32017R0653[1]
A Bizottság (EU) 2017/653 felhatalmazáson alapuló rendelete (2017. március 8.) a lakossági befektetési csomagtermékekkel, illetve biztosítási alapú befektetési termékekkel kapcsolatos kiemelt információkat tartalmazó dokumentumokról szóló 1286/2014/EU európai parlamenti és tanácsi rendeletnek a kiemelt információkat tartalmazó dokumentumok megjelenítése, tartalma, felülvizsgálata és módosítása, valamint az ilyen dokumentumok rendelkezésre bocsátására vonatkozó kötelezettség teljesítése tekintetében meghatározott szabályozástechnikai standardok megállapítása révén történő kiegészítéséről
A BIZOTTSÁG (EU) 2017/653 FELHATALMAZÁSON ALAPULÓ RENDELETE
(2017. március 8.)
a lakossági befektetési csomagtermékekkel, illetve biztosítási alapú befektetési termékekkel kapcsolatos kiemelt információkat tartalmazó dokumentumokról szóló 1286/2014/EU európai parlamenti és tanácsi rendeletnek a kiemelt információkat tartalmazó dokumentumok megjelenítése, tartalma, felülvizsgálata és módosítása, valamint az ilyen dokumentumok rendelkezésre bocsátására vonatkozó kötelezettség teljesítése tekintetében meghatározott szabályozástechnikai standardok megállapítása révén történő kiegészítéséről
(EGT-vonatkozású szöveg)
I. FEJEZET
A KIEMELT INFORMÁCIÓKAT TARTALMAZÓ DOKUMENTUM TARTALMA ÉS MEGJELENÍTÉSE
1. cikk
Az általános információkra vonatkozó szakasz
A kiemelt információkat tartalmazó dokumentumnak a PRIIP előállítójának és illetékes hatóságának azonosítására vonatkozó szakasza a következő információkat tartalmazza:
a) a PRIIP-nek a PRIIP előállítója által adott elnevezése, valamint a PRIIP nemzetközi értékpapír-azonosító száma vagy egyedi termékazonosítója, amennyiben van ilyen;
b) a PRIIP előállítójának bejegyzett elnevezése;
c) a PRIIP előállítójának saját weboldala, amely a lakossági befektető számára tájékoztatást nyújt arról, hogyan tud kapcsolatba lépni a PRIIP előállítójával, valamint tartalmazza annak telefonszámát;
d) a PRIIP előállítójának felügyeletét a kiemelt információkat tartalmazó dokumentum tekintetében ellátó illetékes hatóság neve;
e) az előállítás időpontja, vagy ha a kiemelt információkat tartalmazó dokumentumot a későbbiekben módosították, a kiemelt információkat tartalmazó dokumentum utolsó módosításának időpontja;
f) adott esetben, amennyiben a PRIIP előállítója jogi, igazgatási vagy forgalmazási megfontolás miatt valamely társaságcsoport részét képezi, a csoport neve;
g) amennyiben a PRIIP átruházható értékpapírokkal foglalkozó kollektív befektetési vállalkozás (ÁÉKBV) vagy alternatív befektetési alap (ABA) formáját ölti, szembetűnően feltüntetve az ÁÉKBV vagy ABA megjelölése, beleértve befektetésijegy-osztályát vagy befektetési részalapját;
h) adott esetben az engedélyezés részletei;
i) amennyiben a PRIIP átruházható értékpapírokkal foglalkozó kollektív befektetési vállalkozás (ÁÉKBV) vagy alternatív befektetési alap (ABA) formáját ölti, és abban az esetben, ha az ÁÉKBV-t a 2009/65/EK irányelv 2. cikke (1) bekezdésének b) pontjában meghatározott alapkezelő társaság kezeli, vagy az említett irányelv 27. cikke szerinti befektetési társaságról van szó (a továbbiakban együttesen: ÁÉKBV-alapkezelő), amely az adott ÁÉKBV tekintetében az említett irányelv 16. cikke szerinti jogokat gyakorolja, vagy abban az esetben, ha az ABA-t olyan alternatívbefektetésialap-kezelő (ABAK) kezeli, amely az ABA tekintetében a 2011/61/EU európai parlamenti és tanácsi irányelv ( 1 ) 31., 32. és 33. cikke szerinti jogokat gyakorolja, az e tényre vonatkozó kiegészítő nyilatkozat.
Az első albekezdésben említett információnak tartalmaznia kell továbbá az 1286/2014/EU rendelet 8. cikke (3) bekezdésének b) pontjában említett, a termék megértésének nehézségére utaló figyelmeztetést, ha a PRIIP megfelel a következő feltételek egyikének:
a) olyan biztosítási alapú befektetési termék, amely nem teljesíti az (EU) 2016/97 európai parlamenti és tanácsi irányelv ( 2 ) 30. cikke (3) bekezdésének a) pontjában meghatározott követelményeket;
b) olyan PRIIP, amely nem teljesíti a 2014/65/EU európai parlamenti és tanácsi irányelv ( 3 ) 25. cikke (4) bekezdése a) pontjának i-vi. alpontjában meghatározott követelményeket.
Az első bekezdés g) pontjának alkalmazásában befektetési részalap vagy befektetésijegy-osztály esetében az ÁÉKBV vagy ABA neve a részalap vagy befektetésijegy-osztály nevét követi. Ha létezik kódszám az ÁÉKBV vagy ABA, a befektetési részalap vagy a befektetésijegy-osztály azonosítására, az az ÁÉKBV vagy ABA megjelölésének részét képezi.
2. cikk
A "Milyen termékről van szó?" című szakasz
(1) A kiemelt információkat tartalmazó dokumentumnak a PRIIP típusára vonatkozó "Milyen termékről van szó?" című szakasza tartalmazza a termék jogi formájának leírását.
(2) A kiemelt információkat tartalmazó dokumentumnak a "Milyen termékről van szó?" című szakaszában szereplő, a PRIIP célkitűzéseire és ezek elérési módjára vonatkozó információkat tömören, világosan és könnyen értelmezhető módon kell összefoglalni. Ezek az információk térnek ki a hozamot befolyásoló főbb tényezőkre, az alapul szolgáló befektetési eszközökre vagy a referenciaértékekre, a hozam meghatározásának módjára, valamint a PRIIP hozama és az alapul szolgáló befektetési eszköz vagy referenciaérték közötti kapcsolatra. Ezek az információk tükrözik az ajánlott tartási idő és a PRIIP kockázat/nyereség profilja közötti kapcsolatot.
Amennyiben az első albekezdésben említett eszközök vagy referenciaértékek száma nem teszi lehetővé, hogy mindegyikükre egyedi hivatkozás történjen a kiemelt információkat tartalmazó dokumentumban, csak az alapul szolgáló befektetési eszközökre vagy referenciaértékekre vonatkozó piaci szegmenst vagy eszköztípust kell megadni.
(2a) Amennyiben a PRIIP ÁÉKBV vagy ABA formáját ölti, a kiemelt információkat tartalmazó dokumentum "Milyen termékről van szó?" című szakaszában foglalt információk tartalmazzák az ÁÉKBV vagy ABA azon alapvető jellemzőit, amelyekről a lakossági befektetőnek tudnia kell, még ha ezek a jellemzők nem is képezik részét az ÁÉKBV-re vonatkozó, a 2009/65/EK irányelv 68. cikke szerinti tájékoztatóban szereplő célkitűzések és befektetési politika leírásának, vagy az ABA befektetési stratégiájára és célkitűzéseire vonatkozó, a 2011/61/EU irányelv 23. cikke (1) bekezdésének a) pontjában említett leírásnak; ezek közé tartoznak a következők:
a) a befektetés tárgyát képező, figyelembe vehető pénzügyi eszközök fő kategóriái;
b) a lakossági befektető lehetősége, hogy ha kéri, visszaválthassa az ÁÉKBV vagy ABA befektetési jegyeit, megjelölve ebben a nyilatkozatban a befektetési jegyekkel való kereskedés gyakoriságát, illetve adott esetben arra vonatkozó nyilatkozat, hogy nincs lehetőség a befektetési jegyek kérésre történő visszaváltására;
c) az, hogy az ÁÉKBV-nek vagy ABA-nak van-e különleges célja bármely ipari, földrajzi vagy egyéb piaci szektorral vagy meghatározott eszközosztályokkal kapcsolatosan;
d) az, hogy az ÁÉKBV vagy ABA engedélyezi-e az adott leendő befektetések kapcsán a diszkrecionális választást, és hogy ez a megközelítés magában foglal-e vagy maga után von-e egy referenciaértékre való hivatkozást, és ha igen, melyikre;
e) az, hogy az osztalékbevételeket kifizetik vagy újra befektetik.
Az első albekezdés d) pontjának alkalmazásában, amennyiben van referenciaértékre való hivatkozás, meg kell adni, hogy milyen mértékben lehet eltérni az említett referenciaértéktől, és ha az ÁÉKBV-nek vagy ABA-nak indexkövető célkitűzése van, ezt fel kell tüntetni.
(2b) A (2a) bekezdésben említett információnak a következőket kell tartalmaznia, amennyiben releváns:
a) ha az ÁÉKBV vagy ABA hitelviszonyt megtestesítő értékpapírokba fektet be, annak megjelölése, hogy azokat a hitelviszonyt megtestesítő értékpapírokat társaságok, kormányok vagy egyéb jogalanyok bocsátották-e ki, és adott esetben a minimális hitelminősítési követelmények;
b) ha az ÁÉKBV vagy ABA strukturált befektetési alap, a kifizetés, valamint a teljesítményt várhatóan meghatározó tényezők helyes megértéséhez szükséges összes elem egyszerű kifejezésekkel történő magyarázata, beleértve szükség esetén az algoritmussal és működésével kapcsolatos, az ÁÉKBV tájékoztatójában, vagy az ABA befektetési stratégiájának és célkitűzéseinek leírásában található információkra való hivatkozást;-
c) ha az eszközök megválasztása egyedi kritériumok alapján történik, e kritériumok, mint például "növekedés", "érték", vagy "magas osztalék" magyarázata;
d) az esetleg fedezeti ügyletet, arbitrázst vagy tőkeáttételt magában foglaló egyedi eszközkezelési technikák alkalmazása esetén azoknak a tényezőknek az egyszerű kifejezésekkel történő magyarázata, amelyek várhatóan meghatározzák az ÁÉKBV vagy ABA teljesítményét;
(2c) A (2a) és (2b) bekezdésben foglalt információnak különbséget kell tennie a (2a) bekezdés a) és c) pontjában és a (2b) bekezdés a) pontjában meghatározott átfogó befektetési kategóriák, továbbá a (2a) bekezdés d) pontjában és a (2b) bekezdés b), c) és d) pontjában meghatározott, az ÁÉKBV-alapkezelő vagy az ABAK által elfogadandó, az említett befektetésekre vonatkozó megközelítés között.
A kiemelt információkat tartalmazó dokumentum "Milyen termékről van szó?" című szakasza tartalmazhat a (2a) és (2b) bekezdésben felsoroltakon kívül egyéb elemeket is, beleértve az ÁÉKBV vagy ABA befektetési stratégiájának leírását, ha ezek az elemek szükségesek az ÁÉKBV vagy ABA célkitűzéseinek és befektetési politikájának megfelelő leírásához.
(3) A kiemelt információkat tartalmazó dokumentumnak a "Milyen termékről van szó?" című szakaszában szereplő, azon lakossági befektető-típusra vonatkozó ismertetőjében, amely részére a PRIIP-et forgalomba kívánják hozni, fel kell tüntetni a lakossági befektetőknek a PRIIP előállítója által meghatározott célcsoportját, különös tekintettel az ügyfelek azon típusának igényeire, jellemzőire és célkitűzéseire, amely számára a PRIIP megfelelő befektetést jelent. Az említett meghatározás alapját a lakossági befektetők veszteségviselési képessége és preferált befektetési horizontja, a PRIIP-ekre vonatkozó elméleti tudása és eddigi tapasztalata, a pénzügyi piacok, valamint a lehetséges végső ügyfelek igényei, jellemzői és célkitűzései képezik.
(4) A kiemelt információkat tartalmazó dokumentumnak a "Milyen termékről van szó?" című szakaszában szereplő, a biztosítási szolgáltatások részleteire vonatkozó részének egy általános összefoglalóban fel kell tüntetnie konkrétan a biztosítási szerződés legfontosabb jellemzőit, az egyes érintett szolgáltatások meghatározását arra utaló magyarázattal, hogy az említett szolgáltatások értékét a "Milyen kockázatai vannak a terméknek, és mit kaphatok cserébe?" című szakasz mutatja be, valamint a célzott lakossági befektetők tipikus biometrikus jellemzőire vonatkozó információkat, és be kell mutatnia a teljes díjat, a teljes díj részét képező biometrikus kockázati díjat, valamint a biometrikus kockázati díjnak az ajánlott tartási idő végén a befektetési hozamra gyakorolt hatását, vagy a biometrikus kockázati díj "A költségek időbeli alakulása" című táblázat ismétlődő költségeiben figyelembe vett költségrészének a hatását, a VII. mellékletnek megfelelően kiszámítva. Ha a díjat egyösszegű átalányként fizetik, a részletek között fel kell tüntetni a befektetett összeget. Amennyiben a díjat szabályos időközönként fizetik ki, az információk között szerepelnie kell a rendszeres fizetések számának, az átlagos becsült biometrikus kockázati díjnak az éves díj százalékában, valamint az átlagos befektetett összeg becsült értékének.
Az első albekezdésben említett információk közt fel kell tüntetni továbbá egy magyarázatot arról, hogy a biztosítási szolgáltatások becsült értékével egyenlő biztosításidíj-fizetések mennyiben befolyásolják a lakossági befektető befektetési hozamát.
(5) A kiemelt információkat tartalmazó dokumentumnak a "Milyen termékről van szó?" című szakaszában a PRIIP futamidejére vonatkozó információnak magában kell foglalnia a következőket:
a) a PRIIP lejárati dátuma, vagy annak feltüntetése, hogy nincs lejárati dátum;
b) annak feltüntetése, hogy a PRIIP előállítója jogosult-e egyoldalúan megszüntetni a PRIIP-et;
c) azon körülmények ismertetése, amelyek esetén a PRIIP automatikusan megszűnhet, valamint amennyiben ismert, a megszüntetés dátuma.
(6) Amennyiben a PRIIP ÁÉKBV vagy ABA formáját ölti, a kockázatok e rendelet II. és III. mellékletében említett meghatározásának és magyarázatának összhangban kell lennie a kockázat meghatározására, mérésére, kezelésére és nyomon követésére vonatkozó belső eljárással, amelyet az ÁÉKBV-alapkezelő vagy az ABAK fogadott el a 2009/65/EK irányelv, illetőleg a 2011/61/EU irányelv szerint. Ha egy alapkezelő társaság egynél több ÁÉKBV-t, vagy egy ABAK egynél több ABA-t kezel, a kockázatokat összehangolt módon kell meghatározni és elmagyarázni.
(7) Amennyiben a PRIIP ÁÉKBV vagy ABA formáját ölti, a kiemelt információkat tartalmazó dokumentum "Milyen termékről van szó?" című szakasza minden olyan tagállam esetében, amelyben az ÁÉKBV-t vagy ABA-t forgalmazzák, tartalmazza a következő információkat:
a) a letétkezelő neve;
b) az ÁÉKBV-re vagy az ABA-ra vonatkozó további információk elérésének helye és módja, az ÁÉKBV tájékoztatójának, illetőleg az ABA befektetési stratégiáját és célkitűzéseit tartalmazó leírásnak, az ÁÉKBV 2009/65/EK irányelv 68. cikke (1) bekezdésének b) és c) pontjában említett legutóbbi éves beszámolójának, valamint esetleges azt követő féléves beszámolójának vagy az ABA 2011/61/EU irányelv 22. cikke szerinti legutóbbi éves jelentésének a másolata, megjelölve, hogy ezek a dokumentumok mely nyelv(ek)en érhetők el és hogy díjmentesen hozzáférhetők;
c) egyéb gyakorlati információk elérésének helye és módja, többek között az, hogy hol található meg a befektetési jegyek aktuális ára.
3. cikk
A "Milyen kockázatai vannak a terméknek, és mit kaphatok cserébe?" című szakasz
(1) A kiemelt információkat tartalmazó dokumentumnak a "Milyen kockázatai vannak a terméknek, és mit kaphatok cserébe?" című szakaszában a PRIIP előállítóinak a kockázatok bemutatására vonatkozó, a II. mellékletben meghatározott módszert kell alkalmazniuk, szerepeltetniük kell az összesített kockázati mutató megjelenítésére szolgáló, a III. mellékletben meghatározott technikai szempontokat, valamint meg kell felelniük a teljesítmény-forgatókönyvek megjelenítésére vonatkozó, a IV. és V. mellékletben meghatározott technikai iránymutatásnak, formátumnak és módszertannak.
(2) A kiemelt információkat tartalmazó dokumentumnak a "Milyen kockázatai vannak a terméknek, és mit kaphatok cserébe?" című szakaszában a PRIIP előállítóinak fel kell tüntetniük a következőket:
a) a PRIIP-hez kapcsolódó kockázat szintje kockázati osztály formájában, egy 1-7. közötti numerikus skálával rendelkező összesített kockázati mutató használatával;
b) egyértelmű hivatkozás bármely illikvid PRIIP-re vagy lényegesen releváns likviditási kockázattal rendelkező PRIIP-re a II. melléklet 4. részében meghatározottak szerint, egy erre a tényre vonatkozó figyelmeztetés formájában az összesített kockázati mutató bemutatásában;
c) szöveges magyarázat az összesített kockázati mutató alatt, amely kifejti, hogy abban az esetben, ha a PRIIP-et a PRIIP forgalomba hozatala szerinti tagállam hivatalos pénznemétől eltérő pénznemben jegyzik, a PRIIP forgalomba hozatala szerinti tagállam hivatalos pénznemében kifejezett hozam eltérhet az árfolyamingadozástól függően;
d) a PRIIP kockázat/nyereség profiljának rövid ismertetése és - amennyiben indokolt - egy arra vonatkozó figyelmeztetés, hogy a PRIIP kockázata az összesített kockázati mutatóban foglaltnál jelentősen magasabb lehet, amennyiben a PRIIP-et nem tartják a lejáratig vagy az ajánlott tartási idő végéig;
e) az olyan PRIIP-ek esetében, amelyekhez a szerződésben megállapított korai kilépés miatti szankció vagy a befektetés megszüntetésekor hosszú felmondási idő kapcsolódik, a vonatkozó mögöttes feltételekre vonatkozó hivatkozást kell feltüntetni a "Meddig tartsam meg a terméket, és hogyan juthatok korábban a pénzemhez?" című részben;
f) a legnagyobb lehetséges veszteség feltüntetése, valamint információ arról, hogy a befektetések elveszhetnek, ha nem védettek, vagy ha a PRIIP előállítója nem tud fizetni, vagy hogy előírhatják az induló befektetés további befektetési fizetésekkel való kiegészítését, és az összesített veszteség jelentősen meghaladhatja a teljes induló befektetést.
(3) A PRIIP előállítóinak a kiemelt információkat tartalmazó dokumentum "Milyen kockázatai vannak a terméknek, és mit kaphatok cserébe?" című szakaszában négy megfelelő teljesítmény-forgatókönyvet kell szerepeltetniük az V. mellékletben meghatározottak értelmében. E négy teljesítmény-forgatókönyv a stresszhelyzetre, a kedvezőtlen, a mérsékelt, illetve a kedvező helyzetre vonatkozik.
(4) A biztosítási alapú befektetési termékek vonatkozásában egy további teljesítmény-forgatókönyvet kell szerepeltetni a kiemelt információkat tartalmazó dokumentum "Milyen kockázatai vannak a terméknek, és mit kaphatok cserébe?" című szakaszában, amely forgatókönyv tükrözi azt a biztosítási szolgáltatást, amelyet a kedvezményezett számára nyújtanak egy biztosítással fedezett esemény bekövetkeztekor.
(5) Az olyan PRIIP-ek esetében, amelyek szabályozott piacon vagy a 600/2014/EU európai parlamenti és tanácsi rendelet ( 4 ) 28. cikkével összhangban szabályozott piaccal egyenértékűnek tekintett harmadik országbeli piacon kereskedett határidős tőzsdei ügyletek, vételi opciók és eladási opciók, a teljesítmény-forgatókönyveket kifizetési struktúrára vonatkozó ábra formájában kell szerepeltetni a kiemelt információkat tartalmazó dokumentum "Milyen kockázatai vannak a terméknek, és mit kaphatok cserébe?" című szakaszában, az V. mellékletben meghatározottak szerint.
4. cikk
A "Mi történik, ha [a PRIIP előállítójának neve] nem tud fizetni?" című szakasz
A PRIIP előállítóinak a következőket kell feltüntetniük a kiemelt információkat tartalmazó dokumentum "Mi történik, ha [a PRIIP előállítójának neve] nem tud fizetni?" című szakaszában:
a) annak feltüntetése, hogy keletkezhet-e a lakossági befektetőnek pénzügyi vesztesége a PRIIP előállítójának vagy egy, a PRIIP előállítójától eltérő szervezetnek a nemteljesítése miatt, valamint e szervezet megnevezése;
b) annak egyértelművé tétele, hogy befektetővédelmi rendszer vagy garanciarendszer fedezi-e az a) pontban említett veszteséget, és hogy vannak-e az erre a fedezetre vonatkozó korlátozások vagy feltételek.
5. cikk
A "Milyen költségek merülnek fel?" című szakasz
(1) A PRIIP előállítóinak a következőket kell alkalmazniuk a kiemelt információkat tartalmazó dokumentum "Milyen költségek merülnek fel?" című szakaszában:
a) a költségek kiszámításának módszerét a VI. mellékletben meghatározottak szerint;
b) "A költségek időbeli alakulása" és "A költségek összetétele" című táblázatok a költségekre vonatkozó információk tekintetében, a VII. mellékletben meghatározottak szerint, összhangban a benne foglalt vonatkozó technikai iránymutatással.
(2) A kiemelt információkat tartalmazó dokumentum "Milyen költségek merülnek fel?" című szakaszának "A költségek időbeli alakulása" című táblázatában a PRIIP előállítóinak a PRIIP teljes aggregált költségének összesített költségmutatóját egyetlen számként, összegszerűen és százalékos formában kell megadnia, a VI. mellékletben meghatározottaknak megfelelően.
A dokumentumot adott esetben jól látható figyelmeztetéssel kell kiegészíteni, utalva azokra a további költségekre, amelyeket a PRIIP-ekkel kapcsolatos tanácsadást végző vagy azt értékesítő személyek felszámíthatnak.
(3) A kiemelt információkat tartalmazó dokumentum "Milyen költségek merülnek fel?" című szakaszának "A költségek összetétele" című táblázatában a PRIIP előállítóinak összesített mutatókat kell feltüntetniük a következő költségtípusokra vonatkozóan:
a) egyszeri költségek, például a belépési és kilépési költségek;
b) ismétlődő költségek, elkülönítve a portfólióügyleti költségeket és az egyéb ismétlődő költségeket;
c) járulékos költségek, például a teljesítménydíjak vagy nyereségrészesedések.
(4) A PRIIP előállítóinak a kiemelt információkat tartalmazó dokumentum "Milyen költségek merülnek fel?" szakaszában szereplő "A költségek összetétele" című táblázatban meghatározott különböző költségek mindegyikéhez leírást kell beilleszteniük a VII. mellékletnek megfelelően, továbbá részletezniük kell, hol és mennyiben térhetnek el az ilyen költségek azoktól a tényleges költségektől, amelyek a lakossági befektetőknél felmerülhetnek, és hogy ezek a költségek mely esetben és hogyan függhetnek attól, hogy a lakossági befektető bizonyos opciók gyakorlása mellett vagy ellen dönt-e.
6. cikk
A "Meddig tartsam meg a terméket, és hogyan juthatok korábban a pénzemhez?" című szakasz
A PRIIP előállítóinak a következőket kell feltüntetniük a kiemelt információkat tartalmazó dokumentum "Meddig tartsam meg a terméket, és hogyan juthatok korábban a pénzemhez?" című szakaszában:
a) az ajánlott vagy a minimálisan előírt tartási idő kiválasztása mellett szóló okok rövid ismertetése;
b) a befektetés megszüntetési folyamata jellemzőinek ismertetése, és annak megjelölése, hogy mikor lehetséges a befektetés megszüntetése, ideértve a korai visszaváltás hatását a PRIIP kockázati vagy teljesítményprofiljára, illetve a tőkegaranciák alkalmazhatóságára;
c) azokra a díjakra és szankciókra vonatkozó információ, amelyek a befektetés lejárat vagy bármely egyéb, az ajánlott tartási időtől eltérően meghatározott idő előtti megszüntetése miatt merültek fel, ideértve az 5. cikk szerint a kiemelt információkat tartalmazó dokumentumban szerepeltetendő költséginformációkra való kereszthivatkozást, valamint az ilyen díjaknak és szankcióknak a különböző tartási időkre gyakorolt hatását.
7. cikk
A "Hogyan tehetek panaszt?" című szakasz
A kiemelt információkat tartalmazó dokumentum "Hogyan tehetek panaszt?" című szakaszában a PRIIP előállítóinak a következő információkat kell rendelkezésre bocsátaniuk összefoglaló formában:
a) követendő lépések a termékkel vagy a termék előállítójának, a termékkel kapcsolatos tanácsadást nyújtó személynek vagy a terméket értékesítő személynek a magatartásával kapcsolatos panasz benyújtása esetén;
b) a panaszokkal kapcsolatos megfelelő weboldara mutató hivatkozás;
c) naprakész postai cím és e-mail cím, ahová a panaszokat be lehet nyújtani.
8. cikk
A "További fontos információk" című szakasz
(1) A PRIIP előállítóinak a kiemelt információkat tartalmazó dokumentum "További fontos információk" című szakaszában fel kell tüntetniük minden további rendelkezésre bocsátható tájékoztató dokumentumot, valamint az arra vonatkozó információt, hogy az ilyen további tájékoztató dokumentumokat valamely jogi kötelezettség alapján vagy kizárólag a lakossági befektető kérésére bocsátják rendelkezésre.
(2) A kiemelt információkat tartalmazó dokumentum "További fontos információk" című szakaszában foglalt információk összefoglaló formában is nyújthatók, ideértve az arra a weboldalra mutató linket, ahol az (1) bekezdésben említett dokumentumoktól eltérő részleteket tettek elérhetővé.
(3) A VIII. melléklet 1. a) pontjában meghatározott ÁÉKBV-k, az e melléklet 1. b) pontjában meghatározott ABA-k vagy az említett melléklet 1. c) pontjában meghatározott, befektetési egységekhez kötött biztosítási alapú befektetési termékek esetében a kiemelt információkat tartalmazó dokumentum "További fontos információk" című szakasza a következőket tartalmazza:
a) olyan weboldalra mutató link vagy azon dokumentumra való hivatkozás, ahol, illetve amelyben a PRIIP előállítója által a VIII. melléklettel összhangban közzétett, múltbeli teljesítményre vonatkozó információk rendelkezésre állnak;
b) az évek száma, amelyekre vonatkozóan a dokumentum múltbeli teljesítményadatokat ismertet.
A II. melléklet 1. részének 5. pontjában említett olyan PRIIP-ek esetében, amelyek nyílt végű alapok vagy más, jegyzésre nyitva álló PRIIP-ek, havonta közzé kell tenni a korábbi teljesítmény-forgatókönyvekhez kapcsolódó számításokat, és a "További fontos információk" című szakaszban meg kell határozni, hogy ezek a számítások hol találhatók.
9. cikk
Mintadokumentum
A PRIIP előállítóinak a kiemelt információkat tartalmazó dokumentumot az I. mellékletben meghatározott mintadokumentum alapján kell elkészíteniük. A mintadokumentumot az ebben a felhatalmazáson alapuló rendeletben és az 1286/2014/EU rendeletben meghatározott követelményeknek megfelelően kell kitölteni.
II. FEJEZET
A TÖBB BEFEKTETÉSI LEHETŐSÉGET KÍNÁLÓ PRIIP-EK KIEMELT INFORMÁCIÓKAT TARTALMAZÓ DOKUMENTUMAIRA VONATKOZÓ EGYEDI RENDELKEZÉSEK
10. cikk
Több befektetési lehetőséget kínáló PRIIP-ek
Abban az esetben, ha a PRIIP több mögöttes befektetési lehetőséget kínál, és az ezekre a mögöttes befektetési lehetőségekre vonatkozó információkat nem lehet egyetlen tömör, önálló kiemelt információkat tartalmazó dokumentumban megjeleníteni, a PRIIP előállítóinak a következő dokumentumok egyikét kell elkészíteniük:
a) az I. fejezet szerinti, kiemelt információkat tartalmazó dokumentum a PRIIP-en belüli minden egyes mögöttes befektetési lehetőségre, amely tartalmazza a PRIIP egészére vonatkozó információkat; a kiemelt információkat tartalmazó egyes dokumentumok azt az esetet tükrözik, amikor a lakossági befektető egyetlen befektetési lehetőségbe fektet be;
b) egy általános kiemelt információkat tartalmazó dokumentum, amely ismerteti a PRIIP-et az I. fejezetnek megfelelően, kivéve, ha a 11-14. cikk másképp rendelkezik; ideértve annak leírását is, hogy hol találhatók meg az egyes mögöttes befektetési lehetőségekre vonatkozó konkrét információk.
11. cikk
A "Mi ez a termék?" szakasz az általános kiemelt információkat tartalmazó dokumentumban
A "Mi ez a termék?" című szakaszban a 2. cikk (2) és (3) bekezdésétől eltérve, a PRIIP előállítóinak részletezniük kell a következőket:
a) a mögöttes befektetési lehetőségek típusainak leírása, ideértve a piaci szegmenseket és eszköztípusokat, csakúgy, mint azokat a főbb tényezőket, amelyektől a hozam függ;
b) nyilatkozat arról, hogy az a befektetői típus, akikre a PRIIP forgalmazása irányul, eltérő a mögöttes befektetési lehetőségtől függően;
12. cikk
A "Milyen kockázatai vannak a terméknek, és mit kaphatok cserébe?" című szakasz az általános kiemelt információkat tartalmazó dokumentumban
(1) A "Milyen kockázatai vannak a terméknek, és mit kaphatok cserébe?" című szakaszban, a PRIIP előállítóinak a 3. cikk (2) bekezdésének a) pontjától és (3) bekezdésétől eltérve, a következőt kell meghatározniuk:
a) a PRIIP-en belül kínált valamennyi mögöttes befektetési lehetőség kockázati osztályának skálája, egy 1-7. közötti numerikus skálával rendelkező összesített kockázati mutató használatával, a III. mellékletben meghatározottak szerint;
b) nyilatkozat arról, hogy a befektetéshez kapcsolódó kockázat és hozam eltérő lehet a mögöttes befektetési lehetőség alapján;
c) rövid leírás arra vonatkozóan, hogy miként függ a PRIIP egészének teljesítménye a mögöttes befektetési lehetőségektől;
13. cikk
A "Milyen költségek merülnek fel?" című szakasz az általános kiemelt információkat tartalmazó dokumentumban
A "Milyen költségek merülnek fel?" című szakaszban a PRIIP előállítóinak az 5. cikk (1) bekezdésének b) pontjától eltérve, meg kell adniuk a következőket:
a) amennyiben a PRIIP-nek a mögöttes befektetési lehetőségek költségeitől eltérő költségei nem adhatók meg egyetlen adattal, ideértve azt az esetet is, ha az említett költségek eltérőek a választott mögöttes befektetési lehetőségtől függően:
i. a PRIIP-re vonatkozó különböző költségek a VII. mellékletben meghatározott, "A költségek időbeli alakulása" és "A költségek összetétele" című táblázatokban;
ii. arra vonatkozó nyilatkozat, hogy a lakossági befektetőknél felmerülő költségek eltérőek a mögöttes befektetési lehetőségektől függően;
b) amennyiben a PRIIP-nek a mögöttes befektetési lehetőségek költségeitől eltérő költségei egyetlen adattal is megadhatók:
i. az említett költségek, elkülönítve a PRIIP által kínált mögöttes befektetési lehetőségek különböző költségeitől, amelyeket a VII. mellékletben meghatározott, "A költségek időbeli alakulása" és "A költségek összetétele" című táblázatok tartalmaznak;
ii. arra vonatkozó nyilatkozat, hogy a lakossági befektetőknél felmerülő teljes költség a választott mögöttes befektetési lehetőségek költségének és a PRIIP egyéb költségeinek a kombinációja, és a mögöttes befektetési lehetőségektől függően eltérő.
14. cikk
Az egyes mögöttes befektetési lehetőségekre vonatkozó konkrét információk
Az egyes mögöttes befektetési lehetőségekre vonatkozó, a 10. cikk b) pontjában említett konkrét információkat az általános kiemelt információkat tartalmazó dokumentumot kiegészítő, egyedi információkat tartalmazó dokumentumban kell megadni. A PRIIP előállítóinak minden egyes mögöttes befektetési lehetőség tekintetében szerepeltetniük kell a következők mindegyikét:
a) adott esetben a termék megértésének nehézségére utaló figyelmeztetés;
b) a befektetési célok, a célok eléréséhez szükséges eszközök, és a 2. cikk (2) és (3) bekezdésében említett tervezett célpiac;
c) összesített kockázati mutató magyarázattal, valamint a 3. cikkben említett teljesítmény-forgatókönyvek;
d) a költségek bemutatása az 5. cikknek megfelelően, beleértve az arra vonatkozó nyilatkozatot, hogy ezek a költségek magukban foglalják-e a PRIIP összes költségét abban az esetben, ha a lakossági befektető csak az adott befektetési lehetőségbe fektet be;
e) a VIII. melléklet 1. a) pontja szerinti, ÁÉKBV-nek minősülő mögöttes befektetési lehetőségek, az említett melléklet 1. b) pontja szerinti ABA-k vagy az említett melléklet 1. c) pontja szerinti, befektetési egységekhez kötött biztosítási alapú befektetési termékek esetében a múltbeli teljesítményre vonatkozó, a 8. cikk (3) bekezdésében előírt információk.
Az e bekezdés a)-e) pontjában említett információknak az I. mellékletben meghatározott mintadokumentum megfelelő részeinek szerkezetét kell követniük.
IIa. FEJEZET
AZ EGYES ÁÉKBV-K ÉS ABA-K KIEMELT INFORMÁCIÓKAT TARTALMAZÓ DOKUMENTUMAIRA VONATKOZÓ EGYEDI RENDELKEZÉSEK
14a. cikk
Az ÁÉKBV-k vagy ABA-k befektetési részalapjai
(1) Ha az ÁÉKBV vagy ABA kettő vagy több befektetési részalapból áll, különálló kiemelt információkat tartalmazó dokumentumot kell készíteni minden egyes részalap tekintetében.
(2) Az (1) bekezdésben említett, kiemelt információkat tartalmazó egyes dokumentumoknak a "Milyen termékről van szó?" című szakaszban a következő információkat kell tartalmazniuk:
a) arra vonatkozó nyilatkozat, hogy a kiemelt információkat tartalmazó dokumentum az ÁÉKBV vagy ABA egy részalapját ismerteti, és - adott esetben - hogy az ÁÉKBV tájékoztatója vagy az ABA befektetési stratégiájának és célkitűzéseinek leírása, valamint a rendszeres beszámolók a kiemelt információkat tartalmazó dokumentum elején megnevezett ÁÉKBV vagy ABA egészére vonatkoznak;
b) azt, hogy az egyes részalapok eszközei és kötelezettségei jogilag különállóak-e és ez milyen hatással lehet a befektetőre;
c) azt, hogy a lakossági befektetőnek van-e joga az egyik részalap befektetési jegyeibe történt befektetését átváltani egy másik részalap befektetési jegyeire, és ha igen, hol szerezhető információ e jog gyakorlásának módjáról.
(3) Ha az ÁÉKBV-alapkezelő vagy az ABAK díjat határoz meg a lakossági befektető számára befektetésének a (2) bekezdés c) pontja szerinti átváltására, és ez a díj eltér a befektetési jegyek standard vételi vagy eladási díjától, akkor ezt a díjat külön fel kell tüntetni a kiemelt információkat tartalmazó dokumentum "Milyen költségek merülnek fel?" című szakaszában.
14b. cikk
Az ÁÉKBV-k vagy ABA-k befektetésijegy-osztályai
(1) Ha az ÁÉKBV vagy ABA egynél több befektetésijegy- vagy részvényosztályból áll, a kiemelt információkat tartalmazó dokumentumot minden egyes befektetésijegy- vagy részvényosztályra vonatkozóan el kell készíteni.
(2) Az egyazon ÁÉKBV vagy ABA kettő vagy több osztályára vonatkozó, kiemelt információkat tartalmazó dokumentumot össze lehet vonni egyetlen kiemelt információkat tartalmazó dokumentumba, feltéve, hogy az ebből eredő dokumentum teljes mértékben megfelel a kiemelt információkat tartalmazó dokumentum hosszára, nyelvére és megjelenítésére vonatkozó valamennyi követelménynek.
(3) Az ÁÉKBV-alapkezelő vagy az ABAK kiválaszthat egy osztályt az ÁÉKBV vagy ABA egy vagy több más osztályának reprezentálására, feltéve, hogy a választás tisztességes, egyértelmű és nem félrevezető a többi osztály potenciális lakossági befektetői számára. Ilyen esetben a kiemelt információkat tartalmazó dokumentum "Milyen kockázatai vannak a terméknek, és mit kaphatok cserébe?" című szakaszának magában kell foglalnia a reprezentált többi osztály bármelyikére vonatkozó lényeges kockázat magyarázatát. A reprezentatív osztályon alapuló, kiemelt információkat tartalmazó dokumentum a többi osztály lakossági befektetőinek rendelkezésére bocsátható.
(4) Különböző osztályok nem kombinálhatók a (3) bekezdésben említett összetett reprezentatív osztályba.
(5) Az ÁÉKBV-alapkezelő vagy az ABAK nyilvántartást vezet arról, hogy mely egyéb osztályokat képvisel a (3) bekezdésben említett reprezentatív osztály, valamint az ezt a választást alátámasztó indokokról.
(6) A kiemelt információkat tartalmazó dokumentum "Milyen termékről van szó?" című szakaszát adott esetben ki kell egészíteni a reprezentatívnak választott osztály megjelölésével, és ehhez azt a kifejezést kell használni, amellyel az ÁÉKBV tájékoztatója, vagy az ABA befektetési stratégiájának és célkitűzéseinek leírása az osztályt megnevezi.
(7) Ebben a szakaszban azt is fel kell tüntetni, hogy a lakossági befektetők honnan szerezhetnek be információkat az ÁÉKBV vagy ABA többi osztályáról, amelyeket saját tagállamukban forgalmaznak.
14c. cikk
ÁÉKBV vagy ABA mint az alapok alapja
(1) Ha az ÁÉKBV eszközeinek jelentős részét más ÁÉKBV-kbe vagy egyéb kollektív befektetési vállalkozásokba fekteti a 2009/65/EK irányelv 50. cikke (1) bekezdésének e) pontja szerint, a kiemelt információkat tartalmazó dokumentumban az említett ÁÉKBV célkitűzéseire és befektetési politikájára vonatkozó leírásnak tartalmaznia kell egy rövid magyarázatot arról, hogy hogyan választják ki folyamatosan a többi kollektív vállalkozást. Amennyiben az ÁÉKBV fedezeti alapok alapja, a kiemelt információkat tartalmazó dokumentumnak információkat kell tartalmaznia az Unión kívüli, felügyelet alá nem tartozó ABA-k megvásárlásáról.
(2) Amennyiben az ABA eszközeinek jelentős részét más ÁÉKBV-kbe vagy ABA-kba fekteti, az (1) és (2) bekezdés értelemszerűen alkalmazandó.
14d. cikk
Feeder-ÁÉKBV
(1) A 2009/65/EK irányelv 58. cikkében meghatározott feeder-ÁÉKBV kiemelt információkat tartalmazó dokumentumának "Milyen termékről van szó?" című szakaszában a feeder-ÁÉKBV-re vonatkozóan fel kell tüntetni:
a) arra vonatkozó nyilatkozatot, hogy a master-ÁÉKBV tájékoztatója, kiemelt információkat tartalmazó dokumentuma, továbbá rendszeres jelentései és beszámolói a feeder-ÁÉKBV lakossági befektetői számára kérésre hozzáférhetők, valamint hogy hogyan és milyen nyelveken szerezhetők be;
b) azt, hogy az e bekezdés a) pontjában felsorolt elemek csak nyomtatott formában vagy egyéb tartós adathordozón elérhetők-e, és hogy kell-e díjat fizetni azon elemekért, amelyekre nem vonatkozik a 2009/65/EK irányelv 63. cikke (5) bekezdése szerinti díjmentes eljuttatás;
c) ha a master-ÁÉKBV a feeder-ÁÉKBV tagállamától eltérő tagállamban letelepedett, és ez hatással lehet a feeder-ÁÉKBV adóügyi kezelésére, erre vonatkozó megjegyzést;
d) arra vonatkozó információt, hogy a feeder-ÁÉKBV eszközeit milyen arányban fektették a master-ÁÉKBV-be;
e) a master-ÁÉKBV célkitűzéseinek és befektetési politikájának leírását, adott esetben megfelelően kiegészítve a következők egyikével:
i. megjegyzés arról, hogy a feeder-ÁÉKBV befektetési hozama nagyon hasonló lesz a master-ÁÉKBV befektetési hozamához; vagy
ii. magyarázat arról, hogy a feeder- és a master-ÁÉKBV befektetési hozama hogyan és miért térhet el.
(2) Ha a feeder-ÁÉKBV kockázat/nyereség profilja valamely lényeges szempontból különbözik a master ÁÉKBV kockázat/nyereség profiljától, ezt a tényt és az okokat el kell magyarázni a kiemelt információkat tartalmazó dokumentum "Milyen kockázatai vannak a terméknek, és mit kaphatok cserébe?" című szakaszában.
(3) A kiemelt információkat tartalmazó dokumentum "Milyen kockázatai vannak a terméknek, és mit kaphatok cserébe?" című szakaszában el kell magyarázni a likviditási kockázatokat és a master- és a feeder-ÁÉKBV vásárlási és visszaváltási szabályai közötti kapcsolatot.
14e. cikk
Strukturált ÁÉKBV vagy ABA
A strukturált befektetési alap olyan ÁÉKBV vagy ABA, amely a lakossági befektetők számára bizonyos előre meghatározott időpontokban algoritmusalapú kifizetéseket biztosít, amelyek pénzügyi eszközök, indexek vagy referenciaportfóliók vagy hasonló jellemzőkkel bíró ÁÉKBV vagy ABA teljesítményéhez, vagy árváltozásaihoz vagy egyéb feltételeihez kapcsolódnak.
III. FEJEZET
A KIEMELT INFORMÁCIÓKAT TARTALMAZÓ DOKUMENTUM FELÜLVIZSGÁLATA ÉS MÓDOSÍTÁSA
15. cikk
Felülvizsgálat
(1) A PRIIP előállítóinak minden alkalommal, amikor olyan változás következik be, amely jelentősen befolyásolja vagy valószínűsíthetően jelentősen befolyásolni fogja a kiemelt információkat tartalmazó dokumentumban közölt információkat, de legalább tizenkét havonta a kiemelt információkat tartalmazó dokumentum első alkalommal történt közzétételét követően, felül kell vizsgálniuk a kiemelt információkat tartalmazó dokumentumban közölt információt.
(2) Az (1) bekezdésben említett felülvizsgálat annak ellenőrzésre szolgál, hogy a kiemelt információkat tartalmazó dokumentumban közölt információ továbbra is pontos, helytálló, egyértelmű és nem félrevezető. Ellenőrizni kell különösen a következőket:
a) a kiemelt információkat tartalmazó dokumentumban közölt információk megfelelnek-e az 1286/2014/EU rendelet szerinti általános formai és tartalmi követelményeknek, vagy az ebben a felhatalmazáson alapuló rendeletben meghatározott konkrét formai és tartalmi követelményeknek;
b) változtak-e a PRIIP piaci kockázati vagy hitelkockázati intézkedései, amennyiben egy ilyen változtatás olyan együttes hatással jár, amely szükségessé teszi a PRIIP áthelyezését az összesített kockázati mutató egy másik osztályába abból az osztályból, amelyhez a felülvizsgálat tárgyát képező kiemelt információkat tartalmazó dokumentumban hozzárendelték;
c) a PRIIP-re vonatkozó mérsékelt teljesítmény-forgatókönyv szerinti átlagos hozam, évesített százalékos hozamban kifejezve, több mint öt százalékponttal megváltozott-e;
(d) where the performance scenarios are based on appropriate benchmarks or proxies, the consistency of the benchmark or proxy with the objectives of the PRIIP.
(3) Az (1) bekezdés alkalmazásában a PRIIP előállítói létrehozzák és fenntartják a megfelelő eljárásokat a PRIIP futamidejének egészére, azaz ameddig elérhető marad a lakossági befektetők számára, hogy indokolatlan késedelem nélkül azonosítani tudjanak minden olyan körülményt, amely olyan változást idézhet elő, ami érinti vagy valószínűleg érinteni fogja a kiemelt információkat tartalmazó dokumentumban közölt információk pontosságát, helytállóságát vagy egyértelműségét.
16. cikk
Módosítás
(1) A PRIIP előállítói haladéktalanul módosítják a kiemelt információkat tartalmazó dokumentumot, ha a 15. cikk szerinti felülvizsgálat arra a következtetésre jut, hogy a kiemelt információkat tartalmazó dokumentum módosításra szorul.
(2) A PRIIP előállítói biztosítják, hogy a kiemelt információkat tartalmazó dokumentum valamennyi, e változás által érintett szakaszát naprakésszé tegyék.
(3) A PRIIP előállítója weboldalán közzéteszi a módosított kiemelt információkat tartalmazó dokumentumot.
IV. FEJEZET
A KIEMELT INFORMÁCIÓKAT TARTALMAZÓ DOKUMENTUM RENDELKEZÉSRE BOCSÁTÁSA
17. cikk
A megfelelő időre vonatkozó feltételek
(1) A PRIIP-pel kapcsolatos tanácsadást nyújtó személynek vagy a terméket értékesítő személynek a kiemelt információkat tartalmazó dokumentumot kellő időben kell rendelkezésre bocsátania ahhoz, hogy a lakossági befektetők számára elegendő idő álljon rendelkezésre a dokumentum megfontolására azt megelőzően, hogy a PRIIP-hez kapcsolódó bármilyen szerződés vagy ajánlat kötné, függetlenül attól, hogy a lakossági befektető számára biztosítanak-e elállási időt.
(2) Az (1) bekezdés alkalmazásában a PRIIP-pel kapcsolatos tanácsadást nyújtó személynek vagy a terméket értékesítő személynek fel kell mérnie azt az időtartamot, amelyre az egyes lakossági befektetőknek szüksége van a kiemelt információkat tartalmazó dokumentum megértéséhez, figyelembe véve a következőket:
a) a lakossági befektetőnek a PRIIP-pel, vagy hasonló jellegű, a PRIIP-ből eredő kockázathoz hasonló kockázatú PRIIP-ekkel összefüggésben szerzett ismeretei és tapasztalata;
b) a PRIIP összetettsége;
c) ha a tanácsadás vagy az értékesítés a lakossági befektető kezdeményezésére történik, a javasolt szerződés vagy ajánlat megkötésének a lakossági befektető által egyértelműen kifejezésre juttatott sürgőssége.
IVa. FEJEZET
KERESZTHIVATKOZÁSOK
17a. cikk
Más információforrásokra való kereszthivatkozások használata
Az 1286/2014/EU rendelet 6. cikkének sérelme nélkül az egyéb információforrásokra, többek között a tájékoztatóra, valamint az éves és a féléves beszámolókra való kereszthivatkozásokat be lehet tenni a kiemelt információkat tartalmazó dokumentumba, feltéve, hogy a kiemelt információkat tartalmazó dokumentum tartalmaz minden olyan információt, amely alapvetően fontos ahhoz, hogy a lakossági befektető megértse a befektetés lényeges elemeit.
Engedélyezni kell a PRIIP vagy a PRIIP előállítójának weboldalára való kereszthivatkozást, beleértve az ilyen weboldalak azon részét, amely a tájékoztatót és a rendszeres beszámolókat tartalmazza.
Az első albekezdésben említett kereszthivatkozásoknak a lakossági befektetőt az érintett információforrás konkrét szakaszához kell irányítaniuk. Használható több különböző kereszthivatkozás is a kiemelt információkat tartalmazó dokumentumban, de számukat a szükséges minimumra kell korlátozni.
18. cikk
Záró rendelkezések
Ez a rendelet az Európai Unió Hivatalos Lapjában való kihirdetését követő huszadik napon lép hatályba.
Ezt a rendeletet 2018. január 1-jétől kell alkalmazni.
A 14. cikk (2) bekezdését 2022. december 31-ig kell alkalmazni.
Ez a rendelet teljes egészében kötelező és közvetlenül alkalmazandó valamennyi tagállamban.
I. MELLÉKLET
MINTADOKUMENTUM A KIEMELT INFORMÁCIÓKAT TARTALMAZÓ DOKUMENTUMHOZ
A lakossági befektetési csomagtermékek, illetve biztosítási alapú befektetési termékek (PRIIP-ek) előállítóinak meg kell tartaniuk a mintadokumentumban meghatározott szakaszsorrendet és címeket, mindazonáltal a mintadokumentum nem rögzít paramétereket az egyes szakaszok hosszára és az oldaltörések elhelyezkedésére vonatkozóan, de a dokumentum kinyomtatva összességében legfeljebb három A4-es méretű oldalt tehet ki.
| Kiemelt információkat tartalmazó dokumentum | |
| Cél Ez a dokumentum tájékoztatja Önt az erre a befektetési termékre vonatkozó kiemelt információkról. Ez a dokumentum nem marketinganyag. Az információközlést jogszabály írja elő azzal a céllal, hogy az Ön segítségére legyen e termék jellegének, kockázatainak, költségeinek és az azzal elérhető lehetséges nyereségnek és veszteségnek a megértésében, valamint a termék más termékekkel való összehasonlításában. | |
| Termék [A termék neve] [a PRIIP előállítójának neve] (adott esetben) [ISIN vagy UPI] [a PRIIP előállítójának weboldala] [Hívja a [telefonszám] számot további információkért!] [E kiemelt információkat tartalmazó dokumentum tekintetében a(z) [PRIIP előállítójának neve] felügyeletét a(z) [illetékes hatóság neve] látja el.] (adott esetben) [Ez a PRIIP [tagállam neve]-ban/-ben engedélyezett.] (adott esetben) [A(z) [ÁÉKBV-alapkezelő] [tagállam neve]-ban/-ben engedélyezett és a(z) [illetékes hatóság megjelölése] által felügyelt.] (adott esetben) [A(z) [ABAK neve] [tagállam neve]-ban/-ben engedélyezett és a(z) [illetékes hatóság megjelölése] által felügyelt.] [a kiemelt információkat tartalmazó dokumentum kelte] | |
| [Figyelmeztetés (esettől függően) Ön olyan terméket készül megvenni, amely összetett, és megértése nehéz lehet.] | |
| Milyen termékről van szó? Típus Lejárat Célok Megcélzott lakossági befektető [Biztosítási szolgáltatások és költségek] | |
| Milyen kockázatai vannak a terméknek, és mit kaphatok cserébe? | |
| Kockázat | A kockázat/nyereség profil leírása |
| Mutató | Összesített kockázati mutató Az összesített kockázati mutató III. mellékletben meghatározott mintadokumentuma és – többek között – a lehetséges maximális veszteségre vonatkozó magyarázatai: elveszíthetem-e a teljes befektetett tőkét? Én viselem-e a további pénzügyi kötelezettségvállalások vagy kötelezettségek felmerülésének kockázatát? Tartalmaz-e a termék a piaci kockázattal szembeni tőkevédelmet? |
| Teljesítmény | A teljesítmény-forgatókönyvekre vonatkozóan az V. mellékletben |
| forgatókönyvek | meghatározott mintadokumentumok és magyarázatok, adott esetben a lakossági befektetők által elérhető hozamok feltételeire, illetve a kifizetés szerződésbe foglalt korlátaira vonatkozó információkat tartalmazó forgatókönyvek, és arra vonatkozó nyilatkozat, hogy a lakossági befektető lakóhelye szerinti tagállam adójogszabályai befolyásolhatják a tényleges kifizetést. |
| Mi történik, ha [a PRIIP előállítójának neve] nem tud fizetni? Arra vonatkozó információ, hogy van-e valamilyen garanciarendszer, a garanciavállaló vagy a befektetővédelmi rendszer működtetőjének neve, valamint, hogy melyek a fedezett és nem fedezett kockázatok. | |
| Milyen költségek merülnek fel? Az egyéb forgalmazási költségekre vonatkozóan adandó tájékoztatás magyarázata | |
| A költségek időbeli alakulása | A VII. melléklet szerinti mintadokumentum és magyarázatok |
| A költségek összetétele | A VI. melléklet szerinti mintadokumentum és magyarázatok |
| Meddig tartsam meg a terméket, és hogyan juthatok korábban a pénzemhez? | |
| Ajánlott [kötelező minimális] tartási idő: [x] | |
| Tájékoztatás arról, hogy van-e lehetőség a befektetés lejárat előtti megszüntetésére, mik ennek a feltételei, valamint az esetlegesen alkalmazandó díjak és szankciók. Tájékoztatás a termék lejárat előtti vagy az ajánlott tartási idő vége előtti visszaváltásának következményeiről. | |
| Hogyan tehetek panaszt? | |
| További fontos információk Adott esetben a múltbeli teljesítményre vonatkozóan közzétett információk rövid leírása | |
II. MELLÉKLET
A KOCKÁZAT BEMUTATÁSÁNAK MÓDSZERE
1. RÉSZ
A piaci kockázatok értékelése
A piaci kockázati mérték meghatározása
1. A piaci kockázat mérése eltérő rendelkezés hiányában a kockáztatott értéknek (value-at-risk, VaR) megfelelő évesített volatilitással történik 97,5 %-os megbízhatósági szinten az ajánlott tartási idő alatt. A VaR a befektetett összeg azon százalékos aránya, amelyet visszatérítenek a lakossági befektetőnek.
2. A PRIIP-et a következő táblázat alapján a piaci kockázati mérték egy megfelelő osztályába kell sorolni:
| A piaci kockázati mérték osztálya | VaR-ekvivalens volatilitás (VEV) |
| 1. | < 0,5 % |
| 2. | ≥ 0,5 % és < 5,0 % |
| 3. | ≥ 5,0 % és < 12 % |
| 4. | ≥ 12 % és < 20 % |
| 5. | ≥ 20 % és < 30 % |
| 6. | ≥ 30 % és < 80 % |
| 7. | ≥ 80 % |
A PRIIP kategóriáinak meghatározása a piaci kockázat értékelése céljára
3. A piaci kockázat meghatározása céljából a PRIIP-ek négy kategóriába oszthatók.
4. Az 1. kategóriába tartoznak a következők:
a) olyan PRIIP-ek, amelyek esetében a befektetők az általuk befektetett összegnél többet veszíthetnek;
b) olyan PRIIP-ek, amelyek a 2014/65/EU európai parlamenti és tanácsi irányelv ( 5 ) I. melléklete C. szakaszának 4-10. pontjában említett kategóriák valamelyikébe tartoznak;
c) olyan PRIIP-ek vagy azok alapul szolgáló befektetései, amelyeknek az árazása a havinál kisebb rendszerességgel történik, vagy amelyeknek nincs megfelelő referenciaértéke vagy közelítőértéke, vagy amelyeknek a megfelelő referenciaértékét vagy közelítőértékét a havinál kisebb rendszerességgel árazzák.
5. A 2. kategóriába olyan PRIIP-ek tartoznak, amelyek közvetlenül vagy szintetikus alapon az alapul szolgáló befektetések áraival szembeni nem áttételes kitettséget kínálnak, vagy az alapul szolgáló befektetésekkel szembeni olyan áttételes kitettséget, amely az adott alapul szolgáló befektetések árainak konstans többszörösét fizeti, amennyiben a PRIIP-re vonatkozóan rendelkezésre állnak legalább 2 évi historikus napi árak, vagy 4 évi historikus heti árak, vagy 5 évre vonatkozóan a havi árak, vagy amennyiben rendelkezésre állnak megfelelő létező referenciaértékek vagy közelítőértékek, feltéve, hogy az ilyen referenciaértékek vagy közelítőértékek az árelőzmények hosszára és gyakoriságára vonatkozóan ugyanazon kritériumokat teljesítik.
6. A 3. kategóriába olyan PRIIP-ek tartoznak, amelyeknek értéke az alapul szolgáló befektetések árait tükrözi, de nem az adott alapul szolgáló befektetések árainak konstans többszöröseként, amennyiben rendelkezésre állnak az alapul szolgáló eszközök napi árai legalább 2 évre vonatkozóan, vagy 4 évre vonatkozóan a heti árak, vagy 5 évre vonatkozóan a havi árak, vagy amennyiben rendelkezésre állnak megfelelő létező referenciaértékek vagy közelítőértékek, feltéve, hogy az ilyen referenciaértékek vagy közelítőértékek az árelőzmények hosszára és gyakoriságára vonatkozóan ugyanazon kritériumokat teljesítik.
7. A 4. kategóriába olyan PRIIP-ek tartoznak, amelyeknek értéke részben a piacon nem megfigyelt tényezőktől függ, beleértve azokat a biztosítási alapú befektetési termékeket, amelyek a PRIIP előállítója nyereségének egy részét kifizetik a lakossági befektetőknek.
Megfelelő referenciaértékek vagy közelítőértékek használata a PRIIP-ek kategóriáinak meghatározásához
Amennyiben a PRIIP előállítója megfelelő referenciaértékeket vagy közelítőértékeket használ, ezeknek a referenciaértékeknek vagy közelítőértékeknek reprezentatívnak kell lenniük a PRIIP teljesítményét meghatározó eszközök vagy kitettségek tekintetében. A PRIIP előállítójának dokumentálnia kell az ilyen referenciaértékek vagy közelítőértékek használatát.
A piaci kockázati mérték osztályának meghatározása az 1. kategóriájú PRIIP-ek esetében
8. Az 1. kategóriájú PRIIP-ek esetében a piaci kockázati mérték osztálya 7., az e melléklet 4. c) pontjában említett PRIIP-ek kivételével, amelyeknél a piaci kockázati mérték osztálya 6.
A piaci kockázati mérték osztályának meghatározása a 2. kategóriájú PRIIP-ek esetében
9. A VaR kiszámítása a PRIIP, vagy annak referenciaértéke vagy közelítőértéke árának az elmúlt öt év során megfigyelt hozameloszlásának a momentumaiból kiindulva történik. A megfigyelések minimális gyakorisága havi. Amennyiben az árak napi alapon állnak rendelkezésre, a gyakoriság napi. Amennyiben heti alapon rendelkezésre állnak az árak, a gyakoriság heti. Amennyiben havonta kétszeri alapon rendelkezésre állnak az árak, a gyakoriság havonta kétszeri.
10. Amennyiben a napi árakra vonatkozó adatok nem állnak rendelkezésre egy 5 éves időszakot lefedően, rövidebb időszakot lehet alkalmazni. A PRIIP, vagy referenciaértéke vagy közelítőértéke árának napi megfigyelése esetén legalább 2 évnyi megfigyelt hozamra van szükség. A PRIIP árának heti megfigyelése esetén legalább 4 évnyi megfigyelt adatra van szükség. A PRIIP árának havi megfigyelése esetén legalább egy 5 éves időszakot lefedő megfigyelt adatokra van szükség.
11. A egyes időszakok hozamának meghatározása az aktuális időszak végi piaczárási árnak az előző időszak végi piaczárási árhoz viszonyított arányának a természetes logaritmusaként történik.
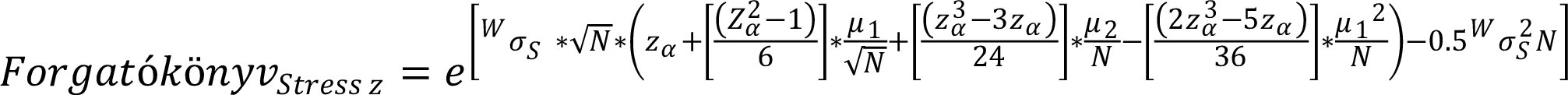
12. A VaR-mértéket a hozamtérben a Cornish-Fisher sorfejtés adja meg a következők szerint:

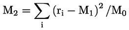
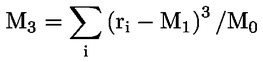
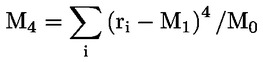
ahol N a kereskedési időszakok száma az ajánlott tartási időben; és σ, μ1, μ2 a volatilitás, a ferdeség és a csúcsosság, a hozameloszlásból mérve. A volatilitás, ferdeség és csúcsosság kiszámítása a hozameloszlás mért momentumaiból történik a következőknek megfelelően:
- a zéró momentum, M0 , az e melléklet 10. pontja szerinti időszakban tett megfigyelések számát kifejező szám;
- az első momentum, M1 , a mintában lévő összes megfigyelt hozam számtani közepe;
- a második M2 , harmadik M3 és negyedik M4 m omentum meghatározása a standard módon történik:

,

,

,
ahol ri a hozamtörténet i-edik időszakában mért hozam.
- a volatilitást, σ, a
adja meg.
- a ferdeség, μ1, egyenlő M3/σ ( 6 ).
- a csúcsosság, μ2, egyenlő M4/σ ( 7 ) - 3.
13. A VEV kiszámítása:

ahol T az ajánlott tartási idő hossza években.
14. Az olyan PRIIP-ek esetében, amelyeket olyan befektetési politika vagy stratégia alapján kezelnek, amelyek bizonyos nyereség-célkitűzéseket követnek különböző pénzügyieszköz-osztályokba (például részvénypiacokon és fix hozamú termékek piacán) való rugalmas befektetéseken keresztüli részvétellel, az alkalmazandó VEV meghatározása a következő:
a) amennyiben az e melléklet 10. pontjában említett időszak során nem került sor a befektetési politika módosítására, az alkalmazandó VEV a következő VEV-ek közül a legmagasabb
i. Az e melléklet 9-13. pontja szerint kiszámított VEV;
ii. azon pro forma eszközösszetétel hozamának VEV-je, amely a számítás időpontjában megfelel az alap referencia-eszközallokációjának;
iii. az alap kockázati korlátjával konzisztens VEV, amennyiben van ilyen, és megfelelő.
b) amennyiben a befektetési politikát az e melléklet 10. pontjában említett időszak során módosították, az alkalmazandó VEV az a) pont ii. és iii. alpontjában említett VEV-ek közül a legmagasabb.
15. A PRIIP-et a VEV függvényében kell hozzárendelni a piaci kockázati mérték valamely osztályához, az e melléklet 2. pontjában meghatározottak szerint. Olyan PRIIP esetében, amelyről csak havi árakra vonatkozó adatok állnak rendelkezésre, a piaci kockázati mérték e melléklet 2. pontja szerint hozzárendelt osztályát egy további osztállyal meg kell emelni.
A piaci kockázati mérték osztályának meghatározása a 3. kategóriájú PRIIP-ek esetében
16. Az ártérbeli VaR kiszámítása az ajánlott tartási idő végi PRIIP-értékek eloszlásából történik. Az eloszlást azon ár vagy árak szimulációjával kapjuk meg, amelyek meghatározzák a PRIIP értékét az ajánlott tartási idő végén. A VaR a PRIIP értéke 97,5 %-os megbízhatósági szinten az ajánlott tartási idő végén, a várható kockázatmentes diszkonttényező használatával az aktuális dátumra diszkontálva az aktuális dátumtól az ajánlott tartási idő végéig.
17. A VEV kiszámítása:

ahol T az ajánlott tartási idő hossza években. Csak azokban az esetekben, amelyekben a terméket a szimuláció szerint az ajánlott tartási idő vége előtt visszaváltják vagy törlik, a visszaváltásig vagy törlésig tartó, években kifejezett időszakot kell használni a számításban.
18. A PRIIP-et a VEV függvényében kell hozzárendelni a piaci kockázati mérték valamely osztályához, az e melléklet 2. pontjában meghatározottak szerint. Olyan PRIIP esetében, amelyről csak havi árakra vonatkozó adatok állnak rendelkezésre, a piaci kockázati mérték e melléklet 2. pontja szerint hozzárendelt osztályát egy további osztállyal meg kell emelni.
19. A szimulációk minimális száma 10 000 .
20. A szimuláció alapja a PRIIP alapjául szolgáló szerződések árainak vagy árszintjeinek várható eloszlására alkalmazott bootstrap módszer, ezen szerződések megfigyelt hozameloszlásából, helyettesítéssel.
21. Az e melléklet 16-20. pontjában említett szimuláció céljára két típusú piaci megfigyelhető adat járulhat hozzá a PRIIP értékéhez: az azonnali árak (spot prices) (vagy árszintek) és a görbék.
22. Az azonnali (spot) ár (vagy szint) minden szimulációja esetében a PRIIP előállítójának:
a) ki kell számítania a hozamot az elmúlt 5 év, vagy az e melléklet 6. pontjában említett évek minden megfigyelt időszakára vonatkozóan, az egyes időszakok végén fennálló ár logaritmusát elosztva az előző időszak végi árral;
b) véletlenszerűen ki kell választania egy megfigyelt időszakot, amely megfelel az ajánlott tartási időn belül az egyes szimulált időszakokra vonatkozóan minden alapul szolgáló szerződés hozamának (ugyanazt a megfigyelt időszakot többször is fel lehet használni ugyanabban a szimulációban);
c) ki kell számítania minden szerződés hozamát a kiválasztott időszakok hozamainak összegzésével, és e hozam korrigálásával annak biztosítására, hogy a szimulált hozameloszlásból mért várható hozam az ajánlott tartási idő alatti kockázatsemleges hozamvárakozásnak feleljen meg. A hozam végső értékének kiszámítása:
ahol:
- a második tényező korrigálja a megfigyelt hozamok számtani közepének hatását;
- a harmadik tényező korrigálja a megfigyelt hozamok varianciájának a hatását;
- az utolsó tényező korrigálja a quanto-hatást, ha a kötés pénzneme eltér az eszköz pénznemétől. A korrekcióhoz hozzájáruló tényezők a következők:
- ρ az ajánlott tartási idő alatt mért eszközár és releváns devizaárfolyam közötti korreláció;
- σ az eszköz mért volatilitása;
- σccy devizaárfolyam mért volatilitása.
d) ki kell számítania az egyes alapul szolgáló szerződések árát a hozam exponenciálisával.
23. A görbék esetében főkomponens-analízist kell végezni annak biztosítására, hogy a görbe egyes pontjai mozgásának hosszú időszakra kiterjedő szimulációja konzisztens görbét eredményezzen.
a) A főkomponens-analízis elvégzése a következőkkel történik:
i. a görbét meghatározó tenorpontok historikus adatainak összegyűjtése az elmúlt 5 év, vagy az e melléklet 6. pontjában említett évek minden egyes kereskedési időszakára vonatkozóan;
ii. annak biztosítása, hogy minden tenorpont pozitív legyen - amennyiben egy tenorpont negatív, minden tenorpontot el kell mozdítani a legkisebb egész számmal vagy százalékkal, hogy minden tenorpont esetében biztosított legyen a pozitív érték;
iii. a hozam kiszámítása minden egyes időszak során minden tenorpontra vonatkozóan, az egyes megfigyelt időszakok végi ár/szint és az előző időszak végi ár/szint közötti arány természetes logaritmusát véve;
iv. az egyes tenorpontoknál megfigyelt hozamok kiigazítása, hogy az eredményezett hozamok számtani közepe minden tenorpont esetében nulla legyen;
v. a különböző tenorok közötti kovariancia mátrix kiszámítása, a hozamok összegzésével;
vi. a kovariancia mátrix sajátvektorainak (eigenvector) és sajátértékeinek (eigenvalue) kiszámítása;
vii. a három legnagyobb sajátértéknek megfelelő sajátvektorok kiválasztása;
viii. három oszlopból álló mátrix képzése, ahol az első oszlop a legnagyobb sajátértékkel rendelkező sajátvektor; a középső oszlop a második legnagyobb sajátértékkel rendelkező sajátvektor, az utolsó oszlop pedig a harmadik legnagyobb sajátértékkel rendelkező sajátvektor;
ix. a hozamoknak az előző lépésben kiszámított három fő sajátvektorra való vetítése, az v. pontban kapott NxM hozammátrixnak a viii. pontban kapott Mx3 sajátvektormátrixszal való megszorzásával;
x. a szimulációban alkalmazandó hozammátrix kiszámítása a ix. pontban kapott eredmények és a viii. pontban kapott sajátvektor-mátrix transzponáltjának megszorzásával. Ezek a szimulációban használandó értékek.
b) A görbe szimulációját a következőképpen kell elvégezni:
i. a szimulációbeli időköz egy időszak. Az ajánlott tartási időben minden megfigyelési időszakra véletlenszerűen ki kell választani egy sort a kiszámított hozammátrixból. Az egyes T tenorpontok hozama a T tenorpontnak megfelelő oszlop kiválasztott sorainak összege.
ii. az egyes T tenorpontok szimulált rátája a T tenorpont aktuális rátája:
- a szimulált hozam exponenciálisával szorozva,
- az összes tenorpont pozitív értékének biztosításához alkalmazott elmozdítással kiigazítva, és
- úgy kiigazítva, hogy a várható számtani közép illeszkedjen a T tenorpontnál a rátára vonatkozó aktuális várakozásokhoz, az ajánlott tartási idő végén.
24. Azon 3. kategóriába tartozó PRIIP-ek esetében, amelyekre feltétel nélküli tőkevédelem jellemző, a PRIIP előállítója feltételezheti, hogy a VaR 97,5 % megbízhatósági szinten egyenlő a feltétel nélküli tőkevédelem szintjével az ajánlott tartási idő végén, a várható kockázatmentes diszkonttényező használatával az aktuális dátumra diszkontálva.
A piaci kockázati mérték osztályának meghatározása a 4. kategóriájú PRIIP-ek esetében
25. Amennyiben a PRIIP teljesítménye a piacon meg nem figyelt, vagy bizonyos mértékben a PRIIP előállítójának irányítása alatt álló tényezőtől vagy tényezőktől függ, vagy ez az eset áll fenn a PRIIP valamely komponense esetében, a PRIIP előállítójának az ebben a szakaszban leírt módszert kell követnie az adott tényező vagy tényezők figyelembevétele érdekében.
26. A PRIIP teljesítményéhez hozzájáruló különböző PRIIP-komponenseket azonosítani kell abból a célból, hogy azok a komponensek, amelyek nem függenek teljes mértékben vagy részben a piacon meg nem figyelt tényezőtől vagy tényezőktől, az ebben a mellékletben az 1., 2. és 3. kategóriájú PRIIP-ekre vonatkozóan meghatározott releváns módszereknek megfelelő kezelést kapjanak. Minden ilyen komponensre vonatkozóan VEV-et kell kiszámítani.
27. Az olyan PRIIP-komponensnek, amely teljesen vagy részben a piacon meg nem figyelt tényezőtől vagy tényezőktől függ, az említett tényezők jövőbeli hozzájárulására és az adott hozzájárulással kapcsolatosan esetleg fennálló bizonytalanságra vonatkozó releváns várakozások meghatározása tekintetében szilárd és elismert ágazati és szabályozói standardokat kell követnie. Amennyiben a komponens nem teljes mértékben függ egy a piacon nem megfigyelt tényezőtől, bootstrap módszert kell alkalmazni a piaci tényezők figyelembevételére, a 3. kategóriájú PRIIP-ekre vonatkozóan meghatározottak szerint. A PRIIP-komponensre vonatkozó VEV a bootstrap módszer és az említett, a piacon nem megfigyelt tényezők jövőbeli hozzájárulására és az adott hozzájárulással kapcsolatosan esetleg fennálló bizonytalanságra vonatkozó releváns várakozások meghatározására szolgáló szilárd és elismert ágazati és szabályozói standardok kombinációjának az eredménye.
28. A PRIIP általános VEV-értékének kiszámításához az egyes PRIIP-komponensekhez tartozó VEV-eket arányosan súlyozni kell. A komponensek súlyozásakor figyelembe kell venni a termékjellemzőket. Ahol releváns, figyelembe kell venni a piaci kockázatot enyhítő termékalgoritmusokat, valamint a nyereségrészesedésre jogosító komponens sajátosságait.
29. Azon 4. kategóriába tartozó PRIIP-ek esetében, amelyekre feltétel nélküli tőkevédelem jellemző, a PRIIP előállítója feltételezheti, hogy a VaR 97,5 % megbízhatósági szinten egyenlő a feltétel nélküli tőkevédelem szintjével az ajánlott tartási idő végén, a várható kockázatmentes diszkonttényező használatával az aktuális dátumra diszkontálva.
2. RÉSZ
A hitelkockázat értékelésének módszere
I. ÁLTALÁNOS KÖVETELMÉNYEK
30. A PRIIP-et, vagy annak alapul szolgáló befektetéseit vagy kitettségeit hitelkockázatot tartalmazónak kell tekinteni, amennyiben a PRIIP-nek, vagy alapul szolgáló befektetésének vagy kitettségének a hozama az előállító vagy egy a befektetőnek közvetlen vagy közvetett, releváns kifizetések teljesítésére kötelezett fél hitelképességétől függ. A piaci kockázati mérték 7. osztályához tartozó PRIIP esetében nincs szükség a hitelkockázat értékelésére.
31. Amennyiben egy szervezet egy PRIIP vonatkozásában kötelezettséget vállal arra, hogy a lakossági befektetőnek közvetlenül teljesít kifizetést, a hitelkockázatot a közvetlen kötelezett szervezet tekintetében kell értékelni.
32. Ha egy másik szervezet (a garanciavállaló) feltétel nélkül és visszavonhatatlanul garantálja egy kötelezett vagy egy vagy több közvetett kötelezett minden fizetési kötelezettségét, felhasználható a garanciavállaló hitelkockázati értékelése, ha az kedvezőbb, mint az érintett kötelezett vagy kötelezettek hitelkockázati értékelése.
33. Az olyan PRIIP-ek esetében, amelyek alapul szolgáló befektetéseknek vagy technikáknak vannak kitéve, beleértve azokat a PRIIP-eket, amelyek hitelkockázatot foglalnak magukban, vagy amelyek hitelkockázatot tartalmazó alapul szolgáló befektetéseket eszközölnek, a hitelkockázatot mind a maga a PRIIP által, mind az alapul szolgáló befektetések vagy kitettségek (köztük más PRIIP-ekkel szembeni kitettségek) által tartalmazott hitelkockázat tekintetében értékelni kell az áttekintés elve alapján és szükség esetén lépcsőzetes értékelést kell alkalmazni.
34. Amennyiben csak az alapul szolgáló befektetések vagy kitettségek (köztük más PRIIP-ekkel szembeni kitettségek) szintjén jelenik meg hitelkockázat, a hitelkockázatot nem a PRIIP szintjén kell értékelni, hanem ezen alapul szolgáló befektetések és kitettségek szintjén, az áttekintés elve alapján. Amennyiben a PRIIP egy átruházható értékpapírokkal foglalkozó kollektív befektetési vállalkozás (ÁÉKBV) vagy alternatív befektetési alap (ABA), magát az ÁÉKBV-t vagy az ABA-t hitelkockázatot nem tartalmazónak kell tekinteni, viszont az ÁÉKBV vagy ABA alapul szolgáló befektetéseit vagy kitettségeit szükség esetén értékelni kell.
35. Amennyiben a PRIIP több, hitelkockázati kitettséget tartalmazó alapul szolgáló befektetésnek van kitéve, a PRIIP összes eszköze vagy értéke legalább 10 %-ának megfelelő kitettséget jelentő egyes alapul szolgáló befektetések által tartalmazott hitelkockázatot külön kell értékelni.
36. Az alapul szolgáló befektetések vagy a tőzsdén kereskedett származtatott ügyleteknek való kitettség vagy elszámolt tőzsdén kívüli származtatott ügyletek tekintetében a hitelkockázat értékelése céljából feltételezni kell, hogy nem hordoznak hitelkockázatot. Úgy kell tekinteni, hogy nincs hitelkockázat, amennyiben egy kitettség fedezettel teljes mértékben és megfelelően ellátott, vagy amennyiben a hitelkockázatot tartalmazó fedezet nélküli kitettségek a PRIIP összes eszköze vagy értéke 10 %-ánál kevesebbet tesznek ki.
II. HITELKOCKÁZAT-ÉRTÉKELÉS - A kötelezettek hitelminősítése
37. Amennyiben lehetőség van rá, a PRIIP előállítója előzetesen meghatároz egy vagy több, az Európai Értékpapírpiaci Hatóságnál (ESMA) az 1060/2009/EK európai parlamenti és tanácsi rendelettel ( 8 ) összhangban tanúsított vagy nyilvántartásba vett külső hitelminősítő intézetet, amelynek hitelminősítéseire következesen hivatkozik a hitelkockázat értékelése céljából. Amennyiben több hitelminősítés elérhető ezen szabályozás szerint, a medián minősítést kell használni, páros számú minősítés esetén pedig a két középső érték közül az alacsonyabbat.
38. A PRIIP hitelkockázatának szintjét és minden érintett kötelezettet értékelni kell a következők alapján, értelemszerűen:
a) egy külső hitelminősítő intézet által a PRIIP-hez rendelt hitelminősítés;
b) egy külső hitelminősítő intézet által az érintett kötelezetthez rendelt hitelminősítés;
c) az a) vagy b) vagy mindkét pont szerinti hitelminősítés hiányában az e melléklet 43. pontjában meghatározott alapértelmezett hitelminősítés.
Hitelminősítések hitelminőségi besorolásokhoz való hozzárendelése
39. A külső hitelminősítő intézetek hitelminősítéseinek a hitelminőségi besorolás objektív skálájához való hozzárendelése az (EU) 2016/1800 bizottsági végrehajtási rendeleten ( 9 ) alapul.
40. Az áttekintés elve alapján értékelt hitelkockázat esetében a hozzárendelt hitelminőségi besorolás megfelel az egyes olyan érintett kötelezettek hitelminőségi besorolása súlyozott átlagának, amelyek esetében hitelminősítés végzésére van szükség, az általuk egyenként képviselt összes eszköz arányában.
41. A lépcsőzetesen értékelt hitelkockázatok esetében minden hitelkockázati kitettséget külön kell értékelni, lépcsőnként, és a hozzárendelt hitelminőségi besorolásnak a legmagasabb hitelminőségi besorolásnak kell lennie, ami úgy értendő, hogy például az 1. hitelminőségi besorolás és a 3. hitelminőségi besorolás közül a 3. a magasabb.
42. Az e melléklet 38. pontja szerinti hitelminőségi besorolást a következő táblázatnak megfelelően hozzá kell igazítani a PRIIP lejáratához vagy ajánlott tartási idejéhez, kivéve, ha az adott lejáratot vagy ajánlott tartási időt tükröző hitelminősítést kapott:
| Az e melléklet 38. pontja szerinti hitelminőségi besorolás | Kiigazított hitelminőségi besorolás, amennyiben a PRIIP lejárata, vagy – ha a PRIIP nem rendelkezik lejárattal – ajánlott tartási ideje legfeljebb egy év | Kiigazított hitelminőségi besorolás, amennyiben a PRIIP lejárata, vagy – ha a PRIIP nem rendelkezik lejárattal – ajánlott tartási ideje egy évtől legfeljebb tizenkét évig terjed | Kiigazított hitelminőségi besorolás, amennyiben a PRIIP lejárata, vagy – ha a PRIIP nem rendelkezik lejárattal – ajánlott tartási ideje több mint tizenkét év |
| 0. | 0. | 0. | 0. |
| 1. | 1. | 1. | 1. |
| 2. | 1. | 2. | 2. |
| 3. | 2. | 3. | 3. |
| 4. | 3. | 4. | 5. |
| 5. | 4. | 5. | 6. |
| 6. | 6. | 6. | 6. |
43. Ha a kötelezett nem rendelkezik külső hitelminősítéssel, az e melléklet 38. pontjában említett alapértelmezett hitelminősítés a következő:
a)
3. hitelminőségi besorolás, ha a kötelezett hitelintézetként vagy biztosítóként az alkalmazandó uniós jog vagy az uniós jog szerint egyenértékűnek tekintett jogi keret alapján szabályozott, és ha a kötelezett székhelye szerinti tagállam minősítése 3. hitelminőségi besorolás;
b)
5. hitelminőségi besorolás minden más kötelezett esetében.
III. HITELKOCKÁZATI MÉRTÉK
44. A PRIIP-et hozzá kell rendelni egy hitelkockázati mértékhez egy 1-6. közötti skálán, az e melléklet 45. pontjában meghatározott hozzárendelési táblázat alapján és az e melléklet 46., 47., 48. és 49. pontja szerinti hitelkockázat-enyhítő tényezők, vagy az e rendelet 50. és 51. pontja szerinti hitelkockázat-növelő tényezők alkalmazásával, esettől függően.
45. A hitelminőségi besorolások hitelkockázati mértékhez való hozzárendelésére vonatkozó táblázat:
| Kiigazított hitelminőségi besorolás | Hitelkockázati mérték |
| 0. | 1. |
| 1. | 1. |
| 2. | 2. |
| 3. | 3. |
| 4. | 4. |
| 5. | 5. |
| 6. | 6. |
46. Akkor rendelhető hozzá 1. hitelkockázati mérték, ha a PRIIP eszközei, vagy a megfelelő fedezet, vagy a PRIIP fizetési kötelezettségeinek fedezetéül szolgáló eszközök megfelelnek a következőknek:
a) a lejáratig mindenkor egyenlőek a PRIIP befektetői felé fennálló fizetési kötelezettségeivel;
b) azokat harmadik fél elkülönített számlán tartja a 2011/61/EU európai parlamenti és tanácsi irányelvben ( 10 ), vagy a 2014/91/EU irányelvben ( 11 ) meghatározott feltételekkel egyenértékű feltételek mellett; valamint
c) azokhoz az alkalmazandó jog szerint semmilyen körülmények között nem férhetnek hozzá az előállító egyéb hitelezői.
47. Akkor rendelhető hozzá 2. hitelkockázati mérték, ha a PRIIP eszközei, vagy a megfelelő fedezet, vagy a PRIIP fizetési kötelezettségeinek fedezetéül szolgáló eszközök megfelelnek a következőknek:
a) a lejáratig mindenkor egyenlőek a PRIIP befektetői felé fennálló fizetési kötelezettségeivel;
b) számlákon vagy nyilvántartásokban való tartásuk és azonosításuk az alkalmazandó jog alapján történik, beleértve a 2009/138/EK európai parlamenti és tanácsi irányelv ( 12 ) 275. és 276. cikkét; valamint
c) olyanok, hogy a lakossági befektetők követelései elsőbbséget élveznek a PRIIP előállítójának vagy a befektetőnek közvetlen vagy közvetett, releváns kifizetések teljesítésére kötelezett félnek más hitelezőivel szemben.
48. Amennyiben a hitelkockázatot az áttekintés elve alapján vagy lépcsőzetesen kell értékelni, az e melléklet 46. és 47. pontja szerinti enyhítő tényezők alkalmazhatók a hitelkockázat minden egyes mögöttes kötelezett tekintetében történő értékelésekor is.
49. Amennyiben egy PRIIP nem képes teljesíteni az e melléklet 47. pontja szerinti kritériumokat, az e melléklet 45. pontja szerinti hitelkockázati mérték egy osztállyal csökkenthető, amennyiben a lakossági befektetők követelései elsőbbséget élveznek a PRIIP előállítójának vagy egy a befektetőnek közvetlen vagy közvetett, releváns kifizetések teljesítésére kötelezett félnek a közönséges hitelezőivel szemben, a 2014/59/EU irányelv 108. cikkében meghatározottak szerint, amennyiben a kötelezett az eszközök és kötelezettségek megfelelő párosításának biztosítása tekintetében releváns prudenciális szabályok hatálya alá tartozik.
50. Az e melléklet 45. pontja szerinti hitelkockázati mértéket két osztállyal kell növelni, ha a lakossági befektetők követelései alárendeltek az elsőbbségi hitelezők követeléseinek.
51. Az e melléklet 45. pontja szerinti hitelkockázati mértéket három osztállyal kell növelni, ha a PRIIP részét képezi a PRIIP kötelezettje szavatoló tőkéjének az 575/2013/EU európai parlamenti és tanácsi rendelet ( 13 ) 4. cikke (1) bekezdésének 118. pontjában, vagy a 2009/138/EU irányelv 93. cikkében meghatározottak szerint.
3. RÉSZ
A piaci kockázat és a hitelkockázat összesítése az összesített kockázati mutatóban
52. Az általános összesített kockázati mutatót a hitelkockázati és a piaci kockázati mutató osztályainak kombinációja szerint kell hozzárendelni, a következő táblázatnak megfelelően:
| A piaci kockázati mérték osztálya (MR) A hitelkockázati mérték osztálya (CR) | MR1 | MR2 | MR3 | MR4 | MR5 | MR6 | MR7 |
| CR1 | 1. | 2. | 3. | 4. | 5. | 6. | 7. |
| CR2 | 1. | 2. | 3. | 4. | 5. | 6. | 7. |
| CR3 | 3. | 3. | 3. | 4. | 5. | 6. | 7. |
| CR4 | 5. | 5. | 5. | 5. | 5. | 6. | 7. |
| CR5 | 5. | 5. | 5. | 5. | 5. | 6. | 7. |
| CR6 | 6. | 6. | 6. | 6. | 6. | 6. | 7. |
52a. Amennyiben a PRIIP előállítója úgy ítéli meg, hogy a piaci kockázatnak és a hitelkockázatnak az 52. pont szerinti összesítését követően megállapított összesített kockázati mutató nem tükrözi megfelelően a PRIIP kockázatait, a PRIIP előállítója dönthet úgy, hogy megnöveli a mutató mértékét. Az erre vonatkozó döntéshozatali folyamatot dokumentálni kell.
Az összesített kockázati mutató szempontjából releváns adatok nyomon követése
53. A PRIIP előállítójának nyomon kell követnie a piaci kockázati mérték osztályának kiszámításához releváns piaci adatokat, és ha a piaci kockázati mérték osztálya a piaci kockázati mérték egy másik osztályára változik, a PRIIP előállítójának a piaci kockázati mérték megfelelő osztályát kell a piaci kockázati mérték azon osztályához rendelnie, amelyet a PRIIP az előző négy hónap során a referenciapontok többségéhez illesztett.
54. A PRIIP előállítójának emellett nyomon kell követnie a hitelkockázati mérték kiszámítása szempontjából releváns hitelkockázati kritériumokat, és ha ezen kritériumok alapján a hitelkockázati mérték a hitelkockázati mérték egy másik osztályára változik, a PRIIP-nek a hitelkockázati mérték releváns osztályához kell újra hozzárendelnie a hitelkockázati mértéket.
55. A piaci kockázati mérték osztályának felülvizsgálatát mindig el kell végezni a PRIIP előállítója által a PRIIP befektetési politikája és/vagy stratégiája tekintetében hozott döntést követően. Ilyen körülmények között a piaci kockázati mérték bármely változását a piaci kockázati mérték osztályának új meghatározásaként kell értelmezni, és azt következésképp az adott PRIIP-kategóriára vonatkozó piaci kockázati mérték osztályának meghatározására irányadó általános szabályoknak megfelelően el kell végezni.
4. RÉSZ
Likviditási kockázat
56. Egy PRIIP akkor tekintendő lényegesen releváns likviditási kockázatot tartalmazónak, ha a következő kritériumok valamelyike teljesül:
a) a PRIIP-et bevezették másodlagos piacon vagy alternatív likviditási lehetőségben, és nincs az árjegyzők vagy a PRIIP előállítója által kínált lekötött likviditás, így a likviditás kizárólag attól függ, hogy vannak-e vevők és eladók a másodlagos piacon vagy az alternatív likviditási lehetőség keretében, figyelembe véve, hogy egy termék egy adott időpontbeli rendszeres kereskedése nem garantálja ugyanazon termék rendszeres kereskedését bármely egyéb időpontban;
b) az alapul szolgáló befektetés átlagos likviditási profilja jelentős mértékben alacsonyabb, mint a PRIIP rendszeres visszafizetési gyakorisága; ha és amennyiben a PRIIP által kínált likviditás a saját alapul szolgáló eszközeinek felszámolásától függ;
c) a PRIIP előállítójának becslése szerint a lakossági befektető az egyedi piaci feltételektől függően idő vagy költségek tekintetében jelentős nehézségekkel szembesülhet, ha a termék élettartama során kivonja a befektetését.
57. Egy PRIIP akkor tekintendő - szerződés szerint vagy azon kívül - illikvidnek, ha a következő kritériumok valamelyike teljesül:
a) a PRIIP-et nem vezették be másodlagos piacon, és a PRIIP előállítója vagy harmadik fél nem promotál alternatív likviditási lehetőséget, vagy az alternatív likviditási lehetőségre jelentős korlátozó feltételek vonatkoznak, ideértve a korábbi kilépés jelentős szankcióit vagy diszkrecionális visszaváltási árakat, vagy ha nincsenek likviditási megállapodások;
b) a PRIIP potenciális korai kilépési vagy visszaváltási lehetőségeket kínál az alkalmazandó lejárat előtt, de ezekre jelentős korlátozó feltételek vonatkoznak, ideértve a korábbi kilépés jelentős szankcionálását vagy a diszkrecionális visszaváltási árakat, vagy ha azok a PRIIP előállítójának előzetes jóváhagyásától és mérlegelési jogkörétől függnek;
c) a PRIIP nem kínál potenciális korai kilépési vagy visszaváltási lehetőségeket az alkalmazandó lejárat előtt.
58. A PRIIP minden egyéb esetben likvidnek tekintendő.
III. MELLÉKLET
AZ ÖSSZESÍTETT KOCKÁZATI MUTATÓ BEMUTATÁSA
A bemutatás formátuma
1. A PRIIP előállítóinak a lenti formátumot kell alkalmazniuk, amikor az összesített kockázati mutatót bemutatják a kiemelt információkat tartalmazó dokumentumban. A releváns számot a példán látható módon ki kell emelni a PRIIP-re vonatkozó összesített kockázati mutatótól függően.

Az összesített kockázati mutatóra vonatkozó kitöltési útmutató
2. Az összesített kockázati mutatót követő szöveges magyarázatnak röviden be kell mutatnia az összesített kockázati mutató célját és a mögöttes kockázatokat.
3. Közvetlenül az összesített kockázati mutató alatt fel kell tüntetni az ajánlott tartási időt. Emellett a következő esetekben a fenti mintadokumentumban meghatározott figyelmeztetést kell beilleszteni közvetlenül az összesített kockázati mutató alá:
a) ha a PRIIP kockázata eltérő tartási idő esetén jelentősen nagyobbnak minősül;
b) ha a PRIIP lényegesen releváns likviditási kockázattal rendelkezőnek minősül, függetlenül attól, hogy ez szerződéses jellegű vagy nem;
c) ha a PRIIP illikvidnek minősül, függetlenül attól, hogy ez szerződéses jellegű vagy nem.
4. Az egyes PRIIP-ekre vonatkozó szöveges magyarázatnak értelemszerűen a következőket kell tartalmaznia:
a) figyelmeztetés félkövér betűvel amennyiben:
i. a PRIIP az e rendelet 3. cikke (2) bekezdésének c) pontjában említettek szerint árfolyamkockázattal rendelkezőnek minősül (C. elem);
ii. a PRIIP az eredeti befektetéshez adandó lehetséges kötelezettséget tartalmaz (D. elem);
b) ahol alkalmazandó, a PRIIP szempontjából lényegesen releváns olyan kockázatok magyarázata, amelyeket az összesített kockázati mutató nem tud megfelelően tükrözni (E. elem);
c) a következők egyértelműsítése:
i. ahol releváns, hogy a PRIIP (részleges) tőkevédelmet foglal magában a piaci kockázat ellen, beleértve a befektetett tőke azon százalékos arányának meghatározását, amely védett (F. elem);
ii. ha a piaci kockázat elleni (részleges) tőkevédelem korlátozott, a korlátozás sajátos feltételei (G. elem);
iii. ahol releváns, hogy a PRIIP nem foglal magában piaci kockázat elleni tőkevédelmet (H. elem);
iv. ahol releváns, hogy a PRIIP nem foglal magában hitelkockázattal szembeni tőkegaranciát (I. elem);
v. ha a hitelkockázat elleni védelem korlátozott, a korlátozás sajátos feltételei (J. elem).
5. A több befektetési opciót kínáló PRIIP-ek esetében a PRIIP előállítójának az e melléklet 1. pontjában említett formátumot kell alkalmaznia az összesített kockázati mutató bemutatására, feltüntetve az összes kínált kockázati osztályt a legalacsonyabb kockázati osztálytól a legmagasabb kockázati osztályig.
6. Az olyan származtatott ügyletek esetében, amelyek szabályozott piacon vagy a 600/2014/EU rendelet 28. cikkével összhangban szabályozott piaccal egyenértékűnek tekintett harmadik országbeli piacon kereskedett határidős tőzsdei ügyletek, vételi opciók és eladási opciók, az A., B. és ahol releváns, a H. elemet kell feltüntetni.
6a. A II. melléklet 4. b) pontjában meghatározott 1. kategóriájú PRIIP-ek esetében az összesített kockázati mutatóhoz kapcsolódó szöveges magyarázatok terminológiáját adott esetben ki kell igazítani annak érdekében, hogy tükrözze a PRIIP sajátos jellemzőit, például a kezdeti befektetett összeg hiányát.
Szöveges magyarázatok
7. Az összesített kockázati mutató bemutatása céljára, beleértve e melléklet 4. pontját, a következő szöveges magyarázatokat kell alkalmazni, értelemszerűen:
[A. elem] Az összesített kockázati mutató iránymutatást ad e termék más termékekhez viszonyított kockázati szintjéről. Azt mutatja meg, hogy a termék milyen valószínűséggel fog pénzügyi veszteséget okozni a piacok mozgása miatt vagy azért, mert nem tudjuk Önt kifizetni.
[B. elem] Ezt a terméket a 7 osztály közül a(z) [1./2./3./4./5./6./7.] osztályba soroltuk, amely [1.="a legalacsonyabb"/2="alacsony"/3="közepesen alacsony"/4="közepes"/5="közepesen magas"/6="a második legmagasabb"/7="a legmagasabb"] kockázati osztály.
[Emellett be kell illeszteni a termék osztályba sorolásának rövid, legfeljebb 300 karakternyi, közérthetően megfogalmazott magyarázatát.]
[Példa a magyarázatra: Ez a jövőbeli teljesítményből eredő potenciális veszteségeket [1="nagyon alacsony"/2="alacsony"/3="közepesen alacsony"/4="közepes"/5="közepesen magas"/6="magas"/7="nagyon magas"] szintre sorolja, és a rossz piaci feltételek [1, 2= "egyáltalán nem valószínű, hogy"/3="nem valószínű, hogy"/4="esetleg"/5="valószínűleg"/6="igen valószínű, hogy"] hatással lesznek [azon képességünkre] [X azon képességére], hogy kifizessük [kifizesse] Önt].
[[Ahol alkalmazandó:] C. elem, félkövérrel] Felhívjuk figyelmét az árfolyamkockázatra. A kifizetéseket egy másik pénznemben kapja, így az Ön által kapott végleges hozam a két pénznem közötti átváltási árfolyamtól függ. Ezt a kockázatot a fenti mutató nem veszi figyelembe.
[[Ahol alkalmazandó:] D. elem] Bizonyos körülmények között szükség lehet arra, hogy Ön további fizetéseket teljesítsen a veszteségek fedezése érdekében. (félkövérrel) Az Önnél esetleg felmerülő teljes veszteség jelentősen meghaladhatja a befektetett összeget.
[Ahol alkalmazandó:] [E. elem] [A PRIIP szempontjából lényegesen releváns, az összesített kockázati mutató által nem tartalmazott kockázatok legfeljebb 200 karakternyi magyarázata]
[Ahol alkalmazandó:] [F. elem] [Ön jogosult tőkéjének legalább [beillesztendő %]-át visszakapni. Minden ezt meghaladó összeg, és ezen felüli hozam a jövőbeli piaci teljesítmény függvénye és bizonytalan.]
[Ahol alkalmazandó:] [G. elem] [Mindazonáltal, ez a jövőbeli piaci teljesítménnyel szembeni védelem nem alkalmazandó, ha Ön [..]
- [Korai kilépésre vonatkozó feltételek esetén] [... év/hónap/nap]] előtt visszaváltja a terméket.
- [Ha folyamatos fizetéseket kell teljesíteni] nem teljesíti időben a kifizetéseit.
- [Ha egyéb korlátozások alkalmazandók: közérthetően megfogalmazva, legfeljebb [...] karakterrel magyarázza el ezeket.]
[Ahol alkalmazandó:] [H. elem] [Ez a termék nem foglal magában védelmet a jövőbeli piaci teljesítménnyel szemben, ezért befektetését részben vagy egészében elveszítheti.]
[Ahol alkalmazandó:] [I. elem] [Ha (mi) nem (vagyunk) képes(ek) teljesíteni az Önnek járó kifizetést, Ön elveszítheti a teljes befektetését.]
[Ahol alkalmazandó:] [J. elem] [Mindazonáltal igénybe vehet fogyasztóvédelmi rendszert (lásd a "mi történik, ha nem tudjuk kifizetni Önt" szakaszt). A fenti mutató nem veszi figyelembe ezt a védelmet.]
IV. MELLÉKLET
TELJESÍTMÉNY-FORGATÓKÖNYVEK
A forgatókönyvek száma
1. Az e rendelet szerinti, többféle lehetséges hozamot bemutató teljesítmény-forgatókönyvek a következők:
a) kedvező forgatókönyv;
b) mérsékelt forgatókönyv;
c) kedvezőtlen forgatókönyv;
d) stresszforgatókönyv.
2. A stresszforgatókönyv határozza meg a PRIIP azon jelentős kedvezőtlen hatásait, amelyeket nem fed le az e melléklet 1. c) pontjában említett kedvezőtlen forgatókönyv. A stresszforgatókönyvnek be kell mutatnia a köztes időszakokat, amennyiben ezek az időszakok az e melléklet 1. a)-c) pontja szerinti teljesítmény-forgatókönyvek esetében bemutatásra kerülnek.
3. A biztosítási alapú befektetési termékekre vonatkozó kiegészítő forgatókönyvnek az e melléklet 1. b) pontjában említett mérsékelt forgatókönyvön kell alapulnia, amennyiben a teljesítmény a befektetés hozama tekintetében releváns.
4. A minimális befektetési hozamot szintén fel kell tüntetni, figyelmen kívül hagyva azt a helyzetet, amikor a PRIIP előállítója vagy egy, a lakossági befektetőnek közvetlenül vagy közvetve releváns kifizetések teljesítésére kötelezett fél nem képes kifizetést teljesíteni.
Kedvezőtlen, mérsékelt és kedvező forgatókönyvek értékeinek kiszámítása 2. kategóriájú PRIIP-ek ajánlott tartási idejére vonatkozóan
1. eset: A VIII. melléklet 1. pontjában említett PRIIP-ek, amelyekre vonatkozóan elegendő múltbeli adat áll rendelkezésre
5. A VIII. melléklet 1. pontjában említett PRIIP-ekre a következő szabályok alkalmazandók, amennyiben a számítás időpontjában a PRIIP egymást követő korábbi éves értékei tekintetében az időtartamra vonatkozóan teljesülnek a következő kritériumok:
a) hosszabb 10 évnél;
b) öt évvel hosszabb, mint a PRIIP ajánlott tartási ideje.
6. Amennyiben az ajánlott tartási idő legfeljebb öt év, a kedvezőtlen, mérsékelt és kedvező forgatókönyveket a számítás elvégzésének időpontjától számított utolsó tíz évre vonatkozóan kell meghatározni. Amennyiben az ajánlott tartási idő meghaladja az öt évet, a kedvezőtlen, mérsékelt és kedvező forgatókönyveket egy olyan adott időszakra kell kiszámítani, amely megegyezik a számítás időpontjától kezdődő öt évvel növelt ajánlott tartási idővel.
7. A kedvező, mérsékelt és kedvezőtlen teljesítmény-forgatókönyvek kiszámítása a következő lépéseket foglalja magában:
a) az e melléklet 6. pontjában meghatározott időszakon belül az összes olyan, egymást fedő részintervallum meghatározása, amelynek hossza egyedileg megegyezik az ajánlott tartási idő hosszával, és amely az említett időszakon belüli hónapok valamelyikében, vagy havi értékelési gyakoriságú PRIIP-ek esetében az említett időszakon belüli valamely értékelési időpontban kezdődik vagy végződik;
b) az egy évnél hosszabb ajánlott tartási idejű PRIIP-ek esetében az összes olyan, egymást fedő részintervallum meghatározása, amelynek hossza egyedileg megegyezik az ajánlott tartási idő hosszával, vagy annál rövidebb, de legalább egy év, és amely az e melléklet 6. pontjában meghatározott időszak végén zárul;
c) az a) és b) pontban említett egyes részintervallumokra vonatkozóan a PRIIP teljesítményének kiszámítása a következőkkel összhangban:
i. a PRIIP-nek az egyes részintervallumok pontos időtartama alatti teljesítménye alapján;
ii. az alkalmazandó költségek nélkül;
iii. azt feltételezve, hogy a PRIIP felosztható jövedelmét újra befektették;
iv. a teljesítménynek az ajánlott tartási időnél rövidebb részintervallumokra vonatkozó meghatározásához lineáris transzformációt alkalmazva annak érdekében, hogy minden részintervallum hasonló hosszúságú legyen;
d) az a) pontnak megfelelően meghatározott részintervallumokat a c) pont szerint kiszámított teljesítmény alapján rangsorolva, annak érdekében, hogy azonosítható legyen, melyik az átlagos és a legjobb teljesítményű részintervallum;
e) összességében rangsorolva az a) és b) pontnak megfelelően meghatározott részintervallumokat a c) pont szerint kiszámított teljesítmény alapján, hogy e részintervallumokból azonosítható legyen a legrosszabb teljesítményű részintervallum.
8. A kedvezőtlen forgatókönyv a PRIIP értékének legkedvezőtlenebb alakulását tükrözi, e melléklet 7. e) pontjának megfelelően.
9. A mérsékelt forgatókönyv a PRIIP értékének átlagos alakulását tükrözi e melléklet 7. d) pontjának megfelelően.
10. A kedvező forgatókönyv a PRIIP értékének legkedvezőbb alakulását tükrözi e melléklet 7. d) pontjának megfelelően.
11. A forgatókönyveket legalább havonta kell kiszámítani.
2. eset: A VIII. melléklet 1. pontjában említett PRIIP-ek, amelyekre vonatkozóan nem áll rendelkezésre elegendő múltbeli adat, és lehetőség van referenciaérték használatára
12. A VIII. melléklet 1. pontjában említett PRIIP-ek esetében a kedvezőtlen, mérsékelt és kedvező forgatókönyveket az e melléklet 6-11. pontjában meghatározottak szerint kell kiszámítani, és a következő esetekben referenciaérték-adatokat kell használni a PRIIP - összes vonatkozó költség levonásával számított - értékeinek kiegészítésére:
a) a PRIIP-értékek hossza nem felel meg az e melléklet 5. pontjában meghatározott kritériumoknak;
b) a referenciaérték alkalmas a teljesítmény-forgatókönyvek e melléklet 16. pontjában meghatározott kritériumok szerinti becslésére; valamint
c) a referenciaértékre vonatkozóan vannak olyan múltbeli adatok, amelyek megfelelnek az e melléklet 5. pontjában meghatározott kritériumoknak.
Ha a PRIIP célkitűzéseire vonatkozó információk tartalmaznak referenciaértékre való hivatkozást, ezt a referenciaértéket kell használni, feltéve, hogy teljesülnek az első albekezdésben foglalt feltételek.
3. eset: A VIII. melléklet 1. pontjában említett PRIIP-ek, amelyekre vonatkozóan nem áll rendelkezésre elegendő múltbeli adat, és nincs referenciaérték, vagy van referenciaérték, de nincs elegendő múltbeli adat, illetőleg a 2. kategóriába tartozó bármely más PRIIP
13. A VIII. melléklet 1. pontjában említett PRIIP-ek esetében, amelyek nem felelnek meg az 1. vagy a 2. esetnek, illetőleg a 2. kategóriába tartozó bármely más PRIIP esetében a kedvezőtlen, mérsékelt és kedvező forgatókönyveket az (EU) 2016/1011 európai parlamenti és tanácsi rendelet ( 14 ) által előírt referenciaértékek felhasználásával kell kiszámítani, az e melléklet 6-11. pontjában meghatározottak szerint. Ezek a referenciaértékek azokat az eszközosztályokat jelenítik meg, amelyekbe a PRIIP befektet, vagy azokat az alapul szolgáló befektetéseket, amelyekkel szemben a PRIIP-nek kitettsége van, hogy kiegészítsék a PRIIP értékeit vagy az e melléklet 12. pontjában említett referenciaértéket. Azokat az eszközosztályokat kell figyelembe venni, amelyekbe a PRIIP eszközeinek több mint 25 %-át be tudná fektetni, illetőleg azokat az alapul szolgáló befektetéseket, amelyek a kitettség több mint 25 %-át jelentik. Amennyiben nem létezik ilyen referenciaérték, megfelelő közelítő értéket kell használni.
14. Ha a PRIIP különböző eszköztípusokba fektet be, vagy különböző típusú alapul szolgáló befektetésekkel szembeni kitettséget kínál, és az e melléklet 13. pontjában említettek szerint egynél több referenciaértéket azonosítottak, a forgatókönyveket "összetett referenciaérték" használatával kell kiszámítani, figyelembe véve a becsült befektetés súlyát az egyes eszköztípusokban vagy alapul szolgáló befektetésekben.
15. Azon 2. kategóriájú PRIIP-ek esetében, amelyekre vonatkozóan nincs olyan megfelelő referenciaérték vagy közelítő érték, amely elegendő múltbeli adatot biztosít és teljesíti az e melléklet 5. pontjában a PRIIP tekintetében meghatározott kritériumokat, a teljesítmény-forgatókönyveket e melléklet 21-27. pontjával összhangban kell kiszámítani a PRIIP 15 éves múltbeli hozamának vagy megfelelő referenciaértéknek vagy közelítő értéknek a felhasználásával.
2. és 3. eset: Megfelelő referenciaértékek vagy közelítő értékek használata
16. Annak értékelése érdekében, hogy egy adott referenciaérték vagy közelítő érték alkalmazása megfelelő-e a teljesítmény-forgatókönyvek becsléséhez, a PRIIP előállítóinak a következő kritériumokat kell alkalmazniuk, feltéve, hogy ezek a kritériumok összhangban állnak a PRIIP célkitűzéseivel és azzal az eszköztípussal, amelybe a PRIIP befektet vagy azon alapul szolgáló befektetésekkel, amelyekkel szemben a PRIIP kitettséget kínál, és relevánsak a PRIIP szempontjából:
a) kockázat / nyereség profil, amennyiben a referenciaérték vagy a közelítő érték és a PRIIP ugyanazon összesített kockázati mutató vagy volatilitás és várt hozam kategóriájába vagy mindkettőbe tartozik;
b) várt nyereség;
c) az eszközallokáció összetétele (amennyiben a PRIIP eszközösszetétele összetett indexet tükröz, a teljesítmény-forgatókönyvek kiszámítása céljából a referenciaértéknek vagy közelítő értéknek következetesen tükröznie kell az összetett index súlyait);
d) azon potenciális eszközök, amelyekbe a PRIIP a befektetési politikával összhangban befektet;
e) az alapul szolgáló eszközosztályoknak való kitettség;
f) földrajzi kitettségek;
g) ágazati kitettségek;
h) a PRIIP jövedelemeloszlása;
i) likviditási intézkedések (pl.: napi kereskedési volumenek, a vételi és eladási ár közötti különbözetek stb.);
j) időtartam;
k) hitelminősítési kategória;
l) volatilitás, múltbeli volatilitás vagy mindkettő.
A PRIIP-előállítók az első albekezdésben felsoroltakon kívül további kritériumokat is alkalmazhatnak, amennyiben bizonyítják, hogy ezek a további kritériumok relevánsak a PRIIP célkitűzései és azon eszköztípusok szempontjából, amelyekbe a PRIIP befektet, vagy azon alapul szolgáló befektetéstípusok szempontjából, amelyekkel szemben a PRIIP kitettséget kínál.
17. A PRIIP-előállítóknak tudniuk kell bizonyítani, hogy a referenciaértékek összhangban vannak a PRIIP célkitűzéseivel, és dokumentálniuk kell döntésüket, beleértve az alkalmazott referenciaérték egyértelmű indokolását is.
Stresszforgatókönyv kiszámítása a 2. kategóriájú PRIIP-ek esetében
18. A 2. kategóriájú PRIIP-ek esetében a stresszforgatókönyv kiszámításának lépései a következők:
a) a következő intervallumoknak megfelelő, w hosszúságú részintervallum azonosítása:
| 1 év | > 1 év | |
| Napi árak | 21 | 63 |
| Heti árak | 8 | 16 |
| Havi árak | 6 | 12 |
b) minden egyes w hosszúságú részintervallum esetében az rt, historikus log-normális hozam azonosítása, ahol, t=t1, t2, ..., tw;
c) a volatilitás mérése az alábbi képlet alapján ti = t1-nél kezdve ti = t H - w +11-ig gördülően, ahol H a historikus megfigyelések száma az időszakban:

ahol Mw a részintervallumban történt megfigyelések számát kifejező szám és [Kép #1] a megfelelő részintervallumban az összes historikus log-normális hozam számtani közepe.

Kép #1
d) egy éves tartási idő esetén a 99. percentilisnek, a többi tartási idő esetén a 95. percentilisnek megfelelő érték következtetése; ez az érték a stresszhelyzeti volatilitás [Kép #2] .

Kép #2
19. A 2. kategóriájú PRIIP-ek esetében az ajánlott tartási idő végén várható értékek a stresszforgatókönyvnél a következők:

ahol
a) N a kereskedési időszakok száma az ajánlott tartási időn belül, a többi tényezőt pedig a II. melléklet 12. pontja határozza meg;
b) ahol z α a PRIIP megfelelően kiválasztott értéke a szélső percentilisnél, amely egy év tartási idő esetében 1 %-nak, a többi tartási idő esetében 5 %-nak felel meg.
20. A stresszforgatókönyv feltüntetett értéke nem lehet jobb, mint a kedvezőtlen forgatókönyv értéke.
Forgatókönyv-értékek kiszámítása egyes 1. kategóriájú PRIIP-ek, a 3. kategóriájú PRIIP-ek és 4. kategóriájú PRIIP-ek ajánlott tartási idejére vonatkozóan
21. A kedvező forgatókönyv a PRIIP értéke a kimenetelek ajánlott tartási idő alatti becsült eloszlásának 90. percentilisénél, csökkentve az összes alkalmazandó költséggel.
22. A mérsékelt forgatókönyv a PRIIP értéke a kimenetelek ajánlott tartási idő alatti becsült eloszlásának 50. percentilisénél, csökkentve az összes alkalmazandó költséggel.
23. A kedvezőtlen forgatókönyv a PRIIP értéke a kimenetelek ajánlott tartási idő alatti becsült eloszlásának 10. percentilisénél, csökkentve az összes alkalmazandó költséggel.
24. Amennyiben a PRIIP előállítója úgy ítéli meg, hogy jelentős a kockázata annak, hogy e forgatókönyvek hatására a lakossági befektetők lehetséges hozamokkal kapcsolatos elvárásai nem lesznek reálisak, az e melléklet 21., 22. és 23. pontjában meghatározottaknál alacsonyabb percentiliseket is alkalmazhat.
25. A 3. kategóriájú PRIIP-ek esetében a PRIIP-kimenetelek ajánlott tartási idő alatti becsült eloszlásának meghatározásához használt módszernek meg kell egyeznie a II. melléklet 19-23. pontjában meghatározott módszerrel. Az egyes eszközök várható hozamának azonban az időszak alatt megfigyelt hozamnak kell lennie, amelyet úgy kell kiszámítani, hogy a várható teljesítményt nem diszkontálják a kockázatmentes diszkonttényező alkalmazásával.
26. A 3. kategóriájú PRIIP-ek esetében a stresszforgatókönyv számításához a 2. kategóriájú PRIIP-ekre vonatkozó számítást a következőképpen kell kiigazítani:
a) következtetni kell a [Kép #3] stresszhelyzeti volatilitásra az e melléklet 18. a) és c) pontjában meghatározott módszertan alapján;
Kép #3
b) újra kell számítani az rt historikus hozamokat az alább meghatározott képlet alapján:

c) végre kell hajtani a bootstrap módszert az [Kép #4] -on a II. melléklet 22. pontjában leírtaknak megfelelően;

Kép #4
d) ki kell számítani minden szerződés hozamát a kiválasztott időszakok hozamainak összegzésével, és e hozamok korrigálásával annak biztosítására, hogy a szimulált hozameloszlásból mért várható hozam a következőknek felel meg:

ahol E*[rbootstrapped ] az új szimulált számtani közép.
27. A 3. kategóriájú PRIIP-ek esetében a stresszforgatókönyv a PRIIP értéke az e melléklet 26. pontjában meghatározott szimulált eloszlás e melléklet 19. pontjában meghatározottak szerinti szélső zα percentilisénél.
28. A 4. kategóriájú PRIIP-ek esetében a II. melléklet 27. pontja szerinti módszert kell alkalmazni azon tényezők tekintetében, amelyeket nem figyelnek meg a piacon, szükség esetén a 3. kategóriájú PRIIP-ekre vonatkozó módszerrel kombinálva. A 2. kategóriájú PRIIP-ek esetében az e melléklet 5-20. pontjában meghatározott vonatkozó módszereket és a 3. kategóriájú PRIIP-ek esetében az e melléklet 21-27. pontjában meghatározott vonatkozó módszereket kell alkalmazni a PRIIP releváns összetevőire, amennyiben a PRIIP különböző összetevőket kombinál. A teljesítmény-forgatókönyvek a releváns összetevők súlyozott átlagai. A teljesítményszámítások során figyelembe kell venni a termékjellemzőket és a tőkegaranciákat.
29. A II. melléklet 4. a) pontjában meghatározott, 1. kategóriájú PRIIP-ek esetében, és a II. melléklet 4. b) pontjában meghatározott 1. kategóriájú olyan PRIIP-ek esetében, amelyek nem szabályozott piacon vagy a 600/2014/EU rendelet 28. cikkével összhangban szabályozott piaccal egyenértékűnek tekintett harmadik országbeli piacon kereskedett ügyletek, a teljesítmény-forgatókönyveket e melléklet 21-27. pontjának megfelelően kell kiszámítani.
Forgatókönyv-értékek kiszámítása az 1. kategóriájú PRIIP-ek egyéb típusainak ajánlott tartási idejére vonatkozóan
30. Az 1. kategóriájú olyan PRIIP-ek esetében, amelyek szabályozott piacon vagy a 600/2014/EU rendelet 28. cikkével összhangban szabályozott piaccal egyenértékűnek tekintett harmadik országbeli piacon kereskedett határidős tőzsdei ügyletek, vételi opciók és eladási opciók, a teljesítmény-forgatókönyveket kifizetési struktúrára vonatkozó ábra formájában kell bemutatni. Külön ábrán kell bemutatni a teljesítményt az alapul szolgáló érték különböző szintjeire vonatkozóan, az összes forgatókönyv tekintetében. Az ábra vízszintes tengelye mutatja az alapul szolgáló érték különböző lehetséges árait, a függőleges tengely pedig az alapul szolgáló érték különböző árainál jelentkező nyereséget vagy veszteséget. Az ábrának az alapul szolgáló érték minden egyes ára tekintetében be kell mutatnia az abból eredő nyereséget vagy veszteséget, valamint hogy a mögöttes érték mely áránál lesz nulla a nyereség vagy veszteség.
31. A II. melléklet 4. c) pontjában meghatározott 1. kategóriájú PRIIP-ek esetében az e melléklet 1. a), b) és c) pontjában meghatározott teljesítmény-forgatókönyvek ajánlott tartási idő végén várható értékeinek észszerű és konzervatív legjobb becslését kell megadni.
A kiválasztott és bemutatott forgatókönyveknek összhangban kell lenniük a kiemelt információkat tartalmazó dokumentumban szereplő többi információval, és ki kell egészíteniük azokat, beleértve a PRIIP átfogó kockázati profilját. A PRIIP előállítójának biztosítania kell a forgatókönyvek és a belső termékirányítási következtetések összhangját, beleértve többek között a PRIIP előállítója által a PRIIP vonatkozásában végrehajtott stresszteszteket, valamint a kiemelt információkat tartalmazó dokumentumban foglalt többi információ előállítása céljából felhasznált adatokat és elemzéseket.
A forgatókönyveket úgy kell kiválasztani, hogy kiegyensúlyozottan mutassák be a PRIIP lehetséges kimeneteleit kedvező és kedvezőtlen feltételek mellett egyaránt, de csak észszerűen várható forgatókönyveket szabad bemutatni. A forgatókönyvek nem választhatók úgy ki, hogy indokolatlanul előtérbe helyezzék a kedvező kimeneteleket a kedvezőtlenek rovására.
Várható forgatókönyv-értékek kiszámítása a köztes tartási időkre vonatkozóan
32. Az egy és 10 év közötti ajánlott tartási idővel rendelkező PRIIP-ek esetében a teljesítményt két különböző tartási időre kell megadni: az első év végén és az ajánlott tartási idő végén.
33. A 10 éves vagy annál hosszabb ajánlott tartási idővel rendelkező PRIIP-ek esetében a teljesítményt három különböző tartási időre kell megadni: az első év végén, az ajánlott tartási idő felének elteltével, a legközelebbi év végére felfelé kerekítve, valamint az ajánlott tartási idő végén.
34. Az egy éves vagy annál rövidebb ajánlott tartási idővel rendelkező PRIIP-ek esetében nem kell köztes tartási időre vonatkozó teljesítmény-forgatókönyveket bemutatni.
35. A 2. kategóriájú PRIIP-ek esetében a köztes időszakokra vonatkozóan a kedvezőtlen, mérsékelt és kedvező forgatókönyvekhez kapcsolódóan bemutatandó értékeket e melléklet 5-14. pontjának megfelelően kell kiszámítani, a 6. pontban meghatározott időszakot használva, de a köztes tartási időben elért kimenetelek alapján.
36. A 2. kategóriájú PRIIP-ek esetében a köztes időszakokra vonatkozóan a stresszforgatókönyvhöz kapcsolódó bemutatandó értékeket az e melléklet 18. és 19. pontjában szereplő képletekkel kell kiszámítani, ahol N a köztes időszak kezdő dátumától a végéig előforduló kereskedési időszakok száma. E melléklet 20. pontja a köztes időszakokra is alkalmazandó.
37. Az e melléklet 15. és 29. pontjában említett PRIIP-ek, a 3. kategóriájú PRIIP-ek és a 4. kategóriájú PRIIP-ek esetében - kivéve, ha e melléklet 38. pontja alkalmazandó - a köztes időszakra vonatkozóan bemutatandó forgatókönyvértékeket a PRIIP előállítójának kell megbecsülnie oly módon, hogy az összhangban legyen az ajánlott tartási idő végére vonatkozó becsléssel.
38. Az 1. kategóriájú olyan PRIIP-ek esetében, amelyek szabályozott piacon vagy a 600/2014/EU rendelet 28. cikkével összhangban szabályozott piaccal egyenértékűnek tekintett harmadik országbeli piacon kereskedett határidős tőzsdei ügyletek, vételi opciók és eladási opciók, vagy a VI. melléklet 90. d) pontjában említett PRIIP-ek esetében a teljesítmény-forgatókönyveket elegendő csak az ajánlott tartási idő végére vonatkozóan bemutatni.
Általános követelmények
39. A PRIIP teljesítmény-forgatókönyveit a bemutatott forgatókönyv és tartási idő tekintetében a VI. mellékletnek megfelelően minden alkalmazandó költség nélkül kell kiszámítani.
40. A teljesítmény-forgatókönyvek számításához alkalmazott összegeknek összhangban kell lenniük a költségek kiszámításához használt összegekkel a VI. melléklet 90. és 91. pontjában meghatározottaknak megfelelően.
41. Azon PRIIP-ek esetében, amelyek tőzsdén kívüli határidős ügyletek, tőzsdei határidős ügyletek, különbözeti ügyletek vagy swapügyletek, a teljesítmény-forgatókönyveket annak feltételezésével kell kiszámítani, hogy a 40. pontban meghatározott összeg névleges összeg.
42. A teljesítmény-forgatókönyveket pénzegységben kell megjeleníteni. A számadatokat alapértelmezés szerint a legközelebbi 10 EUR-ra vagy megfelelő pénznemű összegre kell kerekíteni, kivéve olyan egyedi kifizetési feltételek esetén, amikor félrevezető lehet a legközelebbi 10 EUR-ra kerekíteni, amely esetben a PRIIP előállítója a legközelebbi euróra kerekítheti a számadatokat. E melléklet 7. pontjának sérelme nélkül, a pénzben kifejezett számadatok azon teljes összegeket mutatják, amelyeket a lakossági befektető kapna (költségek nélkül) a tartási időszak alatt, beleértve a következőket:
a) a tartási idő végén esedékes kifizetések, beleértve a visszafizetett tőkét;
b) a tartási idő vége előtt kapott kamatszelvények vagy egyéb összegek, ezen összegek újbóli befektetésének feltételezése nélkül.
43. Azon PRIIP-ek esetében, amelyek tőzsdén kívüli határidős ügyletek, tőzsdei határidős ügyletek, különbözeti ügyletek vagy swapügyletek, a pénzegységben meghatározott teljesítmény-forgatókönyveknek a tartási időben elért nyereséget vagy veszteséget kell bemutatniuk.
44. A teljesítmény-forgatókönyveket emellett százalékban kifejezve is meg kell jeleníteni, a befektetés éves átlagos hozamaként. Ezt a számadatot a forgatókönyv-érték számlálóként, és a kezdeti befektetett összeg vagy fizetett ár nevezőként való figyelembevételével kell kiszámítani a következő képlet szerint:
(forgatókönyvi érték/ kezdeti befektetés)^(1/T) - 1, ha T > 1. ahol T a tartási idő hossza években.
45. Az egy évnél rövidebb ajánlott tartási idők esetében a százalékban kifejezett teljesítmény-forgatókönyveknek az adott időszakra előre jelzett, nem évesített hozamot kell tükrözniük.
46. Azon PRIIP-ek esetében, amelyek tőzsdén kívüli határidős ügyletek, tőzsdei határidős ügyletek, különbözeti ügyletek vagy swapügyletek, a százalékban kifejezett hozamot az ügylet névleges összegének figyelembevételével kell kiszámítani és lábjegyzetben magyarázatot kell adni az alkalmazott számításra. A számításhoz használandó képlet a következő:
(Nettó eredmény / Névleges összeg)^(1/T) -1, ha T>1.
Lábjegyzetben jelezni kell, hogy a potenciális hozamot a névleges összeg százalékában számítják ki.
47. Biztosítási alapú befektetési termékek esetében a befektetéshez kapcsolódó teljesítmény-forgatókönyvek kiszámításakor a következő alkalmazandó a fent, többek között az e melléklet 28. pontjában említett módszerek mellett:
a) figyelembe kell venni a jövőbeli nyereségrészesedést;
b) a jövőbeli nyereségrészesedésre vonatkozó feltételezéseknek összhangban kell lenniük az alapul szolgáló eszközök hozamának éves rátáira vonatkozó feltételezésekkel;
c) az arra vonatkozó feltételezéseknek, hogy a jövőbeli nyereség hogyan oszlik meg a PRIIP előállítója és a lakossági befektető között, valamint a jövőbeli nyereségrészesedésekre vonatkozó egyéb feltételezéseknek valószerűnek és a PRIIP előállítója aktuális üzleti gyakorlatával és üzleti stratégiájával összhangban lévőnek kell lenniük. Amennyiben elegendő bizonyíték támasztja alá azt, hogy a vállalkozás meg fogja változtatni gyakorlatait vagy stratégiáját, a jövőbeli nyereségrészesedésre vonatkozó feltételeknek összhangban kell lenniük a megváltozott gyakorlatokkal vagy stratégiával. A 2009/138/EK irányelv hatálya alá tartozó életbiztosítók esetében az említett feltételezéseknek összhangban kell lenniük a jövőbeli vezetői intézkedésekre vonatkozó feltételezésekkel, amelyeket a Szolvencia II. szerinti mérlegben a biztosítástechnikai tartalékok értékeléséhez alkalmaznak;
d) amennyiben a teljesítmény egy összetevője diszkrecionális alapon fizetendő nyereségrészesedéshez kapcsolódik, ezt az összetevőt kizárólag a kedvező teljesítmény-forgatókönyvekben kell feltételezni;
e) a teljesítmény-forgatókönyveket az e melléklet 40. pontjában meghatározott befektetett összegek alapján kell kiszámítani.
V. MELLÉKLET
A TELJESÍTMÉNY-FORGATÓKÖNYVEK BEMUTATÁSÁNAK MÓDSZERE
1. RÉSZ
Általános bemutatási előírások
1. A teljesítmény-forgatókönyveket pontosan, helytállóan, egyértelműen, és nem megtévesztő módon kell bemutatni, úgy, hogy azokat az átlagos lakossági befektető valószínűsíthetően megértse.
2. Minden esetben fel kell tüntetni az e melléklet 2. részében a következő elemeknél meghatározott szöveges magyarázatokat:
a) A. elem;
b) B. elem, amelyet szembetűnően a teljesítmény-forgatókönyv táblázata vagy ábrája felett kell elhelyezni.
3. Minden PRIIP-re vonatkozóan, kivéve a IV. melléklet 30. pontjában említett 1. kategóriájú PRIIP-eket:
a) az e melléklet 2. részében található C. elemet szembetűnően a teljesítmény-forgatókönyv táblázata vagy ábrája felett kell elhelyezni;
b) a minimális befektetési hozamra vonatkozó információt a teljesítmény-forgatókönyvhöz tartozó táblázatban kell feltüntetni, és adott esetben e melléklet 2. részének G. elemét is meg kell jeleníteni. Garantált minimális hozam esetén ezt a minimális hozamot - pénzösszegben kifejezve - arra a tartási időszakra kell megadni, amelyre a garancia vonatkozik. Amennyiben nincs garantált minimális hozam, vagy ha a garancia csak egyes tartási időkre vonatkozik, de nem az összesre, a vonatkozó tartási időkhöz olyan szöveges magyarázatot kell adni, amely jelzi, hogy a lakossági befektetők elveszíthetik a befektetett összeg egy részét vagy egészét, vagy adott esetben fel kell tüntetni, hogy a lakossági befektetők az e melléklet 3. részében meghatározottak szerint befektetett összegnél nagyobb veszteséget szenvedhetnek el.
4. Stresszforgatókönyv bemutatása esetén az e melléklet 2. részének D. eleménél meghatározott szöveges magyarázatot kell feltüntetni.
5. A 2. kategóriájú PRIIP-ek esetében - kivéve a IV. melléklet 15. pontjában említetteket - az e melléklet 2. részében található E. elemet felhasználva kell szöveges magyarázatot adni a kedvezőtlen, mérsékelt és kedvező forgatókönyvekhez.
6. Az 1. kategóriájú PRIIP-ek - kivéve a IV. melléklet 30. pontjában említetteket- , a IV. melléklet 15. pontjában említett 2. kategóriájú PRIIP-ek, a 3. és a 4. kategóriájú PRIIP-ek esetében rövid, legfeljebb 300 karakteres, közérthetően megfogalmazott magyarázatot kell adni a bemutatott forgatókönyvekhez.
7. A IV. melléklet 30. pontjában említett 1. kategóriájú PRIIP-ek esetében az e melléklet 2. részében található H., I., J. és K. elemet is meg kell jeleníteni.
8. A IV. melléklet 32., 33. és 34. pontjának megfelelően fel kell tüntetni a köztes tartási időket. A köztes időszakok az ajánlott tartási idő hosszától függően eltérőek lehetnek.
9. Az olyan PRIIP-ek esetében, amelyeknél nem kerülnek bemutatásra köztes tartási időre vonatkozó teljesítmény-forgatókönyvek, adott esetben be kell illeszteni az e melléklet 2. részében található F. szöveges magyarázatot.
10. Eltérő rendelkezés hiányában minden PRIIP esetében - a IV. melléklet 30. pontjában említett 1. kategóriájú PRIIP-ek kivételével - a PRIIP-előállítóknak az e melléklet 3. részében meghatározott mintadokumentumokat kell használniuk a teljesítmény-forgatókönyvek bemutatásához, attól függően, hogy a PRIIP egyszeri befektetés vagy díj, vagy rendszeres fizetést vagy díjat magában foglaló PRIIP a VI. melléklet 76c. pontjában említetteknek megfelelően.
11. A teljesítmény-forgatókönyvek táblázataiban a "kilépés" kifejezést kell használni a befektetés végének jelölésére, kivéve, ha ez a kifejezés félrevezető lehet a PRIIP-ek meghatározott típusai esetében, ekkor alternatív kifejezés is használható, mint például a "megszüntetés" vagy a "visszavásárlás".
12. A II. melléklet 4. b) pontjában meghatározott 1. kategóriájú PRIIP-ek esetében adott esetben ki kell igazítani a terminológiát annak érdekében, hogy tükrözze a PRIIP sajátos jellemzőit, például utalni kell a PRIIP névleges összegére.
13. A biztosítási alapú befektetési termékek esetében további, a biometrikus kockázati díjra és a biztosítási szolgáltatásokra vonatkozó forgatókönyvhöz kapcsolódó sorokkal egészül ki a dokumentum, amint azt az e melléklet 3. részében található A. és B. mintadokumentum szemlélteti. Az ehhez a forgatókönyvhöz kapcsolódó hozamokat kizárólag összegszerűen kell bemutatni.
14. A rendszeres kifizetéseket vagy díjakat magukban foglaló PRIIP-ek esetében a mintadokumentumoknak tartalmazniuk kell a kumulatív befektetési összegre és adott esetben a kumulatív biometrikus kockázati díjra vonatkozó információkat is, amint azt e melléklet 3. részének B. mintadokumentuma szemlélteti.
15. Az olyan PRIIP-ek esetében, amelyeket a befektető szándéka szerint élethosszig tart, a teljesítmény-forgatókönyvekben meghatározott ajánlott tartási idő jelezheti, hogy a PRIIP-et élethosszig kívánják tartani, és megadható a számítás során példaként használt évek száma.
16. Azon PRIIP-ek esetében, amelyek azonnali járadékok vagy egyéb PRIIP-ek, amelyeket csak a biztosítási esemény bekövetkezésekor szándékoznak kifizetni, a teljesítmény-forgatókönyv táblázatának adott esetben a következőket kell tükröznie:
a) az ajánlott tartási időre vonatkozó túlélési forgatókönyveknek tükrözniük kell a lakossági befektető részére teljesített kifizetések kumulatív összegét;
b) amennyiben vannak köztes túlélési forgatókönyvek, azoknak tükrözniük kell a visszavásárlási értékeket és az adott időpontban a lakossági befektetőnek teljesített kifizetések kumulatív összegét;
c) a biztosítási eseményre (például halálesetre) vonatkozó forgatókönyveknek be kell mutatniuk a kedvezményezettek által az adott időpontban kapott egyösszegű kifizetést.
17. Amennyiben a szimuláció szerint a PRIIP-et az ajánlott tartási idő vége előtt visszaváltják vagy törlik, a teljesítmény-forgatókönyveket ennek megfelelően ki kell igazítani, amint azt e melléklet 3. részének C. mintadokumentuma szemlélteti, és azokhoz magyarázó megjegyzéseket kell fűzni oly módon, hogy egyértelmű legyen, hogy egy adott forgatókönyv tartalmaz-e korai visszaváltást vagy törlést, és hogy nem alkalmaztak újrabefektetésre vonatkozó feltételezést. Az olyan forgatókönyvekben, amelyek szerint a PRIIP-et automatikusan visszaváltják vagy törlik, a számadatokat az e melléklet 3. részében szereplő C. mintadokumentum "Ha Ön visszaváltáskor vagy lejáratkor kilép" című oszlopában kell feltüntetni. A köztes tartási időket kifejező időtartamoknak a különböző teljesítmény-forgatókönyvek esetében azonosaknak kell lenniük, és az arra az esetre vonatkozó ajánlott tartási időn kell alapulniuk, ha a PRIIP-et nem hívják le, mely tartási idő várhatóan összhangban lesz a PRIIP lejáratával. A köztes tartási időkre vonatkozó számadatokat csak olyan forgatókönyvek esetében kell feltüntetni, amelyeknél a PRIIP-et még nem hívták le vagy nem szüntették meg az adott köztes tartási idő előtt vagy annak végén, és azoknak tartalmazniuk kell az adott időpontban alkalmazandó kilépési költségeket. Ha a PRIIP-et a szimuláció alapján a köztes tartási idő előtt vagy végén visszaváltották volna, akkor erre az időszakra vonatkozóan nem kell adatokat feltüntetni.
2. RÉSZ
Előírt szöveges elemek
[A. elem] A bemutatott számadatok magukban foglalják magának a terméknek az összes költségét, [ahol alkalmazandó] [de előfordulhat, hogy nem tartalmazzák az összes olyan költséget, amelyet Ön a tanácsadójának vagy forgalmazójának fizet / és tartalmazzák az Ön tanácsadójának vagy forgalmazójának a költségeit]. A számadatok nem veszik figyelembe az Ön személyes adóügyi helyzetét, amely szintén befolyásolhatja az Ön által visszakapott összeg nagyságát.
[B. elem] Az e termékből Ön által elérhető hozam a jövőbeli piaci teljesítmény függvénye. A jövőbeli piaci fejlemények bizonytalanok, és nem jelezhetők pontosan előre.
[C. elem] [A bemutatott kedvezőtlen, mérsékelt és kedvező forgatókönyvek a [termék/megfelelő referenciaérték] elmúlt [x] évi legrosszabb, átlagos és legjobb teljesítményét alkalmazó illusztrációk.] (2.kategóriájú PRIIP-ek esetében, kivéve a IV. melléklet 15. pontjában említetteket) [A bemutatott forgatókönyvek a múltbeli eredményeken és bizonyos feltételezéseken alapuló illusztrációk] (más típusú PRIIP-ek esetében). A piacok jövőbeli alakulása igen eltérő lehet.
[D. elem] A stresszforgatókönyv bemutatja, hogy szélsőséges piaci körülmények esetén mekkora összeget kaphat vissza.
[E. elem] Ez a forgatókönyvtípus egy [évben megadott dátumokkal kiegészítendő] között végrehajtott befektetésre vonatkozik [adott esetben referenciaértékre való hivatkozással kiegészítendő].
[F. elem] Ezt a terméket nem lehet [könnyen] visszaváltani. Amennyiben az ajánlott tartási idő vége előtt megszünteti befektetését, [Önnek nincs garanciája] (amennyiben garancia csak az ajánlott tartási időre áll fenn) [és] Önnek [esetleg] többletköltséget kell fizetnie (amennyiben van kilépési költség).
[G. elem] A hozam csak akkor garantált, ha Ön [ismertesse a vonatkozó feltételeket vagy utaljon arra, hogy ezek a feltételek hol szerepelnek a kiemelt információkat tartalmazó dokumentumban, mint például a III. mellékletnek megfelelően nyújtott szöveges magyarázatok].
[H. elem] Ez az ábra szemlélteti, hogy befektetése hogyan teljesíthet. Összehasonlíthatja más származtatott termékek kifizetési ábráival.
[I. elem] A bemutatott ábra egy sor lehetséges kimenetelt ad meg, és nem jelöli meg pontosan, hogy mekkora összeget kaphat vissza. Az Ön által kapott összeg az alapul szolgáló eszköz alakulásától függően változik. Az ábra megmutatja, hogy az alapul szolgáló eszköz egyes értékeinél mennyi lenne a termék nyeresége vagy vesztesége. A vízszintes tengely mutatja az alapul szolgáló eszköznek a lejárat napján lehetséges különböző árait, a függőleges tengely pedig a nyereség vagy veszteség.
[J. elem] E termék megvásárlása azt feltételezi, hogy Ön az alapul szolgáló ár [növekedésére/csökkenésére] számít.
[K. elem] Ön maximális veszteségként elveszítheti a teljes befektetését (kifizetett díjat).
3. RÉSZ
Mintadokumentumok
A. mintadokumentum: Egyszeri befektetés vagy egyszeri díjfizetés
| Ajánlott tartási idő | [ ] | |||
| Befektetés (példa): | [10 000 EUR] | |||
| (Adott esetben) Biztosítási díj: | [pénzösszeg] | |||
| Ha Ön 1 év után [kilép] | Ha Ön [ ] év után [kilép] | Ha Ön | ||
| (adott esetben) | (adott esetben) | [az ajánlott tartási idő] után [kilép] | ||
| [Túlélési] forgatókönyvek | ||||
| Minimum | [Pénzösszeg] vagy [Nincs minimális garantált hozam [ha Ön [... év/hónap/nap] előtt kilép] (adott esetben). Ön elveszítheti befektetésének egy részét vagy annak egészét [vagy további kifizetéseket kell teljesítenie a veszteségek fedezésére] (adott esetben)] | |||
| Stresszforgatókönyv | Ezt az összeget kaphatja vissza a költségek levonása után | [ ] EUR | [ ] EUR | [ ] EUR |
| Éves átlagos hozam | [ ] % | [ ] % | [ ] % | |
| Kedvezőtlen forgatókönyv | Ezt az összeget kaphatja vissza a költségek levonása után | [ ] EUR | [ ] EUR | [ ] EUR |
| Éves átlagos hozam | [ ] % | [ ] % | [ ] % | |
| Mérsékelt forgatókönyv | Ezt az összeget kaphatja vissza a költségek levonása után | [ ] EUR | [ ] EUR | [ ] EUR |
| Éves átlagos hozam | [ ] % | [ ] % | [ ] % | |
| Kedvező forgatókönyv | Ezt az összeget kaphatja vissza a költségek levonása után | [ ] EUR | [ ] EUR | [ ] EUR |
| Éves átlagos hozam | [ ] % | [ ] % | [ ] % | |
| (Adott esetben) [Haláleseti] forgatókönyv | ||||
| [Biztosítási esemény] | Ezt az összeget kaphatják vissza a kedvezményezettjei a költségek levonása után | [ ] EUR | [ ] EUR | [ ] EUR |
B. mintadokumentum: Rendszeres befektetések vagy díjfizetések
| Ajánlott tartási idő | [ ] | |||
| Befektetés (példa): | [1 000 EUR] évente | |||
| (Adott esetben) Biztosítási díj: | [pénzösszeg] évente | |||
| Ha Ön 1 év után [kilép] | Ha Ön [ ] év után [kilép] | Ha Ön | ||
| (adott esetben) | (adott esetben) | [az ajánlott tartási idő] után [kilép] | ||
| [Túlélési] forgatókönyvek | ||||
| Minimum | [Pénzösszeg] vagy [Nincs minimális garantált hozam [ha Ön [... év/hónap/nap] előtt kilép] (adott esetben). Ön elveszítheti befektetésének egy részét vagy annak egészét [vagy a veszteségek fedezése érdekében további kifizetéseket kell teljesítenie] (adott esetben)] | |||
| Stresszforgatókönyv | Ezt az összeget kaphatja vissza a költségek levonása után | [ ] EUR | [ ] EUR | [ ] EUR |
| Éves átlagos hozam | [ ] % | [ ] % | [ ] % | |
| Kedvezőtlen forgatókönyv | Ezt az összeget kaphatja vissza a költségek levonása után | [ ] EUR | [ ] EUR | [ ] EUR |
| Éves átlagos hozam | [ ] % | [ ] % | [ ]% | |
| Mérsékelt forgatókönyv | Ezt az összeget kaphatja vissza a költségek levonása után | [ ] EUR | [ ] EUR | [ ] EUR |
| Éves átlagos hozam | [ ] % | [ ]% | [ ] % | |
| Kedvező forgatókönyv | Ezt az összeget kaphatja vissza a költségek levonása után | [ ] EUR | [ ] EUR | [ ] EUR |
| Éves átlagos hozam | [ ] % | [ ] % | [ ] % | |
| Felhalmozott befektetett összeg | [ ] EUR | [ ] EUR | [ ] EUR | |
| (Adott esetben) [Haláleseti] forgatókönyv | ||||
| [Biztosítási esemény] | Ezt az összeget kaphatják vissza a kedvezményezettjei a költségek levonása után | [ ] EUR | [ ] EUR | [ ] EUR |
| Felhalmozott biztosítási díj | [ ] EUR | [ ] EUR | [ ] EUR | |
C. mintadokumentum: A VI. melléklet 76c. pontjában említett PRIIP-ek (automatikusan visszaváltható termékek)
| Ajánlott tartási idő: | Amíg a terméket visszaváltják vagy lejár Ez az egyes forgatókönyvekben eltérő lehet, és a táblázatban szerepel. | |||
| Befektetés (példa): | [10 000 EUR] | |||
| Ha Ön 1 év után [kilép] | Ha Ön [ ] év után [kilép] | Ha Ön visszaváltáskor vagy lejáratkor [kilép] | ||
| adott esetben | (adott esetben) | |||
| Forgatókönyvek | ||||
| Minimum | [Pénzösszeg] vagy [Nincs minimális garantált hozam [ha Ön [... év/hónap/nap] előtt kilép] (adott esetben). Ön elveszítheti befektetésének egy részét vagy annak egészét [vagy a veszteségek fedezése érdekében további kifizetéseket kell teljesítenie] (adott esetben)] | |||
| Stresszforgatókönyv | Ezt az összeget kaphatja vissza a költségek levonása után | [ ] EUR | [ ] EUR | [ ] EUR |
| (a termék [ ] után lejár) | Éves átlagos hozam | [ ] % | [ ] % | [ ] % |
| Kedvezőtlen forgatókönyv | Ezt az összeget kaphatja vissza a költségek levonása után | [ ] EUR | [ ] EUR | [ ] EUR |
| (a termék [ ] után lejár) | Éves átlagos hozam | [ ] % | [ ] % | [ ] % |
| Mérsékelt forgatókönyv | Ezt az összeget kaphatja vissza a költségek levonása után | [ ] EUR | [ ] EUR | [ ] EUR |
| (a termék [ ] után lejár) | Éves átlagos hozam | [ ] % | [ ] % | [ ] % |
| Kedvező forgatókönyv | Ezt az összeget kaphatja vissza a költségek levonása után | [ ] EUR | [ ] EUR | [ ] EUR |
| (a termék [ ] után lejár) | Éves átlagos hozam | [ ] % | [ ] % | [ ] % |
VI. MELLÉKLET
A KÖLTSÉGEK KISZÁMÍTÁSÁNAK MÓDSZERE
1. RÉSZ
A költségek felsorolása
I. A BEFEKTETÉSI ALAPOK (ABA ÉS ÁÉKBV) KÖLTSÉGEINEK FELSOROLÁSA
Közzéteendő költségek
Egyszeri költségek
1. Egyszeri költség az olyan belépési vagy kilépési költség, amelyet vagy:
a) közvetlenül a lakossági befektető fizet; vagy
b) levonnak a lakossági befektető által kapott vagy neki járó valamely kifizetésből.
2. Az egyszeri költségek olyan költségek, amelyeket a lakossági befektető visel, és amelyeket nem vonnak le az ABA vagy ÁÉKBV eszközeiből.
3. Az egyszeri költségek magukban foglalják - de nem kizárólagosan - az előzetes kezdeti költségek következő típusait, amelyeket figyelembe kell venni a kiemelt információkat tartalmazó dokumentumban közzéteendő költségösszegben:
a) forgalmazási díj, amennyiben az ÁÉKBV-alapkezelő vagy az ABAK ismeri az összeget; ha az ÁÉKBV-alapkezelő vagy az ABAK nem ismeri a tényleges összeget, az adott PRIIP lehetséges ismert forgalmazási költségei közül a legmagasabbat kell megjeleníteni;
b) létesítési költségek (előzetes rész);
c) marketingköltségek (előzetes rész);
d) jegyzési díj az adókkal együtt.
Ismétlődő költségek
4. Az ismétlődő költségek az ABA vagy ÁÉKBV eszközeiből levont kifizetések, és a következőkre terjednek ki:
a) a műveleteik során szükségszerűen felmerülő kiadások;
b) az ABA-hoz vagy ÁÉKBV-hoz kapcsolódó vagy nekik szolgáltatásokat nyújtó feleknek tett kifizetések, beleértve a javadalmazást;
c) ügyleti költségek.
5. Az ismétlődő költségek magukban foglalják - de nem kizárólagosan - az ABA vagy ÁÉKBV eszközeiből levont költségek következő típusait, és ezeket figyelembe kell venni a kiemelt információkat tartalmazó dokumentumban közzéteendő költségösszegben:
a) a következő személyek felé teljesített minden kifizetés, beleértve a következő személyek közül azokat, akiket valamely funkcióval megbíztak:
i. az ÁÉKBV-alapkezelő vagy ABAK;
ii. befektetési társaság esetén az alap igazgatói;
iii. a letéteményes;
iv. a letétkezelő;
v. befektetési tanácsadók;
b) a fentiek bármelyikének kiszervezett szolgáltatást nyújtó személyeknek teljesített kifizetések, beleértve a következőket:
i. értékelési szolgáltatások és az alap számvitelével kapcsolatos szolgáltatások nyújtói;
ii. részvényesi szolgáltatások nyújtói, például transzferügynökök és bróker-üzletkötők, akik az alap részvényeinek bejegyzett tulajdonosai és alszámla-szolgáltatásokat nyújtanak a szóban forgó részvények tényleges tulajdonosainak;
iii. fedezetkezelési szolgáltatások nyújtói;
iv. kiemelt brókerszolgáltatások nyújtói;
v. értékpapír-kölcsönzési ügynökök;
vi. vagyonkezelési és hasonló szolgáltatások nyújtói;
c) nyilvántartásba-vételi díjak, listázási díjak, szabályozási díjak és hasonló díjak, beleértve az engedélyezési díjakat;
d) a nyereségek és veszteségek specifikus kezelésére tartalékolt díjak;
e) könyvvizsgálói díjak;
f) jogi és szakmai tanácsadók felé teljesített kifizetések;
g) forgalmazási vagy marketingköltségek, amennyiben az ÁÉKBV-alapkezelő vagy ABAK ismeri az összeget; ha az ÁÉKBV-alapkezelő vagy az ABAK nem ismeri a tényleges összeget, az adott PRIIP lehetséges ismert forgalmazási költségei közül a legmagasabbat kell megjeleníteni;
h) (kapcsolt felek által nyújtott) hitel felvételéhez kapcsolódó finanszírozási költségek;
i) harmadik fél garanciavállaló által nyújtott tőkegarancia költségei;
j) harmadik feleknek olyan költségek fedezésére teljesített kifizetések, amelyek szükségszerűen felmerülnek az alap portfóliójában lévő eszközök megszerzésével vagy elidegenítésével kapcsolatban (beleértve az e melléklet 7-23c. pontjában említett ügyleti költségeket);
k) az ÁÉKBV-alapkezelő, az ABAK vagy valamely kapcsolódó személy által a kereskedési megbízások beviteléért cserében kapott áruk vagy szolgáltatások értéke;
l) ha egy alap az eszközeit ÁÉKBV-ba vagy ABA-ba fekteti, összesített költségmutatójának figyelembe kell vennie az ÁÉKBV-nál vagy ABA-nál felmerült költségeket. A következőket kell bevonni a számításba:
i) ha az alapul szolgáló eszköz ÁÉKBV vagy ABA, a rendelkezésre álló legfrissebb összesített költségmutatóját kell használni, és szükség esetén ki kell igazítani a ténylegesen felmerült forgalmazási díj bemutatása érdekében; ez a mutató az ÁÉKBV vagy ABA, vagy működtetője, vagy az ÁÉKBV-alapkezelő vagy az ABAK által közzétett számadat, vagy egy megbízható harmadik fél forrás által kiszámított számadat, ha ez naprakészebb, mint a közzétett adat;
ii. az összesített költségmutató csökkenthető, amennyiben fennáll egy olyan megállapodás (és amennyiben az még nem tükröződik az alap eredménykimutatásában), hogy a befektető alap kedvezményt vagy díj-továbbengedményezést kap az alapul szolgáló ABA-tól vagy ÁÉKBV-tól;
iii. ha a befektetési jegyek megszerzése vagy elidegenítése nem az ÁÉKBV vagy ABA középárán történik, az ügyleti ár és a középár különbözetének értékét ügyleti költségként kell figyelembe venni, amennyiben ezt nem foglalja magában az összesített költségmutató;
m) ha egy alap ÁÉKBV-tól vagy ABA-tól eltérő PRIIP-be fektet, összesített költségmutatójának figyelembe kell vennie az alapul szolgáló PRIIP-nél felmerült költségeket. A következőket kell bevonni a számításba:
i. az alapul szolgáló PRIIP rendelkezésre álló legfrissebb összesített költségmutatóját be kell vonni a számításba, és szükség esetén ki kell igazítani a ténylegesen felmerült belépési díj bemutatása érdekében;
ii. az összesített költségmutató csökkenthető, amennyiben fennáll egy olyan megállapodás (és amennyiben az még nem tükröződik az alap eredménykimutatásában), hogy a befektető alap kedvezményt vagy díj-továbbengedményezést kap az alapul szolgáló PRIIP-től;
iii. olyan esetben, amikor a befektetési jegyek megszerzése vagy elidegenítése nem az alapul szolgáló PRIIP középárán történik, az ügyleti ár és a középár különbözetének értékét ügyleti költségként kell figyelembe venni, amennyiben ezt nem foglalja magában az összesített költségmutató;
n) ha egy alap PRIIP-től eltérő befektetési termékbe fektet be, összesített költségmutatójának figyelembe kell vennie az alapul szolgáló befektetési terméknél felmerült költségeket. A PRIIP előállítójának vagy olyan közzétett információt kell felhasználnia, amely az összesített költségmutató észszerű helyettesítője, vagy egyéb esetben meg kell adnia maximális szintjének legjobb becslését, a befektetési termék aktuális tájékoztatójának, valamint a közzétett legfrissebb jelentésének és beszámolójának vizsgálata alapján;
o) működési költségek (vagy javadalmazás) egy harmadik féllel kötött díjmegosztási megállapodás alapján, amennyiben ezeket még nem foglalja magában egy fent említett, másik költségtípus;
p) a hatékony portfóliókezelési technikákból eredő nyereség, ha nem fizetik be a portfólióba;
q) az e melléklet II. szakaszában és különösen e melléklet 36-46. pontjában említettek szerint a strukturált befektetési alapoknál felmerülő implicit költségek;
r) az alapok portfóliójában tartott részvényekből eredő osztalékok, ha az osztalékok nem az alapba folynak be.
Járulékos költségek
6. A járulékos költségek következő típusait kell figyelembe venni a közzéteendő összegben:
a) az ÁÉKBV-alapkezelőnek, az ABAK-nak vagy befektetési tanácsadóknak fizetendő, teljesítményhez kapcsolódó díj, beleértve az e melléklet 24. pontjában említett teljesítménydíjakat;
b) az e melléklet 25. pontjában említett nyereségrészesedés.
A befektetési alapok specifikus költségtípusainak kiszámítása
Ügyleti költségek
7. Az ügyleti költségeket évesített alapon kell kiszámítani, a PRIIP-nél az előző három év során felmerült ügyleti költségek átlaga alapján, amennyiben az átlag kiszámítása az összes ügylet alapján történik. Amennyiben a PRIIP kevesebb, mint három éve működik, az ügyleti költségeket az e melléklet 21., 22. és 23. pontjában meghatározott módszer alkalmazásával kell kiszámítani.
8. A PRIIP összesített ügyleti költségeit az e melléklet 8a-23a. pontjával összhangban a PRIIP által a meghatározott időszakban végrehajtott minden egyedi ügyletre vonatkozóan kiszámított ügyleti költségek összegeként kell kiszámítani, a PRIIP alappénznemében. Ezt az összeget a PRIIP ugyanazon időszakbeli nettó eszközeinek átlagával elosztva százalékos aránnyá kell alakítani.
8a. Az e melléklet 11a. pontjában említett explicit ügyleti költségek minimumát közzé kell tenni.
9. A PRIIP-nél az előző három év során felmerült ügyleti költségek kiszámításakor a tényleges ügyleti költségeket az e melléklet 12-18. pontjában leírt módszer alkalmazásával kell kiszámítani a következő eszközökbe való befektetés esetén:
a) a 2007/16/EK bizottsági irányelv ( 15 ) 2. cikkében meghatározott átruházható értékpapírok;
b) egyéb eszközök, amelyeknél gyakori lehetőség adódik azoknak a piaci szereplők számára nyilvánosan hozzáférhető, piaci árnak minősülő vagy a kibocsátótól független értékmeghatározási rendszer által közzétett vagy megerősített árfolyamokon történő eladására, visszaváltására vagy egyéb realizálására.
10. Az ügyleti költségeknek az e melléklet 19. és 20. pontjában leírt módszer alkalmazásával történő becslését kell használni az egyéb instrumentumokba vagy eszközökbe történő befektetések esetében. A nem pénzügyi eszközökhöz kapcsolódó ügyleti költségeket e melléklet 20a. pontjának megfelelően kell kiszámítani.
Felhígulás elleni mechanizmusok kezelése
11. Amennyiben a PRIIP olyan árazási mechanizmussal rendelkezik, amely ellensúlyozza a magában a PRIIP-ben történő ügyletekből eredő hígulási hatást, a felhígulás elleni mechanizmusokból a PRIIP aktuális tulajdonosaihoz befolyó haszon összege levonható a PRIIP-en belül felmerült ügyleti költségekből, a következő módszer alkalmazásával:
a) a PRIIP-en belüli ügylettel kapcsolatos, a PRIIP-nek fizetett felhígulás elleni védelem díja vagy egyéb fizetés monetáris összege levonható a teljes ügyleti költségekből;
b) a középártól eltérő áron való befektetésijegy-kibocsátásból (vagy a PRIIP-be való befektetés más módon történő lehetővé tételéből), vagy a középártól eltérő áron való befektetésijegy-törlésből (vagy az eszközök PRIIP-ből való visszaváltásának más módon történő lehetővé tételéből) a PRIIP-nél felmerülő hasznot, feltéve, hogy azt maga a PRIIP kapja, a következőképpen kell kiszámítani, és levonható a teljes ügyleti költségekből:
i. a kibocsátott befektetési jegyek ára és a középár különbözete szorozva a kibocsátott befektetési jegyek nettó számával;
ii. a törölt befektetési jegyek ára és a középár különbözete szorozva a törölt befektetési jegyek nettó számával;
(c) a felhígulás elleni védelemből eredő haszon csak annyiban vehető figyelembe, amennyiben a haszon a teljes ügyleti költséget nem csökkenti az explicit ügyleti költségek alá.
11a. Az explicit költségek közé tartoznak a PRIIP-nél felmerülő és a lakossági befektetők PRIIP-be történő pénzügyi befektetéséből a PRIIP mögöttes eszközeinek megszerzése vagy elidegenítése érdekében kifizetett költségek és díjak, mint például, de nem kizárólagosan a brókereknek vagy más közvetítőknek fizetett jutalékok, a bélyegilleték vagy piaci adók, a szerződéses díjak és adott esetben a tőzsdén kívüli származtatott ügyletek végrehajtási díjai.
11b. Az összesített explicit költségeket a PRIIP által az előző három évben végrehajtott valamennyi ügyletből eredő ilyen költségek összegeként kell kiszámítani. Ezt az összeget a PRIIP ugyanazon időszakbeli nettó eszközeinek átlagával elosztva százalékos aránnyá kell alakítani. A közzéteendő minimális ügyleti költségeket évesített alapon kell kiszámítani, a PRIIP-nél az előző három év során felmerült explicit ügyleti költségek átlaga alapján. Az átlag kiszámítása az összes ügylet alapján történik.
Tényleges ügyleti költségek
12. Az egyes ügyletek tényleges ügyleti költségét a következők alapján kell kiszámítani:
a) a PRIIP által végrehajtott minden egyes vásárlásra vonatkozóan az eszköznek az abban az időpontban érvényes árát, amikor a vételi megbízást végrehajtás céljából egy másik személyhez továbbítják (a vételi beérkezési ár (arrival price)), le kell vonni az ügylet nettó realizált végrehajtási árából. A kapott értéket meg kell szorozni a vásárolt befektetési jegyek számával;
b) a PRIIP által végrehajtott minden egyes eladásra vonatkozóan az ügylet nettó realizált végrehajtási árát le kell vonni az eszköz abban az időpontban érvényes árából, amikor az eladási megbízást végrehajtás céljából egy másik személyhez továbbítják (az eladási beérkezési ár). A kapott értéket meg kell szorozni az eladott befektetési jegyek számával.
13. A nettó realizált végrehajtási árat azon árként kell meghatározni, amelyen az ügyletet végrehajtják, beleértve az ügylethez közvetlenül vagy közvetve kapcsolódó minden díjat, jutalékot, adót és egyéb kifizetéseket (például felhígulás elleni védelem díja), amennyiben ezeket a kifizetéseket a PRIIP eszközeiből teljesítik.
14. A beérkezési árat a befektetés abban az időpontban érvényes középáraként kell meghatározni, amikor az ügyleti megbízást másik személynek továbbítják. Olyan megbízások esetében, amelyeket nem azon a napon bonyolítottak le, amikor a megbízást eredetileg továbbították egy másik személynek, a beérkezési árat a befektetésnek az ügylet napján érvényes nyitóáraként, vagy ha a nyitóár nem áll rendelkezésre, az előző záróárként kell meghatározni. Amennyiben nem áll rendelkezésre ár abban az időpontban, amikor az ügyleti megbízást egy másik személynek továbbítják, a beérkezési árat a legutóbbi rendelkezésre álló árként, vagy ha nem áll rendelkezésre legfrissebb ár, egy igazolható független árként, vagy ha nem áll rendelkezésre igazolható független ár, az ügylet napján érvényes nyitóárként, vagy ha a nyitóár nem áll rendelkezésre, az előző záróárként kell meghatározni. Amennyiben egy megbízást úgy hajtanak végre, hogy nem továbbítják egy másik személyhez, a beérkezési árat a befektetésnek az ügylet végrehajtásának időpontjában érvényes piaci középáraként kell meghatározni.
15. Amennyiben nem áll rendelkezésre (vagy nem megfelelő pontossággal áll rendelkezésre) információ arról az időpontról, amikor az ügyleti megbízást egy másik személynek továbbították, vagy ha az adott időpontban érvényes árra vonatkozó információ nem áll rendelkezésre, megengedhető, hogy egy igazolható független árat, vagy ha nem áll rendelkezésre igazolható független ár, a befektetésnek az ügylet napján érvényes nyitóárát, vagy ha a nyitóár nem áll rendelkezésre, az előző záróárat használják beérkezési árként.
16. A PRIIP-ek által végrehajtott, és a 2014/65/EU irányelv I. melléklete C. szakaszának 4-10. pontjában említett kategóriák egyikébe tartozó pénzügyi eszközöket érintő ügyletekhez kapcsolódó költségeket a következő módon kell kiszámítani:
a) az olyan eszközök esetében, amelyek szabványosítottak, és amelyeknél magával az eszközzel rendszeres kereskedés folyik (például jelentős részvénypiaci árfolyamhoz kapcsolódó határidős ügylet), az ügyleti költségeket magát az eszközt alapul véve kell kiszámítani. A beérkezési árat az eszköz középáraként kell meghatározni;
b) a személyre szabott lineáris eszközök esetében, ahol nincsenek átlátható árak vagy magával az eszközzel folytatott rendszeres kereskedés, az ügyleti költségeket az alapul szolgáló eszköz(öke)t alapul véve kell kiszámítani. A beérkezési árat az alapul szolgáló eszközök ára(i) alapján kell kiszámítani, egynél több alapul szolgáló eszköz esetén a megfelelő súlyozások alkalmazásával. Amennyiben az eszközzel folytatott ügylet költsége lényegesen magasabb az alapul szolgáló eszközzel folytatott ügylet költségénél, ennek tükröződnie kell az ügyleti költség kiszámításában;
c) nem lineáris eszközök esetében megengedhető az ügyleti költségeknek az eszközökért fizetett vagy kapott ár és az eszköz valós értéke közötti különbözetként történő kiszámítása, az e melléklet 36-46. pontjában leírtak alapján.
17. A devizához kapcsolódó költségek kiszámításakor a beérkezési árnak a konszolidált ár észszerű becslését kell tükröznie, és nem lehet egyszerűen egyetlen szerződő féltől vagy devizaplatformtól rendelkezésre álló ár, akkor sem, ha megállapodás rögzíti, hogy minden devizaügyletet egyetlen szerződő féllel hajtanak végre.
18. Az eredetileg egy aukcióra bevitt megbízásokhoz kapcsolódó költségek kiszámításakor a beérkezési árat az aukciót közvetlenül megelőző középárként kell kiszámítani. Az előre meghatározott időpontban végrehajtott megbízásokhoz kapcsolódó költségek kiszámítása során a beérkezési árat az előre meghatározott időpontban kell kiszámítani, még akkor is, ha a megbízást ezen időpont előtt továbbították végrehajtás céljából.
Tőzsdén kívül végrehajtott ügyletek
18a. E melléklet 12-16. pontjától eltérve a tőzsdén kívül végrehajtott ügyletek esetében a tényleges ügyleti költségeket a következőképpen kell kiszámítani:
a) amennyiben egy ügyletet azt követően hajtanak végre, hogy a vételi árakat és az eladási árakat egynél több potenciális szerződő féltől megkapták, a beérkezési árat a következőképpen kell meghatározni:
i. a legjobb vételi ár és a legjobb eladási ár közötti középpont, ahol a legjobb vételi ár a legjobb eladási ár alatt van;
ii. a legjobb vételi ár eladás esetén, illetve a legjobb eladási ár vásárlás esetén, amennyiben a legjobb vételi ár magasabb a legjobb eladási árnál;
b) ha az ügyletet anélkül hajtják végre, hogy mind a vételi árat, mind az eladási árat megkapták volna, az ügyleti költséget úgy kell kiszámítani, hogy a végrehajtott ügylet egységeinek számát meg kell szorozni az eszköz vételi ára és eladási ára közötti különbözet felével; e különbözet értékét a következők alapján kell kiszámítani:
i. az aktuális piaci vételi/eladási jegyzésekből, amennyiben azok rendelkezésre állnak;
ii. amennyiben nem állnak rendelkezésre aktuális piaci vételi/ajánlati jegyzések, azokat az alábbiakból származó különbözetek alapján kell kiszámítani:
- a hasonló jellemzőkkel (futamidő, lejárat, kamatszelvény, vételi/eladási képesség) és likviditással rendelkező eszközökkel kapcsolatos korábbi ügyletek, a PRIIP előállítója által korábban végrehajtott ügyletek felhasználásával; vagy
- független harmadik fél által ellenőrzött adatok vagy független harmadik fél által végzett eszközértékelés.
Egyéb eszközök ügyleti költségei
19. Az e melléklet 9. pontjában említett eszközöktől eltérő eszközök ügyleti költségeinek becslésekor az e melléklet 12. pontja szerinti módszert kell alkalmazni, a beérkezési árat pedig a következőképpen kell kiszámítani:
a) eladás esetén:
i. a beérkezési árat az eszköz előző független értékelési áraként kell kiszámítani, a piaci mozgások tekintetében adott esetben kiigazítva, megfelelő referenciaindex alkalmazásával;
ii. ha nem áll rendelkezésre előző független értékelési ár, az ügyleti költségeket az ügyleti ár és az eszköz valós értékének eladás előtti értékelése közötti különbség alapján kell megbecsülni;
b) vétel esetén:
i. a beérkezési árat az eszköz előző független értékelési áraként kell kiszámítani, a piaci mozgások tekintetében adott esetben kiigazítva, megfelelő referenciaindex alkalmazásával, ha ilyen ár rendelkezésre áll;
ii. ha nem áll rendelkezésre előző független értékelési ár, az ügyleti költségeket az ügyleti ár és az eszköz valós értékének a vétel előtti értékelése közötti különbség alapján kell megbecsülni.
20. A becsült ügyleti költség nem lehet kevesebb, mint az ügylethez közvetlenül kapcsolódó azonosítható költségek összege.
20a. A nem pénzügyi eszközökhöz kapcsolódó költségek kiszámításakor az ügyleti költségeket az adott ügylethez közvetlenül kapcsolódó tényleges költségeket összesítve kell kiszámítani, beleértve minden díjat, jutalékot, adót és egyéb kifizetéseket (például felhígulás elleni védelem díja), amennyiben ezek az eszközök a PRIIP eszközeiből származnak. A PRIIP számviteli politikáiban meghatározott időszakra vonatkozó értékcsökkenés esetén a tényleges költségeknek meg kell egyezniük az utolsó három évben leírt költségösszegekkel.
Ügyleti költségek új PRIIP-ek esetében
21. A kevesebb mint 3 éve működő PRIIP-ek esetében, amelyek főként az e melléklet 9. pontjában említett eszközökbe fektetnek be, az ügyleti költségek kiszámítása történhet egyrészt az egyes eszközosztályokbeli portfólióforgalom becslésének a c) pontban említett módszer szerint kiszámított költségekkel való megszorzásával, vagy a működési idő alatt ténylegesen felmerült ügyleti költségek és egy standardizált becslés átlagaként a következők alapján:
a) hat hónap azon legmagasabb többszöröse tekintetében, amennyi ideje a PRIIP működik, az ügyleti költségeket az e melléklet 12-18. pontjában leírtak alapján kell kiszámítani;
b) a három évig terjedő időtartam fennmaradó időszakára az ügyleti költségeket az egyes eszközosztályokban a portfólióforgalom c) pontban említett módszer szerinti becslésének a megszorzásával kell megbecsülni;
c) az alkalmazandó módszer az eszközosztályoktól függően eltérő, és a következőképp kell meghatározni:
i. Az alábbi táblázatban megjelölt eszközosztályok tekintetében az ügyleti költségeket a releváns eszközosztályra vonatkozóan rendes piaci feltételek mellett az ügyletek becsült költségének átlagaként (a vételi és eladási ár közötti, kettővel osztott különbözet alapján) kell kiszámítani.
A költség becsléséhez minden eszközosztály tekintetében azonosítani kell egy vagy több referenciaindexet. Ezután össze kell gyűjteni az alapul szolgáló indexek vételi és eladási ár közötti átlagos különbözeteit. Az összegyűjtött adatokat az elmúlt év minden hónapjának tizedik munkanapján érvényes, a vételi és eladási ár közötti záró különbözetre kell vonatkoztatni.
Az összegyűjtött vételi és eladási ár közötti különbözeteket el kell osztani kettővel, hogy minden egyes időpontra megkapjuk az ügylet becsült költségét. Ezen értékek átlaga az egyes eszközosztályokban az ügyletek becsült költsége rendes piaci feltételek mellett.
| Eszközosztályok | |
| Államkötvények | Államkötvények és hasonló eszközök, fejlett piac, AAA és A közötti minősítés |
| Államkötvények és hasonló eszközök, fejlett piac, A alatti eltérő minősítés | |
| Államkötvények, feltörekvő piacok (konvertibilis és nem konvertibilis valuta) | Államkötvények, feltörekvő piacok (konvertibilis és nem konvertibilis valuta) |
| Befektetési minősítésű vállalati kötvények | Befektetési minősítésű vállalati kötvények |
| Egyéb vállalati kötvények | Magas hozamú vállalati kötvények |
ii. Az alábbi táblázatban megjelölt eszközosztályok tekintetében az ügyleti költségeket (beleértve az explicit és implicit költségeket) vagy összehasonlítható információ felhasználásával, vagy úgy kell megbecsülni, hogy az explicit költségek becsléseihez hozzáadják a vételi és eladási ár különbözete felének becsléseit, az i. pontban leírt módszer alkalmazásával.
| Eszközosztályok | |
| Likviditás | Pénzpiaci eszközök (az egyértelműség érdekében a pénzpiaci alapok nélkül) |
| Részvények, fejlett piacok | Nagy piaci tőkeértékű részvények (fejlett piacok) |
| Közepes piaci tőkeértékű részvények (fejlett piacok) | |
| Kis piaci tőkeértékű részvények (fejlett piacok) | |
| Részvények, feltörekvő piacok | Nagy piaci tőkeértékű részvények (feltörekvő piacok) |
| Közepes piaci tőkeértékű részvények (feltörekvő piacok) | |
| Kis piaci tőkeértékű részvények (feltörekvő piacok) | |
| Jegyzett származtatott termék | Jegyzett származtatott termék |
iii. Az alábbi táblázatban megjelölt eszközosztályok tekintetében az ügyleti költség az adott eszközosztályban rendes piaci feltételek mellett az ügyletek megfigyelt költségének átlaga (a vételi és eladási ár közötti, kettővel osztott különbözet alapján).
Az ügylet megfigyelt költségének azonosításakor figyelembe vehetők valamely panelfelmérés eredményei.
| Eszközosztályok | |
| Tőzsdén kívüli | Tőzsdén kívüli egzotikus opciók |
| Tőzsdén kívüli hagyományos opciók | |
| Tőzsdén kívüli kamatcsereügyletek, hitel-nemteljesítési csereügyletek és hasonlók | |
| Tőzsdén kívüli csereügyletek és hasonló eszközök (a kamatcsereügyletektől, hitel-nemteljesítési csereügyletektől és hasonlóktól eltérők) | |
| Tőzsdén kívüli határidős devizaügyletek, fejlett piacok | |
| Tőzsdén kívüli határidős devizaügyletek, feltörekvő piacok | |
22. A kevesebb mint egy éve működő PRIIP esetében a portfólióforgalom becsléseinek összhangban kell lenniük az ajánlati dokumentációban közzétett befektetési politikával. A több mint egy éve működő PRIIP esetében a portfólióforgalom becsléseinek összhangban kell lenniük a tényleges portfólióforgalommal.
23. A kevesebb mint három éve működő PRIIP-ek esetében, amelyek főként az e melléklet 9. pontjában említett eszközöktől eltérő eszközökbe fektetnek, a PRIIP előállítójának a valósérték-módszer alapján, összehasonlító eszközök felhasználásával kell megbecsülnie az ügyleti költségeket.
Az ügyletek alacsony száma és más hasonló esetek
23 a. E melléklet 12-18a. pontjától eltérve az ügyleti költségek az e melléklet 21. b) pontjában meghatározott módszer alkalmazásával számíthatók ki, amennyiben az alábbi feltételek közül egy vagy több teljesül:
a) egy PRIIP nagyon kevés ügyletet hajtott végre az előző három évben;
b) az előző három évben végrehajtott összes ügylet összértéke a PRIIP nettó eszközértékének nagyon alacsony százalékát teszi ki;
c) a teljes ügyleti költség becslése nem jelentős a teljes költség becsléséhez képest.
Az adatok 2024. december 31. előtti felhasználása
23b. 2024. december 31-ig az ügyleti költségek az e melléklet 21. pontjában meghatározott módszer alkalmazásával számíthatók ki azon PRIIP-ek esetében, amelyek ÁÉKBV-k vagy ABA-k, amelyekre valamely tagállam 2021. december 31-ig a kiemelt információkat tartalmazó dokumentum formátumára és tartalmára vonatkozó, a 2009/65/EK irányelv 78-81. cikkében meghatározott szabályokat alkalmazta.
23c. 2024. december 31-ig, amennyiben egy biztosítási alapú befektetési termék az e melléklet 23b. pontjában említett ÁÉKBV-be vagy ABA-ba fektet be, e befektetések ügyleti költségei az e melléklet 21. pontjában meghatározott módszer alkalmazásával számíthatók ki.
Teljesítményhez kapcsolódó díjak
24. A teljesítményhez kapcsolódó díjak kiszámításához a következő lépéseket kell megtenni:
a) az utolsó 5 évet lefedő historikus adatok alapján ki kell számítani a díjakat. Az éves átlagos teljesítménydíjakat százalékban kifejezve kell kiszámítani,
b) ha a teljes teljesítménydíj-történet nem áll rendelkezésre, mert új az alap/részvényosztály, vagy az alap feltételei megváltoztak a teljesítménydíj bevezetése vagy egyik paraméterének módosítása miatt, a fent említett módszert a következők szerint kell kiigazítani:
i. az alap/részvényosztály teljesítménydíjainak rendelkezésre álló releváns historikus adatait kell alapul venni;
ii. azon évek esetében, amelyekre vonatkozóan nem állnak rendelkezésre adatok, meg kell becsülni az alap/részvényosztály hozamát, és relatív teljesítménydíj-modell esetében figyelembe kell venni a referenciaérték/elvárt hozam historikus adatsorait;
új alapok esetében a hozamukat egy összehasonlítható alap vagy egy hasonló csoport hozamának felhasználásával kell megbecsülni. A becsült hozamnak magában kell foglalnia az új alapot terhelő összes költséget. Ezért a hasonló csoportok hozamait ki kell igazítani az új alap szabályai szerint felszámított átlagos releváns költségek hozzáadásával. Például egy eltérő díjstruktúrával rendelkező új osztály esetében ezen új osztály hozamait ki kell igazítani az meglévő osztály költségeinek figyelembevételével;
iii. az a) pontban előírtak szerint ki kell számítani a díjakat a mintaidőszak kezdetétől addig az időpontig, amikor az alap tényleges teljesítménydíjai rendelkezésre állnak, a releváns algoritmusnak a fent említett historikus adatsorokra való alkalmazásával;
iv. az a) pontban előírt teljes mintaidőszakra egyetlen sorozattá kell összefűzni a két teljesítménydíj-sorozatot;
v. az a) pontban említett módszer alkalmazásával ki kell számítani a teljesítménydíjakat (éves teljesítménydíjak átlaga).
Nyereségrészesedés
25. A nyereségrészesedések kiszámításához a következő lépéseket kell megtenni:
a) az utolsó 5 évet lefedő historikus adatok alapján ki kell számítani a díjakat. Az éves átlagos nyereségrészesedéseket százalékban kifejezve kell kiszámítani,
b) ha a teljes nyereségrészesedés-történet nem áll rendelkezésre, mert új az alap/részvényosztály, vagy az alap feltételei megváltoztak a nyereségrészesedés bevezetése vagy egyik paraméterének módosítása miatt, a fent említett módszert a következők szerint kell kiigazítani:
i. az alap/részvényosztály nyereségrészesedéseinek rendelkezésre álló releváns historikus adatait kell alapul venni;
- azon évek esetében, amelyekre vonatkozóan nem áll rendelkezésre adat, meg kell becsülni az alap/részvényosztály hozamát,
- új alapok esetében a hozamukat egy összehasonlítható alap vagy egy hasonló csoport hozamának felhasználásával kell megbecsülni. A becsült hozamnak magában kell foglalnia az új alapot terhelő összes költséget. Ezért a hasonló csoport hozamait ki kell igazítani az új alap szabályai szerint felszámított átlagos releváns költségek hozzáadásával. Például egy eltérő díjstruktúrával rendelkező új osztály esetében ezen új osztály hozamait ki kell igazítani az meglévő osztály költségeinek figyelembevételével;
ii. az a) pontban előírtak szerint ki kell számítani a nyereségrészesedéseket a mintaidőszak kezdetétől addig az időpontig, amikor az alap tényleges nyereségrészesedései rendelkezésre állnak, a releváns algoritmusnak a fent említett historikus adatsorokra való alkalmazásával;
iii. az a) pontban előírt teljes mintaidőszakra egyetlen sorozattá kell összefűzni a két nyereségrészesedés-sorozatot;
iv. az a) pontban említett módszer alkalmazásával ki kell számítani a nyereségrészesedéseket (éves nyereségrészesedések átlaga).
26. Amennyiben nincs nyereségrészesedés-fizetés a befektetés ideje alatt, a költségösszetétel-táblázatban a nulla nyereségrészesedés megjelölést figyelmeztetésnek kell kísérnie annak tisztázására, hogy a végső hozamból x % kifizetésére a befektetésből való kilépést követően kerül sor.
II. A BEFEKTETÉSI ALAPOKTÓL ELTÉRŐ PRIP-ek KÖLTSÉGEINEK FELSOROLÁSA
Közzéteendő költségek
Egyszeri költségek
27. Az egyszeri költség olyan belépési vagy kilépési költség, amely magában foglalja a kezdeti díjakat, jutalékokat vagy egyéb összegeket, amelyeket a lakossági befektető közvetlenül kifizetett, vagy amelyeket levonnak a lakossági befektető által kapott vagy neki járó valamely kifizetésből.
28. Az egyszeri költségeket a befektetési alaptól eltérő PRIP viseli, függetlenül attól, hogy azok a működése során szükségszerűen felmerülő kiadások, vagy valamely hozzá kapcsolódó vagy számára szolgáltatásokat nyújtó fél javadalmazása.
Egyszeri belépési költségek és díjak
29. Az egyszeri belépési költségek és díjak magukban foglalják - de nem kizárólagosan - a következő típusokat, amelyeket figyelembe kell venni a befektetési alaptól eltérő PRIP esetében közzéteendő költségösszegben:
a) értékesítési jutalékok;
b) strukturálási költségek, beleértve az árjegyzési költségeket (spread) és az elszámolási költségeket;
c) fedezeti költségek (annak biztosítására, hogy a PRIIP előállítója képes legyen a strukturált termék származtatott összetevője teljesítményének leképezésére - ezek a költségek magukban foglalják az ügyleti költségeket);
d) jogi költségek;
e) a tőkegarancia költségei;
f) a kibocsátónak fizetett implicit díj.
Egyszeri kilépési költségek és díjak
30. Az egyszeri kilépési költségek és díjak magukban foglalják - de nem kizárólagosan - a következő típusokat, amelyeket figyelembe kell venni a befektetési alaptól eltérő PRIP esetében közzéteendő összegben:
a) arányos díjak;
b) a vételi és a középár különbözete a termék értékesítéséhez kapcsolódóan, valamint explicit költségek vagy a korai kilépés esetén alkalmazandó szankciók. A vételi és a középár különbözetének becslését a másodlagos piac rendelkezésre állásához, a piaci feltételekhez és a terméktípushoz kapcsolódóan kell elvégezni. Olyan helyzetben, ahol a PRIIP előállítója (vagy kapcsolatban álló harmadik fél) az egyetlen rendelkezésre álló partner a termék megvásárlására a másodlagos piacon, belső szabályai szerint kell megbecsülnie a termék valós értékéhez adandó kilépési költségeket;
c) különbözeti ügylethez (CFD) kapcsolódó költségek, például:
i. a CFD szolgáltatói által felszámított jutalékok - általános jutalék vagy kereskedésenkénti jutalék - ügyletnyitáskor és ügyletzáráskor;
ii. CFD-kereskedés, például a vételi és eladási ár közötti különbségek, napi és egynapos finanszírozási költségek, számlakezelési díjak és adók, amelyeket még nem tartalmaz valós érték.
Ismétlődő költségek
31. Az ismétlődő költségek a lakossági befektetőnek járó minden kifizetésből vagy a befektetett összegből rendszeresen levont kifizetések.
32. Az ismétlődő költségek magukban foglalnak a befektetési alaptól eltérő PRIP által viselt minden típusú költséget, függetlenül attól, hogy azok a működése során szükségszerűen felmerülő kiadások, vagy valamely hozzá kapcsolódó vagy számára szolgáltatásokat nyújtó fél javadalmazása.
33. A következő lista tájékoztató jellegű, de nem kimerítő azon ismétlődő költségtípusok tekintetében, amelyeket, ha azokat külön vonják le vagy számítják fel, figyelembe kell venni a közzéteendő összegben:
a) kamatszelvény-kifizetésekhez kapcsolódó költségek;
b) az alapul szolgáló eszköz költsége, ha van ilyen.
A IV. melléklet 17. pontjában említett PRIP-ek költségei
34. Egyszeri költségek és díjak az átváltási díjak, klíringdíjak és elszámolási díjak, ha ismertek.
35. Ismétlődő költségek a rendes piaci feltételek és a piaci stresszhelyzet mellett viselt fedezeti költségek.
A befektetési alapoktól eltérő PRIP-ek implicit költségeinek kiszámítása
36. A PRIP-ekbe ágyazott implicit költségek kiszámításának céljából a PRIIP előállítójának a kibocsátási árat, a jegyzési időszak után pedig azt az árat kell alapul vennie, amelyen a termék egy másodlagos piacon megvásárolható.
37. A termék árának és valós értékének különbözete az árban foglalt teljes belépési költség becslésének minősül. Ha a PRIIP előállítója nem tudja az e melléklet 29. pontjában említettek szerint közzéteendő releváns implicit költségeket az ár és a valós érték különbözetének alkalmazásával megkülönböztetni, fel kell vennie a kapcsolatot a termék különböző összetevőinek kibocsátóival, vagy az érintett szervvel, hogy megszerezze az említett költségekre vonatkozó releváns információt.
38. A valós érték az az ár, amelyet egy eszköz értékesítésekor kapnának, illetve egy kötelezettség átruházásakor kifizetnének az elsődleges (vagy legkedvezőbb) piacon egy szabályos ügylet alapján az értékelés időpontjában, a fennálló piaci feltételek mellett (vagyis egy kilépési ár), függetlenül attól, hogy az adott ár közvetlenül megfigyelhető-e vagy más értékelési technika segítségével megbecsülhető-e.
39. A valós érték értékelésére irányadó valósérték-politikának meg kell határoznia egy sor szabályt, többek között a következő területeken:
a) irányítás;
b) a valós érték kiszámítására vonatkozó módszer.
40. Az e melléklet 39. pontjában említett szabályoknak olyan értékelési eljárás kialakítására kell törekedniük, amely:
a) megfelel a valós értékkel kapcsolatban alkalmazandó számviteli standardoknak;
b) biztosítja, hogy a PRIP-ekre vonatkozó belső árazási modellek összhangban legyenek a PRIIP előállítója által saját portfóliójának értékelésére használt módszerekkel, modellezéssel és standardokkal, feltételezve, hogy a termék értékesíthető vagy kereskedési céllal tartott;
c) összhangban van a termék összetettségi szintjével és az alapul szolgáló eszköz típusával;
d) figyelembe veszi a kibocsátói hitelkockázatot és az alapul szolgáló eszközzel kapcsolatos bizonytalanságot;
e) meghatározza az aktív piac azonosításának paramétereit a kockázatok hibás árazásának elkerülése érdekében, amely szélsőséges esetben jelentős mértékben pontatlan becslésekhez vezethet;
f) maximalizálja a releváns megfigyelhető piaci adatok felhasználását és minimalizálja a nem megfigyelhető adatok felhasználását.
41. A strukturált termékek valós értékét a következők alapján kell meghatározni:
a) piaci árak, ha rendelkezésre állnak vagy hatékonyan kialakítottak;
b) olyan belső árazási modellek, amelyek bemeneti adatként a termékhez közvetetten kapcsolódó piaci értékeket használnak, hasonló jellemzőkkel bíró termékekből származtatva (összehasonlítható megközelítés);
c) olyan bemeneti adatokon alapuló belső árazási modellek, amelyeket nem közvetlenül piaci adatokból nyernek, amelyek esetében becsléseket és feltételezéseket kell megfogalmazni (modell alapú árazási megközelítés).
42. Ha a valós értéket nem lehet piaci árakból levezetni, olyan értékelési technika használatával kell kiszámítani, amely képes megfelelően visszaadni a termék kifizetési struktúráját befolyásoló különböző tényezőket, a piaci adatok maximális mértékű felhasználása mellett.
43. Az e melléklet 42. pontjában említett értékelési technikának a következőket kell mérlegelnie a termék összetettségének megfelelően:
a) jártas szakmai partnerek között, szokásos piaci feltételek szerint nemrégiben lebonyolított ügyletek felhasználása;
b) egy lényegében ugyanolyan másik eszköz aktuális piaci árára való hivatkozás;
c) megfelelő diszkontált cash flow módszer alkalmazása, ahol minden cash flow valószínűségét az eszközár alakulásának megfelelő modelljét felhasználva határozzák meg.
44. Jegyezhető termékek esetében a valós értéket azon a napon kell meghatározni, amikor a termék feltételeit meghatározzák. Ennek az értékelési dátumnak közel kell lennie a jegyzési időszak kezdetéhez. Amennyiben hosszú ajánlati időszak vagy nagy piaci volatilitás áll fenn, meg kell határozni a költséginformációk frissítésére vonatkozó kritériumot.
45. Előzetes feltételek alkalmazása esetén a költségeket a termék minimális feltételeinek felhasználásával kell kiszámítani.
46. Változó jegyzési árak alkalmazása esetén meg kell határozni egy arra vonatkozó eljárást, hogy a változó jegyzési ár költségre gyakorolt hatását hogyan kell beépíteni és közzétenni.
III. BIZTOSÍTÁSI ALAPÚ BEFEKTETÉSI TERMÉKEK KÖLTSÉGEINEK FELSOROLÁSA
Közzéteendő költségek
Egyszeri költségek
47. Az egyszeri költség olyan belépési vagy kilépési költség, amely magában foglalja a kezdeti díjakat, jutalékokat vagy egyéb összegeket, amelyeket a lakossági befektető közvetlenül kifizetett, vagy amelyeket levonnak a lakossági befektetőnek járó első kifizetésből vagy korlátozott számú kifizetésből, vagy a termék visszaváltásakor vagy megszüntetésekor esedékes kifizetésből.
48. Az egyszeri költségeket a biztosítási alapú befektetési termék viseli, függetlenül attól, hogy azok a működése során szükségszerűen felmerülő kiadások, vagy valamely hozzá kapcsolódó vagy számára szolgáltatásokat nyújtó fél javadalmazása.
49. Az egyszeri költségek magukban foglalják - de nem kizárólagosan - a belépési költségek és díjak következő típusait, amelyeket figyelembe kell venni a biztosítási alapú befektetési termék esetében közzéteendő összegben:
a) strukturálási vagy marketingköltségek;
b) beszerzési, forgalmazási, értékesítési költségek;
c) feldolgozási/működési költségek (beleértve a biztosítási fedezet kezelésének költségeit);
d) az e melléklet 59. pontjában említett biometrikus kockázati díj költségrésze;
e) az előírt tőke tartásának költsége (az előzetes részt a felszámításkor kell közzétenni).
Ismétlődő költségek
50. Az ismétlődő költségek a lakossági befektetőtől eredő minden kifizetésből vagy a befektetett összegből vagy egy nyereségrészesedési mechanizmusnak megfelelően a lakossági befektetőnek ki nem osztott összegekből rendszeresen levont kifizetések.
51. Az ismétlődő költségek magukban foglalnak a biztosítási alapú befektetési termék által viselt minden típusú költséget, függetlenül attól, hogy azok a működése során szükségszerűen felmerülő kiadások, vagy valamely hozzá kapcsolódó vagy számára szolgáltatásokat nyújtó fél javadalmazása.
52. A következő lista tájékoztató jellegű, de nem kimerítő azon ismétlődő költségtípusok tekintetében, amelyeket figyelembe kell venni a VII. melléklet 2. táblázatában az "Egyéb folyó költségek" összegében:
a) strukturálási vagy marketingköltségek;
b) beszerzési, forgalmazási, értékesítési költségek;
c) feldolgozási/működési költségek (beleértve a biztosítási fedezet kezelésének költségeit);
d) az e melléklet 59. pontjában említett biometrikus kockázati díj költségrésze;
e) egyéb adminisztratív költségek;
f) a tőke tartásának költsége (az ismétlődő részt a felszámításkor kell közzétenni);
g) a befektetett összegre implicit módon terhelt összegek, például a biztosító befektetéseinek kezelése kapcsán felmerült költségek (letéti díjak, új befektetések költségei stb.);
h) harmadik feleknek olyan költségek fedezésére teljesített kifizetések, amelyek szükségszerűen felmerülnek a biztosítási alapú befektetési termék birtokában lévő eszközök megszerzésével vagy elidegenítésével kapcsolatban (beleértve az e melléklet 7-23. pontjában említett ügyleti költségeket).
53. Ha egy biztosítási alapú befektetési termék eszközeinek egy részét egy ÁÉKBV-tól vagy ABA-tól eltérő PRIIP-ben lévő ÁÉKBV-ba vagy ABA-ba, vagy egy PRIIP-től eltérő befektetési termékbe fekteti, e melléklet 5. l), 5. m) illetve 5. n) pontját kell alkalmazni.
A biztosítási alapú befektetési termékek biometrikus kockázati díjához kapcsolódó költségek közzététele
A biometrikus kockázati díj költségrésze
54. A biometrikus kockázati díjak a lakossági befektető által közvetlenül fizetett, vagy a matematikai tartalékban jóváírt összegekből vagy a biztosítási kötvény részvételi bónuszából levont azon díjak, amelyek célja a biztosítási fedezetből fizetett szociális ellátások statisztikai kockázatának fedezése.
55. A biometrikus kockázati díjak valós értéke a biztosítási fedezetből fizetett jövőbeli szociális ellátások várható jelenértéke az e melléklet 71. a) pontjában említett kamatlábak szerint, figyelembe véve a következőket:
a) e szociális ellátások legjobb becsléseire vonatkozó feltételezések az egyéni előállító portfóliójának egyéni kockázati profiljából levezetve;
b) (jogszabályban és/vagy szerződésben előírt) nyereségrészesedési mechanizmusokból eredő, a biztosítási fedezethez kapcsolódó egyéb kifizetések (a lakossági befektetőknek visszafizetett engedmény a biometrikus kockázati díjból, a szociális ellátások megnövelése, a jövőbeli díjak csökkentése stb.).
56. A biztosítási fedezetből fizetett jövőbeli szociális ellátások legjobb becslésére vonatkozó feltételezéseket valószerűen kell meghatározni.
57. A becsült jövőbeli szociális ellátások nem foglalhatnak magukban óvatossági ráhagyást vagy a biztosítási fedezet kezelésével kapcsolatos költségeket.
58. A 2009/138/EK irányelv hatályába tartozó előállítók esetében ezeknek a legjobb becslésre vonatkozó feltételezéseknek összhangban kell lenniük a Szolvencia II. szerinti mérlegben a biztosítástechnikai tartalékok kiszámításához használt vonatkozó feltételezésekkel.
59. A biometrikus kockázati díjak költségrésze az e melléklet 54. pontjában említett lakossági befektetőnek felszámított biometrikus kockázati díj és az e melléklet 55. pontjában említett biometrikus kockázati díjak valós értéke közötti különbség.
60. A PRIIP előállítója az említett díjak költségrésze helyett bevonhatja a teljes biometrikus kockázati díjat az egyszeri költségek vagy ismétlődő költségek kiszámításába.
2. RÉSZ
Összesített költségmutatók és a költségek összetett hatása
I. "A KÖLTSÉGEK IDŐBELI ALAKULÁSA" CÍMŰ 1. TÁBLÁZATBAN FELTÜNTETENDŐ ÖSSZESÍTETT KÖLTSÉGADATOK
61. A teljes költség a PRIIP előállítója által ismert valamennyi költség - beleértve adott esetben a kilépési költségeket is - az adott tartási időre vonatkozóan, és a következőképpen kell kiszámítani:
a) befektetési alapok esetében az e melléklet 1. és 2. pontjában említett költségek összege plusz az e melléklet 4. és 6. pontjában említett költségek összege;
b) befektetési alapoktól eltérő PRIP-ek esetében - kivéve a IV. melléklet 30. pontjában említett PRIIP-eket - az e melléklet 27. és 28. pontjában említett költségek összege plusz az e melléklet 31. és 32. pontjában említett költségek összege;
c) a IV. melléklet 30. pontjában említett PRIIP-ek esetében az e melléklet 34. és 35. pontjában említett költségek összege;
d) biztosítási alapú befektetési termékek esetében az e melléklet 47. és 48. pontjában említett költségek összege plusz az 50. és 51. pontban említett költségek összege.
62. "A költségek időbeli alakulása" című táblázatban fel kell tüntetni továbbá a PRIIP-nek az e melléklet 70, 71. és 72. pontja szerinti, a teljes költség miatti hozamcsökkenésként kiszámított összesített költségmutatóját.
63. Amennyiben a költségadatok kiszámításához (pénzben vagy százalékban kifejezett számadatok esetében) a PRIIP teljesítményére vonatkozó feltételezésre van szükség, a PRIIP-nek a számításhoz használt teljesítményét e melléklet 71. pontjával összhangban kell meghatározni.
II. A KÖLTSÉGEK ÖSSZETÉTELE" CÍMŰ 2. TÁBLÁZATBAN FELTÜNTETENDŐ KÖLTSÉGTÍPUSONKÉNTI ÖSSZESÍTETT KÖLTSÉGMUTATÓK - Egyszeri költségek és egyszeriköltség-mutatók
64. A belépési- és kilépésiköltség-mutatók kiszámításához az e melléklet 1. részével összhangban belépési vagy kilépési költségként azonosított költségeket kell figyelembe venni. Biztosítási alapú befektetési termékek esetében a PRIIP belépési- és kilépésiköltség-mutatói az e melléklet 70., 71. és 72. pontja szerint kiszámított, a belépési és kilépési költségek miatti éves hozamcsökkenést fejezik ki, figyelembe véve, hogy a PRIIP-et ajánlott tartási időig tartják. A PRIP-ek esetében a belépési- és kilépésiköltség-mutatók a pénzegységekben kifejezett költségek, ha a terméket egy évig (vagy az ajánlott tartási időig, ha az rövidebb) tartják, azon feltételezés alapján számítva, hogy a nettó teljesítmény 0 %-os.
Ismétlődőköltség-mutatók: Ügyleti költségek és egyéb ismétlődő költségek
65. A PRIIP ismétlődőköltség-mutatóit a következőképpen kell kiszámítani:
a) biztosítási alapú befektetési termékek esetében az e melléklet 70., 71. és 72. pontja szerint kiszámított, az e költségek miatti éves hozamcsökkenésként, figyelembe véve, hogy a PRIIP-et az ajánlott tartási időig tartják;
b) a PRIP-ek esetében a pénzegységekben kifejezett folyó költségek összegeként, ha a terméket egy évig (vagy az ajánlott tartási időig, ha az rövidebb) tartják, azon feltételezés alapján számítva, hogy a nettó teljesítmény 0 %-os.
66. Az ügyletiköltség-mutatók kiszámításához a következő költségeket kell figyelembe venni:
a) befektetési alapok esetében az e melléklet 7-23c. pontjában említett ügyleti költségek;
b) a befektetési alapoktól eltérő PRIP-ek esetében - a IV. melléklet 30. pontjában említett PRIIP-ek kivételével - az e melléklet 29. c) pontjában említett költségek;
c) biztosítási alapú befektetési termékek esetében az e melléklet 52. h) pontjában említett költségek.
67. Az egyéb ismétlődőköltség-mutatók (amelyeket a VII. melléklet "kezelési díjként és egyéb adminisztratív vagy működési költségként" említ) kiszámításához figyelembe veendő költségek az e melléklet 61. pontja szerinti teljes költség és az e melléklet 64. pontja szerinti egyszeriköltség-mutató összege közötti különbség plusz az e melléklet 66. pontja szerinti ügyletiköltség-mutató, valamint az e melléklet 68. és 69. pontja szerinti járulékosköltség-mutatók.
Járulékos költségek és járulékosköltség-mutatók (teljesítménydíjak és nyereségrészesedések)
68. A PRIIP járulékosköltség-mutatóját a következőképpen kell kiszámítani:
a) biztosítási alapú befektetési termékek esetében az e melléklet 70., 71. és 72. pontja szerint kiszámított, a teljesítménydíjak vagy nyereségrészesedések vagy mindkettő miatti éves hozamcsökkenésként, figyelembe véve, hogy a PRIIP-et az ajánlott tartási időig tartják;
b) a PRIP-ek esetében a pénzegységekben említett költségek összegeként, ha a terméket egy évig (vagy az ajánlott tartási időig, ha az rövidebb) tartják, azon feltételezés alapján számítva, hogy a nettó teljesítmény 0 %-os.
69. A teljesítménydíjak kiszámításához az e melléklet 6. a) pontja szerinti költségeket kell figyelembe venni a befektetési alapok esetében. A nyereségrészesedések kiszámításához az e melléklet 6. b) pontja szerinti költségeket kell figyelembe venni a befektetési alapok esetében.
III. A KÖLTSÉGADATOK KISZÁMÍTÁSA
Az összesített költségmutató kiszámítása
70. Az e melléklet I. és II. részében említett hozamcsökkenést az e melléklet 90. és 91. pontjában meghatározottaknak megfelelő összegek felhasználásával kell kiszámítani. Kiszámítása az i és az r százalékos arány különbözeteként történik, ahol r az adott tartási időre vonatkozóan a lakossági befektető általi bruttó befizetésekhez és a lakossági befektetőnek fizetett becsült ellátásokhoz kapcsolódó éves belső megtérülési ráta, és i a vonatkozó költségmentes forgatókönyv éves belső megtérülési rátája.
71. Az e melléklet 70. pontja szerinti költségszámításhoz a jövőbeli ellátások becslése a következő feltételezéseken alapul:
a) a IV. melléklet 30. pontjában említett PRIIP-ek, valamint minden olyan PRIIP esetében, amelyeknél a költségmutatók azt mutatják, hogy a PRIIP-et egy évig vagy annál rövidebb ideig tartják, 0 %-os standardizált nettó teljesítményt kell feltételezni;
b) kivéve ha az a) pont alkalmazandó, a PRIIP teljesítményét azon módszer és alapul szolgáló feltételezések alkalmazásával kell kiszámítani, amelyet a kiemelt információkat tartalmazó dokumentum teljesítmény-forgatókönyvekre vonatkozó szakaszában a mérsékelt forgatókönyv becsléséhez használtak;
c) az ellátások becslése során abból a feltételezésből kell kiindulni, hogy az e melléklet 61. pontja szerinti teljes költségben foglalt minden költség levonásra kerül.
72. Az e melléklet 70. pontjában említett költségmentes forgatókönyv kiszámítása céljából a következők alkalmazandók:
a) az i kiszámításához vagy csökkenteni kell az r számításában szereplő, lakossági befektető általi bruttó befizetéseket a közzéteendő költségekkel, vagy az r számításában szereplő, a lakossági befektetőnek fizetett becsült szociális ellátásokat kell növelni azon feltételezés alapján, hogy a közzéteendő költségek összegei további befektetésre kerültek. Ezután az i ezen, a lakossági befektető által és számára teljesített kiigazított fizetésekhez kapcsolódó éves belső megtérülési ráta;
b) amennyiben a közzéteendő költségek kifejezhetők az eszközök értékének állandó százalékos arányaként, figyelmen kívül hagyhatók az e melléklet 72. a) pontjában leírt számításban, és ehelyett később hozzá kell azokat adni a vonatkozó költségmentes forgatókönyvnek az i éves belső megtérülési rátája százalékos arányához.
A befektetési alapoktól eltérő PRIP-ekre vonatkozó egyedi követelmények
73. Az e melléklet 70. pontjában említettek szerint a költségmentes forgatókönyv kiszámítása céljából a befektetési alapoktól eltérő PRIP-ek esetében az e melléklet 72. pontjában említettek szerint az r számításában szereplő, lakossági befektető általi bruttó befizetéseket csökkenteni kell a közzéteendő költségekkel.
Biztosítási alapú befektetési termékekre vonatkozó egyedi követelmények
74. Az e melléklet 70-72. pontjában leírt számítások céljából feltételezni kell, hogy a biztosítási alapú befektetési termékek esetében a tartási idő alatt nem kerül sor a biztosítási fedezetből eredő kifizetésekre. Ezért tehát az összesített költségmutató kiszámítása kizárólag a szociális ellátások becsült keretén alapulhat.
75. Amennyiben az ismétlődő és egyszeri költségeket olyan explicit költségek fedezik, amelyek a termék díjszámításának rögzített részét képezik, az ismétlődő és egyszeri költségek számítását ezekre az explicit költségekre kell alapozni.
76. A biztosítási alapú befektetési termék nyereségrészesedése esetében a következők alkalmazandók:
a) a biztosítási alapú befektetési termékek esetében az ismétlődő és egyszeri költségek kiszámításakor a nyereségrészesedési mechanizmusok révén a befektetés megtérüléséből visszatartott összegeket költségnek kell tekinteni;
b) amennyiben a költségek egy részét különálló költségbónuszokkal visszatérítik a lakossági befektetőknek, ezt költségkedvezménynek kell tekinteni, amely csökkenti a költséglevonásokat, feltéve:
i. hogy a költségbónuszokat a részvételi bónuszok egyéb részeitől elkülönülten tüntetik fel, és céljuk a költségek egy részének a termék szerződéses feltételei keretében való visszatérítése.
ii. hogy a PRIIP-előállító megbízható aktuáriusi módszerekkel alá tudja támasztani, hogy a várható jövőbeli költségeket olyan várható jövőbeli nyereségek fedezik, amelyek a jövőbeli költségekre vonatkozó prudens feltételezéseken alapulnak.
Az egy évnél rövidebb ajánlott tartási idővel rendelkező PRIIP-ekre vonatkozó egyedi követelmények
76 a. A százalékban kifejezett költségmutatókat az időszak összesített költségének és a befektetési összegnek a hányadosát figyelembe véve kell kiszámítani, és lábjegyzetben kell elmagyarázni ezt a számítást, valamint figyelmeztetni kell arra, hogy e költségmutatók nem hasonlíthatók össze az egyéb PRIIP-ek esetében százalékban kifejezett éves költségmutatókkal.
Az olyan PRIIP-ekre vonatkozó egyedi követelmények, amelyek tőzsdén kívüli határidős ügyletek, tőzsdei határidős ügyletek, különbözeti ügyletek vagy swapügyletek
76b. A százalékban kifejezett költségmutatókat z ügylet névleges összegének figyelembevételével kell kiszámítani, és lábjegyzetben kell elmagyarázni ezt a számítást.
Az ajánlott tartási idő vége előtt automatikusan visszaváltható vagy törölhető PRIIP-ekre vonatkozó egyedi követelmények, amennyiben bizonyos előre meghatározott feltételek teljesülnek
76c. A költségadatokat két különböző forgatókönyvet feltételezve kell bemutatni:
a) a PRIIP-et az első lehetséges időpontban visszaváltják;
b) a PRIIP lejár.
A költségadatokat az egyes forgatókönyvekkel összhangban álló teljesítményt feltételezve kell kiszámítani.
A kétszeres beszámítás elkerülésének elve
77. Ha egy adott típusú költséget két vagy több e mellékletben említett típusú költség fedez, az említett típusú költséget csak egyszer szabad figyelembe venni a rá épülő mutatók (arányok) kiszámításában.
Egyéb előírások
78. A pénzben kifejezett költségadatokat a legközelebbi egész euróra kell kerekíteni. A százalékban kifejezett költségmutatókat egy tizedesjegy pontossággal kell kifejezni.
79. A költségadatokat évente legalább egyszer ki kell számítani.
80. A költségadatoknak a PRIIP előállítója által meghatározott legfrissebb költségkalkulációkon kell alapulniuk. E melléklet 77. pontjának sérelme nélkül a költségeket "adókkal terhelt" alapon kell értékelni.
A befektetési alapok esetében a következők alkalmazandók:
a) külön számítást kell végezni minden befektetésijegy-osztályra vonatkozóan, de ha két vagy több osztály befektetési jegyei egyenrangúak, esetükben elvégezhető egyetlen számítás is;
b) egy átfogó alap esetében minden azt alkotó részalapot vagy elkülönített alapot külön kell kezelni e melléklet alkalmazásában, de az alap egészének tulajdonítható díjakat úgy kell arányosan elosztani az összes elkülönített alap között, hogy az minden befektetővel szemben tisztességes legyen.
81. Egy új PRIIP esetében végzett első számítást kivéve, és egyéb rendelkezés hiányában az arányokat legalább évente, utólagosan kell kiszámítani. Amennyiben nem tűnik alkalmasnak az utólagos valós adat alkalmazása egy lényeges változás miatt, használható helyette becslés, amíg a lényeges változás hatását tükröző megbízható utólagos valós adatok rendelkezésre nem állnak.
82. Az utólagos valós adatoknak olyan közelmúltbeli költségkalkulációkon kell alapulniuk, amelyekről a PRIIP előállítója észszerű okokból megállapította, hogy megfelelőek erre a célra. A számadatok alapulhatnak a PRIIP legutolsó éves vagy féléves beszámolójában közzétett eredménykimutatásában meghatározott költségeken, ha a kimutatás kellően aktuális. Ha az nem kellően aktuális, egy közelebbi 12 hónapos időszak során felszámított költségeken alapuló összehasonlítható számítást kell helyette használni.
83. Az előző évek/időszakok során érvényes arányokra vonatkozó információkat azon a helyen kell közzétenni, amelyet a kiemelt információkat tartalmazó dokumentum a további információk általános forrásaként határoz meg az azokat igénylő befektetők számára.
84. Amennyiben alapul szolgáló ÁÉKBV-hoz vagy ABA-hoz köthető költségeket kell figyelembe venni, a következők alkalmazandók:
a) minden egyes alapul szolgáló ÁÉKBV és ABA költségmutatóját a PRIIP nettó eszközértékének azon részével kell arányosítani, amelyet az adott ÁÉKBV vagy ABA a vonatkozó időpontban képvisel, mely időpont a PRIIP számadatainak dátuma;
b) minden arányosított számadatot hozzá kell adni magának a befektető PRIIP-nek a teljes költségadatához, hogy egyetlen összeget adjanak ki.
Számítási módszer új PRIIP-ek esetében
85. A különböző költségtípusok kiszámításakor becsléseket kell alkalmazni utólagos valós adatok helyett. Ezeket a becsléseket el lehet végezni egy összehasonlítható PRIIP vagy egy hasonló csoport, mint közelítőérték felhasználásával.
86. Mindent magában foglaló rögzített díjat felszámító PRIIP-ek esetében ezt a díjat kell alkalmazni, feltéve, hogy a PRIIP-re vonatkozó költség-közzétételi követelmények szerint bemutatandó minden költséget magában foglal.
87. A felszámítható összegre plafont vagy maximumot meghatározó PRIIP-ek esetében és feltéve, hogy a PRIIP-re vonatkozó költség-közzétételi követelmények szerint bemutatandó minden költséget magában foglal, a plafont vagy maximumot kell használni addig, amíg a PRIIP előállítója kötelezettséget vállal a közzétett számadat betartására és minden olyan költség viselésére, amely egyébként annak a túllépését eredményezné.
88. Ha a PRIIP előállítójának véleménye szerint egy két tizedesjegy pontosságú számadat feltüntetése valószínűsíthetően hamis pontosságot sugallna a befektetők felé, elég egyetlen tizedesjeggyel megadni az említett számadatot.
89. A PRIIP előállítójának biztosítania kell, hogy a becsült számadat pontosságát folyamatosan felülvizsgálják. A PRIIP előállítójának meg kell határoznia, hogy mikor célszerű elkezdeni a becslés helyett utólagos valós adatok felhasználását; de mindenképp legkésőbb 12 hónappal azt a dátumot követően, amikor a PRIIP-et először kínálták értékesítésre valamely tagállamban, felül kell vizsgálnia a becslés pontosságát a számadatok utólagos kiszámítása révén.
Az összes PRIIP-típusra vonatkozó közös követelmények
90. Az 5. cikkben említett táblázatoknak tartalmazniuk kell a PRIIP előállítója által ismert költségek pénzben és százalékban kifejezett megjelölését azt az esetet alapul véve, hogy a lakossági befektető 10 000 EUR-t (a rendszeres díjat vagy fizetést magában foglaló termékek kivételével minden PRIIP esetében), vagy évente 1 000 EUR-t (a rendszeres díjat vagy fizetést magában foglaló PRIIP-ek esetében) fektet be. A költségadatokat különböző tartási időkre vonatkozóan kell feltüntetni, beleértve az ajánlott tartási időt is, az alábbiak szerint:
a) az egyéves vagy annál rövidebb ajánlott tartási idővel rendelkező PRIIP-ek esetében csak az ajánlott tartási idő végén történő kilépés költségeit kell feltüntetni;
b) az egy évnél hosszabb és 10 évnél rövidebb ajánlott tartási idővel rendelkező PRIIP-ek esetében a költségeket az első év végén és az ajánlott tartási idő végén történő kilépés figyelembevételével kell feltüntetni;
c) a 10 éves vagy annál hosszabb ajánlott tartási idővel rendelkező PRIIP-ek esetében további tartási időt kell feltüntetni, és az ajánlott tartási idő felénél történő kilépés esetén a költségadatokat a legközelebbi év végére kerekítve kell közzétenni;
d) ha egy PRIIP nem engedi meg a kilépést az ajánlott tartási idő előtt, vagy ha egy PRIIP-ről úgy vélik, nincs a PRIIP előállítója vagy harmadik fél által promotált alternatív likviditási kerete, vagy ha nincsenek likviditási megállapodások, vagy a IV. melléklet 30. pontjában említett PRIIP-ek esetében a költségeket fel lehet tüntetni kizárólag az ajánlott tartási idő végére vonatkoztatva.
91. Ha a PRIIP pénzneme nem euro, akkor az e melléklet 90. pontjában meghatározotthoz hasonló nagyságrendű összeget kell használni, amely maradék nélkül osztható 1 000 -rel.
VII. MELLÉKLET
A KÖLTSÉGEK BEMUTATÁSA
Közvetlenül a "Milyen költségek merülnek fel?" című szakasz címsora alatt a következő figyelmeztetést kell feltüntetni, kivéve, ha a PRIIP előállítója tudja, hogy a PRIIP-pel kapcsolatos tanácsadást nyújtó vagy az azt értékesítő személy nem számol fel további költségeket:
"A termékről Önnek tanácsot adó vagy azt Önnek értékesítő személy egyéb költségeket is felszámíthat. Ebben az esetben az adott személy tájékoztatja Önt ezekről a költségekről és arról, hogy azok milyen hatással vannak az Ön befektetésére."
Az alábbi költségtáblázatokban a "kilépés" kifejezést kell használni a befektetés végének jelölésére. Amennyiben ez a kifejezés félrevezető lehet a PRIIP-ek meghatározott típusai esetében, alternatív kifejezés is használható, mint például a "megszüntetés" vagy a "visszavásárlás".
1. táblázat - valamennyi PRIIP, kivéve a 13. cikk b) pontjában és a VI. melléklet 76c. pontjában említett PRIIP-eket (automatikusan visszaváltható termékek)
A PRIIP előállítójának szerepeltetnie kell a következő címsorokat, magyarázatokat és az 1. táblázatot, amely feltünteti a VI. melléklet 61. és 62. pontjában meghatározott összesített költségadatokat pénzben és százalékban kifejezve, az e melléklet 90. pontjában említett tartási időkkel együtt:
"A költségek időbeli alakulása
A táblázatok azokat az összegeket mutatják be, amelyeket az Ön befektetéséből a különböző költségtípusok fedezésére fordítanak. Ezek az összegek attól függnek, hogy Ön mennyit fektet be, mennyi ideig tartja a terméket [és mennyire jó a termék teljesítménye (adott esetben)]. Az itt feltüntetett összegek egy befektetési példán és a különböző lehetséges befektetési időszakokon alapuló illusztrációk.
Azt feltételeztük, hogy:
- [Az első évben] Ön visszakapja a befektetett összeget (0 %-os éves hozam). [A többi tartási időre vonatkozóan azt feltételeztük, hogy a termék a mérsékelt forgatókönyv szerint teljesít.]
- [Évente 10 000 EUR/1 000 EUR] kerül befektetésre."
| Ha Ön 1 év után [kilép] (adott esetben) | Ha Ön [az ajánlott tartási idő fele] után [kilép] (adott esetben) | Ha Ön [az ajánlott tartási idő] után [kilép] | |
| Teljes költség | […] EUR | […] EUR | […] EUR |
| Éves költséghatás (*1) | […] % | […] % minden évben | […] % minden évben |
| (*1) „Ez azt szemlélteti, hogy a költségek évente hogyan csökkentik az Ön hozamát a tartási idő alatt. Ez például azt mutatja, hogy ha Ön az ajánlott tartási időnél kilép, az Ön évi átlagos hozama várhatóan […]% lesz a költségek előtt és […]% a költségek után.” (Adott esetben): „Előfordulhat, hogy a költségeket megosztjuk a terméket Önnek értékesítő személlyel az Ön számára nyújtott szolgáltatások fedezése érdekében. (Adott esetben) [Az összegről tájékoztatni fogják Önt.]” (Adott esetben): „Ezek a számadatok magukban foglalják azt a maximális forgalmazási díjat, amelyet a terméket Önnek értékesítő személy felszámíthat (a befektetett összeg […] %-a / […] EUR). Ez a személy tájékoztatni fogja Önt a tényleges forgalmazási díjról.”; | |||
1. táblázat - a 13. cikk b) pontjában említett PRIIP-ek
A PRIIP előállítójának szerepeltetnie kell a következő címsorokat, magyarázatokat és az 1. táblázatot, amely feltünteti a VI. melléklet 61. és 62. pontjában meghatározott összesített költségadatokat pénzben és százalékban kifejezve, az említett melléklet 90. pontjában említett tartási időkkel együtt, szétválasztva a PRIIP-nek a mögöttes befektetési lehetőségek ("biztosítási szerződés") költségeitől eltérő költségeit és a mögöttes befektetési lehetőségekre ("befektetési lehetőségek") vonatkozó különböző költségeket:
"A költségek időbeli alakulása
A táblázatok azokat az összegeket mutatják be, amelyeket az Ön befektetéséből a különböző költségtípusok fedezésére fordítanak. Ezek az összegek attól függnek, hogy Ön mennyit fektet be, mennyi ideig tartja a terméket [és mennyire jó a termék teljesítménye (adott esetben)]. Az itt feltüntetett összegek egy, a befektetett összegre vonatkozó példán és a különböző lehetséges befektetési időszakokon alapuló illusztrációk.
Azt feltételeztük, hogy:
- [Az első évben] Ön visszakapja a befektetett összeget (0 %-os éves hozam). [A többi tartási időre vonatkozóan azt feltételeztük, hogy a termék a mérsékelt forgatókönyv szerint teljesít.]
- [Évente 10 000 EUR/1 000 EUR] kerül befektetésre.
[Nyilatkozat arról, hogy a lakossági befektetőknél felmerülő teljes költség a PRIIP mögöttes befektetési lehetőségek költségeitől eltérő költségeinek és a befektetési lehetőség költségeinek kombinációjából áll, és a mögöttes befektetési lehetőségek alapján változik]"
| Ha Ön 1 év után [kilép] (adott esetben) | Ha Ön [az ajánlott tartási idő fele] után [kilép] (adott esetben) | Ha Ön [az ajánlott tartási idő] után [kilép] | |
| Teljes költség | |||
| — Biztosítási szerződés — Befektetési lehetőségek | […] EUR […] – […] EUR | […] EUR […] – […] EUR | […] EUR […] – […] EUR |
| Éves költséghatás (*1) | |||
| — Biztosítási szerződés — befektetési lehetőségek | […] % […] – […] % | […] % minden évben […] – […] % minden évben | […] % minden évben […] – […] % minden évben |
| (*1) „Ez azt szemlélteti, hogy a költségek évente hogyan csökkentik az Ön hozamát a tartási idő alatt. Ez például azt mutatja, hogy ha Ön az ajánlott tartási időnél kilép, az Ön évi átlagos hozama várhatóan […]% lesz a költségek előtt és […]% a költségek után.” (Adott esetben): „Előfordulhat, hogy a költségeket megosztjuk a terméket Önnek értékesítő személlyel az Ön számára nyújtott szolgáltatások fedezése érdekében. (Adott esetben) [Az összegről tájékoztatni fogják Önt.]” (Adott esetben): „Ezek a számadatok magukban foglalják azt a maximális forgalmazási díjat, amelyet a terméket Önnek értékesítő személy felszámíthat (a befektetett összeg […] %-a / […] EUR). Ez a személy tájékoztatni fogja Önt a tényleges forgalmazási díjról.” | |||
Az 1. táblázat a IV. melléklet 76c. pontjában említett PRIIP-ek esetében (automatikusan visszaváltható termékek)
A VI. melléklet 76c. pontjában említett PRIIP-ek esetében a címsor, a magyarázat és "A költségek időbeli alakulása" című 1. táblázat a következő:
"A költségek időbeli alakulása
A táblázatok azokat az összegeket mutatják be, amelyeket az Ön befektetéséből a különböző költségtípusok fedezésére fordítanak. Ezek az összegek attól függnek, hogy Ön mennyit fektet be, mennyi ideig tartja a terméket [és mennyire jó a termék teljesítménye (adott esetben)]. Az itt feltüntetett összegek egy, a befektetett összegre vonatkozó példán és a különböző lehetséges befektetési időszakokon alapuló illusztrációk.
E termék lejárata bizonytalan, mivel a piac alakulásától függően különböző időpontokban szűnhet meg. Az itt feltüntetett összegek két különböző forgatókönyvet vesznek figyelembe (korai visszaváltás és lejárat). Amennyiben Ön úgy dönt, hogy a termék lejárata előtt kilép, az itt feltüntetett összegeken felül további kilépési költségek merülhetnek fel.
Azt feltételeztük, hogy:
- [Évente 10 000 EUR/1 000 EUR] kerül befektetésre.
- a termék teljesítménye összhangban van az egyes bemutatott tartási időkkel."
| Ha a terméket az első lehetséges időpontban visszaváltják […] | Ha a PRIIP lejár | |
| Teljes költség | […] EUR | […] EUR |
| Éves költséghatás (*1) | […] % | […] % minden évben |
| (*1) „Ez azt szemlélteti, hogy a költségek hogyan csökkentik az Ön hozamát évente a tartási idő alatt. Ez például azt mutatja, hogy ha Ön a lejáratkor kilép, az Ön évi átlagos hozama várhatóan […] % lesz a költségek előtt és […] % a költségek után.” (Adott esetben): „Előfordulhat, hogy a költségeket megosztjuk a terméket Önnek értékesítő személlyel az Ön számára nyújtott szolgáltatások fedezése érdekében. (Adott esetben) [Az összegről tájékoztatni fogják Önt.]” (Adott esetben): „Ezek a számadatok magukban foglalják azt a maximális forgalmazási díjat, amelyet a terméket Önnek értékesítő személy felszámíthat (a befektetett összeg […] %-a / […] EUR). Ez a személy tájékoztatni fogja Önt a tényleges forgalmazási díjról.” | ||
A 2. táblázat valamennyi PRIIP esetében, kivéve a 13. cikk b) pontjában említett PRIIP-eket
A PRIIP előállítójának a költségek VI. melléklet 64-69. pontjában említett osztályozás szerinti bontását az alábbi címsorok és 2. táblázat alkalmazásával kell szerepeltetnie.
Egy nagyon rövid leírást kell adni az egyes költségtípusok jellegéről. Ez magában foglal egy numerikus mutatót (monetáris összeg vagy százalék) és a számításhoz használt alapot, amennyiben ez olyan egyszerű kifejezésekkel is megjeleníthető, amelyeket valószínűleg megért azon lakosságibefektető-típus, amely részére a PRIIP-et forgalomba kívánják hozni. A leírásnak az alábbi táblázatban szereplő egy vagy több példán kell alapulnia, kivéve, ha ezek nem alkalmazhatók.
"A költségek összetétele
| Egyszeri költségek belépéskor vagy kilépéskor | (PRIP-ek): Ha Ön [1 év/az ajánlott tartási idő (ha az kevesebb, mint 1 év)] után [kilép] (biztosítási alapú befektetési termékek): Éves költséghatás, ha Ön [az ajánlott tartási idő] után [kilép] | |
| Belépési költségek | [Ismertesse a jelleget legfeljebb 300 karakter terjedelemben! Példák: — „Az Ön által az e befektetés kezdetekor fizetett összeg […] %-a.” — „Az Ön által fizetett első […] díjak […] %-a.” — „Ezek a költségek már szerepelnek az Ön által fizetett [árban/díjakban].” — „Ez magában foglalja a befektetett összeg [[…] %-ának / […] EUR-nak] megfelelő forgalmazási költségeket. [Ez a legtöbb, amit felszámítanak Önnek.] [A terméket Önnek értékesítő személy tájékoztatja Önt a tényleges díjról.]” — „Nem számítunk fel belépési díjat.”] | […] EUR[-ig] (PRIP-ek) vagy […] %[-ig] (IBIP-k) |
| Kilépési költségek | [Ismertesse a jelleget legfeljebb 300 karakter terjedelemben! Példák: — „Befektetésének […] %-a, mielőtt azt kifizették Önnek.” — „E termékért nem számítunk fel kilépési díjat [de a terméket Önnek értékesítő személy ezt megteheti.]” (Amennyiben a kilépési költségek csak bizonyos körülmények között merülnek fel.) — „Ezek a költségek csak akkor alkalmazandók, ha (ismertesse a körülményeket vagy egy példát legfeljebb 200 karakter terjedelemben).” Azon biztosítási alapú befektetési termékek esetében, amelyeknél a kilépési költségek csak az ajánlott tartási időnél történő kilépés előtt merülnek fel, a jobb oldali oszlopban fel kell tüntetni az „N/A”-t, és ebben az oszlopban a fenti leírásokon túl a következő nyilatkozatot kell feltüntetni: „A következő oszlopban a kilépési költségek „N/A”-ként szerepelnek, mivel nem alkalmazandók, ha Ön a terméket az ajánlott tartási időig tartja.” | […] EUR (PRIP-ek) vagy […] % (IBIP-k) |
| Folyó költségek [minden évben] | ||
| Kezelési díjak és egyéb adminisztratív vagy működési költségek | [Ismertesse az alapot legfeljebb 150 karakter terjedelemben! Példa: „[Az Ön befektetése éves értékének […] %-a”]. Ez egy, az elmúlt év tényleges költségein alapuló becslés. | […] EUR (PRIP-ek) vagy […] % (IBIP-k) |
| Ügyleti költségek | Az Ön befektetése éves értékének […] %-a. Ez a termék számára alapul szolgáló befektetések általunk történő vásárlása és eladása során felmerülő költségek becslése. A tényleges összeg attól függően fog változni, hogy mennyit vásárolunk és értékesítünk. | […] EUR (PRIP-ek) vagy […] % (IBIP-k) |
| Meghatározott feltételek mellett felmerülő járulékos költségek | ||
| Teljesítménydíjak [és nyereségrészesedés] | [[Ismertesse a jelleget legfeljebb 300 karakter terjedelemben!] A tényleges összeg attól függően fog változni, hogy az Ön befektetése mennyire jól teljesít. A fenti összesített költségbecslés az elmúlt 5 év átlagát tartalmazza.] vagy [Ezen termékért nem kell teljesítménydíjat fizetni]. | […] EUR (PRIP-ek) vagy […] % (IBIP-k) |
| (Adott esetben): „A befektetési összegtől függően eltérő költségek alkalmazandók [ismertesse a körülményeket vagy hozzon fel egy példát legfeljebb 150 karakter terjedelemben].” | ||
A több befektetési lehetőséget kínáló PRIIP-ek esetében a PRIIP előállítóinak az e mellékletnek a 13. cikk b) pontjában és a VI. melléklet 76c. pontjában említett PRIIP-ek kivételével valamennyi PRIIP-re vonatkozó 1. és 2. táblázatát kell használniuk a költségek bemutatására, a táblázatok minden számadatára vonatkozóan értelemszerűen bemutatva a költségeket.
Az egy évnél rövidebb ajánlott tartási idővel rendelkező PRIIP-ek esetében az 1. és 2. táblázatban az "Éves költséghatás" helyett a százalékban kifejezett költségarány megnevezése "Költséghatás", az 1. táblázat alatti lábjegyzet pedig a következő: "Ez a költségek egy évnél rövidebb tartási időre gyakorolt hatását szemlélteti. Ez a százalékos arány közvetlenül nem hasonlítható össze a más PRIIP-ekre vonatkozóan megadott, költséghatásra vonatkozó adatokkal."
Azon PRIIP-ek esetében, amelyeknél a százalékos költségarányokat a névleges érték alkalmazásával számítják ki, a táblázat alatt a következő lábjegyzetet kell beilleszteni: "Ez a PRIIP névleges értékéhez viszonyított költségeket szemlélteti."
2. táblázat - a 13. cikk b) pontjában említett PRIIP-ek
A PRIIP előállítójának a költségeknek a VI. melléklet 64-69. pontjában említett osztályozás szerinti bontását az alábbi címsorok és 2. táblázat alkalmazásával kell szerepeltetnie. Adott esetben a költségtípusra vonatkozóan fel kell osztani a költségeket a PRIIP mögöttes befektetési lehetőségek (a továbbiakban: biztosítási szerződés) költségeitől eltérő költségei és a befektetési lehetőségekre (a továbbiakban: befektetési lehetőségek) vonatkozó különböző költségek között.
Egy nagyon rövid leírást kell adni az egyes költségtípusok jellegéről. Ez magában foglal egy numerikus mutatót (megállapított összeg vagy százalék) és a számításhoz használt alapot, amennyiben ez olyan egyszerű kifejezésekkel is megjeleníthető, amelyeket valószínűleg megért azon lakosságibefektető-típus, amely részére a PRIIP-et forgalomba kívánják hozni. A leírásnak az alábbi táblázatban szereplő egy vagy több példán kell alapulnia, kivéve, ha ezek nem alkalmazhatók.
"A költségek összetétele
| Egyszeri költségek belépéskor vagy kilépéskor | Éves költséghatás, ha Ön [az ajánlott tartási idő] után [kilép] | |
| Belépési költségek | [Ismertesse a jelleget legfeljebb 300 karakter terjedelemben! Példák: — „Az Ön által az e befektetés kezdetekor fizetett összeg […] %-a.” — „Az Ön által fizetett első […] díjak […] %-a.” — „Ezek a költségek már szerepelnek az Ön által fizetett [árban/díjakban].” — „Ez magában foglalja a befektetett összeg [[…] %-ának / […] EUR-nak] megfelelő forgalmazási költségeket. [Ez a legtöbb, amit felszámítanak Önnek.] [A terméket Önnek értékesítő személy tájékoztatja Önt a tényleges díjról.]” — „Nem számítunk fel belépési díjat.”] | „[…] %” vagy „Biztosítási szerződés […] % Befektetési lehetőség […] – […] %” |
| Kilépési költségek | [Ismertesse a jelleget legfeljebb 300 karakter terjedelemben! Példák: — „Befektetésének […] %-a, mielőtt azt kifizetik Önnek.” — „E termékért nem számítunk fel kilépési díjat [de a terméket Önnek értékesítő személy ezt megteheti.]” (Amennyiben a kilépési költségek csak bizonyos körülmények között merülnek fel.) — „Ezek a költségek csak akkor alkalmazandók, ha (ismertesse a körülményeket vagy egy példát legfeljebb 200 karakter terjedelemben).” Azon biztosítási alapú befektetési termékek esetében, amelyeknél a kilépési költségek csak az ajánlott tartási időnél történő kilépés előtt merülnek fel, a jobb oldali oszlopban fel kell tüntetni az „N/A”-t, és ebben az oszlopban a fenti leírásokon túl a következő nyilatkozatot kell feltüntetni: „A következő oszlopban a kilépési költségek „N/A”-ként szerepelnek, mivel nem alkalmazandók, ha Ön a terméket az ajánlott tartási időig tartja.” | „[…] %” vagy „Biztosítási szerződés […] % Befektetési lehetőség […] – […] %” |
| Évente felszámított folyó költségek | ||
| Kezelési díjak és egyéb adminisztratív vagy működési költségek | [Ismertesse az alapot legfeljebb 150 karakter terjedelemben! Példa: „[Az Ön befektetése éves értékének […] %-a”]. Ez egy, az elmúlt év tényleges költségein alapuló becslés. | „[…] %” vagy „Biztosítási szerződés […] % Befektetési lehetőség […] – […] %” |
| Ügyleti költségek | Az Ön befektetése éves értékének […] %-a. Ez a termék számára alapul szolgáló befektetések általunk történő vásárlása és eladása során felmerülő költségek becslése. A tényleges összeg attól függően fog változni, hogy mennyit vásárolunk és értékesítünk. | „[…] %” vagy „Biztosítási szerződés […] % Befektetési lehetőség […] – […] %” |
| Meghatározott feltételek mellett felmerülő járulékos költségek | ||
| Teljesítménydíjak [és nyereségrészesedés] | [[Ismertesse a jelleget legfeljebb 300 karakter terjedelemben!] A tényleges összeg attól függően fog változni, hogy az Ön befektetése mennyire jól teljesít. A fenti összesített költségbecslés az elmúlt 5 év átlagát tartalmazza.] vagy [Ezen termékért nem kell teljesítménydíjat fizetni]. | „[…] %” vagy „Biztosítási szerződés […] % Befektetési lehetőség […] – […] %” |
| (Adott esetben): „A befektetési összegtől függően eltérő költségek alkalmazandók [ismertesse a körülményeket vagy hozzon fel egy példát legfeljebb 150 karakter terjedelemben]. | ||
VIII. MELLÉKLET
A MÚLTBELI TELJESÍTMÉNYRE VONATKOZÓ INFORMÁCIÓK TARTALMA ÉS MEGJELENÍTÉSE
Fogalommeghatározások
1. A múltbeli teljesítményre vonatkozó információk megjelenítése céljából a következő fogalommeghatározásokat kell alkalmazni:
a) "ÁÉKBV": a 2009/65/EK irányelv 5. cikkével összhangban engedélyezett ÁÉKBV, amely:
i. a II. melléklet 5. pontjában meghatározott 2. kategóriájú PRIIP; és
ii. a lakossági befektetők számára bizonyos előre meghatározott időpontokban nem biztosít algoritmusalapú kifizetéseket, amelyek a pénzügyi eszközök, indexek vagy referenciaportfóliók teljesítményéhez, árváltozásaihoz vagy egyéb feltételeihez kapcsolódnak, vagy hasonló jellemzőkkel rendelkeznek;
b) "ABA": a 2011/61/EU irányelv 4. cikke (1) bekezdésének a) pontjában meghatározottak szerinti ABA, amely:
i. a II. melléklet 5. pontjában meghatározott 2. kategóriájú PRIIP;
ii. a 694/2014/EU felhatalmazáson alapuló bizottsági rendelet ( 16 ) 1. cikkének (2) bekezdésében említett nyílt végű ABA; és
iii. a lakossági befektetők számára bizonyos előre meghatározott időpontokban nem biztosít algoritmusalapú kifizetéseket, amelyek a pénzügyi eszközök, indexek vagy referenciaportfóliók teljesítményéhez, árváltozásaihoz vagy egyéb feltételeihez kapcsolódnak, vagy hasonló jellemzőkkel rendelkeznek;
c) "befektetési egységekhez kötött, biztosítási alapú befektetési termék": olyan, befektetési egységekhez kötött, biztosítási alapú befektetési termék, amely:
i. a II. melléklet 5. pontjában meghatározott 2. kategóriájú PRIIP;
ii. az ajánlott tartási idő előtt alkalmazható (igénybe vehető) korai kilépési vagy visszaváltási lehetőségekkel rendelkezik, amelyekre nem vonatkoznak jelentős korlátozó feltételek;
iii. olyan előnyöket biztosít, amelyek közvetlenül az egységekre osztott eszközök értékéhez kapcsolódnak; és
iv. a lakossági befektetők számára bizonyos előre meghatározott időpontokban nem biztosít algoritmusalapú kifizetéseket, amelyek a pénzügyi eszközök, indexek vagy referenciaportfóliók teljesítményéhez, árváltozásaihoz vagy egyéb feltételeihez kapcsolódnak, vagy hasonló jellemzőkkel rendelkeznek.
A múltbeli teljesítmény kiszámítása az ÁÉKBV-k vagy ABA-k esetében
2. A múltbeli teljesítmény számadatainak kiszámításához az ÁÉKBV vagy ABA nettó eszközértékét kell alapul venni, és az adatokat azt feltételezve kell kiszámítani, hogy az alap felosztható jövedelmét újra befektették.
A múltbeli teljesítményre vonatkozó "modellezett" adatok használata ÁÉKBV-k vagy ABA-k esetében
3. Az adatok rendelkezésre állása előtti időszakra vonatkozóan modellezett teljesítményadatok csak a következő esetekben engedélyezhetők, feltéve, hogy használatuk tisztességes, egyértelmű és nem félrevezető:
a) egy meglévő ÁÉKBV, ABA vagy befektetési részalap új befektetésijegy-osztályának teljesítménye modellezhető egy másik osztály teljesítményével, feltéve, hogy a két osztály az ÁÉKBV vagy ABA eszközeiben való részvétel mértékét tekintve nem tér el lényegesen;
b) a feeder-ÁÉKBV vagy ABA teljesítménye modellezhető a master-ÁÉKBV vagy ABA teljesítményével, feltéve, hogy az alábbi feltételek egyike teljesül:
i. a feeder-ÁÉKBV vagy ABA stratégiája és célkitűzései nem teszik lehetővé számára, hogy a master-ÁÉKBV vagy ABA befektetési jegyein és kiegészítő likvid eszközökön kívül más eszközöket birtokoljon;
ii. a feeder-ÁÉKBV vagy ABA jellemzői nem térnek el lényegesen a master-ÁÉKBV vagy ABA jellemzőitől.
A múltbeli teljesítmény kiszámítása a befektetési egységekhez kötött, biztosítási alapú befektetési termékek esetében
4. A múltbeli teljesítménynek az e melléklet 2. pontjában ismertetett kiszámítása értelemszerűen alkalmazandó a befektetési egységekhez kötött, biztosítási alapú befektetési termékekre. A számításnak összhangban kell lennie a 2. cikk (4) bekezdésében említett, a biometrikus kockázati díj vagy a biometrikus kockázati díj költségrésze befektetési hozamra gyakorolt hatásának magyarázatával.
A múltbeli teljesítmény bemutatása az ÁÉKBV-k vagy ABA-k esetében
5. Az ÁÉKBV vagy ABA elmúlt tízévi teljesítményére kiterjedő oszlopdiagrammal kell bemutatni az ÁÉKBV vagy ABA múltbeli teljesítményére vonatkozó információt. Az oszlopdiagram méretének lehetővé kell tennie az olvashatóságot.
6. Az öt teljes naptári évre vonatkozó teljesítményadatokkal még nem rendelkező ÁÉKBV vagy ABA esetén a legutolsó öt évre kiterjedő bemutatást kell használni.
7. Azon éveket, ahol nincsenek elérhető adatok, üresen kell hagyni, csak a dátum megjelölésével.
8. Egy teljes naptári évre vonatkozó teljesítményadatokkal még nem rendelkező ÁÉKBV vagy ABA esetében szerepeltetni kell egy nyilatkozatot, miszerint még nem áll rendelkezésre elegendő adat ahhoz, hogy a lakossági befektetők számára a múltbeli teljesítményről hasznos tájékoztatást adjanak.
9. Az oszlopdiagram elrendezését ki kell egészíteni a következő szembetűnő megjegyzésekkel:
a) figyelmeztetés arra, hogy a múltbeli teljesítményt bemutató diagram a jövőbeli teljesítmény előrejelzésére csak korlátozottan alkalmas, a következő, vastag betűkkel írt nyilatkozattal:
"A múltbeli teljesítmény nem megbízható mutatója a jövőbeli teljesítménynek. A piacok a jövőben nagyon eltérő módon alakulhatnak.
Segíthet Önnek annak értékelésében, hogy a múltban hogyan kezelték az alapot.";
b) az oszlopdiagram fölött a következő vastag betűkkel szedett magyarázatot kell feltüntetni:
"Ez a diagram az alap teljesítményét az utolsó [x] év veszteségének vagy nyereségének százalékos arányaként mutatja.";
c) adott esetben termékspecifikus figyelmeztetés a múltbeli adatok reprezentativitásának hiányára e melléklet 15. pontjával összhangban vagy adott esetben egyéb okokra legfeljebb 150 karakter terjedelemben, közérthető nyelven;
d) adott esetben annak rövid magyarázata, hogy mely költségeket és díjakat vették figyelembe vagy zárták ki a múltbeli teljesítmény kiszámítása során. Ez nem vonatkozik az olyan ÁÉKBV-kra vagy ABA-kra, amelyek esetében nincsenek belépési vagy kilépési költségek. [Példa:
"A teljesítményt a folyó költségek levonása után jelenítik meg. A számítás nem veszi figyelembe a belépési és kilépési költségeket."];
e) annak az évnek a megjelölése, amelyben az alap, befektetési részalap vagy befektetésijegy-osztály létrejött;
f) adott esetben annak a pénznemnek a megjelölése, amelyben a múltbeli teljesítményt kiszámították.
10. A múltbeli teljesítmény bemutatására vonatkozó információk nem vehetik figyelembe a folyó naptári év adatait.
Referenciaérték használata a múltbeli teljesítmény mellett
11. Ha a kiemelt információkat tartalmazó dokumentum "Milyen termékről van szó?" című szakasza referenciaértékre hivatkozik, ennek a referenciaértéknek a teljesítményét mutató oszlopot be kell illeszteni a diagramba az ÁÉKBV vagy ABA múltbeli teljesítményét mutató egyes oszlopok mellé. Ez vonatkozik a referenciaértéket követő, valamint a referenciaértékre hivatkozva kezelt ÁÉKBV-kre és ABA-kra is. Egy ÁÉKBV-t vagy ABA-t referenciaértékre való hivatkozással kezeltnek kell tekinteni, amennyiben a referenciaindex szerepet játszik az ÁÉKBV vagy ABA kezelésében, például a portfólió-összetétel és/vagy a teljesítménymérés tekintetében.
12. Olyan ÁÉKBV-k vagy ABA-k esetében, amelyek nem rendelkeznek múltbeli teljesítményadatokkal az előírt öt vagy tíz év tekintetében, a referenciaértéket nem kell feltüntetni azokra az évekre, amelyekben az ÁÉKBV vagy ABA nem létezett.
13. Ha az ÁÉKBV-t vagy ABA-t az e melléklet 11. pontjában említett referenciaértékre való hivatkozással kezelik, az e melléklet 9. pontjában szereplő magyarázatokat a következőkkel kell kiegészíteni, vastag betűkkel szedve:
"Ez a diagram az alap teljesítményét az utolsó [x] év éves veszteségének vagy nyereségének százalékos arányaként mutatja a referenciaértékhez képest.";
"Segíthet Önnek annak értékelésében, hogy a múltban hogyan kezelték az alapot, valamint annak a referenciaértékével történő összehasonlításában."
Az oszlopdiagram bemutatása
14. A múltbeli teljesítményt bemutató oszlopdiagramnak a következő kritériumoknak kell megfelelnie:
a) az oszlopdiagram Y-tengelyének skálája lineáris legyen, ne logaritmikus;
b) a skálát hozzá kell igazítani a megjelenített oszlopok terjedelméhez és nem nyomhatja össze az oszlopokat annyira, hogy nehezebb legyen megkülönböztetni a hozamingadozásokat;
c) az X-tengelyt a 0 %-os teljesítményen kell elhelyezni;
d) minden egyes oszlopon fel kell tüntetni az elért hozam százalékos arányát;
e) a múltbeli teljesítményre vonatkozó számadatokat egy tizedesjegyre kell kerekíteni.
Lényeges változások hatása és kezelése
15. Ha lényeges változás történik az ÁÉKBV vagy ABA célkitűzéseiben és befektetési politikájában az e melléklet 5-10. pontjában említett oszlopdiagrammal megjelenített időszak alatt, az ÁÉKBV vagy ABA lényeges változást megelőző múltbeli teljesítményét továbbra is fel kell tüntetni.
16. Az e melléklet 15. pontjában említett lényeges változást megelőző időszakot jelölni kell az oszlopdiagramon és egyértelmű figyelmeztetéssel kell jelezni, hogy a teljesítményt olyan körülmények között érték el, amelyek már nem érvényesek.
A múltbeli teljesítményre vonatkozó "modellezett" adatok használata
17. Minden olyan esetben, amikor az e melléklet 3. pontjával összhangban modellezték a teljesítményt, feltűnő módon jelezni kell az oszlopdiagramon, hogy a teljesítmény modellezett.
18. A jogállását megváltoztató, de ugyanabban a tagállamban letelepedve maradó ÁÉKBV csak akkor tarthatja meg teljesítményadatait, ha a tagállam illetékes hatósága észszerűen úgy értékeli, hogy a jogállás megváltozása nincs hatással az ÁÉKBV vagy ABA teljesítményére.
19. A 2009/65/EK irányelv 2. cikke (1) bekezdése p) pontjának i. és iii. alpontjában említett egyesülések esetén csak az átvevő ÁÉKBV múltbeli teljesítményét kell megtartani.
20. E melléklet 19. pontja értelemszerűen alkalmazandó az ABA-k egyesülése esetén.
A múltbeli teljesítmény megjelenítése a feeder-ÁÉKBV vagy ABA esetében
21. A feeder-ÁÉKBV vagy ABA múltbeli teljesítményének bemutatása csak a feeder-ÁÉKBV-ra vagy ABA-ra vonatkozhat, és nem mutathatja be a master-ÁÉKBV vagy ABA teljesítményét.
22. E melléklet 21. pontja nem alkalmazandó, ha:
a) a feeder-ÁÉKBV vagy ABA a master-ÁÉKBV-jének vagy ABA-jának múltbeli teljesítményét referenciaértékként jeleníti meg; vagy
b) a feedert később indították el feeder-ÁÉKBV-ként vagy ABA-ként mint a master-ÁÉKBV-t vagy ABA-t, és ha az e melléklet 3. pontjának feltételei teljesülnek, valamint ha a modellezett teljesítményt a feeder létezése előtti évek vonatkozásában, a master-ÁÉKBV vagy ABA múltbeli teljesítménye alapján jelenítik meg; vagy
c) a feeder-ÁÉKBV azon időpont előttről származó múltbeli teljesítményadatokkal rendelkezik, amikor feederként kezdett működni, és saját adatait megtartja az oszlopdiagramban az érintett évek vonatkozásában, a lényeges változást az e melléklet 16. pontjában előírtak szerint jelölve.
A befektetési egységekhez kötött, biztosítási alapú befektetési termékek múltbeli teljesítményének bemutatása
23. E melléklet 5-16. pontja értelemszerűen alkalmazandó a befektetési egységekhez kötött, biztosítási alapú befektetési termékekre. A bemutatásnak összhangban kell lennie a 2. cikk (4) bekezdésében említett, a biometrikus kockázati díj vagy a biometrikus kockázati díj költségrésze befektetési hozamra gyakorolt hatásának ismertetésével.
( 1 ) Az Európai Parlament és a Tanács 2011/61/EU irányelve (2011. június 8.) az alternatívbefektetésialap-kezelőkről, valamint a 2003/41/EK és a 2009/65/EK irányelv, továbbá az 1060/2009/EK és az 1095/2010/EU rendelet módosításáról (HL L 174., 2011.7.1., 1. o.).
( 2 ) Az Európai Parlament és a Tanács (EU) 2016/97 irányelve (2016. január 20.) a biztosítási értékesítésről (HL L 26., 2016.2.2., 19. o.).
( 3 ) Az Európai Parlament és a Tanács 2014/65/EU irányelve (2014. május 15.) a pénzügyi eszközök piacairól, valamint a 2002/92/EK irányelv és a 2011/61/EU irányelv módosításáról (HL L 173., 2014.6.12., 349. o.)
( 4 ) Az Európai Parlament és a Tanács 600/2014/EU rendelete (2014. május 15.) a pénzügyi eszközök piacairól és a 648/2012/EU rendelet módosításáról (HL L 173., 2014.6.12., 84. o.).
( 5 ) Az Európai Parlament és a Tanács 2014/65/EU irányelve (2014. május 15.) a pénzügyi eszközök piacairól, valamint a 2002/92/EK irányelv és a 2011/61/EU irányelv módosításáról (HL L 173., 2014.6.12., 349. o.) .
( 6 ) A Bizottság (EU) 2016/1800 végrehajtási rendelete (2016. október 11.) a 2009/138/EK európai parlamenti és tanácsi rendeletnek megfelelően a külső hitelminősítő intézetek hitelminősítéseinek objektív hitelminősítési kategóriákba sorolása tekintetében végrehajtás-technikai standardok megállapításáról (HL L 275., 2016.10.12., 19. o.).
( 7 ) Az Európai Parlament és a Tanács 2011/61/EU irányelve (2011. június 8.) az alternatívbefektetésialap-kezelőkről, valamint a 2003/41/EK és a 2009/65/EK irányelv, továbbá az 1060/2009/EK és az 1095/2010/EU rendelet módosításáról (HL L 174., 2011.7.1., 1. o.).
( 8 ) Az Európai Parlament és a Tanács 1060/2009/EK rendelete (2009. szeptember 16.) a hitelminősítő intézetekről (HL L 302., 2009.11.17., 1. o.).
( 9 ) A Bizottság (EU) 2016/1800 végrehajtási rendelete (2016. október 11.) a 2009/138/EK európai parlamenti és tanácsi rendeletnek megfelelően a külső hitelminősítő intézetek hitelminősítéseinek objektív hitelminősítési kategóriákba sorolása tekintetében végrehajtás-technikai standardok megállapításáról (HL L 275., 2016.10.12., 19. o.).
( 10 ) Az Európai Parlament és a Tanács 2011/61/EU irányelve (2011. június 8.) az alternatívbefektetésialap-kezelőkről, valamint a 2003/41/EK és a 2009/65/EK irányelv, továbbá az 1060/2009/EK és az 1095/2010/EU rendelet módosításáról (HL L 174., 2011.7.1., 1. o.).
( 11 ) Az Európai Parlament és a Tanács 2014/91/EU irányelve (2014. július 23.) az átruházható értékpapírokkal foglalkozó kollektív befektetési vállalkozásokra (ÁÉKBV) vonatkozó törvényi, rendeleti és közigazgatási rendelkezések összehangolásáról szóló 2009/65/EK irányelvnek a letétkezelői funkciók, a javadalmazási politikák és a szankciók tekintetében történő módosításáról (HL L 257., 2014.8.28., 186. o.).
( 12 ) Az Európai Parlament és a Tanács 2009/138/EK irányelve (2009. november 25.) a biztosítási és viszontbiztosítási üzleti tevékenység megkezdéséről és gyakorlásáról (Szolvencia II.) (HL L 335., 2009.12.17., 1. o.).
( 13 ) Az Európai Parlament és a Tanács 575/2013/EU rendelete (2013. június 26.) a hitelintézetekre és befektetési vállalkozásokra vonatkozó prudenciális követelményekről és a 648/2012/EU rendelet módosításáról (HL L 176., 2013.6.27., 1. o.).
( 14 ) Az Európai Parlament és a Tanács (EU) 2016/1011 rendelete (2016. június 8.) a pénzügyi eszközökben és pénzügyi ügyletekben referenciamutatóként vagy a befektetési alapok teljesítményének méréséhez felhasznált indexekről, valamint a 2008/48/EK és a 2014/17/EU irányelv, továbbá az 596/2014/EU rendelet módosításáról (HL L 171., 2016.6.29., 1. o.).
( 15 ) A Bizottság 2007/16/EK irányelve (2007. március 19.) az átruházható értékpapírokkal foglalkozó kollektív befektetési vállalkozásokra (ÁÉKBV) vonatkozó törvényi, rendeleti és közigazgatási rendelkezések összehangolásáról szóló 85/611/EGK tanácsi irányelv egyes fogalommeghatározások pontosítása tekintetében történő végrehajtásáról (HL L 79., 2007.3.20., 11. o.).
( 16 ) A Bizottság 694/2014/EU felhatalmazáson alapuló rendelete (2013. december 17.) a 2011/61/EU európai parlamenti és tanácsi irányelvnek az alternatívbefektetésialap-kezelők típusait meghatározó szabályozás-technikai standardok tekintetében való kiegészítéséről (HL L 183., 2014.6.24., 18. o.).
Lábjegyzetek:
[1] A dokumentum eredetije megtekinthető CELEX: 32017R0653 - https://eur-lex.europa.eu/legal-content/HU/ALL/?uri=CELEX:32017R0653&locale=hu Utolsó elérhető, magyar nyelvű konszolidált változat CELEX: 02017R0653-20230101 - https://eur-lex.europa.eu/legal-content/HU/ALL/?uri=CELEX:02017R0653-20230101&locale=hu