuló rendelet 4. cikkének (1) bekezdésében említett értékhatár akár egyedi, akár konszolidált alapon történő meghaladása miatt, az említett rendelet 4. cikkének (3) bekezdésében meghatározottak szerint, vagy
b) annak ellenére, hogy nem haladja meg az értékhatárt, az alapvető módszer alkalmazása mellett döntött.
154e. E tábla alkalmazásában a "felső bizonytalansági érték" a következő: Az (EU) 2016/101 felhatalmazáson alapuló rendelet 8. cikke (2) bekezdésének meghatározása alapján a kiegészítő értékelési korrekciók kiszámítása a valós érték és egy olyan 90 %-os konfidenciaszinten meghatározott prudens érték különbözeteként történik, miszerint az intézmények a valószerű értékek névleges tartományán belül az adott ponton vagy annál jobban tudnak kilépni a kitettségből. A felső érték vagy "felső bizonytalansági érték" a valószerű értékek eloszlásában az ellentétes pont, amelynél az intézményeknek csak 10 %-os a konfidenciaszintjük azt illetően, hogy az adott ponton vagy annál jobban tudnak kilépni a pozícióból. A felső bizonytalansági érték kiszámításának és aggregálásának alapja ugyanaz, mint a kiegészítő értékelési korrekció teljes összegéé, de a kiegészítő értékelési korrekció teljes összegének meghatározásakor használt 90 %-ot fel kell váltani egy 10 %-os bizonyossági szinttel.
6.2.2. A tábla egyes részeire vonatkozó útmutató
| Oszlop | |
| 0010–0100 | KATEGÓRIASZINTŰ KIEGÉSZÍTŐ ÉRTÉKELÉSI KORREKCIÓ Az (EU) 2016/101 felhatalmazáson alapuló rendelet 9–11. cikkében, illetve 14–17. cikkében leírtak szerint kell kiszámítani a piaci ár bizonytalanságával, a pozíciózárási költségekkel, a modellkockázattal, a koncentrált pozíciókkal, a jövőbeli adminisztratív költségekkel, a lejárat előtti visszaváltással és a működési kockázattal kapcsolatos kategóriaszintű kiegészítő értékelési korrekciókat. A piaci ár bizonytalansága, a pozíciózárási költségek és a modellkockázat kategóriák esetében, amelyekre az (EU) 2016/101 felhatalmazáson alapuló rendelet 9. cikkének (6) bekezdésében, 10. cikkének (7) bekezdésében illetve 11. cikkének (7) bekezdésében meghatározottak szerint diverzifikációs előny vonatkozik, a kategóriaszintű kiegészítő értékelési korrekciókat eltérő rendelkezés hiányában úgy kell feltüntetni, mint az egyedi kiegészítő értékelési korrekciók egyszerű összege a diverzifikációs előny előtt [mivel az (EU) 2016/101 felhatalmazáson alapuló rendelet mellékletében szereplő 1. módszer vagy a 2. módszer használatával számított diverzifikációs nyereséget a tábla 1.1.2., 1.1.2.1. és 1.1.2.2. tételében kell feltüntetni]. A piaci ár bizonytalansága, a pozíciózárási költségek és a modellkockázat kategóriák esetében az (EU) 2016/101 felhatalmazáson alapuló rendelet 9. cikke (5) bekezdésének b) pontjában, 10. cikke (6) bekezdésének b) pontjában és 11. cikkének (4) bekezdésében említettek szerint a szakértői módszerrel kiszámított összegeket elkülönítve, a 0020., 0040. és 0060. oszlopban kell feltüntetni. | 
| 0010 | PIACI ÁR BIZONYTALANSÁGA A CRR 105. cikkének (10) bekezdése. Az (EU) 2016/101 felhatalmazáson alapuló rendelet 9. cikkének megfelelően számított, a piaci ár bizonytalanságához kapcsolódó kiegészítő értékelési korrekciók. | 
| 0020 | EBBŐL: A SZAKÉRTŐI MÓDSZERREL SZÁMÍTVA Az (EU) 2016/101 felhatalmazáson alapuló rendelet 9. cikke (5) bekezdése b) pontjának megfelelően számított, a piaci ár bizonytalanságához kapcsolódó kiegészítő értékelési korrekciók. | 
| 0030 | POZÍCIÓZÁRÁSI KÖLTSÉGEK A CRR 105. cikkének (10) bekezdése. Az (EU) 2016/101 felhatalmazáson alapuló rendelet 10. cikkének megfelelően számított, a pozíciózárási költségekhez kapcsolódó kiegészítő értékelési korrekciók. | 
| 0040 | EBBŐL: A SZAKÉRTŐI MÓDSZERREL SZÁMÍTVA Az (EU) 2016/101 felhatalmazáson alapuló rendelet 10. cikke (6) bekezdése b) pontjának megfelelően számított, a pozíciózárási költségekhez kapcsolódó kiegészítő értékelési korrekciók. | 
| 0050 | MODELLKOCKÁZAT A CRR 105. cikkének (10) bekezdése Az (EU) 2016/101 felhatalmazáson alapuló rendelet 11. cikkének megfelelően számított, a modellkockázathoz kapcsolódó kiegészítő értékelési korrekciók. | 
| 0060 | EBBŐL: A SZAKÉRTŐI MÓDSZERREL SZÁMÍTVA Az (EU) 2016/101 felhatalmazáson alapuló rendelet 11. cikkének (4) bekezdése szerint számított, a modellkockázathoz kapcsolódó kiegészítő értékelési korrekciók. | 
| 0070 | KONCENTRÁLT POZÍCIÓK A CRR 105. cikkének (11) bekezdése Az (EU) 2016/101 felhatalmazáson alapuló rendelet 14. cikkének megfelelően számított, a koncentrált pozíciókhoz kapcsolódó kiegészítő értékelési korrekciók. | 
| 0080 | JÖVŐBELI ADMINISZTRATÍV KÖLTSÉGEK A CRR 105. cikkének (10) bekezdése Az (EU) 2016/101 felhatalmazáson alapuló rendelet 15. cikkének megfelelően számított, a jövőbeli adminisztratív költségekhez kapcsolódó kiegészítő értékelési korrekciók. | 
| 0090 | LEJÁRAT ELŐTTI VISSZAVÁLTÁS A CRR 105. cikkének (10) bekezdése Az (EU) 2016/101 felhatalmazáson alapuló rendelet 16. cikkének megfelelően számított, a lejárat előtti visszaváltáshoz kapcsolódó kiegészítő értékelési korrekciók. | 
| 0100 | MŰKÖDÉSI KOCKÁZAT A CRR 105. cikkének (10) bekezdése Az (EU) 2016/101 felhatalmazáson alapuló rendelet 17. cikkének megfelelően számított, működési kockázathoz kapcsolódó kiegészítő értékelési korrekciók. | 
| 0110 | KIEGÉSZÍTŐ ÉRTÉKELÉSI KORREKCIÓ ÖSSZESEN 0010. sor: a CRR 34. és 105. cikke szerint a szavatolótőkéből levonandó kiegészítő értékelési korrekciók teljes összege, amelyet megfelelően a C 01.00 tábla 290. sorában kell feltüntetni. A kiegészítő értékelési korrekciók teljes összege a 0030. és a 0180. sor összege. 0020. sor: A 0010. sorban feltüntetett kiegészítő értékelési korrekciók teljes összegének a kereskedési könyvi pozíciókból eredő része (abszolút érték). 0030–0160. sor: A 0010., 0030., 0050. és a 0070–0100. sor összege. 0180–0210. sor: A tartalékmódszer (fall-back-approach) szerinti portfóliókból eredő kiegészítő értékelési korrekciók teljes összege. | 
| 0120 | FELSŐ BIZONYTALANSÁGI ÉRTÉK Az (EU) 2016/101 felhatalmazáson alapuló rendelet 8. cikkének (2) bekezdése. A felső bizonytalansági érték kiszámításának és aggregálásának alapja ugyanaz, mint a kiegészítő értékelési korrekció 0110. oszlopban számított teljes összegéé, de a kiegészítő értékelési korrekció teljes összegének meghatározásakor használt 90 %-ot fel kell váltani egy 10 %-os bizonyossági szinttel. | 
| 0130–0140 | VALÓS ÉRTÉKEN ÉRTÉKELT ESZKÖZÖK ÉS KÖTELEZETTSÉGEK A valós értéken értékelt eszközöknek és kötelezettségeknek a kiegészítő értékelési korrekciók 0010–0130. és 0180. sorban feltüntetett értékeinek megfelelő abszolút értéke. Néhány sor, különösen a 0090–0130. sor esetében előfordulhat, hogy ezeket az összegeket szakértői megítélés alapján közelíteni vagy allokálni kell. 0010. sor: Az (EU) 2016/101 felhatalmazáson alapuló rendelet 4. cikkének (1) bekezdése szerinti küszöbérték-számításba bevont valós értéken értékelt eszközök és kötelezettségek teljes abszolút értéke. Ez magában foglalja azon valós értéken értékelt eszközök és kötelezettségek abszolút értékét, amelyek esetében az (EU) 2016/101 felhatalmazáson alapuló rendelet 9. cikkének (2) bekezdése, 10. cikkének (2) bekezdése vagy 10. cikkének (3) bekezdése szerint nulla értékkel értékeltek a kiegészítő értékelési korrekciók, amelyeket elkülönítve kell feltüntetni a 0070. és 0080. sorban. A 0010. sor a 0030. és a 0180. sor összege. 0020. sor: A 0010. sorban feltüntetett valós értéken értékelt eszközök és kötelezettségek teljes abszolút értékének a kereskedési könyvi pozíciókból eredő része (abszolút érték). | 
| 0030. sor: Az (EU) 2016/101 felhatalmazáson alapuló rendelet 9–17. cikkében említett portfólióknak megfelelő, valós értéken értékelt eszközök és kötelezettségek abszolút értéke. Ez magában foglalja azon valós értéken értékelt eszközök és kötelezettségek abszolút értékét, amelyek esetében az (EU) 2016/101 felhatalmazáson alapuló rendelet 9. cikkének (2) bekezdése, 10. cikkének (2) bekezdése vagy 10. cikkének (3) bekezdése szerint nulla értékkel értékeltek a kiegészítő értékelési korrekciók, amelyeket elkülönítve kell feltüntetni a 0070. és 0080. sorban. A 0030. sor a 0090–0130. sor összege. 0050. sor: Nem realizált hitelkockázati felárral kapcsolatos kiegészítő értékelési korrekció számításába bevont, valós értéken értékelt eszközök és kötelezettségek abszolút értéke. Ennek a kiegészítő értékelési korrekciónak a kiszámítása céljából az (EU) 2016/101 felhatalmazáson alapuló rendelet 4. cikkének (2) bekezdése szerint az értékhatár-számításból kizárt, pontosan megegyező, valós értéken értékelt kiegyenlítő eszközök és kötelezettségek nem tekinthetők többé pontosan megegyezőnek, kiegyenlítőnek. 0060. sor: Befektetési és finanszírozási költségekkel kapcsolatos kiegészítő értékelési korrekció számításába bevont, valós értéken értékelt eszközök és kötelezettségek abszolút értéke. Ennek a kiegészítő értékelési korrekciónak a kiszámítása céljából az (EU) 2016/101 felhatalmazáson alapuló rendelet 4. cikkének (2) bekezdése szerint az értékhatár-számításból kizárt, pontosan megegyező, valós értéken értékelt kiegyenlítő eszközök és kötelezettségek nem tekinthetők többé pontosan megegyezőnek, kiegyenlítőnek. 0070. sor: Az (EU) 2016/101 felhatalmazáson alapuló rendelet 9. cikkének (2) bekezdésében említett nulla kiegészítő értékelési korrekcióval rendelkezőnek értékelt értékelési kitettségnek megfelelő, valós értéken értékelt eszközök és kötelezettségek abszolút értéke. 0080. sor: Az (EU) 2016/101 felhatalmazáson alapuló rendelet 10. cikkének (2) és (3) bekezdésében említett nulla kiegészítő értékelési korrekcióval rendelkezőnek értékelt értékelési kitettségnek megfelelő, valós értéken értékelt eszközök és kötelezettségek abszolút értéke. 0090–0130. sor: Az alábbiakban meghatározottak szerint (lásd a kapcsolódó sorokhoz tartozó útmutatót) allokált valós értéken értékelt eszközök és kötelezettségek abszolút értéke a következő kockázati kategóriáknak megfelelően: kamatláb, devizaárfolyam, hitel, részvény, áru. Ez magában foglalja azon valós értéken értékelt eszközök és kötelezettségek abszolút értékét, amelyek esetében az (EU) 2016/101 felhatalmazáson alapuló rendelet 9. cikkének (2) bekezdése, 10. cikkének (2) bekezdése vagy 10. cikkének (3) bekezdése szerint nulla értékkel értékeltek a kiegészítő értékelési korrekciók, amelyeket elkülönítve kell feltüntetni a 0070. és 0080. sorban. 0180. sor: A tartalékmódszer (fall-back approach) szerinti portfólióknak megfelelő valós értéken értékelt eszközök és kötelezettségek abszolút értéke. | |
| 0130 | VALÓS ÉRTÉKEN ÉRTÉKELT ESZKÖZÖK A 0130–0140. oszlopra vonatkozó fenti útmutatóban kifejtettek szerint a különböző soroknak megfelelő valós értéken értékelt eszközök abszolút értéke. | 
| 0140 | VALÓS ÉRTÉKEN ÉRTÉKELT KÖTELEZETTSÉGEK A 0130–0140. oszlopra vonatkozó fenti útmutatóban kifejtettek szerint a különböző soroknak megfelelő valós értéken értékelt kötelezettségek abszolút értéke. | 
| 0150 | QTD BEVÉTEL A 0130–0140. oszlopra vonatkozó fenti útmutatóban kifejtettek szerint a különböző soroknak megfelelő valós értéken értékelt eszközökhöz és kötelezettségekhez rendelt, az utolsó adatszolgáltatási időpont óta keletkezett, aktuális negyedévi bevételek (QTD bevétel), adott esetben szakértői megítélés alapján allokálva vagy közelítve. | 
| 0160 | IPV KÜLÖNBÖZET A CRR 105. cikke (8) bekezdésének megfelelően végrehajtott független árfelülvizsgálat keretében az adatszolgáltatási időponthoz legközelebb eső hónap végén kiszámított ki nem igazított különbözetek („IPV különbözet”) összes pozíciójának és kockázati tényezőjének összege, a releváns pozícióra vagy kockázati tényezőre vonatkozóan elérhető legjobb független adatok figyelembevételével. A ki nem igazított különbözetek a kereskedési rendszerek által generált értékelések és a havi IPV folyamat során értékelt értékelések közötti ki nem igazított különbözeteket jelentik. Nem vonhatók be az IPV különbözet számításába a releváns hónap végi dátumra vonatkozóan az intézmény könyveiben és nyilvántartásaiban szereplő kiigazított különbözetek. | 
| 0170–0250 | VALÓSÉRTÉK-KORREKCIÓK Az intézmény számviteli valós értékében potenciálisan alkalmazott, néha „tartalékok”-ként hivatkozott korrekciók, amelyekre a könyv szerinti értékek generálásához használt értékelési modellen kívül kerül sor (kivéve az első napi nyereség és veszteség elhalasztását), és amely korrekciókról megállapítható, hogy ugyanarra az értékelési bizonytalansági forrásra vonatkozik, mint a releváns kiegészítő értékelési korrekció. Tükrözhetik az értékelési technikán belül figyelembe nem vett, kockázati prémium vagy kilépési költség formájában lévő kockázati tényezőket, és megfelelnek a valós érték definíciójának. Mindazonáltal a piaci szereplőknek az árképzéskor figyelembe kell venniük ezeket a korrekciókat. (IFRS 13 9. bekezdése és IFRS 13 88. bekezdése) | 
| 0170 | PIACI ÁR BIZONYTALANSÁGA Az intézmény valós értékében abból a célból alkalmazott korrekció, hogy tükrözze egyenértékű eszközök, vagy – az értékelési modellhez való piaciparaméter-input tekintetében –az input kalibrálásához felhasznált eszközök megfigyelt ártartományának meglétéből eredő kockázati prémiumot, és amely korrekcióról így megállapítható, hogy ugyanarra az értékelési bizonytalansági forrásra vonatkozik, mint a piaci ár bizonytalanságával kapcsolatos kiegészítő értékelési korrekció. | 
| 0180 | POZÍCIÓZÁRÁSI KÖLTSÉGEK Az intézmény valós értékében azon tény figyelembevétele érdekében alkalmazott korrekció, hogy a pozíciószintű értékelések nem tükrözik a pozícióra vagy portfólióra vonatkozó kilépési árat, különösen, ha az ilyen értékeléseket piaci középárfolyamra kalibrálják, és amely korrekcióról így megállapítható, hogy ugyanarra az értékelési bizonytalansági forrásra vonatkozik, mint a pozíciózárási költségekkel kapcsolatos kiegészítő értékelési korrekció. | 
| 0190 | MODELLKOCKÁZAT Az intézmény valós értékében abból a célból alkalmazott korrekció, hogy tükrözzön olyan piaci vagy terméktényezőket, amelyeket a napi pozícióértékek és -kockázatok kiszámításához használt modell (értékelési modell) nem vesz figyelembe, vagy hogy megfelelő szintű óvatosságot tükrözzön, tekintettel különböző alternatív érvényes modellek és modellkalibrációk meglétéből eredő bizonytalanságra, és amely korrekcióról így megállapítható, hogy ugyanarra az értékelési bizonytalansági forrásra vonatkozik, mint a modellkockázattal kapcsolatos kiegészítő értékelési korrekció. | 
| 0200 | KONCENTRÁLT POZÍCIÓK Az intézmény valós értékében azon tény tükrözése céljából alkalmazott korrekció, hogy az intézménynél lévő aggregált pozíció nagyobb, mint a normál kereskedett volumen, vagy nagyobb azon pozícióméreteknél, amelyeken az értékelési modell által használt árak vagy inputok kalibrálásához használt megfigyelhető árjegyzések vagy ügyletek alapulnak, és amely korrekcióról így megállapítható, hogy ugyanarra az értékelési bizonytalansági forrásra vonatkozik, mint a koncentrált pozíciókkal kapcsolatos kiegészítő értékelési korrekció. | 
| 0210 | NEM REALIZÁLT HITELKOCKÁZATI FELÁR Az intézmény valós értékében a származtatott pozíciók partner általi nemteljesítéséből fakadó várható veszteségek fedezése céljából alkalmazott korrekció (azaz teljes hitelértékelési korrekció (CVA) intézményi szinten). | 
| 0220 | BEFEKTETÉSI ÉS FINANSZÍROZÁSI KÖLTSÉGEK Az intézmény valós értékében a kompenzálás érdekében alkalmazott korrekció, amennyiben az értékelési modellek nem tükrözik teljes mértékben a finanszírozási költséget, amelyet a piaci szereplők egy pozíció vagy portfólió kilépési árában figyelembe vennének (azaz a finanszírozási értékelési korrekció intézményi szinten, ha az intézmény ilyen, vagy esetleg egyenértékű korrekciót számít). | 
| 0230 | JÖVŐBELI ADMINISZTRATÍV KÖLTSÉGEK Az intézmény valós értékében azon adminisztratív költségek tükrözése céljából alkalmazott korrekció, amelyek a portfólió vagy pozíció kapcsán felmerülnek, de amelyeket nem vesz figyelembe az értékelési modell vagy a modell inputjainak kalibrálásához használt árak, és amely korrekcióról így megállapítható, hogy ugyanarra az értékelési bizonytalansági forrásra vonatkozik, mint a jövőbeli adminisztratív költségekkel kapcsolatos kiegészítő értékelési korrekció. | 
| 0240 | LEJÁRAT ELŐTTI VISSZAVÁLTÁS Az intézmény valós értékében azon szerződéses vagy nem szerződéses lejárat előtti visszaváltásra vonatkozó várakozások tükrözése érdekben alkalmazott korrekció, amelyeket nem vesz figyelembe az értékelési modell, és amely korrekcióról így megállapítható, hogy ugyanarra az értékelési bizonytalansági forrásra vonatkozik, mint a lejárat előtti visszaváltással kapcsolatos kiegészítő értékelési korrekció. | 
| 0250 | MŰKÖDÉSI KOCKÁZAT Az intézmény valós értékében azon kockázati prémium tükrözése érdekében alkalmazott korrekció, amelyet a piaci szereplők felszámítanának a portfólióban lévő szerződések fedezéséből, adminisztrációjából és elszámolásából eredő működési kockázatok kompenzációja céljából, és amely korrekcióról így megállapítható, hogy ugyanarra az értékelési bizonytalansági forrásra vonatkozik, mint a működési kockázattal kapcsolatos kiegészítő értékelési korrekció. | 
| 0260 | 1. NAPI EREDMÉNY Azon esetek tükrözése céljából alkalmazott korrekciók, amelyekben az értékelési modell plusz a pozícióra vagy portfólióra alkalmazandó összes többi releváns valósérték-korrekció nem vette figyelembe az első napi megjelenítéskor fizetett vagy kapott árat, azaz az első napi nyereségek és veszteségek elhalasztását (IFRS 9 B5.1.2A. bekezdés). | 
| 0270 | MAGYARÁZAT Az (EU) 2016/101 felhatalmazáson alapuló rendelet 7. cikke (2) bekezdésének b) pontja szerint kezelt pozíciók leírása, és annak magyarázata, hogy miért nem volt lehetséges a rendelet 9–17. cikkének az alkalmazása. | 
| Sor | |
| 0010 | 1.  ALAPVETŐ MÓDSZER ÖSSZESEN Az (EU) 2016/101 felhatalmazáson alapuló rendelet 7. cikkének (2) bekezdése. A 0010–0110. oszlopban említett kiegészítő értékelési korrekciók minden egyes releváns kategóriájára vonatkozóan az (EU) 2016/101 felhatalmazáson alapuló rendelet 3. fejezetében meghatározott alapvető módszer szerint kiszámított kiegészítő értékelési korrekciók teljes összege az említett rendelet 4. cikkének (1) bekezdése szerinti értékhatár-számításba bevont valós értéken értékelt eszközökre és kötelezettségekre vonatkozóan. Ez magában foglalja az (EU) 2016/101 felhatalmazáson alapuló rendelet 9. cikkének (6) bekezdésével, 10. cikkének (7) bekezdésével és 11. cikkének (7) bekezdésével összhangban a 0140. sorban feltüntetett diverzifikációs nyereséget. | 
| 0020 | EBBŐL: KERESKEDÉSI KÖNYV Az (EU) 2016/101 felhatalmazáson alapuló rendelet 7. cikkének (2) bekezdése. A 0010–0110. oszlopban említett kiegészítő értékelési korrekciók minden egyes releváns kategóriájára vonatkozóan a 0010. sorban feltüntetett kiegészítő értékelési korrekciók teljes összegének a kereskedési könyvi pozíciókból eredő része (abszolút érték). | 
| 0030 | 1.1.  AZ (EU) 2016/101 FELHATALMAZÁSON ALAPULÓ BIZOTTSÁGI RENDELET 9–17. CIKKE SZERINTI PORTFÓLIÓK – KATEGÓRIASZINTŰ ÖSSZESÍTÉS DIVERZIFIKÁCIÓ UTÁN Az (EU) 2016/101 felhatalmazáson alapuló rendelet 7. cikke (2) bekezdésének a) pontja A 0010–0110. oszlopban említett kiegészítő értékelési korrekciók minden egyes releváns kategóriájára vonatkozóan az (EU) 2016/101 felhatalmazáson alapuló rendelet 9–17. cikke szerint számított kiegészítő értékelési korrekciók teljes összege az említett rendelet 4. cikkének (1) bekezdése szerinti értékhatár-számításba bevont valós értéken értékelt eszközökre és kötelezettségekre vonatkozóan, kivéve az (EU) 2016/101 felhatalmazáson alapuló rendelet 7. cikke (2) bekezdésének b) pontjában leírt kezelés alá tartozó valós értéken értékelt eszközöket és kötelezettségeket. Ez magában foglalja az (EU) 2016/101 felhatalmazáson alapuló rendelet 12. és 13. cikke szerint számított, a 0050. és 0060. sorban feltüntetett kiegészítő értékelési korrekciókat, amelyeket az említett rendelet 12. cikkének (2) bekezdésében és 13. cikkének (2) bekezdésében meghatározottak szerint tartalmaznak a piaci ár bizonytalanságával kapcsolatos, a pozíciózárási költségekkel kapcsolatos, és a modellkockázattal kapcsolatos kiegészítő értékelési korrekciók. Ez magában foglalja az (EU) 2016/101 felhatalmazáson alapuló rendelet 9. cikkének (6) bekezdésével, 10. cikkének (7) bekezdésével és 11. cikkének (7) bekezdésével összhangban a 0140. sorban feltüntetett diverzifikációs nyereséget. A 0030. sornak a 0040. és 0140. sor különbözetének kell lennie. | 
| 0040–0130 | 1.1.1  KATEGÓRIASZINTŰ ÖSSZESÍTÉS DIVERZIFIKÁCIÓ ELŐTT A 0090–0130. sor esetében az intézményeknek az (EU) 2016/101 felhatalmazáson alapuló rendelet 4. cikkének (1) bekezdése szerinti értékhatár-számításba bevont (kereskedési könyvi és nem kereskedési könyvi) valós értéken értékelt eszközeiket és kötelezettségeiket a következő kockázati kategóriákhoz kell allokálniuk: kamatláb, devizaárfolyam, hitel, részvény, áru. Az intézmények e célból belső kockázatkezelési struktúrájukra támaszkodnak, és a szakértői megítélés alapján kidolgozott hozzárendelést követve üzletágaikat vagy kereskedési egységeiket a legmegfelelőbb kockázati kategóriához rendelik. Az allokált üzletágaknak vagy kereskedési egységeknek megfelelő kiegészítő értékelési korrekciókat, valósérték-korrekciókat és egyéb előírt információkat ugyanazon releváns kockázati kategóriába kell allokálni, hogy a sorok szintjén minden egyes kockázati kategória esetében biztosított legyen mind a prudenciális célból, mind a számviteli célból végrehajtott korrekciók következetes áttekintése, valamint az érintett pozíciók nagyságának megjelölése (a valós értéken értékelt eszközök és kötelezettségek szempontjából). Amennyiben a kiegészítő értékelési korrekciókat vagy egyéb korrekciókat eltérő aggregálási szinte számítják, mindenekelőtt a vállalkozás szintjén, az intézményeknek ki kell dolgozniuk egy allokációs módszert a kiegészítő értékelési korrekcióknak a releváns pozícióhalmazokhoz való rendeléséhez. Az allokációs módszernek azt kell eredményeznie, hogy a 0040. sor a 0050–0130. sorok összege legyen a 0010–0100. oszlop esetében. Az alkalmazott módszertől függetlenül a feltüntetett információknak a lehető legnagyobb mértékben következetesnek kell lenniük a sorok szintjén, mivel a megadott információk ezen a szinten kerülnek összehasonlításra (kiegészítő értékelési korrekciók összegei, felső bizonytalansági érték, valósérték-összegek és potenciális valósérték-korrekciók). A 0090–0130. sor szerinti bontás nem foglalja magában az (EU) 2016/101 felhatalmazáson alapuló rendelet 12. és 13. cikke alapján számított, a 0050. és 0060. sorban feltüntetett kiegészítő értékelési korrekciókat, amelyeket az említett rendelet 12. cikkének (2) bekezdésében és 13. cikkének (2) bekezdésében meghatározottak szerint tartalmaznak a piaci ár bizonytalanságával kapcsolatos, a pozíciózárási költségekkel kapcsolatos, és a modellkockázattal kapcsolatos kiegészítő értékelési korrekciók. A diverzifikációs nyereségek az (EU) 2016/101 felhatalmazáson alapuló rendelet 9. cikkének (6) bekezdésével, 10. cikkének (7) bekezdésével és 11. cikkének (7) bekezdésével összhangban a 0140. sorban vannak feltüntetve, ezért nem szerepelnek a 0040–0130. sorban. | 
| 0050 | EBBŐL: NEM REALIZÁLT HITELKOCKÁZATI FELÁR KIEGÉSZÍTŐ ÉRTÉKELÉSI KORREKCIÓJA A CRR 105. cikkének (10) bekezdése, az (EU) 2016/101 felhatalmazáson alapuló rendelet 12. cikke. A nem realizált hitelkockázati felárra vonatkozóan kiszámított kiegészítő értékelési korrekció teljes összege, és az (EU) 2016/101 felhatalmazáson alapuló rendelet 12. cikk szerinti allokációja a piaci ár bizonytalanságával, a pozíciózárási költségekkel és a modellkockázattal kapcsolatos kiegészítő értékelési korrekciók között. 0110. oszlop: A kiegészítő értékelési korrekciók teljes összege csak tájékoztatásul szerepel, mivel a piaci ár bizonytalanságával, a pozíciózárási költségekkel és a modellkockázattal kapcsolatos kiegészítő értékelési korrekciók közötti allokációjának eredményeképp – a diverzifikációs nyereségek figyelembevétele után – a vonatkozó kategóriaszintű kiegészítő értékelési korrekciók alá kerül. 0130. és 0140. oszlop: Nem realizált hitelkockázati felárral kapcsolatos kiegészítő értékelési korrekciók számításába bevont, valós értéken értékelt eszközök és kötelezettségek abszolút értéke. Ennek a kiegészítő értékelési korrekciónak a kiszámítása céljából az (EU) 2016/101 felhatalmazáson alapuló rendelet 4. cikkének (2) bekezdése szerint az értékhatár-számításból kizárt pontosan megegyező, valós értéken értékelt kiegyenlítő eszközök és kötelezettségek nem tekinthetők többé pontosan megegyezőnek, kiegyenlítőnek. | 
| 0060 | EBBŐL: BEFEKTETÉSI ÉS FINANSZÍROZÁSI KÖLTSÉGEK KIEGÉSZÍTŐ ÉRTÉKELÉSI KORREKCIÓJA A CRR 105. cikkének (10) bekezdése, az (EU) 2016/101 felhatalmazáson alapuló rendelet 17. cikke. A befektetési és finanszírozási költségekre vonatkozóan kiszámított kiegészítő értékelési korrekció teljes összege, és az (EU) 2016/101 felhatalmazáson alapuló rendelet 13. cikk szerinti allokációja a piaci ár bizonytalanságával, a pozíciózárási költségekkel és a modellkockázattal kapcsolatos kiegészítő értékelési korrekciók között. 0110. oszlop: A kiegészítő értékelési korrekciók teljes összege csak tájékoztatásul szerepel, mivel a piaci ár bizonytalanságával, a pozíciózárási költségekkel és a modellkockázattal kapcsolatos kiegészítő értékelési korrekciók közötti allokációjának eredményeképp – a diverzifikációs nyereségek figyelembevétele után – a vonatkozó kategóriaszintű kiegészítő értékelési korrekciók alá kerül. 0130. és 0140. oszlop: Befektetési és finanszírozási költségekkel kapcsolatos kiegészítő értékelési korrekció számításába bevont, valós értéken értékelt eszközök és kötelezettségek abszolút értéke. Ennek a kiegészítő értékelési korrekciónak a kiszámítása céljából az (EU) 2016/101 felhatalmazáson alapuló rendelet 4. cikkének (2) bekezdése szerint az értékhatár-számításból kizárt pontosan megegyező, valós értéken értékelt kiegyenlítő eszközök és kötelezettségek nem tekinthetők többé pontosan megegyezőnek, kiegyenlítőnek. | 
| 0070 | EBBŐL: AZ (EU) 2016/101 FELHATALMAZÁSON ALAPULÓ RENDELET 9. CIKKÉNEK (2) BEKEZDÉSE SZERINT NULLA ÉRTÉKKEL ÉRTÉKELT KIEGÉSZÍTŐ ÉRTÉKELÉSI KORREKCIÓ Az (EU) 2016/101 felhatalmazáson alapuló rendelet 9. cikkének (2) bekezdése szerint nulla kiegészítő értékelési korrekcióval rendelkezőnek értékelt értékelési kitettségnek megfelelő, valós értéken értékelt eszközök és kötelezettségek abszolút értéke. | 
| 0080 | EBBŐL: AZ (EU) 2016/101 FELHATALMAZÁSON ALAPULÓ RENDELET10. CIKKÉNEK (2) ÉS (3) BEKEZDÉSE SZERINT NULLA ÉRTÉKKEL ÉRTÉKELT KIEGÉSZÍTŐ ÉRTÉKELÉSI KORREKCIÓ Az (EU) 2016/101 felhatalmazáson alapuló rendelet 10. cikkének (2) bekezdése vagy 10. cikkének (3) bekezdése szerint nulla kiegészítő értékelési korrekcióval rendelkezőnek értékelt értékelési kitettségnek megfelelő, valós értéken értékelt eszközök és kötelezettségek abszolút értéke. | 
| 0090 | 1.1.1.1 KAMATOK | 
| 0100 | 1.1.1.2 DEVIZA | 
| 0110 | 1.1.1.3. HITEL | 
| 0120 | 1.1.1.4 RÉSZVÉNYEK | 
| 0130 | 1.1.1.5 ÁRUK | 
| 0140 | 1.1.2  (–) DIVERZIFIKÁCIÓS ELŐNYÖK A diverzifikációs nyereség teljes összege. A 0150. és 0160. sor összege. | 
| 0150 | 1.1.2.1  (-) AZ 1. MÓDSZERREL SZÁMÍTOTT DIVERZIFIKÁCIÓS ELŐNY Az (EU) 2016/101 felhatalmazáson alapuló rendelet 9. cikkének (6) bekezdésével, 10. cikkének (7) bekezdésével és 11. cikkének (6) bekezdésével összhangban a kiegészítő értékelési korrekciók 1. módszer szerint összesített kategóriái esetében az egyedi kiegészítő értékelési korrekciók összege és a teljes kategóriaszintű kiegészítő értékelési korrekció – az összesítés céljából végzett korrekciót követő – összege közötti különbség. | 
| 0160 | 1.1.2.2  (–) A 2. MÓDSZERREL SZÁMÍTOTT DIVERZIFIKÁCIÓS ELŐNY Az (EU) 2016/101 felhatalmazáson alapuló rendelet 9. cikkének (6) bekezdésével, 10. cikkének (7) bekezdésével és 11. cikkének (6) bekezdésével összhangban a kiegészítő értékelési korrekciók 2. módszer szerint összesített kategóriái esetében az egyedi kiegészítő értékelési korrekciók összege és a teljes kategóriaszintű kiegészítő értékelési korrekció – az összesítés céljából végzett korrekciót követő – összege közötti különbség. | 
| 0170 | 1.1.2.2*  TÁJÉKOZTATÓ ADAT: DIVERZIFIKÁCIÓ ELŐTTI KIEGÉSZÍTŐ ÉRTÉKELÉSI KORREKCIÓK, AMELYEK 90 %-OT MEGHALADÓ MÉRTÉKBEN CSÖKKENNEK A 2. MÓDSZER SZERINTI DIVERZIFIKÁCIÓVAL A 2. módszer terminológiájában a FV – PV összege minden értékelési kitettség esetében, amelyeknél APVA < 10 % (FV – PV). | 
| 0180 | 1.2  A TARTALÉKMÓDSZER (FALL-BACK APPROACH) SZERINTI PORTFÓLIÓK Az (EU) 2016/101 felhatalmazáson alapuló rendelet 7. cikke (2) bekezdésének b) pontja Az (EU) 2016/101 felhatalmazáson alapuló rendelet 7. cikke (2) bekezdésének b) pontja szerinti tartalékmódszer alá tartozó portfóliók esetében a teljes kiegészítő értékelési korrekciót a 0190., 0200. és a 0210. sor összegeként kell kiszámítani. A vonatkozó mérleg- és egyéb háttérinformációkat a 0130–0260. oszlopban kell megadni. A pozíciók leírását és annak magyarázatát, hogy miért nem volt lehetséges az (EU) 2016/101 felhatalmazáson alapuló rendelet 9–17. cikkének alkalmazása, a 0270. oszlopban kell megadni. | 
| 0190 | 1.2.1  TARTALÉKMÓDSZER (FALL-BACK APPROACH); A NEM REALIZÁLT NYERESÉG 100 %-A Az (EU) 2016/101 felhatalmazáson alapuló rendelet 7. cikke (2) bekezdése b) pontjának i. alpontja | 
| 0200 | 1.2.2  TARTALÉKMÓDSZER (FALL-BACK APPROACH); A NÉVLEGES ÉRTÉK 10 %-A Az (EU) 2016/101 felhatalmazáson alapuló rendelet 7. cikke (2) bekezdése b) pontjának ii. alpontja | 
| 0210 | 1.2.3  TARTALÉKMÓDSZER (FALL-BACK APPROACH); A KEZDETI ÉRTÉK 25 %-A Az (EU) 2016/101 felhatalmazáson alapuló rendelet 7. cikke (2) bekezdése b) pontjának iii. alpontja | 
6.3. C 32.03 - PRUDENS ÉRTÉKELÉS: MODELLKOCKÁZAT KIEGÉSZÍTŐ ÉRTÉKELÉSI KORREKCIÓJA (PRUVAL 3)
6.3.1. Általános megjegyzések
154f. Ezt a táblát kizárólag olyan intézményeknek kell kitölteniük, amelyek saját szintjükön meghaladják az (EU) 2016/101 felhatalmazáson alapuló rendelet 4. cikkének (1) bekezdésében említett értékhatárt. A valamely, az értékhatárt konszolidált szinten meghaladó csoport részét képező intézményeknek csak akkor kell kitölteniük ezt a táblát, ha a saját szintjükön is meghaladják az értékhatárt.
154g. Ebben a táblában az (EU) 2016/101 felhatalmazáson alapuló rendelet 11. cikkével összhangban kiszámított teljes kategóriaszintű, modellkockázattal kapcsolatos kiegészítő értékelési korrekcióhoz hozzájáruló, a kiegészítő értékelési korrekció összegét tekintve első 20 egyedi, modellkockázattal kapcsolatos kiegészítő értékelési korrekció részleteit kell feltüntetni. Ez az információ megfelel a C 32.02. tábla 0050. oszlopában megadott információknak.
154h. Az első 20 egyedi, modellkockázattal kapcsolatos kiegészítő értékelési korrekciót és a kapcsolódó termékinformációkat csökkenő sorrendben, a legnagyobb egyedi, modellkockázattal kapcsolatos kiegészítő értékelési korrekcióval kezdve kell feltüntetni.
154i. Az ezen legnagyobb egyedi, modellkockázattal kapcsolatos kiegészítő értékelési korrekcióknak megfelelő termékeket az (EU) 2016/101 felhatalmazáson alapuló rendelet 19. cikke (3) bekezdésének a) pontjában előírt termékleltár használatával kell feltüntetni.
154j. Amennyiben a termékek az értékelési modell és a modellkockázattal kapcsolatos kiegészítő értékelési korrekció tekintetében kellően homogének, össze kell vonni és egyetlen soron kell bemutatni őket, hogy az intézmény teljes kategóriaszintű, modellkockázattal kapcsolatos kiegészítő értékelési korrekciójára vonatkozóan maximalizálni lehessen e tábla lefedettségét.
6.3.2. A tábla egyes részeire vonatkozó útmutató
| Oszlop | |
| 0005 | BESOROLÁS A besorolás egy sorazonosító, amely a tábla minden sorát egyedileg azonosítja. Sorrendje: 1, 2, 3 stb., ahol az 1-et a legnagyobb egyedi modellkockázattal kapcsolatos kiegészítő értékelési korrekcióhoz kell rendelni, a 2-t a második legnagyobbhoz, és így tovább. | 
| 0010 | MODELL A modell belső neve (alfanumerikus), amelyet az intézmény a modell azonosítására használ. | 
| 0020 | KOCKÁZATI KATEGÓRIA A modellkockázattal kapcsolatos értékelési korrekcióhoz vezető terméket vagy termékcsoportot leginkább jellemző kockázati kategória (kamat, devizaárfolyam, hitel, részvény, áru). Az intézményeknek a következő kódokat kell feltüntetniük: IR – kamat FX – devizaárfolyam CR – hitel EQ – részvény CO – áru | 
| 0030 | TERMÉK A modell használatával értékelt termék vagy termékcsoport belső neve (alfanumerikus), az (EU) 2016/101 felhatalmazáson alapuló rendelet 19. cikke (3) bekezdésének a) pontjában előírt termékleltárral összhangban. | 
| 0040 | MEGFIGYELHETŐSÉG A termékkel vagy termékcsoporttal kapcsolatos olyan ármegfigyelések száma az elmúlt tizenkét hónapban, amelyek teljesítik a következő kritériumok valamelyikét: — Az ármegfigyelés olyan ár, amelyen az intézmény ügyletet hajtott végre — Harmadik felek közötti tényleges ügylet ellenőrizhető ára — Az ár kötelező érvényű jegyzésből származik. Az intézményeknek a következő értékek egyikét kell feltüntetniük: „nincs”, „1–6”, „6–24”, „24–100”, „100+”. | 
| 0050 | MODELLKOCKÁZAT KIEGÉSZÍTŐ ÉRTÉKELÉSI KORREKCIÓJA Az (EU) 2016/101 felhatalmazáson alapuló rendelet 11. cikkének (1) bekezdése. Egyedi modellkockázattal kapcsolatos kiegészítő értékelési korrekció a diverzifikációs nyereség előtt, de adott esetben a portfóliónettósítás után. | 
| 0060 | EBBŐL: SZAKÉRTŐI MÓDSZER HASZNÁLATÁVAL Az (EU) 2016/101 felhatalmazáson alapuló rendelet 11. cikkének (4) bekezdésében említett szakértői módszer szerint kiszámított, a 0050. oszlopban szereplő összegek. | 
| 0070 | EBBŐL: A 2. MÓDSZER HASZNÁLATÁVAL ÖSSZESÍTVE Az (EU) 2016/101 felhatalmazáson alapuló rendelet mellékletében található 2. módszer szerint összesített, a 0050. oszlopban szereplő összegek. Ezek az összegek a melléklet terminológiájában az FV – PV-nek felelnek meg. | 
| 0080 | A 2. MÓDSZER SZERINT SZÁMÍTOTT ÖSSZESÍTETT KIEGÉSZÍTŐ ÉRTÉKELÉSI KORREKCIÓ Az (EU) 2016/101 felhatalmazáson alapuló rendelet mellékletében található 2. módszer használatával összesített egyedi, modellkockázattal kapcsolatos kiegészítő értékelési korrekcióknak az említett rendelet 11. cikkének (7) bekezdése szerint számított, modellkockázattal kapcsolatos, teljes kategóriaszintű kiegészítő értékelési korrekcióhoz való hozzájárulása. Ezek az összegek a melléklet terminológiájában az APVA-nak felelnek meg. | 
| 0090–0100 | VALÓS ÉRTÉKEN ÉRTÉKELT ESZKÖZÖK ÉS KÖTELEZETTSÉGEK A 0010. oszlopban feltüntetett modell használatával értékelt valós értéken értékelt eszközök és kötelezettségek abszolút értéke, ahogy az az alkalmazandó számviteli keret szerint elkészített pénzügyi kimutatásban szerepel. | 
| 0090 | VALÓS ÉRTÉKEN ÉRTÉKELT ESZKÖZÖK A 0010. oszlopban feltüntetett modell használatával értékelt, valós értéken értékelt eszközök abszolút értéke, ahogy az az alkalmazandó számviteli keret szerint elkészített pénzügyi kimutatásban szerepel. | 
| 0100 | VALÓS ÉRTÉKEN ÉRTÉKELT KÖTELEZETTSÉGEK A 0010. oszlopban feltüntetett modell használatával értékelt, valós értéken értékelt kötelezettségek abszolút értéke, ahogy az az alkalmazandó számviteli keret szerint elkészített pénzügyi kimutatásban szerepel. | 
| 0110 | IPV KÜLÖNBÖZET (OUTPUT-TESZTELÉS) A CRR 105. cikke (8) bekezdésének megfelelően végrehajtott független árfelülvizsgálat keretében az adatszolgáltatási időponthoz legközelebb eső hónap végén kiszámított ki nem igazított különbözetek („IPV különbözet”) összege, a kapcsolódó termékre vagy termékcsoportra vonatkozóan elérhető legjobb független adatok figyelembevételével. A ki nem igazított különbözetek a kereskedési rendszerek által generált értékelések és a havi IPV folyamat során értékelt értékelések közötti ki nem igazított különbözeteket jelentik. Nem vonhatók be az IPV különbözet számításába a releváns hónap végi dátumra vonatkozóan az intézmény könyveiben és nyilvántartásaiban szereplő kiigazított különbözetek. Csak azokat az eredményeket kell feltüntetni, amelyeket olyan eszközök árainak használatával kalibráltak, amelyeket ugyanazon termékhez rendelnének (output tesztelés). Nem szabad feltüntetni az olyan piaci adatok inputjából származó input tesztelési eredményeket, amelyeket különböző termékekből kalibrált szintek alapján tesztelnek. | 
| 0120 | IPV FEDEZET (OUTPUT-TESZTELÉS) A modellkockázattal kapcsolatos kiegészítő értékelési korrekcióval súlyozott, a modellhez rendelt pozíciók százalékos aránya, amelyet a 0110. oszlopban megadott IPV output tesztelési eredmények fedeznek. | 
| 0130–0140 | VALÓSÉRTÉK-KORREKCIÓK A C 32.02. tábla 0190. és 0240. oszlopában említett valósérték-korrekciók, amelyeket a 0010. oszlopban megadott modellhez rendelt pozíciókra alkalmaznak. | 
| 0150 | 1. NAPI EREDMÉNY A C 32.02. tábla 0260. oszlopában meghatározott korrekciók, amelyeket a 0010. oszlopban megadott modellhez rendelt pozíciókra alkalmaznak. | 
6.4 C 32.04 - PRUDENS ÉRTÉKELÉS: KONCENTRÁLT POZÍCIÓK KIEGÉSZÍTŐ ÉRTÉKELÉSI KORREKCIÓJA (PRUVAL 4)
6.4.1. Általános megjegyzések
154k. Ezt a táblát kizárólag olyan intézményeknek kell kitölteniük, amelyek meghaladják az (EU) 2016/101 felhatalmazáson alapuló rendelet 4. cikkének (1) bekezdésében említett értékhatárt. A valamely, az értékhatárt konszolidált szinten meghaladó csoport részét képező intézményeknek csak akkor kell kitölteniük ezt a táblát, ha a saját szintjükön is meghaladják az értékhatárt.
154l. Ebben a táblában az (EU) 2016/101 felhatalmazáson alapuló rendelet 14. cikkével összhangban kiszámított teljes kategóriaszintű, koncentrált pozíciókkal kapcsolatos kiegészítő értékelési korrekcióhoz hozzájáruló, a kiegészítő értékelési korrekció összegét tekintve első 20 egyedi, koncentrált pozíciókkal kapcsolatos kiegészítő értékelési korrekció részleteit kell feltüntetni. Ez az információ megfelel a C 32.02. tábla 0070. oszlopában megadott információknak.
154m. Az első 20 egyedi, koncentrált pozíciókkal kapcsolatos kiegészítő értékelési korrekciót és a kapcsolódó termékinformációkat csökkenő sorrendben, a legnagyobb egyedi, koncentrált pozíciókkal kapcsolatos kiegészítő értékelési korrekcióval kezdve kell feltüntetni.
154n. Az ezen legnagyobb egyedi, koncentrált pozíciókkal kapcsolatos kiegészítő értékelési korrekcióknak megfelelő termékeket az (EU) 2016/101 felhatalmazáson alapuló rendelet 19. cikke (3) bekezdésének a) pontjában előírt termékleltár használatával kell feltüntetni.
154o. A kiegészítő értékelési korrekciók kiszámítási módszere szempontjából homogén pozíciókat lehetőség szerint összesíteni kell, e tábla lefedettségének maximalizálása céljából.
6.4.2. A tábla egyes részeire vonatkozó útmutató
| Oszlop | |
| 0005 | BESOROLÁS A besorolás egy sorazonosító, amely a tábla minden sorát egyedileg azonosítja. Sorrendje: 1, 2, 3 stb., ahol az 1-et a legnagyobb egyedi koncentrált pozíciókkal kapcsolatos kiegészítő értékelési korrekcióhoz kell rendelni, a 2-t a második legnagyobbhoz, és így tovább. | 
| 0010 | KOCKÁZATI KATEGÓRIA A pozíciót leginkább jellemző kockázati kategória (kamat, devizaárfolyam, hitel, részvény, áru). Az intézményeknek a következő kódokat kell feltüntetniük: IR – kamat FX – devizaárfolyam CR – hitel EQ – részvény CO – áru | 
| 0020 | TERMÉK A termék vagy termékcsoport belső neve, az (EU) 2016/101 felhatalmazáson alapuló rendelet 19. cikke (3) bekezdésének a) pontjában előírt termékleltárral összhangban. | 
| 0030 | MÖGÖTTES A mögöttes eszköz vagy eszközök belső neve származtatott ügyletek esetében, vagy az instrumentumok neve nem származtatott ügyletek esetében. | 
| 0040 | KONCENTRÁLT POZÍCIÓK MÉRETE Az (EU) 2016/101 felhatalmazáson alapuló rendelet 14. cikke (1) bekezdésének a) pontja szerint meghatározott egyedi koncentrált értékelési pozíció mérete, a 0050. oszlopban leírt egységben kifejezve. | 
| 0050 | MÉRTÉKEGYSÉG A 0040. oszlopban említett koncentrált pozícióméret kiszámítása céljából a koncentrált értékelési pozíció meghatározása részeként belsőleg használt mértékegység. Kötvényekben vagy részvényekben lévő pozíciók esetében a belső kockázatkezeléshez használt mértékegységet kell megadni, például „kötvények száma”, részvények száma vagy „piaci érték”. Származtatott ügyletekben lévő pozíciók esetében a belső kockázatkezeléshez használt mértékegységet kell megadni, például „PV01; EUR/1 bázispontos párhuzamos hozamgörbe eltolódás”. | 
| 0060 | PIACI ÉRTÉK A pozíció piaci értéke. | 
| 0070 | PRUDENS KILÉPÉSI IDŐSZAK Az (EU) 2016/101 felhatalmazáson alapuló rendelet 14. cikke (1) bekezdésének b) pontja szerint becsült napok számában megadott prudens kilépési időszak. | 
| 0080 | KONCENTRÁLT POZÍCIÓK KIEGÉSZÍTŐ ÉRTÉKELÉSI KORREKCIÓJA Az érintett egyedi koncentrált értékelési pozíciókra vonatkozóan az (EU) 2016/101 felhatalmazáson alapuló rendelet 14. cikkének (1) bekezdésével összhangban kiszámított koncentrált pozíciókkal kapcsolatos kiegészítő értékelési korrekció. | 
| 0090 | KONCENTRÁLT POZÍCIÓK VALÓSÉRTÉK-KORREKCIÓJA Azon tény tükrözése céljából alkalmazott valósérték-korrekciók összege, hogy az intézménynél lévő aggregált pozíció nagyobb, mint a normál kereskedett volumen, vagy nagyobb a pozícióméreteknél, és amelyeken az értékelési modell által használt árak vagy inputok kalibrálásához alkalmazott árjegyzések vagy ügyletek alapulnak. A feltüntetett összegnek meg kell egyeznie az érintett egyedi koncentrált értékelési pozícióra alkalmazott összeggel. | 
| 0100 | IPV KÜLÖNBÖZET A CRR 105. cikke (8) bekezdésének megfelelően végrehajtott független árfelülvizsgálat keretében az adatszolgáltatási időponthoz legközelebb eső hónap végén kiszámított ki nem igazított különbözetek („IPV különbözet”) összege, az érintett egyedi koncentrált értékelési pozícióra vonatkozóan elérhető legjobb független adatok figyelembevételével. A ki nem igazított különbözetek a kereskedési rendszerek által generált értékelések és a havi IPV folyamat során értékelt értékelések közötti ki nem igazított különbözeteket jelentik. Nem vonhatók be az IPV különbözet számításába a releváns hónap végi dátumra vonatkozóan az intézmény könyveiben és nyilvántartásaiban szereplő kiigazított különbözetek. | 
7. C 33.00 - ÁLLAMHÁZTARTÁSOKKAL SZEMBENI KITETTSÉGEK (GOV)
7.1. ÁLTALÁNOS MEGJEGYZÉSEK
155. A C 33.00 táblában az e végrehajtási rendelet V. mellékletének 42. b) pontjában említett "államháztartásokkal" szembeni kitettségeket kell jelenteni.
156. Az államháztartásokkal szembeni kitettségek különböző kitettségi osztályokba tartoznak a CRR 112. cikkének és 147. cikkének megfelelően, a C 07.00, C 08.01 és a C 08.02 táblához tartozó kitöltési útmutatóban meghatározottak szerint.
157. A CRR szerinti tőkekövetelmények kiszámításához használt kitettségi osztályok "államháztartások" ügyfélszektorhoz való hozzárendelésekor az e végrehajtási rendelet V. mellékletének 3. részében található 2. táblázatot ("Sztenderd módszer") és a 3. táblázatot ("Belső minősítésen alapuló módszer") kell figyelembe venni.
158. Az adatokat a teljes aggregált kitettségre (azaz valamennyi olyan ország "összesen" adatára, ahol a banknak kormányzatokkal szembeni kitettsége van) és a partner székhelye szerint országonként kell jelenteni, a közvetlen hitelfelvevővel szembeni kitettségek alapján.
159. A kitettségek kitettségi osztályokba vagy joghatóságokba sorolása során nem kell figyelembe venni sem a hitelkockázat-mérséklési módszereket, sem különösen a helyettesítési hatásokat. Ugyanakkor az egyes kitettségi osztályokba és joghatóságokba sorolt kitettségértékek és kockázattal súlyozott kitettségértékek kiszámítása során figyelembe kell venni a hitelkockázat-mérséklési módszerek előfordulását és a helyettesítési hatásokat.
160. Az államháztartásokkal szembeni kitettségekre vonatkozó információkat a közvetlen partner székhelye szerinti minden olyan joghatóság esetében, amely nem az adatszolgáltató intézmény belföldi joghatósága, csak az e végrehajtási rendelet 5. cikke b) pontjának 3. alpontjában meghatározott küszöbértékek meghaladása esetén kell jelenteni.
7.2. AZ ÁLLAMHÁZTARTÁSOKKAL SZEMBENI KITETTSÉGEK TÁBLA ALKALMAZÁSI KÖRE
161. A GOV táblában egyaránt fel kell tüntetni a banki és a kereskedési könyvben szereplő, államháztartásokkal szembeni mérlegen belüli, mérlegen kívüli és származtatott közvetlen kitettségeket. Tájékoztató adatként jelenteni kell továbbá az államháztartásokkal szembeni kitettségekre eladott hitelderivatívák formáját öltő közvetett kitettségeket.
162. Valamely kitettség akkor tekintendő közvetlen kitettségnek, ha a közvetlen partner az "államháztartások" fogalommeghatározása alá tartozik, az e végrehajtási rendelet V. melléklete 42. bekezdésének b) pontjában említettek szerint.
163. A tábla két részre oszlik. Az első részben a kitettségeket kockázat, szabályozási módszerek és kitettségi osztály szerinti bontásban kell bemutatni; a második részben a kitettségeket hátralévő futamidő szerinti bontásban kell feltüntetni.
7.3. A TÁBLA EGYES RÉSZEIRE VONATKOZÓ ÚTMUTATÓ
| Oszlop | Útmutató | 
| 010–260 | KÖZVETLEN KITETTSÉGEK | 
| 010–140 | MÉRLEGEN BELÜLI KITETTSÉGEK | 
| 010 | Nem származtatott pénzügyi eszközök bruttó könyv szerinti értéke összesen Az államháztartásokkal szembeni kitettségnek minősülő nem származtatott pénzügyi eszközök az e végrehajtási rendelet V. melléklete 1. részének 34. pontja szerint meghatározott bruttó könyv szerinti értékének aggregált értéke valamennyi IFRS szerinti és a BAD-on alapuló nemzeti GAAP szerinti, az e végrehajtási rendelet V. melléklete 1. részének 15–22. pontjában meghatározott, a 030–120-as oszlopban felsorolt számviteli portfólió esetében. A prudens értékelési korrekciók nem csökkenthetik a valós értéken értékelt kereskedési és nem kereskedési célú kitettségek bruttó könyv szerinti értékét. | 
| 020 | Nem származtatott pénzügyi eszközök könyv szerinti értéke összesen (a rövid pozíciók levonásával) Az államháztartásokkal szembeni kitettségnek minősülő nem származtatott pénzügyi eszközök az e végrehajtási rendelet V. melléklete 1. részének 27. pontjában említett könyv szerinti értékének a rövid pozíciók nélküli aggregált értéke valamennyi IFRS szerinti és a BAD alapján kidolgozott nemzeti GAAP szerinti, az e végrehajtási rendelet V. melléklete 1. részének 15–22. pontjában meghatározott, a 030–120-as oszlopban felsorolt számviteli portfólió esetében. Amennyiben az intézmény ugyanazon hátralévő futamidőre és ugyanazon közvetlen partner vonatkozásában, ugyanazon pénznemben denominált rövid pozícióval rendelkezik, a rövid pozíció könyv szerinti értékét és a közvetlen pozíció könyv szerinti értékét nettósítani kell. Amennyiben az így kapott érték negatív, a nettó értéket nullának kell tekinteni. A 030–120-as oszlopok összegének a 130-as oszlop értékével csökkentett értékét kell megadni. Amennyiben az így kapott érték negatív, nulla értéket kell jelenteni. | 
| 030–120 | NEM SZÁRMAZTATOTT PÉNZÜGYI ESZKÖZÖK SZÁMVITELI PORTFÓLIÓK SZERINT Az államháztartásokkal szembeni kitettségnek minősülő nem származtatott pénzügyi eszközök az e táblázat fenti sorában meghatározott könyv szerinti értékének aggregált értéke az alkalmazandó számviteli szabályozásnak megfelelő számviteli portfóliók szerint lebontva. | 
| 030 | Kereskedési céllal tartott pénzügyi eszközök IFRS 7 8. bekezdésének a) ii. pontja; IFRS 9 A. függelék | 
| 040 | Kereskedési célú pénzügyi eszközök A BAD 32. és 33. cikke; E végrehajtási rendelet V. melléklete 1. részének 16. pontja; Az AD 8. cikke (1) bekezdésének a) pontja Csak az általánosan elfogadott nemzeti számviteli elvek (GAAP) hatálya alá tartozó intézmények által jelentendő. | 
| 050 | Kötelezően az eredménnyel szemben valós értéken értékelt, nem kereskedési célú pénzügyi eszközök IFRS 7 8. bekezdésének a) ii. pontja; IFRS 9 4.1.4. bekezdése | 
| 060 | Az eredménnyel szemben valós értéken értékeltnek megjelölt pénzügyi eszközök IFRS 7 8. bekezdésének a) i. pontja; IFRS 9 4.1.5. bekezdése és az AD 8. cikke (1) bekezdésének a) pontja, valamint 8. cikkének (6) bekezdése | 
| 070 | Eredménnyel szemben valós értéken értékelt, nem kereskedési célú, nem származtatott pénzügyi eszközök A BAD 36. cikkének (2) bekezdése; az AD 8. cikke (1) bekezdésének a) pontja Csak az általánosan elfogadott nemzeti számviteli elvek (GAAP) hatálya alá tartozó intézmények által jelentendő. | 
| 080 | Az egyéb átfogó jövedelemmel szemben valós értéken értékelt pénzügyi eszközök IFRS 7 8. bekezdésének d) pontja; IFRS 9 4.1.2A. bekezdése | 
| 090 | A saját tőkével szemben valós értéken értékelt, nem kereskedési célú, nem származtatott pénzügyi eszközök az AD 8. cikke (1) bekezdésének a) pontja, valamint 8. cikkének (8) bekezdése Csak az általánosan elfogadott nemzeti számviteli elvek (GAAP) hatálya alá tartozó intézmények által jelentendő. | 
| 100 | Amortizált bekerülési értéken értékelt pénzügyi eszközök IFRS 7 8. bekezdésének f) pontja; IFRS 9 4.1.2. bekezdése; E végrehajtási rendelet V. melléklete 1. részének 15. pontja | 
| 110 | Bekerülésiérték-módszerrel értékelt nem kereskedési célú, nem származtatott pénzügyi eszközök A BAD 35. cikke; Az AD 6. cikke (1) bekezdésének i) pontja, valamint 8. cikkének (2) bekezdése; E végrehajtási rendelet V. melléklete 1. részének 16. pontja Csak az általánosan elfogadott nemzeti számviteli elvek (GAAP) hatálya alá tartozó intézmények által jelentendő. | 
| 120 | Egyéb nem kereskedési célú, nem származtatott pénzügyi eszközök A BAD 37. cikke; Az AD 12. cikkének (7) bekezdése; E végrehajtási rendelet V. melléklete 1. részének 16. pontja Csak az általánosan elfogadott nemzeti számviteli elvek (GAAP) hatálya alá tartozó intézmények által jelentendő. | 
| 130 | Rövid pozíciók Az IFRS 9 BA.7 bekezdése b) pontjában meghatározott azon rövid pozíciók könyv szerinti értéke, ahol a közvetlen partner államháztartás az e melléklet 155–160. pontjában meghatározottaknak megfelelően. Rövid pozíció akkor keletkezik, ha az intézmény fordított visszavásárlási hitelek keretében szerzett vagy értékpapírkölcsön-ügylet keretében kölcsönvett értékpapírokat ad el. A könyv szerinti érték a rövid pozíció valós értéke. A rövid pozíciókat a 170–230-as sorban felsorolt hátralévő futamidő szerinti, valamint közvetlen partner szerinti bontásban kell jelenteni. A rövid pozíciókkal a 030–120-as oszlopok kiszámításához nettósítani kell az azonos hátralévő futamidőre és közvetlen partnerrel fennálló pozíciókat. | 
| 140 | Ebből: kereskedési céllal tartott vagy kereskedési célú pénzügyi eszközként besorolt, fordított visszavásárlási hitelekből származó rövid pozíciók Az IFRS 9 BA.7 bekezdése b) pontjában meghatározott azon kereskedési céllal tartott vagy kereskedési célú pénzügyi eszközök számviteli portfóliójába (030-as és 040-es oszlop) besorolt rövid pozíciók könyv szerinti értéke, amelyek visszavásárlási hitelek keretében szerzett értékpapírok intézmény általi eladásával keletkeztek, ahol az említett értékpapírok esetében a közvetlen partner államháztartás. Az értékpapírkölcsön-ügylet keretében kölcsönvett értékpapírok eladásával keletkező rövid pozíciók nem szerepelhetnek ebben az oszlopban. | 
| 150 | Halmozott értékvesztés A 080–120-as oszlopban jelentett nem származtatott pénzügyi eszközökkel kapcsolatos összes halmozott értékvesztés (e végrehajtási rendelet V. melléklete 2. részének 70. és 71. pontja). | 
| 160 | Halmozott értékvesztés – ebből: egyéb átfogó jövedelemmel szemben valós értéken értékelt pénzügyi eszközökből vagy saját tőkével szemben valós értéken értékelt, nem kereskedési célú, nem származtatott pénzügyi eszközökből A 080–090-es oszlopban jelentett nem származtatott pénzügyi eszközökkel kapcsolatos összes halmozott értékvesztés. | 
| 170 | A hitelkockázat változásából származó negatív valósérték-változás halmozott összege Az 050–090-es oszlopban jelentett pozíciókhoz kapcsolódó, hitelkockázat-változásból származó negatív valósérték-változás halmozott összege (e végrehajtási rendelet V. melléklete 2. részének 69. pontja). | 
| 180 | A hitelkockázat változásából származó negatív valósérték-változás halmozott összege – ebből: kötelezően az eredménnyel szemben valós értéken értékelt, nem kereskedési célú pénzügyi eszközökből, az eredménnyel szemben valós értéken értékeltnek megjelölt pénzügyi eszközökből vagy eredménnyel szemben valós értéken értékelt nem kereskedési célú pénzügyi eszközökből Az 050–070-es oszlopban jelentett pozíciókhoz kapcsolódó, hitelkockázat-változásból származó negatív valósérték-változás halmozott összege. | 
| 190 | A hitelkockázat változásából származó negatív valósérték-változás halmozott összege – ebből: egyéb átfogó jövedelemmel szemben valós értéken értékelt pénzügyi eszközökből vagy saját tőkével szemben valós értéken értékelt, nem kereskedési célú, nem származtatott pénzügyi eszközökből A 080–090-es oszlopban jelentett pozíciókhoz kapcsolódó, hitelkockázat-változásból származó negatív valósérték-változás halmozott összege. | 
| 200–230 | SZÁRMAZTATOTT ÜGYLETEK A közvetlen származtatott pozíciókat a 200–230-as oszlopban kell jelenteni. Azon származtatott ügyletekkel kapcsolatban, amelyekre partnerkockázati és piaci kockázati tőkekövetelmény egyaránt vonatkozik, lásd a sorokra vonatkozó útmutatót. | 
| 200–210 | Származtatott ügyletek pozitív valós értékkel Államháztartással mint partnerrel szembeni, az adatszolgáltatás időpontjában az intézmény számára pozitív valós értékkel rendelkező származtatott eszközök, függetlenül attól, hogy azokat minősített fedezeti kapcsolatban használják, vagy a kereskedési céllal tartott vagy kereskedési célú eszközök portfóliójába sorolják az IFRS, illetve a BAD alapján kidolgozott nemzeti GAAP szerint. A gazdasági fedezeti ügyletekhez használt származtatott eszközöket akkor kell itt jelenteni, ha azokat a kereskedési célú vagy a kereskedési céllal tartott eszközök számviteli portfóliójába sorolták (az e végrehajtási rendelet V. melléklete 2. részének 120., 124., 125., valamint 137–140. pontja). | 
| 200 | Származtatott ügyletek pozitív valós értékkel: Könyv szerinti érték A pénzügyi eszközként elszámolt származtatott ügyletek könyv szerinti értéke az adatszolgáltatási vonatkozási időpontban. A BAD alapján kidolgozott nemzeti GAAP szerinti elszámolás esetén az ezekben az oszlopokban jelentendő származtatott ügyletek közé a bekerülési értéken vagy a bekerülési vagy piaci ár közül az alacsonyabb értéken értékelt, a kereskedési portfólióba tartozó vagy a fedezeti instrumentumként megjelölt származtatott eszközöket kell sorolni. | 
| 210 | Származtatott ügyletek pozitív valós értékkel: Névleges összeg Az IFRS szerinti és a BAD alapján kidolgozott nemzeti GAAP szerinti elszámolás esetén a megkötött, de az adatszolgáltatási vonatkozási időpontban még nem elszámolt azon származtatott ügyletek e végrehajtási rendelet V. melléklete 2. részének 133–135. pontja szerinti névleges összege, amelyek esetében a partner az e melléklet 155–160. pontjában meghatározott államháztartás, amennyiben a származtatott ügylet valós értéke az adatszolgáltatási vonatkozási időpontban az intézmény számára pozitív. | 
| 220-230 | Származtatott ügyletek negatív valós értékkel Államháztartással mint partnerrel szembeni, az adatszolgáltatási vonatkozási időpontban az intézmény számára negatív valós értékkel rendelkező származtatott eszközök, függetlenül attól, hogy azokat minősített fedezeti kapcsolatban használják, vagy a kereskedési céllal tartott vagy kereskedési célú eszközök portfóliójába sorolják az IFRS szerint, illetve a BAD alapján kidolgozott nemzeti GAAP szerint. A gazdasági fedezeti ügyletekhez használt származtatott eszközöket akkor kell itt jelenteni, ha azokat a kereskedési célú vagy a kereskedési céllal tartott eszközök számviteli portfóliójába sorolták (az e végrehajtási rendelet V. melléklete 2. részének 120., 124., 125. és 137–140. pontja). | 
| 220 | Származtatott ügyletek negatív valós értékkel: Könyv szerinti érték A pénzügyi kötelezettségként elszámolt származtatott ügyletek könyv szerinti értéke az adatszolgáltatási vonatkozási időpontban. A BAD alapján kidolgozott nemzeti GAAP szerinti elszámolás esetén az ezekben az oszlopokban jelentendő származtatott ügyletek közé a bekerülési értéken vagy a bekerülési vagy piaci ár közül az alacsonyabb értéken értékelt, a kereskedési portfólióba tartozó vagy a fedezeti instrumentumként megjelölt származtatott eszközöket kell sorolni. | 
| 230 | Származtatott ügyletek negatív valós értékkel: Névleges összeg Az IFRS szerinti és a BAD alapján kidolgozott nemzeti GAAP szerinti elszámolás esetén a megkötött, de a vonatkozási időpontban még nem elszámolt azon származtatott ügyletek e végrehajtási rendelet V. melléklete 2. részének 133–135. pontja szerinti névleges összege, amelyek esetében a partner az e melléklet 155–160. pontja szerinti államháztartás, amennyiben a származtatott ügylet valós értéke a vonatkozási időpontban z intézmény számára negatív. | 
| 240–260 | MÉRLEGEN KÍVÜLI KITETTSÉGEK | 
| 240 | Névleges összeg Amennyiben a mérlegen kívüli tétel esetében a közvetlen partner az e melléklet 155–160. pontja szerinti államháztartás, az IFRS szerint és a BAD alapján kidolgozott nemzeti GAAP szerint nem származtatott ügyletnek minősülő elkötelezettségek és pénzügyi garanciák névleges összege (e végrehajtási rendelet V. melléklete 2. részének 102–119. pontja). E végrehajtási rendelet V. melléklete 2. részének 43–44. pontja értelmében az államháztartás közvetlen partner: a) adott pénzügyi garancia vonatkozásában akkor, ha a garantált hitelviszonyt megtestesítő instrumentum közvetlen partnere; és b) adott hitelnyújtási elkötelezettségek és az egyéb adott elkötelezettségek vonatkozásában akkor, ha az a fél, amelynek a hitelkockázatát az adatszolgáltató intézmény viseli. | 
| 250 | Céltartalékok A BAD 4. cikkének 6.c) pontja és a 4. cikk szerinti „Mérlegen kívüli tételek”, 27. cikkének (11) bekezdése, 28. cikkének (8) bekezdése és 33. cikke+/; IFRS 9 4.2.1. bekezdése c) ii. pontja, d) ii. pontja, 5.5.20. bekezdése; IAS 37, IFRS 4, e végrehajtási rendelet V. melléklete 2. részének 11. pontja. Az értékelés módjától függetlenül valamennyi mérlegen kívüli kitettségre képzett céltartalék, kivéve az IFRS 9 szerint az eredménnyel szemben valós értéken értékelt kitettségekre képzett céltartalékokat. Az IFRS szerinti elszámolás esetén az adott hitelnyújtási elkötelezettségekre elszámolt értékvesztést a 150-es oszlopban kell jelenteni, ha az intézmény nem képes külön azonosítani a hitelviszonyt megtestesítő instrumentum lehívott és le nem hívott összegéhez kapcsolódó várható hitelezési veszteséget. Amennyiben az adott pénzügyi eszközre vonatkozó várható együttes hitelezési veszteség meghaladja az eszköz hitelkomponensének bruttó könyv szerinti értékét, a várható hitelezési veszteség fennmaradó egyenlegét a 250-es oszlopban kell jelenteni céltartalékként. | 
| 260 | A hitelkockázat változásából származó negatív valósérték-változás halmozott összege Az IFRS 9 szerint az eredménnyel szemben valós értéken értékelt mérlegen kívüli tételek esetében a hitelkockázat változásából származó negatív valósérték-változás halmozott összege (e végrehajtási rendelet V. melléklete 2. részének 110. pontja). | 
| 270–280 | Tájékoztató adat: államháztartásokkal szembeni kitettségekre értékesített hitelderivatívák Itt azokat a pénzügyi garanciák fogalmába (V. melléklet 2. részének 58. pontja) nem sorolható hitelderivatívákat kell jelenteni, amelyeket az intézmény nem államháztartási partnerekkel kötött, és amelyek referenciakitettsége államháztartás. Ezeket az oszlopokat nem kell jelenteni kockázat, szabályozási módszer és kitettségi osztály szerinti bontásban (020–160). Az itt jelentett kitettségek nem vehetők figyelembe a kitettségérték és a kockázattal súlyozott kitettségérték (290-es és 300-as oszlop) kiszámításakor, melyek kizárólag a közvetlen kitettségeken alapulnak. | 
| 270 | Származtatott ügyletek pozitív valós értékkel – könyv szerinti érték Az államháztartásokkal szembeni kitettségekre értékesített, az adatszolgáltatási vonatkozási időpontban az intézmény számára pozitív valós értékkel rendelkező hitelderivatívák összesített könyv szerinti értéke prudens értékelési korrekciók nélkül. Az IFRS szerint elszámolt származtatott ügyletek esetében az ezen oszlopban jelentendő érték a pénzügyi eszközök közé sorolt derivatívák könyv szerinti értéke az adatszolgáltatás időpontjában. A BAD alapján kidolgozott nemzeti GAAP szerint elszámolt származtatott ügyletek esetében az ezen oszlopban jelentendő érték a pozitív valós értékkel rendelkező derivatívák valós értéke az adatszolgáltatási vonatkozási időpontban, az elszámolás módjától függetlenül. | 
| 280 | Származtatott ügyletek negatív valós értékkel – könyv szerinti érték Az államháztartásokkal szembeni kitettségekre értékesített, az adatszolgáltatási vonatkozási időpontban az intézmény számára negatív valós értékkel rendelkező hitelderivatívák összesített könyv szerinti értéke prudens értékelési korrekciók nélkül. Az IFRS szerint elszámolt származtatott ügyletek esetében az ezen oszlopban jelentendő érték a pénzügyi kötelezettségek közé sorolt derivatívák könyv szerinti értéke az adatszolgáltatás időpontjában. A BAD alapján kidolgozott nemzeti GAAP szerint elszámolt származtatott ügyletek esetében az ezen oszlopban jelentendő érték a negatív valós értékkel rendelkező derivatívák valós értéke az adatszolgáltatási vonatkozási időpontban, az elszámolás módjától függetlenül. | 
| 290 | Kitettségérték A hitelkockázati módszerek alapján értékelt kitettségek kitettségértéke. A sztenderd módszer szerint értékelt kitettségek esetében: lásd a CRR 111. cikkét. A belső minősítésen alapuló módszer szerint értékelt kitettségek esetében: lásd a CRR 166. cikkét és 230. cikke (1) bekezdésének második mondatát. Azon származtatott ügyletekkel kapcsolatban, amelyekre partnerkockázati és piaci kockázati tőkekövetelmény egyaránt vonatkozik, lásd a sorokra vonatkozó útmutatót. | 
| 300 | Kockázattal súlyozott kitettségérték A hitelkockázati módszerek alapján értékelt kitettségek kockázattal súlyozott kitettségértéke. A sztenderd módszer szerint értékelt kitettségek esetében: lásd a CRR 113. cikkének (1)–(5) bekezdését. A belső minősítésen alapuló módszer szerint értékelt kitettségek esetében: lásd a CRR 153. cikkének (1) és (3) bekezdését. A CRR 271. cikkének hatálya alá tartozó azon közvetlen kitettségek adatszolgáltatásával kapcsolatban, amelyekre partnerkockázati és piaci kockázati szavatolótőke-követelmény egyaránt vonatkozik, lásd a sorokra vonatkozó útmutatót. | 
| Sor | Útmutató | 
| KITETTSÉGEK SZABÁLYOZÁSI MÓDSZER SZERINTI BONTÁSA | |
| 010 | Teljes kitettség Az e melléklet 155–160. pontjában meghatározott államháztartásokkal szembeni összes kitettség. | 
| 020–155 | Kitettségek a hitelkockázati módszerek alapján Az államháztartásokkal szembeni, a CRR harmadik részének II. címe szerint kockázattal súlyozott összes kitettség. A hitelkockázati módszerek alapján értékelt kitettségek közé tartoznak a partnerkockázati tőkekövetelmények hatálya alá tartozó kereskedési könyvi és nem kereskedési könyvi kitettségek. A CRR 271. cikkének hatálya alá tartozó azon közvetlen kitettségeket, amelyekre partnerkockázati és piaci kockázati szavatolótőke-követelmény egyaránt vonatkozik, a hitelkockázati sorokban (020–155) és a piaci kockázati sorban (160) egyaránt meg kell adni: a partnerkockázatból származó kitettségértéket a hitelkockázati sorokban, míg a piaci kockázatból származó kitettségértéket a piaci kockázati sorban kell jelenteni. | 
| 030 | Sztenderd módszer A CRR harmadik része II. címének 2. fejezete szerint kockázattal súlyozott államháztartási kitettségek, ideértve azokat a nem kereskedési könyvi kitettségeket is, amelyek említett fejezet szerinti kockázati súlyozása a partnerkockázattal is számol. | 
| 040 | Központi kormányzatok Az államháztartások központi kormányzati alrendszereivel szembeni kitettségek. Ezeket a kitettségeket a C 07.00 tábla útmutatójának értelmében a CRR 112. és 114. cikkének megfelelően a „központi kormányzatok és központi bankok” kitettségi osztályba kell sorolni. Nem alkalmazandók ugyanakkor azok az előírások, amelyek az államháztartási kitettségek más kitettségi osztályokban történő, helyettesítési hatásokkal járó hitelkockázat-mérséklési technikáknak a kitettségre való alkalmazása miatti átsorolására vonatkoznak. | 
| 050 | Regionális kormányzatok vagy helyi hatóságok Az államháztartások regionális kormányzati vagy helyi hatósági alrendszereivel szembeni kitettségek. Ezeket a kitettségeket a C 07.00 tábla útmutatójának értelmében a CRR 112. és 115. cikkének megfelelően a „regionális kormányzatok vagy helyi hatóságok” kitettségi osztályba kell sorolni. Nem alkalmazandók ugyanakkor azok az előírások, amelyek az államháztartási kitettségek más kitettségi osztályokban történő, helyettesítési hatásokkal járó hitelkockázat-mérséklési technikáknak a kitettségre való alkalmazása miatti átsorolására vonatkoznak. | 
| 060 | Közszektorbeli intézmények Az államháztartások közszektorbeli intézményi alrendszerével szembeni kitettségek. Ezeket a kitettségeket a C 07.00 tábla útmutatójának értelmében a CRR 112. és 116. cikkének megfelelően a „közszektorbeli intézmények” kitettségi osztályba kell sorolni. Nem alkalmazandók ugyanakkor azok az előírások, amelyek az államháztartási kitettségek más kitettségi osztályokban történő, helyettesítési hatásokkal járó hitelkockázat-mérséklési technikáknak a kitettségre való alkalmazása miatti átsorolására vonatkoznak. | 
| 070 | Nemzetközi szervezetek Az államháztartásokhoz sorolt nemzetközi szervezetekkel szembeni kitettségek. Ezeket a kitettségeket a C 07.00 tábla útmutatójának értelmében a CRR 112. és 118. cikkének megfelelően a „nemzetközi szervezetek” kitettségi osztályokba kell sorolni. Nem alkalmazandók ugyanakkor azok az előírások, amelyek az államháztartási kitettségek más kitettségi osztályokban történő, helyettesítési hatásokkal járó hitelkockázat-mérséklési technikáknak a kitettségre való alkalmazása miatti átsorolására vonatkoznak. | 
| 075 | Egyéb államháztartási kitettségek a sztenderd módszer szerint A fenti 040–070 sorban szereplőktől eltérő államháztartási kitettségek, amelyeket a CRR 112. cikkével összhangban a szavatolótőke-követelmény kiszámítása céljából az SA kitettségi osztályokba kell sorolni. | 
| 080 | IRB-módszer A CRR harmadik része II. címének 3. fejezete szerint kockázattal súlyozott államháztartási kitettségek, ideértve azokat a nem kereskedési könyvi kitettségeket is, amelyek említett fejezet szerinti kockázati súlyozása a partnerkockázattal is számol. | 
| 090 | Központi kormányzatok Az államháztartások központi kormányzati alrendszereivel szembeni azon kitettségek, amelyeket a C 08.01 és C 08.02 tábla útmutatójának értelmében a CRR 147. cikke (3) bekezdése a) pontjának megfelelően a „központi kormányzatok és központi bankok” kitettségi osztályba kell sorolni. Nem alkalmazandók ugyanakkor azok az előírások, amelyek az államháztartási kitettségek más kitettségi osztályokban történő, helyettesítési hatásokkal járó hitelkockázat-mérséklési technikáknak a kitettségre való alkalmazása miatti átsorolására vonatkoznak. | 
| 100 | Regionális kormányzatok vagy helyi hatóságok [Központi kormányzatok és központi bankok] Az államháztartások regionális kormányzati vagy helyi hatósági alrendszereivel szembeni azon kitettségek, amelyeket a C 08.01 és C 08.02 tábla útmutatójának értelmében a CRR 147. cikke (3) bekezdése a) pontjának megfelelően a „központi kormányzatok és központi bankok” kitettségi osztályba kell sorolni. Nem alkalmazandók ugyanakkor azok az előírások, amelyek az államháztartási kitettségek más kitettségi osztályokban történő, helyettesítési hatásokkal járó hitelkockázat-mérséklési technikáknak a kitettségre való alkalmazása miatti átsorolására vonatkoznak. | 
| 110 | Regionális kormányzatok vagy helyi hatóságok [Intézmények] Az államháztartások regionális kormányzati vagy helyi hatósági alrendszereivel szembeni azon kitettségek, amelyeket a C 08.01 és C 08.02 tábla útmutatójának értelmében a CRR 147. cikke (4) bekezdése a) pontjának megfelelően az „intézmények” kitettségi osztályba kell sorolni. Nem alkalmazandók ugyanakkor azok az előírások, amelyek az államháztartási kitettségek más kitettségi osztályokban történő, helyettesítési hatásokkal járó hitelkockázat-mérséklési technikáknak a kitettségre való alkalmazása miatti átsorolására vonatkoznak. | 
| 120 | Közszektorbeli intézmények [Központi kormányzatok és központi bankok] Az államháztartások a CRR 4. cikkének (8) bekezdése szerinti közszektorbeli intézmények alrendszerével szembeni azon kitettségek, amelyeket a C 08.01 és C 08.02 tábla útmutatójának értelmében a CRR 147. cikke (3) bekezdése a) pontjának megfelelően a „központi kormányzatok és központi bankok” kitettségi osztályba kell sorolni. Nem alkalmazandók ugyanakkor azok az előírások, amelyek az államháztartási kitettségek más kitettségi osztályokban történő, helyettesítési hatásokkal járó hitelkockázat-mérséklési technikáknak a kitettségre való alkalmazása miatti átsorolására vonatkoznak. | 
| 130 | Közszektorbeli intézmények [Intézmények] Az államháztartások a CRR 4. cikkének (8) bekezdése szerinti közszektorbeli intézmények alrendszerével szembeni azon kitettségek, amelyeket a C 08.01 és C 08.02 tábla útmutatójának értelmében a CRR 147. cikke (4) bekezdése b) pontjának megfelelően az „intézmények” kitettségi osztályba kell sorolni. Nem alkalmazandók ugyanakkor azok az előírások, amelyek az államháztartási kitettségek más kitettségi osztályokban történő, helyettesítési hatásokkal járó hitelkockázat-mérséklési technikáknak a kitettségre való alkalmazása miatti átsorolására vonatkoznak. | 
| 140 | Nemzetközi szervezetek [Központi kormányzatok és központi bankok] Az államháztartásokhoz sorolt nemzetközi szervezetekkel szembeni azon kitettségek, amelyeket a C 08.01 és C 08.02 tábla útmutatójának értelmében a CRR 147. cikke (3) bekezdése c) pontjának megfelelően a „központi kormányzatok és központi bankok” kitettségi osztályba kell sorolni. Nem alkalmazandók ugyanakkor azok az előírások, amelyek az államháztartási kitettségek más kitettségi osztályokban történő, helyettesítési hatásokkal járó hitelkockázat-mérséklési technikáknak a kitettségre való alkalmazása miatti átsorolására vonatkoznak. | 
| 155 | Egyéb államháztartási kitettségek az IRB módszer szerint A fenti 090–140 sorban szereplőktől eltérő államháztartási kitettségek, amelyeket a CRR 147. cikkével összhangban a szavatolótőke-követelmény kiszámítása céljából az IRB kitettségi osztályokba kell sorolni. | 
| 160 | Kitettségek a piaci kockázati módszer alapján A piaci kockázati kitettségek olyan pozíciókra vonatkoznak, amelyek szavatolótőke-követelményét a CRR harmadik része IV. címének megfelelően számítják ki. A CRR 271. cikkének hatálya alá tartozó azon közvetlen kitettségeket, amelyekre partnerkockázati és piaci kockázati szavatolótőke-követelmény egyaránt vonatkozik, a hitelkockázati sorokban (020–155) és a piaci kockázati sorban (160) egyaránt meg kell adni: a partnerkockázatból származó kitettségértéket a hitelkockázati sorokban, míg a piaci kockázatból származó kitettségértéket a piaci kockázati sorban kell jelenteni. | 
| 170–230 | KITETTSÉGEK HÁTRALÉVŐ FUTAMIDŐ SZERINTI BONTÁSA A hátralévő futamidő az összes pozíció esetében a szerződéses lejárati nap és az adatszolgáltatási vonatkozási időpont közötti napok száma. Az államháztartásokkal szembeni kitettségeket hátralévő futamidő szerinti bontásban a következő szegmensekbe kell sorolni: — [0 – 3HÓNAP [: 90 napnál kevesebb — [3 HÓNAP – 1 ÉV [: 90 nap vagy több, de 365 napnál kevesebb — [1 ÉV – 2 ÉV [: 365 nap vagy több, de 730 napnál kevesebb — [2 ÉV – 3 ÉV [: 730 nap vagy több, de 1 095 napnál kevesebb — [3 ÉV – 5 ÉV [: 1 095 nap vagy több, de 1 825 napnál kevesebb — [5 ÉV – 10 ÉV [: 1 825 nap vagy több, de 3 650 napnál kevesebb — [10 ÉV – hosszabb: 3 650 nap vagy több. | 
III. MELLÉKLET
amely a III. MELLÉKLET- PÉNZÜGYI INFORMÁCIÓKRA VONATKOZÓ ADATSZOLGÁLTATÁS AZ IFRS-SEL ÖSSZHANGBAN HELYÉBE LÉP
| FINREP-TÁBLÁK AZ IFRS SZERINT | ||
| A TÁBLA SZÁMA | A TÁBLA KÓDJA | A TÁBLA VAGY TÁBLACSOPORT NEVE | 
| 1. RÉSZ [NEGYEDÉVES GYAKORISÁG] | ||
| Mérleg [pénzügyi helyzetre vonatkozó kimutatás] | ||
| 1.1 | F 01.01 | Mérleg: eszközök | 
| 1.2 | F 01.02 | Mérleg: kötelezettségek | 
| 1.3 | F 01.03 | Mérleg: saját tőke | 
| 2 | F 02.00 | Eredménykimutatás | 
| 3 | F 03.00 | Átfogó jövedelemkimutatás | 
| Pénzügyi eszközök instrumentum és ügyfélszektor szerinti részletezése | ||
| 4.1 | F 04.01 | Pénzügyi eszközök instrumentum és ügyfélszektor szerinti részletezése: kereskedési céllal tartott pénzügyi eszközök | 
| 4.2.1 | F 04.02.1 | Pénzügyi eszközök instrumentum és ügyfélszektor szerinti részletezése: kötelezően az eredménnyel szemben valós értéken értékelt, nem kereskedési célú pénzügyi eszközök | 
| 4.2.2 | F 04.02.2 | Pénzügyi eszközök instrumentum és ügyfélszektor szerinti részletezése: az eredménnyel szemben valós értéken értékeltnek megjelölt pénzügyi eszközök | 
| 4.3.1 | F 04.03.1 | Pénzügyi eszközök instrumentum és ügyfélszektor szerinti részletezése: az egyéb átfogó jövedelemmel szemben valós értéken értékelt pénzügyi eszközök | 
| 4.4.1 | F 04.04.1 | Pénzügyi eszközök instrumentum és ügyfélszektor szerinti részletezése: amortizált bekerülési értéken értékelt pénzügyi eszközök | 
| 4.5 | F 04.05 | Alárendelt pénzügyi eszközök | 
| 5.1 | F 05.01 | Nem kereskedési célú hitelek és előlegek termék szerinti részletezése | 
| 6.1 | F 06.01 | Nem pénzügyi vállalatoknak nyújtott, nem kereskedési céllal tartott hitelek és előlegek részletezése NACE kódok szerint | 
| Értékvesztés-elszámolási kötelezettség alá tartozó késedelmes pénzügyi eszközök | ||
| 7.1 | F 07.01 | Értékvesztés-elszámolási kötelezettség alá tartozó késedelmes pénzügyi eszközök | 
| Pénzügyi kötelezettségek részletezése | ||
| 8.1 | F 08.01 | Pénzügyi kötelezettségek termék és ügyfélszektor szerinti részletezése | 
| 8.2 | F 08.02 | Alárendelt pénzügyi kötelezettségek | 
| Hitelnyújtási elkötelezettségek, pénzügyi garanciák és egyéb elkötelezettségek | ||
| 9.1.1 | F 09.01.1 | Mérlegen kívüli kitettségek: adott hitelnyújtási elkötelezettségek, pénzügyi garanciák és egyéb elkötelezettségek | 
| 9.2 | F 09.02 | Kapott hitelnyújtási elkötelezettségek, pénzügyi garanciák és egyéb elkötelezettségek | 
| 10 | F 10.00 | Származtatott ügyletek – Kereskedési célú ügyletek és gazdasági fedezeti ügyletek | 
| Fedezeti elszámolások | ||
| 11.1 | F 11.01 | Származtatott ügyletek – Fedezeti elszámolások: kockázattípus és fedezetiügylet-típus szerinti részletezés | 
| 11.3 | F 11.03 | Nem származtatott fedezeti instrumentumok: számviteli portfólió és fedezetiügylet-típus szerinti részletezés | 
| 11.4 | F 11.04 | Fedezett tételek valósérték-fedezeti ügyletekben | 
| Hitelezési veszteségekre képzett értékvesztés és céltartalékok változása | ||
| 12.1 | F 12.01 | Hitelezési veszteségekre képzett értékvesztés és céltartalékok változása | 
| 12.2 | F 12.02 | Értékvesztési szakaszok közötti átvezetések (bruttó alapú megjelenítés) | 
| Kapott biztosítékok és garanciák | ||
| 13.1 | F 13.01 | Biztosítékok és garanciák nem kereskedési céllal tartott hitelek és előlegek szerinti részletezése | 
| 13.2.1 | F 13.02.1 | Az időszak alatt birtokbavétellel megszerzett biztosítékok [a vonatkozási időpontban tartott] | 
| 13.3.1 | F 13.03.1 | Birtokbavétellel megszerzett biztosítékok – halmozott | 
| 14 | F 14.00 | Valósérték-hierarchia: valós értéken értékelt pénzügyi instrumentumok | 
| 15 | F 15.00 | Pénzügyi eszközök átadásával összefüggő kivezetés és pénzügyi kötelezettségek | 
| Az eredménykimutatás kiválasztott tételeinek részletezése | ||
| 16.1 | F 16.01 | Kamatbevételek és kamatráfordítások instrumentum és ügyfélszektor szerint | 
| 16.2 | F 16.02 | Az eredménnyel szemben valós értéken értékelt kategóriába nem tartozó pénzügyi eszközök és kötelezettségek kivezetéséből származó nyereség vagy veszteség instrumentum szerint | 
| 16.3 | F 16.03 | Kereskedési céllal tartott és kereskedési célú pénzügyi eszközökből és kötelezettségekből származó nyereség vagy veszteség instrumentum szerint | 
| 16.4 | F 16.04 | Kereskedési céllal tartott és kereskedési célú pénzügyi eszközökből és kötelezettségekből származó nyereség vagy veszteség kockázat szerint | 
| 16.4.1 | F 16.04.1 | Kötelezően az eredménnyel szemben valós értéken értékelt, nem kereskedési célú pénzügyi eszközök nyeresége vagy vesztesége instrumentum szerint | 
| 16.5 | F 16.05 | Az eredménnyel szemben valós értéken értékeltnek megjelölt pénzügyi eszközök és kötelezettségek nyeresége vagy vesztesége instrumentum szerint | 
| 16.6 | F 16.06 | Fedezeti elszámolásokból eredő nyereségek vagy veszteségek | 
| 16.7 | F 16.07 | Nem pénzügyi eszközök értékvesztése | 
| 16.8 | F 16.08 | Egyéb igazgatási költségek | 
| A konszolidáció számviteli és CRR szerinti körének egyeztetése: Mérleg | ||
| 17.1 | F 17.01 | A konszolidáció számviteli és CRR szerinti körének egyeztetése: Eszközök | 
| 17.2 | F 17.02 | A konszolidáció számviteli és CRR szerinti körének egyeztetése: Mérlegen kívüli kitettségek – adott hitelnyújtási elkötelezettségek, pénzügyi garanciák és egyéb elkötelezettségek | 
| 17.3 | F 17.03 | A konszolidáció számviteli és CRR szerinti körének egyeztetése: Kötelezettségek | 
| A teljesítő és nemteljesítő kitettségekkel kapcsolatos információk | ||
| 18 | F 18.00 | A teljesítő és nemteljesítő kitettségekkel kapcsolatos információk | 
| 18.1 | F 18.01 | Nemteljesítő kitettségek be- és kiáramlásai – hitelek és előlegek ügyfélszektor szerint | 
| 18.2 | F 18.02 | Kereskedelmi ingatlanhoz kapcsolódó hitelek és ingatlannal fedezett hitelekkel kapcsolatos kiegészítő információk | 
| 19 | F 19.00 | Átstrukturált kitettségek | 
| 2. RÉSZ [NYEGYEDÉVES KÜSZÖBÉRTÉKKEL: NEGYEDÉVES GYAKORISÁG VAGY NINCS ADATSZOLGÁLTATÁS] | ||
| Földrajzi megoszlás | ||
| 20.1 | F 20.01 | Eszközök földrajzi megoszlása a tevékenység helye szerint | 
| 20.2 | F 20.02 | Kötelezettségek földrajzi megoszlása a tevékenység helye szerint | 
| 20.3 | F 20.03 | Az eredménykimutatás fő tételeinek földrajzi megoszlása a tevékenység helye szerint | 
| 20.4 | F 20.04 | Eszközök földrajzi megoszlása az ügyfél székhelye szerint | 
| 20.5 | F 20.05 | Mérlegen kívüli kitettségek földrajzi megoszlása az ügyfél székhelye szerint | 
| 20.6 | F 20.06 | Kötelezettségek földrajzi megoszlása az ügyfél székhelye szerint | 
| 20.7.1 | F 20.07.1 | Nem pénzügyi vállalatoknak nyújtott, nem kereskedési céllal tartott hitelek és előlegek földrajzi megoszlása NACE-kódok és az ügyfél székhelye szerint | 
| 21 | F 21.00 | Tárgyi eszközök és immateriális javak: operatív lízingbe adott eszközök | 
| Vagyonkezelés, letétkezelés és egyéb szolgáltatások | ||
| 22.1 | F 22.01 | Díj- és jutalékbevételek és díj- és jutalékráfordítások tevékenység szerint | 
| 22.2 | F 22.02 | A nyújtott szolgáltatásokban érintett eszközök | 
| Hitelek és előlegek: kiegészítő információk | ||
| 23.1 | F 23.01 | Hitelek és előlegek: Instrumentumok száma | 
| 23.2 | F 23.02 | Hitelek és előlegek: A bruttó könyv szerinti értékkel kapcsolatos kiegészítő információk | 
| 23.3 | F 23.03 | Ingatlannal fedezett hitelek és előlegek: Hitelfedezeti arányok szerinti részletezés | 
| 23.4 | F 23.04 | Hitelek és előlegek: A halmozott értékvesztéssel és a hitelkockázat-változásból származó negatív valósérték-változás halmozott összegével kapcsolatos kiegészítő információk | 
| 23.5 | F 23.05 | Hitelek és előlegek: Kapott biztosítékok és kapott pénzügyi garanciák | 
| 23.6 | F 23.06 | Hitelek és előlegek: Halmozott részleges leírások összege | 
| Hitelek és előlegek: Nemteljesítő kitettségek, értékvesztés és leírások változása az utolsó pénzügyi év vége óta | ||
| 24.1 | F 24.01 | Hitelek és előlegek: Nemteljesítő kitettségek be- és kiáramlásai | 
| 24.2 | F 24.02 | Hitelek és előlegek: Értékvesztés változása és a hitelkockázat-változásból származó negatív valósérték-változás halmozott összegének változása nemteljesítő kitettségek esetében | 
| 24.3 | F 24.03 | Hitelek és előlegek: Nemteljesítő kitettségek leírásainak beáramlásai | 
| Birtokbavétellel és végrehajtással megszerzett biztosítékok | ||
| 25.1 | F 25.01 | Birtokbavétellel megszerzett, az „Ingatlanok, gépek és berendezések (PP&E)” besorolású biztosítéktól eltérő biztosítékok: Be- és kiáramlások | 
| 25.2 | F 25.02 | Birtokbavétellel megszerzett, az „Ingatlanok, gépek és berendezések (PP&E)” besorolású biztosítéktól eltérő biztosítékok: Megszerzett biztosíték típusa szerint | 
| 25.3 | F 25.03 | Birtokbavétellel megszerzett, „Ingatlanok, gépek és berendezések (PP&E)” besorolású biztosítékok | 
| 26 | F 26.00 | Átstrukturálás-kezelés és az átstrukturálás minősége | 
| 3. RÉSZ [FÉLÉVES] | ||
| Mérlegen kívüli tevékenységek: érdekeltségek nem konszolidált strukturált gazdálkodó egységekben | ||
| 30.1 | F 30.01 | Érdekeltségek nem konszolidált strukturált gazdálkodó egységekben | 
| 30.2 | F 30.02 | Nem konszolidált strukturált gazdálkodó egységekben levő érdekeltségek részletezése a tevékenységek jellege szerint | 
| Kapcsolt felek | ||
| 31.1 | F 31.01 | Kapcsolt felek: kötelezettségek és követelések kapcsolt felekkel szemben | 
| 31.2 | F 31.02 | Kapcsolt felek: kapcsolt felekkel való ügyletkötésekből származó kiadások és bevételek | 
| 4. RÉSZ [ÉVES] | ||
| Csoportszerkezet | ||
| 40.1 | F 40.01 | Csoportszerkezet: „intézményenként” | 
| 40.2 | F 40.02 | Csoportszerkezet: „instrumentumonként” | 
| Valós érték | ||
| 41.1 | F 41.01 | Valósérték-hierarchia: amortizált bekerülési értéken értékelt pénzügyi instrumentumok | 
| 41.2 | F 41.02 | A valós érték opció alkalmazása | 
| 42 | F 42.00 | Tárgyi eszközök és immateriális javak: könyv szerinti érték értékelési módszer szerint | 
| 43 | F 43.00 | Céltartalékok | 
| Meghatározott juttatási programok és munkavállalói juttatások | ||
| 44.1 | F 44.01 | A meghatározott juttatási programok nettó eszközeinek és kötelezettségeinek összetevői | 
| 44.2 | F 44.02 | A meghatározott juttatási programban vállalt kötelmek változásai | 
| 44.3 | F 44.03 | Személyi jellegű ráfordítások a juttatás típusa szerint | 
| 44.4 | F 44.04 | Személyi jellegű ráfordítások szerkezet és az alkalmazottak kategóriája szerint | 
| Az eredménykimutatás kiválasztott tételeinek részletezése | ||
| 45.1 | F 45.01 | Az eredménnyel szemben valós értéken értékeltnek megjelölt pénzügyi eszközök és kötelezettségek nyeresége vagy vesztesége számviteli portfólió szerint | 
| 45.2 | F 45.02 | Nem értékesítésre tartott nem pénzügyi eszközök kivezetéséből és leányvállalatokba, közös vállalkozásokba és társult vállalkozásokba történt befektetések kivezetéséből származó nyereség vagy veszteség | 
| 45.3 | F 45.03 | Egyéb működési bevételek és ráfordítások | 
| 46 | F 46.00 | A sajáttőke-változások kimutatása | 
| 47 | F 47.00 | Átlagos időtartam és megtérülési időszakok | 
1. Mérleg [pénzügyi helyzetre vonatkozó kimutatás]
1.1. Eszközök
| Hivatkozások | Részletes tábla: | Könyv szerinti érték | ||
| V. melléklet 1. részének 27. pontja | ||||
| 010 | ||||
| 010 | Készpénz, számlakövetelések központi bankokkal szemben és egyéb látra szóló betétek | IAS 1 54. bekezdésének i) pontja | ||
| 020 | Készpénz | V. melléklet 2. részének 1. pontja | ||
| 030 | Számlakövetelések központi bankokkal szemben | V. melléklet 2. részének 2. pontja | ||
| 040 | Egyéb látra szóló betétek | V. melléklet 2. részének 3. pontja | 5 | |
| 050 | Kereskedési céllal tartott pénzügyi eszközök | IFRS 9 A. függelék | ||
| 060 | Származtatott ügyletek | IFRS 9 A. függelék | 10 | |
| 070 | Tulajdoni részesedést megtestesítő instrumentumok | IAS 32 11. bekezdése | 4 | |
| 080 | Hitelviszonyt megtestesítő értékpapírok | V. melléklet 1. részének 31. pontja | 4 | |
| 090 | Hitelek és előlegek | V. melléklet 1. részének 32. pontja | 4 | |
| 096 | Kötelezően az eredménnyel szemben valós értéken értékelt, nem kereskedési célú pénzügyi eszközök | IFRS 7 8. bekezdésének a) ii. pontja; IFRS 9 4.1.4. bekezdése | 4 | |
| 097 | Tulajdoni részesedést megtestesítő instrumentumok | IAS 32 11. bekezdése | 4 | |
| 098 | Hitelviszonyt megtestesítő értékpapírok | V. melléklet 1. részének 31. pontja | 4 | |
| 099 | Hitelek és előlegek | V. melléklet 1. részének 32. pontja | 4 | |
| 100 | Az eredménnyel szemben valós értéken értékeltnek megjelölt pénzügyi eszközök | IFRS 7 8. bekezdésének a) i. pontja; IFRS 9 4.1.5. bekezdése | 4 | |
| 120 | Hitelviszonyt megtestesítő értékpapírok | V. melléklet 1. részének 31. pontja | 4 | |
| 130 | Hitelek és előlegek | V. melléklet 1. részének 32. pontja | 4 | |
| 141 | Az egyéb átfogó jövedelemmel szemben valós értéken értékelt pénzügyi eszközök | IFRS 7 8. bekezdésének h) pontja; IFRS 9 4.1.2A. bekezdése | 4 | |
| 142 | Tulajdoni részesedést megtestesítő instrumentumok | IAS 32 11. bekezdése | 4 | |
| 143 | Hitelviszonyt megtestesítő értékpapírok | V. melléklet 1. részének 31. pontja | 4 | |
| 144 | Hitelek és előlegek | V. melléklet 1. részének 32. pontja | 4 | |
| 181 | Amortizált bekerülési értéken értékelt pénzügyi eszközök | IFRS 7 8. bekezdésének f) pontja; IFRS 9 4.1.2. bekezdése | 4 | |
| 182 | Hitelviszonyt megtestesítő értékpapírok | V. melléklet 1. részének 31. pontja | 4 | |
| 183 | Hitelek és előlegek | V. melléklet 1. részének 32. pontja | 4 | |
| 240 | Származtatott ügyletek – Fedezeti elszámolások | IFRS 9 6.2.1. bekezdése; V. melléklet 1. részének 22. pontja | 11 | |
| 250 | Kamatlábkockázatra vonatkozó portfóliófedezeti ügylet során fedezett tételek valós értékének változása | IAS 39 89A. bekezdésének a) pontja; IFRS 9 6.5.8. bekezdése | ||
| 260 | Leányvállalatokban, közös vállalkozásokban és társult vállalkozásokban lévő befektetések | IAS 1 54. bekezdésének e) pontja; V. melléklet 1. részének 21. pontja, 2. részének 4. pontja | 40 | |
| 270 | Tárgyi eszközök | |||
| 280 | Ingatlanok, gépek és berendezések | IAS 16 6. bekezdése; IAS 1 54. bekezdésének a) pontja; IFRS 16 47. bekezdésének a) pontja | 21, 42 | |
| 290 | Befektetési célú ingatlan | IAS 40 5. bekezdése; IAS 1 54. bekezdésének b) pontja; IFRS 16 48. bekezdése | 21, 42 | |
| 300 | Immateriális javak | IAS 1 54. bekezdésének c) pontja; CRR 4. cikke (1) bekezdésének 115. pontja | ||
| 310 | Cégérték | IFRS 3 B67. bekezdésének d) pontja; CRR 4. cikke (1) bekezdésének 113. pontja | ||
| 320 | Egyéb immateriális javak | IAS 38 8. és 118. bekezdése; IFRS 16 47. bekezdésének a) pontja | 21, 42 | |
| 330 | Adókövetelések | IAS 1 54. bekezdésének n)–o) pontja | ||
| 340 | Tényleges adókövetelések | IAS 1 54. bekezdésének n) pontja; IAS 12 5. bekezdése | ||
| 350 | Halasztott adókövetelések | IAS 1 54. bekezdésének o) pontja; IAS 12 5. bekezdése; CRR 4. cikke (1) bekezdésének 106. pontja | ||
| 360 | Egyéb eszközök | V. melléklet 2. részének 5. pontja | ||
| 370 | Értékesítésre tartottá minősített befektetett eszközök és elidegenítési csoportok | IAS 1 54. bekezdésének j) pontja; IFRS 5 38. bekezdése; V. melléklet 2. részének 7. pontja | ||
| 380 | ESZKÖZÖK ÖSSZESEN | IAS 1 9. bekezdésének a) pontja; IG 6 | ||
1.2. Kötelezettségek
| Hivatkozások | Részletes tábla: | Könyv szerinti érték | ||
| V. melléklet 1. részének 27. pontja | ||||
| 010 | ||||
| 010 | Kereskedési céllal tartott pénzügyi kötelezettségek | IFRS 7 8. bekezdésének e) ii. pontja; IFRS 9 BA.6 bekezdése | 8 | |
| 020 | Származtatott ügyletek | IFRS 9 A. függelék; IFRS 9 4.2.1. bekezdésének a) pontja; IFRS 9 BA.7 bekezdésének a) pontja | 10 | |
| 030 | Rövid pozíciók | IFRS 9 BA7. bekezdésének b) pontja | 8 | |
| 040 | Betétek | EKB/2013/33 2. melléklete 2. részének 9. szakasza; V. melléklet 1. részének 36. pontja | 8 | |
| 050 | Kibocsátott hitelviszonyt megtestesítő értékpapírok | V. melléklet 1. részének 37. pontja | 8 | |
| 060 | Egyéb pénzügyi kötelezettségek | V. melléklet 1. részének 38–41. pontja | 8 | |
| 070 | Az eredménnyel szemben valós értéken értékeltnek megjelölt pénzügyi kötelezettségek | IFRS 7 8. bekezdésének e) i. pontja; IFRS 9 4.2.2. bekezdése | 8 | |
| 080 | Betétek | EKB/2013/33 2. melléklete 2. részének 9. szakasza V. melléklet 1. részének 36. pontja | 8 | |
| 090 | Kibocsátott hitelviszonyt megtestesítő értékpapírok | V. melléklet 1. részének 37. pontja | 8 | |
| 100 | Egyéb pénzügyi kötelezettségek | V. melléklet 1. részének 38–41. pontja | 8 | |
| 110 | Amortizált bekerülési értéken értékelt pénzügyi kötelezettségek | IFRS 7 8. bekezdésének g) pontja; IFRS 9 4.2.1. bekezdése | 8 | |
| 120 | Betétek | EKB/2013/33 2. melléklete 2. részének 9. szakasza V. melléklet 1. részének 36. pontja | 8 | |
| 130 | Kibocsátott hitelviszonyt megtestesítő értékpapírok | V. melléklet 1. részének 37. pontja | 8 | |
| 140 | Egyéb pénzügyi kötelezettségek | V. melléklet 1. részének 38–41. pontja | 8 | |
| 150 | Származtatott ügyletek – Fedezeti elszámolások | IFRS 9 6.2.1. bekezdése; V. melléklet 1. részének 26. pontja | 11 | |
| 160 | Kamatlábkockázatra vonatkozó portfóliófedezeti ügylet során fedezett tételek valós értékének változása | IAS 39 89A. bekezdésének b) pontja, IFRS 9 6.5.8. bekezdése | ||
| 170 | Céltartalékok | IAS 37 10. bekezdése; IAS 1 54. bekezdésének l) pontja | 43 | |
| 180 | Nyugdíj és egyéb munkaviszony megszűnése utáni meghatározott juttatási kötelmek | IAS 19 63. bekezdése; IAS 1 78. bekezdésének d) pontja; V. melléklet 2. részének 9. pontja | 43 | |
| 190 | Egyéb hosszú távú munkavállalói juttatások | IAS 19 153. bekezdése; IAS 1 78. bekezdésének d) pontja; V. melléklet 2. részének 10. pontja | 43 | |
| 200 | Átszervezés | IAS 37 71. bekezdése és 84. bekezdésének a) pontja | 43 | |
| 210 | Függő jogi ügyek és adóügyi perek | IAS 37 C függelék, 6. és 10. példák | 43 | |
| 220 | Adott elkötelezettségek és garanciák | IFRS 9 4.2.1. bekezdésének c) és d) pontja, 5.5. bekezdése és B2.5. bekezdése; IAS 37, IFRS 4; V. melléklet 2. részének 11. pontja | 9 12 43 | |
| 230 | Egyéb céltartalékok | IAS 37 14. bekezdése | 43 | |
| 240 | Adókötelezettségek | IAS 1 54. bekezdésének n)–o) pontja | ||
| 250 | Folyó adókötelezettségek | IAS 1 54. bekezdésének n) pontja; IAS 12 5. bekezdése | ||
| 260 | Halasztott adókötelezettségek | IAS 1 54. bekezdésének o) pontja; IAS 12 5. bekezdése; CRR 4. cikke (1) bekezdésének 108. pontja | ||
| 270 | Kérésre visszafizetendő jegyzett tőke | IAS 32 33. szemléltető példa; IFRIC 2; V. melléklet 2. részének 12. pontja | ||
| 280 | Egyéb kötelezettségek | V. melléklet 2. részének 13. pontja | ||
| 290 | Az értékesítésre tartottá minősített elidegenítési csoportba tartozó kötelezettségek | IAS 1 54. bekezdésének p) pontja; IFRS 5 38. bekezdése; V. melléklet 2. részének 14. pontja | ||
| 300 | KÖTELEZETTSÉGEK ÖSSZESEN | IAS 1 9. bekezdésének b) pontja; IG 6 | ||
1.3. Saját tőke
| Hivatkozások | Részletes tábla: | Könyv szerinti érték | ||
| 010 | ||||
| 010 | Jegyzett tőke | IAS 1 54. bekezdésének r) pontja; BAD 22. cikke | 46 | |
| 020 | Befizetett jegyzett tőke | IAS 1 78. bekezdésének e) pontja; | ||
| 030 | Jegyzett, de még be nem fizetett tőke | V. melléklet 2. részének 14. pontja | ||
| 040 | Névértéken felüli befizetés (ázsió) | IAS 1 78. bekezdésének e) pontja; CRR 4. cikke (1) bekezdésének 124. pontja | 46 | |
| 050 | Kibocsátott tulajdoni részesedést megtestesítő instrumentumok, kivéve jegyzett tőke | V. melléklet 2. részének 18–19. pontja | 46 | |
| 060 | Összetett pénzügyi instrumentumok sajáttőke-eleme | IAS 32 28–29. bekezdése; V. melléklet 2. részének 18. pontja | ||
| 070 | Egyéb kibocsátott tulajdoni részesedést megtestesítő instrumentumok | V. melléklet 2. részének 19. pontja | ||
| 080 | Egyéb tőke | IFRS 2 10. bekezdése; V. melléklet 2. részének 20. bekezdése | ||
| 090 | Halmozott egyéb átfogó jövedelem | CRR 4. cikke (1) bekezdésének 100. pontja | 46 | |
| 095 | Eredménybe nem átsorolható tételek | IAS 1 82A. bekezdésének a) pontja | ||
| 100 | Tárgyi eszközök | IAS 16 39–41. bekezdése | ||
| 110 | Immateriális javak | IAS 38 85–87. bekezdése | ||
| 120 | A meghatározott juttatási nyugdíjprogramok aktuáriusi nyeresége vagy (-) vesztesége | IAS 1 7. bekezdése, IG6; IAS 19 120. bekezdésének c) pontja | ||
| 122 | Értékesítésre tartottá minősített befektetett eszközök és elidegenítési csoportok | IFRS 5 38. bekezdése, IG 12. példa | ||
| 124 | Leányvállalatokba, közös vállalkozásokba, valamint társult vállalkozásokba történt befektetések egyéb megjelenített bevételeiből vagy ráfordításaiból való részesedés | IAS 1, IG6; IAS 28 10. bekezdése | ||
| 320 | Az egyéb átfogó jövedelemmel szemben valós értéken értékelt tulajdoni részesedést megtestesítő instrumentumok valós értékének változásai | IAS 1 7. bekezdésének d) pontja; IFRS 9 5.7.5. bekezdése és B5.7.1. bekezdése; V. melléklet 2. részének 21. pontja | ||
| 330 | Az egyéb átfogó jövedelemmel szemben valós értéken értékelt tulajdoni részesedést megtestesítő instrumentumok valósérték-fedezeti ügyleteinek hatékonysághiánya | IAS 1 7. bekezdésének e) pontja; IFRS 9 5.7.5. és 6.5.3 bekezdése; IFRS 7 24C. bekezdése; V. melléklet 2. részének 22. pontja | ||
| 340 | Az egyéb átfogó jövedelemmel szemben valós értéken értékelt tulajdoni részesedést megtestesítő instrumentumok valós értékének változásai [fedezett tétel] | IFRS 9 5.7.5. bekezdése, 6.5.8. bekezdésének b) pontja; V. melléklet 2. részének 22. pontja | ||
| 350 | Az egyéb átfogó jövedelemmel szemben valós értéken értékelt tulajdoni részesedést megtestesítő instrumentumok valós értékének változásai [fedezeti instrumentum] | IAS 1 7. bekezdésének e) pontja; IFRS 9 5.7.5. bekezdése, 6.5.8. bekezdésének a) pontja; V. melléklet 2. részének 57. pontja | ||
| 360 | Az eredménnyel szemben valós értéken értékelt pénzügyi kötelezettségek hitelezési kockázat változásából származó valósérték-változásai | IAS 1 7. bekezdésének f) pontja IFRS 9 5.7.7. bekezdése; V. melléklet 2. részének 23. pontja | ||
| 128 | Eredménybe átsorolható tételek | IAS 1 82A. bekezdésének a) (ii) pontja | ||
| 130 | Külföldi érdekeltségekbe történt nettó befektetések fedezeti ügyletei [hatékony rész] | IFRS 9 6.5.13. bekezdésének a) pontja; IFRS 7 24B. bekezdésének b) ii. és iii. pontja; IFRS 7 24C. bekezdésének b) i. és iv. pontja, 24E. bekezdésének a) pontja; V. melléklet 2. részének 24. pontja | ||
| 140 | Külföldi pénznemek átváltása | IAS 21 52. bekezdésének b) pontja; IAS 21 32. és 38–49. bekezdése | ||
| 150 | Származtatott fedezeti ügyletek. Cash flow-fedezeti ügyletek tartaléka [hatékony rész] | IAS 1 7. bekezdésének e) pontja; IFRS 7 24B. bekezdésének b) ii. és iii. pontja; IFRS 7 24C. bekezdésének b) i. pontja, 24E. bekezdése; IFRS 9 6.5.11. bekezdésének b) pontja; V. melléklet 2. részének 25. pontja | ||
| 155 | Az egyéb átfogó jövedelemmel szemben valós értéken értékelt hitelviszonyt megtestesítő instrumentumok valós értékének változásai | IAS 1 7. bekezdésének da) pontja; IFRS 9 4.1.2A. bekezdése, 5.7.10. bekezdése; V. melléklet 2. részének 26. pontja | ||
| 165 | Fedezeti instrumentumok [nem megjelölt elemek] | IAS 1 7. bekezdésének g) és h) pontja; IFRS 9 6.5.15. és 6.5.16. bekezdése; IFRS 7 24E. bekezdésének b) és c) pontja; V. melléklet 2. részének 60. pontja | ||
| 170 | Értékesítésre tartottá minősített befektetett eszközök és elidegenítési csoportok | IFRS 5 38. bekezdése, IG 12. példa | ||
| 180 | Leányvállalatokba, közös vállalkozásokba, valamint társult vállalkozásokba történt befektetések egyéb megjelenített bevételeiből vagy ráfordításaiból való részesedés | IAS 1, IG6; IAS 28 10. bekezdése | ||
| 190 | Eredménytartalék | CRR 4. cikke (1) bekezdésének 123. pontja | ||
| 200 | Átértékelési tartalék | IFRS 1 30. bekezdése, D5–D8. bekezdése V. melléklet 2. részének 28. pontja | ||
| 210 | Egyéb tartalék | IAS 1 54. bekezdése; IAS 1 78. bekezdésének e) pontja; | ||
| 220 | Tőkemódszerrel értékelt, leányvállalatokba, közös vállalkozásokba, valamint társult vállalkozásokba történt befektetések tartalékai vagy halmozott veszteségei | IAS 28 11. bekezdése; V. melléklet 2. részének 29. pontja | ||
| 230 | Egyéb | V. melléklet 2. részének 29. pontja | ||
| 240 | (-) Saját részvények | IAS 1 79. bekezdésének a) vi. pontja; IAS 32 33–34. bekezdése, AG 14., AG 36. bekezdés; V. melléklet 2. részének 30. pontja | 46 | |
| 250 | Az anyavállalat tulajdonosainak tulajdonítható eredmény | IAS 1 81B. bekezdésének b) ii. pontja | 2 | |
| 260 | (-) évközi osztalék | IAS 32 35. bekezdése | ||
| 270 | Kisebbségi részesedések [Nem ellenőrző részesedés] | IAS 1 54. bekezdésének q) pontja; | ||
| 280 | Halmozott egyéb átfogó jövedelem | CRR 4. cikke (1) bekezdésének 100. pontja | 46 | |
| 290 | Egyéb tételek | 46 | ||
| 300 | SAJÁT TŐKE ÖSSZESEN | IAS 1 9. bekezdésének c) pontja, IG 6 | 46 | |
| 310 | SAJÁT TŐKE ÖSSZESEN ÉS KÖTELEZETTSÉGEK ÖSSZESEN | IAS 1, IG6 | ||
2. Eredménykimutatás
| Hivatkozások | Részletes tábla: | Tárgyidőszak | ||
| 010 | ||||
| 010 | Kamatbevétel | IAS 1 97. bekezdése; V. melléklet 2. részének 31. pontja | 16 | |
| 020 | Kereskedési céllal tartott pénzügyi eszközök | IFRS 7 20. bekezdésének a) i. pontja, B5. bekezdésének e) pontja; V. melléklet 1. részének 33. és 34. pontja | ||
| 025 | Kötelezően az eredménnyel szemben valós értéken értékelt, nem kereskedési célú pénzügyi eszközök | IFRS 7 20. bekezdésének a) i. pontja, B5. bekezdésének e) pontja; IFRS 9 5.7.1. bekezdése | ||
| 030 | Az eredménnyel szemben valós értéken értékeltnek megjelölt pénzügyi eszközök | IFRS 7 20. bekezdésének a) i. pontja, B5. bekezdésének e) pontja | ||
| 041 | Az egyéb átfogó jövedelemmel szemben valós értéken értékelt pénzügyi eszközök | IFRS 7 20. bekezdésének b) pontja; IFRS 9 5.7.10–11. bekezdése; IFRS 9 4.1.2A. bekezdése | ||
| 051 | Amortizált bekerülési értéken értékelt pénzügyi eszközök | IFRS 7 20. bekezdésének b) pontja; IFRS 9 4.1.2. bekezdése; IFRS 9 5.7.2. bekezdése | ||
| 070 | Származtatott ügyletek — Fedezeti elszámolások, kamatlábkockázat | IFRS 9 A. függelék; B6.6.16. bekezdése; V. melléklet 2. részének 35. pontja | ||
| 080 | Egyéb eszközök | V. melléklet 2. részének 36. pontja | ||
| 085 | Kötelezettségeken képződött kamatbevétel | IFRS 9 5.7.1. bekezdése; V. melléklet 2. részének 37. pontja | ||
| 090 | (Kamatráfordítások) | IAS 1 97. bekezdése; V. melléklet 2. részének 31. pontja | 16 | |
| 100 | (Kereskedési céllal tartott pénzügyi kötelezettségek) | IFRS 7 20. bekezdésének a) i. pontja, B5. bekezdésének e) pontja; V. melléklet 1. részének 33. és 34. pontja | ||
| 110 | (Az eredménnyel szemben valós értéken értékeltnek megjelölt pénzügyi kötelezettségek) | IFRS 7 20. bekezdésének a) i. pontja, B5. bekezdésének e) pontja | ||
| 120 | (Amortizált bekerülési értéken értékelt pénzügyi kötelezettségek) | IFRS 7 20. bekezdésének b) pontja; IFRS 9 5.7.2. bekezdése | ||
| 130 | (Származtatott ügyletek — Fedezeti elszámolások, kamatlábkockázat) | IAS 39 9. bekezdése; V. melléklet 2. részének 35. pontja | ||
| 140 | (Egyéb kötelezettségek) | V. melléklet 2. részének 38. pontja | ||
| 145 | (Eszközök kamatráfordításai) | IFRS 9 5.7.1. bekezdése; V. melléklet 2. részének 39. pontja | ||
| 150 | (Kérésre visszafizetendő jegyzett tőke ráfordításai) | IFRIC 2 11. bekezdése | ||
| 160 | Osztalékbevétel | V. melléklet 2. részének 40. pontja | 31 | |
| 170 | Kereskedési céllal tartott pénzügyi eszközök | IFRS 7 20. bekezdésének a) i. pontja, B5. bekezdésének e) pontja; V. melléklet 2. részének 40. pontja | ||
| 175 | Kötelezően az eredménnyel szemben valós értéken értékelt, nem kereskedési célú pénzügyi eszközök | IFRS 7 20. bekezdésének a) i. pontja, B5. bekezdésének e) pontja; IFRS 9 5.7.1A. bekezdése; V. melléklet 2. részének 40. pontja | ||
| 191 | Az egyéb átfogó jövedelemmel szemben valós értéken értékelt pénzügyi eszközök | IFRS 7 20. bekezdésének a) ii. pontja; IFRS 9 4.1.2A. bekezdése, IFRS 9 5.7.1A. bekezdése; V. melléklet 2. részének 41. pontja | ||
| 192 | Nem tőkemódszerrel értékelt befektetések leányvállalatokban, közös vállalkozásokban, valamint társult vállalkozásokban | V. melléklet 2. részének 42. pontja | ||
| 200 | Díj- és jutalékbevételek | IFRS 7 20. bekezdésének c) pontja | 22 | |
| 210 | (Díj- és jutalékráfordítások) | IFRS 7 20. bekezdésének c) pontja | 22 | |
| 220 | Az eredménnyel szemben valós értéken értékelt kategóriába nem tartozó pénzügyi eszközök és kötelezettségek kivezetéséből származó nyereség vagy (-) veszteség, nettó | V. melléklet 2. részének 45. pontja | 16 | |
| 231 | Az egyéb átfogó jövedelemmel szemben valós értéken értékelt pénzügyi eszközök | IFRS 9 4.12.A. bekezdése; IFRS 9 5.7.10–11. bekezdése | ||
| 241 | Amortizált bekerülési értéken értékelt pénzügyi eszközök | IFRS 7 20. bekezdésének a) v. pontja; IFRS 9 4.1.2. bekezdése; IFRS 9 5.7.2. bekezdése | ||
| 260 | Amortizált bekerülési értéken értékelt pénzügyi kötelezettségek | IFRS 7 20. bekezdésének a) v. pontja; IFRS 9 5.7.2. bekezdése | ||
| 270 | Egyéb | |||
| 280 | Kereskedési céllal tartott pénzügyi eszközökből és kötelezettségekből származó nyereség vagy (-) veszteség, nettó | IFRS 7 20. bekezdésének a) i. pontja; IFRS 9 5.7.1. bekezdése; V. melléklet 2. részének 43. és 46. pontja | 16 | |
| 287 | Kötelezően az eredménnyel szemben valós értéken értékelt, nem kereskedési célú pénzügyi eszközök nyeresége vagy (-) vesztesége, nettó | IFRS 7 20. bekezdésének a) i. pontja; IFRS 9 5.7.1. bekezdése; V. melléklet 2. részének 46. pontja | ||
| 290 | Az eredménnyel szemben valós értéken értékeltnek megjelölt pénzügyi eszközök és kötelezettségek nyeresége vagy (-) vesztesége, nettó | IFRS 7 20. bekezdésének a) i. pontja; IFRS 9 5.7.1. bekezdése; V. melléklet 2. részének 44. pontja | 16, 45 | |
| 300 | Fedezeti elszámolásokból eredő nyereségek vagy (-) veszteségek, nettó | V. melléklet 2. részének 47. pontja | 16 | |
| 310 | Árfolyam-különbözet [nyereség vagy (-) veszteség], nettó | IAS 21 28. bekezdése és 52. bekezdésének a) pontja | ||
| 330 | Nem pénzügyi eszközök kivezetéséből származó nyereség vagy (-) veszteség, nettó | IAS 1 34. bekezdése; V. melléklet 2. részének 48. pontja | 45 | |
| 340 | Egyéb működési bevétel | V. melléklet 2. részének 314–316. pontja | 45 | |
| 350 | (Egyéb működési költségek) | V. melléklet 2. részének 314–316. pontja | 45 | |
| 355 | MŰKÖDÉSI BEVÉTELEK ÖSSZESEN, NETTÓ | |||
| 360 | (Administrative expenses) | |||
| 370 | (Staff expenses) | IAS 19.7; IAS 1.102, IG 6 | 44 | |
| 380 | (Other administrative expenses) | 16 | ||
| 385 | (Cash contributions to resolution funds and deposit guarantee schemes) | Annex V.Part 2.48i | ||
| 390 | (Depreciation) | IAS 1.102, 104 | ||
| 400 | (Property, Plant and Equipment) | IAS 1.104; IAS 16.73(e)(vii) | ||
| 410 | (Investment Properties) | IAS 1.104; IAS 40.79(d)(iv) | ||
| 420 | (Other intangible assets) | IAS 1.104; IAS 38.118(e)(vi) | ||
| 425 | Modification gains or (-) losses, net | IFRS 9.5.4.3, IFRS 9 Appendix A; Annex V Part 2.49 | ||
| 426 | Financial assets at fair value through other comprehensive income | IFRS 7.35J | ||
| 427 | Financial assets at amortised cost | IFRS 7.35J | ||
| 430 | (Provisions or (-) reversal of provisions) | IAS 37.59, 84; IAS 1.98(b)(f)(g) | 9 12 43 | |
| 435 | (payment commitments to resolution funds and deposit guarantee schemes) | Annex V.Part 2.48i | ||
| 440 | (Commitments and guarantees given) | IFRS 9.4.2.1(c),(d),9.B2.5; IAS 37, IFRS 4, Annex V.Part 2.50 | ||
| 450 | (Other provisions) | |||
| 460 | (Impairment or (-) reversal of impairment on financial assets not measured at fair value through profit or loss) | IFRS 7.20(a)(viii); IFRS 9.5.4.4; Annex V Part 2.51, 53 | 12 | |
| 481 | (Financial assets at fair value through other comprehensive income) | IFRS 9.5.4.4, 9.5.5.1, 9.5.5.2, 9.5.5.8 | 12 | |
| 491 | (Financial assets at amortised cost) | IFRS 9.5.4.4, 9.5.5.1, 9.5.5.8 | 12 | |
| 510 | (Impairment or (-) reversal of impairment of investments in subsidiaries, joint ventures and associates) | IAS 28.40-43 | 16 | |
| 520 | (Impairment or (-) reversal of impairment on non-financial assets) | IAS 36.126(a)(b) | 16 | |
| 530 | (Property, plant and equipment) | IAS 16.73(e)(v-vi) | ||
| 540 | (Investment properties) | IAS 40.79(d)(v) | ||
| 550 | (Goodwill) | IFRS 3.Appendix B67(d)(v); IAS 36.124 | ||
| 560 | (Other intangible assets) | IAS 38.118 (e)(iv)(v) | ||
| 570 | (Other) | IAS 36.126 (a)(b) | ||
| 580 | Negative goodwill recognised in profit or loss | IFRS 3.Appendix B64(n)(i) | ||
| 590 | Share of the profit or (-) loss of investments in subsidaries, joint ventures and associates accounted for using the equity method | Annex V.Part 2.54 | ||
| 600 | Profit or (-) loss from non-current assets and disposal groups classified as held for sale not qualifying as discontinued operations | IFRS 5.37; Annex V.Part 2.55 | ||
| 610 | PROFIT OR (-) LOSS BEFORE TAX FROM CONTINUING OPERATIONS | IAS 1.102, IG 6; IFRS 5.33 A | ||
| 620 | (Tax expense or (-) income related to profit or loss from continuing operations) | IAS 1.82(d); IAS 12.77 | ||
| 630 | PROFIT OR (-) LOSS AFTER TAX FROM CONTINUING OPERATIONS | IAS 1, IG 6 | ||
| 640 | Profit or (-) loss after tax from discontinued operations | IAS 1.82(ea) ; IFRS 5.33(a), 5.33 A; Annex V Part 2.56 | ||
| 650 | Profit or (-) loss before tax from discontinued operations | IFRS 5.33(b)(i) | ||
| 660 | (Tax expense or (-) income related to discontinued operations) | IFRS 5.33 (b)(ii),(iv) | ||
| 670 | PROFIT OR (-) LOSS FOR THE YEAR | IAS 1.81A(a) | ||
| 680 | Attributable to minority interest [non-controlling interests] | IAS 1.81B (b)(i) | ||
| 690 | Attributable to owners of the parent | IAS 1.81B (b)(ii) | ||
3. Átfogó jövedelemkimutatás
| Hivatkozások | Tárgyidőszak | ||
| 010 | |||
| 010 | Az üzleti év nyeresége vagy (-) vesztesége | IAS 1 7. bekezdése, IG6 | |
| 020 | Egyéb átfogó jövedelem | IAS 1 7. bekezdése, IG6 | |
| 030 | Eredménybe nem átsorolható tételek | IAS 1 82A. bekezdésének a) i. pontja | |
| 040 | Tárgyi eszközök | IAS 1 7. bekezdése, IG6; IAS 16 39-40. bekezdése | |
| 050 | Immateriális javak | IAS 1 7. bekezdése; IAS 38 85-86. bekezdése | |
| 060 | A meghatározott juttatási nyugdíjprogramok aktuáriusi nyeresége vagy (-) vesztesége | IAS 1 7. bekezdése, IG6; IAS 19 120. bekezdésének c) pontja | |
| 070 | Értékesítésre tartott befektetett eszközök és elidegenítési csoportok | IFRS 5 38. bekezdése | |
| 080 | Tőkemódszerrel értékelt, gazdálkodó egységek megjelenített bevételeiből vagy ráfordításaiból való részesedés | IAS 1, IG6; IAS 28 10. bekezdése | |
| 081 | Az egyéb átfogó jövedelemmel szemben valós értéken értékelt tulajdoni részesedést megtestesítő instrumentumok valós értékének változásai | IAS 1 7. bekezdésének d) pontja | |
| 083 | Az egyéb átfogó jövedelemmel szemben valós értéken értékelt tulajdoni részesedést megtestesítő instrumentumok fedezeti elszámolásából eredő nyereségek vagy (-) veszteségek, nettó | IFRS 9 5.7.5. bekezdése és 6.5.3. bekezdése; IFRS 7 24C. bekezdése; V. melléklet 2. részének 57. pontja | |
| 084 | Az egyéb átfogó jövedelemmel szemben valós értéken értékelt tulajdoni részesedést megtestesítő instrumentumok valós értékének változásai [fedezett tétel] | IFRS 9 5.7.5. bekezdése, 6.5.8. bekezdésének b) pontja; V. melléklet 2. részének 57. pontja | |
| 085 | Az egyéb átfogó jövedelemmel szemben valós értéken értékelt tulajdoni részesedést megtestesítő instrumentumok valós értékének változásai [fedezeti instrumentum] | IFRS 9 5.7.5. bekezdése, 6.5.8. bekezdésének a) pontja; V. melléklet 2. részének 57. pontja | |
| 086 | Az eredménnyel szemben valós értéken értékelt pénzügyi kötelezettségek hitelezési kockázat változásából származó valósérték-változásai | IAS 1 7. bekezdésének f) pontja | |
| 090 | Nem átsorolandó tételekhez kapcsolódó nyereségadó | IAS 1 91. bekezdésének b) pontja; V. melléklet 2. részének 66. pontja | |
| 100 | Eredménybe átsorolható tételek | IAS 1 82A. bekezdésének a) ii. pontja | |
| 110 | Külföldi érdekeltségekbe történt nettó befektetések fedezeti ügyletei [hatékony rész] | IFRS 9 6.5.13. bekezdésének a) pontja; IFRS 7 24C. bekezdésének b) i. és iv. pontja, 24E. bekezdésének a) pontja; V. melléklet 2. részének 58. pontja | |
| 120 | Saját tőkében elszámolt értékelési nyereség vagy (-) veszteség | IAS 1 IG6;IFRS 9 6.5.13. bekezdésének a) pontja; IFRS 7 24C. bekezdésének b) i. pontja, 24E. bekezdésének a) pontja; V. melléklet 2. részének 58. pontja | |
| 130 | Eredménybe átvezetett | IAS 1 7., 92–95. bekezdése; IAS 21 48–49. bekezdése IFRS 9 6.5.14. bekezdése; V. melléklet 2. részének 59. pontja | |
| 140 | Egyéb átsorolás | V. melléklet 2. részének 65. pontja | |
| 150 | Külföldi pénznemek átváltása | IAS 1 7. bekezdése, IG6; IAS 21 52. bekezdésének b) pontja; | |
| 160 | Külföldi pénznemek átváltásából származó, és a saját tőkében elszámolt nyereség vagy (-) veszteség | IAS 21 32. és 38–47. bekezdése | |
| 170 | Eredménybe átvezetett | IAS 1 7., 92-95. bekezdése; IAS 21 48-49. bekezdése | |
| 180 | Egyéb átsorolás | V. melléklet 2. részének 65. pontja | |
| 190 | Cash flow-fedezeti ügyletek [hatékony rész] | IAS 1 7. bekezdése, IG6; IAS 39 95. bekezdésének a) pontjától a 96. bekezdésig, IFRS 9 6.5.11. bekezdésének b) pontja; IFRS 7 24C. bekezdésének b) i. pontja, 24E. bekezdésének a) pontja; | |
| 200 | Saját tőkében elszámolt értékelési nyereség vagy (-) veszteség | IAS 1 7. bekezdésének e) pontja, IG6; IFRS 9 6.5.11. bekezdésének a), b) és d) pontja; IFRS 7 24C. bekezdésének b) i. pontja, 24E. bekezdésének a) pontja; | |
| 210 | Eredménybe átvezetett | IAS 1 7. bekezdése, 92–95. bekezdése, IG6; IFRS 9 6.5.11. bekezdésének d) ii. és iii. pontja; IFRS 7 24C. bekezdésének b) iv. pontja, 24E. bekezdésének a) pontja; V. melléklet 2. részének 59. pontja | |
| 220 | A fedezett tételek kezdeti könyv szerinti értékébe átvezetett | IAS 1 IG6; IFRS 9 6.5.11. bekezdésének d) i. pontja; | |
| 230 | Egyéb átsorolás | V. melléklet 2. részének 65. pontja | |
| 231 | Fedezeti instrumentumok [nem megjelölt elemek] | IAS 1 7. bekezdésének g) és h) pontja; IFRS 9 6.5.15. és 6.5.16. bekezdése; IFRS 7 24E. bekezdésének b) és c) pontja; V. melléklet 2. részének 60. pontja | |
| 232 | Saját tőkében elszámolt értékelési nyereség vagy (-) veszteség | IAS 1 7. bekezdésének g) és h) pontja; IFRS 9 6.5.15. és 6.5.16. bekezdése; IFRS 7 24E. bekezdésének b) és c) pontja | |
| 233 | Eredménybe átvezetett | IAS 1 7. bekezdésének g) és h) pontja; IFRS 9 6.5.15. és 6.5.16. bekezdése; IFRS 7 24E. bekezdésének b) és c) pontja; V. melléklet 2. részének 61. pontja | |
| 234 | Egyéb átsorolás | V. melléklet 2. részének 65. pontja | |
| 241 | Az egyéb átfogó jövedelemmel szemben valós értéken értékelt hitelviszonyt megtestesítő instrumentumok | IAS 1 7. bekezdésének da) pontja, IG 6; IAS 1, IG6; IFRS 9 5.6.4. bekezdése; V. melléklet 2. részének 62–63. pontja | |
| 251 | Saját tőkében elszámolt értékelési nyereség vagy (-) veszteség | IFRS 7 20. bekezdésének a) ii. pontja; IAS 1, IG6; IFRS 9 5.6.4. bekezdése | |
| 261 | Eredménybe átvezetett | IAS 1 7. bekezdése; IAS 1 92–95. bekezdése; IAS 1, IG6; IFRS 9 5.6.7. bekezdése; V. melléklet 2. részének 64. pontja | |
| 270 | Egyéb átsorolás | IFRS 5, IG 12. példa; IFRS 9 5.6.5. bekezdése V. melléklet 2. részének 64–65. pontja | |
| 280 | Értékesítésre tartott befektetett eszközök és elidegenítési csoportok | IFRS 5 38. bekezdése | |
| 290 | Saját tőkében elszámolt értékelési nyereség vagy (-) veszteség | IFRS 5 38. bekezdése | |
| 300 | Eredménybe átvezetett | IAS 1 7., 92-95. bekezdése; IFRS 5 38. bekezdése | |
| 310 | Egyéb átsorolás | IFRS 5 IG 12. példa | |
| 320 | Leányvállalatokba, közös vállalkozásokba, valamint társult vállalkozásokba történt befektetések egyéb megjelenített bevételeiből vagy ráfordításaiból való részesedés | IAS 1, IG6; IAS 28 10. bekezdése | |
| 330 | Nyereségbe vagy (-) veszteségbe átsorolható tételekhez kapcsolódó nyereségadó | IAS 1 91. bekezdésének b) pontja, IG6; V. melléklet 2. részének 66. pontja | |
| 340 | Teljes tárgyévi átfogó jövedelem | IAS 1 7. bekezdése, 81A. bekezdésének a) pontja, IG6 | |
| 350 | Kisebbségi részesedéseknek tulajdonítható [nem ellenőrző részesedés] | IAS 1 83. bekezdésének b) i. pontja, IG6 | |
| 360 | Az anyavállalat tulajdonosainak tulajdonítható | IAS 1 83. bekezdésének b) ii. pontja, IG6 | |
4. Pénzügyi eszközök instrumentum és ügyfélszektor szerinti részletezése
4.1. Kereskedési céllal tartott pénzügyi eszközök
| Hivatkozások | Könyv szerinti érték | ||
| V. melléklet 1. részének 27. pontja | |||
| 010 | |||
| 005 | Származtatott ügyletek | ||
| 010 | Tulajdoni részesedést megtestesítő instrumentumok | IAS 32 11. bekezdése; V. melléklet 1. részének 44. b) pontja | |
| 030 | ebből: hitelintézetek | V. melléklet 1. részének 42. c) pontja | |
| 040 | ebből: egyéb pénzügyi vállalatok | V. melléklet 1. részének 42. d) pontja | |
| 050 | ebből: nem pénzügyi vállalatok | V. melléklet 1. részének 42. e) pontja | |
| 060 | Hitelviszonyt megtestesítő értékpapírok | V. melléklet 1. részének 31. pontja és 44. b) pontja | |
| 070 | Központi bankok | V. melléklet 1. részének 42. a) pontja | |
| 080 | Államháztartások | V. melléklet 1. részének 42. b) pontja | |
| 090 | Hitelintézetek | V. melléklet 1. részének 42. c) pontja | |
| 100 | Egyéb pénzügyi vállalatok | V. melléklet 1. részének 42. d) pontja | |
| 110 | Nem pénzügyi vállalatok | V. melléklet 1. részének 42. e) pontja | |
| 120 | Hitelek és előlegek | V. melléklet 1. részének 32. pontja, 44. a) pontja | |
| 130 | Központi bankok | V. melléklet 1. részének 42. a) pontja | |
| 140 | Államháztartások | V. melléklet 1. részének 42. b) pontja | |
| 150 | Hitelintézetek | V. melléklet 1. részének 42. c) pontja | |
| 160 | Egyéb pénzügyi vállalatok | V. melléklet 1. részének 42. d) pontja | |
| 170 | Nem pénzügyi vállalatok | V. melléklet 1. részének 42. e) pontja | |
| 180 | Háztartások | V. melléklet 1. részének 42. f) pontja | |
| 190 | KERESKEDÉSI CÉLLAL TARTOTT PÉNZÜGYI ESZKÖZÖK | IFRS 9 A. függelék | |
4.2.1. Kötelezően az eredménnyel szemben valós értéken értékelt, nem kereskedési célú pénzügyi eszközök
| Hivatkozások | Könyv szerinti érték | A hitelkockázat-változásból származó negatív valósérték-változás halmozott összege nemteljesítő kitettségek esetében | ||
| V. melléklet 1. részének 27. pontja | V. melléklet 2. részének 69. pontja | |||
| 010 | 020 | |||
| 010 | Tulajdoni részesedést megtestesítő instrumentumok | IAS 32 11. bekezdése; V. melléklet 1. részének 44. b) pontja | ||
| 020 | ebből: hitelintézetek | V. melléklet 1. részének 42. c) pontja | ||
| 030 | ebből: egyéb pénzügyi vállalatok | V. melléklet 1. részének 42. d) pontja | ||
| 040 | ebből: nem pénzügyi vállalatok | V. melléklet 1. részének 42. e) pontja | ||
| 050 | Hitelviszonyt megtestesítő értékpapírok | V. melléklet 1. részének 31. pontja és 44. b) pontja | ||
| 060 | Központi bankok | V. melléklet 1. részének 42. a) pontja | ||
| 070 | Államháztartások | V. melléklet 1. részének 42. b) pontja | ||
| 080 | Hitelintézetek | V. melléklet 1. részének 42. c) pontja | ||
| 090 | Egyéb pénzügyi vállalatok | V. melléklet 1. részének 42. d) pontja | ||
| 100 | Nem pénzügyi vállalatok | V. melléklet 1. részének 42. e) pontja | ||
| 110 | Hitelek és előlegek | V. melléklet 1. részének 32. pontja, 44. a) pontja | ||
| 120 | Központi bankok | V. melléklet 1. részének 42. a) pontja | ||
| 130 | Államháztartások | V. melléklet 1. részének 42. b) pontja | ||
| 140 | Hitelintézetek | V. melléklet 1. részének 42. c) pontja | ||
| 150 | Egyéb pénzügyi vállalatok | V. melléklet 1. részének 42. d) pontja | ||
| 160 | Nem pénzügyi vállalatok | V. melléklet 1. részének 42. e) pontja | ||
| 170 | Háztartások | V. melléklet 1. részének 42. f) pontja | ||
| 180 | KÖTELEZŐEN AZ EREDMÉNNYEL SZEMBEN VALÓS ÉRTÉKEN ÉRTÉKELT, NEM KERESKEDÉSI CÉLÚ PÉNZÜGYI ESZKÖZÖK | IFRS 7 8. bekezdésének a) ii. pontja; IFRS 9 4.1.4. bekezdése | ||
4.2.2. Az eredménnyel szemben valós értéken értékeltnek megjelölt pénzügyi eszközök
| Hivatkozások | Könyv szerinti érték | A hitelkockázat-változásból származó negatív valósérték-változás halmozott összege nemteljesítő kitettségek esetében | ||
| V. melléklet 1. részének 27. pontja | V. melléklet 2. részének 69. pontja | |||
| 010 | 020 | |||
| 060 | Hitelviszonyt megtestesítő értékpapírok | V. melléklet 1. részének 31. pontja és 44. b) pontja | ||
| 070 | Központi bankok | V. melléklet 1. részének 42. a) pontja | ||
| 080 | Államháztartások | V. melléklet 1. részének 42. b) pontja | ||
| 090 | Hitelintézetek | V. melléklet 1. részének 42. c) pontja | ||
| 100 | Egyéb pénzügyi vállalatok | V. melléklet 1. részének 42. d) pontja | ||
| 110 | Nem pénzügyi vállalatok | V. melléklet 1. részének 42. e) pontja | ||
| 120 | Hitelek és előlegek | V. melléklet 1. részének 32. pontja, 44. a) pontja | ||
| 130 | Központi bankok | V. melléklet 1. részének 42. a) pontja | ||
| 140 | Államháztartások | V. melléklet 1. részének 42. b) pontja | ||
| 150 | Hitelintézetek | V. melléklet 1. részének 42. c) pontja | ||
| 160 | Egyéb pénzügyi vállalatok | V. melléklet 1. részének 42. d) pontja | ||
| 170 | Nem pénzügyi vállalatok | V. melléklet 1. részének 42. e) pontja | ||
| 180 | Háztartások | V. melléklet 1. részének 42. f) pontja | ||
| 190 | AZ EREDMÉNNYEL SZEMBEN VALÓS ÉRTÉKEN ÉRTÉKELTNEK MEGJELÖLT PÉNZÜGYI ESZKÖZÖK | IFRS 7 8. bekezdésének a) i. pontja; IFRS 9 4.1.5. bekezdése | ||
4.3. 1 Az egyéb átfogó jövedelemmel szemben valós értéken értékelt pénzügyi eszközök
| Hivatkozások | Könyv szerinti érték | Bruttó könyv szerinti érték V. melléklet 1. részének 34. b) pontja | Halmozott értékvesztés V. melléklet 2. részének 70. b) pontja, 71. pontja | Halmozott részleges leírások összege | Halmozott teljes leírások összege | |||||||
| Eszközök, amelyek hitelkockázata nem növekedett jelentősen a kezdeti megjelenítés óta (1. szakasz) | Eszközök, amelyek hitelkockázata jelentősen növekedett a kezdeti megjelenítés óta, de amelyek nem váltak értékvesztetté (2. szakasz) | Értékvesztett eszközök (3. szakasz) | Eszközök, amelyek hitelkockázata nem növekedett jelentősen a kezdeti megjelenítés óta (1. szakasz) | Eszközök, amelyek hitelkockázata jelentősen növekedett a kezdeti megjelenítés óta, de amelyek nem váltak értékvesztetté (2. szakasz) | Értékvesztett eszközök (3. szakasz) | |||||||
| ebből: alacsony hitelkockázatú eszközök | ||||||||||||
| V. melléklet 1. részének 27. pontja | IFRS 9 5.5.5. bekezdése; IFRS 7 35M. bekezdésének a) pontja | IFRS 9 B5.5.22–24. bekezdése; V. melléklet 2. részének 75. pontja | IFRS 9 5.5.3. bekezdése, IFRS 7 35M. bekezdésének b) i. pontja | IFRS 9 5.5.1. bekezdése, 7.35M. bekezdésének b) ii. pontja | IFRS 9 5.5.5. bekezdése; IFRS 7 35H. bekezdésének a) pontja, IFRS 7 16A. bekezdése | IFRS 9 5.5.3. bekezdése; IFRS 9 5.5.15. bekezdése; IFRS 7 35H. bekezdésének b) i. pontja, IFRS 7 16A. bekezdése | IFRS 9 5.5.1. bekezdése; IFRS 9 5.5.15. bekezdése; IFRS 7 35H. bekezdésének b) ii. pontja, IFRS 7 16A. bekezdése | IFRS 9 5.4.4. bekezdése és B5.4.9. bekezdése; V. melléklet 2. részének 72–74. pontja | IFRS 9 5.4.4. bekezdése és B5.4.9. bekezdése; V. melléklet 2. részének 72–74. pontja | |||
| 010 | 015 | 020 | 030 | 040 | 050 | 060 | 070 | 080 | 090 | |||
| 010 | Tulajdoni részesedést megtestesítő instrumentumok | IAS 32 11. bekezdése; V. melléklet 1. részének 44. b) pontja | ||||||||||
| 020 | ebből: hitelintézetek | V. melléklet 1. részének 42. c) pontja | ||||||||||
| 030 | ebből: egyéb pénzügyi vállalatok | V. melléklet 1. részének 42. d) pontja | ||||||||||
| 040 | ebből: nem pénzügyi vállalatok | V. melléklet 1. részének 42. e) pontja | ||||||||||
| 050 | Hitelviszonyt megtestesítő értékpapírok | V. melléklet 1. részének 31. pontja és 44. b) pontja | ||||||||||
| 060 | Központi bankok | V. melléklet 1. részének 42. a) pontja | ||||||||||
| 070 | Államháztartások | V. melléklet 1. részének 42. b) pontja | ||||||||||
| 080 | Hitelintézetek | V. melléklet 1. részének 42. c) pontja | ||||||||||
| 090 | Egyéb pénzügyi vállalatok | V. melléklet 1. részének 42. d) pontja | ||||||||||
| 100 | Nem pénzügyi vállalatok | V. melléklet 1. részének 42. e) pontja | ||||||||||
| 110 | Hitelek és előlegek | V. melléklet 1. részének 32. pontja, 44. a) pontja | ||||||||||
| 120 | Központi bankok | V. melléklet 1. részének 42. a) pontja | ||||||||||
| 130 | Államháztartások | V. melléklet 1. részének 42. b) pontja | ||||||||||
| 140 | Hitelintézetek | V. melléklet 1. részének 42. c) pontja | ||||||||||
| 150 | Egyéb pénzügyi vállalatok | V. melléklet 1. részének 42. d) pontja | ||||||||||
| 160 | Nem pénzügyi vállalatok | V. melléklet 1. részének 42. e) pontja | ||||||||||
| 165 | Ebből: Kis- és középvállalkozások | KKV 1. cikke (2) bekezdésének a) pontja | ||||||||||
| 170 | Háztartások | V. melléklet 1. részének 42. f) pontja | ||||||||||
| 180 | AZ EGYÉB ÁTFOGÓ JÖVEDELEMMEL SZEMBEN VALÓS ÉRTÉKEN ÉRTÉKELT PÉNZÜGYI ESZKÖZÖK | IFRS 7 8. bekezdésének h) pontja; IFRS 9 4.1.2A. bekezdése | ||||||||||
| 190 | ebből: vásárolt értékvesztett pénzügyi eszközök | IFRS 9 5.5.13. bekezdése; IFRS 7 35M. bekezdésének c) pontja; V. melléklet 2. részének 77. pontja | ||||||||||
4.4.1. Amortizált bekerülési értéken értékelt pénzügyi eszközök
| Hivatkozások | Könyv szerinti érték | Bruttó könyv szerinti érték V. melléklet 1. részének 34. b) pontja | Halmozott értékvesztés V. melléklet 2. részének 70. a) pontja és 71. pontja | Halmozott részleges leírások összege | Halmozott teljes leírások összege | |||||||
| Eszközök, amelyek hitelkockázata nem növekedett jelentősen a kezdeti megjelenítés óta (1. szakasz) | Eszközök, amelyek hitelkockázata jelentősen növekedett a kezdeti megjelenítés óta, de amelyek nem váltak értékvesztetté (2. szakasz) | Értékvesztett eszközök (3. szakasz) | Eszközök, amelyek hitelkockázata nem növekedett jelentősen a kezdeti megjelenítés óta (1. szakasz) | Eszközök, amelyek hitelkockázata jelentősen növekedett a kezdeti megjelenítés óta, de amelyek nem váltak értékvesztetté (2. szakasz) | Értékvesztett eszközök (3. szakasz) | |||||||
| ebből: alacsony hitelkockázatú eszközök | ||||||||||||
| V. melléklet 1. részének 27. pontja | IFRS 9 5.5.5. bekezdése; IFRS 7 35M. bekezdésének a) pontja | IFRS 9 B5.5.22–24. bekezdése; V. melléklet 2. részének 75. pontja | IFRS 9 5.5.3. bekezdése, IFRS 7 35M. bekezdésének b) i. pontja | IFRS 9 5.5.1. bekezdése, 7.35M. bekezdésének b) ii. pontja | IFRS 9 5.5.5. bekezdése; IFRS 7 35H. bekezdésének a) pontja | IFRS 9 5.5.3. bekezdése; IFRS 9 5.5.15. bekezdése; IFRS 7 35H. bekezdésének b) i. pontja | IFRS 5.5.1. bekezdése; IFRS 9 5.5.15. bekezdése; IFRS 7 35H. bekezdésének b) ii. pontja | IFRS 9 5.4.4. bekezdése és B5.4.9. bekezdése; V. melléklet 2. részének 72–74. pontja | IFRS 9 5.4.4. bekezdése és B5.4.9. bekezdése; V. melléklet 2. részének 72–74. pontja | |||
| 010 | 015 | 020 | 030 | 040 | 050 | 060 | 070 | 080 | 090 | |||
| 010 | Hitelviszonyt megtestesítő értékpapírok | V. melléklet 1. részének 31. pontja és 44. b) pontja | ||||||||||
| 020 | Központi bankok | V. melléklet 1. részének 42. a) pontja | ||||||||||
| 030 | Államháztartások | V. melléklet 1. részének 42. b) pontja | ||||||||||
| 040 | Hitelintézetek | V. melléklet 1. részének 42. c) pontja | ||||||||||
| 050 | Egyéb pénzügyi vállalatok | V. melléklet 1. részének 42. d) pontja | ||||||||||
| 060 | Nem pénzügyi vállalatok | V. melléklet 1. részének 42. e) pontja | ||||||||||
| 070 | Hitelek és előlegek | V. melléklet 1. részének 32. pontja, 44. a) pontja | ||||||||||
| 080 | Központi bankok | V. melléklet 1. részének 42. a) pontja | ||||||||||
| 090 | Államháztartások | V. melléklet 1. részének 42. b) pontja | ||||||||||
| 100 | Hitelintézetek | V. melléklet 1. részének 42. c) pontja | ||||||||||
| 110 | Egyéb pénzügyi vállalatok | V. melléklet 1. részének 42. d) pontja | ||||||||||
| 120 | Nem pénzügyi vállalatok | V. melléklet 1. részének 42. e) pontja | ||||||||||
| 125 | Ebből: Kis- és középvállalkozások | KKV 1. cikke (2) bekezdésének a) pontja | ||||||||||
| 130 | Háztartások | V. melléklet 1. részének 42. f) pontja | ||||||||||
| 140 | AMORTIZÁLT BEKERÜLÉSI ÉRTÉKEN ÉRTÉKELT PÉNZÜGYI ESZKÖZÖK | IFRS 7 8. bekezdésének f) pontja; IFRS 9 4.1.2. bekezdése | ||||||||||
| 150 | ebből: vásárolt értékvesztett pénzügyi eszközök | IFRS 9 5.13. bekezdése és IFRS 7 35M. bekezdésének c) pontja; V. melléklet 2. részének 77. pontja | ||||||||||
4. 5 Alárendelt pénzügyi eszközök
| Hivatkozások | Könyv szerinti érték | ||
| V. melléklet 1. részének 27. pontja | |||
| 010 | |||
| 010 | Hitelek és előlegek | V. melléklet 1. részének 32. pontja | |
| 020 | Hitelviszonyt megtestesítő értékpapírok | V. melléklet 1. részének 31. pontja | |
| 030 | [A KIBOCSÁTÓNÁL] ALÁRENDELT PÉNZÜGYI ESZKÖZÖK | V. melléklet 2. részének 78. és 100. pontja | |
5. Nem kereskedési célú hitelek és előlegek termék szerinti részletezése
5.1. Hitelek és előlegek termék szerinti részletezése a kereskedési céllal tartott és a kereskedési célú eszközök kivételével
| Hivatkozások | Bruttó könyv szerinti érték | Könyv szerinti érték V. melléklet 1. részének 27. pontja | ||||||||
| Központi bankok | Államháztartások | Hitelintézetek | Egyéb pénzügyi vállalatok | Nem pénzügyi vállalatok | Háztartások | |||||
| V. melléklet 1. részének 34. pontja | V. melléklet 1. részének 42. a) pontja | V. melléklet 1. részének 42. b) pontja | V. melléklet 1. részének 42. c) pontja | V. melléklet 1. részének 42. d) pontja | V. melléklet 1. részének 42. e) pontja | V. melléklet 1. részének 42. f) pontja | ||||
| 005 | 010 | 020 | 030 | 040 | 050 | 060 | ||||
| Termék szerint | 010 | Látra szóló [azonnal felmondható] és rövid határidővel felmondható [folyószámla] | V. melléklet 2. részének 85. a) pontja | |||||||
| 020 | Hitelkártya-tartozás | V. melléklet 2. részének 85. b) pontja | ||||||||
| 030 | Kereskedelemfinanszírozás | V. melléklet 2. részének 85. c) pontja | ||||||||
| 040 | Pénzügyi lízingek | V. melléklet 2. részének 85. d) pontja | ||||||||
| 050 | Fordított visszavásárlási hitelek | V. melléklet 2. részének 85. e) pontja | ||||||||
| 060 | Egyéb meghatározott lejáratú hitelek | V. melléklet 2. részének 85. f) pontja | ||||||||
| 070 | Előlegek, kivéve hitelek | V. melléklet 2. részének 85. g) pontja | ||||||||
| 080 | HITELEK ÉS ELŐLEGEK | V. melléklet 1. részének 32. pontja, 44. a) pontja | ||||||||
| Biztosíték szerint | 090 | ebből: ingatlannal fedezett hitelek | V. melléklet 2. részének 86. a) pontja és 87. pontja | |||||||
| 100 | ebből: egyéb biztosítékkal fedezett hitelek | V. melléklet 2. részének 86. b) pontja, 87. pontja | ||||||||
| Cél szerint | 110 | ebből: fogyasztási hitelek | V. melléklet 2. részének 88. a) pontja | |||||||
| 120 | ebből: lakáscélú hitelek | V. melléklet 2. részének 88. b) pontja | ||||||||
| Alárendeltség szerint | 130 | ebből: projektfinanszírozási hitelek | V. melléklet 2. részének 89. pontja CRR 147. cikkének (8) bekezdése | |||||||
6. Nem pénzügyi vállalatoknak nyújtott nem kereskedési célú hitelek és előlegek részletezése NACE kódok szerint
6. 1 Nem pénzügyi vállalatoknak nyújtott, nem kereskedési céllal tartott hitelek és előlegek részletezése NACE kódok szerint
| Hivatkozások | Nem pénzügyi vállalatok V. melléklet 1. részének 42. e) pontja, 2. részének 91. pontja | |||||||
| Bruttó könyv szerinti érték | Halmozott értékvesztés | A hitelkockázat-változásból származó negatív valósérték-változás halmozott összege nemteljesítő kitettségek esetében | ||||||
| ebből: értékvesztés-elszámolási kötelezettség alá tartozó hitelek és előlegek | ebből: nemteljesítő | |||||||
| ebből: nemteljesítő (defaulted) | ||||||||
| V. melléklet 1. részének 34. pontja | V. melléklet 2. részének 93. pontja | V. melléklet 2. részének 213–232. pontja | CRR 178. cikke; V. melléklet 2. részének 237. b) pontja | V. melléklet 2. részének 70–71. pontja | V. melléklet 2. részének 69. pontja | |||
| 010 | 011 | 012 | 013 | 021 | 022 | |||
| 010 | A. Mezőgazdaság, erdészet, halászat | NACE rendelet | ||||||
| 020 | B. Bányászat és kőfejtés | NACE rendelet | ||||||
| 030 | C. Feldolgozóipar | NACE rendelet | ||||||
| 040 | D. Villamosenergia-, gáz-, gőz-, légkondicionálás-ellátás | NACE rendelet | ||||||
| 050 | E. Vízellátás | NACE rendelet | ||||||
| 060 | F. Építőipar | NACE rendelet | ||||||
| 070 | G. Nagy- és kiskereskedelem | NACE rendelet | ||||||
| 080 | H. Szállítás és raktározás | NACE rendelet | ||||||
| 090 | I. Szálláshely-szolgáltatás, vendéglátás | NACE rendelet | ||||||
| 100 | J. Információ és kommunikáció | NACE rendelet | ||||||
| 105 | K. Pénzügyi és biztosítói tevékenységek | NACE-rendelet, V. melléklet 2. részének 92. bekezdése | ||||||
| 110 | L. Ingatlanügyletek | NACE rendelet | ||||||
| 120 | M. Szakmai, tudományos és műszaki tevékenység | NACE rendelet | ||||||
| 130 | N. Adminisztratív és szolgáltatást támogató tevékenység | NACE rendelet | ||||||
| 140 | O. Közigazgatás, védelem, kötelező társadalombiztosítás | NACE rendelet | ||||||
| 150 | P. Oktatás | NACE rendelet | ||||||
| 160 | Q. Humán-egészségügyi ellátás, szociális ellátás | NACE rendelet | ||||||
| 170 | R. Művészet, szórakoztatás, szabadidő | NACE rendelet | ||||||
| 180 | S. Egyéb szolgáltatás | NACE rendelet | ||||||
| 190 | HITELEK ÉS ELŐLEGEK | V. melléklet 1. részének 32. pontja, 2. részének 90. pontja | ||||||
7. Értékvesztés-elszámolási kötelezettség alá tartozó késedelmes pénzügyi eszközök
7. 1 Értékvesztés-elszámolási kötelezettség alá tartozó késedelmes pénzügyi eszközök
| Hivatkozások | Könyv szerinti érték V. melléklet 1. részének 27. pontja | ||||||||||
| Eszközök, amelyek hitelkockázata nem növekedett jelentősen a kezdeti megjelenítés óta (1. szakasz) | Eszközök, amelyek hitelkockázata jelentősen növekedett a kezdeti megjelenítés óta, de amelyek nem váltak értékvesztetté (2. szakasz) | Értékvesztett eszközök (3. szakasz) | |||||||||
| ≤ 30 nap | > 30 nap ≤ 90 nap | > 90 nap | ≤ 30 nap | > 30 nap ≤ 90 nap | > 90 nap | ≤ 30 nap | > 30 nap ≤ 90 nap | > 90 nap | |||
| IFRS 9 5.5.11. bekezdése és B5.5.37. bekezdése; IFRS 7 B8I. bekezdése, V. melléklet 2. részének 96. pontja | |||||||||||
| 010 | 020 | 030 | 040 | 050 | 060 | 070 | 080 | 090 | |||
| 060 | Hitelviszonyt megtestesítő értékpapírok | V. melléklet 1. részének 31. pontja és 44. b) pontja | |||||||||
| 070 | Központi bankok | V. melléklet 1. részének 42. a) pontja | |||||||||
| 080 | Államháztartások | V. melléklet 1. részének 42. b) pontja | |||||||||
| 090 | Hitelintézetek | V. melléklet 1. részének 42. c) pontja | |||||||||
| 100 | Egyéb pénzügyi vállalatok | V. melléklet 1. részének 42. d) pontja | |||||||||
| 110 | Nem pénzügyi vállalatok | V. melléklet 1. részének 42. e) pontja | |||||||||
| 120 | Hitelek és előlegek | V. melléklet 1. részének 32. pontja, 44. a) pontja | |||||||||
| 130 | Központi bankok | V. melléklet 1. részének 42. a) pontja | |||||||||
| 140 | Államháztartások | V. melléklet 1. részének 42. b) pontja | |||||||||
| 150 | Hitelintézetek | V. melléklet 1. részének 42. c) pontja | |||||||||
| 160 | Egyéb pénzügyi vállalatok | V. melléklet 1. részének 42. d) pontja | |||||||||
| 170 | Nem pénzügyi vállalatok | V. melléklet 1. részének 42. e) pontja | |||||||||
| 180 | Háztartások | V. melléklet 1. részének 42. f) pontja | |||||||||
| 190 | HITELVISZONYT MEGTESTESÍTŐ INSTRUMENTUMOK ÖSSZESEN | V. melléklet 2. részének 94–95. pontja | |||||||||
| Hitelek és előlegek termék, biztosíték és alárendeltség szerinti részletezése | |||||||||||
| 200 | Látra szóló [azonnal felmondható] és rövid határidővel felmondható [folyószámla] | V. melléklet 2. részének 85. a) pontja | |||||||||
| 210 | Hitelkártya-tartozás | V. melléklet 2. részének 85. b) pontja | |||||||||
| 220 | Kereskedelemfinanszírozás | V. melléklet 2. részének 85. c) pontja | |||||||||
| 230 | Pénzügyi lízingek | V. melléklet 2. részének 85. d) pontja | |||||||||
| 240 | Fordított visszavásárlási hitelek | V. melléklet 2. részének 85. e) pontja | |||||||||
| 250 | Egyéb meghatározott lejáratú hitelek | V. melléklet 2. részének 85. f) pontja | |||||||||
| 260 | Előlegek, kivéve hitelek | V. melléklet 2. részének 85. g) pontja | |||||||||
| 270 | ebből: ingatlannal fedezett hitelek | V. melléklet 2. részének 86. a) pontja és 87. pontja | |||||||||
| 280 | ebből: egyéb biztosítékkal fedezett hitelek | V. melléklet 2. részének 86. b) pontja, 87. pontja | |||||||||
| 290 | ebből: fogyasztási hitelek | V. melléklet 2. részének 88. a) pontja | |||||||||
| 300 | ebből: lakáscélú hitelek | V. melléklet 2. részének 88. b) pontja | |||||||||
| 310 | ebből: projektfinanszírozási hitelek | V. melléklet 2. részének 89. pontja CRR 147. cikkének (8) bekezdése | |||||||||
8. Pénzügyi kötelezettségek részletezése
8. 1 Pénzügyi kötelezettségek termék és ügyfélszektor szerinti részletezése
| Hivatkozások A nemzeti GAAP-pal kompatibilis IFRS standardok | Könyv szerinti érték V. melléklet 1. részének 27. pontja | A hitelkockázat változásából származó valósérték-változás halmozott összege | |||||
| Kereskedési céllal tartott | Az eredménnyel szemben valós értéken értékeltnek megjelölt | Amortizált bekerülési érték | Fedezeti elszámolások | ||||
| IFRS 7 8. bekezdésének e) ii. pontja; IFRS 9 A. függelék, IFRS 9 BA.6–BA.7. bekezdése, IFRS 9 6.7. bekezdése | IFRS 7 8. bekezdésének e) i. pontja; IFRS 9 4.2.2. bekezdése, IFRS 9 4.3.5. bekezdése | IFRS 7 8. bekezdésének g) pontja; IFRS 9 4.2.1. bekezdése | IFRS 7 24A. bekezdésének a) pontja; IFRS 9 6. bekezdése | CRR 33. cikke (1) bekezdésének b) és c) pontja V. melléklet 2. részének 101. pontja | |||
| 010 | 020 | 030 | 037 | 040 | |||
| 010 | Származtatott ügyletek | IFRS 9 BA.7 bekezdésének a) pontja | |||||
| 020 | Rövid pozíciók | IFRS 9 BA.7 bekezdésének b) pontja | |||||
| 030 | Tulajdoni részesedést megtestesítő instrumentumok | IAS 32 11. bekezdése | |||||
| 040 | Hitelviszonyt megtestesítő értékpapírok | V. melléklet 1. részének 31. pontja | |||||
| 050 | Betétek | EKB/2013/33 2. melléklete 2. részének 9. szakasza V. melléklet 1. részének 36. pontja | |||||
| 060 | Központi bankok | V. melléklet 1. része 42. bekezdésének a) pontja, 44. bekezdésének c) pontja | |||||
| 070 | Folyószámlák / egynapos betétek | EKB/2013/33 2. melléklete 2. részének 9.1. szakasza | |||||
| 080 | Lekötött betétek | EKB/2013/33 2. melléklete 2. részének 9.2. szakasza | |||||
| 090 | Felmondható betétek | EKB/2013/33 2. melléklete 2. részének 9.3. szakasza; V. melléklet 2. részének 97. pontja | |||||
| 100 | Visszavásárlási megállapodások | EKB/2013/33 2. melléklete 2. részének 9.4. szakasza | |||||
| 110 | Államháztartások | V. melléklet 1. része 42. bekezdésének b) pontja, 44. bekezdésének c) pontja | |||||
| 120 | Folyószámlák / egynapos betétek | EKB/2013/33 2. melléklete 2. részének 9.1. szakasza | |||||
| 130 | Lekötött betétek | EKB/2013/33 2. melléklete 2. részének 9.2. szakasza | |||||
| 140 | Felmondható betétek | EKB/2013/33 2. melléklete 2. részének 9.3. szakasza; V. melléklet 2. részének 97. pontja | |||||
| 150 | Visszavásárlási megállapodások | EKB/2013/33 2. melléklete 2. részének 9.4. szakasza | |||||
| 160 | Hitelintézetek | V. melléklet 1. része 42. bekezdésének c) pontja, 44. bekezdésének c) pontja | |||||
| 170 | Folyószámlák / egynapos betétek | EKB/2013/33 2. melléklete 2. részének 9.1. szakasza | |||||
| 180 | Lekötött betétek | EKB/2013/33 2. melléklete 2. részének 9.2. szakasza | |||||
| 190 | Felmondható betétek | EKB/2013/33 2. melléklete 2. részének 9.3. szakasza; V. melléklet 2. részének 97. pontja | |||||
| 200 | Visszavásárlási megállapodások | EKB/2013/33 2. melléklete 2. részének 9.4. szakasza | |||||
| 210 | Egyéb pénzügyi vállalatok | V. melléklet 1. része 42. bekezdésének d) pontja, 44. bekezdésének c) pontja | |||||
| 220 | Folyószámlák / egynapos betétek | EKB/2013/33 2. melléklete 2. részének 9.1. szakasza | |||||
| 230 | Lekötött betétek | EKB/2013/33 2. melléklete 2. részének 9.2. szakasza | |||||
| 240 | Felmondható betétek | EKB/2013/33 2. melléklete 2. részének 9.3. szakasza; V. melléklet 2. részének 97. pontja | |||||
| 250 | Visszavásárlási megállapodások | EKB/2013/33 2. melléklete 2. részének 9.4. szakasza | |||||
| 260 | Nem pénzügyi vállalatok | V. melléklet 1. része 42. bekezdésének e) pontja, 44. bekezdésének c) pontja | |||||
| 270 | Folyószámlák / egynapos betétek | EKB/2013/33 2. melléklete 2. részének 9.1. szakasza | |||||
| 280 | Lekötött betétek | EKB/2013/33 2. melléklete 2. részének 9.2. szakasza | |||||
| 290 | Felmondható betétek | EKB/2013/33 2. melléklete 2. részének 9.3. szakasza; V. melléklet 2. részének 97. pontja | |||||
| 300 | Visszavásárlási megállapodások | EKB/2013/33 2. melléklete 2. részének 9.4. szakasza | |||||
| 310 | Háztartások | V. melléklet 1. része 42. bekezdésének f) pontja, 44. bekezdésének c) pontja | |||||
| 320 | Folyószámlák / egynapos betétek | EKB/2013/33 2. melléklete 2. részének 9.1. szakasza | |||||
| 330 | Lekötött betétek | EKB/2013/33 2. melléklete 2. részének 9.2. szakasza | |||||
| 340 | Felmondható betétek | EKB/2013/33 2. melléklete 2. részének 9.3. szakasza; V. melléklet 2. részének 97. pontja | |||||
| 350 | Visszavásárlási megállapodások | EKB/2013/33 2. melléklete 2. részének 9.4. szakasza | |||||
| 360 | Kibocsátott hitelviszonyt megtestesítő értékpapírok | V. melléklet 1. részének 37. pontja, 2. részének 98. pontja | |||||
| 370 | Letéti jegyek | V. melléklet 2. része 98. bekezdésének a) pontja | |||||
| 380 | Eszközfedezetű értékpapírok | CRR 4. cikke (1) bekezdésének 61. pontja | |||||
| 390 | Fedezett kötvények | CRR 129. cikke | |||||
| 400 | Hibrid szerződések | V. melléklet 2. része 98. bekezdésének d) pontja | |||||
| 410 | Egyéb kibocsátott hitelviszonyt megtestesítő értékpapírok | V. melléklet 2. része 85. bekezdésének e) pontja | |||||
| 420 | Átváltható összetett pénzügyi instrumentumok | IAS 32 AG31. bekezdése | |||||
| 430 | Nem átváltható | ||||||
| 440 | Egyéb pénzügyi kötelezettségek | V. melléklet 1. részének 38–41. pontja | |||||
| 445 | ebből: lízingkötelezettségek | IFRS 16 22. bekezdése, 26–28. bekezdése, 47. bekezdésének b) pontja | |||||
| 450 | PÉNZÜGYI KÖTELEZETTSÉGEK | ||||||
8.2. Alárendelt pénzügyi kötelezettségek
| Hivatkozások | Könyv szerinti érték | |||
| Az eredménnyel szemben valós értéken értékeltnek megjelölt | Amortizált bekerülési értéken | |||
| IFRS 7 8. bekezdésének e) i. pontja; IFRS 9 4.2.2. bekezdése, IFRS 9 4.3.5. bekezdése | IFRS 7 8. bekezdésének g) pontja; IFRS 9 4.2.1. bekezdése | |||
| 010 | 020 | |||
| 010 | Betétek | EKB/2013/33 2. melléklete 2. részének 9. szakasza V. melléklet 1. részének 36. pontja | ||
| 020 | Kibocsátott hitelviszonyt megtestesítő értékpapírok | V. melléklet 1. részének 37. pontja | ||
| 030 | ALÁRENDELT PÉNZÜGYI KÖTELEZETTSÉGEK | V. melléklet 2. részének 99–100. pontja | ||
9. Hitelnyújtási elkötelezettségek, pénzügyi garanciák és egyéb elkötelezettségek
9.1.1. Mérlegen kívüli kitettségek: adott hitelnyújtási elkötelezettségek, pénzügyi garanciák és egyéb elkötelezettségek
| Hivatkozások A nemzeti GAAP-pal kompatibilis IFRS standardok | Az IFRS 9 szerinti értékvesztés-elszámolási kötelezettség alá tartozó mérlegen kívüli elkötelezettségek és pénzügyi garanciák névértéke V. melléklet 2. részének 107–108. pontja és 118. pontja | Az IFRS 9 szerinti értékvesztés-elszámolási kötelezettség alá tartozó mérlegen kívüli elkötelezettségekre és pénzügyi garanciákra képzett céltartalék V. melléklet 2. részének 106–109. pontja | Az IAS 37 szerint értékelt egyéb elkötelezettségek és az IFRS 4 szerint értékelt pénzügyi garanciák | Valós értéken értékelt elkötelezettségek és pénzügyi garanciák | ||||||||
| Instrumentumok, amelyek hitelkockázata nem növekedett jelentősen a kezdeti megjelenítés óta (1. szakasz) | Instrumentumok, amelyek hitelkockázata jelentősen növekedett a kezdeti megjelenítés óta, de amelyek nem váltak értékvesztetté (2. szakasz) | Értékvesztett eszközök (3. szakasz) | Instrumentumok, amelyek hitelkockázata nem növekedett jelentősen a kezdeti megjelenítés óta (1. szakasz) | Instrumentumok, amelyek hitelkockázata jelentősen növekedett a kezdeti megjelenítés óta, de amelyek nem váltak értékvesztetté (2. szakasz) | Értékvesztett eszközök (3. szakasz) | Névérték | Céltartalék | Névérték | A hitelkockázat-változásból származó negatív valósérték-változás halmozott összege nemteljesítő elkötelezettségek esetében | |||
| IFRS 9 2.1. bekezdésének e) és g) pontja, IFRS 9 4.2. bekezdésének c) pontja, IFRS 9 5.5. bekezdése, IFRS 9 B2.5. bekezdése; IFRS 7 35M. bekezdése | IFRS 9 2.1. bekezdésének e) és g) pontja, IFRS 9 4.2. bekezdésének c) pontja, IFRS 9 5.5. bekezdése, IFRS 9 B2.5. bekezdése; IFRS 7 35M. bekezdése | IFRS 9 2.1. bekezdésének e) és g) pontja, IFRS 9 4.2. bekezdésének c) pontja, IFRS 9 5.5. bekezdése, IFRS 9 B2.5. bekezdése; IFRS 7 35M. bekezdése | IFRS 9 2.1. bekezdésének e) és g) pontja, IFRS 9 4.2. bekezdésének c) pontja, IFRS 9 5.5. bekezdése, IFRS 9 B2.5. bekezdése; IFRS 7 35H. bekezdésének a) pontja | IFRS 9 2.1. bekezdésének e) és g) pontja, IFRS 9 4.2. bekezdésének c) pontja, IFRS 9 5.5. bekezdése, IFRS 9 B2.5. bekezdése; IFRS 7 35H. bekezdésének b) i. pontja | IFRS 9 2.1. bekezdésének e) és g) pontja, IFRS 9 4.2. bekezdésének c) pontja, IFRS 9 5.5. bekezdése, IFRS 9 B2.5. bekezdése; IFRS 7 35H. bekezdésének b) ii. pontja | IAS 37, IFRS 9 2.1. bekezdésének e) pontja, IFRS 9 B2.5. bekezdése; IFRS 4; V. melléklet 2. részének 111. pontja és 118. pontja | IAS 37, IFRS 9 2.1. bekezdésének e) pontja, IFRS 9 B2.5. bekezdése; IFRS 4; V. melléklet 2. részének 106. pontja és 111. pontja | IFRS 9 2.3. bekezdésének a) pontja, B2.5. bekezdése; V. melléklet 2. részének 110. pontja és 118. pontja | V. melléklet 2. részének 69. pontja | |||
| 010 | 020 | 030 | 040 | 050 | 060 | 100 | 110 | 120 | 130 | |||
| 010 | Adott hitelnyújtási elkötelezettségek | CRR I. melléklete; V. melléklet 1. részének 44. g) pontja, 2. részének 102–105., 113., 116. pontja | ||||||||||
| 021 | ebből: nemteljesítő | V. melléklet 2. részének 117. pontja | ||||||||||
| 030 | Központi bankok | V. melléklet 1. részének 42. a) pontja | ||||||||||
| 040 | Államháztartások | V. melléklet 1. részének 42. b) pontja | ||||||||||
| 050 | Hitelintézetek | V. melléklet 1. részének 42. c) pontja | ||||||||||
| 060 | Egyéb pénzügyi vállalatok | V. melléklet 1. részének 42. d) pontja | ||||||||||
| 070 | Nem pénzügyi vállalatok | V. melléklet 1. részének 42. e) pontja | ||||||||||
| 080 | Háztartások | V. melléklet 1. részének 42. f) pontja | ||||||||||
| 090 | Adott pénzügyi garanciák | IFRS 4 A. melléklete; CRR I. melléklete; V. melléklet 1. részének 44. f) pontja, 2. részének 102–105., 114., 116. pontja | ||||||||||
| 101 | ebből: nemteljesítő | V. melléklet 2. részének 117. pontja | ||||||||||
| 110 | Központi bankok | V. melléklet 1. részének 42. a) pontja | ||||||||||
| 120 | Államháztartások | V. melléklet 1. részének 42. b) pontja | ||||||||||
| 130 | Hitelintézetek | V. melléklet 1. részének 42. c) pontja | ||||||||||
| 140 | Egyéb pénzügyi vállalatok | V. melléklet 1. részének 42. d) pontja | ||||||||||
| 150 | Nem pénzügyi vállalatok | V. melléklet 1. részének 42. e) pontja | ||||||||||
| 160 | Háztartások | V. melléklet 1. részének 42. f) pontja | ||||||||||
| 170 | Egyéb adott elkötelezettségek | CRR I. melléklete; V. melléklet 1. részének 44. g) pontja, 2. részének 102–105., 115., 116. pontja | ||||||||||
| 181 | ebből: nemteljesítő | V. melléklet 2. részének 117. pontja | ||||||||||
| 190 | Központi bankok | V. melléklet 1. részének 42. a) pontja | ||||||||||
| 200 | Államháztartások | V. melléklet 1. részének 42. b) pontja | ||||||||||
| 210 | Hitelintézetek | V. melléklet 1. részének 42. c) pontja | ||||||||||
| 220 | Egyéb pénzügyi vállalatok | V. melléklet 1. részének 42. d) pontja | ||||||||||
| 230 | Nem pénzügyi vállalatok | V. melléklet 1. részének 42. e) pontja | ||||||||||
| 240 | Háztartások | V. melléklet 1. részének 42. f) pontja | ||||||||||
9. 2 Kapott hitelnyújtási elkötelezettségek, pénzügyi garanciák és egyéb elkötelezettségek
| Hivatkozások | A garancia legmagasabb figyelembe vehető összege | Névérték | ||
| IFRS 7 36. bekezdésének b) pontja; V. melléklet 2. részének 119. pontja | V. melléklet 2. részének 119. pontja | |||
| 010 | 020 | |||
| 010 | Kapott hitelnyújtási elkötelezettségek | IFRS 9 2.1. bekezdésének g) pontja, BCZ2.2. bekezdése; V. melléklet 1. részének 44. h) pontja, 2. részének 102–103., 113. pontja | ||
| 020 | Központi bankok | V. melléklet 1. részének 42. a) pontja | ||
| 030 | Államháztartások | V. melléklet 1. részének 42. b) pontja | ||
| 040 | Hitelintézetek | V. melléklet 1. részének 42. c) pontja | ||
| 050 | Egyéb pénzügyi vállalatok | V. melléklet 1. részének 42. d) pontja | ||
| 060 | Nem pénzügyi vállalatok | V. melléklet 1. részének 42. e) pontja | ||
| 070 | Háztartások | V. melléklet 1. részének 42. f) pontja | ||
| 080 | Kapott pénzügyi garanciák | IFRS 9 2.1. bekezdésének e) pontja, B2.5., BC2.17. bekezdése; IFRS 8 A. függelék; IFRS 4 A. melléklete; V. melléklet 1. részének 44. h) pontja, 2. részének 102–103., 114. pontja | ||
| 090 | Központi bankok | V. melléklet 1. részének 42. a) pontja | ||
| 100 | Államháztartások | V. melléklet 1. részének 42. b) pontja | ||
| 110 | Hitelintézetek | V. melléklet 1. részének 42. c) pontja | ||
| 120 | Egyéb pénzügyi vállalatok | V. melléklet 1. részének 42. d) pontja | ||
| 130 | Nem pénzügyi vállalatok | V. melléklet 1. részének 42. e) pontja | ||
| 140 | Háztartások | V. melléklet 1. részének 42. f) pontja | ||
| 150 | Egyéb kapott elkötelezettségek | V. melléklet 1. részének 44. h) pontja, 2. részének 102–103., 115. pontja | ||
| 160 | Központi bankok | V. melléklet 1. részének 42. a) pontja | ||
| 170 | Államháztartások | V. melléklet 1. részének 42. b) pontja | ||
| 180 | Hitelintézetek | V. melléklet 1. részének 42. c) pontja | ||
| 190 | Egyéb pénzügyi vállalatok | V. melléklet 1. részének 42. d) pontja | ||
| 200 | Nem pénzügyi vállalatok | V. melléklet 1. részének 42. e) pontja | ||
| 210 | Háztartások | V. melléklet 1. részének 42. f) pontja | ||
10. Származtatott ügyletek - Kereskedési célú ügyletek és gazdasági fedezeti ügyletek
| Kockázattípus szerint / Termék vagy a piac típusa szerint | Hivatkozások | Könyv szerinti érték | Névleges összeg | |||
| Kereskedési céllal tartott és kereskedési célú pénzügyi eszközök | Kereskedési céllal tartott és kereskedési célú pénzügyi kötelezettségek | Kereskedési célú összesen | ebből: értékesített | |||
| V. melléklet 2. részének 120. és 131. pontja | IFRS 9 BA.7 bekezdésének a) pontja V. melléklet 2. részének 120. és 131. pontja | V. melléklet 2. részének 133–135. pontja | V. melléklet 2. részének 133–135. pontja | |||
| 010 | 020 | 030 | 040 | |||
| 010 | Kamatláb | V. melléklet 2. része 129. bekezdésének a) pontja | ||||
| 020 | ebből: gazdasági fedezeti ügylet | V. melléklet 2. részének 137–139. pontja | ||||
| 030 | Tőzsdén kívüli opció | V. melléklet 2. részének 136. pontja | ||||
| 040 | Egyéb tőzsdén kívüli ügylet | V. melléklet 2. részének 136. pontja | ||||
| 050 | Szervezett piaci opció | V. melléklet 2. részének 136. pontja | ||||
| 060 | Szervezett piaci egyéb | V. melléklet 2. részének 136. pontja | ||||
| 070 | Részvény | V. melléklet 2. részének 129. b) pontja | ||||
| 080 | ebből: gazdasági fedezeti ügylet | V. melléklet 2. részének 137–139. pontja | ||||
| 090 | Tőzsdén kívüli opció | V. melléklet 2. részének 136. pontja | ||||
| 100 | Egyéb tőzsdén kívüli ügylet | V. melléklet 2. részének 136. pontja | ||||
| 110 | Szervezett piaci opció | V. melléklet 2. részének 136. pontja | ||||
| 120 | Szervezett piaci egyéb | V. melléklet 2. részének 136. pontja | ||||
| 130 | Deviza és arany | V. melléklet 2. részének 129. c) pontja | ||||
| 140 | ebből: gazdasági fedezeti ügylet | V. melléklet 2. részének 137–139. pontja | ||||
| 150 | Tőzsdén kívüli opció | V. melléklet 2. részének 136. pontja | ||||
| 160 | Egyéb tőzsdén kívüli ügylet | V. melléklet 2. részének 136. pontja | ||||
| 170 | Szervezett piaci opció | V. melléklet 2. részének 136. pontja | ||||
| 180 | Szervezett piaci egyéb | V. melléklet 2. részének 136. pontja | ||||
| 190 | Hitel | V. melléklet 2. része 129. d) pontja | ||||
| 195 | ebből: a valós érték opció alkalmazásával elszámolt gazdasági fedezeti ügyletek | IFRS 9 6.7.1. bekezdése; V. melléklet 2. részének 140. pontja | ||||
| 201 | ebből: egyéb gazdasági fedezeti ügyletek | V. melléklet 2. részének 137–140. pontja | ||||
| 210 | Hitel-nemteljesítési csereügylet | |||||
| 220 | Hitelkockázati felár opció | |||||
| 230 | Teljes hozamcsere-ügylet | |||||
| 240 | Egyéb | |||||
| 250 | Áru | V. melléklet 2. részének 129. e) pontja | ||||
| 260 | ebből: gazdasági fedezeti ügylet | V. melléklet 2. részének 137–139. pontja | ||||
| 270 | Egyéb | V. melléklet 2. részének 129. f) pontja | ||||
| 280 | ebből: gazdasági fedezeti ügylet | V. melléklet 2. részének 137–139. pontja | ||||
| 290 | SZÁRMAZTATOTT ÜGYLETEK | IFRS 9 A. függelék | ||||
| 300 | ebből: Tőzsdén kívüli – hitelintézetek | V. melléklet 1. részének 42. c) pontja, 44. e) pontja, 2. részének 141. a) pontja és 142. pontja | ||||
| 310 | ebből: Tőzsdén kívüli – egyéb pénzügyi vállalatok | V. melléklet 1. részének 42. d) pontja, 44. e) pontja, 2. részének 141. b) pontja | ||||
| 320 | ebből: Tőzsdén kívüli – egyéb | V. melléklet 1. része 44. bekezdésének e) pontja, 2. része 141. bekezdésének c) pontja | ||||
11. Fedezeti elszámolások
11.1. Származtatott ügyletek - Fedezeti elszámolások: kockázattípus és fedezetiügylet-típus szerinti részletezés
| Termék vagy a piac típusa szerint | Hivatkozások | Könyv szerinti érték | Névleges összeg | |||
| Eszközök | Kötelezettségek | Fedezeti ügyletek összesen | ebből: értékesített | |||
| IFRS 7 24A. bekezdése; V. melléklet 2. részének 120. és 131. pontja | IFRS 7 24A. bekezdése; V. melléklet 2. részének 120. és 131. pontja | V. melléklet 2. részének 133–135. pontja | V. melléklet 2. részének 133–135. pontja | |||
| 010 | 020 | 030 | 040 | |||
| 010 | Kamatláb | V. melléklet 2. része 129. bekezdésének a) pontja | ||||
| 020 | Tőzsdén kívüli opció | V. melléklet 2. részének 136. pontja | ||||
| 030 | Egyéb tőzsdén kívüli ügylet | V. melléklet 2. részének 136. pontja | ||||
| 040 | Szervezett piaci opció | V. melléklet 2. részének 136. pontja | ||||
| 050 | Szervezett piaci egyéb | V. melléklet 2. részének 136. pontja | ||||
| 060 | Részvény | V. melléklet 2. részének 129. b) pontja | ||||
| 070 | Tőzsdén kívüli opció | V. melléklet 2. részének 136. pontja | ||||
| 080 | Egyéb tőzsdén kívüli ügylet | V. melléklet 2. részének 136. pontja | ||||
| 090 | Szervezett piaci opció | V. melléklet 2. részének 136. pontja | ||||
| 100 | Szervezett piaci egyéb | V. melléklet 2. részének 136. pontja | ||||
| 110 | Deviza és arany | V. melléklet 2. részének 129. c) pontja | ||||
| 120 | Tőzsdén kívüli opció | V. melléklet 2. részének 136. pontja | ||||
| 130 | Egyéb tőzsdén kívüli ügylet | V. melléklet 2. részének 136. pontja | ||||
| 140 | Szervezett piaci opció | V. melléklet 2. részének 136. pontja | ||||
| 150 | Szervezett piaci egyéb | V. melléklet 2. részének 136. pontja | ||||
| 160 | Hitel | V. melléklet 2. része 129. d) pontja | ||||
| 170 | Hitel-nemteljesítési csereügylet | V. melléklet 2. részének 136. pontja | ||||
| 180 | Hitelkockázati felár opció | V. melléklet 2. részének 136. pontja | ||||
| 190 | Teljes hozamcsere-ügylet | V. melléklet 2. részének 136. pontja | ||||
| 200 | Egyéb | V. melléklet 2. részének 136. pontja | ||||
| 210 | Áru | V. melléklet 2. részének 129. e) pontja | ||||
| 220 | Egyéb | V. melléklet 2. részének 129. f) pontja | ||||
| 230 | VALÓSÉRTÉK-FEDEZETI ÜGYLETEK | IFRS 7 24A. bekezdése; IAS 39 86. bekezdésének a) pontja IFRS 9 6.5.2. bekezdésének a) pontja; | ||||
| 240 | Kamatláb | V. melléklet 2. része 129. bekezdésének a) pontja | ||||
| 250 | Tőzsdén kívüli opció | V. melléklet 2. részének 136. pontja | ||||
| 260 | Egyéb tőzsdén kívüli ügylet | V. melléklet 2. részének 136. pontja | ||||
| 270 | Szervezett piaci opció | V. melléklet 2. részének 136. pontja | ||||
| 280 | Szervezett piaci egyéb | V. melléklet 2. részének 136. pontja | ||||
| 290 | Részvény | V. melléklet 2. részének 129. b) pontja | ||||
| 300 | Tőzsdén kívüli opció | V. melléklet 2. részének 136. pontja | ||||
| 310 | Egyéb tőzsdén kívüli ügylet | V. melléklet 2. részének 136. pontja | ||||
| 320 | Szervezett piaci opció | V. melléklet 2. részének 136. pontja | ||||
| 330 | Szervezett piaci egyéb | V. melléklet 2. részének 136. pontja | ||||
| 340 | Deviza és arany | V. melléklet 2. részének 129. c) pontja | ||||
| 350 | Tőzsdén kívüli opció | V. melléklet 2. részének 136. pontja | ||||
| 360 | Egyéb tőzsdén kívüli ügylet | V. melléklet 2. részének 136. pontja | ||||
| 370 | Szervezett piaci opció | V. melléklet 2. részének 136. pontja | ||||
| 380 | Szervezett piaci egyéb | V. melléklet 2. részének 136. pontja | ||||
| 390 | Hitel | V. melléklet 2. része 129. d) pontja | ||||
| 400 | Hitel-nemteljesítési csereügylet | V. melléklet 2. részének 136. pontja | ||||
| 410 | Hitelkockázati felár opció | V. melléklet 2. részének 136. pontja | ||||
| 420 | Teljes hozamcsere-ügylet | V. melléklet 2. részének 136. pontja | ||||
| 430 | Egyéb | V. melléklet 2. részének 136. pontja | ||||
| 440 | Áru | V. melléklet 2. részének 129. e) pontja | ||||
| 450 | Egyéb | V. melléklet 2. részének 129. f) pontja | ||||
| 460 | CASH FLOW-FEDEZETI ÜGYLETEK | IFRS 7 24A. bekezdése; IAS 39 86. bekezdésének b) pontja; IFRS 9 6.5.2. bekezdésének b) pontja; | ||||
| 470 | KÜLFÖLDI ÉRDEKELTSÉGBE TÖRTÉNT NETTÓ BEFEKTETÉS FEDEZÉSE | IFRS 7 24A. bekezdése; IAS 39 86. bekezdésének c) pontja IFRS 9 6.5.2. bekezdésének c) pontja; | ||||
| 480 | KAMATLÁBKOCKÁZATRA VONATKOZÓ PORTFÓLIÓ VALÓSÉRTÉK-FEDEZETI ÜGYLETEK | IAS 39 71., 81A., 89A. és AG114–132. bekezdése | ||||
| 490 | KAMATLÁBKOCKÁZATRA VONATKOZÓ PORTFÓLIÓ CASH FLOW-FEDEZETI ÜGYLETEK | IAS 39 71. bekezdése | ||||
| 500 | SZÁRMAZTATOTT ÜGYLETEK FEDEZETI ELSZÁMOLÁSAI | IFRS 7 24A. bekezdése; IAS 39 9. bekezdése; IFRS 9 6.1. bekezdése | ||||
| 510 | ebből: Tőzsdén kívüli – hitelintézetek | V. melléklet 1. részének 42. c) pontja, 44. e) pontja, 2. részének 141. a) pontja és 142. pontja | ||||
| 520 | ebből: Tőzsdén kívüli – egyéb pénzügyi vállalatok | V. melléklet 1. részének 42. d) pontja, 44. e) pontja, 2. részének 141. b) pontja | ||||
| 530 | ebből: Tőzsdén kívüli – egyéb | V. melléklet 1. része 44. bekezdésének e) pontja, 2. része 141. bekezdésének c) pontja | ||||
11. 3 Nem származtatott fedezeti instrumentumok: számviteli portfólió és fedezetiügylet-típus szerinti részletezés
| Hivatkozások | Könyv szerinti érték | ||||
| Valósérték-fedezeti ügyletek | Cash flow-fedezeti ügyletek | Külföldi érdekeltségbe történt nettó befektetés fedezése | |||
| V. melléklet 2. részének 145. pontja | V. melléklet 2. részének 145. pontja | V. melléklet 2. részének 145. pontja | |||
| 010 | 020 | 030 | |||
| 010 | Nem származtatott pénzügyi eszközök | IFRS 7 24A. bekezdése; IFRS 9 6.1. bekezdése; IFRS 9 6.2.2. bekezdése | |||
| 020 | ebből: Kereskedési céllal tartott pénzügyi eszközök | IFRS 9 A. függelék | |||
| 030 | ebből: Kötelezően az eredménnyel szemben valós értéken értékelt, nem kereskedési célú pénzügyi eszközök | IFRS 9 4.1.4. bekezdése; IFRS 7 8. bekezdésének a) ii. pontja; | |||
| 040 | ebből: Az eredménnyel szemben valós értéken értékeltnek megjelölt pénzügyi eszközök | IFRS 9 4.1.5. bekezdése; IFRS 7 8. bekezdésének a) i. pontja | |||
| 050 | Nem származtatott pénzügyi kötelezettségek | IFRS 7 24A. bekezdése; IFRS 9 6.1. bekezdése; IFRS 9 6.2.2. bekezdése | |||
| 060 | Kereskedési céllal tartott pénzügyi kötelezettségek | IFRS 9 A. függelék | |||
| 070 | Az eredménnyel szemben valós értéken értékeltnek megjelölt pénzügyi kötelezettségek | IFRS 9 4.2.1. bekezdése; IFRS 9 6.2.2. bekezdése | |||
| 080 | Amortizált bekerülési értéken értékelt pénzügyi eszközök | IFRS 9 4.2.1. bekezdése IFRS 9 6.2.2. bekezdése | |||
11. 4 Fedezett tételek valósérték-fedezeti ügyletekben
| Hivatkozások | Mikro-fedezeti ügylet | Mikro-fedezeti ügylet – Nettó pozíció fedezete | Mikro-fedezeti ügylet fedezeti kiigazítása | Makro-fedezeti ügylet | |||
| Könyv szerinti érték | Nettó pozíció fedezetének részét képező eszközök vagy kötelezettségek (nettósítás előtt) | Eszközök/kötelezettségek könyv szerinti értékének részét képező fedezeti kiigazítás | Nettó pozíció fedezetét is magukban foglaló megszüntetett mikro-fedezeti ügyletekre vonatkozó fennmaradó kiigazítások | Kamatlábkockázatra vonatkozó portfóliófedezeti ügylet során fedezett tételek | |||
| IFRS 7 24B. bekezdésének a) pontja; V. melléklet 2. részének 146. és 147. pontja | IFRS 9 6.6.1. bekezdése; IFRS 9 6.6.6. bekezdése; V. melléklet 2. részének 147. és 151. pontja | IFRS 7 24B. bekezdésének a) ii. pontja; V. melléklet 2. részének 148. és 149. pontja | IFRS 7 24B. bekezdésének a) v. pontja; V. melléklet 2. részének 148. és 150. pontja | IFRS 9 6.1.3. bekezdése; IFRS 9 6.6.1. bekezdése; V. melléklet 2. részének 152. pontja | |||
| 010 | 020 | 030 | 040 | 050 | |||
| ESZKÖZÖK | |||||||
| 010 | Az egyéb átfogó jövedelemmel szemben valós értéken értékelt pénzügyi eszközök | IFRS 9 4.1.2A. bekezdése, IFRS 7 8. bekezdésének h) pontja; V. melléklet 2. részének 146. és 151. pontja | |||||
| 020 | Kamatláb | V. melléklet 2. része 129. bekezdésének a) pontja | |||||
| 030 | Részvény | V. melléklet 2. részének 129. b) pontja | |||||
| 040 | Deviza és arany | V. melléklet 2. részének 129. c) pontja | |||||
| 050 | Hitel | V. melléklet 2. része 129. d) pontja | |||||
| 060 | Áru | V. melléklet 2. részének 129. e) pontja | |||||
| 070 | Egyéb | V. melléklet 2. részének 129. f) pontja | |||||
| 080 | Amortizált bekerülési értéken értékelt pénzügyi eszközök | IFRS 9 4.1.2A. bekezdése, IFRS 7 8. bekezdésének f) pontja; V. melléklet 2. részének 146. és 151. pontja | |||||
| 090 | Kamatláb | V. melléklet 2. része 129. bekezdésének a) pontja | |||||
| 100 | Részvény | V. melléklet 2. részének 129. b) pontja | |||||
| 110 | Deviza és arany | V. melléklet 2. részének 129. c) pontja | |||||
| 120 | Hitel | V. melléklet 2. része 129. d) pontja | |||||
| 130 | Áru | V. melléklet 2. részének 129. e) pontja | |||||
| 140 | Egyéb | V. melléklet 2. részének 129. f) pontja | |||||
| KÖTELEZETTSÉGEK | |||||||
| 150 | Amortizált bekerülési értéken értékelt pénzügyi kötelezettségek | IFRS 9 4.2.1. bekezdése; IFRS 7 8. bekezdésének g) pontja; V. melléklet 2. részének 146. és 151. pontja | |||||
| 160 | Kamatláb | V. melléklet 2. része 129. bekezdésének a) pontja | |||||
| 170 | Részvény | V. melléklet 2. részének 129. b) pontja | |||||
| 180 | Deviza és arany | V. melléklet 2. részének 129. c) pontja | |||||
| 190 | Hitel | V. melléklet 2. része 129. d) pontja | |||||
| 200 | Áru | V. melléklet 2. részének 129. e) pontja | |||||
| 210 | Egyéb | V. melléklet 2. részének 129. f) pontja | |||||
12. Hitelezési veszteségekre képzett értékvesztés és céltartalékok változása
12. 1 Hitelezési veszteségekre képzett értékvesztés és céltartalékok változása
| Hivatkozások | Nyitó egyenleg | Keletkeztetésből és vásárlásból származó növekedés | Kivezetésből származó csökkenés | Hitelkockázat-változásból származó változás (nettó) | Kivezetéshez nem vezető módosításból származó változás (nettó) | Az intézmény becslési módszertanának aktualizálásából származó változás (nettó) | Az értékvesztési számla leírásokból származó csökkenése | Egyéb módosítások | Záró egyenleg | Korábban leírt összegek közvetlenül az eredménykimutatásban elszámolt megtérülései | Közvetlenül az eredménykimutatásban leírt összegek | Hitelviszonyt megtestesítő instrumentumok kivezetéséből származó nyereség vagy veszteség | ||
| IFRS 7 35I. bekezdése; V. melléklet 2. részének 159. pontja és 164. b) pontja | IFRS 7 35I. bekezdése; V. melléklet 2. részének 160. pontja és 164. b) pontja | IFRS 7 35I. bekezdése; IFRS 7 35B. bekezdésének b) pontja; V. melléklet 2. részének 161–162. pontja | IFRS 7 35I. bekezdése; IFRS 7 35J. bekezdése; IFRS 9 5.4.12., B5.5.25. és B5.5.27. bekezdése; V. melléklet 2. részének 164. c) pontja | IFRS 7 35I. bekezdése; IFRS 7 35B. bekezdésének b) pontja; V. melléklet 2. részének 163. pontja | IFRS 7 35I. bekezdése; IFRS 9 5.4.4. bekezdése; IFRS 7. 35L. bekezdése; V. melléklet 2. részének 72., 74., 164. a) és 165. pontja | IFRS 7 35I. bekezdése; IFRS 7 35B. bekezdésének b) pontja; V. melléklet 2. részének 166. pontja | IFRS 9 5.4.4. bekezdése; V. melléklet 2. részének 165. pontja | V. melléklet 2. részének 166i. pontja | ||||||
| 010 | 020 | 030 | 040 | 050 | 070 | 080 | 090 | 100 | 110 | 120 | 125 | |||
| 010 | Olyan pénzügyi eszközökre képzett értékvesztés, amelyek hitelkockázata nem növekedett jelentősen a kezdeti megjelenítés óta (1. szakasz) | IFRS 9 5.5.5. bekezdése | ||||||||||||
| 020 | Hitelviszonyt megtestesítő értékpapírok | V. melléklet 1. részének 31. pontja és 44. b) pontja | ||||||||||||
| 030 | Központi bankok | V. melléklet 1. részének 42. a) pontja | ||||||||||||
| 040 | Államháztartások | V. melléklet 1. részének 42. b) pontja | ||||||||||||
| 050 | Hitelintézetek | V. melléklet 1. részének 42. c) pontja | ||||||||||||
| 060 | Egyéb pénzügyi vállalatok | V. melléklet 1. részének 42. d) pontja | ||||||||||||
| 070 | Nem pénzügyi vállalatok | V. melléklet 1. részének 42. e) pontja | ||||||||||||
| 080 | Hitelek és előlegek | V. melléklet 1. részének 32. pontja, 44. a) pontja | ||||||||||||
| 090 | Központi bankok | V. melléklet 1. részének 42. a) pontja | ||||||||||||
| 100 | Államháztartások | V. melléklet 1. részének 42. b) pontja | ||||||||||||
| 110 | Hitelintézetek | V. melléklet 1. részének 42. c) pontja | ||||||||||||
| 120 | Egyéb pénzügyi vállalatok | V. melléklet 1. részének 42. d) pontja | ||||||||||||
| 130 | Nem pénzügyi vállalatok | V. melléklet 1. részének 42. e) pontja | ||||||||||||
| 140 | Háztartások | V. melléklet 1. részének 42. f) pontja | ||||||||||||
| 160 | ebből: csoportosan képzett értékvesztés | IFRS 9 B5.5.1–B5.5.6. bekezdése; V. melléklet 2. részének 158. pontja | ||||||||||||
| 170 | ebből: egyedileg képzett értékvesztés | IFRS 9 B5.5.1–B5.5.6. bekezdése; V. melléklet 2. részének 158. pontja | ||||||||||||
| 180 | Olyan hitelviszonyt megtestesítő instrumentumokra képzett értékvesztés, amelyek hitelkockázata jelentősen növekedett a kezdeti megjelenítés óta, de amelyek nem váltak értékvesztetté (2. szakasz) | IFRS 9 5.5.3. bekezdése | ||||||||||||
| 190 | Hitelviszonyt megtestesítő értékpapírok | V. melléklet 1. részének 31. pontja és 44. b) pontja | ||||||||||||
| 200 | Központi bankok | V. melléklet 1. részének 42. a) pontja | ||||||||||||
| 210 | Államháztartások | V. melléklet 1. részének 42. b) pontja | ||||||||||||
| 220 | Hitelintézetek | V. melléklet 1. részének 42. c) pontja | ||||||||||||
| 230 | Egyéb pénzügyi vállalatok | V. melléklet 1. részének 42. d) pontja | ||||||||||||
| 240 | Nem pénzügyi vállalatok | V. melléklet 1. részének 42. e) pontja | ||||||||||||
| 250 | Hitelek és előlegek | V. melléklet 1. részének 32. pontja, 44. a) pontja | ||||||||||||
| 260 | Központi bankok | V. melléklet 1. részének 42. a) pontja | ||||||||||||
| 270 | Államháztartások | V. melléklet 1. részének 42. b) pontja | ||||||||||||
| 280 | Hitelintézetek | V. melléklet 1. részének 42. c) pontja | ||||||||||||
| 290 | Egyéb pénzügyi vállalatok | V. melléklet 1. részének 42. d) pontja | ||||||||||||
| 300 | Nem pénzügyi vállalatok | V. melléklet 1. részének 42. e) pontja | ||||||||||||
| 310 | Háztartások | V. melléklet 1. részének 42. f) pontja | ||||||||||||
| 330 | ebből: csoportosan képzett értékvesztés | IFRS 9 B5.5.1–B5.5.6. bekezdése; V. melléklet 2. részének 158. pontja | ||||||||||||
| 340 | ebből: egyedileg képzett értékvesztés | IFRS 9 B5.5.1–B5.5.6. bekezdése; V. melléklet 2. részének 158. pontja | ||||||||||||
| 350 | ebből: nemteljesítő | V. melléklet 2. részének 213–232. pontja | ||||||||||||
| 360 | Értékvesztett hitelviszonyt megtestesítő instrumentumokra képzett értékvesztés (3. szakasz) | IFRS 9 5.5.1. bekezdése, A. függelék | ||||||||||||
| 370 | Hitelviszonyt megtestesítő értékpapírok | V. melléklet 1. részének 31. pontja és 44. b) pontja | ||||||||||||
| 380 | Központi bankok | V. melléklet 1. részének 42. a) pontja | ||||||||||||
| 390 | Államháztartások | V. melléklet 1. részének 42. b) pontja | ||||||||||||
| 400 | Hitelintézetek | V. melléklet 1. részének 42. c) pontja | ||||||||||||
| 410 | Egyéb pénzügyi vállalatok | V. melléklet 1. részének 42. d) pontja | ||||||||||||
| 420 | Nem pénzügyi vállalatok | V. melléklet 1. részének 42. e) pontja | ||||||||||||
| 430 | Hitelek és előlegek | V. melléklet 1. részének 32. pontja, 44. a) pontja | ||||||||||||
| 440 | Központi bankok | V. melléklet 1. részének 42. a) pontja | ||||||||||||
| 450 | Államháztartások | V. melléklet 1. részének 42. b) pontja | ||||||||||||
| 460 | Hitelintézetek | V. melléklet 1. részének 42. c) pontja | ||||||||||||
| 470 | Egyéb pénzügyi vállalatok | V. melléklet 1. részének 42. d) pontja | ||||||||||||
| 480 | Nem pénzügyi vállalatok | V. melléklet 1. részének 42. e) pontja | ||||||||||||
| 490 | Háztartások | V. melléklet 1. részének 42. f) pontja | ||||||||||||
| 500 | ebből: csoportosan képzett értékvesztés | IFRS 9 B5.5.1–B5.5.6. bekezdése; V. melléklet 2. részének 158. pontja | ||||||||||||
| 510 | ebből: egyedileg képzett értékvesztés | IFRS 9 B5.5.1–B5.5.6. bekezdése; V. melléklet 2. részének 158. pontja | ||||||||||||
| 520 | Hitelviszonyt megtestesítő instrumentumok értékvesztése összesen | IFRS 7 B8E. bekezdése | ||||||||||||
| 530 | Adott elkötelezettségek és pénzügyi garanciák (1. szakasz) | IFRS 9 2.1. bekezdésének g) pontja; 2.3. bekezdésének c) pontja; 5.5. és B2.5. bekezdése; V. melléklet 2. részének 157. pontja | ||||||||||||
| 540 | Adott elkötelezettségek és pénzügyi garanciák (2. szakasz) | IFRS 9 2.1. bekezdésének g) pontja; 2.3. bekezdésének c) pontja, 5.5.3. és B2.5. bekezdése; V. melléklet 2. részének 157. pontja | ||||||||||||
| 550 | ebből: nemteljesítő | V. melléklet 2. részének 117. pontja | ||||||||||||
| 560 | Adott elkötelezettségek és pénzügyi garanciák (3. szakasz) | IFRS 9 2.1. bekezdésének g) pontja; 2.3. bekezdésének c) pontja, 5.5.1. és B2.5. bekezdése; V. melléklet 2. részének 157. pontja | ||||||||||||
| 570 | Adott elkötelezettségekre és pénzügyi garanciákra képzett céltartalék összesen | IFRS 7 B8E. bekezdése; V. melléklet 2. részének 157. pontja | ||||||||||||
12.2. Értékvesztési szakaszok közötti átvezetések (bruttó alapú megjelenítés)
| Hivatkozások | Bruttó könyv szerinti érték / névérték V. melléklet 1. részének 34. pontja, 2. részének 118., 167. és 170. pontja | |||||||
| 1. és 2. szakasz közötti átvezetés | 2. és 3. szakasz közötti átvezetés | 1. és 3. szakasz közötti átvezetés | ||||||
| 1. szakaszból 2. szakaszba | 2. szakaszból 1. szakaszba | 2. szakaszból 3. szakaszba | 3. szakaszból 2. szakaszba | 1. szakaszból 3. szakaszba | 3. szakaszból 1. szakaszba | |||
| V. melléklet 2. részének 168–169. pontja | ||||||||
| 010 | 020 | 030 | 040 | 050 | 060 | |||
| 010 | Hitelviszonyt megtestesítő értékpapírok | V. melléklet 1. részének 31. pontja és 44. b) pontja | ||||||
| 020 | Központi bankok | V. melléklet 1. részének 42. a) pontja | ||||||
| 030 | Államháztartások | V. melléklet 1. részének 42. b) pontja | ||||||
| 040 | Hitelintézetek | V. melléklet 1. részének 42. c) pontja | ||||||
| 050 | Egyéb pénzügyi vállalatok | V. melléklet 1. részének 42. d) pontja | ||||||
| 060 | Nem pénzügyi vállalatok | V. melléklet 1. részének 42. e) pontja | ||||||
| 070 | Hitelek és előlegek | V. melléklet 1. részének 32. pontja, 44. a) pontja | ||||||
| 080 | Központi bankok | V. melléklet 1. részének 42. a) pontja | ||||||
| 090 | Államháztartások | V. melléklet 1. részének 42. b) pontja | ||||||
| 100 | Hitelintézetek | V. melléklet 1. részének 42. c) pontja | ||||||
| 110 | Egyéb pénzügyi vállalatok | V. melléklet 1. részének 42. d) pontja | ||||||
| 120 | Nem pénzügyi vállalatok | V. melléklet 1. részének 42. e) pontja | ||||||
| 130 | Háztartások | V. melléklet 1. részének 42. f) pontja | ||||||
| 140 | Hitelviszonyt megtestesítő instrumentumok összesen | |||||||
| 150 | Adott elkötelezettségek és pénzügyi garanciák | IFRS 9 2.1. bekezdésének g) pontja; 2.3. bekezdésének c) pontja; 5.5.1., 5.5.3. és 5.5.5. bekezdése | ||||||
13. Kapott biztosítékok és garanciák
13.1. Biztosítékok és garanciák nem kereskedési céllal tartott hitelek és előlegek szerinti részletezése
| Hivatkozások | A biztosíték vagy garancia figyelembe vehető legmagasabb összege V. melléklet 2. részének 171–172. pontja és 174. pontja | ||||||||
| Garanciák és biztosíték | Ingatlannal fedezett hitelek | Egyéb biztosítékkal fedezett hitelek | Kapott pénzügyi garanciák | ||||||
| Lakóingatlan | Kereskedelmi ingatlan | Pénzeszközök, betétek, [kibocsátott hitelviszonyt megtestesítő értékpapírok] | Ingó vagyontárgyak | Tulajdoni részesedést és hitelviszonyt megtestesítő értékpapírok | Egyéb | ||||
| IFRS 7 36. bekezdésének b) pontja | V. melléklet 2. részének 173. a) pontja | V. melléklet 2. részének 173. a) pontja | V. melléklet 2. részének 173. b) i. pontja | V. melléklet 2. részének 173. b) ii. pontja | V. melléklet 2. részének 173. b) iii. pontja | V. melléklet 2. részének 173. b) iv. pontja | V. melléklet 2. részének 173. c) pontja | ||
| 010 | 020 | 030 | 031 | 032 | 041 | 050 | |||
| 010 | Hitelek és előlegek | V. melléklet 1. részének 32. pontja, 44. a) pontja | |||||||
| 020 | ebből: Egyéb pénzügyi vállalatok | V. melléklet 1. részének 42. d) pontja | |||||||
| 030 | ebből: Nem pénzügyi vállalatok | V. melléklet 1. részének 42. e) pontja | |||||||
| 035 | ebből: Kis- és középvállalkozások (kkv-k) | KKV 1. cikke (2) bekezdésének a) pontja | |||||||
| 036 | ebből: Kereskedelmi ingatlanhoz kapcsolódó hitelek kis- és középvállalkozásoknak | KKV 1. cikke (2) bekezdésének a) pontja; V. melléklet 2. részének 239ix. pontja | |||||||
| 037 | ebből: Kereskedelmi ingatlanhoz kapcsolódó hitelek kkv-któl eltérő nem pénzügyi vállalatoknak | V. melléklet 2. részének 239ix. pontja | |||||||
| 040 | ebből: Háztartások | V. melléklet 1. részének 42. f) pontja | |||||||
| 050 | ebből: Lakáscélú hitelek | V. melléklet 2. részének 88. b) pontja | |||||||
| 060 | ebből: Fogyasztási hitelek | V. melléklet 2. részének 88. a) pontja | |||||||
13.2.1. Az időszak alatt birtokbavétellel megszerzett biztosítékok [a vonatkozási időpontban tartott]
| Hivatkozások | Az időszak alatt birtokbavétellel megszerzett biztosítékok [a vonatkozási időpontban tartott] (V. melléklet 2. részének 175. pontja) | ||||||
| ebből: Értékesítésre tartott befektetett eszközök (IFRS 5 38. bekezdése; V. melléklet 2. részének 7. pontja) | |||||||
| Kezdeti megjelenítéskori érték | Könyv szerinti érték | Negatív változás halmozott összege | Kezdeti megjelenítéskori érték | Könyv szerinti érték | |||
| V. melléklet 2. részének 175i. pontja | V. melléklet 1. részének 27–28. pontja | V. melléklet 2. részének 175ii. pontja | V. melléklet 2. részének 175i. pontja | V. melléklet 1. részének 27–28. pontja | |||
| 0010 | 0020 | 0030 | 0040 | 0050 | |||
| 0010 | Ingatlanok, gépek és berendezések | IAS 16 6. bekezdése | |||||
| 0020 | Az Ingatlanok, gépek és berendezések kategóriától eltérő eszközök | IFRS 7 38. bekezdésének a) pontja | |||||
| 0030 | Lakóingatlan | IFRS 7 38. bekezdésének a) pontja; V. melléklet 2. részének 173. a) pontja | |||||
| 0040 | Kereskedelmi ingatlan | IFRS 7 38. bekezdésének a) pontja; V. melléklet 2. részének 173. a) pontja | |||||
| 0050 | Ingó vagyontárgyak | IFRS 7 38. bekezdésének a) pontja; V. melléklet 2. részének 173. b) ii. pontja | |||||
| 0060 | Tulajdoni részesedést és hitelviszonyt megtestesítő értékpapírok | IFRS 7 38. bekezdésének a) pontja; V. melléklet 2. részének 173. b) iii. pontja | |||||
| 0070 | Egyéb | IFRS 7 38. bekezdésének a) pontja; V. melléklet 2. részének 173. b) iv. pontja | |||||
| 0080 | Összesen | ||||||
13.3.1. Birtokbavétellel megszerzett biztosítékok - halmozott
| Hivatkozások | Birtokbavétellel megszerzett biztosítékok – halmozott (V. melléklet 2. részének 176. pontja) | ||||||
| ebből: Értékesítésre tartott befektetett eszközök (IFRS 5 38. bekezdése; V. melléklet 2. részének 7. pontja) | |||||||
| Kezdeti megjelenítéskori érték | Könyv szerinti érték | Negatív változás halmozott összege | Kezdeti megjelenítéskori érték | Könyv szerinti érték | |||
| V. melléklet 2. részének 175i. pontja | V. melléklet 1. részének 27–28. pontja | V. melléklet 2. részének 175ii. pontja | V. melléklet 2. részének 175i. pontja | V. melléklet 1. részének 27–28. pontja | |||
| 0010 | 0020 | 0030 | 0040 | 0050 | |||
| 0010 | Ingatlanok, gépek és berendezések | IAS 16 6. bekezdése | |||||
| 0020 | Az Ingatlanok, gépek és berendezések kategóriától eltérő eszközök | IFRS 7 38. bekezdésének a) pontja | |||||
| 0030 | Lakóingatlan | IFRS 7 38. bekezdésének a) pontja; V. melléklet 2. részének 173. a) pontja | |||||
| 0040 | Kereskedelmi ingatlan | IFRS 7 38. bekezdésének a) pontja; V. melléklet 2. részének 173. a) pontja | |||||
| 0050 | Ingó vagyontárgyak | IFRS 7 38. bekezdésének a) pontja; V. melléklet 2. részének 173. b) ii. pontja | |||||
| 0060 | Tulajdoni részesedést és hitelviszonyt megtestesítő értékpapírok | IFRS 7 38. bekezdésének a) pontja; V. melléklet 2. részének 173. b) iii. pontja | |||||
| 0070 | Egyéb | IFRS 7 38. bekezdésének a) pontja; V. melléklet 2. részének 173. b) iv. pontja | |||||
| 0080 | Összesen | ||||||
14. Valósérték-hierarchia: valós értéken értékelt pénzügyi instrumentumok
| Hivatkozások | Valósérték-hierarchia IFRS 13 93. bekezdésének b) pontja | Valós érték változása az időszak alatt V. melléklet 2. részének 178. pontja | A valósérték-változás halmozott összege adófizetés előtt V. melléklet 2. részének 179. pontja | |||||||
| 1. szint | 2. szint | 3. szint | 2. szint | 3. szint | 1. szint | 2. szint | 3. szint | |||
| IFRS 13 76. bekezdése | IFRS 13 81. bekezdése | IFRS 13 86. bekezdése | IFRS 13 81. bekezdése | IFRS 13 86. bekezdése, 93. bekezdésének f) pontja | IFRS 13 76. bekezdése | IFRS 13 81. bekezdése | IFRS 13 86. bekezdése | |||
| 010 | 020 | 030 | 040 | 050 | 060 | 070 | 080 | |||
| ESZKÖZÖK | ||||||||||
| 010 | Kereskedési céllal tartott pénzügyi eszközök | IFRS 7 8. bekezdésének a) ii. pontja; IFRS 9 A. függelék | ||||||||
| 020 | Származtatott ügyletek | IFRS 9 A. függelék | ||||||||
| 030 | Tulajdoni részesedést megtestesítő instrumentumok | IAS 32 11. bekezdése | ||||||||
| 040 | Hitelviszonyt megtestesítő értékpapírok | V. melléklet 1. részének 31. pontja | ||||||||
| 050 | Hitelek és előlegek | V. melléklet 1. részének 32. pontja | ||||||||
| 056 | Kötelezően az eredménnyel szemben valós értéken értékelt, nem kereskedési célú pénzügyi eszközök | IFRS 9 4.1.4. bekezdése; IFRS 7 8. bekezdésének a) ii. pontja; | ||||||||
| 057 | Tulajdoni részesedést megtestesítő instrumentumok | IAS 32 11. bekezdése | ||||||||
| 058 | Hitelviszonyt megtestesítő értékpapírok | V. melléklet 1. részének 31. pontja | ||||||||
| 059 | Hitelek és előlegek | V. melléklet 1. részének 32. pontja | ||||||||
| 060 | Az eredménnyel szemben valós értéken értékeltnek megjelölt pénzügyi eszközök | IFRS 7 8. bekezdésének a) i. pontja; IFRS 9 4.1.5. bekezdése | ||||||||
| 080 | Hitelviszonyt megtestesítő értékpapírok | V. melléklet 1. részének 31. pontja | ||||||||
| 090 | Hitelek és előlegek | V. melléklet 1. részének 32. pontja | ||||||||
| 101 | Az egyéb átfogó jövedelemmel szemben valós értéken értékelt pénzügyi eszközök | IFRS 7 8. bekezdésének h) pontja; IFRS 9 4.1.2A. bekezdése | ||||||||
| 102 | Tulajdoni részesedést megtestesítő instrumentumok | IAS 32 11. bekezdése | ||||||||
| 103 | Hitelviszonyt megtestesítő értékpapírok | V. melléklet 1. részének 31. pontja | ||||||||
| 104 | Hitelek és előlegek | V. melléklet 1. részének 32. pontja | ||||||||
| 140 | Származtatott ügyletek – Fedezeti elszámolások | IFRS 9 6.2.1. bekezdése; V. melléklet 1. részének 22. pontja | ||||||||
| KÖTELEZETTSÉGEK | ||||||||||
| 150 | Kereskedési céllal tartott pénzügyi kötelezettségek | IFRS 7 8. bekezdésének e) ii. pontja; IFRS 9 BA.6 bekezdése | ||||||||
| 160 | Származtatott ügyletek | IFRS 9 BA.7 bekezdésének a) pontja | ||||||||
| 170 | Rövid pozíciók | IFRS 9 BA7. bekezdésének b) pontja | ||||||||
| 180 | Betétek | EKB/2013/33 2. melléklete 2. részének 9. szakasza V. melléklet 1. részének 36. pontja | ||||||||
| 190 | Kibocsátott hitelviszonyt megtestesítő értékpapírok | V. melléklet 1. részének 37. pontja | ||||||||
| 200 | Egyéb pénzügyi kötelezettségek | V. melléklet 1. részének 38–41. pontja | ||||||||
| 210 | Az eredménnyel szemben valós értéken értékeltnek megjelölt pénzügyi kötelezettségek | IFRS 7 8. bekezdésének e), i) pontja; IFRS 9 4.1.5. bekezdése | ||||||||
| 220 | Betétek | EKB/2013/33 2. melléklete 2. részének 9. szakasza V. melléklet 1. részének 36. pontja | ||||||||
| 230 | Kibocsátott hitelviszonyt megtestesítő értékpapírok | V. melléklet 1. részének 37. pontja | ||||||||
| 240 | Egyéb pénzügyi kötelezettségek | V. melléklet 1. részének 38–41. pontja | ||||||||
| 250 | Származtatott ügyletek – Fedezeti elszámolások | IFRS 9 6.2.1. bekezdése; V. melléklet 1. részének 26. pontja | ||||||||
15. Pénzügyi eszközök átadásával összefüggő kivezetés és pénzügyi kötelezettségek
| Hivatkozások | Teljes mértékben megjelenített átadott pénzügyi eszközök | Az intézmény folytatódó részvétele mértékéig megjelenített átadott pénzügyi eszközök | A teljes mértékben kivezetett, átadott pénzügyi eszközök fennálló tőkeösszege, amelyek tekintetében az intézmény fenntartja a szolgáltatási jogokat | A tőke szempontjából kivezetett összegek | |||||||||
| Átadott eszközök | Kapcsolódó kötelezettségek V. melléklet 2. részének 181. pontja | Az eredeti eszközök fennálló tőkeösszege | Még megjelenített eszközök könyv szerinti értéke [folytatódó részvétel] | Kapcsolódó kötelezettségek könyv szerinti értéke | |||||||||
| Könyv szerinti érték | Ebből: értékpapírosítások | Ebből: visszavásárlási megállapodások | Könyv szerinti érték | Ebből: értékpapírosítások | Ebből: visszavásárlási megállapodások | ||||||||
| IFRS 7 42D. bekezdésének e) pontja; V. melléklet 1. részének 27. pontja | IFRS 7 42D. bekezdésének e) pontja; CRR 4. cikke (1) bekezdésének 61. pontja | IFRS 7 42D. bekezdésének e) pontja; V. melléklet 2. részének 183–184. pontja | IFRS 7 42D. bekezdésének e) pontja | IFRS 7 42D. bekezdésének e) pontja | IFRS 7 42D. bekezdésének e) pontja; V. melléklet 2. részének 183–184. pontja | IFRS 7 42D. bekezdésének f) pontja | IFRS 7 42D. bekezdésének f) pontja; V. melléklet 1. részének 27. pontja, 2. részének 181. pontja | CRR 109. cikke; V. melléklet 2. részének 182. pontja | |||||
| 010 | 020 | 030 | 040 | 050 | 060 | 070 | 080 | 090 | 100 | 110 | |||
| 010 | Kereskedési céllal tartott pénzügyi eszközök | IFRS 7 8. bekezdésének a) ii. pontja; IFRS 9 A. függelék | |||||||||||
| 020 | Tulajdoni részesedést megtestesítő instrumentumok | IAS 32 11. bekezdése | |||||||||||
| 030 | Hitelviszonyt megtestesítő értékpapírok | V. melléklet 1. részének 31. pontja | |||||||||||
| 040 | Hitelek és előlegek | V. melléklet 1. részének 32. pontja | |||||||||||
| 045 | Kötelezően az eredménnyel szemben valós értéken értékelt, nem kereskedési célú pénzügyi eszközök | IFRS 9 4.1.4. bekezdése | |||||||||||
| 046 | Tulajdoni részesedést megtestesítő instrumentumok | IAS 32 11. bekezdése | |||||||||||
| 047 | Hitelviszonyt megtestesítő értékpapírok | V. melléklet 1. részének 31. pontja | |||||||||||
| 048 | Hitelek és előlegek | V. melléklet 1. részének 32. pontja | |||||||||||
| 050 | Az eredménnyel szemben valós értéken értékeltnek megjelölt pénzügyi eszközök | IFRS 7 8. bekezdésének a) i. pontja; IFRS 9 4.1.5. bekezdése | |||||||||||
| 070 | Hitelviszonyt megtestesítő értékpapírok | V. melléklet 1. részének 31. pontja | |||||||||||
| 080 | Hitelek és előlegek | V. melléklet 1. részének 32. pontja | |||||||||||
| 091 | Az egyéb átfogó jövedelemmel szemben valós értéken értékelt pénzügyi eszközök | IFRS 7 8. bekezdésének h) pontja; IFRS 9 4.1.2A. bekezdése | |||||||||||
| 092 | Tulajdoni részesedést megtestesítő instrumentumok | IAS 32 11. bekezdése | |||||||||||
| 093 | Hitelviszonyt megtestesítő értékpapírok | V. melléklet 1. részének 31. pontja | |||||||||||
| 094 | Hitelek és előlegek | V. melléklet 1. részének 32. pontja | |||||||||||
| 131 | Amortizált bekerülési értéken értékelt pénzügyi eszközök | IFRS 7 8. bekezdésének f) pontja; IFRS 9 4.1.2. bekezdése | |||||||||||
| 132 | Hitelviszonyt megtestesítő értékpapírok | V. melléklet 1. részének 31. pontja | |||||||||||
| 133 | Hitelek és előlegek | V. melléklet 1. részének 32. pontja | |||||||||||
| 190 | Összesen | ||||||||||||
16. Az eredménykimutatás kiválasztott tételeinek részletezése
16.1. Kamatbevételek és kamatráfordítások instrumentum és ügyfélszektor szerint
| Hivatkozások | Tárgyidőszak | |||
| Bevételek | Ráfordítások | |||
| V. melléklet 2. részének 187. és 189. pontja | V. melléklet 2. részének 188. és 190. pontja | |||
| 010 | 020 | |||
| 010 | Származtatott ügyletek — Kereskedési célú | IFRS 9 A. függelék, BA.1. és BA.6. bekezdés; V. melléklet 2. részének 193. pontja | ||
| 015 | ebből: gazdasági fedezeti ügyleteknek minősülő származtatott ügyletek kamatbevétele | V. melléklet 2. részének 193. pontja | ||
| 020 | Hitelviszonyt megtestesítő értékpapírok | V. melléklet 1. részének 31. pontja és 44. b) pontja | ||
| 030 | Központi bankok | V. melléklet 1. részének 42. a) pontja | ||
| 040 | Államháztartások | V. melléklet 1. részének 42. b) pontja | ||
| 050 | Hitelintézetek | V. melléklet 1. részének 42. c) pontja | ||
| 060 | Egyéb pénzügyi vállalatok | V. melléklet 1. részének 42. d) pontja | ||
| 070 | Nem pénzügyi vállalatok | V. melléklet 1. részének 42. e) pontja | ||
| 080 | Hitelek és előlegek | V. melléklet 1. részének 32. pontja, 44. a) pontja | ||
| 090 | Központi bankok | V. melléklet 1. részének 42. a) pontja | ||
| 100 | Államháztartások | V. melléklet 1. részének 42. b) pontja | ||
| 110 | Hitelintézetek | V. melléklet 1. részének 42. c) pontja | ||
| 120 | Egyéb pénzügyi vállalatok | V. melléklet 1. részének 42. d) pontja | ||
| 130 | Nem pénzügyi vállalatok | V. melléklet 1. részének 42. e) pontja | ||
| 140 | Háztartások | V. melléklet 1. részének 42. f) pontja | ||
| 141 | ebből: lakáscélú hitelek | V. melléklet 2. részének 88. b) pontja, 194i. pontja | ||
| 142 | ebből: fogyasztási hitelek | V. melléklet 2. részének 88. a) pontja, 194i. pontja | ||
| 150 | Egyéb eszközök | V. melléklet 2. részének 5. pontja | ||
| 160 | Betétek | EKB/2013/33 2. melléklete 2. részének 9. szakasza V. melléklet 1. részének 36. pontja | ||
| 170 | Központi bankok | V. melléklet 1. részének 42. a) pontja | ||
| 180 | Államháztartások | V. melléklet 1. részének 42. b) pontja | ||
| 190 | Hitelintézetek | V. melléklet 1. részének 42. c) pontja | ||
| 200 | Egyéb pénzügyi vállalatok | V. melléklet 1. részének 42. d) pontja | ||
| 210 | Nem pénzügyi vállalatok | V. melléklet 1. részének 42. e) pontja | ||
| 220 | Háztartások | V. melléklet 1. részének 42. f) pontja | ||
| 230 | Kibocsátott hitelviszonyt megtestesítő értékpapírok | V. melléklet 1. részének 37. pontja | ||
| 240 | Egyéb pénzügyi kötelezettségek | V. melléklet 1. részének 32–34. pontja, 2. részének 90. pontja | ||
| 250 | Származtatott ügyletek — Fedezeti elszámolások, kamatlábkockázat | V. melléklet 2. részének 192. pontja | ||
| 260 | Egyéb kötelezettségek | V. melléklet 1. részének 38–41. pontja | ||
| 270 | KAMATOK | IAS 1 97. bekezdése | ||
| 280 | ebből: értékvesztett pénzügyi eszközök kamatbevétele | IFRS 9 5.1.4. bekezdése, B5.4.7. bekezdése; V. melléklet 2. részének 194. pontja | ||
| 290 | ebből: lízingből származó kamat | IFRS 16 38. bekezdésének a) pontja, 49. bekezdése; V. melléklet 2. részének 194ii. pontja | ||
16.2. Az eredménnyel szemben valós értéken értékelt kategóriába nem tartozó pénzügyi eszközök és kötelezettségek kivezetéséből származó nyereség vagy veszteség instrumentum szerint
| Hivatkozások | Tárgyidőszak | ||
| V. melléklet 2. részének 195–196. pontja | |||
| 010 | |||
| 020 | Hitelviszonyt megtestesítő értékpapírok | V. melléklet 1. részének 31. pontja | |
| 030 | Hitelek és előlegek | V. melléklet 1. részének 32. pontja | |
| 040 | Betétek | EKB/2013/33 2. melléklete 2. részének 9. szakasza V. melléklet 1. részének 36. pontja | |
| 050 | Kibocsátott hitelviszonyt megtestesítő értékpapírok | V. melléklet 1. részének 37. pontja | |
| 060 | Egyéb pénzügyi kötelezettségek | V. melléklet 1. részének 38–41. pontja | |
| 070 | AZ EREDMÉNNYEL SZEMBEN VALÓS ÉRTÉKEN ÉRTÉKELT KATEGÓRIÁBA NEM TARTOZÓ PÉNZÜGYI ESZKÖZÖK ÉS KÖTELEZETTSÉGEK KIVEZETÉSÉBŐL SZÁRMAZÓ NYERESÉG VAGY (-) VESZTESÉG, NETTÓ | V. melléklet 2. részének 45. pontja | |
16.3. Kereskedési céllal tartott és kereskedési célú pénzügyi eszközökből és kötelezettségekből származó nyereség vagy veszteség instrumentum szerint
| Hivatkozások | Tárgyidőszak | ||
| V. melléklet 2. részének 197–198. pontja | |||
| 010 | |||
| 010 | Származtatott ügyletek | IFRS 9 A. függelék, BA.1. bekezdés és BA.7. bekezdésének a) pontja; | |
| 015 | ebből: a valós érték opció alkalmazásával elszámolt gazdasági fedezeti ügyletek | IFRS 9 6.7.1. bekezdése; IFRS 7 9. bekezdésének d) pontja; V. melléklet 2. részének 199. pontja | |
| 020 | Tulajdoni részesedést megtestesítő instrumentumok | IAS 32 11. bekezdése | |
| 030 | Hitelviszonyt megtestesítő értékpapírok | V. melléklet 1. részének 31. pontja | |
| 040 | Hitelek és előlegek | V. melléklet 1. részének 32. pontja | |
| 050 | Rövid pozíciók | IFRS 9 BA7. bekezdésének b) pontja | |
| 060 | Betétek | EKB/2013/33 2. melléklete 2. részének 9. szakasza V. melléklet 1. részének 36. pontja | |
| 070 | Kibocsátott hitelviszonyt megtestesítő értékpapírok | V. melléklet 1. részének 37. pontja | |
| 080 | Egyéb pénzügyi kötelezettségek | V. melléklet 1. részének 38–41. pontja | |
| 090 | KERESKEDÉSI CÉLLAL TARTOTT PÉNZÜGYI ESZKÖZÖKBŐL ÉS KÖTELEZETTSÉGEKBŐL SZÁRMAZÓ NYERESÉG VAGY (-) VESZTESÉG, NETTÓ | IFRS 9 A. függelék, BA.6 bekezdés; IFRS 7 20. bekezdésének a) i. pontja | |
| 095 | ebből: amortizált bekerülési értéken értékelt eszközök átsorolásából származó nyereség és veszteség | IFRS 9 5.6.2. bekezdése; V. melléklet 2. részének 199. pontja | |
16.4. Kereskedési céllal tartott és kereskedési célú pénzügyi eszközökből és kötelezettségekből származó nyereség vagy veszteség kockázat szerint
| Hivatkozások | Tárgyidőszak | ||
| 010 | |||
| 010 | Kamatláb instrumentumok és kapcsolódó származtatott ügyletek | V. melléklet 2. része 200. bekezdésének a) pontja | |
| 020 | Tulajdoni részesedést megtestesítő instrumentumok és kapcsolódó származtatott ügyletek | V. melléklet 2. része 200. bekezdésének b) pontja | |
| 030 | Devizakereskedés, valamint devizakereskedéshez és aranyhoz kapcsolódó származtatott ügyletek | V. melléklet 2. része 200. bekezdésének c) pontja | |
| 040 | Hitelkockázati instrumentumok és kapcsolódó származtatott ügyletek | V. melléklet 2. része 200. bekezdésének d) pontja | |
| 050 | Árukhoz kapcsolódó származtatott ügyletek | V. melléklet 2. része 200. bekezdésének e) pontja | |
| 060 | Egyéb | V. melléklet 2. része 200. bekezdésének f) pontja | |
| 070 | KERESKEDÉSI CÉLLAL TARTOTT PÉNZÜGYI ESZKÖZÖKBŐL ÉS KÖTELEZETTSÉGEKBŐL SZÁRMAZÓ NYERESÉG VAGY (-) VESZTESÉG, NETTÓ | IFRS 7 20. bekezdésének a) i. pontja | |
16.4.1. Kötelezően az eredménnyel szemben valós értéken értékelt, nem kereskedési célú pénzügyi eszközök nyeresége vagy vesztesége instrumentum szerint
| Hivatkozások | Tárgyidőszak | ||
| V. melléklet 2. részének 201. pontja | |||
| 010 | |||
| 020 | Tulajdoni részesedést megtestesítő instrumentumok | IAS 32 11. bekezdése | |
| 030 | Hitelviszonyt megtestesítő értékpapírok | V. melléklet 1. részének 31. pontja | |
| 040 | Hitelek és előlegek | V. melléklet 1. részének 32. pontja | |
| 090 | KÖTELEZŐEN AZ EREDMÉNNYEL SZEMBEN VALÓS ÉRTÉKEN ÉRTÉKELT, NEM KERESKEDÉSI CÉLÚ PÉNZÜGYI ESZKÖZÖK NYERESÉGE VAGY (-) VESZTESÉGE, NETTÓ | IFRS 7 20. bekezdésének a) i. pontja | |
| 100 | ebből: amortizált bekerülési értéken értékelt eszközök átsorolásából származó nyereség és veszteség | IFRS 9 6.5.2. bekezdése; V. melléklet 2. részének 202. pontja | |
16.5. Az eredménnyel szemben valós értéken értékeltnek megjelölt pénzügyi eszközök és kötelezettségek nyeresége vagy vesztesége instrumentum szerint
| Hivatkozások | Tárgyidőszak | A hitelkockázat változásából származó valósérték-változás összege | ||
| V. melléklet 2. részének 203. pontja | V. melléklet 2. részének 203. pontja | |||
| 010 | 020 | |||
| 020 | Hitelviszonyt megtestesítő értékpapírok | V. melléklet 1. részének 31. pontja | ||
| 030 | Hitelek és előlegek | V. melléklet 1. részének 32. pontja | ||
| 040 | Betétek | EKB/2013/33 2. melléklete 2. részének 9. szakasza V. melléklet 1. részének 36. pontja | ||
| 050 | Kibocsátott hitelviszonyt megtestesítő értékpapírok | V. melléklet 1. részének 37. pontja | ||
| 060 | Egyéb pénzügyi kötelezettségek | V. melléklet 1. részének 38–41. pontja | ||
| 070 | AZ EREDMÉNNYEL SZEMBEN VALÓS ÉRTÉKEN ÉRTÉKELTNEK MEGJELÖLT PÉNZÜGYI ESZKÖZÖK ÉS KÖTELEZETTSÉGEK NYERESÉGE VAGY (-) VESZTESÉGE, NETTÓ | IFRS 7 20. bekezdésének a) i. pontja | ||
| 071 | ebből: a fedezeti célból az eredménnyel szemben valós értéken értékeltnek megjelölt pénzügyi eszközök és kötelezettségek megjelöléskori nyeresége vagy (-) vesztesége, nettó | IFRS 9 6.7. bekezdése; IFRS 7 7.24G. bekezdésének b) pontja; V. melléklet 2. részének 204. pontja | ||
| 072 | ebből: a fedezeti célból az eredménnyel szemben valós értéken értékeltnek megjelölt pénzügyi eszközök és kötelezettségek megjelölést követő nyeresége vagy (-) vesztesége, nettó | IFRS 9 6.7. bekezdése; IFRS 7 20. bekezdésének a) i. pontja; V. melléklet 2. részének 204. pontja | ||
16.6. Fedezeti elszámolásokból eredő nyereségek vagy veszteségek
| Hivatkozások | Tárgyidőszak | ||
| V. melléklet 2. részének 205. pontja | |||
| 010 | |||
| 010 | A fedezeti instrumentum valós értékének változásai [megszűnéssel együtt] | IFRS 7 24A. bekezdésének c) pontja; IFRS 7 24C. bekezdésének b) vi. pontja | |
| 020 | A fedezett tétel fedezett kockázatnak tulajdonítható valósérték-változásai | IFRS 9 6.3.7. bekezdése, 6.5.8. bekezdése, és B6.4.1. bekezdése; IFRS 7 24B. bekezdésének a) iv. pontja, 24C. bekezdésének b) vi. pontja; V. melléklet 2. részének 206. pontja | |
| 030 | A cash flow-fedezeti ügyletekből származó eredményben megjelenített hatékonysághiány | IFRS 7 24C. bekezdésének b) ii. pontja; IFRS 7 24C. bekezdésének b) vi. pontja | |
| 040 | A külföldi érdekeltségekbe történt nettó befektetések fedezeti ügyleteiből származó eredményben megjelenített hatékonysághiány | IFRS 7 24C. bekezdésének b) ii. pontja; IFRS 7 24C. bekezdésének b) vi. pontja | |
| 050 | FEDEZETI ELSZÁMOLÁSOKBÓL EREDŐ NYERESÉGEK VAGY (-) VESZTESÉGEK, NETTÓ | ||
16.7. Nem pénzügyi eszközök értékvesztése
| Hivatkozások | Tárgyidőszak | ||||
| Növekedés | Visszaírás | Halmozott értékvesztés | |||
| V. melléklet 2. részének 208. pontja | V. melléklet 2. részének 208. pontja | ||||
| 010 | 020 | 040 | |||
| 060 | Leányvállalatokba, közös vállalkozásokba, valamint társult vállalkozásokba történt befektetések értékvesztése vagy (-) értékvesztésének visszaírása | IAS 28 40–43. bekezdése | |||
| 070 | Leányvállalatok | IFRS 10 A. függelék | |||
| 080 | Közös vállalkozások | IAS 28 3. bekezdése | |||
| 090 | Társult vállalkozások | IAS 28 3. bekezdése | |||
| 100 | Nem pénzügyi eszközök értékvesztése vagy (-) értékvesztésének visszaírása | IAS 36 126. bekezdésének a), b) pontja | |||
| 110 | Ingatlanok, gépek és berendezések | IAS 16 73. bekezdésének e) v–vi. pontja | |||
| 120 | Befektetési célú ingatlanok | IAS 40 79. bekezdésének d) v. pontja | |||
| 130 | Cégérték | IAS 36 10b. bekezdése; IAS 36 88-99. bekezdése, 124. bekezdés; IFRS 3 Függelék B67. bekezdésének d) v. pontja | |||
| 140 | Egyéb immateriális javak | IAS 38 118. bekezdésének e) iv., v. pontja | |||
| 145 | Egyéb | IAS 36 126. bekezdésének a), b) pontja | |||
| 150 | ÖSSZESEN | ||||
16. 8 Egyéb igazgatási költségek
| Hivatkozások A nemzeti GAAP-pal kompatibilis IFRS standardok | Tárgyidőszak | ||
| Ráfordítások | |||
| 0010 | |||
| 0010 | Információtechnológiai ráfordítások | V. melléklet 2. részének 208i. pontja | |
| 0020 | IT-kiszervezés | V. melléklet 2. részének 208i–208ii. pontja | |
| 0030 | Az IT-kiszervezési ráfordításoktól eltérő IT-ráfordítások | V. melléklet 2. részének 208i. pontja | |
| 0040 | Adók és illetékek (egyéb) | V. melléklet 2. részének 208iii. pontja | |
| 0050 | Tanácsadási és szakértői szolgáltatás | V. melléklet 2. részének 208iv. pontja | |
| 0060 | Reklám, marketing és kommunikáció | V. melléklet 2. részének 208v. pontja | |
| 0070 | A hitelkockázathoz kapcsolódó ráfordítások | V. melléklet 2. részének 208vi. pontja | |
| 0080 | Peres ügyek céltartalékokkal nem fedezett ráfordításai | V. melléklet 2. részének 208vii. pontja | |
| 0090 | Ingatlanköltségek | V. melléklet 2. részének 208viii. pontja | |
| 0100 | Lízingköltségek | V. melléklet 2. részének 208ix. pontja | |
| 0110 | Egyéb igazgatási költségek – Egyéb | V. melléklet 2. részének 208x. pontja | |
| 0120 | EGYÉB IGAZGATÁSI KÖLTSÉGEK | ||
17. A konszolidáció számviteli és CRR szerinti körének egyeztetése: Mérleg
17.1. Eszközök
| Hivatkozások | A konszolidáció számviteli köre [könyv szerinti érték] | ||
| V. melléklet 1. részének 27. pontja, 2. részének 209. pontja | |||
| 010 | |||
| 010 | Készpénz, számlakövetelések központi bankokkal szemben és egyéb látra szóló betétek | IAS 1 54. bekezdésének i) pontja | |
| 020 | Készpénz | V. melléklet 2. részének 1. pontja | |
| 030 | Számlakövetelések központi bankokkal szemben | V. melléklet 2. részének 2. pontja | |
| 040 | Egyéb látra szóló betétek | V. melléklet 2. részének 3. pontja | |
| 050 | Kereskedési céllal tartott pénzügyi eszközök | IFRS 7 8. bekezdésének a) ii. pontja; IFRS 9 A. függelék | |
| 060 | Származtatott ügyletek | IFRS 9 A. függelék | |
| 070 | Tulajdoni részesedést megtestesítő instrumentumok | IAS 32 11. bekezdése | |
| 080 | Hitelviszonyt megtestesítő értékpapírok | V. melléklet 1. részének 31. pontja | |
| 090 | Hitelek és előlegek | V. melléklet 1. részének 32. pontja | |
| 096 | Kötelezően az eredménnyel szemben valós értéken értékelt, nem kereskedési célú pénzügyi eszközök | IFRS 9 4.1.4. bekezdése | |
| 097 | Tulajdoni részesedést megtestesítő instrumentumok | IAS 32 11. bekezdése | |
| 098 | Hitelviszonyt megtestesítő értékpapírok | V. melléklet 1. részének 31. pontja | |
| 099 | Hitelek és előlegek | V. melléklet 1. részének 32. pontja | |
| 100 | Az eredménnyel szemben valós értéken értékeltnek megjelölt pénzügyi eszközök | IFRS 7 8. bekezdésének a) i. pontja; IFRS 9 4.1.5. bekezdése | |
| 120 | Hitelviszonyt megtestesítő értékpapírok | V. melléklet 1. részének 31. pontja | |
| 130 | Hitelek és előlegek | V. melléklet 1. részének 32. pontja | |
| 141 | Az egyéb átfogó jövedelemmel szemben valós értéken értékelt pénzügyi eszközök | IFRS 7 8. bekezdésének h) pontja; IFRS 9 4.1.2A. bekezdése | |
| 142 | Tulajdoni részesedést megtestesítő instrumentumok | IAS 32 11. bekezdése | |
| 143 | Hitelviszonyt megtestesítő értékpapírok | V. melléklet 1. részének 31. pontja | |
| 144 | Hitelek és előlegek | V. melléklet 1. részének 32. pontja | |
| 181 | Amortizált bekerülési értéken értékelt pénzügyi eszközök | IFRS 7 8. bekezdésének f) pontja; IFRS 9 4.1.2. bekezdése | |
| 182 | Hitelviszonyt megtestesítő értékpapírok | V. melléklet 1. részének 31. pontja | |
| 183 | Hitelek és előlegek | V. melléklet 1. részének 32. pontja | |
| 240 | Származtatott ügyletek – Fedezeti elszámolások | IFRS 9 6.2.1. bekezdése; V. melléklet 1. részének 22. pontja | |
| 250 | Kamatlábkockázatra vonatkozó portfóliófedezeti ügylet során fedezett tételek valós értékének változása | IAS 39 89A. bekezdésének a) pontja; IFRS 9 6.5.8. bekezdése | |
| 260 | Leányvállalatokba, közös vállalkozásokba, valamint társult vállalkozásokba történt befektetések | IAS 1 54. bekezdésének e) pontja; V. melléklet 1. részének 21. pontja, 2. részének 4. és 210. pontja | |
| 270 | Eszközök biztosítási és viszontbiztosítási szerződések keretében | IFRS 4 IG20. bekezdés b)–c) pontja; V. melléklet 2. részének 211. pontja | |
| 280 | Tárgyi eszközök | ||
| 290 | Immateriális javak | IAS 1 54. bekezdésének c) pontja; CRR 4. cikke (1) bekezdésének 115. pontja | |
| 300 | Cégérték | IFRS 3 B67. bekezdésének d) pontja; CRR 4. cikke (1) bekezdésének 113. pontja | |
| 310 | Egyéb immateriális javak | IAS 38 8. és 118. bekezdése | |
| 320 | Adókövetelések | IAS 1 54. bekezdésének n)–o) pontja | |
| 330 | Tényleges adókövetelések | IAS 1 54. bekezdésének n) pontja; IAS 12 5. bekezdése | |
| 340 | Halasztott adókövetelések | IAS 1 54. bekezdésének o) pontja; IAS 12 5. bekezdése; CRR 4. cikke (1) bekezdésének 106. pontja | |
| 350 | Egyéb eszközök | V. melléklet 2. részének 5. pontja | |
| 360 | Értékesítésre tartottá minősített befektetett eszközök és elidegenítési csoportok | IAS 1 54. bekezdésének j) pontja; IFRS 5 38. bekezdése; V. melléklet 2. részének 6. pontja | |
| 370 | ESZKÖZÖK ÖSSZESEN | IAS 1 9. bekezdésének a) pontja; IG 6 | |
17.2. Mérlegen kívüli kitettségek: adott hitelnyújtási elkötelezettségek, pénzügyi garanciák és egyéb elkötelezettségek
| Hivatkozások | A konszolidáció számviteli köre [névérték] | ||
| V. melléklet 2. részének 118. és 209. pontja | |||
| 010 | |||
| 010 | Adott hitelnyújtási elkötelezettségek | CRR I. melléklete; V. melléklet 1. részének 44. g) pontja, 2. részének 102–105., 113., 116. pontja | |
| 020 | Adott pénzügyi garanciák | IFRS 4 A. melléklete; CRR I. melléklete; V. melléklet 1. részének 44. f) pontja, 2. részének 102–105., 114., 116. pontja | |
| 030 | Egyéb adott elkötelezettségek | CRR I. melléklete; V. melléklet 1. részének 44. g) pontja, 2. részének 102–105., 115., 116. pontja | |
| 040 | MÉRLEGEN KÍVÜLI KITETTSÉGEK | ||
17.3. Kötelezettségek és saját tőke
| Hivatkozások | A konszolidáció számviteli köre [könyv szerinti érték] | ||
| V. melléklet 1. részének 27. pontja, 2. részének 209. pontja | |||
| 010 | |||
| 010 | Kereskedési céllal tartott pénzügyi kötelezettségek | IFRS 7 8. bekezdésének e) ii. pontja; IFRS 9 BA.6 bekezdése | |
| 020 | Származtatott ügyletek | IFRS 9 A. függelék; IFRS 9 4.2.1. bekezdésének a) pontja; IFRS 9 BA.7 bekezdésének a) pontja | |
| 030 | Rövid pozíciók | IFRS 9 BA7. bekezdésének b) pontja | |
| 040 | Betétek | EKB/2013/33 2. melléklete 2. részének 9. szakasza V. melléklet 1. részének 36. pontja | |
| 050 | Kibocsátott hitelviszonyt megtestesítő értékpapírok | V. melléklet 1. részének 37. pontja | |
| 060 | Egyéb pénzügyi kötelezettségek | V. melléklet 1. részének 38–41. pontja | |
| 070 | Az eredménnyel szemben valós értéken értékeltnek megjelölt pénzügyi kötelezettségek | IFRS 7 8. bekezdésének e) i. pontja; IFRS 9 4.2.2. bekezdése | |
| 080 | Betétek | EKB/2013/33 2. melléklete 2. részének 9. szakasza V. melléklet 1. részének 36. pontja | |
| 090 | Kibocsátott hitelviszonyt megtestesítő értékpapírok | V. melléklet 1. részének 37. pontja | |
| 100 | Egyéb pénzügyi kötelezettségek | V. melléklet 1. részének 38–41. pontja | |
| 110 | Amortizált bekerülési értéken értékelt pénzügyi kötelezettségek | IFRS 7 8. bekezdésének g) pontja; IFRS 9 4.2.1. bekezdése | |
| 120 | Betétek | EKB/2013/33 2. melléklete 2. részének 9. szakasza V. melléklet 1. részének 36. pontja | |
| 130 | Kibocsátott hitelviszonyt megtestesítő értékpapírok | V. melléklet 1. részének 37. pontja | |
| 140 | Egyéb pénzügyi kötelezettségek | V. melléklet 1. részének 38–41. pontja | |
| 150 | Származtatott ügyletek – Fedezeti elszámolások | IFRS 9 6.2.1. bekezdése; V. melléklet 1. részének 26. pontja | |
| 160 | Kamatlábkockázatra vonatkozó portfóliófedezeti ügylet során fedezett tételek valós értékének változása | IAS 39 89A. bekezdésének b) pontja, IFRS 9 6.5.8. bekezdése | |
| 170 | Kötelezettségek biztosítási és viszontbiztosítási szerződések keretében | IFRS 4 IG20. bekezdés a) pontja; V. melléklet 2. részének 212. pontja | |
| 180 | Céltartalékok | IAS 37 10. bekezdése; IAS 1 54. bekezdésének l) pontja | |
| 190 | Adókötelezettségek | IAS 1 54. bekezdésének n)–o) pontja | |
| 200 | Folyó adókötelezettségek | IAS 1 54. bekezdésének n) pontja; IAS 12 5. bekezdése | |
| 210 | Halasztott adókötelezettségek | IAS 1 54. bekezdésének o) pontja; IAS 12 5. bekezdése; CRR 4. cikke (1) bekezdésének 108. pontja | |
| 220 | Kérésre visszafizetendő jegyzett tőke | IAS 32 33. szemléltető példa; IFRIC 2; V. melléklet 2. részének 12. pontja | |
| 230 | Egyéb kötelezettségek | V. melléklet 2. részének 13. pontja | |
| 240 | Az értékesítésre tartottá minősített elidegenítési csoportba tartozó kötelezettségek | IAS 1 54. bekezdésének p) pontja; IFRS 5 38. bekezdése; V. melléklet 2. részének 14. pontja | |
| 250 | KÖTELEZETTSÉGEK | IAS 1 9. bekezdésének b) pontja; IG 6 | |
| 260 | Jegyzett tőke | IAS 1 54. bekezdésének r) pontja; BAD 22. cikke | |
| 270 | Névértéken felüli befizetés (ázsió) | IAS 1 78. bekezdésének e) pontja; CRR 4. cikke (1) bekezdésének 124. pontja | |
| 280 | Kibocsátott tulajdoni részesedést megtestesítő instrumentumok, kivéve jegyzett tőke | V. melléklet 2. részének 18–19. pontja | |
| 290 | Egyéb tőke | IFRS 2 10. bekezdése; V. melléklet 2. részének 20. bekezdése | |
| 300 | Halmozott egyéb átfogó jövedelem | CRR 4. cikke (1) bekezdésének 100. pontja | |
| 310 | Eredménytartalék | CRR 4. cikke (1) bekezdésének 123. pontja | |
| 320 | Átértékelési tartalék | IFRS 1 30. bekezdése, D5–D8. bekezdése | |
| 330 | Egyéb tartalék | IAS 1 54. bekezdése; IAS 1 78. bekezdésének e) pontja | |
| 340 | (-) Saját részvények | IAS 1 79. bekezdésének a) vi. pontja; IAS 32 33–34. bekezdése, AG 14., AG 36. bekezdés; V. melléklet 2. részének 28. pontja | |
| 350 | Az anyavállalat tulajdonosainak tulajdonítható eredmény | IFRS 10 B94. bekezdése | |
| 360 | (-) Évközi osztalék | IAS 32 35. bekezdése | |
| 370 | Kisebbségi részesedések [Nem ellenőrző részesedés] | IAS 1 54. bekezdésének q) pontja; IFRS 10 22. bekezdése, B94. bekezdése | |
| 380 | SAJÁT TŐKE ÖSSZESEN | IAS 1 9. bekezdésének c) pontja, IG 6 | |
| 390 | SAJÁT TŐKE ÖSSZESEN ÉS KÖTELEZETTSÉGEK ÖSSZESEN | IAS 1, IG6 | |
18. A teljesítő és nemteljesítő kitettségekkel kapcsolatos információk
18.0. A teljesítő és nemteljesítő kitettségekkel kapcsolatos információk
| Hivatkozások | Bruttó könyv szerinti érték / névérték | Halmozott értékvesztés, a hitelkockázat-változásból származó negatív valósérték-változás halmozott összege és céltartalékok | A biztosíték vagy garancia figyelembe vehető legmagasabb összege V. melléklet 2. részének 119. pontja | ||||||||||||||||||||||||||||||||||
| Teljesítő | Nemteljesítő | Teljesítő kitettségek – Halmozott értékvesztés és céltartalékok | Nemteljesítő kitettségek – Halmozott értékvesztés, a hitelkockázat-változásból származó negatív valósérték-változás halmozott összege és céltartalékok | Kapott biztosítékok és kapott pénzügyi garanciák | |||||||||||||||||||||||||||||||||
| Nincs késedelem vagy a késedelem ≤ 30 nap | A késedelem > 30 nap ≤ 90 nap | ebből: Instrumentumok, amelyek hitelkockázata nem növekedett jelentősen a kezdeti megjelenítés óta (1. szakasz) | ebből: Instrumentumok, amelyek hitelkockázata jelentősen növekedett a kezdeti megjelenítés óta, de amelyek nem váltak értékvesztetté (2. szakasz) | Nem valószínű, hogy fizet – nem késedelmes vagy a késedelem ≤ 90 nap | A késedelem > 90 nap ≤ 180 nap | A késedelem > 180 nap ≤ 1 év | A késedelem > 1 év ≤ 2 év | A késedelem > 2 év ≤ 5 év | A késedelem > 5 év ≤ 7 év | A késedelem > 7 év | ebből: Instrumentumok, amelyek hitelkockázata jelentősen növekedett a kezdeti megjelenítés óta, de amelyek nem váltak értékvesztetté (2. szakasz) | ebből: nemteljesítő (defaulted) | ebből: Értékvesztett eszközök (3. szakasz) | Nem valószínű, hogy fizet – nem késedelmes vagy a késedelem ≤ 90 nap | A késedelem > 90 nap ≤ 180 nap | A késedelem > 180 nap ≤ 1 év | A késedelem > 1 év ≤ 2 év | A késedelem > 2 év ≤ 5 év | A késedelem > 5 év ≤ 7 év | A késedelem > 7 év | ebből: Instrumentumok, amelyek hitelkockázata jelentősen növekedett a kezdeti megjelenítés óta, de amelyek nem váltak értékvesztetté (2. szakasz) | ebből: Értékvesztett eszközök (3. szakasz) | Teljesítő kitettségek fedezetéül kapott biztosítékok | Nemteljesítő kitettségek fedezetéül kapott biztosítékok | Teljesítő kitettségek fedezetéül kapott pénzügyi garanciák | Nemteljesítő kitettségek fedezetéül kapott pénzügyi garanciák | |||||||||||
| ebből: Instrumentumok, amelyek hitelkockázata nem növekedett jelentősen a kezdeti megjelenítés óta (1. szakasz) | ebből: Instrumentumok, amelyek hitelkockázata jelentősen növekedett a kezdeti megjelenítés óta, de amelyek nem váltak értékvesztetté (2. szakasz) | ||||||||||||||||||||||||||||||||||||
| 010 | 020 | 030 | 055 | 056 | 057 | 060 | 070 | 080 | 090 | 101 | 102 | 106 | 107 | 109 | 110 | 121 | 130 | 140 | 141 | 142 | 150 | 160 | 170 | 180 | 191 | 192 | 196 | 197 | 950 | 951 | 201 | 200 | 205 | 210 | |||
| V. melléklet 1. részének 34. pontja, 2. részének 118. és 221. pontja | V. melléklet 2. részének 213–216. és 223–239. pontja | V. melléklet 2. részének 222. és 235. pontja | V. melléklet 2. részének 222. és 235. pontja | IFRS 9 5.5.5. bekezdése; IFRS 7 35M. bekezdésének a) pontja; V. melléklet 2. részének 237. d) pontja | IFRS 9 5.5.3. bekezdése; IFRS 7 35M. bekezdésének b) i. pontja; V. melléklet 2. részének 237. c) pontja | V. melléklet 2. részének 213–216. és 223–239. pontja | V. melléklet 2. részének 222. és 235–236 pontja | V. melléklet 2. részének 222. és 235–236 pontja | V. melléklet 2. részének 222. és 235–236 pontja | V. melléklet 2. részének 222. és 235–236 pontja | V. melléklet 2. részének 222. és 235–236 pontja | V. melléklet 2. részének 222. és 235–236 pontja | V. melléklet 2. részének 222. és 235–236 pontja | IFRS 9 5.5.3. bekezdése; IFRS 7 35M. bekezdésének b) i. pontja; V. melléklet 2. részének 237. c) pontja | CRR 178. cikke; V. melléklet 2. részének 237. b) pontja | IFRS 9 5.5.1. bekezdése; IFRS 9 A. függelék; V. melléklet 2. részének 237. a) pontja | V. melléklet 2. részének 238. pontja | V. melléklet 2. részének 238. pontja | IFRS 9 5.5.5. bekezdése; IFRS 7 35M. bekezdésének a) pontja; V. melléklet 2. részének 237. d) pontja | IFRS 9 5.5.3. bekezdése; IFRS 7 35M. bekezdésének b) i. pontja; V. melléklet 2. részének 237. c) pontja | V. melléklet 2. részének 238. pontja | V. melléklet 2. részének 236. és 238. pontja | V. melléklet 2. részének 236. és 238. pontja | V. melléklet 2. részének 236. és 238. pontja | V. melléklet 2. részének 236. és 238. pontja | V. melléklet 2. részének 236. és 238. pontja | V. melléklet 2. részének 236. és 238. pontja | V. melléklet 2. részének 236. és 238. pontja | IFRS 9 5.5.3. bekezdése; IFRS 7 35M. bekezdésének b) i. pontja; V. melléklet 2. részének 237. c) pontja | IFRS 9 5.5.1. bekezdése; IFRS 9 A. függelék; V. melléklet 2. részének 237. a) pontja | V. melléklet 2. részének 239. pontja | V. melléklet 2. részének 239. pontja | V. melléklet 2. részének 239. pontja | V. melléklet 2. részének 239. pontja | |||
| 005 | Számlakövetelések központi bankokkal szemben és egyéb látra szóló betétek | V. melléklet 2. részének 2. és 3. pontja | |||||||||||||||||||||||||||||||||||
| 010 | Hitelviszonyt megtestesítő értékpapírok | V. melléklet 1. részének 31. pontja és 44. b) pontja | |||||||||||||||||||||||||||||||||||
| 020 | Központi bankok | V. melléklet 1. részének 42. a) pontja | |||||||||||||||||||||||||||||||||||
| 030 | Államháztartások | V. melléklet 1. részének 42. b) pontja | |||||||||||||||||||||||||||||||||||
| 040 | Hitelintézetek | V. melléklet 1. részének 42. c) pontja | |||||||||||||||||||||||||||||||||||
| 050 | Egyéb pénzügyi vállalatok | V. melléklet 1. részének 42. d) pontja | |||||||||||||||||||||||||||||||||||
| 060 | Nem pénzügyi vállalatok | V. melléklet 1. részének 42. e) pontja | |||||||||||||||||||||||||||||||||||
| 070 | Hitelek és előlegek | V. melléklet 1. részének 32. pontja, 44. a) pontja | |||||||||||||||||||||||||||||||||||
| 080 | Központi bankok | V. melléklet 1. részének 42. a) pontja | |||||||||||||||||||||||||||||||||||
| 090 | Államháztartások | V. melléklet 1. részének 42. b) pontja | |||||||||||||||||||||||||||||||||||
| 100 | Hitelintézetek | V. melléklet 1. részének 42. c) pontja | |||||||||||||||||||||||||||||||||||
| 110 | Egyéb pénzügyi vállalatok | V. melléklet 1. részének 42. d) pontja | |||||||||||||||||||||||||||||||||||
| 120 | Nem pénzügyi vállalatok | V. melléklet 1. részének 42. e) pontja | |||||||||||||||||||||||||||||||||||
| 130 | Ebből: Kis- és középvállalkozások | KKV 1. cikke (2) bekezdésének a) pontja | |||||||||||||||||||||||||||||||||||
| 140 | Ebből: Kereskedelmi ingatlannal fedezett hitelek | V. melléklet 2. részének 86. a) pontja, 87. pontja és 234i. a) pontja | |||||||||||||||||||||||||||||||||||
| 150 | Háztartások | V. melléklet 1. részének 42. f) pontja | |||||||||||||||||||||||||||||||||||
| 160 | Ebből: Lakóingatlannal fedezett hitelek | V. melléklet 2. részének 86. a) pontja, 87. pontja és 234i. a) pontja | |||||||||||||||||||||||||||||||||||
| 170 | Ebből: Fogyasztási hitelek | V. melléklet 2. részének 88. a) pontja, 234i. b) pontja | |||||||||||||||||||||||||||||||||||
| 180 | BEKERÜLÉSI ÉRTÉKEN VAGY AMORTIZÁLT BEKERÜLÉSI ÉRTÉKEN ÉRTÉKELT HITELVISZONYT MEGTESTESÍTŐ INSTRUMENTUMOK | V. melléklet 2. részének 233. a) pontja | |||||||||||||||||||||||||||||||||||
| 181 | Hitelviszonyt megtestesítő értékpapírok | V. melléklet 1. részének 31. pontja és 44. b) pontja | |||||||||||||||||||||||||||||||||||
| 182 | Központi bankok | V. melléklet 1. részének 42. a) pontja | |||||||||||||||||||||||||||||||||||
| 183 | Államháztartások | V. melléklet 1. részének 42. b) pontja | |||||||||||||||||||||||||||||||||||
| 184 | Hitelintézetek | V. melléklet 1. részének 42. c) pontja | |||||||||||||||||||||||||||||||||||
| 185 | Egyéb pénzügyi vállalatok | V. melléklet 1. részének 42. d) pontja | |||||||||||||||||||||||||||||||||||
| 186 | Nem pénzügyi vállalatok | V. melléklet 1. részének 42. e) pontja | |||||||||||||||||||||||||||||||||||
| 191 | Hitelek és előlegek | V. melléklet 1. részének 32. pontja, 44. a) pontja | |||||||||||||||||||||||||||||||||||
| 192 | Központi bankok | V. melléklet 1. részének 42. a) pontja | |||||||||||||||||||||||||||||||||||
| 193 | Államháztartások | V. melléklet 1. részének 42. b) pontja | |||||||||||||||||||||||||||||||||||
| 194 | Hitelintézetek | V. melléklet 1. részének 42. c) pontja | |||||||||||||||||||||||||||||||||||
| 195 | Egyéb pénzügyi vállalatok | V. melléklet 1. részének 42. d) pontja | |||||||||||||||||||||||||||||||||||
| 196 | Nem pénzügyi vállalatok | V. melléklet 1. részének 42. e) pontja | |||||||||||||||||||||||||||||||||||
| 900 | Ebből: Kis- és középvállalkozások | KKV 1. cikke (2) bekezdésének a) pontja | |||||||||||||||||||||||||||||||||||
| 903 | ebből: Kereskedelmi ingatlannal fedezett hitelek | V. melléklet 2. részének 86. a) pontja, 87. pontja és 234i. a) pontja | |||||||||||||||||||||||||||||||||||
| 197 | Háztartások | V. melléklet 1. részének 42. f) pontja | |||||||||||||||||||||||||||||||||||
| 910 | Ebből: Lakóingatlannal fedezett hitelek | V. melléklet 2. részének 86. a) pontja, 87. pontja és 234i. a) pontja | |||||||||||||||||||||||||||||||||||
| 913 | ebből: Fogyasztási hitelek | V. melléklet 2. részének 88. a) pontja, 234i. b) pontja | |||||||||||||||||||||||||||||||||||
| 201 | AZ EGYÉB ÁTFOGÓ JÖVEDELEMMEL VAGY A SAJÁT TŐKÉVEL SZEMBEN VALÓS ÉRTÉKEN ÉRTÉKELT, ÉRTÉKVESZTÉS-ELSZÁMOLÁSI KÖTELEZETTSÉG ALÁ TARTOZÓ HITELVISZONYT MEGTESTESÍTŐ INSTRUMENTUMOK | V. melléklet 2. részének 233. b) pontja | |||||||||||||||||||||||||||||||||||
| 211 | Hitelviszonyt megtestesítő értékpapírok | V. melléklet 1. részének 31. pontja és 44. b) pontja | |||||||||||||||||||||||||||||||||||
| 212 | Központi bankok | V. melléklet 1. részének 42. a) pontja | |||||||||||||||||||||||||||||||||||
| 213 | Államháztartások | V. melléklet 1. részének 42. b) pontja | |||||||||||||||||||||||||||||||||||
| 214 | Hitelintézetek | V. melléklet 1. részének 42. c) pontja | |||||||||||||||||||||||||||||||||||
| 215 | Egyéb pénzügyi vállalatok | V. melléklet 1. részének 42. d) pontja | |||||||||||||||||||||||||||||||||||
| 216 | Nem pénzügyi vállalatok | V. melléklet 1. részének 42. e) pontja | |||||||||||||||||||||||||||||||||||
| 221 | Hitelek és előlegek | V. melléklet 1. részének 32. pontja, 44. a) pontja | |||||||||||||||||||||||||||||||||||
| 222 | Központi bankok | V. melléklet 1. részének 42. a) pontja | |||||||||||||||||||||||||||||||||||
| 223 | Államháztartások | V. melléklet 1. részének 42. b) pontja | |||||||||||||||||||||||||||||||||||
| 224 | Hitelintézetek | V. melléklet 1. részének 42. c) pontja | |||||||||||||||||||||||||||||||||||
| 225 | Egyéb pénzügyi vállalatok | V. melléklet 1. részének 42. d) pontja | |||||||||||||||||||||||||||||||||||
| 226 | Nem pénzügyi vállalatok | V. melléklet 1. részének 42. e) pontja | |||||||||||||||||||||||||||||||||||
| 920 | Ebből: Kis- és középvállalkozások | KKV 1. cikke (2) bekezdésének a) pontja | |||||||||||||||||||||||||||||||||||
| 923 | ebből: Kereskedelmi ingatlannal fedezett hitelek | V. melléklet 2. részének 86. a) pontja, 87. pontja és 234i. a) pontja | |||||||||||||||||||||||||||||||||||
| 227 | Háztartások | V. melléklet 1. részének 42. f) pontja | |||||||||||||||||||||||||||||||||||
| 930 | Ebből: Lakóingatlannal fedezett hitelek | V. melléklet 2. részének 86. a) pontja, 87. pontja és 234i. a) pontja | |||||||||||||||||||||||||||||||||||
| 933 | ebből: Fogyasztási hitelek | V. melléklet 2. részének 88. a) pontja, 234i. b) pontja | |||||||||||||||||||||||||||||||||||
| 231 | SZIGORÚ LOCOM-MÓDSZER SZERINT VAGY AZ EREDMÉNNYEL VAGY A SAJÁT TŐKÉVEL SZEMBEN VALÓS ÉRTÉKEN ÉRTÉKELT, ÉRTÉKVESZTÉS-ELSZÁMOLÁSI KÖTELEZETTSÉG ALÁ NEM TARTOZÓ HITELVISZONYT MEGTESTESÍTŐ INSTRUMENTUMOK | V. melléklet 2. része 233. bekezdésének c) pontja és 234. bekezdése | |||||||||||||||||||||||||||||||||||
| 330 | A KERESKEDÉSI CÉLLAL TARTOTT VAGY KERESKEDÉSI CÉLÚ HITELVISZONYT MEGTESTESÍTŐ INSTRUMENTUMOKTÓL ELTÉRŐ HITELVISZONYT MEGTESTESÍTŐ INSTRUMENTUMOK | V. melléklet 2. részének 217. pontja | |||||||||||||||||||||||||||||||||||
| 335 | ÉRTÉKESÍTÉSRE TARTOTT HITELVISZONYT MEGTESTESÍTŐ INSTRUMENTUMOK | V. melléklet 2. részének 220. pontja | |||||||||||||||||||||||||||||||||||
| 340 | Adott hitelnyújtási elkötelezettségek | CRR I. melléklete; V. melléklet 1. részének 44. g) pontja, 2. részének 102–105., 113., 116. és 224. pontja | |||||||||||||||||||||||||||||||||||
| 350 | Központi bankok | V. melléklet 1. részének 42. a) pontja | |||||||||||||||||||||||||||||||||||
| 360 | Államháztartások | V. melléklet 1. részének 42. b) pontja | |||||||||||||||||||||||||||||||||||
| 370 | Hitelintézetek | V. melléklet 1. részének 42. c) pontja | |||||||||||||||||||||||||||||||||||
| 380 | Egyéb pénzügyi vállalatok | V. melléklet 1. részének 42. d) pontja | |||||||||||||||||||||||||||||||||||
| 390 | Nem pénzügyi vállalatok | V. melléklet 1. részének 42. e) pontja | |||||||||||||||||||||||||||||||||||
| 400 | Háztartások | V. melléklet 1. részének 42. f) pontja | |||||||||||||||||||||||||||||||||||
| 410 | Adott pénzügyi garanciák | IFRS 4 A. melléklete; CRR I. melléklete; V. melléklet 1. részének 44. f) pontja, 2. részének 102–105., 114., 116. és 225. pontja | |||||||||||||||||||||||||||||||||||
| 420 | Központi bankok | V. melléklet 1. részének 42. a) pontja | |||||||||||||||||||||||||||||||||||
| 430 | Államháztartások | V. melléklet 1. részének 42. b) pontja | |||||||||||||||||||||||||||||||||||
| 440 | Hitelintézetek | V. melléklet 1. részének 42. c) pontja | |||||||||||||||||||||||||||||||||||
| 450 | Egyéb pénzügyi vállalatok | V. melléklet 1. részének 42. d) pontja | |||||||||||||||||||||||||||||||||||
| 460 | Nem pénzügyi vállalatok | V. melléklet 1. részének 42. e) pontja | |||||||||||||||||||||||||||||||||||
| 470 | Háztartások | V. melléklet 1. részének 42. f) pontja | |||||||||||||||||||||||||||||||||||
| 480 | Egyéb adott elkötelezettségek | CRR I. melléklete; V. melléklet 1. részének 44. g) pontja, 2. részének 102–105., 115., 116. és 224. pontja | |||||||||||||||||||||||||||||||||||
| 490 | Központi bankok | V. melléklet 1. részének 42. a) pontja | |||||||||||||||||||||||||||||||||||
| 500 | Államháztartások | V. melléklet 1. részének 42. b) pontja | |||||||||||||||||||||||||||||||||||
| 510 | Hitelintézetek | V. melléklet 1. részének 42. c) pontja | |||||||||||||||||||||||||||||||||||
| 520 | Egyéb pénzügyi vállalatok | V. melléklet 1. részének 42. d) pontja | |||||||||||||||||||||||||||||||||||
| 530 | Nem pénzügyi vállalatok | V. melléklet 1. részének 42. e) pontja | |||||||||||||||||||||||||||||||||||
| 540 | Háztartások | V. melléklet 1. részének 42. f) pontja | |||||||||||||||||||||||||||||||||||
| 550 | MÉRLEGEN KÍVÜLI KITETTSÉGEK | V. melléklet 2. részének 217. pontja | |||||||||||||||||||||||||||||||||||
18.1. Nemteljesítő kitettségek be- és kiáramlásai - hitelek és előlegek ügyfélszektor szerint
| Hivatkozások | Hitelek és előlegek bruttó könyv szerinti értéke | |||
| Nemteljesítő kitettségek beáramlásai | (-) Nemteljesítő kitettségek kiáramlásai | |||
| 0010 | 0020 | |||
| V. melléklet 2. részének 213–216., 224–234., 239i–239iii. és 239vi. pontja | V. melléklet 2. részének 213–216., 224–234., 239i. és 239iv–239vi. pontja | |||
| 0010 | Központi bankok | V. melléklet 1. részének 42. a) pontja | ||
| 0020 | Államháztartások | V. melléklet 1. részének 42. b) pontja | ||
| 0030 | Hitelintézetek | V. melléklet 1. részének 42. c) pontja | ||
| 0040 | Egyéb pénzügyi vállalatok | V. melléklet 1. részének 42. d) pontja | ||
| 0050 | Nem pénzügyi vállalatok | V. melléklet 1. részének 42. e) pontja | ||
| 0060 | ebből: Kis- és középvállalkozások | KKV 1. cikke (2) bekezdésének a) pontja | ||
| 0070 | ebből: Kereskedelmi ingatlanhoz kapcsolódó hitelek kis- és középvállalkozásoknak | KKV 1. cikke (2) bekezdésének a) pontja; V. melléklet 2. részének 239vii. a) pontja és 239ix. pontja | ||
| 0080 | ebből: Kereskedelmi ingatlanhoz kapcsolódó hitelek kkv-któl eltérő nem pénzügyi vállalatoknak | V. melléklet 2. részének 239vii. a) pontja és 239ix. pontja | ||
| 0090 | ebből: Kereskedelmi ingatlannal fedezett hitelek | V. melléklet 2. részének 86. a) pontja, 87. pontja és 239vii. b) pontja | ||
| 0100 | Háztartások | V. melléklet 1. részének 42. f) pontja | ||
| 0110 | ebből: Lakóingatlannal fedezett hitelek | V. melléklet 2. részének 86. a) pontja, 87. pontja és 239vii. b) pontja | ||
| 0120 | ebből: Fogyasztási hitelek | V. melléklet 2. részének 88. a) pontja és 239vii. c) pontja | ||
| 0130 | A KERESKEDÉSI CÉLLAL TARTOTT VAGY KERESKEDÉSI CÉLÚ HITELEKTŐL ÉS ELŐLEGEKTŐL ELTÉRŐ HITELEK ÉS ELŐLEGEK | V. melléklet 2. részének 217. pontja | ||
| 0140 | ÉRTÉKESÍTÉSRE TARTOTT HITELEK ÉS ELŐLEGEK | V. melléklet 2. részének 220. pontja | ||
| 0150 | BEÁRAMLÁSOK / KIÁRAMLÁSOK ÖSSZESEN | |||
18.2. Kereskedelmi ingatlanhoz kapcsolódó hitelek és ingatlannal fedezett hitelekkel kapcsolatos kiegészítő információk
| Hivatkozások | Bruttó könyv szerinti érték | Halmozott értékvesztés, a hitelkockázat-változásból származó negatív valósérték-változás halmozott összege | A biztosíték vagy garancia figyelembe vehető legmagasabb összege V. melléklet 2. részének 119. pontja | ||||||||||||||||||||||||||||||||||
| ebből: Átstrukturált kitettségek | Teljesítő | Nemteljesítő | Ebből: Átstrukturált kitettségek | Teljesítő kitettségek – Halmozott értékvesztés | Nemteljesítő kitettségek – Halmozott értékvesztés, a hitelkockázat-változásból származó negatív valósérték-változás halmozott összege és céltartalékok | Kapott biztosítékok és kapott pénzügyi garanciák | |||||||||||||||||||||||||||||||
| Nincs késedelem vagy a késedelem ≤ 30 nap | A késedelem > 30 nap ≤ 90 nap | ebből: Átstrukturált teljesítő kitettségek | Nem valószínű, hogy fizet – nem késedelmes vagy a késedelem ≤ 90 nap | A késedelem > 90 nap ≤ 180 nap | A késedelem > 180 nap ≤ 1 év | A késedelem > 1 év ≤ 2 év | A késedelem > 2 év ≤ 5 év | A késedelem > 5 év ≤ 7 év | A késedelem > 7 év | ebből: Nemteljesítő (defaulted) | Ebből: Átstrukturált nemteljesítő kitettségek | Ebből: Átstrukturált teljesítő kitettségek | Nem valószínű, hogy fizet – nem késedelmes vagy a késedelem ≤ 90 nap | A késedelem > 90 nap ≤ 180 nap | A késedelem > 180 nap ≤ 1 év | A késedelem > 1 év ≤ 2 év | A késedelem > 2 év ≤ 5 év | A késedelem > 5 év ≤ 7 év | A késedelem > 7 év | Ebből: Átstrukturált nemteljesítő kitettségek | Teljesítő kitettségek fedezetéül kapott biztosítékok | Nemteljesítő kitettségek fedezetéül kapott biztosítékok | Teljesítő kitettségek fedezetéül kapott pénzügyi garanciák | Nemteljesítő kitettségek fedezetéül kapott pénzügyi garanciák | |||||||||||||
| ebből: Próbaidőszakban lévő, a nemteljesítő kategóriából átsorolt teljesítő átstrukturált kitettségek | |||||||||||||||||||||||||||||||||||||
| 0010 | 0020 | 0030 | 0040 | 0050 | 0060 | 0070 | 0080 | 0090 | 0100 | 0110 | 0120 | 0130 | 0140 | 0150 | 0160 | 0170 | 0180 | 0190 | 0200 | 0210 | 0220 | 0230 | 0240 | 0250 | 0260 | 0270 | 0280 | 0290 | 0300 | 0310 | 0320 | 0330 | 0340 | ||||
| V. melléklet 1. részének 34. pontja, 2. részének 118. és 221. pontja | V. melléklet 1. részének 34. pontja, 2. részének 118., 240–245., 251–258. pontja | V. melléklet 2. részének 213–216. és 223–239. pontja | V. melléklet 2. részének 222. és 235. pontja | V. melléklet 2. részének 222. és 235. pontja | V. melléklet 2. részének 256. és 259–262. pontja | V. melléklet 2. részének 256. b) és 261. pontja | V. melléklet 2. részének 213–216. és 223–239. pontja | V. melléklet 2. részének 222. és 235–236 pontja | V. melléklet 2. részének 222. és 235–236 pontja | V. melléklet 2. részének 222. és 235–236 pontja | V. melléklet 2. részének 222. és 235–236 pontja | V. melléklet 2. részének 222. és 235–236 pontja | V. melléklet 2. részének 222. és 235–236 pontja | V. melléklet 2. részének 222. és 235–236 pontja | CRR 178. cikke; V. melléklet 2. részének 237. b) pontja | V. melléklet 2. részének 259–263. pontja | V. melléklet 2. részének 238. pontja | V. melléklet 2. részének 267. pontja | V. melléklet 2. részének 238. pontja | V. melléklet 2. részének 207. pontja | V. melléklet 2. részének 238. pontja | V. melléklet 2. részének 236. és 238. pontja | V. melléklet 2. részének 236. és 238. pontja | V. melléklet 2. részének 236. és 238. pontja | V. melléklet 2. részének 236. és 238. pontja | V. melléklet 2. részének 236. és 238. pontja | V. melléklet 2. részének 236. és 238. pontja | V. melléklet 2. részének 236. és 238. pontja | V. melléklet 2. részének 207. pontja | V. melléklet 2. részének 239. pontja | V. melléklet 2. részének 239. pontja | V. melléklet 2. részének 239. pontja | V. melléklet 2. részének 239. pontja | ||||
| 0010 | Nem pénzügyi vállalatok | Kereskedelmi ingatlanhoz kapcsolódó hitelek kis- és középvállalkozásoknak | KKV 1. cikke (2) bekezdésének a) pontja; V. melléklet 2. részének 239vi. a) pontja és 239vii. pontja | ||||||||||||||||||||||||||||||||||
| 0020 | Kereskedelmi ingatlanhoz kapcsolódó hitelek kkv-któl eltérő nem pénzügyi vállalatoknak | V. melléklet 2. részének 239vi. a) pontja és 239vii. pontja | |||||||||||||||||||||||||||||||||||
| 0030 | Kereskedelmi ingatlannal fedezett hitelek | V. melléklet 2. részének 86. a) pontja, 87. pontja és 239vi. b) pontja | |||||||||||||||||||||||||||||||||||
| 0040 | Ebből: 60 %-nál nagyobb, és 80 %-nál kisebb vagy azzal egyenlő hitelfedezeti aránnyal rendelkező hitelek | V. melléklet 2. részének 86. a) pontja, 87. pontja, 239vi. b) pontja és 239viii. pontja | |||||||||||||||||||||||||||||||||||
| 0050 | Ebből: 80 %-nál nagyobb, és 100 %-nál kisebb vagy azzal egyenlő hitelfedezeti aránnyal rendelkező hitelek | V. melléklet 2. részének 86. a) pontja, 87. pontja, 239vi. b) pontja és 239viii. pontja | |||||||||||||||||||||||||||||||||||
| 0060 | Ebből: 100 %-nál nagyobb hitelfedezeti aránnyal rendelkező hitelek | V. melléklet 2. részének 86. a) pontja, 87. pontja, 239vi. b) pontja és 239viii. pontja | |||||||||||||||||||||||||||||||||||
| 0070 | Háztartások | Lakóingatlannal fedezett hitelek | V. melléklet 2. részének 86. a) pontja, 87. pontja és 239vi. b) pontja | ||||||||||||||||||||||||||||||||||
| 0080 | Ebből: 60 %-nál nagyobb, és 80 %-nál kisebb vagy azzal egyenlő hitelfedezeti aránnyal rendelkező hitelek | V. melléklet 2. részének 86. a) pontja, 87. pontja, 239vi. b) pontja és 239viii. pontja | |||||||||||||||||||||||||||||||||||
| 0090 | Ebből: 80 %-nál nagyobb, és 100 %-nál kisebb vagy azzal egyenlő hitelfedezeti aránnyal rendelkező hitelek | V. melléklet 2. részének 86. a) pontja, 87. pontja, 239vi. b) pontja és 239viii. pontja | |||||||||||||||||||||||||||||||||||
| 0100 | Ebből: 100 %-nál nagyobb hitelfedezeti aránnyal rendelkező hitelek | V. melléklet 2. részének 86. a) pontja, 87. pontja, 239vi. b) pontja és 239viii. pontja | |||||||||||||||||||||||||||||||||||
19. Átstrukturált kitettségekkel kapcsolatos információk
| Hivatkozások | Átstrukturált kitettségek bruttó könyv szerinti értéke / névértéke | Halmozott értékvesztés, a hitelkockázat-változásból származó negatív valósérték-változás halmozott összege és céltartalékok | A biztosíték vagy garancia figyelembe vehető legmagasabb összege V. melléklet 2. részének 119. pontja | |||||||||||||||||||
| Átstrukturált teljesítő kitettségek | Átstrukturált nemteljesítő kitettségek | Átstrukturált teljesítő kitettségek – Halmozott értékvesztés és céltartalékok | Átstrukturált nemteljesítő kitettségek – Halmozott értékvesztés, a hitelkockázat-változásból származó negatív valósérték-változás halmozott összege és céltartalékok | Kapott biztosítékok és kapott pénzügyi garanciák | ||||||||||||||||||
| Módosított szerződéses feltételű instrumentumok | Újrafinanszírozás | ebből: Próbaidőszakban lévő, a nemteljesítő kategóriából átsorolt teljesítő átstrukturált kitettségek | Módosított szerződéses feltételű instrumentumok | Újrafinanszírozás | ebből: Nemteljesítő (defaulted) | ebből: Értékvesztett | ebből: Átstrukturálás előtt nemteljesítő kitettségek átstrukturálása | Módosított szerződéses feltételű instrumentumok | Újrafinanszírozás | Átstrukturált kitettségek fedezetéül kapott biztosítékok | Átstrukturált kitettségek fedezetéül kapott pénzügyi garanciák | |||||||||||
| Ebből: Átstrukturált nemteljesítő kitettségek fedezetéül kapott biztosítékok | Ebből: Átstrukturált nemteljesítő kitettségek fedezetéül kapott pénzügyi garanciák | |||||||||||||||||||||
| 010 | 020 | 030 | 040 | 050 | 060 | 070 | 080 | 090 | 100 | 110 | 120 | 130 | 140 | 150 | 160 | 170 | 175 | 180 | 185 | |||
| V. melléklet 1. részének 34. pontja, 2. részének 118., 240–245., 251–258. pontja | V. melléklet 2. részének 256. és 259–262. pontja | V. melléklet 2. részének 241. a) pontja és 266. pontja | V. melléklet 2. részének 241. b) és 265–266. pontja | V. melléklet 2. részének 256. b) és 261. pontja | V. melléklet 2. részének 259–263. pontja | V. melléklet 2. részének 241. a) pontja és 266. pontja | V. melléklet 2. részének 241. b) és 265–266. pontja | CRR 178. cikke; V. melléklet 2. részének 264. b) pontja | IFRS 9 5.5.1. bekezdése; IFRS 9 A. függelék; V. melléklet 2. részének 264. a) pontja | V. melléklet 2. részének 231., 252. a) és 263. pontja | V. melléklet 2. részének 267. pontja | V. melléklet 2. részének 207. pontja | V. melléklet 2. részének 207. pontja | V. melléklet 2. részének 241. a) és 267. pontja | V. melléklet 2. részének 241. b) és 267. pontja | V. melléklet 2. részének 268. pontja | V. melléklet 2. részének 268. pontja | V. melléklet 2. részének 268. pontja | V. melléklet 2. részének 268. pontja | |||
| 005 | Számlakövetelések központi bankokkal szemben és egyéb látra szóló betétek | V. melléklet 2. részének 2. és 3. pontja | ||||||||||||||||||||
| 010 | Hitelviszonyt megtestesítő értékpapírok | V. melléklet 1. részének 31. pontja és 44. b) pontja | ||||||||||||||||||||
| 020 | Központi bankok | V. melléklet 1. részének 42. a) pontja | ||||||||||||||||||||
| 030 | Államháztartások | V. melléklet 1. részének 42. b) pontja | ||||||||||||||||||||
| 040 | Hitelintézetek | V. melléklet 1. részének 42. c) pontja | ||||||||||||||||||||
| 050 | Egyéb pénzügyi vállalatok | V. melléklet 1. részének 42. d) pontja | ||||||||||||||||||||
| 060 | Nem pénzügyi vállalatok | V. melléklet 1. részének 42. e) pontja | ||||||||||||||||||||
| 070 | Hitelek és előlegek | V. melléklet 1. részének 32. pontja, 44. a) pontja | ||||||||||||||||||||
| 080 | Központi bankok | V. melléklet 1. részének 42. a) pontja | ||||||||||||||||||||
| 090 | Államháztartások | V. melléklet 1. részének 42. b) pontja | ||||||||||||||||||||
| 100 | Hitelintézetek | V. melléklet 1. részének 42. c) pontja | ||||||||||||||||||||
| 110 | Egyéb pénzügyi vállalatok | V. melléklet 1. részének 42. d) pontja | ||||||||||||||||||||
| 120 | Nem pénzügyi vállalatok | V. melléklet 1. részének 42. e) pontja | ||||||||||||||||||||
| 130 | Ebből: Kis- és középvállalkozások | KKV 1. cikke (2) bekezdésének a) pontja | ||||||||||||||||||||
| 140 | Ebből: Kereskedelmi ingatlannal fedezett hitelek | V. melléklet 2. részének 86. a) pontja, 87. pontja és 234i. a) pontja | ||||||||||||||||||||
| 150 | Háztartások | V. melléklet 1. részének 42. f) pontja | ||||||||||||||||||||
| 160 | Ebből: Lakóingatlannal fedezett hitelek | V. melléklet 2. részének 86. a) pontja, 87. pontja és 234i. a) pontja | ||||||||||||||||||||
| 170 | Ebből: Fogyasztási hitelek | V. melléklet 2. részének 88. a) pontja, 234i. b) pontja | ||||||||||||||||||||
| 180 | BEKERÜLÉSI ÉRTÉKEN VAGY AMORTIZÁLT BEKERÜLÉSI ÉRTÉKEN ÉRTÉKELT HITELVISZONYT MEGTESTESÍTŐ INSTRUMENTUMOK | V. melléklet 2. részének 249. a) pontja | ||||||||||||||||||||
| 181 | Hitelviszonyt megtestesítő értékpapírok | V. melléklet 1. részének 31. pontja és 44. b) pontja | ||||||||||||||||||||
| 182 | Központi bankok | V. melléklet 1. részének 42. a) pontja | ||||||||||||||||||||
| 183 | Államháztartások | V. melléklet 1. részének 42. b) pontja | ||||||||||||||||||||
| 184 | Hitelintézetek | V. melléklet 1. részének 42. c) pontja | ||||||||||||||||||||
| 185 | Egyéb pénzügyi vállalatok | V. melléklet 1. részének 42. d) pontja | ||||||||||||||||||||
| 186 | Nem pénzügyi vállalatok | V. melléklet 1. részének 42. e) pontja | ||||||||||||||||||||
| 191 | Hitelek és előlegek | V. melléklet 1. részének 32. pontja, 44. a) pontja | ||||||||||||||||||||
| 192 | Központi bankok | V. melléklet 1. részének 42. a) pontja | ||||||||||||||||||||
| 193 | Államháztartások | V. melléklet 1. részének 42. b) pontja | ||||||||||||||||||||
| 194 | Hitelintézetek | V. melléklet 1. részének 42. c) pontja | ||||||||||||||||||||
| 195 | Egyéb pénzügyi vállalatok | V. melléklet 1. részének 42. d) pontja | ||||||||||||||||||||
| 196 | Nem pénzügyi vállalatok | V. melléklet 1. részének 42. e) pontja | ||||||||||||||||||||
| 900 | Ebből: Kis- és középvállalkozások | KKV 1. cikke (2) bekezdésének a) pontja | ||||||||||||||||||||
| 903 | Ebből: Kereskedelmi ingatlannal fedezett hitelek | V. melléklet 2. részének 86. a) pontja, 87. pontja és 234i. a) pontja | ||||||||||||||||||||
| 197 | Háztartások | V. melléklet 1. részének 42. f) pontja | ||||||||||||||||||||
| 910 | Ebből: Lakóingatlannal fedezett hitelek | V. melléklet 2. részének 86. a) pontja, 87. pontja és 234i. a) pontja | ||||||||||||||||||||
| 913 | Ebből: Fogyasztási hitelek | V. melléklet 2. részének 88. a) pontja, 234i. b) pontja | ||||||||||||||||||||
| 201 | AZ EGYÉB ÁTFOGÓ JÖVEDELEMMEL VAGY A SAJÁT TŐKÉVEL SZEMBEN VALÓS ÉRTÉKEN ÉRTÉKELT, ÉRTÉKVESZTÉS-ELSZÁMOLÁSI KÖTELEZETTSÉG ALÁ TARTOZÓ HITELVISZONYT MEGTESTESÍTŐ INSTRUMENTUMOK | V. melléklet 2. részének 249. b) pontja | ||||||||||||||||||||
| 211 | Hitelviszonyt megtestesítő értékpapírok | V. melléklet 1. részének 31. pontja és 44. b) pontja | ||||||||||||||||||||
| 212 | Központi bankok | V. melléklet 1. részének 42. a) pontja | ||||||||||||||||||||
| 213 | Államháztartások | V. melléklet 1. részének 42. b) pontja | ||||||||||||||||||||
| 214 | Hitelintézetek | V. melléklet 1. részének 42. c) pontja | ||||||||||||||||||||
| 215 | Egyéb pénzügyi vállalatok | V. melléklet 1. részének 42. d) pontja | ||||||||||||||||||||
| 216 | Nem pénzügyi vállalatok | V. melléklet 1. részének 42. e) pontja | ||||||||||||||||||||
| 221 | Hitelek és előlegek | V. melléklet 1. részének 32. pontja, 44. a) pontja | ||||||||||||||||||||
| 222 | Központi bankok | V. melléklet 1. részének 42. a) pontja | ||||||||||||||||||||
| 223 | Államháztartások | V. melléklet 1. részének 42. b) pontja | ||||||||||||||||||||
| 224 | Hitelintézetek | V. melléklet 1. részének 42. c) pontja | ||||||||||||||||||||
| 225 | Egyéb pénzügyi vállalatok | V. melléklet 1. részének 42. d) pontja | ||||||||||||||||||||
| 226 | Nem pénzügyi vállalatok | V. melléklet 1. részének 42. e) pontja | ||||||||||||||||||||
| 920 | Ebből: Kis- és középvállalkozások | KKV 1. cikke (2) bekezdésének a) pontja | ||||||||||||||||||||
| 923 | Ebből: Kereskedelmi ingatlannal fedezett hitelek | V. melléklet 2. részének 86. a) pontja, 87. pontja és 234i. a) pontja | ||||||||||||||||||||
| 227 | Háztartások | V. melléklet 1. részének 42. f) pontja | ||||||||||||||||||||
| 930 | Ebből: Lakóingatlannal fedezett hitelek | V. melléklet 2. részének 86. a) pontja, 87. pontja és 234i. a) pontja | ||||||||||||||||||||
| 933 | Ebből: Fogyasztási hitelek | V. melléklet 2. részének 88. a) pontja, 234i. b) pontja | ||||||||||||||||||||
| 231 | SZIGORÚ LOCOM-MÓDSZER SZERINT VAGY AZ EREDMÉNNYEL VAGY A SAJÁT TŐKÉVEL SZEMBEN VALÓS ÉRTÉKEN ÉRTÉKELT, ÉRTÉKVESZTÉS-ELSZÁMOLÁSI KÖTELEZETTSÉG ALÁ NEM TARTOZÓ HITELVISZONYT MEGTESTESÍTŐ INSTRUMENTUMOK | V. melléklet 2. részének 249.pontja | ||||||||||||||||||||
| 330 | A KERESKEDÉSI CÉLLAL TARTOTT VAGY KERESKEDÉSI CÉLÚ HITELVISZONYT MEGTESTESÍTŐ INSTRUMENTUMOKTÓL ELTÉRŐ HITELVISZONYT MEGTESTESÍTŐ INSTRUMENTUMOK | V. melléklet 2. részének 246. pontja | ||||||||||||||||||||
| 335 | ÉRTÉKESÍTÉSRE TARTOTT HITELVISZONYT MEGTESTESÍTŐ INSTRUMENTUMOK | V. melléklet 2. részének 247. pontja | ||||||||||||||||||||
| 340 | Adott hitelnyújtási elkötelezettségek | CRR I. melléklete; V. melléklet 1. részének 44. g) pontja, 2. részének 102–105., 113., 116. és 246. pontja | ||||||||||||||||||||
20. Földrajzi megoszlás
20. 1 Eszközök földrajzi megoszlása a tevékenység helye szerint
| Hivatkozások | Könyv szerinti érték V. melléklet 1. részének 27. pontja | |||
| Hazai tevékenységek | Nem hazai tevékenységek | |||
| V. melléklet 2. részének 270. pontja | V. melléklet 2. részének 270. pontja | |||
| 010 | 020 | |||
| 010 | Készpénz, számlakövetelések központi bankokkal szemben és egyéb látra szóló betétek | IAS 1 54. bekezdésének i) pontja | ||
| 020 | Készpénz | V. melléklet 2. részének 1. pontja | ||
| 030 | Számlakövetelések központi bankokkal szemben | V. melléklet 2. részének 2. pontja | ||
| 040 | Egyéb látra szóló betétek | V. melléklet 2. részének 3. pontja | ||
| 050 | Kereskedési céllal tartott pénzügyi eszközök | IFRS 9 A. függelék | ||
| 060 | Származtatott ügyletek | IFRS 9 A. függelék | ||
| 070 | Tulajdoni részesedést megtestesítő instrumentumok | IAS 32 11. bekezdése | ||
| 080 | Hitelviszonyt megtestesítő értékpapírok | V. melléklet 1. részének 31. pontja | ||
| 090 | Hitelek és előlegek | V. melléklet 1. részének 32. pontja | ||
| 096 | Kötelezően az eredménnyel szemben valós értéken értékelt, nem kereskedési célú pénzügyi eszközök | IFRS 7 8. bekezdésének a) ii. pontja; IFRS 9 4.1.4. bekezdése | ||
| 097 | Tulajdoni részesedést megtestesítő instrumentumok | IAS 32 11. bekezdése | ||
| 098 | Hitelviszonyt megtestesítő értékpapírok | V. melléklet 1. részének 31. pontja | ||
| 099 | Hitelek és előlegek | V. melléklet 1. részének 32. pontja | ||
| 100 | Az eredménnyel szemben valós értéken értékeltnek megjelölt pénzügyi eszközök | IFRS 7 8. bekezdésének a) i. pontja; IFRS 9 4.1.5. bekezdése | ||
| 120 | Hitelviszonyt megtestesítő értékpapírok | V. melléklet 1. részének 31. pontja | ||
| 130 | Hitelek és előlegek | V. melléklet 1. részének 32. pontja | ||
| 141 | Az egyéb átfogó jövedelemmel szemben valós értéken értékelt pénzügyi eszközök | IFRS 7 8. bekezdésének h) pontja; IFRS 9 4.1.2A. bekezdése | ||
| 142 | Tulajdoni részesedést megtestesítő instrumentumok | IAS 32 11. bekezdése | ||
| 143 | Hitelviszonyt megtestesítő értékpapírok | V. melléklet 1. részének 31. pontja | ||
| 144 | Hitelek és előlegek | V. melléklet 1. részének 32. pontja | ||
| 181 | Amortizált bekerülési értéken értékelt pénzügyi eszközök | IFRS 7 8. bekezdésének f) pontja; IFRS 9 4.1.2. bekezdése | ||
| 182 | Hitelviszonyt megtestesítő értékpapírok | V. melléklet 1. részének 31. pontja | ||
| 183 | Hitelek és előlegek | V. melléklet 1. részének 32. pontja | ||
| 240 | Származtatott ügyletek – Fedezeti elszámolások | IFRS 9 6.2.1. bekezdése; V. melléklet 1. részének 22. pontja | ||
| 250 | Kamatlábkockázatra vonatkozó portfóliófedezeti ügylet során fedezett tételek valós értékének változása | IAS 39 89A. bekezdésének a) pontja; IFRS 9 6.5.8. bekezdése | ||
| 260 | Tárgyi eszközök | |||
| 270 | Immateriális javak | IAS 1 54. bekezdésének c) pontja; CRR 4. cikke (1) bekezdésének 115. pontja | ||
| 280 | Leányvállalatokba, közös vállalkozásokba, valamint társult vállalkozásokba történt befektetések | IAS 1 54. bekezdésének e) pontja; V. melléklet 1. részének 21. pontja, 2. részének 4. pontja | ||
| 290 | Adókövetelések | IAS 1 54. bekezdésének n)–o) pontja | ||
| 300 | Egyéb eszközök | V. melléklet 2. részének 5. pontja | ||
| 310 | Értékesítésre tartottá minősített befektetett eszközök és elidegenítési csoportok | IAS 1 54. bekezdésének j) pontja; IFRS 5 38. bekezdése; V. melléklet 2. részének 7. pontja | ||
| 320 | ESZKÖZÖK | IAS 1 9. bekezdésének a) pontja; IG 6 | ||
20.2. Kötelezettségek földrajzi megoszlása a tevékenység helye szerint
| Hivatkozások | Könyv szerinti érték V. melléklet 1. részének 27. pontja | |||
| Hazai tevékenységek | Nem hazai tevékenységek | |||
| V. melléklet 2. részének 270. pontja | V. melléklet 2. részének 270. pontja | |||
| 010 | 020 | |||
| 010 | Kereskedési céllal tartott pénzügyi kötelezettségek | IFRS 7 8. bekezdésének e) ii. pontja; IFRS 9 BA.6 bekezdése | ||
| 020 | Származtatott ügyletek | IFRS 9 A. függelék; IFRS 9 4.2.1. bekezdésének a) pontja; IFRS 9 BA.7 bekezdésének a) pontja | ||
| 030 | Rövid pozíciók | IFRS 9 BA7. bekezdésének b) pontja | ||
| 040 | Betétek | EKB/2013/33 2. melléklete 2. részének 9. szakasza; V. melléklet 1. részének 36. pontja | ||
| 050 | Kibocsátott hitelviszonyt megtestesítő értékpapírok | V. melléklet 1. részének 37. pontja | ||
| 060 | Egyéb pénzügyi kötelezettségek | V. melléklet 1. részének 38–41. pontja | ||
| 070 | Az eredménnyel szemben valós értéken értékeltnek megjelölt pénzügyi kötelezettségek | IFRS 7 8. bekezdésének e) i. pontja; IFRS 9 4.2.2. bekezdése | ||
| 080 | Betétek | EKB/2013/33 2. melléklete 2. részének 9. szakasza; V. melléklet 1. részének 36. pontja | ||
| 090 | Kibocsátott hitelviszonyt megtestesítő értékpapírok | V. melléklet 1. részének 37. pontja | ||
| 100 | Egyéb pénzügyi kötelezettségek | V. melléklet 1. részének 38–41. pontja | ||
| 110 | Amortizált bekerülési értéken értékelt pénzügyi kötelezettségek | IFRS 7 8. bekezdésének g) pontja; IFRS 9 4.2.1. bekezdése | ||
| 120 | Betétek | EKB/2013/33 2. melléklete 2. részének 9. szakasza; V. melléklet 1. részének 36. pontja | ||
| 130 | Kibocsátott hitelviszonyt megtestesítő értékpapírok | V. melléklet 1. részének 37. pontja | ||
| 140 | Egyéb pénzügyi kötelezettségek | V. melléklet 1. részének 38–41. pontja | ||
| 150 | Származtatott ügyletek – Fedezeti elszámolások | IFRS 9 6.2.1. bekezdése; V. melléklet 1. részének 26. pontja | ||
| 160 | Kamatlábkockázatra vonatkozó portfóliófedezeti ügylet során fedezett tételek valós értékének változása | IAS 39 89A. bekezdésének b) pontja, IFRS 9 6.5.8. bekezdése | ||
| 170 | Céltartalékok | IAS 37 10. bekezdése; IAS 1 54. bekezdésének l) pontja | ||
| 180 | Adókötelezettségek | IAS 1 54. bekezdésének n)–o) pontja | ||
| 190 | Kérésre visszafizetendő jegyzett tőke | IAS 32 33. szemléltető példa; IFRIC 2; V. melléklet 2. részének 12. pontja | ||
| 200 | Egyéb kötelezettségek | V. melléklet 2. részének 13. pontja | ||
| 210 | Az értékesítésre tartottá minősített elidegenítési csoportba tartozó kötelezettségek | IAS 1 54. bekezdésének p) pontja; IFRS 5 38. bekezdése; V. melléklet 2. részének 14. pontja | ||
| 220 | KÖTELEZETTSÉGEK | IAS 1 9. bekezdésének b) pontja; IG 6 | ||
20.3. Az eredménykimutatás fő tételeinek földrajzi megoszlása a tevékenység helye szerint
| Hivatkozások | Tárgyidőszak | |||
| Hazai tevékenységek | Nem hazai tevékenységek | |||
| V. melléklet 2. részének 270. pontja | V. melléklet 2. részének 270. pontja | |||
| 010 | 020 | |||
| 010 | Kamatbevétel | IAS 1 97. bekezdése; V. melléklet 2. részének 31. pontja | ||
| 020 | (Kamatráfordítások) | IAS 1 97. bekezdése; V. melléklet 2. részének 31. pontja | ||
| 030 | (Kérésre visszafizetendő jegyzett tőke ráfordításai) | IFRIC 2 11. bekezdése | ||
| 040 | Osztalékbevétel | V. melléklet 2. részének 40. pontja | ||
| 050 | Díj- és jutalékbevételek | IFRS 7 20. bekezdésének c) pontja | ||
| 060 | (Díj- és jutalékráfordítások) | IFRS 7 20. bekezdésének c) pontja | ||
| 070 | Az eredménnyel szemben valós értéken értékelt kategóriába nem tartozó pénzügyi eszközök és kötelezettségek kivezetéséből származó nyereség vagy (-) veszteség, nettó | V. melléklet 2. részének 45. pontja | ||
| 080 | Kereskedési céllal tartott pénzügyi eszközökből és kötelezettségekből származó nyereség vagy (-) veszteség, nettó | IFRS 7 20. bekezdésének a) i. pontja; IFRS 9 5.7.1. bekezdése; V. melléklet 2. részének 43. és 46. pontja | ||
| 083 | Kötelezően az eredménnyel szemben valós értéken értékelt, nem kereskedési célú pénzügyi eszközök nyeresége vagy (-) vesztesége | IFRS 9 5.7.1. bekezdése | ||
| 090 | Az eredménnyel szemben valós értéken értékeltnek megjelölt pénzügyi eszközök és kötelezettségek nyeresége vagy (-) vesztesége, nettó | IFRS 7 20. bekezdésének a) i. pontja; IFRS 9 5.7.1. bekezdése; V. melléklet 2. részének 44. pontja | ||
| 100 | Fedezeti elszámolásokból eredő nyereségek vagy (-) veszteségek, nettó | V. melléklet 2. részének 47–48. pontja | ||
| 110 | Árfolyam-különbözet [nyereség vagy (-) veszteség], nettó | IAS 21 28. bekezdése és 52. bekezdésének a) pontja | ||
| 130 | Nem pénzügyi eszközök kivezetéséből származó nyereség vagy (-) veszteség, nettó | IAS 1 34. bekezdése | ||
| 140 | Egyéb működési bevétel | V. melléklet 2. részének 314–316. pontja | ||
| 150 | (Egyéb működési költségek) | V. melléklet 2. részének 314–316. pontja | ||
| 155 | MŰKÖDÉSI BEVÉTELEK ÖSSZESEN, NETTÓ | |||
| 160 | (Igazgatási költségek) | |||
| 170 | (Értékcsökkenés) | IAS 1 102. és 104. bekezdése | ||
| 171 | Módosítás miatti nyereség vagy (-) veszteség, nettó | IFRS 9 5.4.3. bekezdése, A. függelék; V. melléklet 2. részének 49. pontja | ||
| 180 | (Céltartalékképzés vagy (-) céltartalékok visszaírása) | IAS 37 59. és 84. bekezdése; IAS 1 98 bekezdésének b), f), g) pontja | ||
| 190 | (Eredménnyel szemben valós értéken értékelt kategóriába nem tartozó pénzügyi eszközök értékvesztése vagy (-) értékvesztésének visszaírása) | IFRS 7 20. bekezdésének a) viii. pontja; V. melléklet 2. részének 51. és 53. pontja | ||
| 200 | (Leányvállalatokba, közös vállalkozásokba, valamint társult vállalkozásokba történt befektetések értékvesztése vagy (-) értékvesztésének visszaírása) | IAS 28 40–43. bekezdése | ||
| 210 | (Nem pénzügyi eszközök értékvesztése vagy (-) értékvesztésének visszaírása) | IAS 36 126. bekezdésének a), b) pontja | ||
| 220 | Eredményben elszámolt negatív cégérték | IFRS 3 Függelék B64. bekezdésének n) i. pontja | ||
| 230 | Leányvállalatokba, közös vállalkozásokba, valamint társult vállalkozásokba történt befektetések nyereségéből vagy (-) veszteségéből való részesedés | V. melléklet 2. részének 54. pontja | ||
| 240 | Megszűnt tevékenységeknek nem minősülő, értékesítésre tartottá minősített befektetett eszközökből és elidegenítési csoportokból származó nyereség vagy (-) veszteség | IFRS 5 37. bekezdése; V. melléklet 2. részének 55. pontja | ||
| 250 | FOLYTATÓDÓ TEVÉKENYSÉGEK NYERESÉGE VAGY (-) VESZTESÉGE ADÓFIZETÉS ELŐTT | IAS 1 102. bekezdése, IG 6; IFRS 5 33A. bekezdése | ||
| 260 | (A folytatódó tevékenységekből származó eredményhez kapcsolódó adóráfordítás vagy (-) bevétel) | IAS 1 82. bekezdésének d) pontja; IAS 12 77. bekezdése | ||
| 270 | FOLYTATÓDÓ TEVÉKENYSÉGEK NYERESÉGE VAGY (-) VESZTESÉGE ADÓFIZETÉS UTÁN | IAS 1, IG 6 | ||
| 280 | Megszűnt tevékenységek nyeresége vagy (-) vesztesége adófizetés után | IAS 1 82. bekezdésének ea) pontja; IFRS 5 33. bekezdésének a) pontja és 33A. bekezdése; V. melléklet 2. részének 56. pontja | ||
| 290 | AZ ÜZLETI év NYERESÉGE VAGY (-) VESZTESÉGE | IAS 1 81A. bekezdésének a) pontja | ||
20.4. Eszközök földrajzi megoszlása az ügyfél székhelye szerint
z-tengely
Az ügyfél székhelye szerinti ország
| Hivatkozások | Bruttó könyv szerinti érték | Halmozott értékvesztés | A hitelkockázat-változásból származó negatív valósérték-változás halmozott összege nemteljesítő kitettségek esetében | |||||||
| Ebből: kereskedési céllal tartott vagy kereskedési célú | ebből: értékvesztés-elszámolási kötelezettség alá tartozó pénzügyi eszközök | Ebből: átstrukturált | Ebből: nemteljesítő | |||||||
| ebből: nemteljesítő (defaulted) | ||||||||||
| V. melléklet 1. részének 34. pontja, 2. részének 271. és 275. pontja | V. melléklet 1. részének 15. a) pontja, 2. részének 273. pontja | V. melléklet 2. részének 273. pontja | V. melléklet 2. részének 275. pontja | V. melléklet 2. részének 275. pontja | CRR 178. cikke; V. melléklet 2. részének 237. b) pontja | V. melléklet 2. részének 274. pontja | V. melléklet 2. részének 274. pontja | |||
| 010 | 011 | 012 | 022 | 025 | 026 | 031 | 040 | |||
| 010 | Származtatott ügyletek | IFRS 9 A. függelék; V. melléklet 2. részének 272. pontja | ||||||||
| 020 | Ebből: hitelintézetek | V. melléklet 1. részének 42. c) pontja | ||||||||
| 030 | Ebből: egyéb pénzügyi vállalatok | V. melléklet 1. részének 42. d) pontja | ||||||||
| 040 | Tulajdoni részesedést megtestesítő instrumentumok | IAS 32 11. bekezdése | ||||||||
| 050 | Ebből: hitelintézetek | V. melléklet 1. részének 42. c) pontja | ||||||||
| 060 | Ebből: egyéb pénzügyi vállalatok | V. melléklet 1. részének 42. d) pontja | ||||||||
| 070 | Ebből: nem pénzügyi vállalatok | V. melléklet 1. részének 42. e) pontja | ||||||||
| 080 | Hitelviszonyt megtestesítő értékpapírok | V. melléklet 1. részének 31. pontja és 44. b) pontja | ||||||||
| 090 | Központi bankok | V. melléklet 1. részének 42. a) pontja | ||||||||
| 100 | Államháztartások | V. melléklet 1. részének 42. b) pontja | ||||||||
| 110 | Hitelintézetek | V. melléklet 1. részének 42. c) pontja | ||||||||
| 120 | Egyéb pénzügyi vállalatok | V. melléklet 1. részének 42. d) pontja | ||||||||
| 130 | Nem pénzügyi vállalatok | V. melléklet 1. részének 42. e) pontja | ||||||||
| 140 | Hitelek és előlegek | V. melléklet 1. részének 32. pontja, 44. a) pontja | ||||||||
| 150 | Központi bankok | V. melléklet 1. részének 42. a) pontja | ||||||||
| 160 | Államháztartások | V. melléklet 1. részének 42. b) pontja | ||||||||
| 170 | Hitelintézetek | V. melléklet 1. részének 42. c) pontja | ||||||||
| 180 | Egyéb pénzügyi vállalatok | V. melléklet 1. részének 42. d) pontja | ||||||||
| 190 | Nem pénzügyi vállalatok | V. melléklet 1. részének 42. e) pontja | ||||||||
| 200 | Ebből: Kis- és középvállalkozások | KKV 1. cikke (2) bekezdésének a) pontja | ||||||||
| 210 | Ebből: Kereskedelmi ingatlannal fedezett hitelek | V. melléklet 2. részének 86. a) pontja és 87. pontja | ||||||||
| 220 | Háztartások | V. melléklet 1. részének 42. f) pontja | ||||||||
| 230 | Ebből: Lakóingatlannal fedezett hitelek | V. melléklet 2. részének 86. a) pontja és 87. pontja | ||||||||
| 240 | Ebből: Fogyasztási hitelek | V. melléklet 2. részének 88. a) pontja | ||||||||
20.5. Mérlegen kívüli kitettségek földrajzi megoszlása az ügyfél székhelye szerint
z-tengely
Az ügyfél székhelye szerinti ország
| Hivatkozások | Névérték | Adott elkötelezettségekre és garanciákra képzett céltartalék | |||||
| Ebből: átstrukturált | Ebből: nemteljesítő | ||||||
| ebből: nemteljesítő (defaulted) | |||||||
| V. melléklet 2. részének 118. és 271. pontja | V. melléklet 2. részének 240–258. pontja | V. melléklet 2. részének 275. pontja | CRR 178. cikke; V. melléklet 2. részének 237. b) pontja | V. melléklet 2. részének 276. pontja | |||
| 010 | 022 | 025 | 026 | 030 | |||
| 010 | Adott hitelnyújtási elkötelezettségek | CRR I. melléklete; V. melléklet 1. részének 44. g) pontja, 2. részének 102–105., 113., 116. pontja | |||||
| 020 | Adott pénzügyi garanciák | IFRS 4 A. melléklete; CRR I. melléklete; V. melléklet 1. részének 44. f) pontja, 2. részének 102–105., 114., 116. pontja | |||||
| 030 | Egyéb adott elkötelezettségek | CRR I. melléklete; V. melléklet 1. részének 44. g) pontja, 2. részének 102–105., 115., 116. pontja | |||||
20.6. Kötelezettségek földrajzi megoszlása az ügyfél székhelye szerint
z-tengely
Az ügyfél székhelye szerinti ország
| Hivatkozások | Könyv szerinti érték | ||
| V. melléklet 1. részének 27. pontja és 2. részének 271. pontja | |||
| 010 | |||
| 010 | Származtatott ügyletek | IFRS 9 A. függelék; V. melléklet 1. részének 44. e) pontja és 2. részének 272. pontja | |
| 020 | Ebből: hitelintézetek | V. melléklet 1. részének 42. c) pontja | |
| 030 | Ebből: egyéb pénzügyi vállalatok | V. melléklet 1. részének 42. d) pontja | |
| 040 | Rövid pozíciók | IFRS 9 BA7. bekezdésének b) pontja V. melléklet 1. része 44. bekezdésének d) pontja | |
| 050 | Ebből: hitelintézetek | V. melléklet 1. részének 42. c) pontja | |
| 060 | Ebből: egyéb pénzügyi vállalatok | V. melléklet 1. részének 42. d) pontja | |
| 070 | Betétek | EKB/2013/33 2. melléklete 2. részének 9. szakasza V. melléklet 1. részének 36. pontja | |
| 080 | Központi bankok | V. melléklet 1. részének 42. a) pontja | |
| 090 | Államháztartások | V. melléklet 1. részének 42. b) pontja | |
| 100 | Hitelintézetek | V. melléklet 1. részének 42. c) pontja | |
| 110 | Egyéb pénzügyi vállalatok | V. melléklet 1. részének 42. d) pontja | |
| 120 | Nem pénzügyi vállalatok | V. melléklet 1. részének 42. e) pontja | |
| 130 | Háztartások | V. melléklet 1. részének 42. f) pontja | |
20.7.1. Nem pénzügyi vállalatoknak nyújtott, nem kereskedési céllal tartott hitelek és előlegek földrajzi megoszlása NACE-kódok és az ügyfél székhelye szerint
z-tengely
Az ügyfél székhelye szerinti ország
| Hivatkozások | Nem pénzügyi vállalatok V. melléklet 2. részének 271. és 277. pontja | ||||||
| Bruttó könyv szerinti érték | Halmozott értékvesztés | A hitelkockázat-változásból származó negatív valósérték-változás halmozott összege nemteljesítő kitettségek esetében | |||||
| ebből: értékvesztés-elszámolási kötelezettség alá tartozó hitelek és előlegek | Ebből: nemteljesítő | ||||||
| V. melléklet 1. részének 34. pontja, 2. részének 275. pontja | V. melléklet 2. részének 273. pontja | V. melléklet 2. részének 275. pontja | V. melléklet 2. részének 274. pontja | V. melléklet 2. részének 274. pontja | |||
| 010 | 011 | 012 | 021 | 022 | |||
| 010 | A. Mezőgazdaság, erdészet, halászat | NACE rendelet | |||||
| 020 | B. Bányászat és kőfejtés | NACE rendelet | |||||
| 030 | C. Feldolgozóipar | NACE rendelet | |||||
| 040 | D. Villamosenergia-, gáz-, gőz-, légkondicionálás-ellátás | NACE rendelet | |||||
| 050 | E. Vízellátás | NACE rendelet | |||||
| 060 | F. Építőipar | NACE rendelet | |||||
| 070 | G. Nagy- és kiskereskedelem | NACE rendelet | |||||
| 080 | H. Szállítás, raktározás | NACE rendelet | |||||
| 090 | I. Szálláshely-szolgáltatás, vendéglátás | NACE rendelet | |||||
| 100 | J. Információ és kommunikáció | NACE rendelet | |||||
| 105 | K. Pénzügyi és biztosítói tevékenységek | NACE rendelet | |||||
| 110 | L. Ingatlanügyletek | NACE rendelet | |||||
| 120 | M. Szakmai, tudományos és műszaki tevékenység | NACE rendelet | |||||
| 130 | N. Adminisztratív és szolgáltatást támogató tevékenység | NACE rendelet | |||||
| 140 | O. Közigazgatás, védelem, kötelező társadalombiztosítás | NACE rendelet | |||||
| 150 | P. Oktatás | NACE rendelet | |||||
| 160 | Q. Humán-egészségügyi ellátás, szociális ellátás | NACE rendelet | |||||
| 170 | R. Művészet, szórakoztatás, szabadidő | NACE rendelet | |||||
| 180 | S. Egyéb szolgáltatás | NACE rendelet | |||||
| 190 | HITELEK ÉS ELŐLEGEK | V. melléklet 1. részének 32. pontja | |||||
21. Tárgyi eszközök és immateriális javak: operatív lízingbe adott eszközök
| Hivatkozások | Könyv szerinti érték | ||
| V. melléklet 2. részének 278–279. pontja | |||
| 010 | |||
| 010 | Ingatlanok, gépek és berendezések | IAS 16 6. bekezdése; IAS 1 54. bekezdésének a) pontja | |
| 020 | Átértékelési modell | IAS 17 49. bekezdése; IAS 16 31. bekezdése, 73. bekezdésének a), d) pontja | |
| 030 | Bekerülésiérték-modell | IAS 17 49. bekezdése; IAS 16 30. bekezdése, 73. bekezdésének a), d) pontja | |
| 040 | Befektetési célú ingatlan | IAS 40 IN5. bekezdés; IAS 1 54. bekezdésének b) pontja | |
| 050 | Valósértékmodell | IAS 17 49. bekezdése; IAS 40 33–55. bekezdése, 76. bekezdése | |
| 060 | Bekerülésiérték-modell | IAS 17 49. bekezdése; IAS 40 56. bekezdése, 79. bekezdésének c) pontja | |
| 070 | Egyéb immateriális javak | IAS 38 8. és 118. bekezdése | |
| 080 | Átértékelési modell | IAS 17 49. bekezdése; IAS 38 75–87. bekezdése, 124. bekezdésének a) ii. pontja | |
| 090 | Bekerülésiérték-modell | IAS 17 49. bekezdése; IAS 38 74. bekezdése | |
22. Vagyonkezelés, letétkezelés és egyéb szolgáltatások
22.1. Díj- és jutalékbevételek és díj- és jutalékráfordítások tevékenység szerint
| Hivatkozások | Tárgyidőszak | ||
| V. melléklet 2. részének 280. pontja | |||
| IFRS 7 20. bekezdésének c) pontja | 010 | ||
| 010 | Díj- és jutalékbevételek | V. melléklet 2. részének 281–284. pontja | |
| 020 | Értékpapírok | ||
| 030 | Kibocsátások | V. melléklet 2. részének 284. a) pontja | |
| 040 | Transzfermegbízások | V. melléklet 2. részének 284. b) pontja | |
| 050 | Értékpapírokkal kapcsolatos egyéb díj- és jutalékbevételek | V. melléklet 2. részének 284. c) pontja | |
| 051 | Vállalati pénzügyek | ||
| 052 | M&A tanácsadás | V. melléklet 2. részének 284. e) pontja | |
| 053 | Treasury szolgáltatások | V. melléklet 2. részének 284. f) pontja | |
| 054 | Vállalati pénzügyi tevékenységekkel kapcsolatos egyéb díj- és jutalékbevételek | V. melléklet 2. részének 284. g) pontja | |
| 055 | Díj alapú tanácsadás | V. melléklet 2. részének 284. h) pontja | |
| 060 | Elszámolás és teljesítés | V. melléklet 2. részének 284. i) pontja | |
| 070 | Vagyonkezelés | V. melléklet 2. részének 284. j) pontja; 285. a) pontja | |
| 080 | Letétkezelés [ügyféltípus szerint] | V. melléklet 2. részének 284. j) pontja; 285. b) pontja | |
| 090 | Kollektív befektetés | ||
| 100 | Letétkezelési szolgáltatásokkal kapcsolatos egyéb díj- és jutalékbevételek | ||
| 110 | Kollektív befektetésekkel kapcsolatos központi adminisztrációs szolgáltatás | V. melléklet 2. részének 284. j) pontja; 285. c) pontja | |
| 120 | Bizalmi vagyonkezelői tranzakciók | V. melléklet 2. részének 284. j) pontja; 285. d) pontja | |
| 131 | Pénzforgalmi szolgáltatások | V. melléklet 2. részének 284. k) pontja és 285. e) pontja | |
| 132 | Folyószámlák | V. melléklet 2. részének 284. k) pontja és 285. e) pontja | |
| 133 | Hitelkártyák | V. melléklet 2. részének 284. k) pontja és 285. e) pontja | |
| 134 | Betéti kártyák és egyéb kártyás fizetések | V. melléklet 2. részének 284. k) pontja és 285. e) pontja | |
| 135 | Átutalások és egyéb fizetési megbízások | V. melléklet 2. részének 284. k) pontja és 285. e) pontja | |
| 136 | Pénzforgalmi szolgáltatásokkal kapcsolatos egyéb díj- és jutalékbevételek | V. melléklet 2. részének 284. k) pontja és 285. e) pontja | |
| 140 | Forgalmazott, de nem kezelt ügyfélforrások [terméktípus szerint] | V. melléklet 2. részének 284. l) pontja; 285. f) pontja | |
| 150 | Kollektív befektetés | ||
| 160 | Biztosítási termékek | ||
| 170 | Forgalmazott, de nem kezelt ügyfélforrásokkal kapcsolatos egyéb díj- és jutalékbevételek | ||
| 180 | Strukturált finanszírozás | V. melléklet 2. részének 284. n) pontja | |
| 190 | Hitelszolgálati tevékenység | V. melléklet 2. részének 284. o) pontja | |
| 200 | Adott hitelnyújtási elkötelezettségek | IFRS 9 4.2.1. bekezdésének c) ii. pontja; V. melléklet 2. részének 284. p) pontja | |
| 210 | Adott pénzügyi garanciák | IFRS 9 4.2.1. bekezdésének c) ii. pontja; V. melléklet 2. részének 284. p) pontja | |
| 211 | Nyújtott hitelek | V. melléklet 2. részének 284. r) pontja | |
| 213 | Deviza | V. melléklet 2. részének 284. s) pontja | |
| 214 | Áru | V. melléklet 2. részének 284. t) pontja | |
| 220 | Egyéb díj- és jutalékbevétel | V. melléklet 2. részének 284. u) pontja | |
| 230 | (Díj- és jutalékráfordítások) | V. melléklet 2. részének 281–284. pontja | |
| 235 | (Értékpapírok) | V. melléklet 2. részének 284. d) pontja | |
| 240 | (Elszámolás és teljesítés) | V. melléklet 2. részének 284. i) pontja | |
| 245 | (Vagyonkezelés) | V. melléklet 2. részének 284. j) pontja; 285. a) pontja | |
| 250 | (Letétkezelés) | V. melléklet 2. részének 284. j) pontja; 285 b) | |
| 255 | (Pénzforgalmi szolgáltatások) | V. melléklet 2. részének 284. k) pontja és 285. e) pontja | |
| 256 | (ebből: hitel-, betéti és egyéb kártyák) | ||
| 260 | (Hitelszolgálati tevékenység) | V. melléklet 2. részének 284. o) pontja | |
| 270 | (Kapott hitelnyújtási elkötelezettségek) | V. melléklet 2. részének 284. q) pontja | |
| 280 | (Kapott pénzügyi garanciák) | V. melléklet 2. részének 284. q) pontja | |
| 281 | (Termékek külső forgalmazása) | V. melléklet 2. részének 284. m) pontja | |
| 282 | (Deviza) | V. melléklet 2. részének 284. s) pontja | |
| 290 | (Egyéb díj- és jutalékráfordítás) | V. melléklet 2. részének 284. u) pontja | |
22.2. A nyújtott szolgáltatásokban érintett eszközök
| Hivatkozások | A nyújtott szolgáltatásokban érintett eszközök összege | ||
| V. melléklet 2. részének 285. g) pontja | |||
| 010 | |||
| 010 | Vagyonkezelés [ügyféltípus szerint] | V. melléklet 2. részének 285. a) pontja | |
| 020 | Kollektív befektetés | ||
| 030 | Nyugdíjalapok | ||
| 040 | Ügyfélportfóliók egyedi kezelése | ||
| 050 | Egyéb befektetési eszközök | ||
| 060 | Letétkezelt eszközök [ügyféltípus szerint] | V. melléklet 2. részének 285. b) pontja | |
| 070 | Kollektív befektetés | ||
| 080 | Egyéb | ||
| 090 | Ebből: más gazdálkodó egységekre bízott | ||
| 100 | Kollektív befektetésekkel kapcsolatos központi adminisztrációs szolgáltatás | V. melléklet 2. részének 285. c) pontja | |
| 110 | Bizalmi vagyonkezelői tranzakciók | V. melléklet 2. részének 285. d) pontja | |
| 120 | Pénzforgalmi szolgáltatások | V. melléklet 2. részének 285. e) pontja | |
| 130 | Forgalmazott, de nem kezelt ügyfélforrások [terméktípus szerint] | V. melléklet 2. részének 285. f) pontja | |
| 140 | Kollektív befektetés | ||
| 150 | Biztosítási termékek | ||
| 160 | Egyéb | ||
23. Hitelek és előlegek: kiegészítő információk
23.1. Hitelek és előlegek: Instrumentumok száma
| Hivatkozások | Instrumentumok száma (V. melléklet 2. részének 320. pontja) | ||||||||||||||||||
| Teljesítő | Nemteljesítő | ||||||||||||||||||
| Nem valószínű, hogy fizet –nem késedelmes vagy a késedelem ≤ 90 nap | A késedelem > 90 nap | ||||||||||||||||||
| ebből: Átstrukturált kitettségek | ebből: A késedelem > 30 nap ≤ 90 nap | ebből: Átstrukturált kitettségek | ebből: Átstrukturált kitettségek | ebből: Átstrukturált kitettségek | ebből: Átstrukturált kitettségek | A késedelem > 90 nap ≤ 180 nap | A késedelem > 180 nap ≤ 1 év | A késedelem > 1 év ≤ 2 év | A késedelem > 2 év ≤ 5 év | A késedelem > 5 év ≤ 7 év | A késedelem > 7 év | ||||||||
| V. melléklet 1. részének 32. pontja | V. melléklet 2. részének 256. és 259–263. pontja | V. melléklet 2. részének 213–216. és 226–239. pontja | V. melléklet 2. részének 222. és 235. pontja | V. melléklet 2. részének 259–261. pontja | V. melléklet 2. részének 213–216. és 226–239. pontja | V. melléklet 2. részének 256. és 259–262. pontja | V. melléklet 2. részének 222. és 235–236. pontja | V. melléklet 2. részének 222., 235–236., 256. és 259–262. pontja | V. melléklet 2. részének 222. és 235–236. pontja | V. melléklet 2. részének 222., 235–236., 256. és 259–262. pontja | V. melléklet 2. részének 222. és 235–236. pontja | V. melléklet 2. részének 222. és 235–236. pontja | V. melléklet 2. részének 222. és 235–236. pontja | V. melléklet 2. részének 222. és 235–236. pontja | V. melléklet 2. részének 222. és 235–236. pontja | V. melléklet 2. részének 222. és 235–236. pontja | |||
| 0010 | 0020 | 0030 | 0040 | 0050 | 0060 | 0070 | 0080 | 0090 | 0100 | 0110 | 0120 | 0130 | 0140 | 0150 | 0160 | 0170 | |||
| 0010 | Hitelek és előlegek | V. melléklet 1. részének 32. és 44. a) pontja, 2. részének 319. pontja | |||||||||||||||||
| 0020 | ebből: Háztartások | V. melléklet 1. részének 42. f) pontja | |||||||||||||||||
| 0030 | ebből: Lakóingatlannal fedezett hitelek | V. melléklet 2. részének 86. a) pontja, 87. pontja és 234i. a) pontja | |||||||||||||||||
| 0040 | ebből: Nem pénzügyi vállalatok – kkv-k | V. melléklet 1. részének 42. e) pontja, a KKV 1. cikke (2) bekezdésének a) pontja | |||||||||||||||||
| 0050 | ebből: Kereskedelmi ingatlanhoz kapcsolódó hitelek kkv-knak | V. melléklet 2. részének 239ix. pontja | |||||||||||||||||
| 0060 | ebből: Nem pénzügyi vállalatok – nem kkv-k | V. melléklet 1. részének 42. e) pontja | |||||||||||||||||
| 0070 | ebből: Kereskedelmi ingatlanhoz kapcsolódó hitelek kkv-któl eltérő nem pénzügyi vállalatoknak | V. melléklet 2. részének 239ix. pontja | |||||||||||||||||
| 0080 | Hitelek és előlegek per előtti státuszban | V. melléklet 1. részének 32. és 44. a) pontja, 2. részének 319. és 321. pontja | |||||||||||||||||
| 0090 | ebből: Háztartások | V. melléklet 1. részének 42. f) pontja | |||||||||||||||||
| 0100 | ebből: Lakóingatlannal fedezett hitelek | V. melléklet 2. részének 86. a) pontja és 87. pontja | |||||||||||||||||
| 0110 | ebből: Nem pénzügyi vállalatok – kkv-k | V. melléklet 1. részének 42. e) pontja, a KKV 1. cikke (2) bekezdésének a) pontja | |||||||||||||||||
| 0120 | ebből: Kereskedelmi ingatlanhoz kapcsolódó hitelek kkv-knak | V. melléklet 2. részének 239ix. pontja | |||||||||||||||||
| 0130 | ebből: Nem pénzügyi vállalatok – nem kkv-k | V. melléklet 1. részének 42. e) pontja | |||||||||||||||||
| 0140 | ebből: Kereskedelmi ingatlanhoz kapcsolódó hitelek kkv-któl eltérő nem pénzügyi vállalatoknak | V. melléklet 2. részének 239ix. pontja | |||||||||||||||||
| 0150 | Hitelek és előlegek per alatti státuszban | V. melléklet 1. részének 32. és 44. a) pontja, 2. részének 319. és 322. pontja | |||||||||||||||||
| 0160 | ebből: Háztartások | V. melléklet 1. részének 42. f) pontja | |||||||||||||||||
| 0170 | ebből: Lakóingatlannal fedezett hitelek | V. melléklet 2. részének 86. a) pontja és 87. pontja | |||||||||||||||||
| 0180 | ebből: Nem pénzügyi vállalatok – kkv-k | V. melléklet 1. részének 42. e) pontja, a KKV 1. cikke (2) bekezdésének a) pontja | |||||||||||||||||
| 0190 | ebből: Kereskedelmi ingatlanhoz kapcsolódó hitelek kkv-knak | V. melléklet 2. részének 239ix. pontja | |||||||||||||||||
| 0200 | ebből: Nem pénzügyi vállalatok – nem kkv-k | V. melléklet 1. részének 42. e) pontja | |||||||||||||||||
| 0210 | ebből: Kereskedelmi ingatlanhoz kapcsolódó hitelek kkv-któl eltérő nem pénzügyi vállalatoknak | V. melléklet 2. részének 239ix. pontja | |||||||||||||||||
23.2. Hitelek és előlegek: A bruttó könyv szerinti értékkel kapcsolatos kiegészítő információk
| Hivatkozások | Bruttó könyv szerinti érték (V. melléklet 1. részének 34. pontja) | ||||||||||||||||||
| Teljesítő | Nemteljesítő | ||||||||||||||||||
| Nem valószínű, hogy fizet –nem késedelmes vagy a késedelem ≤ 90 nap | A késedelem > 90 nap | ||||||||||||||||||
| ebből: Átstrukturált kitettségek | ebből: A késedelem > 30 nap ≤ 90 nap | ebből: Átstrukturált kitettségek | ebből: Átstrukturált kitettségek | ebből: Átstrukturált kitettségek | ebből: Átstrukturált kitettségek | A késedelem > 90 nap ≤ 180 nap | A késedelem > 180 nap ≤ 1 év | A késedelem > 1 év ≤ 2 év | A késedelem > 2 év ≤ 5 év | A késedelem > 5 év ≤ 7 év | A késedelem > 7 év | ||||||||
| V. melléklet 1. részének 32. pontja | V. melléklet 2. részének 256. és 259–263. pontja | V. melléklet 2. részének 213–216. és 226–239. pontja | V. melléklet 2. részének 222. és 235. pontja | V. melléklet 2. részének 259–261. pontja | V. melléklet 2. részének 213–216. és 226–239. pontja | V. melléklet 2. részének 256. és 259–262. pontja | V. melléklet 2. részének 222. és 235–236. pontja | V. melléklet 2. részének 222., 235–236., 256. és 259–262. pontja | V. melléklet 2. részének 222. és 235–236. pontja | V. melléklet 2. részének 222., 235–236., 256. és 259–262. pontja | V. melléklet 2. részének 222. és 235–236. pontja | V. melléklet 2. részének 222. és 235–236. pontja | V. melléklet 2. részének 222. és 235–236. pontja | V. melléklet 2. részének 222. és 235–236. pontja | V. melléklet 2. részének 222. és 235–236. pontja | V. melléklet 2. részének 222. és 235–236. pontja | |||
| 0010 | 0020 | 0030 | 0040 | 0050 | 0060 | 0070 | 0080 | 0090 | 0100 | 0110 | 0120 | 0130 | 0140 | 0150 | 0160 | 0170 | |||
| 0010 | Hitelek és előlegek | V. melléklet 1. részének 32. és 44. a) pontja, 2. részének 319. pontja | |||||||||||||||||
| 0020 | ebből: Háztartások | V. melléklet 1. részének 42. f) pontja | |||||||||||||||||
| 0030 | ebből: Lakóingatlannal fedezett hitelek | V. melléklet 2. részének 86. a) pontja és 87. pontja | |||||||||||||||||
| 0040 | ebből: Nem pénzügyi vállalatok – kkv-k | V. melléklet 1. részének 42. e) pontja, a KKV 1. cikke (2) bekezdésének a) pontja | |||||||||||||||||
| 0050 | ebből: Kereskedelmi ingatlanhoz kapcsolódó hitelek kkv-knak | V. melléklet 2. részének 239ix. pontja | |||||||||||||||||
| 0060 | ebből: Nem pénzügyi vállalatok – nem kkv-k | V. melléklet 1. részének 42. e) pontja | |||||||||||||||||
| 0070 | ebből: Kereskedelmi ingatlanhoz kapcsolódó hitelek kkv-któl eltérő nem pénzügyi vállalatoknak | V. melléklet 2. részének 239ix. pontja | |||||||||||||||||
| 0080 | Hitelek és előlegek bekerülési értéken vagy amortizált bekerülési értéken | V. melléklet 1. részének 32. és 44. a) pontja, 2. részének 233. a) és 319. pontja | |||||||||||||||||
| 0090 | ebből: Háztartások | V. melléklet 1. részének 42. f) pontja | |||||||||||||||||
| 0100 | ebből: Lakóingatlannal fedezett hitelek | V. melléklet 2. részének 86. a) pontja és 87. pontja | |||||||||||||||||
| 0110 | ebből: Nem pénzügyi vállalatok – kkv-k | V. melléklet 1. részének 42. e) pontja, a KKV 1. cikke (2) bekezdésének a) pontja | |||||||||||||||||
| 0120 | ebből: Kereskedelmi ingatlanhoz kapcsolódó hitelek kkv-knak | V. melléklet 2. részének 239ix. pontja | |||||||||||||||||
| 0130 | ebből: Nem pénzügyi vállalatok – nem kkv-k | V. melléklet 1. részének 42. e) pontja | |||||||||||||||||
| 0140 | ebből: Kereskedelmi ingatlanhoz kapcsolódó hitelek kkv-któl eltérő nem pénzügyi vállalatoknak | V. melléklet 2. részének 239ix. pontja | |||||||||||||||||
| 0150 | Hitelek és előlegek per előtti státuszban | V. melléklet 1. részének 32. és 44. a) pontja, 2. részének 319. és 321. pontja | |||||||||||||||||
| 0160 | ebből: Háztartások | V. melléklet 1. részének 42. f) pontja | |||||||||||||||||
| 0170 | ebből: Lakóingatlannal fedezett hitelek | V. melléklet 2. részének 86. a) pontja és 87. pontja | |||||||||||||||||
| 0180 | ebből: Nem pénzügyi vállalatok – kkv-k | V. melléklet 1. részének 42. e) pontja, a KKV 1. cikke (2) bekezdésének a) pontja | |||||||||||||||||
| 0190 | ebből: Kereskedelmi ingatlanhoz kapcsolódó hitelek kkv-knak | V. melléklet 2. részének 239ix. pontja | |||||||||||||||||
| 0200 | ebből: Nem pénzügyi vállalatok – nem kkv-k | V. melléklet 1. részének 42. e) pontja | |||||||||||||||||
| 0210 | ebből: Kereskedelmi ingatlanhoz kapcsolódó hitelek kkv-któl eltérő nem pénzügyi vállalatoknak | V. melléklet 2. részének 239ix. pontja | |||||||||||||||||
| 0220 | Hitelek és előlegek per alatti státuszban | V. melléklet 1. részének 32. és 44. a) pontja, 2. részének 319. és 322. pontja | |||||||||||||||||
| 0230 | ebből: Háztartások | V. melléklet 1. részének 42. f) pontja | |||||||||||||||||
| 0240 | ebből: Lakóingatlannal fedezett hitelek | V. melléklet 2. részének 86. a) pontja és 87. pontja | |||||||||||||||||
| 0250 | ebből: Nem pénzügyi vállalatok – kkv-k | V. melléklet 1. részének 42. e) pontja, a KKV 1. cikke (2) bekezdésének a) pontja | |||||||||||||||||
| 0260 | ebből: Kereskedelmi ingatlanhoz kapcsolódó hitelek kkv-knak | V. melléklet 2. részének 239ix. pontja | |||||||||||||||||
| 0270 | ebből: Nem pénzügyi vállalatok – nem kkv-k | V. melléklet 1. részének 42. e) pontja | |||||||||||||||||
| 0280 | ebből: Kereskedelmi ingatlanhoz kapcsolódó hitelek kkv-któl eltérő nem pénzügyi vállalatoknak | V. melléklet 2. részének 239ix. pontja | |||||||||||||||||
| 0290 | Fedezetlen hitelek és előlegek garancia nélkül | V. melléklet 1. részének 32. és 44. a) pontja, 2. részének 319. és 323. pontja | |||||||||||||||||
| 0300 | ebből: Háztartások | V. melléklet 1. részének 42. f) pontja | |||||||||||||||||
| 0310 | ebből: Nem pénzügyi vállalatok – kkv-k | V. melléklet 1. részének 42. e) pontja, a KKV 1. cikke (2) bekezdésének a) pontja | |||||||||||||||||
| 0320 | ebből: Kereskedelmi ingatlanhoz kapcsolódó hitelek kkv-knak | V. melléklet 2. részének 239ix. pontja | |||||||||||||||||
| 0330 | ebből: Nem pénzügyi vállalatok – nem kkv-k | V. melléklet 1. részének 42. e) pontja | |||||||||||||||||
| 0340 | ebből: Kereskedelmi ingatlanhoz kapcsolódó hitelek kkv-któl eltérő nem pénzügyi vállalatoknak | V. melléklet 2. részének 239ix. pontja | |||||||||||||||||
| 0350 | Hitelek és előlegek 90 %-nál nagyobb halmozott fedezeti rátával | V. melléklet 1. részének 32. és 44. a) pontja, 2. részének 319. és 324. pontja | |||||||||||||||||
| 0360 | ebből: Háztartások | V. melléklet 1. részének 42. f) pontja | |||||||||||||||||
| 0370 | ebből: Lakóingatlannal fedezett hitelek | V. melléklet 2. részének 86. a) pontja és 87. pontja | |||||||||||||||||
| 0380 | ebből: Nem pénzügyi vállalatok – kkv-k | V. melléklet 1. részének 42. e) pontja, a KKV 1. cikke (2) bekezdésének a) pontja | |||||||||||||||||
| 0390 | ebből: Kereskedelmi ingatlanhoz kapcsolódó hitelek kkv-knak | V. melléklet 2. részének 239ix. pontja | |||||||||||||||||
| 0400 | ebből: Nem pénzügyi vállalatok – nem kkv-k | V. melléklet 1. részének 42. e) pontja | |||||||||||||||||
| 0410 | ebből: Kereskedelmi ingatlanhoz kapcsolódó hitelek kkv-któl eltérő nem pénzügyi vállalatoknak | V. melléklet 2. részének 239ix. pontja | |||||||||||||||||
23.3. Ingatlannal fedezett hitelek és előlegek: Hitelfedezeti arányok szerinti részletezés
| Hivatkozások | Bruttó könyv szerinti érték (V. melléklet 1. részének 34. pontja) | ||||||||||||||||||
| Teljesítő | Nemteljesítő | ||||||||||||||||||
| Nem valószínű, hogy fizet –nem késedelmes vagy a késedelem ≤ 90 nap | A késedelem > 90 nap | ||||||||||||||||||
| ebből: Átstrukturált kitettségek | ebből: A késedelem > 30 nap ≤ 90 nap | ebből: Átstrukturált kitettségek | ebből: Átstrukturált kitettségek | ebből: Átstrukturált kitettségek | ebből: Átstrukturált kitettségek | A késedelem > 90 nap ≤ 180 nap | A késedelem > 180 nap ≤ 1 év | A késedelem > 1 év ≤ 2 év | A késedelem > 2 év ≤ 5 év | A késedelem > 5 év ≤ 7 év | A késedelem > 7 év | ||||||||
| V. melléklet 1. részének 32. pontja | V. melléklet 2. részének 256. és 259–263. pontja | V. melléklet 2. részének 213–216. és 226–239. pontja | V. melléklet 2. részének 222. és 235. pontja | V. melléklet 2. részének 259–261. pontja | V. melléklet 2. részének 213–216. és 226–239. pontja | V. melléklet 2. részének 256. és 259–262. pontja | V. melléklet 2. részének 222. és 235–236. pontja | V. melléklet 2. részének 222., 235–236., 256. és 259–262. pontja | V. melléklet 2. részének 222. és 235–236. pontja | V. melléklet 2. részének 222., 235–236., 256. és 259–262. pontja | V. melléklet 2. részének 222. és 235–236. pontja | V. melléklet 2. részének 222. és 235–236. pontja | V. melléklet 2. részének 222. és 235–236. pontja | V. melléklet 2. részének 222. és 235–236. pontja | V. melléklet 2. részének 222. és 235–236. pontja | V. melléklet 2. részének 222. és 235–236. pontja | |||
| 0010 | 0020 | 0030 | 0040 | 0050 | 0060 | 0070 | 0080 | 0090 | 0100 | 0110 | 0120 | 0130 | 0140 | 0150 | 0160 | 0170 | |||
| 0010 | Ingatlannal fedezett hitelek és előlegek | V. melléklet 1. részének 32. és 44. a) pontja, 2. részének 86. a) pontja, 87. és 319. pontja | |||||||||||||||||
| 0020 | Ebből: 60 %-nál nagyobb, és 80 %-nál kisebb vagy azzal egyenlő hitelfedezeti aránnyal rendelkező hitelek | V. melléklet 2. részének 239x. és 325. pontja | |||||||||||||||||
| 0030 | Ebből: 80 %-nál nagyobb, és 100 %-nál kisebb vagy azzal egyenlő hitelfedezeti aránnyal rendelkező hitelek | V. melléklet 2. részének 239x. és 325. pontja | |||||||||||||||||
| 0040 | Ebből: 100 %-nál nagyobb hitelfedezeti aránnyal rendelkező hitelek | V. melléklet 2. részének 239x. és 325. pontja | |||||||||||||||||
| 0050 | Kis- és középvállalkozásoknak (nem pénzügyi vállalatoknak) nyújtott, kereskedelmi ingatlannal fedezett hitelek és előlegek | V. melléklet 1. részének 32., 42. e) és 44. a) pontja, 2. részének 86. a) pontja, 87. és 319. pontja; KKV 1. cikke (2) bekezdésének a) pontja | |||||||||||||||||
| 0060 | Ebből: 60 %-nál nagyobb, és 80 %-nál kisebb vagy azzal egyenlő hitelfedezeti aránnyal rendelkező hitelek | V. melléklet 2. részének 239x. és 325. pontja | |||||||||||||||||
| 0070 | Ebből: 80 %-nál nagyobb, és 100 %-nál kisebb vagy azzal egyenlő hitelfedezeti aránnyal rendelkező hitelek | V. melléklet 2. részének 239x. és 325. pontja | |||||||||||||||||
| 0080 | Ebből: 100 %-nál nagyobb hitelfedezeti aránnyal rendelkező hitelek | V. melléklet 2. részének 239x. és 325. pontja | |||||||||||||||||
| 0090 | A kkv-któl eltérő nem pénzügyi vállalatoknak nyújtott, kereskedelmi ingatlannal fedezett hitelek és előlegek | V. melléklet 1. részének 32., 42. e) és 44. a) pontja, 2. részének 86. a) pontja, 87. és 319. pontja; KKV 1. cikke (2) bekezdésének a) pontja | |||||||||||||||||
| 0100 | Ebből: 60 %-nál nagyobb, és 80 %-nál kisebb vagy azzal egyenlő hitelfedezeti aránnyal rendelkező hitelek | V. melléklet 2. részének 239x. és 325. pontja | |||||||||||||||||
| 0110 | Ebből: 80 %-nál nagyobb, és 100 %-nál kisebb vagy azzal egyenlő hitelfedezeti aránnyal rendelkező hitelek | V. melléklet 2. részének 239x. és 325. pontja | |||||||||||||||||
| 0120 | Ebből: 100 %-nál nagyobb hitelfedezeti aránnyal rendelkező hitelek | V. melléklet 2. részének 239x. és 325. pontja | |||||||||||||||||
| 0130 | Kis- és középvállalkozásoknak (nem pénzügyi vállalatoknak) nyújtott, kereskedelmi ingatlanhoz kapcsolódó, ingatlannal fedezett hitelek | V. melléklet 1. részének 32., 42. e) és 44. a) pontja, 2. részének 86. a) pontja, 87. pontja, 239ix. és 319. pontja; KKV 1. cikke (2) bekezdésének a) pontja | |||||||||||||||||
| 0140 | Ebből: 60 %-nál nagyobb, és 80 %-nál kisebb vagy azzal egyenlő hitelfedezeti aránnyal rendelkező hitelek | V. melléklet 2. részének 239x. és 325. pontja | |||||||||||||||||
| 0150 | Ebből: 80 %-nál nagyobb, és 100 %-nál kisebb vagy azzal egyenlő hitelfedezeti aránnyal rendelkező hitelek | V. melléklet 2. részének 239x. és 325. pontja | |||||||||||||||||
| 0160 | Ebből: 100 %-nál nagyobb hitelfedezeti aránnyal rendelkező hitelek | V. melléklet 2. részének 239x. és 325. pontja | |||||||||||||||||
| 0170 | A kkv-któl eltérő nem pénzügyi vállalatoknak nyújtott, kereskedelmi ingatlanhoz kapcsolódó, ingatlannal fedezett hitelek | V. melléklet 1. részének 32., 42. e) és 44. a) pontja, 2. részének 86. a) pontja, 87. pontja, 239ix. és 319. pontja; KKV 1. cikke (2) bekezdésének a) pontja | |||||||||||||||||
| 0180 | Ebből: 60 %-nál nagyobb, és 80 %-nál kisebb vagy azzal egyenlő hitelfedezeti aránnyal rendelkező hitelek | V. melléklet 2. részének 239x. és 325. pontja | |||||||||||||||||
| 0190 | Ebből: 80 %-nál nagyobb, és 100 %-nál kisebb vagy azzal egyenlő hitelfedezeti aránnyal rendelkező hitelek | V. melléklet 2. részének 239x. és 325. pontja | |||||||||||||||||
| 0200 | Ebből: 100 %-nál nagyobb hitelfedezeti aránnyal rendelkező hitelek | V. melléklet 2. részének 239x. és 325. pontja | |||||||||||||||||
23.4. Hitelek és előlegek: A halmozott értékvesztéssel és a hitelkockázat-változásból származó negatív valósérték-változás halmozott összegével kapcsolatos kiegészítő információk
| Hivatkozások | Halmozott értékvesztés, a hitelkockázat-változásból származó negatív valósérték-változás halmozott összege (V. melléklet 2. részének 69–71. pontja) | ||||||||||||||||||
| Teljesítő | Nemteljesítő | ||||||||||||||||||
| Nem valószínű, hogy fizet –nem késedelmes vagy a késedelem ≤ 90 nap | A késedelem > 90 nap | ||||||||||||||||||
| ebből: Átstrukturált kitettségek | ebből: A késedelem > 30 nap ≤ 90 nap | ebből: Átstrukturált kitettségek | ebből: Átstrukturált kitettségek | ebből: Átstrukturált kitettségek | ebből: Átstrukturált kitettségek | A késedelem > 90 nap ≤ 180 nap | A késedelem > 180 nap ≤ 1 év | A késedelem > 1 év ≤ 2 év | A késedelem > 2 év ≤ 5 év | A késedelem > 5 év ≤ 7 év | A késedelem > 7 év | ||||||||
| V. melléklet 1. részének 32. pontja | V. melléklet 2. részének 256. és 259–263. pontja | V. melléklet 2. részének 213–216. és 226–239. pontja | V. melléklet 2. részének 222. és 235. pontja | V. melléklet 2. részének 259–261. pontja | V. melléklet 2. részének 213–216. és 226–239. pontja | V. melléklet 2. részének 256. és 259–262. pontja | V. melléklet 2. részének 222. és 235–236. pontja | V. melléklet 2. részének 222., 235–236., 256. és 259–262. pontja | V. melléklet 2. részének 222. és 235–236. pontja | V. melléklet 2. részének 222., 235–236., 256. és 259–262. pontja | V. melléklet 2. részének 222. és 235–236. pontja | V. melléklet 2. részének 222. és 235–236. pontja | V. melléklet 2. részének 222. és 235–236. pontja | V. melléklet 2. részének 222. és 235–236. pontja | V. melléklet 2. részének 222. és 235–236. pontja | V. melléklet 2. részének 222. és 235–236. pontja | |||
| 0010 | 0020 | 0030 | 0040 | 0050 | 0060 | 0070 | 0080 | 0090 | 0100 | 0110 | 0120 | 0130 | 0140 | 0150 | 0160 | 0170 | |||
| 0010 | Hitelek és előlegek | V. melléklet 1. részének 32. és 44. a) pontja, 2. részének 319. pontja | |||||||||||||||||
| 0020 | ebből: Háztartások | V. melléklet 1. részének 42. f) pontja | |||||||||||||||||
| 0030 | ebből: Lakóingatlannal fedezett hitelek | V. melléklet 2. részének 86. a) pontja és 87. pontja | |||||||||||||||||
| 0040 | ebből: Nem pénzügyi vállalatok – kkv-k | V. melléklet 1. részének 42. e) pontja, a KKV 1. cikke (2) bekezdésének a) pontja | |||||||||||||||||
| 0050 | ebből: Kereskedelmi ingatlanhoz kapcsolódó hitelek kkv-knak | V. melléklet 2. részének 239ix. pontja | |||||||||||||||||
| 0060 | ebből: Nem pénzügyi vállalatok – nem kkv-k | V. melléklet 1. részének 42. e) pontja | |||||||||||||||||
| 0070 | ebből: Kereskedelmi ingatlanhoz kapcsolódó hitelek kkv-któl eltérő nem pénzügyi vállalatoknak | V. melléklet 2. részének 239ix. pontja | |||||||||||||||||
| 0080 | Hitelek és előlegek bekerülési értéken vagy amortizált bekerülési értéken | V. melléklet 1. részének 32. és 44. a) pontja, 2. részének 233. a) és 319. pontja | |||||||||||||||||
| 0090 | ebből: Háztartások | V. melléklet 1. részének 42. f) pontja | |||||||||||||||||
| 0100 | ebből: Lakóingatlannal fedezett hitelek | V. melléklet 2. részének 86. a) pontja és 87. pontja | |||||||||||||||||
| 0110 | ebből: Nem pénzügyi vállalatok – kkv-k | V. melléklet 1. részének 42. e) pontja, a KKV 1. cikke (2) bekezdésének a) pontja | |||||||||||||||||
| 0120 | ebből: Kereskedelmi ingatlanhoz kapcsolódó hitelek kkv-knak | V. melléklet 2. részének 239ix. pontja | |||||||||||||||||
| 0130 | ebből: Nem pénzügyi vállalatok – nem kkv-k | V. melléklet 1. részének 42. e) pontja | |||||||||||||||||
| 0140 | ebből: Kereskedelmi ingatlanhoz kapcsolódó hitelek kkv-któl eltérő nem pénzügyi vállalatoknak | V. melléklet 2. részének 239ix. pontja | |||||||||||||||||
| 0150 | Fedezetlen hitelek és előlegek garancia nélkül | V. melléklet 1. részének 32. és 44. a) pontja, 2. részének 319. és 323. pontja | |||||||||||||||||
| 0160 | ebből: Háztartások | V. melléklet 1. részének 42. f) pontja | |||||||||||||||||
| 0170 | ebből: Nem pénzügyi vállalatok – kkv-k | V. melléklet 1. részének 42. e) pontja, a KKV 1. cikke (2) bekezdésének a) pontja | |||||||||||||||||
| 0180 | ebből: Kereskedelmi ingatlanhoz kapcsolódó hitelek kkv-knak | V. melléklet 2. részének 239ix. pontja | |||||||||||||||||
| 0190 | ebből: Nem pénzügyi vállalatok – nem kkv-k | V. melléklet 1. részének 42. e) pontja | |||||||||||||||||
| 0200 | ebből: Kereskedelmi ingatlanhoz kapcsolódó hitelek kkv-któl eltérő nem pénzügyi vállalatoknak | V. melléklet 2. részének 239ix. pontja | |||||||||||||||||
23.5. Hitelek és előlegek: Kapott biztosítékok és kapott pénzügyi garanciák
| Hivatkozások | A biztosíték vagy garancia figyelembe vehető legmagasabb összege V. melléklet 2. részének 171–172. pontja és 174. pontja | ||||||||||||||||||
| Teljesítő | Nemteljesítő | ||||||||||||||||||
| Nem valószínű, hogy fizet –nem késedelmes vagy a késedelem ≤ 90 nap | A késedelem > 90 nap | ||||||||||||||||||
| ebből: Átstrukturált kitettségek | ebből: A késedelem > 30 nap ≤ 90 nap | ebből: Átstrukturált kitettségek | ebből: Átstrukturált kitettségek | ebből: Átstrukturált kitettségek | ebből: Átstrukturált kitettségek | A késedelem > 90 nap ≤ 180 nap | A késedelem > 180 nap ≤ 1 év | A késedelem > 1 év ≤ 2 év | A késedelem > 2 év ≤ 5 év | A késedelem > 5 év ≤ 7 év | A késedelem > 7 év | ||||||||
| V. melléklet 1. részének 32. pontja | V. melléklet 2. részének 256. és 259–263. pontja | V. melléklet 2. részének 213–216. és 226–239. pontja | V. melléklet 2. részének 222. és 235. pontja | V. melléklet 2. részének 259–261. pontja | V. melléklet 2. részének 213–216. és 226–239. pontja | V. melléklet 2. részének 256. és 259–262. pontja | V. melléklet 2. részének 222. és 235–236. pontja | V. melléklet 2. részének 222., 235–236., 256. és 259–262. pontja | V. melléklet 2. részének 222. és 235–236. pontja | V. melléklet 2. részének 222., 235–236., 256. és 259–262. pontja | V. melléklet 2. részének 222. és 235–236. pontja | V. melléklet 2. részének 222. és 235–236. pontja | V. melléklet 2. részének 222. és 235–236. pontja | V. melléklet 2. részének 222. és 235–236. pontja | V. melléklet 2. részének 222. és 235–236. pontja | V. melléklet 2. részének 222. és 235–236. pontja | |||
| 0010 | 0020 | 0030 | 0040 | 0050 | 0060 | 0070 | 0080 | 0090 | 0100 | 0110 | 0120 | 0130 | 0140 | 0150 | 0160 | 0170 | |||
| 0010 | Hitelek és előlegek fedezetéül kapott pénzügyi garanciák | V. melléklet 2. részének 319. és 326. pontja | |||||||||||||||||
| 0020 | ebből: Háztartások | V. melléklet 1. részének 42. f) pontja | |||||||||||||||||
| 0030 | ebből: Lakóingatlannal fedezett hitelek | V. melléklet 2. részének 86. a) pontja és 87. pontja | |||||||||||||||||
| 0040 | ebből: Nem pénzügyi vállalatok – kkv-k | V. melléklet 1. részének 42. e) pontja, a KKV 1. cikke (2) bekezdésének a) pontja | |||||||||||||||||
| 0050 | ebből: Kereskedelmi ingatlanhoz kapcsolódó hitelek kkv-knak | V. melléklet 2. részének 239ix. pontja | |||||||||||||||||
| 0060 | ebből: Nem pénzügyi vállalatok – nem kkv-k | V. melléklet 1. részének 42. e) pontja | |||||||||||||||||
| 0070 | ebből: Kereskedelmi ingatlanhoz kapcsolódó hitelek kkv-któl eltérő nem pénzügyi vállalatoknak | V. melléklet 2. részének 239ix. pontja | |||||||||||||||||
| 0080 | Hitelek és előlegek fedezetéül kapott biztosítékok | V. melléklet 2. részének 319. és 326. pontja | |||||||||||||||||
| 0090 | ebből: Háztartások | V. melléklet 1. részének 42. f) pontja | |||||||||||||||||
| 0100 | ebből: Lakóingatlannal fedezett hitelek | V. melléklet 2. részének 86. a) pontja és 87. pontja | |||||||||||||||||
| 0110 | ebből: Nem pénzügyi vállalatok – kkv-k | V. melléklet 1. részének 42. e) pontja, a KKV 1. cikke (2) bekezdésének a) pontja | |||||||||||||||||
| 0120 | ebből: Kereskedelmi ingatlanhoz kapcsolódó hitelek kkv-knak | V. melléklet 2. részének 239ix. pontja | |||||||||||||||||
| 0130 | ebből: Nem pénzügyi vállalatok – nem kkv-k | V. melléklet 1. részének 42. e) pontja | |||||||||||||||||
| 0140 | ebből: Kereskedelmi ingatlanhoz kapcsolódó hitelek kkv-któl eltérő nem pénzügyi vállalatoknak | V. melléklet 2. részének 239ix. pontja | |||||||||||||||||
| 0150 | Hitelek és előlegek fedezetéül kapott ingatlanbiztosítékok | V. melléklet 2. részének 319. és 326. pontja | |||||||||||||||||
| 0160 | ebből: Háztartások | V. melléklet 1. részének 42. f) pontja | |||||||||||||||||
| 0170 | ebből: Lakóingatlannal fedezett hitelek | V. melléklet 2. részének 86. a) pontja és 87. pontja | |||||||||||||||||
| 0180 | ebből: Nem pénzügyi vállalatok – kkv-k | V. melléklet 1. részének 42. e) pontja, a KKV 1. cikke (2) bekezdésének a) pontja | |||||||||||||||||
| 0190 | ebből: Kereskedelmi ingatlanhoz kapcsolódó hitelek kkv-knak | V. melléklet 2. részének 239ix. pontja | |||||||||||||||||
| 0200 | ebből: Nem pénzügyi vállalatok – nem kkv-k | V. melléklet 1. részének 42. e) pontja | |||||||||||||||||
| 0210 | ebből: Kereskedelmi ingatlanhoz kapcsolódó hitelek kkv-któl eltérő nem pénzügyi vállalatoknak | V. melléklet 2. részének 239ix. pontja | |||||||||||||||||
| 0220 | Tájékoztató adat: Hitelek és előlegek fedezetéül kapott biztosítékok – felső korlát nélküli összegek | V. melléklet 2. részének 319., 326. és 327. pontja | |||||||||||||||||
| 0230 | ebből: Ingatlanbiztosíték | V. melléklet 2. részének 319., 326. és 327. pontja | |||||||||||||||||
23.6. Hitelek és előlegek: Halmozott részleges leírások összege
| Hivatkozások | Halmozott részleges leírások összege (V. melléklet 2. részének 72. és 74. pontja) | ||||||||||||||||||
| Teljesítő | Nemteljesítő | ||||||||||||||||||
| Nem valószínű, hogy fizet –nem késedelmes vagy a késedelem ≤ 90 nap | A késedelem > 90 nap | ||||||||||||||||||
| ebből: Átstrukturált kitettségek | ebből: A késedelem > 30 nap ≤ 90 nap | ebből: Átstrukturált kitettségek | ebből: Átstrukturált kitettségek | ebből: Átstrukturált kitettségek | ebből: Átstrukturált kitettségek | A késedelem > 90 nap ≤ 180 nap | A késedelem > 180 nap ≤ 1 év | A késedelem > 1 év ≤ 2 év | A késedelem > 2 év ≤ 5 év | A késedelem > 5 év ≤ 7 év | A késedelem > 7 év | ||||||||
| V. melléklet 1. részének 32. pontja | V. melléklet 2. részének 256. és 259–263. pontja | V. melléklet 2. részének 213–216. és 226–239. pontja | V. melléklet 2. részének 222. és 235. pontja | V. melléklet 2. részének 259–261. pontja | V. melléklet 2. részének 213–216. és 226–239. pontja | V. melléklet 2. részének 256. és 259–262. pontja | V. melléklet 2. részének 222. és 235–236. pontja | V. melléklet 2. részének 222., 235–236., 256. és 259–262. pontja | V. melléklet 2. részének 222. és 235–236. pontja | V. melléklet 2. részének 222., 235–236., 256. és 259–262. pontja | V. melléklet 2. részének 222. és 235–236. pontja | V. melléklet 2. részének 222. és 235–236. pontja | V. melléklet 2. részének 222. és 235–236. pontja | V. melléklet 2. részének 222. és 235–236. pontja | V. melléklet 2. részének 222. és 235–236. pontja | V. melléklet 2. részének 222. és 235–236. pontja | |||
| 0010 | 0020 | 0030 | 0040 | 0050 | 0060 | 0070 | 0080 | 0090 | 0100 | 0110 | 0120 | 0130 | 0140 | 0150 | 0160 | 0170 | |||
| 0010 | Hitelek és előlegek | V. melléklet 1. részének 32. és 44. a) pontja, 2. részének 319. pontja | |||||||||||||||||
| 0020 | ebből: Háztartások | V. melléklet 1. részének 42. f) pontja | |||||||||||||||||
| 0030 | ebből: Lakóingatlannal fedezett hitelek | V. melléklet 2. részének 86. a) pontja és 87. pontja | |||||||||||||||||
| 0040 | ebből: Nem pénzügyi vállalatok – kkv-k | V. melléklet 1. részének 42. e) pontja, a KKV 1. cikke (2) bekezdésének a) pontja | |||||||||||||||||
| 0050 | ebből: Kereskedelmi ingatlanhoz kapcsolódó hitelek kkv-knak | V. melléklet 2. részének 239ix. pontja | |||||||||||||||||
| 0060 | ebből: Nem pénzügyi vállalatok – nem kkv-k | V. melléklet 1. részének 42. e) pontja | |||||||||||||||||
| 0070 | ebből: Kereskedelmi ingatlanhoz kapcsolódó hitelek kkv-któl eltérő nem pénzügyi vállalatoknak | V. melléklet 2. részének 239ix. pontja | |||||||||||||||||
24. Hitelek és előlegek: Nemteljesítő kitettségek, értékvesztés és leírások változása az utolsó pénzügyi év vége óta
24.1. Hitelek és előlegek: Nemteljesítő kitettségek be- és kiáramlásai
| Hivatkozások | Bruttó könyv szerinti érték (V. melléklet 1. részének 34. pontja) | ||||||||
| Nemteljesítő kitettségek – hitelek és előlegek | |||||||||
| ebből: Háztartások | ebből: Nem pénzügyi vállalatok | ||||||||
| ebből: Lakóingatlannal fedezett hitelek | ebből: Kkv-k | ebből: Kereskedelmi ingatlanhoz kapcsolódó hitelek kkv-któl eltérő nem pénzügyi vállalatoknak | |||||||
| ebből: Kereskedelmi ingatlanhoz kapcsolódó hitelek | |||||||||
| V. melléklet 1. részének 32. és 34. pontja, 2. részének 213–216. és 223–239. pontja | V. melléklet 1. részének 42. f) pontja, 44. a) pontja | V. melléklet 2. részének 86. a) pontja és 87. pontja | V. melléklet 1. részének 42. e) pontja és 44. a) pontja | KKV 1. cikke (2) bekezdésének a) pontja | KKV 1. cikke (2) bekezdésének a) pontja, V. melléklet 2. részének 239ix. pontja | V. melléklet 2. részének 239ix. pontja | |||
| 0010 | 0020 | 0030 | 0040 | 0050 | 0060 | 0070 | |||
| 0010 | Nyitó egyenleg | V. melléklet 2. részének 328.pontja | |||||||
| 0020 | Beáramlások | V. melléklet 2. részének 239ii., 239iii., 239vi. és 329. pontja | |||||||
| 0030 | Teljesítő nem átstrukturált kategóriából való átsorolás miatti beáramlás | V. melléklet 2. részének 239ii., 239iii., 239vi. és 329. pontja | |||||||
| 0040 | Teljesítő átstrukturált kategóriából való átsorolás miatti beáramlás | V. melléklet 2. részének 239ii., 239iii., 239vi. és 329. pontja | |||||||
| 0050 | ebből: korábban a nemteljesítő kategóriából átsorolt, próbaidőszakban lévő teljesítő átstrukturált kitettség kategóriából átsorolt | V. melléklet 2. részének 239ii., 239iii., 239vi. és 329. b) pontja | |||||||
| 0060 | Kitettségvásárlás miatti beáramlás | V. melléklet 2. részének 239ii., 239iii., 239vi. és 329. pontja | |||||||
| 0070 | Felhalmozott kamat miatti beáramlás | V. melléklet 2. részének 239ii., 239iii., 239vi. és 329. a) pontja | |||||||
| 0080 | Egyéb okok miatti beáramlás | V. melléklet 2. részének 239ii., 239iii., 239vi. és 329. c) pontja | |||||||
| 0090 | Ebből: Egynél többszöri beáramlás | V. melléklet 2. részének 239ii., 239iii., 239vi. és 330. a) pontja | |||||||
| 0100 | Ebből: Az elmúlt 24 hónapban nyújtott kitettségek beáramlása | V. melléklet 2. részének 239ii., 239iii., 239vi. és 330. b) pontja | |||||||
| 0110 | Ebből: Az időszak alatt nyújtott kitettségek beáramlása | V. melléklet 2. részének 239ii., 239iii., 239vi. és 330. b) pontja | |||||||
| 0120 | Kiáramlások | V. melléklet 2. részének 239iii–239v.,331. és 332. pontja | |||||||
| 0130 | Teljesítő nem átstrukturált kategóriába való átsorolás miatti kiáramlás | V. melléklet 2. részének 239iii–239v. a) pontja, 331. és 332. pontja | |||||||
| 0140 | Teljesítő átstrukturált kategóriába való átsorolás miatti kiáramlás | V. melléklet 2. részének 239iii–239v. a) pontja, 331. és 332. pontja | |||||||
| 0150 | Részleges vagy teljes hitelvisszafizetés miatti kiáramlás | V. melléklet 2. részének 239iii–239v. b) pontja, 331. és 332. pontja | |||||||
| 0160 | Biztosíték likvidálása miatti kiáramlás | V. melléklet 2. részének 239iii–239v. c) pontja, 331. és 332. pontja | |||||||
| 0170 | Biztosíték likvidálásából származó nettó kumulált megtérülés | V. melléklet 2. részének 333. pontja | |||||||
| 0180 | ebből: Leírások biztosítékok likvidálásával összefüggésben | V. melléklet 2. részének 239iii–239v. c) pontja | |||||||
| 0190 | Biztosíték birtokbavétele miatti kiáramlás | V. melléklet 2. részének 239iii–239v. d) pontja, 331. és 332. pontja | |||||||
| 0200 | A biztosíték birtokbavételéből származó nettó kumulált megtérülés | V. melléklet 2. részének 333. pontja | |||||||
| 0210 | ebből: Leírások a biztosíték birtokbavételével összefüggésben | V. melléklet 2. részének 239iii–239v. d) pontja | |||||||
| 0220 | Instrumentumok értékesítése miatti kiáramlás | V. melléklet 2. részének 239iii–239v. e) pontja, 331. és 332. pontja | |||||||
| 0230 | Instrumentumok értékesítéséből származó nettó kumulált megtérülés | V. melléklet 2. részének 333. pontja | |||||||
| 0240 | ebből: Leírások instrumentumok értékesítésével összefüggésben | V. melléklet 2. részének 239iii–239v. e) pontja | |||||||
| 0250 | Kockázatátruházás miatti kiáramlás | V. melléklet 2. részének 239iii–239v. f) pontja, 331. és 332. pontja | |||||||
| 0260 | Kockázatátruházásból származó nettó kumulált megtérülés | V. melléklet 2. részének 333. pontja | |||||||
| 0270 | ebből: Leírások kockázatátruházással összefüggésben | V. melléklet 2. részének 239iii–239v. f) pontja | |||||||
| 0280 | Leírások miatti kiáramlás | V. melléklet 2. részének 239iii–239v. g) pontja, 331. és 332. pontja | |||||||
| 0290 | Értékesítésre tartott kategóriába való átsorolás miatti kiáramlás | V. melléklet 2. részének 239iii–239vi.,331. és 332. pontja | |||||||
| 0300 | Egyéb okok miatti kiáramlás | V. melléklet 2. részének 239iii–239v. h) pontja, 331. és 332. pontja | |||||||
| 0310 | Ebből: Az időszak alatt nemteljesítővé vált nemteljesítő kitettségek kiáramlása | V. melléklet 2. részének 334. pontja | |||||||
| 0320 | Záró egyenleg | V. melléklet 2. részének 328.pontja | |||||||
24.2. Hitelek és előlegek: Értékvesztés változása és a hitelkockázat-változásból származó negatív valósérték-változás halmozott összegének változása nemteljesítő kitettségek esetében
| Hivatkozások | Halmozott értékvesztés és a hitelkockázat-változásból származó negatív valósérték-változás halmozott összege | ||||||||
| Nemteljesítő kitettségek – hitelek és előlegek | |||||||||
| ebből: Háztartások | ebből: Nem pénzügyi vállalatok | ||||||||
| ebből: Lakóingatlannal fedezett hitelek | ebből: Kkv-k | ebből: Kereskedelmi ingatlanhoz kapcsolódó hitelek kkv-któl eltérő nem pénzügyi vállalatoknak | |||||||
| ebből: Kereskedelmi ingatlanhoz kapcsolódó hitelek | |||||||||
| V. melléklet 1. részének 32. pontja, 2. részének 69–71., 213–216. és 223–239. pontja | V. melléklet 1. részének 42. f) pontja, 44. a) pontja | V. melléklet 2. részének 86. a) pontja és 87. pontja | V. melléklet 1. részének 42. e) pontja és 44. a) pontja | KKV 1. cikke (2) bekezdésének a) pontja | KKV 1. cikke (2) bekezdésének a) pontja, V. melléklet 2. részének 239ix. pontja | V. melléklet 2. részének 239ix. pontja | |||
| 0010 | 0020 | 0030 | 0040 | 0050 | 0060 | 0070 | |||
| 0010 | Nyitó egyenleg | V. melléklet 2. részének 335. pontja | |||||||
| 0020 | Növekedés az időszak alatt | V. melléklet 2. részének 336. pontja | |||||||
| 0030 | Ebből: felhalmozott kamattal szembeni értékvesztés | V. melléklet 2. részének 337. pontja | |||||||
| 0040 | Csökkenés az időszak alatt | V. melléklet 2. részének 338. pontja | |||||||
| 0050 | Ebből: Az értékvesztés és a hitelkockázat-változásból származó negatív valósérték-változás visszaírása | V. melléklet 2. részének 339. a) pontja | |||||||
| 0060 | Ebből: Értékvesztés felszabadítása a lebontási eljárás miatt | V. melléklet 2. részének 339. b) pontja | |||||||
| 0070 | Záró egyenleg | V. melléklet 2. részének 335. pontja | |||||||
24.3. Hitelek és előlegek: Nemteljesítő kitettségek leírása az időszak alatt
| Hivatkozások | Bruttó könyv szerinti érték | ||||||||
| Nemteljesítő kitettségek – Hitelek és előlegek | |||||||||
| ebből: Háztartások | ebből: Nem pénzügyi vállalatok | ||||||||
| ebből: Lakóingatlannal fedezett hitelek | Ebből: Kkv-k | Ebből: Kereskedelmi ingatlanhoz kapcsolódó hitelek kkv-któl eltérő nem pénzügyi vállalatoknak | |||||||
| Ebből: Kereskedelmi ingatlanhoz kapcsolódó hitelek kkv-knak | |||||||||
| V. melléklet 1. részének 32. és 34. pontja, 2. részének 213–216. és 223–239. pontja | V. melléklet 1. részének 42. f) pontja, 44. a) pontja | V. melléklet 2. részének 86. a) pontja és 87. pontja | V. melléklet 1. részének 42. e) pontja és 44. a) pontja | KKV 1. cikke (2) bekezdésének a) pontja | KKV 1. cikke (2) bekezdésének a) pontja, V. melléklet 2. részének 239ix. pontja | V. melléklet 2. részének 239ix. pontja | |||
| 0010 | 0020 | 0030 | 0040 | 0050 | 0060 | 0070 | |||
| 0010 | Leírások az időszak alatt | V. melléklet 2. részének 340. pontja | |||||||
| 0020 | Ebből: Adósságelengedés | V. melléklet 2. részének 340. pontja | |||||||
25. Birtokbavétellel és végrehajtással megszerzett biztosítékok
25.1. Birtokbavétellel megszerzett, az "Ingatlanok, gépek és berendezések (PP&E)" besorolású biztosítéktól eltérő biztosítékok: Be- és kiáramlások
| Hivatkozások | Adósságegyenleg-csökkentés | Birtokbavétellel megszerzett, az „Ingatlanok, gépek és berendezések (PP&E)” besorolású biztosítéktól eltérő biztosítékok | ||||||||||||
| Évjárat: megjelenítés a mérlegben | Ebből: Értékesítésre tartott befektetett eszközök | |||||||||||||
| ≤ 2 évig | > 2 évig ≤ 5 évig | > 5 évig | ||||||||||||
| Bruttó könyv szerinti érték | Halmozott értékvesztés, a hitelkockázat-változásból származó negatív valósérték-változás halmozott összege | Kezdeti megjelenítéskori érték | Könyv szerinti érték | Kezdeti megjelenítéskori érték | Könyv szerinti érték | Kezdeti megjelenítéskori érték | Könyv szerinti érték | Kezdeti megjelenítéskori érték | Könyv szerinti érték | Kezdeti megjelenítéskori érték | Könyv szerinti érték | |||
| V. melléklet 1. részének 34. pontja, 2. részének 343. pontja | V. melléklet 2. részének 69–71. pontja és 343. pontja | V. melléklet 2. részének 175., 175i. és 344. pontja | V. melléklet 1. részének 27. pontja, 2. részének 175. pontja | V. melléklet 2. részének 175., 175i. és 348. pontja | V. melléklet 1. részének 27. pontja, 2. részének 175. és 348. pontja | V. melléklet 2. részének 175., 175i. és 348. pontja | V. melléklet 1. részének 27. pontja, 2. részének 175. és 348. pontja | V. melléklet 2. részének 175., 175i. és 348. pontja | V. melléklet 1. részének 27. pontja, 2. részének 175. és 348. pontja | IFRS 5 6. bekezdése, V. melléklet 2. részének 175., 175i. és 344. pontja | IFRS 5 6. bekezdése, V. melléklet 1. részének 27. pontja, 2. részének 175. pontja | |||
| 0010 | 0020 | 0030 | 0040 | 0050 | 0060 | 0070 | 0080 | 0090 | 0100 | 0110 | 0120 | |||
| 0010 | Nyitó egyenleg | V. melléklet 2. részének 341. és 342. pontja | ||||||||||||
| 0020 | Biztosíték beáramlása az időszak alatt | V. melléklet 2. részének 345. és 349. pontja | ||||||||||||
| 0030 | Birtokbavétellel megszerzett új biztosíték miatti beáramlás | V. melléklet 2. részének 345. és 349. pontja | ||||||||||||
| 0040 | Az értékben bekövetkezett pozitív változás miatti beáramlás | V. melléklet 2. részének 345. és 349. pontja | ||||||||||||
| 0050 | Biztosíték kiáramlása az időszak alatt | V. melléklet 2. részének 346. és 349. pontja | ||||||||||||
| 0060 | Kiáramlás, amely esetében pénzeszköz beszedésére került sor | V. melléklet 2. részének 347. és 349. pontja | ||||||||||||
| 0070 | Beszedett pénzeszköz költségek nélkül | V. melléklet 2. részének 347. pontja | ||||||||||||
| 0080 | Birtokbavétellel megszerzett biztosíték értékesítéséből származó nyereség/(-) veszteség | V. melléklet 2. részének 347. pontja | ||||||||||||
| 0090 | Kiáramlás pénzügyi instrumentummal való helyettesítés mellett | V. melléklet 2. részének 346. és 349. pontja | ||||||||||||
| 0100 | Nyújtott finanszírozás | V. melléklet 2. részének 347. pontja | ||||||||||||
| 0110 | Az értékben bekövetkezett negatív változás miatti kiáramlás | V. melléklet 2. részének 346. és 349. pontja | ||||||||||||
| 0120 | Záró egyenleg | V. melléklet 2. részének 341. és 342. pontja | ||||||||||||
25.2. Birtokbavétellel megszerzett, az "Ingatlanok, gépek és berendezések (PP&E)" besorolású biztosítéktól eltérő biztosítékok: Megszerzett biztosíték típusa szerint
| Hivatkozások | Adósságegyenleg-csökkentés | Birtokbavétellel megszerzett, az „Ingatlanok, gépek és berendezések (PP&E)” besorolású biztosítéktól eltérő biztosítékok | ||||||||||||||||
| Évjárat: megjelenítés a mérlegben | Ebből: Értékesítésre tartott befektetett eszközök | |||||||||||||||||
| ≤ 2 évig | > 2 évig ≤ 5 évig | > 5 évig | ||||||||||||||||
| Bruttó könyv szerinti érték | Halmozott értékvesztés, a hitelkockázat-változásból származó negatív valósérték-változás halmozott összege | Kezdeti megjelenítéskori érték | Könyv szerinti érték | Negatív változás halmozott összege | Kezdeti megjelenítéskori érték | Könyv szerinti érték | Negatív változás halmozott összege | Kezdeti megjelenítéskori érték | Könyv szerinti érték | Negatív változás halmozott összege | Kezdeti megjelenítéskori érték | Könyv szerinti érték | Negatív változás halmozott összege | Kezdeti megjelenítéskori érték | Könyv szerinti érték | |||
| V. melléklet 1. részének 34. pontja, 2. részének 343. pontja | V. melléklet 2. részének 69–71. pontja és 343. pontja | V. melléklet 2. részének 175., 175i. és 344. pontja | V. melléklet 1. részének 27. pontja, 2. részének 175. pontja | V. melléklet 2. részének 175. és 175ii. pontja | V. melléklet 2. részének 175., 175i. és 348. pontja | V. melléklet 1. részének 27. pontja, 2. részének 175. és 348. pontja | V. melléklet 2. részének 175., 175ii. és 348. pontja | V. melléklet 2. részének 175., 175i. és 348. pontja | V. melléklet 1. részének 27. pontja, 2. részének 175. és 348. pontja | V. melléklet 2. részének 175., 175ii. és 348. pontja | V. melléklet 2. részének 175., 175i. és 348. pontja | V. melléklet 1. részének 27. pontja, 2. részének 175. és 348. pontja | V. melléklet 2. részének 175., 175ii. és 348. pontja | IFRS 5 6. bekezdése, V. melléklet 2. részének 175. és 175i. pontja | IFRS 5 6. bekezdése, V. melléklet 1. részének 27. pontja, 2. részének 175. pontja | |||
| 0010 | 0020 | 0030 | 0040 | 0050 | 0060 | 0070 | 0080 | 0090 | 0100 | 0110 | 0120 | 0130 | 0140 | 0150 | 0160 | |||
| 0010 | Lakóingatlan | V. melléklet 2. részének 350. és 351. pontja | ||||||||||||||||
| 0020 | Ebből: építés / fejlesztés alatt álló | V. melléklet 2. részének 350. és 352. a) pontja | ||||||||||||||||
| 0030 | Kereskedelmi ingatlan | V. melléklet 2. részének 350. és 351. pontja | ||||||||||||||||
| 0040 | Ebből: építés / fejlesztés alatt álló | V. melléklet 2. részének 350. és 352. a) pontja | ||||||||||||||||
| 0050 | Ebből: Kereskedelmi ingatlannal foglalkozó vállalatokhoz kapcsolódó telek (a mezőgazdasági földterület kivételével) | V. melléklet 2. részének 350. és 352. b) pontja | ||||||||||||||||
| 0060 | Ebből: Területfejlesztési építési engedéllyel rendelkező telek | V. melléklet 2. részének 350. és 352. b) pontja | ||||||||||||||||
| 0070 | Ebből: Területfejlesztési építési engedéllyel nem rendelkező telek | V. melléklet 2. részének 350. és 352. b) pontja | ||||||||||||||||
| 0080 | Ingó vagyontárgyak | V. melléklet 2. részének 350. és 351. pontja | ||||||||||||||||
| 0090 | Tulajdoni részesedést és hitelviszonyt megtestesítő értékpapírok | V. melléklet 2. részének 350. és 351. pontja | ||||||||||||||||
| 0100 | Egyéb | V. melléklet 2. részének 350. és 351. pontja | ||||||||||||||||
| 0110 | Összesen | V. melléklet 2. részének 350. és 351. pontja | ||||||||||||||||
| 0120 | Birtokbavétellel megszerzett biztosítékok száma | V. melléklet 2. részének 350. és 351. pontja | ||||||||||||||||
25.3. Birtokbavétellel megszerzett, "Ingatlanok, gépek és berendezések (PP&E)" besorolású biztosítékok
| Hivatkozások | Adósságegyenleg-csökkentés | Birtokbavétellel megszerzett, „Ingatlanok, gépek és berendezések (PP&E)” besorolású biztosítékok | |||||
| Bruttó könyv szerinti érték | Halmozott értékvesztés, a hitelkockázat-változásból származó negatív valósérték-változás halmozott összege | Kezdeti megjelenítéskori érték | Könyv szerinti érték | Negatív változás halmozott összege | |||
| V. melléklet 1. részének 34. pontja, 2. részének 343. pontja | V. melléklet 2. részének 69–71. pontja és 343. pontja | IAS 16 6. bekezdése, V. melléklet 2. részének 175. és 175i. pontja | IAS 16 6. bekezdése, V. melléklet 1. részének 27. pontja, 2. részének 175. pontja | IAS 16 6. bekezdése, V. melléklet 2. részének 175. és 175ii. pontja | |||
| 0010 | 0020 | 0030 | 0040 | 0050 | |||
| 0010 | Összesen | V. melléklet 2. részének 341. és 357–358. pontja | |||||
| 0020 | Birtokbavétellel megszerzett új biztosíték miatti beáramlások | V. melléklet 2. részének 341., 345. és 357–358. pontja | |||||
26. Átstrukturálás-kezelés és az átstrukturálás minősége
| Hivatkozások | Átstrukturált hitelek és előlegek | ||||||||||
| ebből: Háztartások | ebből: Nem pénzügyi vállalatok | ||||||||||
| ebből: teljesítő | ebből: az időszak alatt átstrukturálással érintett | ebből: teljesítő | ebből: az időszak alatt átstrukturálással érintett | ebből: teljesítő | ebből: az időszak alatt átstrukturálással érintett | ||||||
| V. melléklet 1. részének 32. pontja, 2. részének 240–245. és 252–257. pontja | V. melléklet 2. részének 256. és 259–261. pontja | V. melléklet 2. részének 361. pontja | V. melléklet 1. részének 32., 42. f) és 44. a) pontja, 2. részének 240–245. és 252–257. pontja | V. melléklet 2. részének 256. és 259–261. pontja | V. melléklet 2. részének 361. pontja | V. melléklet 1. részének 32., 42. e) és 44. a) pontja, 2. részének 240–245. és 252–257. pontja | V. melléklet 2. részének 256. és 259–261. pontja | V. melléklet 2. részének 361. pontja | |||
| V. melléklet 1. részének 32. pontja, 2. részének 240–245. és 252–257. pontja | V. melléklet 2. részének 256. és 259–261. pontja | V. melléklet 2. részének 361. pontja | V. melléklet 1. részének 32., 42. f) és 44. a) pontja, 2. részének 240–245. és 252–257. pontja | V. melléklet 2. részének 256. és 259–261. pontja | V. melléklet 2. részének 361. pontja | V. melléklet 1. részének 32., 42. e) és 44. a) pontja, 2. részének 240–245. és 252–257. pontja | V. melléklet 2. részének 256. és 259–261. pontja | V. melléklet 2. részének 361. pontja | |||
| 0010 | 0020 | 0030 | 0040 | 0050 | 0060 | 0070 | 0080 | 0090 | |||
| 0010 | Instrumentumok száma | V. melléklet 2. részének 320., 355. és 356. pontja | |||||||||
| 0020 | Az instrumentumok bruttó könyv szerinti értéke, az átstrukturálási intézkedések következő típusai esetében: | V. melléklet 1. részének 34. pontja, 2. részének 355., 357. és 359. pontja | |||||||||
| 0030 | Türelmi idő/törlesztési moratórium | V. melléklet 2. részének 358. a) pontja | |||||||||
| 0040 | Kamatlábcsökkentés | V. melléklet 2. részének 358. b) pontja | |||||||||
| 0050 | Lejárat/futamidő meghosszabbítása | V. melléklet 2. részének 358. c) pontja | |||||||||
| 0060 | Átütemezett fizetések | V. melléklet 2. részének 358. d) pontja | |||||||||
| 0070 | Adósságelengedés | V. melléklet 2. részének 358. e) pontja | |||||||||
| 0080 | Hitel/eszköz csere | V. melléklet 2. részének 358. f) pontja | |||||||||
| 0090 | Egyéb átstrukturálási intézkedések | V. melléklet 2. részének 358. g) pontja | |||||||||
| Több időpontban átstrukturált instrumentumok bruttó könyv szerinti értéke | V. melléklet 1. részének 34. pontja, 2. részének 355. pontja | ||||||||||
| 0100 | Kétszer átstrukturált hitelek és előlegek | V. melléklet 2. részének 360. a) i.pontja | |||||||||
| 0110 | Kettőnél többször átstrukturált hitelek és előlegek | V. melléklet 2. részének 360. a) i.pontja | |||||||||
| 0120 | Hitelek és előlegek, amelyek már meglévő átstrukturálási intézkedések mellett részesültek átstrukturálási intézkedésben | V. melléklet 2. részének 360. a) ii. pontja | |||||||||
| 0130 | A nemteljesítő besorolásból való kilépés feltételeit nem teljesítő, nemteljesítő átstrukturált hitelek és előlegek bruttó könyv szerinti értéke | V. melléklet 1. részének 34. pontja, 2. részének 232., 355. és 360. b) pontja | |||||||||
30. Mérlegen kívüli tevékenységek: Érdekeltségek nem konszolidált strukturált gazdálkodó egységekben
30.1. Érdekeltségek nem konszolidált strukturált gazdálkodó egységekben
| Hivatkozások | A mérlegben megjelenített pénzügyi eszközök könyv szerinti értéke | Ebből: lehívott likviditási támogatás | Lehívott likviditási támogatás valós értéke | A mérlegben megjelenített pénzügyi kötelezettségek könyv szerinti értéke | Az adatszolgáltató intézmény által adott mérlegen kívüli kitettségek névértéke | Ebből: Adott hitelnyújtási elkötelezettségek névértéke | Az adatszolgáltató intézménynél a tárgyidőszakban felmerült veszteségek | ||
| IFRS 12 29. bekezdésének a) pontja | IFRS 12 29. bekezdésének a) pontja; V. melléklet 2. részének 286. pontja | IFRS 12 29. bekezdésének a) pontja | IFRS 12 B26. bekezdésének e) pontja | IFRS 12 B26. bekezdésének b) pontja V. melléklet 2. részének 287. pontja | |||||
| 010 | 020 | 030 | 040 | 050 | 060 | 080 | |||
| 010 | Összesen | ||||||||
30.2. Nem konszolidált strukturált gazdálkodó egységekben levő érdekeltségek részletezése a tevékenységek jellege szerint
| A tevékenységek jellege szerint | Hivatkozások | Könyv szerinti érték | |||
| Értékpapírosítási különleges célú gazdálkodó egységek | Vagyonkezelés | Más tevékenységek | |||
| CRR 4. cikke (1) bekezdésének 66. pontja | V. melléklet 2. részének 285. a) pontja | ||||
| IFRS 12 24. bekezdése, B6. bekezdésének a) pontja | 010 | 020 | 030 | ||
| 010 | Az adatszolgáltató intézmény mérlegében megjelenített kiválasztott pénzügyi eszközök | IFRS 12 29. bekezdésének a), b) pontja | |||
| 021 | ebből: nemteljesítő | V. melléklet 2. részének 213–239. pontja | |||
| 030 | Származtatott ügyletek | IFRS 9 A. függelék; V. melléklet 2. részének 272. pontja | |||
| 040 | Tulajdoni részesedést megtestesítő instrumentumok | IAS 32 11. bekezdése | |||
| 050 | Hitelviszonyt megtestesítő értékpapírok | V. melléklet 1. részének 31. pontja | |||
| 060 | Hitelek és előlegek | V. melléklet 1. részének 32. pontja | |||
| 070 | Az adatszolgáltató intézmény mérlegében megjelenített kiválasztott tőkeelemek és pénzügyi kötelezettségek | IFRS 12 29. bekezdésének a), b) pontja | |||
| 080 | Kibocsátott tulajdoni részesedést megtestesítő instrumentumok | IAS 32 11. bekezdése | |||
| 090 | Származtatott ügyletek | IFRS 9 A. függelék; V. melléklet 2. részének 272. pontja | |||
| 100 | Betétek | EKB/2013/33 2. melléklete 2. részének 9. szakasza V. melléklet 1. részének 36. pontja | |||
| 110 | Kibocsátott hitelviszonyt megtestesítő értékpapírok | V. melléklet 1. részének 37. pontja | |||
| Névérték | |||||
| 120 | Az adatszolgáltató intézmény által adott mérlegen kívüli kitettségek | IFRS 12 B26. bekezdésének e) pontja CRR I. melléklete; V. melléklet 2. részének 102–105. pontja, 113–115. pontja és 118. pontja | |||
| 131 | ebből: nemteljesítő | V. melléklet 2. részének 117. pontja | |||
31. Kapcsolt felek
31.1. Kapcsolt felek: kötelezettségek és követelések kapcsolt felekkel szemben
| Hivatkozások V. melléklet 2. részének 288–291. pontja | Nyitott egyenlegek | ||||||
| Anyavállalat és a gazdálkodó egység felett közös ellenőrzést vagy jelentős befolyást gyakorló gazdálkodó egységek | Leányvállalatok és azonos csoportba tartozó egyéb gazdálkodó egységek | Társult és közös vállalkozások | Az intézmény vagy anyavállalatának kulcspozícióban lévő vezetői | Egyéb kapcsolt felek | |||
| IAS 24 19. bekezdésének a), b) pontja | IAS 24 19. bekezdésének c) pontja; V. melléklet 2. részének 289. pontja | IAS 24 19. bekezdésének d) és e) pontja; V. melléklet 2. részének 289. pontja | IAS 24 19. bekezdésének f) pontja | IAS 24 19. bekezdésének g) pontja | |||
| 010 | 020 | 030 | 040 | 050 | |||
| 010 | Kiválasztott pénzügyi eszközök | IAS 24 18. bekezdésének b) pontja | |||||
| 020 | Tulajdoni részesedést megtestesítő instrumentumok | IAS 32 11. bekezdése | |||||
| 030 | Hitelviszonyt megtestesítő értékpapírok | V. melléklet 1. részének 31. pontja | |||||
| 040 | Hitelek és előlegek | V. melléklet 1. részének 32. pontja | |||||
| 050 | ebből: nemteljesítő | V. melléklet 2. részének 213–239. pontja | |||||
| 060 | Kiválasztott pénzügyi kötelezettségek | IAS 24 18. bekezdésének b) pontja | |||||
| 070 | Betétek | EKB/2013/33 2. melléklete 2. részének 9. szakasza; V. melléklet 1. részének 36. pontja | |||||
| 080 | Kibocsátott hitelviszonyt megtestesítő értékpapírok | V. melléklet 1. részének 37. pontja | |||||
| 090 | Adott hitelnyújtási elkötelezettségek, pénzügyi garanciák és egyéb elkötelezettségek névértéke | IAS 24 18. bekezdésének b) pontja; CRR I. melléklete; V. melléklet 2. részének 102–105. pontja, 113–115. pontja és 118. pontja | |||||
| 100 | ebből: nemteljesítő | IAS 24 18. bekezdésének b) pontja; V. melléklet 2. részének 117. pontja | |||||
| 110 | Kapott hitelnyújtási elkötelezettségek, pénzügyi garanciák és egyéb elkötelezettségek | IAS 24 18. bekezdésének b) pontja; V. melléklet 2. részének 290. pontja | |||||
| 120 | Származtatott ügyletek névleges összege | V. melléklet 2. részének 133–135. pontja | |||||
| 131 | Az értékvesztés és a hitelkockázat-változásból származó negatív valósérték-változás halmozott összege nemteljesítő kitettségek esetében | IAS 24 1. bekezdésének c) pontja; V. melléklet 2. részének 69–71. pontja és 291. pontja | |||||
| 132 | Nemteljesítő mérlegen kívüli kitettségekre képzett céltartalék | V. melléklet 2. részének 11. pontja, 106. pontja és 291. pontja | |||||
31.2. Kapcsolt felek: kapcsolt felekkel való ügyletkötésekből származó kiadások és bevételek
| Hivatkozások V. melléklet 2. részének 288–289. pontja és 292–293. pontja | Tárgyidőszak | ||||||
| Anyavállalat és a gazdálkodó egység felett közös ellenőrzést vagy jelentős befolyást gyakorló gazdálkodó egységek | Leányvállalatok és azonos csoportba tartozó egyéb gazdálkodó egységek | Társult és közös vállalkozások | Az intézmény vagy anyavállalatának kulcspozícióban lévő vezetői | Egyéb kapcsolt felek | |||
| IAS 24 19. bekezdésének a), b) pontja | IAS 24 19. bekezdésének c) pontja | IAS 24 19. bekezdésének d), e) pontja | IAS 24 19. bekezdésének f) pontja | IAS 24 19. bekezdésének g) pontja | |||
| 010 | 020 | 030 | 040 | 050 | |||
| 010 | Kamatbevétel | IAS 24 18. bekezdésének a) pontja; V. melléklet 2. részének 31. pontja | |||||
| 020 | Kamatráfordítások | IAS 24 18. bekezdésének a) pontja; IAS 1 97. bekezdése; V. melléklet 2. részének 31. pontja | |||||
| 030 | Osztalékbevétel | IAS 24 18. bekezdésének a) pontja; V. melléklet 2. részének 40. pontja | |||||
| 040 | Díj- és jutalékbevételek | IAS 24 18. bekezdésének a) pontja; IFRS 7 20. bekezdésének c) pontja | |||||
| 050 | Díj- és jutalékráfordítások | IAS 24 18. bekezdésének a) pontja; IFRS 7 20. bekezdésének c) pontja | |||||
| 060 | Az eredménnyel szemben valós értéken értékelt kategóriába nem tartozó pénzügyi eszközök és kötelezettségek kivezetéséből származó nyereség vagy (-) veszteség | IAS 24 18. bekezdésének a) pontja | |||||
| 070 | Pénzügyi eszközöktől eltérő eszközök kivezetéséből származó nyereség vagy (-) veszteség | IAS 24 18. bekezdésének a) pontja; V. melléklet 2. részének 292. pontja | |||||
| 080 | Nemteljesítő kitettségek értékvesztése vagy (-) értékvesztésének visszaírása | IAS 24 18. bekezdésének d) pontja; V. melléklet 2. részének 293. pontja | |||||
| 090 | Nemteljesítő kitettségekre képzett céltartalékok vagy (-) céltartalékok visszaírása | V. melléklet 2. részének 50. és 293. pontja | |||||
40. Csoportszerkezet
40.1. Csoportszerkezet: "intézményenként"
| LEI-kód | Az intézmény kódja | Jogalany neve | A belépés időpontja | A befektetést befogadó jegyzett tőkéje | A befektetést befogadó saját tőkéje | A befektetést befogadó mérlegfőösszege | A befektetést befogadó nyeresége vagy (-) vesztesége | A befektetést befogadó székhelye | A befektetést befogadó szektora | NACE-kód | Halmozott tőkerészesedés [%] | Szavazati jogok [%] | Csoportszerkezet [kapcsolat] | Elszámolási módszer [Számviteli csoport] | Elszámolási módszer [CRR csoport] | Könyv szerinti érték | Akvizíció költsége | A befektetést befogadóhoz kapcsolódó cégérték | Az olyan befektetések valós értéke, amelyekre vonatkozóan nyilvánosan közzétett árjegyzés van | 
| V. melléklet 2. részének 294–295. pontja és 296. a) pontja | V. melléklet 2. részének 294–295. pontja és 296. b) pontja | IFRS 12 12. bekezdés a) pontja, 21. bekezdés a) i. pontja; V. melléklet 2. részének 294–295. pontja és 296. c) pontja | V. melléklet 2. részének 294–295. pontja és 296. d) pontja | V. melléklet 2. részének 294–295. pontja és 296. e) pontja | IFRS 12 B12. bekezdés b) pontja; V. melléklet 2. részének 294–295. pontja és 296. f) pontja | IFRS 12 B12. bekezdés b) pontja; V. melléklet 2. részének 294–295. pontja és 296. f) pontja | IFRS 12 B12. bekezdés b) pontja; V. melléklet 2. részének 294–295. pontja és 296. f) pontja | IFRS 12 12. bekezdés b) pontja, 21, bekezdés a) iii. pontja; V. melléklet 2. részének 294–295. pontja és 296. g) pontja | V. melléklet 2. részének 294–295. pontja és 296. h) pontja | V. melléklet 2. részének 294–295. pontja és 296. i) pontja | IFRS 12 21. bekezdésének a) iv. pontja; V. melléklet 2. részének 294–295. pontja és 296. j) pontja | IFRS 12 21. bekezdésének a) iv. pontja; V. melléklet 2. részének 294–295. pontja és 296. k) pontja | IFRS 12 10. bekezdésének a) i. pontja; V. melléklet 2. részének 294–295. pontja és 296. l) pontja | IFRS 12 21. bekezdésének b) pontja; V. melléklet 2. részének 294–295. pontja és 296. m) pontja | CRR 18. cikke; V. melléklet 2. részének 294–295. pontja és 296. n) pontja | V. melléklet 2. részének 294–295. pontja és 296. o) pontja | V. melléklet 2. részének 294–295. pontja és 296. p) pontja | V. melléklet 2. részének 294–295. pontja és 296. q) pontja | IFRS 12 21. bekezdésének b) iii. pontja; V. melléklet 2. részének 294–295. pontja és 296. r) pontja | 
| 010 | 020 | 030 | 040 | 050 | 060 | 070 | 080 | 090 | 095 | 100 | 110 | 120 | 130 | 140 | 150 | 160 | 170 | 180 | 190 | 
40.2. Csoportszerkezet: "instrumentumonként"
| Értékpapírkód | Az intézmény kódja | A holdingtársaság LEI-kódja | A holdingtársaság kódja | A holdingtársaság neve | Halmozott tőkerészesedés (%) | Könyv szerinti érték | Akvizíció költsége | 
| V. melléklet 2. részének 297. a) pontja | V. melléklet 2. részének 297. b) és c) pontja | V. melléklet 2. részének 297. b) pontja | V. melléklet 2. részének 297. b) pontja | V. melléklet 2. részének 296. j) pontja, 297. c) pontja | V. melléklet 2. részének 296. o) pontja, 297. c) pontja | V. melléklet 2. részének 296. p) pontja, 297. c) pontja | |
| 010 | 020 | 030 | 040 | 050 | 060 | 070 | 080 | 
41. Valós érték
41.1. Valósérték-hierarchia: amortizált bekerülési értéken értékelt pénzügyi instrumentumok
| Hivatkozások V. melléklet 2. részének 298. pontja | Valós érték IFRS 7 25–26. bekezdése | Valósérték-hierarchia IFRS 13 97. bekezdése, 93. bekezdésének b) pontja | ||||
| 1. szint IFRS 13 76. bekezdése | 2. szint IFRS 13 81. bekezdése | 3. szint IFRS 13 86. bekezdése | ||||
| 010 | 020 | 030 | 040 | |||
| ESZKÖZÖK | ||||||
| 015 | Amortizált bekerülési értéken értékelt pénzügyi eszközök | IFRS 7 8. bekezdésének f) pontja; IFRS 9 4.1.2. bekezdése | ||||
| 016 | Hitelviszonyt megtestesítő értékpapírok | V. melléklet 1. részének 31. pontja | ||||
| 017 | Hitelek és előlegek | V. melléklet 1. részének 32. pontja | ||||
| KÖTELEZETTSÉGEK | ||||||
| 070 | Amortizált bekerülési értéken értékelt pénzügyi kötelezettségek | IFRS 7 8. bekezdésének g) pontja; IFRS 9 4.2.1. bekezdése | ||||
| 080 | Betétek | EKB/2013/33 2. melléklete 2. részének 9. szakasza; V. melléklet 1. részének 36. pontja | ||||
| 090 | Kibocsátott hitelviszonyt megtestesítő értékpapírok | V. melléklet 1. részének 37. pontja | ||||
| 100 | Egyéb pénzügyi kötelezettségek | V. melléklet 1. részének 38–41. pontja | ||||
41.2. A valós érték opció alkalmazása
| Hivatkozások | Könyv szerinti érték V. melléklet 1. részének 27. pontja | |||||
| Számviteli meg nem felelés | Kezelés valós érték alapján | Hibrid szerződések | Hitelkockázat szempontjából kezelt | |||
| IFRS 9 B4.1.29. bekezdése | IFRS 9 B4.1.33. bekezdése | IFRS 9 4.3.6. bekezdése; IFRS 9 4.3.7. bekezdése; V. melléklet 2. részének 300. pontja | IFRS 9 6.7. bekezdése; IFRS 7 8. bekezdésének a) és e) pontja; V. melléklet 2. részének 301. pontja | |||
| 010 | 020 | 030 | 040 | |||
| ESZKÖZÖK | ||||||
| 010 | Az eredménnyel szemben valós értéken értékeltnek megjelölt pénzügyi eszközök | IFRS 7 8. bekezdésének a) i. pontja; IFRS 9 4.1.5. bekezdése | ||||
| 030 | Hitelviszonyt megtestesítő értékpapírok | V. melléklet 1. részének 31. pontja | ||||
| 040 | Hitelek és előlegek | V. melléklet 1. részének 32. pontja | ||||
| KÖTELEZETTSÉGEK | ||||||
| 050 | Az eredménnyel szemben valós értéken értékeltnek megjelölt pénzügyi kötelezettségek | IFRS 7 8. bekezdésének e) i. pontja; IFRS 9 4.2.2. bekezdése | ||||
| 060 | Betétek | EKB/2013/33 2. melléklete 2. részének 9. szakasza; V. melléklet 1. részének 36. pontja | ||||
| 070 | Kibocsátott hitelviszonyt megtestesítő értékpapírok | V. melléklet 1. részének 37. pontja | ||||
| 080 | Egyéb pénzügyi kötelezettségek | V. melléklet 1. részének 38–41. pontja | ||||
42. Tárgyi eszközök és immateriális javak: könyv szerinti érték értékelési módszer szerint
| Hivatkozások V. melléklet 2. részének 302. pontja | Könyv szerinti érték | |||
| ebből: használatijog-eszközök | ||||
| IFRS 16 47. bekezdésének a) pontja, 53. bekezdésének j) pontja, V. melléklet 2. részének 303i. pontja | ||||
| 010 | 020 | |||
| 010 | Ingatlanok, gépek és berendezések | IAS 16 6. bekezdése; IAS 16 29. bekezdése; IAS 1 54. bekezdésének a) pontja | ||
| 020 | Átértékelési modell | IAS 16 31. bekezdése, 73. bekezdésének a), d) pontja | ||
| 030 | Bekerülésiérték-modell | IAS 16 30. bekezdése, 73. bekezdésének a), d) pontja | ||
| 040 | Befektetési célú ingatlan | IAS 40 5. és 30. bekezdése; IAS 1 54. bekezdésének b) pontja | ||
| 050 | Valósértékmodell | IAS 40 33–55. bekezdése, 76. bekezdése | ||
| 060 | Bekerülésiérték-modell | IAS 40 56. bekezdése, 79. bekezdésének c) pontja | ||
| 070 | Egyéb immateriális javak | IAS 38 8., 118. és 122. bekezdése; V. melléklet 2. részének 303. pontja | ||
| 080 | Átértékelési modell | IAS 38 75–87. bekezdése, 124. bekezdésének a) ii. pontja | ||
| 090 | Bekerülésiérték-modell | IAS 38 74. bekezdése | ||
43. Céltartalékok
| Hivatkozások A nemzeti GAAP-pal kompatibilis IFRS standardok | Könyv szerinti érték V. melléklet 1. részének 27. pontja | |||||||
| Nyugdíj és egyéb munkaviszony megszűnése utáni meghatározott juttatási kötelmek | Egyéb hosszú távú munkavállalói juttatások | Átszervezés | Függő jogi ügyek és adóügyi perek | Az IAS 37 szerint értékelt egyéb elkötelezettségek és adott garanciák és az IFRS 4 szerint értékelt adott garanciák | Egyéb céltartalékok | |||
| IAS 19 63. bekezdése; IAS 1 78. bekezdésének d) pontja; V. melléklet 2. részének 9. pontja | IAS 19 153. bekezdése; IAS 1 78. bekezdésének d) pontja; V. melléklet 2. részének 10. pontja | IAS 37 70–83. bekezdések | IAS 37 14. bekezdése | IAS 37. bekezdése; IFRS 4; V. melléklet 2. részének 304–305. pontja | IAS 37 14. bekezdése | |||
| 010 | 020 | 030 | 040 | 055 | 060 | |||
| 010 | Nyitó egyenleg [könyv szerinti érték az időszak elején] | IAS 37 84. bekezdésének a) pontja | ||||||
| 020 | Céltartalékképzés, beleértve a már meglévő céltartalékok növelését | IAS 37 84. bekezdésének b) pontja | ||||||
| 030 | (-) Felhasznált összegek | IAS 37 84. bekezdésének c) pontja | ||||||
| 040 | (-) Fel nem használt, az időszak során visszaírt összegek | IAS 37 84. bekezdésének d) pontja | ||||||
| 050 | A diszkontált összeg [az idő múlása] növekedése és a diszkontráta bármilyen változásának hatása | IAS 37 84. bekezdésének e) pontja | ||||||
| 060 | Egyéb mozgások | |||||||
| 070 | Záró egyenleg [könyv szerinti érték az időszak végén] | IAS 37 84. bekezdésének a) pontja | ||||||
44. Meghatározott juttatási programok és munkavállalói juttatások
44.1. A meghatározott juttatási programok nettó eszközeinek és kötelezettségeinek összetevői
| Hivatkozások | Összeg | ||
| V. melléklet 2. részének 306–307. pontja | |||
| 010 | |||
| 010 | A meghatározott juttatási program eszközeinek valós értéke | IAS 19 140. bekezdésének a) i. pontja, 142. bekezdése | |
| 020 | Ebből: Az intézmény által kibocsátott pénzügyi instrumentumok | IAS 19 143. bekezdése | |
| 030 | Tulajdoni részesedést megtestesítő instrumentumok | IAS 19 142. bekezdésének b) pontja | |
| 040 | Hitelviszonyt megtestesítő instrumentumok | IAS 19 142. bekezdésének c) pontja | |
| 050 | Ingatlan | IAS 19 142. bekezdésének d) pontja | |
| 060 | A meghatározott juttatási program egyéb eszközei | ||
| 070 | A meghatározott juttatási kötelmek jelenértéke | IAS 19 140. bekezdésének a) ii. pontja | |
| 080 | Az eszközértékhatár hatása | IAS 19 140. bekezdésének a) iii. pontja | |
| 090 | A meghatározott juttatási program nettó eszközei [Könyv szerinti érték] | IAS 19 63. bekezdése; V. melléklet 2. részének 308. pontja | |
| 100 | Nyugdíjra és egyéb munkaviszony megszűnése utáni meghatározott juttatási kötelmekre képzett céltartalék [könyv szerinti érték] | IAS 19 63. bekezdése; IAS 1 78. bekezdésének d) pontja; V. melléklet 2. részének 9. pontja | |
| 110 | Eszközként megjelenített visszatérítési jogok valós értéke | IAS 19,140. bekezdésének b) pontja | |
44.2. A meghatározott juttatási kötelmek változásai
| Hivatkozások | Meghatározott juttatási kötelmek | ||
| V. melléklet 2. részének 306. pontja és 309. pontja | |||
| 010 | |||
| 010 | Nyitó egyenleg [jelenérték] | IAS 19 140. bekezdésének a) ii. pontja | |
| 020 | Tárgyidőszaki szolgálat költsége | IAS 19 141. bekezdésének a) pontja | |
| 030 | Kamatköltség | IAS 19 141. bekezdésének b) pontja | |
| 040 | Fizetett hozzájárulások | IAS 19 141. bekezdésének f) pontja | |
| 050 | Demográfiai feltételezések változásaiból eredő aktuáriusi nyereségek vagy (-) veszteségek | IAS 19 141. bekezdésének c) ii. pontja | |
| 060 | Pénzügyi feltételezések változásaiból eredő aktuáriusi nyereségek vagy (-) veszteségek | IAS 19 141. bekezdésének c) iii. pontja | |
| 070 | Devizaárfolyam növekedése vagy (-) csökkenése | IAS 19 141. bekezdésének e) pontja | |
| 080 | Kifizetett juttatások | IAS 19 141. bekezdésének g) pontja | |
| 090 | Múltbeli szolgálat költsége, az elszámolásokból eredő nyereségekkel és veszteségekkel együtt | IAS 19,141. bekezdésének d) pontja | |
| 100 | Üzleti kombinációkból és elidegenítésekből származó növekedés vagy (-) csökkenés | IAS 19 141. bekezdésének h) pontja | |
| 110 | Egyéb növekedés vagy (-) csökkenés | ||
| 120 | Záró egyenleg [jelenérték] | IAS 19 140. bekezdésének a) ii. pontja; V. melléklet 2. részének 310. pontja | |
44.3. Személyi jellegű ráfordítások a juttatás típusa szerint
| Hivatkozások | Tárgyidőszak | ||
| 010 | |||
| 010 | Nyugdíjak és hasonló költségek | V. melléklet 2. részének 311. a) pontja | |
| 020 | Részvényalapú kifizetések | IFRS 2 44. bekezdése; V. melléklet 2. részének 311. b) pontja | |
| 030 | Bérek és keresetek | V. melléklet 2. részének 311. c) pontja | |
| 040 | Társadalombiztosítási járulékok | V. melléklet 2. részének 311. d) pontja | |
| 050 | Végkielégítések | IAS 19 8. bekezdése, V. melléklet 2. részének 311. e) pontja | |
| 060 | Egyéb típusú személyi jellegű ráfordítások | V. melléklet 2. részének 311. f) pontja | |
| 070 | SZEMÉLYI JELLEGŰ RÁFORDÍTÁSOK | ||
44.4. Személyi jellegű ráfordítások a javadalmazás és az alkalmazottak kategóriája szerint
| Hivatkozások | Tárgyidőszak | |||||
| Összes alkalmazott | ||||||
| ebből: Azonosított munkavállalók | ||||||
| ebből: Vezető testület (irányító funkciójában) és felső vezetés | ebből: Vezető testület (felügyeleti funkciójában) | |||||
| V. melléklet 2. részének 311i. a) pontja | V. melléklet 2. részének 311i. pontja | V. melléklet 2. részének 311i. b) pontja | ||||
| 0010 | 0020 | 0030 | 0040 | |||
| 0010 | Fix javadalmazás | V. melléklet 2. részének 311i. a) pontja | ||||
| 0020 | Változó javadalmazás | V. melléklet 2. részének 311i. a) pontja | ||||
| 0030 | Javadalmazástól eltérő személyi jellegű ráfordítások | |||||
| 0040 | SZEMÉLYI JELLEGŰ RÁFORDÍTÁSOK | |||||
| 0050 | ALKALMAZOTTAK SZÁMA | V. melléklet 2. részének 311ii. pontja | ||||
45. Az eredménykimutatás kiválasztott tételeinek részletezése
45.1. Az eredménnyel szemben valós értéken értékeltnek megjelölt pénzügyi eszközök és kötelezettségek nyeresége vagy vesztesége számviteli portfólió szerint
| Hivatkozások | Tárgyidőszak | A hitelkockázat változásából származó valósérték-változás összege | ||
| V. melléklet 2. részének 312. pontja | ||||
| 010 | 020 | |||
| 010 | Az eredménnyel szemben valós értéken értékeltnek megjelölt pénzügyi eszközök | IFRS 7 20. bekezdésének a) i. pontja; IFRS 9 4.1.5. bekezdése | ||
| 020 | Az eredménnyel szemben valós értéken értékeltnek megjelölt pénzügyi kötelezettségek | IFRS 7 20. bekezdésének a) i. pontja; IFRS 9 4.2.2. bekezdése | ||
| 030 | AZ EREDMÉNNYEL SZEMBEN VALÓS ÉRTÉKEN ÉRTÉKELTNEK MEGJELÖLT PÉNZÜGYI ESZKÖZÖK ÉS KÖTELEZETTSÉGEK NYERESÉGE VAGY (-) VESZTESÉGE | IFRS 7 20. bekezdésének a) i. pontja | ||
45.2. Nem pénzügyi eszközök kivezetéséből származó nyereség vagy veszteség
| Hivatkozások | Tárgyidőszak | ||
| V. melléklet 2. részének 313. pontja | |||
| 010 | |||
| 010 | Ingatlanok, gépek és berendezések | IAS 16 68. és 71. bekezdése | |
| 020 | Befektetési célú ingatlan | IAS 40 69. bekezdése; IAS 1 34. bekezdésének a) pontja, 98. bekezdésének d) pontja | |
| 030 | Immateriális javak | IAS 38 113-115A. bekezdések; IAS 1 34. bekezdésének a) pontja | |
| 040 | Egyéb eszközök | IAS 1 34. bekezdésének a) pontja | |
| 050 | NEM PÉNZÜGYI ESZKÖZÖK KIVEZETÉSÉBŐL SZÁRMAZÓ NYERESÉG VAGY (-) VESZTESÉG | IAS 1 34. bekezdése | |
45.3. Egyéb működési bevételek és ráfordítások
| Hivatkozások | Bevételek | Ráfordítások | ||
| 010 | 020 | |||
| 010 | A valósérték-modell alkalmazásával értékelt tárgyi eszközök valós értékének változásai | IAS 40 76. bekezdésének d) pontja; V. melléklet 2. részének 314. pontja | ||
| 020 | Befektetési célú ingatlan | IAS 40 75. bekezdésének f) pontja; V. melléklet 2. részének 314. pontja | ||
| 030 | Operatív lízing, kivéve befektetési célú ingatlan | IFRS 16 81. és 82. bekezdése; V. melléklet 2. részének 315. pontja | ||
| 040 | Egyéb | V. melléklet 2. részének 316. pontja | ||
| 050 | EGYÉB MŰKÖDÉSI BEVÉTEL VAGY RÁFORDÍTÁS | V. melléklet 2. részének 314–316. pontja | ||
46. A sajáttőke-változások kimutatása
| A saját tőke változásának forrása | Hivatkozások | Jegyzett tőke | Névértéken felüli befizetés (ázsió) | Kibocsátott tulajdoni részesedést megtestesítő instrumentumok, kivéve jegyzett tőke | Egyéb tőke | Halmozott egyéb átfogó jövedelem | Eredménytartalék | Átértékelési tartalék | Egyéb tartalék | (-) Saját részvények | Az anyavállalat tulajdonosainak tulajdonítható nyereség vagy (-) veszteség | (-) évközi osztalék | Kisebbségi részesedések | Összesen | ||
| Halmozott egyéb átfogó jövedelem | Egyéb tételek | |||||||||||||||
| IAS 1 106. bekezdése, 54. bekezdésének r) pontja | IAS 1 106. bekezdése, 78. bekezdésének e) pontja | IAS 1 106. bekezdése; V. melléklet 2. részének 18–19. pontja | IAS 1 106. bekezdése; V. melléklet 2. részének 20. bekezdése | IAS 1 106. bekezdése | CRR 4. cikke (1) bekezdésének 123. pontja | IFRS 1 30. bekezdése, D5–D8. bekezdése | IAS 1 106. bekezdése, 54. bekezdésének c) pontja | IAS 1 106. bekezdése; IAS 32 33. és 34. bekezdése V. melléklet 2. részének 30. pontja | IAS 1,106. bekezdésének a) pontja | IAS 1 106. bekezdése; IAS 32 35. bekezdése | IAS 1 54. bekezdésének q) pontja, 106. bekezdésének a) pontja | IAS 1 54. bekezdésének q) pontja, 106. bekezdésének a) pontja | IAS 1 9. bekezdésének c) pontja, IG6 | |||
| 010 | 020 | 030 | 040 | 050 | 060 | 070 | 080 | 090 | 100 | 110 | 120 | 130 | 140 | |||
| 010 | Nyitó egyenleg [újramegállapítás előtt] | |||||||||||||||
| 020 | Hibajavítások hatásai | IAS 1 106. bekezdésének b) pontja; IAS 8 42. bekezdése | ||||||||||||||
| 030 | A számviteli politika változásainak hatásai | IAS 1 106. bekezdésének b) pontja; IAS 1, IG6; IAS 8 22. bekezdése | ||||||||||||||
| 040 | Nyitó egyenleg [tárgyidőszak] | |||||||||||||||
| 050 | Törzsrészvények kibocsátása | IAS 1 106. bekezdésének d) iii. pontja | ||||||||||||||
| 060 | Elsőbbségi részvények kibocsátása | IAS 1 106. bekezdésének d) iii. pontja | ||||||||||||||
| 070 | Egyéb tulajdoni részesedést megtestesítő instrumentumok kibocsátása | IAS 1 106. bekezdésének d) iii. pontja | ||||||||||||||
| 080 | Egyéb kibocsátott tulajdoni részesedést megtestesítő instrumentumok fűződő jog gyakorlása vagy lejárata | IAS 1 106. bekezdésének d) iii. pontja | ||||||||||||||
| 090 | Tartozás átváltása saját tőkévé | IAS 1 106. bekezdésének d) iii. pontja | ||||||||||||||
| 100 | Tőkeleszállítás | IAS 1 106. bekezdésének d) iii. pontja | ||||||||||||||
| 110 | Osztalék | IAS 1 106. bekezdésének d) iii. pontja; IAS 32 35. bekezdése; IAS 1, IG6 | ||||||||||||||
| 120 | Saját részvények vásárlása | IAS 1 106. bekezdésének d) iii. pontja IAS 32 33. bekezdése | ||||||||||||||
| 130 | Saját részvények értékesítése vagy bevonása | IAS 1 106. bekezdésének d) iii. pontja IAS 32 33. bekezdése | ||||||||||||||
| 140 | Pénzügyi instrumentumok átsorolása a saját tőkéből a kötelezettségekhez | IAS 1 106. bekezdésének d) iii. pontja | ||||||||||||||
| 150 | Pénzügyi instrumentumok átsorolása a kötelezettségekből a saját tőkéhez | IAS 1 106. bekezdésének d) iii. pontja | ||||||||||||||
| 160 | Átvezetés a saját tőke összetevői között | IAS 1 106. bekezdésének d) iii. pontja V. melléklet 2. részének 318. pontja | ||||||||||||||
| 170 | A saját tőke üzleti kombinációkból származó növekedése vagy (-) csökkenése | IAS 1 106. bekezdésének d) iii. pontja | ||||||||||||||
| 180 | Részvényalapú kifizetések | IAS 1 106. bekezdésének d) iii. pontja; IFRS 2.10 | ||||||||||||||
| 190 | A saját tőke egyéb növekedése vagy (-) csökkenése | IAS 1 106. bekezdésének d) pontja | ||||||||||||||
| 200 | Teljes tárgyévi átfogó jövedelem | IAS 1 106. bekezdésének d) i–ii. pontja; IAS 1 81A. bekezdésének c) pontja; IAS 1, IG6 | ||||||||||||||
| 210 | Záró egyenleg [tárgyidőszak] | |||||||||||||||
47. Hitelek és előlegek: Átlagos időtartam és megtérülési időszakok
| Hivatkozások | ÖSSZESEN | ||||||||
| ebből: Háztartások | ebből: Nem pénzügyi vállalatok | ||||||||
| ebből: Lakóingatlannal fedezett hitelek | ebből: Kkv-k | ebből: Kereskedelmi ingatlanhoz kapcsolódó hitelek kkv-któl eltérő nem pénzügyi vállalatoknak | |||||||
| ebből: Kereskedelmi ingatlanhoz kapcsolódó hitelek | |||||||||
| V. melléklet 1. részének 42. f) pontja | V. melléklet 2. részének 86. a) pontja és 87. pontja | V. melléklet 1. részének 42. e) pontja | KKV 1. cikke (2) bekezdésének a) pontja | KKV 1. cikke (2) bekezdésének a) pontja, V. melléklet 2. részének 239ix. pontja | V. melléklet 2. részének 239ix. pontja | ||||
| 0010 | 0020 | 0030 | 0040 | 0050 | 0060 | 0070 | |||
| 0010 | Nemteljesítő hitelek és előlegek: az esedékesség napjától eltelt súlyozott átlagos időtartam (években) | V. melléklet 2. részének 362. és 363. pontja | |||||||
| 0020 | Az időszak alatt lezárult peres eljárásokból származó nettó kumulált megtérülés | V. melléklet 2. részének 362. és 364. a) pontja | |||||||
| 0030 | A bruttó könyv szerinti érték időszak alatt lezárult peres eljárásokból származó csökkenése | V. melléklet 2. részének 362. és 364. b) pontja | |||||||
| 0040 | Az időszak alatt lezárult peres eljárások átlagos időtartama (években) | V. melléklet 2. részének 362. és 364. c) pontja | |||||||
IV. MELLÉKLET
A PÉNZÜGYI INFORMÁCIÓKRA VONATKOZÓ ADATSZOLGÁLTATÁS A NEMZETI SZÁMVITELI SZABÁLYOZÁSSAL ÖSSZHANGBAN
| FINREP-TÁBLÁK A GAAP SZERINT | ||
| A TÁBLA SZÁMA | A TÁBLA KÓDJA | A TÁBLA VAGY TÁBLACSOPORT NEVE | 
| 1. RÉSZ [NEGYEDÉVES GYAKORISÁG] | ||
| Mérleg [pénzügyi helyzetre vonatkozó kimutatás] | ||
| 1.1 | F 01.01 | Mérleg: eszközök | 
| 1.2 | F 01.02 | Mérleg: kötelezettségek | 
| 1.3 | F 01.03 | Mérleg: saját tőke | 
| 2 | F 02.00 | Eredménykimutatás | 
| 3 | F 03.00 | Átfogó jövedelemkimutatás | 
| Pénzügyi eszközök instrumentum és ügyfélszektor szerinti részletezése | ||
| 4.1 | F 04.01 | Pénzügyi eszközök instrumentum és ügyfélszektor szerinti részletezése: kereskedési céllal tartott pénzügyi eszközök | 
| 4.2.1 | F 04.02.1 | Pénzügyi eszközök instrumentum és ügyfélszektor szerinti részletezése: kötelezően az eredménnyel szemben valós értéken értékelt, nem kereskedési célú pénzügyi eszközök | 
| 4.2.2 | F 04.02.2 | Pénzügyi eszközök instrumentum és ügyfélszektor szerinti részletezése: az eredménnyel szemben valós értéken értékeltnek megjelölt pénzügyi eszközök | 
| 4.3.1 | F 04.03.1 | Pénzügyi eszközök instrumentum és ügyfélszektor szerinti részletezése: az egyéb átfogó jövedelemmel szemben valós értéken értékelt pénzügyi eszközök | 
| 4.4.1 | F 04.04.1 | Pénzügyi eszközök instrumentum és ügyfélszektor szerinti részletezése: amortizált bekerülési értéken értékelt pénzügyi eszközök | 
| 4.5 | F 04.05 | Alárendelt pénzügyi eszközök | 
| 4.6 | F 04.06 | Pénzügyi eszközök instrumentum és ügyfélszektor szerinti részletezése: kereskedési célú pénzügyi eszközök | 
| 4.7 | F 04.07 | Pénzügyi eszközök instrumentum és ügyfélszektor szerinti részletezése: eredménnyel szemben valós értéken értékelt, nem kereskedési célú, nem származtatott pénzügyi eszközök | 
| 4.8 | F 04.08 | Pénzügyi eszközök instrumentum és ügyfélszektor szerinti részletezése: a saját tőkével szemben valós értéken értékelt, nem kereskedési célú, nem származtatott pénzügyi eszközök | 
| 4.9 | F 04.09 | Pénzügyi eszközök instrumentum és ügyfélszektor szerinti részletezése: bekerülésiérték-módszerrel értékelt nem kereskedési célú, nem származtatott pénzügyi eszközök | 
| 4.10 | F 04.10 | Pénzügyi eszközök instrumentum és ügyfélszektor szerinti részletezése: egyéb nem kereskedési célú, nem származtatott pénzügyi eszközök | 
| 5.1 | F 05.01 | Nem kereskedési célú hitelek és előlegek termék szerinti részletezése | 
| 6.1 | F 06.01 | Nem pénzügyi vállalatoknak nyújtott, nem kereskedési céllal tartott hitelek és előlegek részletezése NACE kódok szerint | 
| Értékvesztés-elszámolási kötelezettség alá tartozó késedelmes pénzügyi eszközök | ||
| 7.1 | F 07.01 | Értékvesztés-elszámolási kötelezettség alá tartozó késedelmes pénzügyi eszközök | 
| 7.2 | F 07.02 | Értékvesztés-elszámolási kötelezettség alá tartozó késedelmes pénzügyi eszközök a nemzeti GAAP szerint | 
| Pénzügyi kötelezettségek részletezése | ||
| 8.1 | F 08.01 | Pénzügyi kötelezettségek termék és ügyfélszektor szerinti részletezése | 
| 8.2 | F 08.02 | Alárendelt pénzügyi kötelezettségek | 
| Hitelnyújtási elkötelezettségek, pénzügyi garanciák és egyéb elkötelezettségek | ||
| 9.1 | F 09.01 | Mérlegen kívüli kitettségek a nemzeti GAAP szerint: adott hitelnyújtási elkötelezettségek, pénzügyi garanciák és egyéb elkötelezettségek | 
| 9.1.1 | F 09.01.1 | Mérlegen kívüli kitettségek: adott hitelnyújtási elkötelezettségek, pénzügyi garanciák és egyéb elkötelezettségek | 
| 9.2 | F 09.02 | Kapott hitelnyújtási elkötelezettségek, pénzügyi garanciák és egyéb elkötelezettségek | 
| 10 | F 10.00 | Származtatott ügyletek – Kereskedési célú ügyletek és gazdasági fedezeti ügyletek | 
| Fedezeti elszámolások | ||
| 11.1 | F 11.01 | Származtatott ügyletek – Fedezeti elszámolások: kockázattípus és fedezetiügylet-típus szerinti részletezés | 
| 11.2 | F 11.02 | Származtatott ügyletek – Fedezeti elszámolások a nemzeti GAAP szerint: Kockázattípusok szerinti részletezés | 
| 11.3 | F 11.03 | Nem származtatott fedezeti instrumentumok: számviteli portfólió és fedezetiügylet-típus szerinti részletezés | 
| 11.3.1 | F 11.03.1 | Nem származtatott fedezeti instrumentumok a nemzeti GAAP szerint: számviteli portfólió szerinti részletezés | 
| 11.4 | F 11.04 | Fedezett tételek valósérték-fedezeti ügyletekben | 
| Hitelezési veszteségekre képzett értékvesztés és céltartalékok változása | ||
| 12 | F 12.00 | Hitelezési veszteségekre képzett értékvesztés változása és tulajdoni részesedést megtestesítő instrumentumok értékvesztése a nemzeti GAAP szerint | 
| 12.1 | F 12.01 | Hitelezési veszteségekre képzett értékvesztés és céltartalékok változása | 
| 12.2 | F 12.02 | Értékvesztési szakaszok közötti átvezetések (bruttó alapú megjelenítés) | 
| Kapott biztosítékok és garanciák | ||
| 13.1 | F 13.01 | Biztosítékok és garanciák nem kereskedési céllal tartott hitelek és előlegek szerinti részletezése | 
| 13.2.1 | F 13.02.1 | Az időszak alatt birtokbavétellel megszerzett biztosítékok [a vonatkozási időpontban tartott] | 
| 13.3.1 | F 13.03.1 | Birtokbavétellel megszerzett biztosítékok – halmozott | 
| 14 | F 14.00 | Valósérték-hierarchia: valós értéken értékelt pénzügyi instrumentumok | 
| 15 | F 15.00 | Pénzügyi eszközök átadásával összefüggő kivezetés és pénzügyi kötelezettségek | 
| Az eredménykimutatás kiválasztott tételeinek részletezése | ||
| 16.1 | F 16.01 | Kamatbevételek és kamatráfordítások instrumentum és ügyfélszektor szerint | 
| 16.2 | F 16.02 | Az eredménnyel szemben valós értéken értékelt kategóriába nem tartozó pénzügyi eszközök és kötelezettségek kivezetéséből származó nyereség vagy veszteség instrumentum szerint | 
| 16.3 | F 16.03 | Kereskedési céllal tartott és kereskedési célú pénzügyi eszközökből és kötelezettségekből származó nyereség vagy veszteség instrumentum szerint | 
| 16.4 | F 16.04 | Kereskedési céllal tartott és kereskedési célú pénzügyi eszközökből és kötelezettségekből származó nyereség vagy veszteség kockázat szerint | 
| 16.4.1 | F 16.04.1 | Kötelezően az eredménnyel szemben valós értéken értékelt, nem kereskedési célú pénzügyi eszközök nyeresége vagy vesztesége instrumentum szerint | 
| 16.5 | F 16.05 | Az eredménnyel szemben valós értéken értékeltnek megjelölt pénzügyi eszközök és kötelezettségek nyeresége vagy vesztesége instrumentum szerint | 
| 16.6 | F 16.06 | Fedezeti elszámolásokból eredő nyereségek vagy veszteségek | 
| 16.7 | F 16.07 | Nem pénzügyi eszközök értékvesztése | 
| 16.8 | F 16.08 | Egyéb igazgatási költségek | 
| A konszolidáció számviteli és CRR szerinti körének egyeztetése: Mérleg | ||
| 17.1 | F 17.01 | A konszolidáció számviteli és CRR szerinti körének egyeztetése: Eszközök | 
| 17.2 | F 17.02 | A konszolidáció számviteli és CRR szerinti körének egyeztetése: Mérlegen kívüli kitettségek – adott hitelnyújtási elkötelezettségek, pénzügyi garanciák és egyéb elkötelezettségek | 
| 17.3 | F 17.03 | A konszolidáció számviteli és CRR szerinti körének egyeztetése: Kötelezettségek | 
| A teljesítő és nemteljesítő kitettségekkel kapcsolatos információk | ||
| 18 | F 18.00 | A teljesítő és nemteljesítő kitettségekkel kapcsolatos információk | 
| 18.1 | F 18.01 | Nemteljesítő kitettségek be- és kiáramlásai – hitelek és előlegek ügyfélszektor szerint | 
| 18.2 | F 18.02 | Kereskedelmi ingatlanhoz kapcsolódó hitelek és ingatlannal fedezett hitelekkel kapcsolatos kiegészítő információk | 
| 19 | F 19.00 | Átstrukturált kitettségek | 
| 2. RÉSZ [NYEGYEDÉVES KÜSZÖBÉRTÉKKEL: NEGYEDÉVES GYAKORISÁG VAGY NINCS ADATSZOLGÁLTATÁS] | ||
| Földrajzi megoszlás | ||
| 20.1 | F 20.01 | Eszközök földrajzi megoszlása a tevékenység helye szerint | 
| 20.2 | F 20.02 | Kötelezettségek földrajzi megoszlása a tevékenység helye szerint | 
| 20.3 | F 20.03 | Az eredménykimutatás fő tételeinek földrajzi megoszlása a tevékenység helye szerint | 
| 20.4 | F 20.04 | Eszközök földrajzi megoszlása az ügyfél székhelye szerint | 
| 20.5 | F 20.05 | Mérlegen kívüli kitettségek földrajzi megoszlása az ügyfél székhelye szerint | 
| 20.6 | F 20.06 | Kötelezettségek földrajzi megoszlása az ügyfél székhelye szerint | 
| 20.7.1 | F 20.07.1 | Nem pénzügyi vállalatoknak nyújtott, nem kereskedési céllal tartott hitelek és előlegek földrajzi megoszlása NACE-kódok és az ügyfél székhelye szerint | 
| 21 | F 21.00 | Tárgyi eszközök és immateriális javak: operatív lízingbe adott eszközök | 
| Vagyonkezelés, letétkezelés és egyéb szolgáltatások | ||
| 22.1 | F 22.01 | Díj- és jutalékbevételek és díj- és jutalékráfordítások tevékenység szerint | 
| 22.2 | F 22.02 | A nyújtott szolgáltatásokban érintett eszközök | 
| Hitelek és előlegek: kiegészítő információk | ||
| 23.1 | F 23.01 | Hitelek és előlegek: Instrumentumok száma | 
| 23.2 | F 23.02 | Hitelek és előlegek: A bruttó könyv szerinti értékkel kapcsolatos kiegészítő információk | 
| 23.3 | F 23.03 | Ingatlannal fedezett hitelek és előlegek: Hitelfedezeti arányok szerinti részletezés | 
| 23.4 | F 23.04 | Hitelek és előlegek: A halmozott értékvesztéssel és a hitelkockázat-változásból származó negatív valósérték-változás halmozott összegével kapcsolatos kiegészítő információk | 
| 23.5 | F 23.05 | Hitelek és előlegek: Kapott biztosítékok és kapott pénzügyi garanciák | 
| 23.6 | F 23.06 | Hitelek és előlegek: Halmozott részleges leírások összege | 
| Hitelek és előlegek: Nemteljesítő kitettségek, értékvesztés és leírások változása az utolsó pénzügyi év vége óta | ||
| 24.1 | F 24.01 | Hitelek és előlegek: Nemteljesítő kitettségek be- és kiáramlásai | 
| 24.2 | F 24.02 | Hitelek és előlegek: Értékvesztések változása és a hitelkockázat-változásból származó negatív valósérték-változás halmozott összegének változása nemteljesítő kitettségek esetében | 
| 24.3 | F 24.03 | Hitelek és előlegek: Nemteljesítő kitettségek leírásainak beáramlásai | 
| Birtokbavétellel és végrehajtással megszerzett biztosítékok | ||
| 25.1 | F 25.01 | Birtokbavétellel megszerzett, az „Ingatlanok, gépek és berendezések (PP&E)” besorolású biztosítéktól eltérő biztosítékok: Be- és kiáramlások | 
| 25.2 | F 25.02 | Birtokbavétellel megszerzett, az „Ingatlanok, gépek és berendezések (PP&E)” besorolású biztosítéktól eltérő biztosítékok: Megszerzett biztosíték típusa szerint | 
| 25.3 | F 25.03 | Birtokbavétellel megszerzett, „Ingatlanok, gépek és berendezések (PP&E)” besorolású biztosítékok | 
| 26 | F 26.00 | Átstrukturálás-kezelés és az átstrukturálás minősége | 
| 3. RÉSZ [FÉLÉVES] | ||
| Mérlegen kívüli tevékenységek: érdekeltségek nem konszolidált strukturált gazdálkodó egységekben | ||
| 30.1 | F 30.01 | Érdekeltségek nem konszolidált strukturált gazdálkodó egységekben | 
| 30.2 | F 30.02 | Nem konszolidált strukturált gazdálkodó egységekben levő érdekeltségek részletezése a tevékenységek jellege szerint | 
| Kapcsolt felek | ||
| 31.1 | F 31.01 | Kapcsolt felek: kötelezettségek és követelések kapcsolt felekkel szemben | 
| 31.2 | F 31.02 | Kapcsolt felek: kapcsolt felekkel való ügyletkötésekből származó kiadások és bevételek | 
| 4. RÉSZ [ÉVES] | ||
| Csoportszerkezet | ||
| 40.1 | F 40.01 | Csoportszerkezet: „intézményenként” | 
| 40.2 | F 40.02 | Csoportszerkezet: „instrumentumonként” | 
| Valós érték | ||
| 41.1 | F 41.01 | Valósérték-hierarchia: amortizált bekerülési értéken értékelt pénzügyi instrumentumok | 
| 41.2 | F 41.02 | A valós érték opció alkalmazása | 
| 42 | F 42.00 | Tárgyi eszközök és immateriális javak: könyv szerinti érték értékelési módszer szerint | 
| 43 | F 43.00 | Céltartalékok | 
| Meghatározott juttatási programok és munkavállalói juttatások | ||
| 44.1 | F 44.01 | A meghatározott juttatási programok nettó eszközeinek és kötelezettségeinek összetevői | 
| 44.2 | F 44.02 | A meghatározott juttatási programban vállalt kötelmek változásai | 
| 44.3 | F 44.03 | Személyi jellegű ráfordítások a juttatás típusa szerint | 
| 44.4 | F 44.04 | Személyi jellegű ráfordítások szerkezet és az alkalmazottak kategóriája szerint | 
| Az eredménykimutatás kiválasztott tételeinek részletezése | ||
| 45.1 | F 45.01 | Az eredménnyel szemben valós értéken értékeltnek megjelölt pénzügyi eszközök és kötelezettségek nyeresége vagy vesztesége számviteli portfólió szerint | 
| 45.2 | F 45.02 | Nem értékesítésre tartott nem pénzügyi eszközök kivezetéséből és leányvállalatokba, közös vállalkozásokba és társult vállalkozásokba történt befektetések kivezetéséből származó nyereség vagy veszteség | 
| 45.3 | F 45.03 | Egyéb működési bevételek és ráfordítások | 
| 46 | F 46.00 | A sajáttőke-változások kimutatása | 
| 47 | F 47.00 | Átlagos időtartam és megtérülési időszakok | 
| A TÁBLÁKBAN HASZNÁLT SZÍNKÓD: | ||
| A nemzeti GAAP szerint adatot szolgáltatók esetében kitöltendő részek | ||
| Az alkalmazandó számviteli szabályozás hatálya alá tartozó adatot szolgáltató intézmények esetében nem kitöltendő cellák | ||
1. Mérleg [pénzügyi helyzetre vonatkozó kimutatás]
1.1. Eszközök
| Hivatkozások Nemzeti GAAP a BAD alapján | Hivatkozások A nemzeti GAAP-pal kompatibilis IFRS standardok | Részletes tábla: | Könyv szerinti érték | ||
| V. melléklet 1. részének 27–28. pontja | |||||
| 010 | |||||
| 010 | Készpénz, számlakövetelések központi bankokkal szemben és egyéb látra szóló betétek | BAD 4. cikke, Eszközök 1. pontja | IAS 1 54. bekezdésének i) pontja | ||
| 020 | Készpénz | V. melléklet 2. részének 1. pontja | V. melléklet 2. részének 1. pontja | ||
| 030 | Számlakövetelések központi bankokkal szemben | BAD 13. cikkének (2) bekezdése; V. melléklet 2. részének 2. pontja | V. melléklet 2. részének 2. pontja | ||
| 040 | Egyéb látra szóló betétek | V. melléklet 2. részének 3. pontja | V. melléklet 2. részének 3. pontja | 5 | |
| 050 | Kereskedési céllal tartott pénzügyi eszközök | Számviteli irányelv 8. cikke (1) bekezdésének a) pontja és (5) bekezdése; IAS 39 9. bekezdése | IFRS 9 A. függelék | ||
| 060 | Származtatott ügyletek | CRR II. melléklete | IFRS 9 A. függelék | 10 | |
| 070 | Tulajdoni részesedést megtestesítő instrumentumok | EKB/2013/33 2. melléklete 2. részének 4–5. szakasza | IAS 32 11. bekezdése | 4 | |
| 080 | Hitelviszonyt megtestesítő értékpapírok | V. melléklet 1. részének 24. és 26. pontja | V. melléklet 1. részének 31. pontja | 4 | |
| 090 | Hitelek és előlegek | V. melléklet 1. részének 24. és 27. pontja | V. melléklet 1. részének 32. pontja | 4 | |
| 091 | Kereskedési célú pénzügyi eszközök | BAD 32–33. cikke; V. melléklet 1. részének 17. pontja | |||
| 092 | Származtatott ügyletek | CRR II. melléklete; V. melléklet 1. részének 17. és 27. pontja | 10 | ||
| 093 | Tulajdoni részesedést megtestesítő instrumentumok | EKB/2013/33 2. melléklete 2. részének 4–5. szakasza | 4 | ||
| 094 | Hitelviszonyt megtestesítő értékpapírok | V. melléklet 1. részének 31. pontja | 4 | ||
| 095 | Hitelek és előlegek | V. melléklet 1. részének 32. pontja | 4 | ||
| 096 | Kötelezően az eredménnyel szemben valós értéken értékelt, nem kereskedési célú pénzügyi eszközök | IFRS 7 8. bekezdésének a) ii. pontja; IFRS 9 4.1.4. bekezdése | 4 | ||
| 097 | Tulajdoni részesedést megtestesítő instrumentumok | IAS 32 11. bekezdése | 4 | ||
| 098 | Hitelviszonyt megtestesítő értékpapírok | V. melléklet 1. részének 31. pontja | 4 | ||
| 099 | Hitelek és előlegek | V. melléklet 1. részének 32. pontja | 4 | ||
| 100 | Az eredménnyel szemben valós értéken értékeltnek megjelölt pénzügyi eszközök | Számviteli irányelv 8. cikke (1) bekezdésének a) pontja és (6) bekezdése | IFRS 7 8. bekezdésének a) i. pontja; IFRS 9 4.1.5. bekezdése | 4 | |
| 110 | Tulajdoni részesedést megtestesítő instrumentumok | IAS 32 11. bekezdése; EKB/2013/33 2. melléklete 2. részének 4–5. szakasza | 4 | ||
| 120 | Hitelviszonyt megtestesítő értékpapírok | V. melléklet 1. részének 31. pontja | V. melléklet 1. részének 31. pontja | 4 | |
| 130 | Hitelek és előlegek | V. melléklet 1. részének 32. pontja | V. melléklet 1. részének 32. pontja | 4 | |
| 141 | Az egyéb átfogó jövedelemmel szemben valós értéken értékelt pénzügyi eszközök | IFRS 7 8. bekezdésének h) pontja; IFRS 9 4.1.2A. bekezdése | 4 | ||
| 142 | Tulajdoni részesedést megtestesítő instrumentumok | IAS 32 11. bekezdése | 4 | ||
| 143 | Hitelviszonyt megtestesítő értékpapírok | V. melléklet 1. részének 31. pontja | 4 | ||
| 144 | Hitelek és előlegek | V. melléklet 1. részének 32. pontja | 4 | ||
| 171 | Eredménnyel szemben valós értéken értékelt, nem kereskedési célú, nem származtatott pénzügyi eszközök | BAD 36. cikkének (2) bekezdése | 4 | ||
| 172 | Tulajdoni részesedést megtestesítő instrumentumok | EKB/2013/33 2. melléklete 2. részének 4–5. szakasza | 4 | ||
| 173 | Hitelviszonyt megtestesítő értékpapírok | V. melléklet 1. részének 31. pontja | 4 | ||
| 174 | Hitelek és előlegek | Számviteli irányelv 8. cikke (1) bekezdésének a) pontja és (4) bekezdésének b) pontja; V. melléklet 1. részének 32. pontja | 4 | ||
| 175 | A saját tőkével szemben valós értéken értékelt, nem kereskedési célú, nem származtatott pénzügyi eszközök | Számviteli irányelv 8. cikke (1) bekezdésének a) pontja és (8) bekezdése | 4 | ||
| 176 | Tulajdoni részesedést megtestesítő instrumentumok | EKB/2013/33 2. melléklete 2. részének 4–5. szakasza | 4 | ||
| 177 | Hitelviszonyt megtestesítő értékpapírok | V. melléklet 1. részének 31. pontja | 4 | ||
| 178 | Hitelek és előlegek | Számviteli irányelv 8. cikke (1) bekezdésének a) pontja és (4) bekezdésének b) pontja; V. melléklet 1. részének 32. pontja | 4 | ||
| 181 | Amortizált bekerülési értéken értékelt pénzügyi eszközök | IFRS 7 8. bekezdésének f) pontja; IFRS 9 4.1.2. bekezdése | 4 | ||
| 182 | Hitelviszonyt megtestesítő értékpapírok | V. melléklet 1. részének 31. pontja | 4 | ||
| 183 | Hitelek és előlegek | V. melléklet 1. részének 32. pontja | 4 | ||
| 231 | Bekerülésiérték-módszerrel értékelt nem kereskedési célú, nem származtatott pénzügyi eszközök | BAD 35. cikke; számviteli irányelv 6. cikke (1) bekezdésének i) pontja és 8. cikkének (2) bekezdése; V. melléklet 1. részének 18. és 19. pontja | 4 | ||
| 390 | Tulajdoni részesedést megtestesítő instrumentumok | EKB/2013/33 2. melléklete 2. részének 4–5. szakasza | 4 | ||
| 232 | Hitelviszonyt megtestesítő értékpapírok | V. melléklet 1. részének 31. pontja | 4 | ||
| 233 | Hitelek és előlegek | V. melléklet 1. részének 32. pontja | 4 | ||
| 234 | Egyéb nem kereskedési célú, nem származtatott pénzügyi eszközök | BAD 37. cikke; Számviteli irányelv 12. cikkének (7) bekezdése; V. melléklet 1. részének 20. pontja | 4 | ||
| 235 | Tulajdoni részesedést megtestesítő instrumentumok | EKB/2013/33 2. melléklete 2. részének 4–5. szakasza | 4 | ||
| 236 | Hitelviszonyt megtestesítő értékpapírok | V. melléklet 1. részének 31. pontja | 4 | ||
| 237 | Hitelek és előlegek | V. melléklet 1. részének 32. pontja | 4 | ||
| 240 | Származtatott ügyletek – Fedezeti elszámolások | Számviteli irányelv 8. cikke (1) bekezdésének a) pontja, (6) és (8) bekezdése; IAS 39 9. bekezdése; V. melléklet 1. részének 22. pontja | IFRS 9 6.2.1. bekezdése; V. melléklet 1. részének 22. pontja | 11 | |
| 250 | Kamatlábkockázatra vonatkozó portfóliófedezeti ügylet során fedezett tételek valós értékének változása | Számviteli irányelv 8. cikkének (5) bekezdése és (6) bekezdése; IAS 39 89A. bekezdésének a) pontja | IAS 39 89A. bekezdésének a) pontja; IFRS 9 6.5.8. bekezdése | ||
| 260 | Leányvállalatokban, közös vállalkozásokban, és társult vállalkozásokban lévő befektetések | BAD 4. cikke, Eszközök 7–8. pontja; Számviteli irányelv 2. cikkének (2) bekezdése; V. melléklet 1. részének 21. pontja, 2. részének 4. pontja | IAS 1 54. bekezdésének e) pontja; V. melléklet 1. részének 21. pontja, 2. részének 4. pontja | 40 | |
| 270 | Tárgyi eszközök | BAD 4. cikke, Eszközök 10. pontja | |||
| 280 | Ingatlanok, gépek és berendezések | IAS 16 6. bekezdése; IAS 1 54. bekezdésének a) pontja; IFRS 16 47. bekezdésének a) pontja | 21, 42 | ||
| 290 | Befektetési célú ingatlan | IAS 40 5. bekezdése; IAS 1 54. bekezdésének b) pontja; IFRS 16 48. bekezdése | 21, 42 | ||
| 300 | Immateriális javak | BAD 4. cikke, Eszközök 9. pontja; CRR 4. cikke (1) bekezdésének 115. pontja | IAS 1 54. bekezdésének c) pontja; CRR 4. cikke (1) bekezdésének 115. pontja | ||
| 310 | Cégérték | BAD 4. cikke, Eszközök 9. pontja; CRR 4. cikke (1) bekezdésének 113. pontja | IFRS 3 B67. bekezdésének d) pontja; CRR 4. cikke (1) bekezdésének 113. pontja | ||
| 320 | Egyéb immateriális javak | BAD 4. cikke, Eszközök 9. pontja | IAS 38 8. és 118. bekezdése; IFRS 16 47. bekezdésének a) pontja | 21, 42 | |
| 330 | Adókövetelések | IAS 1 54. bekezdésének n)–o) pontja | |||
| 340 | Tényleges adókövetelések | IAS 1 54. bekezdésének n) pontja; IAS 12 5. bekezdése | |||
| 350 | Halasztott adókövetelések | Számviteli irányelv 17. cikke (1) bekezdésének f) pontja; CRR 4. cikke (1) bekezdésének 106. pontja | IAS 1 54. bekezdésének o) pontja; IAS 12 5. bekezdése; CRR 4. cikke (1) bekezdésének 106. pontja | ||
| 360 | Egyéb eszközök | V. melléklet 2. részének 5. és 6. pontja | V. melléklet 2. részének 5. pontja | ||
| 370 | Értékesítésre tartottá minősített befektetett eszközök és elidegenítési csoportok | IAS 1 54. bekezdésének j) pontja; IFRS 5 38. bekezdése; V. melléklet 2. részének 7. pontja | |||
| 375 | (-) Valós értéken értékelt, kereskedési célú eszközökre vonatkozó haircutok | V. melléklet 1. részének 29. pontja | |||
| 380 | ESZKÖZÖK ÖSSZESEN | BAD 4. cikke, Eszközök | IAS 1 9. bekezdésének a) pontja; IG6 | ||
1.2. Kötelezettségek
| Hivatkozások Nemzeti GAAP a BAD alapján | Hivatkozások A nemzeti GAAP-pal kompatibilis IFRS standardok | Részletes tábla: | Könyv szerinti érték | ||
| V. melléklet 1. részének 27–28. pontja | |||||
| 010 | |||||
| 010 | Kereskedési céllal tartott pénzügyi kötelezettségek | IFRS 7 8. bekezdésének e) ii. pontja; IFRS 9 BA.6 bekezdése | 8 | ||
| 020 | Származtatott ügyletek | IFRS 9 A. függelék; IFRS 9 4.2.1. bekezdésének a) pontja; IFRS 9 BA.7. bekezdésének a) pontja | 10 | ||
| 030 | Rövid pozíciók | IFRS 9 BA7. bekezdésének b) pontja | 8 | ||
| 040 | Betétek | EKB/2013/33 2. melléklete 2. részének 9. szakasza; V. melléklet 1. részének 36. pontja | 8 | ||
| 050 | Kibocsátott hitelviszonyt megtestesítő értékpapírok | V. melléklet 1. részének 37. pontja | 8 | ||
| 060 | Egyéb pénzügyi kötelezettségek | V. melléklet 1. részének 38–41. pontja | 8 | ||
| 061 | Kereskedési célú pénzügyi kötelezettségek | Számviteli irányelv 8. cikke (1) bekezdésének a) pontja, (3) és (6) bekezdése | 8 | ||
| 062 | Származtatott ügyletek | CRR II. melléklete; V. melléklet 1. részének 25. pontja | 10 | ||
| 063 | Rövid pozíciók | 8 | |||
| 064 | Betétek | EKB/2013/33 2. melléklete 2. részének 9. szakasza; V. melléklet 1. részének 36. pontja | 8 | ||
| 065 | Kibocsátott hitelviszonyt megtestesítő értékpapírok | V. melléklet 1. részének 37. pontja | 8 | ||
| 066 | Egyéb pénzügyi kötelezettségek | V. melléklet 1. részének 38–41. pontja | 8 | ||
| 070 | Az eredménnyel szemben valós értéken értékeltnek megjelölt pénzügyi kötelezettségek | Számviteli irányelv 8. cikke (1) bekezdésének a) pontja és (6) bekezdése; IAS 39 9. bekezdése | IFRS 7 8. bekezdésének e) i. pontja; IFRS 9 4.2.2. bekezdése | 8 | |
| 080 | Betétek | EKB/2013/33 2. melléklete 2. részének 9. szakasza; V. melléklet 1. részének 36. pontja | EKB/2013/33 2. melléklete 2. részének 9. szakasza; V. melléklet 1. részének 36. pontja | 8 | |
| 090 | Kibocsátott hitelviszonyt megtestesítő értékpapírok | V. melléklet 1. részének 37. pontja | V. melléklet 1. részének 37. pontja | 8 | |
| 100 | Egyéb pénzügyi kötelezettségek | V. melléklet 1. részének 38–41. pontja | V. melléklet 1. részének 38–41. pontja | 8 | |
| 110 | Amortizált bekerülési értéken értékelt pénzügyi kötelezettségek | Számviteli irányelv 8. cikkének (3) bekezdése és (6) bekezdése; IAS 39 47. bekezdése | IFRS 7 8. bekezdésének g) pontja; IFRS 9 4.2.1. bekezdése | 8 | |
| 120 | Betétek | EKB/2013/33 2. melléklete 2. részének 9. szakasza; V. melléklet 1. részének 30. pontja | EKB/2013/33 2. melléklete 2. részének 9. szakasza; V. melléklet 1. részének 36. pontja | 8 | |
| 130 | Kibocsátott hitelviszonyt megtestesítő értékpapírok | V. melléklet 1. részének 31. pontja | V. melléklet 1. részének 37. pontja | 8 | |
| 140 | Egyéb pénzügyi kötelezettségek | V. melléklet 1. részének 32–34. pontja | V. melléklet 1. részének 38–41. pontja | 8 | |
| 141 | Bekerülésiérték-módszerrel értékelt nem kereskedési célú, nem származtatott pénzügyi kötelezettségek | Számviteli irányelv 8. cikkének (3) bekezdése | 8 | ||
| 142 | Betétek | EKB/2013/33 2. melléklete 2. részének 9. szakasza; V. melléklet 1. részének 36. pontja | 8 | ||
| 143 | Kibocsátott hitelviszonyt megtestesítő értékpapírok | V. melléklet 1. részének 37. pontja | 8 | ||
| 144 | Egyéb pénzügyi kötelezettségek | V. melléklet 1. részének 38–41. pontja | 8 | ||
| 150 | Származtatott ügyletek – Fedezeti elszámolások | Számviteli irányelv 8. cikke (1) bekezdésének a) pontja, (6) bekezdése és (8) bekezdésének a) pontja; V. melléklet 1. részének 26. pontja | IFRS 9 6.2.1. bekezdése; V. melléklet 1. részének 26. pontja | 11 | |
| 160 | Kamatlábkockázatra vonatkozó portfóliófedezeti ügylet során fedezett tételek valós értékének változása | Számviteli irányelv 8. cikkének (5) bekezdése és (6) bekezdése; V. melléklet 2. részének 8. pontja; IAS 39 89A. bekezdésének b) pontja | IAS 39 89A. bekezdésének b) pontja, IFRS 9 6.5.8. bekezdése | ||
| 170 | Céltartalékok | BAD 4. cikke, Források 6. pontja | IAS 37 10. bekezdése; IAS 1 54. bekezdésének l) pontja | 43 | |
| 175 | Általános banki kockázatok fedezetére képzett tartalékok [ha a kötelezettségek között szerepel] | BAD 38. cikkének 1. bekezdése; CRR 4. cikke (1) bekezdésének 112. pontja; V. melléklet 2. részének 15.pontja | |||
| 180 | Nyugdíj és egyéb munkaviszony megszűnése utáni meghatározott juttatási kötelmek | V. melléklet 2. részének 9. pontja | IAS 19 63. bekezdése; IAS 1 78. bekezdésének d) pontja; V. melléklet 2. részének 9. pontja | 43 | |
| 190 | Egyéb hosszú távú munkavállalói juttatások | V. melléklet 2. részének 10. pontja | IAS 19 153. bekezdése; IAS 1 78. bekezdésének d) pontja; V. melléklet 2. részének 10. pontja | 43 | |
| 200 | Átszervezés | IAS 37 71. bekezdése és 84. bekezdésének a) pontja | 43 | ||
| 210 | Függő jogi ügyek és adóügyi perek | IAS 37 C függelék, 6. és 10. példák | 43 | ||
| 220 | Adott elkötelezettségek és garanciák | BAD 4. cikke, Források 6.c) pontja, Mérlegen kívüli tételek, 27. cikkének (11) bekezdése, 28. cikkének (8) bekezdése, 33. cikke | IFRS 9 4.2.1. bekezdésének c) és d) pontja, 5.5. bekezdése és B2.5. bekezdése; IAS 37, IFRS 4; V. melléklet 2. részének 11. pontja | 9 12 43 | |
| 230 | Egyéb céltartalékok | BAD 4. cikke, Források 6.c) pontja, Mérlegen kívüli tételek | IAS 37 14. bekezdése | 43 | |
| 240 | Adókötelezettségek | IAS 1 54. bekezdésének n)–o) pontja | |||
| 250 | Tényleges adókötelezettség | IAS 1 54. bekezdésének n) pontja; IAS 12 5. bekezdése | |||
| 260 | Halasztott adókötelezettség | Számviteli irányelv 17. cikke (1) bekezdésének f) pontja; CRR 4. cikke (1) bekezdésének 108. pontja | IAS 1 54. bekezdésének o) pontja; IAS 12 5. bekezdése; CRR 4. cikke (1) bekezdésének 108. pontja | ||
| 270 | Kérésre visszafizetendő jegyzett tőke | IAS 32 33. szemléltető példa; IFRIC 2; V. melléklet 2. részének 12. pontja | |||
| 280 | Egyéb kötelezettségek | V. melléklet 2. részének 13. pontja | V. melléklet 2. részének 13. pontja | ||
| 290 | Az értékesítésre tartottá minősített elidegenítési csoportba tartozó kötelezettségek | IAS 1 54. bekezdésének p) pontja; IFRS 5 38. bekezdése; V. melléklet 2. részének 14. pontja | |||
| 295 | Valós értéken értékelt, kereskedési célú kötelezettségekre vonatkozó haircutok | V. melléklet 1. részének 29. pontja | |||
| 300 | KÖTELEZETTSÉGEK ÖSSZESEN | IAS 1 9. bekezdésének b) pontja; IG6 | |||
1.3. Saját tőke
| Hivatkozások Nemzeti GAAP a BAD alapján | Hivatkozások A nemzeti GAAP-pal kompatibilis IFRS standardok | Részletes tábla: | Könyv szerinti érték | ||
| 010 | |||||
| 010 | Jegyzett tőke | BAD 4. cikke, Források 9. pontja, BAD 22. cikke | IAS 1 54. bekezdésének r) pontja; BAD 22. cikke | 46 | |
| 020 | Befizetett jegyzett tőke | BAD 4. cikke, Források 9. pontja | IAS 1 78. bekezdésének e) pontja | ||
| 030 | Jegyzett, de még be nem fizetett tőke | BAD 4. cikke, Források 9. pontja; V. melléklet 2. részének 17.pontja | V. melléklet 2. részének 14. pontja | ||
| 040 | Névértéken felüli befizetés (ázsió) | BAD 4. cikke, Források 10. pontja; CRR 4. cikke (1) bekezdésének 124. pontja | IAS 1 78. bekezdésének e) pontja; CRR 4. cikke (1) bekezdésének 124. pontja | 46 | |
| 050 | Kibocsátott tulajdoni részesedést megtestesítő instrumentumok, kivéve jegyzett tőke | V. melléklet 2. részének 18–19. pontja | V. melléklet 2. részének 18–19. pontja | 46 | |
| 060 | Összetett pénzügyi instrumentumok sajáttőke-eleme | Számviteli irányelv 8. cikkének (6) bekezdése; V. melléklet 2. részének 18. pontja | IAS 32 28–29. bekezdése; V. melléklet 2. részének 18. pontja | ||
| 070 | Egyéb kibocsátott tulajdoni részesedést megtestesítő instrumentumok | V. melléklet 2. részének 19. pontja | V. melléklet 2. részének 19. pontja | ||
| 080 | Egyéb tőke | V. melléklet 2. részének 20. pontja | IFRS 2 10. bekezdése; V. melléklet 2. részének 20. pontja | ||
| 090 | Halmozott egyéb átfogó jövedelem | CRR 4. cikke (1) bekezdésének 100. pontja | CRR 4. cikke (1) bekezdésének 100. pontja | 46 | |
| 095 | Eredménybe nem átsorolható tételek | IAS 1 82A. bekezdésének a) pontja | |||
| 100 | Tárgyi eszközök | IAS 16 39–41. bekezdése | |||
| 110 | Immateriális javak | IAS 38 85–87. bekezdése | |||
| 120 | A meghatározott juttatási nyugdíjprogramok aktuáriusi nyeresége vagy (–) vesztesége | IAS 1 7. bekezdése, IG6; IAS 19 120. bekezdésének c) pontja | |||
| 122 | Értékesítésre tartottá minősített befektetett eszközök és elidegenítési csoportok | IFRS 5 38. bekezdése, IG 12. példa | |||
| 124 | Leányvállalatokba, közös vállalkozásokba, valamint társult vállalkozásokba történt befektetések egyéb megjelenített bevételeiből vagy ráfordításaiból való részesedés | IAS 1, IG6; IAS 28 10. bekezdése | |||
| 320 | Az egyéb átfogó jövedelemmel szemben valós értéken értékelt tulajdoni részesedést megtestesítő instrumentumok valós értékének változásai | IAS 1 7. bekezdésének d) pontja; IFRS 9 5.7.5. bekezdése és B5.7.1. bekezdése; V. melléklet 2. részének 21. pontja | |||
| 330 | Az egyéb átfogó jövedelemmel szemben valós értéken értékelt tulajdoni részesedést megtestesítő instrumentumok valósérték-fedezeti ügyleteinek hatékonysághiánya | IAS 1 7. bekezdésének e) pontja; IFRS 9 5.7.5. és 6.5.3 bekezdése; IFRS 7 24C. bekezdése; V. melléklet 2. részének 22. pontja | |||
| 340 | Az egyéb átfogó jövedelemmel szemben valós értéken értékelt tulajdoni részesedést megtestesítő instrumentumok valós értékének változásai [fedezett tétel] | IFRS 9 5.7.5. bekezdése, 6.5.8. bekezdésének b) pontja; V. melléklet 2. részének 22. pontja | |||
| 350 | Az egyéb átfogó jövedelemmel szemben valós értéken értékelt tulajdoni részesedést megtestesítő instrumentumok valós értékének változásai [fedezeti instrumentum] | IAS 1 7. bekezdésének e) pontja; IFRS 9 5.7.5. bekezdése, 6.5.8. bekezdésének a) pontja; V. melléklet 2. részének 57. pontja | |||
| 360 | Az eredménnyel szemben valós értéken értékelt pénzügyi kötelezettségek hitelezési kockázat változásából származó valósérték-változásai | IAS 1 7. bekezdésének f) pontja; IFRS 9 5.7.7. bekezdése; V. melléklet 2. részének 23. pontja | |||
| 128 | Eredménybe átsorolható tételek | IAS 1 82A. bekezdésének a) (ii) pontja | |||
| 130 | Külföldi érdekeltségekbe történt nettó befektetések fedezeti ügyletei [hatékony rész] | Számviteli irányelv 8. cikke (1) bekezdésének a) pontja, (6) és (8) bekezdése | IFRS 9 6.5.13. bekezdésének a) pontja; IFRS 7 24B. bekezdésének b)(ii) és (iii) pontja; IFRS 7 24C. bekezdésének b) i. és iv. pontja, 24E. bekezdésének a) pontja; V. melléklet 2. részének 24. pontja | ||
| 140 | Külföldi pénznemek átváltása | BAD 39. cikkének (6) bekezdése | IAS 21 52. bekezdésének b) pontja; IAS 21 32. és 38–49. bekezdése | ||
| 150 | Származtatott fedezeti ügyletek. Cash flow-fedezeti ügyletek tartaléka [hatékony rész] | Számviteli irányelv 8. cikke (1) bekezdésének a) pontja, (6) és (8) bekezdése | IAS 1 7. bekezdésének e) pontja; IFRS 7 24B. bekezdésének b) (ii) és (iii) pontja; IFRS 7 24C. bekezdésének b) (i) pontja, 24E. bekezdése; IFRS 9 6.5.11. bekezdésének b) pontja; V. melléklet 2. részének 25. pontja | ||
| 155 | Az egyéb átfogó jövedelemmel szemben valós értéken értékelt hitelviszonyt megtestesítő instrumentumok valós értékének változásai | IAS 1 7. bekezdésének da) pontja; IFRS 9 4.1.2A. bekezdése; 5.7.10. bekezdése; V. melléklet 2. részének 26. pontja | |||
| 165 | Fedezeti instrumentumok [nem megjelölt elemek] | IAS 1 7. bekezdésének g) és h) pontja; IFRS 9 6.5.15. és 6.5.16. bekezdése; IFRS 7 24E. bekezdésének b) és c) pontja; V. melléklet 2. részének 60. pontja | |||
| 170 | Értékesítésre tartottá minősített befektetett eszközök és elidegenítési csoportok | IFRS 5 38. bekezdése, IG 12. példa | |||
| 180 | Leányvállalatokba, közös vállalkozásokba, valamint társult vállalkozásokba történt befektetések egyéb megjelenített bevételeiből vagy ráfordításaiból való részesedés | IAS 1, IG6; IAS 28 10. bekezdése | |||
| 190 | Eredménytartalék | BAD 4. cikke, Források 13. pontja; CRR 4. cikke (1) bekezdésének 123. pontja | CRR 4. cikke (1) bekezdésének 123. pontja | ||
| 200 | Átértékelési tartalék | BAD 4. cikke, Források 12. pontja | IFRS 1 30. bekezdésének D5–D8. pontja; V. melléklet 2. részének 28. pontja | ||
| 201 | Tárgyi eszközök | Számviteli irányelv 7. cikkének (1) bekezdése | |||
| 202 | Tulajdoni részesedést megtestesítő instrumentumok | Számviteli irányelv 7. cikkének (1) bekezdése | |||
| 203 | Hitelviszonyt megtestesítő értékpapírok | Számviteli irányelv 7. cikkének (1) bekezdése | |||
| 204 | Egyéb | Számviteli irányelv 7. cikkének (1) bekezdése | |||
| 205 | Valós értéken értékelt tartalékok | Számviteli irányelv 8. cikke (1) bekezdésének a) pontja | |||
| 206 | Külföldi érdekeltségekbe történt nettó befektetések fedezeti ügyletei | Számviteli irányelv 8. cikke (1) bekezdésének a) pontja és (8) bekezdésének b) pontja | |||
| 207 | Származtatott fedezeti ügyletek. Cash flow-fedezeti ügyletek | Számviteli irányelv 8. cikke (1) bekezdésének a) pontja és (8) bekezdésének a) pontja; CRR 30. cikkének a) pontja | |||
| 208 | Származtatott fedezeti ügyletek. Egyéb fedezeti ügyletek | Számviteli irányelv 8. cikke (1) bekezdésének a) pontja és (8) bekezdésének a) pontja | |||
| 209 | A saját tőkével szemben valós értéken értékelt, nem kereskedési célú, nem származtatott pénzügyi eszközök | Számviteli irányelv 8. cikke (1) bekezdésének a) pontja, és 8. cikkének (2) bekezdése | |||
| 210 | Egyéb tartalékok | BAD 4. cikke, Források 11-13. pontja | IAS 1 54. bekezdése; IAS 1 78. bekezdésének e) pontja | ||
| 215 | Általános banki kockázatok fedezetére képzett tartalékok [ha a saját tőke között szerepel] | BAD 38. cikkének 1. bekezdése; CRR 4. cikke (1) bekezdésének 112. pontja; V. melléklet 2. részének 15.pontja | |||
| 220 | Tőkemódszerrel értékelt, leányvállalatokba, közös vállalkozásokba, valamint társult vállalkozásokba történt befektetések tartalékai vagy halmozott veszteségei | Számviteli irányelv 9. cikke (7) bekezdésének a) pontja; 27. cikke; V. melléklet 2. részének 29. pontja | IAS 28 11. bekezdése; V. melléklet 2. részének 29. pontja | ||
| 230 | Egyéb | V. melléklet 2. részének 29. pontja | V. melléklet 2. részének 29. pontja | ||
| 235 | Első konszolidációs különbségek | Számviteli irányelv 24. cikke (3) bekezdésének c) pontja | |||
| 240 | (-) Saját részvények | Számviteli irányelv III. melléklet Eszközök D. III. 2. pontja; BAD 4. cikke, Eszközök 12. pontja; V. melléklet 2. részének 30. pontja | IAS 1 79. bekezdésének a) vi. pontja; IAS 32 33–34. bekezdése, AG14., AG36. bekezdés; V. melléklet 2. részének 30. pontja | 46 | |
| 250 | Az anyavállalat tulajdonosainak tulajdonítható eredmény | BAD 4. cikke, Források 14. pontja | IAS 1 81B. bekezdésének b) ii. pontja | 2 | |
| 260 | (-) Évközi osztalék | CRR 26. cikkének (2b) bekezdése | IAS 32 35. bekezdése | ||
| 270 | Kisebbségi részesedések [Nem ellenőrző részesedés] | Számviteli irányelv 24. cikkének (4) bekezdése | IAS 1 54. bekezdésének q) pontja; | ||
| 280 | Halmozott egyéb átfogó jövedelem | CRR 4. cikke (1) bekezdésének 100. pontja | CRR 4. cikke (1) bekezdésének 100. pontja | 46 | |
| 290 | Egyéb tételek | 46 | |||
| 300 | SAJÁT TŐKE ÖSSZESEN | IAS 1 9. bekezdésének c) pontja, IG6 | 46 | ||
| 310 | SAJÁT TŐKE ÖSSZESEN ÉS KÖTELEZETTSÉGEK ÖSSZESEN | BAD 4. cikke, Források | IAS 1 IG6 | ||
2. Eredménykimutatás
| Hivatkozások Nemzeti GAAP a BAD alapján | Hivatkozások A nemzeti GAAP-pal kompatibilis IFRS standardok | Részletes tábla: | Tárgyidőszak | ||
| 010 | |||||
| 010 | Kamatbevétel | BAD 27. cikke, Függőleges tagolás 1. pontja; V. melléklet 2. részének 31. pontja | IAS 1 97. bekezdése; V. melléklet 2. részének 31. pontja | 16 | |
| 020 | Kereskedési céllal tartott pénzügyi eszközök | IFRS 7 20. bekezdésének a) i. pontja, B5. bekezdésének e) pontja; V. melléklet 2. részének 33. és 34. pontja | |||
| 025 | Kötelezően az eredménnyel szemben valós értéken értékelt, nem kereskedési célú pénzügyi eszközök | IFRS 7 20. bekezdésének a) i. pontja, B5. bekezdésének e) pontja; IFRS 9 5.7.1. bekezdése | |||
| 030 | Az eredménnyel szemben valós értéken értékeltnek megjelölt pénzügyi eszközök | IFRS 7 20. bekezdésének a) i. pontja, B5. bekezdésének e) pontja | |||
| 041 | Az egyéb átfogó jövedelemmel szemben valós értéken értékelt pénzügyi eszközök | IFRS 7 20. bekezdésének b) pontja; IFRS 9 5.7.10–11. bekezdése IFRS 9 4.1.2A. bekezdése | |||
| 051 | Amortizált bekerülési értéken értékelt pénzügyi eszközök | IFRS 7 20. bekezdésének b) pontja; IFRS 9 4.1.2. bekezdése; IFRS 9 5.7.2. bekezdése | |||
| 070 | Származtatott ügyletek — Fedezeti elszámolások, kamatlábkockázat | IFRS 9 A. függelék; és B6.6.16. bekezdése; V. melléklet 2. részének 35. pontja | |||
| 080 | Egyéb eszközök | V. melléklet 2. részének 36. pontja | |||
| 085 | Kötelezettségeken képződött kamatbevétel | V. melléklet 2. részének 37. pontja | IFRS 9 5.7.1. bekezdése; V. melléklet 2. részének 37. pontja | ||
| 090 | (Kamatráfordítások) | BAD 27. cikke, Függőleges tagolás 2. pontja; V. melléklet 2. részének 31. pontja | IAS 1 97. bekezdése; V. melléklet 2. részének 31. pontja | 16 | |
| 100 | (Kereskedési céllal tartott pénzügyi kötelezettségek) | IFRS 7 20. bekezdésének a) i. pontja, B5. bekezdésének e) pontja; V. melléklet 2. részének 33. és 34. pontja | |||
| 110 | (Az eredménnyel szemben valós értéken értékeltnek megjelölt pénzügyi kötelezettségek) | IFRS 7 20. bekezdésének a) i. pontja, B5. bekezdésének e) pontja | |||
| 120 | (Amortizált bekerülési értéken értékelt pénzügyi kötelezettségek) | IFRS 7 20. bekezdésének b) pontja; IFRS 9 5.7.2. bekezdése | |||
| 130 | (Származtatott ügyletek — Fedezeti elszámolások, kamatlábkockázat) | IAS 39 9. bekezdése; V. melléklet 2. részének 35. pontja | |||
| 140 | (Egyéb kötelezettségek) | V. melléklet 2. részének 38. pontja | |||
| 145 | (Eszközök kamatráfordításai) | V. melléklet 2. részének 39. pontja | IFRS 9 5.7.1. bekezdése; V. melléklet 2. részének 39. pontja | ||
| 150 | (Kérésre visszafizetendő jegyzett tőke ráfordításai) | IFRIC 2 11. bekezdése | |||
| 160 | Osztalékbevétel | BAD 27. cikke, Függőleges tagolás 3. pontja; V. melléklet 2. részének 40. pontja | V. melléklet 2. részének 40. pontja | 31 | |
| 170 | Kereskedési céllal tartott pénzügyi eszközök | IFRS 7 20. bekezdésének a) i. pontja, B5. bekezdésének e) pontja; V. melléklet 2. részének 40. pontja | |||
| 175 | Kötelezően az eredménnyel szemben valós értéken értékelt, nem kereskedési célú pénzügyi eszközök | IFRS 7 20. bekezdésének a) i. pontja, B5. bekezdésének e) pontja; IFRS 9 5.7.1A. bekezdése; V. melléklet 2. részének 40. pontja | |||
| 191 | Az egyéb átfogó jövedelemmel szemben valós értéken értékelt pénzügyi eszközök | IFRS 7 20. bekezdésének a) ii. pontja; IFRS 9 4.1.2A. bekezdése; IFRS 9 5.7.1A. bekezdése; V. melléklet 2. részének 41. pontja | |||
| 192 | Nem tőkemódszerrel értékelt befektetések leányvállalatokban, közös vállalkozásokban, valamint társult vállalkozásokban | V. melléklet 2. részének 42. pontja | V. melléklet 2. részének 42. pontja | ||
| 200 | Díj- és jutalékbevételek | BAD 27. cikke, Függőleges tagolás 4. pontja | IFRS 7 20. bekezdésének c) pontja | 22 | |
| 210 | (Díj- és jutalékráfordítások) | BAD 27. cikke, Függőleges tagolás 5. pontja | IFRS 7 20. bekezdésének c) pontja | 22 | |
| 220 | Az eredménnyel szemben valós értéken értékelt kategóriába nem tartozó pénzügyi eszközök és kötelezettségek kivezetéséből származó nyereség vagy (–) veszteség, nettó | BAD 27. cikke, Függőleges tagolás 6. pontja | V. melléklet 2. részének 45. pontja | 16 | |
| 231 | Az egyéb átfogó jövedelemmel szemben valós értéken értékelt pénzügyi eszközök | IFRS 9 4.12.A. bekezdése; IFRS 9 5.7.10–11. bekezdése | |||
| 241 | Amortizált bekerülési értéken értékelt pénzügyi eszközök | IFRS 7 20. bekezdésének a) v. pontja; IFRS 9 4.1.2. bekezdése; IFRS 9 5.7.2. bekezdése | |||
| 260 | Amortizált bekerülési értéken értékelt pénzügyi kötelezettségek | IFRS 7 20. bekezdésének a) v. pontja; IFRS 9 5.7.2. bekezdése | |||
| 270 | Egyéb | ||||
| 280 | Kereskedési céllal tartott pénzügyi eszközökből és kötelezettségekből származó nyereség vagy (–) veszteség, nettó | BAD 27. cikke, Függőleges tagolás 6. pontja | IFRS 7 20. bekezdésének a) i. pontja; IFRS 9 5.7.1. bekezdése; V. melléklet 2. részének 43. és 46. pontja | 16 | |
| 285 | Kereskedési célú pénzügyi eszközökből és kötelezettségekből származó nyereség vagy (–) veszteség, nettó | BAD 27. cikke, Függőleges tagolás 6. pontja | 16 | ||
| 287 | Kötelezően az eredménnyel szemben valós értéken értékelt, nem kereskedési célú pénzügyi eszközök nyeresége vagy (–) vesztesége, nettó | IFRS 7 20. bekezdésének a) i. pontja; IFRS 9 5.7.1. bekezdése; V. melléklet 2. részének 46. pontja | |||
| 290 | Az eredménnyel szemben valós értéken értékeltnek megjelölt pénzügyi eszközök és kötelezettségek nyeresége vagy (–) vesztesége, nettó | IFRS 7 20. bekezdésének a) i. pontja; IFRS 9 5.7.1. bekezdése; V. melléklet 2. részének 44. pontja | 16, 45 | ||
| 295 | Nem kereskedési célú pénzügyi eszközökből és kötelezettségekből származó nyereség vagy (–) veszteség, nettó | BAD 27. cikke, Függőleges tagolás 6. pontja | 16 | ||
| 300 | Fedezeti elszámolásokból eredő nyereségek vagy (–) veszteségek, nettó | Számviteli irányelv 8. cikke (1) bekezdésének a) pontja, (6) és (8) bekezdése | V. melléklet 2. részének 47. pontja | 16 | |
| 310 | Árfolyam-különbözet [nyereség vagy (-) veszteség], nettó | BAD 39. cikke | IAS 21 28. bekezdése és 52. bekezdésének a) pontja | ||
| 320 | Leányvállalatokba, közös vállalkozásokba és társult vállalkozásokba történt befektetések kivezetéséből származó nyereség vagy (–) veszteség, nettó | BAD 27. cikke, Függőleges tagolás 13–14. pontja; V. melléklet 2. részének 56. pontja | |||
| 330 | Nem pénzügyi eszközök kivezetéséből származó nyereség vagy (–) veszteség, nettó | V. melléklet 2. részének 48. pontja | IAS 1 34. bekezdése; V. melléklet 2. részének 48. pontja | 45 | |
| 340 | Egyéb működési bevétel | BAD 27. cikke, Függőleges tagolás 7. pontja; V. melléklet 2. részének 314–316. pontja | V. melléklet 2. részének 314–316. pontja | 45 | |
| 350 | (Egyéb működési költségek) | BAD 27. cikke, Függőleges tagolás 10. pontja; V. melléklet 2. részének 314–316. pontja | V. melléklet 2. részének 314–316. pontja | 45 | |
| 355 | MŰKÖDÉSI BEVÉTELEK ÖSSZESEN, NETTÓ | ||||
| 360 | (Igazgatási költségek) | BAD 27. cikke, Függőleges tagolás 8. pontja | |||
| 370 | (Személyi jellegű ráfordítások) | BAD 27. cikke, Függőleges tagolás 8.a) pontja | IAS 19 7. bekezdése; IAS 1 102. bekezdése, IG 6 | 44 | |
| 380 | (Egyéb igazgatási költségek) | BAD 27. cikke, Függőleges tagolás 8.b) pontja | 16 | ||
| 385 | (Pénzbeli hozzájárulás szanálási alapokhoz és betétbiztosítási rendszerekhez) | V. melléklet 2. részének 48i. pontja | V. melléklet 2. részének 48i. pontja | ||
| 390 | (Értékcsökkenés) | IAS 1 102. és 104. bekezdése | |||
| 400 | (Ingatlanok, gépek és berendezések) | BAD 27. cikke, Függőleges tagolás 9. pontja | IAS 1 104. bekezdése; IAS 16 73. bekezdésének e) vii. pontja | ||
| 410 | (Befektetési célú ingatlanok) | BAD 27. cikke, Függőleges tagolás 9. pontja | IAS 1 104. bekezdése; IAS 40 79. bekezdésének d) iv. pontja | ||
| 415 | (Cégérték) | BAD 27. cikke, Függőleges tagolás 9. pontja | |||
| 420 | (Egyéb immateriális javak) | BAD 27. cikke, Függőleges tagolás 9. pontja | IAS 1 104. bekezdése; IAS 38 118. bekezdésének e) vi. pontja | ||
| 425 | Módosítás miatti nyereség vagy (–) veszteség, nettó | IFRS 9 5.4.3. bekezdés, A. függelék; V. melléklet 2. részének 49. pontja | |||
| 426 | Az egyéb átfogó jövedelemmel szemben valós értéken értékelt pénzügyi eszközök | IFRS 7 35J. bekezdése | |||
| 427 | Amortizált bekerülési értéken értékelt pénzügyi eszközök | IFRS 7 35J. bekezdése | |||
| 430 | (Céltartalékképzés vagy (-) céltartalékok visszaírása) | IAS 37 59. és 84. bekezdése; IAS 1 98. bekezdésének b), f), g) pontja | 9 12 43 | ||
| 435 | (Szanálási alapokhoz és betétbiztosítási rendszerekhez tartozó fizetési elkötelezettségek) | V. melléklet 2. részének 48i. pontja | V. melléklet 2. részének 48i. pontja | ||
| 440 | (Adott elkötelezettségek és garanciák) | BAD 27. cikke, Függőleges tagolás 11-12. pontja | IFRS 9 4.2.1. bekezdésének c) és d) pontja, B2.5. bekezdése; IAS 37; IFRS 4; V. melléklet 2. részének 50. pontja | ||
| 450 | (Egyéb céltartalékok) | ||||
| 455 | (Általános banki kockázatok fedezetére képzett tartalékok növekedése vagy (-) csökkenése, nettó) | BAD 38. cikkének (2) bekezdése | |||
| 460 | (Eredménnyel szemben valós értéken értékelt kategóriába nem tartozó pénzügyi eszközök értékvesztése vagy (-) értékvesztésének visszaírása) | BAD 35–37. cikke, V. melléklet 2. részének 52. és 53. pontja | IFRS 7 20. bekezdésének a) viii. pontja; IFRS 9 5.4.4. bekezdése; V. melléklet 2. részének 51. és 53. pontja | 12 | |
| 481 | (Az egyéb átfogó jövedelemmel szemben valós értéken értékelt pénzügyi eszközök) | IFRS 9 5.4.4. bekezdése, 5.5.1. bekezdése, 5.5.2. bekezdése és 5.5.8. bekezdése | 12 | ||
| 491 | (Amortizált bekerülési értéken értékelt pénzügyi eszközök) | IFRS 9 5.4.4. bekezdése, 5.5.1. bekezdése és 5.5.8. bekezdése | 12 | ||
| 510 | (Leányvállalatokba, közös vállalkozásokba, valamint társult vállalkozásokba történt befektetések értékvesztése vagy (-) értékvesztésének visszaírása) | BAD 27. cikke, Függőleges tagolás 13–14. pontja | IAS 28 40–43. bekezdése | 16 | |
| 520 | (Nem pénzügyi eszközök értékvesztése vagy (-) értékvesztésének visszaírása) | IAS 36 126. bekezdésének a), b) pontja | 16 | ||
| 530 | (Ingatlanok, gépek és berendezések) | BAD 27. cikke, Függőleges tagolás 9. pontja | IAS 16 73. bekezdésének e) v–vi. pontja | ||
| 540 | (Befektetési célú ingatlanok) | BAD 27. cikke, Függőleges tagolás 9. pontja | IAS 40 79. bekezdésének d) v. pontja | ||
| 550 | (Cégérték) | BAD 27. cikke, Függőleges tagolás 9. pontja | IFRS 3 Függelék B67. bekezdésének d) v. pontja; IAS 36 124. bekezdése | ||
| 560 | (Egyéb immateriális javak) | BAD 27. cikke, Függőleges tagolás 9. pontja | IAS 38 118. bekezdésének e) iv. és v. pontja | ||
| 570 | (Egyéb) | IAS 36 126. bekezdésének a) és b) pontja | |||
| 580 | Eredményben elszámolt negatív cégérték | Számviteli irányelv 24. cikke (3) bekezdésének f) pontja | IFRS 3 Függelék B64. bekezdésének n) i. pontja | ||
| 590 | Tőkemódszerrel értékelt, leányvállalatokba, közös vállalkozásokba, valamint társult vállalkozásokba történt befektetések nyereségéből vagy (-) veszteségéből való részesedés | BAD 27. cikke, Függőleges tagolás 13-14. pontja | V. melléklet 2. részének 54. pontja | ||
| 600 | Megszűnt tevékenységeknek nem minősülő, értékesítésre tartottá minősített befektetett eszközökből és elidegenítési csoportokból származó nyereség vagy (-) veszteség | IFRS 5 37. bekezdése; V. melléklet 2. részének 55. pontja | |||
| 610 | FOLYTATÓDÓ TEVÉKENYSÉGEK NYERESÉGE VAGY (-) VESZTESÉGE ADÓFIZETÉS ELŐTT | IAS 1 102. bekezdése, IG6; IFRS 5 33A. bekezdése | |||
| 620 | (A folytatódó tevékenységekből származó eredményhez kapcsolódó adóráfordítás vagy (-) bevétel) | BAD 27. cikke, Függőleges tagolás 15. pontja | IAS 1 82. bekezdésének d) pontja; IAS 12 77. bekezdése | ||
| 630 | FOLYTATÓDÓ TEVÉKENYSÉGEK NYERESÉGE VAGY (-) VESZTESÉGE ADÓFIZETÉS UTÁN | BAD 27. cikke, Függőleges tagolás 16. pontja | IAS 1, IG 6 | ||
| 632 | Rendkívüli nyereség vagy (-) veszteség adófizetés után | BAD 27. cikke, Függőleges tagolás 21. pontja | |||
| 633 | Rendkívüli nyereség vagy veszteség adófizetés előtt | BAD 27. cikke, Függőleges tagolás 19. pontja | |||
| 634 | (A rendkívüli eredményhez kapcsolódó adóráfordítás vagy (-) bevétel) | BAD 27. cikke, Függőleges tagolás 20. pontja | |||
| 640 | Megszűnt tevékenységek nyeresége vagy (-) vesztesége adófizetés után | IAS 1 82. bekezdésének ea) pontja; IFRS 5 33. bekezdésének a) pontja és 33A. bekezdése V. melléklet 2. részének 56. pontja | |||
| 650 | Megszűnt tevékenységek nyeresége vagy (-) vesztesége adófizetés előtt | IFRS 5 33. bekezdésének b) i. pontja | |||
| 660 | (Megszűnt tevékenységekhez kapcsolódó adóráfordítás vagy (-) bevétel) | IFRS 5 33. bekezdésének b) ii. és iv. pontja | |||
| 670 | AZ ÜZLETI ÉV NYERESÉGE VAGY (-) VESZTESÉGE | BAD 27. cikke, Függőleges tagolás 23. pontja | IAS 1 81A. bekezdésének a) pontja | ||
| 680 | Kisebbségi részesedéseknek tulajdonítható [nem ellenőrző részesedés] | IAS 1 81B. bekezdésének b) i. pontja | |||
| 690 | Az anyavállalat tulajdonosainak tulajdonítható | IAS 1 81B. bekezdésének b) ii. pontja | |||
3. Átfogó jövedelemkimutatás
| Hivatkozások A nemzeti GAAP-pal kompatibilis IFRS standardok | Tárgyidőszak | ||
| 010 | |||
| 010 | Az üzleti év nyeresége vagy (-) vesztesége | IAS 1 7. bekezdése, IG6 | |
| 020 | Egyéb átfogó jövedelem | IAS 1 7. bekezdése, IG6 | |
| 030 | Eredménybe nem átsorolható tételek | IAS 1 82A. bekezdésének a) i. pontja | |
| 040 | Tárgyi eszközök | IAS 1 7. bekezdése, IG6; IAS 16 39–40. bekezdése | |
| 050 | Immateriális javak | IAS 1 7. bekezdése; IAS 38 85–86. bekezdése | |
| 060 | A meghatározott juttatási nyugdíjprogramok aktuáriusi nyeresége vagy (–) vesztesége | IAS 1 7. bekezdése, IG6; IAS 19 120. bekezdésének c) pontja | |
| 070 | Értékesítésre tartott befektetett eszközök és elidegenítési csoportok | IFRS 5 38. bekezdése | |
| 080 | Tőkemódszerrel értékelt, gazdálkodó egységek megjelenített bevételeiből vagy ráfordításaiból való részesedés | IAS 1, IG6; IAS 28 10. bekezdése | |
| 081 | Az egyéb átfogó jövedelemmel szemben valós értéken értékelt tulajdoni részesedést megtestesítő instrumentumok valós értékének változásai | IAS 1 7. bekezdésének d) pontja | |
| 083 | Az egyéb átfogó jövedelemmel szemben valós értéken értékelt tulajdoni részesedést megtestesítő instrumentumok fedezeti elszámolásából eredő nyereségek vagy (–) veszteségek, nettó | IFRS 9 5.7.5. bekezdése, 6.5.3. bekezdése; IFRS 7 24C. bekezdése; V. melléklet 2. részének 57. pontja | |
| 084 | Az egyéb átfogó jövedelemmel szemben valós értéken értékelt tulajdoni részesedést megtestesítő instrumentumok valós értékének változásai [fedezett tétel] | IFRS 9 5.7.5. bekezdése, 6.5.8. bekezdésének b) pontja; V. melléklet 2. részének 57. pontja | |
| 085 | Az egyéb átfogó jövedelemmel szemben valós értéken értékelt tulajdoni részesedést megtestesítő instrumentumok valós értékének változásai [fedezeti instrumentum] | IFRS 9 5.7.5. bekezdése, 6.5.8. bekezdésének a) pontja; V. melléklet 2. részének 57. pontja | |
| 086 | Az eredménnyel szemben valós értéken értékelt pénzügyi kötelezettségek hitelezési kockázat változásából származó valósérték-változásai | IAS 1 7. bekezdésének f) pontja | |
| 090 | Nem átsorolandó tételekhez kapcsolódó nyereségadó | IAS 1 91. bekezdésének b) pontja; V. melléklet 2. részének 66. pontja | |
| 100 | Eredménybe átsorolható tételek | IAS 1 82A. bekezdésének a) ii. pontja | |
| 110 | Külföldi érdekeltségekbe történt nettó befektetések fedezeti ügyletei [hatékony rész] | IFRS 9 6.5.13. bekezdésének a) pontja; IFRS 7 24C. bekezdésének b) i. és iv. pontja, 24E. bekezdésének a) pontja; V. melléklet 2. részének 58. pontja | |
| 120 | Saját tőkében elszámolt értékelési nyereség vagy (–) veszteség | IAS 1 IG6; IFRS 9 6.5.13. bekezdésének a) pontja; IFRS 7 24C. bekezdésének b) i. pontja, 24E. bekezdésének a) pontja; V. melléklet 2. részének 58. pontja | |
| 130 | Eredménybe átvezetett | IAS 1 7., 92–95. bekezdése; IAS 21 48–49. bekezdése; IFRS 9 6.5.14. bekezdése; V. melléklet 2. részének 59. pontja | |
| 140 | Egyéb átsorolás | V. melléklet 2. részének 65. pontja | |
| 150 | Külföldi pénznemek átváltása | IAS 1 7. bekezdése, IG6; IAS 21 52. bekezdésének b) pontja | |
| 160 | Külföldi pénznemek átváltásából származó, és a saját tőkében elszámolt nyereség vagy (–) veszteség | IAS 21 32. és 38–47. bekezdése | |
| 170 | Eredménybe átvezetett | IAS 1 7., 92–95. bekezdése; IAS 21 48–49. bekezdése | |
| 180 | Egyéb átsorolás | V. melléklet 2. részének 65. pontja | |
| 190 | Cash flow-fedezeti ügyletek [hatékony rész] | IAS 1 7. bekezdése, IG6; IAS 39 95. bekezdésének a) pontjától a 96. bekezdésig, IFRS 9 6.5.11. bekezdésének b) pontja; IFRS 7 24C. bekezdésének b) i. pontja, 24E. bekezdésének a) pontja; | |
| 200 | Saját tőkében elszámolt értékelési nyereség vagy (–) veszteség | IAS 1 7. bekezdésének e) pontja, IG6; IFRS 9 6.5.11. bekezdésének a), b) és d) pontja; IFRS 7 24C. bekezdésének b) i. pontja, 24E. bekezdésének a) pontja | |
| 210 | Eredménybe átvezetett | IAS 1 7., 92–95. bekezdése, IG6; IFRS 9 6.5.11. bekezdésének d) ii. és iii. pontja; IFRS 7 24C. bekezdésének b) iv. pontja, 24E. bekezdésének a) pontja; V. melléklet 2. részének 59. pontja | |
| 220 | A fedezett tételek kezdeti könyv szerinti értékébe átvezetett | IAS 1 IG6; IFRS 9 6.5.11. bekezdésének d) i. pontja; | |
| 230 | Egyéb átsorolás | V. melléklet 2. részének 65. pontja | |
| 231 | Fedezeti instrumentumok [nem megjelölt elemek] | IAS 1 7. bekezdésének g) és h) pontja; IFRS 9 6.5.15. és 6.5.16. bekezdése; IFRS 7 24E. bekezdésének b) és c) pontja; V. melléklet 2. részének 60. pontja | |
| 232 | Saját tőkében elszámolt értékelési nyereség vagy (–) veszteség | IAS 1 7. bekezdésének g) és h) pontja; IFRS 9 6.5.15. és 6.5.16. bekezdése; IFRS 7 24E. bekezdésének b) és c) pontja | |
| 233 | Eredménybe átvezetett | IAS 1 7. bekezdésének g) és h) pontja; IFRS 9 6.5.15. és 6.5.16. bekezdése; IFRS 7 24E. bekezdésének b) és c) pontja; V. melléklet 2. részének 61. pontja | |
| 234 | Egyéb átsorolás | V. melléklet 2. részének 65. pontja | |
| 241 | Az egyéb átfogó jövedelemmel szemben valós értéken értékelt hitelviszonyt megtestesítő instrumentumok | IAS 1 7. bekezdésének da) pontja, IG 6; IAS 1 IG6; IFRS 9 5.6.4. bekezdése; V. melléklet 2. részének 62–63. pontja | |
| 251 | Saját tőkében elszámolt értékelési nyereség vagy (–) veszteség | IFRS 7 20. bekezdésének a) ii. pontja; IAS 1 IG6; IFRS 9 5.6.4. bekezdése | |
| 261 | Eredménybe átvezetett | IAS 1 7. bekezdése; IAS 1 92–95. bekezdése; IAS 1 IG6; IFRS 9 5.6.7. bekezdése; V. melléklet 2. részének 64. pontja | |
| 270 | Egyéb átsorolás | IFRS 5, IG 12. példa; IFRS 9 5.6.5. bekezdése V. melléklet 2. részének 64–65. pontja | |
| 280 | Értékesítésre tartott befektetett eszközök és elidegenítési csoportok | IFRS 5 38. bekezdése | |
| 290 | Saját tőkében elszámolt értékelési nyereség vagy (-) veszteség | IFRS 5 38. bekezdése | |
| 300 | Eredménybe átvezetett | IAS 1 7., 92–95. bekezdése; IFRS 5 38. bekezdése | |
| 310 | Egyéb átsorolás | IFRS 5 IG 12. példa | |
| 320 | Leányvállalatokba, közös vállalkozásokba, valamint társult vállalkozásokba történt befektetések egyéb megjelenített bevételeiből vagy ráfordításaiból való részesedés | IAS 1 IG6; IAS 28 10. bekezdése | |
| 330 | Nyereségbe vagy (-) veszteségbe átsorolható tételekhez kapcsolódó nyereségadó | IAS 1 91. bekezdésének b) pontja; IG6; V. melléklet 2. részének 66. pontja | |
| 340 | Teljes tárgyévi átfogó jövedelem | IAS 1 7. bekezdése, 81A. bekezdésének a) pontja, IG6 | |
| 350 | Kisebbségi részesedéseknek tulajdonítható [nem ellenőrző részesedés] | IAS 1 83. bekezdésének b) i. pontja, IG6 | |
| 360 | Az anyavállalat tulajdonosainak tulajdonítható | IAS 1 83. bekezdésének b) ii. pontja, IG6 | |
4. Pénzügyi eszközök instrumentum és ügyfélszektor szerinti részletezése
4.1. Kereskedési céllal tartott pénzügyi eszközök
| Hivatkozások Nemzeti GAAP a BAD alapján | Hivatkozások A nemzeti GAAP-pal kompatibilis IFRS standardok | Könyv szerinti érték | ||
| V. melléklet 1. részének 27. pontja | ||||
| 010 | ||||
| 005 | Származtatott ügyletek | |||
| 010 | Tulajdoni részesedést megtestesítő instrumentumok | EKB/2013/33 2. melléklete 2. részének 4–5. szakasza | IAS 32 11. bekezdése; V. melléklet 1. részének 44. b) pontja | |
| 030 | ebből: hitelintézetek | V. melléklet 1. részének 42. c) pontja | V. melléklet 1. részének 42. c) pontja | |
| 040 | ebből: egyéb pénzügyi vállalatok | V. melléklet 1. részének 42. d) pontja | V. melléklet 1. részének 42. d) pontja | |
| 050 | ebből: nem pénzügyi vállalatok | V. melléklet 1. részének 42. e) pontja | V. melléklet 1. részének 42. e) pontja | |
| 060 | Hitelviszonyt megtestesítő értékpapírok | V. melléklet 1. részének 31. pontja | V. melléklet 1. részének 31. pontja és 44. b) pontja | |
| 070 | Központi bankok | V. melléklet 1. részének 42. a) pontja | V. melléklet 1. részének 42. a) pontja | |
| 080 | Államháztartások | V. melléklet 1. részének 42. b) pontja | V. melléklet 1. részének 42. b) pontja | |
| 090 | Hitelintézetek | V. melléklet 1. részének 42. c) pontja | V. melléklet 1. részének 42. c) pontja | |
| 100 | Egyéb pénzügyi vállalatok | V. melléklet 1. részének 42. d) pontja | V. melléklet 1. részének 42. d) pontja | |
| 110 | Nem pénzügyi vállalatok | V. melléklet 1. részének 42. e) pontja | V. melléklet 1. részének 42. e) pontja | |
| 120 | Hitelek és előlegek | V. melléklet 1. részének 32. pontja | V. melléklet 1. részének 32. pontja, 44. a) pontja | |
| 130 | Központi bankok | V. melléklet 1. részének 42. a) pontja | V. melléklet 1. részének 42. a) pontja | |
| 140 | Államháztartások | V. melléklet 1. részének 42. b) pontja | V. melléklet 1. részének 42. b) pontja | |
| 150 | Hitelintézetek | V. melléklet 1. részének 42. c) pontja | V. melléklet 1. részének 42. c) pontja | |
| 160 | Egyéb pénzügyi vállalatok | V. melléklet 1. részének 42. d) pontja | V. melléklet 1. részének 42. d) pontja | |
| 170 | Nem pénzügyi vállalatok | V. melléklet 1. részének 42. e) pontja | V. melléklet 1. részének 42. e) pontja | |
| 180 | Háztartások | V. melléklet 1. részének 42. f) pontja | V. melléklet 1. részének 42. f) pontja | |
| 190 | KERESKEDÉSI CÉLLAL TARTOTT PÉNZÜGYI ESZKÖZÖK | V. melléklet 1. részének 15. a) pontja | IFRS 9 A. függelék | |
4.2. 1 Kötelezően az eredménnyel szemben valós értéken értékelt, nem kereskedési célú pénzügyi eszközök
| Hivatkozások Nemzeti GAAP a BAD alapján | Hivatkozások A nemzeti GAAP-pal kompatibilis IFRS standardok | Könyv szerinti érték | A hitelkockázat-változásból származó negatív valósérték-változás halmozott összege nemteljesítő kitettségek esetében | ||
| V. melléklet 1. részének 27. pontja | V. melléklet 2. részének 69. pontja | ||||
| 010 | 020 | ||||
| 010 | Tulajdoni részesedést megtestesítő instrumentumok | IAS 32 11. bekezdése; V. melléklet 1. részének 44. b) pontja | |||
| 020 | ebből: hitelintézetek | V. melléklet 1. részének 42. c) pontja | |||
| 030 | ebből: egyéb pénzügyi vállalatok | V. melléklet 1. részének 42. d) pontja | |||
| 040 | ebből: nem pénzügyi vállalatok | V. melléklet 1. részének 42. e) pontja | |||
| 050 | Hitelviszonyt megtestesítő értékpapírok | V. melléklet 1. részének 31. pontja és 44. b) pontja | |||
| 060 | Központi bankok | V. melléklet 1. részének 42. a) pontja | |||
| 070 | Államháztartások | V. melléklet 1. részének 42. b) pontja | |||
| 080 | Hitelintézetek | V. melléklet 1. részének 42. c) pontja | |||
| 090 | Egyéb pénzügyi vállalatok | V. melléklet 1. részének 42. d) pontja | |||
| 100 | Nem pénzügyi vállalatok | V. melléklet 1. részének 42. e) pontja | |||
| 110 | Hitelek és előlegek | V. melléklet 1. részének 32. pontja, 44. a) pontja | |||
| 120 | Központi bankok | V. melléklet 1. részének 42. a) pontja | |||
| 130 | Államháztartások | V. melléklet 1. részének 42. b) pontja | |||
| 140 | Hitelintézetek | V. melléklet 1. részének 42. c) pontja | |||
| 150 | Egyéb pénzügyi vállalatok | V. melléklet 1. részének 42. d) pontja | |||
| 160 | Nem pénzügyi vállalatok | V. melléklet 1. részének 42. e) pontja | |||
| 170 | Háztartások | V. melléklet 1. részének 42. f) pontja | |||
| 180 | KÖTELEZŐEN AZ EREDMÉNNYEL SZEMBEN VALÓS ÉRTÉKEN ÉRTÉKELT, NEM KERESKEDÉSI CÉLÚ PÉNZÜGYI ESZKÖZÖK | IFRS 7 8. bekezdésének a) ii. pontja; IFRS 9 4.1.4. bekezdése | |||
4.2. 2 Az eredménnyel szemben valós értéken értékeltnek megjelölt pénzügyi eszközök
| Hivatkozások Nemzeti GAAP a BAD alapján | Hivatkozások A nemzeti GAAP-pal kompatibilis IFRS standardok | Könyv szerinti érték | A hitelkockázat-változásból származó negatív valósérték-változás halmozott összege nemteljesítő kitettségek esetében | ||
| V. melléklet 1. részének 27. pontja | V. melléklet 2. részének 69. pontja | ||||
| 010 | 020 | ||||
| 010 | Tulajdoni részesedést megtestesítő instrumentumok | EKB/2013/33 2. melléklete 2. részének 4–5. szakasza | IAS 32 11. bekezdése | ||
| 020 | ebből: bekerülési értéken | IAS 39 46. bekezdésének c) pontja | |||
| 030 | ebből: hitelintézetek | V. melléklet 1. részének 42. c) pontja | V. melléklet 1. részének 38. c) pontja | ||
| 040 | ebből: egyéb pénzügyi vállalatok | V. melléklet 1. részének 42. d) pontja | V. melléklet 1. részének 38. d) pontja | ||
| 050 | ebből: nem pénzügyi vállalatok | V. melléklet 1. részének 42. e) pontja | V. melléklet 1. részének 38. e) pontja | ||
| 060 | Hitelviszonyt megtestesítő értékpapírok | V. melléklet 1. részének 31. pontja és 44. b) pontja | V. melléklet 1. részének 31. pontja és 44. b) pontja | ||
| 070 | Központi bankok | V. melléklet 1. részének 42. a) pontja | V. melléklet 1. részének 42. a) pontja | ||
| 080 | Államháztartások | V. melléklet 1. részének 42. b) pontja | V. melléklet 1. részének 42. b) pontja | ||
| 090 | Hitelintézetek | V. melléklet 1. részének 42. c) pontja | V. melléklet 1. részének 42. c) pontja | ||
| 100 | Egyéb pénzügyi vállalatok | V. melléklet 1. részének 42. d) pontja | V. melléklet 1. részének 42. d) pontja | ||
| 110 | Nem pénzügyi vállalatok | V. melléklet 1. részének 42. e) pontja | V. melléklet 1. részének 42. e) pontja | ||
| 120 | Hitelek és előlegek | V. melléklet 1. részének 32. pontja, 44. a) pontja | V. melléklet 1. részének 32. pontja, 44. a) pontja | ||
| 130 | Központi bankok | V. melléklet 1. részének 42. a) pontja | V. melléklet 1. részének 42. a) pontja | ||
| 140 | Államháztartások | V. melléklet 1. részének 42. b) pontja | V. melléklet 1. részének 42. b) pontja | ||
| 150 | Hitelintézetek | V. melléklet 1. részének 42. c) pontja | V. melléklet 1. részének 42. c) pontja | ||
| 160 | Egyéb pénzügyi vállalatok | V. melléklet 1. részének 42. d) pontja | V. melléklet 1. részének 42. d) pontja | ||
| 170 | Nem pénzügyi vállalatok | V. melléklet 1. részének 42. e) pontja | V. melléklet 1. részének 42. e) pontja | ||
| 180 | Háztartások | V. melléklet 1. részének 42. f) pontja | V. melléklet 1. részének 42. f) pontja | ||
| 190 | AZ EREDMÉNNYEL SZEMBEN VALÓS ÉRTÉKEN ÉRTÉKELTNEK MEGJELÖLT PÉNZÜGYI ESZKÖZÖK | Számviteli irányelv 8. cikke (1) bekezdésének a) pontja és (6) bekezdése | IFRS 7 8. bekezdésének a) i. pontja; IFRS 9 4.1.5. bekezdése | ||
4.3. 1 Az egyéb átfogó jövedelemmel szemben valós értéken értékelt pénzügyi eszközök
| Hivatkozások Nemzeti GAAP a BAD alapján | Hivatkozások A nemzeti GAAP-pal kompatibilis IFRS standardok | Könyv szerinti érték | Bruttó könyv szerinti érték V. melléklet 1. részének 34. b) pontja | Halmozott értékvesztés V. melléklet 2. részének 70. b) pontja, 71. pontja | Halmozott részleges leírások összege | Halmozott teljes leírások összege | |||||||
| Eszközök, amelyek hitelkockázata nem növekedett jelentősen a kezdeti megjelenítés óta (1. szakasz) | Eszközök, amelyek hitelkockázata jelentősen növekedett a kezdeti megjelenítés óta, de amelyek nem váltak értékvesztetté (2. szakasz) | Értékvesztett eszközök (3. szakasz) | Eszközök, amelyek hitelkockázata nem növekedett jelentősen a kezdeti megjelenítés óta (1. szakasz) | Eszközök, amelyek hitelkockázata jelentősen növekedett a kezdeti megjelenítés óta, de amelyek nem váltak értékvesztetté (2. szakasz) | Értékvesztett eszközök (3. szakasz) | ||||||||
| ebből: alacsony hitelkockázatú eszközök | |||||||||||||
| V. melléklet 1. részének 27. pontja | IFRS 9 5.5.5. bekezdése; IFRS 7 35M. bekezdésének a) pontja | IFRS 9 B5.5.22–24. bekezdése; V. melléklet 2. részének 75.pontja | IFRS 9 5.5.3. bekezdése, IFRS 7 35M. bekezdésének b) i. pontja | IFRS 9 5.5.1. bekezdése, IFRS 7 35M. bekezdésének b) ii. pontja | IFRS 9 5.5.5. bekezdése; IFRS 7 35H. bekezdésének a) pontja, IFRS 7 16A. bekezdése | IFRS 9 5.5.3. bekezdése; IFRS 9 5.5.15. bekezdése; IFRS 7 35H. bekezdésének b) i. pontja, IFRS 7 16A. bekezdése | IFRS 9 5.5.1. bekezdése; IFRS 9 5.5.15. bekezdése; IFRS 7 35H. bekezdésének b) ii. pontja, IFRS 7 16A. bekezdése | IFRS 9 5.4.4. bekezdése és B5.4.9. bekezdése; V. melléklet 2. részének 72–74. pontja | IFRS 9 5.4.4. bekezdése és B5.4.9. bekezdése; V. melléklet 2. részének 72–74. pontja | ||||
| 010 | 015 | 020 | 030 | 040 | 050 | 060 | 070 | 080 | 090 | ||||
| 010 | Tulajdoni részesedést megtestesítő instrumentumok | IAS 32 11. bekezdése; V. melléklet 1. részének 44. b) pontja | |||||||||||
| 020 | ebből: hitelintézetek | V. melléklet 1. részének 42. c) pontja | |||||||||||
| 030 | ebből: egyéb pénzügyi vállalatok | V. melléklet 1. részének 42. d) pontja | |||||||||||
| 040 | ebből: nem pénzügyi vállalatok | V. melléklet 1. részének 42. e) pontja | |||||||||||
| 050 | Hitelviszonyt megtestesítő értékpapírok | V. melléklet 1. részének 31. pontja és 44. b) pontja | |||||||||||
| 060 | Központi bankok | V. melléklet 1. részének 42. a) pontja | |||||||||||
| 070 | Államháztartások | V. melléklet 1. részének 42. b) pontja | |||||||||||
| 080 | Hitelintézetek | V. melléklet 1. részének 42. c) pontja | |||||||||||
| 090 | Egyéb pénzügyi vállalatok | V. melléklet 1. részének 42. d) pontja | |||||||||||
| 100 | Nem pénzügyi vállalatok | V. melléklet 1. részének 42. e) pontja | |||||||||||
| 110 | Hitelek és előlegek | V. melléklet 1. részének 32. pontja, 44. a) pontja | |||||||||||
| 120 | Központi bankok | V. melléklet 1. részének 42. a) pontja | |||||||||||
| 130 | Államháztartások | V. melléklet 1. részének 42. b) pontja | |||||||||||
| 140 | Hitelintézetek | V. melléklet 1. részének 42. c) pontja | |||||||||||
| 150 | Egyéb pénzügyi vállalatok | V. melléklet 1. részének 42. d) pontja | |||||||||||
| 160 | Nem pénzügyi vállalatok | V. melléklet 1. részének 42. e) pontja | |||||||||||
| 165 | Ebből: Kis- és középvállalkozások | KKV 1. cikke (2) bekezdésének a) pontja | |||||||||||
| 170 | Háztartások | V. melléklet 1. részének 42. f) pontja | |||||||||||
| 180 | AZ EGYÉB ÁTFOGÓ JÖVEDELEMMEL SZEMBEN VALÓS ÉRTÉKEN ÉRTÉKELT PÉNZÜGYI ESZKÖZÖK | IFRS 7 8. bekezdésének h) pontja; IFRS 9 4.1.2A. bekezdése | |||||||||||
| 190 | ebből: vásárolt értékvesztett pénzügyi eszközök | IFRS 9 5.5.13. bekezdése; IFRS 7 35M. bekezdésének c) pontja; V. melléklet 2. részének 77. pontja | |||||||||||
4.4. 1 Amortizált bekerülési értéken értékelt pénzügyi eszközök
| Hivatkozások Nemzeti GAAP a BAD alapján | Hivatkozások A nemzeti GAAP-pal kompatibilis IFRS standardok | Könyv szerinti érték | Bruttó könyv szerinti érték V. melléklet 1. részének 34. b) pontja | Halmozott értékvesztés V. melléklet 2. részének 70. a) pontja és 71. pontja | Halmozott részleges leírások összege | Halmozott teljes leírások összege | |||||||
| Eszközök, amelyek hitelkockázata nem növekedett jelentősen a kezdeti megjelenítés óta (1. szakasz) | Eszközök, amelyek hitelkockázata jelentősen növekedett a kezdeti megjelenítés óta, de amelyek nem váltak értékvesztetté (2. szakasz) | Értékvesztett eszközök (3. szakasz) | Eszközök, amelyek hitelkockázata nem növekedett jelentősen a kezdeti megjelenítés óta (1. szakasz) | Eszközök, amelyek hitelkockázata jelentősen növekedett a kezdeti megjelenítés óta, de amelyek nem váltak értékvesztetté (2. szakasz) | Értékvesztett eszközök (3. szakasz) | ||||||||
| ebből: alacsony hitelkockázatú eszközök | |||||||||||||
| V. melléklet 1. részének 27. pontja | IFRS 9 5.5.5. bekezdése; IFRS 7 35M. bekezdésének a) pontja | IFRS 9 B5.5.22–24. bekezdése; V. melléklet 2. részének 75.pontja | IFRS 9 5.5.3. bekezdése, IFRS 7 35M. bekezdésének b) i. pontja | IFRS 9 5.5.1. bekezdése, IFRS 7 35M. bekezdésének b) ii. pontja | IFRS 9 5.5.5. bekezdése; IFRS 7 35H. bekezdésének a) pontja | IFRS 9 5.5.3. bekezdése; IFRS 9 5.5.15. bekezdése; IFRS 7 35H. bekezdésének b) i. pontja | IFRS 5.5.1. bekezdése; IFRS 9 5.5.15. bekezdése; IFRS 7 35H. bekezdésének b) ii. pontja | IFRS 9 5.4.4. bekezdése és B5.4.9. bekezdése; V. melléklet 2. részének 72–74. pontja | IFRS 9 5.4.4. bekezdése és B5.4.9. bekezdése; V. melléklet 2. részének 72–74. pontja | ||||
| 010 | 015 | 020 | 030 | 040 | 050 | 060 | 070 | 080 | 090 | ||||
| 010 | Hitelviszonyt megtestesítő értékpapírok | V. melléklet 1. részének 31. pontja és 44. b) pontja | |||||||||||
| 020 | Központi bankok | V. melléklet 1. részének 42. a) pontja | |||||||||||
| 030 | Államháztartások | V. melléklet 1. részének 42. b) pontja | |||||||||||
| 040 | Hitelintézetek | V. melléklet 1. részének 42. c) pontja | |||||||||||
| 050 | Egyéb pénzügyi vállalatok | V. melléklet 1. részének 42. d) pontja | |||||||||||
| 060 | Nem pénzügyi vállalatok | V. melléklet 1. részének 42. e) pontja | |||||||||||
| 070 | Hitelek és előlegek | V. melléklet 1. részének 32. pontja, 44. a) pontja | |||||||||||
| 080 | Központi bankok | V. melléklet 1. részének 42. a) pontja | |||||||||||
| 090 | Államháztartások | V. melléklet 1. részének 42. b) pontja | |||||||||||
| 100 | Hitelintézetek | V. melléklet 1. részének 42. c) pontja | |||||||||||
| 110 | Egyéb pénzügyi vállalatok | V. melléklet 1. részének 42. d) pontja | |||||||||||
| 120 | Nem pénzügyi vállalatok | V. melléklet 1. részének 42. e) pontja | |||||||||||
| 125 | Ebből: Kis- és középvállalkozások | KKV 1. cikke (2) bekezdésének a) pontja | |||||||||||
| 130 | Háztartások | V. melléklet 1. részének 42. f) pontja | |||||||||||
| 140 | AMORTIZÁLT BEKERÜLÉSI ÉRTÉKEN ÉRTÉKELT PÉNZÜGYI ESZKÖZÖK | IFRS 7 8. bekezdésének f) pontja; IFRS 9 4.1.2. bekezdése | |||||||||||
| 150 | ebből: vásárolt értékvesztett pénzügyi eszközök | IFRS 9 5.13. bekezdése és IFRS 7 35M. bekezdésének f) pontja; V. melléklet 2. részének 77. pontja | |||||||||||
4.5. Alárendelt pénzügyi eszközök
| Hivatkozások Nemzeti GAAP a BAD alapján | Hivatkozások A nemzeti GAAP-pal kompatibilis IFRS standardok | Könyv szerinti érték | ||
| V. melléklet 1. részének 27–28. pontja | ||||
| 010 | ||||
| 010 | Hitelek és előlegek | V. melléklet 1. részének 32. pontja | V. melléklet 1. részének 32. pontja | |
| 020 | Hitelviszonyt megtestesítő értékpapírok | V. melléklet 1. részének 31. pontja | V. melléklet 1. részének 31. pontja | |
| 030 | [A KIBOCSÁTÓNÁL] ALÁRENDELT PÉNZÜGYI ESZKÖZÖK | Számviteli irányelv 8. cikke (1) bekezdésének a) pontja; V. melléklet 2. részének 78. és 100. pontja | V. melléklet 2. részének 78. és 100. pontja | |
4.6. Kereskedési célú pénzügyi eszközök
| Hivatkozások Nemzeti GAAP a BAD alapján | Könyv szerinti érték | ||
| V. melléklet 1. részének 27–28. pontja | |||
| 010 | |||
| 005 | Származtatott ügyletek | CRR II. melléklete; V. melléklet 1. részének 17. pontja, 2. részének 68. pontja | |
| 010 | Tulajdoni részesedést megtestesítő instrumentumok | EKB/2013/33 2. melléklete 2. részének 4–5. szakasza; V. melléklet 1. részének 44. b) pontja | |
| 020 | ebből: nem jegyzett | ||
| 030 | ebből: hitelintézetek | V. melléklet 1. részének 42. c) pontja | |
| 040 | ebből: egyéb pénzügyi vállalatok | V. melléklet 1. részének 42. d) pontja | |
| 050 | ebből: nem pénzügyi vállalatok | V. melléklet 1. részének 42. e) pontja | |
| 060 | Hitelviszonyt megtestesítő értékpapírok | V. melléklet 1. részének 31. pontja és 44. b) pontja | |
| 070 | Központi bankok | V. melléklet 1. részének 42. a) pontja | |
| 080 | Államháztartások | V. melléklet 1. részének 42. b) pontja | |
| 090 | Hitelintézetek | V. melléklet 1. részének 42. c) pontja | |
| 100 | Egyéb pénzügyi vállalatok | V. melléklet 1. részének 42. d) pontja | |
| 110 | Nem pénzügyi vállalatok | V. melléklet 1. részének 42. e) pontja | |
| 120 | Hitelek és előlegek | V. melléklet 1. részének 32. pontja, 44. a) pontja | |
| 130 | Központi bankok | V. melléklet 1. részének 42. a) pontja | |
| 140 | Államháztartások | V. melléklet 1. részének 42. b) pontja | |
| 150 | Hitelintézetek | V. melléklet 1. részének 42. c) pontja | |
| 160 | Egyéb pénzügyi vállalatok | V. melléklet 1. részének 42. d) pontja | |
| 170 | Nem pénzügyi vállalatok | V. melléklet 1. részének 42. e) pontja | |
| 180 | Háztartások | V. melléklet 1. részének 42. f) pontja | |
| 190 | KERESKEDÉSI CÉLÚ PÉNZÜGYI ESZKÖZÖK | BAD 32–33. cikke; V. melléklet 1. részének 17. pontja | |
4.7. Eredménnyel szemben valós értéken értékelt, nem kereskedési célú, nem származtatott pénzügyi eszközök
| Hivatkozások Nemzeti GAAP a BAD alapján | Könyv szerinti érték | A hitelkockázat-változásból származó negatív valósérték-változás halmozott összege nemteljesítő kitettségek esetében | ||
| V. melléklet 1. részének 27–28. pontja | V. melléklet 2. részének 69. pontja | |||
| 010 | 021 | |||
| 010 | Tulajdoni részesedést megtestesítő instrumentumok | EKB/2013/33 2. melléklete 2. részének 4–5. szakasza; V. melléklet 1. részének 44. b) pontja | ||
| 020 | ebből: nem jegyzett | |||
| 030 | ebből: hitelintézetek | V. melléklet 1. részének 42. c) pontja | ||
| 040 | ebből: egyéb pénzügyi vállalatok | V. melléklet 1. részének 42. d) pontja | ||
| 050 | ebből: nem pénzügyi vállalatok | V. melléklet 1. részének 42. e) pontja | ||
| 060 | Hitelviszonyt megtestesítő értékpapírok | V. melléklet 1. részének 31. pontja és 44. b) pontja | ||
| 070 | Központi bankok | V. melléklet 1. részének 42. a) pontja | ||
| 080 | Államháztartások | V. melléklet 1. részének 42. b) pontja | ||
| 090 | Hitelintézetek | V. melléklet 1. részének 42. c) pontja | ||
| 100 | Egyéb pénzügyi vállalatok | V. melléklet 1. részének 42. d) pontja | ||
| 110 | Nem pénzügyi vállalatok | V. melléklet 1. részének 42. e) pontja | ||
| 120 | Hitelek és előlegek | V. melléklet 1. részének 32. pontja, 44. a) pontja | ||
| 130 | Központi bankok | V. melléklet 1. részének 42. a) pontja | ||
| 140 | Államháztartások | V. melléklet 1. részének 42. b) pontja | ||
| 150 | Hitelintézetek | V. melléklet 1. részének 42. c) pontja | ||
| 160 | Egyéb pénzügyi vállalatok | V. melléklet 1. részének 42. d) pontja | ||
| 170 | Nem pénzügyi vállalatok | V. melléklet 1. részének 42. e) pontja | ||
| 180 | Háztartások | V. melléklet 1. részének 42. f) pontja | ||
| 190 | EREDMÉNNYEL SZEMBEN VALÓS ÉRTÉKEN ÉRTÉKELT, NEM KERESKEDÉSI CÉLÚ, NEM SZÁRMAZTATOTT PÉNZÜGYI ESZKÖZÖK | BAD 36. cikkének (2) bekezdése | ||
4.8. A saját tőkével szemben valós értéken értékelt, nem kereskedési célú, nem származtatott pénzügyi eszközök
| Hivatkozások Nemzeti GAAP a BAD alapján | Értékvesztés-elszámolási kötelezettség alá nem tartozó pénzügyi eszközök V. melléklet 1. részének 34. d) pontja, 2. részének 79. pontja | Értékvesztés-elszámolási kötelezettség alá tartozó pénzügyi eszközök V. melléklet 2. részének 79.pontja | ||||||||||
| Könyv szerinti érték | A hitelkockázat-változásból származó negatív valósérték-változás halmozott összege nemteljesítő kitettségek esetében | Könyv szerinti érték | Bruttó könyv szerinti érték V. melléklet 1. részének 34. d) pontja | Egyedi hitelkockázati tartalékok | A könyv szerinti értéket érintő, általános hitelkockázati tartalékok | A könyv szerinti értéket érintő, általános banki kockázatokra képzett tartalékok | Halmozott részleges leírások összege | Halmozott teljes leírások összege | ||||
| Nem értékvesztett eszközök | Értékvesztett eszközök | |||||||||||
| V. melléklet 1. részének 27–28. pontja | V. melléklet 2. részének 69. pontja | V. melléklet 1. részének 27–28. pontja | CRR 4. cikke (1) bekezdésének 95. pontja | CRR 4. cikke (1) bekezdésének 95. pontja; V. melléklet 2. részének 70. c) és 71. pontja | CRR 4. cikke (1) bekezdésének 95. pontja; V. melléklet 2. részének 70. c) pontja és 71. pontja | CRR 4. cikke (1) bekezdésének 95. pontja; V. melléklet 2. részének 70. c) pontja, 71. és 82. pontja | CRR 4. cikke (1) bekezdésének 95. pontja; V. melléklet 2. részének 72–74. pontja | CRR 4. cikke (1) bekezdésének 95. pontja; V. melléklet 2. részének 72–74. pontja | ||||
| 010 | 030 | 035 | 040 | 050 | 060 | 070 | 080 | 090 | 100 | |||
| 010 | Tulajdoni részesedést megtestesítő instrumentumok | EKB/2013/33 2. melléklete 2. részének 4–5. szakasza; V. melléklet 1. részének 44. b) pontja | ||||||||||
| 020 | ebből: nem jegyzett | |||||||||||
| 030 | ebből: hitelintézetek | V. melléklet 1. részének 42. c) pontja | ||||||||||
| 040 | ebből: egyéb pénzügyi vállalatok | V. melléklet 1. részének 42. d) pontja | ||||||||||
| 050 | ebből: nem pénzügyi vállalatok | V. melléklet 1. részének 42. e) pontja | ||||||||||
| 060 | Hitelviszonyt megtestesítő értékpapírok | V. melléklet 1. részének 31. pontja és 44. b) pontja | ||||||||||
| 070 | Központi bankok | V. melléklet 1. részének 42. a) pontja | ||||||||||
| 080 | Államháztartások | V. melléklet 1. részének 42. b) pontja | ||||||||||
| 090 | Hitelintézetek | V. melléklet 1. részének 42. c) pontja | ||||||||||
| 100 | Egyéb pénzügyi vállalatok | V. melléklet 1. részének 42. d) pontja | ||||||||||
| 110 | Nem pénzügyi vállalatok | V. melléklet 1. részének 42. e) pontja | ||||||||||
| 120 | Hitelek és előlegek | V. melléklet 1. részének 32. pontja, 44. a) pontja | ||||||||||
| 130 | Központi bankok | V. melléklet 1. részének 42. a) pontja | ||||||||||
| 140 | Államháztartások | V. melléklet 1. részének 42. b) pontja | ||||||||||
| 150 | Hitelintézetek | V. melléklet 1. részének 42. c) pontja | ||||||||||
| 160 | Egyéb pénzügyi vállalatok | V. melléklet 1. részének 42. d) pontja | ||||||||||
| 170 | Nem pénzügyi vállalatok | V. melléklet 1. részének 42. e) pontja | ||||||||||
| 175 | Ebből: Kis- és középvállalkozások | KKV 1. cikke (2) bekezdésének a) pontja | ||||||||||
| 180 | Háztartások | V. melléklet 1. részének 42. f) pontja | ||||||||||
| 190 | A SAJÁT TŐKÉVEL SZEMBEN VALÓS ÉRTÉKEN ÉRTÉKELT, NEM KERESKEDÉSI CÉLÚ, NEM SZÁRMAZTATOTT PÉNZÜGYI ESZKÖZÖK | Számviteli irányelv 8. cikke (1) bekezdésének a) pontja, és 8. cikkének (2) bekezdése | ||||||||||
4.9. Bekerülésiérték-módszerrel értékelt nem kereskedési célú, nem származtatott pénzügyi eszközök
| Hivatkozások Nemzeti GAAP a BAD alapján | Bruttó könyv szerinti érték V. melléklet 1. részének 34. c) pontja és 34. e) pontja | Egyedi hitelkockázati tartalékok | A könyv szerinti értéket érintő, általános hitelkockázati tartalékok | A könyv szerinti értéket érintő, általános banki kockázatokra képzett tartalékok | Könyv szerinti érték | A LOCOM-eszközök halmozott negatív értékelési kiigazításai – piaci kockázatból eredően | A LOCOM-eszközök halmozott negatív értékelési kiigazításai – hitelkockázatból eredően | Halmozott részleges leírások összege | Halmozott teljes leírások összege | ||||||
| Nem értékvesztett eszközök | Értékvesztett eszközök | ebből: LOCOM-módszer szerinti eszközök | |||||||||||||
| ebből: LOCOM-módszer szerinti eszközök | ebből: LOCOM-módszer szerinti eszközök | ||||||||||||||
| V. melléklet 2. részének 80. pontja | V. melléklet 1. részének 19. pontja | CRR 4. cikke (1) bekezdésének 95. pontja; V. melléklet 2. részének 80. pontja | V. melléklet 1. részének 19. pontja | CRR 4. cikke (1) bekezdésének 95. pontja; V. melléklet 2. részének 70. c) pontja és 71. pontja | CRR 4. cikke (1) bekezdésének 95. pontja; V. melléklet 2. részének 70. c) pontja és 71. pontja | CRR 4. cikke (1) bekezdésének 95. pontja; V. melléklet 2. részének 70. c) pontja, 71. és 82. pontja | V. melléklet 1. részének 27–28. pontja | V. melléklet 1. részének 19. pontja | V. melléklet 2. részének 80. pontja | V. melléklet 2. részének 80. pontja | CRR 4. cikke (1) bekezdésének 95. pontja; V. melléklet 2. részének 72–74. pontja | CRR 4. cikke (1) bekezdésének 95. pontja; V. melléklet 2. részének 72–74. pontja | |||
| 010 | 015 | 020 | 025 | 030 | 041 | 045 | 050 | 060 | 070 | 080 | 090 | 100 | |||
| 005 | Tulajdoni részesedést megtestesítő instrumentumok | EKB/2013/33 2. melléklete 2. részének 4–5. szakasza; V. melléklet 1. részének 44. b) pontja | |||||||||||||
| 006 | ebből: nem jegyzett | ||||||||||||||
| 007 | ebből: hitelintézetek | V. melléklet 1. részének 42. c) pontja | |||||||||||||
| 008 | ebből: egyéb pénzügyi vállalatok | V. melléklet 1. részének 42. d) pontja | |||||||||||||
| 009 | ebből: nem pénzügyi vállalatok | V. melléklet 1. részének 42. e) pontja | |||||||||||||
| 010 | Hitelviszonyt megtestesítő értékpapírok | V. melléklet 1. részének 31. pontja és 44. b) pontja | |||||||||||||
| 020 | Központi bankok | V. melléklet 1. részének 42. a) pontja | |||||||||||||
| 030 | Államháztartások | V. melléklet 1. részének 42. b) pontja | |||||||||||||
| 040 | Hitelintézetek | V. melléklet 1. részének 42. c) pontja | |||||||||||||
| 050 | Egyéb pénzügyi vállalatok | V. melléklet 1. részének 42. d) pontja | |||||||||||||
| 060 | Nem pénzügyi vállalatok | V. melléklet 1. részének 42. e) pontja | |||||||||||||
| 070 | Hitelek és előlegek | V. melléklet 1. részének 32. pontja, 44. a) pontja | |||||||||||||
| 080 | Központi bankok | V. melléklet 1. részének 42. a) pontja | |||||||||||||
| 090 | Államháztartások | V. melléklet 1. részének 42. b) pontja | |||||||||||||
| 100 | Hitelintézetek | V. melléklet 1. részének 42. c) pontja | |||||||||||||
| 110 | Egyéb pénzügyi vállalatok | V. melléklet 1. részének 42. d) pontja | |||||||||||||
| 120 | Nem pénzügyi vállalatok | V. melléklet 1. részének 42. e) pontja | |||||||||||||
| 125 | Ebből: Kis- és középvállalkozások | KKV 1. cikke (2) bekezdésének a) pontja | |||||||||||||
| 130 | Háztartások | V. melléklet 1. részének 42. f) pontja | |||||||||||||
| 140 | BEKERÜLÉSIÉRTÉK-MÓDSZERREL ÉRTÉKELT NEM KERESKEDÉSI CÉLÚ PÉNZÜGYI ESZKÖZÖK | BAD 37. cikkének 1. bekezdése; 42a. cikk (4) bekezdésének b) pontja; V. melléklet 1. részének 19. pontja | |||||||||||||
4.10. Egyéb nem kereskedési célú, nem származtatott pénzügyi eszközök
| Hivatkozások Nemzeti GAAP a BAD alapján | Bruttó könyv szerinti érték V. melléklet 1. részének 34. e) pontja, 34. f) pontja | Egyedi hitelkockázati tartalékok | A könyv szerinti értéket érintő, általános hitelkockázati tartalékok | A könyv szerinti értéket érintő, általános banki kockázatokra képzett tartalékok | Könyv szerinti érték | A LOCOM-eszközök halmozott negatív értékelési kiigazításai – piaci kockázatból eredően | A LOCOM-eszközök halmozott negatív értékelési kiigazításai – hitelkockázatból eredően | Halmozott részleges leírások összege | Halmozott teljes leírások összege | ||||||
| Nem értékvesztett eszközök | Értékvesztett eszközök | ebből: LOCOM-módszer szerinti eszközök | |||||||||||||
| ebből: LOCOM-módszer szerinti eszközök | ebből: LOCOM-módszer szerinti eszközök | ||||||||||||||
| V. melléklet 2. részének 81. pontja | V. melléklet 1. részének 20. pontja | V. melléklet 2. részének 81. pontja | CRR 4. cikke (1) bekezdésének 95. pontja; V. melléklet 1. részének 20. pontja | CRR 4. cikke (1) bekezdésének 95. pontja; V. melléklet 2. részének 70. c) pontja és 71. pontja | CRR 4. cikke (1) bekezdésének 95. pontja; V. melléklet 2. részének 70. c) pontja és 71. pontja | CRR 4. cikke (1) bekezdésének 95. pontja; V. melléklet 2. részének 70. c) pontja, 71. és 82. pontja | V. melléklet 1. részének 27–28. pontja | V. melléklet 1. részének 20. pontja | V. melléklet 2. részének 81. pontja | V. melléklet 2. részének 81. pontja | CRR 4. cikke (1) bekezdésének 95. pontja; V. melléklet 2. részének 72–74. pontja | CRR 4. cikke (1) bekezdésének 95. pontja; V. melléklet 2. részének 72–74. pontja | |||
| 015 | 016 | 020 | 025 | 030 | 040 | 050 | 010 | 070 | 080 | 090 | 100 | 110 | |||
| 010 | Tulajdoni részesedést megtestesítő instrumentumok | EKB/2013/33 2. melléklete 2. részének 4–5. szakasza; V. melléklet 1. részének 44. b) pontja | |||||||||||||
| 020 | ebből: nem jegyzett | ||||||||||||||
| 030 | ebből: hitelintézetek | V. melléklet 1. részének 42. c) pontja | |||||||||||||
| 040 | ebből: egyéb pénzügyi vállalatok | V. melléklet 1. részének 42. d) pontja | |||||||||||||
| 050 | ebből: nem pénzügyi vállalatok | V. melléklet 1. részének 42. e) pontja | |||||||||||||
| 060 | Hitelviszonyt megtestesítő értékpapírok | V. melléklet 1. részének 31. pontja és 44. b) pontja | |||||||||||||
| 070 | Központi bankok | V. melléklet 1. részének 42. a) pontja | |||||||||||||
| 080 | Államháztartások | V. melléklet 1. részének 42. b) pontja | |||||||||||||
| 090 | Hitelintézetek | V. melléklet 1. részének 42. c) pontja | |||||||||||||
| 100 | Egyéb pénzügyi vállalatok | V. melléklet 1. részének 42. d) pontja | |||||||||||||
| 110 | Nem pénzügyi vállalatok | V. melléklet 1. részének 42. e) pontja | |||||||||||||
| 120 | Hitelek és előlegek | V. melléklet 1. részének 32. pontja, 44. a) pontja | |||||||||||||
| 130 | Központi bankok | V. melléklet 1. részének 42. a) pontja | |||||||||||||
| 140 | Államháztartások | V. melléklet 1. részének 42. b) pontja | |||||||||||||
| 150 | Hitelintézetek | V. melléklet 1. részének 42. c) pontja | |||||||||||||
| 160 | Egyéb pénzügyi vállalatok | V. melléklet 1. részének 42. d) pontja | |||||||||||||
| 170 | Nem pénzügyi vállalatok | V. melléklet 1. részének 42. e) pontja | |||||||||||||
| 175 | Ebből: Kis- és középvállalkozások | KKV 1. cikke (2) bekezdésének a) pontja | |||||||||||||
| 180 | Háztartások | V. melléklet 1. részének 42. f) pontja | |||||||||||||
| 190 | EGYÉB NEM KERESKEDÉSI CÉLÚ, NEM SZÁRMAZTATOTT PÉNZÜGYI ESZKÖZÖK | Számviteli irányelv 8. cikke (1) bekezdésének a) pontja, és 8. cikkének (2) bekezdése; V. melléklet 1. részének 20. pontja | |||||||||||||
5. Nem kereskedési célú hitelek és előlegek termék szerinti részletezése
5.1. Hitelek és előlegek termék szerinti részletezése a nem kereskedési céllal tartott és nem kereskedési célú eszközök kivételével
| Hivatkozások | Bruttó könyv szerinti érték | Könyv szerinti érték V. melléklet 1. részének 27–28. pontja | ||||||||
| Központi bankok | Államháztartások | Hitelintézetek | Egyéb pénzügyi vállalatok | Nem pénzügyi vállalatok | Háztartások | |||||
| V. melléklet 1. részének 34. pontja | V. melléklet 1. részének 42. a) pontja | V. melléklet 1. részének 42. b) pontja | V. melléklet 1. részének 42. c) pontja | V. melléklet 1. részének 42. d) pontja | V. melléklet 1. részének 42. e) pontja | V. melléklet 1. részének 42. f) pontja | ||||
| 005 | 010 | 020 | 030 | 040 | 050 | 060 | ||||
| Termék szerint | 010 | Látra szóló [azonnal felmondható] és rövid határidővel felmondható [folyószámla] | V. melléklet 2. részének 85. a) pontja | |||||||
| 020 | Hitelkártya-tartozás | V. melléklet 2. részének 85. b) pontja | ||||||||
| 030 | Kereskedelemfinanszírozás | V. melléklet 2. részének 85. c) pontja | ||||||||
| 040 | Pénzügyi lízingek | V. melléklet 2. részének 85. d) pontja | ||||||||
| 050 | Fordított visszavásárlási hitelek | V. melléklet 2. részének 85. e) pontja | ||||||||
| 060 | Egyéb meghatározott lejáratú hitelek | V. melléklet 2. részének 85. f) pontja | ||||||||
| 070 | Előlegek, kivéve hitelek | V. melléklet 2. részének 85. g) pontja | ||||||||
| 080 | HITELEK ÉS ELŐLEGEK | V. melléklet 1. részének 32. pontja, 44. a) pontja | ||||||||
| Biztosíték szerint | 090 | ebből: ingatlannal fedezett hitelek | V. melléklet 2. részének 86. a) pontja és 87. pontja | |||||||
| 100 | ebből: egyéb biztosítékkal fedezett hitelek | V. melléklet 2. részének 86. b) pontja, 87. pontja | ||||||||
| Cél szerint | 110 | ebből: fogyasztási hitelek | V. melléklet 2. részének 88. a) pontja | |||||||
| 120 | ebből: lakáscélú hitelek | V. melléklet 2. részének 88. b) pontja | ||||||||
| Alárendeltség szerint | 130 | ebből: projektfinanszírozási hitelek | V. melléklet 2. részének 89. pontja; CRR 147. cikkének (8) bekezdése | |||||||
6. Nem pénzügyi vállalatoknak nyújtott nem kereskedési célú hitelek és előlegek részletezése NACE kódok szerint
6. 1 Nem pénzügyi vállalatoknak nyújtott, nem kereskedési céllal tartott hitelek és előlegek részletezése NACE kódok szerint
| Hivatkozások | Nem pénzügyi vállalatok V. melléklet 1. részének 42. e) pontja, 2. részének 91. pontja | |||||||
| Bruttó könyv szerinti érték | Halmozott értékvesztés | A hitelkockázat-változásból származó negatív valósérték-változás halmozott összege nemteljesítő kitettségek esetében | ||||||
| ebből: értékvesztés-elszámolási kötelezettség alá tartozó hitelek és előlegek | Ebből: nemteljesítő | |||||||
| ebből: nemteljesítő (defaulted) | ||||||||
| V. melléklet 1. részének 34. pontja | V. melléklet 2. részének 93. pontja | V. melléklet 2. részének 213–232. pontja | CRR 178. cikke; V. melléklet 2. részének 237. b) pontja | V. melléklet 2. részének 70-71. pontja | V. melléklet 2. részének 69. pontja | |||
| 010 | 011 | 012 | 013 | 021 | 022 | |||
| 010 | A. Mezőgazdaság, erdészet, halászat | NACE rendelet | ||||||
| 020 | B. Bányászat és kőfejtés | NACE rendelet | ||||||
| 030 | C. Feldolgozóipar | NACE rendelet | ||||||
| 040 | D. Villamosenergia-, gáz-, gőz-, légkondicionálás-ellátás | NACE rendelet | ||||||
| 050 | E. Vízellátás | NACE rendelet | ||||||
| 060 | F. Építőipar | NACE rendelet | ||||||
| 070 | G. Nagy- és kiskereskedelem | NACE rendelet | ||||||
| 080 | H. Szállítás és raktározás | NACE rendelet | ||||||
| 090 | I. Szálláshely-szolgáltatás, vendéglátás | NACE rendelet | ||||||
| 100 | J. Információ és kommunikáció | NACE rendelet | ||||||
| 105 | K. Pénzügyi és biztosítói tevékenységek | NACE-rendelet, V. melléklet 2. részének 92. bekezdése | ||||||
| 110 | L. Ingatlanügyletek | NACE rendelet | ||||||
| 120 | M. Szakmai, tudományos és műszaki tevékenység | NACE rendelet | ||||||
| 130 | N. Adminisztratív és szolgáltatást támogató tevékenység | NACE rendelet | ||||||
| 140 | O. Közigazgatás, védelem, kötelező társadalombiztosítás | NACE rendelet | ||||||
| 150 | P. Oktatás | NACE rendelet | ||||||
| 160 | Q. Humán-egészségügyi ellátás, szociális ellátás | NACE rendelet | ||||||
| 170 | R. Művészet, szórakoztatás, szabadidő | NACE rendelet | ||||||
| 180 | S. Egyéb szolgáltatás | NACE rendelet | ||||||
| 190 | HITELEK ÉS ELŐLEGEK | V. melléklet 1. részének 32. pontja, 2. részének 90. pontja | ||||||
7. Értékvesztés-elszámolási kötelezettség alá tartozó késedelmes pénzügyi eszközök
7. 1 Értékvesztés-elszámolási kötelezettség alá tartozó késedelmes pénzügyi eszközök
| Hivatkozások A nemzeti GAAP-pal kompatibilis IFRS standardok | Könyv szerinti érték V. melléklet 1. részének 27. pontja | ||||||||||
| Eszközök, amelyek hitelkockázata nem növekedett jelentősen a kezdeti megjelenítés óta (1. szakasz) | Eszközök, amelyek hitelkockázata jelentősen növekedett a kezdeti megjelenítés óta, de amelyek nem váltak értékvesztetté (2. szakasz) | Értékvesztett eszközök (3. szakasz) | |||||||||
| ≤ 30 nap | > 30 nap ≤ 90 nap | > 90 nap | ≤ 30 nap | > 30 nap ≤ 90 nap | > 90 nap | ≤ 30 nap | > 30 nap ≤ 90 nap | > 90 nap | |||
| IFRS 9 5.5.11. bekezdése és B5.5.37. bekezdése; IFRS 7 B8I. bekezdése, V. melléklet 2. részének 96. pontja | |||||||||||
| 010 | 020 | 030 | 040 | 050 | 060 | 070 | 080 | 090 | |||
| 060 | Hitelviszonyt megtestesítő értékpapírok | V. melléklet 1. részének 31. pontja és 44. b) pontja | |||||||||
| 070 | Központi bankok | V. melléklet 1. részének 42. a) pontja | |||||||||
| 080 | Államháztartások | V. melléklet 1. részének 42. b) pontja | |||||||||
| 090 | Hitelintézetek | V. melléklet 1. részének 42. c) pontja | |||||||||
| 100 | Egyéb pénzügyi vállalatok | V. melléklet 1. részének 42. d) pontja | |||||||||
| 110 | Nem pénzügyi vállalatok | V. melléklet 1. részének 42. e) pontja | |||||||||
| 120 | Hitelek és előlegek | V. melléklet 1. részének 32. pontja, 44. a) pontja | |||||||||
| 130 | Központi bankok | V. melléklet 1. részének 42. a) pontja | |||||||||
| 140 | Államháztartások | V. melléklet 1. részének 42. b) pontja | |||||||||
| 150 | Hitelintézetek | V. melléklet 1. részének 42. c) pontja | |||||||||
| 160 | Egyéb pénzügyi vállalatok | V. melléklet 1. részének 42. d) pontja | |||||||||
| 170 | Nem pénzügyi vállalatok | V. melléklet 1. részének 42. e) pontja | |||||||||
| 180 | Háztartások | V. melléklet 1. részének 42. f) pontja | |||||||||
| 190 | HITELVISZONYT MEGTESTESÍTŐ INSTRUMENTUMOK ÖSSZESEN | V. melléklet 2. részének 94–95. pontja | |||||||||
| Hitelek és előlegek termék, biztosíték és alárendeltség szerinti részletezése | |||||||||||
| 200 | Látra szóló [azonnal felmondható] és rövid határidővel felmondható [folyószámla] | V. melléklet 2. részének 85. a) pontja | |||||||||
| 210 | Hitelkártya-tartozás | V. melléklet 2. részének 85. b) pontja | |||||||||
| 220 | Kereskedelemfinanszírozás | V. melléklet 2. részének 85. c) pontja | |||||||||
| 230 | Pénzügyi lízingek | V. melléklet 2. részének 85. d) pontja | |||||||||
| 240 | Fordított visszavásárlási hitelek | V. melléklet 2. részének 85. e) pontja | |||||||||
| 250 | Egyéb meghatározott lejáratú hitelek | V. melléklet 2. részének 85. f) pontja | |||||||||
| 260 | Előlegek, kivéve hitelek | V. melléklet 2. részének 85. g) pontja | |||||||||
| 270 | ebből: ingatlannal fedezett hitelek | V. melléklet 2. részének 86. a) pontja és 87. pontja | |||||||||
| 280 | ebből: egyéb biztosítékkal fedezett hitelek | V. melléklet 2. részének 86. b) pontja, 87. pontja | |||||||||
| 290 | ebből: fogyasztási hitelek | V. melléklet 2. részének 88. a) pontja | |||||||||
| 300 | ebből: lakáscélú hitelek | V. melléklet 2. részének 88. b) pontja | |||||||||
| 310 | ebből: projektfinanszírozási hitelek | V. melléklet 2. részének 89. pontja; CRR 147. cikkének (8) bekezdése | |||||||||
7.2. Értékvesztés-elszámolási kötelezettség alá tartozó késedelmes pénzügyi eszközök a nemzeti GAAP szerint
| Hivatkozások Nemzeti GAAP a BAD alapján | Könyv szerinti érték V. melléklet 1. részének 27–28. pontja | |||||||
| Lejárt, de nem értékvesztett | Lejárt, értékvesztett | |||||||
| ≤ 30 nap | > 30 nap ≤ 90 nap | > 90 nap | ≤ 30 nap | > 30 nap ≤ 90 nap | > 90 nap | |||
| CRR 4. cikke (1) bekezdésének 95. pontja; V. melléklet 2. részének 96. pontja | ||||||||
| 010 | 020 | 030 | 040 | 050 | 060 | |||
| 060 | Hitelviszonyt megtestesítő értékpapírok | V. melléklet 1. részének 31. pontja és 44. b) pontja | ||||||
| 070 | Központi bankok | V. melléklet 1. részének 42. a) pontja | ||||||
| 080 | Államháztartások | V. melléklet 1. részének 42. b) pontja | ||||||
| 090 | Hitelintézetek | V. melléklet 1. részének 42. c) pontja | ||||||
| 100 | Egyéb pénzügyi vállalatok | V. melléklet 1. részének 42. d) pontja | ||||||
| 110 | Nem pénzügyi vállalatok | V. melléklet 1. részének 42. e) pontja | ||||||
| 120 | Hitelek és előlegek | V. melléklet 1. részének 32. pontja, 44. a) pontja | ||||||
| 130 | Központi bankok | V. melléklet 1. részének 42. a) pontja | ||||||
| 140 | Államháztartások | V. melléklet 1. részének 42. b) pontja | ||||||
| 150 | Hitelintézetek | V. melléklet 1. részének 42. c) pontja | ||||||
| 160 | Egyéb pénzügyi vállalatok | V. melléklet 1. részének 42. d) pontja | ||||||
| 170 | Nem pénzügyi vállalatok | V. melléklet 1. részének 42. e) pontja | ||||||
| 180 | Háztartások | V. melléklet 1. részének 42. f) pontja | ||||||
| 190 | HITELVISZONYT MEGTESTESÍTŐ INSTRUMENTUMOK ÖSSZESEN | V. melléklet 2. részének 94–95. pontja | ||||||
| Hitelek és előlegek termék, biztosíték és alárendeltség szerinti részletezése | ||||||||
| 200 | Látra szóló [azonnal felmondható] és rövid határidővel felmondható [folyószámla] | V. melléklet 2. részének 85. a) pontja | ||||||
| 210 | Hitelkártya-tartozás | V. melléklet 2. részének 85. b) pontja | ||||||
| 220 | Kereskedelemfinanszírozás | V. melléklet 2. részének 85. c) pontja | ||||||
| 230 | Pénzügyi lízingek | V. melléklet 2. részének 85. d) pontja | ||||||
| 240 | Fordított visszavásárlási hitelek | V. melléklet 2. részének 85. e) pontja | ||||||
| 250 | Egyéb meghatározott lejáratú hitelek | V. melléklet 2. részének 85. f) pontja | ||||||
| 260 | Előlegek, kivéve hitelek | V. melléklet 2. részének 85. g) pontja | ||||||
| 270 | ebből: ingatlannal fedezett hitelek | V. melléklet 2. részének 86. a) pontja és 87. pontja | ||||||
| 280 | ebből: egyéb biztosítékkal fedezett hitelek | V. melléklet 2. részének 86. b) pontja, 87. pontja | ||||||
| 290 | ebből: fogyasztási hitelek | V. melléklet 2. részének 88. a) pontja | ||||||
| 300 | ebből: lakáscélú hitelek | V. melléklet 2. részének 88. b) pontja | ||||||
| 310 | ebből: projektfinanszírozási hitelek | V. melléklet 2. részének 89. pontja; CRR 147. cikkének (8) bekezdése | ||||||
8. Pénzügyi kötelezettségek részletezése
8. 1 Pénzügyi kötelezettségek termék és ügyfélszektor szerinti részletezése
| Könyv szerinti érték V. melléklet 1. részének 27–28. pontja | A hitelkockázat változásából származó valósérték-változás halmozott összege | |||||||||
| Kereskedési céllal tartott | Az eredménnyel szemben valós értéken értékeltnek megjelölt | Amortizált bekerülési érték | Kereskedési célú | Bekerülésiérték-módszerrel | Fedezeti elszámolások | |||||
| Hivatkozások A nemzeti GAAP-pal kompatibilis IFRS standardok | IFRS 7 8. bekezdésének e) ii. pontja; IFRS 9 A. függelék, IFRS 9 BA.6–BA.7. bekezdése, IFRS 9 6.7. bekezdése | IFRS 7 8. bekezdésének e) i. pontja; IFRS 9 4.2.2. bekezdése, IFRS 9 4.3.5. bekezdése | IFRS 7 8. bekezdésének g) pontja; IFRS 9 4.2.1. bekezdése | IFRS 7 24A. bekezdésének a) pontja; IFRS 9 6. bekezdése | CRR 33. cikke (1) bekezdésének b) és c) pontja V. melléklet 2. részének 101. pontja | |||||
| Hivatkozások Nemzeti GAAP a BAD alapján | Számviteli irányelv 8. cikke (1) bekezdésének a) pontja és (6) bekezdése; IAS 39 9. bekezdése, AG14–15. bekezdése | Számviteli irányelv 8. cikke (1) bekezdésének a) pontja és (6) bekezdése; IAS 39 9. bekezdése | Számviteli irányelv 8. cikkének (3) bekezdése és (6) bekezdése; IAS 39 47. bekezdése | Számviteli irányelv 8. cikkének (3) bekezdése; V. melléklet 1. részének 25. pontja | Számviteli irányelv 8. cikkének (3) bekezdése | Számviteli irányelv 8. cikke (1) bekezdésének a) pontja, (6) bekezdése és (8) bekezdése első albekezdésének a) pontja | CRR 33. cikke (1) bekezdésének b) és c) pontja V. melléklet 2. részének 102. pontja | |||
| 010 | 020 | 030 | 034 | 035 | 037 | 040 | ||||
| 010 | Származtatott ügyletek | CRR II. melléklete | IFRS 9 BA.7. bekezdésének a) pontja | |||||||
| 020 | Rövid pozíciók | IFRS 9 BA.7. bekezdésének b) pontja | ||||||||
| 030 | Tulajdoni részesedést megtestesítő instrumentumok | EKB/2013/33 2. melléklete 2. részének 4–5. szakasza | IAS 32 11. bekezdése | |||||||
| 040 | Hitelviszonyt megtestesítő értékpapírok | V. melléklet 1. részének 31. pontja | V. melléklet 1. részének 31. pontja | |||||||
| 050 | Betétek | EKB/2013/33 2. melléklete 2. részének 9. szakasza; V. melléklet 1. részének 36. pontja | EKB/2013/33 2. melléklete 2. részének 9. szakasza; V. melléklet 1. részének 36. pontja | |||||||
| 060 | Központi bankok | V. melléklet 1. része 42. bekezdésének a) pontja, 44. bekezdésének c) pontja | V. melléklet 1. része 42. bekezdésének a) pontja, 44. bekezdésének c) pontja | |||||||
| 070 | Folyószámlák / egynapos betétek | EKB/2013/33 2. melléklete 2. részének 9.1. szakasza | EKB/2013/33 2. melléklete 2. részének 9.1. szakasza | |||||||
| 080 | Lekötött betétek | EKB/2013/33 2. melléklete 2. részének 9.2. szakasza | EKB/2013/33 2. melléklete 2. részének 9.2. szakasza | |||||||
| 090 | Felmondható betétek | EKB/2013/33 2. melléklete 2. részének 9.3. szakasza; V. melléklet 2. részének 97. pontja | EKB/2013/33 2. melléklete 2. részének 9.3. szakasza; V. melléklet 2. részének 97. pontja | |||||||
| 100 | Visszavásárlási megállapodások | EKB/2013/33 2. melléklete 2. részének 9.4. szakasza | EKB/2013/33 2. melléklete 2. részének 9.4. szakasza | |||||||
| 110 | Államháztartások | V. melléklet 1. része 42. bekezdésének b) pontja, 44. bekezdésének c) pontja | V. melléklet 1. része 42. bekezdésének b) pontja, 44. bekezdésének c) pontja | |||||||
| 120 | Folyószámlák / egynapos betétek | EKB/2013/33 2. melléklete 2. részének 9.1. szakasza | EKB/2013/33 2. melléklete 2. részének 9.1. szakasza | |||||||
| 130 | Lekötött betétek | EKB/2013/33 2. melléklete 2. részének 9.2. szakasza | EKB/2013/33 2. melléklete 2. részének 9.2. szakasza | |||||||
| 140 | Felmondható betétek | EKB/2013/33 2. melléklete 2. részének 9.3. szakasza; V. melléklet 2. részének 97. pontja | EKB/2013/33 2. melléklete 2. részének 9.3. szakasza; V. melléklet 2. részének 97. pontja | |||||||
| 150 | Visszavásárlási megállapodások | EKB/2013/33 2. melléklete 2. részének 9.4. szakasza | EKB/2013/33 2. melléklete 2. részének 9.4. szakasza | |||||||
| 160 | Hitelintézetek | V. melléklet 1. része 42. bekezdésének c) pontja, 44. bekezdésének c) pontja | V. melléklet 1. része 42. bekezdésének c) pontja, 44. bekezdésének c) pontja | |||||||
| 170 | Folyószámlák / egynapos betétek | EKB/2013/33 2. melléklete 2. részének 9.1. szakasza | EKB/2013/33 2. melléklete 2. részének 9.1. szakasza | |||||||
| 180 | Lekötött betétek | EKB/2013/33 2. melléklete 2. részének 9.2. szakasza | EKB/2013/33 2. melléklete 2. részének 9.2. szakasza | |||||||
| 190 | Felmondható betétek | EKB/2013/33 2. melléklete 2. részének 9.3. szakasza; V. melléklet 2. részének 97. pontja | EKB/2013/33 2. melléklete 2. részének 9.3. szakasza; V. melléklet 2. részének 97. pontja | |||||||
| 200 | Visszavásárlási megállapodások | EKB/2013/33 2. melléklete 2. részének 9.4. szakasza | EKB/2013/33 2. melléklete 2. részének 9.4. szakasza | |||||||
| 210 | Egyéb pénzügyi vállalatok | V. melléklet 1. része 42. bekezdésének d) pontja, 44. bekezdésének c) pontja | V. melléklet 1. része 42. bekezdésének d) pontja, 44. bekezdésének c) pontja | |||||||
| 220 | Folyószámlák / egynapos betétek | EKB/2013/33 2. melléklete 2. részének 9.1. szakasza | EKB/2013/33 2. melléklete 2. részének 9.1. szakasza | |||||||
| 230 | Lekötött betétek | EKB/2013/33 2. melléklete 2. részének 9.2. szakasza | EKB/2013/33 2. melléklete 2. részének 9.2. szakasza | |||||||
| 240 | Felmondható betétek | EKB/2013/33 2. melléklete 2. részének 9.3. szakasza; V. melléklet 2. részének 97. pontja | EKB/2013/33 2. melléklete 2. részének 9.3. szakasza; V. melléklet 2. részének 97. pontja | |||||||
| 250 | Visszavásárlási megállapodások | EKB/2013/33 2. melléklete 2. részének 9.4. szakasza | EKB/2013/33 2. melléklete 2. részének 9.4. szakasza | |||||||
| 260 | Nem pénzügyi vállalatok | V. melléklet 1. része 42. bekezdésének e) pontja, 44. bekezdésének c) pontja | V. melléklet 1. része 42. bekezdésének e) pontja, 44. bekezdésének c) pontja | |||||||
| 270 | Folyószámlák / egynapos betétek | EKB/2013/33 2. melléklete 2. részének 9.1. szakasza | EKB/2013/33 2. melléklete 2. részének 9.1. szakasza | |||||||
| 280 | Lekötött betétek | EKB/2013/33 2. melléklete 2. részének 9.2. szakasza | EKB/2013/33 2. melléklete 2. részének 9.2. szakasza | |||||||
| 290 | Felmondható betétek | EKB/2013/33 2. melléklete 2. részének 9.3. szakasza; V. melléklet 2. részének 97. pontja | EKB/2013/33 2. melléklete 2. részének 9.3. szakasza; V. melléklet 2. részének 97. pontja | |||||||
| 300 | Visszavásárlási megállapodások | EKB/2013/33 2. melléklete 2. részének 9.4. szakasza | EKB/2013/33 2. melléklete 2. részének 9.4. szakasza | |||||||
| 310 | Háztartások | V. melléklet 1. része 42. bekezdésének f) pontja, 44. bekezdésének c) pontja | V. melléklet 1. része 42. bekezdésének f) pontja, 44. bekezdésének c) pontja | |||||||
| 320 | Folyószámlák / egynapos betétek | EKB/2013/33 2. melléklete 2. részének 9.1. szakasza | EKB/2013/33 2. melléklete 2. részének 9.1. szakasza | |||||||
| 330 | Lekötött betétek | EKB/2013/33 2. melléklete 2. részének 9.2. szakasza | EKB/2013/33 2. melléklete 2. részének 9.2. szakasza | |||||||
| 340 | Felmondható betétek | EKB/2013/33 2. melléklete 2. részének 9.3. szakasza; V. melléklet 2. részének 97. pontja | EKB/2013/33 2. melléklete 2. részének 9.3. szakasza; V. melléklet 2. részének 97. pontja | |||||||
| 350 | Visszavásárlási megállapodások | EKB/2013/33 2. melléklete 2. részének 9.4. szakasza | EKB/2013/33 2. melléklete 2. részének 9.4. szakasza | |||||||
| 360 | Kibocsátott hitelviszonyt megtestesítő értékpapírok | V. melléklet 1. részének 37. pontja, 2. részének 98. pontja | V. melléklet 1. részének 37. pontja, 2. részének 98. pontja | |||||||
| 370 | Letéti jegyek | V. melléklet 2. része 98. bekezdésének a) pontja | V. melléklet 2. része 98. bekezdésének a) pontja | |||||||
| 380 | Eszközfedezetű értékpapírok | CRR 4. cikke (1) bekezdésének 61. pontja | CRR 4. cikke (1) bekezdésének 61. pontja | |||||||
| 390 | Fedezett kötvények | CRR 129. cikke | CRR 129. cikke | |||||||
| 400 | Hibrid szerződések | V. melléklet 2. része 98. bekezdésének d) pontja | V. melléklet 2. része 98. bekezdésének d) pontja | |||||||
| 410 | Egyéb kibocsátott hitelviszonyt megtestesítő értékpapírok | V. melléklet 2. része 85. bekezdésének e) pontja | V. melléklet 2. része 85. bekezdésének e) pontja | |||||||
| 420 | Átváltható összetett pénzügyi instrumentumok | IAS 32 AG31. bekezdése | ||||||||
| 430 | Nem átváltható | |||||||||
| 440 | Egyéb pénzügyi kötelezettségek | V. melléklet 1. részének 38–41. pontja | V. melléklet 1. részének 38–41. pontja | |||||||
| 445 | ebből: lízingkötelezettségek | IFRS 16 22. bekezdése, 26–28. bekezdése, 47. bekezdésének b) pontja | ||||||||
| 450 | PÉNZÜGYI KÖTELEZETTSÉGEK | |||||||||
8.2. Alárendelt pénzügyi kötelezettségek
| Könyv szerinti érték | ||||||
| Az eredménnyel szemben valós értéken értékeltnek megjelölt | Amortizált bekerülési értéken | Bekerülésiérték-módszerrel | ||||
| Hivatkozások A nemzeti GAAP-pal kompatibilis IFRS standardok | IFRS 7 8. bekezdésének e) i. pontja; IFRS 9 4.2.2. bekezdése, IFRS 9 4.3.5. bekezdése | IFRS 7 8. bekezdésének g) pontja; IFRS 9 4.2.1. bekezdése | ||||
| Hivatkozások Nemzeti GAAP | Számviteli irányelv 8. cikke (1) bekezdésének a) pontja és (6) bekezdése; IAS 39 9. bekezdése | Számviteli irányelv 8. cikkének (3) bekezdése és (6) bekezdése; IAS 39 47. bekezdése | Számviteli irányelv 8. cikkének (3) bekezdése | |||
| 010 | 020 | 030 | ||||
| 010 | Betétek | EKB/2013/33 2. melléklete 2. részének 9. szakasza; V. melléklet 1. részének 36. pontja | EKB/2013/33 2. melléklete 2. részének 9. szakasza; V. melléklet 1. részének 36. pontja | |||
| 020 | Kibocsátott hitelviszonyt megtestesítő értékpapírok | V. melléklet 1. részének 37. pontja | V. melléklet 1. részének 37. pontja | |||
| 030 | ALÁRENDELT PÉNZÜGYI KÖTELEZETTSÉGEK | V. melléklet 2. részének 99–100. pontja | V. melléklet 2. részének 99–100. pontja | |||
9. Hitelnyújtási elkötelezettségek, pénzügyi garanciák és egyéb elkötelezettségek
9.1.1. Mérlegen kívüli kitettségek: adott hitelnyújtási elkötelezettségek, pénzügyi garanciák és egyéb elkötelezettségek
| Hivatkozások A nemzeti GAAP-pal kompatibilis IFRS standardok | Az IFRS 9 szerinti értékvesztés-elszámolási kötelezettség alá tartozó mérlegen kívüli elkötelezettségek és pénzügyi garanciák névértéke V. melléklet 2. részének 107–108. pontja és 118. pontja | Az IFRS 9 szerinti értékvesztés-elszámolási kötelezettség alá tartozó mérlegen kívüli elkötelezettségekre és pénzügyi garanciákra képzett céltartalék V. melléklet 2. részének 106–109. pontja | Az IAS 37 szerint értékelt egyéb elkötelezettségek és az IFRS 4 szerint értékelt pénzügyi garanciák | Valós értéken értékelt elkötelezettségek és pénzügyi garanciák | ||||||||
| Instrumentumok, amelyek hitelkockázata nem növekedett jelentősen a kezdeti megjelenítés óta (1. szakasz) | Instrumentumok, amelyek hitelkockázata jelentősen növekedett a kezdeti megjelenítés óta, de amelyek nem váltak értékvesztetté (2. szakasz) | Értékvesztett eszközök (3. szakasz) | Instrumentumok, amelyek hitelkockázata nem növekedett jelentősen a kezdeti megjelenítés óta (1. szakasz) | Instrumentumok, amelyek hitelkockázata jelentősen növekedett a kezdeti megjelenítés óta, de amelyek nem váltak értékvesztetté (2. szakasz) | Értékvesztett eszközök (3. szakasz) | Névérték | Céltartalék | Névérték | A hitelkockázat-változásból származó negatív valósérték-változás halmozott összege nemteljesítő elkötelezettségek esetében | |||
| IFRS 9 2.1. bekezdésének e) és g) pontja, IFRS 9 4.2. bekezdésének c) pontja, IFRS 9 5.5. bekezdése, IFRS 9 B2.5. bekezdése; IFRS 7 35M. bekezdése | IFRS 9 2.1. bekezdésének e) és g) pontja, IFRS 9 4.2. bekezdésének c) pontja, IFRS 9 5.5. bekezdése, IFRS 9 B2.5. bekezdése; IFRS 7 35M. bekezdése | IFRS 9 2.1. bekezdésének e) és g) pontja, IFRS 9 4.2. bekezdésének c) pontja, IFRS 9 5.5. bekezdése, IFRS 9 B2.5. bekezdése; IFRS 7 35M. bekezdése | IFRS 9 2.1. bekezdésének e) és g) pontja, IFRS 9 4.2. bekezdésének c) pontja, IFRS 9 5.5. bekezdése, IFRS 9 B2.5. bekezdése; IFRS 7 35H. bekezdésének a) pontja | IFRS 9 2.1. bekezdésének e) és g) pontja, IFRS 9 4.2. bekezdésének c) pontja, IFRS 9 5.5. bekezdése, IFRS 9 B2.5. bekezdése; IFRS 7 35H. bekezdésének b) i. pontja | IFRS 9 2.1. bekezdésének e) és g) pontja, IFRS 9 4.2. bekezdésének c) pontja, IFRS 9 5.5. bekezdése, IFRS 9 B2.5. bekezdése; IFRS 7 35H. bekezdésének b) ii. pontja | IAS 37, IFRS 9 2.1. bekezdésének e) pontja, IFRS 9 B2.5. bekezdése; IFRS 4; V. melléklet 2. részének 111. pontja és 118. pontja | IAS 37, IFRS 9 2.1. bekezdésének e) pontja, IFRS 9 B2.5. bekezdése; IFRS 4; V. melléklet 2. részének 106. pontja és 111. pontja | IFRS 9 2.3. bekezdésének a) pontja, B2.5. bekezdése; V. melléklet 2. részének 110. pontja és 118. pontja | V. melléklet 2. részének 69. pontja | |||
| 010 | 020 | 030 | 040 | 050 | 060 | 100 | 110 | 120 | 130 | |||
| 010 | Adott hitelnyújtási elkötelezettségek | CRR I. melléklete; V. melléklet 1. részének 44. g) pontja, 2. részének 102–105., 113., 116. pontja | ||||||||||
| 021 | ebből: nemteljesítő | V. melléklet 2. részének 117. pontja | ||||||||||
| 030 | Központi bankok | V. melléklet 1. részének 42. a) pontja | ||||||||||
| 040 | Államháztartások | V. melléklet 1. részének 42. b) pontja | ||||||||||
| 050 | Hitelintézetek | V. melléklet 1. részének 42. c) pontja | ||||||||||
| 060 | Egyéb pénzügyi vállalatok | V. melléklet 1. részének 42. d) pontja | ||||||||||
| 070 | Nem pénzügyi vállalatok | V. melléklet 1. részének 42. e) pontja | ||||||||||
| 080 | Háztartások | V. melléklet 1. részének 42. f) pontja | ||||||||||
| 090 | Adott pénzügyi garanciák | IFRS 4 A. melléklete; CRR I. melléklete; V. melléklet 1. részének 44. f) pontja, 2. részének 102–105., 114., 116. pontja | ||||||||||
| 101 | ebből: nemteljesítő | V. melléklet 2. részének 117. pontja | ||||||||||
| 110 | Központi bankok | V. melléklet 1. részének 42. a) pontja | ||||||||||
| 120 | Államháztartások | V. melléklet 1. részének 42. b) pontja | ||||||||||
| 130 | Hitelintézetek | V. melléklet 1. részének 42. c) pontja | ||||||||||
| 140 | Egyéb pénzügyi vállalatok | V. melléklet 1. részének 42. d) pontja | ||||||||||
| 150 | Nem pénzügyi vállalatok | V. melléklet 1. részének 42. e) pontja | ||||||||||
| 160 | Háztartások | V. melléklet 1. részének 42. f) pontja | ||||||||||
| 170 | Egyéb adott elkötelezettségek | CRR I. melléklete; V. melléklet 1. részének 44. g) pontja, 2. részének 102–105., 115., 116. pontja | ||||||||||
| 181 | ebből: nemteljesítő | V. melléklet 2. részének 117. pontja | ||||||||||
| 190 | Központi bankok | V. melléklet 1. részének 42. a) pontja | ||||||||||
| 200 | Államháztartások | V. melléklet 1. részének 42. b) pontja | ||||||||||
| 210 | Hitelintézetek | V. melléklet 1. részének 42. c) pontja | ||||||||||
| 220 | Egyéb pénzügyi vállalatok | V. melléklet 1. részének 42. d) pontja | ||||||||||
| 230 | Nem pénzügyi vállalatok | V. melléklet 1. részének 42. e) pontja | ||||||||||
| 240 | Háztartások | V. melléklet 1. részének 42. f) pontja | ||||||||||
9.1. Mérlegen kívüli kitettségek a nemzeti GAAP szerint: adott hitelnyújtási elkötelezettségek, pénzügyi garanciák és egyéb elkötelezettségek
| Hivatkozások Nemzeti GAAP | Névérték | Céltartalékok | ||
| CRR I. melléklete; V. melléklet 2. részének 118. pontja | CRR I. melléklete; V. melléklet 2. részének 11. pontja | |||
| 010 | 020 | |||
| 010 | Adott hitelnyújtási elkötelezettségek | CRR I. melléklete; V. melléklet 1. részének 44. g) pontja, 2. részének 112. és 113. pontja | ||
| 021 | ebből: nemteljesítő | V. melléklet 2. részének 117. pontja | ||
| 030 | Központi bankok | V. melléklet 1. részének 42. a) pontja | ||
| 040 | Államháztartások | V. melléklet 1. részének 42. b) pontja | ||
| 050 | Hitelintézetek | V. melléklet 1. részének 42. c) pontja | ||
| 060 | Egyéb pénzügyi vállalatok | V. melléklet 1. részének 42. d) pontja | ||
| 070 | Nem pénzügyi vállalatok | V. melléklet 1. részének 42. e) pontja | ||
| 080 | Háztartások | V. melléklet 1. részének 42. f) pontja | ||
| 090 | Adott pénzügyi garanciák | CRR I. melléklete; V. melléklet 1. részének 44. f) pontja, 2. részének 112. és 114. pontja | ||
| 101 | ebből: nemteljesítő | V. melléklet 2. részének 117. pontja | ||
| 110 | Központi bankok | V. melléklet 1. részének 42. a) pontja | ||
| 120 | Államháztartások | V. melléklet 1. részének 42. b) pontja | ||
| 130 | Hitelintézetek | V. melléklet 1. részének 42. c) pontja | ||
| 140 | Egyéb pénzügyi vállalatok | V. melléklet 1. részének 42. d) pontja | ||
| 150 | Nem pénzügyi vállalatok | V. melléklet 1. részének 42. e) pontja | ||
| 160 | Háztartások | V. melléklet 1. részének 42. f) pontja | ||
| 170 | Egyéb adott elkötelezettségek | CRR I. melléklete; V. melléklet 1. részének 44. g) pontja, 2. részének 112. és 115. pontja | ||
| 181 | ebből: nemteljesítő | V. melléklet 2. részének 117. pontja | ||
| 190 | Központi bankok | V. melléklet 1. részének 42. a) pontja | ||
| 200 | Államháztartások | V. melléklet 1. részének 42. b) pontja | ||
| 210 | Hitelintézetek | V. melléklet 1. részének 42. c) pontja | ||
| 220 | Egyéb pénzügyi vállalatok | V. melléklet 1. részének 42. d) pontja | ||
| 230 | Nem pénzügyi vállalatok | V. melléklet 1. részének 42. e) pontja | ||
| 240 | Háztartások | V. melléklet 1. részének 42. f) pontja | ||
9. 2 Kapott hitelnyújtási elkötelezettségek, pénzügyi garanciák és egyéb elkötelezettségek
| A garancia legmagasabb figyelembe vehető összege | Névérték | ||||
| Hivatkozások A nemzeti GAAP-pal kompatibilis IFRS standardok | IFRS 7 36. bekezdésének b) pontja; V. melléklet 2. részének 119. pontja | V. melléklet 2. részének 119. pontja | |||
| Hivatkozások Nemzeti GAAP | V. melléklet 2. részének 119. pontja | V. melléklet 2. részének 119. pontja | |||
| 010 | 020 | ||||
| 010 | Kapott hitelnyújtási elkötelezettségek | V. melléklet 1. részének 44. h) pontja, 2. részének 102–103., 113. pontja | IFRS 9 2.1. bekezdésének g) pontja, BCZ2.2. bekezdése; V. melléklet 1. részének 44. h) pontja, 2. részének 102–103., 113. pontja | ||
| 020 | Központi bankok | V. melléklet 1. részének 42. a) pontja | V. melléklet 1. részének 42. a) pontja | ||
| 030 | Államháztartások | V. melléklet 1. részének 42. b) pontja | V. melléklet 1. részének 42. b) pontja | ||
| 040 | Hitelintézetek | V. melléklet 1. részének 42. c) pontja | V. melléklet 1. részének 42. c) pontja | ||
| 050 | Egyéb pénzügyi vállalatok | V. melléklet 1. részének 42. d) pontja | V. melléklet 1. részének 42. d) pontja | ||
| 060 | Nem pénzügyi vállalatok | V. melléklet 1. részének 42. e) pontja | V. melléklet 1. részének 42. e) pontja | ||
| 070 | Háztartások | V. melléklet 1. részének 42. f) pontja | V. melléklet 1. részének 42. f) pontja | ||
| 080 | Kapott pénzügyi garanciák | V. melléklet 1. részének 44. h) pontja, 2. részének 102–103., 114. pontja | IFRS 9 2.1. bekezdésének e) pontja, B2.5., BC2.17. bekezdése; IFRS 8 A. függeléke; IFRS 4 A. melléklete; V. melléklet 1. részének 44. h) pontja, 2. részének 102–103., 114. pontja | ||
| 090 | Központi bankok | V. melléklet 1. részének 42. a) pontja | V. melléklet 1. részének 42. a) pontja | ||
| 100 | Államháztartások | V. melléklet 1. részének 42. b) pontja | V. melléklet 1. részének 42. b) pontja | ||
| 110 | Hitelintézetek | V. melléklet 1. részének 42. c) pontja | V. melléklet 1. részének 42. c) pontja | ||
| 120 | Egyéb pénzügyi vállalatok | V. melléklet 1. részének 42. d) pontja | V. melléklet 1. részének 42. d) pontja | ||
| 130 | Nem pénzügyi vállalatok | V. melléklet 1. részének 42. e) pontja | V. melléklet 1. részének 42. e) pontja | ||
| 140 | Háztartások | V. melléklet 1. részének 42. f) pontja | V. melléklet 1. részének 42. f) pontja | ||
| 150 | Egyéb kapott elkötelezettségek | V. melléklet 1. részének 44. h) pontja, 2. részének 102–103., 115. pontja | V. melléklet 1. részének 44. h) pontja, 2. részének 102–103., 115. pontja | ||
| 160 | Központi bankok | V. melléklet 1. részének 42. a) pontja | V. melléklet 1. részének 42. a) pontja | ||
| 170 | Államháztartások | V. melléklet 1. részének 42. b) pontja | V. melléklet 1. részének 42. b) pontja | ||
| 180 | Hitelintézetek | V. melléklet 1. részének 42. c) pontja | V. melléklet 1. részének 42. c) pontja | ||
| 190 | Egyéb pénzügyi vállalatok | V. melléklet 1. részének 42. d) pontja | V. melléklet 1. részének 42. d) pontja | ||
| 200 | Nem pénzügyi vállalatok | V. melléklet 1. részének 42. e) pontja | V. melléklet 1. részének 42. e) pontja | ||
| 210 | Háztartások | V. melléklet 1. részének 42. f) pontja | V. melléklet 1. részének 42. f) pontja | ||
10. Származtatott ügyletek - Kereskedési célú ügyletek és gazdasági fedezeti ügyletek
| Kockázattípus szerint / Termék vagy a piac típusa szerint | Könyv szerinti érték | Valós érték | Névleges összeg | ||||||||
| Kereskedési céllal tartott és kereskedési célú pénzügyi eszközök | Kereskedési céllal tartott és kereskedési célú pénzügyi kötelezettségek | Pozitív érték | Negatív érték | Kereskedési célú összesen | ebből: értékesített | ||||||
| ebből: bekerülésiérték-módszerrel / LOCOM-módszerrel értékelt pénzügyi eszközök | ebből: bekerülésiérték-módszerrel / LOCOM-módszerrel értékelt pénzügyi kötelezettségek | ||||||||||
| Hivatkozások A nemzeti GAAP-pal kompatibilis IFRS standardok | V. melléklet 2. részének 120. és 131. pontja | IFRS 9 BA.7. bekezdésének a) pontja V. melléklet 2. részének 120. és 131. pontja | V. melléklet 2. részének 133–135. pontja | V. melléklet 2. részének 133–135. pontja | |||||||
| Hivatkozások Nemzeti GAAP a BAD alapján | V. melléklet 1. részének 17. pontja, 2. részének 120. pontja | V. melléklet 2. részének 124. pontja | V. melléklet 1. részének 25. pontja, 2. részének 120. pontja | V. melléklet 2. részének 124. pontja | V. melléklet 2. részének 132. pontja | V. melléklet 2. részének 132. pontja | V. melléklet 2. részének 133–135. pontja | V. melléklet 2. részének 133–135. pontja | |||
| 010 | 011 | 020 | 016 | 022 | 025 | 030 | 040 | ||||
| 010 | Kamatláb | V. melléklet 2. részének 129. a) pontja | V. melléklet 2. részének 129. a) pontja | ||||||||
| 020 | ebből: gazdasági fedezeti ügylet | V. melléklet 2. részének 137–139. pontja | V. melléklet 2. részének 137–139. pontja | ||||||||
| 030 | Tőzsdén kívüli opció | V. melléklet 2. részének 136. pontja | V. melléklet 2. részének 136. pontja | ||||||||
| 040 | Egyéb tőzsdén kívüli ügylet | V. melléklet 2. részének 136. pontja | V. melléklet 2. részének 136. pontja | ||||||||
| 050 | Szervezett piaci opció | V. melléklet 2. részének 136. pontja | V. melléklet 2. részének 136. pontja | ||||||||
| 060 | Szervezett piaci egyéb | V. melléklet 2. részének 136. pontja | V. melléklet 2. részének 136. pontja | ||||||||
| 070 | Részvény | V. melléklet 2. részének 129. b) pontja | V. melléklet 2. részének 129. b) pontja | ||||||||
| 080 | ebből: gazdasági fedezeti ügylet | V. melléklet 2. részének 137–139. pontja | V. melléklet 2. részének 137–139. pontja | ||||||||
| 090 | Tőzsdén kívüli opció | V. melléklet 2. részének 136. pontja | V. melléklet 2. részének 136. pontja | ||||||||
| 100 | Egyéb tőzsdén kívüli ügylet | V. melléklet 2. részének 136. pontja | V. melléklet 2. részének 136. pontja | ||||||||
| 110 | Szervezett piaci opció | V. melléklet 2. részének 136. pontja | V. melléklet 2. részének 136. pontja | ||||||||
| 120 | Szervezett piaci egyéb | V. melléklet 2. részének 136. pontja | V. melléklet 2. részének 136. pontja | ||||||||
| 130 | Deviza és arany | V. melléklet 2. részének 129. c) pontja | V. melléklet 2. részének 129. c) pontja | ||||||||
| 140 | ebből: gazdasági fedezeti ügylet | V. melléklet 2. részének 137–139. pontja | V. melléklet 2. részének 137–139. pontja | ||||||||
| 150 | Tőzsdén kívüli opció | V. melléklet 2. részének 136. pontja | V. melléklet 2. részének 136. pontja | ||||||||
| 160 | Egyéb tőzsdén kívüli ügylet | V. melléklet 2. részének 136. pontja | V. melléklet 2. részének 136. pontja | ||||||||
| 170 | Szervezett piaci opció | V. melléklet 2. részének 136. pontja | V. melléklet 2. részének 136. pontja | ||||||||
| 180 | Szervezett piaci egyéb | V. melléklet 2. részének 136. pontja | V. melléklet 2. részének 136. pontja | ||||||||
| 190 | Hitel | V. melléklet 2. részének 129. d) pontja | V. melléklet 2. részének 129. d) pontja | ||||||||
| 195 | ebből: a valós érték opció alkalmazásával elszámolt gazdasági fedezeti ügyletek | V. melléklet 2. részének 140. pontja | IFRS 9 6.7.1. bekezdése; V. melléklet 2. részének 140. pontja | ||||||||
| 201 | ebből: egyéb gazdasági fedezeti ügyletek | V. melléklet 2. részének 137–140. pontja | V. melléklet 2. részének 137–140. pontja | ||||||||
| 210 | Hitel-nemteljesítési csereügylet | ||||||||||
| 220 | Hitelkockázati felár opció | ||||||||||
| 230 | Teljes hozamcsere-ügylet | ||||||||||
| 240 | Egyéb | ||||||||||
| 250 | Áru | V. melléklet 2. részének 129. e) pontja | V. melléklet 2. részének 129. e) pontja | ||||||||
| 260 | ebből: gazdasági fedezeti ügylet | V. melléklet 2. részének 137–139. pontja | V. melléklet 2. részének 137–139. pontja | ||||||||
| 270 | Egyéb | V. melléklet 2. részének 129. f) pontja | V. melléklet 2. részének 129. f) pontja | ||||||||
| 280 | ebből: gazdasági fedezeti ügylet | V. melléklet 2. részének 137–139. pontja | V. melléklet 2. részének 137–139. pontja | ||||||||
| 290 | SZÁRMAZTATOTT ÜGYLETEK | CRR II. melléklete; V. melléklet 1. részének 16. a) pontja | IFRS 9 A. függelék | ||||||||
| 300 | ebből: Tőzsdén kívüli – hitelintézetek | V. melléklet 1. részének 42. c) pontja, 44. e) pontja, 2. részének 141. a) pontja és 142. pontja | V. melléklet 1. részének 42. c) pontja, 44. e) pontja, 2. részének 141. a) pontja és 142. pontja | ||||||||
| 310 | ebből: Tőzsdén kívüli – egyéb pénzügyi vállalatok | V. melléklet 1. részének 42. d) pontja, 44. e) pontja, 2. részének 141. b) pontja | V. melléklet 1. részének 42. d) pontja, 44. e) pontja, 2. részének 141. b) pontja | ||||||||
| 320 | ebből: Tőzsdén kívüli – egyéb | V. melléklet 1. része 44. bekezdésének e) pontja, 2. része 141. bekezdésének c) pontja | V. melléklet 1. része 44. bekezdésének e) pontja, 2. része 141. bekezdésének c) pontja | ||||||||
11. Fedezeti elszámolások
11.1. Származtatott ügyletek - Fedezeti elszámolások: kockázattípus és fedezetiügylet-típus szerinti részletezés
| Termék vagy a piac típusa szerint | Hivatkozások A nemzeti GAAP-pal kompatibilis IFRS standardok | Könyv szerinti érték | Névleges összeg | |||
| Eszközök | Kötelezettségek | Fedezeti ügyletek összesen | ebből: értékesített | |||
| IFRS 7 24A. bekezdése; V. melléklet 2. részének 120. és 131. pontja | IFRS 7 24A. bekezdése; V. melléklet 2. részének 120. és 131. pontja | V. melléklet 2. részének 133–135. pontja | V. melléklet 2. részének 133–135. pontja | |||
| 010 | 020 | 030 | 040 | |||
| 010 | Kamatláb | V. melléklet 2. része 129. bekezdésének a) pontja | ||||
| 020 | Tőzsdén kívüli opció | V. melléklet 2. részének 136. pontja | ||||
| 030 | Egyéb tőzsdén kívüli ügylet | V. melléklet 2. részének 136. pontja | ||||
| 040 | Szervezett piaci opció | V. melléklet 2. részének 136. pontja | ||||
| 050 | Szervezett piaci egyéb | V. melléklet 2. részének 136. pontja | ||||
| 060 | Részvény | V. melléklet 2. részének 129. b) pontja | ||||
| 070 | Tőzsdén kívüli opció | V. melléklet 2. részének 136. pontja | ||||
| 080 | Egyéb tőzsdén kívüli ügylet | V. melléklet 2. részének 136. pontja | ||||
| 090 | Szervezett piaci opció | V. melléklet 2. részének 136. pontja | ||||
| 100 | Szervezett piaci egyéb | V. melléklet 2. részének 136. pontja | ||||
| 110 | Deviza és arany | V. melléklet 2. részének 129. c) pontja | ||||
| 120 | Tőzsdén kívüli opció | V. melléklet 2. részének 136. pontja | ||||
| 130 | Egyéb tőzsdén kívüli ügylet | V. melléklet 2. részének 136. pontja | ||||
| 140 | Szervezett piaci opció | V. melléklet 2. részének 136. pontja | ||||
| 150 | Szervezett piaci egyéb | V. melléklet 2. részének 136. pontja | ||||
| 160 | Hitel | V. melléklet 2. része 129. d) pontja | ||||
| 170 | Hitel-nemteljesítési csereügylet | V. melléklet 2. részének 136. pontja | ||||
| 180 | Hitelkockázati felár opció | V. melléklet 2. részének 136. pontja | ||||
| 190 | Teljes hozamcsere-ügylet | V. melléklet 2. részének 136. pontja | ||||
| 200 | Egyéb | V. melléklet 2. részének 136. pontja | ||||
| 210 | Áru | V. melléklet 2. részének 129. e) pontja | ||||
| 220 | Egyéb | V. melléklet 2. részének 129. f) pontja | ||||
| 230 | VALÓSÉRTÉK-FEDEZETI ÜGYLETEK | IFRS 7 24A. bekezdése; IAS 39 86. bekezdésének a) pontja IFRS 9 6.5.2. bekezdésének a) pontja; | ||||
| 240 | Kamatláb | V. melléklet 2. része 129. bekezdésének a) pontja | ||||
| 250 | Tőzsdén kívüli opció | V. melléklet 2. részének 136. pontja | ||||
| 260 | Egyéb tőzsdén kívüli ügylet | V. melléklet 2. részének 136. pontja | ||||
| 270 | Szervezett piaci opció | V. melléklet 2. részének 136. pontja | ||||
| 280 | Szervezett piaci egyéb | V. melléklet 2. részének 136. pontja | ||||
| 290 | Részvény | V. melléklet 2. részének 129. b) pontja | ||||
| 300 | Tőzsdén kívüli opció | V. melléklet 2. részének 136. pontja | ||||
| 310 | Egyéb tőzsdén kívüli ügylet | V. melléklet 2. részének 136. pontja | ||||
| 320 | Szervezett piaci opció | V. melléklet 2. részének 136. pontja | ||||
| 330 | Szervezett piaci egyéb | V. melléklet 2. részének 136. pontja | ||||
| 340 | Deviza és arany | V. melléklet 2. részének 129. c) pontja | ||||
| 350 | Tőzsdén kívüli opció | V. melléklet 2. részének 136. pontja | ||||
| 360 | Egyéb tőzsdén kívüli ügylet | V. melléklet 2. részének 136. pontja | ||||
| 370 | Szervezett piaci opció | V. melléklet 2. részének 136. pontja | ||||
| 380 | Szervezett piaci egyéb | V. melléklet 2. részének 136. pontja | ||||
| 390 | Hitel | V. melléklet 2. része 129. d) pontja | ||||
| 400 | Hitel-nemteljesítési csereügylet | V. melléklet 2. részének 136. pontja | ||||
| 410 | Hitelkockázati felár opció | V. melléklet 2. részének 136. pontja | ||||
| 420 | Teljes hozamcsere-ügylet | V. melléklet 2. részének 136. pontja | ||||
| 430 | Egyéb | V. melléklet 2. részének 136. pontja | ||||
| 440 | Áru | V. melléklet 2. részének 129. e) pontja | ||||
| 450 | Egyéb | V. melléklet 2. részének 129. f) pontja | ||||
| 460 | CASH FLOW-FEDEZETI ÜGYLETEK | IFRS 7 24A. bekezdése; IAS 39 86. bekezdésének b) pontja; IFRS 9 6.5.2. bekezdésének b) pontja; | ||||
| 470 | KÜLFÖLDI ÉRDEKELTSÉGBE TÖRTÉNT NETTÓ BEFEKTETÉS FEDEZÉSE | IFRS 7 24A. bekezdése; IAS 39 86. bekezdésének c) pontja IFRS 9 6.5.2. bekezdésének c) pontja; | ||||
| 480 | KAMATLÁBKOCKÁZATRA VONATKOZÓ PORTFÓLIÓ VALÓSÉRTÉK-FEDEZETI ÜGYLETEK | IAS 39 71., 81A., 89A. és AG114–132. bekezdése | ||||
| 490 | KAMATLÁBKOCKÁZATRA VONATKOZÓ PORTFÓLIÓ CASH FLOW-FEDEZETI ÜGYLETEK | IAS 39 71. bekezdése | ||||
| 500 | SZÁRMAZTATOTT ÜGYLETEK – FEDEZETI ELSZÁMOLÁSOK | IFRS 7 24A. bekezdése; IAS 39 9. bekezdése; IFRS 9 6.1. bekezdése | ||||
| 510 | ebből: Tőzsdén kívüli – hitelintézetek | V. melléklet 1. részének 42. c) pontja, 44. e) pontja, 2. részének 141. a) pontja és 142. pontja | ||||
| 520 | ebből: Tőzsdén kívüli – egyéb pénzügyi vállalatok | V. melléklet 1. részének 42. d) pontja, 44. e) pontja, 2. részének 141. b) pontja | ||||
| 530 | ebből: Tőzsdén kívüli – egyéb | V. melléklet 1. része 44. bekezdésének e) pontja, 2. része 141. bekezdésének c) pontja | ||||
11.2. Származtatott ügyletek - Fedezeti elszámolások a nemzeti GAAP szerint: Kockázattípusok szerinti részletezés
| Termék vagy a piac típusa szerint | Hivatkozások Nemzeti GAAP a BAD alapján | Könyv szerinti érték | Névleges összeg | Valós érték | ||||||||
| Eszközök | Kötelezettségek | Fedezeti ügyletek összesen | ebből: értékesített | Pozitív érték | Negatív érték | |||||||
| ebből: amortizált bekerülési értéken / LOCOM-módszerrel nyilvántartott eszközök | ebből: amortizált bekerülési értéken / LOCOM-módszerrel nyilvántartott kötelezettségek | ebből: amortizált bekerülési értéken / LOCOM-módszerrel nyilvántartott származtatott ügyletek | ebből: amortizált bekerülési értéken / LOCOM-módszerrel nyilvántartott származtatott ügyletek | |||||||||
| V. melléklet 1. részének 17. pontja, 2. részének 120. pontja | V. melléklet 2. részének 124. pontja | V. melléklet 1. részének 25. pontja, 2. részének 120. pontja | V. melléklet 2. részének 124. pontja | V. melléklet 2. részének 133–135. pontja | V. melléklet 2. részének 124. pontja | V. melléklet 2. részének 133–135. pontja | V. melléklet 2. részének 124. pontja | V. melléklet 2. részének 132. pontja | V. melléklet 2. részének 132. pontja | |||
| 005 | 006 | 007 | 008 | 010 | 011 | 020 | 021 | 030 | 040 | |||
| 010 | Kamatláb | V. melléklet 2. része 129. bekezdésének a) pontja | ||||||||||
| 020 | Tőzsdén kívüli opció | V. melléklet 2. részének 136. pontja | ||||||||||
| 030 | Egyéb tőzsdén kívüli ügylet | V. melléklet 2. részének 136. pontja | ||||||||||
| 040 | Szervezett piaci opció | V. melléklet 2. részének 136. pontja | ||||||||||
| 050 | Szervezett piaci egyéb | V. melléklet 2. részének 136. pontja | ||||||||||
| 060 | Részvény | V. melléklet 2. részének 129. b) pontja | ||||||||||
| 070 | Tőzsdén kívüli opció | V. melléklet 2. részének 136. pontja | ||||||||||
| 080 | Egyéb tőzsdén kívüli ügylet | V. melléklet 2. részének 136. pontja | ||||||||||
| 090 | Szervezett piaci opció | V. melléklet 2. részének 136. pontja | ||||||||||
| 100 | Szervezett piaci egyéb | V. melléklet 2. részének 136. pontja | ||||||||||
| 110 | Deviza és arany | V. melléklet 2. részének 129. c) pontja | ||||||||||
| 120 | Tőzsdén kívüli opció | V. melléklet 2. részének 136. pontja | ||||||||||
| 130 | Egyéb tőzsdén kívüli ügylet | V. melléklet 2. részének 136. pontja | ||||||||||
| 140 | Szervezett piaci opció | V. melléklet 2. részének 136. pontja | ||||||||||
| 150 | Szervezett piaci egyéb | V. melléklet 2. részének 136. pontja | ||||||||||
| 160 | Hitel | V. melléklet 2. része 129. d) pontja | ||||||||||
| 170 | Hitel-nemteljesítési csereügylet | V. melléklet 2. részének 136. pontja | ||||||||||
| 180 | Hitelkockázati felár opció | V. melléklet 2. részének 136. pontja | ||||||||||
| 190 | Teljes hozamcsere-ügylet | V. melléklet 2. részének 136. pontja | ||||||||||
| 200 | Egyéb | V. melléklet 2. részének 136. pontja | ||||||||||
| 210 | Áru | V. melléklet 2. részének 129. e) pontja | ||||||||||
| 220 | Egyéb | V. melléklet 2. részének 129. f) pontja | ||||||||||
| 230 | SZÁRMAZTATOTT ÜGYLETEK – FEDEZETI ELSZÁMOLÁSOK | V. melléklet 1. részének 22. és 26. pontja | ||||||||||
| 231 | ebből: valósérték-fedezeti ügyletek | V. melléklet 2. részének 143. pontja | ||||||||||
| 232 | ebből: cash flow-fedezeti ügyletek | V. melléklet 2. részének 143. pontja | ||||||||||
| 233 | ebből: bekerülési értéken nyilvántartott fedezeti ügyletek | V. melléklet 2. részének 143. és 144. pontja | ||||||||||
| 234 | ebből: külföldi érdekeltségbe történt nettó befektetés fedezése | V. melléklet 2. részének 143. pontja | ||||||||||
| 235 | ebből: kamatlábkockázatra vonatkozó portfólió valósérték-fedezeti ügyletek | V. melléklet 2. részének 143. pontja | ||||||||||
| 236 | ebből: kamatlábkockázatra vonatkozó portfólió cash flow-fedezeti ügyletek | V. melléklet 2. részének 143. pontja | ||||||||||
| 240 | ebből: Tőzsdén kívüli – hitelintézetek | V. melléklet 1. részének 42. c) pontja, 44. e) pontja, 2. részének 141. a) pontja és 142. pontja | ||||||||||
| 250 | ebből: Tőzsdén kívüli – egyéb pénzügyi vállalatok | V. melléklet 1. részének 42. d) pontja, 44. e) pontja, 2. részének 141. b) pontja | ||||||||||
| 260 | ebből: Tőzsdén kívüli – egyéb | V. melléklet 1. része 44. bekezdésének e) pontja, 2. része 141. bekezdésének c) pontja | ||||||||||
11. 3 Nem származtatott fedezeti instrumentumok: számviteli portfólió és fedezetiügylet-típus szerinti részletezés
| Hivatkozások A nemzeti GAAP-pal kompatibilis IFRS standardok | Könyv szerinti érték | ||||
| Valósérték-fedezeti ügyletek | Cash flow-fedezeti ügyletek | Külföldi érdekeltségbe történt nettó befektetés fedezése | |||
| V. melléklet 2. részének 145. pontja | V. melléklet 2. részének 145. pontja | V. melléklet 2. részének 145. pontja | |||
| 010 | 020 | 030 | |||
| 010 | Nem származtatott pénzügyi eszközök | IFRS 7 24A. bekezdése; IFRS 9 6.1. bekezdése; IFRS 9 6.2.2. bekezdése | |||
| 020 | ebből: Kereskedési céllal tartott pénzügyi eszközök | IFRS 9 A. függelék | |||
| 030 | ebből: Kötelezően az eredménnyel szemben valós értéken értékelt, nem kereskedési célú pénzügyi eszközök | IFRS 9 4.1.4. bekezdése; IFRS 7 8. bekezdésének a) ii. pontja | |||
| 040 | ebből: Az eredménnyel szemben valós értéken értékeltnek megjelölt pénzügyi eszközök | IFRS 9 4.1.5. bekezdése; IFRS 7 8. bekezdésének a) i. pontja | |||
| 050 | Nem származtatott pénzügyi kötelezettségek | IFRS 7 24A. bekezdése; IFRS 9 6.1. bekezdése; IFRS 9 6.2.2. bekezdése | |||
| 060 | Kereskedési céllal tartott pénzügyi kötelezettségek | IFRS 9 A. függelék | |||
| 070 | Az eredménnyel szemben valós értéken értékeltnek megjelölt pénzügyi kötelezettségek | IFRS 9 4.2.1. bekezdése; IFRS 9 6.2.2. bekezdése | |||
| 080 | Amortizált bekerülési értéken értékelt pénzügyi eszközök | IFRS 9 4.2.1. bekezdése; IFRS 9 6.2.2. bekezdése | |||
11.3.1. Nem származtatott fedezeti instrumentumok a nemzeti GAAP szerint: számviteli portfólió szerinti részletezés
| Hivatkozások Nemzeti GAAP a BAD alapján | Könyv szerinti érték | ||
| V. melléklet 2. részének 145. pontja | |||
| 010 | Nem származtatott pénzügyi eszközök | ||
| 020 | ebből: Kereskedési célú pénzügyi eszközök | BAD 32–33. cikke; V. melléklet 1. részének 17. pontja | |
| 030 | ebből: Eredménnyel szemben valós értéken értékelt, nem kereskedési célú, nem származtatott pénzügyi eszközök | BAD 36. cikkének (2) bekezdése | |
| 040 | ebből: A saját tőkével szemben valós értéken értékelt, nem kereskedési célú, nem származtatott pénzügyi eszközök | Számviteli irányelv 8. cikke (1) bekezdésének a) pontja és (8) bekezdése | |
| 050 | ebből: Egyéb nem kereskedési célú, nem származtatott pénzügyi eszközök | BAD 37. cikke; Számviteli irányelv 12. cikkének (7) bekezdése; V. melléklet 1. részének 20. pontja | |
| 060 | Nem származtatott pénzügyi kötelezettségek | ||
| 070 | ebből: Kereskedési célú pénzügyi kötelezettségek | Számviteli irányelv 8. cikke (1) bekezdésének a) pontja, (3) és (6) bekezdése | |
| 080 | ebből: bekerülésiérték-módszerrel értékelt nem kereskedési célú, nem származtatott pénzügyi kötelezettségek | Számviteli irányelv 8. cikkének (3) bekezdése | |
11. 4 Fedezett tételek valósérték-fedezeti ügyletekben
| Hivatkozások A nemzeti GAAP-pal kompatibilis IFRS standardok | Mikro-fedezeti ügylet | Mikro-fedezeti ügylet – Nettó pozíció fedezete | Mikro-fedezeti ügylet fedezeti kiigazítása | Makro-fedezeti ügylet | |||
| Könyv szerinti érték | Nettó pozíció fedezetének részét képező eszközök vagy kötelezettségek (nettósítás előtt) | Eszközök/kötelezettségek könyv szerinti értékének részét képező fedezeti kiigazítás | Nettó pozíció fedezetét is magukban foglaló megszüntetett mikro-fedezeti ügyletekre vonatkozó fennmaradó kiigazítások | Kamatlábkockázatra vonatkozó portfóliófedezeti ügylet során fedezett tételek | |||
| IFRS 7 24B. bekezdésének a) pontja; V. melléklet 2. részének 146. és 147. pontja | IFRS 9 6.6.1. bekezdése; IFRS 9 6.6.6. bekezdése; V. melléklet 2. részének 147. és 151. pontja | IFRS 7 24B. bekezdésének a) ii. pontja; V. melléklet 2. részének 148. és 149. pontja | IFRS 7 24B. bekezdésének a) v. pontja; V. melléklet 2. részének 148. és 150. pontja | IFRS 9 6.1.3. bekezdése; IFRS 9 6.6.1. bekezdése; V. melléklet 2. részének 152. pontja | |||
| 010 | 020 | 030 | 040 | 050 | |||
| ESZKÖZÖK | |||||||
| 010 | Az egyéb átfogó jövedelemmel szemben valós értéken értékelt pénzügyi eszközök | IFRS 9 4.1.2A. bekezdése; IFRS 7 8. bekezdésének h) pontja; V. melléklet 2. részének 146. és 151. pontja | |||||
| 020 | Kamatláb | V. melléklet 2. részének 129. a) pontja | |||||
| 030 | Részvény | V. melléklet 2. részének 129. b) pontja | |||||
| 040 | Deviza és arany | V. melléklet 2. részének 129. c) pontja | |||||
| 050 | Hitel | V. melléklet 2. része 129. d) pontja | |||||
| 060 | Áru | V. melléklet 2. részének 129. e) pontja | |||||
| 070 | Egyéb | V. melléklet 2. részének 129. f) pontja | |||||
| 080 | Amortizált bekerülési értéken értékelt pénzügyi eszközök | IFRS 9 4.1.2A. bekezdése; IFRS 7 8. bekezdésének f) pontja; V. melléklet 2. részének 146. és 151. pontja | |||||
| 090 | Kamatláb | V. melléklet 2. részének 129. a) pontja | |||||
| 100 | Részvény | V. melléklet 2. részének 129. b) pontja | |||||
| 110 | Deviza és arany | V. melléklet 2. részének 129. c) pontja | |||||
| 120 | Hitel | V. melléklet 2. része 129. d) pontja | |||||
| 130 | Áru | V. melléklet 2. részének 129. e) pontja | |||||
| 140 | Egyéb | V. melléklet 2. részének 129. f) pontja | |||||
| KÖTELEZETTSÉGEK | |||||||
| 150 | Amortizált bekerülési értéken értékelt pénzügyi kötelezettségek | IFRS 9 4.2.1. bekezdése; IFRS 7 8. bekezdésének g) pontja; V. melléklet 2. részének 146. és 151. pontja | |||||
| 160 | Kamatláb | V. melléklet 2. részének 129. a) pontja | |||||
| 170 | Részvény | V. melléklet 2. részének 129. b) pontja | |||||
| 180 | Deviza és arany | V. melléklet 2. részének 129. c) pontja | |||||
| 190 | Hitel | V. melléklet 2. részének 129. d) pontja | |||||
| 200 | Áru | V. melléklet 2. részének 129. e) pontja | |||||
| 210 | Egyéb | V. melléklet 2. részének 129. f) pontja | |||||
12. Hitelezési veszteségekre képzett értékvesztés és céltartalékok változása
12. 0 Hitelezési veszteségekre képzett értékvesztés változása és tulajdoni részesedést megtestesítő instrumentumok értékvesztése a nemzeti GAAP szerint
| Hivatkozások Nemzeti GAAP a BAD alapján CRR 442. cikkének i) pontja; V. melléklet 2. részének 153. pontja | Nyitó egyenleg | Az időszak alatt a becsült hitelezési veszteségekre képzett összegekből származó növekedés | Az időszak alatt a becsült hitelezési veszteségekből visszaírt összegekből származó csökkenés | Az értékvesztési számla leírásokból származó csökkenése | Értékvesztési számlák közötti átvezetés | Egyéb módosítások | Záró egyenleg | Közvetlenül az eredménykimutatásban elszámolt megtérülések | Közvetlenül az eredménykimutatásban elszámolt értékelési korrekciók | Közvetlenül az eredménykimutatásban leírt összegek | ||
| V. melléklet 2. részének 154. pontja | V. melléklet 2. részének 154. pontja | V. melléklet 2. részének 155. pontja | V. melléklet 2. részének 78. pontja | |||||||||
| 010 | 020 | 030 | 040 | 050 | 060 | 070 | 080 | 090 | 100 | |||
| 010 | Tulajdoni részesedést megtestesítő instrumentumok | EKB/2013/33 2. melléklete 2. részének 4–5. szakasza | ||||||||||
| 330 | Egyedi hitelkockázati tartalékok | CRR 428. cikkének g) ii. pontja | ||||||||||
| 340 | Hitelviszonyt megtestesítő értékpapírok | V. melléklet 1. részének 31. pontja és 44. b) pontja | ||||||||||
| 350 | Központi bankok | V. melléklet 1. részének 42. a) pontja | ||||||||||
| 360 | Államháztartások | V. melléklet 1. részének 42. b) pontja | ||||||||||
| 370 | Hitelintézetek | V. melléklet 1. részének 42. c) pontja | ||||||||||
| 380 | Egyéb pénzügyi vállalatok | V. melléklet 1. részének 42. d) pontja | ||||||||||
| 390 | Nem pénzügyi vállalatok | V. melléklet 1. részének 42. e) pontja | ||||||||||
| 400 | Hitelek és előlegek | V. melléklet 1. részének 32. pontja, 44. a) pontja | ||||||||||
| 410 | Központi bankok | V. melléklet 1. részének 42. a) pontja | ||||||||||
| 420 | Államháztartások | V. melléklet 1. részének 42. b) pontja | ||||||||||
| 430 | Hitelintézetek | V. melléklet 1. részének 42. c) pontja | ||||||||||
| 440 | Egyéb pénzügyi vállalatok | V. melléklet 1. részének 42. d) pontja | ||||||||||
| 450 | Nem pénzügyi vállalatok | V. melléklet 1. részének 42. e) pontja | ||||||||||
| 460 | Háztartások | V. melléklet 1. részének 42. f) pontja | ||||||||||
| 470 | Általános hitelkockázati tartalékok | CRR 4. cikke (1) bekezdésének 95. pontja | ||||||||||
| 480 | Hitelviszonyt megtestesítő értékpapírok | V. melléklet 1. részének 31. pontja | ||||||||||
| 490 | Hitelek és előlegek | V. melléklet 1. részének 32. pontja | ||||||||||
| 500 | Banki kockázatokra képzett általános tartalékok | BAD 37. cikkének 2. bekezdése; CRR 4. cikke (1) bekezdésének 95. pontja | ||||||||||
| 510 | Hitelviszonyt megtestesítő értékpapírok | V. melléklet 1. részének 31. pontja | ||||||||||
| 520 | Hitelek és előlegek | V. melléklet 1. részének 32. pontja | ||||||||||
| 530 | Összesen | |||||||||||
12.1. Hitelezési veszteségekre képzett értékvesztés és céltartalékok változása
| Hivatkozások A nemzeti GAAP-pal kompatibilis IFRS standardok | Nyitó egyenleg | Keletkeztetésből és vásárlásból származó növekedés | Kivezetésből származó csökkenés | Hitelkockázat-változásból származó változás (nettó) | Kivezetéshez nem vezető módosításból származó változás (nettó) | Az intézmény becslési módszertanának aktualizálásából származó változás (nettó) | Az értékvesztési számla leírásokból származó csökkenése | Egyéb módosítások | Záró egyenleg | Korábban leírt összegek közvetlenül az eredménykimutatásban elszámolt megtérülései | Közvetlenül az eredménykimutatásban leírt összegek | Hitelviszonyt megtestesítő instrumentumok kivezetéséből származó nyereség vagy veszteség | ||
| IFRS 7 35I. bekezdése; V. melléklet 2. részének 159. pontja és 164. b) pontja | IFRS 7 35I. bekezdése; V. melléklet 2. részének 160. pontja és 164. b) pontja | IFRS 7 35I. bekezdése; IFRS 7 35B. bekezdésének b) pontja; V. melléklet 2. részének 161–162. pontja | IFRS 7 35I. bekezdése; IFRS 7 35J. bekezdése; IFRS 9 5.4.12., B5.5.25. és B5.5.27. bekezdése; V. melléklet 2. részének 164. c) pontja | IFRS 7 35I. bekezdése; IFRS 7 35B. bekezdésének b) pontja; V. melléklet 2. részének 163. pontja | IFRS 7 35I. bekezdése; IFRS 9 5.4.4. bekezdése; IFRS 7. 35L. bekezdése; V. melléklet 2. részének 72., 74., 164. a) és 165. pontja | IFRS 7 35I. bekezdése; IFRS 7 35B. bekezdésének b) pontja; V. melléklet 2. részének 166. pontja | IFRS 9 5.4.4. bekezdése; V. melléklet 2. részének 165. pontja | V. melléklet 2. részének 166i. pontja | ||||||
| 010 | 020 | 030 | 040 | 050 | 070 | 080 | 090 | 100 | 110 | 120 | 125 | |||
| 010 | Olyan pénzügyi eszközökre képzett értékvesztés, amelyek hitelkockázata nem növekedett jelentősen a kezdeti megjelenítés óta (1. szakasz) | IFRS 9 5.5.5. bekezdése | ||||||||||||
| 020 | Hitelviszonyt megtestesítő értékpapírok | V. melléklet 1. részének 31. pontja és 44. b) pontja | ||||||||||||
| 030 | Központi bankok | V. melléklet 1. részének 42. a) pontja | ||||||||||||
| 040 | Államháztartások | V. melléklet 1. részének 42. b) pontja | ||||||||||||
| 050 | Hitelintézetek | V. melléklet 1. részének 42. c) pontja | ||||||||||||
| 060 | Egyéb pénzügyi vállalatok | V. melléklet 1. részének 42. d) pontja | ||||||||||||
| 070 | Nem pénzügyi vállalatok | V. melléklet 1. részének 42. e) pontja | ||||||||||||
| 080 | Hitelek és előlegek | V. melléklet 1. részének 32. pontja, 44. a) pontja | ||||||||||||
| 090 | Központi bankok | V. melléklet 1. részének 42. a) pontja | ||||||||||||
| 100 | Államháztartások | V. melléklet 1. részének 42. b) pontja | ||||||||||||
| 110 | Hitelintézetek | V. melléklet 1. részének 42. c) pontja | ||||||||||||
| 120 | Egyéb pénzügyi vállalatok | V. melléklet 1. részének 42. d) pontja | ||||||||||||
| 130 | Nem pénzügyi vállalatok | V. melléklet 1. részének 42. e) pontja | ||||||||||||
| 140 | Háztartások | V. melléklet 1. részének 42. f) pontja | ||||||||||||
| 160 | ebből: csoportosan képzett értékvesztés | IFRS 9 B5.5.1–B5.5.6. bekezdése; V. melléklet 2. részének 158. pontja | ||||||||||||
| 170 | ebből: egyedileg képzett értékvesztés | IFRS 9 B5.5.1–B5.5.6. bekezdése; V. melléklet 2. részének 158. pontja | ||||||||||||
| 180 | Olyan hitelviszonyt megtestesítő instrumentumokra képzett értékvesztés, amelyek hitelkockázata jelentősen növekedett a kezdeti megjelenítés óta, de amelyek nem váltak értékvesztetté (2. szakasz) | IFRS 9 5.5.3. bekezdése | ||||||||||||
| 190 | Hitelviszonyt megtestesítő értékpapírok | V. melléklet 1. részének 31. pontja és 44. b) pontja | ||||||||||||
| 200 | Központi bankok | V. melléklet 1. részének 42. a) pontja | ||||||||||||
| 210 | Államháztartások | V. melléklet 1. részének 42. b) pontja | ||||||||||||
| 220 | Hitelintézetek | V. melléklet 1. részének 42. c) pontja | ||||||||||||
| 230 | Egyéb pénzügyi vállalatok | V. melléklet 1. részének 42. d) pontja | ||||||||||||
| 240 | Nem pénzügyi vállalatok | V. melléklet 1. részének 42. e) pontja | ||||||||||||
| 250 | Hitelek és előlegek | V. melléklet 1. részének 32. pontja, 44. a) pontja | ||||||||||||
| 260 | Központi bankok | V. melléklet 1. részének 42. a) pontja | ||||||||||||
| 270 | Államháztartások | V. melléklet 1. részének 42. b) pontja | ||||||||||||
| 280 | Hitelintézetek | V. melléklet 1. részének 42. c) pontja | ||||||||||||
| 290 | Egyéb pénzügyi vállalatok | V. melléklet 1. részének 42. d) pontja | ||||||||||||
| 300 | Nem pénzügyi vállalatok | V. melléklet 1. részének 42. e) pontja | ||||||||||||
| 310 | Háztartások | V. melléklet 1. részének 42. f) pontja | ||||||||||||
| 330 | ebből: csoportosan képzett értékvesztés | IFRS 9 B5.5.1–B5.5.6. bekezdése; V. melléklet 2. részének 158. pontja | ||||||||||||
| 340 | ebből: egyedileg képzett értékvesztés | IFRS 9 B5.5.1–B5.5.6. bekezdése; V. melléklet 2. részének 158. pontja | ||||||||||||
| 350 | ebből: nemteljesítő | V. melléklet 2. részének 213–232. pontja | ||||||||||||
| 360 | Értékvesztett hitelviszonyt megtestesítő instrumentumokra képzett értékvesztés (3. szakasz) | IFRS 9 5.5.1. bekezdése; A. függeléke | ||||||||||||
| 370 | Hitelviszonyt megtestesítő értékpapírok | V. melléklet 1. részének 31. pontja és 44. b) pontja | ||||||||||||
| 380 | Központi bankok | V. melléklet 1. részének 42. a) pontja | ||||||||||||
| 390 | Államháztartások | V. melléklet 1. részének 42. b) pontja | ||||||||||||
| 400 | Hitelintézetek | V. melléklet 1. részének 42. c) pontja | ||||||||||||
| 410 | Egyéb pénzügyi vállalatok | V. melléklet 1. részének 42. d) pontja | ||||||||||||
| 420 | Nem pénzügyi vállalatok | V. melléklet 1. részének 42. e) pontja | ||||||||||||
| 430 | Hitelek és előlegek | V. melléklet 1. részének 32. pontja, 44. a) pontja | ||||||||||||
| 440 | Központi bankok | V. melléklet 1. részének 42. a) pontja | ||||||||||||
| 450 | Államháztartások | V. melléklet 1. részének 42. b) pontja | ||||||||||||
| 460 | Hitelintézetek | V. melléklet 1. részének 42. c) pontja | ||||||||||||
| 470 | Egyéb pénzügyi vállalatok | V. melléklet 1. részének 42. d) pontja | ||||||||||||
| 480 | Nem pénzügyi vállalatok | V. melléklet 1. részének 42. e) pontja | ||||||||||||
| 490 | Háztartások | V. melléklet 1. részének 42. f) pontja | ||||||||||||
| 500 | ebből: csoportosan képzett értékvesztés | IFRS 9 B5.5.1–B5.5.6. bekezdése; V. melléklet 2. részének 158. pontja | ||||||||||||
| 510 | ebből: egyedileg képzett értékvesztés | IFRS 9 B5.5.1–B5.5.6. bekezdése; V. melléklet 2. részének 158. pontja | ||||||||||||
| 520 | Hitelviszonyt megtestesítő instrumentumok értékvesztése összesen | IFRS 7 B8E. bekezdése | ||||||||||||
| 530 | Adott elkötelezettségek és pénzügyi garanciák (1. szakasz) | IFRS 9 2.1. bekezdésének g) pontja; 2.3. bekezdésének c) pontja; 5.5. és B2.5. bekezdése; V. melléklet 2. részének 157. pontja | ||||||||||||
| 540 | Adott elkötelezettségek és pénzügyi garanciák (2. szakasz) | IFRS 9 2.1. bekezdésének g) pontja; 2.3. bekezdésének c) pontja; 5.5.3. és B2.5. bekezdése; V. melléklet 2. részének 157. pontja | ||||||||||||
| 550 | ebből: nemteljesítő | V. melléklet 2. részének 117. pontja | ||||||||||||
| 560 | Adott elkötelezettségek és pénzügyi garanciák (3. szakasz) | IFRS 9 2.1. bekezdésének g) pontja; 2.3. bekezdésének c) pontja; 5.5.1. és B2.5. bekezdése; V. melléklet 2. részének 157. pontja | ||||||||||||
| 570 | Adott elkötelezettségekre és pénzügyi garanciákra képzett céltartalék összesen | IFRS 7 B8E. bekezdése; V. melléklet 2. részének 157. pontja | ||||||||||||
12.2. Értékvesztési szakaszok közötti átvezetések (bruttó alapú megjelenítés)
| Hivatkozások A nemzeti GAAP-pal kompatibilis IFRS standardok | Bruttó könyv szerinti érték / névérték V. melléklet 1. részének 34. pontja, 2. részének 118., 167. és 170. pontja | |||||||
| 1. és 2. szakasz közötti átvezetés | 2. és 3. szakasz közötti átvezetés | 1. és 3. szakasz közötti átvezetés | ||||||
| 1. szakaszból 2. szakaszba | 2. szakaszból 1. szakaszba | 2. szakaszból 3. szakaszba | 3. szakaszból 2. szakaszba | 1. szakaszból 3. szakaszba | 3. szakaszból 1. szakaszba | |||
| V. melléklet 2. részének 168–169. pontja | ||||||||
| 010 | 020 | 030 | 040 | 050 | 060 | |||
| 010 | Hitelviszonyt megtestesítő értékpapírok | V. melléklet 1. részének 31. pontja és 44. b) pontja | ||||||
| 020 | Központi bankok | V. melléklet 1. részének 42. a) pontja | ||||||
| 030 | Államháztartások | V. melléklet 1. részének 42. b) pontja | ||||||
| 040 | Hitelintézetek | V. melléklet 1. részének 42. c) pontja | ||||||
| 050 | Egyéb pénzügyi vállalatok | V. melléklet 1. részének 42. d) pontja | ||||||
| 060 | Nem pénzügyi vállalatok | V. melléklet 1. részének 42. e) pontja | ||||||
| 070 | Hitelek és előlegek | V. melléklet 1. részének 32. pontja, 44. a) pontja | ||||||
| 080 | Központi bankok | V. melléklet 1. részének 42. a) pontja | ||||||
| 090 | Államháztartások | V. melléklet 1. részének 42. b) pontja | ||||||
| 100 | Hitelintézetek | V. melléklet 1. részének 42. c) pontja | ||||||
| 110 | Egyéb pénzügyi vállalatok | V. melléklet 1. részének 42. d) pontja | ||||||
| 120 | Nem pénzügyi vállalatok | V. melléklet 1. részének 42. e) pontja | ||||||
| 130 | Háztartások | V. melléklet 1. részének 42. f) pontja | ||||||
| 140 | Hitelviszonyt megtestesítő instrumentumok összesen | |||||||
| 150 | Adott elkötelezettségek és pénzügyi garanciák | IFRS 9 2.1. bekezdésének g) pontja; 2.3. bekezdésének c) pontja; 5.5.1., 5.5.3. és 5.5.5. bekezdése | ||||||
13. Kapott biztosítékok és garanciák
13.1. Biztosítékok és garanciák nem kereskedési céllal tartott hitelek és előlegek szerinti részletezése
| Garanciák és biztosíték | A biztosíték vagy garancia figyelembe vehető legmagasabb összege V. melléklet 2. részének 171–172. pontja és 174. pontja | |||||||||
| Hivatkozások Nemzeti GAAP a BAD alapján | Hivatkozások A nemzeti GAAP-pal kompatibilis IFRS standardok | Ingatlannal fedezett hitelek | Egyéb biztosítékkal fedezett hitelek | Kapott pénzügyi garanciák | ||||||
| Lakóingatlan | Kereskedelmi ingatlan | Pénzeszközök, betétek, [kibocsátott hitelviszonyt megtestesítő értékpapírok] | Ingó vagyontárgyak | Tulajdoni részesedést és hitelviszonyt megtestesítő értékpapírok | Egyéb | |||||
| IFRS 7 36. bekezdésének b) pontja | V. melléklet 2. részének 173. a) pontja | V. melléklet 2. részének 173. a) pontja | V. melléklet 2. részének 173. b) i. pontja | V. melléklet 2. részének 173. b) ii. pontja | V. melléklet 2. részének 173. b) iii. pontja | V. melléklet 2. részének 173. b) iv. pontja | V. melléklet 2. részének 173. c) pontja | |||
| 010 | 020 | 030 | 031 | 032 | 041 | 050 | ||||
| 010 | Hitelek és előlegek | V. melléklet 1. részének 32. pontja, 44. a) pontja | V. melléklet 1. részének 32. pontja, 44. a) pontja | |||||||
| 020 | ebből: Egyéb pénzügyi vállalatok | V. melléklet 1. részének 42. d) pontja | V. melléklet 1. részének 42. d) pontja | |||||||
| 030 | ebből: Nem pénzügyi vállalatok | V. melléklet 1. részének 42. e) pontja | V. melléklet 1. részének 42. e) pontja | |||||||
| 035 | ebből: Kis- és középvállalkozások (kkv-k) | KKV 1. cikke (2) bekezdésének a) pontja | KKV 1. cikke (2) bekezdésének a) pontja | |||||||
| 036 | ebből: Kereskedelmi ingatlanhoz kapcsolódó hitelek kis- és középvállalkozásoknak | KKV 1. cikke (2) bekezdésének a) pontja; V. melléklet 2. részének 239ix. pontja | KKV 1. cikke (2) bekezdésének a) pontja; V. melléklet 2. részének 239ix. pontja | |||||||
| 037 | ebből: Kereskedelmi ingatlanhoz kapcsolódó hitelek kkv-któl eltérő nem pénzügyi vállalatoknak | V. melléklet 2. részének 239ix. pontja | V. melléklet 2. részének 239ix. pontja | |||||||
| 040 | ebből: Háztartások | V. melléklet 1. részének 42. f) pontja | V. melléklet 1. részének 42. f) pontja | |||||||
| 050 | ebből: Lakáscélú hitelek | V. melléklet 2. részének 88. b) pontja | V. melléklet 2. részének 88. b) pontja | |||||||
| 060 | ebből: Fogyasztási hitelek | V. melléklet 2. részének 88. a) pontja | V. melléklet 2. részének 88. a) pontja | |||||||
13.2.1. Az időszak alatt birtokbavétellel megszerzett biztosítékok [a vonatkozási időpontban tartott]
| Az időszak alatt birtokbavétellel megszerzett biztosítékok [a vonatkozási időpontban tartott] (V. melléklet 2. részének 175. pontja) | ||||||||
| Ebből: Értékesítésre tartott befektetett eszközök (IFRS 5 38. bekezdése; V. melléklet 2. részének 7. pontja) | ||||||||
| Kezdeti megjelenítéskori érték | Könyv szerinti érték | Negatív változás halmozott összege | Kezdeti megjelenítéskori érték | Könyv szerinti érték | ||||
| Hivatkozások Nemzeti GAAP a BAD alapján | Hivatkozások A nemzeti GAAP-pal kompatibilis IFRS standardok | V. melléklet 2. részének 175i. pontja | V. melléklet 1. részének 27–28. pontja | V. melléklet 2. részének 175ii. pontja | V. melléklet 2. részének 175i. pontja | V. melléklet 1. részének 27–28. pontja | ||
| 0010 | 0020 | 0030 | 0040 | 0050 | ||||
| 0010 | Ingatlanok, gépek és berendezések | IAS 16 6. bekezdése | ||||||
| 0020 | Az Ingatlanok, gépek és berendezések kategóriától eltérő eszközök | IFRS 7 38. bekezdésének a) pontja | ||||||
| 0030 | Lakóingatlan | V. melléklet 2. részének 173. a) pontja | IFRS 7 38. bekezdésének a) pontja; V. melléklet 2. részének 173. a) pontja | |||||
| 0040 | Kereskedelmi ingatlan | V. melléklet 2. részének 173. a) pontja | IFRS 7 38. bekezdésének a) pontja; V. melléklet 2. részének 173. a) pontja | |||||
| 0050 | Ingó vagyontárgyak | V. melléklet 2. részének 173. b) ii. pontja | IFRS 7 38. bekezdésének a) pontja; V. melléklet 2. részének 173. b) ii. pontja | |||||
| 0060 | Tulajdoni részesedést és hitelviszonyt megtestesítő értékpapírok | V. melléklet 2. részének 173. b) iii. pontja | IFRS 7 38. bekezdésének a) pontja; V. melléklet 2. részének 173. b) iii. pontja | |||||
| 0070 | Egyéb | V. melléklet 2. részének 173. b) iv. pontja | IFRS 7 38. bekezdésének a) pontja; V. melléklet 2. részének 173. b) iv. pontja | |||||
| 0080 | Összesen | |||||||
13.3.1. Birtokbavétellel megszerzett biztosítékok - halmozott
| Birtokbavétellel megszerzett biztosítékok – halmozott (V. melléklet 2. részének 176. pontja) | ||||||||
| Ebből: Értékesítésre tartott befektetett eszközök (IFRS 5 38. bekezdése; V. melléklet 2. részének 7. pontja) | ||||||||
| Kezdeti megjelenítéskori érték | Könyv szerinti érték | Negatív változás halmozott összege | Kezdeti megjelenítéskori érték | Könyv szerinti érték | ||||
| Hivatkozások Nemzeti GAAP a BAD alapján | Hivatkozások A nemzeti GAAP-pal kompatibilis IFRS standardok | V. melléklet 2. részének 175i. pontja | V. melléklet 1. részének 27–28. pontja | V. melléklet 2. részének 175ii. pontja | V. melléklet 2. részének 175i. pontja | V. melléklet 1. részének 27–28. pontja | ||
| 0010 | 0020 | 0030 | 0040 | 0050 | ||||
| 0010 | Ingatlanok, gépek és berendezések | IAS 16 6. bekezdése | ||||||
| 0020 | Az Ingatlanok, gépek és berendezések kategóriától eltérő eszközök | IFRS 7 38. bekezdésének a) pontja | ||||||
| 0030 | Lakóingatlan | V. melléklet 2. részének 173. a) pontja | IFRS 7 38. bekezdésének a) pontja; V. melléklet 2. részének 173. a) pontja | |||||
| 0040 | Kereskedelmi ingatlan | V. melléklet 2. részének 173. a) pontja | IFRS 7 38. bekezdésének a) pontja; V. melléklet 2. részének 173. a) pontja | |||||
| 0050 | Ingó vagyontárgyak | V. melléklet 2. részének 173. b) ii. pontja | IFRS 7 38. bekezdésének a) pontja; V. melléklet 2. részének 173. b) ii. pontja | |||||
| 0060 | Tulajdoni részesedést és hitelviszonyt megtestesítő értékpapírok | V. melléklet 2. részének 173. b) iii. pontja | IFRS 7 38. bekezdésének a) pontja; V. melléklet 2. részének 173. b) iii. pontja | |||||
| 0070 | Egyéb | V. melléklet 2. részének 173. b) iv. pontja | IFRS 7 38. bekezdésének a) pontja; V. melléklet 2. részének 173. b) iv. pontja | |||||
| 0080 | Összesen | |||||||
14. Valósérték-hierarchia: valós értéken értékelt pénzügyi instrumentumok
| Hivatkozások Nemzeti GAAP a BAD alapján | Hivatkozások A nemzeti GAAP-pal kompatibilis IFRS standardok | Valósérték-hierarchia IFRS 13 93. bekezdésének b) pontja | Valós érték változása az időszak alatt V. melléklet 2. részének 178. pontja | A valósérték-változás halmozott összege adófizetés előtt V. melléklet 2. részének 179. pontja | |||||||
| 1. szint | 2. szint | 3. szint | 2. szint | 3. szint | 1. szint | 2. szint | 3. szint | ||||
| IFRS 13 76. bekezdése | IFRS 13 81. bekezdése | IFRS 13 86. bekezdése | IFRS 13 81. bekezdése | IFRS 13 86. bekezdése, 93. bekezdésének f) pontja | IFRS 13 76. bekezdése | IFRS 13 81. bekezdése | IFRS 13 86. bekezdése | ||||
| 010 | 020 | 030 | 040 | 050 | 060 | 070 | 080 | ||||
| ESZKÖZÖK | |||||||||||
| 010 | Kereskedési céllal tartott pénzügyi eszközök | IFRS 7 8. bekezdésének a) ii. pontja; IFRS 9 A. függelék | |||||||||
| 020 | Származtatott ügyletek | IFRS 9 A. függelék | |||||||||
| 030 | Tulajdoni részesedést megtestesítő instrumentumok | IAS 32 11. bekezdése | |||||||||
| 040 | Hitelviszonyt megtestesítő értékpapírok | V. melléklet 1. részének 31. pontja | |||||||||
| 050 | Hitelek és előlegek | V. melléklet 1. részének 32. pontja | |||||||||
| 051 | Kereskedési célú pénzügyi eszközök | BAD 32–33. cikke; V. melléklet 1. részének 17. pontja | |||||||||
| 052 | Származtatott ügyletek | CRR II. melléklete; V. melléklet 1. részének 17. pontja | |||||||||
| 053 | Tulajdoni részesedést megtestesítő instrumentumok | EKB/2013/33 2. melléklete 2. részének 4–5. szakasza | |||||||||
| 054 | Hitelviszonyt megtestesítő értékpapírok | V. melléklet 1. részének 31. pontja | |||||||||
| 055 | Hitelek és előlegek | V. melléklet 1. részének 32. pontja | |||||||||
| 056 | Kötelezően az eredménnyel szemben valós értéken értékelt, nem kereskedési célú pénzügyi eszközök | IFRS 9 4.1.4. bekezdése; IFRS 7 8. bekezdésének a) ii. pontja | |||||||||
| 057 | Tulajdoni részesedést megtestesítő instrumentumok | IAS 32 11. bekezdése | |||||||||
| 058 | Hitelviszonyt megtestesítő értékpapírok | V. melléklet 1. részének 31. pontja | |||||||||
| 059 | Hitelek és előlegek | V. melléklet 1. részének 32. pontja | |||||||||
| 060 | Az eredménnyel szemben valós értéken értékeltnek megjelölt pénzügyi eszközök | Számviteli irányelv 8. cikke (1) bekezdésének a) pontja és (6) bekezdése; IAS 39 9. bekezdése | IFRS 7 8. bekezdésének a) i. pontja; IFRS 9 4.1.5. bekezdése | ||||||||
| 070 | Tulajdoni részesedést megtestesítő instrumentumok | EKB/2013/33 2. melléklete 2. részének 4–5. szakasza | IAS 32 11. bekezdése | ||||||||
| 080 | Hitelviszonyt megtestesítő értékpapírok | V. melléklet 1. részének 31. pontja | V. melléklet 1. részének 31. pontja | ||||||||
| 090 | Hitelek és előlegek | V. melléklet 1. részének 32. pontja | V. melléklet 1. részének 32. pontja | ||||||||
| 101 | Az egyéb átfogó jövedelemmel szemben valós értéken értékelt pénzügyi eszközök | IFRS 7 8. bekezdésének h) pontja; IFRS 9 4.1.2A. bekezdése | |||||||||
| 102 | Tulajdoni részesedést megtestesítő instrumentumok | IAS 32 11. bekezdése | |||||||||
| 103 | Hitelviszonyt megtestesítő értékpapírok | V. melléklet 1. részének 31. pontja | |||||||||
| 104 | Hitelek és előlegek | V. melléklet 1. részének 32. pontja | |||||||||
| 121 | Eredménnyel szemben valós értéken értékelt, nem kereskedési célú, nem származtatott pénzügyi eszközök | Számviteli irányelv 8. cikke (1) bekezdésének a) pontja és (4) bekezdése | |||||||||
| 122 | Tulajdoni részesedést megtestesítő instrumentumok | EKB/2013/33 2. melléklete 2. részének 4–5. szakasza | |||||||||
| 123 | Hitelviszonyt megtestesítő értékpapírok | V. melléklet 1. részének 31. pontja | |||||||||
| 124 | Hitelek és előlegek | Számviteli irányelv 8. cikke (1) bekezdésének a) pontja és (4) bekezdésének b) pontja; V. melléklet 1. részének 32. pontja | |||||||||
| 125 | A saját tőkével szemben valós értéken értékelt, nem kereskedési célú, nem származtatott pénzügyi eszközök | Számviteli irányelv 8. cikke (1) bekezdésének a) pontja, (6) és (8) bekezdése | |||||||||
| 126 | Tulajdoni részesedést megtestesítő instrumentumok | EKB/2013/33 2. melléklete 2. részének 4–5. szakasza | |||||||||
| 127 | Hitelviszonyt megtestesítő értékpapírok | V. melléklet 1. részének 31. pontja | |||||||||
| 128 | Hitelek és előlegek | Számviteli irányelv 8. cikke (1) bekezdésének a) pontja és (4) bekezdésének b) pontja; V. melléklet 1. részének 32. pontja | |||||||||
| 140 | Származtatott ügyletek – Fedezeti elszámolások | Számviteli irányelv 8. cikke (1) bekezdésének a) pontja, (6) és (8) bekezdése; IAS 39 9. bekezdése; V. melléklet 1. részének 22. pontja | IFRS 9 6.2.1. bekezdése; V. melléklet 1. részének 22. pontja | ||||||||
| KÖTELEZETTSÉGEK | |||||||||||
| 150 | Kereskedési céllal tartott pénzügyi kötelezettségek | Számviteli irányelv 4. cikke, 8. cikke (1) bekezdésének a) pontja és (6) bekezdése; IAS 39 9. bekezdése, AG14–15. bekezdése | IFRS 7 8. bekezdésének e) ii. pontja; IFRS 9 BA.6 bekezdése | ||||||||
| 160 | Származtatott ügyletek | CRR II. melléklete | IFRS 9 BA.7. bekezdésének a) pontja | ||||||||
| 170 | Rövid pozíciók | IFRS 9 BA.7. bekezdésének b) pontja | |||||||||
| 180 | Betétek | EKB/2013/33 2. melléklete 2. részének 9. szakasza; V. melléklet 1. részének 30. pontja | EKB/2013/33 2. melléklete 2. részének 9. szakasza; V. melléklet 1. részének 36. pontja | ||||||||
| 190 | Kibocsátott hitelviszonyt megtestesítő értékpapírok | V. melléklet 1. részének 31. pontja | V. melléklet 1. részének 37. pontja | ||||||||
| 200 | Egyéb pénzügyi kötelezettségek | V. melléklet 1. részének 32–34. pontja | V. melléklet 1. részének 38–41. pontja | ||||||||
| 201 | Kereskedési célú pénzügyi kötelezettségek | Számviteli irányelv 8. cikke (1) bekezdésének a) pontja, (3) és (6) bekezdése | |||||||||
| 202 | Származtatott ügyletek | CRR II. melléklete; V. melléklet 1. részének 25. és 27. pontja | |||||||||
| 203 | Rövid pozíciók | ||||||||||
| 204 | Betétek | EKB/2013/33 2. melléklete 2. részének 9. szakasza; V. melléklet 1. részének 36. pontja | |||||||||
| 205 | Kibocsátott hitelviszonyt megtestesítő értékpapírok | V. melléklet 1. részének 37. pontja | |||||||||
| 206 | Egyéb pénzügyi kötelezettségek | V. melléklet 1. részének 38–41. pontja | |||||||||
| 210 | Az eredménnyel szemben valós értéken értékeltnek megjelölt pénzügyi kötelezettségek | Számviteli irányelv 8. cikke (1) bekezdésének a) pontja és (6) bekezdése; IAS 39 9. bekezdése | IFRS 7 8. bekezdésének e), i) pontja; IFRS 9 4.1.5. bekezdése | ||||||||
| 220 | Betétek | EKB/2013/33 2. melléklete 2. részének 9. szakasza; V. melléklet 1. részének 36. pontja | EKB/2013/33 2. melléklete 2. részének 9. szakasza; V. melléklet 1. részének 36. pontja | ||||||||
| 230 | Kibocsátott hitelviszonyt megtestesítő értékpapírok | V. melléklet 1. részének 37. pontja | V. melléklet 1. részének 37. pontja | ||||||||
| 240 | Egyéb pénzügyi kötelezettségek | V. melléklet 1. részének 38–41. pontja | V. melléklet 1. részének 38–41. pontja | ||||||||
| 250 | Származtatott ügyletek – Fedezeti elszámolások | Számviteli irányelv 8. cikke (1) bekezdésének a) pontja, (6) bekezdése és (8) bekezdése első albekezdésének a) pontja; IAS 39 9. bekezdése; V. melléklet 1. részének 26. pontja | IFRS 9 6.2.1. bekezdése; V. melléklet 1. részének 26. pontja | ||||||||
15. Pénzügyi eszközök átadásával összefüggő kivezetés és pénzügyi kötelezettségek
| Teljes mértékben megjelenített átadott pénzügyi eszközök | Az intézmény folytatódó részvétele mértékéig megjelenített átadott pénzügyi eszközök | A teljes mértékben kivezetett, átadott pénzügyi eszközök fennálló tőkeösszege, amelyek tekintetében az intézmény fenntartja a szolgáltatási jogokat | A tőke szempontjából kivezetett összegek | |||||||||||
| Átadott eszközök | Kapcsolódó kötelezettségek V. melléklet 2. részének 181. pontja | Az eredeti eszközök fennálló tőkeösszege | Még megjelenített eszközök könyv szerinti értéke [folytatódó részvétel] | Kapcsolódó kötelezettségek könyv szerinti értéke | ||||||||||
| Könyv szerinti érték | Ebből: értékpapírosítások | Ebből: visszavásárlási megállapodások | Könyv szerinti érték | Ebből: értékpapírosítások | Ebből: visszavásárlási megállapodások | |||||||||
| Hivatkozások A nemzeti GAAP-pal kompatibilis IFRS standardok | IFRS 7 42D. bekezdésének e) pontja; V. melléklet 1. részének 27. pontja | IFRS 7 42D. bekezdésének e) pontja; CRR 4. cikke (1) bekezdésének 61. pontja | IFRS 7 42D. bekezdésének e) pontja; V. melléklet 2. részének 183–184. pontja | IFRS 7 42D. bekezdésének e) pontja | IFRS 7 42D. bekezdésének e) pontja | IFRS 7 42D. bekezdésének e) pontja; V. melléklet 2. részének 183–184. pontja | IFRS 7 42D. bekezdésének f) pontja | IFRS 7 42D. bekezdésének f) pontja; V. melléklet 1. részének 27. pontja, 2. részének 181. pontja | CRR 109. cikke; V. melléklet 2. részének 182. pontja | |||||
| Hivatkozások Nemzeti GAAP a BAD alapján | V. melléklet 1. részének 27–28. pontja | CRR 4. cikke (1) bekezdésének 61. pontja | V. melléklet 2. részének 183–184. pontja | CRR 4. cikke (1) bekezdésének 61. pontja | V. melléklet 2. részének 183–184. pontja | CRR 109. cikke; V. melléklet 2. részének 182. pontja | ||||||||
| 010 | 020 | 030 | 040 | 050 | 060 | 070 | 080 | 090 | 100 | 110 | ||||
| 010 | Kereskedési céllal tartott pénzügyi eszközök | IFRS 7 8. bekezdésének a) ii. pontja; IFRS 9 A. függelék | ||||||||||||
| 020 | Tulajdoni részesedést megtestesítő instrumentumok | IAS 32 11. bekezdése | ||||||||||||
| 030 | Hitelviszonyt megtestesítő értékpapírok | V. melléklet 1. részének 31. pontja | ||||||||||||
| 040 | Hitelek és előlegek | V. melléklet 1. részének 32. pontja | ||||||||||||
| 041 | Kereskedési célú pénzügyi eszközök | Számviteli irányelv 8. cikke (1) bekezdésének a) pontja és (6) bekezdése; V. melléklet 1. részének 15. pontja | ||||||||||||
| 042 | Tulajdoni részesedést megtestesítő instrumentumok | EKB/2013/33 2. melléklete 2. részének 4–5. szakasza | ||||||||||||
| 043 | Hitelviszonyt megtestesítő értékpapírok | V. melléklet 1. részének 31. pontja | ||||||||||||
| 044 | Hitelek és előlegek | V. melléklet 1. részének 32. pontja | ||||||||||||
| 045 | Kötelezően az eredménnyel szemben valós értéken értékelt, nem kereskedési célú pénzügyi eszközök | IFRS 9 4.1.4. bekezdése | ||||||||||||
| 046 | Tulajdoni részesedést megtestesítő instrumentumok | IAS 32 11. bekezdése | ||||||||||||
| 047 | Hitelviszonyt megtestesítő értékpapírok | V. melléklet 1. részének 31. pontja | ||||||||||||
| 048 | Hitelek és előlegek | V. melléklet 1. részének 32. pontja | ||||||||||||
| 050 | Az eredménnyel szemben valós értéken értékeltnek megjelölt pénzügyi eszközök | Számviteli irányelv 8. cikke (1) bekezdésének a) pontja és (6) bekezdése; IAS 39 9. bekezdése | IFRS 7 8. bekezdésének a) i. pontja; IFRS 9 4.1.5. bekezdése | |||||||||||
| 060 | Tulajdoni részesedést megtestesítő instrumentumok | EKB/2013/33 2. melléklete 2. részének 4–5. szakasza | IAS 32 11. bekezdése | |||||||||||
| 070 | Hitelviszonyt megtestesítő értékpapírok | V. melléklet 1. részének 31. pontja | V. melléklet 1. részének 31. pontja | |||||||||||
| 080 | Hitelek és előlegek | V. melléklet 1. részének 32. pontja | V. melléklet 1. részének 32. pontja | |||||||||||
| 091 | Az egyéb átfogó jövedelemmel szemben valós értéken értékelt pénzügyi eszközök | IFRS 7 8. bekezdésének h) pontja; IFRS 9 4.1.2A. bekezdése | ||||||||||||
| 092 | Tulajdoni részesedést megtestesítő instrumentumok | IAS 32 11. bekezdése | ||||||||||||
| 093 | Hitelviszonyt megtestesítő értékpapírok | V. melléklet 1. részének 31. pontja | ||||||||||||
| 094 | Hitelek és előlegek | V. melléklet 1. részének 32. pontja | ||||||||||||
| 121 | Eredménnyel szemben valós értéken értékelt, nem kereskedési célú, nem származtatott pénzügyi eszközök | Számviteli irányelv 8. cikke (1) bekezdésének a) pontja és (4) bekezdése | ||||||||||||
| 122 | Tulajdoni részesedést megtestesítő instrumentumok | EKB/2013/33 2. melléklete 2. részének 4–5. szakasza | ||||||||||||
| 123 | Hitelviszonyt megtestesítő értékpapírok | V. melléklet 1. részének 31. pontja | ||||||||||||
| 124 | Hitelek és előlegek | Számviteli irányelv 8. cikke (1) bekezdésének a) pontja és (4) bekezdésének b) pontja; 1. rész 14. bekezdése, 3. rész 35. bekezdése | ||||||||||||
| 125 | A saját tőkével szemben valós értéken értékelt, nem kereskedési célú, nem származtatott pénzügyi eszközök | Számviteli irányelv 8. cikke (1) bekezdésének a) pontja, és 8. cikkének (2) bekezdése | ||||||||||||
| 126 | Tulajdoni részesedést megtestesítő instrumentumok | EKB/2013/33 2. melléklete 2. részének 4–5. szakasza | ||||||||||||
| 127 | Hitelviszonyt megtestesítő értékpapírok | V. melléklet 1. részének 31. pontja | ||||||||||||
| 128 | Hitelek és előlegek | Számviteli irányelv 8. cikke (1) bekezdésének a) pontja, (4) bekezdésének b) pontja; 1. rész 14. bekezdése, 3. rész 35. bekezdése | ||||||||||||
| 131 | Amortizált bekerülési értéken értékelt pénzügyi eszközök | Számviteli irányelv 42a. cikke (4) bekezdésének b) pontja, (5a) bekezdése; IAS 39 9. bekezdése | IFRS 7 8. bekezdésének f) pontja; IFRS 9 4.1.2. bekezdése | |||||||||||
| 132 | Hitelviszonyt megtestesítő értékpapírok | V. melléklet 1. részének 24. és 26. pontja | V. melléklet 1. részének 31. pontja | |||||||||||
| 133 | Hitelek és előlegek | V. melléklet 1. részének 24. és 27. pontja | V. melléklet 1. részének 32. pontja | |||||||||||
| 181 | Bekerülésiérték-módszerrel értékelt nem kereskedési célú, nem származtatott pénzügyi eszközök | BAD 37. cikkének 1. bekezdése; 42a. cikk (4) bekezdésének b) pontja; V. melléklet 1. részének 16. pontja | ||||||||||||
| 200 | Tulajdoni részesedést megtestesítő instrumentumok | EKB/2013/33 2. melléklete 2. részének 4–5. szakasza | ||||||||||||
| 182 | Hitelviszonyt megtestesítő értékpapírok | V. melléklet 1. részének 31. pontja | ||||||||||||
| 183 | Hitelek és előlegek | V. melléklet 1. részének 32. pontja | ||||||||||||
| 184 | Egyéb nem kereskedési célú, nem származtatott pénzügyi eszközök | BAD 35–37. cikke | ||||||||||||
| 185 | Tulajdoni részesedést megtestesítő instrumentumok | EKB/2013/33 2. melléklete 2. részének 4–5. szakasza | ||||||||||||
| 186 | Hitelviszonyt megtestesítő értékpapírok | V. melléklet 1. részének 31. pontja | ||||||||||||
| 187 | Hitelek és előlegek | V. melléklet 1. részének 32. pontja | ||||||||||||
| 190 | Összesen | |||||||||||||
16. Az eredménykimutatás kiválasztott tételeinek részletezése
16.1. Kamatbevételek és kamatráfordítások instrumentum és ügyfélszektor szerint
| Hivatkozások Nemzeti GAAP a BAD alapján | Hivatkozások A nemzeti GAAP-pal kompatibilis IFRS standardok | Tárgyidőszak | |||
| Bevételek | Ráfordítások | ||||
| V. melléklet 2. részének 187. és 189. pontja | V. melléklet 2. részének 188. és 190. pontja | ||||
| 010 | 020 | ||||
| 010 | Származtatott ügyletek — Kereskedési célú | CRR II. melléklete; V. melléklet 2. részének 193. pontja | IFRS 9 A. függelék, BA.1. és BA.6. bekezdés; V. melléklet 2. részének 193. pontja | ||
| 015 | ebből: gazdasági fedezeti ügyleteknek minősülő származtatott ügyletek kamatbevétele | V. melléklet 2. részének 193. pontja | V. melléklet 2. részének 193. pontja | ||
| 020 | Hitelviszonyt megtestesítő értékpapírok | V. melléklet 1. részének 31. pontja és 44. b) pontja | V. melléklet 1. részének 31. pontja és 44. b) pontja | ||
| 030 | Központi bankok | V. melléklet 1. részének 42. a) pontja | V. melléklet 1. részének 42. a) pontja | ||
| 040 | Államháztartások | V. melléklet 1. részének 42. b) pontja | V. melléklet 1. részének 42. b) pontja | ||
| 050 | Hitelintézetek | V. melléklet 1. részének 42. c) pontja | V. melléklet 1. részének 42. c) pontja | ||
| 060 | Egyéb pénzügyi vállalatok | V. melléklet 1. részének 42. d) pontja | V. melléklet 1. részének 42. d) pontja | ||
| 070 | Nem pénzügyi vállalatok | V. melléklet 1. részének 42. e) pontja | V. melléklet 1. részének 42. e) pontja | ||
| 080 | Hitelek és előlegek | V. melléklet 1. részének 32. pontja, 44. a) pontja | V. melléklet 1. részének 32. pontja, 44. a) pontja | ||
| 090 | Központi bankok | V. melléklet 1. részének 42. a) pontja | V. melléklet 1. részének 42. a) pontja | ||
| 100 | Államháztartások | V. melléklet 1. részének 42. b) pontja | V. melléklet 1. részének 42. b) pontja | ||
| 110 | Hitelintézetek | V. melléklet 1. részének 42. c) pontja | V. melléklet 1. részének 42. c) pontja | ||
| 120 | Egyéb pénzügyi vállalatok | V. melléklet 1. részének 42. d) pontja | V. melléklet 1. részének 42. d) pontja | ||
| 130 | Nem pénzügyi vállalatok | V. melléklet 1. részének 42. e) pontja | V. melléklet 1. részének 42. e) pontja | ||
| 140 | Háztartások | V. melléklet 1. részének 42. f) pontja | V. melléklet 1. részének 42. f) pontja | ||
| 141 | ebből: lakáscélú hitelek | V. melléklet 2. részének 88. b) pontja, 194i. pontja | V. melléklet 2. részének 88. b) pontja, 194i. pontja | ||
| 142 | ebből: fogyasztási hitelek | V. melléklet 2. részének 88. a) pontja, 194i. pontja | V. melléklet 2. részének 88. a) pontja, 194i. pontja | ||
| 150 | Egyéb eszközök | V. melléklet 1. részének 51. pontja | V. melléklet 2. részének 5. pontja | ||
| 160 | Betétek | EKB/2013/33 2. melléklete 2. részének 9. szakasza; V. melléklet 1. részének 36. pontja | EKB/2013/33 2. melléklete 2. részének 9. szakasza; V. melléklet 1. részének 36. pontja | ||
| 170 | Központi bankok | V. melléklet 1. részének 42. a) pontja | V. melléklet 1. részének 42. a) pontja | ||
| 180 | Államháztartások | V. melléklet 1. részének 42. b) pontja | V. melléklet 1. részének 42. b) pontja | ||
| 190 | Hitelintézetek | V. melléklet 1. részének 42. c) pontja | V. melléklet 1. részének 42. c) pontja | ||
| 200 | Egyéb pénzügyi vállalatok | V. melléklet 1. részének 42. d) pontja | V. melléklet 1. részének 42. d) pontja | ||
| 210 | Nem pénzügyi vállalatok | V. melléklet 1. részének 42. e) pontja | V. melléklet 1. részének 42. e) pontja | ||
| 220 | Háztartások | V. melléklet 1. részének 42. f) pontja | V. melléklet 1. részének 42. f) pontja | ||
| 230 | Kibocsátott hitelviszonyt megtestesítő értékpapírok | V. melléklet 1. részének 37. pontja | V. melléklet 1. részének 37. pontja | ||
| 240 | Egyéb pénzügyi kötelezettségek | V. melléklet 1. részének 32–34. pontja, 2. részének 191. pontja | V. melléklet 1. részének 32–34. pontja, 2. részének 191. pontja | ||
| 250 | Származtatott ügyletek — Fedezeti elszámolások, kamatlábkockázat | V. melléklet 2. részének 192. pontja | V. melléklet 2. részének 192. pontja | ||
| 260 | Egyéb kötelezettségek | V. melléklet 1. részének 38–41. pontja | V. melléklet 1. részének 38–41. pontja | ||
| 270 | KAMATOK | BAD 27. cikke, Függőleges tagolás 1., 2. pontja | IAS 1 97. bekezdése | ||
| 280 | ebből: értékvesztett pénzügyi eszközök kamatbevétele | IFRS 9 5.4.1. bekezdése, és B5.4.7. bekezdése; V. melléklet 2. részének 194. pontja | |||
| 290 | ebből: lízingből származó kamat | V. melléklet 2. részének 194ii. pontja | IFRS 16 38. bekezdésének a) pontja, 49. bekezdése; V. melléklet 2. részének 194ii. pontja | ||
16.2. Az eredménnyel szemben valós értéken értékelt kategóriába nem tartozó pénzügyi eszközök és kötelezettségek kivezetéséből származó nyereség vagy veszteség instrumentum szerint
| Hivatkozások Nemzeti GAAP a BAD alapján | Hivatkozások A nemzeti GAAP-pal kompatibilis IFRS standardok | Tárgyidőszak | ||
| V. melléklet 2. részének 195–196. pontja | ||||
| 010 | ||||
| 010 | Tulajdoni részesedést megtestesítő instrumentumok | EKB/2013/33 2. melléklete 2. részének 4–5. szakasza | V. melléklet 1. részének 28. pontja | |
| 020 | Hitelviszonyt megtestesítő értékpapírok | V. melléklet 1. részének 31. pontja | V. melléklet 1. részének 31. pontja | |
| 030 | Hitelek és előlegek | V. melléklet 1. részének 32. pontja | V. melléklet 1. részének 32. pontja | |
| 040 | Betétek | EKB/2013/33 2. melléklete 2. részének 9. szakasza; V. melléklet 1. részének 36. pontja | EKB/2013/33 2. melléklete 2. részének 9. szakasza; V. melléklet 1. részének 36. pontja | |
| 050 | Kibocsátott hitelviszonyt megtestesítő értékpapírok | V. melléklet 1. részének 37. pontja | V. melléklet 1. részének 37. pontja | |
| 060 | Egyéb pénzügyi kötelezettségek | V. melléklet 1. részének 38–41. pontja | V. melléklet 1. részének 38–41. pontja | |
| 070 | AZ EREDMÉNNYEL SZEMBEN VALÓS ÉRTÉKEN ÉRTÉKELT KATEGÓRIÁBA NEM TARTOZÓ PÉNZÜGYI ESZKÖZÖK ÉS KÖTELEZETTSÉGEK KIVEZETÉSÉBŐL SZÁRMAZÓ NYERESÉG VAGY (–) VESZTESÉG, NETTÓ | BAD 27. cikke, Függőleges tagolás 6. pontja; V. melléklet 2. részének 45. pontja | V. melléklet 2. részének 45. pontja | |
16.3. Kereskedési céllal tartott és kereskedési célú pénzügyi eszközökből és kötelezettségekből származó nyereség vagy veszteség instrumentum szerint
| Hivatkozások Nemzeti GAAP a BAD alapján | Hivatkozások A nemzeti GAAP-pal kompatibilis IFRS standardok | Tárgyidőszak | ||
| V. melléklet 2. részének 197–198. pontja | ||||
| 010 | ||||
| 010 | Származtatott ügyletek | IFRS 9 A. függelék, BA.1. bekezdés és BA.7. bekezdésének a) pontja | ||
| 015 | ebből: a valós érték opció alkalmazásával elszámolt gazdasági fedezeti ügyletek | IFRS 9 6.7.1. bekezdése; IFRS 7 9. bekezdésének d) pontja; V. melléklet 2. részének 199. pontja | ||
| 020 | Tulajdoni részesedést megtestesítő instrumentumok | IAS 32 11. bekezdése | ||
| 030 | Hitelviszonyt megtestesítő értékpapírok | V. melléklet 1. részének 31. pontja | ||
| 040 | Hitelek és előlegek | V. melléklet 1. részének 32. pontja | ||
| 050 | Rövid pozíciók | IFRS 9 BA.7. bekezdésének b) pontja | ||
| 060 | Betétek | EKB/2013/33 2. melléklete 2. részének 9. szakasza; V. melléklet 1. részének 36. pontja | ||
| 070 | Kibocsátott hitelviszonyt megtestesítő értékpapírok | V. melléklet 1. részének 37. pontja | ||
| 080 | Egyéb pénzügyi kötelezettségek | V. melléklet 1. részének 38–41. pontja | ||
| 090 | KERESKEDÉSI CÉLLAL TARTOTT PÉNZÜGYI ESZKÖZÖKBŐL ÉS KÖTELEZETTSÉGEKBŐL SZÁRMAZÓ NYERESÉG VAGY (–) VESZTESÉG, NETTÓ | IFRS 9 A. függelék, BA.6 bekezdés; IFRS 7 20. bekezdésének a) i. pontja | ||
| 095 | ebből: amortizált bekerülési értéken értékelt eszközök átsorolásából származó nyereség és veszteség | IFRS 9 5.6.2. bekezdése; V. melléklet 2. részének 199. pontja | ||
| 100 | Származtatott ügyletek | CRR II. melléklete | ||
| 110 | Tulajdoni részesedést megtestesítő instrumentumok | EKB/2013/33 2. melléklete 2. részének 4–5. szakasza | ||
| 120 | Hitelviszonyt megtestesítő értékpapírok | V. melléklet 1. részének 31. pontja | ||
| 130 | Hitelek és előlegek | V. melléklet 1. részének 32. pontja | ||
| 140 | Rövid pozíciók | |||
| 150 | Betétek | EKB/2013/33 2. melléklete 2. részének 9. szakasza; V. melléklet 1. részének 36. pontja | ||
| 160 | Kibocsátott hitelviszonyt megtestesítő értékpapírok | V. melléklet 1. részének 37. pontja | ||
| 170 | Egyéb pénzügyi kötelezettségek | V. melléklet 1. részének 38–41. pontja | ||
| 180 | KERESKEDÉSI CÉLÚ PÉNZÜGYI ESZKÖZÖKBŐL ÉS KÖTELEZETTSÉGEKBŐL SZÁRMAZÓ NYERESÉG VAGY (–) VESZTESÉG, NETTÓ | BAD 27. cikke, Függőleges tagolás 6. pontja; V. melléklet 1. részének 17. pontja | ||
16.4. Kereskedési céllal tartott és kereskedési célú pénzügyi eszközökből és kötelezettségekből származó nyereség vagy veszteség kockázat szerint
| Hivatkozások Nemzeti GAAP a BAD alapján | Hivatkozások A nemzeti GAAP-pal kompatibilis IFRS standardok | Tárgyidőszak | ||
| 010 | ||||
| 010 | Kamatláb instrumentumok és kapcsolódó származtatott ügyletek | V. melléklet 2. része 200. bekezdésének a) pontja | ||
| 020 | Tulajdoni részesedést megtestesítő instrumentumok és kapcsolódó származtatott ügyletek | V. melléklet 2. részének 200. b) pontja | ||
| 030 | Devizakereskedés, valamint devizakereskedéshez és aranyhoz kapcsolódó származtatott ügyletek | V. melléklet 2. részének 200. c) pontja | ||
| 040 | Hitelkockázati instrumentumok és kapcsolódó származtatott ügyletek | V. melléklet 2. része 200. bekezdésének d) pontja | ||
| 050 | Árukhoz kapcsolódó származtatott ügyletek | V. melléklet 2. része 200. bekezdésének e) pontja | ||
| 060 | Egyéb | V. melléklet 2. része 200. bekezdésének f) pontja | ||
| 070 | KERESKEDÉSI CÉLLAL TARTOTT PÉNZÜGYI ESZKÖZÖKBŐL ÉS KÖTELEZETTSÉGEKBŐL SZÁRMAZÓ NYERESÉG VAGY (–) VESZTESÉG, NETTÓ | BAD 27. cikke, Függőleges tagolás 6. pontja | IFRS 7 20. bekezdésének a) i. pontja | |
| 080 | Kamatláb instrumentumok és kapcsolódó származtatott ügyletek | V. melléklet 2. része 200. bekezdésének a) pontja | ||
| 090 | Tulajdoni részesedést megtestesítő instrumentumok és kapcsolódó származtatott ügyletek | V. melléklet 2. részének 200. b) pontja | ||
| 100 | Devizakereskedés, valamint devizakereskedéshez és aranyhoz kapcsolódó származtatott ügyletek | V. melléklet 2. részének 200. c) pontja | ||
| 110 | Hitelkockázati instrumentumok és kapcsolódó származtatott ügyletek | V. melléklet 2. része 200. bekezdésének d) pontja | ||
| 120 | Árukhoz kapcsolódó származtatott ügyletek | V. melléklet 2. része 200. bekezdésének e) pontja | ||
| 130 | Egyéb | V. melléklet 2. része 200. bekezdésének f) pontja | ||
| 140 | KERESKEDÉSI CÉLÚ PÉNZÜGYI ESZKÖZÖKBŐL ÉS KÖTELEZETTSÉGEKBŐL SZÁRMAZÓ NYERESÉG VAGY (–) VESZTESÉG, NETTÓ | BAD 27. cikke, Függőleges tagolás 6. pontja | ||
16.4.1. Kötelezően az eredménnyel szemben valós értéken értékelt, nem kereskedési célú pénzügyi eszközök nyeresége vagy vesztesége instrumentum szerint
| Hivatkozások Nemzeti GAAP a BAD alapján | Hivatkozások A nemzeti GAAP-pal kompatibilis IFRS standardok | Tárgyidőszak | ||
| V. melléklet 2. részének 201. pontja | ||||
| 010 | ||||
| 020 | Tulajdoni részesedést megtestesítő instrumentumok | IAS 32 11. bekezdése | ||
| 030 | Hitelviszonyt megtestesítő értékpapírok | V. melléklet 1. részének 31. pontja | ||
| 040 | Hitelek és előlegek | V. melléklet 1. részének 32. pontja | ||
| 090 | KÖTELEZŐEN AZ EREDMÉNNYEL SZEMBEN VALÓS ÉRTÉKEN ÉRTÉKELT, NEM KERESKEDÉSI CÉLÚ PÉNZÜGYI ESZKÖZÖK NYERESÉGE VAGY (–) VESZTESÉGE, NETTÓ | IFRS 7 20. bekezdésének a) i. pontja | ||
| 100 | ebből: amortizált bekerülési értéken értékelt eszközök átsorolásából származó nyereség és veszteség | IFRS 9 6.5.2. bekezdése; V. melléklet 2. részének 202. pontja | ||
16.5. Az eredménnyel szemben valós értéken értékeltnek megjelölt pénzügyi eszközök és kötelezettségek nyeresége vagy vesztesége instrumentum szerint
| Hivatkozások Nemzeti GAAP a BAD alapján | Hivatkozások A nemzeti GAAP-pal kompatibilis IFRS standardok | Tárgyidőszak | A hitelkockázat változásából származó valósérték-változás összege | ||
| V. melléklet 2. részének 203. pontja | V. melléklet 2. részének 203. pontja | ||||
| 010 | 020 | ||||
| 010 | Tulajdoni részesedést megtestesítő instrumentumok | EKB/2013/33 2. melléklete 2. részének 4–5. szakasza | IAS 32 11. bekezdése | ||
| 020 | Hitelviszonyt megtestesítő értékpapírok | V. melléklet 1. részének 31. pontja | V. melléklet 1. részének 31. pontja | ||
| 030 | Hitelek és előlegek | V. melléklet 1. részének 32. pontja | V. melléklet 1. részének 32. pontja | ||
| 040 | Betétek | EKB/2013/33 2. melléklete 2. részének 9. szakasza; V. melléklet 1. részének 36. pontja | EKB/2013/33 2. melléklete 2. részének 9. szakasza; V. melléklet 1. részének 36. pontja | ||
| 050 | Kibocsátott hitelviszonyt megtestesítő értékpapírok | V. melléklet 1. részének 37. pontja | V. melléklet 1. részének 37. pontja | ||
| 060 | Egyéb pénzügyi kötelezettségek | V. melléklet 1. részének 38–41. pontja | V. melléklet 1. részének 38–41. pontja | ||
| 070 | AZ EREDMÉNNYEL SZEMBEN VALÓS ÉRTÉKEN ÉRTÉKELTNEK MEGJELÖLT PÉNZÜGYI ESZKÖZÖK ÉS KÖTELEZETTSÉGEK NYERESÉGE VAGY (–) VESZTESÉGE, NETTÓ | BAD 27. cikke, Függőleges tagolás 6. pontja | IFRS 7 20. bekezdésének a) i. pontja | ||
| 071 | ebből: a fedezeti célból az eredménnyel szemben valós értéken értékeltnek megjelölt pénzügyi eszközök és kötelezettségek megjelöléskori nyeresége vagy (–) vesztesége, nettó | IFRS 9 6.7. bekezdése; IFRS 7 24G. bekezdésének b) pontja; V. melléklet 2. részének 204. pontja | |||
| 072 | ebből: a fedezeti célból az eredménnyel szemben valós értéken értékeltnek megjelölt pénzügyi eszközök és kötelezettségek megjelölést követő nyeresége vagy (–) vesztesége, nettó | IFRS 9 6.7. bekezdése; IFRS 7 20. bekezdésének a) i. pontja; V. melléklet 2. részének 204. pontja | |||
| 080 | Tulajdoni részesedést megtestesítő instrumentumok | EKB/2013/33 2. melléklete 2. részének 4–5. szakasza | |||
| 090 | Hitelviszonyt megtestesítő értékpapírok | V. melléklet 1. részének 31. pontja | |||
| 100 | Hitelek és előlegek | V. melléklet 1. részének 32. pontja | |||
| 110 | Betétek | EKB/2013/33 2. melléklete 2. részének 9. szakasza; V. melléklet 1. részének 36. pontja | |||
| 120 | Kibocsátott hitelviszonyt megtestesítő értékpapírok | V. melléklet 1. részének 37. pontja | |||
| 130 | Egyéb pénzügyi kötelezettségek | V. melléklet 1. részének 38–41. pontja | |||
| 140 | NEM KERESKEDÉSI CÉLÚ PÉNZÜGYI ESZKÖZÖKBŐL ÉS KÖTELEZETTSÉGEKBŐL SZÁRMAZÓ NYERESÉG VAGY (–) VESZTESÉG, NETTÓ | BAD 27. cikke, Függőleges tagolás 6. pontja | |||
16.6. Fedezeti elszámolásokból eredő nyereségek vagy veszteségek
| Hivatkozások Nemzeti GAAP a BAD alapján V. melléklet 2. részének 207. pontja | Hivatkozások A nemzeti GAAP-pal kompatibilis IFRS standardok | Tárgyidőszak | ||
| V. melléklet 2. részének 205. pontja | ||||
| 010 | ||||
| 010 | A fedezeti instrumentum valós értékének változásai [megszűnéssel együtt] | Számviteli irányelv 8. cikke (1) bekezdésének a) pontja, (6) bekezdése és (8) bekezdésének a) pontja | IFRS 7 24A. bekezdésének c) pontja; IFRS 7 24C. bekezdésének b) vi. pontja | |
| 020 | A fedezett tétel fedezett kockázatnak tulajdonítható valósérték-változásai | Számviteli irányelv 8. cikke (1) bekezdésének a) pontja, (6) bekezdése és (8) bekezdésének a) pontja | IFRS 9 6.3.7. bekezdése, 6.5.8. bekezdése, és B6.4.1. bekezdése; IFRS 7 24B. bekezdésének a) iv. pontja; IFRS 7 24C. bekezdésének b) vi. pontja; V. melléklet 2. részének 206. pontja | |
| 030 | A cash flow-fedezeti ügyletekből származó eredményben megjelenített hatékonysághiány | Számviteli irányelv 8. cikke (1) bekezdésének a) pontja, (6) bekezdése és (8) bekezdésének a) pontja | IFRS 7 24C. bekezdésének b) ii. pontja; IFRS 7 24C. bekezdésének b) vi. pontja | |
| 040 | A külföldi érdekeltségekbe történt nettó befektetések fedezeti ügyleteiből származó eredményben megjelenített hatékonysághiány | Számviteli irányelv 8. cikke (1) bekezdésének a) pontja | IFRS 7 24C. bekezdésének b) ii. pontja; IFRS 7 24C. bekezdésének b) vi. pontja | |
| 050 | FEDEZETI ELSZÁMOLÁSOKBÓL EREDŐ NYERESÉGEK VAGY (–) VESZTESÉGEK, NETTÓ | Számviteli irányelv 8. cikke (1) bekezdésének a) pontja, (6) bekezdése és (8) bekezdésének a) pontja | ||
16.7. Nem pénzügyi eszközök értékvesztése
| Hivatkozások Nemzeti GAAP a BAD alapján | Hivatkozások A nemzeti GAAP-pal kompatibilis IFRS standardok | Tárgyidőszak | ||||
| Növekedés | Visszaírás | Halmozott értékvesztés | ||||
| V. melléklet 2. részének 208. pontja | V. melléklet 2. részének 208. pontja | |||||
| 010 | 020 | 040 | ||||
| 060 | Leányvállalatokba, közös vállalkozásokba, valamint társult vállalkozásokba történt befektetések értékvesztése vagy (-) értékvesztésének visszaírása | BAD 27. cikke, Függőleges tagolás 13–14. pontja | IAS 28 40–43. bekezdése | |||
| 070 | Leányvállalatok | IFRS 10 A. függelék | ||||
| 080 | Közös vállalkozások | IAS 28 3. bekezdése | ||||
| 090 | Társult vállalkozások | IAS 28 3. bekezdése | ||||
| 100 | Nem pénzügyi eszközök értékvesztése vagy (-) értékvesztésének visszaírása | IAS 36 126. bekezdésének a), b) pontja | ||||
| 110 | Ingatlanok, gépek és berendezések | BAD 27. cikke, Függőleges tagolás 9. pontja | IAS 16 73. bekezdésének e) v–vi. pontja | |||
| 120 | Befektetési célú ingatlanok | BAD 27. cikke, Függőleges tagolás 9. pontja | IAS 40 79. bekezdésének d) v. pontja | |||
| 130 | Cégérték | BAD 27. cikke, Függőleges tagolás 9. pontja | IAS 36 10b. bekezdése; IAS 36 88–99. bekezdése, 124. bekezdés; IFRS 3 Függelék B67. bekezdésének d) v. pontja | |||
| 140 | Egyéb immateriális javak | BAD 27. cikke, Függőleges tagolás 9. pontja | IAS 38 118. bekezdésének e) iv., v. pontja | |||
| 145 | Egyéb | IAS 36 126. bekezdésének a), b) pontja | ||||
| 150 | ÖSSZESEN | |||||
16. 8 Egyéb igazgatási költségek
| Hivatkozások Nemzeti GAAP a BAD alapján | Hivatkozások A nemzeti GAAP-pal kompatibilis IFRS standardok | Tárgyidőszak | ||
| Ráfordítások | ||||
| 0010 | ||||
| 0010 | Információtechnológiai ráfordítások | V. melléklet 2. részének 208i. pontja | V. melléklet 2. részének 208i. pontja | |
| 0020 | IT-kiszervezés | V. melléklet 2. részének 208i–208ii. pontja | V. melléklet 2. részének 208i–208ii. pontja | |
| 0030 | Az IT-kiszervezési ráfordításoktól eltérő IT-ráfordítások | V. melléklet 2. részének 208i. pontja | V. melléklet 2. részének 208i. pontja | |
| 0040 | Adók és illetékek (egyéb) | V. melléklet 2. részének 208iii. pontja | V. melléklet 2. részének 208iii. pontja | |
| 0050 | Tanácsadási és szakértői szolgáltatás | V. melléklet 2. részének 208iv. pontja | V. melléklet 2. részének 208iv. pontja | |
| 0060 | Reklám, marketing és kommunikáció | V. melléklet 2. részének 208v. pontja | V. melléklet 2. részének 208v. pontja | |
| 0070 | A hitelkockázathoz kapcsolódó ráfordítások | V. melléklet 2. részének 208vi. pontja | V. melléklet 2. részének 208vi. pontja | |
| 0080 | Peres ügyek céltartalékokkal nem fedezett ráfordításai | V. melléklet 2. részének 208vii. pontja | V. melléklet 2. részének 208vii. pontja | |
| 0090 | Ingatlanköltségek | V. melléklet 2. részének 208viii. pontja | V. melléklet 2. részének 208viii. pontja | |
| 0100 | Lízingköltségek | V. melléklet 2. részének 208ix. pontja | V. melléklet 2. részének 208ix. pontja | |
| 0110 | Egyéb igazgatási költségek – Egyéb | V. melléklet 2. részének 208x. pontja | V. melléklet 2. részének 208x. pontja | |
| 0120 | EGYÉB IGAZGATÁSI KÖLTSÉGEK | |||
17. A konszolidáció számviteli és CRR szerinti körének egyeztetése: Mérleg
17.1. Eszközök
| Hivatkozások Nemzeti GAAP a BAD alapján | Hivatkozások A nemzeti GAAP-pal kompatibilis IFRS standardok | A konszolidáció számviteli köre [könyv szerinti érték] | ||
| V. melléklet 1. részének 27–28. pontja, 2. részének 209. pontja | ||||
| 010 | ||||
| 010 | Készpénz, számlakövetelések központi bankokkal szemben és egyéb látra szóló betétek | BAD 4. cikke, Eszközök 1. pontja | IAS 1 54. bekezdésének i) pontja | |
| 020 | Készpénz | V. melléklet 2. részének 1. pontja | V. melléklet 2. részének 1. pontja | |
| 030 | Számlakövetelések központi bankokkal szemben | BAD 13. cikkének (2) bekezdése; V. melléklet 2. részének 2. pontja | V. melléklet 2. részének 2. pontja | |
| 040 | Egyéb látra szóló betétek | V. melléklet 2. részének 3. pontja | V. melléklet 2. részének 3. pontja | |
| 050 | Kereskedési céllal tartott pénzügyi eszközök | Számviteli irányelv 8. cikke (1) bekezdésének a) pontja és (5) bekezdése; IAS 39 9. bekezdése | IFRS 7 8. bekezdésének a) ii. pontja; IFRS 9 A. függelék | |
| 060 | Származtatott ügyletek | CRR II. melléklete | IFRS 9 A. függelék | |
| 070 | Tulajdoni részesedést megtestesítő instrumentumok | EKB/2013/33 2. melléklete 2. részének 4–5. szakasza | IAS 32 11. bekezdése | |
| 080 | Hitelviszonyt megtestesítő értékpapírok | V. melléklet 1. részének 24. és 26. pontja | V. melléklet 1. részének 31. pontja | |
| 090 | Hitelek és előlegek | V. melléklet 1. részének 24. és 27. pontja | V. melléklet 1. részének 32. pontja | |
| 091 | Kereskedési célú pénzügyi eszközök | BAD 32–33. cikke; V. melléklet 1. részének 17. pontja | ||
| 092 | Származtatott ügyletek | CRR II. melléklete; V. melléklet 1. részének 17. pontja | ||
| 093 | Tulajdoni részesedést megtestesítő instrumentumok | EKB/2013/33 2. melléklete 2. részének 4–5. szakasza | ||
| 094 | Hitelviszonyt megtestesítő értékpapírok | V. melléklet 1. részének 31. pontja | ||
| 095 | Hitelek és előlegek | V. melléklet 1. részének 32. pontja | ||
| 096 | Kötelezően az eredménnyel szemben valós értéken értékelt, nem kereskedési célú pénzügyi eszközök | IFRS 9 4.1.4. bekezdése | ||
| 097 | Tulajdoni részesedést megtestesítő instrumentumok | IAS 32 11. bekezdése | ||
| 098 | Hitelviszonyt megtestesítő értékpapírok | V. melléklet 1. részének 31. pontja | ||
| 099 | Hitelek és előlegek | V. melléklet 1. részének 32. pontja | ||
| 100 | Az eredménnyel szemben valós értéken értékeltnek megjelölt pénzügyi eszközök | Számviteli irányelv 8. cikke (1) bekezdésének a) pontja és (6) bekezdése | IFRS 7 8. bekezdésének a) i. pontja; IFRS 9 4.1.5. bekezdése | |
| 110 | Tulajdoni részesedést megtestesítő instrumentumok | IAS 32 11. bekezdése; EKB/2013/33 2. melléklete 2. részének 4–5. szakasza | ||
| 120 | Hitelviszonyt megtestesítő értékpapírok | V. melléklet 1. részének 31. pontja | V. melléklet 1. részének 31. pontja | |
| 130 | Hitelek és előlegek | V. melléklet 1. részének 32. pontja | V. melléklet 1. részének 32. pontja | |
| 141 | Az egyéb átfogó jövedelemmel szemben valós értéken értékelt pénzügyi eszközök | IFRS 7 8. bekezdésének h) pontja; IFRS 9 4.1.2A. bekezdése | ||
| 142 | Tulajdoni részesedést megtestesítő instrumentumok | IAS 32 11. bekezdése | ||
| 143 | Hitelviszonyt megtestesítő értékpapírok | V. melléklet 1. részének 31. pontja | ||
| 144 | Hitelek és előlegek | V. melléklet 1. részének 32. pontja | ||
| 171 | Eredménnyel szemben valós értéken értékelt, nem kereskedési célú, nem származtatott pénzügyi eszközök | BAD 36. cikkének (2) bekezdése | ||
| 172 | Tulajdoni részesedést megtestesítő instrumentumok | EKB/2013/33 2. melléklete 2. részének 4–5. szakasza | ||
| 173 | Hitelviszonyt megtestesítő értékpapírok | V. melléklet 1. részének 31. pontja | ||
| 174 | Hitelek és előlegek | Számviteli irányelv 8. cikke (1) bekezdésének a) pontja és (4) bekezdésének b) pontja; V. melléklet 1. részének 32. pontja | ||
| 175 | A saját tőkével szemben valós értéken értékelt, nem kereskedési célú, nem származtatott pénzügyi eszközök | Számviteli irányelv 8. cikke (1) bekezdésének a) pontja és (8) bekezdése | ||
| 176 | Tulajdoni részesedést megtestesítő instrumentumok | EKB/2013/33 2. melléklete 2. részének 4–5. szakasza | ||
| 177 | Hitelviszonyt megtestesítő értékpapírok | V. melléklet 1. részének 31. pontja | ||
| 178 | Hitelek és előlegek | Számviteli irányelv 8. cikke (1) bekezdésének a) pontja és (4) bekezdésének b) pontja; V. melléklet 1. részének 32. pontja | ||
| 181 | Amortizált bekerülési értéken értékelt pénzügyi eszközök | IFRS 7 8. bekezdésének f) pontja; IFRS 9 4.1.2. bekezdése | ||
| 182 | Hitelviszonyt megtestesítő értékpapírok | V. melléklet 1. részének 31. pontja | ||
| 183 | Hitelek és előlegek | V. melléklet 1. részének 32. pontja | ||
| 231 | Bekerülésiérték-módszerrel értékelt nem kereskedési célú, nem származtatott pénzügyi eszközök | BAD 35. cikke; számviteli irányelv 6. cikke (1) bekezdésének i) pontja és 8. cikkének (2) bekezdése; V. melléklet 1. részének 18. és 19. pontja | ||
| 380 | Tulajdoni részesedést megtestesítő instrumentumok | EKB/2013/33 2. melléklete 2. részének 4–5. szakasza | ||
| 232 | Hitelviszonyt megtestesítő értékpapírok | V. melléklet 1. részének 31. pontja | ||
| 233 | Hitelek és előlegek | V. melléklet 1. részének 32. pontja | ||
| 234 | Egyéb nem kereskedési célú, nem származtatott pénzügyi eszközök | BAD 37. cikke; Számviteli irányelv 12. cikkének (7) bekezdése; V. melléklet 1. részének 20. pontja | ||
| 235 | Tulajdoni részesedést megtestesítő instrumentumok | EKB/2013/33 2. melléklete 2. részének 4–5. szakasza | ||
| 236 | Hitelviszonyt megtestesítő értékpapírok | V. melléklet 1. részének 31. pontja | ||
| 237 | Hitelek és előlegek | V. melléklet 1. részének 32. pontja | ||
| 240 | Származtatott ügyletek – Fedezeti elszámolások | Számviteli irányelv 8. cikke (1) bekezdésének a) pontja, (6) és (8) bekezdése; IAS 39 9. bekezdése; V. melléklet 1. részének 22. pontja | IFRS 9 6.2.1. bekezdése; V. melléklet 1. részének 22. pontja | |
| 250 | Kamatlábkockázatra vonatkozó portfóliófedezeti ügylet során fedezett tételek valós értékének változása | Számviteli irányelv 8. cikkének (5) bekezdése és (6) bekezdése; IAS 39 89A. bekezdésének a) pontja | IAS 39 89A. bekezdésének a) pontja; IFRS 9 6.5.8. bekezdése | |
| 260 | Leányvállalatokba, közös vállalkozásokba, valamint társult vállalkozásokba történt befektetések | BAD 4. cikke, Eszközök 7–8. pontja; Számviteli irányelv 2. cikkének (2) bekezdése; V. melléklet 1. részének 21. pontja, 2. részének 4. és 210. pontja | IAS 1 54. bekezdésének e) pontja; V. melléklet 1. részének 21. pontja, 2. részének 4. és 210. pontja | |
| 270 | Eszközök biztosítási és viszontbiztosítási szerződések keretében | V. melléklet 2. részének 211. pontja | IFRS 4 IG20. bekezdésének b)–c) pontja; V. melléklet 2. részének 211. pontja | |
| 280 | Tárgyi eszközök | BAD 4. cikke, Eszközök 10. pontja | ||
| 290 | Immateriális javak | BAD 4. cikke, Eszközök 9. pontja; CRR 4. cikke (1) bekezdésének 115. pontja | IAS 1 54. bekezdésének c) pontja; CRR 4. cikke (1) bekezdésének 115. pontja | |
| 300 | Cégérték | BAD 4. cikke, Eszközök 9. pontja; CRR 4. cikke (1) bekezdésének 113. pontja | IFRS 3 B67. bekezdésének d) pontja; CRR 4. cikke (1) bekezdésének 113. pontja | |
| 310 | Egyéb immateriális javak | BAD 4. cikke, Eszközök 9. pontja | IAS 38 8. és 118. bekezdése | |
| 320 | Adókövetelések | IAS 1 54. bekezdésének n)–o) pontja | ||
| 330 | Tényleges adókövetelések | IAS 1 54. bekezdésének n) pontja; IAS 12 5. bekezdése | ||
| 340 | Halasztott adókövetelések | Számviteli irányelv 17. cikke (1) bekezdésének f) pontja; CRR 4. cikke (1) bekezdésének 106. pontja | IAS 1 54. bekezdésének o) pontja; IAS 12 5. bekezdése; CRR 4. cikke (1) bekezdésének 106. pontja | |
| 350 | Egyéb eszközök | V. melléklet 2. részének 5. és 6. pontja | V. melléklet 2. részének 5. pontja | |
| 360 | Értékesítésre tartottá minősített befektetett eszközök és elidegenítési csoportok | IAS 1 54. bekezdésének j) pontja; IFRS 5 38. bekezdése; V. melléklet 2. részének 6. pontja | ||
| 365 | (-) Valós értéken értékelt, kereskedési célú eszközökre vonatkozó haircutok | V. melléklet 1. részének 29. pontja | ||
| 370 | ESZKÖZÖK ÖSSZESEN | BAD 4. cikke, Eszközök | IAS 1 9. bekezdésének a) pontja; IG6 | |
17.2. Mérlegen kívüli kitettségek: adott hitelnyújtási elkötelezettségek, pénzügyi garanciák és egyéb elkötelezettségek
| Hivatkozások Nemzeti GAAP a BAD alapján | Hivatkozások A nemzeti GAAP-pal kompatibilis IFRS standardok | A konszolidáció számviteli köre [névérték] | ||
| V. melléklet 2. részének 118. és 209. pontja | ||||
| 010 | ||||
| 010 | Adott hitelnyújtási elkötelezettségek | CRR I. melléklete; V. melléklet 1. részének 44. g) pontja, 2. részének 112. és 113. pontja | CRR I. melléklete; V. melléklet 1. részének 44. g) pontja, 2. részének 102–105., 113., 116. pontja | |
| 020 | Adott pénzügyi garanciák | CRR I. melléklete; V. melléklet 1. részének 44. f) pontja, 2. részének 112. és 114. pontja | IFRS 4 A. melléklete; CRR I. melléklete; V. melléklet 1. részének 44. f) pontja, 2. részének 102–105., 114., 116. pontja | |
| 030 | Egyéb adott elkötelezettségek | CRR I. melléklete; V. melléklet 1. részének 44. g) pontja, 2. részének 112. és 115. pontja | CRR I. melléklete; V. melléklet 1. részének 44. g) pontja, 2. részének 102–105., 115., 116. pontja | |
| 040 | MÉRLEGEN KÍVÜLI KITETTSÉGEK | |||
17.3. Kötelezettségek és saját tőke
| Hivatkozások Nemzeti GAAP a BAD alapján | Hivatkozások A nemzeti GAAP-pal kompatibilis IFRS standardok | A konszolidáció számviteli köre [könyv szerinti érték] | ||
| V. melléklet 1. részének 27–28. pontja, 2. részének 209. pontja | ||||
| 010 | ||||
| 010 | Kereskedési céllal tartott pénzügyi kötelezettségek | IFRS 7 8. bekezdésének e) ii. pontja; IFRS 9 BA.6 bekezdése | ||
| 020 | Származtatott ügyletek | IFRS 9 A. függelék; IFRS 9 4.2.1. bekezdésének a) pontja; IFRS 9 BA.7. bekezdésének a) pontja | ||
| 030 | Rövid pozíciók | IFRS 9 BA7. bekezdésének b) pontja | ||
| 040 | Betétek | EKB/2013/33 2. melléklete 2. részének 9. szakasza; V. melléklet 1. részének 36. pontja | ||
| 050 | Kibocsátott hitelviszonyt megtestesítő értékpapírok | V. melléklet 1. részének 37. pontja | ||
| 060 | Egyéb pénzügyi kötelezettségek | V. melléklet 1. részének 38–41. pontja | ||
| 061 | Kereskedési célú pénzügyi kötelezettségek | Számviteli irányelv 8. cikke (1) bekezdésének a) pontja, (3) és (6) bekezdése | ||
| 062 | Származtatott ügyletek | CRR II. melléklete; V. melléklet 1. részének 25. és 27. pontja | ||
| 063 | Rövid pozíciók | |||
| 064 | Betétek | EKB/2013/33 2. melléklete 2. részének 9. szakasza; V. melléklet 1. részének 36. pontja | ||
| 065 | Kibocsátott hitelviszonyt megtestesítő értékpapírok | V. melléklet 1. részének 37. pontja | ||
| 066 | Egyéb pénzügyi kötelezettségek | V. melléklet 1. részének 38–41. pontja | ||
| 070 | Az eredménnyel szemben valós értéken értékeltnek megjelölt pénzügyi kötelezettségek | Számviteli irányelv 8. cikke (1) bekezdésének a) pontja és (6) bekezdése; IAS 39 9. bekezdése | IFRS 7 8. bekezdésének e) i. pontja; IFRS 9 4.2.2. bekezdése | |
| 080 | Betétek | EKB/2013/33 2. melléklete 2. részének 9. szakasza; V. melléklet 1. részének 36. pontja | EKB/2013/33 2. melléklete 2. részének 9. szakasza; V. melléklet 1. részének 36. pontja | |
| 090 | Kibocsátott hitelviszonyt megtestesítő értékpapírok | V. melléklet 1. részének 37. pontja | V. melléklet 1. részének 37. pontja | |
| 100 | Egyéb pénzügyi kötelezettségek | V. melléklet 1. részének 38–41. pontja | V. melléklet 1. részének 38–41. pontja | |
| 110 | Amortizált bekerülési értéken értékelt pénzügyi kötelezettségek | Számviteli irányelv 8. cikkének (3) bekezdése és (6) bekezdése; IAS 39 47. bekezdése | IFRS 7 8. bekezdésének g) pontja; IFRS 9 4.2.1. bekezdése | |
| 120 | Betétek | EKB/2013/33 2. melléklete 2. részének 9. szakasza; V. melléklet 1. részének 30. pontja | EKB/2013/33 2. melléklete 2. részének 9. szakasza; V. melléklet 1. részének 36. pontja | |
| 130 | Kibocsátott hitelviszonyt megtestesítő értékpapírok | V. melléklet 1. részének 31. pontja | V. melléklet 1. részének 37. pontja | |
| 140 | Egyéb pénzügyi kötelezettségek | V. melléklet 1. részének 32–34. pontja | V. melléklet 1. részének 38–41. pontja | |
| 141 | Bekerülésiérték-módszerrel értékelt nem kereskedési célú, nem származtatott pénzügyi kötelezettségek | Számviteli irányelv 8. cikkének (3) bekezdése | ||
| 142 | Betétek | EKB/2013/33 2. melléklete 2. részének 9. szakasza; V. melléklet 1. részének 36. pontja | ||
| 143 | Kibocsátott hitelviszonyt megtestesítő értékpapírok | V. melléklet 1. részének 37. pontja | ||
| 144 | Egyéb pénzügyi kötelezettségek | V. melléklet 1. részének 38–41. pontja | ||
| 150 | Származtatott ügyletek – Fedezeti elszámolások | Számviteli irányelv 8. cikke (1) bekezdésének a) pontja, (6) bekezdése és (8) bekezdésének a) pontja; V. melléklet 1. részének 26. pontja | IFRS 9 6.2.1. bekezdése; V. melléklet 1. részének 26. pontja | |
| 160 | Kamatlábkockázatra vonatkozó portfóliófedezeti ügylet során fedezett tételek valós értékének változása | Számviteli irányelv 8. cikkének (5) bekezdése és (6) bekezdése; V. melléklet 2. részének 8. pontja; IAS 39 89A. bekezdésének b) pontja | IAS 39 89A. bekezdésének b) pontja, IFRS 9 6.5.8. bekezdése | |
| 170 | Kötelezettségek biztosítási és viszontbiztosítási szerződések keretében | V. melléklet 2. részének 212. pontja | IFRS 4 IG20. bekezdésének a) pontja; V. melléklet 2. részének 212. pontja | |
| 180 | Céltartalékok | BAD 4. cikke, Források 6. pontja | IAS 37 10. bekezdése; IAS 1 54. bekezdésének l) pontja | |
| 190 | Adókötelezettségek | IAS 1 54. bekezdésének n)–o) pontja | ||
| 200 | Tényleges adókötelezettség | IAS 1 54. bekezdésének n) pontja; IAS 12 5. bekezdése | ||
| 210 | Halasztott adókötelezettség | Számviteli irányelv 17. cikke (1) bekezdésének f) pontja; CRR 4. cikke (1) bekezdésének 108. pontja | IAS 1 54. bekezdésének o) pontja; IAS 12 5. bekezdése; CRR 4. cikke (1) bekezdésének 108. pontja | |
| 220 | Kérésre visszafizetendő jegyzett tőke | IAS 32 33. szemléltető példa; IFRIC 2; V. melléklet 2. részének 12. pontja | ||
| 230 | Egyéb kötelezettségek | V. melléklet 2. részének 13. pontja | V. melléklet 2. részének 13. pontja | |
| 240 | Az értékesítésre tartottá minősített elidegenítési csoportba tartozó kötelezettségek | IAS 1 54. bekezdésének p) pontja; IFRS 5 38. bekezdése; V. melléklet 2. részének 14. pontja | ||
| 245 | Valós értéken értékelt, kereskedési célú kötelezettségekre vonatkozó haircutok | V. melléklet 1. részének 29. pontja | ||
| 250 | KÖTELEZETTSÉGEK | IAS 1 9. bekezdésének b) pontja; IG6 | ||
| 260 | Jegyzett tőke | BAD 4. cikke, Források 9. pontja, BAD 22. cikke | IAS 1 54. bekezdésének r) pontja; BAD 22. cikke | |
| 270 | Névértéken felüli befizetés (ázsió) | BAD 4. cikke, Források 10. pontja; CRR 4. cikke (1) bekezdésének 124. pontja | IAS 1 78. bekezdésének e) pontja; CRR 4. cikke (1) bekezdésének 124. pontja | |
| 280 | Kibocsátott tulajdoni részesedést megtestesítő instrumentumok, kivéve jegyzett tőke | V. melléklet 2. részének 18–19. pontja | V. melléklet 2. részének 18–19. pontja | |
| 290 | Egyéb tőke | V. melléklet 2. részének 20. bekezdése | IFRS 2 10. bekezdése; V. melléklet 2. részének 20. bekezdése | |
| 300 | Halmozott egyéb átfogó jövedelem | CRR 4. cikke (1) bekezdésének 100. pontja | CRR 4. cikke (1) bekezdésének 100. pontja | |
| 310 | Eredménytartalék | CRR 4. cikke (1) bekezdésének 123. pontja | CRR 4. cikke (1) bekezdésének 123. pontja | |
| 320 | Átértékelési tartalék | BAD 4. cikke, Források 12. pontja | IFRS 1 33. bekezdése, D5–D8. bekezdése | |
| 325 | Valós értéken értékelt tartalékok | Számviteli irányelv 8. cikke (1) bekezdésének a) pontja | ||
| 330 | Egyéb tartalékok | BAD 4. cikke, Források 11–13. pontja | IAS 1 54. bekezdése; IAS 1 78. bekezdésének e) pontja | |
| 335 | Első konszolidációs különbségek | Számviteli irányelv 24. cikke (3) bekezdésének c) pontja | ||
| 340 | (-) Saját részvények | Számviteli irányelv III. melléklet Eszközök D. III. 2. pontja; BAD 4. cikke, Eszközök 12. pontja; V. melléklet 2. részének 20. pontja | IAS 1 79. bekezdésének a) vi. pontja; IAS 32 33–34. bekezdése, AG14., AG36. bekezdés; V. melléklet 2. részének 28. pontja | |
| 350 | Az anyavállalat tulajdonosainak tulajdonítható eredmény | BAD 4. cikke, Források 14. pontja | IFRS 10 B94. bekezdése | |
| 360 | (-) Évközi osztalék | CRR 26. cikkének (2) bekezdése | IAS 32 35. bekezdése | |
| 370 | Kisebbségi részesedések [Nem ellenőrző részesedés] | Számviteli irányelv 24. cikkének (4) bekezdése | IAS 1 54. bekezdésének q) pontja; IFRS 10 22. bekezdése, B94. bekezdése | |
| 380 | SAJÁT TŐKE ÖSSZESEN | IAS 1 9. bekezdésének c) pontja, IG6 | ||
| 390 | SAJÁT TŐKE ÖSSZESEN ÉS KÖTELEZETTSÉGEK ÖSSZESEN | BAD 4. cikke, Források | IAS 1 IG6 | |
18. A teljesítő és nemteljesítő kitettségekkel kapcsolatos információk
18.0. A teljesítő és nemteljesítő kitettségekkel kapcsolatos információk
| Bruttó könyv szerinti érték / névérték | Halmozott értékvesztés, a hitelkockázat-változásból származó negatív valósérték-változás halmozott összege és céltartalékok | A biztosíték vagy garancia figyelembe vehető legmagasabb összege V. melléklet 2. részének 119. pontja | |||||||||||||||||||||||||||||||||||||
| Teljesítő | Nemteljesítő | Teljesítő kitettségek – Halmozott értékvesztés és céltartalékok | Nemteljesítő kitettségek – Halmozott értékvesztés, a hitelkockázat-változásból származó negatív valósérték-változás halmozott összege és céltartalékok | Kapott biztosítékok és kapott pénzügyi garanciák | |||||||||||||||||||||||||||||||||||
| Nincs késedelem vagy a késedelem ≤ 30 nap | A késedelem > 30 nap ≤ 90 nap | Ebből: Instrumentumok, amelyek hitelkockázata nem növekedett jelentősen a kezdeti megjelenítés óta (1. szakasz) | Ebből: Instrumentumok, amelyek hitelkockázata jelentősen növekedett a kezdeti megjelenítés óta, de amelyek nem váltak értékvesztetté (2. szakasz) | Nem valószínű, hogy fizet – nem késedelmes vagy a késedelem ≤ 90 nap | A késedelem > 90 nap ≤ 180 nap | A késedelem > 180 nap ≤ 1 év | A késedelem > 1 év ≤ 2 év | A késedelem > 2 év ≤ 5 év | A késedelem > 5 év ≤ 7 év | A késedelem > 7 év | Ebből: Instrumentumok, amelyek hitelkockázata jelentősen növekedett a kezdeti megjelenítés óta, de amelyek nem váltak értékvesztetté (2. szakasz) | Ebből: nemteljesítő (defaulted) | ebből: Értékvesztett eszközök (3. szakasz) | ebből: értékvesztett | Nem valószínű, hogy fizet – nem késedelmes vagy a késedelem ≤ 90 nap | A késedelem > 90 nap ≤ 180 nap | A késedelem > 180 nap ≤ 1 év | A késedelem > 1 év ≤ 2 év | A késedelem > 2 év ≤ 5 év | A késedelem > 5 év ≤ 7 év | A késedelem > 7 év | Ebből: Instrumentumok, amelyek hitelkockázata jelentősen növekedett a kezdeti megjelenítés óta, de amelyek nem váltak értékvesztetté (2. szakasz) | Ebből: Értékvesztett eszközök (3. szakasz) | Teljesítő kitettségek fedezetéül kapott biztosítékok | Nemteljesítő kitettségek fedezetéül kapott biztosítékok | Teljesítő kitettségek fedezetéül kapott pénzügyi garanciák | Nemteljesítő kitettségek fedezetéül kapott pénzügyi garanciák | ||||||||||||
| ebből: Instrumentumok, amelyek hitelkockázata nem növekedett jelentősen a kezdeti megjelenítés óta (1. szakasz) | ebből: Instrumentumok, amelyek hitelkockázata jelentősen növekedett a kezdeti megjelenítés óta, de amelyek nem váltak értékvesztetté (2. szakasz) | ||||||||||||||||||||||||||||||||||||||
| 010 | 020 | 030 | 055 | 056 | 057 | 060 | 070 | 080 | 090 | 101 | 102 | 106 | 107 | 109 | 110 | 121 | 122 | 130 | 140 | 141 | 142 | 150 | 160 | 170 | 180 | 191 | 192 | 196 | 197 | 950 | 951 | 201 | 200 | 205 | 210 | ||||
| Hivatkozások A nemzeti GAAP-pal kompatibilis IFRS standardok | V. melléklet 1. részének 34. pontja, 2. részének 118. és 221. pontja | V. melléklet 2. részének 213–216. és 223–239. pontja | V. melléklet 2. részének 222. és 235. pontja | V. melléklet 2. részének 222. és 235. pontja | IFRS 9 5.5.5. bekezdése; IFRS 7 35M. bekezdésének a) pontja; V. melléklet 2. részének 237. d) pontja | IFRS 9 5.5.3. bekezdése; IFRS 7 35M. bekezdésének b) i. pontja; V. melléklet 2. részének 237. c) pontja | V. melléklet 2. részének 213–216. és 223–239. pontja | V. melléklet 2. részének 222. és 235–236 pontja | V. melléklet 2. részének 222. és 235–236 pontja | V. melléklet 2. részének 222. és 235–236 pontja | V. melléklet 2. részének 222. és 235–236 pontja | V. melléklet 2. részének 222. és 235–236 pontja | V. melléklet 2. részének 222. és 235–236 pontja | V. melléklet 2. részének 222. és 235–236 pontja | IFRS 9 5.5.3. bekezdése; IFRS 7 35M. bekezdésének b) i. pontja; V. melléklet 2. részének 237. c) pontja | CRR 178. cikke; V. melléklet 2. részének 237. b) pontja | IFRS 9 5.5.1. bekezdése; IFRS 9 A. függelék; V. melléklet 2. részének 237. a) pontja | V. melléklet 2. részének 238. pontja | V. melléklet 2. részének 238. pontja | IFRS 9 5.5.5. bekezdése; IFRS 7 35M. bekezdésének a) pontja; V. melléklet 2. részének 237. d) pontja | IFRS 9 5.5.3. bekezdése; IFRS 7 35M. bekezdésének b) i. pontja; V. melléklet 2. részének 237. c) pontja | V. melléklet 2. részének 238. pontja | V. melléklet 2. részének 236. és 238. pontja | V. melléklet 2. részének 236. és 238. pontja | V. melléklet 2. részének 236. és 238. pontja | V. melléklet 2. részének 236. és 238. pontja | V. melléklet 2. részének 236. és 238. pontja | V. melléklet 2. részének 236. és 238. pontja | V. melléklet 2. részének 236. és 238. pontja | IFRS 9 5.5.3. bekezdése; IFRS 7 35M. bekezdésének b) i. pontja; V. melléklet 2. részének 237. c) pontja | IFRS 9 5.5.1. bekezdése; IFRS 9 A. függelék; V. melléklet 2. részének 237. a) pontja | V. melléklet 2. részének 239. pontja | V. melléklet 2. részének 239. pontja | V. melléklet 2. részének 239. pontja | V. melléklet 2. részének 239. pontja | ||||
| Hivatkozások Nemzeti GAAP a BAD alapján | V. melléklet 1. részének 34. pontja, 2. részének 118. és 221. pontja | V. melléklet 2. részének 213–216. és 223–239. pontja | V. melléklet 2. részének 222. és 235. pontja | V. melléklet 2. részének 222. és 235. pontja | V. melléklet 2. részének 213–216. és 223–239. pontja | V. melléklet 2. részének 222. és 235–236 pontja | V. melléklet 2. részének 222. és 235–236 pontja | V. melléklet 2. részének 222. és 235–236 pontja | V. melléklet 2. részének 222. és 235–236 pontja | V. melléklet 2. részének 222. és 235–236 pontja | V. melléklet 2. részének 222. és 235–236 pontja | V. melléklet 2. részének 222. és 235–236 pontja | CRR 178. cikke; V. melléklet 2. részének 237. b) pontja | CRR 4. cikke (1) bekezdésének 95. pontja; V. melléklet 2. részének 237. a) pontja | V. melléklet 2. részének 238. pontja | V. melléklet 2. részének 238. pontja | V. melléklet 2. részének 238. pontja | V. melléklet 2. részének 236. és 238. pontja | V. melléklet 2. részének 236. és 238. pontja | V. melléklet 2. részének 236. és 238. pontja | V. melléklet 2. részének 236. és 238. pontja | V. melléklet 2. részének 236. és 238. pontja | V. melléklet 2. részének 236. és 238. pontja | V. melléklet 2. részének 236. és 238. pontja | V. melléklet 2. részének 239. pontja | V. melléklet 2. részének 239. pontja | V. melléklet 2. részének 239. pontja | V. melléklet 2. részének 239. pontja | |||||||||||
| 005 | Számlakövetelések központi bankokkal szemben és egyéb látra szóló betétek | BAD 13. cikkének (2) bekezdése; V. melléklet 2. részének 2. és 3. pontja | V. melléklet 2. részének 2. és 3. pontja | ||||||||||||||||||||||||||||||||||||
| 010 | Hitelviszonyt megtestesítő értékpapírok | V. melléklet 1. részének 31. pontja és 44. b) pontja | V. melléklet 1. részének 31. pontja és 44. b) pontja | ||||||||||||||||||||||||||||||||||||
| 020 | Központi bankok | V. melléklet 1. részének 42. a) pontja | V. melléklet 1. részének 42. a) pontja | ||||||||||||||||||||||||||||||||||||
| 030 | Államháztartások | V. melléklet 1. részének 42. b) pontja | V. melléklet 1. részének 42. b) pontja | ||||||||||||||||||||||||||||||||||||
| 040 | Hitelintézetek | V. melléklet 1. részének 42. c) pontja | V. melléklet 1. részének 42. c) pontja | ||||||||||||||||||||||||||||||||||||
| 050 | Egyéb pénzügyi vállalatok | V. melléklet 1. részének 42. d) pontja | V. melléklet 1. részének 42. d) pontja | ||||||||||||||||||||||||||||||||||||
| 060 | Nem pénzügyi vállalatok | V. melléklet 1. részének 42. e) pontja | V. melléklet 1. részének 42. e) pontja | ||||||||||||||||||||||||||||||||||||
| 070 | Hitelek és előlegek | V. melléklet 1. részének 32. pontja, 44. a) pontja | V. melléklet 1. részének 32. pontja, 44. a) pontja | ||||||||||||||||||||||||||||||||||||
| 080 | Központi bankok | V. melléklet 1. részének 42. a) pontja | V. melléklet 1. részének 42. a) pontja | ||||||||||||||||||||||||||||||||||||
| 090 | Államháztartások | V. melléklet 1. részének 42. b) pontja | V. melléklet 1. részének 42. b) pontja | ||||||||||||||||||||||||||||||||||||
| 100 | Hitelintézetek | V. melléklet 1. részének 42. c) pontja | V. melléklet 1. részének 42. c) pontja | ||||||||||||||||||||||||||||||||||||
| 110 | Egyéb pénzügyi vállalatok | V. melléklet 1. részének 42. d) pontja | V. melléklet 1. részének 42. d) pontja | ||||||||||||||||||||||||||||||||||||
| 120 | Nem pénzügyi vállalatok | V. melléklet 1. részének 42. e) pontja | V. melléklet 1. részének 42. e) pontja | ||||||||||||||||||||||||||||||||||||
| 130 | Ebből: Kis- és középvállalkozások | KKV 1. cikke (2) bekezdésének a) pontja | KKV 1. cikke (2) bekezdésének a) pontja | ||||||||||||||||||||||||||||||||||||
| 140 | Ebből: Kereskedelmi ingatlannal fedezett hitelek | V. melléklet 2. részének 86. a) pontja, 87. pontja és 234i. a) pontja | V. melléklet 2. részének 86. a) pontja, 87. pontja és 234i. a) pontja | ||||||||||||||||||||||||||||||||||||
| 150 | Háztartások | V. melléklet 1. részének 42. f) pontja | V. melléklet 1. részének 42. f) pontja | ||||||||||||||||||||||||||||||||||||
| 160 | Ebből: Lakóingatlannal fedezett hitelek | V. melléklet 2. részének 86. a) pontja, 87. pontja és 234i. a) pontja | V. melléklet 2. részének 86. a) pontja, 87. pontja és 234i. a) pontja | ||||||||||||||||||||||||||||||||||||
| 170 | Ebből: Fogyasztási hitelek | V. melléklet 2. részének 88. a) pontja, 234i. b) pontja | V. melléklet 2. részének 88. a) pontja, 234i. b) pontja | ||||||||||||||||||||||||||||||||||||
| 180 | BEKERÜLÉSI ÉRTÉKEN VAGY AMORTIZÁLT BEKERÜLÉSI ÉRTÉKEN ÉRTÉKELT HITELVISZONYT MEGTESTESÍTŐ INSTRUMENTUMOK | V. melléklet 2. részének 233. a) pontja | V. melléklet 2. részének 233. a) pontja | ||||||||||||||||||||||||||||||||||||
| 181 | Hitelviszonyt megtestesítő értékpapírok | V. melléklet 1. részének 31. pontja és 44. b) pontja | V. melléklet 1. részének 31. pontja és 44. b) pontja | ||||||||||||||||||||||||||||||||||||
| 182 | Központi bankok | V. melléklet 1. részének 42. a) pontja | V. melléklet 1. részének 42. a) pontja | ||||||||||||||||||||||||||||||||||||
| 183 | Államháztartások | V. melléklet 1. részének 42. b) pontja | V. melléklet 1. részének 42. b) pontja | ||||||||||||||||||||||||||||||||||||
| 184 | Hitelintézetek | V. melléklet 1. részének 42. c) pontja | V. melléklet 1. részének 42. c) pontja | ||||||||||||||||||||||||||||||||||||
| 185 | Egyéb pénzügyi vállalatok | V. melléklet 1. részének 42. d) pontja | V. melléklet 1. részének 42. d) pontja | ||||||||||||||||||||||||||||||||||||
| 186 | Nem pénzügyi vállalatok | V. melléklet 1. részének 42. e) pontja | V. melléklet 1. részének 42. e) pontja | ||||||||||||||||||||||||||||||||||||
| 191 | Hitelek és előlegek | V. melléklet 1. részének 32. pontja, 44. a) pontja | V. melléklet 1. részének 32. pontja, 44. a) pontja | ||||||||||||||||||||||||||||||||||||
| 192 | Központi bankok | V. melléklet 1. részének 42. a) pontja | V. melléklet 1. részének 42. a) pontja | ||||||||||||||||||||||||||||||||||||
| 193 | Államháztartások | V. melléklet 1. részének 42. b) pontja | V. melléklet 1. részének 42. b) pontja | ||||||||||||||||||||||||||||||||||||
| 194 | Hitelintézetek | V. melléklet 1. részének 42. c) pontja | V. melléklet 1. részének 42. c) pontja | ||||||||||||||||||||||||||||||||||||
| 195 | Egyéb pénzügyi vállalatok | V. melléklet 1. részének 42. d) pontja | V. melléklet 1. részének 42. d) pontja | ||||||||||||||||||||||||||||||||||||
| 196 | Nem pénzügyi vállalatok | V. melléklet 1. részének 42. e) pontja | V. melléklet 1. részének 42. e) pontja | ||||||||||||||||||||||||||||||||||||
| 900 | Ebből: Kis- és középvállalkozások | KKV 1. cikke (2) bekezdésének a) pontja | KKV 1. cikke (2) bekezdésének a) pontja | ||||||||||||||||||||||||||||||||||||
| 903 | Ebből: Kereskedelmi ingatlannal fedezett hitelek | V. melléklet 2. részének 86. a) pontja, 87. pontja és 234i. a) pontja | V. melléklet 2. részének 86. a) pontja, 87. pontja és 234i. a) pontja | ||||||||||||||||||||||||||||||||||||
| 197 | Háztartások | V. melléklet 1. részének 42. f) pontja | V. melléklet 1. részének 42. f) pontja | ||||||||||||||||||||||||||||||||||||
| 910 | Ebből: Lakóingatlannal fedezett hitelek | V. melléklet 2. részének 86. a) pontja, 87. pontja és 234i. a) pontja | V. melléklet 2. részének 86. a) pontja, 87. pontja és 234i. a) pontja | ||||||||||||||||||||||||||||||||||||
| 913 | Ebből: Fogyasztási hitelek | V. melléklet 2. részének 88. a) pontja, 234i. b) pontja | V. melléklet 2. részének 88. a) pontja, 234i. b) pontja | ||||||||||||||||||||||||||||||||||||
| 201 | AZ EGYÉB ÁTFOGÓ JÖVEDELEMMEL VAGY A SAJÁT TŐKÉVEL SZEMBEN VALÓS ÉRTÉKEN ÉRTÉKELT, ÉRTÉKVESZTÉS-ELSZÁMOLÁSI KÖTELEZETTSÉG ALÁ TARTOZÓ HITELVISZONYT MEGTESTESÍTŐ INSTRUMENTUMOK | V. melléklet 2. részének 233. b) pontja | V. melléklet 2. részének 233. b) pontja | ||||||||||||||||||||||||||||||||||||
| 211 | Hitelviszonyt megtestesítő értékpapírok | V. melléklet 1. részének 31. pontja és 44. b) pontja | V. melléklet 1. részének 31. pontja és 44. b) pontja | ||||||||||||||||||||||||||||||||||||
| 212 | Központi bankok | V. melléklet 1. részének 42. a) pontja | V. melléklet 1. részének 42. a) pontja | ||||||||||||||||||||||||||||||||||||
| 213 | Államháztartások | V. melléklet 1. részének 42. b) pontja | V. melléklet 1. részének 42. b) pontja | ||||||||||||||||||||||||||||||||||||
| 214 | Hitelintézetek | V. melléklet 1. részének 42. c) pontja | V. melléklet 1. részének 42. c) pontja | ||||||||||||||||||||||||||||||||||||
| 215 | Egyéb pénzügyi vállalatok | V. melléklet 1. részének 42. d) pontja | V. melléklet 1. részének 42. d) pontja | ||||||||||||||||||||||||||||||||||||
| 216 | Nem pénzügyi vállalatok | V. melléklet 1. részének 42. e) pontja | V. melléklet 1. részének 42. e) pontja | ||||||||||||||||||||||||||||||||||||
| 221 | Hitelek és előlegek | V. melléklet 1. részének 32. pontja, 44. a) pontja | V. melléklet 1. részének 32. pontja, 44. a) pontja | ||||||||||||||||||||||||||||||||||||
| 222 | Központi bankok | V. melléklet 1. részének 42. a) pontja | V. melléklet 1. részének 42. a) pontja | ||||||||||||||||||||||||||||||||||||
| 223 | Államháztartások | V. melléklet 1. részének 42. b) pontja | V. melléklet 1. részének 42. b) pontja | ||||||||||||||||||||||||||||||||||||
| 224 | Hitelintézetek | V. melléklet 1. részének 42. c) pontja | V. melléklet 1. részének 42. c) pontja | ||||||||||||||||||||||||||||||||||||
| 225 | Egyéb pénzügyi vállalatok | V. melléklet 1. részének 42. d) pontja | V. melléklet 1. részének 42. d) pontja | ||||||||||||||||||||||||||||||||||||
| 226 | Nem pénzügyi vállalatok | V. melléklet 1. részének 42. e) pontja | V. melléklet 1. részének 42. e) pontja | ||||||||||||||||||||||||||||||||||||
| 920 | Ebből: Kis- és középvállalkozások | KKV 1. cikke (2) bekezdésének a) pontja | KKV 1. cikke (2) bekezdésének a) pontja | ||||||||||||||||||||||||||||||||||||
| 923 | Ebből: Kereskedelmi ingatlannal fedezett hitelek | V. melléklet 2. részének 86. a) pontja, 87. pontja és 234i. a) pontja | V. melléklet 2. részének 86. a) pontja, 87. pontja és 234i. a) pontja | ||||||||||||||||||||||||||||||||||||
| 227 | Háztartások | V. melléklet 1. részének 42. f) pontja | V. melléklet 1. részének 42. f) pontja | ||||||||||||||||||||||||||||||||||||
| 930 | Ebből: Lakóingatlannal fedezett hitelek | V. melléklet 2. részének 86. a) pontja, 87. pontja és 234i. a) pontja | V. melléklet 2. részének 86. a) pontja, 87. pontja és 234i. a) pontja | ||||||||||||||||||||||||||||||||||||
| 933 | Ebből: Fogyasztási hitelek | V. melléklet 2. részének 88. a) pontja, 234i. b) pontja | V. melléklet 2. részének 88. a) pontja, 234i. b) pontja | ||||||||||||||||||||||||||||||||||||
| 231 | SZIGORÚ LOCOM-MÓDSZER SZERINT VAGY AZ EREDMÉNNYEL VAGY A SAJÁT TŐKÉVEL SZEMBEN VALÓS ÉRTÉKEN ÉRTÉKELT, ÉRTÉKVESZTÉS-ELSZÁMOLÁSI KÖTELEZETTSÉG ALÁ NEM TARTOZÓ HITELVISZONYT MEGTESTESÍTŐ INSTRUMENTUMOK | V. melléklet 2. része 233. bekezdésének c) pontja és 234. bekezdése | V. melléklet 2. része 233. bekezdésének c) pontja és 234. bekezdése | ||||||||||||||||||||||||||||||||||||
| 330 | A KERESKEDÉSI CÉLLAL TARTOTT VAGY KERESKEDÉSI CÉLÚ HITELVISZONYT MEGTESTESÍTŐ INSTRUMENTUMOKTÓL ELTÉRŐ HITELVISZONYT MEGTESTESÍTŐ INSTRUMENTUMOK | V. melléklet 2. részének 217. pontja | V. melléklet 2. részének 217. pontja | ||||||||||||||||||||||||||||||||||||
| 335 | ÉRTÉKESÍTÉSRE TARTOTT HITELVISZONYT MEGTESTESÍTŐ INSTRUMENTUMOK | V. melléklet 2. részének 220. pontja | |||||||||||||||||||||||||||||||||||||
| 340 | Adott hitelnyújtási elkötelezettségek | CRR I. melléklete; V. melléklet 1. részének 44. g) pontja, 2. részének 112., 113., 224. pontja | CRR I. melléklete; V. melléklet 1. részének 44. g) pontja, 2. részének 102–105., 113., 116. és 224. pontja | ||||||||||||||||||||||||||||||||||||
| 350 | Központi bankok | V. melléklet 1. részének 42. a) pontja | V. melléklet 1. részének 42. a) pontja | ||||||||||||||||||||||||||||||||||||
| 360 | Államháztartások | V. melléklet 1. részének 42. b) pontja | V. melléklet 1. részének 42. b) pontja | ||||||||||||||||||||||||||||||||||||
| 370 | Hitelintézetek | V. melléklet 1. részének 42. c) pontja | V. melléklet 1. részének 42. c) pontja | ||||||||||||||||||||||||||||||||||||
| 380 | Egyéb pénzügyi vállalatok | V. melléklet 1. részének 42. d) pontja | V. melléklet 1. részének 42. d) pontja | ||||||||||||||||||||||||||||||||||||
| 390 | Nem pénzügyi vállalatok | V. melléklet 1. részének 42. e) pontja | V. melléklet 1. részének 42. e) pontja | ||||||||||||||||||||||||||||||||||||
| 400 | Háztartások | V. melléklet 1. részének 42. f) pontja | V. melléklet 1. részének 42. f) pontja | ||||||||||||||||||||||||||||||||||||
| 410 | Adott pénzügyi garanciák | CRR I. melléklete; V. melléklet 1. részének 44. f) pontja, 2. részének 112., 114., 225. pontja | IFRS 4 A. melléklete; CRR I. melléklete; V. melléklet 1. részének 44. f) pontja, 2. részének 102–105., 114., 116. és 225. pontja | ||||||||||||||||||||||||||||||||||||
| 420 | Központi bankok | V. melléklet 1. részének 42. a) pontja | V. melléklet 1. részének 42. a) pontja | ||||||||||||||||||||||||||||||||||||
| 430 | Államháztartások | V. melléklet 1. részének 42. b) pontja | V. melléklet 1. részének 42. b) pontja | ||||||||||||||||||||||||||||||||||||
| 440 | Hitelintézetek | V. melléklet 1. részének 42. c) pontja | V. melléklet 1. részének 42. c) pontja | ||||||||||||||||||||||||||||||||||||
| 450 | Egyéb pénzügyi vállalatok | V. melléklet 1. részének 42. d) pontja | V. melléklet 1. részének 42. d) pontja | ||||||||||||||||||||||||||||||||||||
| 460 | Nem pénzügyi vállalatok | V. melléklet 1. részének 42. e) pontja | V. melléklet 1. részének 42. e) pontja | ||||||||||||||||||||||||||||||||||||
| 470 | Háztartások | V. melléklet 1. részének 42. f) pontja | V. melléklet 1. részének 42. f) pontja | ||||||||||||||||||||||||||||||||||||
| 480 | Egyéb adott elkötelezettségek | CRR I. melléklete; V. melléklet 1. részének 44. g) pontja, 2. részének 112., 115., 224. pontja | CRR I. melléklete; V. melléklet 1. részének 44. g) pontja, 2. részének 102–105., 115., 116. és 224. pontja | ||||||||||||||||||||||||||||||||||||
| 490 | Központi bankok | V. melléklet 1. részének 42. a) pontja | V. melléklet 1. részének 42. a) pontja | ||||||||||||||||||||||||||||||||||||
| 500 | Államháztartások | V. melléklet 1. részének 42. b) pontja | V. melléklet 1. részének 42. b) pontja | ||||||||||||||||||||||||||||||||||||
| 510 | Hitelintézetek | V. melléklet 1. részének 42. c) pontja | V. melléklet 1. részének 42. c) pontja | ||||||||||||||||||||||||||||||||||||
| 520 | Egyéb pénzügyi vállalatok | V. melléklet 1. részének 42. d) pontja | V. melléklet 1. részének 42. d) pontja | ||||||||||||||||||||||||||||||||||||
| 530 | Nem pénzügyi vállalatok | V. melléklet 1. részének 42. e) pontja | V. melléklet 1. részének 42. e) pontja | ||||||||||||||||||||||||||||||||||||
| 540 | Háztartások | V. melléklet 1. részének 42. f) pontja | V. melléklet 1. részének 42. f) pontja | ||||||||||||||||||||||||||||||||||||
| 550 | MÉRLEGEN KÍVÜLI KITETTSÉGEK | V. melléklet 2. részének 217. pontja | V. melléklet 2. részének 217. pontja | ||||||||||||||||||||||||||||||||||||
18.1. Nemteljesítő kitettségek be- és kiáramlásai - hitelek és előlegek ügyfélszektor szerint
| Hitelek és előlegek bruttó könyv szerinti értéke | |||||
| Nemteljesítő kitettségek beáramlásai | (-) Nemteljesítő kitettségek kiáramlásai | ||||
| 0010 | 0020 | ||||
| Hivatkozások A nemzeti GAAP-pal kompatibilis IFRS standardok | V. melléklet 2. részének 213–216., 224–234., 239i–239iii. és 239vi. pontja | V. melléklet 2. részének 213–216., 224–234., 239i. és 239iv–239vi. pontja | |||
| Hivatkozások Nemzeti GAAP a BAD alapján | V. melléklet 2. részének 213–216., 224–234., 239i–239iii. és 239vi. pontja | V. melléklet 2. részének 213–216., 224–234., 239i. és 239iv–239vi. pontja | |||
| 0010 | Központi bankok | V. melléklet 1. részének 42. a) pontja | V. melléklet 1. részének 42. a) pontja | ||
| 0020 | Államháztartások | V. melléklet 1. részének 42. b) pontja | V. melléklet 1. részének 42. b) pontja | ||
| 0030 | Hitelintézetek | V. melléklet 1. részének 42. c) pontja | V. melléklet 1. részének 42. c) pontja | ||
| 0040 | Egyéb pénzügyi vállalatok | V. melléklet 1. részének 42. d) pontja | V. melléklet 1. részének 42. d) pontja | ||
| 0050 | Nem pénzügyi vállalatok | V. melléklet 1. részének 42. e) pontja | V. melléklet 1. részének 42. e) pontja | ||
| 0060 | Ebből: Kis- és középvállalkozások | KKV 1. cikke (2) bekezdésének a) pontja | KKV 1. cikke (2) bekezdésének a) pontja | ||
| 0070 | Ebből: Kereskedelmi ingatlanhoz kapcsolódó hitelek kis- és középvállalkozásoknak | KKV 1. cikke (2) bekezdésének a) pontja; V. melléklet 2. részének 239vii. a) pontja és 239ix. pontja | KKV 1. cikke (2) bekezdésének a) pontja; V. melléklet 2. részének 239vii. a) pontja és 239ix. pontja | ||
| 0080 | Ebből: Kereskedelmi ingatlanhoz kapcsolódó hitelek kkv-któl eltérő nem pénzügyi vállalatoknak | V. melléklet 2. részének 239vii. a) pontja és 239ix. pontja | V. melléklet 2. részének 239vii. a) pontja és 239ix. pontja | ||
| 0090 | Ebből: Kereskedelmi ingatlannal fedezett hitelek | V. melléklet 2. részének 86. a) pontja, 87. pontja és 239vii. b) pontja | V. melléklet 2. részének 86. a) pontja, 87. pontja és 239vii. b) pontja | ||
| 0100 | Háztartások | V. melléklet 1. részének 42. f) pontja | V. melléklet 1. részének 42. f) pontja | ||
| 0110 | Ebből: Lakóingatlannal fedezett hitelek | V. melléklet 2. részének 86. a) pontja, 87. pontja és 239vii. b) pontja | V. melléklet 2. részének 86. a) pontja, 87. pontja és 239vii. b) pontja | ||
| 0120 | Ebből: Fogyasztási hitelek | V. melléklet 2. részének 88. a) pontja és 239vii. c) pontja | V. melléklet 2. részének 88. a) pontja és 239vii. c) pontja | ||
| 0130 | A KERESKEDÉSI CÉLLAL TARTOTT VAGY KERESKEDÉSI CÉLÚ HITELEKTŐL ÉS ELŐLEGEKTŐL ELTÉRŐ HITELEK ÉS ELŐLEGEK | V. melléklet 2. részének 217. pontja | V. melléklet 2. részének 217. pontja | ||
| 0140 | ÉRTÉKESÍTÉSRE TARTOTT HITELEK ÉS ELŐLEGEK | V. melléklet 2. részének 220. pontja | |||
| 0150 | BEÁRAMLÁSOK / KIÁRAMLÁSOK ÖSSZESEN | ||||
18.2. Kereskedelmi ingatlanhoz kapcsolódó hitelek és ingatlannal fedezett hitelekkel kapcsolatos kiegészítő információk
| Bruttó könyv szerinti érték | Halmozott értékvesztés, a hitelkockázat-változásból származó negatív valósérték-változás halmozott összege | A biztosíték vagy garancia figyelembe vehető legmagasabb összege V. melléklet 2. részének 119. pontja | ||||||||||||||||||||||||||||||||||||
| ebből: átstrukturált kitettségek | Teljesítő | Nemteljesítő | Ebből: Átstrukturált kitettségek | Teljesítő kitettségek – Halmozott értékvesztés | Nemteljesítő kitettségek – Halmozott értékvesztés, a hitelkockázat-változásból származó negatív valósérték-változás halmozott összege és céltartalékok | Kapott biztosítékok és kapott pénzügyi garanciák | ||||||||||||||||||||||||||||||||
| Nincs késedelem vagy a késedelem ≤ 30 nap | A késedelem > 30 nap ≤ 90 nap | ebből: átstrukturált teljesítő kitettségek | Nem valószínű, hogy fizet – nem késedelmes vagy a késedelem ≤ 90 nap | A késedelem > 90 nap ≤ 180 nap | A késedelem > 180 nap ≤ 1 év | A késedelem > 1 év ≤ 2 év | A késedelem > 2 év ≤ 5 év | A késedelem > 5 év ≤ 7 év | A késedelem > 7 év | Ebből: nemteljesítő (defaulted) | Ebből: Átstrukturált nemteljesítő kitettségek | Ebből: Átstrukturált teljesítő kitettségek | Nem valószínű, hogy fizet – nem késedelmes vagy a késedelem ≤ 90 nap | A késedelem > 90 nap ≤ 180 nap | A késedelem > 180 nap ≤ 1 év | A késedelem > 1 év ≤ 2 év | A késedelem > 2 év ≤ 5 év | A késedelem > 5 év ≤ 7 év | A késedelem > 7 év | Ebből: Átstrukturált nemteljesítő kitettségek | Teljesítő kitettségek fedezetéül kapott biztosítékok | Nemteljesítő kitettségek fedezetéül kapott biztosítékok | Teljesítő kitettségek fedezetéül kapott pénzügyi garanciák | Nemteljesítő kitettségek fedezetéül kapott pénzügyi garanciák | ||||||||||||||
| ebből: Próbaidőszakban lévő, a nemteljesítő kategóriából átsorolt teljesítő átstrukturált kitettség | ||||||||||||||||||||||||||||||||||||||
| 0010 | 0020 | 0030 | 0040 | 0050 | 0060 | 0070 | 0080 | 0090 | 0100 | 0110 | 0120 | 0130 | 0140 | 0150 | 0160 | 0170 | 0180 | 0190 | 0200 | 0210 | 0220 | 0230 | 0240 | 0250 | 0260 | 0270 | 0280 | 0290 | 0300 | 0310 | 0320 | 0330 | 0340 | |||||
| Hivatkozások A nemzeti GAAP-pal kompatibilis IFRS standardok | V. melléklet 1. részének 34. pontja, 2. részének 118. és 221. pontja | V. melléklet 1. részének 34. pontja, 2. részének 118., 240–245., 251–258. pontja | V. melléklet 2. részének 213–216. és 223–239. pontja | V. melléklet 2. részének 222. és 235. pontja | V. melléklet 2. részének 222. és 235. pontja | V. melléklet 2. részének 256. és 259-262 pontja | V. melléklet 2. részének 256. b) és 261. pontja | V. melléklet 2. részének 213–216. és 223–239. pontja | V. melléklet 2. részének 222. és 235–236 pontja | V. melléklet 2. részének 222. és 235–236 pontja | V. melléklet 2. részének 222. és 235–236 pontja | V. melléklet 2. részének 222. és 235–236 pontja | V. melléklet 2. részének 222. és 235–236 pontja | V. melléklet 2. részének 222. és 235–236 pontja | V. melléklet 2. részének 222. és 235–236 pontja | CRR 178. cikke; V. melléklet 2. részének 237. b) pontja | V. melléklet 2. részének 259–263. pontja | V. melléklet 2. részének 238. pontja | V. melléklet 2. részének 267. pontja | V. melléklet 2. részének 238. pontja | V. melléklet 2. részének 207. pontja | V. melléklet 2. részének 238. pontja | V. melléklet 2. részének 236. és 238. pontja | V. melléklet 2. részének 236. és 238. pontja | V. melléklet 2. részének 236. és 238. pontja | V. melléklet 2. részének 236. és 238. pontja | V. melléklet 2. részének 236. és 238. pontja | V. melléklet 2. részének 236. és 238. pontja | V. melléklet 2. részének 236. és 238. pontja | V. melléklet 2. részének 207. pontja | V. melléklet 2. részének 239. pontja | V. melléklet 2. részének 239. pontja | V. melléklet 2. részének 239. pontja | V. melléklet 2. részének 239. pontja | ||||
| Hivatkozások Nemzeti GAAP a BAD alapján | V. melléklet 1. részének 34. pontja, 2. részének 118. és 221. pontja | V. melléklet 1. részének 34. pontja, 2. részének 118., 240–245., 251–255. pontja | V. melléklet 2. részének 213–216. és 223–239. pontja | V. melléklet 2. részének 222. és 235. pontja | V. melléklet 2. részének 222. és 235. pontja | V. melléklet 2. részének 256. és 259–262 pontja | V. melléklet 2. részének 256. b) és 261. pontja | V. melléklet 2. részének 213–216. és 223–239. pontja | V. melléklet 2. részének 222. és 235–236 pontja | V. melléklet 2. részének 222. és 235–236 pontja | V. melléklet 2. részének 222. és 235–236 pontja | V. melléklet 2. részének 222. és 235–236 pontja | V. melléklet 2. részének 222. és 235–236 pontja | V. melléklet 2. részének 222. és 235–236 pontja | V. melléklet 2. részének 222. és 235–236 pontja | CRR 178. cikke; V. melléklet 2. részének 237. b) pontja | V. melléklet 2. részének 259–263. pontja | V. melléklet 2. részének 238. pontja | V. melléklet 2. részének 267. pontja | V. melléklet 2. részének 238. pontja | V. melléklet 2. részének 207. pontja | V. melléklet 2. részének 238. pontja | V. melléklet 2. részének 236. és 238. pontja | V. melléklet 2. részének 236. és 238. pontja | V. melléklet 2. részének 236. és 238. pontja | V. melléklet 2. részének 236. és 238. pontja | V. melléklet 2. részének 236. és 238. pontja | V. melléklet 2. részének 236. és 238. pontja | V. melléklet 2. részének 236. és 238. pontja | V. melléklet 2. részének 207. pontja | V. melléklet 2. részének 239. pontja | V. melléklet 2. részének 239. pontja | V. melléklet 2. részének 239. pontja | V. melléklet 2. részének 239. pontja | ||||
| 0010 | Nem pénzügyi vállalatok | Kereskedelmi ingatlanhoz kapcsolódó hitelek kis- és középvállalkozásoknak | KKV 1. cikke (2) bekezdésének a) pontja; V. melléklet 2. részének 239vi. a) pontja és 239vii. pontja | KKV 1. cikke (2) bekezdésének a) pontja; V. melléklet 2. részének 239vi. a) pontja és 239vii. pontja | ||||||||||||||||||||||||||||||||||
| 0020 | Kereskedelmi ingatlanhoz kapcsolódó hitelek kkv-któl eltérő nem pénzügyi vállalatoknak | V. melléklet 2. részének 239vi. a) pontja és 239vii. pontja | V. melléklet 2. részének 239vi. a) pontja és 239vii. pontja | |||||||||||||||||||||||||||||||||||
| 0030 | Kereskedelmi ingatlannal fedezett hitelek | V. melléklet 2. részének 86. a) pontja, 87. pontja és 239vi. b) pontja | V. melléklet 2. részének 86. a) pontja, 87. pontja és 239vi. b) pontja | |||||||||||||||||||||||||||||||||||
| 0040 | Ebből: 60 %-nál nagyobb, és 80 %-nál kisebb vagy azzal egyenlő hitelfedezeti aránnyal rendelkező hitelek | V. melléklet 2. részének 86. a) pontja, 87. pontja, 239vi. b) pontja és 239viii. pontja | V. melléklet 2. részének 86. a) pontja, 87. pontja, 239vi. b) pontja és 239viii. pontja | |||||||||||||||||||||||||||||||||||
| 0050 | Ebből: 80 %-nál nagyobb, és 100 %-nál kisebb vagy azzal egyenlő hitelfedezeti aránnyal rendelkező hitelek | V. melléklet 2. részének 86. a) pontja, 87. pontja, 239vi. b) pontja és 239viii. pontja | V. melléklet 2. részének 86. a) pontja, 87. pontja, 239vi. b) pontja és 239viii. pontja | |||||||||||||||||||||||||||||||||||
| 0060 | Ebből: 100 %-nál nagyobb hitelfedezeti aránnyal rendelkező hitelek | V. melléklet 2. részének 86. a) pontja, 87. pontja, 239vi. b) pontja és 239viii. pontja | V. melléklet 2. részének 86. a) pontja, 87. pontja, 239vi. b) pontja és 239viii. pontja | |||||||||||||||||||||||||||||||||||
| 0070 | Háztartások | Lakóingatlannal fedezett hitelek | V. melléklet 2. részének 86. a) pontja, 87. pontja és 239vi. b) pontja | V. melléklet 2. részének 86. a) pontja, 87. pontja és 239vi. b) pontja | ||||||||||||||||||||||||||||||||||
| 0080 | Ebből: 60 %-nál nagyobb, és 80 %-nál kisebb vagy azzal egyenlő hitelfedezeti aránnyal rendelkező hitelek | V. melléklet 2. részének 86. a) pontja, 87. pontja, 239vi. b) pontja és 239viii. pontja | V. melléklet 2. részének 86. a) pontja, 87. pontja, 239vi. b) pontja és 239viii. pontja | |||||||||||||||||||||||||||||||||||
| 0090 | Ebből: 80 %-nál nagyobb, és 100 %-nál kisebb vagy azzal egyenlő hitelfedezeti aránnyal rendelkező hitelek | V. melléklet 2. részének 86. a) pontja, 87. pontja, 239vi. b) pontja és 239viii. pontja | V. melléklet 2. részének 86. a) pontja, 87. pontja, 239vi. b) pontja és 239viii. pontja | |||||||||||||||||||||||||||||||||||
| 0100 | Ebből: 100 %-nál nagyobb hitelfedezeti aránnyal rendelkező hitelek | V. melléklet 2. részének 86. a) pontja, 87. pontja, 239vi. b) pontja és 239viii. pontja | V. melléklet 2. részének 86. a) pontja, 87. pontja, 239vi. b) pontja és 239viii. pontja | |||||||||||||||||||||||||||||||||||
19. Átstrukturált kitettségekkel kapcsolatos információk
| Átstrukturált kitettségek bruttó könyv szerinti értéke / névértéke | Halmozott értékvesztés, a hitelkockázat-változásból származó negatív valósérték-változás halmozott összege és céltartalékok | A biztosíték vagy garancia figyelembe vehető legmagasabb összege V. melléklet 2. részének 119. pontja | |||||||||||||||||||||
| Átstrukturált teljesítő kitettségek | Átstrukturált nemteljesítő kitettségek | Átstrukturált teljesítő kitettségek – Halmozott értékvesztés és céltartalékok | Átstrukturált nemteljesítő kitettségek – Halmozott értékvesztés, a hitelkockázat-változásból származó negatív valósérték-változás halmozott összege és céltartalékok | Kapott biztosítékok és kapott pénzügyi garanciák | |||||||||||||||||||
| Módosított szerződéses feltételű instrumentumok | Újrafinanszírozás | ebből: Próbaidőszakban lévő, a nemteljesítő kategóriából átsorolt teljesítő átstrukturált kitettség | Módosított szerződéses feltételű instrumentumok | Újrafinanszírozás | ebből: Nemteljesítő (defaulted) | ebből: Értékvesztett | ebből: Átstrukturálás előtt nemteljesítő kitettségek átstrukturálása | Módosított szerződéses feltételű instrumentumok | Újrafinanszírozás | Átstrukturált kitettségek fedezetéül kapott biztosítékok | Átstrukturált kitettségek fedezetéül kapott pénzügyi garanciák | ||||||||||||
| Ebből: Átstrukturált nemteljesítő kitettségek fedezetéül kapott biztosítékok | Ebből: Átstrukturált nemteljesítő kitettségek fedezetéül kapott pénzügyi garanciák | ||||||||||||||||||||||
| 010 | 020 | 030 | 040 | 050 | 060 | 070 | 080 | 090 | 100 | 110 | 120 | 130 | 140 | 150 | 160 | 170 | 175 | 180 | 185 | ||||
| Hivatkozások A nemzeti GAAP-pal kompatibilis IFRS standardok | V. melléklet 1. részének 34. pontja, 2. részének 118., 240–245., 251–258. pontja | V. melléklet 2. részének 256. és 259–262 pontja | V. melléklet 2. részének 241. a) pontja és 266. pontja | V. melléklet 2. részének 241. b) és 265–266. pontja | V. melléklet 2. részének 256. b) és 261. pontja | V. melléklet 2. részének 259–263. pontja | V. melléklet 2. részének 241. a) pontja és 266. pontja | V. melléklet 2. részének 241. b) és 265–266. pontja | CRR 178. cikke; V. melléklet 2. részének 264. b) pontja | IFRS 9 5.5.1. bekezdése, IFRS 9 A. függelék; V. melléklet 2. részének 264. a) pontja | V. melléklet 2. részének 231., 252. a) és 263. pontja | V. melléklet 2. részének 267. pontja | V. melléklet 2. részének 207. pontja | V. melléklet 2. részének 207. pontja | V. melléklet 2. részének 241. a) és 267. pontja | V. melléklet 2. részének 241. b) és 267. pontja | V. melléklet 2. részének 268. pontja | V. melléklet 2. részének 268. pontja | V. melléklet 2. részének 268. pontja | V. melléklet 2. részének 268. pontja | |||
| Hivatkozások Nemzeti GAAP a BAD alapján | V. melléklet 1. részének 34. pontja, 2. részének 118., 240–245., 251–255. pontja | V. melléklet 2. részének 256. és 259-262 pontja | V. melléklet 2. részének 241. a) pontja és 266. pontja | V. melléklet 2. részének 241. b) és 265–266. pontja | V. melléklet 2. részének 256. b) és 261. pontja | V. melléklet 2. részének 259–263. pontja | V. melléklet 2. részének 241. a) pontja és 266. pontja | V. melléklet 2. részének 241. b) és 265–266. pontja | CRR 178. cikke; V. melléklet 2. részének 264. b) pontja | CRR 4. cikke (1) bekezdésének 95. pontja; V. melléklet 2. részének 264. a) pontja | V. melléklet 2. részének 231., 252. a) és 263. pontja | V. melléklet 2. részének 267. pontja | V. melléklet 2. részének 207. pontja | V. melléklet 2. részének 207. pontja | V. melléklet 2. részének 241. a) és 267. pontja | V. melléklet 2. részének 241. b) és 267. pontja | V. melléklet 2. részének 268. pontja | V. melléklet 2. részének 268. pontja | V. melléklet 2. részének 268. pontja | V. melléklet 2. részének 268. pontja | |||
| 005 | Számlakövetelések központi bankokkal szemben és egyéb látra szóló betétek | BAD 13. cikkének (2) bekezdése; V. melléklet 2. részének 2. és 3. pontja | V. melléklet 2. részének 2. és 3. pontja | ||||||||||||||||||||
| 010 | Hitelviszonyt megtestesítő értékpapírok | V. melléklet 1. részének 31. pontja és 44. b) pontja | V. melléklet 1. részének 31. pontja és 44. b) pontja | ||||||||||||||||||||
| 020 | Központi bankok | V. melléklet 1. részének 42. a) pontja | V. melléklet 1. részének 42. a) pontja | ||||||||||||||||||||
| 030 | Államháztartások | V. melléklet 1. részének 42. b) pontja | V. melléklet 1. részének 42. b) pontja | ||||||||||||||||||||
| 040 | Hitelintézetek | V. melléklet 1. részének 42. c) pontja | V. melléklet 1. részének 42. c) pontja | ||||||||||||||||||||
| 050 | Egyéb pénzügyi vállalatok | V. melléklet 1. részének 42. d) pontja | V. melléklet 1. részének 42. d) pontja | ||||||||||||||||||||
| 060 | Nem pénzügyi vállalatok | V. melléklet 1. részének 42. e) pontja | V. melléklet 1. részének 42. e) pontja | ||||||||||||||||||||
| 070 | Hitelek és előlegek | V. melléklet 1. részének 32. pontja, 44. a) pontja | V. melléklet 1. részének 32. pontja, 44. a) pontja | ||||||||||||||||||||
| 080 | Központi bankok | V. melléklet 1. részének 42. a) pontja | V. melléklet 1. részének 42. a) pontja | ||||||||||||||||||||
| 090 | Államháztartások | V. melléklet 1. részének 42. b) pontja | V. melléklet 1. részének 42. b) pontja | ||||||||||||||||||||
| 100 | Hitelintézetek | V. melléklet 1. részének 42. c) pontja | V. melléklet 1. részének 42. c) pontja | ||||||||||||||||||||
| 110 | Egyéb pénzügyi vállalatok | V. melléklet 1. részének 42. d) pontja | V. melléklet 1. részének 42. d) pontja | ||||||||||||||||||||
| 120 | Nem pénzügyi vállalatok | V. melléklet 1. részének 42. e) pontja | V. melléklet 1. részének 42. e) pontja | ||||||||||||||||||||
| 130 | Ebből: Kis- és középvállalkozások | KKV 1. cikke (2) bekezdésének a) pontja | KKV 1. cikke (2) bekezdésének a) pontja | ||||||||||||||||||||
| 140 | Ebből: Kereskedelmi ingatlannal fedezett hitelek | V. melléklet 2. részének 86. a) pontja, 87. pontja és 234i. a) pontja | V. melléklet 2. részének 86. a) pontja, 87. pontja és 234i. a) pontja | ||||||||||||||||||||
| 150 | Háztartások | V. melléklet 1. részének 42. f) pontja | V. melléklet 1. részének 42. f) pontja | ||||||||||||||||||||
| 160 | Ebből: Lakóingatlannal fedezett hitelek | V. melléklet 2. részének 86. a) pontja, 87. pontja és 234i. a) pontja | V. melléklet 2. részének 86. a) pontja, 87. pontja és 234i. a) pontja | ||||||||||||||||||||
| 170 | Ebből: Fogyasztási hitelek | V. melléklet 2. részének 88. a) pontja, 234i. b) pontja | V. melléklet 2. részének 88. a) pontja, 234i. b) pontja | ||||||||||||||||||||
| 180 | BEKERÜLÉSI ÉRTÉKEN VAGY AMORTIZÁLT BEKERÜLÉSI ÉRTÉKEN ÉRTÉKELT HITELVISZONYT MEGTESTESÍTŐ INSTRUMENTUMOK | V. melléklet 2. részének 249. a) pontja | V. melléklet 2. részének 249. a) pontja | ||||||||||||||||||||
| 181 | Hitelviszonyt megtestesítő értékpapírok | V. melléklet 1. részének 31. pontja és 44. b) pontja | V. melléklet 1. részének 31. pontja és 44. b) pontja | ||||||||||||||||||||
| 182 | Központi bankok | V. melléklet 1. részének 42. a) pontja | V. melléklet 1. részének 42. a) pontja | ||||||||||||||||||||
| 183 | Államháztartások | V. melléklet 1. részének 42. b) pontja | V. melléklet 1. részének 42. b) pontja | ||||||||||||||||||||
| 184 | Hitelintézetek | V. melléklet 1. részének 42. c) pontja | V. melléklet 1. részének 42. c) pontja | ||||||||||||||||||||
| 185 | Egyéb pénzügyi vállalatok | V. melléklet 1. részének 42. d) pontja | V. melléklet 1. részének 42. d) pontja | ||||||||||||||||||||
| 186 | Nem pénzügyi vállalatok | V. melléklet 1. részének 42. e) pontja | V. melléklet 1. részének 42. e) pontja | ||||||||||||||||||||
| 191 | Hitelek és előlegek | V. melléklet 1. részének 32. pontja, 44. a) pontja | V. melléklet 1. részének 32. pontja, 44. a) pontja | ||||||||||||||||||||
| 192 | Központi bankok | V. melléklet 1. részének 42. a) pontja | V. melléklet 1. részének 42. a) pontja | ||||||||||||||||||||
| 193 | Államháztartások | V. melléklet 1. részének 42. b) pontja | V. melléklet 1. részének 42. b) pontja | ||||||||||||||||||||
| 194 | Hitelintézetek | V. melléklet 1. részének 42. c) pontja | V. melléklet 1. részének 42. c) pontja | ||||||||||||||||||||
| 195 | Egyéb pénzügyi vállalatok | V. melléklet 1. részének 42. d) pontja | V. melléklet 1. részének 42. d) pontja | ||||||||||||||||||||
| 196 | Nem pénzügyi vállalatok | V. melléklet 1. részének 42. e) pontja | V. melléklet 1. részének 42. e) pontja | ||||||||||||||||||||
| 900 | Ebből: Kis- és középvállalkozások | KKV 1. cikke (2) bekezdésének a) pontja | KKV 1. cikke (2) bekezdésének a) pontja | ||||||||||||||||||||
| 903 | Ebből: Kereskedelmi ingatlannal fedezett hitelek | V. melléklet 2. részének 86. a) pontja, 87. pontja és 234i. a) pontja | V. melléklet 2. részének 86. a) pontja, 87. pontja és 234i. a) pontja | ||||||||||||||||||||
| 197 | Háztartások | V. melléklet 1. részének 42. f) pontja | V. melléklet 1. részének 42. f) pontja | ||||||||||||||||||||
| 910 | Ebből: Lakóingatlannal fedezett hitelek | V. melléklet 2. részének 86. a) pontja, 87. pontja és 234i. a) pontja | V. melléklet 2. részének 86. a) pontja, 87. pontja és 234i. a) pontja | ||||||||||||||||||||
| 913 | Ebből: Fogyasztási hitelek | V. melléklet 2. részének 88. a) pontja, 234i. b) pontja | V. melléklet 2. részének 88. a) pontja, 234i. b) pontja | ||||||||||||||||||||
| 201 | AZ EGYÉB ÁTFOGÓ JÖVEDELEMMEL VAGY A SAJÁT TŐKÉVEL SZEMBEN VALÓS ÉRTÉKEN ÉRTÉKELT, ÉRTÉKVESZTÉS-ELSZÁMOLÁSI KÖTELEZETTSÉG ALÁ TARTOZÓ HITELVISZONYT MEGTESTESÍTŐ INSTRUMENTUMOK | V. melléklet 2. részének 249. b) pontja | V. melléklet 2. részének 249. b) pontja | ||||||||||||||||||||
| 211 | Hitelviszonyt megtestesítő értékpapírok | V. melléklet 1. részének 31. pontja és 44. b) pontja | V. melléklet 1. részének 31. pontja és 44. b) pontja | ||||||||||||||||||||
| 212 | Központi bankok | V. melléklet 1. részének 42. a) pontja | V. melléklet 1. részének 42. a) pontja | ||||||||||||||||||||
| 213 | Államháztartások | V. melléklet 1. részének 42. b) pontja | V. melléklet 1. részének 42. b) pontja | ||||||||||||||||||||
| 214 | Hitelintézetek | V. melléklet 1. részének 42. c) pontja | V. melléklet 1. részének 42. c) pontja | ||||||||||||||||||||
| 215 | Egyéb pénzügyi vállalatok | V. melléklet 1. részének 42. d) pontja | V. melléklet 1. részének 42. d) pontja | ||||||||||||||||||||
| 216 | Nem pénzügyi vállalatok | V. melléklet 1. részének 42. e) pontja | V. melléklet 1. részének 42. e) pontja | ||||||||||||||||||||
| 221 | Hitelek és előlegek | V. melléklet 1. részének 32. pontja, 44. a) pontja | V. melléklet 1. részének 32. pontja, 44. a) pontja | ||||||||||||||||||||
| 222 | Központi bankok | V. melléklet 1. részének 42. a) pontja | V. melléklet 1. részének 42. a) pontja | ||||||||||||||||||||
| 223 | Államháztartások | V. melléklet 1. részének 42. b) pontja | V. melléklet 1. részének 42. b) pontja | ||||||||||||||||||||
| 224 | Hitelintézetek | V. melléklet 1. részének 42. c) pontja | V. melléklet 1. részének 42. c) pontja | ||||||||||||||||||||
| 225 | Egyéb pénzügyi vállalatok | V. melléklet 1. részének 42. d) pontja | V. melléklet 1. részének 42. d) pontja | ||||||||||||||||||||
| 226 | Nem pénzügyi vállalatok | V. melléklet 1. részének 42. e) pontja | V. melléklet 1. részének 42. e) pontja | ||||||||||||||||||||
| 920 | Ebből: Kis- és középvállalkozások | KKV 1. cikke (2) bekezdésének a) pontja | KKV 1. cikke (2) bekezdésének a) pontja | ||||||||||||||||||||
| 923 | Ebből: Kereskedelmi ingatlannal fedezett hitelek | V. melléklet 2. részének 86. a) pontja, 87. pontja és 234i. a) pontja | V. melléklet 2. részének 86. a) pontja, 87. pontja és 234i. a) pontja | ||||||||||||||||||||
| 227 | Háztartások | V. melléklet 1. részének 42. f) pontja | V. melléklet 1. részének 42. f) pontja | ||||||||||||||||||||
| 930 | Ebből: Lakóingatlannal fedezett hitelek | V. melléklet 2. részének 86. a) pontja, 87. pontja és 234i. a) pontja | V. melléklet 2. részének 86. a) pontja, 87. pontja és 234i. a) pontja | ||||||||||||||||||||
| 933 | Ebből: Fogyasztási hitelek | V. melléklet 2. részének 88. a) pontja, 234i. b) pontja | V. melléklet 2. részének 88. a) pontja, 234i. b) pontja | ||||||||||||||||||||
| 231 | SZIGORÚ LOCOM-MÓDSZER SZERINT VAGY AZ EREDMÉNNYEL VAGY A SAJÁT TŐKÉVEL SZEMBEN VALÓS ÉRTÉKEN ÉRTÉKELT, ÉRTÉKVESZTÉS-ELSZÁMOLÁSI KÖTELEZETTSÉG ALÁ NEM TARTOZÓ HITELVISZONYT MEGTESTESÍTŐ INSTRUMENTUMOK | V. melléklet 2. részének 249. pontja | V. melléklet 2. részének 249. pontja | ||||||||||||||||||||
| 330 | A KERESKEDÉSI CÉLLAL TARTOTT VAGY KERESKEDÉSI CÉLÚ HITELVISZONYT MEGTESTESÍTŐ INSTRUMENTUMOKTÓL ELTÉRŐ HITELVISZONYT MEGTESTESÍTŐ INSTRUMENTUMOK | V. melléklet 2. részének 246. pontja | V. melléklet 2. részének 246. pontja | ||||||||||||||||||||
| 335 | ÉRTÉKESÍTÉSRE TARTOTT HITELVISZONYT MEGTESTESÍTŐ INSTRUMENTUMOK | V. melléklet 2. részének 247. pontja | |||||||||||||||||||||
| 340 | Adott hitelnyújtási elkötelezettségek | CRR I. melléklete; V. melléklet 1. részének 44. g) pontja, 2. részének 112., 113., 246. pontja | CRR I. melléklete; V. melléklet 1. részének 44. g) pontja, 2. részének 102–105., 113., 116. és 246. pontja | ||||||||||||||||||||
20. Földrajzi megoszlás
20. 1 Eszközök földrajzi megoszlása a tevékenység helye szerint
| Hivatkozások Nemzeti GAAP a BAD alapján | Hivatkozások A nemzeti GAAP-pal kompatibilis IFRS standardok | Könyv szerinti érték V. melléklet 1. részének 27–28. pontja | |||
| Hazai tevékenységek | Nem hazai tevékenységek | ||||
| V. melléklet 2. részének 270. pontja | V. melléklet 2. részének 270. pontja | ||||
| 010 | 020 | ||||
| 010 | Készpénz, számlakövetelések központi bankokkal szemben és egyéb látra szóló betétek | BAD 4. cikke, Eszközök 1. pontja | IAS 1 54. bekezdésének i) pontja | ||
| 020 | Készpénz | V. melléklet 2. részének 1. pontja | V. melléklet 2. részének 1. pontja | ||
| 030 | Számlakövetelések központi bankokkal szemben | BAD 13. cikkének (2) bekezdése; V. melléklet 2. részének 2. pontja | V. melléklet 2. részének 2. pontja | ||
| 040 | Egyéb látra szóló betétek | V. melléklet 2. részének 3. pontja | V. melléklet 2. részének 3. pontja | ||
| 050 | Kereskedési céllal tartott pénzügyi eszközök | Számviteli irányelv 8. cikke (1) bekezdésének a) pontja és (5) bekezdése; IAS 39 9. bekezdése | IFRS 9 A. függeléke | ||
| 060 | Származtatott ügyletek | CRR II. melléklete | IFRS 9 A. függeléke | ||
| 070 | Tulajdoni részesedést megtestesítő instrumentumok | EKB/2013/33 2. melléklete 2. részének 4–5. szakasza | IAS 32 11. bekezdése | ||
| 080 | Hitelviszonyt megtestesítő értékpapírok | V. melléklet 1. részének 24. és 26. pontja | V. melléklet 1. részének 31. pontja | ||
| 090 | Hitelek és előlegek | V. melléklet 1. részének 24. és 27. pontja | V. melléklet 1. részének 32. pontja | ||
| 091 | Kereskedési célú pénzügyi eszközök | BAD 32–33. cikke; V. melléklet 1. részének 17. pontja | |||
| 092 | Származtatott ügyletek | CRR II. melléklete; V. melléklet 1. részének 17. és 27. pontja | |||
| 093 | Tulajdoni részesedést megtestesítő instrumentumok | EKB/2013/33 2. melléklete 2. részének 4–5. szakasza | |||
| 094 | Hitelviszonyt megtestesítő értékpapírok | V. melléklet 1. részének 31. pontja | |||
| 095 | Hitelek és előlegek | V. melléklet 1. részének 32. pontja | |||
| 096 | Kötelezően az eredménnyel szemben valós értéken értékelt, nem kereskedési célú pénzügyi eszközök | IFRS 7 8. bekezdésének a) ii. pontja; IFRS 9 4.1.4. bekezdése | |||
| 097 | Tulajdoni részesedést megtestesítő instrumentumok | IAS 32 11. bekezdése | |||
| 098 | Hitelviszonyt megtestesítő értékpapírok | V. melléklet 1. részének 31. pontja | |||
| 099 | Hitelek és előlegek | V. melléklet 1. részének 32. pontja | |||
| 100 | Az eredménnyel szemben valós értéken értékeltnek megjelölt pénzügyi eszközök | Számviteli irányelv 8. cikke (1) bekezdésének a) pontja és (6) bekezdése | IFRS 7 8. bekezdésének a) i. pontja; IFRS 9 4.1.5. bekezdése | ||
| 110 | Tulajdoni részesedést megtestesítő instrumentumok | IAS 32 11. bekezdése; EKB/2013/33 2. melléklete 2. részének 4–5. szakasza | |||
| 120 | Hitelviszonyt megtestesítő értékpapírok | V. melléklet 1. részének 31. pontja | V. melléklet 1. részének 31. pontja | ||
| 130 | Hitelek és előlegek | V. melléklet 1. részének 32. pontja | V. melléklet 1. részének 32. pontja | ||
| 141 | Az egyéb átfogó jövedelemmel szemben valós értéken értékelt pénzügyi eszközök | IFRS 7 8. bekezdésének h) pontja; IFRS 9 4.1.2A. bekezdése | |||
| 142 | Tulajdoni részesedést megtestesítő instrumentumok | IAS 32 11. bekezdése | |||
| 143 | Hitelviszonyt megtestesítő értékpapírok | V. melléklet 1. részének 31. pontja | |||
| 144 | Hitelek és előlegek | V. melléklet 1. részének 32. pontja | |||
| 171 | Eredménnyel szemben valós értéken értékelt, nem kereskedési célú, nem származtatott pénzügyi eszközök | BAD 36. cikkének (2) bekezdése | |||
| 172 | Tulajdoni részesedést megtestesítő instrumentumok | EKB/2013/33 2. melléklete 2. részének 4–5. szakasza | |||
| 173 | Hitelviszonyt megtestesítő értékpapírok | V. melléklet 1. részének 31. pontja | |||
| 174 | Hitelek és előlegek | Számviteli irányelv 8. cikke (1) bekezdésének a) pontja és (4) bekezdésének b) pontja; V. melléklet 1. részének 32. pontja | |||
| 175 | A saját tőkével szemben valós értéken értékelt, nem kereskedési célú, nem származtatott pénzügyi eszközök | Számviteli irányelv 8. cikke (1) bekezdésének a) pontja és (8) bekezdése | |||
| 176 | Tulajdoni részesedést megtestesítő instrumentumok | EKB/2013/33 2. melléklete 2. részének 4–5. szakasza | |||
| 177 | Hitelviszonyt megtestesítő értékpapírok | V. melléklet 1. részének 31. pontja | |||
| 178 | Hitelek és előlegek | Számviteli irányelv 8. cikke (1) bekezdésének a) pontja és (4) bekezdésének b) pontja; V. melléklet 1. részének 32. pontja | |||
| 181 | Amortizált bekerülési értéken értékelt pénzügyi eszközök | IFRS 7 8. bekezdésének f) pontja; IFRS 9 4.1.2. bekezdése | |||
| 182 | Hitelviszonyt megtestesítő értékpapírok | V. melléklet 1. részének 31. pontja | |||
| 183 | Hitelek és előlegek | V. melléklet 1. részének 32. pontja | |||
| 231 | Bekerülésiérték-módszerrel értékelt nem kereskedési célú, nem származtatott pénzügyi eszközök | BAD 35. cikke; számviteli irányelv 6. cikke (1) bekezdésének i) pontja és 8. cikkének (2) bekezdése V. melléklet 1. részének 18. és 19. pontja | |||
| 330 | Tulajdoni részesedést megtestesítő instrumentumok | EKB/2013/33 2. melléklete 2. részének 4–5. szakasza | |||
| 232 | Hitelviszonyt megtestesítő értékpapírok | V. melléklet 1. részének 31. pontja | |||
| 233 | Hitelek és előlegek | V. melléklet 1. részének 32. pontja | |||
| 234 | Egyéb nem kereskedési célú, nem származtatott pénzügyi eszközök | BAD 37. cikke; Számviteli irányelv 12. cikkének (7) bekezdése; V. melléklet 1. részének 20. pontja | |||
| 235 | Tulajdoni részesedést megtestesítő instrumentumok | EKB/2013/33 2. melléklete 2. részének 4–5. szakasza | |||
| 236 | Hitelviszonyt megtestesítő értékpapírok | V. melléklet 1. részének 31. pontja | |||
| 237 | Hitelek és előlegek | V. melléklet 1. részének 32. pontja | |||
| 240 | Származtatott ügyletek – Fedezeti elszámolások | Számviteli irányelv 8. cikke (1) bekezdésének a) pontja, (6) és (8) bekezdése; IAS 39 9. bekezdése; V. melléklet 1. részének 22. pontja | IFRS 9 6.2.1. bekezdése V. melléklet 1. részének 22. pontja | ||
| 250 | Kamatlábkockázatra vonatkozó portfóliófedezeti ügylet során fedezett tételek valós értékének változása | Számviteli irányelv 8. cikkének (5) bekezdése és (6) bekezdése; IAS 39 89A. bekezdésének a) pontja | IAS 39 89A. bekezdésének a) pontja; IFRS 9 6.5.8. bekezdése | ||
| 260 | Tárgyi eszközök | BAD 4. cikke, Eszközök 10. pontja | |||
| 270 | Immateriális javak | BAD 4. cikke, Eszközök 9. pontja; CRR 4. cikke (1) bekezdésének 115. pontja | IAS 1 54. bekezdésének c) pontja; CRR 4. cikke (1) bekezdésének 115. pontja | ||
| 280 | Leányvállalatokba, közös vállalkozásokba, valamint társult vállalkozásokba történt befektetések | BAD 4. cikke, Eszközök 7–8. pontja; Számviteli irányelv 2. cikkének (2) bekezdése; V. melléklet 1. részének 21. pontja, 2. részének 4. pontja | IAS 1 54. bekezdésének e) pontja; V. melléklet 1. részének 21. pontja, 2. részének 4. pontja | ||
| 290 | Adókövetelések | IAS 1 54. bekezdésének n)–o) pontja | |||
| 300 | Egyéb eszközök | V. melléklet 2. részének 5. és 6. pontja | V. melléklet 2. részének 5. pontja | ||
| 310 | Értékesítésre tartottá minősített befektetett eszközök és elidegenítési csoportok | IAS 1 54. bekezdésének j) pontja; IFRS 5 38. bekezdése; V. melléklet 2. részének 7. pontja | |||
| 315 | (-) Valós értéken értékelt, kereskedési célú eszközökre vonatkozó haircutok | V. melléklet 1. részének 29. pontja | |||
| 320 | ESZKÖZÖK | BAD 4. cikke, Eszközök | IAS 1 9. bekezdésének a) pontja; IG6 | ||
20.2. Kötelezettségek földrajzi megoszlása a tevékenység helye szerint
| Hivatkozások Nemzeti GAAP a BAD alapján | Hivatkozások A nemzeti GAAP-pal kompatibilis IFRS standardok | Könyv szerinti érték V. melléklet 1. részének 27–28. pontja | |||
| Hazai tevékenységek | Nem hazai tevékenységek | ||||
| V. melléklet 2. részének 270. pontja | V. melléklet 2. részének 270. pontja | ||||
| 010 | 020 | ||||
| 010 | Kereskedési céllal tartott pénzügyi kötelezettségek | IFRS 7 8. bekezdésének e) ii. pontja; IFRS 9 BA.6 bekezdése | |||
| 020 | Származtatott ügyletek | IFRS 9 A. függelék; IFRS 9 4.2.1. bekezdésének a) pontja; IFRS 9 BA.7. bekezdésének a) pontja | |||
| 030 | Rövid pozíciók | IFRS 9 BA7. bekezdésének b) pontja | |||
| 040 | Betétek | EKB/2013/33 2. melléklete 2. részének 9. szakasza; V. melléklet 1. részének 36. pontja | |||
| 050 | Kibocsátott hitelviszonyt megtestesítő értékpapírok | V. melléklet 1. részének 37. pontja | |||
| 060 | Egyéb pénzügyi kötelezettségek | V. melléklet 1. részének 38–41. pontja | |||
| 061 | Kereskedési célú pénzügyi kötelezettségek | Számviteli irányelv 8. cikke (1) bekezdésének a) pontja, (3) és (6) bekezdése | |||
| 062 | Származtatott ügyletek | CRR II. melléklete; V. melléklet 1. részének 25. pontja | |||
| 063 | Rövid pozíciók | ||||
| 064 | Betétek | EKB/2013/33 2. melléklete 2. részének 9. szakasza; V. melléklet 1. részének 36. pontja | |||
| 065 | Kibocsátott hitelviszonyt megtestesítő értékpapírok | V. melléklet 1. részének 37. pontja | |||
| 066 | Egyéb pénzügyi kötelezettségek | V. melléklet 1. részének 38–41. pontja | |||
| 070 | Az eredménnyel szemben valós értéken értékeltnek megjelölt pénzügyi kötelezettségek | Számviteli irányelv 8. cikke (1) bekezdésének a) pontja és (6) bekezdése; IAS 39 9. bekezdése | IFRS 7 8. bekezdésének e) i. pontja; IFRS 9 4.2.2. bekezdése | ||
| 080 | Betétek | EKB/2013/33 2. melléklete 2. részének 9. szakasza; V. melléklet 1. részének 36. pontja | EKB/2013/33 2. melléklete 2. részének 9. szakasza; V. melléklet 1. részének 36. pontja | ||
| 090 | Kibocsátott hitelviszonyt megtestesítő értékpapírok | V. melléklet 1. részének 37. pontja | V. melléklet 1. részének 37. pontja | ||
| 100 | Egyéb pénzügyi kötelezettségek | V. melléklet 1. részének 38–41. pontja | V. melléklet 1. részének 38–41. pontja | ||
| 110 | Amortizált bekerülési értéken értékelt pénzügyi kötelezettségek | Számviteli irányelv 8. cikkének (3) bekezdése és (6) bekezdése; IAS 39 47. bekezdése | IFRS 7 8. bekezdésének g) pontja; IFRS 9 4.2.1. bekezdése | ||
| 120 | Betétek | EKB/2013/33 2. melléklete 2. részének 9. szakasza; V. melléklet 1. részének 30. pontja | EKB/2013/33 2. melléklete 2. részének 9. szakasza; V. melléklet 1. részének 36. pontja | ||
| 130 | Kibocsátott hitelviszonyt megtestesítő értékpapírok | V. melléklet 1. részének 31. pontja | V. melléklet 1. részének 37. pontja | ||
| 140 | Egyéb pénzügyi kötelezettségek | V. melléklet 1. részének 32–34. pontja | V. melléklet 1. részének 38–41. pontja | ||
| 141 | Bekerülésiérték-módszerrel értékelt nem kereskedési célú, nem származtatott pénzügyi kötelezettségek | Számviteli irányelv 8. cikkének (3) bekezdése | |||
| 142 | Betétek | EKB/2013/33 2. melléklete 2. részének 9. szakasza; V. melléklet 1. részének 36. pontja | |||
| 143 | Kibocsátott hitelviszonyt megtestesítő értékpapírok | V. melléklet 1. részének 37. pontja | |||
| 144 | Egyéb pénzügyi kötelezettségek | V. melléklet 1. részének 38–41. pontja | |||
| 150 | Származtatott ügyletek – Fedezeti elszámolások | Számviteli irányelv 8. cikke (1) bekezdésének a) pontja, (6) bekezdése és (8) bekezdésének a) pontja; V. melléklet 1. részének 26. pontja | IFRS 9 6.2.1. bekezdése V. melléklet 1. részének 26. pontja | ||
| 160 | Kamatlábkockázatra vonatkozó portfóliófedezeti ügylet során fedezett tételek valós értékének változása | Számviteli irányelv 8. cikkének (5) bekezdése és (6) bekezdése; V. melléklet 2. részének 8. pontja; IAS 39 89A. bekezdésének b) pontja | IAS 39 89A. bekezdésének b) pontja, IFRS 9 6.5.8. bekezdése | ||
| 170 | Céltartalékok | BAD 4. cikke, Források 6. pontja | IAS 37 10. bekezdése; IAS 1 54. bekezdésének l) pontja | ||
| 180 | Adókötelezettségek | IAS 1 54. bekezdésének n)–o) pontja | |||
| 190 | Kérésre visszafizetendő jegyzett tőke | IAS 32 33. szemléltető példa; IFRIC 2; V. melléklet 2. részének 12. pontja | |||
| 200 | Egyéb kötelezettségek | V. melléklet 2. részének 13. pontja | V. melléklet 2. részének 13. pontja | ||
| 210 | Az értékesítésre tartottá minősített elidegenítési csoportba tartozó kötelezettségek | IAS 1 54. bekezdésének p) pontja; IFRS 5 38. bekezdése; V. melléklet 2. részének 14. pontja | |||
| 215 | Valós értéken értékelt, kereskedési célú kötelezettségekre vonatkozó haircutok | V. melléklet 1. részének 29. pontja | |||
| 220 | KÖTELEZETTSÉGEK | IAS 1 9. bekezdésének b) pontja; IG6 | |||
20.3. Az eredménykimutatás fő tételeinek földrajzi megoszlása a tevékenység helye szerint
| Hivatkozások Nemzeti GAAP a BAD alapján | Hivatkozások A nemzeti GAAP-pal kompatibilis IFRS standardok | Tárgyidőszak | |||
| Hazai tevékenységek | Nem hazai tevékenységek | ||||
| V. melléklet 2. részének 270. pontja | V. melléklet 2. részének 270. pontja | ||||
| 010 | 020 | ||||
| 010 | Kamatbevétel | BAD 27. cikke, Függőleges tagolás 1. pontja; V. melléklet 2. részének 31. pontja | IAS 1 97. bekezdése; V. melléklet 2. részének 31. pontja | ||
| 020 | (Kamatráfordítások) | BAD 27. cikke, Függőleges tagolás 2. pontja; V. melléklet 2. részének 31. pontja | IAS 1 97. bekezdése; V. melléklet 2. részének 31. pontja | ||
| 030 | (Kérésre visszafizetendő jegyzett tőke ráfordításai) | IFRIC 2 11. bekezdése | |||
| 040 | Osztalékbevétel | BAD 27. cikke, Függőleges tagolás 3. pontja; V. melléklet 2. részének 40. pontja | V. melléklet 2. részének 40. pontja | ||
| 050 | Díj- és jutalékbevételek | BAD 27. cikke, Függőleges tagolás 4. pontja | IFRS 7 20. bekezdésének c) pontja | ||
| 060 | (Díj- és jutalékráfordítások) | BAD 27. cikke, Függőleges tagolás 5. pontja | IFRS 7 20. bekezdésének c) pontja | ||
| 070 | Az eredménnyel szemben valós értéken értékelt kategóriába nem tartozó pénzügyi eszközök és kötelezettségek kivezetéséből származó nyereség vagy (–) veszteség, nettó | BAD 27. cikke, Függőleges tagolás 6. pontja | V. melléklet 2. részének 45. pontja | ||
| 080 | Kereskedési céllal tartott pénzügyi eszközökből és kötelezettségekből származó nyereség vagy (–) veszteség, nettó | BAD 27. cikke, Függőleges tagolás 6. pontja | IFRS 7 20. bekezdésének a) i. pontja; IFRS 9 5.7.1. bekezdése; V. melléklet 2. részének 33. és 46. pontja | ||
| 083 | Kötelezően az eredménnyel szemben valós értéken értékelt, nem kereskedési célú pénzügyi eszközök nyeresége vagy (–) vesztesége | IFRS 9 5.7.1. bekezdése | |||
| 085 | Kereskedési célú pénzügyi eszközökből és kötelezettségekből származó nyereség vagy (–) veszteség, nettó | BAD 27. cikke, Függőleges tagolás 6. pontja | |||
| 090 | Az eredménnyel szemben valós értéken értékeltnek megjelölt pénzügyi eszközök és kötelezettségek nyeresége vagy (–) vesztesége, nettó | IFRS 7 20. bekezdésének a) i. pontja; IFRS 9 5.7.1. bekezdése; V. melléklet 2. részének 44. pontja | |||
| 095 | Nem kereskedési célú pénzügyi eszközökből és kötelezettségekből származó nyereség vagy (–) veszteség, nettó | BAD 27. cikke, Függőleges tagolás 6. pontja | |||
| 100 | Fedezeti elszámolásokból eredő nyereségek vagy (–) veszteségek, nettó | Számviteli irányelv 8. cikke (1) bekezdésének a) pontja, (6) és (8) bekezdése | V. melléklet 2. részének 47–48. pontja | ||
| 110 | Árfolyam-különbözet [nyereség vagy (-) veszteség], nettó | BAD 39. cikke | IAS 21 28. bekezdése és 52. bekezdésének a) pontja | ||
| 120 | Leányvállalatokba, közös vállalkozásokba és társult vállalkozásokba történt befektetések kivezetéséből származó nyereség vagy (–) veszteség, nettó | BAD 27. cikke, Függőleges tagolás 13–14. pontja; V. melléklet 2. részének 56. pontja | |||
| 130 | Nem pénzügyi eszközök kivezetéséből származó nyereség vagy (–) veszteség, nettó | IAS 1 34. bekezdése | |||
| 140 | Egyéb működési bevétel | BAD 27. cikke, Függőleges tagolás 7. pontja; V. melléklet 2. részének 314–316. pontja | V. melléklet 2. részének 314–316. pontja | ||
| 150 | (Egyéb működési költségek) | BAD 27. cikke, Függőleges tagolás 10. pontja; V. melléklet 2. részének 314–316. pontja | V. melléklet 2. részének 314–316. pontja | ||
| 155 | MŰKÖDÉSI BEVÉTELEK ÖSSZESEN, NETTÓ | ||||
| 160 | (Igazgatási költségek) | BAD 27. cikke, Függőleges tagolás 8. pontja | |||
| 170 | (Értékcsökkenés) | IAS 1 102. és 104. bekezdése | |||
| 171 | Módosítás miatti nyereség vagy (–) veszteség, nettó | IFRS 9 5.4.3. bekezdés, A. függelék; V. melléklet 2. részének 49. pontja | |||
| 175 | (Általános banki kockázatok fedezetére képzett tartalékok növekedése vagy (-) csökkenése, nettó) | BAD 38. cikkének (2) bekezdése | |||
| 180 | (Céltartalékképzés vagy (-) céltartalékok visszaírása) | IAS 37 59. és 84. bekezdése; IAS 1 98. bekezdésének b), f), g) pontja | |||
| 190 | (Eredménnyel szemben valós értéken értékelt kategóriába nem tartozó pénzügyi eszközök értékvesztése vagy (-) értékvesztésének visszaírása) | BAD 35–37. cikke, V. melléklet 2. részének 52. és 53. pontja | IFRS 7 20. bekezdésének a) viii. pontja; V. melléklet 2. részének 51. és 53. pontja | ||
| 200 | (Leányvállalatokba, közös vállalkozásokba, valamint társult vállalkozásokba történt befektetések értékvesztése vagy (-) értékvesztésének visszaírása) | BAD 27. cikke, Függőleges tagolás 13–14. pontja | IAS 28 40–43. bekezdése | ||
| 210 | (Nem pénzügyi eszközök értékvesztése vagy (-) értékvesztésének visszaírása) | IAS 36 126. bekezdésének a), b) pontja | |||
| 220 | Eredményben elszámolt negatív cégérték | Számviteli irányelv 24. cikke (3) bekezdésének f) pontja | IFRS 3 Függelék B64. bekezdésének n) i. pontja | ||
| 230 | Leányvállalatokba, közös vállalkozásokba, valamint társult vállalkozásokba történt befektetések nyereségéből vagy (-) veszteségéből való részesedés | BAD 27. cikke, Függőleges tagolás 13–14. pontja | V. melléklet 2. részének 54. pontja | ||
| 240 | Megszűnt tevékenységeknek nem minősülő, értékesítésre tartottá minősített befektetett eszközökből és elidegenítési csoportokból származó nyereség vagy (-) veszteség | IFRS 5 37. bekezdése; V. melléklet 2. részének 55. pontja | |||
| 250 | FOLYTATÓDÓ TEVÉKENYSÉGEK NYERESÉGE VAGY (-) VESZTESÉGE ADÓFIZETÉS ELŐTT | IAS 1 102. bekezdése, IG6; IFRS 5 33A. bekezdése | |||
| 260 | (A folytatódó tevékenységekből származó eredményhez kapcsolódó adóráfordítás vagy (-) bevétel) | BAD 27. cikke, Függőleges tagolás 15. pontja | IAS 1 82. bekezdésének d) pontja; IAS 12 77. bekezdése | ||
| 270 | FOLYTATÓDÓ TEVÉKENYSÉGEK NYERESÉGE VAGY (-) VESZTESÉGE ADÓFIZETÉS UTÁN | BAD 27. cikke, Függőleges tagolás 16. pontja | IAS 1, IG 6 | ||
| 275 | Rendkívüli nyereség vagy (-) veszteség adófizetés után | BAD 27. cikke, Függőleges tagolás 21. pontja | |||
| 280 | Megszűnt tevékenységek nyeresége vagy (-) vesztesége adófizetés után | IAS 1 82. bekezdésének ea) pontja; IFRS 5 33. bekezdésének a) pontja és 33A. bekezdése V. melléklet 2. részének 56. pontja | |||
| 290 | AZ ÜZLETI ÉV NYERESÉGE VAGY (-) VESZTESÉGE | BAD 27. cikke, Függőleges tagolás 23. pontja | IAS 1 81A. bekezdésének a) pontja | ||
20.4. Eszközök földrajzi megoszlása az ügyfél székhelye szerint
Az ügyfél székhelye szerinti ország:
| Bruttó könyv szerinti érték | Halmozott értékvesztés | A hitelkockázat-változásból származó negatív valósérték-változás halmozott összege nemteljesítő kitettségek esetében | |||||||||
| Ebből: kereskedési céllal tartott vagy kereskedési célú | ebből: értékvesztés-elszámolási kötelezettség alá tartozó pénzügyi eszközök | Ebből: átstrukturált | Ebből: nemteljesítő | ||||||||
| ebből: nemteljesítő (defaulted) | |||||||||||
| Hivatkozások Nemzeti GAAP a BAD alapján | Hivatkozások A nemzeti GAAP-pal kompatibilis IFRS standardok | V. melléklet 1. részének 34. pontja, 2. részének 271. és 275. pontja | V. melléklet 1. részének 15. a) pontja, 16. a) pontja és 17. pontja, 2. részének 273. pontja | V. melléklet 2. részének 273. pontja | V. melléklet 2. részének 275. pontja | V. melléklet 2. részének 275. pontja | CRR 178. cikke; V. melléklet 2. részének 237. b) pontja | V. melléklet 2. részének 274. pontja | V. melléklet 2. részének 274. pontja | ||
| 010 | 011 | 012 | 022 | 025 | 026 | 031 | 040 | ||||
| 010 | Származtatott ügyletek | CRR II. melléklete; V. melléklet 2. részének 272. pontja | IFRS 9 A. függelék; V. melléklet 2. részének 272. pontja | ||||||||
| 020 | Ebből: hitelintézetek | V. melléklet 1. részének 42. c) pontja | V. melléklet 1. részének 42. c) pontja | ||||||||
| 030 | Ebből: egyéb pénzügyi vállalatok | V. melléklet 1. részének 42. d) pontja | V. melléklet 1. részének 42. d) pontja | ||||||||
| 040 | Tulajdoni részesedést megtestesítő instrumentumok | EKB/2013/33 2. melléklete 2. részének 4–5. szakasza; V. melléklet 1. részének 44. b) pontja | IAS 32 11. bekezdése | ||||||||
| 050 | Ebből: hitelintézetek | V. melléklet 1. részének 42. c) pontja | V. melléklet 1. részének 42. c) pontja | ||||||||
| 060 | Ebből: egyéb pénzügyi vállalatok | V. melléklet 1. részének 42. d) pontja | V. melléklet 1. részének 42. d) pontja | ||||||||
| 070 | Ebből: nem pénzügyi vállalatok | V. melléklet 1. részének 42. e) pontja | V. melléklet 1. részének 42. e) pontja | ||||||||
| 080 | Hitelviszonyt megtestesítő értékpapírok | V. melléklet 1. részének 31. pontja és 44. b) pontja | V. melléklet 1. részének 31. pontja és 44. b) pontja | ||||||||
| 090 | Központi bankok | V. melléklet 1. részének 42. a) pontja | V. melléklet 1. részének 42. a) pontja | ||||||||
| 100 | Államháztartások | V. melléklet 1. részének 42. b) pontja | V. melléklet 1. részének 42. b) pontja | ||||||||
| 110 | Hitelintézetek | V. melléklet 1. részének 42. c) pontja | V. melléklet 1. részének 42. c) pontja | ||||||||
| 120 | Egyéb pénzügyi vállalatok | V. melléklet 1. részének 42. d) pontja | V. melléklet 1. részének 42. d) pontja | ||||||||
| 130 | Nem pénzügyi vállalatok | V. melléklet 1. részének 42. e) pontja | V. melléklet 1. részének 42. e) pontja | ||||||||
| 140 | Hitelek és előlegek | V. melléklet 1. részének 32. pontja, 44. a) pontja | V. melléklet 1. részének 32. pontja, 44. a) pontja | ||||||||
| 150 | Központi bankok | V. melléklet 1. részének 42. a) pontja | V. melléklet 1. részének 42. a) pontja | ||||||||
| 160 | Államháztartások | V. melléklet 1. részének 42. b) pontja | V. melléklet 1. részének 42. b) pontja | ||||||||
| 170 | Hitelintézetek | V. melléklet 1. részének 42. c) pontja | V. melléklet 1. részének 42. c) pontja | ||||||||
| 180 | Egyéb pénzügyi vállalatok | V. melléklet 1. részének 42. d) pontja | V. melléklet 1. részének 42. d) pontja | ||||||||
| 190 | Nem pénzügyi vállalatok | V. melléklet 1. részének 42. e) pontja | V. melléklet 1. részének 42. e) pontja | ||||||||
| 200 | Ebből: Kis- és középvállalkozások | KKV 1. cikke (2) bekezdésének a) pontja | KKV 1. cikke (2) bekezdésének a) pontja | ||||||||
| 210 | Ebből: Kereskedelmi ingatlannal fedezett hitelek | V. melléklet 2. részének 86. a) pontja és 87. pontja | V. melléklet 2. részének 86. a) pontja és 87. pontja | ||||||||
| 220 | Háztartások | V. melléklet 1. részének 42. f) pontja | V. melléklet 1. részének 42. f) pontja | ||||||||
| 230 | Ebből: Lakóingatlannal fedezett hitelek | V. melléklet 2. részének 86. a) pontja és 87. pontja | V. melléklet 2. részének 86. a) pontja és 87. pontja | ||||||||
| 240 | Ebből: Fogyasztási hitelek | V. melléklet 2. részének 88. a) pontja | V. melléklet 2. részének 88. a) pontja | ||||||||
20.5. Mérlegen kívüli kitettségek földrajzi megoszlása az ügyfél székhelye szerint
Az ügyfél székhelye szerinti ország:
| Névérték | Adott elkötelezettségekre és garanciákra képzett céltartalék | |||||||
| Ebből: átstrukturált | Ebből: nemteljesítő | |||||||
| ebből: nemteljesítő (defaulted) | ||||||||
| Hivatkozások Nemzeti GAAP a BAD alapján | Hivatkozások A nemzeti GAAP-pal kompatibilis IFRS standardok | V. melléklet 2. részének 118. és 271. pontja | V. melléklet 2. részének 240–258. pontja | V. melléklet 2. részének 275. pontja | CRR 178. cikke; V. melléklet 2. részének 237. b) pontja | V. melléklet 2. részének 276. pontja | ||
| 010 | 022 | 025 | 026 | 030 | ||||
| 010 | Adott hitelnyújtási elkötelezettségek | CRR I. melléklete; V. melléklet 1. részének 44. g) pontja, 2. részének 112. és 113. pontja | CRR I. melléklete; V. melléklet 1. részének 44. g) pontja, 2. részének 102–105., 113., 116. pontja | |||||
| 020 | Adott pénzügyi garanciák | CRR I. melléklete; V. melléklet 1. részének 44. f) pontja, 2. részének 112. és 114. pontja | IFRS 4 A. melléklete; CRR I. melléklete; V. melléklet 1. részének 44. f) pontja, 2. részének 102–105., 114., 116. pontja | |||||
| 030 | Egyéb adott elkötelezettségek | CRR I. melléklete; V. melléklet 1. részének 44. g) pontja, 2. részének 112. és 115. pontja | CRR I. melléklete; V. melléklet 1. részének 44. g) pontja, 2. részének 102–105., 115., 116. pontja | |||||
20.6. Kötelezettségek földrajzi megoszlása az ügyfél székhelye szerint
Az ügyfél székhelye szerinti ország:
| Hivatkozások Nemzeti GAAP a BAD alapján | Hivatkozások A nemzeti GAAP-pal kompatibilis IFRS standardok | Könyv szerinti érték | ||
| V. melléklet 1. részének 27–28. pontja és 2. részének 271. pontja | ||||
| 010 | ||||
| 010 | Származtatott ügyletek | CRR II. melléklete; V. melléklet 1. részének 24. a) pontja, 25., 26. pontja és 44. e) pontja, 2. részének 272. pontja | IFRS 9 A. függelék; V. melléklet 1. részének 44. e) pontja és 2. részének 272. pontja | |
| 020 | Ebből: hitelintézetek | V. melléklet 1. részének 42. c) pontja | V. melléklet 1. részének 42. c) pontja | |
| 030 | Ebből: egyéb pénzügyi vállalatok | V. melléklet 1. részének 42. d) pontja | V. melléklet 1. részének 42. d) pontja | |
| 040 | Rövid pozíciók | V. melléklet 1. része 44. bekezdésének d) pontja | IFRS 9 BA7. bekezdésének b) pontja V. melléklet 1. része 44. bekezdésének d) pontja | |
| 050 | Ebből: hitelintézetek | V. melléklet 1. részének 42. c) pontja | V. melléklet 1. részének 42. c) pontja | |
| 060 | Ebből: egyéb pénzügyi vállalatok | V. melléklet 1. részének 42. d) pontja | V. melléklet 1. részének 42. d) pontja | |
| 070 | Betétek | EKB/2013/33 2. melléklete 2. részének 9. szakasza; V. melléklet 1. részének 36. pontja | EKB/2013/33 2. melléklete 2. részének 9. szakasza; V. melléklet 1. részének 36. pontja | |
| 080 | Központi bankok | V. melléklet 1. részének 42. a) pontja | V. melléklet 1. részének 42. a) pontja | |
| 090 | Államháztartások | V. melléklet 1. részének 42. b) pontja | V. melléklet 1. részének 42. b) pontja | |
| 100 | Hitelintézetek | V. melléklet 1. részének 42. c) pontja | V. melléklet 1. részének 42. c) pontja | |
| 110 | Egyéb pénzügyi vállalatok | V. melléklet 1. részének 42. d) pontja | V. melléklet 1. részének 42. d) pontja | |
| 120 | Nem pénzügyi vállalatok | V. melléklet 1. részének 42. e) pontja | V. melléklet 1. részének 42. e) pontja | |
| 130 | Háztartások | V. melléklet 1. részének 42. f) pontja | V. melléklet 1. részének 42. f) pontja | |
20.7.1. Nem pénzügyi vállalatoknak nyújtott, nem kereskedési céllal tartott hitelek és előlegek földrajzi megoszlása NACE-kódok és az ügyfél székhelye szerint
Az ügyfél székhelye szerinti ország:
| Hivatkozások | Nem pénzügyi vállalatok V. melléklet 2. részének 271. és 277. pontja | ||||||
| Bruttó könyv szerinti érték | Halmozott értékvesztés | A hitelkockázat-változásból származó negatív valósérték-változás halmozott összege nemteljesítő kitettségek esetében | |||||
| ebből: értékvesztés-elszámolási kötelezettség alá tartozó hitelek és előlegek | Ebből: nemteljesítő | ||||||
| V. melléklet 1. részének 34. pontja, 2. részének 275. pontja | V. melléklet 2. részének 273. pontja | V. melléklet 2. részének 275. pontja | V. melléklet 2. részének 274. pontja | V. melléklet 2. részének 274. pontja | |||
| 010 | 011 | 012 | 021 | 022 | |||
| 010 | A. Mezőgazdaság, erdészet, halászat | NACE rendelet | |||||
| 020 | B. Bányászat és kőfejtés | NACE rendelet | |||||
| 030 | C. Feldolgozóipar | NACE rendelet | |||||
| 040 | D. Villamosenergia-, gáz-, gőz-, légkondicionálás-ellátás | NACE rendelet | |||||
| 050 | E. Vízellátás | NACE rendelet | |||||
| 060 | F. Építőipar | NACE rendelet | |||||
| 070 | G. Nagy- és kiskereskedelem | NACE rendelet | |||||
| 080 | H. Szállítás, raktározás | NACE rendelet | |||||
| 090 | I. Szálláshely-szolgáltatás, vendéglátás | NACE rendelet | |||||
| 100 | J. Információ és kommunikáció | NACE rendelet | |||||
| 105 | K. Pénzügyi és biztosítói tevékenységek | NACE rendelet | |||||
| 110 | L. Ingatlanügyletek | NACE rendelet | |||||
| 120 | M. Szakmai, tudományos és műszaki tevékenység | NACE rendelet | |||||
| 130 | N. Adminisztratív és szolgáltatást támogató tevékenység | NACE rendelet | |||||
| 140 | O. Közigazgatás, védelem, kötelező társadalombiztosítás | NACE rendelet | |||||
| 150 | P. Oktatás | NACE rendelet | |||||
| 160 | Q. Humán-egészségügyi ellátás, szociális ellátás | NACE rendelet | |||||
| 170 | R. Művészet, szórakoztatás, szabadidő | NACE rendelet | |||||
| 180 | S. Egyéb szolgáltatás | NACE rendelet | |||||
| 190 | HITELEK ÉS ELŐLEGEK | V. melléklet 1. részének 32. pontja | |||||
21. Tárgyi eszközök és immateriális javak: operatív lízingbe adott eszközök
| Hivatkozások Nemzeti GAAP a BAD alapján | Hivatkozások A nemzeti GAAP-pal kompatibilis IFRS standardok | Könyv szerinti érték | ||
| V. melléklet 2. részének 278–279. pontja | ||||
| 010 | ||||
| 010 | Ingatlanok, gépek és berendezések | IAS 16 6. bekezdése; IAS 1 54. bekezdésének a) pontja | ||
| 020 | Átértékelési modell | IAS 17 49. bekezdése; IAS 16 31. bekezdése, 73. bekezdésének a), d) pontja | ||
| 030 | Bekerülésiérték-modell | IAS 17 49. bekezdése; IAS 16 30. bekezdése, 73. bekezdésének a), d) pontja | ||
| 040 | Befektetési célú ingatlan | IAS 40 IN5. bekezdés; IAS 1 54. bekezdésének b) pontja | ||
| 050 | Valósérték-modell | IAS 17 49. bekezdése; IAS 40 33–55. bekezdése, 76. bekezdése | ||
| 060 | Bekerülésiérték-modell | IAS 17 49. bekezdése; IAS 40 56. bekezdése, 79. bekezdésének c) pontja | ||
| 070 | Egyéb immateriális javak | BAD 4. cikke, Eszközök 9. pontja | IAS 38 8. és 118. bekezdése | |
| 080 | Átértékelési modell | IAS 17 49. bekezdése; IAS 38 75-87. bekezdése, 124. bekezdésének a) ii. pontja | ||
| 090 | Bekerülésiérték-modell | IAS 17 49. bekezdése; IAS 38 74. bekezdése | ||
22. Vagyonkezelés, letétkezelés és egyéb szolgáltatások
22.1. Díj- és jutalékbevételek és díj- és jutalékráfordítások tevékenység szerint
| Hivatkozások Nemzeti GAAP a BAD alapján | Hivatkozások A nemzeti GAAP-pal kompatibilis IFRS standardok | Tárgyidőszak | ||
| V. melléklet 2. részének 280. pontja | ||||
| BAD 27. cikke, Függőleges tagolás 4., 5. pontja | IFRS 7 20. bekezdésének c) pontja | 010 | ||
| 010 | Díj- és jutalékbevételek | V. melléklet 2. részének 281–284. pontja | ||
| 020 | Értékpapírok | |||
| 030 | Kibocsátások | V. melléklet 2. részének 284. a) pontja | V. melléklet 2. részének 284. a) pontja | |
| 040 | Transzfermegbízások | V. melléklet 2. részének 284. b) pontja | V. melléklet 2. részének 284. b) pontja | |
| 050 | Értékpapírokkal kapcsolatos egyéb díj- és jutalékbevételek | V. melléklet 2. részének 284. c) pontja | V. melléklet 2. részének 284. c) pontja | |
| 051 | Vállalati pénzügyek | |||
| 052 | M&A tanácsadás | V. melléklet 2. részének 284. e) pontja | V. melléklet 2. részének 284. e) pontja | |
| 053 | Treasury szolgáltatások | V. melléklet 2. részének 284. f) pontja | V. melléklet 2. részének 284. f) pontja | |
| 054 | Vállalati pénzügyi tevékenységekkel kapcsolatos egyéb díj- és jutalékbevételek | V. melléklet 2. részének 284. g) pontja | V. melléklet 2. részének 284. g) pontja | |
| 055 | Díj alapú tanácsadás | V. melléklet 2. részének 284. h) pontja | V. melléklet 2. részének 284. h) pontja | |
| 060 | Elszámolás és teljesítés | V. melléklet 2. részének 284. i) pontja | V. melléklet 2. részének 284. i) pontja | |
| 070 | Vagyonkezelés | V. melléklet 2. részének 284. j) pontja; 285. a) pontja | V. melléklet 2. részének 284. j) pontja; 285. a) pontja | |
| 080 | Letétkezelés [ügyféltípus szerint] | V. melléklet 2. részének 284. j) pontja; 285. b) pontja | V. melléklet 2. részének 284. j) pontja; 285. b) pontja | |
| 090 | Kollektív befektetés | |||
| 100 | Letétkezelési szolgáltatásokkal kapcsolatos egyéb díj- és jutalékbevételek | |||
| 110 | Kollektív befektetésekkel kapcsolatos központi adminisztrációs szolgáltatás | V. melléklet 2. részének 284. j) pontja; 285. c) pontja | V. melléklet 2. részének 284. j) pontja; 285. c) pontja | |
| 120 | Bizalmi vagyonkezelői tranzakciók | V. melléklet 2. részének 284. j) pontja; 285. d) pontja | V. melléklet 2. részének 284. j) pontja; 285. d) pontja | |
| 131 | Pénzforgalmi szolgáltatások | V. melléklet 2. részének 284. k) pontja és 285. e) pontja | V. melléklet 2. részének 284. k) pontja és 285. e) pontja | |
| 132 | Folyószámlák | V. melléklet 2. részének 284. k) pontja és 285. e) pontja | V. melléklet 2. részének 284. k) pontja és 285. e) pontja | |
| 133 | Hitelkártyák | V. melléklet 2. részének 284. k) pontja és 285. e) pontja | V. melléklet 2. részének 284. k) pontja és 285. e) pontja | |
| 134 | Betéti kártyák és egyéb kártyás fizetések | V. melléklet 2. részének 284. k) pontja és 285. e) pontja | V. melléklet 2. részének 284. k) pontja és 285. e) pontja | |
| 135 | Átutalások és egyéb fizetési megbízások | V. melléklet 2. részének 284. k) pontja és 285. e) pontja | V. melléklet 2. részének 284. k) pontja és 285. e) pontja | |
| 136 | Pénzforgalmi szolgáltatásokkal kapcsolatos egyéb díj- és jutalékbevételek | V. melléklet 2. részének 284. k) pontja és 285. e) pontja | V. melléklet 2. részének 284. k) pontja és 285. e) pontja | |
| 140 | Forgalmazott, de nem kezelt ügyfélforrások [terméktípus szerint] | V. melléklet 2. részének 284. l) pontja; 285. f) pontja | V. melléklet 2. részének 284. l) pontja; 285. f) pontja | |
| 150 | Kollektív befektetés | |||
| 160 | Biztosítási termékek | |||
| 170 | Forgalmazott, de nem kezelt ügyfélforrásokkal kapcsolatos egyéb díj- és jutalékbevételek | |||
| 180 | Strukturált finanszírozás | V. melléklet 2. részének 284. n) pontja | V. melléklet 2. részének 284. n) pontja | |
| 190 | Hitelszolgálati tevékenység | V. melléklet 2. részének 284. o) pontja | V. melléklet 2. részének 284. o) pontja | |
| 200 | Adott hitelnyújtási elkötelezettségek | V. melléklet 2. részének 284. p) pontja | IFRS 9 4.2.1. bekezdésének c) ii. pontja; V. melléklet 2. részének 284. p) pontja | |
| 210 | Adott pénzügyi garanciák | V. melléklet 2. részének 284. p) pontja | IFRS 9 4.2.1. bekezdésének c) ii. pontja; V. melléklet 2. részének 284. p) pontja | |
| 211 | Nyújtott hitelek | V. melléklet 2. részének 284. r) pontja | V. melléklet 2. részének 284. r) pontja | |
| 213 | Deviza | V. melléklet 2. részének 284. s) pontja | V. melléklet 2. részének 284. s) pontja | |
| 214 | Áru | V. melléklet 2. részének 284. t) pontja | V. melléklet 2. részének 284. t) pontja | |
| 220 | Egyéb díj- és jutalékbevétel | V. melléklet 2. részének 284. u) pontja | V. melléklet 2. részének 284. u) pontja | |
| 230 | (Díj- és jutalékráfordítások) | V. melléklet 2. részének 281–284. pontja | ||
| 235 | (Értékpapírok) | V. melléklet 2. részének 284. d) pontja | V. melléklet 2. részének 284. d) pontja | |
| 240 | (Elszámolás és teljesítés) | V. melléklet 2. részének 284. i) pontja | V. melléklet 2. részének 284. i) pontja | |
| 245 | (Vagyonkezelés) | V. melléklet 2. részének 284. j) pontja; 285. a) pontja | V. melléklet 2. részének 284. j) pontja; 285. a) pontja | |
| 250 | (Letétkezelés) | V. melléklet 2. részének 284. j) pontja; 285 b) pontja | V. melléklet 2. részének 284. j) pontja; 285 b) pontja | |
| 255 | (Pénzforgalmi szolgáltatások) | V. melléklet 2. részének 284. k) pontja és 285. e) pontja | V. melléklet 2. részének 284. k) pontja és 285. e) pontja | |
| 256 | (ebből: hitel-, betéti és egyéb kártyák) | |||
| 260 | (Hitelszolgálati tevékenység) | V. melléklet 2. részének 284. o) pontja | V. melléklet 2. részének 284. o) pontja | |
| 270 | (Kapott hitelnyújtási elkötelezettségek) | V. melléklet 2. részének 284. q) pontja | V. melléklet 2. részének 284. q) pontja | |
| 280 | (Kapott pénzügyi garanciák) | V. melléklet 2. részének 284. q) pontja | V. melléklet 2. részének 284. q) pontja | |
| 281 | (Termékek külső forgalmazása) | V. melléklet 2. részének 284. m) pontja | V. melléklet 2. részének 284. m) pontja | |
| 282 | (Deviza) | V. melléklet 2. részének 284. s) pontja | V. melléklet 2. részének 284. s) pontja | |
| 290 | (Egyéb díj- és jutalékráfordítás) | V. melléklet 2. részének 284. u) pontja | V. melléklet 2. részének 284. u) pontja | |
22.2. A nyújtott szolgáltatásokban érintett eszközök
| Hivatkozások Nemzeti GAAP a BAD alapján | Hivatkozások A nemzeti GAAP-pal kompatibilis IFRS standardok | A nyújtott szolgáltatásokban érintett eszközök összege | ||
| V. melléklet 2. részének 285. g) pontja | ||||
| 010 | ||||
| 010 | Vagyonkezelés [ügyféltípus szerint] | V. melléklet 2. részének 285. a) pontja | V. melléklet 2. részének 285. a) pontja | |
| 020 | Kollektív befektetés | |||
| 030 | Nyugdíjalapok | |||
| 040 | Ügyfélportfóliók egyedi kezelése | |||
| 050 | Egyéb befektetési eszközök | |||
| 060 | Letétkezelt eszközök [ügyféltípus szerint] | V. melléklet 2. részének 285. b) pontja | V. melléklet 2. részének 285. b) pontja | |
| 070 | Kollektív befektetés | |||
| 080 | Egyéb | |||
| 090 | Ebből: más gazdálkodó egységekre bízott | |||
| 100 | Kollektív befektetésekkel kapcsolatos központi adminisztrációs szolgáltatás | V. melléklet 2. részének 285. c) pontja | V. melléklet 2. részének 285. c) pontja | |
| 110 | Bizalmi vagyonkezelői tranzakciók | V. melléklet 2. részének 285. d) pontja | V. melléklet 2. részének 285. d) pontja | |
| 120 | Pénzforgalmi szolgáltatások | V. melléklet 2. részének 285. e) pontja | V. melléklet 2. részének 285. e) pontja | |
| 130 | Forgalmazott, de nem kezelt ügyfélforrások [terméktípus szerint] | V. melléklet 2. részének 285. f) pontja | V. melléklet 2. részének 285. f) pontja | |
| 140 | Kollektív befektetés | |||
| 150 | Biztosítási termékek | |||
| 160 | Egyéb | |||
23. Hitelek és előlegek: kiegészítő információk
23.1. Hitelek és előlegek: Instrumentumok száma
| Instrumentumok száma (V. melléklet 2. részének 320. pontja) | ||||||||||||||||||||
| Teljesítő | Nemteljesítő | |||||||||||||||||||
| Nem valószínű, hogy fizet –nem késedelmes vagy a késedelem ≤ 90 nap | A késedelem > 90 nap | |||||||||||||||||||
| ebből: Átstrukturált kitettségek | ebből: A késedelem > 30 nap ≤ 90 nap | ebből: Átstrukturált kitettségek | ebből: Átstrukturált kitettségek | ebből: Átstrukturált kitettségek | ebből: Átstrukturált kitettségek | A késedelem > 90 nap ≤ 180 nap | A késedelem > 180 nap ≤ 1 év | A késedelem > 1 év ≤ 2 év | A késedelem > 2 év ≤ 5 év | A késedelem > 5 év ≤ 7 év | A késedelem > 7 év | |||||||||
| Hivatkozások A nemzeti GAAP-pal kompatibilis IFRS standardok | V. melléklet 1. részének 32. pontja | V. melléklet 2. részének 256. és 259–263 pontja | V. melléklet 2. részének 213–216. és 226–239. pontja | V. melléklet 2. részének 222. és 235. pontja | V. melléklet 2. részének 259–261. pontja | V. melléklet 2. részének 213–216. és 226–239. pontja | V. melléklet 2. részének 256. és 259–262. pontja | V. melléklet 2. részének 222. és 235–236. pontja | V. melléklet 2. részének 222., 235–236., 256. és 259–262. pontja | V. melléklet 2. részének 222. és 235–236. pontja | V. melléklet 2. részének 222., 235–236., 256. és 259–262. pontja | V. melléklet 2. részének 222. és 235–236. pontja | V. melléklet 2. részének 222. és 235–236. pontja | V. melléklet 2. részének 222. és 235–236. pontja | V. melléklet 2. részének 222. és 235–236. pontja | V. melléklet 2. részének 222. és 235–236. pontja | V. melléklet 2. részének 222. és 235–236. pontja | |||
| Hivatkozások Nemzeti GAAP a BAD alapján | V. melléklet 1. részének 32. pontja | V. melléklet 2. részének 256. és 259–263 pontja | V. melléklet 2. részének 213–216. és 226–232. pontja | V. melléklet 2. részének 222. és 235. pontja | V. melléklet 2. részének 259–261. pontja | V. melléklet 2. részének 213–216. és 226–232. pontja | V. melléklet 2. részének 256. és 259–262. pontja | V. melléklet 2. részének 222. és 235–236. pontja | V. melléklet 2. részének 222., 235–236., 256. és 259–262. pontja | V. melléklet 2. részének 222. és 235–236. pontja | V. melléklet 2. részének 222., 235–236., 256. és 259–262. pontja | V. melléklet 2. részének 222. és 235–236. pontja | V. melléklet 2. részének 222. és 235–236. pontja | V. melléklet 2. részének 222. és 235–236. pontja | V. melléklet 2. részének 222. és 235–236. pontja | V. melléklet 2. részének 222. és 235–236. pontja | V. melléklet 2. részének 222. és 235–236. pontja | |||
| 0010 | 0020 | 0030 | 0040 | 0050 | 0060 | 0070 | 0080 | 0090 | 0100 | 0110 | 0120 | 0130 | 0140 | 0150 | 0160 | 0170 | ||||
| 0010 | Hitelek és előlegek | V. melléklet 1. részének 32. és 44. a) pontja, 2. részének 319. pontja | V. melléklet 1. részének 32. és 44. a) pontja, 2. részének 319. pontja | |||||||||||||||||
| 0020 | ebből: Háztartások | V. melléklet 1. részének 42. f) pontja | V. melléklet 1. részének 42. f) pontja | |||||||||||||||||
| 0030 | ebből: Lakóingatlannal fedezett hitelek | V. melléklet 2. részének 86. a) pontja, 87. pontja és 234i. a) pontja | V. melléklet 2. részének 86. a) pontja, 87. pontja és 234i. a) pontja | |||||||||||||||||
| 0040 | ebből: Nem pénzügyi vállalatok – kkv-k | V. melléklet 1. részének 42. e) pontja, a KKV 1. cikke (2) bekezdésének a) pontja | V. melléklet 1. részének 42. e) pontja, a KKV 1. cikke (2) bekezdésének a) pontja | |||||||||||||||||
| 0050 | ebből: Kereskedelmi ingatlanhoz kapcsolódó hitelek kkv-knak | V. melléklet 2. részének 239ix. pontja | V. melléklet 2. részének 239ix. pontja | |||||||||||||||||
| 0060 | ebből: Nem pénzügyi vállalatok – nem kkv-k | V. melléklet 1. részének 42. e) pontja | V. melléklet 1. részének 42. e) pontja | |||||||||||||||||
| 0070 | ebből: Kereskedelmi ingatlanhoz kapcsolódó hitelek kkv-któl eltérő nem pénzügyi vállalatoknak | V. melléklet 2. részének 239ix. pontja | V. melléklet 2. részének 239ix. pontja | |||||||||||||||||
| 0080 | Hitelek és előlegek per előtti státuszban | V. melléklet 1. részének 32. és 44. a) pontja, 2. részének 319. és 321. pontja | V. melléklet 1. részének 32. és 44. a) pontja, 2. részének 319. és 321. pontja | |||||||||||||||||
| 0090 | ebből: Háztartások | V. melléklet 1. részének 42. f) pontja | V. melléklet 1. részének 42. f) pontja | |||||||||||||||||
| 0100 | ebből: Lakóingatlannal fedezett hitelek | V. melléklet 2. részének 86. a) pontja és 87. pontja | V. melléklet 2. részének 86. a) pontja és 87. pontja | |||||||||||||||||
| 0110 | ebből: Nem pénzügyi vállalatok – kkv-k | V. melléklet 1. részének 42. e) pontja, a KKV 1. cikke (2) bekezdésének a) pontja | V. melléklet 1. részének 42. e) pontja, a KKV 1. cikke (2) bekezdésének a) pontja | |||||||||||||||||
| 0120 | ebből: Kereskedelmi ingatlanhoz kapcsolódó hitelek kkv-knak | V. melléklet 2. részének 239ix. pontja | V. melléklet 2. részének 239ix. pontja | |||||||||||||||||
| 0130 | ebből: Nem pénzügyi vállalatok – nem kkv-k | V. melléklet 1. részének 42. e) pontja | V. melléklet 1. részének 42. e) pontja | |||||||||||||||||
| 0140 | ebből: Kereskedelmi ingatlanhoz kapcsolódó hitelek kkv-któl eltérő nem pénzügyi vállalatoknak | V. melléklet 2. részének 239ix. pontja | V. melléklet 2. részének 239ix. pontja | |||||||||||||||||
| 0150 | Hitelek és előlegek per alatti státuszban | V. melléklet 1. részének 32. és 44. a) pontja, 2. részének 319. és 322. pontja | V. melléklet 1. részének 32. és 44. a) pontja, 2. részének 319. és 322. pontja | |||||||||||||||||
| 0160 | ebből: Háztartások | V. melléklet 1. részének 42. f) pontja | V. melléklet 1. részének 42. f) pontja | |||||||||||||||||
| 0170 | ebből: Lakóingatlannal fedezett hitelek | V. melléklet 2. részének 86. a) pontja és 87. pontja | V. melléklet 2. részének 86. a) pontja és 87. pontja | |||||||||||||||||
| 0180 | ebből: Nem pénzügyi vállalatok – kkv-k | V. melléklet 1. részének 42. e) pontja, a KKV 1. cikke (2) bekezdésének a) pontja | V. melléklet 1. részének 42. e) pontja, a KKV 1. cikke (2) bekezdésének a) pontja | |||||||||||||||||
| 0190 | ebből: Kereskedelmi ingatlanhoz kapcsolódó hitelek kkv-knak | V. melléklet 2. részének 239ix. pontja | V. melléklet 2. részének 239ix. pontja | |||||||||||||||||
| 0200 | ebből: Nem pénzügyi vállalatok – nem kkv-k | V. melléklet 1. részének 42. e) pontja | V. melléklet 1. részének 42. e) pontja | |||||||||||||||||
| 0210 | ebből: Kereskedelmi ingatlanhoz kapcsolódó hitelek kkv-któl eltérő nem pénzügyi vállalatoknak | V. melléklet 2. részének 239ix. pontja | V. melléklet 2. részének 239ix. pontja | |||||||||||||||||
23.2. Hitelek és előlegek: A bruttó könyv szerinti értékkel kapcsolatos kiegészítő információk
| Bruttó könyv szerinti érték (V. melléklet 1. részének 34. pontja) | ||||||||||||||||||||
| Teljesítő | Nemteljesítő | |||||||||||||||||||
| Nem valószínű, hogy fizet –nem késedelmes vagy a késedelem ≤ 90 nap | A késedelem > 90 nap | |||||||||||||||||||
| ebből: Átstrukturált kitettségek | ebből: A késedelem > 30 nap ≤ 90 nap | ebből: Átstrukturált kitettségek | ebből: Átstrukturált kitettségek | ebből: Átstrukturált kitettségek | ebből: Átstrukturált kitettségek | A késedelem > 90 nap ≤ 180 nap | A késedelem > 180 nap ≤ 1 év | A késedelem > 1 év ≤ 2 év | A késedelem > 2 év ≤ 5 év | A késedelem > 5 év ≤ 7 év | A késedelem > 7 év | |||||||||
| Hivatkozások A nemzeti GAAP-pal kompatibilis IFRS standardok | V. melléklet 1. részének 32. pontja | V. melléklet 2. részének 256. és 259–263 pontja | V. melléklet 2. részének 213–216. és 226–239. pontja | V. melléklet 2. részének 222. és 235. pontja | V. melléklet 2. részének 259–261. pontja | V. melléklet 2. részének 213–216. és 226–239. pontja | V. melléklet 2. részének 256. és 259–262. pontja | V. melléklet 2. részének 222. és 235–236. pontja | V. melléklet 2. részének 222., 235–236., 256. és 259–262. pontja | V. melléklet 2. részének 222. és 235–236. pontja | V. melléklet 2. részének 222., 235–236., 256. és 259–262. pontja | V. melléklet 2. részének 222. és 235–236. pontja | V. melléklet 2. részének 222. és 235–236. pontja | V. melléklet 2. részének 222. és 235–236. pontja | V. melléklet 2. részének 222. és 235–236. pontja | V. melléklet 2. részének 222. és 235–236. pontja | V. melléklet 2. részének 222. és 235–236. pontja | |||
| Hivatkozások Nemzeti GAAP a BAD alapján | V. melléklet 1. részének 32. pontja | V. melléklet 2. részének 256. és 259–263 pontja | V. melléklet 2. részének 213–216. és 226–232. pontja | V. melléklet 2. részének 222. és 235. pontja | V. melléklet 2. részének 259–261. pontja | V. melléklet 2. részének 213–216. és 226–232. pontja | V. melléklet 2. részének 256. és 259–262. pontja | V. melléklet 2. részének 222. és 235–236. pontja | V. melléklet 2. részének 222., 235–236., 256. és 259–262. pontja | V. melléklet 2. részének 222. és 235–236. pontja | V. melléklet 2. részének 222., 235–236., 256. és 259–262. pontja | V. melléklet 2. részének 222. és 235–236. pontja | V. melléklet 2. részének 222. és 235–236. pontja | V. melléklet 2. részének 222. és 235–236. pontja | V. melléklet 2. részének 222. és 235–236. pontja | V. melléklet 2. részének 222. és 235–236. pontja | V. melléklet 2. részének 222. és 235–236. pontja | |||
| 0010 | 0020 | 0030 | 0040 | 0050 | 0060 | 0070 | 0080 | 0090 | 0100 | 0110 | 0120 | 0130 | 0140 | 0150 | 0160 | 0170 | ||||
| 0010 | Hitelek és előlegek | V. melléklet 1. részének 32. és 44. a) pontja, 2. részének 319. pontja | V. melléklet 1. részének 32. és 44. a) pontja, 2. részének 319. pontja | |||||||||||||||||
| 0020 | ebből: Háztartások | V. melléklet 1. részének 42. f) pontja | V. melléklet 1. részének 42. f) pontja | |||||||||||||||||
| 0030 | ebből: Lakóingatlannal fedezett hitelek | V. melléklet 2. részének 86. a) pontja és 87. pontja | V. melléklet 2. részének 86. a) pontja és 87. pontja | |||||||||||||||||
| 0040 | ebből: Nem pénzügyi vállalatok – kkv-k | V. melléklet 1. részének 42. e) pontja, a KKV 1. cikke (2) bekezdésének a) pontja | V. melléklet 1. részének 42. e) pontja, a KKV 1. cikke (2) bekezdésének a) pontja | |||||||||||||||||
| 0050 | ebből: Kereskedelmi ingatlanhoz kapcsolódó hitelek kkv-knak | V. melléklet 2. részének 239ix. pontja | V. melléklet 2. részének 239ix. pontja | |||||||||||||||||
| 0060 | ebből: Nem pénzügyi vállalatok – nem kkv-k | V. melléklet 1. részének 42. e) pontja | V. melléklet 1. részének 42. e) pontja | |||||||||||||||||
| 0070 | ebből: Kereskedelmi ingatlanhoz kapcsolódó hitelek kkv-któl eltérő nem pénzügyi vállalatoknak | V. melléklet 2. részének 239ix. pontja | V. melléklet 2. részének 239ix. pontja | |||||||||||||||||
| 0080 | Hitelek és előlegek bekerülési értéken vagy amortizált bekerülési értéken | V. melléklet 1. részének 32. és 44. a) pontja, 2. részének 233. a) és 319. pontja | V. melléklet 1. részének 32. és 44. a) pontja, 2. részének 233. a) és 319. pontja | |||||||||||||||||
| 0090 | ebből: Háztartások | V. melléklet 1. részének 42. f) pontja | V. melléklet 1. részének 42. f) pontja | |||||||||||||||||
| 0100 | ebből: Lakóingatlannal fedezett hitelek | V. melléklet 2. részének 86. a) pontja és 87. pontja | V. melléklet 2. részének 86. a) pontja és 87. pontja | |||||||||||||||||
| 0110 | ebből: Nem pénzügyi vállalatok – kkv-k | V. melléklet 1. részének 42. e) pontja, a KKV 1. cikke (2) bekezdésének a) pontja | V. melléklet 1. részének 42. e) pontja, a KKV 1. cikke (2) bekezdésének a) pontja | |||||||||||||||||
| 0120 | ebből: Kereskedelmi ingatlanhoz kapcsolódó hitelek kkv-knak | V. melléklet 2. részének 239ix. pontja | V. melléklet 2. részének 239ix. pontja | |||||||||||||||||
| 0130 | ebből: Nem pénzügyi vállalatok – nem kkv-k | V. melléklet 1. részének 42. e) pontja | V. melléklet 1. részének 42. e) pontja | |||||||||||||||||
| 0140 | ebből: Kereskedelmi ingatlanhoz kapcsolódó hitelek kkv-któl eltérő nem pénzügyi vállalatoknak | V. melléklet 2. részének 239ix. pontja | V. melléklet 2. részének 239ix. pontja | |||||||||||||||||
| 0150 | Hitelek és előlegek per előtti státuszban | V. melléklet 1. részének 32. és 44. a) pontja, 2. részének 319. és 321. pontja | V. melléklet 1. részének 32. és 44. a) pontja, 2. részének 319. és 321. pontja | |||||||||||||||||
| 0160 | ebből: Háztartások | V. melléklet 1. részének 42. f) pontja | V. melléklet 1. részének 42. f) pontja | |||||||||||||||||
| 0170 | ebből: Lakóingatlannal fedezett hitelek | V. melléklet 2. részének 86. a) pontja és 87. pontja | V. melléklet 2. részének 86. a) pontja és 87. pontja | |||||||||||||||||
| 0180 | ebből: Nem pénzügyi vállalatok – kkv-k | V. melléklet 1. részének 42. e) pontja, a KKV 1. cikke (2) bekezdésének a) pontja | V. melléklet 1. részének 42. e) pontja, a KKV 1. cikke (2) bekezdésének a) pontja | |||||||||||||||||
| 0190 | ebből: Kereskedelmi ingatlanhoz kapcsolódó hitelek kkv-knak | V. melléklet 2. részének 239ix. pontja | V. melléklet 2. részének 239ix. pontja | |||||||||||||||||
| 0200 | ebből: Nem pénzügyi vállalatok – nem kkv-k | V. melléklet 1. részének 42. e) pontja | V. melléklet 1. részének 42. e) pontja | |||||||||||||||||
| 0210 | ebből: Kereskedelmi ingatlanhoz kapcsolódó hitelek kkv-któl eltérő nem pénzügyi vállalatoknak | V. melléklet 2. részének 239ix. pontja | V. melléklet 2. részének 239ix. pontja | |||||||||||||||||
| 0220 | Hitelek és előlegek per alatti státuszban | V. melléklet 1. részének 32. és 44. a) pontja, 2. részének 319. és 322. pontja | V. melléklet 1. részének 32. és 44. a) pontja, 2. részének 319. és 322. pontja | |||||||||||||||||
| 0230 | ebből: Háztartások | V. melléklet 1. részének 42. f) pontja | V. melléklet 1. részének 42. f) pontja | |||||||||||||||||
| 0240 | ebből: Lakóingatlannal fedezett hitelek | V. melléklet 2. részének 86. a) pontja és 87. pontja | V. melléklet 2. részének 86. a) pontja és 87. pontja | |||||||||||||||||
| 0250 | ebből: Nem pénzügyi vállalatok – kkv-k | V. melléklet 1. részének 42. e) pontja, a KKV 1. cikke (2) bekezdésének a) pontja | V. melléklet 1. részének 42. e) pontja, a KKV 1. cikke (2) bekezdésének a) pontja | |||||||||||||||||
| 0260 | ebből: Kereskedelmi ingatlanhoz kapcsolódó hitelek kkv-knak | V. melléklet 2. részének 239ix. pontja | V. melléklet 2. részének 239ix. pontja | |||||||||||||||||
| 0270 | ebből: Nem pénzügyi vállalatok – nem kkv-k | V. melléklet 1. részének 42. e) pontja | V. melléklet 1. részének 42. e) pontja | |||||||||||||||||
| 0280 | ebből: Kereskedelmi ingatlanhoz kapcsolódó hitelek kkv-któl eltérő nem pénzügyi vállalatoknak | V. melléklet 2. részének 239ix. pontja | V. melléklet 2. részének 239ix. pontja | |||||||||||||||||
| 0290 | Fedezetlen hitelek és előlegek garancia nélkül | V. melléklet 1. részének 32. és 44. a) pontja, 2. részének 319. és 323. pontja | V. melléklet 1. részének 32. és 44. a) pontja, 2. részének 319. és 323. pontja | |||||||||||||||||
| 0300 | ebből: Háztartások | V. melléklet 1. részének 42. f) pontja | V. melléklet 1. részének 42. f) pontja | |||||||||||||||||
| 0310 | ebből: Nem pénzügyi vállalatok – kkv-k | V. melléklet 1. részének 42. e) pontja, a KKV 1. cikke (2) bekezdésének a) pontja | V. melléklet 1. részének 42. e) pontja, a KKV 1. cikke (2) bekezdésének a) pontja | |||||||||||||||||
| 0320 | ebből: Kereskedelmi ingatlanhoz kapcsolódó hitelek kkv-knak | V. melléklet 2. részének 239ix. pontja | V. melléklet 2. részének 239ix. pontja | |||||||||||||||||
| 0330 | ebből: Nem pénzügyi vállalatok – nem kkv-k | V. melléklet 1. részének 42. e) pontja | V. melléklet 1. részének 42. e) pontja | |||||||||||||||||
| 0340 | ebből: Kereskedelmi ingatlanhoz kapcsolódó hitelek kkv-któl eltérő nem pénzügyi vállalatoknak | V. melléklet 2. részének 239ix. pontja | V. melléklet 2. részének 239ix. pontja | |||||||||||||||||
| 0350 | Hitelek és előlegek 90 %-nál nagyobb halmozott fedezeti rátával | V. melléklet 1. részének 32. és 44. a) pontja, 2. részének 319. és 324. pontja | V. melléklet 1. részének 32. és 44. a) pontja, 2. részének 319. és 324. pontja | |||||||||||||||||
| 0360 | ebből: Háztartások | V. melléklet 1. részének 42. f) pontja | V. melléklet 1. részének 42. f) pontja | |||||||||||||||||
| 0370 | ebből: Lakóingatlannal fedezett hitelek | V. melléklet 2. részének 86. a) pontja és 87. pontja | V. melléklet 2. részének 86. a) pontja és 87. pontja | |||||||||||||||||
| 0380 | ebből: Nem pénzügyi vállalatok – kkv-k | V. melléklet 1. részének 42. e) pontja, a KKV 1. cikke (2) bekezdésének a) pontja | V. melléklet 1. részének 42. e) pontja, a KKV 1. cikke (2) bekezdésének a) pontja | |||||||||||||||||
| 0390 | ebből: Kereskedelmi ingatlanhoz kapcsolódó hitelek kkv-knak | V. melléklet 2. részének 239ix. pontja | V. melléklet 2. részének 239ix. pontja | |||||||||||||||||
| 0400 | ebből: Nem pénzügyi vállalatok – nem kkv-k | V. melléklet 1. részének 42. e) pontja | V. melléklet 1. részének 42. e) pontja | |||||||||||||||||
| 0410 | ebből: Kereskedelmi ingatlanhoz kapcsolódó hitelek kkv-któl eltérő nem pénzügyi vállalatoknak | V. melléklet 2. részének 239ix. pontja | V. melléklet 2. részének 239ix. pontja | |||||||||||||||||
23.3. Ingatlannal fedezett hitelek és előlegek: Hitelfedezeti arányok szerinti részletezés
| Bruttó könyv szerinti érték (V. melléklet 1. részének 34. pontja) | ||||||||||||||||||||
| Teljesítő | Nemteljesítő | |||||||||||||||||||
| Nem valószínű, hogy fizet –nem késedelmes vagy a késedelem ≤ 90 nap | A késedelem > 90 nap | |||||||||||||||||||
| ebből: Átstrukturált kitettségek | ebből: A késedelem > 30 nap ≤ 90 nap | ebből: Átstrukturált kitettségek | ebből: Átstrukturált kitettségek | ebből: Átstrukturált kitettségek | ebből: Átstrukturált kitettségek | A késedelem > 90 nap ≤ 180 nap | A késedelem > 180 nap ≤ 1 év | A késedelem > 1 év ≤ 2 év | A késedelem > 2 év ≤ 5 év | A késedelem > 5 év ≤ 7 év | A késedelem > 7 év | |||||||||
| Hivatkozások A nemzeti GAAP-pal kompatibilis IFRS standardok | V. melléklet 1. részének 32. pontja | V. melléklet 2. részének 256. és 259–263 pontja | V. melléklet 2. részének 213–216. és 226–239. pontja | V. melléklet 2. részének 222. és 235. pontja | V. melléklet 2. részének 259–261. pontja | V. melléklet 2. részének 213–216. és 226–239. pontja | V. melléklet 2. részének 256. és 259–262. pontja | V. melléklet 2. részének 222. és 235–236. pontja | V. melléklet 2. részének 222., 235–236., 256. és 259–262. pontja | V. melléklet 2. részének 222. és 235–236. pontja | V. melléklet 2. részének 222., 235–236., 256. és 259–262. pontja | V. melléklet 2. részének 222. és 235–236. pontja | V. melléklet 2. részének 222. és 235–236. pontja | V. melléklet 2. részének 222. és 235–236. pontja | V. melléklet 2. részének 222. és 235–236. pontja | V. melléklet 2. részének 222. és 235–236. pontja | V. melléklet 2. részének 222. és 235–236. pontja | |||
| Hivatkozások Nemzeti GAAP a BAD alapján | V. melléklet 1. részének 32. pontja | V. melléklet 2. részének 256. és 259–263 pontja | V. melléklet 2. részének 213–216. és 226–232. pontja | V. melléklet 2. részének 222. és 235. pontja | V. melléklet 2. részének 259–261. pontja | V. melléklet 2. részének 213–216. és 226–232. pontja | V. melléklet 2. részének 256. és 259–262. pontja | V. melléklet 2. részének 222. és 235–236. pontja | V. melléklet 2. részének 222., 235–236., 256. és 259–262. pontja | V. melléklet 2. részének 222. és 235–236. pontja | V. melléklet 2. részének 222., 235–236., 256. és 259–262. pontja | V. melléklet 2. részének 222. és 235–236. pontja | V. melléklet 2. részének 222. és 235–236. pontja | V. melléklet 2. részének 222. és 235–236. pontja | V. melléklet 2. részének 222. és 235–236. pontja | V. melléklet 2. részének 222. és 235–236. pontja | V. melléklet 2. részének 222. és 235–236. pontja | |||
| 0010 | 0020 | 0030 | 0040 | 0050 | 0060 | 0070 | 0080 | 0090 | 0100 | 0110 | 0120 | 0130 | 0140 | 0150 | 0160 | 0170 | ||||
| 0010 | Ingatlannal fedezett hitelek és előlegek | V. melléklet 1. részének 32. és 44. a) pontja, 2. részének 86. a) pontja, 87. és 319. pontja | V. melléklet 1. részének 32. és 44. a) pontja, 2. részének 86. a) pontja, 87. és 319. pontja | |||||||||||||||||
| 0020 | Ebből: 60 %-nál nagyobb, és 80 %-nál kisebb vagy azzal egyenlő hitelfedezeti aránnyal rendelkező hitelek | V. melléklet 2. részének 239x. és 325. pontja | V. melléklet 2. részének 239x. és 325. pontja | |||||||||||||||||
| 0030 | Ebből: 80 %-nál nagyobb, és 100 %-nál kisebb vagy azzal egyenlő hitelfedezeti aránnyal rendelkező hitelek | V. melléklet 2. részének 239x. és 325. pontja | V. melléklet 2. részének 239x. és 325. pontja | |||||||||||||||||
| 0040 | Ebből: 100 %-nál nagyobb hitelfedezeti aránnyal rendelkező hitelek | V. melléklet 2. részének 239x. és 325. pontja | V. melléklet 2. részének 239x. és 325. pontja | |||||||||||||||||
| 0050 | Kis- és középvállalkozásoknak (nem pénzügyi vállalatoknak) nyújtott, kereskedelmi ingatlannal fedezett hitelek és előlegek | V. melléklet 1. részének 32., 42. e) és 44. a) pontja, 2. részének 86. a) pontja, 87. és 319. pontja; KKV 1. cikke (2) bekezdésének a) pontja | V. melléklet 1. részének 32., 42. e) és 44. a) pontja, 2. részének 86. a) pontja, 87. és 319. pontja; KKV 1. cikke (2) bekezdésének a) pontja | |||||||||||||||||
| 0060 | Ebből: 60 %-nál nagyobb, és 80 %-nál kisebb vagy azzal egyenlő hitelfedezeti aránnyal rendelkező hitelek | V. melléklet 2. részének 239x. és 325. pontja | V. melléklet 2. részének 239x. és 325. pontja | |||||||||||||||||
| 0070 | Ebből: 80 %-nál nagyobb, és 100 %-nál kisebb vagy azzal egyenlő hitelfedezeti aránnyal rendelkező hitelek | V. melléklet 2. részének 239x. és 325. pontja | V. melléklet 2. részének 239x. és 325. pontja | |||||||||||||||||
| 0080 | Ebből: 100 %-nál nagyobb hitelfedezeti aránnyal rendelkező hitelek | V. melléklet 2. részének 239x. és 325. pontja | V. melléklet 2. részének 239x. és 325. pontja | |||||||||||||||||
| 0090 | A kkv-któl eltérő nem pénzügyi vállalatoknak nyújtott, kereskedelmi ingatlannal fedezett hitelek és előlegek | V. melléklet 1. részének 32., 42. e) és 44. a) pontja, 2. részének 86. a) pontja, 87. és 319. pontja; KKV 1. cikke (2) bekezdésének a) pontja | V. melléklet 1. részének 32., 42. e) és 44. a) pontja, 2. részének 86. a) pontja, 87. és 319. pontja; KKV 1. cikke (2) bekezdésének a) pontja | |||||||||||||||||
| 0100 | Ebből: 60 %-nál nagyobb, és 80 %-nál kisebb vagy azzal egyenlő hitelfedezeti aránnyal rendelkező hitelek | V. melléklet 2. részének 239x. és 325. pontja | V. melléklet 2. részének 239x. és 325. pontja | |||||||||||||||||
| 0110 | Ebből: 80 %-nál nagyobb, és 100 %-nál kisebb vagy azzal egyenlő hitelfedezeti aránnyal rendelkező hitelek | V. melléklet 2. részének 239x. és 325. pontja | V. melléklet 2. részének 239x. és 325. pontja | |||||||||||||||||
| 0120 | Ebből: 100 %-nál nagyobb hitelfedezeti aránnyal rendelkező hitelek | V. melléklet 2. részének 239x. és 325. pontja | V. melléklet 2. részének 239x. és 325. pontja | |||||||||||||||||
| 0130 | Kis- és középvállalkozásoknak (nem pénzügyi vállalatoknak) nyújtott, kereskedelmi ingatlanhoz kapcsolódó, ingatlannal fedezett hitelek | V. melléklet 1. részének 32., 42. e) és 44. a) pontja, 2. részének 86. a) pontja, 87. pontja, 239ix. és 319. pontja; KKV 1. cikke (2) bekezdésének a) pontja | V. melléklet 1. részének 32., 42. e) és 44. a) pontja, 2. részének 86. a) pontja, 87. pontja, 239ix. és 319. pontja; KKV 1. cikke (2) bekezdésének a) pontja | |||||||||||||||||
| 0140 | Ebből: 60 %-nál nagyobb, és 80 %-nál kisebb vagy azzal egyenlő hitelfedezeti aránnyal rendelkező hitelek | V. melléklet 2. részének 239x. és 325. pontja | V. melléklet 2. részének 239x. és 325. pontja | |||||||||||||||||
| 0150 | Ebből: 80 %-nál nagyobb, és 100 %-nál kisebb vagy azzal egyenlő hitelfedezeti aránnyal rendelkező hitelek | V. melléklet 2. részének 239x. és 325. pontja | V. melléklet 2. részének 239x. és 325. pontja | |||||||||||||||||
| 0160 | Ebből: 100 %-nál nagyobb hitelfedezeti aránnyal rendelkező hitelek | V. melléklet 2. részének 239x. és 325. pontja | V. melléklet 2. részének 239x. és 325. pontja | |||||||||||||||||
| 0170 | A kkv-któl eltérő nem pénzügyi vállalatoknak nyújtott, kereskedelmi ingatlanhoz kapcsolódó, ingatlannal fedezett hitelek | V. melléklet 1. részének 32., 42. e) és 44. a) pontja, 2. részének 86. a) pontja, 87. pontja, 239ix. és 319. pontja; KKV 1. cikke (2) bekezdésének a) pontja | V. melléklet 1. részének 32., 42. e) és 44. a) pontja, 2. részének 86. a) pontja, 87. pontja, 239ix. és 319. pontja; KKV 1. cikke (2) bekezdésének a) pontja | |||||||||||||||||
| 0180 | Ebből: 60 %-nál nagyobb, és 80 %-nál kisebb vagy azzal egyenlő hitelfedezeti aránnyal rendelkező hitelek | V. melléklet 2. részének 239x. és 325. pontja | V. melléklet 2. részének 239x. és 325. pontja | |||||||||||||||||
| 0190 | Ebből: 80 %-nál nagyobb, és 100 %-nál kisebb vagy azzal egyenlő hitelfedezeti aránnyal rendelkező hitelek | V. melléklet 2. részének 239x. és 325. pontja | V. melléklet 2. részének 239x. és 325. pontja | |||||||||||||||||
| 0200 | Ebből: 100 %-nál nagyobb hitelfedezeti aránnyal rendelkező hitelek | V. melléklet 2. részének 239x. és 325. pontja | V. melléklet 2. részének 239x. és 325. pontja | |||||||||||||||||
23.4. Hitelek és előlegek: A halmozott értékvesztéssel és a hitelkockázat-változásból származó negatív valósérték-változás halmozott összegével kapcsolatos kiegészítő információk
| Halmozott értékvesztés, a hitelkockázat-változásból származó negatív valósérték-változás halmozott összege (V. melléklet 2. részének 69–71. pontja) | ||||||||||||||||||||
| Teljesítő | Nemteljesítő | |||||||||||||||||||
| Nem valószínű, hogy fizet –nem késedelmes vagy a késedelem ≤ 90 nap | A késedelem > 90 nap | |||||||||||||||||||
| ebből: Átstrukturált kitettségek | ebből: A késedelem > 30 nap ≤ 90 nap | ebből: Átstrukturált kitettségek | ebből: Átstrukturált kitettségek | ebből: Átstrukturált kitettségek | ebből: Átstrukturált kitettségek | A késedelem > 90 nap ≤ 180 nap | A késedelem > 180 nap ≤ 1 év | A késedelem > 1 év ≤ 2 év | A késedelem > 2 év ≤ 5 év | A késedelem > 5 év ≤ 7 év | A késedelem > 7 év | |||||||||
| Hivatkozások A nemzeti GAAP-pal kompatibilis IFRS standardok | V. melléklet 1. részének 32. pontja | V. melléklet 2. részének 256. és 259–263 pontja | V. melléklet 2. részének 213–216. és 226–239. pontja | V. melléklet 2. részének 222. és 235. pontja | V. melléklet 2. részének 259–261. pontja | V. melléklet 2. részének 213–216. és 226–239. pontja | V. melléklet 2. részének 256. és 259–262. pontja | V. melléklet 2. részének 222. és 235–236. pontja | V. melléklet 2. részének 222., 235–236., 256. és 259–262. pontja | V. melléklet 2. részének 222. és 235–236. pontja | V. melléklet 2. részének 222., 235–236., 256. és 259–262. pontja | V. melléklet 2. részének 222. és 235–236. pontja | V. melléklet 2. részének 222. és 235–236. pontja | V. melléklet 2. részének 222. és 235–236. pontja | V. melléklet 2. részének 222. és 235–236. pontja | V. melléklet 2. részének 222. és 235–236. pontja | V. melléklet 2. részének 222. és 235–236. pontja | |||
| Hivatkozások Nemzeti GAAP a BAD alapján | V. melléklet 1. részének 32. pontja | V. melléklet 2. részének 256. és 259–263 pontja | V. melléklet 2. részének 213–216. és 226–232. pontja | V. melléklet 2. részének 222. és 235. pontja | V. melléklet 2. részének 259–261. pontja | V. melléklet 2. részének 213–216. és 226–232. pontja | V. melléklet 2. részének 256. és 259–262. pontja | V. melléklet 2. részének 222. és 235–236. pontja | V. melléklet 2. részének 222., 235–236., 256. és 259–262. pontja | V. melléklet 2. részének 222. és 235–236. pontja | V. melléklet 2. részének 222., 235–236., 256. és 259–262. pontja | V. melléklet 2. részének 222. és 235–236. pontja | V. melléklet 2. részének 222. és 235–236. pontja | V. melléklet 2. részének 222. és 235–236. pontja | V. melléklet 2. részének 222. és 235–236. pontja | V. melléklet 2. részének 222. és 235–236. pontja | V. melléklet 2. részének 222. és 235–236. pontja | |||
| 0010 | 0020 | 0030 | 0040 | 0050 | 0060 | 0070 | 0080 | 0090 | 0100 | 0110 | 0120 | 0130 | 0140 | 0150 | 0160 | 0170 | ||||
| 0010 | Hitelek és előlegek | V. melléklet 1. részének 32. és 44. a) pontja, 2. részének 319. pontja | V. melléklet 1. részének 32. és 44. a) pontja, 2. részének 319. pontja | |||||||||||||||||
| 0020 | ebből: Háztartások | V. melléklet 1. részének 42. f) pontja | V. melléklet 1. részének 42. f) pontja | |||||||||||||||||
| 0030 | ebből: Lakóingatlannal fedezett hitelek | V. melléklet 2. részének 86. a) pontja és 87. pontja | V. melléklet 2. részének 86. a) pontja és 87. pontja | |||||||||||||||||
| 0040 | ebből: Nem pénzügyi vállalatok – kkv-k | V. melléklet 1. részének 42. e) pontja, a KKV 1. cikke (2) bekezdésének a) pontja | V. melléklet 1. részének 42. e) pontja, a KKV 1. cikke (2) bekezdésének a) pontja | |||||||||||||||||
| 0050 | ebből: Kereskedelmi ingatlanhoz kapcsolódó hitelek kkv-knak | V. melléklet 2. részének 239ix. pontja | V. melléklet 2. részének 239ix. pontja | |||||||||||||||||
| 0060 | ebből: Nem pénzügyi vállalatok – nem kkv-k | V. melléklet 1. részének 42. e) pontja | V. melléklet 1. részének 42. e) pontja | |||||||||||||||||
| 0070 | ebből: Kereskedelmi ingatlanhoz kapcsolódó hitelek kkv-któl eltérő nem pénzügyi vállalatoknak | V. melléklet 2. részének 239ix. pontja | V. melléklet 2. részének 239ix. pontja | |||||||||||||||||
| 0080 | Hitelek és előlegek bekerülési értéken vagy amortizált bekerülési értéken | V. melléklet 1. részének 32. és 44. a) pontja, 2. részének 233. a) és 319. pontja | V. melléklet 1. részének 32. és 44. a) pontja, 2. részének 233. a) és 319. pontja | |||||||||||||||||
| 0090 | ebből: Háztartások | V. melléklet 1. részének 42. f) pontja | V. melléklet 1. részének 42. f) pontja | |||||||||||||||||
| 0100 | ebből: Lakóingatlannal fedezett hitelek | V. melléklet 2. részének 86. a) pontja és 87. pontja | V. melléklet 2. részének 86. a) pontja és 87. pontja | |||||||||||||||||
| 0110 | ebből: Nem pénzügyi vállalatok – kkv-k | V. melléklet 1. részének 42. e) pontja, a KKV 1. cikke (2) bekezdésének a) pontja | V. melléklet 1. részének 42. e) pontja, a KKV 1. cikke (2) bekezdésének a) pontja | |||||||||||||||||
| 0120 | ebből: Kereskedelmi ingatlanhoz kapcsolódó hitelek kkv-knak | V. melléklet 2. részének 239ix. pontja | V. melléklet 2. részének 239ix. pontja | |||||||||||||||||
| 0130 | ebből: Nem pénzügyi vállalatok – nem kkv-k | V. melléklet 1. részének 42. e) pontja | V. melléklet 1. részének 42. e) pontja | |||||||||||||||||
| 0140 | ebből: Kereskedelmi ingatlanhoz kapcsolódó hitelek kkv-któl eltérő nem pénzügyi vállalatoknak | V. melléklet 2. részének 239ix. pontja | V. melléklet 2. részének 239ix. pontja | |||||||||||||||||
| 0150 | Fedezetlen hitelek és előlegek garancia nélkül | V. melléklet 1. részének 32. és 44. a) pontja, 2. részének 319. és 323. pontja | V. melléklet 1. részének 32. és 44. a) pontja, 2. részének 319. és 323. pontja | |||||||||||||||||
| 0160 | ebből: Háztartások | V. melléklet 1. részének 42. f) pontja | V. melléklet 1. részének 42. f) pontja | |||||||||||||||||
| 0170 | ebből: Nem pénzügyi vállalatok – kkv-k | V. melléklet 1. részének 42. e) pontja, a KKV 1. cikke (2) bekezdésének a) pontja | V. melléklet 1. részének 42. e) pontja, a KKV 1. cikke (2) bekezdésének a) pontja | |||||||||||||||||
| 0180 | ebből: Kereskedelmi ingatlanhoz kapcsolódó hitelek kkv-knak | V. melléklet 2. részének 239ix. pontja | V. melléklet 2. részének 239ix. pontja | |||||||||||||||||
| 0190 | ebből: Nem pénzügyi vállalatok – nem kkv-k | V. melléklet 1. részének 42. e) pontja | V. melléklet 1. részének 42. e) pontja | |||||||||||||||||
| 0200 | ebből: Kereskedelmi ingatlanhoz kapcsolódó hitelek kkv-któl eltérő nem pénzügyi vállalatoknak | V. melléklet 2. részének 239ix. pontja | V. melléklet 2. részének 239ix. pontja | |||||||||||||||||
23.5. Hitelek és előlegek: Kapott biztosítékok és kapott pénzügyi garanciák
| A biztosíték vagy garancia figyelembe vehető legmagasabb összege V. melléklet 2. részének 171–172. pontja és 174. pontja | ||||||||||||||||||||
| Teljesítő | Nemteljesítő | |||||||||||||||||||
| Nem valószínű, hogy fizet –nem késedelmes vagy a késedelem ≤ 90 nap | A késedelem > 90 nap | |||||||||||||||||||
| ebből: Átstrukturált kitettségek | ebből: A késedelem > 30 nap ≤ 90 nap | ebből: Átstrukturált kitettségek | ebből: Átstrukturált kitettségek | ebből: Átstrukturált kitettségek | ebből: Átstrukturált kitettségek | A késedelem > 90 nap ≤ 180 nap | A késedelem > 180 nap ≤ 1 év | A késedelem > 1 év ≤ 2 év | A késedelem > 2 év ≤ 5 év | A késedelem > 5 év ≤ 7 év | A késedelem > 7 év | |||||||||
| Hivatkozások A nemzeti GAAP-pal kompatibilis IFRS standardok | V. melléklet 1. részének 32. pontja | V. melléklet 2. részének 256. és 259–263 pontja | V. melléklet 2. részének 213–216. és 226–239. pontja | V. melléklet 2. részének 222. és 235. pontja | V. melléklet 2. részének 259–261. pontja | V. melléklet 2. részének 213–216. és 226–239. pontja | V. melléklet 2. részének 256. és 259–262. pontja | V. melléklet 2. részének 222. és 235–236. pontja | V. melléklet 2. részének 222., 235–236., 256. és 259–262. pontja | V. melléklet 2. részének 222. és 235–236. pontja | V. melléklet 2. részének 222., 235–236., 256. és 259–262. pontja | V. melléklet 2. részének 222. és 235–236. pontja | V. melléklet 2. részének 222. és 235–236. pontja | V. melléklet 2. részének 222. és 235–236. pontja | V. melléklet 2. részének 222. és 235–236. pontja | V. melléklet 2. részének 222. és 235–236. pontja | V. melléklet 2. részének 222. és 235–236. pontja | |||
| Hivatkozások Nemzeti GAAP a BAD alapján | V. melléklet 1. részének 32. pontja | V. melléklet 2. részének 256. és 259–263 pontja | V. melléklet 2. részének 213–216. és 226–232. pontja | V. melléklet 2. részének 222. és 235. pontja | V. melléklet 2. részének 259–261. pontja | V. melléklet 2. részének 213–216. és 226–232. pontja | V. melléklet 2. részének 256. és 259–262. pontja | V. melléklet 2. részének 222. és 235–236. pontja | V. melléklet 2. részének 222., 235–236., 256. és 259–262. pontja | V. melléklet 2. részének 222. és 235–236. pontja | V. melléklet 2. részének 222., 235–236., 256. és 259–262. pontja | V. melléklet 2. részének 222. és 235–236. pontja | V. melléklet 2. részének 222. és 235–236. pontja | V. melléklet 2. részének 222. és 235–236. pontja | V. melléklet 2. részének 222. és 235–236. pontja | V. melléklet 2. részének 222. és 235–236. pontja | V. melléklet 2. részének 222. és 235–236. pontja | |||
| 0010 | 0020 | 0030 | 0040 | 0050 | 0060 | 0070 | 0080 | 0090 | 0100 | 0110 | 0120 | 0130 | 0140 | 0150 | 0160 | 0170 | ||||
| 0010 | Hitelek és előlegek fedezetéül kapott pénzügyi garanciák | V. melléklet 2. részének 319. és 326. pontja | V. melléklet 2. részének 319. és 326. pontja | |||||||||||||||||
| 0020 | ebből: Háztartások | V. melléklet 1. részének 42. f) pontja | V. melléklet 1. részének 42. f) pontja | |||||||||||||||||
| 0030 | ebből: Lakóingatlannal fedezett hitelek | V. melléklet 2. részének 86. a) pontja és 87. pontja | V. melléklet 2. részének 86. a) pontja és 87. pontja | |||||||||||||||||
| 0040 | ebből: Nem pénzügyi vállalatok – kkv-k | V. melléklet 1. részének 42. e) pontja, a KKV 1. cikke (2) bekezdésének a) pontja | V. melléklet 1. részének 42. e) pontja, a KKV 1. cikke (2) bekezdésének a) pontja | |||||||||||||||||
| 0050 | ebből: Kereskedelmi ingatlanhoz kapcsolódó hitelek kkv-knak | V. melléklet 2. részének 239ix. pontja | V. melléklet 2. részének 239ix. pontja | |||||||||||||||||
| 0060 | ebből: Nem pénzügyi vállalatok – nem kkv-k | V. melléklet 1. részének 42. e) pontja | V. melléklet 1. részének 42. e) pontja | |||||||||||||||||
| 0070 | ebből: Kereskedelmi ingatlanhoz kapcsolódó hitelek kkv-któl eltérő nem pénzügyi vállalatoknak | V. melléklet 2. részének 239ix. pontja | V. melléklet 2. részének 239ix. pontja | |||||||||||||||||
| 0080 | Hitelek és előlegek fedezetéül kapott biztosítékok | V. melléklet 2. részének 319. és 326. pontja | V. melléklet 2. részének 319. és 326. pontja | |||||||||||||||||
| 0090 | ebből: Háztartások | V. melléklet 1. részének 42. f) pontja | V. melléklet 1. részének 42. f) pontja | |||||||||||||||||
| 0100 | ebből: Lakóingatlannal fedezett hitelek | V. melléklet 2. részének 86. a) pontja és 87. pontja | V. melléklet 2. részének 86. a) pontja és 87. pontja | |||||||||||||||||
| 0110 | ebből: Nem pénzügyi vállalatok – kkv-k | V. melléklet 1. részének 42. e) pontja, a KKV 1. cikke (2) bekezdésének a) pontja | V. melléklet 1. részének 42. e) pontja, a KKV 1. cikke (2) bekezdésének a) pontja | |||||||||||||||||
| 0120 | ebből: Kereskedelmi ingatlanhoz kapcsolódó hitelek kkv-knak | V. melléklet 2. részének 239ix. pontja | V. melléklet 2. részének 239ix. pontja | |||||||||||||||||
| 0130 | ebből: Nem pénzügyi vállalatok – nem kkv-k | V. melléklet 1. részének 42. e) pontja | V. melléklet 1. részének 42. e) pontja | |||||||||||||||||
| 0140 | ebből: Kereskedelmi ingatlanhoz kapcsolódó hitelek kkv-któl eltérő nem pénzügyi vállalatoknak | V. melléklet 2. részének 239ix. pontja | V. melléklet 2. részének 239ix. pontja | |||||||||||||||||
| 0150 | Hitelek és előlegek fedezetéül kapott ingatlanbiztosítékok | V. melléklet 2. részének 319. és 326. pontja | V. melléklet 2. részének 319. és 326. pontja | |||||||||||||||||
| 0160 | ebből: Háztartások | V. melléklet 1. részének 42. f) pontja | V. melléklet 1. részének 42. f) pontja | |||||||||||||||||
| 0170 | ebből: Lakóingatlannal fedezett hitelek | V. melléklet 2. részének 86. a) pontja és 87. pontja | V. melléklet 2. részének 86. a) pontja és 87. pontja | |||||||||||||||||
| 0180 | ebből: Nem pénzügyi vállalatok – kkv-k | V. melléklet 1. részének 42. e) pontja, a KKV 1. cikke (2) bekezdésének a) pontja | V. melléklet 1. részének 42. e) pontja, a KKV 1. cikke (2) bekezdésének a) pontja | |||||||||||||||||
| 0190 | ebből: Kereskedelmi ingatlanhoz kapcsolódó hitelek kkv-knak | V. melléklet 2. részének 239ix. pontja | V. melléklet 2. részének 239ix. pontja | |||||||||||||||||
| 0200 | ebből: Nem pénzügyi vállalatok – nem kkv-k | V. melléklet 1. részének 42. e) pontja | V. melléklet 1. részének 42. e) pontja | |||||||||||||||||
| 0210 | ebből: Kereskedelmi ingatlanhoz kapcsolódó hitelek kkv-któl eltérő nem pénzügyi vállalatoknak | V. melléklet 2. részének 239ix. pontja | V. melléklet 2. részének 239ix. pontja | |||||||||||||||||
| 0220 | Tájékoztató adat: Hitelek és előlegek fedezetéül kapott biztosítékok – felső korlát nélküli összegek | V. melléklet 2. részének 319., 326. és 327. pontja | V. melléklet 2. részének 319., 326. és 327. pontja | |||||||||||||||||
| 0230 | ebből: Ingatlanbiztosíték | V. melléklet 2. részének 319., 326. és 327. pontja | V. melléklet 2. részének 319., 326. és 327. pontja | |||||||||||||||||
23.6. Hitelek és előlegek: Halmozott részleges leírások összege
| Halmozott részleges leírások összege (V. melléklet 2. részének 72. és 74. pontja) | ||||||||||||||||||||
| Teljesítő | Nemteljesítő | |||||||||||||||||||
| Nem valószínű, hogy fizet –nem késedelmes vagy a késedelem ≤ 90 nap | A késedelem > 90 nap | |||||||||||||||||||
| ebből: Átstrukturált kitettségek | ebből: A késedelem > 30 nap ≤ 90 nap | ebből: Átstrukturált kitettségek | ebből: Átstrukturált kitettségek | ebből: Átstrukturált kitettségek | ebből: Átstrukturált kitettségek | A késedelem > 90 nap ≤ 180 nap | A késedelem > 180 nap ≤ 1 év | A késedelem > 1 év ≤ 2 év | A késedelem > 2 év ≤ 5 év | A késedelem > 5 év ≤ 7 év | A késedelem > 7 év | |||||||||
| Hivatkozások A nemzeti GAAP-pal kompatibilis IFRS standardok | V. melléklet 1. részének 32. pontja | V. melléklet 2. részének 256. és 259–263 pontja | V. melléklet 2. részének 213–216. és 226–239. pontja | V. melléklet 2. részének 222. és 235. pontja | V. melléklet 2. részének 259–261. pontja | V. melléklet 2. részének 213–216. és 226–239. pontja | V. melléklet 2. részének 256. és 259–262. pontja | V. melléklet 2. részének 222. és 235–236. pontja | V. melléklet 2. részének 222., 235–236., 256. és 259–262. pontja | V. melléklet 2. részének 222. és 235–236. pontja | V. melléklet 2. részének 222., 235–236., 256. és 259–262. pontja | V. melléklet 2. részének 222. és 235–236. pontja | V. melléklet 2. részének 222. és 235–236. pontja | V. melléklet 2. részének 222. és 235–236. pontja | V. melléklet 2. részének 222. és 235–236. pontja | V. melléklet 2. részének 222. és 235–236. pontja | V. melléklet 2. részének 222. és 235–236. pontja | |||
| Hivatkozások Nemzeti GAAP a BAD alapján | V. melléklet 1. részének 32. pontja | V. melléklet 2. részének 256. és 259–263 pontja | V. melléklet 2. részének 213–216. és 226–232. pontja | V. melléklet 2. részének 222. és 235. pontja | V. melléklet 2. részének 259–261. pontja | V. melléklet 2. részének 213–216. és 226–232. pontja | V. melléklet 2. részének 256. és 259–262. pontja | V. melléklet 2. részének 222. és 235–236. pontja | V. melléklet 2. részének 222., 235–236., 256. és 259–262. pontja | V. melléklet 2. részének 222. és 235–236. pontja | V. melléklet 2. részének 222., 235–236., 256. és 259–262. pontja | V. melléklet 2. részének 222. és 235–236. pontja | V. melléklet 2. részének 222. és 235–236. pontja | V. melléklet 2. részének 222. és 235–236. pontja | V. melléklet 2. részének 222. és 235–236. pontja | V. melléklet 2. részének 222. és 235–236. pontja | V. melléklet 2. részének 222. és 235–236. pontja | |||
| 0010 | 0020 | 0030 | 0040 | 0050 | 0060 | 0070 | 0080 | 0090 | 0100 | 0110 | 0120 | 0130 | 0140 | 0150 | 0160 | 0170 | ||||
| 0010 | Hitelek és előlegek | V. melléklet 1. részének 32. és 44. a) pontja, 2. részének 319. pontja | V. melléklet 1. részének 32. és 44. a) pontja, 2. részének 319. pontja | |||||||||||||||||
| 0020 | ebből: Háztartások | V. melléklet 1. részének 42. f) pontja | V. melléklet 1. részének 42. f) pontja | |||||||||||||||||
| 0030 | ebből: Lakóingatlannal fedezett hitelek | V. melléklet 2. részének 86. a) pontja és 87. pontja | V. melléklet 2. részének 86. a) pontja és 87. pontja | |||||||||||||||||
| 0040 | ebből: Nem pénzügyi vállalatok – kkv-k | V. melléklet 1. részének 42. e) pontja, a KKV 1. cikke (2) bekezdésének a) pontja | V. melléklet 1. részének 42. e) pontja, a KKV 1. cikke (2) bekezdésének a) pontja | |||||||||||||||||
| 0050 | ebből: Kereskedelmi ingatlanhoz kapcsolódó hitelek kkv-knak | V. melléklet 2. részének 239ix. pontja | V. melléklet 2. részének 239ix. pontja | |||||||||||||||||
| 0060 | ebből: Nem pénzügyi vállalatok – nem kkv-k | V. melléklet 1. részének 42. e) pontja | V. melléklet 1. részének 42. e) pontja | |||||||||||||||||
| 0070 | ebből: Kereskedelmi ingatlanhoz kapcsolódó hitelek kkv-któl eltérő nem pénzügyi vállalatoknak | V. melléklet 2. részének 239ix. pontja | V. melléklet 2. részének 239ix. pontja | |||||||||||||||||
24. Hitelek és előlegek: Nemteljesítő kitettségek, értékvesztés és leírások változása az utolsó pénzügyi év vége óta
24.1. Hitelek és előlegek: Nemteljesítő kitettségek be- és kiáramlásai
| Bruttó könyv szerinti érték (V. melléklet 1. részének 34. pontja) | ||||||||||
| Nemteljesítő kitettségek – hitelek és előlegek | ||||||||||
| ebből: Háztartások | ebből: Nem pénzügyi vállalatok | |||||||||
| ebből: Lakóingatlannal fedezett hitelek | ebből: Kkv-k | ebből: Kereskedelmi ingatlanhoz kapcsolódó hitelek kkv-któl eltérő nem pénzügyi vállalatoknak | ||||||||
| ebből: Kereskedelmi ingatlanhoz kapcsolódó hitelek | ||||||||||
| Hivatkozások A nemzeti GAAP-pal kompatibilis IFRS standardok | V. melléklet 1. részének 32. és 34. pontja, 2. részének 213–216. és 223–239. pontja | V. melléklet 1. részének 42. f) pontja, 44. a) pontja | V. melléklet 2. részének 86. a) pontja és 87. pontja | V. melléklet 1. részének 42. e) pontja és 44. a) pontja | KKV 1. cikke (2) bekezdésének a) pontja | KKV 1. cikke (2) bekezdésének a) pontja, V. melléklet 2. részének 239ix. pontja | V. melléklet 2. részének 239ix. pontja | |||
| Hivatkozások Nemzeti GAAP a BAD alapján | V. melléklet 1. részének 32. és 34. pontja, 2. részének 213–216. és 223–239. pontja | V. melléklet 1. részének 42. f) pontja, 44. a) pontja | V. melléklet 2. részének 86. a) pontja és 87. pontja | V. melléklet 1. részének 42. e) pontja és 44. a) pontja | KKV 1. cikke (2) bekezdésének a) pontja | KKV 1. cikke (2) bekezdésének a) pontja, V. melléklet 2. részének 239ix. pontja | V. melléklet 2. részének 239ix. pontja | |||
| 0010 | 0020 | 0030 | 0040 | 0050 | 0060 | 0070 | ||||
| 0010 | Nyitó egyenleg | V. melléklet 2. részének 328.pontja | V. melléklet 2. részének 328.pontja | |||||||
| 0020 | Beáramlások | V. melléklet 2. részének 239ii., 239iii., 239vi. és 329. pontja | V. melléklet 2. részének 239ii., 239iii., 239vi. és 329. pontja | |||||||
| 0030 | Teljesítő nem átstrukturált kategóriából való átsorolás miatti beáramlás | V. melléklet 2. részének 239ii., 239iii., 239vi. és 329. pontja | V. melléklet 2. részének 239ii., 239iii., 239vi. és 329. pontja | |||||||
| 0040 | Teljesítő átstrukturált kategóriából való átsorolás miatti beáramlás | V. melléklet 2. részének 239ii., 239iii., 239vi. és 329. pontja | V. melléklet 2. részének 239ii., 239iii., 239vi. és 329. pontja | |||||||
| 0050 | ebből: korábban a nemteljesítő kategóriából átsorolt, próbaidőszakban lévő teljesítő átstrukturált kitettség kategóriából átsorolt | V. melléklet 2. részének 239ii., 239iii., 239vi. és 329. b) pontja | V. melléklet 2. részének 239ii., 239iii., 239vi. és 329. b) pontja | |||||||
| 0060 | Kitettségvásárlás miatti beáramlás | V. melléklet 2. részének 239ii., 239iii., 239vi. és 329. pontja | V. melléklet 2. részének 239ii., 239iii., 239vi. és 329. pontja | |||||||
| 0070 | Felhalmozott kamat miatti beáramlás | V. melléklet 2. részének 239ii., 239iii., 239vi. és 329. a) pontja | V. melléklet 2. részének 239ii., 239iii., 239vi. és 329. a) pontja | |||||||
| 0080 | Egyéb okok miatti beáramlás | V. melléklet 2. részének 239ii., 239iii., 239vi. és 329. c) pontja | V. melléklet 2. részének 239ii., 239iii., 239vi. és 329. c) pontja | |||||||
| 0090 | Ebből: Egynél többszöri beáramlás | V. melléklet 2. részének 239ii., 239iii., 239vi. és 330. a) pontja | V. melléklet 2. részének 239ii., 239iii., 239vi. és 330. a) pontja | |||||||
| 0100 | Ebből: Az elmúlt 24 hónapban nyújtott kitettségek beáramlása | V. melléklet 2. részének 239ii., 239iii., 239vi. és 330. b) pontja | V. melléklet 2. részének 239ii., 239iii., 239vi. és 330. b) pontja | |||||||
| 0110 | Ebből: Az időszak alatt nyújtott kitettségek beáramlása | V. melléklet 2. részének 239ii., 239iii., 239vi. és 330. b) pontja | V. melléklet 2. részének 239ii., 239iii., 239vi. és 330. b) pontja | |||||||
| 0120 | Kiáramlások | V. melléklet 2. részének 239iii–239v.,331. és 332. pontja | V. melléklet 2. részének 239iii–239v.,331. és 332. pontja | |||||||
| 0130 | Teljesítő nem átstrukturált kategóriába való átsorolás miatti kiáramlás | V. melléklet 2. részének 239iii–239v. a) pontja, 331. és 332. pontja | V. melléklet 2. részének 239iii–239v. a) pontja, 331. és 332. pontja | |||||||
| 0140 | Teljesítő átstrukturált kategóriába való átsorolás miatti kiáramlás | V. melléklet 2. részének 239iii–239v. a) pontja, 331. és 332. pontja | V. melléklet 2. részének 239iii–239v. a) pontja, 331. és 332. pontja | |||||||
| 0150 | Részleges vagy teljes hitelvisszafizetés miatti kiáramlás | V. melléklet 2. részének 239iii–239v. b) pontja, 331. és 332. pontja | V. melléklet 2. részének 239iii–239v. b) pontja, 331. és 332. pontja | |||||||
| 0160 | Biztosíték likvidálása miatti kiáramlás | V. melléklet 2. részének 239iii–239v. c) pontja, 331. és 332. pontja | V. melléklet 2. részének 239iii–239v. c) pontja, 331. és 332. pontja | |||||||
| 0170 | Biztosíték likvidálásából származó nettó kumulált megtérülés | V. melléklet 2. részének 333. pontja | V. melléklet 2. részének 333. pontja | |||||||
| 0180 | ebből: Leírások biztosítékok likvidálásával összefüggésben | V. melléklet 2. részének 239iii–239v. c) pontja | V. melléklet 2. részének 239iii–239v. c) pontja | |||||||
| 0190 | Biztosíték birtokbavétele miatti kiáramlás | V. melléklet 2. részének 239iii–239v. d) pontja, 331. és 332. pontja | V. melléklet 2. részének 239iii–239v. d) pontja, 331. és 332. pontja | |||||||
| 0200 | A biztosíték birtokbavételéből származó nettó kumulált megtérülés | V. melléklet 2. részének 333. pontja | V. melléklet 2. részének 333. pontja | |||||||
| 0210 | ebből: Leírások a biztosíték birtokbavételével összefüggésben | V. melléklet 2. részének 239iii–239v. d) pontja | V. melléklet 2. részének 239iii–239v. d) pontja | |||||||
| 0220 | Instrumentumok értékesítése miatti kiáramlás | V. melléklet 2. részének 239iii–239v. e) pontja, 331. és 332. pontja | V. melléklet 2. részének 239iii–239v. e) pontja, 331. és 332. pontja | |||||||
| 0230 | Instrumentumok értékesítéséből származó nettó kumulált megtérülés | V. melléklet 2. részének 333. pontja | V. melléklet 2. részének 333. pontja | |||||||
| 0240 | ebből: Leírások instrumentumok értékesítésével összefüggésben | V. melléklet 2. részének 239iii–239v. e) pontja | V. melléklet 2. részének 239iii–239v. e) pontja | |||||||
| 0250 | Kockázatátruházás miatti kiáramlás | V. melléklet 2. részének 239iii–239v. f) pontja, 331. és 332. pontja | V. melléklet 2. részének 239iii–239v. f) pontja, 331. és 332. pontja | |||||||
| 0260 | Kockázatátruházásból származó nettó kumulált megtérülés | V. melléklet 2. részének 333. pontja | V. melléklet 2. részének 333. pontja | |||||||
| 0270 | ebből: Leírások kockázatátruházással összefüggésben | V. melléklet 2. részének 239iii–239v. f) pontja | V. melléklet 2. részének 239iii–239v. f) pontja | |||||||
| 0280 | Leírások miatti kiáramlás | V. melléklet 2. részének 239iii–239v. g) pontja, 331. és 332. pontja | V. melléklet 2. részének 239iii–239v. g) pontja, 331. és 332. pontja | |||||||
| 0290 | Értékesítésre tartott kategóriába való átsorolás miatti kiáramlás | V. melléklet 2. részének 239iii–239vi.,331. és 332. pontja | V. melléklet 2. részének 239iii–239vi.,331. és 332. pontja | |||||||
| 0300 | Egyéb okok miatti kiáramlás | V. melléklet 2. részének 239iii–239v. h) pontja, 331. és 332. pontja | V. melléklet 2. részének 239iii–239v. h) pontja, 331. és 332. pontja | |||||||
| 0310 | Ebből: Az időszak alatt nemteljesítővé vált nemteljesítő kitettségek kiáramlása | V. melléklet 2. részének 334. pontja | V. melléklet 2. részének 334. pontja | |||||||
| 0320 | Záró egyenleg | V. melléklet 2. részének 328.pontja | V. melléklet 2. részének 328.pontja | |||||||
24.2. Hitelek és előlegek: Értékvesztések változása és a hitelkockázat-változásból származó negatív valósérték-változás halmozott összegének változása nemteljesítő kitettségek esetében
| Halmozott értékvesztés és a hitelkockázat-változásból származó negatív valósérték-változás halmozott összege | ||||||||||
| Nemteljesítő kitettségek – hitelek és előlegek | ||||||||||
| ebből: Háztartások | ebből: Nem pénzügyi vállalatok | |||||||||
| ebből: Lakóingatlannal fedezett hitelek | ebből: Kkv-k | ebből: Kereskedelmi ingatlanhoz kapcsolódó hitelek kkv-któl eltérő nem pénzügyi vállalatoknak | ||||||||
| ebből: Kereskedelmi ingatlanhoz kapcsolódó hitelek | ||||||||||
| Hivatkozások A nemzeti GAAP-pal kompatibilis IFRS standardok | V. melléklet 1. részének 32. pontja, 2. részének 69–71., 213–216. és 223–239. pontja | V. melléklet 1. részének 42. f) pontja, 44. a) pontja | V. melléklet 2. részének 86. a) pontja és 87. pontja | V. melléklet 1. részének 42. e) pontja és 44. a) pontja | KKV 1. cikke (2) bekezdésének a) pontja | KKV 1. cikke (2) bekezdésének a) pontja, V. melléklet 2. részének 239ix. pontja | V. melléklet 2. részének 239ix. pontja | |||
| Hivatkozások Nemzeti GAAP a BAD alapján | V. melléklet 1. részének 32. pontja, 2. részének 69–71., 213–216. és 223–239. pontja | V. melléklet 1. részének 42. f) pontja, 44. a) pontja | V. melléklet 2. részének 86. a) pontja és 87. pontja | V. melléklet 1. részének 42. e) pontja és 44. a) pontja | KKV 1. cikke (2) bekezdésének a) pontja | KKV 1. cikke (2) bekezdésének a) pontja, V. melléklet 2. részének 239ix. pontja | V. melléklet 2. részének 239ix. pontja | |||
| 0010 | 0020 | 0030 | 0040 | 0050 | 0060 | 0070 | ||||
| 0010 | Nyitó egyenleg | V. melléklet 2. részének 335. pontja | V. melléklet 2. részének 335. pontja | |||||||
| 0020 | Növekedés az időszak alatt | V. melléklet 2. részének 336. pontja | V. melléklet 2. részének 336. pontja | |||||||
| 0030 | Ebből: felhalmozott kamattal szembeni értékvesztés | V. melléklet 2. részének 337. pontja | V. melléklet 2. részének 337. pontja | |||||||
| 0040 | Csökkenés az időszak alatt | V. melléklet 2. részének 338. pontja | V. melléklet 2. részének 338. pontja | |||||||
| 0050 | Ebből: Az értékvesztés és a hitelkockázat-változásból származó negatív valósérték-változás visszaírása | V. melléklet 2. részének 339. a) pontja | V. melléklet 2. részének 339. a) pontja | |||||||
| 0060 | Ebből: Értékvesztés felszabadítása a lebontási eljárás miatt | V. melléklet 2. részének 339. b) pontja | V. melléklet 2. részének 339. b) pontja | |||||||
| 0070 | Záró egyenleg | V. melléklet 2. részének 335. pontja | V. melléklet 2. részének 335. pontja | |||||||
24.3. Hitelek és előlegek: Nemteljesítő kitettségek leírása az időszak alatt
| Bruttó könyv szerinti érték | ||||||||||
| Nemteljesítő kitettségek – Hitelek és előlegek | ||||||||||
| ebből: Háztartások | ebből: Nem pénzügyi vállalatok | |||||||||
| ebből: Lakóingatlannal fedezett hitelek | ebből: Kkv-k | ebből: Kereskedelmi ingatlanhoz kapcsolódó hitelek kkv-któl eltérő nem pénzügyi vállalatoknak | ||||||||
| ebből: Kereskedelmi ingatlanhoz kapcsolódó hitelek kkv-knak | ||||||||||
| Hivatkozások A nemzeti GAAP-pal kompatibilis IFRS standardok | V. melléklet 1. részének 32. és 34. pontja, 2. részének 213–216. és 223–239. pontja | V. melléklet 1. részének 42. f) pontja, 44. a) pontja | V. melléklet 2. részének 86. a) pontja és 87. pontja | V. melléklet 1. részének 42. e) pontja és 44. a) pontja | KKV 1. cikke (2) bekezdésének a) pontja | KKV 1. cikke (2) bekezdésének a) pontja, V. melléklet 2. részének 239ix. pontja | V. melléklet 2. részének 239ix. pontja | |||
| Hivatkozások Nemzeti GAAP a BAD alapján | V. melléklet 1. részének 32. és 34. pontja, 2. részének 213–216. és 223–239. pontja | V. melléklet 1. részének 42. f) pontja, 44. a) pontja | V. melléklet 2. részének 86. a) pontja és 87. pontja | V. melléklet 1. részének 42. e) pontja és 44. a) pontja | KKV 1. cikke (2) bekezdésének a) pontja | KKV 1. cikke (2) bekezdésének a) pontja, V. melléklet 2. részének 239ix. pontja | V. melléklet 2. részének 239ix. pontja | |||
| 0010 | 0020 | 0030 | 0040 | 0050 | 0060 | 0070 | ||||
| 0010 | Leírások az időszak alatt | V. melléklet 2. részének 340. pontja | V. melléklet 2. részének 340. pontja | |||||||
| 0020 | Ebből: Adósságelengedés | V. melléklet 2. részének 340. pontja | V. melléklet 2. részének 340. pontja | |||||||
25. Birtokbavétellel és végrehajtással megszerzett biztosítékok
25.1. Birtokbavétellel megszerzett, az "Ingatlanok, gépek és berendezések (PP&E)" besorolású biztosítéktól eltérő biztosítékok: Be- és kiáramlások
| Adósságegyenleg-csökkentés | Birtokbavétellel megszerzett, az „Ingatlanok, gépek és berendezések (PP&E)” besorolású biztosítéktól eltérő biztosítékok | ||||||||||||||
| Évjárat: megjelenítés a mérlegben | Ebből: Értékesítésre tartott befektetett eszközök | ||||||||||||||
| ≤ 2 évig | > 2 évig ≤ 5 évig | > 5 évig | |||||||||||||
| Bruttó könyv szerinti érték | Halmozott értékvesztés, a hitelkockázat-változásból származó negatív valósérték-változás halmozott összege | Kezdeti megjelenítéskori érték | Könyv szerinti érték | Kezdeti megjelenítéskori érték | Könyv szerinti érték | Kezdeti megjelenítéskori érték | Könyv szerinti érték | Kezdeti megjelenítéskori érték | Könyv szerinti érték | Kezdeti megjelenítéskori érték | Könyv szerinti érték | ||||
| Hivatkozások A nemzeti GAAP-pal kompatibilis IFRS standardok | V. melléklet 1. részének 34. pontja, 2. részének 343. pontja | V. melléklet 2. részének 69–71. pontja és 343. pontja | V. melléklet 2. részének 175., 175i. és 344. pontja | V. melléklet 1. részének 27. pontja, 2. részének 175. pontja | V. melléklet 2. részének 175., 175i. és 348. pontja | V. melléklet 1. részének 27. pontja, 2. részének 175. és 348. pontja | V. melléklet 2. részének 175., 175i. és 348. pontja | V. melléklet 1. részének 27. pontja, 2. részének 175. és 348. pontja | V. melléklet 2. részének 175., 175i. és 348. pontja | V. melléklet 1. részének 27. pontja, 2. részének 175. és 348. pontja | IFRS 5 6. bekezdése, V. melléklet 2. részének 175., 175i. és 344. pontja | IFRS 5 6. bekezdése, V. melléklet 1. részének 27. pontja, 2. részének 175. pontja | |||
| Hivatkozások Nemzeti GAAP a BAD alapján | V. melléklet 1. részének 34. pontja, 2. részének 343. pontja | V. melléklet 1. részének 34. pontja, 2. részének 343. pontja | V. melléklet 2. részének 175., 175i. és 344. pontja | V. melléklet 1. részének 27. pontja, 2. részének 175. pontja | V. melléklet 2. részének 175., 175i. és 348. pontja | V. melléklet 1. részének 27. pontja, 2. részének 175. és 348. pontja | V. melléklet 2. részének 175., 175i. és 348. pontja | V. melléklet 1. részének 27. pontja, 2. részének 175. és 352. pontja | V. melléklet 2. részének 175., 175i. és 348. pontja | V. melléklet 1. részének 27. pontja, 2. részének 175. és 348. pontja | V. melléklet 2. részének 175., 175i. és 344. pontja | V. melléklet 1. részének 27. pontja, 2. részének 175. pontja | |||
| 0010 | 0020 | 0030 | 0040 | 0050 | 0060 | 0070 | 0080 | 0090 | 0100 | 0110 | 0120 | ||||
| 0010 | Nyitó egyenleg | V. melléklet 2. részének 341. és 342. pontja | V. melléklet 2. részének 341. és 342. pontja | ||||||||||||
| 0020 | Biztosíték beáramlása az időszak alatt | V. melléklet 2. részének 345. és 349. pontja | V. melléklet 2. részének 345. és 349. pontja | ||||||||||||
| 0030 | Birtokbavétellel megszerzett új biztosíték miatti beáramlás | V. melléklet 2. részének 345. és 349. pontja | V. melléklet 2. részének 345. és 349. pontja | ||||||||||||
| 0040 | Az értékben bekövetkezett pozitív változás miatti beáramlás | V. melléklet 2. részének 345. és 349. pontja | V. melléklet 2. részének 345. és 349. pontja | ||||||||||||
| 0050 | Biztosíték kiáramlása az időszak alatt | V. melléklet 2. részének 346. és 349. pontja | V. melléklet 2. részének 346. és 349. pontja | ||||||||||||
| 0060 | Kiáramlás, amely esetében pénzeszköz beszedésére került sor | V. melléklet 2. részének 347. és 349. pontja | V. melléklet 2. részének 347. és 349. pontja | ||||||||||||
| 0070 | Beszedett pénzeszköz költségek nélkül | V. melléklet 2. részének 347. pontja | V. melléklet 2. részének 347. pontja | ||||||||||||
| 0080 | Birtokbavétellel megszerzett biztosíték értékesítéséből származó nyereség/(-) veszteség | V. melléklet 2. részének 347. pontja | V. melléklet 2. részének 347. pontja | ||||||||||||
| 0090 | Kiáramlás pénzügyi instrumentummal való helyettesítés mellett | V. melléklet 2. részének 346. és 349. pontja | V. melléklet 2. részének 346. és 349. pontja | ||||||||||||
| 0100 | Nyújtott finanszírozás | V. melléklet 2. részének 347. pontja | V. melléklet 2. részének 347. pontja | ||||||||||||
| 0110 | Az értékben bekövetkezett negatív változás miatti kiáramlás | V. melléklet 2. részének 346. és 349. pontja | V. melléklet 2. részének 346. és 349. pontja | ||||||||||||
| 0120 | Záró egyenleg | V. melléklet 2. részének 341. és 342. pontja | V. melléklet 2. részének 341. és 342. pontja | ||||||||||||
25.2. Birtokbavétellel megszerzett, az "Ingatlanok, gépek és berendezések (PP&E)" besorolású biztosítéktól eltérő biztosítékok: Megszerzett biztosíték típusa szerint
| Adósságegyenleg-csökkentés | Birtokbavétellel megszerzett, az „Ingatlanok, gépek és berendezések (PP&E)” besorolású biztosítéktól eltérő biztosítékok | ||||||||||||||||||
| Évjárat: megjelenítés a mérlegben | Ebből: Értékesítésre tartott befektetett eszközök | ||||||||||||||||||
| ≤ 2 évig | > 2 évig ≤ 5 évig | > 5 évig | |||||||||||||||||
| Bruttó könyv szerinti érték | Halmozott értékvesztés, a hitelkockázat-változásból származó negatív valósérték-változás halmozott összege | Kezdeti megjelenítéskori érték | Könyv szerinti érték | Negatív változás halmozott összege | Kezdeti megjelenítéskori érték | Könyv szerinti érték | Negatív változás halmozott összege | Kezdeti megjelenítéskori érték | Könyv szerinti érték | Negatív változás halmozott összege | Kezdeti megjelenítéskori érték | Könyv szerinti érték | Negatív változás halmozott összege | Kezdeti megjelenítéskori érték | Könyv szerinti érték | ||||
| Hivatkozások A nemzeti GAAP-pal kompatibilis IFRS standardok | V. melléklet 1. részének 34. pontja, 2. részének 343. pontja | V. melléklet 2. részének 69–71. pontja és 343. pontja | V. melléklet 2. részének 175., 175i. és 344. pontja | V. melléklet 1. részének 27. pontja, 2. részének 175. pontja | V. melléklet 2. részének 175. és 175ii. pontja | V. melléklet 2. részének 175., 175i. és 348. pontja | V. melléklet 1. részének 27. pontja, 2. részének 175. és 348. pontja | V. melléklet 2. részének 175., 175ii. és 348. pontja | V. melléklet 2. részének 175., 175i. és 348. pontja | V. melléklet 1. részének 27. pontja, 2. részének 175. és 348. pontja | V. melléklet 2. részének 175., 175ii. és 348. pontja | V. melléklet 2. részének 175., 175i. és 348. pontja | V. melléklet 1. részének 27. pontja, 2. részének 175. és 348. pontja | V. melléklet 2. részének 175., 175ii. és 348. pontja | IFRS 5 6. bekezdése, V. melléklet 2. részének 175. és 175i. pontja | IFRS 5 6. bekezdése, V. melléklet 1. részének 27. pontja, 2. részének 175. pontja | |||
| Hivatkozások Nemzeti GAAP a BAD alapján | V. melléklet 1. részének 34. pontja, 2. részének 343. pontja | V. melléklet 1. részének 34. pontja, 2. részének 343. pontja | V. melléklet 2. részének 175., 175i. és 344. pontja | V. melléklet 1. részének 27. pontja, 2. részének 175. pontja | V. melléklet 2. részének 175. és 175ii. pontja | V. melléklet 2. részének 175., 175i. és 348. pontja | V. melléklet 1. részének 27. pontja, 2. részének 175. és 348. pontja | V. melléklet 2. részének 175., 175ii. és 348. pontja | V. melléklet 2. részének 175., 175i. és 348. pontja | V. melléklet 1. részének 27. pontja, 2. részének 175. és 348. pontja | V. melléklet 2. részének 175., 175ii. és 348. pontja | V. melléklet 2. részének 175., 175i. és 348. pontja | V. melléklet 1. részének 27. pontja, 2. részének 175. és 348. pontja | V. melléklet 2. részének 175., 175ii. és 348. pontja | V. melléklet 2. részének 175. és 175i. pontja | V. melléklet 1. részének 27. pontja, 2. részének 175. pontja | |||
| 0010 | 0020 | 0030 | 0040 | 0050 | 0060 | 0070 | 0080 | 0090 | 0100 | 0110 | 0120 | 0130 | 0140 | 0150 | 0160 | ||||
| 0010 | Lakóingatlan | V. melléklet 2. részének 350. és 351. pontja | V. melléklet 2. részének 350. és 351. pontja | ||||||||||||||||
| 0020 | Ebből: építés / fejlesztés alatt álló | V. melléklet 2. részének 350. és 352. a) pontja | V. melléklet 2. részének 350. és 352. a) pontja | ||||||||||||||||
| 0030 | Kereskedelmi ingatlan | V. melléklet 2. részének 350. és 351. pontja | V. melléklet 2. részének 350. és 351. pontja | ||||||||||||||||
| 0040 | Ebből: építés / fejlesztés alatt álló | V. melléklet 2. részének 350. és 352. a) pontja | V. melléklet 2. részének 350. és 352. a) pontja | ||||||||||||||||
| 0050 | Ebből: Kereskedelmi ingatlannal foglalkozó vállalatokhoz kapcsolódó telek (a mezőgazdasági földterület kivételével) | V. melléklet 2. részének 350. és 352. b) pontja | V. melléklet 2. részének 350. és 352. b) pontja | ||||||||||||||||
| 0060 | Ebből: Területfejlesztési építési engedéllyel rendelkező telek | V. melléklet 2. részének 350. és 352. b) pontja | V. melléklet 2. részének 350. és 352. b) pontja | ||||||||||||||||
| 0070 | Ebből: Területfejlesztési építési engedéllyel nem rendelkező telek | V. melléklet 2. részének 350. és 352. b) pontja | V. melléklet 2. részének 350. és 352. b) pontja | ||||||||||||||||
| 0080 | Ingó vagyontárgyak | V. melléklet 2. részének 350. és 351. pontja | V. melléklet 2. részének 350. és 351. pontja | ||||||||||||||||
| 0090 | Tulajdoni részesedést és hitelviszonyt megtestesítő értékpapírok | V. melléklet 2. részének 350. és 351. pontja | V. melléklet 2. részének 350. és 351. pontja | ||||||||||||||||
| 0100 | Egyéb | V. melléklet 2. részének 350. és 351. pontja | V. melléklet 2. részének 350. és 351. pontja | ||||||||||||||||
| 0110 | Összesen | V. melléklet 2. részének 350. és 351. pontja | V. melléklet 2. részének 350. és 351. pontja | ||||||||||||||||
| 0120 | Birtokbavétellel megszerzett biztosítékok száma | V. melléklet 2. részének 350. és 351. pontja | V. melléklet 2. részének 350. és 351. pontja | ||||||||||||||||
25.3. Birtokbavétellel megszerzett, "Ingatlanok, gépek és berendezések (PP&E)" besorolású biztosítékok
| Adósságegyenleg-csökkentés | Birtokbavétellel megszerzett, „Ingatlanok, gépek és berendezések (PP&E)” besorolású biztosítékok | |||||||
| Bruttó könyv szerinti érték | Halmozott értékvesztés, a hitelkockázat-változásból származó negatív valósérték-változás halmozott összege | Kezdeti megjelenítéskori érték | Könyv szerinti érték | Negatív változás halmozott összege | ||||
| Hivatkozások A nemzeti GAAP-pal kompatibilis IFRS standardok | V. melléklet 1. részének 34. pontja, 2. részének 343. pontja | V. melléklet 2. részének 69–71. pontja és 343. pontja | IAS 16 6. bekezdése, V. melléklet 2. részének 175. és 175i. pontja | IAS 16 6. bekezdése, V. melléklet 1. részének 27. pontja, 2. részének 175. pontja | IAS 16 6. bekezdése, V. melléklet 2. részének 175. és 175ii. pontja | |||
| Hivatkozások Nemzeti GAAP a BAD alapján | V. melléklet 1. részének 34. pontja, 2. részének 343. pontja | V. melléklet 1. részének 34. pontja, 2. részének 343. pontja | V. melléklet 2. részének 175. és 175i. pontja | V. melléklet 1. részének 27. pontja, 2. részének 175. pontja | V. melléklet 2. részének 175. és 175ii. pontja | |||
| 0010 | 0020 | 0030 | 0040 | 0050 | ||||
| 0010 | Összesen | V. melléklet 2. részének 341. és 357–358. pontja | V. melléklet 2. részének 341. és 357–358. pontja | |||||
| 0020 | Birtokbavétellel megszerzett új biztosíték miatti beáramlások | V. melléklet 2. részének 341., 345. és 357–358. pontja | V. melléklet 2. részének 341., 345. és 357–358. pontja | |||||
26. Átstrukturálás-kezelés és az átstrukturálás minősége
| Átstrukturált hitelek és előlegek | ||||||||||||
| ebből: Háztartások | ebből: Nem pénzügyi vállalatok | |||||||||||
| ebből: teljesítő | ebből: az időszak alatt átstrukturálással érintett | ebből: teljesítő | ebből: az időszak alatt átstrukturálással érintett | ebből: teljesítő | ebből: az időszak alatt átstrukturálással érintett | |||||||
| Hivatkozások A nemzeti GAAP-pal kompatibilis IFRS standardok | V. melléklet 1. részének 32. pontja, 2. részének 240–245. és 252–257. pontja | V. melléklet 2. részének 256. és 259–261. pontja | V. melléklet 2. részének 361. pontja | V. melléklet 1. részének 32., 42. f) és 44. a) pontja, 2. részének 240–245. és 252–257. pontja | V. melléklet 2. részének 256. és 259–261. pontja | V. melléklet 2. részének 361. pontja | V. melléklet 1. részének 32., 42. e) és 44. a) pontja, 2. részének 240–245. és 252–257. pontja | V. melléklet 2. részének 256. és 259–261. pontja | V. melléklet 2. részének 361. pontja | |||
| Hivatkozások Nemzeti GAAP a BAD alapján | V. melléklet 1. részének 32. pontja, 2. részének 240–245. és 252–257. pontja | V. melléklet 2. részének 256. és 259–261. pontja | V. melléklet 2. részének 361. pontja | V. melléklet 1. részének 32., 42. f) és 44. a) pontja, 2. részének 240–245. és 252–257. pontja | V. melléklet 2. részének 256. és 259–261. pontja | V. melléklet 2. részének 361. pontja | V. melléklet 1. részének 32., 42. e) és 44. a) pontja, 2. részének 240–245. és 252–257. pontja | V. melléklet 2. részének 256. és 259–261. pontja | V. melléklet 2. részének 361. pontja | |||
| 0010 | 0020 | 0030 | 0040 | 0050 | 0060 | 0070 | 0080 | 0090 | ||||
| 0010 | Instrumentumok száma | V. melléklet 2. részének 320., 355. és 356. pontja | V. melléklet 2. részének 320., 355. és 356. pontja | |||||||||
| 0020 | Az instrumentumok bruttó könyv szerinti értéke, az átstrukturálási intézkedések következő típusai esetében: | V. melléklet 1. részének 34. pontja, 2. részének 355., 357. és 359. pontja | V. melléklet 1. részének 34. pontja, 2. részének 355., 357. és 359. pontja | |||||||||
| 0030 | Türelmi idő/törlesztési moratórium | V. melléklet 2. részének 358. a) pontja | V. melléklet 2. részének 358. a) pontja | |||||||||
| 0040 | Kamatlábcsökkentés | V. melléklet 2. részének 358. b) pontja | V. melléklet 2. részének 358. b) pontja | |||||||||
| 0050 | Lejárat/futamidő meghosszabbítása | V. melléklet 2. részének 358. c) pontja | V. melléklet 2. részének 358. c) pontja | |||||||||
| 0060 | Átütemezett fizetések | V. melléklet 2. részének 358. d) pontja | V. melléklet 2. részének 358. d) pontja | |||||||||
| 0070 | Adósságelengedés | V. melléklet 2. részének 358. e) pontja | V. melléklet 2. részének 358. e) pontja | |||||||||
| 0080 | Hitel/eszköz csere | V. melléklet 2. részének 358. f) pontja | V. melléklet 2. részének 358. f) pontja | |||||||||
| 0090 | Egyéb átstrukturálási intézkedések | V. melléklet 2. részének 358. g) pontja | V. melléklet 2. részének 358. g) pontja | |||||||||
| Több időpontban átstrukturált instrumentumok bruttó könyv szerinti értéke | V. melléklet 1. részének 34. pontja, 2. részének 355. pontja | V. melléklet 1. részének 34. pontja, 2. részének 355. pontja | ||||||||||
| 0100 | Kétszer átstrukturált hitelek és előlegek | V. melléklet 2. részének 360. a) i. pontja | V. melléklet 2. részének 360. a) i. pontja | |||||||||
| 0110 | Kettőnél többször átstrukturált hitelek és előlegek | V. melléklet 2. részének 360. a) i. pontja | V. melléklet 2. részének 360. a) i. pontja | |||||||||
| 0120 | Hitelek és előlegek, amelyek már meglévő átstrukturálási intézkedések mellett részesültek átstrukturálási intézkedésben | V. melléklet 2. részének 360. a) ii. pontja | V. melléklet 2. részének 360. a) ii. pontja | |||||||||
| 0130 | A nemteljesítő besorolásból való kilépés feltételeit nem teljesítő, nemteljesítő átstrukturált hitelek és előlegek bruttó könyv szerinti értéke | V. melléklet 1. részének 34. pontja, 2. részének 232., 355. és 360. b) pontja | V. melléklet 1. részének 34. pontja, 2. részének 232., 355. és 360. b) pontja | |||||||||
30. Mérlegen kívüli tevékenységek: Érdekeltségek nem konszolidált strukturált gazdálkodó egységekben
30.1. Érdekeltségek nem konszolidált strukturált gazdálkodó egységekben
| Hivatkozások Nemzeti GAAP a BAD alapján | Hivatkozások A nemzeti GAAP-pal kompatibilis IFRS standardok | A mérlegben megjelenített pénzügyi eszközök könyv szerinti értéke | Ebből: lehívott likviditási támogatás | Lehívott likviditási támogatás valós értéke | A mérlegben megjelenített pénzügyi kötelezettségek könyv szerinti értéke | Az adatszolgáltató intézmény által adott mérlegen kívüli kitettségek névértéke | Ebből: Adott hitelnyújtási elkötelezettségek névértéke | Az adatszolgáltató intézménynél a tárgyidőszakban felmerült veszteségek | ||
| IFRS 12 29. bekezdésének a) pontja | IFRS 12 29. bekezdésének a) pontja; V. melléklet 2. részének 286. pontja | IFRS 12 29. bekezdésének a) pontja | IFRS 12 B26. bekezdésének e) pontja | IFRS 12 B26. bekezdésének b) pontja; V. melléklet 2. részének 287.pontja | ||||||
| 010 | 020 | 030 | 040 | 050 | 060 | 080 | ||||
| 010 | Összesen | |||||||||
30.2. Nem konszolidált strukturált gazdálkodó egységekben levő érdekeltségek részletezése a tevékenységek jellege szerint
| A tevékenységek jellege szerint | Hivatkozások Nemzeti GAAP a BAD alapján | Hivatkozások A nemzeti GAAP-pal kompatibilis IFRS standardok | Könyv szerinti érték | |||
| Értékpapírosítási különleges célú gazdálkodó egységek | Vagyonkezelés | Más tevékenységek | ||||
| CRR 4. cikke (1) bekezdésének 66. pontja | V. melléklet 2. részének 285. a) pontja | |||||
| IFRS 12 24. bekezdése, B6. bekezdésének a) pontja | 010 | 020 | 030 | |||
| 010 | Az adatszolgáltató intézmény mérlegében megjelenített kiválasztott pénzügyi eszközök | IFRS 12 29. bekezdésének a), b) pontja | ||||
| 021 | ebből: nemteljesítő | V. melléklet 2. részének 213–239. pontja | V. melléklet 2. részének 213–239. pontja | |||
| 030 | Származtatott ügyletek | CRR II. melléklete; V. melléklet 2. részének 272. pontja | IFRS 9 A. függelék; V. melléklet 2. részének 272. pontja | |||
| 040 | Tulajdoni részesedést megtestesítő instrumentumok | EKB/2013/33 2. melléklete 2. részének 4–5. szakasza | IAS 32 11. bekezdése | |||
| 050 | Hitelviszonyt megtestesítő értékpapírok | V. melléklet 1. részének 31. pontja | V. melléklet 1. részének 31. pontja | |||
| 060 | Hitelek és előlegek | V. melléklet 1. részének 32. pontja | V. melléklet 1. részének 32. pontja | |||
| 070 | Az adatszolgáltató intézmény mérlegében megjelenített kiválasztott tőkeelemek és pénzügyi kötelezettségek | IFRS 12 29. bekezdésének a), b) pontja | ||||
| 080 | Kibocsátott tulajdoni részesedést megtestesítő instrumentumok | IAS 32 11. bekezdése | ||||
| 090 | Származtatott ügyletek | CRR II. melléklete; V. melléklet 1. részének 24. a) pontja, 25., 26. pontja, 2. részének 272. pontja | IFRS 9 A. függelék; V. melléklet 2. részének 272. pontja | |||
| 100 | Betétek | EKB/2013/33 2. melléklete 2. részének 9. szakasza; V. melléklet 1. részének 36. pontja | EKB/2013/33 2. melléklete 2. részének 9. szakasza; V. melléklet 1. részének 36. pontja | |||
| 110 | Kibocsátott hitelviszonyt megtestesítő értékpapírok | V. melléklet 1. részének 37. pontja | V. melléklet 1. részének 37. pontja | |||
| Névérték | ||||||
| 120 | Az adatszolgáltató intézmény által adott mérlegen kívüli kitettségek | CRR I. melléklete; V. melléklet 2. részének 112., 113–115. és 118. pontja | IFRS 12 B26. bekezdésének e) pontja; CRR I. melléklete; V. melléklet 2. részének 102–105. pontja, 113–115. pontja és 118. pontja | |||
| 131 | ebből: nemteljesítő | V. melléklet 2. részének 117. pontja | V. melléklet 2. részének 117. pontja | |||
31. Kapcsolt felek
31.1. Kapcsolt felek: kötelezettségek és követelések kapcsolt felekkel szemben
| Hivatkozások Nemzeti GAAP a BAD alapján | Hivatkozások A nemzeti GAAP-pal kompatibilis IFRS standardok | Nyitott egyenlegek | ||||||
| Anyavállalat és a gazdálkodó egység felett közös ellenőrzést vagy jelentős befolyást gyakorló gazdálkodó egységek | Leányvállalatok és azonos csoportba tartozó egyéb gazdálkodó egységek | Társult és közös vállalkozások | Az intézmény vagy anyavállalatának kulcspozícióban lévő vezetői | Egyéb kapcsolt felek | ||||
| IAS 24 19. bekezdésének a), b) pontja | IAS 24 19. bekezdésének c) pontja; V. melléklet 2. részének 289.pontja | IAS 24 19. bekezdésének d), e) pontja; V. melléklet 2. részének 289.pontja | IAS 24 19. bekezdésének f) pontja | IAS 24 19. bekezdésének g) pontja | ||||
| Számviteli irányelv 17. cikke (1) bekezdésének p) pontja | Számviteli irányelv 17. cikke (1) bekezdésének p) pontja; V. melléklet 2. részének 289.pontja | Számviteli irányelv 17. cikke (1) bekezdésének p) pontja; V. melléklet 2. részének 289.pontja | Számviteli irányelv 17. cikke (1) bekezdésének p) pontja | Számviteli irányelv 17. cikke (1) bekezdésének p) pontja | ||||
| V. melléklet 2. részének 288–291. pontja | V. melléklet 2. részének 288–291. pontja | 010 | 020 | 030 | 040 | 050 | ||
| 010 | Kiválasztott pénzügyi eszközök | IAS 24 18. bekezdésének b) pontja | ||||||
| 020 | Tulajdoni részesedést megtestesítő instrumentumok | EKB/2013/33 2. melléklete 2. részének 4–5. szakasza | IAS 32 11. bekezdése | |||||
| 030 | Hitelviszonyt megtestesítő értékpapírok | V. melléklet 1. részének 31. pontja | V. melléklet 1. részének 31. pontja | |||||
| 040 | Hitelek és előlegek | V. melléklet 1. részének 32. pontja | V. melléklet 1. részének 32. pontja | |||||
| 050 | ebből: nemteljesítő | V. melléklet 2. részének 213–239. pontja | V. melléklet 2. részének 213–239. pontja | |||||
| 060 | Kiválasztott pénzügyi kötelezettségek | IAS 24 18. bekezdésének b) pontja | ||||||
| 070 | Betétek | EKB/2013/33 2. melléklete 2. részének 9. szakasza; V. melléklet 1. részének 36. pontja | EKB/2013/33 2. melléklete 2. részének 9. szakasza; V. melléklet 1. részének 36. pontja | |||||
| 080 | Kibocsátott hitelviszonyt megtestesítő értékpapírok | V. melléklet 1. részének 37. pontja | V. melléklet 1. részének 37. pontja | |||||
| 090 | Adott hitelnyújtási elkötelezettségek, pénzügyi garanciák és egyéb elkötelezettségek névértéke | CRR I. melléklete; V. melléklet 2. részének 112., 113–115. és 118. pontja | IAS 24 18. bekezdésének b) pontja; CRR I. melléklete; V. melléklet 2. részének 102–105. pontja, 113–115. pontja és 118. pontja | |||||
| 100 | ebből: nemteljesítő | V. melléklet 2. részének 117. pontja | IAS 24 18. bekezdésének b) pontja; V. melléklet 2. részének 117. pontja | |||||
| 110 | Kapott hitelnyújtási elkötelezettségek, pénzügyi garanciák és egyéb elkötelezettségek | V. melléklet 2. részének 102–103. pontja, 113–115. pontja és 290. pontja | IAS 24 18. bekezdésének b) pontja; V. melléklet 2. részének 290.pontja | |||||
| 120 | Származtatott ügyletek névleges összege | V. melléklet 2. részének 133–135. pontja | V. melléklet 2. részének 133–135. pontja | |||||
| 131 | Az értékvesztés és a hitelkockázat-változásból származó negatív valósérték-változás halmozott összege nemteljesítő kitettségek esetében | V. melléklet 2. részének 69–71. pontja és 291. pontja | IAS 24 1. bekezdésének c) pontja V. melléklet 2. részének 69–71. pontja és 291. pontja | |||||
| 132 | Nemteljesítő mérlegen kívüli kitettségekre képzett céltartalék | V. melléklet 2. részének 11. pontja, 106. pontja és 291. pontja | V. melléklet 2. részének 11. pontja, 106. pontja és 291. pontja | |||||
31.2. Kapcsolt felek: kapcsolt felekkel való ügyletkötésekből származó kiadások és bevételek
| Hivatkozások Nemzeti GAAP a BAD alapján | Hivatkozások A nemzeti GAAP-pal kompatibilis IFRS standardok | Tárgyidőszak | ||||||
| Anyavállalat és a gazdálkodó egység felett közös ellenőrzést vagy jelentős befolyást gyakorló gazdálkodó egységek | Leányvállalatok és azonos csoportba tartozó egyéb gazdálkodó egységek | Társult és közös vállalkozások | Az intézmény vagy anyavállalatának kulcspozícióban lévő vezetői | Egyéb kapcsolt felek | ||||
| IAS 24 19. bekezdésének a), b) pontja | IAS 24 19. bekezdésének c) pontja | IAS 24 19. bekezdésének d), e) pontja | IAS 24 19. bekezdésének f) pontja | IAS 24 19. bekezdésének g) pontja | ||||
| V. melléklet 2. részének 288–289. pontja és 292–293. pontja | V. melléklet 2. részének 288–289. pontja és 292–293. pontja | 010 | 020 | 030 | 040 | 050 | ||
| 010 | Kamatbevétel | BAD 27. cikke, Függőleges tagolás 1. pontja; V. melléklet 2. részének 31. pontja | IAS 24 18. bekezdésének a) pontja; V. melléklet 2. részének 31. pontja | |||||
| 020 | Kamatráfordítások | BAD 27. cikke, Függőleges tagolás 2. pontja; V. melléklet 2. részének 31. pontja | IAS 24 18. bekezdésének a) pontja; IAS 1 97. bekezdése; V. melléklet 2. részének 31. pontja | |||||
| 030 | Osztalékbevétel | BAD 27. cikke, Függőleges tagolás 3. pontja; V. melléklet 2. részének 40. pontja | IAS 24 18. bekezdésének a) pontja; V. melléklet 2. részének 40. pontja | |||||
| 040 | Díj- és jutalékbevételek | BAD 27. cikke, Függőleges tagolás 4. pontja | IAS 24 18. bekezdésének a) pontja; IFRS 7 20. bekezdésének c) pontja | |||||
| 050 | Díj- és jutalékráfordítások | BAD 27. cikke, Függőleges tagolás 5. pontja | IAS 24 18. bekezdésének a) pontja; IFRS 7 20. bekezdésének c) pontja | |||||
| 060 | Az eredménnyel szemben valós értéken értékelt kategóriába nem tartozó pénzügyi eszközök és kötelezettségek kivezetéséből származó nyereség vagy (–) veszteség | BAD 27. cikke, Függőleges tagolás 6. pontja | IAS 24 18. bekezdésének a) pontja | |||||
| 070 | Pénzügyi eszközöktől eltérő eszközök kivezetéséből származó nyereség vagy (–) veszteség | V. melléklet 2. részének 292.pontja | IAS 24 18. bekezdésének a) pontja; V. melléklet 2. részének 292.pontja | |||||
| 080 | Nemteljesítő kitettségek értékvesztése vagy (-) értékvesztésének visszaírása | V. melléklet 2. részének 293. pontja | IAS 24 18. bekezdésének d) pontja; V. melléklet 2. részének 293.pontja | |||||
| 090 | Nemteljesítő kitettségekre képzett céltartalékok vagy (-) céltartalékok visszaírása | V. melléklet 2. részének 50. és 293. pontja | V. melléklet 2. részének 50. és 293. pontja | |||||
40. Csoportszerkezet
40.1. Csoportszerkezet: "intézményenként"
| LEI-kód | Az intézmény kódja | Az intézmény neve | A belépés időpontja | A befektetést befogadó jegyzett tőkéje | A befektetést befogadó saját tőkéje | A befektetést befogadó mérlegfőösszege | A befektetést befogadó nyeresége vagy (-) vesztesége | A befektetést befogadó székhelye | A befektetést befogadó szektora | NACE-kód | Halmozott tőkerészesedés [%] | Szavazati jogok [%] | Csoportszerkezet [kapcsolat] | Elszámolási módszer [Számviteli csoport] | Elszámolási módszer [CRR csoport] | Könyv szerinti érték | Akvizíció költsége | A befektetést befogadóhoz kapcsolódó cégérték | Az olyan befektetések valós értéke, amelyekre vonatkozóan nyilvánosan közzétett árjegyzés van | 
| V. melléklet 2. részének 294–295. pontja és 296. a) pontja | V. melléklet 2. részének 294–295. pontja és 296. b) pontja | IFRS 12 12. bekezdésének a) pontja, 21. bekezdésének a) i. pontja; V. melléklet 2. részének 294–295. pontja és 296. c) pontja | V. melléklet 2. részének 294–295. pontja és 296. d) pontja | V. melléklet 2. részének 294–295. pontja és 296. e) pontja | IFRS 12 B12. bekezdésének b) pontja; V. melléklet 2. részének 294–295. pontja és 296. f) pontja | IFRS 12 B12. bekezdésének b) pontja; V. melléklet 2. részének 294–295. pontja és 296. f) pontja | IFRS 12 B12. bekezdésének b) pontja; V. melléklet 2. részének 294–295. pontja és 296. f) pontja | IFRS 12 12. bekezdésének b) pontja, 21. bekezdésének a) iii. pontja; V. melléklet 2. részének 294–295. pontja és 296. g) pontja | V. melléklet 2. részének 294–295. pontja és 296. h) pontja | V. melléklet 2. részének 294–295. pontja és 296. i) pontja | IFRS 12 21. bekezdésének a) iv. pontja; V. melléklet 2. részének 294–295. pontja és 296. j) pontja | IFRS 12 21. bekezdésének a) iv. pontja; V. melléklet 2. részének 294–295. pontja és 296. k) pontja | IFRS 12 10. bekezdésének a) i. pontja; V. melléklet 2. részének 294–295. pontja és 296. l) pontja | IFRS 12 21. bekezdésének b) pontja; V. melléklet 2. részének 294–295. pontja és 296. m) pontja | CRR 18. cikke; V. melléklet 2. részének 294–295. pontja és 296. n) pontja | V. melléklet 2. részének 294–295. pontja és 296. o) pontja | V. melléklet 2. részének 294–295. pontja és 296. p) pontja | V. melléklet 2. részének 294–295. pontja és 296. q) pontja | IFRS 12 21. bekezdésének b) iii. pontja; V. melléklet 2. részének 294–295. pontja és 296. r) pontja | 
| V. melléklet 2. részének 294–295. pontja és 296. a) pontja | V. melléklet 2. részének 294–295. pontja és 296. b) pontja | V. melléklet 2. részének 294–295. pontja és 296. c) pontja | V. melléklet 2. részének 294–295. pontja és 296. d) pontja | V. melléklet 2. részének 294–295. pontja és 296. e) pontja | V. melléklet 2. részének 294–295. pontja és 296. f) pontja | V. melléklet 2. részének 294–295. pontja és 296. f) pontja | V. melléklet 2. részének 294–295. pontja és 296. f) pontja | V. melléklet 2. részének 294–295. pontja és 296. q) pontja | V. melléklet 2. részének 294–295. pontja és 296. h) pontja | V. melléklet 2. részének 294–295. pontja és 296. i) pontja | V. melléklet 2. részének 294–295. pontja és 296. j) pontja | V. melléklet 2. részének 294–295. pontja és 296. k) pontja | V. melléklet 2. részének 294–295. pontja és 296. l) pontja | V. melléklet 2. részének 294–295. pontja és 296. m) pontja | CRR 423. cikkének b) pontja; V. melléklet 2. részének 294–295. pontja és 296. n) pontja | V. melléklet 2. részének 294–295. pontja és 296. o) pontja | V. melléklet 2. részének 294–295. pontja és 296. p) pontja | V. melléklet 2. részének 294–295. pontja és 296. q) pontja | V. melléklet 2. részének 294–295. pontja és 296. r) pontja | 
| 010 | 020 | 030 | 040 | 050 | 060 | 070 | 080 | 090 | 095 | 100 | 110 | 120 | 130 | 140 | 150 | 160 | 170 | 180 | 190 | 
40.2. Csoportszerkezet: "instrumentumonként"
| Értékpapírkód | Az intézmény kódja | A holdingtársaság LEI-kódja | A holdingtársaság kódja | A holdingtársaság neve | Halmozott tőkerészesedés (%) | Könyv szerinti érték | Akvizíció költsége | 
| V. melléklet 2. részének 297. a) pontja | V. melléklet 2. részének 296. b) és 297. c) pontja | V. melléklet 2. részének 297. b) pontja | V. melléklet 2. részének 297. b) pontja | V. melléklet 2. részének 296. j) pontja, 297. c) pontja | V. melléklet 2. részének 296. o) pontja, 297. c) pontja | V. melléklet 2. részének 296. p) pontja, 297. c) pontja | |
| V. melléklet 2. részének 297. a) pontja | V. melléklet 2. részének 296. b) és 297. c) pontja | V. melléklet 2. részének 297. b) pontja | V. melléklet 2. részének 297. b) pontja | V. melléklet 2. részének 296. j) pontja, 297. c) pontja | V. melléklet 2. részének 296. o) pontja, 297. c) pontja | V. melléklet 2. részének 296. p) pontja, 297. c) pontja | |
| 010 | 020 | 030 | 040 | 050 | 060 | 070 | 080 | 
41. Valós érték
41.1. Valósérték-hierarchia: amortizált bekerülési értéken értékelt pénzügyi instrumentumok
| Hivatkozások Nemzeti GAAP a BAD alapján V. melléklet 2. részének 298.pontja | Hivatkozások A nemzeti GAAP-pal kompatibilis IFRS standardok V. melléklet 2. részének 298.pontja | Valós érték IFRS 7 25-26. bekezdése | Valósérték-hierarchia IFRS 13 97. bekezdése, 93. bekezdésének b) pontja | ||||
| 1. szint IFRS 13 76. bekezdése | 2. szint IFRS 13 81. bekezdése | 3. szint IFRS 13 86. bekezdése | |||||
| 010 | 020 | 030 | 040 | ||||
| ESZKÖZÖK | |||||||
| 015 | Amortizált bekerülési értéken értékelt pénzügyi eszközök | Számviteli irányelv 8. cikke (4) bekezdésének b) pontja és (6) bekezdése; IAS 39 9. bekezdése | IFRS 7 8. bekezdésének f) pontja; IFRS 9 4.1.2. bekezdése | ||||
| 016 | Hitelviszonyt megtestesítő értékpapírok | V. melléklet 1. részének 24. és 26. pontja | V. melléklet 1. részének 31. pontja | ||||
| 017 | Hitelek és előlegek | V. melléklet 1. részének 24. és 27. pontja | V. melléklet 1. részének 32. pontja | ||||
| 021 | Bekerülésiérték-módszerrel értékelt nem kereskedési célú, nem származtatott pénzügyi eszközök | BAD 35. cikke; számviteli irányelv 6. cikke (1) bekezdésének i) pontja és 8. cikkének (2) bekezdése V. melléklet 1. részének 18. és 19. pontja | |||||
| 022 | Tulajdoni részesedést megtestesítő instrumentumok | EKB/2013/33 2. melléklete 2. részének 4–5. szakasza | |||||
| 023 | Hitelviszonyt megtestesítő értékpapírok | V. melléklet 1. részének 31. pontja | |||||
| 024 | Hitelek és előlegek | V. melléklet 1. részének 32. pontja | |||||
| 031 | Egyéb nem kereskedési célú, nem származtatott pénzügyi eszközök | BAD 37. cikke; Számviteli irányelv 12. cikkének (7) bekezdése; V. melléklet 1. részének 20. pontja | |||||
| 032 | Tulajdoni részesedést megtestesítő instrumentumok | EKB/2013/33 2. melléklete 2. részének 4–5. szakasza | |||||
| 033 | Hitelviszonyt megtestesítő értékpapírok | V. melléklet 1. részének 31. pontja | |||||
| 034 | Hitelek és előlegek | V. melléklet 1. részének 32. pontja | |||||
| KÖTELEZETTSÉGEK | |||||||
| 070 | Amortizált bekerülési értéken értékelt pénzügyi kötelezettségek | Számviteli irányelv 8. cikkének (3) bekezdése és (6) bekezdése; IAS 39 47. bekezdése | IFRS 7 8. bekezdésének g) pontja; IFRS 9 4.2.1. bekezdése | ||||
| 080 | Betétek | EKB/2013/33 2. melléklete 2. részének 9. szakasza; V. melléklet 1. részének 30. pontja | EKB/2013/33 2. melléklete 2. részének 9. szakasza; V. melléklet 1. részének 36. pontja | ||||
| 090 | Kibocsátott hitelviszonyt megtestesítő értékpapírok | V. melléklet 1. részének 31. pontja | V. melléklet 1. részének 37. pontja | ||||
| 100 | Egyéb pénzügyi kötelezettségek | V. melléklet 1. részének 32–34. pontja | V. melléklet 1. részének 38–41. pontja | ||||
| 101 | Bekerülésiérték-módszerrel értékelt nem kereskedési célú, nem származtatott pénzügyi kötelezettségek | Számviteli irányelv 8. cikkének (3) bekezdése | |||||
| 102 | Betétek | EKB/2013/33 2. melléklete 2. részének 9. szakasza; V. melléklet 1. részének 36. pontja | |||||
| 103 | Kibocsátott hitelviszonyt megtestesítő értékpapírok | V. melléklet 1. részének 37. pontja | |||||
| 104 | Egyéb pénzügyi kötelezettségek | V. melléklet 1. részének 38–41. pontja | |||||
41.2. A valós érték opció alkalmazása
| Hivatkozások Nemzeti GAAP a BAD alapján | Hivatkozások A nemzeti GAAP-pal kompatibilis IFRS standardok | Könyv szerinti érték V. melléklet 1. részének 27–28. pontja | |||||
| Számviteli meg nem felelés | Kezelés valós érték alapján | Hibrid szerződések | Hitelkockázat szempontjából kezelt | ||||
| IFRS 9 B4.1.29 bekezdése | IFRS 9 B4.1.33 bekezdése | IFRS 9 4.3.6. bekezdése; IFRS 9 4.3.7. bekezdése; V. melléklet 2. részének 300.pontja | IFRS 9 6.7. bekezdése; IFRS 7 8. bekezdésének a) és e) pontja; V. melléklet 2. részének 300.pontja | ||||
| 010 | 020 | 030 | 040 | ||||
| ESZKÖZÖK | |||||||
| 010 | Az eredménnyel szemben valós értéken értékeltnek megjelölt pénzügyi eszközök | Számviteli irányelv 8. cikke (1) bekezdésének a) pontja és (6) bekezdése | IFRS 7 8. bekezdésének a) i. pontja; IFRS 9 4.1.5. bekezdése | ||||
| 030 | Hitelviszonyt megtestesítő értékpapírok | V. melléklet 1. részének 31. pontja | V. melléklet 1. részének 31. pontja | ||||
| 040 | Hitelek és előlegek | V. melléklet 1. részének 32. pontja | V. melléklet 1. részének 32. pontja | ||||
| KÖTELEZETTSÉGEK | |||||||
| 050 | Az eredménnyel szemben valós értéken értékeltnek megjelölt pénzügyi kötelezettségek | Számviteli irányelv 8. cikke (1) bekezdésének a) pontja és (6) bekezdése; IAS 39 9. bekezdése | IFRS 7 8. bekezdésének e) i. pontja; IFRS 9 4.2.2. bekezdése | ||||
| 060 | Betétek | EKB/2013/33 2. melléklete 2. részének 9. szakasza; V. melléklet 1. részének 36. pontja | EKB/2013/33 2. melléklete 2. részének 9. szakasza; V. melléklet 1. részének 36. pontja | ||||
| 070 | Kibocsátott hitelviszonyt megtestesítő értékpapírok | V. melléklet 1. részének 37. pontja | V. melléklet 1. részének 37. pontja | ||||
| 080 | Egyéb pénzügyi kötelezettségek | V. melléklet 1. részének 38–41. pontja | V. melléklet 1. részének 38–41. pontja | ||||
42. Tárgyi eszközök és immateriális javak: könyv szerinti érték értékelési módszer szerint
| Hivatkozások A nemzeti GAAP-pal kompatibilis IFRS standardok V. melléklet 2. részének 302.pontja | Könyv szerinti érték | |||
| ebből: használatijog-eszközök | ||||
| IFRS 16 47. bekezdésének a) pontja, 53. bekezdésének j) pontja, V. melléklet 2. részének 303i. pontja | ||||
| 010 | 020 | |||
| 010 | Ingatlanok, gépek és berendezések | IAS 16 6. bekezdése; IAS 16 29. bekezdése; IAS 1 54. bekezdésének a) pontja | ||
| 020 | Átértékelési modell | IAS 16 31. bekezdése, 73. bekezdésének a), d) pontja | ||
| 030 | Bekerülésiérték-modell | IAS 16 30. bekezdése, 73. bekezdésének a), d) pontja | ||
| 040 | Befektetési célú ingatlan | IAS 40 5. és 30. bekezdése; IAS 1 54. bekezdésének b) pontja | ||
| 050 | Valósérték-modell | IAS 40 33–55. bekezdése, 76. bekezdése | ||
| 060 | Bekerülésiérték-modell | IAS 40 56. bekezdése, 79. bekezdésének c) pontja | ||
| 070 | Egyéb immateriális javak | IAS 38 8., 118. és 122. bekezdése; V. melléklet 2. részének 303.pontja | ||
| 080 | Átértékelési modell | IAS 38 75-87. bekezdése, 124. bekezdésének a) ii. pontja | ||
| 090 | Bekerülésiérték-modell | IAS 38 74. bekezdése | ||
43. Céltartalékok
| Hivatkozások Nemzeti GAAP a BAD alapján | Hivatkozások A nemzeti GAAP-pal kompatibilis IFRS standardok | Könyv szerinti érték V. melléklet 1. részének 27–28. pontja | ||||||||
| Nyugdíj és egyéb munkaviszony megszűnése utáni meghatározott juttatási kötelmek | Egyéb hosszú távú munkavállalói juttatások | Átszervezés | Függő jogi ügyek és adóügyi perek | Nemzeti GAAP szerint adott elkötelezettségek és garanciák | Az IAS 37 szerint értékelt egyéb elkötelezettségek és adott garanciák és az IFRS 4 szerint értékelt adott garanciák | Egyéb céltartalékok | ||||
| IAS 19 63. bekezdése; IAS 1 78. bekezdésének d) pontja; V. melléklet 2. részének 9. pontja | IAS 19 153. bekezdése; IAS 1 78. bekezdésének d) pontja; V. melléklet 2. részének 10. pontja | IAS 37 70–83. bekezdése | IAS 37 14. bekezdése | IAS 37; IFRS 4; V. melléklet 2. részének 304–305. pontja | IAS 37 14. bekezdése | |||||
| V. melléklet 2. részének 9. pontja | V. melléklet 2. részének 10. pontja | BAD 24–25 cikke, 33. cikkének (1) bekezdése | ||||||||
| 010 | 020 | 030 | 040 | 050 | 055 | 060 | ||||
| 010 | Nyitó egyenleg [könyv szerinti érték az időszak elején] | IAS 37 84. bekezdésének a) pontja | ||||||||
| 020 | Céltartalékképzés, beleértve a már meglévő céltartalékok növelését | IAS 37 84. bekezdésének b) pontja | ||||||||
| 030 | (-) Felhasznált összegek | IAS 37 84. bekezdésének c) pontja | ||||||||
| 040 | (-) Fel nem használt, az időszak során visszaírt összegek | IAS 37 84. bekezdésének d) pontja | ||||||||
| 050 | A diszkontált összeg [az idő múlása] növekedése és a diszkontráta bármilyen változásának hatása | IAS 37 84. bekezdésének e) pontja | ||||||||
| 060 | Egyéb mozgások | |||||||||
| 070 | Záró egyenleg [könyv szerinti érték az időszak végén] | IAS 37 84. bekezdésének a) pontja | ||||||||
44. Meghatározott juttatási programok és munkavállalói juttatások
44.1. A meghatározott juttatási programok nettó eszközeinek és kötelezettségeinek összetevői
| Hivatkozások A nemzeti GAAP-pal kompatibilis IFRS standardok | Összeg | ||
| V. melléklet 2. részének 306–307. pontja | |||
| 010 | |||
| 010 | A meghatározott juttatási program eszközeinek valós értéke | IAS 19 140. bekezdésének a) i. pontja, 142. bekezdése | |
| 020 | Ebből: Az intézmény által kibocsátott pénzügyi instrumentumok | IAS 19 143. bekezdése | |
| 030 | Tulajdoni részesedést megtestesítő instrumentumok | IAS 19 142. bekezdésének b) pontja | |
| 040 | Hitelviszonyt megtestesítő instrumentumok | IAS 19 142. bekezdésének c) pontja | |
| 050 | Ingatlan | IAS 19 142. bekezdésének d) pontja | |
| 060 | A meghatározott juttatási program egyéb eszközei | ||
| 070 | A meghatározott juttatási kötelmek jelenértéke | IAS 19 140. bekezdésének a) ii. pontja | |
| 080 | Az eszközértékhatár hatása | IAS 19 140. bekezdésének a) iii. pontja | |
| 090 | A meghatározott juttatási program nettó eszközei [Könyv szerinti érték] | IAS 19 63. bekezdése; V. melléklet 2. részének 308.pontja | |
| 100 | Nyugdíjra és egyéb munkaviszony megszűnése utáni meghatározott juttatási kötelmekre képzett céltartalék [könyv szerinti érték] | IAS 19 63. bekezdése; IAS 1 78. bekezdésének d) pontja; V. melléklet 2. részének 9. pontja | |
| 110 | Eszközként megjelenített visszatérítési jogok valós értéke | IAS 19 140. bekezdésének b) pontja | |
44.2. A meghatározott juttatási kötelmek változásai
| Hivatkozások A nemzeti GAAP-pal kompatibilis IFRS standardok | Meghatározott juttatási kötelmek | ||
| V. melléklet 2. részének 306. pontja és 309. pontja | |||
| 010 | |||
| 010 | Nyitó egyenleg [jelenérték] | IAS 19 140. bekezdésének a) ii. pontja | |
| 020 | Tárgyidőszaki szolgálat költsége | IAS 19 141. bekezdésének a) pontja | |
| 030 | Kamatköltség | IAS 19 141. bekezdésének b) pontja | |
| 040 | Fizetett hozzájárulások | IAS 19 141. bekezdésének f) pontja | |
| 050 | Demográfiai feltételezések változásaiból eredő aktuáriusi nyereségek vagy (–) veszteségek | IAS 19 141. bekezdésének c) ii. pontja | |
| 060 | Pénzügyi feltételezések változásaiból eredő aktuáriusi nyereségek vagy (–) veszteségek | IAS 19 141. bekezdésének c) iii. pontja | |
| 070 | Devizaárfolyam növekedése vagy (-) csökkenése | IAS 19 141. bekezdésének e) pontja | |
| 080 | Kifizetett juttatások | IAS 19 141. bekezdésének g) pontja | |
| 090 | Múltbeli szolgálat költsége, az elszámolásokból eredő nyereségekkel és veszteségekkel együtt | IAS 19 141. bekezdésének d) pontja | |
| 100 | Üzleti kombinációkból és elidegenítésekből származó növekedés vagy (-) csökkenés | IAS 19 141. bekezdésének h) pontja | |
| 110 | Egyéb növekedés vagy (-) csökkenés | ||
| 120 | Záró egyenleg [jelenérték] | IAS 19 140. bekezdésének a) ii. pontja; V. melléklet 2. részének 310.pontja | |
44.3. Személyi jellegű ráfordítások a juttatás típusa szerint
| Hivatkozások Nemzeti GAAP a BAD alapján | Hivatkozások A nemzeti GAAP-pal kompatibilis IFRS standardok | Tárgyidőszak | ||
| 010 | ||||
| 010 | Nyugdíjak és hasonló ráfordítások | V. melléklet 2. részének 311. a) pontja | V. melléklet 2. részének 311. a) pontja | |
| 020 | Részvényalapú kifizetések | V. melléklet 2. részének 311. b) pontja | IFRS 2 44. bekezdése; V. melléklet 2. részének 311. b) pontja | |
| 030 | Bérek és keresetek | V. melléklet 2. részének 311. c) pontja | V. melléklet 2. részének 311. c) pontja | |
| 040 | Társadalombiztosítási járulékok | V. melléklet 2. részének 311. d) pontja | V. melléklet 2. részének 311. d) pontja | |
| 050 | Végkielégítések | V. melléklet 2. részének 311. e) pontja | IAS 19 8. bekezdése, V. melléklet 2. részének 311. e) pontja | |
| 060 | Egyéb típusú személyi jellegű ráfordítások | V. melléklet 2. részének 311. f) pontja | V. melléklet 2. részének 311. f) pontja | |
| 070 | SZEMÉLYI JELLEGŰ RÁFORDÍTÁSOK | |||
44.4. Személyi jellegű ráfordítások a javadalmazás és az alkalmazottak kategóriája szerint
| Tárgyidőszak | |||||||
| Összes alkalmazott | |||||||
| ebből: Azonosított munkavállalók | |||||||
| ebből: Vezető testület (irányító funkciójában) és felső vezetés | ebből: Vezető testület (felügyeleti funkciójában) | ||||||
| Hivatkozások Nemzeti GAAP a BAD alapján | Hivatkozások A nemzeti GAAP-pal kompatibilis IFRS standardok | V. melléklet 2. részének 311i. a) pontja | V. melléklet 2. részének 311i. pontja | V. melléklet 2. részének 311i. b) pontja | |||
| 0010 | 0020 | 0030 | 0040 | ||||
| 0010 | Fix javadalmazás | V. melléklet 2. részének 311i. a) pontja | V. melléklet 2. részének 311i. a) pontja | ||||
| 0020 | Változó javadalmazás | V. melléklet 2. részének 311i. a) pontja | V. melléklet 2. részének 311i. a) pontja | ||||
| 0030 | Javadalmazástól eltérő személyi jellegű ráfordítások | ||||||
| 0040 | SZEMÉLYI JELLEGŰ RÁFORDÍTÁSOK | ||||||
| 0050 | ALKALMAZOTTAK SZÁMA | V. melléklet 2. részének 311ii. pontja | V. melléklet 2. részének 311ii. pontja | ||||
45. Az eredménykimutatás kiválasztott tételeinek részletezése
45.1. Az eredménnyel szemben valós értéken értékeltnek megjelölt pénzügyi eszközök és kötelezettségek nyeresége vagy vesztesége számviteli portfólió szerint
| Hivatkozások Nemzeti GAAP a BAD alapján | Hivatkozások A nemzeti GAAP-pal kompatibilis IFRS standardok | Tárgyidőszak | A hitelkockázat változásából származó valósérték-változás összege | ||
| V. melléklet 2. részének 312.pontja | |||||
| 010 | 020 | ||||
| 010 | Az eredménnyel szemben valós értéken értékeltnek megjelölt pénzügyi eszközök | IFRS 7 20. bekezdésének a) i. pontja; IFRS 9 4.1.5. bekezdése | |||
| 020 | Az eredménnyel szemben valós értéken értékeltnek megjelölt pénzügyi kötelezettségek | IFRS 7 20. bekezdésének a) i. pontja; IFRS 9 4.2.2. bekezdése | |||
| 030 | AZ EREDMÉNNYEL SZEMBEN VALÓS ÉRTÉKEN ÉRTÉKELTNEK MEGJELÖLT PÉNZÜGYI ESZKÖZÖK ÉS KÖTELEZETTSÉGEK NYERESÉGE VAGY (–) VESZTESÉGE | BAD 27. cikke, Függőleges tagolás 6. pontja | IFRS 7 20. bekezdésének a) i. pontja | ||
45.2. Nem pénzügyi eszközök kivezetéséből származó nyereség vagy veszteség
| Hivatkozások Nemzeti GAAP a BAD alapján | Hivatkozások A nemzeti GAAP-pal kompatibilis IFRS standardok | Tárgyidőszak | ||
| V. melléklet 2. részének 313.pontja | ||||
| 010 | ||||
| 010 | Ingatlanok, gépek és berendezések | IAS 16 68. és 71. bekezdése | ||
| 020 | Befektetési célú ingatlan | IAS 40 69. bekezdése; IAS 1 34. bekezdésének a) pontja, 98. bekezdésének d) pontja | ||
| 030 | Immateriális javak | IAS 38 113–115A. bekezdése; IAS 1 34. bekezdésének a) pontja | ||
| 040 | Egyéb eszközök | IAS 1 34. bekezdésének a) pontja | ||
| 050 | NEM PÉNZÜGYI ESZKÖZÖK KIVEZETÉSÉBŐL SZÁRMAZÓ NYERESÉG VAGY (–) VESZTESÉG | IAS 1 34. bekezdése | ||
45.3. Egyéb működési bevételek és ráfordítások
| Hivatkozások Nemzeti GAAP a BAD alapján | Hivatkozások A nemzeti GAAP-pal kompatibilis IFRS standardok | Bevételek | Ráfordítások | ||
| 010 | 020 | ||||
| 010 | A valósérték-modell alkalmazásával értékelt tárgyi eszközök valós értékének változásai | V. melléklet 2. részének 314. pontja | IAS 40 76. bekezdésének d) pontja; V. melléklet 2. részének 314. pontja | ||
| 020 | Befektetési célú ingatlan | V. melléklet 2. részének 314. pontja | IAS 40 75. bekezdésének f) pontja; V. melléklet 2. részének 314. pontja | ||
| 030 | Operatív lízing, kivéve befektetési célú ingatlan | V. melléklet 2. részének 315. pontja | IFRS 16 81. és 82. bekezdése; V. melléklet 2. részének 315. pontja | ||
| 040 | Egyéb | V. melléklet 2. részének 316. pontja | V. melléklet 2. részének 316. pontja | ||
| 050 | EGYÉB MŰKÖDÉSI BEVÉTEL VAGY RÁFORDÍTÁS | V. melléklet 2. részének 314–316. pontja | V. melléklet 2. részének 314–316. pontja | ||
46. A sajáttőke-változások kimutatása
| A saját tőke változásának forrása | Hivatkozások Nemzeti GAAP a BAD alapján | Hivatkozások A nemzeti GAAP-pal kompatibilis IFRS standardok | Jegyzett tőke | Névértéken felüli befizetés (ázsió) | Kibocsátott tulajdoni részesedést megtestesítő instrumentumok, kivéve jegyzett tőke | Egyéb tőke | Halmozott egyéb átfogó jövedelem | Eredménytartalék | Átértékelési tartalék | Valós értéken értékelt tartalékok | Egyéb tartalékok | Első konszolidációs különbségek | (-) Saját részvények | Az anyavállalat tulajdonosainak tulajdonítható nyereség vagy (-) veszteség | (-) Évközi osztalék | Kisebbségi részesedések | Összesen | ||
| Halmozott egyéb átfogó jövedelem | Egyéb tételek | ||||||||||||||||||
| IAS 1 106. bekezdése, 54. bekezdésének r) pontja | IAS 1 106. bekezdése, 78. bekezdésének e) pontja | IAS 1 106. bekezdése; V. melléklet 2. részének 18–19. pontja | IAS 1 106. bekezdése; V. melléklet 2. részének 20. bekezdése | IAS 1 106. bekezdése | CRR 4. cikke (1) bekezdésének 123. pontja | IFRS 1 30. bekezdése, D5–D8. bekezdése | IAS 1 106. bekezdése, 54. bekezdésének c) pontja | IAS 1 106. bekezdése; IAS 32 34., 33. bekezdése; V. melléklet 2. részének 30. pontja | IAS 1 106. bekezdésének a) pontja | IAS 1 106. bekezdése; IAS 32 35. bekezdése | IAS 1 54. bekezdésének q) pontja, 106. bekezdésének a) pontja | IAS 1 54. bekezdésének q) pontja, 106. bekezdésének a) pontja | IAS 1 9. bekezdésének c) pontja, IG6 | ||||||
| BAD 4. cikke, Források 9. pontja, BAD 22. cikke | BAD 4. cikke, Források 10. pontja; CRR 4. cikke (1) bekezdésének 124. pontja | V. melléklet 2. részének 18–19. pontja | V. melléklet 2. részének 20. bekezdése | Számviteli irányelv 8. cikke (1) bekezdésének a) pontja és (6) bekezdése | BAD 4. cikke, Források 13. pontja; CRR 4. cikke (1) bekezdésének 123. pontja | BAD 4. cikke, Források 12. pontja | Számviteli irányelv 24. cikke (3) bekezdésének c) pontja; | Számviteli irányelv III. melléklet Eszközök D. III. 2. pontja; BAD 4. cikke, Eszközök 12. pontja; V. melléklet 2. részének 30. pontja | BAD 4. cikke, Források 14. pontja | CRR 26. cikkének (2b) bekezdése | Számviteli irányelv 24. cikkének (4) bekezdése | Számviteli irányelv 24. cikkének (4) bekezdése | |||||||
| 010 | 020 | 030 | 040 | 050 | 060 | 070 | 075 | 080 | 085 | 090 | 100 | 110 | 120 | 130 | 140 | ||||
| 010 | Nyitó egyenleg [újramegállapítás előtt] | ||||||||||||||||||
| 020 | Hibajavítások hatásai | IAS 1 106. bekezdésének b) pontja; IAS 8 42. bekezdése | |||||||||||||||||
| 030 | A számviteli politika változásainak hatásai | IAS 1 106. bekezdésének b) pontja; IAS 1 IG6; IAS 8 22. bekezdése | |||||||||||||||||
| 040 | Nyitó egyenleg [tárgyidőszak] | ||||||||||||||||||
| 050 | Törzsrészvények kibocsátása | IAS 1 106. bekezdésének d) iii. pontja | |||||||||||||||||
| 060 | Elsőbbségi részvények kibocsátása | IAS 1 106. bekezdésének d) iii. pontja | |||||||||||||||||
| 070 | Egyéb tulajdoni részesedést megtestesítő instrumentumok kibocsátása | IAS 1 106. bekezdésének d) iii. pontja | |||||||||||||||||
| 080 | Egyéb kibocsátott tulajdoni részesedést megtestesítő instrumentumokhoz fűződő jog gyakorlása vagy lejárata | IAS 1 106. bekezdésének d) iii. pontja | |||||||||||||||||
| 090 | Tartozás átváltása saját tőkévé | IAS 1 106. bekezdésének d) iii. pontja | |||||||||||||||||
| 100 | Tőkeleszállítás | IAS 1 106. bekezdésének d) iii. pontja | |||||||||||||||||
| 110 | Osztalék | IAS 1 106. bekezdésének d) iii. pontja; IAS 32 35. bekezdése; IAS 1 IG6 | |||||||||||||||||
| 120 | Saját részvények vásárlása | IAS 1 106. bekezdésének d) iii. pontja; IAS 32 33. bekezdése | |||||||||||||||||
| 130 | Saját részvények értékesítése vagy bevonása | IAS 1 106. bekezdésének d) iii. pontja; IAS 32 33. bekezdése | |||||||||||||||||
| 140 | Pénzügyi instrumentumok átsorolása a saját tőkéből a kötelezettségekhez | IAS 1 106. bekezdésének d) iii. pontja | |||||||||||||||||
| 150 | Pénzügyi instrumentumok átsorolása a kötelezettségekből a saját tőkéhez | IAS 1 106. bekezdésének d) iii. pontja | |||||||||||||||||
| 160 | Átvezetés a saját tőke összetevői között | IAS 1 106. bekezdésének d) iii. pontja; V. melléklet 2. részének 318. pontja | |||||||||||||||||
| 170 | A saját tőke üzleti kombinációkból származó növekedése vagy (-) csökkenése | IAS 1 106. bekezdésének d) iii. pontja | |||||||||||||||||
| 180 | Részvényalapú kifizetések | IAS 1 106. bekezdésének d) iii. pontja; IFRS 2 10. bekezdése | |||||||||||||||||
| 190 | A saját tőke egyéb növekedése vagy (-) csökkenése | IAS 1 106. bekezdésének d) pontja | |||||||||||||||||
| 200 | Teljes tárgyévi átfogó jövedelem | IAS 1 106. bekezdésének d) i-ii. pontja; IAS 1 81A. bekezdésének c) pontja; IAS 1 IG6 | |||||||||||||||||
| 210 | Záró egyenleg [tárgyidőszak] | ||||||||||||||||||
47. Hitelek és előlegek: Átlagos időtartam és megtérülési időszakok
| ÖSSZESEN | |||||||||
| ebből: Háztartások | ebből: Nem pénzügyi vállalatok | ||||||||
| ebből: Lakóingatlannal fedezett hitelek | ebből: Kkv-k | ebből: Kereskedelmi ingatlanhoz kapcsolódó hitelek kkv-któl eltérő nem pénzügyi vállalatoknak | |||||||
| ebből: Kereskedelmi ingatlanhoz kapcsolódó hitelek | |||||||||
| Hivatkozások | V. melléklet 1. részének 42. f) pontja | V. melléklet 2. részének 86. a) pontja és 87. pontja | V. melléklet 1. részének 42. e) pontja | KKV 1. cikke (2) bekezdésének a) pontja | KKV 1. cikke (2) bekezdésének a) pontja, V. melléklet 2. részének 239ix. pontja | V. melléklet 2. részének 239ix. pontja | |||
| 0010 | 0020 | 0030 | 0040 | 0050 | 0060 | 0070 | |||
| 0010 | Nemteljesítő hitelek és előlegek: az esedékesség napjától eltelt súlyozott átlagos időtartam (években) | V. melléklet 2. részének 362. és 363. pontja | |||||||
| 0020 | Az időszak alatt lezárult peres eljárásokból származó nettó kumulált megtérülés | V. melléklet 2. részének 362. és 364. a) pontja | |||||||
| 0030 | A bruttó könyv szerinti érték időszak alatt lezárult peres eljárásokból származó csökkenése | V. melléklet 2. részének 362. és 364. b) pontja | |||||||
| 0040 | Az időszak alatt lezárult peres eljárások átlagos időtartama (években) | V. melléklet 2. részének 362. és 364. c) pontja | |||||||
V. MELLÉKLET
A PÉNZÜGYI INFORMÁCIÓKRA VONATKOZÓ ADATSZOLGÁLTATÁS
Tartalomjegyzék
1. RÉSZ: ÁLTALÁNOS ÚTMUTATÓ
1. Hivatkozások
2. Jelölési szabályok
3. Konszolidáció
4. Pénzügyi instrumentumok számviteli portfóliói
4.1. Pénzügyi eszközök
4.2. Pénzügyi kötelezettségek
5. Pénzügyi instrumentumok
5.1. Pénzügyi eszközök
5.2. Bruttó könyv szerinti érték
5.3. Pénzügyi kötelezettségek
6. Ügyfél szerinti részletezés
A TÁBLÁHOZ KAPCSOLÓDÓ ÚTMUTATÓ
1. Mérleg
1.1. Eszközök (1.1.)
1.2. Kötelezettségek (1.2.)
1.3. Saját tőke (1.3.)
2. Eredménykimutatás (2.)
3. Átfogó jövedelemkimutatás (3.)
4. Pénzügyi eszközök instrumentum és ügyfélszektor szerinti részletezése (4.)
5. Nem kereskedési célú hitelek és előlegek termék szerinti részletezése (5.)
6. Nem pénzügyi vállalatoknak nyújtott nem kereskedési célú hitelek és előlegek részletezése NACE kódok szerint (6.)
7. Értékvesztés-elszámolási kötelezettség alá tartozó késedelmes pénzügyi eszközök (7.)
8. Pénzügyi kötelezettségek részletezése (8.)
9. Hitelnyújtási elkötelezettségek, pénzügyi garanciák és egyéb elkötelezettségek (9.)
10. Származtatott ügyletek és fedezeti elszámolások (10. és 11.)
10.1. Származtatott ügyletek kockázattípus szerinti besorolása
10.2. A származtatott ügyletek esetében feltüntetendő értékek
10.3. "Gazdasági fedezeti ügylet"-nek minősített származtatott ügyletek
10.4. Származtatott ügyletek ügyfélszektor szerinti részletezése
10.5. Fedezeti elszámolások a nemzeti GAAP szerint (11.2.)
10.6. A nem származtatott fedezeti instrumentumokra vonatkozóan feltüntetendő összeg (11.3. és 11.3.1.)
10.7. Fedezett tételek valósérték-fedezeti ügyletekben (11.4.)
11. Hitelezési veszteségekre képzett értékvesztés és céltartalékok változása (12.)
11.1. Hitelezési veszteségekre képzett értékvesztés változása és tulajdoni részesedést megtestesítő instrumentumok értékvesztése a BAD alapján kidolgozott nemzeti GAAP szerint (12.0.)
11.2. Hitelezési veszteségekre képzett értékvesztés és céltartalékok változása az IFRS szerint (12.1.)
11.3. Értékvesztési szakaszok közötti átvezetések (bruttó alapú megjelenítés) (12.2.)
12. Kapott biztosítékok és garanciák (13.)
12.1. Biztosítékok és garanciák nem kereskedési céllal tartott hitelek és előlegek szerinti részletezése (13.1.)
12.2. Az időszak alatt birtokbavétellel megszerzett biztosítékok [a vonatkozási időpontban tartott] (13.2.1.)
12.3. Birtokbavétellel megszerzett biztosítékok - halmozott (13.3.1.)
13. Valósérték-hierarchia: Valós értéken értékelt pénzügyi instrumentumok (14.)
14. Pénzügyi eszközök átadásával összefüggő kivezetés és pénzügyi kötelezettségek (15.)
15. Az eredménykimutatás kiválasztott tételeinek részletezése (16.)
15.1. Kamatbevételek és -ráfordítások instrumentum és ügyfélszektor szerint (16.1.)
15.2. Az eredménnyel szemben valós értéken értékelt kategóriába nem tartozó pénzügyi eszközök és kötelezettségek kivezetéséből származó nyereség vagy veszteség instrumentum szerint (16.2.)
15.3. Kereskedési céllal tartott és kereskedési célú pénzügyi eszközökből és kötelezettségekből származó nyereség vagy veszteség instrumentum szerint (16.3.)
15.4. Kereskedési céllal tartott és kereskedési célú pénzügyi eszközökből és kötelezettségekből származó nyereség vagy veszteség kockázat szerint (16.4.)
15.5. Kötelezően az eredménnyel szemben valós értéken értékelt, nem kereskedési célú pénzügyi eszközök nyeresége vagy vesztesége instrumentum szerint (16.4.1.)
15.6. Az eredménnyel szemben valós értéken értékeltnek megjelölt pénzügyi eszközök és kötelezettségek nyeresége vagy vesztesége instrumentum szerint (16.5.)
15.7. Fedezeti elszámolásokból eredő nyereségek vagy veszteségek (16.6.)
15.8. Nem pénzügyi eszközök értékvesztése (16.7.)
15.9. Egyéb igazgatási költségek (16.8.)
16. A konszolidáció számviteli és CRR szerinti körének egyeztetése (17.)
17. Nemteljesítő kitettségek (18.)
17.1. A teljesítő és nemteljesítő kitettségekkel kapcsolatos információk (18.0.)
17.2. Nemteljesítő kitettségek be- és kiáramlásai - hitelek és előlegek ügyfélszektor szerint (18.1.)
17.3. Kereskedelmi ingatlanhoz kapcsolódó hitelek és ingatlannal fedezett hitelekkel kapcsolatos kiegészítő információk (18.2.)
18. Átstrukturált kitettségek (19.)
19. Földrajzi megoszlás (20.)
19.1. Földrajzi megoszlás a tevékenység helye szerint (20.1-20.3.)
19.2. Földrajzi megoszlás az ügyfél székhelye szerint (20.4-20.7.)
20. Tárgyi eszközök és immateriális javak: operatív lízingbe adott eszközök (21.)
21. Vagyonkezelés, letétkezelés és egyéb szolgáltatások (22.)
21.1. Díj- és jutalékbevételek és díj- és jutalékráfordítások tevékenység szerint (22.1.)
21.2. A nyújtott szolgáltatásokban érintett eszközök (22.2.)
22. Érdekeltségek nem konszolidált strukturált gazdálkodó egységekben (30.)
23. Kapcsolt felek (31.)
23.1. Kapcsolt felek: kötelezettségek és követelések kapcsolt felekkel szemben (31.1.)
23.2. Kapcsolt felek: kapcsolt felekkel való ügyletkötésekből származó kiadások és bevételek (31.2.)
24. Csoportszerkezet (40.)
24.1. Csoportszerkezet: "intézményenként" (40.1.)
24.2. Csoportszerkezet: "instrumentumonként" (40.2.)
25. Valós érték (41.)
25.1. Valósérték-hierarchia: amortizált bekerülési értéken értékelt pénzügyi instrumentumok (41.1.)
25.2. A valós érték opció alkalmazása (41.2.)
26. Tárgyi eszközök és immateriális javak: könyv szerinti érték értékelési módszer szerint (42.)
27. Céltartalékok (43.)
28. Meghatározott juttatási programok és munkavállalói juttatások (44.)
28.1. A meghatározott juttatási programok nettó eszközeinek és kötelezettségeinek összetevői (44.1.)
28.2. A meghatározott juttatási programban vállalt kötelmek változásai (44.2.)
28.3. Személyi jellegű ráfordítások a juttatás típusa szerint (44.3.)
28.4. Személyi jellegű ráfordítások a javadalmazás és az alkalmazottak kategóriája szerint (44.4.)
29. Az eredménykimutatás kiválasztott tételeinek részletezése (45.)
29.1. Az eredménnyel szemben valós értéken értékeltnek megjelölt pénzügyi eszközök és kötelezettségek nyeresége vagy vesztesége számviteli portfólió szerint (45.1.)
29.2. Nem pénzügyi eszközök kivezetéséből származó nyereség vagy veszteség (45.2.)
29.3. Egyéb működési bevételek és ráfordítások (45.3.)
30. A sajáttőke-változások kimutatása (46.)
31. HITELEK ÉS ELŐLEGEK: KIEGÉSZÍTŐ INFORMÁCIÓK (23)
32. HITELEK ÉS ELŐLEGEK: NEMTELJESÍTŐ KITETTSÉGEK, ÉRTÉKVESZTÉS ÉS LEÍRÁSOK VÁLTOZÁSA AZ UTOLSÓ PÉNZÜGYI ÉV VÉGE ÓTA (24)
32.1. Hitelek és előlegek: Nemteljesítő kitettségek be- és kiáramlásai (24.1.)
32.2. Hitelek és előlegek: Értékvesztések változása és a hitelkockázat-változásból származó negatív valósérték-változás halmozott összegének változása nemteljesítő kitettségek esetében (24.2.)
32.3. Hitelek és előlegek: Nemteljesítő kitettségek leírása az időszak alatt (24.3.)
33. BIRTOKBAVÉTELLEL ÉS VÉGREHAJTÁSSAL MEGSZERZETT BIZTOSÍTÉK (25.)
33.1. Birtokbavétellel megszerzett, az "Ingatlanok, gépek és berendezések (PP&E)" besorolású biztosítéktól eltérő biztosítékok: be- és kiáramlások (25.1.)
33.2. Birtokbavétellel megszerzett, az "Ingatlanok, gépek és berendezések (PP&E)" besorolású biztosítéktól eltérő biztosítékok - Megszerzett biztosíték típusa szerint (25.2.)
33.3. Birtokbavétellel megszerzett, "Ingatlanok, gépek és berendezések (PP&E)" besorolású biztosítékok (25.3.)
34. ÁTSTRUKTURÁLÁS-KEZELÉS ÉS AZ ÁTSTRUKTURÁLÁS MINŐSÉGE (26.)
35. HITELEK ÉS ELŐLEGEK: ÁTLAGOS IDŐTARTAM ÉS MEGTÉRÜLÉSI IDŐSZAKOK (47.) - A KITETTSÉGI OSZTÁLYOK ÉS ÜGYFÉLSZEKTOROK MEGFELELTETÉSE
1. RÉSZ
ÁLTALÁNOS ÚTMUTATÓ
1. HIVATKOZÁSOK
1. Ez a melléklet a jelen rendelet III. és IV. mellékletében szereplő pénzügyi információkra vonatkozó táblákkal (a továbbiakban: FINREP) kapcsolatos további útmutatást tartalmaz. Ez a melléklet kiegészíti a III. és IV. melléklet tábláiban hivatkozások formájában szereplő útmutatást.
2. Azon intézményeknek, amelyek az IFRS-sel kompatibilis nemzeti számviteli standardokat használnak (a továbbiakban: kompatibilis nemzeti GAAP), eltérő rendelkezés hiányában az e mellékletben ismertetett közös útmutatásokat és az IFRS-útmutatásokat kell alkalmazniuk. Ez nem érinti a kompatibilis nemzeti GAAP előírásainak a BAD előírásaival való összhangját. Azon intézményeknek, amelyek az IFRS-sel nem kompatibilis nemzeti GAAP-előírásokat használnak, vagy azokat még nem hangolták össze az IFRS 9 előírásaival, eltérő rendelkezés hiányában az e mellékletben ismertetett közös útmutatásokat és a BAD-útmutatásokat kell alkalmazniuk.
3. A táblákban meghatározott adatpontokat az 575/2013/EU rendelet 4. cikke (1) bekezdésének 77. pontja szerint alkalmazandó számviteli szabályozás megjelenítésre, beszámításra és értékelésre vonatkozó szabályaival összhangban kell előállítani.
4. Az intézményeknek a tábláknak csak a következőkre vonatkozó részeit kell benyújtaniuk:
a) az intézmény által megjelenített eszközök, kötelezettségek, saját tőke, bevételek és kiadások;
b) mérlegen kívüli kitettségek és olyan tevékenységek, amelyekben az intézmény érintett;
c) az intézmény által végrehajtott tranzakciók;
d) értékelési előírások, beleértve a hitelkockázat után elszámolt értékvesztés becslésére az intézmény által alkalmazott módszert.
5. A III. és a IV. melléklet, valamint a jelen melléklet alkalmazásában is a következő rövidítések kerülnek alkalmazásra:
a) "CRR": az 575/2013/EU rendelet;
b) "IAS" vagy "IFRS": az 1606/2002/EK európai parlamenti és tanácsi rendelet ( 14 ) 2. cikkében meghatározott, a Bizottság által elfogadott nemzetközi számviteli standardok;
c) "EKB BSI rendelet" vagy "EKB/2013/33": az Európai Központi Bank 1071/2013/EU rendelete ( 15 );
d) "NACE-rendelet": az Európai Parlament és a Tanács 1893/2006/EK rendelete ( 16 );
e) "NACE-kódok": a NACE-rendelet szerinti kódok;
f) "BAD": a 86/635/EGK tanácsi irányelv ( 17 );
g) "Számviteli irányelv": az Európai Parlament és a Tanács 2013/34/EU irányelve ( 18 );
h) "nemzeti GAAP": a BAD alapján kidolgozott, általánosan elfogadott nemzeti számviteli szabályozás;
i) "KKV": a C(2003)1422 bizottsági ajánlásban ( 19 ) meghatározott mikro-, kis- és középvállalkozások;
j) "ISIN-kód". az értékpapírokhoz rendelt 12 alfanumerikus karakterből álló nemzetközi értékpapírkód (International Securities Identification Number), amely egyedileg azonosítja a forgalomban lévő értékpapírokat;
k) "LEI-kód": az intézményekhez rendelt globális jogalany-azonosító, amely egyedileg azonosítja a pénzügyi tranzakciókban részt vevő feleket;
l) "Értékvesztési szakaszok": az IFRS 9 5.5. bekezdésében meghatározott értékvesztési kategóriák. Az 1. szakasz az IFRS 9 5.5.5. bekezdésének megfelelően értékelt értékvesztésre vonatkozik. A 2. szakasz az IFRS 9 5.5.3. bekezdésének megfelelően értékelt értékvesztésre vonatkozik. A 3. szakasz az IFRS 9 A. függelékében meghatározott értékvesztett eszközök értékvesztésére vonatkozik;
m) "az ingatlanokkal kapcsolatos adathiány kiküszöböléséről szóló ERKT-ajánlás": az Európai Rendszerkockázati Testület 2016. október 31-i ajánlása az ingatlanokkal kapcsolatos adathiány kiküszöböléséről (ERKT/2016/14) ( 20 ).
2. JELÖLÉSI SZABÁLYOK
6. A III. melléklet és a IV. melléklet alkalmazásában a szürke háttérszínnel jelölt adatpont (cella) azt jelenti, hogy az adott adatpont (cella) kitöltése nem szükséges, vagy arra vonatkozóan nem lehet adatot szolgáltatni. A IV. mellékletben fekete háttérszínű hivatkozásokkal jelölt sor vagy oszlop azt jelenti, hogy a kapcsolódó adatpontokat nem kell jelenteniük azoknak az intézményeknek, amelyek az adott sorban vagy oszlopban feltüntetett hivatkozásokat követik.
7. A III. és IV. mellékletben szereplő táblák implicit ellenőrzési szabályokat tartalmaznak, amelyek magukban a táblákban a jelölési szabályok használatán keresztül kerülnek meghatározásra.
8. Egy táblában szereplő valamely tétel megnevezésében a zárójelek használata azt jelenti, hogy az adott tételt le kell vonni ahhoz, hogy megkapjuk az "összesen" értéket, de nem jelenti azt, hogy az adott tételt negatív értékként kell megjeleníteni.
9. A negatív értékként megjelenítendő tételeket a táblák a megnevezés előtt "(-)" jellel jelölik, például "(-) Saját részvények".
10. A III. és IV. melléklet pénzügyi információk jelentésére szolgáló tábláihoz tartozó "Adatmodellben" (a továbbiakban: DPM - Data Point Model) minden adatpont (cella) rendelkezik egy "bázis tétellel", amelyhez a "tartozik/követel" jellemző kerül hozzárendelésre. Ez a hozzárendelés biztosítja, hogy az összes adatszolgáltató intézmény kövesse az előjelekre vonatkozó szabályokat, és segítségével megismerhető az egyes adatokhoz rendelt "követel/tartozik" jellemző.
11. Sematikusan ez a jelölési mód az 1. táblázatban bemutatottak szerint működik.
1. táblázat
"Követel/tartozik" jelölés, pozitív és negatív előjelek
| Elem | Követel/Tartozik | Egyenleg/Változás | Jelentett adat | 
| Eszközök | Tartozik | Eszközök egyenlege | Pozitív („Normál”, előjel nem szükséges) | 
| Eszközök növekedése | Pozitív („Normál”, előjel nem szükséges) | ||
| Eszközök negatív egyenlege | Negatív (Mínusz „–” előjel szükséges) | ||
| Eszközök csökkenése | Negatív (Mínusz „–” előjel szükséges) | ||
| Ráfordítások | Ráfordítások egyenlege | Pozitív („Normál”, előjel nem szükséges) | |
| Ráfordítások növekedése | Pozitív („Normál”, előjel nem szükséges) | ||
| Ráfordítások negatív egyenlege (visszaírásokkal együtt) | Negatív (Mínusz „–” előjel szükséges) | ||
| Ráfordítások csökkenése | Negatív (Mínusz „–” előjel szükséges) | ||
| Kötelezettségek | Követel | Kötelezettségek egyenlege | Pozitív („Normál”, előjel nem szükséges) | 
| Kötelezettségek növekedése | Pozitív („Normál”, előjel nem szükséges) | ||
| Kötelezettségek negatív egyenlege | Negatív (Mínusz „–” előjel szükséges) | ||
| Kötelezettségek csökkenése | Negatív (Mínusz „–” előjel szükséges) | ||
| Saját tőke | Saját tőke egyenlege | Pozitív („Normál”, előjel nem szükséges) | |
| Saját tőke növekedése | Pozitív („Normál”, előjel nem szükséges) | ||
| Saját tőke negatív egyenlege | Negatív (Mínusz „–” előjel szükséges) | ||
| Saját tőke csökkenése | Negatív (Mínusz „–” előjel szükséges) | ||
| Bevétel | Bevételek egyenlege | Pozitív („Normál”, előjel nem szükséges) | |
| Bevételek növekedése | Pozitív („Normál”, előjel nem szükséges) | ||
| Bevételek negatív egyenlege (visszaírásokkal együtt) | Negatív (Mínusz „–” előjel szükséges) | ||
| Bevételek csökkenése | Negatív (Mínusz „–” előjel szükséges) | 
3. KONSZOLIDÁCIÓ
12. E melléklet eltérő rendelkezésének hiányában a FINREP-táblákat a prudenciális konszolidáció körének alkalmazásával kell kitölteni a CRR 1. része II. címe 2. fejezetének 2. szakaszával összhangban. Az intézményeknek leányvállalataikra, közös vállalkozásaikra valamint társult vállalkozásaikra vonatkozóan a prudenciális konszolidációnál használt módszerekkel azonos módszerek segítségével kell adatot szolgáltatniuk:
a) az intézmények számára engedélyezhetik vagy előírhatják a tőkemódszer alkalmazását a biztosítókba vagy nem pénzügyi leányvállalatokba történt befektetések vonatkozásában a CRR 18. cikkének (5) bekezdésével összhangban;
b) az intézmények számára engedélyezhetik az arányos konszolidálás módszerének alkalmazását a pénzügyi leányvállalatokra vonatkozóan a CRR 18. cikkének (2) bekezdésével összhangban;
c) az intézmények számára előírhatják az arányos konszolidálás módszerének alkalmazását a közös vállalatokba történt befektetésekre vonatkozóan a CRR 18. cikkének (4) bekezdésével összhangban.
4. PÉNZÜGYI INSTRUMENTUMOK SZÁMVITELI PORTFÓLIÓI
13. A III. és a IV. melléklet, valamint jelen melléklet alkalmazásában a "számviteli portfóliók" kifejezés az értékelési előírások szerint csoportosított pénzügyi instrumentumokat jelenti. Ezek a csoportok nem tartalmazzák a leányvállalatokban, közös vállalkozásokban és társult vállalkozásokban lévő befektetéseket, a "Készpénz, számlakövetelések a központi bankokkal szemben és egyéb látra szóló betétek" tételbe sorolt látra szóló követel egyenlegeket, sem az "Értékesítésre tartottá minősített befektetett eszközök és elidegenítési csoportok", valamint az "Értékesítésre tartottá minősített elidegenítési csoportba tartozó kötelezettségek" között megjelenített "Értékesítésre tartott"-á minősített pénzügyi instrumentumokat.
14. A nemzeti GAAP szerinti elszámolás esetén azoknak az intézményeknek, amelyek számára engedélyezték vagy előírták, hogy bizonyos értékelési előírásokat az IFRS-nek megfelelően alkalmazzanak a pénzügyi instrumentumokra, a vonatkozó IFRS számviteli portfóliókról kell adatot szolgáltatniuk, amennyiben ilyen előírásokat alkalmaznak. Amennyiben a pénzügyi instrumentumokra vonatkozó azon értékelési előírások, amelyek alkalmazása a BAD alapján kidolgozott nemzeti GAAP szerint az intézmények számára engedélyezett vagy előírt, az IAS 39 értékelési előírásaira hivatkoznak, az intézményeknek mindaddig - valamennyi pénzügyi instrumentumuk tekintetében - a BAD-on alapuló számviteli portfólióikról kell adatot szolgáltatniuk, amíg az általuk alkalmazott értékelési előírások az IFRS 9 értékelési előírásaira nem hivatkoznak.
4.1. Pénzügyi eszközök
15. A pénzügyi eszközök vonatkozásában a következő számviteli portfóliók használandók az IFRS alapján:
a) "Kereskedési céllal tartott pénzügyi eszközök";
b) "Kötelezően az eredménnyel szemben valós értéken értékelt, nem kereskedési célú pénzügyi eszközök";
c) "Az eredménnyel szemben valós értéken értékeltnek megjelölt pénzügyi eszközök";
d) "Az egyéb átfogó jövedelemmel szemben valós értéken értékelt pénzügyi eszközök";
e) "Amortizált bekerülési értéken értékelt pénzügyi eszközök".
16. A pénzügyi eszközök vonatkozásában a következő számviteli portfóliók használandók a nemzeti GAAP alapján:
a) "Kereskedési célú pénzügyi eszközök";
b) "Az eredménnyel szemben valós értéken értékelt, nem kereskedési célú, nem származtatott pénzügyi eszközök";
c) "A saját tőkével szemben valós értéken értékelt, nem kereskedési célú, nem származtatott pénzügyi eszközök";
d) "Bekerülésiérték-módszerrel értékelt nem kereskedési célú, nem származtatott pénzügyi eszközök";
e) "Egyéb nem kereskedési célú, nem származtatott pénzügyi eszközök".
17. A "Kereskedési célú pénzügyi eszközök" magukban foglalják a BAD alapján kidolgozott vonatkozó nemzeti GAAP szerint kereskedési célúként besorolt valamennyi pénzügyi eszközt. A BAD alapján kidolgozott vonatkozó nemzeti GAAP szerint alkalmazott értékelési módszertantól függetlenül valamennyi olyan származtatott ügyletet, amely az adatszolgáltató intézmény vonatkozásában pozitív egyenlegű, és nincs e rész 22. bekezdésének megfelelően fedezeti elszámolásként besorolva, kereskedési célú pénzügyi eszközként kell feltüntetni. Ez a besorolás alkalmazandó az olyan származtatott ügyletekre is, amelyeket a BAD alapján kidolgozott vonatkozó nemzeti GAAP szerint nem jelenítenek meg a mérlegben, vagy csak azok valósérték-változását jelenítik meg, vagy amelyeket az e melléklet 2. részének 137. bekezdésében meghatározottak szerinti gazdasági fedezeti ügyletként használnak.
18. A BAD alapján kidolgozott nemzeti GAAP szerinti elszámolás esetén a pénzügyi eszközök tekintetében a "bekerülésiérték-módszerek" közé azon értékelési előírások tartoznak, amelyekkel a hitelviszonyt megtestesítő instrumentum értékelése a felhalmozott kamatokkal növelt és az értékvesztés miatti veszteségekkel csökkentett bekerülési értéken történik.
19. A BAD alapján kidolgozott nemzeti GAAP szerinti elszámolás esetén a "Bekerülésiérték-módszerrel értékelt nem kereskedési célú, nem származtatott pénzügyi eszközök" magukban foglalják a bekerülésiérték-módszerrel értékelt pénzügyi instrumentumokat, valamint azokat az instrumentumokat, amelyeket a "bekerülési vagy piaci ár közül az alacsonyabb" értéken ("LOCOM-módszer") értékelnek nem folyamatos alapon (mérsékelt LOCOM), függetlenül az adatszolgáltatási vonatkozási időpontban végrehajtott aktuális értékelésüktől. A mérsékelt LOCOM-módszer szerint értékelt eszközök olyan eszközök, amelyek esetében a LOCOM-módszert csak meghatározott körülmények között alkalmazzák. Az alkalmazandó számviteli keret előírja ezeket a körülményeket, ilyen például az értékvesztés, a bekerülési értékhez képest a valós értékben bekövetkező tartós csökkenés vagy a vezetés szándékának megváltozása.
20. A BAD alapján kidolgozott nemzeti GAAP szerinti elszámolás esetén az "Egyéb nem kereskedési célú, nem származtatott pénzügyi eszközök" közé azok a pénzügyi eszközök tartoznak, amelyek nem sorolhatók be egyéb számviteli portfóliókba. Ez a számviteli portfólió többek között azokat a pénzügyi eszközöket tartalmazza, amelyeket folyamatos alapon a LOCOM-módszer szerint értékelnek (szigorú LOCOM-módszer). A szigorú LOCOM-módszer szerint értékelt eszközök olyan eszközök, amelyek esetében az alkalmazandó számviteli keret LOCOM-módszer szerinti kezdeti vagy későbbi értékelést vagy bekerülési értéken történő kezdeti és LOCOM-módszer szerinti későbbi értékelést ír elő.
21. Értékelési módszerüktől függetlenül a "Leányvállalatokba, közös vállalkozásokba, valamint társult vállalkozásokba történt befektetések" tételben kell feltüntetni a prudenciális konszolidáció keretében nem teljeskörűen vagy arányosan konszolidált leányvállalatokba, közös vállalkozásokba és társult vállalkozásokba történt befektetéseket, kivéve, ha azok az IFRS 5 szerint értékesítésre tartottnak minősülnek.
22. A "Származtatott ügyletek - Fedezeti elszámolások" az adatszolgáltató intézmény vonatkozásában pozitív egyenlegű, az IFRS szerinti fedezeti elszámolás céljából tartott származtatott ügyleteket foglalják magukban. A BAD alapján kidolgozott nemzeti GAAP szerinti elszámolás esetén a banki könyvben szereplő származtatott ügyletek csak akkor sorolhatók be fedezeti elszámolás céljából tartott származtatott ügyletként, ha a BAD alapján kidolgozott vonatkozó nemzeti GAAP a banki könyvben szereplő származtatott ügyletek tekintetében különös számviteli szabályokat tartalmaz, és a származtatott ügyletek csökkentik a banki könyvben szereplő valamely más pozíció kockázatát.
4.2. Pénzügyi kötelezettségek
23. A pénzügyi kötelezettségek vonatkozásában a következő számviteli portfóliók használandók az IFRS alapján:
a) "Kereskedési céllal tartott pénzügyi kötelezettségek";
b) "Az eredménnyel szemben valós értéken értékeltnek megjelölt pénzügyi kötelezettségek";
c) "Amortizált bekerülési értéken értékelt pénzügyi kötelezettségek".
24. A pénzügyi kötelezettségek vonatkozásában a következő számviteli portfóliók használandók a nemzeti GAAP alapján:
a) "Kereskedési célú pénzügyi kötelezettségek";
b) "Bekerülésiérték-módszerrel értékelt nem kereskedési célú, nem származtatott pénzügyi kötelezettségek".
25. A "Kereskedési célú pénzügyi kötelezettségek" magukban foglalják a BAD alapján kidolgozott vonatkozó nemzeti GAAP szerint kereskedési célúként besorolt valamennyi pénzügyi kötelezettséget. A BAD alapján kidolgozott vonatkozó nemzeti GAAP szerint alkalmazott értékelési módszertantól függetlenül az adatszolgáltató intézmény vonatkozásában negatív egyenlegű valamennyi olyan származtatott ügyletet, amely nem az e rész 26. bekezdése szerinti fedezeti elszámolásként besorolt, kereskedési célú pénzügyi kötelezettségként kell feltüntetni. Ez a besorolás alkalmazandó az olyan származtatott ügyletekre is, amelyeket a BAD alapján kidolgozott vonatkozó nemzeti GAAP szerint nem jelenítenek meg a mérlegben, vagy csak azok valósérték-változását jelenítik meg, vagy amelyeket az e melléklet 2. részének 137. bekezdésében meghatározottak szerinti gazdasági fedezeti ügyletként használnak.
26. A "Származtatott ügyletek - Fedezeti elszámolások" az adatszolgáltató intézmény vonatkozásában negatív egyenlegű, az IFRS szerinti fedezeti elszámolás céljából tartott származtatott ügyleteket foglalják magukban. A BAD alapján kidolgozott nemzeti GAAP szerinti elszámolás esetén a banki könyvben szereplő származtatott ügyletek csak akkor sorolhatók be fedezeti elszámolásként, ha a BAD alapján kidolgozott vonatkozó nemzeti GAAP a banki könyvben szereplő származtatott ügyletek tekintetében különös számviteli szabályokat tartalmaz, és a származtatott ügyletek csökkentik a banki könyvben szereplő valamely más pozíció kockázatát.
5. PÉNZÜGYI INSTRUMENTUMOK
27. A III. melléklet és a IV. melléklet, valamint jelen melléklet alkalmazásában a "könyv szerinti érték" a mérlegben feltüntetendő összeg. A pénzügyi instrumentumok könyv szerinti értékének tartalmaznia kell a felhalmozott kamatokat. A BAD alapján kidolgozott vonatkozó nemzeti GAAP szerinti elszámolás esetén a származtatott ügyletek könyv szerinti értéke vagy a nemzeti GAAP szerinti, adott esetben az időbeli elhatárolásokat, a felárakat és a céltartalékokat magában foglaló könyv szerinti érték, vagy nullával egyenlő, ha származtatott ügyletek nincsenek megjelenítve a mérlegben.
28. A pénzügyi instrumentumok időbeli elhatárolásait, ideértve az elhatárolt kamatokat, felárakat és diszkontokat vagy tranzakciós költségeket - amennyiben megjelenítésük a BAD alapján kidolgozott vonatkozó nemzeti GAAP szerint történik - az instrumentummal együtt, és nem egyéb eszközként vagy egyéb kötelezettségként kell megadni.
29. Adott esetben a BAD alapján kidolgozott nemzeti GAAP szerinti "Valós értéken értékelt, kereskedési célú pozíciókra vonatkozó haircutok"-at kell jelenteni. A haircutok a kereskedési célú eszközök értékét csökkentik, a kereskedési célú kötelezettségek értékét pedig növelik.
5.1. Pénzügyi eszközök
30. A pénzügyi eszközöket a következő instrumentumosztályokba kell besorolni: "Készpénz", "Származtatott ügyletek", "Tulajdoni részesedést megtestesítő instrumentumok", "Hitelviszonyt megtestesítő értékpapírok" és "Hitelek és előlegek".
31. A "Hitelviszonyt megtestesítő értékpapírok" az intézmény által tartott, értékpapírként kibocsátott hitelviszonyt megtestesítő instrumentumok, amelyek nem az EKB BSI rendelet II. mellékletének 2. részében szereplő táblázatban meghatározottak szerinti hitelek.
32. A "Hitelek és előlegek" az intézmény által tartott hitelviszonyt megtestesítő instrumentumok, amelyek nem értékpapírok. Ez a tétel tartalmazza az EKB BSI rendelet II. mellékletének 2. részében szereplő táblázatban meghatározottak szerinti hiteleket, valamint azokat az előlegeket, amelyek nem sorolhatók be az EKB BSI rendelet II. mellékletének 2. részében szereplő táblázatban meghatározottak szerinti hitelekként. Az "Előlegek, kivéve hitelek" részletesebb leírását e melléklet 2. része 85. bekezdésének g) pontja tartalmazza.
33. A FINREP-ben a hitelviszonyt megtestesítő instrumentumok tartalmazzák a hiteleket és előlegeket és a hitelviszonyt megtestesítő értékpapírokat.
5.2. Bruttó könyv szerinti érték
34. A hitelviszonyt megtestesítő instrumentumok bruttó könyv szerinti értéke a következő:
a) az IFRS szerinti elszámolás esetén és a BAD alapján kidolgozott nemzeti GAAP szerinti elszámolás esetén az eredménnyel szemben valós értéken értékelt olyan hitelviszonyt megtestesítő instrumentumok vonatkozásában, amelyek nem tartoznak a kereskedési céllal tartott vagy kereskedési célú portfólióba, a bruttó könyv szerinti érték attól függ, hogy az említett hitelviszonyt megtestesítő instrumentumokat teljesítőként vagy nemteljesítőként sorolják be. A teljesítő, hitelviszonyt megtestesítő instrumentumok bruttó könyv szerinti értéke a valós érték. A nemteljesítő, hitelviszonyt megtestesítő instrumentumok bruttó könyv szerinti értéke az e melléklet 2. részének 69. bekezdése szerinti, hitelkockázat-változásból származó negatív valósérték-változás halmozott összegével megnövelt valós érték. A bruttó könyv szerinti érték értékelése céljából a hitelviszonyt megtestesítő instrumentumok értékelését az egyes pénzügyi instrumentumok szintjén kell végrehajtani;
b) az IFRS szerinti elszámolás esetén az amortizált bekerülési értéken vagy az egyéb átfogó jövedelemmel szemben valós értéken értékelt hitelviszonyt megtestesítő instrumentumok tekintetében a bruttó könyv szerinti érték az értékvesztés-elszámolás korrekciója előtti könyv szerinti értéket jelenti.
c) a BAD alapján kidolgozott nemzeti GAAP szerinti elszámolás esetén a "Bekerülésiérték-módszerrel értékelt nem kereskedési célú, nem származtatott pénzügyi eszközök" tételbe besorolt hitelviszonyt megtestesítő instrumentumok vonatkozásában az értékvesztett eszközök bruttó könyv szerinti értéke egyenlő a hitelkockázat után elszámolt egyedi értékvesztéssel való korrekció előtti könyv szerinti értékkel. A nem értékvesztett eszközök bruttó könyv szerinti értéke az általános hitelkockázati tartalékokkal és az általános banki kockázatokra képzett tartalékokkal való korrekció előtti könyv szerinti értéket jelenti, amennyiben az befolyásolja a könyv szerinti értéket;
d) a BAD alapján kidolgozott nemzeti GAAP szerinti elszámolás esetén "A saját tőkével szemben valós értéken értékelt, nem kereskedési célú, nem származtatott pénzügyi eszközök" tételbe besorolt hitelviszonyt megtestesítő instrumentumok bruttó könyv szerinti értéke attól függ, hogy ezek a pénzügyi eszközök értékvesztés-elszámolási kötelezettség hatálya alá tartoznak-e. Amennyiben ezek értékvesztés-elszámolási kötelezettség hatálya alá tartoznak, a bruttó könyv szerinti érték a halmozott értékvesztéssel való korrekció előtti könyv szerinti érték az értékvesztett és nem értékvesztett eszközökre vonatkozó fenti c) pont szerinti követelményeknek megfelelően, vagy az értékvesztés miatti veszteségnek tekintett valósérték-korrekció bármely halmozott összegével való kiigazítás előtti könyv szerinti érték. Amennyiben ezek a pénzügyi eszközök nem tartoznak értékvesztés-elszámolási kötelezettség hatálya alá, ezen eszközök bruttó könyv szerinti értéke a teljesítő kitettségek esetében a valós érték, a nemteljesítő kitettségek esetében pedig a hitelkockázatból eredő negatív valósérték-korrekció halmozott összegével megnövelt valós érték;
e) a BAD alapján kidolgozott nemzeti GAAP szerinti elszámolás esetén a szigorú vagy mérsékelt LOCOM-módszerrel értékelt hitelviszonyt megtestesítő instrumentumok bruttó könyv szerinti értéke a bekerülési érték, amennyiben az adatszolgáltatási vonatkozási időszakban az instrumentumot bekerülésiérték-módszerrel értékelik. Amennyiben ezeket a hitelviszonyt megtestesítő instrumentumokat piaci értéken értékelik, a bruttó könyv szerinti érték a hitelkockázatból származó értékelési korrekcióval való kiigazítást megelőző piaci érték;
f) a BAD alapján kidolgozott nemzeti GAAP szerinti elszámolás esetén az "Egyéb nem kereskedési célú, nem származtatott pénzügyi eszközök" között feltüntetett, a LOCOM-módszertől eltérő értékelési módszerrel értékelt hitelviszonyt megtestesítő instrumentumok vonatkozásában a bruttó könyv szerinti érték az értékvesztésnek minősülő értékelési korrekció figyelembevétele előtti könyv szerinti érték;
g) a BAD alapján kidolgozott nemzeti GAAP szerinti elszámolás esetén a kereskedési célú pénzügyi eszközök vonatkozásában, illetőleg az IFRS szerinti elszámolás esetén a kereskedési céllal tartott pénzügyi eszközök vonatkozásában a bruttó könyv szerinti érték a valós érték. Amennyiben a BAD alapján kidolgozott nemzeti GAAP haircutot ír elő a kereskedési célú és a valós értéken értékelt instrumentumokra, a pénzügyi instrumentum könyv szerinti értéke a szóban forgó haircutok előtti valós érték.
5.3. Pénzügyi kötelezettségek
35. A pénzügyi kötelezettségeket a következő instrumentumosztályokba kell besorolni: "Származtatott ügyletek", "Rövid pozíciók", "Betétek", "Kibocsátott hitelviszonyt megtestesítő értékpapírok" és "Egyéb pénzügyi kötelezettségek".
36. A III. és a IV. melléklet, valamint e melléklet alkalmazásában "Betétek" az EKB BSI rendelet II. mellékletének 2. részében szereplő táblázatban meghatározottak szerinti betétek.
37. A "Kibocsátott hitelviszonyt megtestesítő értékpapírok" az intézmény által értékpapírként kibocsátott hitelviszonyt megtestesítő instrumentumok, amelyek nem az EKB BSI rendelet II. mellékletének 2. részében szereplő táblázatban meghatározottak szerinti betétek.
38. Az "Egyéb pénzügyi kötelezettségek" tartalmaznak minden olyan pénzügyi kötelezettséget, amely nem származtatott ügylet, rövid pozíció, betét vagy kibocsátott, hitelviszonyt megtestesítő értékpapír.
39. Az IFRS szerinti elszámolás esetén az "Egyéb pénzügyi kötelezettségek" tartalmazzák a pénzügyi garanciákat, ha azok értékelése vagy az eredménnyel szemben valós értéken (az IFRS 9 4.2.1. bekezdésének a) pontja) vagy a halmozott amortizációval csökkentett, kezdetben megjelenített összegen (az IFRS 9 4.2.1. bekezdése c) pontjának ii. alpontja) történik. A hitelnyújtási elkötelezettségeket akkor kell az "Egyéb pénzügyi kötelezettségek" között szerepeltetni, ha azok az eredménnyel szemben valós értéken értékeltnek megjelölt pénzügyi kötelezettségek (az IFRS 9 4.2.1. bekezdésének a) pontja), vagy azok a piaci kamatlábnál alacsonyabb kamatláb melletti hitelnyújtásra vonatkozó elkötelezettségek (az IFRS 9 2.3. bekezdésének c) pontja, 4.2.1. bekezdésének d) pontja).
40. Ha a hitelnyújtási elkötelezettségek, pénzügyi garanciák vagy egyéb adott elkötelezettségek értékelése eredménnyel szemben valós értéken történik, a valós értékben bekövetkező változást, ideértve a hitelkockázat változása miatti változásokat az "Egyéb pénzügyi kötelezettségek" között kell feltüntetni, és nem az "Adott elkötelezettségek és garanciák"-ra képzett céltartalékként.
41. Az "Egyéb pénzügyi kötelezettségek" emellett tartalmaznak fizetendő osztalékot, függő és átvezetési tételek tekintetében fizetendő összegeket és értékpapír-tranzakciók vagy devizatranzakciók jövőbeli elszámolása tekintetében fizetendő összegeket (a fizetési határidő előtt megjelenített, tranzakciókra vonatkozó fizetési kötelezettségek).
6. ÜGYFÉL SZERINTI RÉSZLETEZÉS
42. Az ügyfél szerinti részletezés előírásakor a következő ügyfélszektorok használandók:
a) központi bankok;
b) államháztartások: központi kormányzatok, tartományi vagy regionális kormányzatok és helyi önkormányzatok, ideértve a közigazgatási szerveket és a nem kereskedelmi vállalkozásokat, de ide nem értve az ezen kormányzatok tulajdonában álló, kereskedelmi tevékenységet folytató állami és magánvállalatokat (amelyeket tevékenységüktől függően a "hitelintézetek", "egyéb pénzügyi vállalatok", vagy "nem pénzügyi vállalatok" alatt kell feltüntetni); társadalombiztosítási alapok; és nemzetközi szervezetek, mint például az Európai Unió intézményei, a Nemzetközi Valutaalap és a Nemzetközi Fizetések Bankja;
c) hitelintézetek: a CRR 4. cikke (1) bekezdésének 1. pontja szerinti fogalommeghatározásnak megfelelő intézmények ("olyan vállalkozás, amely a nyilvánosságtól betéteket vagy más visszafizetendő pénzeszközöket fogad el, valamint saját számlára hiteleket nyújt") és multilaterális fejlesztési bankok;
d) egyéb pénzügyi vállalatok: az összes olyan pénzügyi vállalkozás és kvázivállalkozás, amely nem hitelintézet, mint például a befektetési vállalkozások, befektetési alapok, biztosítók, nyugdíjalapok, kollektív befektetési vállalkozások és elszámolóházak, valamint a többi pénzügyi közvetítő és pénzügyi kiegészítő tevékenységet végzők, továbbá captive finanszírozók és pénzkölcsönzők;
e) nem pénzügyi vállalatok: olyan vállalkozások és kvázivállalkozások, amelyek nem a pénzügyi közvetítésben, hanem elsősorban a piaci javak előállításában és nem pénzügyi szolgáltatások nyújtásában vesznek részt az EKB BSI rendelet II. mellékletének 3. részében szereplő táblázatban meghatározottak szerint;
f) háztartások: magánszemélyek vagy magánszemélyek egy csoportja fogyasztóként, kizárólag saját fogyasztásra előállított áruk és nem pénzügyi szolgáltatások előállítóiként, valamint piaci javak, nem pénzügyi és pénzügyi szolgáltatások előállítóiként, feltéve, hogy tevékenységük nem azonos a kvázivállalkozások tevékenységével. Idetartoznak még azok a nonprofit intézmények, amelyek háztartásokat szolgálnak ki, és amelyek elsősorban nem piaci javak és szolgáltatások előállításával foglalkoznak háztartások meghatározott csoportjai számára.
43. Az ügyfélszektor meghatározása kizárólag a közvetlen partner jellegén alapul. Az egynél több kötelezett által együttesen vállalt kitettség besorolásának azon kötelezett jellemzői alapján kell történnie, amelyik az intézmény szempontjából relevánsabb vagy meghatározóbb volt a kitettségek vállalásában. Az együttesen vállalt kitettségek ügyfélszektor, székhely szerinti ország vagy NACE-kódok szerint besorolásánál a relevánsabb vagy meghatározóbb kötelezett jellemzőit kell figyelembe venni.
44. Az alábbi tranzakciókban a közvetlen partnerek a következők:
a) hitelek és előlegek vonatkozásában a közvetlen hitelfelvevő. A kereskedelemfinanszírozás vonatkozásában a közvetlen hitelfelvevő az a partner, amely a követelés megfizetésére kötelezett, kivéve a visszkereseti joggal kötött ügyletekben, amelyekben a közvetlen hitelfelvevő a követelések átadója, és amelyekben az adatszolgáltató intézmény nem szerzi meg lényegében az átadott követelések tulajdonlásával járó összes kockázatot és hasznot;
b) a hitelviszonyt megtestesítő értékpapírok és a tulajdoni részesedést megtestesítő instrumentumok vonatkozásában az értékpapírok kibocsátója;
c) a betétek vonatkozásában a betétes;
d) rövid pozíciók vonatkozásában az értékpapír-kölcsönvételi ügyletben vagy a fordított repomegállapodásban részt vevő partner;
e) a származtatott ügyletek vonatkozásában a származtatott ügyletben közvetlenül részt vevő partner. A központilag elszámolt tőzsdén kívüli származtatott ügyletek vonatkozásában a közvetlen partner a központi szerződő félként eljáró elszámolóház. A hitelkockázati származtatott ügyletek esetében a partner szerinti részletezés arra a szektorra vonatkozik, amelyhez a szerződéses partner (a védelem vásárlója vagy eladója) tartozik;
f) az adott pénzügyi garanciák vonatkozásában a partner a garantált hitelviszonyt megtestesítő instrumentum közvetlen partnere;
g) az adott hitelnyújtási elkötelezettségek és az egyéb adott elkötelezettségek vonatkozásában a partner az a fél, amelynek a hitelkockázatát az adatszolgáltató intézmény viseli;
h) a kapott hitelnyújtási elkötelezettségek, pénzügyi garanciák és egyéb elkötelezettségek vonatkozásában a garantőr vagy a partner az a fél, amely az elkötelezettséget nyújtja az adatszolgáltató intézménynek.
2. RÉSZ
A TÁBLÁHOZ KAPCSOLÓDÓ ÚTMUTATÓ
1. MÉRLEG
1.1. Eszközök (1.1.)
1. A "Készpénz" magában foglalja a forgalomban lévő, általánosan fizetésre használt nemzeti és külföldi bankjegyek és érmék állományait.
2. A "Számlakövetelések központi bankokkal szemben" közé tartoznak a központi bankoknál tartott látra szóló követel egyenlegek.
3. Az "Egyéb látra szóló betétek" tartalmazza a hitelintézeteknél tartott látra szóló követelések egyenlegét.
4. A "Leányvállalatokban, közös vállalkozásokban valamint társult vállalkozásokban lévő befektetések" közé tartoznak a társult vállalkozásokba, közös vállalkozásokba és leányvállalatokba történt olyan befektetések, amelyek a prudenciális konszolidáció keretében nem teljesen, vagy arányosan konszolidáltak, kivéve, ha azok az IFRS 5 standardnak megfelelően értékesítésre tartottnak minősülnek, függetlenül értékelésük módjától, ideértve, ha a számviteli standardok lehetővé teszik bevonásukat a pénzügyi instrumentumokhoz használt különböző számviteli portfóliókba. A tőkemódszerrel értékelt befektetések könyv szerinti értéke tartalmazza a kapcsolódó cégértéket.
5. Azokat az eszközöket, amelyek nem pénzügyi eszközök, és amelyek jellegüknél fogva nem sorolhatók be a mérleg meghatározott tételei közé, az "Egyéb eszközök" között kell feltüntetni. Az egyéb eszközök magukban foglalják többek között a következőket: arany, ezüst és egyéb áru, még akkor is, ha azokat kereskedési szándékkal tartják.
6. A BAD alapján kidolgozott vonatkozó nemzeti GAAP szerinti elszámolás esetén a visszavásárolt saját részvények könyv szerinti értékét az "egyéb eszközök" között kell feltüntetni, ha a vonatkozó nemzeti GAAP értelmében az eszközként történő bemutatás megengedett.
7. Az "Értékesítésre tartottá minősített befektetett eszközök és elidegenítési csoportok" jelentése ugyanaz, mint az IFRS 5 alapján.
1.2. Kötelezettségek (1.2.)
8. A BAD alapján kidolgozott nemzeti GAAP szerinti elszámolás esetén a portfóliófedezeti kapcsolat nem hatékony részéből eredő függő veszteségekre képzett céltartalékokat a "Származtatott ügyletek - Fedezeti elszámolások" sorban kell feltüntetni, ha a veszteség a származtatott fedezeti ügylet értékeléséből ered, vagy a "Kamatlábkockázatra vonatkozó portfóliófedezeti ügylet során fedezett tételek valós értékének változása" sorban, ha a veszteség a fedezett pozíció értékeléséből ered. Ha nem lehet különbséget tenni a származtatott fedezeti ügylet értékeléséből eredő veszteség és a fedezett pozíció értékeléséből eredő veszteség között, a portfóliófedezeti kapcsolat nem hatékony részéből eredő függő veszteségekre képzett valamennyi céltartalékot a "Származtatott ügyletek - Fedezeti elszámolások" sorban kell feltüntetni.
9. A "Nyugdíjra és egyéb munkaviszony megszűnése utáni meghatározott juttatási kötelmekre képzett céltartalék" alá tartozik a meghatározott juttatásra vonatkozó nettó kötelezettségek összege.
10. Az IFRS szerinti elszámolás esetén az "Egyéb hosszú távú munkavállalói juttatásokra" képzett céltartalékok tartalmazzák az IAS 19153. bekezdésében felsorolt hosszú távú munkavállalói juttatási programok hiányainak összegeit is. A rövid távú munkavállalói juttatásokból (IAS 19 11. bekezdésének a) pontja), a meghatározott hozzájárulási programokból (IAS 19 51. bekezdésének a) pontja) és a végkielégítésekből (IAS 19 169 . bekezdésének a) pontja) származó elhatárolt kiadásokat az "Egyéb kötelezettségek" között kell szerepeltetni.
11. Az IFRS szerinti elszámolás esetén az "Adott elkötelezettségekre és garanciákra képzett céltartalék" tartalmazza az elkötelezettséghez és garanciához kapcsolódó valamennyi céltartalékot, függetlenül attól, hogy értékvesztésüket az IFRS 9 szerint határozzák-e meg vagy céltartalékképzésük az IAS 37-nek megfelelően történik, illetőleg az IFRS 4 szerinti biztosítási szerződésként kezelik-e őket. Az eredménnyel szemben valós értéken értékelt elkötelezettségekből és pénzügyi garanciákból eredő kötelezettségek nem tüntethetők fel céltartalékként, bár hitelkockázathoz kapcsolódnak, hanem azokat e melléklet 1. részének 40. bekezdése szerint "Egyéb pénzügyi kötelezettségek"-ként kell feltüntetni. A BAD alapján kidolgozott nemzeti GAAP szerinti elszámolás esetén az "Adott elkötelezettségekre és garanciákra képzett céltartalék" valamennyi elkötelezettséghez és garanciához kapcsolódó céltartalékot tartalmazza.
12. A "Kérésre visszafizetendő jegyzett tőke" tartalmazza azokat az intézmény által kibocsátott, tulajdoni részesedést megtestesítő instrumentumokat, amelyek nem felelnek meg a saját tőkébe való besorolás feltételeinek. Ebben a tételben kell az intézményeknek feltüntetniük azokat a szövetkezeti részjegyeket, amelyek nem felelnek meg a saját tőkébe való besorolás feltételeinek.
13. Azokat a kötelezettségeket, amelyek nem pénzügyi kötelezettségek, és amelyek jellegüknél fogva nem sorolhatók be a mérleg meghatározott tételei közé, az "Egyéb kötelezettségek" között kell feltüntetni.
14. Az "Értékesítésre tartottá minősített elidegenítési csoportba tartozó kötelezettségek" jelentése ugyanaz, mint az IFRS 5 alapján.
15. A BAD alapján kidolgozott nemzeti GAAP szerinti elszámolás esetén az "Általános banki kockázatok fedezetére képzett tartalékok" olyan összegek, amelyeket a BAD 38. cikkével összhangban határoztak meg. Megjelenítésükkor ezeket kötelezettségként a "céltartalékok" között vagy saját tőkeként az "egyéb tartalékok" között, külön kell feltüntetni, a vonatkozó nemzeti GAAP-nak megfelelően.
1.3. Saját tőke (1.3.)
16. Az IFRS szerinti elszámolás esetén a tulajdoni részesedést megtestesítő instrumentumok azok a pénzügyi instrumentumok, amelyek az IAS 32 hatóköre alapján meghatározott szerződéseket tartalmazzák.
17. A BAD alapján kidolgozott vonatkozó nemzeti GAAP szerinti elszámolás esetén a "Jegyzett, de még be nem fizetett tőke" tartalmazza annak az intézmény által kibocsátott tőkének a könyv szerinti értékét, amelyet a részvényesek már lejegyeztek, de az adatszolgáltatás időpontjában még nem fizettek be. Amennyiben a még be nem fizetett tőkenövekedés a részvénytőke növekedéseként kerül feltüntetésre, a jegyzett, de még be nem fizetett tőkét az 1.3. táblában kell feltüntetni "Jegyzett, de még be nem fizetett tőke"-ként, valamint az 1.1. táblában "Egyéb eszköz"-ként. A BAD alapján kidolgozott vonatkozó nemzeti GAAP szerinti elszámolás esetén, ha a tőkenövekedés csak a részvényesektől kapott kifizetéseket követően tüntethető fel, a be nem fizetett tőkét nem kell megadni az 1.3. táblában.
18. Az "Összetett pénzügyi instrumentumok sajáttőke-eleme" tartalmazza az intézmény által kibocsátott összetett pénzügyi instrumentumok (vagyis az olyan pénzügyi instrumentumok, amelyek kötelezettség- és sajáttőke-elemmel egyaránt rendelkeznek) sajáttőke-elemét, ha az a vonatkozó számviteli szabályozás szerint el van különítve (ideértve a többszörösen beágyazott olyan származtatott termékeket tartalmazó összetett pénzügyi instrumentumokat, amelyek értékei egymástól függnek).
19. Az "Egyéb kibocsátott tulajdoni részesedést megtestesítő instrumentumok" közé tartoznak azok a tulajdoni részesedést megtestesítő instrumentumok, amelyek pénzügyi instrumentumok, a "Jegyzett tőke" és az "Összetett pénzügyi instrumentumok sajáttőke-eleme" kivételével.
20. Az "Egyéb tőke" magában foglalja az összes olyan tulajdoni részesedést megtestesítő instrumentumot, amely nem pénzügyi instrumentum, ideértve többek között a tulajdoni részesedést megtestesítő instrumentumban teljesített részvényalapú kifizetési ügyleteket (IFRS 2 10. bekezdése).
21. Az "Egyéb átfogó jövedelemmel szemben valós értéken értékelt, tulajdoni részesedést megtestesítő instrumentumok valós értékének változásai" tartalmazza a tulajdoni részesedést megtestesítő azon instrumentumokba való befektetések valós értékének változásából eredő halmozott nyereséget vagy veszteséget, amely instrumentumok esetében az adatszolgáltató intézmény visszavonhatatlan döntést hozott arról, hogy a valósérték-változásokat az egyéb átfogó jövedelemben mutatja be.
22. Az "Egyéb átfogó jövedelemmel szemben valós értéken értékelt, tulajdoni részesedést megtestesítő instrumentumok valósérték-fedezeti ügyleteinek fedezeti hatékonysághiánya" tartalmazza az azon valósérték-fedezeti ügyleteken keletkező halmozott fedezeti hatékonysághiányt, amely ügyletekben a fedezett tétel egyéb átfogó jövedelemmel szemben valós értéken értékelt, tulajdoni részesedést megtestesítő instrumentum. Az ebben a sorban feltüntetett fedezeti hatékonysághiány a tulajdoni részesedést megtestesítő instrumentumok valós értékének "Az egyéb átfogó jövedelemmel szemben valós értéken értékelt, tulajdoni részesedést megtestesítő instrumentumok valós értékének változásai [fedezett tétel]" tételben feltüntetett halmozott változása és a származtatott fedezeti ügylet valós értékének "Az egyéb átfogó jövedelemmel szemben valós értéken értékelt, tulajdoni részesedést megtestesítő instrumentumok valós értékének változásai [fedezeti instrumentum]" tételben feltüntetett halmozott változásai közötti különbség (az IFRS 9 6.5.3. bekezdése és az IFRS 9 6.5.8. bekezdése).
23. "Az eredménnyel szemben valós értéken értékelt pénzügyi kötelezettségek hitelezési kockázat változásából származó valósérték-változásai" az egyéb átfogó jövedelemben megjelenített és az eredménnyel szemben valós értéken értékeltnek megjelölt kötelezettségek saját hitelkockázatához kapcsolódó halmozott nyereséget és veszteséget tartalmazza, függetlenül attól, hogy a megjelölésre a kezdeti megjelenítéskor vagy később kerül sor.
24. A "Külföldi érdekeltségekbe történt nettó befektetések fedezeti ügyletei [hatékony rész]" tartalmazza a külföldi érdekeltségekbe történt nettó befektetések folyamatban lévő fedezeti ügyleteinek, valamint a külföldi érdekeltségekbe történt nettó befektetések azon fedezeti ügyleteinek hatékony részére képzett devizaátszámítási tartalékot, melyek már nem állnak fenn, miközben a külföldi érdekeltségek a mérlegben megjelenítettek maradnak.
25. A "Származtatott fedezeti ügyletek. Cash flow-fedezeti ügyletek tartaléka [hatékony rész]" tartalmazza a cash flow-fedezeti ügyletben levő származtatott fedezeti ügyletek valós értékében bekövetkezett változás hatékony részére képzett cash flow-fedezeti ügylet tartalékát, mind a folyamatban lévő, mind a már fenn nem álló cash flow-fedezeti ügylet vonatkozásában.
26. Az "Egyéb átfogó jövedelemmel szemben valós értéken értékelt hitelviszonyt megtestesítő instrumentumok valós értékének változásai" tartalmazza az egyéb átfogó jövedelemmel szemben valós értéken értékelt, hitelviszonyt megtestesítő instrumentumokon képződött, az IFRS 9 5.5. bekezdése szerint az adatszolgáltatás vonatkozási időpontjában értékelt értékvesztéssel csökkentett halmozott nyereségeket vagy veszteségeket.
27. A "Fedezeti instrumentumok [nem megjelölt elemek]" tartalmazza a következők valós értékében bekövetkezett halmozott változásokat:
a) az opció időértéke, ahol a szóban forgó opció időértékében és belső értékében bekövetkezett változásait elkülönítik, és csak az opció belső értékének változását jelölik meg fedezeti instrumentumként (az IFRS 9 6.5.15. bekezdése);
b) a forwardszerződés határidős eleme, ahol a szóban forgó forwardszerződés határidős elemét és azonnali elemét elkülönítik, és csak a forwardszerződés azonnali elemében bekövetkező változást jelölik meg fedezeti instrumentumként;
c) a pénzügyi instrumentum devizafelára, ha ezt a felárat kizárják a szóban forgó pénzügyi instrumentum fedezeti instrumentumként való megjelöléséből (az IFRS 9 6.5.15. bekezdése és 6.5.16. bekezdése).
28. Az IFRS szerinti elszámolás esetén az "Átértékelési tartalék" az IAS első alkalmazásából eredő tartalékok összegét tartalmazza, amelyeket nem oldottak fel más típusú tartalékok javára.
29. Az "Egyéb tartalék" a "Tőkemódszerrel értékelt, leányvállalatokba, közös vállalkozásokba, valamint társult vállalkozásokba történt befektetések tartalékai vagy halmozott veszteségei" és az "Egyéb" között oszlanak meg. A "Tőkemódszerrel értékelt, leányvállalatokba, közös vállalkozásokba, valamint társult vállalkozásokba történt befektetések tartalékai vagy halmozott veszteségei" tartalmazza az előbb említett befektetésekből nyereség vagy veszteség révén származó, az elmúlt évek során felhalmozódott bevételek és ráfordítások összegét, amennyiben azokat a tőkemódszerrel számolják el. Az "Egyéb" tétel tartalmazza a más tételekben külön közzétett tartalékoktól eltérő tartalékokat, és tartalmazhat törvény és jogszabály által előírt tartalékot.
30. A "Saját részvények" tétel minden olyan - nem értékesített vagy amortizált - pénzügyi instrumentumot magában foglal, amely rendelkezik azoknak a sajáttőke-instrumentumoknak a jellemzőivel, amelyeket az intézmény visszavásárolt, kivéve, ha a BAD alapján kidolgozott vonatkozó nemzeti GAAP értelmében azt az "egyéb eszközök" között kell feltüntetni.
2. EREDMÉNYKIMUTATÁS (2.)
31. Az eredménnyel szemben valós értéken értékelt pénzügyi instrumentumokból és a fedezeti elszámolások kategóriájához sorolt származtatott fedezeti ügyletekből eredő kamatbevételeket és kamatráfordításokat vagy az egyéb nyereségtől és veszteségtől elkülönülten kell feltüntetni a "Kamatbevétel" és "Kamatráfordítások" ("tiszta ár" [nettó ár]) tételek alatt, vagy az ezen instrumentumkategóriákból származó nyereség vagy veszteség részeként ("piszkos ár" [bruttó ár]). A tiszta vagy a piszkos árra vonatkozó megközelítést következetesen kell alkalmazni az eredménnyel szemben valós értéken értékelt valamennyi pénzügyi instrumentumra és a fedezeti elszámolások kategóriájához sorolt származtatott fedezeti ügyletekre.
32. Az intézményeknek számviteli portfóliók szerinti bontásban kell megadniuk a kapcsolt felekkel összefüggő, a prudenciális konszolidáció keretében nem teljes mértékben vagy arányosan konszolidált következő bevételeket és ráfordításokat is tartalmazó tételeket:
a) "Kamatbevétel";
b) "Kamatráfordítások";
c) "Osztalékbevétel";
d) "Az eredménnyel szemben valós értéken értékelt kategóriába nem tartozó pénzügyi eszközök és kötelezettségek kivezetéséből származó nyereség vagy veszteség, nettó";
e) "Módosítás miatti nyereség vagy veszteség, nettó";
f) "Eredménnyel szemben valós értéken értékelt kategóriába nem tartozó pénzügyi eszközök értékvesztése vagy (-) értékvesztésének visszaírása"
33. Tiszta ár alkalmazása esetén a "Kamatbevétel. Kereskedési céllal tartott pénzügyi eszközök" és a "Kamatráfordítások. Kereskedési céllal tartott pénzügyi kötelezettségek" a fedezett pénzügyi instrumentumokból származó pontos kamatbevételek és kamatráfordítások bemutatása érdekében tartalmazza a "kereskedési céllal tartott" kategóriába besorolt azon származtatott ügyletekhez kapcsolódó összegeket, amelyek gazdasági szempontból fedezett instrumentumnak minősülnek, azonban számviteli szempontból nem minősülnek annak.
34. Tiszta ár alkalmazása esetén a "Kamatbevétel. Kereskedési céllal tartott pénzügyi eszközök" és a "Kamatráfordítások. Kereskedési céllal tartott pénzügyi kötelezettségek" tartalmazza továbbá valamely - az adott alkalomból valós értéken megjelölt - pénzügyi instrumentummal szembeni hitelkockázat vagy annak egy része kezeléséhez felhasznált, az eredménnyel szemben valós értéken értékelt hitelderivatívához kapcsolódó időarányos díjakat és egyenlegfizetéseket (az IFRS 9 6.7. bekezdése)
35. A "Kamatbevétel. Származtatott ügyletek - Fedezeti elszámolások, kamatlábkockázat" és a "Kamatráfordítások. Származtatott ügyletek - Fedezeti elszámolások, kamatlábkockázat" tiszta ár alkalmazása esetén tartalmazza a "fedezeti elszámolások" kategóriába besorolt azon származtatott ügyletekhez kapcsolódó összegeket, amelyek kamatlábkockázatot fednek le, ideértve az ellentétes kockázati pozíciójú tételcsoportok fedezetei ügyleteit (nettó pozíció fedezete), amelyek fedezett kockázata az eredménykimutatás különböző sorain levő tételeket érint. Tiszta ár használata esetén ezeket az összegeket bruttó kamatbevételként és kamatráfordításként kell jelenteni azon fedezett tételekből származó pontos kamatbevétel és kamatráfordítások bemutatásához, amelyekhez kapcsolódnak. Tiszta áron számítva, amennyiben a fedezett tételek kamatbevételt (-ráfordítást) generálnak, ezeket az összegeket kamatbevételként (-ráfordításként) kell feltüntetni akkor is, ha negatív (pozitív) összegről van szó.
36. A "Kamatbevétel - egyéb eszközök" azon kamatbevételek összegét tartalmazza, amelyek nem szerepelnek a többi tétel között, például azokat a kamatbevételeket, amelyek a készpénz, a számlakövetelések központi bankokkal szemben, az egyéb látra szóló betétek, valamint az értékesítésre tartottá minősített befektetett eszközök és elidegenítési csoportok kategóriákhoz kapcsolódnak, továbbá a meghatározott juttatási program nettó eszközeiből származó nettó kamatbevételeket.
37. Az IFRS szerinti elszámolás esetén, és amennyiben a nemzeti GAAP máshogy nem rendelkezik, a pénzügyi kötelezettségekkel összefüggő, negatív effektív kamatlábú kamatokat a "Kötelezettségeken képződött kamatbevétel" tételben kell feltüntetni. Ezek a kötelezettségek és kamataik pozitív hozamot jelentenek az intézménynek.
38. A "Kamatráfordítások - egyéb kötelezettségek" az egyéb tételek közé nem tartozó kamatráfordítások összegét tartalmazza, például az értékesítésre tartottá minősített elidegenítési csoportokba tartozó kötelezettségekhez kapcsolódó kamatráfordításokat, egy céltartalék könyv szerinti értékének az idő múlását tükröző növekedéséhez kapcsolódó kamatráfordításokat, vagy a meghatározott juttatási program nettó kötelezettségeiből származó nettó kamatráfordításokat.
39. Az IFRS szerinti elszámolás esetén, és amennyiben a nemzeti GAAP máshogy nem rendelkezik, a pénzügyi eszközökkel összefüggő, negatív effektív kamatlábú kamatokat az "Eszközök kamatráfordításai" tételben kell feltüntetni. Ezek a kötelezettségek és kamataik negatív hozamot jelentenek az intézménynek.
40. Az eredménnyel szemben valós értéken értékelt tulajdoni részesedést megtestesítő instrumentumokból származó osztalékbevételt - tiszta ár alkalmazása esetén - az ezen instrumentumkategóriákból származó egyéb nyereségtől és veszteségtől elkülönítve, "Osztalékbevétel"-ként, vagy - piszkos ár alkalmazása esetén - az ezen instrumentumkategóriákból származó nyereség vagy veszteség részeként kell feltüntetni.
41. Az egyéb átfogó jövedelemmel szemben valós értéken megjelölt, tulajdoni részesedést megtestesítő instrumentumokból származó osztalékbevétel az adatszolgáltatási vonatkozási időszak alatt kivezetett instrumentumokhoz kapcsolódó osztalékokat, továbbá az adatszolgáltatási vonatkozási időszak végén tartott instrumentumokhoz kapcsolódó osztalékokat foglalja magában.
42. A leányvállalatokba, közös vállalkozásokba, valamint társult vállalkozásokba történt befektetésekből származó osztalékbevétel akkor tartalmazza az említett befektetések osztalékát, amennyiben azokat a tőkemódszertől eltérő módszer használatával számolják el.
43. A "Kereskedési céllal tartott pénzügyi eszközökből és kötelezettségekből származó nyereség vagy (-) veszteség, nettó" a kereskedési céllal tartottként besorolt pénzügyi instrumentumok átértékeléséből vagy kivezetéséből származó nyereséget és veszteséget tartalmazza. Ez a tétel tartalmazza az eredménnyel szemben valós értéken értékeltként megjelölt pénzügyi instrumentum egésze vagy egy része hitelkockázatának kezelésére használt, az eredménnyel szemben valós értéken értékelt hitelderivatívákon keletkezett nyereséget és veszteséget, valamint a kereskedési céllal tartott pénzügyi eszközökön és pénzügyi kötelezettségeken keletkezett osztalékot, valamint kamatbevételt és -ráfordítást is, piszkos ár alkalmazása esetén.
44. "Az eredménnyel szemben valós értéken értékeltnek megjelölt pénzügyi eszközök és kötelezettségek nyeresége vagy vesztesége" tartalmazza az eredménykimutatásban az eredménnyel szemben valós értéken értékeltként megjelölt kötelezettségek saját hitelkockázata tekintetében megjelenített összeget is, amennyiben a saját hitelkockázat változásainak az egyéb átfogó jövedelemben való megjelenítése számviteli meg nem felelést eredményez vagy növeli azt (az IFRS 9 5.7.8. bekezdése). Ez a tétel tartalmazza továbbá az eredménnyel szemben valós értéken értékeltként megjelölt fedezett instrumentumok nyereségét és veszteségét, amennyiben a megjelölés célja a hitelkockázat kezelése, valamint az eredménnyel szemben valós értéken megjelölt pénzügyi eszközök és kötelezettségek kamatbevételét és -ráfordítását, piszkos ár használata esetén.
45. "Az eredménnyel szemben valós értéken értékelt kategóriába nem tartozó pénzügyi eszközök és kötelezettségek kivezetéséből származó nyereség vagy (-) veszteség" nem tartalmazza az olyan tulajdoni részesedést megtestesítő instrumentumokon keletkező nyereséget, amelyek esetében az adatszolgáltató intézmény úgy döntött, hogy azokat az egyéb átfogó jövedelemmel szemben valós értéken értékeli (az IFRS 9 5.7.1. bekezdésének b) pontja).
46. Amennyiben az üzleti modell megváltoztatása egy pénzügyi eszköz eltérő számviteli portfólióba való átsorolásához vezet, az átsorolásból származó nyereséget vagy veszteséget azon számviteli portfólió megfelelő soraiban kell feltüntetni, amelyekbe a pénzügyi eszközt átsorolták, a következőknek megfelelően:
a) amennyiben egy pénzügyi eszközt az amortizált bekerülési érték értékelési kategóriából az eredménnyel szemben valós értéken értékelt számviteli portfólióba sorolnak át (az IFRS 9 5.6.2. bekezdése), az átsorolásból eredő nyereségeket vagy veszteségeket a "Kereskedési céllal tartott pénzügyi eszközökből és kötelezettségekből származó nyereség vagy (-) veszteség, nettó" tételben vagy a "Kötelezően az eredménnyel szemben valós értéken értékelt, nem kereskedési célú pénzügyi eszközök nyeresége vagy (-) vesztesége, nettó" tételben kell feltüntetni;
b) amennyiben egy pénzügyi eszközt az egyéb átfogó jövedelemmel szemben valós értéken értékelt kategóriából az eredménnyel szemben valós értéken értékelt kategóriába sorolnak át (az IFRS 9 5.6.7. bekezdése), a korábban az egyéb átfogó jövedelemben megjelenített, az eredménybe átsorolt halmozott nyereséget vagy veszteséget a "Kereskedési céllal tartott pénzügyi eszközökből és kötelezettségekből származó nyereség vagy (-) veszteség, nettó" tételben vagy a "Kötelezően az eredménnyel szemben valós értéken értékelt, nem kereskedési célú pénzügyi eszközök nyeresége vagy (-) vesztesége, nettó" tételben kell feltüntetni.
47. A "Fedezeti elszámolásokból eredő nyereségek vagy (-) veszteségek, nettó" tartalmazza a fedezeti instrumentumokon és fedezett tételeken keletkező nyereségeket és veszteségeket, ideértve az egyéb átfogó jövedelemmel szemben valós értéken értékelt, tulajdoni részesedést megtestesítő instrumentumoktól eltérő fedezett tételeken valamely valósérték-fedezeti ügyletben keletkező nyereségeket és veszteségeket az IFRS 9 6.5.8. bekezdésének megfelelően. Tartalmazza továbbá valamely cash flow-fedezeti ügyletben a fedezeti instrumentumok valósérték-változásának nem hatékony részét. A cash flow-fedezeti ügyletek tartalékának vagy a külföldi érdekeltségbe történt nettó befektetés fedezeti ügyletére képzett tartaléknak az átsorolását az "Eredménykimutatás" ugyanazon soraiban kell megjeleníteni, mint a fedezett tételekből eredő cash flow által eredményezetteket. A "Fedezeti elszámolásokból eredő nyereségek vagy (-) veszteségek, nettó" tartalmazza továbbá a külföldi érdekeltségbe történt nettó befektetés fedezeti ügyletéből eredő nyereségeket és veszteségeket. Ez a tétel magában foglalja a nettó pozíciók fedezeti ügyletéből eredő nyereségeket is.
48. A "Nem pénzügyi eszközök kivezetéséből származó nyereség vagy (-) veszteség" tartalmazza a nem pénzügyi eszközök kivezetéséből származó nyereségeket és veszteségeket, kivéve, ha az eszközök értékesítésre tartottnak vagy leányvállalatokba, társult vállalkozásokba, valamint közös vállalkozásokba történt befektetéseknek minősülnek.
48i. A "Pénzbeli hozzájárulás szanálási alapokhoz és betétbiztosítási rendszerekhez" tartalmazza a szanálási alapokhoz és betétbiztosítási rendszerekhez tett hozzájárulások összegét, amennyiben azokat pénzeszköz formájában fizették meg. Ha a hozzájárulás fizetési elkötelezettség formájában történik, ezt a fizetési elkötelezettséget a "Céltartalékképzés vagy (-) céltartalékok visszaírása" tételnél kell feltüntetni, ha a fizetési elkötelezettség kötelezettséget keletkeztet az alkalmazandó számviteli standarddal összhangban.
49. A "Módosítás miatti nyereség vagy (-) veszteség, nettó" tartalmazza a pénzügyi eszközök bruttó könyv szerinti értékének az újratárgyalt vagy módosított szerződéses cash flow-k tükrözése céljából történő korrekciójából eredő összegeket (IFRS 9 5.4.3. bekezdése és az A. függelék). A módosításból származó nyereségek vagy veszteségek nem tartalmazzák a várható hitelezési veszteségek összegének módosításából eredő hatást, amelyet az "Eredménnyel szemben valós értéken értékelt kategóriába nem tartozó pénzügyi eszközök értékvesztése vagy (-) értékvesztésének visszaírása" tételben kell feltüntetni.
50. A "Céltartalékképzés vagy (-) céltartalékok visszaírása. Adott elkötelezettségek és garanciák" tartalmazza az eredménykimutatásban szereplő nettó költségeket az e rész 11. bekezdésének megfelelően az IFRS 9, az IAS 37 vagy az IFRS 4 hatókörébe tartozó valamennyi elkötelezettségre és garanciára képzett céltartalékok, vagy a BAD alapján kidolgozott nemzeti GAAP szerinti céltartalékok tekintetében. Az IFRS szerinti elszámolás esetén a valós értéken értékelt elkötelezettségek és pénzügyi garanciák valós értékében bekövetkezett bármely változást "Az eredménnyel szemben valós értéken értékeltnek megjelölt pénzügyi eszközök és kötelezettségek nyeresége vagy (-) vesztesége, nettó" tételben kell feltüntetni. Következésképpen a céltartalékok magukban foglalják azon elkötelezettségek és garanciák értékvesztésének összegét, amelyek esetében az értékvesztés meghatározása az IFRS 9 szerint történik, vagy a céltartalékképzés megfelel az IAS 37-nek, illetőleg amelyeket az IFRS 4 értelmében biztosítási szerződésként kezelnek.
51. Az IFRS szerinti elszámolás esetén az "Eredménnyel szemben valós értéken értékelt kategóriába nem tartozó pénzügyi eszközök értékvesztése vagy (-) értékvesztésének visszaírása" tartalmazza a hitelviszonyt megtestesítő instrumentumok az IFRS 9 5.5. bekezdése szerinti értékvesztési szabályok alkalmazásából eredő értékvesztés miatti nyereségét vagy veszteségét, függetlenül attól, hogy az IFRS 9 5.5. bekezdése szerinti várható hitelezési veszteség becslése 12 hónapra vagy az élettartamra vonatkozik-e, ideértve a kereskedelemfinanszírozáson, szerződéses eszközökön és lízingből származó követeléseken keletkező értékvesztési nyereséget vagy veszteséget (az IFRS 9 5.5.15. bekezdése).
52. A BAD alapján kidolgozott nemzeti GAAP szerinti elszámolás esetén az "Eredménnyel szemben valós értéken értékelt kategóriába nem tartozó pénzügyi eszközök értékvesztése vagy (-) értékvesztésének visszaírása" magában foglalja a bekerülésiérték-módszerrel értékelt pénzügyi instrumentumokban az adós vagy a kibocsátó hitelképességének változása miatt bekövetkezett valamennyi értékvesztést vagy az értékvesztések visszaírását, valamint a nemzeti GAAP előírásaitól függően a saját tőkével szemben valós értéken vagy más értékelési módszerrel, többek között a LOCOM-módszerrel értékelt pénzügyi instrumentumok értékvesztését.
53. Az "Eredménnyel szemben valós értéken értékelt kategóriába nem tartozó pénzügyi eszközök értékvesztése vagy (-) értékvesztésének visszaírása" tartalmazza továbbá az e melléklet jelen része 72., 74. bekezdésében és 165. bekezdésének b) pontjában meghatározott azon leírt összegeket, amelyek a leírás időpontjában meghaladják az értékvesztés összegét, és ezért közvetlenül az eredményben kerülnek megjelenítésre veszteségként, valamint a korábban leírt, közvetlenül az eredménykimutatásban rögzített összegek megtérülését.
54. A leányvállalatok, társult vállalkozások és közös vállalkozások eredményből való azon részesedését, amelyet a prudenciális konszolidáció keretében a tőkemódszerrel értékelnek, a "Tőkemódszerrel értékelt, leányvállalatokba, közös vállalkozásokba, valamint társult vállalkozásokba történt befektetések nyereségéből vagy (-) veszteségéből való részesedés" tételben kell feltüntetni. Az IAS 28 10. bekezdése szerint a befektetés könyv szerinti értékét csökkenteni kell az e gazdálkodó egységek által fizetett osztalékkal. Az említett befektetések értékvesztését a ("Leányvállalatokba, közös vállalkozásokba, valamint társult vállalkozásokba történt befektetések értékvesztése vagy (-) értékvesztésének visszaírása") tételben kell feltüntetni. Az e befektetések kivezetéséből származó nyereséget vagy veszteséget e rész 55. és 56. bekezdésével összhangban kell feltüntetni.
55. A "Megszűnt tevékenységeknek nem minősülő, értékesítésre tartottá minősített befektetett eszközökből és elidegenítési csoportokból származó nyereség vagy (-) veszteség" a megszűnt tevékenységeknek nem minősülő, értékesítésre tartottá minősített befektetett eszközökből és elidegenítési csoportokból származó eredményt tartalmazza.
56. Az IFRS szerinti elszámolás esetén a leányvállalatokba, közös vállalkozásokba, valamint társult vállalkozásokba történt befektetések kivezetéséből származó nyereséget vagy veszteséget a "Megszűnt tevékenységek nyeresége vagy (-) vesztesége adófizetés előtt" tételben kell megadni, amennyiben az IFRS 5 szerinti megszűnt tevékenységről van szó. A BAD alapján kidolgozott nemzeti GAAP szerinti elszámolás esetén ezeket a nyereségeket és veszteségeket a "Leányvállalatokba, közös vállalkozásokba és társult vállalkozásokba történt befektetések kivezetéséből származó nyereség vagy (-) veszteség, nettó" tételben kell feltüntetni.
3. ÁTFOGÓ JÖVEDELEMKIMUTATÁS (3.)
57. "Az egyéb átfogó jövedelemmel szemben valós értéken értékelt, tulajdoni részesedést megtestesítő instrumentumok fedezeti elszámolásából eredő nyereségek vagy (-) veszteségek, nettó" tartalmazza az olyan valósérték-fedezeti ügyletek halmozott fedezeti hatékonysághiányában bekövetkezett változást, mely ügyletekben a fedezett tétel egyéb átfogó jövedelemmel szemben valós értéken értékelt, tulajdoni részesedést megtestesítő instrumentum. A halmozott fedezeti hatékonysághiány e sorban feltüntetett változása a tulajdoni részesedést megtestesítő instrumentumok valós értékének "Az egyéb átfogó jövedelemmel szemben valós értéken értékelt, tulajdoni részesedést megtestesítő instrumentumok valós értékének változásai [fedezett tétel]" tételben feltüntetett változásai és a származtatott fedezeti ügylet valós értékének "Az egyéb átfogó jövedelemmel szemben valós értéken értékelt, tulajdoni részesedést megtestesítő instrumentumok valós értékének változásai [fedezeti instrumentum]" tételben feltüntetett változásainak különbsége.
58. A "Külföldi érdekeltségekbe történt nettó befektetések fedezeti ügyletei [hatékony rész]" tartalmazza a külföldi érdekeltségekbe történt nettó befektetések folyamatos és megszüntetett fedezeti ügyleteinek hatékony részére képzett, halmozott devizaátszámítási tartalék változását.
59. A külföldi érdekeltségekbe történt nettó befektetések fedezeti ügyletei és a cash flow-fedezeti ügyletek vonatkozásában az "Eredménybe átvezetett" tételben feltüntetett megfelelő összegek tartalmazzák azokat az összegeket, amelyeknek az átvezetésére azért került sor, mert a fedezett pénzmozgás megtörtént és bekövetkezése már nem várható.
60. A "Fedezeti instrumentumok [nem megjelölt elemek]" tartalmazza a következőkben felsoroltak halmozott valósérték-változásaiban bekövetkező változásokat, amennyiben a felsorolt tételek nem fedezeti komponensként megjelöltek:
a) opciók időértéke;
b) forwardszerződések határidős elemei;
c) pénzügyi instrumentumok devizafelára.
61. Az opciók vonatkozásában az eredménybe átsorolt és az "Eredménybe átvezetett" tételben feltüntetett összegek tartalmazzák az olyan opciók miatti átsorolásokat, amelyek egy ügylethez kapcsolódó fedezett tételt fedeznek, továbbá az olyan opciók miatti átsorolásokat, amelyek egy időszakhoz kapcsolódó fedezett tételt fedeznek.
62. "Az egyéb átfogó jövedelemmel szemben valós értéken értékelt hitelviszonyt megtestesítő instrumentumok" tartalmazzák az egyéb átfogó jövedelemmel szemben valós értéken értékelt, hitelviszonyt megtestesítő instrumentumokon keletkező azon nyereségeket és veszteségeket, amelyek eltérnek a 2. táblában az "(Eredménnyel szemben valós értéken értékelt kategóriába nem tartozó pénzügyi eszközök értékvesztése vagy (-) értékvesztésének visszaírása)" tételben feltüntetendő, értékvesztés miatti nyereségtől vagy veszteségtől és az "Árfolyam-különbözet [nyereség vagy (-) veszteség], nettó" tételben feltüntetendő árfolyamnyereségtől és -veszteségtől. Az "Eredménybe átvezetett" tétel tartalmazza mindenekelőtt az eredménnyel szemben valós értéken értékelt kategóriából való kivezetés vagy az ebbe a kategóriába való átsorolás miatt az eredménybe történő átvezetést.
63. Amennyiben egy pénzügyi eszközt az amortizált bekerülési érték értékelési kategóriából az egyéb átfogó jövedelemmel szemben valós értéken értékelt kategóriába sorolnak át (az IFRS 9 5.6.4. bekezdése), az átsorolás következtében keletkező nyereséget vagy veszteséget "Az egyéb átfogó jövedelemmel szemben valós értéken értékelt hitelviszonyt megtestesítő instrumentumok" között kell feltüntetni.
64. Amennyiben egy pénzügyi eszközt az egyéb átfogó jövedelemmel szemben valós értéken értékelt értékelési kategóriából az eredménnyel szemben valós értéken értékelt értékelési kategóriába (az IFRS 9 5.6.7. bekezdése), vagy az amortizált bekerülési érték értékelési kategóriába (az IFRS 9 5.6.5. bekezdése) sorolnak át, a korábban az egyéb átfogó jövedelemben megjelenített átsorolt halmozott nyereséget és veszteséget az "Eredménybe átvezetett" tételben és az "Egyéb átsorolás" tételben kell feltüntetni, az utóbbi esetben a pénzügyi eszköz könyv szerinti értékét kiigazítva.
65. Az egyéb átfogó jövedelem valamennyi komponense vonatkozásában az "Egyéb átsorolás" tartalmazza az egyéb átfogó jövedelemből az eredménybe vagy - cash flow-fedezeti ügylet esetében - a fedezett tételek kezdeti könyv szerinti értékébe való átsorolástól eltérő átvezetéseket.
66. Az IFRS szerinti elszámolás esetén a "Nem átsorolandó tételekhez kapcsolódó nyereségadó"-t és a "Nyereségbe vagy (-) veszteségbe átsorolható tételekhez kapcsolódó nyereségadó"-t (az IAS 1 91. bekezdésének b) pontja, IG6) külön sorokban kell feltüntetni.
4. PÉNZÜGYI ESZKÖZÖK INSTRUMENTUM ÉS ÜGYFÉLSZEKTOR SZERINTI RÉSZLETEZÉSE (4.)
67. A pénzügyi eszközöket számviteli portfóliónként és instrumentumonként - valamint szükség esetén - ügyfélszektor szerinti bontásban kell megadni. Az egyéb átfogó jövedelemmel szemben valós értéken értékelt és az amortizált bekerülési értéken értékelt hitelviszonyt megtestesítő instrumentumok tekintetében az eszközök bruttó könyv szerinti értékét és a halmozott értékvesztéseket értékvesztési szakaszok szerinti bontásban kell megadni.
68. A BAD alapján kidolgozott GAAP szerinti elszámolás esetén a kereskedési célú pénzügyi eszközként feltüntetett származtatott eszközök valós értéken értékelt instrumentumokat, valamint bekerülésiérték-módszerrel vagy LOCOM-módszerrel értékelt instrumentumokat tartalmaznak.
69. A III. és a IV. melléklet, valamint a jelen melléklet alkalmazásában "A hitelkockázat-változásból származó negatív valósérték-változás halmozott összege" a nemteljesítő kitettségek esetében a valós érték hitelkockázat-változásból származó halmozott változását jelenti, ahol a halmozott nettó változás negatív. A hitelkockázat-változásból származó nettó valósérték-változás halmozott összegét úgy kell kiszámítani, hogy figyelembe kell venni a hitelviszonyt megtestesítő instrumentum megjelenítése óta a valós értékben a hitelkockázat változása miatt bekövetkezett valamennyi negatív és pozitív változást. Ezt az összeget csak akkor kell feltüntetni, ha a hitelkockázat változása miatt a valós értékben bekövetkezett pozitív és negatív változások összeadása negatív összeget eredményez. A hitelviszonyt megtestesítő instrumentumok értékelését az egyes pénzügyi instrumentumok szintjén kell elvégezni. "A hitelkockázat-változásból származó negatív valósérték-változás halmozott összege" minden egyes hitelviszonyt megtestesítő instrumentum esetében az instrumentum kivezetéséig jelentendő.
70. A III. és a IV. melléklet, valamint a jelen melléklet alkalmazásában a "halmozott értékvesztés":
a) amortizált bekerülésiérték- vagy bekerülésiérték-módszerrel értékelt hitelviszonyt megtestesítő instrumentumok esetében a halmozott értékvesztés az értékvesztés miatti veszteségek felhasználásokkal és visszaírásokkal csökkentett kumulatív összege, adott esetben értékvesztési szakaszonként. Az IFRS szerinti elszámolás esetén és a BAD alapján kidolgozott nemzeti GAAP szerinti elszámolás esetén a halmozott értékvesztés értékvesztési számla használata révén vagy a BAD alapján kidolgozott nemzeti GAAP értelmében kivezetési eseménynek nem minősülő közvetlen csökkentés útján csökkenti a hitelviszonyt megtestesítő instrumentum könyv szerinti értékét;
b) az IFRS szerinti elszámolás esetén az egyéb átfogó jövedelemmel szemben valós értéken értékelt hitelviszonyt megtestesítő instrumentumok vonatkozásában a halmozott értékvesztés a várható hitelezési veszteségek és változásaik összege, amely az adott instrumentum valós értékében a kezdeti megjelenítés óta bekövetkezett csökkenésként jelenítik meg;
c) a BAD alapján kidolgozott nemzeti GAAP szerinti elszámolás esetén a saját tőkével szemben valós értéken értékelt, értékvesztés-elszámolási kötelezettség alá tartozó hitelviszonyt megtestesítő instrumentumok vonatkozásában a halmozott értékvesztés az értékvesztések halmozott összege, csökkentve a felhasználásokkal és visszaírásokkal. A könyv szerinti érték csökkentése vagy értékvesztési számla használatával vagy olyan közvetlen csökkentéssel történik, ami nem jelent kivezetési eseményt.
71. Az IFRS szerinti elszámolás esetén a halmozott értékvesztés tartalmazza az IFRS 9-ben meghatározott egyes értékvesztési szakaszokba sorolható pénzügyi eszközök várható hitelezési veszteségére képzett értékvesztést. A BAD alapján kidolgozott nemzeti GAAP szerinti elszámolás esetén a halmozott értékvesztés tartalmazza az egyedi és általános hitelkockázati tartalékot, valamint az általános banki kockázatokra képzett tartalékot, amennyiben ez csökkenti a hitelviszonyt megtestesítő instrumentumok könyv szerinti értékét. A halmozott értékvesztés tartalmazza továbbá a LOCOM-módszer szerint értékelt pénzügyi eszközök hitelkockázatból eredő értékelési korrekcióit.
72. A "Halmozott részleges leírások összege" és a "Halmozott teljes leírások összege" tartalmazza azon hitelviszonyt megtestesítő instrumentumok tőkeösszegének, lejárt esedékességű kamatainak és díjainak az adatszolgáltatási vonatkozási időpontra számított halmozott részleges vagy teljes összegét, amelyeket az adott időpontig a 74. bekezdésben leírt módszerek valamelyikének használatával kivezettek, mert az intézmény észszerű várakozások alapján nem számíthat a szerződéses cash flow-k beszedésére. Ezeket az összegeket az adatszolgáltató intézmény valamennyi jogának elévülési határidő lejárta, elengedés vagy egyéb okok miatti teljes megszűnéséig vagy az összegek megtérüléséig jelenteni kell. Következésképpen ezeket a leírt összegeket, amennyiben nem kerülnek beszedésre, akkor is fel kell tüntetni, amikor végrehajtás tárgyát képezik.
73. Amennyiben egy hitelviszonyt megtestesítő instrumentum több egymást követő részleges leírás miatt végül teljes mértékben leírásra kerül, a leírás kumulált összege a "Halmozott részleges leírások összegéből" átsorolásra kerül a "Halmozott teljes leírások összege" oszlopba.
74. A leírások kivezetési eseményt jelentenek és vagy a pénzügyi eszköz egészére vagy egy részére vonatkoznak, ideértve, ha az eszköz módosítása ahhoz vezet, hogy az intézmény lemond arról a jogáról, hogy a szóban forgó eszköz egy része vagy egésze tekintetében cash flow-t szedjen be, ahogy a 72. bekezdés ismerteti. A leírások egyaránt magukban foglalják a pénzügyi eszközök könyv szerinti értékének közvetlenül az eredményben elszámolt csökkentése nyomán, és a hitelezési veszteségekre képzett, értékvesztési számlán lévő összegnek a pénzügyi eszközök könyv szerinti értékével szembeni csökkentése nyomán létrejött összegeket.
75. Az "ebből: alacsony hitelkockázatú eszközök" oszlop azokat az instrumentumokat tartalmazza, amelyekről megállapításra kerül, hogy az adatszolgáltatás vonatkozási időpontjában hitelkockázatuk alacsony, és amelyekről az intézmény feltételezi, hogy hitelkockázatuk nem növekedett meg jelentősen a kezdeti megjelenítés óta az IFRS 9 5.5.10. bekezdésének megfelelően.
76. Az IAS 1 54. bekezdésének h) pontja szerinti kereskedelemfinanszírozást, szerződéses eszközöket és lízingköveteléseket, amelyek esetében az elszámolt veszteség becslésére az IFRS 9 5.5.15. bekezdése szerinti egyszerűsített megközelítés kerül alkalmazásra, a 4.4.1. táblában a hitelek és előlegek között kell feltüntetni. Az említett eszközökre elszámolt megfelelő veszteséget vagy az "Olyan eszközök halmozott értékvesztése, amelyek hitelkockázata jelentősen növekedett a kezdeti megjelenítés óta, de amelyek nem váltak értékvesztetté (2. szakasz)" vagy az "Értékvesztett eszközök halmozott értékvesztése (3. szakasz)" tételben kell feltüntetni, függetlenül attól, hogy a kereskedelemfinanszírozás, szerződéses eszközök vagy lízingkövetelések az egyszerűsített megközelítés szerint értékvesztett eszköznek minősülnek-e.
77. Az olyan vásárolt vagy keletkeztetett pénzügyi eszközöket, amelyek már a kezdeti megjelenítéskor értékvesztettek az IFRS 9 A. függelékében meghatározottak szerint, külön kell feltüntetni a 4.3.1. és a 4.4.1. táblában. Ezen eszközök esetében a halmozott értékvesztés csak az élettartami várható hitelezési veszteségben a kezdeti megjelenítés óta bekövetkezett halmozott változásokat tartalmazza (az IFRS 9 5.5.13. bekezdése). Ezen eszközök esetében a vonatkozó bruttó könyv szerinti értéket és halmozott értékvesztést az "Értékvesztett eszközök (3. szakasz)" tételben kell feltüntetni kezdeti megjelenítéskor és addig, ameddig az IFRS 9 A. függelékének "értékvesztett pénzügyi eszközök" fogalommeghatározásával összhangban lévő értékvesztett eszközöknek minősülnek. Amennyiben szóban forgó eszközök már nem minősülnek értékvesztett eszközöknek a kezdeti megjelenítés után, akkor az "Eszközök, amelyek hitelkockázata jelentősen növekedett a kezdeti megjelenítés óta, de amelyek nem váltak értékvesztetté (2. szakasz)" tételben kell feltüntetni őket.
78. A 4.5. táblában az intézmények azon "Hitelek és előlegek" és "Hitelviszonyt megtestesítő értékpapírok" könyv szerinti értékét tüntetik fel, amelyek az "alárendelt követelés" e rész 100. pontjában szereplő fogalmához tartoznak.
79. A 4.8. táblában a feltüntetendő adat attól függ, hogy a saját tőkével szemben valós értéken értékelt, nem kereskedési célú, nem származtatott pénzügyi eszközök a BAD alapján kidolgozott nemzeti GAAP alkalmazásában értékvesztés-elszámolási kötelezettség alá tartozhatnak-e. Amennyiben ezek a pénzügyi eszközök értékvesztés-elszámolási kötelezettség alá tartoznak, az intézmények ebben a táblában a könyv szerinti értékre, a nem értékvesztett és az értékvesztett eszközök bruttó könyv szerinti értékére, a halmozott értékvesztésre és a halmozott leírásokra vonatkozó adatokat tüntetik fel. Amennyiben ezek a pénzügyi eszközök nem tartoznak értékvesztés-elszámolási kötelezettség alá, az intézmények nemteljesítő kitettségek esetében a hitelkockázat-változásból származó negatív valósérték-változás halmozott összegét tüntetik fel.
80. A 4.9. táblában a mérsékelt LOCOM-módszer szerint értékelt pénzügyi eszközöket és a kapcsolódó értékelési korrekciókat a bekerülésiérték-módszerrel értékelt pénzügyi eszközöktől és kapcsolódó értékvesztésüktől elkülönítve kell azonosítani. A bekerülésiérték-módszerrel értékelt pénzügyi eszközöket, többek között a mérsékelt LOCOM-módszer szerint értékelt pénzügyi eszközöket nem értékvesztett eszközként kell feltüntetni, ha nem kapcsolódik hozzájuk értékelési korrekció vagy értékvesztés, és értékvesztett eszközként kell feltüntetni, amennyiben értékvesztésnek minősülő értékelési korrekció vagy értékvesztés kapcsolódik hozzájuk. Az értékvesztésnek minősülő értékelési korrekciók a partner hitelképességének romlását tükröző, hitelkockázatból eredő értékelési korrekciók. Azok a mérsékelt LOCOM-módszer szerint értékelt pénzügyi eszközök, amelyek esetében a piaci feltételek változásainak hatását tükröző, piaci kockázatból eredő értékelési korrekcióra került sor, nem tekinthetők értékvesztettnek. A hitelkockázatból és piaci kockázatból eredő halmozott értékelési korrekciókat külön kell feltüntetni.
81. A 4.10. táblában a szigorú LOCOM-módszer szerint értékelt eszközöket, valamint kapcsolódó értékelési korrekcióikat kell feltüntetni, elkülönítve a más értékelési módszerek hatálya alá tartozó eszközöktől. A szigorú LOCOM-módszer alapján értékelt pénzügyi eszközöket és az egyéb értékelési módszerek alapján értékelt pénzügyi eszközöket akkor kell értékvesztett eszközként feltüntetni, ha azok esetében hitelkockázatból eredő értékelési korrekcióra került sor a 80. bekezdésnek megfelelően, vagy értékvesztés kapcsolódik hozzájuk. A szigorú LOCOM-módszer alapján értékelt azon pénzügyi eszközök, amelyek esetében piaci kockázatból eredő értékelési korrekcióra került sor a 80. bekezdésnek megfelelően, nem tekintendők értékvesztettnek. A hitelkockázatból és piaci kockázatból eredő halmozott értékelési korrekciókat külön kell feltüntetni.
82. A BAD alapján kidolgozott nemzeti GAAP szerinti elszámolás esetén a megfelelő táblákban az általános banki kockázatokra képzett tartalékokból csak azt a részt kell bejelenteni, amely a hitelviszonyt megtestesítő instrumentumok könyv szerinti értékét érinti (BAD 37. cikk (2) bekezdés).
5. NEM KERESKEDÉSI CÉLÚ HITELEK ÉS ELŐLEGEK TERMÉK SZERINTI RÉSZLETEZÉSE (5.)
83. A nem kereskedési céllal tartott és nem kereskedési célú hitelek és előlegek könyv szerinti értékét terméktípusok és ügyfélszektor szerinti, a bruttó könyv szerinti értékét pedig csak terméktípus szerinti bontásban kell megadni.
84. A "Készpénz, számlakövetelések központi bankokkal szemben és egyéb látra szóló betétek" kategóriába sorolt látra szóló egyenlegeket is jelenteni kell ebben a táblában, értékelési módjuktól függetlenül.
85. A hiteleket és előlegeket a következő termékek szerinti bontásban kell szerepeltetni:
a) a "Látra szóló (azonnal felmondható) és rövid határidővel felmondható (folyószámla)" kategória tartalmazza a látra szóló (azonnal felmondható), rövid határidővel (a kérés napját követő napon a munkanap végéig) felmondható követeléseket, a folyószámlákat és hasonló egyenlegeket, amelyek tartalmazhatnak a kölcsönvevő szempontjából egynapos betétnek minősülő kölcsönöket (amelyeket a kölcsönnyújtás napját követő napon, a munkanap végéig kell visszafizetni), függetlenül azok jogi formájától. Idetartoznak a "folyószámlahitelek" is, amelyek a folyószámlákon lekönyvelt tartozik egyenlegek és a központi banknál tartott kötelező tartalékok;
b) a "Hitelkártya-tartozás" kategóriába tartoznak a késleltetett terhelésű betéti kártyákon vagy hitelkártyákon keresztül nyújtott hitelek az EKB BSI rendelet II. mellékletének 2. részében szereplő táblázatban meghatározottak szerint;
c) a "Kereskedelemfinanszírozás" tartalmazza az egyéb adósoknak számla vagy egyéb olyan dokumentumok alapján nyújtott kölcsönöket, amelyek jogot biztosítanak áruk adásvételéből vagy szolgáltatás nyújtásából származó bevételek elfogadására. Ez a tétel tartalmazza az összes faktoring és hasonló tranzakciót, például az elfogadványokat, a kereskedelemfinanszírozások végleges megvásárlását, a forfait-ügyleteket, számladiszkontálást, váltókat, kereskedelmi értékpapírokat és egyéb követeléseket, amelyek esetében az adatszolgáltató intézmény megvásárolja a kereskedelemfinanszírozást (visszkereseti joggal és anélkül);
d) a "Pénzügyi lízingek" tartalmazza a pénzügyi lízingből származó követelések könyv szerinti értékét. Az IFRS értelmében a "pénzügyi lízingből származó követelések" meghatározása az IAS 17 szerinti meghatározás;
e) a "Fordított visszavásárlási hitelek" tétel tartalmazza a visszavásárlási megállapodások keretében megvásárolt értékpapírokért vagy aranyért, illetve az értékpapír-kölcsönzési megállapodások keretében kölcsönvett értékpapírokért cserébe nyújtott finanszírozást e rész 183. és 184. bekezdésében meghatározottaknak megfelelően;
f) az "Egyéb meghatározott lejáratú hitelek" a többi tétel közé be nem sorolt, szerződésben rögzített lejáratú vagy futamidejű tartozik egyenlegeket tartalmazza;
g) az "Előlegek, kivéve hitelek" azokat az előlegeket tartalmazza, amelyek nem sorolhatók az EKB BSI rendelet II. mellékletének 2. részében szereplő táblázat szerinti hitelek közé. Ez a tétel többek között tartalmazza a függő tételek (mint például a befektetésre, átutalásra vagy elszámolásra váró összegek) és átvezetési tételek (mint például csekkek és beszedésre elküldött egyéb fizetési formák) követeléseinek teljes összegeit.
86. A kapott biztosíték alapján a hiteleket és előlegeket a következőképpen kell besorolni:
a) az "Ingatlannal fedezett hitelek" tartalmazza az előírásoknak megfelelően lakó- vagy kereskedelmi ingatlannal fedezett hiteleket és előlegeket, tekintet nélkül azok hitel/fedezet arányára ("hitelfedezeti arány") és a biztosíték jogi formájára;
b) az "Egyéb biztosítékkal fedezett hitelek" tartalmazza az előírásoknak megfelelően biztosítékkal fedezett hiteleket és előlegeket, tekintet nélkül azok hitel/fedezet arányára ("hitelfedezeti arány") és a biztosíték jogi formájára, kivéve az "Ingatlannal fedezett hitelek"-et. Ezen biztosítékok közé tartozik az értékpapíron, készpénzen és egyéb biztosítékon létesített zálogjog, tekintet nélkül a biztosíték jogi formájára.
87. A hiteleket és előlegeket a biztosíték alapján kell besorolni, függetlenül a hitel céljától. Azon hitelek és előlegek könyv szerinti értékét, amelyeket egynél több típusú biztosíték fedez, ingatlanbiztosítékkal fedezettként kell besorolni és feltüntetni, amennyiben az említett hiteleket és előlegeket ingatlanbiztosítékkal fedezik, függetlenül attól, hogy más típusú biztosítékkal is fedezettek-e.
88. A hiteleket és előlegeket céljuk alapján a következőképpen kell besorolni:
a) a "Fogyasztási hitelek" az elsősorban áruk és szolgáltatások személyes felhasználására nyújtott hiteleket tartalmazza az EKB BSI rendelet II. mellékletének 2. részében szereplő táblázatban meghatározottak szerint;
b) a "Lakáscélú hitelek" tartalmazza a háztartások számára saját használatra vagy bérbeadásra történő lakásvásárlásra - ideértve a lakásépítést és felújítást - nyújtott hiteleket az EKB BSI rendelet II. mellékletének 2. részében szereplő táblázatban meghatározottak szerint.
89. A hiteleket be kell sorolni megtérülésük módja alapján. A "Projektfinanszírozási hitelek" azokat a hiteleket tartalmazza, amelyek megfelelnek a CRR 147. cikkének (8) bekezdésében említett speciális hitelezési kitettségek jellemzőinek.
6. NEM PÉNZÜGYI VÁLLALATOKNAK NYÚJTOTT NEM KERESKEDÉSI CÉLÚ HITELEK ÉS ELŐLEGEK RÉSZLETEZÉSE NACE KÓDOK SZERINT (6.)
90. A nem pénzügyi vállalatoknak nyújtott, a kereskedési céllal tartott vagy kereskedési célú eszközökből álló portfólióba tartozóktól eltérő hitelek és előlegek bruttó könyv szerinti értékét a gazdasági tevékenységek ágazata szerint kell besorolni a NACE-kódok alkalmazásával az ügyfél fő tevékenysége alapján.
91. Az egynél több kötelezett által együttesen vállalt kitettség besorolását e melléklet 1. részének 43. bekezdésével összhangban kell elvégezni.
92. A NACE-kódokat az első részletezési szinttel ("nemzetgazdasági ág" szerint) kell megadni. Az intézmények a pénzügyi vagy biztosítási tevékenységet végző nem pénzügyi vállalatoknak nyújtott hiteleket és előlegeket a "K. Pénzügyi és biztosítási tevékenység" tételben tüntetik fel.
93. Az IFRS szerinti elszámolás esetén az értékvesztés-elszámolási kötelezettség alá tartozó pénzügyi eszközök közé tartoznak i. az amortizált bekerülési értéken értékelt pénzügyi eszközök és ii. az egyéb átfogó jövedelemmel szemben valós értéken értékelt pénzügyi eszközök. A BAD alapján kidolgozott nemzeti GAAP szerinti elszámolás esetén az értékvesztés-elszámolási kötelezettség hatálya alá tartozó pénzügyi eszközök közé tartoznak a bekerülésiérték-módszer, többek között a LOCOM-módszer alapján értékelt pénzügyi eszközök. Az egyes nemzeti GAAP-ok előírásaitól függően e pénzügyi eszközök közé tartozhatnak i. a saját tőkével szemben valós értéken értékelt pénzügyi eszközök és ii. egyéb értékelési módszerrel értékelt pénzügyi eszközök.
7. ÉRTÉKVESZTÉS-ELSZÁMOLÁSI KÖTELEZETTSÉG ALÁ TARTOZÓ KÉSEDELMES PÉNZÜGYI ESZKÖZÖK (7.)
94. Az értékvesztés-elszámolási kötelezettség hatálya alá tartozó pénzügyi eszközöket tartalmazó számviteli portfóliókba sorolt hitelviszonyt megtestesítő instrumentumok könyv szerinti értékét csak akkor kell a 7.1. táblában feltüntetni, ha azok késedelmesek. A késedelmes instrumentumokat egyedi helyzetük alapján kell hozzárendelni a megfelelő késedelmességi intervallumokhoz.
95. Az értékvesztés-elszámolási kötelezettség alá tartozó számviteli portfóliók értékvesztés-elszámolási kötelezettség alá tartozó pénzügyi eszközök, az e rész 93. bekezdésében meghatározottak szerint.
96. A pénzügyi eszközök akkor minősülnek késedelmesnek, ha az esedékesség napján a tőkeösszeg, kamat vagy díj bármely része nem került kifizetésre. A késedelmes kitettségek teljes könyv szerinti értékét fel kell feltüntetni. Az ilyen eszközök könyv szerinti értékét az értékvesztési szakaszok vagy az értékvesztési státusz szerint kell feltüntetni, az alkalmazandó számviteli standardokkal összhangban, és a referencia-időpontban ki nem fizetett, legrégebbi késedelmes összegre vonatkozó késedelmes napok száma szerint kell részletezni.
8. PÉNZÜGYI KÖTELEZETTSÉGEK RÉSZLETEZÉSE (8.)
97. A "Betétek" meghatározása és a termék szerinti részletezés az EKB BSI rendelet II. mellékletének 2. részében szereplő táblázat meghatározásával van összhangban. A szabályozott takarékbetéteket az EKB BSI rendelettel összhangban kell besorolni és ügyfél szerint kell szerepeltetni. Mindenekelőtt azokat a nem átruházható látra szóló takarékbetéteket, amelyek ugyan jogszabály szerint kérésre visszaválthatók, azonban jelentős hátránnyal és korlátozással és az egynapos betétek jellemzőihez nagyon hasonló jellemzőkkel rendelkeznek, a felmondással visszaváltható betétek közé soroljuk.
98. A "Kibocsátott hitelviszonyt megtestesítő értékpapírok"-at a következő terméktípusok szerint kell részletezni:
a) "Letéti jegyek", amelyek olyan értékpapírok, amelyek birtokosa számára lehetővé teszik pénz felvételét egy számláról,
b) "Eszközfedezetű értékpapírok", amelyek a CRR 4. cikke (1) bekezdésének 61. pontjában meghatározott értékpapírosítási ügyletekből származó értékpapírok;
c) "Fedezett kötvények" a CRR 129. cikkének (1) bekezdésében említettek szerint;
d) a "Hibrid szerződések" beágyazott származtatott ügyleteket tartalmazó szerződéseket foglalnak magukban;
e) az "Egyéb kibocsátott hitelviszonyt megtestesítő értékpapírok" az a)-d) pontban említett termékek között fel nem tüntetett értékpapírokat tartalmazza, és különbséget tesz az átváltható összetett pénzügyi instrumentumok és a nem átváltható instrumentumok között.
99. A kibocsátott "Alárendelt kötelezettségek" kezelése az egyéb felmerült pénzügyi kötelezettségekkel azonos módon történik. Az értékpapír formájában kibocsátott alárendelt kötelezettségek a "Kibocsátott hitelviszonyt megtestesítő értékpapírok" közé sorolandók, a betétek formájában fennálló alárendelt kötelezettségek pedig a "Betétek" közé sorolandók.
100. A 8.2. tábla számviteli portfólió szerinti bontásban tartalmazza azon "Betétek" és "Kibocsátott hitelviszonyt megtestesítő értékpapírok" könyv szerinti értékét, amelyek az EKB BSI rendelet II. mellékletének 2. részében szereplő táblázatban meghatározottak szerint alárendelt követelésnek minősülnek. Az "alárendelt követelést" megtestesítő instrumentumok a kibocsátó intézménnyel szemben fennálló olyan járulékos követelések, amelyeket csak az összes, magasabb státuszú követelés kielégítését követően lehet érvényesíteni.
101. A "Saját hitelkockázat változásából származó valósérték-változás halmozott összege" tartalmazza a valós érték összes említett változását, függetlenül attól, hogy azok az eredményben vagy az egyéb átfogó jövedelemben kerülnek-e megjelenítésre.
9. HITELNYÚJTÁSI ELKÖTELEZETTSÉGEK, PÉNZÜGYI GARANCIÁK ÉS EGYÉB ELKÖTELEZETTSÉGEK (9.)
102. A mérlegen kívüli kitettségek közé a CRR I. mellékletében felsorolt mérlegen kívüli tételek tartoznak. A 9.1., 9.1.1. és a 9.2. táblában a CRR I. mellékletében felsorolt valamennyi mérlegen kívüli kitettséget fel kell tüntetni hitelnyújtási elkötelezettségekre, pénzügyi garanciákra és egyéb elkötelezettségekre lebontva.
103. Az adott és kapott hitelnyújtási elkötelezettségekre, pénzügyi garanciákra és egyéb elkötelezettségekre vonatkozó információk a visszavonható és a visszavonhatatlan elkötelezettségeket egyaránt tartalmazzák.
104. A CRR I. mellékletében felsorolt adott hitelnyújtási elkötelezettségek, pénzügyi garanciák és egyéb elkötelezettségek lehetnek az eredménnyel szemben valós értéken értékelt, az IFRS 9 hatókörébe tartozó instrumentumok vagy az IFRS 9 értékvesztési követelményeinek hatálya alá tartozó instrumentumok, valamint az IAS 37 vagy az IFRS 4 hatókörébe tartozó instrumentumok.
105. Az IFRS szerinti elszámolás esetén az adott hitelnyújtási elkötelezettségeket, pénzügyi garanciákat és egyéb elkötelezettségeket a 9.1.1. táblában kell feltüntetni, ha a következő feltételek bármelyike teljesül:
a) az IFRS 9 szerinti értékvesztés-elszámolási kötelezettség hatálya alá tartoznak;
b) az IFRS 9 értelmében eredménnyel szemben valós értéken értékeltként vannak megjelölve;
c) az IAS 37 vagy az IFRS 4 hatókörébe tartoznak.
106. Azokat a kötelezettségeket, amelyeket jelen melléklet e része 105. bekezdésének a) és c) pontjában említett, adott pénzügyi garanciák és elkötelezettségek hitelezési veszteségeként kell megjeleníteni, céltartalékként kell jelenteni, függetlenül az alkalmazott értékelési kritériumoktól.
107. Az IFRS hatálya alá tartozó intézmények értékvesztési szakaszok szerinti bontásban feltüntetik az IFRS 9 szerinti értékvesztés-elszámolási kötelezettség alá tartozó instrumentumok névértékét és céltartalékait, ideértve azokét, amelyeket a megjelenített halmozott bevétellel csökkentett bekerülési értéken értékelnek.
108. A 9.1.1. táblában csak az elkötelezettség névértékét kell feltüntetni akkor, ha a hitelviszonyt megtestesítő instrumentum mérleg szerinti instrumentumot és mérlegen kívüli komponenst egyaránt tartalmaz. Ha az adatszolgáltatásra kötelezett gazdálkodó egység nem tudja elkülönítve azonosítani a mérlegen belüli és mérlegen kívüli komponensek várható hitelezési veszteségét, az elkötelezettség várható hitelezési veszteségét a mérleg szerinti komponens halmozott értékvesztésével együtt kell feltüntetni. Amennyiben a várható hitelezési veszteségek együttesen meghaladják a hitelviszonyt megtestesítő instrumentum bruttó könyv szerinti értékét, a várható hitelezési veszteségek fennmaradó egyenlegét a 9.1.1. táblában, a megfelelő értékvesztési szakaszban céltartalékként kell feltüntetni (az IFRS 9 5.5.20. bekezdése és az IFRS 7 B8E. bekezdése).
109. Egy, az IFRS 9 4.2.1. bekezdése d) pontjának megfelelően értékelt pénzügyi garanciát vagy a piaci kamatlábnál alacsonyabb kamatláb melletti hitelnyújtásra vonatkozó elkötelezettséget, amely esetében az elszámolt veszteségének a meghatározása az IFRS 9 5.5. bekezdése szerint történik, a megfelelő értékvesztési szakaszban kell jelenteni.
110. Amennyiben a hitelnyújtási elkötelezettségeket, pénzügyi garanciákat és egyéb elkötelezettségeket valós értéken értékelik az IFRS 9 szerint, az intézmények a 9.1.1. táblában a megfelelő oszlopokban feltüntetik e pénzügyi garanciák és elkötelezettségek névértékét és a hitelkockázat-változásból származó negatív valósérték-változás halmozott összegét. "A hitelkockázat-változásból származó negatív valósérték-változás halmozott összegét" az e rész 69. bekezdése szerinti kritériumok alkalmazásával kell jelenteni.
111. Az IAS 37 vagy az IFRS 4 hatókörébe tartozó egyéb elkötelezettségek vagy garanciák névértékét és céltartalékait a megfelelő oszlopokban kell feltüntetni.
112. A BAD alapján kidolgozott nemzeti GAAP hatókörébe tartozó intézmények a 9.1. táblában tüntetik fel a 102. és 103. bekezdésben említett elkötelezettségek és pénzügyi garanciák névértékét, valamint azon céltartalékok összegét, amelyeket a szóban forgó mérlegen kívüli kitettségekre előírás szerint tartani kell.
113. A "hitelnyújtási elkötelezettségek" előre meghatározott feltételek mellett történő hitelnyújtásra vonatkozó határozott elkötelezettségek, azon elkötelezettségek kivételével, amelyek azért származtatott ügyletek, mert nettó összegük készpénzben, illetve másik pénzügyi instrumentum átadásával vagy kibocsátásával rendezhető. A CRR I. mellékletének "Hitelnyújtási elkötelezettségek"-ként besorolandó tételei a következők:
a) "Határidős betétügyletek";
b) "Le nem hívott hitelkeretek", amelyek kölcsönnyújtásra vagy elfogadványokra vonatkozó megállapodásokat foglalnak magukban előre meghatározott szerződéses feltételek mellett.
114. A "Pénzügyi garanciák" olyan szerződések, amelyek a kibocsátónak meghatározott fizetések teljesítését írják elő a tulajdonos abból adódó veszteségének megtérítésére, hogy egy meghatározott adós esedékességkor nem fizet a hitelviszonyt megtestesítő instrumentum eredeti vagy módosított feltételeinek megfelelően, ideértve az egyéb pénzügyi garanciákra biztosított garanciákat. Az IFRS alkalmazási körében ezek a szerződések az IFRS 9 2.1. bekezdésének e) pontjában és az IFRS 4 A. függelékében meghatározott pénzügyi garanciaszerződések. A CRR I. mellékletének "Pénzügyi garanciák"-ként besorolandó tételei a következők:
a) "Hitelhelyettesítő jellegű garanciák";
b) a pénzügyi garancia definíciójának megfelelő "Hitelderivatívák";
c) "Hitelhelyettesítő jellegű visszavonhatatlan készenléti hitellevelek";
115. A CRR I. mellékletének "Egyéb elkötelezettségek"-ként besorolandó tételei a következők:
a) "Részben kifizetett részvények és értékpapírok kifizetetlen része";
b) "Megnyitott vagy igazolt akkreditívek";
c) "Kereskedelemfinanszírozási mérlegen kívüli tételek";
d) "Akkreditívek, amelyeknek biztosítéka a szállítmány, valamint egyéb öntörlesztő ügyletek";
e) "Garanciák és jótállások" (beleértve a pályázati és teljesítési biztosítékokat), valamint olyan "garanciák, amelyek nem hitelhelyettesítő jellegűek";
f) "Szállítási garanciák, vám- és adóbiztosítékok";
g) "Rulírozó hitelmegállapodás rövid lejáratú pénzpiaci eszköz jegyzésére (note issuance facilities, NIF) és középtávú rulírozó megállapodás rövid lejáratú pénzpiaci eszköz jegyzésére és a kibocsátásban való közreműködésre (revolving underwriting facilities, RUF)";
h) "Le nem hívott hitelkeretek", amelyek kölcsönnyújtásra vagy elfogadványokra vonatkozó megállapodásokat foglalnak magukban, ha a szerződéses feltételek nem előre meghatározottak;
i) "Le nem hívott hitelkeretek", amelyek értékpapírok megvásárlására vagy garancianyújtásra vonatkozó megállapodásokat foglalnak magukban;
j) "Pályázati és teljesítési garanciák nyújtására szolgáló, le nem hívott hitelkeretek";
k) a CRR I. mellékletében felsorolt "Egyéb mérlegen kívüli tételek".
116. Az IFRS szerinti elszámolás esetén a következő tételek a mérlegben kerülnek megjelenítésre, következésképpen ezeket nem kell mérlegen kívüli kitettségként feltüntetni:
a) a pénzügyi garancia definíciójának nem megfelelő "Hitelderivatívák" az IFRS 9 értelmében "származtatott ügyletek";
b) az "Elfogadványok" egy intézmény által egy - rendszerint áruk adásvételét fedező - váltó névértékének lejáratkori kifizetésére vonatkozó elkötelezettségek. Következésképpen ezek a mérlegben a "kereskedelemfinanszírozás" tételbe vannak besorolva;
c) a "Váltók forgatmányozása", amely nem felel meg az IFRS 9 szerinti kivezetés kritériumainak;
d) az "Ügyletek visszkereseti joggal", amely nem felel meg az IFRS 9 szerinti kivezetés kritériumainak;
e) a "Sima határidős ügyletek keretében megvásárolt eszközök" az IFRS 9 értelmében "származtatott ügyletek";
f) a 86/635/EGK irányelv 12. cikkének (3) és (5) bekezdésében említett "Visszavásárlási megállapodás mellett kötött eszközeladási (repo-) ügyletek". Ezekben a szerződésekben az engedményes rendelkezik azon opcióval, nem pedig kötelezettséggel, hogy az eszközöket az előre megállapodott áron, egy meghatározott vagy meghatározandó időpontban visszaszolgáltassa. Ezért ezek az ügyletek megfelelnek a származtatott ügyletek IFRS 9 A. függeléke szerinti meghatározásának.
117. Az "ebből: nemteljesítő" tartalmazza azon adott hitelnyújtási elkötelezettségek, pénzügyi garanciák és egyéb elkötelezettségek névértékét, amelyek e rész 213-239. bekezdésének megfelelően nemteljesítőnek tekintendők.
118. Az adott pénzügyi garanciák, hitelnyújtási elkötelezettségek és egyéb elkötelezettségek tekintetében a "Névérték" az az összeg, amely leginkább jellemzi az intézmény maximális hitelkockázati kitettségét, figyelmen kívül hagyva a biztosítékokat vagy egyéb hitelminőség-javítási lehetőségeket. Az adott pénzügyi garanciák tekintetében a névérték mindenekelőtt az a maximális összeg, amelyet az intézménynek a garancia lehívásakor kellene fizetnie. Hitelnyújtási elkötelezettségek tekintetében a névérték az a le nem hívott hitelösszeg, amelynek nyújtására az intézmény kötelezettséget vállalt. A névérték a hitel-egyenértékesítési tényező és hitelkockázat-mérséklő technikák alkalmazása előtti kitettségérték.
119. A 9.2. táblában a kapott hitelnyújtási elkötelezettségek tekintetében a névérték az a le nem hívott teljes hitelösszeg, amelynek intézmény részére történő nyújtására a partner kötelezettséget vállalt. Egyéb kapott hitelnyújtási elkötelezettség tekintetében a névérték annak a hitelnek a teljes összege, amelynek nyújtására a tranzakcióban részt vevő másik fél kötelezettséget vállalt. A kapott pénzügyi garanciák tekintetében a "Garancia legmagasabb figyelembe vehető összege" az a maximális összeg, amelyet a partnernek a garancia lehívásakor kellene fizetnie. Amikor egy kapott pénzügyi garanciát egynél több garantőr bocsát ki, a garantált összeget ebben a táblában csak egyszer kell feltüntetni; a garantált összeget a hitelkockázat mérséklése szempontjából relevánsabb garantőrhöz kell rendelni.
10. SZÁRMAZTATOTT ÜGYLETEK ÉS FEDEZETI ELSZÁMOLÁSOK (10. ÉS 11.)
120. A 10. és a 11. tábla alkalmazásában a származtatott ügyleteket - amennyiben azokat az IFRS-nek vagy a BAD alapján kidolgozott alkalmazandó nemzeti GAAP-nak megfelelően minősített fedezeti kapcsolatban használják - származtatott fedezeti ügyletként, vagy más esetekben kereskedési céllal tartottként kell figyelembe venni.
121. A kereskedési céllal tartott származtatott ügyletek, többek között a gazdasági fedezeti ügyletek, valamint a fedezeti elszámolások céljából tartott származtatott ügyletek könyv szerinti értékét és névleges összegét a mögöttes kockázat típusa, a piac típusa és a terméktípus szerinti részletezéssel kell feltüntetni a 10. és a 11. táblában. Az intézményeknek a fedezeti elszámolások céljából tartott származtatott ügyleteket a fedezeti ügylet típusa szerint is kell részletezniük. A nem származtatott fedezeti instrumentumokra vonatkozó információt külön kell feltüntetni, fedezettípus szerinti bontásban.
122. A BAD alapján kidolgozott vonatkozó nemzeti GAAP értelmében ezekben a táblákban valamennyi származtatott ügyletet fel kell tüntetni attól függetlenül, hogy a releváns nemzeti GAAP-nak megfelelően megjelenítésre kerülnek-e a mérlegben.
123. A kereskedési célú származtatott ügyletek és a származtatott fedezeti ügyletek könyv szerinti értékének, valós értékének és névleges összegének számviteli portfóliók és fedezettípusok szerinti bontását az adatszolgáltatásra kötelezett gazdálkodó egységre vonatkozó keretben, vagyis az IFRS-ben vagy a BAD alapján kidolgozott nemzeti GAAP-ban alkalmazandó számviteli portfólió és fedezettípus figyelembevételével kell végrehajtani.
124. Elkülönítve kell azonosítani azokat a kereskedési célú származtatott ügyleteket és származtatott fedezeti ügyleteket, amelyeket a BAD alapján kidolgozott nemzeti GAAP-nak megfelelően bekerülésiérték-módszer vagy LOCOM-módszer szerint értékelnek.
125. A 11. tábla tartalmazza a fedezeti instrumentumokat és a fedezett tételeket függetlenül a minősített fedezeti kapcsolat megjelenítéséhez használt számviteli standardtól, ideértve azt, ha ez a minősített fedezeti kapcsolat nettó pozíciót érint. Ha egy intézmény úgy döntött, hogy a fedezeti elszámolásokhoz továbbra is az IAS 39-et használja (az IFRS 9 7.2.21. bekezdése), a fedezeti ügyletek típusaira és a számviteli portfóliókra vonatkozó hivatkozások és megnevezések az IAS 39 9. bekezdésében levő hivatkozásoknak és megnevezéseknek felelnek meg: az "Egyéb átfogó jövedelemmel szemben valós értéken értékelt pénzügyi eszközök" az "Értékesíthető" tételre, az "Amortizált bekerülési értéken értékelt eszközök" pedig együttesen a "Lejáratig tartandó" és a "Kölcsönök és követelések" tételre vonatkoznak.
126. A hibrid instrumentumok között szereplő, és az alapszerződésektől elkülönített származtatott ügyleteket a 10. és 11. táblában kell szerepeltetni a származtatott ügylet jellege alapján. Ezek a táblák nem tartalmazzák az alapszerződés összegét. Az eredménnyel szemben valós értéken értékelt hibrid instrumentum esetében azonban a szerződés egészét fel kell tüntetni és a beágyazott származtatott ügyletek a 10. és 11. táblában nem tüntetendők fel.
127. A származtatott ügyletnek tekintett azon elkötelezettségeket (az IFRS 9 2.3. bekezdésének b) pontja) és hitelderivatívákat, amelyek nem felelnek meg a pénzügyi garancia e melléklet jelen része 114. bekezdésében meghatározott fogalmának, a 10. és a 11. táblában kell feltüntetni az egyéb származtatott instrumentumokra vonatkozó részletezésnek megfelelően, de ezeket a 9. táblában nem kell feltüntetni.
128. Azon nem származtatott pénzügyi eszközök vagy nem származtatott pénzügyi kötelezettségek könyv szerinti értékét, amelyek az IFRS vagy a BAD alapján kidolgozott vonatkozó nemzeti GAAP alkalmazásában fedezeti instrumentumként megjelenítettek, elkülönítve kell feltüntetni a 11.3. táblában.
10.1. Származtatott ügyletek kockázattípus szerinti besorolása
129. Az összes származtatott ügyletet a következő kockázati kategóriákba kell besorolni:
a) Kamatláb: a származtatott kamatlábügylet olyan kamatozó pénzügyi instrumentumra vonatkozó ügylet, amelynek cash flow-ját kamatlábakra való hivatkozással, vagy más kamatlábszerződéssel határozzák meg, például kincstárjegy megvásárlására vonatkozó határidős szerződésre szóló opcióval. Ez a kategória azon ügyletekre korlátozott, amelyeknél az ügylet mindkét lába csak egy deviza kamatlábának kitett. Ezért tehát nem tartoznak ide az egy vagy több deviza átváltásával járó ügyletek, például a keresztdevizás csereügyletek és a devizaopciók, valamint a devizaügyletek között feltüntetendő olyan egyéb szerződések, amelyek meghatározó kockázati jellemzője az árfolyamkockázat. Az egyetlen kivétel, ha keresztdevizás csereügyletet kamatlábkockázatra vonatkozó portfóliófedezeti ügylet részeként használnak, ekkor ezt az ilyen típusú fedezetekre vonatkozó sorokban kell feltüntetni. A kamatlábügyletek közé tartoznak a határidős kamatláb-megállapodások, egydevizás kamatláb-csereügyletek, határidős kamatlábügyletek, kamatláb-opciók (ideértve a cap, floor, collar és corridor ügyleteket), a kamatláb-csereügyletek és a kamatlábra szóló opciósutalvány-ügyletek.
b) Részvény: a származtatott részvényügyletek olyan ügyletek, amelyek egy meghatározott részvény árfolyamához vagy részvényárfolyamokra vonatkozó indexhez kötött hozamot, vagy hozamuknak egy részét biztosítják.
c) Deviza és arany: ezek a származtatott ügyletek a határidős piacon devizák cseréjével és arannyal szembeni kitettséggel járó szerződéseket foglalnak magukban. Ezért ezek sima határidős ügyleteket, árfolyam-csereügyleteket és deviza-csereügyleteket (ideértve a keresztdevizás kamatláb-csereügyleteket), határidős devizaügyleteket, devizaopciókat, deviza-csereügyleteket és opciós utalványokat takarnak. A származtatott devizaügyletek minden olyan ügyletet tartalmaznak, amely akár árfolyamok, akár kamatlábak tekintetében egynél több devizával szembeni kitettséggel járnak, kivéve, ha keresztdevizás csereügyleteket kamatlábkockázatra vonatkozó portfóliófedezeti ügylet részeként használnak. Az aranyügyletek minden ezzel az áruval szembeni kitettséggel járó ügyletet magukban foglalnak.
d) Hitel: a hitelderivatívák olyan ügyletekre szóló szerződések, amelyeknél a kifizetés elsősorban egy meghatározott referenciahitel valamely hitelképességi mérőszámához kötött, és amelyek nem felelnek meg a pénzügyi garanciák meghatározásának (IFRS 9 4.2.1. bekezdésének c) pontja). A szerződések fizetések cseréjét kötik ki, amelynek legalább az egyik lábát a referenciahitel teljesítése határozza meg. A kifizetést számos esemény kiválthatja, többek között a nemteljesítés, leminősítés vagy a referenciaeszköz hitelkockázati felárában bekövetkező előre kikötött változás. Azokat a hitelderivatívákat, amelyek megfelelnek a pénzügyi garancia jelen melléklet e részének 114. bekezdésében meghatározott fogalmának, csak a 9. táblában kell jelenteni.
e) Áru: ezek a származtatott ügyletek olyan ügyletek, amelyek egy meghatározott áru - például nemesfém (kivéve arany), nyersolaj, fa vagy mezőgazdasági termények - árához vagy árindexéhez kötött hozamot, vagy hozamuknak egy részét biztosítják.
f) Egyéb: ezek a származtatott ügyletek az összes olyan egyéb származtatott ügyletet tartalmazzák, amelyekben nem szerepel devizával, kamatlábbal, részvénnyel, áruval vagy hitelkockázattal szembeni kitettség. Ilyenek például a származtatott klimatikus ügyletek, vagy a származtatott biztosítási ügyletek.
130. Ha egy származtatott ügyletet egynél több mögöttes kockázattípus befolyásol, az instrumentumot a legérzékenyebb kockázattípushoz kell hozzárendelni. A több kitettséggel rendelkező származtatott ügyleteknél, bizonytalanság esetén, az ügyleteket a következő sorrendnek megfelelően kell megjelölni:
a) Áruk: az áruval vagy áruhoz kötött indexszel szembeni kitettséggel járó összes származtatott ügyletet, függetlenül attól, hogy árukkal vagy egyéb kockázati kategóriával - például árfolyammal, kamatlábbal vagy részvénnyel - szembeni közös kitettséggel rendelkeznek-e, ebben a kategóriában kell feltüntetni;
b) Részvények: az árukkal és részvényekkel szembeni közös kitettséggel rendelkező szerződések kivételével - amelyeket áruként kell jelenteni - a részvények vagy részvényindexek teljesítményéhez kötött összes származtatott ügyletet a részvény kategóriában kell megadni. Az árfolyamokkal vagy kamatlábakkal szembeni kitettséggel rendelkező részvényügyleteket ebben a kategóriában kell feltüntetni;
c) Deviza és arany: ez a kategória tartalmazza az összes, egynél több devizával szemben kitettséggel rendelkező származtatott ügyletet (kivéve az áruk vagy részvények kategóriában már feltüntetett ügyleteket) függetlenül attól, hogy az kamatozó pénzügyi instrumentumokra vagy árfolyamokra vonatkozik, kivéve, ha keresztdevizás csereügyleteket kamatlábkockázatra vonatkozó portfóliófedezeti ügylet részeként használnak.
10.2. A származtatott ügyletek esetében feltüntetendő értékek
131. Az IFRS szerinti elszámolás esetében az összes származtatott ügylet (fedezeti vagy kereskedési célú) vonatkozásában a "könyv szerinti érték" a valós érték. A pozitív (nulla feletti) valós értékkel rendelkező származtatott ügyletek "pénzügyi eszközök", a negatív (nulla alatti) valós értékkel rendelkező származtatott ügyletek pedig "pénzügyi kötelezettségek". A könyv szerinti értéket a pozitív valós értékkel rendelkező ("pénzügyi eszközök") származtatott ügyletekre és a negatív valós értékkel rendelkező ("pénzügyi kötelezettségek") származtatott ügyletekre vonatkozóan külön kell feltüntetni. A kezdeti megjelenítés időpontjában a származtatott ügylet besorolása kezdeti valós értéke alapján vagy "pénzügyi eszköz" vagy "pénzügyi kötelezettség". A kezdeti megjelenítést követően a származtatott ügylet valós értékének növekedésével vagy csökkenésével a csere feltételei az intézmény számára vagy kedvezőbbek (és a származtatott ügylet besorolása "pénzügyi eszköz" lesz) vagy kedvezőtlenebbek lesznek (és a származtatott ügylet besorolása "pénzügyi kötelezettség" lesz). A származtatott fedezeti ügyletek könyv szerinti értéke azok teljes valós értéke, ideértve adott esetben a valós érték azon komponenseit, amelyek nem fedezeti instrumentumként vannak megjelölve.
132. A jelen melléklet 1. részének 27. bekezdésében meghatározott könyv szerinti értékek mellett a BAD alapján kidolgozott nemzeti GAAP hatálya alá tartozó adatszolgáltató intézményeknek valamennyi származtatott instrumentumra vonatkozóan fel kell tüntetniük a valós értékeket, attól függetlenül, hogy a BAD alapján kidolgozott nemzeti GAAP mérlegtételként vagy mérlegen kívüli tételként való könyvelést ír elő.
133. A "Névleges összeg" az összes megkötött, de a vonatkozási időpontban még el nem számolt ügylet bruttó névértéke, függetlenül attól, hogy ezek az ügyletek olyan származtatott kitettségeket eredményeznek-e, amelyeket mérlegtételként könyvelnek el. A névleges összeg meghatározásakor különösen a következőket kell figyelembe venni:
a) változó nominális vagy elvi tőkeösszegű szerződések esetében az adatszolgáltatás alapja a vonatkozási időpontban fennálló nominális vagy elvi tőkeösszeg;
b) a jelentendő névleges összeg egy multiplikátor komponenssel rendelkező származtatott ügylet esetén a szerződés tényleges névleges összege vagy névértéke;
c) csereügyletek (swap): csereügyleteknél a névleges összeg az a mögöttes tőkeösszeg, amelyen a kamatcsere, a devizacsere vagy egyéb bevétel vagy kiadás alapul;
d) részvényhez és áruhoz kötött szerződések: egy részvényhez vagy áruhoz kötött szerződés esetében feltüntetendő névleges összeg az adásvételre leszerződött áru vagy részvény mennyisége, szorozva a szerződéses egységárral. Az áruhoz kötött szerződések esetében az alapügylet többszörös cseréjére kötött szerződéseknél a feltüntetendő névleges összeg a szerződés szerinti összeg szorozva a szerződés szerint fennmaradó cserék számával;
e) hitelderivatívák: a hitelderivatíváknál feltüntetendő szerződés szerinti összeg a vonatkozó referenciahitel névértéke;
f) A digitális opcióknál előre meghatározott kifizetés van, amely lehet monetáris összeg vagy az alapeszközre kötött bizonyos számú szerződés. a digitális opciók névleges összege vagy az előre meghatározott monetáris összeg vagy az alapeszköz valós értéke a vonatkozási időpontban.
134. A származtatott ügyletek "Névleges összeg" oszlopa minden egyes sor vonatkozásában az összes olyan szerződés névleges összegeinek összege, amelyben az intézmény ügyleti partner, függetlenül attól, hogy a származtatott ügyletek a mérlegben az eszköz- vagy a forrásoldalon szerepelnek, illetőleg nem szerepelnek a mérlegben. Az összes névleges összeget fel kell tüntetni függetlenül attól, hogy a származtatott ügyletek valós értéke pozitív, negatív vagy nulla. A névleges összegek között nem megengedett a nettósítás.
135. A "Névleges összeg"-et az "összesen" és az "ebből: értékesített" tételek szerinti részletezésben kell feltüntetni a következő sorok esetében: "Tőzsdén kívüli opciók", "Szervezett piaci opciók", "Hitel", "Áruk" és "Egyéb". Az "ebből: értékesített" tétel tartalmazza azon szerződések névleges összegét (kötési árfolyamát), amelyeknél az intézmény (az opció kiírója) ügyleti partnereinek (az opció birtokosa) joguk van gyakorolni opciós jogukat, és a hitelkockázati származtatott ügyletekhez kapcsolódó tételeknél azon szerződések névleges összegeit, amelyeknél az intézmény (a védelem eladója) ügyleti partnereinek (a védelem vásárlói) védelmet adott el (adott).
136. Egy ügylet "tőzsdén kívüli ügylet"-ként (OTC) vagy "szervezett piaci ügylet"-ként történő besorolása annak a piacnak a jellegén alapul, ahol az ügyletre sor kerül, nem pedig azon, hogy az adott ügylet elszámolási kötelezettség alá tartozik-e. A "Szervezett piac" a CRR 4. cikke (1) bekezdésének 92. pontja szerinti szabályozott piac. Következésképpen, ha egy adatszolgáltató intézmény olyan tőzsdén kívüli piacon köt származtatott ügyletet, ahol előírás a központi elszámolás, az adott származtatott ügyletet "tőzsdén kívüli ügylet"-ként, és nem "szervezett piaci ügylet"-ként kell besorolnia.
10.3. "Gazdasági fedezeti ügylet"-nek minősített származtatott ügyletek
137. A fedezet céljából tartott olyan származtatott ügyleteket, amelyek az IFRS 9, az IAS 39 (amennyiben azt a fedezeti elszámolások tekintetében használják) vagy a BAD alapján kidolgozott nemzeti GAAP-nak megfelelő számviteli szabályozás szerint nem teljesítik a hatékony fedezeti instrumentum kritériumait, a 10. táblában kell feltüntetni "gazdasági fedezeti ügylet"-ként. Ez alkalmazandó továbbá valamennyi következő esetben:
a) nem jegyzett tulajdoni részesedést megtestesítő instrumentumot fedező származtatott ügyletek, amelyek esetében a bekerülési érték a valós érték megfelelő becslése lehet;
b) az IFRS 9 6.7. bekezdésének megfelelően a kezdeti megjelenítéskor, az követően, vagy amíg nincs megjelenítve, eredménnyel szemben valós értéken értékeltként megjelölt pénzügyi instrumentum egészével vagy egy részével szembeni hitelkockázat kezeléséhez felhasznált és az eredménnyel szemben valós értéken értékelt hitelderivatívák;
c) az IFRS 9 A. függelékének megfelelően "kereskedési céllal tartott" kategóriába besorolt származtatott ügyletek vagy a BAD alapján kidolgozott nemzeti GAAP szerint kereskedési célú eszközökként besorolt származtatott ügyletek, amelyek azonban nem szerepelnek a CRR 4. cikke (1) bekezdésének 86. pontjában meghatározott kereskedési könyvben.
138. A "Gazdasági fedezeti ügylet" nem tartalmazza a saját részre végzett kereskedési tevékenység céljából tartott származtatott ügyleteket.
139. A "gazdasági fedezeti ügylet" fogalmának megfelelő származtatott ügyleteket minden egyes kockázattípusra vonatkozóan elkülönítve kell feltüntetni a 10. táblában.
140. Az IFRS 9 6.7. bekezdésének megfelelően a kezdeti megjelenítéskor, azt követően, vagy amíg nincs megjelenítve, eredménnyel szemben valós értéken értékeltként megjelölt pénzügyi instrumentum egészével vagy egy részével szembeni hitelkockázat kezeléséhez használt hitelderivatívákat a 10. táblában a "hitelkockázat" tételben a megfelelő sorban kell feltüntetni. A hitelkockázatra vonatkozó egyéb olyan gazdasági fedezeti ügyleteket, amelyekre az adatszolgáltató intézmény nem alkalmazza az IFRS 9 6.7. bekezdését, külön kell feltüntetni.
10.4. Származtatott ügyletek ügyfélszektor szerinti részletezése
141. A tőzsdén kívüli piacon forgalmazott, kereskedési céllal, valamint a fedezeti elszámolások céljából tartott származtatott ügyletek könyv szerinti értékét és teljes névleges összegét a partnerek szerint kell megadni a következő kategóriák segítségével:
a) "hitelintézetek";
b) "egyéb pénzügyi vállalatok";
c) "egyéb", amely az összes többi partnert magában foglalja.
142. Függetlenül attól a kockázattípustól, amelyhez kapcsolódnak, az összes tőzsdén kívüli származtatott ügyletet e partnerek szerint kell részletezni.
10.5. Fedezeti elszámolások a nemzeti GAAP szerint (11.2.)
143. Amennyiben a BAD alapján kidolgozott nemzeti GAAP a származtatott fedezeti ügyletek fedezeti kategóriák szerinti felosztását írja elő, a származtatott fedezeti ügyleteket külön kell feltüntetni a következő alkalmazandó kategóriák szerint: "valósérték-fedezeti ügyletek", "cash flow-fedezeti ügyletek", "bekerülési értéken nyilvántartott fedezeti ügyletek", "külföldi érdekeltségbe történt nettó befektetés fedezése", "kamatlábkockázatra vonatkozó portfólió valósérték-fedezeti ügyletek" és "kamatlábkockázatra vonatkozó portfólió cash flow-fedezeti ügyletek".
144. Amennyiben a BAD alapján kidolgozott nemzeti GAAP szerint alkalmazandó, a "Bekerülési értéken nyilvántartott fedezeti ügyletek" olyan fedezeti kategóriára vonatkozik, amelyben a származtatott fedezeti ügyletet általában bekerülésiérték-módszerrel értékelik.
10.6. A nem származtatott fedezeti instrumentumokra vonatkozóan feltüntetendő összeg (11.3. és 11.3.1.)
145. A nem származtatott fedezeti instrumentumokra vonatkozóan feltüntetendő összeg a szóban forgó nem származtatott fedezeti instrumentumoknak az IFRS-ben vagy a BAD alapján kidolgozott GAAP-ban meghatározott értékelési szabályoknak megfelelő könyv szerinti értéke azon számviteli portfóliók tekintetében, amelyekhez az instrumentumok tartoznak. A nem származtatott fedezeti instrumentumok névleges összegét nem kell feltüntetni.
10.7. Fedezett tételek valósérték-fedezeti ügyletekben (11.4.)
146. A valósérték-fedezeti ügyletekhez tartozó fedezett tételek pénzügyi helyzetre vonatkozó kimutatásban megjelenített könyv szerinti értékét számviteli portfólió, valamint a fedezett pénzügyi eszközök és a fedezett pénzügyi kötelezettségek fedezett kockázatának típusa szerint kell részletezni. Amennyiben egy pénzügyi instrumentumot egynél több kockázattal szemben fedeznek, azt azon kockázattípus szerint kell feltüntetni, amely szerint a fedezeti instrumentumot a 129. bekezdésnek megfelelően fel kell tüntetni.
147. A "Mikro-fedezeti ügylet" az IAS 39 89A. bekezdése szerinti, a kamatlábkockázatra vonatkozó portfóliófedezeti ügylettől eltérő fedezeti ügylet. A mikro-fedezeti ügyletek a nulla nettó pozíciók fedezeti ügyleteit tartalmazzák az IFRS 9 6.6.6. bekezdésében említetteknek megfelelően.
148. A "Mikro-fedezeti ügylet fedezeti kiigazítása" tartalmazza a 147. bekezdésben meghatározott összes mikro-fedezeti ügylet valamennyi fedezeti kiigazítását.
149. Az "Eszközök/kötelezettségek könyv szerinti értékének részét képező fedezeti kiigazítás" a fedezett tételeken keletkező azon nyereségek és veszteségek halmozott összege, amelyekkel a szóban forgó tételek könyv szerinti értékét kiigazították és amelyeket az eredményben megjelenítettek. Az 1.3. táblában kell feltüntetni az olyan fedezett tételek fedezeti kiigazítását, amelyek egyéb átfogó jövedelemmel szemben valós értéken értékelt tulajdoni részesedések. A nem megjelenített határozott elkötelezettségekre vagy azok valamely komponensére vonatkozó fedezeti kiigazításokat nem kell feltüntetni.
150. A "Nettó pozíció fedezetét is magukban foglaló megszüntetett mikro-fedezeti ügyletekre vonatkozó fennmaradó kiigazítások" azokat a fedezeti kiigazításokat tartalmazzák, amelyeket a fedezeti kapcsolat megszüntetését és a fedezett tételek fedezeti nyereségek és veszteségek tekintetében történő kiigazításának végét követően az amortizált bekerülési értéken értékelt fedezett tételekre vonatkozó, újraszámított effektív kamatláb alkalmazásával az eredménnyel szemben vagy az egyéb átfogó jövedelemmel szemben valós értéken értékelt fedezett eszközök korábban megjelenített halmozott fedezeti nyereségének vagy veszteségének összegével szemben amortizálni kell.
151. Ha pénzügyi eszközök vagy pénzügyi kötelezettségek egy csoportja, ideértve a nettó pozíciót képező csoportot, fedezett tételként figyelembe vehető, az e csoport részét képező pénzügyi eszközöket és pénzügyi kötelezettségeket bruttó könyv szerinti értékükön kell feltüntetni, a csoporton belüli instrumentumok nettósítása előtt, a "Nettó pozíció fedezetének részét képező eszközök vagy kötelezettségek (nettósítás előtt)" tételben.
152. A "Kamatlábkockázatra vonatkozó portfóliófedezeti ügylet során fedezett tételek" tartalmazza a pénzügyi eszközök vagy pénzügyi kötelezettségek portfóliójának kamatlábkockázati kitettségére vonatkozó valósérték-fedezeti ügyletbe foglalt pénzügyi eszközöket és pénzügyi kötelezettségeket. Ezeket a pénzügyi instrumentumokat bruttó alapon, a portfólión belüli instrumentumok közötti nettósítás előtti könyv szerinti értékükön kell feltüntetni.
11. HITELEZÉSI VESZTESÉGEKRE KÉPZETT ÉRTÉKVESZTÉS ÉS CÉLTARTALÉKOK VÁLTOZÁSA (12.)
11.1. Hitelezési veszteségekre képzett értékvesztés változása és tulajdoni részesedést megtestesítő instrumentumok értékvesztése a BAD alapján kidolgozott nemzeti GAAP szerint (12.0.)
153. A 12.0. tábla tartalmazza a bekerülésiérték-módszerrel, valamint egyéb értékelési módszerekkel, illetőleg - ha a BAD alapján kidolgozott nemzeti GAAP az érintett pénzügyi eszközökre értékvesztés-elszámolási kötelezettséget ír elő - a saját tőkével szemben valós értéken értékelt pénzügyi eszközök értékvesztési számlája nyitó és záró egyenlegének egyeztetését. A bekerülési vagy piaci ár közül az alacsonyabb áron értékelt eszközök értékelési korrekcióját nem kell feltüntetni a 12.0. táblában.
154. "Az időszak alatt a becsült hitelezési veszteségekre képzett összegekből származó növekedés"-t akkor kell megadni, ha az eszközök fő kategóriája vagy a partner esetében az időszakra vonatkozó értékvesztés becslése a nettó költségek megjelenítését eredményezi; vagyis az adott kategória vagy partner tekintetében az adott időszak értékvesztésének növekedése meghaladja az értékvesztések csökkenését. "Az időszak alatt a becsült hitelezési veszteségekből visszaírt összegekből származó csökkenés"-t akkor kell megadni, ha az eszközök fő kategóriája vagy a partner esetében az időszakra vonatkozó értékvesztés becslése a nettó bevételek megjelenítését eredményezi; vagyis az adott kategória vagy partner tekintetében az adott időszak értékvesztésének csökkenése meghaladja az értékvesztések növekedését.
155. Az értékvesztés összegében a pénzügyi eszközök visszafizetése vagy elidegenítése miatt bekövetkezett változásokat az "Egyéb korrekciók" tételben kell feltüntetni. A leírásokat a 72-74. bekezdésnek megfelelően kell megadni.
11.2. Hitelezési veszteségekre képzett értékvesztés és céltartalékok változása az IFRS szerint (12.1.)
156. A 12.1. tábla tartalmazza az amortizált bekerülési értéken, valamint az egyéb átfogó jövedelemmel szemben valós értéken értékelt pénzügyi eszközök értékvesztési számlája nyitó és záró egyenlegének egyeztetését, értékvesztési szakaszonkénti, instrumentumonkénti és partnerenkénti bontásban.
157. Az IFRS 9 szerinti értékvesztés-elszámolási kötelezettség hatálya alá tartozó mérlegen kívüli kitettségekre képzett céltartalékokat értékvesztési szakaszok szerint lebontva kell feltüntetni. A hitelnyújtási elkötelezettségekre vonatkozó értékvesztést csak akkor lehet céltartalékként feltüntetni, ha azt nem veszik figyelembe a mérleg szerinti eszközök értékvesztésével együtt az IFRS 9 7.B8E. bekezdésének és e rész 108. bekezdésének megfelelően. Az IAS 37 szerint értékelt elkötelezettségekre és pénzügyi garanciákra, valamint az IFRS 4 szerint biztosítási szerződésként kezelt pénzügyi garanciákra képzett céltartalékok változásait nem ebben a táblában kell feltüntetni, hanem a 43. táblában. Az IFRS 9-nek megfelelően az eredménnyel szemben valós értéken értékelt elkötelezettségekkel és pénzügyi garanciákkal szembeni hitelkockázatból eredő valósérték-változásokat nem kell feltüntetni ebben a táblában, hanem az "Eredménnyel szemben valós értéken értékeltnek megjelölt pénzügyi eszközök és kötelezettségek nyeresége vagy (-) vesztesége, nettó" tételben kell megadni e rész 50. bekezdésének megfelelően.
158. Az "ebből: csoportosan képzett értékvesztés" és "ebből: egyedileg képzett értékvesztés" tételek tartalmazzák a csoportos vagy egyedi alapon értékelt pénzügyi eszközökhöz kapcsolódó értékvesztés halmozott összegében bekövetkezett változásokat.
159. A "Keletkeztetésből és vásárlásból származó növekedés" tartalmazza a keletkeztetett vagy vásárolt pénzügyi eszközök kezdeti megjelenítésekor elszámolt várható veszteségek növekedésének összegét. Az értékvesztés e növekedését az említett pénzügyi eszközök keletkeztetését vagy vásárlását követő első adatszolgáltatási vonatkozási időpont tekintetében kell feltüntetni. Az említett pénzügyi eszközökhöz kapcsolódó várható veszteségben kezdeti megjelenítésüket követően bekövetkezett növekedést vagy csökkenést más oszlopokban kell feltüntetni. A keletkeztetett és vásárolt eszközök közé a mérlegen kívüli adott elkötelezettségek lehívásából eredő eszközök tartoznak.
160. A "Kivezetésből származó csökkenés" az értékvesztésben amiatt bekövetkező változások összegét tartalmazza, hogy a pénzügyi eszközöket az adatszolgáltatási vonatkozási időszakban a leírástól eltérő okból teljes mértékben kivezetik, ami magában foglalja a harmadik feleknek történő átadást vagy a szerződéses jogoknak az érintett pénzügyi eszközök teljes visszafizetése, elidegenítése vagy másik számviteli portfólióba történő átsorolása miatti megszűnését. Az értékvesztésben bekövetkezett változást a visszafizetést, az elidegenítést vagy az átadást követő első adatszolgáltatási vonatkozási időpont tekintetében kell megjeleníteni ebben az oszlopban. A mérlegen kívüli kitettségek tekintetében ez a tétel tartalmazza továbbá az értékvesztésben amiatt bekövetkező csökkenést, hogy a mérlegen kívüli tétel mérleg szerinti eszközzé válik.
161. A "Hitelkockázat-változásból származó változás (nettó)" tartalmazza a várható veszteségnek a hitelkockázat kezdeti megjelenítés óta bekövetkezett növekedéséből vagy csökkenéséből eredő változásának nettó összegét az adatszolgáltatási vonatkozási időszak végén, függetlenül attól, hogy a változás a pénzügyi eszköz másik szakaszba történő átvezetését eredményezte-e. Ebben az oszlopban kell feltüntetni a pénzügyi eszköz összegében a felhalmozott és kifizetett kamatbevétel következtében bekövetkezett növekedés vagy csökkenés miatt az értékvesztésre gyakorolt hatást. Ez a tétel tartalmazza továbbá az IFRS 9 5.4.1. bekezdésének a) és b) pontjával összhangban kiszámított várható veszteségekre az idő múlása által gyakorolt hatást. Ebben az oszlopban kell jelenteni a kockázati paraméterek aktualizálása vagy felülvizsgálata miatt a becslésekben bekövetkezett változásokat, valamint az előretekintő gazdasági adatok változásait is. Ebben az oszlopban kell feltüntetni a kitettségek részletekben történő részleges visszafizetése miatt a várható veszteségekben bekövetkezett változásokat, az utolsó részletfizetés kivételével, amelyet a "Kivezetésből származó csökkenés" oszlopban kell megadni.
162. A rulírozó kitettségekhez kapcsolódó várható hitelezési veszteségek minden változását a "Hitelkockázat-változásból származó változás (nettó)" tételben kell feltüntetni, kivéve azokat a változásokat, amelyek leírásokhoz és az intézmény által a hitelezési veszteségek becsléséhez használt módszertan aktualizálásához kapcsolódnak. A rulírozó kitettségek azok, amelyek esetében az ügyfelek tartozásainak egyenlegei az ügyfelek hitelfelvételi és visszafizetési döntéseinek megfelelően az intézmény által megállapított értékhatáron belül ingadozhatnak.
163. "Az intézmény becslési módszertanának aktualizálásából származó változás (nettó)" tartalmazza az intézmény által a várható veszteségek becsléséhez használt módszertan - a meglévő modellekben bekövetkező változások vagy az értékvesztés becsléséhez használandó új modellek létrehozása miatti - aktualizálásához kapcsolódó változásokat. A módszertan aktualizálása tartalmazza továbbá az új standardok bevezetéséből eredő hatást. Azon módszertani változásokat, amelyek az eszköz másik értékvesztési szakaszba kerülését eredményezik, teljességében modellváltozásnak kell tekinteni. A becslések kockázati paraméterek aktualizálásából vagy felülvizsgálatából adódó változásait, valamint az előretekintő gazdasági adatok változásait nem kell feltüntetni ebben az oszlopban.
164. A várható veszteségekben az eszközök módosítása (az IFRS 9 5.4.3. bekezdése és az A. függelék) miatt bekövetkező változások feltüntetése a módosítás jellemzőitől függ, a következőknek megfelelően:
a) amennyiben a módosítás a 74. bekezdésben meghatározott leírás miatt egy eszköz részleges vagy teljes kivezetését eredményezi, e kivezetés várható veszteségre gyakorolt hatását "Az értékvesztési számla leírásokból származó csökkenése" tételben, a módosításból származó, a várható hitelezési veszteségekre gyakorolt egyéb hatást pedig más megfelelő oszlopokban kell megadni;
b) amennyiben a módosítás a 74. bekezdésben meghatározott leírástól eltérő okokból egy eszköz teljes kivezetését, és új eszközzel való helyettesítését eredményezi, a módosítás várható hitelezési veszteségekre gyakorolt hatását a kivezetett eszközhöz kapcsolódó változások tekintetében a "Kivezetésből származó csökkenés" tételben, az újonnan megjelenített módosított eszközhöz kapcsolódó változások tekintetében pedig a "Keletkeztetésből és vásárlásból származó növekedés" tételben kell feltüntetni. A leírásoktól eltérő okból végrehajtott kivezetés az olyan kivezetést tartalmazza, amely esetében a módosított eszköz feltételei lényeges változáson mennek át;
c) amennyiben a módosítás nem eredményezi a módosított eszköz egészének vagy egy részének kivezetését, ennek a várható veszteségekre gyakorolt hatását a "Kivezetéshez nem vezető módosításból származó változás" tételben kell feltüntetni.
165. A leírásokat jelen melléklet e része 72-74. bekezdésének megfelelően kell megadni, a következők szerint:
a) amennyiben egy hitelviszonyt megtestesítő instrumentum részben vagy egészében kivezetésre kerül, mert nem lehet megtérülését nem lehet észszerűen feltételezni, az értékvesztésben a leírt összegekből eredő csökkenést "Az értékvesztési számla leírásokból származó csökkenése" tételben kell megadni;
b) a "Közvetlenül az eredménykimutatásban leírt összegek" a pénzügyi eszközök azon, az adatszolgáltatási vonatkozási időszakban leírt összegei, amelyek meghaladják az adott pénzügyi eszközök értékvesztési számlájának kivezetéskori összegét. Ezek az adatszolgáltatási vonatkozási időszak során leírt valamennyi összeget tartalmazzák, nem csak azokat, amelyek még végrehajtás hatálya alá tartoznak.
166. Az "Egyéb módosítások" tartalmazza az előző oszlopokban fel nem tüntetett bármely összeget, ideértve a várható veszteségekben az árfolyam-különbözetek miatt végrehajtott módosításokat, összhangban az árfolyamhatás 2. táblában megadott összegével.
166i. A "Hitelviszonyt megtestesítő instrumentumok kivezetéséből származó nyereség vagy veszteség" tartalmazza a kivezetés időpontjában értékelt pénzügyi eszközök könyv szerinti értéke és a kapott ellenérték közötti különbözetet.
11.3. Értékvesztési szakaszok közötti átvezetések (bruttó alapú megjelenítés) (12.2.)
167. A 12.2. táblában kell feltüntetni a pénzügyi eszközök tekintetében azon bruttó könyv szerinti értéket, valamint az IFRS 9 szerinti értékvesztés-elszámolási kötelezettség hatálya alá tartozó mérlegen kívüli kitettségek tekintetében azon névértéket, amely az adatszolgáltatási vonatkozási időszakban az értékvesztési szakaszok között átvezetésre került.
168. Csak azon pénzügyi eszközök bruttó könyv szerinti értékét vagy azon mérlegen kívüli kitettségek névértékét kell megadni, amelyek az adatszolgáltatási vonatkozási időpontban eltérő értékvesztési szakaszban vannak, mint amelyben az üzleti év kezdetén, vagy kezdeti megjelenítésükkor voltak. Azon mérleg szerinti kitettségek tekintetében, amelyeknél a 12.1. táblában feltüntetett értékvesztés mérlegen kívüli komponenst tartalmaz (az IFRS 9 5.5.20. bekezdése és az IFRS 7 B8E. bekezdése), a mérleg szerinti komponens értékvesztési szakaszának és a mérlegen kívüli komponens értékvesztési szakaszának változását kell figyelembe venni.
169. Az üzleti év során végrehajtott átvezetések feltüntetésekor azon pénzügyi eszközöket vagy mérlegen kívüli kitettségeket, amelyek értékvesztési szakasza az üzleti év kezdete vagy kezdeti megjelenítésük óta többször változott, úgy kell jelenteni, mintha azok az üzleti év kezdetén vagy kezdeti megjelenítésükkor érvényes értékvesztési szakaszból kerültek volna át abba az értékvesztési szakaszba, amelyben az adatszolgáltatási vonatkozási időpontban vannak.
170. A 12.2. táblában feltüntetendő bruttó könyv szerinti érték vagy névérték az adatszolgáltatás vonatkozási időpontjában fennálló bruttó könyv szerinti érték vagy névérték, függetlenül attól, hogy ez az összeg az átvezetés időpontjában magasabb vagy alacsonyabb volt.
12. KAPOTT BIZTOSÍTÉKOK ÉS GARANCIÁK (13.)
12.1. Biztosítékok és garanciák nem kereskedési céllal tartott hitelek és előlegek szerinti részletezése (13.1.)
171. A hitelek és előlegek fedezetéül szolgáló biztosítékokat és garanciákat - jogi formájuktól függetlenül - a zálogtípusok szerint kell megadni: ingatlannal fedezett hitelek és egyéb biztosítékkal fedezett hitelek, valamint kapott pénzügyi garanciák szerint. A hiteleket és előlegeket partner és cél szerint kell részletezni.
172. A 13.1. táblában a "biztosíték vagy garancia figyelembe vehető legmagasabb összegét" kell feltüntetni. A pénzügyi garanciák és/vagy biztosítékok összegeinek a 13.1. tábla kapcsolódó oszlopaiban feltüntetett összege nem haladhatja meg a kapcsolódó hitel könyv szerinti értékét.
173. A hitelek és előlegek zálogtípus szerinti feltüntetésekor a következő fogalmakat kell használni:
a) az "Ingatlannal fedezett hitelek"-en belül a "Lakóingatlan" tartalmazza a lakóingatlannal biztosított hiteleket, a "Kereskedelmi ingatlan" pedig a lakóingatlantól eltérő ingatlanon, többek között irodai és kereskedelmi létesítményen, valamint egyéb típusú kereskedelmi ingatlanon létesített zálogjoggal biztosított hiteleket. Annak meghatározását, hogy egy ingatlanbiztosíték lakóingatlanhoz vagy kereskedelmi ingatlanhoz kapcsolódik, a CRR 4. cikke (1) bekezdésének 75. pontjával összhangban kell elvégezni;
b) az "Egyéb biztosítékkal fedezett hitelek"-en belül:
i. a "Pénzeszközök, betétek [kibocsátott hitelviszonyt megtestesítő értékpapírok]" tartalmazza: a) az adatszolgáltató intézménynél elhelyezett, hitel biztosítékául kapott letéteket; és b) az adatszolgáltató intézmény által kibocsátott hitelviszonyt megtestesítő értékpapírokat, amelyeket hitel biztosítékául kaptak;
ii. az "Ingó vagyontárgyak" tartalmazza az ingatlantól eltérő dologi biztosítékon létesített zálogjogot, és magában foglalja a gépjárműveket, repülőgépeket, hajókat, ipari és mechanikai berendezéseket (gépek, mechanikai és műszaki berendezések), készleteket és árukat (áruk, kész- és félkész termékek, nyersanyagok), valamint az ingó vagyontárgyak egyéb formáit;
iii. a "Tulajdoni részesedést és hitelviszonyt megtestesítő értékpapírok" tartalmazza a tulajdoni részesedést megtestesítő instrumentumok formájában lévő biztosítékot, beleértve a leányvállalatokba, közös vállalkozásokba és társult vállalatokba történt befektetéseket, valamint tartalmazza a harmadik felek által kibocsátott hitelviszonyt megtestesítő értékpapírok formájában lévő biztosítékot;
iv. az "Egyéb" tartalmazza az eszközökön létesített zálogjogokat;
c) a "Kapott pénzügyi garanciák" olyan szerződések, amelyek jelen melléklet e része 114. bekezdésének megfelelően a kibocsátónak meghatározott fizetések teljesítését írják elő az intézmény abból adódó veszteségének megtérítésére, hogy egy meghatározott adós esedékességkor nem fizetett a hitelviszonyt megtestesítő instrumentum eredeti vagy módosított feltételeinek megfelelően.
174. Az olyan hitelek és előlegek esetében, ahol egyidejűleg több biztosíték- vagy garanciatípus létezik, "A biztosíték vagy garancia figyelembe vehető legmagasabb összegét" a biztosíték/garancia minősége szerint kell allokálni, a legjobb minőségűvel kezdve. Az ingatlannal fedezett hitelek esetében először mindig az ingatlanfedezetet kell feltüntetni, függetlenül annak más biztosítékhoz viszonyított minőségétől. Ha "A biztosíték vagy garancia figyelembe vehető legmagasabb összege" meghaladja az ingatlanbiztosíték értékét, a fennmaradó értéket egyéb biztosítéktípusokhoz és garanciákhoz kell allokálni a biztosíték/garancia minősége szerint, a legjobb minőségűvel kezdve.
12.2. Az időszak alatt birtokbavétellel megszerzett biztosítékok [a vonatkozási időpontban tartott] (13.2.1.)
175. Ebben a táblában az olyan biztosítékra vonatkozó információt kell feltüntetni, amelynek megszerzésére a vonatkozási időszak kezdete és vége között került sor, és amely a vonatkozási időpontban a mérlegben megjelenítve marad. A birtokbavétellel megszerzett biztosíték tartalmazza azokat az eszközöket, amelyeket az adós nem biztosítékként zálogosított el, hanem a követelés elengedéséért cserébe nyújtott, függetlenül attól, hogy önkéntes alapon, vagy jogi eljárás részeként történt. A biztosítéktípusok a 173. bekezdésben említett biztosítéktípusok, a szóban forgó bekezdés b) i. pontjában szereplők kivételével.
175i. A "Kezdeti megjelenítéskori érték" a birtokbavétellel megszerzett biztosíték bruttó könyv szerinti értéke az adatszolgáltató intézmény mérlegében való kezdeti megjelenítés időpontjában.
175ii. A "Negatív változás halmozott összege" az egyes biztosítékelemek szintjén a biztosíték kezdeti megjelenítéskori értékének és az adatszolgáltatási vonatkozási időpontbeli könyv szerinti érték különbözete, ha ez a különbözet negatív.
12.3. Birtokbavétellel megszerzett biztosítékok - halmozott (13.3.1.)
176. A vonatkozási időpontban a mérlegben megjelenítve maradó, birtokbavétellel megszerzett biztosítékokat, függetlenül attól, hogy mely időpontban szerezték meg, a 13.3.1. táblában kell feltüntetni. Az "Ingatlanok, gépek és berendezések" kategóriába sorolt, birtokbavétellel megszerzett biztosítékot és az egyéb, birtokbavétellel megszerzett biztosítékot egyaránt fel kell tüntetni. A birtokbavétellel megszerzett biztosíték tartalmazza azokat az eszközöket, amelyeket az adós nem biztosítékként zálogosított el, hanem a követelés elengedéséért cserébe nyújtott, függetlenül attól, hogy önkéntes alapon, vagy jogi eljárás részeként történt.
13. VALÓSÉRTÉK-HIERARCHIA: VALÓS ÉRTÉKEN ÉRTÉKELT PÉNZÜGYI INSTRUMENTUMOK (14.)
177. Az intézményeknek a valós értéken értékelt pénzügyi instrumentumokat az IFRS 13 72. bekezdésében megadott hierarchia szerint kell feltüntetniük. Amennyiben a BAD alapján kidolgozott nemzeti GAAP előírja a valós értéken értékelt eszközök különböző valósérték-szintek közötti allokációját, a nemzeti GAAP hatálya alá tartozó intézményeknek is ki kell tölteniük ezt a táblát.
178. A "Valós érték változása az időszak alatt" azon instrumentumok időszak alatti, az IFRS 9, az IFRS 13 vagy a nemzeti GAAP szerint végrehajtott átértékeléséből származó nyereséget vagy veszteséget tartalmazza, amelyek adatszolgáltatás vonatkozási időpontjában továbbra is fennállnak. Ezeket a nyereségeket és veszteségeket az eredménykimutatásba vagy adott esetben az átfogó jövedelemkimutatásba való bevonással azonos módon kell feltüntetni; ezért az adófizetés előtti összeget kell feltüntetni.
179. "A valósérték-változás halmozott összege adófizetés előtt" az instrumentumok kezdeti megjelenítésétől az adatszolgáltatás vonatkozási időpontjáig történő átértékeléséből származó nyereséget vagy veszteséget tartalmazza.
14. PÉNZÜGYI ESZKÖZÖK ÁTADÁSÁVAL ÖSSZEFÜGGŐ KIVEZETÉS ÉS PÉNZÜGYI KÖTELEZETTSÉGEK (15.)
180. A 15. tábla azon átadott pénzügyi eszközökre vonatkozóan szolgáltat adatot, amelyeknek egy része vagy egésze nem felel meg a kivezetés feltételeinek, valamint az olyan teljes mértékben kivezetett pénzügyi eszközökre vonatkozóan, amelyek tekintetében az intézmény fenntartja a szolgáltatási jogokat.
181. A kapcsolódó kötelezettségeket azon portfólió szerint kell feltüntetni, amelyben a kapcsolódó átadott pénzügyi eszközök szerepeltek az eszközoldalon, nem pedig azon portfólió szerint, amelyben az eszközök a forrásoldalra kerültek.
182. "A tőke szempontjából kivezetett összegek" oszlop a számviteli szempontból megjelenített, azonban prudenciális szempontból kivezetett pénzügyi eszközök könyv szerinti értékét tartalmazza, mivel az intézmény ezeket a CRR 109., 243. és 244. cikkével összhangban tőkeszámítási célokból értékpapírosítási pozícióként kezeli.
183. A "Visszavásárlási megállapodások" (repoügyletek) olyan tranzakciók, amelyek keretében az intézmény készpénzt kap adott áron és azon elkötelezettség mellett eladott pénzügyi eszközökért, hogy ezeket (vagy ezekkel azonos eszközöket) egy meghatározott jövőbeli időpontban rögzített áron visszavásárolja. Az olyan tranzakciókat, amelyek arany készpénzbiztosíték ellenében történő átmeneti átadását foglalják magukban, szintén "Visszavásárlási megállapodások"-nak ("repoügyleteknek") kell tekinteni. Az intézmény által a harmadik félnek ("ideiglenes megszerző") átadott pénzügyi eszközökért cserébe kapott összegeket a "visszavásárlási megállapodások" közé kell besorolni, ha az ügylet megfordítására nem pusztán opció, hanem kötelezettség áll fenn. A visszavásárlási megállapodások repojellegű ügyleteket is tartalmaznak, melyek a következők lehetnek:
a) értékpapírok készpénzbiztosíték ellenében történő kölcsönzése formájában ideiglenesen harmadik félnek átadott értékpapírokért cserébe kapott összegek;
b) eladási/visszavásárlási megállapodás formájában ideiglenesen harmadik félnek átadott értékpapírokért cserébe kapott összegek.
184. A "Visszavásárlási megállapodások" (repoügyletek) és "Fordított visszavásárlási megállapodások" (fordított repoügyletek) az intézmény részéről készpénz fogadásával vagy kölcsönzésével járnak.
185. Egy olyan értékpapírosítási tranzakcióban, amelynél az átadott pénzügyi eszközök kivezetésre kerültek, az intézményeknek az eredménykimutatásban jelenteniük kell a tétel által generált nyereséget (veszteséget) azoknak az "elszámolási portfóliók"-nak megfelelően, amelyekben a pénzügyi eszközök kivezetésük előtt szerepeltek.
15. AZ EREDMÉNYKIMUTATÁS KIVÁLASZTOTT TÉTELEINEK RÉSZLETEZÉSE (16.)
186. Az eredménykimutatás kiválasztott tételei tekintetében a nyereség (vagy bevételek) és veszteség (vagy ráfordítások) további részletezésére van szükség.
15.1. Kamatbevételek és -ráfordítások instrumentum és ügyfélszektor szerint (16.1.)
187. A kamatbevételeket a következők mindegyikének megfelelően részletezni kell:
a) pénzügyi és egyéb eszközökből származó kamatbevételek;
b) negatív effektív kamatlábú pénzügyi kötelezettségekből származó kamatbevételek.
188. A kamatráfordításokat a következők mindegyikének megfelelően részletezni kell:
a) pénzügyi és egyéb kötelezettségeken keletkezett kamatráfordítások;
b) negatív effektív kamatlábú pénzügyi eszközökön keletkezett kamatráfordítások.
189. A negatív effektív kamatlábú pénzügyi eszközökön és pénzügyi kötelezettségeken keletkezett kamatbevételek közé tartoznak a kereskedési célú származtatott ügyleteken, a hitelviszonyt megtestesítő értékpapírokon és a hiteleken és előlegeken, valamint letéteken, kibocsátott hitelviszonyt megtestesítő értékpapírokon és egyéb, pénzügyi kötelezettségekkel összefüggő, negatív effektív kamatlábú pénzügyi kötelezettségeken keletkezett kamatbevételek.
190. A negatív effektív kamatlábú pénzügyi eszközön és pénzügyi kötelezettségeken keletkezett kamatráfordítások közé tartoznak a kereskedési célú származtatott ügyleteken, a kibocsátott hitelviszonyt megtestesítő értékpapírokon és egyéb pénzügyi kötelezettségeken, valamint a hitelviszonyt megtestesítő értékpapírokon és a negatív effektív kamatlábú hiteleken és előlegeken keletkezett kamatráfordítások.
191. A 16.1. tábla alkalmazásában a rövid pozíciókat az egyéb pénzügyi kötelezettségek között kell figyelembe venni. A különböző portfóliókban szereplő összes instrumentumot figyelembe kell venni, kivéve azokat a nem kamatlábkockázat fedezésére használt instrumentumokat, amelyek a "Származtatott ügyletek - Fedezeti elszámolások" között kerültek feltüntetésre.
192. A "Származtatott ügyletek - Fedezeti elszámolások, kamatlábkockázat" tartalmazza a fedezeti instrumentumokon képződött kamatbevételt és -ráfordítást, amennyiben a fedezett tételek kamatot generálnak.
193. Tiszta ár használata esetén a kereskedési céllal tartott származtatott ügyleteken képződött kamat tartalmazza a "gazdasági fedezeti ügylet"-nek minősülő, kereskedési céllal tartott származtatott ügyletekhez kapcsolódó összegeket, amelyek kamatbevételként, illetve kamatráfordításként jelennek meg annak érdekében, hogy korrigálják azon pénzügyi instrumentumokból származó kamatbevételeket és kamatráfordításokat, amelyek gazdasági szempontból fedezett instrumentumnak minősülnek, azonban számviteli szempontból nem minősülnek annak. Ilyen esetben a gazdasági fedezeti származtatott ügyleten képződött kamatbevételt külön kell feltüntetni a kereskedési célú származtatott ügyletekből eredő kamatbevételek között. Az adott célból valós értéken értékeltnek megjelölt pénzügyi instrumentum egy része vagy egésze hitelkockázatának kezelésére használt és valós értéken értékelt hitelderivatívákkal összefüggő időarányos díjakat vagy ellentételező fizetéseket szintén a kereskedési céllal tartott származtatott ügyletek kamatai között kell feltüntetni.
194. Az IFRS szerinti elszámolás esetében az "ebből: értékvesztett pénzügyi eszközök kamatbevétele" az értékvesztett, többek között a vásárolt vagy keletkeztetett értékvesztett pénzügyi eszközökön képződött kamatbevételt jelenti. A BAD alapján kidolgozott nemzeti GAAP szerinti elszámolás esetében ez az értékvesztett eszközön képződött kamatjövedelmet tartalmazza hitelkockázatra vonatkozó egyedi vagy általános értékvesztési tartalékkal.
194i. Az "ebből: fogyasztási hitelek" és az "ebből: lakáscélú hitelek" az e rész 88. bekezdésében leírt hiteleken és előlegeken keletkezett bevételeket és ráfordításokat tükrözik.
194ii. Az "ebből: lízingből származó kamat" a lízingbe adónak a lízingkövetelésen keletkezett kamatjövedelmét (pénzügyi lízing), illetve a lízingbe vevőnek a lízingkötelezettségen keletkezett kamatráfordítását tükrözi.
15.2. Az eredménnyel szemben valós értéken értékelt kategóriába nem tartozó pénzügyi eszközök és kötelezettségek kivezetéséből származó nyereség vagy veszteség instrumentum szerint (16.2.)
195. Az eredménnyel szemben valós értéken értékelt kategóriába nem tartozó pénzügyi eszközök és kötelezettségek kivezetéséből származó nyereséget és veszteséget a pénzügyi instrumentum típusa és a számviteli portfólió szerint kell részletezni. Az egyes tételek esetében a kivezetett tranzakcióból származó realizált nettó nyereséget vagy veszteséget kell feltüntetni. A nettó összeg a realizált nyereség és realizált veszteség közötti különbözet.
196. A 16.2. tábla az IFRS értelmében a bekerülési értéken értékelt pénzügyi eszközökre és kötelezettségekre, valamint az egyéb átfogó jövedelemmel szemben valós értéken értékelt hitelviszonyt megtestesítő instrumentumokra alkalmazandó. A BAD alapján kidolgozott nemzeti GAAP szerinti elszámolás esetében a 16.2. tábla a bekerülésiérték-módszer alapján értékelt pénzügyi eszközökre, a saját tőkével szemben valós értéken értékelt pénzügyi eszközökre, valamint olyan értékelési módszernek megfelelően, mint például a bekerülési vagy piaci ár közül az alacsonyabb áron értékelt pénzügyi eszközökre alkalmazandó. A BAD alapján kidolgozott vonatkozó nemzeti GAAP értelmében kereskedési célúként besorolt pénzügyi instrumentumok nyereségét vagy veszteségét nem kell megadni ebben a táblában, függetlenül attól, hogy milyen értékelési szabályokat kell alkalmazni a szóban forgó instrumentumokra.
15.3. Kereskedési céllal tartott és kereskedési célú pénzügyi eszközökből és kötelezettségekből származó nyereség vagy veszteség instrumentum szerint (16.3.)
197. A kereskedési céllal tartott pénzügyi eszközökből és kötelezettségekből származó nyereséget vagy veszteséget instrumentum szerint kell részletezni; a részletezés egyes tételei a pénzügyi instrumentum nettó realizált és nem realizált összegeit (nyereség csökkentve a veszteséggel) tartalmazzák.
198. Az azonnali piacon végrehajtott devizaügyletek nyereségét vagy veszteségét, kivéve a külföldi bankjegyek és érmék cseréjét, a kereskedési nyereség vagy veszteség részeként kell feltüntetni. A nemesfém-kereskedelemből vagy a kivezetésből, illetőleg átértékelésből származó nyereséget vagy veszteséget nem lehet a kereskedési nyereség vagy veszteség részeként feltüntetni, hanem e rész 316. bekezdésének megfelelően az "Egyéb működési bevétel" vagy az "Egyéb működési ráfordítás" tételben kell megadni.
199. Az "ebből: a valósérték-opció alkalmazásával elszámolt gazdasági fedezeti ügyletek" tétel csak a valamely - az adott alkalomból valós értéken megjelölt - pénzügyi instrumentummal szembeni hitelkockázat egésze vagy annak egy része kezeléséhez felhasznált és az eredménnyel szemben valós értéken értékelt hitelderivatívából eredő nyereségeket vagy veszteségeket tartalmazza az IFRS 9 6.7. bekezdésnek megfelelően. A pénzügyi eszköz amortizált bekerülési értéken értékelt számviteli portfólióból az eredménnyel szemben valós értéken értékelt számviteli portfólióba, vagy a kereskedési céllal tartott portfólióba való átsorolásából eredő nyereségeket és veszteségeket (az IFRS 9 5.6.2. bekezdése) az "ebből: amortizált bekerülési értéken értékelt eszközök átsorolásából származó nyereség és veszteség" tételben kell feltüntetni.
15.4. Kereskedési céllal tartott és kereskedési célú pénzügyi eszközökből és kötelezettségekből származó nyereség vagy veszteség kockázat szerint (16.4.)
200. A kereskedési céllal tartott pénzügyi eszközökből és kötelezettségekből származó nyereséget vagy veszteséget kockázat szerint kell részletezni. A részletezés egyes tételei a kitettséghez - többek között a kapcsolódó származtatott ügyletekhez - társuló mögöttes kockázat (kamatláb, részvény, árfolyam, hitel, áru és egyéb) nettó realizált és nem realizált összegei (nyereség csökkentve a veszteséggel). Az árfolyam-különbözetből származó nyereségeket és veszteségeket annál a tételnél kell feltüntetni, amely tartalmazza az átváltott instrumentumból származó többi nyereséget és veszteséget. A származtatott ügyletektől eltérő pénzügyi eszközökön és pénzügyi kötelezettségeken keletkezett nyereséget és veszteséget a következők szerint kell feltüntetni a kockázati kategóriákban:
a) Kamatláb: ideértve a hitelekkel és előlegekkel, betétekkel és (tartott vagy kibocsátott) hitelviszonyt megtestesítő értékpapírokkal kapcsolatos ügyletkötést;
b) Részvény: ideértve az ÁÉKBV-k befektetési jegyeivel és kvótáival, valamint egyéb tulajdoni részesedést megtestesítő instrumentumokkal kapcsolatos ügyletkötést;
c) Devizakereskedés: kizárólag a devizákkal kapcsolatos ügyletkötés tartozik ide;
d) Hitelkockázat: ideértve a hitelkockázathoz kapcsolt értékpapírokat;
e) Áruk: ez a tétel csak származtatott ügyleteket tartalmaz, mert a kereskedési céllal tartott áruk nyereségét és veszteségét e rész 316. bekezdésének megfelelően az "Egyéb működési bevétel" vagy az "Egyéb működési ráfordítás" tételben kell megadni;
f) Egyéb: azon pénzügyi instrumentumokkal folytatott kereskedés tartozik ide, amelyeket egyéb tételekbe nem lehet besorolni.
15.5. Kötelezően az eredménnyel szemben valós értéken értékelt, nem kereskedési célú pénzügyi eszközök nyeresége vagy vesztesége instrumentum szerint (16.4.1.)
201. A kötelezően az eredménnyel szemben valós értéken értékelt nem kereskedési célú pénzügyi eszközök nyereségét és veszteségét az instrumentum típusa szerint kell részletezni. A részletezés egyes tételei a pénzügyi instrumentum nettó realizált és nem realizált összegeit (nyereség csökkentve a veszteséggel) tartalmazzák.
202. A pénzügyi eszközök amortizált bekerülési értéken értékelt számviteli portfólióból a kötelezően az eredménnyel szemben valós értéken értékelt nem kereskedési célú pénzügyi eszközök közé való átsorolásából származó nyereséget és veszteséget (az IFRS 9 5.6.2. bekezdése) az "ebből: amortizált bekerülési értéken értékelt eszközök átsorolásából származó nyereség és veszteség" tételben kell feltüntetni.
15.6. Az eredménnyel szemben valós értéken értékeltnek megjelölt pénzügyi eszközök és kötelezettségek nyeresége vagy vesztesége instrumentum szerint (16.5.)
203. Az eredménnyel szemben valós értéken értékeltnek megjelölt pénzügyi eszközök és kötelezettségek nyereségét és veszteségét az instrumentum típusa szerint kell részletezni. Az intézményeknek a nettó realizált és nem realizált nyereséget vagy veszteséget kell megadniuk, és meg kell adni a pénzügyi kötelezettségek hitelkockázat (a hitelfelvevő vagy a kibocsátó saját hitelkockázata) változásából származó valósérték-változásának összegét az időszak alatt, amennyiben a saját hitelkockázat nem kerül feltüntetésre az egyéb átfogó jövedelemben.
204. Amennyiben egy valós értéken értékelt hitelderivatívát egy - az adott célból eredménnyel szemben valós értéken megjelölt - pénzügyi instrumentum egészével vagy egy részével szembeni hitelkockázat kezeléséhez használnak fel, a pénzügyi instrumentum megjelöléskori nyereségét vagy veszteségét az "ebből: a fedezeti célból az eredménnyel szemben valós értéken értékeltnek megjelölt pénzügyi eszközök és kötelezettségek megjelöléskori nyeresége vagy (-) vesztesége, nettó" tételben kell feltüntetni. Az e pénzügyi instrumentumokon a későbbiekben képződő valósérték-nyereséget vagy -veszteséget az "ebből: a fedezeti célból az eredménnyel szemben valós értéken értékeltnek megjelölt pénzügyi eszközök és kötelezettségek megjelölést követő nyeresége vagy (-) vesztesége, nettó" tételben kell feltüntetni.
15.7. Fedezeti elszámolásokból eredő nyereségek vagy veszteségek (16.6.)
205. A fedezeti elszámolásokból eredő valamennyi nyereséget vagy veszteséget - a kamatbevétel vagy -kamatráfordítás kivételével tiszta ár használata esetén - a fedezeti elszámolás típusa szerint kell részletezni: valósérték-fedezeti ügyletek, cash flow-fedezeti ügyletek és külföldi érdekeltségekbe történt nettó befektetések fedezeti ügyletei. A valósérték-fedezeti ügyletekhez kapcsolódó nyereségeket és veszteségeket a fedezeti instrumentum és a fedezett tétel szerint kell részletezni. A fedezeti instrumentumokból eredő nyereség és veszteség nem tartalmazza a fedezeti instrumentumok olyan elemeihez kapcsolódó nyereséget vagy veszteséget, amelyek nem fedezeti instrumentumként megjelöltek az IFRS 9 6.2.4. bekezdésének megfelelően. Ezeket a nem megjelölt fedezeti instrumentumokat e rész 60. bekezdésének megfelelően kell feltüntetni. A fedezeti elszámolásokból eredő nyereségek vagy veszteségek tartalmazzák az ellentétes kockázati pozíciójú tételcsoportok fedezetén (nettó pozíció fedezete) képződött nyereségeket és veszteségeket is.
206. "A fedezett tétel fedezett kockázatnak tulajdonítható valósérték-változásai" tartalmazzák az olyan fedezett tételekből eredő nyereségeket és veszteségeket, mely tételek egyéb átfogó jövedelemmel szemben valós értéken értékelt hitelviszonyt megtestesítő instrumentumok az IFRS 9 4.1.2A. bekezdésének megfelelően (az IFRS 9 6.5.8. bekezdése).
207. A BAD alapján kidolgozott nemzeti GAAP szerinti elszámolás esetén az e táblában előírt, fedezettípusok szerinti lebontást olyan mértékben kell feltüntetni, amennyire az megfelel az alkalmazandó számviteli előírásoknak.
15.8. Nem pénzügyi eszközök értékvesztése (16.7.)
208. "Növekedés"-t akkor kell megadni, ha a számviteli portfólió vagy az eszközök fő kategóriája tekintetében az időszakra vonatkozó értékvesztés becslése nettó költségek megjelenítését eredményezi. "Visszaírás"-t akkor kell megadni, ha a számviteli portfólió vagy az eszközök fő kategóriája tekintetében az időszakra vonatkozó értékvesztés becslése nettó bevételek megjelenítését eredményezi.
15.9. Egyéb igazgatási költségek (16.8.)
208i. Az "Információtechnológiai ráfordítások" az üzleti eredmények érdekében IT-alapú üzleti folyamatok, alkalmazás-szolgáltatások és infrastruktúra-megoldások megvalósítása céljából eszközölt ráfordítások, beleértve az IT-rendszerek létrehozásához és fenntartásához kapcsolódó költségeket, de ide nem értve az intézmény bérjegyzékén szereplő IT-szakemberek díjazását, amelyet a személyzeti ráfordításoknál kell feltüntetni.
208ii. Az információtechnológiai ráfordítások között az "IT-kiszervezés" a külső szolgáltatók alkalmazásához kapcsolódó IT-ráfordításokat tartalmazza. Nem foglalja magában a következőkhöz kapcsolódó ráfordításokat: i. tisztán személyzeti szolgáltatások (kölcsönmunkaerő), amennyiben az intézmény csupán ideiglenesen kölcsönöz munkaerőt, és teljeskörű ellenőrzéssel rendelkezik a nyújtott szolgáltatások terén, valamint ii. csak vásárolt eszközökre vonatkozó, teljesen szabványosított operatív hardver/szoftver karbantartási szerződések.
208iii. Az "Adók és illetékek (egyéb)" tartalmazza i. a nyereséghez vagy veszteséghez kapcsolódó adóktól és ii. a megszűnt tevékenységekből származó adóktól és illetékektől eltérő adókat és illetékeket. Ez a tétel olyan adókat és illetékeket foglal magában, mint például az árukra és szolgáltatásokra kivetett adók és az intézmény által fizetett illetékek.
208iv. A "Tanácsadási és szakértői szolgáltatás" a szakértői vagy stratégiai tanács beszerzésének költségeit foglalja magában.
208v. A "Reklám, marketing és kommunikáció" tartalmazza az olyan marketingkommunikációs tevékenységekhez kapcsolódó ráfordításokat, mint a reklámozás, a közvetlen vagy online marketing és a rendezvények.
208vi. "A hitelkockázathoz kapcsolódó ráfordítások" hiteleseményekkel összefüggő igazgatási költségek, például biztosíték birtokbavétele vagy jogi eljárások tekintetében felmerült ráfordítások.
208vii. A "Peres ügyek céltartalékokkal nem fedezett ráfordításai" a peres ügyek hitelkockázattal nem kapcsolatos olyan költségei, amelyeket nem fedez egy kapcsolódó céltartalék.
208viii. Az "Ingatlanköltségek" olyan javítás vagy karbantartás költségei, amely nem javítja az ingatlan használhatóságát, és nem hosszabbítja meg annak hasznos élettartamát, valamint a közüzemi költségek (víz, villany és fűtés).
208ix. Az IFRS szerinti elszámolás esetén a "Lízingköltségek" tartalmazzák a lízingbe vevőnek a rövid távú lízingek és az kis értékű eszközök lízingjei miatti költségeit, az IFRS 16 5. és 6. bekezdésében említettek szerint. A nemzeti GAAP szerinti elszámolás esetén a lízingköltségek akkor tartalmazzák a lízingbe vevő költségeit, ha a számviteli standard előírja a lízingdíj ráfordításként való kezelését.
208x. Az "Egyéb igazgatási költségek - Egyéb" tartalmazza az "Egyéb igazgatási költségek" összes fennmaradó komponensét, például az adminisztratív és logisztikai szolgáltatásokat, a postázást és a dokumentumok szállítását, felügyeleti és biztonsági szolgáltatásokat, pénzszámolási szolgáltatásokat és a szállítást. A szanálási alapokhoz és betétbiztosítási rendszerekhez tett pénzbeli hozzájárulást nem ebben a kategóriában kell feltüntetni, mivel az már a 2. tábla egy külön sorában szerepel.
16. A KONSZOLIDÁCIÓ SZÁMVITELI ÉS CRR SZERINTI KÖRÉNEK EGYEZTETÉSE (17.)
209. "A konszolidáció számviteli köre" tartalmazza az eszközök, kötelezettségek és a saját tőke könyv szerinti értékét, valamint a mérlegen kívüli kitettségek névértékeit a konszolidáció számviteli hatókörének alkalmazásával, beleértve az olyan leányvállalatok konszolidációba történő bevonását is, amelyek biztosítók vagy nem pénzügyi vállalatok. Az intézmények a leányvállalatokat, közös vállalkozásokat, valamint társult vállalkozásokat a pénzügyi kimutatásaikban használt módszerrel számolják el.
210. Ebben a táblában a "Leányvállalatokba, közös vállalkozásokba, valamint társult vállalkozásokba, történt befektetések" tétel nem tartalmazza a leányvállalatokat, mivel a konszolidáció számviteli körében az összes leányvállalat teljeskörűen konszolidálásra kerül.
211. Az "Eszközök biztosítási és viszontbiztosítási szerződések keretében" tétel tartalmazza a viszontbiztosítás keretében cedált eszközöket, valamint - ha van ilyen - a kibocsátott biztosítási és viszontbiztosítási szerződésekhez kapcsolódó eszközöket.
212. A "Kötelezettségek biztosítási és viszontbiztosítási szerződések keretében" tartalmazza a kibocsátott biztosítási és viszontbiztosítási szerződések értelmében fennálló kötelezettségeket.
17. NEMTELJESÍTŐ KITETTSÉGEK (18.)
17.1. A teljesítő és nemteljesítő kitettségekkel kapcsolatos információk (18.0.)
213. A 18. tábla alkalmazásában nemteljesítő kitettségek azok a kitettségek, amelyek az alábbi feltételek bármelyikét teljesítik:
a) több mint 90 napos késedelemben lévő lényeges kitettségek;
b) az adós vizsgálata alapján valószínűtlen, hogy az adós a biztosíték érvényesítése nélkül képes lesz hitelkötelezettségeinek összegét teljes egészében visszafizetni, függetlenül attól, hogy van-e késedelem, illetve a késedelmes napok számától.
214. A nemteljesítő kitettségként való besorolás független valamely kitettségnek a CRR 178. cikkével összhangban szabályozási célból nemteljesítőként (defaulted), illetve az alkalmazandó számviteli kerettel összhangban értékvesztettként történő besorolásától.
215. Azon kitettségek, amelyek a CRR 178. cikkével összhangban nemteljesítőnek (defaulted) vagy az alkalmazandó számviteli kerettel összhangban értékvesztettnek minősülnek, minden esetben nemteljesítő kitettségnek tekintendők. Az IFRS szerinti elszámolás esetén a 18. tábla alkalmazásában az értékvesztett kitettségek azok, amelyekről megállapításra került, hogy értékvesztettek (3. szakasz), ideértve az e rész 77. bekezdésével összhangban ebben a szakaszban feltüntetett vásárolt vagy keletkeztetett értékvesztett eszközöket. A 3. szakasztól eltérő értékvesztési szakaszokhoz tartozó kitettségek akkor tekintendők nemteljesítő kitettségnek, ha teljesítik a nemteljesítő kitettséggé minősítés feltételeit.
216. A kitettségeket teljes összegükön, a biztosítékok figyelembevétele nélkül kell besorolni. A lényegességet a CRR 178. cikkével összhangban kell értékelni.
217. A 18. tábla alkalmazásában "kitettség" az összes hitelviszonyt megtestesítő instrumentum (hitelviszonyt megtestesítő értékpapírok, valamint hitelek és előlegek, beleértve a központi bankokkal szembeni számlaköveteléseket és egyéb látra szóló betéteket) és valamennyi mérlegen kívüli kitettség, a kereskedési céllal tartott kitettségeket kivéve.
218. A hitelviszonyt megtestesítő instrumentumokat a következő számviteli portfóliókban kell szerepeltetni: a) bekerülési értéken vagy amortizált bekerülési értéken értékelt hitelviszonyt megtestesítő instrumentumok; b) az egyéb átfogó jövedelemmel vagy saját tőkével szemben valós értéken értékelt, értékvesztés-elszámolási kötelezettség alá tartozó hitelviszonyt megtestesítő instrumentumok; és c) szigorú LOCOM-módszer szerint, vagy az eredménnyel, illetőleg a saját tőkével szemben valós értéken értékelt, értékvesztés-elszámolási kötelezettség alá nem tartozó hitelviszonyt megtestesítő instrumentumok, az e rész 233. bekezdésében foglalt kritériumoknak megfelelően. Minden egyes kategóriát instrumentum és partner szerinti bontásban kell megadni.
219. Az IFRS és a BAD alapján kidolgozott vonatkozó nemzeti GAAP értelmében a mérlegen kívüli kitettségek az alábbi visszavonható és visszavonhatatlan tételeket foglalják magukban:
a) adott hitelnyújtási elkötelezettségek;
b) adott pénzügyi garanciavállalások;
c) egyéb adott elkötelezettségek.
220. Az IFRS 5 standardnak megfelelően értékesítésre tartottá minősített hitelviszonyt megtestesítő instrumentumokat külön kell feltüntetni.
221. A 18. táblában a hitelviszonyt megtestesítő instrumentumok vonatkozásában az e melléklet 1. részének 34. bekezdésében meghatározottak szerinti "bruttó könyv szerinti érték"-et kell megadni. A mérlegen kívüli kitettségek tekintetében az e melléklet 118. bekezdésében meghatározott névértéket kell megadni.
222. A 18. tábla alkalmazásában valamely kitettség "késedelmes", ha teljesíti az e rész 96. bekezdésében meghatározott feltételeket.
223. A 18. tábla alkalmazásában "adós" a CRR 178. cikke értelmében vett ügyfél.
224. Valamely elkötelezettség névértékéig nemteljesítő kitettségnek tekintendő, ha lehívásakor vagy egyéb felhasználásakor olyan kitettséghez vezetne, amely esetében fennáll annak kockázata, hogy a biztosíték érvényesítése nélkül az nem kerül teljes egészében visszafizetésre.
225. Az adott pénzügyi garanciavállalások névértékükig nemteljesítő kitettségnek tekintendők, ha fennáll annak a kockázata, hogy a garantált fél lehívja a pénzügyi garanciát, ideértve különösen azokat az eseteket, amikor az alapul szolgáló garantált kitettség megfelel a nemteljesítővé minősítés 213. bekezdésben említett feltételeinek. Amennyiben a garantált fél késedelmes a pénzügyi garanciaszerződés esedékes összegével, az adatszolgáltató intézménynek meg kell vizsgálnia, hogy az így keletkező követelés teljesíti-e a nemteljesítővé minősítés feltételeit.
226. A 213. bekezdéssel összhangban a nemteljesítőként besorolt kitettségeket vagy egyedi alapon (ügyletalapon) vagy egy adott adós teljes kitettsége tekintetében (ügyfélalapon) kell nemteljesítőként besorolni. Az egyedi alapon vagy egy adott adós tekintetében nemteljesítő kitettségként történő besoroláshoz a nemteljesítő kitettségek különböző típusaira az alábbi besorolási módszereket kell alkalmazni:
a) a CRR 178. cikkével összhangban nemteljesítőnek (defaulted) minősített nemteljesítő kitettségekre az említett cikk szerinti besorolási módszert;
b) az alkalmazandó számviteli keret értelmében értékvesztés miatt nemteljesítőként besorolt kitettségekre az alkalmazandó számviteli keret értékvesztésképzésre vonatkozó kritériumait;
c) azon egyéb nemteljesítő kitettségekre, amelyeket sem nemteljesítőként (defaulted), sem értékvesztettként nem soroltak be, a CRR 178. cikkének nemteljesítő (defaulted) kitettségekre vonatkozó rendelkezéseit.
227. Amennyiben valamely intézmény valamely adóssal szembeni, mérleg szerinti kitettségei 90 napon túl késedelmesek és a késedelmes kitettségek bruttó könyv szerinti értéke meghaladja az adott adóssal szembeni valamennyi mérleg szerinti kitettség bruttó könyv szerinti értékének 20 %-át, az adott adóssal szembeni valamennyi mérleg szerinti és mérlegen kívüli kitettség nemteljesítőnek tekintendő. Amennyiben az adós egy adóscsoporthoz tartozik, meg kell vizsgálni, hogy a csoportba tartozó más gazdálkodó egységekkel szembeni kitettségeket is nemteljesítőnek kell-e tekinteni, amennyiben azokat a kitettségeket még nem minősítették értékvesztettnek vagy a CRR 178. cikkével összhangban nemteljesítőnek (defaulted), az olyan kitettségek kivételével, amelyek tekintetében a követelés elismerését érintő vita egyedinek tekinthető és nem kapcsolódik az ügyfél fizetőképességéhez.
228. Valamely kitettség nemteljesítő besorolása megszűnik, ha az alábbi feltételek mindegyike teljesül:
a) a kitettség teljesíti az adatszolgáltató intézmény által az értékvesztett és nemteljesítő (defaulted) besorolás megszüntetésére az alkalmazandó számviteli kerettel, illetőleg a CRR 178. cikkével összhangban alkalmazott kilépési feltételeket;
b) az adós helyzete olyan mértékben javult, ami valószínűvé teszi a teljes visszafizetést, vagy az eredeti, vagy a módosított feltételek szerint;
c) az adósnak nincs 90 napot meghaladó fizetési késedelme.
229. Addig, ameddig a 228. bekezdés a), b) és c) pontja szerinti feltételek nem teljesülnek, a kitettséget továbbra is nemteljesítőnek kell tekinteni, akkor is, ha a kitettség teljesíti az adatszolgáltató intézmény által az értékvesztett és nemteljesítő (defaulted) besorolás megszüntetésére az alkalmazandó számviteli kerettel, illetőleg a CRR 178. cikkével összhangban alkalmazott feltételeket.
230. A nemteljesítő kitettségnek az IFRS 5 standardnak megfelelően értékesítésre tartott befektetett eszközként való besorolása nem szünteti meg a kitettség nemteljesítő kitettségként való besorolását.
231. A nemteljesítő kitettségre alkalmazott átstrukturálási intézkedés nem szünteti meg e kitettség nemteljesítő státuszát. Amennyiben átstrukturálási intézkedéssel érintett kitettségek a 262. bekezdésben említetteknek megfelelően nemteljesítők, ezeket a kitettségeket úgy kell tekinteni, hogy nemteljesítő státuszuk megszűnik, ha az alábbi feltételek mindegyike teljesül:
a) az adatszolgáltató intézmény a kitettséget nem tekinti értékvesztettnek vagy nemteljesítőnek (defaulted) az alkalmazandó számviteli keret, illetőleg a CRR 178. cikke szerint;
b) legalább egy év telt el az átstrukturálás jóváhagyásának időpontja, illetve a kitettségek nemteljesítőként való besorolásának időpontja óta, attól függően, hogy melyik a későbbi;
c) az átstrukturálást követően nem merült fel késedelem, illetve nem állnak fenn aggályok a kitettség átstrukturálás utáni feltételekkel összhangban történő, teljes visszafizetésével kapcsolatban. Az intézmény az adós pénzügyi helyzetének vizsgálatát követően állapítja meg, hogy állnak-e fenn aggályok. Úgy tekinthető, hogy nem állnak fenn aggályok, ha az adós az átstrukturálás utáni feltételekkel összhangban lévő rendszeres fizetései révén visszafizette a korábban késedelmes összeg egészét (ha volt késedelmes összeg), illetve az átstrukturálás keretében leírt összeget (ha nem volt késedelmes összeg) vagy az adós más módon bizonyította, hogy képes megfelelni az átstrukturálás utáni feltételeknek.
Az a), b) és c) pontban említett speciális kivezetési feltételeket az adatszolgáltató intézmény által az alkalmazandó számviteli kerettel, illetve a CRR 178. cikkével összhangban alkalmazott értékvesztési és nemteljesítő (defaulted) besorolás megszüntetésére vonatkozó feltételeken felül kell alkalmazni.
232. Amennyiben az e melléklet jelen részének 231. bekezdésében említett feltételek a szóban forgó bekezdés b) pontjában meghatározott egy éves időszak végén nem teljesülnek, a kitettséget továbbra is átstrukturált nemteljesítő kitettségnek kell tekinteni. A feltételeket legalább negyedévente meg kell vizsgálni.
233. Az e melléklet 1. részének 15. bekezdésében felsorolt, IFRS szerinti, továbbá az e melléklet 1. részének 16. bekezdésében felsorolt, a BAD alapján kidolgozott vonatkozó nemzeti GAAP szerinti számviteli portfóliókat a 18. táblában az alábbiaknak megfelelően kell jelenteni:
a) "A bekerülési értéken vagy amortizált bekerülési értéken értékelt hitelviszonyt megtestesítő instrumentumok" a következők valamelyikéhez tartozó hitelviszonyt megtestesítő instrumentumokat tartalmazzák:
i. "Amortizált bekerülési értéken értékelt pénzügyi eszközök" (IFRS);
ii. "Bekerülésiérték-módszerrel értékelt nem kereskedési célú, nem származtatott pénzügyi eszközök", ideértve a mérsékelt LOCOM-módszer szerint értékelt hitelviszonyt megtestesítő instrumentumokat (a BAD alapján kidolgozott nemzeti GAAP);
iii. "Egyéb nem kereskedési célú, nem származtatott pénzügyi eszközök", kivéve a szigorú LOCOM-módszer szerint értékelt hitelviszonyt megtestesítő instrumentumokat (a BAD alapján kidolgozott nemzeti GAAP);
b) "Az egyéb átfogó jövedelemmel vagy a saját tőkével szemben valós értéken értékelt, értékvesztés-elszámolási kötelezettség alá tartozó hitelviszonyt megtestesítő instrumentumok" a következők bármelyikébe tartozó hitelviszonyt megtestesítő instrumentumokat foglalják magukban:
i. "Az egyéb átfogó jövedelemmel szemben valós értéken értékelt pénzügyi eszközök" (IFRS);
ii. "A saját tőkével szemben valós értéken értékelt, nem kereskedési célú, nem származtatott pénzügyi eszközök", ahol az ebbe az értékelési kategóriába besorolt instrumentumok értékvesztés-elszámolási kötelezettség hatálya alá tartozhatnak a BAD alapján kidolgozott nemzeti GAAP szerinti alkalmazandó számviteli keretnek megfelelően;
c) "Szigorú LOCOM-módszer szerint vagy az eredménnyel vagy a saját tőkével szemben valós értéken értékelt, értékvesztés-elszámolási kötelezettség alá nem tartozó hitelviszonyt megtestesítő instrumentumok" a következők bármelyikébe tartozó hitelviszonyt megtestesítő instrumentumokat foglalják magukban:
i. "Kötelezően az eredménnyel szemben valós értéken értékelt, nem kereskedési célú pénzügyi eszközök" (IFRS);
ii. "Az eredménnyel szemben valós értéken értékeltnek megjelölt pénzügyi eszközök" (IFRS);
iii. "Eredménnyel szemben valós értéken értékelt, nem kereskedési célú, nem származtatott pénzügyi eszközök" (a BAD alapján kidolgozott nemzeti GAAP);
iv. "Egyéb nem kereskedési célú, nem származtatott pénzügyi eszközök", ahol a hitelviszonyt megtestesítő instrumentumok a szigorú LOCOM-módszer szerint értékeltek (a BAD alapján kidolgozott nemzeti GAAP);
v. "A saját tőkével szemben valós értéken értékelt, nem kereskedési célú, nem származtatott pénzügyi eszközök", ahol az ebbe az értékelési kategóriába besorolt hitelviszonyt megtestesítő instrumentumok nem tartoznak értékvesztés-elszámolási kötelezettség hatálya alá a BAD alapján kidolgozott nemzeti GAAP szerinti alkalmazandó számviteli keretnek megfelelően.
234. Amennyiben az IFRS vagy a BAD alapján kidolgozott vonatkozó nemzeti GAAP az elkötelezettségek eredménnyel szemben valós értéken történő megjelölését írja elő, a valós értéken történő megjelölésből és értékelésből eredő eszköz könyv szerinti értékét az "Eredménnyel szemben valós értéken értékeltnek megjelölt pénzügyi eszközök" (IFRS), vagy az "Eredménnyel szemben valós értéken értékelt, nem kereskedési célú, nem származtatott pénzügyi eszközök" (a BAD alapján kidolgozott nemzeti GAAP) tételben kell feltüntetni. Az említett megjelölésből eredő kötelezettségek könyv szerinti értékét nem kell feltüntetni a 18. táblában. Az eredménnyel szemben valós értéken értékeltként megjelölt valamennyi elkötelezettség névleges összegét a 9. táblában kell feltüntetni.
234i. Az alábbi kitettségeket külön sorokban kell feltüntetni:
a) Ingatlannal fedezett hitelek az e rész 86. bekezdésének a) pontjában és 87. bekezdésében meghatározottak szerint;
b) Fogyasztási hitelek az e rész 88. bekezdésének a) pontjában meghatározottak szerint.
235. A késedelmes kitettségek teljes összegét elkülönítve kell feltüntetni a kitettségek teljesítő és nemteljesítő kategóriáin belül az e rész 96. bekezdésében meghatározottak szerint. A 90 napot meghaladó késedelemben lévő, de a CRR 178. cikkének megfelelően nem lényeges kitettségeket a teljesítő kitettségek között, "A késedelem > 30 nap <= 90 nap" tételben kell megadni.
236. A nemteljesítő kitettségeket a késedelem hossza alapján meghatározott idősávok szerint részletezve kell feltüntetni. A nem késedelmes vagy 90 napot meg nem haladó késedelemben lévő, de a nem teljes visszafizetés valószínűsége miatt nemteljesítőként azonosított kitettségeket külön oszlopban kell feltüntetni. Azokat a kitettségeket, amelyek esetében vannak késedelmes összegek és a nem teljes visszafizetés is valószínű, a késedelmes napok számának megfelelő idősávokba kell sorolni.
237. Az alábbi kitettségeket külön oszlopokban kell feltüntetni:
a) az alkalmazandó számviteli kerettel összhangban értékvesztettnek tekintett kitettségek; az IFRS szerinti elszámolás esetén az értékvesztett eszközök összegét (3. szakasz), többek között a vásárolt vagy keletkeztetett értékvesztett eszközök összegét kell megadni; a nemzeti GAAP szerinti elszámolás esetén az értékvesztett eszközök összegét kell megadni;
b) azok a kitettségek, amelyek tekintetében a CRR 178. cikkével összhangban nemteljesítés (default) következett be;
c) az IFRS szerinti elszámolás esetén az eszközök, amelyek hitelkockázata jelentősen növekedett a kezdeti megjelenítés óta, de amelyek nem váltak értékvesztetté (2. szakasz), beleértve azokat a vásárolt vagy keletkeztetett eszközöket, amelyek már nem felelnek meg a kezdeti megjelenítés után az "értékvesztett" eszközök fogalommeghatározásának;
d) az IFRS szerinti elszámolás esetén, teljesítő kitettségek vonatkozásában olyan eszközök, amelyek hitelkockázata nem növekedett jelentősen a kezdeti megjelenítés óta (1. szakasz).
238. A halmozott értékvesztést, a hitelkockázat-változásból származó negatív valósérték-változás halmozott összegét és a céltartalékokat e rész 11., 69-71., 106. és 110. bekezdésének megfelelően kell feltüntetni.
239. A teljesítő és nemteljesítő kitettségek fedezetéül tartott biztosítékokra és kapott garanciákra vonatkozó információkat külön kell feltüntetni. A kapott biztosítékok és kapott garanciák feltüntetendő összegét e rész 172. és 174. bekezdésével összhangban kell kiszámítani. A feltüntetett biztosítékok és garanciák együttes összege nem haladhatja meg a kapcsolódó kitettség könyv szerinti értékét vagy névértékét a céltartalékok levonása után.
17.2. Nemteljesítő kitettségek be- és kiáramlásai - hitelek és előlegek ügyfélszektor szerint (18.1.)
239i. A 18.1. táblában kell feltüntetni - a kereskedési célú pénzügyi eszközként vagy kereskedési céllal tartottként besorolt hitelek és előlegek kivételével - azon hitelek és előlegek be- és kiáramlásait, amelyeket az e rész 213-239. vagy 260. bekezdésében meghatározottaknak megfelelően a nemteljesítő kitettségek kategóriájába besoroltak vagy onnan máshová átsoroltak. A nemteljesítő hitelek és előlegek be- és kiáramlásait ügyfélszektor szerint kell részletezni.
239ii. A nemteljesítő kitettségek kategóriájának beáramlásait kumulatív alapon, a pénzügyi év kezdetétől kell feltüntetni. A beáramlás tükrözi azon kitettségek bruttó könyv szerinti értékét, amelyek az időszak alatt nemteljesítővé váltak az e rész 213-239. vagy 260. bekezdésében meghatározottak szerint, beleértve a vásárolt nemteljesítő kitettségeket. Szintén beáramlásként kell feltüntetni a nemteljesítő kitettség bruttó könyv szerinti értékében a felhalmozott kamatok miatt, vagy a hitelkockázat-változásból származó negatív valósérték-változás halmozott összegének növekedése miatt bekövetkezett növekedést.
239iii. Olyan kitettség esetében, amelyet az időszak alatt több alkalommal nemteljesítőből teljesítővé soroltak át vagy fordítva, a be- és kiáramlások összegét a (teljesítő vagy nemteljesítő) kitettség pénzügyi év kezdetén vagy kezdeti megjelenítéskor fennálló státuszának és az adatszolgáltatási vonatkozási időpontban fennálló státuszának összehasonlítása alapján kell megállapítani.
239iv. A nemteljesítő kitettségek kategóriájának kiáramlásait kumulatív alapon, a pénzügyi év kezdetétől kell feltüntetni. A kiáramlás tükrözi azon kitettségek bruttó könyv szerinti értékének összegét, amelyeknek nemteljesítő státusza az időszak alatt megszűnik, és adott esetben magában foglalja a kitettség részleges vagy teljes kivezetése keretében végrehajtott leírások összegét. Szintén kiáramlásként kell feltüntetni a nemteljesítő kitettség bruttó könyv szerinti értékében a fizetett kamatok miatt, vagy a hitelkockázat-változásból származó negatív valósérték-változás halmozott összegének csökkenése miatt bekövetkezett csökkenést.
239v. Kiáramlást a következő esetekben kell feltüntetni:
a) egy nemteljesítő kitettség teljesíti a nemteljesítőként való besorolás megszüntetésére vonatkozó kritériumokat az e rész 228-232. bekezdésében meghatározottak szerint, és átsorolják a teljesítő nem átstrukturált vagy teljesítő átstrukturált kategóriába;
b) egy nemteljesítő kitettséget részben vagy egészében visszafizetnek; részleges visszafizetés esetében csak a visszafizetett összeget kell kiáramlásként besorolni;
c) biztosíték likvidálásra kerül, beleértve az egyéb likvidálás vagy jogi eljárások miatti kiáramlásokat, például jogi eljárás útján kapott biztosítéktól eltérő eszközök likvidálása, valamint a biztosíték önkéntes értékesítése;
d) az intézmény birtokba veszi a biztosítékot az e rész 175. bekezdésében említettek szerint, beleértve a hitel/eszköz cserét, az önkéntes lemondást és a hitel-tőke konverziót;
e) nemteljesítő kitettséget értékesítenek;
f) egy nemteljesítő kitettséghez tartozó kockázat átruházásra kerül, és a kitettség teljesíti a kivezetés kritériumait;
g) nemteljesítő kitettség részlegesen vagy teljes mértékben leírásra kerül; részleges leírás esetében csak a leírt összeg sorolható be kiáramlásként;
h) egy nemteljesítő kitettségnek, vagy nemteljesítő kitettség részeinek nemteljesítő státusza egyéb okokból szűnik meg.
239vi. A nemteljesítő kitettség egyik számviteli portfólióból egy másikba való átsorolását sem beáramlásként, sem kiáramlásként nem kell feltüntetni. Kivételként a nemteljesítő kitettségnek bármely számviteli portfólióból az "értékesítésre tartott" kategóriába való átsorolását az eredeti számviteli portfólióból való kiáramlásként és az "értékesítésre tartott" kategóriába való beáramlásként kell feltüntetni.
239vii. Az alábbi kitettségeket külön sorokban kell feltüntetni:
a) a 239ix. bekezdés meghatározása szerinti, kereskedelmi ingatlanhoz kapcsolódó hitelek, kkv-knak nyújtott kereskedelmi ingatlanhoz kapcsolódó hitelek és kkv-któl eltérő nem pénzügyi vállalatoknak nyújtott kereskedelmi ingatlanhoz kapcsolódó hitelek szerinti bontásban;
b) ingatlannal fedezett hitelek az e rész 86. bekezdésének a) pontjában és 87. bekezdésében meghatározottak szerint;
c) fogyasztási hitelek az e rész 88. bekezdésének a) pontjában meghatározottak szerint.
17.3. Kereskedelmi ingatlanhoz kapcsolódó hitelek és ingatlannal fedezett hitelekkel kapcsolatos kiegészítő információk (18.2.)
239viii. A 18.2. tábla a nem pénzügyi vállalatoknak nyújtott, kereskedelmi ingatlanhoz kapcsolódó hitelekre, illetve a nem pénzügyi vállalatoknak és háztartásoknak nyújtott, kereskedelmi vagy lakóingatlannal fedezett hitelekre vonatkozó információkat tartalmazza, hitelfedezeti arány szerinti bontásban. A kereskedési céllal tartott, kereskedési célú pénzügyi eszköz és értékesítésre tartott hitelviszonyt megtestesítő instrumentumok besorolású hiteleket és előlegeket nem kell feltüntetni.
239ix. A "Kereskedelmi ingatlanhoz kapcsolódó hitelek" az ingatlanokkal kapcsolatos adathiány kiküszöböléséről szóló ERKT-ajánlás ( 21 ) 2. szakasza 1. fejezetének 1. bekezdésében meghatározott kitettségeket foglalja magában.
239x. A hitelfedezeti arányt az ingatlanokkal kapcsolatos adathiány kiküszöböléséről szóló ERKT-ajánlás 2. szakasza 1. fejezetének 1. bekezdésében meghatározott "aktuális hitelfedezeti arány" kiszámítására vonatkozó módszernek megfelelően kell kiszámítani.
239xi. A hitelek fedezetéül kapott biztosítékokra és kapott pénzügyi garanciákra vonatkozó információkat az e rész 239. bekezdésével összhangban kell feltüntetni. Következésképpen a kapott biztosítékok és pénzügyi garanciák együttes összege nem haladhatja meg a kapcsolódó kitettség könyv szerinti értékét.
18. ÁTSTRUKTURÁLT KITETTSÉGEK (19.)
240. A 19. tábla alkalmazásában átstrukturált kitettségek az olyan kölcsönszerződések, amelyek tekintetében átstrukturálási intézkedéseket alkalmaztak. Az átstrukturálási intézkedések olyan adósnak nyújtott engedmények, akinek nehézségei vannak vagy várhatóan nehézségei lesznek pénzügyi kötelezettségeinek teljesítésével (pénzügyi nehézségek).
241. A 19. tábla alkalmazásában az engedmény veszteséget eredményezhet a hitelező számára és a következő esetek valamelyikére utal:
a) valamely szerződés azon feltételeinek módosítása, amelyeknek az adós pénzügyi nehézségeiből adódó, elégtelen adósságszolgálati képessége miatt várhatóan nem tud eleget tenni (problémás kölcsön), és amely módosítást nem hajtották volna végre, ha az adósnak nincsenek pénzügyi nehézségei;
b) valamely problémás kölcsönszerződés teljes vagy részleges újrafinanszírozása, amelyre nem került volna sor, ha az adósnak nincsenek pénzügyi nehézségei.
242. Engedménynek tekintendő legalább a következők egyike:
a) az adós javát szolgáló eltérés a szerződés módosított és módosítás előtti feltételei között;
b) kedvezőbb feltételek alkalmazása a módosított szerződésben, mint amelyeket az intézmény a hasonló kockázati profilú más adósoknak biztosított volna az említett kedvezőbb feltételek alkalmazásának időpontjában.
243. Azon záradékok alkalmazása, amelyek segítségével az adós - azokat saját mérlegelési jogkörében alkalmazva - módosíthatja a szerződés feltételeit (beépített átstrukturálási záradékok), engedményként kezelendő, amennyiben az intézmény jóváhagyja e záradékok alkalmazását és megállapítja, hogy az adós pénzügyi nehézségekkel küzd.
244. A III. és a IV. melléklet, valamint e melléklet alkalmazásában az "újrafinanszírozás" olyan kölcsönszerződések alkalmazását jelenti, amelyeknek célja olyan más kölcsönszerződések teljes vagy részleges visszafizetésének biztosítása, amelyek feltételeinek az adós nem tud megfelelni.
245. A 19. tábla alkalmazásában az "adós" magában foglalja az adós csoportjába tartozó mindazon jogi személyeket, amelyek a számviteli konszolidáció körébe tartoznak, továbbá azokat a természetes személyeket, akik a csoportot ellenőrzik.
246. A 19. tábla alkalmazásában a "követelés" magában foglalja a hiteleket és előlegeket (beleértve a központi bankokkal szembeni számlaköveteléseket és egyéb látra szóló betéteket), a hitelviszonyt megtestesítő értékpapírokat, valamint a visszavonható és visszavonhatatlan, adott hitelnyújtási elkötelezettségeket, ideértve azokat az eredménnyel szemben valós értéken értékeltnek megjelölt hitelnyújtási elkötelezettségeket, amelyek az adatszolgáltatás vonatkozási időpontjában eszközök. A "követelés" nem tartalmazza a kereskedési céllal tartott kitettségeket.
247. A "követelés" magában foglalja az IFRS 5 standardnak megfelelően értékesítésre tartottá minősített befektetett eszközök és elidegenítési csoportok közé sorolt hiteleket és előlegeket, valamint a hitelviszonyt megtestesítő értékpapírokat.
248. A 19. tábla alkalmazásában a "kitettség" jelentése ugyanaz, mint a "követelés" jelentése e rész 246. és 247. bekezdésében.
249. Az e melléklet 1. részének 15. bekezdésében felsorolt, IFRS szerinti számviteli portfóliókat, továbbá az e melléklet 1. részének 16. bekezdésében felsorolt, a BAD alapján kidolgozott vonatkozó nemzeti GAAP szerinti számviteli portfóliókat e rész 233. bekezdésének megfelelően a 19. táblában kell jelenteni.
250. A 19. tábla alkalmazásában "intézmény" az átstrukturálási intézkedéseket alkalmazó intézmény.
251. A 19. táblában a "követelés" vonatkozásában a "bruttó könyv szerinti érték"-et az e melléklet 1. része 34. bekezdésének megfelelően kell megadni. Az olyan adott hitelnyújtási elkötelezettségek vonatkozásában, amelyek mérlegen kívüli kitettségek, az e melléklet jelen részének 118. bekezdésében meghatározottak szerinti névértéket kell feltüntetni.
252. A kitettségek átstrukturáltnak tekintendők, amennyiben engedmény került nyújtásra, függetlenül attól, hogy van-e késedelem, illetve hogy a kitettségeket az alkalmazandó számviteli kerettel, illetve a CRR 178. cikkével összhangban értékvesztettként vagy nemteljesítőként (defaulted) sorolták-e be. A kitettségek nem tekintendők átstrukturáltnak, ha az adós nem küzd pénzügyi nehézségekkel. Az IFRS szerinti elszámolás esetén a módosított pénzügyi eszközöket (az IFRS 9 5.4.3. bekezdése és az A. függelék) átstrukturáltként kell kezelni, ha az e melléklet jelen részének 240. és 241. bekezdése szerinti engedmény biztosítására került sor, függetlenül attól, hogy volt-e módosítás a pénzügyi eszköz hitelkockázatában a kezdeti megjelenítés óta bekövetkezett változás miatt. A következők bármelyike átstrukturálási intézkedésnek tekintendő:
a) olyan módosított szerződés, amelyet a módosítás előtt nemteljesítőnek minősítettek, vagy amely a módosítás hiányában nemteljesítőnek minősülne;
b) olyan szerződésmódosítás, amely a követelés egészének vagy egy részének leírások révén történő elengedését tartalmazza;
c) az intézmény jóváhagyja a beépített átstrukturálási záradék alkalmazását egy nemteljesítő vagy a záradék alkalmazása nélkül nemteljesítőnek minősülő adós számára;
d) az intézmény által egy további követelés tekintetében nyújtott engedménnyel egyidejűleg vagy ahhoz közeli időpontban az adós az intézménnyel fennálló másik, nemteljesítő vagy az újrafinanszírozás hiányában nemteljesítőnek minősülő szerződés vonatkozásában tőke- vagy kamattörlesztést teljesített.
253. A biztosíték érvényesítésével teljesített visszafizetést magában foglaló módosítás átstrukturálási intézkedésként kezelendő, ha a módosítás engedményt is magában foglal.
254. Az alábbi esetek bármelyikében megcáfolható módon vélelmezhető, hogy átstrukturálásra került sor:
a) a módosított szerződés a módosítást megelőző három hónap során legalább egyszer teljesen vagy részlegesen 30 napot meghaladó késedelemben volt (anélkül, hogy nemteljesítő lett volna) vagy a módosítás hiányában teljesen vagy részlegesen 30 napot meghaladó késedelemben lett volna;
b) az intézmény által egy további követelés tekintetében nyújtott engedménnyel egyidejűleg vagy ahhoz közeli időpontban az adós az intézménnyel fennálló másik, az újrafinanszírozást megelőző három hónap során legalább egyszer teljesen vagy részlegesen 30 napot meghaladó késedelemben lévő szerződése tekintetében tőke- vagy kamattörlesztést teljesített;
c) az intézmény jóváhagyja a beépített átstrukturálási záradékok alkalmazását a 30 napot meghaladó késedelemben lévő vagy a záradékok alkalmazása nélkül 30 napot meghaladó késedelmet elérő adósok számára.
255. A pénzügyi nehézségek a 245. bekezdésben meghatározottak szerinti adós szintjén vizsgálandók. Csak azok a kitettségek tekintendők átstrukturált kitettségnek, amelyekre átstrukturálási intézkedéseket alkalmaztak.
256. Az átstrukturált kitettségeket a nemteljesítő kitettségek kategóriában vagy a teljesítő kitettségek kategóriában kell szerepeltetni e rész 213-239. és 260. bekezdésének megfelelően. Az átstrukturált kitettségként való besorolás megszűnik, ha az alábbi feltételek mindegyike teljesül:
a) az átstrukturált kitettség teljesítőnek minősül, ideértve a kitettség nemteljesítő kitettség kategóriából történő átsorolásának esetét is, amelyre arra tekintettel kerül sor, hogy az adós pénzügyi helyzetének vizsgálata azt mutatja, hogy már nem teljesülnek a nemteljesítőként való besorolás feltételei;
b) az átstrukturált kitettség teljesítővé minősítésétől számítva legalább kétéves időszak telt el (próbaidőszak);
c) a próbaidőszak minimum felében a jelentéktelennél nagyobb mértékű rendszeres tőke- vagy kamattörlesztésre került sor;
d) a próbaidőszak végén az adós egyetlen kitettsége sincs 30 napot meghaladó késedelemben.
257. Amennyiben a próbaidőszak végén nem teljesülnek a 256. bekezdésben említett feltételek, a kitettséget mindaddig próbaidőszakban lévő átstrukturált teljesítő kitettségként kell kezelni, amíg a feltételek mindegyike nem teljesül. A feltételeket legalább negyedévente meg kell vizsgálni.
258. Az IFRS 5 standardnak megfelelően értékesítésre tartott befektetett eszközként besorolt átstrukturált kitettségeket továbbra is átstrukturált kitettségként kell besorolni.
259. Egy átstrukturált kitettséget az átstrukturálási intézkedések alkalmazásának időpontjától kezdve teljesítőnek lehet tekinteni, ha az alábbi feltételek mindegyike teljesül:
a) az átstrukturálás nem eredményezte a kitettség nemteljesítővé minősítését;
b) az átstrukturálás időpontjában a kitettség nem minősült nemteljesítő kitettségnek.
260. Ha a próbaidőszakban lévő, a nemteljesítő kategóriából átsorolt teljesítő átstrukturált kitettség esetében újabb átstrukturálásra kerül sor, vagy a próbaidőszakban lévő, nemteljesítő kategóriából átsorolt átstrukturált kitettség 30 napot meghaladóan késedelmessé válik, a kitettséget nemteljesítőként kell besorolni.
261. Az "Átstrukturált teljesítő kitettségek" (átstrukturálási intézkedéssel érintett teljesítő kitettségek) azokat az átstrukturált kitettségeket foglalják magukban, amelyek nem teljesítik a nemteljesítővé minősítés feltételeit és a teljesítő kitettségek kategóriába kerültek. Az átstrukturált teljesítő kitettségek addig vannak próbaidőszakban, amíg nem teljesülnek az e rész 256. és 259. bekezdésében meghatározott kritériumok. Azokat a próbaidőszakban lévő teljesítő átstrukturált kitettségeket, amelyeket a nemteljesítő kitettségek kategóriájából soroltak át, a teljesítő átstrukturált kitettségeken belül külön, az "ebből: Próbaidőszakban lévő, a nemteljesítő kategóriából átsorolt teljesítő átstrukturált kitettség" oszlopban kell feltüntetni.
262. Az "Átstrukturálási intézkedéssel érintett nemteljesítő kitettségek" (nemteljesítő átstrukturált kitettségek) azokat az átstrukturált kitettségeket foglalják magukban, amelyek teljesítik a nemteljesítővé minősítés feltételeit és bekerültek a nemteljesítő kitettségek kategóriába. Ezen nemteljesítő átstrukturált kitettségek a következőket foglalják magukban:
a) azon kitettségek, amelyek az átstrukturálás következtében váltak nemteljesítővé;
b) azon kitettségek, amelyek az átstrukturálást megelőzően nemteljesítők voltak;
c) a teljesítő kitettségek közül átsorolt átstrukturált kitettségek, ideértve a 260. bekezdés alkalmazása során átsorolt kitettségeket.
263. Amennyiben az átstrukturálási intézkedéseket kiterjesztik olyan kitettségekre, amelyek az átstrukturálási intézkedések kiterjesztését megelőzően nemteljesítők voltak, ezen átstrukturált kitettségek összegét külön kell feltüntetni az "ebből: átstrukturálás előtt nemteljesítő kitettségek átstrukturálása" oszlopban.
264. Az átstrukturálási intézkedéssel érintett következő nemteljesítő kitettségeket külön oszlopokban kell feltüntetni:
a) az alkalmazandó számviteli kerettel összhangban értékvesztettnek tekintett kitettségek. Az IFRS szerinti elszámolás esetén az értékvesztett eszközök összegét (3. szakasz) összegét kell ebben az oszlopban megadni, ideértve az e rész 77. bekezdésével összhangban ebben a szakaszban feltüntetett vásárolt vagy keletkeztetett értékvesztett eszközöket;
b) azok a kitettségek, amelyek tekintetében a CRR 178. cikkével összhangban nemteljesítés (default) következett be.
265. Az "Újrafinanszírozás" oszlop az átstrukturálásnak minősülő újrafinanszírozási ügylet részeként nyújtott új szerződés bruttó könyv szerinti értékét (újrafinanszírozó kölcsön), valamint a régi, visszafizetett szerződés még fennálló bruttó könyv szerinti értékét tartalmazza.
266. A módosításokat és újrafinanszírozást egyaránt tartalmazó átstrukturált kitettségeket a cash-flowra nagyobb hatással lévő intézkedéstől függően a "Módosított szerződéses feltételű instrumentumok" vagy az "Újrafinanszírozás" oszlopban kell feltüntetni. A több bank által közösen biztosított újrafinanszírozást az adatszolgáltató intézmény által nyújtott újrafinanszírozó kölcsönrész teljes összegéig, illetve az újrafinanszírozott követelésnek az adatszolgáltató intézménynél még fennálló teljes összegéig kell feltüntetni az "Újrafinanszírozás" oszlopban. Több követelés egy új követeléssé történő átcsomagolását módosításként kell feltüntetni, hacsak nem jár együtt olyan újrafinanszírozási ügylettel, amely nagyobb hatást gyakorol a cash-flowra. Amennyiben valamely problémás kitettség feltételeinek módosítása révén történő átstrukturálása az adott kitettség kivezetését és egy új kitettség megjelenítését eredményezi, ezen új kitettséget átstrukturált követelésként kell kezelni.
267. A halmozott értékvesztést, a hitelkockázat-változásból származó negatív valósérték-változás halmozott összegét és a céltartalékokat e rész 11., 69-71., 106. és 110. bekezdésének megfelelően kell feltüntetni.
268. Az átstrukturálási intézkedéssel érintett kitettségek fedezeteként kapott biztosítékot és garanciákat valamennyi átstrukturálási intézkedéssel érintett kitettségre vonatkozóan fel kell tüntetni, függetlenül azok teljesítő vagy nemteljesítő státuszára. Emellett az átstrukturált nemteljesítő kitettségek fedezetéül kapott biztosítékokat és pénzügyi garanciákat külön kell feltüntetni. A kapott biztosítékok és kapott garanciák feltüntetendő összegét e rész 172. és 174. bekezdésével összhangban kell kiszámítani. A feltüntetett biztosítékok és garanciák együttes összege nem haladhatja meg a kapcsolódó mérlegen belüli kitettség könyv szerinti értékét vagy a kapcsolódó mérlegen kívüli kitettség névértékét a céltartalékok levonása után.
19. FÖLDRAJZI MEGOSZLÁS (20.)
269. A 20. táblát akkor kell kitölteni, ha az intézmény átlépi az e rendelet 5. cikke a) pontjának (4) alpontjában meghatározott küszöbértéket.
19.1. Földrajzi megoszlás a tevékenység helye szerint (20.1-20.3.)
270. A 20.1-20.3. táblákban szereplő tevékenységek helye szerinti földrajzi megoszlás különbséget tesz a "hazai tevékenységek" és "nem hazai tevékenységek" között. E rész alkalmazásában a tevékenység "helye" a megfelelő eszközt vagy kötelezettséget megjelenítő jogi személy cégbejegyzése szerinti joghatóságot jelenti. Fióktelepek esetében a fióktelep székhelye szerinti joghatóságot jelenti. A "hazai" az abban a tagállamban megjelenített tevékenységeket tartalmazza, ahol az adatszolgáltató intézmény található.
19.2. Földrajzi megoszlás az ügyfél székhelye szerint (20.4-20.7.)
271. A 20.4-20.7. tábla a közvetlen ügyfél székhelyén alapuló "országonkénti" adatokat tartalmaz e melléklet 1. része 43. bekezdésének megfelelően. A megadott részletezés tartalmazza minden egyes olyan külföldi ország rezidenseivel szembeni kitettségeket vagy kötelezettségeket, amelyekkel szemben az intézmény kitettséggel rendelkezik. A nemzetközi szervezetekkel és multilaterális fejlesztési bankokkal szembeni kitettségeket vagy kötelezettségeket nem az intézmény székhelye szerinti országhoz kell rendelni, hanem az "Egyéb országok" földrajzi területhez.
272. A "Származtatott ügyletek" tartalmazza az IFRS vagy a GAAP szerinti, a 10. és a 11. táblában feltüntetett kereskedési célú származtatott ügyleteket, többek között a gazdasági fedezeti ügyleteket, valamint a származtatott fedezeti ügyleteket.
273. Az IFRS szerinti, kereskedési céllal tartott eszközöket és a GAAP szerinti kereskedési célú eszközöket elkülönítve kell azonosítani. Az értékvesztés-elszámolási kötelezettség hatálya alá tartozó pénzügyi eszközöket e rész 93. bekezdésének megfelelően kell meghatározni. A LOCOM-módszer szerint értékelt azon eszközöket, amelyekhez hitelkockázatból eredő értékelési korrekció kapcsolódik, értékvesztettnek kell tekinteni.
274. A 20.4. és 20.7. táblában az e rész 69-71. bekezdésében meghatározottak szerinti "Halmozott értékvesztés"-t és "Hitelkockázat-változásból származó negatív valósérték-változás halmozott összege nemteljesítő kitettségek esetében"-t kell feltüntetni.
275. A 20.4. táblában a hitelviszonyt megtestesítő instrumentumok vonatkozásában az e melléklet 1. részének 34. bekezdésében meghatározottak szerinti "bruttó könyv szerinti érték"-et kell megadni. A származtatott ügyletek és a tulajdoni részesedést megtestesítő instrumentumok vonatkozásában a feltüntetendő érték a könyv szerinti érték. Az "ebből: nemteljesítő" oszlopban az e rész 213-239. vagy 260. bekezdésében meghatározottak szerinti hitelviszonyt megtestesítő instrumentumokat kell feltüntetni. A 19. tábla alkalmazásában a követelésátstrukturálás tartalmaz minden olyan kölcsönszerződést, melyekre kiterjesztik az e rész 240-268. bekezdésében meghatározott átstrukturálási intézkedéseket.
276. A 20.5. táblában az "Adott elkötelezettségekre és garanciákra képzett céltartalék" tartalmazza az IAS 37 szerint értékelt céltartalékokat, az IFRS 4-nek megfelelően biztosítási szerződésként kezelt pénzügyi garanciák hitelezési veszteségeit, és az IFRS 9 szerinti értékvesztés-elszámolási kötelezettség alá tartozó hitelnyújtási elkötelezettségekre és pénzügyi garanciákra képzett céltartalékokat, továbbá az elkötelezettségekre és garanciákra képzett céltartalékokat a BAD alapján kidolgozott nemzeti GAAP szerint, e rész 11. bekezdésének megfelelően.
277. A 20.7. táblában a nem kereskedési céllal tartott hiteleket és előlegeket a NACE kódok szerinti besorolással, "országonként" kell megadni. A NACE-kódokat az első részletezési szinttel ("nemzetgazdasági ág" szerint) kell megadni. Az értékvesztés-elszámolási kötelezettség alá tartozó hitelek és előlegek ugyanazokra a portfóliókra utalnak, mint e rész 93. bekezdésének meghatározása.
20. TÁRGYI ESZKÖZÖK ÉS IMMATERIÁLIS JAVAK: OPERATÍV LÍZINGBE ADOTT ESZKÖZÖK (21.)
278. Az e rendelet 9. cikkének e) pontja szerinti küszöbérték kiszámítása céljából azokat a tárgyi eszközöket, amelyeket az intézmény (lízingbe adó) az alkalmazandó számviteli szabályozás értelmében operatív lízingnek minősülő megállapodás keretében harmadik félnek lízingbe adott, el kell osztani a tárgyi eszközök teljes összegével.
279. Az IFRS szerinti elszámolás esetén az intézmény (lízingbe adó) által operatív lízing keretében harmadik félnek lízingbe adott eszközöket az értékelési módszer szerint kell részletezni.
21. VAGYONKEZELÉS, LETÉTKEZELÉS ÉS EGYÉB SZOLGÁLTATÁSOK (22.)
280. Az e rendelet 9. cikkének f) pontja szerinti küszöbérték kiszámítása céljából a "nettó díj- és jutalékbevétel" a "díj- és jutalékbevételek" valamint a "díj- és jutalékráfordítások" közötti különbség abszolút értéke. Ugyanebből a célból a "nettó kamat" összege a "kamatbevételek" és "kamatráfordítások" közötti különbség abszolút értéke.
21.1. Díj- és jutalékbevételek és díj- és jutalékráfordítások tevékenység szerint (22.1.)
281. A díj- és jutalékbevételeket és díj- és jutalékráfordításokat a tevékenység típusa szerint kell megadni. Az IFRS szerinti elszámolás esetén ez a tábla tartalmazza a következőktől eltérő díj- és jutalékbevételeket, valamint díj- és jutalékráfordításokat:
a) a pénzügyi instrumentumok effektív kamatlábának kiszámításakor figyelembe vett összegek (az IFRS 7 20. bekezdésének c) pontja);
b) az eredménnyel szemben valós értéken értékelt pénzügyi instrumentumokból származó összegek (az IFRS 7 20. bekezdése c) pontjának i. alpontja).
282. A közvetlenül az eredménnyel szemben valós értéken értékelt kategóriába nem tartozó pénzügyi instrumentumok megszerzésének vagy kibocsátásának tulajdonítható tranzakciós költségeket nem kell feltüntetni. Ezek a tranzakciós költségek az említett pénzügyi instrumentumok kezdeti megszerzési/kibocsátási értékének részét képezik, és hátralévő futamidejük során az effektív kamatláb alkalmazásával az eredménnyel szemben amortizálódnak (lásd az IFRS 9 5.1.1. bekezdését).
283. Az IFRS szerinti elszámolás esetében a közvetlenül az eredménnyel szemben valós értéken értékelt pénzügyi instrumentumok megszerzésének vagy kibocsátásának tulajdonítható tranzakciós költségeket a "Kereskedési céllal tartott pénzügyi eszközökből és kötelezettségekből származó nyereség vagy veszteség, nettó", a "Kötelezően az eredménnyel szemben valós értéken értékelt nem kereskedési célú pénzügyi eszközök nyeresége vagy vesztesége, nettó" és az "Eredménnyel szemben valós értéken értékeltnek megjelölt pénzügyi eszközök és kötelezettségek nyeresége vagy vesztesége, nettó" kategóriákban kell szerepeltetni, azon számviteli portfóliótól függően, amelybe ezek a tranzakciók költségek besoroltak. Az említett tranzakciós költségek nem képezik részét a szóban forgó pénzügyi instrumentumok kezdeti megszerzési/kibocsátási értékének, és az eredménnyel szemben azonnal meg kell jeleníteni őket.
284. Az intézményeknek a díj- és jutalékbevételeket és díj- és jutalékráfordításokat a következő kritériumok szerint kell feltüntetniük:
a) "Értékpapírok. Kibocsátások" a nem az intézmény által keletkeztetett vagy kibocsátott értékpapírok keletkeztetésében vagy kibocsátásában történt részvételért kapott díjakat és jutalékokat tartalmazza;
b) "Értékpapírok. Transzfermegbízások" az értékpapírok vételére vagy eladására vonatkozó ügyfélmegbízások felvétele, továbbítása és végrehajtása során képződött díjakat és jutalékokat tartalmazza;
c) "Értékpapírok. Értékpapírokkal kapcsolatos egyéb díj- és jutalékbevételek" a nem az intézmény által keletkeztetett vagy kibocsátott értékpapírokhoz kapcsolódó egyéb szolgáltatások nyújtása során az intézmény által megtermelt díjakat és jutalékokat tartalmazza;
d) a díj- és jutalékráfordítások alatt az "értékpapírok" tétel magában foglalja az intézménynek akkor felszámított díjakat és jutalékokat, amikor értékpapírokkal kapcsolatos szolgáltatásokat vesz igénybe, függetlenül attól, hogy az értékpapírokat az intézmény keletkeztette vagy bocsátotta ki, vagy nem;
e) "Vállalati pénzügyek. M&A tanácsadás" tartalmazza a vállalati ügyfelek fúziókkal és felvásárlásokkal kapcsolatos tevékenységével összefüggő tanácsadási szolgáltatásokért felszámított díjakat és jutalékokat;
f) "Vállalati pénzügyek. Treasury szolgáltatások" tartalmazza a vállalati ügyfeleknek nyújtott tőkepiaci tanácsadással kapcsolatos vállalati pénzügyi szolgáltatásokért felszámított díjakat és jutalékokat;
g) "Vállalati pénzügyek. Vállalati pénzügyi tevékenységekkel kapcsolatos egyéb díj- és jutalékbevételek" tartalmaz minden egyéb vállalati pénzügyekkel kapcsolatos díjat és jutalékot;
h) a "Díj alapú tanácsadás" tartalmazza az ügyfeleknek nyújtott olyan tanácsadási szolgáltatásokért felszámított díjakat és jutalékokat, amelyek nem közvetlenül kapcsolódnak a vagyonkezeléshez, mint például a privátbanki szolgáltatások díjai. A fúziókkal és felvásárlásokkal kapcsolatos tanácsadás díját nem itt kell feltüntetni, hanem a "Vállalati pénzügyek. M&A tanácsadás" tételben;
i) az "Elszámolás és teljesítés" az intézménynek szerződő felekben, elszámolási és teljesítési rendszerekben való részvétele során az intézmény által megtermelt (az intézményre terhelt) díj- és jutalékbevételeket (díj- és jutalékráfordításokat) tartalmazza;
j) a "Vagyonkezelés", "Letétkezelés", "Kollektív befektetésekkel kapcsolatos központi adminisztrációs szolgáltatás" és "Bizalmi vagyonkezelői tranzakciók" az ezen szolgáltatásokat nyújtó intézmény által megtermelt (az intézményre terhelt) díj- és jutalékbevételeket (díj- és jutalékráfordításokat) tartalmazza;
k) a "Pénzforgalmi szolgáltatások" tartalmazza az (EU) 2015/2366 európai parlamenti és tanácsi irányelv ( 22 ) I. mellékletében említett pénzforgalmi szolgáltatásokat nyújtó (igénybe vevő) intézmény által megtermelt (rá terhelt) díj- és jutalékbevételeket. A díj- és jutalékbevételekre vonatkozó információkat külön kell feltüntetni a folyószámlákra, hitelkártyákra, betéti kártyákra és egyéb kártyás fizetésekre, az átutalásokra és egyéb fizetési megbízásokra, valamint a pénzforgalmi szolgáltatásokkal kapcsolatos egyéb díj- és jutalékbevételekre vonatkozóan. A "Pénzforgalmi szolgáltatásokkal kapcsolatos egyéb díj- és jutalékbevételek" tartalmazza az intézmény ATM-hálózatának nem az intézmény által kibocsátott kártyákkal történő használatáért felszámított díjakat. A hitel-, betéti és egyéb kártyákkal kapcsolatos díj- és jutalékráfordításokra vonatkozó információkat külön kell feltüntetni;
l) az "Forgalmazott, de nem kezelt ügyfélforrások [terméktípus szerint]" tartalmazza a prudenciális csoportba nem tartozó gazdálkodó egységek által kibocsátott termékeknek a csoport meglévő ügyfelei közötti történő forgalmazásáért kapott díj- és jutalékbevételeket. Ezt az információt terméktípus szerint kell megadni;
m) a díj- és jutalékráfordítások alatt a "Termékek külső forgalmazása" tartalmazza az intézmény termékeinek és szolgáltatásainak külső ügynökhálózat révén/külső szolgáltatókkal, például jelzáloghitel-üzletkötőkkel, online hitelplatformokkal vagy FinTech frontendekkel kötött forgalmazási megállapodások révén történő forgalmazásának ráfordításait;
n) a "Strukturált finanszírozás" a nem az intézmény által keletkeztetett vagy kibocsátott pénzügyi instrumentumok, kivéve értékpapírok, keletkeztetésében vagy kibocsátásában történt részvételért kapott díjakat és jutalékokat tartalmazza;
o) a "Hitelszolgálati tevékenység"-ből származó díjak a bevételi oldalon tartalmazzák az intézmény által a nyújtott hitelszolgálati szolgáltatás során megtermelt díj- és jutalékbevételeket, költségoldalon pedig a hitelszolgálatot nyújtók által az intézményre terhelt díj- és jutalékráfordításokat;
p) az "Adott hitelnyújtási elkötelezettségek" és az "Adott pénzügyi garanciák" az e tevékenységek kezdetben "egyéb kötelezettségek" között megjelenített díjainak és jutalékainak az időszak alatt bevételként megjelenített amortizációjának összegét tartalmazzák;
q) a "Kapott hitelnyújtási elkötelezettségek" és a "Kapott pénzügyi garanciák" az intézmény által a hitelnyújtási elkötelezettséget vagy a pénzügyi garanciát nyújtó félnek felszámított költség következményeként az időszakban ráfordításként megjelenített, és kezdetben "egyéb eszköz"-ként megjelenített díj- és jutalékráfordításokat tartalmazza;
r) a "Nyújtott hitelek" alatt azokat a díjakat és jutalékokat kell feltüntetni, amelyeket a hitelnyújtás folyamata során számítanak fel, de nem képezik részét az effektív kamatláb számításának;
s) a "Deviza" tartalmazza a devizaszolgáltatások (többek között külföldi bankjegyek és érmék átváltása) díj- és jutalékbevételeit (ráfordításait) (nemzetközi csekkek díjai, vételi és eladási ár közti különbözet stb.), valamint a nemzetközi tranzakciók díjbevételeit/ráfordításait. Ha a devizatranzakcióknak tulajdonítható bevételeket (ráfordításokat) el lehet különíteni a hitelkártyához/betéti kártyához kapcsolódó egyéb díjbevételektől, akkor ez a tétel tartalmazza a hitel- vagy betéti kártya révén generált, devizához kapcsolódó díjakat és jutalékokat is.
t) az "Áru" tartalmazza az árukkal foglalkozó üzletághoz kapcsolódó díj- és jutalékbevételeket, az árukereskedéshez kapcsolódó bevételeket, amelyeket egyéb működési bevételként kell feltüntetni;
u) Az "Egyéb díj- és jutalékbevétel (ráfordítás)" tartalmazza az intézmény által termelt (rá terhelt) azon díj- és jutalékbevételeket (ráfordításokat), amelyeket az egyéb felsorolt tételek egyikéhez sem lehet hozzárendelni.
21.2. A nyújtott szolgáltatásokban érintett eszközök (22.2.)
285. A vagyonkezeléshez, letétkezelési feladatokhoz és az intézmény által nyújtott egyéb szolgáltatásokhoz kapcsolódó üzleti tevékenységeket a következő fogalmak szerint kell részletezni:
a) A "Vagyonkezelés" a közvetlenül az ügyfelek tulajdonában álló azon eszközökre vonatkozik, amelyeket az intézmény kezel. a "Vagyonkezelés"-t ügyféltípusonként kell feltüntetni: kollektív befektetések, nyugdíjalapok, diszkrecionális alapon kezelt ügyfélportfóliók és egyéb befektetési eszközök;
b) a "Letétkezelt eszközök" az intézmény által nyújtott, és a pénzügyi instrumentumok ügyfelek megbízásából történő megőrzésére és nyilvántartására irányuló szolgáltatásra, valamint letéti őrzéshez kapcsolódó szolgáltatásokra, mint például készpénz, illetve biztosíték kezelésére vonatkozik. A "Letétkezelt eszközök"-et azon ügyféltípusok szerint kell megadni, amelyek eszközeit az intézmény őrzi, megkülönböztetve a kollektív befektetési vállalkozásokat és egyéb ügyfeleket. Az "ebből: más gazdálkodó egységekre bízott" tétel a letétkezelt eszközök közé tartozó azon eszközök összegére vonatkozik, amelyek tekintetében az intézmény a tényleges őrzéssel más gazdálkodó egységeket bízott meg;
c) a "Kollektív befektetésekkel kapcsolatos központi adminisztrációs szolgáltatás" az intézmény által a kollektív befektetési vállalkozásoknak nyújtott adminisztratív szolgáltatásokra vonatkozik. Többek között ide tartoznak a transzferügynökök szolgáltatásai, a számviteli dokumentumok összeállítása, a tájékoztató elkészítése, a befektetőknek szánt pénzügyi beszámolók és minden egyéb dokumentum elkészítése, a levelezés lebonyolítása a befektetőknek szánt pénzügyi beszámolók és minden egyéb dokumentum terjesztésével, a kibocsátások és visszaváltások lebonyolítása és a befektetők jegyzékének vezetése, valamint a nettó eszközérték kiszámítása;
d) a "Bizalmi vagyonkezelői tranzakciók" azokra a tevékenységekre vonatkozik, amelyek esetében az intézmény saját nevében, de ügyfelei számlájára és kockázatára jár el. A bizalmi vagyonkezelői tranzakciók során az intézmény gyakran nyújt szolgáltatásokat, például letéti és vagyonkezelői szolgáltatásokat strukturált gazdálkodó egységek számára, vagy egyedi alapon végzett portfóliókezelést. Az összes bizalmi vagyonkezelői tranzakciót kizárólag ennél a tételnél kell feltüntetni függetlenül attól, hogy az intézmény nyújt-e egyéb szolgáltatásokat;
e) a "Pénzforgalmi szolgáltatások" az (EU) 2015/2366 irányelv I. mellékletében felsorolt pénzforgalmi szolgáltatásokra vonatkozik;
f) az "Ügyfelek elosztott, de nem kezelt forrásai" a prudenciális csoportba nem tartozó intézmények által kibocsátott azon termékekre vonatkozik, amelyeket az intézmény meglévő ügyfelei között osztott szét. Ezt a tételt terméktípus szerint kell megadni;
g) "A nyújtott szolgáltatásokban érintett eszközök összege" tartalmazza az eszközök azon összegét a valós érték használatával, amelyekhez kapcsolódóan az intézmény eljár. Ha a valós érték nem áll rendelkezésre, egyéb értékelési alap, például a névérték is használható. Ha az intézmény olyan szervezeteknek nyújt szolgáltatást, mint például a kollektív befektetési vállalkozások vagy nyugdíjalapok, az érintett eszközöket azon az értéken is fel lehet tüntetni, amelyen ezek a szervezetek az eszközöket saját mérlegükben megjelenítik. A feltüntetett összegeknek tartalmazniuk kell a felhalmozott kamatokat is, ahol alkalmazandó.
22. ÉRDEKELTSÉGEK NEM KONSZOLIDÁLT STRUKTURÁLT GAZDÁLKODÓ EGYSÉGEKBEN (30.)
286. A III. és a IV. melléklet, valamint e melléklet alkalmazásában a "lehívott likviditási támogatás" a nem konszolidált strukturált gazdálkodó egységeknek nyújtott hitelek és előlegek könyv szerinti értékének, valamint a tartott, nem konszolidált strukturált gazdálkodó egységek által kibocsátott, hitelviszonyt megtestesítő értékpapírok könyv szerinti értékének összegét jelenti.
287. "Az adatszolgáltató intézménynél a tárgyidőszakban felmerült veszteségek" tartalmazza az értékvesztés miatti veszteségeket, valamint az adatszolgáltató intézménynél az adatszolgáltatási vonatkozási időszakban felmerült egyéb veszteségeket, amelyek az intézmény nem konszolidált strukturált gazdálkodó egységekben levő érdekeltségeit érintik.
23. KAPCSOLT FELEK (31.)
288. Az intézményeknek meg kell adniuk a mérleg szerinti és mérlegen kívüli kitettségekhez kapcsolódó összegeket vagy tranzakciókat, ha az ügyfél az IAS 24 standardban említett kapcsolt fél.
289. A prudenciális csoport csoporton belüli tranzakcióit és csoporton belüli nyitott egyenlegeit ki kell szűrni. A "Leányvállalatok és azonos csoportba tartozó egyéb gazdálkodó egységek" kategóriánál az intézményeknek fel kell tüntetniük azokat a leányvállalatokkal szembeni egyenlegeket és tranzakciókat, amelyek kiszűrése nem történt meg, vagy azért, mert a leányvállalatok nem kerültek teljes mértékben konszolidálásra a prudenciális konszolidáció körén belül, vagy azért, mert a CRR 19. cikkével összhangban a leányvállalatok elhanyagolható jelentőségük miatt nem tartoznak a prudenciális konszolidáció körébe, vagy mert - egy szélesebb csoportba tartozó intézmények esetében - a végső anyavállalat leányvállalatai, nem pedig az intézmény leányvállalatai. A "Társult és közös vállalkozások" között az intézményeknek a csoportjukhoz tartozó közös vállalkozásokkal és társult vállalkozásokkal szembeni egyenlegek és tranzakciók azon részét kell szerepeltetniük, amelyek az arányos konszolidáció alkalmazása során nem kerültek kiszűrésre.
23.1. Kapcsolt felek: kötelezettségek és követelések kapcsolt felekkel szemben (31.1.)
290. A "Kapott hitelnyújtási elkötelezettségek, pénzügyi garanciák és egyéb elkötelezettségek" esetében azt az összeget kell megadni, amely a kapott hitelnyújtási elkötelezettségek és egyéb elkötelezettségek nominális értékének és a kapott pénzügyi garanciák tekintetében "a garancia legmagasabb figyelembe vehető összegének" az összege a 119. bekezdésben meghatározottak szerint.
291. Az e rész 69-71. bekezdésében meghatározott "Értékvesztés és a hitelkockázat-változásból származó negatív valósérték-változás halmozott összege nemteljesítő kitettségek esetében" tételt csak a nemteljesítő kitettségek vonatkozásában kell feltüntetni. A "Nemteljesítő mérlegen kívüli kitettségekre képzett céltartalék" tartalmazza a céltartalékokat e rész 11., 106. és 111. bekezdésének megfelelően azon kitettségekre, amelyek e rész 213-239. bekezdésének meghatározása szerint nemteljesítők.
23.2. Kapcsolt felek: kapcsolt felekkel való ügyletkötésekből származó kiadások és bevételek (31.2.)
292. A "Pénzügyi eszközöktől eltérő eszközök kivezetéséből származó nyereség vagy veszteség" tétel tartalmazza a kapcsolt felekkel történt ügyletkötés során a nem pénzügyi eszközök kivezetéséből származó összes nyereséget vagy veszteséget. Ennek a tételnek tartalmaznia kell a kapcsolt felekkel történt ügyletkötés során a nem pénzügyi eszközök kivezetéséből származó nyereséget vagy veszteséget, amely az "Eredménykimutatás" bármely következő sorának részét képezi:
a) "Leányvállalatokba, közös vállalkozásokba, valamint társult vállalkozásokba történt befektetések kivezetéséből származó nyereség vagy veszteség", a BAD alapján kidolgozott nemzeti GAAP szerinti adatszolgáltatás esetén;
b) "Nem pénzügyi eszközök kivezetéséből származó nyereség vagy veszteség";
c) "Megszűnt tevékenységeknek nem minősülő, értékesítésre tartottá minősített befektetett eszközökből és elidegenítési csoportokból származó nyereség vagy (-) veszteség";
d) "Megszűnt tevékenységek eredménye adófizetés után".
293. A "Nemteljesítő kitettségek értékvesztése vagy (-) értékvesztésének visszaírása" tartalmazza az e rész 213-239. bekezdésének megfelelően nemteljesítő kitettségek e rész 51-53. bekezdésében meghatározott értékvesztés miatti veszteségét. A "Nemteljesítő kitettségekre képzett céltartalékok vagy (-) céltartalékok visszaírása" tartalmazza az e rész 213-239. bekezdésében említettek szerint nemteljesítő, mérlegen kívüli kitettségek e rész 50. bekezdésében meghatározott céltartalékát.
24. CSOPORTSZERKEZET (40.)
294. Az intézményeknek részletes adatokat kell szolgáltatniuk az adatszolgáltatás vonatkozási időpontjában meglévő, a konszolidáció számviteli körében (teljesen vagy arányosan konszolidált) leányvállalatokra, közös vállalkozásokra és társult vállalkozásokra, valamint azon gazdálkodó egységekre vonatkozóan, amelyeket e rész 4. bekezdésének megfelelően a "Leányvállalatokba, közös vállalkozásokba, és társult vállalkozásokba történt befektetések" tételben tüntetnek fel, ideértve azokat a gazdálkodó egységeket, amelyek esetében a befektetés értékesítésre tartott az IFRS 5 szerint. Az összes gazdálkodó egységet fel kell tüntetni, az általuk folytatott tevékenységtől függetlenül.
295. Azon tulajdoni részesedést megtestesítő instrumentumokat, amelyek nem teljesítik a leányvállalatokba, közös vállalkozásokba és társult vállalkozásokba, valamint az adatszolgáltató intézmény saját tulajdonában levő saját részvényekbe ("Saját részvények") történt befektetésként való besorolás kritériumait, ki kell zárni e táblából.
24.1. Csoportszerkezet: "intézményenként" (40.1.)
296. A következő adatokat intézményenként kell megadni, és a III. és a IV. melléklet, valamint e melléklet alkalmazásában a következő követelmények alkalmazandók:
a) "LEI-kód" a befektetést befogadó fél LEI-kódja. Amennyiben a befektetést befogadó félnek van LEI-kódja, azt meg kell adni;
b) "Az intézmény kódja" a befektetést befogadó fél azonosító kódja. Az intézmény kódja egy sorazonosító és a 40.1. tábla minden egyes sora esetében egyedi;
c) "Az intézmény neve" a befektetést befogadó neve;
d) a "Belépés időpontja" az a nap, amikor a befektetést befogadó belépett a csoportba;
e) "A befektetést befogadó jegyzett tőkéje" a befektetést befogadó által kibocsátott tőke teljes összege az adatszolgáltatás vonatkozási időpontjában;
f) "A befektetést befogadó saját tőkéje", "A befektetést befogadó mérlegfőösszege" és "A befektetést befogadó nyeresége (vesztesége)" a befektetést befogadó utolsó pénzügyi kimutatásaiban szereplő összegeket jelenti;
g) "A befektetést befogadó székhelye" a befektetést befogadó fél székhelye szerinti ország;
h) "A befektetést befogadó szektora" a partner szektorát jelenti az e melléklet 1. részének 42. pontjában említettek szerint;
i) a "NACE-kód"-ot a befektetést befogadó fő tevékenysége alapján kell megadni. Nem pénzügyi vállalatok esetében a NACE-kódokat az első részletezési szinttel (nemzetgazdasági ágak szerint) kell megadni. Pénzügyi vállalatok esetében a NACE-kódokat kétszintű részletességgel (ágazati szintek szerint) kell megadni;
j) a "Halmozott tőkerészesedés (%)" az adatszolgáltatás időpontjában az intézmény birtokában lévő, tulajdonjogot megtestesítő instrumentumok százaléka;
k) a "Szavazati jogok (%)" az adatszolgáltatás vonatkozási időpontjában az intézmény birtokában lévő, tulajdonjogot megtestesítő instrumentumokhoz kapcsolódó szavazati jogok százaléka;
l) a "Csoportszerkezet [kapcsolat]" tartalmazza a végső anyavállalat és a befektetést befogadó közötti kapcsolatot (anyavállalat, az adatszolgáltató intézmény felett közös ellenőrzést gyakorló gazdálkodó egység, leányvállalat, közös vállalkozás vagy társult vállalkozás);
m) az "Elszámolási módszer [Számviteli csoport]" tétel tartalmazza a számviteli kezelés kapcsolatát a konszolidáció számviteli körével (teljes konszolidáció, arányos konszolidáció, tőkemódszer vagy egyéb);
n) az "Elszámolási módszer [CRR csoport]" tétel tartalmazza az elszámolási módszer és a konszolidáció CRR szerinti köre közötti kapcsolatot (teljes konszolidáció, arányos konszolidáció, tőkemódszer vagy egyéb);
o) a "Könyv szerinti érték" az intézmény mérlegében a sem teljesen, sem arányosan nem konszolidált, befektetést befogadók tekintetében megjelenített összegeket jelenti;
p) az "Akvizíció költsége" a befektetők által fizetett összeget jelenti;
q) "A befektetést befogadóhoz kapcsolódó cégérték" az adatszolgáltató intézmény konszolidált mérlegében a "cégérték" vagy a "leányvállalatokba, közös vállalkozásokba és társult vállalkozásokba történt befektetések" között a befektetést befogadóra vonatkozóan szerepeltetett cégérték összegét jelenti;
r) "Az olyan befektetések valós értéke, amelyekre vonatkozóan nyilvánosan közzétett árjegyzés van" kategória az adatszolgáltatás időpontjában érvényes árat jelenti. Csak jegyzett instrumentumok esetében kell megadni.
24.2. Csoportszerkezet: "instrumentumonként" (40.2.)
297. A következő adatokat instrumentumonként kell megadni:
a) "Értékpapírkód" az értékpapír ISIN kódja. Az ISIN kóddal nem rendelkező értékpapírok esetében az értékpapírt egyedileg azonosító másik kódot kell megadni. Az "Értékpapírkód" és "A holdingtársaság kódja" összetett sorazonosítók és együttesen a 40.2. tábla egyes soraira vonatkozóan egyediek.
b) "A holdingtársaság kódja" a csoporton belül a befektetést tulajdonló intézmény azonosító kódja. "A holdingtársaság LEI kódja" az értékpapírt tartó társaság LEI kódja. Ha a holdingtársaságnak van LEI kódja, azt fel kell tüntetni;
c) "Az intézmény kódja", a "Halmozott tőkerészesedés (%)", a "Könyv szerinti érték" és az "Akvizíció költsége" tételek definíciója e rész 296. bekezdésében található. Az összegeknek meg kell egyezniük a kapcsolódó holding társaság által tartott értékpapírok összegével.
25. VALÓS ÉRTÉK (41.)
25.1. Valósérték-hierarchia: amortizált bekerülési értéken értékelt pénzügyi instrumentumok (41.1.)
298. Ebben a táblában az amortizált bekerülési értéken értékelt pénzügyi instrumentumok valós értékére vonatkozó adatokat kell megadni az IFRS 13 72., 76., 81. és 86. bekezdése szerinti hierarchia alkalmazásával. Amennyiben a BAD alapján kidolgozott nemzeti GAAP szintén előírja a valós értéken értékelt eszközök különböző valósérték-szintek közötti allokációját, a nemzeti GAAP hatálya alá tartozó intézményeknek is ki kell tölteniük ezt a táblát.
25.2. A valós érték opció alkalmazása (41.2.)
299. Az eredménnyel szemben valós értéken értékeltnek megjelölt pénzügyi eszközök és kötelezettségek tekintetében a valós érték opció alkalmazására vonatkozó információt ebben a táblában kell megadni.
300. A "Hibrid szerződések" tartalmazza a kötelezettségek vonatkozásában az eredménnyel szemben valós értéken értékeltnek megjelölt pénzügyi kötelezettségek számviteli portfóliójába besorolt hibrid pénzügyi instrumentumok egészének könyv szerinti értékét. Ez tehát teljes egészében tartalmazza a nem elkülönített hibrid instrumentumokat.
301. A "Hitelkockázat szempontjából kezelt" tétel tartalmazza az eredménnyel szemben valós értéken értékeltnek megjelölt instrumentumok könyv szerinti értékét azzal összefüggésben, hogy azokat az IFRS 9 6.7. bekezdésének megfelelően az eredménnyel szemben valós értéken értékelt hitelderivatívával fedezik a hitelkockázattal szemben.
26. TÁRGYI ESZKÖZÖK ÉS IMMATERIÁLIS JAVAK: KÖNYV SZERINTI ÉRTÉK ÉRTÉKELÉSI MÓDSZER SZERINT (42.)
302. Az "Ingatlanok, gépek és berendezések", a "Befektetési célú ingatlan" és "Egyéb immateriális javak" tételeket az értékelésükre használt kritériumoknak megfelelően kell feltüntetni.
303. Az "Egyéb immateriális javak" a cégértéktől eltérő összes immateriális javakat tartalmazza.
303i. Ha az intézmény a lízingbe vevő szerepét tölti be, külön információkat kell megadnia a lízingeszközökről (használatijog-eszközök).
27. CÉLTARTALÉKOK (43.)
304. Ez a tábla tartalmazza a "Céltartalékok" időszak eleji és végi könyv szerinti értékének egyeztetését a változások jellege szerint, kivéve az IFRS 9 szerint értékelt céltartalékokat, amelyeket a 12. táblában kell feltüntetni.
305. Az "IAS 37 szerint értékelt egyéb elkötelezettségek és adott garanciák és az IFRS 4 szerint értékelt adott garanciák" tartalmazza az IAS 37 szerint értékelt céltartalékokat, valamint az IFRS 4 szerint biztosítási szerződésként kezelt pénzügyi garanciák hitelezési veszteségeit.
28. MEGHATÁROZOTT JUTTATÁSI PROGRAMOK ÉS MUNKAVÁLLALÓI JUTTATÁSOK (44.)
306. Ezek a táblák az intézmény összes meghatározott juttatási programjára vonatkozó halmozott adatokat tartalmazzák. Ha az intézménynek egynél több meghatározott juttatási programja van, az összes program összesített értékét kell feltüntetni.
28.1. A meghatározott juttatási programok nettó eszközeinek és kötelezettségeinek összetevői (44.1.)
307. A meghatározott juttatási programok nettó eszközeinek és kötelezettségeinek összetevőire vonatkozó tábla a meghatározott juttatási programok összes nettó kötelezettségei (eszközei) halmozott jelenértékének egyeztetését, valamint a visszatérítési jogokat (IAS 19 140 . bekezdésének a), b) pontja) mutatja be.
308. "A meghatározott juttatási program nettó eszközei" többlet esetén tartalmazza a többlet azon összegeit, amelyeket a mérlegben meg kell jeleníteni, mivel azokra nem vonatkoznak az IAS 19 63. bekezdésében meghatározott limitek. Ennek a tételnek az összegét és az "Eszközként megjelenített visszatérítési jogok valós értéke" tájékoztató adatban megjelenített összeget a mérleg "Egyéb eszközök" tétele tartalmazza.
28.2. A meghatározott juttatási programban vállalt kötelmek változásai (44.2.)
309. A meghatározott juttatási programban vállalt kötelmek változásaira vonatkozó tábla az intézmény összes meghatározott juttatási kötelme halmozott jelenértékének nyitó és záró egyenlegére vonatkozó egyeztetést mutatja. Az IAS 19 141 . bekezdésében felsorolt különböző elemek időszak alatti hatásait külön kell megjeleníteni.
310. A meghatározott juttatási programban vállalt kötelmek változására vonatkozó táblában feltüntetett "Záró egyenleg [jelenérték]" összegének egyenlőnek kell lennie a "Meghatározott juttatási kötelmek jelenértéke" összegével.
28.3. Személyi jellegű ráfordítások a juttatás típusa szerint (44.3.)
311. A személyi jellegű ráfordítások juttatástípus szerinti feltüntetésekor a következő fogalmakat kell használni:
a) a "Nyugdíjak és hasonló ráfordítások" az időszak alatt bármely munkaviszony megszűnése utáni szolgáltatás nyújtására vonatkozó kötelem (meghatározott hozzájárulási programok és meghatározott juttatási programok) tekintetében személyi jellegű kiadásként megjelenített összegeket tartalmazza, beleértve a kormány vagy társadalombiztosítási intézmények által fenntartott társadalombiztosítási alapokba (nyugdíjalapokhoz) befizetett, munkaviszony megszűnése utáni hozzájárulásokat;
b) a "Részvényalapú kifizetések" a vonatkozási időszak alatt a személyi jellegű kiadásként megjelenített részvényalapú kifizetések összegét tartalmazza;
c) a "Bérek és keresetek" tartalmazza az intézmény alkalmazottainak a munkájukért vagy szolgáltatásaikért járó javadalmazást, de nem tartalmazza a végkielégítéseket és a részvényalapú javadalmazást, amelyeket külön tételnél kell feltüntetni;
d) a "Társadalombiztosítási járulékok" tartalmazza a társadalombiztosítási alapokba befizetett hozzájárulásokat, a kormánynak vagy társadalombiztosítási intézményeknek jövőbeli szociális ellátásban való részesülés érdekében fizetett összegeket, de nem tartalmazza a munkaviszony megszűnése után a társadalombiztosítási alapokba nyugdíjak tekintetében befizetett hozzájárulásokat (hozzájárulások nyugdíjalapokhoz).
e) a "Végkielégítések" a szerződés idő előtti megszüntetéséhez kapcsolódó kifizetések, és magában foglalja az IAS 19 8. bekezdésében meghatározott végkielégítéseket is;
f) az "Egyéb típusú személyi jellegű ráfordítások" tartalmazza azokat a személyi jellegű ráfordításokat, amelyeket a fenti kategóriák egyikéhez sem lehet hozzárendelni.
28.4. Személyi jellegű ráfordítások a javadalmazás és az alkalmazottak kategóriája szerint (44.4.)
311i. A személyi jellegű ráfordítások javadalmazástípus és alkalmazotti kategória szerinti feltüntetésekor a következő fogalmakat kell használni:
a) a "Fix javadalmazás", "Változó javadalmazás", "Azonosított munkavállalók" és a "Vezető testület irányító funkciójában" jelentése azonos a 2013/36/EU irányelv 74. cikkének (3) bekezdésében és 75. cikkének (2) bekezdésében meghatározott megbízható javadalmazási politikákról, valamint az 575/2013/EU rendelet 450. cikke szerinti nyilvánosságra hozatalról szóló EBH-iránymutatásokban (EBA/GL/2015/22) szereplővel;
b) a "Vezető testület", a "Vezető testület felügyeleti funkciójában" és a "Felső vezetés" a CRD 3. cikke (1) bekezdésének 7., 8. és 9. pontjában meghatározott személyzetet foglalja magában.
311ii. Az "Alkalmazottak száma" tartalmazza az alkalmazottak adatszolgáltatási vonatkozási időpontban fennálló számát teljes munkaidős egyenértékben kifejezve, plusz a vezető testület tagjainak számát a konszolidáció prudenciális (CRR szerinti) körére vonatkozó létszámban kifejezve. Közülük külön kell feltüntetni az azonosított munkavállalók számát, valamint az irányító funkcióját ellátó vezető testületben és a felső vezetésben lévő képviselők számát, továbbá a felügyeleti funkcióját ellátó vezető testületben lévő képviselők számát.
29. AZ EREDMÉNYKIMUTATÁS KIVÁLASZTOTT TÉTELEINEK RÉSZLETEZÉSE (45.)
29.1. Az eredménnyel szemben valós értéken értékeltnek megjelölt pénzügyi eszközök és kötelezettségek nyeresége vagy vesztesége számviteli portfólió szerint (45.1.)
312. "Az eredménnyel szemben valós értéken értékeltnek megjelölt pénzügyi kötelezettségek" csak akkor tartalmazza az eredménnyel szemben valós értéken értékeltnek megjelölt kötelezettségek kibocsátóinak saját hitelkockázatában bekövetkezett változásokból eredő nyereségeket vagy veszteségeket, ha az adatszolgáltató intézmény úgy döntött, hogy azokat az eredményben jeleníti meg, mivel az egyéb átfogó jövedelemben való megjelenítés számviteli meg nem felelést eredményezne vagy növelné azt.
29.2. Nem pénzügyi eszközök kivezetéséből származó nyereség vagy veszteség (45.2.)
313. A "Nem pénzügyi eszközök kivezetéséből származó nyereség vagy veszteség" tételt eszköztípus szerint kell részletezni. Minden egyes sorban meg kell adni a kivezetett eszközből származó nyereséget vagy veszteséget. Az "Egyéb eszközök" tartalmazza a máshol fel nem tüntetett egyéb tárgyi eszközöket, immateriális javakat és befektetéseket.
29.3. Egyéb működési bevételek és ráfordítások (45.3.)
314. Az egyéb működési bevételeket és ráfordításokat a következő tételek szerint kell részletezni: a valósérték-modell alkalmazásával értékelt tárgyi eszközök valósérték-korrekciói; befektetési célú ingatlanokból származó bérletidíj-bevételek és közvetlen működési költségek; az operatív lízingből (kivéve a nem befektetési célú ingatlanokból) származó bevételek és ráfordítások, és a többi működési bevétel és ráfordítás.
315. Az "Operatív lízing, kivéve befektetési célú ingatlan" a "bevétel" oszlopban tartalmazza az intézmény, mint lízingbe adó által operatív lízingtevékenysége - kivéve a befektetési célú ingatlanként minősített eszközökkel folytatott ilyen tevékenységet - során kapott hozamokat, a "Ráfordítások" oszlopban pedig a nála felmerült költségeket. Az intézmény, mint lízingbe vevő költségeit az "Egyéb igazgatási költségek" tételnél kell feltüntetni.
316. Az értékesítési költségekkel csökkentett valós értéken értékelt arany, egyéb nemesfém-állományok és egyéb áruk kivezetéséből és átértékeléséből származó nyereséget és veszteséget az "Egyéb működési bevételek. Egyéb" vagy az "Egyéb működési költségek. Egyéb" tételben kell megadni.
30. A SAJÁTTŐKE-VÁLTOZÁSOK KIMUTATÁSA (46.)
317. A saját tőke változásainak kimutatása a saját tőke minden egyes elemére vonatkozóan tartalmazza az időszak eleji (nyitó egyenleg) és az időszak végi (záró egyenleg) könyv szerinti értékek egyeztetését.
318. Az "Átvezetés a saját tőke összetevői között" tartalmazza a saját tőkén belül átvezetett valamennyi összeget, ideértve az eredménnyel szemben valós értéken értékeltnek megjelölt kötelezettségek saját hitelkockázatából eredő nyereségeket és veszteségeket, valamint az egyéb átfogó jövedelemmel szemben valós értéken értékelt, tulajdoni részesedést megtestesítő instrumentumok halmozott valósérték-változásait, amelyeket a kivezetéskor a saját tőke egyéb összetevői közé vezetnek át.
31. HITELEK ÉS ELŐLEGEK: KIEGÉSZÍTŐ INFORMÁCIÓK (23)
319. A 23. tábla kiegészítő információkat mutat be a hitelekről és előlegekről, kivéve a kereskedési céllal tartott, kereskedési célú pénzügyi eszköz és értékesítésre tartott hitelviszonyt megtestesítő instrumentumok besorolású hiteleket és előlegeket.
320. Az "instrumentumok számának" meghatározása céljából az instrumentum olyan banki termék, amely nyitott egyenleggel és adott esetben hitelkerettel rendelkezik, és jellemzően számlához kapcsolódik. Egy adott partnerrel szembeni kitettség több instrumentumból állhat. Az instrumentumok számát az alapján kell meghatározni, hogy az intézmény milyen módon kezeli a kitettséget. Az instrumentumok számát külön kell feltüntetni a per előtti státuszban lévő kitettségek és a per alatti státuszban lévő kitettségek tekintetében, az e rész 321. és 322. bekezdésében meghatározottak szerint.
321. A kitettség akkor van "per előtti státuszban", ha az adós hivatalos értesítést kapott arról, hogy az intézmény egy meghatározott időtartamon belül jogi lépéseket tesz az adós ellen, kivéve, ha bizonyos szerződéses vagy egyéb fizetési kötelezettségek teljesülnek. Ez magában foglalja azon eseteket is, amikor az adatszolgáltató intézmény megszünteti a szerződést, mert az adós formálisan megsértette a szerződés feltételeit, és adóst erről megfelelően értesítették, de az intézmény egyelőre nem tett formális jogi lépéseket az adós ellen. A "per előtti státuszba" sorolt kitettségek akkor léphetnek ki ebből a besorolásból, ha a fennálló összegek kifizetésre kerülnek, vagy ha per alatti státuszba sorolódnak át a következő bekezdésben meghatározottak szerint.
322. A kitettség akkor van "per alatti státuszban", ha az adós ellen formális jogi lépéseket tettek. Ez olyan eseteket foglal magában, amikor valamely bíróság megerősíti, hogy formális bírósági eljárás van folyamatban, vagy az igazságszolgáltatási rendszer értesítést kapott jogi eljárás indításának szándékáról.
323. A "Fedezetlen hitelek és előlegek garancia nélkül" olyan kitettségekre vonatkozik, amelyek sem biztosítékot, sem pénzügyi garanciát nem kaptak fedezetül; a részben fedezett vagy részben garantált kitettség fedezetlen része nem tartozik ide.
324. A 90 %-nál nagyobb halmozott fedezeti rátával rendelkező hiteleket és előlegeket külön kell feltüntetni. E célból a "halmozott fedezeti ráta" a halmozott értékvesztés, illetve a hitelkockázat változásából származó negatív valósérték-változás halmozott összege mint számláló, és a szóban forgó hitel vagy előleg bruttó könyv szerinti értéke mint nevező közötti arány.
325. Az e rész 86. bekezdésének a) pontjában és 87. bekezdésében meghatározottak szerinti ingatlannal fedezett hiteleket, valamint az e rész 239ix. bekezdésében meghatározott kereskedelmi ingatlanhoz kapcsolódó hiteleket az e rész 239x. bekezdésében meghatározottak szerinti hitel/biztosíték arány (hitelfedezeti arány) szerint kell részletezni.
326. A hitelek és előlegek fedezetéül tartott biztosítékokra és kapott pénzügyi garanciákra vonatkozó információkat e rész 239. bekezdésével összhangban kell feltüntetni. Következésképpen a kapott biztosítékok és pénzügyi garanciák együttes összege nem haladhatja meg a kapcsolódó kitettség könyv szerinti értékét. A biztosítékként felhasznált ingatlant külön kiegészítésként kell feltüntetni.
327. Az előző bekezdéstől eltérve a "Hitelek és előlegek fedezetéül kapott biztosítékok - felső korlát nélküli összegek" a kapott biztosíték teljes, felső korlát nélküli értékét tükrözi, a kapcsolódó kitettség könyv szerinti értékén.
32. HITELEK ÉS ELŐLEGEK: NEMTELJESÍTŐ KITETTSÉGEK, ÉRTÉKVESZTÉS ÉS LEÍRÁSOK VÁLTOZÁSA AZ UTOLSÓ PÉNZÜGYI ÉV VÉGE ÓTA (24)
32.1. Hitelek és előlegek: Nemteljesítő kitettségek be- és kiáramlásai (24.1.)
328. A 24.1. tábla bemutatja az e rész 213-239. vagy 260. bekezdésének megfelelően nemteljesítőként besorolt, és a 18. táblában feltüntetett hitelek és előlegek állománya nyitó és záró egyenlegeinek egyeztetését, kivéve a kereskedési célú pénzügyi eszközként, kereskedési céllal tartottként vagy értékesítésre tartottként besorolt hiteleket és előlegeket. A nemteljesítő hitelek és előlegek be- és kiáramlásait a beáramlás vagy kiáramlás típusa szerint kell részletezni.
329. A nemteljesítő kitettségek kategóriájába történő beáramlásokat e rész 239ii-239iii. és 239vi. bekezdésének megfelelően kell feltüntetni, kivéve az "értékesítésre tartott" kategória beáramlásait, amelyek e tábla hatókörén kívül esnek. A beáramlásokat a beáramlás típusa (forrása) szerint kell részletezni. Ebben az összefüggésben:
a) a "Felhalmozott kamat miatti beáramlás" azon nemteljesítő hiteleken és előlegeken felhalmozott kamat, amelyek nem szerepelnek a típus (forrás) szerinti részletezés egyetlen más kategóriájában sem; e tekintetben ez a beáramlás az azokon a nemteljesítő hiteleken és előlegeken felhalmozódott kamatra vonatkozik, amelyeket az előző pénzügyi év végén nemteljesítőként soroltak be, és azóta is folyamatosan ilyen besorolásúak; az e rész 213-239. vagy 260. bekezdésének megfelelően az időszak alatt nemteljesítőként besorolt kitettségeken felhalmozódott kamatot magával a beáramlással együtt kell feltüntetni a megfelelő típus (forrás) kategóriájában;
b) az "ebből: korábban a nemteljesítő kategóriából átsorolt, próbaidőszakban lévő teljesítő átstrukturált kitettség kategóriából átsorolt" tartalmazza azokat a "próbaidőszakban lévő, a nemteljesítő kategóriából átsorolt teljesítő átstrukturált kitettség"-eket, az e rész 261. bekezdésében meghatározottak szerint, amelyeket az időszak alatt újból nemteljesítőként soroltak be e rész 213-239. vagy 260. bekezdésével összhangban;
c) az "Egyéb okok miatti beáramlás" foglalja magában azokat a beáramlásokat, amelyeket nem kapcsolhatók a beáramlások egyetlen más, meghatározott forrásához sem, és kiterjed többek között a nemteljesítő kitettségek bruttó könyv szerinti értékében az időszak alatt folyósított kiegészítő összegek miatt bekövetkezett növekedésre, a késedelmes összegek tőkésítésére, beleértve a tőkésített díjakat és ráfordításokat, valamint az olyan nemteljesítő hitelekhez és előlegekhez kapcsolódó árfolyamok változására, amelyek az előző pénzügyi év végén nemteljesítőként lettek besorolva, és azóta is folyamatosan ilyen besorolásúak.
330. Az alábbi kitettségeket külön sorokban kell feltüntetni:
a) az "Egynél többszöri beáramlás" olyan hiteleket és előlegeket tartalmaz, amelyeket az időszak alatt többször soroltak át a nemteljesítő kategóriából a teljesítőbe, vagy fordítva;
b) az "Az elmúlt 24 hónapban nyújtott kitettségek beáramlása" olyan hiteleket és előlegeket tartalmaz, amelyeket a vonatkozási időpontot megelőző 24 hónapban nyújtottak, és amelyeket az időszak alatt e rész 213-239. vagy 260. bekezdésének megfelelően nemteljesítőként soroltak be. E kitettségek közül az időszak alatt nyújtott kitettségeket külön kiegészítésként kell feltüntetni.
331. A nemteljesítő kitettségek kategóriájának kiáramlásait e rész 239iii-239vi. bekezdésének megfelelően kell feltüntetni, és a kiáramlás típusa (oka) szerint kell részletezni. Ebben az összefüggésben a "Leírások miatti kiáramlás" az időszak alatt végrehajtott azon leírások összegét tükrözi, amelyek egyetlen másik meghatározott kiáramlástípushoz sem kapcsolhatók, és azokat a leírásokat is tartalmazza, amelyek az adatszolgáltató intézmény valamennyi jogának elévülési határidő lejárta, elengedés vagy az időszak alatt bekövetkezett egyéb okok miatti teljes megszűnéséhez kapcsolódnak.
332. Azokban az esetekben, amikor a kitettség részben kivezetésre kerül és a fennmaradó részt a teljesítő kategóriába sorolják át, az átsoroláshoz tartozó kiáramlást és a kivezetéshez tartozó kiáramlást külön kiáramlásokként kell feltüntetni. A biztosíték likvidálása, kitettségek értékesítése, kockázatátruházás és biztosíték birtokbavétele miatti kiáramlások esetében a kapott nettó kumulált megtérülést kell feltüntetni. Ha a biztosítéklikvidálás, kitettségértékesítés, kockázatátruházás és biztosíték birtokbavétele pillanatában leírásra került sor, ezt az összeget a kapcsolódó kiáramlástípus részeként kell feltüntetni.
333. A "nettó kumulált megtérülés" i. a biztosítéklikvidálás, kitettségértékesítés és kockázatátruházás keretében beszedett pénzeszközök és pénzeszköz-egyenértékesek összege a kapcsolódó költségek nélkül, illetve ii. a biztosíték birtokbavétele miatti kiáramlás keretében kapott biztosíték kezdeti megjelenítéskori értéke az e rész 175i. bekezdésében meghatározottak szerint.
334. Külön kell feltüntetni az azon hitelekhez és előlegekhez tartozó kiáramlásokat, amelyek az időszak alatt váltak nemteljesítővé, és később már nem teljesítették a nemteljesítőként való besorolás kritériumait.
32.2. Hitelek és előlegek: Értékvesztések változása és a hitelkockázat-változásból származó negatív valósérték-változás halmozott összegének változása nemteljesítő kitettségek esetében (24.2.)
335. A 24.2. tábla tartalmazza az olyan hitelekhez és előlegekhez tartozó értékvesztési számláknak és hitelkockázat-változásból származó negatív valósérték-változás halmozott összege állományának nyitó és záró egyenlege közötti egyeztetést, amelyek e rész 213-239. vagy 260. bekezdésének megfelelően nemteljesítő besorolásúak vagy azok voltak.
336. A "Növekedés az időszak alatt" tartalmazza:
a) az azon hitelekhez és előlegekhez tartozó halmozott értékvesztésnek és hitelkockázat-változásból származó negatív valósérték-változás halmozott összegének az állományát a vonatkozási időpontban, amelyek az időszak alatt váltak nemteljesítővé és az adatszolgáltatási vonatkozási időpontban továbbra is nemteljesítőként besoroltak;
b) az azon hitelekhez és előlegekhez tartozó halmozott értékvesztésnek és hitelkockázat-változásból származó negatív valósérték-változás halmozott összegének az állományát a kivezetés időpontjában, amelyek az időszak alatt váltak nemteljesítővé és kivezetésre kerültek az időszak alatt; valamint
c) az azon hitelekhez és előlegekhez tartozó halmozott értékvesztésnek és hitelkockázat-változásból származó negatív valósérték-változás halmozott összegének a növekedését, amelyeket az előző pénzügyi év végén nemteljesítőként soroltak be és még mindig ilyen besorolásúak az adatszolgáltatási vonatkozási időpontban, vagy kivezetésre kerültek az időszak alatt.
337. A növekedés azon részét, amely a felhalmozott kamattal szemben könyvelt értékvesztésnek és negatív valósérték-változás halmozott összegének tulajdonítható, külön kiegészítésként kell feltüntetni.
338. A "Csökkenés az időszak alatt" tartalmazza:
a) az azon hitelekhez és előlegekhez tartozó halmozott értékvesztésnek és hitelkockázat-változásból származó negatív valósérték-változás halmozott összegének az állományát a kivezetés végének időpontjában, amelyek nemteljesítő státusza megszűnt az időszak alatt, és kikerültek az intézmény portfóliójából az időszak alatt;
b) az azon hitelekhez és előlegekhez tartozó halmozott értékvesztésnek és hitelkockázat-változásból származó negatív valósérték-változás halmozott összegének az állományát a vonatkozási időpontban, amelyek nemteljesítő státusza megszűnt az időszak alatt, és a vonatkozási időpontban továbbra sem nemteljesítő besorolásúak;
c) az időszak alatt "értékesítésre tartottá" átsorolt hitelekhez és előlegekhez tartozó halmozott értékvesztésnek és hitelkockázat-változásból származó negatív valósérték-változás halmozott összegének az állományát a vonatkozási időpontban; valamint
d) az azon hitelekhez és előlegekhez tartozó halmozott értékvesztésnek és hitelkockázat-változásból származó negatív valósérték-változás halmozott összegének a csökkenését, amelyeket az előző pénzügyi év végén nemteljesítőként soroltak be, és még mindig ilyen besorolásúak az adatszolgáltatási vonatkozási időpontban.
339. Az alábbi tételeket külön kell feltüntetni:
a) az értékvesztés visszaírásának és a hitelkockázat-változásból származó negatív valósérték-változás visszaírásának tulajdonítható csökkenés;
b) az effektív kamatláb számviteli módszerének alkalmazása keretében a diszkontok lebontásának tulajdonítható csökkenés.
32.3. Hitelek és előlegek: Nemteljesítő kitettségek leírása az időszak alatt (24.3.)
340. A 24.3. tábla az e rész 74. bekezdésében meghatározott leírások feltüntetésére szolgál, amennyiben i. azokra az időszak alatt került sor (beáramlások) és ii. azok a időszak alatt az e rész 213-239. vagy 260. bekezdésének megfelelően nemteljesítőként besorolt hitelekre és előlegekre vonatkoznak, kivéve a kereskedésre tartottként, kereskedési célú pénzügyi eszközként vagy értékesítésre tartottként besorolt hiteleket és előlegeket. A részleges és a teljes leírásokat egyaránt fel kell tüntetni. Ezen leírások közül külön kell feltüntetni azokat, amelyek egy kitettség vagy annak egy része jogszerű behajtására irányuló jog elvesztésének tulajdoníthatók.
33. BIRTOKBAVÉTELLEL ÉS VÉGREHAJTÁSSAL MEGSZERZETT BIZTOSÍTÉK (25.)
341. A "birtokbavétellel megszerzett biztosíték" tartalmazza azokat az eszközöket, amelyeket az adós biztosítékként felhasznált, és azokat is, amelyeket az adós nem használt fel biztosítékként, hanem a követelés elengedéséért cserébe kaptak, függetlenül attól, hogy önkéntes alapon, vagy jogi eljárás részeként történt.
33.1. Birtokbavétellel megszerzett, az "Ingatlanok, gépek és berendezések (PP&E)" besorolású biztosítéktól eltérő biztosítékok: be- és kiáramlások (25.1.)
342. A 25.1. tábla a birtokbavétellel megszerzett, az "Ingatlanok, gépek és berendezések (PP&E)" besorolású biztosítéktól eltérő biztosítékok állományának a pénzügyi év kezdetén fennálló nyitó egyenlege és a záró egyenlege közti egyeztetés bemutatására szolgál. Emellett a tábla információt szolgáltat a kapcsolódó "adósságegyenleg-csökkentésről", valamint a birtokbavétellel megszerzett biztosíték kezdeti megjelenítéskori értékéről.
343. Az "adósságegyenleg-csökkentés" a birtokbavétellel megszerzett biztosítékért cserébe a mérlegből kivezetett kitettség bruttó könyv szerinti értéke a csere pontos időpontjában, valamint a kapcsolódó értékvesztések és a hitelkockázat-változásból származó negatív valósérték-változások halmozott összege abban az adott időpontban. Amennyiben a csere időpontjában leírásra került sor, annak összegét szintén figyelembe kell venni az adósságegyenleg-csökkentés részeként. A mérlegből más okok, például pénzeszköz beszedése miatt történő kivezetéseket nem kell feltüntetni.
344. A "Kezdeti megjelenítéskori érték" jelentése azonos az e rész 175i. bekezdésében leírttal.
345. A "beáramlás az időszak alatt" tekintetében:
a) a birtokbavétellel megszerzett biztosíték magában foglalja a következőket: i. az időszak alatt (a pénzügyi év kezdete óta) birtokbavétellel megszerzett új biztosíték, függetlenül attól, hogy a biztosítékot a vonatkozási időpontban továbbra is megjelenítik-e (tartott) az intézmény mérlegében, és ii. a biztosíték értékelésének pozitív változása az időszak alatt különböző okokból (például a valós érték pozitív változása, felértékelődés, értékvesztés visszaírása, számviteli politika változása). A beáramlások ezen típusait külön kiegészítésként kell feltüntetni;
b) az "adósságegyenleg-csökkentés" a kivezetett kitettség adósságegyenleg-csökkentését tükrözi az időszak alatt megszerzett biztosítékkal összefüggésben.
346. A "kiáramlás az időszak alatt" tekintetében:
a) a birtokbavétellel megszerzett biztosíték magában foglalja a következőket: i. az időszak alatt pénzeszközért értékesített biztosíték; ii. az időszak alatt pénzügyi instrumentummal való helyettesítés mellett értékesített biztosíték; és iii. a biztosíték értékének negatív változásai az időszak alatt különböző okokból (például a valós érték negatív változása, leértékelődés, értékvesztés, leírás, számviteli politika változása). A kiáramlások ezen típusait külön kell feltüntetni. Amennyiben biztosítékot mind pénzeszközért, mind pénzügyi instrumentumokért cserébe vezetik ki, a vonatkozó összegeket fel kell osztani, és a két kiáramlástípushoz kell rendelni. A "biztosíték értékesítése pénzügyi instrumentumokkal való helyettesítés mellett" olyan esetekre vonatkozik, amelyekben a biztosítékot értékesítik egy partnernek, és annak e partner általi megszerzését az adatszolgáltató intézmény finanszírozza;
b) az "adósságegyenleg-csökkentés" a kitettség adósságegyenleg-csökkentését tükrözi azon esetekkel összefüggésben, amikor a biztosítékot az időszak alatt pénzeszközért értékesítették vagy pénzügyi instrumentumokkal helyettesítették.
347. A biztosíték pénzeszközért történő értékesítése esetében a "Kiáramlás, amely esetében pénzeszköz beszedésére került sor" egyenlő a "Beszedett pénzeszköz költségek nélkül" és a "Birtokbavétellel megszerzett biztosíték értékesítéséből származó nyereség/(-) veszteség" összegével. A "Beszedett pénzeszköz költségek nélkül" a kapott pénzeszközök tranzakciós költségek - például ügynököknek fizetett díjak és jutalékok, átruházással kapcsolatos adók és illetékek - nélküli összege. A "Birtokbavétellel megszerzett biztosíték értékesítéséből származó nyereség/(-) veszteség" a kivezetés napján értékelt biztosíték könyv szerinti értéke és a tranzakciós költségek nélküli kapott pénzeszközök összege közötti különbözet. Az e rész 346. bekezdésében leírtak szerinti, biztosíték pénzügyi instrumentumokkal történő helyettesítése esetében a nyújtott finanszírozás könyv szerinti értékét kell feltüntetni.
348. A birtokbavétellel megszerzett biztosítékot a biztosíték "évjárata" szerinti bontásban kell feltüntetni, vagyis azon időtartam alapján, amióta a biztosítékot megjelenítik az intézmény mérlegében.
349. A megszerzett biztosíték évjárat szerinti feltüntetése keretében a biztosíték mérlegbeli "idősödését", vagyis az előre meghatározott évjárat-kategóriák közötti mozgását sem beáramlásként, sem kiáramlásként nem kell feltüntetni.
33.2. Birtokbavétellel megszerzett, az "Ingatlanok, gépek és berendezések (PP&E)" besorolású biztosítéktól eltérő biztosítékok - Megszerzett biztosíték típusa szerint (25.2.)
350. A 25.2. tábla tartalmazza az e rész 341. bekezdésében meghatározottak szerinti birtokbavétellel megszerzett biztosíték biztosítéktípus szerinti részletezését. A tábla a vonatkozási időpontban a mérlegben megjelenített biztosítékot tükrözi, függetlenül attól, hogy mely időpontban szerezték meg. Emellett a tábla információval szolgál a kapcsolódó "adósságegyenleg-csökkentésről" és a "kezdeti megjelenítéskori értékről" az e rész 343. és 344. bekezdésében meghatározottak szerint, valamint a birtokbavétellel megszerzett és a vonatkozási időpontban a mérlegben megjelenített biztosítékok számáról.
351. A biztosítéktípusok az e rész 173. bekezdésében említett biztosítéktípusok, a szóban forgó bekezdés b) i. pontjában szereplők kivételével.
352. Az ingatlanbiztosítékok tekintetében a következő információkat külön sorokban kell feltüntetni:
a) építés vagy fejlesztés alatt álló ingatlan;
b) a kereskedelmi ingatlanok tekintetében a kereskedelmi ingatlannal foglalkozó vállalatokhoz kapcsolódó telek formáját öltő biztosíték, a mezőgazdasági földterület kivételével. Külön információt kell kiegészítésként feltüntetni az építési engedéllyel rendelkező és nem rendelkező telkekről.
33.3. Birtokbavétellel megszerzett, "Ingatlanok, gépek és berendezések (PP&E)" besorolású biztosítékok (25.3.)
353. A 25.3. táblában a birtokbavétellel megszerzett, "Ingatlanok, gépek és berendezések (PP&E)" besorolású biztosítékokra vonatkozó információkat kell feltüntetni. Emellett a tábla információt szolgáltat a kapcsolódó "adósságegyenleg-csökkentésről", valamint a "kezdeti megjelenítéskori értékről" az e rész 343. és 344. bekezdésében meghatározottaknak megfelelően.
354. Információt kell szolgáltatni a biztosíték vonatkozási időpontban fennálló állományáról, függetlenül a biztosíték megszerzésének időpontjától, valamint a vonatkozási időszak kezdete és vége közötti időszak alatt birtokbavétellel megszerzett új, és a vonatkozási időpontban a mérlegben megjelenítve maradó biztosíték miatti beáramlásokról. Az "adósságegyenleg-csökkentés" tekintetében az "Összesen" sor tükrözi a biztosítékhoz kapcsolódó adósságegyenleg-csökkentést a vonatkozási időpontban, a "Birtokbavétellel megszerzett új biztosíték miatti beáramlások" sor pedig az időszak alatt megszerzett biztosítékhoz kapcsolódó adósságegyenleg-csökkentést.
34. ÁTSTRUKTURÁLÁS-KEZELÉS ÉS AZ ÁTSTRUKTURÁLÁS MINŐSÉGE (26.)
355. A 26. tábla részletes információkat tartalmaz az e rész 240-268. bekezdésével összhangban átstrukturáltként besorolt hitelekre és előlegekre vonatkozóan, az értékesítésre tartottként besorolt instrumentumok kivételével. Az e rész 241. bekezdésében meghatározottak szerint egy problémás kölcsönszerződés korábbi feltételeinek módosításához vagy teljes vagy részleges újrafinanszírozásához köthető átstrukturált kitettségeket az átstrukturálási intézkedések konkrétabb típusai szerint kell részletezni.
356. Az "Instrumentumok száma" sorban feltüntetendő értékeket az e rész 320. bekezdésének meghatározása szerint kell megállapítani.
357. Az átstrukturált kitettségek bruttó könyv szerinti értékét az átstrukturálási intézkedés típusát tükröző kategóriához kell rendelni. Amennyiben valamely kitettségre több átstrukturálási intézkedést alkalmaztak, az átstrukturált kitettségek bruttó könyv szerinti értékét az átstrukturálási intézkedések legrelevánsabb típusához kell rendelni. Ez utóbbit az alapján kell meghatározni, hogy mely típusú átstrukturálási intézkedés van a legnagyobb hatással az átstrukturált kitettség nettó jelenértékére, vagy bármely más, alkalmazandónak ítélt módszer használatával.
358. Az átstrukturálási intézkedések típusai a következők:
a) türelmi idő/törlesztési moratórium: a törlesztési kötelezettségek ideiglenes felfüggesztése a tőke vagy a kamat tekintetében, a törlesztést egy későbbi időpontban kell folytatni;
b) kamatlábcsökkentés: a (fix vagy változó) kamatláb tartós vagy ideiglenes, méltányos és fenntartható rátára történő csökkentése;
c) lejárat/futamidő meghosszabbítása: a kitettség futamidejének meghosszabbítása, amely magában foglalja a részletek összegének csökkentését azáltal, hogy hosszabb időre terül szét a törlesztés;
d) átütemezett fizetések: a szerződésben rögzített törlesztésütemezés - a türelmi időtől/törlesztési moratóriumtól, a lejárat/futamidő meghosszabbításától és az adósságelengedéstől eltérő - módosítása a részletek összegének megváltoztatásával vagy anélkül. Ebbe a kategóriába tartozik többek között a fenntartható átütemezett program keretében törlesztendő fennálló tőkeegyenleg hátralékának és/vagy felhalmozott kamathátralékának a tőkésítése; a tőketörlesztés részletei összegének egy meghatározott időtartamig tartó csökkentése, függetlenül attól, hogy a kamatokat továbbra is teljes mértékben meg kell fizetni vagy a kamatokat tőkésítik vagy elengedik;
e) adósságelengedés: a kitettség adatszolgáltató intézmény általi részleges törlése a kitettség jogszerű behajtására irányuló jog elvesztése miatt;
f) hitel/eszköz csere: a hitelviszonyt megtestesítő instrumentumok formájában fennálló kitettségek részleges helyettesítése eszközökkel vagy saját tőkével;
g) egyéb átstrukturálási intézkedések, többek között a problémás kölcsönszerződés teljes vagy részleges újrafinanszírozása.
359. Amennyiben az átstrukturálási intézkedés hatással van a kitettség bruttó könyv szerinti értékére, a vonatkozási időpontban fennálló - vagyis az átstrukturálási intézkedés alkalmazása utáni - bruttó könyv szerinti értéket kell feltüntetni. Újrafinanszírozás esetén az átstrukturálásnak minősülő új szerződés bruttó könyv szerinti értékét (újrafinanszírozó kölcsön), valamint a régi, visszafizetett szerződés még fennálló bruttó könyv szerinti értékét kell feltüntetni.
360. Az alábbi tételeket külön sorokban kell feltüntetni:
a) több időpontban átstrukturált instrumentumok, ahol:
i. a "kétszer" és "kettőnél többször" átstrukturált hitelek és előlegek az e rész 240-268. bekezdésével összhangban az adatszolgáltatási vonatkozási időpontban átstrukturáltként besorolt olyan kitettségek, amelyekre kettő, illetve kettőnél több különböző időpontban alkalmaztak átstrukturálási intézkedéseket. Ide tartoznak többek között azok az eredetileg átstrukturált kitettségek, amelyek kiléptek az átstrukturált státuszból (gyógyult átstrukturált kitettségek), de ezt követően újabb átstrukturálási intézkedés tárgyát képezték;
ii. a "Hitelek és előlegek, amelyek már meglévő átstrukturálási intézkedések mellett részesültek átstrukturálási intézkedésben" olyan, próbaidőszakban lévő átstrukturált kitettségek, amelyekre egy korábbi időpontban nyújtott átstrukturálási intézkedések mellett alkalmaztak átstrukturálási intézkedéseket, anélkül, hogy közben a kitettség gyógyulttá vált volna;
b) a nemteljesítő besorolásból való kilépés feltételeit nem teljesítő, nemteljesítő átstrukturált kitettségek. Ide tartoznak azok a nemteljesítő átstrukturált kitettségek, amelyek az e rész 231. bekezdésének b) pontjában meghatározott 1 éves próbaidőszak végén az e rész 232. bekezdésében leírtak szerint nem teljesítették a nemteljesítőként való besorolás megszüntetésének feltételeit.
361. Külön oszlopban kell feltüntetni azokat a kitettségeket, amelyekre az utolsó pénzügyi év vége óta alkalmaztak átstrukturálási intézkedéseket.
35. HITELEK ÉS ELŐLEGEK: ÁTLAGOS IDŐTARTAM ÉS MEGTÉRÜLÉSI IDŐSZAKOK (47.)
362. A 47. táblában megadott információk a hitelekre és előlegekre vonatkoznak, a kereskedési céllal tartott, a kereskedési célú pénzügyi eszközök vagy az értékesítésre tartott besorolású hitelek és előlegek kivételével.
363. Az "esedékesség napjától eltelt súlyozott átlagos időtartam (években)" e rész 213-239. vagy 260. bekezdésének megfelelően a vonatkozási időpontban nemteljesítőként besorolt kitettségek késedelmes napjai számának súlyozott átlagaként számítandó ki. A nem késedelmes nemteljesítő kitettségeket e számítás során nulla késedelmes nappal kell figyelembe venni. A kitettségeket a vonatkozási időpontban értékelt bruttó könyv szerinti érték alapján kell súlyozni. Az esedékesség napja óta eltelt súlyozott átlagos időtartamot években kell kifejezni (tizedesjeggyel).
364. A nemteljesítő hitelekkel és előlegekkel kapcsolatos, az időszak alatt lezárult peres eljárások eredményeiről a következő információkat kell megadni:
a) nettó kumulált megtérülés: ide tartoznak a bíróság előtt lefolytatott eljárásokból származó megtérülések. Az önkéntes megállapodásokból származó megtérülések nem tüntethetők fel;
b) bruttó könyv szerinti érték csökkenése: ez a tétel tartalmazza a peres eljárás lezárása következtében kivezetett nemteljesítő hitelek és előlegek bruttó könyv szerinti értékét. Ide tartoznak a kapcsolódó leírások;
c) az időszak alatt lezárult peres eljárások átlagos időtartama: az instrumentum e rész 322. bekezdése szerinti "per alatti státuszban" lévőként való besorolásának napja és a jogi eljárás lezárásának napja között eltelt idő átlagaként számítandó ki; években kell kifejezni (tizedesjegyekkel).
3. RÉSZ
A KITETTSÉGI OSZTÁLYOK ÉS ÜGYFÉLSZEKTOROK MEGFELELTETÉSE
1. A 2. és a 3. táblázat a tőkekövetelmények CRR szerinti kiszámításához használandó kitettségi osztályokat felelteti meg a FINREP-táblákban használt ügyfélszektoroknak.
2. táblázat
Sztenderd módszer
| SA kitettségi osztályok (CRR 112. cikke) | FINREP ügyfélszektorok | Megjegyzések | 
| a) Központi kormányzatok vagy központi bankok | (1)  Központi bankok (2) Államháztartások | Ezeket a kitettségeket a közvetlen partner jellege alapján kell hozzárendelni a FINREP ügyfélszektorokhoz | 
| b) Regionális kormányzatok vagy helyi hatóságok | (2) Államháztartások | Ezeket a kitettségeket a közvetlen partner jellege alapján kell hozzárendelni a FINREP ügyfélszektorokhoz | 
| c) Közszektorbeli intézmények | (2)  Államháztartások (3) Hitelintézetek (4) Egyéb pénzügyi vállalatok (5) Nem pénzügyi vállalatok | Ezeket a kitettségeket a közvetlen partner jellege alapján kell hozzárendelni a FINREP ügyfélszektorokhoz | 
| d) Multilaterális fejlesztési bankok | (3) Hitelintézetek | Ezeket a kitettségeket a közvetlen partner jellege alapján kell hozzárendelni a FINREP ügyfélszektorokhoz | 
| e) Nemzetközi szervezetek | (2) Államháztartások | Ezeket a kitettségeket a közvetlen partner jellege alapján kell hozzárendelni a FINREP ügyfélszektorokhoz | 
| f)  Intézmények (vagyis hitelintézetek és befektetési vállalkozások) | (3)  Hitelintézetek (4) Egyéb pénzügyi vállalatok | Ezeket a kitettségeket a közvetlen partner jellege alapján kell hozzárendelni a FINREP ügyfélszektorokhoz | 
| g) Vállalkozások | (2)  Államháztartások (4) Egyéb pénzügyi vállalatok (5) Nem pénzügyi vállalatok (6) Háztartások | Ezeket a kitettségeket a közvetlen partner jellege alapján kell hozzárendelni a FINREP ügyfélszektorokhoz | 
| h) Lakosság | (4)  Egyéb pénzügyi vállalatok (5) Nem pénzügyi vállalatok (6) Háztartások | Ezeket a kitettségeket a közvetlen partner jellege alapján kell hozzárendelni a FINREP ügyfélszektorokhoz | 
| i) Ingatlanra bejegyzett zálogjoggal fedezett kitettségek | (2)  Államháztartások (3) Hitelintézetek (4) Egyéb pénzügyi vállalatok (5) Nem pénzügyi vállalatok (6) Háztartások | Ezeket a kitettségeket a közvetlen partner jellege alapján kell hozzárendelni a FINREP ügyfélszektorokhoz. | 
| j) Nemteljesítő | (1)  Központi bankok (2) Államháztartások (3) Hitelintézetek (4) Egyéb pénzügyi vállalatok (5) Nem pénzügyi vállalatok (6) Háztartások | Ezeket a kitettségeket a közvetlen partner jellege alapján kell hozzárendelni a FINREP ügyfélszektorokhoz. | 
| ja) Kiemelkedően magas kockázatú tételek | (1)  Központi bankok (2) Államháztartások (3) Hitelintézetek (4) Egyéb pénzügyi vállalatok (5) Nem pénzügyi vállalatok (6) Háztartások | Ezeket a kitettségeket a közvetlen partner jellege alapján kell hozzárendelni a FINREP ügyfélszektorokhoz. | 
| k) Fedezett kötvények | (3)  Hitelintézetek (4) Egyéb pénzügyi vállalatok (5) Nem pénzügyi vállalatok | Ezeket a kitettségeket a közvetlen partner jellege alapján kell hozzárendelni a FINREP ügyfélszektorokhoz | 
| l) Értékpapírosítási pozíciók | (2)  Államháztartások (3) Hitelintézetek (4) Egyéb pénzügyi vállalatok (5) Nem pénzügyi vállalatok (6) Háztartások | Ezeket a kitettségeket az értékpapírosítás mögöttes kockázata alapján kell hozzárendelni a FINREP ügyfélszektorokhoz. Amikor az értékpapírosítási pozíciók továbbra is szerepelnek a mérlegben, a FINREP-ben az ügyfélszektorok az ezen pozíciók közvetlen partnereinek szektorát jelentik. | 
| m) Rövid távú hitelminősítéssel rendelkező intézmények és vállalatok | (3)  Hitelintézetek (4) Egyéb pénzügyi vállalatok (5) Nem pénzügyi vállalatok | Ezeket a kitettségeket a közvetlen partner jellege alapján kell hozzárendelni a FINREP ügyfélszektorokhoz. | 
| n) Kollektív befektetési formák | Tulajdoni részesedést megtestesítő instrumentumok | A KBF-be történő befektetéseket tulajdoni részesedést megtestesítő instrumentumként kell a FINREP-ben feltüntetni, függetlenül attól, hogy a CRR lehetővé teszi-e a vizsgálati módszert („look-through”). | 
| o) Saját tőke | Tulajdoni részesedést megtestesítő instrumentumok | A FINREP-ben a részvényeket instrumentumként el kell különíteni a pénzügyi eszközök különböző kategóriáiban. | 
| p) Egyéb tételek | A mérleg különböző tételei | A FINREP-ben az egyéb tételek különböző eszközkategóriákban szerepelhetnek. | 
3. táblázat
Belső minősítésen alapuló módszer
| IRBA Kitettségi osztályok (CRR 147. cikke) | FINREP ügyfélszektorok | Megjegyzések | 
| a) Központi kormányzatok és központi bankok | (1)  Központi bankok (2) Államháztartások (3) Hitelintézetek | Ezeket a kitettségeket a közvetlen partner jellege alapján kell hozzárendelni a FINREP ügyfélszektorokhoz | 
| b)  Intézmények (vagyis hitelintézetek és befektetési vállalkozások, valamint bizonyos államháztartások és multilaterális bankok) | (2)  Államháztartások (3) Hitelintézetek (4) Egyéb pénzügyi vállalatok | Ezeket a kitettségeket a közvetlen partner jellege alapján kell hozzárendelni a FINREP ügyfélszektorokhoz | 
| c) Vállalkozások | (2)  Államháztartások (4) Egyéb pénzügyi vállalatok (5) Nem pénzügyi vállalatok (6) Háztartások | Ezeket a kitettségeket a közvetlen partner jellege alapján kell hozzárendelni a FINREP ügyfélszektorokhoz | 
| d) Lakosság | (4)  Egyéb pénzügyi vállalatok (5) Nem pénzügyi vállalatok (6) Háztartások | Ezeket a kitettségeket a közvetlen partner jellege alapján kell hozzárendelni a FINREP ügyfélszektorokhoz | 
| e) Saját tőke | Tulajdoni részesedést megtestesítő instrumentumok | A FINREP-ben a részvényeket instrumentumként el kell különíteni a pénzügyi eszközök különböző kategóriáiban. | 
| f) Értékpapírosítási pozíciók | (2)  Államháztartások (3) Hitelintézetek (4) Egyéb pénzügyi vállalatok (5) Nem pénzügyi vállalatok (6) Háztartások | Ezeket a kitettségeket az értékpapírosítási pozíció mögöttes kockázata alapján kell hozzárendelni a FINREP ügyfélszektorokhoz. Amikor az értékpapírosítási pozíciók továbbra is szerepelnek a mérlegben, a FINREP-ben az ügyfélszektorok az ezen pozíciók közvetlen partnereinek szektorát jelentik. | 
| g) Egyéb nem hiteljellegű kötelezettségek | A mérleg különböző tételei | A FINREP-ben az egyéb tételek különböző eszközkategóriákban szerepelhetnek. | 
VI. MELLÉKLET
INGATLANFEDEZETŰ HITELEKBŐL SZÁRMAZÓ VESZTESÉGEKRE VONATKOZÓ ADATSZOLGÁLTATÁS
| INGATLANFEDEZETŰ KITETTSÉGEK ÉS EZEKBŐL SZÁRMAZÓ VESZTESÉGEK | |||
| Tábla száma | Tábla kódja | Tábla/táblacsoport neve | Rövid név | 
| INGATLANFEDEZETŰ KITETTSÉGEK ÉS EZEKBŐL SZÁRMAZÓ VESZTESÉGEK | LE | ||
| 15 | C 15.00 | Ingatlanfedezetű kitettségek és ezekből származó veszteségek | CR IP LOSSES | 
C 15.00 - INGATLANFEDEZETŰ KITETTSÉGEK ÉS EZEKBŐL SZÁRMAZÓ VESZTESÉGEK (CR IP LOSSES)
Ország:
| Veszteségek | Kitettségek | |||||
| A maximális jelzálog-fedezeti értékig terjedő hitelezésből eredő veszteségek összege | A teljes veszteség összege | Kitettségek összege | ||||
| ebből: jelzálog-fedezeti értékkel értékelt ingatlan | ebből: jelzálog-fedezeti értékkel értékelt ingatlan | |||||
| Sor | oszlop | 010 | 020 | 030 | 040 | 050 | 
| fedezet: | ||||||
| 010 | Lakóingatlan | |||||
| 020 | Kereskedelmi ingatlan | |||||
VII. MELLÉKLET
ÚTMUTATÓ AZ INGATLANFEDEZETŰ HITELEKBŐL SZÁRMAZÓ VESZTESÉGEKRE VONATKOZÓ ADATSZOLGÁLTATÁSHOZ
1. Ez a melléklet a rendelet VI. mellékletében szereplő táblázatokkal kapcsolatos további útmutatót tartalmaz. Ez a melléklet hivatkozások formájában kiegészítő útmutatást ad a VI. melléklet táblázatainak kitöltéséhez.
2. A rendelet II. mellékletének I. részében szereplő általános útmutató szintén alkalmazandó.
1. Az adatszolgáltatás hatálya
3. Az adatszolgáltatás hatálya alá a tőkekövetelmény-rendelet (a továbbiakban: CRR) 101. cikkének (1) bekezdésében meghatározott adatok tartoznak minden olyan intézmény esetében, amely a CRR harmadik része II. címének alkalmazásában ingatlant használ.
4. A tábla minden olyan nemzeti piacot lefed, amelynek valamely intézmény/intézménycsoport kitett (lásd a CRR 101. cikkének (1) bekezdését). A 101. cikk (2) bekezdésének harmadik mondata szerint az Unión belüli minden ingatlanpiac vonatkozásában külön kell adatot szolgáltatni.
2. Fogalommeghatározások
5. "Veszteség": a CRR 5. cikkének (2) bekezdésében meghatározottak szerinti "gazdasági veszteség", beleértve a lízingelt ingatlanból származó veszteségeket is. Az egyéb forrásokból (pl. bankgaranciákból, életbiztosításból stb.) származó megtérülések nem ismerendők el az ingatlanból származó veszteség számításánál. Valamely pozíció vesztesége nem számolható el egy sikeresen megtérült másik pozíció nyereségével szemben.
6. A CRR 5. cikkének (2) bekezdésében szereplő fogalommeghatározás szerint a lakó- és kereskedelmi ingatlanokkal biztosított kitettségek esetén a gazdasági veszteség kiszámításánál az adatszolgáltatás napján fennálló kitettségértékből kell kiindulni, és annak legalább a következőket kell tartalmaznia: i. a biztosíték érvényesítéséből származó bevételeket; ii. a közvetlen költségeket (beleértve a kamatfizetéseket és a biztosíték érvényesítéséhez kapcsolódó behajtás költségeit); és iii. a közvetett költségeket (beleértve a kintlévőségkezelési egység működési költségeit). Minden elemet diszkontálni kell az adatszolgáltatás vonatkozási napjára.
7. Kitettségérték: a kitettségértéket a CRR harmadik része II. címében rögzített szabályok szerint kell kiszámítani (a sztenderd módszer szerint működő intézmények esetében lásd a 2. fejezetet, míg az IRB-módszer szerint működő intézmények esetében a 3. fejezetet).
8. Ingatlanérték: az ingatlanérték a CRR harmadik része II. címében rögzített szabályokat követi.
9. Devizahatás: az adatszolgáltatás pénznemét az adatszolgáltatás vonatkozási napján érvényes devizaárfolyammal együtt kell feltüntetni. Továbbá, a gazdasági veszteségekre vonatkozó becsléseknek figyelembe kell venniük a devizahatást, ha a kitettség vagy a biztosíték más pénznemben denominált.
3. Földrajzi megoszlás
10. Az adatszolgáltatás hatályával összhangban az ingatlannal biztosított hitelekből származó kitettségekkel és veszteségekkel kapcsolatos (CR IP Losses) adatszolgáltatásnak a következő táblákból kell állnia:
a) egy összesítő tábla
b) külön tábla az Unión belüli minden olyan nemzeti piac vonatkozásában, amelynek az intézmény kitett, továbbá
c) egy, az Unión kívüli minden olyan nemzeti piac adatát összesítő tábla, amelynek az intézmény kitett.
4. Kitettségekre és veszteségekre vonatkozó adatszolgáltatás
11. Kitettségek: a CR IP Losses táblában a CRR harmadik részének II. címe szerint kezelt valamennyi kitettséget és az olyan eseteket kell szerepeltetni, ahol a biztosíték a kockázattal súlyozott kitettségérték csökkentését szolgálja. Ez azt is jelenti, hogy abban az esetben, ha az ingatlan kockázatmérséklő hatását kizárólag belső célokra (pl. a 2. pillér keretében) vagy nagy kitettségekre (lásd a CRR negyedik részét) használják, az érintett kitettségeket és veszteségeket nem kell jelenteni.
12. Veszteségek: a veszteségeket az adatszolgáltatási időszak végén kitettséggel rendelkező intézménynek kell jelentenie. A veszteségeket a céltartalékok számviteli szabályok szerinti lekönyvelésekor kell jelenteni. A becsült veszteségeket szintén jelenteni kell. A veszteségekről szóló adatokat minden egyes hitelre vonatkozóan kell összegyűjteni, vagyis az ingatlanfedezetű kitettségekből származó egyedi veszteségadatokat összesíteni kell.
13. Vonatkozási időpont: a veszteségek jelentéséhez a nemteljesítéskori kitettségértéket kell használni.
a) Az ingatlannal fedezett hitelek adott adatszolgáltatási időszak alatt bekövetkezett valamennyi nemteljesítésének veszteségét jelenteni kell függetlenül attól, hogy a behajtás az adott időszakban lezárult-e vagy sem. A június 30-án jelentett veszteségadatoknak a január 1-jétől június 30-ig tartó időszakra, a december 31-én jelentett veszteségadatoknak a teljes naptári évre kell vonatkozniuk. Mivel jelentős lehet a nemteljesítés és a veszteség realizálása közötti időbeli eltérés, a veszteség becslését (amely tartalmazza a még le nem zárt behajtást) kell jelenteni olyan esetekben, amikor a behajtás az adatszolgáltatási időszak alatt nem zárult le.
b) Az adatszolgáltatási időszak alatt bekövetkező minden nemteljesítésre három forgatókönyv létezik: i. a nemteljesítő hitel átstrukturálható úgy, hogy azt ne nemteljesítőként kezeljük (veszteség nem jelentkezett); ii. minden biztosíték érvényesítése megtörtént (lezárult behajtás, tényleges veszteség ismert); vagy iii. le nem zárult behajtás (veszteségbecslést kell használni). A veszteségre vonatkozó adatszolgáltatás csak a ii. forgatókönyv - biztosíték érvényesítése (bekövetkezett veszteség) és a iii. forgatókönyv - le nem zárult behajtás (veszteségbecslés) veszteségeit tartalmazza.
c) Mivel csak az adatszolgáltatási időszak alatt nemteljesítővé váló kitettségekből származó veszteségeket kell jelenteni, az előző adatszolgáltatási időszakok alatt nemteljesítővé vált kitettségeken keletkező veszteségek változásait az adatszolgáltatás adatai nem tükrözik. Tehát, a biztosíték érvényesítéséből egy későbbi adatszolgáltatási időszak alatt származó bevételeket vagy a korábban becsültnél alacsonyabb realizált költségeket nem kell jelenteni.
14. Az ingatlan értékelésének szerepe: a kitettségek ingatlanra bejegyzett zálogjoggal fedezett részének jelentéséhez a kitettség nemteljesítésének napját mint vonatkozási időpontot megelőző legfrissebb ingatlanértékelést kell figyelembe venni. A nemteljesítés után az ingatlan újraértékelhető. Ez az új érték azonban nem lehet releváns a kitettség azon részének meghatározása szempontjából, amely eredetileg teljes mértékben (és teljeskörűen) zálogjoggal volt fedezve. Az ingatlan új értékét azonban a gazdasági veszteség jelentésekor figyelembe kell venni (a csökkent ingatlanérték a gazdasági költségek részét képezi). Másképp fogalmazva: a nemteljesítés időpontja előtti legutolsó ingatlanértékelést kell használni annak meghatározására, hogy a veszteség mely részét kell az adatszolgáltatás 010-es (teljes mértékben és teljeskörűen fedezett kitettségértékek meghatározása) cellájában szerepeltetni, a jelentendő összeghez tartozó újraértékelt ingatlanértéket (a biztosíték esetleges behajtásából származó bevétel becslése) pedig a 010-es és 030-as cellákban kell feltüntetni.
15. A követelések átruházásának kezelése az adatszolgáltatási időszak alatt: a veszteségeket az adatszolgáltatási időszak végén kitettséggel rendelkező intézménynek kell jelentenie, de csak akkor, ha az adott kitettség vonatkozásában nemteljesítést tártak fel.
5. A tábla egyes részeire vonatkozó útmutató
| Oszlopok | |
| 010 | A referenciaarányokig történő hitelezésből származó veszteségek összege A CRR 101. cikke (1) bekezdésének a), illetve d) pontja. Piaci érték és jelzálog-hitelbiztosítéki érték a CRR 4. cikkének 74. és 76. pontja szerint. Ez az oszlop a lakóingatlannal vagy kereskedelmi ingatlannal biztosított hitelekből származó összes veszteséget összesíti a CRR 124. cikkének (1) bekezdése értelmében a kitettség teljes mértékben és teljeskörűen fedezettként kezelt részéig. | 
| 020 | ebből: jelzálog-hitelbiztosítéki értéken értékelt ingatlan Itt azon veszteségeket kell jelenteni, amelyeknél a biztosíték értékét jelzálog-hitelbiztosítéki értékként számították. | 
| 030 | A teljes veszteség összege A CRR 101. cikke (1) bekezdésének b), illetve e) pontja. Piaci érték és jelzálog-hitelbiztosítéki érték a CRR 4. cikkének 74. és 76. pontja szerint. Ez az oszlop a lakóingatlannal vagy kereskedelmi ingatlannal biztosított hitelekből származó összes veszteséget összesíti a CRR 124. cikkének (1) bekezdése értelmében a kitettség teljes mértékben fedezettként kezelt részéig. | 
| 040 | ebből: jelzálog-hitelbiztosítéki értéken értékelt ingatlan Itt azon veszteségeket kell jelenteni, amelyeknél a biztosíték értékét jelzálog-hitelbiztosítéki értékként számították. | 
| 050 | Kitettségek összege A CRR 101. cikke (1) bekezdésének c), illetve f) pontja. Az adatszolgáltatásban szerepeltetendő összeg a kitettségértéknek csak a teljes mértékben fedezettként kezelt része, vagyis a fedezetlenként kezelt rész a veszteség jelentése szempontjából nem releváns. Nemteljesítés esetén kitettségértékként a nemteljesítést közvetlenül megelőző kitettségértéket kell megadni. | 
| Sorok | |
| 010 | Lakóingatlan | 
| 020 | Kereskedelmi ingatlan | 
VIII. MELLÉKLET
A NAGYKOCKÁZAT-VÁLLALÁSRA ÉS A KONCENTRÁCIÓS KOCKÁZATRA VONATKOZÓ ADATSZOLGÁLTATÁS TÁBLÁI
A NAGYKOCKÁZAT-VÁLLALÁSRA VONATKOZÓ TÁBLÁK
| A tábla száma | A tábla kódja | Tábla / Táblacsoport neve | Rövid név | 
| NAGYKOCKÁZATOK VÁLLALÁSA | LE | ||
| 26 | C 26.00 | Nagykockázat-vállalásokra vonatkozó limitek | LE LIMITS | 
| 27 | C 27.00 | A partner azonosítása | LE 1 | 
| 28 | C 28.00 | A kereskedési könyvben nem szereplő és a kereskedési könyvben szereplő kitettségek | LE 2 | 
| 29 | C 29.00 | Az egymással kapcsolatban álló ügyfelek csoportjain belüli egyedi ügyfelekkel szembeni kitettségek részletei | LE 3 | 
| 30 | C 30.00 | A kereskedési könyvben nem szereplő és a kereskedési könyvben szereplő kitettségek lejárati csoportjai | LE 4 | 
| 31 | C 31.00 | Az egymással kapcsolatban álló ügyfelek csoportjain belüli egyedi ügyfelekkel szembeni kitettségek lejárati csoportjai | LE 5 | 
C 26.00 - Nagykockázat-vállalásokra vonatkozó limitek (LE LIMITS)
| Alkalmazandó limit | ||
| oszlop | ||
| 010 | ||
| sor | ||
| 010 | Nem intézményi partnerek | |
| 020 | Intézmények | |
| 030 | Intézmények: a limit a szavatolótőke %-ában | |
C 27.00 - A partner azonosítása (LE 1)
| A PARTNER AZONOSÍTÁSA | ||||||
| Kód | Név | LEI-kód | A partner székhelye | A partner ágazata | NACE-kód | Partner típusa | 
| 010 | 020 | 030 | 040 | 050 | 060 | 070 | 
C 28.00 - A kereskedési könyvben nem szereplő és a kereskedési könyvben szereplő kitettségek (LE 2)
| PARTNER | EREDETI KITETTSÉGEK | (-) Értékelési kiigazítások és céltartalékok | (-) A szavatolótőkéből levont kitettségek | A mentességek alkalmazása és a hitelkockázat-mérséklés előtti kitettségérték | FIGYELEMBE VEHETŐ HITELKOCKÁZAT-MÉRSÉKLÉSI TECHNIKÁK | (-) Mentesített kitettségek összege | A mentességek alkalmazása és a hitelkockázat-mérséklés utáni kitettségérték | |||||||||||||||||||||||||||
| Kód | Csoport vagy egyedi ügyfél | Olyan ügyletek, amelyek esetében kitettség van az alapul szolgáló eszközökkel szemben | (-) A figyelembe vehető hitelkockázat-mérséklési technikák helyettesítési hatása | (-) A helyettesítési hatástól eltérő, előre rendelkezésre bocsátott hitelkockázati fedezet | (-) Ingatlan | |||||||||||||||||||||||||||||
| Közvetlen kitettségek | Közvetett kitettségek | Olyan ügyletekből adódó további kitettségek, amelyek esetében az alapul szolgáló eszközökkel szemben kitettség áll fenn | ||||||||||||||||||||||||||||||||
| Teljes eredeti kitettség | Ebből: nemteljesítő kitettségek | Hitelviszonyt megtestesítő instrumentumok | Tulajdoni részesedést megtestesítő instrumentumok | Származtatott ügyletek | Mérlegen kívüli tételek | Hitelviszonyt megtestesítő instrumentumok | Tulajdoni részesedést megtestesítő instrumentumok | Származtatott ügyletek | Mérlegen kívüli tételek | Összesen | Ebből: Nem kereskedési könyv | A figyelembe vehető szavatolótőke %-ában | (-) Hitelviszonyt megtestesítő instrumentumok | (-) Tulajdoni részesedést megtestesítő instrumentumok | (-) Származtatott ügyletek | (-) Mérlegen kívüli tételek | Összesen | Ebből: Nem kereskedési könyv | A figyelembe vehető szavatolótőke %-ában | |||||||||||||||
| Hitelnyújtási kötelezettség-vállalások | Pénzügyi garanciák | Egyéb kötelezettségvállalások | Hitelnyújtási kötelezettség-vállalások | Pénzügyi garanciák | Egyéb kötelezettség-vállalások | (-) Hitelnyújtási kötelezettség-vállalások | (-) Pénzügyi garanciák | (-) Egyéb kötelezettség-vállalások | ||||||||||||||||||||||||||
| 010 | 020 | 030 | 040 | 050 | 060 | 070 | 080 | 090 | 100 | 110 | 120 | 130 | 140 | 150 | 160 | 170 | 180 | 190 | 200 | 210 | 220 | 230 | 240 | 250 | 260 | 270 | 280 | 290 | 300 | 310 | 320 | 330 | 340 | 350 | 
C 29.00 - Az egymással kapcsolatban álló ügyfelek csoportjain belüli egyedi ügyfelekkel szembeni kitettségekre vonatkozó részletes adatok (LE 3)
| PARTNER | EREDETI KITETTSÉGEK | (-) Értékelési kiigazítások és céltartalékok | (-) A szavatolótőkéből levont kitettségek | A mentességek alkalmazása és a hitelkockázat-mérséklés előtti kitettségérték | FIGYELEMBE VEHETŐ HITELKOCKÁZAT-MÉRSÉKLÉSI TECHNIKÁK | (-) Mentesített kitettségek összege | A mentességek alkalmazása és a hitelkockázat-mérséklés utáni kitettségérték | ||||||||||||||||||||||||||||
| Kód | Csoportkód | Olyan ügyletek, amelyek esetében kitettség van az alapul szolgáló eszközökkel szemben | A kapcsolat jellege | (-) A figyelembe vehető hitelkockázat-mérséklési technikák helyettesítési hatása | (-) A helyettesítési hatástól eltérő, előre rendelkezésre bocsátott hitelkockázati fedezet | (-) Ingatlan | |||||||||||||||||||||||||||||
| Közvetlen kitettségek | Közvetett kitettségek | Olyan ügyletekből adódó további kitettségek, amelyek esetében az alapul szolgáló eszközökkel szemben kitettség áll fenn | |||||||||||||||||||||||||||||||||
| Teljes eredeti kitettség | Ebből: nemteljesítő kitettségek | Hitelviszonyt megtestesítő instrumentumok | Tulajdoni részesedést megtestesítő instrumentumok | Származtatott ügyletek | Mérlegen kívüli tételek | Hitelviszonyt megtestesítő instrumentumok | Tulajdoni részesedést megtestesítő instrumentumok | Származtatott ügyletek | Mérlegen kívüli tételek | Összesen | Ebből: Nem kereskedési könyv | A figyelembe vehető szavatolótőke %-ában | (-) Hitelviszonyt megtestesítő instrumentumok | (-) Tulajdoni részesedést megtestesítő instrumentumok | (-) Származtatott ügyletek | (-) Mérlegen kívüli tételek | Összesen | Ebből: Nem kereskedési könyv | A figyelembe vehető szavatolótőke %-ában | ||||||||||||||||
| Hitelnyújtási kötelezettség-vállalások | Pénzügyi garanciák | Egyéb kötelezettség-vállalások | Hitelnyújtási kötelezettség-vállalások | Pénzügyi garanciák | Egyéb kötelezettség-vállalások | (-) Hitelnyújtási kötelezettség-vállalások | (-) Pénzügyi garanciák | (-) Egyéb kötelezettségvállalások | |||||||||||||||||||||||||||
| 010 | 020 | 030 | 040 | 050 | 060 | 070 | 080 | 090 | 100 | 110 | 120 | 130 | 140 | 150 | 160 | 170 | 180 | 190 | 200 | 210 | 220 | 230 | 240 | 250 | 260 | 270 | 280 | 290 | 300 | 310 | 320 | 330 | 340 | 350 | 360 | 
C 30.00 - A kereskedési könyvben nem szereplő és a kereskedési könyvben szereplő kitettségek lejárati csoportjai (LE 4)
| PARTNER | A KITETTSÉG LEJÁRATI CSOPORTJAI | A KITETTSÉG LEJÁRATI CSOPORTJAI | ||||||||||||||||||||||
| Kód | Legfeljebb 1 hónap | 1 hónapnál hosszabb, de legfeljebb 2 hónap | 2 hónapnál hosszabb, de legfeljebb 3 hónap | 3 hónapnál hosszabb, de legfeljebb 4 hónap | 4 hónapnál hosszabb, de legfeljebb 5 hónap | 5 hónapnál hosszabb, de legfeljebb 6 hónap | 6 hónapnál hosszabb, de legfeljebb 7 hónap | 7 hónapnál hosszabb, de legfeljebb 8 hónap | 8 hónapnál hosszabb, de legfeljebb 9 hónap | 9 hónapnál hosszabb, de legfeljebb 10 hónap | 10 hónapnál hosszabb, de legfeljebb 11 hónap | 11 hónapnál hosszabb, de legfeljebb 12 hónap | 12 hónapnál hosszabb, de legfeljebb 15 hónap | 15 hónapnál hosszabb, de legfeljebb 18 hónap | 18 hónapnál hosszabb, de legfeljebb 21 hónap | 21 hónapnál hosszabb, de legfeljebb 24 hónap | 24 hónapnál hosszabb, de legfeljebb 27 hónap | 27 hónapnál hosszabb, de legfeljebb 30 hónap | 30 hónapnál hosszabb, de legfeljebb 33 hónap | 33 hónapnál hosszabb, de legfeljebb 36 hónap | 3 évnél hosszabb, de legfeljebb 5 év | 5 évnél hosszabb, de legfeljebb 10 év | 10 évnél hosszabb | Meg nem határozott lejárat | 
| 010 | 020 | 030 | 040 | 050 | 060 | 070 | 080 | 090 | 100 | 110 | 120 | 130 | 140 | 150 | 160 | 170 | 180 | 190 | 200 | 210 | 220 | 230 | 240 | 250 | 
C 31.00 - Az egymással kapcsolatban álló ügyfelek csoportjain belüli egyedi ügyfelekkel szembeni kitettségek lejárati csoportjai (LE 5)
| PARTNER | A KITETTSÉG LEJÁRATI CSOPORTJAI | A KITETTSÉG LEJÁRATI CSOPORTJAI | |||||||||||||||||||||||
| Kód | Csoportkód | Legfeljebb 1 hónap | 1 hónapnál hosszabb, de legfeljebb 2 hónap | 2 hónapnál hosszabb, de legfeljebb 3 hónap | 3 hónapnál hosszabb, de legfeljebb 4 hónap | 4 hónapnál hosszabb, de legfeljebb 5 hónap | 5 hónapnál hosszabb, de legfeljebb 6 hónap | 6 hónapnál hosszabb, de legfeljebb 7 hónap | 7 hónapnál hosszabb, de legfeljebb 8 hónap | 8 hónapnál hosszabb, de legfeljebb 9 hónap | 9 hónapnál hosszabb, de legfeljebb 10 hónap | 10 hónapnál hosszabb, de legfeljebb 11 hónap | 11 hónapnál hosszabb, de legfeljebb 12 hónap | 12 hónapnál hosszabb, de legfeljebb 15 hónap | 15 hónapnál hosszabb, de legfeljebb 18 hónap | 18 hónapnál hosszabb, de legfeljebb 21 hónap | 21 hónapnál hosszabb, de legfeljebb 24 hónap | 24 hónapnál hosszabb, de legfeljebb 27 hónap | 27 hónapnál hosszabb, de legfeljebb 30 hónap | 30 hónapnál hosszabb, de legfeljebb 33 hónap | 33 hónapnál hosszabb, de legfeljebb 36 hónap | 3 évnél hosszabb, de legfeljebb 5 év | 5 évnél hosszabb, de legfeljebb 10 év | 10 évnél hosszabb | Meg nem határozott lejárat | 
| 010 | 020 | 030 | 040 | 050 | 060 | 070 | 080 | 090 | 100 | 110 | 120 | 130 | 140 | 150 | 160 | 170 | 180 | 190 | 200 | 210 | 220 | 230 | 240 | 250 | 260 | 
IX. MELLÉKLET
ÚTMUTATÓ A NAGYKOCKÁZAT-VÁLLALÁSRA ÉS A KONCENTRÁCIÓS KOCKÁZATRA VONATKOZÓ ADATSZOLGÁLTATÁSHOZ
Tartalomjegyzék
I. RÉSZ: ÁLTALÁNOS ÚTMUTATÓ
1. Felépítés és szabályok
2. Rövidítések
II. RÉSZ: A TÁBLÁHOZ KAPCSOLÓDÓ ÚTMUTATÓ
1. A nagykockázat-vállalásra vonatkozó adatszolgáltatás alkalmazási köre és szintje
2. A nagykockázat-vállalásra vonatkozó tábla felépítése
3. A nagykockázat-vállalásra vonatkozó adatszolgáltatás során alkalmazandó fogalommeghatározások és általános útmutatások
4. C 26.00 - A "LE Limits" jelzésű tábla
4.1. A tábla egyes soraira vonatkozó előírások
5. C 27.00 - A partner azonosítása ("LE1" jelzésű tábla)
5.1. A tábla egyes oszlopaira vonatkozó előírások
6. C 28.00 - A kereskedési könyvben nem szereplő és a kereskedési könyvben szereplő kitettségek ("LE2" jelzésű tábla)
6.1. A tábla egyes oszlopaira vonatkozó előírások
7. C 29.00 - Az egymással kapcsolatban álló ügyfelek csoportjain belüli egyedi ügyfelekkel szembeni kitettségekre vonatkozó részletes adatok ("LE3" jelzésű tábla)
7.1. A tábla egyes oszlopaira vonatkozó előírások
8. C 30.00 - A tíz legnagyobb, intézményekkel szembeni kitettség, valamint a tíz legnagyobb, nem szabályozott pénzügyi ágazatbeli szervezetekkel szembeni kitettség lejárati csoportjai ("LE4" jelzésű tábla)
8.1. A tábla egyes oszlopaira vonatkozó előírások
9. C 31.00 - A tíz legnagyobb, intézményekkel szembeni kitettség, valamint a tíz legnagyobb, nem szabályozott pénzügyi ágazatbeli szervezetekkel szembeni kitettség lejárati csoportjai: egymással kapcsolatban álló ügyfelek csoportjain belüli egyedi ügyfelekkel szembeni kitettségek részletei ("LE5" jelzésű tábla)
9.1. A tábla egyes oszlopaira vonatkozó előírások
I. RÉSZ: ÁLTALÁNOS ÚTMUTATÓ
1. Felépítés és szabályok
1. A nagykockázat-vállalásra ("LE") vonatkozó adatszolgáltatási rendszer hat táblából áll, amelyek a következő információkat tartalmazzák:
a) nagykockázat-vállalásokra vonatkozó limitek;
b) a partner azonosítása ("LE1" jelzésű tábla);
c) a kereskedési könyvben nem szereplő és a kereskedési könyvben szereplő kitettségek ("LE2" jelzésű tábla);
d) egymással kapcsolatban álló ügyfelek csoportjain belüli egyedi ügyfelekkel szembeni kitettségek részletei ("LE3" jelzésű tábla);
e) az intézményekkel szembeni tíz legnagyobb kitettség és a nem szabályozott pénzügyi ágazatbeli szervezetekkel szembeni tíz legnagyobb kitettség lejárati csoportjai ("LE4" jelzésű tábla);
f) az intézményekkel szembeni tíz legnagyobb kitettség és a nem szabályozott pénzügyi ágazatbeli szervezetekkel szembeni tíz legnagyobb kitettség lejárati csoportjai: egymással kapcsolatban álló ügyfelek csoportjain belüli egyedi ügyfelekkel szembeni kitettségek részletei ("LE5" jelzésű tábla).
2. Az útmutató jogszabályi hivatkozásokat, valamint az egyes táblákban feltüntetendő adatokra vonatkozó részletes információkat tartalmaz.
3. A táblák oszlopaira, soraira és celláira való hivatkozáskor az útmutató és az ellenőrzési szabályok a következő pontokban meghatározott jelölési szabályokat követik.
4. Az útmutatóban és az ellenőrzési szabályokban a következő szabály használatos: {Tábla;Sor;Oszlop}. Egy csillag jelöli, hogy az ellenőrzés minden adatszolgáltatási sorra megtörtént.
5. Egy olyan táblán belüli ellenőrzés esetén, amelynél az adott táblából csak adatpontokat használunk, a jelölés nem hivatkozik a táblára: {Sor;Oszlop}.
6. Az ABS(Érték): előjel nélküli abszolút érték. A kitettségeket növelő összegeket pozitív számként kell feltüntetni. Ugyanakkor a kitettségeket csökkentő bármely összeg előjele negatív. Ha egy tétel megjelölése előtt mínuszjel (-) található, akkor az adott tételnél nem tüntethető fel pozitív adat.
2. Rövidítések
7. E melléklet alkalmazásában az 575/2013/EU rendeletre "CRR"-ként történik hivatkozás.
II. RÉSZ: A TÁBLÁHOZ KAPCSOLÓDÓ ÚTMUTATÓ
Ebben a mellékletben a nagykockázat-vállalásra vonatkozó adatszolgáltatáshoz kapcsolódó előírásokat kell alkalmazni a 9. és a 11. cikk által a jelentős kitettségekre vonatkozóan előírt adatszolgáltatásra is, az említett cikkekben meghatározott hatálynak megfelelően.
1. A nagykockázat-vállalásra vonatkozó adatszolgáltatás alkalmazási köre és szintje
1. Az ügyfelekkel vagy egymással kapcsolatban álló ügyfelek csoportjával szembeni nagykockázat-vállalásra vonatkozóan az 575/2013/EU rendelet (a továbbiakban: CRR) 394. cikkének (1) bekezdése szerint egyedi alapon teljesítendő adatszolgáltatás érdekében az intézményeknek az "LE1", "LE2" és "LE3" jelzésű táblát kell használniuk.
2. Az ügyfelekkel vagy egymással kapcsolatban álló ügyfelek csoportjával szembeni nagykockázat-vállalásra vonatkozóan a CRR 394. cikkének (1) bekezdése szerint összevont alapon teljesítendő adatszolgáltatás érdekében a tagállami anyaintézményeknek az "LE1", "LE2" és "LE3" jelzésű táblát kell használniuk.
3. A CRR 392. cikkével összhangban meghatározott nagykockázat-vállalásokat kivétel nélkül be kell jelenteni, ideértve azokat a nagykockázat-vállalásokat is, amelyeket nem kell figyelembe venni a CRR 395. cikkében meghatározott nagykockázat-vállalásokra vonatkozó limitek betartásához.
4. Az ügyfelekkel vagy egymással kapcsolatban álló ügyfelek csoportjával szembeni 20 legnagyobb kitettségre vonatkozóan a CRR 394. cikkének (1) bekezdése szerint összevont alapon teljesítendő adatszolgáltatás érdekében a CRR harmadik része II. címe 3. fejezetének hatálya alá tartozó tagállami anyaintézményeknek az "LE1", "LE2" és "LE3" jelzésű táblát kell használni. Az említett húsz legnagyobb kitettség meghatározásához használandó összeg az "LE2" jelzésű tábla 320. oszlopában ("Mentesített kitettségek összege") feltüntetett összeg és az ugyanezen tábla 210. oszlopában feltüntetett ("Összesen") összeg különbségeként adódó kitettségérték.
5. A tíz legnagyobb, intézményekkel szemben fennálló kitettségre, valamint a tíz legnagyobb, nem szabályozott pénzügyi ágazatbeli szervezetekkel szemben fennálló kitettségre vonatkozóan a CRR 394. cikke (2) bekezdésének a)-d) pontja szerint teljesítendő adatszolgáltatás érdekében a tagállami anyavállalatoknak az "LE1", "LE2" és "LE3" jelzésű táblát kell használniuk. Az említett kitettségek lejárati szerkezetére vonatkozóan a CRR 394. cikke (2) bekezdésének e) pontja szerint teljesítendő adatszolgáltatáshoz a tagállami anyaintézményeknek az "LE4" és az "LE5" jelzésű táblát kell használniuk. Az említett 20 legnagyobb kitettség meghatározásához használandó összeg az "LE2" jelzésű tábla 210. oszlopában ("Összesen") kiszámított kitettségérték.
6. Az egymással kapcsolatban álló ügyfelek csoportjával szembeni, valamint egymással kapcsolatban álló ügyfelek csoportjához nem tartozó egyedi ügyfelekkel szembeni nagykockázat-vállalásra, illetve legnagyobb kitettségekre vonatkozó adatokat az "LE2" jelzésű táblában kell megadni (amelyen az egymással kapcsolatban álló ügyfelek csoportját egyetlen kitettségként kell feltüntetniük).
7. Az intézményeknek az egymással kapcsolatban álló ügyfelek csoportjaihoz tartozó egyedi ügyfelekkel szembeni kitettségre vonatkozó - az "LE2" jelzésű táblában megadott - adatokat az "LE3" jelzésű táblában kell feltüntetniük. Az egyedi ügyfelekkel szembeni kitettségről az "LE2" jelzésű táblában teljesített adatszolgáltatást nem kell megismételni az "LE3" jelzésű táblában.
2. A nagykockázat-vállalásra vonatkozó tábla felépítése
8. Az "LE1" jelzésű tábla oszlopaiban az intézmény nagykockázat-vállalásában érintett egyedi ügyfél nevét vagy az érintett, egymással kapcsolatban álló ügyfelek csoportjának nevét kell feltüntetni.
9. Az "LE2" és "LE3" jelzésű tábla oszlopaiban az alábbi információcsoportokat kell feltüntetni:
a) a mentességek alkalmazása előtti, valamint a hitelkockázat-mérséklés figyelembevétele nélküli kitettségérték, ideértve az ügyletekből fakadó közvetlen és közvetett kitettséget, valamint az olyan ügyletekből adódó további kitettségeket is, amelyeknél felmerül az alapul szolgáló eszközökkel szembeni kitettség;
b) a mentességek és a hitelkockázat-mérséklési technikák hatása;
c) a mentességek alkalmazását, valamint a CRR 395. cikke (1) bekezdésének alkalmazásában számított hitelkockázat-mérséklés hatásának figyelembevételét követően adódó kitettségérték.
10. Az "LE4" és "LE5" jelzésű tábla oszlopaiban azokra a lejárati csoportokra vonatkozó információkat kell feltüntetni, amelyekhez a tíz legnagyobb, intézményekkel szembeni kitettséget, valamint a tíz legnagyobb, nem szabályozott pénzügyi ágazatbeli szervezetekkel szemben fennálló kitettséget kell rendelni.
3. A nagykockázat-vállalásra vonatkozó adatszolgáltatás során alkalmazandó fogalommeghatározások és általános útmutatások
11. A "kapcsolatban álló ügyfelek csoportja (ügyfélcsoport)" meghatározása a CRR 4. cikke (1) bekezdésének 39. pontjában található.
12. A "nem szabályozott pénzügyi ágazatbeli szervezet" meghatározása a CRR 142. cikke (1) bekezdésének 5. pontjában található.
13. Az "intézmény" meghatározását a CRR 4. cikke (1) bekezdésének 3. pontja tartalmazza.
14. A "polgári jog hatálya alá tartozó egyesületekkel" szembeni kitettségekről adatot kell szolgáltatni. Az intézményeknek továbbá mindegyik partner eladósodottságánál fel kell tüntetniük a polgári jog hatálya alá tartozó egyesületek hitelösszegét. A kvótákkal rendelkező, polgári jog hatálya alá tartozó egyesületekkel szembeni kitettségeket a kvótáik függvényében kell a partnerek között elosztani, illetve azok függvényében kell a partnerekhez rendelni. A polgári jog hatálya alá tartozó egyesületek által alkalmazott bizonyos konstrukciókról (pl. közös számlák, örököstársak közösségei, "stróman"-hitelek) hasonlóképpen kell adatot szolgáltatni.
15. A CRR 389. cikke értelmében az eszközöket és a mérlegen kívüli tételeket kockázati súlyok, illetve ügyletkockázati súlyok nélkül kell alkalmazni. Ez azt jelenti, hogy a hitel-egyenértékesítési tényező nem alkalmazandó a mérlegen kívüli tételekre.
16. A "kitettségek" meghatározása a CRR 389. cikkében található.
a) a kereskedési könyvben nem szereplő és a kereskedési könyvben feltüntetett bármely eszköz vagy mérlegen kívüli tétel, ideértve a CRR 400. cikkében meghatározott tételeket is, de kivéve a CRR 390. cikke (6) bekezdése a)-d) pontjának hatálya alá tartozó tételeket;
b) a "közvetett kitettségek" - a CRR 403. cikkének megfelelően - a garantőrhöz vagy a biztosíték kibocsátójához, nem pedig a közvetlen hitelfelvevőhöz rendelt kitettségeket jelentik. [Az itt szereplő fogalommeghatározások semmilyen tekintetben sem különbözhetnek az alaprendeletben megadott fogalommeghatározásoktól.]
17. Az egymással kapcsolatban álló ügyfelek csoportjaival szembeni kitettségeket a 390. cikk (5) bekezdésének megfelelően kell kiszámítani.
18. A "nettósítási megállapodások" figyelembevételét lehetővé kell tenni a nagykockázat-vállalások - CRR 390. cikke (1), (2) és(3) bekezdésében meghatározott - kitettségértékének hatásainál. A CRR II. mellékletében felsorolt származtatott ügyletek kitettségértékét a CRR harmadik része II. címének 6. fejezetével összhangban kell meghatározni, figyelembe véve a megújítás és más nettósítási megállapodások hatásait e módszerek alkalmazása céljából, a CRR harmadik része II. címének 6. fejezetével összhangban. A repoügyletek, az értékpapír és/vagy áru kölcsönbe adása vagy kölcsönbe vétele, a hosszú teljesítési idejű ügyletek és az értékpapírügylethez kapcsolódó hitelek kitettségértékét a CRR harmadik része II. címének 4. fejezetével összhangban vagy a CRR harmadik része II. címének 6. fejezetével összhangban lehet meghatározni. A CRR 296. cikkének megfelelően az adatot szolgáltató intézmény partnerével létrejött, eltérő termékek közötti szerződéses nettósításról szóló megállapodásból származó egyetlen jogi kötelezettség kitettségértékét a nagykockázat-vállalásra vonatkozó táblákban "egyéb kötelezettségvállalásként" kell feltüntetni.
19. A "kitettség értékét" a CRR 390. cikke szerint kell kiszámítani.
20. A mentességek és a figyelembe vehető hitelkockázat-mérséklési technikák (CRM) teljeskörű vagy részleges alkalmazásának a CRR 395. cikkének (1) bekezdésében foglalt kitettségek kiszámítására kifejtett hatását a CRR 399-403. cikke ismerteti.
21. A nagykockázat-vállalásra vonatkozó adatszolgáltatás hatálya alá tartozó fordított repomegállapodásokról a CRR 402. cikkének (3) bekezdésével összhangban kell adatot szolgáltatni. A CRR 402. cikkének (3) bekezdésében foglalt kritériumok teljesülése esetén az intézménynek az egyes harmadik felekkel szemben fennálló nagykockázat-vállalások tekintetében annak a követelésnek az összegét kell feltüntetnie, amellyel az ügyleti partner az adott harmadik féllel szemben rendelkezik, nem pedig a partnerrel szembeni megfelelő kitettség értékét.
4. C 26.00 - A "LE Limits" jelzésű tábla
4.1. A tábla egyes soraira vonatkozó előírások
| Sorok | Jogszabályi hivatkozások és előírások | 
| 010 | Nem intézményi partnerek A CRR 395. cikkének (1) bekezdése, 458. cikke (2) bekezdése d) pontjának ii. alpontja, 458. cikkének (10) bekezdése, valamint 459. cikkének b) pontja. Az intézményektől eltérő partnerekre alkalmazandó limit összegét kell feltüntetni. Ez az összeg a figyelembe vehető szavatoló tőke 25 %-a, amelyet az I. melléklet 4. táblájának 226. sorában kell megadni, kivéve, ha a CRR 458. cikke szerinti nemzeti intézkedések vagy a CRR 459. cikkének b) pontjával összhangban elfogadott, felhatalmazáson alapuló jogi aktusok szerinti alkalmazása miatt ennél kisebb százalékos arány alkalmazandó. | 
| 020 | Intézmények A CRR 395. cikkének (1) bekezdése, 458. cikke (2) bekezdése d) pontjának ii. alpontja, 458. cikkének (10) bekezdése, valamint 459. cikkének b) pontja. Az intézménynek minősülő partnerekre alkalmazandó limit összegét kell feltüntetni. A CRR 395. cikkének (1) bekezdése szerint ez az összeg a következő: — amennyiben a figyelembe vehető szavatoló tőke 25 %-a meghaladja a 150 millió EUR-t (vagy az illetékes hatóság által a CRR 395. cikke (1) bekezdésének harmadik albekezdésével összhangban a 150 millió EUR-s értékhatár alatt megállapított limitet), a figyelembe vehető szavatoló tőke 25 %-át kell feltüntetni; — amennyiben a 150 millió EUR (vagy az illetékes hatóság által a CRR 395. cikke (1) bekezdésének harmadik albekezdésével összhangban megállapított alacsonyabb limit) meghaladja az intézmény figyelembe vehető szavatoló tőkéjének 25 %-át, 150 millió EUR-t (vagy az illetékes hatóság által megállapított alacsonyabb limitet) kell feltüntetni. Amennyiben az intézmény a CRR 395. cikke (1) bekezdésének második albekezdésével összhangban a figyelembe vehető szavatoló tőkéje vonatkozásában alacsonyabb limitet állapított meg, ezt a limitet kell feltüntetni. Ezek a limitek szigorúbbak lehetnek abban az esetben, ha a CRR 395. cikkének (6) bekezdése vagy 458. cikke szerinti nemzeti intézkedések alkalmazására, illetve a CRR 459. cikkének b) pontjában foglalt, felhatalmazáson alapuló jogi aktusok alkalmazására kerül sor. | 
| 030 | Intézmények: a limit a szavatoló tőke %-ában A CRR 395. cikkének (1) bekezdése és 459. cikkének a) pontja. A feltüntetendő összeg a figyelembe vehető szavatoló tőke százalékos arányaként kifejezett (a 020. sorban szereplő) abszolút értékű limit. | 
5. C 27.00 - A partner azonosítása ("LE1" jelzésű tábla)
5.1. A tábla egyes oszlopaira vonatkozó előírások
| Oszlop | Jogszabályi hivatkozások és előírások | 
| 010-070 | A partner azonosítása: Az intézményeknek minden olyan partnert azonosítaniuk kell, amelyre vonatkozóan információt szolgáltatnak a C 28.00–C 31.00. táblák bármelyikében. Az egymással kapcsolatban álló ügyfelek csoportjának azonosítóját nem kell feltüntetni, kivéve, ha a nemzeti adatszolgáltatási rendszer egyedi kódot biztosít az egymással kapcsolatban álló ügyfelek csoportjához. A CRR 394. cikke (1) bekezdésének a) pontja szerint az intézményeknek fel kell tüntetniük azon partnerek azonosító adatait, amelyekkel szemben a CRR 392. cikkében meghatározott nagykockázat-vállalásuk áll fenn. A CRR 394. cikke (2) bekezdésének a) pontja szerint az intézményeknek fel kell tüntetniük azon partnerek azonosító adatait, amelyekkel szemben a legnagyobb kitettségük áll fenn (azokban az esetekben, ha a partner intézmény vagy nem szabályozott pénzügyi ágazatbeli szervezet). | 
| 010 | Kód A kód egy sorazonosító, amely a tábla minden sorát egyedileg azonosítja. A kódot kell használni az egyedi partner azonosításához. Mindazonáltal ennek az oszlopnak a célja a partner C 27.00. táblában található részletes adatainak összekapcsolása a C 28.00–C 31.00. táblában feltüntetett kitettségekkel. Az egymással kapcsolatban álló ügyfelek csoportjának kódját nem kell feltüntetni, kivéve, ha a nemzeti adatszolgáltatási rendszer egyedi kódot biztosít az egymással kapcsolatban álló ügyfelek csoportjához. A kódokat mindig következetesen kell használni. A kód összetétele a nemzeti adatszolgáltatási rendszertől függ, kivéve, ha egységes kódolás áll rendelkezésre az Unióban. | 
| 020 | Név A név a csoport neve minden olyan esetben, amikor az egymással kapcsolatban álló ügyfelek csoportját feltüntetik. Bármely egyéb esetben a név az egyedi partner neve. Egymással kapcsolatban álló ügyfelek csoportja esetében a feltüntetendő név az anyavállalat neve, illetve ha az egymással kapcsolatban álló ügyfelek csoportjának nincs anyavállalata, a név a csoport kereskedelmi neve. | 
| 030 | LEI-kód Ez a kód a partner jogalany azonosító kódja. | 
| 040 | A partner székhelye A partner bejegyzés szerinti országának ISO 3166-1-alfa-2 kódját kell használni (ideértve a nemzetközi szervezetekre vonatkozó pszeudo-ISO-kódokat is, amelyek az Eurostat fizetési mérleggel foglalkozó vademecumában [Balance of Payments Vademecum] találhatók meg). Egymással kapcsolatban álló ügyfelek csoportja esetében nem kell székhelyet feltüntetni. | 
| 050 | A partner ágazata Minden partnerhez egy szektort kell rendelni a FINREP gazdasági ágazati kategóriák alapján: i. központi bankok; ii. államháztartások; iii. hitelintézetek; iv. a CRR 4. cikke (1) bekezdésének 2. pontjában meghatározott befektetési vállalkozások; v. egyéb pénzügyi vállalatok (a befektetési vállalkozások kivételével); vi. nem pénzügyi vállalatok; vii. háztartások. Egymással kapcsolatban álló ügyfelek csoportja esetében nem kell ágazatot feltüntetni. | 
| 060 | NACE-kód A gazdasági ágazat esetében a NACE-kódokat (Nomenclature statistique des activités économiques dans la Communauté européenne = az uniós gazdasági tevékenységek egységes ágazati osztályozási rendszere) kell használni. Ezt az oszlopot csak a „Nem pénzügyi vállalatok” és az „Egyéb pénzügyi vállalatok” esetében kell kitölteni. A NACE-kódokat a „Nem pénzügyi vállalatok” esetében egy szintre vonatkozó részletességgel (pl. „F – Építőipar”), az „Egyéb pénzügyi vállalatok” esetében pedig két szintre vonatkozó részletességgel (pl. „K65 – Biztosítás, viszontbiztosítás, nyugdíjalapok, kivéve: kötelező társadalombiztosítás”) kell kitölteni.” Az „Egyéb pénzügyi vállalatok” és a „Nem pénzügyi vállalatok” gazdasági ágazatát a FINREP partnerek szerinti bontása alapján kell besorolni. Egymással kapcsolatban álló ügyfelek csoportja esetében nem kell NACE-kódot feltüntetni. | 
| 070 | Partner típusa A CRR 394. cikkének (2) bekezdése. A tíz legnagyobb, intézményekkel szembeni kitettség, valamint a tíz legnagyobb, nem szabályozott pénzügyi ágazatbeli szervezetekkel szembeni kitettség esetében a partner típusát „I” jelöléssel kell pontosítani az intézményeknél, illetve „U” jelöléssel kell pontosítani a nem szabályozott pénzügyi ágazatbeli szervezeteknél. | 
6. C 28.00 - A kereskedési könyvben nem szereplő és a kereskedési könyvben szereplő kitettségek ("LE2" jelzésű tábla)
6.1. A tábla egyes oszlopaira vonatkozó előírások
| Oszlop | Jogszabályi hivatkozások és előírások | 
| 010 | Kód Az egymással kapcsolatban álló ügyfelek csoportja esetén – amennyiben nemzeti szinten egyedi kód áll rendelkezésre – ezt a kódot kell feltüntetni az egymással kapcsolatban álló ügyfelek csoportjának kódjaként. Amennyiben nem áll rendelkezésre nemzeti szinten egyedi kód, a feltüntetendő kód az anyavállalat C 27.00. táblában található kódja. Abban az esetben, ha az egymással kapcsolatban álló ügyfelek csoportjának nincs anyavállalata, a feltüntetendő kód annak az egyedi jogalanynak a kódja, amelyet az intézmény az egymással kapcsolatban álló ügyfelek csoportján belül a legjelentősebbnek tart. Bármely egyéb esetben a kód az egyedi partner kódja. A kódokat mindig következetesen kell használni. A kód összetétele a nemzeti adatszolgáltatási rendszertől függ, kivéve, ha egységes kódolás áll rendelkezésre az Unióban. | 
| 020 | Csoport vagy egyedi ügyfél Az intézménynek az egyedi ügyfelekkel szembeni kitettségekre vonatkozó adatszolgáltatásnál az „1” számot, az egymással kapcsolatban álló ügyfelek csoportjaival szembeni kitettségekre vonatkozó adatszolgáltatásnál pedig a „2” számot kell feltüntetnie. | 
| 030 | Olyan ügyletek, amelyek esetében kitettség van az alapul szolgáló eszközökkel szemben A CRR 390. cikkének (7) bekezdése. Az illetékes nemzeti hatóságok további technikai előírásai értelmében, amennyiben az intézménynek az adatszolgáltatásban feltüntetett partnerrel szemben olyan ügyletből adódóan van kitettsége, amely esetében kitettsége van az alapul szolgáló eszközökkel, az „Igen” szót kell feltüntetni, egyéb esetekben a „Nem” szót. | 
| 040-180 | Eredeti kitettségek A CRR 24., 389., 390. és 392. cikke. Az intézménynek ezen oszlopcsoportban kell adatot szolgáltatnia a közvetlen kitettségek eredeti kitettségéről, a közvetett kitettségekről, valamint az olyan ügyletekből adódó további kitettségekről, amelyek esetében kitettsége van az alapul szolgáló eszközökkel szemben. A CRR 389. cikke szerint az eszközöket és a mérlegen kívüli tételeket kockázati súlyok, illetve ügyletkockázati súlyok nélkül kell alkalmazni. Ez azt jelenti, hogy a hitel-egyenértékesítési tényező nem alkalmazandó a mérlegen kívüli tételekre. Ezen oszlopokban kell feltüntetni az eredeti kitettséget, azaz az értékelési kiigazítások és a céltartalékok figyelembevétele nélküli kitettségértéket, amelyet a 210. oszlopban le kell vonni. A kitettségérték fogalmát és kiszámítását a CRR 389. és 390. cikke határozza meg. A CRR 24. cikke szerint az eszközök és a mérlegen kívüli tételek értékelését az intézményre alkalmazandó számviteli szabályozással összhangban kell elvégezni. A 390. cikk (6) bekezdésének e) pontja szerint kitettségnek nem minősülő, a szavatoló tőkéből levont kitettségeket ezekben az oszlopokban kell feltüntetni. Ezeket a kitettségeket a 200. oszlopban kell levonni. A CRR 390. cikke (6) bekezdésének a)–d) pontjában említett kitettségeket nem kell feltüntetni ezekben az oszlopokban. Az eredeti kitettségek a CRR 400. cikke szerinti minden eszközt és mérlegen kívüli tételt magukban foglalnak. A CRR 395. cikke (1) bekezdésének alkalmazásához a mentességeket a 320. oszlopban kell levonni. A kereskedési könyvben nem szereplő és a kereskedési könyvben szereplő kitettségeket egyaránt fel kell tüntetni. A pénzügyi instrumentumokban fennálló kitettségek lebontása esetében, amennyiben a nettósítási megállapodásokból fakadó különböző kitettségek egyetlen kitettséget képeznek, ez utóbbit a nettósítási megállapodásban foglalt elsődleges eszköznek megfelelő pénzügyi instrumentumhoz kell rendelni (további információkért lásd a bevezető szakaszt). | 
| 040 | Teljes eredeti kitettség Az intézménynek be kell jelentenie a közvetlen kitettségek és a közvetett kitettségek összegét, valamint az olyan ügyletekből adódó további kitettségeket, amelyek esetében kitettsége van az alapul szolgáló eszközökkel szemben. | 
| 050 | Ebből: nemteljesítő kitettségek A CRR 178. cikke. Az intézménynek adatot kell szolgáltatnia a teljes eredeti kitettség nemteljesítő kitettségeknek megfelelő részéről. | 
| 060-110 | Közvetlen kitettségek A közvetlen kitettségek a „közvetlen hitelfelvevővel” szembeni kitettségeket jelentik. | 
| 060 | Hitelviszonyt megtestesítő instrumentumok Az 1071/2013/EU (EKB/2013/33) rendelet II. mellékletének 2. részében szereplő táblázat szerinti 2. és 3. kategória. Hitelviszonyt megtestesítő instrumentumoknak minősülnek többek között a hitelviszonyt megtestesítő értékpapírok, a hitelek és előlegek. Az ezen oszlopban feltüntetendő instrumentumok az EKB/2013/33 rendeletben „Legfeljebb egyéves/egy évnél hosszabb és legfeljebb ötéves/öt évnél hosszabb eredeti futamidejű hitelek” vagy „Hitelviszonyt megtestesítő értékpapírok” néven szereplő instrumentumok. A repoügyleteket, az értékpapír és/vagy áru kölcsönbe adását vagy kölcsönbe vételét (az értékpapír-finanszírozási ügyleteket), illetve az értékpapírügylethez kapcsolódó hitelügyleteket ebben az oszlopban kell feltüntetni. | 
| 070 | Tulajdoni részesedést megtestesítő instrumentumok Az EKB/2013/33 rendelet II. mellékletének 2. részében szereplő táblázat szerinti 4. és 5. kategória. Az ezen oszlopban feltüntetendő instrumentumok az EKB/2013/33 rendeletben „Részesedések” vagy „Befektetési jegyek/egységek” néven szereplő instrumentumok. | 
| 080 | Származtatott ügyletek A CRR 272. cikkének (2) bekezdése és II. melléklete. Az ezen oszlopban feltüntetendő instrumentumok a CRR II. mellékletében felsorolt származtatott ügyletek, valamint a CRR 272. cikkének (2) bekezdésében meghatározott hosszú teljesítési idejű ügyletek. A partnerkockázatnak kitett hitelderivatívákat ebben az oszlopban kell feltüntetni. | 
| 090-110 | Mérlegen kívüli tételek A CRR I. melléklete. Az ezen oszlopokban feltüntetendő érték az egyedi hitelkockázati kiigazítások csökkentése előtti és a hitel-egyenértékesítési tényezők alkalmazása nélküli névérték. | 
| 090 | Hitelnyújtási kötelezettségvállalások A CRR I. mellékletének 1. c) és h) pontja, 2. b) pontjának ii. alpontja, 3. b) pontjának i. alpontja és 4. a) pontja. A hitelnyújtási kötelezettségvállalások előre meghatározott feltételek mellett történő hitelnyújtásra vonatkozó határozott kötelezettségvállalások, azon kötelezettségvállalások kivételével, amelyek azért származtatott ügyletek, mert nettó összegük készpénzben, illetve másik pénzügyi instrumentum átadásával vagy kibocsátásával rendezhető. | 
| 100 | Pénzügyi garanciák A CRR I. mellékletének 1. a), b) és f) pontja. A pénzügyi garancia olyan szerződés, amely a kibocsátónak meghatározott fizetések teljesítését írja elő a tulajdonos abból adódó veszteségének megtérítésére, hogy egy meghatározott adós esedékességkor nem fizet a hitelviszonyt megtestesítő instrumentum eredeti vagy módosított feltételeivel összhangban. A „származtatott ügyletek” oszlopban nem szereplő hitelderivatívákat ebben az oszlopban kell feltüntetni. | 
| 110 | Egyéb kötelezettségvállalások Egyéb kötelezettségvállalások a CRR I. mellékletének azon tételei, amelyek nem szerepelnek az előző kategóriákban. Az intézmény partnerének az eltérő termékek közötti szerződéses nettósításról szóló megállapodásából származó egyetlen jogi kötelezettség kitettségértékét ebben az oszlopban kell feltüntetni. | 
| 120-180 | Közvetett kitettségek A CRR 403. cikke. A CRR 403. cikke szerint amennyiben egy ügyféllel szembeni kitettséget harmadik fél garantál, vagy harmadik fél által kibocsátott biztosíték fedez, a hitelintézet helyettesítési módszert alkalmazhat. Az intézménynek ebben az oszlopcsoportban kell feltüntetnie azoknak a közvetlen kitettségeknek az összegét, amelyeket újra a garantőrhöz vagy a biztosíték kibocsátójához rendelt, azzal a feltétellel, hogy az utóbbihoz legalább akkora kockázati súlyt rendel, mint amekkorát a CRR harmadik része II. címének 2. fejezete szerint a harmadik félre alkalmazna. A fedezett eredeti referencia-kitettséget (közvetlen kitettséget) a „Figyelembe vehető hitelkockázat-mérséklési technikák” oszlopokban kell levonni az eredeti hitelfelvevő kitettségéből. A közvetett kitettség helyettesítési hatás révén növeli a garantőrrel vagy a biztosíték kibocsátójával szembeni kitettséget. Ez az egymással kapcsolatban álló ügyfelek csoportján belül nyújtott garanciákra is vonatkozik. Az intézménynek a közvetett kitettségek eredeti összegét a garantált vagy a biztosítékkal fedezett közvetlen kitettség típusához kapcsolódó oszlopban kell feltüntetnie, például ha a garantált közvetlen kitettség hitelviszonyt megtestesítő instrumentum, a garantőrhöz rendelt „Közvetett kitettség” összegét a „Hitelviszonyt megtestesítő instrumentumok” oszlopban kell feltüntetni. A hitelkockázati eseményhez kapcsolt értékpapírokból adódó kitettségeket szintén ebben az oszlopcsoportban kell feltüntetni, a CRR 399. cikkével összhangban. | 
| 120 | Hitelviszonyt megtestesítő instrumentumok Lásd a 060. oszlopot. | 
| 130 | Tulajdoni részesedést megtestesítő instrumentumok Lásd a 070. oszlopot. | 
| 140 | Származtatott ügyletek Lásd a 080. oszlopot. | 
| 150-170 | Mérlegen kívüli tételek Az ezen oszlopokban feltüntetendő érték az egyedi hitelkockázati kiigazítások csökkentése és a hitel-egyenértékesítési tényezők alkalmazása előtti névérték. | 
| 150 | Hitelnyújtási kötelezettségvállalások Lásd a 090. oszlopot. | 
| 160 | Pénzügyi garanciák Lásd a 100. oszlopot. | 
| 170 | Egyéb kötelezettségvállalások Lásd a 110. oszlopot. | 
| 180 | Olyan ügyletekből adódó további kitettségek, amelyek esetében az alapul szolgáló eszközökkel szemben kitettség áll fenn A CRR 390. cikkének (7) bekezdése. Olyan ügyletekből adódó további kitettségek, amelyek esetében az alapul szolgáló eszközökkel szemben kitettség áll fenn. | 
| 190 | (-) Értékelési kiigazítások és céltartalékok A CRR 34., 24., 110. és 111. cikke. A kapcsolódó számviteli szabályozásban (a 86/635/EGK irányelvben vagy az 1606/2002/EK rendeletben) foglalt értékelési kiigazítások és céltartalékok, amelyek érintik a kitettségeknek a CRR 24. és 110. cikke szerinti értékelését. A 040. oszlopban megadott bruttó kitettségre vonatkozó értékelési kiigazításokat és céltartalékokat ebben az oszlopban kell feltüntetni. | 
| 200 | (-) A szavatoló tőkéből levont kitettségek A CRR 390. cikke (6) bekezdésének e) pontja. A szavatoló tőkéből levont azon kitettségeket kell feltüntetni, amelyek a különböző oszlopokban teljes eredeti értékén kimutatott kitettségekhez kapcsolódnak. | 
| 210-230 | A mentességek alkalmazása és a hitelkockázat-mérséklés előtti kitettségérték A CRR 394. cikke (1) bekezdésének b) pontja. Az intézményeknek a kitettségértéket a hitelkockázat-mérséklés figyelembevételével kell feltüntetniük, amennyiben ez alkalmazandó. | 
| 210 | Összesen Az ezen oszlopban feltüntetendő kitettségérték annak eldöntéséhez használt összeg, hogy egy adott kitettség a CRR 392. cikkében meghatározott nagykockázat-vállalásnak minősül-e. Ez az érték az eredeti kitettség értékelési kiigazítások és céltartalékok levonása utáni értékét, valamint a szavatoló tőkéből levont kitettségek összegét foglalja magában. | 
| 220 | Ebből: Nem kereskedési könyv A mentességek és a hitelkockázat-mérséklés előtti teljes kitettség kereskedési könyvben nem szereplő értéke. | 
| 230 | A figyelembe vehető szavatoló tőke %-ában A CRR 4. cikke (1) bekezdésének 71. b) pontja és 395. cikke. A feltüntetendő összeg az intézmény – a CRR 4. cikke (1) bekezdésének 71. b) pontjában meghatározott – figyelembe vehető szavatoló tőkéje tekintetében alkalmazandó mentességek és hitelkockázat-mérséklés előtti kitettségérték százalékos aránya. | 
| 240-310 | (-) Figyelembe vehető hitelkockázat-mérséklési technikák A CRR 399. cikke és 401–403. cikke. A CRR 4. cikke (1) bekezdésének 57. pontjában meghatározott hitelkockázat-mérséklési technikák. Ezen adatszolgáltatáshoz a CRR harmadik része, II. címe 3. és 4. fejezetében elismert hitelkockázat-mérséklési technikákat kell alkalmazni a CRR 401–403. cikkével összhangban. A hitelkockázat-mérséklési technikák három különböző hatást fejthetnek ki a nagykockázat-vállalási rendszerben: helyettesítési hatást; a helyettesítési hatástól eltérő, előre rendelkezésre bocsátott hitelkockázati fedezetet; valamint ingatlanként kezelést. | 
| 240-290 | (-) A figyelembe vehető hitelkockázat-mérséklési technikák helyettesítési hatása A CRR 403. cikke. Az előre rendelkezésre bocsátott, illetve az előre rendelkezésre nem bocsátott hitelkockázati fedezet ezen oszlopokban feltüntetendő összege a harmadik fél által garantált kitettségek, illetve a harmadik fél által kibocsátott biztosítékkal fedezett kitettségek értékének felel meg, amennyiben az intézmény úgy dönt, hogy a kitettséget a garantőrrel vagy a biztosíték kibocsátójával szemben felmerültként kezeli. | 
| 240 | (-) Hitelviszonyt megtestesítő instrumentumok Lásd a 060. oszlopot. | 
| 250 | (-) Tulajdoni részesedést megtestesítő instrumentumok Lásd a 070. oszlopot. | 
| 260 | (-) Származtatott ügyletek Lásd a 080. oszlopot. | 
| 270-290 | (-) Mérlegen kívüli tételek Az ezen oszlopokban feltüntetendő összegek a hitel-egyenértékesítési tényezők alkalmazása nélkül értendők. | 
| 270 | (-) Hitelnyújtási kötelezettségvállalások Lásd a 090. oszlopot. | 
| 280 | (-) Pénzügyi garanciák Lásd a 100. oszlopot. | 
| 290 | (-) Egyéb kötelezettségvállalások Lásd a 110. oszlopot. | 
| 300 | (-) A helyettesítési hatástól eltérő, előre rendelkezésre bocsátott hitelkockázati fedezet A CRR 401. cikke. Az intézménynek azokat a – CRR 4. cikke (1) bekezdésének 58. pontjában meghatározott – előre rendelkezésre bocsátott hitelkockázati fedezeti összegeket kell feltüntetnie, amelyeket a CRR 401. cikkének alkalmazása miatt von le a kitettségértékből. | 
| 310 | (-) Ingatlan A CRR 402. cikke. Az intézménynek azokat az összegeket kell feltüntetnie, amelyeket a CRR 402. cikkének alkalmazása miatt von le a kitettségértékből. | 
| 320 | (-) Mentesített kitettségek összege A CRR 400. cikke. Az intézménynek a nagykockázat-vállalási rendszer alól mentesített összegeket kell feltüntetnie. | 
| 330-350 | A mentességek alkalmazása és a hitelkockázat-mérséklés utáni kitettségérték A CRR 394. cikke (1) bekezdésének d) pontja. Az intézménynek a CRR 395. cikke (1) bekezdése alkalmazásában kiszámított, a mentességek és a hitelkockázat-mérséklés hatásának figyelembevétele utáni kitettségértéket kell feltüntetnie. | 
| 330 | Összesen Ebben az oszlopban a CRR 395. cikkében megállapított nagykockázat-vállalásra vonatkozó limitek betartása érdekében figyelembe veendő összegnek kell szerepelnie. | 
| 340 | Ebből: Nem kereskedési könyv Az intézménynek a mentességek alkalmazása utáni és a kereskedési könyvben nem szereplő hitelkockázat-mérséklés hatásának figyelembevétele utáni teljes kitettséget kell feltüntetnie. | 
| 350 | A figyelembe vehető szavatoló tőke %-ában Az intézménynek a – CRR 4. cikke (1) bekezdésének 71. b) pontjában meghatározott – figyelembe vehető szavatoló tőkéje tekintetében alkalmazandó mentességek és hitelkockázat-mérséklés utáni kitettségérték százalékos arányát kell feltüntetnie. | 
7. C 29.00 - Az egymással kapcsolatban álló ügyfelek csoportjain belüli egyedi ügyfelekkel szembeni kitettségekre vonatkozó részletes adatok ("LE3" jelzésű tábla)
7.1. A tábla egyes oszlopaira vonatkozó előírások
| Oszlop | Jogszabályi hivatkozások és előírások | 
| 010-360 | Az intézményeknek az „LE3” jelzésű táblában kell megadniuk az „LE2” jelzésű tábla soraiban szereplő, egymással kapcsolatban álló ügyfelek csoportjaihoz tartozó egyedi ügyfelekkel szembeni kitettségre vonatkozó adatokat. | 
| 010 | Kód A 010. és a 020. oszlop összetett sorazonosítók, és együttesen a tábla minden sorát egyedileg azonosítják. Fel kell tüntetni az egymással kapcsolatban álló ügyfelek csoportjaihoz tartozó egyedi partnerek kódját. | 
| 020 | Csoportkód A 010. és a 020. oszlop összetett sorazonosítók, és együttesen a tábla minden sorát egyedileg azonosítják. Amennyiben nemzeti szinten egyedi kód áll rendelkezésre az egymással kapcsolatban álló ügyfelek csoportjára vonatkozóan, ezt a kódot kell feltüntetni. Amennyiben nem áll rendelkezésre nemzeti szinten egyedi kód, a feltüntetendő kód a C 28.00. (LE2) táblában az egymással kapcsolatban álló ügyfelek csoportjához tartozó kitettségek feltüntetésénél használt kód. Amennyiben az ügyfél több, egymással kapcsolatban álló ügyfelek csoportjához tartozik, az egymással kapcsolatban álló ügyfelek valamennyi csoportjának tagjaként kell feltüntetni. | 
| 030 | Olyan ügyletek, amelyek esetében kitettség van az alapul szolgáló eszközökkel szemben Lásd az „LE2” jelzésű tábla 030. oszlopát. | 
| 040 | A kapcsolat jellege Az egyedi szervezet és az egymással kapcsolatban álló ügyfelek csoportja közötti kapcsolat jellegét az alábbiak szerint kell pontosítani: a CRR 4. cikke (1) bekezdése 39. a) pontja értelmében (ellenőrzés); vagy a CRR 4. cikke (1) bekezdése 39. b) pontja értelmében (kereszt–kapcsolatok fennállása). | 
| 050-360 | Ha az „LE2” táblában a pénzügyi instrumentumokat az egymással kapcsolatban álló ügyfelek teljes csoportjára vonatkozóan adják meg, azokat az „LE3” jelzésű táblában az egyedi partnerekhez kell rendelni az intézmény üzleti feltételeivel összhangban. A többi előírás megegyezik az „LE2” jelzésű tábláéval. | 
8. C 30.00 - A tíz legnagyobb, intézményekkel szembeni kitettség, valamint a tíz legnagyobb, nem szabályozott pénzügyi ágazatbeli szervezetekkel szembeni kitettség lejárati csoportjai ("LE4" jelzésű tábla)
8.1. A tábla egyes oszlopaira vonatkozó előírások
| Oszlop | Jogszabályi hivatkozások és előírások | 
| 010 | Kód A kód egy sorazonosító, amely a tábla minden sorát egyedileg azonosítja. Lásd az „LE1” jelzésű tábla 010. oszlopát. | 
| 020-250 | A kitettség lejárati csoportjai A CRR 394. cikke (2) bekezdésének e) pontja. Az intézménynek ezeket az információkat kell megadnia a tíz legnagyobb, intézményekkel szembeni kitettségre, valamint a tíz legnagyobb, nem szabályozott pénzügyi ágazatbeli szervezetekkel szembeni kitettségre vonatkozóan. A lejárati csoportokat legfeljebb egy év lejáratú kitettségek esetében egy hónapos időszakokban, a legfeljebb három év lejáratú kitettségek esetében negyedéves időszakokban, a három évnél hosszabb lejáratú kitettségek esetében pedig hosszabb időszakokban határozzák meg. A mentességek alkalmazása és a hitelkockázat-mérséklés előtti kitettségérték (az „LE2” jelzésű tábla 210. oszlopa) mindegyike esetében a teljes fennálló összeget kell feltüntetni a várható hátralévő lejáratának megfelelő lejárati csoportban. Egy ügyféllel szemben kitettséget képező több különböző kapcsolat esetén a kitettség minden egyes szóban forgó részét a teljes fennálló összeggel kell feltüntetni a várható hátralévő lejáratának megfelelő lejárati csoportban. A nem fix lejáratú instrumentumok – például a tulajdoni részesedést megtestesítő instrumentumok – a „meg nem határozott lejárat” oszlopban tüntetendők fel. A kitettség várható lejáratát a közvetlen és a közvetett kitettségek esetében egyaránt fel kell tüntetni. A közvetlen kitettségek esetében a hitelviszonyt megtestesítő instrumentumok és a származtatott ügyletek várható összegének a tábla különböző lejárati csoportjaihoz való rendelésekor a likviditási helyzet monitorozására alkalmas további mérőszámokat tartalmazó lejárati tábla előírásait kell követni (lásd e rendelet XXIII. mellékletét). A mérlegen kívüli tételek esetében a mögöttes kockázat lejáratát kell figyelembe venni a várható összegek lejárati csoportokhoz rendelésekor. Pontosabban, a határidős betétügyletek esetében a betétek lejárati szerkezetét; a pénzügyi garanciák esetében az alapul szolgáló pénzügyi eszköz lejárati szerkezetét; a hitelnyújtási kötelezettségvállalások le nem hívott tételei esetében a hitel szerkezetét; az egyéb kötelezettségvállalások esetében pedig a kötelezettségvállalás lejárati szerkezetét kell figyelembe venni. Közvetett kitettségek esetében a lejárati csoportokhoz rendelés a közvetlen kitettséget keletkeztető garanciaműveletek lejáratán alapul. Abban az esetben, ha egy kitettség vagy egy kitettségrész nemteljesítőnek minősül, és a C 28.00 táblában („LE2” jelzésű tábla, 050. oszlop) és a C 29.00 táblában („LE3” jelzésű tábla, 060. oszlop) ekként van feltüntetve, a nemteljesítő kitettség várható alakulását a következőképpen kell a vonatkozó lejárati csoportokhoz rendelni: — Ha az adatszolgáltató intézmény – a nemteljesítés ellenére – világos ütemterv birtokában van a kitettség várható visszafizetéseit illetően, azokat a vonatkozó csoportokhoz rendeli. — Ha az adatszolgáltató intézmény nem rendelkezik indokolt véleménnyel arról, hogy a nemteljesítő összegeket mikor fogják visszafizetni (ha egyáltalán), azokat a „meg nem határozott lejárat” kategóriához rendeli. | 
9. C 31.00 - A tíz legnagyobb, intézményekkel szembeni kitettség, valamint a tíz legnagyobb, nem szabályozott pénzügyi ágazatbeli szervezetekkel szembeni kitettség lejárati csoportjai: egymással kapcsolatban álló ügyfelek csoportjain belüli egyedi ügyfelekkel szembeni kitettségek részletei ("LE5" jelzésű tábla)
9.1. A tábla egyes oszlopaira vonatkozó előírások
| Oszlop | Jogszabályi hivatkozások és előírások | 
| 010-260 | Az intézményeknek az „LE5” jelzésű táblában kell feltüntetniük az „LE4” jelzésű tábla soraiban szereplő, egymással kapcsolatban álló ügyfelek csoportjaihoz tartozó egyedi partnerek adatait. | 
| 010 | Kód A 010. és a 020. oszlop összetett sorazonosítók, és együttesen a tábla minden sorát egyedileg azonosítják. Lásd az „LE3” jelzésű tábla 010. oszlopát. | 
| 020 | Csoportkód A 010. és a 020. oszlop összetett sorazonosítók, és együttesen a tábla minden sorát egyedileg azonosítják. Lásd az „LE3” jelzésű tábla 020. oszlopát. | 
| 030-260 | A kitettségek lejárati csoportjai Lásd az „LE4” jelzésű tábla 020–250. oszlopát. | 
X. MELLÉKLET
A TŐKEÁTTÉTELRE VONATKOZÓ ADATSZOLGÁLTATÁS
| A TŐKEÁTTÉTELI MUTATÓRA VONATKOZÓ ADATSZOLGÁLTATÁSI TÁBLÁK | |||
| Tábla kódja | Tábla kódja | Tábla neve | Rövid név | 
| 47 | C 47.00 | A tőkeáttételi mutató számítása | LRCalc | 
| 40 | C 40.00 | A kitettségérték alternatív meghatározása | LR1 | 
| 41 | C 41.00 | Mérlegtételek és mérlegen kívüli tételek – a kitettségek további bontása | LR2 | 
| 42 | C 42.00 | A tőke alternatív definíciója | LR3 | 
| 43 | C 43.00 | A tőkeáttételi mutató számításához használt kitettségek alternatív bontása | LR4 | 
| 44 | C 44.00 | Általános információk | LR5 | 
C 40.00 - A KITETTSÉGÉRTÉK ALTERNATÍV MEGHATÁROZÁSA (LR1)
| Sor | Oszlop | ||||||||
| 010 | 020 | 040 | 050 | 070 | 075 | 085 | 120 | ||
| Mérleg szerinti érték | Nettósítás és más CRM nélküli könyv szerinti érték | SFT-többlet | A piaci árazás szerinti módszer miatti többlet (nettósítás és más CRM nélkül) | Névleges összeg / névérték | Csökkentett névleges összeg | Csökkentett névleges összeg (azonos referencianév) | Elméletileg mentesített tőkeáttételi kitettségérték | ||
| 010 | Származtatott ügyletek | ||||||||
| 020 | Hitelderivatívák (eladott hitelkockázati fedezet) | ||||||||
| 030 | Pozíciózárási rendelkezés hatályába tartozó hitelderivatívák (eladott hitelkockázati fedezet) | ||||||||
| 040 | Pozíciózárási rendelkezés hatályába nem tartozó hitelderivatívák (eladott hitelkockázati fedezet) | ||||||||
| 050 | Hitelderivatívák (vásárolt hitelkockázati fedezet) | ||||||||
| 060 | Pénzügyi derivatívák | ||||||||
| 070 | Nettósítási keretmegállapodás hatályába tartozó SFT-k | ||||||||
| 080 | Nettósítási keretmegállapodás hatályába nem tartozó SFT-k | ||||||||
| 090 | Egyéb eszközök | ||||||||
| 100 | RSA (módosított sztenderd módszer) szerinti alacsony kockázatú mérlegen kívüli tételek; ebből: | ||||||||
| 110 | Lakossággal szembeni rulírozó kitettségek; ebből | ||||||||
| 120 | Feltétel nélkül felmondható hitelkártya-kötelezettségek | ||||||||
| 130 | Nem rulírozó, feltétel nélkül felmondható kötelezettségek | ||||||||
| 140 | RSA szerinti közepes/alacsony kockázatú mérlegen kívüli tételek | ||||||||
| 150 | RSA szerinti közepes kockázatú mérlegen kívüli tételek | ||||||||
| 160 | RSA szerinti teljes kockázatú mérlegen kívüli tételek | ||||||||
| 170 | (tájékoztató adat) Lakossággal szembeni rulírozó kitettségek lehívott összegei | ||||||||
| 180 | (tájékoztató adat) Feltétel nélkül felmondható hitelkártya-kötelezettségek lehívott összegei | ||||||||
| 190 | (tájékoztató adat) Nem rulírozó, feltétel nélkül felmondható kötelezettségek lehívott összegei | ||||||||
| 210 | Származtatott ügyletekben kapott készpénzbiztosíték | ||||||||
| 220 | Származtatott ügyletekben nyújtott készpénzbiztosítékhoz kapcsolódó követelések | ||||||||
| 230 | SFT során kapott, a mérlegben eszközként megjelenített értékpapírok | ||||||||
| 240 | SFT készpénz-közvetítési hitelezési ügylet (készpénzkövetelések) | ||||||||
| 250 | A CRR 113. cikke (6) bekezdésének megfelelően kezelhető kitettségek | ||||||||
| 260 | A CRR 429. cikke (14) bekezdése a)–c) alpontjának feltételeit teljesítő kitettségek | ||||||||
C41.00 - MÉRLEGTÉTELEK ÉS MÉRLEGEN KÍVÜLI TÉTELEK - A KITETTSÉGEK TOVÁBBI BONTÁSA (LR2)
| Sor | Oszlop | |||
| 010 | 020 | 030 | ||
| Mérlegen belüli és mérlegen kívüli kitettségek (SA-kitettségek) | Mérlegen belüli és mérlegen kívüli kitettségek (IRB-kitettségek) | Névérték | ||
| 010 | A kereskedési könyvben nem szereplő mérlegen belüli és mérlegen kívüli kitettségek, valamint a kereskedési könyvben szereplő, partnerkockázattal szembeni kitettségek (kockázati súly szerinti bontásban): | |||
| 020 | = 0 % | |||
| 030 | > 0 % és ≤ 12 % | |||
| 040 | > 12 % és ≤ 20 % | |||
| 050 | > 20 % és ≤ 50 % | |||
| 060 | > 50 % és ≤ 75 % | |||
| 070 | > 75 % és ≤ 100 % | |||
| 080 | > 100 % és ≤ 425 % | |||
| 090 | > 425 % és ≤ 1 250 % | |||
| 100 | Nemteljesítő kitettségek | |||
| 110 | (tájékoztató adat) Alacsony kockázatú mérlegen kívüli tételek vagy a tőkemegfelelési mutató keretében 0 %-os hitel-egyenértékesítési tényezőt kapó mérlegen kívüli tételek | |||
C42.00 - A TŐKE ALTERNATÍV DEFINÍCIÓJA (LR3)
| Sor | Oszlop | |
| 010 | ||
| 010 | Elsődleges alapvető tőke – teljes mértékben bevezetett fogalom | |
| 020 | Elsődleges alapvető tőke – átmeneti fogalom | |
| 030 | Szavatoló tőke összesen – teljes mértékben bevezetett fogalom | |
| 040 | Szavatoló tőke összesen – átmeneti fogalom | |
| 055 | Levont eszközérték – az elsődleges alapvető tőke tételeiből – teljes mértékben bevezetett fogalom | |
| 065 | Levont eszközérték – az elsődleges alapvető tőke tételeiből – átmeneti fogalom | |
| 075 | Levont eszközérték – a szavatoló tőke tételeiből – teljes mértékben bevezetett fogalom | |
| 085 | Levont eszközérték – a szavatoló tőke tételeiből – átmeneti fogalom | 
C43.00 - A TŐKEÁTTÉTELI MUTATÓ SZÁMÍTÁSÁHOZ HASZNÁLT KITETTSÉGEK ALTERNATÍV BONTÁSA (LR4)
| Sor | Mérlegen kívüli tételek, származtatott ügyletek, SFT-k és kereskedési könyv | Oszlop | |||
| 010 | 020 | ||||
| A tőkeáttételi mutató számításához használt kitettségérték | Kockázattal súlyozott eszközök | ||||
| 010 | Mérlegen kívüli tételek; ebből | ||||
| 020 | Kereskedelemfinanszírozás; ebből | ||||
| 030 | Hivatalos exporthitel-biztosítási program keretében | ||||
| 040 | Eltérő termékkategóriák közötti nettósításról szóló megállapodások hatályába tartozó származtatott ügyletek és SFT-k | ||||
| 050 | Eltérő termékkategóriák közötti nettósításról szóló megállapodások hatályába nem tartozó származtatott ügyletek | ||||
| 060 | Eltérő termékkategóriák közötti nettósításról szóló megállapodások hatályába nem tartozó SFT-k | ||||
| 065 | A hitelderivatívák kiegészítő kezeléséből adódó kitettségérték | ||||
| 070 | A kereskedési könyvben szereplő egyéb eszközök | ||||
| Sor | Egyéb, kereskedési könyvben nem szereplő kitettségek | Oszlop | |||
| 010 | 020 | 030 | 040 | ||
| A tőkeáttételi mutató számításához használt kitettségérték | Kockázattal súlyozott eszközök | ||||
| SA–kitettségek | IRB-kitettségek | SA–kitettségek | IRB-kitettségek | ||
| 080 | Fedezett kötvények | ||||
| 90 | Kormányzatként kezelt kitettségek | ||||
| 100 | Központi kormányzatok és központi bankok | ||||
| 110 | Kormányzatként kezelt regionális kormányzatok és helyi hatóságok | ||||
| 120 | Kormányzatként kezelt multilaterális fejlesztési bankok és nemzetközi szervezetek | ||||
| 130 | Kormányzatként kezelt közszektorbeli intézmények | ||||
| 140 | Nem kormányzatként kezelt regionális kormányzatokkal, multilaterális fejlesztési bankokkal, nemzetközi szervezetekkel és közszektorbeli intézményekkel szembeni kitettségek | ||||
| 150 | Nem kormányzatként kezelt regionális kormányzatok és helyi hatóságok | ||||
| 160 | Nem kormányzatként kezelt multilaterális fejlesztési bankok | ||||
| 170 | Nem kormányzatként kezelt közszektorbeli intézmények | ||||
| 180 | Intézmények | ||||
| 190 | Ingatlan-jelzálogjoggal fedezett; ebből | ||||
| 200 | Lakóingatlan-jelzálogjoggal fedezett | ||||
| 210 | Lakossággal szembeni kitettségek; ebből | ||||
| 220 | Lakossági (kkv) | ||||
| 230 | Vállalati; ebből | ||||
| 240 | Pénzügyi | ||||
| 250 | Nem pénzügyi; ebből | ||||
| 260 | Kkv-kitettségek | ||||
| 270 | Nem kkv-kitettségek | ||||
| 280 | Nemteljesítő kitettségek | ||||
| 290 | Egyéb kitettségek; ebből | ||||
| 300 | Értékpapírosítási kitettségek | ||||
| 310 | Kereskedelemfinanszírozás (tájékoztató adat); ebből | ||||
| 320 | Hivatalos exporthitel-biztosítási program keretében | ||||
C 44.00 - ÁLTALÁNOS INFORMÁCIÓK (LR5)
| Sor | Oszlop | |
| 010 | ||
| 010 | Az intézmény társasági formája | |
| 020 | Származtatott ügyletek kezelése | |
| 040 | Az intézmény típusa | 
C 47.00 - A TŐKEÁTTÉTELI MUTATÓ SZÁMÍTÁSA (LRCalc)
| Oszlop | ||
| LR kitettség: adatszolgáltatási vonatkozási időpont | ||
| Sor | Kitettségértékek | 010 | 
| 010 | SFT-k: A CRR 429. cikkének (5) bekezdése és 429. cikkének (8) bekezdése szerinti kitettség | |
| 020 | SFT-k: Partnerkockázat miatti többlet | |
| 030 | SFT-kre vonatkozó eltérés: a CRR 429b. cikkének (4) bekezdése és 222. cikke szerinti többlet | |
| 040 | A CRR 429b. cikkének (6) bekezdése szerinti, megbízottként végzett SFT-k partnerkockázata | |
| 050 | (–) Ügyfél által elszámolt, központi szerződő féllel szembeni, mentesített SFT-kitettségek | |
| 060 | Származtatott ügyletek: aktuális pótlási költség | |
| 070 | (–) Kapott elismerhető változó készpénzletét beszámítása a származtatott ügylet piaci értékével szemben | |
| 080 | (–) Ügyfél által elszámolt, központi szerződő féllel szembeni, mentesített kereskedési kitettségek (pótlási költségek) | |
| 090 | Származtatott ügyletek: a piaci árazás szerinti módszer miatti többlet | |
| 100 | (–) Ügyfél által elszámolt, központi szerződő féllel szembeni, mentesített kereskedési kitettségek (potenciális jövőbeli kitettség) | |
| 110 | Származtatott ügyletekre vonatkozó eltérés: az eredeti kitettség szerinti módszer | |
| 120 | (–) Ügyfél által elszámolt, központi szerződő féllel szembeni, mentesített kereskedési kitettségek (eredeti kitettség szerinti módszer) | |
| 130 | Eladott hitelderivatívák csökkentett névleges összege | |
| 140 | Az elismerhető vásárolt hitelderivatívák beszámítása az eladott hitelderivatívákkal szemben | |
| 150 | A CRR 429. cikke (10) bekezdésének megfelelő, 10 %-os hitel-egyenértékesítési tényezővel rendelkező mérlegen kívüli tételek | |
| 160 | A CRR 429. cikke (10) bekezdésének megfelelő, 20 %-os hitel-egyenértékesítési tényezővel rendelkező mérlegen kívüli tételek | |
| 170 | A CRR 429. cikke (10) bekezdésének megfelelő, 50 %-os hitel-egyenértékesítési tényezővel rendelkező mérlegen kívüli tételek | |
| 180 | A CRR 429. cikke (10) bekezdésének megfelelő, 100 %-os hitel-egyenértékesítési tényezővel rendelkező mérlegen kívüli tételek | |
| 190 | Egyéb eszközök | |
| 200 | Származtatott ügylet során nyújtott biztosíték miatti visszaírás | |
| 210 | (–) Származtatott ügylet során nyújtott változó készpénzletétre vonatkozó követelések | |
| 220 | (–) Ügyfél által elszámolt, központi szerződő féllel szembeni, mentesített kereskedési kitettségek (alapletét) | |
| 230 | Eladásként elszámolt SFT-k miatti kiigazítás | |
| 240 | (–) Bizalmi vagyonkezelés keretében kezelt eszközök | |
| 250 | (–) A CRR 429. cikkének (7) bekezdésével összhangban mentesített csoporton belüli kitettségek (egyedi alapon) | |
| 260 | (–) A CRR 429. cikkének (14) bekezdésével összhangban mentesített kitettségek | |
| 270 | (–) Levont eszközérték – Alapvető tőke – teljes mértékben bevezetett fogalom | |
| 280 | (–) Levont eszközérték – Alapvető tőke – átmeneti fogalom | |
| 290 | A tőkeáttételi mutató számításához használt teljes kitettségérték – az alapvető tőke teljes mértékben bevezetett fogalma alapján | |
| 300 | A tőkeáttételi mutató számításához használt teljes kitettségérték – az alapvető tőke átmeneti fogalma alapján | |
| Sor | Tőke | |
| 310 | Alapvető tőke – teljes mértékben bevezetett fogalom | |
| 320 | Alapvető tőke – átmeneti fogalom | |
| Sor | Tőkeáttételi mutató | |
| 330 | Tőkeáttételi mutató – az alapvető tőke teljes mértékben bevezetett fogalma alapján | |
| 340 | Tőkeáttételi mutató – az alapvető tőke átmeneti fogalma alapján | |
XI. MELLÉKLET
A TŐKEÁTTÉTELRE VONATKOZÓ ADATSZOLGÁLTATÁS
I. RÉSZ: ÁLTALÁNOS ÚTMUTATÓ
1. Táblák jelölése és egyéb szabályok
1.1. Táblák jelölése
1.2. Számozási szabályok
1.3. Rövidítések
1.4. Előjelre vonatkozó szabályok
II. RÉSZ: A TÁBLÁHOZ KAPCSOLÓDÓ ÚTMUTATÓ
1. Szerkezet és gyakoriság
2. A tőkeáttételi mutató számításának képletei
3. Lényegességi küszöbérték származtatott ügyletek esetében
4. C 47.00 - A tőkeáttételi mutató számítása (LRCalc)
5. C 40.00 - A kitettségérték alternatív meghatározása (LR1)
6. C 41.00 - Mérlegtételek és mérlegen kívüli tételek - a kitettségek további bontása (LR2)
7. C 42.00 - A tőke alternatív definíciója (LR3)
8. C 43.00 - A tőkeáttételi mutató számításához használt kitettségek alternatív bontása (LR4)
9. C 44.00 - Általános információk (LR5)
I. RÉSZ: ÁLTALÁNOS ÚTMUTATÓ
1. Táblák jelölése és egyéb szabályok
1.1. Táblák jelölése
1. Ez a melléklet az e rendelet X. mellékletében szereplő táblákkal (a továbbiakban "LR") kapcsolatos további útmutatót tartalmaz.
2. Az adatszolgáltatási keret a következő hat táblából áll:
- C47.00: A tőkeáttételi mutató számítása (LRCalc): a tőkeáttételi mutató számítása,
- C40.00: A tőkeáttételi mutatóra vonatkozó 1. tábla (LR1): a kitettségérték alternatív meghatározása,
- C41.00: A tőkeáttételi mutatóra vonatkozó 2. tábla (LR2): mérlegtételek és mérlegen kívüli tételek - a kitettségek további bontása,
- C42.00: A tőkeáttételi mutatóra vonatkozó 3. tábla (LR3): a tőke alternatív definíciója,
- C43.00: A tőkeáttételi mutatóra vonatkozó 4. tábla (LR4): a tőkeáttételi mutató számításához használt kitettségek bontása, valamint
- C44.00: A tőkeáttételi mutatóra vonatkozó 5. tábla (LR5): általános információk.
3. Minden táblához rendelkezésre állnak a jogszabályi hivatkozások, valamint az adatszolgáltatás általánosabb szempontjaival kapcsolatos részletesebb információk.
1.2. Számozási szabályok
4. A táblák oszlopaira, soraira és mezőire való hivatkozáskor a dokumentum a következő pontokban meghatározott jelölési szabályokat követi. Ezeket a numerikus kódokat kimerítően használják az ellenőrzési szabályok.
5. Az útmutató a következő általános jelölést követi: {Tábla;Sor;Oszlop}. A teljes sorokat vagy oszlopokat csillag jelöli.
6. Táblán belüli - csak az adott tábla adatpontjaira támaszkodó - ellenőrzések esetében a jelölés nem hivatkozik a táblára: {Sor;Oszlop}.
7. A tőkeáttételre vonatkozó adatszolgáltatási táblákban az "ebből" kifejezés egy magasabb szintű kitettségi kategória részhalmazára utal, a "tájékoztató adat" pedig olyan külön tételre, amely nem részhalmaza valamely kitettségi osztálynak. Eltérő utasítás hiányában mindkét mezőtípust ki kell tölteni.
1.3. Rövidítések
8. E melléklet és a vonatkozó táblák alkalmazásában a következő rövidítések használatosak:
a. CRR: a tőkekövetelményekről szóló 575/2013/EU rendelet (Capital Requirements Regulation);
b. SFT: értékpapír-finanszírozási ügylet (Securities Financing Transactions), azaz az 575/2013/EU rendeletben említett repoügylet, értékpapírok vagy áruk kölcsönbe adása vagy kölcsönbe vétele, hosszú teljesítési idejű ügylet és értékpapírügylethez kapcsolódó hitel.
c. CRM: hitelkockázat-mérséklés (Credit Risk Mitigation).
1.4. Előjelre vonatkozó szabályok
9. Minden összeget pozitív számként kell feltüntetni. Ez alól kivételt képeznek az {LRCalc;050;010}, {LRCalc;070;010}, {LRCalc;080;010}, {LRCalc;100;010}, {LRCalc;120;010}, {LRCalc;140;010}, {LRCalc;210;010}, {LRCalc;220;010}, {LRCalc;240;010}, {LRCalc;250;010}, {LRCalc;260;010}, {LRCalc;310;010}, {LRCalc;320;010}, {LRCalc;270;010}, {LRCalc;280;010}, {LRCalc;330;010}, {LRCalc;340;010}, {LR3;010;010}, {LR3;020;010}, {LR3;030;010}, {LR3;040;010}, {LR3;055;010}, {LR3;065;010}, {LR3;075;010} és {LR3;085;010} mezőben feltüntetett összegek. Itt ügyelni kell arra, hogy a {LRCalc;050;010}, {LRCalc;070;010}, {LRCalc;080;010}, {LRCalc;100;010}, {LRCalc;120;010}, {LRCalc;140;010}, {LRCalc;210;010}, {LRCalc;220;010}, {LRCalc;240;010}, {LRCalc;250;010}, {LRCalc;260;010}, {LRCalc;270;010}, {LRCalc;280;010}, {LR3;055;010}, {LR3;065;010}, {LR3;075;010} és {LR3;085;010} csak negatív értékű lehet. Ügyelni kell arra is, hogy - a szélsőséges eseteket leszámítva - {LRCalc;310;010}, {LRCalc;320;010}, {LRCalc;330;010}, {LRCalc;340;010}, {LR3;010;010}, {LR3;020;010}, {LR3;030;010} és {LR3;040;010} csak pozitív értékű lehet.
II. RÉSZ: A TÁBLÁHOZ KAPCSOLÓDÓ ÚTMUTATÓ
1. Szerkezet és gyakoriság
1. A tőkeáttételi mutatóra vonatkozó tábla két részből áll. Az "A" rész tartalmazza a tőkeáttételi mutató kiszámításához szükséges összes olyan adatot, amelyet az intézményeknek a CRR 430. cikke (1) bekezdésének első albekezdése alapján kell benyújtaniuk az illetékes hatóságoknak, míg a "B" rész az összes olyan adatot tartalmazza, amelyet az intézményeknek a CRR 430. cikke (1) bekezdésének második albekezdése alapján kell benyújtaniuk (vagyis a CRR 511. cikkében említett jelentés céljából).
2. A jelen adatszolgáltatáshoz szükséges adatok összeállításakor az intézményeknek figyelembe kell venniük a bizalmi vagyonkezelés keretében kezelt eszközöknek a CRR 429. cikkének (13) bekezdése szerinti kezelését.
2. A tőkeáttételi mutató számításának képletei
3. A tőkeáttételi mutató a tőkeértéken és a teljes kitettségértékén alapul, amelyet az "A" részben szereplő mezőkkel lehet kiszámítani.
4. Tőkeáttételi mutató - teljes mértékben bevezetett fogalom = {LRCalc;310;010}/{LRCalc;290;010}.
5. Tőkeáttételi mutató - átmeneti fogalom = {LRCalc;320;010}/{LRCalc;300;010}.
3. Lényegességi küszöbérték származtatott ügyletek esetében
6. Az adatszolgáltatási teher csökkentése érdekében a származtatott ügyletekből korlátozott mértékű kitettséggel rendelkező intézmények esetében a következő mérőszámok alkalmazandók a származtatott kitettségek teljes kitettségértékhez viszonyított relatív fontosságának mérésére a tőkeáttételi mutatóban. Az intézményeknek ezeket a mérőszámokat az alábbiak szerint kell kiszámítaniuk:
7. [Kép #18] .

Kép #18
8. Ahol a teljes kitettségérték egyenlő: {LRCalc;290;010}.
9. A származtatott ügyletek névértéke = {LR1; 010;070}. Ezt a mezőt mindig ki kell tölteniük az intézményeknek.
10. Hitelderivatívák értéke = {LR1;020;070} + {LR1;050;070}. Ezeket a mezőket mindig ki kell tölteniük az intézményeknek.
11. Az intézmények a következő adatszolgáltatási időszakban csak akkor kötelesek kitölteni a 14. pontban említett mezőket, ha a következő feltételek bármelyike teljesül:
- a származtatott ügyletek 7. pont szerinti, kitettségértéken belüli részesedése két egymást követő adatszolgáltatási vonatkozási időpontban meghaladja az 1,5 %-ot;
- a származtatott ügyletek 7. pont szerinti, kitettségértéken belüli részesedése meghaladja a 2,0 %-ot.
12. Azon intézmények, amelyek esetében a származtatott ügyleteknek a 9. pontban meghatározott névértéke meghaladja a 10 milliárd EUR-t, akkor is kötelesek kitölteni a 14. pontban említett mezőket, ha a származtatott ügyletek kitettségértéken belüli részesedése nem felel meg a 11. pontban leírt feltételeknek.
13. Az intézmények csak akkor kötelesek kitölteni a 15. pontban említett mezőket, ha a következő feltételek bármelyike teljesül:
- a hitelderivatíváknak a 10. pont szerinti értéke két egymást követő adatszolgáltatási vonatkozási időpontban meghaladja a 300 millió EUR-t;
- a hitelderivatíváknak a 10. pont szerinti értéke meghaladja az 500 millió EUR-t.
14. Az intézmények által a 11. pont értelmében kitöltendő mezők a következők: {LR1;010;010}, {LR1;010;020}, {LR1;010;050}, {LR1;020;010}, {LR1;020;020}, {LR1;020;050}, {LR1;030;050}, {LR1;030;070}, {LR1;040;050}, {LR1;040;070}, {LR1;050;010}, {LR1;050;020}, {LR1;050;050}, {LR1;060;010}, {LR1;060;020}, {LR1;060;050} és {LR1;060;070}.
15. Az intézmények által a 13. pont értelmében kitöltendő mezők a következők: {LR1;020;075}, {LR1;050;075} és {LR1;050;085}.
4. C 47.00 - A tőkeáttételi mutató számítása (LRCalc)
16. Az adatszolgáltatási tábla e részében kell megadni azokat az adatokat, amelyekre a tőkeáttételi mutatónak a CRR 429., 429a. és 429b. cikke szerinti kiszámításához van szükség.
17. Az intézményeknek negyedévente kell adatot szolgáltatniuk a tőkeáttételi mutatóról. Az "adatszolgáltatási vonatkozási időpont" szerinti érték mindig az adott negyedév harmadik hónapjának utolsó naptári napján fennálló érték.
18. Az intézményeknek a {010;010} - {030;010}, a {060;010}, a {090;010}, a {110;010} és a {150;010} - {190;010} mezőt úgy kell kitölteniük, mintha a {050;010}, a {080;010}, a {100;010}, a {120;010} és a {220;010} mező szerinti mentességek nem lennének alkalmazandók.
19. Az intézményeknek a {010;010} - {240;010} mezőt úgy kell kitölteniük, mintha a {250;010} és a {260;010} mező szerinti mentességek nem lennének alkalmazandók.
20. A szavatoló tőkét vagy a tőkeáttételi mutató számításához használt kitettségértéket növelő összegek előjele pozitív. Ugyanakkor a szavatoló tőke teljes összegét vagy a tőkeáttételi mutató számításához használt kitettségértéket csökkentő összegek előjele negatív. Ha egy tétel megjelölése előtt mínuszjel (-) található, akkor az adott tételről nem szolgáltatható pozitív adat.
| Jogszabályi hivatkozások és útmutató | |
| Sor és oszlop | Kitettségértékek | 
| {010;010} | SFT-k: A CRR 429. cikkének (5) bekezdése és 429. cikkének (8) bekezdése szerinti kitettség A CRR 429. cikke (5) bekezdésének d) pontja és 429. cikkének (8) bekezdése A CRR 429. cikke (5) bekezdésének d) pontja és 429. cikkének (8) bekezdése szerint számított SFT-kitettség. Az intézmények ebben a mezőben a 429b. cikk (6) bekezdésének c) pontja szerinti ügyleteket veszik figyelembe. Az intézmények ebben a mezőben nem tüntethetik fel a kapott készpénzt vagy az említett tranzakciók során bármely ügyleti partnernek adott biztosítékot, ha az továbbra is szerepel a mérlegben (vagyis akkor, ha a kivezetés számviteli feltételei nem teljesülnek). Ezeket a tételeket az intézmények ehelyett a {190,010} mezőben tüntetik fel. Az intézmények ebben a mezőben nem tüntethetik fel azokat az SFT-ket, amelyeknél megbízottként közreműködve a CRR 429b. cikke (6) bekezdése a) pontjának megfelelően kártalanítási vagy garanciakötelezettséget vállalnak egy ügyféllel vagy ügyleti partnerrel szemben, amely kötelezettség az ügyfél által kölcsönadott értékpapír vagy készpénz értéke és a kölcsönfelvevő által nyújtott biztosíték értéke közötti különbségre korlátozódik. | 
| {020;010} | SFT-k: Partnerkockázat miatti többlet A CRR 429b. cikkének (1) bekezdése A mérlegen belüli és a mérlegen kívüli SFT-k partnerkockázata miatti többlet, amelyet a CRR 429b. cikkének (2) vagy – adott esetben – (3) bekezdése alapján számítanak ki. Az intézmények ebben a mezőben a 429b. cikk (6) bekezdésének c) pontja szerinti ügyleteket veszik figyelembe. Az intézmények ebben a mezőben nem tüntethetik fel azokat az SFT-ket, amelyeknél megbízottként közreműködve a CRR 429b. cikke (6) bekezdése a) pontjának megfelelően kártalanítási vagy garanciakötelezettséget vállalnak egy ügyféllel vagy ügyleti partnerrel szemben, amely kötelezettség az ügyfél által kölcsönadott értékpapír vagy készpénz értéke és a kölcsönfelvevő által nyújtott biztosíték értéke közötti különbségre korlátozódik. Ezeket a tételeket az intézmények ehelyett a {040;010} mezőben tüntetik fel. | 
| {030;010} | Értékpapír-finanszírozási ügyletekre vonatkozó eltérés: a CRR 429b. cikkének (4) bekezdése és 222. cikke szerinti többlet A CRR 429b. cikkének (4) bekezdése és 222. cikke A mérlegen belüli és a mérlegen kívüli SFT-knek a CRR 222. cikke szerint számított kitettségértéke, 20 %-os küszöbértéket érvényesítve az alkalmazandó kockázati súlyra. Az intézmények ebben a mezőben a CRR 429b. cikke (6) bekezdésének c) pontja szerinti ügyleteket veszik figyelembe. Az intézmények ebben a mezőben nem vehetik figyelembe azokat az ügyleteket, amelyek esetében a tőkeáttételi mutató számításához használt kitettségértéknek a többletet képviselő részét a CRR 429b. cikkének (1) bekezdésében meghatározott módszer szerint határozták meg. | 
| {040;010} | A CRR 429b. cikkének (6) bekezdése szerinti, megbízottként végzett SFT-k partnerkockázata A CRR 429b. cikkének (6) bekezdése a) pontja, illetve (2) és (3) bekezdése Azon SFT-k kitettségértéke, amelyeknél az intézmények megbízottként közreműködve a CRR 429b. cikke (6) bekezdése a) pontjának megfelelően kártalanítási vagy garanciakötelezettséget vállalnak egy ügyféllel vagy ügyleti partnerrel szemben, amely kötelezettség az ügyfél által kölcsönadott értékpapír vagy készpénz értéke és a kölcsönfelvevő által nyújtott biztosíték értéke közötti különbségre korlátozódik, és amely csak a CRR 429b. cikkének (2) vagy – adott esetben – (3) bekezdése szerint meghatározott többletből áll. Az intézmények ebben a mezőben nem tüntethetik fel a 429b. cikk (6) bekezdésének c) pontja szerinti ügyleteket. Ezeket a tételeket az intézmények ehelyett a {010;010} és a {020;010} vagy – adott esetben – a {010;010} és a {030;010} mezőben tüntetik fel. | 
| {050;010} | (-) Ügyfél által elszámolt, központi szerződő féllel szembeni, mentesített SFT-kitettségek A CRR 429. cikkének (11) bekezdése és 306. cikke (1) bekezdésének c) pontja Az ügyfél által elszámolt SFT-k központi szerződő féllel szembeni, mentesített kereskedési kitettségei, amennyiben megfelelnek a CRR 306. cikke (1) bekezdésének c) pontjában megállapított feltételeknek. Amennyiben a központi szerződő féllel szembeni mentesített kitettség biztosíték, az nem tüntethető fel ebben a mezőben, kivéve akkor, ha olyan újból elzálogosított biztosítékról van szó, amelyet az alkalmazandó számviteli szabályozás szerint (vagyis a CRR 111. cikke (1) bekezdése első mondatának megfelelően) teljes értéken kell figyelembe venni. Az intézményeknek az ebben a mezőben feltüntetett összeget a {010;010}, a {020;010} és a {030;010}, valamint az előző mondat második felében szereplő feltétel teljesülése esetén a {190;010} mezőben is szerepeltetniük kell, mintha nem lenne mentesség alkalmazandó. Amennyiben az intézmény a mentesített SFT-kitettségek tekintetében olyan alapletétet helyezett el, amelyet a {190;010} mezőben feltüntetett, de a {020;010} vagy a {030;010} mezőben nem tüntetett fel, úgy azt ebben a mezőben tüntetheti fel. | 
| {060;010} | Származtatott ügyletek: aktuális pótlási költség A CRR 429a., 274., 295., 296., 297. és 298. cikke A CRR II. mellékletében felsorolt szerződéseknek, továbbá a mérlegen belüli és a mérlegen kívüli hitelderivatíváknak a CRR 274. cikke (1) bekezdésében meghatározott, a kapott változó letéttel együtt számított aktuális pótlási költsége. A CRR 429a. cikkének (1) bekezdése szerint az intézmények a CRR 295. cikkével összhangban figyelembe vehetik a novációs szerződések és más nettósítási megállapodások hatásait. Az eltérő termékkategóriák közötti nettósítás nem alkalmazható. Megengedett azonban az intézmények számára a CRR 272. cikke 25. pontjának c) alpontjában említett termékkategórián és a hitelderivatívákon belüli nettósítás, ha a CRR 295. cikke c) pontjában említett, eltérő termékkategóriák közötti szerződéses nettósítási megállapodás vonatkozik rájuk. Az intézmények ebben a mezőben nem tüntethetik fel a CRR 429a. cikkének (8) bekezdésével és 275. cikkével összhangban az eredeti kitettség szerinti módszerrel értékelt szerződéseket. | 
| {070;010} | (-) Kapott elismerhető változó készpénzletét beszámítása a származtatott ügylet piaci értékével szemben A CRR 429a. cikkének (3) bekezdése Az ügyleti partnertől készpénzben kapott, a derivatívakitettség pótlási költséget jelentő részével szemben a CRR 429a. cikke (3) bekezdésének megfelelően beszámítható változó készpénzletét. A CRR 429. cikkének (11) bekezdése szerinti, központi szerződő féllel szembeni mentesített kitettségek tekintetében kapott változó készpénzletétet itt nem szabad feltüntetni. | 
| {080;010} | (-) Ügyfél által elszámolt, központi szerződő féllel szembeni, mentesített kereskedési kitettségek (pótlási költségek) A CRR 429. cikkének (11) bekezdése Az ügyfél által elszámolt származtatott ügyletekből eredő, minősített központi szerződő féllel szembeni, mentesített kereskedési kitettségek pótlási költséget jelentő része, amennyiben e tételek teljesítik a CRR 306. cikke (1) bekezdésének c) pontjában foglalt feltételeket. Az összeget az e kitettségek tekintetében kapott változó készpénzletéttel együtt kell feltüntetni. Az intézményeknek az ebben a mezőben feltüntetett összeget a {060;010} mezőben is szerepeltetniük kell, mintha nem lenne mentesség alkalmazandó. | 
| {090;010} | Származtatott ügyletek: a piaci árazás szerinti módszer miatti többlet A CRR 429a., 274., 295., 296., 297. és 298. cikke, valamint 299. cikkének (2) bekezdése Ebben a mezőben a CRR II. mellékletében felsorolt szerződéseknek és a mérlegen belüli és mérlegen kívüli hitelderivatíváknak a piaci árazás szerinti módszer (a II. mellékletben felsorolt szerződések vonatkozásában a CRR 274. cikke, a hitelderivatívák vonatkozásában pedig a CRR 299. cikkének (2) bekezdése) alapján számított potenciális jövőbeli kitettsége miatti többletet kell feltüntetni, a CRR 429a. cikkének (1) bekezdése szerinti nettósítási szabályok alkalmazásával. Ezen szerződések kitettségértékének meghatározása során az intézmények a CRR 295. cikkével összhangban figyelembe vehetik a novációs szerződések és más nettósítási megállapodások hatásait. Az eltérő termékkategóriák közötti nettósítás nem alkalmazható. Megengedett azonban az intézmények számára a CRR 272. cikke 25. pontjának c) alpontjában említett termékkategórián és a hitelderivatívákon belüli nettósítás, ha a CRR 295. cikke c) pontjában említett, eltérő termékkategóriák közötti szerződéses nettósítási megállapodás vonatkozik rájuk. A CRR 429a. cikke (1) bekezdésének második albekezdésével összhangban az intézmények a hitelderivatívák lehetséges jövőbeli kitettségértékének meghatározásakor a CRR 299. cikke (2) bekezdésének a) pontjában megállapított elveket valamennyi hitelderivatívájukra alkalmazzák, vagyis nem csak a kereskedési könyvben szereplőkre. Az intézmények ebben a mezőben nem tüntethetik fel a CRR 429a. cikkének (8) bekezdésével és 275. cikkével összhangban az eredeti kitettség szerinti módszerrel értékelt szerződéseket. | 
| {100;010} | (-) Ügyfél által elszámolt, központi szerződő féllel szembeni, mentesített kereskedési kitettségek (potenciális jövőbeli kitettség) A CRR 429. cikkének (11) bekezdése Az ügyfél által elszámolt származtatott ügyletekből eredő, minősített központi szerződő féllel szembeni, mentesített kereskedési kitettségek potenciális jövőbeli kitettsége, amennyiben e tételek teljesítik a CRR 306. cikke (1) bekezdésének c) pontjában foglalt feltételeket. Az intézményeknek az ebben a mezőben feltüntetett összeget a {090;010} mezőben is szerepeltetniük kell, mintha nem lenne mentesség alkalmazandó. | 
| {110;010} | Származtatott ügyletekre vonatkozó eltérés: az eredeti kitettség szerinti módszer A CRR 429a. cikkének (8) bekezdése és 275. cikke Ebben a mezőben a CRR II. mellékletének 1. és 2. pontjában felsorolt szerződéseknek a CRR 275. cikkében megállapított eredeti kitettség szerinti módszer alapján számított kitettségértékét kell feltüntetni. A CRR 429a. cikke (8) bekezdésének megfelelően az eredeti kitettség szerinti módszert alkalmazó intézmények nem csökkenthetik a kitettségértéket a készpénzben kapott változó letét összegével. Az eredeti kitettség szerinti módszert nem alkalmazó intézményeknek ezt a mezőt nem szabad kitölteniük. Az intézmények ebben a mezőben nem vehetik figyelembe a CRR 429a. cikkének (1) bekezdésével és 274. cikkével összhangban a piaci árazás szerinti módszerrel értékelt szerződéseket. | 
| {120;010} | (-) Ügyfél által elszámolt, központi szerződő féllel szembeni, mentesített kereskedési kitettségek (eredeti kitettség szerinti módszer) A CRR 429. cikkének (11) bekezdése Az ügyfél által elszámolt SFT-k központi szerződő féllel szembeni, a CRR 275. cikkében megállapított eredeti kitettség szerinti módszer alkalmazásával számított mentesített kereskedési kitettségei, amennyiben megfelelnek a CRR 306. cikke (1) bekezdésének c) pontjában megállapított feltételeknek. Az intézményeknek az ebben a mezőben feltüntetett összeget a {110;010} mezőben is szerepeltetniük kell, mintha nem lenne mentesség alkalmazandó. | 
| {130;010} | Eladott hitelderivatívák csökkentett névleges összege A CRR 429a. cikkének (5)–(7) bekezdése Az eladott hitelderivatívák (az intézmény által ügyleti partnerének nyújtott hitelkockázati fedezet) csökkentett névleges összege a CRR 429a. cikkének (5)–(7) bekezdésének megfelelően. | 
| {140;010} | (-) Az elismerhető vásárolt hitelderivatívák beszámítása az eladott hitelderivatívákkal szemben A CRR 429a. cikkének (5)–(7) bekezdése Azon vásárolt hitelderivatívák (az intézmény által ügyleti partnerétől vásárolt hitelkockázati fedezet) csökkentett névértéke, amelyek referencianeve azonos az intézmény által eladott hitelderivatívákéval, amennyiben a vásárolt fedezet hátralévő futamideje nem rövidebb az eladott fedezet hátralévő futamidejénél. A megadott érték következésképpen nem lehet nagyobb, mint a {130;010} mezőben az egyes referencianevek vonatkozásában feltüntetett érték. | 
| {150;010} | A CRR 429. cikke (10) bekezdésének megfelelő, 10 %-os hitel-egyenértékesítési tényezővel rendelkező mérlegen kívüli tételek A CRR 429. cikkének (10) bekezdése, 111. cikke (1) bekezdésének d) pontja és 166. cikkének (9) bekezdése Azon alacsony kockázatú mérlegen kívüli tételek kitettségértéke a CRR 429. cikkének (10) bekezdésével és 111. cikke (1) bekezdésének d) pontjával összhangban, amelyek a CRR I. melléklete 4. pontjának a)–c) alpontja szerint 0 %-os hitel-egyenértékesítési tényezőt kapnának (emlékeztetőül: a kitettségérték itt a névérték 10 %-a). Ezek olyan kötelezettségvállalások, amelyeket az intézmény bármikor, feltétel és előzetes értesítés nélkül felmondhat (UCC), vagy amelyeknél a hitelfelvevő hitelképességének romlása automatikusan a megállapodás felmondását eredményezi. Emlékeztetőül: a névérték nem csökkenthető egyedi hitelkockázati kiigazításokkal. Ha a kötelezettségvállalás egy másik kötelezettségvállalás meghosszabbításához kapcsolódik, akkor az egyedi kötelezettségvállaláshoz kapcsolódó két egyenértékesítési tényező közül a CRR 166. cikke (9) bekezdésének megfelelően az alacsonyabb alkalmazandó. A CRR 429. cikkének (10) bekezdése értelmében az intézmények ebben a mezőben nem vehetik figyelembe a CRR II. mellékletében felsorolt szerződéseket, a hitelderivatívákat és az SFT-ket. | 
| {160;010} | A CRR 429. cikke (10) bekezdésének megfelelő, 20 %-os hitel-egyenértékesítési tényezővel rendelkező mérlegen kívüli tételek A CRR 429. cikkének (10) bekezdése, 111. cikke (1) bekezdésének c) pontja és 166. cikkének (9) bekezdése Azon közepes/alacsony kockázatú mérlegen kívüli tételek kitettségértéke a CRR 429. cikkének (10) bekezdésével és 111. cikke (1) bekezdésének c) pontjával összhangban, amelyek a CRR I. melléklete 3. pontjának a) és b) alpontja szerint 20 %-os hitel-egyenértékesítési tényezőt kapnának (emlékeztetőül: a kitettségérték itt a névérték 20 %-a). Emlékeztetőül: a névérték nem csökkenthető egyedi hitelkockázati kiigazításokkal. Ha a kötelezettségvállalás egy másik kötelezettségvállalás meghosszabbításához kapcsolódik, akkor az egyedi kötelezettségvállaláshoz kapcsolódó két egyenértékesítési tényező közül a CRR 166. cikke (9) bekezdésének megfelelően az alacsonyabb alkalmazandó. A CRR 429. cikkének (10) bekezdése értelmében az intézmények ebben a mezőben nem vehetik figyelembe a CRR II. mellékletében felsorolt szerződéseket, a hitelderivatívákat és az SFT-ket. | 
| {170;010} | A CRR 429. cikke (10) bekezdésének megfelelő, 50 %-os hitel-egyenértékesítési tényezővel rendelkező mérlegen kívüli tételek A CRR 429. cikkének (10) bekezdése, 111. cikke (1) bekezdésének b) pontja és 166. cikkének (9) bekezdése Azon közepes kockázatú mérlegen kívüli tételek kitettségértéke a CRR 429. cikkének (10) bekezdésével és 111. cikke (1) bekezdésének b) pontjával összhangban, amelyek a hitelkockázat sztenderd módszerével a CRR I. melléklete 2. pontjának a) és b) alpontja szerint 50 %-os hitel-egyenértékesítési tényezőt kapnának (emlékeztetőül: a kitettségérték itt a névérték 50 %-a). Emlékeztetőül: a névérték nem csökkenthető egyedi hitelkockázati kiigazításokkal. Ebben a mezőben kell feltüntetni a likviditási hitelkereteket és az egyéb értékpapírosítási kötelezettségvállalásokat. Más szóval: a likviditási hitelkeretek hitel-egyenértékesítési tényezője a CRR 255. cikkének megfelelően a lejárattól függetlenül 50 %. Ha a kötelezettségvállalás egy másik kötelezettségvállalás meghosszabbításához kapcsolódik, akkor az egyedi kötelezettségvállaláshoz kapcsolódó két egyenértékesítési tényező közül a CRR 166. cikke (9) bekezdésének megfelelően az alacsonyabb alkalmazandó. A CRR 429. cikkének (10) bekezdése értelmében az intézmények ebben a mezőben nem vehetik figyelembe a CRR II. mellékletében felsorolt szerződéseket, a hitelderivatívákat és az SFT-ket. | 
| {180;010} | A CRR 429. cikke (10) bekezdésének megfelelő, 100 %-os hitel-egyenértékesítési tényezővel rendelkező mérlegen kívüli tételek A CRR 429. cikkének (10) bekezdése, 111. cikke (1) bekezdésének a) pontja és 166. cikkének (9) bekezdése Azon magas kockázatú mérlegen kívüli tételek kitettségértéke a CRR 429. cikkének (10) bekezdésével és 111. cikke (1) bekezdésének a) pontjával összhangban, amelyek a CRR I. melléklete 1. pontjának a)–k) alpontja szerint 100 %-os hitel-egyenértékesítési tényezőt kapnának (emlékeztetőül: a kitettségérték itt a névérték 100 %-a). Emlékeztetőül: a névérték nem csökkenthető egyedi hitelkockázati kiigazításokkal. Ebben a mezőben kell feltüntetni a likviditási hitelkereteket és az egyéb értékpapírosítási kötelezettségvállalásokat. Ha a kötelezettségvállalás egy másik kötelezettségvállalás meghosszabbításához kapcsolódik, akkor az egyedi kötelezettségvállaláshoz kapcsolódó két egyenértékesítési tényező közül a CRR 166. cikke (9) bekezdésének megfelelően az alacsonyabb alkalmazandó. A CRR 429. cikkének (10) bekezdése értelmében az intézmények ebben a mezőben nem vehetik figyelembe a CRR II. mellékletében felsorolt szerződéseket, a hitelderivatívákat és az SFT-ket. | 
| {190;010} | Egyéb eszközök A CRR 429. cikkének (5) bekezdése Az összes olyan eszköz, amely nem tartozik a CRR II. mellékletében felsorolt szerződések, a hitelderivatívák és az SFT-k közé (többek között ebben a mezőben kell feltüntetni a változó készpénzletétre vonatkozó követeléseket – ha azokat az alkalmazott számviteli keretben megjelenítik –, a likviditásfedezeti ráta keretében meghatározott likvid eszközöket, a meghiúsult és kiegyenlítetlen ügyleteket). Az intézmények az értékelést a CRR 429. cikkének (5) bekezdésében meghatározott elvek alapján végzik. Az intézmények ebben a mezőben tüntetik fel a kapott készpénzt vagy az SFT-k során bármely ügyleti partnernek adott biztosítékot, ha az továbbra is szerepel a mérlegben (vagyis akkor, ha a kivezetés számviteli feltételei nem teljesülnek). Az intézmények itt tüntetik fel továbbá az elsődleges és az egyéb alapvető tőkéből levont tételeket (például immateriális javakat, halasztott adóköveteléseket stb.) | 
| {200;010} | Származtatott ügylet során nyújtott biztosíték miatti visszaírás A CRR 429a. cikkének (2) bekezdése A származtatott ügyletek során nyújtott azon biztosítékok összege, amelyek – a CRR 429a. cikkének (2) bekezdésének meghatározása szerint – az alkalmazandó számviteli szabályozás értelmében csökkentik az eszközök összegét. Az intézmények ebben a mezőben nem tüntethetik fel a minősített központi szerződő féllel kötött, ügyfél által elszámolt származtatott ügyletek alapletétjét és a CRR 429a. cikkének (3) bekezdésében meghatározott elismerhető változó készpénzletétet. | 
| {210;010} | (-) Származtatott ügylet során nyújtott változó készpénzletétre vonatkozó követelések A CRR 429a. cikke (3) bekezdésének harmadik albekezdése A származtatott ügyletbeli partnernek készpénzben fizetett változó letétre vonatkozó követelések, ha az intézménynek azokat az alkalmazandó számviteli szabályozás szerint eszközként kell megjelenítenie, amennyiben teljesülnek a CRR 429a. cikke (3) bekezdésének a)–e) pontjában megállapított feltételek. Az itt feltüntetett összeget szerepeltetni kell a {190, 010} mezőben feltüntetett egyéb eszközök között is. | 
| {220;010} | (-) Ügyfél által elszámolt, központi szerződő féllel szembeni, mentesített kereskedési kitettségek (alapletét) A CRR 429. cikkének (11) bekezdése Az ügyfél által elszámolt származtatott ügyletekből eredő, minősített központi szerződő féllel szembeni, mentesített kereskedési kitettségek (elhelyezett) alapletétet jelentő része, amennyiben e tételek teljesítik a CRR 306. cikke (1) bekezdésének c) pontjában foglalt feltételeket. Az itt feltüntetett összeget szerepeltetni kell a {190, 010} mezőben feltüntetett egyéb eszközök között is. | 
| {230;010} | Eladásként elszámolt SFT-k miatti kiigazítás A CRR 429b. cikkének (5) bekezdése A repoügyletek során kölcsönadott azon értékpapírok értéke, amelyeket az ügyleteknek az alkalmazandó számviteli szabályozás szerinti eladásként való elszámolása miatt kivezetnek. | 
| {240;010} | (-) Bizalmi vagyonkezelés keretében kezelt eszközök A CRR 429. cikkének (13) bekezdése AZ IAS 39 standard szerinti kivezetési és – adott esetben – az IFRS 10 standard szerinti dekonszolidációs kritériumoknak megfelelő, bizalmi vagyonkezelés keretében kezelt eszközök értéke – a CRR 429. cikke (13) bekezdésének megfelelően – számviteli nettósítás vagy más CRM-hatás nélkül (vagyis a számviteli nettósítás vagy a CRM könyv szerinti értéket befolyásoló hatásait vissza kell írni). Az itt feltüntetett összeget szerepeltetni kell a {190, 010} mezőben feltüntetett egyéb eszközök között is. | 
| {250;010} | (-) A CRR 429. cikkének (7) bekezdésével összhangban mentesített csoporton belüli kitettségek (egyedi alapon) A CRR 429. cikkének (7) bekezdése és a 113. cikk (6) bekezdése A konszolidáció alkalmazandó szintjén nem konszolidált azon kitettségek, amelyek tekintetében igénybe vehető a CRR 113. cikkének (6) bekezdése szerinti elbánás, amennyiben a CRR 113. cikke (6) bekezdésének a)–e) pontjában előírt összes feltétel teljesül, és az illetékes hatóság megadta az engedélyt. A feltüntetett összeget a megfelelő fenti mezőkben is szerepeltetni kell, mintha nem lenne mentesség alkalmazandó. | 
| {260;010} | (-) A CRR 429. cikkének (14) bekezdésével összhangban mentesített kitettségek A CRR 429. cikkének (14) bekezdése A CRR 429. cikkének (14) bekezdése szerinti mentesített kitettségek, amennyiben az ott előírt összes feltétel teljesül, és az illetékes hatóság megadta az engedélyt. A feltüntetett összeget a megfelelő fenti mezőkben is szerepeltetni kell, mintha nem lenne mentesség alkalmazandó. | 
| {270;010} | (-) Levont eszközérték – Alapvető tőke – teljes mértékben bevezetett fogalom A CRR 429. cikke (4) bekezdésének a) pontja és 499. cikke (1) bekezdésének a) pontja Az alábbi rendelkezések által előírt, valamely eszköz értékét érintő kiigazítások összege: — a CRR 32–35. cikke, vagy — a CRR 36–47. cikke, vagy — a CRR 56–60. cikke, értelemszerűen. Az intézményeknek az ilyen levonások tekintetében figyelembe kell venniük a 48., a 49. és a 79. cikkben megállapított kivételeket, alternatívákat és felmentéseket, a CRR tizedik része I. címének 1. és 2. fejezetében megállapított eltérés figyelembevétele nélkül. A kettős elszámolás elkerülése érdekében az intézmények nem vehetik figyelembe a CRR 111. cikke alapján a {010;010} – {260;010} mezőben megadott kitettségértékek számítása során már alkalmazott kiigazításokat, sem azokat a kiigazításokat, amelyek nem csökkentik egy adott eszköz értékét. Ezeket az összegeket már levonták a tőkeértékből, vagyis csökkentik a tőkeáttételi mutató kitettségértékét, tehát előjelük negatív. | 
| {280;010} | (-) Levont eszközérték – Alapvető tőke – átmeneti fogalom A CRR 429. cikke (4) bekezdésének a) pontja és 499. cikke (1) bekezdésének b) pontja Az alábbi rendelkezések által előírt, valamely eszköz értékét módosító kiigazítások összege: — a CRR 32–35. cikke, vagy — a CRR 36–47. cikke, vagy — a CRR 56–60. cikke, értelemszerűen. Az intézményeknek az ilyen levonások tekintetében figyelembe kell venniük a 48., a 49. és a 79. cikkben megállapított kivételeket, alternatívákat és felmentéseket, továbbá a CRR tizedik része I. címének 1. és 2. fejezetében megállapított eltéréseket. A kettős elszámolás elkerülése érdekében az intézmények nem vehetik figyelembe a CRR 111. cikke alapján a {010;010} – {260;010} mezőben megadott kitettségértékek számítása során már alkalmazott kiigazításokat, sem azokat a kiigazításokat, amelyek nem csökkentik egy adott eszköz értékét. Ezeket az összegeket már levonták a tőkeértékből, vagyis csökkentik a tőkeáttételi mutató kitettségértékét, tehát előjelük negatív. | 
| {290;010} | A tőkeáttételi mutató teljes kitettségértéke – az alapvető tőke teljes mértékben bevezetett fogalma alapján Az intézményeknek a következő összeget kell feltüntetniük: {LRCalc;010;010} + {LRCalc;020;010} + {LRCalc;030;010} + {LRCalc;040;010} + {LRCalc;050;010} + {LRCalc;060;010} + {LRCalc;070;010} + {LRCalc;080;010} + {LRCalc;090;010} + {LRCalc;100;010} + {LRCalc;110;010} + {LRCalc;120;010} + {LRCalc;130;010} + {LRCalc;140;010} + {LRCalc;150;010} + {LRCalc;160;010} + {LRCalc;170;010} + {LRCalc;180;010} + {LRCalc;190;010} + {LRCalc;200;010} + {LRCalc;210;010} + {LRCalc;220;010} + {LRCalc;230;010} + {LRCalc;240;010} + {LRCalc;250;010} + {LRCalc;260;010} + {LRCalc;270;010}. | 
| {300;010} | A tőkeáttételi mutató teljes kitettségértéke – az alapvető tőke átmeneti fogalma alapján Az intézményeknek a következő összeget kell feltüntetniük: {LRCalc;010;010} + {LRCalc;020;010} + {LRCalc;030;010} + {LRCalc;040;010} + {LRCalc;050;010} + {LRCalc;060;010} + {LRCalc;070;010} + {LRCalc;080;010} + {LRCalc;090;010} + {LRCalc;100;010} + {LRCalc;110;010} + {LRCalc;120;010} + {LRCalc;130;010} – {LRCalc;140;010} + {LRCalc;150;010} + {LRCalc;160;010} + {LRCalc;170;010} + {LRCalc;180;010} + {LRCalc;190;010} + {LRCalc;200;010} + {LRCalc;210;010} + {LRCalc;220;010} + {LRCalc;230;010} + {LRCalc;240;010} + {LRCalc;250;010} + {LRCalc;260;010} + {LRCalc;280;010}. | 
| Sor és oszlop | Jegyzett tőke | 
| {310;010} | Alapvető tőke – teljes mértékben bevezetett fogalom A CRR 429. cikkének (3) bekezdése és a 499. cikk (1) bekezdése A CRR 25. cikke szerinti alapvető tőke összege, a CRR tizedik része I. címének 1. és 2. fejezetében megállapított eltérés figyelembevétele nélkül. | 
| {320;010} | Alapvető tőke – átmeneti fogalom A CRR 429. cikkének (3) bekezdése és a 499. cikk (1) bekezdése A CRR 25. cikke szerinti alapvető tőke összege, a CRR tizedik része I. címének 1. és 2. fejezetében megállapított eltérés figyelembevétele után. | 
| Sor és oszlop | Tőkeáttételi mutató | 
| {330;010} | Tőkeáttételi mutató – az alapvető tőke teljes mértékben bevezetett fogalma alapján A CRR 429. cikkének (2) bekezdése és a 499. cikk (1) bekezdése A jelen melléklet II. részének 4. pontjában kiszámított tőkeáttételi mutató. | 
| {340;010} | Tőkeáttételi mutató – az alapvető tőke átmeneti fogalma alapján A CRR 429. cikkének (2) bekezdése és a 499. cikk (1) bekezdése A jelen melléklet II. részének 5. pontjában kiszámított tőkeáttételi mutató. | 
5. C 40.00 - A kitettségérték alternatív meghatározása (LR1)
21. Az adatszolgáltatás ezen része a származtatott ügyletek, az SFT-k és a mérlegen kívüli tételek alternatív meghatározásához gyűjt adatokat.
22. Az intézményeknek az LR1 tábla "mérleg szerinti értékeit" a CRR 4. cikke (1) bekezdésének 77. pontja szerinti alkalmazandó számviteli szabályozás alapján kell meghatározniuk. A "Nettósítás és más CRM nélküli könyv szerinti érték" az a mérleg szerinti érték, amely nem veszi figyelembe a nettósítás vagy más kockázatmérséklés hatásait.
23. Az intézményeknek a {250;120} és a {260;120} mező kivételével az LR1 táblát úgy kell kitölteniük, mintha az LRCalc tábla {050;010}, {080;010}, {100;010}, {120;010}, {220;010}, {250;010} és {260;010} mezője szerinti mentességek nem lennének alkalmazandók.
| Sor és oszlop | Jogszabályi hivatkozások és útmutató | 
| {010;010} | Származtatott ügyletek – Mérleg szerinti érték A {020;010}, a {050;010} és a {060;010} mező összege. | 
| {010;020} | Származtatott ügyletek – Nettósítás és más CRM nélküli könyv szerinti érték A {020;020}, a {050;020} és a {060;020} mező összege. | 
| {010;050} | Származtatott ügyletek – A piaci árazás szerinti módszer miatti többlet (nettósítás és más CRM nélkül) A {020;050}, a {050;050} és a {060;050} mező összege. | 
| {010;070} | Származtatott ügyletek – Névleges összeg A {020;070}, a {050;070} és a {060;070} mező összege. | 
| {020;010} | Hitelderivatívák (eladott hitelkockázati fedezet) – Mérleg szerinti érték A CRR 4. cikke (1) bekezdésének 77. pontja Azon hitelderivatívák mérleg szerinti értéke az alkalmazandó számviteli szabályozás értelmében, amelyeknél az intézmény hitelkockázati fedezetet ad el ügyleti partnerének, és a szerződést eszközként jeleníti meg a mérlegben. | 
| {020;020} | Hitelderivatívák (eladott hitelkockázati fedezet) – Nettósítás és más CRM nélküli könyv szerinti érték A CRR 4. cikke (1) bekezdésének 77. pontja Azon hitelderivatívák mérleg szerinti értéke az alkalmazandó számviteli szabályozás értelmében, amelyeknél az intézmény hitelkockázati fedezet ad el ügyleti partnerének, és a szerződést eszközként jeleníti meg a mérlegben; prudenciális vagy számviteli nettósítás és más CRM-hatások nélkül (vagyis a számviteli nettósítás vagy a CRM könyv szerinti értéket befolyásoló hatásait vissza kell írni). | 
| {020;050} | Hitelderivatívák (eladott hitelkockázati fedezet) – A piaci árazás szerinti módszer miatti többlet (nettósítás és más CRM nélkül) A {030;050} és a {040;050} mező összege. | 
| {020;070} | Hitelderivatívák (eladott hitelkockázati fedezet) – Névleges összeg A {030;070} és a {040;070} mező összege. | 
| {020;075} | Hitelderivatívák (eladott hitelkockázati fedezet) – Csökkentett névleges összeg Ebben a mezőben a hitelderivatívák (eladott hitelkockázati fedezet) {020; 070} mező szerinti összegét kell feltüntetni, csökkentve az eladott hitelderivatíva vonatkozásában az alapvető tőkében figyelembe vett negatív valósérték-változásokkal. | 
| {030;050} | Pozíciózárási rendelkezés hatályába tartozó hitelderivatívák (eladott hitelkockázati fedezet) – A piaci árazás szerinti módszer miatti többlet (nettósítás és más CRM nélkül) A CRR 299. cikkének (2) bekezdése Ebben a mezőben azon hitelderivatívák potenciális jövőbeli kitettségét kell feltüntetni, amelyeknél az intézmény pozíciózárási rendelkezés hatályába tartozó hitelkockázati fedezetet ad el ügyleti partnerének; nettósítás és más CRM nélkül. Az intézmények ebben a mezőben nem tüntethetik fel az azon hitelderivatívákra vonatkozó többletet, amelyeknél az intézmény pozíciózárási rendelkezés hatályába nem tartozó hitelkockázati fedezetet ad el ügyleti partnerének. Az intézményeknek ezt az adatot az {LR1;040;050} mezőben kell szerepeltetniük. A pozíciózárási rendelkezés olyan rendelkezés, amely biztosítja a teljesítő félnek az összes, az adott megállapodással kapcsolatos ügylet időben történő felmondásának és lezárásának jogát nemteljesítés esetén, beleértve a partner fizetésképtelenségét vagy felszámolási eljárás alá vonásának esetét is. Az intézményeknek minden hitelderivatívát figyelembe kell venniük, nem csak a kereskedési könyvben szereplőket. | 
| {030;070} | Pozíciózárási rendelkezés hatályába tartozó hitelderivatívák (eladott hitelkockázati fedezet) – Névleges összeg Ebben a mezőben azon hitelderivatívák névleges összegét kell feltüntetni, amelyeknél az intézmény pozíciózárási rendelkezés hatályába tartozó hitelkockázati fedezetet ad el ügyleti partnerének. A pozíciózárási rendelkezés olyan rendelkezés, amely biztosítja a teljesítő félnek az összes, az adott megállapodással kapcsolatos ügylet időben történő felmondásának és lezárásának jogát nemteljesítés esetén, beleértve a partner fizetésképtelenségét vagy felszámolási eljárás alá vonásának esetét is. Az intézményeknek minden hitelderivatívát figyelembe kell venniük, nem csak a kereskedési könyvben szereplőket. | 
| {040;050} | Pozíciózárási rendelkezés hatályába nem tartozó hitelderivatívák (eladott hitelkockázati fedezet) – A piaci árazás szerinti módszer miatti többlet (nettósítás és más CRM nélkül) A CRR 299. cikkének (2) bekezdése Ebben a mezőben azon hitelderivatívák potenciális jövőbeli kitettségét kell feltüntetni, amelyeknél az intézmény pozíciózárási rendelkezés hatályába nem tartozó hitelkockázati fedezetet ad el ügyleti partnerének; nettósítás és más CRM nélkül. A pozíciózárási rendelkezés olyan rendelkezés, amely biztosítja a teljesítő félnek az összes, az adott megállapodással kapcsolatos ügylet időben történő felmondásának és lezárásának jogát nemteljesítés esetén, beleértve a partner fizetésképtelenségét vagy felszámolási eljárás alá vonásának esetét is. Az intézményeknek minden hitelderivatívát figyelembe kell venniük, nem csak a kereskedési könyvben szereplőket. | 
| {040;070} | Pozíciózárási rendelkezés hatályába nem tartozó hitelderivatívák (eladott hitelkockázati fedezet) – Névleges összeg Ebben a mezőben azon hitelderivatívák névleges összegét kell feltüntetni, amelyeknél az intézmény pozíciózárási rendelkezés hatályába nem tartozó hitelkockázati fedezetet ad el ügyleti partnerének. A pozíciózárási rendelkezés olyan rendelkezés, amely biztosítja a teljesítő félnek az összes, az adott megállapodással kapcsolatos ügylet időben történő felmondásának és lezárásának jogát nemteljesítés esetén, beleértve a partner fizetésképtelenségét vagy felszámolási eljárás alá vonásának esetét is. Az intézményeknek minden hitelderivatívát figyelembe kell venniük, nem csak a kereskedési könyvben szereplőket. | 
| {050;010} | Hitelderivatívák (vásárolt hitelkockázati fedezet) – Mérleg szerinti érték A CRR 4. cikke (1) bekezdésének 77. pontja Azon hitelderivatívák mérleg szerinti értéke az alkalmazandó számviteli szabályozás értelmében, amelyeknél az intézmény hitelkockázati fedezetet vásárol ügyleti partnerétől, és a szerződést eszközként jeleníti meg a mérlegben. Az intézményeknek minden hitelderivatívát figyelembe kell venniük, nem csak a kereskedési könyvben szereplőket. | 
| {050;020} | Hitelderivatívák (vásárolt hitelkockázati fedezet) – Nettósítás és más CRM nélküli könyv szerinti érték A CRR 4. cikke (1) bekezdésének 77. pontja Azon hitelderivatívák mérleg szerinti értéke az alkalmazandó számviteli szabályozás értelmében, amelyeknél az intézmény hitelkockázati fedezet vásárol ügyleti partnerétől, és a szerződést eszközként jeleníti meg a mérlegben; prudenciális vagy számviteli nettósítás vagy más CRM-hatások nélkül (vagyis a számviteli nettósítás vagy a CRM könyv szerinti értéket befolyásoló hatásait vissza kell írni). Az intézményeknek minden hitelderivatívát figyelembe kell venniük, nem csak a kereskedési könyvben szereplőket. | 
| {050;050} | Hitelderivatívák (vásárolt hitelkockázati fedezet) – A piaci árazás szerinti módszer miatti többlet (nettósítás és más CRM nélkül) A CRR 299. cikkének (2) bekezdése Ebben a mezőben azon hitelderivatívák potenciális jövőbeli kitettségét kell feltüntetni, amelyeknél az intézmény hitelkockázati fedezetet vásárol ügyleti partnerétől; nettósítás és más CRM nélkül. Az intézményeknek minden hitelderivatívát figyelembe kell venniük, nem csak a kereskedési könyvben szereplőket. | 
| {050;070} | Hitelderivatívák (vásárolt hitelkockázati fedezet) – Névleges összeg Ebben a mezőben azon hitelderivatívák névleges összegét kell feltüntetni, amelyeknél az intézmény hitelkockázati fedezetet vásárol ügyleti partnerétől. Az intézményeknek minden hitelderivatívát figyelembe kell venniük, nem csak a kereskedési könyvben szereplőket. | 
| {050;075} | Hitelderivatívák (vásárolt hitelkockázati fedezet) – Csökkentett névleges összeg Ebben a mezőben a hitelderivatívák (vásárolt hitelkockázati fedezet) {050;050} mező szerinti összegét kell feltüntetni, csökkentve a vásárolt hitelderivatíva vonatkozásában az alapvető tőkében figyelembe vett pozitív valósérték-változásokkal. | 
| {050;085} | Hitelderivatívák (vásárolt hitelkockázati fedezet) – Csökkentett névleges összeg (azonos referencianév) Azon vásárolt hitelderivatívák névleges értéke, amelyek referencianeve azonos az intézmény által eladott hitelderivatívákéval. Az e mezőben történő adatszolgáltatás céljából az alaptermékek referencianeve akkor tekinthető azonosnak, ha azonos jogalanyra és azonos szenioritásra vonatkozik. A referencia-jogalanyok egy halmaza (poolja) tekintetében vásárolt hitelkockázati fedezet akkor tekinthető azonosnak, ha gazdasági szempontból egyenértékű a poolba tartozó jogalanyokra vonatkozó hitelkockázati fedezetek külön-külön történő megvásárlásával. Ha egy intézmény referencianevek egy poolja tekintetében vásárol hitelkockázati fedezetet, akkor ez a hitelkockázati fedezet csak akkor tekinthető azonosnak, ha hatálya az eladott hitelkockázati fedezet hatályába tartozó pool összes alcsoportjára kiterjed. Más szóval: beszámítást csak akkor lehet megjeleníteni, ha a referencia-jogalanyok poolja és az alárendeltség szintje mindkét ügylet tekintetében megegyezik. Az e mezőben figyelembe vett vásárolt hitelvédelem névleges összege az egyes referencianevek esetében nem haladhatja meg a {020;075} és a {050;075} mezőben feltüntetett összegeket. | 
| {060;010} | Pénzügyi derivatívák – Mérleg szerinti érték A CRR 4. cikke (1) bekezdésének 77. pontja A CRR II. mellékletében felsorolt azon szerződések mérleg szerinti értéke az alkalmazandó számviteli szabályozás értelmében, amelyeknél a szerződést eszközként jelenítik meg a mérlegben. | 
| {060;020} | Pénzügyi derivatívák – Nettósítás és más CRM nélküli könyv szerinti érték A CRR 4. cikke (1) bekezdésének 77. pontja A CRR II. mellékletében felsorolt azon szerződések mérleg szerinti értéke az alkalmazandó számviteli szabályozás értelmében, amelyeket eszközként jelenítenek meg a mérlegben; prudenciális vagy számviteli nettósítás és más CRM-hatások nélkül (vagyis a számviteli nettósítás vagy a CRM könyv szerinti értéket befolyásoló hatásait vissza kell írni). | 
| {060;050} | Pénzügyi derivatívák – A piaci árazás szerinti módszer miatti többlet (nettósítás és más CRM nélkül) A tőkekövetelmény-rendelet 274. cikke. Ebben a mezőben a CRR II. mellékletében felsorolt szerződések szabályozói potenciális jövőbeli kitettségét kell feltüntetni, nettósítás és más CRM nélkül. | 
| {060;070} | Pénzügyi derivatívák – Névleges összeg Ebben a mezőben a CRR II. mellékletében felsorolt szerződések névleges összegét kell feltüntetni. | 
| {070;010} | Nettósítási keretmegállapodás hatályába tartozó SFT-k – Mérleg szerinti érték A CRR 4. cikke (1) bekezdésének 77. pontja és 206. cikke Azon SFT-k mérleg szerinti értéke az alkalmazandó számviteli szabályozás értelmében, amelyek a CRR 206. cikke szerinti elismerhető nettósítási keretmegállapodás hatályába tartoznak. Az intézmények ebben a mezőben nem tüntethetik fel a kapott készpénzt vagy az említett tranzakciók során bármely ügyleti partnernek adott biztosítékot, ha az továbbra is szerepel a mérlegben (vagyis akkor, ha a kivezetés számviteli feltételei nem teljesülnek). Az intézményeknek ezt az adatot a {090,010} mezőben kell szerepeltetniük. | 
| {070;020} | Nettósítási keretmegállapodás hatályába tartozó SFT-k – Nettósítás és más CRM nélküli könyv szerinti érték A CRR 4. cikkének 77. pontja és 206. cikke Azon SFT-k mérleg szerinti értéke az alkalmazandó számviteli szabályozás értelmében, amelyek a CRR 206. cikke szerinti elismerhető nettósítási keretmegállapodás hatályába tartoznak, és amelyeknél a szerződéseket eszközként jelenítik meg a mérlegben; prudenciális vagy számviteli nettósítás és más CRM-hatások nélkül (vagyis a számviteli nettósítás vagy a CRM könyv szerinti értéket befolyásoló hatásait vissza kell írni). Emellett, ha az SFT-ket az alkalmazandó számviteli szabályozás szerint eladásként számolják el, az intézménynek vissza kell írnia az értékesítéssel kapcsolatban nyilvántartott valamennyi könyvelési tételt. Az intézmények ebben a mezőben nem tüntethetik fel a kapott készpénzt vagy az említett tranzakciók során bármely ügyleti partnernek adott biztosítékot, ha az továbbra is szerepel a mérlegben (vagyis akkor, ha a kivezetés számviteli feltételei nem teljesülnek). Az intézményeknek ezt az adatot a {090,020} mezőben kell szerepeltetniük. | 
| {070;040} | Nettósítási keretmegállapodás hatályába tartozó SFT-k – SFT-többlet A CRR 206. cikke Az intézményeknek a CRR 206. cikke szerinti követelményeknek megfelelő nettósítási megállapodás hatályába tartozó mérlegen belüli és mérlegen kívüli SFT-k tekintetében nettósítási halmazokat kell kialakítaniuk. Az intézményeknek az egyes nettósítási halmazok aktuális partnerkitettsége (current counterparty exposure, CCE) miatti többletet a következő képletnek megfelelően kell kiszámítaniuk: CCE = max{(Σi E i – Σi C i); 0} ahol: i = a nettósítási halmazba bevont adott ügylet sorszáma; Ei = a CRR 220. cikkének (3) bekezdése szerinti Ei érték az i-edik ügylet tekintetében; Ci = a CRR 220. cikkének (3) bekezdése szerinti Ci érték az i-edik ügylet tekintetében. Az intézményeknek a képletet minden nettósítási halmaz tekintetében be kell helyettesíteniük, és ebben a mezőben a kapott eredmények összesített értékét kell feltüntetniük. | 
| {080;010} | Nettósítási keretmegállapodás hatályába nem tartozó SFT-k – Mérleg szerinti érték A CRR 4. cikke (1) bekezdésének 77. pontja Azon SFT-k mérleg szerinti értéke az alkalmazandó számviteli szabályozás értelmében, amelyek nem tartoznak a CRR 206. cikke szerint elismerhető nettósítási keretmegállapodás hatályába, és amelyeknél a szerződést eszközként jelenítik meg a mérlegben. Az intézmények ebben a mezőben nem tüntethetik fel a kapott készpénzt vagy az említett tranzakciók során bármely ügyleti partnernek adott biztosítékot, ha az továbbra is szerepel a mérlegben (vagyis akkor, ha a kivezetés számviteli feltételei nem teljesülnek). Az intézményeknek ezt az adatot a {090,010} mezőben kell szerepeltetniük. | 
| {080;020} | Nettósítási keretmegállapodás hatályába nem tartozó SFT-k – Nettósítás és más CRM nélküli könyv szerinti érték A CRR 4. cikke (1) bekezdésének 77. pontja Azon SFT-k mérleg szerinti értéke az alkalmazandó számviteli szabályozás értelmében, amelyek nem tartoznak a CRR 206. cikke szerinti elismerhető nettósítási keretmegállapodás hatályába, és amelyeknél a szerződéseket eszközként jelenítik meg a mérlegben; számviteli nettósítás és más CRM-hatások nélkül (vagyis a számviteli nettósítás vagy a CRM könyv szerinti értéket befolyásoló hatásait vissza kell írni). Emellett, ha az SFT-ket az alkalmazandó számviteli szabályozás szerint eladásként számolják el, az intézménynek vissza kell írnia az értékesítéssel kapcsolatban nyilvántartott valamennyi könyvelési tételt. Az intézmények ebben a mezőben nem tüntethetik fel a kapott készpénzt vagy az említett tranzakciók során bármely ügyleti partnernek adott biztosítékot, ha az továbbra is szerepel a mérlegben (vagyis akkor, ha a kivezetés számviteli feltételei nem teljesülnek). Az intézményeknek ezt az adatot a {090,020} mezőben kell szerepeltetniük. | 
| {080;040} | Nettósítási keretmegállapodás hatályába nem tartozó SFT-k – SFT-többlet A CRR 206. cikke Az intézményeknek a CRR 206. cikke szerinti követelményeknek megfelelő nettósítási megállapodás hatályába nem tartozó mérlegen belüli és mérlegen kívüli SFT-k tekintetében az adott ügyletbe bevont összes eszközt tartalmazó halmazokat kell kialakítaniuk (vagyis minden SFT külön halmazként kezelendő), és az egyes halmazok aktuális partnerkitettsége (CCE) miatti többletet a következő képletnek megfelelően kell kiszámítaniuk: CCE = max {(E – C); 0} ahol: E = a CRR 220. cikkének (3) bekezdése szerinti Ei érték; C = a CRR 220. cikkének (3) bekezdése szerinti Ci érték. Az intézményeknek a képletet minden halmaz tekintetében be kell helyettesíteniük, és ebben a mezőben a kapott eredmények összesített értékét kell feltüntetniük. | 
| {090;010} | Egyéb eszközök – Mérleg szerinti érték A CRR 4. cikke (1) bekezdésének 77. pontja Az összes olyan eszköz mérleg szerinti értéke az alkalmazandó számviteli szabályozás értelmében, amely nem tartozik a CRR II. mellékletében felsorolt szerződések, a hitelderivatívák és az SFT-k közé. | 
| {090;020} | Egyéb eszközök – Nettósítás és más CRM nélküli könyv szerinti érték A CRR 4. cikke (1) bekezdésének 77. pontja A CRR II. mellékletében felsorolt szerződések, a hitelderivatívák és az SFT-k közé nem tartozó összes eszköz mérleg szerinti értéke az alkalmazandó számviteli szabályozás értelmében, számviteli nettósítás és más CRM-hatások nélkül (vagyis a számviteli nettósítás vagy a CRM könyv szerinti értéket befolyásoló hatásait vissza kell írni). | 
| {100;070} | RSA (módosított sztenderd módszer) szerinti alacsony kockázatú mérlegen kívüli tételek; ebből: – Névérték A tőkekövetelmény-rendelet 111. cikke. Ebben a mezőben azon mérlegen kívüli tételek névértékét kell feltüntetni, amelyek a hitelkockázat sztenderd módszerével 0 %-os hitel-egyenértékesítési tényezőt kapnának. Ez az érték nem csökkenthető egyedi hitelkockázati kiigazításokkal. A CRR 429. cikkének (10) bekezdése értelmében az intézmények ebben a mezőben nem vehetik figyelembe a CRR II. mellékletében felsorolt szerződéseket, a hitelderivatívákat és az SFT-ket. | 
| {110;070} | Lakossággal szembeni rulírozó kitettségek; ebből: – Névérték A CRR 111. cikke és 154. cikkének (4) bekezdése Ebben a mezőben azon, lakossággal szembeni rulírozó kitettségnek minősülő mérlegen kívüli tételek névértékét kell feltüntetni, amelyek megfelelnek a CRR 154. cikke (4) bekezdésének a)–c) pontjaiban meghatározott feltételeknek. Ez az érték nem csökkenthető egyedi hitelkockázati kiigazításokkal. Idetartozik minden olyan kitettség, amely magánszemélyekkel szembeni, rulírozó és a CRR 149. cikkének b) pontjában részletezettek szerint feltétel nélkül felmondható, kötelezettenként legfeljebb 100 000 EUR értékben. A CRR 429. cikkének (10) bekezdése értelmében az intézmények ebben a mezőben nem vehetik figyelembe a CRR II. mellékletében felsorolt szerződéseket, a hitelderivatívákat és az SFT-ket. | 
| {120;070} | Feltétel nélkül felmondható hitelkártya-kötelezettségek – Névérték A CRR 111. cikke és 154. cikkének (4) bekezdése Ebben a mezőben azon hitelkártya-kötelezettségek névértékét kell feltüntetni, amelyeket az intézmény bármikor, feltétel és előzetes értesítés nélkül felmondhat (UCC), és amelyek a hitelkockázat sztenderd módszerével 0 %-os hitel-egyenértékesítési tényezőt kapnának. Ez az érték nem csökkenthető egyedi hitelkockázati kiigazításokkal. Az intézmények ebben a mezőben nem tüntethetik fel azon hitelkötelezettségeket, amelyeknél a hitelfelvevő hitelképességének romlása automatikusan a megállapodás felmondását eredményezi, amelyek azonban nem UCC jellegűek. A CRR 429. cikkének (10) bekezdése értelmében az intézmények ebben a mezőben nem vehetik figyelembe a CRR II. mellékletében felsorolt szerződéseket, a hitelderivatívákat és az SFT-ket. | 
| {130;070} | Nem rulírozó, feltétel nélkül felmondható kötelezettségek – Névérték A CRR 111. cikke és 154. cikkének (4) bekezdése Ez a mező adja meg azoknak az egyéb kötelezettségeknek a névértékét, amelyeket az intézmény bármikor feltétel és előzetes értesítés nélkül felmondhat (UCC), és amelyekhez rendelt hitel-egyenértékesítési tényező a hitelkockázat sztenderd módszere alapján 0 % lenne. Ez az érték nem csökkenthető egyedi hitelkockázati kiigazításokkal. Az intézmények ebben a mezőben nem tüntethetik fel azon hitelkötelezettségeket, amelyeknél a hitelfelvevő hitelképességének romlása automatikusan a megállapodás felmondását eredményezi, amelyek azonban nem UCC jellegűek. A CRR 429. cikkének (10) bekezdése értelmében az intézmények ebben a mezőben nem vehetik figyelembe a CRR II. mellékletében felsorolt szerződéseket, a hitelderivatívákat és az SFT-ket. | 
| {140;070} | RSA szerinti közepes/alacsony kockázatú mérlegen kívüli tételek – Névérték A tőkekövetelmény-rendelet 111. cikke. Ebben a mezőben azon mérlegen kívüli tételek névértékét kell feltüntetni, amelyek a hitelkockázat sztenderd módszerével 20 %-os hitel-egyenértékesítési tényezőt kapnának. Ez az érték nem csökkenthető egyedi hitelkockázati kiigazításokkal. A CRR 429. cikkének (10) bekezdése értelmében az intézmények ebben a mezőben nem vehetik figyelembe a CRR II. mellékletében felsorolt szerződéseket, a hitelderivatívákat és az SFT-ket. | 
| {150;070} | RSA szerinti közepes kockázatú mérlegen kívüli tételek – Névérték A tőkekövetelmény-rendelet 111. cikke. Ebben a mezőben azon mérlegen kívüli tételek névértékét kell feltüntetni, amelyek a hitelkockázat sztenderd módszerével 50 %-os hitel-egyenértékesítési tényezőt kapnának. Ez az érték nem csökkenthető egyedi hitelkockázati kiigazításokkal. A CRR 429. cikkének (10) bekezdése értelmében az intézmények ebben a mezőben nem vehetik figyelembe a CRR II. mellékletében felsorolt szerződéseket, a hitelderivatívákat és az SFT-ket. | 
| {160;070} | RSA szerinti teljes kockázatú mérlegen kívüli tételek – Névérték A tőkekövetelmény-rendelet 111. cikke. Ebben a mezőben azon mérlegen kívüli tételek névértékét kell feltüntetni, amelyek a hitelkockázat sztenderd módszerével 100 %-os hitel-egyenértékesítési tényezőt kapnának. Ez az érték nem csökkenthető egyedi hitelkockázati kiigazításokkal. A CRR 429. cikkének (10) bekezdése értelmében az intézmények ebben a mezőben nem vehetik figyelembe a CRR II. mellékletében felsorolt szerződéseket, a hitelderivatívákat és az SFT-ket. | 
| {170;070} | (tájékoztató adat) Lakossággal szembeni rulírozó kitettségek lehívott összegei – Névérték A CRR 154. cikkének (4) bekezdése Ebben a mezőben a lakossággal szembeni, mérlegen kívüli rulírozó kitettségek lehívott összegeinek a névértékét kell feltüntetni. Ez az érték nem csökkenthető egyedi hitelkockázati kiigazításokkal. | 
| {180;070} | (tájékoztató adat) Feltétel nélkül felmondható hitelkártya-kötelezettségek lehívott összegei – Névérték A CRR 111. cikke és 154. cikkének (4) bekezdése Ebben a mezőben a feltétel nélkül felmondható hitelkártya-kötelezettségek lehívott összegeinek a névértékét kell feltüntetni. Ez az érték nem csökkenthető egyedi hitelkockázati kiigazításokkal. | 
| {190;070} | (tájékoztató adat) Nem rulírozó, feltétel nélkül felmondható kötelezettségek lehívott összegei – Névérték A CRR 111. cikke és 154. cikkének (4) bekezdése Ebben a mezőben a nem rulírozó, feltétel nélkül felmondható kötelezettségek lehívott összegeinek a névértékét kell feltüntetni. Ez az érték nem csökkenthető egyedi hitelkockázati kiigazításokkal. | 
| {210;020} | Származtatott ügyletekben kapott készpénzbiztosíték – Nettósítás és más CRM nélküli könyv szerinti érték A származtatott ügyletekben kapott készpénzbiztosíték mérleg szerinti értéke az alkalmazandó számviteli szabályozás értelmében, számviteli nettósítás és más CRM-hatások nélkül (vagyis a számviteli nettósítás vagy a CRM könyv szerinti értéket befolyásoló hatásait vissza kell írni). E mező vonatkozásában a készpénz a készpénz teljes összegét jelenti, beleértve az érméket és bankjegyeket/devizát. A központi bankoknál tartott betétek teljes összege is ideértendő, amennyiben e betétek stresszhelyzetben felvehetők. Az intézmények ebben a mezőben nem tüntethetik fel a más intézményeknél tartott készpénzbetéteket. | 
| {220;020} | Származtatott ügyletekben nyújtott készpénzbiztosítékhoz kapcsolódó követelések – Nettósítás és más CRM nélküli könyv szerinti érték A származtatott ügyletekben nyújtott készpénzbiztosítékhoz kapcsolódó követelések mérleg szerinti értéke az alkalmazandó számviteli szabályozás értelmében, számviteli nettósítás és CRM-hatások nélkül (vagyis a számviteli nettósítás vagy a CRM könyv szerinti értéket befolyásoló hatásait vissza kell írni). Azon intézményeknek, amelyek az alkalmazandó számviteli szabályozás értelmében a nyújtott készpénzbiztosítékhoz kapcsolódó követelést nettósíthatják a kapcsolódó származtatott kötelezettséggel szemben (negatív valós érték), és ennek megfelelően is járnak el, a nettósítást vissza kell írniuk és a nettó készpénzkövetelést kell feltüntetniük. | 
| {230;020} | SFT során kapott, a mérlegben eszközként megjelenített értékpapírok – Nettósítás és más CRM nélküli könyv szerinti érték Az SFT során kapott, a mérlegben az alkalmazandó számviteli szabályozás értelmében eszközként megjelenített értékpapírok mérleg szerinti értéke az alkalmazandó számviteli szabályozás értelmében, számviteli nettósítás és más CRM-hatások nélkül (vagyis a számviteli nettósítás vagy a CRM könyv szerinti értéket befolyásoló hatásait vissza kell írni). | 
| {240;020} | SFT készpénz-közvetítési hitelezési ügylet (készpénzkövetelések) – Nettósítás és más CRM nélküli könyv szerinti érték A minősített készpénz-közvetítési hitelezési ügylet (CCLT) során az értékpapír-tulajdonosnak továbbkölcsönzött készpénz utáni készpénzkövetelés mérleg szerinti értéke az alkalmazandó számviteli szabályozás értelmében, számviteli nettósítás és más CRM-hatások nélkül (vagyis a számviteli nettósítás vagy a CRM könyv szerinti értéket befolyásoló hatásait vissza kell írni). E mező vonatkozásában a készpénz a készpénz teljes összegét jelenti, beleértve az érméket és bankjegyeket/devizát. A központi bankoknál tartott betétek teljes összege is ideértendő, amennyiben e betétek stresszhelyzetben felvehetők. Az intézmények ebben a mezőben nem tüntethetik fel a más intézményeknél tartott készpénzbetéteket. A CCLT két ügylet kombinációja, amelynek során egy intézmény értékpapírt vesz kölcsön az értékpapír-tulajdonostól, és azt továbbkölcsönzi az értékpapírok kölcsönvevőjének. Ezzel egyidejűleg az intézmény az értékpapírok kölcsönvevőjétől készpénzbiztosítékot kap, és a kapott készpénzt kölcsönadja az értékpapír-tulajdonosnak. A minősített CCLT-nek a következő feltételeknek kell megfelelnie: a) a két egyedi ügyletet azonos kereskedési napon, vagy nemzetközi ügyletek esetében két egymást követő munkanapon hajtják végre; b) ha a két egyedi ügyletnek nincs lejárata, az intézménynek törvényes joga, hogy a CCLT mindkét oldalát – vagyis mindkét egyedi ügyletet – bármikor, előzetes értesítés nélkül lezárja; c) ha a két egyedi ügyletnek van lejárata, a CCLT akkor sem vezet lejárati eltéréshez az intézménynél; az intézménynek törvényes joga, hogy a CCLT mindkét oldalát – vagyis mindkét egyedi ügyletet – bármikor, előzetes értesítés nélkül lezárja; d) nem vezet egyéb járulékos kitettségekhez. | 
| {250;120} | A CRR 113. cikke (6) bekezdésének megfelelően kezelhető kitettségek – Elméletileg mentesített tőkeáttételi kitettségérték A tőkeáttételi mutató számításához használt teljes kitettségérték azon összege, amely akkor lenne mentesített, ha az illetékes hatóság teljeskörűen engedélyezné azon kitettségek mentesítését, amelyek esetében a CRR 113. cikke (6) bekezdésének a)–e) pontjában előírt összes feltétel teljesül, és az illetékes hatóság megadta a CRR 113. cikke (6) bekezdése szerinti engedélyt. Ha az illetékes hatóság már megadta a teljeskörű engedélyt, akkor a mező értéke megegyezik az {LRCalc;250;010} mező értékével. | 
| {260;120} | A CRR 429. cikke (14) bekezdése a)–c) alpontjának feltételeit teljesítő kitettségek – Elméletileg mentesített tőkeáttételi kitettségérték A tőkeáttételi mutató számításához használt teljes kitettségérték azon összege, amely akkor lenne mentesített, ha az illetékes hatóság teljeskörűen engedélyezné azon kitettségek mentesítését, amelyek teljesítik a CRR 429. cikke (14) bekezdése a)–c) alpontjának feltételeit. Ha az illetékes hatóság már megadta a teljeskörű engedélyt, akkor a mező értéke megegyezik az {LRCalc;260;010} mező értékével. | 
6. C 41.00 - Mérlegtételek és mérlegen kívüli tételek - a kitettségek további bontása (LR2)
24. Az LR2 tábla a kereskedési könyvben nem szereplő mérlegen belüli és mérlegen kívüli kitettségek ( 23 ), valamint a kereskedési könyvben szereplő, partnerkockázattal érintett kitettségek további bontásáról szolgáltat információt. A bontás a CRR hitelkockázati szakaszában alkalmazott kockázati súlyok szerint történik. A sztenderd (SA) módszer, illetve a belső minősítésen alapuló (IRB) módszer alá tartozó kitettségekre vonatkozó információkat eltérő módon származtatják.
25. A partner kockázati súlyát a garancia kockázati súlyával helyettesítő CRM-technikákkal támogatott kitettségek esetében az intézményeknek a helyettesítési hatás utáni kockázati súlyt kell figyelembe venniük. Az IRB módszer keretében az intézményeknek el kell végezniük a következő számítást: a speciális szabályozói kockázati súlyt kapó kitettségek kivételével meg kell határozniuk az egyes ügyfélkategóriákba tartozó kitettségek kockázati súlyát: a hitelkockázat esetében a kockázati súlyra vonatkozó képlet szerinti, az értékpapírosítási kitettségek esetében pedig a felügyeleti képlet szerinti, kockázattal súlyozott kitettségértéket el kell osztaniuk a kitettségre helyettesítő hatást gyakorló CRM-technikák miatti ki- és beáramlásokat figyelembe vevő kitettségértékkel. Az IRB módszer keretében a nemteljesítőnek minősített kitettségek nem vehetők figyelembe a {020;010} - {090;010} mezőben, viszont feltüntetendők a {100;010} mezőben. A sztenderd módszer keretében a CRR 112. cikke j) pontjának hatályába eső kitettségek nem vehetők figyelembe a {020;020} - {090;020} mezőben, viszont feltüntetendők a {100;020} mezőben.
26. A szavatoló tőkéből levont kitettségeket az intézményeknek mindkét módszer keretében 1 250 %-os kockázati súly alkalmazásával kell figyelembe venniük.
| Sor | Jogszabályi hivatkozások és útmutató | 
| 010 | A kereskedési könyvben nem szereplő mérlegen belüli és mérlegen kívüli kitettségek, valamint a kereskedési könyvben szereplő, partnerkockázattal érintett kitettségek (kockázati súly szerinti bontásban): A {020:*} – {100;*} mező összege. | 
| 020 | = 0 % 0 %-os kockázati súlyú kitettségek. | 
| 030 | > 0 % és ≤ 12 % A 0 %-nál nagyobb, de legfeljebb 12 %-os kockázati súlyú kitettségek. | 
| 040 | > 12 % és ≤ 20 % A 12 %-nál nagyobb, de legfeljebb 20 %-os kockázati súlyú kitettségek. | 
| 050 | > 20 % és ≤ 50 % A 20 %-nál nagyobb, de legfeljebb 50 %-os kockázati súlyú kitettségek. | 
| 060 | > 50 % és ≤ 75 % A 50 %-nál nagyobb, de legfeljebb 75 %-os kockázati súlyú kitettségek. | 
| 070 | > 75 % és ≤ 100 % A 75 %-nál nagyobb, de legfeljebb 100 %-os kockázati súlyú kitettségek. | 
| 080 | > 100 % és ≤ 425 % A 100 %-nál nagyobb, de legfeljebb 425 %-os kockázati súlyú kitettségek. | 
| 090 | > 425 % és ≤ 1 250  % A 425 %-nál nagyobb, de legfeljebb 1 250 %-os kockázati súlyú kitettségek. | 
| 100 | Nemteljesítő kitettségek A sztenderd módszer keretében a CRR 112. cikke j) pontjának hatályába eső kitettségek. Az IRB módszer keretében a 100 %-os nemteljesítési valószínűséggel (PD) rendelkező kitettségek. | 
| 110 | (tájékoztató adat) Alacsony kockázatú mérlegen kívüli tételek vagy a tőkemegfelelési mutató keretében 0 %-os hitel-egyenértékesítési tényezőt kapó mérlegen kívüli tételek A CRR 111. cikke szerinti alacsony kockázatú mérlegen kívüli tételek és a CRR 166. cikke alapján 0 %-os hitel-egyenértékesítési tényezőt kapó mérlegen kívüli tételek. | 
| Oszlop | Jogszabályi hivatkozások és útmutató | 
| 010 | Mérlegen belüli és mérlegen kívüli kitettségek (SA-kitettségek) Mérlegen belüli és mérlegen kívüli kitettségértékek az értékelési korrekciók, a CRM és a hitel-egyenértékesítési tényezők figyelembevétele után, a CRR harmadik része II. címének 2. fejezetével összhangban kiszámítva. | 
| 020 | Mérlegen belüli és mérlegen kívüli kitettségek (IRB-kitettségek) A CRR 166. cikke és 230. cikke (1) bekezdése második albekezdésének első mondata szerinti mérlegen belüli és mérlegen kívüli kitettségértékek a kitettségre helyettesítő hatást gyakorló CRM-technikák miatti ki- és beáramlások figyelembevétele után. A mérlegen kívüli tételek esetében az intézménynek alkalmaznia kell a CRR 166. cikke (8)–(10) bekezdésében meghatározott hitel-egyenértékesítési tényezőket. | 
| 030 | Névérték A mérlegen kívüli tételek kitettségértéke a CRR 111. és 166. cikkében meghatározottak szerint, egyenértékesítési tényezők alkalmazása nélkül. | 
7. C 42.00 - A tőke alternatív definíciója (LR3)
27. Az LR3 tábla a CRR 511. cikkében előírt felülvizsgálathoz szükséges tőkeértékekről szolgáltat információkat.
| Sor és oszlop | Jogszabályi hivatkozások és útmutató | 
| {010;010} | Elsődleges alapvető tőke – teljes mértékben bevezetett fogalom A tőkekövetelmény-rendelet 50. cikke. A CRR 50. cikke szerinti elsődleges alapvető tőke összege, a CRR tizedik részének 1. és 2. fejezetében megállapított eltérés figyelembevétele nélkül. | 
| {020;010} | Elsődleges alapvető tőke – átmeneti fogalom A tőkekövetelmény-rendelet 50. cikke. A CRR 50. cikke szerinti elsődleges alapvető tőke összege, a CRR tizedik részének 1. és 2. fejezetében megállapított eltérés figyelembevétele után. | 
| {030;010} | Szavatoló tőke összesen – teljes mértékben bevezetett fogalom A tőkekövetelmény-rendelet 72. cikke. A CRR 72. cikke szerinti szavatoló tőke összege, a CRR tizedik részének 1. és 2. fejezetében megállapított eltérés figyelembevétele nélkül. | 
| {040;010} | Szavatoló tőke összesen – átmeneti fogalom A tőkekövetelmény-rendelet 72. cikke. A CRR 72. cikke szerinti szavatoló tőke összege, a CRR tizedik részének 1. és 2. fejezetében megállapított eltérés figyelembevétele után. | 
| {055;010} | Levont eszközérték – az elsődleges alapvető tőke tételeiből – teljes mértékben bevezetett fogalom Az alábbi rendelkezések által előírt, valamely eszköz értékét az elsődleges alapvető tőke tételeinek kiigazítása révén módosító szabályozói kiigazítások összege: — a CRR 32–35. cikke, vagy — a CRR 36–47. cikke, értelemszerűen. Az intézményeknek az ilyen levonások tekintetében figyelembe kell venniük a 48., a 49. és a 79. cikkben megállapított kivételeket, alternatívákat és felmentéseket, a CRR tizedik részének 1. és 2. fejezetében megállapított eltérés figyelembevétele nélkül. A kettős elszámolás elkerülése érdekében az intézmények nem vehetik figyelembe a CRR 111. cikke alapján az {LRCalc;10;10} – {LRCalc;260;10} mezőben megadott kitettségértékek számítása során már alkalmazott kiigazításokat, sem azokat a kiigazításokat, amelyek nem csökkentik egy adott eszköz értékét. Ezek a kiigazítások csökkentik a szavatoló tőke összegét, tehát előjelük negatív. | 
| {065;010} | Levont eszközérték – az elsődleges alapvető tőke tételeiből – átmeneti fogalom Az alábbi rendelkezések által előírt, valamely eszköz értékét az elsődleges alapvető tőke kiigazítása révén módosító szabályozói kiigazítások összege: — a CRR 32–35. cikke, vagy — a CRR 36–47. cikke, értelemszerűen. Az intézményeknek az ilyen levonások tekintetében figyelembe kell venniük a 48., a 49. és a 79. cikkben megállapított kivételeket, alternatívákat és felmentéseket, továbbá a CRR tizedik részének 1. és 2. fejezetében megállapított eltérést. A kettős elszámolás elkerülése érdekében az intézmények nem vehetik figyelembe a CRR 111. cikke alapján az {LRCalc;10;10} – {LRCalc;260;10} mezőben megadott kitettségértékek számítása során már alkalmazott kiigazításokat, sem azokat a kiigazításokat, amelyek nem csökkentik egy adott eszköz értékét. Ezek a kiigazítások csökkentik a szavatoló tőke összegét, tehát előjelük negatív. | 
| {075;010} | Levont eszközérték – a szavatoló tőke tételeiből – teljes mértékben bevezetett fogalom Az alábbi rendelkezések által előírt, valamely eszköz értékét a szavatoló tőke kiigazítása révén módosító szabályozói kiigazítások összege: — a CRR 32–35. cikke, vagy — a CRR 36–47. cikke, vagy — a CRR 56–60. cikke, vagy — a CRR 66–70. cikke, értelemszerűen. Az intézményeknek az ilyen levonások tekintetében figyelembe kell venniük a 48., a 49. és a 79. cikkben megállapított kivételeket, alternatívákat és felmentéseket, a CRR tizedik részének 1. és 2. fejezetében megállapított eltérés figyelembevétele nélkül. A kettős elszámolás elkerülése érdekében az intézmények nem vehetik figyelembe a CRR 111. cikke alapján az {LRCalc;10;10} – {LRCalc;260;10} sorban megadott kitettségértékek számítása során már alkalmazott kiigazításokat, sem azokat a kiigazításokat, amelyek nem csökkentik egy adott eszköz értékét. Ezek a kiigazítások csökkentik a szavatoló tőke összegét, tehát előjelük negatív. | 
| {085,010} | Levont eszközérték – a szavatoló tőke tételeiből – átmeneti fogalom Az alábbi rendelkezések által előírt, valamely eszköz értékét a szavatoló tőke kiigazítása révén módosító szabályozói kiigazítások összege: — a CRR 32–35. cikke, vagy — a CRR 36–47. cikke, vagy — a CRR 56–60. cikke, vagy — a CRR 66–70. cikke, értelemszerűen. Az intézményeknek az ilyen levonások tekintetében figyelembe kell venniük a 48., a 49. és a 79. cikkben megállapított kivételeket, alternatívákat és felmentéseket, továbbá a CRR tizedik részének 1. és 2. fejezetében megállapított eltérést. A kettős elszámolás elkerülése érdekében az intézmények nem vehetik figyelembe a CRR 111. cikke alapján az {LRCalc;10;10} – {LRCalc;260;10} mezőben megadott kitettségértékek számítása során már alkalmazott kiigazításokat, sem azokat a kiigazításokat, amelyek nem csökkentik egy adott eszköz értékét. Ezek a kiigazítások csökkentik a szavatoló tőke összegét, tehát előjelük negatív. | 
8. C 43.00 - A tőkeáttételi mutató számításához használt kitettségek alternatív bontása (LR4)
28. Az intézmények a tőkeáttételi mutató számításához használt kitettségértékeket az LRCalc tábla alábbi mezőiben szereplő kivételek értelemszerű alkalmazása után tüntetik fel az LR4 táblában: {050;010}, {080;010}, {100;010}, {120;010}, {220; 010}, {250;010} és {260;010}.
29. A kettős elszámolás elkerülése érdekében az intézményeknek gondoskodniuk kell a következő pontban szereplő egyenlőség teljesüléséről.
30. Az intézményeknek a 29. pont értelmében a következő egyenlőség teljesüléséről kell gondoskodniuk: [{LRCalc;010;010} + {LRCalc;020;010} + {LRCalc;030;010} + {LRCalc;040;010} + {LRCalc;050;010} + {LRCalc;060;010} + {LRCalc;070;010} + {LRCalc;080;010} + {LRCalc;090;010} + {LRCalc;100;010} + {LRCalc;110;010} + {LRCalc;120;010} + {LRCalc;130;010} + {LRCalc;140;010} + {LRCalc;150;010} + {LRCalc;160;010} + {LRCalc;170;010} + {LRCalc;180;010} + {LRCalc;190;010} + {LRCalc;200;010} + {LRCalc;210;010} + {LRCalc;220;010} + {LRCalc;230;010} + {LRCalc;240;010} + {LRCalc;250;010} + {LRCalc;260;010}] = [{LR4;010;010} + {LR4;040;010} + {LR4;050;010} + {LR4;060;010} + {LR4;065;010} + {LR4;070;010} + {LR4;080;010} + {LR4;080;020} + {LR4;090;010} + {LR4;090;020} + {LR4;140;010} + {LR4;140;020} + {LR4;180;010} + {LR4;180;020} + {LR4;190;010} + {LR4;190;020} + {LR4;210;010} + {LR4;210;020} + {LR4;230;010} + {LR4;230;020} + {LR4;280;010} + {LR4;280;020} + {LR4;290;010} + {LR4;290;020}].
| Sor és oszlop | Jogszabályi hivatkozások és útmutató | 
| {010;010} | Mérlegen kívüli tételek; ebből: – A tőkeáttételi mutató számításához használt kitettségérték A tőkeáttételi mutató számításához használt kitettségérték az {LRCalc;150;010}, {LRCalc;160;010}, {LRCalc;170;010} és {LRCalc;180;010} mező összege, kivéve a CRR 429. cikke (7) bekezdésének megfelelően mentesülő vonatkozó csoporton belüli kitettségeket (egyedi alapon). | 
| {010;020} | Mérlegen kívüli tételek; ebből: – Kockázattal súlyozott eszközök A mérlegen kívüli tételek – ide nem értve az SFT-ket és a származtatott ügyleteket – kockázattal súlyozott kitettségértéke a sztenderd módszer és az IRB módszer szerint. A sztenderd módszer szerinti kitettségek esetében az intézményeknek a kockázattal súlyozott kitettségértéket a CRR harmadik része II. címének 2. fejezetével összhangban kell meghatározniuk. Az IRB módszer szerinti kitettségek esetében az intézményeknek a kockázattal súlyozott kitettségértéket a CRR harmadik része II. címének 3. fejezetével összhangban kell meghatározniuk. | 
| {020;010} | Kereskedelemfinanszírozás; ebből: – A tőkeáttételi mutató számításához használt kitettségérték A tőkeáttételi mutató számításához használt kitettségérték a kereskedelemfinanszírozáshoz kapcsolódó mérlegen kívüli tételek esetében. Az LR4 táblában való adatszolgáltatás céljából a kereskedelemfinanszírozáshoz kapcsolódó mérlegen kívüli tételek olyan megnyitott és igazolt import- és exportakkreditívek, amelyek rövid lejáratúak és öntörlesztőek, illetve hasonló ügyletek. | 
| {020;020} | Kereskedelemfinanszírozás; ebből: – Kockázattal súlyozott eszközök A kereskedelemfinanszírozáshoz kapcsolódó mérlegen kívüli tételek – ide nem értve az SFT-ket és a származtatott ügyleteket – kockázattal súlyozott kitettségértéke. Az LR4 táblában való adatszolgáltatás céljából a kereskedelemfinanszírozáshoz kapcsolódó mérlegen kívüli tételek olyan megnyitott és igazolt import- és exportakkreditívek, amelyek rövid lejáratúak és öntörlesztőek, illetve hasonló ügyletek. | 
| {030;010} | Hivatalos exporthitel-biztosítási program keretében – A tőkeáttételi mutató számításához használt kitettségérték A tőkeáttételi mutató számításához használt kitettségérték a hivatalos exporthitel-biztosítási program keretében megvalósuló kereskedelemfinanszírozáshoz kapcsolódó mérlegen kívüli tételek esetében. Az LR4 táblában való adatszolgáltatás céljából a hivatalos exporthitel-biztosítási program a kormány vagy más jogalany, például exporthitel-ügynökség által többek között közvetlen hitel/finanszírozás, refinanszírozás, kamatláb-támogatás (ahol a rögzített kamatláb a hitel teljes futamidejére biztosított), segélyfinanszírozás (hitelek és támogatások), exporthitel-biztosítás és garanciák formájában biztosított hivatalos támogatás. | 
| {030;020} | Hivatalos exporthitel-biztosítási program keretében – Kockázattal súlyozott eszközök A hivatalos exporthitel-biztosítási program keretében megvalósuló kereskedelemfinanszírozáshoz kapcsolódó mérlegen kívüli tételek – ide nem értve az SFT-ket és a származtatott ügyleteket – kockázattal súlyozott kitettségértéke. Az LR4 táblában való adatszolgáltatás céljából a hivatalos exporthitel-biztosítási program a kormány vagy más jogalany, például exporthitel-ügynökség által többek között közvetlen hitel/finanszírozás, refinanszírozás, kamatláb-támogatás (ahol a rögzített kamatláb a hitel teljes futamidejére biztosított), segélyfinanszírozás (hitelek és támogatások), exporthitel-biztosítás és garanciák formájában biztosított hivatalos támogatás. | 
| {040;010} | Eltérő termékkategóriák közötti nettósításról szóló megállapodások hatályába tartozó származtatott ügyletek és SFT-k – A tőkeáttételi mutató számításához használt kitettségérték A tőkeáttételi mutató számításához használt kitettségérték a CRR 272. cikkének 25. pontja szerinti eltérő termékkategóriák közötti nettósításról szóló megállapodás hatályába tartozó származtatott ügyletek és SFT-k esetében. | 
| {040;020} | Eltérő termékkategóriák közötti nettósításról szóló megállapodások hatályába tartozó származtatott ügyletek és SFT-k – Kockázattal súlyozott eszközök A CRR 272. cikkének 25. pontja szerinti eltérő termékkategóriák közötti nettósításról szóló megállapodás hatályába tartozó, mérlegen belüli és mérlegen kívüli származtatott ügyletek és SFT-k hitel- és partnerkockázattal szembeni, kockázattal súlyozott kitettségértéke a CRR harmadik részének II. címe szerinti számítás alapján. | 
| {050;010} | Eltérő termékkategóriák közötti nettósításról szóló megállapodások hatályába nem tartozó származtatott ügyletek – A tőkeáttételi mutató számításához használt kitettségérték A tőkeáttételi mutató számításához használt kitettségérték a CRR 272. cikkének 25. pontja szerinti eltérő termékkategóriák közötti nettósításról szóló megállapodás hatályába nem tartozó származtatott ügyletek esetében. | 
| {050;020} | Eltérő termékkategóriák közötti nettósításról szóló megállapodások hatályába nem tartozó származtatott ügyletek – Kockázattal súlyozott eszközök A CRR 272. cikkének 25. pontja szerinti eltérő termékkategóriák közötti nettósításról szóló megállapodás hatályába nem tartozó, mérlegen belüli és mérlegen kívüli származtatott ügyletek hitel- és partnerkockázattal szembeni, kockázattal súlyozott kitettségértéke a CRR harmadik részének II. címe szerinti számítás alapján. | 
| {060;010} | Eltérő termékkategóriák közötti nettósításról szóló megállapodások hatályába nem tartozó SFT-k – A tőkeáttételi mutató számításához használt kitettségérték A tőkeáttételi mutató számításához használt kitettségérték a CRR 272. cikkének 25. pontja szerinti eltérő termékkategóriák közötti nettósításról szóló megállapodás hatályába nem tartozó SFT-k esetében. | 
| {060;020} | Eltérő termékkategóriák közötti nettósításról szóló megállapodások hatályába nem tartozó SFT-k – Kockázattal súlyozott eszközök A CRR 272. cikkének 25. pontja szerinti eltérő termékkategóriák közötti nettósításról szóló megállapodás hatályába nem tartozó, mérlegen belüli és mérlegen kívüli SFT-k hitel- és partnerkockázattal szembeni, kockázattal súlyozott kitettségértéke a CRR harmadik részének II. címe szerinti számítás alapján. | 
| {065;010} | A hitelderivatívák kiegészítő kezeléséből adódó kitettségérték – A tőkeáttételi mutató számításához használt kitettségérték E mező értéke megegyezik a {LRCalc;130;010} és a {LRCalc;140;010} különbségével, kivéve a CRR 429. cikke (7) bekezdésének megfelelően mentesülő vonatkozó csoporton belüli kitettségeket (egyedi alapon). | 
| {070;010} | A kereskedési könyvben szereplő egyéb eszközök – A tőkeáttételi mutató számításához használt kitettségérték A tőkeáttételi mutató számításához használt kitettségérték az {LRCalc;190;010} mezőben feltüntetett tételek esetében, a kereskedési könyvben nem szereplő tételek nélkül. | 
| {070;020} | A kereskedési könyvben szereplő egyéb eszközök – Kockázattal súlyozott eszközök A CRR harmadik része IV. címének hatályába tartozó tételek szavatalótőke-követelménye szorozva 12,5-tel. | 
| {080;010} | Fedezett kötvények – A tőkeáttételi mutató számításához használt kitettségérték – SA-kitettségek A tőkeáttételi mutató számításához használt kitettségérték azon eszközök esetében, amelyek a CRR 129. cikke szerinti fedezett kötvények formájában fennálló kitettségek. Az intézményeknek a nemteljesítő kitettségek nélküli értéket kell feltüntetniük. | 
| {080;020} | Fedezett kötvények – A tőkeáttételi mutató számításához használt kitettségérték – IRB-kitettségek A tőkeáttételi mutató számításához használt kitettségérték azon eszközök esetében, amelyek a CRR 161. cikke (1) bekezdésének d) pontja szerinti fedezett kötvények formájában fennálló kitettségek. Az intézményeknek a nemteljesítő kitettségek nélküli értéket kell feltüntetniük. | 
| {080;030} | Fedezett kötvények – Kockázattal súlyozott eszközök – SA-kitettségek Azon eszközök kockázattal súlyozott kitettségértéke, amelyek a CRR 129. cikke szerinti fedezett kötvények formájában fennálló kitettségek. Az intézményeknek a nemteljesítő kitettségek nélküli értéket kell feltüntetniük. | 
| {080;040} | Fedezett kötvények – Kockázattal súlyozott eszközök – IRB-kitettségek Azon eszközök kockázattal súlyozott kitettségértéke, amelyek a CRR 161. cikke (1) bekezdésének d) pontja szerinti fedezett kötvények formájában fennálló kitettségek. Az intézményeknek a nemteljesítő kitettségek nélküli értéket kell feltüntetniük. | 
| {090;010} | Kormányzatként kezelt kitettségek – A tőkeáttételi mutató számításához használt kitettségérték – SA-kitettségek A {100,010} – {130,010} mező összege. Az intézményeknek a nemteljesítő kitettségek nélküli értéket kell feltüntetniük. | 
| {090;020} | Kormányzatként kezelt kitettségek – A tőkeáttételi mutató számításához használt kitettségérték – IRB-kitettségek A {100 020} – {130 020} mező összege. Az intézményeknek a nemteljesítő kitettségek nélküli értéket kell feltüntetniük. | 
| {090;030} | Kormányzatként kezelt kitettségek – Kockázattal súlyozott eszközök – SA-kitettségek A {100 030} – {130 030} mező összege. Az intézményeknek a nemteljesítő kitettségek nélküli értéket kell feltüntetniük. | 
| {090;040} | Kormányzatként kezelt kitettségek – Kockázattal súlyozott eszközök – IRB-kitettségek A {100 040} – {130 040} mező összege. Az intézményeknek a nemteljesítő kitettségek nélküli értéket kell feltüntetniük. | 
| {100;010} | Központi kormányzatok és központi bankok – A tőkeáttételi mutató számításához használt kitettségérték – SA-kitettségek A tőkeáttételi mutató számításához használt kitettségérték azon eszközök esetében, amelyek a CRR 114. cikke szerinti, központi kormányzatokkal vagy központi bankokkal szembeni kitettségek. Az intézményeknek a nemteljesítő kitettségek nélküli értéket kell feltüntetniük. | 
| {100;020} | Központi kormányzatok és központi bankok – A tőkeáttételi mutató számításához használt kitettségérték – IRB-kitettségek A tőkeáttételi mutató számításához használt kitettségérték azon eszközök esetében, amelyek a CRR 147. cikke (2) bekezdésének a) pontja szerinti, központi kormányzatokkal vagy központi bankokkal szembeni kitettségek. Az intézményeknek a nemteljesítő kitettségek nélküli értéket kell feltüntetniük. | 
| {100;030} | Központi kormányzatok és központi bankok – Kockázattal súlyozott eszközök – SA-kitettségek Azon eszközök kockázattal súlyozott kitettségértéke, amelyek a CRR 114. cikke szerinti, központi kormányzatokkal vagy központi bankokkal szembeni kitettségek. Az intézményeknek a nemteljesítő kitettségek nélküli értéket kell feltüntetniük. | 
| {100;040} | Központi kormányzatok és központi bankok – Kockázattal súlyozott eszközök – IRB-kitettségek Azon eszközök kockázattal súlyozott kitettségértéke, amelyek a CRR 147. cikke (2) bekezdésének a) pontja szerinti, központi kormányzatokkal vagy központi bankokkal szembeni kitettségek. Az intézményeknek a nemteljesítő kitettségek nélküli értéket kell feltüntetniük. | 
| {110;010} | Kormányzatként kezelt regionális kormányzatok és helyi hatóságok – A tőkeáttételi mutató számításához használt kitettségérték – SA-kitettségek A tőkeáttételi mutató számításához használt kitettségérték azon eszközök esetében, amelyek a CRR 115. cikkének (2) és (4) bekezdése szerinti, kormányzatként kezelt regionális kormányzatokkal és helyi hatóságokkal szembeni kitettségek. Az intézményeknek a nemteljesítő kitettségek nélküli értéket kell feltüntetniük. | 
| {110;020} | Kormányzatként kezelt regionális kormányzatok és helyi hatóságok – A tőkeáttételi mutató számításához használt kitettségérték – IRB-kitettségek A tőkeáttételi mutató számításához használt kitettségérték azon eszközök esetében, amelyek a CRR 147. cikke (3) bekezdésének a) pontja szerinti, regionális kormányzatokkal és helyi hatóságokkal szembeni kitettségek. Az intézményeknek a nemteljesítő kitettségek nélküli értéket kell feltüntetniük. | 
| {110;030} | Kormányzatként kezelt regionális kormányzatok és helyi hatóságok – Kockázattal súlyozott eszközök – SA-kitettségek Azon eszközök kockázattal súlyozott kitettségértéke, amelyek a CRR 115. cikkének (2) és (4) bekezdése szerinti, kormányzatként kezelt regionális kormányzatokkal és helyi hatóságokkal szembeni kitettségek. Az intézményeknek a nemteljesítő kitettségek nélküli értéket kell feltüntetniük. | 
| {110;040} | Kormányzatként kezelt regionális kormányzatok és helyi hatóságok – Kockázattal súlyozott eszközök – IRB-kitettségek Azon eszközök kockázattal súlyozott kitettségértéke, amelyek a CRR 147. cikke (3) bekezdésének a) pontja szerinti, regionális kormányzatokkal és helyi hatóságokkal szembeni kitettségek. Az intézményeknek a nemteljesítő kitettségek nélküli értéket kell feltüntetniük. | 
| {120;010} | Kormányzatként kezelt multilaterális fejlesztési bankok és nemzetközi szervezetek – A tőkeáttételi mutató számításához használt kitettségérték – SA-kitettségek A tőkeáttételi mutató számításához használt kitettségérték azon eszközök esetében, amelyek a CRR 117. cikkének (2) bekezdése és 118. cikke szerinti multilaterális fejlesztési bankokkal és nemzetközi szervezetekkel szembeni kitettségek. Az intézményeknek a nemteljesítő kitettségek nélküli értéket kell feltüntetniük. | 
| {120;020} | Kormányzatként kezelt multilaterális fejlesztési bankok és nemzetközi szervezetek – A tőkeáttételi mutató számításához használt kitettségérték – IRB-kitettségek A tőkeáttételi mutató számításához használt kitettségérték azon eszközök esetében, amelyek a CRR 147. cikke (3) bekezdésének b) és c) pontja szerinti, multilaterális fejlesztési bankokkal és nemzetközi szervezetekkel szembeni kitettségek. Az intézményeknek a nemteljesítő kitettségek nélküli értéket kell feltüntetniük. | 
| {120;030} | Kormányzatként kezelt multilaterális fejlesztési bankok és nemzetközi szervezetek – Kockázattal súlyozott eszközök – SA-kitettségek Azon eszközök kockázattal súlyozott kitettségértéke, amelyek a CRR 117. cikkének (2) bekezdése és 118. cikke szerinti multilaterális fejlesztési bankokkal és nemzetközi szervezetekkel szembeni kitettségek. Az intézményeknek a nemteljesítő kitettségek nélküli értéket kell feltüntetniük. | 
| {120;040} | Kormányzatként kezelt multilaterális fejlesztési bankok és nemzetközi szervezetek – Kockázattal súlyozott eszközök – IRB-kitettségek Azon eszközök kockázattal súlyozott kitettségértéke, amelyek a CRR 147. cikke (3) bekezdésének b) és c) pontja szerinti, multilaterális fejlesztési bankokkal és nemzetközi szervezetekkel szembeni kitettségek. Az intézményeknek a nemteljesítő kitettségek nélküli értéket kell feltüntetniük. | 
| {130;010} | Kormányzatként kezelt közszektorbeli intézmények – A tőkeáttételi mutató számításához használt kitettségérték – SA-kitettségek A tőkeáttételi mutató számításához használt kitettségérték azon eszközök esetében, amelyek a CRR 116. cikkének (4) bekezdése szerinti, közszektorbeli intézményekkel szembeni kitettségek. Az intézményeknek a nemteljesítő kitettségek nélküli értéket kell feltüntetniük. | 
| {130;020} | Kormányzatként kezelt közszektorbeli intézmények – A tőkeáttételi mutató számításához használt kitettségérték – IRB-kitettségek A tőkeáttételi mutató számításához használt kitettségérték azon eszközök esetében, amelyek a CRR 147. cikke (3) bekezdésének a) pontja szerinti, közszektorbeli intézményekkel szembeni kitettségek. Az intézményeknek a nemteljesítő kitettségek nélküli értéket kell feltüntetniük. | 
| {130;030} | Kormányzatként kezelt közszektorbeli intézmények – Kockázattal súlyozott eszközök – SA-kitettségek Azon eszközök kockázattal súlyozott kitettségértéke, amelyek a CRR 116. cikkének (4) bekezdése szerinti, közszektorbeli intézményekkel szembeni kitettségek. Az intézményeknek a nemteljesítő kitettségek nélküli értéket kell feltüntetniük. | 
| {130;040} | Kormányzatként kezelt közszektorbeli intézmények – Kockázattal súlyozott eszközök – IRB-kitettségek Azon eszközök kockázattal súlyozott kitettségértéke, amelyek a CRR 147. cikke (3) bekezdésének a) pontja szerinti, közszektorbeli intézményekkel szembeni kitettségek. Az intézményeknek a nemteljesítő kitettségek nélküli értéket kell feltüntetniük. | 
| {140;010} | Nem kormányzatként kezelt regionális kormányzatokkal, multilaterális fejlesztési bankokkal, nemzetközi szervezetekkel és közszektorbeli intézményekkel szembeni kitettségek – A tőkeáttételi mutató számításához használt kitettségérték – SA-kitettségek A {150 010} – {170 010} mező összege. Az intézményeknek a nemteljesítő kitettségek nélküli értéket kell feltüntetniük. | 
| {140;020} | Nem kormányzatként kezelt regionális kormányzatokkal, multilaterális fejlesztési bankokkal, nemzetközi szervezetekkel és közszektorbeli intézményekkel szembeni kitettségek – A tőkeáttételi mutató számításához használt kitettségérték – IRB-kitettségek A {150 020} – {170 020} mező összege. Az intézményeknek a nemteljesítő kitettségek nélküli értéket kell feltüntetniük. | 
| {140;030} | Nem kormányzatként kezelt regionális kormányzatokkal, multilaterális fejlesztési bankokkal, nemzetközi szervezetekkel és közszektorbeli intézményekkel szembeni kitettségek – Kockázattal súlyozott eszközök – SA-kitettségek A {150 030} – {170 030} mező összege. Az intézményeknek a nemteljesítő kitettségek nélküli értéket kell feltüntetniük. | 
| {140;040} | Nem kormányzatként kezelt regionális kormányzatokkal, multilaterális fejlesztési bankokkal, nemzetközi szervezetekkel és közszektorbeli intézményekkel szembeni kitettségek – Kockázattal súlyozott eszközök – IRB-kitettségek A {150 040} – {170 040} mező összege. Az intézményeknek a nemteljesítő kitettségek nélküli értéket kell feltüntetniük. | 
| {150;010} | Nem kormányzatként kezelt regionális kormányzatok és helyi hatóságok – A tőkeáttételi mutató számításához használt kitettségérték – SA-kitettségek A tőkeáttételi mutató számításához használt kitettségérték azon eszközök esetében, amelyek a CRR 115. cikkének (1), (3) és (5) bekezdése szerinti, nem kormányzatként kezelt regionális kormányzatokkal és helyi hatóságokkal szembeni kitettségek. Az intézményeknek a nemteljesítő kitettségek nélküli értéket kell feltüntetniük. | 
| {150;020} | Nem kormányzatként kezelt regionális kormányzatok és helyi hatóságok – A tőkeáttételi mutató számításához használt kitettségérték – IRB-kitettségek A tőkeáttételi mutató számításához használt kitettségérték azon eszközök esetében, amelyek a CRR 147. cikke (4) bekezdésének a) pontja szerinti, nem kormányzatként kezelt regionális kormányzatokkal és helyi hatóságokkal szembeni kitettségek. Az intézményeknek a nemteljesítő kitettségek nélküli értéket kell feltüntetniük. | 
| {150;030} | Nem kormányzatként kezelt regionális kormányzatok és helyi hatóságok – Kockázattal súlyozott eszközök – SA-kitettségek Azon eszközök kockázattal súlyozott kitettségértéke, amelyek a CRR 115. cikkének (1) (3) és (5) bekezdése szerinti, nem kormányzatként kezelt regionális kormányzatokkal és helyi hatóságokkal szembeni kitettségek. Az intézményeknek a nemteljesítő kitettségek nélküli értéket kell feltüntetniük. | 
| {150;040} | Nem kormányzatként kezelt regionális kormányzatok és helyi hatóságok – Kockázattal súlyozott eszközök – IRB-kitettségek Azon eszközök kockázattal súlyozott kitettségértéke, amelyek a CRR 147. cikke (4) bekezdésének a) pontja szerinti, nem kormányzatként kezelt regionális kormányzatok és helyi hatóságokkal szembeni kitettségek. Az intézményeknek a nemteljesítő kitettségek nélküli értéket kell feltüntetniük. | 
| {160;010} | Nem kormányzatként kezelt multilaterális fejlesztési bankok – A tőkeáttételi mutató számításához használt kitettségérték – SA-kitettségek A tőkeáttételi mutató számításához használt kitettségérték azon eszközök esetében, amelyek a CRR 117. cikkének (1) és (3) bekezdése szerinti multilaterális fejlesztési bankokkal szembeni kitettségek. Az intézményeknek a nemteljesítő kitettségek nélküli értéket kell feltüntetniük. | 
| {160;020} | Nem kormányzatként kezelt multilaterális fejlesztési bankok – A tőkeáttételi mutató számításához használt kitettségérték – IRB-kitettségek A tőkeáttételi mutató számításához használt kitettségérték azon eszközök esetében, amelyek a CRR 147. cikke (4) bekezdésének c) pontja szerinti, nem kormányzatként kezelt multilaterális fejlesztési bankokkal szembeni kitettségek. Az intézményeknek a nemteljesítő kitettségek nélküli értéket kell feltüntetniük. | 
| {160;030} | Nem kormányzatként kezelt multilaterális fejlesztési bankok – Kockázattal súlyozott eszközök – SA-kitettségek Azon eszközök kockázattal súlyozott kitettségértéke, amelyek a CRR 117. cikkének (1) és (3) bekezdése szerinti multilaterális fejlesztési bankokkal szembeni kitettségek. Az intézményeknek a nemteljesítő kitettségek nélküli értéket kell feltüntetniük. | 
| {160;040} | Nem kormányzatként kezelt multilaterális fejlesztési bankok – Kockázattal súlyozott eszközök – IRB-kitettségek Azon eszközök kockázattal súlyozott kitettségértéke, amelyek a CRR 147. cikke (4) bekezdésének c) pontja szerinti, nem kormányzatként kezelt multilaterális fejlesztési bankokkal szembeni kitettségek. Az intézményeknek a nemteljesítő kitettségek nélküli értéket kell feltüntetniük. | 
| {170;010} | Nem kormányzatként kezelt közszektorbeli intézmények – A tőkeáttételi mutató számításához használt kitettségérték – SA-kitettségek A tőkeáttételi mutató számításához használt kitettségérték azon eszközök esetében, amelyek a CRR 116. cikkének (1), (2), (3) és (5) bekezdése szerinti közszektorbeli intézményekkel szembeni kitettségek. Az intézményeknek a nemteljesítő kitettségek nélküli értéket kell feltüntetniük. | 
| {170;020} | Nem kormányzatként kezelt közszektorbeli intézmények – A tőkeáttételi mutató számításához használt kitettségérték – IRB-kitettségek A tőkeáttételi mutató számításához használt kitettségérték azon eszközök esetében, amelyek a CRR 147. cikke (4) bekezdésének b) pontja szerinti, nem kormányzatként kezelt közszektorbeli intézményekkel szembeni kitettségek. Az intézményeknek a nemteljesítő kitettségek nélküli értéket kell feltüntetniük. | 
| {170;030} | Nem kormányzatként kezelt közszektorbeli intézmények – Kockázattal súlyozott eszközök – SA-kitettségek Azon eszközök kockázattal súlyozott kitettségértéke, amelyek a CRR 116. cikkének (1), (2), (3) és (5) bekezdése szerinti közszektorbeli intézményekkel szembeni kitettségek. Az intézményeknek a nemteljesítő kitettségek nélküli értéket kell feltüntetniük. | 
| {170;040} | Nem kormányzatként kezelt közszektorbeli intézmények – Kockázattal súlyozott eszközök – IRB-kitettségek Azon eszközök kockázattal súlyozott kitettségértéke, amelyek a CRR 147. cikke (4) bekezdésének b) pontja szerinti, nem kormányzatként kezelt közszektorbeli intézményekkel szembeni kitettségek. Az intézményeknek a nemteljesítő kitettségek nélküli értéket kell feltüntetniük. | 
| {180;010} | Intézmények – A tőkeáttételi mutató számításához használt kitettségérték – SA-kitettségek A tőkeáttételi mutató számításához használt kitettségérték azon eszközök esetében, amelyek a CRR 119–121. cikke szerinti, intézményekkel szembeni kitettségek. Az intézményeknek a nemteljesítő kitettségek nélküli értéket kell feltüntetniük. | 
| {180;020} | Intézmények – A tőkeáttételi mutató számításához használt kitettségérték – IRB-kitettségek A tőkeáttételi mutató számításához használt kitettségérték azon eszközök esetében, amelyek a CRR 147. cikke (2) bekezdésének b) pontja szerinti, intézményekkel szembeni kitettségek, és nem a CRR 161. cikke (1) bekezdése d) pontja szerinti fedezett kötvények formájában fennálló kitettségek, és nem tartoznak a CRR 147. cikke (4) bekezdése a)–c) pontjának hatályába. Az intézményeknek a nemteljesítő kitettségek nélküli értéket kell feltüntetniük. | 
| {180;030} | Intézmények – Kockázattal súlyozott eszközök – SA-kitettségek Azon eszközök kockázattal súlyozott kitettségértéke, amelyek a CRR 119–121. cikke szerinti, intézményekkel szembeni kitettségek. Az intézményeknek a nemteljesítő kitettségek nélküli értéket kell feltüntetniük. | 
| {180;040} | Intézmények – Kockázattal súlyozott eszközök – IRB-kitettségek Azon eszközök kockázattal súlyozott kitettségértéke, amelyek a CRR 147. cikke (2) bekezdésének b) pontja szerinti, intézményekkel szembeni kitettségek, és nem a CRR 161. cikke (1) bekezdésének d) pontja szerinti fedezett kötvények formájában fennálló kitettségek, és nem tartoznak a CRR 147. cikke (4) bekezdése a)–c) pontjának hatályába. Az intézményeknek a nemteljesítő kitettségek nélküli értéket kell feltüntetniük. | 
| {190;010} | Ingatlan-jelzálogjoggal fedezett; ebből: – A tőkeáttételi mutató számításához használt kitettségérték – SA-kitettségek A tőkeáttételi mutató számításához használt kitettségérték azon eszközök esetében, amelyek a CRR 124. cikke szerinti, ingatlan-jelzálogjoggal fedezett kitettségek. Az intézményeknek a nemteljesítő kitettségek nélküli értéket kell feltüntetniük. | 
| {190;020} | Ingatlan-jelzálogjoggal fedezett; ebből: – A tőkeáttételi mutató számításához használt kitettségérték – IRB-kitettségek A tőkeáttételi mutató számításához használt kitettségérték azon eszközök esetében, amelyek a CRR 147. cikke (2) bekezdésének c) pontja szerinti, vállalatokkal szembeni kitettségek, vagy a CRR 147. cikke (2) bekezdésének d) pontja szerinti, lakossággal szembeni kitettségek, ha ezek a kitettségek a CRR 199. cikke (1) bekezdésének a) pontja szerinti ingatlan-jelzálogjoggal fedezettek. Az intézményeknek a nemteljesítő kitettségek nélküli értéket kell feltüntetniük. | 
| {190;030} | Ingatlan-jelzálogjoggal fedezett; ebből: – Kockázattal súlyozott eszközök – SA-kitettségek Azon eszközök kockázattal súlyozott kitettségértéke, amelyek a CRR 124. cikke szerinti, ingatlan-jelzálogjoggal fedezett kitettségek. Az intézményeknek a nemteljesítő kitettségek nélküli értéket kell feltüntetniük. | 
| {190;040} | Ingatlan-jelzálogjoggal fedezett; ebből: – Kockázattal súlyozott eszközök – IRB-kitettségek Azon eszközök kockázattal súlyozott kitettségértéke, amelyek a CRR 147. cikke (2) bekezdésének c) pontja szerinti, vállalatokkal szembeni kitettségek, vagy a CRR 147. cikke (2) bekezdésének d) pontja szerinti, lakossággal szembeni kitettségek, ha ezek a kitettségek a CRR 199. cikke (1) bekezdésének a) pontja szerinti ingatlan-jelzálogjoggal fedezettek. Az intézményeknek a nemteljesítő kitettségek nélküli értéket kell feltüntetniük. | 
| {200;010} | Lakóingatlan-jelzálogjoggal fedezett – A tőkeáttételi mutató számításához használt kitettségérték – SA-kitettségek A tőkeáttételi mutató számításához használt kitettségérték azon eszközök esetében, amelyek teljes mértékben a CRR 125. cikke szerinti, lakóingatlan-jelzálogjoggal fedezett kitettségek. Az intézményeknek a nemteljesítő kitettségek nélküli értéket kell feltüntetniük. | 
| {200;020} | Lakóingatlan-jelzálogjoggal fedezett – A tőkeáttételi mutató számításához használt kitettségérték – IRB-kitettségek A tőkeáttételi mutató számításához használt kitettségérték azon eszközök esetében, amelyek a CRR 147. cikke (2) bekezdésének c) pontja szerinti, vállalatokkal szembeni kitettségek, vagy a CRR 147. cikke (2) bekezdésének d) pontja szerinti, lakossággal szembeni kitettségek, ha ezek a kitettségek a CRR 199. cikke (1) bekezdésének a) pontja szerinti lakóingatlan-jelzálogjoggal fedezettek. Az intézményeknek a nemteljesítő kitettségek nélküli értéket kell feltüntetniük. | 
| {200;030} | Lakóingatlan-jelzálogjoggal fedezett – Kockázattal súlyozott eszközök – SA-kitettségek Azon eszközök kockázattal súlyozott kitettségértéke, amelyek teljes mértékben a CRR 125. cikke szerinti, lakóingatlan-jelzálogjoggal fedezett kitettségek. Az intézményeknek a nemteljesítő kitettségek nélküli értéket kell feltüntetniük. | 
| {200;040} | Lakóingatlan-jelzálogjoggal fedezett – Kockázattal súlyozott eszközök – IRB-kitettségek Azon eszközök kockázattal súlyozott kitettségértéke, amelyek a CRR 147. cikke (2) bekezdésének c) pontja szerinti, vállalatokkal szembeni kitettségek, vagy a CRR 147. cikke (2) bekezdésének d) pontja szerinti, lakossággal szembeni kitettségek, ha ezek a kitettségek a CRR 199. cikke (1) bekezdésének a) pontja szerinti lakóingatlan-jelzálogjoggal fedezettek. Az intézményeknek a nemteljesítő kitettségek nélküli értéket kell feltüntetniük. | 
| {210;010} | Lakossággal szembeni kitettségek; ebből: – A tőkeáttételi mutató számításához használt kitettségérték – SA-kitettségek A tőkeáttételi mutató számításához használt kitettségérték azon eszközök esetében, amelyek a CRR 123. cikke szerinti, lakossággal szembeni kitettségek. Az intézményeknek a nemteljesítő kitettségek nélküli értéket kell feltüntetniük. | 
| {210;020} | Lakossággal szembeni kitettségek; ebből: – A tőkeáttételi mutató számításához használt kitettségérték – IRB-kitettségek A tőkeáttételi mutató számításához használt kitettségérték azon eszközök esetében, amelyek a CRR 147. cikke (2) bekezdésének d) pontja szerinti, lakossággal szembeni kitettségek, ha ezek a kitettségek a CRR 199. cikke (1) bekezdésének a) pontja szerinti ingatlan-jelzálogjoggal nem fedezettek. Az intézményeknek a nemteljesítő kitettségek nélküli értéket kell feltüntetniük. | 
| {210;030} | Lakossággal szembeni kitettségek; ebből: – Kockázattal súlyozott eszközök – SA-kitettségek Azon eszközök kockázattal súlyozott kitettségértéke, amelyek a CRR 123. cikke szerinti, lakossággal szembeni kitettségek. Az intézményeknek a nemteljesítő kitettségek nélküli értéket kell feltüntetniük. | 
| {210;040} | Lakossággal szembeni kitettségek; ebből: – Kockázattal súlyozott eszközök – IRB-kitettségek Azon eszközök kockázattal súlyozott kitettségértéke, amelyek a CRR 147. cikke (2) bekezdésének d) pontja szerinti, lakossággal szembeni kitettségek, ha ezek a kitettségek a CRR 199. cikke (1) bekezdésének a) pontja szerinti ingatlan-jelzálogjoggal nem fedezettek. Az intézményeknek a nemteljesítő kitettségek nélküli értéket kell feltüntetniük. | 
| {220;010} | Lakossági (kkv) – A tőkeáttételi mutató számításához használt kitettségérték – SA-kitettségek A tőkeáttételi mutató számításához használt kitettségérték azon eszközök esetében, amelyek a CRR 123. cikke szerinti, kis- és középvállalkozásokkal szembeni lakossági kitettségek. E mező alkalmazásában kis- és középvállalkozások alatt a CRR 501. cikke (2) bekezdésének b) pontja szerinti fogalom értendő. Az intézményeknek a nemteljesítő kitettségek nélküli értéket kell feltüntetniük. | 
| {220;020} | Lakossági (kkv) – A tőkeáttételi mutató számításához használt kitettségérték – IRB-kitettségek A tőkeáttételi mutató számításához használt kitettségérték azon eszközök esetében, amelyek a CRR 147. cikke (2) bekezdésének d) pontja szerinti, lakossággal szembeni kitettségek, ha ezek a kitettségek kis- és középvállalkozásokkal szembeni kitettségek és a CRR 199. cikke (1) bekezdésének a) pontja szerinti ingatlan-jelzálogjoggal nem fedezettek. E mező alkalmazásában kis- és középvállalkozások alatt a CRR 501. cikke (2) bekezdésének b) pontja szerinti fogalom értendő. Az intézményeknek a nemteljesítő kitettségek nélküli értéket kell feltüntetniük. | 
| {220;030} | Lakossági (kkv) – Kockázattal súlyozott eszközök – SA-kitettségek Azon eszközök kockázattal súlyozott kitettségértéke, amelyek a CRR 123. cikke szerinti, kis- és középvállalkozásokkal szembeni lakossági kitettségek. E mező alkalmazásában kis- és középvállalkozások alatt a CRR 501. cikke (2) bekezdésének b) pontja szerinti fogalom értendő. Az intézményeknek a nemteljesítő kitettségek nélküli értéket kell feltüntetniük. | 
| {220;040} | Lakossági (kkv) – Kockázattal súlyozott eszközök – IRB-kitettségek Azon eszközök kockázattal súlyozott kitettségértéke, amelyek a CRR 147. cikke (2) bekezdésének d) pontja szerinti, lakossággal szembeni kitettségek, ha ezek a kitettségek kis- és középvállalkozásokkal szembeni kitettségek és a CRR 199. cikke (1) bekezdésének a) pontja szerinti ingatlan-jelzálogjoggal nem fedezettek. E mező alkalmazásában kis- és középvállalkozások alatt a CRR 501. cikke (2) bekezdésének b) pontja szerinti fogalom értendő. Az intézményeknek a nemteljesítő kitettségek nélküli értéket kell feltüntetniük. | 
| {230;010} | Vállalati; ebből: – A tőkeáttételi mutató számításához használt kitettségérték – SA-kitettségek A {240,010} és a {250,010} mező összege. Az intézményeknek a nemteljesítő kitettségek nélküli értéket kell feltüntetniük. | 
| {230;020} | Vállalati; ebből: – A tőkeáttételi mutató számításához használt kitettségérték – IRB-kitettségek A {240;020} és a {250;020} mező összege. Az intézményeknek a nemteljesítő kitettségek nélküli értéket kell feltüntetniük. | 
| {230;030} | Vállalati; ebből: – Kockázattal súlyozott eszközök – SA-kitettségek A {240;030} és a {250;030} mező összege. Az intézményeknek a nemteljesítő kitettségek nélküli értéket kell feltüntetniük. | 
| {230;040} | Vállalati; ebből: – Kockázattal súlyozott eszközök – IRB-kitettségek A {240;040} és a {250;040} mező összege. Az intézményeknek a nemteljesítő kitettségek nélküli értéket kell feltüntetniük. | 
| {240;010} | Pénzügyi – A tőkeáttételi mutató számításához használt kitettségérték – SA-kitettségek A tőkeáttételi mutató számításához használt kitettségérték azon eszközök esetében, amelyek a CRR 122. cikke szerinti, pénzügyi vállalkozásokkal szembeni kitettségek. Az LR4 táblában való adatszolgáltatás céljából a pénzügyi vállalkozás a {180;010} mezőben említett intézményektől eltérő olyan szabályozott vagy nem szabályozott vállalkozást jelent, amelynek fő tevékenysége tulajdoni részesedések megszerzése vagy a 2013/36/EU irányelv I. mellékletében felsorolt tevékenységek közül egy vagy több folytatása, valamint a CRR 4. cikke (1) bekezdésének 27. pontja szerinti, a {180;010} mezőben említett intézményektől eltérő vállalkozást. Az intézményeknek a nemteljesítő kitettségek nélküli értéket kell feltüntetniük. | 
| {240;020} | Pénzügyi – A tőkeáttételi mutató számításához használt kitettségérték – IRB-kitettségek A tőkeáttételi mutató számításához használt kitettségérték azon eszközök esetében, amelyek a CRR 147. cikke (2) bekezdésének c) pontja szerinti, pénzügyi vállalkozásokkal szembeni kitettségek, ha ezek a kitettségek a CRR 199. cikke (1) bekezdésének a) pontja szerinti ingatlan-jelzálogjoggal nem fedezettek. Az LR4 táblában való adatszolgáltatás céljából a pénzügyi vállalkozás a {180;10} mezőben említett intézményektől eltérő olyan szabályozott vagy nem szabályozott vállalkozást jelent, amelynek fő tevékenysége tulajdoni részesedések megszerzése vagy a 2013/36/EU irányelv I. mellékletében felsorolt tevékenységek közül egy vagy több folytatása, valamint a CRR 4. cikke (1) bekezdésének 27. pontja szerinti, a {180;10} mezőben említett intézményektől eltérő vállalkozást. Az intézményeknek a nemteljesítő kitettségek nélküli értéket kell feltüntetniük. | 
| {240;030} | Pénzügyi – Kockázattal súlyozott eszközök – SA-kitettségek Azon eszközök kockázattal súlyozott kitettségértéke, amelyek a CRR 122. cikke szerinti, pénzügyi vállalkozásokkal szembeni kitettségek. Az LR4 táblában való adatszolgáltatás céljából a pénzügyi vállalkozás a {180;10} mezőben említett intézményektől eltérő olyan szabályozott vagy nem szabályozott vállalkozást jelent, amelynek fő tevékenysége tulajdoni részesedések megszerzése vagy a 2013/36/EU irányelv I. mellékletében felsorolt tevékenységek közül egy vagy több folytatása, valamint a CRR 4. cikke (1) bekezdésének 27. pontja szerinti, a {180;10} mezőben említett intézményektől eltérő vállalkozást. Az intézményeknek a nemteljesítő kitettségek nélküli értéket kell feltüntetniük. | 
| {240;040} | Pénzügyi – Kockázattal súlyozott eszközök – IRB-kitettségek Azon eszközök kockázattal súlyozott kitettségértéke, amelyek a CRR 147. cikke (2) bekezdésének c) pontja szerinti, pénzügyi vállalkozásokkal szembeni kitettségek, ha ezek a kitettségek a CRR 199. cikke (1) bekezdésének a) pontja szerinti ingatlan-jelzálogjoggal nem fedezettek. Az LR4 táblában való adatszolgáltatás céljából a pénzügyi vállalkozás a {180;10} mezőben említett intézményektől eltérő olyan szabályozott vagy nem szabályozott vállalkozást jelent, amelynek fő tevékenysége tulajdoni részesedések megszerzése vagy a 2013/36/EU irányelv I. mellékletében felsorolt tevékenységek közül egy vagy több folytatása, valamint a CRR 4. cikke (1) bekezdésének 27. pontja szerinti, a {180;10} mezőben említett intézményektől eltérő vállalkozást. Az intézményeknek a nemteljesítő kitettségek nélküli értéket kell feltüntetniük. | 
| {250;010} | Nem pénzügyi; ebből: – A tőkeáttételi mutató számításához használt kitettségérték – SA-kitettségek Azon eszközök tőkeáttételimutató-számításhoz használt kitettségértéke, amelyek a CRR 122. cikkében meghatározottak szerinti nem pénzügyi vállalkozásokkal szembeni kitettségek. A {260;010} és a {270;010} mező összege. Az intézményeknek a nemteljesítő kitettségek nélküli értéket kell feltüntetniük. | 
| {250;020} | Nem pénzügyi; ebből: – A tőkeáttételi mutató számításához használt kitettségérték – IRB-kitettségek Azon eszközök tőkeáttételimutató-számításhoz használt kitettségértéke, amelyek a CRR 147. cikke (2) bekezdésének c) pontjában meghatározottak szerinti nem pénzügyi vállalkozásokkal szembeni kitettségek, ha ezek a kitettségek a CRR 199 cikke (1) bekezdésének a) pontjával összhangban ingatlan-jelzálogjoggal nem fedezettek. A {260;020} és a {270;020} mező összege. Az intézményeknek a nemteljesítő kitettségek nélküli értéket kell feltüntetniük. | 
| {250;030} | Nem pénzügyi; ebből: – Kockázattal súlyozott eszközök – SA-kitettségek Azon eszközök kockázati súlyozás alá tartozó kitettségértéke, amelyek a CRR 122. cikkében meghatározottak szerinti nem pénzügyi vállalkozásokkal szembeni kitettségek. A {260;030} és a {270;030} mező összege. Az intézményeknek a nemteljesítő kitettségek nélküli értéket kell feltüntetniük. | 
| {250;040} | Nem pénzügyi; ebből: – Kockázattal súlyozott eszközök – IRB-kitettségek Azon eszközök kockázattal súlyozott kitettségértéke, amelyek a CRR 147. cikke (2) bekezdésének c) pontja szerinti, nem pénzügyi vállalkozásokkal szembeni kitettségek, ha ezek a kitettségek a CRR 199. cikke (1) bekezdésének a) pontja szerinti ingatlan-jelzálogjoggal nem fedezettek. A {260;040} és a {270;040} mező összege. Az intézményeknek a nemteljesítő kitettségek nélküli értéket kell feltüntetniük. | 
| {260;010} | Kkv-kitettségek – A tőkeáttételi mutató számításához használt kitettségérték – SA-kitettségek A tőkeáttételi mutató számításához használt kitettségérték azon eszközök esetében, amelyek a CRR 122. cikke szerinti, kis- és középvállalkozások formájában működő vállalkozásokkal szembeni kitettségek. E mező alkalmazásában kis- és középvállalkozások alatt a CRR 501. cikke (2) bekezdésének b) pontja szerinti fogalom értendő. Az intézményeknek a nemteljesítő kitettségek nélküli értéket kell feltüntetniük. | 
| {260;020} | Kkv-kitettségek – A tőkeáttételi mutató számításához használt kitettségérték – IRB-kitettségek A tőkeáttételi mutató számításához használt kitettségérték azon eszközök esetében, amelyek a CRR 147. cikke (2) bekezdésének c) pontja szerinti, vállalkozásokkal szembeni kitettségek, ha ezek a kitettségek kis- és középvállalkozásokkal szembeni kitettségek és a CRR 199. cikke (1) bekezdésének a) pontja szerinti ingatlan-jelzálogjoggal nem fedezettek. E mező alkalmazásában kis- és középvállalkozások alatt a CRR 501. cikke (2) bekezdésének b) pontja szerinti fogalom értendő. Az intézményeknek a nemteljesítő kitettségek nélküli értéket kell feltüntetniük. | 
| {260;030} | Kkv-kitettségek – Kockázattal súlyozott eszközök – SA-kitettségek Azon eszközök kockázattal súlyozott kitettségértéke, amelyek a CRR 122. cikke szerinti, kis- és középvállalkozások formájában működő vállalkozásokkal szembeni kitettségek. E mező alkalmazásában kis- és középvállalkozások alatt a CRR 501. cikke (2) bekezdésének b) pontja szerinti fogalom értendő. Az intézményeknek a nemteljesítő kitettségek nélküli értéket kell feltüntetniük. | 
| {260;040} | Kkv-kitettségek – Kockázattal súlyozott eszközök – IRB-kitettségek Azon eszközök kockázattal súlyozott kitettségértéke, amelyek a CRR 147. cikke (2) bekezdésének c) pontja szerinti, vállalkozásokkal szembeni kitettségek, ha ezek a kitettségek kis- és középvállalkozásokkal szembeni kitettségek és a CRR 199. cikke (1) bekezdésének a) pontja szerinti ingatlan-jelzálogjoggal nem fedezettek. E mező alkalmazásában kis- és középvállalkozások alatt a CRR 501. cikke (2) bekezdésének b) pontja szerinti fogalom értendő. Az intézményeknek a nemteljesítő kitettségek nélküli értéket kell feltüntetniük. | 
| {270;010} | Nem kkv-kitettségek – A tőkeáttételi mutató számításához használt kitettségérték – SA-kitettségek A tőkeáttételi mutató számításához használt kitettségérték azon eszközök esetében, amelyek a CRR 122. cikke szerinti, vállalkozásokkal szembeni kitettségek, és nem szerepelnek a {230;040} és a {250;040} mezőben. Az intézményeknek a nemteljesítő kitettségek nélküli értéket kell feltüntetniük. | 
| {270;020} | Nem kkv-kitettségek – A tőkeáttételi mutató számításához használt kitettségérték – IRB-kitettségek A tőkeáttételi mutató számításához használt kitettségérték azon eszközök esetében, amelyek a CRR 147. cikke (2) bekezdésének c) pontja szerinti, vállalkozásokkal szembeni kitettségek, ha ezek a kitettségek a CRR 199. cikke (1) bekezdésének a) pontja szerinti ingatlan-jelzálogjoggal nem fedezettek, és nem szerepelnek a {230;040} és a {250;040} mezőben. Az intézményeknek a nemteljesítő kitettségek nélküli értéket kell feltüntetniük. | 
| {270;030} | Nem kkv-kitettségek – Kockázattal súlyozott eszközök – SA-kitettségek Azon eszközök kockázattal súlyozott kitettségértéke, amelyek a CRR 122. cikke szerinti, vállalkozásokkal szembeni kitettségek, és nem szerepelnek a {230;040} és a {250;040} mezőben. Az intézményeknek a nemteljesítő kitettségek nélküli értéket kell feltüntetniük. | 
| {270;040} | Nem kkv-kitettségek – Kockázattal súlyozott eszközök – IRB-kitettségek Azon eszközök kockázattal súlyozott kitettségértéke, amelyek a CRR 147. cikke (2) bekezdésének c) pontja szerinti, vállalkozásokkal szembeni kitettségek, ha ezek a kitettségek a CRR 199. cikke (1) bekezdésének a) pontja szerinti ingatlan-jelzálogjoggal nem fedezettek, és nem szerepelnek a {230;040} és a {250;040} mezőben. Az intézményeknek a nemteljesítő kitettségek nélküli értéket kell feltüntetniük. | 
| {280;010} | Nemteljesítő kitettségek – A tőkeáttételi mutató számításához használt kitettségérték – SA-kitettségek A tőkeáttételi mutató számításához használt kitettségérték azon eszközök esetében, amelyek nemteljesítő kitettségek, és ezért a CRR 127. cikkének hatályába esnek. | 
| {280;020} | Nemteljesítő kitettségek – A tőkeáttételi mutató számításához használt kitettségérték – IRB-kitettségek A tőkeáttételi mutató számításához használt kitettségérték a CRR 147. cikkének (2) bekezdése szerinti kitettségi osztályokba sorolt azon eszközök esetében, amelyeknél bekövetkezett a CRR 178. cikke szerinti nemteljesítés. | 
| {280;030} | Nemteljesítő kitettségek – Kockázattal súlyozott eszközök – SA-kitettségek Azon eszközök kockázattal súlyozott kitettségértéke, amelyek nemteljesítő kitettségek, és ezért a CRR 127. cikkének hatályába esnek. | 
| {280;040} | Nemteljesítő kitettségek – Kockázattal súlyozott eszközök – IRB-kitettségek A CRR 147. cikkének (2) bekezdése szerinti kitettségi osztályokba sorolt azon eszközök kockázattal súlyozott kitettségértéke, amelyeknél bekövetkezett a CRR 178. cikke szerinti nemteljesítés. | 
| {290;010} | Egyéb kitettségek; ebből: – A tőkeáttételi mutató számításához használt kitettségérték – SA-kitettségek A tőkeáttételi mutató számításához használt kitettségérték a CRR 112. cikkének k), m), n), o), p) és q) pontja szerinti kitettségi osztályokba sorolt eszközök esetében. Az intézményeknek e helyen a szavatoló tőkéből levont, de itt más osztályba nem besorolható eszközöket (például immateriális javakat) kell feltüntetniük, még akkor is, ha az effajta besorolás nem szükséges a {*; 030} és a {*; 040} oszlopokban. Az intézményeknek a nemteljesítő kitettségek nélküli értéket kell feltüntetniük. | 
| {290;020} | Egyéb kitettségek; ebből: – A tőkeáttételi mutató számításához használt kitettségérték – IRB-kitettségek A tőkeáttételi mutató számításához használt kitettségérték a CRR 147. cikke (2) bekezdésének e), f) és g) pontja szerinti kitettségi osztályokba sorolt eszközök esetében. Az intézményeknek e helyen a szavatoló tőkéből levont, de itt más osztályba nem besorolható eszközöket (például immateriális javakat) kell feltüntetniük, még akkor is, ha az effajta besorolás nem szükséges a {*; 030} és a {*; 040} oszlopokban. Az intézményeknek a nemteljesítő kitettségek nélküli értéket kell feltüntetniük. | 
| {290;030} | Egyéb kitettségek; ebből: – Kockázattal súlyozott eszközök – SA-kitettségek A CRR 112. cikkének k), m), n), o), p) és q) pontja szerinti kitettségi osztályokba sorolt eszközök kockázattal súlyozott kitettségértéke. Az intézményeknek a nemteljesítő kitettségek nélküli értéket kell feltüntetniük. | 
| {290;040} | Egyéb kitettségek; ebből: – Kockázattal súlyozott eszközök – IRB-kitettségek A CRR 147. cikke (2) bekezdésének e), f), és g) pontja szerinti kitettségi osztályokba sorolt eszközök kockázattal súlyozott kitettségértéke. Az intézményeknek a nemteljesítő kitettségek nélküli értéket kell feltüntetniük. | 
| {300;010} | Értékpapírosítási kitettségek – A tőkeáttételi mutató számításához használt kitettségérték – SA-kitettségek A tőkeáttételi mutató számításához használt kitettségérték azon eszközök esetében, amelyek értékpapírosítással szembeni kitettségek, és a CRR 112. cikke m) pontjának hatályába esnek. Az intézményeknek a nemteljesítő kitettségek nélküli értéket kell feltüntetniük. | 
| {300;020} | Értékpapírosítási kitettségek – A tőkeáttételi mutató számításához használt kitettségérték – IRB-kitettségek A tőkeáttételi mutató számításához használt kitettségérték azon eszközök esetében, amelyek értékpapírosítással szembeni kitettségek, és a CRR 147. cikke (2) bekezdése f) pontjának hatályába esnek. Az intézményeknek a nemteljesítő kitettségek nélküli értéket kell feltüntetniük. | 
| {300;030} | Értékpapírosítási kitettségek – Kockázattal súlyozott eszközök – SA-kitettségek Azon eszközök kockázattal súlyozott kitettségértéke, amelyek értékpapírosítással szembeni kitettségek, és a CRR 112. cikke m) pontjának hatályába esnek. Az intézményeknek a nemteljesítő kitettségek nélküli értéket kell feltüntetniük. | 
| {300;040} | Értékpapírosítási kitettségek – Kockázattal súlyozott eszközök – IRB-kitettségek Azon eszközök kockázattal súlyozott kitettségértéke, amelyek értékpapírosítással szembeni kitettségek, és a CRR 147. cikke (2) bekezdése f) pontjának hatályába esnek. Az intézményeknek a nemteljesítő kitettségek nélküli értéket kell feltüntetniük. | 
| {310;010} | Kereskedelemfinanszírozás (tájékoztató adat); ebből: – A tőkeáttételi mutató számításához használt kitettségérték – SA-kitettségek A tőkeáttételi mutató számításához használt kitettségérték az import- és exporthitelek vagy hasonló ügyletek révén áruk vagy szolgáltatások exportőrének vagy importőrének nyújtott hitelezéshez kapcsolódó mérlegtételek esetében. Az intézményeknek a nemteljesítő kitettségek nélküli értéket kell feltüntetniük. | 
| {310;020} | Kereskedelemfinanszírozás (tájékoztató adat); ebből: – A tőkeáttételi mutató számításához használt kitettségérték – IRB-kitettségek A tőkeáttételi mutató számításához használt kitettségérték az import- és exporthitelek vagy hasonló ügyletek révén áruk vagy szolgáltatások exportőrének vagy importőrének nyújtott hitelezéshez kapcsolódó mérlegtételek esetében. Az intézményeknek a nemteljesítő kitettségek nélküli értéket kell feltüntetniük. | 
| {310;030} | Kereskedelemfinanszírozás (tájékoztató adat); ebből: – Kockázattal súlyozott eszközök – SA-kitettségek Import- és exporthitelek vagy hasonló ügyletek révén áruk vagy szolgáltatások exportőrének vagy importőrének nyújtott hitelezéshez kapcsolódó mérlegtételek kockázattal súlyozott kitettségértéke. Az intézményeknek a nemteljesítő kitettségek nélküli értéket kell feltüntetniük. | 
| {310;040} | Kereskedelemfinanszírozás (tájékoztató adat); ebből: – Kockázattal súlyozott eszközök – IRB-kitettségek Import- és exporthitelek vagy hasonló ügyletek révén áruk vagy szolgáltatások exportőrének vagy importőrének nyújtott hitelezéshez kapcsolódó mérlegtételek kockázattal súlyozott kitettségértéke. Az intézményeknek a nemteljesítő kitettségek nélküli értéket kell feltüntetniük. | 
| {320;010} | Hivatalos exporthitel-biztosítási program keretében – A tőkeáttételi mutató számításához használt kitettségérték – SA-kitettségek A tőkeáttételi mutató számításához használt kitettségérték a hivatalos exporthitel-biztosítási program keretében megvalósuló kereskedelemfinanszírozáshoz kapcsolódó mérlegtételek esetében. Az LR4 táblában való adatszolgáltatás céljából a hivatalos exporthitel-biztosítási program a kormány vagy más jogalany, például exporthitel-ügynökség által többek között közvetlen hitel/finanszírozás, refinanszírozás, kamatláb-támogatás (ahol a rögzített kamatláb a hitel teljes futamidejére biztosított), segélyfinanszírozás (hitelek és támogatások), exporthitel-biztosítás és garanciák formájában biztosított hivatalos támogatás. Az intézményeknek a nemteljesítő kitettségek nélküli értéket kell feltüntetniük. | 
| {320;020} | Hivatalos exporthitel-biztosítási program keretében – A tőkeáttételi mutató számításához használt kitettségérték – IRB-kitettségek A tőkeáttételi mutató számításához használt kitettségérték a hivatalos exporthitel-biztosítási program keretében megvalósuló kereskedelemfinanszírozáshoz kapcsolódó mérlegtételek esetében. Az LR4 táblában való adatszolgáltatás céljából a hivatalos exporthitel-biztosítási program a kormány vagy más jogalany, például exporthitel-ügynökség által többek között közvetlen hitel/finanszírozás, refinanszírozás, kamatláb-támogatás (ahol a rögzített kamatláb a hitel teljes futamidejére biztosított), segélyfinanszírozás (hitelek és támogatások), exporthitel-biztosítás és garanciák formájában biztosított hivatalos támogatás. Az intézményeknek a nemteljesítő kitettségek nélküli értéket kell feltüntetniük. | 
| {320;030} | Hivatalos exporthitel-biztosítási program keretében – Kockázattal súlyozott eszközök – SA-kitettségek A hivatalos exporthitel-biztosítási program keretében megvalósuló kereskedelemfinanszírozáshoz kapcsolódó mérlegtételek kockázattal súlyozott kitettségértéke. Az LR4 táblában való adatszolgáltatás céljából a hivatalos exporthitel-biztosítási program a kormány vagy más jogalany, például exporthitel-ügynökség által többek között közvetlen hitel/finanszírozás, refinanszírozás, kamatláb-támogatás (ahol a rögzített kamatláb a hitel teljes futamidejére biztosított), segélyfinanszírozás (hitelek és támogatások), exporthitel-biztosítás és garanciák formájában biztosított hivatalos támogatás. Az intézményeknek a nemteljesítő kitettségek nélküli értéket kell feltüntetniük. | 
| {320;040} | Hivatalos exporthitel-biztosítási program keretében – Kockázattal súlyozott eszközök – IRB-kitettségek A hivatalos exporthitel-biztosítási program keretében megvalósuló kereskedelemfinanszírozáshoz kapcsolódó mérlegtételek kockázattal súlyozott kitettségértéke. Az LR4 táblában való adatszolgáltatás céljából a hivatalos exporthitel-biztosítási program a kormány vagy más jogalany, például exporthitel-ügynökség által többek között közvetlen hitel/finanszírozás, refinanszírozás, kamatláb-támogatás (ahol a rögzített kamatláb a hitel teljes futamidejére biztosított), segélyfinanszírozás (hitelek és támogatások), exporthitel-biztosítás és garanciák formájában biztosított hivatalos támogatás. Az intézményeknek a nemteljesítő kitettségek nélküli értéket kell feltüntetniük. | 
9. C 44.00 - Általános információk (LR5)
31. Itt az intézmény tevékenységeinek kategorizálása és az intézmény által választott szabályozói lehetőségek feltüntetése céljából további információkat kell megadni.
| Sor és oszlop | Útmutató | 
| {010;010} | Az intézmény társasági formája Az intézménynek társasági formáját az alább megadott kategóriákba kell sorolnia: — Részvénytársaság; — Kölcsönös/szövetkezet; — Egyéb nem részvénytársaság jellegű társaság. | 
| {020;010} | Származtatott ügyletek kezelése Az intézménynek a származtatott ügyletek szabályozói kezelését az alább megadott kategóriákba kell sorolnia: — Az eredeti kitettség szerinti módszer; — A piaci árazás szerinti módszer. | 
| {040;010} | Az intézmény típusa Az intézménynek típusát az alább megadott kategóriákba kell sorolnia: — Univerzális banki tevékenység (lakossági/kereskedelmi és befektetési banki tevékenység); — Lakossági/kereskedelmi banki tevékenység; — Befektetési banki tevékenység; — Szakosodott hitelező — Egyéb üzleti modell. | 
XII. MELLÉKLET
A LIKVIDITÁSRA VONATKOZÓ ADATSZOLGÁLTATÁS
| A LIKVIDITÁSRA VONATKOZÓ TÁBLÁK | ||
| Tábla száma | Tábla kódja | Tábla / Táblacsoport neve | 
| A LIKVIDITÁSFEDEZETRE VONATKOZÓ TÁBLÁK | ||
| I. RÉSZ – LIKVID ESZKÖZÖK | ||
| 51 | C 51.00 | LIKVIDITÁSFEDEZET – LIKVID ESZKÖZÖK | 
| II. RÉSZ – KIÁRAMLÁSOK | ||
| 52 | C 52.00 | LIKVIDITÁSFEDEZET – KIÁRAMLÁSOK | 
| III. RÉSZ – BEÁRAMLÁSOK | ||
| 53 | C 53.00 | LIKVIDITÁSFEDEZET – BEÁRAMLÁSOK | 
| IV. RÉSZ – BIZTOSÍTÉKI CSEREÜGYLETEK | ||
| 54 | C 54.00 | LIKVIDITÁSFEDEZET – BIZTOSÍTÉKI CSEREÜGYLETEK | 
| A STABIL FORRÁSELLÁTOTTSÁGRA VONATKOZÓ TÁBLÁK | ||
| V. RÉSZ – STABIL FORRÁSELLÁTOTTSÁG | ||
| 60 | C 60.00 | STABIL FORRÁSELLÁTOTTSÁG – STABIL FORRÁSELLÁTÁST IGÉNYLŐ TÉTELEK | 
| 61 | C 61.00 | STABIL FORRÁSELLÁTOTTSÁG – STABIL FORRÁSELLÁTOTTSÁGOT BIZTOSÍTÓ TÉTELEK | 
C 51.00 - LIKVIDITÁSFEDEZET - LIKVID ESZKÖZÖK
| Piaci érték | A CRR 418.cikke szerinti érték | Összeg | A hitelkeretből le nem hívott összeg | ||||
| Sor | AZONOSÍTÓ | Tétel | Jogszabályi hivatkozások | 010 | 020 | 030 | 040 | 
| 010-390 | 1 | A CRR 416. ÉS 417. CIKKE KÖVETELMÉNYEINEK MEGFELELŐ ESZKÖZÖK | A CRR 416. és 417. cikke | ||||
| 010 | 1.1 | készpénz | A CRR 416. cikke (1) bekezdésének a) pontja | ||||
| 020 | 1.2 | központi bankokkal szembeni kitettségek | A CRR 416. cikke (1) bekezdésének a) pontja | ||||
| 030 | 1.2.1 | ebből: stresszhelyzetben lehívható kitettségek | A CRR 416. cikke (1) bekezdésének a) pontja | ||||
| 040-110 | 1.3 | Más átruházható eszközök, amelyek a következőkkel szembeni vagy általuk garantált követeléseket testesítenek meg | A CRR 416. cikke (1) bekezdésének c) pontja | ||||
| 040-050 | 1.3.1 | egy tagállam központi kormányzatával, adók kivetésére és beszedésére jogosult, adóügyi szempontból önálló régió regionális kormányzatával vagy harmadik ország központi kormányzatával szembeni vagy általuk garantált követeléseket megtestesítő, – a központi vagy regionális kormányzat hazai pénznemében kibocsátott – átruházható eszközök, amennyiben az intézmény az adott tagállamban vagy harmadik országban likviditási kockázatot vállal és ezt e likvid eszközök tartásával fedezi | A CRR 416. cikke (1) bekezdése c) pontjának i. alpontja | ||||
| 040 | 1.3.1.1 | követeléseket megtestesítő | A CRR 416. cikke (1) bekezdése c) pontjának i. alpontja | ||||
| 050 | 1.3.1.2 | általuk garantált | A CRR 416. cikke (1) bekezdése c) pontjának i. alpontja | ||||
| 060-070 | 1.3.2 | központi bankokkal és nem központi kormányzati közszektorbeli intézményekkel szembeni vagy általuk garantált követeléseket megtestesítő, – a központi bank és a közszektorbeli intézmény pénznemében kibocsátott – átruházható eszközök | A CRR 416. cikke (1) bekezdése c) pontjának ii. alpontja | ||||
| 060 | 1.3.2.1 | követeléseket megtestesítő | A CRR 416. cikke (1) bekezdése c) pontjának ii. alpontja | ||||
| 070 | 1.3.2.2 | általuk garantált | A CRR 416. cikke (1) bekezdése c) pontjának ii. alpontja | ||||
| 080-090 | 1.3.3 | a Nemzetközi Fizetések Bankjával, a Nemzetközi Valutaalappal, a Bizottsággal és multilaterális fejlesztési bankokkal szembeni vagy általuk garantált követeléseket megtestesítő átruházható eszközök | A CRR 416. cikke (1) bekezdése c) pontjának iii. alpontja | ||||
| 080 | 1.3.3.1 | követeléseket megtestesítő | A CRR 416. cikke (1) bekezdése c) pontjának iii. alpontja | ||||
| 090 | 1.3.3.2 | általuk garantált | A CRR 416. cikke (1) bekezdése c) pontjának iii. alpontja | ||||
| 100-110 | 1.3.4 | az Európai Pénzügyi Stabilitási Eszközzel és az Európai Stabilitási Mechanizmussal szembeni vagy általuk garantált követeléseket megtestesítő átruházható eszközök | A CRR 416. cikke (1) bekezdése c) pontjának iv. alpontja | ||||
| 100 | 1.3.4.1 | követeléseket megtestesítő | A CRR 416. cikke (1) bekezdése c) pontjának iv. alpontja | ||||
| 110 | 1.3.4.2 | általuk garantált | A CRR 416. cikke (1) bekezdése c) pontjának iv. alpontja | ||||
| 120-140 | 1.4 | a 416. cikkben meghatározott alapul szolgáló eszközökkel rendelkező kollektív befektetési formák összes részvénye vagy befektetési jegye | A CRR 416. cikkének (6) bekezdése és 418. cikkének (2) bekezdése | ||||
| 120 | 1.4.1 | a 416. cikk (1) bekezdésének a) pontja szerinti alapul szolgáló eszközök | A CRR 418. cikke (2) bekezdésének a) pontja | ||||
| 130 | 1.4.2 | a 416. cikk (1) bekezdésének b) és c) pontja szerinti alapul szolgáló eszközök | A CRR 418. cikke (2) bekezdésének b) pontja | ||||
| 140 | 1.4.3 | a 416. cikk (1) bekezdésének d) pontja szerinti alapul szolgáló eszközök | A CRR 418. cikke (2) bekezdésének c) pontja | ||||
| 150 | 1.5 | központi bankok által a monetáris politika keretében nyújtott készenléti hitelkeretek, amennyiben ezeket a hitelkereteket nem fedezik likvid eszközök, a rendkívüli likviditási segítségnyújtás kivételével | A CRR 416. cikke (1) bekezdésének e) pontja | ||||
| 160-170 | 1.6 | a központi hitelintézetnél elhelyezett betétek, illetve egyéb, a központi hitelintézet vagy a CRR 113. cikk (7) bekezdésében említett hálózat tagjának számító vagy a CRR 10. cikkében meghatározott mentesítésre jogosult intézmények által az alapszabály értelmében vagy szerződéses alapon biztosított likvid finanszírozás, amennyiben ezt a finanszírozást nem fedezik likvid eszközök | A CRR 416. cikke (1) bekezdésének f) pontja | ||||
| 160 | 1.6.1 | betétek | A CRR 416. cikke (1) bekezdésének f) pontja | ||||
| 170 | 1.6.2 | szerződéses alapon biztosított likvid finanszírozás | A CRR 416. cikke (1) bekezdésének f) pontja | ||||
| Sor | AZONOSÍTÓ | Tétel | Jogszabályi hivatkozások | Rendkívül magas likviditású és hitelminőségű eszközök | Magas likviditású és hitelminőségű eszközök | ||
| Piaci érték | A CRR 418.cikke szerinti érték | Piaci érték | A CRR 418.cikke szerinti érték | ||||
| 180 | 1.7 | valamely tagállam központi vagy regionális kormányzata által alapított hitelintézetek által kibocsátott eszközök, amennyiben a 416. cikk (2) bekezdése a) pontjának iii. alpontja szerinti feltételek legalább egyike teljesül | A CRR 416. cikke (2) bekezdése a) pontjának iii. alpontja | ||||
| 190-210 | 1.8 | nem pénzügyi vállalat által kibocsátott kötvények | A CRR 416. cikke (1) bekezdésének b) vagy d) pontja | ||||
| 190 | 1.8.1 | 1. hitelminőségi besorolás | A CRR 122. cikke | ||||
| 200 | 1.8.2 | 2. hitelminőségi besorolás | A CRR 122. cikke | ||||
| 210 | 1.8.3 | 3. hitelminőségi besorolás | A CRR 122. cikke | ||||
| 220-240 | 1.9 | a CRR 129. cikk (4) vagy (5) bekezdése szerinti eljárásra jogosult hitelintézet által kibocsátott kötvények | A CRR 416. cikke (2) bekezdése a) pontjának i. alpontja | ||||
| 220 | 1.9.1 | 1. hitelminőségi besorolás | A CRR 129. cikkének (4) vagy (5) bekezdése | ||||
| 230 | 1.9.2 | 2. hitelminőségi besorolás | A CRR 129. cikkének (4) vagy (5) bekezdése | ||||
| 240 | 1.9.3 | 3. hitelminőségi besorolás | A CRR 129. cikkének (4) vagy (5) bekezdése | ||||
| 250-270 | 1.10 | hitelintézet által kibocsátott, nem lakóingatlanra vonatkozó jelzáloghitellel fedezett instrumentumok, amelyek az EBH által a CRR 509. cikkének (3), (4) és (5) bekezdésében foglalt kritériumok alapján meghatározott minősítés szerint bizonyítottan a legmagasabb hitelminősítési kategóriába tartoznak | A CRR 416. cikke (2) bekezdése a) pontjának i. alpontja | ||||
| 250 | 1.10.1 | 1. hitelminőségi besorolás | A CRR II. címének 5. fejezete és 123., 124., 125. és 126. cikke | ||||
| 260 | 1.10.2 | 2. hitelminőségi besorolás | A CRR II. címének 5. fejezete és 123., 124., 125. és 126. cikke | ||||
| 270 | 1.10.3 | 3. hitelminőségi besorolás | A CRR II. címének 5. fejezete és 123., 124., 125. és 126. cikke | ||||
| 280-300 | 1.11 | hitelintézet által kibocsátott, lakóingatlanra bejegyzett jelzáloghitellel fedezett instrumentumok, amelyek az EBH által a CRR 509. cikkének (3), (4) és (5) bekezdésében foglalt kritériumok alapján meghatározott minősítés szerint bizonyítottan a legmagasabb hitelminősítési kategóriába tartoznak | A CRR 416. cikke (2) bekezdése a) pontjának i. alpontja | ||||
| 280 | 1.11.1 | 1. hitelminőségi besorolás | A CRR ötödik része II. címének 5. fejezete és 125. cikke | ||||
| 290 | 1.11.2 | 2. hitelminőségi besorolás | A CRR ötödik része II. címének 5. fejezete és 125. cikke | ||||
| 300 | 1.11.3 | 3. hitelminőségi besorolás | A CRR II. címének 5. fejezete és 125. cikke | ||||
| 310-330 | 1.12 | a 2009/65/EK irányelv 52. cikkének (4) bekezdésében meghatározottak szerint hitelintézet által kibocsátott, az 1.9 tételben említettektől eltérő kötvények | A CRR 416. cikke (2) bekezdése a) pontjának ii. alpontja | ||||
| 310 | 1.12.1 | 1. hitelminőségi besorolás | A CRR 129. cikkének (4) vagy (5) bekezdése | ||||
| 320 | 1.12.2 | 2. hitelminőségi besorolás | A CRR 129. cikkének (4) vagy (5) bekezdése | ||||
| 330 | 1.12.3 | 3. hitelminőségi besorolás | A CRR 129. cikkének (4) vagy (5) bekezdése | ||||
| 340-360 | 1.13 | egyéb rendkívül magas likviditású és hitelminőségű átruházható eszközök | A CRR 416. cikke (1) bekezdésének b) pontja | ||||
| 340 | 1.13.1 | 1. hitelminőségi besorolás | A CRR harmadik része II. címének 2. fejezete | ||||
| 350 | 1.13.2 | 2. hitelminőségi besorolás | A CRR harmadik része II. címének 2. fejezete | ||||
| 360 | 1.13.3 | 3. hitelminőségi besorolás | A CRR harmadik része II. címének 2. fejezete | ||||
| 370-390 | 1.14 | egyéb magas likviditású és hitelminőségű átruházható eszközök | A CRR 416. cikke (1) bekezdésének d) pontja | ||||
| 370 | 1.14.1 | 1. hitelminőségi besorolás | A CRR harmadik része II. címének 2. fejezete | ||||
| 380 | 1.14.2 | 2. hitelminőségi besorolás | A CRR harmadik része II. címének 2. fejezete | ||||
| 390 | 1.14.3 | 3. hitelminőségi besorolás | A CRR harmadik része II. címének 2. fejezete | ||||
| 400-410 | 2 | A CRR 416. CIKKE (1) BEKEZDÉSÉNEK b) ÉS d) PONTJA KÖVETELMÉNYEINEK MEGFELELŐ, DE A 417. CIKKE b) ÉS c) PONTJA KÖVETELMÉNYEINEK MEG NEM FELELŐ ESZKÖZÖK | |||||
| 400 | 2.1 | likviditáskezelési funkció révén nem ellenőrzött eszközök | A CRR 417. cikkének c) pontja | ||||
| 410 | 2.2 | azonnali ügylet vagy egyszerű repomegállapodás keretében, elfogadott repopiacon értékesíthető eszközök, melyek jogi és gyakorlati szempontból a következő 30 napban nem állnak bármikor rendelkezésre | A CRR 417. cikkének b) pontja | ||||
| 420-610 | 3 | A LIKVID ESZKÖZÖKRE VONATKOZÓ KIEGÉSZÍTŐ ADATSZOLGÁLTATÁS TÁRGYÁT KÉPEZŐ TÉTELEK | |||||
| 420 | 3.1 | Készpénz | A CRR III. mellékletének 1. pontja | ||||
| 430 | 3.2 | Központi bankkal szembeni kitettségek, amennyiben azok stresszhelyzetben lehívhatók | A CRR III. mellékletének 2. pontja | ||||
| 440-480 | 3.3 | 0 %-os kockázati súlyú átruházható értékpapírok, amelyek nem valamely intézmény vagy kapcsolt vállalkozása kötelezettségét testesítik meg | A CRR III. mellékletének 3. pontja | ||||
| 440 | 3.3.1 | kormányzatokkal szembeni követeléseket megtestesítő átruházható értékpapírok | A CRR III. mellékletének 3. pontja | ||||
| 450 | 3.3.2 | kormányzatok által garantált követelések | A CRR III. mellékletének 3. pontja | ||||
| 460 | 3.3.3 | központi bankokkal szembeni vagy általuk garantált követeléseket megtestesítő átruházható értékpapírok | A CRR III. mellékletének 3. pontja | ||||
| 470 | 3.3.4 | nem a központi kormányzathoz tartozó közszektorbeli intézményekkel, adók kivetésére és beszedésére jogosult, adóügyi szempontból önálló régiókkal és helyi hatóságokkal szembeni vagy általuk garantált követeléseket megtestesítő átruházható értékpapírok | A CRR III. mellékletének 3. pontja | ||||
| 480 | 3.3.5 | a Nemzetközi Fizetések Bankjával, a Nemzetközi Valutaalappal, az Európai Unióval, az Európai Pénzügyi Stabilitási Eszközzel, az Európai Fejlesztési Mechanizmussal vagy multilaterális fejlesztési bankokkal szembeni vagy általuk garantált követeléseket megtestesítő átruházható értékpapírok | A CRR III. mellékletének 3. pontja | ||||
| 490 | 3.4 | A 3.3 tételben említettektől eltérő átruházható értékpapírok, amelyek kormányzatokkal vagy központi bankokkal szembeni vagy általuk biztosított követeléseket testesítenek meg, és amelyeket a kormányzat vagy központi bank saját pénznemében vagy idegen pénznemben bocsátott ki, olyan mértékben, amilyen mértékben ezen értékpapírok tartása megfelel azon likviditási szükségleteknek, amelyek a bank adott harmadik országbeli műveleteiből eredően felmerülnek | A CRR III. mellékletének 4. pontja | ||||
| 500-550 | 3.5 | 20 %-os kockázati súlyú átruházható értékpapírok, amelyek nem valamely intézmény vagy kapcsolt vállalkozása kötelezettségét testesítik meg | A CRR III. mellékletének 5. pontja | ||||
| 500 | 3.5.1 | kormányzatokkal szembeni követeléseket megtestesítő átruházható értékpapírok | A CRR III. mellékletének 5. pontja | ||||
| 510 | 3.5.2 | kormányzatok által garantált követelések | A CRR III. mellékletének 5. pontja | ||||
| 520 | 3.5.3 | központi bankokkal szembeni vagy általuk garantált követeléseket megtestesítő átruházható értékpapírok | A CRR III. mellékletének 5. pontja | ||||
| 530 | 3.5.4 | nem a központi kormányzathoz tartozó közszektorbeli intézményekkel, adók kivetésére és beszedésére jogosult, adóügyi szempontból önálló régiókkal és helyi hatóságokkal szembeni vagy általuk garantált követeléseket megtestesítő átruházható értékpapírok | A CRR III. mellékletének 5. pontja | ||||
| 540 | 3.5.5 | központi bankokkal szembeni vagy általuk garantált követeléseket megtestesítő átruházható értékpapírok | A CRR III. mellékletének 5. pontja | ||||
| 550 | 3.6 | az eszközökre vonatkozó LCR-tábla 3.3–3.5 tételében említett átruházható értékpapírok, amelyek megfelelnek a CRR III. mellékletének 5. pontjában meghatározott valamennyi feltételnek | A CRR III. mellékletének 6. pontja | ||||
| 560 | 3.7 | a 3.3–3.6 tételben említettektől eltérő átruházható értékpapírok, amelyek a harmadik rész II. címe 2. fejezetének értelmében 50 %-os vagy annál jobb kockázati súlyra jogosultak, vagy belső minősítésük alapján ezzel egyenértékű a hitelminőségük, és nem testesítenek meg különleges különleges célú gazdasági egységgel, valamely intézménnyel vagy annak kapcsolt vállalkozásával szembeni követelést | A CRR III. mellékletének 7. pontja | ||||
| 570 | 3.8 | a 3.3–3.7 tételben említettektől eltérő átruházható értékpapírok, amelyeket a harmadik rész II. címe 2. fejezetének értelmében 35 %-os vagy annál jobb kockázati súlyra jogosultnak minősülő eszközök fedeznek, vagy belső minősítésük alapján ezzel egyenértékű a hitelminőségük, és a 125. cikkel összhangban teljes mértékben lakóingatlanra bejegyzett jelzáloggal fedezettek | A CRR III. mellékletének 8. pontja | ||||
| 580 | 3.9 | központi bankok által a monetáris politika keretében nyújtott készenléti hitelkeretek, amennyiben ezeket a hitelkereteket nem fedezik likvid eszközök, a rendkívüli likviditási segítségnyújtás kivételével | A CRR III. mellékletének 9. pontja | ||||
| 590 | 3.10 | Ha a hitelintézet a jogszabályi vagy alapszabályi rendelkezéseknek megfelelően hálózati kapcsolatban áll, a központi hitelintézetnél elhelyezett, jogszabályban vagy alapszabályban előírt minimumbetétek, illetve egyéb, a központi hitelintézet vagy a CRR 113. cikk (7) bekezdésében említett hálózat tagjának számító vagy a CRR 10. cikkben meghatározott mentesítésre jogosult intézmények által az alapszabály értelmében vagy szerződéses alapon biztosított likvid finanszírozás, amennyiben ezt a finanszírozást nem fedezik likvid eszközök. | A CRR III. mellékletének 10. pontja | ||||
| 600 | 3.11 | tőzsdén forgalmazott, központilag elszámolt törzsrészvények, amelyek valamely jelentős tőzsdeindex elemét képezik, a tagállam hazai pénznemében denomináltak, és azokat nem valamely intézmény vagy annak valamely leányvállalata bocsátotta ki | A CRR III. mellékletének 11. pontja | ||||
| 610 | 3.12 | elismert tőzsdén jegyzett, letétbe helyezett arany | A CRR III. mellékletének 12. pontja | ||||
| Sor | AZONOSÍTÓ | Tétel | Jogszabályi hivatkozások | Piaci érték | A CRR 418.cikke szerinti érték | Összeg | A hitelkeretből le nem hívott összeg | 
| 620-850 | 4 | A CRR 416. CIKKE KÖVETELMÉNYEINEK MEG NEM FELELŐ, DE A 417. CIKKE b) ÉS c) PONTJA KÖVETELMÉNYEINEK TOVÁBBRA IS MEGFELELŐ ESZKÖZÖK | |||||
| 620-640 | 4.1 | pénzügyi vállalati kötvények | A CRR 416. cikkének (2) bekezdése | ||||
| 620 | 4.1.1 | 1. hitelminőségi besorolás | A CRR 120. cikkének (1) bekezdése | ||||
| 630 | 4.1.2 | 2. hitelminőségi besorolás | A CRR 120. cikkének (1) bekezdése | ||||
| 640 | 4.1.3 | 3. hitelminőségi besorolás | A CRR 120. cikkének (1) bekezdése | ||||
| 650-670 | 4.2 | saját kibocsátások | A CRR 416. cikke (3) bekezdésének b) pontja | ||||
| 650 | 4.2.1 | 1. hitelminőségi besorolás | A CRR 120. cikkének (1) bekezdése | ||||
| 660 | 4.2.2 | 2. hitelminőségi besorolás | A CRR 120. cikkének (1) bekezdése | ||||
| 670 | 4.2.3 | 3. hitelminőségi besorolás | A CRR 120. cikkének (1) bekezdése | ||||
| 680-700 | 4.3 | hitelintézetek fedezetlen kibocsátásai | A CRR 416. cikke | ||||
| 680 | 4.3.1 | 1. hitelminőségi besorolás | A CRR 120. cikkének (1) bekezdése | ||||
| 690 | 4.3.2 | 2. hitelminőségi besorolás | A CRR 120. cikkének (1) bekezdése | ||||
| 700 | 4.3.3 | 3. hitelminőségi besorolás | A CRR 120. cikkének (1) bekezdése | ||||
| 710-730 | 4.4 | az 1.10 tételben nem jelentett, nem lakóingatlan jelzáloghitelével fedezett értékpapírok | A CRR 416. cikke (4) bekezdésének b) pontja | ||||
| 710 | 4.4.1 | 1. hitelminőségi besorolás | A CRR II. címének 5. fejezete és 123., 124., 125. és 126. cikke | ||||
| 720 | 4.4.2 | 2. hitelminőségi besorolás | A CRR II. címének 5. fejezete és 123., 124., 125. és 126. cikke | ||||
| 730 | 4.4.3 | 3. hitelminőségi besorolás | A CRR II. címének 5. fejezete és 123., 124., 125. és 126. cikke | ||||
| 740-760 | 4.5 | az 1.11 tételben nem jelentett, lakóingatlanra bejegyzett jelzáloggal fedezett értékpapírok | A CRR 509. cikke (3) bekezdésének a) pontja | ||||
| 740 | 4.5.1 | 1. hitelminőségi besorolás | A CRR harmadik része II. címének 5. fejezete és 125. cikke | ||||
| 750 | 4.5.2 | 2. hitelminőségi besorolás | A CRR harmadik része II. címének 5. fejezete és 125. cikke | ||||
| 760 | 4.5.3 | 3. hitelminőségi besorolás | A CRR harmadik része II. címének 5. fejezete és 125. cikke | ||||
| 770 | 4.6 | elismert tőzsdén jegyzett részvények és főbb indexált, tulajdoni részesedést megtestesítő instrumentumok, amelyek nem saját kibocsátásúak, illetve amelyeket nem pénzügyi vállalkozás bocsátott ki | A CRR 509. cikke (3) bekezdésének c) pontja és 416. cikke (4) bekezdésének a) pontja | ||||
| 780 | 4.7 | arany | A CRR 509. cikke (3) bekezdésének c) pontja és 416. cikke (4) bekezdésének a) pontja | ||||
| 790 | 4.8 | a fentiekben nem jelentett, garantált kötvények | A CRR 509. cikke (3) bekezdésének c) pontja | ||||
| 800 | 4.9 | a fentiekben nem jelentett, fedezett kötvények | A CRR 509. cikke (3) bekezdésének c) pontja | ||||
| 810 | 4.10 | a fentiekben nem jelentett vállalati kötvények | A CRR 509. cikke (3) bekezdésének c) pontja | ||||
| 820 | 4.11 | a 4.5–4.10 tételben jelentett eszközökre épülő alapok | A CRR 509. cikke (3) bekezdésének c) pontja | ||||
| 830-850 | 4.12 | a központi bankok által elfogadott egyéb értékpapír- vagy hitelkategóriák | A CRR 509. cikke (3) bekezdésének b) pontja | ||||
| 830 | 4.12.1 | helyi önkormányzati kötvények | A CRR 509. cikke (3) bekezdésének b) pontja | ||||
| 840 | 4.12.2 | kereskedelmi értékpapírok | A CRR 509. cikke (3) bekezdésének b) pontja | ||||
| 850 | 4.12.3 | hitelkövetelések | A CRR 416. cikke (4) bekezdésének c) pontja | ||||
| 860-870 | 5 | AZ ADOTT PÉNZNEMBEN SZÜKSÉGES KIVÁLÓ MINŐSÉGŰ LIKVID ESZKÖZÖK (HQLA) HIÁNYÁNAK KEZELÉSE | A CRR 419. cikke (2) bekezdésének a) pontja | ||||
| 860 | 5.1 | Az „A” eltérés alkalmazása (deviza) | A CRR 419. cikke (2) bekezdésének a) pontja | ||||
| 870 | 5.2 | A „B” eltérés alkalmazása (hitelkeret az érintett központi banktól) | A CRR 419. cikke (2) bekezdésének b) pontja | ||||
| 880-900 | 6 | A SARÍA-KOMPATIBILIS ESZKÖZÖKNEK AZ 509. CIKK (2) BEKEZDÉSÉNEK I. PONTJA SZERINTI ALTERNATÍV ESZKÖZKÉNT VALÓ JELENTÉSE A saría-kompatibilis bankok általi használat céljára a saría-kompatibilis pénzügyi termékek meghatározása azon eszközök alternatívájaként, amelyek a 416. cikk alkalmazásában likvid eszköznek minősülnének | A CRR 509. cikke (2) bekezdésének i) pontja | ||||
| 880 | 6.1 | 1. hitelminőségi besorolás | |||||
| 890 | 6.2 | 2. hitelminőségi besorolás | |||||
| 900 | 6.3 | 3. hitelminőségi besorolás | |||||
C 52.00 - LIKVIDITÁSFEDEZET - KIÁRAMLÁSOK
| Összeg | Kiáramlás | ||||||||||||||
| Sor | AZONOSÍTÓ | Tétel | Jogszabályi hivatkozások | 010 | 020 | 030 | 040 | 050 | 060 | 070 | 080 | 090 | 100 | 110 | 120 | 
| 020-1370 | 1 | KIÁRAMLÁSOK | |||||||||||||
| 020-100 | 1.1 | lakossági betétek | A CRR 421. cikke | ||||||||||||
| 020-040 | 1.1.1 | amelyek a 94/19/EK irányelv szerinti betétbiztosítási rendszernek vagy harmadik ország azzal egyenértékű betétbiztosítási rendszerének hatálya alá tartoznak | A CRR 421. cikkének (1) bekezdése | ||||||||||||
| 020 | 1.1.1.1 | a betétes stabil működési kapcsolattal rendelkezik, ami igen valószínűtlenné teszi a betét kivonását | A CRR 421. cikke (1) bekezdésének a) pontja | ||||||||||||
| 030 | 1.1.1.2 | folyószámlán tartják, ideértve azokat a számlákat is, amelyeken rendszeresen munkavállalói béreket írnak jóvá | A CRR 421. cikke (1) bekezdésének b) pontja | ||||||||||||
| 040 | 1.1.2 | a 94/19/EK irányelv szerinti betétbiztosítási rendszernek vagy harmadik ország azzal egyenértékű betétbiztosítási rendszerének hatálya alá tartoznak, és amelyeket nem lehet az 1.1.1.1 vagy 1.1.1.2 tételben jelenteni | A CRR 421. cikkének (2) bekezdése | ||||||||||||
| 050 | 1.1.3 | nem biztosított lakossági betétek | A CRR 421. cikkének (2) bekezdése | ||||||||||||
| 060-080 | 1.1.4 | a 421. cikk (1) vagy (2) bekezdésében meghatározottnál nagyobb kiáramlások tárgyát képező betétek | A CRR 421. cikkének (3) bekezdése | ||||||||||||
| 060 | 1.1.4.1 | 1. kategória | |||||||||||||
| 070 | 1.1.4.2 | 2. kategória | |||||||||||||
| 080 | 1.1.4.3 | 3. kategória | |||||||||||||
| 090 | 1.1.5 | olyan harmadik országban szerzett betétek, amelyekre magasabb kiáramlási arány érvényesül | A CRR 421. cikkének (4) bekezdése | ||||||||||||
| 100 | 1.1.6 | a kiáramlás számítása alól mentesített betétek, amennyiben teljesülnek a 421. cikk (5) bekezdése a) és b) pontjának feltételei | A CRR 421. cikkének (5) bekezdése | ||||||||||||
| 110-1130 | 1.2 | egyéb kötelezettségekhez kapcsolódó likviditáskiáramlások | |||||||||||||
| 110 | 1.2.1 | az intézmény saját működési költségeiből származó kötelezettségei | A CRR 422. cikkének (1) bekezdése | ||||||||||||
| Sor | AZONOSÍTÓ | Tétel | Jogszabályi hivatkozások | Piaci érték | amennyiben a partner nem központi bank | Amennyiben a partner központi bank | Amennyiben a partner annak a tagállamnak a központi kormányzata vagy közszektorbeli intézménye, amelyben a hitelintézet működését engedélyezték vagy amelyben fióktelepet hozott létre, vagy egy multilaterális fejlesztési bank (a 422. cikk (2) bekezdésének d) pontja) | ||||||||
| rendkívül magas likviditású és hitelminőségű eszközök | magas likviditás és hitelminőség | egyéb likviditás és hitelminőség | rendkívül magas likviditású és hitelminőségű eszközök | magas likviditás és hitelminőség | egyéb likviditás és hitelminőség | Olyan eszközök, amelyek a 416. cikk értelmében nem minősülnek likvid eszköznek | |||||||||
| Esedékes összeg | A CRR 418.cikke szerinti érték | Esedékes összeg | A CRR 418. cikke szerinti érték | Esedékes összeg | Esedékes összeg | A CRR 418. cikke szerinti érték | Esedékes összeg | A CRR 418. cikke szerinti érték | Esedékes összeg | Esedékes összeg | |||||
| 120-950 | 1.2.2 | A 192. cikkben meghatározott fedezett kölcsönügyletekből és tőkepiac-vezérelt ügyletekből eredő kötelezettségek: | A CRR 422. cikkének (2) bekezdése | ||||||||||||
| 120-190 | 1.2.2.1 | Másátruházható eszközök, amelyek a következőkkel szembeni vagy általuk garantált követeléseket testesítenek meg | A CRR 416. cikke (1) bekezdésének c) pontja | ||||||||||||
| 120-130 | 1.2.2.1.1 | egy tagállam központi kormányzatával, adók kivetésére és beszedésére jogosult, adóügyi szempontból önálló régió regionális kormányzatával vagy harmadik ország központi kormányzatával szembeni vagy általuk garantált követeléseket megtestesítő átruházható eszközök, amennyiben az intézmény az adott tagállamban vagy harmadik országban likviditási kockázatot vállal és ezt e likvid eszközök tartásával fedezi | A CRR 416. cikke (1) bekezdése c) pontjának i. alpontja | ||||||||||||
| 120 | 1.2.2.1.1.1 | követeléseket megtestesítő | A CRR 416. cikke (1) bekezdése c) pontjának i. alpontja | ||||||||||||
| 130 | 1.2.2.1.1.2 | általuk garantált | A CRR 416. cikke (1) bekezdése c) pontjának i. alpontja | ||||||||||||
| 140-150 | 1.2.2.1.2 | központi bankokkal és nem központi kormányzati közszektorbeli intézményekkel szembeni vagy általuk garantált követeléseket megtestesítő, a központi bank és a közszektorbeli intézmény pénznemében kibocsátott átruházható eszközök | A CRR 416. cikke (1) bekezdése c) pontjának ii. alpontja | ||||||||||||
| 140 | 1.2.2.1.2.1 | követeléseket megtestesítő | A CRR 416. cikke (1) bekezdése c) pontjának ii. alpontja | ||||||||||||
| 150 | 1.2.2.1.2.2 | általuk garantált | A CRR 416. cikke (1) bekezdése c) pontjának ii. alpontja | ||||||||||||
| 160-170 | 1.2.2.1.3 | olyan átruházható eszközök, amelyek a következőkkel szembeni vagy általuk garantált követeléseket testesítenek meg a Nemzetközi Fizetések Bankja, a Nemzetközi Valutaalap, a Bizottság és multilaterális fejlesztési bankok; | A CRR 416. cikke (1) bekezdése c) pontjának iii. alpontja | ||||||||||||
| 160 | 1.2.2.1.3.1 | követeléseket megtestesítő | A CRR 416. cikke (1) bekezdése c) pontjának iii. alpontja | ||||||||||||
| 170 | 1.2.2.1.3.2 | általuk garantált | A CRR 416. cikke (1) bekezdése c) pontjának iii. alpontja | ||||||||||||
| 180-190 | 1.2.2.1.4 | az Európai Pénzügyi Stabilitási Eszközzel és az Európai Stabilitási Mechanizmussal szembeni vagy általuk garantált követeléseket megtestesítő átruházható eszközök | A CRR 416. cikke (1) bekezdése c) pontjának iv. alpontja | ||||||||||||
| 180 | 1.2.2.1.4.1 | követeléseket megtestesítő | A CRR 416. cikke (1) bekezdése c) pontjának iv. alpontja | ||||||||||||
| 190 | 1.2.2.1.4.2 | általuk garantált | A CRR 416. cikke (1) bekezdése c) pontjának iv. alpontja | ||||||||||||
| 200-220 | 1.2.2.2 | a 416. cikkben meghatározott alapul szolgáló eszközökkel rendelkező kollektív befektetési formák összes részvénye vagy befektetési jegye | A CRR 416. cikkének (6) bekezdése és 418. cikkének (2) bekezdése | ||||||||||||
| 200 | 1.2.2.2.1 | a 416. cikk (1) bekezdésének a) pontja szerinti alapul szolgáló eszközök | A CRR 418. cikke (2) bekezdésének a) pontja | ||||||||||||
| 210 | 1.2.2.2.2 | a 416. cikk (1) bekezdésének b) és c) pontja szerinti alapul szolgáló eszközök | A CRR 418. cikke (2) bekezdésének b) pontja | ||||||||||||
| 220 | 1.2.2.2.3 | a 416. cikk (1) bekezdésének d) pontja szerinti alapul szolgáló eszközök | A CRR 418. cikke (2) bekezdésének c) pontja | ||||||||||||
| 230 | 1.2.2.3 | valamely tagállam központi vagy regionális kormányzata által alapított hitelintézetek által kibocsátott eszközök, amennyiben a 416. cikk (2) bekezdése a) pontjának iii. alpontja szerinti feltételek legalább egyike teljesül | A CRR 416. cikke (2) bekezdése a) pontjának iii. alpontja | ||||||||||||
| 240-260 | 1.2.2.4 | nem pénzügyi vállalati kötvények | A CRR 416. cikke (1) bekezdésének b) vagy d) pontja | ||||||||||||
| 240 | 1.2.2.4.1 | 1. hitelminőségi besorolás | A CRR 122. cikke | ||||||||||||
| 250 | 1.2.2.4.2 | 2. hitelminőségi besorolás | A CRR 122. cikke | ||||||||||||
| 260 | 1.2.2.4.3 | 3. hitelminőségi besorolás | A CRR 122. cikke | ||||||||||||
| 270-290 | 1.2.2.5 | a 129. cikk (4) vagy (5) bekezdése szerinti eljárásra jogosult hitelintézet által kibocsátott kötvények | A CRR 416. cikke (2) bekezdése a) pontjának i. alpontja | ||||||||||||
| 270 | 1.2.2.5.1 | 1. hitelminőségi besorolás | A CRR 129. cikkének (4) vagy (5) bekezdése | ||||||||||||
| 280 | 1.2.2.5.2 | 2. hitelminőségi besorolás | A CRR 129. cikkének (4) vagy (5) bekezdése | ||||||||||||
| 290 | 1.2.2.5.3 | 3. hitelminőségi besorolás | A CRR 129. cikkének (4) vagy (5) bekezdése | ||||||||||||
| 300-320 | 1.2.2.6 | hitelintézet által kibocsátott, nem lakóingatlanra vonatkozó jelzáloghitellel fedezett instrumentumok, amelyek az EBH által a CRR 509. cikkének (3), (4) és (5) bekezdésében foglalt kritériumok alapján meghatározott minősítés szerint bizonyítottan a legmagasabb hitelminősítési kategóriába tartoznak | A CRR 416. cikke (2) bekezdése a) pontjának i. alpontja | ||||||||||||
| 300 | 1.2.2.6.1 | 1. hitelminőségi besorolás | A CRR II. címének 5. fejezete és 123., 124., 125. és 126. cikke | ||||||||||||
| 310 | 1.2.2.6.2 | 2. hitelminőségi besorolás | A CRR II. címének 5. fejezete és 123., 124., 125. és 126. cikke | ||||||||||||
| 320 | 1.2.2.6.3 | 3. hitelminőségi besorolás | A CRR II. címének 5. fejezete és 123., 124., 125. és 126. cikke | ||||||||||||
| 330-350 | 1.2.2.7 | hitelintézet által kibocsátott, lakóingatlanra vonatkozó jelzáloghitellel fedezett instrumentumok, amelyek az EBH által a CRR 509. cikkének (3), (4) és (5) bekezdésében foglalt kritériumok alapján meghatározott minősítés szerint bizonyítottan a legmagasabb hitelminősítési kategóriába tartoznak | A CRR 416. cikke (2) bekezdése a) pontjának i. alpontja | ||||||||||||
| 330 | 1.2.2.7.1 | 1. hitelminőségi besorolás | A CRR ötödik része II. címének 5. fejezete és 125. cikke | ||||||||||||
| 340 | 1.2.2.7.2 | 2. hitelminőségi besorolás | A CRR ötödik része II. címének 5. fejezete és 125. cikke | ||||||||||||
| 350 | 1.2.2.7.3 | 3. hitelminőségi besorolás | A CRR II. címének 5. fejezete és 125. cikke | ||||||||||||
| 360-380 | 1.2.2.8 | a 2009/65/EK irányelv 52. cikkének (4) bekezdésében meghatározottak szerint hitelintézet által kibocsátott, az eszközökre vonatkozó LCR-tábla 1.9. tételében említettektől eltérő kötvények | A CRR 416. cikke (2) bekezdése a) pontjának ii. alpontja | ||||||||||||
| 360 | 1.2.2.8.1 | 1. hitelminőségi besorolás | A CRR 129. cikkének (4) vagy (5) bekezdése | ||||||||||||
| 370 | 1.2.2.8.2 | 2. hitelminőségi besorolás | A CRR 129. cikkének (4) vagy (5) bekezdése | ||||||||||||
| 380 | 1.2.2.8.3 | 3. hitelminőségi besorolás | A CRR 129. cikkének (4) vagy (5) bekezdése | ||||||||||||
| 390-410 | 1.2.2.9 | egyéb rendkívül magas likviditású és hitelminőségű átruházható eszközök | A CRR 416. cikke (1) bekezdésének b) pontja | ||||||||||||
| 390 | 1.2.2.9.1 | 1. hitelminőségi besorolás | A CRR harmadik része II. címének 2. fejezete | ||||||||||||
| 400 | 1.2.2.9.2 | 2. hitelminőségi besorolás | A CRR harmadik része II. címének 2. fejezete | ||||||||||||
| 410 | 1.2.2.9.3 | 3. hitelminőségi besorolás | A CRR harmadik része II. címének 2. fejezete | ||||||||||||
| 420-440 | 1.2.2.10 | egyéb magas likviditású és hitelminőségű átruházható eszközök | A CRR 416. cikke (1) bekezdésének d) pontja | ||||||||||||
| 420 | 1.2.2.10.1 | 1. hitelminőségi besorolás | A CRR harmadik része II. címének 2. fejezete | ||||||||||||
| 430 | 1.2.2.10.2 | 2. hitelminőségi besorolás | A CRR harmadik része II. címének 2. fejezete | ||||||||||||
| 440 | 1.2.2.10.3 | 3. hitelminőségi besorolás | A CRR harmadik része II. címének 2. fejezete | ||||||||||||
| 450-460 | 1.2.2.11 | A CRR 416. cikke (1) bekezdésének b) és d) pontja követelményeinek megfelelő, de a 417. cikke b) és c) pontja követelményeinek meg nem felelő eszközök | |||||||||||||
| 450 | 1.2.2.11.1 | likviditáskezelési funkció révén nem ellenőrzött eszközök | A CRR 417. cikkének c) pontja | ||||||||||||
| 460 | 1.2.2.11.2 | jogi és gyakorlati szempontból a következő 30 napban rendelkezésre nem álló eszközök, amelyek azonnali ügylet vagy egyszerű repomegállapodás keretében, elfogadott repopiacon értékesíthetők | A CRR 417. cikkének b) pontja | ||||||||||||
| 480-680 | 1.2.2.12 | A likvid eszközökre vonatkozó kiegészítő adatszolgáltatás tárgyát képező tételek | |||||||||||||
| 480 | 1.2.2.12.1 | Készpénz | A CRR III. mellékletének 1. pontja | ||||||||||||
| 490 | 1.2.2.12.2 | Központi bankkal szembeni kitettségek, amennyiben azok stresszhelyzetben lehívhatók | A CRR III. mellékletének 2. pontja | ||||||||||||
| 500-540 | 1.2.2.12.3 | 0 %-os kockázati súlyú átruházható értékpapírok, amelyek nem valamely intézmény vagy kapcsolt vállalkozása kötelezettségét testesítik meg | A CRR III. mellékletének 3. pontja | ||||||||||||
| 500 | 1.2.2.12.3.1 | kormányzatokkal szembeni követeléseket megtestesítő átruházható értékpapírok | A CRR III. mellékletének 3. pontja | ||||||||||||
| 510 | 1.2.2.12.3.2 | kormányzatok által garantált követelések | A CRR III. mellékletének 3. pontja | ||||||||||||
| 520 | 1.2.2.12.3.3 | központi bankokkal szembeni vagy általuk garantált követeléseket megtestesítő átruházható értékpapírok | A CRR III. mellékletének 3. pontja | ||||||||||||
| 530 | 1.2.2.12.3.4 | nem a központi kormányzathoz tartozó közszektorbeli intézményekkel, adók kivetésére és beszedésére jogosult, adóügyi szempontból önálló régiókkal és helyi hatóságokkal szembeni vagy általuk garantált követeléseket megtestesítő átruházható értékpapírok | A CRR III. mellékletének 3. pontja | ||||||||||||
| 540 | 1.2.2.12.3.5 | a Nemzetközi Fizetések Bankjával, a Nemzetközi Valutaalappal, az Európai Unióval, az Európai Pénzügyi Stabilitási Eszközzel, az Európai Fejlesztési Mechanizmussal vagy multilaterális fejlesztési bankokkal szembeni vagy általuk garantált követeléseket megtestesítő átruházható értékpapírok | A CRR III. mellékletének 3. pontja | ||||||||||||
| 550 | 1.2.2.12.4 | Az eszközökre vonatkozó LCR-tábla 3.3. tételében említettektől eltérő átruházható értékpapírok, amelyek kormányzatokkal vagy központi bankokkal szembeni vagy általuk biztosított követeléseket testesítenek meg, és amelyeket a kormányzat vagy központi bank saját pénznemében bocsátott ki, olyan mértékben, amilyen mértékben ezen értékpapírok tartása megfelel azon likviditási szükségleteknek, amelyek a bank adott harmadik országbeli műveleteiből eredően felmerülnek | A CRR III. mellékletének 4. pontja | ||||||||||||
| 570-610 | 1.2.2.12.5 | 20 %-os kockázati súlyú átruházható értékpapírok, amelyek nem valamely intézmény vagy kapcsolt vállalkozása kötelezettségét testesítik meg | A CRR III. mellékletének 5. pontja | ||||||||||||
| 570 | 1.2.2.12.5.1 | kormányzatokkal szembeni követeléseket megtestesítő átruházható értékpapírok | A CRR III. mellékletének 5. pontja | ||||||||||||
| 580 | 1.2.2.12.5.2 | kormányzatok által garantált követelések | A CRR III. mellékletének 5. pontja | ||||||||||||
| 590 | 1.2.2.12.5.3 | központi bankokkal szembeni vagy általuk garantált követeléseket megtestesítő átruházható értékpapírok | A CRR III. mellékletének 5. pontja | ||||||||||||
| 600 | 1.2.2.12.5.4 | nem a központi kormányzathoz tartozó közszektorbeli intézményekkel, adók kivetésére és beszedésére jogosult, adóügyi szempontból önálló régiókkal és helyi hatóságokkal szembeni vagy általuk garantált követeléseket megtestesítő átruházható értékpapírok | A CRR III. mellékletének 5. pontja | ||||||||||||
| 610 | 1.2.2.12.5.5 | központi bankokkal szembeni vagy általuk garantált követeléseket megtestesítő átruházható értékpapírok | A CRR III. mellékletének 5. pontja | ||||||||||||
| 620 | 1.2.2.12.6 | az eszközökre vonatkozó LCR-tábla 3.3–3.5. tételében említett átruházható értékpapírok, amelyek megfelelnek a CRR III. mellékletének 6. pontjában meghatározott valamennyi feltételnek | A CRR III. mellékletének 6. pontja | ||||||||||||
| 630 | 1.2.2.12.7 | az eszközökre vonatkozó LCR-tábla 3.3–3.6 tételében említettektől eltérő átruházható értékpapírok, amelyek a harmadik rész II. címe 2. fejezetének értelmében 50 %-os vagy annál jobb kockázati súlyra jogosultak, vagy belső minősítésük alapján ezzel egyenértékű a hitelminőségük, és nem testesítenek meg különleges célú gazdasági egységgel, valamely intézménnyel vagy annak kapcsolt vállalkozásával szembeni követelést | A CRR III. mellékletének 7. pontja | ||||||||||||
| 640 | 1.2.2.12.8 | az eszközökre vonatkozó LCR-tábla 3.3–3.7 tételében említettektől eltérő átruházható értékpapírok, amelyeket a harmadik rész II. címe 2. fejezetének értelmében 35 %-os vagy annál jobb kockázati súlyra jogosultnak minősülő eszközök fedeznek, vagy belső minősítésük alapján ezzel egyenértékű a hitelminőségük, és a CRR 125. cikkével összhangban teljes mértékben lakóingatlanra bejegyzett jelzáloggal fedezettek | A CRR III. mellékletének 8. pontja | ||||||||||||
| 650 | 1.2.2.12.9 | központi bankok által a monetáris politika keretében nyújtott készenléti hitelkeretek, amennyiben ezeket a hitelkereteket nem fedezik likvid eszközök, a rendkívüli likviditási segítségnyújtás kivételével | A CRR III. mellékletének 9. pontja | ||||||||||||
| 660 | 1.2.2.12.10 | Ha a hitelintézet a jogszabályi vagy alapszabályi rendelkezéseknek megfelelően hálózati kapcsolatban áll, a központi hitelintézetnél elhelyezett, jogszabályban vagy alapszabályban előírt minimumbetétek, illetve egyéb, a központi hitelintézet vagy a 113. cikk (7) bekezdésében említett hálózat tagjának számító vagy a 10. cikkben meghatározott mentesítésre jogosult intézmények által az alapszabály értelmében vagy szerződéses alapon biztosított likvid finanszírozás, amennyiben ezt a finanszírozást nem fedezik likvid eszközök. | A CRR III. mellékletének 10. pontja | ||||||||||||
| 670 | 1.2.2.12.11 | tőzsdén forgalmazott, központilag elszámolt törzsrészvények, amelyek valamely jelentős tőzsdeindex elemét képezik, a tagállam hazai pénznemében denomináltak, és azokat nem valamely intézmény vagy annak valamely leányvállalata bocsátotta ki | A CRR III. mellékletének 11. pontja | ||||||||||||
| 680 | 1.2.2.12.12 | elismert tőzsdén jegyzett, letétbe helyezett arany | A CRR III. mellékletének 12. pontja | ||||||||||||
| 690-920 | 1.2.2.13 | A CRR 416. CIKKE KÖVETELMÉNYEINEK MEG NEM FELELŐ, de a 417. cikke b) és c) pontja követelményeinek továbbra is megfelelő ESZKÖZÖK | |||||||||||||
| 690-710 | 1.2.2.13.1 | pénzügyi vállalati kötvények | A CRR 416. cikkének (2) bekezdése | ||||||||||||
| 690 | 1.2.2.13.1.1 | 1. hitelminőségi besorolás | A CRR 120. cikkének (1) bekezdése | ||||||||||||
| 700 | 1.2.2.13.1.2 | 2. hitelminőségi besorolás | A CRR 120. cikkének (1) bekezdése | ||||||||||||
| 710 | 1.2.2.13.1.3 | 3. hitelminőségi besorolás | A CRR 120. cikkének (1) bekezdése | ||||||||||||
| 720-740 | 1.2.2.13.2 | saját kibocsátások | A CRR 416. cikke (3) bekezdésének b)pontja | ||||||||||||
| 720 | 1.2.2.13.2.1 | 1. hitelminőségi besorolás | A CRR 120. cikkének (1) bekezdése | ||||||||||||
| 730 | 1.2.2.13.2.2 | 2. hitelminőségi besorolás | A CRR 120. cikkének (1) bekezdése | ||||||||||||
| 740 | 1.2.2.13.2.3 | 3. hitelminőségi besorolás | A CRR 120. cikkének (1) bekezdése | ||||||||||||
| 750-770 | 1.2.2.13.3 | hitelintézetek nem fedezett kibocsátásai | A CRR 416. cikke | ||||||||||||
| 750 | 1.2.2.13.3.1 | 1. hitelminőségi besorolás | A CRR 120. cikkének (1) bekezdése | ||||||||||||
| 760 | 1.2.2.13.3.2 | 2. hitelminőségi besorolás | A CRR 120. cikkének (1) bekezdése | ||||||||||||
| 770 | 1.2.2.13.3.3 | 3. hitelminőségi besorolás | A CRR 120. cikkének (1) bekezdése | ||||||||||||
| 780-800 | 1.2.2.13.4 | az 1.10–1.11.3 tételben nem jelentett, eszközzel fedezett értékpapírok | A CRR 416. cikke (4) bekezdésének b) pontja | ||||||||||||
| 780 | 1.2.2.13.4.1 | 1. hitelminőségi besorolás | A CRR II. címének 5. fejezete és 123., 124., 125. és 126. cikke | ||||||||||||
| 790 | 1.2.2.13.4.2 | 2. hitelminőségi besorolás | A CRR II. címének 5. fejezete és 123., 124., 125. és 126. cikke | ||||||||||||
| 800 | 1.2.2.13.4.3 | 3. hitelminőségi besorolás | A CRR II. címének 5. fejezete és 123., 124., 125. és 126. cikke | ||||||||||||
| 810-830 | 1.2.2.13.5 | az 1.10–1.11.3 tételben nem jelentett, lakóingatlan jelzáloghitelével fedezett értékpapírok | A CRR 509. cikke (3) bekezdésének a) pontja | ||||||||||||
| 810 | 1.2.2.13.5.1 | 1. hitelminőségi besorolás | A CRR harmadik része II. címének 5. fejezete és 125. cikke | ||||||||||||
| 820 | 1.2.2.13.5.2 | 2. hitelminőségi besorolás | A CRR harmadik része II. címének 5. fejezete és 125. cikke | ||||||||||||
| 830 | 1.2.2.13.5.3 | 3. hitelminőségi besorolás | A CRR harmadik része II. címének 5. fejezete és 125. cikke | ||||||||||||
| 840 | 1.2.2.13.6 | elismert tőzsdén jegyzett részvények és főbb indexált, tulajdoni részesedést megtestesítő instrumentumok, amelyek nem saját kibocsátásúak, illetve amelyeket nem pénzügyi vállalkozás bocsátott ki | A CRR 509. cikke (3) bekezdésének c) pontja és 416. cikke (4) bekezdésének a) pontja | ||||||||||||
| 850 | 1.2.2.13.7 | arany | A CRR 509. cikke (3) bekezdésének c) pontja és 416. cikke (4) bekezdésének a) pontja | ||||||||||||
| 860 | 1.2.2.13.8 | a fentiekben nem jelentett, garantált kötvények | A CRR 509. cikke (3) bekezdésének c) pontja | ||||||||||||
| 870 | 1.2.2.13.9 | a fentiekben nem jelentett, fedezett kötvények | A CRR 509. cikke (3) bekezdésének c) pontja | ||||||||||||
| 880 | 1.2.2.13.10 | a fentiekben nem jelentett vállalati kötvények | A CRR 509. cikke (3) bekezdésének c) pontja | ||||||||||||
| 890 | 1.2.2.13.11 | a 4.5–4.9 tételben jelentett eszközökre épülő alapok | A CRR 509. cikke (3) bekezdésének c) pontja | ||||||||||||
| 900-920 | 1.2.2.13.12 | a központi bankok által elfogadott egyéb értékpapír- vagy hitelkategóriák | A CRR 509. cikke (3) bekezdésének b) pontja | ||||||||||||
| 900 | 1.2.2.13.12.1 | helyi önkormányzati kötvények | A CRR 509. cikke (3) bekezdésének b) pontja | ||||||||||||
| 910 | 1.2.2.13.12.2 | kereskedelmi értékpapírok | A CRR 509. cikke (3) bekezdésének b) pontja | ||||||||||||
| 920 | 1.2.2.13.12.3 | hitelkövetelések | A CRR 416. cikke (4) bekezdésének c) pontja | ||||||||||||
| 930-950 | 1.2.2.14 | A saría-kompatibilis eszközöknek az 509. cikk (2) bekezdésének i) pontja szerinti alternatív eszközként való jelentése | |||||||||||||
| 930-950 | 1.2.2.14.1 | Az 509. cikk (2) bekezdésének i) pontja szerinti saría-kompatibilis bankok általi használat céljára a saría-kompatibilis pénzügyi termékek meghatározása azon eszközök alternatívájaként, amelyek a 416. cikk alkalmazásában likvid eszköznek minősülnek | A CRR 509. cikke (2) bekezdésének i) pontja | ||||||||||||
| 930 | 1.2.2.14.1.1 | 1. hitelminőségi besorolás | |||||||||||||
| 940 | 1.2.2.14.1.2 | 2. hitelminőségi besorolás | |||||||||||||
| 950 | 1.2.2.14.1.3 | 3. hitelminőségi besorolás | |||||||||||||
| Sor | AZONOSÍTÓ | Tétel | Jogszabályi hivatkozások | a pénzügyi ügyfelek által befizetett összeg | Kiáramlás | A nem pénzügyi ügyfelek által befizetett összeg | Kiáramlás | Összeg | |||||||
| 960-1030 | 1.2.3 | olyan betétek, amelyeket a betétesnek annak érdekében kell elhelyeznie: | A CRR 422. cikkének (3) bekezdése | ||||||||||||
| 960-990 | 1.2.3.1. | hogy az intézménytől klíring-, letéti, készpénzkezelési vagy más hasonló szolgáltatásokat kapjon (a levelező banki szolgáltatások és elsődleges ügynöki (prime brokerage) tevékenységek kivételével) | A CRR 422. cikke (3) bekezdésének a) pontja | ||||||||||||
| 960-970 | 1.2.3.1.1 | amelyek a 94/19/EK irányelv szerinti betétbiztosítási rendszernek vagy harmadik ország azzal egyenértékű betétbiztosítási rendszerének hatálya alá tartoznak | |||||||||||||
| 960 | 1.2.3.1.1.1 | amelyek tekintetében bizonyíték áll rendelkezésükre arról, hogy az ügyfél 30 napon belül operatív működésük veszélyeztetése nélkül nem tudja kivonni a jogszerűen esedékes összegeket | |||||||||||||
| 970 | 1.2.3.1.1.2 | amelyek tekintetében nem áll bizonyíték rendelkezésükre arról, hogy az ügyfél 30 napon belül operatív működésük veszélyeztetése nélkül nem tudja kivonni a jogszerűen esedékes összegeket | |||||||||||||
| 980-990 | 1.2.3.1.2 | amelyek nem tartoznak a 94/19/EK irányelv szerinti betétbiztosítási rendszernek vagy harmadik ország azzal egyenértékű betétbiztosítási rendszerének hatálya alá | |||||||||||||
| 980 | 1.2.3.1.2.1 | amelyek tekintetében bizonyíték áll rendelkezésükre arról, hogy az ügyfél 30 napon belül operatív működésük veszélyeztetése nélkül nem tudja kivonni a jogszerűen esedékes összegeket | |||||||||||||
| 990 | 1.2.3.1.2.2 | amelyek tekintetében nem áll bizonyíték rendelkezésükre arról, hogy az ügyfél 30 napon belül operatív működésük veszélyeztetése nélkül nem tudja kivonni a jogszerűen esedékes összegeket | |||||||||||||
| 1000 | 1.2.3.2 | az 1.2.3.1.1 és 1.2.3.1.2 tételben jelentettektől eltérő stabil működési kapcsolat keretében | A CRR 422. cikke (3) bekezdésének c) pontja | ||||||||||||
| 1010 | 1.2.3.2.1 | ebből levelező banki szolgáltatások és elsődleges ügynöki (prime brokerage) tevékenységek | A CRR 422. cikke (3) bekezdésének c) pontja és (4) bekezdése | ||||||||||||
| 1020 | 1.2.3.3 | a 113. cikk (7) bekezdésének követelményeit teljesítő intézményvédelmi rendszer keretén belüli közös feladatmegosztás keretében vagy törvényben, jogszabályban előírt minimumbetétként kell az intézménynél elhelyeznie az intézményvédelmi rendszer egy más tagjának | A CRR 422. cikke (3) bekezdésének b) pontja | ||||||||||||
| 1030 | 1.2.3.4 | annak érdekében kell elhelyeznie, hogy készpénz, klíring- vagy központi hitelintézeti szolgáltatásokat vehessen igénybe, és ha a hitelintézet jogszabályi vagy alapszabályi rendelkezéseknek megfelelően hálózati kapcsolatban áll | A CRR 422. cikke (3) bekezdésének d) pontja | ||||||||||||
| 1040 | 1.2.4 | A hitelintézetek központi hitelintézetekben elhelyezett olyan betétei, amelyek a 416. cikk (1) bekezdésének f) pontja értelmében likvid eszköznek tekinthetők | A CRR 422. cikkének (3) bekezdése | ||||||||||||
| 1050 | 1.2.5 | likviditási hitelkeretek a 416. cikk (1) bekezdésének f) pontjában meghatározott eszközökre | A 416. cikk (1) bekezdésének f) pontja | ||||||||||||
| Sor | AZONOSÍTÓ | Tétel | Jogszabályi hivatkozások | Összeg | Kiáramlás | ||||||||||
| 1060-1070 | 1.2.6 | a nem pénzügyi ügyfelek betéteiből eredő, az 1.2.2–1.2.5 tételben nem jelentett kötelezettségek | A CRR 422. cikkének (5) bekezdése | ||||||||||||
| 1060 | 1.2.6.1 | amelyek a 94/19/EK irányelv szerinti betétbiztosítási rendszernek vagy harmadik ország azzal egyenértékű betétbiztosítási rendszerének hatálya alá tartoznak | A CRR 422. cikkének (5) bekezdése | ||||||||||||
| 1070 | 1.2.6.2 | amelyek nem tartoznak a 94/19/EK irányelv szerinti betétbiztosítási rendszernek vagy harmadik ország azzal egyenértékű betétbiztosítási rendszerének hatálya alá | A CRR 422. cikkének (5) bekezdése | ||||||||||||
| 1080 | 1.2.7 | a II. mellékletben felsorolt ügyletek alapján fizetendő nettó összeg (a 416. cikk szerint likvid eszköznek minősülő, az ügylethez várhatóan kapcsolódó biztosítékok levonásával) | A CRR 422. cikkének (6) bekezdése | ||||||||||||
| 1090-1100 | 1.2.8 | azok a kötelezettségek, amelyekre az illetékes hatóság a 422. cikk (8) bekezdésével összhangban alacsonyabb kiáramlást határozott meg | A CRR 422. cikkének (8) bekezdése | ||||||||||||
| 1090 | 1.2.8.1 | amennyiben a 422. cikk (8) bekezdése a), b), c) és d) pontjának minden feltétele teljesül | A CRR 422. cikkének (8) bekezdése | ||||||||||||
| 1100 | 1.2.8.2 | amennyiben az illetékes hatóság mentesítést adott a 422. cikk (8) bekezdésének d) pontja alól, és a 422. cikk (8) bekezdése a), b) és c) pontjának minden feltétele teljesül a 8. cikk szerinti mentesítésben nem részesülő intézmények vonatkozásában a 19. cikk (1) bekezdésének b) pontja szerinti, csoporton belüli kezelés céljaira, azok a kötelezettségek, amelyekre az illetékes hatóság a 422. cikk (9) bekezdésével összhangban alacsonyabb kiáramlást határozott meg | A CRR 422. cikkének (9) bekezdése | ||||||||||||
| 1110-1120 | 1.2.9 | a fentiekbe nem tartozó kiáramlások | A CRR 420. cikke (1) bekezdésének e) pontja | ||||||||||||
| 1110 | 1.2.9.1 | kötelezettségek, beleértve az olyan szerződéses megállapodásokat, mint például az egyéb mérlegen kívüli és függő finanszírozási kötelezettségek, amelyekbe – nem kizárólagosan – beleértendők a folyósítási kötelezettséggel járó finanszírozási keretek, a le nem hívott hitelek és a nagykereskedelmi partnereknek adott előlegek, a már megállapodás tárgyát képező, de még le nem hívott jelzáloghitelek, a hitelkártyák, a folyószámlahitelek, az új lakossági vagy vállalati hitelek megújításával vagy meghosszabbításával kapcsolatos tervezett kiáramlások, a származtatott ügyletekből eredő várható tartozások | A CRR 420. cikkének (2) bekezdése | ||||||||||||
| 1120 | 1.2.9.2 | a 429. cikkben és az I. mellékletben meghatározott, mérlegen kívüli, kereskedelemfinanszírozással kapcsolatos termékek | A CRR 420. cikkének (2) bekezdése | ||||||||||||
| 1130 | 1.2.10 | minden egyéb kötelezettség | A CRR 422. cikkének (7) bekezdése | ||||||||||||
| Sor | AZONOSÍTÓ | Tétel | Jogszabályi hivatkozások | Összeg | Kiáramlás | Piaci érték | A CRR 418.cikke szerinti érték | ||||||||
| 1140-1210 | 1,3 | további likviditáskiáramlások | |||||||||||||
| 1140 | 1.3.1 | az intézmény által a II. mellékletben felsorolt ügyletekhez és hitelderivatívákhoz nyújtott, a 416. cikk (1) bekezdésének a) –c) pontjában említett eszközöktől eltérő biztosítékokra | A CRR 423. cikkének (1) bekezdése | ||||||||||||
| 1150 | 1.3.2 | az intézmény hitelminőségének jelentős romlásából eredő további biztosítéknyújtási kötelezettségeknek megfelelő likviditáskiáramlások | A CRR 423. cikkének (2) bekezdése | ||||||||||||
| 1160 | 1.3.3 | azon további biztosítéknyújtási kötelezettségeknek megfelelő likviditáskiáramlások, amelyek egy negatív piaci forgatókönyv által az intézmény származtatott ügyleteire, finanszírozási ügyleteire és egyéb szerződéseire gyakorolt hatásból erednének, amennyiben e hatás lényeges | A CRR 423. cikkének (3) bekezdése | ||||||||||||
| 1170 | 1.3.4 | a rövidre eladott és 30 napon belül teljesítendő értékpapírok vagy más eszközök piaci értékének megfelelő likviditáskiáramlások, kivéve ha a teljesítendő értékpapírok az intézmény tulajdonában vannak, vagy olyan feltételekkel vette kölcsön azokat, melyek alapján csak a 30 napos időhorizonton túl kell visszaszolgáltatnia őket, és az értékpapírok nem tartoznak az intézmény likvid eszközei közé | A CRR 423. cikkének (4) bekezdése | ||||||||||||
| 1180 | 1.3.5 | az intézmény birtokában lévő, a partner által a szerződés értelmében bármikor lehívható pótlólagos biztosítéknak megfelelő likviditáskiáramlások | A CRR 423. cikke (5) bekezdésének a) pontja | ||||||||||||
| 1190 | 1.3.6 | a partnernek visszaszolgáltatandó biztosítéknak megfelelő likviditáskiáramlások | A CRR 423. cikke (5) bekezdésének b) pontja | ||||||||||||
| 1200 | 1.3.7 | olyan, a 416. cikk alkalmazásában likvid eszköznek minősülő eszközökhöz kapcsolódó biztosíték, amely a hitelintézet engedélye nélkül helyettesíthető olyan biztosítékkal, amely olyan eszközökhöz kapcsolódik, amelyek a 416. cikk alkalmazásában nem minősülnek likvid eszköznek | A CRR 423. cikke (5) bekezdésének c) pontja | ||||||||||||
| 1210 | 1.3.8 | biztosítékként kapott betétek | A CRR 423. cikkének (6) bekezdése | ||||||||||||
| Sor | AZONOSÍTÓ | Tétel | Jogszabályi hivatkozások | Összeg | Kiáramlás | ||||||||||
| 1220-1370 | 1,4 | kiáramlások a hitelkeretekből és likviditási hitelkeretekből | |||||||||||||
| 1220 | 1.4.1 | a lakossági ügyfelek egyéb le nem hívott, folyósítási kötelezettséggel járó hitelkereteiből és le nem hívott, folyósítási kötelezettséggel járó likviditási hitelkereteiből lehívható maximális összeg | A CRR 424. cikkének (2) bekezdése | ||||||||||||
| 1230-1240 | 1.4.2 | a nem lakossági és pénzügyi ügyfelek egyéb le nem hívott, folyósítási kötelezettséggel járó hitelkereteiből és le nem hívott, folyósítási kötelezettséggel járó likviditási hitelkereteiből lehívható maximális összeg | A CRR 424. cikkének (3) bekezdése | ||||||||||||
| 1230 | 1.4.2.1 | folyósítási kötelezettséggel járó, le nem hívott hitelkeretek | |||||||||||||
| 1240 | 1.4.2.2 | folyósítási kötelezettséggel járó, le nem hívott likviditási hitelkeretek | |||||||||||||
| 1250 | 1.4.3 | le nem hívott likviditási hitelkeretekből lehívható maximális összeg, amelyet arra a célra bocsátottak valamely különleges célú gazdasági egység rendelkezésére, hogy a pénzügyi ügyfélnek nem minősülő ügyfelektől értékpapírtól különböző eszközt vásárolhasson, amennyiben meghaladja az adott különleges célú gazdasági egység ügyfelektől vásárolt aktuális eszközállományának összértékét, és amennyiben a lehívható maximális összeget a szerződés az aktuális vásárolt eszközállomány összértékére korlátozza | A CRR 424. cikkének (4) bekezdése | ||||||||||||
| 1260-1270 | 1.4.4 | az 1.4.1, 1.4.2 vagy 1.4.3 tételben nem jelentett egyéb le nem hívott, folyósítási kötelezettséggel járó hitelkeretekből és le nem hívott, folyósítási kötelezettséggel járó likviditási hitelkeretekből lehívható maximális összeg | A CRR 424. cikkének (5) bekezdése | ||||||||||||
| 1260 | 1.4.4.1 | a nem az 1.4.3 tétel szerinti különleges célú gazdasági egységnek nyújtott | A CRR 424. cikke (5) bekezdésének a) pontja | ||||||||||||
| 1270 | 1.4.4.2 | olyan megállapodások, amelyek értelmében az intézménynek valamely különleges célú gazdasági egységtől kell eszközt vásárolnia vagy cserélnie | A CRR 424. cikke (5) bekezdésének b) pontja | ||||||||||||
| 1280-1290 | 1.4.4.3 | hitelintézeteknek nyújtott | A CRR 424. cikke (5) bekezdésének c) pontja | ||||||||||||
| 1280 | 1.4.4.3.1 | folyósítási kötelezettséggel járó, le nem hívott hitelkeretek | |||||||||||||
| 1290 | 1.4.4.3.2 | folyósítási kötelezettséggel járó, le nem hívott likviditási hitelkeretek | |||||||||||||
| 1300-1310 | 1.4.4.4 | pénzügyi vállalkozásoknak és befektetési vállalkozásoknak nyújtott | A CRR 424. cikke (5) bekezdésének d) pontja | ||||||||||||
| 1300 | 1.4.4.4.1 | folyósítási kötelezettséggel járó, le nem hívott hitelkeretek | |||||||||||||
| 1310 | 1.4.4.4.2 | folyósítási kötelezettséggel járó, le nem hívott likviditási hitelkeretek | |||||||||||||
| 1320 | 1.4.4.5 | egyéb ügyfeleknek nyújtott | |||||||||||||
| 1330 | 1.4.4.6 | csoporton belüli jogalanynak a 424. cikk (5) bekezdésének megfelelően nyújtott | A CRR 424. cikke (5) bekezdésének d) pontja | ||||||||||||
| 1340 | 1.4.5 | kedvezményes hitelek finanszírozására nyújtott le nem hívott, folyósítási kötelezettséggel járó hitelkeretekből és likviditási hitelkeretekből lehívható maximális összeg | A CRR 424. cikkének (6) bekezdése | ||||||||||||
| 1350 | 1.4.6 | az összes többi függő kötelezettségből lehívható teljes maximális összeg | |||||||||||||
| 1360 | 1.4.6.1 | ebből: csoporton belüli jogalanynak a 424. cikk (5) bekezdésének megfelelően nyújtott | A CRR 424. cikkének (5) bekezdése | ||||||||||||
| 1370 | 1.4.7 | A CRD 105. cikke szerinti likviditáskiáramlások | A CRD 105. cikke | ||||||||||||
C 53.00 - LIKVIDITÁSFEDEZET - BEÁRAMLÁSOK
| Összeg | Beáramlás | ||||||||
| Sor | AZONOSÍTÓ | Tétel | Jogszabályi hivatkozások | 010 | 020 | 030 | 040 | 050 | 060 | 
| 010-1030 | BEÁRAMLÁSOK | A CRR 425. cikke | |||||||
| 010-980 | 1 | BEÁRAMLÁSOK (KORLÁTOZOTT) | A CRR 425. cikkének (1) bekezdése | ||||||
| 010-060 | 1.1. | Nem pénzügyi ügyfelektől esedékes pénzösszegek | A CRR 425. cikke | ||||||
| 010 | 1.1.1. | lakossági ügyfelektől esedékes pénzösszegek | A CRR 425. cikke | ||||||
| 020 | 1.1.2 | nem pénzügyi vállalati ügyfelektől esedékes pénzösszegek | A CRR 425. cikke | ||||||
| 030 | 1.1.2.1 | ebből azon pénzösszegek, amelyeket az ilyen pénzösszegekkel tartozó intézmény a 422. cikk (2) bekezdésének e) pontja szerint kezel | A 425. cikk (2) bekezdésének e) pontja | ||||||
| 040 | 1.1.3 | központi bankoktól esedékes pénzösszegek | A CRR 425. cikke (2) bekezdésének a) pontja | ||||||
| 050 | 1.1.3.1 | ebből azon pénzösszegek, amelyeket az ilyen pénzösszegekkel tartozó intézmény a 422. cikk (3) és (4) bekezdése szerint kezel | A CRR 425. cikke (2) bekezdésének e) pontja | ||||||
| 060 | 1.1.4 | más jogalanyoktól esedékes pénzösszegek | A CRR 425. cikke (2) bekezdésének a) pontja | ||||||
| 070-080 | 1.2 | Pénzügyi ügyfelektől esedékes pénzösszegek | A CRR 425. cikkének (2) bekezdése | ||||||
| 070 | 1.2.1 | ebből azon pénzösszegek, amelyeket az ilyen pénzösszegekkel tartozó intézmény a 422. cikk (3) és (4) bekezdése szerint kezel | A CRR 425. cikke (2) bekezdésének e) pontja | ||||||
| 080 | 1.2.2 | ebből azon pénzösszegek, amelyek tekintetében az illetékes hatóság alacsonyabb likviditáskiáramlási faktor alkalmazását engedélyezte a 422. cikk (8) bekezdése szerint | A CRR 422. cikkének (8) bekezdése | ||||||
| 090 | 1.3 | a425. cikk (2) bekezdésének b) pontja szerinti kereskedelemfinanszírozási ügyletekből esedékes pénzösszegek | A CRR 425. cikke (2) bekezdésének b) pontja | ||||||
| 100 | 1.4 | olyan eszközök, amelyeknek szerződéses zárónapja nincs meghatározva és 30 napon belül lehívhatók | A CRR 425. cikke (2) bekezdésének c) pontja | ||||||
| 110 | 1.5 | a főbb indexekben lévő tulajdoni részesedést megtestesítő instrumentumokban tartott pozíciókból esedékes pénzösszegek, feltéve ha nem veszik többszörösen figyelembe likvid eszközként | A CRR 425. cikke (2) bekezdésének f) pontja | ||||||
| Sor | AZONOSÍTÓ | Tétel | Jogszabályi hivatkozások | rendkívül magas likviditású és hitelminőségű eszközök | magas likviditás és hitelminőség | egyéb likviditás és hitelminőség | |||
| Esedékes összeg | Az ügyletet fedező eszközök piaci értéke | Esedékes összeg | Az ügyletet fedező eszközök piaci értéke | Esedékes összeg | Az ügyletet fedező eszközök piaci értéke | ||||
| 120-930 | 1.6 | A 192. cikkben meghatározott fedezett kölcsönügyletekből és tőkepiac-vezérelt ügyletekből esedékes pénzösszegek: | A CRR 425. cikke (2) bekezdésének d) pontja | ||||||
| 120-190 | 1.6.1. | Más átruházható eszközök, amelyek a következőkkel szembeni vagy általuk garantált követeléseket testesítenek meg | A CRR 416. cikke (1) bekezdésének c) pontja | ||||||
| 120-130 | 1.6.1.1 | egy tagállam központi kormányzatával, adók kivetésére és beszedésére jogosult, adóügyi szempontból önálló régió regionális kormányzatával vagy harmadik ország központi kormányzatával szembeni vagy általuk garantált követeléseket megtestesítő átruházható eszközök, amennyiben az intézmény az adott tagállamban vagy harmadik országban likviditási kockázatot vállal és ezt e likvid eszközök tartásával fedezi | A CRR 416. cikke (1) bekezdése c) pontjának i. alpontja | ||||||
| 120 | 1.6.1.1.1 | követeléseket megtestesítő | A CRR 416. cikke (1) bekezdése c) pontjának i. alpontja | ||||||
| 130 | 1.6.1.1.2 | általuk garantált | A CRR 416. cikke (1) bekezdése c) pontjának i. alpontja | ||||||
| 140-150 | 1.6.1.2 | olyan átruházható eszközök, amelyek a következőkkel szembeni vagy általuk garantált követeléseket testesítenek meg központi bankokkal és nem központi kormányzati közszektorbeli intézményekkel szembeni vagy általuk garantált követeléseket megtestesítő, a központi bank és a közszektorbeli intézmény pénznemében kibocsátott átruházható eszközök | A CRR 416. cikke (1) bekezdése c) pontjának ii. alpontja | ||||||
| 140 | 1.6.1.2.1 | követeléseket megtestesítő | A CRR 416. cikke (1) bekezdése c) pontjának ii. alpontja | ||||||
| 150 | 1.6.1.2.2 | általuk garantált | A CRR 416. cikke (1) bekezdése c) pontjának ii. alpontja | ||||||
| 160-170 | 1.6.1.3 | a Nemzetközi Fizetések Bankjával, a Nemzetközi Valutaalappal, a Bizottsággal és multilaterális fejlesztési bankokkal szembeni vagy általuk garantált követeléseket megtestesítő átruházható eszközök | A CRR 416. cikke (1) bekezdése c) pontjának iii. alpontja | ||||||
| 160 | 1.6.1.3.1 | követeléseket megtestesítő | A CRR 416. cikke (1) bekezdése c) pontjának iii. alpontja | ||||||
| 170 | 1.6.1.3.2 | általuk garantált | A CRR 416. cikke (1) bekezdése c) pontjának iii. alpontja | ||||||
| 180-190 | 1.6.1.4 | az Európai Pénzügyi Stabilitási Eszközzel és az Európai Stabilitási Mechanizmussal szembeni vagy általuk garantált követeléseket megtestesítő átruházható eszközök | A CRR 416. cikke (1) bekezdése c) pontjának iv. alpontja | ||||||
| 180 | 1.6.1.4.1 | követeléseket megtestesítő | A CRR 416. cikke (1) bekezdése c) pontjának iv. alpontja | ||||||
| 190 | 1.6.1.4.2 | általuk garantált | A CRR 416. cikke (1) bekezdése c) pontjának iv. alpontja | ||||||
| 200-220 | 1.6.2 | a 416. cikkben meghatározott alapul szolgáló eszközökkel rendelkező kollektív befektetési formák összes részvénye vagy befektetési jegye | A CRR 416. cikkének (6) bekezdése és 418. cikkének (2) bekezdése | ||||||
| 200 | 1.6.2.1 | a 416. cikk (1) bekezdésének a) pontja szerinti alapul szolgáló eszközök | A CRR 418. cikke (2) bekezdésének a) pontja | ||||||
| 210 | 1.6.2.2 | a 416. cikk (1) bekezdésének b) és c) pontja szerinti alapul szolgáló eszközök | A CRR 418. cikke (2) bekezdésének b) pontja | ||||||
| 220 | 1.6.2.3 | a 416. cikk (1) bekezdésének d) pontja szerinti alapul szolgáló eszközök | A CRR 418. cikke (2) bekezdésének c) pontja | ||||||
| 230 | 1.6.3 | valamely tagállam központi vagy regionális kormányzata által alapított hitelintézetek által kibocsátott eszközök, amennyiben a 416. cikk (2) bekezdése a) pontjának iii. alpontja szerinti feltételek legalább egyike teljesül | A CRR 416. cikke (2) bekezdése a) pontjának iii. alpontja | ||||||
| 240-260 | 1.6.4 | nem pénzügyi vállalati kötvények | A CRR 416. cikke (1) bekezdésének b) vagy d) pontja | ||||||
| 240 | 1.6.4.1 | 1. hitelminőségi besorolás | A CRR 122. cikke | ||||||
| 250 | 1.6.4.2 | 2. hitelminőségi besorolás | A CRR 122. cikke | ||||||
| 260 | 1.6.4.3 | 3. hitelminőségi besorolás | A CRR 122. cikke | ||||||
| 270-290 | 1.6.5 | a 129. cikk (4) vagy (5) bekezdése szerinti eljárásra jogosult hitelintézet által kibocsátott kötvények | A CRR 416. cikke (2) bekezdése a) pontjának i. alpontja | ||||||
| 270 | 1.6.5.1 | 1. hitelminőségi besorolás | A CRR 129. cikkének (4) vagy (5) bekezdése | ||||||
| 280 | 1.6.5.2 | 2. hitelminőségi besorolás | A CRR 129. cikkének (4) vagy (5) bekezdése | ||||||
| 290 | 1.6.5.3 | 3. hitelminőségi besorolás | A CRR 129. cikkének (4) vagy (5) bekezdése | ||||||
| 300-320 | 1.6.6 | hitelintézet által kibocsátott, nem lakóingatlanra vonatkozó jelzáloghitellel fedezett instrumentumok, amelyek az EBH által a CRR 509. cikkének (3), (4) és (5) bekezdésében foglalt kritériumok alapján meghatározott minősítés szerint bizonyítottan a legmagasabb hitelminősítési kategóriába tartoznak | A CRR 416. cikke (2) bekezdése a) pontjának i. alpontja | ||||||
| 300 | 1.6.6.1 | 1. hitelminőségi besorolás | A CRR II. címének 5. fejezete és 123., 124., 125. és 126. cikke | ||||||
| 310 | 1.6.6.2 | 2. hitelminőségi besorolás | A CRR II. címének 5. fejezete és 123., 124., 125. és 126. cikke | ||||||
| 320 | 1.6.6.3 | 3. hitelminőségi besorolás | A CRR II. címének 5. fejezete és 123., 124., 125. és 126. cikke | ||||||
| 330-350 | 1.6.7 | hitelintézet által kibocsátott, lakóingatlanra vonatkozó jelzáloghitellel fedezett instrumentumok, amelyek az EBH által a CRR 509. cikkének (3), (4) és (5) bekezdésében foglalt kritériumok alapján meghatározott minősítés szerint bizonyítottan a legmagasabb hitelminősítési kategóriába tartoznak | A CRR 416. cikke (2) bekezdése a) pontjának i. alpontja | ||||||
| 330 | 1.6.7.1 | 1. hitelminőségi besorolás | A CRR ötödik része II. címének 5. fejezete és 125. cikke | ||||||
| 340 | 1.6.7.2 | 2. hitelminőségi besorolás | A CRR ötödik része II. címének 5. fejezete és 125. cikke | ||||||
| 350 | 1.6.7.3 | 3. hitelminőségi besorolás | A CRR II. címének 5. fejezete és 125. cikke | ||||||
| 360-380 | 1.6.8 | a 2009/65/EK irányelv 52. cikkének (4) bekezdésében meghatározottak szerint hitelintézet által kibocsátott, az 1.9 tételben említettektől eltérő kötvények | A CRR 416. cikke (2) bekezdése a) pontjának ii. alpontja | ||||||
| 360 | 1.6.8.1 | 1. hitelminőségi besorolás | A CRR 129. cikkének (4) vagy (5) bekezdése | ||||||
| 370 | 1.6.8.2 | 2. hitelminőségi besorolás | A CRR 129. cikkének (4) vagy (5) bekezdése | ||||||
| 380 | 1.6.8.3 | 3. hitelminőségi besorolás | A CRR 129. cikkének (4) vagy (5) bekezdése | ||||||
| 390-410 | 1.6.9 | egyéb rendkívül magas likviditású és hitelminőségű átruházható eszközök | A CRR 416. cikke (1) bekezdésének b) pontja | ||||||
| 390 | 1.6.9.1 | 1. hitelminőségi besorolás | A CRR harmadik része II. címének 2. fejezete | ||||||
| 400 | 1.6.9.2 | 2. hitelminőségi besorolás | A CRR harmadik része II. címének 2. fejezete | ||||||
| 410 | 1.6.9.3 | 3. hitelminőségi besorolás | A CRR harmadik része II. címének 2. fejezete | ||||||
| 420-440 | 1.6.10 | egyéb magas likviditású és hitelminőségű átruházható eszközök | A CRR 416. cikke (1) bekezdésének d) pontja | ||||||
| 420 | 1.6.10.1 | 1. hitelminőségi besorolás | A CRR harmadik része II. címének 2. fejezete | ||||||
| 430 | 1.6.10.2 | 2. hitelminőségi besorolás | A CRR harmadik része II. címének 2. fejezete | ||||||
| 440 | 1.6.10.3 | 3. hitelminőségi besorolás | A CRR harmadik része II. címének 2. fejezete | ||||||
| 450-460 | 1.6.11 | A CRR 416. cikke (1) bekezdésének b) és d) pontja követelményeinek megfelelő, de a 417. cikke b) és c) pontja követelményeinek meg nem felelő eszközök | |||||||
| 450 | 1.6.11.1 | likviditáskezelési funkció révén nem ellenőrzött eszközök | A CRR 417. cikkének c) pontja | ||||||
| 460 | 1.6.11.2 | jogi és gyakorlati szempontból a következő 30 napban rendelkezésre nem álló eszközök, amelyek azonnali ügylet vagy egyszerű repomegállapodás keretében, elfogadott repopiacon értékesíthetők | A CRR 417. cikkének b) pontja | ||||||
| 470-660 | 1.6.12 | A likvid eszközökre vonatkozó kiegészítő adatszolgáltatás tárgyát képező tételek | |||||||
| 470 | 1.6.12.1 | Készpénz | A CRR III. mellékletének 1. pontja | ||||||
| 480 | 1.6.12.2 | Központi bankkal szembeni kitettségek, amennyiben azok stresszhelyzetben lehívhatók | A CRR III. mellékletének 2. pontja | ||||||
| 490-530 | 1.6.12.3 | 0 %-os kockázati súlyú átruházható értékpapírok, amelyek nem valamely intézmény vagy kapcsolt vállalkozása kötelezettségét testesítik meg | A CRR III. mellékletének 3. pontja | ||||||
| 490 | 1.6.12.3.1 | kormányzatokkal szembeni követeléseket megtestesítő átruházható értékpapírok | A CRR III. mellékletének 3. pontja | ||||||
| 500 | 1.6.12.3.2 | kormányzatok által garantált követelések | A CRR III. mellékletének 3. pontja | ||||||
| 510 | 1.6.12.3.3 | központi bankokkal szembeni vagy általuk garantált követeléseket megtestesítő átruházható értékpapírok | A CRR III. mellékletének 3. pontja | ||||||
| 520 | 1.6.12.3.4 | nem a központi kormányzathoz tartozó közszektorbeli intézményekkel, adók kivetésére és beszedésére jogosult, adóügyi szempontból önálló régiókkal és helyi hatóságokkal szembeni vagy általuk garantált követeléseket megtestesítő átruházható értékpapírok | A CRR III. mellékletének 3. pontja | ||||||
| 530 | 1.6.12.3.5 | a Nemzetközi Fizetések Bankjával, a Nemzetközi Valutaalappal, az Európai Unióval, az Európai Pénzügyi Stabilitási Eszközzel, az Európai Fejlesztési Mechanizmussal vagy multilaterális fejlesztési bankokkal szembeni vagy általuk garantált követeléseket megtestesítő átruházható értékpapírok | A CRR III. mellékletének 3. pontja | ||||||
| 540 | 1.6.12.4 | A 3.3 tételben említettektől eltérő átruházható értékpapírok, amelyek kormányzatokkal vagy központi bankokkal szembeni vagy általuk biztosított követeléseket testesítenek meg, és amelyeket a kormányzat vagy központi bank saját pénznemében bocsátott ki, olyan mértékben, amilyen mértékben ezen értékpapírok tartása megfelel azon likviditási szükségleteknek, amelyek a bank adott harmadik országbeli műveleteiből eredően felmerülnek | A CRR III. mellékletének 4. pontja | ||||||
| 550-590 | 1.6.12.5 | 20 %-os kockázati súlyú átruházható értékpapírok, amelyek nem valamely intézmény vagy kapcsolt vállalkozása kötelezettségét testesítik meg | A CRR III. mellékletének 5. pontja | ||||||
| 550 | 1.6.12.5.1 | kormányzatokkal szembeni követeléseket megtestesítő átruházható értékpapírok | A CRR III. mellékletének 5. pontja | ||||||
| 560 | 1.6.12.5.2 | kormányzatok által garantált követelések | A CRR III. mellékletének 5. pontja | ||||||
| 570 | 1.6.12.5.3 | központi bankokkal szembeni vagy általuk garantált követeléseket megtestesítő átruházható értékpapírok | A CRR III. mellékletének 5. pontja | ||||||
| 580 | 1.6.12.5.4 | nem a központi kormányzathoz tartozó közszektorbeli intézményekkel, adók kivetésére és beszedésére jogosult, adóügyi szempontból önálló régiókkal és helyi hatóságokkal szembeni vagy általuk garantált követeléseket megtestesítő átruházható értékpapírok | A CRR III. mellékletének 5. pontja | ||||||
| 590 | 1.6.12.5.5 | központi bankokkal szembeni vagy általuk garantált követeléseket megtestesítő átruházható értékpapírok | A CRR III. mellékletének 5. pontja | ||||||
| 600 | 1.6.12.6 | az eszközökre vonatkozó LCR-tábla 3.3–3.5 tételében említett átruházható értékpapírok, amelyek megfelelnek a CRR III. mellékletének 5. pontjában meghatározott valamennyi feltételnek | A CRR III. mellékletének 6. pontja | ||||||
| 610 | 1.6.12.7 | a 3.3–3.6 tételben említettektől eltérő átruházható értékpapírok, amelyek a harmadik rész II. címe 2. fejezetének értelmében 50 %-os vagy annál jobb kockázati súlyra jogosultak, vagy belső minősítésük alapján ezzel egyenértékű a hitelminőségük, és nem testesítenek meg különleges különleges célú gazdasági egységgel, valamely intézménnyel vagy annak kapcsolt vállalkozásával szembeni követelést | A CRR III. mellékletének 7. pontja | ||||||
| 620 | 1.6.12.8 | a 3.3–3.7 tételben említettektől eltérő átruházható értékpapírok, amelyeket a harmadik rész II. címe 2. fejezetének értelmében 35 %-os vagy annál jobb kockázati súlyra jogosultnak minősülő eszközök fedeznek, vagy belső minősítésük alapján ezzel egyenértékű a hitelminőségük, és a 125. cikkel összhangban teljes mértékben lakóingatlanra bejegyzett jelzáloggal fedezettek | A CRR III. mellékletének 8. pontja | ||||||
| 630 | 1.6.12.9 | központi bankok által a monetáris politika keretében nyújtott készenléti hitelkeretek, amennyiben ezeket a hitelkereteket nem fedezik likvid eszközök, a rendkívüli likviditási segítségnyújtás kivételével | A CRR III. mellékletének 9. pontja | ||||||
| 640 | 1.6.12.10 | Ha a hitelintézet a jogszabályi vagy alapszabályi rendelkezéseknek megfelelően hálózati kapcsolatban áll, a központi hitelintézetnél elhelyezett, jogszabályban vagy alapszabályban előírt minimumbetétek, illetve egyéb, a központi hitelintézet vagy a 113. cikk (7) bekezdésében említett hálózat tagjának számító vagy a 10. cikkben meghatározott mentesítésre jogosult intézmények által az alapszabály értelmében vagy szerződéses alapon biztosított likvid finanszírozás, amennyiben ezt a finanszírozást nem fedezik likvid eszközök. | A CRR III. mellékletének 10. pontja | ||||||
| 650 | 1.6.12.11 | tőzsdén forgalmazott, központilag elszámolt törzsrészvények, amelyek valamely jelentős tőzsdeindex elemét képezik, a tagállam hazai pénznemében denomináltak, és azokat nem valamely intézmény vagy annak valamely leányvállalata bocsátotta ki | A CRR III. mellékletének 11. pontja | ||||||
| 660 | 1.6.12.12 | elismert tőzsdén jegyzett, letétbe helyezett arany | A CRR III. mellékletének 12. pontja | ||||||
| 670-920 | 1.6.13 | A CRR 416. CIKKE KÖVETELMÉNYEINEK MEG NEM FELELŐ, de a 417. cikke b) és c) pontja követelményeinek továbbra is megfelelő ESZKÖZÖK | |||||||
| 670-690 | 1.6.13.1 | pénzügyi vállalati kötvények | A CRR 416. cikkének (2) bekezdése | ||||||
| 670 | 1.6.13.1.1 | 1. hitelminőségi besorolás | A CRR 120. cikkének (1) bekezdése | ||||||
| 680 | 1.6.13.1.2 | 2. hitelminőségi besorolás | A CRR 120. cikkének (1) bekezdése | ||||||
| 690 | 1.6.13.1.3 | 3. hitelminőségi besorolás | A CRR 120. cikkének (1) bekezdése | ||||||
| 700-720 | 1.6.13.2 | saját kibocsátások | A CRR 416. cikke (3) bekezdésének b)pontja | ||||||
| 700 | 1.6.13.2.1 | 1. hitelminőségi besorolás | A CRR 120. cikkének (1) bekezdése | ||||||
| 710 | 1.6.13.2.2 | 2. hitelminőségi besorolás | A CRR 120. cikkének (1) bekezdése | ||||||
| 720 | 1.6.13.2.3 | 3. hitelminőségi besorolás | A CRR 120. cikkének (1) bekezdése | ||||||
| 730-750 | 1.6.13.3 | hitelintézetek nem fedezett kibocsátásai | A CRR 416. cikke | ||||||
| 730 | 1.6.13.3.1 | 1. hitelminőségi besorolás | A CRR 120. cikkének (1) bekezdése | ||||||
| 740 | 1.6.13.3.2 | 2. hitelminőségi besorolás | A CRR 120. cikkének (1) bekezdése | ||||||
| 750 | 1.6.13.3.3 | 3. hitelminőségi besorolás | A CRR 120. cikkének (1) bekezdése | ||||||
| 760-780 | 1.6.13.4 | az eszközökre vonatkozó LCR-tábla 1.10 tételében nem jelentett, nem lakóingatlan jelzáloghitelével fedezett értékpapírok | A CRR 416. cikke (4) bekezdésének b) pontja | ||||||
| 760 | 1.6.13.4.1 | 1. hitelminőségi besorolás | A CRR II. címének 5. fejezete és 123., 124., 125. és 126. cikke | ||||||
| 770 | 1.6.13.4.2 | 2. hitelminőségi besorolás | A CRR II. címének 5. fejezete és 123., 124., 125. és 126. cikke | ||||||
| 780 | 1.6.13.4.3 | 3. hitelminőségi besorolás | A CRR II. címének 5. fejezete és 123., 124., 125. és 126. cikke | ||||||
| 790-810 | 1.6.13.5 | az eszközökre vonatkozó LCR-tábla 1.11 tételében nem jelentett, lakóingatlan jelzáloghitelével fedezett értékpapírok | A CRR 509. cikke (3) bekezdésének a) pontja | ||||||
| 790 | 1.6.13.5.1 | 1. hitelminőségi besorolás | A CRR harmadik része II. címének 5. fejezete és 125. cikke | ||||||
| 800 | 1.6.13.5.2 | 2. hitelminőségi besorolás | A CRR harmadik része II. címének 5. fejezete és 125. cikke | ||||||
| 810 | 1.6.13.5.3 | 3. hitelminőségi besorolás | A CRR harmadik része II. címének 5. fejezete és 125. cikke | ||||||
| 820 | 1.6.13.6 | elismert tőzsdén jegyzett részvények és főbb indexált, tulajdoni részesedést megtestesítő instrumentumok, amelyek nem saját kibocsátásúak, illetve amelyeket nem pénzügyi vállalkozás bocsátott ki | A CRR 509. cikke (3) bekezdésének c) pontja és 416. cikke (4) bekezdésének a) pontja | ||||||
| 830 | 1.6.13.7 | arany | A CRR 509. cikke (3) bekezdésének c) pontja és 416. cikke (4) bekezdésének a) pontja | ||||||
| 840 | 1.6.13.8 | a fentiekben nem jelentett, garantált kötvények | A CRR 509. cikke (3) bekezdésének c) pontja | ||||||
| 850 | 1.6.13.9 | a fentiekben nem jelentett, fedezett kötvények | A CRR 509. cikke (3) bekezdésének c) pontja | ||||||
| 860 | 1.6.13.10 | a fentiekben nem jelentett vállalati kötvények | A CRR 509. cikke (3) bekezdésének c) pontja | ||||||
| 870 | 1.6.13.11 | a 4.5–4.9 tételben jelentett eszközökre épülő alapok | A CRR 509. cikke (3) bekezdésének c) pontja | ||||||
| 880-900 | 1.6.13.12 | a központi bankok által elfogadott egyéb értékpapír- vagy hitelkategóriák | A CRR 509. cikke (3) bekezdésének c) pontja | ||||||
| 880 | 1.6.13.12.1 | helyi önkormányzati kötvények | A CRR 509. cikke (3) bekezdésének c) pontja | ||||||
| 890 | 1.6.13.12.2 | kereskedelmi értékpapírok | A CRR 509. cikke (3) bekezdésének c) pontja | ||||||
| 900 | 1.6.13.12.3 | hitelkövetelések | A CRR 416. cikke (4) bekezdésének c) pontja | ||||||
| 910-930 | 1.6.13.13 | Az 509. cikk (2) bekezdésének i) pontja szerinti saría-kompatibilis bankok általi használat céljára a saría-kompatibilis pénzügyi termékek meghatározása azon eszközök alternatívájaként, amelyek a 416. cikk alkalmazásában likvid eszköznek minősülnek | A CRR 509. cikke (2) bekezdésének i) pontja | ||||||
| 910 | 1.6.13.13.1 | 1. hitelminőségi besorolás | |||||||
| 920 | 1.6.13.13.2 | 2. hitelminőségi besorolás | |||||||
| 930 | 1.6.13.13.3 | 3. hitelminőségi besorolás | |||||||
| Sor | AZONOSÍTÓ | Tétel | Jogszabályi hivatkozások | Összeg | Beáramlás | ||||
| 940-960 | 1.7 | Le nem hívott hitelkeretek és likviditási hitelkeretek és a csoporton belüli jogalanyoktól a CRR 425. cikkének (4) bekezdésével összhangban kapott egyéb kötelezettségvállalások | A CRR 425. cikkének (4) bekezdése | ||||||
| 940 | 1.7.1 | amennyiben a 425. cikk (4) bekezdése a), b) és c) pontjának minden feltétele teljesül | |||||||
| 950 | 1.7.2 | amennyiben az illetékes hatóság mentesítést adott a 425. cikk (4) bekezdése alól és a 425. cikk (4) bekezdése a), b) és c) pontjának minden feltétele teljesül a 7. cikk szerinti mentesítésben nem részesülő intézmények vonatkozásában a 19. cikk (1) bekezdésének b) pontja szerinti, csoporton belüli kezelés céljaira, a le nem hívott hitelkeretek és likviditási hitelkeretek és a csoporton belüli jogalanyoktól a 425. cikk (5) bekezdésével összhangban kapott egyéb kötelezettségvállalások | A CRR 425. cikke (4) bekezdésének a), b) és c) pontja | ||||||
| 960 | 1.7.3 | a II. mellékletben felsorolt ügyletek alapján várható követelések nettó összege (a 416. cikk szerint likvid eszköznek minősülő, az ügylethez várhatóan kapcsolódó biztosítékok levonásával) | A CRR 425. cikkének (3) bekezdése | ||||||
| 970 | 1.8 | a likvid eszközökre esedékes kifizetések, amelyek nem tükröződnek az eszköz piaci értékében | A CRR 425. cikkének (7) bekezdése | ||||||
| 980 | 1.9 | egyéb beáramlások | |||||||
| 990 | 2 | FELSŐ HATÁRÉRTÉK MIATT FIGYELEMBE NEM VETT ÖSSZES KÉSZPÉNZBEÁRAMLÁS | A CRR 425. cikke | ||||||
| 1000-1030 | 3 | A FELSŐ HATÁRÉRTÉK ALÓL MENTESÍTETT BEÁRAMLÁSOK | A CRR 425. cikkének (1) bekezdése | ||||||
| 1000 | 3.1 | hitelfelvevőktől és kötvénybefektetőktől esedékes pénzösszegek olyan kötvény kibocsátásával fedezett jelzáloghitelezéshez kapcsolódóan, amely jogosult a 129. cikk (4), (5) vagy (6) bekezdésében foglalt, illetve a 2009/65/EK irányelv 52. cikkének (4) bekezdésében meghatározott eljárás szerinti kezelésre | A CRR 425. cikkének (1) bekezdése | ||||||
| 1010 | 3.2 | az intézmény által közvetített kedvezményes kölcsönökből származó beáramlások | A CRR 425. cikkének (1) bekezdése | ||||||
| 1020 | 3.3 | a 113. cikk (6) vagy (7) bekezdésében meghatározott eljárásra jogosult beáramlások | A CRR 425. cikkének (1) bekezdése | ||||||
| 1030 | 3.4 | a csoporton belüli jogalanytól származó, az illetékes hatóság által jóváhagyott beáramlások | A CRR 425. cikkének (1) bekezdése | ||||||
C 54.00 - LIKVIDITÁSFEDEZET - BIZTOSÍTÉKI CSEREÜGYLETEK
| Egyéb eszközök | |||||||
| 30 napon belül | 30 napon túl | ||||||
| Névleges | Piaci érték | Névleges | Piaci érték | ||||
| Sor | AZONOSÍTÓ | Tétel | Jogszabályi hivatkozások | 010 | 020 | 030 | 040 | 
| 010-060 | 1 | ESZKÖZÖK | |||||
| 010 | 1.1 | készpénz és a központi bankokkal szembeni kitettségek | A CRR 416. cikke (1) bekezdésének a) pontja | ||||
| 020 | 1.2 | egyéb, a 416. cikk (1) bekezdésének b) pontja szerinti átruházható eszközök | A CRR 416. cikke (1) bekezdésének b) pontja | ||||
| 030-060 | 1.3 | más átruházható eszközök, amelyek a következőkkel szembeni vagy általuk garantált követeléseket testesítenek meg | A CRR 416. cikke (1) bekezdésének c) pontja | ||||
| 030 | 1.3.1 | egy tagállam központi kormányzatával, adók kivetésére és beszedésére jogosult, adóügyi szempontból önálló régió regionális kormányzatával vagy harmadik ország központi kormányzatával szembeni vagy általuk garantált követeléseket megtestesítő átruházható eszközök, amennyiben az intézmény az adott tagállamban vagy harmadik országban likviditási kockázatot vállal és ezt e likvid eszközök tartásával fedezi | A CRR 416. cikke (1) bekezdése c) pontjának i. alpontja | ||||
| 040 | 1.3.2 | központi bankokkal és nem központi kormányzati közszektorbeli intézményekkel szembeni vagy általuk garantált követeléseket megtestesítő, a központi bank és a közszektorbeli intézmény pénznemében kibocsátott átruházható eszközök | A CRR 416. cikke (1) bekezdése c) pontjának ii. alpontja | ||||
| 050 | 1.3.3 | a Nemzetközi Fizetések Bankjával, a Nemzetközi Valutaalappal, a Bizottsággal és multilaterális fejlesztési bankokkal szembeni vagy általuk garantált követeléseket megtestesítő átruházható eszközök | A CRR 416. cikke (1) bekezdése c) pontjának iii. alpontja | ||||
| 060 | 1.3.4 | az Európai Pénzügyi Stabilitási Eszközzel és az Európai Stabilitási Mechanizmussal szembeni vagy általuk garantált követeléseket megtestesítő átruházható eszközök | A CRR 416. cikke (1) bekezdése c) pontjának iv. alpontja | ||||
C 60.00 - STABIL FORRÁSELLÁTOTTSÁG - STABIL FORRÁSELLÁTÁST IGÉNYLŐ TÉTELEK
| rendkívül magas likviditású és hitelminőségű eszközök összege | magas likviditású és hitelminőségű eszközök összege | egyéb eszközök összege | ||||||||||||||||
| három hónapon belül | három és 6 hónap között | 6 és 9 hónap között | 9 és 12 hónap között | tizenkét hónapon túl | három hónapon belül | három és 6 hónap között | 6 és 9 hónap között | 9 és 12 hónap között | tizenkét hónapon túl | három hónapon belül | három és 6 hónap között | 6 és 9 hónap között | 9 és 12 hónap között | tizenkét hónapon túl | ||||
| Sor | AZONOSÍTÓ | Tétel | Jogszabályi hivatkozások | 010 | 020 | 030 | 040 | 050 | 060 | 070 | 080 | 090 | 100 | 110 | 120 | 130 | 140 | 150 | 
| 010-1330 | 1 | STABIL FORRÁSELLÁTÁST IGÉNYLŐ TÉTELEK | ||||||||||||||||
| 010-470 | 1.1 | a CRR 416. cikkében említett eszközök | A CRR 428. cikke (1) bekezdésének a) pontja | |||||||||||||||
| 010 | 1.1.1 | készpénz | A CRR 416. cikke (1) bekezdésének a) pontja | |||||||||||||||
| 020 | 1.1.2 | központi bankokkal szembeni kitettségek | ||||||||||||||||
| 030 | 1.1.2.1 | Ebből: stresszhelyzetben lehívható kitettségek | A CRR 416. cikke (1) bekezdésének a) pontja | |||||||||||||||
| 040-050 | 1.1.3 | egy tagállam központi kormányzatával, adók kivetésére és beszedésére jogosult, adóügyi szempontból önálló régió regionális kormányzatával vagy harmadik ország központi kormányzatával szembeni vagy általuk garantált követeléseket megtestesítő átruházható eszközök, amennyiben az intézmény az adott tagállamban vagy harmadik országban likviditási kockázatot vállal és ezt e likvid eszközök tartásával fedezi | A CRR 416. cikke (1) bekezdése c) pontjának i. alpontja | |||||||||||||||
| 040 | 1.1.3.1 | szembeni követelések | A 416. cikk (1) bekezdése c) pontjának i. alpontja | |||||||||||||||
| 050 | 1.1.3.2 | általuk garantált követelések | A 416. cikk (1) bekezdése c) pontjának i. alpontja | |||||||||||||||
| 060-070 | 1.1.4 | központi bankokkal és nem központi kormányzati közszektorbeli intézményekkel szembeni vagy általuk garantált követeléseket megtestesítő, a központi bank és a közszektorbeli intézmény pénznemében kibocsátott átruházható eszközök | A CRR 416. cikke (1) bekezdése c) pontjának ii. alpontja | |||||||||||||||
| 060 | 1.1.4.1 | szembeni követelések | A 416. cikk (1) bekezdése c) pontjának ii. alpontja | |||||||||||||||
| 070 | 1.1.4.2 | általuk garantált követelések | A 416. cikk (1) bekezdése c) pontjának ii. alpontja | |||||||||||||||
| 080-150 | 1.1.5 | a Nemzetközi Fizetések Bankjával, a Nemzetközi Valutaalappal, az Európai Bizottsággal és multilaterális fejlesztési bankokkal szembeni vagy általuk garantált követeléseket megtestesítő átruházható eszközök | A CRR 416. cikke (1) bekezdése c) pontjának iii. alpontja | |||||||||||||||
| 080 | 1.1.5.1.a) | szembeni követelések | A 416. cikk (1) bekezdése c) pontjának iii. alpontja | |||||||||||||||
| 090 | 1.1.5.2.a) | általuk garantált követelések | A 416. cikk (1) bekezdése c) pontjának iii. alpontja | |||||||||||||||
| 100 | 1.1.5.1.b) | meg nem terhelt összeg | ||||||||||||||||
| 110 | 1.1.5.2.b) | három hónapnál rövidebb időtartamra megterhelt összeg | ||||||||||||||||
| 120 | 1.1.5.3.b) | három és hat hónap közötti időtartamra megterhelt összeg | ||||||||||||||||
| 130 | 1.1.5.4.b) | hat és kilenc hónap közötti időtartamra megterhelt összeg | ||||||||||||||||
| 140 | 1.1.5.5.b) | kilenc és tizenkét hónap közötti időtartamra megterhelt összeg | ||||||||||||||||
| 150 | 1.1.5.6.b) | tizenkét hónapnál hosszabb időtartamra megterhelt összeg | ||||||||||||||||
| 152-153 | 1.1.6 | az Európai Pénzügyi Stabilitási Eszközzel és az Európai Stabilitási Mechanizmussal szembeni vagy általuk garantált követeléseket megtestesítő átruházható eszközök | A CRR 416. cikke (1) bekezdése c) pontjának iv. alpontja | |||||||||||||||
| 152 | 1.1.6.1 | szembeni követelések | ||||||||||||||||
| 153 | 1.1.6.2 | általuk garantált követelések | ||||||||||||||||
| 160-230 | 1.1.7 | a 416. cikkben meghatározott alapul szolgáló eszközökkel rendelkező kollektív befektetési formák összes részvénye vagy befektetési jegye | A CRR 418. cikkének (2) bekezdése | |||||||||||||||
| 160 | 1.1.7.1.a | a 416. cikk (1) bekezdésének a) pontja szerinti alapul szolgáló eszközök | A CRR 418. cikke (2) bekezdésének a) pontja | |||||||||||||||
| 170 | 1.1.7.2.a | a 416. cikk (1) bekezdésének b) és c) pontja szerinti alapul szolgáló eszközök | A CRR 418. cikke (2) bekezdésének b) és c) pontja | |||||||||||||||
| 175 | 1.1.7.3.a | a 416. cikk (1) bekezdésének d) pontja szerinti alapul szolgáló eszközök | A CRR 418. cikke (2) bekezdésének c) pontja | |||||||||||||||
| 180 | 1.1.7.1.b | meg nem terhelt összeg | ||||||||||||||||
| 190 | 1.1.7.2.b | három hónapnál rövidebb időtartamra megterhelt összeg | ||||||||||||||||
| 200 | 1.1.7.3.b | három és hat hónap közötti időtartamra megterhelt összeg | ||||||||||||||||
| 210 | 1.1.7.4.b | hat és kilenc hónap közötti időtartamra megterhelt összeg | ||||||||||||||||
| 220 | 1.1.7.5.b | kilenc és tizenkét hónap közötti időtartamra megterhelt összeg | ||||||||||||||||
| 230 | 1.1.7.6.b | tizenkét hónapnál hosszabb időtartamra megterhelt összeg | ||||||||||||||||
| 232-233 | 1.1.8 | a központi hitelintézetnél elhelyezett betétek, illetve egyéb, a központi hitelintézet vagy a 113. cikk (7) bekezdésében említett hálózat tagjának számító vagy a CRR 10. cikkében meghatározott mentesítésre jogosultintézmények által az alapszabály értelmében vagy szerződéses alapon biztosított likvid finanszírozás, amennyiben ezt a finanszírozást nem fedezik likvid eszközök | A CRR 416. cikke (1) bekezdésének f) pontja | |||||||||||||||
| 232 | 1.1.8.1 | betétek | ||||||||||||||||
| 233 | 1.1.8.2 | szerződéses alapon biztosított likvid finanszírozás | ||||||||||||||||
| 234 | 1.1.9 | Valamely tagállam központi vagy regionális kormányzata által alapított hitelintézetek által kibocsátott eszközök, amennyiben a 416. cikk (2) bekezdése a) pontjának iii. alpontja szerinti feltételek legalább egyike teljesül | A CRR 416. cikke (2) bekezdése a) pontjának iii. alpontja | |||||||||||||||
| 240-290 | 1.1.10 | Egyéb, máshol meg nem határozott átruházható eszközök | ||||||||||||||||
| 240 | 1.1.10.1 | meg nem terhelt összeg | ||||||||||||||||
| 250 | 1.1.10.2 | három hónapnál rövidebb időtartamra megterhelt összeg | ||||||||||||||||
| 260 | 1.1.10.3 | három és hat hónap közötti időtartamra megterhelt összeg | ||||||||||||||||
| 270 | 1.1.10.4 | hat és kilenc hónap közötti időtartamra megterhelt összeg | ||||||||||||||||
| 280 | 1.1.10.5 | kilenc és tizenkét hónap közötti időtartamra megterhelt összeg | ||||||||||||||||
| 290 | 1.1.10.6 | tizenkét hónapnál hosszabb időtartamra megterhelt összeg | ||||||||||||||||
| 300-350 | 1.1.11 | nem pénzügyi vállalati kötvények | A CRR 416. cikke (1) bekezdésének b) vagy d) pontja | |||||||||||||||
| 300 | 1.1.11.1 | meg nem terhelt összeg | ||||||||||||||||
| 310 | 1.1.11.2 | három hónapnál rövidebb időtartamra megterhelt összeg | ||||||||||||||||
| 320 | 1.1.11.3 | három és hat hónap közötti időtartamra megterhelt összeg | ||||||||||||||||
| 330 | 1.1.11.4 | hat és kilenc hónap közötti időtartamra megterhelt összeg | ||||||||||||||||
| 340 | 1.1.11.5 | kilenc és tizenkét hónap közötti időtartamra megterhelt összeg | ||||||||||||||||
| 350 | 1.1.11.6 | tizenkét hónapnál hosszabb időtartamra megterhelt összeg | ||||||||||||||||
| 352-357 | 1.1.12 | hitelintézet által kibocsátott, nem lakóingatlanra vonatkozó jelzáloghitellel fedezett instrumentumok, amelyek az EBH által a CRR 509. cikkének (3), (4) és (5) bekezdésében foglalt kritériumok alapján meghatározott minősítés szerint bizonyítottan a legmagasabb hitelminősítési kategóriába tartoznak | A CRR 416. cikke (2) bekezdése a) pontjának i. alpontja | |||||||||||||||
| 352 | 1.1.12.1 | meg nem terhelt összeg | ||||||||||||||||
| 353 | 1.1.12.2 | három hónapnál rövidebb időtartamra megterhelt összeg | ||||||||||||||||
| 354 | 1.1.12.3 | három és hat hónap közötti időtartamra megterhelt összeg | ||||||||||||||||
| 355 | 1.1.12.4 | hat és kilenc hónap közötti időtartamra megterhelt összeg | ||||||||||||||||
| 356 | 1.1.12.5 | kilenc és tizenkét hónap közötti időtartamra megterhelt összeg | ||||||||||||||||
| 357 | 1.1.12.6 | tizenkét hónapnál hosszabb időtartamra megterhelt összeg | ||||||||||||||||
| 359-364 | 1.1.13 | hitelintézet által kibocsátott, lakóingatlanra vonatkozó jelzáloghitellel fedezett instrumentumok, amelyek az EBH által a CRR 509. cikkének (3), (4) és (5) bekezdésében foglalt kritériumok alapján meghatározott minősítés szerint bizonyítottan a legmagasabb hitelminősítési kategóriába tartoznak | A CRR 416. cikke (2) bekezdése a) pontjának i. alpontja | |||||||||||||||
| 359 | 1.1.13.1 | meg nem terhelt összeg | ||||||||||||||||
| 360 | 1.1.13.2 | három hónapnál rövidebb időtartamra megterhelt összeg | ||||||||||||||||
| 361 | 1.1.13.3 | három és hat hónap közötti időtartamra megterhelt összeg | ||||||||||||||||
| 362 | 1.1.13.4 | hat és kilenc hónap közötti időtartamra megterhelt összeg | ||||||||||||||||
| 363 | 1.1.13.5 | kilenc és tizenkét hónap közötti időtartamra megterhelt összeg | ||||||||||||||||
| 364 | 1.1.13.6 | tizenkét hónapnál hosszabb időtartamra megterhelt összeg | ||||||||||||||||
| 366-410 | 1.1.14 | olyan kötvények, amelyek jogosultak a 129. cikk (4), illetve (5) bekezdésében foglalt eljárásra, és amelyek megfelelnek a CRR 416. cikke (2) bekezdésének a) pontjában foglalt feltételeknek | ||||||||||||||||
| 366 | 1.1.14.1 | meg nem terhelt összeg | ||||||||||||||||
| 370 | 1.1.14.2 | három hónapnál rövidebb időtartamra megterhelt összeg | ||||||||||||||||
| 380 | 1.1.14.3 | három és hat hónap közötti időtartamra megterhelt összeg | ||||||||||||||||
| 390 | 1.1.14.4 | hat és kilenc hónap közötti időtartamra megterhelt összeg | ||||||||||||||||
| 400 | 1.1.14.5 | kilenc és tizenkét hónap közötti időtartamra megterhelt összeg | ||||||||||||||||
| 410 | 1.1.14.6 | 12 hónapnál hosszabb időtartamra megterhelt összeg | ||||||||||||||||
| 420-470 | 1.1.15 | a 2009/65/EK irányelv 52. cikkének (4) bekezdésében meghatározottak szerinti, az 1.1.9 tételben említettektől eltérő kötvények | A CRR 416. cikke (2) bekezdése a) pontjának ii. alpontja | |||||||||||||||
| 420 | 1.1.15.1 | meg nem terhelt összeg | ||||||||||||||||
| 430 | 1.1.15.2 | három hónapnál rövidebb időtartamra megterhelt összeg | ||||||||||||||||
| 440 | 1.1.15.3 | három és hat hónap közötti időtartamra megterhelt összeg | ||||||||||||||||
| 450 | 1.1.15.4 | hat és kilenc hónap közötti időtartamra megterhelt összeg | ||||||||||||||||
| 460 | 1.1.15.5 | kilenc és tizenkét hónap közötti időtartamra megterhelt összeg | ||||||||||||||||
| 470 | 1.1.15.6 | tizenkét hónapnál hosszabb időtartamra megterhelt összeg | ||||||||||||||||
| 480-530 | 1.2 | a 122. cikk szerinti 1. hitelminőségi besorolásba tartozó, és az 1.1 tételben nem jelentett értékpapírok és pénzpiaci eszközök | A CRR 428. cikke (1) bekezdése b) pontjának i. alpontja | |||||||||||||||
| 480 | 1.2.1 | meg nem terhelt összeg | ||||||||||||||||
| 490 | 1.2.2 | három hónapnál rövidebb időtartamra megterhelt összeg | ||||||||||||||||
| 500 | 1.2.3 | három és hat hónap közötti időtartamra megterhelt összeg | ||||||||||||||||
| 510 | 1.2.4 | hat és kilenc hónap közötti időtartamra megterhelt összeg | ||||||||||||||||
| 520 | 1.2.5 | kilenc és tizenkét hónap közötti időtartamra megterhelt összeg | ||||||||||||||||
| 530 | 1.2.6 | tizenkét hónapnál hosszabb időtartamra megterhelt összeg | ||||||||||||||||
| 540-590 | 1.3 | a 122. cikk szerinti 2. hitelminőségi besorolásba tartozó, és az 1.1 tételben nem jelentett értékpapírok és pénzpiaci eszközök | A CRR 428. cikke (1) bekezdése b) pontjának ii. alpontja | |||||||||||||||
| 540 | 1.3.1 | meg nem terhelt összeg | ||||||||||||||||
| 550 | 1.3.2 | három hónapnál rövidebb időtartamra megterhelt összeg | ||||||||||||||||
| 560 | 1.3.3 | három és hat hónap közötti időtartamra megterhelt összeg | ||||||||||||||||
| 570 | 1.3.4 | hat és kilenc hónap közötti időtartamra megterhelt összeg | ||||||||||||||||
| 580 | 1.3.5 | kilenc és tizenkét hónap közötti időtartamra megterhelt összeg | ||||||||||||||||
| 590 | 1.3.6 | tizenkét hónapnál hosszabb időtartamra megterhelt összeg | ||||||||||||||||
| 600-650 | 1.4 | máshol nem jelentett, egyéb értékpapírok és pénzpiaci eszközök | A CRR 415. cikke (1) bekezdése b) pontjának iii. alpontja | |||||||||||||||
| 600 | 1.4.1 | meg nem terhelt összeg | ||||||||||||||||
| 610 | 1.4.2 | három hónapnál rövidebb időtartamra megterhelt összeg | ||||||||||||||||
| 620 | 1.4.3 | három és hat hónap közötti időtartamra megterhelt összeg | ||||||||||||||||
| 630 | 1.4.4 | hat és kilenc hónap közötti időtartamra megterhelt összeg | ||||||||||||||||
| 640 | 1.4.5 | kilenc és tizenkét hónap közötti időtartamra megterhelt összeg | ||||||||||||||||
| 650 | 1.4.6 | tizenkét hónapnál hosszabb időtartamra megterhelt összeg | ||||||||||||||||
| 660-710 | 1.5 | nem pénzügyi vállalatok elismert tőzsdén jegyzett, annak valamely fő indexében szereplő, tulajdonviszonyt megtestesítő értékpapírjai | A CRR 428. cikke (1) bekezdésének c) pontja | |||||||||||||||
| 660 | 1.5.1 | meg nem terhelt összeg | ||||||||||||||||
| 670 | 1.5.2 | három hónapnál rövidebb időtartamra megterhelt összeg | ||||||||||||||||
| 680 | 1.5.3 | három és hat hónap közötti időtartamra megterhelt összeg | ||||||||||||||||
| 690 | 1.5.4 | hat és kilenc hónap közötti időtartamra megterhelt összeg | ||||||||||||||||
| 700 | 1.5.5 | kilenc és tizenkét hónap közötti időtartamra megterhelt összeg | ||||||||||||||||
| 710 | 1.5.6 | tizenkét hónapnál hosszabb időtartamra megterhelt összeg | ||||||||||||||||
| 720-770 | 1.6 | egyéb, tulajdonviszonyt megtestesítő értékpapírok | A CRR 428. cikke (1) bekezdésének d) pontja | |||||||||||||||
| 720 | 1.6.1 | meg nem terhelt összeg | ||||||||||||||||
| 730 | 1.6.2 | három hónapnál rövidebb időtartamra megterhelt összeg | ||||||||||||||||
| 740 | 1.6.3 | három és hat hónap közötti időtartamra megterhelt összeg | ||||||||||||||||
| 750 | 1.6.4 | hat és kilenc hónap közötti időtartamra megterhelt összeg | ||||||||||||||||
| 760 | 1.6.5 | kilenc és tizenkét hónap közötti időtartamra megterhelt összeg | ||||||||||||||||
| 770 | 1.6.6 | tizenkét hónapnál hosszabb időtartamra megterhelt összeg | ||||||||||||||||
| 780-830 | 1.7 | arany | A CRR 428. cikke (1) bekezdésének e) pontja | |||||||||||||||
| 780 | 1.7.1 | meg nem terhelt összeg | ||||||||||||||||
| 790 | 1.7.2 | három hónapnál rövidebb időtartamra megterhelt összeg | ||||||||||||||||
| 800 | 1.7.3 | három és hat hónap közötti időtartamra megterhelt összeg | ||||||||||||||||
| 810 | 1.7.4 | hat és kilenc hónap közötti időtartamra megterhelt összeg | ||||||||||||||||
| 820 | 1.7.5 | kilenc és tizenkét hónap közötti időtartamra megterhelt összeg | ||||||||||||||||
| 830 | 1.7.6 | tizenkét hónapnál hosszabb időtartamra megterhelt összeg | ||||||||||||||||
| 840-890 | 1.8 | egyéb nemesfémek | A CRR 428. cikke (1) bekezdésének f) pontja | |||||||||||||||
| 840 | 1.8.1 | meg nem terhelt összeg | ||||||||||||||||
| 850 | 1.8.2 | három hónapnál rövidebb időtartamra megterhelt összeg | ||||||||||||||||
| 860 | 1.8.3 | három és hat hónap közötti időtartamra megterhelt összeg | ||||||||||||||||
| 870 | 1.8.4 | hat és kilenc hónap közötti időtartamra megterhelt összeg | ||||||||||||||||
| 880 | 1.8.5 | kilenc és tizenkét hónap közötti időtartamra megterhelt összeg | ||||||||||||||||
| 890 | 1.8.6 | tizenkét hónapnál hosszabb időtartamra megterhelt összeg | ||||||||||||||||
| Teljes összeg | ||||||||||||||||||
| 900-1250 | 1.9 | nem megújítható kölcsönök és követelések | A CRR 428. cikke (1) bekezdésének g) pontja | |||||||||||||||
| 900-950 | 1.9.1 | a hitelfelvevők egyéni vállalkozónak nem minősülő és társas vállalkozásban nem részt vevő természetes személyek | A CRR 428. cikke (1) bekezdése g) pontjának i. alpontja | |||||||||||||||
| 900 | 1.9.1.1 | meg nem terhelt összeg | ||||||||||||||||
| 910 | 1.9.1.2 | három hónapnál rövidebb időtartamra megterhelt összeg | ||||||||||||||||
| 920 | 1.9.1.3 | három és hat hónap közötti időtartamra megterhelt összeg | ||||||||||||||||
| 930 | 1.9.1.4 | hat és kilenc hónap közötti időtartamra megterhelt összeg | ||||||||||||||||
| 940 | 1.9.1.5 | kilenc és tizenkét hónap közötti időtartamra megterhelt összeg | ||||||||||||||||
| 950 | 1.9.1.6 | tizenkét hónapnál hosszabb időtartamra megterhelt összeg | ||||||||||||||||
| 960-1010 | 1.9.2 | a hitelfelvevők olyan kkv-k, amelyek a hitelkockázatra alkalmazandó sztenderd vagy IRB-módszer szerint lakossággal szembeni kitettségek osztályába tartozónak minősülnek vagy olyan vállalat, amely jogosult a 153. cikk (4) bekezdésében meghatározott kezelésre, és amennyiben az ezen ügyfél vagy egymással kapcsolatban álló ügyfelek csoportja által elhelyezett betétek aggregált összege nem haladja meg az 1 millió EUR-t | A CRR 428. cikke (1) bekezdése g) pontjának ii. alpontja | |||||||||||||||
| 960 | 1.9.2.1 | meg nem terhelt összeg | ||||||||||||||||
| 970 | 1.9.2.2 | három hónapnál rövidebb időtartamra megterhelt összeg | ||||||||||||||||
| 980 | 1.9.2.3 | három és hat hónap közötti időtartamra megterhelt összeg | ||||||||||||||||
| 990 | 1.9.2.4 | hat és kilenc hónap közötti időtartamra megterhelt összeg | ||||||||||||||||
| 1000 | 1.9.2.5 | kilenc és tizenkét hónap közötti időtartamra megterhelt összeg | ||||||||||||||||
| 1010 | 1.9.2.6 | tizenkét hónapnál hosszabb időtartamra megterhelt összeg | ||||||||||||||||
| 1020-1070 | 1.9.3 | a hitelfelvevők kormányzatok, központi bankok és közszektorbeli intézmények | A CRR 428. cikke (1) bekezdése g) pontjának iii. alpontja | |||||||||||||||
| 1020 | 1.9.3.1 | meg nem terhelt összeg | ||||||||||||||||
| 1030 | 1.9.3.2 | három hónapnál rövidebb időtartamra megterhelt összeg | ||||||||||||||||
| 1040 | 1.9.3.3 | három és hat hónap közötti időtartamra megterhelt összeg | ||||||||||||||||
| 1050 | 1.9.3.4 | hat és kilenc hónap közötti időtartamra megterhelt összeg | ||||||||||||||||
| 1060 | 1.9.3.5 | kilenc és tizenkét hónap közötti időtartamra megterhelt összeg | ||||||||||||||||
| 1070 | 1.9.3.6 | tizenkét hónapnál hosszabb időtartamra megterhelt összeg | ||||||||||||||||
| 1080-1130 | 1.9.4 | az 1.9.1, 1.9.2 vagy 1.9.3 tételben nem jelentett hitelfelvevők, a pénzügyi ügyfelek kivételével | A CRR 428. cikke (1) bekezdése g) pontjának iv. alpontja | |||||||||||||||
| 1080 | 1.9.4.1 | meg nem terhelt összeg | ||||||||||||||||
| 1090 | 1.9.4.2 | három hónapnál rövidebb időtartamra megterhelt összeg | ||||||||||||||||
| 1100 | 1.9.4.3 | három és hat hónap közötti időtartamra megterhelt összeg | ||||||||||||||||
| 1110 | 1.9.4.4 | hat és kilenc hónap közötti időtartamra megterhelt összeg | ||||||||||||||||
| 1120 | 1.9.4.5 | kilenc és tizenkét hónap közötti időtartamra megterhelt összeg | ||||||||||||||||
| 1130 | 1.9.4.6 | tizenkét hónapnál hosszabb időtartamra megterhelt összeg | ||||||||||||||||
| 1140-1190 | 1.9.5 | a hitelfelvevők hitelintézetek | A CRR 428. cikke (1) bekezdésének g) pontjának vi. alpontja | |||||||||||||||
| 1140 | 1.9.5.1 | meg nem terhelt összeg | ||||||||||||||||
| 1150 | 1.9.5.2 | három hónapnál rövidebb időtartamra megterhelt összeg | ||||||||||||||||
| 1160 | 1.9.5.3 | három és hat hónap közötti időtartamra megterhelt összeg | ||||||||||||||||
| 1170 | 1.9.5.4 | hat és kilenc hónap közötti időtartamra megterhelt összeg | ||||||||||||||||
| 1180 | 1.9.5.5 | kilenc és tizenkét hónap közötti időtartamra megterhelt összeg | ||||||||||||||||
| 1190 | 1.9.5.6 | tizenkét hónapnál hosszabb időtartamra megterhelt összeg | ||||||||||||||||
| 1200-1250 | 1.9.6 | a hitelfelvevők az 1.9.1, 1.9.2 vagy 1.9.3 tételben nem jelentett pénzügyi ügyfelek, a hitelintézetek kivételével | A CRR 428. cikke (1) bekezdésének g) pontjának vi. alpontja | |||||||||||||||
| 1200 | 1.9.6.1 | meg nem terhelt összeg | ||||||||||||||||
| 1210 | 1.9.6.2 | három hónapnál rövidebb időtartamra megterhelt összeg | ||||||||||||||||
| 1220 | 1.9.6.3 | három és hat hónap közötti időtartamra megterhelt összeg | ||||||||||||||||
| 1230 | 1.9.6.4 | hat és kilenc hónap közötti időtartamra megterhelt összeg | ||||||||||||||||
| 1240 | 1.9.6.5 | kilenc és tizenkét hónap közötti időtartamra megterhelt összeg | ||||||||||||||||
| 1250 | 1.9.6.6 | tizenkét hónapnál hosszabb időtartamra megterhelt összeg | ||||||||||||||||
| 1260-1280 | 1.10 | az 1.9 tételben jelentett, ingatlannal fedezett, nem megújítható kölcsönök és követelések | A CRR 428. cikke (1) bekezdésének h) pontja | |||||||||||||||
| 1260 | 1.10.1 | kereskedelmi ingatlannal fedezett | A CRR 428. cikke (1) bekezdésének h) pontjának i. alpontja | |||||||||||||||
| 1270 | 1.10.2 | lakóingatlannal fedezett | A CRR 428. cikke (1) bekezdésének h) pontjának ii. alpontja | |||||||||||||||
| 1280 | 1.10.3 | olyan kötvény kibocsátásával fedezett (közvetítő finanszírozás), amely jogosult a 129. cikk (4) vagy (5) bekezdésében foglalt eljárás szerinti kezelésre, vagy a 2009/65/EK irányelv 52. cikkének (4) bekezdésében meghatározott kötvénnyel fedezett | A CRR 428. cikke (1) bekezdésének h) pontjának iii. alpontja | |||||||||||||||
| 1290 | 1.11 | származtatott ügyletből eredő követelések | A CRR 428. cikke (1) bekezdésének i) pontja | |||||||||||||||
| 1300 | 1.12 | egyéb eszközök | A CRR 428. cikke (1) bekezdésének j) pontja | |||||||||||||||
| 1310 | 1.13 | stabil forrásellátást nem igénylő, a szavatoló tőkéből levont eszközök | A CRR 428. cikkének (1) bekezdése | |||||||||||||||
| 1320 | 1.14 | olyan le nem hívott, folyósítási kötelezettséggel járó hitelkeretek, amelyek az I. melléklet értelmében a közepes, illetve a közepes/alacsony kockázati kategóriába tartoznak | A CRR 428. cikke (1) bekezdésének k) pontja | |||||||||||||||
C 61.00 - STABIL FORRÁSELLÁTOTTSÁG - STABIL FORRÁSELLÁTOTTSÁGOT BIZTOSÍTÓ TÉTELEK
| Összeg | ||||||||
| három hónapon belül | három és 6 hónap között | 6 és 9 hónap között | 9 és 12 hónap között | tizenkét hónapon túl | ||||
| Sor | AZONOSÍTÓ | Tétel | Jogszabályi hivatkozások | 010 | 020 | 030 | 040 | 050 | 
| 010-260 | 1 | STABIL FORRÁSELLÁTOTTSÁGOT BIZTOSÍTÓ TÉTELEK | ||||||
| 010-030 | 1.1 | szavatoló tőke, adott esetben a levonást követően | A CRR 427. cikke (1) bekezdésének a) pontja | |||||
| 010 | 1.1.1 | alapvető tőkeinstrumentumok | A CRR 427. cikke (1) bekezdése a) pontjának i. alpontja | |||||
| 020 | 1.1.2 | járulékos tőkeinstrumentumok | A CRR 427. cikke (1) bekezdése a) pontjának ii. alpontja | |||||
| 030 | 1.1.3* | Tájékoztató adat: figyelembe nem vehető tőkeinstrumentumok és alárendelt kölcsönök, legalább egyéves tényleges futamidővel | A CRR 427. cikke (1) bekezdése a) pontjának iii. alpontja | |||||
| 040-260 | 1.2 | kötelezettségek a szavatoló tőke kivételével | A CRR 427. cikke (1) bekezdésének b) pontja | |||||
| 040-060 | 1.2.1 | lakossági betétek: | A CRR 427. cikke (1) bekezdése b) pontjának i–ii. alpontja | |||||
| 040 | 1.2.1.1 | a 411. cikk (2) bekezdésében meghatározottak szerint, amelyekre alkalmazható a 421. cikk (1) bekezdésében meghatározott eljárás | A CRR 427. cikke (1) bekezdése b) pontjának i. alpontja | |||||
| 050 | 1.2.1.2 | a 411. cikk (2) bekezdésében meghatározottak szerint, amelyekre alkalmazható a 421. cikk (2) bekezdésében meghatározott eljárás | A CRR 427. cikke (1) bekezdése b) pontjának ii. alpontja | |||||
| 060 | 1.2.1.3 | a 421. cikk (1) vagy (2) bekezdésében meghatározottnál nagyobb kiáramlások | ||||||
| 070-130 | 1.2.2 | nem pénzügyi ügyfelekkel szemben fennálló kötelezettségek | A CRR 427. cikke (1) bekezdése b) pontjának vii. alpontja | |||||
| 070-090 | 1.2.2.1 | a fedezett kölcsönügyletekből és tőkepiac-vezérelt ügyletekből eredő kötelezettségek | A CRR 427. cikke (1) bekezdése b) pontjának ix. alpontja | |||||
| 070 | 1.2.2.1.1 | rendkívül magas likviditású és hitelminőségű eszközökkel fedezett | A CRR 427. cikke (1) bekezdése b) pontjának ix. alpontja | |||||
| 080 | 1.2.2.1.2 | magas likviditású és hitelminőségű eszközökkel fedezett | A CRR 427. cikke (1) bekezdése b) pontjának ix. alpontja | |||||
| 090 | 1.2.2.1.3 | bármely más eszközzel fedezett | A CRR 427. cikke (1) bekezdése b) pontjának ix. alpontja | |||||
| 100 | 1.2.2.2 | a fedezetlen kölcsönügyletekből eredő kötelezettségek | A CRR 427. cikke (1) bekezdése b) pontjának vii. alpontja | |||||
| 110-130 | 1.2.2.3 | azon kötelezettségek, amelyekre alkalmazható a 422. cikk (3) és (4) bekezdésében meghatározott eljárás | A CRR 427. cikke (1) bekezdése b) pontjának iii. alpontja | |||||
| 110 | 1.2.2.3.1 | az 1.2.2.3 tételben jelentett azon kötelezettségek, amelyek a 94/19/EK irányelv szerinti betétbiztosítási rendszer vagy harmadik ország azzal egyenértékű betétbiztosítási rendszere szerint fedezettek | A CRR 427. cikke (1) bekezdése b) pontjának iv. alpontja | |||||
| 120 | 1.2.2.3.2 | az 1.2.2.3 tételben jelentett kötelezettségek közül azok, amelyek a 422. cikk (3) bekezdésének b) pontja alá tartoznak | A CRR 427. cikke (1) bekezdése b) pontjának v. alpontja | |||||
| 130 | 1.2.2.3.3 | az 1.2.2.3 tételben jelentett kötelezettségek közül azok, amelyek a 422. cikk (3) bekezdésének d) pontja alá tartoznak | A CRR 427. cikke (1) bekezdése b) pontjának vi. alpontja | |||||
| 140-200 | 1.2.3 | a pénzügyi ügyfelekkel szemben fennálló kötelezettségek | A CRR 427. cikke (1) bekezdése b) pontjának vii. alpontja | |||||
| 140-160 | 1.2.3.1 | a fedezett kölcsönügyletekből és tőkepiac-vezérelt ügyletekből eredő kötelezettségek | A CRR 414. cikke (1) bekezdése b) pontjának viii. alpontja | |||||
| 140 | 1.2.3.1.1 | rendkívül magas likviditású és hitelminőségű eszközökkel fedezett | A CRR 414. cikke (1) bekezdése b) pontjának viii. alpontja | |||||
| 150 | 1.2.3.1.2 | magas likviditású és hitelminőségű eszközökkel fedezett | A CRR 414. cikke (1) bekezdése b) pontjának viii. alpontja | |||||
| 160 | 1.2.3.1.3 | bármely más eszközzel fedezett | A CRR 414. cikke (1) bekezdése b) pontjának viii. alpontja | |||||
| 170 | 1.2.3.2 | a fedezetlen kölcsönügyletekből eredő kötelezettségek | A CRR 414. cikke (1) bekezdése b) pontjának vi. alpontja | |||||
| 180-200 | 1.2.3.3 | azon kötelezettségek, amelyekre alkalmazható a 422. cikk (3) és (4) bekezdésében meghatározott eljárás | A CRR 414. cikke (1) bekezdése b) pontjának iii. alpontja | |||||
| 180 | 1.2.3.3.1 | az 1.2.3.2.1 tételben jelentett azon kötelezettségek, amelyek a 94/19/EK irányelv szerinti betétbiztosítási rendszer vagy harmadik ország azzal egyenértékű betétbiztosítási rendszere szerint fedezettek | A CRR 414. cikke (1) bekezdése b) pontjának iv. alpontja | |||||
| 190 | 1.2.3.3.2 | az 1.2.3.2.1 tételben jelentett kötelezettségek közül azok, amelyek a 422. cikk (3) bekezdésének b) pontja alá tartoznak | A CRR 427. cikke (1) bekezdése b) pontjának v. alpontja | |||||
| 200 | 1.2.3.3.3 | az 1.2.3.2.1 tételben jelentett kötelezettségek közül azok, amelyek a 422. cikk (3) bekezdésének d) pontja alá tartoznak | A CRR 427. cikke (1) bekezdése b) pontjának vi. alpontja | |||||
| 210 | 1.2.4 | az azon kibocsátott értékpapírokból eredő kötelezettségek, amelyekre alkalmazható a 129. cikk (4) vagy (5) bekezdése szerinti eljárás | A CRR 427. cikke (1) bekezdése b) pontjának x. alpontja | |||||
| 220 | 1.2.5 | a 2009/65/EK irányelv 52. cikkének (4) bekezdésében meghatározott értékpapírokból eredő kötelezettségek | A CRR 427. cikke (1) bekezdése b) pontjának x. alpontja | |||||
| 230 | 1.2.6 | kibocsátott értékpapírokból eredő egyéb kötelezettségek | A CRR 427. cikke (1) bekezdése b) pontjának xi. alpontja | |||||
| 240 | 1.2.7 | a származtatott ügyletekből eredő várható tartozásokból eredő kötelezettségek | ||||||
| 250 | 1.2.8 | minden egyéb kötelezettség | A CRR 427. cikke (1) bekezdése b) pontjának xii. alpontja | |||||
XIII. MELLÉKLET
LIKVIDITÁSRA VONATKOZÓ ADATSZOLGÁLTATÁS (1/5. RÉSZ: LIKVID ESZKÖZÖK)
1. Likvid eszközök
1.1. Általános megjegyzések
1. Ez egy olyan összefoglaló tábla, amely az 575/2013/EU RENDELET (továbbiakban: CRR) 412. cikkében meghatározott likviditásfedezeti követelmények nyomonkövetésének céljára az eszközökre vonatkozó információkat tartalmazza. Szürke szín jelzi azokat a tételeket, amelyeket az intézményeknek nem kell kitölteniük.
2. Az eszközöket a tábla hat szakaszának egyikében kell jelenteni:
3. A CRR 416. és 417. cikkek követelményeinek megfelelő eszközök: azon, a CRR-ben adatszolgáltatási célból likvid eszközként azonosított eszközök, amelyek megfelelnek a likvid eszközök állományaira vonatkozó operatív követelményeknek.
4. A CRR 416. cikke (1) bekezdésének b) és d) pontja követelményeinek megfelelő, de a 417. cikke b) és c) pontja követelményeinek meg nem felelő eszközök.
5. A likvid eszközökre vonatkozó kiegészítő adatszolgáltatás tárgyát képező tételek a CRR III. melléklete szerint.
6. A CRR 416. cikke követelményeinek meg nem felelő, de a 417. cikke b) és c) pontja követelményeinek megfelelő eszközök.
7. Az adott pénznemben szükséges likvid eszközök hiányának kezelése
8. A saría-kompatibilis eszközöknek a CRR 509. cikk (2) bekezdésének i) pontja szerinti alternatív eszközként való jelentése.
1.2. Külön megjegyzések
9. Az 1.1-1.2 tételek esetében az intézményeknek a 030-as oszlopban kell a megfelelő összegeket jelenteniük.
10. Az 1.3-1.4 tételek esetében az intézményeknek a 010-es oszlopban kell jelenteniük az eszközök piaci értékét, a 020-as oszlopban pedig a CRR 418. cikk szerinti értéket valamennyi eszközkategória tekintetében.
11. Az 1.5 tétel esetében az intézményeknek a 040-es oszlopban kell a megfelelő le nem hívott összeget jelenteniük.
12. Az 1.6.1/1.6.2 tétel esetében az intézményeknek a 030/040-es oszlopban kell a megfelelő összegeket jelenteniük.
13. Az 1.7-2.2 tételek esetében a CRR 416. cikke (1) bekezdése utolsó albekezdésének megfelelően és mindaddig, míg nem áll rendelkezésre a CRR 460. cikk szerinti egységes meghatározás a magas és rendkívül magas likviditás és hitelminőség fogalmára, az intézmények maguk határozzák meg, hogy egy adott pénznemben melyek a magas vagy rendkívül magas likviditású és hitelminőségű átruházható eszközök, és piaci értéküket a 010-es és 030-as, a CRR 418. cikk szerinti értéküket pedig a 020-as és 040-es oszlopban jelentik.
14. Az 1.3-1.4 és az 1.7-1.14 tételek esetében az intézmények csak azokat az eszközöket jelentik, amelyek megfelelnek a CRR 417. cikkében említett operatív követelményeknek.
15. A 2.1-2.2 tételek esetében az intézmények azokat az eszközöket jelentik, amelyeket egyébként az 1.1.-1.14. szakaszban kellene jelenteni, de nem felelnek meg a CRR 417. cikkének b) és c) pontjában említett operatív követelményeknek.
16. Az 1.1-2.2 tételek esetében - az 1.5 tétel kivételével - az intézmények csak azokat az eszközöket jelentik, amelyek a CRR 416. cikkének (3) bekezdésében említett összes követelménynek megfelelnek.
17. A 3.1-3.12 tételek esetében az intézmények csak a likvid eszközökre vonatkozó kiegészítő adatszolgáltatás tárgyát képező tételeket jelentik a CRR III. melléklete szerint. A 3.1, 3.2 és 3.9 szakaszban említettek kivételével valamennyi tételnek meg kell felelnie az említett melléklet utolsó pontjában meghatározott követelményeknek.
18. A 4.1-4.12.3 tételek esetében az intézmények csak azokat az eszközöket jelentik, amelyek nem felelnek meg a CRR 416. cikke követelményeinek, de továbbra is megfelelnek a CRR 417. cikke b) és c) pontja követelményeinek.
19. Az 5.1-5.2 tételek esetében az intézmények csak azokat az eszközöket jelentik, amelyek a CRR 419. cikkének (2) bekezdésében említett eltéréseknek megfelelnek azon pénznemek tekintetében, amelyekre a likvid eszközök rendelkezésre állása tekintetében korlátozások vonatkoznak.
20. A 6.1-6.1.3 tételek esetében csak a saría-kompatibilis bankok jelentik a saría-kompatibilis pénzügyi terméknek minősülő tételeket azon eszközök alternatívájaként, amelyek a CRR 416. cikke alkalmazásában likvid eszköznek minősülnének.
21. A tábla valamennyi tételében a likvid eszközök értéke - az 1.1-1.2.1, az 1.5-1.6.2, a 3.1-3.2, a 3.9-3.10 és az 5.2 tételek kivételével - a piaci érték, illetve a megfelelő korrekciós tényezők alkalmazása utáni érték. Az 1.1-1.2.1, az 1.6-1.6.2, a 3.1-3.2, a 3.10 és az 5.2 tételek esetében a tétel összegét kell jelenteni. Az 1.5 és a 3.9 tételek esetében a le nem hívott összeget kell jelenteni.
Likvid eszközökre vonatkozó rész-tábla
1.2.1. A tábla egyes részeire vonatkozó előírások
| Sor | Jogszabályi hivatkozások és útmutatók | 
| 010-390 | 1.  A CRR 416. ÉS 417. CIKKE KÖVETELMÉNYEINEK MEGFELELŐ ESZKÖZÖK Az ebben a szakaszban jelentett eszközöket kifejezetten a potenciálisan magas és rendkívül magas likviditású és hitelminőségű eszközökként azonosították. | 
| 010 | 1.1  Készpénz A CRR 416. cikke (1) bekezdésének a) pontja A készpénz teljes összege, beleértve az érméket és bankjegyeket/devizát. Megjegyzés: a más intézményeknél tartott készpénzbetéteket nem itt kell jelenteni, hanem az 1.3 „Beáramlások” tábla fedezet kategóriájában, ha azok a következő 30 napban esedékes pénzösszegnek minősülnek. | 
| 020 | 1.2  Központi bankokkal szembeni kitettségek A CRR 416. cikke (1) bekezdésének a) pontja A központi bankokkal szembeni kitettségek teljes összege. | 
| 030 | 1.2.1  A stresszhelyzetben lehívható kitettségek A CRR 416. cikke (1) bekezdésének a) pontja | 
| 040-110 | 1.3  Más átruházható eszközök, amelyek a következőkkel szembeni vagy általuk garantált követeléseket testesítenek meg A CRR 416. cikke (1) bekezdésének c) pontja | 
| 040-050 | 1.3.1  Egy tagállam központi kormányzatával, adók kivetésére és beszedésére jogosult, adóügyi szempontból önálló régió regionális kormányzatával vagy harmadik ország központi kormányzatával szembeni, vagy általuk garantált követeléseket megtestesítő, – a központi vagy regionális kormányzat hazai pénznemében kibocsátott – átruházható eszközök, amennyiben az intézmény az adott tagállamban vagy harmadik országban likviditási kockázatot vállal és ezt e likvid eszközök tartásával fedezi A CRR 416. cikke (1) bekezdése c) pontjának i. alpontja | 
| 040 | 1.3.1.1  követeléseket megtestesítő Az 1.3.1 tételben meghatározott eszközök, amelyek a fenti ügyfelekkel szemben fennálló követeléseket testesítenek meg, a CRR 416. cikke (1) bekezdése c) pontjának i. alpontja szerint | 
| 050 | 1.3.1.2  általuk garantált Az 1.3.1 tételben meghatározott eszközök, amelyeket a fenti ügyfelek garantálnak, a CRR 416. cikke (1) bekezdése c) pontjának i. alpontja szerint | 
| 060-070 | 1.3.2  Központi bankokkal és nem központi kormányzati közszektorbeli intézményekkel szembeni vagy általuk garantált követeléseket megtestesítő, – a központi bank és a közszektorbeli intézmény pénznemében – kibocsátott átruházható eszközök A CRR 416. cikke (1) bekezdése c) pontjának ii. alpontja | 
| 060 | 1.3.2.1  követeléseket megtestesítő Az 1.3.2 tételben meghatározott eszközök, amelyek a fenti ügyfelekkel szemben fennálló követeléseket testesítenek meg, a CRR 416. cikke (1) bekezdése c) pontjának ii. alpontja szerint | 
| 070 | 1.3.2.2  általuk garantált Az 1.3.2 tételben meghatározott eszközök, amelyeket a fenti ügyfelek garantálnak, a CRR 416. cikke (1) bekezdése c) pontjának ii. alpontja szerint | 
| 080-090 | 1.3.3  A Nemzetközi Fizetések Bankjával, a Nemzetközi Valutaalappal, a Bizottsággal és multilaterális fejlesztési bankokkal szembeni vagy általuk garantált követeléseket megtestesítő átruházható eszközök A CRR 416. cikke (1) bekezdése c) pontjának iii. alpontja | 
| 080 | 1.3.3.1  követeléseket megtestesítő Az 1.3.3 tételben meghatározott eszközök, amelyek a fenti ügyfelekkel szemben fennálló követeléseket testesítenek meg, a CRR 416. cikke (1) bekezdése c) pontjának iii. alpontja szerint | 
| 090 | 1.3.3.2  általuk garantált Az 1.3.3 tételben meghatározott eszközök, amelyeket a fenti ügyfelek garantálnak, a CRR 416. cikke (1) bekezdése c) pontjának iii. alpontja szerint | 
| 100-110 | 1.3.4  Az Európai Pénzügyi Stabilitási Eszközzel és az Európai Stabilitási Mechanizmussal szembeni vagy általuk garantált követeléseket megtestesítő átruházható eszközök A CRR 416. cikke (1) bekezdése c) pontjának iv. alpontja | 
| 100 | 1.3.4.1  követeléseket megtestesítő Az 1.3.4 tételben meghatározott eszközök, amelyek a fenti ügyfelekkel szemben fennálló követeléseket testesítenek meg, a CRR 416. cikke (1) bekezdése c) pontjának iv. alpontja szerint | 
| 110 | 1.3.4.2  általuk garantált Az 1.3.4 tételben meghatározott eszközök, amelyeket a fenti ügyfelek garantálnak, a CRR 416. cikke (1) bekezdése c) pontjának iv. alpontja szerint | 
| 120-140 | 1.4  A 416. cikk (1) bekezdésében meghatározott alapul szolgáló eszközökkel rendelkező kollektív befektetési formák összes részvénye vagy befektetési jegye A CRR 416. cikkének (6) bekezdése | 
| 120 | 1.4.1 a CRR 416. cikke (1) bekezdésének a) pontja szerinti alapul szolgáló eszközök | 
| 130 | 1.4.2 a CRR 416. cikke (1) bekezdésének b) és c) pontja szerinti alapul szolgáló eszközök | 
| 140 | 1.4.3 a CRR 416. cikke (1) bekezdésének d) pontja szerinti alapul szolgáló eszközök | 
| 150 | 1.5  Központi bankok által a monetáris politika keretében nyújtott készenléti hitelkeretek, amennyiben ezeket a hitelkereteket nem fedezik likvid eszközök, a rendkívüli likviditási segítségnyújtás kivételével A CRR 416. cikke (1) bekezdésének e) pontja | 
| 160-170 | 1.6  A központi hitelintézetnél elhelyezett betétek, illetve egyéb, a központi hitelintézet vagy a CRR 113. cikke (7) bekezdésében említett hálózat tagjának számító vagy a CRR 10. cikkében meghatározott mentesítésre jogosult intézmények által az alapszabály értelmében vagy szerződéses alapon biztosított likvid finanszírozás, amennyiben ezt a finanszírozást nem fedezik likvid eszközök A CRR 416. cikke (1) bekezdésének f) pontja ha a hitelintézet a jogszabályi vagy alapszabályi rendelkezéseknek megfelelően hálózati kapcsolatban áll, a központi hitelintézetnél elhelyezett betétek, melyek minimális szintje jogszabályban vagy alapszabályban meghatározott, és egyéb, a központi hitelintézet által az alapszabály értelmében vagy szerződéses alapon biztosított likvid forrás | 
| 160 | 1.6.1 Betétek | 
| 170 | 1.6.2 Szerződéses alapon biztosított finanszírozás | 
| 180 | 1.7  Valamely tagállam központi vagy regionális kormányzata által alapított hitelintézetek által kibocsátott eszközök A CRR 416. cikke (2) bekezdése a) pontjának iii. alpontja | 
| 190-210 | 1.8  Nem pénzügyi vállalat által kibocsátott kötvények A CRR 416. cikke (1) bekezdésének b) vagy d) pontja A nem pénzügyi vállalati kötvényeket a CRR 122. cikke szerinti hitelminőségük szerint kell jelenteni. | 
| 190 | 1.8.1 1. hitelminőségi besorolás | 
| 200 | 1.8.2 2. hitelminőségi besorolás | 
| 210 | 1.8.3 3. hitelminőségi besorolás | 
| 220-240 | 1.9  A CRR 129. cikkének (4) vagy (5) bekezdése szerinti eljárásra jogosult hitelintézet által kibocsátott kötvények A CRR 416. cikke (2) bekezdése a) pontjának i. alpontja A CRR 129. cikkének (4) vagy (5) bekezdése szerinti eljárásra jogosult kötvényeket a CRR 129. cikkének (4) vagy (5) bekezdése szerinti hitelminőségük szerint kell jelenteni. | 
| 220 | 1.9.1 1. hitelminőségi besorolás | 
| 230 | 1.9.2 2. hitelminőségi besorolás | 
| 240 | 1.9.3 3. hitelminőségi besorolás | 
| 250-270 | 1.10  Hitelintézet által kibocsátott, eszközzel fedezett instrumentumok, amelyek az EBH által a CRR 509. cikkének (3), (4) és (5) bekezdésében foglalt kritériumok alapján meghatározott minősítés szerint bizonyítottan a legmagasabb hitelminősítési kategóriába tartoznak A CRR 416. cikke (2) bekezdése a) pontjának i. alpontja Ezeket a tételeket a CRR 5. fejezetének 2. címe és 123., 124., 125. és 126. cikkek szerinti hitelminőségük szerint kell jelenteni. | 
| 250 | 1.10.1 1. hitelminőségi besorolás | 
| 260 | 1.10.2 2. hitelminőségi besorolás | 
| 270 | 1.10.3 3. hitelminőségi besorolás | 
| 280-300 | 1.11  A 1.10.1, 1.10.2, 1.10.3 sorokban jelentett eszközök lakóingatlanra bejegyzett zálogjoggal fedezett eszközei A CRR 416. cikke (2) bekezdése a) pontjának i. alpontja Ezeket a tételeket a CRR 5. fejezete 2. címe és 123., 124., 125. és 126. cikke szerinti hitelminőségük szerint kell jelenteni. | 
| 280 | 1.11.1 1. hitelminőségi besorolás | 
| 290 | 1.11.2 2. hitelminőségi besorolás | 
| 300 | 1.11.3 3. hitelminőségi besorolás | 
| 310-330 | 1.12  A 2009/65/EK irányelv 52. cikkének (4) bekezdésében meghatározottak szerinti, az 1.9 tételben említettektől eltérő kötvények A CRR 416. cikke (2) bekezdése a) pontjának ii. alpontja Ezeket a tételeket a CRR 129. cikkének (4) vagy (5) bekezdése szerinti hitelminőségük szerint kell jelenteni. | 
| 310 | 1.12.1 1. hitelminőségi besorolás | 
| 320 | 1.12.2 2. hitelminőségi besorolás | 
| 330 | 1.12.3 3. hitelminőségi besorolás | 
| 340-360 | 1.13  Egyéb rendkívül magas likviditású és hitelminőségű átruházható eszközök a CRR 416. cikke (1) bekezdésének b) pontja Ezeket a tételeket a CRR harmadik része II. címének 2. fejezete szerinti hitelminőségük szerint kell jelenteni. Itt csak a fenti sorokban nem szereplő tételeket kell jelenteni. | 
| 340 | 1.13.1 1. hitelminőségi besorolás | 
| 350 | 1.13.2 2. hitelminőségi besorolás | 
| 360 | 1.13.3 3. hitelminőségi besorolás | 
| 1.14  Egyéb magas likviditású és hitelminőségű átruházható eszközök A CRR 416. cikke (1) bekezdésének d) pontja Ezeket a tételeket a CRR harmadik része II. címének 2. fejezete szerinti hitelminőségük szerint kell jelenteni. Itt csak a fenti sorokban nem szereplő tételeket kell jelenteni. | |
| 370 | 1.14.1 1. hitelminőségi besorolás | 
| 380 | 1.14.2 2. hitelminőségi besorolás | 
| 390 | 1.14.3 3. hitelminőségi besorolás | 
| 400-410 | 2.  A CRR 416. CIKKE (1) BEKEZDÉSÉNEK b) ÉS d) PONTJA KÖVETELMÉNYEINEK MEGFELELŐ, DE A CRR 417. CIKKE b) ÉS c) PONTJA KÖVETELMÉNYEINEK MEG NEM FELELŐ ESZKÖZÖK A tételeket csak az alábbi alkategóriák egyikében kell jelenteni, abban az esetben is, ha egyik rendelkezés sem teljesül. | 
| 400 | 2.1  Likviditáskezelési funkció révén nem ellenőrzött eszközök A CRR 417. cikkének c) pontja | 
| 410 | 2.2  Azonnali ügylet vagy egyszerű repomegállapodás keretében, elfogadott repopiacon értékesíthető eszközök, melyek jogi és gyakorlati szempontból a következő 30 napban nem állnak bármikor rendelkezésre A CRR 417. cikkének b) pontja | 
| 420-610 | 3.  A likvid eszközökre vonatkozó kiegészítő adatszolgáltatás tárgyát képező tételek Az intézmények csak a likvid eszközökre vonatkozó kiegészítő adatszolgáltatás tárgyát képező tételeket jelentik a CRR III. melléklete szerint. A 3.1, 3.2 és 3.9 szakaszban említettek kivételével valamennyi tételnek meg kell felelnie az említett melléklet utolsó pontjában meghatározott követelményeknek. | 
| 420 | 3.1  Készpénz A CRR III. mellékletének 1. pontja A készpénz a készpénz teljes összege, beleértve az érméket és bankjegyeket/devizát. Csak azt a készpénzt kell jelenteni, amely nem felel meg a CRR 416. Cikke (3) bekezdésének c), d) és e) pontjában meghatározott feltételek legalább egyikének, és emiatt nem jelenthető az 1.1 adatszolgáltatási tétel alatt. Megjegyzés: a más intézményeknél tartott készpénzbetéteket nem itt kell jelenteni, hanem az 1.3 „Beáramlások” tábla fedezet kategóriájában, ha azok a következő 30 napban esedékes pénzösszegnek minősülnek. | 
| 430 | 3.2  Központi bankkal szembeni kitettségek, amennyiben azok stresszhelyzetben lehívhatók A CRR III. mellékletének 2. pontja Központi bankkal szembeni kitettségek teljes összege, amennyiben azok stresszhelyzetben lehívhatók. Csak azokat a kitettségeket kell jelenteni, amelyek nem felelnek meg a c), d) és e) pontban meghatározott feltételek legalább egyikének, és emiatt nem jelenthetőek az 1.3 adatszolgáltatási tétel alatt. | 
| 440-480 | 3.3  0 %-os kockázati súlyú átruházható értékpapírok, amelyek nem valamely intézmény vagy kapcsolt vállalkozása kötelezettségét testesítik meg A CRR III. mellékletének 3. pontja A valamely tagállam vagy harmadik ország központi kormányzatával szembeni vagy általuk garantált 0 %-os kockázati súlyú értékpapírok, a CRR III. mellékletének 5. pontjában említettek szerint. Ebből: | 
| 440 | 3.3.1  kormányzatokkal szembeni követeléseket megtestesítő átruházható értékpapírok A CRR III. mellékletének 3. pontja | 
| 450 | 3.3.2  kormányzatok által garantált követelések A CRR III. mellékletének 3. pontja | 
| 460 | 3.3.3  központi bankokkal szembeni vagy általuk garantált követeléseket megtestesítő átruházható értékpapírok A CRR III. mellékletének 3. pontja | 
| 470 | 3.3.4  nem a központi kormányzathoz tartozó közszektorbeli intézményekkel, adók kivetésére és beszedésére jogosult, adóügyi szempontból önálló régiókkal és helyi hatóságokkal szembeni vagy általuk garantált követeléseket megtestesítő átruházható értékpapírok A CRR III. mellékletének 3. pontja | 
| 480 | 3.3.5  a Nemzetközi Fizetések Bankjával, a Nemzetközi Valutaalappal, az Európai Unióval, az Európai Pénzügyi Stabilitási Eszközzel, az Európai Fejlesztési Mechanizmussal vagy multilaterális fejlesztési bankokkal szembeni vagy általuk garantált követeléseket megtestesítő átruházható értékpapírok A CRR III. mellékletének 3. pontja | 
| 490 | 3.4  A 3.3 tételben említettektől eltérő átruházható értékpapírok, amelyek kormányzatokkal vagy központi bankokkal szembeni vagy általuk biztosított követeléseket testesítenek meg, és amelyeket a kormányzat vagy központi bank saját pénznemében vagy idegen pénznemben bocsátott ki, olyan mértékben, amilyen mértékben ezen értékpapírok tartása megfelel azon likviditási szükségleteknek, amelyek a bank adott harmadik országbeli műveleteiből eredően felmerülnek A CRR III. mellékletének 4. pontja | 
| 500-550 | 3.5  20 %-os kockázati súlyú átruházható értékpapírok, amelyek nem valamely intézmény vagy kapcsolt vállalkozása kötelezettségét testesítik meg A CRR III. mellékletének 5. pontja A valamely tagállam vagy harmadik ország központi kormányzatával szembeni vagy általuk garantált 20 %-os kockázati súlyú értékpapírok, a III. melléklet 5. pontjában említettek szerint. Ebből: | 
| 500 | 3.5.1  kormányzatokkal szembeni követeléseket megtestesítő átruházható értékpapírok A CRR III. mellékletének 5. pontja | 
| 510 | 3.5.2  kormányzatok által garantált követelések A CRR III. mellékletének 5. pontja | 
| 520 | 3.5.3  központi bankokkal szembeni vagy általuk garantált követeléseket megtestesítő átruházható értékpapírok A CRR III. mellékletének 5. pontja | 
| 530 | 3.5.4  nem a központi kormányzathoz tartozó közszektorbeli intézményekkel, adók kivetésére és beszedésére jogosult, adóügyi szempontból önálló régiókkal és helyi hatóságokkal szembeni vagy általuk garantált követeléseket megtestesítő átruházható értékpapírok A CRR III. mellékletének 5. pontja | 
| 540 | 3.5.5  a Nemzetközi Fizetések Bankjával, a Nemzetközi Valutaalappal, az Európai Unióval, az Európai Pénzügyi Stabilitási Eszközzel, az Európai Fejlesztési Mechanizmussal vagy multilaterális fejlesztési bankokkal szembeni vagy általuk garantált követeléseket megtestesítő átruházható értékpapírok A CRR III. mellékletének 5. pontja | 
| 550 | 3.6  A 3.3–3.5.6 tételekben említettektől eltérő átruházható értékpapírok, amelyek a CRR harmadik része II. címe 2. fejezetének értelmében 20 %-os vagy annál jobb kockázati súlyra jogosultak, vagy belső minősítésük alapján ezzel egyenértékű a hitelminőségük, és teljesítik a CRR III. melléklete 6. pontjában meghatározott feltételek valamelyikét A CRR III. mellékletének 6. pontja | 
| 560 | 3.7  A 3.3–3.6 tételekben említettektől eltérő átruházható értékpapírok, amelyek a CRR harmadik része II. címe 2. fejezetének értelmében 50 %-os vagy annál jobb kockázati súlyra jogosultak, vagy belső minősítésük alapján ezzel egyenértékű a hitelminőségük, és nem testesítenek meg különleges célú gazdasági egységgel, valamely intézménnyel vagy annak kapcsolt vállalkozásával szembeni követelést A CRR III. mellékletének 7. pontja | 
| 570 | 3.8  A 3.3–3.7 tételekben említettektől eltérő átruházható értékpapírok, amelyeket a CRR harmadik része II. címe 2. fejezetének értelmében 35 %-os vagy annál jobb kockázati súlyra jogosultnak minősülő eszközök fedeznek, vagy belső minősítésük alapján ezzel egyenértékű a hitelminőségük, és a CRR 125. cikkével összhangban teljes mértékben lakóingatlanra bejegyzett jelzáloggal fedezettek A CRR III. mellékletének 8. pontja | 
| 580 | 3.9  Központi bankok által a monetáris politika keretében nyújtott készenléti hitelkeretek, amennyiben ezeket a hitelkereteket nem fedezik likvid eszközök, a rendkívüli likviditási segítségnyújtás kivételével A CRR III. mellékletének 9. pontja Csak az 1.5 adatszolgáltatási tételben nem jelentett mértékben. | 
| 590 | 3.10  Ha a hitelintézet a jogszabályi vagy alapszabályi rendelkezéseknek megfelelően hálózati kapcsolatban áll, a központi hitelintézetnél elhelyezett, jogszabályban vagy alapszabályban előírt minimumbetétek, illetve egyéb, a központi hitelintézet vagy a CRR 113. cikke (7) bekezdésében említett hálózat tagjának számító vagy a CRR 10. cikkében meghatározott mentesítésre jogosult intézmények által az alapszabály értelmében vagy szerződéses alapon biztosított likvid finanszírozás, amennyiben ezt a finanszírozást nem fedezik likvid eszközök. A CRR III. mellékletének 10. pontja Ezt a tételt csak az 1.6 adatszolgáltatási tételben nem jelentett mértékben kell szerepeltetni. | 
| 600 | 3.11  Tőzsdén forgalmazott, központilag elszámolt törzsrészvények, amelyek valamely jelentős tőzsdeindex elemét képezik, a tagállam hazai pénznemében denomináltak, és nem valamely intézmény vagy annak valamely leányvállalata bocsátotta ki azokat A CRR III. mellékletének 11. pontja | 
| 610 | 3.12  Elismert tőzsdén jegyzett, letétbe helyezett arany A CRR III. mellékletének 12. pontja | 
| 620-850 | 4 A CRR 416. CIKKE KÖVETELMÉNYEINEK MEG NEM FELELŐ, DE A CRR 417. cikke b) és c) pontja követelményeinek továbbra is MEGFELELŐ ESZKÖZÖK | 
| 620-640 | 4.1  Pénzügyi vállalati kötvények A CRR 416. cikkének (2) bekezdése A befektetési vállalkozás, biztosító, pénzügyi holding társaság, vegyes pénzügyi holding társaság vagy bármely egyéb olyan szervezet által kibocsátott kötvények, amely a 2013/36/EU irányelv I. mellékletében felsorolt egy vagy több tevékenységet végez. Ezeket a tételeket a CRR 120. cikkének (1) bekezdése szerinti hitelminőségük szerint kell jelenteni. | 
| 620 | 4.1.1 1. hitelminőségi besorolás | 
| 630 | 4.1.2 2. hitelminőségi besorolás | 
| 640 | 4.1.3 3. hitelminőségi besorolás | 
| 650-670 | 4.2  Saját kibocsátások A CRR 416. cikke (3) bekezdésének b) pontja Ezeket a tételeket a CRR 120. cikkének (1) bekezdése szerinti hitelminőségük szerint kell jelenteni. | 
| 650 | 4.2.1 1. hitelminőségi besorolás | 
| 660 | 4.2.2 2. hitelminőségi besorolás | 
| 670 | 4.2.3 3. hitelminőségi besorolás | 
| 680-700 | 4.3  Hitelintézetek fedezetlen kibocsátásai Az 575/2013/EU RENDELET Ezeket a tételeket a CRR 120. cikkének (1) bekezdése szerinti hitelminőségük szerint kell jelenteni. | 
| 680 | 4.3.1 1. hitelminőségi besorolás | 
| 690 | 4.3.2 2. hitelminőségi besorolás | 
| 700 | 4.3.3 3. hitelminőségi besorolás | 
| 710-730 | 4.4  Az 1.10–1.11.3 tételekben nem jelentett, eszközzel fedezett értékpapírok A CRR 416. cikke (4) bekezdésének b) pontja Ezeket a tételeket a CRR harmadik része II. címének 5. fejezete és 125. cikke szerinti hitelminőségük szerint kell jelenteni. | 
| 710 | 4.4.1 1. hitelminőségi besorolás | 
| 720 | 4.4.2 2. hitelminőségi besorolás | 
| 730 | 4.4.3 3. hitelminőségi besorolás | 
| 740-760 | 4.5  Az 1.10–1.11.3 tételekben nem jelentett, lakóingatlanra bejegyzett zálogjoggal fedezett értékpapírok A CRR 509. cikke (3) bekezdésének a) pontja Ezeket a tételeket a CRR harmadik része II. címének 5. fejezete és 125. cikke szerinti hitelminőségük szerint kell jelenteni. | 
| 740 | 4.5.1 1. hitelminőségi besorolás | 
| 750 | 4.5.2 2. hitelminőségi besorolás | 
| 760 | 4.5.3 3. hitelminőségi besorolás | 
| 770 | 4.6  Elismert tőzsdén jegyzett részvények és főbb indexált, tulajdoni részesedést megtestesítő instrumentumok, amelyek nem saját kibocsátásúak, illetve amelyeket nem pénzügyi vállalkozás bocsátott ki A CRR 416. cikke (4) bekezdésének a) pontja és 509. cikke (3) bekezdésének c) pontja | 
| 780 | 4.7  A fenti 3.1.2 tételnél nem jelentett arany A CRR 416. cikke (4) bekezdésének a) pontja és 509. cikke (3) bekezdésének c) pontja | 
| 790 | 4.8  A fentiekben nem jelentett, garantált kötvények A CRR 509. cikke (3) bekezdésének c) pontja | 
| 800 | 4.9  A fentiekben nem jelentett, fedezett kötvények A CRR 509. cikke (3) bekezdésének c) pontja | 
| 810 | 4.10  A fentiekben nem jelentett vállalati kötvények A CRR 509. cikke (3) bekezdésének c) pontja | 
| 820 | 4.11  A 4.6–4.10 tételekben jelentett eszközökre épülő alapok A CRR 509. cikke (3) bekezdésének c) pontja | 
| 830-850 | 4.12  A központi bankok által elfogadott egyéb értékpapír- vagy hitelkategóriák A CRR 509. cikke (3) bekezdésének b) pontja | 
| 830 | 4.12.1  helyi önkormányzati kötvények A CRR 509. cikke (3) bekezdésének b) pontja | 
| 840 | 4.12.2  kereskedelmi értékpapírok A CRR 509. cikke (3) bekezdésének b) pontja | 
| 850 | 4.12.3  hitelkövetelések A CRR 416. cikke (4) bekezdésének c) pontja | 
| 860-870 | 5  Az adott pénznemben szükséges kiváló minőségű likvid eszközök (HQLA) hiányának kezelése A CRR 419. cikke (2) bekezdése | 
| 860 | 5.1  Az „A” eltérés alkalmazása (deviza) A CRR 419. cikke (2) bekezdésének a) pontja Az „A” eltérés szerint tartott eszközök teljes összege | 
| 870 | 5.2  A „B” eltérés alkalmazása (hitelkeret az érintett központi banktól) A CRR 419. cikke (2) bekezdésének b) pontja A „B” eltérés szerint tartott, le nem hívott hitelkeret teljes összege | 
| 880-900 | 6  A saría-kompatibilis eszközöknek az 509. cikk (2) bekezdése i. pontja szerinti alternatív eszközként való jelentése A CRR 509. cikke (2) bekezdésének i. alpontja | 
| 880 | 6.1 1. hitelminőségi besorolás | 
| 890 | 6.1 2. hitelminőségi besorolás | 
| 900 | 6.1 3. hitelminőségi besorolás | 
LIKVIDITÁSRA VONATKOZÓ ADATSZOLGÁLTATÁS (2/5. RÉSZ: KIÁRAMLÁSOK)
1. Kiáramlások
1.1. Általános megjegyzések
1. Ez egy olyan összefoglaló tábla, amely a CRR (továbbiakban: CRR) 412. cikkében meghatározott likviditásfedezeti követelmények ellenőrzésének céljára a következő 30 napra szóló likviditáskiáramlásra vonatkozó információkat tartalmazza. Szürke szín jelzi azokat a tételeket, amelyeket az intézményeknek nem kell kitölteniük.
2. A CRR 420. cikkének megfelelően ez a rész a lakossági betétekre (421. cikk), az egyéb betétekre és kötelezettségekre (422. cikk), további likviditáskiáramlásokra (423. cikk), valamint a hitelkeretekből és likviditási hitelkeretekből történő kiáramlásokra (424. cikk) vonatkozó adatszolgáltatási követelményeket tartalmazza.
3. A CRR 421. cikke (5) bekezdésének megfelelően az intézmények kizárhatják a kiáramlások kiszámításából a lakossági betétek egyes egyértelműen meghatározott kategóriáit. A teljesség érdekében az e betétekre vonatkozó adatszolgáltatást a tábla 1.1.6 tétele alatt kell teljesíteni.
1.2. Kiáramlásokra vonatkozó tábla
1.2.1. A tábla egyes részeire vonatkozó előírások
| Sor | Jogszabályi hivatkozások és útmutatások | 
| 020-137 | 1.  KIÁRAMLÁSOK A CRR 421–424. cikke. Az ebben a táblában jelentett kötelezettségeket az intézmény kifejezetten a következő 30 napban bekövetkező likviditáskiáramlás potenciális forrásaként azonosította. | 
| 020-100 | 1.1  Lakossági betétek A CRR 421. cikke A CRR 411. cikke (2) bekezdésében meghatározott lakossági betétekből eredő összes kötelezettséget, beleértve a látra szóló betéteket és a lekötött betéteket a 020-as oszlopban kell jelenteni. A megfelelő kiáramlási szorzó alkalmazásával adódó kiáramlást a 030-as oszlopban kell jelenteni. Az alábbi alkategóriákról kell adatot szolgáltatni: | 
| 020-040 | 1.1.1  A 94/19/EK irányelv szerinti betétbiztosítási rendszernek vagy harmadik ország azzal egyenértékű betétbiztosítási rendszerének hatálya alá tartozó betétek A CRR 421. cikkének (1) bekezdése | 
| 020 | 1.1.1.1.  A betétes stabil működési kapcsolattal rendelkezik, ami igen valószínűtlenné teszi a betét kivonását A CRR 421. cikke (1) bekezdésének a) pontja A 94/19/EK irányelv szerinti betétbiztosítási rendszernek vagy harmadik ország azzal egyenértékű betétbiztosítási rendszerének hatálya alá tartozó, az 1.1.1 tételben jelentett lakossági betétek közül azok, amelyeknél a betétes stabil működési kapcsolattal rendelkezik, és ez igen valószínűtlenné teszi a betét kivonását. Azokat a lakossági betéteket, amelyeknél a betétes ugyancsak stabil működési kapcsolattal rendelkezik, és ez igen valószínűtlenné teszi a betét kivonását, de a betéteket olyan folyószámlán tartják, amelyekre rendszeresen munkavállalói béreket írnak jóvá, ezen tétel helyett az 1.1.1.2 tételben kell jelenteni. | 
| 030 | 1.1.1.2  Folyószámlán tartják, ideértve azokat a számlákat is, amelyeken rendszeresen munkavállalói béreket írnak jóvá A CRR 421. cikke (1) bekezdésének b) pontja A 94/19/EK irányelv szerinti betétbiztosítási rendszernek vagy harmadik ország azzal egyenértékű betétbiztosítási rendszerének hatálya alá tartozó, az 1.1.1 tételben jelentett lakossági betétek közül azok, amelyeket folyószámlán tartanak, ideértve azokat a számlákat is, amelyeken rendszeresen munkavállalói béreket írnak jóvá, és ez igen valószínűtlenné teszi a betét kivonását. | 
| 040 | 1.1.2  A 94/19/EK irányelv szerinti betétbiztosítási rendszernek vagy harmadik ország azzal egyenértékű betétbiztosítási rendszerének hatálya alá tartoznak, és amelyeket nem lehet az 1.1.1.1 vagy 1.1.1.2 tételben jelenteni A CRR 421. cikkének (2) bekezdése A 94/19/EK irányelv szerinti betétbiztosítási rendszernek vagy harmadik ország azzal egyenértékű betétbiztosítási rendszerének hatálya alá tartozó lakossági betétek közül azok az egyéb betétek, amelyeket nem lehet az 1.1.1.1 vagy 1.1.1.2 tételben jelenteni. | 
| 050 | 1.1.3  Nem biztosított lakossági betétek A CRR 421. cikkének (2) bekezdése A 94/19/EK irányelv szerinti betétbiztosítási rendszernek vagy harmadik ország azzal egyenértékű betétbiztosítási rendszerének hatálya alá nem tartozó lakossági betétek. | 
| 060-080 | 1.1.4  A CRR 421. cikk (1) vagy (2) bekezdésében meghatározottnál nagyobb kiáramlások tárgyát képező betétek A CRR 421. cikkének (3) bekezdése A CRR 421. cikkének (1) vagy (2) bekezdésében meghatározottnál nagyobb kiáramlási szorzóval figyelembe vehető lakossági betéteket a következő alkategóriákban kell jelenteni: | 
| 060 | 1.1.4.1  Magasabb kiáramlási szorzóval érintett betétek – 1. kategória – közepes kiáramlási kockázat A CRR 421. cikkének (3) bekezdése Az intézmények által az 1. kategóriába sorolandóként azonosított lakossági betétek. | 
| 070 | 1.1.4.2  Magasabb kiáramlási szorzóval érintett betétek – 2. kategória – magas kiáramlási kockázat A CRR 421. cikkének (3) bekezdése Az intézmények által a 2. kategóriába sorolandóként azonosított lakossági betétek. | 
| 80 | 1.1.4.3  Igen magas kiáramlási szorzóval érintett betétek – 3. kategória – igen magas kiáramlási kockázat A CRR 421. cikkének (3) bekezdése Az intézmények által a 3. kategóriába sorolandóként azonosított lakossági betétek. | 
| 090 | 1.1.5  Olyan harmadik országban szerzett betétek, amelyekre magasabb kiáramlási szorzót alkalmaznak A CRR 421. cikkének (4) bekezdése Az olyan harmadik országokba vitt lakossági betétek, amelyek magasabb kiáramlás tárgyát képezik, mint a CRR 421. cikkének (1) vagy (2) bekezdésében meghatározott arány. | 
| 100 | 1.1.6  A kiáramlás számítása alól mentesített betétek, amennyiben teljesülnek a CRR 421. cikke (5) bekezdése a) és b) pontjának feltételei A CRR 421. cikkének (5) bekezdése A kiáramlások számításából a CRR 421. cikkének (5) bekezdésében említettek szerint kizárt lakossági betétek. | 
| 110-1130 | 1.2  Egyéb kötelezettségekhez kapcsolódó likviditáskiáramlások A CRR 422. cikke A következő 30 napban esedékes egyéb kötelezettségekhez kapcsolódó teljes likviditáskiáramlást az alábbi alkategóriákban kell jelenteni a következők szerint: Az ebben a szakaszban jelentett kötelezettségek csak a CRR 411. cikke (2) bekezdésében meghatározott (és a fenti 1.1 tételben jelentendő) lakossági betétektől eltérő egyéb kötelezettségekből tevődnek össze. Az itt jelentett kötelezettségeknek a következő 30 nap alatt esedékessé kell válniuk, szerződés szerinti legkorábbi lehetséges lejáratuknak a következő 30 napon belülre kell esnie vagy pedig határozatlan lejáratúnak kell lenniük. Ebbe egyaránt beletartoznak i. azok az opciós kötelezettségek, amelyeket a befektető belátása szerint gyakorolhat és ii. az olyan opciós kötelezettségek, amelyeket az intézmény belátása szerint gyakorolhat, amennyiben hírnévvel kapcsolatos okokból az intézmény az opció gyakorlását csak korlátozottan mellőzheti. Különösen, ha a piac várakozásai szerint bizonyos kötelezettségeket a következő 30 napon belül, jogszerű végső lejárati idejük előtt visszaváltanak, ezeket a kötelezettségeket a megfelelő alkategóriában kell szerepeltetni. | 
| 110 | 1.2.1  Az intézmény saját működési költségeiből származó kötelezettségei A CRR 422. cikkének (1) bekezdése Az intézmény saját működési költségeiből származó és a következő 30 nap során esedékes kötelezettségeinek teljes összege. Ide tartoznak például az irodai és közműköltségek, a könyvelési költségek, a bérek és fizetések stb., és az intézmény saját tevékenységeinek végzése során felmerülő minden más költség. | 
| 120-950 | 1.2.2  A CRR 192. cikkében meghatározott fedezett kölcsönügyletekből és tőkepiac-vezérelt ügyletekből eredő kötelezettségek A CRR 422. cikkének (2) bekezdése A következő alkategóriák esetében az intézményeknek meg kell állapítaniuk a következő 30 nap alatt a fedezett kölcsönügyletekhez és tőkepiac-vezérelt ügyletekhez kapcsolódó kiáramlások összegét, az ügyleteket fedező megfelelő eszközök piaci értékét és ezen eszközöknek a CRR 418. cikke szerinti értékét. A CRR 192. cikkének megfelelően: 1. „fedezett kölcsönügylet” olyan, biztosítékkal fedezett kitettséget eredményező megállapodás, amely nem tartalmaz olyan rendelkezést, amely jogot biztosít az intézmény számára a fedezet legalább napi gyakoriságú kiegészítésének előírására; 2. „tőkepiac-vezérelt ügylet” olyan, biztosítékkal fedezett kitettséget eredményező megállapodás, amely tartalmaz olyan rendelkezést, amely jogot biztosít az intézmény számára a fedezet legalább napi gyakoriságú kiegészítésének előírására. Emiatt ebben a szakaszban kell jelenteni minden olyan, 30 napon belül lejáró ügyletet, amelyben az intézmény készpénzben kapott fedezett kölcsönt, úgy mint a CRR 4. cikke (1) bekezésének 83. pontjában meghatározott repoügyleteket. Az intézményeknek a 010-es oszlopban kell jelenteniük a fedezett kölcsönügyletet és tőkepiac-vezérelt ügyleteket fedező eszközök piaci értékét. Az intézmények ezeket az ügyleteket az alábbi hét kategória egyikében jelentik: 1. kategória: amennyiben a partner nem központi bank és az ügyletet biztosító eszközök rendkívül magas likviditásúak és hitelminőségűek, az esedékes összeget a 020-as oszlopban, az ügyletet biztosító eszköznek a CRR 418. cikke szerinti értékét pedig a 030-as oszlopban kell jelenteni. 2. kategória: amennyiben a partner nem központi bank és az ügyletet biztosító eszközök magas likviditásúak és hitelminőségűek, az esedékes összeget a 040-es oszlopban, az ügyletet biztosító eszköznek a CRR 418. cikke szerinti értékét pedig az 050-es oszlopban kell jelenteni. 3. kategória: amennyiben a partner nem központi bank és az ügyletet biztosító eszközök egyéb likviditásúak és hitelminőségűek, az esedékes összeget a 060-as oszlopban kell jelenteni. 4. kategória: amennyiben a partner központi bank és az ügyletet biztosító eszközök rendkívül magas likviditásúak és hitelminőségűek, az esedékes összeget a 070-es oszlopban, az ügyletet biztosító eszköznek a CRR 418. cikke szerinti értékét pedig a 080-as oszlopban kell jelenteni. 5. kategória: amennyiben a partner központi bank és az ügyletet biztosító eszközök magas likviditásúak és hitelminőségűek, az esedékes összeget a 090-es oszlopban, az ügyletet biztosító eszköznek a CRR 418. cikke szerinti értékét pedig a 100-as oszlopban kell jelenteni. 6. kategória: amennyiben a partner központi bank és az ügyletet biztosító eszközök egyéb likviditásúak és hitelminőségűek, az esedékes összeget a 110-es oszlopban kell jelenteni. 7. kategória: amennyiben a partner annak a tagállamnak a központi kormányzata vagy közszektorbeli intézménye, amelyben a hitelintézet működését engedélyezték, vagy amelyben fióktelepet hozott létre, vagy a partner egy multilaterális fejlesztési bank, az esedékes összeget a 120-as oszlopban kell jelenteni. Az intézmények az ügyletek fedezetét képező eszközök likviditásának és hitelminőségének meghatározásával sorolják be az ügyleteket, a besorolás megegyezik az eszközök 1.1 „Eszközök” táblában történő jelentésének céljaira alkalmazott szempontokkal. Azaz a CRR 416. cikkének (1) bekezdésével összhangban, amíg nem áll rendelkezésre a CRR 460. cikke szerinti egységes meghatározás a rendkívül magas és magas likviditás és hitelminőség fogalmára, addig az intézmények maguk határozzák meg, hogy egy adott pénznemben melyek a magas vagy rendkívül magas likviditású és hitelminőségű átruházható eszközök. Ha az intézmény egy fedezeti alapban egyaránt elhelyezett „rendkívül magas”, „magas” és „egyéb” likviditású és hitelminőségű eszközöket, és egy eszközt sem rendelt konkrétan hozzá fedezett kölcsönügyletekhez és tőkepiac-vezérelt ügyletekhez, az intézménynek elsőként a legalacsonyabb likviditású és hitelminőségű eszközöket kell hozzárendelni, azaz elsőként az „egyéb likviditású és hitelminőségű eszközöket” kell hozzárendelni. Az összes ilyen eszköz teljes hozzárendelése után lehet csak a „magas likviditású és hitelminőségű eszközöket” hozzárendelni. Az összes ilyen eszköz hozzárendelése után lehet csak a „rendkívül magas likviditású és hitelminőségű eszközöket” hozzárendelni. Azokat a biztosítéki csereügyleteket, amelyekben az intézmény egyidejűleg kölcsönvesz és kölcsönad biztosítékot (nem készpénz eszköz formájában), a következőképpen kell jelenteni: A kölcsönvett eszköz értéke a 010-es oszlopban feltüntetett piaci értéke, a CRR 418. cikke szerinti értéke pedig a megfelelő oszlopban feltüntetett értéke. A biztosítéki csereügyletek csak a biztosítékhoz kapcsolódnak, és nincs jelentendő mögöttes „esedékes összeg”. A kölcsönadott eszköz piaci értékét a „Beáramlások” tábla megfelelő .3 alkategóriájában az „Ügyletet biztosító eszköz piaci értéke” oszlopában kell jelenteni. A biztosítéki csereügyletek csak a biztosítékhoz kapcsolódnak, és nincs jelentendő mögöttes „esedékes összeg”. | 
| 120-190 | 1.2.2.1  Más átruházható eszközök, amelyek az alpontokban szereplőkkel szembeni vagy általuk garantált követeléseket testesítenek meg A CRR 416. cikke (1) bekezdésének c) pontja A fenti 1.2.2 pontnak megfelelően itt kell jelenteni a megfelelő alkategóriában az átruházható eszközökkel fedezett tranzakciókat. Az ebben a szakaszban jelentett eszközöket kifejezetten a potenciálisan magas és rendkívül magas likviditású és hitelminőségű eszközökként azonosították. Az ebben a szakaszban jelentett eszközöknek meg kell felelniük a CRR 416. és 417. cikkében szereplő összes vonatkozó követelménynek. | 
| 120-130 | 1.2.2.1.1  Egy tagállam központi kormányzatával, adók kivetésére és beszedésére jogosult, adóügyi szempontból önálló régió regionális kormányzatával vagy harmadik ország központi kormányzatával szembeni vagy általuk garantált követeléseket megtestesítő átruházható eszközök, amennyiben az intézmény az adott tagállamban vagy harmadik országban likviditási kockázatot vállal és ezt e likvid eszközök tartásával fedezi A CRR 416. cikke (1) bekezdése c) pontjának i. alpontja | 
| 120 | 1.2.2.1.1.1  Követeléseket megtestesítő A likvid eszközöket tartalmazó tábla 1.3.1 tételében meghatározott eszközök, amelyek a fenti partnerekkel szemben fennálló követeléseket testesítenek meg, a CRR 416. cikke (1) bekezdése c) pontjának i. alpontja szerint | 
| 130 | 1.2.2.1.1.2  Általuk garantált A likvid eszközöket tartalmazó tábla 1.3.1 tételében meghatározott eszközök, amelyeket a fenti partnerek garantálnak, a CRR 416. cikke (1) bekezdése c) pontjának i. alpontja szerint | 
| 140-150 | 1.2.2.1.2  Központi bankokkal és nem központi kormányzati közszektorbeli intézményekkel szembeni vagy általuk garantált követeléseket megtestesítő, a központi bank és a közszektorbeli intézmény pénznemében kibocsátott átruházható eszközök A CRR 416. cikke (1) bekezdése c) pontjának ii. alpontja | 
| 140 | 1.2.2.1.2.1  Követeléseket megtestesítő A likvid eszközöket tartalmazó tábla 1.3.2 tételében meghatározott eszközök, amelyek a fenti partnerekkel szemben fennálló követeléseket testesítenek meg, a CRR 416. cikke (1) bekezdése c) pontjának ii. alpontja szerint | 
| 150 | 1.2.2.1.2.2  Általuk garantált A likvid eszközöket tartalmazó tábla 1.3.2 tételében meghatározott eszközök, amelyeket a fenti partnerek garantálnak, a CRR 416. cikke (1) bekezdése c) pontjának ii. alpontja szerint | 
| 160-170 | 1.2.2.1.3  A Nemzetközi Fizetések Bankjával, a Nemzetközi Valutaalappal, a Bizottsággal és multilaterális fejlesztési bankokkal szembeni vagy általuk garantált követeléseket megtestesítő átruházható eszközök A CRR 416. cikke (1) bekezdése c) pontjának iii. alpontja | 
| 160 | 1.2.2.1.3.1  Követeléseket megtestesítő A likvid eszközöket tartalmazó tábla 1.3.3 tételében meghatározott eszközök, amelyek a fenti partnerekkel szemben fennálló követeléseket testesítenek meg, a CRR 416. cikke (1) bekezdése c) pontjának iii. alpontja szerint | 
| 170 | 1.2.2.1.3.2  Általuk garantált A likvid eszközöket tartalmazó tábla 1.3.3 tételében meghatározott eszközök, amelyeket a fenti partnerek garantálnak, a CRR 416. cikke (1) bekezdése c) pontjának iii. alpontja szerint | 
| 180-190 | 1.2.2.1.4  Az Európai Pénzügyi Stabilitási Eszközzel és az Európai Stabilitási Mechanizmussal szembeni vagy általuk garantált követeléseket megtestesítő átruházható eszközök A CRR 416. cikke (1) bekezdése c) pontjának iv. alpontja | 
| 180 | 1.2.2.1.4.1  Követeléseket megtestesítő A likvid eszközöket tartalmazó tábla 1.3.4 tételében meghatározott eszközök, amelyek a fenti partnerekkel szemben fennálló követeléseket testesítenek meg, a CRR 416. cikke (1) bekezdése c) pontjának iv. alpontja szerint | 
| 190 | 1.2.2.1.4.2  Általuk garantált A likvid eszközöket tartalmazó tábla 1.3.4 tételében meghatározott eszközök, amelyeket a fenti partnerek garantálnak, a CRR 416. cikk (1) bekezdése c) pontjának iv. alpontja szerint | 
| 200-220 | 1.2.2.2  A CRR 416. cikke (1) bekezdésében meghatározott alapul szolgáló eszközökkel rendelkező kollektív befektetési formák összes részvénye vagy befektetési jegye A CRR 416. cikkének (6) bekezdése A CRR 416. cikkének (1) bekezdésében meghatározott alapul szolgáló eszközökkel rendelkező kollektív befektetési formák összes részvényét vagy befektetési jegyét itt kell jelenteni a fenti 1.2.2 ponttal összhangban, a megfelelő alkategóriában. | 
| 200 | 1.2.2.2.1 A 416. cikk (1) bekezdésének a) pontja szerinti alapul szolgáló eszközök | 
| 210 | 1.2.2.2.2 A 416. cikk (1) bekezdésének b) és c) pontja szerinti alapul szolgáló eszközök | 
| 220 | 1.2.2.2.3 A 416. cikk (1) bekezdésének d) pontja szerinti alapul szolgáló eszközök | 
| 230 | 1.2.2.3  Valamely tagállam központi vagy regionális kormányzata által alapított hitelintézetek által kibocsátott eszközök A CRR 416. cikke (2) bekezdése a) pontjának iii. alpontja | 
| 240-260 | 1.2.2.4  Nem pénzügyi vállalati kötvények A CRR 416. cikke (1) bekezdésének b) vagy d) pontja A nem pénzügyi vállalati kötvényeket a CRR 122. cikke szerinti hitelminőségük szerint és a fenti 1.2.2 ponttal összhangban kell jelenteni, a megfelelő alkategóriában. | 
| 240 | 1.2.2.4.1. 1. hitelminőségi besorolás | 
| 250 | 1.2.2.4.2. 2. hitelminőségi besorolás | 
| 260 | 1.2.2.4.3. 3. hitelminőségi besorolás | 
| 270-290 | 1.2.2.5  A CRR 129. cikkének (4) vagy (5) bekezdése szerinti eljárásra jogosult hitelintézet által kibocsátott kötvények A CRR 416. cikke (2) bekezdése a) pontjának i. alpontja A CRR 129. cikke (4) vagy (5) bekezdése szerinti eljárásra jogosult kötvényeket a CRR 129. cikkének (4) vagy (5) bekezdése szerinti hitelminőségük szerint és a fenti 1.2.2 ponttal összhangban kell jelenteni, a megfelelő alkategóriában. | 
| 270 | 1.2.2.5.1. 1. hitelminőségi besorolás | 
| 280 | 1.2.2.5.2. 2. hitelminőségi besorolás | 
| 290 | 1.2.2.5.3. 3. hitelminőségi besorolás | 
| 300-320 | 1.2.2.6  Hitelintézet által kibocsátott, eszközzel fedezett instrumentumok, amelyek az EBH által az 509. cikk (3), (4) és (5) bekezdésében foglalt kritériumok alapján meghatározott minősítés szerint bizonyítottan a legmagasabb hitelminősítési kategóriába tartoznak A CRR 416. cikke (2) bekezdése a) pontjának i. alpontja Ezeket a tételeket a CRR harmadik része II. címének 5. fejezete és 123., 124., 125. és 126. cikke szerinti hitelminőségük szerint és a fenti 1.2.2 tétellel összhangban kell jelenteni, a megfelelő alkategóriában | 
| 300 | 1.2.2.6.1. 1. hitelminőségi besorolás | 
| 310 | 1.2.2.6.2. 2. hitelminőségi besorolás | 
| 320 | 1.2.2.6.3. 3. hitelminőségi besorolás | 
| 330-350 | 1.2.2.7  A likvid eszközöket tartalmazó tábla 1.10.1, 1.10.2, 1.10.3 sorában jelentett eszközök közül a lakóingatlannal fedezett eszközök A CRR 416. cikke (2) bekezdése a) pontjának i. alpontja Ezeket a tételeket a CRR harmadik része II. címének 5. fejezete és 123., 124., 125. és 126. cikke szerinti hitelminőségük szerint és a fenti 1.2.2 tétellel összhangban kell jelenteni, a megfelelő alkategóriában | 
| 330 | 1.2.2.7.1. 1. hitelminőségi besorolás | 
| 340 | 1.2.2.7.2. 2. hitelminőségi besorolás | 
| 350 | 1.2.2.7.3. 3. hitelminőségi besorolás | 
| 360-380 | 1.2.2.8  A 2009/65/EK irányelv 52. cikkének (4) bekezdésében meghatározottak szerinti, az 1.9 tételében szereplőktől eltérő kötvények A CRR 416. cikke (2) bekezdése a) pontjának ii. alpontja Ezeket a tételeket a CRR 129. cikkének (4) vagy (5) bekezdése szerinti hitelminőségük szerint, és a fenti 1.2.2 tétellel összhangban kell jelenteni, a megfelelő alkategóriában. | 
| 360 | 1.2.2.8.1. 1. hitelminőségi besorolás | 
| 370 | 1.2.2.8.2. 2. hitelminőségi besorolás | 
| 380 | 1.2.2.8.3. 3. hitelminőségi besorolás | 
| 390-410 | 1.2.2.9  Egyéb rendkívül magas likviditású és hitelminőségű átruházható eszközök A CRR 416. cikke (1) bekezdésének b) pontja Ezeket a tételeket a CRR harmadik része II. címének 2. fejezete szerinti hitelminőségük szerint kell jelenteni és a fenti 1.2.2 ponttal összhangban kell jelenteni, a megfelelő alkategóriában. Itt csak a fenti sorokban nem szereplő tételeket kell jelenteni. | 
| 390 | 1.2.2.9.1. 1. hitelminőségi besorolás | 
| 400 | 1.2.2.9.2. 2. hitelminőségi besorolás | 
| 410 | 1.2.2.9.3. 3. hitelminőségi besorolás | 
| 420-440 | 1.2.2.10  Egyéb magas likviditású és hitelminőségű átruházható eszközök A CRR 416. cikke (1) bekezdésének d) pontja Ezeket a tételeket a CRR harmadik része II. címének 2. fejezete szerinti hitelminőségük szerint, és a fenti 1.2.2 ponttal összhangban kell jelenteni, a megfelelő alkategóriában. Itt csak a fenti sorokban nem szereplő tételeket kell jelenteni. | 
| 420 | 1.2.2.10.1. 1. hitelminőségi besorolás | 
| 430 | 1.2.2.10.2. 2. hitelminőségi besorolás | 
| 440 | 1.2.2.10.3. 3. hitelminőségi besorolás | 
| 450-460 | 1.2.2.11  A CRR 416. CIKKE (1) BEKEZDÉSÉNEK b) ÉS d) PONTJA KÖVETELMÉNYEINEK MEGFELELŐ, DE A 417. CIKKE b) ÉS c) PONTJA KÖVETELMÉNYEINEK MEG NEM FELELŐ ESZKÖZÖK Ezeket a tételeket itt kell a fenti 1.2.2 pont alapján jelenteni, a megfelelő alkategóriában. | 
| 450 | 1.2.2.11.1  Likviditáskezelési funkció révén nem ellenőrzött eszközök A CRR 417. cikkének c) pontja | 
| 460 | 1.2.2.11.2  Eszközök, melyek azonnali ügylet vagy egyszerű repomegállapodás keretében, elfogadott repopiacon értékesíthetők, de jogi és gyakorlati szempontból a következő 30 napban nem állnak bármikor rendelkezésre A CRR 417. cikkének b) pontja | 
| 480-680 | 1.2.2.12  A likvid eszközökre vonatkozó kiegészítő adatszolgáltatás tárgyát képező tételek Az intézmények a likvid eszközökre vonatkozó kiegészítő adatszolgáltatásban csak a CRR III. melléklete szerinti tételeket jelentik. A 3.1, 3.2 és 3.9 szakaszban említettek kivételével valamennyi tételnek meg kell felelnie az említett melléklet utolsó pontjában meghatározott követelményeknek. Ezeket a tételeket itt kell a fenti 1.2.2 pontnak megfelelően jelenteni, a megfelelő alkategóriában. Itt csak a táblában máshol nem szereplő tételeket kell jelenteni. | 
| 480 | 1.2.2.12.1  Készpénz A CRR III. mellékletének 1. pontja A készpénz a készpénz teljes összege, beleértve az érméket és bankjegyeket/devizát. Csak azt a készpénzt kell jelenteni, amely nem felel meg a c), d) és e) pontban meghatározott feltételek legalább egyikének, és emiatt nem jelenthető az 1.1 adatszolgáltatási tétel alatt. Megjegyzés: a más intézményeknél tartott készpénzbetéteket nem itt kell jelenteni, hanem a „Beáramlások” tábla fedezet kategóriájában, ha azok a következő 30 napban esedékes pénzösszegnek minősülnek. | 
| 490 | 1.2.2.12.2  Központi bankkal szembeni kitettségek, amennyiben azok stresszhelyzetben lehívhatók A CRR III. mellékletének 2. pontja Központi bankkal szembeni kitettségek teljes összege, amennyiben azok stresszhelyzetben lehívhatók. Csak azokat a kitettségeket kell jelenteni, amelyek nem felelnek meg a c), d) és e) pontban meghatározott feltételek legalább egyikének, és emiatt nem jelenthetőek az 1.3 adatszolgáltatási tétel alatt. | 
| 500-540 | 1.2.2.12.3  0 %-os kockázati súlyú átruházható értékpapírok, amelyek nem valamely intézmény vagy annak kapcsolt vállalkozása kötelezettségét testesítik meg A CRR III. mellékletének 3. pontja A valamely tagállam vagy harmadik ország központi kormányzatával szembeni vagy általuk garantált 0 %-os kockázati súlyú értékpapírok, a III. melléklet 5. pontjában említettek szerint. Ebből: | 
| 500 | 1.2.2.12.3.1  Kormányzatokkal szembeni követeléseket megtestesítő átruházható értékpapírok A CRR III. mellékletének 3. pontja | 
| 510 | 1.2.2.12.3.2  Kormányzatok által garantált követelések A CRR III. mellékletének 3. pontja | 
| 520 | 1.2.2.12.3.3  Központi bankokkal szembeni vagy általuk garantált követeléseket megtestesítő átruházható értékpapírok A CRR III. mellékletének 3. pontja | 
| 530 | 1.2.2.12.3.4  Nem a központi kormányzathoz tartozó közszektorbeli intézményekkel, adók kivetésére és beszedésére jogosult, adóügyi szempontból önálló régiókkal és helyi hatóságokkal szembeni vagy általuk garantált követeléseket megtestesítő átruházható értékpapírok A CRR III. mellékletének 3. pontja | 
| 540 | 1.2.2.12.3.5  A Nemzetközi Fizetések Bankjával, a Nemzetközi Valutaalappal, az Európai Unióval, az Európai Pénzügyi Stabilitási Eszközzel, az Európai Fejlesztési Mechanizmussal vagy multilaterális fejlesztési bankokkal szembeni vagy általuk garantált követeléseket megtestesítő átruházható értékpapírok A CRR III. mellékletének 3. pontja | 
| 550 | 1.2.2.12.4  A 3.3 tételben említettektől eltérő átruházható értékpapírok, amelyek kormányzatokkal vagy központi bankokkal szembeni vagy általuk garantált követeléseket testesítenek meg, és amelyeket a kormányzat vagy központi bank saját pénznemében bocsátott ki, vagy idegen pénznemben bocsátott ki olyan mértékben, amilyen mértékben ezen értékpapírok tartása megfelel azon likviditási szükségleteknek, amelyek a bank adott harmadik országbeli műveleteiből eredően felmerülnek A CRR III. mellékletének 4. pontja | 
| 570-610 | 1.2.2.12.5  20 %-os kockázati súlyú átruházható értékpapírok, amelyek nem valamely intézmény vagy annak kapcsolt vállalkozása kötelezettségét testesítik meg A CRR III. mellékletének 5. pontja A valamely tagállam vagy harmadik ország központi kormányzatával szembeni vagy általuk garantált 20 %-os kockázati súlyú értékpapírok, a III. melléklet 5. pontjában említettek szerint. Ebből: | 
| 570 | 1.2.2.12.5.1  Kormányzatokkal szembeni követeléseket megtestesítő átruházható értékpapírok A CRR III. mellékletének 5. pontja | 
| 580 | 1.2.2.12.5.2  Kormányzatok által garantált követelések A CRR III. mellékletének 5. pontja | 
| 590 | 1.2.2.12.5.3  Központi bankokkal szembeni vagy általuk garantált követeléseket megtestesítő átruházható értékpapírok A CRR III. mellékletének 5. pontja | 
| 600 | 1.2.2.12.5.4  Nem a központi kormányzathoz tartozó közszektorbeli intézményekkel, adók kivetésére és beszedésére jogosult, adóügyi szempontból önálló régiókkal és helyi hatóságokkal szembeni vagy általuk garantált követeléseket megtestesítő átruházható értékpapírok A CRR III. mellékletének 5. pontja | 
| 610 | 1.2.2.12.5.5  A Nemzetközi Fizetések Bankjával, a Nemzetközi Valutaalappal, az Európai Unióval, az Európai Pénzügyi Stabilitási Eszközzel, az Európai Fejlesztési Mechanizmussal vagy multilaterális fejlesztési bankokkal szembeni vagy általuk garantált követeléseket megtestesítő átruházható értékpapírok A CRR III. mellékletének 5. pontja | 
| 620 | 1.2.2.12.6  A 3.3–3.5.6 tételben említettektől eltérő átruházható értékpapírok, amelyek a harmadik rész II. címe 2. fejezetének értelmében 20 %-os vagy annál jobb kockázati súlyra jogosultak, vagy belső minősítésük alapján ezzel egyenértékű a hitelminőségük, és teljesítik a CRR III. mellékletének 6. pontjában meghatározott feltételek valamelyikét A CRR III. mellékletének 6. pontja | 
| 630 | 1.2.2.12.7  A 3.3–3.6 tételben említettektől eltérő átruházható értékpapírok, amelyek a harmadik rész II. címe 2. fejezetének értelmében 50 %-os vagy annál jobb kockázati súlyra jogosultak, vagy belső minősítésük alapján ezzel egyenértékű a hitelminőségük, és nem testesítenek meg különleges célú gazdasági egységgel, valamely intézménnyel vagy annak kapcsolt vállalkozásával szembeni követelést A CRR III. mellékletének 7. pontja | 
| 640 | 1.2.2.12.8  A 3.3–3.7 tételben említettektől eltérő átruházható értékpapírok, amelyeket a harmadik rész II. címe 2. fejezetének értelmében 35 %-os vagy annál jobb kockázati súlyra jogosultnak minősülő eszközök fedeznek, vagy belső minősítésük alapján ezzel egyenértékű a hitelminőségük, és a 125. cikkel összhangban teljes mértékben lakóingatlanra bejegyzett jelzáloggal fedezettek A CRR III. mellékletének 8. pontja | 
| 650 | 1.2.2.12.9  Központi bankok által a monetáris politika keretében nyújtott készenléti hitelkeretek, amennyiben ezeket a hitelkereteket nem fedezik likvid eszközök, a rendkívüli likviditási segítségnyújtás kivételével A CRR III. mellékletének 9. pontja Központi bankok által a monetáris politika keretében nyújtott készenléti hitelkeretek teljes összege, amennyiben ezeket a hitelkereteket nem fedezik likvid eszközök, a rendkívüli likviditási segítségnyújtás kivételével. | 
| 660 | 1.2.2.12.10  Ha a hitelintézet a jogszabályi vagy alapszabályi rendelkezéseknek megfelelően hálózati kapcsolatban áll, a központi hitelintézetnél elhelyezett, jogszabályban vagy alapszabályban előírt minimumbetétek, illetve egyéb, a központi hitelintézet vagy a CRR 113. cikke (7) bekezdésében említett hálózat tagjának számító vagy a CRR 10. cikkében meghatározott mentesítésre jogosult intézmények által az alapszabály értelmében vagy szerződéses alapon biztosított likvid finanszírozás, amennyiben ezt a finanszírozást nem fedezik likvid eszközök. A CRR III. mellékletének 10. pontja | 
| 670 | 1.2.2.12.11  Tőzsdén forgalmazott, központilag elszámolt törzsrészvények, amelyek valamely jelentős tőzsdeindex elemét képezik, a tagállam hazai pénznemében denomináltak, és azokat nem valamely intézmény vagy annak valamely leányvállalata bocsátotta ki A CRR III. mellékletének 11. pontja | 
| 680 | 1.2.2.12.12  Elismert tőzsdén jegyzett, letétbe helyezett arany A CRR III. mellékletének 12. pontja | 
| 690-920 | 1.2.2.13  A CRR 416. CIKKE KÖVETELMÉNYEINEK MEG NEM FELELŐ, DE A CRR 417. cikke b) és c) pontja követelményeinek továbbra is megfelelő ESZKÖZÖK Ezeket a tételeket itt kell a fenti 1.2.2 pont alapján jelenteni, a megfelelő alkategóriában. | 
| 690-710 | 1.2.2.13.1  Pénzügyi vállalati kötvények A CRR 416. cikkének (2) bekezdése Ezeket a tételeket a CRR 120. cikkének (1) bekezdése szerinti hitelminőségük szerint kell jelenteni. | 
| 690 | 1.2.2.13.1.1. 1. hitelminőségi besorolás | 
| 700 | 1.2.2.13.1.2. 2. hitelminőségi besorolás | 
| 710 | 1.2.2.3.1.3. 3. hitelminőségi besorolás | 
| 720-740 | 1.2.2.13.2  Saját kibocsátások A CRR 416. cikke (3) bekezdésének b) pontja Ezeket a tételeket a CRR 120. cikkének (1) bekezdése szerinti hitelminőségük szerint kell jelenteni. | 
| 720 | 1.2.2.13.2.1. 1. hitelminőségi besorolás | 
| 730 | 1.2.2.13.2.2. 2. hitelminőségi besorolás | 
| 740 | 1.2.2.13.2.3. 3. hitelminőségi besorolás | 
| 750-770 | 1.2.2.13.3  Hitelintézetek nem fedezett kibocsátásai A CRR 416. cikke Ezeket a tételeket a CRR 120. cikkének (1) bekezdése szerinti hitelminőségük szerint kell jelenteni. | 
| 750 | 1.2.2.13.3.1. 1. hitelminőségi besorolás | 
| 760 | 1.2.2.13.3.2. 2. hitelminőségi besorolás | 
| 770 | 1.2.2.4.13.3. 3. hitelminőségi besorolás | 
| 780-800 | 1.2.2.13.4  az 1.10–1.11.3 Tételben nem jelentett, eszközzel fedezett értékpapírok A CRR 416. cikke (4) bekezdésének b) pontja Ezeket a tételeket a CRR harmadik része II. címének 5. fejezete és 125. cikke szerinti hitelminőségük szerint kell jelenteni. | 
| 780 | 1.2.2.13.4.1. 1. hitelminőségi besorolás | 
| 790 | 1.2.2.13.4.2. 2. hitelminőségi besorolás | 
| 800 | 1.2.2.12.4.3. 3. hitelminőségi besorolás | 
| 810-830 | 1.2.2.13.5  Az 1.10–1.11.3 tételben nem jelentett, lakóingatlannal fedezett értékpapírok A CRR 509. cikkének (3) bekezdése Ezeket a tételeket a CRR harmadik része II. címének 5. fejezete és 125. cikke szerinti hitelminőségük szerint kell jelenteni. | 
| 810 | 1.2.2.13.5.1. 1. hitelminőségi besorolás | 
| 820 | 1.2.2.13.5.2. 2. hitelminőségi besorolás | 
| 830 | 1.2.2.13.5.3. 3. hitelminőségi besorolás | 
| 840 | 1.2.2.13.6  Elismert tőzsdén jegyzett részvények és főbb indexált, tulajdoni részesedést megtestesítő instrumentumok, amelyek nem saját kibocsátásúak, illetve amelyeket nem pénzügyi vállalkozás bocsátott ki A CRR 509. cikke (3) bekezdésének c) pontja | 
| 850 | 1.2.2.13.7  Arany A CRR 509. cikke (3) bekezdésének c) pontja | 
| 860 | 1.2.2.13.8  A fentiekben nem jelentett, garantált kötvények A CRR 509. cikke (3) bekezdésének c) pontja | 
| 870 | 1.2.2.13.9  A fentiekben nem jelentett, fedezett kötvények A CRR 509. cikke (3) bekezdésének c) pontja | 
| 880 | 1.2.2.13.10  A fentiekben nem jelentett vállalati kötvények A CRR 509. cikke (3) bekezdésének c) pontja | 
| 890 | 1.2.2.13.11  A 4.5–4.10 tételben jelentett eszközökre épülő alapok A CRR 509. cikke (3) bekezdésének c) pontja | 
| 900-920 | 1.2.2.13.12  A központi bankok által elfogadott egyéb értékpapír- vagy hitelkategóriák A CRR 509. cikke (3) bekezdésének b) pontja | 
| 900 | 1.2.2.13.12.1  Helyi önkormányzati kötvények A CRR 509. cikke (3) bekezdésének b) pontja | 
| 910 | 1.2.2.13.12.2  Kereskedelmi értékpapírok A CRR 509. cikke (3) bekezdésének b) pontja | 
| 920 | 1.2.2.13.12.3  Hitelkövetelések A CRR 416. cikke (4) bekezdésének c) pontja | 
| 930-950 | 1.2.2.14  A saría-kompatibilis eszközöknek a CRR 509. cikke (2) bekezdésének i. pontja szerinti alternatív eszközként való jelentése A CRR 419. cikke (2) bekezdésének a) pontja és 509. cikke (2) bekezdésének i) pontja Ezeket a tételeket itt kell a fenti 1.2.2 pont alapján jelenteni, a megfelelő alkategóriában. | 
| 930 | 1.2.2.14.1. 1. hitelminőségi besorolás | 
| 940 | 1.2.2.14.2. 2. hitelminőségi besorolás | 
| 950 | 1.2.2.14.3. 3. hitelminőségi besorolás | 
| 960-1030 | 1.2.3  Olyan betétek, amelyeket a betétesnek az alpontokban felsoroltak érdekében kell elhelyeznie: A CRR 422. cikkének (3) bekezdése Azon betétek teljes összegét, beleértve a látra szóló betéteket és a lekötött betéteket, amelyeket a betétesnek el kell helyeznie, az ügyfél típusától függően a 010-es „Pénzügyi ügyfelek által elhelyezett betétek” oszlop és a 030-as „Nem pénzügyi ügyfelek által elhelyezett betétek” oszlop következő alkategóriáiban kell a következők szerint jelenteni: | 
| 960-990 | 1.2.3.1  Annak érdekében, hogy klíring-, letéti vagy készpénzkezelési szolgáltatásokat kapjon (a levelező banki szolgáltatások és elsődleges ügynöki (prime brokerage) tevékenységek kivételével) A CRR 422. cikke (3) bekezdésének a) pontja Az olyan betétek teljes összegét, amelyeket a betétesnek azért kell elhelyeznie, hogy az intézménytől klíring-, letéti vagy készpénzkezelési szolgáltatásokat kapjon (a levelező banki szolgáltatások és elsődleges ügynöki (prime brokerage) tevékenységek kivételével) az alábbi alkategóriákban kell a következők szerint jelenteni: [Megjegyzés: ebben az összefüggésben a klíringkapcsolat azon szolgáltatási rendszerre vonatkozik, amely lehetővé teszi az ügyfelek számára, hogy belföldi elszámolási rendszerek közvetlen résztvevőin keresztül közvetett módon utaljanak át pénzeszközöket (vagy értékpapírokat) a végső kedvezményezetteknek. Ezek a szolgáltatások a következőkre korlátozódnak: fizetési megbízások továbbítása, egyeztetése és visszaigazolása; napközbeni folyószámlahitel, egynapos finanszírozás és elszámolás utáni egyenlegek kezelése; valamint a napközbeni és záró elszámolási pozíciók meghatározása. Intézményi ügyfeleknek a klíringszolgáltatásokat és a kapcsolódó szolgáltatásokat jogilag kötelező megállapodás alapján kell nyújtani (a Bázel III. likividitási szabályok szövegének 75. pontja). A letétkezelői jogviszony ebben az összefüggésben az eszközök biztonságos őrzése, az azokról való adatszolgáltatás és feldolgozásuk, és/vagy a kapcsolódó tevékenységek operatív és adminisztratív elemeinek megkönnyítése az ügyfelek nevében az ügyletkötés és pénzügyi eszközök tartása folyamatában. A letétkezeléssel kapcsolatos szolgáltatásokat intézményi ügyfeleknek jogilag kötelező letétkezelői vagy hasonló megállapodás alapján kell nyújtani. Ezek a szolgáltatások az értékpapírügyletek elszámolására, a szerződés szerinti fizetések átutalására, a fedezetek feldolgozására, a devizaügyletek végrehajtására, a kapcsolódó készpénzegyenlegek tartására és a kiegészítő készpénzkezelési szolgáltatások nyújtására korlátozódnak. Ide tartozik az osztalékok és egyéb jövedelmek beszedése, az ügyfelek jegyzéseinek és a visszaváltásoknak a kezelése, az ügyfél pénzeszközeinek ütemezett kiosztása, valamint a díjak, adók és egyéb ráfordítások kifizetése. A letétkezelői szolgáltatások kiterjedhetnek továbbá eszközkezelési és vállalati vagyonkezelési szolgáltatásokra, treasury szolgáltatásokra, feltételhez kötött számlák vezetésére, pénzeszközök átutalására, részvénykönyv-vezetési szolgáltatásokra, beleértve a fizetési és elszámolási szolgáltatásokat (a levelező banki szolgáltatások kivételével), kereskedelemfinanszírozásra, és letéti igazolások kiállítására (a Bázel III. likviditási szabályainak 76. pontja). Ebben az összefüggésben a készpénzkezelési jogviszony a készpénzkezelési és kapcsolódó szolgáltatások ügyfelek részére történő nyújtása. Készpénzkezelés és kapcsolódó szolgáltatások] | 
| 960-970 | 1.2.3.1.1  Amelyek a 94/19/EK irányelv szerinti betétbiztosítási rendszernek vagy harmadik ország azzal egyenértékű betétbiztosítási rendszerének hatálya alá tartoznak Az olyan betétek teljes összegét, amelyeket a betétesnek azért kell elhelyeznie, hogy az intézménytől klíring-, letéti vagy készpénzkezelési szolgáltatásokat kapjon (a levelező banki szolgáltatások és elsődleges ügynöki (prime brokerage) tevékenységek kivételével) és amelyek a 94/19/EK irányelv szerinti betétbiztosítási rendszernek vagy harmadik ország azzal egyenértékű betétbiztosítási rendszerének hatálya alá tartoznak, az alábbi alkategóriákban kell a következők szerint jelenteni: | 
| 960 | 1.2.3.1.1.1  Amelyek tekintetében bizonyíték áll rendelkezésre arról, hogy az ügyfél 30 napon belül operatív működése veszélyeztetése nélkül nem tudja kivonni a jogszerűen esedékes összegeket Az olyan betétek teljes összege, amelyeket a betétesnek azért kell elhelyeznie, hogy az intézménytől klíring-, letéti vagy készpénzkezelési szolgáltatásokat kapjon (a levelező banki szolgáltatások és elsődleges ügynöki (prime brokerage) tevékenységek kivételével) és amelyek a 94/19/EK irányelv szerinti betétbiztosítási rendszernek vagy harmadik ország azzal egyenértékű betétbiztosítási rendszerének hatálya alá tartoznak, valamint amelyek tekintetében bizonyíték áll rendelkezésükre arról, hogy az ügyfél 30 napon belül operatív működésük veszélyeztetése nélkül nem tudja kivonni a jogszerűen esedékes összegeket. | 
| 970 | 1.2.3.1.1.2  Amelyek tekintetében nem áll rendelkezésre bizonyíték arról, hogy az ügyfél 30 napon belül operatív működése veszélyeztetése nélkül nem tudja kivonni a jogszerűen esedékes összegeket Az olyan betétek teljes összege, amelyeket a betétesnek azért kell elhelyeznie, hogy az intézménytől klíring-, letéti vagy készpénzkezelési szolgáltatásokat kapjon (a levelező banki szolgáltatások és elsődleges ügynöki (prime brokerage) tevékenységek kivételével) és amelyek a 94/19/EK irányelv szerinti betétbiztosítási rendszernek vagy harmadik ország azzal egyenértékű betétbiztosítási rendszerének hatálya alá tartoznak, valamint amelyek tekintetében nem áll rendelkezésükre bizonyíték arról, hogy az ügyfél 30 napon belül operatív működésük veszélyeztetése nélkül nem tudja kivonni a jogszerűen esedékes összegeket, az alábbi alkategóriákban kell a következők szerint jelenteni: | 
| 980-990 | 1.2.3.1.2  Amelyek nem tartoznak a 94/19/EK irányelv szerinti betétbiztosítási rendszernek vagy harmadik ország azzal egyenértékű betétbiztosítási rendszerének hatálya alá Az olyan betétek teljes összegét, amelyeket a betétesnek azért kell elhelyeznie, hogy az intézménytől klíring-, letéti vagy készpénzkezelési szolgáltatásokat kapjon (a levelező banki szolgáltatások és elsődleges ügynöki (prime brokerage) tevékenységek kivételével) és amelyek nem tartoznak a 94/19/EK irányelv szerinti betétbiztosítási rendszernek vagy harmadik ország azzal egyenértékű betétbiztosítási rendszerének hatálya alá, az alábbi alkategóriákban kell a következők szerint jelenteni: | 
| 980 | 1.2.3.1.2.1  Amelyek tekintetében bizonyíték áll rendelkezésre arról, hogy az ügyfél 30 napon belül operatív működése veszélyeztetése nélkül nem tudja kivonni a jogszerűen esedékes összegeket Az olyan betétek teljes összege, amelyeket a betétesnek azért kell elhelyeznie, hogy az intézménytől klíring-, letéti vagy készpénzkezelési szolgáltatásokat kapjon (a levelező banki szolgáltatások és elsődleges ügynöki (prime brokerage) tevékenységek kivételével) és amelyek nem tartoznak a 94/19/EK irányelv szerinti betétbiztosítási rendszernek vagy harmadik ország azzal egyenértékű betétbiztosítási rendszerének hatálya alá, valamint amelyek tekintetében bizonyíték áll rendelkezésükre arról, hogy az ügyfél 30 napon belül operatív működésük veszélyeztetése nélkül nem tudja kivonni a jogszerűen esedékes összegeket. | 
| 990 | 1.2.3.1.2.2  Amelyek tekintetében nem áll rendelkezésre bizonyíték arról, hogy az ügyfél 30 napon belül operatív működése veszélyeztetése nélkül nem tudja kivonni a jogszerűen esedékes összegeket Az olyan betétek teljes összege, amelyeket a betétesnek azért kell elhelyeznie, hogy az intézménytől klíring-, letéti vagy készpénzkezelési szolgáltatásokat kapjon (a levelező banki szolgáltatások és elsődleges ügynöki (prime brokerage) tevékenységek kivételével) és amelyek nem tartoznak a 94/19/EK irányelv szerinti betétbiztosítási rendszernek vagy harmadik ország azzal egyenértékű betétbiztosítási rendszerének hatálya alá, valamint amelyek tekintetében nem áll rendelkezésükre bizonyíték arról, hogy az ügyfél 30 napon belül operatív működésük veszélyeztetése nélkül nem tudja kivonni a jogszerűen esedékes összegeket, az alábbi alkategóriákban kell a következők szerint jelenteni: | 
| 1000 | 1.2.3.2  Az 1.2.3.1.1 és 1.2.3.1.2 alatt jelentettektől eltérő stabil működési kapcsolat keretében A CRR 422. cikke (3) bekezdésének c) pontja Azon betétek teljes összege, amelyeket a betétesnek az 1.2.3.1.1 és 1.2.3.1.2 alatt jelentettektől eltérő stabil működési kapcsolat keretében kell elhelyeznie. | 
| 1010 | 1.2.3.2.1  Ebből levelező banki szolgáltatások és elsődleges ügynöki (prime brokerage) tevékenységek Azon betétek teljes összege, amelyeket a betétesnek az 1.2.3.1.1 és 1.2.3.1.2 alatt jelentettektől eltérő stabil működési kapcsolat keretében kell elhelyeznie, amelyek levelező banki szolgáltatásokhoz és elsődleges ügynöki (prime brokerage) tevékenységekhez kapcsolódó betétek. | 
| 1020 | 1.2.3.4  Intézményvédelmi rendszer keretén belüli közös feladatmegosztás keretében vagy törvényben, jogszabályban előírt minimumbetétként kell az intézménynél elhelyeznie az intézményvédelmi rendszer valamely másik tagjának A CRR 422. cikke (3) bekezdésének b) pontja Azon betétek teljes összege, amelyeket az intézményvédelmi rendszer keretén belüli közös feladatmegosztás keretében kell a betétesnek vagy törvényben, jogszabályban előírt minimumbetétként az intézményvédelmi rendszer valamely másik tagjának az intézménynél elhelyeznie. | 
| 1030 | 1.2.3.5  Annak érdekében kell elhelyeznie, hogy készpénz, klíring- vagy központi hitelintézeti szolgáltatásokat vehessen igénybe, és ha a hitelintézet jogszabályi vagy alapszabályi rendelkezéseknek megfelelően hálózati kapcsolatban áll A CRR 422. cikke (3) bekezdésének d) pontja Azon betétek teljes összege, amelyeket a betétesnek annak érdekében kell elhelyeznie, hogy készpénz, klíring- vagy központi hitelintézeti szolgáltatásokat vehessen igénybe, és ha a hitelintézet jogszabályi vagy alapszabályi rendelkezéseknek megfelelően hálózati kapcsolatban áll. | 
| 1040 | 1.2.4  A hitelintézetek központi hitelintézetekben elhelyezett olyan betétei, amelyek a CRR 416. cikke (1) bekezdésének f) pontja értelmében likvid eszköznek tekinthetők A CRR 422. cikke (3) bekezdésének utolsó albekezdése A hitelintézetek központi hitelintézetekben elhelyezett olyan betéteinek teljes összege, amelyek a CRR 416. cikke (1) bekezdésének f) pontja értelmében likvid eszköznek tekinthetők | 
| 1050 | 1.2.5  A CRR 416. cikke (1) bekezdésének f) pontjában meghatározott eszközökre nyújtott likviditási hitelkeretek A CRR 416. cikke (1) bekezdésének f) pontja A CRR 416. cikke (1) bekezdésének f) pontjában meghatározott eszközökre nyújtott likviditási hitelkeretek teljes összege. | 
| 1060-1070 | 1.2.6  A nem pénzügyi ügyfelek betéteiből eredő, az 1.2.2 vagy 1.2.5 alatt nem jelentett kötelezettségek A CRR 422. cikkének (5) bekezdése A nem pénzügyi ügyfelek betéteiből eredő, az 1.2.2 vagy 1.2.5 alatt nem jelentett kötelezettségek teljes összege. | 
| 1060 | 1.2.6.1 Amelyek a 94/19/EK irányelv szerinti betétbiztosítási rendszernek vagy harmadik ország azzal egyenértékű betétbiztosítási rendszerének hatálya alá tartoznak | 
| 1070 | 1.2.6 Amelyek nem tartoznak a 94/19/EK irányelv szerinti betétbiztosítási rendszernek vagy harmadik ország azzal egyenértékű betétbiztosítási rendszerének hatálya alá | 
| 1060 | 1.2.7  A CRR II. mellékletében felsorolt ügyletek alapján fizetendő nettó összeg (a CRR 416. cikke szerint likvid eszköznek minősülő, az ügylethez várhatóan kapcsolódó biztosítékok levonásával) A CRR 422. cikkének (6) bekezdése A II. mellékletben felsorolt ügyletekből a következő 30 nap alatt várhatóan fizetendő nettó összeg. Ezek az összegek: — minden partner tekintetében nettósítandók — nettó alapú számítás esetén magukban foglalják a CRR 416. cikke szerint likvid eszköznek minősülő, az ügylet keretében kapott biztosítékok levonását is — nem lehetnek a napi piaci értékek, mivel a napi piaci értéknek részét képezik a becsült függő beáramlások és kiáramlások, és részük lehet olyan készpénzáramlás, amelyre a 30 napos időtartamon túl kerül sor Megjegyzés: a követelés nettó összegét az 1.3 „Beáramlások” tételben az 1.1.6 alatt kell jelenteni [a CRR II. mellékletében felsorolt ügyletek alapján fizetendő nettó összeg (a CRR 416. cikke szerint likvid eszköznek minősülő, az ügylethez várhatóan kapcsolódó biztosítékok levonásával)] | 
| 1090-1100 | 1.2.8  Azok a kötelezettségek, amelyekre az illetékes hatóság alacsonyabb kiáramlást határozott meg A CRR 422. cikkének (8) bekezdése Azon kötelezettségek teljes összegét, amelyekre az illetékes hatóság eseti alapon alacsonyabb kiáramlást határozott meg, az alábbi alkategóriákban a következők szerint kell jelenteni: | 
| 1090 | 1.2.8.1  Amennyiben a CRR 422. cikke (8) bekezdése a), b), c) és d) pontjának minden feltétele teljesül Azon kötelezettség teljes összege, amelyekre az illetékes hatóság eseti alapon alacsonyabb kiáramlást engedélyezett, és ha a CRR 422. cikke (8) bekezdése a), b), c) és d) pontjának minden feltétele teljesül | 
| 1100 | 1.2.8.2  Amennyiben a CRR 422. cikke (8) bekezdése a), b) és c) pontjának minden feltétele teljesül, a CRR 8. cikke szerinti mentesítésben nem részesülő intézmények vonatkozásában a CRR 20. cikke (1) bekezdésének b) pontja szerinti, csoporton belüli kezelés céljaira Azon kötelezettség teljes összege, amelyekre az illetékes hatóság eseti alapon alacsonyabb kiáramlást engedélyezett, amennyiben a CRR 422. cikk (8) bekezdése a), b) és c) pontjának minden feltétele teljesül, a CRR 8. cikk szerinti mentesítésben nem részesülő intézmények vonatkozásában a CRR 20. cikk (1) bekezdésének b) pontja szerinti, csoporton belüli kezelés céljaira. | 
| 1110-1120 | 1.2.9  Azok a kötelezettségek, beleértve a szerződéses megállapodásokból eredő likviditáskiáramlásokat, mint például az egyéb mérlegen kívüli és függő finanszírozási kötelezettségek, amelyekre az illetékes hatóság a CRR 420. cikkének (2) bekezdésében említett értékelést követően nagyobb kiáramlást határozott meg A CRR 420. cikke (1) bekezdésének e) pontja és 420. cikkének (2) bekezdése Az összes olyan kötelezettség teljes összege, beleértve a szerződéses megállapodásokból eredő likviditáskiáramlásokat, mint például az egyéb mérlegen kívüli és függő finanszírozási kötelezettségek, amelyekre az illetékes hatóság a CRR 420. cikkének (2) bekezdésében említett értékelést követően nagyobb kiáramlást határozott meg. | 
| 1110 | 1.2.9 Azok a kötelezettségek, beleértve a szerződéses megállapodásokból eredő likviditáskiáramlásokat, mint például az egyéb mérlegen kívüli és függő finanszírozási kötelezettségek, amelyekre az illetékes hatóság a CRR 420. cikkének (2) bekezdésében említett értékelést követően nagyobb kiáramlást határozott meg | 
| 1120 | 1.2.9 Azok a kötelezettségek, beleértve a szerződéses megállapodásokból eredő likviditáskiáramlásokat, mint például az egyéb mérlegen kívüli és függő finanszírozási kötelezettségek, amelyekre az illetékes hatóság a CRR 420. cikkének (2) bekezdésében említett értékelést követően nagyobb kiáramlást határozott meg | 
| 1130 | 1.2.10  Minden egyéb kötelezettség A CRR 422. cikkének (7) bekezdése Minden egyéb kötelezettség teljes összege. | 
| 1140-1210 | 1.3  További likviditáskiáramlások Az összes további likviditáskiáramlás teljes összegét az alábbi alkategóriákban kell jelenteni a következők szerint: | 
| 1140 | 1.3.1  Az intézmény által a CRR II. mellékletében felsorolt ügyletekhez nyújtott, a CRR 416. cikke (1) bekezdésének a)–c) pontjában említett eszközöktől eltérő biztosítékokra A CRR 423. cikkének (1) bekezdése Az intézmény által a CRR II. mellékletében felsorolt ügyletekhez nyújtott, a CRR 416. cikke (1) bekezdésének a)–c) pontjában említett eszközöktől eltérő biztosítékokra vonatkozó összes további likviditáskiáramlás teljes összegét az alábbi alkategóriákban kell jelenteni a következők szerint: | 
| 1150 | 1.3.2  Az intézmény hitelminőségének jelentős romlásából eredő további biztosítéknyújtási kötelezettségeknek megfelelő likviditáskiáramlások A CRR 423. cikkének (2) bekezdése Azon likviditáskiáramlások teljes összege, amelyek megfelelnek az intézmény hitelminőségének jelentős romlásából eredő további biztosítéknyújtási kötelezettségeknek. | 
| 1160 | 1.3.3  Azon további biztosítéknyújtási kötelezettségeknek megfelelő likviditáskiáramlások, amelyek egy negatív piaci forgatókönyv által az intézmény származtatott ügyleteire, finanszírozási ügyleteire és egyéb szerződéseire gyakorolt hatásból erednek, amennyiben e hatás lényeges A CRR 423. cikkének (3) bekezdése Azon likviditáskiáramlások teljes összege, amelyek megfelelnek azon további biztosítéknyújtási kötelezettségeknek, amelyek egy negatív piaci forgatókönyv hatásából erednének. | 
| 1170 | 1.3.4  A rövidre eladott és 30 napon belül teljesítendő értékpapírok vagy más eszközök piaci értékének megfelelő likviditáskiáramlások, kivéve ha a teljesítendő értékpapírok az intézmény tulajdonában vannak, vagy olyan feltételekkel vette kölcsön azokat, melyek alapján csak a 30 napos időhorizonton túl kell visszaszolgáltatnia őket, és az értékpapírok nem tartoznak az intézmény likvid eszközei közé A CRR 423. cikkének (4) bekezdése Azon likviditáskiáramlások teljes összege, amelyek megfelelnek a rövidre eladott és 30 napon belül teljesítendő értékpapírok vagy más eszközök piaci értékének, kivéve ha a teljesítendő értékpapírok az intézmény tulajdonában vannak, vagy olyan feltételekkel vette kölcsön azokat, melyek alapján csak a 30 napos időhorizonton túl kell visszaszolgáltatnia őket, és az értékpapírok nem tartoznak az intézmény likvid eszközei közé. | 
| 1180 | 1.3.5  Az intézmény birtokában lévő, a partner által a szerződés értelmében bármikor lehívható pótlólagos biztosítéknak megfelelő likviditáskiáramlások A CRR 423. cikke (5) bekezdésének a) pontja Azon likviditáskiáramlások teljes összege, amelyek megfelelnek az intézmény birtokában lévő pótlólagos biztosítéknak, amelyet a partner a szerződés értelmében bármikor lehívhat | 
| 1190 | 1.3.6  A partnernek visszaszolgáltatandó biztosítéknak megfelelő likviditáskiáramlások A CRR 423. cikke (5) bekezdésének b) pontja Azon likviditáskiáramlások teljes összege, amelyek megfelelnek a partnernek visszaszolgáltatandó biztosítéknak | 
| 1200 | 1.3.7.  Azon likviditáskiáramlások, amelyek megfelelnek a CRR 416. cikke alkalmazásában likvid eszköznek minősülő eszközökhöz kapcsolódó biztosítéknak, amely a hitelintézet engedélye nélkül helyettesíthető olyan biztosítékkal, amely olyan eszközökhöz kapcsolódik, amelyek a CRR 416. cikke alkalmazásában nem minősülnek likvid eszköznek A CRR 423. cikke (5) bekezdésének c) pontja Azon likviditáskiáramlások teljes összege, amelyek megfelelnek a CRR 416. cikke alkalmazásában likvid eszköznek minősülő eszközökhöz kapcsolódó biztosítéknak, amely a hitelintézet engedélye nélkül helyettesíthető olyan biztosítékkal, amely olyan eszközökhöz kapcsolódik, amelyek a CRR 416. cikke alkalmazásában nem minősülnek likvid eszköznek. | 
| 1210 | 1.3.8  Biztosítékként kapott betétek A CRR 423. cikkének (6) bekezdése Azon likviditáskiáramlások teljes összege, amelyek megfelelnek a biztosítékként kapott betéteknek | 
| 1220-1370 | 1.4  Kiáramlások a hitelkeretekből és likviditási hitelkeretekből A hitelkeretekből és likviditási hitelkeretekből lehívható összes további likviditáskiáramlás összesített maximális összegét az alábbi alkategóriákban kell jelenteni a következők szerint: [Megjegyzés: A maximális lehívható összeg meghatározható a nyújtandó biztosíték a CRR 418. cikke szerinti értékével csökkentve, amennyiben az intézmény ismételten fel tudja használni a biztosítékot, és amennyiben a biztosíték likvid eszköz formájában áll rendelkezésre a CRR 416. cikkével összhangban. A nyújtandó biztosíték nem feltétlenül a hitelkerettel rendelkező partner vagy kapcsolt vállalkozása által kibocsátott eszköz. Amennyiben a szükséges információk az intézmény rendelkezésére állnak, a különleges célú gazdasági egység számára nyújtott hitelkeretből és likviditási hitelkeretből lehívható maximális összeget azon maximális összegként kell meghatározni, amelyet a különleges célú gazdasági egység az elkövetkező 30 nap során esedékessé váló saját kötelezettségeinek ismeretében az elkövetkező 30 nap során lehívhat.] | 
| 1220 | 1.4.1  A lakossági ügyfelek egyéb le nem hívott, folyósítási kötelezettséggel járó hitelkereteiből és le nem hívott, folyósítási kötelezettséggel járó likviditási kereteiből lehívható maximális összeg A CRR 424. cikkének (2) bekezdése Az a maximális összeg, amely lakossági ügyfelek le nem hívott, folyósítási kötelezettséggel járó hitelkereteiből vagy le nem hívott, folyósítási kötelezettséggel járó likviditási hitelkereteiből eredhet, amennyiben a keret a hitelkockázatra alkalmazandó sztenderd vagy IRB-módszer szerint lakossággal szembeni kitettségi osztályhoz tartozónak minősül. | 
| 1230-1240 | 1.4.2  A nem lakossági és pénzügyi ügyfelek egyéb le nem hívott, folyósítási kötelezettséggel járó hitelkereteiből és le nem hívott, folyósítási kötelezettséggel járó likviditási hitelkereteiből lehívható maximális összeg A CRR 424. cikkének (3) bekezdése Az a maximális összeg, amely nem lakossági és pénzügyi ügyfelek egyéb le nem hívott, folyósítási kötelezettséggel járó hitelkereteiből és le nem hívott, folyósítási kötelezettséggel járó likviditási hitelkereteiből lehívható, amennyiben teljesülnek a következő feltételek: a) a hitelkockázatra alkalmazandó sztenderd vagy IRB-módszer szerint nem minősül lakossággal szembeni kitettségnek; b) olyan ügyfeleknek nyújtották, akik/amelyek nem pénzügyi ügyfelek; c) nem az ügyfél finanszírozásának helyettesítésére nyújtották, olyan helyzetben, amikor az ügyfél nem tudja előteremteni finanszírozási szükségletét a pénzügyi piacokon. | 
| 1230 | 1.4.2.1  Folyósítási kötelezettséggel járó, le nem hívott hitelkeretek Az 1.4.2 tételben feltüntetett, folyósítási kötelezettséggel járó, le nem hívott hitelkeretek teljes összege | 
| 1240 | 1.4.2.2  Folyósítási kötelezettséggel járó, le nem hívott likviditási hitelkeretek Az 1.4.2 tételben feltüntetett, folyósítási kötelezettséggel járó, le nem hívott likviditási hitelkeretek teljes összege | 
| 1250 | 1.4.3  Le nem hívott likviditási hitelkeretekből lehívható maximális összeg, amelyet arra a célra bocsátottak valamely különleges célú gazdasági egység rendelkezésére, hogy a pénzügyi ügyfélnek nem minősülő ügyfelektől értékpapírtól különböző eszközt vásárolhasson, amennyiben meghaladja az adott különleges célú gazdasági egység ügyfelektől vásárolt aktuális eszközállományának összértékét, és amennyiben a lehívható maximális összeget a szerződés az aktuális vásárolt eszközállomány összértékére korlátozza A CRR 424. cikkének (4) bekezdése Az az összesített maximális összeg, amely le nem hívott likviditási hitelkeretből eredhet, amelyet arra a célra bocsátottak valamely különleges célú gazdasági egység rendelkezésére, hogy a pénzügyi ügyfélnek nem minősülő ügyfelektől értékpapírtól különböző eszközt vásárolhasson. | 
| 1260-1270 | 1.4.4  Az 1.4.1, 1.4.2 vagy 1.4.3 tételben nem jelentett egyéb le nem hívott, folyósítási kötelezettséggel járó hitelkeretekből és le nem hívott, folyósítási kötelezettséggel járó likviditási hitelkeretekből lehívható maximális összeg A CRR 424. cikkének (5) bekezdése Az az összesített maximális összeg, amely az 1.4.1, az 1.4.2 vagy 1.4.3 tételben jelentett ügyfeleken kívüli ügyfelek le nem hívott hitelkereteiből és likviditási hitelkereteiből lehívható. Ez magában foglalja a következőket: a) az intézmény által a különleges célú gazdasági egységeknek nyújtott likviditási hitelkeretek; b) olyan megállapodások, amelyek értelmében az intézménynek valamely különleges célú gazdasági egységtől kell eszközt vásárolnia vagy cserélnie. | 
| 1260 | 1.4.4.1  Nem az 1.4.3 tétel szerinti különleges célú gazdasági egységnek nyújtott A CRR 424. cikke (5) bekezdésének a) pontja Az 1.4.4 tételből az a teljes összeg, amely nem az 1.4.3 tétel szerinti különleges célú gazdasági egységnek nyújtott tételekhez kapcsolódik | 
| 1270 | 1.4.4.2  Olyan megállapodások, amelyek értelmében az intézménynek valamely különleges célú gazdasági egységtől kell eszközt vásárolnia vagy cserélnie A CRR 424. cikke (5) bekezdésének b) pontja Az 1.4.4 tételből az a teljes összeg, amely olyan megállapodásokhoz kapcsolódik, amelyek értelmében az intézménynek valamely különleges célú gazdasági egységtől kell eszközt vásárolnia vagy azzal kell eszközt cserélnie. | 
| 1280-1290 | 1.4.4.3  Hitelintézeteknek nyújtott A CRR 424. cikke (5) bekezdésének c) pontja Az 1.4.4 tételből az a teljes összeg, amely a hitelintézeteknek nyújtott tételekhez kapcsolódik | 
| 1280 | 1.4.4.3.1  Folyósítási kötelezettséggel járó, le nem hívott hitelkeretek Az 1.4.4.3 tételből az a teljes összeg, amely folyósítási kötelezettséggel járó, le nem hívott hitelkeretekhez kapcsolódik | 
| 1290 | 1.4.4.3.2  Folyósítási kötelezettséggel járó, le nem hívott likviditási hitelkeretek Az 1.4.4.3 tételből az a teljes összeg, amely folyósítási kötelezettséggel járó, le nem hívott likviditási hitelkeretekhez kapcsolódik | 
| 1300-1310 | 1.4.4.4  Pénzügyi vállalkozásoknak és befektetési vállalkozásoknak nyújtott A CRR 424. cikke (5) bekezdésének d) pontja Az 1.4.4 tételből az a teljes összeg, amely pénzügyi vállalkozásoknak és befektetési vállalkozásoknak nyújtott tételekhez kapcsolódik, a hitelintézetek kivételével | 
| 1300 | 1.4.4.4.1  Folyósítási kötelezettséggel járó, le nem hívott hitelkeretek Az 1.4.4.4 tételből az a teljes összeg, amely folyósítási kötelezettséggel járó, le nem hívott hitelkeretekhez kapcsolódik | 
| 1310 | 1.4.4.4.2  Folyósítási kötelezettséggel járó, le nem hívott likviditási hitelkeretek Az 1.4.4.4 tételből az a teljes összeg, amely folyósítási kötelezettséggel járó, le nem hívott likviditási hitelkeretekhez kapcsolódik | 
| 1320 | 1.4.4.5  Egyéb ügyfeleknek nyújtott Az 1.4.4 tételből az a teljes összeg, amely egyéb ügyfeleknek nyújtott tételekhez kapcsolódik | 
| 1330 | 1.4.4.6  Csoporton belüli jogalanyoknak nyújtott Az 1.4.4 tételből az a teljes összeg, amely a CRR szerinti csoporton belüli jogalanyoknak nyújtott tételekhez kapcsolódik | 
| 1340 | 1.4.5  Kedvezményes hitelek finanszírozására nyújtott le nem hívott, folyósítási kötelezettséggel járó hitelkeretekből és likviditási hitelkeretekből lehívható maximális összeg A CRR 424. cikkének (6) bekezdése Az a teljes maximális összeg, amely a (2) és (3) bekezdésben hivatkozott kitettségi osztályba besorolható kedvezményes kölcsönök közvetett vagy közvetlen finanszírozásának kizárólagos céljával nyújtott, le nem hívott hitelkeretekből és likviditási hitelkeretekből eredhet. Ezek a kedvezményes kölcsönök csak nem pénzügyi ügyfél részére nyújthatók, nem versenyalapon, hanem nonprofit jelleggel az adott tagállam központi vagy regionális kormányzata közpolitikai célkitűzéseinek támogatására. Az ilyen hitelkeretekből kedvezményes kölcsönt csak az arra vonatkozó igényt követően és csak az igény összegéig lehet lehívni. | 
| 1350 | 1.4.6  Az összes többi függő kötelezettségből lehívható teljes maximális összeg Az a teljes maximális összeg, amely az összes többi függő kötelezettségből eredhet. Ezek a függő finanszírozási kötelezettségek lehetnek szerződéses vagy szerződésen kívüli kötelezettségek, és nem hitelfolyósítási kötelezettségek. A szerződésen kívüli függő finanszírozási kötelezettségek körébe tartoznak az értékesített termékekhez vagy nyújtott szolgáltatásokhoz kapcsolódó támogatások, amennyiben azok a jövőben stresszhelyzetben támogatás vagy pénzeszközök folyósítását igényelhetik. A szerződésen kívüli kötelezettségek lehetnek az intézmény által értékesített, támogatott vagy tőle származó pénzügyi termékekbe vagy eszközökbe beágyazottak, amelyek a hírnévkockázattal kapcsolatos megfontolásokhoz nyújtott támogatás révén a mérlegfőösszeg nem tervezett emelkedését okozhatják. | 
| 1360 | 1.4.6.1  Csoporton belüli jogalanyoknak nyújtott Az 1.4.6 tételből az a teljes összeg, amely a CRR szerinti csoporton belüli jogalanyoknak nyújtott tételekhez kapcsolódik | 
| 1370 | 1.4.7  A CRD 105. cikke szerinti likviditáskiáramlások A CRR 105. cikkének a) és d) pontjában említett kockázati tényezőkből eredő összes likviditáskiáramlásnak a 30 napon belül várható része. | 
LIKVIDITÁSRA VONATKOZÓ ADATSZOLGÁLTATÁS (3/5. RÉSZ: BEÁRAMLÁSOK)
1. Beáramlások
1.1. Általános megjegyzések
1. Ez egy olyan összefoglaló tábla, amely az 575/2013/EU RENDELET (továbbiakban: CRR) 412. cikkében meghatározott likviditásfedezeti követelmények nyomonkövetése céljából a következő 30 napra szóló likviditásbeáramlásra vonatkozó információkat tartalmazza. Szürke szín jelzi azokat a tételeket, amelyeket az intézményeknek nem kell kitölteniük.
2. A CRR 425. cikkének (2) bekezdésével összhangban a likviditásbeáramlások:
i. kizárólag az olyan kitettségekből származó szerződéses beáramlásokból tevődnek össze, amelyek még nem késedelmesek, és amelyek esetében az intézménynek nincs oka nemteljesítést feltételezni egy 30 napos időszakon belül.
ii. teljes mértékben jelentendők.
3. A CRR 425. cikkének (7) bekezdésével összhangban az intézmények az adatszolgáltatásban nem tüntethetik fel a 416. cikkel összhangban jelentett likvid eszközökből származó beáramlásokat, kivéve az eszközökkel kapcsolatos azon esedékes összegeket, amelyek nem tükröződnek az eszköz piaci értékében.
4. A CRR 425. cikkének (8) bekezdésével összhangban az intézmények az adatszolgáltatásban nem tüntethetik fel az újonnan vállalt kötelezettségekből származó beáramlásokat.
1.2. Beáramlásokra vonatkozó tábla
1.2.1. A tábla egyes részeire vonatkozó előírások
| Sor | Jogszabályi hivatkozások és útmutatások | 
| 010-030 | BEÁRAMLÁSOK A CRR 425. cikke Beáramlások összesen. Az adatszolgáltatás céljára ebben a szakaszban jelentett pénzösszegek a következő 30 nap során likviditásbeáramlás potenciális forrásaként azonosított tételek, a CRR 425. cikkében foglaltak alapján. Az egyes alkategóriák „összeg” oszlopában a teljes összeget kell feltüntetni, azaz nem a CRR-ben megadott százalékkal csökkentett összegeket. | 
| 010-980 | 1.  Beáramlások A CRR 425. cikke A 010-es oszlop az esedékes pénzösszegek teljes összegére utal, míg a 020-as oszlop – adott esetben – a beáramlási arány alkalmazását követő, konkrét beáramlásra. | 
| 010-060 | 1.1  A nem pénzügyi ügyfelektől esedékes pénzösszegek A CRR 425. cikke (2) bekezdésének a) pontja A nem pénzügyi ügyfelektől a következő 30 nap során esedékes pénzösszegeket (beleértve a kamatfizetéseket is) az alábbi alkategóriákban kell jelenteni a következők szerint: [Megjegyzés: ide tartoznak azok a lejáró hitelek, amelyek meghosszabbításáról már megállapodás született. A nem lejáró hitelek –feltételezés szerint – nem járnak likviditásbeáramlással, és azokat nem itt kell jelenteni]. | 
| 010 | 1.1.1  Lakossági ügyfelektől esedékes pénzösszegek A CRR 425. cikke (2) bekezdésének a) pontja Lakossági ügyfelektől a következő 30 nap során esedékes pénzösszegek, amelyek még nem késedelmesek, és amelyek esetében a banknak nincs oka nemteljesítést feltételezni egy 30 napos időszakon belül (a kamatfizetéseket is beleértve). | 
| 020 | 1.1.2  Nem pénzügyi vállalati ügyfelektől esedékes pénzösszegek A CRR 425. cikke (2) bekezdésének a) pontja Nem pénzügyi vállalati ügyfelektől a következő 30 nap során esedékes pénzösszegek, amelyek még nem késedelmesek, és amelyek esetében a banknak nincs oka nemteljesítést feltételezni egy 30 napos időszakon belül (a kamatfizetéseket is beleértve). | 
| 030 | 1.1.2.1  Ebből azon pénzösszegek, amelyeket az ilyen pénzösszegekkel tartozó intézmény a 422. cikk (3) és (4) bekezdése szerint kezel A CRR 425. cikke (2) bekezdésének e) pontja Az 1.1.2 alatt jelentett összegből az intézmény által klíring-, letéti vagy készpénzkezelési szolgáltatások igénybevételéhez fizetendő, esedékes teljes összeg a 422. cikk (3) és (4) bekezdése szerint. | 
| 040 | 1.1.3  Központi bankoktól esedékes pénzösszegek A CRR 425. cikke (2) bekezdésének a) pontja Központi bankoktól a következő 30 nap során esedékes pénzösszegek, amelyek még nem késedelmesek, és amelyek esetében a banknak nincs oka nemteljesítést feltételezni egy 30 napos időszakon belül (a kamatfizetéseket is beleértve). | 
| 050 | 1.1.3.1  Ebből azon pénzösszegek, amelyeket az ilyen pénzösszegekkel tartozó intézmény a 422. cikk (3) és (4) bekezdése szerint kezel A CRR 425. cikke (2) bekezdésének e) pontja Az 1.1.3 tételben jelentett összegből az intézmény által klíring-, letéti vagy készpénzkezelési szolgáltatások igénybevételéhez fizetendő, esedékes teljes összeg a 422. cikk (3) és (4) bekezdése szerint. | 
| 060 | 1.1.4  Az egyéb nem pénzügyi ügyfelektől esedékes pénzösszegek A CRR 425. cikke (2) bekezdésének a) pontja Nem pénzügyi ügyfelektől a következő 30 nap során esedékes azon pénzösszegek teljes összege, amelyek még nem késedelmesek, és amelyek esetében a banknak nincs oka nemteljesítést feltételezni egy 30 napos időszakon belül (a kamatfizetéseket is beleértve), és nem szerepelnek az 1.1.1–1.1.3 sorban. | 
| 070-080 | 1.2  Pénzügyi ügyfelektől esedékes pénzösszegek A CRR 425. cikkének (2) bekezdése Pénzügyi ügyfelektől a következő 30 nap során esedékes pénzösszegek teljes összege, amelyek még nem késedelmesek, és amelyek esetében a banknak nincs oka nemteljesítést feltételezni egy 30 napos időszakon belül (a kamatfizetéseket is beleértve). A fedezett kölcsönügyleteket és tőkepiac-vezérelt ügyleteket az 1.2 szakaszban kell jelenteni. | 
| 070 | 1.2.1  Ebből azon pénzösszegek, amelyeket az ilyen pénzösszegekkel tartozó intézmény a 422. cikk (3) és (4) bekezdése szerint kezel A CRR 425. cikke (2) bekezdésének e) pontja Az 1.2 tételben jelentett összegből az intézmény által klíring-, letéti vagy készpénzkezelési szolgáltatások igénybevételéhez fizetendő pénzösszeg a 422. cikk (3) és (4) bekezdése szerint. | 
| 080 | 1.2.2  Ebből azon pénzösszegek, amelyek tekintetében az illetékes hatóság alacsonyabb likviditáskiáramlási faktor alkalmazását engedélyezte a 422. cikk (8) bekezdése szerint A CRR 422. cikkének (8) bekezdése Az 1.2 tételben jelentett összegből azon esedékes pénzösszegek, melyek abból adódnak, hogy az illetékes hatóság alacsonyabb likviditáskiáramlási faktor alkalmazását engedélyezte a 422. cikk (8) bekezdése szerint | 
| 090 | 1.3  A 425. cikk (2) bekezdésének b) pontja szerinti kereskedelemfinanszírozási ügyletekből esedékes pénzösszegek A CRR 425. cikke (2) bekezdésének b) pontja A 425. cikk (2) bekezdésének b) pontja szerinti kereskedelemfinanszírozási ügyletekből esedékes pénzösszegek | 
| 100 | 1.4  Olyan eszközök, amelyeknek szerződéses zárónapja nincs meghatározva a 425. cikk (2) bekezdésének c) pontja szerint A CRR 425. cikke (2) bekezdésének c) pontja Olyan eszközök, amelyeknek szerződéses zárónapja nincs meghatározva a 425. cikk (2) bekezdésének c) pontja szerint | 
| 110 | 1.5  A főbb indexekben lévő tulajdoni részesedést megtestesítő instrumentumokban tartott pozíciókból esedékes pénzösszegek, feltéve, ha nem veszik kétszeresen figyelembe, likvid eszközként is. A CRR 425. cikke (2) bekezdésének f) pontja A főbb indexekben lévő tulajdoni részesedést megtestesítő instrumentumokban tartott pozíciókból esedékes pénzösszegek, feltéve, ha nem veszik kétszeresen figyelembe, likvid eszközként is. | 
| 120-930 | 1.6  A CRR 192. cikkben meghatározott fedezett kölcsönügyletekből és tőkepiac-vezérelt ügyletekből esedékes pénzösszegek A CRR 425. cikke (2) bekezdésének d) pontja A következő alkategóriák esetében az intézményeknek meg kell állapítaniuk a fedezett kölcsönügyletekhez és tőkepiac-vezérelt ügyletekhez a következő 30 nap alatt kapcsolódó beáramlások összegét és az ügyleteket fedező megfelelő eszközök piaci értékét. A CRR 192. cikknek megfelelően: 1. „fedezett kölcsönügylet” olyan, biztosítékkal fedezett kitettséget eredményező megállapodás, amely nem tartalmaz olyan rendelkezést, amely jogot biztosít az intézmény számára a fedezet legalább napi gyakoriságú kiegészítésének előírására; 2. „tőkepiac-vezérelt ügylet” olyan, biztosítékkal fedezett kitettséget eredményező megállapodás, amely tartalmaz olyan rendelkezést, amely jogot biztosít az intézmény számára a fedezet legalább napi gyakoriságú kiegészítésének előírására. Emiatt ebben a szakaszban kell jelenteni minden olyan, 30 napon belül lejáró ügyletet, amelyben az intézmény készpénzben nyújtott fedezett kölcsönt, mint például a CRR 4. cikkének 83. pontjában meghatározott fordított repoügyleteket. Az intézményeknek a 010-es, 030-as és 050-es oszlopban kell jelenteniük a 30 napon belül esedékes összeget, a 020-as, 040-es és 060-as oszlopban pedig a fedezett kölcsönügyleteket és tőkepiac-vezérelt ügyleteket fedező eszközök piaci értékét, attól az eszközminőségi kategóriától függően, amelybe az eszközt besorolták (rendkívül magas likviditás és hitelminőség, magas likviditás és hitelminőség, valamint egyéb likviditás és hitelminőség). Az intézmények az ügyleteket fedező eszközök likviditásának és hitelminőségének meghatározásával sorolják be az ügyleteket, az eszközök 1.1 „Eszközök” táblában történő jelentésének céljaira alkalmazott szempontok használatával. Azaz a CRR 416. cikkének (1) bekezdésével összhangban, amíg nem áll rendelkezésre a CRR 460. cikke szerinti egységes meghatározás a rendkívül magas és magas likviditás és hitelminőség fogalmára, addig az intézmények maguk határozzák meg, hogy egy adott pénznemben melyek a magas vagy rendkívül magas likviditású és hitelminőségű átruházható eszközök. Ha az intézmény egy fedezeti alapban egyaránt kapott „rendkívül magas”, „magas” és „egyéb” likviditású és hitelminőségű eszközöket, és egy eszközt sem rendelt konkrétan hozzá fedezett kölcsönügyletekhez és tőkepiac-vezérelt ügyletekhez, az intézménynek elsőként a legalacsonyabb likviditású és hitelminőségű eszközöket kell hozzárendelni, azaz elsőként az „egyéb likviditású és hitelminőségű eszközöket” kell hozzárendelni. Az összes ilyen eszköz teljes hozzárendelése után lehet csak a „magas likviditású és hitelminőségű eszközöket” hozzárendelni. Az összes ilyen eszköz hozzárendelését követően lehet csak a „rendkívül magas likviditású és hitelminőségű eszközöket” hozzárendelni. | 
| 120-190 | 1.6.1  Más átruházható eszközök, amelyek a következőkkel szembeni vagy általuk garantált követeléseket testesítenek meg A CRR 416. cikke (1) bekezdésének c) pontja A megfelelő alkategóriában itt kell jelenteni az átruházható eszközökkel fedezett tranzakciókat. Az ebben a szakaszban jelentett eszközöket kifejezetten a potenciálisan magas és rendkívül magas likviditású és hitelminőségű eszközökként azonosították. Az ebben a szakaszban jelentett eszközöknek meg kell felelniük a CRR 416. és 417. cikkében szereplő összes vonatkozó követelménynek. | 
| 120-130 | 1.6.1.1  Egy tagállam központi kormányzatával, adók kivetésére és beszedésére jogosult, adóügyi szempontból önálló régió regionális kormányzatával vagy harmadik ország központi vagy regionális kormányzatával szembeni vagy általuk garantált, hazai pénznemben meglévő követeléseket megtestesítő átruházható eszközök, amennyiben az intézmény az adott tagállamban vagy harmadik országban likviditási kockázatot vállal és ezt e likvid eszközök tartásával fedezi A CRR 416. cikke (1) bekezdése c) pontjának i. alpontja | 
| 120 | 1.6.1.1.1  Követeléseket megtestesítő A likvid eszközöket tartalmazó tábla 1.3.1 tételében meghatározott eszközök, amelyek a fenti partnerekkel szemben fennálló követeléseket testesítenek meg, a 416. cikk (1) bekezdése c) pontjának i. alpontja szerint | 
| 130 | 1.6.1.1.2  Általuk garantált A likvid eszközöket tartalmazó tábla 1.3.1 tételében meghatározott eszközök, amelyeket a fenti partnerek garantálnak, a 416. cikk (1) bekezdése c) pontjának i. alpontja szerint | 
| 140-150 | 1.6.1.2  Központi bankokkal és nem központi kormányzati közszektorbeli intézményekkel szembeni vagy általuk garantált követeléseket megtestesítő, a központi bank és a közszektorbeli intézmény pénznemében kibocsátott átruházható eszközök A CRR 416. cikke (1) bekezdése c) pontjának ii. alpontja | 
| 140 | 1.6.1.2.1  Követeléseket megtestesítő A likvid eszközöket tartalmazó tábla 1.3.2 tételében meghatározott eszközök, amelyek a fenti partnerekkel szemben fennálló követeléseket testesítenek meg, a 416. cikk (1) bekezdése c) pontjának ii. alpontja szerint | 
| 150 | 1.6.1.2.2  Általuk garantált A likvid eszközöket tartalmazó tábla 1.3.2 tételében meghatározott eszközök, amelyeket a fenti partnerek garantálnak, a 416. cikk (1) bekezdése c) pontjának ii. alpontja szerint | 
| 160-170 | 1.6.1.3  A Nemzetközi Fizetések Bankjával, a Nemzetközi Valutaalappal, a Bizottsággal és multilaterális fejlesztési bankokkal szembeni vagy általuk garantált követeléseket megtestesítő átruházható eszközök A CRR 416. cikke (1) bekezdése c) pontjának iii. alpontja | 
| 160 | 1.6.1.3.1  Követeléseket megtestesítő A likvid eszközöket tartalmazó tábla 1.3.3 tételében meghatározott eszközök, amelyek a fenti partnerekkel szemben fennálló követeléseket testesítenek meg, a 416. cikk (1) bekezdése c) pontjának iii. alpontja szerint | 
| 170 | 1.6.1.3.2  Általuk garantált A likvid eszközöket tartalmazó tábla 1.3.3 tételében meghatározott eszközök, amelyeket a fenti partnerek garantálnak, a 416. cikk (1) bekezdése c) pontjának iii. alpontja szerint | 
| 180-190 | 1.6.1.4  Az Európai Pénzügyi Stabilitási Eszközzel és az Európai Stabilitási Mechanizmussal szembeni vagy általuk garantált követeléseket megtestesítő átruházható eszközök A CRR 416. cikke (1) bekezdése c) pontjának iv. alpontja | 
| 180 | 1.6.1.4.1  Követeléseket megtestesítő A likvid eszközöket tartalmazó tábla 1.3.4 tételében meghatározott eszközök, amelyek a fenti partnerekkel szemben fennálló követeléseket testesítenek meg, a 416. cikk (1) bekezdése c) pontjának iv. alpontja szerint | 
| 190 | 1.6.1.4.2  Általuk garantált A likvid eszközöket tartalmazó tábla 1.3.4 tételében meghatározott eszközök, amelyeket a fenti partnerek garantálnak, a 416. cikk (1) bekezdése c) pontjának iv. alpontja szerint | 
| 200-220 | 1.6.2  A CRR 416. cikk (1) bekezdésében meghatározott alapul szolgáló eszközökkel rendelkező kollektív befektetési formák összes részvénye vagy befektetési jegye A CRR 416. cikkének (6) bekezdése A CRR 416. cikkének (1) bekezdésében meghatározott alapul szolgáló eszközökkel rendelkező kollektív befektetési formák összes részvényét vagy befektetési jegyét itt kell jelenteni a likvid eszközökre vonatkozó tábla megfelelő alkategóriájának felhasználásával. | 
| 200 | 1.6.2.1 A 416. cikk (1) bekezdésének a) pontja szerinti alapul szolgáló eszközök | 
| 210 | 1.6.2.2 A 416. cikk (1) bekezdésének b) és c) pontja szerinti alapul szolgáló eszközök | 
| 220 | 1.6.2.3 A 416. cikk (1) bekezdésének d) pontja szerinti alapul szolgáló eszközök | 
| 230 | 1.6.3  Valamely tagállam központi vagy regionális kormányzata által alapított hitelintézetek által kibocsátott eszközök Valamely tagállam központi vagy regionális kormányzata által alapított hitelintézetek által kibocsátott eszközök, amennyiben a 416. cikk (2) bekezdése a) pontjának iii. alpontja szerinti feltételek legalább egyike teljesül | 
| 240-260 | 1.6.4  Nem pénzügyi vállalati kötvények A CRR 416. cikke (1) bekezdésének b) vagy d) pontja A nem pénzügyi vállalati kötvényeket a CRR 122. cikke szerinti hitelminőségük szerint kell jelenteni a megfelelő alkategória használatával. | 
| 240 | 1.6.4.1 1. hitelminőségi besorolás | 
| 250 | 1.6.4.2 2. hitelminőségi besorolás | 
| 260 | 1.6.4.3 3. hitelminőségi besorolás | 
| 270-290 | 1.6.5  A CRR 129. cikk (4) vagy (5) bekezdése szerinti eljárásra jogosult hitelintézet által kibocsátott kötvények A CRR 416. cikke (2) bekezdése a) pontjának i. alpontja A 129. cikk (4) vagy (5) bekezdése szerinti eljárásra jogosult kötvényeket a CRR 129. cikkének (4) vagy (5) bekezdése szerinti hitelminőségük szerint kell jelenteni, a megfelelő alkategória használatával. | 
| 270 | 1.6.5.1 1. hitelminőségi besorolás | 
| 280 | 1.6.5.2 2. hitelminőségi besorolás | 
| 290 | 1.6.5.3 3. hitelminőségi besorolás | 
| 300-320 | 1.6.6  Hitelintézet által kibocsátott, eszközzel fedezett instrumentumok, amelyek az EBH által az 509. cikk (3), (4) és (5) bekezdésében foglalt kritériumok alapján meghatározott minősítés szerint bizonyítottan a legmagasabb hitelminősítési kategóriába tartoznak A CRR 416. cikke (2) bekezdése a) pontjának i. alpontja Ezeket a tételeket a CRR harmadik része II. címének 5. fejezete és 123., 124., 125. és 126. cikke szerinti hitelminőségük szerint kell jelenteni, a megfelelő alkategória használatával. | 
| 300 | 1.6.6.1 1. hitelminőségi besorolás | 
| 310 | 1.6.6.2 2. hitelminőségi besorolás | 
| 320 | 1.6.6.3 3. hitelminőségi besorolás | 
| 330-350 | 1.6.7  Az 1.6.6 sorban jelentett eszközök lakóingatlannal fedezett eszközei A CRR 416. cikke (2) bekezdése a) pontjának i. alpontja Ezeket a tételeket a CRR harmadik része II. címének 5. fejezete és 123., 124., 125. és 126. cikke szerinti hitelminőségük szerint kell jelenteni, a megfelelő alkategória használatával. | 
| 330 | 1.6.7.1 1. hitelminőségi besorolás | 
| 340 | 1.6.7.2 2. hitelminőségi besorolás | 
| 350 | 1.6.7.3 3. hitelminőségi besorolás | 
| 360-380 | 1.6.8.  A 2009/65/EK irányelv 52. cikkének (4) bekezdésében meghatározottak szerinti, a likvid eszközöket tartalmazó tábla 1.9 sorában említettektől eltérő kötvények A CRR 416. cikke (2) bekezdése a) pontjának ii. alpontja Ezeket a tételeket a CRR 129. cikkének (4) vagy (5) bekezdése szerinti hitelminőségük szerint, a megfelelő alkategóriában kell jelenteni. | 
| 360 | 1.6.8.1 1. hitelminőségi besorolás | 
| 370 | 1.6.8.2 2. hitelminőségi besorolás | 
| 380 | 1.6.8.3 3. hitelminőségi besorolás | 
| 390-410 | 1.6.9  Egyéb rendkívül magas likviditású és hitelminőségű átruházható eszközök A CRR 416. cikke (1) bekezdésének b) pontja Ezeket a tételeket a CRR harmadik része II. címének 2. fejezete szerinti hitelminőségük szerint, a megfelelő alkategóriában kell jelenteni. Itt csak a fenti sorokban nem szereplő tételeket kell jelenteni. | 
| 390 | 1.6.9.1 1. hitelminőségi besorolás | 
| 400 | 1.6.9.2 2. hitelminőségi besorolás | 
| 410 | 1.6.9.3 3. hitelminőségi besorolás | 
| 420-440 | 1.6.10  Egyéb magas likviditású és hitelminőségű átruházható eszközök A CRR 416. cikke (1) bekezdésének d) pontja Ezeket a tételeket a CRR harmadik része II. címének 2. fejezet szerinti hitelminőségük szerint, a megfelelő alkategóriában kell jelenteni. Itt csak a fenti sorokban nem szereplő tételeket kell jelenteni. | 
| 420 | 1.6.10.1 1. hitelminőségi besorolás | 
| 430 | 1.6.10.2 2. hitelminőségi besorolás | 
| 440 | 1.6.10.3 3. hitelminőségi besorolás | 
| 450-460 | 1.6.11  A CRR 416. CIKKE (1) BEKEZDÉSÉNEK b) ÉS d) PONTJA KÖVETELMÉNYEINEK MEGFELELŐ, DE A 417. CIKKE b) VAGY c) PONTJA KÖVETELMÉNYEINEK MEG NEM FELELŐ ESZKÖZÖK A tételeket csak az alábbi alkategóriák egyikében kell jelenteni, abban az esetben is, ha egyik rendelkezés sem teljesül. | 
| 450 | 1.6.11.1  Likviditáskezelési funkció révén nem ellenőrzött eszközök A CRR 417. cikkének c) pontja | 
| 460 | 1.6.11.2  Eszközök, melyek azonnali ügylet vagy egyszerű repomegállapodás keretében, elfogadott repopiacon értékesíthetők, de jogi és gyakorlati szempontból a következő 30 napban nem állnak bármikor rendelkezésre A CRR 417. cikkének b) pontja | 
| 470-660 | 1.6.12  A likvid eszközökre vonatkozó kiegészítő adatszolgáltatás tárgyát képező tételek Az intézmények e pontban csak a likvid eszközökre vonatkozó, a CRR III. melléklete szerinti kiegészítő adatszolgáltatás tárgyát képező tételeket jelentik. A 3.1, 3.2 és 3.9 szakaszban említettek kivételével valamennyi tételnek meg kell felelnie az említett melléklet utolsó pontjában meghatározott követelményeknek. Ezeket a tételeket itt kell jelenteni, a megfelelő alkategóriában. Itt csak a táblában máshol nem szereplő tételeket kell jelenteni. | 
| 470 | 1.6.12.1  Készpénz A CRR III. mellékletének 1. pontja A készpénz a készpénz teljes összege, beleértve az érméket és bankjegyeket/devizát. Csak azt a készpénzt kell jelenteni, amely nem felel meg a 416. cikk (3) bekezdésének c), d) és e) pontjában meghatározott feltételek legalább egyikének, és emiatt nem jelenthető az 1.1 adatszolgáltatási tétel alatt. Megjegyzés: a más intézményeknél tartott készpénzbetéteket nem itt kell jelenteni, hanem az 1.3 „Beáramlások” tábla fedezet kategóriájában, ha azok a következő 30 napban esedékes pénzösszegnek minősülnek. | 
| 480 | 1.6.12.2  Központi bankkal szembeni kitettségek, amennyiben azok stresszhelyzetben lehívhatók A CRR III. mellékletének 2. pontja Központi bankkal szembeni kitettségek teljes összege, amennyiben azok stresszhelyzetben lehívhatók. Csak azokat a kitettségeket kell jelenteni, amelyek nem felelnek meg a 416. cikk (3) bekezdésének c), d) és e) pontjában meghatározott feltételek legalább egyikének, és emiatt nem jelenthetőek az 1.3 adatszolgáltatási tétel alatt. | 
| 490-530 | 1.6.12.3  0 %-os kockázati súlyú átruházható értékpapírok, amelyek nem valamely intézmény vagy kapcsolt vállalkozása kötelezettségét testesítik meg A CRR III. mellékletének 3. pontja A valamely tagállam vagy harmadik ország központi kormányzatával szembeni vagy általuk garantált 0 %-os kockázati súlyú értékpapírok, a III. melléklet 3. pontjában említettek szerint. Ebből: | 
| 490 | 1.6.12.3.1  Kormányzatokkal szembeni követeléseket megtestesítő átruházható értékpapírok A CRR III. mellékletének 3. pontja | 
| 500 | 1.6.12.3.2  Kormányzatok által garantált követelések A CRR III. mellékletének 3. pontja | 
| 510 | 1.6.12.3.3  Központi bankokkal szembeni vagy általuk garantált követeléseket megtestesítő átruházható értékpapírok A CRR III. mellékletének 3. pontja | 
| 520 | 1.6.12.3.4  Nem a központi kormányzathoz tartozó közszektorbeli intézményekkel, adók kivetésére és beszedésére jogosult, adóügyi szempontból önálló régiókkal és helyi hatóságokkal szembeni vagy általuk garantált követeléseket megtestesítő átruházható értékpapírok A CRR III. mellékletének 3. pontja | 
| 530 | 1.6.12.3.5  A Nemzetközi Fizetések Bankjával, a Nemzetközi Valutaalappal, az Európai Unióval, az Európai Pénzügyi Stabilitási Eszközzel, az Európai Fejlesztési Mechanizmussal vagy multilaterális fejlesztési bankokkal szembeni vagy általuk garantált követeléseket megtestesítő átruházható értékpapírok A CRR III. mellékletének 3. pontja | 
| 540 | 1.6.12.4  A „Likvid eszközök” tábla 3.3. tételében említettektől eltérő átruházható értékpapírok, amelyek kormányzatokkal vagy központi bankokkal szembeni vagy általuk garantált követeléseket testesítenek meg, amelyeket a kormányzat vagy központi bank saját pénznemében bocsátott ki, vagy idegen pénznemben bocsátott ki olyan mértékben, amilyen mértékben ezen értékpapírok tartása megfelel azon likviditási szükségleteknek, amelyek a bank adott harmadik országbeli műveleteiből eredően felmerülnek. A CRR III. mellékletének 4. pontja | 
| 550-590 | 1.6.12.5  20 %-os kockázati súlyú átruházható értékpapírok, amelyek nem valamely intézmény vagy kapcsolt vállalkozása kötelezettségét testesítik meg A CRR III. mellékletének 5. pontja A valamely tagállam vagy harmadik ország központi kormányzatával szembeni vagy általuk garantált 20 %-os kockázati súlyú értékpapírok, a III. melléklet 5. pontjában említettek szerint. Ebből: | 
| 550 | 1.6.12.5.1  Kormányzatokkal szembeni követeléseket megtestesítő átruházható értékpapírok A CRR III. mellékletének 5. pontja | 
| 560 | 1.6.12.5.2  Kormányzatok által garantált követelések A CRR III. mellékletének 5. pontja | 
| 570 | 1.6.12.5.3  Központi bankokkal szembeni vagy általuk garantált követeléseket megtestesítő átruházható értékpapírok A CRR III. mellékletének 5. pontja | 
| 580 | 1.6.12.5.4  Nem a központi kormányzathoz tartozó közszektorbeli intézményekkel, adók kivetésére és beszedésére jogosult, adóügyi szempontból önálló régiókkal és helyi hatóságokkal szembeni vagy általuk garantált követeléseket megtestesítő átruházható értékpapírok A CRR III. mellékletének 5. pontja | 
| 590 | 1.6.12.5.5  A Nemzetközi Fizetések Bankjával, a Nemzetközi Valutaalappal, az Európai Unióval, az Európai Pénzügyi Stabilitási Eszközzel, az Európai Fejlesztési Mechanizmussal vagy multilaterális fejlesztési bankokkal szembeni vagy általuk garantált követeléseket megtestesítő átruházható értékpapírok A CRR III. mellékletének 5. pontja | 
| 600 | 1.6.12.6  A 3.3–3.5.6 tételben említettektől eltérő átruházható értékpapírok, amelyek a CRR harmadik része II. címe 2. fejezetének értelmében 20 %-os vagy annál jobb kockázati súlyra jogosultak, vagy belső minősítésük alapján ezzel egyenértékű a hitelminőségük, és teljesítik a CRR III. mellékletének 6. pontjában meghatározott feltételek valamelyikét A CRR III. mellékletének 6. pontja | 
| 610 | 1.6.12.7  A 3.3–3.6 tételben említettektől eltérő átruházható értékpapírok, amelyek a CRR harmadik része II. címe 2. fejezetének értelmében 50 %-os vagy annál jobb kockázati súlyra jogosultak, vagy belső minősítésük alapján ezzel egyenértékű a hitelminőségük, és nem testesítenek meg különleges célú gazdasági egységgel, valamely intézménnyel vagy annak kapcsolt vállalkozásával szembeni követelést A CRR III. mellékletének 7. pontja | 
| 620 | 1.6.12.8  A 3.3–3.7 tételben említettektől eltérő átruházható értékpapírok, amelyeket a CRR harmadik része II. címe 2. fejezetének értelmében 35 %-os vagy annál jobb kockázati súlyra jogosult eszközök fedeznek, vagy belső minősítésük alapján ezzel egyenértékű a hitelminőségük, és a CRR 125. cikkével összhangban, teljes mértékben lakóingatlanra bejegyzett jelzáloggal fedezettek A CRR III. mellékletének 8. pontja | 
| 630 | 1.6.12.9  Központi bankok által a monetáris politika keretében nyújtott készenléti hitelkeretek, amennyiben ezeket a hitelkereteket nem fedezik likvid eszközök, a rendkívüli likviditási segítségnyújtás kivételével A CRR III. mellékletének 9. pontja Központi bankok által a monetáris politika keretében nyújtott készenléti hitelkeretek teljes összege, amennyiben ezeket a hitelkereteket nem fedezik likvid eszközök, a rendkívüli likviditási segítségnyújtás kivételével. | 
| 640 | 1.6.12.10  Ha a hitelintézet a jogszabályi vagy alapszabályi rendelkezéseknek megfelelően hálózati kapcsolatban áll, a központi hitelintézetnél elhelyezett, jogszabályban vagy alapszabályban előírt minimumbetétek, illetve egyéb, a központi hitelintézet vagy a CRR 113. cikke (7) bekezdésében említett hálózat tagjának számító vagy a CRR 10. cikkében meghatározott mentesítésre jogosult intézmények által az alapszabály értelmében vagy szerződéses alapon biztosított likvid finanszírozás, amennyiben ezt a finanszírozást nem fedezik likvid eszközök A CRR III. mellékletének 10. pontja | 
| 650 | 1.6.12.11  Tőzsdén forgalmazott, központilag elszámolt törzsrészvények, amelyek valamely jelentős tőzsdeindex elemét képezik, a tagállam hazai pénznemében denomináltak, és azokat nem valamely intézmény vagy annak valamely leányvállalata bocsátotta ki A CRR III. mellékletének 11. pontja | 
| 660 | 1.6.12.12  Elismert tőzsdén jegyzett, letétbe helyezett arany A CRR III. mellékletének 12. pontja | 
| 670-920 | 1.6.13  A CRR 416. CIKKE KÖVETELMÉNYEINEK NEM MEGFELELŐ, DE A 417. cikke b) és c) pontja követelményeinek továbbra is megfelelő ESZKÖZÖK Ezeket a tételeket itt kell jelenteni, a likvid eszközöket tartalmazó tábla megfelelő alkategóriájában. | 
| 670-690 | 1.6.13.1  Pénzügyi vállalati kötvények A CRR 416. cikkének (2) bekezdése Ezeket a tételeket a CRR 120. cikkének (1) bekezdése szerinti hitelminőségük szerint kell jelenteni. | 
| 670 | 1.6.13.1.1 1. hitelminőségi besorolás | 
| 680 | 1.6.13.1.2 2. hitelminőségi besorolás | 
| 690 | 1.6.13.1.3 3. hitelminőségi besorolás | 
| 700-720 | 1.6.13.2  Saját kibocsátások A CRR 416. cikke (3) bekezdésének b) pontja Ezeket a tételeket a CRR 120. cikkének (1) bekezdése szerinti hitelminőségük szerint kell jelenteni. | 
| 700 | 1.6.13.2.1 1. hitelminőségi besorolás | 
| 710 | 1.6.13.2.2 2. hitelminőségi besorolás | 
| 720 | 1.6.13.2.3 3. hitelminőségi besorolás | 
| 730-750 | 1.6.13.3  Hitelintézetek nem fedezett kibocsátásai A CRR 416. cikke Ezeket a tételeket a CRR 120. cikkének (1) bekezdése szerinti hitelminőségük szerint kell jelenteni. | 
| 730 | 1.6.13.3.1 1. hitelminőségi besorolás | 
| 740 | 1.6.13.3.2 2. hitelminőségi besorolás | 
| 750 | 1.6.13.3 3. hitelminőségi besorolás | 
| 760-780 | 1.6.13.4  Az 1.6.6 tételben nem jelentett, eszközzel fedezett értékpapírok A CRR 416. cikke (4) bekezdésének b) pontja Ezeket a tételeket a CRR harmadik része II. címének 5. fejezete és 125. cikke szerinti hitelminőségük szerint kell jelenteni. | 
| 760 | 1.6.13.4.1 1. hitelminőségi besorolás | 
| 770 | 1.6.13.4.2 2. hitelminőségi besorolás | 
| 780 | 1.6.13.4.3 3. hitelminőségi besorolás | 
| 790-810 | 1.6.13.5  Az 1.6.7 tételben nem jelentett, lakóingatlannal fedezett értékpapírok A CRR 509. cikkének (3) bekezdése Ezeket a tételeket a CRR harmadik része II. címének 5. fejezete és 125. cikke szerinti hitelminőségük szerint kell jelenteni. | 
| 790 | 1.6.13.5.1 1. hitelminőségi besorolás | 
| 800 | 1.6.13.5.2 2. hitelminőségi besorolás | 
| 810 | 1.6.13.5.3 3. hitelminőségi besorolás | 
| 820 | 1.6.13.6  Elismert tőzsdén jegyzett részvények és főbb indexált, tulajdoni részesedést megtestesítő instrumentumok, amelyek nem saját kibocsátásúak, illetve amelyeket nem pénzügyi vállalkozás bocsátott ki A CRR 416. cikke (4) bekezdésének a) pontja és 509. cikke (3) bekezdésének c) pontja | 
| 830 | 1.6.13.7  Arany A CRR 416. cikke (4) bekezdésének a) pontja és 509. cikke (3) bekezdésének c) pontja | 
| 840 | 1.6.13.8  A fentiekben nem jelentett, garantált kötvények A CRR 509. cikke (3) bekezdésének c) pontja | 
| 850 | 1.6.13.9  A fentiekben nem jelentett, fedezett kötvények A CRR 509. cikke (3) bekezdésének c) pontja | 
| 860 | 1.6.13.10  A fentiekben nem jelentett vállalati kötvények A CRR 509. cikke (3) bekezdésének c) pontja | 
| 870 | 1.6.13.11  Az 1.6.13.6– 1.6.13.10 tételben jelentett eszközökre épülő alapok A CRR 509. cikke (3) bekezdésének c) pontja | 
| 880-900 | 1.6.13.12  A központi bankok által elfogadott egyéb értékpapír- vagy hitelkategóriák A CRR 509. cikke (3) bekezdésének b) pontja | 
| 880 | 1.6.13.12.1  Helyi önkormányzati kötvények A CRR 509. cikke (3) bekezdésének b) pontja | 
| 890 | 1.6.13.12.2  Kereskedelmi értékpapírok A CRR 509. cikke (3) bekezdésének b) pontja | 
| 900 | 1.6.13.12.3  Hitelkövetelések A CRR 416. cikke (4) bekezdésének c) pontja | 
| 910-930 | 1.6.13.13  A CRR 509. cikke (2) bekezdésének i) pontja szerinti saría-kompatibilis bankok általi használatra szánt saría-kompatibilis pénzügyi termékek azon eszközök alternatívájaként, amelyek a CRR 416. cikke alkalmazásában likvid eszköznek minősülnek A CRR 509. cikke (2) bekezdésének i) pontja | 
| 910 | 1.6.13.13.1 1. hitelminőségi besorolás | 
| 920 | 1.6.13.13.2 2. hitelminőségi besorolás | 
| 930 | 1.6.13.13.3 3. hitelminőségi besorolás | 
| 940-960 | 1.7  Le nem hívott hitelkeretek és likviditási hitelkeretek és a csoporton belüli jogalanyoktól a CRR 425. cikke (4) bekezdésével összhangban kapott egyéb kötelezettségvállalások A CRR 425. cikkének (4) bekezdése A le nem hívott hitelkeretek és likviditási hitelkeretek, valamint a csoporton belüli jogalanyoktól kapott egyéb kötelezettségek teljes összegét, amelyekre az illetékes hatóság eseti alapon magasabb beáramlást határozott meg, az alábbi alkategóriákban a következők szerint kell jelenteni: | 
| 940 | 1.7.1  Amennyiben a CRR 425. cikke (4) bekezdése a), b) és c) pontjának minden feltétele teljesül A CRR 425. cikke (4) bekezdésének a), b) és c) pontja Azon teljes pénzösszeg, amelyre az illetékes hatóság eseti alapon magasabb beáramlást engedélyezett, és ha a 425. cikk (4) bekezdése a), b) és c) pontjának minden feltétele teljesül. | 
| 950 | 1.7.2  Amennyiben az illetékes hatóság mentesítést adott a CRR 425. cikkének (4) bekezdése alól, és a CRR 425. cikke (4) bekezdése a), b) és c) pontjának minden feltétele teljesül a CRR 20. cikke (1) bekezdésének b) pontja szerinti, csoporton belüli kezelés céljaira a CRR 8. cikke szerinti mentesítésben nem részesülő intézmények vonatkozásában: a le nem hívott hitelkeretek és likviditási hitelkeretek és a csoporton belüli jogalanyoktól a CRR 425. cikke (5) bekezdésével összhangban kapott egyéb kötelezettségvállalások A CRR 425. cikke (4) bekezdésének a), b), c) és d) pontja Azon teljes esedékes pénzösszeg, amelyre az illetékes hatóság eseti alapon magasabb beáramlást engedélyezett, és amennyiben a 425. cikk (4) bekezdése a), b) és c) pontjának minden feltétele teljesül a 20. cikk (1) bekezdésének b) pontja szerinti, csoporton belüli kezelés céljaira, a 8. cikk szerinti mentesítésben nem részesülő intézmények vonatkozásában, és amennyiben a 425. cikk (4) bekezdésének d) pontja szerinti feltételt elengedték. | 
| 960 | 1.7.3  A CRR II. mellékletében felsorolt ügyletek alapján várható követelések nettó összege (a CRR 416. cikke szerint likvid eszköznek minősülő, az ügylethez várhatóan kapcsolódó biztosítékok levonásával) A CRR 425. cikkének (3) bekezdése A CRR II. mellékletében felsorolt ügyletekből a következő 30 nap alatt várható követelések nettó összege. Ezek az összegek: — minden partner tekintetében nettósítandók — nettó alapú számítás esetén magukban foglalják a CRR 416. cikke szerint likvid eszköznek minősülő biztosíték levonását is — nem lehetnek a napi piaci értékek, mivel a napi piaci értéknek részét képezik a becsült függő beáramlások és kiáramlások, és részük lehet olyan készpénzáramlás, amelyre a 30 napos időtartamon túl kerül sor Megjegyzés: a nettó fizetendő összeget az 1.2 „Kiáramlások” alatti 1.2.7 tételben kell jelenteni [a II. mellékletben felsorolt ügyletek alapján fizetendő nettó összeg (a CRR 416. cikke szerint likvid eszköznek minősülő, az ügylethez várhatóan járó biztosítékok levonásával)] | 
| 970 | 1.8  A likvid eszközökre esedékes kifizetések, amelyek nem tükröződnek az eszköz piaci értékében A CRR 425. cikkének (7) bekezdése A CRR 416. cikke szerint likvid eszköznek minősülő eszközökre esedékes olyan kifizetések teljes összege, amelyek nem tükröződnek az eszköz piaci értékében. | 
| 980 | 1.9  Egyéb beáramlások Az 1.1–1.8 tételben nem jelentett minden egyéb esedékes beáramlás teljes összege | 
| 990 | 2.  Felső határérték miatt figyelembe nem vett összes beáramlás A CRR 425. cikke (1) bekezdésének megfelelően a likviditáskiáramlás 75 %-ában meghatározott, a beáramlásra vonatkozó felső határérték miatt figyelembe nem vett összes esedékes pénzösszeg. Ezt a kiáramlásokra vonatkozó tábla alapján kiszámított teljes kiáramlásra hivatkozással kell majd ellenőrizni. | 
| 1000-1030 | 3. A felső határérték alól mentesített beáramlások | 
| 1000 | 3.1  Hitelfelvevőktől és kötvénybefektetőktől jelzáloghitelezéssel kapcsolatban esedékes pénzösszegek A CRR 425. cikkének (1) bekezdése Olyan kötvény kibocsátásával fedezett jelzáloghitelezés, amely jogosult a CRR 129. cikke (4), (5) vagy (6) bekezdésében foglalt, illetve a 2009/65/EK irányelv 52. cikkének (4) bekezdésében meghatározott eljárás szerinti kezelésre. | 
| 1010 | 3.2  Az intézmény által közvetített kedvezményes kölcsönökből származó beáramlások A CRR 425. cikkének (1) bekezdése | 
| 1020 | 3.3  A CRR 113. cikke (6) vagy (7) bekezdésében meghatározott eljárásra jogosult beáramlások Azon összes beáramlás összege, amelyek más intézményeknél elhelyezett, a 113. cikk (6) és (7) bekezdésében meghatározott kezelésre jogosult betétek, és emiatt mentesülnek a beáramlásra vonatkozó felső érték alól. A CRR 425. cikkének (1) bekezdése | 
| 1030 | 3.4  A csoporton belüli jogalanytól származó, az illetékes hatóság által jóváhagyott beáramlások A CRR 425. cikkének (1) bekezdése | 
LIKVIDITÁSRA VONATKOZÓ ADATSZOLGÁLTATÁS (4/5. RÉSZ: Biztosítéki csereügyletek)
Általános megjegyzések
1. Ez egy olyan összesítő tábla, amely magában foglalja az EBH által annak értékeléséhez szükséges információkat, hogy megfelelően lezárták-e azokat a fedezett kölcsönügyleteket és biztosítéki csereügyleteket, amelyekben az intézmény az 575/2013/EU rendelet (a továbbiakban: CRR) 416. cikke (1) bekezdése a), b) és c) pontjának nem megfelelő biztosítékok ellenében a 416. cikk (1) bekezdésének a), b) és c) pontjában említett likvid eszközöket szerzett.
(a) A biztosítéki csereügyletekre vonatkozó résztábla (C.54.00)
i. Útmutató meghatározott sorokra vonatkozóan
| Sor | Jogszabályi hivatkozások és útmutatók | 
| 1.  Biztosítéki csereügyletek A CRR 415. cikke (1) bekezdésének második albekezdése Az intézményeknek adatot kell szolgáltatniuk azokról a biztosítéki csereügyletekről, amelyekben a 416. cikk (1) bekezdése a), b) és c) pontjának nem megfelelő biztosítékok ellenében a 416. cikk (1) bekezdésének a), b) és c) pontjában említett likvid eszközöket szereztek. Ez a tábla „egyéb eszköz”-ként hivatkozik a CRR 416. cikke (1) bekezdése a), b) és c) pontjának nem megfelelő eszközökre. A legfeljebb 30 napos lejáratú biztosítéki csereügyleteket a 010-es és a 020-as oszlopban kell jelenteni. A 010-es oszlopban a névleges összeget kell feltüntetni. A 020-as oszlopban a piaci értéket kell jelenteni. A 30 napnál hosszabb lejáratú biztosítéki csereügyleteket a 030-as és a 040-es oszlopban kell jelenteni. A 030-as oszlopban a névleges összeget kell feltüntetni. A 040-es oszlopban a piaci értéket kell jelenteni. | |
| 010-060 | 1.0 Eszközök | 
| 010 | 1.1  Készpénz és a központi bankokkal szembeni kitettségek A CRR 416. cikke (1) bekezdésének a) pontja | 
| 020 | 1.2  Egyéb, a CRR 416. cikk (1) bekezdésének b) pontja szerinti átruházható eszközök A CRR 416. cikke (1) bekezdésének b) pontja | 
| 030-060 | 1.3  Követelést megtestesítő vagy garantált egyéb átruházható eszközök A CRR 416. cikke (1) bekezdésének c) pontja Az alábbi alkategóriákról kell adatot szolgáltatni: | 
| 030 | 1.3.1  Egy tagállam központi kormányzatával, adók kivetésére és beszedésére jogosult, adóügyi szempontból önálló régió regionális kormányzatával vagy harmadik ország központi kormányzatával szembeni vagy általuk garantált követeléseket megtestesítő átruházható eszközök, amennyiben az intézmény az adott tagállamban vagy harmadik országban likviditási kockázatot vállal és ezt e likvid eszközök tartásával fedezi A CRR 416. cikke (1) bekezdése c) pontjának i. alpontja | 
| 040 | 1.3.2  Központi bankokkal és nem központi kormányzati közszektorbeli intézményekkel szembeni vagy általuk garantált követeléseket megtestesítő, a központi bank és a közszektorbeli intézmény pénznemében kibocsátott átruházható eszközök A CRR 416. cikke (1) bekezdése c) pontjának ii. alpontja | 
| 050 | 1.3.3  A Nemzetközi Fizetések Bankjával, a Nemzetközi Valutaalappal, a Bizottsággal és multilaterális fejlesztési bankokkal szembeni vagy általuk garantált követeléseket megtestesítő átruházható eszközök A CRR 416. cikke (1) bekezdése c) pontjának iii. alpontja | 
| 060 | 1.3.4  Az Európai Pénzügyi Stabilitási Eszközzel és az Európai Stabilitási Mechanizmussal szembeni vagy általuk garantált követeléseket megtestesítő átruházható eszközök A CRR 416. cikke (1) bekezdése c) pontjának iv. alpontja | 
LIKVIDITÁSRA VONATKOZÓ ADATSZOLGÁLTATÁS (5/5. RÉSZ: STABIL FORRÁSELLÁTOTTSÁG)
1. Stabil forrásellátottságot biztosító tételek
1.1. Általános megjegyzések
1. Ez az összefoglaló tábla a stabil forrásellátottságot biztosító tételekre vonatkozó információkat tartalmazza. Szürke szín jelzi azokat a tételeket, amelyeket az intézményeknek nem kell kitölteniük.
2. Ezen a táblán kell jelenteni az intézmény mérlegében szereplő összes szavatoló tőkét és kötelezettséget. A két kategória teljes összege ezért tükrözi az intézmény összes eszközállományának nagyságát.
3. Az 575/2013/EU RENDELET (a továbbiakban CRR) 427. cikke (2) bekezdésének megfelelően a kötelezettségeket a következő öt kategóriába besorolva kell jelenteni:
a) az adott kategória F oszlopában kell jelenteni azokat a kötelezettségeket, amelyek lejáratának vagy szerződés szerinti legkorábbi lehívhatóságának időpontja közül a korábbi az adatszolgáltatás időpontjától számított három hónapon belülre esik. Valamennyi látra szóló betétet itt kell jelenteni;
b) az adott kategória G oszlopában kell jelenteni azokat a kötelezettségeket, amelyek lejáratának vagy szerződés szerinti legkorábbi lehívhatóságának időpontja közül a korábbi az adatszolgáltatás időpontjától számított három hónap és hat hónap közötti időszakon belülre esik;
c) az adott kategória H oszlopában kell jelenteni azokat a kötelezettségeket, amelyek lejáratának vagy szerződés szerinti legkorábbi lehívhatóságának időpontja közül a korábbi az adatszolgáltatás időpontjától számított hat hónap és kilenc hónap közötti időszakon belülre esik;
d) az adott kategória I oszlopában kell jelenteni azokat a kötelezettségeket, amelyek lejáratának vagy szerződés szerinti legkorábbi lehívhatóságának időpontja közül a korábbi az adatszolgáltatás időpontjától számított kilenc hónap és tizenkét hónap közötti időszakon belülre esik;
e) az adott kategória J oszlopában kell jelenteni azokat a kötelezettségeket, amelyek lejáratának vagy szerződés szerinti legkorábbi lehívhatóságának időpontja közül a korábbi az adatszolgáltatás időpontjától számított egy éven kívül esik, valamint a szavatoló tőkét.
4. Az intézményeknek feltételezniük kell, hogy a befektetők a lehető legkorábbi időpontban lehívják a vételi opciót. Az intézmény belátása szerint gyakorolható opciókkal való forrásellátás tekintetében figyelembe kell venni azokat a hírnévvel kapcsolatos tényezőket, amelyek korlátozhatják az intézmény opció gyakorlására vonatkozó képességét. Különösen, ha a piac azt várja, hogy egyes kötelezettségeket jogszerű végső lejárati időpontjuk előtt lehívnak, az intézményeknek ilyen magatartást kell feltételezniük.
5. Az 1.2 szakaszban jelentett lakossági betétek esetében a "Rendelkezésre álló stabil forrásellátottság" táblában a lejárat tekintetében ugyanazokat a feltételezéseket kell alkalmazni, mint a "Likviditásfedezet" tábla esetében.
1.2. Stabil forrásellátottságot biztosító tételek
1.2.1. Útmutató meghatározott sorokra vonatkozóan
| Sor | Jogszabályi hivatkozások és útmutatók | 
| 010-250 | 1  STABIL FORRÁSELLÁTOTTSÁGOT BIZTOSÍTÓ TÉTELEK A CRR 427. cikke. A szavatoló tőke teljes összegét a J oszlopban kell jelenteni a következő alkategóriákra: (Megjegyzés: az 1.1.3 tétel kivételével azokat az egyébként „szavatoló tőkének” minősülő eszközöket, amelyek már nem felelnek meg a fogalommeghatározásnak – például azokat az eszközöket, amelyek lejáratuk miatt már nem megfelelőek – ehelyett az 1.2 „Kötelezettségek a szavatoló tőke kivételével” szakasz megfelelő alkategóriájában kell jelenteni) | 
| 010-030 | 1.1  Szavatoló tőke A CRR 427. cikke (1) bekezdésének a) pontja A szavatolótőke-levonások alkalmazása utáni összetevői a CRR 25. és 71. cikkében meghatározott alapvető tőke és a járulékos tőke és a kapcsolódó elemek összegéből állnak | 
| 010 | 1.1.1  Alapvető tőkeinstrumentumok A CRR 427. cikke (1) bekezdése a) pontjának i. alpontja Az alapvető tőke a CRR 25. cikkében meghatározott teljes összege | 
| 020 | 1.1.2  Járulékos tőke A CRR 427. cikke (1) bekezdése a) pontjának ii. alpontja A járulékos tőke a CRR 71. cikkében meghatározott teljes összege | 
| 030 | 1.1.3  Egyéb elsőbbségi részvények és a járulékos tőkeinstrumentumok szavatoló tőkében figyelembe vett összegén felüli, legalább egy éves tényleges futamidejű tőkeinstrumentumok A CRR 427. cikke (1) bekezdése a) pontjának iii. alpontja Egyéb elsőbbségi részvények és a járulékos tőkeinstrumentumok járulékos tőkében figyelembe vett összegén felüli, legalább egy éves tényleges futamidejű tőkeinstrumentumok. | 
| 040-260 | 1.2  Kötelezettségek a szavatoló tőke kivételével A CRR rendelet 427. cikke (1) bekezdésének b) pontja A 010–050 oszlopban kell jelenteni a szavatoló tőke kivételével a kötelezettségeket, az adatszolgáltatás időpontjától számított lejáratuk, illetve – ha ez korábbi dátum – azon legkorábbi időpont szerint, amikor a szerződés szerint lehívhatóak, a megfelelő alkategóriában, a következők szerint: | 
| 040-060 | 1.2.1.  Lakossági betétek A CRR 427. cikke (1) bekezdése b) pontjának i–ii. alpontja A 010–050 oszlopban kell jelenteni a lakossági betétek teljes összegét az adatszolgáltatás időpontjától számított lejáratuk, illetve – ha ez korábbi dátum – azon legkorábbi időpont szerint, amikor a szerződés szerint lehívhatóak, a megfelelő alkategóriában, a következők szerint: | 
| 040 | 1.2.1.1.  a 421. cikk (1) bekezdésében meghatározottak szerint A CRR 427. cikke (1) bekezdése b) pontjának i. alpontja A lakossági betétek a CRR 421. cikkének (1) bekezdése szerinti teljes összege, a likviditásfedezetre vonatkozó tábla kiáramlásokat feltüntető 1.1.1 tételében, a 30 napnál rövidebb lejáratú betétek esetében pedig a likviditásfedezetre vonatkozó tábla 1.2 „Kiáramlások” tételében jelentettek szerint. | 
| 050 | 1.2.1.2  a 421. cikk (2) bekezdésében meghatározottak szerint A CRR 427. cikke (1) bekezdése b) pontjának ii. alpontja A lakossági betétek a CRR 421. cikkének (2) bekezdése szerinti teljes összege, a likviditásfedezetre vonatkozó tábla kiáramlásokat feltüntető 1.1.2–1.1.3 tételében, a 30 napnál rövidebb lejáratú betétek esetében pedig a likviditásfedezetre vonatkozó tábla 1.2 „Kiáramlások” tételében jelentettek szerint. | 
| 060 | 1.2.1.3  a 421. cikk (1) vagy (2) bekezdésében meghatározottnál nagyobb kiáramlások Azon lakossági betétek teljes összege, amelyek a 421. cikk (1) és (2) bekezdésében meghatározottnál nagyobb kiáramlások, a likviditásfedezetre vonatkozó tábla kiáramlásokat feltüntető 1.1.4 tételében jelentettek szerint. | 
| 070-130 | 1.2.2  nem pénzügyi ügyfelekkel szemben fennálló kötelezettségek A CRR 427. cikke (1) bekezdése b) pontjának vii. és iii. alpontja A nem pénzügyi ügyfelekkel szemben fennálló kötelezettségek teljes összege. | 
| 070-090 | 1.2.2.1  a fedezett kölcsönügyletekből és tőkepiac-vezérelt ügyletekből eredő kötelezettségek A CRR 427. cikke (1) bekezdése b) pontjának ix. alpontja A 192. cikkben meghatározott fedezett kölcsönügyletekből és tőkepiac-vezérelt ügyletekből származó, nem pénzügyi ügyfelekkel szembeni kötelezettségek teljes összege. | 
| 070 | 1.2.2.1.1  rendkívül magas likviditású és hitelminőségű eszközökkel fedezett A CRR 427. cikke (1) bekezdése b) pontjának ix. alpontja Azon rendkívül magas likviditású és hitelminőségű eszközökkel fedezett teljes összeg, amelyeket az 1.1 „Eszközök” tétel 1. szakaszában „rendkívül magas likviditású és hitelminőségű eszköz”-ként jelentenek. | 
| 080 | 1.2.2.1.2  magas likviditású és hitelminőségű eszközökkel fedezett A CRR 427. cikke (1) bekezdése b) pontjának ix. alpontja Azon magas likviditású és hitelminőségű eszközökkel fedezett teljes összeg, amelyeket az 1.1 „Eszközök” tétel 1. szakaszában „magas likviditású és hitelminőségű eszköz”-ként jelentenek. | 
| 090 | 1.2.2.1.3  bármely más eszközzel fedezett A CRR 427. cikke (1) bekezdése b) pontjának ix. alpontja Az 1.2.2.1.1 vagy 1.2.2.1.2 tételben nem jelentett, bármely más eszközzel fedezett teljes összeg. | 
| 100 | 1.2.2.2  a fedezetlen kölcsönügyletekből eredő kötelezettségek A CRR 427. cikke (1) bekezdése b) pontjának vii. alpontja A nem pénzügyi ügyfelek felé fennálló fedezetlen hitelügyletekből származó kötelezettségek teljes összege. | 
| 110-130 | 1.2.2.3  azon kötelezettségek, amelyekre alkalmazható a 422. cikk (3) és (4) bekezdésében meghatározott eljárás A CRR 427. cikke (1) bekezdése b) pontjának iii. alpontja Azon kötelezettségek teljes összege, amelyekre alkalmazható a 422. cikk (3) és (4) bekezdésében meghatározott eljárás. | 
| 110 | 1.2.2.3.1  az 1.2.2.3 tételben jelentett azon kötelezettségek, amelyek a 94/19/EK irányelv szerinti betétbiztosítási rendszer vagy harmadik ország azzal egyenértékű betétbiztosítási rendszere szerint fedezettek A CRR 427. cikke (1) bekezdése b) pontjának iv. alpontja Az 1.2.2.3 tételben jelentett kötelezettségek közül azok teljes összege, amelyek a 94/19/EK irányelv szerinti betétbiztosítási rendszer vagy harmadik ország azzal egyenértékű betétbiztosítási rendszere szerint fedezett. | 
| 120 | 1.2.2.3.2  az 1.2.2.3 tételben jelentett kötelezettségek közül azok, amelyek a 422. cikk (3) bekezdésének b) pontja alá tartoznak A CRR 427. cikke (1) bekezdése b) pontjának v. alpontja Az 1.2.2.3 tételben jelentett kötelezettségek közül a 422. cikk (3) bekezdésének b) pontja alá tartozó betétek teljes összege | 
| 130 | 1.2.2.3.3  az 1.2.2.3 tételben jelentett kötelezettségek közül azok, amelyek a 422. cikk (3) bekezdésének d) pontja alá tartoznak A CRR 427. cikke (1) bekezdése b) pontjának vi. alpontja Az 1.2.2.2.1 tételben jelentett kötelezettségek közül a 422. cikk (3) bekezdésének d) pontja alá tartozó betétek teljes összege | 
| 140-200 | 1.2.3  a pénzügyi ügyfelekkel szemben fennálló kötelezettségek A CRR 427. cikke (1) bekezdése b) pontjának viii. alpontja A pénzügyi ügyfelekkel szemben fennálló kötelezettségek teljes összege. | 
| 140-160 | 1.2.3.1  a fedezett kölcsönügyletekből és tőkepiac-vezérelt ügyletekből eredő kötelezettségek A CRR 427. cikke (1) bekezdése b) pontjának ix. alpontja A 192. cikkben meghatározott fedezett kölcsönügyletekből és tőkepiac-vezérelt ügyletekből származó, pénzügyi ügyfelekkel szembeni kötelezettségek teljes összege. | 
| 140 | 1.2.3.1.1  rendkívül magas likviditású és hitelminőségű eszközökkel fedezett A CRR 427. cikke (1) bekezdése b) pontjának ix. alpontja Azon rendkívül magas likviditású és hitelminőségű eszközökkel fedezett teljes összeg, amelyeket az 1.1 „Eszközök” tétel 1. szakaszában „rendkívül magas likviditású és hitelminőségű eszköz”-ként jelentenek. | 
| 150 | 1.2.3.1.2  magas likviditású és hitelminőségű eszközökkel fedezett A CRR427. cikke (1) bekezdése b) pontjának ix. alpontja Azon magas likviditású és hitelminőségű eszközökkel fedezett teljes összeg, amelyeket az 1.1 „Eszközök” tétel 1. szakaszában „magas likviditású és hitelminőségű eszközként” jelentenek. | 
| 160 | 1.2.3.1.3  bármely más eszközzel fedezett A CRR 427. cikke (1) bekezdése b) pontjának ix. alpontja Az 1.2.2.1.1 vagy 1.2.2.1.2 tételben nem jelentett, bármely más eszközzel fedezett teljes összeg. | 
| 170 | 1.2.3.2  a fedezetlen kölcsönügyletekből eredő kötelezettségek A CRR 427. cikke (1) bekezdése b) pontjának viii. alpontja A pénzügyi ügyfelek felé fennálló fedezetlen hitelügyletekből származó kötelezettségek teljes összege. | 
| 180-200 | 1.2.3.3  azon kötelezettségek, amelyekre alkalmazható a 422. cikk (3) és (4) bekezdésében meghatározott eljárás A CRR 427. cikke (1) bekezdése b) pontjának iii. alpontja Azon kötelezettségek teljes összege, amelyekre alkalmazható a 422. cikk (3) és (4) bekezdésében meghatározott eljárás. | 
| 180 | 1.2.3.3.1  az 1.2.3.3 tételben jelentett azon kötelezettségek, amelyek a 94/19/EK irányelv szerinti betétbiztosítási rendszer vagy harmadik ország azzal egyenértékű betétbiztosítási rendszere szerint fedezettek A CRR 427. cikke (1) bekezdése b) pontjának iv. alpontja Az 1.2.3.3 tételben jelentett kötelezettségek közül azok teljes összege, amelyek a 94/19/EK irányelv szerinti betétbiztosítási rendszer vagy harmadik ország azzal egyenértékű betétbiztosítási rendszere szerint fedezett. | 
| 190 | 1.2.3.3.2  az 1.2.3.3 tételben jelentett kötelezettségek közül azok, amelyek a 422. cikk (3) bekezdésének b) pontja alá tartoznak A CRR 427. cikke (1) bekezdése b) pontjának v. alpontja Az 1.2.3.3 tételben jelentett kötelezettségek közül a 422. cikk (3) bekezdésének b) pontja alá tartozó betétek teljes összege | 
| 200 | 1.2.3.3.3  az 1.2.3.3 tételben jelentett kötelezettségek közül azok, amelyek a 422. cikk (3) bekezdésének d) pontja alá tartoznak A CRR 427. cikke (1) bekezdése b) pontjának vi. alpontja Az 1.2.2.2.1 tételben jelentett kötelezettségek közül a 422. cikk (3) bekezdésének d) pontja alá tartozó betétek teljes összege | 
| 210 | 1.2.4  az azon kibocsátott értékpapírokból eredő kötelezettségek, amelyekre alkalmazható a 129. cikk (4) vagy (5) bekezdése szerinti eljárás A CRR 427. cikke (1) bekezdése b) pontjának x. alpontja Az azon kibocsátott értékpapírokból eredő kötelezettségek teljes összege, amelyekre alkalmazható a 129. cikk szerinti eljárás (fedezett kötvények). | 
| 220 | 1.2.5  a 2009/65/EK irányelv 52. cikkének (4) bekezdésében meghatározott értékpapírokból eredő kötelezettségek A CRR 427. cikke (1) bekezdése b) pontjának x. alpontja Az azon kibocsátott értékpapírokból eredő kötelezettségek teljes összege, amelyekre alkalmazható a 2009/65/EK irányelv 52. cikkének (4) bekezdése szerinti eljárás (fedezett kötvények). | 
| 230 | 1.2.6  kibocsátott értékpapírokból eredő egyéb kötelezettségek A CRR 427. cikke (1) bekezdése b) pontjának xi. alpontja A kibocsátott értékpapíroktól eredő, az 1.1 tételben nem jelentett kötelezettségek teljes összege. | 
| 240 | 1.2.7  a származtatott ügyletekből eredő várható tartozásokból fakadó kötelezettségek A származtatott ügyletekből eredő várható tartozásokból fakadó kötelezettségek teljes összege. | 
| 250 | 1.2.8  minden egyéb kötelezettség A CRR 427. cikke (1) bekezdése b) pontjának xii. alpontja Minden egyéb kötelezettség teljes összege. | 
2. Stabil forrásellátást igénylő tételek
2.1. Általános megjegyzések
1. Ez az összefoglaló tábla a stabil forrásellátást igénylő tételekre vonatkozó információkat tartalmazza. Szürke szín jelzi azokat a tételeket, amelyeket az intézményeknek nem kell kitölteniük.
2. Ezen a táblán kell jelenteni az intézmény mérlegében szereplő összes eszközt. A jelentett teljes összeg ezért tükrözi az intézmény szavatoló tőkéjének és kötelezettségeinek állományát.
3. A lejárat kezelése:
(i) A CRR 428. cikke (2) bekezdésének megfelelően a tételeket a következő öt kategóriába besorolva kell jelenteni:
a) az adott kategóriától függően a 010-es, 060-as vagy 110-es oszlopban kell jelenteni azokat az eszközöket, amelyek lejáratának vagy szerződés szerinti legkorábbi lehívhatóságának időpontja közül a korábbi az adatszolgáltatás időpontjától számított három hónapon belülre esik;
b) az adott kategóriától függően a 020-as, 070-es vagy 120-as oszlopban kell jelenteni azokat az eszközöket, amelyek lejáratának vagy szerződés szerinti legkorábbi lehívhatóságának időpontja közül a korábbi az adatszolgáltatás időpontjától számított három hónap és hat hónap közötti időszakon belülre esik;
c) az adott kategóriától függően a 030-as, 080-as vagy 130-as oszlopban kell jelenteni azokat az eszközöket, amelyek lejáratának vagy szerződés szerinti legkorábbi lehívhatóságának időpontja közül a korábbi az adatszolgáltatás időpontjától számított hat hónap és kilenc hónap közötti időszakon belülre esik;
d) az adott kategóriától függően a 040-es, 090-es vagy 140-es oszlopban kell jelenteni azokat az eszközöket, amelyek lejáratának vagy szerződés szerinti legkorábbi lehívhatóságának időpontja közül a korábbi az adatszolgáltatás időpontjától számított kilenc hónap és tizenkét hónap közötti időszakon belülre esik;
e) az adott kategóriától függően az 050-es, 100-as vagy 150-es oszlopában kell jelenteni azokat az eszközöket, amelyek lejáratának vagy szerződés szerinti legkorábbi lehívhatóságának időpontja közül a korábbi az adatszolgáltatás időpontjától számított egy éven kívül esik, valamint a szavatoló tőkét.
(ii) Az intézmény belátása szerint gyakorolható opciók tekintetében az intézményeknek figyelembe kell venniük azokat a hírnévvel kapcsolatos tényezőket, amelyek korlátozhatják az intézmény opció gyakorlásának mellőzésére vonatkozó képességét. Különösen, ha harmadik személyek arra számítanak, hogy opció gyakorlására nem kerül sor, az intézménynek feltételeznie kell ezt a magatartást az eszközök e táblában való jelentésének céljaira.
(iii) Az eszközöket a szerződés szerinti futamidőből hátralévő futamidejük szerint, nem pedig magatartásra vonatkozó feltételezések szerint kell jelenteni.
4. A CRR 510. cikkének megfelelően a stabil forrásellátottság figyelemmel kíséréséhez az intézményeknek a stabil forrásellátottságra vonatkozó, előírt táblán jelentett eszközök minden kategóriájára külön meg kell adniuk az eszközök megterhelését a következő bontásban:
(i) Az első alkategóriában kell jelenteni azon eszközök összegét, amelyek nincsenek megterhelve.
(ii) A megterhelt eszközök összegét a megterhelés időtartamától függően a megfelelő alsorban kell jelenteni, a következők szerint:
i. három hónapnál rövidebb időtartamra
ii. három és 6 hónap közötti időtartamra
iii. és 9 hónap közötti időtartamra
iv. és 12 hónap közötti időtartamra
v. hónapnál hosszabb időtartamra
5. A CRR 192. cikkében meghatározott fedezett kölcsönügyletek és tőkepiac-vezérelt ügyletek keretében kapott vagy kölcsönadott eszközök kezelése:
(i) Az intézményeknek ki kell zárniuk a CRR 192. cikkében meghatározott fedezett kölcsönügyletek és tőkepiac-vezérelt ügyletek keretében kölcsönvett azon eszközöket (így a fordított repoügyleteket és a biztosítéki csereügyleteket), amelyeknek nem tényleges tulajdonosai.
(ii) Az intézményeknek jelenteniük kell a CRR 192. cikkében meghatározott fedezett kölcsönügyletek és tőkepiac-vezérelt ügyletek keretében kölcsönadott azon eszközöket (így a fordított repoügyleteket és a biztosítéki csereügyleteket), amelyek tekintetében tényleges tulajdonosok maradnak.
(iii) Amennyiben az intézmények repoügyletekben megterhelik azokat a CRR 192. cikkében meghatározott fedezett kölcsönügyletek és tőkepiac-vezérelt ügyletek keretében kölcsönadott értékpapírokat, amelyek tekintetében tényleges tulajdonosok maradtak és mérlegükben azokat továbbra is kimutatják, ezeket az értékpapírokat a megfelelő RSF-kategóriába (Required stable funding) kell besorolniuk.
6. A származtatott ügyletekből eredő várható tartozások és követelések kezelése:
(i) Az intézményeknek mérlegükben rendszerint egyaránt vannak származtatott ügyletekből eredő nettó kötelezettségeik (azaz tartozásaik) és származtatott ügyletekből eredő nettó eszközeik (azaz követeléseik). Az intézmények ezeket a jogszabályi nettósítási szabályok és nem a számviteli szabályok szerint számítják, és az összegeket egyaránt jelentik az 1.1. "Szükséges forrásellátottság" és az 1.2 "Stabil forrásellátottság" táblákban.
2.2. Stabil forrásellátást igénylő tételek
2.2.1. Útmutató meghatározott sorokra vonatkozóan
| Sor | Jogszabályi hivatkozások és útmutatók | 
| 010-1320 | 1  STABIL FORRÁSELLÁTÁST IGÉNYLŐ TÉTELEK Az összes eszközt a következőképpen kell jelenteni: 1. A P–T oszlopban azokat az eszközöket, amelyeket a likviditásfedezetre vonatkozó tábla alkalmazásában likvid eszközként nem jelentettek. 2. Az F–J oszlopban azokat az eszközöket, amelyeket a likviditásfedezetre vonatkozó tábla oszlopainak alkalmazásában rendkívül magas likviditású és hitelminőségű eszközként vettek figyelembe. 3. A K–O oszlopban azokat az eszközöket, amelyeket a likviditásfedezetre vonatkozó tábla oszlopainak alkalmazásában magas likviditású és hitelminőségű eszközként vettek figyelembe. Az eszközöket az adatszolgáltatás időpontjától számított lejáratuk, illetve – ha ez korábbi dátum – azon legkorábbi időpont szerint kell jelenteni, amikor a szerződés szerint lehívhatóak. | 
| 010-470 | 1.1.  a 416. cikk értelmében likvid eszköznek minősülő eszközök A CRR 428. cikke (1) bekezdésének a) pontja A 416. cikkben említett összes eszközt a megfelelő alsor(ok)ban és oszlop(ok)ban kell jelenteni | 
| 010 | 1.1.1  Készpénz A 416. cikk (1) bekezdésének a) pontja A készpénz teljes összege, beleértve az érméket és bankjegyeket/devizát. | 
| 020 | 1.1.2  Központi bankokkal szembeni kitettségek A 416. cikk (1) bekezdésének a) pontja A központi bankoknál tartott betétek teljes összege. | 
| 030 | 1.1.2.1  Ebből: stresszhelyzetben lehívható kitettségek A 416. cikk (1) bekezdésének a) pontja A központi bankoknál tartott betétek teljes összege, amennyiben e betétek stresszhelyzetben felvehetők. | 
| 040-050 | 1.1.3  Egy tagállam vagy harmadik ország központi kormányzatával szembeni vagy általuk garantált követeléseket megtestesítő átruházható eszközök, amennyiben az intézmény az adott tagállamban vagy harmadik országban likviditási kockázatot vállal és ezt e likvid eszközök tartásával fedezi A CRR 416. cikke (1) bekezdése c) pontjának i. alpontja A CRR 416. cikke (1) bekezdése c) pontjának i. alpontjában említett átruházható eszközök teljes összege | 
| 040 | 1.1.3.1 szembeni követelések | 
| 050 | 1.1.3.2 általuk garantált követelések | 
| 060-070 | 1.1.4  Központi bankokkal és nem központi kormányzati közszektorbeli intézményekkel szembeni vagy általuk garantált követeléseket megtestesítő, a központi bank és a közszektorbeli intézmény pénznemében kibocsátott átruházható eszközök A CRR 416. cikke (1) bekezdése c) pontjának ii. alpontja | 
| 060 | 1.1.4.1 szembeni követelések | 
| 070 | 1.1.4.2 általuk garantált követelések | 
| 080-150 | 1.1.5  A Nemzetközi Fizetések Bankjával, a Nemzetközi Valutaalappal, az Európai Bizottsággal és multilaterális fejlesztési bankokkal szembeni vagy általuk garantált követeléseket megtestesítő átruházható eszközök A CRR 416. cikke (1) bekezdése c) pontjának iii. alpontja | 
| 080 | 1.1.5.1 a) szembeni követelések | 
| 090 | 1.1.5.2 a) általuk garantált követelések | 
| 100 | 1.1.5.1 b) meg nem terhelt összeg | 
| 110 | 1.1.5.2 b) három hónapnál rövidebb időtartamra megterhelt | 
| 120 | 1.1.5.3 b) három és hat hónap közötti időtartamra megterhelt | 
| 130 | 1.1.5.4 b) hat és kilenc hónap közötti időtartamra megterhelt | 
| 140 | 1.1.5.5 b) kilenc és tizenkét hónap közötti időtartamra megterhelt | 
| 150 | 1.1.5.6 b) tizenkét hónapnál hosszabb időtartamra megterhelt | 
| 152-153 | 1.1.6  Az Európai Pénzügyi Stabilitási Eszközzel és az Európai Stabilitási Mechanizmussal szembeni vagy általuk garantált követeléseket megtestesítő átruházható eszközök A CRR 416. cikke (1) bekezdése c) pontjának iii. alpontja | 
| 152 | 1.1.6.1 szembeni követelések | 
| 153 | 1.1.6.2 általuk garantált követelések | 
| 160-230 | 1.1.7  A 416. cikk (1) bekezdésében meghatározott alapul szolgáló eszközökkel rendelkező kollektív befektetési formák összes részvénye vagy befektetési jegye A CRR 416. cikkének (6) bekezdése A CRR 416. cikkének (6) bekezdésében említett kollektív befektetési formák részvényeinek vagy befektetési jegyeinek teljes piaci értéke | 
| 160 | 1.1.7.1 a) a 416. cikk (1) bekezdésének a) pontja szerinti alapul szolgáló eszközök | 
| 170 | 1.1.7.2 a) a 416. cikk (1) bekezdésének b) és c) pontja szerinti alapul szolgáló eszközök | 
| 175 | 1.1.7.3 a) a 416. cikk (1) bekezdésének d) pontja szerinti alapul szolgáló eszközök | 
| 180 | 1.1.7.1 b) meg nem terhelt összeg | 
| 190 | 1.1.7.2 b) három hónapnál rövidebb időtartamra megterhelt összeg | 
| 200 | 1.1.7.3 b) három és hat hónap közötti időtartamra megterhelt összeg | 
| 210 | 1.1.7.4 b) hat és kilenc hónap közötti időtartamra megterhelt összeg | 
| 220 | 1.1.7.5 b) kilenc és tizenkét hónap közötti időtartamra megterhelt összeg | 
| 230 | 1.1.7.6 b) tizenkét hónapnál hosszabb időtartamra megterhelt összeg | 
| 232-233 | 1.1.8 A központi hitelintézetnél elhelyezett betétek, illetve egyéb, a központi hitelintézet vagy a 113. cikk (7) bekezdésében említett hálózat tagjának számító vagy a CRR 10. cikkében meghatározott mentesítésre jogosult intézmények által az alapszabály értelmében vagy szerződéses alapon biztosított likvid finanszírozás, amennyiben ezt a finanszírozást nem fedezik likvid eszközök | 
| 232 | 1.1.8.1 betétek | 
| 233 | 1.1.8.2 szerződéses alapon biztosított finanszírozás | 
| 234 | 1.1.9 Valamely tagállam központi vagy regionális kormányzata által alapított hitelintézetek által kibocsátott eszközök, amennyiben a 416. cikk (2) bekezdése a) pontjának iii. alpontja szerinti feltételek legalább egyike teljesül | 
| 240-290 | 1.1.10 Egyéb, máshol meg nem határozott átruházható eszközök | 
| 240 | 1.1.10.1 meg nem terhelt összeg | 
| 250 | 1.1.10.2 három hónapnál rövidebb időtartamra megterhelt összeg | 
| 260 | 1.1.10.3 három és hat hónap közötti időtartamra megterhelt összeg | 
| 270 | 1.1.10.4 hat és kilenc hónap közötti időtartamra megterhelt összeg | 
| 280 | 1.1.10.5 kilenc és tizenkét hónap közötti időtartamra megterhelt összeg | 
| 290 | 1.1.10.6 tizenkét hónapnál hosszabb időtartamra megterhelt összeg | 
| 300-350 | 1.1.11  Nem pénzügyi vállalati kötvények A CRR 416. cikke (1) bekezdésének b) vagy d) pontja | 
| 300 | 1.1.11.1 meg nem terhelt összeg | 
| 310 | 1.1.11.2 három hónapnál rövidebb időtartamra megterhelt összeg | 
| 320 | 1.1.11.3 három és hat hónap közötti időtartamra megterhelt összeg | 
| 330 | 1.1.11.4 hat és kilenc hónap közötti időtartamra megterhelt összeg | 
| 340 | 1.1.11.5 kilenc és tizenkét hónap közötti időtartamra megterhelt összeg | 
| 350 | 1.1.11.6 tizenkét hónapnál hosszabb időtartamra megterhelt összeg | 
| 352-357 | 1.1.12 hitelintézet által kibocsátott, nem lakóingatlanra vonatkozó jelzáloghitellel fedezett instrumentumok, amelyek az EBH által a CRR 509. cikkének (3), (4) és (5) bekezdésében foglalt kritériumok alapján meghatározott minősítés szerint bizonyítottan a legmagasabb hitelminősítési kategóriába tartoznak | 
| 352 | 1.1.12.1 meg nem terhelt összeg | 
| 353 | 1.1.12.2 három hónapnál rövidebb időtartamra megterhelt összeg | 
| 354 | 1.1.12.3 három és hat hónap közötti időtartamra megterhelt összeg | 
| 355 | 1.1.12.4 hat és kilenc hónap közötti időtartamra megterhelt összeg | 
| 356 | 1.1.12.5 kilenc és tizenkét hónap közötti időtartamra megterhelt összeg | 
| 357 | 1.1.12.6 tizenkét hónapnál hosszabb időtartamra megterhelt összeg | 
| 358 | 1.1.13 hitelintézet által kibocsátott, lakóingatlanra vonatkozó jelzáloghitellel fedezett instrumentumok, amelyek az EBH által a CRR 509. cikkének (3), (4) és (5) bekezdésében foglalt kritériumok alapján meghatározott minősítés szerint bizonyítottan a legmagasabb hitelminősítési kategóriába tartoznak | 
| 359 | 1.1.13.1 meg nem terhelt összeg | 
| 360 | 1.1.13.2 három hónapnál rövidebb időtartamra megterhelt összeg | 
| 361 | 1.1.13.3 három és hat hónap közötti időtartamra megterhelt összeg | 
| 362 | 1.1.13.4 hat és kilenc hónap közötti időtartamra megterhelt összeg | 
| 363 | 1.1.13.5 kilenc és tizenkét hónap közötti időtartamra megterhelt összeg | 
| 364 | 1.1.13.6 tizenkét hónapnál hosszabb időtartamra megterhelt összeg | 
| 365 | 1.1.14 olyan kötvények, amelyek jogosultak a 129. cikk (4), illetve (5) bekezdésében foglalt eljárásra, és amelyek megfelelnek a CRR 416. cikke (2) bekezdésének a) pontjában foglalt feltételeknek | 
| 366 | 1.1.14.1 meg nem terhelt összeg | 
| 370 | 1.1.14.2 három hónapnál rövidebb időtartamra megterhelt összeg | 
| 380 | 1.1.14.3 három és hat hónap közötti időtartamra megterhelt összeg | 
| 390 | 1.1.14.4 hat és kilenc hónap közötti időtartamra megterhelt összeg | 
| 400 | 1.1.14.5 kilenc és tizenkét hónap közötti időtartamra megterhelt összeg | 
| 410 | 1.1.14.6 tizenkét hónapnál hosszabb időtartamra megterhelt összeg | 
| 420-470 | 1.1.15 a 2009/65/EK irányelv 52. cikkének (4) bekezdésében meghatározottak szerinti, az 1.1.9 tételben említettektől eltérő kötvények | 
| 420 | 1.1.15.1 meg nem terhelt összeg | 
| 430 | 1.1.15.2 három hónapnál rövidebb időtartamra megterhelt összeg | 
| 440 | 1.1.15.3 három és hat hónap közötti időtartamra megterhelt összeg | 
| 450 | 1.1.15.4 hat és kilenc hónap közötti időtartamra megterhelt összeg | 
| 460 | 1.1.15.5 kilenc és tizenkét hónap közötti időtartamra megterhelt összeg | 
| 470 | 1.1.15.6 tizenkét hónapnál hosszabb időtartamra megterhelt összeg | 
| 480-530 | 1.2  A 122. cikk szerinti 1. hitelminőségi besorolásba tartozó, és az 1.1 tételben nem jelentett értékpapírok és pénzpiaci eszközök A CRR 428. cikke (1) bekezdése b) pontjának i. alpontja Az 1.1 tételben nem jelentett értékpapírok és pénzpiaci eszközök összessége A CRR 428. cikke (1) bekezdése b) pontjának i. alpontjában meghatározott kötvények teljes piaci értéke. | 
| 480 | 1.2.1 meg nem terhelt összeg | 
| 490 | 1.2.2 három hónapnál rövidebb időtartamra megterhelt összeg | 
| 500 | 1.2.3 három és hat hónap közötti időtartamra megterhelt összeg | 
| 510 | 1.2.4 hat és kilenc hónap közötti időtartamra megterhelt összeg | 
| 520 | 1.2.5 kilenc és tizenkét hónap közötti időtartamra megterhelt összeg | 
| 530 | 1.2.6 tizenkét hónapnál hosszabb időtartamra megterhelt összeg | 
| 540-590 | 1.3  A 122. cikk szerinti 2. hitelminőségi besorolásba tartozó, és az 1.1 tételben nem jelentett értékpapírok és pénzpiaci eszközök A CRR 428. cikke (1) bekezdése b) pontjának ii. alpontjában meghatározott kötvények teljes piaci értéke. | 
| 540 | 1.3.1 meg nem terhelt összeg | 
| 550 | 1.3.2 három hónapnál rövidebb időtartamra megterhelt összeg | 
| 560 | 1.3.3 három és hat hónap közötti időtartamra megterhelt összeg | 
| 570 | 1.3.4 hat és kilenc hónap közötti időtartamra megterhelt összeg | 
| 580 | 1.3.5 kilenc és tizenkét hónap közötti időtartamra megterhelt összeg | 
| 580 | 1.3.6 tizenkét hónapnál hosszabb időtartamra megterhelt összeg | 
| 600-650 | 1.4  Máshol nem jelentett, egyéb értékpapírok és pénzpiaci eszközök A CRR 428. cikke (1) bekezdése b) pontjának iii. alpontjában meghatározott kötvények teljes piaci értéke | 
| 600 | meg nem terhelt összeg | 
| 610 | három hónapnál rövidebb időtartamra megterhelt összeg | 
| 620 | három és hat hónap közötti időtartamra megterhelt összeg | 
| 630 | hat és kilenc hónap közötti időtartamra megterhelt összeg | 
| 640 | kilenc és tizenkét hónap közötti időtartamra megterhelt összeg | 
| 650 | tizenkét hónapnál hosszabb időtartamra megterhelt összeg | 
| 660-710 | 1.5  Nem pénzügyi vállalatok elismert tőzsdén jegyzett, annak valamely fő indexében szereplő, tulajdonviszonyt megtestesítő értékpapírjai A CRR 428. cikke (1) bekezdésének c) pontja Nem pénzügyi vállalatok elismert tőzsdén jegyzett, annak valamely fő indexében szereplő, tulajdonviszonyt megtestesítő értékpapírjai összesen. | 
| 660 | 1.5.1 meg nem terhelt összeg | 
| 670 | 1.5.2 három hónapnál rövidebb időtartamra megterhelt összeg | 
| 680 | 1.5.2 három és hat hónap közötti időtartamra megterhelt összeg | 
| 690 | 1.5.3 hat és kilenc hónap közötti időtartamra megterhelt összeg | 
| 700 | 1.5. 3 kilenc és tizenkét hónap közötti időtartamra megterhelt összeg | 
| 710 | 1.5.4 tizenkét hónapnál hosszabb időtartamra megterhelt összeg | 
| 720-770 | 1.6  Egyéb, tulajdonviszonyt megtestesítő értékpapírok A CRR4 28. cikke (1) bekezdésének d) pontja Az 1.3 tételben nem jelentett, tulajdonviszonyt megtestesítő értékpapírok összesen | 
| 720 | 1.6.1 meg nem terhelt összeg | 
| 730 | 1.6.2 három hónapnál rövidebb időtartamra megterhelt összeg | 
| 740 | 1.6.3 három és hat hónap közötti időtartamra megterhelt összeg | 
| 750 | 1.6.4 hat és kilenc hónap közötti időtartamra megterhelt összeg | 
| 760 | 1.6.5 kilenc és tizenkét hónap közötti időtartamra megterhelt összeg | 
| 770 | 1.6.6 tizenkét hónapnál hosszabb időtartamra megterhelt összeg | 
| 780-830 | 1.7  Arany A CRR 428. cikke (1) bekezdésének e) pontja | 
| 780 | 1.7.1 meg nem terhelt összeg | 
| 790 | 1.7.2 három hónapnál rövidebb időtartamra megterhelt összeg | 
| 800 | 1.7.3 három és hat hónap közötti időtartamra megterhelt összeg | 
| 810 | 1.7.4 hat és kilenc hónap közötti időtartamra megterhelt összeg | 
| 820 | 1.7.5 kilenc és tizenkét hónap közötti időtartamra megterhelt összeg | 
| 830 | 1.7.6 tizenkét hónapnál hosszabb időtartamra megterhelt összeg | 
| 840-890 | 1.8  Egyéb nemesfémek A CRR 428. cikke (1) bekezdésének f) pontja Nemesfémek teljes állománya az arany kivételével [Megjegyzés: ide tartozik például az ezüst vagy a platina. Az aranyat ehelyett az 1.5 tételben kell jelenteni.] | 
| 840 | 1.8.1 meg nem terhelt összeg | 
| 850 | 1.8.2 három hónapnál rövidebb időtartamra megterhelt összeg | 
| 860 | 1.8.3 három és hat hónap közötti időtartamra megterhelt összeg | 
| 870 | 1.8.4 hat és kilenc hónap közötti időtartamra megterhelt összeg | 
| 880 | 1.8.5 kilenc és tizenkét hónap közötti időtartamra megterhelt összeg | 
| 890 | 1.8.6 tizenkét hónapnál hosszabb időtartamra megterhelt összeg | 
| 900-1250 | 1.9  nem megújítható kölcsönök és követelések A CRR 428. cikke (1) bekezdésének g) pontja A CRR 428. cikke (1) bekezdésének g) pontjában említett összes nem megújítható kölcsönt és követelést a megfelelő alsor(ok)ban és oszlop(ok)ban kell jelenteni | 
| 900-950 | 1.9.1.  a hitelfelvevők egyéni vállalkozónak nem minősülő és társas vállalkozásban nem részt vevő természetes személyek A CRR 428. cikke (1) bekezdése g) pontjának i. alpontja A természetes személy hitelfelvevő által felvett összes nem megújítható kölcsön és követelés, amennyiben az ezen ügyfél vagy egymással kapcsolatban álló ügyfelek csoportja által elhelyezett betétek aggregált összege nem haladja meg az 1 millió EUR-t. | 
| 900 | 1.9.1.1 meg nem terhelt összeg | 
| 910 | 1.9.1.2 három hónapnál rövidebb időtartamra megterhelt összeg | 
| 920 | 1.9.1.3 három és hat hónap közötti időtartamra megterhelt összeg | 
| 930 | 1.9.1.4 hat és kilenc hónap közötti időtartamra megterhelt összeg | 
| 940 | 1.9.1.5 kilenc és tizenkét hónap közötti időtartamra megterhelt összeg | 
| 960 | 1.9.1.6 tizenkét hónapnál hosszabb időtartamra megterhelt összeg | 
| 960-1010 | 1.9.2  a hitelfelvevők olyan kis- és középvállalkozások, amelyek a hitelkockázatra alkalmazandó sztenderd vagy IRB-módszer szerint lakossággal szembeni kitettségek osztályába tartozónak minősülnek, vagy olyan vállalat, amely jogosult a 153. cikk (4) bekezdésében meghatározott kezelésre, és amennyiben az ezen ügyfél vagy egymással kapcsolatban álló ügyfelek csoportja által elhelyezett betétek aggregált összege nem haladja meg az 1 millió EUR-t A CRR 428. cikke (1) bekezdése g) pontjának ii. alpontja Az összes olyan nem megújítható kölcsön és követelés, amelyeknél a hitelfelvevő olyan kis- és középvállalkozás, amelyek a hitelkockázatra alkalmazandó sztenderd vagy IRB-módszer szerint lakossággal szembeni kitettségek osztályába tartozónak minősülnek, vagy olyan vállalat, amely jogosult a 153. cikk (4) bekezdésében említett kezelésre, és amennyiben az ezen ügyfél vagy egymással kapcsolatban álló ügyfelek csoportja által elhelyezett betétek aggregált összege nem haladja meg az 1 millió EUR-t. | 
| 960 | 1.9.2.1 meg nem terhelt összeg | 
| 970 | 1.9.2.2 három hónapnál rövidebb időtartamra megterhelt összeg | 
| 980 | 1.9.2.3 három és hat hónap közötti időtartamra megterhelt összeg | 
| 990 | 1.9.2.4 hat és kilenc hónap közötti időtartamra megterhelt összeg | 
| 1000 | 1.9.2.5 kilenc és tizenkét hónap közötti időtartamra megterhelt összeg | 
| 1010 | 1.9.2.6 tizenkét hónapnál hosszabb időtartamra megterhelt összeg | 
| 1020-1070 | 1.9.3  a hitelfelvevők kormányzatok, központi bankok és közszektorbeli intézmények A CRR 428. cikke (1) bekezdése g) pontjának iii. alpontja Az összes olyan nem megújítható kölcsön és követelés, amelyek esetében kormányzatok, központi bankok és közszektorbeli intézmények a hitelfelvevők | 
| 1020 | 1.9.3.1 meg nem terhelt összeg | 
| 1030 | 1.9.3.2 három hónapnál rövidebb időtartamra megterhelt összeg | 
| 1040 | 1.9.3.3 három és hat hónap közötti időtartamra megterhelt összeg | 
| 1050 | 1.9.3.4 hat és kilenc hónap közötti időtartamra megterhelt összeg | 
| 1060 | 1.9.3.5 kilenc és tizenkét hónap közötti időtartamra megterhelt összeg | 
| 1070 | 1.9.3.6 tizenkét hónapnál hosszabb időtartamra megterhelt összeg | 
| 1080-1130 | 1.9.4  az 1.9.1, 1.9.2 vagy 1.9.3 tételben nem jelentett hitelfelvevők, a pénzügyi ügyfelek kivételével A CRR 428. cikke (1) bekezdése g) pontjának iv. alpontja Az összes olyan nem megújítható kölcsön és követelés, amelyek esetében a hitelfelvevőket az 1.7.1, 1.7.2 vagy 1.7.3 tételben nem jelentették, a pénzügyi ügyfelek kivételével. | 
| 1080 | 1.9.4.1 meg nem terhelt összeg | 
| 1090 | 1.9.4.2 három hónapnál rövidebb időtartamra megterhelt összeg | 
| 1100 | 1.9.4.3 három és hat hónap közötti időtartamra megterhelt összeg | 
| 1110 | 1.9.4.4 hat és kilenc hónap közötti időtartamra megterhelt összeg | 
| 1120 | 1.9.4.5 kilenc és tizenkét hónap közötti időtartamra megterhelt összeg | 
| 1130 | 1.9.4.6 tizenkét hónapnál hosszabb időtartamra megterhelt összeg | 
| 1140-1190 | 1.9.5  a hitelfelvevők hitelintézetek A CRR 428. cikkének (1) bekezdése g) pontjának v. alpontja Az összes olyan nem megújítható kölcsön és követelés, amelyek esetében a hitelfelvevő hitelintézet. | 
| 1140 | 1.9.5.1 meg nem terhelt összeg | 
| 1150 | 1.9.5.2 három hónapnál rövidebb időtartamra megterhelt összeg | 
| 1160 | 1.9.5.3 három és hat hónap közötti időtartamra megterhelt összeg | 
| 1170 | 1.9.5.4 hat és kilenc hónap közötti időtartamra megterhelt összeg | 
| 1180 | 1.9.5.5 kilenc és tizenkét hónap közötti időtartamra megterhelt összeg | 
| 1190 | 1.9.5.6 tizenkét hónapnál hosszabb időtartamra megterhelt összeg | 
| 1200-1250 | 1.9.6  a hitelfelvevők az 1.9.1, 1.9.2 vagy 1.9.3 tételben nem jelentett pénzügyi ügyfelek, a hitelintézetek kivételével. A CRR 428. cikkének (1) bekezdése g) pontjának v. alpontja Az összes olyan nem megújítható kölcsön és követelés, amelyek esetében a hitelfelvevő pénzügyi ügyfél. | 
| 1200 | 1.9.6.1 meg nem terhelt összeg | 
| 1210 | 1.9.6.2 három hónapnál rövidebb időtartamra megterhelt összeg | 
| 1220 | 1.9.6.3 három és hat hónap közötti időtartamra megterhelt összeg | 
| 1230 | 1.9.6.4 hat és kilenc hónap közötti időtartamra megterhelt összeg | 
| 1240 | 1.9.6.5 kilenc és tizenkét hónap közötti időtartamra megterhelt összeg | 
| 1250 | 1.9.6.6 tizenkét hónapnál hosszabb időtartamra megterhelt összeg | 
| 1260-1280 | 1.10  Az 1.9 tételben jelentett, ingatlannal fedezett, nem megújítható kölcsönök és követelések A CRR 428. cikke (1) bekezdésének h) pontja | 
| 1260 | 1.10.1  Kereskedelmi ingatlannal fedezett A CRR 428. cikke (1) bekezdése h) pontjának i. alpontja | 
| 1270 | 1.10.2  Lakóingatlannal fedezett A CRR 428. cikke (1) bekezdése h) pontjának ii. alpontja | 
| 1280 | 1.10.3  Olyan kötvény kibocsátásával fedezett (közvetítő finanszírozás), amely jogosult a 129. cikk (4) vagy (5) bekezdésében foglalt eljárás szerinti kezelésre, vagy a 2009/65/EK irányelv 52. cikkének (4) bekezdésében meghatározott kötvénnyel fedezett A CRR 428. cikke (1) bekezdése h) pontjának iii. alpontja | 
| 1290 | 1.11  származtatott ügyletből eredő követelések A CRR 428. cikke (1) bekezdésének i) pontja Származtatott ügyletből eredő nettó követelések összesen | 
| 1300 | 1.12  egyéb eszközök A CRR 428. cikke (1) bekezdésének j) pontja A fenti 1.1.1–1.8 tételben nem jelentett bármely egyéb eszköz Megjegyzés: a szavatoló tőkéből levont eszközöket az 1.10 tételben kell jelenteni | 
| 1310 | 1.13  stabil forrásellátást nem igénylő, a szavatoló tőkéből levont eszközök A CRR 428. cikkének (1) bekezdése A CRR-nek való megfelelés céljára a szavatoló tőkéből levont összes eszköz | 
| 1320 | 1.14  Folyósítási kötelezettséggel járó, le nem hívott hitelkeretek A CRR 428. cikke (1) bekezdésének k) pontja A CRR 428. cikke (1) bekezdésének k) pontjában említett hitelkeretek | 
XIV. MELLÉKLET
Egységes adatmodell
Az e rendelet mellékleteiben meghatározott valamennyi adatot olyan egységes adatmodellé kell átalakítani, amely az intézmények és az illetékes hatóságok egységes informatikai rendszereinek alapját jelenti.
Az egységes adatmodell teljesíti a következő kritériumokat:
a) biztosítja az I., III., IV., VI., VIII., X., XII. és XVI. mellékletben meghatározott valamennyi adat strukturált megjelenítését;
b) azonosítja az I-XIII., a XVI. és a XVII. mellékletben meghatározott valamennyi üzleti koncepciót;
c) tartalmaz egy olyan szótárt, amely azonosítja a táblák megnevezését, az ordinátacímkéket, a tengelyek megnevezését, a domének, a dimenziók és a doméntagok címkéit;
d) olyan mérőszámokat tartalmaz, amelyek meghatározzák az adatpontok tulajdonságát vagy összegét;
e) olyan (jellemzők összetételében kifejezett) adatpont-meghatározásokat ad, amely egyértelműen azonosítja a pénzügyi koncepciót;
f) tartalmazza az összes olyan technikai specifikációt, amely az egységes felügyeleti adatokat létrehozó adatszolgáltatási informatikai megoldások kifejlesztéséhez szükséges.
XV. MELLÉKLET
Ellenőrzési szabályok
Az e rendelet mellékleteiben meghatározott adatok az adatminőséget és -konzisztenciát biztosító ellenőrzési szabályok hatálya alá tartoznak.
Az ellenőrzési szabályok megfelelnek a következő kritériumoknak:
a) meghatározzák a megfelelő adatpontok közötti logikai kapcsolatokat;
b) olyan szűrőket és előfeltételeket tartalmaznak, amelyek meghatározzák azt az adatcsoportot, amelyre az adott ellenőrzési szabály alkalmazandó;
c) ellenőrzik a megadott adatok konzisztenciáját;
d) ellenőrzik a megadott adatok pontosságát;
e) meghatározzák azokat az alapértelmezett értékeket, amelyeket alkalmazni kell, amennyiben az adott információ nem került bejelentésre.
XVI. MELLÉKLET
MEGTERHELT ESZKÖZÖKRE VONATKOZÓ ADATSZOLGÁLTATÁS
| MEGTERHELT ESZKÖZÖK – TÁBLÁK | |||
| Tábla száma | Tábla kódja | Tábla megnevezése/táblacsoport | Rövid elnevezés | 
| A RÉSZ – MEGTERHELÉS ÁTTEKINTÉSE | |||
| 32,1 | F 32.01 | AZ ADATSZOLGÁLTATÓ INTÉZMÉNY ESZKÖZEI | AE-ASS | 
| 32,2 | F 32.02 | KAPOTT BIZTOSÍTÉK | AE-COL | 
| 32,3 | F 32.03 | MÉG NEM ELZÁLOGOSÍTOTT SAJÁT KIBOCSÁTÁSÚ, FEDEZETT KÖTVÉNYEK ÉS ESZKÖZFEDEZETŰ ÉRTÉKPAPÍROK | AE-NPL | 
| 32,4 | F 32.04 | MEGTERHELÉS FORRÁSAI | AE-SOU | 
| B. RÉSZ – LEJÁRATI ADATOK | |||
| 33 | F 33.00 | LEJÁRATI ADATOK | AE-MAT | 
| C. RÉSZ – FÜGGŐ MEGTERHELÉS | |||
| 34 | F 34.00 | FÜGGŐ MEGTERHELÉS | AE-CONT | 
| D. RÉSZ – FEDEZETT KÖTVÉNYEK | |||
| 35 | F 35.00 | FEDEZETTKÖTVÉNY-KIBOCSÁTÁS | AE-CB | 
| E. RÉSZ – RÉSZLETES ADATOK | |||
| 36,1 | F 36.01 | RÉSZLETES ADATOK I. RÉSZ | AE-ADV1 | 
| 36,2 | F 36.02 | RÉSZLETES ADATOK II. RÉSZ | AE-ADV2 | 
F 32.01 - AZ ADATSZOLGÁLTATÓ INTÉZMÉNY ESZKÖZEI (AE-ASS)
| A megterhelt eszközök könyv szerinti értéke | A megterhelt eszközök valós értéke | Meg nem terhelt eszközök könyv szerinti értéke | Meg nem terhelt eszközök valós értéke | ||||||||
| ebből: a csoporthoz tartozó más vállalkozások által kibocsátott | ebből: központi bank által elismert | ebből: központi bank által elismert | ebből: a csoporthoz tartozó más vállalkozások által kibocsátott | ebből: központi bank által elismert | ebből: központi bank által elismert | ||||||
| 010 | 020 | 030 | 040 | 050 | 060 | 070 | 080 | 090 | 100 | ||
| 010 | Az adatszolgáltató intézmény eszközei | ||||||||||
| 020 | Látra szóló követelések | ||||||||||
| 030 | Tőkeinstrumentumok | ||||||||||
| 040 | Hitelviszonyt megtestesítő értékpapírok | ||||||||||
| 050 | ebből: fedezett kötvények | ||||||||||
| 060 | ebből: eszközfedezetű értékpapírok | ||||||||||
| 070 | ebből: központi kormányzatok által kibocsátott | ||||||||||
| 080 | ebből: pénzügyi vállalkozások által kibocsátott | ||||||||||
| 090 | ebből: nem pénzügyi vállalkozások által kibocsátott | ||||||||||
| 100 | Látra szóló követelésektől eltérő kölcsönök és előlegek | ||||||||||
| 110 | ebből: jelzáloghitelek | ||||||||||
| 120 | Egyéb eszközök | ||||||||||
F 32.02 - KAPOTT BIZTOSÍTÉK (AE-COL)
| Kapott, megterhelt biztosíték vagy kibocsátott, hitelviszonyt megtestesítő saját értékpapír valós értéke | Meg nem terhelt | |||||||
| Megterhelhető, kapott biztosíték vagy kibocsátott, hitelviszonyt megtestesítő saját értékpapír valós értéke | Meg nem terhelhető kapott biztosíték vagy kibocsátott, hitelviszonyt megtestesítő saját értékpapír névértéke | |||||||
| ebből: a csoporthoz tartozó más vállalkozások által kibocsátott | ebből: központi bank által elismert | ebből: a csoporthoz tartozó más vállalkozások által kibocsátott | ebből: központi bank által elismert | |||||
| 010 | 020 | 030 | 040 | 050 | 060 | 070 | ||
| 130 | Az adatszolgáltató intézmény által kapott biztosíték | |||||||
| 140 | Látra szóló követelések | |||||||
| 150 | Tőkeinstrumentumok | |||||||
| 160 | Hitelviszonyt megtestesítő értékpapírok | |||||||
| 170 | ebből: fedezett kötvények | |||||||
| 180 | ebből: eszközfedezetű értékpapírok | |||||||
| 190 | ebből: központi kormányzatok által kibocsátott | |||||||
| 200 | ebből: pénzügyi vállalkozások által kibocsátott | |||||||
| 210 | ebből: nem pénzügyi vállalkozások által kibocsátott | |||||||
| 220 | Látra szóló követelésektől eltérő kölcsönök és előlegek | |||||||
| 230 | Egyéb kapott biztosítékok | |||||||
| 240 | Saját fedezett kötvénytől vagy eszközfedezetű értékpapírtól eltérő, kibocsátott, hitelviszonyt megtestesítő saját értékpapírok | |||||||
| 250 | ESZKÖZÖK, KAPOTT BIZTOSÍTÉKOK ÉS KIBOCSÁTOTT, HITELVISZONYT MEGTESTESÍTŐ SAJÁT ÉRTÉKPAPÍROK ÖSSZESEN | |||||||
F 32.03 - MÉG NEM ELZÁLOGOSÍTOTT, SAJÁT KIBOCSÁTÁSÚ FEDEZETT KÖTVÉNYEK ÉS ESZKÖZFEDEZETŰ ÉRTÉKPAPÍROK (AE-NPL)
| Meg nem terhelt | |||||
| A mögöttes eszközhalmaz (pool) könyv szerinti értéke | Megterhelhető, kibocsátott, hitelviszonyt megtestesítő értékpapírok valós értéke | Meg nem terhelhető, kibocsátott, saját hitelviszonyt megtestesítő értékpapírok névértéke | |||
| ebből: központi bank által elismert | |||||
| 010 | 020 | 030 | 040 | ||
| 010 | Még nem elzálogosított, saját kibocsátású fedezett kötvények és eszközfedezetű értékpapírok | ||||
| 020 | Kibocsátott, megtartott, fedezett kötvények | ||||
| 030 | Kibocsátott, megtartott, eszközfedezetű értékpapírok | ||||
| 040 | Előre sorolt ügyletrészsorozat | ||||
| 050 | Köztes ügyletrészsorozat | ||||
| 060 | Első veszteségviselő ügyletrészsorozat | ||||
F 32.04 - MEGTERHELÉS FORRÁSAI (AE-SOU)
| Megfeleltetett kötelezettségek, függő kötelezettségek vagy kölcsönbe adott értékpapírok | Eszközök, kapott biztosítékok és a megterhelt saját fedezett kötvénytől vagy eszközfedezetű értékpapírtól eltérő kibocsátott, hitelviszonyt megtestesítő saját értékpapírok | |||||
| ebből: a csoport más vállalkozásaitól | ebből: kapott és újrafelhasznált biztosíték | ebből: megterhelt, saját hitelviszonyt megtestesítő értékpapírok | ||||
| 010 | 020 | 030 | 040 | 050 | ||
| 010 | Megterhelés forrásaként meghatározott pénzügyi kötelezettségek könyv szerinti értéke | |||||
| 020 | Származtatott ügyletek | |||||
| 030 | ebből: tőzsdén kívüli | |||||
| 040 | Betétek | |||||
| 050 | Visszavásárlási (repo-) megállapodások | |||||
| 060 | ebből: központi bankok | |||||
| 070 | Repomegállapodásoktól eltérő fedezett betétek | |||||
| 080 | ebből: központi bankok | |||||
| 090 | Kibocsátott, hitelviszonyt megtestesítő értékpapírok | |||||
| 100 | ebből: kibocsátott fedezett kötvények | |||||
| 110 | ebből: kibocsátott eszközfedezetű értékpapírok | |||||
| 120 | Megterhelés egyéb, kapcsolódó forrásai | |||||
| 130 | Kapott hitelnyújtási kötelezettségvállalások névértéke | |||||
| 140 | Kapott pénzügyi garanciák névértéke | |||||
| 150 | Nem készpénzbiztosíték mellett kölcsönbe adott értékpapírok valós értéke | |||||
| 160 | Egyéb | |||||
| 170 | MEGTERHELÉS FORRÁSAI ÖSSZESEN | |||||
| konszolidált alapú táblában nem kell kitölteni | ||||||
| nem kell kitölteni | ||||||
F 33.00 - LEJÁRATI ADATOK (AE-MAT)
| Lejárat nélküli | Egynapos | >1 nap <=1 hét | >1 hét <=2 hét | >2 hét <=1 hónap | >1 hónap <=3 hónap | >3 hónap <=6 hónap | >6 hónap <=1 év | >1 év <=2 év | >2 év <=3 év | 3 év <=5 év | 5 év <=10 év | >10 év | ||
| Kötelezettségek hátralévő lejárati ideje | 010 | 020 | 030 | 040 | 050 | 060 | 070 | 080 | 090 | 100 | 110 | 120 | 130 | |
| 010 | Megterhelt eszközök | |||||||||||||
| 020 | Kapott, újrafelhasznált biztosíték (átvevői oldal) | |||||||||||||
| 030 | Kapott, újrafelhasznált biztosíték (újrafelhasználói oldal) | |||||||||||||
F 34.00 - FÜGGŐ MEGTERHELÉS (AE-CONT)
| Megfeleltetett kötelezettségek, függő kötelezettségek vagy kölcsönbe adott értékpapírok | Függő megterhelés | ||||||
| A. A megterhelt eszközök 30 %-kal csökkentett valós értéke | B. Jelentős pénznemek 10 %-os leértékelődésének nettó hatása | ||||||
| Megterhelt eszközök pótlólagos összege | |||||||
| Megterhelt eszközök pótlólagos összege | 1. jelentős pénznem | 2. jelentős pénznem | … | n. jelentős pénznem | |||
| 010 | 020 | 030 | 040 | 050 | |||
| 010 | Megterhelés forrásaként meghatározott pénzügyi kötelezettségek könyv szerinti értéke | ||||||
| 020 | Származtatott ügyletek | ||||||
| 030 | ebből: tőzsdén kívüli | ||||||
| 040 | Betétek | ||||||
| 050 | Visszavásárlási (repo-) megállapodások | ||||||
| 060 | ebből: központi banki | ||||||
| 070 | Repomegállapodásoktól eltérő fedezett betétek | ||||||
| 080 | ebből: központi banki | ||||||
| 090 | Kibocsátott, hitelviszonyt megtestesítő értékpapírok | ||||||
| 100 | ebből: kibocsátott fedezett kötvények | ||||||
| 110 | ebből: kibocsátott eszközfedezetű értékpapírok | ||||||
| 120 | Megterhelés egyéb, kapcsolódó forrásai | ||||||
| 170 | MEGTERHELÉS FORRÁSAI ÖSSZESEN | ||||||
F 35.00 - FEDEZETTKÖTVÉNY-KIBOCSÁTÁS (AE-CB)
z-tengely
Fedezeti halmaz (pool) azonosítója (nyitott)
| Megfelel a CRR 129. cikkének? | Fedezettkötvény-kötelezettségek | Fedezeti halmaz (pool) | |||||||||||||||||||||||||
| Jelentendő adat az adatszolgáltatás időpontjában | + 6 hónap | +12 hónap | + 2 év | +5 év | + 10 év | A fedezeti halmazba (poolba) tartozó, negatív nettó piaci értékű származtatott pozíciók | Fedezett kötvények külső hitelminősítése | Jelentendő adat az adatszolgáltatás időpontjában | + 6 hónap | +12 hónap | + 2 év | +5 év | + 10 év | A fedezeti halmazba (poolba) tartozó, pozitív nettó piaci értékű származtatott pozíciók | A fedezeti minimumkövetelményeket meghaladó fedezeti halmaz (pool) összege | ||||||||||||
| [IGEN/NEM] | Amennyiben IGEN, jelölje a fedezeti halmaz (pool) elsődleges eszközosztályát | a fedezett kötvényekre vonatkozó releváns kötelező szabályok szerint | a hitelminősítők által a fedezett kötvény aktuális külső hitelminősítésének fenntartására alkalmazott módszertan szerint | ||||||||||||||||||||||||
| Jelentendő adat az adatszolgáltatás időpontjában | 1. hitelminősítő intézet | 1. hitelminősítés | 2. hitelminősítő intézet | 2. hitelminősítés | 3. hitelminősítő intézet | 3. hitelminősítés | Jelentendő adat az adatszolgáltatás időpontjában | 1. hitelminősítő intézet | 2. hitelminősítő intézet | 3. hitelminősítő intézet | |||||||||||||||||
| 010 | 012 | 020 | 030 | 040 | 050 | 060 | 070 | 080 | 090 | 100 | 110 | 120 | 130 | 140 | 150 | 160 | 170 | 180 | 190 | 200 | 210 | 220 | 230 | 240 | 250 | ||
| 010 | Névérték | ||||||||||||||||||||||||||
| 020 | Jelenérték (swap) / piaci érték | ||||||||||||||||||||||||||
| 030 | Eszközspecifikus érték | ||||||||||||||||||||||||||
| 040 | Könyv szerinti érték | ||||||||||||||||||||||||||
F 36.01 - RÉSZLETES ADATOK. I. RÉSZ (AE-ADV-1)
| Megterhelés forrásai | Eszközök/ kötelezettségek | Biztosítéktípus – Eszköztípus szerinti osztályozás | Összesen | |||||||||||||||||
| Látra szóló követelések | Tőkeinstrumentumok | Hitelviszonyt megtestesítő értékpapírok | Látra szóló követelésektől eltérő kölcsönök és előlegek | Egyéb eszközök | ||||||||||||||||
| Összesen | ebből: fedezett kötvények | ebből: eszközfedezetű értékpapírok | ebből: központi kormányzatok által kibocsátott | ebből: pénzügyi vállalkozások által kibocsátott | ebből: nem pénzügyi vállalkozások által kibocsátott | Központi bankok és központi kormányzat | Pénzügyi vállalkozások | Nem pénzügyi vállalkozások | Háztartások | |||||||||||
| ebből: a csoporthoz tartozó más vállalkozások által kibocsátott | ebből: a csoporthoz tartozó más vállalkozások által kibocsátott | ebből: jelzáloghitelek | ebből: jelzáloghitelek | |||||||||||||||||
| 010 | 020 | 030 | 040 | 050 | 060 | 070 | 080 | 090 | 100 | 110 | 120 | 130 | 140 | 150 | 160 | 170 | 180 | |||
| 010 | Központi banki finanszírozás (bármely típusú, ideértve pl. a repot) | Megterhelt eszközök | ||||||||||||||||||
| 020 | Megfeleltetett kötelezettségek | |||||||||||||||||||
| 030 | Tőzsdén forgalmazott derivatívák | Megterhelt eszközök | ||||||||||||||||||
| 040 | Megfeleltetett kötelezettségek | |||||||||||||||||||
| 050 | Tőzsdén kívüli derivatívák | Megterhelt eszközök | ||||||||||||||||||
| 060 | Megfeleltetett kötelezettségek | |||||||||||||||||||
| 070 | Visszavásárlási (repo-) megállapodások | Megterhelt eszközök | ||||||||||||||||||
| 080 | Megfeleltetett kötelezettségek | |||||||||||||||||||
| 090 | Repomegállapodásoktól eltérő fedezett betétek | Megterhelt eszközök | ||||||||||||||||||
| 100 | Megfeleltetett kötelezettségek | |||||||||||||||||||
| 110 | Kibocsátott fedezettkötvény-értékpapírok | Megterhelt eszközök | ||||||||||||||||||
| 120 | Megfeleltetett kötelezettségek | |||||||||||||||||||
| 130 | Eszközfedezetű kibocsátott értékpapírok | Megterhelt eszközök | ||||||||||||||||||
| 140 | Megfeleltetett kötelezettségek | |||||||||||||||||||
| 150 | Saját fedezett kötvénytől vagy eszközfedezetű értékpapírtól eltérő kibocsátott, hitelviszonyt megtestesítő értékpapírok | Megterhelt eszközök | ||||||||||||||||||
| 160 | Megfeleltetett kötelezettségek | |||||||||||||||||||
| 170 | Megterhelés egyéb, kapcsolódó forrásai | Megterhelt eszközök | ||||||||||||||||||
| 180 | Függő kötelezettségek vagy kölcsönbe adott értékpapírok | |||||||||||||||||||
| 190 | Megterhelt eszközök összesen | |||||||||||||||||||
| 200 | ebből: központi bank által elismert | |||||||||||||||||||
| 210 | Meg nem terhelt eszközök összesen | |||||||||||||||||||
| 220 | ebből: központi bank által elismert | |||||||||||||||||||
| 230 | Megterhelt + meg nem terhelt eszközök | |||||||||||||||||||
F 36.02 - RÉSZLETES ADATOK. II. RÉSZ (AE-ADV-2)
| Megterhelés forrásai | Eszközök/ kötelezettségek | Biztosítéktípus – Eszköztípus szerinti osztályozás | Összesen | ||||||||||||||||||
| Látra szóló követelések | Tőkeinstrumentumok | Hitelviszonyt megtestesítő értékpapírok | Látra szóló követelésektől eltérő kölcsönök és előlegek | Egyéb kapott biztosíték | Saját fedezett kötvénytől vagy eszközfedezetű értékpapírtól eltérő, kibocsátott, hitelviszonyt megtestesítő saját értékpapírok | ||||||||||||||||
| Összesen | ebből: fedezett kötvények | ebből: eszközfedezetű értékpapírok | ebből: központi kormányzatok által kibocsátott | ebből: pénzügyi vállalkozások által kibocsátott | ebből: nem pénzügyi vállalkozások által kibocsátott | Központi bankok és központi kormányzat | Pénzügyi vállalkozások | Nem pénzügyi vállalkozások | Háztartások | ||||||||||||
| ebből: a csoporthoz tartozó más vállalkozások által kibocsátott | ebből: a csoporthoz tartozó más vállalkozások által kibocsátott | ebből: jelzáloghitelek | ebből: jelzáloghitelek | ||||||||||||||||||
| 010 | 020 | 030 | 040 | 050 | 060 | 070 | 080 | 090 | 100 | 110 | 120 | 130 | 140 | 150 | 160 | 170 | 180 | 190 | |||
| 010 | Központi banki finanszírozás (bármely típusú, ideértve pl. a repot) | Kapott, megterhelt biztosíték | |||||||||||||||||||
| 020 | Megfeleltetett kötelezettségek | ||||||||||||||||||||
| 030 | Tőzsdén forgalmazott derivatívák | Kapott, megterhelt biztosíték | |||||||||||||||||||
| 040 | Megfeleltetett kötelezettségek | ||||||||||||||||||||
| 050 | Tőzsdén kívüli derivatívák | Kapott, megterhelt biztosíték | |||||||||||||||||||
| 060 | Megfeleltetett kötelezettségek | ||||||||||||||||||||
| 070 | Visszavásárlási (repo-) megállapodások | Kapott, megterhelt biztosíték | |||||||||||||||||||
| 080 | Megfeleltetett kötelezettségek | ||||||||||||||||||||
| 090 | Repomegállapodásoktól eltérő fedezett betétek | Kapott, megterhelt biztosíték | |||||||||||||||||||
| 100 | Megfeleltetett kötelezettségek | ||||||||||||||||||||
| 110 | Kibocsátott fedezettkötvény-értékpapírok | Kapott, megterhelt biztosíték | |||||||||||||||||||
| 120 | Megfeleltetett kötelezettségek | ||||||||||||||||||||
| 130 | Eszközfedezetű kibocsátott értékpapírok | Kapott, megterhelt biztosíték | |||||||||||||||||||
| 140 | Megfeleltetett kötelezettségek | ||||||||||||||||||||
| 150 | Saját fedezett kötvénytől vagy eszközfedezetű értékpapírtól eltérő kibocsátott, hitelviszonyt megtestesítő értékpapírok | Kapott, megterhelt biztosíték | |||||||||||||||||||
| 160 | Megfeleltetett kötelezettségek | ||||||||||||||||||||
| 170 | Megterhelés egyéb, kapcsolódó forrásai | Kapott, megterhelt biztosíték | |||||||||||||||||||
| 180 | Függő kötelezettségek vagy kölcsönbe adott értékpapírok | ||||||||||||||||||||
| 190 | Kapott, megterhelt biztosíték összesen | ||||||||||||||||||||
| 200 | ebből: központi bank által elismert | ||||||||||||||||||||
| 210 | Kapott, meg nem terhelt biztosíték összesen | ||||||||||||||||||||
| 220 | ebből: központi bank által elismert | ||||||||||||||||||||
| 230 | Megterhelt + meg nem terhelt kapott biztosíték | ||||||||||||||||||||
XVII. MELLÉKLET
A MEGTERHELT ESZKÖZÖKRE VONATKOZÓ ADATSZOLGÁLTATÁS
Tartalomjegyzék
ÁLTALÁNOS ÚTMUTATÓ
1. FELÉPÍTÉS ÉS SZABÁLYOK
1.1. FELÉPÍTÉS
1.2. SZÁMVITELI SZABÁLYOK
1.3. SZÁMOZÁSI SZABÁLYOK
1.4. ELŐJELRE VONATKOZÓ SZABÁLYOK
1.5. ALKALMAZÁS SZINTJE
1.6. ARÁNYOSSÁG
1.7. MEGTERHELT ESZKÖZ FOGALOMMEGHATÁROZÁSA - TÁBLÁKHOZ KAPCSOLÓDÓ ÚTMUTATÓ
2. A. RÉSZ: MEGTERHELÉS ÁTTEKINTÉSE
2.1. TÁBLA: AE-ASS. AZ ADATSZOLGÁLTATÓ INTÉZMÉNY ESZKÖZEI
2.1.1. ÁLTALÁNOS MEGJEGYZÉSEK
2.1.2. A TÁBLA EGYES SORAIRA VONATKOZÓ ELŐÍRÁSOK
2.1.3. AZ EGYES OSZLOPOKRA VONATKOZÓ ELŐÍRÁSOK
2.2. TÁBLA: AE-COL. AZ ADATSZOLGÁLTATÓ INTÉZMÉNY ÁLTAL KAPOTT BIZTOSÍTÉK
2.2.1. ÁLTALÁNOS MEGJEGYZÉSEK
2.2.2. A TÁBLA EGYES SORAIRA VONATKOZÓ ELŐÍRÁSOK
2.2.3. AZ EGYES OSZLOPOKRA VONATKOZÓ ELŐÍRÁSOK
2.3. AE-NPL TÁBLA: MÉG NEM ELZÁLOGOSÍTOTT SAJÁT KIBOCSÁTÁSÚ FEDEZETT KÖTVÉNYEK ÉS ESZKÖZFEDEZETŰ ÉRTÉKPAPÍROK
2.3.1. ÁLTALÁNOS MEGJEGYZÉSEK
2.3.2. A TÁBLA EGYES SORAIRA VONATKOZÓ ELŐÍRÁSOK
2.3.3. AZ EGYES OSZLOPOKRA VONATKOZÓ ELŐÍRÁSOK
2.4. AE-SOU TÁBLA: MEGTERHELÉS FORRÁSAI
2.4.1. ÁLTALÁNOS MEGJEGYZÉSEK
2.4.2. A TÁBLA EGYES SORAIRA VONATKOZÓ ELŐÍRÁSOK
2.4.3. AZ EGYES OSZLOPOKRA VONATKOZÓ ELŐÍRÁSOK
3. B. RÉSZ: LEJÁRATI ADATOK
3.1. ÁLTALÁNOS MEGJEGYZÉSEK
3.2. TÁBLA: AE-MAT. LEJÁRATI ADATOK
3.2.1. A TÁBLA EGYES SORAIRA VONATKOZÓ ELŐÍRÁSOK
3.2.2. AZ EGYES OSZLOPOKRA VONATKOZÓ ELŐÍRÁSOK
4. C. RÉSZ: FÜGGŐ MEGTERHELÉS
4.1. ÁLTALÁNOS MEGJEGYZÉSEK
4.1.1. "A" FORGATÓKÖNYV: A MEGTERHELT ESZKÖZÖK 30 %-OS CSÖKKENTÉSE
4.1.2. "B" FORGATÓKÖNYV: A JELENTŐS PÉNZNEMEK 10 %-OS LEÉRTÉKELŐDÉSE
4.2. TÁBLA: AE-CONT. FÜGGŐ MEGTERHELÉS
4.2.1. A TÁBLA EGYES SORAIRA VONATKOZÓ ELŐÍRÁSOK
4.2.2. AZ EGYES OSZLOPOKRA VONATKOZÓ ELŐÍRÁSOK
5. D. RÉSZ: FEDEZETT KÖTVÉNYEK
5.1. ÁLTALÁNOS MEGJEGYZÉSEK
5.2. TÁBLA: AE-CB. FEDEZETTKÖTVÉNY-KIBOCSÁTÁS
5.2.1. A Z-TENGELYRE VONATKOZÓ ELŐÍRÁSOK
5.2.2. A TÁBLA EGYES SORAIRA VONATKOZÓ ELŐÍRÁSOK
5.2.3. AZ EGYES OSZLOPOKRA VONATKOZÓ ELŐÍRÁSOK
6. E. RÉSZ: RÉSZLETES ADATOK:
6.1. ÁLTALÁNOS MEGJEGYZÉSEK
6.2. TÁBLA: AE-ADV1. AZ ADATSZOLGÁLTATÓ INTÉZMÉNY ESZKÖZEIRE VONATKOZÓ RÉSZLETES TÁBLA
6.2.1. A TÁBLA EGYES SORAIRA VONATKOZÓ ELŐÍRÁSOK
6.2.2. AZ EGYES OSZLOPOKRA VONATKOZÓ ELŐÍRÁSOK
6.3. TÁBLA: AE-ADV2. AZ ADATSZOLGÁLTATÓ INTÉZMÉNY ÁLTAL KAPOTT BIZTOSÍTÉKRA VONATKOZÓ RÉSZLETES TÁBLA
6.3.1. A TÁBLA EGYES SORAIRA VONATKOZÓ ELŐÍRÁSOK
6.3.2. AZ EGYES OSZLOPOKRA VONATKOZÓ ELŐÍRÁSOK - ÁLTALÁNOS ÚTMUTATÓ
1. FELÉPÍTÉS ÉS SZABÁLYOK
1.1. Felépítés
1. A keretrendszer öt táblacsoportból áll, ezek összesen kilenc táblát tartalmaznak a következő részletezéssel:
a) A. rész: Megterhelés áttekintése:
- AE-ASS tábla. Az adatszolgáltató intézmény eszközei
- AE-COL tábla. Az adatszolgáltató intézmény által kapott biztosíték
- AE-NPL tábla. Még nem elzálogosított saját kibocsátású fedezett kötvények és eszközfedezetű értékpapírok
- AE-SOU tábla. Megterhelés forrásai
b) B. rész: Lejárati adatok:
- AE-MAT tábla. Lejárati adatok
c) C. rész: Függő megterhelés
- AE-CONT tábla. Függő megterhelés
d) D. rész: Fedezett kötvények
- AE-CB tábla. Fedezettkötvény-kibocsátás
e) E. rész: Részletes adatok:
- AE-ADV-1 tábla. Az adatszolgáltató intézmény eszközeire vonatkozó részletes tábla
- AE-ADV-2 tábla. Az adatszolgáltató intézmény által kapott biztosítékra vonatkozó részletes tábla
2. Minden táblához biztosított a jogszabályi hivatkozás, valamint az adatszolgáltatás általánosabb szempontjaival kapcsolatos részletesebb információk.
1.2. Számviteli szabályok
3. Az intézményeknek a könyv szerinti értékeket azon számviteli keretnek megfelelően kell az adatszolgáltatásba belefoglalniuk, amelyet a pénzügyi adatokról szóló beszámolóhoz használnak a 9-11. cikknek megfelelően. Azoknak az intézményeknek, amelyeknek nem kell pénzügyi adatokat szolgáltatniuk, saját számviteli keretüket kell használniuk.
4. E melléklet alkalmazásában az IAS és az IFRS rövidítés az 1606/2002/EK rendelet 2. cikkében meghatározott nemzetközi számviteli standardokra utal. Azon intézmények vonatkozásában, amelyek az IFRS standardoknak megfelelően szolgáltatnak adatot, az útmutató tartalmazza a megfelelő IFRS-standardra való hivatkozást.
1.3. Számozási szabályok
5. A táblák oszlopaira, soraira és celláira való hivatkozáskor az útmutató a következő általános jelölési szabályokat követi: {Tábla; Sor; Oszlop}. Csillag azt jelöli, hogy az ellenőrzés az egész sorra vagy oszlopra vonatkozik. Például {AE-ASS; *; 2} az AE-ASS tábla 2. oszlopának bármely sorában található adatra utal.
6. Az egy táblán belüli ellenőrzés esetén a szóban forgó táblában levő adatokra a következő jelölés utal: {Sor; Oszlop}.
1.4. Előjelre vonatkozó szabályok
7. A XVI. melléklet tábláinak az V. melléklet 1. részének 9. és 10. pontjában leírt jelölési szabályokat kell követniük.
1.5. Alkalmazás szintje
8. A megterhelt eszközökre vonatkozó adatszolgáltatás esetében az alkalmazás szintje követi a szavatolótőke-követelményekre vonatkozó, az 575/2013/EU rendelet (CRR) 99. cikke (1) bekezdése első albekezdésének megfelelő adatszolgáltatási követelményeket. Következésképpen azoknak az intézményeknek, amelyek nem tartoznak a CRR 7. cikke szerinti prudenciális követelmények hatálya alá, nem kell adatot szolgáltatniuk az megterhelt eszközökről.
1.6. Arányosság
9. A 16a. cikk (2) bekezdése b) pontjának alkalmazásában a megterhelt eszközök szintjét a következőképpen kell kiszámítani:
- A megterhelt eszközök és biztosíték könyv szerinti értéke = {AE-ASS;010;010}+{AE-COL;130;010}.
- Eszközök és biztosíték összesen = {AE-ASS;010;010} + {AE-ASS;010;060}+{AE-COL;130;010}+{AE-COL;130;040}.
- Megterhelési arány = (a megterhelt eszközök és biztosítékok könyv szerinti értéke)/(eszközök és biztosítékok összesen)
10. A 16a. cikk (2) bekezdése a) pontjának alkalmazásában az összes eszköz összegének kiszámítása a következő:
- Eszközök összesen = {AE-ASS;010;010} + {AE-ASS;010;060}
1.7. Megterhelt eszköz fogalommeghatározása
11. E melléklet és a XVI. melléklet alkalmazásában egy eszközt akkor kell megterheltként kezelni, ha elzálogosításra került, vagy ha valamely ügylet bármely formában létrejött megállapodás keretében történő biztosítására, fedezésére vagy hitelminőségének javítására használják fel és nem vonható ki tetszőlegesen.
Fontos megjegyezni, hogy megterhelt eszköznek kell tekinteni az olyan elzálogosított eszközöket, amelyekre a kivonás tekintetében korlátozás vonatkozik, például az olyan eszközöket, amelyek esetében a kivonáshoz vagy más eszközzel való helyettesítéshez előzetes jóváhagyás szükséges. A fogalommeghatározás nem explicit jogi meghatározáson alapul, mint például a tulajdonjog-átruházás esetében, hanem inkább gazdasági elveken, mivel az országokban alkalmazott jogi előírások e tekintetben eltérőek lehetnek. A fogalommeghatározás azonban szorosan kapcsolódik a szerződéses feltételekhez. Az EBH szerint a fogalommeghatározás a következő ügylettípusokat jól fedi (a lista nem teljes):
- Biztosítékkal fedezett finanszírozási ügyletek, többek között a reposzerződések és -megállapodások, értékpapírok kölcsönbe adása, valamint a biztosítékkal fedezett kölcsönök egyéb formái.
- Különböző biztosítéki megállapodások, például a származtatott ügyletek piaci értékére letétbe helyezett biztosíték.
- Fedezett pénzügyi garanciák. Meg kell jegyezni, hogy azokban az esetekben, amikor a biztosíték kivonásának nincs akadálya (például a garancia fel nem használt részére vonatkozó előzetes jóváhagyás) akkor csak a felhasznált összeget kell elosztani (arányos elosztás).
- Klíringrendszerekben, központi szerződő feleknél és egyéb, infrastruktúrát működtető intézményeknél a szolgáltatáshoz való hozzájutás feltételeként elhelyezett biztosíték. Idetartoznak a garanciaalapok és a kezdő letétek.
- Központi banki keretek. A rendelkezésre álló eszközöket nem kell megterheltnek tekinteni, kivéve, ha a központi bank előzetes hozzájárulással teszi lehetővé az elhelyezett eszköz kivonását. Ahogy a fel nem használt pénzügyi garanciák esetében, a fel nem használt részt, vagyis a központi bank által előírt minimális összeg fölötti részt arányosan el kell osztani a központi banknál elhelyezett eszközök között.
- Az eszközfedezetű értékpapírok mögöttes eszközei, amennyiben a pénzügyi eszközöket nem vonták ki az intézmény pénzügyi eszközei közül. Azok az eszközök, amelyek mögöttes, megtartott értékpapírok, nem számítanak megterheltnek, kivéve, ha ezeket az értékpapírokat egy ügylet fedezése céljából valamilyen módon elzálogosítják vagy biztosítékként nyújtják.
- A fedezettkötvény-kibocsátáshoz használt fedezeti halmazhoz (poolhoz) tartozó eszközök. Azok az eszközök, amelyek mögöttes fedezett kötvények, megterheltnek számítanak, kivéve egyes esetekben, amikor az intézmény tartja a megfelelő fedezett kötvényeket (saját kibocsátású kötvények).
- Az általános elv az, hogy azokat az eszközöket, amelyek olyan keretekben kerülnek elhelyezésre, amelyeket nem használnak és szabadon kivonhatók, nem kell megterheltnek tekinteni.
TÁBLÁKHOZ KAPCSOLÓDÓ ÚTMUTATÓ
2. A. RÉSZ: MEGTERHELÉS ÁTTEKINTÉSE
12. A "Megterhelés áttekintése" tábla megkülönbözteti azokat az eszközöket, amelyeket a mérlegkészítés időpontjában a finanszírozás vagy biztosítéknyújtási igény támogatásához használnak fel, és azokat az eszközöket, amelyek potenciális finanszírozási igény esetén felhasználhatók.
13. Az áttekintő tábla táblázatos formában tartalmazza az adatszolgáltató intézmény megterhelt és meg nem terhelt eszközeinek összegét termékenként. Ugyanebben a bontásban kerülnek feltüntetésre a kapott biztosítékok, valamint a fedezett kötvényektől és az eszközfedezetű értékpapíroktól eltérő kibocsátott, hitelviszonyt megtestesítő saját értékpapírok.
2.1. Tábla: AE-ASS. Az adatszolgáltató intézmény eszközei
2.1.1. Általános megjegyzések
14. Ez a bekezdés tartalmazza az ügyletek fő típusaira vonatkozó és az AE táblák kitöltése szempontjából releváns előírásokat.
Minden olyan ügyletnek, amely növeli egy intézmény megterhelési szintjét, két aspektusa van, ezeket egymástól függetlenül kell feltüntetni az AE-táblákban. Ezeket az ügyleteket egyrészt mint a megterhelés forrását, másrészt mint megterhelt eszközt vagy biztosítékot kell feltüntetni.
A következő példák arra vonatkoznak, hogyan kell feltüntetni egy adott típusú ügyletet e részben, de ugyanezek a szabályok alkalmazandók a többi AE táblára is.
a) Fedezett betét
A fedezett betétet a következőképpen kell feltüntetni:
i. a betét könyv szerinti értéke a terhelés forrásaként kerül nyilvántartásra a következő mezőben: {AE-SOU; r070; c010};
ii. amennyiben a fedezet az adatszolgáltató intézmény eszköze, az eszközérték a következő mezőben kerül feltüntetésre: {AE-ASS; *; c010} és {AE-SOU; r070; c030}; valós értéke a {AE-ASS; *; c040} mezőbe kerül;
iii. amennyiben az adatszolgáltató intézmény kapta a fedezetet, annak valós értéke a következő mezőben kerül feltüntetésre: {AE-COL; *; c010}, {AE-SOU; r070; c030} és {AE-SOU; r070; c040}.
b) Repoügyletek/fordított repoügyletek (matching repo)
A visszavásárlási (repo-) megállapodást (a továbbiakban: repoügylet) a következőképpen kell feltüntetni:
i. a repoügylet könyv szerinti értéke a megterhelés forrásaként a következő mezőben kerül feltüntetésre: {AE-SOU; r050; c010};
ii. a repoügylet biztosítékát a következő esetekben kell feltüntetni:
iii. amennyiben a fedezet az adatszolgáltató intézmény eszköze, a könyv szerinti értéke a következő mezőben kerül feltüntetésre: {AE-ASS; *; c010} és {AE-SOU; r050; c030}; valós értéke pedig az {AE-ASS; *; c040} mezőben;
iv. amennyiben az adatszolgáltató intézmény korábbi fordított repoügylet révén (matching repo) kapta a fedezetet, annak valós értéke a következő mezőben kerül feltüntetésre: {AE-COL; *; c010}, {AE-SOU; r050; c030} és {AE-SOU; r050; c040}.
c) Központi banki finanszírozás
A fedezett központi banki finanszírozás csak a fedezett betétek vagy a repoügyletek egy olyan speciális esete, amelyben a szerződő fél központi bank, így a fenti i. és ii. szabály alkalmazandó.
Azoknál az ügyleteknél, amelyeknél nem lehet azonosítani az egyes ügyletekhez nyújtott konkrét biztosítékot, mivel a biztosítékot egy halmazba (poolba) vonták össze, a biztosíték bontását a halmaz összetétele alapján arányosan kell elvégezni.
Meg nem terhelt eszközök a központi banknál előzetesen rendelkezésre bocsátott eszközök, kivéve, ha a központi bank csak előzetes jóváhagyás mellett engedélyezi az eszköz kivonását. A fel nem használt pénzügyi garanciáknál a fel nem használt részt, vagyis a központi bank által előírt minimális összeg fölötti részt arányosan el kell osztani a központi banknál elhelyezett eszközök között.
d) Értékpapír kölcsönbe adása
A készpénzbiztosíték mellett történő értékpapír kölcsönbe adásra a repoügyletekre/fordított repora vonatkozó szabályok alkalmazandók.
A készpénzbiztosíték nélküli értékpapír kölcsönbe adást a következőképpen kell feltüntetni:
i. a kölcsönbe vett értékpapírok valós értéke a következő mezőben kerül feltüntetésre: {AE-SOU; r150; c010}. Amennyiben a kölcsönadó nem kap értékpapírt a kölcsönbe adott értékpapírokért, hanem ehelyett díjat kap, a következő mezőbe: {AE-SOU; r150; c010} nulla kerül;
ii. amennyiben a biztosítékként kölcsönbe adott értékpapírok az adatszolgáltató intézmény eszközei, azok könyv szerinti értéke a következő mezőben kerül feltüntetésre: {AE-ASS; *; c010} és {AE-SOU; r150; c030}; valós értékük pedig az {AE-ASS; *; c040} mezőben;
iii. amennyiben a biztosítékként kölcsönbe adott értékpapírokat az adatszolgáltató intézmény kapja, azok valós értéke a következő mezőben kerül feltüntetésre: {AE-COL; *; c010}, {AE-SOU; r150; c030} és {AE-SOU; r150; c040}.
e) Származtatott ügyletek (kötelezettségek)
A negatív valós értékű fedezett derivatívák feltüntetése a következőképpen történik:
i. a derivatíva könyv szerinti értéke a megterhelés forrásaként a következő mezőben kerül feltüntetésre: {AE-SOU; r020; c010};
ii. a biztosítékot (a pozíció megnyitásához szükséges kezdeti letét és bármely, a származtatott ügyletek piaci értékére letett biztosíték) a következőképpen kell feltüntetni:
i. amennyiben az adatszolgáltató intézmény eszköze, könyv szerinti értéke a következő mezőben kerül feltüntetésre: {AE-ASS; *; c010} és {AE-SOU; r020; c030}; valós értéke pedig az {AE-ASS; *; c040} mezőben;
ii. amennyiben a biztosítékot az adatszolgáltató intézmény kapja, annak könyv szerinti értéke a következő mezőben kerül feltüntetésre: {AE-COL; *; c010}, {AE-SOU; r020; c030} és {AE-SOU; r020; c040}.
f) Fedezett kötvények
A megterhelt eszközökre vonatkozó adatszolgáltatás szempontjából fedezett kötvények a 2009/65/EU irányelv 52. cikke (4) bekezdésének első albekezdésében említett instrumentumok függetlenül attól, hogy azok jogi formája értékpapír vagy sem.
Nem vonatkoznak speciális szabályok a fedezett kötvényekre, ha az adatszolgáltató intézmény által kibocsátott értékpapírok egy része nem megtartott.
A kibocsátott értékpapírok egy részének megtartása esetén és a kétszeri beszámítás elkerülése érdekében a következő eljárás alkalmazása javasolt:
i. amennyiben a saját fedezett kötvények nincsenek elzálogosítva, az említett megtartott és még nem elzálogosított értékpapírokat támogató fedezeti halmaz (pool) összegét az AE-ASS táblában meg nem terhelt eszközként kell feltüntetni. A megtartott és még nem elzálogosított fedezett kötvényekre vonatkozó további információt (mögöttes eszközök, a megterhelhető elemek valós értéke és elismerhetősége és a meg nem terhelhető elemek névértéke) az AE-NPL táblában kell feltüntetni;
ii. amennyiben a saját fedezett kötvényeket elzálogosítják, az említett megtartott és elzálogosított értékpapírokat támogató fedezeti halmaz (pool) összegét az AE-ASS táblában megterhelt eszközként kell feltüntetni.
A következő tábla bemutatja, miként kell egy 100 EUR értékű fedezettkötvény-kibocsátásról adatot szolgáltatni, amennyiben e fedezett kötvények 15 %-át megtartják, és nem zálogosítják el, 10 %-át pedig megtartják és egy, a központi bankkal végrehajtott 11 EUR összegű repoügyletben biztosítékként használják fel, amelynek során a fedezeti halmaz (pool) fedezetlen kölcsönöket tartalmaz és a kölcsönök könyv szerinti értéke 150 EUR.
| MEGTERHELÉS FORRÁSAI | ||||
| Típus | Összeg | Cellák | Megterhelt kölcsönök | Cellák | 
| Fedezett kötvények | 75% (100) = 75 | {AE-Sources, r110, c010} | 75% (150) = 112,5 | {AE-Assets, r100, c10} {AE-Sources, r110, c030} | 
| Központi banki finanszírozás | 11 | {AE-Sources, r060, c010} | 10% (150) = 15 | {AE-Assets, r100, c10} {AE-Sources, r060, c030} | 
| MEG NEM TERHELT | ||||
| Típus | Összeg | Cellák | Meg nem terhelt kölcsönök | Cellák | 
| Megtartott saját fedezett kötvények | 15% 100 = 15 | {AE-Not pledged, r010, c040} | 15% (150) = 22,5 | {AE-Assets, r100, c60} {AE-Not pledged, r020, c010} | 
g) Értékpapírosítás
Az értékpapírosítás olyan, az adatszolgáltató intézmény által tartott, hitelviszonyt megtestesítő értékpapír, amelyet a CRR 4. cikkének 61. pontja szerinti értékpapírosítási ügyletben kezdeményeztek.
Az olyan értékpapírosításra, amely a mérlegben marad (nem kivezetett) a fedezett kötvényekre vonatkozó szabályok alkalmazandók.
A kivezetett értékpapírosítás esetében nincs megterhelés, amikor az intézmény egyes értékpapírokat megtart. Az említett értékpapírok harmadik fél által kibocsátott egyéb értékpapírként jelennek meg az adatszolgáltató intézmények kereskedési könyvében vagy banki könyvében.
2.1.2. A tábla egyes soraira vonatkozó előírások
| Sorok | Jogi hivatkozások és útmutató | 
| 010 | Az adatszolgáltató intézmény eszközei IAS 1.9 (a), alkalmazási útmutató (Implementation Guidance, IG) 6 Az adatszolgáltató intézmény mérlegben nyilvántartott összes eszköze. | 
| 020 | Látra szóló követelések IAS 1.54 (i) Ide tartoznak a központi bankoknál és egyéb intézményeknél levő látra szóló követelések. A pénzeszközöket vagyis a forgalomban levő nemzeti és külföldi bankjegyeket és érméket, amelyeket általában fizetésre használnak, az „Egyéb eszközök” sorban kell feltüntetni. | 
| 030 | Tőkeinstrumentumok Az IAS 32 1. pontjában meghatározott, az adatszolgáltató intézmény által tartott tőkeinstrumentumok. | 
| 040 | Hitelviszonyt megtestesítő értékpapírok V. melléklet, 1. rész 26. pont Az adatszolgáltató intézmény által tartott, értékpapírként kibocsátott, hitelviszonyt megtestesítő értékpapírok, amelyek a monetáris pénzügyi intézmények ágazati mérlegéről szóló EKB-rendeletnek megfelelően nem kölcsönök. | 
| 050 | ebből: fedezett kötvények Az adatszolgáltató intézmény által tartott, hitelviszonyt megtestesítő értékpapírok, amelyek a 2009/65/EK irányelv 52. cikke (4) bekezdésének első albekezdése szerinti kötvények. | 
| 060 | ebből: eszközfedezetű értékpapírok Az adatszolgáltató intézmény által tartott, hitelviszonyt megtestesítő értékpapírok, amelyek a CRR 4. cikkének 61. pontjában meghatározott értékpapírosítások. | 
| 070 | ebből: központi kormányzatok által kibocsátott központi kormányzatok által kibocsátott, az adatszolgáltató intézmény által tartott, hitelviszonyt megtestesítő értékpapírok. | 
| 080 | ebből: pénzügyi vállalkozások által kibocsátott Az adatszolgáltató intézmény által tartott, hitelviszonyt megtestesítő értékpapírok, amelyeket az V. melléklet 1. része 35. c) és d) pontjában meghatározott pénzügyi vállalkozások bocsátottak ki. | 
| 090 | ebből: nem pénzügyi vállalkozások által kibocsátott Az adatszolgáltató intézmény által tartott, hitelviszonyt megtestesítő értékpapírok, amelyeket az V. melléklet 1. része 35. e) pontjában meghatározott nem pénzügyi vállalkozások bocsátottak ki. | 
| 100 | Látra szóló követelésektől eltérő kölcsönök és előlegek Kölcsönök és előlegek, amelyek az adatszolgáltató intézmény hitelviszonyt megtestesítő, nem értékpapír formájában tartott instrumentumai, kivéve a látra szóló követeléseket. | 
| 110 | ebből: jelzáloghitelek A látra szóló követelésektől eltérő kölcsönök és előlegek, amelyek az V. melléklet 2. részének 41. h) pontja szerinti jelzáloghitelek. | 
| 120 | Egyéb eszközök Az adatszolgáltató intézmény mérlegben szereplő egyéb eszközei, a fenti sorokban említettek, továbbá a hitelviszonyt megtestesítő saját értékpapírok, valamint a tulajdoni részesedést megtestesítő saját instrumentumok kivételével. Az utóbbi eszközök az IFRS hatálya alá nem tartozó intézmények esetében nem vezethetők ki a mérlegből. Ebben az esetben a hitelviszonyt megtestesítő saját értékpapírokat az AE-COL tábla 240-es sorában kell feltüntetni, míg a saját tőkeinstrumentumokat ki kell zárni a megterhelt eszközökre vonatkozó adatszolgáltatásból. | 
2.1.3. Az egyes oszlopokra vonatkozó előírások
| Oszlopok | Jogi hivatkozások és útmutató | 
| 010 | Megterhelt eszközök könyv szerinti értéke Az adatszolgáltató intézmény által tartott, a megterhelt eszközök fogalommeghatározásának megfelelő és megterheltnek minősülő eszközök könyv szerinti értéke. A könyv szerinti érték a mérleg eszközoldalán feltüntetett összeg. | 
| 020 | ebből: a csoporthoz tartozó más vállalkozások által kibocsátott Az adatszolgáltató intézmény által tartott olyan megterhelt eszközök könyv szerinti értéke, amelyeket a prudenciális konszolidáció körébe tartozó vállalkozás bocsátott ki. | 
| 030 | ebből: központi bank által elismert Az adatszolgáltató intézmény által tartott olyan megterhelt eszközök könyv szerinti értéke, amelyek elismerhetők azon központi bankokkal végrehajtott ügyletekben, amelyekhez az adatszolgáltató intézménynek hozzáférése van. Azok az adatszolgáltató intézmények, amelyek egy eszköz esetében nem tudják biztonsággal megállapítani a központi bank általi elismerhetőséget (például olyan joghatóságok, amelyekben nem egyértelműen meghatározottak a központi repoügylet szempontjából elismerhető eszközök, vagy nincs hozzáférésük folyamatosan működő központi banki repopiachoz) eltekinthetnek az említett eszközhöz kapcsolódó összeg feltüntetésétől, vagyis üresen hagyhatják a megfelelő mezőt. | 
| 040 | Megterhelt eszközök valós értéke IFRS 13 és az IFRS alá nem tartozó vállalatok esetében a 2013/34/EU európai parlamenti és tanácsi irányelv (1) 8. cikke Az adatszolgáltató intézmény által tartott, olyan hitelviszonyt megtestesítő értékpapírok valós értéke, amelyek a megterhelt eszközök fogalommeghatározásának megfelelően megterheltek. A pénzügyi instrumentum valós értéke az az ár, amelyet egy eszköz értékesítésekor kapnának, illetve egy kötelezettség átruházásakor kifizetnének egy piaci szereplők között létrejött szabályos ügylet alapján az értékelés időpontjában. (Lásd az IFRS 13 Valós értéken történő értékelés standardot.) | 
| 050 | ebből: központi bank által elismert Az adatszolgáltató intézmény által tartott, olyan megterhelt, hitelviszonyt megtestesítő értékpapírok valós értéke, amelyek elismerhetők azon központi bankokkal végrehajtott ügyletekben, amelyekhez az adatszolgáltató intézménynek hozzáférése van. Azok az adatszolgáltató intézmények, amelyek egy eszköz esetében nem tudják biztonsággal megállapítani a központi bank általi elismerhetőséget (például olyan joghatóságok, amelyekben nem egyértelműen meghatározottak a központi repoügylet szempontjából elismerhető eszközök, vagy nincs hozzáférésük folyamatosan működő központi banki repopiachoz) eltekinthetnek az említett eszközhöz kapcsolódó összeg feltüntetésétől, vagyis üresen hagyhatják a megfelelő mezőt. | 
| 060 | Meg nem terhelt eszközök könyv szerinti értéke Az adatszolgáltató intézmény által tartott, a megterhelt eszközök fogalommeghatározásának megfelelően meg nem terheltnek minősülő eszközök könyv szerinti értéke. A könyv szerinti érték a mérleg eszközoldalán feltüntetett összeg. | 
| 070 | ebből: a csoporthoz tartozó más vállalkozások által kibocsátott Az adatszolgáltató intézmény által tartott olyan meg nem terhelt eszközök könyv szerinti értéke, amelyeket a prudenciális konszolidáció körébe tartozó vállalkozás bocsátott ki. | 
| 080 | ebből: központi bank által elismert Az adatszolgáltató intézmény által tartott, olyan meg nem terhelt eszközök könyv szerinti értéke, amelyek elismerhetők azon központi bankokkal végrehajtott ügyletekben, amelyekhez az adatszolgáltató intézménynek hozzáférése van. Azok az adatszolgáltató intézmények, amelyek egy eszköz esetében nem tudják biztonsággal megállapítani a központi bank általi elismerhetőséget (például olyan joghatóságok, amelyekben nem egyértelműen meghatározottak a központi repoügylet szempontjából elismerhető eszközök, vagy nincs hozzáférésük folyamatosan működő központi banki repopiachoz) eltekinthetnek az említett eszközhöz kapcsolódó összeg feltüntetésétől, vagyis üresen hagyhatják a megfelelő mezőt. | 
| 090 | Meg nem terhelt eszközök valós értéke Az IFRS 13 és az IFRS alá nem tartozó intézmények esetében a 2013/34/EU irányelv 8. cikke. Az adatszolgáltató intézmény által tartott, olyan hitelviszonyt megtestesítő értékpapírok valós értéke, amelyek a megterhelt eszközök fogalommeghatározásának megfelelően meg nem terheltek. A pénzügyi instrumentumok valós értéke az az ár, amelyet egy eszköz értékesítésekor kapnának, illetve egy kötelezettség átruházásakor kifizetnének egy piaci szereplők között létrejött szabályos ügylet alapján az értékelés időpontjában. (Lásd az IFRS 13 Valós értéken történő értékelés standardot.) | 
| 100 | ebből: központi bank által elismert Az adatszolgáltató intézmény által tartott olyan meg nem terhelt, hitelviszonyt megtestesítő értékpapírok valós értéke, amelyek elismerhetők azon központi bankokkal végrehajtott ügyletekben, amelyekhez az adatszolgáltató intézménynek hozzáférése van. Azok az adatszolgáltató intézmények, amelyek egy eszköz esetében nem tudják biztonsággal megállapítani a központi bank általi elismerhetőséget (például olyan joghatóságok, amelyekben nem egyértelműen meghatározottak a központi repoügylet szempontjából elismerhető eszközök, vagy nincs hozzáférésük folyamatosan működő központi banki repopiachoz) eltekinthetnek az említett eszközhöz kapcsolódó összeg feltüntetésétől, vagyis üresen hagyhatják a megfelelő mezőt. | 
| (1) Az Európai Parlament és a Tanács 2013. június 26-i 2013/34/EU irányelve a meghatározott típusú vállalkozások éves pénzügyi kimutatásairól, összevont (konszolidált) éves pénzügyi kimutatásairól és a kapcsolódó beszámolókról, a 2006/43/EK európai parlamenti és tanácsi irányelv módosításáról, valamint a 78/660/EGK és a 83/349/EGK tanácsi irányelv hatályon kívül helyezéséről (HL L 182., 2013.6.29., 19. o.). | |
2.2. Tábla: AE-COL. Az adatszolgáltató intézmény által kapott biztosíték
2.2.1. Általános megjegyzések
15. Az adatszolgáltató intézmény által kapott biztosítékok, valamint a saját fedezett kötvényektől vagy az eszközfedezetű értékpapíroktól eltérő kibocsátott, hitelviszonyt megtestesítő saját értékpapírok esetében a "meg nem terhelt" eszközök kategóriája két részből áll: "megterhelhető" vagy potenciálisan elismerhető megterheltnek, valamint "meg nem terhelhető".
16. Egy eszköz akkor "meg nem terhelhető", ha azt az adatszolgáltató intézmény biztosítékként kapta és nem megengedett számára a biztosíték értékesítése vagy újbóli elzálogosítása, kivéve a biztosíték tulajdonosának nemteljesítése esetét. A saját fedezett kötvényektől vagy az eszközfedezetű értékpapíroktól eltérő saját kibocsátású, hitelviszonyt megtestesítő értékpapírok meg nem terhelhetők, ha a kibocsátással összefüggésben van korlátozás a tartott értékpapírok értékesítésére vagy újbóli elzálogosítására vonatkozóan.
17. A megterhelt eszközökre vonatkozó adatszolgáltatás céljából a díjért, készpénzbiztosíték vagy nem készpénzbiztosíték nyújtása nélkül kölcsönbe vett értékpapírokat kapott biztosítékként kell feltüntetni.
2.2.2. A tábla egyes soraira vonatkozó előírások
| Sorok | Jogi hivatkozások és útmutató | 
| 130 | Az adatszolgáltató intézmény által kapott biztosíték Az adatszolgáltató intézmény által kapott biztosíték valamennyi osztálya. | 
| 140 | Látra szóló követelések Az adatszolgáltató intézmény által kapott olyan biztosíték, amely látra szóló követelést tartalmaz. (Lásd az AE-ASS tábla 020-as sorára vonatkozó jogi hivatkozásokat és útmutatót). | 
| 150 | Tőkeinstrumentum Az adatszolgáltató intézmény által kapott olyan biztosíték, amely tőkeinstrumentumot tartalmaz. (Lásd az AE-ASS tábla 030-as sorára vonatkozó jogi hivatkozásokat és útmutatót). | 
| 160 | Hitelviszonyt megtestesítő értékpapírok Az adatszolgáltató intézmény által kapott olyan biztosíték, amely hitelviszonyt megtestesítő értékpapírt tartalmaz. (Lásd az AE-ASS tábla 040-es sorára vonatkozó jogi hivatkozásokat és útmutatót). | 
| 170 | ebből: fedezett kötvények Az adatszolgáltató intézmény által kapott olyan biztosíték, amely fedezett kötvényeket tartalmaz. (Lásd az AE-ASS tábla 050-es sorára vonatkozó jogi hivatkozásokat és útmutatót). | 
| 180 | ebből: eszközfedezetű értékpapírok Az adatszolgáltató intézmény által kapott olyan biztosíték, amely eszközfedezetű értékpapírokat tartalmaz. (Lásd az AE-ASS tábla 060-es sorára vonatkozó jogi hivatkozásokat és útmutatót). | 
| 190 | ebből: központi kormányzatok által kibocsátott Az adatszolgáltató intézmény által kapott olyan biztosíték, amely központi kormányzat által kibocsátott, hitelviszonyt megtestesítő értékpapírt tartalmaz. (Lásd az AE-ASS tábla 070-es sorára vonatkozó jogi hivatkozásokat és útmutatót). | 
| 200 | ebből: pénzügyi vállalkozások által kibocsátott Az adatszolgáltató intézmény által kapott olyan biztosíték, amely pénzügyi vállalkozás által kibocsátott, hitelviszonyt megtestesítő értékpapírt tartalmaz. (Lásd az AE-ASS tábla 080-as sorára vonatkozó jogi hivatkozásokat és útmutatót). | 
| 210 | ebből: nem pénzügyi vállalkozások által kibocsátott Az adatszolgáltató intézmény által kapott olyan biztosíték, amely nem pénzügyi vállalkozás által kibocsátott, hitelviszonyt megtestesítő értékpapírt tartalmaz. (Lásd az AE-ASS tábla 090-es sorára vonatkozó jogi hivatkozásokat és útmutatót). | 
| 220 | Látra szóló követelésektől eltérő kölcsönök és előlegek Az adatszolgáltató intézmény által kapott olyan biztosíték, amely látra szóló követeléseken kívüli kölcsönöket és előlegeket tartalmaz. (Lásd az AE-ASS tábla 100-as sorára vonatkozó jogi hivatkozásokat és útmutatót). | 
| 230 | Egyéb kapott biztosítékok Az adatszolgáltató intézmény által kapott olyan biztosíték, amely egyéb eszközt tartalmaz. (Lásd az AE-ASS tábla 120-as sorára vonatkozó jogi hivatkozásokat és útmutatót). | 
| 240 | Saját fedezett kötvénytől vagy eszközfedezetű értékpapírtól eltérő, kibocsátott, hitelviszonyt megtestesítő saját értékpapírok Az adatszolgáltató intézmény által kibocsátott és megtartott, a saját kibocsátású fedezett kötvényektől vagy eszközfedezetű értékpapíroktól eltérő, hitelviszonyt megtestesítő saját értékpapírok. Mivel a kibocsátott és megtartott vagy visszavásárolt hitelviszonyt megtestesítő saját értékpapírok az IAS 39.42. pontjának megfelelően csökkentik a kapcsolódó pénzügyi kötelezettségeket, ezek az értékpapírok nem tartoznak az adatszolgáltató intézmény eszközei közé (az AE-ASS tábla 010-es sora). Azokat a saját, hitelviszonyt megtestesítő értékpapírokat, amelyek az IFRS alá nem tartozó intézmények esetében nem vezethetők ki a mérlegből, fel kell tüntetni ebben a sorban. A saját kibocsátású fedezett kötvények vagy az eszközfedezetű értékpapírok nem kerülnek be ebbe a kategóriába, mivel a kétszeri beszámítás elkerülése érdekében ezekben az esetekben különböző szabályok alkalmazandók: a) amennyiben a hitelviszonyt megtestesítő saját értékpapírokat elzálogosítják, az említett megtartott és elzálogosított értékpapírokat támogató fedezeti halmaz (pool), illetve mögöttes eszközök összegét az AE-ASS táblában megterhelt eszközként kell feltüntetni; b) amennyiben a saját, hitelviszonyt megtestesítő értékpapírokat még nem zálogosították el, az említett megtartott és még nem elzálogosított értékpapírokat támogató fedezeti halmaz (pool), illetve mögöttes eszközök összegét az AE-ASS táblában meg nem terhelt eszközként kell feltüntetni. A még nem elzálogosított saját, hitelviszonyt megtestesítő értékpapírok ezen második típusára vonatkozó további információt (mögöttes eszközök, a megterhelhető elemek valós értéke és elismerhetősége és a meg nem terhelhető elemek névértéke) az AE-NPL táblában kell feltüntetni. | 
| 250 | ESZKÖZÖK, KAPOTT BIZTOSÍTÉKOK ÉS KIBOCSÁTOTT, HITELVISZONYT MEGTESTESÍTŐ SAJÁT ÉRTÉKPAPÍROK ÖSSZESEN Az adatszolgáltató intézmény mérlegben nyilvántartott összes eszköze, az adatszolgáltató intézmény által kapott biztosíték valamennyi típusa és az adatszolgáltató intézmény által kibocsátott és megtartott, a saját kibocsátású fedezett kötvényektől vagy eszközfedezetű értékpapíroktól eltérő kibocsátott, hitelviszonyt megtestesítő saját értékpapírok. | 
2.2.3. Az egyes oszlopokra vonatkozó előírások
| Oszlopok | Jogi hivatkozások és útmutató | 
| 010 | Kapott, megterhelt biztosíték vagy kibocsátott, hitelviszonyt megtestesítő saját értékpapír valós értéke Az adatszolgáltató intézmény által kapott olyan biztosíték, illetve a kibocsátott általa tartott vagy megtartott, saját, hitelviszonyt megtestesítő olyan értékpapírok valós értéke, amelyek a megterhelt eszközök fogalommeghatározásának megfelelően megterheltek. A pénzügyi eszköz valós értéke az az ár, amelyet egy eszköz értékesítésekor kapnának, illetve egy kötelezettség átruházásakor kifizetnének egy piaci szereplők között létrejött szabályos ügylet alapján az értékelés időpontjában. (Lásd az IFRS 13 Valós értéken történő értékelés standardot.) | 
| 020 | ebből: a csoporthoz tartozó más vállalkozások által kibocsátott Az adatszolgáltató intézmény által kapott olyan biztosíték, illetve a kibocsátott általa tartott vagy megtartott, saját, hitelviszonyt megtestesítő olyan értékpapírok valós értéke, amelyeket a prudenciális konszolidáció körébe tartozó vállalkozás bocsátott ki. | 
| 030 | ebből: központi bank által elismert Az adatszolgáltató intézmény által kapott olyan biztosíték, illetve a kibocsátott általa tartott vagy megtartott, saját, hitelviszonyt megtestesítő olyan értékpapírok valós értéke, amelyek elismerhetők azon központi bankokkal végrehajtott ügyletekben, amelyekhez az adatszolgáltató intézménynek hozzáférése van. Azok az adatszolgáltató intézmények, amelyek egy eszköz esetében nem tudják biztonsággal megállapítani a központi bank általi elismerhetőséget (például olyan joghatóságok, amelyekben nem egyértelműen meghatározottak a központi repoügylet szempontjából elismerhető eszközök, vagy nincs hozzáférésük folyamatosan működő központi banki repopiachoz) eltekinthetnek az említett eszközhöz kapcsolódó összeg feltüntetésétől, vagyis üresen hagyhatják a megfelelő mezőt. | 
| 040 | Megterhelhető, kapott biztosíték vagy kibocsátott, hitelviszonyt megtestesítő saját értékpapír valós értéke Az adatszolgáltató intézmény által kapott olyan biztosíték, amely meg nem terhelt, de megterhelhető, mivel az intézmény számára megengedett a biztosíték értékesítése vagy újbóli elzálogosítása a biztosíték tulajdonosának nemteljesítése hiányában. Tartalmazza a saját fedezett kötvényektől vagy eszközfedezetű értékpapíroktól eltérő kibocsátott, hitelviszonyt megtestesítő saját értékpapírok valós értékét is, mely értékpapírok meg nem terheltek, de megterhelhetők. | 
| 050 | ebből: a csoporthoz tartozó más vállalkozások által kibocsátott A kapott biztosítékok vagy a saját fedezett kötvényektől vagy eszközfedezetű értékpapíroktól eltérő, megterhelhető, kibocsátott, hitelviszonyt megtestesítő saját értékpapírok valós értéke, amelyeket a prudenciális konszolidáció körébe tartozó vállalkozás bocsátott ki. | 
| 060 | ebből: központi bank által elismert Az adatszolgáltató intézmény által kapott megterhelhető biztosíték vagy saját fedezett kötvénytől vagy eszközfedezetű értékpapírtól eltérő, kibocsátott, hitelviszonyt megtestesítő saját értékpapír valós értéke, amely elismerhető azon központi bankokkal végrehajtott ügyletekben, amelyekhez az adatszolgáltató intézménynek hozzáférése van. Azok az adatszolgáltató intézmények, amelyek egy eszköz esetében nem tudják biztonsággal megállapítani a központi bank általi elismerhetőséget (például olyan joghatóságok, amelyekben nem egyértelműen meghatározottak a központi repoügylet szempontjából elismerhető eszközök, vagy nincs hozzáférésük folyamatosan működő központi banki repopiachoz) eltekinthetnek az említett eszközhöz kapcsolódó összeg feltüntetésétől, vagyis üresen hagyhatják a megfelelő mezőt. | 
| 070 | Meg nem terhelhető kapott biztosíték vagy kibocsátott, hitelviszonyt megtestesítő saját értékpapír névértéke Az adatszolgáltató intézmény által tartott, meg nem terhelt és meg nem terhelhető kapott biztosíték névértéke. Tartalmazza a saját fedezett kötvényektől vagy eszközfedezetű értékpapíroktól eltérő azon kibocsátott, hitelviszonyt megtestesítő, az adatszolgáltató intézmény által megtartott saját értékpapírok névértékét is, amelyek meg nem terheltek, és nem terhelhetők meg. | 
2.3. Tábla: AE-NPL. Még nem elzálogosított saját kibocsátású fedezett kötvények és eszközfedezetű értékpapírok
2.3.1. Általános megjegyzések
18. A kétszeri beszámítás elkerülése érdekében a következő szabályok alkalmazandók az adatszolgáltató intézmény által kibocsátott és megtartott saját fedezett kötvényekkel és értékpapírosításokkal kapcsolatban:
a) amennyiben az említett értékpapírokat elzálogosítják, az azokat támogató fedezeti halmaz (pool), illetve mögöttes eszközök összegét az AE-ASS táblában megterhelt eszközként kell feltüntetni. A saját fedezett kötvények és eszközfedezetű értékpapírok elzálogosítása esetén a finanszírozás forrása nem a fedezett kötvények eredeti kibocsátása vagy az értékpapírosítás, hanem az az új ügylet, amelynek keretében az értékpapírokat elzálogosítják (központi banki finanszírozás vagy más típusú fedezett finanszírozás).
b) amennyiben az említett értékpapírokat még nem zálogosították el, az említett értékpapírokat támogató fedezeti halmaz (pool), illetve mögöttes eszközök összegét az AE-ASS táblában meg nem terhelt eszközként kell feltüntetni.
2.3.2. A tábla egyes soraira vonatkozó előírások
| Sorok | Jogi hivatkozások és útmutató | 
| 010 | Még nem elzálogosított saját kibocsátású fedezett kötvények és eszközfedezetű értékpapírok Saját kibocsátású fedezett kötvények és eszközfedezetű értékpapírok, amelyeket az adatszolgáltató intézmény megtartott és még meg nem terheltek. | 
| 020 | Kibocsátott, megtartott, fedezett kötvények Kibocsátott saját fedezett kötvények, amelyeket az adatszolgáltató intézmény megtartott és amelyek meg nem terheltek. | 
| 030 | Kibocsátott, megtartott, eszközfedezetű értékpapírok Saját kibocsátású saját eszközfedezetű értékpapírok, amelyeket az adatszolgáltató intézmény megtartott, és amelyek meg nem terheltek. | 
| 040 | Előre sorolt ügyletrészsorozat Kibocsátott saját eszközfedezetű értékpapírok előre sorolt ügyletrészsorozatai, amelyeket az adatszolgáltató intézmény megtartott és amelyek meg nem terheltek. Lásd a CRR 4. cikkének 67. pontját. | 
| 050 | Köztes ügyletrészsorozat Kibocsátott saját eszközfedezetű értékpapírok köztes ügyletrészsorozatai, amelyeket az adatszolgáltató intézmény megtartott és amelyek meg nem terheltek. Köztes ügyletrészsorozatnak kell tekinteni az összes nem előre sorolt ügyletrészsorozatot, vagyis azokat, amelyek az utolsóként viselik a veszteséget vagy első veszteségviselő ügyletrészsorozatok. Lásd a CRR 4. cikkének 67. pontját. | 
| 060 | Első veszteségviselő ügyletrészsorozat Kibocsátott saját eszközfedezetű értékpapírok első veszteségviselő ügyletrészsorozatai, amelyeket az adatszolgáltató intézmény megtartott, és amelyek meg nem terheltek. Lásd a CRR 4. cikkének 67. pontját. | 
2.3.3. Az egyes oszlopokra vonatkozó előírások
| Oszlopok | Jogi hivatkozások és útmutató | 
| 010 | A mögöttes eszközhalmaz (pool) könyv szerinti értéke A megtartott és még el nem zálogosított saját fedezett kötvényeket és eszközfedezetű értékpapírokat támogató fedezeti halmaz (pool), illetve mögöttes eszközök könyv szerinti értéke. | 
| 020 | Megterhelhető, kibocsátott, hitelviszonyt megtestesítő értékpapírok valós értéke Megtartott, meg nem terhelt, de megterhelhető saját fedezett kötvények és saját eszközfedezetű értékpapírok valós értéke. | 
| 030 | ebből: központi bank által elismert Megtartott olyan saját fedezett kötvények és saját eszközfedezetű értékpapírok valós értéke, amelyek megfelelnek a következő feltételek mindegyikének: i. meg nem terheltek; ii. megterhelhetők; iii. elismerhetők azon központi bankokkal végrehajtott ügyletekben, amelyekhez az adatszolgáltató intézménynek hozzáférése van. Azok az adatszolgáltató intézmények, amelyek egy eszköz esetében nem tudják biztonsággal megállapítani a központi bank általi elismerhetőséget (például olyan joghatóságok, amelyekben nem egyértelműen meghatározottak a központi repoügylet szempontjából elismerhető eszközök, vagy nincs hozzáférésük folyamatosan működő központi banki repopiachoz) eltekinthetnek az említett eszközhöz kapcsolódó összeg feltüntetésétől, vagyis üresen hagyhatják a megfelelő mezőt. | 
| 040 | Meg nem terhelhető, kibocsátott, saját, hitelviszonyt megtestesítő értékpapírok névértéke Megtartott, meg nem terhelt és meg nem terhelhető saját fedezett kötvények és saját eszközfedezetű értékpapírok névértéke. | 
2.4. Tábla: AE-SOU. Megterhelés forrásai
2.4.1. Általános megjegyzések
19. Ez a tábla információt ad arról, hogy az adatszolgáltató intézmény számára milyen jelentőséggel bírnak a megterhelés különböző forrásai, többek között azok, amelyekhez nem kapcsolódik finanszírozás, például a hitelnyújtási kötelezettségvállalások vagy a kapott pénzügyi garanciák, illetve a nem készpénzbiztosíték mellett végrehajtott értékpapír kölcsönbe adás.
20. Az AE-ASS és AE-COL táblákban az eszközök és kapott biztosítékok teljes összegére vonatkozó adatok a következő ellenőrzési szabálynak felelnek meg: {AE-SOU; r170; c030} = {AE-ASS; r010; c010} + {AE-COL; r130; c010} + {AE-COL; r240; c010}.
2.4.2. A tábla egyes soraira vonatkozó előírások
| Sorok | Jogi hivatkozások és útmutató | 
| 010 | Megterhelés forrásaként meghatározott pénzügyi kötelezettségek könyv szerinti értéke Az adatszolgáltató intézmény megterhelés forrásaként meghatározott, fedezett pénzügyi kötelezettségeinek könyv szerinti értéke, amennyiben ezek a kötelezettségek az intézmény számára eszközterhelést jelentenek. | 
| 020 | Származtatott ügyletek Az adatszolgáltató intézmény olyan fedezett derivatíváinak könyv szerinti értéke, amelyek pénzügyi kötelezettségek, vagyis negatív valós értékű kötelezettségek amennyiben ezek a derivatívák az intézmény számára eszközterhelést jelentenek. | 
| 030 | ebből: tőzsdén kívüli Az adatszolgáltató intézmény olyan fedezett derivatíváinak könyv szerinti értéke, amelyek tőzsdén kívül forgalmazott pénzügyi kötelezettségek, amennyiben ezek a derivatívák az intézmény számára eszközterhelést jelentenek. | 
| 040 | Betétek Az adatszolgáltató intézmény fedezett betéteinek könyv szerinti értéke, amennyiben ezek a betétek az intézmény számára eszközterhelést jelentenek. | 
| 050 | Visszavásárlási (repo-) megállapodások Az adatszolgáltató intézmény repomegállapodásainak könyv szerinti értéke, amennyiben ezek az ügyletek az intézmény számára eszközterhelést jelentenek. A repomegállapodások olyan ügyletek, amelyek keretében az intézmény adott áron és ezek (vagy ezekkel azonos eszközök) egy meghatározott jövőbeli időpontban és meghatározott áron történő visszavásárlására vonatkozó kötelezettségvállalás mellett eladott pénzügyi eszközökért cserébe készpénzt kap. A repo típusú műveletek valamennyi következő változatát repomegállapodásként kell feltüntetni: – értékpapírok készpénzbiztosíték ellenében történő kölcsönzése formájában ideiglenesen harmadik félnek átadott értékpapírokért cserébe kapott összegek, valamint – eladási/visszavásárlási megállapodás formájában ideiglenesen harmadik félnek átadott értékpapírokért cserébe kapott összegek. | 
| 060 | ebből: központi bankok Az adatszolgáltató intézmény központi bankkal kötött repomegállapodásainak könyv szerinti értéke, amennyiben ezek az ügyletek az intézmény számára eszközterhelést jelentenek. | 
| 070 | A repomegállapodástól eltérő fedezett betétek Az adatszolgáltató intézmény repomegállapodásaitól eltérő fedezett betétek könyv szerinti értéke, amennyiben ezek a betétek az intézmény számára eszközterhelést jelentenek. | 
| 080 | ebből: központi bankok Az adatszolgáltató intézmény központi bankkal kötött repomegállapodásaitól eltérő fedezett betétek könyv szerinti értéke, amennyiben ezek a betétek az intézmény számára eszközterhelést jelentenek. | 
| 090 | Kibocsátott, hitelviszonyt megtestesítő értékpapírok Az adatszolgáltató intézmény által kibocsátott, hitelviszonyt megtestesítő kibocsátott értékpapírok könyv szerinti értéke, amennyiben ezek a kibocsátott értékpapírok az intézmény számára eszközterhelést jelentenek. A kibocsátás megtartott része esetében az A. rész 15. pontjának vi. alpontjában meghatározott eljárást kell követni úgy, hogy ebbe a kategóriába csak a csoport vállalkozásain kívül elhelyezett, hitelviszonyt megtestesítő értékpapírok hányadát kell belefoglalni. | 
| 100 | ebből: kibocsátott fedezett kötvények Azon fedezett kötvények könyv szerinti értéke, amelyek eszközei esetében az adatszolgáltató intézmény a kezdeményező, amennyiben ezek a kibocsátott értékpapírok az intézmény számára eszközterhelést jelentenek. | 
| 110 | ebből: kibocsátott eszközfedezetű értékpapírok Az adatszolgáltató intézmény által kibocsátott eszközfedezetű értékpapírok könyv szerinti értéke, amennyiben ezek a kibocsátott értékpapírok az intézmény számára eszközterhelést jelentenek. | 
| 120 | Megterhelés egyéb, kapcsolódó forrásai Az adatszolgáltató intézmény pénzügyi kötelezettségektől eltérő fedezett ügyleteinek összege, amennyiben ezek az ügyletek az intézmény számára eszközterhelést jelentenek. | 
| 130 | Kapott hitelnyújtási kötelezettségvállalások névértéke Az adatszolgáltató intézmény által kapott hitelnyújtási kötelezettségvállalások névértéke, amennyiben ezek a kötelezettségvállalások az intézmény számára eszközterhelést jelentenek. | 
| 140 | Kapott pénzügyi garanciák névértéke Az adatszolgáltató intézmény által kapott pénzügyi garanciák névértéke, amennyiben ezek a garanciák az intézmény számára eszközterhelést jelentenek. | 
| 150 | Nem készpénzbiztosíték mellett kölcsönvett értékpapírok valós értéke Az adatszolgáltató intézmény által kölcsönbe vett értékpapírok valós értéke, amennyiben ezek az ügyletek az intézmény számára eszközterhelést jelentenek. | 
| 160 | Egyéb Az adatszolgáltató intézmény pénzügyi kötelezettségektől eltérő, a fenti tételekhez nem tartozó fedezett ügyleteinek összege, amennyiben ezek az ügyletek az intézmény számára eszközterhelést jelentenek. | 
| 170 | MEGTERHELÉS FORRÁSAI ÖSSZESEN Az adatszolgáltató intézmény valamennyi fedezett ügyletének összege, amennyiben ezek az ügyletek az intézmény számára eszközterhelést jelentenek. | 
2.4.3. Az egyes oszlopokra vonatkozó előírások
| Oszlopok | Jogi hivatkozások és útmutató | 
| 010 | Megfeleltetett kötelezettségek, függő kötelezettségek vagy kölcsönbe adott értékpapírok Megfeleltetett kötelezettségek, függő kötelezettségek (a hitelnyújtási kötelezettségvállalások vagy a kapott pénzügyi garanciák) vagy nem készpénzbiztosíték mellett kölcsönbe adott értékpapírok, összege, amennyiben ezek az ügyletek az intézmény számára eszközterhelést jelentenek. A pénzügyi kötelezettségeket könyv szerinti értékükön; a függő kötelezettségeket névértékükön; nem készpénzbiztosíték mellett kölcsönbe adott értékpapírokat valós értékükön kell feltüntetni. | 
| 020 | ebből: a csoport más vállalkozásaitól Megfeleltetett kötelezettségek, függő kötelezettségek (a hitelnyújtási kötelezettségvállalások vagy a kapott pénzügyi garanciák) vagy nem készpénzbiztosíték mellett kölcsönbe adott értékpapírok összege, amennyiben a szerződő fél a prudenciális konszolidáció körébe tartozó másik vállalkozás és az ügylet az intézmény számára eszközterhelést jelent. Az értéktípusokra vonatkozó szabályokkal kapcsolatban lásd a 010-es oszlopra vonatkozó előírásokat. | 
| 030 | Eszközök, kapott biztosítékok és a megterhelt, saját fedezett kötvényektől vagy eszközfedezetű értékpapírtól eltérő kibocsátott, hitelviszonyt megtestesítő értékpapírok A fedezett kötvényektől vagy eszközfedezetű értékpapíroktól eltérő olyan kibocsátott, hitelviszonyt megtestesítő saját értékpapírok valós értéke, amelyeket a sorokban meghatározott különböző típusú ügyletek eredményeként megterheltek. Az AE-ASS és az AE-COL táblákban található kritériumokkal való összhang biztosítása céljából az adatszolgáltató intézmény mérlegben nyilvántartott eszközei könyv szerinti értéken kerülnek feltüntetésre, a kapott, újrafelhasznált biztosítékok, valamint a fedezett kötvényektől és eszközfedezetű értékpapíroktól eltérő megterhelt saját kibocsátású értékpapírok pedig valós értéken. | 
| 040 | ebből: kapott és újrafelhasznált biztosíték Az olyan kapott biztosíték valós értéke, amelyet a sorokban meghatározott különböző típusú ügyletek eredményeként újra felhasználtak vagy megterheltek. | 
| 050 | ebből: megterhelt, saját hitelviszonyt megtestesítő értékpapírok A fedezett kötvényektől vagy eszközfedezetű értékpapíroktól eltérő olyan kibocsátott, hitelviszonyt megtestesítő értékpapírok valós értéke, amelyeket a sorokban meghatározott különböző típusú ügyletek eredményeként megterheltek. | 
3. B. RÉSZ: LEJÁRATI ADATOK
3.1. Általános megjegyzések
21. A B.részben található tábla általános áttekintést ad azokról a megterhelt eszközökről és kapott, újrafelhasznált biztosítékokról, amelyek a megfelelő kötelezettségek hátralévő lejárati idejére vonatkozóan meghatározott intervallumokba tartoznak.
3.2. Tábla: AE-MAT. Lejárati adatok
3.2.1. A tábla egyes soraira vonatkozó előírások
| Sorok | Jogi hivatkozások és útmutató | 
| 010 | Megterhelt eszközök E tábla alkalmazásában a megterhelt eszközök az alábbiak mindegyikét tartalmazzák: a) az adatszolgáltató intézmény könyv szerinti értéken feltüntetett eszközei (lásd az AE-ASS tábla 010-es sorára vonatkozó előírást); b) a fedezett kötvényektől vagy eszközfedezetű értékpapíroktól eltérő, kibocsátott, hitelviszonyt megtestesítő saját értékpapírok, amelyek valós értéken kerülnek feltüntetésre (lásd az AE-COL tábla 240-es sorára vonatkozó előírást). Ezek az összegek a megterhelés forrásának (megfeleltetett kötelezettség, függő kötelezettség vagy nem készpénzbiztosíték mellett kölcsönbe adott értékpapír) a hátralévő lejárati ideje szerint kerülnek elosztásra az oszlopokban a hátralévő lejárati időre meghatározott időtartamok között. | 
| 020 | Kapott, újrafelhasznált biztosíték (átvevői oldal) Lásd az AE-COL tábla 130-as sorára vonatkozó előírást és az AE-SOU tábla 040-es oszlopát. Ezeknek az összegeknek a feltüntetése valós értéken történik és annak az ügyletnek a hátralévő lejárati ideje szerint kerülnek elosztásra az oszlopokban a hátralévő lejárati időre meghatározott időtartamok között, amelyhez kapcsolódóan a gazdálkodó egység az újrafelhasznált biztosítékot átvette (átvevői oldal). | 
| 030 | Kapott, újrafelhasznált biztosíték (újrafelhasználói oldal) Lásd az AE-COL tábla 130-as sorára vonatkozó előírást és az AE-SOU tábla 040-es oszlopát. Ezeknek az összegeknek a feltüntetése valós értéken történik és a megterhelés forrásának (újrafelhasználói oldal – megfeleltetett kötelezettség, függő kötelezettség vagy értékpapír kölcsönbe adás) a hátralévő lejárati ideje szerint kerülnek elosztásra az oszlopokban a hátralévő lejárati időre meghatározott időtartamok között. | 
3.2.2. Az egyes oszlopokra vonatkozó előírások
| Oszlopok | Jogi hivatkozások és útmutató | 
| 010 | Lejárat nélküli Látra szóló, meghatározott lejárati időpont nélkül | 
| 020 | Egynapos Egynapos vagy azon belüli lejárat | 
| 030 | > 1 nap <= 1 hét A lejárat ideje egy napnál hosszabb és legfeljebb egy hét | 
| 040 | > 1 hét <= 2 hét A lejárat ideje egy hétnél hosszabb és legfeljebb két hét | 
| 050 | > 2 hét <= 1 hónap A lejárat ideje két hétnél hosszabb és legfeljebb egy hónap | 
| 060 | > 1 hónap <= 3 hónap A lejárat ideje egy hónapnál hosszabb és legfeljebb három hónap | 
| 070 | > 3 hónap <= 6 hónap A lejárat ideje három hónapnál hosszabb és legfeljebb hat hónap | 
| 080 | > 6 hónap <= 1 év A lejárat ideje hat hónapnál hosszabb és legfeljebb egy év | 
| 090 | > 1 év <=2 év A lejárat ideje egy évnél hosszabb és legfeljebb két év | 
| 100 | > 2 év <= 3 év A lejárat ideje két évnél hosszabb és legfeljebb három év | 
| 110 | > 3 év <= 5 év A lejárat ideje három évnél hosszabb és legfeljebb öt év | 
| 120 | > 5 év <=10 év A lejárat ideje öt évnél hosszabb és legfeljebb tíz év | 
| 130 | > 10 év A lejárat időpontja 10 évnél későbbi | 
4. C. RÉSZ: FÜGGŐ MEGTERHELÉS
4.1. Általános megjegyzések
22. Ebben a táblában az intézménynek a megterhelt eszközök szintjét kell kiszámítania különböző stresszhelyzeti forgatókönyvek esetére.
23. A függő megterhelés azokra a további eszközökre vonatkozik, amelyeket esetleg meg kell terhelni, amennyiben az adatszolgáltató intézmény az ellenőrzésén kívül álló külső események miatti kedvezőtlen fejleményekkel kerül szembe (ideértve a leminősítést, a megterhelt eszköz valós értékének csökkenését vagy általános bizalomvesztést). Ilyen esetben az adatszolgáltató intézménynek a már folyamatban levő ügyletekre tekintettel további eszközöket kell megterhelnie. A megterhelt eszközök pótlólagos összegét az intézmény által a fent említett stresszhelyzeti forgatókönyvekben leírt események következtében végrehajtott fedezeti ügyletek hatásának figyelembevétele nélkül kell megállapítani.
24. A tábla a következő két (a 4.1.1. és a 4.1.2. pontban részletesen ismertetett) forgatókönyvet tartalmazza a függő megterhelésre vonatkozó adatszolgáltatásra. A feltüntetett adat az intézmény ésszerű, a legjobb rendelkezésre álló adatokon alapuló becslése.
a) A megterhelt eszközök valós értékének 30 %-os csökkenése. Ez a forgatókönyv csak az eszközök mögöttes valós értékének változására terjed ki, más, a könyv szerinti értéket érintő változásra - például árfolyamnyereség vagy -veszteség, illetve esetleges értékvesztés - nem. Ekkor az adatszolgáltató intézmény a biztosíték értékének megtartása érdekében esetleg további biztosíték nyújtására kényszerülhet.
b) Azon pénznemek mindegyikének 10 %-os leértékelődése, amelyekben az intézménynek az összes kötelezettség 5 %-át kitevő vagy azt meghaladó aggregált kötelezettségei vannak.
25. A forgatókönyvek tekintetében külön kell adatot szolgáltatni és a jelentős pénznemek leértékelődését is fel kell tüntetni, függetlenül a többi jelentős pénznem leértékelődésétől. Következésképpen az intézmények nem vehetik figyelembe a forgatókönyvek közötti korrelációt.
4.1.1. "A" forgatókönyv: A megterhelt eszközök 30 %-os csökkentése
26. A feltételezés szerint valamennyi megterhelt eszköz értéke 30 %-kal csökken. A csökkenésből eredő további biztosítékigény megállapítása során úgy kell figyelembe venni a túlzott fedezettség aktuális szintjét, hogy csak a minimális fedezettségi szint maradjon meg. A további biztosítékigény megállapítása során figyelembe kell venni továbbá az érintett szerződések és megállapodások szerződéses előírásait, többek között a határértékeket.
27. Csak azokat a szerződéseket és megállapodásokat kell figyelembe venni, amelyek esetében további biztosíték nyújtására vonatkozó jogi kötelezettség áll fenn. Ide tartoznak a fedezettkötvény-kibocsátások, amelyek esetében jogi előírás a túlzott fedezettség minimumszintjének fenntartása, de nem szükséges fenntartani a fedezett kötvényekre vonatkozó meglévő minősítést.
4.1.2. "B" forgatókönyv: A jelentős pénznemek 10 %-os leértékelődése
28. Egy pénznemet akkor kell jelentősnek tekinteni, ha az adatszolgáltató intézmény szóban forgó pénznemben levő aggregált kötelezettségei az intézmény összes kötelezettségének 5 %-át teszik ki vagy meghaladják azt.
29. A 10 %-os leértékelődés kiszámításakor mind az eszköz-, mind a kötelezettségoldali változásokat figyelembe kell venni, vagyis az eszközök és kötelezettségek közötti eltérésre kell összpontosítani. Például az USD-ben levő eszközökön alapuló USD-repoügyletek nem eredményeznek további megterhelést, míg egy EUR-ban levő eszközökön alapuló USD-repoügylet esetében további megterhelésre van szükség.
30. A számítás során figyelembe kell venni minden, keresztdevizás elemet tartalmazó ügyletet.
4.2. Tábla: AE-CONT. Függő megterhelés
4.2.1. A tábla egyes soraira vonatkozó előírások
31. Lásd az AE-SOU tábla meghatározott oszlopaira vonatkozó előírást az 1.5.1. pontban. Az AE-CONT táblában levő oszlopok tartalma nem tér el az AE-SOU táblától.
4.2.2. Az egyes oszlopokra vonatkozó előírások
| Oszlopok | Jogi hivatkozások és útmutató | 
| 010 | Megfeleltetett kötelezettségek, függő kötelezettségek vagy kölcsönbe adott értékpapírok A vonatkozó előírások és adatok megegyeznek az AE-SOU tábla 010. sorára vonatkozó előírásokkal és adatokkal. Megfeleltetett kötelezettségek, függő kötelezettségek (a hitelnyújtási kötelezettségvállalások vagy a kapott pénzügyi garanciák) vagy nem készpénzbiztosíték mellett kölcsönbe adott értékpapírok, összege, amennyiben ezek az ügyletek az intézmény számára eszközterhelést jelentenek. A táblázat valamennyi sorára vonatkozó előírásnak megfelelően a pénzügyi kötelezettségeket könyv szerinti értékükön, a függő kötelezettségeket névértékükön, a nem készpénzbiztosíték mellett kölcsönbe adott értékpapírokat pedig valós értékükön kell feltüntetni. | 
| 020 | A.  Megterhelt eszközök pótlólagos összege Azon további eszközök összege, amelyek az A forgatókönyv bekövetkezése esetén érvényesülő jogi, szabályozási vagy szerződéses előírások következtében megterheltté válhatnak. Az e melléklet A. részében meghatározott előírások alapján ezeket az eszközöket könyv szerinti értékükön kell feltüntetni, amennyiben az összeg az adatszolgáltató intézmény eszközéhez kapcsolódik, és valós értékükön, ha kapott biztosítékhoz kapcsolódik. Az intézmény meg nem terhelt eszközeit és biztosítékait meghaladó összegeket valós értéken kell feltüntetni. | 
| 030–040 | B.  Megterhelt eszközök pótlólagos összege. 1. jelentős pénznem Azon további eszközök összege, amelyek a B forgatókönyv szerint az első jelentős pénznem leértékelődése esetén érvényesülő jogi, szabályozási vagy szerződéses előírások következtében megterheltté válhatnak. Lásd a 020-as sorban található összegtípusokra vonatkozó szabályokat. | 
| 040 | B.  Megterhelt eszközök pótlólagos összegei. 2. jelentős pénznem Azon további eszközök összege, amelyek a B forgatókönyv szerint a második számú jelentős pénznem leértékelődése esetén érvényesülő jogi, szabályozási vagy szerződéses előírások következtében megterheltté válhatnak. Lásd a 020-as sorban található összegtípusokra vonatkozó szabályokat. | 
5. D. RÉSZ: FEDEZETT KÖTVÉNYEK
5.1. Általános megjegyzések
32. Az e táblában levő adatokat valamennyi, az adatszolgáltató intézmény által kibocsátott, ÁÉKBV-nak megfelelő fedezett kötvényre vonatkozóan fel kell tüntetni. Az ÁÉKBV-nak megfelelő fedezett kötvények a 2009/65/EK irányelv 52. cikke (4) bekezdésének első albekezdése szerinti kötvények. Ezek az adatszolgáltató intézmény által kibocsátott olyan fedezett kötvények, amelyek esetében az adatszolgáltató intézmény a fedezett kötvénnyel összefüggésben a kötvénytulajdonosok érdekeinek védelmére létrehozott speciális állami felügyelet hatálya alá tartozik, továbbá az előírás szerint az ilyen kötvények kibocsátásából befolyt összegeket a jogszabályokkal összhangban olyan eszközökbe kell befektetni, amelyek a kötvények futamideje alatt mindvégig alkalmasak a kötvényekhez rendelt követelések kielégítésére, és amelyeket a kibocsátó csődje esetén első helyen a tőke visszatérítésére és a felhalmozott kamat kifizetésére kell felhasználni.
33. Az adatszolgáltató intézmény által vagy a nevében kibocsátott olyan fedezett kötvényeket, amelyek nem felelnek meg az ÁÉKBV-nak, nem kell feltüntetni az AE-CB táblákban.
34. Az adatszolgáltatásnak a fedezett kötvényekre vonatkozó kötelező szabályokon, vagyis a fedezettkötvény-programra alkalmazandó jogi kereten kell alapulnia.
5.2. Tábla: AE-CB. Fedezettkötvény-kibocsátás
5.2.1. A z-tengelyre vonatkozó előírások
| z-tengely | Jogi hivatkozások és útmutató | 
| 010 | Fedezeti halmaz (pool) azonosítója (nyitott) A fedezeti halmaz (pool) azonosítója a fedezeti halmazt kibocsátó gazdálkodó egység nevéből vagy egyértelmű rövidítéséből és azon fedezeti halmaz (pool) megjelöléséből áll, amely egyedileg a fedezett kötvényekre vonatkozó releváns intézkedések hatálya alá tartozik. | 
5.2.2. A tábla egyes soraira vonatkozó előírások
| Sorok | Jogi hivatkozások és útmutató | 
| 010 | Névérték A névleges összeg a tőke visszafizetésére vonatkozó követelések összege, amelynek meghatározása a fedezett kötvényekre vonatkozó azon releváns kötelező szabályok szerint történik, amelyek a megfelelő fedezettség megállapítására alkalmazandók. | 
| 020 | Jelenérték (swap)/Piaci érték A jelenérték (swap) a tőke és az árfolyamfüggő kockázatmentes hozamgörbe alapján diszkontált kamat fizetésére vonatkozó követelések összege, amelynek meghatározása a fedezett kötvényekre vonatkozó azon releváns kötelező szabályok szerint történik, amelyek a megfelelő fedezettség megállapítására alkalmazandók. A fedezeti halmazba (poolba) tartozó származtatott pozíciókra vonatkozó 080-as és 210-es oszlopokban a feltüntetendő összeg a piaci érték. | 
| 030 | Eszközspecifikus érték Az eszközspecifikus érték a fedezeti halmazba (poolba) tartozó eszközök gazdasági értéke, amely az IFRS 13 szerinti valós értékként határozható meg, vagyis a likvid piacokon végrehajtott ügyletekben megfigyelhető piaci értékként, vagy olyan jelenértékként, amely egy eszköz jövőbeli cash-flowját diszkontálná egy eszközspecifikus kamatlábgörbe alkalmazásával. | 
| 040 | Könyv szerinti érték A fedezettkötvény-kötelezettségek vagy a fedezeti halmazba (poolba) tartozó eszközök könyv szerinti értéke számviteli érték a fedezett kötvényt kibocsátó intézménynél. | 
5.2.3. Az egyes oszlopokra vonatkozó előírások
| Oszlopok | Jogi hivatkozások és útmutató | 
| 010 | Megfelel a CRR 129. cikkének? [IGEN/NEM] Az intézménynek jelölnie kell, hogy a fedezeti halmaz (pool) megfelel-e a CRR 129. cikkében meghatározott követelményeknek, hogy az említett rendelet 129. cikkének (4) és (5) bekezdése szerinti kedvezményes kezelésre jogosult legyen. | 
| 012 | Amennyiben IGEN, jelölje a fedezeti halmaz (pool) elsődleges eszközosztályát Ha a fedezeti halmaz (pool) jogosult a CRR 129. cikkének (4) és (5) bekezdése szerinti kedvezményes kezelésre (a 011. oszlopban IGEN a válasz), ebben a mezőben fel kell tüntetni a fedezeti halmaz (pool) elsődleges eszközosztályát. E célból az említett rendelet 129. cikkének (1) bekezdésében levő besorolást kell alkalmazni és megfelelően fel kell tüntetni az „a”, „b”, „c”, „d”, „e”, „f” és „g” jelzést. A „h” jelzést akkor kell használni, ha a fedezeti halmaz (pool) elsődleges eszközosztálya nem tartozik bele az előző kategóriák egyikébe sem. | 
| 020-140 | Fedezettkötvény-kötelezettségek A fedezettkötvény-kötelezettségek a kibocsátó gazdálkodó egység fedezett kötvények kibocsátása során létrejött kötelezettségei és a fedezett kötvényekre vonatkozó releváns kötelező szabályok szerint meghatározott valamennyi olyan pozíciót jelentik, amelyek a fedezett kötvényekre vonatkozó releváns védelmi intézkedések hatálya alá tartoznak (ide tartozhatnak például a forgalomban levő értékpapírok, valamint a fedezettkötvény-kibocsátók szerződő feleinek pozíciói egy olyan származtatott ügyletben, amelynek a piaci értéke a fedezett kötvény kibocsátója szempontjából negatív és amely egy fedezeti halmazhoz (poolhoz) tartozik és a fedezett kötvényekre vonatkozó releváns kötelező szabályok szerint fedezettkötvény-kötelezettségként kezelt). | 
| 020 | Jelentendő adat az adatszolgáltatás időpontjában Fedezettkötvény-kötelezettségek összegei, kivéve a fedezeti halmaz (pool) származtatott pozícióit, a különböző jövőbeli időtartamoknak megfelelően. | 
| 030 | + 6 hónap A „+ 6 hónap” az adatszolgáltatás vonatkozási időpontját követő hat hónapnak megfelelő időpontot jelzi. Az összegeket annak feltételezésével kell feltüntetni, hogy az adatszolgáltatás vonatkozási időpontjához képest az amortizációt kivéve nem volt változás a fedezettkötvény-kötelezettségekben. Rögzített kifizetési ütemterv hiányában a jövőbeli időpontban fennálló összegekre következetesen a tervezett lejárati időt kell alkalmazni. | 
| 040-070 | + 12 hónap – + 10 év Ahogy a „+ 6 hónap” esetében (030-as oszlop), az adatszolgáltatás vonatkozási időpontját követő megfelelő időpont. | 
| 080 | A fedezeti halmazba (poolba) tartozó, negatív nettó piaci értékű származtatott pozíciók A fedezeti halmazba (poolba) tartozó azon származtatott pozíciók negatív nettó piaci értéke, amelyeknek a nettó piaci értéke a fedezett kötvény kibocsátója szempontjából negatív. A fedezeti halmazba (poolba) tartozó származtatott pozíciók azok a nettó származtatott pozíciók, amelyeket a fedezett kötvényekre vonatkozó releváns kötelező szabályok szerint belefoglaltak a fedezeti összetevők körébe és amelyek a fedezett kötvényekre vonatkozó releváns védelmi intézkedések hatálya alá tartoznak, mivel ezen negatív nettó piaci értékű származtatott pozíciók esetében az elismert fedezeti összetevők általi fedezettségre van szükség. A negatív nettó piaci értéket csak az adatszolgáltatás vonatkozási időpontja tekintetében kell feltüntetni. | 
| 090-140 | Fedezett kötvények külső hitelminősítése Információt kell adni a megfelelő fedezett kötvényre vonatkozó, az adatszolgáltatás időpontjában meglévő külső hitelminősítésről, amennyiben van. | 
| 090 | 1. hitelminősítő intézet Amennyiben az adatszolgáltatás időpontjában legalább egy hitelminősítő intézet hitelminősítése rendelkezésre áll, itt kell megadni a hitelminősítő intézet egyikének nevét. Amennyiben az adatszolgáltatás időpontjában háromnál több hitelminősítő intézet készített hitelminősítést, a piaci súly alapján kell kiválasztani azt a három hitelminősítőt, amelyeknek adatot kell szolgáltatni. | 
| 100 | 1. hitelminősítés A hitelminősítő intézet által a fedezett kötvényre kiadott, a 090-es oszlopban feltüntetett hitelminősítés az adatszolgáltatás vonatkozási időpontjában. Amennyiben ugyanaz a hitelminősítő intézet hosszú és rövid távú hitelminősítést is kiadott, a hosszú távú minősítést kell megadni. A feltüntetendő hitelminősítésnek tartalmaznia kell az esetleges módosítókat. | 
| 110, 130 | 2. hitelminősítő intézet és 3. hitelminősítő intézet Mint az első hitelminősítő intézetnél (090-es oszlop), a további hitelminősítő intézetek által a fedezett kötvényekre kiadott hitelminősítések az adatszolgáltatás vonatkozási időpontjában. | 
| 120, 140 | 2. hitelminősítés és 3. hitelminősítés Mint az első hitelminősítésnél (100-as oszlop), a második és a harmadik hitelminősítő intézet által a fedezett kötvényekre kiadott hitelminősítések az adatszolgáltatás vonatkozási időpontjában. | 
| 150-250 | Fedezeti halmaz (pool) A fedezeti halmazt (poolt) alkotó valamennyi, a fedezett kötvényekre vonatkozó releváns intézkedések hatálya alá tartozó pozíció, többek között azok a származtatott pozíciók, amelyek nettó piaci értéke a fedezett kötvény kibocsátója szempontjából pozitív. | 
| 150 | Jelentendő adat az adatszolgáltatás időpontjában A fedezeti halmazba (poolba) tartozó eszközök összege, kivéve a fedezeti halmazba tartozó származtatott pozíciókat. Ez az összeg megfelel a túlzott fedezettség minimumszintjére vonatkozó előírásnak és tartalmazza a minimumot meghaladó esetleges további túlzott fedezettséget, amennyiben a fedezett kötvényekre vonatkozó releváns védelmi intézkedések hatálya alá tartozik. | 
| 160 | + 6 hónap Az adatszolgáltatási időpont „+ 6 hónap” az adatszolgáltatás vonatkozási időpontját követő hat hónapnak megfelelő időpontot jelzi. Az összegeket annak feltételezésével kell feltüntetni, hogy az adatszolgáltatás időpontjához képest az amortizációt kivéve nem volt változás a fedezeti halmazban (poolban). Rögzített kifizetési ütemterv hiányában a jövőbeli időpontban fennálló összegekre következetesen a tervezett lejárati időt kell alkalmazni. | 
| 170-200 | + 12 hónap – + 10 év Ahogy a „+ 6 hónap” esetében (160-as oszlop), az adatszolgáltatás vonatkozási időpontját követő megfelelő időpont. | 
| 210 | A fedezeti halmazba (poolba) tartozó, pozitív nettó piaci értékű származtatott pozíciók A fedezeti halmazba (poolba) tartozó azon származtatott pozíciók pozitív nettó piaci értéke, amelyeknek a nettó piaci értéke a fedezett kötvény kibocsátója szempontjából pozitív. A fedezeti halmazba (poolba) tartozó származtatott pozíciók azok a nettó származtatott pozíciók, amelyeket a fedezett kötvényekre vonatkozó releváns kötelező szabályok szerint belefoglaltak a fedezeti összetevők körébe és amely a fedezett kötvényekre vonatkozó releváns védelmi intézkedések hatálya alá tartoznak, mivel ezen pozitív nettó piaci értékű származtatott pozíciók nem képezik részét a fedezettkötvény-kibocsátó általános csődvagyonának. A pozitív nettó piaci értéket csak az adatszolgáltatás vonatkozási időpontja tekintetében kell feltüntetni. | 
| 220-250 | A fedezeti minimumkövetelményeket meghaladó fedezeti halmazok (pool) összege A pozitív nettó piaci értékű származtatott pozíciókat is tartalmazó fedezeti halmaznak a minimumfedezettségre vonatkozó előírásokat meghaladó összege (túlzott fedezettség). | 
| 220 | a fedezett kötvényekre vonatkozó releváns kötelező szabályok szerint A túlzott fedezettség összege a fedezett kötvényekre vonatkozó releváns kötelező szabályokban előírt minimális fedezettséghez képest. | 
| 230-250 | a hitelminősítők által a fedezett kötvény aktuális külső hitelminősítésének fenntartására alkalmazott módszertan szerint A túlzott fedezettség összege ahhoz a szinthez képest, amelyre – a megfelelő hitelminősítő intézeti módszertanra vonatkozó, a fedezett kötvény kibocsátójának rendelkezésére álló információ szerint – minimálisan szükség lenne a vonatkozó hitelminősítő intézet által kiadott aktuális hitelminősítés támogatásához. | 
| 230 | 1. hitelminősítő intézet A túlzott fedezettség összege ahhoz a szinthez képest, amelyre – az első hitelminősítő intézet (090-es oszlop) módszertanára vonatkozó, a fedezett kötvény kibocsátójának rendelkezésére álló információ szerint – minimálisan szükség lenne az első hitelminősítés (100-es oszlop) támogatásához. | 
| 240-250 | 2. hitelminősítő intézet és 3. hitelminősítő intézet Az első hitelminősítő intézetre (230-as oszlop) vonatkozó előírások alkalmazandók a második (110-es oszlop) és a harmadik (130-as oszlop) hitelminősítő intézet esetében. | 
6. E. RÉSZ: TOVÁBBI ADATOK
6.1. Általános megjegyzések
35. Az E. rész felépítése megfelel az A. részben található "eszközök megterhelése" áttekintő táblákénak, de az adatszolgáltató intézmény eszközeinek megterhelésére és a kapott biztosítékra vonatkozó AE-ADV1 és AE-ADV2 táblák eltérnek. Következésképpen a megfeleltetett kötelezettségek megfelelnek azoknak a kötelezettségeknek, amelyeket a megterhelt eszközök fedeznek és nem kell közvetlen kapcsolatnak lennie.
6.2. Tábla: AE-ADV1. Az adatszolgáltató intézmény eszközeire vonatkozó részletes tábla
6.2.1. A tábla egyes soraira vonatkozó előírások
| Sorok | Jogi hivatkozások és útmutató | 
| 010-020 | Központi banki finanszírozás (bármely típusú, ideértve a repot) Az adatszolgáltató intézmény minden olyan típusú kötelezettsége, amely esetében a szerződő fél központi bank. A központi banknál előre rendelkezésre bocsátott eszközt nem kell megterhelt eszközként kezelni, kivéve, ha a központi bank csak előzetes hozzájárulással teszi lehetővé az elhelyezett eszköz kivonását. A fel nem használt pénzügyi garanciáknál a fel nem használt részt, vagyis a központi bank által előírt minimális összeg fölötti részt arányosan el kell osztani a központi banknál elhelyezett eszközök között. | 
| 030-040 | Tőzsdén forgalmazott derivatívák Az adatszolgáltató intézmény olyan fedezett derivatíváinak könyv szerinti értéke, amelyek pénzügyi kötelezettségek, amennyiben ezek elismert vagy kijelölt tőzsdén jegyzett vagy kereskedett derivatívák és az intézmény számára eszközterhelést jelentenek. | 
| 050-060 | Tőzsdén kívüli derivatívák Az adatszolgáltató intézmény olyan fedezett derivatíváinak könyv szerinti értéke, amelyek pénzügyi kötelezettségek, amennyiben ezen derivatívák kereskedése tőzsdén kívül történik és azok az intézmény számára eszközterhelést jelentenek. (az AE-SOU tábla 030-as sorára vonatkozóval megegyező előírás) | 
| 070-080 | Visszavásárlási (repo-) megállapodások Az adatszolgáltató intézmény olyan repomegállapodásainak könyv szerinti értéke, amelyek esetében a szerződő fél nem központi bank, amennyiben ezek a betétek az intézmény számára eszközterhelést jelentenek. A háromoldalú repomegállapodások esetében ugyanazt az eljárást kell követni, mint a repomegállapodásoknál, amennyiben azok az intézmény számára eszközterhelést jelentenek. | 
| 090-100 | Repomegállapodásoktól eltérő fedezett betétek Az adatszolgáltató intézmény repomegállapodásaitól eltérő olyan fedezett betéteinek könyv szerinti értéke, amelyek esetében a szerződő fél nem központi bank, amennyiben ezek a betétek az intézmény számára eszközterhelést jelentenek. | 
| 110-120 | Kibocsátott fedezettkötvény-értékpapírok Lásd az AE-SOU tábla 100-as sorára vonatkozó előírást. | 
| 130-140 | Kibocsátott eszközfedezetű értékpapírok Lásd az AE-SOU tábla 110-es sorára vonatkozó előírást. | 
| 150-160 | Saját fedezett kötvénytől vagy eszközfedezetű értékpapírtól eltérő kibocsátott, hitelviszonyt megtestesítő értékpapírok Saját fedezett kötvényektől vagy értékpapírosítástól eltérő, az adatszolgáltató intézmény által kibocsátott hitelviszonyt megtestesítő értékpapírok könyv szerinti értéke, amennyiben ezek a kibocsátott értékpapírok az intézmény számára eszközterhelést jelentenek. Abban az esetben, ha az adatszolgáltató intézmény a kibocsátott, hitelviszonyt megtestesítő értékpapírok egy részét repo eredményeként megtartja vagy a kibocsátás időpontjában vagy azt követően, ezeket a megtartott részvényeket nem kell belefoglalni ebbe a tételbe. Emellett az ezekhez kapcsolódó biztosítékokat e tábla alkalmazásában meg nem terheltként kell besorolni. | 
| 170-180 | Megterhelés egyéb, kapcsolódó forrásai Lásd az AE-SOU tábla 120-as sorára vonatkozó előírást. | 
| 190 | Megterhelt eszközök összesen Az AE-ADV1 tábla soraiban meghatározott mindegyik típusú eszközre vonatkozóan az adatszolgáltató intézmény által tartott, megterhelt eszközök könyv szerinti értéke. | 
| 200 | ebből: központi bank által elismert Az AE-ADV1 tábla soraiban meghatározott mindegyik típusú eszközre vonatkozóan az adatszolgáltató intézmény által tartott olyan megterhelt eszközök könyv szerinti értéke, amelyek elismerhetők azon központi bankokkal végrehajtott ügyletekben, amelyekhez az adatszolgáltató intézménynek hozzáférése van. Azok az adatszolgáltató intézmények, amelyek egy eszköz esetében nem tudják biztonsággal megállapítani a központi bank általi elismerhetőséget (például olyan joghatóságok, amelyekben nem egyértelműen meghatározottak a központi repoügylet szempontjából elismerhető eszközök, vagy nincs hozzáférésük folyamatosan működő központi banki repopiachoz) eltekinthetnek az említett eszközhöz kapcsolódó összeg feltüntetésétől, vagyis üresen hagyhatják a megfelelő mezőt. | 
| 210 | Meg nem terhelt eszközök összesen Az AE-ADV1 tábla soraiban meghatározott mindegyik típusú eszközre vonatkozóan az adatszolgáltató intézmény által tartott, meg nem terhelt eszközök könyv szerinti értéke. A könyv szerinti érték a mérleg eszközoldalán feltüntetett összeg. | 
| 220 | ebből: központi bank által elismert Az AE-ADV1 tábla soraiban meghatározott mindegyik típusú eszközre vonatkozóan az adatszolgáltató intézmény által tartott olyan meg nem terhelt eszközök könyv szerinti értéke, amelyek elismerhetők azon központi bankokkal végrehajtott ügyletekben, amelyekhez az adatszolgáltató intézménynek hozzáférése van. Azok az adatszolgáltató intézmények, amelyek egy eszköz esetében nem tudják biztonsággal megállapítani a központi bank általi elismerhetőséget (például olyan joghatóságok, amelyekben nem egyértelműen meghatározottak a központi repoügylet szempontjából elismerhető eszközök, vagy nincs hozzáférésük folyamatosan működő központi banki repopiachoz) eltekinthetnek az említett eszközhöz kapcsolódó összeg feltüntetésétől, vagyis üresen hagyhatják a megfelelő mezőt. | 
| 230 | Megterhelt + meg nem terhelt eszközök Az AE-ADV1 tábla soraiban meghatározott mindegyik típusú eszközre vonatkozóan az adatszolgáltató intézmény által tartott eszközök könyv szerinti értéke. | 
6.2.2. Az egyes oszlopokra vonatkozó előírások
| Oszlopok | Jogi hivatkozások és útmutató | 
| 010 | Látra szóló követelések Lásd az AE-ASS tábla 020-as sorára vonatkozó előírást. | 
| 020 | Tőkeinstrumentumok Lásd az AE-ASS tábla 030-as sorára vonatkozó előírást. | 
| 030 | Összesen Lásd az AE-ASS tábla 040-es sorára vonatkozó előírást. | 
| 040 | ebből: fedezett kötvények Lásd az AE-ASS tábla 050-es sorára vonatkozó előírást. | 
| 050 | ebből: a csoporthoz tartozó más vállalkozások által kibocsátott Az AE-ASS tábla 050-as sorára vonatkozó előírásokban megadott fedezett kötvények, amelyeket a prudenciális konszolidáció körébe tartozó vállalkozás bocsátott ki. | 
| 060 | ebből: eszközfedezetű értékpapírok Lásd az AE-ASS tábla 060-as sorára vonatkozó előírást. | 
| 070 | ebből: a csoporthoz tartozó más vállalkozások által kibocsátott Az AE-ASS tábla 060-as sorára vonatkozó előírásokban megadott eszközfedezetű értékpapírok, amelyeket a prudenciális konszolidáció körébe tartozó vállalkozás bocsátott ki. | 
| 080 | ebből: központi kormányzatok által kibocsátott Lásd az AE-ASS tábla 070-es sorára vonatkozó előírást. | 
| 090 | ebből: pénzügyi vállalkozások által kibocsátott Lásd az AE-ASS tábla 080-as sorára vonatkozó előírást. | 
| 100 | ebből: nem pénzügyi vállalkozások által kibocsátott Lásd az AE-ASS tábla 090-es sorára vonatkozó előírást. | 
| 110 | Központi bankok és központi kormányzat A központi bankoknak és a központi kormányzatnak nyújtott látra szóló követelésektől eltérő kölcsönök és előlegek. | 
| 120 | Pénzügyi vállalkozások A pénzügyi vállalkozásoknak nyújtott látra szóló követelésektől eltérő kölcsönök és előlegek. | 
| 130 | Nem pénzügyi vállalkozások A nem pénzügyi vállalkozásoknak nyújtott látra szóló követelésektől eltérő kölcsönök és előlegek. | 
| 140 | ebből: jelzáloghitelek A nem pénzügyi vállalkozásoknak nyújtott, jelzáloggal fedezett látra szóló követelésektől eltérő kölcsönök és előlegek. | 
| 150 | Háztartások A háztartásoknak nyújtott látra szóló követelésektől eltérő kölcsönök és előlegek. | 
| 160 | ebből: jelzáloghitelek A háztartásoknak nyújtott, jelzáloggal fedezett látra szóló követelésektől eltérő kölcsönök és előlegek. | 
| 170 | Egyéb eszközök Lásd az AE-ASS tábla 120-as sorára vonatkozó előírást. | 
| 180 | Összesen Lásd az AE-ASS tábla 010-es sorára vonatkozó előírást. | 
6.3. Tábla: AE-ADV2. Az adatszolgáltató intézmény által kapott biztosítékra vonatkozó részletes tábla
6.3.1. A tábla egyes soraira vonatkozó előírások
36. Lásd a 6.2.1. pontot, mivel az előírások hasonlóak a két táblára vonatkozóan.
6.3.2. Az egyes oszlopokra vonatkozó előírások
| Oszlopok | Jogi hivatkozások és útmutató | 
| 010 | Látra szóló követelések Lásd az AE-COL tábla 140-es sorára vonatkozó előírást. | 
| 020 | Tőkeinstrumentumok Lásd az AE-COL tábla 150-es sorára vonatkozó előírást. | 
| 030 | Összesen Lásd az AE-COL tábla 160-as sorára vonatkozó előírást. | 
| 040 | ebből: fedezett kötvények Lásd az AE-COL tábla 170-es sorára vonatkozó előírást. | 
| 050 | ebből: a csoporthoz tartozó más vállalkozások által kibocsátott Az adatszolgáltató intézmény által kapott biztosítékok, amelyek a prudenciális konszolidáció körébe tartozó vállalkozás által kibocsátott fedezett kötvények. | 
| 060 | ebből: eszközfedezetű értékpapírok Lásd az AE-COL tábla 180-as sorára vonatkozó előírást. | 
| 070 | ebből: a csoporthoz tartozó más vállalkozások által kibocsátott Az adatszolgáltató intézmény által kapott biztosítékok, amelyek a prudenciális konszolidáció körébe tartozó vállalkozás által kibocsátott eszközfedezetű értékpapírok. | 
| 080 | ebből: központi kormányzatok által kibocsátott Lásd az AE-COL tábla 190-es sorára vonatkozó előírást. | 
| 090 | ebből: pénzügyi vállalkozások által kibocsátott Lásd az AE-COL tábla 200-as sorára vonatkozó előírást. | 
| 100 | ebből: nem pénzügyi vállalkozások által kibocsátott Lásd az AE-COL tábla 210-es sorára vonatkozó előírást. | 
| 110 | Központi bankok és központi kormányzat Az adatszolgáltató intézmény által kapott biztosítékok, amelyek a központi bankoknak és a központi kormányzatnak nyújtott látra szóló követelésektől eltérő kölcsönök és előlegek. | 
| 120 | Pénzügyi vállalkozások Az adatszolgáltató intézmény által kapott olyan biztosítékok, amelyek a pénzügyi vállalkozásoknak nyújtott látra szóló követelésektől eltérő kölcsönök és előlegek. | 
| 130 | Nem pénzügyi vállalkozások Az adatszolgáltató intézmény által kapott olyan biztosítékok, amelyek a nem pénzügyi vállalkozásoknak nyújtott látra szóló követelésektől eltérő kölcsönök és előlegek. | 
| 140 | ebből: jelzáloghitelek Az adatszolgáltató intézmény által kapott olyan biztosítékok, amelyek nem pénzügyi vállalkozásoknak nyújtott, jelzáloggal fedezett látra szóló követelésektől eltérő kölcsönök és előlegek. | 
| 150 | Háztartások Az adatszolgáltató intézmény által kapott olyan biztosítékok, amelyek a háztartásoknak nyújtott, jelzáloggal fedezett látra szóló követelésektől eltérő kölcsönök és előlegek. | 
| 160 | ebből: jelzáloghitelek Az adatszolgáltató intézmény által kapott olyan biztosítékok, amelyek a háztartásoknak nyújtott, jelzáloggal fedezett látra szóló követelésektől eltérő kölcsönök és előlegek. | 
| 170 | Egyéb eszközök Lásd az AE-COL tábla 230-as sorára vonatkozó előírást. | 
| 180 | Saját fedezett kötvénytől vagy eszközfedezetű értékpapírtól eltérő, kibocsátott, hitelviszonyt megtestesítő saját értékpapír Lásd az AE-COL tábla 240-es sorára vonatkozó előírást. | 
| 190 | Összesen Lásd az AE-COL tábla 130-as és 140-es sorára vonatkozó előírást. | 
XVIII. MELLÉKLET
| AMM-TÁBLÁK | ||
| Tábla száma | Tábla kódja | Tábla / táblacsoport megnevezése | 
| TOVÁBBI MONITOROZÁSI ESZKÖZÖK TÁBLÁI | ||
| 67 | C 67.00 | A FINANSZÍROZÁS KONCENTRÁCIÓJA PARTNERENKÉNT | 
| 68 | C 68.00 | A FINANSZÍROZÁS KONCENTRÁCIÓJA TERMÉKTÍPUSONKÉNT | 
| 69 | C 69.00 | ÁRAZÁS KÜLÖNBÖZŐ FINANSZÍROZÁSI FUTAMIDŐK ESETÉN | 
| 70 | C 70.00 | MEGÚJÍTOTT FINANSZÍROZÁS | 
C 67.00 - A FINANSZÍROZÁS KONCENTRÁCIÓJA PARTNERENKÉNT
Összesen és jelentős pénznemek
| A finanszírozás koncentrációja partnerenként | ||||||||||
| A partner neve | Kód | LEI-kód | A partner ágazata | A partner székhelye | Terméktípus | Kapott összeg | Súlyozott átlagos eredeti futamidő | Súlyozott átlagos hátralévő futamidő | ||
| Sor | Azonosító | 010 | 015 | 020 | 030 | 040 | 050 | 060 | 070 | 080 | 
| 010 | 1. A TÍZ LEGNAGYOBB PARTNER, AMELYNÉL A KÖTELEZETTSÉGEK MEGHALADJÁK AZ ÖSSZES KÖTELEZETTSÉG 1 %-ÁT | |||||||||
| 020 | 1.01 | |||||||||
| 030 | 1.02 | |||||||||
| 040 | 1.03 | |||||||||
| 050 | 1.04 | |||||||||
| 060 | 1.05 | |||||||||
| 070 | 1.06 | |||||||||
| 080 | 1.07 | |||||||||
| 090 | 1.08 | |||||||||
| 100 | 1.09 | |||||||||
| 110 | 1.10 | |||||||||
| 120 | 2. MINDEN EGYÉB FINANSZÍROZÁS | |||||||||
C 68.00 - A FINANSZÍROZÁS KONCENTRÁCIÓJA TERMÉKTÍPUSONKÉNT
Összesen és jelentős pénznemek
| A finanszírozás koncentrációja terméktípusonként | |||||||
| Sor | Azonosító | Termék neve | Kapott könyv szerinti érték | A 2014/49/EU irányelv szerinti betétbiztosítási rendszer vagy harmadik ország azzal egyenértékű betétbiztosítási rendszere által biztosított összeg | A 2014/49/EU irányelv szerinti betétbiztosítási rendszer vagy harmadik ország azzal egyenértékű betétbiztosítási rendszere által nem biztosított összeg | Súlyozott átlagos eredeti futamidő | Súlyozott átlagos hátralévő futamidő | 
| 010 | 020 | 030 | 040 | 050 | |||
| AZ ÖSSZES KÖTELEZETTSÉG TÖBB MINT 1 %-ÁT MEGHALADÓ TERMÉKEK | |||||||
| 010 | 1 | LAKOSSÁGI FINANSZÍROZÁS | |||||
| 020 | 1.1 | ebből: látra szóló betét | |||||
| 031 | 1.2 | ebből: a következő 30 napon belül fel nem vehető lekötött betét | |||||
| 041 | 1.3 | ebből: a következő 30 napon belül felvehető lekötött betét | |||||
| 070 | 1.4 | Megtakarítási számla | |||||
| 080 | 1.4.1 | a felvételre vonatkozó 30 napnál hosszabb felmondási idővel | |||||
| 090 | 1.4.2 | a felvételre vonatkozó 30 napnál hosszabb felmondási idő nélkül | |||||
| 100 | 2 | NEM LAKOSSÁGI FINANSZÍROZÁS | |||||
| 110 | 2.1 | Fedezetlen nem lakossági finanszírozás | |||||
| 120 | 2.1.1 | ebből: pénzügyi ügyfelektől származó kölcsönök és betétek | |||||
| 130 | 2.1.2 | ebből: nem pénzügyi ügyfelektől származó kölcsönök és betétek | |||||
| 140 | 2.1.3 | ebből: csoporton belüli jogalanyoktól származó kölcsönök és betétek | |||||
| 150 | 2.2 | Fedezett nem lakossági finanszírozás | |||||
| 160 | 2.2.1 | ebből: értékpapír-finanszírozási ügylet | |||||
| 170 | 2.2.2 | ebből: fedezett kötvény kibocsátása | |||||
| 180 | 2.2.3 | ebből: eszközfedezetű értékpapír kibocsátása | |||||
| 190 | 2.2.4 | ebből: csoporton belüli jogalanyoktól származó kölcsönök és betétek | |||||
C 69.00 - ÁRAZÁS KÜLÖNBÖZŐ FINANSZÍROZÁSI FUTAMIDŐK ESETÉN
Összesen és jelentős pénznemek
| Árazás különböző finanszírozási futamidők esetén | ||||||||||||||||||||
| Egynapos | 1 hét | 1 hónap | 3 hónap | 6 hónap | 1 év | 2 év | 5 év | 10 év | ||||||||||||
| Felár | Volumen | Felár | Volumen | Felár | Volumen | Felár | Volumen | Felár | Volumen | Felár | Volumen | Felár | Volumen | Felár | Volumen | Felár | Volumen | |||
| Sor | Azonosító | Tétel | 010 | 020 | 030 | 040 | 050 | 060 | 070 | 080 | 090 | 100 | 110 | 120 | 130 | 140 | 150 | 160 | 170 | 180 | 
| 010 | 1 | Teljes finanszírozás | ||||||||||||||||||
| 020 | 1.1 | ebből: lakossági finanszírozás | ||||||||||||||||||
| 030 | 1.2 | ebből: fedezetlen nem lakossági finanszírozás | ||||||||||||||||||
| 040 | 1.3 | ebből: fedezett finanszírozás | ||||||||||||||||||
| 050 | 1.4 | ebből: előresorolt (szenior) fedezetlen értékpapírok | ||||||||||||||||||
| 060 | 1.5 | ebből: fedezett kötvények | ||||||||||||||||||
| 070 | 1.6 | ebből: eszközfedezetű értékpapírok, többek között eszközfedezetű kereskedelmi értékpapírok | ||||||||||||||||||
C 70.00 - MEGÚJÍTOTT FINANSZÍROZÁS
Összesen és jelentős pénznemek
| Megújított finanszírozás | |||||||||||||||||||||||||||||||||||
| Egynapos | > 1 nap ≤ 7 nap | > 7 nap ≤ 14 nap | > 14 nap ≤ 1 hónap | > 1 hónap ≤ 3 hónap | > 3 hónap ≤ 6 hónap | > 6 hónap | Teljes nettó pénzáramlás | Átlagos futamidő (nap) | |||||||||||||||||||||||||||
| Lejáró | Megújított | Új finanszírozás | Nettó | Lejáró | Megújított | Új finanszírozás | Nettó | Lejáró | Megújított | Új finanszírozás | Nettó | Lejáró | Megújított | Új finanszírozás | Nettó | Lejáró | Megújított | Új finanszírozás | Nettó | Lejáró | Megújított | Új finanszírozás | Nettó | Lejáró | Megújított | Új finanszírozás | Nettó | Lejáró finanszírozás futamideje | Megújított finanszírozás futamideje | Új finanszírozás futamideje | |||||
| Sor | Azonosító | Nap | Tétel | 010 | 020 | 030 | 040 | 050 | 060 | 070 | 080 | 090 | 100 | 110 | 120 | 130 | 140 | 150 | 160 | 170 | 180 | 190 | 200 | 210 | 220 | 230 | 240 | 250 | 260 | 270 | 280 | 290 | 300 | 310 | 320 | 
| 010 | 1.1 | 1 | Teljes finanszírozás | ||||||||||||||||||||||||||||||||
| 020 | 1.1.1 | lakossági finanszírozás | |||||||||||||||||||||||||||||||||
| 030 | 1.1.2 | fedezetlen nem lakossági finanszírozás | |||||||||||||||||||||||||||||||||
| 040 | 1.1.3 | fedezett finanszírozás | |||||||||||||||||||||||||||||||||
| 050 | 1.2 | 2 | Teljes finanszírozás | ||||||||||||||||||||||||||||||||
| 060 | 1.2.1 | lakossági finanszírozás | |||||||||||||||||||||||||||||||||
| 070 | 1.2.2 | fedezetlen nem lakossági finanszírozás | |||||||||||||||||||||||||||||||||
| 080 | 1.2.3 | fedezett finanszírozás | |||||||||||||||||||||||||||||||||
| 090 | 1.3 | 3 | Teljes finanszírozás | ||||||||||||||||||||||||||||||||
| 100 | 1.3.1 | lakossági finanszírozás | |||||||||||||||||||||||||||||||||
| 110 | 1.3.2 | fedezetlen nem lakossági finanszírozás | |||||||||||||||||||||||||||||||||
| 120 | 1.3.3 | fedezett finanszírozás | |||||||||||||||||||||||||||||||||
| 130 | 1.4 | 4 | Teljes finanszírozás | ||||||||||||||||||||||||||||||||
| 140 | 1.4.1 | lakossági finanszírozás | |||||||||||||||||||||||||||||||||
| 150 | 1.4.2 | fedezetlen nem lakossági finanszírozás | |||||||||||||||||||||||||||||||||
| 160 | 1.4.3 | fedezett finanszírozás | |||||||||||||||||||||||||||||||||
| 170 | 1.5 | 5 | Teljes finanszírozás | ||||||||||||||||||||||||||||||||
| 180 | 1.5.1 | lakossági finanszírozás | |||||||||||||||||||||||||||||||||
| 190 | 1.5.2 | fedezetlen nem lakossági finanszírozás | |||||||||||||||||||||||||||||||||
| 200 | 1.5.3 | fedezett finanszírozás | |||||||||||||||||||||||||||||||||
| 210 | 1.6 | 6 | Teljes finanszírozás | ||||||||||||||||||||||||||||||||
| 220 | 1.6.1 | lakossági finanszírozás | |||||||||||||||||||||||||||||||||
| 230 | 1.6.2 | fedezetlen nem lakossági finanszírozás | |||||||||||||||||||||||||||||||||
| 240 | 1.6.3 | fedezett finanszírozás | |||||||||||||||||||||||||||||||||
| 250 | 1.7 | 7 | Teljes finanszírozás | ||||||||||||||||||||||||||||||||
| 260 | 1.7.1 | lakossági finanszírozás | |||||||||||||||||||||||||||||||||
| 270 | 1.7.2 | fedezetlen nem lakossági finanszírozás | |||||||||||||||||||||||||||||||||
| 280 | 1.7.3 | fedezett finanszírozás | |||||||||||||||||||||||||||||||||
| 290 | 1.8 | 8 | Teljes finanszírozás | ||||||||||||||||||||||||||||||||
| 300 | 1.8.1 | lakossági finanszírozás | |||||||||||||||||||||||||||||||||
| 310 | 1.8.2 | fedezetlen nem lakossági finanszírozás | |||||||||||||||||||||||||||||||||
| 320 | 1.8.3 | fedezett finanszírozás | |||||||||||||||||||||||||||||||||
| 330 | 1.9 | 9 | Teljes finanszírozás | ||||||||||||||||||||||||||||||||
| 340 | 1.9.1 | lakossági finanszírozás | |||||||||||||||||||||||||||||||||
| 350 | 1.9.2 | fedezetlen nem lakossági finanszírozás | |||||||||||||||||||||||||||||||||
| 360 | 1.9.3 | fedezett finanszírozás | |||||||||||||||||||||||||||||||||
| 370 | 1.10 | 10 | Teljes finanszírozás | ||||||||||||||||||||||||||||||||
| 380 | 1.10.1 | lakossági finanszírozás | |||||||||||||||||||||||||||||||||
| 390 | 1.10.2 | fedezetlen nem lakossági finanszírozás | |||||||||||||||||||||||||||||||||
| 400 | 1.10.3 | fedezett finanszírozás | |||||||||||||||||||||||||||||||||
| 410 | 1.11 | 11 | Teljes finanszírozás | ||||||||||||||||||||||||||||||||
| 420 | 1.11.1 | lakossági finanszírozás | |||||||||||||||||||||||||||||||||
| 430 | 1.11.2 | fedezetlen nem lakossági finanszírozás | |||||||||||||||||||||||||||||||||
| 440 | 1.11.3 | fedezett finanszírozás | |||||||||||||||||||||||||||||||||
| 450 | 1.12 | 12 | Teljes finanszírozás | ||||||||||||||||||||||||||||||||
| 460 | 1.12.1 | lakossági finanszírozás | |||||||||||||||||||||||||||||||||
| 470 | 1.12.2 | fedezetlen nem lakossági finanszírozás | |||||||||||||||||||||||||||||||||
| 480 | 1.12.3 | fedezett finanszírozás | |||||||||||||||||||||||||||||||||
| 490 | 1.13 | 13 | Teljes finanszírozás | ||||||||||||||||||||||||||||||||
| 500 | 1.13.1 | lakossági finanszírozás | |||||||||||||||||||||||||||||||||
| 510 | 1.13.2 | fedezetlen nem lakossági finanszírozás | |||||||||||||||||||||||||||||||||
| 520 | 1.13.3 | fedezett finanszírozás | |||||||||||||||||||||||||||||||||
| 530 | 1.14 | 14 | Teljes finanszírozás | ||||||||||||||||||||||||||||||||
| 540 | 1.14.1 | lakossági finanszírozás | |||||||||||||||||||||||||||||||||
| 550 | 1.14.2 | fedezetlen nem lakossági finanszírozás | |||||||||||||||||||||||||||||||||
| 560 | 1.14.3 | fedezett finanszírozás | |||||||||||||||||||||||||||||||||
| 570 | 1.15 | 15 | Teljes finanszírozás | ||||||||||||||||||||||||||||||||
| 580 | 1.15.1 | lakossági finanszírozás | |||||||||||||||||||||||||||||||||
| 590 | 1.15.2 | fedezetlen nem lakossági finanszírozás | |||||||||||||||||||||||||||||||||
| 600 | 1.15.3 | fedezett finanszírozás | |||||||||||||||||||||||||||||||||
| 610 | 1.16 | 16 | Teljes finanszírozás | ||||||||||||||||||||||||||||||||
| 620 | 1.16.1 | lakossági finanszírozás | |||||||||||||||||||||||||||||||||
| 630 | 1.16.2 | fedezetlen nem lakossági finanszírozás | |||||||||||||||||||||||||||||||||
| 640 | 1.16.3 | fedezett finanszírozás | |||||||||||||||||||||||||||||||||
| 650 | 1.17 | 17 | Teljes finanszírozás | ||||||||||||||||||||||||||||||||
| 660 | 1.17.1 | lakossági finanszírozás | |||||||||||||||||||||||||||||||||
| 670 | 1.17.2 | fedezetlen nem lakossági finanszírozás | |||||||||||||||||||||||||||||||||
| 680 | 1.17.3 | fedezett finanszírozás | |||||||||||||||||||||||||||||||||
| 690 | 1.18 | 18 | Teljes finanszírozás | ||||||||||||||||||||||||||||||||
| 700 | 1.18.1 | lakossági finanszírozás | |||||||||||||||||||||||||||||||||
| 710 | 1.18.2 | fedezetlen nem lakossági finanszírozás | |||||||||||||||||||||||||||||||||
| 720 | 1.18.3 | fedezett finanszírozás | |||||||||||||||||||||||||||||||||
| 730 | 1.19 | 19 | Teljes finanszírozás | ||||||||||||||||||||||||||||||||
| 740 | 1.19.1 | lakossági finanszírozás | |||||||||||||||||||||||||||||||||
| 750 | 1.19.2 | fedezetlen nem lakossági finanszírozás | |||||||||||||||||||||||||||||||||
| 760 | 1.19.3 | fedezett finanszírozás | |||||||||||||||||||||||||||||||||
| 770 | 1.20 | 20 | Teljes finanszírozás | ||||||||||||||||||||||||||||||||
| 780 | 1.20.1 | lakossági finanszírozás | |||||||||||||||||||||||||||||||||
| 790 | 1.20.2 | fedezetlen nem lakossági finanszírozás | |||||||||||||||||||||||||||||||||
| 800 | 1.20.3 | fedezett finanszírozás | |||||||||||||||||||||||||||||||||
| 810 | 1.21 | 21 | Teljes finanszírozás | ||||||||||||||||||||||||||||||||
| 820 | 1.21.1 | lakossági finanszírozás | |||||||||||||||||||||||||||||||||
| 830 | 1.21.2 | fedezetlen nem lakossági finanszírozás | |||||||||||||||||||||||||||||||||
| 840 | 1.21.3 | fedezett finanszírozás | |||||||||||||||||||||||||||||||||
| 850 | 1.22 | 22 | Teljes finanszírozás | ||||||||||||||||||||||||||||||||
| 860 | 1.22.1 | lakossági finanszírozás | |||||||||||||||||||||||||||||||||
| 870 | 1.22.2 | fedezetlen nem lakossági finanszírozás | |||||||||||||||||||||||||||||||||
| 880 | 1.22.3 | fedezett finanszírozás | |||||||||||||||||||||||||||||||||
| 890 | 1.23 | 23 | Teljes finanszírozás | ||||||||||||||||||||||||||||||||
| 900 | 1.23.1 | lakossági finanszírozás | |||||||||||||||||||||||||||||||||
| 910 | 1.23.2 | fedezetlen nem lakossági finanszírozás | |||||||||||||||||||||||||||||||||
| 920 | 1.23.3 | fedezett finanszírozás | |||||||||||||||||||||||||||||||||
| 930 | 1.24 | 24 | Teljes finanszírozás | ||||||||||||||||||||||||||||||||
| 940 | 1.24.1 | lakossági finanszírozás | |||||||||||||||||||||||||||||||||
| 950 | 1.24.2 | fedezetlen nem lakossági finanszírozás | |||||||||||||||||||||||||||||||||
| 960 | 1.24.3 | fedezett finanszírozás | |||||||||||||||||||||||||||||||||
| 970 | 1.25 | 25 | Teljes finanszírozás | ||||||||||||||||||||||||||||||||
| 980 | 1.25.1 | lakossági finanszírozás | |||||||||||||||||||||||||||||||||
| 990 | 1.25.2 | fedezetlen nem lakossági finanszírozás | |||||||||||||||||||||||||||||||||
| 1000 | 1.25.3 | fedezett finanszírozás | |||||||||||||||||||||||||||||||||
| 1010 | 1.26 | 26 | Teljes finanszírozás | ||||||||||||||||||||||||||||||||
| 1020 | 1.26.1 | lakossági finanszírozás | |||||||||||||||||||||||||||||||||
| 1030 | 1.26.2 | fedezetlen nem lakossági finanszírozás | |||||||||||||||||||||||||||||||||
| 1040 | 1.26.3 | fedezett finanszírozás | |||||||||||||||||||||||||||||||||
| 1050 | 1.27 | 27 | Teljes finanszírozás | ||||||||||||||||||||||||||||||||
| 1060 | 1.27.1 | lakossági finanszírozás | |||||||||||||||||||||||||||||||||
| 1070 | 1.27.2 | fedezetlen nem lakossági finanszírozás | |||||||||||||||||||||||||||||||||
| 1080 | 1.27.3 | fedezett finanszírozás | |||||||||||||||||||||||||||||||||
| 1090 | 1.28 | 28 | Teljes finanszírozás | ||||||||||||||||||||||||||||||||
| 1100 | 1.28.1 | lakossági finanszírozás | |||||||||||||||||||||||||||||||||
| 1110 | 1.28.2 | fedezetlen nem lakossági finanszírozás | |||||||||||||||||||||||||||||||||
| 1120 | 1.28.3 | fedezett finanszírozás | |||||||||||||||||||||||||||||||||
| 1130 | 1.29 | 29 | Teljes finanszírozás | ||||||||||||||||||||||||||||||||
| 1140 | 1.29.1 | lakossági finanszírozás | |||||||||||||||||||||||||||||||||
| 1150 | 1.29.2 | fedezetlen nem lakossági finanszírozás | |||||||||||||||||||||||||||||||||
| 1160 | 1.29.3 | fedezett finanszírozás | |||||||||||||||||||||||||||||||||
| 1170 | 1.30 | 30 | Teljes finanszírozás | ||||||||||||||||||||||||||||||||
| 1180 | 1.30.1 | lakossági finanszírozás | |||||||||||||||||||||||||||||||||
| 1190 | 1.30.2 | fedezetlen nem lakossági finanszírozás | |||||||||||||||||||||||||||||||||
| 1200 | 1.30.3 | fedezett finanszírozás | |||||||||||||||||||||||||||||||||
| 1210 | 1.31 | 31 | Teljes finanszírozás | ||||||||||||||||||||||||||||||||
| 1220 | 1.31.1 | lakossági finanszírozás | |||||||||||||||||||||||||||||||||
| 1230 | 1.31.2 | fedezetlen nem lakossági finanszírozás | |||||||||||||||||||||||||||||||||
| 1240 | 1.31.3 | fedezett finanszírozás | |||||||||||||||||||||||||||||||||
XIX. MELLÉKLET
ÚTMUTATÓ A XVIII. MELLÉKLET TOVÁBBI MONITOROZÁSI ESZKÖZÖKRE VONATKOZÓ TÁBLÁJÁNAK KITÖLTÉSÉHEZ
1. További monitorozási eszközök
1.1. Általános információk
1. Az intézmény likviditásfedezettel és stabil forrásellátottsággal kapcsolatos adatszolgáltatás körén kívül eső likviditási kockázatának monitorozása céljából az intézményeknek az e mellékletben található útmutatóval összhangban ki kell tölteniük a XVIII. mellékletben levő táblát.
2. A teljes finanszírozás a származtatott eszközöktől és rövid pozícióktól eltérő összes pénzügyi kötelezettséget jelenti.
3. A lejárat nélküli forrásokat, beleértve a látra szóló betéteket, egynapos lejáratúnak kell tekinteni.
4. Az eredeti futamidő a kezdeményezés (keletkezés) időpontja és a finanszírozás lejáratának időpontja között eltelt idő. A forrás lejáratának időpontját a XXIII. melléklet 12. pontjának megfelelően kell meghatározni. Ez azt jelenti, hogy opcionalitás esetén, például a XXIII. melléklet 12. pontjánál, a finanszírozás eredeti lejárata rövidebb lehet, mint a kezdeményezése (keletkezése) óta eltelt idő.
5. A hátralévő futamidő az adatszolgáltatási időszak vége és a forrás lejáratának időpontja között eltelt idő. A forrás lejáratának időpontját a XXIII. melléklet 12. pontjának megfelelően kell meghatározni.
6. A súlyozott átlagos eredeti vagy hátralévő futamidő kiszámítása céljából az egy napon belül lejáró betéteket egynapos lejáratúnak kell tekinteni.
7. Az olyan forrás súlyozott átlagos eredeti és hátralévő futamidejének kiszámítása céljából, amely esetében az intézmény partnerére felmondási idő, illetőleg felmondásra vagy lejárat előtti felvételre vonatkozó záradék érvényes, az első lehetséges időpontban történő felvételt kell feltételezni.
8. A lejárat nélküli kötelezettségek esetében - kivéve a XXIII. melléklet 12. pontjában említett opcionalitás hatálya alá tartozókat - rögzített húszéves eredeti és hátralévő futamidőt kell feltételezni.
9. A C 67.00. és a C 68.00. táblákban említett százalékos küszöbérték jelentős pénznemenkénti kiszámításához az intézményeknek valamennyi pénznemben az összes kötelezettség 1 %-ának megfelelő küszöbértéket kell használniuk.
1.2. A finanszírozás koncentrációja partnerenként (C 67.00)
1. Az adatszolgáltató intézmények partnerenkénti finanszírozási koncentrációjára vonatkozó adatokat az intézményeknek a C 67.00-es táblában kell megadniuk az e szakaszban található útmutatónak megfelelően.
2. Az intézményeknek a tábla 1. szakaszának 020-110-es sorában kell feltüntetniük azon tíz legnagyobb partnerüket vagy az 575/2013/EU rendelet 4. cikke (1) bekezdésének 39. pontjában meghatározott, kapcsolatban álló ügyfelek olyan csoportját, amely esetében az egyes partnerektől vagy a kapcsolatban álló ügyfelek csoportjától származó források értéke meghaladja az összes kötelezettség 1 %-ának megfelelő küszöbértéket. Az 1.01. pontban kell feltüntetni azt a partnert vagy kapcsolatban álló ügyfelek csoportját, amelytől az adatszolgáltatás időpontjában az 1 %-os küszöbértéket meghaladó legnagyobb összegű forrás származik, az 1.02. pontban az 1 %-os küszöbértéket meghaladó második legnagyobb összegű forrást biztosító partnert, és így tovább.
3. Amennyiben a partner kapcsolatban álló ügyfelek több csoportjához tartozik, csak egyszer kell feltüntetni abban a csoportban, amelynél a források összege a legnagyobb.
4. Az intézményeknek az összes többi fennmaradó forrás teljes összegét a 2. szakaszban kell megadniuk.
5. Az 1. és 2. szakasz összege megegyezik az adott intézmény által a FINREP pénzügyi adatszolgáltatási keret szerinti mérlegben szerepeltetett összes forrás összegével.
6. Az intézményeknek minden egyes partner esetében ki kell tölteniük a 010-080-as oszlopok mindegyikét.
7. Ha a forráshoz több terméktípusban jutnak hozzá, akkor azt a terméktípust kell feltüntetni, amelyben az intézmény a legnagyobb arányban jutott forráshoz. Az értékpapírok tényleges tulajdonosainak azonosítása a legnagyobb gondosság (best effort) elve alapján történhet. Ha egy intézmény - letétkezelői szerepéből eredően - információval rendelkezik az értékpapírok tulajdonosáról, akkor a partnerkoncentrációval kapcsolatos adatszolgáltatás céljából az adott összeget figyelembe kell vennie. Ha nem áll rendelkezésre információ az értékpapírok tulajdonosáról, akkor a megfelelő összeget nem kell feltüntetni.
8. A tábla egyes oszlopaira vonatkozó útmutató:
| Oszlop | Jogszabályi hivatkozások és útmutató | 
| 010 | A partner neve Minden olyan partner nevét, amelytől az összes kötelezettség 1 %-át meghaladó forrás származik, a 010-es oszlopban kell feltüntetni, a kapott források mértéke szerinti csökkenő sorrendben. A partner nevét attól függetlenül szerepeltetni kell, hogy jogi személy vagy természetes személy. Ha a partner jogi személy, a partner neveként annak a jogi személynek a teljes nevét kell feltüntetni, amelytől a forrás származik, a nemzeti társasági jognak megfelelő társasági forma megjelölésével együtt. | 
| 015 | Kód Ez a kód egy sorazonosító, amely a tábla minden egyes sorát egyedileg azonosítja. | 
| 020 | LEI-kód Ez a kód a partner jogalany-azonosító kódja. Ha egy adott partner rendelkezik LEI-kóddal, akkor ezt a kódot kell feltüntetni a partner azonosítására. | 
| 030 | A partner ágazata Minden egyes partnerhez ágazatot kell rendelni a FINREP gazdasági ágazatai alapján: i. központi bankok; ii. államháztartások; iii. hitelintézetek; iv. egyéb pénzügyi vállalatok; v. nem pénzügyi vállalatok; vi. háztartások. Egymással kapcsolatban álló ügyfelek csoportja esetében nem kell ágazatot feltüntetni. | 
| 040 | A partner székhelye A partner bejegyzése szerinti ország ISO 3166-1 alpha-2 kódját kell használni, ideértve a nemzetközi szervezetek esetében az Eurostat fizetésimérleg-kézikönyvének legújabb kiadásában található pszeudo-ISO kódokat. Kapcsolatban álló ügyfelek csoportjai esetében nem kell országot megadni. | 
| 050 | Terméktípus A 010-es oszlopban feltüntetett partnerekhez az alábbi félkövérrel kiemelt kódok alkalmazásával hozzá kell rendelni egy terméktípust annak a kibocsátott terméknek megfelelően, amelyben az intézmény forráshoz jutott (vegyes terméktípusok esetén azt a terméktípust, amelyben a forrás legnagyobb részéhez jutott): UWF (pénzügyi ügyféltől származó, fedezetlen nem lakossági finanszírozási forrás, többek között bankközi pénz) | 
| UWNF (nem pénzügyi ügyféltől származó, fedezetlen nem lakossági finanszírozási forrás) SFT (az 575/2013/EU rendelet 4. cikke (1) bekezdésének 82. pontjában meghatározott repomegállapodásból származó forrás) CB (az 575/2013/EU rendelet 129. cikkének (4) vagy (5) bekezdésében vagy a 2009/65/EK irányelv 52. cikkének (4) bekezdésében meghatározott fedezettkötvény-kibocsátásból származó forrás) ABS (eszközfedezetű értékpapír, ezen belül eszközfedezetű kereskedelmi értékpapír kibocsátásából származó forrás) IGCP (csoporton belüli partnerektől származó forrás) OSWF (egyéb fedezett nem lakossági finanszírozás) OFP (egyéb finanszírozási termékek, például lakossági finanszírozás) | |
| 060 | Kapott összeg A 010-es oszlopban feltüntetett partnerektől származó források teljes összegét a 060-as oszlopban kell megadni a könyv szerinti értékek feltüntetésével. | 
| 070 | Súlyozott átlagos eredeti futamidő A 060-as oszlopban feltüntetett, a 010-es oszlopban szereplő partnertől származó forrás összegéhez a 070-es oszlopban meg kell adni a forrás súlyozott átlagos eredeti futamidejét (napokban). A súlyozott átlagos eredeti futamidő az adott partnertől származó források napokban kifejezett átlagos eredeti futamideje. Az átlag a források nagyságával súlyozott, és az adott partnertől származó forrás különböző összegeinek és teljes összegének aránya alapján kell kiszámítani. | 
| 080 | Súlyozott átlagos hátralévő futamidő A 060-as oszlopban feltüntetett, a 010-es oszlopban szereplő partnertől származó forrás összegéhez a 080-as oszlopban meg kell adni a forrás súlyozott átlagos hátralévő futamidejét (napokban). A súlyozott átlagos hátralévő futamidő az adott partnertől származó források napokban kifejezett átlagos hátralévő futamideje. Az átlag a források nagyságával súlyozott, és az adott partnertől származó forrás különböző összegeinek és teljes összegének aránya alapján kell kiszámítani. | 
1.3. A finanszírozás koncentrációja terméktípusonként (C 68.00)
1. Ebben a táblában kell megadni az adatot szolgáltató intézmény forrásainak terméktípusonkénti koncentrációjával kapcsolatos adatokat a sorokra vonatkozó alábbi útmutatóban meghatározott finanszírozási típusok szerinti bontásban:
| Sor | Jogszabályi hivatkozások és útmutató | 
| 010 | 1.  Lakossági finanszírozás Az (EU) 2015/61 felhatalmazáson alapuló rendelet 3. cikkének 8. pontjában meghatározott lakossági betétek. | 
| 020 | 1.1.  ebből: látra szóló betét A 010-es sorban feltüntetett lakossági finanszírozásból a látra szóló betétek. | 
| 031 | 1.2.  ebből: a következő 30 napon belül fel nem vehető lekötött betét A 010-es sorban feltüntetett lakossági finanszírozásból azon lekötött betétek, amelyek a következő 30 napon belül nem vehetők fel. | 
| 041 | 1.3.  ebből: a következő 30 napon belül felvehető lekötött betét A 010-es sorban feltüntetett lakossági finanszírozásból azon lekötött betétek, amelyek a következő 30 napon belül felvehetők. | 
| 070 | 1.4.  ebből: a következő jellemzők valamelyikével rendelkező megtakarítási számlák A 010-es sorban feltüntetett lakossági finanszírozásból azon megtakarítási számlák, amelyekre a következők valamelyike jellemző: — a felvételre vonatkozó 30 napnál hosszabb felmondási idő — a felvételre vonatkozó 30 napnál hosszabb felmondási idő nélkül. Ezt a sort nem kell kitölteni. | 
| 080 | 1.4.1.  a felvételre vonatkozó 30 napnál hosszabb felmondási idővel A 010-es sorban feltüntetett lakossági finanszírozásból azon megtakarítási számlák, amelyek felvételre vonatkozó felmondási ideje 30 napnál hosszabb. | 
| 090 | 1.4.2.  a felvételre vonatkozó 30 napnál hosszabb felmondási idő nélkül A 010-es sorban feltüntetett lakossági finanszírozásból a felvételre vonatkozó 30 napnál hosszabb felmondási idő nélkül megtakarítási számlák. | 
| 100 | 2.  Nem lakossági finanszírozásnak tekintendő a következők bármelyike: Valamennyi partner, kivéve az (EU) 2015/61 felhatalmazáson alapuló bizottsági rendelet 3. cikkének 8. pontjában meghatározott lakossági betétekkel rendelkező partnereket. Ezt a sort nem kell kitölteni. | 
| 110 | 2.1.  Fedezetlen nem lakossági finanszírozás Valamennyi partner, amely esetében a forrás fedezetlen, kivéve az (EU) 2015/61 felhatalmazáson alapuló bizottsági rendelet 3. cikkének 8. pontjában meghatározott lakossági betétekkel rendelkezőket. | 
| 120 | 2.1.1.  ebből: pénzügyi ügyfelektől származó kölcsönök és betétek A 110-es sorban feltüntetett finanszírozásból a pénzügyi ügyfelektől származó kölcsönök és betétek. A központi bankoktól származó finanszírozást nem kell feltüntetni ebben a sorban. | 
| 130 | 2.1.2.  ebből: nem pénzügyi ügyfelektől származó kölcsönök és betétek A 110-es sorban feltüntetett finanszírozásból a nem pénzügyi ügyfelektől származó kölcsönök és betétek. A központi bankoktól származó finanszírozást nem kell feltüntetni ebben a sorban. | 
| 140 | 2.1.3.  ebből: csoporton belüli jogalanyoktól származó kölcsönök és betétek A 110-es sorban feltüntetett finanszírozásból a csoporton belüli jogalanyoktól származó kölcsönök és betétek. A csoporton belüli jogalanyoktól származó nem lakossági finanszírozást csak egyedi vagy szubkonszolidált alapon kell jelenteni. | 
| 150 | 2.2.  Fedezett nem lakossági finanszírozás Valamennyi partner, amely esetében a forrás fedezett, kivéve az (EU) 2015/61 felhatalmazáson alapuló bizottsági rendelet 3. cikkének 8. pontjában meghatározott lakossági betétekkel rendelkezőket. | 
| 160 | 2.2.1.  ebből: értékpapír-finanszírozási ügylet A 150-es sorban feltüntetett finanszírozásból az a forrás, amely az 575/2013/EU rendelet 4. cikke (1) bekezdésének 82. pontjában meghatározott repomegállapodásokból származik. | 
| 170 | 2.2.2.  ebből: fedezett kötvény kibocsátása A 150-es sorban feltüntetett finanszírozásból az a forrás, amely az 575/2013/EU rendelet 129. cikkének (4) vagy (5) bekezdésében vagy a 2009/65/EK irányelv 52. cikkének (4) bekezdésében meghatározott fedezettkötvény-kibocsátásból származik. | 
| 180 | 2.2.3.  ebből: eszközfedezetű értékpapír kibocsátása A 150-es sorban feltüntetett finanszírozásból az a forrás, amely eszközfedezetű kereskedelmi értékpapír kibocsátásából származik, beleértve az eszközfedezetű kereskedelmi értékpapírokat. | 
| 190 | 2.2.4.  ebből: csoporton belüli jogalanyoktól származó kölcsönök és betétek A 150-es sorban feltüntetett finanszírozásból az a forrás, amely csoporton belüli jogalanyoktól származik. A csoporton belüli jogalanyoktól származó nem lakossági finanszírozást csak egyedi vagy szubkonszolidált alapon kell jelenteni. | 
2. E tábla kitöltésekor az intézményeknek fel kell tüntetniük valamennyi olyan terméktípusból származó forrás teljes összegét, amelynél a kapott forrás meghaladja az összes kötelezettség 1 %-ának megfelelő küszöbértéket.
3. Az intézményeknek minden egyes terméktípusra vonatkozóan ki kell tölteniük a 010-050-es oszlopok mindegyikét.
4. Az összes kötelezettség 1 %-ában kifejezett küszöbértéket a következőknek megfelelően kell alkalmazni azon terméktípusok meghatározására, amelyekből forrás származik:
a) az összes kötelezettség 1 %-ában kifejezett küszöbértéket az összes alábbi sorban említett terméktípusra alkalmazni kell: 1.1. "Látra szóló betét"; 1.2. "A következő 30 napon belül fel nem vehető lekötött betét"; 1.3. "A következő 30 napon belül felvehető lekötött betét"; 1.4. "Megtakarítási számla"; 2.1. "Fedezetlen nem lakossági finanszírozás"; 2.2. "Fedezett nem lakossági finanszírozás";
b) az 1.4. sor ("Megtakarítási számla") tekintetében az összes kötelezettség 1 %-ában kifejezett küszöbérték kiszámításakor a küszöbérték az 1.4.1. és 1.4.2. sor összegére alkalmazandó;
c) az 1. sor ("Lakossági finanszírozás") és a 2. sor ("Nem lakossági finanszírozás") tekintetében az összes kötelezettség 1 %-ában kifejezett küszöbérték csak aggregált szinten alkalmazandó.
5. Az 1. sorban ("Lakossági finanszírozás"), a 2.1. sorban ("Fedezetlen nem lakossági finanszírozás") és a 2.2. sorban ("Fedezett nem lakossági finanszírozás") megadott adatok terméktípusok szélesebb körét tartalmazhatják, mint az "ebből" tételek.
6. A tábla egyes oszlopaira vonatkozó útmutató:
| Oszlop | Jogszabályi hivatkozások és útmutató | 
| 010 | Kapott könyv szerinti érték A „Termék neve” oszlopban felsorolt egyes termékkategóriákból származó források könyv szerinti összegét a tábla 010-es oszlopában kell megadni. | 
| 020 | A 2014/49/EU irányelv szerinti betétbiztosítási rendszer vagy harmadik ország azzal egyenértékű betétbiztosítási rendszere által biztosított összeg A „Termék neve” oszlopban felsorolt egyes termékkategóriákból származó, a 010-es oszlopban feltüntetett források teljes összegéből a 2014/49/EU irányelv szerinti betétbiztosítási rendszer vagy harmadik ország azzal egyenértékű betétbiztosítási rendszere által biztosított összeg. Megjegyzés: a „Termék neve” oszlopban felsorolt egyes termékkategóriákból származó források 020-as és 030-as oszlopban megadott összegeinek meg kell egyezniük a 010-es oszlopban szereplő teljes kapott összeggel. | 
| 030 | A 2014/49/EU irányelv szerinti betétbiztosítási rendszer vagy harmadik ország azzal egyenértékű betétbiztosítási rendszere által nem biztosított összeg A „Termék neve” oszlopban felsorolt egyes termékkategóriákból származó, a 010-es oszlopban feltüntetett források teljes összegéből a 2014/49/EU irányelv szerinti betétbiztosítási rendszer vagy harmadik ország azzal egyenértékű betétbiztosítási rendszere által nem biztosított összeg. Megjegyzés: a „Termék neve” oszlopban felsorolt egyes termékkategóriákból származó források 020-as és 030-as oszlopban megadott összegeinek meg kell egyezniük a 010-es oszlopban szereplő teljes kapott összeggel. | 
| 040 | Súlyozott átlagos eredeti futamidő A „Termék neve” oszlopban felsorolt termékkategóriákból származó, a 010-es oszlopban feltüntetett forrás összegéhez a 040-es oszlopban meg kell adni a forrás súlyozott átlagos eredeti futamidejét (napokban). A súlyozott átlagos eredeti futamidő az adott terméktípus kibocsátásából származó források napokban kifejezett átlagos eredeti futamideje. Az átlag a források nagyságával súlyozott, és a kapott forrás különböző összegeinek az adott terméktípus valamennyi kibocsátásából származó teljes finanszírozáshoz viszonyított aránya alapján kell kiszámítani. | 
| 050 | Súlyozott átlagos hátralévő futamidő A „Termék neve” oszlopban felsorolt termékkategóriákból származó, a 010-es oszlopban feltüntetett forrás összegéhez a 050-es oszlopban meg kell adni a forrás súlyozott átlagos hátralévő futamidejét (napokban). A súlyozott átlagos hátralévő futamidő az adott terméktípus kibocsátásából származó források napokban kifejezett átlagos hátralévő futamideje. Az átlag a források nagyságával súlyozott, és a kapott forrás különböző összegeinek az adott terméktípus valamennyi kibocsátásából származó teljes finanszírozáshoz viszonyított aránya alapján kell kiszámítani. | 
1.4. Árazás különböző finanszírozási futamidők esetén (C 69.00)
1. Az intézményeknek a C 69.00-es táblában kell megadniuk az ügyleti volument és az intézmények által az adatszolgáltatási időszakban kapott és az adatszolgáltatási időszakban még fennálló finanszírozásért fizetett árakat az alábbi eredeti futamidők szerint:
a) egynapos (010-es és 020-as oszlop);
b) egynaposnál hosszabb, de legfeljebb 1 hét (030-as és 040-es oszlop);
c) 1 hétnél hosszabb, de legfeljebb 1 hónap (050-es és 060-as oszlop);
d) 1 hónapnál hosszabb, de legfeljebb 3 hónap (070-es és 080-as oszlop);
e) 3 hónapnál hosszabb, de legfeljebb 6 hónap (090-es és 100-as oszlop);
f) 6 hónapnál hosszabb, de legfeljebb 1 év (110-es és 120-as oszlop);
g) 1 évnél hosszabb, de legfeljebb 2 év (130-as és 140-es oszlop);
h) 2 évnél hosszabb, de legfeljebb 5 év (150-es és 160-as oszlop);
i) 5 évnél hosszabb, de legfeljebb 10 év (170-es és 180-as oszlop).
2. A kapott forrás lejáratának megállapításakor az intézményeknek figyelmen kívül kell hagyniuk az üzletkötési nap és az elszámolási nap közötti időszakot, pl. egy két hét múlva teljesített három hónapos kötelezettséget három hónapos lejárattal (070-es és 080-as oszlop) kell szerepeltetni.
3. Az egyes lejárati sávok bal oldali oszlopában az alábbiak szerinti felárat kell megadni:
a) az intézmény által a legfeljebb egyéves futamidejű kötelezettségek után fizetendő felár, ha azokat legkésőbb az ügylet napjának végén a megfelelő pénznem egynapos referenciaindexére cserélték volna;
b) a vállalkozás által az egy évet meghaladó eredeti futamidejű kötelezettségek után kibocsátáskor fizetendő felár, ha azokat legkésőbb az ügylet napjának végén a megfelelő pénznem referenciaindexére cserélnék, amely a háromhavi EURIBOR (EUR), illetve LIBOR (GBP és USD).
Kizárólag az a) és b) pont szerinti felár kiszámítása céljából az intézmények az eredeti futamidőt meghatározhatják korábbi tapasztalatok alapján, adott esetben opcionalitás figyelembevételével vagy anélkül.
4. A felárat bázispontban kell megadni, negatív előjellel abban az esetben, ha az új finanszírozás olcsóbb, mint a releváns referenciaindexszel számított. A felárakat súlyozott átlag alapján kell kiszámítani.
5. A több kibocsátásra/betétre/kölcsönre vonatkozó, fizetendő átlagos felár meghatározásához az intézményeknek a teljes költséget a kibocsátás pénznemében kell kiszámítaniuk, amelynek során figyelmen kívül kell hagyniuk valamennyi határidős devizacsere-ügyletet, viszont figyelembe kell venniük a fizetett, illetve kapott felárakat, engedményeket és díjakat, azt alapul véve, hogy az elméleti vagy tényleges kamatcsereügyletek futamidejének meg kell egyeznie a kötelezettség futamidejével. A felár a kötelezettség kamatlábának a határidős csereügylet kamatlábával csökkentett értéke.
6. A "Tétel" oszlopban felsorolt finanszírozási kategóriákban kapott források összegét a megfelelő lejárati sáv "Volumen" oszlopában kell megadni.
7. A "Volumen" oszlopban az intézménynek a kapott új finanszírozás könyv szerinti értékét kell megadnia az eredeti futamidő szerint alkalmazandó lejárati sávban.
8. Mint minden tétel, így a mérlegen kívüli kötelezettségvállalások esetében is az intézménynek csak a mérlegben megjelenített kapcsolódó összegeket kell megadnia. Az intézménynek biztosított mérlegen kívüli kötelezettségvállalást csak lehívás után kell megadni a C 69.00-es táblában. Lehívás esetén a jelentendő volumen és felár a lehívott összeg és az alkalmazandó felár az adatszolgáltatási időszak végén. Amennyiben a lehívás nem újítható meg az intézmény mérlegelési jogkörén belül, a lehívás tényleges lejáratát kell megadni. Amennyiben az intézmény már az előző adatszolgáltatási időszak végén lehívta a keretet, és amennyiben ezt követően megemeli a keret igénybevételét, csak a további lehívott összegeket kell jelenteni.
9. A lakossági ügyfelek által elhelyezett betétek az (EU) 2015/61 felhatalmazáson alapuló rendelet 3. cikkének 8. pontjában meghatározott betéteket tartalmazzák.
10. Az adatszolgáltatási időszakban megújított és az adatszolgáltatási időszak végén még fennálló finanszírozás esetében az ebben az időpontban (vagyis az adatszolgáltatási időszak végén) alkalmazandó felárak átlagát kell feltüntetni. A C 69.00-es tábla céljából a megújított és az adatszolgáltatási időszak végén még fennálló finanszírozást új finanszírozásnak kell tekinteni.
11. Az 1.4. szakasz további részétől eltérve a látra szóló betétek volumenét és felárát csak akkor kell megadni, ha a betétesnek a megelőző adatszolgáltatási időszakban nem volt látra szóló betéte, vagy ha az előző vonatkozási időponthoz képest a betét összege növekedett, amely esetben a növekményt kell új finanszírozásként kezelni. A felár az időszak végén érvényes felár.
12. Ha nincs szerepeltethető adat, a felárra vonatkozó cellákat üresen kell hagyni.
13. A tábla egyes soraira vonatkozó útmutató:
| Sor | Jogszabályi hivatkozások és útmutató | 
| 010 | 1.  Teljes finanszírozás Az összes kapott forrás teljes volumenét és súlyozott átlagos felárát a következőknek megfelelően kell megadni az alábbi futamidőkre vonatkozóan: a) egynapos (010-es és 020-as oszlop); b) egynaposnál hosszabb, de legfeljebb 1 hét (030-as és 040-es oszlop) c) 1 hétnél hosszabb, de legfeljebb 1 hónap (050-es és 060-as oszlop); d) 1 hónapnál hosszabb, de legfeljebb 3 hónap (070-es és 080-as oszlop); e) 3 hónapnál hosszabb, de legfeljebb 6 hónap (090-es és 100-as oszlop); f) 6 hónapnál hosszabb, de legfeljebb 1 év (110-es és 120-as oszlop); g) 1 évnél hosszabb, de legfeljebb 2 év (130-as és 140-es oszlop); h) 2 évnél hosszabb, de legfeljebb 5 év (150-es és 160-as oszlop); i) 5 évnél hosszabb, de legfeljebb 10 év (170-es és 180-as oszlop). | 
| 020 | 1.1  ebből: lakossági finanszírozás Az 1. tételben feltüntetett összes finanszírozási forrásból a gyűjtött lakossági finanszírozás teljes volumene és súlyozott átlagos felára. | 
| 030 | 1.2  ebből: fedezetlen nem lakossági finanszírozás Az 1. tételben feltüntetett összes finanszírozási forrásból a kapott fedezetlen nem lakossági finanszírozás teljes volumene és súlyozott átlagos felára. | 
| 040 | 1.3  ebből: fedezett finanszírozás Az 1. tételben feltüntetett összes finanszírozási forrásból a kapott fedezett finanszírozás teljes volumene és súlyozott átlagos felára. | 
| 050 | 1.4  ebből: előresorolt (szenior) fedezetlen értékpapírok Az 1. tételben feltüntetett összes finanszírozási forrásból az előre sorolt fedezetlen értékpapírok teljes volumene és súlyozott átlagos felára. | 
| 060 | 1.5  ebből: fedezett kötvények Az 1. tételben feltüntetett összes finanszírozási forrásból az intézmény saját eszközeit terhelő fedezettkötvény-kibocsátás teljes volumene és súlyozott átlagos felára. | 
| 070 | 1.6  ebből: eszközfedezetű értékpapírok, többek között eszközfedezetű kereskedelmi értékpapírok Az 1. tételben feltüntetett összes finanszírozási forrásból a kibocsátott eszközfedezetű értékpapírok, többek között az eszközfedezetű kereskedelmi értékpapírok teljes volumene és súlyozott átlagos felára. | 
1.5. Megújított finanszírozás (C 70.00)
1. Ebben a táblában az adatszolgáltatási időpontot megelőző hónapra vonatkozó napi információkat kell megadni a lejáró források és a kapott új források volumenéről, vagyis a finanszírozás megújításáról.
2. Az intézményeknek az összes alábbi lejárati sávban meg kell adniuk a lejáró finanszírozást naptári napokban, az eredeti futamidő szerint:
a) egynapos (010-040-es oszlop);
b) 1 nap és 7 nap között (050-080-as oszlop);
c) 7 nap és 14 nap között (090-120-as oszlop);
d) 14 nap és 1 hónap között (130-160-as oszlop);
e) 1 hónap és 3 hónap között (170-200-as oszlop);
f) 3 hónap és 6 hónap között (210-240-es oszlop);
g) 6 hónapon túl lejáró (250-280-as oszlop).
3. A fenti 2. pontban megadott egyes lejárati sávokban a lejáró összeget a bal oldali oszlopban, a megújított finanszírozás összegét a "Megújított" oszlopban, a kapott új finanszírozást az "Új finanszírozás" oszlopban, továbbá az egyrészt az új finanszírozás összege, másrészt a megújított finanszírozás lejáró finanszírozással csökkentett összege közötti nettó különbözetet pedig a jobb oldali oszlopban kell megadni.
4. Az összes "Nettó" oszlop összegeként (040-es + 080-as + 120-as + 160-as + 200-as + 240-es + 280-as oszlop) kiszámított teljes nettó pénzáramlást a 290-es oszlopban kell megadni.
5. A 300-as oszlopban a lejáró finanszírozás átlagos futamidejét kell feltüntetni napokban.
6. A 310-es oszlopban a megújított finanszírozás átlagos futamidejét kell feltüntetni napokban.
7. A 320-as oszlopban az új finanszírozás átlagos futamidejét kell feltüntetni napokban.
8. A "Lejáró" összeg az összes olyan kötelezettséget tartalmazza, amelyet a forrás nyújtója az adatszolgáltatási időszak megfelelő napján szerződés alapján visszavonhat, vagy amely az említett napon esedékes. Ezt mindig pozitív előjellel kell feltüntetni.
9. A "Megújított" összeg a 2. és a 3. pont szerinti olyan lejáró összeget tartalmazza, amely az adatszolgáltatási időszak megfelelő napján az intézménynél marad. Ezt mindig pozitív előjellel kell feltüntetni. Amennyiben a finanszírozás futamideje a megújítás miatt változott, a megújítás összegét az új lejáratnak megfelelő lejárati sávban kell megadni.
10. Az "Új finanszírozás" összeg a tényleges forrásbeáramlás az adatszolgáltatási időszak megfelelő napján. Ezt mindig pozitív előjellel kell feltüntetni.
11. A "Nettó" összeg a forrásokban bekövetkezett változás az eredeti futamidő egy meghatározott idősávjában az adatszolgáltatási időszak megfelelő napján; ezt az összeget úgy kell kiszámítani, hogy a "Nettó" oszlopban összegezni kell az új finanszírozást a lejáró finanszírozás összegével csökkentett megújított finanszírozással.
12. A tábla egyes oszlopaira vonatkozó útmutató:
| Oszlop | Jogszabályi hivatkozások és útmutató | 
| 010–040 | Egynapos Az adatszolgáltatási időszak megfelelő napján lejáró, egynapos eredeti futamidejű finanszírozás teljes összegét a 010-es oszlop 1.1–1.31-es sorában kell megadni. A 31-nél kevesebb napból álló hónapok, valamint a hétvégék esetében a nem releváns sorokat üresen kell hagyni. Az adatszolgáltatási időszak megfelelő napján megújított, egynapos eredeti futamidejű finanszírozás teljes összegét a 020-as oszlop 1.1–1.31-es sorában kell megadni. Az adatszolgáltatási időszak megfelelő napján kapott, egynapos eredeti futamidejű új finanszírozás teljes összegét a 030-as oszlop 1.1–1.31-es sorában kell megadni. Az egyrészről a lejáró napi finanszírozás összege, másrészről a megújított finanszírozás kapott új napi finanszírozással növelt összege közötti nettó különbözetet a 040-es oszlop 1.1–1.31. sorában kell feltüntetni. | 
| 050–080 | > 1 nap ≤ 7 nap Az egy nap és egy hét közötti eredeti futamidejű, az adatszolgáltatási időszak megfelelő napján lejáró finanszírozás teljes összegét az 050-es oszlop 1.1–1.31-es sorában kell megadni. A 31-nél kevesebb napból álló hónapok, valamint a hétvégék esetében a nem releváns sorokat üresen kell hagyni. Az egy nap és egy hét közötti eredeti futamidejű, az adatszolgáltatási időszak megfelelő napján megújított finanszírozás teljes összegét a 060-as oszlop 1.1–1.31-es sorában kell megadni. Az egy nap és egy hét közötti eredeti futamidejű, az adatszolgáltatási időszak megfelelő napján kapott új finanszírozás teljes összegét a 70-es oszlop 1.1–1.31-es sorában kell megadni. Az egyrészről a lejáró finanszírozás összege, másrészről a megújított finanszírozás kapott új finanszírozással növelt összege közötti nettó különbözetet a 080-as oszlop 1.1–1.31-es sorában kell feltüntetni. | 
| 090–120 | > 7 nap ≤ 14 nap Az egy hét és két hét közötti eredeti futamidejű, az adatszolgáltatási időszak megfelelő napján lejáró finanszírozás teljes összegét a 090-es oszlop 1.1–1.31-es sorában kell megadni. A 31-nél kevesebb napból álló hónapok, valamint a hétvégék esetében a nem releváns sorokat üresen kell hagyni. Az egy hét és két hét közötti eredeti futamidejű, az adatszolgáltatási időszak megfelelő napján megújított finanszírozás teljes összegét a 100-as oszlop 1.1–1.31-es sorában kell megadni. Az egy hét és két hét közötti eredeti futamidejű, az adatszolgáltatási időszak megfelelő napján kapott új finanszírozás teljes összegét a 110-es oszlop 1.1–1.31-es sorában kell megadni. Az egyrészről a lejáró finanszírozás összege, másrészről a megújított finanszírozás kapott új finanszírozással növelt összege közötti nettó különbözetet a 120-as oszlop 1.1–1.31-es sorában kell feltüntetni. | 
| 130–160 | > 14 nap ≤ 1 hónap A két hét és egy hónap közötti eredeti futamidejű, az adatszolgáltatási időszak megfelelő napján lejáró finanszírozás teljes összegét a 130-as oszlop 1.1–1.31-es sorában kell megadni. A 31-nél kevesebb napból álló hónapok, valamint a hétvégék esetében a nem releváns sorokat üresen kell hagyni. A két hét és egy hónap közötti eredeti futamidejű, az adatszolgáltatási időszak megfelelő napján megújított finanszírozás teljes összegét a 140-es oszlop 1.1–1.31-es sorában kell megadni. A két hét és egy hónap közötti eredeti futamidejű, az adatszolgáltatási időszak megfelelő napján kapott új finanszírozás teljes összegét a 150-es oszlop 1.1–1.31-es sorában kell megadni. Az egyrészről a lejáró finanszírozás összege, másrészről a megújított finanszírozás kapott új finanszírozással növelt összege közötti nettó különbözetet a 160-as oszlop 1.1–1.31-es sorában kell feltüntetni. | 
| 170–200 | > 1 hónap ≤ 3 hónap Az egy hónap és három hónap közötti eredeti futamidejű, az adatszolgáltatási időszak megfelelő napján lejáró finanszírozás teljes összegét a 170-es oszlop 1.1–1.31-es sorában kell megadni. A 31-nél kevesebb napból álló hónapok, valamint a hétvégék esetében a nem releváns sorokat üresen kell hagyni. Az egy hónap és három hónap közötti eredeti futamidejű, az adatszolgáltatási időszak megfelelő napján megújított finanszírozás teljes összegét a 180-as oszlop 1.1–1.31-es sorában kell megadni. Az egy hónap és három hónap közötti eredeti futamidejű, az adatszolgáltatási időszak megfelelő napján kapott új finanszírozás teljes összegét a 190-es oszlop 1.1–1.31-es sorában kell megadni. Az egyrészről a lejáró finanszírozás összege, másrészről a megújított finanszírozás kapott új finanszírozással növelt összege közötti nettó különbözetet a 200-as oszlop 1.1–1.31-es sorában kell feltüntetni. | 
| 210–240 | > 3 hónap ≤ 6 hónap A három hónap és hat hónap közötti eredeti futamidejű, az adatszolgáltatási időszak megfelelő napján lejáró finanszírozás teljes összegét a 210-es oszlop 1.1–1.31-es sorában kell megadni. A 31-nél kevesebb napból álló hónapok, valamint a hétvégék esetében a nem releváns sorokat üresen kell hagyni. A három hónap és hat hónap közötti eredeti futamidejű, az adatszolgáltatási időszak megfelelő napján megújított finanszírozás teljes összegét a 220-as oszlop 1.1–1.31-es sorában kell megadni. A három hónap és hat hónap közötti eredeti futamidejű, az adatszolgáltatási időszak megfelelő napján kapott új finanszírozás teljes összegét a 230-as oszlop 1.1–1.31-es sorában kell megadni. Az egyrészről a lejáró finanszírozás összege, másrészről a megújított finanszírozás kapott új finanszírozással növelt összege közötti nettó különbözetet a 240-as oszlop 1.1–1.31-es sorában kell feltüntetni. | 
| 250–280 | > 6 hónap A hat hónapot meghaladó eredeti futamidejű, az adatszolgáltatási időszak megfelelő napján lejáró finanszírozás teljes összegét a 250-es oszlop 1.1–1.31-es sorában kell megadni. A 31-nél kevesebb napból álló hónapok, valamint a hétvégék esetében a nem releváns sorokat üresen kell hagyni. A hat hónapot meghaladó eredeti futamidejű, az adatszolgáltatási időszak megfelelő napján megújított finanszírozás teljes összegét a 260-as oszlop 1.1–1.31-es sorában kell megadni. A hat hónapot meghaladó eredeti futamidejű, az adatszolgáltatási időszak megfelelő napján kapott új finanszírozás teljes összegét a 270-es oszlop 1.1–1.31-es sorában kell megadni. Az egyrészről a lejáró finanszírozás összege, másrészről a megújított finanszírozás kapott új finanszírozással növelt összege közötti nettó különbözetet a 280-as oszlop 1.1–1.31-es sorában kell feltüntetni. | 
| 290 | Teljes nettó pénzáramlás A 040-es, 080-as, 120-as, 160-as, 200-as, 240-es, 280-as „Nettó” oszlopok összegeként kiszámított teljes nettó pénzáramlást a 290-es oszlopban kell megadni. | 
| 300–320 | Átlagos futamidő (nap) A 300-as oszlopban az összes lejáró finanszírozás súlyozott átlagos futamidejét kell feltüntetni napokban. A 310-es oszlopban az összes megújított finanszírozás súlyozott átlagos futamidejét, a 320-as oszlopban pedig az összes új finanszírozás súlyozott átlagos futamidejét kell feltüntetni napokban. | 
XX. MELLÉKLET
KIEGYENSÚLYOZÓ KAPACITÁSRA VONATKOZÓ ADATSZOLGÁLTATÁS
| AMM-TÁBLÁK | ||
| Tábla száma | Tábla kódja | Tábla / táblacsoport megnevezése | 
| A KIEGYENSÚLYOZÓ KAPACITÁS KONCENTRÁCIÓJÁRA VONATKOZÓ TÁBLA | ||
| 71 | C 71.00 | A KIEGYENSÚLYOZÓ KAPACITÁS KONCENTRÁCIÓJA KIBOCSÁTÓNKÉNT | 
C 71.00 - A KIEGYENSÚLYOZÓ KAPACITÁS KONCENTRÁCIÓJA KIBOCSÁTÓNKÉNT
Összesen és jelentős pénznemek
| A kiegyensúlyozó kapacitás koncentrációja kibocsátónként | ||||||||||
| Kibocsátó | LEI-kód | Kibocsátó ágazata | Kibocsátó székhelye | Terméktípus | Pénznem | Hitelminőségi besorolás | Piaci érték/névérték | Központi bank által elfogadható biztosítéki érték | ||
| Sor | Azonosító | 010 | 020 | 030 | 040 | 050 | 060 | 070 | 080 | 090 | 
| 010 | 1. A 10 LEGFŐBB KIBOCSÁTÓ | |||||||||
| 020 | 1.01 | |||||||||
| 030 | 1.02 | |||||||||
| 040 | 1.03 | |||||||||
| 050 | 1.04 | |||||||||
| 060 | 1.05 | |||||||||
| 070 | 1.06 | |||||||||
| 080 | 1.07 | |||||||||
| 090 | 1.08 | |||||||||
| 100 | 1.09 | |||||||||
| 110 | 1.10 | |||||||||
| 120 | 2. VALAMENNYI EGYÉB, KIEGYENSÚLYOZÓ KAPACITÁSKÉNT FIGYELEMBE VEHETŐ TÉTEL | |||||||||
XXI. MELLÉKLET
ÚTMUTATÓ A XX. MELLÉKLETBEN TALÁLHATÓ, A KIEGYENSÚLYOZÓ KAPACITÁS KONCENTRÁCIÓJÁRA VONATKOZÓ TÁBLA (C 71.00) KITÖLTÉSÉHEZ
A kiegyensúlyozó kapacitás kibocsátónkénti/partnerenkénti koncentrációja (CCC) (C 71.00)
1. Az adatot szolgáltató intézmény kiegyensúlyozó kapacitásának koncentrációjára vonatkozó, a tíz legnagyobb eszközállomány vagy az intézmény rendelkezésére bocsátott likviditási hitelkeret alapján bontott adatoknak a C 71.00-es táblában történő megadásához az intézményeknek az e mellékletben található útmutatót kell alkalmazniuk.
2. Amennyiben egy kibocsátóhoz vagy partnerhez egynél több terméktípus, pénznem vagy hitelminőségi besorolás tartozik, a teljes összeget kell megadni. Itt a kiegyensúlyozó kapacitás koncentrációjának legnagyobb részét kitevő terméktípust, pénznemet vagy hitelminőségi besorolást kell feltüntetni.
3. A C 71.00-es táblában megadott kiegyensúlyozó kapacitásnak meg kell egyeznie a C 66.01-es táblában feltüntetett adattal, azzal a fenntartással, hogy a C 71.00-es táblában kiegyensúlyozó kapacitásként jelentett eszközöknek meg nem terhelt eszközöknek kell lenniük, amelyek az intézmény rendelkezésére állnak, hogy azokat az adatszolgáltatási vonatkozási időpontban készpénzre válthassa.
4. A C 71.00-es adatszolgáltatási táblában feltüntetendő, jelentős pénznemek szerinti koncentrációk kiszámításához az intézményeknek az összes pénznemben megállapított koncentrációt kell használniuk.
5. Amennyiben egy kibocsátó vagy partner egymással kapcsolatban álló ügyfelek több csoportjához tartozik, csak egyszer kell jelenteni abban a csoportban, amelyik esetében nagyobb a kiegyensúlyozó kapacitás koncentrációja.
6. Amennyiben a kibocsátó vagy partner központi bank, a kiegyensúlyozó kapacitás hozzá tartozó koncentrációját nem kell jelenteni ebben a táblában, csak a 120-as sorban. Abban az esetben, ha egy intézmény valamely központi banknál standard likviditási műveletek céljából előzetesen rendelkezésre bocsátott eszközökkel rendelkezik, és amennyiben ezek az eszközök a meg nem terhelt kiegyensúlyozó kapacitás tíz legfőbb kibocsátója vagy partnere alá tartoznak, az intézmény az eredeti kibocsátót és az eredeti terméktípust tünteti fel.
| Oszlop | Jogszabályi hivatkozások és útmutató | 
| 010 | Kibocsátó neve Az intézmény részére meg nem terhelt eszközöket kibocsátó, illetve le nem hívott, folyósítási kötelezettséget tartalmazó likviditási hitelkeretet rendelkezésre tartó tíz legfőbb kibocsátó vagy partner nevét a 010-es oszlopban csökkenő sorrendben kell feltüntetni. A legnagyobb tételt az 1.01-es, a sorrendben utána következőt az 1.02-es sorban kell megadni, és így tovább.Az egymással kapcsolatban álló ügyfelek csoportját alkotó kibocsátókat és partnereket egyetlen koncentrációként kell megadni. A kibocsátó vagy a partner neveként annak a jogi személynek a teljes nevét kell feltüntetni, amely az eszközöket kibocsátotta, illetőleg a likviditási hitelkereteket nyújtotta, a nemzeti társasági jognak megfelelő társasági forma megjelölésével együtt. | 
| 020 | LEI-kód Ez a kód a partner jogalany-azonosító kódja. | 
| 030 | Kibocsátó ágazata Minden kibocsátóhoz vagy partnerhez ágazatot kell rendelni a FINREP gazdasági ágazatai alapján: i. államháztartások; ii. hitelintézetek; iii. egyéb pénzügyi vállalatok; iv. nem pénzügyi vállalatok; v. háztartások. Egymással kapcsolatban álló ügyfelek csoportja esetében nem kell ágazatot feltüntetni. | 
| 040 | Kibocsátó székhelye A kibocsátó vagy partner bejegyzése szerinti ország ISO 3166-1 alpha-2 kódját kell alkalmazni, ideértve a nemzetközi szervezetek esetében az Eurostat fizetésimérleg kézikönyvének legújabb kiadásában található pszeudo-ISO kódokat. Kapcsolatban álló ügyfelek csoportjai esetében nem kell országot megadni. | 
| 050 | Terméktípus A 010-es oszlopban feltüntetett kibocsátókhoz/partnerekhez terméktípust kell rendelni annak a terméknek megfelelően, amelyben az intézmény az eszközt tartja, vagy amelyben a készenléti likviditási hitelkeretet a rendelkezésére bocsátották, az alábbi félkövérrel kiemelt kódok alkalmazásával: SrB (előresorolt kötvény) SubB (alárendelt kötvény) CP (kereskedelmi értékpapír) CB (fedezett kötvény) US (ÁÉKBV-értékpapír, azaz átruházható értékpapírokkal foglalkozó kollektív befektetési vállalkozásban meglévő részesedést megtestesítő vagy ilyen vállalkozás által kibocsátott pénzügyi instrumentum) ABS (eszközfedezetű értékpapír) CrCl (hitelkövetelés) Eq (részvény) Arany (amennyiben fizikailag létező arany, amely egyetlen partnerként kezelhető) LiqL (az intézmény rendelkezésére tartott, le nem hívott, folyósítási kötelezettséget tartalmazó likviditási hitelkeret) OPT (egyéb terméktípus) | 
| 060 | Pénznem A 010-es oszlopban feltüntetett kibocsátókhoz vagy partnerekhez a 060-as oszlopban ISO-pénznemkódot kell rendelni a kapott eszköz vagy az intézmény rendelkezésére tartott, le nem hívott, folyósítási kötelezettséget tartalmazó likviditási hitelkeret pénznemének megfelelően. Az ISO 4217 szerinti hárombetűs pénznemkódot kell megadni. Amennyiben a kiegyensúlyozó kapacitás koncentrációjához többdevizás hitelkeret is tartozik, a keretet abban a pénznemben kell figyelembe venni, amely a koncentráció fennmaradó részében meghatározó. Az 575/2013/EU rendelet 415. cikkének (2) bekezdésében meghatározott, a jelentős pénznemekre vonatkozó külön adatszolgáltatás tekintetében az intézmények értékelik a pénznemet, amelyben az áramlásra várhatóan sor kerül, és a tételt csak ebben a jelentős pénznemben adják meg, összhangban az LCR jelentős pénznemekben való külön adatszolgáltatásra vonatkozó utasításaival, az (EU) 2016/322 rendeletnek megfelelően. | 
| 070 | Hitelminőségi besorolás Az 575/2013/EU rendelet szerinti megfelelő hitelminőségi besorolást kell megadni, amelynek meg kell egyeznie a tételek lejárati összhang táblában megadott hitelminőségi besorolásával. Amennyiben nincs minősítés, a „nem minősített” kategóriát kell megadni. | 
| 080 | Piaci érték/névérték Az eszközök piaci értéke vagy valós értéke, illetve – adott esetben – az intézménynek nyújtott, le nem hívott likviditási hitelkeret névértéke. | 
| 090 | Központi bank által elfogadható biztosítéki érték Az adott eszközöknek a jegybanki rendelkezésre állás szabályai szerint megállapított biztosítéki értéke. Az (EU) 2015/233 rendeletben szereplő olyan pénznemben denominált eszközök esetében, amelynek tekintetében rendkívül szűk a központi bank által elfogadható fedezetek köre, a mezőt üresen kell hagyni. | 
XXII. MELLÉKLET
AMM LEJÁRATI TÁBLÁRA VONATKOZÓ ADATSZOLGÁLTATÁS
| AMM-TÁBLÁK | ||
| Tábla száma | Tábla kódja | Tábla / táblacsoport megnevezése | 
| A LEJÁRATI ÖSSZHANG TÁBLÁHOZ TARTOZÓ TÁBLA | ||
| 66 | C 66.01 | A LEJÁRATI ÖSSZHANG TÁBLÁHOZ TARTOZÓ TÁBLA | 
C 66.01 - LEJÁRATI ÖSSZHANG TÁBLA
Összesen és jelentős pénznemek
| Kód | Azonosító | Tétel | Szerződéses pénzáramlás lejárata | |||||||||||||||||||||
| 010 | 020 | 030 | 040 | 050 | 060 | 070 | 080 | 090 | 100 | 110 | 120 | 130 | 140 | 150 | 160 | 170 | 180 | 190 | 200 | 210 | 220 | |||
| 010-380 | 1 | KIÁRAMLÁSOK | Egynapos | > 1 nap =< 2 nap | > 2 nap =< 3 nap | > 3 nap =< 4 nap | > 4 nap =< 5 nap | > 5 nap =< 6 nap | > 6 nap =< 7 nap | > 7 nap =< 2 hét | > 2 hét =< 3 hét | > 3 hét =< 30 nap | > 30 nap =< 5 hét | > 5 hét=< 2 hónap | > 2 hónap =< 3 hónap | > 3 hónap =< 4 hónap | > 4 hónap =< 5 hónap | > 5 hónap =< 6 hónap | > 6 hónap =< 9 hónap | > 9 hónap =< 12 hónap | > 12 hónap =< 2 év | > 2 év =< 5 év | > 5 év | |
| 010 | 1.1 | Kibocsátott értékpapírokból eredő kötelezettségek (ha nem lakossági betétként kezeltek) | ||||||||||||||||||||||
| 020 | 1.1.1 | lejáró fedezetlen kötvények | ||||||||||||||||||||||
| 030 | 1.1.2 | szabályozott fedezett kötvények | ||||||||||||||||||||||
| 040 | 1.1.3 | lejáró értékpapírosítások | ||||||||||||||||||||||
| 050 | 1.1.4 | egyéb | ||||||||||||||||||||||
| 060 | 1.2 | Fedezett kölcsönügyletekből és tőkepiac-vezérelt ügyletekből eredő kötelezettségek, a következőkkel fedezve: | ||||||||||||||||||||||
| 070 | 1.2.1 | 1. szintű forgalomképes eszközök | ||||||||||||||||||||||
| 080 | 1.2.1.1 | 1. szintű eszközök a fedezett kötvények kivételével | ||||||||||||||||||||||
| 090 | 1.2.1.1.1 | 1. szintű központi banki eszközök | ||||||||||||||||||||||
| 100 | 1.2.1.1.2 | 1. szintű eszközök (CQS1) | ||||||||||||||||||||||
| 110 | 1.2.1.1.3 | 1. szintű eszközök (CQS2, CQS3) | ||||||||||||||||||||||
| 120 | 1.2.1.1.4 | 1. szintű eszközök (CQS4+) | ||||||||||||||||||||||
| 130 | 1.2.1.2 | 1. szintű fedezett kötvények (CQS1) | ||||||||||||||||||||||
| 140 | 1.2.2 | 2A. szintű forgalomképes eszközök | ||||||||||||||||||||||
| 150 | 1.2.2.1 | 2A. szintű vállalati kötvények (CQS1) | ||||||||||||||||||||||
| 160 | 1.2.2.2 | 2A. szintű fedezett kötvények (CQS1, CQS2) | ||||||||||||||||||||||
| 170 | 1.2.2.3 | 2A. szintű közszektorbeli intézményi eszközök (CQS1, CQS2) | ||||||||||||||||||||||
| 180 | 1.2.3 | 2B. szintű forgalomképes eszközök | ||||||||||||||||||||||
| 190 | 1.2.3.1 | 2B. szintű eszközfedezetű értékpapírok (ABS) (CQS1) | ||||||||||||||||||||||
| 200 | 1.2.3.2 | 2B. szintű fedezett kötvények (CQS1-6) | ||||||||||||||||||||||
| 210 | 1.2.3.3 | 2B. szintű vállalati kötvények (CQ1-3) | ||||||||||||||||||||||
| 220 | 1.2.3.4 | 2B. szintű részvények | ||||||||||||||||||||||
| 230 | 1.2.3.5 | 2B. szintű közszektorbeli intézményi eszközök (CQS 3-5) | ||||||||||||||||||||||
| 240 | 1.2.4 | egyéb forgalomképes eszköz | ||||||||||||||||||||||
| 250 | 1.2.5 | egyéb eszközök | ||||||||||||||||||||||
| 260 | 1.3 | A kapott betétekből származó, az 1.2. pontban nem szereplő kötelezettségek (a biztosítékként kapott betétek kivételével) | ||||||||||||||||||||||
| 270 | 1.3.1 | stabil lakossági betétek | ||||||||||||||||||||||
| 280 | 1.3.2 | egyéb lakossági betétek | ||||||||||||||||||||||
| 290 | 1.3.3 | operatív betétek | ||||||||||||||||||||||
| 300 | 1.3.4 | hitelintézetektől származó nem operatív betétek | ||||||||||||||||||||||
| 310 | 1.3.5 | egyéb pénzügyi ügyfelektől származó nem operatív betétek | ||||||||||||||||||||||
| 320 | 1.3.6 | központi bankoktól származó nem operatív betétek | ||||||||||||||||||||||
| 330 | 1.3.7 | nem pénzügyi vállalatoktól származó nem operatív betétek | ||||||||||||||||||||||
| 340 | 1.3.8 | egyéb partnerektől származó nem operatív betétek | ||||||||||||||||||||||
| 350 | 1.4 | Lejáró devizacsere-ügylet | ||||||||||||||||||||||
| 360 | 1.5 | Az 1.4. pontban nem szereplő, származtatott ügyletekből eredő kötelezettségek összege | ||||||||||||||||||||||
| 370 | 1.6 | Egyéb kiáramlások | ||||||||||||||||||||||
| 380 | 1.7 | Kiáramlások összesen | ||||||||||||||||||||||
| 390-720 | 2 | BEÁRAMLÁSOK | Egynapos | > 1 nap =< 2 nap | > 2 nap =< 3 nap | > 3 nap =< 4 nap | > 4 nap =< 5 nap | > 5 nap =< 6 nap | > 6 nap =< 7 nap | > 7 nap =< 2 hét | > 2 hét =< 3 hét | > 3 hét =< 30 nap | > 30 nap =< 5 hét | > 5 hét=< 2 hónap | > 2 hónap =< 3 hónap | > 3 hónap =< 4 hónap | > 4 hónap =< 5 hónap | > 5 hónap =< 6 hónap | > 6 hónap =< 9 hónap | > 9 hónap =< 12 hónap | > 12 hónap =< 2 év | > 2 év =< 5 év | > 5 év | |
| 390 | 2.1 | Fedezett kölcsönügyletekből és tőkepiac-vezérelt ügyletekből esedékes összegek, a következőkkel fedezve: | ||||||||||||||||||||||
| 400 | 2.1.1 | 1. szintű forgalomképes eszközök | ||||||||||||||||||||||
| 410 | 2.1.1.1 | 1. szintű eszközök a fedezett kötvények kivételével | ||||||||||||||||||||||
| 420 | 2.1.1.1.1 | 1. szintű központi banki eszközök | ||||||||||||||||||||||
| 430 | 2.1.1.1.2 | 1. szintű eszközök (CQS1) | ||||||||||||||||||||||
| 440 | 2.1.1.1.3 | 1. szintű eszközök (CQS2, CQS3) | ||||||||||||||||||||||
| 450 | 2.1.1.1.4 | 1. szintű eszközök (CQS4+) | ||||||||||||||||||||||
| 460 | 2.1.1.2 | 1. szintű fedezett kötvények (CQS1) | ||||||||||||||||||||||
| 470 | 2.1.2 | 2A. szintű forgalomképes eszközök | ||||||||||||||||||||||
| 480 | 2.1.2.1 | 2A. szintű vállalati kötvények (CQS1) | ||||||||||||||||||||||
| 490 | 2.1.2.2 | 2A. szintű fedezett kötvények (CQS1, CQS2) | ||||||||||||||||||||||
| 500 | 2.1.2.3 | 2A. szintű közszektorbeli intézményi eszközök (CQS1, CQS2) | ||||||||||||||||||||||
| 510 | 2.1.3 | 2B. szintű forgalomképes eszközök | ||||||||||||||||||||||
| 520 | 2.1.3.1 | 2B. szintű eszközfedezetű értékpapírok (ABS) (CQS1) | ||||||||||||||||||||||
| 530 | 2.1.3.2 | 2B. szintű fedezett kötvények (CQS1-6) | ||||||||||||||||||||||
| 540 | 2.1.3.3 | 2B. szintű vállalati kötvények (CQ1-3) | ||||||||||||||||||||||
| 550 | 2.1.3.4 | 2B. szintű részvények | ||||||||||||||||||||||
| 560 | 2.1.3.5 | 2B. szintű közszektorbeli intézményi eszközök (CQS 3-5) | ||||||||||||||||||||||
| 570 | 2.1.4 | egyéb forgalomképes eszköz | ||||||||||||||||||||||
| 580 | 2.1.5 | egyéb eszközök | ||||||||||||||||||||||
| 590 | 2.2 | Hitelekből és előlegekből eredő, a 2.1. pontban nem szereplő esedékes összegek a következő ügyfelektől: | ||||||||||||||||||||||
| 600 | 2.2.1 | lakossági ügyfelek | ||||||||||||||||||||||
| 610 | 2.2.2 | nem pénzügyi vállalatok | ||||||||||||||||||||||
| 620 | 2.2.3 | hitelintézetek | ||||||||||||||||||||||
| 630 | 2.2.4 | egyéb pénzügyi ügyfelek | ||||||||||||||||||||||
| 640 | 2.2.5 | központi bankok | ||||||||||||||||||||||
| 650 | 2.2.6 | egyéb partnerek | ||||||||||||||||||||||
| 660 | 2.3 | Lejáró devizacsere-ügylet | ||||||||||||||||||||||
| 670 | 2.4 | A 2.3. pontban nem szereplő, származtatott ügyletekből eredő követelések összege | ||||||||||||||||||||||
| 680 | 2.5 | Saját portfólióban tartott, lejáró értékpapír | ||||||||||||||||||||||
| 690 | 2.6 | Egyéb beáramlások | ||||||||||||||||||||||
| 700 | 2.7 | Beáramlások összesen | ||||||||||||||||||||||
| 710 | 2.8 | Nettó finanszírozási eltérés (gap) | ||||||||||||||||||||||
| 720 | 2.9 | Halmozott nettó finanszírozási eltérés (gap) | ||||||||||||||||||||||
| 730-1080 | 3 | KIEGYENSÚLYOZÓ KAPACITÁS | Nyitó állomány | Egynapos | > 1 nap =< 2 nap | > 2 nap =< 3 nap | > 3 nap =< 4 nap | > 4 nap =< 5 nap | > 5 nap =< 6 nap | > 6 nap =< 7 nap | > 7 nap =< 2 hét | > 2 hét =< 3 hét | > 3 hét =< 30 nap | > 30 nap =< 5 hét | > 5 hét=< 2 hónap | > 2 hónap =< 3 hónap | > 3 hónap =< 4 hónap | > 4 hónap =< 5 hónap | > 5 hónap =< 6 hónap | > 6 hónap =< 9 hónap | > 9 hónap =< 12 hónap | > 12 hónap =< 2 év | > 2 év =< 5 év | > 5 év | 
| 730 | 3.1 | Pénzérmék és bankjegyek | ||||||||||||||||||||||
| 740 | 3.2 | Lehívható központi banki tartalékok | ||||||||||||||||||||||
| 750 | 3.3 | 1. szintű forgalomképes eszközök | ||||||||||||||||||||||
| 760 | 3.3.1 | 1. szintű eszközök a fedezett kötvények kivételével | ||||||||||||||||||||||
| 770 | 3.3.1.1 | 1. szintű központi banki eszközök | ||||||||||||||||||||||
| 780 | 3.3.1.2 | 1. szintű eszközök (CQS1) | ||||||||||||||||||||||
| 790 | 3.3.1.3 | 1. szintű eszközök (CQS2, CQS3) | ||||||||||||||||||||||
| 800 | 3.3.1.4 | 1. szintű eszközök (CQS4+) | ||||||||||||||||||||||
| 810 | 3.3.2 | 1. szintű fedezett kötvények (CQS1) | ||||||||||||||||||||||
| 820 | 3.4 | 2A. szintű forgalomképes eszközök | ||||||||||||||||||||||
| 830 | 3.4.1 | 2A. szintű vállalati kötvények (CQS1) | ||||||||||||||||||||||
| 840 | 3.4.3 | 2A. szintű fedezett kötvények (CQS1, CQS2) | ||||||||||||||||||||||
| 850 | 3.4.4 | 2A. szintű közszektorbeli intézményi eszközök (CQS1, CQS2) | ||||||||||||||||||||||
| 860 | 3.5 | 2B. szintű forgalomképes eszközök | ||||||||||||||||||||||
| 870 | 3.5.1 | 2B. szintű eszközfedezetű értékpapírok (ABS) (CQS1) | ||||||||||||||||||||||
| 880 | 3.5.2 | 2B. szintű fedezett kötvények (CQS1-6) | ||||||||||||||||||||||
| 890 | 3.5.3 | 2B. szintű vállalati kötvények (CQS1-3) | ||||||||||||||||||||||
| 900 | 3.5.4 | 2B. szintű részvények | ||||||||||||||||||||||
| 910 | 3.5.5 | 2B. szintű közszektorbeli intézményi eszközök (CQS 3-5) | ||||||||||||||||||||||
| 920 | 3.6 | egyéb forgalomképes eszköz | ||||||||||||||||||||||
| 930 | 3.6.1 | központi kormányzat (CQS1) | ||||||||||||||||||||||
| 940 | 3.6.2 | központi kormányzat (CQS 2 & 3) | ||||||||||||||||||||||
| 950 | 3.6.3 | részvények | ||||||||||||||||||||||
| 960 | 3.6.4 | fedezett kötvények | ||||||||||||||||||||||
| 970 | 3.6.5 | eszközfedezetű értékpapírok (ABS) | ||||||||||||||||||||||
| 980 | 3.6.6 | egyéb forgalomképes eszköz | ||||||||||||||||||||||
| 990 | 3.7 | Központi bank által elfogadható nem forgalomképes eszközök | ||||||||||||||||||||||
| 1000 | 3.8 | Kapott, le nem hívott, folyósítási kötelezettséget tartalmazó keretek | ||||||||||||||||||||||
| 1010 | 3.8.1 | 1. szintű keretek | ||||||||||||||||||||||
| 1020 | 3.8.2 | 2B. szintű korlátozott felhasználású keretek | ||||||||||||||||||||||
| 1030 | 3.8.3 | 2B. szintű, intézményvédelmi rendszerbeli keretek | ||||||||||||||||||||||
| 1040 | 3.8.4 | egyéb keretek | ||||||||||||||||||||||
| 1050 | 3.8.4.1 | csoporton belüli partnerektől | ||||||||||||||||||||||
| 1060 | 3.8.4.2 | egyéb partnerektől | ||||||||||||||||||||||
| 1070 | 3.9 | A kiegyensúlyozó kapacitás nettó változása | ||||||||||||||||||||||
| 1080 | 3.10 | Halmozott kiegyensúlyozó kapacitás | ||||||||||||||||||||||
| 1090-1130 | 4 | FÜGGŐ TÉTELEK | Egynapos | > 1 nap =< 2 nap | > 2 nap =< 3 nap | > 3 nap =< 4 nap | > 4 nap =< 5 nap | > 5 nap =< 6 nap | > 6 nap =< 7 nap | > 7 nap =< 2 hét | > 2 hét =< 3 hét | > 3 hét =< 30 nap | > 30 nap =< 5 hét | > 5 hét=< 2 hónap | > 2 hónap =< 3 hónap | > 3 hónap =< 4 hónap | > 4 hónap =< 5 hónap | > 5 hónap =< 6 hónap | > 6 hónap =< 9 hónap | > 9 hónap =< 12 hónap | > 12 hónap =< 2 év | > 2 év =< 5 év | > 5 év | |
| 1090 | 4.1 | Folyósítási kötelezettséget tartalmazó keretekből származó kiáramlások | ||||||||||||||||||||||
| 1100 | 4.1.1 | Folyósítási kötelezettséget tartalmazó hitelkeretek | ||||||||||||||||||||||
| 1110 | 4.1.1.1 | a kedvezményezett által 2B. szintűnek tekintett | ||||||||||||||||||||||
| 1120 | 4.1.1.2 | egyéb | ||||||||||||||||||||||
| 1130 | 4.1.2 | Likviditási keretek | ||||||||||||||||||||||
| 1140 | 4.2 | Leminősítés miatti kiáramlások | ||||||||||||||||||||||
| 1150-1290 | TÁJÉKOZTATÓ ADATOK | Nyitó állomány | Egynapos | > 1 nap =< 2 nap | > 2 nap =< 3 nap | > 3 nap =< 4 nap | > 4 nap =< 5 nap | > 5 nap =< 6 nap | > 6 nap =< 7 nap | > 7 nap =< 2 hét | > 2 hét =< 3 hét | > 3 hét =< 30 nap | > 30 nap =< 5 hét | > 5 hét=< 2 hónap | > 2 hónap =< 3 hónap | > 3 hónap =< 4 hónap | > 4 hónap =< 5 hónap | > 5 hónap =< 6 hónap | > 6 hónap =< 9 hónap | > 9 hónap =< 12 hónap | > 12 hónap =< 2 év | > 2 év =< 5 év | > 5 év | |
| 1200 | 10 | Csoporton belüli vagy intézményvédelmi rendszeren belüli kiáramlások (a devizaügyletek kivételével) | ||||||||||||||||||||||
| 1210 | 11 | Csoporton belüli vagy intézményvédelmi rendszeren belüli beáramlások (a devizaügyletek és a lejáró értékpapírok kivételével) | ||||||||||||||||||||||
| 1220 | 12 | Csoporton belüli vagy intézményvédelmi rendszeren belüli beáramlások lejáró értékpapírokból | ||||||||||||||||||||||
| 1230 | 13 | Központi bank által elismert magas minőségű likvid eszközök | ||||||||||||||||||||||
| 1240 | 14 | Központi bank által elismert nem magas minőségű likvid eszközök | ||||||||||||||||||||||
| 1270 | 17 | Betétekből származó kiáramlások – modellezett, viselkedés szerint | ||||||||||||||||||||||
| 1280 | 18 | Hitelekből és előlegekből származó beáramlások – modellezett, viselkedés szerint | ||||||||||||||||||||||
| 1290 | 19 | Folyósítási kötelezettséget tartalmazó keretek lehívása – modellezett, viselkedés szerint | ||||||||||||||||||||||
XXIII. MELLÉKLET
ÚTMUTATÓ A XXII. MELLÉKLET LEJÁRATI ÖSSZHANG TÁBLÁRA VONATKOZÓ TÁBLÁJÁNAK KITÖLTÉSÉHEZ
I. RÉSZ: ÁLTALÁNOS ÚTMUTATÓ
II. RÉSZ: A TÁBLA EGYES SORAIRA VONATKOZÓ ÚTMUTATÓ
I. RÉSZ: ÁLTALÁNOS ÚTMUTATÓ
1. Az intézmények tevékenységében mutatkozó lejárati eltérések ("lejárati tábla") XXII. mellékletben történő bemutatása érdekében az intézmények az e mellékletben meghatározott útmutatót alkalmazzák.
2. A lejárati tábla monitorozási eszköz, amely a szerződéses áramlásokat és a függő kiáramlásokat tartalmazza. A jogilag kötelező erejű megállapodásokból eredő szerződéses áramlásokról és az adatszolgáltatás időpontjától számított hátralévő futamidőről az adott megállapodások rendelkezéseinek megfelelően kell adatot szolgáltatni.
3. Az intézmények a beáramlásokat nem vehetik többszörösen figyelembe.
4. A "Nyitó állomány" oszlopban az adatszolgáltatás időpontjában meglévő állományt kell feltüntetni.
5. A XXII. mellékletben található táblában kizárólag az üres fehér mezőket kell kitölteni.
6. A lejárati tábla "Kiáramlások" és "Beáramlások" szakasza tartalmazza valamennyi mérlegen belüli és mérlegen kívüli tételből származó jövőbeli szerződéses pénzáramlásokat. Csak az adatszolgáltatás időpontjában érvényes szerződések szerinti kiáramlásokat és beáramlásokat kell feltüntetni.
7. A lejárati tábla "Kiegyensúlyozó kapacitás" című szakaszában azon meg nem terhelt eszközállományt vagy egyéb finanszírozási forrást kell megjeleníteni, amely az adatszolgáltatás időpontjában jogilag és gyakorlatilag az intézmény rendelkezésére áll a potenciális finanszírozási hiányok fedezésére. Csak az adatszolgáltatás időpontjában létező szerződések szerinti kiáramlásokat és beáramlásokat kell feltüntetni.
8. A pénzeszköz-kiáramlásokat és -beáramlásokat a megfelelő "Kiáramlások", illetve "Beáramlások" szakaszban bruttó értéken, pozitív előjellel kell szerepeltetni. A kifizetendő és jóváírandó összegeket a "Kiáramlások", illetve "Beáramlások" szakaszban kell feltüntetni.
9. A lejárati tábla "Kiegyensúlyozó kapacitás" című szakaszában a kiáramlásokat negatív, a beáramlásokat pozitív előjellel, mindkét esetben nettó értéken kell szerepeltetni. A pénzáramlások esetében az esedékes összeget kell feltüntetni. Az értékpapír-áramlásokat aktuális piaci értéken kell szerepeltetni. A hitel- és likviditási keretekben történő áramlásokat a szerződés szerint rendelkezésre álló összeggel kell szerepeltetni.
10. A szerződéses áramlásokat hátralévő futamidejük szerint kell megosztani a huszonkét lejárati sáv között; a napok naptári napokat jelentenek.
11. Adatot kell szolgáltatni valamennyi szerződéses áramlásról, ezen belül valamennyi nem pénzügyi tevékenységből származó, lényeges pénzáramlásról (adóról, bónuszról, osztalékról és járadékról).
12. Az áramlások szerződéses lejáratainak meghatározása során érvényesítendő konzervatív megközelítés érdekében, az intézmények biztosítják a következőket:
a) fizetési halasztásra vagy bejövő előlegkifizetésre vonatkozó opció esetében azt kell feltételezni, hogy az opciót lehívják, amennyiben ez az intézményből történő kiáramlások előrehozásához vagy az intézménybe történő beáramlások halasztásához vezet;
b) amennyiben az intézményből történő kiáramlások előrehozására vonatkozó opció gyakorlása kizárólag az intézmény mérlegelési jogkörébe tartozik, csak akkor feltételezhető, hogy az opciót lehívják, ha ez megfelel az intézménnyel kapcsolatos piaci várakozásnak. Nem feltételezhető, hogy az opciót lehívják, amennyiben ez az intézménybe történő beáramlások előrehozásához vagy az intézményből történő kiáramlások halasztásához vezet. A beáramlással azonos napon kell szerepeltetni az olyan pénzeszköz-kiáramlást, amelyet szerződés alapján a beáramlás idéz elő (pl. közvetítő finanszírozás esetében);
c) valamennyi látra szóló és lejárat nélküli betétet egynaposként, a 020-as oszlopban kell szerepeltetni;
d) a nyitott repókat, a fordított repókat és a hasonló, bármely fél által bármely napon lezárható ügyleteket egynapos lejáratúnak kell tekinteni, kivéve akkor, ha a felmondási idő egy napnál hosszabb; ebben az esetben a felmondási időnek megfelelő lejárati sávban kell őket feltüntetni;
e) feltételezni kell, hogy a lejárat előtti felmondási opcióval rendelkező lekötött lakossági betétek abban az időszakban járnak le, amikor a lejárat előtti felmondás nem jár az (EU) 2015/61 rendelet 25. cikke (4) bekezdésének b) pontja szerinti büntetéssel;
f) amennyiben az intézmény az e bekezdésben meghatározott szabályok alapján nem képes megállapítani valamely adott tétel vagy annak egy része vonatkozásában a szerződéses kifizetési ütemezés egy minimális menetrendjét, úgy a tételt vagy annak adott részét öt évnél hosszabb lejáratú tételként a 220-as oszlopban tünteti fel.
13. A kamatok minden mérlegen belüli és mérlegen kívüli instrumentumból származó ki- és -beáramlását szerepeltetni kell a "kiáramlások" és a "beáramlások" szakasz valamennyi megfelelő tételében.
14. A lejáró devizacsere-ügyleteknél a keresztdevizás csereügyletek, a határidős devizaügyletek és a ki nem egyenlített azonnali devizamegállapodások lejáratkori névértékét a tábla vonatkozó lejárati sávjában kell feltüntetni.
15. A ki nem egyenlített ügyletekből származó pénzáramlásokat a kiegyenlítésüket megelőző rövid időszakban a megfelelő sorokban és lejárati sávokban kell szerepeltetni.
16. Üresen kell hagyni azokat a tételeket, amelyeknél az intézmény nem végez alapul szolgáló üzleti tevékenységet, például egy adott kategóriában nem rendelkezik betéttel.
17. Nem kell jelenteni a késedelmes tételeket és azokat a tételeket, amelyek esetében az intézménynek oka van nemteljesítést feltételezni.
18. Amennyiben a kapott biztosítékot olyan ügyletben zálogosítják újra el, amelynek lejárata későbbi, mint azé az ügyleté, amelyben az intézmény megkapta a biztosítékot, a kapott biztosíték valós értékének összegével megegyező értékpapír-kiáramlást kell feltüntetni a biztosíték fogadásához vezető ügylet lejáratának megfelelő lejárati sáv kiegyensúlyozó kapacitásra vonatkozó szakaszában.
19. A csoporton belüli tételek nem érintik a konszolidált alapon történő adatszolgáltatást.
II. RÉSZ: A TÁBLA EGYES SORAIRA VONATKOZÓ ÚTMUTATÓ
| Sor | Jogszabályi hivatkozások és útmutató | 
| 010–380 | 1.  KIÁRAMLÁSOK A pénzeszköz-kiáramlások teljes összegét az alábbi alkategóriákban kell feltüntetni: | 
| 010 | 1.1  Kibocsátott értékpapírokból eredő kötelezettségek Az adatot szolgáltató intézmény által kibocsátott, hitelviszonyt megtestesítő értékpapírokból (saját kibocsátásból) származó pénzeszköz-kiáramlások. | 
| 020 | 1.1.1  lejáró fedezetlen kötvények Az 1.1. sorban feltüntetett, olyan kibocsátott értékpapírokból származó pénzeszköz-kiáramlások összege, amely értékpapírok az adatot szolgáltató intézmény által harmadik fél részére kibocsátott fedezetlen adósságinstrumentumok. | 
| 030 | 1.1.2  szabályozott fedezett kötvények Az 1.1. sorban feltüntetett, olyan kibocsátott értékpapírokból származó pénzeszköz-kiáramlások összege, amely értékpapírok az 575/2013/EU rendelet 129. cikkének (4) vagy (5) bekezdése vagy a 2009/65/EK irányelv 52. cikkének (4) bekezdése szerint kezelhető kötvények. | 
| 040 | 1.1.3  lejáró értékpapírosítások Az 1.1. sorban feltüntetett, olyan kibocsátott értékpapírokból származó pénzeszköz-kiáramlások összege, amely értékpapírok harmadik féllel végrehajtott, az 575/2013/EU rendelet 4. cikke (1) bekezdésének 61. pontja szerinti értékpapírosítások. | 
| 050 | 1.1.4  egyéb Az 1.1. sorban feltüntetett, olyan kibocsátott értékpapírokból származó pénzeszköz-kiáramlások összege, amely értékpapírok nem sorolhatók a fenti alkategóriák egyikébe sem. | 
| 060 | 1.2  Fedezett kölcsönügyletekből és tőkepiac-vezérelt ügyletekből eredő kötelezettségek, a következőkkel fedezve: Az 575/2013/EU rendelet 192. cikkében meghatározott fedezett kölcsönügyletből és tőkepiac-vezérelt ügyletből származó összes pénzeszköz-kiáramlás teljes összege. Megjegyzés: Itt kizárólag a pénzáramlásokat kell feltüntetni, a fedezett kölcsönügylethez és a tőkepiac-vezérelt ügylethez kapcsolódó értékpapír-áramlásokat a „kiegyensúlyozó kapacitás” szakaszban kell szerepeltetni. | 
| 070 | 1.2.1  1. szintű forgalomképes eszközök Az 1.2. pontban feltüntetett olyan pénzeszköz-kiáramlások összege, amelyet olyan forgalomképes eszköz fedez, amely megfelelne az (EU) 2015/61 rendelet 7., 8. és 10. cikkében meghatározott követelményeknek, ha nem az adott ügyletet fedezné. A KBF-ek az (EU) 2015/61 rendelet 15. cikkének megfelelő, 1. szintű eszköznek minősülő részvényeit vagy befektetési jegyeit az alábbi alkategóriákban, az alapterméküknek megfelelően kell feltüntetni. | 
| 080 | 1.2.1.1  1. szintű eszközök a fedezett kötvények kivételével Az 1.2.1. pontban feltüntetett olyan pénzeszköz-kiáramlások összege, amelyet nem fedezett kötvény fedez. | 
| 090 | 1.2.1.1.1  1. szintű központi banki eszközök Az 1.2.1.1. pontban feltüntetett olyan pénzeszköz-kiáramlások összege, amelyet központi bankokkal szembeni vagy általuk garantált követeléseket képviselő eszköz fedez. | 
| 100 | 1.2.1.1.2  1. szintű eszközök (CQS1) Az 1.2.1.1. pontban feltüntetett, az 1.2.1.1.1. pontban feltüntetetteken kívüli olyan pénzeszköz-kiáramlások összege, amelyet kijelölt külső hitelminősítő intézettől 1-es hitelminőségi besorolást kapott kibocsátóval vagy garantőrrel szembeni vagy általa garantált követeléseket képviselő eszköz fedez. | 
| 110 | 1.2.1.1.3  1. szintű eszközök (CQS2, CQS3) Az 1.2.1.1. pontban feltüntetett, az 1.2.1.1.1. pontban feltüntetetteken kívüli olyan pénzeszköz-kiáramlások összege, amelyet kijelölt külső hitelminősítő intézettől 2-es vagy 3-as hitelminőségi besorolást kapott kibocsátóval vagy garantőrrel szembeni vagy általa garantált követeléseket képviselő eszköz fedez. | 
| 120 | 1.2.1.1.4  1. szintű eszközök (CQS4+) Az 1.2.1.1. pontban feltüntetett, az 1.2.1.1.1. pontban feltüntetetteken kívüli olyan pénzeszköz-kiáramlások összege, amelyet kijelölt külső hitelminősítő intézettől 4-es vagy rosszabb hitelminőségi besorolást kapott kibocsátóval vagy garantőrrel szembeni vagy általa garantált követeléseket képviselő eszköz fedez. | 
| 130 | 1.2.1.2  1. szintű fedezett kötvények (CQS1) Az 1.2.1. pontban feltüntetett olyan pénzeszköz-kiáramlások összege, amelyet fedezett kötvény fedez. Az (EU) 2015/61 rendelet 10. cikke (1) bekezdése f) pontjának megfelelően csak az 1-es hitelminőségi besorolással rendelkező fedezett kötvények minősülhetnek 1. szintű eszköznek. | 
| 140 | 1.2.2  2A. szintű forgalomképes eszközök Az 1.2. pontban feltüntetett olyan pénzeszköz-kiáramlások összege, amelyet olyan forgalomképes eszköz fedez, amely megfelelne az (EU) 2015/61 rendelet 7., 8. és 11. cikkében meghatározott követelményeknek, ha nem az adott ügyletet fedezné. A KBF-ek az (EU) 2015/61 rendelet 15. cikkének megfelelő, 2A. szintű eszköznek minősülő részvényeit vagy befektetési jegyeit az alábbi alkategóriákban, az alapterméküknek megfelelően kell feltüntetni. | 
| 150 | 1.2.2.1  2A. szintű vállalati kötvények (CQS1) Az 1.2.2. pontban feltüntetett olyan pénzeszköz-kiáramlások összege, amelyet kijelölt külső hitelminősítő intézettől 1-es hitelminőségi besorolást kapott vállalati kötvény fedez. | 
| 160 | 1.2.2.2  2A. szintű fedezett kötvények (CQS1, CQS2) Az 1.2.2. pontban feltüntetett olyan pénzeszköz-kiáramlások összege, amelyet kijelölt külső hitelminősítő intézettől 1-es vagy 2-es hitelminőségi besorolást kapott fedezett kötvény fedez. | 
| 170 | 1.2.2.3  2A. szintű közszektorbeli intézményi eszközök (CQS1, CQS2) Az 1.2.2. pontban feltüntetett olyan pénzeszköz-kiáramlások összege, amelyet központi kormányzatokkal, központi bankokkal, regionális kormányzatokkal, helyi hatóságokkal vagy közszektorbeli intézményekkel szembeni vagy általuk garantált követeléseket képviselő eszköz fedez. Az (EU) 2015/61 rendelet 11. cikke (1) bekezdése a) és b) pontjának megfelelően csak az 1-es és 2-es hitelminőségi besorolással rendelkező közszektorbeli eszközök minősülhetnek 2A. szintű eszköznek. | 
| 180 | 1.2.3  2B. szintű forgalomképes eszközök Az 1.2. pontban feltüntetett olyan pénzeszköz-kiáramlások összege, amelyet olyan forgalomképes eszköz fedez, amely megfelelne az (EU) 2015/61 rendelet 7., 8. és 12. vagy 13. cikkében meghatározott követelményeknek, ha nem az adott ügyletet fedezné. A KBF-ek az (EU) 2015/61 rendelet 15. cikkének megfelelő, 2B. szintű eszköznek minősülő részvényeit vagy befektetési jegyeit az alábbi alkategóriákban, az alapterméküknek megfelelően kell feltüntetni. | 
| 190 | 1.2.3.1  2B. szintű eszközfedezetű értékpapírok (ABS) (CQS1) Az 1.2.3. pontban feltüntetett olyan pénzeszköz-kiáramlások összege, amelyet eszközfedezetű értékpapír fedez, utóbbiak közé értve a lakóingatlannal fedezett értékpapírokat is. Az (EU) 2015/61 rendelet 13. cikke (2) bekezdése a) pontjának megfelelően csak az 1-es hitelminőségi besorolással rendelkező eszközfedezetű értékpapírok minősülhetnek 2B. szintű eszköznek. | 
| 200 | 1.2.3.2  2B. szintű fedezett kötvények (CQS 1-6) Az 1.2.3. pontban feltüntetett olyan pénzeszköz-kiáramlások összege, amelyet fedezett kötvény fedez. | 
| 210 | 1.2.3.3  2B. szintű vállalati kötvények (CQS 1-3) Az 1.2.3. pontban feltüntetett olyan pénzeszköz-kiáramlások összege, amelyet hitelviszonyt megtestesítő vállalati értékpapír fedez. | 
| 220 | 1.2.3.4  2B. szintű részvények Az 1.2.3. pontban feltüntetett olyan pénzeszköz-kiáramlások összege, amelyet részvény fedez. | 
| 230 | 1.2.3.5  2B. szintű közszektorbeli intézményi eszközök (CQS 3-5) Az 1.2.3. pontban feltüntetett olyan pénzeszköz-kiáramlások összege, amelyet nem az 1.2.3.1–1.2.3.4. pontban feltüntetett 2B. szintű eszköz fedez. | 
| 240 | 1.2.4  egyéb forgalomképes eszköz Az 1.2. pontban feltüntetett pénzeszköz-kiáramlások összege, amelyet nem az 1.2.1., 1.2.2. vagy 1.2.3. pontban feltüntetett forgalomképes eszközök fedeznek. | 
| 250 | 1.2.5  egyéb eszközök Az 1.2. pontban feltüntetett pénzeszköz-kiáramlások összege, amelyet nem az 1.2.1., 1.2.2., 1.2.3. vagy 1.2.4. pontban feltüntetett forgalomképes eszközök fedeznek. | 
| 260 | 1.3  Az elhelyezett betétekből származó, az 1.2. pontban nem szereplő kötelezettségek (a biztosítékként kapott betétek kivételével) Az elhelyezett betétekből származó pénzeszköz-kiáramlások az 1.2. pontban feltüntetett kiáramlások és a biztosítékként elhelyezett betétek kivételével. A származtatott ügyletekből származó pénzeszköz-kiáramlásokat az 1.4. vagy 1.5. pontban kell feltüntetni. A betéteket a szerződés szerinti legkorábbi lejárati nappal kell szerepeltetni. Az előzetes figyelmeztetés nélkül, azonnal felvehető betéteket („látra szóló betétek”) és a lejárat nélküli betéteket az „egynapos” lejárati sávban kell feltüntetni. | 
| 270 | 1.3.1  stabil lakossági betétek Az 1.3. pontban feltüntetett, az (EU) 2015/61 rendelet 3. cikkének 8. pontja és 24. cikke szerinti lakossági betétekből származó pénzeszköz-kiáramlások összege. | 
| 280 | 1.3.2  egyéb lakossági betétek Az 1.3. pontban feltüntetett, az (EU) 2015/61 rendelet 3. cikkének 8. pontja szerinti lakossági betétekből származó pénzeszköz-kiáramlások összege, az 1.3.1. pontban feltüntetett kiáramlások kivételével. | 
| 290 | 1.3.3  operatív betétek Az 1.3. pontban feltüntetett, az (EU) 2015/61 rendelet 27. cikke szerinti operatív betétekből származó pénzeszköz-kiáramlások összege. | 
| 300 | 1.3.4  hitelintézetektől származó nem operatív betétek Az 1.3. pontban feltüntetett, hitelintézeti betétekből származó pénzeszköz-kiáramlások összege, az 1.3.3. pontban feltüntetett kiáramlások kivételével. | 
| 310 | 1.3.5  egyéb pénzügyi ügyfelektől származó nem operatív betétek Az 1.3. pontban feltüntetett, az (EU) 2015/61 rendelet 3. cikkének 9. pontja szerinti pénzügyi ügyfelek által elhelyezett betétekből származó pénzeszköz-kiáramlások összege, az 1.3.3. és 1.3.4. pontban feltüntetett kiáramlások kivételével. | 
| 320 | 1.3.6  központi bankoktól származó nem operatív betétek Az 1.3. pontban feltüntetett, központi bankok által elhelyezett nem operatív betétekből származó pénzeszköz-kiáramlások összege. | 
| 330 | 1.3.7  nem pénzügyi vállalatoktól származó nem operatív betétek Az 1.3. pontban feltüntetett, nem pénzügyi vállalatok által elhelyezett nem operatív betétekből származó pénzeszköz-kiáramlások összege. | 
| 340 | 1.3.8  egyéb partnerektől származó nem operatív betétek Az 1.3. pontban feltüntetett, az 1.3.1–1.3.7. pontban jelentett betétektől eltérő betétekből származó pénzeszköz-kiáramlások összege. | 
| 350 | 1.4  Lejáró devizacsere-ügylet A devizacsere-ügyletek lejáratából, például a tőkeösszegek lejáratkori cseréjéből származó pénzeszköz-kiáramlások teljes összege. | 
| 360 | 1.5  Az 1.4. pontban nem szereplő, származtatott ügyletekből eredő kötelezettségek összege Az 575/2013/EU rendelet II. mellékletében felsorolt szerződések alapján fizetendő, származtatott pozíciókból származó pénzeszköz-kiáramlások teljes összege, kivéve a lejáró devizacsere-ügyletekből származó kiáramlásokat, amelyeket az 1.4. pontban kell szerepeltetni. A teljes összegnek a kiegyenlítési összegeket kell mutatnia az adatszolgáltatás időpontjában nem teljesített letéti felhívásokkal együtt. A teljes összegnek az alábbi 1. és 2. elem összegét kell mutatnia a különböző lejárati sávokban: 1. A lejárati tábla egyik táblájában sem szerepeltethető az olyan származtatott ügyletekhez kapcsolódó pénz- és értékpapír-áramlás, amelyre vonatkozóan biztosítéki megállapodás írja elő a partnerkockázat teljes vagy arányos fedezetét. Ez azt jelenti, hogy a táblákban egyáltalán nem szerepeltethető az ilyen származtatott ügyletekhez kapcsolódó pénz-, értékpapír-, készpénzfedezet- és értékpapírfedezet-áramlás. Nem tüntethető fel továbbá a lejárati tábla kiegyensúlyozó kapacitást mutató 3. szakaszának „állomány” oszlopában a fedezett származtatott ügylet keretében korábban kapott vagy nyújtott készpénz- és értékpapír-fedezet állománya, kivéve a letéti felhívások nyomán bekövetkező esedékes, de még nem teljesített pénz- és értékpapír-áramlást („készpénzfedezet- és értékpapírfedezet-áramlás”). Utóbbiak közül a készpénzfedezetet az 1.5. és a 2.4. sorban („származtatott ügyletekhez kapcsolódó pénzeszköz-kiáramlások” és „származtatott ügyletekhez kapcsolódó pénzeszköz-beáramlások”), az értékpapír-fedezetet a 3. szakaszban („kiegyensúlyozó kapacitás”) kell kimutatni. 2. a pénzeszközök és értékpapírok olyan származtatott ügyletekhez kapcsolódó be- és kiáramlása esetében, amelyekre nem vonatkozik biztosítéki megállapodás vagy csak részleges fedezet szükséges, meg kell különböztetni az opcionalitást tartalmazó és egyéb szerződéseket: a) az opció jellegű származtatott ügyletekhez kapcsolódó áramlások csak akkor szerepeltethetők, ha vételi opció esetén a lehívási ár a piaci árnál alacsonyabb vagy eladási opció esetén annál magasabb (azaz az opció nyereséges). Ezek az áramlások a következők közül mindkettő együttes alkalmazásával közelíthetők: i. a szerződés aktuális piaci értékét vagy nettó jelenértékét a lejárati tábla 2.4. sorában („származtatott ügyletekhez kapcsolódó pénzeszköz-beáramlások”) az opció legkésőbbi lehívási napjával beáramlásként kell szerepeltetni, ha az opció lehívására a bank jogosult; ii. a szerződés aktuális piaci értékét vagy nettó jelenértékét a lejárati tábla 1.5. sorában („származtatott ügyletekhez kapcsolódó pénzeszköz-kiáramlások”) az opció legkorábbi lehívási napjával kiáramlásként kell szerepeltetni, ha az opció lehívására a bank partnere jogosult; b) az a) pontban említettől eltérő szerződésekhez kapcsolódó áramlások esetében a bruttó szerződéses pénzáramlásokat az 1.5. sor („származtatott ügyletekhez kapcsolódó pénzeszköz-kiáramlások”) és a 2.4. sor („származtatott ügyletekhez kapcsolódó pénzeszköz-beáramlások”) megfelelő lejárati sávjában, a likvid értékpapírok szerződéses áramlásait pedig a lejárati tábla kiegyensúlyozó kapacitást mutató szakaszában – még nem rögzített összegek esetében az adatszolgáltatás időpontjában alkalmazandó aktuális, piac által implikált határidős kamatlábak használatával – kell szerepeltetni. | 
| 370 | 1.6  Egyéb kiáramlások Az 1.1., 1.2., 1.3., 1.4. és 1.5. pontban nem szereplő valamennyi egyéb pénzeszköz-kiáramlás teljes összege. A függő kiáramlások itt nem szerepeltethetők. | 
| 380 | 1.7  Kiáramlások összesen Az 1.1., 1.2., 1.3., 1.4., 1.5. és 1.6. pontban feltüntetett kiáramlások összege. | 
| 390–700 | 2. BEÁRAMLÁSOK | 
| 390 | 2.1  Fedezett kölcsönügyletekből és tőkepiac-vezérelt ügyletekből esedékes összegek, a következőkkel fedezve: Az 575/2013/EU rendelet 192. cikkében meghatározott fedezett kölcsönügyletből és tőkepiac-vezérelt ügyletből származó pénzeszköz-beáramlás. Itt kizárólag a pénzáramlásokat kell feltüntetni, a fedezett kölcsönügylethez és a tőkepiac-vezérelt ügylethez kapcsolódó értékpapír-áramlásokat a „kiegyensúlyozó kapacitás” szakaszban kell szerepeltetni. | 
| 400 | 2.1.1  1. szintű forgalomképes eszközök A 2.1. pontban feltüntetett, az (EU) 2015/61 rendelet 7., 8. és 10. cikke szerinti forgalomképes eszközökkel fedezett pénzeszköz-beáramlások összege. A KBF-ek az (EU) 2015/61 rendelet 15. cikkének megfelelő, 1. szintű eszköznek minősülő részvényeit vagy befektetési jegyeit az alábbi alkategóriákban, az alapterméküknek megfelelően kell feltüntetni. | 
| 410 | 2.1.1.1  1. szintű eszközök a fedezett kötvények kivételével A 2.1.1. pontban feltüntetett olyan pénzeszköz-beáramlások összege, amelyet nem fedezett kötvény fedez. | 
| 420 | 2.1.1.1.1  1. szintű központi banki eszközök A 2.1.1.1. pontban feltüntetett olyan pénzeszköz-beáramlások összege, amelyet központi bankokkal szembeni vagy általuk garantált követeléseket képviselő eszköz fedez. | 
| 430 | 2.1.1.1.2  1. szintű eszközök (CQS1) A 2.1.1.1. pontban feltüntetett, a 2.1.1.1.1. pontban feltüntetetteken kívüli olyan pénzeszköz-beáramlások összege, amelyet kijelölt külső hitelminősítő intézettől 1-es hitelminőségi besorolást kapott kibocsátóval vagy garantőrrel szembeni vagy általa garantált követeléseket képviselő eszköz fedez. | 
| 440 | 2.1.1.1.3  1. szintű eszközök (CQS2, CQS3) A 2.1.1.1. pontban feltüntetett, a 2.1.1.1.1. pontban feltüntetetteken kívüli olyan pénzeszköz-beáramlások összege, amelyet kijelölt külső hitelminősítő intézettől 2-es vagy 3-as hitelminőségi besorolást kapott kibocsátóval vagy garantőrrel szembeni vagy általa garantált követeléseket képviselő eszköz fedez. | 
| 450 | 2.1.1.1.4  1. szintű eszközök (CQS4+) A 2.1.1.1. pontban feltüntetett, a 2.1.1.1.1. pontban feltüntetetteken kívüli olyan pénzeszköz-beáramlások összege, amelyet kijelölt külső hitelminősítő intézettől 4-es vagy rosszabb hitelminőségi besorolást kapott kibocsátóval vagy garantőrrel szembeni vagy általa garantált követeléseket képviselő eszköz fedez. | 
| 460 | 2.1.1.2  1. szintű fedezett kötvények (CQS1) A 2.1.1. pontban feltüntetett olyan pénzeszköz-beáramlások összege, amelyet fedezett kötvény fedez. Az (EU) 2015/61 rendelet 10. cikke (1) bekezdése f) pontjának megfelelően csak az 1-es hitelminőségi besorolással rendelkező fedezett kötvények minősülhetnek 1. szintű eszköznek. | 
| 470 | 2.1.2  2A. szintű forgalomképes eszközök A 2.1. pontban feltüntetett, az (EU) 2015/61 rendelet 7., 8. és 11. cikke szerinti forgalomképes eszközökkel fedezett pénzeszköz-beáramlások összege. A KBF-ek az (EU) 2015/61 rendelet 15. cikkének megfelelő, 2A. szintű eszköznek minősülő részvényeit vagy befektetési jegyeit az alábbi alkategóriákban, az alapterméküknek megfelelően kell feltüntetni. | 
| 480 | 2.1.2.1  2A. szintű vállalati kötvények (CQS1) A 2.1.2. pontban feltüntetett olyan pénzeszköz-beáramlások összege, amelyet kijelölt külső hitelminősítő intézettől 1-es hitelminőségi besorolást kapott vállalati kötvény fedez. | 
| 490 | 2.1.2.2  2A. szintű fedezett kötvények (CQS1, CQS2) A 2.1.2. pontban feltüntetett olyan pénzeszköz-beáramlások összege, amelyet kijelölt külső hitelminősítő intézettől 1-es vagy 2-es hitelminőségi besorolást kapott fedezett kötvény fedez. | 
| 500 | 2.1.2.3  2A. szintű közszektorbeli intézményi eszközök (CQS1, CQS2) A 2.1.2. pontban feltüntetett olyan pénzeszköz-beáramlások összege, amelyet központi kormányzatokkal, központi bankokkal, regionális kormányzatokkal, helyi hatóságokkal vagy közszektorbeli intézményekkel szembeni vagy általuk garantált követeléseket képviselő eszköz fedez. Az (EU) 2015/61 rendelet 11. cikke (1) bekezdése a) és b) pontjának megfelelően csak az 1-es és 2-es hitelminőségi besorolással rendelkező közszektorbeli eszközök minősülhetnek 2A. szintű eszköznek. | 
| 510 | 2.1.3  2B. szintű forgalomképes eszközök A 2.1. pontban feltüntetett, az (EU) 2015/61 rendelet 7., 8. és 12. vagy 13. cikke szerinti forgalomképes eszközökkel fedezett pénzeszköz-beáramlások összege. A KBF-ek az (EU) 2015/61 rendelet 15. cikkének megfelelő, 2B. szintű eszköznek minősülő részvényeit vagy befektetési jegyeit az alábbi alkategóriákban, az alapterméküknek megfelelően kell feltüntetni. | 
| 520 | 2.1.3.1  2B. szintű eszközfedezetű értékpapírok (ABS) (CQS1) A 2.1.3. pontban feltüntetett olyan pénzeszköz-beáramlások összege, amelyet eszközfedezetű értékpapír fedez, utóbbiak közé értve a lakóingatlannal fedezett értékpapírokat is. | 
| 530 | 2.1.3.2  2B. szintű fedezett kötvények (CQS 1-6) A 2.1.3. pontban feltüntetett olyan pénzeszköz-beáramlások összege, amelyet fedezett kötvény fedez. | 
| 540 | 2.1.3.3  2B. szintű vállalati kötvények (CQS 1-3) A 2.1.3. pontban feltüntetett olyan pénzeszköz-beáramlások összege, amelyet hitelviszonyt megtestesítő vállalati értékpapír fedez. | 
| 550 | 2.1.3.4  2B. szintű részvények A 2.1.3. pontban feltüntetett olyan pénzeszköz-beáramlások összege, amelyet részvény fedez. | 
| 560 | 2.1.3.5  2B. szintű közszektorbeli intézményi eszközök (CQS 3-5) A 2.1.3. pontban feltüntetett olyan pénzeszköz-beáramlások összege, amelyet nem a 2.1.3.1–2.1.3.4. pontban feltüntetett 2B. szintű eszköz fedez. | 
| 570 | 2.1.4  egyéb forgalomképes eszköz A 2.1. pontban feltüntetett pénzeszköz-beáramlások összege, amelyet nem a 2.1.1, 2.1.2. vagy 2.1.3. pontban feltüntetett forgalomképes eszközök fedeznek. | 
| 580 | 2.1.5  egyéb eszközök A 2.1. pontban feltüntetett pénzeszköz-beáramlások összege, amelyet nem a 2.1.1., 2.1.2., 2.1.3. vagy 2.1.4. pontban feltüntetett eszközök fedeznek. | 
| 590 | 2.2  Hitelekből és előlegekből eredő, a 2.1. pontban nem szereplő esedékes összegek a következő ügyfelektől: Hitelekből és előlegekből származó beáramlások. A pénzeszköz-beáramlásokat a szerződés szerinti legkésőbbi törlesztési nappal kell feltüntetni. Rulírozó hitelkeretek esetében feltételezni kell, hogy a meglévő hitelt megújítják, a fennmaradó egyenleg pedig folyósítási kötelezettséget tartalmazó keretként kezelendő. | 
| 600 | 2.2.1  lakossági ügyfelek A 2.2. pontban feltüntetett, az (EU) 2015/61 rendelet 3. cikkének 8. pontja szerinti, természetes személytől vagy kkv-tól származó pénzeszköz-beáramlások összege. | 
| 610 | 2.2.2  nem pénzügyi vállalatok A 2.2. pontban feltüntetett, nem pénzügyi vállalatoktól származó pénzeszköz-beáramlások összege. | 
| 620 | 2.2.3  hitelintézetek A 2.2. pontban feltüntetett, hitelintézetektől származó pénzeszköz-beáramlások összege. | 
| 630 | 2.2.4  egyéb pénzügyi ügyfelek A 2.2. pontban feltüntetett, az (EU) 2015/61 rendelet 3. cikkének 9. pontja szerinti pénzügyi ügyfelektől származó pénzeszköz-beáramlások összege, a 2.2.3. pontban feltüntetett beáramlások kivételével. | 
| 640 | 2.2.5  központi bankok A 2.2. pontban feltüntetett, központi bankoktól származó pénzeszköz-beáramlások összege. | 
| 650 | 2.2.6  egyéb partnerek A 2.2. pontban feltüntetett, a 2.2.1–2.2.5. pontban nem említett egyéb szervezetektől származó pénzeszköz-beáramlások összege. | 
| 660 | 2.3  Lejáró devizacsere-ügylet A devizacsere-ügyletek lejáratából, például a tőkeösszegek lejáratkori cseréjéből származó szerződéses pénzeszköz-beáramlások teljes összege. A tábla megfelelő lejárati sávjaiban szereplő keresztdevizás csereügyletek és határidős devizaügyletek lejáratkori névértékét a tábla vonatkozó lejárati sávjában kell feltüntetni. | 
| 670 | 2.4.  A 2.3. pontban nem szereplő, származtatott ügyletekből eredő követelések összege Az 575/2013/EU rendelet II. mellékletében felsorolt szerződések alapján követelést képező származtatott pozíciókból származó pénzeszköz-beáramlások teljes összege, kivéve a lejáró devizacsere-ügyletekből származó beáramlásokat, amelyeket a 2.3. pontban kell szerepeltetni. A teljes összegnek a kiegyenlítési összegeket kell mutatnia az adatszolgáltatás időpontjában nem teljesített letéti felhívásokkal együtt. A teljes összegnek az alábbi 1. és 2. elem összegét kell mutatnia a különböző lejárati sávokban: 1. a lejárati táblában nem szerepeltethető az olyan származtatott ügyletekhez kapcsolódó pénz- és értékpapír-áramlás, amelyre vonatkozóan biztosítéki megállapodás írja elő a partnerkockázat teljes vagy arányos fedezetét, és ugyancsak nem szerepeltethető a táblában az ilyen származtatott ügyletekhez kapcsolódó semmilyen pénz-, értékpapír-, készpénzfedezet- és értékpapírfedezet-áramlás. Nem tüntethető fel továbbá a lejárati tábla kiegyensúlyozó kapacitást mutató 3. szakaszának „állomány” oszlopában a fedezett származtatott ügylet keretében korábban kapott vagy nyújtott készpénz- és értékpapír-fedezet állománya, kivéve a letéti felhívások nyomán bekövetkező esedékes, de még nem teljesített pénz- és értékpapír-áramlást. Utóbbiak közül a készpénzfedezetet az 1.5. és a 2.4. sorban („származtatott ügyletekhez kapcsolódó pénzeszköz-kiáramlások” és „származtatott ügyletekhez kapcsolódó pénzeszköz-beáramlások”), az értékpapír-fedezetet a 3. szakaszban („kiegyensúlyozó kapacitás”) kell kimutatni; 2. a pénzeszközök és értékpapírok olyan származtatott ügyletekhez kapcsolódó be- és kiáramlása esetében, amelyekre nem vonatkozik biztosítéki megállapodás vagy csak részleges fedezet szükséges, meg kell különböztetni az opcionalitást tartalmazó és egyéb szerződéseket: a) az opció jellegű származtatott ügyletekhez kapcsolódó áramlások csak akkor szerepeltethetők, ha az opció nyereséges. Ezek az áramlások a következők közül mindkettő együttes alkalmazásával közelíthetők: i. a szerződés aktuális piaci értékét vagy nettó jelenértékét a lejárati tábla 2.4. sorában („származtatott ügyletekhez kapcsolódó pénzeszköz-beáramlások”) az opció legkésőbbi lehívási napjával beáramlásként kell szerepeltetni, ha az opció lehívására a bank jogosult; ii. a szerződés aktuális piaci értékét vagy nettó jelenértékét a lejárati tábla 1.5. sorában („származtatott ügyletekhez kapcsolódó pénzeszköz-kiáramlások”) az opció legkorábbi lehívási napjával kiáramlásként kell szerepeltetni, ha az opció lehívására a bank partnere jogosult; b) az a) pontban említettől eltérő szerződésekhez kapcsolódó áramlások esetében a bruttó szerződéses pénzáramlásokat az 1.5. sor („származtatott ügyletekhez kapcsolódó pénzeszköz-kiáramlások”) és a 2.4. sor („származtatott ügyletekhez kapcsolódó pénzeszköz-beáramlások”) megfelelő lejárati sávjában, az értékpapírok szerződéses áramlásait pedig a lejárati tábla kiegyensúlyozó kapacitást mutató szakaszában – még nem rögzített összegek esetében az adatszolgáltatás időpontjában alkalmazandó aktuális, piac által implikált határidős kamatlábak használatával – kell szerepeltetni. | 
| 680 | 2.5  Saját portfólióban tartott, lejáró értékpapír A kötvényekben végrehajtott saját befektetésekből eredő, a szerződés szerinti hátralévő futamidővel szerepeltetett, esedékes tőketörlesztésből származó beáramlások összege. A tétel magában foglalja a kiegyensúlyozó kapacitásban szerepeltetett lejáró értékpapírokból származó pénzeszköz-beáramlást. Azaz amennyiben egy értékpapír lejár, értékpapír-kiáramlásként kell feltüntetni a kiegyensúlyozó kapacitás táblában, és pénzeszköz-beáramlásként itt. | 
| 690 | 2.6  Egyéb beáramlások A 2.1., 2.2., 2.3., 2.4. és 2.5. pontban nem szereplő valamennyi egyéb pénzeszköz-beáramlás teljes összege. A függő beáramlások itt nem szerepeltethetők. | 
| 700 | 2.7  Beáramlások összesen A 2.1., 2.2., 2.3., 2.4., 2.5. és 2.6. pontban feltüntetett beáramlások összege. | 
| 710 | 2.8  Nettó finanszírozási eltérés (gap) A 2.7. pontban szereplő beáramlások összértéke csökkentve az 1.7. pontban szereplő kiáramlások összértékével. | 
| 720 | 2.9  Halmozott nettó finanszírozási eltérés (gap) Halmozott nettó szerződéses hiány az adatszolgáltatás időpontjától a vonatkozó lejárati sáv végéig. | 
| 730-1080 | 3.  KIEGYENSÚLYOZÓ KAPACITÁS A lejárati tábla „kiegyensúlyozó kapacitás” táblája az intézmény különböző likviditású eszközállományainak alakulásáról nyújt tájékoztatást, köztük a forgalomképes eszközökről, a központi bank által elfogadható eszközökről, valamint az intézmény által kapott, folyósítási kötelezettséget tartalmazó keretekről. Konszolidált szintű adatszolgáltatás esetén a központi bank általi elfogadhatóságnak az egyes konszolidált intézményekre a saját joghatóságukban alkalmazandó szabályait kell figyelembe venni. A kiegyensúlyozó kapacitásban azokat a forgalomképes eszközöket kell szerepeltetni, amelyeket kiterjedt, mély és aktív, alacsony koncentrációs szintű repo- vagy készpénzpiacokon forgalmaznak. A kiegyensúlyozó kapacitás tábla oszlopaiban csak olyan meg nem terhelt eszközök szerepelhetnek, amelyeket az intézmény bármikor készpénzre válthat, hogy megszüntethesse az adott időtávon történő pénzeszköz-beáramlások és -kiáramlások közötti szerződéses hiányt. A megterhelt eszközök fogalommeghatározása tekintetében az (EU) 2015/61 felhatalmazáson alapuló bizottsági rendelet alkalmazandó. Az eszközök nem használhatók hitelminőség-javításra strukturált ügyletekben, nem használhatók fel működési költségek (például járadékok, bérek) finanszírozására, és azokat egyértelműen és kizárólagosan függő finanszírozási forrásként kell kezelni. A fordított repoügyletek és az értékpapír-finanszírozási ügyletek (SFT) keretében az intézmény által biztosítékként kapott eszközök figyelembe vehetők a kiegyensúlyozó kapacitásban akkor, ha azokat az intézmény tartja, azokat újból nem zálogosították el, és azok jogszabály és szerződés alapján az intézmény rendelkezésére állnak. A többszörös figyelembevétel elkerülése érdekében, ha az intézmény a 3.1–3.7. pontban elkülönített eszközöket szerepeltet, az e keretekhez kapcsolódó kapacitást nem szerepelteti a 3.8. pontban. Az eszközöket a nyitó állományban, a 010-es oszlopban kell feltüntetni, ha megfelelnek a sor leírásának és az adatszolgáltatás időpontjában rendelkezésre állnak. A 020–220-as oszlopok a kiegyensúlyozó kapacitáson belüli szerződéses áramlásokat tartalmazzák. Ha egy intézmény repoügyletet kötött, a kirepózott eszközt értékpapír-beáramlásként kell visszavezetni a repoügylet lejáratának megfelelő lejárati sávban. Ugyanígy a lejáró repoügyletből származó pénzeszköz-kiáramlást az 1.2. pont megfelelő pénzeszköz-kiáramlási lejárati sávjában kell feltüntetni. Ha egy intézmény fordított repoügyletet kötött, a berepózott eszközt értékpapír-kiáramlásként kell visszavezetni a repoügylet lejáratának megfelelő lejárati sávban. Ugyanígy a lejáró repoügyletből származó pénzeszköz-kiáramlást a 2.1. pont megfelelő pénzeszköz-beáramlási lejárati sávjában kell feltüntetni. A biztosítéki csereügyleteket szerződéses értékpapír-beáramlásokként és értékpapír-kiáramlásokként, a csereügyletek lejárata szerinti lejárati sávban kell feltüntetni a kiegyensúlyozó kapacitás szakaszban. A 3.8. pontban szereplő hitel- és likviditási keretek szerződés szerint rendelkezésre álló összegének változását a megfelelő lejárati sávban áramlásként kell feltüntetni. Ha egy intézmény egynapos betétet helyez el központi banknál, akkor a betét összegét a 3.2. pontban nyitó állományként, továbbá a tételre vonatkozó „egynapos” lejárati kategóriában pénzeszköz-kiáramlásként kell szerepeltetni. Ennek megfelelően a keletkező pénzeszköz-beáramlást a 2.2.5. pontban kell feltüntetni. A kiegyensúlyozó kapacitáson belül a lejáró értékpapírokat szerződés szerinti lejáratuk alapján kell szerepeltetni. Egy értékpapír lejáratakor azt el kell távolítani abból az eszközkategóriából, amelyben eredetileg szerepelt, azaz értékpapír-kiáramlásként kell kezelni, a keletkező pénzeszköz-beáramlást pedig a 2.5. pontban kell feltüntetni. A megfelelő sávban valamennyi értékpapírt aktuális piaci értéken kell szerepeltetni. A 3.8. pontban kizárólag a szerződés szerint rendelkezésre álló összegek szerepeltethetők. A többszörös figyelembevétel elkerülése érdekében a pénzeszköz-beáramlások nem számolhatók el a kiegyensúlyozó kapacitás 3.1. vagy 3.2. pontjában. A kiegyensúlyozó kapacitás tételeit az alábbi alkategóriákban kell feltüntetni: | 
| 730 | 3.1  Pénzérmék és bankjegyek A pénzérmék és bankjegyek alkotta készpénz teljes összege. | 
| 740 | 3.2  Lehívható központi banki tartalékok A legkésőbb egy napon belül lehívható, az (EU) 2015/61 rendelet 10. cikke (1) bekezdése b) pontjának iii. alpontja szerinti központi banknál elhelyezett tartalékok teljes összege. A központi bankokkal szembeni vagy általuk biztosított követeléseket képviselő értékpapírok itt nem szerepeltethetők. | 
| 750 | 3.3  1. szintű forgalomképes eszközök Az (EU) 2015/61 rendelet 7., 8. és 10. cikke szerinti forgalomképes eszközök piaci értéke. A KBF-ek az (EU) 2015/61 rendelet 15. cikkének megfelelő, 1. szintű eszköznek minősülő részvényeit vagy befektetési jegyeit az alábbi alkategóriákban, az alapterméküknek megfelelően kell feltüntetni. | 
| 760 | 3.3.1  1. szintű eszközök a fedezett kötvények kivételével A 3.3. pontban feltüntetett összeg, a fedezett kötvények kivételével. | 
| 770 | 3.3.1.1  1. szintű központi banki eszközök A 3.3.1. pontban feltüntetett azon összeg, amely központi bankokkal szembeni vagy általuk garantált követeléseket képvisel. | 
| 780 | 3.3.1.2  1. szintű eszközök (CQS1) A 3.3.1. pontban feltüntetett, a 3.3.1.1. pontban feltüntetetteken kívüli azon összeg, amely kijelölt külső hitelminősítő intézettől 1-es hitelminőségi besorolást kapott kibocsátóval vagy garantőrrel szembeni vagy általa garantált követeléseket képviselő eszköz. | 
| 790 | 3.3.1.3  1. szintű eszközök (CQS2, CQS3) A 3.3.1. pontban feltüntetett, a 3.3.1.1. pontban feltüntetetteken kívüli azon összeg, amely kijelölt külső hitelminősítő intézettől 2-es vagy 3-as hitelminőségi besorolást kapott kibocsátóval vagy garantőrrel szembeni vagy általa garantált követeléseket képviselő eszköz. | 
| 800 | 3.3.1.4  1. szintű eszközök (CQS4+) A 3.3.1. pontban feltüntetett, a 3.3.1.1. pontban feltüntetetteken kívüli azon összeg, amely kijelölt külső hitelminősítő intézettől 4-es vagy rosszabb hitelminőségi besorolást kapott kibocsátóval vagy garantőrrel szembeni vagy általa garantált követeléseket képviselő eszköz. | 
| 810 | 3.3.2  1. szintű fedezett kötvények (CQS1) A 3.3. pontban feltüntetett azon összeg, amely fedezett kötvény. Az (EU) 2015/61 rendelet 10. cikke (1) bekezdése f) pontjának megfelelően csak az 1-es hitelminőségi besorolással rendelkező fedezett kötvények minősülhetnek 1. szintű eszköznek. | 
| 820 | 3.4  2A. szintű forgalomképes eszközök Az (EU) 2015/61 rendelet 7., 8. és 11. cikke szerinti forgalomképes eszközök piaci értéke. A KBF-ek az (EU) 2015/61 rendelet 15. cikkének megfelelő, 2A. szintű eszköznek minősülő részvényeit vagy befektetési jegyeit az alábbi alkategóriákban, az alapterméküknek megfelelően kell feltüntetni. | 
| 830 | 3.4.1  2A. szintű vállalati kötvények (CQS1) A 3.4. pontban feltüntetett azon összeg, amely kijelölt külső hitelminősítő intézettől 1-es hitelminőségi besorolást kapott vállalati kötvény. | 
| 840 | 3.4.2  2A. szintű fedezett kötvények (CQS1, CQS2) A 3.4. pontban feltüntetett azon összeg, amely kijelölt külső hitelminősítő intézettől 1-es vagy 2-es hitelminőségi besorolást kapott fedezett kötvény. | 
| 850 | 3.4.3  2A. szintű közszektorbeli intézményi eszközök (CQS1, CQS2) A 3.4. pontban feltüntetett azon összeg, amely központi kormányzatokkal, központi bankokkal, regionális kormányzatokkal, helyi hatóságokkal vagy közszektorbeli intézményekkel szembeni vagy általuk garantált követeléseket képvisel. Az (EU) 2015/61 rendelet 11. cikke (1) bekezdése a) és b) pontjának megfelelően csak az 1-es és 2-es hitelminőségi besorolással rendelkező közszektorbeli eszközök minősülhetnek 2A. szintű eszköznek. | 
| 860 | 3.5  2B. szintű forgalomképes eszközök Az (EU) 2015/61 rendelet 7., 8. és 12. vagy 13. cikke szerinti forgalomképes eszközök piaci értéke. A KBF-ek az (EU) 2015/61 rendelet 15. cikkének megfelelő, 2B. szintű eszköznek minősülő részvényeit vagy befektetési jegyeit az alábbi alkategóriákban, az alapterméküknek megfelelően kell feltüntetni. | 
| 870 | 3.5.1  2B. szintű eszközfedezetű értékpapírok (ABS) (CQS1) A 3.5. pontban feltüntetett azon összeg, amely eszközfedezetű értékpapír, ideértve a lakóingatlannal fedezett értékpapírokat is. Az (EU) 2015/61 rendelet 13. cikke (2) bekezdése a) pontjának megfelelően csak az 1-es hitelminőségi besorolással rendelkező eszközfedezetű értékpapírok minősülhetnek 2B. szintű eszköznek. | 
| 880 | 3.5.2  2B. szintű fedezett kötvények (CQS 1-6) A 3.5. pontban feltüntetett azon összeg, amely fedezett kötvény. | 
| 890 | 3.5.3  2B. szintű vállalati kötvények (CQS 1-3) A 3.5. pontban feltüntetett azon összeg, amely hitelviszonyt megtestesítő vállalati értékpapír. | 
| 900 | 3.5.4  2B. szintű részvények A 3.5. pontban feltüntetett azon összeg, amely részvény. | 
| 910 | 3.5.5  2B. szintű közszektorbeli intézményi eszközök (CQS 3-5) A 3.5. pontban feltüntetett összeg, amely a 3.5.1–3.5.4. pontban nem szereplő 2B. szintű eszköz. | 
| 920 | 3.6  Egyéb forgalomképes eszköz A 3.3., 3.4. és 3.5. pontban feltüntetett forgalomképes eszközökön kívüli forgalomképes eszközök piaci értéke. A kiegyensúlyozó kapacitásban nem szerepeltethetők a csoporton belüli vagy saját kibocsátású egyéb forgalomképes eszközökből származó értékpapír-áramlások és értékpapírok. Az ilyen tételekből származó pénzeszköz-áramlásokat a tábla 1. és 2. szakaszában kell feltüntetni. | 
| 930 | 3.6.1  központi kormányzat (CQS1) A 3.6. pontban feltüntetett azon összeg, amely kijelölt külső hitelminősítő intézettől 1-es hitelminőségi besorolást kapott központi kormányzattal szembeni vagy általa garantált követeléseket képvisel. | 
| 940 | 3.6.2  központi kormányzat (CQS2-3) A 3.6. pontban feltüntetett azon összeg, amely kijelölt külső hitelminősítő intézettől 2-es vagy 3-as hitelminőségi besorolást kapott központi kormányzattal szembeni vagy általa garantált követeléseket képvisel. | 
| 950 | 3.6.3  részvények A 3.6. pontban feltüntetett azon összeg, amely részvény. | 
| 960 | 3.6.4  fedezett kötvények A 3.6. pontban feltüntetett azon összeg, amely fedezett kötvény. | 
| 970 | 3.6.5  ABS A 3.6. pontban feltüntetett azon összeg, amely eszközfedezetű értékpapír. | 
| 980 | 3.6.6  egyéb forgalomképes eszköz A 3.6. pontban feltüntetett azon összeg, amely a 3.6.1–3.6.5. pontban nem szereplő egyéb forgalomképes eszköz. | 
| 990 | 3.7  Központi bank által elfogadható nem forgalomképes eszközök Az intézmény számára konszolidációs szintjén közvetlenül hozzáférhető azon nem forgalomképes eszközök könyv szerinti értéke, amelyek elfogadható fedezetet képeznek a központi bank szokásos likviditási műveleteihez. Az (EU) 2015/233 bizottsági végrehajtási rendelet (1) mellékletében szereplő olyan pénznemben denominált eszközök esetében, amelyek tekintetében rendkívül szűk a központi bank által elfogadható fedezetek köre, a mezőt üresen kell hagyni. A kiegyensúlyozó kapacitásban nem szerepeltethetők a csoporton belüli vagy saját kibocsátású egyéb forgalomképes eszközökből származó értékpapír-áramlások és értékpapírok. Az ilyen tételekből származó pénzeszköz-áramlásokat a tábla 1. és 2. szakaszában kell feltüntetni. | 
| 1000 | 3.8  Kapott, le nem hívott, folyósítási kötelezettséget tartalmazó keretek Az adatot szolgáltató intézmény rendelkezésére tartott, le nem hívott, folyósítási kötelezettséget tartalmazó keretek teljes összege. Magában foglalja a szerződés alapján visszavonhatatlan kereteket. Az intézményeknek csökkentett összeget kell feltüntetniük akkor, ha a lehívás esetleges biztosítékigénye meghaladja a rendelkezésre álló biztosítékokat. A többszörös figyelembevétel elkerülése érdekében akkor, ha az adatszolgáltató intézmény eszközöket különített el valamely le nem hívott keret biztosítékaként, és ezeket az eszközöket a 3.1–3.7. pontban már feltüntette, ezek a keretek a 3.8. pontban nem tüntethetők fel. Ugyanez vonatkozik azokra az esetekre, amikor az adatszolgáltató intézménynek esetlegesen biztosítékként eszközöket kell elkülönítenie az ebben a mezőben szerepeltetett lehívások érdekében. | 
| 1010 | 3.8.1  1. szintű keretek A 3.8. pontban feltüntetett azon összeg, amely az (EU) 2015/61 rendelet 19. cikke (1) bekezdésének b) pontja szerinti központi banki keret. | 
| 1020 | 3.8.2  2B. szintű korlátozott felhasználású keretek A 3.8. pontban feltüntetett azon összeg, amely az (EU) 2015/61 rendelet 14. cikke szerinti keret. | 
| 1030 | 3.8.3  2B. szintű, intézményvédelmi rendszerbeli keretek A 3.8. pontban feltüntetett azon összeg, amely az (EU) 2015/61 rendelet 16. cikkének (2) bekezdése szerinti likviditásfinanszírozási forrás. | 
| 1040 | 3.8.4  egyéb keretek A 3.8. pontban feltüntetett azon összeg, amely a 3.8.1–3.8.3. pontban nem szerepel. | 
| 1050 | 3.8.4.1  csoporton belüli partnerektől A 3.8.4. pontban feltüntetett azon összeg, amelynek esetében a partner az intézmény anyavállalata vagy leányvállalata, vagy ugyanazon anyavállalatnak egy másik leányvállalata vagy a hitelintézettel a 83/349/EGK irányelv 12. cikkének (1) bekezdése értelmében vett kapcsolatban áll, vagy az 575/2013/EU rendelet 113. cikkének (7) bekezdésében említett ugyanazon intézményvédelmi rendszer tagja vagy az 575/2013/EU rendelet 10. cikkében említett hálózat vagy szövetkezeti csoport központi intézménye vagy társult tagja. | 
| 1060 | 3.8.4.2  egyéb partnerektől A 3.8.4. pontban feltüntetett azon összeg, amely a 3.8.4.1. pontban nem szerepel. | 
| 1070 | 3.9  A kiegyensúlyozó kapacitás nettó változása Ezen a soron a 3.2., 3.3., 3.4. pontban és a 3.5., 3.6. 3.7. pontban, valamint a 3.8. pontban foglalt tételekkel, azaz az adott lejárati sávban a központi bankkal, értékpapír-áramlásokkal és folyósítási kötelezettséget tartalmazó hitelkeretekkel szembeni kitettségek nettó változását kell feltüntetni. | 
| 1080 | 3.10  Halmozott kiegyensúlyozó kapacitás Halmozott kiegyensúlyozó kapacitás az adatszolgáltatás időpontjától a vonatkozó lejárati sáv végéig. | 
| 1090–1140 | 4.  FÜGGŐ TÉTELEK A lejárati tábla „Függő tételek” szakasza a függő kiáramlásokra vonatkozó információkat tartalmazza. | 
| 1090 | 4.1  Folyósítási kötelezettséget tartalmazó keretekből származó kiáramlások Folyósítási kötelezettséget tartalmazó keretekből származó pénzeszköz-kiáramlások. Az intézményeknek az egy adott időszakban lehívható maximális összeget kell feltüntetniük kiáramlásként. Rulírozó hitelkeretek esetében csak a meglévő hitelen felüli összeget kell feltüntetni. | 
| 1010 | 4.1.1  Folyósítási kötelezettséget tartalmazó hitelkeretek A 4.1. pontban feltüntetett azon összeg, amely az (EU) 2015/61 rendelet 31. cikke szerinti folyósítási kötelezettséget tartalmazó hitelkeretből származik. | 
| 1110 | 4.1.1.1  a kedvezményezett által 2B. szintűnek tekintett A 4.1.1. pontban feltüntetett azon összeg, amelyet az (EU) 2015/61 rendelet 16. cikkének (2) bekezdése szerinti likviditásfinanszírozási forrásnak tekintenek. | 
| 1120 | 4.1.1.2  egyéb A 4.1.1. pontban feltüntetett azon összeg, amelyet a 4.1.1.1. pontban nem tüntettek fel. | 
| 1130 | 4.1.2  Likviditási keretek A 4.1. pontban feltüntetett azon összeg, amely az (EU) 2015/61 rendelet 31. cikke szerinti likviditási keretből származik. | 
| 1140 | 4.2  Leminősítés miatti kiáramlások Ezen a soron az intézmények az intézmény hitelminőségének jelentős, külső hitelminősítésének legalább három fokozattal történő csökkentésének megfelelő romlásából származó hatást tüntetik fel. A pozitív értékek függő kiáramlásokat jelentenek, a negatív értékek pedig az eredeti kötelezettség csökkenését jelentik. Ha a leminősítés hatása a meglévő kötelezettségek lejárat előtti visszaváltása, az érintett kötelezettségeket negatív előjellel kell feltüntetni abban az idősávban, amelyben az 1. pontban jelentik azokat, valamint egyidejűleg pozitív előjellel abban az idősávban, amelyben a kötelezettség esedékes lesz, amennyiben a leminősítés hatása az adatszolgáltatás időpontjában alkalmazandóvá válik. Ha a leminősítés hatása letéti felhívás, az elhelyezendő fedezet piaci értékét pozitív előjellel kell feltüntetni abban az idősávban, amelyikben a fedezetet el kell helyezni, amennyiben a leminősítés hatása az adatszolgáltatás időpontjában alkalmazandóvá válik. Ha a leminősítés hatása a partnerektől biztosítékként kapott értékpapírok újra-elzálogosítási jogának változása, az érintett értékpapírok piaci értékét pozitív előjellel kell feltüntetni abban az idősávban, amelyikben az értékpapírok megszűnnek az adatszolgáltató intézmény számára rendelkezésre állni, amennyiben a leminősítés hatása az adatszolgáltatás időpontjában alkalmazandóvá válik. | 
| 1150–1290 | 5. TÁJÉKOZTATÓ ADATOK | 
| 1200 | 10  Csoporton belüli vagy intézményvédelmi rendszeren belüli kiáramlások (a devizaügyletek kivételével) Az 1.1., 1.2., 1.3., 1.5. és 1.6. pontban feltüntetett azon kiáramlások összege, amelyek esetében a partner az intézmény anyavállalata vagy leányvállalata, vagy ugyanazon anyavállalatnak egy másik leányvállalata vagy a hitelintézettel a 83/349/EGK irányelv 12. cikkének (1) bekezdése értelmében vett kapcsolatban áll, vagy az 575/2013/EU rendelet 113. cikkének (7) bekezdésében említett ugyanazon intézményvédelmi rendszer tagja vagy az 575/2013/EU rendelet 10. cikkében említett hálózat vagy szövetkezeti csoport központi intézménye vagy társult tagja. | 
| 1210 | 11  Csoporton belüli vagy intézményvédelmi rendszeren belüli beáramlások (a devizaügyletek és a lejáró értékpapírok kivételével) A 2.1., 2.2., 2.4. és 2.6. pontban feltüntetett azon beáramlások összege, amelyek esetében a partner az intézmény anyavállalata vagy leányvállalata, vagy ugyanazon anyavállalatnak egy másik leányvállalata vagy a hitelintézettel a 83/349/EGK irányelv 12. cikkének (1) bekezdése értelmében vett kapcsolatban áll, vagy az 575/2013/EU rendelet 113. cikkének (7) bekezdésében említett ugyanazon intézményvédelmi rendszer tagja vagy az 575/2013/EU rendelet 10. cikkében említett hálózat vagy szövetkezeti csoport központi intézménye vagy társult tagja. | 
| 1220 | 12  Csoporton belüli vagy intézményvédelmi rendszeren belüli beáramlások lejáró értékpapírokból A 2.5. pontban feltüntetett azon beáramlások összege, amelyek esetében a partner az intézmény anyavállalata vagy leányvállalata, vagy ugyanazon anyavállalatnak egy másik leányvállalata vagy a hitelintézettel a 83/349/EGK irányelv 12. cikkének (1) bekezdése értelmében vett kapcsolatban áll, vagy az 575/2013/EU rendelet 113. cikkének (7) bekezdésében említett ugyanazon intézményvédelmi rendszer tagja vagy az 575/2013/EU rendelet 10. cikkében említett hálózat vagy szövetkezeti csoport központi intézménye vagy társult tagja. | 
| 1230 | 13  Központi bank által elismert magas minőségű likvid eszközök A 3.3., 3.4. és 3.5. sorban feltüntetett azon összeg, amely elfogadható fedezetet képez azon központi bank szokásos likviditási műveleteihez, amely az intézmény számára konszolidációs szintjén közvetlenül hozzáférhető. Az (EU) 2015/233 rendelet mellékletében szereplő olyan pénznemben denominált eszközök esetében, amelynek tekintetében rendkívül szűk a központi bank által elfogadható fedezetek köre, a mezőt üresen kell hagyni. | 
| 1240 | 14  Központi bank által elismert nem magas minőségű likvid eszközök Az alábbiak összege: i. A 3.6. sorban feltüntetett azon összegek, amelyek elfogadható fedezetet képeznek azon központi bank szokásos likviditási műveleteihez, amely az intézmény számára konszolidációs szintjén közvetlenül hozzáférhető. ii. Azon saját kibocsátású eszközök, amelyek elfogadható fedezetet képeznek azon központi bank szokásos likviditási műveleteihez, amely az intézmény számára konszolidációs szintjén közvetlenül hozzáférhető. Az (EU) 2015/233 rendeletben szereplő olyan pénznemben denominált eszközök esetében, amelynek tekintetében rendkívül szűk a központi bank által elfogadható fedezetek köre, a mezőt üresen kell hagyni. | 
| 1270 | 17  Betétekből származó kiáramlások – modellezett, viselkedés szerint Az 1.3. sorban feltüntetett, a viselkedési lejárat szerint – szokásos üzletmenet alapon – az egyes idősávokba újraelosztott összeg, amelyet az adatszolgáltató intézmény a likviditási kockázat kezelésére használ. E mező alkalmazásában a „szokásos üzletmenet” kifejezés olyan helyzetet jelöl, amelyben nincs likviditási stressz. Az elosztásnak a betétek „ragadósságát” kell tükröznie. Ez a tétel nem tükröz üzleti tervvel kapcsolatos feltételezéseket, így nem tartalmazhat új üzleti tevékenységekkel kapcsolatos információkat. Az egyes idősávokba történő elosztás során a belső célokra használt granularitást kell követni. Következésképpen nem feltétlenül kell minden idősávot kitölteni. | 
| 1280 | 18  Hitelekből és előlegekből származó beáramlások – modellezett, viselkedés szerint A 2.2. sorban feltüntetett, a viselkedési lejárat szerint – szokásos üzletmenet alapon – az egyes idősávokba újraelosztott összeg, amelyet az adatszolgáltató intézmény a likviditási kockázat kezelésére használ. E mező alkalmazásában a „szokásos üzletmenet” kifejezés olyan helyzetet jelöl, amelyben nincs likviditási stressz. Ez a tétel nem tükröz üzleti tervvel kapcsolatos feltételezéseket, így nem vesz tekintetbe új üzleti tevékenységeket. Az egyes idősávokba történő elosztás során a belső célokra használt granularitást kell követni. Következésképpen nem feltétlenül kell minden idősávot kitölteni. | 
| 1290 | 19  Folyósítási kötelezettséget tartalmazó keretek lehívása – modellezett, viselkedés szerint A 4.1. sorban feltüntetett, a lehívások magatartási szintje és az adódó likviditási igények szerint – szokásos üzletmenet alapon – az egyes idősávokba újraelosztott összeg, amelyet az adatszolgáltató intézmény a likviditási kockázat kezelésére használ. E mező alkalmazásában a „szokásos üzletmenet” kifejezés olyan helyzetet jelöl, amelyben nincs likviditási stressz. Ez a tétel nem tükröz üzleti tervvel kapcsolatos feltételezéseket, így nem vesz tekintetbe új üzleti tevékenységeket. Az egyes idősávokba történő elosztás során a belső célokra használt granularitást kell követni. Következésképpen nem feltétlenül kell minden idősávot kitölteni. | 
| (1) http://eur-lex.europa.eu/legal-content/HU/TXT/?uri=CELEX%3A32015R0233 | |
XXIV. MELLÉKLET
A LIKVIDITÁSRA VONATKOZÓ ADATSZOLGÁLTATÁS
| A LIKVIDITÁSRA VONATKOZÓ TÁBLÁK | ||
| Tábla száma | Tábla kódja | Tábla/táblacsoport megnevezése | 
| A LIKVIDITÁSFEDEZETRE VONATKOZÓ TÁBLÁK | ||
| I. RÉSZ – LIKVID ESZKÖZÖK | ||
| 72 | C 72.00 | LIKVIDITÁSFEDEZET – LIKVID ESZKÖZÖK | 
| II. RÉSZ – KIÁRAMLÁSOK | ||
| 73 | C 73.00 | LIKVIDITÁSFEDEZET – KIÁRAMLÁSOK | 
| III. RÉSZ – BEÁRAMLÁSOK | ||
| 74 | C 74.00 | LIKVIDITÁSFEDEZET – BEÁRAMLÁSOK | 
| IV. RÉSZ – BIZTOSÍTÉKI CSEREÜGYLETEK | ||
| 75 | C 75.01 | LIKVIDITÁSFEDEZET – BIZTOSÍTÉKI CSEREÜGYLETEK | 
| V. RÉSZ – SZÁMÍTÁSOK | ||
| 76 | C 76.00 | LIKVIDITÁSFEDEZET – SZÁMÍTÁSOK | 
| VI. RÉSZ – A KONSZOLIDÁCIÓ KÖRE | ||
| 77 | C 77.00 | LIKVIDITÁSFEDEZET – KONSZOLIDÁCIÓS KÖR | 
C 72.00 - LIKVIDITÁSFEDEZET - LIKVID ESZKÖZÖK
Pénznem
| Sor | AZONOSÍTÓ | Tétel | Összeg/Piaci érték | Standard súly | Alkalmazandó súly | 9. cikk szerinti érték | 
| 010 | 020 | 030 | 040 | |||
| 010 | 1 | ÖSSZES KI NEM IGAZÍTOTT LIKVID ESZKÖZ | ||||
| 020 | 1.1 | Összes ki nem igazított 1. szintű eszköz | ||||
| 030 | 1.1.1 | Ki nem igazított 1. SZINTŰ eszközök összesen a rendkívül magas minőségű fedezett kötvények kivételével | ||||
| 040 | 1.1.1.1 | Pénzérmék és bankjegyek | 1,00 | |||
| 050 | 1.1.1.2 | Lehívható központi banki tartalékok | 1,00 | |||
| 060 | 1.1.1.3 | Központi banki eszközök | 1,00 | |||
| 070 | 1.1.1.4 | Központi kormányzati eszközök | 1,00 | |||
| 080 | 1.1.1.5 | Regionális kormányzati / helyi hatósági eszközök | 1,00 | |||
| 090 | 1.1.1.6 | Közszektorbeli intézményi eszközök | 1,00 | |||
| 100 | 1.1.1.7 | Elismerhető, hazai vagy külföldi devizában fennálló központi kormányzati és központi banki eszközök | 1,00 | |||
| 110 | 1.1.1.8 | Hitelintézet (tagállam kormányzata által védett, kedvezményes hitelezésben részt vevő) által kibocsátott eszközök | 1,00 | |||
| 120 | 1.1.1.9 | Multilaterális fejlesztési bankok és nemzetközi szervezetek eszközei | 1,00 | |||
| 130 | 1.1.1.10 | Beszámítható KBF-részvények/befektetési jegyek: a mögöttes eszközök pénzérmék/bankjegyek és/vagy központi banki kitettségek | 1,00 | |||
| 140 | 1.1.1.11 | Beszámítható KBF-részvények/befektetési jegyek: a mögöttes eszközök 1. szintű eszközök a rendkívül magas minőségű fedezett kötvények kivételével | 0,95 | |||
| 150 | 1.1.1.12 | Alternatív likviditási megközelítések: Központi banki hitelkeret | 1,00 | |||
| 160 | 1.1.1.13 | Központi hitelintézetek: azon 1. szintű eszközök – a rendkívül magas minőségű fedezett kötvények kivételével – amelyek a betétet elhelyező hitelintézet likvid eszközeinek minősülnek | ||||
| 170 | 1.1.1.14 | Alternatív likviditási megközelítések: 1. szintűként elismert 2A. szintű eszközök | 0,80 | |||
| 180 | 1.1.2 | Ki nem igazított 1. szintű rendkívül magas minőségű fedezett kötvények összesen | ||||
| 190 | 1.1.2.1 | Rendkívül magas minőségű fedezett kötvények | 0,93 | |||
| 200 | 1.1.2.2 | Beszámítható KBF-részvények/befektetési jegyek: a mögöttes eszközök rendkívül magas minőségű fedezett kötvények | 0,88 | |||
| 210 | 1.1.2.3 | Központi hitelintézetek: 1. szintű rendkívül magas minőségű fedezett kötvények, amelyek a betétet elhelyező hitelintézet likvid eszközeinek minősülnek | ||||
| 220 | 1.2 | Összes ki nem igazított 2. szintű eszköz | ||||
| 230 | 1.2.1 | Ki nem igazított 2A. SZINTŰ eszközök összesen | ||||
| 240 | 1.2.1.1 | Regionális kormányzati / helyi hatósági vagy közszektorbeli intézményi eszközök (tagállam, 20 %-os kockázati súly) | 0,85 | |||
| 250 | 1.2.1.2 | Központi banki vagy központi/regionális kormányzati vagy helyi hatósági vagy közszektorbeli intézményi eszközök (harmadik ország, 20 %-os kockázati súly) | 0,85 | |||
| 260 | 1.2.1.3 | Magas minőségű fedezett kötvények (2. hitelminőségi besorolás) | 0,85 | |||
| 270 | 1.2.1.4 | Magas minőségű fedezett kötvények (harmadik ország, 1. hitelminőségi besorolás) | 0,85 | |||
| 280 | 1.2.1.5 | Vállalati adósságpapírok (1. hitelminőségi besorolás) | 0,85 | |||
| 290 | 1.2.1.6 | Beszámítható KBF-részvények/befektetési jegyek: a mögöttes eszközök 2A. szintű eszközök | 0,80 | |||
| 300 | 1.2.1.7 | Központi hitelintézetek: 2A. szintű eszközök, amelyek a betétet elhelyező hitelintézet likvid eszközeinek minősülnek | ||||
| 310 | 1.2.2 | Ki nem igazított 2B. SZINTŰ eszközök összesen | ||||
| 320 | 1.2.2.1 | Eszközfedezetű értékpapírok (lakóingatlan, 1. hitelminőségi besorolás) | 0,75 | |||
| 330 | 1.2.2.2 | Eszközfedezetű értékpapírok (gépjármű, 1. hitelminőségi besorolás) | 0,75 | |||
| 340 | 1.2.2.3 | Magas minőségű fedezett kötvények (35 %-os kockázati súly) | 0,70 | |||
| 350 | 1.2.2.4 | Eszközfedezetű értékpapírok (vállalati vagy háztartási hitel, tagállam, 1. hitelminőségi besorolás) | 0,65 | |||
| 360 | 1.2.2.5 | Vállalati adósságpapírok (2/3. hitelminőségi besorolás) | 0,50 | |||
| 370 | 1.2.2.6 | Vállalati adósságpapírok – nem kamatozó eszközök (hitelintézetek által vallási okokból tartott) (1/2/3. hitelminőségi besorolás) | 0,50 | |||
| 380 | 1.2.2.7 | Részvények (jelentős tőzsdeindex) | 0,50 | |||
| 390 | 1.2.2.8 | Nem kamatozó eszközök (hitelintézetek által vallási okokból tartott) (3–5. hitelminőségi besorolás) | 0,50 | |||
| 400 | 1.2.2.9 | Folyósítási kötelezettséget tartalmazó, korlátozott felhasználású központi banki likviditási keretek | 1,00 | |||
| 410 | 1.2.2.10 | Beszámítható KBF-részvények/befektetési jegyek: a mögöttes eszközök eszközfedezetű értékpapírok (lakóingatlan vagy gépjármű, 1. hitelminőségi besorolás) | 0,70 | |||
| 420 | 1.2.2.11 | Beszámítható KBF-részvények/befektetési jegyek: a mögöttes eszközök magas minőségű fedezett kötvények (35 %-os kockázati súly) | 0,65 | |||
| 430 | 1.2.2.12 | Beszámítható KBF-részvények/befektetési jegyek: a mögöttes eszközök eszközfedezetű értékpapírok (vállalati vagy háztartási hitel, tagállam, 1. hitelminőségi besorolás) | 0,60 | |||
| 440 | 1.2.2.13 | Beszámítható KBF-részvények/befektetési jegyek: a mögöttes eszközök vállalati adósságpapírok (2/3. hitelminőségi besorolás), részvények (jelentős tőzsdeindex) vagy nem kamatozó eszközök (hitelintézetek által vallási okokból tartott) (3–5. hitelminőségi besorolás) | 0,45 | |||
| 450 | 1.2.2.14 | A hálózat tagja által központi intézménynél elhelyezett betét (kötelező befektetés nélkül) | 0,75 | |||
| 460 | 1.2.2.15 | A hálózat tagja számára a központi intézménynél rendelkezésre álló likviditásfinanszírozás (meghatározott fedezet nélkül) | 0,75 | |||
| 470 | 1.2.2.16 | Központi hitelintézetek: 2B. szintű eszközök, amelyek a betétet elhelyező hitelintézet likvid eszközeinek minősülnek | ||||
| TÁJÉKOZTATÓ ADATOK | ||||||
| 485 | 2 | A hálózat tagja által központi intézménynél elhelyezett betét (kötelező befektetéssel) | ||||
| 580 | 3 | Devizális okokból kizárt 1/2A/2B. szintű eszközök | ||||
| 590 | 4 | Devizális okoktól eltérő operatív okokból kizárt 1/2A/2B. szintű eszközök | ||||
C 73.00 - LIKVIDITÁSFEDEZET - KIÁRAMLÁSOK
Pénznem
| Összeg | Nyújtott biztosíték piaci értéke | A nyújtott biztosíték 9. cikk szerinti értéke | Standard súly | Alkalmazandó súly | Kiáramlás | |||
| Sor | AZONOSÍTÓ | Tétel | 010 | 020 | 030 | 040 | 050 | 060 | 
| 010 | 1 | KIÁRAMLÁSOK | ||||||
| 020 | 1.1 | Fedezetlen ügyletek/betétek kiáramlásai | ||||||
| 030 | 1.1.1 | Lakossági betétek | ||||||
| 035 | 1.1.1.1 | a kiáramlások számításából kizárt betétek | 0,00 | |||||
| 040 | 1.1.1.2 | betétek, amelyek esetében megállapodás történt a következő 30 napon belüli kifizetésről | 1,00 | |||||
| 050 | 1.1.1.3 | magasabb kiáramlási arányú betétek | ||||||
| 060 | 1.1.1.3.1 | 1. kategória | 0,10 -0,15 | |||||
| 070 | 1.1.1.3.2 | 2. kategória | 0,15 -0,20 | |||||
| 080 | 1.1.1.4 | stabil betétek | 0,05 | |||||
| 090 | 1.1.1.5 | eltérően kezelt stabil betétek | 0,03 | |||||
| 100 | 1.1.1.6 | magasabb kiáramlási arányt előíró harmadik országban gyűjtött betétek | ||||||
| 110 | 1.1.1.7 | egyéb lakossági betétek | 0,10 | |||||
| 120 | 1.1.2 | Operatív betétek | ||||||
| 130 | 1.1.2.1 | stabil operatív kapcsolat keretében klíring-, letéti, készpénzmenedzsment vagy egyéb hasonló szolgáltatás céljából elhelyezett betétek | ||||||
| 140 | 1.1.2.1.1 | betétbiztosítási rendszerrel fedezett | 0,05 | |||||
| 150 | 1.1.2.1.2 | betétbiztosítási rendszerrel nem fedezett | 0,25 | |||||
| 160 | 1.1.2.2 | intézményvédelmi rendszer vagy szövetkezeti hálózat keretében elhelyezett betétek | ||||||
| 170 | 1.1.2.2.1 | nem minősülnek a betétet elhelyező intézmény likvid eszközeinek | 0,25 | |||||
| 180 | 1.1.2.2.2 | a betétet elhelyező intézmény likvid eszközeinek minősülnek | 1,00 | |||||
| 190 | 1.1.2.3 | nem pénzügyi ügyfeleknél (egyéb) stabil operatív kapcsolat keretében elhelyezett betétek | 0,25 | |||||
| 200 | 1.1.2.4 | hálózaton belül készpénzklíring és központi hitelintézet által nyújtott szolgáltatások igénybevétele céljából elhelyezett betétek | 0,25 | |||||
| 203 | 1.1.3 | Többlet operatív betétek | ||||||
| 204 | 1.1.3.1 | pénzügyi ügyfelek által elhelyezett betétek | 1,00 | |||||
| 205 | 1.1.3.2 | egyéb ügyfelek által elhelyezett betétek | ||||||
| 206 | 1.1.3.2.1 | betétbiztosítási rendszerrel fedezett | 0,20 | |||||
| 207 | 1.1.3.2.2 | betétbiztosítási rendszerrel nem fedezett | 0,40 | |||||
| 210 | 1.1.4 | Nem operatív betétek | ||||||
| 220 | 1.1.4.1 | levelező banki szolgáltatások és elsődleges ügynöki szolgáltatások nyújtásából származó betétek | 1,00 | |||||
| 230 | 1.1.4.2 | pénzügyi ügyfelek által elhelyezett betétek | 1,00 | |||||
| 240 | 1.1.4.3 | egyéb ügyfelek által elhelyezett betétek | ||||||
| 250 | 1.1.4.3.1 | betétbiztosítási rendszerrel fedezett | 0,20 | |||||
| 260 | 1.1.4.3.2 | betétbiztosítási rendszerrel nem fedezett | 0,40 | |||||
| 270 | 1.1.5 | További kiáramlások | ||||||
| 280 | 1.1.5.1 | származtatott ügyletekhez nyújtott, 1. szintű eszközöktől eltérő biztosíték | 0,20 | |||||
| 290 | 1.1.5.2 | származtatott ügyletekhez nyújtott, 1. szintű rendkívül magas minőségű fedezett kötvényekből álló biztosíték | 0,10 | |||||
| 300 | 1.1.5.3 | saját hitelminőség romlása miatti jelentős kiáramlások | 1,00 | |||||
| 310 | 1.1.5.4 | negatív piaci forgatókönyv által a származtatott ügyletekre gyakorolt hatás | 1,00 | |||||
| 340 | 1.1.5.5 | származtatott ügyletek kiáramlásai | 1,00 | |||||
| 350 | 1.1.5.6 | rövid pozíciók | ||||||
| 360 | 1.1.5.6.1 | fedezett értékpapír-finanszírozási ügylettel fedezett | 0,00 | |||||
| 370 | 1.1.5.6.2 | egyéb | 1,00 | |||||
| 380 | 1.1.5.7 | visszahívható többletbiztosíték | 1,00 | |||||
| 390 | 1.1.5.8 | esedékes biztosíték | 1,00 | |||||
| 400 | 1.1.5.9 | nem likvid eszközökkel helyettesíthető, likvid eszköznek megfelelő biztosíték | 1,00 | |||||
| 410 | 1.1.5.10 | strukturált finanszírozási tevékenységeken keletkezett veszteség | ||||||
| 420 | 1.1.5.10.1 | strukturált finanszírozási eszközök | 1,00 | |||||
| 430 | 1.1.5.10.2 | finanszírozási eszközök | 1,00 | |||||
| 450 | 1.1.5.11 | belső nettósítású ügyfélpozíciók | 0,50 | |||||
| 460 | 1.1.6 | Folyósítási kötelezettséget tartalmazó keretek | ||||||
| 470 | 1.1.6.1 | hitelkeretek | ||||||
| 480 | 1.1.6.1.1 | lakossági ügyfeleknek | 0,05 | |||||
| 490 | 1.1.6.1.2 | lakossági ügyfelektől eltérő nem pénzügyi ügyfeleknek | 0,10 | |||||
| 500 | 1.1.6.1.3 | hitelintézeteknek | ||||||
| 510 | 1.1.6.1.3.1 | lakossági ügyfelek kedvezményes hiteleinek finanszírozására | 0,05 | |||||
| 520 | 1.1.6.1.3.2 | nem pénzügyi ügyfelek kedvezményes hiteleinek finanszírozására | 0,10 | |||||
| 530 | 1.1.6.1.3.3 | egyéb | 0,40 | |||||
| 540 | 1.1.6.1.4 | hitelintézettől eltérő szabályozott pénzügyi intézményeknek | 0,40 | |||||
| 550 | 1.1.6.1.5 | csoporton vagy intézményvédelmi rendszeren belül, ha kedvezményes kezelés alá tartozik | ||||||
| 560 | 1.1.6.1.6 | intézményvédelmi rendszeren vagy szövetkezeti hálózaton belül, ha a betétet elhelyező intézmény likvid eszközként kezeli | 0,75 | |||||
| 570 | 1.1.6.1.7 | egyéb pénzügyi ügyfeleknek | 1,00 | |||||
| 580 | 1.1.6.2 | likviditási keretek | ||||||
| 590 | 1.1.6.2.1 | lakossági ügyfeleknek | 0,05 | |||||
| 600 | 1.1.6.2.2 | lakossági ügyfelektől eltérő nem pénzügyi ügyfeleknek | 0,30 | |||||
| 610 | 1.1.6.2.3 | magánbefektetési társaságnak | 0,40 | |||||
| 620 | 1.1.6.2.4 | különleges célú gazdasági egységeknek | ||||||
| 630 | 1.1.6.2.4.1 | értékpapíroktól eltérő eszközök nem pénzügyi ügyfelektől való megvásárlásához | 0,10 | |||||
| 640 | 1.1.6.2.4.2 | egyéb | 1,00 | |||||
| 650 | 1.1.6.2.5 | hitelintézeteknek | ||||||
| 660 | 1.1.6.2.5.1 | lakossági ügyfelek kedvezményes hiteleinek finanszírozására | 0,05 | |||||
| 670 | 1.1.6.2.5.2 | nem pénzügyi ügyfelek kedvezményes hiteleinek finanszírozására | 0,30 | |||||
| 680 | 1.1.6.2.5.3 | egyéb | 0,40 | |||||
| 690 | 1.1.6.2.6 | csoporton vagy intézményvédelmi rendszeren belül, ha kedvezményes kezelés alá tartozik | ||||||
| 700 | 1.1.6.2.7 | intézményvédelmi rendszeren vagy szövetkezeti hálózaton belül, ha a betétet elhelyező intézmény likvid eszközként kezeli | 0,75 | |||||
| 710 | 1.1.6.2.8 | egyéb pénzügyi ügyfeleknek | 1,00 | |||||
| 720 | 1.1.7 | Egyéb termékek és szolgáltatások | ||||||
| 731 | 1.1.7.1 | folyósítási kötelezettséget nem tartalmazó finanszírozási keretek | ||||||
| 740 | 1.1.7.2 | bankközi partnereknek nyújtott le nem hívott hitelek és követelések | ||||||
| 750 | 1.1.7.3 | a már megkötött, de még le nem hívott jelzáloghitelek | ||||||
| 760 | 1.1.7.4 | hitelkártyák | ||||||
| 770 | 1.1.7.5 | folyószámlahitelek | ||||||
| 780 | 1.1.7.6 | lakossági vagy bankközi hitelek megújításával vagy új hitelek nyújtásával kapcsolatos tervezett kiáramlások | ||||||
| 850 | 1.1.7.7 | származtatott ügyletekből eredő kötelezettségek | ||||||
| 860 | 1.1.7.8 | kereskedelemfinanszírozással kapcsolatos mérlegen kívüli tételek | ||||||
| 870 | 1.1.7.9 | egyéb | ||||||
| 885 | 1.1.8 | Egyéb kötelezettségek és esedékes kötelezettségvállalások | ||||||
| 890 | 1.1.8.1 | működési költségekből eredő kötelezettségek | 0,00 | |||||
| 900 | 1.1.8.2 | hitelviszonyt megtestesítő értékpapír formájában, ha nem lakossági betétnek minősülnek | 1,00 | |||||
| 912 | 1.1.8.4 | nem pénzügyi ügyfeleknek nyújtott többletfinanszírozás | ||||||
| 913 | 1.1.8.4.1 | lakossági ügyfeleknek nyújtott többletfinanszírozás | 1,00 | |||||
| 914 | 1.1.8.4.2 | nem pénzügyi vállalatoknak nyújtott többletfinanszírozás | 1,00 | |||||
| 915 | 1.1.8.4.3 | kormányzatoknak, multilaterális fejlesztési bankoknak és közszektorbeli intézményeknek nyújtott többletfinanszírozás | 1,00 | |||||
| 916 | 1.1.8.4.4 | egyéb jogi személyeknek nyújtott többletfinanszírozás | 1,00 | |||||
| 917 | 1.1.8.5 | fedezet nélkül kölcsönvett eszközök | 1,00 | |||||
| 918 | 1.1.8.6 | egyéb | 1,00 | |||||
| 920 | 1.2 | Fedezett kölcsönügyletekből és tőkepiac-vezérelt ügyletekből eredő kiáramlások | ||||||
| 930 | 1.2.1 | A partner központi bank | ||||||
| 940 | 1.2.1.1 | a rendkívül magas minőségű fedezett kötvények nélküli 1. szintű eszközökből álló biztosíték | 0,00 | |||||
| 945 | 1.2.1.1.1 | ebből: a nyújtott biztosíték teljesíti az operatív követelményeket | ||||||
| 950 | 1.2.1.2 | 1. szintű rendkívül magas minőségű fedezett kötvényekből álló biztosíték | 0,00 | |||||
| 955 | 1.2.1.2.1 | ebből: a nyújtott biztosíték teljesíti az operatív követelményeket | ||||||
| 960 | 1.2.1.3 | 2A. szintű biztosíték | 0,00 | |||||
| 965 | 1.2.1.3.1 | ebből: a nyújtott biztosíték teljesíti az operatív követelményeket | ||||||
| 970 | 1.2.1.4 | 2B. szintű eszközfedezetű (lakóingatlan vagy gépjármű, 1. hitelminőségi besorolás) értékpapírból álló biztosíték | 0,00 | |||||
| 975 | 1.2.1.4.1 | ebből: a nyújtott biztosíték teljesíti az operatív követelményeket | ||||||
| 980 | 1.2.1.5 | 2B. szintű fedezett kötvény | 0,00 | |||||
| 985 | 1.2.1.5.1 | ebből: a nyújtott biztosíték teljesíti az operatív követelményeket | ||||||
| 990 | 1.2.1.6 | 2B. szintű eszközfedezetű (vállalati vagy háztartási hitel, tagállam, 1. hitelminőségi besorolás) értékpapírból álló biztosíték | 0,00 | |||||
| 995 | 1.2.1.6.1 | ebből: a nyújtott biztosíték teljesíti az operatív követelményeket | ||||||
| 1000 | 1.2.1.7 | egyéb 2B. szintű eszközből álló biztosíték | 0,00 | |||||
| 1005 | 1.2.1.7.1 | ebből: a nyújtott biztosíték teljesíti az operatív követelményeket | ||||||
| 1010 | 1.2.1.8 | nem likvid eszközökből álló biztosíték | 0,00 | |||||
| 1020 | 1.2.2 | A partner nem központi bank | ||||||
| 1030 | 1.2.2.1 | a rendkívül magas minőségű fedezett kötvények nélküli 1. szintű eszközökből álló biztosíték | 0,00 | |||||
| 1035 | 1.2.2.1.1 | ebből: a nyújtott biztosíték teljesíti az operatív követelményeket | ||||||
| 1040 | 1.2.2.2 | 1. szintű rendkívül magas minőségű fedezett kötvényekből álló biztosíték | 0,07 | |||||
| 1045 | 1.2.2.2.1 | ebből: a nyújtott biztosíték teljesíti az operatív követelményeket | ||||||
| 1050 | 1.2.2.3 | 2A. szintű biztosíték | 0,15 | |||||
| 1055 | 1.2.2.3.1 | ebből: a nyújtott biztosíték teljesíti az operatív követelményeket | ||||||
| 1060 | 1.2.2.4 | 2B. szintű eszközfedezetű (lakóingatlan vagy gépjármű, 1. hitelminőségi besorolás) értékpapírból álló biztosíték | 0,25 | |||||
| 1065 | 1.2.2.4.1 | ebből: a nyújtott biztosíték teljesíti az operatív követelményeket | ||||||
| 1070 | 1.2.2.5 | 2B. szintű fedezett kötvény | 0,30 | |||||
| 1075 | 1.2.2.5.1 | ebből: a nyújtott biztosíték teljesíti az operatív követelményeket | ||||||
| 1080 | 1.2.2.6 | 2B. szintű eszközfedezetű (vállalati vagy háztartási hitel, tagállam, 1. hitelminőségi besorolás) értékpapírból álló biztosíték | 0,35 | |||||
| 1085 | 1.2.2.6.1 | ebből: a nyújtott biztosíték teljesíti az operatív követelményeket | ||||||
| 1090 | 1.2.2.7 | egyéb 2B. szintű eszközből álló biztosíték | 0,50 | |||||
| 1095 | 1.2.2.7.1 | ebből: a nyújtott biztosíték teljesíti az operatív követelményeket | ||||||
| 1100 | 1.2.2.8 | nem likvid eszközökből álló biztosíték | 1,00 | |||||
| 1130 | 1.3 | Biztosítéki csereügylet kiáramlásai összesen | ||||||
| TÁJÉKOZTATÓ ADATOK | ||||||||
| 1170 | 2 | Egymástól kölcsönösen függő beáramlásokkal nettósítandó likviditáskiáramlások | ||||||
| 3 | Stabil operatív kapcsolat keretében klíring-, letéti, készpénzmenedzsment vagy egyéb hasonló szolgáltatás céljából elhelyezett operatív betétek | |||||||
| 1180 | 3.1 | hitelintézetek által nyújtott | ||||||
| 1190 | 3.2 | hitelintézetektől eltérő pénzügyi ügyfelek által nyújtott | ||||||
| 1200 | 3.3 | kormányzatok, központi bankok, multilaterális fejlesztési bankok és közszektorbeli intézmények által nyújtott | ||||||
| 1210 | 3.4 | egyéb ügyfelek által nyújtott | ||||||
| 4 | Csoporton vagy intézményvédelmi rendszeren belüli kiáramlások | |||||||
| 1290 | 4.1 | ebből: pénzügyi ügyfeleknek | ||||||
| 1300 | 4.2 | ebből: nem pénzügyi ügyfeleknek | ||||||
| 1310 | 4.3 | ebből: fedezett | ||||||
| 1320 | 4.4 | ebből: kedvezményes kezelés nélküli hitelkeretek | ||||||
| 1330 | 4.5 | ebből: kedvezményes kezelés nélküli likviditási keretek | ||||||
| 1340 | 4.6 | ebből: operatív betétek | ||||||
| 1345 | 4.7 | ebből: cél nélküli operatív betétek | ||||||
| 1350 | 4.8 | ebből: nem operatív betétek | ||||||
| 1360 | 4.9 | ebből: kötelezettségek hitelviszonyt megtestesítő értékpapír formájában, ha nem lakossági betétnek minősülnek | ||||||
| 1370 | 5 | Devizakiáramlások | ||||||
| 6 | A 17. cikk (2) és (3) bekezdése alól mentesített fedezett finanszírozási ügyletek | |||||||
| 1400 | 6.1 | ebből: 1. szintű fedezet a rendkívül magas minőségű fedezett kötvények kivételével | ||||||
| 1410 | 6.2 | ebből: 1. szintű fedezet, amely rendkívül magas minőségű fedezett kötvényekből áll | ||||||
| 1420 | 6.3 | ebből: 2A. szintű fedezet | ||||||
| 1430 | 6.4 | ebből: 2B. szintű fedezet | ||||||
| 1440 | 6.5 | ebből: nem likvid eszközökből álló fedezet | ||||||
C 74.00 - LIKVIDITÁSFEDEZET - BEÁRAMLÁSOK
Pénznem
| Összeg | Kapott biztosíték piaci értéke | Standard súly | Alkalmazandó súly | A kapott biztosíték 9, cikk szerinti értéke | Beáramlás | |||||||||||||
| A beáramlások 75 %-os felső korlátja alá tartozó | A beáramlások 90 %-os felső korlátja alá tartozó | A beáramlások felső korlátja alól mentesített | A beáramlások 75 %-os felső korlátja alá tartozó | A beáramlások 90 %-os felső korlátja alá tartozó | A beáramlások felső korlátja alól mentesített | A beáramlások 75 %-os felső korlátja alá tartozó | A beáramlások 90 %-os felső korlátja alá tartozó | A beáramlások felső korlátja alól mentesített | A beáramlások 75 %-os felső korlátja alá tartozó | A beáramlások 90 %-os felső korlátja alá tartozó | A beáramlások felső korlátja alól mentesített | A beáramlások 75 %-os felső korlátja alá tartozó | A beáramlások 90 %-os felső korlátja alá tartozó | A beáramlások felső korlátja alól mentesített | ||||
| Sor | AZONOSÍTÓ | Tétel | 010 | 020 | 030 | 040 | 050 | 060 | 070 | 080 | 090 | 100 | 110 | 120 | 130 | 140 | 150 | 160 | 
| 010 | 1 | ÖSSZES BEÁRAMLÁS | ||||||||||||||||
| 020 | 1.1 | Fedezetlen ügyletek/betétek beáramlásai | ||||||||||||||||
| 030 | 1.1.1 | nem pénzügyi (és nem központi bank) ügyfelektől esedékes pénzösszegek | ||||||||||||||||
| 040 | 1.1.1.1 | nem pénzügyi (és nem központi bank) ügyfelektől esedékes, nem tőketörlesztési célú pénzösszegek | 1,00 | |||||||||||||||
| 050 | 1.1.1.2 | nem pénzügyi (és nem központi bank) ügyfelektől esedékes egyéb pénzösszegek | ||||||||||||||||
| 060 | 1.1.1.2.1 | lakossági ügyfelektől esedékes pénzösszegek | 0,50 | |||||||||||||||
| 070 | 1.1.1.2.2 | nem pénzügyi vállalatoktól esedékes pénzösszegek | 0,50 | |||||||||||||||
| 080 | 1.1.1.2.3 | kormányzatoktól, multilaterális fejlesztési bankoktól és közszektorbeli intézményektől esedékes pénzösszegek | 0,50 | |||||||||||||||
| 090 | 1.1.1.2.4 | egyéb jogi személyektől esedékes pénzösszegek | 0,50 | |||||||||||||||
| 100 | 1.1.2 | központi bankoktól és pénzügyi ügyfelektől esedékes pénzösszegek | ||||||||||||||||
| 110 | 1.1.2.1 | pénzügyi ügyfelektől esedékes, operatív betétként besorolt pénzösszegek | ||||||||||||||||
| 120 | 1.1.2.1.1 | pénzügyi ügyfelektől esedékes, operatív betétként besorolt pénzösszegek, amelyek esetében a hitelintézet képes megfelelő szimmetrikus beáramlási arányt megállapítani | ||||||||||||||||
| 130 | 1.1.2.1.2 | pénzügyi ügyfelektől esedékes, operatív betétként besorolt pénzösszegek, amelyek esetében a hitelintézet nem képes megfelelő szimmetrikus beáramlási arányt megállapítani | 0,05 | |||||||||||||||
| 140 | 1.1.2.2 | központi bankoktól és pénzügyi ügyfelektől esedékes, nem operatív betétként besorolt pénzösszegek | ||||||||||||||||
| 150 | 1.1.2.2.1 | központi bankoktól esedékes pénzösszegek | 1,00 | |||||||||||||||
| 160 | 1.1.2.2.2 | pénzügyi ügyfelektől esedékes pénzösszegek | 1,00 | |||||||||||||||
| 170 | 1.1.3 | az (EU) 2015/61 felhatalmazáson alapuló rendelet 31. cikkének (9) bekezdésében említett kedvezményes hitel nyújtására tett kötelezettségvállalásokkal összhangban a kiáramlásoknak megfelelő beáramlások | 1,00 | |||||||||||||||
| 180 | 1.1.4 | kereskedelemfinanszírozási ügyletekből esedékes pénzösszegek | 1,00 | |||||||||||||||
| 190 | 1.1.5 | 30 napon belül lejáró értékpapírokból esedékes pénzösszegek | 1,00 | |||||||||||||||
| 201 | 1.1.6 | hitelek határozatlan szerződéses lejárati idővel | 0,20 | |||||||||||||||
| 210 | 1.1.7 | a jelentős indexeket alkotó tőkeinstrumentumokban tartott pozíciókból esedékes pénzösszegek, ha azokat nem veszik figyelembe a likvid eszközök között is | 1,00 | |||||||||||||||
| 230 | 1.1.8 | az ügyfelek kereskedési eszközeinek védelmére vonatkozó szabályozói követelményekkel összhangban elkülönített számlákon tartott egyenlegek felszabadításából származó beáramlások | 1,00 | |||||||||||||||
| 240 | 1.1.9 | származtatott ügyletekből eredő beáramlások | 1,00 | |||||||||||||||
| 250 | 1.1.10 | egy csoport vagy intézményvédelmi rendszer tagjai által nyújtott, le nem hívott hitel- vagy likviditási keretből származó beáramlások, ha az illetékes hatóság engedélyezte magasabb beáramlási arány alkalmazását | ||||||||||||||||
| 260 | 1.1.11 | egyéb beáramlások | 1,00 | |||||||||||||||
| 263 | 1.2 | Fedezett kölcsönügyletekből és tőkepiac-vezérelt ügyletekből eredő beáramlások | ||||||||||||||||
| 265 | 1.2.1 | A partner központi bank | ||||||||||||||||
| 267 | 1.2.1.1 | likvid eszköznek minősülő biztosíték | ||||||||||||||||
| 269 | 1.2.1.1.1 | 1. szintű biztosíték a rendkívül magas minőségű fedezett kötvények kivételével | 0,00 | |||||||||||||||
| 271 | 1.2.1.1.1.1 | ebből: a kapott biztosíték teljesíti az operatív követelményeket | ||||||||||||||||
| 273 | 1.2.1.1.2 | 1. szintű biztosíték, amely rendkívül magas minőségű fedezett kötvényekből áll | 0,07 | |||||||||||||||
| 275 | 1.2.1.1.2.1 | ebből: a kapott biztosíték teljesíti az operatív követelményeket | ||||||||||||||||
| 277 | 1.2.1.1.3 | 2A. szintű biztosíték | 0,15 | |||||||||||||||
| 279 | 1.2.1.1.3.1 | ebből: a kapott biztosíték teljesíti az operatív követelményeket | ||||||||||||||||
| 281 | 1.2.1.1.4 | 2B. szintű eszközfedezetű (lakóingatlan vagy gépjármű) értékpapírokból álló biztosíték | 0,25 | |||||||||||||||
| 283 | 1.2.1.1.4.1 | ebből: a kapott biztosíték teljesíti az operatív követelményeket | ||||||||||||||||
| 285 | 1.2.1.1.5 | 2B. szintű magas minőségű fedezett kötvényekből álló biztosíték | 0,30 | |||||||||||||||
| 287 | 1.2.1.1.5.1 | ebből: a kapott biztosíték teljesíti az operatív követelményeket | ||||||||||||||||
| 289 | 1.2.1.1.6 | 2B. szintű eszközfedezetű (vállalati vagy háztartási hitel) értékpapírokból álló biztosíték | 0,35 | |||||||||||||||
| 291 | 1.2.1.1.6.1 | ebből: a kapott biztosíték teljesíti az operatív követelményeket | ||||||||||||||||
| 293 | 1.2.1.1.7 | Az 1.2.1.1.4, 1.2.1.1.5 vagy 1.2.1.1.6 szakaszban figyelembe nem vett 2B. szintű biztosíték | 0,50 | |||||||||||||||
| 295 | 1.2.1.1.7.1 | ebből: a kapott biztosíték teljesíti az operatív követelményeket | ||||||||||||||||
| 297 | 1.2.1.2 | a biztosítékot rövid pozíció fedezésére használják | ||||||||||||||||
| 299 | 1.2.1.3 | likvid eszköznek nem minősülő biztosíték | ||||||||||||||||
| 301 | 1.2.1.3.1 | a biztosíték nem likvid tőke | 1,00 | |||||||||||||||
| 303 | 1.2.1.3.2 | minden egyéb nem likvid biztosíték | 1,00 | |||||||||||||||
| 305 | 1.2.2 | A partner nem központi bank | ||||||||||||||||
| 307 | 1.2.2.1 | likvid eszköznek minősülő biztosíték | ||||||||||||||||
| 309 | 1.2.2.1.1 | 1. szintű biztosíték a rendkívül magas minőségű fedezett kötvények kivételével | 0,00 | |||||||||||||||
| 311 | 1.2.2.1.1.1 | ebből: a kapott biztosíték teljesíti az operatív követelményeket | ||||||||||||||||
| 313 | 1.2.2.1.2 | 1. szintű biztosíték, amely rendkívül magas minőségű fedezett kötvényekből áll | 0,07 | |||||||||||||||
| 315 | 1.2.2.1.2.1 | ebből: a kapott biztosíték teljesíti az operatív követelményeket | ||||||||||||||||
| 317 | 1.2.2.1.3 | 2A. szintű biztosíték | 0,15 | |||||||||||||||
| 319 | 1.2.2.1.3.1 | ebből: a kapott biztosíték teljesíti az operatív követelményeket | ||||||||||||||||
| 321 | 1.2.2.1.4 | 2B. szintű eszközfedezetű (lakóingatlan vagy gépjármű) értékpapírokból álló biztosíték | 0,25 | |||||||||||||||
| 323 | 1.2.2.1.4.1 | ebből: a kapott biztosíték teljesíti az operatív követelményeket | ||||||||||||||||
| 325 | 1.2.2.1.5 | 2B. szintű magas minőségű fedezett kötvényekből álló biztosíték | 0,30 | |||||||||||||||
| 327 | 1.2.2.1.5.1 | ebből: a kapott biztosíték teljesíti az operatív követelményeket | ||||||||||||||||
| 329 | 1.2.2.1.6 | 2B. szintű eszközfedezetű (vállalati vagy háztartási hitel) értékpapírokból álló biztosíték | 0,35 | |||||||||||||||
| 331 | 1.2.2.1.6.1 | ebből: a kapott biztosíték teljesíti az operatív követelményeket | ||||||||||||||||
| 333 | 1.2.2.1.7 | Az 1.2.2.1.4, 1.2.2.1.5 vagy 1.2.2.1.6 szakaszban figyelembe nem vett 2B. szintű biztosíték | 0,50 | |||||||||||||||
| 335 | 1.2.2.1.7.1 | ebből: a kapott biztosíték teljesíti az operatív követelményeket | ||||||||||||||||
| 337 | 1.2.2.2 | a biztosítékot rövid pozíció fedezésére használják | ||||||||||||||||
| 339 | 1.2.2.3 | likvid eszköznek nem minősülő biztosíték | ||||||||||||||||
| 341 | 1.2.2.3.1 | letéti hitelek: a biztosíték nem likvid | 0,50 | |||||||||||||||
| 343 | 1.2.2.3.2 | a biztosíték nem likvid tőke | 1,00 | |||||||||||||||
| 345 | 1.2.2.3.3 | minden egyéb nem likvid biztosíték | 1,00 | |||||||||||||||
| 410 | 1.3 | Biztosítéki csereügylet beáramlásai összesen | ||||||||||||||||
| 420 | 1.4 | (Devizakiviteli-/behozatali korlátozásokat alkalmazó harmadik országokbeli ügyletekből eredő, vagy nem konvertibilis pénznemben denominált összes súlyozott beáramlás és összes súlyozott kiáramlás különbözete) | ||||||||||||||||
| 430 | 1.5 | (Kapcsolt szakosított hitelintézettől származó többletbeáramlás) | ||||||||||||||||
| TÁJÉKOZTATÓ ADATOK | ||||||||||||||||||
| 450 | 2 | Devizabeáramlások | ||||||||||||||||
| 460 | 3 | Csoporton vagy intézményvédelmi rendszeren belüli beáramlások | ||||||||||||||||
| 470 | 3.1 | Nem pénzügyi (és nem központi bank) ügyfelektől esedékes pénzösszegek | ||||||||||||||||
| 480 | 3.2 | Pénzügyi ügyfelektől esedékes pénzösszegek | ||||||||||||||||
| 490 | 3.3 | Fedezett ügyletek | ||||||||||||||||
| 500 | 3.4 | 30 napon belül lejáró értékpapírokból esedékes pénzösszegek | ||||||||||||||||
| 510 | 3.5 | Csoporton vagy intézményvédelmi rendszeren belüli minden egyéb beáramlás | ||||||||||||||||
| 4 | A 17. cikk (2) és (3) bekezdése alól mentesített fedezett kölcsönügyletek | |||||||||||||||||
| 530 | 4.1 | ebből: 1. szintű fedezet a rendkívül magas minőségű fedezett kötvények kivételével | ||||||||||||||||
| 540 | 4.2 | ebből: 1. szintű fedezet, amely rendkívül magas minőségű fedezett kötvényekből áll | ||||||||||||||||
| 550 | 4.3 | ebből: 2A. szintű fedezet | ||||||||||||||||
| 560 | 4.4 | ebből: 2B. szintű fedezet | ||||||||||||||||
| 570 | 4.5 | ebből: nem likvid eszközökből álló fedezet | ||||||||||||||||
C 75.01 - LIKVIDITÁSFEDEZET - BIZTOSÍTÉKI CSEREÜGYLETEK
Pénznem
| Kölcsönadott biztosíték piaci értéke | Kölcsönadott biztosíték likviditási értéke | Kölcsönvett biztosíték piaci értéke | Kölcsönvett biztosíték likviditási értéke | Standard súly | Alkalmazandó súly | Kiáramlások | A beáramlások 75 %-os felső korlátja alá tartozó beáramlások | A beáramlások 90 %-os felső korlátja alá tartozó beáramlások | A beáramlások felső korlátja alól mentesített beáramlások | |||
| Sor | AZONOSÍTÓ | Tétel | 0010 | 0020 | 0030 | 0040 | 0050 | 0060 | 0070 | 0080 | 0090 | 0100 | 
| 0010 | 1 | ÖSSZES BIZTOSÍTÉKI CSEREÜGYLET (a partner központi bank) | ||||||||||
| 0020 | 1.1 | Azon ügyletek összértéke, amelyekben 1. szintű eszközöket (a rendkívül magas minőségű fedezett kötvények kivételével) adnak kölcsön és a következő biztosítékokat veszik kölcsön: | ||||||||||
| 0030 | 1.1.1 | 1. szintű eszközök (a rendkívül magas minőségű fedezett kötvények kivételével) | 0,00 | |||||||||
| 0040 | 1.1.1.1 | Ebből: a cserélt biztosíték teljesíti az operatív követelményeket | ||||||||||
| 0050 | 1.1.2 | 1. szint: rendkívül magas minőségű fedezett kötvények | 0,07 | |||||||||
| 0060 | 1.1.2.1 | Ebből: a cserélt biztosíték teljesíti az operatív követelményeket | ||||||||||
| 0070 | 1.1.3 | 2A. szintű eszközök | 0,15 | |||||||||
| 0080 | 1.1.3.1 | Ebből: a cserélt biztosíték teljesíti az operatív követelményeket | ||||||||||
| 0090 | 1.1.4 | 2B. szint: eszközfedezetű értékpapírok (lakóingatlan vagy gépjármű, 1. hitelminőségi besorolás) | 0,25 | |||||||||
| 0100 | 1.1.4.1 | Ebből: a cserélt biztosíték teljesíti az operatív követelményeket | ||||||||||
| 0110 | 1.1.5 | 2B. szint: magas minőségű fedezett kötvények | 0,30 | |||||||||
| 0120 | 1.1.5.1 | Ebből: a cserélt biztosíték teljesíti az operatív követelményeket | ||||||||||
| 0130 | 1.1.6 | 2B. szint: eszközfedezetű értékpapírok (vállalati vagy háztartási hitel, tagállam, 1. hitelminőségi besorolás) | 0,35 | |||||||||
| 0140 | 1.1.6.1 | Ebből: a cserélt biztosíték teljesíti az operatív követelményeket | ||||||||||
| 0150 | 1.1.7 | Egyéb 2B. szint | 0,50 | |||||||||
| 0160 | 1.1.7.1 | Ebből: a cserélt biztosíték teljesíti az operatív követelményeket | ||||||||||
| 0170 | 1.1.8 | Nem likvid eszközök | 1,00 | |||||||||
| 0180 | 1.1.8.1 | Ebből: a cserélt biztosíték teljesíti az operatív követelményeket | ||||||||||
| 0190 | 1.2 | Azon ügyletek összértéke, amelyekben 1. szintű rendkívül magas minőségű fedezett kötvényeket adnak kölcsön és a következő biztosítékokat veszik kölcsön: | ||||||||||
| 0200 | 1.2.1 | 1. szintű eszközök (a rendkívül magas minőségű fedezett kötvények kivételével) | 0,00 | |||||||||
| 0210 | 1.2.1.1 | Ebből: a cserélt biztosíték teljesíti az operatív követelményeket | ||||||||||
| 0220 | 1.2.2 | 1. szint: rendkívül magas minőségű fedezett kötvények | 0,00 | |||||||||
| 0230 | 1.2.2.1 | Ebből: a cserélt biztosíték teljesíti az operatív követelményeket | ||||||||||
| 0240 | 1.2.3 | 2A. szintű eszközök | 0,08 | |||||||||
| 0250 | 1.2.3.1 | Ebből: a cserélt biztosíték teljesíti az operatív követelményeket | ||||||||||
| 0260 | 1.2.4 | 2B. szint: eszközfedezetű értékpapírok (lakóingatlan vagy gépjármű, 1. hitelminőségi besorolás) | 0,18 | |||||||||
| 0270 | 1.2.4.1 | Ebből: a cserélt biztosíték teljesíti az operatív követelményeket | ||||||||||
| 0280 | 1.2.5 | 2B. szint: magas minőségű fedezett kötvények | 0,23 | |||||||||
| 0290 | 1.2.5.1 | Ebből: a cserélt biztosíték teljesíti az operatív követelményeket | ||||||||||
| 0300 | 1.2.6 | 2B. szint: eszközfedezetű értékpapírok (vállalati vagy háztartási hitel, tagállam, 1. hitelminőségi besorolás) | 0,28 | |||||||||
| 0310 | 1.2.6.1 | Ebből: a cserélt biztosíték teljesíti az operatív követelményeket | ||||||||||
| 0320 | 1.2.7 | Egyéb 2B. szint | 0,43 | |||||||||
| 0330 | 1.2.7.1 | Ebből: a cserélt biztosíték teljesíti az operatív követelményeket | ||||||||||
| 0340 | 1.2.8 | Nem likvid eszközök | 0,93 | |||||||||
| 0350 | 1.2.8.1 | Ebből: a cserélt biztosíték teljesíti az operatív követelményeket | ||||||||||
| 0360 | 1.3 | Azon ügyletek összértéke, amelyekben 2A. szintű eszközöket adnak kölcsön és a következő biztosítékokat veszik kölcsön: | ||||||||||
| 0370 | 1.3.1 | 1. szintű eszközök (a rendkívül magas minőségű fedezett kötvények kivételével) | 0,00 | |||||||||
| 0380 | 1.3.1.1 | Ebből: a cserélt biztosíték teljesíti az operatív követelményeket | ||||||||||
| 0390 | 1.3.2 | 1. szint: rendkívül magas minőségű fedezett kötvények | 0,00 | |||||||||
| 0400 | 1.3.2.1 | Ebből: a cserélt biztosíték teljesíti az operatív követelményeket | ||||||||||
| 0410 | 1.3.3 | 2A. szintű eszközök | 0,00 | |||||||||
| 0420 | 1.3.3.1 | Ebből: a cserélt biztosíték teljesíti az operatív követelményeket | ||||||||||
| 0430 | 1.3.4 | 2B. szint: eszközfedezetű értékpapírok (lakóingatlan vagy gépjármű, 1. hitelminőségi besorolás) | 0,10 | |||||||||
| 0440 | 1.3.4.1 | Ebből: a cserélt biztosíték teljesíti az operatív követelményeket | ||||||||||
| 0450 | 1.3.5 | 2B. szint: magas minőségű fedezett kötvények | 0,15 | |||||||||
| 0460 | 1.3.5.1 | Ebből: a cserélt biztosíték teljesíti az operatív követelményeket | ||||||||||
| 0470 | 1.3.6 | 2B. szint: eszközfedezetű értékpapírok (vállalati vagy háztartási hitel, tagállam, 1. hitelminőségi besorolás) | 0,20 | |||||||||
| 0480 | 1.3.6.1 | Ebből: a cserélt biztosíték teljesíti az operatív követelményeket | ||||||||||
| 0490 | 1.3.7 | Egyéb 2B. szint | 0,35 | |||||||||
| 0500 | 1.3.7.1 | Ebből: a cserélt biztosíték teljesíti az operatív követelményeket | ||||||||||
| 0510 | 1.3.8 | Nem likvid eszközök | 0,85 | |||||||||
| 0520 | 1.3.8.1 | Ebből: a cserélt biztosíték teljesíti az operatív követelményeket | ||||||||||
| 0530 | 1.4 | Azon ügyletek összértéke, amelyekben 2B. szintű eszközfedezetű értékpapírokat (lakóingatlan vagy gépjármű, 1. hitelminőségi besorolás) adnak kölcsön és a következő biztosítékokat veszik kölcsön: | ||||||||||
| 0540 | 1.4.1 | 1. szintű eszközök (a rendkívül magas minőségű fedezett kötvények kivételével) | 0,00 | |||||||||
| 0550 | 1.4.1.1 | Ebből: a cserélt biztosíték teljesíti az operatív követelményeket | ||||||||||
| 0560 | 1.4.2 | 1. szint: rendkívül magas minőségű fedezett kötvények | 0,00 | |||||||||
| 0570 | 1.4.2.1 | Ebből: a cserélt biztosíték teljesíti az operatív követelményeket | ||||||||||
| 0580 | 1.4.3 | 2A. szintű eszközök | 0,00 | |||||||||
| 0590 | 1.4.3.1 | Ebből: a cserélt biztosíték teljesíti az operatív követelményeket | ||||||||||
| 0600 | 1.4.4 | 2B. szint: eszközfedezetű értékpapírok (lakóingatlan vagy gépjármű, 1. hitelminőségi besorolás) | 0,00 | |||||||||
| 0610 | 1.4.4.1 | Ebből: a cserélt biztosíték teljesíti az operatív követelményeket | ||||||||||
| 0620 | 1.4.5 | 2B. szint: magas minőségű fedezett kötvények | 0,05 | |||||||||
| 0630 | 1.4.5.1 | Ebből: a cserélt biztosíték teljesíti az operatív követelményeket | ||||||||||
| 0640 | 1.4.6 | 2B. szint: eszközfedezetű értékpapírok (vállalati vagy háztartási hitel, tagállam, 1. hitelminőségi besorolás) | 0,10 | |||||||||
| 0650 | 1.4.6.1 | Ebből: a cserélt biztosíték teljesíti az operatív követelményeket | ||||||||||
| 0660 | 1.4.7 | Egyéb 2B. szint | 0,25 | |||||||||
| 0670 | 1.4.7.1 | Ebből: a cserélt biztosíték teljesíti az operatív követelményeket | ||||||||||
| 0680 | 1.4.8 | Nem likvid eszközök | 0,75 | |||||||||
| 0690 | 1.4.8.1 | Ebből: a cserélt biztosíték teljesíti az operatív követelményeket | ||||||||||
| 0700 | 1.5 | Azon ügyletek összértéke, amelyekben 2B. szintű rendkívül magas minőségű fedezett kötvényeket adnak kölcsön és a következő biztosítékokat veszik kölcsön: | ||||||||||
| 0710 | 1.5.1 | 1. szintű eszközök (a rendkívül magas minőségű fedezett kötvények kivételével) | 0,00 | |||||||||
| 0720 | 1.5.1.1 | Ebből: a cserélt biztosíték teljesíti az operatív követelményeket | ||||||||||
| 0730 | 1.5.2 | 1. szint: rendkívül magas minőségű fedezett kötvények | 0,00 | |||||||||
| 0740 | 1.5.2.1 | Ebből: a cserélt biztosíték teljesíti az operatív követelményeket | ||||||||||
| 0750 | 1.5.3 | 2A. szintű eszközök | 0,00 | |||||||||
| 0760 | 1.5.3.1 | Ebből: a cserélt biztosíték teljesíti az operatív követelményeket | ||||||||||
| 0770 | 1.5.4 | 2B. szint: eszközfedezetű értékpapírok (lakóingatlan vagy gépjármű, 1. hitelminőségi besorolás) | 0,00 | |||||||||
| 0780 | 1.5.4.1 | Ebből: a cserélt biztosíték teljesíti az operatív követelményeket | ||||||||||
| 0790 | 1.5.5 | 2B. szint: magas minőségű fedezett kötvények | 0,00 | |||||||||
| 0800 | 1.5.5.1 | Ebből: a cserélt biztosíték teljesíti az operatív követelményeket | ||||||||||
| 0810 | 1.5.6 | 2B. szint: eszközfedezetű értékpapírok (vállalati vagy háztartási hitel, tagállam, 1. hitelminőségi besorolás) | 0,05 | |||||||||
| 0820 | 1.5.6.1 | Ebből: a cserélt biztosíték teljesíti az operatív követelményeket | ||||||||||
| 0830 | 1.5.7 | Egyéb 2B. szint | 0,20 | |||||||||
| 0840 | 1.5.7.1 | Ebből: a cserélt biztosíték teljesíti az operatív követelményeket | ||||||||||
| 0850 | 1.5.8 | Nem likvid eszközök | 0,70 | |||||||||
| 0860 | 1.5.8.1 | Ebből: a cserélt biztosíték teljesíti az operatív követelményeket | ||||||||||
| 0870 | 1.6 | Azon ügyletek összértéke, amelyekben 2B. szintű eszközfedezetű értékpapírokat (vállalati vagy háztartási hitel, tagállam, 1. hitelminőségi besorolás) adnak kölcsön és a következő biztosítékokat veszik kölcsön: | ||||||||||
| 0880 | 1.6.1 | 1. szintű eszközök (a rendkívül magas minőségű fedezett kötvények kivételével) | 0,00 | |||||||||
| 0890 | 1.6.1.1 | Ebből: a cserélt biztosíték teljesíti az operatív követelményeket | ||||||||||
| 0900 | 1.6.2 | 1. szint: rendkívül magas minőségű fedezett kötvények | 0,00 | |||||||||
| 0910 | 1.6.2.1 | Ebből: a cserélt biztosíték teljesíti az operatív követelményeket | ||||||||||
| 0920 | 1.6.3 | 2A. szintű eszközök | 0,00 | |||||||||
| 0930 | 1.6.3.1 | Ebből: a cserélt biztosíték teljesíti az operatív követelményeket | ||||||||||
| 0940 | 1.6.4 | 2B. szint: eszközfedezetű értékpapírok (lakóingatlan vagy gépjármű, 1. hitelminőségi besorolás) | 0,00 | |||||||||
| 0950 | 1.6.4.1 | Ebből: a cserélt biztosíték teljesíti az operatív követelményeket | ||||||||||
| 0960 | 1.6.5 | 2B. szint: magas minőségű fedezett kötvények | 0,00 | |||||||||
| 0970 | 1.6.5.1 | Ebből: a cserélt biztosíték teljesíti az operatív követelményeket | ||||||||||
| 0980 | 1.6.6 | 2B. szint: eszközfedezetű értékpapírok (vállalati vagy háztartási hitel, tagállam, 1. hitelminőségi besorolás) | 0,00 | |||||||||
| 0990 | 1.6.6.1 | Ebből: a cserélt biztosíték teljesíti az operatív követelményeket | ||||||||||
| 1000 | 1.6.7 | Egyéb 2B. szint | 0,15 | |||||||||
| 1010 | 1.6.7.1 | Ebből: a cserélt biztosíték teljesíti az operatív követelményeket | ||||||||||
| 1020 | 1.6.8 | Nem likvid eszközök | 0,65 | |||||||||
| 1030 | 1.6.8.1 | Ebből: a cserélt biztosíték teljesíti az operatív követelményeket | ||||||||||
| 1040 | 1.7 | Azon ügyletek összértéke, amelyekben egyéb 2B. szintű eszközöket adnak kölcsön és a következő biztosítékokat veszik kölcsön: | ||||||||||
| 1050 | 1.7.1 | 1. szintű eszközök (a rendkívül magas minőségű fedezett kötvények kivételével) | 0,00 | |||||||||
| 1060 | 1.7.1.1 | Ebből: a cserélt biztosíték teljesíti az operatív követelményeket | ||||||||||
| 1070 | 1.7.2 | 1. szint: rendkívül magas minőségű fedezett kötvények | 0,00 | |||||||||
| 1080 | 1.7.2.1 | Ebből: a cserélt biztosíték teljesíti az operatív követelményeket | ||||||||||
| 1090 | 1.7.3 | 2A. szintű eszközök | 0,00 | |||||||||
| 1100 | 1.7.3.1 | Ebből: a cserélt biztosíték teljesíti az operatív követelményeket | ||||||||||
| 1110 | 1.7.4 | 2B. szint: eszközfedezetű értékpapírok (lakóingatlan vagy gépjármű, 1. hitelminőségi besorolás) | 0,00 | |||||||||
| 1120 | 1.7.4.1 | Ebből: a cserélt biztosíték teljesíti az operatív követelményeket | ||||||||||
| 1130 | 1.7.5 | 2B. szint: magas minőségű fedezett kötvények | 0,00 | |||||||||
| 1140 | 1.7.5.1 | Ebből: a cserélt biztosíték teljesíti az operatív követelményeket | ||||||||||
| 1150 | 1.7.6 | 2B. szint: eszközfedezetű értékpapírok (vállalati vagy háztartási hitel, tagállam, 1. hitelminőségi besorolás) | 0,00 | |||||||||
| 1160 | 1.7.6.1 | Ebből: a cserélt biztosíték teljesíti az operatív követelményeket | ||||||||||
| 1170 | 1.7.7 | Egyéb 2B. szint | 0,00 | |||||||||
| 1180 | 1.7.7.1 | Ebből: a cserélt biztosíték teljesíti az operatív követelményeket | ||||||||||
| 1190 | 1.7.8 | Nem likvid eszközök | 0,50 | |||||||||
| 1200 | 1.7.8.1 | Ebből: a cserélt biztosíték teljesíti az operatív követelményeket | ||||||||||
| 1210 | 1.8 | Azon ügyletek összértéke, amelyekben nem likvid eszközöket adnak kölcsön és a következő biztosítékokat veszik kölcsön: | ||||||||||
| 1220 | 1.8.1 | 1. szintű eszközök (a rendkívül magas minőségű fedezett kötvények kivételével) | 0,00 | |||||||||
| 1230 | 1.8.1.1 | Ebből: a cserélt biztosíték teljesíti az operatív követelményeket | ||||||||||
| 1240 | 1.8.2 | 1. szint: rendkívül magas minőségű fedezett kötvények | 0,00 | |||||||||
| 1250 | 1.8.2.1 | Ebből: a cserélt biztosíték teljesíti az operatív követelményeket | ||||||||||
| 1260 | 1.8.3 | 2A. szintű eszközök | 0,00 | |||||||||
| 1270 | 1.8.3.1 | Ebből: a cserélt biztosíték teljesíti az operatív követelményeket | ||||||||||
| 1280 | 1.8.4 | 2B. szint: eszközfedezetű értékpapírok (lakóingatlan vagy gépjármű, 1. hitelminőségi besorolás) | 0,00 | |||||||||
| 1290 | 1.8.4.1 | Ebből: a cserélt biztosíték teljesíti az operatív követelményeket | ||||||||||
| 1300 | 1.8.5 | 2B. szint: magas minőségű fedezett kötvények | 0,00 | |||||||||
| 1310 | 1.8.5.1 | Ebből: a cserélt biztosíték teljesíti az operatív követelményeket | ||||||||||
| 1320 | 1.8.6 | 2B. szint: eszközfedezetű értékpapírok (vállalati vagy háztartási hitel, tagállam, 1. hitelminőségi besorolás) | 0,00 | |||||||||
| 1330 | 1.8.6.1 | Ebből: a cserélt biztosíték teljesíti az operatív követelményeket | ||||||||||
| 1340 | 1.8.7 | Egyéb 2B. szint | 0,00 | |||||||||
| 1350 | 1.8.7.1 | Ebből: a cserélt biztosíték teljesíti az operatív követelményeket | ||||||||||
| 1360 | 1.8.8 | Nem likvid eszközök | ||||||||||
| 1370 | 2 | ÖSSZES BIZTOSÍTÉKI CSEREÜGYLET (a partner nem központi bank) | ||||||||||
| 1380 | 2.1 | Azon ügyletek összértéke, amelyekben 1. szintű eszközöket (a rendkívül magas minőségű fedezett kötvények kivételével) adnak kölcsön és a következő biztosítékokat veszik kölcsön: | ||||||||||
| 1390 | 2.1.1 | 1. szintű eszközök (a rendkívül magas minőségű fedezett kötvények kivételével) | 0,00 | |||||||||
| 1400 | 2.1.1.1 | Ebből: a cserélt biztosíték teljesíti az operatív követelményeket | ||||||||||
| 1410 | 2.1.2 | 1. szint: rendkívül magas minőségű fedezett kötvények | 0,07 | |||||||||
| 1420 | 2.1.2.1 | Ebből: a cserélt biztosíték teljesíti az operatív követelményeket | ||||||||||
| 1430 | 2.1.3 | 2A. szintű eszközök | 0,15 | |||||||||
| 1440 | 2.1.3.1 | Ebből: a cserélt biztosíték teljesíti az operatív követelményeket | ||||||||||
| 1450 | 2.1.4 | 2B. szint: eszközfedezetű értékpapírok (lakóingatlan vagy gépjármű, 1. hitelminőségi besorolás) | 0,25 | |||||||||
| 1460 | 2.1.4.1 | Ebből: a cserélt biztosíték teljesíti az operatív követelményeket | ||||||||||
| 1470 | 2.1.5 | 2B. szint: magas minőségű fedezett kötvények | 0,30 | |||||||||
| 1480 | 2.1.5.1 | Ebből: a cserélt biztosíték teljesíti az operatív követelményeket | ||||||||||
| 1490 | 2.1.6 | 2B. szint: eszközfedezetű értékpapírok (vállalati vagy háztartási hitel, tagállam, 1. hitelminőségi besorolás) | 0,35 | |||||||||
| 1500 | 2.1.6.1 | Ebből: a cserélt biztosíték teljesíti az operatív követelményeket | ||||||||||
| 1510 | 2.1.7 | Egyéb 2B. szint | 0,50 | |||||||||
| 1520 | 2.1.7.1 | Ebből: a cserélt biztosíték teljesíti az operatív követelményeket | ||||||||||
| 1530 | 2.1.8 | Nem likvid eszközök | 1,00 | |||||||||
| 1540 | 2.1.8.1 | Ebből: a cserélt biztosíték teljesíti az operatív követelményeket | ||||||||||
| 1550 | 2.2 | Azon ügyletek összértéke, amelyekben 1. szintű rendkívül magas minőségű fedezett kötvényeket adnak kölcsön és a következő biztosítékokat veszik kölcsön: | ||||||||||
| 1560 | 2.2.1 | 1. szintű eszközök (a rendkívül magas minőségű fedezett kötvények kivételével) | 0,07 | |||||||||
| 1570 | 2.2.1.1 | Ebből: a cserélt biztosíték teljesíti az operatív követelményeket | ||||||||||
| 1580 | 2.2.2 | 1. szint: rendkívül magas minőségű fedezett kötvények | 0,00 | |||||||||
| 1590 | 2.2.2.1 | Ebből: a cserélt biztosíték teljesíti az operatív követelményeket | ||||||||||
| 1600 | 2.2.3 | 2A. szintű eszközök | 0,08 | |||||||||
| 1610 | 2.2.3.1 | Ebből: a cserélt biztosíték teljesíti az operatív követelményeket | ||||||||||
| 1620 | 2.2.4 | 2B. szint: eszközfedezetű értékpapírok (lakóingatlan vagy gépjármű, 1. hitelminőségi besorolás) | 0,18 | |||||||||
| 1630 | 2.2.4.1 | Ebből: a cserélt biztosíték teljesíti az operatív követelményeket | ||||||||||
| 1640 | 2.2.5 | 2B. szint: magas minőségű fedezett kötvények | 0,23 | |||||||||
| 1650 | 2.2.5.1 | Ebből: a cserélt biztosíték teljesíti az operatív követelményeket | ||||||||||
| 1660 | 2.2.6 | 2B. szint: eszközfedezetű értékpapírok (vállalati vagy háztartási hitel, tagállam, 1. hitelminőségi besorolás) | 0,28 | |||||||||
| 1670 | 2.2.6.1 | Ebből: a cserélt biztosíték teljesíti az operatív követelményeket | ||||||||||
| 1680 | 2.2.7 | Egyéb 2B. szint | 0,43 | |||||||||
| 1690 | 2.2.7.1 | Ebből: a cserélt biztosíték teljesíti az operatív követelményeket | ||||||||||
| 1700 | 2.2.8 | Nem likvid eszközök | 0,93 | |||||||||
| 1710 | 2.2.8.1 | Ebből: a cserélt biztosíték teljesíti az operatív követelményeket | ||||||||||
| 1720 | 2.3 | Azon ügyletek összértéke, amelyekben 2A. szintű eszközöket adnak kölcsön és a következő biztosítékokat veszik kölcsön: | ||||||||||
| 1730 | 2.3.1 | 1. szintű eszközök (a rendkívül magas minőségű fedezett kötvények kivételével) | 0,15 | |||||||||
| 1740 | 2.3.1.1 | Ebből: a cserélt biztosíték teljesíti az operatív követelményeket | ||||||||||
| 1750 | 2.3.2 | 1. szint: rendkívül magas minőségű fedezett kötvények | 0,08 | |||||||||
| 1760 | 2.3.2.1 | Ebből: a cserélt biztosíték teljesíti az operatív követelményeket | ||||||||||
| 1770 | 2.3.3 | 2A. szintű eszközök | 0,00 | |||||||||
| 1780 | 2.3.3.1 | Ebből: a cserélt biztosíték teljesíti az operatív követelményeket | ||||||||||
| 1790 | 2.3.4 | 2B. szint: eszközfedezetű értékpapírok (lakóingatlan vagy gépjármű, 1. hitelminőségi besorolás) | 0,10 | |||||||||
| 1800 | 2.3.4.1 | Ebből: a cserélt biztosíték teljesíti az operatív követelményeket | ||||||||||
| 1810 | 2.3.5 | 2B. szint: magas minőségű fedezett kötvények | 0,15 | |||||||||
| 1820 | 2.3.5.1 | Ebből: a cserélt biztosíték teljesíti az operatív követelményeket | ||||||||||
| 1830 | 2.3.6 | 2B. szint: eszközfedezetű értékpapírok (vállalati vagy háztartási hitel, tagállam, 1. hitelminőségi besorolás) | 0,20 | |||||||||
| 1840 | 2.3.6.1 | Ebből: a cserélt biztosíték teljesíti az operatív követelményeket | ||||||||||
| 1850 | 2.3.7 | Egyéb 2B. szint | 0,35 | |||||||||
| 1860 | 2.3.7.1 | Ebből: a cserélt biztosíték teljesíti az operatív követelményeket | ||||||||||
| 1870 | 2.3.8 | Nem likvid eszközök | 0,85 | |||||||||
| 1880 | 2.3.8.1 | Ebből: a cserélt biztosíték teljesíti az operatív követelményeket | ||||||||||
| 1890 | 2.4 | Azon ügyletek összértéke, amelyekben 2B. szintű eszközfedezetű értékpapírokat (lakóingatlan vagy gépjármű, 1. hitelminőségi besorolás) adnak kölcsön és a következő biztosítékokat veszik kölcsön: | ||||||||||
| 1900 | 2.4.1 | 1. szintű eszközök (a rendkívül magas minőségű fedezett kötvények kivételével) | 0,25 | |||||||||
| 1910 | 2.4.1.1 | Ebből: a cserélt biztosíték teljesíti az operatív követelményeket | ||||||||||
| 1920 | 2.4.2 | 1. szint: rendkívül magas minőségű fedezett kötvények | 0,18 | |||||||||
| 1930 | 2.4.2.1 | Ebből: a cserélt biztosíték teljesíti az operatív követelményeket | ||||||||||
| 1940 | 2.4.3 | 2A. szintű eszközök | 0,10 | |||||||||
| 1950 | 2.4.3.1 | Ebből: a cserélt biztosíték teljesíti az operatív követelményeket | ||||||||||
| 1960 | 2.4.4 | 2B. szint: eszközfedezetű értékpapírok (lakóingatlan vagy gépjármű, 1. hitelminőségi besorolás) | 0,00 | |||||||||
| 1970 | 2.4.4.1 | Ebből: a cserélt biztosíték teljesíti az operatív követelményeket | ||||||||||
| 1980 | 2.4.5 | 2B. szint: magas minőségű fedezett kötvények | 0,05 | |||||||||
| 1990 | 2.4.5.1 | Ebből: a cserélt biztosíték teljesíti az operatív követelményeket | ||||||||||
| 2000 | 2.4.6 | 2B. szint: eszközfedezetű értékpapírok (vállalati vagy háztartási hitel, tagállam, 1. hitelminőségi besorolás) | 0,10 | |||||||||
| 2010 | 2.4.6.1 | Ebből: a cserélt biztosíték teljesíti az operatív követelményeket | ||||||||||
| 2020 | 2.4.7 | Egyéb 2B. szint | 0,25 | |||||||||
| 2030 | 2.4.7.1 | Ebből: a cserélt biztosíték teljesíti az operatív követelményeket | ||||||||||
| 2040 | 2.4.8 | Nem likvid eszközök | 0,75 | |||||||||
| 2050 | 2.4.8.1 | Ebből: a cserélt biztosíték teljesíti az operatív követelményeket | ||||||||||
| 2060 | 2.5 | Azon ügyletek összértéke, amelyekben 2B. szintű rendkívül magas minőségű fedezett kötvényeket adnak kölcsön és a következő biztosítékokat veszik kölcsön: | ||||||||||
| 2070 | 2.5.1 | 1. szintű eszközök (a rendkívül magas minőségű fedezett kötvények kivételével) | 0,30 | |||||||||
| 2080 | 2.5.1.1 | Ebből: a cserélt biztosíték teljesíti az operatív követelményeket | ||||||||||
| 2090 | 2.5.2 | 1. szint: rendkívül magas minőségű fedezett kötvények | 0,23 | |||||||||
| 2100 | 2.5.2.1 | Ebből: a cserélt biztosíték teljesíti az operatív követelményeket | ||||||||||
| 2110 | 2.5.3 | 2A. szintű eszközök | 0,15 | |||||||||
| 2120 | 2.5.3.1 | Ebből: a cserélt biztosíték teljesíti az operatív követelményeket | ||||||||||
| 2130 | 2.5.4 | 2B. szint: eszközfedezetű értékpapírok (lakóingatlan vagy gépjármű, 1. hitelminőségi besorolás) | 0,05 | |||||||||
| 2140 | 2.5.4.1 | Ebből: a cserélt biztosíték teljesíti az operatív követelményeket | ||||||||||
| 2150 | 2.5.5 | 2B. szint: magas minőségű fedezett kötvények | 0,00 | |||||||||
| 2160 | 2.5.5.1 | Ebből: a cserélt biztosíték teljesíti az operatív követelményeket | ||||||||||
| 2170 | 2.5.6 | 2B. szint: eszközfedezetű értékpapírok (vállalati vagy háztartási hitel, tagállam, 1. hitelminőségi besorolás) | 0,05 | |||||||||
| 2180 | 2.5.6.1 | Ebből: a cserélt biztosíték teljesíti az operatív követelményeket | ||||||||||
| 2190 | 2.5.7 | Egyéb 2B. szint | 0,20 | |||||||||
| 2200 | 2.5.7.1 | Ebből: a cserélt biztosíték teljesíti az operatív követelményeket | ||||||||||
| 2210 | 2.5.8 | Nem likvid eszközök | 0,70 | |||||||||
| 2220 | 2.5.8.1 | Ebből: a cserélt biztosíték teljesíti az operatív követelményeket | ||||||||||
| 2230 | 2.6 | Azon ügyletek összértéke, amelyekben 2B. szintű eszközfedezetű értékpapírokat (vállalati vagy háztartási hitel, tagállam, 1. hitelminőségi besorolás) adnak kölcsön és a következő biztosítékokat veszik kölcsön: | ||||||||||
| 2240 | 2.6.1 | 1. szintű eszközök (a rendkívül magas minőségű fedezett kötvények kivételével) | 0,35 | |||||||||
| 2250 | 2.6.1.1 | Ebből: a cserélt biztosíték teljesíti az operatív követelményeket | ||||||||||
| 2260 | 2.6.2 | 1. szint: rendkívül magas minőségű fedezett kötvények | 0,28 | |||||||||
| 2270 | 2.6.2.1 | Ebből: a cserélt biztosíték teljesíti az operatív követelményeket | ||||||||||
| 2280 | 2.6.3 | 2A. szintű eszközök | 0,20 | |||||||||
| 2290 | 2.6.3.1 | Ebből: a cserélt biztosíték teljesíti az operatív követelményeket | ||||||||||
| 2300 | 2.6.4 | 2B. szint: eszközfedezetű értékpapírok (lakóingatlan vagy gépjármű, 1. hitelminőségi besorolás) | 0,10 | |||||||||
| 2310 | 2.6.4.1 | Ebből: a cserélt biztosíték teljesíti az operatív követelményeket | ||||||||||
| 2320 | 2.6.5 | 2B. szint: magas minőségű fedezett kötvények | 0,05 | |||||||||
| 2330 | 2.6.5.1 | Ebből: a cserélt biztosíték teljesíti az operatív követelményeket | ||||||||||
| 2340 | 2.6.6 | 2B. szint: eszközfedezetű értékpapírok (vállalati vagy háztartási hitel, tagállam, 1. hitelminőségi besorolás) | 0,00 | |||||||||
| 2350 | 2.6.6.1 | Ebből: a cserélt biztosíték teljesíti az operatív követelményeket | ||||||||||
| 2360 | 2.6.7 | Egyéb 2B. szint | 0,15 | |||||||||
| 2370 | 2.6.7.1 | Ebből: a cserélt biztosíték teljesíti az operatív követelményeket | ||||||||||
| 2380 | 2.6.8 | Nem likvid eszközök | 0,65 | |||||||||
| 2390 | 2.6.8.1 | Ebből: a cserélt biztosíték teljesíti az operatív követelményeket | ||||||||||
| 2400 | 2.7 | Azon ügyletek összértéke, amelyekben egyéb 2B. szintű eszközöket adnak kölcsön és a következő biztosítékokat veszik kölcsön: | ||||||||||
| 2410 | 2.7.1 | 1. szintű eszközök (a rendkívül magas minőségű fedezett kötvények kivételével) | 0,50 | |||||||||
| 2420 | 2.7.1.1 | Ebből: a cserélt biztosíték teljesíti az operatív követelményeket | ||||||||||
| 2430 | 2.7.2 | 1. szint: rendkívül magas minőségű fedezett kötvények | 0,43 | |||||||||
| 2440 | 2.7.2.1 | Ebből: a cserélt biztosíték teljesíti az operatív követelményeket | ||||||||||
| 2450 | 2.7.3 | 2A. szintű eszközök | 0,35 | |||||||||
| 2460 | 2.7.3.1 | Ebből: a cserélt biztosíték teljesíti az operatív követelményeket | ||||||||||
| 2470 | 2.7.4 | 2B. szint: eszközfedezetű értékpapírok (lakóingatlan vagy gépjármű, 1. hitelminőségi besorolás) | 0,25 | |||||||||
| 2480 | 2.7.4.1 | Ebből: a cserélt biztosíték teljesíti az operatív követelményeket | ||||||||||
| 2490 | 2.7.5 | 2B. szint: magas minőségű fedezett kötvények | 0,20 | |||||||||
| 2500 | 2.7.5.1 | Ebből: a cserélt biztosíték teljesíti az operatív követelményeket | ||||||||||
| 2510 | 2.7.6 | 2B. szint: eszközfedezetű értékpapírok (vállalati vagy háztartási hitel, tagállam, 1. hitelminőségi besorolás) | 0,15 | |||||||||
| 2520 | 2.7.6.1 | Ebből: a cserélt biztosíték teljesíti az operatív követelményeket | ||||||||||
| 2530 | 2.7.7 | Egyéb 2B. szint | 0,00 | |||||||||
| 2540 | 2.7.7.1 | Ebből: a cserélt biztosíték teljesíti az operatív követelményeket | ||||||||||
| 2550 | 2.7.8 | Nem likvid eszközök | 0,50 | |||||||||
| 2560 | 2.7.8.1 | Ebből: a cserélt biztosíték teljesíti az operatív követelményeket | ||||||||||
| 2570 | 2.8 | Azon ügyletek összértéke, amelyekben nem likvid eszközöket adnak kölcsön és a következő biztosítékokat veszik kölcsön: | ||||||||||
| 2580 | 2.8.1 | 1. szintű eszközök (a rendkívül magas minőségű fedezett kötvények kivételével) | 1,00 | |||||||||
| 2590 | 2.8.1.1 | Ebből: a cserélt biztosíték teljesíti az operatív követelményeket | ||||||||||
| 2600 | 2.8.2 | 1. szint: rendkívül magas minőségű fedezett kötvények | 0,93 | |||||||||
| 2610 | 2.8.2.1 | Ebből: a cserélt biztosíték teljesíti az operatív követelményeket | ||||||||||
| 2620 | 2.8.3 | 2A. szintű eszközök | 0,85 | |||||||||
| 2630 | 2.8.3.1 | Ebből: a cserélt biztosíték teljesíti az operatív követelményeket | ||||||||||
| 2640 | 2.8.4 | 2B. szint: eszközfedezetű értékpapírok (lakóingatlan vagy gépjármű, 1. hitelminőségi besorolás) | 0,75 | |||||||||
| 2650 | 2.8.4.1 | Ebből: a cserélt biztosíték teljesíti az operatív követelményeket | ||||||||||
| 2660 | 2.8.5 | 2B. szint: magas minőségű fedezett kötvények | 0,70 | |||||||||
| 2670 | 2.8.5.1 | Ebből: a cserélt biztosíték teljesíti az operatív követelményeket | ||||||||||
| 2680 | 2.8.6 | 2B. szint: eszközfedezetű értékpapírok (vállalati vagy háztartási hitel, tagállam, 1. hitelminőségi besorolás) | 0,65 | |||||||||
| 2690 | 2.8.6.1 | Ebből: a cserélt biztosíték teljesíti az operatív követelményeket | ||||||||||
| 2700 | 2.8.7 | Egyéb 2B. szint | 0,50 | |||||||||
| 2710 | 2.8.7.1 | Ebből: a cserélt biztosíték teljesíti az operatív követelményeket | ||||||||||
| 2720 | 2.8.8 | Nem likvid eszközök | ||||||||||
| TÁJÉKOZTATÓ ADATOK | ||||||||||||
| 2730 | 23 | Azon biztosítéki csereügyletek összértéke (minden partner), amelyeknél kölcsönvett biztosítékot használtak a rövid pozíciók fedezésére | ||||||||||
| 2740 | 34 | Összes biztosítéki csereügylet csoporton belüli partnerekkel | ||||||||||
| 5 | A 17. cikk (2) és (3) bekezdése alól mentesített biztosítéki csereügyletek | |||||||||||
| 2750 | 5.1 | ebből: a kölcsönvett biztosíték 1. szintű eszközökből áll, a rendkívül magas minőségű fedezett kötvények kivételével | ||||||||||
| 2760 | 5.2 | ebből: a kölcsönvett biztosíték 1. szintű rendkívül magas minőségű fedezett kötvényekből áll | ||||||||||
| 2770 | 5.3 | ebből: a kölcsönvett biztosíték 2A. szintű eszközökből áll | ||||||||||
| 2780 | 5.4 | ebből: a kölcsönvett biztosíték 2B. szintű eszközökből áll | ||||||||||
| 2790 | 5.5 | ebből: a kölcsönadott biztosíték 1. szintű eszközökből áll, a rendkívül magas minőségű fedezett kötvények kivételével | ||||||||||
| 2800 | 5.6 | ebből: a kölcsönadott biztosíték 1. szintű rendkívül magas minőségű fedezett kötvényekből áll | ||||||||||
| 2810 | 5.7 | ebből: a kölcsönadott biztosíték 2A. szintű eszközökből áll | ||||||||||
| 2820 | 5.8 | ebből: a kölcsönadott biztosíték 2B. szintű eszközökből áll | ||||||||||
C 76.00 - LIKVIDITÁSFEDEZET - SZÁMÍTÁSOK
Pénznem
| Érték / Százalék | |||
| Sor | AZONOSÍTÓ | Tétel | 010 | 
| SZÁMÍTÁSOK | |||
| Számláló, nevező, ráta | |||
| 010 | 1 | Likviditási puffer | |
| 020 | 2 | Nettó likviditáskiáramlás | |
| 030 | 3 | Likviditásfedezeti ráta (%) | |
| Számláló számítása | |||
| 040 | 4 | 1. szintű (a rendkívül magas minőségű fedezett kötvények kivételével) likviditási puffer (a 9. cikk szerinti érték): kiigazítás nélkül | |
| 050 | 5 | 1. szintű (a rendkívül magas minőségű fedezett kötvények kivételével) biztosíték, 30 napon belüli kiáramlás | |
| 060 | 6 | 1. szintű (a rendkívül magas minőségű fedezett kötvények kivételével) biztosíték, 30 napon belüli beáramlás | |
| 070 | 7 | Fedezett készpénzkiáramlás 30 napon belül | |
| 080 | 8 | Fedezett készpénzbeáramlás 30 napon belül | |
| 091 | 9 | 1. szintű (a rendkívül magas minőségű fedezett kötvények kivételével) „kiigazított összeg” | |
| 100 | 10 | 1. szintű rendkívül magas minőségű fedezett kötvények 9. cikk szerinti értéke: kiigazítás nélkül | |
| 110 | 11 | 1. szintű rendkívül magas minőségű fedezett kötvényekből álló biztosíték, 30 napon belüli kiáramlás | |
| 120 | 12 | 1. szintű rendkívül magas minőségű fedezett kötvényekből álló biztosíték, 30 napon belüli beáramlás | |
| 131 | 13 | 1. szintű rendkívül magas minőségű fedezett kötvények, „kiigazított összeg” | |
| 160 | 14 | 2A. szintű érték a 9. cikk szerint: kiigazítás nélkül | |
| 170 | 15 | 2A. szintű biztosíték, 30 napon belüli kiáramlás | |
| 180 | 16 | 2A. szintű biztosíték, 30 napon belüli beáramlás | |
| 191 | 17 | 2A. szintű „kiigazított összeg” | |
| 220 | 18 | 2B. szintű érték a 9. cikk szerint: kiigazítás nélkül | |
| 230 | 19 | 2B. szintű biztosíték, 30 napon belüli kiáramlás | |
| 240 | 20 | 2B. szintű biztosíték, 30 napon belüli beáramlás | |
| 251 | 21 | 2B. szintű „kiigazított összeg” | |
| 280 | 22 | Likvideszköztöbblet összege | |
| 290 | 23 | Likviditási puffer | |
| Nevező számítása | |||
| 300 | 24 | Összes kiáramlás | |
| 310 | 25 | Teljesen mentesített beáramlások | |
| 320 | 26 | 90 %-os felső korlát alá tartozó beáramlások | |
| 330 | 27 | 75 %-os felső korlát alá tartozó beáramlások | |
| 340 | 28 | A teljesen mentesített beáramlások miatti csökkentés | |
| 350 | 29 | 90 %-os felső korlát alá tartozó beáramlások miatti csökkentés | |
| 360 | 30 | 75 %-os felső korlát alá tartozó beáramlások miatti csökkentés | |
| 370 | 31 | Nettó likviditáskiáramlás | |
| 2. pillér | |||
| 380 | 32 | A CRD 105. cikkében meghatározott 2. pillér szerinti követelmény | |
C 77.00 - LIKVIDITÁSFEDEZET - KONSZOLIDÁCIÓS KÖR
| Anyavállalat vagy leányvállalat | Név | Kód | LEI-kód | Országkód | A jogalany típusa | 
| 005 | 010 | 020 | 030 | 040 | 050 | 
XXV. MELLÉKLET
LIKVIDITÁSRA VONATKOZÓ ADATSZOLGÁLTATÁS (1. RÉSZ: LIKVID ESZKÖZÖK)
1. Likvid eszközök
1.1. Általános megjegyzések
1. Ez egy olyan összefoglaló tábla, amely az (EU) 2015/61 felhatalmazáson alapuló bizottsági rendeletben ( 24 ) meghatározott likviditásfedezeti követelményekkel kapcsolatos adatszolgáltatás céljából az eszközökre vonatkozó információkat tartalmazza. Szürke szín jelzi azokat a tételeket, amelyeket a hitelintézeteknek nem kell kitölteniük.
2. Az adatszolgáltatás tárgyát képező eszközöknek teljesíteniük kell az (EU) 2015/61 felhatalmazáson alapuló rendelet II. címében meghatározott követelményeket.
3. A 2. ponttól eltérve a hitelintézetek nem alkalmazzák az (EU) 2015/61 felhatalmazáson alapuló rendelet 8. cikkének (6) bekezdése, 10. cikke (1) bekezdésének d) pontja és 12. cikke (1) bekezdésének c) pontja szerinti, pénznemre vonatkozó korlátozásokat, amikor az 575/2013/EU rendelet 415. cikke (2) bekezdésének megfelelően külön pénznemben töltik ki a táblát. A hitelintézeteknek ettől függetlenül alkalmazniuk kell a joghatóságra vonatkozó korlátozásokat.
4. A hitelintézetek az 575/2013/EU rendelet 415. cikkének (2) bekezdésével összhangban a megfelelő devizanemben szolgáltatnak adatot a táblában.
5. Az (EU) 2015/61 felhatalmazáson alapuló rendelet 9. cikkére való hivatkozáskor a hitelintézet a likvid eszközök összegét/piaci értékét adott esetben a 8. cikk (5) bekezdésének b) pontjában említett, fedezett pozíciók idő előtti lezárásából adódó nettó likviditáskiáramlások és -beáramlások figyelembevételével és az említett felhatalmazáson alapuló rendelet 2. fejezetében meghatározott megfelelő haircutoknak megfelelően adja meg.
6. Az (EU) 2015/61 felhatalmazáson alapuló rendelet csak rátákat és haircutokat említ. Ebben az útmutatóban a "súlyozott" szót általános kifejezésként használjuk a vonatkozó haircutok, ráták és bármely egyéb releváns (például fedezett kölcsönügyletekre és finanszírozásra vonatkozó) kiegészítő előírás alkalmazása után kapott összeg megjelölésére. Ezen útmutató összefüggésében a "súly" azt a 0 és 1 közötti szorzót jelöli, amellyel az összeget megszorozva a súlyozott összeget vagy az (EU) 2015/61 felhatalmazáson alapuló rendelet 9. cikkében említett értéket kapjuk.
7. A hitelintézetek nem tüntethetik fel többszörösen az adatokat a tábla 1.1.1., 1.1.2., 1.2.1., és 1.2.2. szakaszán belül és e szakaszok között.
1.2. Külön megjegyzések
1.2.1. A kollektív befektetési formákra (KBF) vonatkozó külön követelmények
8. A tábla 1.1.1.10., 1.1.1.11., 1.2.1.6., 1.1.2.2., 1.2.2.10., 1.2.2.11., 1.2.2.12. és 1.2.2.13. tétele esetében a hitelintézetnek a KBF-ek piaci értékének azon arányos részét kell megadnia, amely megfelel a vállalkozás mögöttes likvid eszközeinek, az (EU) 2015/61 felhatalmazáson alapuló rendelet 15. cikke (4) bekezdésének megfelelően.
1.2.2. A szerzett jogokra és az átmeneti rendelkezésekre vonatkozó külön követelmények
9. A hitelintézetek az (EU) 2015/61 felhatalmazáson alapuló rendelet 35-37. cikkében említett adatokat a megfelelő eszközsorokban tüntetik fel. Az e cikkek alapján megadott eszközök teljes összegét tájékoztatás céljából a "Tájékoztató adatok" részben is fel kell tüntetni.
1.2.3. A központi intézmények általi adatszolgáltatásra vonatkozó külön követelmények
10. A központi intézmények a betétet elhelyező hitelintézet likvid eszközeinek tekintett, központi hitelintézetnél elhelyezett hitelintézeti betéteknek megfelelő likvid eszközök feltüntetésekor biztosítják, hogy e likvid eszközök haircut utáni, feltüntetett összege az (EU) 2015/61 felhatalmazáson alapuló rendelet 27. cikke (3) bekezdésének megfelelően ne haladja meg a megfelelő betétekből eredő kiáramlást.
1.2.4. Az elszámolási és jövőben induló határidős ügyletekre vonatkozó külön követelmények
11. Az (EU) 2015/61 felhatalmazáson alapuló rendelet 7., 8. és 9. cikkének megfelelő minden eszközt, amely a vonatkozási időpontban a hitelintézet állományában van, fel kell tüntetni a C72 tábla megfelelő sorában, akkor is, ha azokat értékesítik vagy fedezett határidős ügyletben használják. Ezzel összefüggésben a táblában nem szabad feltüntetni a jövőben induló - értsd: szerződéssel vállalt, de még nem teljesített - határidős ügyletekből származó és a határidős vételi ügyletek keretében megvásárolni tervezett likvid eszközöket.
1.2.5. Likvid eszközökre vonatkozó altábla
1.2.5.1. A tábla egyes oszlopaira vonatkozó útmutató
| Oszlop | Jogszabályi hivatkozások és útmutató | 
| 010 | Összeg/Piaci érték A hitelintézeteknek a 010 oszlopban kell feltüntetniük az (EU) 2015/61 felhatalmazáson alapuló rendelet II. címének megfelelő likvid eszközök piaci értékét vagy, adott esetben, összegét. A 010 oszlopban megadott összeg/piaci érték: — figyelembe veszi az említett rendelet 8. cikkének (5) bekezdésében meghatározott, a fedezett pozíciók idő előtti lezárása miatti nettó kiáramlást és nettó beáramlást; — nem veszi figyelembe az említett rendelet II. címében meghatározott haircutokat; — a megfelelő eszközsorokban magában foglalja az említett rendelet 16. cikke (1) bekezdésének a) pontjában említett, különböző eszközökből álló betétek arányos részét; — adott esetben csökkentendő a 16. cikkben meghatározott betétek összegével, amelyeket a központi hitelintézetnél helyeztek el az említett rendelet 27. cikkének (3) bekezdésében említettek szerint. Az (EU) 2015/61 felhatalmazáson alapuló rendelet 8. cikkének (5) bekezdésére való hivatkozáskor a hitelintézetek azt a nettó cash flowt – kiáramlást vagy beáramlást – veszik figyelembe, amely akkor keletkezne, ha a fedezett pozíciót az adatszolgáltatási vonatkozási időpontban lezárnák. A hitelintézetek nem veszik figyelembe az eszköz potenciális jövőbeli értékváltozásait. | 
| 020 | Standard súly A 020 oszlop az (EU) 2015/61 felhatalmazáson alapuló rendelet II. címében meghatározott vonatkozó haircutok alkalmazása után kapott összegeket tükröző súlyokat tartalmazza. A súlyok célja, hogy tükrözzék a likvid eszközök értékének a megfelelő haircutok alkalmazása utáni csökkenését. | 
| 030 | Alkalmazandó súly A hitelintézeteknek a 030 oszlopban kell feltüntetniük az (EU) 2015/61 felhatalmazáson alapuló rendelet II. címében meghatározott likvid eszközökre alkalmazott alkalmazandó súlyt. Az alkalmazandó súlyok súlyozott átlagértékeket eredményezhetnek, és feltüntetésük tizedes rendszerben történik (azaz 1,00 a 100 százalékos alkalmazandó súly esetében, vagy 0,50 az 50 százalékos alkalmazandó súly esetében). Az alkalmazandó súlyok tükrözhetnek többek között vállalatspecifikus vagy nemzeti megfontolásokat is. A 030 oszlopban megadott érték nem haladhatja meg a 020 oszlopban megadott számadatot. | 
| 040 | A 9. cikk szerinti érték A hitelintézetek a 040 oszlopban tüntetik fel a likvid eszköznek az (EU) 2015/61 felhatalmazáson alapuló rendelet 9. cikke szerinti értékét, amely a fedezett pozíciók idő előtti lezárása miatti nettó likviditáskiáramlást és -beáramlást figyelembe vevő összeg/piaci érték és az alkalmazandó súly szorzata. | 
1.2.5.2. A tábla egyes soraira vonatkozó útmutató
| Sor | Jogszabályi hivatkozások és útmutató | 
| 010 | 1.  ÖSSZES KI NEM IGAZÍTOTT LIKVID ESZKÖZ Az (EU) 2015/61 felhatalmazáson alapuló rendelet II. címe A hitelintézetek likvid eszközeik teljes összegét/piaci értékét a 010 oszlopban adják meg. A hitelintézetek likvid eszközeik 9. cikk szerint számított teljes értékét a 040 oszlopban adják meg. | 
| 020 | 1.1.  Összes ki nem igazított 1. szintű eszköz Az (EU) 2015/61 felhatalmazáson alapuló rendelet 10., 15., 16. és 19. cikke Az ebben a szakaszban megadott eszközöket kifejezetten az (EU) 2015/61 felhatalmazáson alapuló rendelet szerinti 1. szintű eszközként azonosították, vagy akként kezelik. A hitelintézetek a 010 oszlopban az 1. szintű likvid eszközeik teljes összegét/piaci értékét adják meg. A hitelintézetek 1. szintű likvid eszközeik 9. cikk szerint számított teljes értékét a 040 oszlopban adják meg. | 
| 030 | 1.1.1.  Ki nem igazított 1. szintű eszközök összesen a rendkívül magas minőségű fedezett kötvények kivételével Az (EU) 2015/61 felhatalmazáson alapuló rendelet 10., 15., 16. és 19. cikke Az ebben az alszakaszban megadott eszközöket kifejezetten az (EU) 2015/61 felhatalmazáson alapuló rendelet szerinti 1. szintű eszközként azonosították, vagy akként kezelik. Ebben az alszakaszban nem szabad feltüntetni az (EU) 2015/61 felhatalmazáson alapuló rendelet 10. cikke (1) bekezdésének f) pontjában említett rendkívül magas minőségű fedezett kötvénynek minősülő eszközöket és mögöttes eszközöket. A hitelintézetek a 010 oszlopban az 1. szintű eszközök rendkívül magas minőségű fedezett kötvények nélküli teljes összegét/piaci értékét adják meg, az (EU) 2015/61 felhatalmazáson alapuló rendelet 17. cikke szerinti követelmények figyelembevétele nélkül. A hitelintézetek a 040 oszlopban az 1. szintű eszközök rendkívül magas minőségű fedezett kötvények nélküli teljes súlyozott összegét adják meg, az (EU) 2015/61 felhatalmazáson alapuló rendelet 17. cikke szerinti követelmények figyelembevétele nélkül. | 
| 040 | 1.1.1.1.  Pénzérmék és bankjegyek Az (EU) 2015/61 felhatalmazáson alapuló rendelet 10. cikke (1) bekezdésének a) pontja A pénzérmék és bankjegyek alkotta készpénz teljes összege. | 
| 050 | 1.1.1.2.  Lehívható központi banki tartalékok Az (EU) 2015/61 felhatalmazáson alapuló rendelet 10. cikke (1) bekezdése b) pontjának iii. alpontja Stresszidőszak során bármikor lehívható, az EKB-nál, valamely tagállam központi bankjánál vagy valamely harmadik ország központi bankjánál elhelyezett tartalékok teljes összege, amennyiben a harmadik ország központi bankjával vagy központi kormányzatával szembeni kitettségeknek egy kijelölt külső hitelminősítő intézet olyan minősítést adott, amelyhez legalább az 575/2013/EU rendelet 114. cikke (2) bekezdése szerinti 1. hitelminőségi besorolás rendelhető. A figyelembe vehető lehívható összeget a hitelintézet illetékes hatósága és a tartalékokat tartó központi bank közötti megállapodás vagy a harmadik országban alkalmazandó szabályozás rögzíti, az (EU) 2015/61 felhatalmazáson alapuló rendelet 10. cikke (1) bekezdése b) pontjának iii. alpontjában említettek szerint. | 
| 060 | 1.1.1.3.  Központi banki eszközök Az (EU) 2015/61 felhatalmazáson alapuló rendelet 10. cikke (1) bekezdése b) pontjának i. és ii. alpontja Az EKB-val, valamely tagállam központi bankjával vagy harmadik ország központi bankjával szembeni követelést megtestesítő vagy ilyen bank által garantált eszközök, amennyiben a harmadik ország központi bankjával vagy központi kormányzatával szembeni kitettségeknek egy kijelölt külső hitelminősítő intézet olyan minősítést adott, amelyhez legalább az 575/2013/EU rendelet 114. cikke (2) bekezdése szerinti 1. hitelminőségi besorolás rendelhető. | 
| 070 | 1.1.1.4.  Központi kormányzati eszközök Az (EU) 2015/61 felhatalmazáson alapuló rendelet 10. cikke (1) bekezdésének c) pontjának i. és ii. alpontja Tagállam központi kormányzatával vagy harmadik ország központi kormányzatával szembeni követelést megtestesítő vagy általuk garantált eszközök, feltéve, hogy az említett eszközöknek egy kijelölt külső hitelminősítő intézet olyan minősítést adott, amelyhez legalább az 575/2013/EU rendelet 114. cikke (2) bekezdése szerinti 1. hitelminőségi besorolás rendelhető. E sorban kell adatot szolgáltatni azon eszközökről, amelyeket olyan hitelintézetek bocsátottak ki, amelyek – az (EU) 2015/61 felhatalmazáson alapuló rendelet 35. cikkének megfelelően – valamely tagállam központi kormányzatának garanciáját élvezik. E sorban kell továbbá adatot szolgáltatni azon eszközökről, amelyeket az (EU) 2015/61 felhatalmazáson alapuló rendelet 36. cikkében említett, tagállami támogatásban részesülő, értékvesztett eszközöket kezelő intézmények bocsátottak ki. | 
| 080 | 1.1.1.5.  Regionális kormányzati/helyi hatósági eszközök Az (EU) 2015/61 felhatalmazáson alapuló rendelet 10. cikke (1) bekezdése c) pontjának iii. és iv. alpontja Tagállam regionális kormányzataival vagy helyi hatóságaival szembeni követelést megtestesítő vagy általuk garantált eszközök, feltéve, hogy azokat a tagállam központi kormányzatával szembeni kitettségekként kezelik az 575/2013/EU rendelet 115. cikke (2) bekezdésének megfelelően. Harmadik ország regionális kormányzataival vagy helyi hatóságaival szembeni követelést megtestesítő vagy általuk garantált eszközök, amelyeknek egy kijelölt külső hitelminősítő intézet olyan minősítést adott, amelyhez legalább az 575/2013/EU rendelet 114. cikke (2) bekezdése szerinti 1. hitelminőségi besorolás rendelhető, és amennyiben azokat a harmadik ország központi kormányzatával szembeni kitettségekként kezelik az 575/2013/EU rendelet 115. cikke (4) bekezdésének megfelelően. E sorban kell adatot szolgáltatni azon eszközökről, amelyeket olyan hitelintézetek bocsátottak ki, amelyek – az (EU) 2015/61 felhatalmazáson alapuló rendelet 35. cikkének megfelelően – valamely tagállam regionális kormányzatának vagy helyi hatóságának garanciáját élvezik. | 
| 090 | 1.1.1.6.  Közszektorbeli intézményi eszközök Az (EU) 2015/61 felhatalmazáson alapuló rendelet 10. cikke (1) bekezdése c) pontjának v. és vi. alpontja Valamely tagállamban vagy harmadik országban közszektorbeli intézménnyel szembeni követelést megtestesítő vagy általa garantált eszközök, feltéve, hogy az említett eszközöket az adott tagállam vagy harmadik ország központi kormányzatával, regionális kormányzatával vagy helyi hatóságával szembeni kitettségként kezelik az 575/2013/EU rendelet 116. cikke (4) bekezdésének megfelelően. Az előző bekezdésben említett, harmadik országbeli központi kormányzatokkal szembeni kitettségeknek egy kijelölt külső hitelminősítő intézet által adott olyan minősítéssel kell rendelkezniük, amelyhez legalább az 575/2013/EU rendelet 114. cikke (2) bekezdése szerinti 1. hitelminőségi besorolás rendelhető. Az ezen alszakaszban említett, harmadik országbeli regionális kormányzattal vagy helyi hatósággal szembeni kitettségeket a harmadik ország központi kormányzatával szembeni kitettségekként kell kezelni az 575/2013/EU rendelet 115. cikke (4) bekezdésének megfelelően. | 
| 100 | 1.1.1.7.  Elismerhető, hazai vagy külföldi devizában fennálló központi kormányzati és központi banki eszközök Az (EU) 2015/61 felhatalmazáson alapuló rendelet 10. cikke (1) bekezdésének d) pontja Egy kijelölt külső hitelminősítő intézet 1. hitelminőségi besorolásnak megfelelő minősítésével nem rendelkező harmadik ország központi kormányzatával vagy központi bankjával szembeni követelést megtestesítő vagy általuk garantált eszközök és az (EU) 2015/61 felhatalmazáson alapuló rendelet 10. cikke (1) bekezdése d) pontjának ii. alpontjában szereplő feltételek szerint központi banknál tartott tartalékok, feltéve, hogy a hitelintézet az ilyen eszközöket összességükben csak az ugyanabban a devizanemben felmerülő stresszidőszaki nettó likviditáskiáramlásai összegéig ismeri el 1. szintűnek. Egy kijelölt külső hitelminősítő intézet 1. hitelminőségi besorolásnak megfelelő minősítésével nem rendelkező harmadik ország központi kormányzatával vagy központi bankjával szembeni követelést megtestesítő vagy általuk garantált, nem a harmadik ország hazai devizanemében denominált eszközök és az (EU) 2015/61 felhatalmazáson alapuló rendelet 10. cikke (1) bekezdése d) pontjának ii. alpontjában szereplő feltételek szerint központi banknál tartott, nem a harmadik ország hazai devizanemében denominált tartalékok, feltéve, hogy a hitelintézet csak addig az összegig ismeri el az eszközöket 1. szintűnek, amekkora összeg fedezi az adott devizában azon joghatóság területén folytatott tevékenységeinek megfelelő stresszidőszaki nettó likviditáskiáramlást, ahol a likviditási kockázatot vállalja. | 
| 110 | 1.1.1.8.  Hitelintézet (tagállam kormányzata által védett, kedvezményes hitelezésben részt vevő) által kibocsátott eszközök Az (EU) 2015/61 felhatalmazáson alapuló rendelet 10. cikke (1) bekezdése e) pontjának i. és ii. alpontja Valamely tagállam olyan központi kormányzata vagy regionális kormányzata vagy helyi hatósága által bejegyzett vagy alapított hitelintézet által kibocsátott eszközök, amelynek jogszabályi kötelezettsége, hogy megvédje a hitelintézet gazdasági alapját és fenntartsa pénzügyi működőképességét. Az (EU) 2015/61 felhatalmazáson alapuló rendelet 10. cikke (1) bekezdése e) pontjának ii. alpontja szerinti kedvezményes hitelt nyújtó által kibocsátott eszközök. Bármely fent említett regionális kormányzattal vagy helyi hatósággal szembeni kitettséget a tagállam központi kormányzatával szembeni kitettségekként kell kezelni az 575/2013/EU rendelet 115. cikke (2) bekezdésének megfelelően. | 
| 120 | 1.1.1.9.  Multilaterális fejlesztési bankok és nemzetközi szervezetek eszközei Az (EU) 2015/61 felhatalmazáson alapuló rendelet 10. cikke (1) bekezdésének g) pontja Az 575/2013/EU rendelet 117. cikkének (2) bekezdésében, illetve 118. cikkében említett multilaterális fejlesztési bankokkal és nemzetközi szervezetekkel szembeni követelést megtestesítő vagy általuk garantált eszközök. | 
| 130 | 1.1.1.10.  Beszámítható KBF-részvények/befektetési jegyek: a mögöttes eszközök pénzérmék/bankjegyek és/vagy központi banki kitettségek Az (EU) 2015/61 felhatalmazáson alapuló rendelet 15. cikke (2) bekezdésének a) pontja Olyan KBF-ek részvényei vagy befektetési jegyei, amelyeknek mögöttes eszközei pénzérmék, bankjegyek, valamint az EKB-val, valamely tagállam vagy harmadik ország központi bankjával szembeni követelések, amennyiben a harmadik ország központi bankjával vagy központi kormányzatával szembeni kitettségeknek egy kijelölt külső hitelminősítő intézet olyan minősítést adott, amelyhez az 575/2013/EU rendelet 114. cikke (2) bekezdése szerinti 1. hitelminőségi besorolás rendelhető megfelelően. | 
| 140 | 1.1.1.11.  Beszámítható KBF-részvények/befektetési jegyek: a mögöttes eszközök 1. szintű eszközök a rendkívül magas minőségű fedezett kötvények kivételével Az (EU) 2015/61 felhatalmazáson alapuló rendelet 15. cikke (2) bekezdésének b) pontja Olyan KBF-ek részvényei vagy befektetési jegyei, amelyek mögöttes eszközei 1. szintű eszköznek minősülő eszközöknek felelnek meg, a pénzérmék, bankjegyek, és az EKB-val, továbbá valamely tagállam vagy harmadik ország központi bankjával szembeni kitettségek, valamint az (EU) 2015/61 felhatalmazáson alapuló rendelet 10. cikke (1) bekezdésének f) pontjában meghatározott rendkívül magas minőségű fedezett kötvények kivételével. | 
| 150 | 1.1.1.12.  Alternatív likviditási megközelítések: Központi banki hitelkeret Az (EU) 2015/61 felhatalmazáson alapuló rendelet 19. cikke (1) bekezdésének b) pontja Az EKB, valamely tagállam vagy harmadik ország központi bankja által nyújtott hitelkeret le nem hívott összege, feltéve, hogy a keret megfelel az (EU) 2015/61 felhatalmazáson alapuló rendelet 19. cikke (1) bekezdése b) pontjának i–iii. alpontjában megállapított követelményeknek. | 
| 160 | 1.1.1.13.  Központi hitelintézetek: azon 1. szintű eszközök – a rendkívül magas minőségű fedezett kötvények kivételével –, amelyek a betétet elhelyező hitelintézet likvid eszközeinek minősülnek Az (EU) 2015/61 felhatalmazáson alapuló rendelet 27. cikkének (3) bekezdése Az (EU) 2015/61 felhatalmazáson alapuló rendelet 27. cikkének (3) bekezdése szerint azonosítani kell a betétet elhelyező hitelintézet likvid eszközeinek tekintett, központi intézménynél elhelyezett hitelintézeti betéteknek megfelelő likvid eszközöket. E likvid eszközök nem vehetők számításba a megfelelő betétekből eredő kiáramlástól eltérő kiáramlások fedezésére, és figyelmen kívül kell hagyni őket a 17. cikk szerinti fennmaradó likviditási puffer összetételének a központi intézményre vonatkozóan egyedi szinten történő számítása céljából. A központi intézmények ezen eszközök feltüntetésekor biztosítják, hogy e likvid eszközök haircut utáni, feltüntetett összege ne haladja meg a megfelelő betétekből eredő kiáramlást. Az ebben a sorban említett eszközök 1. szintű eszközök a rendkívül magas minőségű fedezett kötvények kivételével. | 
| 170 | 1.1.1.14.  Alternatív likviditási megközelítések: 1. szintűként elismert 2A. szintű eszközök Az (EU) 2015/61 felhatalmazáson alapuló rendelet 19. cikke (1) bekezdésének c) pontja Ha nincs elegendő 1. szintű eszköz, a hitelintézetek megadják azon 2A. szintű eszközök összegét, amelyeket az (EU) 2015/61 felhatalmazáson alapuló rendelet 19. cikke (1) bekezdésének c) pontjával összhangban 1. szintűként ismernek el, és nem 2A. szintűként tüntetnek fel. Ezeket az eszközöket a 2A. szintű eszközökre vonatkozó szakaszban nem szabad feltüntetni. | 
| 180 | 1.1.2.  Ki nem igazított 1. szintű rendkívül magas minőségű fedezett kötvények összesen Az (EU) 2015/61 felhatalmazáson alapuló rendelet 10., 15. és 16. cikke Az ebben az alszakaszban megadott eszközöket kifejezetten az (EU) 2015/61 felhatalmazáson alapuló rendelet szerinti 1. szintű eszközként azonosították, vagy akként kezelik, és azok vagy mögöttes eszközeik az (EU) 2015/61 felhatalmazáson alapuló rendelet 10. cikke (1) bekezdésének f) pontjában említett rendkívül magas minőségű fedezett kötvényeknek minősülnek. A hitelintézetek a 010 oszlopban az 1. szintű rendkívül magas minőségű fedezett kötvények teljes összegét/piaci értékét adják meg, az (EU) 2015/61 felhatalmazáson alapuló rendelet 17. szerinti követelmények figyelembevétele nélkül. A hitelintézetek a 040 oszlopban az 1. szintű rendkívül magas minőségű fedezett kötvények teljes súlyozott összegét adják meg, az (EU) 2015/61 felhatalmazáson alapuló rendelet 17. cikke szerinti követelmények figyelembevétele nélkül. | 
| 190 | 1.1.2.1.  Rendkívül magas minőségű fedezett kötvények Az (EU) 2015/61 felhatalmazáson alapuló rendelet 10. cikke (1) bekezdésének f) pontja Az (EU) 2015/61 felhatalmazáson alapuló rendelet 10. cikke (1) bekezdésének f) pontjának megfelelő, rendkívül magas minőségű fedezett kötvények formáját öltő kitettségeket megtestesítő eszközök. | 
| 200 | 1.1.2.2.  Beszámítható KBF-részvények/befektetési jegyek: a mögöttes eszközök rendkívül magas minőségű fedezett kötvények Az (EU) 2015/61 felhatalmazáson alapuló rendelet 15. cikke (2) bekezdésének c) pontja Olyan KBF-ek részvényei vagy befektetési jegyei, amelyek mögöttes eszközei az (EU) 2015/61 felhatalmazáson alapuló rendelet 10. cikke (1) bekezdésének f) pontjában meghatározott rendkívül magas minőségű fedezett kötvénynek minősülő eszközöknek felelnek meg. | 
| 210 | 1.1.2.3.  Központi hitelintézetek: 1. szintű rendkívül magas minőségű fedezett kötvények, amelyek a betétet elhelyező hitelintézet likvid eszközeinek minősülnek Az (EU) 2015/61 felhatalmazáson alapuló rendelet 27. cikkének (3) bekezdése Az (EU) 2015/61 felhatalmazáson alapuló rendelet 27. cikkének (3) bekezdése szerint azonosítani kell a betétet elhelyező hitelintézet likvid eszközeinek tekintett, központi intézménynél elhelyezett hitelintézeti betéteknek megfelelő likvid eszközöket. E likvid eszközök nem vehetők számításba a megfelelő betétekből eredő kiáramlástól eltérő kiáramlások fedezésére, és figyelmen kívül kell hagyni őket az (EU) 2015/61 felhatalmazáson alapuló rendelet 17. cikke szerinti fennmaradó likviditási puffer összetételének a központi intézményre vonatkozó, egyedi szinten történő számítása során. A központi intézmények ezen eszközök feltüntetésekor biztosítják, hogy e likvid eszközök haircut utáni, feltüntetett összege ne haladja meg a megfelelő betétekből eredő kiáramlást. Az ebben a sorban említett eszközök 1. szintű rendkívül magas minőségű fedezett kötvények. | 
| 220 | 1.2.  Összes ki nem igazított 2. szintű eszköz Az (EU) 2015/61 felhatalmazáson alapuló rendelet 11–16. és 19. cikke Az ebben a szakaszban megadott eszközöket kifejezetten az (EU) 2015/61 felhatalmazáson alapuló rendelet szerinti 2A. vagy 2B. szintű eszközként azonosították, vagy hasonlóan kezelik. A hitelintézetek 2. szintű likvid eszközeik teljes összegét/piaci értékét a 010 oszlopban adják meg. A hitelintézetek 2. szintű likvid eszközeik 9. cikk szerint számított teljes értékét a 040 oszlopban adják meg. | 
| 230 | 1.2.1.  Ki nem igazított 2A. szintű eszközök összesen Az (EU) 2015/61 felhatalmazáson alapuló rendelet 11., 15. és 19. cikke Az ebben az alszakaszban megadott eszközöket kifejezetten az (EU) 2015/61 felhatalmazáson alapuló rendelet szerinti 2A. szintű eszközként azonosították, vagy akként kezelik. A hitelintézetek a 010 oszlopban a 2A. szintű eszközök teljes összegét/piaci értékét adják meg, az (EU) 2015/61 felhatalmazáson alapuló rendelet 17. cikke szerinti követelmények figyelembevétele nélkül. A hitelintézetek a 040 oszlopban a 2A. szintű eszközök teljes súlyozott összegét adják meg, az (EU) 2015/61 felhatalmazáson alapuló rendelet 17. cikke szerinti követelmények figyelembevétele nélkül. | 
| 240 | 1.2.1.1.  Regionális kormányzati/helyi hatósági vagy közszektorbeli intézményi eszközök (tagállam, 20 %-os kockázati súly) Az (EU) 2015/61 felhatalmazáson alapuló rendelet 11. cikke (1) bekezdésének a) pontja Valamely tagállam regionális kormányzataival, helyi hatóságaival vagy közszektorbeli intézményeivel szembeni követelést megtestesítő vagy általuk garantált eszközök, ha a kitettségek 20 %-os kockázati súlyt kapnak. | 
| 250 | 1.2.1.2.  Központi banki vagy központi/regionális kormányzati vagy helyi hatósági vagy közszektorbeli intézményi eszközök (harmadik ország, 20 %-os kockázati súly) Az (EU) 2015/61 felhatalmazáson alapuló rendelet 11. cikke (1) bekezdésének b) pontja Harmadik ország központi kormányzatával vagy központi bankjával vagy regionális kormányzatával, helyi hatóságával vagy közszektorbeli intézményével szembeni követelést megtestesítő vagy általuk garantált eszközök, ha 20 %-os kockázati súlyt kapnak. | 
| 260 | 1.2.1.3.  Magas minőségű fedezett kötvények (2. hitelminőségi besorolás) Az (EU) 2015/61 felhatalmazáson alapuló rendelet 11. cikke (1) bekezdésének c) pontja Az (EU) 2015/61 felhatalmazáson alapuló rendelet 11. cikke (1) bekezdése c) pontjának megfelelő magas minőségű fedezett kötvények formájában fennálló kitettségeket megtestesítő eszközök, amennyiben az említett eszközöknek valamely kijelölt külső hitelminősítő intézet olyan minősítést adott, amelyhez legalább az 575/2013/EU rendelet 129. cikke (4) bekezdése szerinti 2. hitelminőségi besorolás rendelhető. | 
| 270 | 1.2.1.4.  Magas minőségű fedezett kötvények (harmadik ország, 1. hitelminőségi besorolás) Az (EU) 2015/61 felhatalmazáson alapuló rendelet 11. cikke (1) bekezdésének d) pontja Az (EU) 2015/61 felhatalmazáson alapuló rendelet 11. cikke (1) bekezdése d) pontjának megfelelő, harmadik országbeli hitelintézet által kibocsátott fedezett kötvények formájában fennálló kitettségeket megtestesítő eszközök, amennyiben az említett eszközöknek valamely kijelölt külső hitelminősítő intézet olyan minősítést adott, amelyhez legalább az 575/2013/EU rendelet 129. cikke (4) bekezdése szerinti 1. hitelminőségi besorolás rendelhető. | 
| 280 | 1.2.1.5.  Vállalati adósságpapírok (1. hitelminőségi besorolás) Az (EU) 2015/61 felhatalmazáson alapuló rendelet 11. cikke (1) bekezdésének e) pontja Az (EU) 2015/61 felhatalmazáson alapuló rendelet 11. cikke (1) bekezdése e) pontjának megfelelő vállalati adósságpapírok. | 
| 290 | 1.2.1.6.  Beszámítható KBF-részvények/befektetési jegyek: a mögöttes eszközök 2A. szintű eszközök Az (EU) 2015/61 felhatalmazáson alapuló rendelet 15. cikke (2) bekezdésének d) pontja Olyan KBF-ek részvényei vagy befektetési jegyei, amelyek mögöttes eszközei az (EU) 2015/61 felhatalmazáson alapuló rendelet 11. cikkében meghatározott 2A. szintű eszköznek minősülő eszközöknek felelnek meg. | 
| 300 | 1.2.1.7.  Központi hitelintézetek: 2A. szintű eszközök, amelyek a betétet elhelyező hitelintézet likvid eszközeinek minősülnek Az (EU) 2015/61 felhatalmazáson alapuló rendelet 27. cikkének (3) bekezdése Az (EU) 2015/61 felhatalmazáson alapuló rendelet 27. cikkének (3) bekezdése szerint azonosítani kell a betétet elhelyező hitelintézet likvid eszközeinek tekintett, központi intézménynél elhelyezett hitelintézeti betéteknek megfelelő likvid eszközöket. E likvid eszközök nem vehetők számításba a megfelelő betétekből eredő kiáramlástól eltérő kiáramlások fedezésére, és figyelmen kívül kell hagyni őket az (EU) 2015/61 felhatalmazáson alapuló rendelet 17. cikke szerinti fennmaradó likviditási puffer összetételének a központi intézményre vonatkozó, egyedi szinten történő számítása céljából. A központi intézmények ezen eszközök feltüntetésekor biztosítják, hogy e likvid eszközök haircut utáni, feltüntetett összege ne haladja meg a megfelelő betétekből eredő kiáramlást. Az ebben a sorban említett eszközök 2A. szintű eszközök. | 
| 310 | 1.2.2.  Ki nem igazított 2B. szintű eszközök összesen Az (EU) 2015/61 felhatalmazáson alapuló rendelet 12–16. és 19. cikke Az ebben az alszakaszban megadott eszközöket kifejezetten az (EU) 2015/61 felhatalmazáson alapuló rendelet szerinti 2A. szintű eszközként azonosították. A hitelintézetek a 010 oszlopban a 2B. szintű eszközök teljes összegét/piaci értékét adják meg, az (EU) 2015/61 felhatalmazáson alapuló rendelet 17. cikke szerinti követelmények figyelembevétele nélkül. A hitelintézetek a 040 oszlopban a 2B. szintű eszközök teljes súlyozott összegét adják meg, az (EU) 2015/61 felhatalmazáson alapuló rendelet 17. cikke szerinti követelmények figyelembevétele nélkül. | 
| 320 | 1.2.2.1.  Eszközfedezetű értékpapírok (lakóingatlan, 1. hitelminőségi besorolás) Az (EU) 2015/61 felhatalmazáson alapuló rendelet 12. cikke (1) bekezdésének a) pontja és 13. cikke (2) bekezdése g) pontjának i. és ii. alpontja Az (EU) 2015/61 felhatalmazáson alapuló rendelet 13. cikke szerinti követelményeknek megfelelő eszközfedezetű értékpapírok formájában fennálló kitettségek, feltéve, hogy első helyi jelzáloggal biztosított lakóingatlannal fedezett hitelekkel vagy teljes mértékben garantált lakóingatlannal fedezett hitelekkel fedezettek, az (EU) 2015/61 felhatalmazáson alapuló rendelet 13. cikke (2) bekezdése g) pontja i. és ii. alpontjának megfelelően. E sorban kell adatot szolgáltatni az (EU) 2015/61 felhatalmazáson alapuló rendelet 37. cikkében meghatározott átmeneti rendelkezés hatálya alá tartozó eszközökről. | 
| 330 | 1.2.2.2.  Eszközfedezetű értékpapírok (gépjármű, 1. hitelminőségi besorolás) Az (EU) 2015/61 felhatalmazáson alapuló rendelet 12. cikke (1) bekezdésének a) pontja és 13. cikke (2) bekezdése g) pontjának iv. alpontja Az (EU) 2015/61 felhatalmazáson alapuló rendelet 13. cikkének megfelelő eszközfedezetű értékpapírok formájában fennálló kitettségek, feltéve, hogy gépjárműhitellel és -lízinggel fedezettek, az (EU) 2015/61 felhatalmazáson alapuló rendelet 13. cikke (2) bekezdése g) pontja iv. alpontjának megfelelően. | 
| 340 | 1.2.2.3.  Magas minőségű fedezett kötvények (35 %-os kockázati súly) Az (EU) 2015/61 felhatalmazáson alapuló rendelet 12. cikke (1) bekezdésének e) pontja Az (EU) 2015/61 felhatalmazáson alapuló rendelet 12. cikke (1) bekezdése e) pontjának megfelelő, hitelintézet által kibocsátott fedezett kötvények formájában fennálló kitettségeket megtestesítő eszközök, feltéve, hogy a mögöttes eszközök halmaza kizárólag olyan kitettségeket tartalmaz, amelyekhez a hitelkockázat tekintetében az 575/2013/EU rendelet 125. cikke értelmében legfeljebb 35 %-os kockázati súly rendelhető. | 
| 350 | 1.2.2.4.  Eszközfedezetű értékpapírok (vállalati vagy háztartási hitel, tagállam, 1. hitelminőségi besorolás) Az (EU) 2015/61 felhatalmazáson alapuló rendelet 12. cikke (1) bekezdésének a) pontja és 13. cikke (2) bekezdése g) pontjának iii. és v. alpontja Az (EU) 2015/61 felhatalmazáson alapuló rendelet 13. cikke szerinti követelményeknek megfelelő eszközfedezetű értékpapírok formájában fennálló kitettségek, feltéve, hogy az (EU) 2015/61 felhatalmazáson alapuló rendelet 13. cikke (2) bekezdése g) pontja iii. és v. alpontjában említett eszközökkel fedezettek. Ügyelni kell arra, hogy a 13. cikk (2) bekezdése g) pontja iii. alpontjának alkalmazásában a fedezeti halmazban lévő hitelfelvevők legalább 80 %-ának kkv-nak kell lennie az értékpapírosítás kibocsátási időpontjában. | 
| 360 | 1.2.2.5.  Vállalati adósságpapírok (2/3. hitelminőségi besorolás) Az (EU) 2015/61 felhatalmazáson alapuló rendelet 12. cikke (1) bekezdésének b) pontja Az (EU) 2015/61 felhatalmazáson alapuló rendelet 12. cikke (1) bekezdése b) pontjának megfelelő vállalati adósságpapírok. | 
| 370 | 1.2.2.6.  Vállalati adósságpapírok – nem kamatozó eszközök (hitelintézetek által vallási okokból tartott) (1/2/3. hitelminőségi besorolás) Az (EU) 2015/61 felhatalmazáson alapuló rendelet 12. cikkének (3) bekezdése Az illetékes hatóság engedélyezheti az (EU) 2015/61 felhatalmazáson alapuló rendelet 12. cikke (1) bekezdése b) pontjának ii. és iii. alpontjától való eltérést azon hitelintézetek számára, amelyek alapító okiratukkal összhangban vallási szokásból eredő okokból nem tarthatnak kamatozó eszközt, feltéve, hogy bizonyítható az említett alpontok követelményeit teljesítő nem kamatozó eszközök elégtelen rendelkezésre állása, és az érintett nem kamatozó eszközök megfelelően likvidek a magánpiacokon. Az említett hitelintézeteknek mindaddig adatot kell szolgáltatniuk a nem kamatozó eszközöket tartalmazó vállalati adósságpapírokról, amíg azok megfelelnek az (EU) 2015/61 felhatalmazáson alapuló rendelet 12. cikke (1) bekezdése b) pontjának i. alpontjában foglalt követelményeknek, és az illetékes hatóság megfelelően engedélyezte az eltérést. | 
| 380 | 1.2.2.7.  részvények (jelentős tőzsdeindex) Az (EU) 2015/61 felhatalmazáson alapuló rendelet 12. cikke (1) bekezdésének c) pontja Az (EU) 2015/61 felhatalmazáson alapuló rendelet 12. cikke (1) bekezdése c) pontjának megfelelő részvények, amelyek a hitelintézet székhely szerinti tagállamának devizanemében denomináltak. A hitelintézetek feltüntetik a 12. cikk (1) bekezdése c) pontjának megfelelő, más devizanemben denominált részvényeket is, feltéve, hogy kizárólag addig az összegig számítanak 2B. szintűnek, amekkora összeg fedezi az abban a devizában vagy az annak a joghatóságnak a területén felmerült likviditáskiáramlást, amelyikben, illetve ahol a likviditási kockázatot vállalják. | 
| 390 | 1.2.2.8.  Nem kamatozó eszközök (hitelintézetek által vallási okokból tartott) (3–5. hitelminőségi besorolás) Az (EU) 2015/61 felhatalmazáson alapuló rendelet 12. cikke (1) bekezdésének f) pontja Azon hitelintézetek esetében, amelyek alapító okiratukkal összhangban vallási szokásból eredő okokból nem tarthatnak kamatozó eszközt, a központi bankokkal, harmadik ország központi kormányzatával vagy központi bankjával vagy harmadik országbeli regionális kormányzattal, helyi hatósággal vagy közszektorbeli intézménnyel szembeni követeléseket megtestesítő vagy általuk garantált nem kamatozó eszközök, feltéve, hogy az említett eszközöket valamely kijelölt külső hitelminősítő intézet az 575/2013/EU rendelet 114. cikkével összhangban legalább 5. hitelminőségi besorolásba tartozónak vagy rövid távú hitelminősítés esetében ennek megfelelő hitelminőségi besorolásúnak minősítette. | 
| 400 | 1.2.2.9.  Folyósítási kötelezettséget tartalmazó, korlátozott felhasználású központi banki likviditási keretek Az (EU) 2015/61 felhatalmazáson alapuló rendelet 12. cikke (1) bekezdésének d) pontja és 14. cikke Az (EU) 2015/61 felhatalmazáson alapuló rendelet 14. cikkének megfelelő, központi bankok által nyújtott, folyósítási kötelezettséget tartalmazó, korlátozott felhasználású likviditási keretek lehívatlan összege. | 
| 410 | 1.2.2.10.  Beszámítható KBF-részvények/befektetési jegyek: a mögöttes eszközök eszközfedezetű értékpapírok (lakóingatlan vagy gépjármű, 1. hitelminőségi besorolás) Az (EU) 2015/61 felhatalmazáson alapuló rendelet 15. cikke (2) bekezdésének e) pontja Olyan KBF-ek részvényei vagy befektetési jegyei, amelyek mögöttes eszközei az (EU) 2015/61 felhatalmazáson alapuló rendelet 13. cikke (2) bekezdése g) pontjának i., ii. és iv. alpontjában meghatározott 2B. szintű eszköznek minősülő eszközöknek felelnek meg. | 
| 420 | 1.2.2.11.  Beszámítható KBF-részvények/befektetési jegyek: a mögöttes eszközök magas minőségű fedezett kötvények (35 %-os kockázati súly) Az (EU) 2015/61 felhatalmazáson alapuló rendelet 15. cikke (2) bekezdésének f) pontja Olyan KBF-ek részvényei vagy befektetési jegyei, amelyek mögöttes eszközei az (EU) 2015/61 felhatalmazáson alapuló rendelet 12. cikke (1) bekezdése e) pontjában meghatározott 2B. szintű eszköznek minősülő eszközöknek felelnek meg. | 
| 430 | 1.2.2.12.  Beszámítható KBF-részvények/befektetési jegyek: a mögöttes eszközök eszközfedezetű értékpapírok (vállalati vagy háztartási hitel, tagállam, 1. hitelminőségi besorolás) Az (EU) 2015/61 felhatalmazáson alapuló rendelet 15. cikke (2) bekezdésének g) pontja Olyan KBF-ek részvényei vagy befektetési jegyei, amelyek mögöttes eszközei az (EU) 2015/61 felhatalmazáson alapuló rendelet 13. cikke (2) bekezdése g) pontjának iii. és v. alpontjában meghatározott 2B. szintű eszköznek minősülő eszközöknek felelnek meg. Ügyelni kell arra, hogy a 13. cikk (2) bekezdése g) pontja iii. alpontjának alkalmazásában a fedezeti halmazban lévő hitelfelvevők legalább 80 %-ának kkv-nak kell lennie az értékpapírosítás kibocsátási időpontjában. | 
| 440 | 1.2.2.13.  Beszámítható KBF-részvények/befektetési jegyek: a mögöttes eszközök vállalati adósságpapírok (2/3. hitelminőségi besorolás), részvények (jelentős tőzsdeindex) vagy nem kamatozó eszközök (hitelintézetek által vallási okokból tartott) (3–5. hitelminőségi besorolás) Az (EU) 2015/61 felhatalmazáson alapuló rendelet 15. cikke (2) bekezdésének h) pontja Olyan KBF-ek részvényei vagy befektetési jegyei, amelyek mögöttes eszközei az (EU) 2015/61 felhatalmazáson alapuló rendelet 12. cikke (1) bekezdése b) pontjának megfelelő vállalati adósságpapíroknak, az említett rendelet 12. cikke (1) bekezdése c) pontjának megfelelő részvényeknek vagy az említett rendelet 12. cikke (1) bekezdése f) pontjának megfelelő nem kamatozó eszközöknek felelnek meg. | 
| 450 | 1.2.2.14.  A hálózat tagja által központi intézménynél elhelyezett betét (kötelező befektetés nélkül) Az (EU) 2015/61 felhatalmazáson alapuló rendelet 16. cikke (1) bekezdésének b) pontja A központi intézménynél a hitelintézet által elhelyezett minimumbetét, feltéve, hogy jogszabályban vagy szerződésben szabályozott, az 575/2013/EU rendelet 113. cikke (7) bekezdésében említett intézményvédelmi rendszerhez, az említett rendelet 10. cikkében meghatározott mentességre jogosult hálózathoz vagy valamely tagállam szövetkezeti hálózatához tartozik. A hitelintézetek biztosítják, hogy a központi intézménynek ne legyen jogi vagy szerződéses kötelezettsége a betétek meghatározott szintű vagy kategóriájú likvid eszközökben tartására vagy azokba való befektetésére. | 
| 460 | 1.2.2.15.  A hálózat tagja számára a központi intézménynél rendelkezésre álló likviditásfinanszírozás (meghatározott fedezet nélkül) Az (EU) 2015/61 felhatalmazáson alapuló rendelet 16. cikkének (2) bekezdése Az (EU) 2015/61 felhatalmazáson alapuló rendelet 16. cikke (2) bekezdésének megfelelő korlátozott likviditásfinanszírozás lehívatlan összege. | 
| 470 | 1.2.2.16.  Központi hitelintézetek: 2B. szintű eszközök, amelyek a betétet elhelyező hitelintézet likvid eszközeinek minősülnek Az (EU) 2015/61 felhatalmazáson alapuló rendelet 27. cikkének (3) bekezdése Az (EU) 2015/61 felhatalmazáson alapuló rendelet 27. cikke (3) bekezdésének megfelelően azonosítani kell a betétet elhelyező hitelintézet likvid eszközeinek tekintett, központi intézménynél elhelyezett hitelintézeti betéteknek megfelelő likvid eszközöket. E likvid eszközök nem vehetők számításba a megfelelő betétekből eredő kiáramlástól eltérő kiáramlások fedezésére, és figyelmen kívül kell hagyni őket a 17. cikk szerinti fennmaradó likviditási puffer összetételének a központi intézményre vonatkozóan egyedi szinten történő számítása céljából. A központi intézmények ezen eszközök feltüntetésekor biztosítják, hogy e likvid eszközök haircut utáni, feltüntetett összege ne haladja meg a megfelelő betétekből eredő kiáramlást. Az ebben a sorban említett eszközök 2B. szintű eszközök. | 
| TÁJÉKOZTATÓ ADATOK | |
| 485 | 2.  A hálózat tagja által központi intézménynél elhelyezett betét (kötelező befektetéssel) Az (EU) 2015/61 felhatalmazáson alapuló rendelet 16. cikke (1) bekezdésének a) pontja A hitelintézeteknek itt az (EU) 2015/61 felhatalmazáson alapuló rendelet 16. cikke (1) bekezdésének a) pontja szerinti, a fenti szakaszokban megadott eszközök teljes összegét kell feltüntetniük. | 
| 580 | 3.  Devizális okokból kizárt 1/2A/2B. szintű eszközök Az (EU) 2015/61 felhatalmazáson alapuló rendelet 8. cikkének (6) bekezdése, 10. cikke (1) bekezdésének d) pontja és 12. cikke (1) bekezdésének c) pontja Az intézménynek itt a 10–16. cikkben említett 1., 2A. és 2B. szintű eszközök azon részét kell megadnia, amelyeket nem ismerhet el a 8. cikk (6) bekezdésével, a 10. cikk (1) bekezdésének d) pontjával és a 12. cikk (1) bekezdésének c) pontjával összhangban. | 
| 590 | 4.  Devizális okoktól eltérő operatív okokból kizárt 1/2A/2B. szintű eszközök Az (EU) 2015/61 felhatalmazáson alapuló rendelet 8. cikke A hitelintézeteknek itt az (EU) 2015/61 felhatalmazáson alapuló rendelet 7. cikkének megfelelő azon eszközöket kell megadniuk, amelyek nem teljesítik az (EU) 2015/61 felhatalmazáson alapuló rendelet 8. cikkében meghatározott követelményeket, feltéve, hogy az eszközöket nem tüntették fel devizális okokból az 580. sorban. | 
LIKVIDITÁSRA VONATKOZÓ ADATSZOLGÁLTATÁS (2. RÉSZ: KIÁRAMLÁSOK)
1. Kiáramlások
1.1. Általános megjegyzések
1. Ez egy olyan összefoglaló tábla, amely az (EU) 2015/61 felhatalmazáson alapuló rendeletben meghatározott likviditásfedezeti követelményekkel kapcsolatos adatszolgáltatás céljából a következő 30 napon belüli likviditáskiáramlásra vonatkozó információkat tartalmazza. Szürke szín jelzi azokat a tételeket, amelyeket a hitelintézeteknek nem kell kitölteniük.
2. A hitelintézetek az 575/2013/EU rendelet 415. cikkének (2) bekezdésével összhangban a megfelelő devizanemben szolgáltatnak adatot a táblában.
3. Az ehhez az útmutatóhoz tartozó táblában szerepel néhány tájékoztató adat. Noha ezekre a ráta kiszámításához szigorúan véve nincs szükség, megadásuk mégis kötelező. Ezek az adatok az illetékes hatóságok számára ahhoz szükséges információt szolgáltatnak, hogy megfelelően értékelhessék a hitelintézetek likviditási követelményeknek való megfelelését. Néhány esetben a táblák fő szakaszaiban megadott elemek részletesebb bontását jelentik, más esetekben azon kiegészítő likviditási forrásokat tükrözik, amelyekhez a hitelintézetek hozzáférhetnek.
4. Az (EU) 2015/61 felhatalmazáson alapuló rendelet 22. cikkének (1) bekezdésével összhangban a likviditáskiáramlások:
i. magukban foglalják az (EU) 2015/61 felhatalmazáson alapuló rendelet 22. cikkének (2) bekezdésében említett kategóriákat
ii. kiszámításuk különböző kategóriájú kötelezettségek és mérlegen kívüli kötelezettségvállalások fennálló egyenlegének és kiáramlásuk vagy lehívásuk várható rátájának szorzataként történik az (EU) 2015/61 felhatalmazáson alapuló rendeletben jelzett módon.
5. Az (EU) 2015/61 felhatalmazáson alapuló rendelet csak rátákra és haircutokra hivatkozik, a "súly" szó ezekre utal. Ebben az útmutatóban a "súlyozott" szót általános kifejezésként használjuk a vonatkozó haircutok, ráták és bármely egyéb releváns (például fedezett kölcsönügyletekre és finanszírozásra vonatkozó) kiegészítő előírás alkalmazása után kapott összeg megjelölésére.
6. Egy csoporton vagy intézményvédelmi rendszeren belüli kiáramlásokat (kivéve azokat a kiáramlásokat, amelyek egy csoport vagy intézményvédelmi rendszer tagjai által nyújtott, le nem hívott hitel- vagy likviditási keretből származnak, ha az illetékes hatóság engedélyezte kedvezményes kiáramlási arány alkalmazását, és azokat a kiáramlásokat, amelyek egy intézményvédelmi rendszer vagy szövetkezeti hálózat keretében elhelyezett operatív betétekből származnak) a vonatkozó kategóriákban kell megadni. Ezeket a kiáramlásokat külön, tájékoztató adatként is fel kell tüntetni.
7. A likviditáskiáramlásokat csak egyszer kell megadni a táblában, kivéve, ha az (EU) 2015/61 felhatalmazáson alapuló rendelet 30. cikke értelmében további kiáramlás alkalmazandó, vagy ha az adat "ebből" adatként vagy tájékoztató adatként is szerepel.
8. Az 575/2013/EU rendelet 415. cikkének (2) bekezdésében említett külön jelentés esetében a következők mindig alkalmazandók:
- csak az adott devizában denominált adatokat és áramlásokat kell megadni;
- egy ügylet oldalai közti devizanem-eltérés esetén csak az adott devizanemben lévő oldalt kell megadni;
- ha az (EU) 2015/61 felhatalmazáson alapuló rendelet megengedi a nettósítást, azt csak az adott devizanemben lévő áramlásokra lehet alkalmazni;
- ha az áramlás többdevizás opcionalitással rendelkezik, a hitelintézetnek értékelnie kell a devizanemet, amelyben az áramlásra várhatóan sor kerül, és a tételt csak ebben a külön devizanemben kell megadnia.
9. A XXIV. melléklet C 73.00 táblájának 040 oszlopában szereplő standard súlyok az (EU) 2015/61 felhatalmazáson alapuló rendeletben alapértelmezés szerint meghatározottak, és tájékoztatásul szerepelnek itt.
10. A tábla információkat tartalmaz az (EU) 2015/61 felhatalmazáson alapuló rendeletben "fedezett kölcsönügyletként és tőkepiac-vezérelt ügyletként" említett fedezett likviditásáramlásokról, az említett rendeletben meghatározott likviditásfedezeti ráta kiszámításának céljára. Amennyiben ezeket az ügyleteket biztosítéki portfólióval szemben hajtják végre, az ebben a táblában történő adatszolgáltatás céljából a zálogjoggal terhelt konkrét eszközök azonosítására az (EU) 2015/61 felhatalmazáson alapuló rendelet II. címének 2. fejezetében meghatározott likvideszköz-kategóriák szerint kerül sor, a legkevésbé likvid eszközöktől kezdve. Ezzel egyidejűleg, a biztosítéki portfólióval szemben kötött, eltérő hátralévő futamidővel rendelkező ügyletek esetében először a leghosszabb hátralévő futamidővel rendelkező ügyletekhez rendelik hozzá a legkevésbé likvid eszközöket.
11. Külön táblában szerepelnek a biztosítéki csereügyletek, a XXIV. melléklet C 75.01 táblájában. A biztosítéki csereügyleteket, amelyek biztosíték biztosíték ellenében típusú ügyletek, nem szabad megadni a XXIV. melléklet C 73.00 kiáramlási táblájában, mivel az csak a készpénz biztosíték ellenében típusú ügyletekre terjed ki.
1.2. Az elszámolási és jövőben induló határidős ügyletekre vonatkozó külön megjegyzések
12. A hitelintézeteknek a 30 napos időtávon belül induló és a 30 napos időtávon túl lejáró olyan jövőben induló határidős repoügyletekből, fordított repoügyletekből és biztosítéki csereügyletekből származó kiáramlásokat kell feltüntetniük, ahol az induló oldal kiáramlást keletkeztet. Fordított repoügylet esetében a partnernek kölcsönzendő összeget kiáramlásnak kell tekinteni és az 1.1.8.6. tételnél kell megadni a biztosítékként járó eszköz piaci értéke nélkül és a kapcsolódó LCR-haircut alkalmazása után, ha az eszköz likvid eszköznek minősül. Ha a kölcsönzendő összeg alacsonyabb mint a biztosítékként járó eszköz piaci értéke (LCR-haircut után), a különbözetet beáramlásként kell feltüntetni. Ha a járó biztosíték nem minősül likvid eszköznek, a teljes kiáramlást kell feltüntetni. Repoügylet esetében, ha a biztosítékként kölcsönzendő eszköz piaci értéke a kapcsolódó LCR-haircut után (ha az eszköz likvid eszköznek minősül) nagyobb, mint a járó készpénzösszeg, a különbözetet a fent említett sorban kiáramlásként kell feltüntetni. Ha a járó összeg nagyobb mint a kölcsönzendő eszköz piaci értéke (LCR-haircut után), a különbözetet beáramlásként kell feltüntetni. Biztosítéki csereügyletek esetében, amennyiben a likvid eszközök kezdeti csereügyletének nettó hatása (figyelembe véve az LCR-haircutokat) kiáramlást eredményez, ezt a kiáramlást a fent említett sorban kell feltüntetni.
A likviditásfedezeti ráta 30 napos időtávján belül induló és lejáró határidős repoügyletek, határidős fordított repoügyletek és határidős biztosítéki csereügyletek nincsenek hatással a bank likviditásfedezeti követelményére, és figyelmen kívül hagyhatók.
13. A XXIV. melléklet C 73.00 táblájának 1. szakaszára vonatkozó döntési fa; a döntési fa nincs kihatással a tájékoztató adatok szolgáltatására. A döntési fa az útmutató része, amely az egyes feltüntetett adatok hozzárendelésére vonatkozóan határozza meg a rangsorolás értékelési kritériumait, hogy biztosítsa a homogén és összehasonlító adatszolgáltatást. Önmagában nem elég végighaladni a döntési fán, a hitelintézeteknek az útmutató többi részének is mindenkor meg kell felelniük. Az egyszerűség kedvéért a döntési fa figyelmen kívül hagyja az összegeket és részösszegeket; ez azonban nem jelenti azt, hogy ezeket ne kellene megadni. A "felhatalmazáson alapuló rendelet" az (EU) 2015/61 felhatalmazáson alapuló rendeletre utal.
| # | Tétel | Döntés | Adatszolgáltatás | 
| 1 | Jövőben induló határidős ügylet | Igen | # 2 | 
| Nem | # 4 | ||
| 2 | Az adatszolgáltatási időpontot követően kötött határidős ügylet; | Igen | Nem kell feltüntetni | 
| Nem | # 3 | ||
| 3 | A 30 napos időtávon belül induló és a 30 napos időtávon túl lejáró olyan jövőben induló határidős ügylet, ahol az induló oldal nettó kiáramlást keletkeztet. | Igen | 1.1.8.6. azonosító | 
| Nem | Nem kell feltüntetni | ||
| 4 | További kiáramlást igénylő tételek a felhatalmazáson alapuló rendelet 30. cikke szerint? | Igen | # 5 majd azt követően # 51 | 
| Nem | # 5 | ||
| 5 | Az 575/2013/EU rendelet 411. cikkének (2) bekezdése szerinti lakossági betét? | Igen | # 6 | 
| Nem | # 12 | ||
| 6 | Kevesebb, mint 30 naptári napos hátralévő futamidejű, felmondott betét, amelynek esetében megállapodás született egy másik hitelintézet részére való kifizetésről? | Igen | 1.1.1.2. azonosító | 
| Nem | # 7 | ||
| 7 | A felhatalmazáson alapuló rendelet 25. cikkének (4) bekezdése szerinti betét? | Igen | 1.1.1.1. azonosító | 
| Nem | # 8 | ||
| 8 | A felhatalmazáson alapuló rendelet 25. cikkének (5) bekezdése szerinti betét? | Igen | 1.1.1.6. azonosító | 
| Nem | # 9 | ||
| 9 | A felhatalmazáson alapuló rendelet 25. cikkének (2) bekezdése szerinti betét? | Igen | Az 1.1.1.3. azonosító egyik releváns tételéhez rendelendő. | 
| Nem | # 10 | ||
| 10 | A felhatalmazáson alapuló rendelet 24. cikkének (4) bekezdése szerinti betét? | Igen | 1.1.1.5. azonosító | 
| Nem | # 11 | ||
| 11 | A felhatalmazáson alapuló rendelet 24. cikkének (1) bekezdése szerinti betét? | Igen | 1.1.1.4. azonosító | 
| Nem | 1.1.1.7. azonosító | ||
| 12 | Olyan kötelezettségek, amelyek esedékessé válnak, amelyeknek a kibocsátó vagy a forrás nyújtója kérheti a teljesítését, vagy amelyek vonatkozásában a forrás nyújtója azzal a feltételezéssel élhet, miszerint a hitelintézet a következő 30 naptári napon belül visszafizeti a kötelezettséget? | Igen | # 13 | 
| Nem | # 30 | ||
| 13 | Az intézmény saját működési költségeiből származó kötelezettségek? | Igen | 1.1.8.1. azonosító | 
| Nem | # 14 | ||
| 14 | Kizárólag a lakossági piacon értékesített és lakossági számlán tartott kötvény formájában fennálló kötelezettség a felhatalmazáson alapuló rendelet 28. cikkének (6) bekezdése szerint? | Igen | Kövesse a lakossági betétekre vonatkozó utasítást (azaz válaszoljon igennel az # 5 pontnál és járjon el annak megfelelően) | 
| Nem | # 15 | ||
| 15 | Hitelviszonyt megtestesítő értékpapír formájában fennálló kötelezettség? | Igen | 1.1.8.2. azonosító | 
| Nem | # 16 | ||
| 16 | Biztosítékként kapott betét? | Igen | Az 1.1.5. azonosító releváns tételeihez rendelendő. | 
| Nem | # 17 | ||
| 17 | Levelező banki vagy elsődleges ügynöki (prime brokerage) szolgáltatásokból eredő betét? | Igen | 1.1.4.1. azonosító | 
| Nem | # 18 | ||
| 18 | A felhatalmazáson alapuló rendelet 27. cikke szerinti operatív betét? | Igen | # 19 | 
| Nem | # 24 | ||
| 19 | Intézményvédelmi rendszer vagy szövetkezeti hálózat keretében elhelyezett betét? | Igen | # 20 | 
| Nem | # 22 | ||
| 20 | A betétet elhelyező intézmény likvid eszközeiként kezelt? | Igen | 1.1.2.2.2. azonosító | 
| Nem | # 21 | ||
| 21 | Hálózaton belül készpénzklíring és központi hitelintézet által nyújtott szolgáltatások igénybevétele céljából elhelyezett betét? | Igen | 1.1.2.4. azonosító | 
| Nem | 1.1.2.2.1. azonosító | ||
| 22 | Stabil operatív kapcsolat keretében klíring-, letéti, készpénzmenedzsment vagy egyéb hasonló szolgáltatás céljából elhelyezett betét? | Igen | Az 1.1.2.1. azonosító egyik releváns tételéhez rendelendő. | 
| Nem | # 23 | ||
| 23 | Nem pénzügyi ügyfeleknél (egyéb) stabil operatív kapcsolat keretében elhelyezett betét? | Igen | 1.1.2.3. azonosító | 
| Nem | # 24 | ||
| 24 | Többlet operatív betét? | Igen | Az 1.1.3. azonosító egyik releváns tételéhez rendelendő. | 
| Nem | # 25 | ||
| 25 | Egyéb betét? | Igen | # 26 | 
| Nem | # 27 | ||
| 26 | Pénzügyi ügyfelek által elhelyezett betét? | Igen | 1.1.4.2. azonosító | 
| Nem | Az 1.1.4.3. azonosító egyik releváns tételéhez rendelendő. | ||
| 27 | Fedezett kölcsönügyletekből és tőkepiac-vezérelt ügyletekből eredő kötelezettség, a származékos ügyletek és a biztosítéki csereügyletek kivételével? | Igen | Az 1.2. azonosító egyik releváns tételéhez rendelendő. | 
| Nem | # 28 | ||
| 28 | Biztosítéki csereügyletből származó kötelezettség? | Igen | A C75.01 tábla és az 1.3. azonosító egyik releváns tételéhez rendelendő, ahol alkalmazandó. | 
| Nem | # 29 | ||
| 29 | Származtatott ügyletekből eredő kiáramlást eredményező kötelezettség a felhatalmazáson alapuló rendelet 30. cikkének (4) bekezdése szerint? | Igen | 1.1.5.5. azonosító | 
| Nem | # 30 | ||
| 30 | A következő 30 napban esedékessé váló bármely egyéb kötelezettség? | Igen | 1.1.8.3 azonosító | 
| Nem | #31 | ||
| 31 | Nem pénzügyi ügyfeleknek történő finanszírozásnyújtásra vonatkozó, a következő 30 napban esedékes szerződéses kötelezettségvállalás, amely meghaladja az ezen ügyfelektől származó beáramlásokat? | Igen | A következő azonosítók egyike: 1.1.8.4.1 – 1.1.8.4.4 | 
| Nem | #32 | ||
| 32 | A következő 30 napban esedékes, fent nem említett egyéb kiáramlás? | Igen | 1.1.8.6 azonosító | 
| Nem | #33 | ||
| 33 | Folyósítási kötelezettséget tartalmazó hitel- és likviditási keretekből lehívható, le nem hívott összeg a felhatalmazáson alapuló rendelet 31. cikke szerint? | Igen | #34 | 
| Nem | # 42 | ||
| 34 | Folyósítási kötelezettséggel járó hitelkeret? | Igen | # 35 | 
| Nem | # 37 | ||
| 35 | Intézményvédelmi rendszeren vagy szövetkezeti hálózaton belül, a betétet elhelyező intézmény által likvid eszközként kezelt? | Igen | 1.1.6.1.6. azonosító | 
| Nem | # 36 | ||
| 36 | Csoporton vagy intézményvédelmi rendszeren belül, kedvezményes kezelés alá tartozik? | Igen | 1.1.6.1.5. azonosító | 
| Nem | Az 1.1.6.1. azonosító egyik releváns fennmaradó tételéhez rendelendő. | ||
| 37 | Folyósítási kötelezettséggel járó likviditási keret? | Igen | #38 | 
| n.a. | n.a. | ||
| 38 | Intézményvédelmi rendszeren vagy szövetkezeti hálózaton belül, a betétet elhelyező intézmény által likvid eszközként kezelt? | Igen | 1.1.6.2.7. azonosító | 
| Nem | # 39 | ||
| 39 | Csoporton vagy intézményvédelmi rendszeren belül, kedvezményes kezelés alá tartozik? | Igen | 1.1.6.2.6. azonosító | 
| Nem | # 40 | ||
| 40 | Különleges célú gazdasági egységeknek? | Igen | Az 1.1.6.2.4. azonosító egyik releváns tételéhez rendelendő. | 
| Nem | #41 | ||
| 41 | Magánbefektetési társaságnak? | Igen | 1.1.6.2.3. azonosító | 
| Nem | Az 1.1.6.2. azonosító egyik releváns fennmaradó tételéhez rendelendő. | ||
| 42 | Egyéb termék vagy szolgáltatás a felhatalmazáson alapuló rendelet 23. cikke szerint? | Igen | # 43 | 
| Nem | Nem kell feltüntetni | ||
| 43 | Kereskedelemfinanszírozással kapcsolatos mérlegen kívüli termék? | Igen | 1.1.7.8. azonosító | 
| Nem | # 44 | ||
| 44 | Bankközi partnereknek nyújtott le nem hívott hitelek és előlegek? | Igen | 1.1.7.2. azonosító | 
| Nem | # 45 | ||
| 45 | Már megkötött, de még le nem hívott jelzáloghitelek | Igen | 1.1.7.3. azonosító | 
| Nem | # 46 | ||
| 46 | Lakossági vagy bankközi hitelek megújításával vagy új hitelek nyújtásával kapcsolatos tervezett kiáramlás? | Igen | 1.1.7.6. azonosító | 
| Nem | # 47 | ||
| 47 | Hitelkártyák? | Igen | 1.1.7.4. azonosító | 
| Nem | # 48 | ||
| 48 | Folyószámlahitelek? | Igen | 1.1.7.5. azonosító | 
| Nem | # 49 | ||
| 49 | Származtatott ügyletekből eredő kötelezettség? | Igen | 1.1.7.7. azonosító | 
| Nem | # 50 | ||
| 50 | Egyéb mérlegen kívüli és függő finanszírozási kötelezettség? | Igen | 1.1.7.1. azonosító | 
| Nem | 1.1.7.9. azonosító | ||
| 51 | A C 73.00 tábla 1.1.8.2. tételénél már megadott hitelviszonyt megtestesítő értékpapír? | Igen | Nem kell feltüntetni | 
| Nem | # 52 | ||
| 52 | A # 29 kérdésnél már figyelembe vett, származtatott ügyletekre vonatkozó likviditási követelmény a felhatalmazáson alapuló rendelet 30. cikkének (4) bekezdése szerint? | Igen | Nem kell feltüntetni | 
| Nem | Az 1.1.5. azonosító releváns tételeihez rendelendő. | 
1.3. A tábla egyes oszlopaira vonatkozó útmutató
| Oszlop | Jogszabályi hivatkozások és útmutató | 
| 010 | Összeg 1.1. . Fedezetlen ügyletekre/betétekre vonatkozó külön útmutató: A hitelintézeteknek itt az (EU) 2015/61 felhatalmazáson alapuló rendelet 22–31. cikkében meghatározottak szerinti különböző kategóriájú kötelezettségek és mérlegen kívüli kötelezettségvállalások fennálló egyenlegét kell megadniuk. Az egyes kiáramlási kategóriákon belül az illetékes hatóság előzetes jóváhagyásától függően, a XXIV. melléklet C 73.00 táblájának 010 oszlopában megadott minden egyes tétel összegét nettósítani kell a kölcsönös függőséget mutató beáramlás releváns összegének levonásával, a 26. cikknek megfelelően. 1.2. Fedezett kölcsönügyletekre és tőkepiac-vezérelt ügyletekre vonatkozó külön útmutató: A hitelintézeteknek itt kell megadniuk az (EU) 2015/61 felhatalmazáson alapuló bizottsági rendelet 22. cikkének (2) bekezdése szerinti azon kötelezettségek fennálló egyenlegét, amelyek a fedezett ügylet készpénzoldalát testesítik meg. | 
| 020 | Nyújtott biztosíték piaci értéke Fedezett kölcsönügyletekre és tőkepiac-vezérelt ügyletekre vonatkozó külön útmutató: A hitelintézeteknek itt kell megadniuk a nyújtott biztosíték piaci értékét, amelyet a haircut levonása nélküli és a kifutó kapcsolódó fedezeti ügyletekből eredő áramlások levonásával vett aktuális piaci értékként kell kiszámítani, az (EU) 2015/61 felhatalmazáson alapuló rendelet 8. cikke (5) bekezdésének megfelelően, és a következő feltételekkel: — Ha a hitelintézet külföldi devizában lévő részvényeinek, vagy külföldi devizában lévő központi kormányzati vagy banki eszközeinek, vagy hazai devizában lévő központi kormányzati vagy központi banki eszközeinek csak egy részét ismerheti el magas minőségű likvid eszközei között, akkor csak az elismerhető rész tüntethető fel az (EU) 2015/61 felhatalmazáson alapuló rendelet 12. cikke (1) bekezdése c) pontja ii. alpontjának és 10. cikke (1) bekezdése d) pontjának megfelelő 1., 2A. és 2B. szintű eszközökre vonatkozó sorokban. Ha az adott eszközt biztosítékként használják, de olyan összegben, amely a likvid eszközökön belül elismerhető részt meghaladja, a többletösszeget a nem likvid eszközökre vonatkozó szakaszban kell feltüntetni. — A 2A. szintű eszközöket a megfelelő 2A. szintű eszközökre vonatkozó sorban kell feltüntetni, akkor is, ha az alternatív likviditási megközelítést követik (vagyis ne helyezzék át a 2A. szintű eszközöket az 1. szintű eszközökhöz a fedezett ügyletekre vonatkozó adatszolgáltatás során). | 
| 030 | A nyújtott biztosíték 9. cikk szerinti értéke Fedezett kölcsönügyletekre és tőkepiac-vezérelt ügyletekre vonatkozó külön útmutató: A hitelintézeteknek itt kell megadniuk a nyújtott biztosítéknak az (EU) 2015/61 felhatalmazáson alapuló rendelet 9. cikke szerinti értékét. Ezt a XXIV. melléklet C 73.00 táblája 020 oszlopának és a XXIV. melléklet C 72.00 táblájából az eszköztípusnak megfelelő alkalmazandó súlynak/haircutnak a szorzataként kell kiszámítani. A XXIV. melléklet C 73.00 táblájának 030 oszlopát a XXIV. melléklet C 76.00 táblájában lévő likvid eszközök kiigazított összegének kiszámításához kell felhasználni. | 
| 040 | Standard súly Az (EU) 2015/61 felhatalmazáson alapuló rendelet 24–31a. cikke A 040 oszlopban szereplő standard súlyok az (EU) 2015/61 felhatalmazáson alapuló rendeletben alapértelmezés szerint meghatározottak, és tájékoztatásul szerepelnek. | 
| 050 | Alkalmazandó súly Fedezetlen és fedezett egyaránt: A hitelintézeteknek itt kell megadniuk az alkalmazandó súlyokat. Ezek a súlyok az (EU) 2015/61 felhatalmazáson alapuló rendelet 22–31a. cikkében meghatározott súlyok. Az alkalmazandó súlyok súlyozott átlagértékeket eredményezhetnek, és feltüntetésük tizedes rendszerben történik (azaz 1,00 a 100 százalékos alkalmazandó súly esetében, vagy 0,50 az 50 százalékos alkalmazandó súly esetében). Az alkalmazandó súlyok tükrözhetnek többek között vállalatspecifikus vagy nemzeti megfontolásokat is. | 
| 060 | Kiáramlás Fedezetlen és fedezett egyaránt: A hitelintézeteknek itt kell megadniuk a kiáramlásokat. Ezeket a kiáramlásokat a XXIV. melléklet C 73.00 táblája 010 oszlopának és a XXIV. melléklet C 73.00 táblája 050 oszlopának a szorzataként kell kiszámítani. | 
1.4. A tábla egyes soraira vonatkozó útmutató
| Sor | Jogszabályi hivatkozások és útmutató | 
| 010 | 1.  KIÁRAMLÁSOK Az (EU) 2015/61 felhatalmazáson alapuló rendelet III. címének 2. fejezete A hitelintézeteknek itt kell adatot szolgáltatniuk az (EU) 2015/61 felhatalmazáson alapuló rendelet III. címének 2. fejezete szerinti kiáramlásokról. | 
| 020 | 1.1.  Fedezetlen ügyletek/betétek kiáramlásai Az (EU) 2015/61 felhatalmazáson alapuló rendelet 20–31a. cikke A hitelintézeteknek itt kell adatot szolgáltatniuk az (EU) 2015/61 felhatalmazáson alapuló rendelet 21–31a. cikke szerinti kiáramlásokról, az említett felhatalmazáson alapuló rendelet 28. cikke (3) és (4) bekezdése szerinti kiáramlások kivételével. | 
| 030 | 1.1.1.  Lakossági betétek Az (EU) 2015/61 felhatalmazáson alapuló rendelet 24. és 25. cikke A hitelintézeteknek itt kell adatot szolgáltatniuk az 575/2013/EU rendelet 411. cikkének 2. pontjában meghatározott lakossági betétekről. A hitelintézeteknek a lakossági betétek megfelelő kategóriáján belül adatot kell szolgáltatniuk továbbá a kizárólag a lakossági piacon értékesített és lakossági számlán tartott kibocsátott adósságlevélről, kötvényről és egyéb értékpapírról is, az (EU) 2015/61 felhatalmazáson alapuló rendelet 28. cikkének (6) bekezdésében említettek szerint. A hitelintézetek ezen kötelezettségkategória esetében figyelembe veszik az (EU) 2015/61 felhatalmazáson alapuló rendeletben előírt, a lakossági betétek különböző kategóriáira vonatkozóan alkalmazandó kiáramlási arányokat. Ennek megfelelően a hitelintézetek alkalmazandó súlyként a releváns alkalmazandó súlyok átlagát adják meg az összes ilyen betétre vonatkozóan. | 
| 035 | 1.1.1.1.  a kiáramlások számításából kizárt betétek Az (EU) 2015/61 felhatalmazáson alapuló rendelet 25. cikkének (4) bekezdése A hitelintézeteknek itt a kiáramlások számításából kizárt lakosságibetét-kategóriákat kell megadniuk, ha a 25. cikk (4) bekezdésének a) vagy b) pontjában foglalt feltételek teljesülnek. | 
| 040 | 1.1.1.2.  betétek, amelyek esetében megállapodás történt a következő 30 napon belüli kifizetésről Az (EU) 2015/61 felhatalmazáson alapuló rendelet 25. cikkének (4) bekezdése A hitelintézetek itt adják meg azokat a 30 napnál kevesebb hátralévő futamidejű betéteket, amelyek esetében megállapodás történt a kifizetésről. | 
| 050 | 1.1.1.3.  magasabb kiáramlási arányú betétek Az (EU) 2015/61 felhatalmazáson alapuló rendelet 25. cikkének (2) és (3) bekezdése A hitelintézeteknek itt kell megadniuk az (EU) 2015/61 felhatalmazáson alapuló rendelet 25. cikkének (2) és (3) bekezdése szerinti magasabb kiáramlási arány alá tartozó betétek teljes egyenlegét. Itt kell megadni továbbá azokat a lakossági betéteket, amelyek esetében nem végezték el vagy nem fejezték be az (EU) 2015/61 felhatalmazáson alapuló rendelet 25. cikkének (2) bekezdése szerinti kategorizálásra vonatkozó értékelést. | 
| 060 | 1.1.1.3.1.  1. kategória Az (EU) 2015/61 felhatalmazáson alapuló rendelet 25. cikkének (3) bekezdése A hitelintézetek itt azon lakossági betétek teljes fennálló egyenlegének összegét tüntetik fel, amelyek teljesítik az (EU) 2015/61 felhatalmazáson alapuló rendelet 25. cikke (2) bekezdésének a) pontjában foglalt kritériumokat vagy a b)–e) pontjában foglalt kritériumok közül kettőt, kivéve, ha ezeket a betéteket olyan harmadik országban gyűjtötték, ahol az (EU) 2015/61 felhatalmazáson alapuló rendelet 25. cikke (5) bekezdésének megfelelően magasabb kiáramlási arányt alkalmaznak, mely esetben ez utóbbi kategóriában kell feltüntetni az említett betéteket. A hitelintézetek alkalmazandó súlyként az arányok átlagát tüntetik fel, vagy az (EU) 2015/61 felhatalmazáson alapuló rendelet 25. cikke (3) bekezdésének a) pontjában alapértelmezettként előírt standard arányokét, vagy – amennyiben az illetékes hatóság azokat alkalmazza – azon magasabb arányokét, amelyeket az előző bekezdésben említett betétek teljes összegére ténylegesen alkalmaztak, és amelyeket az említett megfelelő összegekkel súlyoztak. | 
| 070 | 1.1.1.3.2.  2. kategória Az (EU) 2015/61 felhatalmazáson alapuló rendelet 25. cikkének (3) bekezdése A hitelintézetek itt azon lakossági betétek teljes fennálló egyenlegének összegét tüntetik fel, amelyek teljesítik az (EU) 2015/61 felhatalmazáson alapuló rendelet 25. cikke (2) bekezdésének a) pontjában foglalt kritériumokat és a 25. cikk (2) bekezdésében említett kritériumok közül legalább még egyet, vagy a 25. cikk (2) bekezdésében említett kritériumok közül legalább hármat, kivéve, ha ezeket a betéteket olyan harmadik országban gyűjtötték, ahol az (EU) 2015/61 felhatalmazáson alapuló rendelet 25. cikke (5) bekezdésének megfelelően magasabb kiáramlási arányt alkalmaznak, mely esetben ez utóbbi kategóriában kell feltüntetni az említett betéteket. Itt kell megadni továbbá azokat a lakossági betéteket, amelyek esetében nem végezték el vagy nem fejezték be a 25. cikk (2) bekezdése szerinti kategorizálásra vonatkozó értékelést. A hitelintézetek alkalmazandó súlyként az arányok átlagát tüntetik fel, vagy az (EU) 2015/61 felhatalmazáson alapuló rendelet 25. cikke (3) bekezdésének a) pontjában alapértelmezettként előírt standard arányokét, vagy – amennyiben az illetékes hatóság azokat alkalmazza – azon magasabb arányokét, amelyeket az előző bekezdésekben említett betétek teljes összegére alkalmaztak, és amelyeket az említett megfelelő összegekkel súlyoztak. | 
| 080 | 1.1.1.4.  stabil betétek Az (EU) 2015/61 felhatalmazáson alapuló rendelet 24. cikke A hitelintézeteknek a lakossági betétek összegének azon részét kell megadniuk, amely a 94/19/EK irányelvnek vagy a 2014/49/EU irányelvnek megfelelő betétbiztosítási rendszer vagy harmadik ország ezzel egyenértékű betétbiztosítási rendszere hatálya alá tartozik, és az (EU) 2015/61 felhatalmazáson alapuló rendelet 24. cikke (2), illetve (3) bekezdésének megfelelően vagy olyan stabil kapcsolat része, amely igen valószínűtlenné teszi a betét kivonását, vagy folyószámlán tartják, és ha — a szóban forgó betétek nem teljesítik az (EU) 2015/61 felhatalmazáson alapuló rendelet 25. cikke (2), (3) vagy (5) bekezdése szerinti magasabb kiáramlási arányra vonatkozó kritériumokat, akkor magasabb kiáramlási arány hatálya alá tartozó betétként kell feltüntetni őket; vagy — a szóban forgó betéteket nem az (EU) 2015/61 felhatalmazáson alapuló rendelet 25. cikkének (5) bekezdése szerinti magasabb kiáramlási arányt alkalmazó harmadik országban gyűjtötték, akkor ezen a kategórián belül kell feltüntetni őket; — az (EU) 2015/61 felhatalmazáson alapuló rendelet 24. cikkének (4) bekezdésében meghatározott eltérés nem alkalmazandó. | 
| 090 | 1.1.1.5.  Eltérően kezelt stabil betétek Az (EU) 2015/61 felhatalmazáson alapuló rendelet 24. cikkének (4) és (6) bekezdése A hitelintézeteknek a lakossági betétek összegének azon részét kell megadniuk, amely a 2014/49/EU irányelvnek megfelelő betétbiztosítási rendszer hatálya alá tartozik legfeljebb 100 000 EUR-ig, és az (EU) 2015/61 felhatalmazáson alapuló rendelet 24. cikke (2), illetve (3) bekezdésének megfelelően vagy olyan stabil kapcsolat része, amely igen valószínűtlenné teszi a betét kivonását, vagy folyószámlán tartják, és ha a szóban forgó betétek nem teljesítik az (EU) 2015/61 felhatalmazáson alapuló rendelet 25. cikke (2), (3) vagy (5) bekezdése szerinti magasabb kiáramlási arányra vonatkozó kritériumokat, akkor magasabb kiáramlási arány hatálya alá tartozó betétként kell feltüntetni őket; vagy — a szóban forgó betéteket nem az (EU) 2015/61 felhatalmazáson alapuló rendelet 25. cikkének (5) bekezdése szerinti magasabb kiáramlási arányt alkalmazó harmadik országban gyűjtötték, akkor ezen a kategórián belül kell feltüntetni őket; — az (EU) 2015/61 felhatalmazáson alapuló rendelet 24. cikkének (4) bekezdésében meghatározott eltérés nem alkalmazandó. | 
| 100 | 1.1.1.6.  magasabb kiáramlási arányt előíró harmadik országban gyűjtött betétek Az (EU) 2015/61 felhatalmazáson alapuló rendelet 25. cikkének (5) bekezdése A hitelintézeteknek az olyan harmadik országban gyűjtött lakossági betétek összegét kell megadniuk, amelyekben a likviditási követelményeiről rendelkező jogszabálynak megfelelően magasabb kiáramlási arányt alkalmaznak. | 
| 110 | 1.1.1.7.  egyéb lakossági betétek Az (EU) 2015/61 felhatalmazáson alapuló rendelet 25. cikkének (1) bekezdése A hitelintézeteknek itt az előző tételeknél feltüntetettektől eltérő lakossági betétek összegét kell megadniuk. | 
| 120 | 1.1.2.  Operatív betétek Az (EU) 2015/61 felhatalmazáson alapuló rendelet 27. cikke A hitelintézeteknek itt az (EU) 2015/61 felhatalmazáson alapuló rendelet 27. cikkének megfelelően meghatározott operatív betétek azon részéről kell adatot szolgáltatniuk, amely az operatív szolgáltatások nyújtásához szükséges. A levelezőbanki kapcsolatból vagy elsődleges ügynöki (prime brokerage) szolgáltatások nyújtásából származó betétek az (EU) 2015/61 felhatalmazáson alapuló rendelet 27. cikkének (5) bekezdése értelmében nem minősülnek operatív betéteknek. Az operatív betéteknek az operatív szolgáltatások nyújtásához szükséges összeget meghaladó részéről nem itt, hanem az 1.1.3. azonosító alatt kell adatot szolgáltatni. | 
| 130 | 1.1.2.1.  stabil operatív kapcsolat keretében klíring-, letéti, készpénzmenedzsment vagy egyéb hasonló szolgáltatás céljából elhelyezett betét Az (EU) 2015/61 felhatalmazáson alapuló rendelet 27. cikke (1) bekezdésének a) pontja, valamint 27. cikke (2) és (4) bekezdése A hitelintézeteknek olyan betétekről kell adatot szolgáltatniuk, amelyeket a betétes annak érdekében helyez el, hogy az (EU) 2015/61 felhatalmazáson alapuló rendelet 27. cikke (1) bekezdésének a) pontjában említetteknek megfelelően stabil operatív kapcsolat keretében olyan klíring-, letéti, készpénzmenedzsment vagy más hasonló szolgáltatásokat kapjon, amelyek az (EU) 2015/61 felhatalmazáson alapuló rendelet 27. cikkének (4) bekezdésében említetteknek megfelelően rendkívül fontosak a betétes számára; az operatív szolgáltatások nyújtásához szükséges mértéken felüli forrásokat az (EU) 2015/61 felhatalmazáson alapuló rendelet 27. cikke (4) bekezdése utolsó mondatának megfelelően nem-operatív betétekként kell kezelni. Kizárólag azokat a betéteket kell feltüntetni, amelyek esetében az (EU) 2015/61 felhatalmazáson alapuló rendelet 27. cikke (4) bekezdése második mondatában említetteknek megfelelően jelentős törvényi és operatív korlátai vannak a 30 naptári napon belüli jelentős betétkivonásnak. A hitelintézeteknek az útmutató következő tételeiben meghatározottak szerint külön kell feltüntetniük az (EU) 2015/61 felhatalmazáson alapuló rendelet 27. cikkének (2) bekezdésében említett betétbiztosítási rendszer vagy azzal egyenértékű harmadik országbeli betétbiztosítási rendszer hatálya alá tartozó és hatálya alá nem tartozó betétek összegét. | 
| 140 | 1.1.2.1.1.  betétbiztosítási rendszerrel fedezett Az (EU) 2015/61 felhatalmazáson alapuló rendelet 27. cikke (1) bekezdésének a) pontja, valamint 27. cikke (2) és (4) bekezdése A hitelintézeteknek a stabil operatív kapcsolat keretében fenntartott operatív betétek fennálló egyenlegének azon részét kell megadniuk, amely teljesíti az (EU) 2015/61 felhatalmazáson alapuló rendelet 27. cikke (1) bekezdésének a) pontjában és 27. cikkének (4) bekezdésében meghatározott kritériumokat, és amely a 94/19/EK vagy a 2014/49/EU irányelvnek megfelelő betétbiztosítási rendszer vagy harmadik ország ezzel egyenértékű betétbiztosítási rendszere hatálya alá tartozik. | 
| 150 | 1.1.2.1.2.  betétbiztosítási rendszerrel nem fedezett Az (EU) 2015/61 felhatalmazáson alapuló rendelet 27. cikke (1) bekezdésének a) pontja, valamint 27. cikke (2) és (4) bekezdése A hitelintézeteknek a stabil operatív kapcsolat keretében fenntartott operatív betétek fennálló egyenlegének azon részét kell megadniuk, amely teljesíti az (EU) 2015/61 felhatalmazáson alapuló rendelet 27. cikke (1) bekezdésének a) pontjában és 27. cikkének (4) bekezdésében meghatározott kritériumokat, és amely nem tartozik a 94/19/EK vagy a 2014/49/EU irányelvnek megfelelő betétbiztosítási rendszer vagy harmadik ország ezzel egyenértékű betétbiztosítási rendszere hatálya alá. | 
| 160 | 1.1.2.2.  intézményvédelmi rendszer vagy szövetkezeti hálózat keretében elhelyezett betét Az (EU) 2015/61 felhatalmazáson alapuló rendelet 27. cikke (1) bekezdésének b) pontja és 27. cikkének (3) bekezdése A hitelintézeteknek itt az 575/2013/EU rendelet 113. cikke (7) bekezdésének követelményeit teljesítő intézményvédelmi rendszer keretén belüli vagy az említett rendelet 113. cikke (6) bekezdésének követelményeit teljesítő központi szervhez tartósan kapcsolt szövetkezeti hitelintézetek csoportján belüli közös feladatmegosztás keretében elhelyezett, vagy törvényben, szerződésben előírt minimumbetétként egy másik, ugyanannak az intézményvédelmi rendszernek vagy szövetkezeti rendszernek a tagját alkotó hitelintézet által elhelyezett betétekről kell adatot szolgáltatniuk, az (EU) 2015/61 felhatalmazáson alapuló rendelet 27. cikke (1) bekezdésének b) pontjában meghatározottak szerint. A hitelintézetek ezeket a betéteket külön sorokban tüntetik fel attól függően, hogy a betétet elhelyező hitelintézet likvid eszközként vagy nem likvid eszközként kezeli őket, az (EU) 2015/61 felhatalmazáson alapuló rendelet 27. cikke (3) bekezdésének megfelelően. | 
| 170 | 1.1.2.2.1.  nem minősülnek a betétet elhelyező intézmény likvid eszközeinek Az (EU) 2015/61 felhatalmazáson alapuló rendelet 27. cikke (1) bekezdésének b) pontja A hitelintézeteknek az (EU) 2015/61 felhatalmazáson alapuló rendelet 27. cikke (1) bekezdésének b) pontjában meghatározott kritériumoknak megfelelően szövetkezeti rendszer vagy intézményvédelmi rendszer keretében elhelyezett betétek fennálló egyenlegének összegét kell megadniuk, feltéve, hogy a betétet elhelyező hitelintézet ezeket a betéteket nem ismeri el likvid eszközként. | 
| 180 | 1.1.2.2.2.  a betétet elhelyező intézmény likvid eszközeinek minősülnek Az (EU) 2015/61 felhatalmazáson alapuló rendelet 27. cikke (1) bekezdésének b) pontja és 27. cikkének (3) bekezdése A hitelintézeteknek az (EU) 2015/61 felhatalmazáson alapuló rendelet 16. cikke szerint a betétet elhelyező hitelintézet likvid eszközeinek tekintett, központi hitelintézetnél elhelyezett hitelintézeti betéteket kell feltüntetniük. A hitelintézeteknek e betétek összegét a megfelelő likvid eszközök haircut utáni összegéig kell megadniuk, az (EU) 2015/61 felhatalmazáson alapuló rendelet 27. cikkének (3) bekezdésében meghatározottak szerint. | 
| 190 | 1.1.2.3.  nem pénzügyi ügyfeleknél (egyéb) stabil operatív kapcsolat keretében elhelyezett betétek Az (EU) 2015/61 felhatalmazáson alapuló rendelet 27. cikke (1) bekezdésének c) pontja, valamint 27. cikke (4) és (6) bekezdése A hitelintézeteknek itt az (EU) 2015/61 felhatalmazáson alapuló rendelet 27. cikke (1) bekezdésének a) pontjában említettől eltérő, és az (EU) 2015/61 felhatalmazáson alapuló rendelet 27. cikkének (6) bekezdésében meghatározott követelmények hatálya alá tartozó stabil operatív kapcsolat keretében nem pénzügyi ügyfél által elhelyezett betétek fennálló egyenlegének összegét kell megadniuk. Kizárólag azokat a betéteket kell feltüntetni, amelyek esetében az (EU) 2015/61 felhatalmazáson alapuló rendelet 27. cikkének (4) bekezdésében említetteknek megfelelően jelentős törvényi és operatív korlátai vannak a 30 naptári napon belüli jelentős betétkivonásnak. | 
| 200 | 1.1.2.4.  hálózaton belül készpénzklíring és központi hitelintézet által nyújtott szolgáltatások igénybevétele céljából elhelyezett betétek Az (EU) 2015/61 felhatalmazáson alapuló rendelet 27. cikke (1) bekezdésének d) pontja és 27. cikkének (4) bekezdése A hitelintézeteknek a betétes által annak érdekében elhelyezett betétek fennálló egyenlegének összegét kell megadniuk, hogy készpénzklíring- és központi hitelintézet által nyújtott szolgáltatásokat vehessen igénybe, ha a hitelintézet az (EU) 2015/61 felhatalmazáson alapuló rendelet 16. cikkében említett hálózatok vagy rendszerek egyikéhez tartozik, az (EU) 2015/61 felhatalmazáson alapuló rendelet 27. cikke (1) bekezdésének d) pontjában meghatározottak szerint. Ilyen klíring-, letéti, készpénzmenedzsment vagy egyéb hasonló szolgáltatásnak csak azok minősülnek, amelyeket az (EU) 2015/61 felhatalmazáson alapuló bizottsági rendelet 27. cikke (4) bekezdése első mondata szerinti rendkívül fontos, stabil kapcsolat keretében nyújtanak a betétesnek; az operatív szolgáltatások nyújtásához szükséges mértéken felüli forrásokat az (EU) 2015/61 felhatalmazáson alapuló rendelet 27. cikke (4) bekezdése utolsó mondatának megfelelően nem-operatív betétekként kell kezelni. Kizárólag azokat a betéteket kell feltüntetni, amelyek esetében az (EU) 2015/61 felhatalmazáson alapuló rendelet 27. cikkének (4) bekezdésében említetteknek megfelelően jelentős törvényi és operatív korlátai vannak a 30 naptári napon belüli jelentős betétkivonásnak. | 
| 203 | 1.1.3.  Többlet operatív betétek Az (EU) 2015/61 felhatalmazáson alapuló rendelet 27. cikkének (4) bekezdése A hitelintézeteknek itt az operatív betéteknek az operatív szolgáltatások nyújtásához szükséges mértéken felüli részét kell feltüntetniük. | 
| 204 | 1.1.3.1  pénzügyi ügyfelek által elhelyezett betétek Az (EU) 2015/61 felhatalmazáson alapuló rendelet 27. cikkének (4) és 31a. cikkének (1) bekezdése A hitelintézeteknek itt az (EU) 2015/61 felhatalmazáson alapuló bizottsági rendelet 27. cikke (4) bekezdésének megfelelő, pénzügyi ügyfelek által elhelyezett operatív betéteknek az operatív szolgáltatások nyújtásához szükséges mértéken felüli részét kell feltüntetniük. | 
| 205 | 1.1.3.2  egyéb ügyfelek által elhelyezett betétek Az (EU) 2015/61 felhatalmazáson alapuló rendelet 27. cikkének (4) bekezdése és 28. cikkének (1) bekezdése A hitelintézeteknek itt az (EU) 2015/61 felhatalmazáson alapuló bizottsági rendelet 27. cikke (4) bekezdésének utolsó mondatában említett, pénzügyi ügyfelektől eltérő egyéb ügyfelek által elhelyezett – és nem lakossági betét – operatív betéteknek az operatív szolgáltatások nyújtásához szükséges mértéken felüli részét kell feltüntetniük. Ezeket a többlet operatív betéteket két külön sorban kell feltüntetni, attól függően, hogy azok teljes összege valamely betétbiztosítási rendszernek vagy harmadik ország egyenértékű betétbiztosítási rendszere hatálya alá tartozik, vagy sem. | 
| 206 | 1.1.3.2.1  betétbiztosítási rendszerrel fedezett Az (EU) 2015/61 felhatalmazáson alapuló rendelet 27. cikkének (4) bekezdése és 28. cikkének (1) bekezdése A hitelintézeteknek az (EU) 2015/61 felhatalmazáson alapuló rendelet 28. cikkének (1) bekezdésében említettek szerint az egyéb ügyfelek által fenntartott ilyen többlet operatív betétek fennálló egyenlegének teljes összegét kell feltüntetniük, ha ez a teljes összeg a 94/19/EK vagy a 2014/49/EU irányelvnek megfelelő betétbiztosítási rendszer vagy harmadik ország egyenértékű betétbiztosítási rendszere hatálya alá tartozik. | 
| 207 | 1.1.3.2.2.  betétbiztosítási rendszerrel nem fedezett Az (EU) 2015/61 felhatalmazáson alapuló rendelet 27. cikkének (4) bekezdése és 28. cikkének (1) bekezdése A hitelintézeteknek az (EU) 2015/61 felhatalmazáson alapuló rendelet 28. cikkének (1) bekezdésében említettek szerint az egyéb ügyfelek által fenntartott ilyen többlet operatív betétek fennálló egyenlegének teljes összegét kell feltüntetniük, ha ez a teljes összeg nem tartozik a 94/19/EK vagy a 2014/49/EU irányelvnek megfelelő betétbiztosítási rendszer vagy harmadik ország egyenértékű betétbiztosítási rendszere hatálya alá. | 
| 210 | 1.1.4.  Nem operatív betétek Az (EU) 2015/61 felhatalmazáson alapuló rendelet 27. cikkének (5) bekezdése, 28. cikkének (1) bekezdése és 31. cikkének (9) bekezdése A hitelintézeteknek itt az (EU) 2015/61 felhatalmazáson alapuló rendelet 28. cikkének (1) bekezdésében említett fedezetlen betétekről kell adatot szolgáltatniuk, valamint az (EU) 2015/61 felhatalmazáson alapuló rendelet 27. cikkének (5) bekezdésében említettek szerint levelező banki kapcsolatból vagy elsődleges ügynöki (prime brokerage) szolgáltatások nyújtásából származó betétekről. A hitelintézeteknek az útmutató következő tételeiben meghatározottak szerint külön kell feltüntetniük – az (EU) 2015/61 felhatalmazáson alapuló rendelet 27. cikke (5) bekezdésében említetteknek megfelelően levelező banki kapcsolatból vagy elsődleges ügynöki (prime brokerage) szolgáltatások nyújtásából származó kötelezettségek kivételével – a betétbiztosítási rendszer vagy harmadik ország egyenértékű betétbiztosítási rendszer hatálya alá tartozó és hatálya alá nem tartozó operatív betéteket. Az operatív betéteknek az operatív szolgáltatások nyújtásához szükséges mértéket meghaladó részéről nem itt, hanem az 1.1.3. azonosító alatt kell adatot szolgáltatni. | 
| 220 | 1.1.4.1.  levelező banki szolgáltatások és elsődleges ügynöki (prime brokerage) szolgáltatások nyújtásából származó betétek Az (EU) 2015/61 felhatalmazáson alapuló rendelet 27. cikkének (5) bekezdése A hitelintézeteknek az (EU) 2015/61 felhatalmazáson alapuló rendelet 27. cikkének (5) bekezdésében említett, levelező banki kapcsolatból vagy elsődleges ügynöki (prime brokerage) szolgáltatásból származó betétek fennálló egyenlegének összegét kell megadniuk. | 
| 230 | 1.1.4.2.  pénzügyi ügyfelek által elhelyezett betétek Az (EU) 2015/61 felhatalmazáson alapuló rendelet 31a. cikkének (1) bekezdése A hitelintézeteknek a pénzügyi ügyfelek által elhelyezett betétek fennálló egyenlegének összegét kell megadniuk, amennyiben a betétek nem minősülnek operatív betétnek az (EU) 2015/61 felhatalmazáson alapuló rendelet 27. cikkének megfelelően. | 
| 240 | 1.1.4.3.  egyéb ügyfelek által elhelyezett betétek Az (EU) 2015/61 felhatalmazáson alapuló rendelet 28. cikkének (1) bekezdése A hitelintézeteknek az (EU) 2015/61 felhatalmazáson alapuló rendelet 28. cikkének (1) bekezdése szerinti egyéb (a pénzügyi ügyfelektől és a lakossági betéteknél figyelembe vett ügyfelektől eltérő) ügyfelek által elhelyezett betétekről kell adatot szolgáltatniuk, amennyiben ezek a betétek nem minősülnek operatív betétnek az (EU) 2015/61 felhatalmazáson alapuló rendelet 27. cikkének megfelelően. Ezeket a betéteket két külön sorban kell feltüntetni, attól függően, hogy azok teljes összege betétbiztosítási rendszere vagy harmadik ország egyenértékű betétbiztosítási rendszere hatálya alá tartozik, vagy sem. | 
| 250 | 1.1.4.3.1  betétbiztosítási rendszerrel fedezett Az (EU) 2015/61 felhatalmazáson alapuló rendelet 28. cikkének (1) bekezdése A hitelintézeteknek az (EU) 2015/61 felhatalmazáson alapuló rendelet 28. cikkének (1) bekezdésében említettek szerint az egyéb ügyfelek által fenntartott ilyen betétek fennálló egyenlegének teljes összegét kell feltüntetniük, ha ez a teljes összeg a 94/19/EK vagy a 2014/49/EU irányelvnek megfelelő betétbiztosítási rendszer vagy harmadik ország egyenértékű betétbiztosítási rendszere hatálya alá tartozik. | 
| 260 | 1.1.4.3.2.  betétbiztosítási rendszerrel nem fedezett Az (EU) 2015/61 felhatalmazáson alapuló rendelet 28. cikkének (1) bekezdése A hitelintézeteknek az (EU) 2015/61 felhatalmazáson alapuló rendelet 28. cikkének (1) bekezdésében említettek szerint az egyéb ügyfelek által fenntartott ilyen betétek fennálló egyenlegének teljes összegét kell feltüntetniük, ha ez a teljes összeg nem tartozik a 94/19/EK vagy a 2014/49/EU irányelvnek megfelelő betétbiztosítási rendszer vagy harmadik ország egyenértékű betétbiztosítási rendszere hatálya alá. | 
| 270 | 1.1.5.  További kiáramlások Az (EU) 2015/61 felhatalmazáson alapuló rendelet 30. cikke A hitelintézeteknek itt kell adatot szolgáltatniuk az (EU) 2015/61 felhatalmazáson alapuló rendelet 30. cikkében említett további kiáramlásokról. Az (EU) 2015/61 felhatalmazáson alapuló rendelet 30. cikkének (7) bekezdésében említettek szerint a biztosítékként elhelyezett betétek az (EU) 2015/61 felhatalmazáson alapuló rendelet 24., 25., 27. vagy 31a. cikkének alkalmazásában nem tekintendők kötelezettségnek, ugyanakkor adott esetben az (EU) 2015/61 felhatalmazáson alapuló rendelet 30. cikke (1)–(6) bekezdésének rendelkezéseit kell alkalmazni rájuk. | 
| 280 | 1.1.5.1.  származtatott ügyletekhez nyújtott, 1. szintű eszközöktől eltérő biztosíték Az (EU) 2015/61 felhatalmazáson alapuló rendelet 30. cikkének (1) bekezdése A hitelintézeteknek az 575/2013/EU rendelet II. mellékletében felsorolt ügyletek, valamint hitelderivatívák kapcsán nyújtott, 1. szintűtől eltérő biztosítékok piaci értékét kell megadniuk. | 
| 290 | 1.1.5.2.  származtatott ügyletekhez nyújtott, 1. szintű rendkívül magas minőségű fedezett kötvényekből álló biztosíték Az (EU) 2015/61 felhatalmazáson alapuló rendelet 30. cikkének (1) bekezdése A hitelintézeteknek az 575/2013/EU rendelet II. mellékletében felsorolt ügyletek, valamint hitelderivatívák kapcsán nyújtott, 1. szintű rendkívül magas minőségű fedezett kötvényekből álló biztosítékok piaci értékét kell megadniuk. | 
| 300 | 1.1.5.3.  saját hitelminőség romlása miatti jelentős kiáramlások Az (EU) 2015/61 felhatalmazáson alapuló rendelet 30. cikkének (2) bekezdése A hitelintézeteknek az (EU) 2015/61 felhatalmazáson alapuló rendelet 30. cikke (2) bekezdésének megfelelően általuk kiszámított és az illetékes hatóság tudomására hozott további kiáramlások teljes összegét kell megadniuk. Ha a saját hitelminőség romlásából eredő kiáramláshoz kapcsolódó összeget máshol egy olyan sorban adtak meg, amelyben a súly kevesebb mint 100 %, akkor a 300 sorban is meg kell adni egy összeget úgy, hogy a kiáramlások összege 100 %-os kiáramlást eredményezzen az ügyletre vonatkozóan. | 
| 310 | 1.1.5.4.  negatív piaci forgatókönyv származtatott ügyletekre gyakorolt hatása Az (EU) 2015/61 felhatalmazáson alapuló rendelet 30. cikkének (3) bekezdése A hitelintézeteknek itt kell megadniuk az (EU) 2017/208 felhatalmazáson alapuló bizottsági rendelet szerint számított kiáramlások értékét. | 
| 340 | 1.1.5.5.  származtatott ügyletek kiáramlásai Az (EU) 2015/61 felhatalmazáson alapuló rendelet 30. cikkének (4) bekezdése A hitelintézeteknek az 575/2013/EU rendelet II. mellékletében felsorolt ügyletekből és hitelderivatívákból eredő, 30 naptári nap alatt várható kiáramlásoknak az (EU) 2015/61 felhatalmazáson alapuló rendelet 21. cikkének megfelelően kiszámított összegét kell feltüntetniük. A kizárólag az 575/2013/EU rendelet 415. cikkének (2) bekezdése szerinti, külön pénznemben történő adatszolgáltatás esetében a hitelintézeteknek azokat a kiáramlásokat kell megadniuk, amelyek csak az adott jelentős pénznemben fordulnak elő. A partner általi nettósítást csak az adott devizanemben lévő áramlásokra lehet alkalmazni, például A partner: +10 EUR és A partner: – 20 EUR 10 EUR kiáramlásként tüntetendő fel. Nem kerülhet sor nettósításra partnerek között, például A partner: –10 EUR, B partner: +40 EUR 10 EUR kiáramlásként tüntetendő fel a C73.00 táblában (és 40 EUR beáramlásként a C74.00 táblában). | 
| 350 | 1.1.5.6.  rövid pozíciók Az (EU) 2015/61 felhatalmazáson alapuló rendelet 30. cikkének (5) bekezdése Ha a hitelintézetnek olyan rövid pozíciója van, amelyet biztosíték nélkül kölcsönvett értékpapírok fedeznek, a hitelintézetnek a rövidre eladott értékpapírok vagy más eszközök piaci értéke 100 %-ának megfelelő további kiáramlást kell biztosítania, kivéve, ha azokat a hitelintézet olyan feltétellel vette kölcsön, amely alapján csak 30 naptári nap elteltével kell visszaszolgáltatnia őket. Ha a rövid pozíciót biztosítékkal fedezett értékpapír-finanszírozási ügylet fedezi, a hitelintézet feltételezi, hogy a rövid pozíció 30 naptári napon keresztül fennmarad, és arra 0 %-os kiáramlás alkalmazandó. | 
| 360 | 1.1.5.6.1.  fedezett értékpapír-finanszírozási ügylettel fedezett Az (EU) 2015/61 felhatalmazáson alapuló rendelet 30. cikkének (5) bekezdése A hitelintézeteknek a fedezett értékpapír-finanszírozási ügylettel fedezett, rövidre eladott és 30 napon belül teljesítendő értékpapírok vagy más eszközök piaci értékét kell megadniuk, kivéve, ha a teljesítendő értékpapírokat a hitelintézet olyan feltételekkel vette kölcsön, melyek alapján csak a 30 naptári napos időtartam elteltével kell visszaszolgáltatnia őket. | 
| 370 | 1.1.5.6.2.  egyéb Az (EU) 2015/61 felhatalmazáson alapuló rendelet 30. cikkének (5) bekezdése A hitelintézeteknek a fedezett értékpapír-finanszírozási ügylettel fedezettektől eltérő, rövidre eladott és 30 napon belül teljesítendő értékpapírok vagy más eszközök piaci értékét kell megadniuk, kivéve, ha a teljesítendő értékpapírokat a hitelintézet olyan feltételekkel vette kölcsön, melyek alapján csak a 30 naptári napos időtartam elteltével kell visszaszolgáltatnia őket. | 
| 380 | 1.1.5.7.  visszahívható többletbiztosíték Az (EU) 2015/61 felhatalmazáson alapuló rendelet 30. cikke (6) bekezdésének a) pontja A hitelintézeteknek az intézmény birtokában lévő, a partner által a szerződés értelmében bármikor visszahívható többletbiztosíték piaci értékét kell megadniuk. | 
| 390 | 1.1.5.8.  esedékes biztosíték Az (EU) 2015/61 felhatalmazáson alapuló rendelet 30. cikke (6) bekezdésének b) pontja A hitelintézeteknek a partnernek 30 naptári napon belül nyújtandó biztosíték piaci értékét kell megadniuk. | 
| 400 | 1.1.5.9.  nem likvid eszközökkel helyettesíthető, likvid eszköznek megfelelő biztosíték Az (EU) 2015/61 felhatalmazáson alapuló rendelet 30. cikke (6) bekezdésének c) pontja A hitelintézeteknek az olyan, a II. cím alkalmazásában likvid eszköznek minősülő biztosíték piaci értékét kell megadniuk, amely a hitelintézet engedélye nélkül helyettesíthető olyan biztosítékkal, amely olyan eszközöknek felel meg, amelyek a II. cím alkalmazásában nem minősülnek likvid eszköznek. | 
| 410 | 1.1.5.10.  strukturált finanszírozási tevékenységeken keletkezett veszteség Az (EU) 2015/61 felhatalmazáson alapuló rendelet 30. cikkének (8)–(10) bekezdése A hitelintézetnek 100 %-os kiáramlást kell feltételeznie a 30 naptári napos időtartamon belül lejáró, a hitelintézet vagy szponzorált intézmény vagy különleges célú gazdasági egység által kibocsátott eszközfedezetű értékpapírok, fedezett kötvények és más strukturált finanszírozási eszközök finanszírozásán keletkezett veszteségekre. Az itt megadott finanszírozási programokhoz kapcsolódó likviditási keretet nyújtó hitelintézeteknek a konszolidált program tekintetében nem kell kétszer elszámolnia a lejáró finanszírozási eszközt és a likviditási keretet. | 
| 420 | 1.1.5.10.1.  strukturált finanszírozási eszközök Az (EU) 2015/61 felhatalmazáson alapuló rendelet 30. cikkének (8) bekezdése A hitelintézeteknek a 30 naptári napon belül lejáró eszközfedezetű értékpapírokból, fedezett kötvényekből és más strukturált finanszírozási eszközökből eredő saját kötelezettségeik vagy a szponzorált intézmények vagy különleges célú gazdasági egységek kötelezettségei aktuálisan fennálló összegét kell megadniuk. | 
| 430 | 1.1.5.10.2.  finanszírozási eszközök Az (EU) 2015/61 felhatalmazáson alapuló rendelet 30. cikkének (9) bekezdése A hitelintézeteknek az eszközfedezetű kereskedelmi értékpapírokból, értékpapírosítási programból, értékpapír-befektetési eszközökből és más hasonló finanszírozási eszközökből eredő kötelezettségek lejáró összegét kell megadniuk – amennyiben azok nem esnek az 1.1.5.10.1. tételben meghatározott eszközök fogalommeghatározásának hatókörébe –, vagy a potenciálisan visszaszolgáltatandó eszközök összegét, vagy az említett eszközök kapcsán szükséges likviditás összegét. Az összes, 30 napon belül lejáró vagy visszaszolgáltatandó eszközfedezetű kereskedelmi értékpapírból, értékpapírosítási programból, értékpapír-befektetési eszközből és más hasonló finanszírozási eszközből eredő finanszírozás. Az olyan strukturált finanszírozási eszközökkel rendelkező hitelintézeteknek, amelyek rövid lejáratú hitelviszonyt megtestesítő értékpapírok, például eszközfedezetű kereskedelmi értékpapírok kibocsátását foglalják magukban, meg kell adniuk az e struktúrákból származó potenciális likviditási kiáramlásokat. Ide tartozik többek között i. a lejáró tartozás újrafinanszírozására való képtelenség és ii. olyan derivatívák vagy derivatívákhoz hasonló komponensek létezése, amelyek szerződésesen rögzítettek a struktúrához kapcsolódó dokumentációban, és amelyek lehetővé tennék az eszközök visszaszolgáltatását egy finanszírozási megállapodásban, vagy amelyek az eszköz eredeti átadója számára likviditás nyújtását tennék szükségessé, ezzel a 30 napos időtartamon belül ténylegesen lezárva a finanszírozási megállapodást (likviditás eladási opció). Ha a strukturált finanszírozási tevékenységeket különleges célú gazdasági egységen (például céltársaságon, értékpapírosítási programon vagy strukturált befektetési társaságon) keresztül végzi, a hitelintézetnek a magas minőségű likvid eszközökre vonatkozó követelmények meghatározásakor át kell vizsgálnia a gazdasági egység által kibocsátott hitelviszonyt megtestesítő instrumentumok lejáratát, és a finanszírozási megállapodásokban foglalt minden opciót, amely potenciálisan kiválthatja az eszközök visszaszolgáltatását vagy a likviditás szükségességét, tekintet nélkül arra, hogy a különleges célú gazdasági egység konszolidált-e. | 
| 450 | 1.1.5.11.  belső nettósítású ügyfélpozíciók Az (EU) 2015/61 felhatalmazáson alapuló rendelet 30. cikkének (12) bekezdése A hitelintézetnek itt kell megadnia azon nem likvid ügyféleszközök piaci értékét, amelyeket az elsődleges ügynöki (prime brokerage) szolgáltatási tevékenysége során egy másik ügyfél rövidre eladásainak fedezésére használt, belső kiegyenlítéssel. | 
| 460 | 1.1.6.  Folyósítási kötelezettséget tartalmazó keretek Az (EU) 2015/61 felhatalmazáson alapuló rendelet 31. cikke A hitelintézeteknek itt kell adatot szolgáltatniuk az (EU) 2015/61 felhatalmazáson alapuló rendelet 31. cikkében meghatározott kiáramlásokról. A hitelintézeteknek itt kell adatot szolgáltatniuk az (EU) 2015/61 felhatalmazáson alapuló rendelet 29. cikke szerinti, folyósítási kötelezettséget tartalmazó keretekről is. A lehívható maximális összeget a 2015/61/EU felhatalmazáson alapuló rendelet 31. cikke (2) bekezdésének megfelelően kell meghatározni. | 
| 470 | 1.1.6.1.  hitelkeretek A hitelintézeteknek itt kell adatot szolgáltatniuk az (EU) 2015/61 felhatalmazáson alapuló rendelet 31. cikkének (1) bekezdésében meghatározott folyósítási kötelezettséget tartalmazó hitelkeretekről. | 
| 480 | 1.1.6.1.1.  lakossági ügyfeleknek Az (EU) 2015/61 felhatalmazáson alapuló rendelet 31. cikkének (3) bekezdése A hitelintézeteknek az 575/2013/EU rendelet 411. cikkének 2. pontja szerint meghatározott lakossági ügyfeleknek nyújtott le nem hívott, folyósítási kötelezettséget tartalmazó hitelkeretekből lehívható maximális összeget kell megadniuk. | 
| 490 | 1.1.6.1.2.  lakossági ügyfelektől eltérő nem pénzügyi ügyfeleknek Az (EU) 2015/61 felhatalmazáson alapuló rendelet 31. cikkének (4) bekezdése A hitelintézeteknek az olyan ügyfeleknek nyújtott le nem hívott, folyósítási kötelezettséget tartalmazó hitelkeretekből lehívható maximális összeget kell megadniuk, amelyek nem az 575/2013/EU rendelet 411. cikkének 1. pontja szerinti pénzügyi ügyfelek, és nem is az 575/2013/EU rendelet 411. cikkének 2. pontja szerinti lakossági ügyfelek, és a hitelkeretek nyújtásának célja nem az volt, hogy helyettesítse az ügyfél finanszírozását olyan esetekben, amikor az a finanszírozási szükségletét a pénzügyi piacokon nem tudja fedezni. | 
| 500 | 1.1.6.1.3.  hitelintézeteknek A hitelintézeteknek itt kell adatot szolgáltatniuk a hitelintézeteknek nyújtott folyósítási kötelezettséget tartalmazó hitelkeretekről. | 
| 510 | 1.1.6.1.3.1.  lakossági ügyfelek kedvezményes hiteleinek finanszírozására Az (EU) 2015/61 felhatalmazáson alapuló rendelet 31. cikkének (9) bekezdése A hitelintézeteknek azon le nem hívott, folyósítási kötelezettséget tartalmazó hitelkeretekből lehívható maximális összeget kell megadniuk, amelyet hitelintézeteknek biztosítanak az 575/2013/EU rendelet 411. cikkének 2. pontja szerinti ügyfelekkel szembeni kitettségnek minősülő, kedvezményes hitelek közvetett vagy közvetlen finanszírozásának kizárólagos céljával. Csak azok a hitelintézetek tüntethetik fel ezt az tételt, amelyeket legalább egy tagállam központi vagy regionális kormányzata hozott létre vagy támogat. | 
| 520 | 1.1.6.1.3.2.  nem pénzügyi ügyfelek kedvezményes hiteleinek finanszírozására Az (EU) 2015/61 felhatalmazáson alapuló rendelet 31. cikkének (9) bekezdése A hitelintézeteknek azon le nem hívott, folyósítási kötelezettséget tartalmazó hitelkeretekből lehívható maximális összeget kell megadniuk, amelyet hitelintézeteknek olyan ügyfelekkel szembeni kitettségnek minősülő, kedvezményes hitelek közvetett vagy közvetlen finanszírozásának kizárólagos céljával biztosítanak, amelyek nem az 575/2013/EU rendelet 411. cikkének 1. pontja szerinti pénzügyi ügyfelek, és nem is az 575/2013/EU rendelet 411. cikkének 2. pontja szerinti lakossági ügyfelek. Csak azok a hitelintézetek tüntethetik fel ezt az tételt, amelyeket legalább egy tagállam központi vagy regionális kormányzata hozott létre vagy támogat. | 
| 530 | 1.1.6.1.3.3.  egyéb Az (EU) 2015/61 felhatalmazáson alapuló rendelet 31. cikke (8) bekezdésének a) pontja A hitelintézeteknek a fent megadottaktól eltérő, hitelintézeteknek nyújtott, le nem hívott, folyósítási kötelezettséget tartalmazó hitelkeretekből lehívható maximális összeget kell megadniuk. | 
| 540 | 1.1.6.1.4.  hitelintézettől eltérő szabályozott pénzügyi intézményeknek Az (EU) 2015/61 felhatalmazáson alapuló rendelet 31. cikke (8) bekezdésének a) pontja A hitelintézeteknek a hitelintézettől eltérő szabályozott pénzügyi intézményeknek nyújtott, le nem hívott, folyósítási kötelezettséget tartalmazó hitelkeretekből lehívható maximális összeget kell megadniuk. | 
| 550 | 1.1.6.1.5.  csoporton vagy intézményvédelmi rendszeren belül, ha kedvezményes kezelés alá tartozik Az (EU) 2015/61 felhatalmazáson alapuló rendelet 29. cikke A hitelintézeteknek azon le nem hívott, folyósítási kötelezettséget tartalmazó hitelkeretekből lehívható maximális összeget kell megadniuk, amelyek esetében az (EU) 2015/61 felhatalmazáson alapuló rendelet 29. cikkének megfelelően engedélyt kaptak alacsonyabb kiáramlási arány alkalmazására. | 
| 560 | 1.1.6.1.6.  intézményvédelmi rendszeren vagy szövetkezeti hálózaton belül, ha a betételhelyező intézmény likvid eszközként kezeli Az (EU) 2015/61 felhatalmazáson alapuló rendelet 31. cikkének (7) bekezdése A 16. cikkben említett rendszerhez vagy hálózathoz tartozó központi intézményeknek a tag hitelintézetnek nyújtott, le nem hívott, folyósítási kötelezettséget tartalmazó hitelkeretekből lehívható maximális összeget kell megadniuk, ha a tag hitelintézet a keretet a 16. cikk (2) bekezdésének megfelelően likvid eszközként kezeli. | 
| 570 | 1.1.6.1.7.  egyéb pénzügyi ügyfeleknek Az (EU) 2015/61 felhatalmazáson alapuló rendelet 31. cikke (8) bekezdésének c) pontja A hitelintézeteknek a fent említettektől eltérő egyéb pénzügyi ügyfeleknek nyújtott, le nem hívott, folyósítási kötelezettséget tartalmazó hitelkeretekből lehívható maximális összeget kell megadniuk. | 
| 580 | 1.1.6.2.  likviditási keretek Az (EU) 2015/61 felhatalmazáson alapuló rendelet 31. cikkének (1) bekezdése A hitelintézeteknek itt kell adatot szolgáltatniuk az (EU) 2015/61 felhatalmazáson alapuló rendelet 31. cikkének (1) bekezdésében meghatározott folyósítási kötelezettséget tartalmazó likviditási keretekről. | 
| 590 | 1.1.6.2.1.  lakossági ügyfeleknek Az (EU) 2015/61 felhatalmazáson alapuló rendelet 31. cikkének (3) bekezdése A hitelintézeteknek az 575/2013/EU rendelet 411. cikkének 2. pontja szerint meghatározott lakossági ügyfeleknek nyújtott le nem hívott, folyósítási kötelezettséget tartalmazó likviditási keretekből lehívható maximális összeget kell megadniuk. | 
| 600 | 1.1.6.2.2.  lakossági ügyfelektől eltérő nem pénzügyi ügyfeleknek Az (EU) 2015/61 felhatalmazáson alapuló rendelet 31. cikkének (5) bekezdése A hitelintézeteknek az olyan ügyfeleknek nyújtott, le nem hívott, folyósítási kötelezettséget tartalmazó likviditási keretekből lehívható maximális összeget kell megadniuk, amelyek nem az 575/2013/EU rendelet 411. cikkének 1. pontja szerinti pénzügyi ügyfelek, és nem is az 575/2013/EU rendelet 411. cikkének 2. pontja szerinti lakossági ügyfelek. | 
| 610 | 1.1.6.2.3.  magánbefektetési társaságnak Az (EU) 2015/61 felhatalmazáson alapuló rendelet 31. cikkének (5) bekezdése A hitelintézeteknek a magánbefektetési társaságoknak nyújtott, le nem hívott, folyósítási kötelezettséget tartalmazó likviditási keretekből lehívható maximális összeget kell megadniuk. | 
| 620 | 1.1.6.2.4.  különleges célú gazdasági egységeknek A hitelintézeteknek itt kell adatot szolgáltatniuk a különleges célú gazdasági egységeknek nyújtott folyósítási kötelezettséget tartalmazó likviditási keretekről. | 
| 630 | 1.1.6.2.4.1.  értékpapíroktól eltérő eszközök nem pénzügyi ügyfelektől való megvásárlásához Az (EU) 2015/61 felhatalmazáson alapuló rendelet 31. cikkének (6) bekezdése A hitelintézeteknek azon folyósítási kötelezettséget tartalmazó likviditási keret le nem hívott összegét kell megadniuk, amelyet azzal a céllal bocsátottak valamely különleges célú gazdasági egység rendelkezésére, hogy az a pénzügyi ügyfélnek nem minősülő ügyfelektől értékpapíroktól eltérő eszközöket vásárolhasson, amennyiben meghaladja az adott különleges célú gazdasági egység ügyfelektől vásárolt aktuális eszközeinek összegét, és ha a lehívható maximális összeget a szerződés az aktuális vásárolt eszközök összegére korlátozza. | 
| 640 | 1.1.6.2.4.2.  egyéb Az (EU) 2015/61 felhatalmazáson alapuló rendelet 31. cikke (8) bekezdésének b) pontja A hitelintézeteknek a fent említett okoktól eltérő okokból különleges célú gazdasági egységeknek nyújtott, le nem hívott, folyósítási kötelezettséget tartalmazó likviditási keretekből lehívható maximális összeget kell megadniuk. Ide tartoznak az olyan megállapodások, amelyek értelmében az intézménynek valamely különleges célú gazdasági egységtől kell eszközt vásárolnia vagy cserélnie. | 
| 650 | 1.1.6.2.5.  hitelintézeteknek A hitelintézeteknek itt kell adatot szolgáltatniuk a hitelintézeteknek nyújtott folyósítási kötelezettséget tartalmazó likviditási keretekről. | 
| 660 | 1.1.5.2.5.1.  lakossági ügyfelek kedvezményes hiteleinek finanszírozására Az (EU) 2015/61 felhatalmazáson alapuló rendelet 31. cikkének (9) bekezdése A hitelintézeteknek azon le nem hívott, folyósítási kötelezettséget tartalmazó likviditási keretekből lehívható maximális összeget kell megadniuk, amelyet hitelintézeteknek biztosítanak az 575/2013/EU rendelet 411. cikkének 2. pontja szerinti ügyfelekkel szembeni kitettségnek minősülő, kedvezményes hitelek közvetett vagy közvetlen finanszírozásának kizárólagos céljával. Csak azok a hitelintézetek tüntethetik fel ezt az tételt, amelyeket legalább egy tagállam központi vagy regionális kormányzata hozott létre vagy támogat. | 
| 670 | 1.1.6.2.5.2.  nem pénzügyi ügyfelek kedvezményes hiteleinek finanszírozására Az (EU) 2015/61 felhatalmazáson alapuló rendelet 31. cikkének (9) bekezdése A hitelintézeteknek azon le nem hívott, folyósítási kötelezettséget tartalmazólikviditási keretekből lehívható maximális összeget kell megadniuk, amelyet hitelintézeteknek olyan ügyfelekkel szembeni kitettségnek minősülő, kedvezményes hitelek közvetett vagy közvetlen finanszírozásának kizárólagos céljával biztosítanak, amelyek nem az 575/2013/EU rendelet 411. cikkének 1. pontja szerinti pénzügyi ügyfelek, és nem is az 575/2013/EU rendelet 411. cikkének 2. pontja szerinti lakossági ügyfelek. Csak azok a hitelintézetek tüntethetik fel ezt az tételt, amelyeket legalább egy tagállam központi vagy regionális kormányzata hozott létre vagy támogat. | 
| 680 | 1.1.6.2.5.3.  egyéb Az (EU) 2015/61 felhatalmazáson alapuló rendelet 31. cikke (8) bekezdésének a) pontja A hitelintézeteknek a fent említettektől eltérő hitelintézeteknek nyújtott, le nem hívott, folyósítási kötelezettséget tartalmazó likviditási keretekből lehívható maximális összeget kell megadniuk. | 
| 690 | 1.1.6.2.6.  csoporton vagy intézményvédelmi rendszeren belül, ha kedvezményes kezelés alá tartozik Az (EU) 2015/61 felhatalmazáson alapuló rendelet 29. cikke A hitelintézeteknek azon le nem hívott, folyósítási kötelezettséget tartalmazó likviditási keretekből lehívható maximális összeget kell megadniuk, amelyek esetében az (EU) 2015/61 felhatalmazáson alapuló rendelet 29. cikkének megfelelően engedélyt kaptak alacsonyabb kiáramlási arány alkalmazására. | 
| 700 | 1.1.6.2.7.  intézményvédelmi rendszeren vagy szövetkezeti hálózaton belül, ha a betételhelyező intézmény likvid eszközként kezeli Az (EU) 2015/61 felhatalmazáson alapuló rendelet 31. cikkének (7) bekezdése A 16. cikkben említett rendszerhez vagy hálózathoz tartozó központi intézményeknek a tag hitelintézetnek nyújtott, le nem hívott, folyósítási kötelezettséget tartalmazó likviditási keretekből lehívható maximális összeget kell megadniuk, ha a tag hitelintézet a keretet a 16. cikk (2) bekezdésének megfelelően likvid eszközként kezeli. | 
| 710 | 1.1.6.2.8.  egyéb pénzügyi ügyfeleknek Az (EU) 2015/61 felhatalmazáson alapuló rendelet 31. cikke (8) bekezdésének c) pontja A hitelintézeteknek a fent említettektől eltérő egyéb pénzügyi ügyfeleknek nyújtott, le nem hívott, folyósítási kötelezettséget tartalmazó likviditási keretekből lehívható maximális összeget kell megadniuk. | 
| 720 | 1.1.7.  Egyéb termékek és szolgáltatások Az (EU) 2015/61 felhatalmazáson alapuló rendelet 23. cikkének (2) bekezdése A hitelintézeteknek itt kell adatot szolgáltatniuk az (EU) 2015/61 felhatalmazáson alapuló rendelet 23. cikkének (1) bekezdésében említett termékekről vagy szolgáltatásokról. A megadandó összeg az (EU) 2015/61 felhatalmazáson alapuló rendelet 23. cikkének (1) bekezdésében említett termékekből vagy szolgáltatásokból lehívható maximális összeg. A megadandó alkalmazandó súly az illetékes hatóságok által az (EU) 2015/61 felhatalmazáson alapuló rendelet 23. cikkének (2) bekezdésében meghatározott eljárással összhangban meghatározott súly. | 
| 731 | 1.1.7.1.  folyósítási kötelezettséget nem tartalmazó finanszírozási keretek Az (EU) 2015/61 felhatalmazáson alapuló rendelet 23. cikkének (2) bekezdése A hitelintézeteknek az (EU) 2015/61 felhatalmazáson alapuló rendelet 23. cikkének (1) bekezdésében említett, folyósítási kötelezettséget nem tartalmazó finanszírozási keretek összegét kell feltüntetniük. A garanciákat nem szabad feltüntetni ebben a sorban. | 
| 740 | 1.1.7.2.  bankközi partnereknek nyújtott le nem hívott hitelek és előlegek Az (EU) 2015/61 felhatalmazáson alapuló rendelet 23. cikkének (2) bekezdése A hitelintézeteknek az (EU) 2015/61 felhatalmazáson alapuló rendelet 23. cikkének (1) bekezdésében említett bankközi partnereknek nyújtott le nem hívott hitelek és előlegek összegét kell feltüntetniük. | 
| 750 | 1.1.7.3.  már megkötött, de még le nem hívott jelzáloghitelek Az (EU) 2015/61 felhatalmazáson alapuló rendelet 23. cikkének (2) bekezdése A hitelintézeteknek az (EU) 2015/61 felhatalmazáson alapuló rendelet 23. cikkének (1) bekezdésében említett már megkötött, de még le nem hívott jelzáloghitelek összegét kell feltüntetniük. | 
| 760 | 1.1.7.4.  hitelkártyák Az (EU) 2015/61 felhatalmazáson alapuló rendelet 23. cikkének (2) bekezdése A hitelintézeteknek az (EU) 2015/61 felhatalmazáson alapuló bizottsági rendelet 23. cikkének (1) bekezdésében említett hitelkártyák összegét kell megadniuk. | 
| 770 | 1.1.7.5.  folyószámlahitelek Az (EU) 2015/61 felhatalmazáson alapuló rendelet 23. cikkének (2) bekezdése A hitelintézeteknek az (EU) 2015/61 felhatalmazáson alapuló rendelet 23. cikkének (1) bekezdésében említett folyószámlahitelek összegét kell megadniuk. | 
| 780 | 1.1.7.6.  lakossági vagy bankközi hitelek megújításával vagy új hitelek nyújtásával kapcsolatos tervezett kiáramlások Az (EU) 2015/61 felhatalmazáson alapuló rendelet 23. cikkének (2) bekezdése A hitelintézeteknek az (EU) 2015/61 felhatalmazáson alapuló rendelet 23. cikkének (1) bekezdésében említett lakossági vagy bankközi hitelek megújításával vagy új hitelek nyújtásával kapcsolatos tervezett kiáramlások összegét kell feltüntetniük. | 
| 850 | 1.1.7.7.  Származtatott ügyletekből eredő kötelezettségek Az (EU) 2015/61 felhatalmazáson alapuló rendelet 23. cikke A hitelintézeteknek az (EU) 2015/61 felhatalmazáson alapuló rendelet 23. cikkének (1) bekezdésében említett – az 575/2013/EU rendelet II. mellékletében felsorolt ügyletektől és hitelderivatíváktól eltérő – származtatott ügyletekből eredő kötelezettségek összegét kell feltüntetniük. | 
| 860 | 1.1.7.8.  kereskedelemfinanszírozással kapcsolatos mérlegen kívüli termékek A hitelintézeteknek az (EU) 2015/61 felhatalmazáson alapuló rendelet 23. cikkének (1) bekezdésében említett kereskedelemfinanszírozással kapcsolatos mérlegen kívüli termékek összegét kell feltüntetniük. | 
| 870 | 1.1.7.9.  egyéb Az (EU) 2015/61 felhatalmazáson alapuló rendelet 23. cikkének (2) bekezdése A hitelintézeteknek az (EU) 2015/61 felhatalmazáson alapuló rendelet 23. cikkének (1) bekezdésében említett, fent említettektől eltérő termékek és szolgáltatások összegét kell feltüntetniük. Az egyéb tételek mellett ebben a sorban kell adatot szolgáltatni a garanciákról. E sorban kell továbbá adatot szolgáltatni az (EU) 2015/61 felhatalmazáson alapuló rendelet 30. cikkének (2) bekezdésében említett, leminősítéstől eltérő ok miatti függő kiáramlásokról. | 
| 885 | 1.1.8.  Egyéb kötelezettségek és esedékes kötelezettségvállalások Az (EU) 2015/61 felhatalmazáson alapuló rendelet 28. cikkének (2) és (6) bekezdése és 31a. cikke A hitelintézeteknek az (EU) 2015/61 felhatalmazáson alapuló rendelet 28. cikkének (2) és (6) bekezdésében és 31a. cikkében előírtak szerinti egyéb kötelezettségekből és esedékes kötelezettségvállalásokból származó kiáramlásokat kell megadniuk. Ez a tétel szükség esetén magában foglalja a központi banki tartalékokban tartandó kiegészítő egyenlegeket, ha ezt az érintett illetékes hatóság és az EKB vagy a központi bank közötti megállapodásban rögzítették az (EU) 2015/61 felhatalmazáson alapuló rendelet 10. cikke (1) bekezdése b) pontja iii. alpontjának megfelelően. | 
| 890 | 1.1.8.1.  működési költségekből eredő kötelezettségek Az (EU) 2015/61 felhatalmazáson alapuló rendelet 28. cikkének (2) bekezdése A hitelintézeteknek az (EU) 2015/61 felhatalmazáson alapuló rendelet 28. cikkének (2) bekezdésében említett, a hitelintézet saját működési költségeiből származó kötelezettségek fennálló egyenlegének összegét kell megadniuk. | 
| 900 | 1.1.8.2.  hitelviszonyt megtestesítő értékpapír formájában, ha nem lakossági betétnek minősülnek Az (EU) 2015/61 felhatalmazáson alapuló rendelet 28. cikkének (6) bekezdése A hitelintézeteknek az (EU) 2015/61 felhatalmazáson alapuló rendelet 28. cikkének (6) bekezdésében említett, a lakossági betétként feltüntetettektől eltérő, a hitelintézet által kibocsátott adósságlevelek, kötvények és más hitelviszonyt megtestesítő értékpapírok fennálló egyenlegének összegét kell megadniuk. Ez az összeg minden említett értékpapír tekintetében magában foglalja a következő 30 naptári napon belül esedékessé váló kamatszelvényeket is. | 
| 912 | 1.1.8.4.  Nem pénzügyi ügyfeleknek nyújtott többletfinanszírozás Az (EU) 2015/61 felhatalmazáson alapuló rendelet 31a. cikkének (2) bekezdése A hitelintézeteknek itt a 32. cikk (3) bekezdésének a) pontjában említett, nem pénzügyi ügyfelek felé tett, finanszírozás nyújtására vonatkozó szerződéses kötelezettségvállalásnak és az ezen ügyfelektől származó beáramlások összegének különbségét kell megadniuk, ha az előbbi meghaladja az utóbbit. | 
| 913 | 1.1.8.4.1.  lakossági ügyfeleknek nyújtott többletfinanszírozás A hitelintézeteknek itt a 32. cikk (3) bekezdésének a) pontjában említett, lakossági ügyfelek felé tett, finanszírozás nyújtására vonatkozó szerződéses kötelezettségvállalásnak és az ezen ügyfelektől származó beáramlások összegének különbségét kell megadniuk, ha az előbbi meghaladja az utóbbit. | 
| 914 | 1.1.8.4.2.  nem pénzügyi vállalatoknak nyújtott többletfinanszírozás A hitelintézeteknek itt a 32. cikk (3) bekezdésének a) pontjában említett, nem pénzügyi vállalatok felé tett, finanszírozás nyújtására vonatkozó szerződéses kötelezettségvállalásnak és az ezen ügyfelektől származó beáramlások összegének különbségét kell megadniuk, ha az előbbi meghaladja az utóbbit. | 
| 915 | 1.1.8.4.3  kormányzatoknak, multilaterális fejlesztési bankoknak és közszektorbeli intézményeknek nyújtott többletfinanszírozás A hitelintézetnek itt a 32. cikk (3) bekezdésének a) pontjában említett, kormányzatok, multilaterális fejlesztési bankok és közszektorbeli intézmények felé tett, finanszírozás nyújtására vonatkozó szerződéses kötelezettségvállalásnak és az ezen ügyfelektől származó beáramlások összegének különbségét kell megadnia, ha az előbbi meghaladja az utóbbit. | 
| 916 | 1.1.8.4.4  egyéb jogi személyeknek nyújtott többletfinanszírozás A hitelintézeteknek itt a 32. cikk (3) bekezdésének a) pontjában említett, egyéb jogi személyek felé tett, finanszírozás nyújtására vonatkozó szerződéses kötelezettségvállalásnak és az ezen ügyfelektől származó beáramlások összegének különbségét kell megadniuk, ha az előbbi meghaladja az utóbbit. | 
| 917 | 1.1.8.5.  Fedezet nélkül kölcsönvett eszközök Az (EU) 2015/61 felhatalmazáson alapuló rendelet 28. cikkének (7) bekezdése A hitelintézeteknek itt kell feltüntetniük a fedezet nélkül kölcsönvett és 30 napon belül lejáró eszközöket. Ezen eszközök esetében azzal a feltételezéssel kell élni, hogy azok teljes mértékben kifutnak, ami 100 %-os kiáramláshoz vezet. A hitelintézeteknek a fedezet nélkül kölcsönvett és a 30 napos időtartamon belül lejáró eszközök piaci értékét kell megadniuk, ha a hitelintézet nem tulajdonosa az értékpapíroknak, és azok nem képezik részét a hitelintézet likviditási pufferének. | 
| 918 | 1.1.8.6.  Egyéb Az (EU) 2015/61 felhatalmazáson alapuló rendelet 31a. cikkének (1) bekezdése A hitelintézeteknek az (EU) 2015/61 felhatalmazáson alapuló rendelet 24–31. cikkében említettektől eltérő, a következő 30 naptári napon belül esedékessé váló kötelezettségek fennálló egyenlegének összegét kell megadniuk. Ez a sor csak a fedezetlen ügyletekből származó egyéb kiáramlásokat tartalmazza. A fedezett ügyleteket az 1.2. „Fedezett kölcsönügyletekből és tőkepiac-vezérelt ügyletekből eredő kiáramlások” azonosító és az 1.3. „Biztosítéki csereügylet kiáramlásai összesen” azonosító alatt kell feltüntetni. | 
| 920 | 1.2.  Fedezett kölcsönügyletekből és tőkepiac-vezérelt ügyletekből eredő kiáramlások Az (EU) 2015/61 felhatalmazáson alapuló rendelet 28. cikkének (3) bekezdése Az intézményeknek itt az 575/2013/EU rendelet 192. cikkének 2. és 3. pontjában meghatározott fedezett kölcsönügyletekből és tőkepiac-vezérelt ügyletekből eredő kiáramlásokat kell megadniuk. A biztosítéki csereügyleteket (amelyek biztosíték biztosíték ellenében típusú ügyleteket fednek le) a XXIV. melléklet C 75.01 táblájában kell feltüntetni. | 
| 930 | 1.2.1.  A partner központi bank Az intézményeknek itt az 575/2013/EU rendelet 192. cikkének 2. és 3. pontjában meghatározott fedezett kölcsönügyletekből és tőkepiac-vezérelt ügyletekből eredő kiáramlásokat kell megadniuk, ha a partner központi bank. | 
| 940 | 1.2.1.1.  rendkívül magas minőségű fedezett kötvények nélküli 1. szintű eszközökből álló biztosíték Az (EU) 2015/61 felhatalmazáson alapuló rendelet 28. cikke (3) bekezdésének a) pontja A hitelintézeteknek itt az 575/2013/EU rendelet 192. cikkének 2. és 3. pontjában meghatározott fedezett kölcsönügyletekből és tőkepiac-vezérelt ügyletekből eredő kiáramlásokat kell megadniuk, ha a partner központi bank és a nyújtott biztosíték olyan 1. szintű eszköz (a rendkívül magas minőségű fedezett kötvények kivételével), amely – amennyiben nem az említett ügyletekben használnák fedezetként – az (EU) 2015/61 felhatalmazáson alapuló rendelet 7. és 10. cikke szerint likvid eszköznek minősülne. | 
| 945 | 1.2.1.1.1  ebből a nyújtott biztosíték teljesíti az operatív követelményeket Az 1.2.1.1. tételben szereplő olyan ügyletek, amelyeknél a biztosíték – amennyiben nem az említett ügyletekben használnák fedezetként – az (EU) 2015/61 felhatalmazáson alapuló rendelet 8. cikke szerint likvid eszköznek minősülne. | 
| 950 | 1.2.1.2.  1. szintű rendkívül magas minőségű fedezett kötvényekből álló biztosíték Az (EU) 2015/61 felhatalmazáson alapuló rendelet 28. cikke (3) bekezdésének a) pontja A hitelintézeteknek itt az 575/2013/EU rendelet 192. cikkének 2. és 3. pontjában meghatározott fedezett kölcsönügyletekből és tőkepiac-vezérelt ügyletekből eredő kiáramlásokat kell megadniuk, ha a partner központi bank és a nyújtott biztosíték olyan 1. szintű rendkívül magas minőségű fedezett kötvény, amely – amennyiben nem az említett ügyletekben használnák fedezetként – az (EU) 2015/61 felhatalmazáson alapuló rendelet 7. és 10. cikke szerint likvid eszköznek minősülne. | 
| 955 | 1.2.1.2.1  ebből a nyújtott biztosíték teljesíti az operatív követelményeket Az 1.2.1.2. tételben szereplő olyan ügyletek, amelyeknél a biztosíték – amennyiben nem az említett ügyletekben használnák fedezetként – az (EU) 2015/61 felhatalmazáson alapuló rendelet 8. cikke szerint likvid eszköznek minősülne. | 
| 960 | 1.2.1.3.  2A. szintű biztosíték Az (EU) 2015/61 felhatalmazáson alapuló rendelet 28. cikke (3) bekezdésének a) pontja A hitelintézeteknek itt az 575/2013/EU rendelet 192. cikkének 2. és 3. pontjában meghatározott fedezett kölcsönügyletekből és tőkepiac-vezérelt ügyletekből eredő kiáramlásokat kell megadniuk, ha a partner központi bank és a nyújtott biztosíték olyan 2A. szintű eszköz, amely – amennyiben nem az említett ügyletekben használnák fedezetként – az (EU) 2015/61 felhatalmazáson alapuló rendelet 7. és 11. cikke szerint likvid eszköznek minősülne. | 
| 965 | 1.2.1.3.1  ebből a nyújtott biztosíték teljesíti az operatív követelményeket Az 1.2.1.3. tételben szereplő olyan ügyletek, amelyeknél a biztosíték – amennyiben nem az említett ügyletekben használnák fedezetként – az (EU) 2015/61 felhatalmazáson alapuló rendelet 8. cikke szerint likvid eszköznek minősülne. | 
| 970 | 1.2.1.4.  2B. szintű eszközfedezetű (lakóingatlan vagy gépjármű, 1. hitelminőségi besorolás) értékpapírból álló biztosíték Az (EU) 2015/61 felhatalmazáson alapuló rendelet 28. cikke (3) bekezdésének a) pontja A hitelintézeteknek itt az 575/2013/EU rendelet 192. cikkének 2. és 3. pontjában meghatározott fedezett kölcsönügyletekből és tőkepiac-vezérelt ügyletekből eredő kiáramlásokat kell megadniuk, ha a partner központi bank és a nyújtott biztosíték olyan 2B. szintű eszközfedezetű értékpapír (lakóingatlan vagy gépjármű fedezettel, 1. hitelminőségi besorolással), amely megfelel a 13. cikk (2) bekezdése b) pontjának i., ii. vagy iv. alpontjában megállapított feltételeknek, és amely – amennyiben nem az említett ügyletekben használnák fedezetként – az (EU) 2015/61 felhatalmazáson alapuló rendelet 7. és 13. cikke szerint likvid eszköznek minősülne. | 
| 975 | 1.2.1.4.1  ebből a nyújtott biztosíték teljesíti az operatív követelményeket Az 1.2.1.4. tételben szereplő olyan ügyletek, amelyeknél a biztosíték – amennyiben nem az említett ügyletekben használnák fedezetként – az (EU) 2015/61 felhatalmazáson alapuló rendelet 8. cikke szerint likvid eszköznek minősülne. | 
| 980 | 1.2.1.5.  2B. szintű fedezett kötvények Az (EU) 2015/61 felhatalmazáson alapuló rendelet 28. cikke (3) bekezdésének a) pontja A hitelintézeteknek itt az 575/2013/EU rendelet 192. cikkének 2. és 3. pontjában meghatározott fedezett kölcsönügyletekből és tőkepiac-vezérelt ügyletekből eredő kiáramlásokat kell megadniuk, ha a partner központi bank és a nyújtott biztosíték olyan 2B. szintű rendkívül magas minőségű fedezett kötvény, amely megfelel a 12. cikk (1) bekezdésének e) pontjában megállapított feltételeknek, és amely – amennyiben nem az említett ügyletekben használnák fedezetként – az (EU) 2015/61 felhatalmazáson alapuló rendelet 7. és 12. cikke szerint likvid eszköznek minősülne. | 
| 985 | 1.2.1.5.1  ebből a nyújtott biztosíték teljesíti az operatív követelményeket Az 1.2.1.5. tételben szereplő olyan ügyletek, amelyeknél a biztosíték – amennyiben nem az említett ügyletekben használnák fedezetként – az (EU) 2015/61 felhatalmazáson alapuló rendelet 8. cikke szerint likvid eszköznek minősülne. | 
| 990 | 1.2.1.6.  2B. szintű eszközfedezetű értékpapírból (vállalati vagy háztartási hitel, tagállam, 1. hitelminőségi besorolás) álló biztosíték Az (EU) 2015/61 felhatalmazáson alapuló rendelet 28. cikke (3) bekezdésének a) pontja A hitelintézeteknek itt az 575/2013/EU rendelet 192. cikkének 2. és 3. pontjában meghatározott fedezett kölcsönügyletekből és tőkepiac-vezérelt ügyletekből eredő kiáramlásokat kell megadniuk, ha a partner központi bank és a nyújtott biztosíték olyan 2B. szintű eszközfedezetű értékpapír (valamely tagállamban vállalkozásoknak nyújtott kereskedelmi kölcsön, lízing és hitelkeret vagy háztartásoknak nyújtott kölcsön vagy hitel fedezettel, 1. hitelminőségi besorolással), amely megfelel a 13. cikk (2) bekezdése g) pontjának iii. vagy v. alpontjában megállapított feltételeknek, és amely – amennyiben nem az említett ügyletekben használnák fedezetként – az (EU) 2015/61 felhatalmazáson alapuló rendelet 7. és 13. cikke szerint likvid eszköznek minősülne. | 
| 995 | 1.2.1.6.1  ebből a nyújtott biztosíték teljesíti az operatív követelményeket Az 1.2.1.6. tételben szereplő olyan ügyletek, amelyeknél a biztosíték – amennyiben nem az említett ügyletekben használnák fedezetként – az (EU) 2015/61 felhatalmazáson alapuló rendelet 8. cikke szerint likvid eszköznek minősülne. | 
| 1000 | 1.2.1.7.  egyéb 2B. szintű eszközből álló biztosíték Az (EU) 2015/61 felhatalmazáson alapuló rendelet 28. cikke (3) bekezdésének a) pontja A hitelintézeteknek itt az 575/2013/EU rendelet 192. cikkének 2. és 3. pontjában meghatározott fedezett kölcsönügyletekből és tőkepiac-vezérelt ügyletekből eredő kiáramlásokat kell megadniuk, ha a partner központi bank és a nyújtott biztosíték olyan, feljebb figyelembe nem vett 2B. szintű eszköz, amely – amennyiben nem az említett ügyletekben használnák fedezetként – az (EU) 2015/61 felhatalmazáson alapuló rendelet 7. és 12. cikke szerint likvid eszköznek minősülne. | 
| 1005 | 1.2.1.7.1  ebből a nyújtott biztosíték teljesíti az operatív követelményeket Az 1.2.1.7. tételben szereplő olyan ügyletek, amelyeknél a biztosíték – amennyiben nem az említett ügyletekben használnák fedezetként – az (EU) 2015/61 felhatalmazáson alapuló rendelet 8. cikke szerint likvid eszköznek minősülne. | 
| 1010 | 1.2.1.8.  nem likvid eszközökből álló biztosíték Az (EU) 2015/61 felhatalmazáson alapuló rendelet 28. cikke (3) bekezdésének a) pontja Az intézményeknek itt az 575/2013/EU rendelet 192. cikkének 2. és 3. pontjában meghatározott fedezett kölcsönügyletekből és tőkepiac-vezérelt ügyletekből eredő kiáramlásokat kell megadniuk, ha a partner központi bank, és a nyújtott biztosíték nem likvid eszközökből álló biztosíték. | 
| 1020 | 1.2.2.  A partner nem központi bank Az intézményeknek itt az 575/2013/EU rendelet 192. cikkének 2. és 3. pontjában meghatározott fedezett kölcsönügyletekből és tőkepiac-vezérelt ügyletekből eredő kiáramlásokat kell megadniuk, ha a partner nem központi bank. | 
| 1030 | 1.2.2.1.  rendkívül magas minőségű fedezett kötvények nélküli 1. szintű eszközökből álló biztosíték Az (EU) 2015/61 felhatalmazáson alapuló rendelet 28. cikke (3) bekezdésének a) pontja A hitelintézeteknek itt az 575/2013/EU rendelet 192. cikkének 2. és 3. pontjában meghatározott fedezett kölcsönügyletekből és tőkepiac-vezérelt ügyletekből eredő kiáramlásokat kell megadniuk, ha a partner nem központi bank és a nyújtott biztosíték olyan 1. szintű eszköz (a rendkívül magas minőségű fedezett kötvények kivételével), amely – amennyiben nem az említett ügyletekben használnák fedezetként – az (EU) 2015/61 felhatalmazáson alapuló rendelet 7. és 10. cikke szerint likvid eszköznek minősülne. | 
| 1035 | 1.2.2.1.1.  ebből a nyújtott biztosíték teljesíti az operatív követelményeket Az 1.2.2.1. tételben szereplő olyan ügyletek, amelyeknél a biztosíték – amennyiben nem az említett ügyletekben használnák fedezetként – az (EU) 2015/61 felhatalmazáson alapuló rendelet 8. cikke szerint likvid eszköznek minősülne. | 
| 1040 | 1.2.2.2.  1. szintű rendkívül magas minőségű fedezett kötvényekből álló biztosíték Az (EU) 2015/61 felhatalmazáson alapuló rendelet 28. cikke (3) bekezdésének b) pontja A hitelintézeteknek itt az 575/2013/EU rendelet 192. cikkének 2. és 3. pontjában meghatározott fedezett kölcsönügyletekből és tőkepiac-vezérelt ügyletekből eredő kiáramlásokat kell megadniuk, ha a partner nem központi bank és a nyújtott biztosíték olyan 1. szintű rendkívül magas minőségű fedezett kötvény, amely – amennyiben nem az említett ügyletekben használnák fedezetként – az (EU) 2015/61 felhatalmazáson alapuló rendelet 7. és 10. cikke szerint likvid eszköznek minősülne. | 
| 1045 | 1.2.2.2.1.  ebből a nyújtott biztosíték teljesíti az operatív követelményeket Az 1.2.2.2. tételben szereplő olyan ügyletek, amelyeknél a biztosíték – amennyiben nem az említett ügyletekben használnák fedezetként – az (EU) 2015/61 felhatalmazáson alapuló rendelet 8. cikke szerint likvid eszköznek minősülne. | 
| 1050 | 1.2.2.3.  2A. szintű biztosíték Az (EU) 2015/61 felhatalmazáson alapuló rendelet 28. cikke (3) bekezdésének c) pontja A hitelintézeteknek itt az 575/2013/EU rendelet 192. cikkének 2. és 3. pontjában meghatározott fedezett kölcsönügyletekből és tőkepiac-vezérelt ügyletekből eredő kiáramlásokat kell megadniuk, ha a partner nem központi bank és a nyújtott biztosíték olyan 2A. szintű biztosíték, amely – amennyiben nem az említett ügyletekben használnák fedezetként – az (EU) 2015/61 felhatalmazáson alapuló rendelet 7. és 11. cikke szerint likvid eszköznek minősülne. | 
| 1055 | 1.2.2.3.1.  ebből a nyújtott biztosíték teljesíti az operatív követelményeket Az 1.2.2.3. tételben szereplő olyan ügyletek, amelyeknél a biztosíték – amennyiben nem az említett ügyletekben használnák fedezetként – az (EU) 2015/61 felhatalmazáson alapuló rendelet 8. cikke szerint likvid eszköznek minősülne. | 
| 1060 | 1.2.2.4.  2B. szintű eszközfedezetű (lakóingatlan vagy gépjármű, 1. hitelminőségi besorolás) értékpapírból álló biztosíték Az (EU) 2015/61 felhatalmazáson alapuló rendelet 28. cikke (3) bekezdésének d) pontja A hitelintézeteknek itt az 575/2013/EU rendelet 192. cikkének 2. és 3. pontjában meghatározott fedezett kölcsönügyletekből és tőkepiac-vezérelt ügyletekből eredő kiáramlásokat kell megadniuk, ha a partner nem központi bank és a nyújtott biztosíték olyan 2B. szintű eszközfedezetű értékpapír (lakóingatlan vagy gépjármű fedezettel, 1. hitelminőségi besorolással), amely megfelel a 13. cikk (2) bekezdése g) pontjának i., ii. vagy iv. alpontjában megállapított feltételeknek, és amely – amennyiben nem az említett ügyletekben használnák fedezetként – az (EU) 2015/61 felhatalmazáson alapuló rendelet 7. és 13. cikke szerint likvid eszköznek minősülne. | 
| 1065 | 1.2.2.4.1.  ebből a nyújtott biztosíték teljesíti az operatív követelményeket Az 1.2.2.4. tételben szereplő olyan ügyletek, amelyeknél a biztosíték – amennyiben nem az említett ügyletekben használnák fedezetként – az (EU) 2015/61 felhatalmazáson alapuló rendelet 8. cikke szerint likvid eszköznek minősülne. | 
| 1070 | 1.2.2.5.  2B. szintű fedezett kötvények Az (EU) 2015/61 felhatalmazáson alapuló rendelet 28. cikke (3) bekezdésének e) pontja A hitelintézeteknek itt az 575/2013/EU rendelet 192. cikkének 2. és 3. pontjában meghatározott fedezett kölcsönügyletekből és tőkepiac-vezérelt ügyletekből eredő kiáramlásokat kell megadniuk, ha a partner nem központi bank és a nyújtott biztosíték olyan 2B. szintű rendkívül magas minőségű fedezett kötvény, amely megfelel a 12. cikk (1) bekezdésének e) pontjában megállapított feltételeknek, és amely – amennyiben nem az említett ügyletekben használnák fedezetként – az (EU) 2015/61 felhatalmazáson alapuló rendelet 7. és 12. cikke szerint likvid eszköznek minősülne. | 
| 1075 | 1.2.2.5.1.  ebből a nyújtott biztosíték teljesíti az operatív követelményeket Az 1.2.2.5. tételben szereplő olyan ügyletek, amelyeknél a biztosíték – amennyiben nem az említett ügyletekben használnák fedezetként – az (EU) 2015/61 felhatalmazáson alapuló rendelet 8. cikke szerint likvid eszköznek minősülne. | 
| 1080 | 1.2.2.6.  2B. szintű eszközfedezetű értékpapírból (vállalati vagy háztartási hitel, tagállam, 1. hitelminőségi besorolás) álló biztosíték Az (EU) 2015/61 felhatalmazáson alapuló rendelet 28. cikke (3) bekezdésének f) pontja A hitelintézeteknek itt az 575/2013/EU rendelet 192. cikkének 2. és 3. pontjában meghatározott fedezett kölcsönügyletekből és tőkepiac-vezérelt ügyletekből eredő kiáramlásokat kell megadniuk, ha a partner nem központi bank és a nyújtott biztosíték olyan 2B. szintű eszközfedezetű értékpapír (valamely tagállamban vállalkozásoknak nyújtott kereskedelmi kölcsön, lízing és hitelkeret vagy háztartásoknak nyújtott kölcsön vagy hitel fedezettel, 1. hitelminőségi besorolással), amely megfelel a 13. cikk (2) bekezdése f) pontjának iii. vagy v. alpontjában megállapított feltételeknek, és amely – amennyiben nem az említett ügyletekben használnák fedezetként – az (EU) 2015/61 felhatalmazáson alapuló rendelet 7. és 13. cikke szerint likvid eszköznek minősülne. | 
| 1085 | 1.2.2.6.1.  ebből a nyújtott biztosíték teljesíti az operatív követelményeket Az 1.2.2.6. tételben szereplő olyan ügyletek, amelyeknél a biztosíték – amennyiben nem az említett ügyletekben használnák fedezetként – az (EU) 2015/61 felhatalmazáson alapuló rendelet 8. cikke szerint likvid eszköznek minősülne. | 
| 1090 | 1.2.2.7.  egyéb 2B. szintű eszközből álló biztosíték Az (EU) 2015/61 felhatalmazáson alapuló rendelet 28. cikke (3) bekezdésének g) pontja A hitelintézeteknek itt az 575/2013/EU rendelet 192. cikkének 2. és 3. pontjában meghatározott fedezett kölcsönügyletekből és tőkepiac-vezérelt ügyletekből eredő kiáramlásokat kell megadniuk, ha a partner nem központi bank és a nyújtott biztosíték olyan, feljebb figyelembe nem vett 2B. szintű biztosíték, amely – amennyiben nem az említett ügyletekben használnák fedezetként – az (EU) 2015/61 felhatalmazáson alapuló rendelet 7. és 12. cikke szerint likvid eszköznek minősülne. | 
| 1095 | 1.2.2.7.1.  ebből a nyújtott biztosíték teljesíti az operatív követelményeket Az 1.2.2.7. tételben szereplő olyan ügyletek, amelyeknél a biztosíték – amennyiben nem az említett ügyletekben használnák fedezetként – az (EU) 2015/61 felhatalmazáson alapuló rendelet 8. cikke szerint likvid eszköznek minősülne. | 
| 1100 | 1.2.2.8.  nem likvid eszközökből álló biztosíték Az (EU) 2015/61 felhatalmazáson alapuló rendelet 28. cikke (3) bekezdésének h) pontja A hitelintézeteknek itt az 575/2013/EU rendelet 192. cikkének 2. és 3. pontjában meghatározott fedezett kölcsönügyletekből és tőkepiac-vezérelt ügyletekből eredő kiáramlásokat kell megadniuk, ha a partner nem központi bank, és a nyújtott biztosíték nem likvid eszközből álló biztosíték. | 
| 1130 | 1.3.  Biztosítéki csereügylet kiáramlásai összesen A XXIV. melléklet C75.01 tábla 0070 oszlopában lévő kiáramlások összegét a 060. oszlopban kell megadni. | 
| TÁJÉKOZTATÓ ADATOK | |
| 1170 | 2.  Egymástól kölcsönösen függő beáramlásokkal nettósítandó likviditáskiáramlások Az (EU) 2015/61 felhatalmazáson alapuló rendelet 26. cikke A hitelintézeteknek a 010. oszlopban kell megadniuk az összes olyan kötelezettség és mérlegen kívüli kötelezettségvállalás fennálló egyenlegének összegét, amelyeknek likviditáskiáramlásait egymástól kölcsönösen függő beáramlásokkal nettósítják az (EU) 2015/61 felhatalmazáson alapuló rendelet 26. cikkének megfelelően. A hitelintézeteknek a 060. oszlopban kell megadniuk az (EU) 2015/61 felhatalmazáson alapuló rendelet 26. cikkének megfelelően az egymástól kölcsönösen függő beáramlásokkal nettósított kiáramlásokat. | 
| 3.  Stabil operatív kapcsolat keretében klíring-, letéti, készpénzmenedzsment vagy egyéb hasonló szolgáltatás céljából elhelyezett operatív betétek A hitelintézeteknek itt az 1.1.2.1. tételnél említett operatív betéteket kell feltüntetniük, a következő partnerek szerinti bontásban: — hitelintézetek; — hitelintézetektől eltérő pénzügyi ügyfelek; — kormányzatok, központi bankok, multilaterális fejlesztési bankok és közszektorbeli intézmények; — egyéb ügyfelek. | |
| 1180 | 3.1.  hitelintézetek által nyújtott A hitelintézeteknek az 1.1.2.1. tételnél említett, hitelintézetek által nyújtott operatív betétek fennálló egyenlegének összegét kell megadniuk. | 
| 1190 | 3.2.  hitelintézetektől eltérő pénzügyi ügyfelek által nyújtott A hitelintézeteknek az 1.1.2.1. tételnél említett, hitelintézetektől eltérő pénzügyi ügyfelek által nyújtott operatív betétek fennálló egyenlegének összegét kell megadniuk. | 
| 1200 | 3.3.  kormányzatok, központi bankok, multilaterális fejlesztési bankok és közszektorbeli intézmények által nyújtott A hitelintézeteknek az 1.1.2.1. tételnél említett, kormányzatok, központi bankok, multilaterális fejlesztési bankok és közszektorbeli intézmények által nyújtott operatív betétek fennálló egyenlegének összegét kell megadniuk. | 
| 1210 | 3.4.  egyéb ügyfelek által nyújtott A hitelintézeteknek az 1.1.2.1. tételnél említett, egyéb (a fent említettektől és a lakossági betéteknél figyelembe vett ügyfelektől eltérő) ügyfelek által nyújtott operatív betétek fennálló egyenlegének összegét kell megadniuk. | 
| 4.  Csoporton vagy intézményvédelmi rendszeren belüli kiáramlások A hitelintézeteknek itt minden, az 1. tétel alatt megadott ügyletet fel kell tüntetniük, ha a partner a hitelintézet anyavállalata vagy leányvállalata, vagy ugyanazon anyavállalatnak egy másik leányvállalata vagy a hitelintézettel a 83/349/EGK irányelv 12. cikkének (1) bekezdése értelmében vett kapcsolatban áll, vagy az 575/2013/EU rendelet 113. cikkének (7) bekezdésében említett ugyanazon intézményvédelmi rendszer tagja vagy az 575/2013/EU rendelet 10. cikkében említett hálózat vagy szövetkezeti csoport központi intézménye vagy társult tagja. | |
| 1290 | 4.1.  ebből: pénzügyi ügyfeleknek A hitelintézeteknek a 4. tétel alkalmazási körébe tartozó pénzügyi ügyfelekre vonatkozóan az 1.1. tételnél a megadott teljes összeget kell feltüntetniük. | 
| 1300 | 4.2.  ebből: nem pénzügyi ügyfeleknek A hitelintézeteknek a 4. tétel alkalmazási körébe tartozó nem pénzügyi ügyfelekre vonatkozóan az 1.1. tételnél a megadott teljes összeget kell feltüntetniük. | 
| 1310 | 4.3.  ebből: fedezett A hitelintézeteknek a 4. tétel alkalmazási körére vonatkozóan az 1.2. tételnél megadott fedezett ügyletek teljes összegét kell feltüntetniük. | 
| 1320 | 4.4.  ebből: kedvezményes kezelés nélküli hitelkeretek A hitelintézeteknek a 4. tétel alkalmazási körébe tartozó jogalanyokra vonatkozóan az 1.1.6.1. tételnél megadott azon le nem hívott, folyósítási kötelezettséget tartalmazó hitelkeretekből lehívható maximális összeget kell megadniuk, amelyek esetében az (EU) 2015/61 felhatalmazáson alapuló rendelet 29. cikkének megfelelően nem kaptak engedélyt alacsonyabb kiáramlási arány alkalmazására. | 
| 1330 | 4.5.  ebből: kedvezményes kezelés nélküli likviditási keretek A hitelintézeteknek a 4. tétel alkalmazási körébe tartozó jogalanyokra vonatkozóan az 1.1.6.2. tételnél megadott azon le nem hívott, folyósítási kötelezettséget tartalmazó likviditási keretekből lehívható maximális összeget kell megadniuk, amelyek esetében az (EU) 2015/61 felhatalmazáson alapuló rendelet 29. cikkének megfelelően nem kaptak engedélyt alacsonyabb kiáramlási arány alkalmazására. | 
| 1340 | 4.6.  ebből: operatív betétek A hitelintézeteknek a 4. tétel alkalmazási körébe tartozó jogalanyokra vonatkozóan az 1.1.2. tételnél említett betétek összegét kell feltüntetniük. | 
| 1345 | 4.7.  ebből: többlet operatív betétek A hitelintézeteknek a 4. tétel alkalmazási körébe tartozó jogalanyokra vonatkozóan az 1.1.3. tételnél említett többletként tartott operatív betétek összegét kell feltüntetniük. | 
| 1350 | 4.8.  ebből: nem operatív betétek A hitelintézeteknek a 4. tétel alkalmazási körébe tartozó jogalanyoktól származó, az 1.1.4. tételnél említett betétek fennálló egyenlegének összegét kell feltüntetniük. | 
| 1360 | 4.9.  ebből: kötelezettségek hitelviszonyt megtestesítő értékpapír formájában, ha nem lakossági betétnek minősülnek A hitelintézeteknek a 4. tétel alkalmazási körébe tartozó jogalanyok által tartott, az 1.1.8.2. tételnél megadott hitelviszonyt megtestesítő értékpapírok fennálló egyenlegének összegét kell feltüntetniük. | 
| 1370 | 5.  Devizakiáramlások Ezt az adatot csak akkor kell megadni, ha külön adatszolgáltatás tárgyát képező devizanemben történik az adatszolgáltatás. Kizárólag az 575/2013/EU rendelet 415. cikkének (2) bekezdése szerinti külön devizanemben való adatszolgáltatás esetén a hitelintézeteknek a (az 1.1.5.5. tételnél feltüntetett) származtatott ügyletekből eredő kiáramlások azon részét kell megadniuk, amelyek a 30 napos időtartamon belül lejáró keresztdevizás csereügyletek, azonnali és határidős devizaügyletekből eredő vonatkozó jelentős devizanemben történő deviza-tőkeáramlásokhoz kapcsolódnak. A partner általi nettósítást csak az adott devizanemben lévő áramlásokra lehet alkalmazni, például A partner: +10 EUR és A partner: – 20 EUR 10 EUR kiáramlásként tüntetendő fel. Nem kerülhet sor nettósításra partnerek között, például A partner: –10 EUR, B partner: +40 EUR 10 EUR kiáramlásként tüntetendő fel a C73.00 táblában (és 40 EUR beáramlásként a C74.00 táblában). | 
| 6.  A 17. cikk (2) és (3) bekezdése alól mentesített fedezett finanszírozás A hitelintézeteknek itt a legfeljebb 30 napos hátralévő futamidejű fedezett finanszírozási ügyleteket kell megadniuk, ha a partner központi bank, és ha az érintett ügyletek az (EU) 2015/61 felhatalmazáson alapuló rendelet 17. cikkének (4) bekezdése értelmében mentesülnek a 17. cikk (2) és (3) bekezdésének alkalmazása alól. | |
| 1400 | 6.1  ebből: rendkívül magas minőségű fedezett kötvények nélküli 1. szintű fedezettel biztosított A hitelintézeteknek itt a 30 naptári napon belül lejáró fedezett finanszírozási ügyleteket kell megadniuk, ha a partner központi bank, a nyújtott biztosíték 1. szintű biztosíték (a rendkívül magas minőségű fedezett kötvények kivételével) és – amennyiben nem használnák fedezetként – teljesítené az (EU) 2015/61 felhatalmazáson alapuló rendelet 7. és 8. cikkében meghatározott követelményeket, és ha az érintett ügyletek az (EU) 2015/61 felhatalmazáson alapuló rendelet 17. cikkének (4) bekezdése értelmében mentesülnek a 17. cikk (2) és (3) bekezdésének alkalmazása alól. | 
| 1410 | 6.2  ebből: rendkívül magas minőségű fedezett kötvényekből álló 1. szintű fedezettel biztosított A hitelintézeteknek itt a 30 naptári napon belül lejáró fedezett finanszírozási ügyleteket kell megadniuk, ha a partner központi bank, a nyújtott biztosíték 1. szintű rendkívül magas minőségű fedezett kötvény és biztosítékként való felhasználása nélkül teljesítené az (EU) 2015/61 felhatalmazáson alapuló rendelet 7. és 8. cikkében meghatározott követelményeket, és ha az érintett ügyletek az (EU) 2015/61 felhatalmazáson alapuló rendelet 17. cikkének (4) bekezdése értelmében mentesülnek a 17. cikk (2) és (3) bekezdésének alkalmazása alól. | 
| 1420 | 6.3  ebből: 2A. szintű fedezettel biztosított A hitelintézeteknek itt a 30 naptári napon belül lejáró fedezett finanszírozási ügyleteket kell megadniuk, ha a partner központi bank, a nyújtott biztosíték 2A. szintű biztosíték és biztosítékként való felhasználása nélkül teljesítené az (EU) 2015/61 felhatalmazáson alapuló rendelet 7. és 8. cikkében meghatározott követelményeket, és ha az érintett ügyletek az (EU) 2015/61 felhatalmazáson alapuló rendelet 17. cikkének (4) bekezdése értelmében mentesülnek a 17. cikk (2) és (3) bekezdésének alkalmazása alól. | 
| 1430 | 6.4  ebből: 2B. szintű fedezettel biztosított A hitelintézeteknek itt a 30 naptári napon belül lejáró fedezett finanszírozási ügyleteket kell megadniuk, ha a partner központi bank, a nyújtott biztosíték 2B. szintű biztosíték és biztosítékként való felhasználása nélkül teljesítené az (EU) 2015/61 felhatalmazáson alapuló rendelet 7. és 8. cikkében meghatározott követelményeket, és ha az érintett ügyletek az (EU) 2015/61 felhatalmazáson alapuló rendelet 17. cikkének (4) bekezdése értelmében mentesülnek a 17. cikk (2) és (3) bekezdésének alkalmazása alól. | 
| 1440 | 6.5  ebből: nem likvid eszközökkel biztosított A hitelintézeteknek itt a 30 naptári napon belül lejáró fedezett finanszírozási ügyleteket kell megadniuk, ha a partner központi bank, a nyújtott biztosíték nem likvid biztosíték, és ha az érintett ügyletek az (EU) 2015/61 felhatalmazáson alapuló rendelet 17. cikkének (4) bekezdése értelmében mentesülnek a 17. cikk (2) és (3) bekezdésének alkalmazása alól. | 
LIKVIDITÁSRA VONATKOZÓ ADATSZOLGÁLTATÁS (3. RÉSZ: BEÁRAMLÁSOK)
1. Beáramlások
1.1. Általános megjegyzések
1. Ez egy olyan összefoglaló tábla, amely az (EU) 2015/61 felhatalmazáson alapuló rendeletben meghatározott likviditásfedezeti követelményekkel kapcsolatos adatszolgáltatás céljából a következő 30 napon belüli likviditásbeáramlásra vonatkozó információkat tartalmazza. Szürke szín jelzi azokat a tételeket, amelyeket a hitelintézeteknek nem kell kitölteniük.
2. A hitelintézetek az 575/2013/EU rendelet 415. cikkének (2) bekezdésével összhangban a megfelelő devizanemben szolgáltatnak adatot a táblában.
3. Az (EU) 2015/61 felhatalmazáson alapuló rendelet 32. cikkével összhangban a likviditásbeáramlások:
i. kizárólag az olyan kitettségekből származó szerződéses beáramlásokból tevődnek össze, amelyek még nem késedelmesek, és amelyek esetében a hitelintézetnek nincs oka nemteljesítést feltételezni egy 30 napos időszakon belül.
ii. kiszámításuk különböző kategóriájú szerződés szerinti kötelezettségek fennálló egyenlegének és az (EU) 2015/61 felhatalmazáson alapuló rendeletben meghatározott ráták szorzataként történik.
4. Egy csoporton vagy intézményvédelmi rendszeren belüli beáramlásokat (kivéve azokat beáramlásokat, amelyek egy csoport vagy intézményvédelmi rendszer tagjai által nyújtott, le nem hívott hitel- vagy likviditási keretből származnak, ha az illetékes hatóság engedélyezte kedvezményes beáramlási arány alkalmazását) a vonatkozó kategóriákhoz kell hozzárendelni. A nem súlyozott összegeket ezen felül tájékoztató adatként fel kell tüntetni a tábla 3. szakaszában (460-510 sor).
5. Az (EU) 2015/61 felhatalmazáson alapuló rendelet 32. cikkének (6) bekezdésével összhangban a hitelintézetek az adatszolgáltatásban nem tüntethetik fel az említett rendelet II. címével összhangban jelentett likvid eszközökből származó beáramlásokat, kivéve az eszközökkel kapcsolatos azon esedékes összegeket, amelyek nem tükröződnek az eszköz piaci értékében.
6. Azokat a beáramlásokat, amelyek devizakiviteli-/behozatali korlátozásokat alkalmazó harmadik országokban esedékesek, vagy amelyek nem konvertibilis pénznemben denomináltak, az 1.1., 1.2. vagy 1.3. szakasz vonatkozó soraiban kell feltüntetni. A beáramlásokat teljes mértékben fel kell tünteti, tekintet nélkül a harmadik országbeli kiáramlások összegére vagy a devizanemre.
7. Az olyan értékpapírokból esedékes pénzeszközöket, amelyeket maga a hitelintézet vagy olyan különleges célú gazdasági egység bocsátott ki, amellyel a hitelintézet szoros kapcsolatban áll, nettó alapon kell figyelembe venni az (EU) 2015/61 felhatalmazáson alapuló rendelet 32. cikke (3) bekezdése h) pontjának megfelelően a mögöttes eszközre alkalmazandó beáramlási arány alapján alkalmazott beáramlási aránnyal.
8. Az (EU) 2015/61 felhatalmazáson alapuló rendelet 32. cikkének (7) bekezdésével összhangban a hitelintézetek az adatszolgáltatásban nem tüntethetik fel az újonnan vállalt kötelezettségekből származó beáramlásokat. Ezalatt az olyan szerződéses kötelezettségvállalások értendők, amelyekről az adatszolgáltatás időpontjában még nem kötöttek szerződést, de 30 napon belül kötni fognak vagy köthetnek.
9. Az 575/2013/EU rendelet 415. cikkének (2) bekezdése szerinti külön adatszolgáltatás esetén a megadott egyenlegeknek csak azokra kell kiterjedniük, amelyek az érintett devizanemben denomináltak, annak biztosítása érdekében, hogy megfelelően tükröződjenek a devizanem-eltérések. Ez azzal járhat, hogy az érintett devizanemre vonatkozó táblában csak az ügylet egyik oldala kerül feltüntetésre. Például a származtatott devizaügyletek esetében a hitelintézetek a beáramlásokat és kiáramlásokat csak akkor nettósíthatja az (EU) 2015/61 felhatalmazáson alapuló rendelet 21. cikkének megfelelően, ha ugyanabban a devizanemben denomináltak.
10. E tábla oszlopainak szerkezete úgy épül fel, hogy magában foglalja az (EU) 2015/61 felhatalmazáson alapuló rendelet 33. cikke alapján a beáramlásokra alkalmazandó különböző felső korlátokat. E tekintetben a tábla három oszlopcsoportra épül, minden felső korláthoz tartozó kezelésre vonatkozik egy oszlopcsoport (75 %-os felső korlát, 90 %-os felső korlát és a korlát alóli mentesség). Az összevont alapú adatszolgáltatást végző hitelintézetek több ilyen oszlopcsoportot is igénybe vehetnek, ha az ugyanazon konszolidálásba bevont különböző jogalanyoknál különböző felső korlátok szerinti kezelés alkalmazandó.
11. A konszolidáció tekintetében az (EU) 2015/61 felhatalmazáson alapuló rendelet 2. cikke (3) bekezdése c) pontjának értelmében annak a harmadik országbeli leányvállalatnak a likviditásbeáramlásait, amelyre ennek a harmadik országnak a jogszabályai szerint a rendelet III. címében rögzítetteknél alacsonyabb arányok vonatkoznak, a harmadik ország nemzeti jogszabályaiban rögzített alacsonyabb arányok szerint kell a konszolidáció során figyelembe venni.
12. Az (EU) 2015/61 felhatalmazáson alapuló rendelet csak rátákra és haircutokra hivatkozik, a táblában a "súly" szó ezekre utal a megfelelő kontextusban. Ebben a mellékletben a "súlyozott" szót általános kifejezésként használjuk a vonatkozó haircutok, ráták és bármely egyéb releváns (például fedezett kölcsönügyletekre és finanszírozásra vonatkozó) kiegészítő előírás alkalmazása után kapott összeg megjelölésére.
13. Az ehhez az útmutatóhoz tartozó táblában szerepel néhány tájékoztató adat. Ezek az adatok az illetékes hatóság számára többek között ahhoz szükséges információt szolgáltatnak, hogy megfelelően értékelhesse a hitelintézetek likviditási követelményeknek való megfelelését.
1.2. Fedezett kölcsönügyletekre és tőkepiac-vezérelt ügyletekre vonatkozó külön megjegyzések
14. A tábla a mögöttes eszköz minősége vagy magas minőségű likvid eszközként való elismerhetősége alapján kategorizálja a fedezett áramlásokat. Külön táblában szerepelnek a biztosítéki csereügyletek: a XXIV. melléklet C 75.01 táblájában. A biztosítéki csereügyleteket, amelyek biztosíték biztosíték ellenében típusú ügyletek, nem szabad megadni a beáramlási táblában (a XXIV. melléklet C 74.00 táblája), mivel az csak a készpénz biztosíték ellenében típusú ügyletekre terjed ki.
15. Amennyiben a fedezett kölcsönügyleteket és a tőkepiac-vezérelt ügyleteket KBF-ek részvényei vagy befektetési jegyei fedezik, ezeket az ügyleteket úgy kell feltüntetni, mintha azokat a kollektív befektetési forma mögöttes eszközei fedeznék. Ha például egy fedezett kölcsönügyletet olyan KBF részvényei vagy befektetési jegyei fedeznek, amely kizárólag 2A. szintű eszközökbe fektet be, a fedezett kölcsönügyletet úgy kell feltüntetni, mintha azt közvetlenül 2A. szintű biztosíték fedezné. A KBF-ek részvényeivel vagy befektetési jegyeivel fedezett kölcsönügyletek potenciálisan magasabb beáramlási arányát tükröznie kell a feltüntetendő vonatkozó beáramlási aránynak.
16. Az 575/2013/EU rendelet 415. cikkének (2) bekezdése szerinti külön adatszolgáltatás esetén a megadott egyenlegeknek csak azokra kell kiterjedniük, amelyek az érintett devizanemben denomináltak, annak biztosítása érdekében, hogy megfelelően tükröződjenek a devizanem-eltérések. Ez azzal járhat, hogy az érintett devizanemre vonatkozó táblában csak az ügylet egyik oldala kerül feltüntetésre. Így egy fordított repoügylet eredményezhet negatív beáramlást. Az ugyanazon tételnél feltüntetett fordított repoügyleteket összegezni kell (pozitívak és negatívak). Ha a teljes összeg pozitív, azt a beáramlási táblában kell megadni. Ha a teljes összeg negatív, azt a kiáramlási táblában kell megadni. Ezt a módszert oda-vissza követni kell repoügyletek esetén.
17. A beáramlások kiszámításához a fedezett kölcsönügyleteket és a tőkepiac-vezérelt ügyleteket attól függetlenül fel kell tüntetni, hogy a kapott mögöttes biztosíték teljesíti-e az (EU) 2015/61 felhatalmazáson alapuló rendelet 8. cikkében előírt operatív követelményeket. Továbbá annak érdekében, hogy az (EU) 2015/61 felhatalmazáson alapuló rendelet 17. cikkének (2) bekezdése szerint ki lehessen számítani a likvid eszközök kiigazított állományát, a hitelintézeteknek külön kell adatot szolgáltatniuk azokról az ügyletekről is, amelyeknél a kapott mögöttes biztosíték teljesíti az (EU) 2015/61 felhatalmazáson alapuló rendelet 8. cikkében előírt operatív követelményeket is.
18. Ha a hitelintézet külföldi devizában lévő részvényeinek, vagy külföldi devizában lévő központi kormányzati vagy banki eszközeinek, vagy hazai devizában lévő központi kormányzati vagy központi banki eszközeinek csak egy részét ismerheti el magas minőségű likvid eszközei között, akkor csak az elismerhető részt kell feltüntetni az (EU) 2015/61 felhatalmazáson alapuló rendelet 12. cikke (1) bekezdése c) pontja ii. alpontjának és 10. cikke (1) bekezdése d) pontjának megfelelő 1., 2A. és 2B. szintű eszközökre vonatkozó sorokban. Ha az adott eszközt biztosítékként használják, de olyan összegben, amely a likvid eszközként elismerhető részt meghaladja, a többletösszeget a nem likvid eszközökre vonatkozó szakaszban kell feltüntetni. A 2A. szintű eszközöket a megfelelő, 2A. szintű eszközökre vonatkozó sorban kell megadni, akkor is az (EU) 2015/61 felhatalmazáson alapuló rendelet 19. cikke szerinti alternatív likviditási megközelítést követik.
1.3. Az elszámolási és jövőben induló határidős ügyletekre vonatkozó külön megjegyzések
19. A hitelintézeteknek a 30 napos időtávon belül induló és a 30 napos időtávon túl lejáró jövőben induló határidős repoügyletekből származó beáramlásokat kell feltüntetniük. Az esedékes beáramlásokat a C 74.00 tábla 260. sorában kell megadni ("egyéb beáramlások"), a partner felé teljesítendő eszközök piaci értéke nélkül a kapcsolódó LCR-haircut alkalmazása után. Ha az eszköz nem likvid eszköz, az esedékes beáramlást teljes mértékben fel kell tüntetni. A biztosítékként felhasználandó eszközt a C 72.00 táblában kell feltüntetni, ha az az intézmény könyvében szerepel a vonatkozási időpontban és teljesíti a kapcsolódó feltételeket.
20. A hitelintézeteknek a 30 napos időtávon belül induló és a 30 napos időtávon túl lejáró olyan jövőben induló határidős repoügyletekből, fordított repoügyletekből és biztosítéki csereügyletekből származó beáramlásokat kell feltüntetniük, ahol az induló oldal beáramlást keletkeztet. Repoügylet esetében az esedékes beáramlást a C 74.00 tábla 260. sorában kell megadni ("egyéb beáramlások"), a partner felé teljesítendő eszközök piaci értéke nélkül a kapcsolódó LCR-haircut alkalmazása után. Ha a várhatóan beérkező összeg alacsonyabb mint a biztosítékként kölcsönadandó eszköz piaci értéke (LCR-haircut után), a különbözetet kiáramlásként kell feltüntetni a C73.00 táblában. Ha az eszköz nem likvid eszköz, az esedékes beáramlást teljes mértékben fel kell tüntetni. A biztosítékként felhasználandó eszközt a C 72.00 táblában kell feltüntetni, ha az az intézmény könyvében szerepel a vonatkozási időpontban és teljesíti a kapcsolódó feltételeket. Fordított repoügylet esetében, ha a biztosítékként esedékes eszköz piaci értéke a kapcsolódó LCR-haircut után (ha az eszköz likvid eszköznek minősül) nagyobb, mint a kölcsönadandó készpénzösszeg, a különbözetet a C 74.00 tábla 260. sorában ("egyéb beáramlások") beáramlásként kell feltüntetni. Biztosítéki csereügyletek esetében, amennyiben az eszközök kezdeti csereügyletének nettó hatása (figyelembe véve az LCR-haircutokat) beáramlást eredményez, ezt a beáramlást a C 74.00 tábla 260 sorában ("egyéb beáramlások") kell feltüntetni.
21. A likviditásfedezeti ráta 30 napos időtávján belül kezdődő és lejáró határidős repoügyletek, határidős fordított repoügyletek és határidős biztosítéki csereügyletek nincsenek hatással a bank likviditásfedezeti követelményére, és figyelmen kívül hagyhatók.
1.4. Az LCR-beáramlásokra vonatkozó döntési fa az (EU) 2015/61 felhatalmazáson alapuló rendelet 32., 33. és 34. cikkének megfelelően
22. A döntési fa nincs kihatással a tájékoztató adatok szolgáltatására. A döntési fa az útmutató része, amely az egyes feltüntetett adatok hozzárendelésére vonatkozóan határozza meg a rangsorolás értékelési kritériumait, hogy biztosítsa a homogén és összehasonlító adatszolgáltatást. Önmagában nem elég végighaladni a döntési fán, a hitelintézeteknek az útmutató többi részének is mindenkor meg kell felelniük.
23. Az egyszerűség kedvéért a döntési fa figyelmen kívül hagyja az összegeket és részösszegeket; ez azonban nem szükségszerűen jelenti azt, hogy ezeket nem kell megadni.
1.4.1. A XXIV. melléklet C 74.00 táblájának soraira vonatkozó döntési fa
| # | Tétel | Döntés | Adatszolgáltatás | ||
| 1 | A 32. cikkben meghatározott operatív kritériumokat teljesítő beáramlások, például: — a kitettség nem késedelmes (32. cikk (1) bekezdés) — a hitelintézetnek 30 naptári napon belül nincs oka nemteljesítést feltételezni (32. cikk (1) bekezdés) — a hitelintézet az újonnan vállalt kötelezettségekből származó beáramlásokat nem veheti figyelembe (32. cikk (7) bekezdés) — nem kell beáramlást feltüntetni, ha a beáramlásokat már kiegyenlítették a kiáramlásokkal (26. cikk) — a hitelintézet nem veheti figyelembe a II. címben említett likvid eszközökből származó beáramlásokat, kivéve az eszközök után esedékessé váló azon kifizetéseket, amelyeket az eszköz piaci értéke nem tükröz (32. cikk (6) bekezdés) | Nem | Nincs adatszolgáltatás | ||
| Igen | # 2 | ||||
| 2 | Jövőben induló határidős ügylet | Igen | # 3 | ||
| Nem | # 5 | ||||
| 3 | Az adatszolgáltatási időpontot követően kötött határidős ügylet; | Igen | Nincs adatszolgáltatás | ||
| Nem | # 4 | ||||
| 4 | A 30 napos időtávon belül induló és a 30 napos időtávon túl lejáró olyan jövőben induló határidős ügylet, ahol az induló oldal nettó beáramlást keletkeztet. | Igen | 260. sor, 1.1.11. azonosító | ||
| Nem | Nincs adatszolgáltatás | ||||
| 5 | Csoporton vagy intézményvédelmi rendszeren belüli beáramlások | Igen | # 6 | ||
| Nem | # 7 | ||||
| 6 | Egy csoport vagy intézményvédelmi rendszer tagjai által nyújtott, le nem hívott hitel- vagy likviditási keretből származó beáramlások, ha az illetékes hatóság engedélyezte magasabb beáramlási arány alkalmazását (34. cikk) | Igen | 250. sor, 1.1.10. azonosító | ||
| Nem | # 7 | ||||
| 7 | Fedezett kölcsönügyletekből és tőkepiac-vezérelt ügyletekből eredő beáramlások a származékos ügyletek kivételével (32. cikk (3) bekezdés b)–c) pont; e)–f) pont) | Igen | # 23 | ||
| Nem | # 8 | ||||
| 8 | 30 naptári napon belül lejáró értékpapírokból esedékes pénzösszegek (32. cikk (2) bekezdés c) pont) | Igen | 190. sor, 1.1.5. azonosító | ||
| Nem | # 9 | ||||
| 9 | Legfeljebb 30 napos hátralévő futamidejű kereskedelemfinanszírozási ügyletekből esedékes pénzösszegek (32. cikk (2) bekezdés b) pont) | Igen | 180. sor, 1.1.4. azonosító | ||
| Nem | # 10 | ||||
| 10 | Hitelek, amelyeknek szerződéses zárónapja nincs meghatározva (32. cikk (3) bekezdés i) pont) | Igen | # 11 | ||
| Nem | # 12 | ||||
| 11 | Szerződéses zárónap nélküli hitelekből eredő kamat- és minimumkifizetési kötelezettségek, amelyek a szerződés szerint esedékesek, és a következő 30 napon belül tényleges készpénzbeáramlással járnak. | Igen | # 12 | ||
| Nem | 200. sor, 1.1.6. azonosító | ||||
| 12 | A jelentős indexeket alkotó tőkeinstrumentumokban tartott pozíciókból esedékes pénzösszegek, ha azokat nem veszik figyelembe a likvid eszközök között is (32. cikk (2) bekezdés d) pont) | Igen | 210. sor, 1.1.7. azonosító | ||
| Nem | # 13 | ||||
| 13 | Az ügyfelek kereskedési eszközeinek védelmére vonatkozó szabályozói követelményekkel összhangban elkülönített számlákon tartott egyenlegek felszabadításából származó beáramlások (32. cikk (4) bekezdés) | Igen | 230. sor, 1.1.8. azonosító | ||
| Nem | # 14 | ||||
| 14 | Származtatott ügyletekből eredő nettó készpénzbeáramlások partnerenként és biztosítékonként (32. cikk (5) bekezdés) | Igen | 240. sor, 1.1.9. azonosító | ||
| Nem | # 15 | ||||
| 15 | A 31. cikk (9) bekezdésében említett kedvezményes hitel nyújtására tett kötelezettségvállalásokkal összhangban a kiáramlásoknak megfelelő beáramlások (32. cikk (3) bekezdés a) pont) | Igen | 170. sor, 1.1.3. azonosító | ||
| Nem | # 16 | ||||
| 16 | Központi bankoktól és pénzügyi ügyfelektől esedékes, legfeljebb 30 napos hátralevő futamidejű pénzösszegek (32. cikk (2) bekezdés a) pont) | Igen | # 20 | ||
| Nem | # 17 | ||||
| 17 | Nem pénzügyi (és nem központi bank) ügyfelektől esedékes, nem tőketörlesztési célú pénzösszegek (32. cikk (2) bekezdés) | Igen | 040. sor, 1.1.1.1. azonosító | ||
| Nem | # 18 | ||||
| 18 | Nem pénzügyi (és nem központi bank) ügyfelektől esedékes egyéb pénzösszegek (32. cikk (3) bekezdés a) pont) | Igen | # 19 | ||
| Nem | 260. sor, 1.1.11. azonosító | ||||
| 19 | Nem pénzügyi (és nem központi bank) ügyfelektől esedékes egyéb pénzösszegek (32. cikk (3) bekezdés a) pont) | # 19.1 | Lakossági ügyfelek | Igen | 060. sor, 1.1.1.2.1. azonosító | 
| Nem | # 19.2 | ||||
| # 19.2 | Nem pénzügyi vállalatok | Igen | 070. sor, 1.1.1.2.2. azonosító | ||
| Nem | # 19.3 | ||||
| # 19.3 | Kormányzatok, multilaterális fejlesztési bankok és közszektorbeli intézmények | Igen | 080. sor, 1.1.1.2.3. azonosító | ||
| Nem | 090. sor, 1.1.1.2.4. azonosító | ||||
| 20 | Pénzügyi ügyfelektől származó operatív betétként besorolt beáramlások (32. cikk (3) bekezdés d) pont) | Igen | # 21 | ||
| Nem | # 22 | ||||
| 21 | A hitelintézet képes megfelelő szimmetrikus beáramlási arányt megállapítani (32. cikk (3) bekezdés d) pont) | Igen | 120. sor, 1.1.2.1.1. azonosító | ||
| Nem | 130. sor, 1.1.2.1.2. azonosító | ||||
| 22 | Központi bankoktól esedékes pénzösszegek (32. cikk (2) bekezdés a) pont) | Igen | 150. sor, 1.1.2.2.1. azonosító | ||
| Nem | 160. sor, 1.1.2.2.2. azonosító | ||||
| 23 | Biztosítéki csereügylet (32. cikk (3) bekezdés e) pont) | Igen | 410. sor, 1.3. azonosító (1) | ||
| Nem | # 24 | ||||
| 24 | Az ügyletet központi bankkal bonyolítják le | Igen | #25 | ||
| Nem | # 31 | ||||
| 25 | A biztosíték általában likvid eszközként elfogadható (függetlenül attól, hogy újra felhasználják-e egy másik ügyletben, és attól, hogy az eszköz teljesíti-e a 8. cikk szerinti operatív követelményt) | Igen | # 26 | ||
| Nem | # 30 | ||||
| 26 | Rövid pozíció fedezésére használt biztosíték | Igen | 297. sor, 1.2.1.2 azonosító | ||
| Nem | # 27 | ||||
| 27 | A kapott biztosíték teljesíti a 8. cikk szerinti operatív követelményeket | Igen | # 28 | ||
| Nem | # 29 | ||||
| 28 | Fedezett finanszírozási ügylet, amelynek fedezete (32. cikk (3) bekezdés b) pont): | # 28.1 | 1. szintű biztosíték a rendkívül magas minőségű fedezett kötvények kivételével | Igen | 269. sor, 1.2.1.1.1 + azonosító 271. sor, 1.2.1.1.1.1 azonosító | 
| Nem | # 28.2 | ||||
| # 28.2 | 1. szintű biztosíték, amely rendkívül magas minőségű fedezett kötvényekből áll | Igen | 273. sor, 1.2.1.1.2 + azonosító 275. sor, 1.2.1.1.2.1 azonosító | ||
| Nem | # 28.3 | ||||
| # 28.3 | 2A. szintű biztosíték | Igen | 277. sor, 1.2.1.1.3 + azonosító 279. sor, 1.2.1.1.3.1 azonosító | ||
| Nem | # 28.4 | ||||
| # 28.4 | 2B. szintű eszközfedezetű (lakóingatlan vagy gépjármű) értékpapírokból álló biztosíték | Igen | 281. sor, 1.2.1.1.4 + azonosító 283. sor, 1.2.1.1.4.1 azonosító | ||
| Nem | # 28.5 | ||||
| # 28.5 | 2B. szintű magas minőségű fedezett kötvényekből álló biztosíték | Igen | 285. sor, 1.2.1.1.5 + azonosító 287. sor, 1.2.1.1.5.1 azonosító | ||
| Nem | # 28.6 | ||||
| # 28.6 | 2B. szintű eszközfedezetű (vállalati vagy háztartási hitel) értékpapírokból álló biztosíték | Igen | 289. sor, 1.2.1.1.6 + azonosító 291. sor, 1.2.1.1.6.1 azonosító | ||
| Nem | 293. sor, 1.2.1.1.7 + azonosító 295. sor, 1.2.1.1.7.1 azonosító | ||||
| 29 | Fedezett finanszírozási ügylet, amelynek fedezete (32. cikk (3) bekezdés b) pont): | # 29.1 | 1. szintű biztosíték a rendkívül magas minőségű fedezett kötvények kivételével | Igen | 269. sor, 1.2.1.1.1 azonosító | 
| Nem | # 29.2 | ||||
| # 29.2 | 1. szintű biztosíték, amely rendkívül magas minőségű fedezett kötvényekből áll | Igen | 273. sor, 1.2.1.1.2 azonosító | ||
| Nem | # 29.3 | ||||
| # 29.3 | 2A. szintű biztosíték | Igen | 277. sor, 1.2.1.1.3 azonosító | ||
| Nem | # 29.4 | ||||
| # 29.4 | 2B. szintű eszközfedezetű (lakóingatlan vagy gépjármű) értékpapírokból álló biztosíték | Igen | 281. sor, 1.2.1.1.4 azonosító | ||
| Nem | # 29.5 | ||||
| # 29.5 | 2B. szintű magas minőségű fedezett kötvényekből álló biztosíték | Igen | 285. sor, 1.2.1.1.5 azonosító | ||
| Nem | # 29.6 | ||||
| # 29.6 | 2B. szintű eszközfedezetű (vállalati vagy háztartási hitel) értékpapírokból álló biztosíték | Igen | 289. sor, 1.2.1.1.6 azonosító | ||
| Nem | 293. sor, 1.2.1.1.7 azonosító | ||||
| 30 | Likvid eszköznek nem minősülő biztosíték (32. cikk (3) bekezdés b) pont) és amely nem likvid tőke | Igen | 301. sor, 1.2.1.3.1 azonosító | ||
| Nem | 303. sor, 1.2.1.3.2 azonosító | ||||
| 31 | A biztosíték általában likvid eszközként elfogadható (függetlenül attól, hogy újra felhasználják-e egy másik ügyletben, és attól, hogy az eszköz teljesíti-e a 8. cikk szerinti operatív követelményt) | Igen | # 32 | ||
| Nem | # 36 | ||||
| 32 | Rövid pozíció fedezésére használt biztosíték | Igen | 337. sor, 1.2.2.2 azonosító | ||
| Nem | # 33 | ||||
| 33 | A kapott biztosíték teljesíti a 8. cikk szerinti operatív követelményeket | Igen | # 34 | ||
| Nem | # 35 | ||||
| 34 | Fedezett finanszírozási ügylet, amelynek fedezete (32. cikk (3) bekezdés b) pont): | # 34.1 | 1. szintű biztosíték a rendkívül magas minőségű fedezett kötvények kivételével | Igen | 309. sor, 1.2.2.1.1 + azonosító 311. sor, 1.2.2.1.1.1 azonosító | 
| Nem | # 34.2 | ||||
| # 34.2 | 1. szintű biztosíték, amely rendkívül magas minőségű fedezett kötvényekből áll | Igen | 313. sor, 1.2.2.1.2 + azonosító 315. sor, 1.2.2.1.2.1 azonosító | ||
| Nem | # 34.3 | ||||
| # 34.3 | 2A. szintű biztosíték | Igen | 317. sor, 1.2.2.1.3 + azonosító 319. sor, 1.2.2.1.3.1 azonosító | ||
| Nem | # 34.4 | ||||
| # 34.4 | 2B. szintű eszközfedezetű (lakóingatlan vagy gépjármű) értékpapírokból álló biztosíték | Igen | 321. sor, 1.2.2.1.4 + azonosító 323. sor, 1.2.2.1.4.1 azonosító | ||
| Nem | # 34.5 | ||||
| # 34.5 | 2B. szintű magas minőségű fedezett kötvényekből álló biztosíték | Igen | 325. sor, 1.2.2.1.5 + azonosító 327. sor, 1.2.2.1.5.1 azonosító | ||
| Nem | # 34.6 | ||||
| # 34.6 | 2B. szintű eszközfedezetű (vállalati vagy háztartási hitel) értékpapírokból álló biztosíték | Igen | 329. sor, 1.2.2.1.6 + azonosító 331. sor, 1.2.2.1.6.1 azonosító | ||
| Nem | 333. sor, 1.2.2.1.7 + azonosító 335. sor, 1.2.2.1.7.1 azonosító | ||||
| 35 | Fedezett finanszírozási ügylet, amelynek fedezete (32. cikk (3) bekezdés b) pont): | # 35.1 | 1. szintű biztosíték a rendkívül magas minőségű fedezett kötvények kivételével | Igen | 309. sor, 1.2.2.1.1 azonosító | 
| Nem | # 35.2 | ||||
| # 35.2 | 1. szintű biztosíték, amely rendkívül magas minőségű fedezett kötvényekből áll | Igen | 313. sor, 1.2.2.1.2 azonosító | ||
| Nem | # 35.3 | ||||
| # 35.3 | 2A. szintű biztosíték | Igen | 317. sor, 1.2.2.1.3 azonosító | ||
| Nem | # 35.4 | ||||
| # 35.4 | 2B. szintű eszközfedezetű (lakóingatlan vagy gépjármű) értékpapírokból álló biztosíték | Igen | 321. sor, 1.2.2.1.4 azonosító | ||
| Nem | # 35.5 | ||||
| # 35.5 | 2B. szintű magas minőségű fedezett kötvényekből álló biztosíték | Igen | 325. sor, 1.2.2.1.5 azonosító | ||
| Nem | # 35.6 | ||||
| # 35.6 | 2B. szintű eszközfedezetű (vállalati vagy háztartási hitel) értékpapírokból álló biztosíték | Igen | 329. sor, 1.2.2.1.6 azonosító | ||
| Nem | 333. sor, 1.2.2.1.7 azonosító | ||||
| 36 | Likvid eszköznek nem minősülő biztosíték (32. cikk (3) bekezdés b) pont) | # 36.1 | letéti hitelek: a biztosíték nem likvid | Igen | 341. sor, 1.2.2.3.1. azonosító | 
| Nem | # 36.2 | ||||
| # 36.2 | A biztosíték nem likvid tőke | Igen | 343. sor, 1.2.2.3.2. azonosító | ||
| Nem | 345. sor, 1.2.2.3.3. azonosító | ||||
| (1) A biztosítéki csereügyleteket a XXIV. melléklet C 75.01 táblájában is fel kell tüntetni. | |||||
1.4.2. A XXIV. melléklet C 74.00 táblájának oszlopaira vonatkozó döntési fa
| # | Tétel | Döntés | Adatszolgáltatás | ||
| 1 | A XXIV. melléklet C 74.00 táblájának 010–430. sorában feltüntetendő beáramlás a 32., 33. és 34. cikknek megfelelően, valamint az 1. szakaszban meghatározott besorolásnak megfelelően (a C 74.00 tábla soraira vonatkozó döntési fa) | Nem | Nincs adatszolgáltatás | ||
| Igen | # 2 | ||||
| 2 | Fedezett kölcsönügyletekből és tőkepiac-vezérelt ügyletekből eredő beáramlások a származékos ügyletek kivételével (32. cikk (3) bekezdés b)–c) pont; e)–f) pont) | Igen | # 11 | ||
| Nem | # 3 | ||||
| 3 | A beáramlások felső korlátja alóli részleges mentesség (33. cikk (2)–(5) bekezdés) | Igen | # 4 | ||
| Nem | # 6 | ||||
| 4 | A beáramlások felső korlátja alóli részleges mentesség (33. cikk (2)–(5) bekezdés) | # 4.1 | A beáramlásoknak a beáramlások felső korlátja alól mentesített része | # 5 | |
| # 4.2 | A beáramlásoknak a beáramlások felső korlátja alól nem mentesített része | # 7 | |||
| 5 | A beáramlásoknak a beáramlások 75 %-os felső korlátja alól mentesített, a 90 %-os felső korlát alá tartozó része (33. cikk (4) bekezdés és 33. cikk (5) bekezdés) | Igen | # 9 | ||
| Nem | # 10 | ||||
| 6 | A beáramlások 75 %-os felső korlátja alá tartozó beáramlások (33. cikk (1) bekezdés) | Igen | # 7 | ||
| Nem | # 8 | ||||
| 7 | A beáramlások 75 %-os felső korlátja alá tartozó beáramlások (33. cikk (1) bekezdés) | #7.1 | Esedékes pénzösszegek/lehívható maximális összeg | 010 oszlop | |
| # 7.2 | Alkalmazandó súly | 080 oszlop | |||
| # 7.3 | Beáramlás | 140 oszlop | |||
| 8 | A beáramlások 90 %-os felső korlátja alá tartozó beáramlások (33. cikk (4) bekezdés és 33. cikk (5) bekezdés) | Igen | # 9 | ||
| Nem | # 10 | ||||
| 9 | A beáramlások 90 %-os felső korlátja alá tartozó beáramlások (33. cikk (4) bekezdés és 33. cikk (5) bekezdés) | # 9.1 | Esedékes pénzösszegek/lehívható maximális összeg | 020 oszlop | |
| # 9.2 | Alkalmazandó súly | 090 oszlop | |||
| # 9.3 | Beáramlás | 150 oszlop | |||
| 10 | A beáramlások felső korlátja alól teljesen mentesített beáramlások (33. cikk (2)–(3) bekezdés) | # 10.1 | Esedékes pénzösszegek/lehívható maximális összeg | 030 oszlop | |
| # 10.2 | Alkalmazandó súly | 100 oszlop | |||
| # 10.3 | Beáramlás | 160 oszlop | |||
| 11 | Olyan fedezett finanszírozási ügylet, amelynek biztosítéka általában likvid eszközként elfogadható (függetlenül attól, hogy újra felhasználják-e egy másik ügyletben, és attól, hogy az eszköz teljesíti-e a 8. cikk szerinti operatív követelményt) | Igen | # 12 | ||
| Nem | # 3 | ||||
| 12 | A beáramlások felső korlátja alóli részleges mentesség (33. cikk (2)–(5) bekezdés) | Igen | # 13 | ||
| Nem | # 15 | ||||
| 13 | A beáramlások felső korlátja alóli részleges mentesség (33. cikk (2)–(5) bekezdés) | # 13.1 | A beáramlásoknak a beáramlások felső korlátja alól mentesített része | # 14 | |
| # 13.2 | A beáramlásoknak a beáramlások felső korlátja alól nem mentesített része | # 16 | |||
| 14 | A beáramlásoknak a beáramlások 75 %-os felső korlátja alól mentesített, a 90 %-os felső korlát alá tartozó része (33. cikk (4) bekezdés és 33. cikk (5) bekezdés) | Igen | # 18 | ||
| Nem | # 19 | ||||
| 15 | A beáramlások 75 %-os felső korlátja alá tartozó beáramlások (33. cikk (1) bekezdés) | Igen | # 16 | ||
| Nem | # 17 | ||||
| 16 | A beáramlások 75 %-os felső korlátja alá tartozó beáramlások (33. cikk (1) bekezdés) | # 16.1 | Esedékes pénzösszegek | 010 oszlop | |
| # 16.2 | Kapott biztosíték piaci értéke | 040 oszlop | |||
| # 16.3 | Alkalmazandó súly | 080 oszlop | |||
| # 16.4 | A kapott biztosíték 9. cikk szerinti értéke [csak ha a kapott biztosíték teljesíti a működési követelményeket] | 110 oszlop | |||
| # 16.5 | Beáramlás | 140 oszlop | |||
| 17 | A beáramlások 90 %-os felső korlátja alá tartozó beáramlások (33. cikk (4) bekezdés és 33. cikk (5) bekezdés) | Igen | # 18 | ||
| Nem | # 19 | ||||
| 18 | A beáramlások 90 %-os felső korlátja alá tartozó beáramlások (33. cikk (4) bekezdés és 33. cikk (5) bekezdés) | # 18.1 | Esedékes pénzösszegek | 020 oszlop | |
| # 18.2 | Kapott biztosíték piaci értéke | 050 oszlop | |||
| # 18.3 | Alkalmazandó súly | 090 oszlop | |||
| # 18.4 | A kapott biztosíték 9. cikk szerinti értéke [csak ha a kapott biztosíték teljesíti a működési követelményeket] | 120 oszlop | |||
| # 18.5 | Beáramlás | 150 oszlop | |||
| 19 | A beáramlások felső korlátja alól teljesen mentesített beáramlások (33. cikk (2)–(3) bekezdés) | # 19.1 | Esedékes pénzösszegek | 030 oszlop | |
| # 19.2 | Kapott biztosíték piaci értéke | 060 oszlop | |||
| # 19.3 | Alkalmazandó súly | 100 oszlop | |||
| # 19.4 | A kapott biztosíték 9. cikk szerinti értéke [csak ha a kapott biztosíték teljesíti a működési követelményeket] | 130 oszlop | |||
| # 19.5 | Beáramlás | 160 oszlop | |||
1.5. Beáramlásokra vonatkozó altábla
1.5.1. A tábla egyes oszlopaira vonatkozó útmutató
| Oszlop | Jogszabályi hivatkozások és útmutató | 
| 010 | Összeg – A beáramlások 75 %-os felső korlátja alá tartozó Az (EU) 2015/61 felhatalmazáson alapuló rendelet 32., 33. és 34. cikke A {040}, {060}–{090}, {120}–{130}, {150}–{260}, {269}–{297}, {301}–{303}, {309–337}, {341}–{345}, {450} és {470}–{510} sor esetében a hitelintézeteknek a 010. oszlopban kell megadniuk azon lehívható eszközök/esedékes összegek/maximális összegek teljes összegét, amelyek a beáramlások 75 %-os felső korlátja alá tartoznak az (EU) 2015/61 felhatalmazáson alapuló rendelet 33. cikkének (1) bekezdésében meghatározottak szerint, és az itt szereplő útmutató alapján. Ha az illetékes hatóság jóváhagyta a beáramlások felső korlátja alóli részleges mentességet az (EU) 2015/61 felhatalmazáson alapuló rendelet 33. cikke (2) bekezdésének megfelelően, az összeg mentesség alá tartozó részét a 020. vagy 030. oszlopban kell megadni, az összeg mentesség alá nem tartozó részét pedig a 010. oszlopban. | 
| 020 | Összeg – A beáramlások 90 %-os felső korlátja alá tartozó Az (EU) 2015/61 felhatalmazáson alapuló rendelet 32., 33. és 34. cikke A {040}, {060}–{090}, {120}–{130}, {150}–{260}, {269}–{297}, {301}–{303}, {309–337}, {341}–{345}, {450} és {470}–{510} sor esetében a hitelintézeteknek a 020. oszlopban kell megadniuk azon lehívható eszközök/esedékes összegek/maximális összegek teljes összegét, amelyek a beáramlások 90 %-os felső korlátja alá tartoznak az (EU) 2015/61 felhatalmazáson alapuló rendelet 33. cikkének (4) és (5) bekezdésében meghatározottak szerint, és az itt szereplő útmutató alapján. Ha az illetékes hatóság jóváhagyta a beáramlások felső korlátja alóli részleges mentességet az (EU) 2015/61 felhatalmazáson alapuló rendelet 33. cikke (2) bekezdésének megfelelően, az összeg mentesség alá tartozó részét a 020. vagy 030. oszlopban kell megadni, az összeg mentesség alá nem tartozó részét pedig a 010. oszlopban. | 
| 030 | Összeg – A beáramlások felső korlátja alól mentesített Az (EU) 2015/61 felhatalmazáson alapuló rendelet 32., 33. és 34. cikke A {040}, {060}–{090}, {120}–{130}, {150}–{260}, {269}–{297}, {301}–{303}, {309–337}, {341}–{345}, {450} és {470}–{510} sor esetében a hitelintézeteknek a 030. oszlopban kell megadniuk azon lehívható eszközök/esedékes összegek/maximális összegek teljes összegét, amelyek teljesen mentesítettek a beáramlások felső korlátja alól az (EU) 2015/61 felhatalmazáson alapuló rendelet 33. cikkének (2), (3) és (5) bekezdésében meghatározottak szerint, és az itt szereplő útmutató alapján. Ha az illetékes hatóság jóváhagyta a beáramlások felső korlátja alóli részleges mentességet az (EU) 2015/61 felhatalmazáson alapuló rendelet 33. cikke (2) bekezdésének megfelelően, az összeg mentesség alá tartozó részét a 020. vagy 030. oszlopban kell megadni, az összeg mentesség alá nem tartozó részét pedig a 010. oszlopban. | 
| 040 | A kapott biztosíték piaci értéke – A beáramlások 75 %-os felső korlátja alá tartozó Az (EU) 2015/61 felhatalmazáson alapuló rendelet 32., 33. és 34. cikke A {269}–{295}, {309–335} és {490} sor esetében a hitelintézeteknek a 040. oszlopban kell megadniuk a fedezett kölcsönügyletek és tőkepiac-vezérelt ügyletek során kapott biztosíték piaci értékét, amelyek a beáramlások 75 %-os felső korlátja alá tartoznak az (EU) 2015/61 felhatalmazáson alapuló rendelet 33. cikkének (1) bekezdésében meghatározottak szerint. Ha az illetékes hatóság jóváhagyta a beáramlások felső korlátja alóli részleges mentességet az (EU) 2015/61 felhatalmazáson alapuló rendelet 33. cikke (2) bekezdésének megfelelően, a mentesség alá tartozó fedezett kölcsönügyletek és tőkepiac-vezérelt ügyletek során kapott biztosíték piaci értékét a 050. vagy 060. oszlopban kell megadni, a mentesség alá nem tartozó fedezett kölcsönügyletek és tőkepiac-vezérelt ügyletek során kapott biztosíték piaci értékét pedig a 040. oszlopban. | 
| 050 | A kapott biztosíték piaci értéke – A beáramlások 90 %-os felső korlátja alá tartozó Az (EU) 2015/61 felhatalmazáson alapuló rendelet 32., 33. és 34. cikke A {269}–{295}, {309–335} és {490} sor esetében a hitelintézeteknek a 050. oszlopban kell megadniuk a fedezett kölcsönügyletek és tőkepiac-vezérelt ügyletek során kapott biztosíték piaci értékét, amelyek a beáramlások 90 %-os felső korlátja alá tartoznak az (EU) 2015/61 felhatalmazáson alapuló rendelet 33. cikkének (4) bekezdésében és (5) bekezdésében meghatározottak szerint. Ha az illetékes hatóság jóváhagyta a beáramlások felső korlátja alóli részleges mentességet az (EU) 2015/61 felhatalmazáson alapuló rendelet 33. cikke (2) bekezdésének megfelelően, a mentesség alá tartozó fedezett kölcsönügyletek és tőkepiac-vezérelt ügyletek során kapott biztosíték piaci értékét a 050. vagy 060. oszlopban kell megadni, a mentesség alá nem tartozó fedezett kölcsönügyletek és tőkepiac-vezérelt ügyletek során kapott biztosíték piaci értékét pedig a 040. oszlopban. | 
| 060 | A kapott biztosíték piaci értéke – A beáramlások felső korlátja alól mentesített Az (EU) 2015/61 felhatalmazáson alapuló rendelet 32., 33. és 34. cikke A {269}–{295}, {309–335} és {490} sor esetében a hitelintézeteknek a 060. oszlopban kell megadniuk a fedezett kölcsönügyletek és tőkepiac-vezérelt ügyletek során kapott biztosíték piaci értékét, amelyek teljes mértékben mentesítettek a beáramlások felső korlátja alól az (EU) 2015/61 felhatalmazáson alapuló rendelet 33. cikkének (2), (3) és (5) bekezdésében meghatározottak szerint. Ha az illetékes hatóság jóváhagyta a beáramlások felső korlátja alóli részleges mentességet az (EU) 2015/61 felhatalmazáson alapuló rendelet 33. cikke (2) bekezdésének megfelelően, a mentesség alá tartozó fedezett kölcsönügyletek és tőkepiac-vezérelt ügyletek során kapott biztosíték piaci értékét a 050. vagy 060. oszlopban kell megadni, a mentesség alá nem tartozó fedezett kölcsönügyletek és tőkepiac-vezérelt ügyletek során kapott biztosíték piaci értékét pedig a 040. oszlopban. | 
| 070 | Standard súly Az (EU) 2015/61 felhatalmazáson alapuló rendelet 32., 33. és 34. cikke A 070 oszlopban szereplő standard súlyok az (EU) 2015/61 felhatalmazáson alapuló rendeletben alapértelmezés szerint meghatározottak, és tájékoztatásul szerepelnek. | 
| 080 | Alkalmazandó súly – A beáramlások 75 %-os felső korlátja alá tartozó Az (EU) 2015/61 felhatalmazáson alapuló rendelet 32., 33. és 34. cikke Az alkalmazandó súly az (EU) 2015/61 felhatalmazáson alapuló rendelet 32–34. cikkében meghatározott súly. Az alkalmazandó súlyok súlyozott átlagértékeket eredményezhetnek, és feltüntetésük tizedes rendszerben történik (azaz 1,00 a 100 százalékos alkalmazandó súly esetében, vagy 0,50 az 50 százalékos alkalmazandó súly esetében). Az alkalmazandó súlyok tükrözhetnek többek között vállalatspecifikus vagy nemzeti megfontolásokat is. A {040}, {060}–{090}, {120}–{130}, {150}–{260}, {269}, {273}, {277}, {281}, {285}, {289}, {293}, {301}–{303}, {309}, {313}, {317}, {321}, {325}, {329}, {333}, {341}–{345}, {450} és {470}–{510} sor esetében a hitelintézeteknek a 080. oszlopban kell megadniuk az azon lehívható eszközökre/esedékes pénzösszegekre/maximális összegekre alkalmazott átlagos súlyt, amelyek a beáramlások 75 %-os felső korlátja alá tartoznak az (EU) 2015/61 felhatalmazáson alapuló rendelet 33. cikkének (1) bekezdésében meghatározottak szerint. | 
| 090 | Alkalmazandó súly – A beáramlások 90 %-os felső korlátja alá tartozó Az (EU) 2015/61 felhatalmazáson alapuló rendelet 32., 33. és 34. cikke Az alkalmazandó súlyok az (EU) 2015/61 felhatalmazáson alapuló rendelet 32–34. cikkében meghatározott súlyok. Az alkalmazandó súlyok súlyozott átlagértékeket eredményezhetnek, és feltüntetésük tizedes rendszerben történik (azaz 1,00 a 100 százalékos alkalmazandó súly esetében, vagy 0,50 az 50 százalékos alkalmazandó súly esetében). Az alkalmazandó súlyok tükrözhetnek többek között vállalatspecifikus vagy nemzeti megfontolásokat is. A {040}, {060}–{090}, {120}–{130}, {150}–{260}, {269}, {273}, {277}, {281}, {285}, {289}, {293}, {301}–{303}, {309}, {313}, {317}, {321}, {325}, {329}, {333}, {341}–{345}, {450} és {470}–{510} sor esetében a hitelintézeteknek a 090. oszlopban kell megadniuk az azon lehívható eszközökre/esedékes pénzösszegekre/maximális összegekre alkalmazott átlagos súlyt, amelyek a beáramlások 90 %-os felső korlátja alá tartoznak az (EU) 2015/61 felhatalmazáson alapuló rendelet 33. cikkének (4) és (5) bekezdésében meghatározottak szerint. | 
| 100 | Alkalmazandó súly – A beáramlások felső korlátja alól mentesített Az (EU) 2015/61 felhatalmazáson alapuló rendelet 32., 33. és 34. cikke Az alkalmazandó súlyok az (EU) 2015/61 felhatalmazáson alapuló rendelet 32–34. cikkében meghatározott súlyok. Az alkalmazandó súlyok súlyozott átlagértékeket eredményezhetnek, és feltüntetésük tizedes rendszerben történik (azaz 1,00 a 100 százalékos alkalmazandó súly esetében, vagy 0,50 az 50 százalékos alkalmazandó súly esetében). Az alkalmazandó súlyok tükrözhetnek többek között vállalatspecifikus vagy nemzeti megfontolásokat is. A {040}, {060}–{090}, {120}–{130}, {150}–{260}, {269}, {273}, {277}, {281}, {285}, {289}, {293}, {301}–{303}, {309}, {313}, {317}, {321}, {325}, {329}, {333}, {341}–{345}, {450} és {470}–{510} sor esetében a hitelintézeteknek a 100. oszlopban kell megadniuk az azon lehívható eszközökre/esedékes pénzösszegekre/maximális összegekre alkalmazott átlagos súlyt, amelyek mentesítettek a beáramlások felső korlátja alól az (EU) 2015/61 felhatalmazáson alapuló rendelet 33. cikkének (2), (3) és (5) bekezdésében meghatározottak szerint. | 
| 110 | A kapott biztosíték 9. cikk szerinti értéke – A beáramlások 75 %-os felső korlátja alá tartozó Az (EU) 2015/61 felhatalmazáson alapuló rendelet 32., 33. és 34. cikke A {271}, {275}, {279}, {283}, {287}, {291}, {295}, {311}, {315}, {319}, {323}, {327}, {331} és {335} sor esetében a hitelintézeteknek a 110. oszlopban kell megadniuk a fedezett kölcsönügyletek és tőkepiac-vezérelt ügyletek során kapott biztosíték (EU) 2015/61 felhatalmazáson alapuló rendelet 9. cikke szerinti értékét, amelyek a beáramlások 75 %-os felső korlátja alá tartoznak az (EU) 2015/61 felhatalmazáson alapuló rendelet 33. cikkének (1) bekezdésében meghatározottak szerint. Ha az illetékes hatóság jóváhagyta a beáramlások felső korlátja alóli részleges mentességet az (EU) 2015/61 felhatalmazáson alapuló rendelet 33. cikke (2) bekezdésének megfelelően, a mentesség alá tartozó fedezett kölcsönügyletek és tőkepiac-vezérelt ügyletek során kapott biztosíték (EU) 2015/61 felhatalmazáson alapuló rendelet 9. cikke szerinti értékét a 120. vagy 130. oszlopban kell megadni, a mentesség alá nem tartozó fedezett kölcsönügyletek és tőkepiac-vezérelt ügyletek során kapott biztosíték (EU) 2015/61 felhatalmazáson alapuló bizottsági rendelet 9. cikke szerinti értékét pedig a 110. oszlopban. | 
| 120 | A kapott biztosíték 9. cikk szerinti értéke – A beáramlások 90 %-os felső korlátja alá tartozó Az (EU) 2015/61 felhatalmazáson alapuló rendelet 32., 33. és 34. cikke A {271}, {275}, {279}, {283}, {287}, {291}, {295}, {311}, {315}, {319}, {323}, {327}, {331} és {335} sor esetében a hitelintézeteknek a 120. oszlopban kell megadniuk a fedezett kölcsönügyletek és tőkepiac-vezérelt ügyletek során kapott biztosíték (EU) 2015/61 felhatalmazáson alapuló rendelet 9. cikke szerinti értékét, amelyek a beáramlások 90 %-os felső korlátja alá tartoznak az (EU) 2015/61 felhatalmazáson alapuló rendelet 33. cikkének (4) és (5) bekezdésében meghatározottak szerint. Ha az illetékes hatóság jóváhagyta a beáramlások felső korlátja alóli részleges mentességet az (EU) 2015/61 felhatalmazáson alapuló rendelet 33. cikke (2) bekezdésének megfelelően, a mentesség alá tartozó fedezett kölcsönügyletek és tőkepiac-vezérelt ügyletek során kapott biztosíték (EU) 2015/61 felhatalmazáson alapuló rendelet 9. cikke szerinti értékét a 120. vagy 130. oszlopban kell megadni, a mentesség alá nem tartozó fedezett kölcsönügyletek és tőkepiac-vezérelt ügyletek során kapott biztosíték (EU) 2015/61 felhatalmazáson alapuló bizottsági rendelet 9. cikke szerinti értékét pedig a 110. oszlopban. | 
| 130 | A kapott biztosíték 9. cikk szerinti értéke – A beáramlások felső korlátja alól mentesített Az (EU) 2015/61 felhatalmazáson alapuló rendelet 32., 33. és 34. cikke A {271}, {275}, {279}, {283}, {287}, {291}, {295}, {311}, {315}, {319}, {323}, {327}, {331} és {335} sor esetében a hitelintézeteknek a 130. oszlopban kell megadniuk a fedezett kölcsönügyletek és tőkepiac-vezérelt ügyletek során kapott biztosíték (EU) 2015/61 felhatalmazáson alapuló rendelet 9. cikke szerinti értékét, amelyek teljes mértékben mentesítettek a beáramlások felső korlátja alól az (EU) 2015/61 felhatalmazáson alapuló rendelet 33. cikkének (2), (3) és (5) bekezdésében meghatározottak szerint. Ha az illetékes hatóság jóváhagyta a beáramlások felső korlátja alóli részleges mentességet az (EU) 2015/61 felhatalmazáson alapuló rendelet 33. cikke (2) bekezdésének megfelelően, a mentesség alá tartozó fedezett kölcsönügyletek és tőkepiac-vezérelt ügyletek során kapott biztosíték (EU) 2015/61 felhatalmazáson alapuló rendelet 9. cikke szerinti értékét a 120. vagy 130. oszlopban kell megadni, a mentesség alá nem tartozó fedezett kölcsönügyletek és tőkepiac-vezérelt ügyletek során kapott biztosíték (EU) 2015/61 felhatalmazáson alapuló bizottsági rendelet 9. cikke szerinti értékét pedig a 110. oszlopban. | 
| 140 | Beáramlás – A beáramlások 75 %-os felső korlátja alá tartozó beáramlások Az (EU) 2015/61 felhatalmazáson alapuló rendelet 32., 33. és 34. cikke A {040}, {060}-{090}, {120}–{130}, {150}–{260}, {269}, {273}, {277}, {281}, {285}, {289}, {293}, {301}–{303}, {309}, {313}, {317}, {321}, {325}, {329}, {333}, {341}–{345}, {450} és {470}–{510} sor esetében a hitelintézeteknek a 140. oszlopban kell megadniuk azon beáramlások teljes összegét, amelyek a beáramlások 75 %-os felső korlátja alá tartoznak az (EU) 2015/61 felhatalmazáson alapuló rendelet 33. cikkének (1) bekezdésében meghatározottak szerint, és amelyek kiszámítása a 010. oszlopbeli lehívható teljes összeg/maximális összeg és a 080. oszlopbeli vonatkozó súly szorzataként történik. A {170} sor esetében a hitelintézetnek az (EU) 2015/61 felhatalmazáson alapuló rendelet 33. cikkének (1) bekezdésében meghatározottak szerint a beáramlások 75 %-os felső korlátja alá tartozó beáramlások teljes összegét a 140. oszlopban csak akkor kell feltüntetnie, ha a hitelintézet ezt a kötelezettségvállalást abból a célból kapta, hogy kedvezményes hitelt folyósítson egy végső kedvezményezettnek vagy hasonló kötelezettségvállalást kapott multilaterális fejlesztési banktól vagy közszektorbeli intézménytől. | 
| 150 | Beáramlás – A beáramlások 90 %-os felső korlátja alá tartozó beáramlások Az (EU) 2015/61 felhatalmazáson alapuló rendelet 32., 33. és 34. cikke A {040}, {060}-{090}, {120}–{130}, {150}–{260}, {269}, {273}, {277}, {281}, {285}, {289}, {293}, {301}–{303}, {309}, {313}, {317}, {321}, {325}, {329}, {333}, {341}–{345}, {450} és {470}–{510} sor esetében a hitelintézeteknek a 150. oszlopban kell megadniuk azon beáramlások teljes összegét, amelyek a beáramlások 90 %-os felső korlátja alá tartoznak az (EU) 2015/61 felhatalmazáson alapuló rendelet 33. cikkének (4) és (5) bekezdésében meghatározottak szerint, és amelyek kiszámítása a 020. oszlopbeli lehívható teljes összeg/maximális összeg és a 090. oszlopbeli vonatkozó súly szorzataként történik.A {170} sor esetében a hitelintézetnek az (EU) 2015/61 felhatalmazáson alapuló rendelet 33. cikkének (4) és (5) bekezdésében meghatározottak szerint a beáramlások 90 %-os felső korlátja alá tartozó beáramlások teljes összegét a 150. oszlopban csak akkor kell feltüntetnie, ha a hitelintézet ezt a kötelezettségvállalást abból a célból kapta, hogy kedvezményes hitelt folyósítson egy végső kedvezményezettnek vagy hasonló kötelezettségvállalást kapott multilaterális fejlesztési banktól vagy közszektorbeli intézménytől. | 
| 160 | Beáramlás – A beáramlások felső korlátja alól mentesített beáramlások Az (EU) 2015/61 felhatalmazáson alapuló rendelet 32., 33. és 34. cikke A {040}, {060}-{090}, {120}–{130}, {150}–{260}, {269}, {273}, {277}, {281}, {285}, {289}, {293}, {301}–{303}, {309}, {313}, {317}, {321}, {325}, {329}, {333}, {341}–{345}, {450} és {470}–{510} sor esetében a hitelintézeteknek a 160. oszlopban kell megadniuk azon beáramlások teljes összegét, amelyek teljesen mentesítettek a beáramlások felső korlátja alól az (EU) 2015/61 felhatalmazáson alapuló rendelet 33. cikkének (2), (3) és (5) bekezdésében meghatározottak szerint, és amelyek kiszámítása a 030. oszlopbeli lehívható teljes összeg/maximális összeg és a 100. oszlopbeli vonatkozó súly szorzataként történik. A {170} sor esetében a hitelintézetnek az (EU) 2015/61 felhatalmazáson alapuló rendelet 33. cikkének (2), (3) és (5) bekezdésében meghatározottak szerint a beáramlások felső korlátja alól teljes mértékben mentesített beáramlások teljes összegét a 160. oszlopban csak akkor kell feltüntetnie, ha a hitelintézet ezt a kötelezettségvállalást abból a célból kapta, hogy kedvezményes hitelt folyósítson egy végső kedvezményezettnek vagy hasonló kötelezettségvállalást kapott multilaterális fejlesztési banktól vagy közszektorbeli intézménytől. | 
1.5.2. A tábla egyes soraira vonatkozó útmutató
| Sor | Jogszabályi hivatkozások és útmutató | 
| 010 | 1.  ÖSSZES BEÁRAMLÁS Az (EU) 2015/61 felhatalmazáson alapuló rendelet 32., 33. és 34. cikke A hitelintézeteknek a XXIV. melléklet C 74.00 táblájának 010. sorában a következőket kell megadniuk: — a 010., 020. és 030. oszlopban a lehívható eszközök/esedékes pénzeszközök/maximális összegek teljes összege a fedezetlen ügyletekből/betétekből és fedezett kölcsönügyletekből és tőkepiac-vezérelt ügyletekből származó lehívható eszközök/esedékes pénzösszegek/maximális összegek összegeként; | 
| — a 140. oszlopban a beáramlások teljes összegét a fedezetlen ügyletekből/betétekből, fedezett kölcsönügyletekből és tőkepiac-vezérelt ügyletekből és biztosítéki csereügyletekből származó beáramlások összegeként, levonva belőle a teljes súlyozott beáramlások és teljes súlyozott kiáramlások különbözetét, amelyek devizakiviteli-/behozatali korlátozásokat alkalmazó harmadik országbeli ügyletekből erednek, vagy amelyek nem konvertibilis pénznemben denomináltak; valamint — a 150. és a 160. oszlopban a beáramlások teljes összegét a fedezetlen ügyletekből/betétekből, fedezett kölcsönügyletekből és tőkepiac-vezérelt ügyletekből és biztosítéki csereügyletekből származó beáramlások összegeként, levonva belőle a teljes súlyozott beáramlások és teljes súlyozott kiáramlások különbözetét, amelyek devizakiviteli-/behozatali korlátozásokat alkalmazó harmadik országbeli ügyletekből erednek, vagy amelyek nem konvertibilis pénznemben denomináltak, valamint levonva az (EU) 2015/61 felhatalmazáson alapuló rendelet 2. cikke (3) bekezdésének e) pontjában és 33. cikke (6) bekezdésében említett szakosodott hitelintézettől származó beáramlás többletét. | |
| 020 | 1.1.  Fedezetlen ügyletek/betétek beáramlásai Az (EU) 2015/61 felhatalmazáson alapuló rendelet 32., 33. és 34. cikke A hitelintézeteknek a XXIV. melléklet C 74.00 táblájának 020. sorában a következőket kell megadniuk: — a 010., 020. és 030. oszlopban a fedezetlen ügyletekből/betétekből származó lehívható eszközök/esedékes pénzösszegek/maximális összegek teljes összege; valamint — a 140., 150. és 160. oszlopban a fedezetlen ügyletekből/betétekből származó teljes beáramlás. | 
| 030 | 1.1.1.  nem pénzügyi (és nem központi bank) ügyfelektől esedékes pénzösszegek Az (EU) 2015/61 felhatalmazáson alapuló rendelet 32. cikke (3) bekezdésének a) pontja A hitelintézeteknek a XXIV. melléklet C 74.00 táblájának 030. sorában a következőket kell megadniuk: — a 010., 020. és 030. oszlopban a nem pénzügyi (és nem központi bank) ügyfelektől esedékes pénzösszegek teljes összege (nem pénzügyi ügyfelektől esedékes, nem tőketörlesztési célú pénzösszegek, valamint nem pénzügyi ügyfelektől esedékes minden egyéb pénzösszeg) és — a 140., 150. és 160. oszlopban a nem pénzügyi (és nem központi bank) ügyfelektől származó teljes beáramlás (nem pénzügyi ügyfelektől származó, nem tőketörlesztési célú beáramlások, valamint nem pénzügyi ügyfelektől származó minden egyéb beáramlás). Az (EU) 2015/61 felhatalmazáson alapuló rendelet 31a. cikkének megfelelően a nem pénzügyi ügyfelek közé tartoznak többek között a természetes személyek, a kkv-k, a vállalkozások, a kormányzatok, a multilaterális fejlesztési bankok és a közszektorbeli intézmények. A nem pénzügyi ügyféllel kötött fedezett kölcsönügyletből és tőkepiac-vezérelt ügyletből esedékes pénzösszegeket, amelyek fedezete likvid eszköz az (EU) 2015/61 felhatalmazáson alapuló rendelet II. címével összhangban, amennyiben ezek az 575/2013/EU rendelet 192. cikkének 2. és 3. pontjában meghatározott ügyletek, az 1.2. szakaszban kell feltüntetni, és nem szabad feltüntetni az 1.1.1. szakaszban. Az (EU) 2015/61 felhatalmazáson alapuló rendelet II. címével összhangban likvid eszköznek nem minősülő átruházható értékpapírokkal fedezett ilyen ügyletekből esedékes pénzösszegeket az 1.2. szakaszban kell feltüntetni, és nem szabad feltüntetni az 1.1.1. szakaszban. Az (EU) 2015/61 felhatalmazáson alapuló rendelet II. címével összhangban likvid eszköznek nem minősülő nem átruházható eszközökkel fedezett, nem pénzügyi ügyfelekkel kötött ilyen ügyletekből esedékes pénzösszegeket az 1.1.1. szakasz érintett sorában kell feltüntetni. A központi bankoktól esedékes pénzösszegeket az 1.1.2. szakaszban kell feltüntetni, és itt nem szabad megadni. A legfeljebb 30 napos hátralévő futamidejű kereskedelemfinanszírozási ügyletekből esedékes pénzösszegeket az 1.1.4. szakaszban kell feltüntetni, és itt nem szabad megadni. A 30 naptári napon belül lejáró értékpapírokból esedékes pénzösszegeket az 1.1.5. szakaszban kell feltüntetni, és itt nem szabad megadni. | 
| 040 | 1.1.1.1.  nem pénzügyi (és nem központi bank) ügyfelektől esedékes, nem tőketörlesztési célú pénzösszegek Az (EU) 2015/61 felhatalmazáson alapuló rendelet 32. cikke (3) bekezdésének a) pontja Nem pénzügyi (és nem központi bank) ügyfelektől esedékes, legfeljebb 30 napos hátralévő futamidejű, nem tőketörlesztési célú pénzösszegek Ezek a beáramlások magukban foglalják a nem pénzügyi (és nem központi bank) ügyfelektől esedékes kamatokat és díjakat. A központi bankoktól esedékes nem tőketörlesztési célú pénzösszegeket az 1.1.2. szakaszban kell feltüntetni, és itt nem szabad megadni. | 
| 050 | 1.1.1.2.  nem pénzügyi (és nem központi bank) ügyfelektől esedékes egyéb pénzösszegek Az (EU) 2015/61 felhatalmazáson alapuló rendelet 32. cikke (3) bekezdésének a) pontja A hitelintézeteknek a XXIV. melléklet C 74.00 táblájának 050. sorában a következőket kell megadniuk: — a 010., 020. és 030. oszlopban a nem pénzügyi (és nem központi bank) ügyfelektől esedékes egyéb pénzösszegek teljes összege a nem pénzügyi ügyfelektől esedékes pénzösszegek partnerenkénti összegeként, és — a 140., 150. és 160. oszlopban a nem pénzügyi (és nem központi bank) ügyfelektől esedékes egyéb beáramlások teljes összege a nem pénzügyi ügyfelektől esedékes beáramlások partnerenkénti összegeként. A nem pénzügyi (és nem központi bank) ügyfelektől esedékes nem tőketörlesztési célú pénzösszegeket az 1.1.1.1. szakaszban kell feltüntetni, és itt nem szabad megadni. A központi bankoktól esedékes egyéb pénzösszegeket az 1.1.2. szakaszban kell feltüntetni, és itt nem szabad megadni. Az (EU) 2015/61 felhatalmazáson alapuló rendelet 31. cikkének (9) bekezdésében említett kedvezményes hitel nyújtására tett kötelezettségvállalásokkal összhangban a kiáramlásoknak megfelelő beáramlásokat az 1.1.3. szakaszban kell feltüntetni, és itt nem szabad megadni. | 
| 060 | 1.1.1.2.1.  lakossági ügyfelektől esedékes pénzösszegek Az (EU) 2015/61 felhatalmazáson alapuló rendelet 32. cikke (3) bekezdésének a) pontja Lakossági ügyfelektől esedékes, legfeljebb 30 napos hátralevő futamidejű pénzösszegek. | 
| 070 | 1.1.1.2.2.  nem pénzügyi vállalatoktól esedékes pénzösszegek Az (EU) 2015/61 felhatalmazáson alapuló rendelet 32. cikke (3) bekezdésének a) pontja Nem pénzügyi vállalatoktól esedékes, legfeljebb 30 napos hátralevő futamidejű pénzösszegek. | 
| 080 | 1.1.1.2.3.  kormányzatoktól, multilaterális fejlesztési bankoktól és közszektorbeli intézményektől esedékes pénzösszegek Az (EU) 2015/61 felhatalmazáson alapuló rendelet 32. cikke (3) bekezdésének a) pontja Kormányzatoktól, multilaterális fejlesztési bankoktól és közszektorbeli intézményektől esedékes, legfeljebb 30 napos hátralevő futamidejű pénzösszegek. | 
| 090 | 1.1.1.2.4.  egyéb jogi személyektől esedékes pénzösszegek Az (EU) 2015/61 felhatalmazáson alapuló rendelet 32. cikke (3) bekezdésének a) pontja A fentiekben nem szereplő, egyéb jogi személyektől esedékes, legfeljebb 30 napos hátralevő futamidejű pénzösszegek. | 
| 100 | 1.1.2.  központi bankoktól és pénzügyi ügyfelektől esedékes pénzösszegek Az (EU) 2015/61 felhatalmazáson alapuló rendelet 32. cikke (2) bekezdésének a) pontja és 32. cikke (3) bekezdésének d) pontja, összefüggésben 27. cikkével A hitelintézeteknek a XXIV. melléklet C 74.00 táblájának 100. sorában a következőket kell megadniuk: — a 010., 020. és 030. oszlopban a központi bankoktól és pénzügyi ügyfelektől esedékes pénzösszegek teljes összege (operatív és nem operatív betétek egyaránt); valamint — a 140., 150. és 160. oszlopban a központi bankoktól és pénzügyi ügyfelektől származó teljes beáramlás (operatív és nem operatív betétek egyaránt). A hitelintézeteknek a központi bankoktól és pénzügyi ügyfelektől esedékes, legfeljebb 30 napos hátralevő futamidejű pénzösszegek teljes összege, amelyek még nem késedelmesek, és amelyek esetében a banknak nincs oka nemteljesítést feltételezni egy 30 napos időszakon belül. | 
| A központi bankoktól és pénzügyi ügyfelektől esedékes, nem tőketörlesztési célú pénzösszegeket a vonatkozó szakaszban kell feltüntetni. Az (EU) 2015/61 felhatalmazáson alapuló rendelet 27. cikkének (3) bekezdésében említett, központi intézménynél elhelyezett betéteket nem szabad beáramlásként feltüntetni. A legfeljebb 30 napos hátralévő futamidejű kereskedelemfinanszírozási ügyletekből esedékes pénzösszegeket az 1.1.4. szakaszban kell feltüntetni, és itt nem szabad megadni. A 30 naptári napon belül lejáró értékpapírokból esedékes pénzösszegeket az 1.1.5. szakaszban kell feltüntetni, és itt nem szabad megadni. | |
| 110 | 1.1.2.1.  pénzügyi ügyfelektől esedékes, operatív betétként besorolt pénzösszegek Az (EU) 2015/61 felhatalmazáson alapuló rendelet 32. cikke (3) bekezdésének d) pontja, összefüggésben 27. cikkével A hitelintézeteknek a XXIV. melléklet C 74.00 táblájának 110. sorában a következőket kell megadniuk: — a 010., 020. és 030. oszlopban az operatív betétként besorolt, pénzügyi ügyfelektől esedékes pénzösszegek teljes összege (figyelmen kívül hagyva, hogy a hitelintézet képes-e megfelelő szimmetrikus beáramlási arányt megállapítani); valamint — a 140., 150. és 160. oszlopban az operatív betétként besorolt, pénzügyi ügyfelektől származó teljes beáramlás (figyelmen kívül hagyva, hogy a hitelintézet képes-e megfelelő szimmetrikus beáramlási arányt megállapítani). A hitelintézeteknek itt a pénzügyi ügyfelektől esedékes, klíring-, letéti, készpénzmenedzsment szolgáltatások hitelintézet általi igénybevétele céljából fizetendő pénzösszegeket kell megadniuk az (EU) 2015/61 felhatalmazáson alapuló rendelet 27. cikkével összhangban. | 
| 120 | 1.1.2.1.1.  pénzügyi ügyfelektől esedékes, operatív betétként besorolt pénzösszegek, amelyek esetében a hitelintézet képes megfelelő szimmetrikus beáramlási arányt megállapítani Az (EU) 2015/61 felhatalmazáson alapuló rendelet 32. cikke (3) bekezdésének d) pontja, összefüggésben 27. cikkével Pénzügyi ügyfelektől esedékes, klíring-, letéti, készpénzmenedzsment szolgáltatások hitelintézet általi igénybevétele céljából fizetendő, legfeljebb 30 napos hátralevő futamidejű pénzösszegek az (EU) 2015/61 felhatalmazáson alapuló rendelet 27. cikkével összhangban, ha a hitelintézet képes megállapítani a megfelelő szimmetrikus beáramlási arányt. | 
| 130 | 1.1.2.1.2.  pénzügyi ügyfelektől esedékes, operatív betétként besorolt pénzösszegek, amelyek esetében a hitelintézet nem képes megfelelő szimmetrikus beáramlási arányt megállapítani Az (EU) 2015/61 felhatalmazáson alapuló rendelet 32. cikke (3) bekezdésének d) pontja, összefüggésben 27. cikkével Pénzügyi ügyfelektől esedékes, klíring-, letéti, készpénzmenedzsment szolgáltatások hitelintézet általi igénybevétele céljából fizetendő, legfeljebb 30 napos hátralevő futamidejű pénzösszegek az (EU) 2015/61 felhatalmazáson alapuló rendelet 27. cikkével összhangban, ha a hitelintézet nem képes megállapítani a megfelelő szimmetrikus beáramlási arányt. E tételek esetében 5 %-os beáramlási arányt kell alkalmazni. | 
| 140 | 1.1.2.2.  központi bankoktól és pénzügyi ügyfelektől esedékes, nem operatív betétként besorolt pénzösszegek Az (EU) 2015/61 felhatalmazáson alapuló rendelet 32. cikke (2) bekezdésének a) pontja A hitelintézeteknek a XXIV. melléklet C 74.00 táblájának 140. sorában a következőket kell megadniuk: — a 010., 020. és 030. oszlopban a nem operatív betétként besorolt, központi bankoktól és pénzügyi ügyfelektől esedékes pénzösszegek teljes összege, és — a 140., 150. és 160. oszlopban a nem operatív betétként besorolt, központi bankoktól és pénzügyi ügyfelektől származó teljes beáramlás. A hitelintézeteknek itt a központi bankoktól és pénzügyi ügyfelektől esedékes olyan pénzösszegeket kell megadniuk, amelyek nem minősülnek operatív betétként kezelhetőnek, az (EU) 2015/61 felhatalmazáson alapuló rendelet 32. cikke (3) bekezdésének d) pontjában meghatározottak szerint, összefüggésben 27. cikkével. | 
| 150 | 1.1.2.2.1.  központi bankoktól esedékes pénzösszegek Az (EU) 2015/61 felhatalmazáson alapuló rendelet 32. cikke (2) bekezdésének a) pontja Központi bankoktól esedékes, legfeljebb 30 napos hátralévő futamidejű pénzösszegek az (EU) 2015/61 felhatalmazáson alapuló rendelet 32. cikke (2) bekezdésének a) pontjával összhangban. | 
| 160 | 1.1.2.2.2.  pénzügyi ügyfelektől esedékes pénzösszegek Az (EU) 2015/61 felhatalmazáson alapuló rendelet 32. cikke (2) bekezdésének a) pontja Pénzügyi ügyfelektől esedékes, legfeljebb 30 napos hátralevő futamidejű pénzösszegek, amelyek nem minősülnek operatív betétként kezelhetőnek az (EU) 2015/61 felhatalmazáson alapuló rendelet 32. cikke (3) bekezdésének d) pontjában meghatározottak szerint, összefüggésben 27. cikkével. Az (EU) 2015/61 felhatalmazáson alapuló rendelet 31. cikkének (9) bekezdésében említett kedvezményes hitel nyújtására tett kötelezettségvállalásokkal összhangban a kiáramlásoknak megfelelő beáramlásokat az 1.1.3. szakaszban kell feltüntetni, és itt nem szabad megadni. | 
| 170 | 1.1.3.  az (EU) 2015/61 felhatalmazáson alapuló rendelet 31. cikkének (9) bekezdésében említett kedvezményes hitel nyújtására tett kötelezettségvállalásokkal összhangban a kiáramlásoknak megfelelő beáramlások Az (EU) 2015/61 felhatalmazáson alapuló rendelet 32. cikke (3) bekezdésének a) pontja Az (EU) 2015/61 felhatalmazáson alapuló rendelet 31. cikkének (9) bekezdésében említett kedvezményes hitel nyújtására tett kötelezettségvállalásokkal összhangban a kiáramlásoknak megfelelő beáramlások | 
| 180 | 1.1.4.  kereskedelemfinanszírozási ügyletekből esedékes pénzösszegek Az (EU) 2015/61 felhatalmazáson alapuló rendelet 32. cikke (2) bekezdésének b) pontja Legfeljebb 30 napos hátralévő futamidejű kereskedelemfinanszírozási ügyletekből esedékes pénzösszegek az (EU) 2015/61 felhatalmazáson alapuló rendelet 32. cikke (2) bekezdésének b) pontjával összhangban. | 
| 190 | 1.1.5.  30 napon belül lejáró értékpapírokból esedékes pénzösszegek Az (EU) 2015/61 felhatalmazáson alapuló rendelet 32. cikke (2) bekezdésének c) pontja 30 naptári napon belül lejáró értékpapírokból esedékes pénzösszegek, az (EU) 2015/61 felhatalmazáson alapuló rendelet 32. cikke (2) bekezdése c) pontjával összhangban. | 
| 201 | 1.1.6.  hitelek, amelyeknek szerződéses zárónapja nincs meghatározva Az (EU) 2015/61 felhatalmazáson alapuló rendelet 32. cikke (3) bekezdésének i) pontja Szerződéses zárónap nélküli hitelek, az (EU) 2015/61 felhatalmazáson alapuló rendelet 32. cikke (3) bekezdésének i) pontjával összhangban. A hitelintézet csak akkor veheti figyelembe ezeket a hiteleket, ha a szerződés lehetővé teszi a hitelintézet számára, hogy 30 naptári napon belül elálljon vagy fizetést kérjen. Az ügyfélszámlákra 30 naptári napon belül terhelendő kamat- és minimumkifizetéseket bele kell foglalni a feltüntetett összegbe. A szerződéses zárónap nélküli hitelekből eredő kamat- és minimumkifizetések, amelyek szerződés szerint esedékesek és a következő 30 naptári napon belül tényleges készpénzbeáramlást eredményeznek, esedékes pénzösszegnek tekintendők és azokat az érintett sorban fel kell tüntetni, az esedékes pénzösszegekre vonatkozóan a 32. cikkben előírt eljárást követve. A hitelintézetek nem adhatnak meg egyéb olyan felhalmozódó kamatokat, amelyeket nem terhelnek az ügyfélszámlára, és amelyek a következő 30 naptári napon belül nem eredményeznek tényleges készpénzbeáramlást sem. | 
| 210 | 1.1.7.  a jelentős indexeket alkotó tőkeinstrumentumokban tartott pozíciókból esedékes pénzösszegek, ha azokat nem veszik figyelembe a likvid eszközök között is Az (EU) 2015/61 felhatalmazáson alapuló rendelet 32. cikke (2) bekezdésének d) pontja A jelentős indexeket alkotó tőkeinstrumentumokban tartott pozíciókból esedékes pénzösszegek, ha azokat nem veszik figyelembe a likvid eszközök között is, az (EU) 2015/61 felhatalmazáson alapuló rendelet 32. cikke (2) bekezdésének d) pontjával összhangban. A pozíciók magukban foglalják a szerződés szerint 30 naptári napon belül esedékes pénzösszegeket, mint például a jelentős indexekből származó készpénz-osztalékot és a már értékesített, de még el nem számolt tőkeinstrumentumok után járó készpénzt, ha azokat nem veszik figyelembe a likvid eszközök között is az (EU) 2015/61 felhatalmazáson alapuló rendelet II. címének megfelelően. | 
| 230 | 1.1.8.  az ügyfelek kereskedési eszközeinek védelmére vonatkozó szabályozói követelményekkel összhangban elkülönített számlákon tartott egyenlegek felszabadításából származó beáramlások Az (EU) 2015/61 felhatalmazáson alapuló rendelet 32. cikkének (4) bekezdése Az ügyfelek kereskedési eszközeinek védelmére vonatkozó szabályozói követelményekkel összhangban elkülönített számlákon tartott egyenlegek felszabadításából származó beáramlások az (EU) 2015/61 felhatalmazáson alapuló rendelet 32. cikkének (4) bekezdésével összhangban. A beáramlásokat csak akkor kell figyelembe venni, ha ezeket az egyenlegeket likvid eszközökben tartják az (EU) 2015/61 felhatalmazáson alapuló rendelet II. címében meghatározottak szerint. | 
| 240 | 1.1.9.  származtatott ügyletekből eredő beáramlások Az (EU) 2015/61 felhatalmazáson alapuló rendelet 32. cikkének (5) bekezdése, összefüggésben 21. cikkével Az 575/2013/EU rendelet II. mellékletében felsorolt ügyletekből és hitelderivatívákból a következő 30 naptári nap során várható követelések nettó összege. A hitelintézetnek a 30 naptári nap alatt várható beáramlásokat nettó alapon, partnerenként kell kiszámolnia, figyelemmel a kétoldalú nettósítási megállapodások létezésére az 575/2013/EU rendelet 295. cikkének megfelelően. A nettó alapú számításnak ebben az esetben magában kell foglalnia a kapott biztosíték levonását is, feltéve, hogy az az (EU) 2015/61 felhatalmazáson alapuló bizottsági rendelet II. címe szerint likvid eszköznek minősül. A tőkeösszegek egyidejű (vagy napon belüli) teljes cseréjét magukban foglaló származtatott devizaügyletekből vagy hitelderivatívákból eredő készpénzkiáramlásokat és -beáramlásokat nettó alapon kell számítani, akkor is, ha az adott ügyletek nem tartoznak kétoldalú nettósítási megállapodás hatálya alá. Az 575/2013/EU rendelet 415. cikkének (2) bekezdése szerinti külön adatszolgáltatás esetén a származtatott ügyleteket vagy a hitelderivatívákat minden egyes pénznem esetében külön kell bemutatni. A partner általi nettósítást csak az adott devizanemben lévő áramlásokra lehet alkalmazni. | 
| 250 | 1.1.10.  egy csoport vagy intézményvédelmi rendszer tagjai által nyújtott, le nem hívott hitel- vagy likviditási keretből származó beáramlások, ha az illetékes hatóság engedélyezte magasabb beáramlási arány alkalmazását Az (EU) 2015/61 felhatalmazáson alapuló rendelet 34. cikke Egy csoport vagy intézményvédelmi rendszer tagjai által nyújtott, le nem hívott hitel- vagy likviditási keretből származó beáramlások, ha az illetékes hatóság engedélyezte magasabb beáramlási arány alkalmazását az (EU) 2015/61 felhatalmazáson alapuló rendelet 34. cikkének megfelelően. | 
| 260 | 1.1.11.  egyéb beáramlások Az (EU) 2015/61 felhatalmazáson alapuló rendelet 32. cikkének (2) bekezdése A táblában sehol máshol fel nem tüntetett minden egyéb beáramlás az (EU) 2015/61 felhatalmazáson alapuló rendelet 32. cikke (2) bekezdésének megfelelően. | 
| 263 | 1.2.  Fedezett kölcsönügyletekből és tőkepiac-vezérelt ügyletekből eredő beáramlások Az (EU) 2015/61 felhatalmazáson alapuló rendelet 32. cikke (3) bekezdésének b), c) és f) pontja a fedezett kölcsönügyletekből és tőkepiac-vezérelt ügyletekből eredő, legfeljebb 30 napos hátralévő futamidejű beáramlásokra vonatkozik. A hitelintézeteknek a XXIV. melléklet C 74.00 táblájának 263. sorában a következőket kell megadniuk: — a 010., 020. és 030. oszlopban a fedezett kölcsönügyletekből és tőkepiac-vezérelt ügyletekből esedékes pénzösszegek teljes összege; valamint — a 140., 150. és 160. oszlopban a fedezett kölcsönügyletekből és tőkepiac-vezérelt ügyletekből származó teljes beáramlás. A 30 naptári napon belül lejáró biztosítéki csereügyleteket a XXIV. melléklet C 75.01 táblájában kell feltüntetni, és itt nem szabad megadni. | 
| 265 | 1.2.1.  a partner központi bank A hitelintézeteknek itt az 575/2013/EU rendelet 192. cikkének 2. és 3. pontjában meghatározott fedezett kölcsönügyletekből és tőkepiac-vezérelt ügyletekből eredő, legfeljebb 30 napos hátralévő futamidejű beáramlásokat kell megadniuk, ha a partner központi bank. A hitelintézeteknek a XXIV. melléklet C 74.00 táblájának 265. sorában a következőket kell megadniuk: — a 010., 020. és 030. oszlopban a fedezett kölcsönügyletekből és tőkepiac-vezérelt ügyletekből esedékes pénzösszegek teljes összege, ha a partner központi bank; valamint — a 140., 150. és 160. oszlopban a fedezett kölcsönügyletekből és tőkepiac-vezérelt ügyletekből származó teljes beáramlás, ha a partner központi bank. | 
| 267 | 1.2.1.1.  likvid eszköznek minősülő biztosíték A hitelintézeteknek a XXIV. melléklet C 74.00 táblájának 267. sorában a következőket kell megadniuk: — a 010., 020. és 030. oszlopban a fedezett kölcsönügyletekből és tőkepiac-vezérelt ügyletekből esedékes, legfeljebb 30 napos hátralévő futamidejű pénzösszegek teljes összege, ha a partner központi bank, és ha az ügyletet likvid eszközök fedezik; valamint — a 140., 150. és 160. oszlopban a fedezett kölcsönügyletekből és tőkepiac-vezérelt ügyletekből származó, legfeljebb 30 napos hátralévő futamidejű teljes beáramlás, ha a partner központi bank, és ha az ügyletet likvid eszközök fedezik. A hitelintézeteknek itt a legfeljebb 30 napos hátralévő futamidejű fedezett kölcsönügyleteket és tőkepiac-vezérelt ügyleteket kell megadniuk, ha a partner központi bank, és ha az ügyletet likvid eszközök fedezik, függetlenül attól, hogy újra felhasználják-e azokat más ügyletben, illetve attól, hogy a kapott likvid eszközök teljesítik-e az (EU) 2015/61 felhatalmazáson alapuló rendelet 8. cikke szerinti operatív követelményeket. | 
| 269 | 1.2.1.1.1.  1. szintű biztosíték a rendkívül magas minőségű fedezett kötvények kivételével Az (EU) 2015/61 felhatalmazáson alapuló rendelet 32. cikke (3) bekezdésének b) pontja A legfeljebb 30 napos hátralévő futamidejű fedezett kölcsönügyletek és tőkepiac-vezérelt ügyletek, ha a partner központi bank, és ha az ügyletet olyan likvid eszközök fedezik, amelyek – függetlenül attól, hogy újra felhasználják-e azokat más ügyletben –, az (EU) 2015/61 felhatalmazáson alapuló rendelet 7. és 10. cikke szerint az 1. szintű eszközök 10. cikkben említett valamely kategóriájába tartozó likvid eszköznek minősülnének, a 10. cikk (1) bekezdésének f) pontjában említett, rendkívül magas minőségű fedezett kötvények kivételével; | 
| 271 | 1.2.1.1.1.1.  ebből a kapott biztosíték teljesíti az operatív követelményeket Az (EU) 2015/61 felhatalmazáson alapuló rendelet 32. cikke (3) bekezdésének b) pontja Az 1.2.1.1.1 tételben szereplő ügyletek közül azok az ügyletek, ahol a kapott biztosíték teljesíti az (EU) 2015/61 felhatalmazáson alapuló rendelet 8. cikke szerinti operatív követelményeket. | 
| 273 | 1.2.1.1.2.  1. szintű biztosíték, amely rendkívül magas minőségű fedezett kötvényekből áll Az (EU) 2015/61 felhatalmazáson alapuló rendelet 32. cikke (3) bekezdésének b) pontja A legfeljebb 30 napos hátralévő futamidejű fedezett kölcsönügyletek és tőkepiac-vezérelt ügyletek, ha a partner központi bank, és ha az ügyletet olyan likvid eszközök fedezik, amelyek – függetlenül attól, hogy újra felhasználják-e azokat más ügyletben –, az (EU) 2015/61 felhatalmazáson alapuló rendelet 7. és 10. cikke szerint a 10. cikk (1) bekezdésének f) pontjában említett kategóriába tartozó likvid eszköznek minősülnének. | 
| 275 | 1.2.1.1.2.1.  ebből a kapott biztosíték teljesíti az operatív követelményeket Az (EU) 2015/61 felhatalmazáson alapuló rendelet 32. cikke (3) bekezdésének b) pontja Az 1.2.1.1.2 tételben szereplő ügyletek közül azok az ügyletek, ahol a kapott biztosíték teljesíti az (EU) 2015/61 felhatalmazáson alapuló rendelet 8. cikke szerinti operatív követelményeket. | 
| 277 | 1.2.1.1.3.  2A. szintű biztosíték Az (EU) 2015/61 felhatalmazáson alapuló rendelet 32. cikke (3) bekezdésének b) pontja A legfeljebb 30 napos hátralévő futamidejű fedezett kölcsönügyletek és tőkepiac-vezérelt ügyletek, ha a partner központi bank, és ha az ügyletet olyan likvid eszközök fedezik, amelyek – függetlenül attól, hogy újra felhasználják-e azokat más ügyletben –, az (EU) 2015/61 felhatalmazáson alapuló rendelet 7. és 11. cikke szerint a 2A. szintű eszközök 11. cikkben említett valamely kategóriájába tartozó likvid eszköznek minősülnének. | 
| 279 | 1.2.1.1.3.1.  ebből a kapott biztosíték teljesíti az operatív követelményeket Az (EU) 2015/61 felhatalmazáson alapuló rendelet 32. cikke (3) bekezdésének b) pontja Az 1.2.1.1.3 tételben szereplő ügyletek közül azok az ügyletek, ahol a kapott biztosíték teljesíti az (EU) 2015/61 felhatalmazáson alapuló rendelet 8. cikke szerinti operatív követelményeket. | 
| 281 | 1.2.1.1.4.  2B. szintű eszközfedezetű (lakóingatlan vagy gépjármű) értékpapírokból álló biztosíték Az (EU) 2015/61 felhatalmazáson alapuló rendelet 32. cikke (3) bekezdésének b) pontja A legfeljebb 30 napos hátralévő futamidejű fedezett kölcsönügyletek és tőkepiac-vezérelt ügyletek, ha a partner központi bank, és ha az ügyletet olyan likvid eszközök fedezik, amelyek – függetlenül attól, hogy újra felhasználják-e azokat más ügyletben –, az (EU) 2015/61 felhatalmazáson alapuló rendelet 7. és 13. cikke szerint a 2B. szintű eszközök 13. cikk (2) bekezdése g) pontjának i., ii. vagy iv. alpontjában említett valamely kategóriájába tartozó likvid eszköznek minősülnének. | 
| 283 | 1.2.1.1.4.1.  ebből a kapott biztosíték teljesíti az operatív követelményeket Az (EU) 2015/61 felhatalmazáson alapuló rendelet 32. cikke (3) bekezdésének b) pontja Az 1.2.1.1.4 tételben szereplő ügyletek közül azok az ügyletek, ahol a kapott biztosíték teljesíti az (EU) 2015/61 felhatalmazáson alapuló rendelet 8. cikke szerinti operatív követelményeket. | 
| 285 | 1.2.1.1.5.  2B. szintű magas minőségű fedezett kötvényekből álló biztosíték Az (EU) 2015/61 felhatalmazáson alapuló rendelet 32. cikke (3) bekezdésének b) pontja A legfeljebb 30 napos hátralévő futamidejű fedezett kölcsönügyletek és tőkepiac-vezérelt ügyletek, ha a partner központi bank, és ha az ügyletet olyan likvid eszközök fedezik, amelyek – függetlenül attól, hogy újra felhasználják-e azokat más ügyletben –, az (EU) 2015/61 felhatalmazáson alapuló rendelet 7. és 12. cikke szerint a 2B. szintű eszközök 12. cikk (1) bekezdésének e) pontjában említett kategóriájába tartozó likvid eszköznek minősülnének. | 
| 287 | 1.2.1.1.5.1.  ebből a kapott biztosíték teljesíti az operatív követelményeket Az (EU) 2015/61 felhatalmazáson alapuló rendelet 32. cikke (3) bekezdésének b) pontja Az 1.2.1.1.5 tételben szereplő ügyletek közül azok az ügyletek, ahol a kapott biztosíték teljesíti az (EU) 2015/61 felhatalmazáson alapuló rendelet 8. cikke szerinti operatív követelményeket. | 
| 289 | 1.2.1.1.6.  2B. szintű eszközfedezetű (vállalati vagy háztartási hitel) értékpapírokból álló biztosíték Az (EU) 2015/61 felhatalmazáson alapuló rendelet 32. cikke (3) bekezdésének b) pontja A legfeljebb 30 napos hátralévő futamidejű fedezett kölcsönügyletek és tőkepiac-vezérelt ügyletek, ha a partner központi bank, és ha az ügyletet olyan likvid eszközök fedezik, amelyek – függetlenül attól, hogy újra felhasználják-e azokat más ügyletben –, az (EU) 2015/61 felhatalmazáson alapuló rendelet 7. és 13. cikke szerint a 2B. szintű eszközök 13. cikk (2) bekezdése g) pontjának iii. vagy v. alpontjában említett valamely kategóriájába tartozó likvid eszköznek minősülnének. | 
| 291 | 1.2.1.1.6.1.  ebből a kapott biztosíték teljesíti az operatív követelményeket Az (EU) 2015/61 felhatalmazáson alapuló rendelet 32. cikke (3) bekezdésének b) pontja Az 1.2.1.1.6 tételben szereplő ügyletek közül azok az ügyletek, ahol a kapott biztosíték teljesíti az (EU) 2015/61 felhatalmazáson alapuló rendelet 8. cikke szerinti operatív követelményeket. | 
| 293 | 1.2.1.1.7.  Az 1.2.1.1.4., 1.2.1.1.5. vagy 1.2.1.1.6. szakaszban figyelembe nem vett 2B. szintű biztosíték Az (EU) 2015/61 felhatalmazáson alapuló rendelet 32. cikke (3) bekezdésének b) pontja A legfeljebb 30 napos hátralévő futamidejű fedezett kölcsönügyletek és tőkepiac-vezérelt ügyletek, ha a partner központi bank, és ha az ügyletet olyan likvid eszközök fedezik, amelyek – függetlenül attól, hogy újra felhasználják-e azokat más ügyletben –, az (EU) 2015/61 felhatalmazáson alapuló rendelet 7. és 12. cikke szerint a 2B. szintű eszközök 12. cikk (1) bekezdésének b), c) vagy f) pontjában említett valamely kategóriájába tartozó likvid eszköznek minősülnének. | 
| 295 | 1.2.1.1.7.1.  ebből a kapott biztosíték teljesíti az operatív követelményeket Az (EU) 2015/61 felhatalmazáson alapuló rendelet 32. cikke (3) bekezdésének b) pontja Az 1.2.1.1.7 tételben szereplő ügyletek közül azok az ügyletek, ahol a kapott biztosíték teljesíti az (EU) 2015/61 felhatalmazáson alapuló rendelet 8. cikke szerinti operatív követelményeket. | 
| 297 | 1.2.1.2.  a biztosítékot rövid pozíció fedezésére használják Az (EU) 2015/61 felhatalmazáson alapuló rendelet 32. cikke (3) bekezdésének b) pontja Legfeljebb 30 napos hátralévő futamidejű fedezett kölcsönügyletek és tőkepiac-vezérelt ügyletek, ha a partner központi bank, és ha az ügyletet olyan eszközök fedezik, amelyeket a 30. cikk (5) bekezdése második mondatának megfelelően rövid pozíció fedezésére használják. Ha bármely típusú biztosítékot rövid pozíció fedezésére használnak, azt itt kell feltüntetni, és nem a fenti sorok egyikében. Nem lehetséges a többszörös figyelembevétel. | 
| 299 | 1.2.1.3.  likvid eszköznek nem minősülő biztosíték A hitelintézeteknek a XXIV. melléklet C 74.00 táblájának 299. sorában a legfeljebb 30 napos hátralévő futamidejű fedezett kölcsönügyleteket és tőkepiac-vezérelt ügyleteket kell megadniuk, ha a partner központi bank, és ha a biztosíték nem minősül likvid eszköznek. A hitelintézeteknek itt a következőkről kell adatot szolgáltatniuk: — a 010., 020. és 030. oszlopban az említett ügyletekből esedékes pénzösszegek teljes összege, vagyis a nem likvid tőke biztosítékkal rendelkező fedezett kölcsönügyletekből és tőkepiac-vezérelt ügyletekből és a bármely más nem likvid biztosítékkal rendelkező fedezett kölcsönügyletekből és tőkepiac-vezérelt ügyletekből esedékes pénzösszegek összege; valamint — a 140., 150. és 160. oszlopban az említett ügyletekből esedékes teljes beáramlás, vagyis a nem likvid tőke biztosítékkal rendelkező fedezett kölcsönügyletekből és tőkepiac-vezérelt ügyletekből és a bármely más nem likvid biztosítékkal rendelkező fedezett kölcsönügyletekből és tőkepiac-vezérelt ügyletekből származó beáramlások összege. | 
| 301 | 1.2.1.3.1.  a biztosíték nem likvid tőke Az (EU) 2015/61 felhatalmazáson alapuló rendelet 32. cikke (3) bekezdésének b) pontja Legfeljebb 30 napos hátralévő futamidejű fedezett kölcsönügyletek és tőkepiac-vezérelt ügyletek, ha a partner központi bank, és ha az ügyletet nem likvid tőke fedezi. | 
| 303 | 1.2.1.3.2.  minden egyéb nem likvid biztosíték Az (EU) 2015/61 felhatalmazáson alapuló rendelet 32. cikke (3) bekezdésének b) pontja Legfeljebb 30 napos hátralévő futamidejű fedezett kölcsönügyletek és tőkepiac-vezérelt ügyletek, ha a partner központi bank, és ha az ügyletet az 1.2.1.3.1. szakaszban még nem figyelembe vett nem likvid eszközök fedezik. | 
| 305 | 1.2.2.  a partner nem központi bank A hitelintézeteknek itt az 575/2013/EU rendelet 192. cikkének 2. és 3. pontjában meghatározott fedezett kölcsönügyletekből és tőkepiac-vezérelt ügyletekből eredő, legfeljebb 30 napos hátralévő futamidejű beáramlásokat kell megadniuk, ha a partner nem központi bank. A hitelintézeteknek a XXIV. melléklet C 74.00 táblájának 305. sorában a következőket kell megadniuk: — a 010., 020. és 030. oszlopban a fedezett kölcsönügyletekből és tőkepiac-vezérelt ügyletekből esedékes pénzösszegek teljes összege, ha a partner nem központi bank; valamint — a 140., 150. és 160. oszlopban a fedezett kölcsönügyletekből és tőkepiac-vezérelt ügyletekből származó teljes beáramlás, ha a partner nem központi bank. | 
| 307 | 1.2.2.1.  likvid eszköznek minősülő biztosíték A hitelintézeteknek a XXIV. melléklet C 74.00 táblájának 307. sorában a következőket kell megadniuk: — a 010., 020. és 030. oszlopban a fedezett kölcsönügyletekből és tőkepiac-vezérelt ügyletekből esedékes, legfeljebb 30 napos hátralévő futamidejű pénzösszegek teljes összege, ha a partner nem központi bank, és ha az ügyletet likvid eszközök fedezik; valamint — a 140., 150. és 160. oszlopban a fedezett kölcsönügyletekből és tőkepiac-vezérelt ügyletekből származó, legfeljebb 30 napos hátralévő futamidejű teljes beáramlás, ha a partner nem központi bank, és ha az ügyletet likvid eszközök fedezik. A hitelintézeteknek itt a legfeljebb 30 napos hátralévő futamidejű fedezett kölcsönügyleteket és tőkepiac-vezérelt ügyleteket kell megadniuk, ha a partner nem központi bank, és ha az ügyletet likvid eszközök fedezik, függetlenül attól, hogy újra felhasználják-e azokat más ügyletben, illetve attól, hogy a kapott likvid eszközök teljesítik-e az (EU) 2015/61 felhatalmazáson alapuló rendelet 8. cikke szerinti operatív követelményeket. | 
| 309 | 1.2.2.1.1.  1. szintű biztosíték a rendkívül magas minőségű fedezett kötvények kivételével Az (EU) 2015/61 felhatalmazáson alapuló rendelet 32. cikke (3) bekezdésének b) pontja A legfeljebb 30 napos hátralévő futamidejű fedezett kölcsönügyletek és tőkepiac-vezérelt ügyletek, ha a partner nem központi bank, és ha az ügyletet olyan likvid eszközök fedezik, amelyek – függetlenül attól, hogy újra felhasználják-e azokat más ügyletben –, az (EU) 2015/61 felhatalmazáson alapuló rendelet 7. és 10. cikke szerint az 1. szintű eszközök 10. cikkben említett valamely kategóriájába tartozó likvid eszköznek minősülnének, a 10. cikk (1) bekezdésének f) pontjában említett, rendkívül magas minőségű fedezett kötvények kivételével; | 
| 311 | 1.2.2.1.1.1.  ebből a kapott biztosíték teljesíti az operatív követelményeket Az (EU) 2015/61 felhatalmazáson alapuló rendelet 32. cikke (3) bekezdésének b) pontja Az 1.2.2.1.1 tételben szereplő ügyletek közül azok az ügyletek, ahol a kapott biztosíték teljesíti az (EU) 2015/61 felhatalmazáson alapuló rendelet 8. cikke szerinti operatív követelményeket. | 
| 313 | 1.2.2.1.2.  1. szintű biztosíték, amely rendkívül magas minőségű fedezett kötvényekből áll Az (EU) 2015/61 felhatalmazáson alapuló rendelet 32. cikke (3) bekezdésének b) pontja A legfeljebb 30 napos hátralévő futamidejű fedezett kölcsönügyletek és tőkepiac-vezérelt ügyletek, ha a partner nem központi bank, és ha az ügyletet olyan likvid eszközök fedezik, amelyek – függetlenül attól, hogy újra felhasználják-e azokat más ügyletben –, az (EU) 2015/61 felhatalmazáson alapuló rendelet 7. és 10. cikke szerint a 10. cikk (1) bekezdésének f) pontjában említett kategóriába tartozó likvid eszköznek minősülnének. | 
| 315 | 1.2.2.1.2.1.  ebből a kapott biztosíték teljesíti az operatív követelményeket Az (EU) 2015/61 felhatalmazáson alapuló rendelet 32. cikke (3) bekezdésének b) pontja Az 1.2.2.1.2 tételben szereplő ügyletek közül azok az ügyletek, ahol a kapott biztosíték teljesíti az (EU) 2015/61 felhatalmazáson alapuló rendelet 8. cikke szerinti operatív követelményeket. | 
| 317 | 1.2.2.1.3.  2A. szintű biztosíték Az (EU) 2015/61 felhatalmazáson alapuló rendelet 32. cikke (3) bekezdésének b) pontja A legfeljebb 30 napos hátralévő futamidejű fedezett kölcsönügyletek és tőkepiac-vezérelt ügyletek, ha a partner nem központi bank, és ha az ügyletet olyan likvid eszközök fedezik, amelyek – függetlenül attól, hogy újra felhasználják-e azokat más ügyletben –, az (EU) 2015/61 felhatalmazáson alapuló rendelet 7. és 11. cikke szerint a 2A. szintű eszközök 11. cikkben említett valamely kategóriájába tartozó likvid eszköznek minősülnének. | 
| 319 | 1.2.2.1.3.1.  ebből a kapott biztosíték teljesíti az operatív követelményeket Az (EU) 2015/61 felhatalmazáson alapuló rendelet 32. cikke (3) bekezdésének b) pontja Az 1.2.2.1.3 tételben szereplő ügyletek közül azok az ügyletek, ahol a kapott biztosíték teljesíti az (EU) 2015/61 felhatalmazáson alapuló rendelet 8. cikke szerinti operatív követelményeket. | 
| 321 | 1.2.2.1.4.  2B. szintű eszközfedezetű (lakóingatlan vagy gépjármű) értékpapírokból álló biztosíték Az (EU) 2015/61 felhatalmazáson alapuló rendelet 32. cikke (3) bekezdésének b) pontja A legfeljebb 30 napos hátralévő futamidejű fedezett kölcsönügyletek és tőkepiac-vezérelt ügyletek, ha a partner nem központi bank, és ha az ügyletet olyan likvid eszközök fedezik, amelyek – függetlenül attól, hogy újra felhasználják-e azokat más ügyletben –, az (EU) 2015/61 felhatalmazáson alapuló rendelet 7. és 13. cikke szerint a 2B. szintű eszközök 13. cikk (2) bekezdése g) pontjának i., ii. vagy iv. alpontjában említett valamely kategóriájába tartozó likvid eszköznek minősülnének. | 
| 323 | 1.2.2.1.4.1.  ebből a kapott biztosíték teljesíti az operatív követelményeket Az (EU) 2015/61 felhatalmazáson alapuló rendelet 32. cikke (3) bekezdésének b) pontja Az 1.2.2.1.4 tételben szereplő ügyletek közül azok az ügyletek, ahol a kapott biztosíték teljesíti az (EU) 2015/61 felhatalmazáson alapuló rendelet 8. cikke szerinti operatív követelményeket. | 
| 325 | 1.2.2.1.5.  2B. szintű magas minőségű fedezett kötvényekből álló biztosíték Az (EU) 2015/61 felhatalmazáson alapuló rendelet 32. cikke (3) bekezdésének b) pontja A legfeljebb 30 napos hátralévő futamidejű fedezett kölcsönügyletek és tőkepiac-vezérelt ügyletek, ha a partner nem központi bank, és ha az ügyletet olyan likvid eszközök fedezik, amelyek – függetlenül attól, hogy újra felhasználják-e azokat más ügyletben –, az (EU) 2015/61 felhatalmazáson alapuló rendelet 7. és 12. cikke szerint a 2B. szintű eszközök 12. cikk (1) bekezdésének e) pontjában említett kategóriájába tartozó likvid eszköznek minősülnének. | 
| 327 | 1.2.2.1.5.1.  ebből a kapott biztosíték teljesíti az operatív követelményeket Az (EU) 2015/61 felhatalmazáson alapuló rendelet 32. cikke (3) bekezdésének b) pontja Az 1.2.2.1.5 tételben szereplő ügyletek közül azok az ügyletek, ahol a kapott biztosíték teljesíti az (EU) 2015/61 felhatalmazáson alapuló rendelet 8. cikke szerinti operatív követelményeket. | 
| 329 | 1.2.2.1.6.  2B. szintű eszközfedezetű (vállalati vagy háztartási hitel) értékpapírokból álló biztosíték Az (EU) 2015/61 felhatalmazáson alapuló rendelet 32. cikke (3) bekezdésének b) pontja A legfeljebb 30 napos hátralévő futamidejű fedezett kölcsönügyletek és tőkepiac-vezérelt ügyletek, ha a partner nem központi bank, és ha az ügyletet olyan likvid eszközök fedezik, amelyek – függetlenül attól, hogy újra felhasználják-e azokat más ügyletben –, az (EU) 2015/61 felhatalmazáson alapuló rendelet 7. és 13. cikke szerint a 2B. szintű eszközök 13. cikk (2) bekezdése g) pontjának iii. vagy v. alpontjában említett valamely kategóriájába tartozó likvid eszköznek minősülnének. | 
| 331 | 1.2.1.1.6.1.  ebből a kapott biztosíték teljesíti az operatív követelményeket Az (EU) 2015/61 felhatalmazáson alapuló rendelet 32. cikke (3) bekezdésének b) pontja Az 1.2.2.1.6 tételben szereplő ügyletek közül azok az ügyletek, ahol a kapott biztosíték teljesíti az (EU) 2015/61 felhatalmazáson alapuló rendelet 8. cikke szerinti operatív követelményeket. | 
| 333 | 1.2.2.1.7.  Az 1.2.2.1.4., 1.2.2.1.5. vagy 1.2.2.1.6. szakaszban figyelembe nem vett 2B. szintű biztosíték Az (EU) 2015/61 felhatalmazáson alapuló rendelet 32. cikke (3) bekezdésének b) pontja A legfeljebb 30 napos hátralévő futamidejű fedezett kölcsönügyletek és tőkepiac-vezérelt ügyletek, ha a partner nem központi bank, és ha az ügyletet olyan likvid eszközök fedezik, amelyek – függetlenül attól, hogy újra felhasználják-e azokat más ügyletben –, az (EU) 2015/61 felhatalmazáson alapuló rendelet 7. és 12. cikke szerint a 2B. szintű eszközök 12. cikk (1) bekezdésének b), c) vagy f) pontjában említett valamely kategóriájába tartozó likvid eszköznek minősülnének. | 
| 335 | 1.2.2.1.7.1.  ebből a kapott biztosíték teljesíti az operatív követelményeket Az (EU) 2015/61 felhatalmazáson alapuló rendelet 32. cikke (3) bekezdésének b) pontja Az 1.2.2.1.7 tételben szereplő ügyletek közül azok az ügyletek, ahol a kapott biztosíték teljesíti az (EU) 2015/61 felhatalmazáson alapuló rendelet 8. cikke szerinti operatív követelményeket. | 
| 337 | 1.2.2.2.  a biztosítékot rövid pozíció fedezésére használják Az (EU) 2015/61 felhatalmazáson alapuló rendelet 32. cikke (3) bekezdésének b) pontja Legfeljebb 30 napos hátralévő futamidejű fedezett kölcsönügyletek és tőkepiac-vezérelt ügyletek, ha a partner nem központi bank, és ha az ügyletet olyan eszközök fedezik, amelyeket a 30. cikk (5) bekezdése második mondatának megfelelően rövid pozíció fedezésére használják. Ha bármely típusú biztosítékot rövid pozíció fedezésére használnak, azt itt kell feltüntetni, és nem a fenti sorok egyikében. Nem lehetséges a többszörös figyelembevétel. | 
| 339 | 1.2.2.3.  likvid eszköznek nem minősülő biztosíték A hitelintézeteknek a XXIV. melléklet C 74.00 táblájának 339. sorában a legfeljebb 30 napos hátralévő futamidejű fedezett kölcsönügyleteket és tőkepiac-vezérelt ügyleteket kell megadniuk, ha a partner nem központi bank, és ha a biztosíték nem minősül likvid eszköznek. A hitelintézeteknek itt a következőkről kell adatot szolgáltatniuk: — a 010., 020. és 030. oszlopban az említett ügyletekből esedékes pénzösszegek teljes összege, vagyis a nem likvid biztosítékkal rendelkező letéti hitelekből, a nem likvid tőke biztosítékkal rendelkező fedezett kölcsönügyletekből és tőkepiac-vezérelt ügyletekből és a bármely más nem likvid biztosítékkal rendelkező fedezett kölcsönügyletekből és tőkepiac-vezérelt ügyletekből esedékes pénzösszegek összege; valamint — a 140., 150. és 160. oszlopban az említett ügyletekből származó teljes beáramlás, vagyis a nem likvid biztosítékkal rendelkező letéti hitelekből, a nem likvid tőke biztosítékkal rendelkező fedezett kölcsönügyletekből és tőkepiac-vezérelt ügyletekből és a bármely más nem likvid biztosítékkal rendelkező fedezett kölcsönügyletekből és tőkepiac-vezérelt ügyletekből származó beáramlások összege; | 
| 341 | 1.2.2.3.1.  letéti hitelek: a biztosíték nem likvid Az (EU) 2015/61 felhatalmazáson alapuló rendelet 32. cikke (3) bekezdésének c) pontja Nem likvid eszközökre nyújtott, legfeljebb 30 napos hátralévő futamidejű letéti hitelek, ha a partner nem központi bank, és ha a kapott eszközöket nem rövid pozíciók fedezésére használják az (EU) 2015/61 felhatalmazáson alapuló rendelet 32. cikke (3) bekezdésének c) pontjában meghatározottak szerint. | 
| 343 | 1.2.2.3.2.  a biztosíték nem likvid tőke Az (EU) 2015/61 felhatalmazáson alapuló rendelet 32. cikke (3) bekezdésének b) pontja Legfeljebb 30 napos hátralévő futamidejű fedezett kölcsönügyletek és tőkepiac-vezérelt ügyletek, ha a partner nem központi bank, és ha az ügyletet nem likvid tőke fedezi. | 
| 345 | 1.2.2.3.3.  minden egyéb nem likvid biztosíték Az (EU) 2015/61 felhatalmazáson alapuló rendelet 32. cikke (3) bekezdésének b) pontja Legfeljebb 30 napos hátralévő futamidejű fedezett kölcsönügyletek és tőkepiac-vezérelt ügyletek, ha a partner központi bank, és ha az ügyletet az 1.2.2.3.1. vagy az 1.2.2.3.2. szakaszban még nem figyelembe vett nem likvid eszközök fedezik. | 
| 410 | 1.3.  Biztosítéki csereügylet beáramlásai összesen A hitelintézeteknek itt a biztosítéki csereügyletekből eredő teljes beáramlás összegét kell megadniuk, a XXIV. MELLÉKLET C 75.01 táblájának számításai alapján. | 
| 420 | 1.4.  (Devizakiviteli-/behozatali korlátozásokat alkalmazó harmadik országokbeli ügyletekből eredő, vagy nem konvertibilis pénznemben denominált összes súlyozott beáramlás és összes súlyozott kiáramlás különbözete) Az (EU) 2015/61 felhatalmazáson alapuló rendelet 32. cikkének (8) bekezdése Az intézményeknek az érintett 140., 150. és 160. oszlopban kell megadniuk azon teljes súlyozott beáramlások összegét, amelyek devizakiviteli-/behozatali korlátozásokat alkalmazó harmadik országbeli ügyletekből erednek, vagy amelyek nem konvertibilis pénznemben denomináltak, levonva a XXIV. melléklet C 73.00 táblájában megadott azon teljes súlyozott kiáramlások összegét, amelyek devizakiviteli-/behozatali korlátozásokat alkalmazó harmadik országbeli ügyletekből erednek, vagy amelyek nem konvertibilis pénznemben denomináltak. Amennyiben ez az összeg negatív, az intézményeknek „0” számot kell feltüntetniük. | 
| 430 | 1.5.  (Kapcsolt szakosított hitelintézettől származó többletbeáramlás) Az (EU) 2015/61 felhatalmazáson alapuló rendelet 2. cikke (3) bekezdésének e) pontja és 33. cikkének (6) bekezdése Az adatszolgáltatást konszolidált alapon teljesítő hitelintézeteknek az érintett 140., 150. és 160. oszlopban kell megadniuk az (EU) 2015/61 felhatalmazáson alapuló rendelet 33. cikkének (3) és (4) bekezdésében említett szakosodott hitelintézettől származó azon beáramlások összegét, amelyek meghaladják az ugyanazon vállalkozástól eredő kiáramlások összegét. | 
| TÁJÉKOZTATÓ ADATOK | |
| 450 | 2.  Devizabeáramlások Ezt a tájékoztató adatot csak az adatszolgáltatás pénznemére vagy az adatszolgáltatás pénznemétől eltérő pénznemre vonatkozó, az (EU) 575/2013 rendelet 415. cikkének (2) bekezdése szerinti külön adatszolgáltatás esetén kell megadni. A hitelintézeteknek (az 1.1.9. szakaszban feltüntetett) származtatott ügyletekből eredő beáramlások azon részét kell megadniuk, amelyek a 30 napos időtartamon belül lejáró keresztdevizás csereügyletek, azonnali és határidős devizaügyletekből eredő vonatkozó devizanemben történő deviza-tőkeáramlásokhoz kapcsolódnak. A partner általi nettósítást csak az adott devizanemben lévő áramlásokra lehet alkalmazni. | 
| 460 | 3.  Csoporton vagy intézményvédelmi rendszeren belüli beáramlások A hitelintézeteknek itt minden, az 1. szakaszban (az 1.1.10. szakasz kivételével) megadott ügyletet fel kell tüntetniük tájékoztató adatként, ha a partner a hitelintézet anyavállalata vagy leányvállalata, vagy ugyanazon anyavállalatnak egy másik leányvállalata vagy a hitelintézettel a 83/349/EGK irányelv 12. cikkének (1) bekezdése értelmében vett kapcsolatban áll, vagy az 575/2013/EU rendelet 113. cikkének (7) bekezdésében említett ugyanazon intézményvédelmi rendszer tagja vagy az 575/2013/EU rendelet 10. cikkében említett hálózat vagy szövetkezeti csoport központi intézménye vagy társult tagja. A hitelintézeteknek a XXIV. melléklet C 74.00 táblájának 460. sorában a következőket kell megadniuk: — a 010., 020. és 030. oszlopban a csoporton belüli vagy intézményvédelmi rendszeren belüli lehívható esedékes pénzösszegek/maximális összegek teljes összege, a csoporton belüli vagy intézményvédelmi rendszeren belüli lehívható esedékes pénzösszegek/maximális összegek ügylettípusonkénti és partnerenkénti összegeként; valamint — a 140., 150. és 160. oszlopban a csoporton belüli vagy intézményvédelmi rendszeren belüli beáramlások teljes összege, a csoporton belüli vagy intézményvédelmi rendszeren belüli beáramlások ügylettípusonkénti és partnerenkénti összegeként. | 
| 470 | 3.1.  Nem pénzügyi (és nem központi bank) ügyfelektől esedékes pénzösszegek A hitelintézeteknek itt minden, az 1.1.1. szakasz alatt megadott nem pénzügyi ügyfelektől esedékes pénzösszeget fel kell tüntetniük, ha a partner a hitelintézet anyavállalata vagy leányvállalata, vagy ugyanazon anyavállalatnak egy másik leányvállalata vagy a hitelintézettel a 83/349/EGK irányelv 12. cikkének (1) bekezdése értelmében vett kapcsolatban áll, vagy az 575/2013/EU rendelet 113. cikkének (7) bekezdésében említett ugyanazon intézményvédelmi rendszer tagja vagy az 575/2013/EU rendelet 10. cikkében említett hálózat vagy szövetkezeti csoport központi hitelintézete vagy társult tagja. | 
| 480 | 3.2.  Pénzügyi ügyfelektől esedékes pénzösszegek A hitelintézeteknek itt minden, az 1.1.2. szakasz alatt megadott pénzügyi ügyfelektől esedékes pénzösszeget fel kell tüntetniük, ha a partner a hitelintézet anyavállalata vagy leányvállalata, vagy ugyanazon anyavállalatnak egy másik leányvállalata vagy a hitelintézettel a 83/349/EGK irányelv 12. cikkének (1) bekezdése értelmében vett kapcsolatban áll, vagy az 575/2013/EU rendelet 113. cikkének (7) bekezdésében említett ugyanazon intézményvédelmi rendszer tagja vagy az 575/2013/EU rendelet 10. cikkében említett hálózat vagy szövetkezeti csoport központi intézménye vagy társult tagja. | 
| 490 | 3.3.  Fedezett ügyletek A hitelintézeteknek itt minden, fedezett kölcsönügyletből és tőkepiac-vezérelt ügyletből esedékes pénzösszeget és az 1.2. szakaszban megadott kapott biztosítékok teljes piaci értékét fel kell tüntetniük, ha a partner a hitelintézet anyavállalata vagy leányvállalata, vagy ugyanazon anyavállalatnak egy másik leányvállalata vagy a hitelintézettel a 83/349/EGK irányelv 12. cikkének (1) bekezdése értelmében vett kapcsolatban áll, vagy az 575/2013/EU rendelet 113. cikkének (7) bekezdésében említett ugyanazon intézményvédelmi rendszer tagja vagy az 575/2013/EU rendelet 10. cikkében említett hálózat vagy szövetkezeti csoport központi intézménye vagy társult tagja. | 
| 500 | 3.4.  30 napon belül lejáró értékpapírokból esedékes pénzösszegek A hitelintézeteknek itt minden, az 1.1.5. szakaszban megadott 30 napon belül lejáró értékpapírokból esedékes pénzösszeget fel kell tüntetniük, ha a kibocsátó a hitelintézet anyavállalata vagy leányvállalata, vagy ugyanazon anyavállalatnak egy másik leányvállalata vagy a hitelintézettel a 83/349/EGK irányelv 12. cikkének (1) bekezdése értelmében vett kapcsolatban áll, vagy az 575/2013/EU rendelet 113. cikkének (7) bekezdésében említett ugyanazon intézményvédelmi rendszer tagja vagy az 575/2013/EU rendelet 10. cikkében említett hálózat vagy szövetkezeti csoport központi intézménye vagy társult tagja. | 
| 510 | 3.5.  Csoporton vagy intézményvédelmi rendszeren belüli minden egyéb beáramlás A hitelintézeteknek itt minden egyéb, az 1.1.3–1.1.11. szakaszban (az 1.1.5 és az 1.1.10. szakasz kivételével) megadott csoporton vagy intézményvédelmi rendszeren belüli beáramlást fel kell tüntetniük, ha a partner a hitelintézet anyavállalata vagy leányvállalata, vagy ugyanazon anyavállalatnak egy másik leányvállalata vagy a hitelintézettel a 83/349/EGK irányelv 12. cikkének (1) bekezdése értelmében vett kapcsolatban áll, vagy az 575/2013/EU rendelet 113. cikkének (7) bekezdésében említett ugyanazon intézményvédelmi rendszer tagja vagy az 575/2013/EU rendelet 10. cikkében említett hálózat vagy szövetkezeti csoport központi intézménye vagy társult tagja. | 
| 4.  A 17. cikk (2) és (3) bekezdése alól mentesített fedezett kölcsönügyletek A hitelintézeteknek itt a legfeljebb 30 napos hátralévő futamidejű fedezett kölcsönügyleteket kell megadniuk, ha a partner központi bank, és ha az érintett ügyletek az (EU) 2015/61 felhatalmazáson alapuló rendelet 17. cikkének (4) bekezdése értelmében mentesülnek a 17. cikk (2) és (3) bekezdésének alkalmazása alól. | |
| 530 | 4.1.  ebből: rendkívül magas minőségű fedezett kötvények nélküli 1. szintű fedezettel biztosított A hitelintézeteknek itt a 30 naptári napon belül lejáró fedezett kölcsönügyleteket kell megadniuk, ha a partner központi bank, a kapott biztosíték 1. szintű biztosíték (a rendkívül magas minőségű fedezett kötvények kivételével) és teljesíti az (EU) 2015/61 felhatalmazáson alapuló rendelet 8. cikkében meghatározott operatív követelményeket, és ha az érintett ügyletek az (EU) 2015/61 felhatalmazáson alapuló rendelet 17. cikkének (4) bekezdése értelmében mentesülnek a 17. cikk (2) és (3) bekezdésének alkalmazása alól. | 
| 540 | 4.2.  ebből: rendkívül magas minőségű fedezett kötvényekből álló 1. szintű fedezettel biztosított A hitelintézeteknek itt a 30 naptári napon belül lejáró fedezett kölcsönügyleteket kell megadniuk, ha a partner központi bank, a kapott biztosíték 1. szintű biztosíték rendkívül magas minőségű fedezett kötvény és teljesíti az (EU) 2015/61 felhatalmazáson alapuló rendelet 8. cikkében meghatározott operatív követelményeket, és ha az érintett ügyletek az (EU) 2015/61 felhatalmazáson alapuló rendelet 17. cikkének (4) bekezdése értelmében mentesülnek a 17. cikk (2) és (3) bekezdésének alkalmazása alól. | 
| 550 | 4.3.  ebből: 2A. szintű fedezettel biztosított A hitelintézeteknek itt a 30 naptári napon belül lejáró fedezett kölcsönügyleteket kell megadniuk, ha a partner központi bank, a kapott biztosíték 2A. szintű biztosíték és teljesíti az (EU) 2015/61 felhatalmazáson alapuló rendelet 8. cikkében meghatározott operatív követelményeket, és ha az érintett ügyletek az (EU) 2015/61 felhatalmazáson alapuló rendelet 17. cikkének (4) bekezdése értelmében mentesülnek a 17. cikk (2) és (3) bekezdésének alkalmazása alól. | 
| 560 | 4.4.  ebből: 2B. szintű fedezettel biztosított A hitelintézeteknek itt a 30 naptári napon belül lejáró fedezett kölcsönügyleteket kell megadniuk, ha a partner központi bank, a kapott biztosíték 2B. szintű biztosíték és teljesíti az (EU) 2015/61 felhatalmazáson alapuló rendelet 8. cikkében meghatározott operatív követelményeket, és ha az érintett ügyletek az (EU) 2015/61 felhatalmazáson alapuló rendelet 17. cikkének (4) bekezdése értelmében mentesülnek a 17. cikk (2) és (3) bekezdésének alkalmazása alól. | 
| 570 | 4.5.  ebből: nem likvid eszközökkel biztosított A hitelintézeteknek itt a 30 naptári napon belül lejáró fedezett kölcsönügyleteket kell megadniuk, ha a partner központi bank, a kapott biztosíték nem likvid biztosíték, és ha az érintett ügyletek az (EU) 2015/61 felhatalmazáson alapuló rendelet 17. cikkének (4) bekezdése értelmében mentesülnek a 17. cikk (2) és (3) bekezdésének alkalmazása alól. | 
LIKVIDITÁSRA VONATKOZÓ ADATSZOLGÁLTATÁS (4. RÉSZ: BIZTOSÍTÉKI CSEREÜGYLETEK)
1. Biztosítéki csereügyletek
1.1. Általános megjegyzések
1. Minden olyan a következő 30 naptári napon belül lejáró ügyletet, amelyben nem készpénz eszközöket cserélnek más nem készpénz eszközökre, ebben a táblában kell feltüntetni. Szürke szín jelzi azokat a tételeket, amelyeket az intézményeknek nem kell kitölteniük.
2. A következő 30 naptári napon belül lejáró biztosítéki csereügyletek kiáramláshoz vezetnek, ha a kölcsönvett eszközre az (EU) 2015/61 felhatalmazáson alapuló rendelet 2. fejezete szerint alacsonyabb haircut alkalmazandó, mint a kölcsönadott eszközre. A kiáramlást úgy kell kiszámítani, hogy a kölcsönvett eszköz piaci értékét meg kell szorozni a kölcsönadott eszközre vonatkozó kiáramlási arány és a következő 30 naptári napon belül lejáró fedezett finanszírozási ügyletekben a kölcsönvett eszközre vonatkozó kiáramlási arány különbségével. Ha a partner a hitelintézet hazai központi bankja, a kölcsönvett eszköz piaci értékére alkalmazandó kiáramlási arány 0 %. A hitelintézet belföldi központi bankjának jelentése az (EU) 2015/61 felhatalmazáson alapuló rendelet 28. cikkének (8) bekezdésében szereplő meghatározást követi.
3. A következő 30 naptári napon belül lejáró biztosítéki csereügyletek beáramlást eredményeznek, ha az (EU) 2015/61 felhatalmazáson alapuló rendelet 2. fejezete értelmében a kölcsönadott eszközre alacsonyabb haircut vonatkozik, mint a kölcsönvett eszközre. A beáramlást úgy kell kiszámítani, hogy a kölcsönadott eszköz piaci értékét meg kell szorozni a kölcsönvett eszközre vonatkozó kiáramlási arány és a következő 30 naptári napon belül lejáró fedezett finanszírozási ügyletekben a kölcsönadott eszközre vonatkozó beáramlási arány különbségével. Ha a kapott biztosítékot olyan rövid pozíciók fedezésére használják, amelyek 30 naptári napon túl meghosszabbíthatók, beáramlás nem ismerhető el.
4. A likvid eszközök likviditási értékét az (EU) 2015/61 felhatalmazáson alapuló rendelet 9. cikke szerinti kell számítani.
5. Minden biztosítéki csereügyletet egyedileg kell értékelni és az áramlást vagy kiáramlásként vagy beáramlásként (ügyletenként) kell feltüntetni a megfelelő sorban. Ha egy ügylet több típusú biztosítékot foglal magában (például biztosítékkosár), akkor a feltüntetéskor szét kell bontani a tábla sorainak megfelelő részekre, és részenként kell értékelni. A biztosítékkosarakat vagy -halmazokat érintő, következő 30 naptári napon belül lejáró csereügyletekkel összefüggésben a kölcsönadott nem készpénzes eszközöket egyedileg kell hozzárendelni a kölcsönvett nem készpénzes eszközökhöz, az (EU) 2015/61 felhatalmazáson alapuló rendelet II. címének 2. fejezetében meghatározott likvideszköz-kategóriáknak megfelelően, a legkevésbé likvid kombinációtól kezdve (kölcsönadott nem likvid nem készpénzes eszközök, kölcsönvett nem likvid nem készpénzes eszközök). Az adott kombináción belüli többletbiztosítékot át kell helyezni a következő magasabb kategóriába, hogy az érintett kombinációk a leglikvidebb kombinációig teljes mértékben illeszkedjenek egymáshoz. Az esetleges többletbiztosítékot ezután a leglikvidebb kombinációban kell figyelembe venni.
6. A KBF-ek részvényeit vagy befektetési jegyeit érintő biztosítéki csereügyleteket úgy kell feltüntetni, mintha az ügyletek a KBF mögöttes eszközeire vonatkoznának. A KBF-ek részvényeire vagy befektetési jegyeire alkalmazott különböző haircutoknak tükröződniük kell a megadandó érintett kiáramlási vagy beáramlási arányban.
7. A hitelintézetek az 575/2013/EU rendelet 415. cikkének (2) bekezdésével összhangban a megfelelő devizanemben szolgáltatnak adatot a táblában. Ilyen esetben a megadott egyenlegeknek csak azokra kell kiterjedniük, amelyek az érintett devizanemben denomináltak, annak biztosítása érdekében, hogy megfelelően tükröződjenek a devizanem-eltérések. Ez azzal járhat, hogy az érintett devizanemre vonatkozó táblában csak az ügylet egyik oldala kerül feltüntetésre, a likviditási többletértékre gyakorolt megfelelő hatással.
1.2. Külön megjegyzések
8. A beáramlások kiszámításához a biztosítéki csereügyleteket attól függetlenül fel kell tüntetni, hogy az érintett mögöttes biztosíték teljesíti-e az (EU) 2015/61 felhatalmazáson alapuló rendelet 8. cikkében előírt operatív követelményeket, vagy teljesítené-e azokat, ha nem használnák az ügylet fedezésére. Továbbá annak érdekében, hogy az (EU) 2015/61 felhatalmazáson alapuló rendelet 17. cikkének (2) bekezdése szerint ki lehessen számítani a likvid eszközök kiigazított állományát, a hitelintézeteknek külön kell adatot szolgáltatniuk azokról az ügyletekről is, amelyeknél a biztosíték legalább egyik oldala teljesíti az (EU) 2015/61 felhatalmazáson alapuló rendelet 8. cikkében előírt operatív követelményeket is.
9. Ha az intézmény külföldi devizában lévő részvényeinek, vagy külföldi devizában lévő központi kormányzati vagy banki eszközeinek, vagy hazai devizában lévő központi kormányzati vagy központi banki eszközeinek csak egy részét ismerheti el magas minőségű likvid eszközei között, akkor csak az elismerhető részt kell feltüntetni az (EU) 2015/61 felhatalmazáson alapuló rendelet 12. cikke (1) bekezdése c) pontja ii. alpontjának és 10. cikke (1) bekezdése d) pontjának megfelelő 1., 2A. és 2B. szintű eszközökre vonatkozó sorokban. Ha az adott eszközt biztosítékként használják, de olyan összegben, amely a likvid eszközökön belül elismerhető részt meghaladja, a többletösszeget a nem likvid eszközökre vonatkozó szakaszban kell feltüntetni.
10. A 2A. szintű eszközöket magában foglaló biztosítéki csereügyleteket a megfelelő 2A. szintű eszközökre vonatkozó sorban kell feltüntetni, akkor is, ha az alternatív likviditási megközelítést követik (vagyis ne helyezzék át a 2A. szintű eszközöket az 1. szintű eszközökhöz a biztosítéki csereügyletekre vonatkozó adatszolgáltatás során).
1.3. A biztosítéki csereügyletekre vonatkozó altábla
1.3.1. A tábla egyes oszlopaira vonatkozó útmutató
| Oszlop | Jogszabályi hivatkozások és útmutató | 
| 0010 | Kölcsönadott biztosíték piaci értéke A kölcsönadott biztosíték piaci értékét a 0010. oszlopban kell feltüntetni. A piaci érték az aktuális piaci értéket tükrözi, haircut nélkül, a kapcsolódó fedezeti ügyletek lezárásából eredő áramlások levonásával, az (EU) 2015/61 felhatalmazáson alapuló bizottsági rendelet 8. cikke (5) bekezdésének megfelelően. | 
| 0020 | Kölcsönadott biztosíték likviditási értéke A kölcsönadott biztosíték likviditási értékét a 0020. oszlopban kell feltüntetni. Likvid eszközök esetében a likviditási érték az eszköz haircuttal csökkentett értékét tükrözi. | 
| 0030 | Kölcsönvett biztosíték piaci értéke A kölcsönvett biztosíték piaci értékét a 0030. oszlopban kell feltüntetni. A piaci érték az aktuális piaci értéket tükrözi, haircut nélkül, a kapcsolódó fedezeti ügyletek lezárásából eredő áramlások levonásával, az (EU) 2015/61 felhatalmazáson alapuló bizottsági rendelet 8. cikke (5) bekezdésének megfelelően. | 
| 0040 | Kölcsönvett biztosíték likviditási értéke A kölcsönvett biztosíték likviditási értékét a 0040. oszlopban kell feltüntetni. Likvid eszközök esetében a likviditási érték az eszköz haircuttal csökkentett értékét tükrözi. | 
| 0050 | Standard súly Az (EU) 2015/61 felhatalmazáson alapuló rendelet 28. és 32. cikke A 0050. oszlopban szereplő standard súlyok az (EU) 2015/61 felhatalmazáson alapuló rendeletben alapértelmezés szerint meghatározottak, és itt csak tájékoztatásul szerepelnek. | 
| 0060 | Alkalmazandó súly Az (EU) 2015/61 felhatalmazáson alapuló rendelet 28. és 32. cikke Az alkalmazandó súlyok az (EU) 2015/61 felhatalmazáson alapuló rendelet 28. és 32. cikkében meghatározott súlyok. Az alkalmazandó súlyok súlyozott átlagértékeket eredményezhetnek, és feltüntetésük tizedes rendszerben történik (azaz 1,00 a 100 százalékos alkalmazandó súly esetében, vagy 0,50 az 50 százalékos alkalmazandó súly esetében). Az alkalmazandó súlyok tükrözhetnek többek között vállalatspecifikus vagy nemzeti megfontolásokat is. | 
| 0070 | Kiáramlások A hitelintézeteknek itt kell megadniuk a kiáramlásokat. Kiszámítása a XXIV. mellékletben található C75.01. tábla 0060. és 0030. oszlopának összeszorzásával történik. | 
| 0080 | A beáramlások 75 %-os felső korlátja alá tartozó beáramlások A hitelintézeteknek itt a beáramlások 75 %-os felső korlátja alá tartozó ügyletek beáramlásait kell megadniuk. A beáramlások kiszámítása a XXIV. mellékletben található C75.01. tábla 0060. és 0010. oszlopának összeszorzásával történik. | 
| 0090 | A beáramlások 90 %-os felső korlátja alá tartozó beáramlások A hitelintézeteknek itt a beáramlások 90 %-os felső korlátja alá tartozó ügyletek beáramlásait kell megadniuk. A beáramlások kiszámítása a XXIV. mellékletben található C75.01. tábla 0060. és 0010. oszlopának összeszorzásával történik. | 
| 0100 | A beáramlások felső korlátja alól mentesített beáramlások A hitelintézeteknek itt a beáramlások felső korlátja alól mentesített ügyletek beáramlásait kell megadniuk. A beáramlások kiszámítása a XXIV. mellékletben található C75.01. tábla 0060. és 0010. oszlopának összeszorzásával történik. | 
1.3.2. A tábla egyes soraira vonatkozó útmutató
| Sor | Jogszabályi hivatkozások és útmutató | 
| 0010 | 1.  ÖSSZES BIZTOSÍTÉKI CSEREÜGYLET (a partner központi bank) Az (EU) 2015/61 felhatalmazáson alapuló rendelet 28. cikkének (4) bekezdése és 32. cikkének (3) bekezdése A hitelintézeteknek az érintett oszlopokban a biztosítéki csereügyletek teljes értékét kell feltüntetniük. | 
| 0020 | 1.1.  Azon ügyletek összértéke, amelyekben 1. szintű eszközöket (a rendkívül magas minőségű fedezett kötvények kivételével) adnak kölcsön és a következő biztosítékokat veszik kölcsön: Az (EU) 2015/61 felhatalmazáson alapuló rendelet 28. cikkének (4) bekezdése és 32. cikkének (3) bekezdése A hitelintézeteknek minden érintett oszlopban a biztosítéki csereügyletek teljes értékét kell feltüntetniük olyan ügyletekre vonatkozóan, amelyekben 1. szintű eszközöket (a rendkívül magas minőségű fedezett kötvények kivételével) adnak kölcsön. | 
| 0030 | 1.1.1.  1. szintű eszközök (a rendkívül magas minőségű fedezett kötvények kivételével) Olyan ügyletek, amelyekben az intézmény a rendkívül magas minőségű fedezett kötvények kivételével 1. szintű eszközöket (kölcsönadott) cserél rendkívül magas minőségű fedezett kötvények kivételével 1. szintű eszközökre (kölcsönvett). | 
| 0040 | 1.1.1.1.  Ebből az elcserélt biztosíték teljesíti az operatív követelményeket Az 1.1.1. tételben szereplő ügyletek közül a hitelintézetek adatot szolgáltatnak a következőkről: — a kölcsönadott biztosíték oldala, amely – amennyiben nem az említett ügyletekben használnák fedezetként – az (EU) 2015/61 felhatalmazáson alapuló rendelet 8. cikke szerint likvid eszköznek minősülne. valamint — a kölcsönvett biztosíték oldala, amennyiben teljesíti az (EU) 2015/61 felhatalmazáson alapuló rendelet 8. cikke szerinti operatív követelményeket. | 
| 0050 | 1.1.2.  1. szintű rendkívül magas minőségű fedezett kötvények Olyan ügyletek, amelyekben az intézmény a rendkívül magas minőségű fedezett kötvények kivételével 1. szintű eszközöket (kölcsönadott) cserél 1. szintű rendkívül magas minőségű fedezett kötvényekre (kölcsönvett). | 
| 0060 | 1.1.2.1.  Ebből az elcserélt biztosíték teljesíti az operatív követelményeket Az 1.1.2. tételben szereplő ügyletek közül a hitelintézetek adatot szolgáltatnak a következőkről: — a kölcsönadott biztosíték oldala, amely – amennyiben nem az említett ügyletekben használnák fedezetként – az (EU) 2015/61 felhatalmazáson alapuló rendelet 8. cikke szerint likvid eszköznek minősülne. valamint — a kölcsönvett biztosíték oldala, amennyiben teljesíti az (EU) 2015/61 felhatalmazáson alapuló rendelet 8. cikke szerinti operatív követelményeket. | 
| 0070 | 1.1.3.  2A. szintű eszközök Olyan ügyletek, amelyekben az intézmény a rendkívül magas minőségű fedezett kötvények kivételével 1. szintű eszközöket (kölcsönadott) cserél 2A. szintű eszközökre (kölcsönvett). | 
| 0080 | 1.1.3.1.  Ebből az elcserélt biztosíték teljesíti az operatív követelményeket Az 1.1.3. tételben szereplő ügyletek közül a hitelintézetek adatot szolgáltatnak a következőkről: — a kölcsönadott biztosíték oldala, amely – amennyiben nem az említett ügyletekben használnák fedezetként – az (EU) 2015/61 felhatalmazáson alapuló rendelet 8. cikke szerint likvid eszköznek minősülne. valamint — a kölcsönvett biztosíték oldala, amennyiben teljesíti az (EU) 2015/61 felhatalmazáson alapuló rendelet 8. cikke szerinti operatív követelményeket. | 
| 0090 | 1.1.4.  2B. szintű eszközfedezetű értékpapír (lakóingatlan vagy gépjármű, 1. hitelminőségi besorolás) Olyan ügyletek, amelyekben az intézmény a rendkívül magas minőségű fedezett kötvények kivételével 1. szintű eszközöket (kölcsönadott) cserél 2B. szintű eszközfedezetű értékpapírokra (lakóingatlan vagy gépjármű, 1. hitelminőségi besorolás) (kölcsönvett). | 
| 0100 | 1.1.4.1.  Ebből az elcserélt biztosíték teljesíti az operatív követelményeket Az 1.1.4. tételben szereplő ügyletek közül a hitelintézetek adatot szolgáltatnak a következőkről: — a kölcsönadott biztosíték oldala, amely – amennyiben nem az említett ügyletekben használnák fedezetként – az (EU) 2015/61 felhatalmazáson alapuló rendelet 8. cikke szerint likvid eszköznek minősülne. valamint — a kölcsönvett biztosíték oldala, amennyiben teljesíti az (EU) 2015/61 felhatalmazáson alapuló rendelet 8. cikke szerinti operatív követelményeket. | 
| 0110 | 1.1.5.  2B. szintű magas minőségű fedezett kötvények Olyan ügyletek, amelyekben az intézmény a rendkívül magas minőségű fedezett kötvények kivételével 1. szintű eszközöket (kölcsönadott) cserél 2B. szintű magas minőségű fedezett kötvényekre (kölcsönvett). | 
| 0120 | 1.1.5.1.  Ebből az elcserélt biztosíték teljesíti az operatív követelményeket Az 1.1.5. tételben szereplő ügyletek közül a hitelintézetek adatot szolgáltatnak a következőkről: — a kölcsönadott biztosíték oldala, amely – amennyiben nem az említett ügyletekben használnák fedezetként – az (EU) 2015/61 felhatalmazáson alapuló rendelet 8. cikke szerint likvid eszköznek minősülne. valamint — a kölcsönvett biztosíték oldala, amennyiben teljesíti az (EU) 2015/61 felhatalmazáson alapuló rendelet 8. cikke szerinti operatív követelményeket. | 
| 0130 | 1.1.6.  2B. szintű eszközfedezetű értékpapír (vállalati vagy háztartási hitel, tagállam, 1. hitelminőségi besorolás) Olyan ügyletek, amelyekben az intézmény a rendkívül magas minőségű fedezett kötvények kivételével 1. szintű eszközöket (kölcsönadott) cserél 2B. szintű eszközfedezetű értékpapírokra (vállalati vagy háztartási hitel, tagállam, 1. hitelminőségi besorolás) (kölcsönvett). | 
| 0140 | 1.1.6.1.  Ebből az elcserélt biztosíték teljesíti az operatív követelményeket Az 1.1.6. tételben szereplő ügyletek közül a hitelintézetek adatot szolgáltatnak a következőkről: — a kölcsönadott biztosíték oldala, amely – amennyiben nem az említett ügyletekben használnák fedezetként – az (EU) 2015/61 felhatalmazáson alapuló rendelet 8. cikke szerint likvid eszköznek minősülne. valamint — a kölcsönvett biztosíték oldala, amennyiben teljesíti az (EU) 2015/61 felhatalmazáson alapuló rendelet 8. cikke szerinti operatív követelményeket. | 
| 0150 | 1.1.7.  Egyéb 2B. szint Olyan ügyletek, amelyekben az intézmény a rendkívül magas minőségű fedezett kötvények kivételével 1. szintű eszközöket (kölcsönadott) cserél egyéb 2B. szintű eszközökre (kölcsönvett). | 
| 0160 | 1.1.7.1.  Ebből az elcserélt biztosíték teljesíti az operatív követelményeket Az 1.1.7. tételben szereplő ügyletek közül a hitelintézetek adatot szolgáltatnak a következőkről: — a kölcsönadott biztosíték oldala, amely – amennyiben nem az említett ügyletekben használnák fedezetként – az (EU) 2015/61 felhatalmazáson alapuló rendelet 8. cikke szerint likvid eszköznek minősülne. valamint — a kölcsönvett biztosíték oldala, amennyiben teljesíti az (EU) 2015/61 felhatalmazáson alapuló rendelet 8. cikke szerinti operatív követelményeket. | 
| 0170 | 1.1.8.  Nem likvid eszközök Olyan ügyletek, amelyekben az intézmény a rendkívül magas minőségű fedezett kötvények kivételével 1. szintű eszközöket (kölcsönadott) cserél nem likvid eszközökre (kölcsönvett). | 
| 0180 | 1.1.8.1.  Ebből az elcserélt biztosíték teljesíti az operatív követelményeket Az 1.1.8. tételben szereplő ügyletek közül a hitelintézetek adatot szolgáltatnak a kölcsönadott biztosíték oldaláról, amely – amennyiben nem az említett ügyletekben használnák fedezetként – az (EU) 2015/61 felhatalmazáson alapuló rendelet 8. cikke szerint likvid eszköznek minősülne. | 
| 0190 | 1.2.  Azon ügyletek összértéke, amelyekben 1. szintű rendkívül magas minőségű fedezett kötvényeket adnak kölcsön és a következő biztosítékokat veszik kölcsön: Az (EU) 2015/61 felhatalmazáson alapuló rendelet 28. cikkének (4) bekezdése és 32. cikkének (3) bekezdése A hitelintézeteknek az érintett oszlopokban a biztosítéki csereügyletek teljes értékét kell feltüntetniük olyan ügyletekre vonatkozóan, amelyekben 1. szintű rendkívül magas minőségű fedezett kötvényeket adnak kölcsön. | 
| 0200 | 1.2.1.  1. szintű eszközök (a rendkívül magas minőségű fedezett kötvények kivételével) Olyan ügyletek, amelyekben az intézmény 1. szintű rendkívül magas minőségű fedezett kötvényeket (kölcsönadott) cserél a rendkívül magas minőségű fedezett kötvények kivételével 1. szintű eszközökre (kölcsönvett). | 
| 0210 | 1.2.1.1.  Ebből az elcserélt biztosíték teljesíti az operatív követelményeket Az 1.2.1. tételben szereplő ügyletek közül a hitelintézetek adatot szolgáltatnak a következőkről: — a kölcsönadott biztosíték oldala, amely – amennyiben nem az említett ügyletekben használnák fedezetként – az (EU) 2015/61 felhatalmazáson alapuló rendelet 8. cikke szerint likvid eszköznek minősülne. valamint — a kölcsönvett biztosíték oldala, amennyiben teljesíti az (EU) 2015/61 felhatalmazáson alapuló rendelet 8. cikke szerinti operatív követelményeket. | 
| 0220 | 1.2.2.  1. szintű rendkívül magas minőségű fedezett kötvények Olyan ügyletek, amelyekben az intézmény 1. szintű rendkívül magas minőségű fedezett kötvényeket (kölcsönadott) cserél 1. szintű rendkívül magas minőségű fedezett kötvényekre (kölcsönvett). | 
| 0230 | 1.2.2.1.  Ebből az elcserélt biztosíték teljesíti az operatív követelményeket Az 1.2.2. tételben szereplő ügyletek közül a hitelintézetek adatot szolgáltatnak a következőkről: — a kölcsönadott biztosíték oldala, amely – amennyiben nem az említett ügyletekben használnák fedezetként – az (EU) 2015/61 felhatalmazáson alapuló rendelet 8. cikke szerint likvid eszköznek minősülne. valamint — a kölcsönvett biztosíték oldala, amennyiben teljesíti az (EU) 2015/61 felhatalmazáson alapuló rendelet 8. cikke szerinti operatív követelményeket. | 
| 0240 | 1.2.3.  2A. szintű eszközök Olyan ügyletek, amelyekben az intézmény 1. szintű rendkívül magas minőségű fedezett kötvényeket (kölcsönadott) cserél 2A. szintű eszközökre (kölcsönvett). | 
| 0250 | 1.2.3.1.  Ebből az elcserélt biztosíték teljesíti az operatív követelményeket Az 1.2.3. tételben szereplő ügyletek közül a hitelintézetek adatot szolgáltatnak a következőkről: — a kölcsönadott biztosíték oldala, amely – amennyiben nem az említett ügyletekben használnák fedezetként – az (EU) 2015/61 felhatalmazáson alapuló rendelet 8. cikke szerint likvid eszköznek minősülne. valamint — a kölcsönvett biztosíték oldala, amennyiben teljesíti az (EU) 2015/61 felhatalmazáson alapuló rendelet 8. cikke szerinti operatív követelményeket. | 
| 0260 | 1.2.4.  2B. szintű eszközfedezetű értékpapír (lakóingatlan vagy gépjármű, 1. hitelminőségi besorolás) Olyan ügyletek, amelyekben az intézmény 1. szintű rendkívül magas minőségű fedezett kötvényeket (kölcsönadott) cserél 2B. szintű eszközfedezetű értékpapírokra (lakóingatlan vagy gépjármű, 1. hitelminőségi besorolás) (kölcsönvett). | 
| 0270 | 1.2.4.1.  Ebből az elcserélt biztosíték teljesíti az operatív követelményeket Az 1.2.4. tételben szereplő ügyletek közül a hitelintézetek adatot szolgáltatnak a következőkről: — a kölcsönadott biztosíték oldala, amely – amennyiben nem az említett ügyletekben használnák fedezetként – az (EU) 2015/61 felhatalmazáson alapuló rendelet 8. cikke szerint likvid eszköznek minősülne. valamint — a kölcsönvett biztosíték oldala, amennyiben teljesíti az (EU) 2015/61 felhatalmazáson alapuló rendelet 8. cikke szerinti operatív követelményeket. | 
| 0280 | 1.2.5.  2B. szintű magas minőségű fedezett kötvények Olyan ügyletek, amelyekben az intézmény 1. szintű rendkívül magas minőségű fedezett kötvényeket (kölcsönadott) cserél 2B. szintű magas minőségű fedezett kötvényekre (kölcsönvett). | 
| 0290 | 1.2.5.1.  Ebből az elcserélt biztosíték teljesíti az operatív követelményeket Az 1.2.5. tételben szereplő ügyletek közül a hitelintézetek adatot szolgáltatnak a következőkről: — a kölcsönadott biztosíték oldala, amely – amennyiben nem az említett ügyletekben használnák fedezetként – az (EU) 2015/61 felhatalmazáson alapuló rendelet 8. cikke szerint likvid eszköznek minősülne. valamint — a kölcsönvett biztosíték oldala, amennyiben teljesíti az (EU) 2015/61 felhatalmazáson alapuló rendelet 8. cikke szerinti operatív követelményeket. | 
| 0300 | 1.2.6.  2B. szintű eszközfedezetű értékpapír (vállalati vagy háztartási hitel, tagállam, 1. hitelminőségi besorolás) Olyan ügyletek, amelyekben az intézmény 1. szintű rendkívül magas minőségű fedezett kötvényeket (kölcsönadott) cserél 2B. szintű eszközfedezetű értékpapírokra (vállalati vagy háztartási hitel, tagállam, 1. hitelminőségi besorolás) (kölcsönvett). | 
| 0310 | 1.2.6.1.  Ebből az elcserélt biztosíték teljesíti az operatív követelményeket Az 1.2.6. tételben szereplő ügyletek közül a hitelintézetek adatot szolgáltatnak a következőkről: — a kölcsönadott biztosíték oldala, amely – amennyiben nem az említett ügyletekben használnák fedezetként – az (EU) 2015/61 felhatalmazáson alapuló rendelet 8. cikke szerint likvid eszköznek minősülne. valamint — a kölcsönvett biztosíték oldala, amennyiben teljesíti az (EU) 2015/61 felhatalmazáson alapuló rendelet 8. cikke szerinti operatív követelményeket. | 
| 0320 | 1.2.7.  Egyéb 2B. szint Olyan ügyletek, amelyekben az intézmény 1. szintű rendkívül magas minőségű fedezett kötvényeket (kölcsönadott) cserél egyéb 2B. szintű eszközökre (kölcsönvett). | 
| 0330 | 1.2.7.1.  Ebből az elcserélt biztosíték teljesíti az operatív követelményeket Az 1.2.7. tételben szereplő ügyletek közül a hitelintézetek adatot szolgáltatnak a következőkről: — a kölcsönadott biztosíték oldala, amely – amennyiben nem az említett ügyletekben használnák fedezetként – az (EU) 2015/61 felhatalmazáson alapuló rendelet 8. cikke szerint likvid eszköznek minősülne. valamint — a kölcsönvett biztosíték oldala, amennyiben teljesíti az (EU) 2015/61 felhatalmazáson alapuló rendelet 8. cikke szerinti operatív követelményeket. | 
| 0340 | 1.2.8.  Nem likvid eszközök Olyan ügyletek, amelyekben az intézmény 1. szintű rendkívül magas minőségű fedezett kötvényeket (kölcsönadott) cserél nem likvid eszközökre (kölcsönvett). | 
| 0350 | 1.2.8.1.  Ebből az elcserélt biztosíték teljesíti az operatív követelményeket Az 1.2.8. tételben szereplő ügyletek közül a hitelintézetek adatot szolgáltatnak a kölcsönadott biztosíték oldaláról, amely – amennyiben nem az említett ügyletekben használnák fedezetként – az (EU) 2015/61 felhatalmazáson alapuló rendelet 8. cikke szerint likvid eszköznek minősülne. | 
| 0360 | 1.3.  Azon ügyletek összértéke, amelyekben 2A. szintű eszközöket adnak kölcsön és a következő biztosítékokat veszik kölcsön: Az (EU) 2015/61 felhatalmazáson alapuló rendelet 28. cikkének (4) bekezdése és 32. cikkének (3) bekezdése A hitelintézeteknek az érintett oszlopokban a biztosítéki csereügyletek teljes értékét kell feltüntetniük olyan ügyletekre vonatkozóan, amelyekben egyéb 2A. szintű eszközöket adnak kölcsön. | 
| 0370 | 1.3.1.  1. szintű eszközök (a rendkívül magas minőségű fedezett kötvények kivételével) Olyan ügyletek, amelyekben az intézmény 2A. szintű eszközöket (kölcsönadott) cserél a rendkívül magas minőségű fedezett kötvények kivételével 1. szintű eszközökre (kölcsönvett). | 
| 0380 | 1.3.1.1.  Ebből az elcserélt biztosíték teljesíti az operatív követelményeket Az 1.3.1. tételben szereplő ügyletek közül a hitelintézetek adatot szolgáltatnak a következőkről: — a kölcsönadott biztosíték oldala, amely – amennyiben nem az említett ügyletekben használnák fedezetként – az (EU) 2015/61 felhatalmazáson alapuló rendelet 8. cikke szerint likvid eszköznek minősülne. valamint — a kölcsönvett biztosíték oldala, amennyiben teljesíti az (EU) 2015/61 felhatalmazáson alapuló rendelet 8. cikke szerinti operatív követelményeket. | 
| 0390 | 1.3.2.  1. szintű rendkívül magas minőségű fedezett kötvények Olyan ügyletek, amelyekben az intézmény 2A. szintű eszközöket (kölcsönadott) cserél 1. szintű rendkívül magas minőségű fedezett kötvényekre (kölcsönvett). | 
| 0400 | 1.3.2.1.  Ebből az elcserélt biztosíték teljesíti az operatív követelményeket Az 1.3.2. tételben szereplő ügyletek közül a hitelintézetek adatot szolgáltatnak a következőkről: — a kölcsönadott biztosíték oldala, amely – amennyiben nem az említett ügyletekben használnák fedezetként – az (EU) 2015/61 felhatalmazáson alapuló rendelet 8. cikke szerint likvid eszköznek minősülne. valamint — a kölcsönvett biztosíték oldala, amennyiben teljesíti az (EU) 2015/61 felhatalmazáson alapuló rendelet 8. cikke szerinti operatív követelményeket. | 
| 0410 | 1.3.3.  2A. szintű eszközök Olyan ügyletek, amelyekben az intézmény 2A. szintű eszközöket (kölcsönadott) cserél 2A. szintű eszközökre (kölcsönvett). | 
| 0420 | 1.3.3.1.  Ebből az elcserélt biztosíték teljesíti az operatív követelményeket Az 1.3.3. tételben szereplő ügyletek közül a hitelintézetek adatot szolgáltatnak a következőkről: — a kölcsönadott biztosíték oldala, amely – amennyiben nem az említett ügyletekben használnák fedezetként – az (EU) 2015/61 felhatalmazáson alapuló rendelet 8. cikke szerint likvid eszköznek minősülne. valamint — a kölcsönvett biztosíték oldala, amennyiben teljesíti az (EU) 2015/61 felhatalmazáson alapuló rendelet 8. cikke szerinti operatív követelményeket. | 
| 0430 | 1.3.4.  2B. szintű eszközfedezetű értékpapír (lakóingatlan vagy gépjármű, 1. hitelminőségi besorolás) Olyan ügyletek, amelyekben az intézmény 2A. szintű eszközöket (kölcsönadott) cserél 2B. szintű eszközfedezetű értékpapírokra (lakóingatlan vagy gépjármű, 1. hitelminőségi besorolás) (kölcsönvett). | 
| 0440 | 1.3.4.1.  Ebből az elcserélt biztosíték teljesíti az operatív követelményeket Az 1.3.4. tételben szereplő ügyletek közül a hitelintézetek adatot szolgáltatnak a következőkről: — a kölcsönadott biztosíték oldala, amely – amennyiben nem az említett ügyletekben használnák fedezetként – az (EU) 2015/61 felhatalmazáson alapuló rendelet 8. cikke szerint likvid eszköznek minősülne. valamint — a kölcsönvett biztosíték oldala, amennyiben teljesíti az (EU) 2015/61 felhatalmazáson alapuló rendelet 8. cikke szerinti operatív követelményeket. | 
| 0450 | 1.3.5.  2B. szintű magas minőségű fedezett kötvények Olyan ügyletek, amelyekben az intézmény 2A. szintű eszközöket (kölcsönadott) cserél 2B. szintű magas minőségű fedezett kötvényekre (kölcsönvett). | 
| 0460 | 1.3.5.1.  Ebből az elcserélt biztosíték teljesíti az operatív követelményeket Az 1.3.5. tételben szereplő ügyletek közül a hitelintézetek adatot szolgáltatnak a következőkről: — a kölcsönadott biztosíték oldala, amely – amennyiben nem az említett ügyletekben használnák fedezetként – az (EU) 2015/61 felhatalmazáson alapuló rendelet 8. cikke szerint likvid eszköznek minősülne. valamint — a kölcsönvett biztosíték oldala, amennyiben teljesíti az (EU) 2015/61 felhatalmazáson alapuló rendelet 8. cikke szerinti operatív követelményeket. | 
| 0470 | 1.3.6.  2B. szintű eszközfedezetű értékpapír (vállalati vagy háztartási hitel, tagállam, 1. hitelminőségi besorolás) Olyan ügyletek, amelyekben az intézmény 2A. szintű eszközöket (kölcsönadott) cserél 2B. szintű eszközfedezetű értékpapírokra (vállalati vagy háztartási hitel, tagállam, 1. hitelminőségi besorolás)(kölcsönvett). | 
| 0480 | 1.3.6.1.  Ebből az elcserélt biztosíték teljesíti az operatív követelményeket Az 1.3.6. tételben szereplő ügyletek közül a hitelintézetek adatot szolgáltatnak a következőkről: — a kölcsönadott biztosíték oldala, amely – amennyiben nem az említett ügyletekben használnák fedezetként – az (EU) 2015/61 felhatalmazáson alapuló rendelet 8. cikke szerint likvid eszköznek minősülne. valamint — a kölcsönvett biztosíték oldala, amennyiben teljesíti az (EU) 2015/61 felhatalmazáson alapuló rendelet 8. cikke szerinti operatív követelményeket. | 
| 0490 | 1.3.7.  Egyéb 2B. szint Olyan ügyletek, amelyekben az intézmény 2A. szintű eszközöket (kölcsönadott) cserél egyéb 2B. szintű eszközökre (kölcsönvett). | 
| 0500 | 1.3.7.1.  Ebből az elcserélt biztosíték teljesíti az operatív követelményeket Az 1.3.7. tételben szereplő ügyletek közül a hitelintézetek adatot szolgáltatnak a következőkről: — a kölcsönadott biztosíték oldala, amely – amennyiben nem az említett ügyletekben használnák fedezetként – az (EU) 2015/61 felhatalmazáson alapuló rendelet 8. cikke szerint likvid eszköznek minősülne. valamint — a kölcsönvett biztosíték oldala, amennyiben teljesíti az (EU) 2015/61 felhatalmazáson alapuló rendelet 8. cikke szerinti operatív követelményeket. | 
| 0510 | 1.3.8.  Nem likvid eszközök Olyan ügyletek, amelyekben az intézmény 2A. szintű eszközöket (kölcsönadott) cserél nem likvid eszközökre (kölcsönvett). | 
| 0520 | 1.3.8.1.  Ebből az elcserélt biztosíték teljesíti az operatív követelményeket Az 1.3.8. tételben szereplő ügyletek közül a hitelintézetek adatot szolgáltatnak a kölcsönadott biztosíték oldaláról, amely – amennyiben nem az említett ügyletekben használnák fedezetként – az (EU) 2015/61 felhatalmazáson alapuló rendelet 8. cikke szerint likvid eszköznek minősülne. | 
| 0530 | 1.4.  Azon ügyletek összértéke, amelyekben 2B. szintű eszközfedezetű értékpapírokat (lakóingatlan vagy gépjármű, 1. hitelminőségi besorolás) adnak kölcsön és a következő biztosítékokat veszik kölcsön: Az (EU) 2015/61 felhatalmazáson alapuló rendelet 28. cikkének (4) bekezdése és 32. cikkének (3) bekezdése A hitelintézeteknek az érintett oszlopokban a biztosítéki csereügyletek teljes értékét kell feltüntetniük olyan ügyletekre vonatkozóan, amelyekben 2B. szintű eszközfedezetű értékpapírokat (lakóingatlan vagy gépjármű, 1. hitelminőségi besorolás) adnak kölcsön. | 
| 0540 | 1.4.1.  1. szintű eszközök (a rendkívül magas minőségű fedezett kötvények kivételével) Olyan ügyletek, amelyekben az intézmény 2B. szintű eszközfedezetű értékpapírokat (lakóingatlan vagy gépjármű, 1. hitelminőségi besorolás) (kölcsönadott) cserél a rendkívül magas minőségű fedezett kötvények kivételével 1. szintű eszközökre (kölcsönvett). | 
| 0550 | 1.4.1.1.  Ebből az elcserélt biztosíték teljesíti az operatív követelményeket Az 1.4.1. tételben szereplő ügyletek közül a hitelintézetek adatot szolgáltatnak a következőkről: — a kölcsönadott biztosíték oldala, amely – amennyiben nem az említett ügyletekben használnák fedezetként – az (EU) 2015/61 felhatalmazáson alapuló rendelet 8. cikke szerint likvid eszköznek minősülne. valamint — a kölcsönvett biztosíték oldala, amennyiben teljesíti az (EU) 2015/61 felhatalmazáson alapuló rendelet 8. cikke szerinti operatív követelményeket. | 
| 0560 | 1.4.2.  1. szintű rendkívül magas minőségű fedezett kötvények Olyan ügyletek, amelyekben az intézmény 2B. szintű eszközfedezetű értékpapírokat (lakóingatlan vagy gépjármű, 1. hitelminőségi besorolás) (kölcsönadott) cserél 1. szintű rendkívül magas minőségű fedezett kötvényekre (kölcsönvett). | 
| 0570 | 1.4.2.1.  Ebből az elcserélt biztosíték teljesíti az operatív követelményeket Az 1.4.2. tételben szereplő ügyletek közül a hitelintézetek adatot szolgáltatnak a következőkről: — a kölcsönadott biztosíték oldala, amely – amennyiben nem az említett ügyletekben használnák fedezetként – az (EU) 2015/61 felhatalmazáson alapuló rendelet 8. cikke szerint likvid eszköznek minősülne. valamint — a kölcsönvett biztosíték oldala, amennyiben teljesíti az (EU) 2015/61 felhatalmazáson alapuló rendelet 8. cikke szerinti operatív követelményeket. | 
| 0580 | 1.4.3.  2A. szintű eszközök Olyan ügyletek, amelyekben az intézmény 2B. szintű eszközfedezetű értékpapírokat (lakóingatlan vagy gépjármű, 1. hitelminőségi besorolás) (kölcsönadott) cserél 2A. szintű eszközökre (kölcsönvett). | 
| 0590 | 1.4.3.1.  Ebből az elcserélt biztosíték teljesíti az operatív követelményeket Az 1.4.3. tételben szereplő ügyletek közül a hitelintézetek adatot szolgáltatnak a következőkről: — a kölcsönadott biztosíték oldala, amely – amennyiben nem az említett ügyletekben használnák fedezetként – az (EU) 2015/61 felhatalmazáson alapuló rendelet 8. cikke szerint likvid eszköznek minősülne. valamint — a kölcsönvett biztosíték oldala, amennyiben teljesíti az (EU) 2015/61 felhatalmazáson alapuló rendelet 8. cikke szerinti operatív követelményeket. | 
| 0600 | 1.4.4.  2B. szintű eszközfedezetű értékpapír (lakóingatlan vagy gépjármű, 1. hitelminőségi besorolás) Olyan ügyletek, amelyekben az intézmény 2B. szintű eszközfedezetű értékpapírokat (lakóingatlan vagy gépjármű, 1. hitelminőségi besorolás) (kölcsönadott) cserél 2B. szintű eszközfedezetű értékpapírokra (lakóingatlan vagy gépjármű, 1. hitelminőségi besorolás)(kölcsönvett). | 
| 0610 | 1.4.4.1.  Ebből az elcserélt biztosíték teljesíti az operatív követelményeket Az 1.4.4. tételben szereplő ügyletek közül a hitelintézetek adatot szolgáltatnak a következőkről: — a kölcsönadott biztosíték oldala, amely – amennyiben nem az említett ügyletekben használnák fedezetként – az (EU) 2015/61 felhatalmazáson alapuló rendelet 8. cikke szerint likvid eszköznek minősülne. valamint — a kölcsönvett biztosíték oldala, amennyiben teljesíti az (EU) 2015/61 felhatalmazáson alapuló rendelet 8. cikke szerinti operatív követelményeket. | 
| 0620 | 1.4.5.  2B. szintű magas minőségű fedezett kötvények Olyan ügyletek, amelyekben az intézmény 2B. szintű eszközfedezetű értékpapírokat (lakóingatlannal vagy gépjárművel fedezett, 1.hitelminőségi besorolás) (kölcsönadott) cserél 2B. szintű magas minőségű fedezett kötvényekre (kölcsönvett). | 
| 0630 | 1.4.5.1.  Ebből az elcserélt biztosíték teljesíti az operatív követelményeket Az 1.4.5. tételben szereplő ügyletek közül a hitelintézetek adatot szolgáltatnak a következőkről: — a kölcsönadott biztosíték oldala, amely – amennyiben nem az említett ügyletekben használnák fedezetként – az (EU) 2015/61 felhatalmazáson alapuló rendelet 8. cikke szerint likvid eszköznek minősülne. valamint — a kölcsönvett biztosíték oldala, amennyiben teljesíti az (EU) 2015/61 felhatalmazáson alapuló rendelet 8. cikke szerinti operatív követelményeket. | 
| 0640 | 1.4.6.  2B. szintű eszközfedezetű értékpapír (vállalati vagy háztartási hitel, tagállam, 1. hitelminőségi besorolás) Olyan ügyletek, amelyekben az intézmény 2B. szintű eszközfedezetű értékpapírokat (lakóingatlan vagy gépjármű, 1. hitelminőségi besorolás) (kölcsönadott) cserél 2B. szintű eszközfedezetű értékpapírokra (vállalati vagy háztartási hitel, tagállam, 1. hitelminőségi besorolás) (kölcsönvett). | 
| 0650 | 1.4.6.1.  Ebből az elcserélt biztosíték teljesíti az operatív követelményeket Az 1.4.6. tételben szereplő ügyletek közül a hitelintézetek adatot szolgáltatnak a következőkről: — a kölcsönadott biztosíték oldala, amely – amennyiben nem az említett ügyletekben használnák fedezetként – az (EU) 2015/61 felhatalmazáson alapuló rendelet 8. cikke szerint likvid eszköznek minősülne. valamint — a kölcsönvett biztosíték oldala, amennyiben teljesíti az (EU) 2015/61 felhatalmazáson alapuló rendelet 8. cikke szerinti operatív követelményeket. | 
| 0660 | 1.4.7.  Egyéb 2B. szint Olyan ügyletek, amelyekben az intézmény 2B. szintű eszközfedezetű értékpapírokat (lakóingatlannal vagy gépjárművel fedezett, 1. hitelminőségi besorolás) (kölcsönadott) cserél egyéb 2B. szintű eszközökre (kölcsönvett). | 
| 0670 | 1.4.7.1.  Ebből az elcserélt biztosíték teljesíti az operatív követelményeket Az 1.4.7. tételben szereplő ügyletek közül a hitelintézetek adatot szolgáltatnak a következőkről: — a kölcsönadott biztosíték oldala, amely – amennyiben nem az említett ügyletekben használnák fedezetként – az (EU) 2015/61 felhatalmazáson alapuló rendelet 8. cikke szerint likvid eszköznek minősülne. valamint — a kölcsönvett biztosíték oldala, amennyiben teljesíti az (EU) 2015/61 felhatalmazáson alapuló rendelet 8. cikke szerinti operatív követelményeket. | 
| 0680 | 1.4.8.  Nem likvid eszközök Olyan ügyletek, amelyekben az intézmény 2B. szintű eszközfedezetű értékpapírokat (lakóingatlannal vagy gépjárművel fedezett, 1. hitelminőségi besorolás) (kölcsönadott) cserél nem likvid eszközökre (kölcsönvett). | 
| 0690 | 1.4.8.1.  Ebből az elcserélt biztosíték teljesíti az operatív követelményeket Az 1.4.8. tételben szereplő ügyletek közül a hitelintézetek adatot szolgáltatnak a kölcsönadott biztosíték oldaláról, amely – amennyiben nem az említett ügyletekben használnák fedezetként – az (EU) 2015/61 felhatalmazáson alapuló rendelet 8. cikke szerint likvid eszköznek minősülne. | 
| 0700 | 1.5.  Azon ügyletek összértéke, amelyekben 2B. szintű rendkívül magas minőségű fedezett kötvényeket adnak kölcsön és a következő biztosítékokat veszik kölcsön: Az (EU) 2015/61 felhatalmazáson alapuló rendelet 28. cikkének (4) bekezdése és 32. cikkének (3) bekezdése A hitelintézeteknek az érintett oszlopokban a biztosítéki csereügyletek teljes értékét kell feltüntetniük olyan ügyletekre vonatkozóan, amelyekben 2B. szintű rendkívül magas minőségű fedezett kötvényeket adnak kölcsön. | 
| 0710 | 1.5.1.  1. szintű eszközök (a rendkívül magas minőségű fedezett kötvények kivételével) Olyan ügyletek, amelyekben az intézmény 2B. szintű magas minőségű fedezett kötvényeket (kölcsönadott) cserél a rendkívül magas minőségű fedezett kötvények kivételével 1. szintű eszközökre (kölcsönvett). | 
| 0720 | 1.5.1.1.  Ebből az elcserélt biztosíték teljesíti az operatív követelményeket Az 1.5.1. tételben szereplő ügyletek közül a hitelintézetek adatot szolgáltatnak a következőkről: — a kölcsönadott biztosíték oldala, amely – amennyiben nem az említett ügyletekben használnák fedezetként – az (EU) 2015/61 felhatalmazáson alapuló rendelet 8. cikke szerint likvid eszköznek minősülne. valamint — a kölcsönvett biztosíték oldala, amennyiben teljesíti az (EU) 2015/61 felhatalmazáson alapuló rendelet 8. cikke szerinti operatív követelményeket. | 
| 0730 | 1.5.2.  1. szintű rendkívül magas minőségű fedezett kötvények Olyan ügyletek, amelyekben az intézmény 2B. szintű magas minőségű fedezett kötvényeket (kölcsönadott) cserél 1. szintű rendkívül magas minőségű fedezett kötvényekre (kölcsönvett). | 
| 0740 | 1.5.2.1.  Ebből az elcserélt biztosíték teljesíti az operatív követelményeket Az 1.5.2. tételben szereplő ügyletek közül a hitelintézetek adatot szolgáltatnak a következőkről: — a kölcsönadott biztosíték oldala, amely – amennyiben nem az említett ügyletekben használnák fedezetként – az (EU) 2015/61 felhatalmazáson alapuló rendelet 8. cikke szerint likvid eszköznek minősülne. valamint — a kölcsönvett biztosíték oldala, amennyiben teljesíti az (EU) 2015/61 felhatalmazáson alapuló rendelet 8. cikke szerinti operatív követelményeket. | 
| 0750 | 1.5.3.  2A. szintű eszközök Olyan ügyletek, amelyekben az intézmény 2B. szintű magas minőségű fedezett kötvényeket (kölcsönadott) cserél 2A. szintű eszközökre (kölcsönvett). | 
| 0760 | 1.5.3.1.  Ebből az elcserélt biztosíték teljesíti az operatív követelményeket Az 1.5.3. tételben szereplő ügyletek közül a hitelintézetek adatot szolgáltatnak a következőkről: — a kölcsönadott biztosíték oldala, amely – amennyiben nem az említett ügyletekben használnák fedezetként – az (EU) 2015/61 felhatalmazáson alapuló rendelet 8. cikke szerint likvid eszköznek minősülne. valamint — a kölcsönvett biztosíték oldala, amennyiben teljesíti az (EU) 2015/61 felhatalmazáson alapuló rendelet 8. cikke szerinti operatív követelményeket. | 
| 0770 | 1.5.4.  2B. szintű eszközfedezetű értékpapír (lakóingatlan vagy gépjármű, 1. hitelminőségi besorolás) Olyan ügyletek, amelyekben az intézmény 2B. szintű magas minőségű fedezett kötvényeket (kölcsönadott) cserél 2B. szintű eszközfedezetű értékpapírokra (lakóingatlan vagy gépjármű, 1. hitelminőségi besorolás) (kölcsönvett). | 
| 0780 | 1.5.4.1.  Ebből az elcserélt biztosíték teljesíti az operatív követelményeket Az 1.5.4. tételben szereplő ügyletek közül a hitelintézetek adatot szolgáltatnak a következőkről: — a kölcsönadott biztosíték oldala, amely – amennyiben nem az említett ügyletekben használnák fedezetként – az (EU) 2015/61 felhatalmazáson alapuló rendelet 8. cikke szerint likvid eszköznek minősülne. valamint — a kölcsönvett biztosíték oldala, amennyiben teljesíti az (EU) 2015/61 felhatalmazáson alapuló rendelet 8. cikke szerinti operatív követelményeket. | 
| 0790 | 1.5.5.  2B. szintű magas minőségű fedezett kötvények Olyan ügyletek, amelyekben az intézmény 2B. szintű magas minőségű fedezett kötvényeket (kölcsönadott) cserél 2B. szintű magas minőségű fedezett kötvényekre (kölcsönvett). | 
| 0800 | 1.5.5.1.  Ebből az elcserélt biztosíték teljesíti az operatív követelményeket Az 1.5.5. tételben szereplő ügyletek közül a hitelintézetek adatot szolgáltatnak a következőkről: — a kölcsönadott biztosíték oldala, amely – amennyiben nem az említett ügyletekben használnák fedezetként – az (EU) 2015/61 felhatalmazáson alapuló rendelet 8. cikke szerint likvid eszköznek minősülne. valamint — a kölcsönvett biztosíték oldala, amennyiben teljesíti az (EU) 2015/61 felhatalmazáson alapuló rendelet 8. cikke szerinti operatív követelményeket. | 
| 0810 | 1.5.6.  2B. szintű eszközfedezetű értékpapír (vállalati vagy háztartási hitel, tagállam, 1. hitelminőségi besorolás) Olyan ügyletek, amelyekben az intézmény 2B. szintű magas minőségű fedezett kötvényeket (kölcsönadott) cserél 2B. szintű eszközfedezetű értékpapírokra (vállalati vagy háztartási hitel, tagállam, 1. hitelminőségi besorolás) (kölcsönvett). | 
| 0820 | 1.5.6.1.  Ebből az elcserélt biztosíték teljesíti az operatív követelményeket Az 1.5.6. tételben szereplő ügyletek közül a hitelintézetek adatot szolgáltatnak a következőkről: — a kölcsönadott biztosíték oldala, amely – amennyiben nem az említett ügyletekben használnák fedezetként – az (EU) 2015/61 felhatalmazáson alapuló rendelet 8. cikke szerint likvid eszköznek minősülne. valamint — a kölcsönvett biztosíték oldala, amennyiben teljesíti az (EU) 2015/61 felhatalmazáson alapuló rendelet 8. cikke szerinti operatív követelményeket. | 
| 0830 | 1.5.7.  Egyéb 2B. szint Olyan ügyletek, amelyekben az intézmény 2B. szintű magas minőségű fedezett kötvényeket (kölcsönadott) cserél egyéb 2B. szintű eszközökre (kölcsönvett). | 
| 0840 | 1.5.7.1.  Ebből az elcserélt biztosíték teljesíti az operatív követelményeket Az 1.5.7. tételben szereplő ügyletek közül a hitelintézetek adatot szolgáltatnak a következőkről: — a kölcsönadott biztosíték oldala, amely – amennyiben nem az említett ügyletekben használnák fedezetként – az (EU) 2015/61 felhatalmazáson alapuló rendelet 8. cikke szerint likvid eszköznek minősülne. valamint — a kölcsönvett biztosíték oldala, amennyiben teljesíti az (EU) 2015/61 felhatalmazáson alapuló rendelet 8. cikke szerinti operatív követelményeket. | 
| 0850 | 1.5.8.  Nem likvid eszközök Olyan ügyletek, amelyekben az intézmény 2B. szintű magas minőségű fedezett kötvényeket (kölcsönadott) cserél nem likvid eszközökre (kölcsönvett). | 
| 0860 | 1.5.8.1.  Ebből az elcserélt biztosíték teljesíti az operatív követelményeket Az 1.5.8. tételben szereplő ügyletek közül a hitelintézetek adatot szolgáltatnak a kölcsönadott biztosíték oldaláról, amely – amennyiben nem az említett ügyletekben használnák fedezetként – az (EU) 2015/61 felhatalmazáson alapuló rendelet 8. cikke szerint likvid eszköznek minősülne. | 
| 0870 | 1.6.  Azon ügyletek összértéke, amelyekben 2B. szintű eszközfedezetű értékpapírokat (vállalati vagy háztartási hitel, tagállam, 1. hitelminőségi besorolás) adnak kölcsön és a következő biztosítékokat veszik kölcsön: Az (EU) 2015/61 felhatalmazáson alapuló rendelet 28. cikkének (4) bekezdése és 32. cikkének (3) bekezdése A hitelintézeteknek az érintett oszlopokban a biztosítéki csereügyletek teljes értékét kell feltüntetniük olyan ügyletekre vonatkozóan, amelyekben 2B. szintű eszközfedezetű értékpapírokat (vállalati vagy háztartási hitel, tagállam, 1. hitelminőségi besorolás) adnak kölcsön. | 
| 0880 | 1.6.1.  1. szintű eszközök (a rendkívül magas minőségű fedezett kötvények kivételével) Olyan ügyletek, amelyekben az intézmény 2B. szintű eszközfedezetű értékpapírokat (vállalati vagy háztartási hitel, tagállam, 1. hitelminőségi besorolás) (kölcsönadott) cserél a rendkívül magas minőségű fedezett kötvények kivételével 1. szintű eszközökre (kölcsönvett). | 
| 0890 | 1.6.1.1.  Ebből az elcserélt biztosíték teljesíti az operatív követelményeket Az 1.6.1. tételben szereplő ügyletek közül a hitelintézetek adatot szolgáltatnak a következőkről: — a kölcsönadott biztosíték oldala, amely – amennyiben nem az említett ügyletekben használnák fedezetként – az (EU) 2015/61 felhatalmazáson alapuló rendelet 8. cikke szerint likvid eszköznek minősülne. valamint — a kölcsönvett biztosíték oldala, amennyiben teljesíti az (EU) 2015/61 felhatalmazáson alapuló rendelet 8. cikke szerinti operatív követelményeket. | 
| 0900 | 1.6.2.  1. szintű rendkívül magas minőségű fedezett kötvények Olyan ügyletek, amelyekben az intézmény 2B. szintű eszközfedezetű értékpapírokat (vállalati vagy háztartási hitel, tagállam, 1. hitelminőségi besorolás) (kölcsönadott) cserél 1. szintű rendkívül magas minőségű fedezett kötvényekre (kölcsönvett). | 
| 0910 | 1.6.2.1.  Ebből az elcserélt biztosíték teljesíti az operatív követelményeket Az 1.6.2. tételben szereplő ügyletek közül a hitelintézetek adatot szolgáltatnak a következőkről: — a kölcsönadott biztosíték oldala, amely – amennyiben nem az említett ügyletekben használnák fedezetként – az (EU) 2015/61 felhatalmazáson alapuló rendelet 8. cikke szerint likvid eszköznek minősülne. valamint — a kölcsönvett biztosíték oldala, amennyiben teljesíti az (EU) 2015/61 felhatalmazáson alapuló rendelet 8. cikke szerinti operatív követelményeket. | 
| 0920 | 1.6.3.  2A. szintű eszközök Olyan ügyletek, amelyekben az intézmény 2B. szintű eszközfedezetű értékpapírokat (vállalati vagy háztartási hitel, tagállam, 1. hitelminőségi besorolás) (kölcsönadott) cserél 2A. szintű eszközökre (kölcsönvett). | 
| 0930 | 1.6.3.1.  Ebből az elcserélt biztosíték teljesíti az operatív követelményeket Az 1.6.3. tételben szereplő ügyletek közül a hitelintézetek adatot szolgáltatnak a következőkről: — a kölcsönadott biztosíték oldala, amely – amennyiben nem az említett ügyletekben használnák fedezetként – az (EU) 2015/61 felhatalmazáson alapuló rendelet 8. cikke szerint likvid eszköznek minősülne. valamint — a kölcsönvett biztosíték oldala, amennyiben teljesíti az (EU) 2015/61 felhatalmazáson alapuló rendelet 8. cikke szerinti operatív követelményeket. | 
| 0940 | 1.6.4.  2B. szintű eszközfedezetű értékpapír (lakóingatlan vagy gépjármű, 1. hitelminőségi besorolás) Olyan ügyletek, amelyekben az intézmény 2B. szintű eszközfedezetű értékpapírokat (vállalati vagy háztartási hitel, tagállam, 1. hitelminőségi besorolás) (kölcsönadott) cserél 2B. szintű eszközfedezetű értékpapírokra (lakóingatlan vagy gépjármű, 1. hitelminőségi besorolás)(kölcsönvett). | 
| 0950 | 1.6.4.1.  Ebből az elcserélt biztosíték teljesíti az operatív követelményeket Az 1.6.4. tételben szereplő ügyletek közül a hitelintézetek adatot szolgáltatnak a következőkről: — a kölcsönadott biztosíték oldala, amely – amennyiben nem az említett ügyletekben használnák fedezetként – az (EU) 2015/61 felhatalmazáson alapuló rendelet 8. cikke szerint likvid eszköznek minősülne. valamint — a kölcsönvett biztosíték oldala, amennyiben teljesíti az (EU) 2015/61 felhatalmazáson alapuló rendelet 8. cikke szerinti operatív követelményeket. | 
| 0960 | 1.6.5.  2B. szintű magas minőségű fedezett kötvények Olyan ügyletek, amelyekben az intézmény 2B. szintű eszközfedezetű értékpapírokat (vállalati vagy háztartási hitel, tagállam, 1. hitelminőségi besorolás) (kölcsönadott) cserél 2B. szintű magas minőségű fedezett kötvényekre (kölcsönvett). | 
| 0970 | 1.6.5.1.  Ebből az elcserélt biztosíték teljesíti az operatív követelményeket Az 1.6.5. tételben szereplő ügyletek közül a hitelintézetek adatot szolgáltatnak a következőkről: — a kölcsönadott biztosíték oldala, amely – amennyiben nem az említett ügyletekben használnák fedezetként – az (EU) 2015/61 felhatalmazáson alapuló rendelet 8. cikke szerint likvid eszköznek minősülne. valamint — a kölcsönvett biztosíték oldala, amennyiben teljesíti az (EU) 2015/61 felhatalmazáson alapuló rendelet 8. cikke szerinti operatív követelményeket. | 
| 0980 | 1.6.6.  2B. szintű eszközfedezetű értékpapír (vállalati vagy háztartási hitel, tagállam, 1. hitelminőségi besorolás) Olyan ügyletek, amelyekben az intézmény 2B. szintű eszközfedezetű értékpapírokat (vállalati vagy háztartási hitel, tagállam, 1. hitelminőségi besorolás) (kölcsönadott) cserél 2B. szintű eszközfedezetű értékpapírokra (vállalati vagy háztartási hitel, tagállam, 1. hitelminőségi besorolás)(kölcsönvett). | 
| 0990 | 1.6.6.1.  Ebből az elcserélt biztosíték teljesíti az operatív követelményeket Az 1.6.6. tételben szereplő ügyletek közül a hitelintézetek adatot szolgáltatnak a következőkről: — a kölcsönadott biztosíték oldala, amely – amennyiben nem az említett ügyletekben használnák fedezetként – az (EU) 2015/61 felhatalmazáson alapuló rendelet 8. cikke szerint likvid eszköznek minősülne. valamint — a kölcsönvett biztosíték oldala, amennyiben teljesíti az (EU) 2015/61 felhatalmazáson alapuló rendelet 8. cikke szerinti operatív követelményeket. | 
| 1000 | 1.6.7.  Egyéb 2B. szint Olyan ügyletek, amelyekben az intézmény 2B. szintű eszközfedezetű értékpapírokat (vállalati vagy háztartási hitel, tagállam, 1. hitelminőségi besorolás) (kölcsönadott) cserél egyéb 2B. szintű eszközökre (kölcsönvett). | 
| 1010 | 1.6.7.1.  Ebből az elcserélt biztosíték teljesíti az operatív követelményeket Az 1.6.7. tételben szereplő ügyletek közül a hitelintézetek adatot szolgáltatnak a következőkről: — a kölcsönadott biztosíték oldala, amely – amennyiben nem az említett ügyletekben használnák fedezetként – az (EU) 2015/61 felhatalmazáson alapuló rendelet 8. cikke szerint likvid eszköznek minősülne. valamint — a kölcsönvett biztosíték oldala, amennyiben teljesíti az (EU) 2015/61 felhatalmazáson alapuló rendelet 8. cikke szerinti operatív követelményeket. | 
| 1020 | 1.6.8.  Nem likvid eszközök Olyan ügyletek, amelyekben az intézmény 2B. szintű eszközfedezetű értékpapírokat (vállalati vagy háztartási hitel, tagállam, 1. hitelminőségi besorolás) (kölcsönadott) cserél nem likvid eszközökre (kölcsönvett). | 
| 1030 | 1.6.8.1.  Ebből az elcserélt biztosíték teljesíti az operatív követelményeket Az 1.6.8. tételben szereplő ügyletek közül a hitelintézetek adatot szolgáltatnak a kölcsönadott biztosíték oldaláról, amely – amennyiben nem az említett ügyletekben használnák fedezetként – az (EU) 2015/61 felhatalmazáson alapuló rendelet 8. cikke szerint likvid eszköznek minősülne. | 
| 1040 | 1.7.  Azon ügyletek összértéke, amelyekben egyéb 2B. szintű eszközöket adnak kölcsön és a következő biztosítékokat veszik kölcsön: Az (EU) 2015/61 felhatalmazáson alapuló rendelet 28. cikkének (4) bekezdése és 32. cikkének (3) bekezdése A hitelintézeteknek az érintett oszlopokban a biztosítéki csereügyletek teljes értékét kell feltüntetniük olyan ügyletekre vonatkozóan, amelyekben egyéb 2B. szintű eszközöket adnak kölcsön. | 
| 1050 | 1.7.1.  1. szintű eszközök (a rendkívül magas minőségű fedezett kötvények kivételével) Olyan ügyletek, amelyekben az intézmény egyéb 2B. szintű eszközöket (kölcsönadott) cserél a rendkívül magas minőségű fedezett kötvények kivételével 1. szintű eszközökre (kölcsönvett). | 
| 1060 | 1.7.1.1.  Ebből az elcserélt biztosíték teljesíti az operatív követelményeket Az 1.7.1. tételben szereplő ügyletek közül a hitelintézetek adatot szolgáltatnak a következőkről: — a kölcsönadott biztosíték oldala, amely – amennyiben nem az említett ügyletekben használnák fedezetként – az (EU) 2015/61 felhatalmazáson alapuló rendelet 8. cikke szerint likvid eszköznek minősülne. valamint — a kölcsönvett biztosíték oldala, amennyiben teljesíti az (EU) 2015/61 felhatalmazáson alapuló rendelet 8. cikke szerinti operatív követelményeket. | 
| 1070 | 1.7.2.  1. szintű rendkívül magas minőségű fedezett kötvények Olyan ügyletek, amelyekben az intézmény egyéb 2B. szintű eszközöket (kölcsönadott) cserél 1. szintű rendkívül magas minőségű fedezett kötvényekre eszközökre (kölcsönvett). | 
| 1080 | 1.7.2.1.  Ebből az elcserélt biztosíték teljesíti az operatív követelményeket Az 1.7.2. tételben szereplő ügyletek közül a hitelintézetek adatot szolgáltatnak a következőkről: — a kölcsönadott biztosíték oldala, amely – amennyiben nem az említett ügyletekben használnák fedezetként – az (EU) 2015/61 felhatalmazáson alapuló rendelet 8. cikke szerint likvid eszköznek minősülne. valamint — a kölcsönvett biztosíték oldala, amennyiben teljesíti az (EU) 2015/61 felhatalmazáson alapuló rendelet 8. cikke szerinti operatív követelményeket. | 
| 1090 | 1.7.3.  2A. szintű eszközök Olyan ügyletek, amelyekben az intézmény egyéb 2B. szintű eszközöket (kölcsönadott) cserél 2A. szintű eszközökre (kölcsönvett). | 
| 1100 | 1.7.3.1.  Ebből az elcserélt biztosíték teljesíti az operatív követelményeket Az 1.7.3. tételben szereplő ügyletek közül a hitelintézetek adatot szolgáltatnak a következőkről: — a kölcsönadott biztosíték oldala, amely – amennyiben nem az említett ügyletekben használnák fedezetként – az (EU) 2015/61 felhatalmazáson alapuló rendelet 8. cikke szerint likvid eszköznek minősülne. valamint — a kölcsönvett biztosíték oldala, amennyiben teljesíti az (EU) 2015/61 felhatalmazáson alapuló rendelet 8. cikke szerinti operatív követelményeket. | 
| 1110 | 1.7.4.  2B. szintű eszközfedezetű értékpapír (lakóingatlan vagy gépjármű, 1. hitelminőségi besorolás) Olyan ügyletek, amelyekben az intézmény egyéb 2B. szintű eszközöket (kölcsönadott) cserél 2B. szintű eszközfedezetű értékpapírokra (lakóingatlan vagy gépjármű, 1. hitelminőségi besorolás) (kölcsönvett). | 
| 1120 | 1.7.4.1.  Ebből az elcserélt biztosíték teljesíti az operatív követelményeket Az 1.7.4. tételben szereplő ügyletek közül a hitelintézetek adatot szolgáltatnak a következőkről: — a kölcsönadott biztosíték oldala, amely – amennyiben nem az említett ügyletekben használnák fedezetként – az (EU) 2015/61 felhatalmazáson alapuló rendelet 8. cikke szerint likvid eszköznek minősülne. valamint — a kölcsönvett biztosíték oldala, amennyiben teljesíti az (EU) 2015/61 felhatalmazáson alapuló rendelet 8. cikke szerinti operatív követelményeket. | 
| 1130 | 1.7.5.  2B. szintű magas minőségű fedezett kötvények Olyan ügyletek, amelyekben az intézmény egyéb 2B. szintű eszközöket (kölcsönadott) cserél 2B. szintű magas minőségű fedezett kötvényekre eszközökre (kölcsönvett). | 
| 1140 | 1.7.5.1.  Ebből az elcserélt biztosíték teljesíti az operatív követelményeket Az 1.7.5. tételben szereplő ügyletek közül a hitelintézetek adatot szolgáltatnak a következőkről: — a kölcsönadott biztosíték oldala, amely – amennyiben nem az említett ügyletekben használnák fedezetként – az (EU) 2015/61 felhatalmazáson alapuló rendelet 8. cikke szerint likvid eszköznek minősülne. valamint — a kölcsönvett biztosíték oldala, amennyiben teljesíti az (EU) 2015/61 felhatalmazáson alapuló rendelet 8. cikke szerinti operatív követelményeket. | 
| 1150 | 1.7.6.  2B. szintű eszközfedezetű értékpapír (vállalati vagy háztartási hitel, tagállam, 1. hitelminőségi besorolás) Olyan ügyletek, amelyekben az intézmény egyéb 2B. szintű eszközöket (kölcsönadott) cserél 2B. szintű eszközfedezetű értékpapírokra (vállalati vagy háztartási hitel, tagállam, 1. hitelminőségi besorolás) (kölcsönvett). | 
| 1160 | 1.7.6.1.  Ebből az elcserélt biztosíték teljesíti az operatív követelményeket Az 1.7.6. tételben szereplő ügyletek közül a hitelintézetek adatot szolgáltatnak a következőkről: — a kölcsönadott biztosíték oldala, amely – amennyiben nem az említett ügyletekben használnák fedezetként – az (EU) 2015/61 felhatalmazáson alapuló rendelet 8. cikke szerint likvid eszköznek minősülne. valamint — a kölcsönvett biztosíték oldala, amennyiben teljesíti az (EU) 2015/61 felhatalmazáson alapuló rendelet 8. cikke szerinti operatív követelményeket. | 
| 1170 | 1.7.7.  Egyéb 2B. szint Olyan ügyletek, amelyekben az intézmény egyéb 2B. szintű eszközöket (kölcsönadott) cserél egyéb 2B. szintű eszközökre (kölcsönvett). | 
| 1180 | 1.7.7.1.  Ebből az elcserélt biztosíték teljesíti az operatív követelményeket Az 1.7.7. tételben szereplő ügyletek közül a hitelintézetek adatot szolgáltatnak a következőkről: — a kölcsönadott biztosíték oldala, amely – amennyiben nem az említett ügyletekben használnák fedezetként – az (EU) 2015/61 felhatalmazáson alapuló rendelet 8. cikke szerint likvid eszköznek minősülne. valamint — a kölcsönvett biztosíték oldala, amennyiben teljesíti az (EU) 2015/61 felhatalmazáson alapuló rendelet 8. cikke szerinti operatív követelményeket. | 
| 1190 | 1.7.8.  Nem likvid eszközök Olyan ügyletek, amelyekben az intézmény egyéb 2B. szintű eszközöket (kölcsönadott) cserél nem likvid eszközökre (kölcsönvett). | 
| 1200 | 1.7.8.1.  Ebből az elcserélt biztosíték teljesíti az operatív követelményeket Az 1.7.8. tételben szereplő ügyletek közül a hitelintézetek adatot szolgáltatnak a kölcsönadott biztosíték oldaláról, amely – amennyiben nem az említett ügyletekben használnák fedezetként – az (EU) 2015/61 felhatalmazáson alapuló rendelet 8. cikke szerint likvid eszköznek minősülne. | 
| 1210 | 1.8.  Azon ügyletek összértéke, amelyekben nem likvid eszközöket adnak kölcsön és a következő biztosítékokat veszik kölcsön: Az (EU) 2015/61 felhatalmazáson alapuló rendelet 28. cikkének (4) bekezdése és 32. cikkének (3) bekezdése A hitelintézeteknek az érintett oszlopokban a biztosítéki csereügyletek teljes értékét kell feltüntetniük olyan ügyletekre vonatkozóan, amelyekben nem likvid eszközöket adnak kölcsön. | 
| 1220 | 1.8.1.  1. szintű eszközök (a rendkívül magas minőségű fedezett kötvények kivételével) Olyan ügyletek, amelyekben az intézmény nem likvid eszközöket (kölcsönadott) cserél a rendkívül magas minőségű fedezett kötvények kivételével 1. szintű eszközökre (kölcsönvett). | 
| 1230 | 1.8.1.1.  Ebből az elcserélt biztosíték teljesíti az operatív követelményeket Az 1.8.1. tételben szereplő ügyletek közül a hitelintézetek adatot szolgáltatnak a kölcsönvett biztosíték oldaláról, amennyiben teljesíti az (EU) 2015/61 felhatalmazáson alapuló rendelet 8. cikke szerinti operatív követelményeket. | 
| 1240 | 1.8.2.  1. szintű rendkívül magas minőségű fedezett kötvények Olyan ügyletek, amelyekben az intézmény nem likvid eszközöket (kölcsönadott) cserél 1. szintű rendkívül magas minőségű fedezett kötvényekre eszközökre (kölcsönvett). | 
| 1250 | 1.8.2.1.  Ebből az elcserélt biztosíték teljesíti az operatív követelményeket Az 1.8.2. tételben szereplő ügyletek közül a hitelintézetek adatot szolgáltatnak a kölcsönvett biztosíték oldaláról, amennyiben teljesíti az (EU) 2015/61 felhatalmazáson alapuló rendelet 8. cikke szerinti operatív követelményeket. | 
| 1260 | 1.8.3.  2A. szintű eszközök Olyan ügyletek, amelyekben az intézmény nem likvid eszközöket (kölcsönadott) cserél 2A. szintű eszközökre (kölcsönvett). | 
| 1270 | 1.8.3.1.  Ebből az elcserélt biztosíték teljesíti az operatív követelményeket Az 1.8.3. tételben szereplő ügyletek közül a hitelintézetek adatot szolgáltatnak a kölcsönvett biztosíték oldaláról, amennyiben teljesíti az (EU) 2015/61 felhatalmazáson alapuló rendelet 8. cikke szerinti operatív követelményeket. | 
| 1280 | 1.8.4.  2B. szintű eszközfedezetű értékpapír (lakóingatlan vagy gépjármű, 1. hitelminőségi besorolás) Olyan ügyletek, amelyekben az intézmény nem likvid eszközöket (kölcsönadott) cserél 2B. szintű eszközfedezetű értékpapírokra (lakóingatlan vagy gépjármű, 1. hitelminőségi besorolás) (kölcsönvett). | 
| 1290 | 1.8.4.1.  Ebből az elcserélt biztosíték teljesíti az operatív követelményeket Az 1.8.4. tételben szereplő ügyletek közül a hitelintézetek adatot szolgáltatnak a kölcsönvett biztosíték oldaláról, amennyiben teljesíti az (EU) 2015/61 felhatalmazáson alapuló rendelet 8. cikke szerinti operatív követelményeket. | 
| 1300 | 1.8.5.  2B. szintű magas minőségű fedezett kötvények Olyan ügyletek, amelyekben az intézmény nem likvid eszközöket (kölcsönadott) cserél 2B. szintű magas minőségű fedezett kötvényekre (kölcsönvett). | 
| 1310 | 1.8.5.1.  Ebből az elcserélt biztosíték teljesíti az operatív követelményeket Az 1.8.5. tételben szereplő ügyletek közül a hitelintézetek adatot szolgáltatnak a kölcsönvett biztosíték oldaláról, amennyiben teljesíti az (EU) 2015/61 felhatalmazáson alapuló rendelet 8. cikke szerinti operatív követelményeket. | 
| 1320 | 1.8.6.  2B. szintű eszközfedezetű értékpapír (vállalati vagy háztartási hitel, tagállam, 1. hitelminőségi besorolás) Olyan ügyletek, amelyekben az intézmény nem likvid eszközöket (kölcsönadott) cserél 2B. szintű eszközfedezetű értékpapírokra (vállalati vagy háztartási hitel, tagállam, 1. hitelminőségi besorolás) (kölcsönvett). | 
| 1330 | 1.8.6.1.  Ebből az elcserélt biztosíték teljesíti az operatív követelményeket Az 1.8.6. tételben szereplő ügyletek közül a hitelintézetek adatot szolgáltatnak a kölcsönvett biztosíték oldaláról, amennyiben teljesíti az (EU) 2015/61 felhatalmazáson alapuló rendelet 8. cikke szerinti operatív követelményeket. | 
| 1340 | 1.8.7.  Egyéb 2B. szint Olyan ügyletek, amelyekben az intézmény nem likvid eszközöket (kölcsönadott) cserél egyéb 2B. szintű eszközökre (kölcsönvett). | 
| 1350 | 1.8.7.1.  Ebből az elcserélt biztosíték teljesíti az operatív követelményeket Az 1.8.7. tételben szereplő ügyletek közül a hitelintézetek adatot szolgáltatnak a kölcsönvett biztosíték oldaláról, amennyiben teljesíti az (EU) 2015/61 felhatalmazáson alapuló rendelet 8. cikke szerinti operatív követelményeket. | 
| 1360 | 1.8.8.  Nem likvid eszközök Olyan ügyletek, amelyekben az intézmény nem likvid eszközöket (kölcsönadott) cserél nem likvid eszközökre (kölcsönvett). | 
| 1370 | 2.  ÖSSZES BIZTOSÍTÉKI CSEREÜGYLET (a partner nem központi bank) Az (EU) 2015/61 felhatalmazáson alapuló rendelet 28. cikkének (4) bekezdése és 32. cikkének (3) bekezdése A hitelintézeteknek az érintett oszlopokban a biztosítéki csereügyletek teljes értékét kell feltüntetniük. | 
| 1380 | 2.1.  Azon ügyletek összértéke, amelyekben 1. szintű eszközöket (a rendkívül magas minőségű fedezett kötvények kivételével) adnak kölcsön és a következő biztosítékokat veszik kölcsön: Az (EU) 2015/61 felhatalmazáson alapuló rendelet 28. cikkének (4) bekezdése és 32. cikkének (3) bekezdése A hitelintézeteknek minden érintett oszlopban a biztosítéki csereügyletek teljes értékét kell feltüntetniük olyan ügyletekre vonatkozóan, amelyekben 1. szintű eszközöket (a rendkívül magas minőségű fedezett kötvények kivételével) adnak kölcsön. | 
| 1390 | 2.1.1.  1. szintű eszközök (a rendkívül magas minőségű fedezett kötvények kivételével) Olyan ügyletek, amelyekben az intézmény a rendkívül magas minőségű fedezett kötvények kivételével 1. szintű eszközöket (kölcsönadott) cserél rendkívül magas minőségű fedezett kötvények kivételével 1. szintű eszközökre (kölcsönvett). | 
| 1400 | 2.1.1.1.  Ebből az elcserélt biztosíték teljesíti az operatív követelményeket A 2.1.1. tételben szereplő ügyletek közül a hitelintézetek adatot szolgáltatnak a következőkről: — a kölcsönadott biztosíték oldala, amely – amennyiben nem az említett ügyletekben használnák fedezetként – az (EU) 2015/61 felhatalmazáson alapuló rendelet 8. cikke szerint likvid eszköznek minősülne. valamint — a kölcsönvett biztosíték oldala, amennyiben teljesíti az (EU) 2015/61 felhatalmazáson alapuló rendelet 8. cikke szerinti operatív követelményeket. | 
| 1410 | 2.1.2.  1. szintű rendkívül magas minőségű fedezett kötvények Olyan ügyletek, amelyekben az intézmény a rendkívül magas minőségű fedezett kötvények kivételével 1. szintű eszközöket (kölcsönadott) cserél 1. szintű rendkívül magas minőségű fedezett kötvényekre (kölcsönvett). | 
| 1420 | 2.1.2.1.  Ebből az elcserélt biztosíték teljesíti az operatív követelményeket A 2.1.2. tételben szereplő ügyletek közül a hitelintézetek adatot szolgáltatnak a következőkről: — a kölcsönadott biztosíték oldala, amely – amennyiben nem az említett ügyletekben használnák fedezetként – az (EU) 2015/61 felhatalmazáson alapuló rendelet 8. cikke szerint likvid eszköznek minősülne. valamint — a kölcsönvett biztosíték oldala, amennyiben teljesíti az (EU) 2015/61 felhatalmazáson alapuló rendelet 8. cikke szerinti operatív követelményeket. | 
| 1430 | 2.1.3.  2A. szintű eszközök Olyan ügyletek, amelyekben az intézmény a rendkívül magas minőségű fedezett kötvények kivételével 1. szintű eszközöket (kölcsönadott) cserél 2A. szintű eszközökre (kölcsönvett). | 
| 1440 | 2.1.3.1.  Ebből az elcserélt biztosíték teljesíti az operatív követelményeket A 2.1.3. tételben szereplő ügyletek közül a hitelintézetek adatot szolgáltatnak a következőkről: — a kölcsönadott biztosíték oldala, amely – amennyiben nem az említett ügyletekben használnák fedezetként – az (EU) 2015/61 felhatalmazáson alapuló rendelet 8. cikke szerint likvid eszköznek minősülne. valamint — a kölcsönvett biztosíték oldala, amennyiben teljesíti az (EU) 2015/61 felhatalmazáson alapuló rendelet 8. cikke szerinti operatív követelményeket. | 
| 1450 | 2.1.4.  2B. szintű eszközfedezetű értékpapír (lakóingatlan vagy gépjármű, 1. hitelminőségi besorolás) Olyan ügyletek, amelyekben az intézmény a rendkívül magas minőségű fedezett kötvények kivételével 1. szintű eszközöket (kölcsönadott) cserél 2B. szintű eszközfedezetű értékpapírokra (lakóingatlan vagy gépjármű, 1. hitelminőségi besorolás) (kölcsönvett). | 
| 1460 | 2.1.4.1.  Ebből az elcserélt biztosíték teljesíti az operatív követelményeket A 2.1.4. tételben szereplő ügyletek közül a hitelintézetek adatot szolgáltatnak a következőkről: — a kölcsönadott biztosíték oldala, amely – amennyiben nem az említett ügyletekben használnák fedezetként – az (EU) 2015/61 felhatalmazáson alapuló rendelet 8. cikke szerint likvid eszköznek minősülne. valamint — a kölcsönvett biztosíték oldala, amennyiben teljesíti az (EU) 2015/61 felhatalmazáson alapuló rendelet 8. cikke szerinti operatív követelményeket. | 
| 1470 | 2.1.5.  2B. szintű magas minőségű fedezett kötvények Olyan ügyletek, amelyekben az intézmény a rendkívül magas minőségű fedezett kötvények kivételével 1. szintű eszközöket (kölcsönadott) cserél 2B. szintű magas minőségű fedezett kötvényekre (kölcsönvett). | 
| 1480 | 2.1.5.1.  Ebből az elcserélt biztosíték teljesíti az operatív követelményeket A 2.1.5. tételben szereplő ügyletek közül a hitelintézetek adatot szolgáltatnak a következőkről: — a kölcsönadott biztosíték oldala, amely – amennyiben nem az említett ügyletekben használnák fedezetként – az (EU) 2015/61 felhatalmazáson alapuló rendelet 8. cikke szerint likvid eszköznek minősülne. valamint — a kölcsönvett biztosíték oldala, amennyiben teljesíti az (EU) 2015/61 felhatalmazáson alapuló rendelet 8. cikke szerinti operatív követelményeket. | 
| 1490 | 2.1.6.  2B. szintű eszközfedezetű értékpapír (vállalati vagy háztartási hitel, tagállam, 1. hitelminőségi besorolás) Olyan ügyletek, amelyekben az intézmény a rendkívül magas minőségű fedezett kötvények kivételével 1. szintű eszközöket (kölcsönadott) cserél 2B. szintű eszközfedezetű értékpapírokra (vállalati vagy háztartási hitel, tagállam, 1. hitelminőségi besorolás) (kölcsönvett). | 
| 1500 | 2.1.6.1.  Ebből az elcserélt biztosíték teljesíti az operatív követelményeket A 2.1.6. tételben szereplő ügyletek közül a hitelintézetek adatot szolgáltatnak a következőkről: — a kölcsönadott biztosíték oldala, amely – amennyiben nem az említett ügyletekben használnák fedezetként – az (EU) 2015/61 felhatalmazáson alapuló rendelet 8. cikke szerint likvid eszköznek minősülne. valamint — a kölcsönvett biztosíték oldala, amennyiben teljesíti az (EU) 2015/61 felhatalmazáson alapuló rendelet 8. cikke szerinti operatív követelményeket. | 
| 1510 | 2.1.7.  Egyéb 2B. szint Olyan ügyletek, amelyekben az intézmény a rendkívül magas minőségű fedezett kötvények kivételével 1. szintű eszközöket (kölcsönadott) cserél egyéb 2B. szintű eszközökre (kölcsönvett). | 
| 1520 | 2.1.7.1.  Ebből az elcserélt biztosíték teljesíti az operatív követelményeket A 2.1.7. tételben szereplő ügyletek közül a hitelintézetek adatot szolgáltatnak a következőkről: — a kölcsönadott biztosíték oldala, amely – amennyiben nem az említett ügyletekben használnák fedezetként – az (EU) 2015/61 felhatalmazáson alapuló rendelet 8. cikke szerint likvid eszköznek minősülne. valamint — a kölcsönvett biztosíték oldala, amennyiben teljesíti az (EU) 2015/61 felhatalmazáson alapuló rendelet 8. cikke szerinti operatív követelményeket. | 
| 1530 | 2.1.8.  Nem likvid eszközök Olyan ügyletek, amelyekben az intézmény a rendkívül magas minőségű fedezett kötvények kivételével 1. szintű eszközöket (kölcsönadott) cserél nem likvid eszközökre (kölcsönvett). | 
| 1540 | 2.1.8.1.  Ebből az elcserélt biztosíték teljesíti az operatív követelményeket A 2.1.8. tételben szereplő ügyletek közül a hitelintézetek adatot szolgáltatnak a kölcsönadott biztosíték oldaláról, amely – amennyiben nem az említett ügyletekben használnák fedezetként – az (EU) 2015/61 felhatalmazáson alapuló rendelet 8. cikke szerint likvid eszköznek minősülne. | 
| 1550 | 2.2.  Azon ügyletek összértéke, amelyekben 1. szintű rendkívül magas minőségű fedezett kötvényeket adnak kölcsön és a következő biztosítékokat veszik kölcsön: Az (EU) 2015/61 felhatalmazáson alapuló rendelet 28. cikkének (4) bekezdése és 32. cikkének (3) bekezdése A hitelintézeteknek az érintett oszlopokban a biztosítéki csereügyletek teljes értékét kell feltüntetniük olyan ügyletekre vonatkozóan, amelyekben 1. szintű rendkívül magas minőségű fedezett kötvényeket adnak kölcsön. | 
| 1560 | 2.2.1.  1. szintű eszközök (a rendkívül magas minőségű fedezett kötvények kivételével) Olyan ügyletek, amelyekben az intézmény 1. szintű rendkívül magas minőségű fedezett kötvényeket (kölcsönadott) cserél a rendkívül magas minőségű fedezett kötvények kivételével 1. szintű eszközökre (kölcsönvett). | 
| 1570 | 2.2.1.1.  Ebből az elcserélt biztosíték teljesíti az operatív követelményeket A 2.2.1. tételben szereplő ügyletek közül a hitelintézetek adatot szolgáltatnak a következőkről: — a kölcsönadott biztosíték oldala, amely – amennyiben nem az említett ügyletekben használnák fedezetként – az (EU) 2015/61 felhatalmazáson alapuló rendelet 8. cikke szerint likvid eszköznek minősülne. valamint — a kölcsönvett biztosíték oldala, amennyiben teljesíti az (EU) 2015/61 felhatalmazáson alapuló rendelet 8. cikke szerinti operatív követelményeket. | 
| 1580 | 2.2.2.  1. szintű rendkívül magas minőségű fedezett kötvények Olyan ügyletek, amelyekben az intézmény 1. szintű rendkívül magas minőségű fedezett kötvényeket (kölcsönadott) cserél 1. szintű rendkívül magas minőségű fedezett kötvényekre (kölcsönvett). | 
| 1590 | 2.2.2.1.  Ebből az elcserélt biztosíték teljesíti az operatív követelményeket A 2.2.2. tételben szereplő ügyletek közül a hitelintézetek adatot szolgáltatnak a következőkről: — a kölcsönadott biztosíték oldala, amely – amennyiben nem az említett ügyletekben használnák fedezetként – az (EU) 2015/61 felhatalmazáson alapuló rendelet 8. cikke szerint likvid eszköznek minősülne. valamint — a kölcsönvett biztosíték oldala, amennyiben teljesíti az (EU) 2015/61 felhatalmazáson alapuló rendelet 8. cikke szerinti operatív követelményeket. | 
| 1600 | 2.2.3.  2A. szintű eszközök Olyan ügyletek, amelyekben az intézmény 1. szintű rendkívül magas minőségű fedezett kötvényeket (kölcsönadott) cserél 2A. szintű eszközökre (kölcsönvett). | 
| 1610 | 2.2.3.1.  Ebből az elcserélt biztosíték teljesíti az operatív követelményeket A 2.2.3. tételben szereplő ügyletek közül a hitelintézetek adatot szolgáltatnak a következőkről: — a kölcsönadott biztosíték oldala, amely – amennyiben nem az említett ügyletekben használnák fedezetként – az (EU) 2015/61 felhatalmazáson alapuló rendelet 8. cikke szerint likvid eszköznek minősülne. valamint — a kölcsönvett biztosíték oldala, amennyiben teljesíti az (EU) 2015/61 felhatalmazáson alapuló rendelet 8. cikke szerinti operatív követelményeket. | 
| 1620 | 2.2.4.  2B. szintű eszközfedezetű értékpapír (lakóingatlan vagy gépjármű, 1. hitelminőségi besorolás) Olyan ügyletek, amelyekben az intézmény 1. szintű rendkívül magas minőségű fedezett kötvényeket (kölcsönadott) cserél 2B. szintű eszközfedezetű értékpapírokra (lakóingatlan vagy gépjármű, 1. hitelminőségi besorolás) (kölcsönvett). | 
| 1630 | 2.2.4.1.  Ebből az elcserélt biztosíték teljesíti az operatív követelményeket A 2.2.4. tételben szereplő ügyletek közül a hitelintézetek adatot szolgáltatnak a következőkről: — a kölcsönadott biztosíték oldala, amely – amennyiben nem az említett ügyletekben használnák fedezetként – az (EU) 2015/61 felhatalmazáson alapuló rendelet 8. cikke szerint likvid eszköznek minősülne. valamint — a kölcsönvett biztosíték oldala, amennyiben teljesíti az (EU) 2015/61 felhatalmazáson alapuló rendelet 8. cikke szerinti operatív követelményeket. | 
| 1640 | 2.2.5.  2B. szintű magas minőségű fedezett kötvények Olyan ügyletek, amelyekben az intézmény 1. szintű rendkívül magas minőségű fedezett kötvényeket (kölcsönadott) cserél 2B. szintű magas minőségű fedezett kötvényekre (kölcsönvett). | 
| 1650 | 2.2.5.1.  Ebből az elcserélt biztosíték teljesíti az operatív követelményeket A 2.2.5. tételben szereplő ügyletek közül a hitelintézetek adatot szolgáltatnak a következőkről: — a kölcsönadott biztosíték oldala, amely – amennyiben nem az említett ügyletekben használnák fedezetként – az (EU) 2015/61 felhatalmazáson alapuló rendelet 8. cikke szerint likvid eszköznek minősülne. valamint — a kölcsönvett biztosíték oldala, amennyiben teljesíti az (EU) 2015/61 felhatalmazáson alapuló rendelet 8. cikke szerinti operatív követelményeket. | 
| 1660 | 2.2.6.  2B. szintű eszközfedezetű értékpapír (vállalati vagy háztartási hitel, tagállam, 1. hitelminőségi besorolás) Olyan ügyletek, amelyekben az intézmény 1. szintű rendkívül magas minőségű fedezett kötvényeket (kölcsönadott) cserél 2B. szintű eszközfedezetű értékpapírokra (vállalati vagy háztartási hitel, tagállam, 1. hitelminőségi besorolás) (kölcsönvett). | 
| 1670 | 2.2.6.1.  Ebből az elcserélt biztosíték teljesíti az operatív követelményeket A 2.2.6. tételben szereplő ügyletek közül a hitelintézetek adatot szolgáltatnak a következőkről: — a kölcsönadott biztosíték oldala, amely – amennyiben nem az említett ügyletekben használnák fedezetként – az (EU) 2015/61 felhatalmazáson alapuló rendelet 8. cikke szerint likvid eszköznek minősülne. valamint — a kölcsönvett biztosíték oldala, amennyiben teljesíti az (EU) 2015/61 felhatalmazáson alapuló rendelet 8. cikke szerinti operatív követelményeket. | 
| 1680 | 2.2.7.  Egyéb 2B. szint Olyan ügyletek, amelyekben az intézmény 1. szintű rendkívül magas minőségű fedezett kötvényeket (kölcsönadott) cserél egyéb 2B. szintű eszközökre (kölcsönvett). | 
| 1690 | 2.2.7.1.  Ebből az elcserélt biztosíték teljesíti az operatív követelményeket A 2.2.7. tételben szereplő ügyletek közül a hitelintézetek adatot szolgáltatnak a következőkről: — a kölcsönadott biztosíték oldala, amely – amennyiben nem az említett ügyletekben használnák fedezetként – az (EU) 2015/61 felhatalmazáson alapuló rendelet 8. cikke szerint likvid eszköznek minősülne. valamint — a kölcsönvett biztosíték oldala, amennyiben teljesíti az (EU) 2015/61 felhatalmazáson alapuló rendelet 8. cikke szerinti operatív követelményeket. | 
| 1700 | 2.2.8.  Nem likvid eszközök Olyan ügyletek, amelyekben az intézmény 1. szintű rendkívül magas minőségű fedezett kötvényeket (kölcsönadott) cserél nem likvid eszközökre (kölcsönvett). | 
| 1710 | 2.2.8.1.  Ebből az elcserélt biztosíték teljesíti az operatív követelményeket A 2.2.8. tételben szereplő ügyletek közül a hitelintézetek adatot szolgáltatnak a kölcsönadott biztosíték oldaláról, amely – amennyiben nem az említett ügyletekben használnák fedezetként – az (EU) 2015/61 felhatalmazáson alapuló rendelet 8. cikke szerint likvid eszköznek minősülne. | 
| 1720 | 2.3.  Azon ügyletek összértéke, amelyekben 2A. szintű eszközöket adnak kölcsön és a következő biztosítékokat veszik kölcsön: Az (EU) 2015/61 felhatalmazáson alapuló rendelet 28. cikkének (4) bekezdése és 32. cikkének (3) bekezdése A hitelintézeteknek az érintett oszlopokban a biztosítéki csereügyletek teljes értékét kell feltüntetniük olyan ügyletekre vonatkozóan, amelyekben egyéb 2A. szintű eszközöket adnak kölcsön. | 
| 1730 | 2.3.1.  1. szintű eszközök (a rendkívül magas minőségű fedezett kötvények kivételével) Olyan ügyletek, amelyekben az intézmény 2A. szintű eszközöket (kölcsönadott) cserél a rendkívül magas minőségű fedezett kötvények kivételével 1. szintű eszközökre (kölcsönvett). | 
| 1740 | 2.3.1.1.  Ebből az elcserélt biztosíték teljesíti az operatív követelményeket A 2.3.1. tételben szereplő ügyletek közül a hitelintézetek adatot szolgáltatnak a következőkről: — a kölcsönadott biztosíték oldala, amely – amennyiben nem az említett ügyletekben használnák fedezetként – az (EU) 2015/61 felhatalmazáson alapuló rendelet 8. cikke szerint likvid eszköznek minősülne. valamint — a kölcsönvett biztosíték oldala, amennyiben teljesíti az (EU) 2015/61 felhatalmazáson alapuló rendelet 8. cikke szerinti operatív követelményeket. | 
| 1750 | 2.3.2.  1. szintű rendkívül magas minőségű fedezett kötvények Olyan ügyletek, amelyekben az intézmény 2A. szintű eszközöket (kölcsönadott) cserél 1. szintű rendkívül magas minőségű fedezett kötvényekre (kölcsönvett). | 
| 1760 | 2.3.2.1.  Ebből az elcserélt biztosíték teljesíti az operatív követelményeket A 2.3.2. tételben szereplő ügyletek közül a hitelintézetek adatot szolgáltatnak a következőkről: — a kölcsönadott biztosíték oldala, amely – amennyiben nem az említett ügyletekben használnák fedezetként – az (EU) 2015/61 felhatalmazáson alapuló rendelet 8. cikke szerint likvid eszköznek minősülne. valamint — a kölcsönvett biztosíték oldala, amennyiben teljesíti az (EU) 2015/61 felhatalmazáson alapuló rendelet 8. cikke szerinti operatív követelményeket. | 
| 1770 | 2.3.3.  2A. szintű eszközök Olyan ügyletek, amelyekben az intézmény 2A. szintű eszközöket (kölcsönadott) cserél 2A. szintű eszközökre (kölcsönvett). | 
| 1780 | 2.3.3.1.  Ebből az elcserélt biztosíték teljesíti az operatív követelményeket A 2.3.3. tételben szereplő ügyletek közül a hitelintézetek adatot szolgáltatnak a következőkről: — a kölcsönadott biztosíték oldala, amely – amennyiben nem az említett ügyletekben használnák fedezetként – az (EU) 2015/61 felhatalmazáson alapuló rendelet 8. cikke szerint likvid eszköznek minősülne. valamint — a kölcsönvett biztosíték oldala, amennyiben teljesíti az (EU) 2015/61 felhatalmazáson alapuló rendelet 8. cikke szerinti operatív követelményeket. | 
| 1790 | 2.3.4.  2B. szintű eszközfedezetű értékpapír (lakóingatlan vagy gépjármű, 1. hitelminőségi besorolás) Olyan ügyletek, amelyekben az intézmény 2A. szintű eszközöket (kölcsönadott) cserél 2B. szintű eszközfedezetű értékpapírokra (lakóingatlan vagy gépjármű, 1. hitelminőségi besorolás) (kölcsönvett). | 
| 1800 | 2.3.4.1.  Ebből az elcserélt biztosíték teljesíti az operatív követelményeket A 2.3.4. tételben szereplő ügyletek közül a hitelintézetek adatot szolgáltatnak a következőkről: — a kölcsönadott biztosíték oldala, amely – amennyiben nem az említett ügyletekben használnák fedezetként – az (EU) 2015/61 felhatalmazáson alapuló rendelet 8. cikke szerint likvid eszköznek minősülne. valamint — a kölcsönvett biztosíték oldala, amennyiben teljesíti az (EU) 2015/61 felhatalmazáson alapuló rendelet 8. cikke szerinti operatív követelményeket. | 
| 1810 | 2.3.5.  2B. szintű magas minőségű fedezett kötvények Olyan ügyletek, amelyekben az intézmény 2A. szintű eszközöket (kölcsönadott) cserél 2B. szintű magas minőségű fedezett kötvényekre (kölcsönvett). | 
| 1820 | 2.3.5.1.  Ebből az elcserélt biztosíték teljesíti az operatív követelményeket A 2.3.5. tételben szereplő ügyletek közül a hitelintézetek adatot szolgáltatnak a következőkről: — a kölcsönadott biztosíték oldala, amely – amennyiben nem az említett ügyletekben használnák fedezetként – az (EU) 2015/61 felhatalmazáson alapuló rendelet 8. cikke szerint likvid eszköznek minősülne. valamint — a kölcsönvett biztosíték oldala, amennyiben teljesíti az (EU) 2015/61 felhatalmazáson alapuló rendelet 8. cikke szerinti operatív követelményeket. | 
| 1830 | 2.3.6.  2B. szintű eszközfedezetű értékpapír (vállalati vagy háztartási hitel, tagállam, 1. hitelminőségi besorolás) Olyan ügyletek, amelyekben az intézmény 2A. szintű eszközöket (kölcsönadott) cserél 2B. szintű eszközfedezetű értékpapírokra (vállalati vagy háztartási hitel, tagállam, 1. hitelminőségi besorolás)(kölcsönvett). | 
| 1840 | 2.3.6.1.  Ebből az elcserélt biztosíték teljesíti az operatív követelményeket A 2.3.6. tételben szereplő ügyletek közül a hitelintézetek adatot szolgáltatnak a következőkről: — a kölcsönadott biztosíték oldala, amely – amennyiben nem az említett ügyletekben használnák fedezetként – az (EU) 2015/61 felhatalmazáson alapuló rendelet 8. cikke szerint likvid eszköznek minősülne. valamint — a kölcsönvett biztosíték oldala, amennyiben teljesíti az (EU) 2015/61 felhatalmazáson alapuló rendelet 8. cikke szerinti operatív követelményeket. | 
| 1850 | 2.3.7.  Egyéb 2B. szint Olyan ügyletek, amelyekben az intézmény 2A. szintű eszközöket (kölcsönadott) cserél egyéb 2B. szintű eszközökre (kölcsönvett). | 
| 1860 | 2.3.7.1.  Ebből az elcserélt biztosíték teljesíti az operatív követelményeket A 2.3.7. tételben szereplő ügyletek közül a hitelintézetek adatot szolgáltatnak a következőkről: — a kölcsönadott biztosíték oldala, amely – amennyiben nem az említett ügyletekben használnák fedezetként – az (EU) 2015/61 felhatalmazáson alapuló rendelet 8. cikke szerint likvid eszköznek minősülne. valamint — a kölcsönvett biztosíték oldala, amennyiben teljesíti az (EU) 2015/61 felhatalmazáson alapuló rendelet 8. cikke szerinti operatív követelményeket. | 
| 1870 | 2.3.8.  Nem likvid eszközök Olyan ügyletek, amelyekben az intézmény 2A. szintű eszközöket (kölcsönadott) cserél nem likvid eszközökre (kölcsönvett). | 
| 1880 | 2.3.8.1.  Ebből az elcserélt biztosíték teljesíti az operatív követelményeket A 2.3.8. tételben szereplő ügyletek közül a hitelintézetek adatot szolgáltatnak a kölcsönadott biztosíték oldaláról, amely – amennyiben nem az említett ügyletekben használnák fedezetként – az (EU) 2015/61 felhatalmazáson alapuló rendelet 8. cikke szerint likvid eszköznek minősülne. | 
| 1890 | 2.4.  Azon ügyletek összértéke, amelyekben 2B. szintű eszközfedezetű értékpapírokat (lakóingatlan vagy gépjármű, 1. hitelminőségi besorolás) adnak kölcsön és a következő biztosítékokat veszik kölcsön: Az (EU) 2015/61 felhatalmazáson alapuló rendelet 28. cikkének (4) bekezdése és 32. cikkének (3) bekezdése A hitelintézeteknek az érintett oszlopokban a biztosítéki csereügyletek teljes értékét kell feltüntetniük olyan ügyletekre vonatkozóan, amelyekben 2B. szintű eszközfedezetű értékpapírokat (lakóingatlan vagy gépjármű, 1. hitelminőségi besorolás) adnak kölcsön. | 
| 1900 | 2.4.1.  1. szintű eszközök (a rendkívül magas minőségű fedezett kötvények kivételével) Olyan ügyletek, amelyekben az intézmény 2B. szintű eszközfedezetű értékpapírokat (lakóingatlan vagy gépjármű, 1. hitelminőségi besorolás) (kölcsönadott) cserél a rendkívül magas minőségű fedezett kötvények kivételével 1. szintű eszközökre (kölcsönvett). | 
| 1910 | 2.4.1.1.  Ebből az elcserélt biztosíték teljesíti az operatív követelményeket A 2.4.1. tételben szereplő ügyletek közül a hitelintézetek adatot szolgáltatnak a következőkről: — a kölcsönadott biztosíték oldala, amely – amennyiben nem az említett ügyletekben használnák fedezetként – az (EU) 2015/61 felhatalmazáson alapuló rendelet 8. cikke szerint likvid eszköznek minősülne. valamint — a kölcsönvett biztosíték oldala, amennyiben teljesíti az (EU) 2015/61 felhatalmazáson alapuló rendelet 8. cikke szerinti operatív követelményeket. | 
| 1920 | 2.4.2.  1. szintű rendkívül magas minőségű fedezett kötvények Olyan ügyletek, amelyekben az intézmény 2B. szintű eszközfedezetű értékpapírokat (lakóingatlan vagy gépjármű, 1. hitelminőségi besorolás) (kölcsönadott) cserél 1. szintű rendkívül magas minőségű fedezett kötvényekre (kölcsönvett). | 
| 1930 | 2.4.2.1.  Ebből az elcserélt biztosíték teljesíti az operatív követelményeket A 2.4.2. tételben szereplő ügyletek közül a hitelintézetek adatot szolgáltatnak a következőkről: — a kölcsönadott biztosíték oldala, amely – amennyiben nem az említett ügyletekben használnák fedezetként – az (EU) 2015/61 felhatalmazáson alapuló rendelet 8. cikke szerint likvid eszköznek minősülne. valamint — a kölcsönvett biztosíték oldala, amennyiben teljesíti az (EU) 2015/61 felhatalmazáson alapuló rendelet 8. cikke szerinti operatív követelményeket. | 
| 1940 | 2.4.3.  2A. szintű eszközök Olyan ügyletek, amelyekben az intézmény 2B. szintű eszközfedezetű értékpapírokat (lakóingatlan vagy gépjármű, 1. hitelminőségi besorolás) (kölcsönadott) cserél 2A. szintű eszközökre (kölcsönvett). | 
| 1950 | 2.4.3.1.  Ebből az elcserélt biztosíték teljesíti az operatív követelményeket A 2.4.3. tételben szereplő ügyletek közül a hitelintézetek adatot szolgáltatnak a következőkről: — a kölcsönadott biztosíték oldala, amely – amennyiben nem az említett ügyletekben használnák fedezetként – az (EU) 2015/61 felhatalmazáson alapuló rendelet 8. cikke szerint likvid eszköznek minősülne. valamint — a kölcsönvett biztosíték oldala, amennyiben teljesíti az (EU) 2015/61 felhatalmazáson alapuló rendelet 8. cikke szerinti operatív követelményeket. | 
| 1960 | 2.4.4.  2B. szintű eszközfedezetű értékpapír (lakóingatlan vagy gépjármű, 1. hitelminőségi besorolás) Olyan ügyletek, amelyekben az intézmény 2B. szintű eszközfedezetű értékpapírokat (lakóingatlan vagy gépjármű, 1. hitelminőségi besorolás) (kölcsönadott) cserél 2B. szintű eszközfedezetű értékpapírokra (lakóingatlan vagy gépjármű, 1. hitelminőségi besorolás)(kölcsönvett). | 
| 1970 | 2.4.4.1.  Ebből az elcserélt biztosíték teljesíti az operatív követelményeket A 2.4.4. tételben szereplő ügyletek közül a hitelintézetek adatot szolgáltatnak a következőkről: — a kölcsönadott biztosíték oldala, amely – amennyiben nem az említett ügyletekben használnák fedezetként – az (EU) 2015/61 felhatalmazáson alapuló rendelet 8. cikke szerint likvid eszköznek minősülne. valamint — a kölcsönvett biztosíték oldala, amennyiben teljesíti az (EU) 2015/61 felhatalmazáson alapuló rendelet 8. cikke szerinti operatív követelményeket. | 
| 1980 | 2.4.5.  2B. szintű magas minőségű fedezett kötvények Olyan ügyletek, amelyekben az intézmény 2B. szintű eszközfedezetű értékpapírokat (lakóingatlannal vagy gépjárművel fedezett, 1.hitelminőségi besorolás) (kölcsönadott) cserél 2B. szintű magas minőségű fedezett kötvényekre (kölcsönvett). | 
| 1990 | 2.4.5.1.  Ebből az elcserélt biztosíték teljesíti az operatív követelményeket A 2.4.5. tételben szereplő ügyletek közül a hitelintézetek adatot szolgáltatnak a következőkről: — a kölcsönadott biztosíték oldala, amely – amennyiben nem az említett ügyletekben használnák fedezetként – az (EU) 2015/61 felhatalmazáson alapuló rendelet 8. cikke szerint likvid eszköznek minősülne. valamint — a kölcsönvett biztosíték oldala, amennyiben teljesíti az (EU) 2015/61 felhatalmazáson alapuló rendelet 8. cikke szerinti operatív követelményeket. | 
| 2000 | 2.4.6.  2B. szintű eszközfedezetű értékpapír (vállalati vagy háztartási hitel, tagállam, 1. hitelminőségi besorolás) Olyan ügyletek, amelyekben az intézmény 2B. szintű eszközfedezetű értékpapírokat (lakóingatlan vagy gépjármű, 1. hitelminőségi besorolás) (kölcsönadott) cserél 2B. szintű eszközfedezetű értékpapírokra (vállalati vagy háztartási hitel, tagállam, 1. hitelminőségi besorolás) (kölcsönvett). | 
| 2010 | 2.4.6.1.  Ebből az elcserélt biztosíték teljesíti az operatív követelményeket A 2.4.6. tételben szereplő ügyletek közül a hitelintézetek adatot szolgáltatnak a következőkről: — a kölcsönadott biztosíték oldala, amely – amennyiben nem az említett ügyletekben használnák fedezetként – az (EU) 2015/61 felhatalmazáson alapuló rendelet 8. cikke szerint likvid eszköznek minősülne. valamint — a kölcsönvett biztosíték oldala, amennyiben teljesíti az (EU) 2015/61 felhatalmazáson alapuló rendelet 8. cikke szerinti operatív követelményeket. | 
| 2020 | 2.4.7.  Egyéb 2B. szint Olyan ügyletek, amelyekben az intézmény 2B. szintű eszközfedezetű értékpapírokat (lakóingatlannal vagy gépjárművel fedezett, 1. hitelminőségi besorolás) (kölcsönadott) cserél egyéb 2B. szintű eszközökre (kölcsönvett). | 
| 2030 | 2.4.7.1.  Ebből az elcserélt biztosíték teljesíti az operatív követelményeket A 2.4.7. tételben szereplő ügyletek közül a hitelintézetek adatot szolgáltatnak a következőkről: — a kölcsönadott biztosíték oldala, amely – amennyiben nem az említett ügyletekben használnák fedezetként – az (EU) 2015/61 felhatalmazáson alapuló rendelet 8. cikke szerint likvid eszköznek minősülne. valamint — a kölcsönvett biztosíték oldala, amennyiben teljesíti az (EU) 2015/61 felhatalmazáson alapuló rendelet 8. cikke szerinti operatív követelményeket. | 
| 2040 | 2.4.8.  Nem likvid eszközök Olyan ügyletek, amelyekben az intézmény 2B. szintű eszközfedezetű értékpapírokat (lakóingatlannal vagy gépjárművel fedezett, 1. hitelminőségi besorolás) (kölcsönadott) cserél nem likvid eszközökre (kölcsönvett). | 
| 2050 | 2.4.8.1.  Ebből az elcserélt biztosíték teljesíti az operatív követelményeket A 2.4.8. tételben szereplő ügyletek közül a hitelintézetek adatot szolgáltatnak a kölcsönadott biztosíték oldaláról, amely – amennyiben nem az említett ügyletekben használnák fedezetként – az (EU) 2015/61 felhatalmazáson alapuló rendelet 8. cikke szerint likvid eszköznek minősülne. | 
| 2060 | 2.5.  Azon ügyletek összértéke, amelyekben 2B. szintű rendkívül magas minőségű fedezett kötvényeket adnak kölcsön és a következő biztosítékokat veszik kölcsön: Az (EU) 2015/61 felhatalmazáson alapuló rendelet 28. cikkének (4) bekezdése és 32. cikkének (3) bekezdése A hitelintézeteknek az érintett oszlopokban a biztosítéki csereügyletek teljes értékét kell feltüntetniük olyan ügyletekre vonatkozóan, amelyekben 2B. szintű rendkívül magas minőségű fedezett kötvényeket adnak kölcsön. | 
| 2070 | 2.5.1.  1. szintű eszközök (a rendkívül magas minőségű fedezett kötvények kivételével) Olyan ügyletek, amelyekben az intézmény 2B. szintű magas minőségű fedezett kötvényeket (kölcsönadott) cserél a rendkívül magas minőségű fedezett kötvények kivételével 1. szintű eszközökre (kölcsönvett). | 
| 2080 | 2.5.1.1.  Ebből az elcserélt biztosíték teljesíti az operatív követelményeket A 2.5.1. tételben szereplő ügyletek közül a hitelintézetek adatot szolgáltatnak a következőkről: — a kölcsönadott biztosíték oldala, amely – amennyiben nem az említett ügyletekben használnák fedezetként – az (EU) 2015/61 felhatalmazáson alapuló rendelet 8. cikke szerint likvid eszköznek minősülne. valamint — a kölcsönvett biztosíték oldala, amennyiben teljesíti az (EU) 2015/61 felhatalmazáson alapuló rendelet 8. cikke szerinti operatív követelményeket. | 
| 2090 | 2.5.2.  1. szintű rendkívül magas minőségű fedezett kötvények Olyan ügyletek, amelyekben az intézmény 2B. szintű magas minőségű fedezett kötvényeket (kölcsönadott) cserél 1. szintű rendkívül magas minőségű fedezett kötvényekre (kölcsönvett). | 
| 2100 | 2.5.2.1.  Ebből az elcserélt biztosíték teljesíti az operatív követelményeket A 2.5.2. tételben szereplő ügyletek közül a hitelintézetek adatot szolgáltatnak a következőkről: — a kölcsönadott biztosíték oldala, amely – amennyiben nem az említett ügyletekben használnák fedezetként – az (EU) 2015/61 felhatalmazáson alapuló rendelet 8. cikke szerint likvid eszköznek minősülne. valamint — a kölcsönvett biztosíték oldala, amennyiben teljesíti az (EU) 2015/61 felhatalmazáson alapuló rendelet 8. cikke szerinti operatív követelményeket. | 
| 2110 | 2.5.3.  2A. szintű eszközök Olyan ügyletek, amelyekben az intézmény 2B. szintű magas minőségű fedezett kötvényeket (kölcsönadott) cserél 2A. szintű eszközökre (kölcsönvett). | 
| 2120 | 2.5.3.1.  Ebből az elcserélt biztosíték teljesíti az operatív követelményeket A 2.5.3. tételben szereplő ügyletek közül a hitelintézetek adatot szolgáltatnak a következőkről: — a kölcsönadott biztosíték oldala, amely – amennyiben nem az említett ügyletekben használnák fedezetként – az (EU) 2015/61 felhatalmazáson alapuló rendelet 8. cikke szerint likvid eszköznek minősülne. valamint — a kölcsönvett biztosíték oldala, amennyiben teljesíti az (EU) 2015/61 felhatalmazáson alapuló rendelet 8. cikke szerinti operatív követelményeket. | 
| 2130 | 2.5.4.  2B. szintű eszközfedezetű értékpapír (lakóingatlan vagy gépjármű, 1. hitelminőségi besorolás) Olyan ügyletek, amelyekben az intézmény 2B. szintű magas minőségű fedezett kötvényeket (kölcsönadott) cserél 2B. szintű eszközfedezetű értékpapírokra (lakóingatlan vagy gépjármű, 1. hitelminőségi besorolás) (kölcsönvett). | 
| 2140 | 2.5.4.1.  Ebből az elcserélt biztosíték teljesíti az operatív követelményeket A 2.5.4. tételben szereplő ügyletek közül a hitelintézetek adatot szolgáltatnak a következőkről: — a kölcsönadott biztosíték oldala, amely – amennyiben nem az említett ügyletekben használnák fedezetként – az (EU) 2015/61 felhatalmazáson alapuló rendelet 8. cikke szerint likvid eszköznek minősülne. valamint — a kölcsönvett biztosíték oldala, amennyiben teljesíti az (EU) 2015/61 felhatalmazáson alapuló rendelet 8. cikke szerinti operatív követelményeket. | 
| 2150 | 2.5.5.  2B. szintű magas minőségű fedezett kötvények Olyan ügyletek, amelyekben az intézmény 2B. szintű magas minőségű fedezett kötvényeket (kölcsönadott) cserél 2B. szintű magas minőségű fedezett kötvényekre (kölcsönvett). | 
| 2160 | 2.5.5.1.  Ebből az elcserélt biztosíték teljesíti az operatív követelményeket A 2.5.5. tételben szereplő ügyletek közül a hitelintézetek adatot szolgáltatnak a következőkről: — a kölcsönadott biztosíték oldala, amely – amennyiben nem az említett ügyletekben használnák fedezetként – az (EU) 2015/61 felhatalmazáson alapuló rendelet 8. cikke szerint likvid eszköznek minősülne. valamint — a kölcsönvett biztosíték oldala, amennyiben teljesíti az (EU) 2015/61 felhatalmazáson alapuló rendelet 8. cikke szerinti operatív követelményeket. | 
| 2170 | 2.5.6.  2B. szintű eszközfedezetű értékpapír (vállalati vagy háztartási hitel, tagállam, 1. hitelminőségi besorolás) Olyan ügyletek, amelyekben az intézmény 2B. szintű magas minőségű fedezett kötvényeket (kölcsönadott) cserél 2B. szintű eszközfedezetű értékpapírokra (vállalati vagy háztartási hitel, tagállam, 1. hitelminőségi besorolás) (kölcsönvett). | 
| 2180 | 2.5.6.1.  Ebből az elcserélt biztosíték teljesíti az operatív követelményeket A 2.5.6. tételben szereplő ügyletek közül a hitelintézetek adatot szolgáltatnak a következőkről: — a kölcsönadott biztosíték oldala, amely – amennyiben nem az említett ügyletekben használnák fedezetként – az (EU) 2015/61 felhatalmazáson alapuló rendelet 8. cikke szerint likvid eszköznek minősülne. valamint — a kölcsönvett biztosíték oldala, amennyiben teljesíti az (EU) 2015/61 felhatalmazáson alapuló rendelet 8. cikke szerinti operatív követelményeket. | 
| 2190 | 2.5.7.  Egyéb 2B. szint Olyan ügyletek, amelyekben az intézmény 2B. szintű magas minőségű fedezett kötvényeket (kölcsönadott) cserél egyéb 2B. szintű eszközökre (kölcsönvett). | 
| 2200 | 2.5.7.1.  Ebből az elcserélt biztosíték teljesíti az operatív követelményeket A 2.5.7. tételben szereplő ügyletek közül a hitelintézetek adatot szolgáltatnak a következőkről: — a kölcsönadott biztosíték oldala, amely – amennyiben nem az említett ügyletekben használnák fedezetként – az (EU) 2015/61 felhatalmazáson alapuló rendelet 8. cikke szerint likvid eszköznek minősülne. valamint — a kölcsönvett biztosíték oldala, amennyiben teljesíti az (EU) 2015/61 felhatalmazáson alapuló rendelet 8. cikke szerinti operatív követelményeket. | 
| 2210 | 2.5.8.  Nem likvid eszközök Olyan ügyletek, amelyekben az intézmény 2B. szintű magas minőségű fedezett kötvényeket (kölcsönadott) cserél nem likvid eszközökre (kölcsönvett). | 
| 2220 | 2.5.8.1.  Ebből az elcserélt biztosíték teljesíti az operatív követelményeket A 2.5.8. tételben szereplő ügyletek közül a hitelintézetek adatot szolgáltatnak a kölcsönadott biztosíték oldaláról, amely – amennyiben nem az említett ügyletekben használnák fedezetként – az (EU) 2015/61 felhatalmazáson alapuló rendelet 8. cikke szerint likvid eszköznek minősülne. | 
| 2230 | 2.6.  Azon ügyletek összértéke, amelyekben 2B. szintű eszközfedezetű értékpapírokat (vállalati vagy háztartási hitel, tagállam, 1. hitelminőségi besorolás) adnak kölcsön és a következő biztosítékokat veszik kölcsön: Az (EU) 2015/61 felhatalmazáson alapuló rendelet 28. cikkének (4) bekezdése és 32. cikkének (3) bekezdése A hitelintézeteknek az érintett oszlopokban a biztosítéki csereügyletek teljes értékét kell feltüntetniük olyan ügyletekre vonatkozóan, amelyekben 2B. szintű eszközfedezetű értékpapírokat (vállalati vagy háztartási hitel, tagállam, 1. hitelminőségi besorolás) adnak kölcsön. | 
| 2240 | 2.6.1.  1. szintű eszközök (a rendkívül magas minőségű fedezett kötvények kivételével) Olyan ügyletek, amelyekben az intézmény 2B. szintű eszközfedezetű értékpapírokat (vállalati vagy háztartási hitel, tagállam, 1. hitelminőségi besorolás) (kölcsönadott) cserél a rendkívül magas minőségű fedezett kötvények kivételével 1. szintű eszközökre (kölcsönvett). | 
| 2250 | 2.6.1.1.  Ebből az elcserélt biztosíték teljesíti az operatív követelményeket A 2.6.1. tételben szereplő ügyletek közül a hitelintézetek adatot szolgáltatnak a következőkről: — a kölcsönadott biztosíték oldala, amely – amennyiben nem az említett ügyletekben használnák fedezetként – az (EU) 2015/61 felhatalmazáson alapuló rendelet 8. cikke szerint likvid eszköznek minősülne. valamint — a kölcsönvett biztosíték oldala, amennyiben teljesíti az (EU) 2015/61 felhatalmazáson alapuló rendelet 8. cikke szerinti operatív követelményeket. | 
| 2260 | 2.6.2.  1. szintű rendkívül magas minőségű fedezett kötvények Olyan ügyletek, amelyekben az intézmény 2B. szintű eszközfedezetű értékpapírokat (vállalati vagy háztartási hitel, tagállam, 1. hitelminőségi besorolás) (kölcsönadott) cserél 1. szintű rendkívül magas minőségű fedezett kötvényekre (kölcsönvett). | 
| 2270 | 2.6.2.1.  Ebből az elcserélt biztosíték teljesíti az operatív követelményeket A 2.6.2. tételben szereplő ügyletek közül a hitelintézetek adatot szolgáltatnak a következőkről: — a kölcsönadott biztosíték oldala, amely – amennyiben nem az említett ügyletekben használnák fedezetként – az (EU) 2015/61 felhatalmazáson alapuló rendelet 8. cikke szerint likvid eszköznek minősülne. valamint — a kölcsönvett biztosíték oldala, amennyiben teljesíti az (EU) 2015/61 felhatalmazáson alapuló rendelet 8. cikke szerinti operatív követelményeket. | 
| 2280 | 2.6.3.  2A. szintű eszközök Olyan ügyletek, amelyekben az intézmény 2B. szintű eszközfedezetű értékpapírokat (vállalati vagy háztartási hitel, tagállam, 1. hitelminőségi besorolás) (kölcsönadott) cserél 2A. szintű eszközökre (kölcsönvett). | 
| 2290 | 2.6.3.1.  Ebből az elcserélt biztosíték teljesíti az operatív követelményeket A 2.6.3. tételben szereplő ügyletek közül a hitelintézetek adatot szolgáltatnak a következőkről: — a kölcsönadott biztosíték oldala, amely – amennyiben nem az említett ügyletekben használnák fedezetként – az (EU) 2015/61 felhatalmazáson alapuló rendelet 8. cikke szerint likvid eszköznek minősülne. valamint — a kölcsönvett biztosíték oldala, amennyiben teljesíti az (EU) 2015/61 felhatalmazáson alapuló rendelet 8. cikke szerinti operatív követelményeket. | 
| 2300 | 2.6.4.  2B. szintű eszközfedezetű értékpapír (lakóingatlan vagy gépjármű, 1. hitelminőségi besorolás) Olyan ügyletek, amelyekben az intézmény 2B. szintű eszközfedezetű értékpapírokat (vállalati vagy háztartási hitel, tagállam, 1. hitelminőségi besorolás) (kölcsönadott) cserél 2B. szintű eszközfedezetű értékpapírokra (lakóingatlan vagy gépjármű, 1. hitelminőségi besorolás)(kölcsönvett). | 
| 2310 | 2.6.4.1.  Ebből az elcserélt biztosíték teljesíti az operatív követelményeket A 2.6.4. tételben szereplő ügyletek közül a hitelintézetek adatot szolgáltatnak a következőkről: — a kölcsönadott biztosíték oldala, amely – amennyiben nem az említett ügyletekben használnák fedezetként – az (EU) 2015/61 felhatalmazáson alapuló rendelet 8. cikke szerint likvid eszköznek minősülne. valamint — a kölcsönvett biztosíték oldala, amennyiben teljesíti az (EU) 2015/61 felhatalmazáson alapuló rendelet 8. cikke szerinti operatív követelményeket. | 
| 2320 | 2.6.5.  2B. szintű magas minőségű fedezett kötvények Olyan ügyletek, amelyekben az intézmény 2B. szintű eszközfedezetű értékpapírokat (vállalati vagy háztartási hitel, tagállam, 1. hitelminőségi besorolás) (kölcsönadott) cserél 2B. szintű magas minőségű fedezett kötvényekre (kölcsönvett). | 
| 2330 | 2.6.5.1.  Ebből az elcserélt biztosíték teljesíti az operatív követelményeket A 2.6.5. tételben szereplő ügyletek közül a hitelintézetek adatot szolgáltatnak a következőkről: — a kölcsönadott biztosíték oldala, amely – amennyiben nem az említett ügyletekben használnák fedezetként – az (EU) 2015/61 felhatalmazáson alapuló rendelet 8. cikke szerint likvid eszköznek minősülne. valamint — a kölcsönvett biztosíték oldala, amennyiben teljesíti az (EU) 2015/61 felhatalmazáson alapuló rendelet 8. cikke szerinti operatív követelményeket. | 
| 2340 | 2.6.6.  2B. szintű eszközfedezetű értékpapír (vállalati vagy háztartási hitel, tagállam, 1. hitelminőségi besorolás) Olyan ügyletek, amelyekben az intézmény 2B. szintű eszközfedezetű értékpapírokat (vállalati vagy háztartási hitel, tagállam, 1. hitelminőségi besorolás) (kölcsönadott) cserél 2B. szintű eszközfedezetű értékpapírokra (vállalati vagy háztartási hitel, tagállam, 1. hitelminőségi besorolás)(kölcsönvett). | 
| 2350 | 2.6.6.1.  Ebből az elcserélt biztosíték teljesíti az operatív követelményeket A 2.6.6. tételben szereplő ügyletek közül a hitelintézetek adatot szolgáltatnak a következőkről: — a kölcsönadott biztosíték oldala, amely – amennyiben nem az említett ügyletekben használnák fedezetként – az (EU) 2015/61 felhatalmazáson alapuló rendelet 8. cikke szerint likvid eszköznek minősülne. valamint — a kölcsönvett biztosíték oldala, amennyiben teljesíti az (EU) 2015/61 felhatalmazáson alapuló rendelet 8. cikke szerinti operatív követelményeket. | 
| 2360 | 2.6.7.  Egyéb 2B. szint Olyan ügyletek, amelyekben az intézmény 2B. szintű eszközfedezetű értékpapírokat (vállalati vagy háztartási hitel, tagállam, 1. hitelminőségi besorolás) (kölcsönadott) cserél egyéb 2B. szintű eszközökre (kölcsönvett). | 
| 2370 | 2.6.7.1.  Ebből az elcserélt biztosíték teljesíti az operatív követelményeket A 2.6.7. tételben szereplő ügyletek közül a hitelintézetek adatot szolgáltatnak a következőkről: — a kölcsönadott biztosíték oldala, amely – amennyiben nem az említett ügyletekben használnák fedezetként – az (EU) 2015/61 felhatalmazáson alapuló rendelet 8. cikke szerint likvid eszköznek minősülne. valamint — a kölcsönvett biztosíték oldala, amennyiben teljesíti az (EU) 2015/61 felhatalmazáson alapuló rendelet 8. cikke szerinti operatív követelményeket. | 
| 2380 | 2.6.8.  Nem likvid eszközök Olyan ügyletek, amelyekben az intézmény 2B. szintű eszközfedezetű értékpapírokat (vállalati vagy háztartási hitel, tagállam, 1. hitelminőségi besorolás) (kölcsönadott) cserél nem likvid eszközökre (kölcsönvett). | 
| 2390 | 2.6.8.1.  Ebből az elcserélt biztosíték teljesíti az operatív követelményeket A 2.6.8. tételben szereplő ügyletek közül a hitelintézetek adatot szolgáltatnak a kölcsönadott biztosíték oldaláról, amely – amennyiben nem az említett ügyletekben használnák fedezetként – az (EU) 2015/61 felhatalmazáson alapuló rendelet 8. cikke szerint likvid eszköznek minősülne. | 
| 2400 | 2.7.  Azon ügyletek összértéke, amelyekben egyéb 2B. szintű eszközöket adnak kölcsön és a következő biztosítékokat veszik kölcsön: Az (EU) 2015/61 felhatalmazáson alapuló rendelet 28. cikkének (4) bekezdése és 32. cikkének (3) bekezdése A hitelintézeteknek az érintett oszlopokban a biztosítéki csereügyletek teljes értékét kell feltüntetniük olyan ügyletekre vonatkozóan, amelyekben egyéb 2B. szintű eszközöket adnak kölcsön. | 
| 2410 | 2.7.1.  1. szintű eszközök (a rendkívül magas minőségű fedezett kötvények kivételével) Olyan ügyletek, amelyekben az intézmény egyéb 2B. szintű eszközöket (kölcsönadott) cserél a rendkívül magas minőségű fedezett kötvények kivételével 1. szintű eszközökre (kölcsönvett). | 
| 2420 | 2.7.1.1.  Ebből az elcserélt biztosíték teljesíti az operatív követelményeket A 2.7.1. tételben szereplő ügyletek közül a hitelintézetek adatot szolgáltatnak a következőkről: — a kölcsönadott biztosíték oldala, amely – amennyiben nem az említett ügyletekben használnák fedezetként – az (EU) 2015/61 felhatalmazáson alapuló rendelet 8. cikke szerint likvid eszköznek minősülne. valamint — a kölcsönvett biztosíték oldala, amennyiben teljesíti az (EU) 2015/61 felhatalmazáson alapuló rendelet 8. cikke szerinti operatív követelményeket. | 
| 2430 | 2.7.2.  1. szintű rendkívül magas minőségű fedezett kötvények Olyan ügyletek, amelyekben az intézmény egyéb 2B. szintű eszközöket (kölcsönadott) cserél 1. szintű rendkívül magas minőségű fedezett kötvényekre eszközökre (kölcsönvett). | 
| 2440 | 2.7.2.1.  Ebből az elcserélt biztosíték teljesíti az operatív követelményeket A 2.7.2. tételben szereplő ügyletek közül a hitelintézetek adatot szolgáltatnak a következőkről: — a kölcsönadott biztosíték oldala, amely – amennyiben nem az említett ügyletekben használnák fedezetként – az (EU) 2015/61 felhatalmazáson alapuló rendelet 8. cikke szerint likvid eszköznek minősülne. valamint — a kölcsönvett biztosíték oldala, amennyiben teljesíti az (EU) 2015/61 felhatalmazáson alapuló rendelet 8. cikke szerinti operatív követelményeket. | 
| 2450 | 2.7.3.  2A. szintű eszközök Olyan ügyletek, amelyekben az intézmény egyéb 2B. szintű eszközöket (kölcsönadott) cserél 2A. szintű eszközökre (kölcsönvett). | 
| 2460 | 2.7.3.1.  Ebből az elcserélt biztosíték teljesíti az operatív követelményeket A 2.7.3. tételben szereplő ügyletek közül a hitelintézetek adatot szolgáltatnak a következőkről: — a kölcsönadott biztosíték oldala, amely – amennyiben nem az említett ügyletekben használnák fedezetként – az (EU) 2015/61 felhatalmazáson alapuló rendelet 8. cikke szerint likvid eszköznek minősülne. valamint — a kölcsönvett biztosíték oldala, amennyiben teljesíti az (EU) 2015/61 felhatalmazáson alapuló rendelet 8. cikke szerinti operatív követelményeket. | 
| 2470 | 2.7.4.  2B. szintű eszközfedezetű értékpapír (lakóingatlan vagy gépjármű, 1. hitelminőségi besorolás) Olyan ügyletek, amelyekben az intézmény egyéb 2B. szintű eszközöket (kölcsönadott) cserél 2B. szintű eszközfedezetű értékpapírokra (lakóingatlan vagy gépjármű, 1. hitelminőségi besorolás) (kölcsönvett). | 
| 2480 | 2.7.4.1.  Ebből az elcserélt biztosíték teljesíti az operatív követelményeket A 2.7.4. tételben szereplő ügyletek közül a hitelintézetek adatot szolgáltatnak a következőkről: — a kölcsönadott biztosíték oldala, amely – amennyiben nem az említett ügyletekben használnák fedezetként – az (EU) 2015/61 felhatalmazáson alapuló rendelet 8. cikke szerint likvid eszköznek minősülne. valamint — a kölcsönvett biztosíték oldala, amennyiben teljesíti az (EU) 2015/61 felhatalmazáson alapuló rendelet 8. cikke szerinti operatív követelményeket. | 
| 2490 | 2.7.5.  2B. szintű magas minőségű fedezett kötvények Olyan ügyletek, amelyekben az intézmény egyéb 2B. szintű eszközöket (kölcsönadott) cserél 2B. szintű magas minőségű fedezett kötvényekre eszközökre (kölcsönvett). | 
| 2500 | 2.7.5.1.  Ebből az elcserélt biztosíték teljesíti az operatív követelményeket A 2.7.5. tételben szereplő ügyletek közül a hitelintézetek adatot szolgáltatnak a következőkről: — a kölcsönadott biztosíték oldala, amely – amennyiben nem az említett ügyletekben használnák fedezetként – az (EU) 2015/61 felhatalmazáson alapuló rendelet 8. cikke szerint likvid eszköznek minősülne. valamint — a kölcsönvett biztosíték oldala, amennyiben teljesíti az (EU) 2015/61 felhatalmazáson alapuló rendelet 8. cikke szerinti operatív követelményeket. | 
| 2510 | 2.7.6.  2B. szintű eszközfedezetű értékpapír (vállalati vagy háztartási hitel, tagállam, 1. hitelminőségi besorolás) Olyan ügyletek, amelyekben az intézmény egyéb 2B. szintű eszközöket (kölcsönadott) cserél 2B. szintű eszközfedezetű értékpapírokra (vállalati vagy háztartási hitel, tagállam, 1. hitelminőségi besorolás) (kölcsönvett). | 
| 2520 | 2.7.6.1.  Ebből az elcserélt biztosíték teljesíti az operatív követelményeket A 2.7.6. tételben szereplő ügyletek közül a hitelintézetek adatot szolgáltatnak a következőkről: — a kölcsönadott biztosíték oldala, amely – amennyiben nem az említett ügyletekben használnák fedezetként – az (EU) 2015/61 felhatalmazáson alapuló rendelet 8. cikke szerint likvid eszköznek minősülne. valamint — a kölcsönvett biztosíték oldala, amennyiben teljesíti az (EU) 2015/61 felhatalmazáson alapuló rendelet 8. cikke szerinti operatív követelményeket. | 
| 2530 | 2.7.7.  Egyéb 2B. szint Olyan ügyletek, amelyekben az intézmény egyéb 2B. szintű eszközöket (kölcsönadott) cserél egyéb 2B. szintű eszközökre (kölcsönvett). | 
| 2540 | 2.7.7.1.  Ebből az elcserélt biztosíték teljesíti az operatív követelményeket A 2.7.7. tételben szereplő ügyletek közül a hitelintézetek adatot szolgáltatnak a következőkről: — a kölcsönadott biztosíték oldala, amely – amennyiben nem az említett ügyletekben használnák fedezetként – az (EU) 2015/61 felhatalmazáson alapuló rendelet 8. cikke szerint likvid eszköznek minősülne. valamint — a kölcsönvett biztosíték oldala, amennyiben teljesíti az (EU) 2015/61 felhatalmazáson alapuló rendelet 8. cikke szerinti operatív követelményeket. | 
| 2550 | 2.7.8.  Nem likvid eszközök Olyan ügyletek, amelyekben az intézmény egyéb 2B. szintű eszközöket (kölcsönadott) cserél nem likvid eszközökre (kölcsönvett). | 
| 2560 | 2.7.8.1.  Ebből az elcserélt biztosíték teljesíti az operatív követelményeket A 2.7.8. tételben szereplő ügyletek közül a hitelintézetek adatot szolgáltatnak a kölcsönadott biztosíték oldaláról, amely – amennyiben nem az említett ügyletekben használnák fedezetként – az (EU) 2015/61 felhatalmazáson alapuló rendelet 8. cikke szerint likvid eszköznek minősülne. | 
| 2570 | 2.8.  Azon ügyletek összértéke, amelyekben nem likvid eszközöket adnak kölcsön és a következő biztosítékokat veszik kölcsön: Az (EU) 2015/61 felhatalmazáson alapuló rendelet 28. cikkének (4) bekezdése és 32. cikkének (3) bekezdése A hitelintézeteknek az érintett oszlopokban a biztosítéki csereügyletek teljes értékét kell feltüntetniük olyan ügyletekre vonatkozóan, amelyekben nem likvid eszközöket adnak kölcsön. | 
| 2580 | 2.8.1.  1. szintű eszközök (a rendkívül magas minőségű fedezett kötvények kivételével) Olyan ügyletek, amelyekben az intézmény nem likvid eszközöket (kölcsönadott) cserél a rendkívül magas minőségű fedezett kötvények kivételével 1. szintű eszközökre (kölcsönvett). | 
| 2590 | 2.8.1.1.  Ebből az elcserélt biztosíték teljesíti az operatív követelményeket A 2.8.1. tételben szereplő ügyletek közül a hitelintézetek adatot szolgáltatnak a kölcsönvett biztosíték oldaláról, amennyiben teljesíti az (EU) 2015/61 felhatalmazáson alapuló rendelet 8. cikke szerinti operatív követelményeket. | 
| 2600 | 2.8.2.  1. szintű rendkívül magas minőségű fedezett kötvények Olyan ügyletek, amelyekben az intézmény nem likvid eszközöket (kölcsönadott) cserél 1. szintű rendkívül magas minőségű fedezett kötvényekre eszközökre (kölcsönvett). | 
| 2610 | 2.8.2.1.  Ebből az elcserélt biztosíték teljesíti az operatív követelményeket A 2.8.2. tételben szereplő ügyletek közül a hitelintézetek adatot szolgáltatnak a kölcsönvett biztosíték oldaláról, amennyiben teljesíti az (EU) 2015/61 felhatalmazáson alapuló rendelet 8. cikke szerinti operatív követelményeket. | 
| 2620 | 2.8.3.  2A. szintű eszközök Olyan ügyletek, amelyekben az intézmény nem likvid eszközöket (kölcsönadott) cserél 2A. szintű eszközökre (kölcsönvett). | 
| 2630 | 2.8.3.1.  Ebből az elcserélt biztosíték teljesíti az operatív követelményeket A 2.8.3. tételben szereplő ügyletek közül a hitelintézetek adatot szolgáltatnak a kölcsönvett biztosíték oldaláról, amennyiben teljesíti az (EU) 2015/61 felhatalmazáson alapuló rendelet 8. cikke szerinti operatív követelményeket. | 
| 2640 | 2.8.4.  2B. szintű eszközfedezetű értékpapír (lakóingatlan vagy gépjármű, 1. hitelminőségi besorolás) Olyan ügyletek, amelyekben az intézmény nem likvid eszközöket (kölcsönadott) cserél 2B. szintű eszközfedezetű értékpapírokra (lakóingatlan vagy gépjármű, 1. hitelminőségi besorolás) (kölcsönvett). | 
| 2650 | 2.8.4.1.  Ebből az elcserélt biztosíték teljesíti az operatív követelményeket A 2.8.4. tételben szereplő ügyletek közül a hitelintézetek adatot szolgáltatnak a kölcsönvett biztosíték oldaláról, amennyiben teljesíti az (EU) 2015/61 felhatalmazáson alapuló rendelet 8. cikke szerinti operatív követelményeket. | 
| 2660 | 2.8.5.  2B. szintű magas minőségű fedezett kötvények Olyan ügyletek, amelyekben az intézmény nem likvid eszközöket (kölcsönadott) cserél 2B. szintű magas minőségű fedezett kötvényekre (kölcsönvett). | 
| 2670 | 2.8.5.1.  Ebből az elcserélt biztosíték teljesíti az operatív követelményeket A 2.8.5. tételben szereplő ügyletek közül a hitelintézetek adatot szolgáltatnak a kölcsönvett biztosíték oldaláról, amennyiben teljesíti az (EU) 2015/61 felhatalmazáson alapuló rendelet 8. cikke szerinti operatív követelményeket. | 
| 2680 | 2.8.6.  2B. szintű eszközfedezetű értékpapír (vállalati vagy háztartási hitel, tagállam, 1. hitelminőségi besorolás) Olyan ügyletek, amelyekben az intézmény nem likvid eszközöket (kölcsönadott) cserél 2B. szintű eszközfedezetű értékpapírokra (vállalati vagy háztartási hitel, tagállam, 1. hitelminőségi besorolás) (kölcsönvett). | 
| 2690 | 2.8.6.1.  Ebből az elcserélt biztosíték teljesíti az operatív követelményeket A 2.8.6. tételben szereplő ügyletek közül a hitelintézetek adatot szolgáltatnak a kölcsönvett biztosíték oldaláról, amennyiben teljesíti az (EU) 2015/61 felhatalmazáson alapuló rendelet 8. cikke szerinti operatív követelményeket. | 
| 2700 | 2.8.7.  Egyéb 2B. szint Olyan ügyletek, amelyekben az intézmény nem likvid eszközöket (kölcsönadott) cserél egyéb 2B. szintű eszközökre (kölcsönvett). | 
| 2710 | 2.8.7.1.  Ebből az elcserélt biztosíték teljesíti az operatív követelményeket A 2.8.7. tételben szereplő ügyletek közül a hitelintézetek adatot szolgáltatnak a kölcsönvett biztosíték oldaláról, amennyiben teljesíti az (EU) 2015/61 felhatalmazáson alapuló rendelet 8. cikke szerinti operatív követelményeket. | 
| 2720 | 2.8.8.  Nem likvid eszközök Olyan ügyletek, amelyekben az intézmény nem likvid eszközöket (kölcsönadott) cserél nem likvid eszközökre (kölcsönvett). | 
| TÁJÉKOZTATÓ ADATOK | |
| 2730 | 3.  Azon biztosítéki csereügyletek összértéke (minden partner), amelyeknél kölcsönvett biztosítékot használtak a rövid pozíciók fedezésére Az intézményeknek itt kell feltüntetniük a fenti sorokban megadott biztosítéki csereügyleteket összesen (minden partner), amelyeknél a kölcsönvett biztosítékot rövid pozíció fedezésére használták, amely esetben 0 %-os kiáramlási arányt alkalmaztak. | 
| 2740 | 4.  Összes biztosítéki csereügylet csoporton belüli partnerekkel Az intézményeknek itt a fenti sorokban feltüntetett azon biztosítéki csereügyletek teljes összegét kell megadniuk, amelyeket csoporton belüli partnerekkel folytattak. | 
| 5.  A 17. cikk (2) és (3) bekezdése alól mentesített biztosítéki csereügyletek A hitelintézeteknek itt a legfeljebb 30 napos hátralévő futamidejű biztosítéki csereügyletek azon részét kell megadniuk, amelynél a partner központi bank, és amelynél az érintett ügyletek az (EU) 2015/61 felhatalmazáson alapuló rendelet 17. cikkének (4) bekezdése értelmében mentesülnek a 17. cikk (2) és (3) bekezdésének alkalmazása alól. | |
| 2750 | 5.1.  ebből: a kölcsönvett biztosíték 1. szintű eszközökből áll, a rendkívül magas minőségű fedezett kötvények kivételével A hitelintézeteknek itt a legfeljebb 30 napos hátralévő futamidejű biztosítéki csereügyletek azon részét kell megadniuk, amelynél a partner központi bank, a kölcsönvett biztosíték 1. szintű biztosíték (a rendkívül magas minőségű fedezett kötvények kivételével) és teljesíti az (EU) 2015/61 felhatalmazáson alapuló rendelet 8. cikkében meghatározott operatív követelményeket, és amelynél az érintett ügyletek az (EU) 2015/61 felhatalmazáson alapuló rendelet 17. cikkének (4) bekezdése értelmében mentesülnek a 17. cikk (2) és (3) bekezdésének alkalmazása alól. | 
| 2760 | 5.2.  ebből: a kölcsönvett biztosíték 1. szintű rendkívül magas minőségű fedezett kötvényekből áll A hitelintézeteknek itt a legfeljebb 30 napos hátralévő futamidejű biztosítéki csereügyletek azon részét kell megadniuk, amelynél a partner központi bank, a kölcsönvett biztosíték 1. szintű rendkívül magas minőségű fedezett kötvény és teljesíti az (EU) 2015/61 felhatalmazáson alapuló rendelet 8. cikkében meghatározott operatív követelményeket, és amelynél az érintett ügyletek az (EU) 2015/61 felhatalmazáson alapuló rendelet 17. cikkének (4) bekezdése értelmében mentesülnek a 17. cikk (2) és (3) bekezdésének alkalmazása alól. | 
| 2770 | 5.3.  ebből: a kölcsönvett biztosíték 2A. szintű eszközökből áll A hitelintézeteknek itt a legfeljebb 30 napos hátralévő futamidejű biztosítéki csereügyletek azon részét kell megadniuk, amelynél a partner központi bank, a kölcsönvett biztosíték 2A. szintű biztosíték és teljesíti az (EU) 2015/61 felhatalmazáson alapuló rendelet 8. cikkében meghatározott operatív követelményeket, és amelynél az érintett ügyletek az (EU) 2015/61 felhatalmazáson alapuló rendelet 17. cikkének (4) bekezdése értelmében mentesülnek a 17. cikk (2) és (3) bekezdésének alkalmazása alól. | 
| 2780 | 5.4.  ebből: a kölcsönvett biztosíték 2B. szintű eszközökből áll A hitelintézeteknek itt a legfeljebb 30 napos hátralévő futamidejű biztosítéki csereügyletek azon részét kell megadniuk, amelynél a partner központi bank, a kölcsönvett biztosíték 2B. szintű biztosíték és teljesíti az (EU) 2015/61 felhatalmazáson alapuló rendelet 8. cikkében meghatározott operatív követelményeket, és amelynél az érintett ügyletek az (EU) 2015/61 felhatalmazáson alapuló rendelet 17. cikkének (4) bekezdése értelmében mentesülnek a 17. cikk (2) és (3) bekezdésének alkalmazása alól. | 
| 2790 | 5.5.  ebből: a kölcsönadott biztosíték 1. szintű eszközökből áll, a rendkívül magas minőségű fedezett kötvények kivételével A hitelintézeteknek itt a legfeljebb 30 napos hátralévő futamidejű biztosítéki csereügyletek azon részét kell megadniuk, amelynél a partner központi bank, a kölcsönadott biztosíték 1. szintű biztosíték (a rendkívül magas minőségű fedezett kötvények kivételével) és teljesíti az (EU) 2015/61 felhatalmazáson alapuló rendelet 8. cikkében meghatározott operatív követelményeket, és amelynél az érintett ügyletek az (EU) 2015/61 felhatalmazáson alapuló rendelet 17. cikkének (4) bekezdése értelmében mentesülnek a 17. cikk (2) és (3) bekezdésének alkalmazása alól. | 
| 2800 | 5.6.  ebből: a kölcsönadott biztosíték 1. szintű rendkívül magas minőségű fedezett kötvényekből áll A hitelintézeteknek itt a legfeljebb 30 napos hátralévő futamidejű biztosítéki csereügyletek azon részét kell megadniuk, amelynél a partner központi bank, a kölcsönadott biztosíték 1. szintű rendkívül magas minőségű fedezett kötvény és teljesíti az (EU) 2015/61 felhatalmazáson alapuló rendelet 8. cikkében meghatározott operatív követelményeket, és amelynél az érintett ügyletek az (EU) 2015/61 felhatalmazáson alapuló rendelet 17. cikkének (4) bekezdése értelmében mentesülnek a 17. cikk (2) és (3) bekezdésének alkalmazása alól. | 
| 2810 | 5.7.  ebből: a kölcsönadott biztosíték 2A. szintű eszközökből áll A hitelintézeteknek itt a legfeljebb 30 napos hátralévő futamidejű biztosítéki csereügyletek azon részét kell megadniuk, amelynél a partner központi bank, a kölcsönadott biztosíték 2A. szintű biztosíték és teljesíti az (EU) 2015/61 felhatalmazáson alapuló rendelet 8. cikkében meghatározott operatív követelményeket, és amelynél az érintett ügyletek az (EU) 2015/61 felhatalmazáson alapuló rendelet 17. cikkének (4) bekezdése értelmében mentesülnek a 17. cikk (2) és (3) bekezdésének alkalmazása alól. | 
| 2820 | 5.8.  ebből: a kölcsönadott biztosíték 2B. szintű eszközökből áll A hitelintézeteknek itt a legfeljebb 30 napos hátralévő futamidejű biztosítéki csereügyletek azon részét kell megadniuk, amelynél a partner központi bank, a kölcsönadott biztosíték 2B. szintű biztosíték és teljesíti az (EU) 2015/61 felhatalmazáson alapuló rendelet 8. cikkében meghatározott operatív követelményeket, és amelynél az érintett ügyletek az (EU) 2015/61 felhatalmazáson alapuló rendelet 17. cikkének (4) bekezdése értelmében mentesülnek a 17. cikk (2) és (3) bekezdésének alkalmazása alól. | 
LIKVIDITÁSRA VONATKOZÓ ADATSZOLGÁLTATÁS (5. RÉSZ: SZÁMÍTÁSOK)
1. Számítások
1.1. Általános megjegyzések
1. Ez egy olyan összefoglaló tábla, amely az (EU) 2015/61 felhatalmazáson alapuló rendeletben meghatározott likviditásfedezeti követelményekkel kapcsolatos adatszolgáltatás céljából a számításokra vonatkozó információkat tartalmazza. Szürke szín jelzi azokat a tételeket, amelyeket az intézményeknek nem kell kitölteniük.
1.2. Külön megjegyzések
2. A cellákra való hivatkozás formátuma: tábla; sor; oszlop. Például a {C 72.00; r130; c040} jelentése: likvid eszközök tábla; 130. sor; 040. oszlop.
1.3. Számításokra vonatkozó altábla - A tábla egyes soraira vonatkozó útmutató
| Sor | Jogszabályi hivatkozások és útmutató | 
| SZÁMÍTÁSOK | |
| Számláló, nevező, ráta Az (EU) 2015/61 felhatalmazáson alapuló rendelet 4. cikke A likviditásfedezeti ráta számlálója, nevezője, és a ráta. Az összes lenti adatot meg kell adni az adott sorhoz tartozó 010. oszlopban. | |
| 010 | 1.  Likviditási puffer A {C 76.00; r290; c010} mezőben lévő értéket kell megadni. | 
| 020 | 2.  Nettó likviditáskiáramlás A {C 76.00; r370; c010} mezőben lévő értéket kell megadni. | 
| 030 | 3.  Likviditásfedezeti ráta (%) Az (EU) 2015/61 felhatalmazáson alapuló rendelet 4. cikkének (1) bekezdésében meghatározottak szerint kiszámított likviditásfedezeti rátát kell megadni. A likviditásfedezeti ráta a hitelintézet likviditási pufferének és egy 30 naptári napos stresszidőszak alatti nettó likviditáskiáramlásának százalékos aránya. Ha a {C 76.00; r020; c010} mező értéke nulla (ami végtelen arányt eredményez), akkor a 999999 értéket kell feltüntetni. | 
| Számláló számítása Az (EU) 2015/61 felhatalmazáson alapuló rendelet 17. cikke és I. melléklete A likviditási puffer kiszámítására alkalmazandó képlet Az összes lenti adatot meg kell adni az adott sorhoz tartozó 010. oszlopban. | |
| 040 | 4.  1. szintű (a rendkívül magas minőségű fedezett kötvények kivételével) likviditási puffer (a 9. cikk szerinti érték): kiigazítás nélkül A {C 72.00; r030; c040} mezőben lévő értéket kell megadni. | 
| 050 | 5.  1. szintű (a rendkívül magas minőségű fedezett kötvények kivételével) biztosíték, 30 napon belüli kiáramlás Itt az 1. szintű likvid értékpapírok kiáramlásait kell megadni (a rendkívül magas minőségű fedezett kötvények kivételével), bármely, a vonatkozási időponttól számított 30 naptári napon belül lejáró fedezett finanszírozási ügylet, fedezett kölcsönügylet vagy biztosítéki csereügylet kifutásakor, kivéve, ha az ügylet az (EU) 2015/61 felhatalmazáson alapuló rendelet 17. cikkének (4) bekezdése alapján mentesített. | 
| 060 | 6.  1. szintű (a rendkívül magas minőségű fedezett kötvények kivételével) biztosíték, 30 napon belüli beáramlás Itt az 1. szintű likvid értékpapírok beáramlásait kell megadni (a rendkívül magas minőségű fedezett kötvények kivételével), bármely, a vonatkozási időponttól számított 30 naptári napon belül lejáró fedezett finanszírozási ügylet, fedezett kölcsönügylet vagy biztosítéki csereügylet kifutásakor, kivéve, ha az ügylet az (EU) 2015/61 felhatalmazáson alapuló rendelet 17. cikkének (4) bekezdése alapján mentesített. | 
| 070 | 7.  Fedezett készpénzkiáramlás Itt a készpénz (1. szintű eszköz) beáramlásait kell megadni, bármely, a vonatkozási időponttól számított 30 naptári napon belül lejáró fedezett finanszírozási ügylet vagy fedezett kölcsönügylet kifutásakor, kivéve, ha az ügylet az (EU) 2015/61 felhatalmazáson alapuló rendelet 17. cikkének (4) bekezdése alapján mentesített. | 
| 080 | 8.  Fedezett készpénzbeáramlás Itt a készpénz (1. szintű eszköz) kiáramlásait kell megadni, bármely, a vonatkozási időponttól számított 30 naptári napon belül lejáró fedezett finanszírozási ügylet vagy fedezett kölcsönügylet kifutásakor, kivéve, ha az ügylet az (EU) 2015/61 felhatalmazáson alapuló rendelet 17. cikkének (4) bekezdése alapján mentesített. | 
| 091 | 9.  1. szintű (a rendkívül magas minőségű fedezett kötvények kivételével) „kiigazított összeg” Az I. melléklet (3) bekezdésének (a) albekezdése. A nem fedezett, 1. szintű kötvények kiigazított összegét kell megadni a felső korlát alkalmazása előtt. A kiigazított összeg figyelembe veszi a vonatkozási időponttól számított 30 naptári napon belül lejáró fedezett finanszírozási ügyletek, fedezett kölcsönügyletek vagy biztosítéki csereügyletek kifutását, kivéve, ha az ügylet az (EU) 2015/61 felhatalmazáson alapuló rendelet 17. cikkének (4) bekezdése alapján mentesített. | 
| 100 | 10.  1. szintű rendkívül magas minőségű fedezett kötvények 9. cikk szerinti értéke: kiigazítás nélkül A {C 72.00; r180; c040} mezőben lévő értéket kell megadni. | 
| 110 | 11.  1. szintű rendkívül magas minőségű fedezett kötvényekből álló biztosíték, 30 napon belüli kiáramlás Itt az 1. szintű rendkívül magas minőségű fedezett kötvények kiáramlásait kell megadni, bármely, a vonatkozási időponttól számított 30 naptári napon belül lejáró fedezett finanszírozási ügylet, fedezett kölcsönügylet vagy biztosítéki csereügylet kifutásakor, kivéve, ha az ügylet az (EU) 2015/61 felhatalmazáson alapuló rendelet 17. cikkének (4) bekezdése alapján mentesített. | 
| 120 | 12.  1. szintű rendkívül magas minőségű fedezett kötvényekből álló biztosíték, 30 napon belüli beáramlás Itt az 1. szintű rendkívül magas minőségű fedezett kötvények beáramlásait kell megadni, bármely, a vonatkozási időponttól számított 30 naptári napon belül lejáró fedezett finanszírozási ügylet, fedezett kölcsönügylet vagy biztosítéki csereügylet kifutásakor, kivéve, ha az ügylet az (EU) 2015/61 felhatalmazáson alapuló rendelet 17. cikkének (4) bekezdése alapján mentesített. | 
| 131 | 13.  1. szintű rendkívül magas minőségű fedezett kötvények, „kiigazított összeg” Az I. melléklet (3) bekezdésének (b) albekezdése. A fedezett, 1. szintű kötvények kiigazított összegét kell megadni a felső korlát alkalmazása előtt. A kiigazított összeg figyelembe veszi a vonatkozási időponttól számított 30 naptári napon belül lejáró fedezett finanszírozási ügyletek, fedezett kölcsönügyletek vagy biztosítéki csereügyletek kifutását, kivéve, ha az ügylet az (EU) 2015/61 felhatalmazáson alapuló rendelet 17. cikkének (4) bekezdése alapján mentesített. | 
| 160 | 14.  2A. szintű érték a 9. cikk szerint: kiigazítás nélkül A {C 72.00; r230; c040} mezőben lévő értéket kell megadni. | 
| 170 | 15.  2A. szintű biztosíték, 30 napon belüli kiáramlás Itt a 2A. szintű likvid eszközök kiáramlásait kell megadni, bármely, a számítás időpontjától számított 30 naptári napon belül lejáró fedezett finanszírozási ügylet, fedezett kölcsönügylet vagy biztosítéki csereügylet kifutásakor, kivéve, ha az ügylet az (EU) 2015/61 felhatalmazáson alapuló rendelet 17. cikkének (4) bekezdése alapján mentesített. | 
| 180 | 16.  2A. szintű biztosíték, 30 napon belüli beáramlás Itt a 2A. szintű likvid eszközök beáramlásait kell megadni, bármely, a számítás időpontjától számított 30 naptári napon belül lejáró fedezett finanszírozási ügylet, fedezett kölcsönügylet vagy biztosítéki csereügylet kifutásakor, kivéve, ha az ügylet az (EU) 2015/61 felhatalmazáson alapuló rendelet 17. cikkének (4) bekezdése alapján mentesített. | 
| 191 | 17.  2A. szintű „kiigazított összeg” Az I. melléklet (3) bekezdésének (c) albekezdése. A 2A. szintű eszközök kiigazított összegét kell megadni a felső korlát alkalmazása előtt. A kiigazított összeg figyelembe veszi a számítás időpontjától számított 30 naptári napon belül lejáró fedezett finanszírozási ügyletek, fedezett kölcsönügyletek vagy biztosítéki csereügyletek kifutását, kivéve, ha az ügylet az (EU) 2015/61 felhatalmazáson alapuló rendelet 17. cikkének (4) bekezdése alapján mentesített. | 
| 220 | 18.  2B. szintű érték a 9. cikk szerint: kiigazítás nélkül A {C 72.00; r310; c040} mezőben lévő értéket kell megadni. | 
| 230 | 19.  2B. szintű biztosíték, 30 napon belüli kiáramlás Itt a 2B. szintű likvid eszközök kiáramlásait kell megadni, bármely, a számítás időpontjától számított 30 naptári napon belül lejáró fedezett finanszírozási ügylet, fedezett kölcsönügylet vagy biztosítéki csereügylet kifutásakor, kivéve, ha az ügylet az (EU) 2015/61 felhatalmazáson alapuló rendelet 17. cikkének (4) bekezdése alapján mentesített. | 
| 240 | 20.  2B. szintű biztosíték, 30 napon belüli beáramlás Itt a 2B. szintű likvid eszközök beáramlásait kell megadni, bármely, a számítás időpontjától számított 30 naptári napon belül lejáró fedezett finanszírozási ügylet, fedezett kölcsönügylet vagy biztosítéki csereügylet kifutásakor, kivéve, ha az ügylet az (EU) 2015/61 felhatalmazáson alapuló rendelet 17. cikkének (4) bekezdése alapján mentesített. | 
| 251 | 21.  2B. szintű „kiigazított összeg” Az I. melléklet (3) bekezdésének (d) albekezdése. A 2B. szintű eszközök kiigazított összegét kell megadni a felső korlát alkalmazása előtt. A kiigazított összeg figyelembe veszi a számítás időpontjától számított 30 naptári napon belül lejáró fedezett finanszírozási ügyletek, fedezett kölcsönügyletek vagy biztosítéki csereügyletek kifutását, kivéve, ha az ügylet az (EU) 2015/61 felhatalmazáson alapuló rendelet 17. cikkének (4) bekezdése alapján mentesített. | 
| 280 | 22.  Likvideszköztöbblet összege I. melléklet 4. pont A „likvideszköztöbblet összegének” megadása: ez az összeg egyenlő: a) a nem fedezett, 1. szintű kötvények kiigazított összege; plusz b) a fedezett, 1. szintű kötvények kiigazított összege; plusz c) a 2A. szintű eszközök kiigazított összege; plusz d) a 2B. szintű eszközök kiigazított összege; csökkentve az alábbiak közül a kisebb összegűvel: e) a), b), c) és d) összege; f) 100/30 × a); g) 100/60 × a) és b) összege; h) 100/85 × a), b) és c) összege. | 
| 290 | 23.  LIKVIDITÁSI PUFFER I. melléklet 2. pont A likviditási puffert kell megadni, amely egyenlő: a) az 1. szintű eszközök összege; plusz b) a 2A. szintű eszközök összege; plusz c) a 2B. szintű eszközök összege; csökkentve az alábbiak közül a kisebb összegűvel: d) a), b) és c) összege; vagy e) a „likvideszköztöbblet” összege. | 
| Nevező számítása Az (EU) 2015/61 felhatalmazáson alapuló rendelet II. melléklete A nettó likviditáskiáramlás kiszámítására alkalmazandó képletek ahol: NLO = Nettó likviditáskiáramlás TO = Összes kiáramlás TI = Összes beáramlás FEI = Teljes egészükben mentesített beáramlások IHC = Beáramlások a kiáramlások 90 %-ának megfelelő, magasabb felső korláttal IC = Beáramlások a kiáramlások 75 %-ának megfelelő felső korláttal Az összes lenti adatot meg kell adni az adott sorhoz tartozó 010. oszlopban. | |
| 300 | 24.  Összes kiáramlás TO = a kiáramlás táblájából A {C 73.00; r010; c060} mezőben lévő értéket kell megadni. | 
| 310 | 25.  Teljesen mentesített beáramlások FEI = a beáramlások táblájából A {C 74.00; r010; c160} mezőben lévő értéket kell megadni. | 
| 320 | 26.  90 %-os felső korlát alá tartozó beáramlások IHC = a beáramlások táblájából A {C 74.00; r010; c150} mezőben lévő értéket kell megadni. | 
| 330 | 27.  75 %-os felső korlát alá tartozó beáramlások IC = a beáramlások táblájából A {C 74.00; r010; c140} mezőben lévő értéket kell megadni. | 
| 340 | 28.  A teljesen mentesített beáramlások miatti csökkentés A nettó likviditáskiáramlás (NLO) számításának a következő részét kell megadni: = MIN (FEI, TO). | 
| 350 | 29.  90 %-os felső korlát alá tartozó beáramlások miatti csökkentés A nettó likviditáskiáramlás (NLO) számításának a következő részét kell megadni: = MIN (IHC, 0.9*MAX(TO-FEI, 0)). | 
| 360 | 30.  75 %-os felső korlát alá tartozó beáramlások miatti csökkentés A nettó likviditáskiáramlás (NLO) számításának a következő részét kell megadni: = MIN (IC, 0.75*MAX(TO-FEI-IHC/0.9, 0)). | 
| 370 | 31.  NETTÓ LIKVIDITÁSKIÁRAMLÁS A likviditási puffert kell megadni, amely egyenlő: a teljes kiáramlás mínusz a felső korlát alól teljesen mentesített beáramlások miatti csökkentés, mínusz a 90 %-os felső korlát alá tartozó beáramlások miatti csökkentés, mínusz a 75 %-os felső korlát alá tartozó beáramlások miatti csökkentés. NLO = TO – MIN(FEI, TO) - MIN(IHC, 0.9*MAX(TO-FEI, 0)) - MIN(IC, 0.75*MAX(T0-FEI-IHC/0.9,0 )) | 
| 2. pillér | |
| 380 | 32.  2. PILLÉR SZERINTI KÖVETELMÉNYEK A CRD 105. cikkében meghatározottak szerint A 2. pillér szerinti követelményt kell feltüntetni. | 
LIKVIDITÁSRA VONATKOZÓ ADATSZOLGÁLTATÁS (6. RÉSZ: A KONSZOLIDÁCIÓ KÖRE)
1. A konszolidáció köre
1.1. Általános megjegyzések
1. Ez a tábla azokat a jogalanyokat azonosítja - kizárólag a konszolidált szintű likviditásfedezeti követelmény céljaira -, amelyekre a C 72.00, C 73.00, C 74.00, C 75.01 és C 76.00 táblában megadott információk vonatkoznak. Ez a tábla az összes olyan jogalanyt azonosítja, amely az 575/2013/EU rendelet 8. és 10. cikkének, valamint 11. cikke (3) és (5) bekezdésének megfelelően a likviditásfedezeti mutató konszolidációs körének részét képezi. A táblában annyi sort kell feltüntetni, ahány jogalany a konszolidációs körön belül van.
1.2. A tábla egyes oszlopaira vonatkozó útmutató
| Oszlop | Jogszabályi hivatkozások és útmutató | 
| 0005 | Anyavállalat vagy leányvállalat A sorban „Anyavállalat”-ot kell feltüntetni, ha a sorban szereplő jogalany: — az 575/2013/EU rendelet 11. cikkének (3) bekezdése szerinti EU-szintű anyaintézmény, EU-szintű pénzügyi holding társaság anyavállalat vagy EU-szintű vegyes pénzügyi holding társaság anyavállalat; — olyan anya- vagy leányvállalat intézmény, amely az 575/2013/EU rendelet 8. cikke alapján egyetlen likviditási alcsoport keretében köteles megfelelni – összevont vagy szubkonszolidált alapon – a likviditásfedezeti követelménynek; — olyan érintett intézmény, amely az 575/2013/EU rendelet 11. cikkének (5) bekezdése alapján szubkonszolidált alapon köteles megfelelni a likviditásfedezeti követelménynek; — az EU központi intézménye. A többi sorban „Leányvállalat”-ot kell feltüntetni. | 
| 010 | Név A 010. oszlopban a konszolidációs körbe tartozó jogalanyok nevét kell megadni. | 
| 020 | Kód Ez a kód egy sorazonosító, amely a tábla minden egyes sorát egyedileg azonosítja. A konszolidáció körébe bevont jogalanyhoz tartozó kód. | 
| 030 | LEI-kód A 020. oszlopban a konszolidációs körbe tartozó jogalanyok jogalany-azonosítóját kell megadni. Ha egy adott jogalany rendelkezik jogalany-azonosítóval (LEI-kóddal), akkor ezt a kódot kell feltüntetni a jogalany azonosítására. | 
| 040 | Országkód A 030. oszlopban a konszolidációs körbe tartozó jogalanyok bejegyzés szerinti országának ISO 3166-1-alpha-2 kódját kell megadni. | 
| 050 | A jogalany típusa A 010. oszlopban feltüntetett jogalanyokhoz a jogi formájuknak megfelelő jogalanytípust kell rendelni a következő lista alapján: „Hitelintézet” „Befektetési vállalkozás” „Egyéb” | 
( 1 ) Az Európai Parlament és a Tanács 2009. július 13-i 2009/65/EK irányelve az átruházható értékpapírokkal foglalkozó kollektív befektetési vállalkozásokra (ÁÉKBV) vonatkozó törvényi, rendeleti és közigazgatási rendelkezések összehangolásáról (HL L 302., 2009.11.17., 32. o.).
( 2 ) A Tanács 1986. december 8-i 86/635/EGK irányelve a bankok és más pénzügyi intézmények éves beszámolójáról és konszolidált éves beszámolójáról (HL L 372., 1986.12.31., 1. o.).
( 3 ) Az Európai Parlament és a Tanács 575/2013/EU rendelete (2013. június 26.) a hitelintézetekre és befektetési vállalkozásokra vonatkozó prudenciális követelményekről és a 648/2012/EU rendelet módosításáról (HL L 176., 2013.6.27., 1. o.).
( 4 ) Az Európai Parlament és a Tanács 2013/36/EU irányelve (2013. június 26.) a hitelintézetek tevékenységéhez való hozzáférésről és a hitelintézetek és befektetési vállalkozások prudenciális felügyeletéről, a 2002/87/EK irányelv módosításáról, a 2006/48/EK és a 2006/49/EK irányelv hatályon kívül helyezéséről (HL L 176., 2013.6.27., 338. o.)
( 5 ) Az Európai Parlament és a Tanács 2013/34/EU irányelve a meghatározott típusú vállalkozások éves pénzügyi kimutatásairól, összevont (konszolidált) éves pénzügyi kimutatásairól és a kapcsolódó beszámolókról, a 2006/43/EK európai parlamenti és tanácsi irányelv módosításáról, valamint a 78/660/EGK és a 83/349/EGK tanácsi irányelv hatályon kívül helyezéséről (HL L 182., 2013.6.29., 19. o.).
( 6 ) A Tanács 86/635/EGK irányelve (1986. december 8.) a bankok és más pénzügyi intézmények éves beszámolójáról és konszolidált éves beszámolójáról (HL L 372., 1986.12.31., 1. o.).
( 7 ) A Tanács 83/349/EGK hetedik irányelve (1983. június 13.) a Szerződés 54. cikke (3) bekezdésének g) pontja alapján az összevont (konszolidált) éves beszámolóról (HL L 193., 1983.7.18., 1. o.).
( 8 ) Az Európai Parlament és a Tanács 2009/65/EK irányelve (2009. július 13.) az átruházható értékpapírokkal foglalkozó kollektív befektetési vállalkozásokra (ÁÉKBV) vonatkozó törvényi, rendeleti és közigazgatási rendelkezések összehangolásáról (HL L 302., 2009.11.17., 32. o.).
( 9 ) A Bizottság 1152/2014/EU felhatalmazáson alapuló rendelete (2014. június 4.) a 2013/36/EU európai parlamenti és tanácsi irányelvnek az intézményspecifikus anticiklikus tőkepufferráta kiszámítása céljából a lényeges hitelkockázati kitettségek földrajzi helyének azonosítására irányuló szabályozástechnikai standardok tekintetében történő kiegészítéséről (HL L 309., 2014.10.30., 5. o.).
( 10 ) Az önálló intézmények nem tartoznak csoporthoz, és nem tartoznak konszolidációs körbe abban az országban, ahol szavatolótőke-követelmény hatálya alá esnek.
( 11 ) Az Európai Parlament és a Tanács 549/2013/EU rendelete (2013. május 21.) az Európai Unió-beli nemzeti és regionális számlák európai rendszeréről (HL L 174., 2013.6.26., 1. o.).
( 12 ) A Bizottság 525/2014/EU felhatalmazáson alapuló rendelete (2014. március 12.) az 575/2013/EU európai parlamenti és tanácsi rendeletnek a piac fogalmát meghatározó szabályozástechnikai standardok tekintetében való kiegészítéséről (HL L 148., 2014.5.20., 15. o.).
( 13 ) A Bizottság (EU) 2016/101 felhatalmazáson alapuló rendelete (2015. október 26.) az 575/2013/EU európai parlamenti és tanácsi rendeletnek a prudens értékelésre alkalmazandó szabályozástechnikai standardok tekintetében a 105. cikk (14) bekezdése szerint történő kiegészítéséről (HL L 21., 2016.1.28., 54. o.)
( 14 ) Az Európai Parlament és a Tanács 1606/2002/EK rendelete (2002. július 19.) a nemzetközi számviteli standardok alkalmazásáról (HL L 243., 2002.9.11., 1. o.).
( 15 ) Az Európai Központi Bank 1071/2013/EU rendelete (2013. szeptember 24.) a monetáris pénzügyi intézmények ágazati mérlegéről (EKB/2013/33) (HL L 297., 2013.11.7., 1. o.).
( 16 ) Az Európai Parlament és a Tanács 1893/2006/EK rendelete (2006. december 20.) a gazdasági tevékenységek statisztikai osztályozása NACE Rev. 2. rendszerének létrehozásáról és a 3037/90/EGK tanácsi rendelet, valamint egyes meghatározott statisztikai területekre vonatkozó EK-rendeletek módosításáról (HL L 393., 2006.12.30., 1. o.).
( 17 ) A Tanács 86/635/EGK irányelve (1986. december 8.) a bankok és más pénzügyi intézmények éves beszámolójáról és konszolidált éves beszámolójáról (HL L 372., 1986.12.31., 1. o.).
( 18 ) Az Európai Parlament és a Tanács 2013/34/EU irányelve (2013. június 26.) a meghatározott típusú vállalkozások éves pénzügyi kimutatásairól, összevont (konszolidált) éves pénzügyi kimutatásairól és a kapcsolódó beszámolókról, a 2006/43/EK európai parlamenti és tanácsi irányelv módosításáról, valamint a 78/660/EGK és a 83/349/EGK tanácsi irányelv hatályon kívül helyezéséről (HL L 182., 2013.6.29., 19. o.).
( 19 ) A Bizottság 2003/361/EK ajánlása (2003. május 6.) a mikro-, kis- és középvállalkozások fogalma kapcsán a kis- és közepes méretű vállalkozások meghatározásáról (C(2003) 1422) (HL L 124., 2003.5.20., 36. o.).
( 20 ) Az Európai Rendszerkockázati Testület ajánlása (2016. október 31.) az ingatlanokkal kapcsolatos adathiány kiküszöböléséről (ERKT/2016/14), (HL C 31., 2017.1.31., 1. o.).
( 21 ) Az Európai Rendszerkockázati Testület ajánlása (2016. október 31.) az ingatlanokkal kapcsolatos adathiány kiküszöböléséről (ERKT/2016/14), (HL C 31., 2017.1.31., 1. o.).
( 22 ) Az Európai Parlament és a Tanács (EU) 2015/2366 irányelve (2015. november 25.) a belső piaci pénzforgalmi szolgáltatásokról és a 2002/65/EK, a 2009/110/EK és a 2013/36/EU irányelv és a 1093/2010/EU rendelet módosításáról, valamint a 2007/64/EK irányelv hatályon kívül helyezéséről (HL L 337., 2015.12.23., 35. o.).
( 23 ) Ide tartoznak a hitelkockázatnak kitett értékpapírosítások és részvényjellegű kitettségek.
( 24 ) A Bizottság (EU) 2015/61 felhatalmazáson alapuló rendelete (2014. október 10.) az 575/2013/EU európai parlamenti és tanácsi rendeletnek a hitelintézetekre vonatkozó likviditásfedezeti követelmények tekintetében történő kiegészítéséről (HL L 11., 2015.1.17., 1. o.).
Lábjegyzetek:
[1] A dokumentum eredetije megtekinthető CELEX: 32014R0680 - https://eur-lex.europa.eu/legal-content/HU/ALL/?uri=CELEX:32014R0680&locale=hu Utolsó elérhető, magyar nyelvű konszolidált változat CELEX: 02014R0680-20200601 - https://eur-lex.europa.eu/legal-content/HU/ALL/?uri=CELEX:02014R0680-20200601&locale=hu