32019D0070[1]
A Bizottság (EU) 2019/70 határozata (2019. január 11.) a grafikai célra szánt papír, valamint a tissue-papír és a tissue-termékek uniós ökocímkéjének odaítélésére vonatkozó kritériumok megállapításáról (az értesítés a C(2019) 3. számú dokumentummal történt)
A BIZOTTSÁG (EU) 2019/70 HATÁROZATA
(2019. január 11.)
a grafikai célra szánt papír, valamint az egészségügyi és háztartási papírtermékek előállításához használt papír alapanyag és az egészségügyi és háztartási papírtermékek uniós ökocímkéjének odaítélésére vonatkozó kritériumok megállapításáról
(az értesítés a C(2019) 3. számú dokumentummal történt)
(EGT-vonatkozású szöveg)
1. cikk
A "grafikai célra szánt papír" termékcsoportba az ív vagy tekercs formátumú, nem nyomtatott és nem továbbfeldolgozott, írásra, nyomtatásra vagy feldolgozásra alkalmas sima vagy színezett üres, cellulózból készült papírok és kartonok tartoznak.
A termékcsoport nem foglalja magában az alábbiakat:
a) csomagolás;
b) hőérzékeny papír;
c) fotópapír és karbonmentes papír;
d) illatosított papír;
e) a 2. cikkben meghatározott "egészségügyi és háztartási papírtermékek előállításához használt papír alapanyag, és egészségügyi és háztartási papírtermékek" termékcsoportba tartozó papír.
2. cikk
Az "egészségügyi és háztartási papírtermékek előállításához használt papír alapanyag, és egészségügyi és háztartási papírtermékek" termékcsoportba az alábbiak tartoznak:
1. a 2. pont alá tartozó termékekké történő feldolgozásra szánt, ív vagy tekercs formátumú nem továbbfeldolgozott egészségügyi és háztartási papírtermékek előállításához használt papír alapanyag;
2. személyes higiéniai célra használt, folyadékok felitatására, felületek tisztítására vagy e célok kombinációjára alkalmas egészségügyi és háztartási papírtermékek; idetartoznak többek között a következő termékfajták: papírzsebkendő, toalettpapír, papírarckendő, konyhai vagy háztartási papír törlőkendő, papír kéztörlő kendő, papírszalvéta, papír tányéralátét és ipari papír törlőkendő.
A termékcsoport nem foglalja magában az alábbiakat:
a) a 2014/763/EU bizottsági határozatban ( 1 ) meghatározott "nedvszívó higiéniai termékek" termékcsoportba tartozó termékek;
b) a felületek tisztítására szolgáló tisztítószereket tartalmazó termékek;
c) az egészségügyi és háztartási papírtermékek előállításához használt papír alapanyagtól eltérő anyaggal laminált egészségügyi és háztartási papírtermékek;
d) az 1223/2009/EK európai parlamenti és tanácsi rendelet ( 2 ) szerinti kozmetikai termékek, beleértve a nedves törlőkendőket is;
e) az illatosított papír;
f) az 1. cikkben meghatározott "grafikai célra szánt papír" termékcsoportba vagy a 2012/481/EU bizottsági határozatban ( 3 ) meghatározott "nyomtatott papír" termékcsoportba tartozó termékek.
3. cikk
E határozat alkalmazásában:
1. "cellulóz" : a papírgyártás során cellulózgyárban rostos cellulóznyersanyagból (elsősorban fából) mechanikai vagy vegyi eljárással előállított rostos anyag;
2. "csomagolás" : anyagának jellegétől függetlenül minden olyan termék, amelyet - a nyersanyagoktól a feldolgozott cikkekig - áruk beburkolására, megóvására, kezelésére, szállítására vagy bemutatására használnak a termelőtől a felhasználóig vagy a fogyasztóig való eljutás folyamatában;
3. "egészségügyi és háztartási papírtermékek előllításához használt papír alapanyag" : cellulózból készült, kis négyzetméter-tömegű, kreppelt vagy nem kreppelt, száraz vagy nedves papír;
4. "egészségügyi és háztartási papírtermékek" : egy- vagy többrétegű, hajtogatott vagy nem hajtogatott, domborított vagy domborítatlan, laminált vagy laminálatlan, nyomtatott vagy nem nyomtatott, adott esetben utókezelt egészségügyi és háztartási papírtermékek előállításához használt papír alapanyagból készült feldolgozott termékek.
4. cikk
(1) Egy termék abban az esetben látható el a "grafikai célra szánt papír" termékcsoportra vonatkozó, a 66/2010/EK rendelet szerinti uniós ökocímkével, ha az e határozat 1. cikkében foglalt fogalommeghatározás alapján beletartozik a szóban forgó termékcsoportba, és megfelel az e határozat I. mellékletében megállapított kritériumoknak, valamint kapcsolódó értékelési és ellenőrzési követelményeknek.
(2) Egy termék abban az esetben látható el az "egészségügyi és háztartási papírtermékek előállításához használt papír alapanyag, és egészségügyi és háztartási papírtermékek" termékcsoportra vonatkozó, a 66/2010/EK rendelet szerinti uniós ökocímkével, ha az e határozat 2. cikkében foglalt fogalommeghatározás alapján beletartozik a szóban forgó termékcsoportba, és megfelel az e határozat II. mellékletében megállapított kritériumoknak, valamint kapcsolódó értékelési és ellenőrzési követelményeknek.
5. cikk
A "grafikai célra szánt papír" és az "egészségügyi és háztartási papírtermékek előállításához használt papír alapanyag, és egészségügyi és háztartási papírtermékek" termékcsoportra vonatkozó kritériumok, valamint az ezekhez kapcsolódó értékelési és ellenőrzési követelmények 2024. december 31-ig érvényesek.
6. cikk
(1) A "grafikai célra szánt papír" termékcsoporthoz adminisztratív célból rendelt kódszám: "011".
(2) Az "egészségügyi és háztartási papírtermékek előállításához használt papír alapanyag, és egészségügyi és háztartási papírtermékek" termékcsoporthoz adminisztratív célból rendelt kódszám: "004".
7. cikk
A 2009/568/EK, a 2011/333/EU és a 2012/448/EU határozat hatályát veszti.
8. cikk
(1) A 7. cikk ellenére az e határozatban meghatározott "grafikai célra szánt papír" termékcsoportba és a 2011/333/EU határozatban meghatározott "másolópapír és grafikai célra szánt papír" termékcsoportba egyaránt beletartozó termékekre vonatkozó, e határozat elfogadása előtt benyújtott, uniós ökocímke iránti kérelmeket a 2011/333/EU határozatban megállapított feltételekkel összhangban kell elbírálni.
(2) A 7. cikk ellenére az e határozatban meghatározott "grafikai célra szánt papír" termékcsoportba és a 2012/448/EU határozatban meghatározott "újságnyomópapír" termékcsoportba egyaránt beletartozó termékekre vonatkozó, e határozat elfogadása előtt benyújtott, uniós ökocímke iránti kérelmeket a 2012/448/EU határozatban megállapított feltételekkel összhangban kell elbírálni.
(3) A 7. cikk ellenére az e határozatban meghatározott "egészségügyi és háztartási papírtermékek előállításához használt papír alapanyag, és egészségügyi és háztartási papírtermékek" termékcsoportba és a 2009/568/EK határozatban meghatározott "egészségügyi és háztartási papírtermékek" termékcsoportba egyaránt beletartozó termékekre vonatkozó, e határozat elfogadása előtt benyújtott, uniós ökocímke iránti kérelmeket a 2009/568/EK határozatban megállapított feltételekkel összhangban kell elbírálni.
(4) Az e határozat elfogadásának napján vagy azt követően, de legkésőbb 2018. december 31-ig benyújtott, a "grafikai célra szánt papír" termékcsoportba, illetőleg az "egészségügyi és háztartási papírtermékek előállításához használt papír alapanyag, és egészségügyi és háztartási papírtermékek" termékcsoportba tartozó termékekre vonatkozó, uniós ökocímke iránti kérelmeknek vagy az e határozatban megállapított kritériumokon, vagy az adott esetnek megfelelően a 2011/333/EU, a 2012/448/EU vagy a 2009/568/EK határozatban előírt kritériumokon kell alapulniuk. A szóban forgó kérelmeket az azok alapjául szolgáló kritériumok szerint kell elbírálni.
(5) Amennyiben az uniós ökocímkét a 2009/568/EK, a 2011/333/EU vagy a 2012/448/EU határozatban meghatározott kritériumokkal összhangban elbírált kérelem alapján ítélik oda, az uniós ökocímke csak 2019. december 31-ig használható.
9. cikk
Ennek a határozatnak a tagállamok a címzettjei.
I. MELLÉKLET
A GRAFIKAI CÉLRA SZÁNT PAPÍR UNIÓS ÖKOCÍMKÉJÉNEK ODAÍTÉLÉSÉRE VONATKOZÓ KRITÉRIUMOK
KERETSZABÁLYOK
A kritériumok megállapításának célja
A kritériumok célja különösen a mérgező és eutróf anyagok vízbe történő kibocsátásának csökkentése, valamint az energiafelhasználással kapcsolatos környezeti károk és kockázatok (az éghajlatváltozás, a savasodás, az ózonréteg károsodása, a nem megújuló erőforrások kimerülése) mérséklése. Ennek megvalósítása érdekében a kritériumok célja:
- az energiafogyasztás és a kapcsolódó légköri kibocsátások csökkentése;
- a környezeti károk csökkentése a vízbe történő kibocsátások és a hulladékképződés csökkentése révén;
- a veszélyes vegyi anyagok használatával kapcsolatos környezeti károk és kockázatok csökkentése; valamint
- az erdők védelme annak előírása révén, hogy az újrahasznosított rostanyagnak, illetve a primer rostanyagnak fenntartható erdőgazdálkodás alatt álló erdőkből és területekről kell származniuk.
A grafikai célra szánt papír uniós ökocímkéjének odaítélésére vonatkozó kritériumok:
1. vízbe és levegőbe történő kibocsátás;
2. energiafelhasználás;
3. rostanyagok: erőforrások megőrzése, fenntartható erdőgazdálkodás;
4. korlátozott veszélyes anyagok és keverékek;
5. hulladékgazdálkodás;
6. használatra való alkalmasság;
7. a csomagoláson feltüntetett információk;
8. az uniós ökocímkén feltüntetett információk.
Az ökológiai kritériumok kiterjednek a cellulózgyártás teljes folyamatára - beleértve annak minden részfolyamatát - a primer rostanyag, illetve az újrahasznosított rostanyag üzembe történő belépésétől addig a pontig, amikor a cellulóz elhagyja a cellulózgyárat. A papírgyártás esetében az ökológiai kritériumok a grafikai célra szánt papír előállítására használt cellulóz elkészítésétől a papírnak a nagytekercsre való feltekercseléséig minden papírgyári részfolyamatra kiterjednek.
Az ökológiai kritériumok nem terjednek ki a nyersanyagok (pl. fa), a cellulóz és a papír szállítására és csomagolására. Az ökológiai kritériumok továbbá nem terjednek ki a papír továbbfeldolgozására.
Értékelés és ellenőrzés: A konkrét értékelési és ellenőrzési követelmények kritériumonként fel vannak tüntetve.
Amennyiben a kérelmezőnek a kritériumnak való megfelelés igazolására nyilatkozatokat, dokumentációkat, elemzéseket, vizsgálati jegyzőkönyveket vagy egyéb bizonyítékot kell benyújtania, azok az esetnek megfelelően származhatnak a kérelmezőtől és/vagy annak beszállítójától (beszállítóitól) és/vagy annak/azoknak a beszállítójától (beszállítóitól), stb.
Az illetékes testületeknek előnyben kell részesíteniük a vizsgáló- és kalibrálólaboratóriumokra vonatkozó harmonizált szabvány szerint akkreditált szervezetek által kiállított tanúsítványokat és igazolásokat, valamint a termékek, folyamatok és szolgáltatások tanúsítását végző szervezetekre vonatkozó harmonizált szabvány szerint akkreditált szervezetek által kiállított igazolásokat.
Adott esetben az egyes kritériumok tekintetében a megadott vizsgálati módszerektől eltérő vizsgálati módszerek is alkalmazhatók, amennyiben a kérelmet elbíráló illetékes testület elfogadja azok egyenértékűségét.
Adott esetben az illetékes testületek igazoló dokumentumokat kérhetnek, illetve független ellenőrzéseket vagy helyszíni ellenőrzéseket végezhetnek a szóban forgó kritériumoknak való megfelelés ellenőrzésére.
A grafikai célra szánt papírtermékeknek meg kell felelniük a forgalomba hozataluk szerinti országban előírt valamennyi vonatkozó követelménynek. A kérelmezőnek nyilatkozatot kell tennie arról, hogy a termék megfelel ennek a követelménynek.
E melléklet alkalmazásában:
1. "légszáraz tonna", "ADt" : a cellulóz 90 %-os szárazanyag-tartalomnak megfelelő légszáraz tonnamennyisége;
2. "vegyi úton előállított cellulóz" : a nyersanyagból vegyi úton történő kezelés (főzés, ligninmentesítés, fehérítés) útján eltávolítható, nem cellulózalapú összetevők jelentős részének eltávolítása után maradó rostos anyag;
3. "CMP" : vegyi-mechanikai úton előállított cellulóz;
4. "CTMP" : vegyi-termomechanikai úton előállított cellulóz;
5. "festékmentesített cellulóz" : újrahasznosításra szánt papírból készült rostanyag, amelyből eltávolították a színezőanyagokat és más szennyező anyagokat;
6. "színezőanyagok" : erősen színezett vagy fluoreszkáló szerves anyagok, amelyek szelektív fényelnyelés révén színt adnak a szubsztrátumnak. Oldhatók, és/vagy olyan alkalmazási folyamaton mennek keresztül, amely legalább ideiglenesen roncsolja a kristályszerkezetet. A színezékek abszorpció, oldás és mechanikai visszatartás, illetve ionos vagy kovalens kémiai kötés útján kötődnek meg a szubsztrátumban;
7. "ECF cellulóz" : elemiklór-mentes fehérített cellulóz;
8. "integrált papírgyártás" : a cellulóz és a papír ugyanazon létesítményben való gyártása. A cellulózt a papírgyártás előtt nem szárítják. A papír/karton előállítása a cellulóz előállításához közvetlenül kapcsolódva történik;
9. "mechanikai úton előállított cellulózt tartalmazó papír vagy karton" : rostösszetételén belül meghatározó arányban mechanikai úton előállított cellulózt tartalmazó papír vagy karton;
10. "fémalapú pigmentek és színezőanyagok" : az adott fémvegyülete(ke)t több mint 50 tömegszázalékban tartalmazó színezőanyagok és pigmentek;
11. "nem integrált papírgyártás" : kereskedelmi (értékesítésre szánt) cellulóz papírgépet nem üzemeltető papírgyárban történő előállítása vagy papír/karton kizárólag más üzemekben előállított cellulóz (kereskedelmi cellulóz) felhasználásával történő előállítása.
12. "papírgyártási selejt" : a papírgép által a papírgyártási eljárás során előállított papírselejt, amely azonban a tulajdonságainak köszönhetően közvetlenül a gyártás helyén - újrafelhasználás céljából - visszaforgatható ugyanabba a gyártási folyamatba, amelynek során keletkezett. E határozat alkalmazásában ez a kifejezés nem terjed ki azokra a feldolgozási folyamatokra, amelyek a papírgéppel végzett eljárásoktól különböző eljárásoknak minősülnek;
13. "pigmentek" : olyan színes, fekete, fehér vagy fluoreszkáló szerves vagy szervetlen szemcsés szilárd anyagok, amelyek általában nem oldódnak az őket tartalmazó hordozóanyagban vagy szubsztrátumban, és azzal alapvetően nem lépnek fizikai és kémiai reakcióba. Az anyag külső megjelenését a fény szelektív elnyelése és/vagy szórása útján változtatják meg. Rendszerint hordozóanyagban vagy szubsztrátumokban eloszlatva használják őket például nyomdafestékek, festékek, műanyagok vagy más polimer anyagok gyártásához. A színezési eljárási során mindvégig megtartják kristályszerkezetüket, illetve részecskeszerkezetüket;
14. "újrahasznosított rostanyag" : gyártási folyamatból származó hulladékáramból, háztartási hulladékból vagy egy adott termék végfelhasználóiként kereskedelmi, ipari és intézményi létesítmények által termelt hulladékból elkülönített rostanyag. Az ilyen rostanyag már nem használható eredeti rendeltetése szerint. Ez alól kivételt képez egy adott folyamat során keletkezett azon anyagok újrahasznosítása, amelyeket ugyanazon folyamaton belül fel lehet használni, mint amelynek során keletkeztek (például az ugyanazon létesítmény által termelt vagy megvásárolt papírgyári selejt);
15. "TCF cellulóz" : teljesen klórmentes fehérített cellulóz;
16. "TMP" : termomechanikai úton előállított cellulóz.
AZ UNIÓS ÖKOCÍMKE ODAÍTÉLÉSÉNEK KRITÉRIUMAI
1. kritérium: Vízbe és levegőbe történő kibocsátások
Előfeltételként a cellulóz- és papírgyártó üzemeknek meg kell felelniük a működésük szerinti ország valamennyi vonatkozó jogszabályi előírásának.
Értékelés és ellenőrzés: A kérelmezőnek a megfelelő dokumentumokkal és a cellulózbeszállító(k) nyilatkozataival alátámasztott megfelelőségi nyilatkozatot kell benyújtania.
1a. kritérium: Kémiai oxigénigény (KOI), kén (S), NOx és foszfor (P)
Ez a követelmény a kibocsátásoknak egy meghatározott referenciaértékkel való összevetésére épül. A kibocsátásért kapható pontszámot a tényleges kibocsátás és a referenciaérték hányadosa határozza meg.
Az egyes kibocsátási paraméterekért kapható pontszám nem haladhatja meg az 1,3-at.
A pontok összege (Pösszes = PKOI + PS + PNOx + PP) egyik esetben sem haladhatja meg a 4,0-t.
Nem integrált termelés esetén a kérelmezőnek olyan számítást kell benyújtania, amely egyaránt tartalmazza a cellulóz- és a papírgyártást.
A cellulóz- és a papírgyártás egészére vonatkozóan a PKOI értékét a következőképpen kell kiszámítani (a PS, a PNOx és a PP értékét ugyanígy kell kiszámítani):
Minden egyes felhasznált "i" cellulózfajtára a mért KOI-kibocsátásokat (KOIcellulóz,i kg/légszáraz tonnában [ADt] kifejezve) súlyozni kell az egyes felhasznált cellulózfajták arányával (az "i" cellulózfajta a cellulóz légszáraz tonnájára vonatkoztatva), majd a kapott értékeket össze kell adni. A légszáraz tonna tekintetében a cellulóz esetében 90 %-os, a papír esetében pedig 95 %-os szárazanyag-tartalomból kell kiindulni.
Ezután a cellulóz súlyozott KOI-kibocsátását hozzá kell adni a papírgyártás során keletkező KOI-kibocsátás mért értékéhez: az eredmény a teljes KOI-kibocsátás (KOIösszes).
A cellulózgyártás súlyozott KOI-referenciaértékét ugyanígy kell kiszámítani, azaz az egyes felhasznált cellulózfajták súlyozott referenciaértékeinek összegét hozzá kell adni a papírgyártás referenciaértékéhez: az eredmény a teljes KOI-referenciaérték (KOIref,összes). Az egyes felhasznált cellulózfajták és a papírgyártás referenciaértékeit az 1. táblázat tartalmazza.
Végül a teljes KOI-kibocsátást el kell osztani a teljes KOI-referenciaértékkel a következő képlet szerint:

1. táblázat
A különböző cellulózfajtákból és a papírgyártásból származó kibocsátások referenciaértékei
| Cellulózfajta/papír | Kibocsátás (kg/ADt) | |||
| KOIreferencia | Preferencia | Sreferencia | NOxreferencia | |
| Vegyi úton előállított, fehérített cellulóz (nem szulfit) | 16,00 | 0,025 0,09 (1) | 0,35 | 1,60 |
| Vegyi úton előállított, fehérített cellulóz (szulfit) | 24,00 | 0,04 | 0,75 | 1,60 |
| Magnefitcellulóz | 28,00 | 0,056 | 0,75 | 1,60 |
| Vegyi úton előállított, fehérítetlen cellulóz | 6,50 | 0,016 | 0,35 | 1,60 |
| CTMP/CMP | 16,00 | 0,008 | 0,20 | 0,25/0,70 (2) |
| TMP/facsiszolat | 3,00/5,40 (3) | 0,008 | 0,20 | 0,25 |
| Újrahasznosított cellulózpép festékmentesítés nélkül | 1,10 | 0,006 | 0,20 | 0,25 |
| Újrahasznosított cellulózpép festékmentesítéssel | 2,40 | 0,008 | 0,20 | 0,25 |
| Papírgyár (kg/tonna) | 1,00 | 0,008 | 0,30 | 0,70 |
| (1) A magasabb érték a magasabb foszforszintű régiókból származó eukaliptuszt (pl. ibériai eukaliptuszt) használó gyárakra vonatkozik. (2) A cellulózt biomasszaalapú gőzzel gyorsszárító nem integrált CTMP-üzemek NOx-kibocsátási értéke. (3) Nagy mértékben fehérített, mechanikai úton előállított cellulóz KOI-értéke (a végleges papír rosttartalma 70–100 %). | ||||
Amennyiben egyazon gyártóüzem hőenergiát és villamos energiát is termel, akkor az üzemben folyó villamosenergia-termelésből származó S- és NOx-kibocsátás értéke levonható a teljes mennyiségből. A villamosenergia-termelésből eredő kibocsátás aránya az alábbi képlet segítségével számítható ki:
2 × (MWh(villamos energia))/[2 × MWh(villamos energia) + MWh(hőenergia)]
A képletben a villamos energia a kapcsolt energiatermelő létesítményben termelt villamos energiát jelenti. A hőenergia a kapcsolt energiatermelő létesítményből a cellulóz-, illetve papírgyárba szállított nettó hőmennyiség.
Értékelés és ellenőrzés: A kérelmezőnek be kell nyújtania az e kritériumnak való megfelelést igazoló részletes számításokat és vizsgálati adatokat, mellékelve a kapcsolódó igazoló dokumentumokat, köztük a következő folyamatos vagy időszakos standard nyomonkövetési vizsgálati módszerek (vagy az illetékes szerv által egyenértékű tudományos minőségű adatok forrásaként elismert standard módszerek) alkalmazása nyomán készült vizsgálati jegyzőkönyveket: KOI: ISO 15705 vagy ISO 6060; NOx: EN 14792 vagy ISO 11564; S (kén-oxidok): EN 14791 vagy az EPA 8. módszer; S (redukált kén): EPA 15A., 16A. vagy 16B. módszer; olaj kéntartalma: ISO 8754; szén kéntartalma: ISO 19579; biomassza kéntartalma: EN 15289; teljes foszfortartalom: EN ISO 6878.
A kibocsátások nyomon követésére gyorstesztek is felhasználhatók, amennyiben azokat a fent említett vonatkozó szabványok vagy azokkal egyenértékű előírások alapján rendszeresen (pl. havonta) ellenőrzik. A KOI-kibocsátások esetében a teljes szervesszén-tartalom (TOC) elemzésén alapuló folyamatos nyomon követést el kell fogadni, amennyiben az érintett üzemre vonatkozóan megállapításra kerültek a TOC- és a COD-eredmények közötti megfelelések.
A méréseket - hacsak a működési engedélyben másként nem szerepel - a KOI-kibocsátások esetében legalább napi, a teljes foszfortartalom esetében pedig legalább heti gyakorisággal kell végezni. Az S- és NOx-kibocsátást minden esetben mérni kell, vagy folyamatosan (az 50 MW-ot meghaladó kapacitású kazánokból származó kibocsátások esetében), vagy időszakosan (a legfeljebb 50 MW kapacitású kazánok és szárítógépek esetében évente legalább egyszer).
Az adatokat éves átlagként kell megadni, kivéve az olyan eseteket, amikor:
- a termelési időszak egy meghatározott időtartamra szól;
- a gyártóüzem új vagy fel van újítva, amely esetben a méréseket az üzem legalább 45 egymást követő napon át tartó stabil üzemelésére kell alapozni.
Az adatok mindkét esetben csak akkor fogadhatók el, ha az adott időszak szempontjából reprezentatívak, és minden egyes kibocsátási paraméter tekintetében elegendő számú mérés történt.
Az igazoló dokumentációban fel kell tüntetni a mérések gyakoriságát, valamint a KOI, a teljes foszfortartalom, az S és az NOx terhelési pontok kiszámítását.
A levegőbe történő kibocsátásoknak tartalmazniuk kell a cellulóz és a papír előállítása során keletkező összes S- és NOx-kibocsátást, beleértve a gyártóüzemen kívül előállított gőzt, levonva a villamosenergia-termelésnek tulajdonított kibocsátásokat. A méréseknek ki kell terjedniük a regeneráló kazánokra, mészégető kemencékre, gőzkazánokra és az erős szagú gázok égetőkemencéire. A diffúz kibocsátásokat úgyszintén figyelembe kell venni. A levegőbe történő kénkibocsátásról szóló jegyzőkönyvben megadott értékben szerepelnie kell mind az oxidált, mind a redukált kénkibocsátásoknak. Az olaj, szén és más, ismert kéntartalmú külső tüzelőanyag felhasználásával történő hőenergia-előállításhoz kapcsolódó kénkibocsátások mérés helyett számítással is megadhatók, és ezeket figyelembe kell venni.
A vízbe történő kibocsátások méréseit szűretlen és ülepítetlen mintákon kell elvégezni a papírgyár szennyvíztisztító létesítményének szennyvízkivezető pontján. Azokban az esetekben, amikor a papírgyár szennyvizét a település vagy más harmadik fél tulajdonában levő szennyvíztisztító telepre vezetik, akkor az azon a ponton vett szűretlen és ülepítetlen mintákat kell elemezni, amelyen a gyár szennyvízkivezetése a szennyvízhálózathoz kapcsolódik, majd az eredményeket meg kell szorozni a település vagy harmadik fél tulajdonában levő szennyvíztisztító telepre vonatkozó standard tisztítási hatékonysági tényezővel. A tisztítási hatékonysági tényezőnek a település vagy más harmadik fél tulajdonában levő szennyvíztisztító telep üzemeltetője által szolgáltatott információkon kell alapulnia.
Mivel integrált papírgyárak esetében nehéz elkülöníteni a cellulózra és a papírra vonatkozó kibocsátási értékeket, ha csak egy összesített érték áll rendelkezésre a cellulóz- és papírgyártással kapcsolatban, a cellulózhoz kapcsolódó kibocsátási értékeket nullának kell venni, a kombinált kibocsátást pedig az adott cellulóz- és papírgyártás kombinált referenciaértékeivel kell összehasonlítani. Az egyenletben szerepelnie kell minden olyan jelen lévő cellulózfajta súlyozott mennyiségének, amelyre vonatkozóan az 1. táblázatban egyedi referenciaérték került meghatározásra.
1b. kritérium: Adszorbeálható szerves halogének (AOX)
Ez a kritérium az elemiklór-mentes fehérített cellulózra (ECF cellulózra) vonatkozik.
Az uniós ökocímkével rendelkező, grafikai célra szánt papír gyártására felhasznált egyes cellulózfajták előállításából származó AOX-kibocsátás nem haladhatja meg a 0,17 kg/ADt-t.
Értékelés és ellenőrzés: A kérelmezőnek be kell nyújtania az AOX-re vonatkozó ISO 9562 szerinti módszerrel vagy azzal egyenértékű módszerrel végzett mérésről szóló vizsgálati jegyzőkönyvet, valamint az e kritériumnak való megfelelést igazoló részletes számításokat és az ezeket igazoló dokumentumokat.
A kérelmezőnek nyilatkozatot kell benyújtania e kritérium teljesüléséről, mellékelve a cellulózkeverékben használt különböző ECF cellulózfajták jegyzékét, továbbá azok keveréken belüli súlyát és "kg AOX/ADt cellulóz" formában kifejezett fajlagos AOX kibocsátását.
Az igazoló dokumentációban fel kell tüntetni a mérések gyakoriságát. Az AOX-et csak olyan folyamatokban kell mérni, ahol klórvegyületeket használnak a cellulóz fehérítéséhez. Az AOX-et nem kell mérni a nem integrált papírgyártásból származó szennyvízben vagy fehérítés nélküli cellulózgyártásból származó szennyvizekben, illetve ha a fehérítést klórmentes anyagokkal végzik.
A vízbe történő AOX-kibocsátások méréseit szűretlen és ülepítetlen mintákon kell elvégezni a papírgyár szennyvíztisztító létesítményének szennyvízkivezető pontján. Azokban az esetekben, amikor a papírgyár szennyvizét a település vagy más harmadik fél tulajdonában levő szennyvíztisztító telepre vezetik, akkor az azon a ponton vett szűretlen és ülepítetlen mintákat kell elemezni, amelyen a gyár szennyvízkivezetése a szennyvízhálózathoz kapcsolódik, majd az eredményeket meg kell szorozni a település vagy harmadik fél tulajdonában levő szennyvíztisztító telepre vonatkozó standard tisztítási hatékonysági tényezővel. A tisztítási hatékonysági tényezőnek a település vagy más harmadik fél tulajdonában levő szennyvíztisztító telep üzemeltetője által szolgáltatott információkon kell alapulnia.
A kibocsátásokra vonatkozó információkat a legalább kéthavonta elvégzett mérések éves átlagaként kell kifejezni. Új vagy felújított gyártóüzem esetében a méréseket az üzem legalább 45 egymást követő napon át tartó stabil üzemelésére kell alapozni. A méréseknek az adott időszak szempontjából reprezentatívaknak kell lenniük.
Abban az esetben, ha a kérelmező semmilyen ECF cellulózt nem használ, elegendő ilyen értelmű nyilatkozatot tennie az illetékes szervnél.
1c. kritérium: CO2
A technológiai hő és a villamos energia előállításához (akár a gyártóüzem telephelyén, akár azon kívül) felhasznált fosszilis tüzelőanyagokból származó szén-dioxid-kibocsátás nem haladhatja meg a következő határértékeket:
1. 1 100 kg CO2/tonna 100 %-ban festékmentesített/újrahasznosított cellulózból készült papír esetében;
2. 1 000 kg CO2/tonna 100 %-ban vegyi úton előállított cellulózból készült papír esetében;
3. 1 600 kg CO2/tonna 100 %-ban mechanikai úton előállított cellulózból készült papír esetében;
A vegyi úton előállított cellulóz, az újrahasznosított cellulóz és a mechanikai úton előállított cellulóz bármilyen kombinációjából álló papír esetében súlyozott határértéket kell számolni a keverékben lévő egyes cellulózfajták aránya alapján. A tényleges kibocsátási értéket a cellulóz- és papírgyártásból származó kibocsátások összegeként kell kiszámítani, figyelembe véve az alkalmazott cellulózkeverék összetételét.
Értékelés és ellenőrzés: A kérelmező benyújtja az e kritérium teljesülését igazoló adatokat és részletes számításokat a kapcsolódó igazoló dokumentációval együtt.
A cellulózgyártónak minden felhasznált cellulózfajtára vonatkozóan meg kell adnia egy kg CO2/ADt mértékegységben kifejezett CO2-kibocsátási értéket. A kérelmezőnek közölnie kell az uniós ökocímkére pályázó, grafikai célra szánt papír előállításához használt megfelelő papírgép(ek) együttes CO2-kibocsátási értékét. Integrált gyárak esetében a cellulóz- és papírgyártás CO2-kibocsátását egyetlen értékként lehet bejelenteni.
A megengedett legnagyobb CO2-kibocsátás meghatározásához a kérelmezőnek meg kell határoznia a cellulózkeverék cellulózfajták (azaz vegyi úton előállított cellulóz, mechanikai úton előállított cellulóz és újrahasznosított cellulóz) szerinti összetételét.
A tényleges CO2-kibocsátás kiszámításához a kérelmezőnek meg kell határoznia a cellulózkeverék egyes beszállított cellulózmennyiségek szerinti összetételét, ki kell számítania a cellulózgyártás CO2-kibocsátásainak súlyozott átlagát, és ezt az értéket hozzá kell adnia a papírgép(ek)ből származó CO2-kibocsátáshoz.
A CO2-kibocsátási adatok között szerepelnie kell a cellulóz- és papírgyártás során felhasznált összes nem megújuló tüzelőanyag-forrásnak, beleértve a villamosenergia-termelésből származó kibocsátásokat is (függetlenül attól, hogy az energiát a gyártóüzem telephelyén vagy azon kívül termelik).
A tüzelőanyagokra vonatkozó kibocsátási tényezőket a 601/2012/EU bizottsági rendelet ( 4 ) VI. melléklete szerint kell felhasználni.
A hálózati villamos energia esetében 384 kg CO2/MWh-s kibocsátási tényezőt kell használni az MEErP-módszer ( 5 ) szerint.
A számításoknak, illetve az anyagmérlegeknek 12 hónapos gyártási időszakon kell alapulniuk. Új vagy felújított gyártóüzem esetében a számításokat az üzem legalább 45 egymást követő napon át tartó stabil üzemelésére kell alapozni. A számításnak az adott időszak szempontjából reprezentatívnak kell lennie.
Hálózati villamosenergia-ellátás esetén a fent megadott értéket (európai átlag) kell használni, kivéve, ha a kérelmező olyan dokumentumokat mutat be, amelyek meghatározzák az áramszolgáltatóira (szerződéses szolgáltatóira) vonatkozó átlagértéket, amely esetben a kérelmező a megadott érték helyett ezt az értéket használhatja. A megfelelés bizonyítékaként felhasznált dokumentumoknak tartalmazniuk kell az átlagértéket is tartalmazó műszaki előírásokat (azaz a szerződés másolatát).
A gyártási folyamatokhoz beszerzett és felhasznált, megújuló energiaforrásokból származó energiamennyiség a CO2-kibocsátások számításakor nulla kibocsátással veendő figyelembe. A kérelmezőnek megfelelő dokumentációt kell benyújtania arról, hogy a papírgyárban ilyen típusú energiát ténylegesen használnak, illetőleg külső forrásból beszereztek.
2. kritérium: Energiafelhasználás
Ez a követelmény a cellulóz- és papírgyártás tényleges energiafelhasználásának különböző konkrét referenciaértékekhez való viszonyára vonatkozik.
A villamosenergia-fogyasztást és a hőtermelési célú tüzelőanyag-fogyasztást magában foglaló energiafogyasztást terhelési pontokban (Pösszes) kell kifejezni az alábbiak szerint:
A terhelési pontok összege (Pösszes = PE + PF) nem lehet 2,5-nél nagyobb.
A 2. táblázat tartalmazza az energiafogyasztás kiszámítására vonatkozó referenciaértékeket.
Cellulózkeverékek esetében a villamosenergia-fogyasztásra és a hőtermelési célú tüzelőanyag-fogyasztásra vonatkozó referenciaértéket súlyozni kell a felhasznált egyes cellulózfajták aránya szerint ("i" cellulózfajta a cellulóz légszáraz tonnájára vonatkoztatva), majd a súlyozott értékeket össze kell adni.
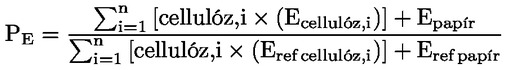
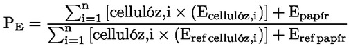
2a. kritérium: Villamos energia
A cellulóz- és papírgyártáshoz kapcsolódó villamosenergia-fogyasztást terhelési pontokban (PE) kell kifejezni, az alábbiak szerint:
Cellulózgyártásra vonatkozó számítás: minden felhasznált "i" cellulózfajtára a vonatkozó villamosenergia-fogyasztást (Ecellulóz,i, kWh/ADt-ban kifejezve) az alábbiak szerint kell kiszámítani:
Ecellulóz,i = belső előállítású villamos energia + vásárolt villamos energia - eladott villamos energia
Papírgyártásra vonatkozó számítás: a papírgyártáshoz kapcsolódó villamosenergia-fogyasztást (Epapír) hasonlóképpen kell kiszámítani:
Epapír = belső előállítású villamos energia + vásárolt villamos energia - eladott villamos energia
Végül a cellulóz- és a papírgyártás terhelési pontjait összegezve az alábbiak szerint megkapjuk a terhelési pontok összegét (PE):

Mivel integrált papírgyárak esetében nehéz elkülöníteni a cellulózra és a papírra vonatkozó villamosenergia-értékeket, ha csak egy összesített érték áll rendelkezésre a cellulóz- és papírgyártással kapcsolatban, a cellulózhoz kapcsolódó villamosenergia-fogyasztás értékét nullának kell venni, a papírgyárra vonatkozó érték pedig tartalmazza a cellulózgyártásra és a papírgyártásra vonatkozó értéket is.
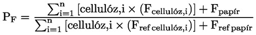
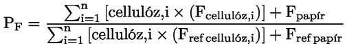
2b. kritérium: A hőtermelés tüzelőanyag-fogyasztása
A cellulóz- és papírgyártással kapcsolatos tüzelőanyag-fogyasztást terhelési pontokban (PF) kell kifejezni, az alábbiak szerint:
Cellulózgyártásra vonatkozó számítás: minden felhasznált "i" cellulózfajtára a vonatkozó tüzelőanyag-fogyasztást (Fcellulóz,i, kWh/légszáraz tonnában (ADT) kifejezve) az alábbiak szerint kell kiszámítani:
Fcellulóz,i = belső előállítású tüzelőanyag + vásárolt tüzelőanyag - eladott tüzelőanyag - 1,25 × belső előállítású villamos energia
Megjegyzés:
1. Az Fcellulóz,i értéket (és a cellulóz PF értékéhez való hozzájárulását) nem kell kiszámítani a mechanikai úton előállított cellulózra, kivéve, ha légszáraz, mechanikai eljárással előállított, kereskedelmi cellulózról van szó, amely legalább 90 % szárazanyagot tartalmaz.
2. A fenti egyenletben az "eladott tüzelőanyagok" értékébe be kell számítani az eladott hő termeléséhez felhasznált tüzelőanyag mennyiségét.
Papírgyártásra vonatkozó számítás: a papírgyártáshoz kapcsolódó tüzelőanyag-fogyasztást (Fpapír, kWh/ADt-ban kifejezve) hasonlóképpen kell kiszámítani:
Fpapír = belső előállítású tüzelőanyag + vásárolt tüzelőanyag - eladott tüzelőanyag - 1,25 × belső előállítású villamos energia
Végül a cellulóz- és a papírgyártás terhelési pontjait összegezve az alábbiak szerint megkapjuk a terhelési pontok összegét (PF):

2. táblázat
A villamos energia és a tüzelőanyag referenciaértékei
| Cellulózfajta | Tüzelőanyag kWh/ADt Freferencia | Villamos energia kWh/ADt Ereferencia | ||
| Nem admp | Admp | Nem admp | Admp | |
| Vegyi úton előállított cellulóz | 3 650 | 4 650 | 750 | 750 |
| Termomechanikai úton előállított cellulóz (TMP) | 0 | 900 | 2 200 | 2 200 |
| Facsiszolat (beleértve a préselt facsiszolatot) | 0 | 900 | 2 000 | 2 000 |
| Vegyi-termomechanikai úton előállított cellulóz (CTMP) | 0 | 800 | 1 800 | 1 800 |
| Újrahasznosított cellulóz | 350 | 1 350 | 600 | 600 |
| Papírfajta | kWh/tonna | |||
| Nem bevont finompapír, magazinpapír (SC), újságnyomópapír | 1 700 | 750 | ||
| Bevont finompapír Bevont magazinpapír (LWC, MWC) | 1 700 | 800 | ||
| Admp = légszáraz eljárással előállított kereskedelmi cellulóz | ||||
Értékelés és ellenőrzés a)-ra és b)-re): a kérelmezőnek be kell nyújtania az e kritérium teljesülését igazoló részletes számításokat a kapcsolódó összes igazoló dokumentummal együtt. A szolgáltatott információknak tehát tartalmazniuk kell a teljes villamosenergia- és tüzelőanyag-fogyasztást is.
A kérelmezőnek ki kell számítania a teljes energiafogyasztást, külön-külön meghatározva a cellulóz- és papírgyártás során felhasznált hőenergia/tüzelőanyag és villamos energia mennyiségét, beleértve az újrahasznosított papír gyártásakor a hulladékpapír festékmentesítéséhez használt energiát is. A nyersanyagok szállítása, valamint a feldolgozás és a csomagolás során felhasznált energia nem szerepelhet az energiafogyasztási számításokban.
A teljes hőenergia tartalmazza az összes vásárolt tüzelőanyagot. Tartalmazza továbbá a gyártóüzemi folyamatokból származó folyadékok és hulladékok (pl. fahulladék, fűrészpor, folyadékok, hulladékpapír és gyártási selejt) elégetésével visszanyert hőenergiát, valamint a villamos energiának a gyártóüzem telephelyén történő termeléséből visszanyert hőenergiát. A kérelmezőnek azonban az ilyen forrásokból származó hőenergiának csak a 80 %-át kell figyelembe vennie a teljes hőenergia kiszámításánál.
A villamos energia az elektromos hálózatból származó nettó villamos energiát és a gyártóüzem által előállított villamos energiát jelenti, elektromos teljesítményként mérve. A szennyvíz tisztításához használt villamos energiát nem kell számításba venni.
Ha villamos energiával mint hőforrással gőzt fejlesztenek, akkor a gőz hőértékét ki kell számítani, majd el kell osztani 0,8-del, és hozzá kell adni a teljes tüzelőanyag-fogyasztáshoz.
Mivel integrált papírgyárak esetében nehéz elkülöníteni a cellulózra és a papírra vonatkozó tüzelőanyag-értékeket (hőértékeket), ha csak egy összesített érték áll rendelkezésre a cellulóz- és papírgyártással kapcsolatban, a cellulózhoz kapcsolódó tüzelőanyag-fogyasztás (hőfogyasztás) értékét nullának kell venni, a papírgyárra vonatkozó érték pedig tartalmazza a cellulózgyártásra és a papírgyártásra vonatkozó értéket is.
3. kritérium: Rostanyagok - erőforrások megőrzése, fenntartható erdőgazdálkodás
A nyersanyagként felhasznált rostanyag lehet újrahasznosított vagy primer rostanyag.
A primer rostanyag nem származhat géntechnológiával módosított fajtákból.
A felügyeleti láncnak való megfelelést az összes rostanyag esetében független harmadik fél, például az Erdőgondnoksági Tanács (Forest Stewardship Council, FSC) vagy az erdészeti tanúsítási rendszerek elfogadását célzó program (Programme for the Endorsement of Forest Certification (PEFC), illetve ezekkel egyenértékű tanúsítási rendszerek által kiállított érvényes igazolásokkal vagy az EN 643 szabványnak megfelelő, újrafeldolgozásra szánt papírra kiállított szállítólevéllel kell igazolni.
A termékhez vagy a gyártósorhoz rendelt rostanyag legalább 70 %-ának olyan, a fenntartható erdőgazdálkodás elveinek megfelelő gazdálkodást folytató erdőből vagy területről kell származnia, amely megfelel az érintett független felügyeletilánc-rendszer által támasztott követelményeknek, és/vagy újrahasznosított anyagokból kell származnia.
Az újrahasznosított rostanyagtartalom számításakor nem vehető figyelembe az olyan hulladékanyagok újrahasznosítása, amelyeket ugyanazon folyamaton belül fel lehet használni, mint amelynek során keletkeztek (például az ugyanazon létesítmény által termelt vagy megvásárolt papírgyártási selejt). A feldolgozási műveletekből származó (saját vagy vásárolt) selejtanyagok bevitele azonban - amennyiben azok az EN 643 szabványnak megfelelő szállítólevéllel rendelkeznek - úgy tekinthető, mint amely hozzájárul az újrafeldolgozott rosttartalomhoz.
A nem tanúsított primer anyagokat olyan rendszerrel kell ellenőrizni, amely garanciát biztosít arra, hogy az anyagok jogszerű forrásból származnak, és megfelelnek a tanúsító rendszer nem tanúsított anyagokkal szemben támasztott minden egyéb követelményének.
Az erdőgazdálkodási tanúsítványokat és/vagy a felügyeleti láncnak való megfelelést igazoló tanúsítványokat kiállító tanúsító szerveknek rendelkezniük kell a szóban forgó tanúsítási rendszer akkreditációjával vagy elismerésével.
Értékelés és ellenőrzés: A kérelmezőnek megfelelőségi nyilatkozatot kell benyújtania az illetékes testülethez, amelyet az ökocímke-pályázatban szereplő, grafikai célra szánt papír gyártójától származó és a termékben vagy a termelési folyamatban felhasznált valamennyi primér rostra vonatkozó, független tanúsító által tanúsított, felügyeleti láncnak való megfelelést igazoló érvényes tanúsítvánnyal kell alátámasztani. Az FSC-, a PEFC- vagy ezekkel egyenértékű rendszereket el kell fogadni független harmadik fél általi tanúsításként. Újrahasznosított rostanyag felhasználása esetén, amennyiben az FSC, a PEFC vagy ezekkel egyenértékű újrahasznosítási állításokkal nem élnek, a bizonyítékok valódiságát az EN 643 szabványnak megfelelő szállítólevéllel kell igazolni.
A kérelmezőnek ellenőrzött számviteli dokumentumokat kell bemutatnia, amelyek igazolják, hogy a termékhez vagy a gyártósorhoz rendelt anyagok legalább 70 %-a olyan, a fenntartható erdőgazdálkodás elveinek megfelelő gazdálkodást folytató erdőből vagy területről származik, amely megfelel az érintett független felügyeletilánc-rendszer által támasztott követelményeknek, és/vagy újrahasznosított anyagokból származik.
Amennyiben a termékben vagy a gyártási folyamatban nem tanúsított primer anyag is felhasználásra kerül, igazolni kell, hogy a nem tanúsított primer anyagok aránya a termékben nem haladja meg a 30 %-ot, és azokat olyan rendszerrel ellenőrzik, amely garanciát biztosít arra, hogy a szóban forgó anyagok jogszerű forrásból származnak, és megfelelnek a tanúsító rendszer nem tanúsított anyagokkal szemben támasztott minden egyéb követelményének.
Amennyiben a tanúsítási rendszer nem írja kifejezetten elő, hogy minden frissen kitermelt anyagot géntechnológiával nem módosított szervezetekből kell kinyerni, ennek igazolására további bizonyítékot kell benyújtani.
4. kritérium: Korlátozott veszélyes anyagok és keverékek
A 4. kritérium egyes alkritériumainak való megfelelés igazolásának alapja az, hogy a kérelmező benyújtja az összes felhasznált releváns vegyi anyag jegyzékét a megfelelő dokumentációval együtt (biztonsági adatlap vagy a vegyi anyag beszállítójának nyilatkozata).
4a. kritérium: A különös aggodalomra okot adó anyagokra (SVHC) vonatkozó korlátozások
Megjegyzés: A papírgyárban használt valamennyi technológiai és funkcionális vegyi anyagot meg kell vizsgálni. Ez a kritérium nem vonatkozik a szennyvíz tisztítására használt vegyi anyagokra, kivéve, ha a megtisztított szennyvíz visszakerül a papírgyártási folyamatba.
A papírtermék nem tartalmazhat 0,10 tömegszázaléknál nagyobb koncentrációban az 1907/2006/EK európai parlamenti és tanácsi rendelet ( 6 ) 59. cikke (1) bekezdésében leírt eljárásnak megfelelően azonosított anyagokat, illetve a különös aggodalomra okot adó anyagok jelöltlistáján szereplő anyagokat. E követelménytől nem lehet eltérni.
Értékelés és ellenőrzés: A kérelmezőnek nyilatkozatot kell benyújtania arról, hogy a papírtermék nem tartalmaz 0,10 tömegszázaléknál nagyobb koncentrációban különös aggodalomra okot adó anyagot. A nyilatkozatot biztonsági adatlapokkal vagy a papírgyárban használt egyes technológiai és funkcionális vegyi anyagok beszállítói által tett megfelelő nyilatkozatokkal kell alátámasztani, amelyek igazolják, hogy a vegyi anyagok egyike sem tartalmaz 0,10 tömegszázaléknál nagyobb koncentrációban különös aggodalomra okot adó anyagokat.
A különös aggodalomra okot adó anyagnak (SVHC) minősülő és az 1907/2006/EK rendelet 59. cikkének (1) bekezdése szerinti jelöltlistán szereplő vegyi anyagok jegyzéke itt olvasható:
https://echa.europa.eu/hu/candidate-list-table.
A jegyzékre a kérelmezés napján érvényes állapota szerint kell hivatkozni.
4b. kritérium: Osztályozási, címkézési és csomagolási (CLP) korlátozások
Megjegyzés: A papírgyárban használt valamennyi technológiai és funkcionális vegyi anyagot meg kell vizsgálni. Ez a kritérium nem vonatkozik a szennyvíz tisztítására használt vegyi anyagokra, kivéve, ha a megtisztított szennyvíz visszakerül a papírgyártási folyamatba.
Amennyiben a 3. táblázatban nem szerepel erre vonatkozó eltérés, a papírtermék nem tartalmazhat 0,10 tömegszázaléknál nagyobb koncentrációban olyan anyagokat vagy keverékeket, amelyeket az 1272/2008/EK európai parlamenti és tanácsi rendelet ( 7 ) szerint a következő figyelmeztető mondatok valamelyike alapján soroltak be:
- Az 1. csoportba sorolt veszélyek: 1A. vagy 1B. kategóriájú rákkeltő, mutagén vagy reprodukciót károsító (CMR) hatás: H340, H350, H350i, H360, H360F, H360D, H360FD, H360Fd, H360Df.
- A 2. csoportba sorolt veszélyek: 2. kategóriájú rákkeltő, mutagén vagy reprodukciót károsító (CMR) hatás: H341, H351, H361, H361f, H361d, H361fd, H362; 1. kategóriájú vízi toxicitás: H400, H410; 1. és 2. kategóriájú akut toxicitás: H300, H310, H330; 1. kategóriájú aspirációs toxicitás: H304; 1. kategóriájú célszervi toxicitás (STOT): H370, H372, 1. kategóriájú bőrszenzibilizáló ( *1 ): H317.
- A 3. csoportba sorolt veszélyek: 2., 3. és 4. kategóriájú vízi toxicitás: H411, H412, H413; 3. kategóriájú akut toxicitás: H301, H311, H331; 2. kategóriájú célszervi toxicitás (STOT): H371, H373.
A fenti követelmény nem vonatkozik a papírgyártási folyamat során kémiailag úgy módosuló anyagok és keverékek (pl. szervetlen pelyhesítő szerek, keresztkötő ágensek, szervetlen oxidáló- és redukálószerek) használatára, hogy a korlátozás alá eső CLP-veszély fennállása megszűnik.
3. táblázat
A CLP veszélyességi korlátozásokat és az alkalmazandó feltételeket érintő eltérések
| Anyag/keverék típusa | Alkalmazási kör | Az eltérés tárgyát képező osztály(ok) | Az eltérés feltételei |
| Színezőanyagok és pigmentek | Nedves végső vagy felületi alkalmazásra használják színes papír előállítása során. | H411, H412, H413 | A vegyi anyag szállítójának nyilatkoznia kell arról, hogy a papírra 98 %-os fixálási arány érhető el, és útmutatást kell adnia arra vonatkozóan, hogy ez hogyan biztosítható. A papír gyártójának nyilatkozatot kell tennie a vonatkozó útmutatás(ok)nak való megfelelésről. |
| Bázikus színezőanyagok | Elsősorban mechanikai úton előállított cellulózon és/vagy vegyi úton előállított, fehérítetlen cellulózon alapuló papír színezése. | H400, H410, H411, H412, H413, H317 | |
| Kationos polimerek (beleértve a polietilén-imineket, a poliamidokat és a poliaminokat) | Különböző felhasználási módok lehetségesek, egyebek mellett rostkötő anyagként, valamint a nedves szakítószilárdság, a szárazszilárdság és a nedvesszilárdság javítását szolgáló anyagként. | H411, H412, H413 | A papírgyártó nyilatkozatot nyújt be a biztonságos kezelésre és adagolásra vonatkozó, a biztonsági adatlapon meghatározott vonatkozó utasításoknak való megfelelésről. |
Értékelés és ellenőrzés: A kérelmezőnek be kell nyújtania az érintett felhasznált vegyi anyagok jegyzékét, mellékelve a vonatkozó biztonsági adatlapokat vagy beszállítói nyilatkozatokat.
Ki kell emelni minden olyan vegyi anyagot, amely korlátozás tárgyát képező CLP-besorolású anyagot vagy keveréket tartalmaz. A vegyi anyag hozzávetőleges adagolási arányát, valamint a korlátozás tárgyát képező anyag vagy keverék szóban forgó vegyi anyagban jelen lévő (a biztonsági adatlapon vagy a beszállítói nyilatkozatban megadottak szerinti) koncentrációját és 100 %-os feltételezett retenciós faktort kell alkalmazni a korlátozás tárgyát képező anyag vagy keverék késztermékben maradó mennyiségének becslésére.
A 100 %-os retenciós faktortól való eltérést és a korlátozott veszélyes anyag vagy keverék kémiai módosítását írásban kell indokolni, és az indokolást be kell nyújtani az illetékes testületnek.
Minden olyan korlátozott anyag vagy keverék esetében, amely kész papírtermékben 0,10-nál nagyobb tömegszázalékban van jelen, de eltérés tárgyát képezi, igazolni kell a vonatkozó eltérési feltételeknek való megfelelést.
4c. kritérium: Klór
Megjegyzés: Ezt a követelményt a cellulóz- és papírgyártók esetében kell alkalmazni. A követelmény az újrahasznosított rostanyagok fehérítésére is vonatkozik, és nem zárható ki, hogy a rostanyagokat életciklusuk korábbi szakaszában esetleg klórgázzal fehérítették.
Fehérítőszerként klórgáz nem használható. Ez a követelmény nem vonatkozik a klór-dioxid előállításához és alkalmazásához használt klórgázra.
Értékelés és ellenőrzés: A kérelmezőnek nyilatkozatot kell benyújtania arra vonatkozóan, hogy a papírgyártási folyamat során nem alkalmaztak fehérítőszerként klórgázt, mellékelve az esetlegesen érintett cellulózbeszállítók nyilatkozatait.
4d. kritérium: Alkil-fenol-etoxilátok (APEO-k)
Megjegyzés: Ezt a követelményt a cellulóz- és papírgyártók esetében kell alkalmazni.
APEO-k és más alkil-fenol-származékok nem adagolhatók a tisztító vegyi anyagokhoz, a festékmentesítő vegyi anyagokhoz, a habzásgátló anyagokhoz, a diszpergálószerekhez és a mázanyagokhoz. Az alkil-fenol-származékok olyan anyagok, amelyek lebomlásakor alkil-fenolok keletkeznek.
Értékelés és ellenőrzés: A kérelmezőnek be kell nyújtania a vegyi anyag szállítójának (szállítóinak) nyilatkozatát arra vonatkozóan, hogy APEO-kat vagy más alkil-fenol-származékokat nem adagoltak ezekhez a termékekhez.
4e. kritérium: Festékmentesítéshez használt felületaktív anyagok
Megjegyzés: Ezt a követelményt a festékmentesített cellulóz gyártóira kell alkalmazni.
A festékmentesítési eljárásokban használt valamennyi felületaktív anyagnak biológiailag könnyen lebonthatónak vagy potenciálisan teljesen lebonthatónak kell lennie (a vizsgálati módszereket és küszöbértékeket lásd az alábbiakban). E követelmény alól az egyetlen kivétel a szilikonszármazékokon alapuló felületaktív anyagok felhasználása, feltéve, hogy a festékmentesítésből hátramaradó papíriszapot elégetik.
Értékelés és ellenőrzés: A kérelmezőnek nyilatkozatot kell benyújtania arra vonatkozóan, hogy teljesül ez a kritérium, mellékelve az egyes felületaktív anyagokra vonatkozó biztonsági adatlapot vagy vizsgálati jegyzőkönyvet. A szóban forgó dokumentumokban szerepelnie kell a vizsgálati módszernek, a küszöbértéknek, valamint a következő vizsgálati módszerek és küszöbértékek egyikének alkalmazásával nyert következtetéseknek:
- a könnyű biológiai lebonthatóság tekintetében: OECD 301 A-F (vagy azzal egyenértékű ISO-szabványok), a 301 A és E esetében legalább 70 %-os, a 301 B, C, D és F esetében legalább 60 %-os 28 napos lebontási százalékaránnyal (beleértve az abszorpciót is).
- a potenciális teljes biológiai lebonthatóság tekintetében: OECD 302 A-C (vagy azzal egyenértékű ISO-szabványok), a 302 A és B esetében legalább 70 %-os, a 302 C esetében legalább 60 %-os 28 napos lebontási százalékaránnyal (beleértve az adszorpciót is).
Szilikonalapú felületaktív anyagok használata esetén a kérelmezőnek biztonsági adatlapot kell benyújtania a felhasznált vegyi anyagokról, és nyilatkoznia kell arról, hogy a festékmentesítésből hátramaradó papíriszapot elégetik, megjelölve a rendeltetési hulladékégető mű(vek) adatait.
4f. kritérium: A nyálkaképződés szabályozására használt biocidokra vonatkozó korlátozások
Megjegyzés: Ezt a követelményt a papírgyártók esetében kell alkalmazni.
A rostokat tartalmazó keringető vízrendszerben levő nyálkaképző szervezetek ellen használt biocid termékek hatóanyagainak a szóban forgó célra vonatkozó engedéllyel kell rendelkezniük, vagy az 528/2012/EU európai parlamenti és tanácsi rendelet ( 8 ) alapján az engedélyezésre vonatkozó határozat meghozataláig vizsgálat alatt kell állniuk, és nem lehetnek potenciálisan bioakkumulatívak.
E kritérium alkalmazásában a szóban forgó anyagok bioakkumulációs potenciálja tekintetében a következőknek kell teljesülniük: log Kow (az oktanol/víz megoszlási együttható logaritmusa) ≤ 3,0 vagy a kísérleti úton meghatározott biokoncentrációs tényező ≤ 100.
Értékelés és ellenőrzés: A kérelmezőnek nyilatkozatot kell benyújtania arra vonatkozóan, hogy teljesül ez a kritérium, mellékelve a vonatkozó anyagbiztonsági adatlapot vagy vizsgálati jegyzőkönyvet. A vizsgálati jegyzőkönyvben szerepelnie kell a vizsgálati módszernek, a küszöbértéknek, valamint a következő vizsgálati módszerek egyikének alkalmazásával nyert következtetéseknek: OECD 107, 117 vagy 305 A-E.
4 g. kritérium: Az azoszínezékekre vonatkozó korlátozások
Megjegyzés: Ezt a követelményt a papírgyártók esetében kell alkalmazni.
Olyan azoszínezékek, amelyek esetében egy vagy több azocsoport reduktív lehasadása által egy vagy több, a 2002/61/EK irányelvben ( 9 ) vagy az 1907/2006/EK rendelet XVII. mellékletének 8. függelékében felsorolt aromás amin szabadulhat fel, nem használhatók fel az uniós ökocímkével rendelkező, grafikai célra szánt papír előállításához.
Értékelés és ellenőrzés: A kérelmezőnek az uniós ökocímkére pályázó, grafikai célra szánt papír előállítási folyamata során felhasznált valamennyi színezék tekintetében be kell nyújtania a beszállító(k) nyilatkozatát e kritérium teljesüléséről. A színezékre vonatkozó beszállítói nyilatkozatot az 1907/2006/EK rendelet XVII. mellékletének 10. függelékében leírt megfelelő módszerek vagy azokkal egyenértékű módszerek szerint készített vizsgálati jegyzőkönyvekkel kell alátámasztani.
4h. kritérium: Fémalapú pigmentek és színezőanyagok
Megjegyzés: Ezt a követelményt a papírgyártók esetében kell alkalmazni. A fémalapú pigmentek és színezőanyagok fogalommeghatározását lásd e melléklet bevezetésében.
Alumínium- ( *2 ), ezüst-, arzén-, bárium-, kadmium-, kobalt-, króm-, vörösréz- (*2) , higany-, mangán-, nikkel-, ólom-, szelén-, antimon-, ón- és cinkalapú színezőanyagok és pigmentek nem használhatók.
Értékelés és ellenőrzés: A kérelmezőnek az uniós ökocímkére pályázó, grafikai célra szánt papír előállítási folyamata során felhasznált valamennyi színezék tekintetében be kell nyújtania a beszállító(k) nyilatkozatát e kritérium követelményeinek teljesüléséről. A beszállítói nyilatkozat(oka)t biztonsági adatlapokkal vagy más releváns dokumentumokkal kell alátámasztani.
4i. kritérium: Színezőanyagok ionos szennyeződései
Megjegyzés: Ezt a követelményt a papírgyártók esetében kell alkalmazni.
A felhasznált színezőanyagokban jelen lévő ionos szennyeződések szintje nem haladhatja meg a következő értékeket: ezüst 100 ppm; arzén 50 ppm bárium 100 ppm; kadmium 20 ppm; kobalt 500 ppm; króm 100 ppm; vörösréz 250 ppm; higany 4 ppm; nikkel 200 ppm; ólom 100 ppm; szelén 20 ppm; antimon 50 ppm; ón 250 ppm; cink 1 500 ppm.
A vörösréz-szennyeződésekre vonatkozó korlátozás nem vonatkozik a réz-ftalocianin-alapú színezőanyagokra.
Értékelés és ellenőrzés: A kérelmezőnek az uniós ökocímkére pályázó, grafikai célra szánt papír előállítási folyamata során felhasznált valamennyi színezék tekintetében be kell nyújtania a beszállító(k) nyilatkozatát e kritérium követelményeinek teljesüléséről. A beszállítói nyilatkozat(oka)t biztonsági adatlapokkal vagy más releváns dokumentumokkal kell alátámasztani.
5. kritérium: Hulladékgazdálkodás
Valamennyi cellulóz- és papírgyártó üzemnek rendelkeznie kell a gyártási folyamatból származó hulladék kezelésére szolgáló rendszerrel, valamint egy hulladékminimalizálási és -gazdálkodási tervvel, amely leírja a gyártási folyamatot, és tartalmazza a következő szempontokra vonatkozó információkat:
1. a hulladékképződés megelőzésére alkalmazott eljárások;
2. a hulladék szétválasztására, újrafelhasználására és újrafeldolgozására alkalmazott eljárások;
3. a veszélyes hulladék biztonságos kezelésére alkalmazott eljárások;
4. a hulladékképződés mérséklésére, valamint az újrafelhasználás és az újrafeldolgozás arányának növelésére vonatkozó folyamatos fejlesztési célkitűzések és célok.
Értékelés és ellenőrzés: A kérelmező ismerteti az érintett gyártóüzemek hulladékminimalizálási és -gazdálkodási tervét, és nyilatkozatot nyújt be arra vonatkozóan, hogy teljesül ez a kritérium.
Az uniós környezetvédelmi vezetési és hitelesítési rendszerben (EMAS) nyilvántartásba vett és/vagy az ISO 14001 szabvány szerint tanúsított kérelmezők esetében a kritérium teljesítettnek tekinthető, ha:
1. a hulladékgazdálkodás beépítését a gyártóüzem(ek)re vonatkozó EMAS környezetvédelmi nyilatkozatban dokumentálják, vagy
2. a gyártóüzem(ek) ISO 14001 szerinti tanúsítása megfelelően foglalkozik a hulladékgazdálkodás beépítésének kérdésével.
6. kritérium: Használatra való alkalmasság
A papírterméknek a tervezett használatra alkalmasnak kell lennie.
Értékelés és ellenőrzés: A kérelmezőnek nyilatkozatot kell benyújtania e kritérium teljesüléséről, és azt megfelelő dokumentumokkal kell alátámasztania.
A gyártóknak garantálniuk kell a termékeik használatra való alkalmasságát, és be kell nyújtaniuk azokat a dokumentumokat, amelyek az EN ISO/IEC 17050 szabványnak megfelelően igazolják a termékek minőségét. A szóban forgó szabvány meghatározza a beszállítóknak a normatív dokumentumoknak való megfelelőségüket igazoló nyilatkozataira vonatkozó általános kritériumokat.
7. kritérium: A csomagoláson feltüntetett információk
A termék csomagolásán szerepelnie kell legalább a következő szövegnek:
"Kérjük, mindkét oldalra nyomtasson!"(irodai nyomtatási célokra szánt papír esetében)
"Kérjük, újrafeldolgozáshoz gyűjtse a használt papírt!"
Értékelés és ellenőrzés: A kérelmezőnek nyilatkozatot kell benyújtania e kritérium teljesüléséről, mellékelve a termék csomagolásáról készült képet, amely igazolja, hogy a csomagoláson szerepel az előírt információ.
8. kritérium: Az uniós ökocímkén feltüntetett információk
A kérelmezőnek követnie kell az uniós ökocímke logójának használatáról szóló iránymutatásban szereplő, a logó helyes használatára vonatkozó utasításokat:
http://ec.europa.eu/environment/ecolabel/documents/logo_guidelines.pdf
Választható szövegmezős címke esetében a címkének a következő három állítást kell tartalmaznia:
- A gyártás során a levegőbe és vízbe történő kibocsátások szintje alacsony;
- A gyártás során felhasznált energia szintje alacsony;
- A rostanyag xx %-a fenntartható forrásból származik/a rostanyag xx %-a újrahasznosított (az esetnek megfelelően).
Értékelés és ellenőrzés: A kérelmezőnek nyilatkozatot kell benyújtania e kritérium teljesüléséről, mellékelve a termék csomagolásáról készült képet, amelyen világosan látszik a címke, a nyilvántartási szám/az engedély száma, valamint adott esetben a címkével együtt megjeleníthető állítások.
II. MELLÉKLET
AZ EGÉSZSÉGÜGYI ÉS HÁZTARTÁSI PAPÍRTERMÉKEK ELŐÁLLÍTÁSÁHOZ HASZNÁLT PAPÍR ALAPANYAG ÉS AZ EGÉSZSÉGÜGYI ÉS HÁZTARTÁSI PAPÍRTERMÉKEK UNIÓS ÖKOCÍMKÉJÉNEK ODAÍTÉLÉSÉRE VONATKOZÓ KRITÉRIUMOK
KERETSZABÁLYOK
A kritériumok megállapításának célja
A kritériumok célja különösen a mérgező és eutróf anyagok vízbe történő kibocsátásának csökkentése, valamint az energiafelhasználással kapcsolatos környezeti károk és kockázatok (az éghajlatváltozás, a savasodás, az ózonréteg károsodása, a nem megújuló erőforrások kimerülése) mérséklése. Ennek megvalósítása érdekében a kritériumok célja:
- az energiafogyasztás és a kapcsolódó légköri kibocsátások csökkentése;
- a környezeti károk csökkentése a vízbe történő kibocsátások és a hulladékképződés csökkentése révén;
- a veszélyes vegyi anyagok használatával kapcsolatos környezeti károk és kockázatok csökkentése; valamint
- az erdők védelme annak előírása révén, hogy az újrahasznosított rostanyagnak, illetve a primer rostanyagnak fenntartható erdőgazdálkodás alatt álló erdőkből és területekről kell származniuk.
Az egészségügyi és háztartási papírtermékek előállításához használt papír alapanyag és az egészségügyi és háztartási papírtermékek uniós ökocímkéjének odaítélésére vonatkozó kritériumok
1. vízbe és levegőbe történő kibocsátás;
2. energiafelhasználás;
3. rostanyagok: erőforrások megőrzése, fenntartható erdőgazdálkodás;
4. korlátozott veszélyes anyagok és keverékek;
5. hulladékgazdálkodás;
6. a végtermékre vonatkozó követelmények
7. az uniós ökocímkén feltüntetett információk.
Az ökológiai kritériumok kiterjednek a cellulózgyártás teljes folyamatára - beleértve annak minden részfolyamatát - a primer rostanyag, illetve az újrahasznosított rostanyag üzembe történő belépésétől addig a pontig, amikor a cellulóz elhagyja a cellulózgyárat. A papírgyártás esetében az ökológiai kritériumok az egészségügyi és háztartási papírtermékek előállítására használt papír alapanyag előállítására használt cellulóz elkészítésétől a papírnak a nagytekercsre való feltekercseléséig minden papírgyári részfolyamatra kiterjednek.
A kritériumok nem terjednek ki az egészségügyi és háztartási papírtermékek előállítására használt papír alapanyag egészségügyi és háztartási papírtermékekké történő feldolgozása során bekövetkező energiafogyasztásra, valamint a vízbe és levegőbe jutó kibocsátásokra. Az ökológiai kritériumok nem terjednek ki a nyersanyagok (pl. fa), a cellulóz és a végső papírtermék szállítására és csomagolására.
Értékelés és ellenőrzés: A konkrét értékelési és ellenőrzési követelmények kritériumonként fel vannak tüntetve.
Amennyiben a kérelmezőnek a kritériumnak való megfelelés igazolására nyilatkozatokat, dokumentációkat, elemzéseket, vizsgálati jegyzőkönyveket vagy egyéb bizonyítékot kell benyújtania, azok az esetnek megfelelően származhatnak a kérelmezőtől és/vagy annak beszállítójától (beszállítóitól) és/vagy annak/azoknak a beszállítójától (beszállítóitól), stb.
Az illetékes testületeknek előnyben kell részesíteniük a vizsgáló- és kalibrálólaboratóriumokra vonatkozó harmonizált szabvány szerint akkreditált szervezetek által kiállított tanúsítványokat és igazolásokat, valamint a termékek, folyamatok és szolgáltatások tanúsítását végző szervezetekre vonatkozó harmonizált szabvány szerint akkreditált szervezetek által kiállított igazolásokat.
Adott esetben az egyes kritériumok tekintetében a megadott vizsgálati módszerektől eltérő vizsgálati módszerek is alkalmazhatók, amennyiben a kérelmet elbíráló illetékes testület elfogadja azok egyenértékűségét.
Adott esetben az illetékes testületek igazoló dokumentumokat kérhetnek, illetve független ellenőrzéseket vagy helyszíni ellenőrzéseket végezhetnek a szóban forgó kritériumoknak való megfelelés ellenőrzésére.
Az egészségügyi és háztartási papírtermékeknek meg kell felelniük a forgalomba hozataluk szerinti országban előírt valamennyi vonatkozó követelménynek. A kérelmezőnek nyilatkozatot kell tennie arról, hogy a termék megfelel ennek a követelménynek.
E melléklet alkalmazásában:
1. "légszáraz tonna", "ADt" : a cellulóz 90 %-os szárazanyag-tartalomnak megfelelő légszáraz tonnamennyisége;
2. "vegyi úton előállított cellulóz" : a nyersanyagból vegyi úton történő kezelés (főzés, ligninmentesítés, fehérítés) útján eltávolítható, nem cellulózalapú összetevők jelentős részének eltávolítása után maradó rostos anyag;
3. "CMP" : vegyi-mechanikai úton előállított cellulóz;
4. "CTMP" : vegyi-termomechanikai úton előállított cellulóz;
5. "festékmentesített cellulóz" : újrahasznosításra szánt papírból készült rostanyag, amelyből eltávolították a színezőanyagokat és más szennyező anyagokat;
6. "színezőanyagok" : erősen színezett vagy fluoreszkáló szerves anyagok, amelyek szelektív fényelnyelés révén színt adnak a szubsztrátumnak. Oldhatók, és/vagy olyan alkalmazási folyamaton mennek keresztül, amely legalább ideiglenesen roncsolja a kristályszerkezetet. A színezékek abszorpció, oldás és mechanikai visszatartás, illetve ionos vagy kovalens kémiai kötés útján kötődnek meg a szubsztrátumban;
7. "ECF cellulóz" : elemiklór-mentes fehérített cellulóz;
8. "integrált papírgyártás" : a cellulóz és a papír ugyanazon létesítményben való gyártása. A cellulózt a papírgyártás előtt nem szárítják. A papír/karton előállítása a cellulóz előállításához közvetlenül kapcsolódva történik;
9. "mechanikai úton előállított cellulózt tartalmazó papír vagy karton" : rostösszetételén belül meghatározó arányban mechanikai úton előállított cellulózt tartalmazó papír vagy karton;
10. "fémalapú pigmentek és színezőanyagok" : az adott fémvegyülete(ke)t több mint 50 tömegszázalékban tartalmazó színezőanyagok és pigmentek;
11. "nagytekercs" : a feltekercselő berendezésre csévélt nagyméretű, az egészségügyi és háztartási papírtermékek előállítására használt papír alapanyag-tekercs, amelynek a szélessége megegyezik az egészségügyi és háztartási papírtermékek előállítására használt papír alapanyagot előállító papírgép teljes szélességével vagy annak egy részével;
12. "nem integrált papírgyártás" : kereskedelmi (értékesítésre szánt) cellulóz papírgépet nem üzemeltető papírgyárban történő előállítása vagy papír/karton kizárólag más üzemekben előállított cellulóz (kereskedelmi cellulóz) felhasználásával történő előállítása.
13. "papírgyártási selejt" : a papírgép által a papírgyártási eljárás során előállított papírselejt, amely azonban a tulajdonságainak köszönhetően közvetlenül a gyártás helyén - újrafelhasználás céljából - visszaforgatható ugyanabba a gyártási folyamatba, amelynek során keletkezett. E határozat alkalmazásában ez a kifejezés nem terjed ki azokra a feldolgozási folyamatokra, amelyek a papírgéppel végzett eljárásoktól különböző eljárásoknak minősülnek;
14. "pigmentek" : olyan színes, fekete, fehér vagy fluoreszkáló szerves vagy szervetlen szemcsés szilárd anyagok, amelyek általában nem oldódnak az őket tartalmazó hordozóanyagban vagy szubsztrátumban, és azzal alapvetően nem lépnek fizikai és kémiai reakcióba. Az anyag külső megjelenését a fény szelektív elnyelése és/vagy szórása útján változtatják meg. Rendszerint hordozóanyagban vagy szubsztrátumokban eloszlatva használják őket például nyomdafestékek, festékek, műanyagok vagy más polimer anyagok gyártásához. A színezési eljárási során mindvégig megtartják kristályszerkezetüket, illetve részecskeszerkezetüket;
15. "újrahasznosított rostanyag" : gyártási folyamatból származó hulladékáramból, háztartási hulladékból vagy egy adott termék végfelhasználóiként kereskedelmi, ipari és intézményi létesítmények által termelt hulladékból elkülönített rostanyag. Az ilyen rostanyag már nem használható eredeti rendeltetése szerint. Ez alól kivételt képez egy adott folyamat során keletkezett azon anyagok újrahasznosítása, amelyeket ugyanazon folyamaton belül fel lehet használni, mint amelynek során keletkeztek (például az ugyanazon létesítmény által termelt vagy megvásárolt papírgyári selejt);
16. "az egészségügyi és háztartási papírtermékek előállítására használt strukturált papír alapanyag" : nagy fajlagos térfogatú és nedvszívóképességű papír, amelynek e jellemzőit úgy érik el, hogy a papírgyártó géppel végzett különleges eljárások révén a nyerspapírív felületének jelentős részén "rostzsebek" formájában magas és alacsony rostsűrűségű területek váltják egymást;
17. "TCF cellulóz" : teljesen klórmentes fehérített cellulóz;
18. "TMP" : termomechanikai úton előállított cellulóz.
AZ UNIÓS ÖKOCÍMKE ODAÍTÉLÉSÉNEK KRITÉRIUMAI
1. kritérium: Vízbe és levegőbe történő kibocsátások
Előfeltételként a cellulóz- és papírgyártó üzemeknek meg kell felelniük a működésük szerinti ország valamennyi vonatkozó jogszabályi előírásának.
Értékelés és ellenőrzés: A kérelmezőnek a megfelelő dokumentumokkal és a cellulózbeszállító(k) nyilatkozataival alátámasztott megfelelőségi nyilatkozatot kell benyújtania.
1a. kritérium: Kémiai oxigénigény (KOI), kén (S), NOx és foszfor (P)
Ez a követelmény a kibocsátásoknak egy meghatározott referenciaértékkel való összevetésére épül. A kibocsátásért kapható pontszámot a tényleges kibocsátás és a referenciaérték hányadosa határozza meg.
Az egyes kibocsátási paraméterekért kapható pontszám nem haladhatja meg az 1,3-at.
A pontok összege (Pösszes = PKOI + PS + PNOx + PP) egyik esetben sem haladhatja meg a 4,0-t.
Nem integrált termelés esetén a kérelmezőnek olyan számítást kell benyújtania, amely egyaránt tartalmazza a cellulóz- és a papírgyártást.
A cellulóz- és a papírgyártás egészére vonatkozóan a PKOI értékét a következőképpen kell kiszámítani (a PS, a PNOx és a PP értékét ugyanígy kell kiszámítani):
Minden egyes felhasznált "i" cellulózfajtára a mért KOI-kibocsátásokat (KOIcellulóz,i kg/légszáraz tonnában [ADt] kifejezve) súlyozni kell az egyes felhasznált cellulózfajták arányával (az "i" cellulózfajta a cellulóz légszáraz tonnájára vonatkoztatva), majd a kapott értékeket össze kell adni. A légszáraz tonna tekintetében a cellulóz esetében 90 %-os, a papír esetében pedig 95 %-os szárazanyag-tartalomból kell kiindulni.
Ezután a cellulóz súlyozott KOI-kibocsátását hozzá kell adni a papírgyártás során keletkező KOI-kibocsátás mért értékéhez: az eredmény a teljes KOI-kibocsátás (KOIösszes).
A cellulózgyártás súlyozott KOI-referenciaértékét ugyanígy kell kiszámítani, azaz az egyes felhasznált cellulózfajták súlyozott referenciaértékeinek összegét hozzá kell adni a papírgyártás referenciaértékéhez: az eredmény a teljes KOI-referenciaérték (KOIref,összes). Az egyes felhasznált cellulózfajták és a papírgyártás referenciaértékeit az 1. táblázat tartalmazza.
Végül a teljes KOI-kibocsátást el kell osztani a teljes KOI-referenciaértékkel a következő képlet szerint:

1. táblázat
A különböző cellulózfajtákból és a papírgyártásból származó kibocsátások referenciaértékei:
| Cellulózfajta/papír | Kibocsátás (kg/ADt) | |||
| KOIreferencia | Preferencia | Sreferencia | NOxreferencia | |
| Vegyi úton előállított, fehérített cellulóz (nem szulfit) | 16,00 | 0,025 0,09 (1) | 0,35 | 1,60 |
| Vegyi úton előállított, fehérített cellulóz (szulfit) | 24,00 | 0,04 | 0,75 | 1,60 |
| Magnefitcellulóz | 28,00 | 0,056 | 0,75 | 1,60 |
| Vegyi úton előállított, fehérítetlen cellulóz | 6,50 | 0,016 | 0,35 | 1,60 |
| CTMP/CMP | 16,00 | 0,008 | 0,20 | 0,25/0,70 (2) |
| TMP/facsiszolat | 3,00/5,40 (3) | 0,008 | 0,20 | 0,25 |
| Újrahasznosított cellulózpép festékmentesítés nélkül | 1,10 | 0,006 | 0,20 | 0,25 |
| Újrahasznosított cellulózpép festékmentesítéssel | 3,20 | 0,012 | 0,20 | 0,25 |
| Kibocsátás (kg/tonna) | ||||
| Egészségügyi és háztartási papírtermékek előállítására használt papír alapanyag előállítása | 1,20 | 0,01 | 0,30 | 0,50 |
| Egészségügyi és háztartási papírtermékek előállítására használt strukturált papír alapanyag előállítása | 1,20 | 0,01 | 0,30 | 0,70 |
| (1) A magasabb érték a magasabb foszforszintű régiókból származó eukaliptuszt (pl. ibériai eukaliptuszt) használó gyárakra vonatkozik. (2) A cellulózt biomasszaalapú gőzzel gyorsszárító nem integrált CTMP-üzemek NOx-kibocsátási értéke. (3) Nagy mértékben fehérített, mechanikai úton előállított cellulóz KOI-értéke (a végleges papír rosttartalma 70–100 %). | ||||
Amennyiben egyazon gyártóüzem hőenergiát és villamos energiát is termel, akkor az üzemben folyó villamosenergia-termelésből származó S- és NOx-kibocsátás értéke levonható a teljes mennyiségből. A villamosenergia-termelésből eredő kibocsátás aránya az alábbi képlet segítségével számítható ki:
2 × (MWh(villamos energia))/[2 × MWh(villamos energia) + MWh(hőenergia)]
A képletben a villamos energia a kapcsolt energiatermelő létesítményben termelt villamos energiát jelenti. A hőenergia a kapcsolt energiatermelő létesítményből a cellulóz-, illetve papírgyárba szállított nettó hőmennyiség.
Értékelés és ellenőrzés: A kérelmezőnek be kell nyújtania az e kritériumnak való megfelelést igazoló részletes számításokat és vizsgálati adatokat, mellékelve a kapcsolódó igazoló dokumentumokat, köztük a következő folyamatos vagy időszakos standard nyomonkövetési vizsgálati módszerek (vagy az illetékes szerv által egyenértékű tudományos minőségű adatok forrásaként elismert standard módszerek) alkalmazása nyomán készült vizsgálati jegyzőkönyveket: KOI: ISO 15705 vagy ISO 6060; NOx: EN 14792 vagy ISO 11564; S (kén-oxidok): EN 14791 vagy az EPA 8. módszer; S (redukált kén): EPA 15A., 16A. vagy 16B. módszer; olaj kéntartalma: ISO 8754; szén kéntartalma: ISO 19579; biomassza kéntartalma: EN 15289; teljes foszfortartalom: EN ISO 6878.
A kibocsátások nyomon követésére gyorstesztek is felhasználhatók, amennyiben azokat a fent említett vonatkozó szabványok vagy azokkal egyenértékű előírások alapján rendszeresen (pl. havonta) ellenőrzik. A KOI-kibocsátások esetében a teljes szervesszén-tartalom (TOC) elemzésén alapuló folyamatos nyomon követést el kell fogadni, amennyiben az érintett üzemre vonatkozóan megállapításra kerültek a TOC- és a COD-eredmények közötti megfelelések.
A méréseket - hacsak a működési engedélyben másként nem szerepel - a KOI-kibocsátások esetében legalább napi, a teljes foszfortartalom esetében pedig legalább heti gyakorisággal kell végezni. Az S- és NOx-kibocsátást minden esetben mérni kell, vagy folyamatosan (az 50 MW-ot meghaladó kapacitású kazánokból származó kibocsátások esetében), vagy időszakosan (a legfeljebb 50 MW kapacitású kazánok és szárítógépek esetében évente legalább egyszer).
Az adatokat éves átlagként kell megadni, kivéve az olyan eseteket, amikor:
- a termelési időszak egy meghatározott időtartamra szól;
- a gyártóüzem új vagy fel van újítva, amely esetben a méréseket az üzem legalább 45 egymást követő napon át tartó stabil üzemelésére kell alapozni.
Az adatok mindkét esetben csak akkor fogadhatók el, ha az adott időszak szempontjából reprezentatívak, és minden egyes kibocsátási paraméter tekintetében elegendő számú mérés történt.
Az igazoló dokumentációban fel kell tüntetni a mérések gyakoriságát, valamint a KOI, a teljes foszfortartalom, az S és az NOx terhelési pontok kiszámítását.
A levegőbe történő kibocsátásoknak tartalmazniuk kell a cellulóz és a papír előállítása során keletkező összes S- és NOx-kibocsátást, beleértve a gyártóüzemen kívül előállított gőzt, levonva a villamosenergia-termelésnek tulajdonított kibocsátásokat. A méréseknek ki kell terjedniük a regeneráló kazánokra, mészégető kemencékre, gőzkazánokra és az erős szagú gázok égetőkemencéire. A diffúz kibocsátásokat úgyszintén figyelembe kell venni. A levegőbe történő kénkibocsátásról szóló jegyzőkönyvben megadott értékben szerepelnie kell mind az oxidált, mind a redukált kénkibocsátásoknak. Az olaj, szén és más, ismert kéntartalmú külső tüzelőanyag felhasználásával történő hőenergia-előállításhoz kapcsolódó kénkibocsátások mérés helyett számítással is megadhatók, és ezeket figyelembe kell venni.
A vízbe történő kibocsátások méréseit szűretlen és ülepítetlen mintákon kell elvégezni a papírgyár szennyvíztisztító létesítményének szennyvízkivezető pontján. Azokban az esetekben, amikor a papírgyár szennyvizét a település vagy más harmadik fél tulajdonában levő szennyvíztisztító telepre vezetik, akkor az azon a ponton vett szűretlen és ülepítetlen mintákat kell elemezni, amelyen a gyár szennyvízkivezetése a szennyvízhálózathoz kapcsolódik, majd az eredményeket meg kell szorozni a település vagy harmadik fél tulajdonában levő szennyvíztisztító telepre vonatkozó standard tisztítási hatékonysági tényezővel. A tisztítási hatékonysági tényezőnek a település vagy más harmadik fél tulajdonában levő szennyvíztisztító telep üzemeltetője által szolgáltatott információkon kell alapulnia.
Mivel integrált papírgyárak esetében nehéz elkülöníteni a cellulózra és a papírra vonatkozó kibocsátási értékeket, ha csak egy összesített érték áll rendelkezésre a cellulóz- és papírgyártással kapcsolatban, a cellulózhoz kapcsolódó kibocsátási értékeket nullának kell venni, a kombinált kibocsátást pedig az adott cellulóz- és papírgyártás kombinált referenciaértékeivel kell összehasonlítani. Az egyenletben szerepelnie kell minden olyan jelen lévő cellulózfajta súlyozott mennyiségének, amelyre vonatkozóan az 1. táblázatban egyedi referenciaérték került meghatározásra.
1b. kritérium: Adszorbeálható szerves halogének (AOX)
Ez a kritérium az elemiklór-mentes fehérített cellulózra (ECF cellulózra) vonatkozik.
Az uniós ökocímkére pályázó egészségügyi és háztartási papírtermékek előállítására használt papír alapanyag gyártására felhasznált egyes cellulózfajták előállításából származó AOX-kibocsátás nem haladhatja meg a 0,17 kg/ADt-t.
Értékelés és ellenőrzés: A kérelmezőnek be kell nyújtania az AOX-re vonatkozó ISO 9562 szerinti módszerrel vagy azzal egyenértékű módszerrel végzett mérésről szóló vizsgálati jegyzőkönyvet, valamint az e kritériumnak való megfelelést igazoló részletes számításokat és az ezeket igazoló dokumentumokat.
A kérelmezőnek nyilatkozatot kell benyújtania e kritérium teljesüléséről, mellékelve a cellulózkeverékben használt különböző ECF cellulózfajták jegyzékét, továbbá azok keveréken belüli súlyát és "kg AOX/ADt cellulóz" formában kifejezett fajlagos AOX kibocsátását.
Az igazoló dokumentációban fel kell tüntetni a mérések gyakoriságát. Az AOX-et csak olyan folyamatokban kell mérni, ahol klórvegyületeket használnak a cellulóz fehérítéséhez. Az AOX-et nem kell mérni a nem integrált papírgyártásból származó szennyvízben vagy fehérítés nélküli cellulózgyártásból származó szennyvizekben, illetve ha a fehérítést klórmentes anyagokkal végzik.
A vízbe történő AOX-kibocsátások méréseit szűretlen és ülepítetlen mintákon kell elvégezni a papírgyár szennyvíztisztító létesítményének szennyvízkivezető pontján. Azokban az esetekben, amikor a papírgyár szennyvizét a település vagy más harmadik fél tulajdonában levő szennyvíztisztító telepre vezetik, akkor az azon a ponton vett szűretlen és ülepítetlen mintákat kell elemezni, amelyen a gyár szennyvízkivezetése a szennyvízhálózathoz kapcsolódik, majd az eredményeket meg kell szorozni a település vagy harmadik fél tulajdonában levő szennyvíztisztító telepre vonatkozó standard tisztítási hatékonysági tényezővel. A tisztítási hatékonysági tényezőnek a település vagy más harmadik fél tulajdonában levő szennyvíztisztító telep üzemeltetője által szolgáltatott információkon kell alapulnia.
A kibocsátásokra vonatkozó információkat a legalább kéthavonta elvégzett mérések éves átlagaként kell kifejezni. Új vagy felújított gyártóüzem esetében a méréseket az üzem legalább 45 egymást követő napon át tartó stabil üzemelésére kell alapozni. A méréseknek az adott időszak szempontjából reprezentatívaknak kell lenniük.
Abban az esetben, ha a kérelmező semmilyen ECF cellulózt nem használ, elegendő ilyen értelmű nyilatkozatot tennie az illetékes szervnél.
1c. kritérium: CO2
Megjegyzés: A kritérium a cellulóz- és papírgyártási folyamatokból származó CO2-kibocsátások összesített mennyiségére vonatkozik. A feldolgozás során kibocsátott CO2 nem számít bele az összkibocsátásba.
A technológiai hő és a villamos energia előállításához (akár a gyártóüzem telephelyén, akár azon kívül) felhasznált fosszilis tüzelőanyagokból származó szén-dioxid-kibocsátás nem haladhatja meg a következő határértékeket:
1. 1 200 kg CO2/tonna hagyományos egészségügyi és háztartási papírtermékek előállítására használt papír alapanyag esetében,
2. 1 850 kg CO2/tonna egészségügyi és háztartási papírtermékek előállítására használt strukturált papír alapanyag esetében.
A tényleges kibocsátási értéket a cellulóz- és papírgyártásból származó kibocsátások összegeként kell kiszámítani, figyelembe véve az alkalmazott cellulózkeverék összetételét.
Értékelés és ellenőrzés: A kérelmező benyújtja az e kritérium teljesülését igazoló adatokat és részletes számításokat a kapcsolódó igazoló dokumentációval együtt.
A cellulózgyártónak meg kell adnia a kérelmező számára minden felhasznált cellulózfajtára vonatkozóan egyetlen, kg CO2/ADt mértékegységben kifejezett CO2-kibocsátási értéket. A kérelmezőnek az uniós ökocímkére pályázó egészségügyi és háztartási papírtermékek előállítására használt papír alapanyag előállításához használt megfelelő papírgép(ek) tekintetében szintén egyetlen CO2-kibocsátási értéket kell megadnia. Integrált gyárak esetében a cellulóz- és papírgyártás CO2-kibocsátását egyetlen értékként lehet bejelenteni.
A CO2-kibocsátási adatok között szerepelnie kell a cellulóz- és papírgyártás során felhasznált összes nem megújuló tüzelőanyag-forrásnak, beleértve a villamosenergia-termelésből származó kibocsátásokat is (függetlenül attól, hogy az energiát a gyártóüzem telephelyén vagy azon kívül termelik).
A tüzelőanyagokra vonatkozó kibocsátási tényezőket a 601/2012/EU bizottsági rendelet VI. melléklete szerint kell felhasználni.
A hálózati villamos energia esetében 384 kg CO2/MWh-s kibocsátási tényezőt kell használni az MEErP-módszer ( 10 ) szerint.
A számításoknak, illetve az anyagmérlegeknek 12 hónapos gyártási időszakon kell alapulniuk. Új vagy felújított gyártóüzem esetében a számításokat az üzem legalább 45 egymást követő napon át tartó stabil üzemelésére kell alapozni. A számításnak az adott időszak szempontjából reprezentatívnak kell lennie.
Hálózati villamosenergia-ellátás esetén a fent megadott értéket (európai átlag) kell használni, kivéve, ha a kérelmező olyan dokumentumokat mutat be, amelyek meghatározzák az áramszolgáltatóira (szerződéses szolgáltatóira) vonatkozó átlagértéket, amely esetben a kérelmező a megadott érték helyett ezt az értéket használhatja. A megfelelés bizonyítékaként felhasznált dokumentumoknak tartalmazniuk kell az átlagértéket is tartalmazó műszaki előírásokat (azaz a szerződés másolatát).
A gyártási folyamatokhoz beszerzett és felhasznált, megújuló energiaforrásokból származó energiamennyiség a CO2-kibocsátások számításakor nulla kibocsátással veendő figyelembe. A kérelmezőnek megfelelő dokumentációt kell benyújtania arról, hogy a papírgyárban ilyen típusú energiát ténylegesen használnak, illetőleg külső forrásból beszereztek.
2. kritérium: Energiafelhasználás
Ez a követelmény a cellulóz- és papírgyártás tényleges energiafelhasználásának különböző konkrét referenciaértékekhez való viszonyára vonatkozik.
A villamosenergia-fogyasztást és a hőtermelési célú tüzelőanyag-fogyasztást magában foglaló energiafogyasztást terhelési pontokban (Pösszes) kell kifejezni az alábbiak szerint:
A terhelési pontok összege (Pösszes = PE + PF) nem lehet 2,5-nél nagyobb.
A 2. táblázat tartalmazza az energiafogyasztás kiszámítására vonatkozó referenciaértékeket.
Cellulózkeverékek esetében a villamosenergia-fogyasztásra és a hőtermelési célú tüzelőanyag-fogyasztásra vonatkozó referenciaértéket súlyozni kell a felhasznált egyes cellulózfajták aránya szerint ("i" cellulózfajta a cellulóz légszáraz tonnájára vonatkoztatva), majd a súlyozott értékeket össze kell adni.
2a. kritérium: Villamos energia
A cellulóz- és papírgyártáshoz kapcsolódó villamosenergia-fogyasztást terhelési pontokban (PE) kell kifejezni, az alábbiak szerint:
Cellulózgyártásra vonatkozó számítás: minden felhasznált "i" cellulózfajtára a vonatkozó villamosenergia-fogyasztást (Ecellulóz,i, kWh/ADt-ban kifejezve) az alábbiak szerint kell kiszámítani:
Ecellulóz,i = belső előállítású villamos energia + vásárolt villamos energia - eladott villamos energia
Papírgyártásra vonatkozó számítás: a papírgyártáshoz kapcsolódó villamosenergia-fogyasztást (Epapír) hasonlóképpen kell kiszámítani:
Epapír = belső előállítású villamos energia + vásárolt villamos energia - eladott villamos energia
Végül a cellulóz- és a papírgyártás terhelési pontjait összegezve az alábbiak szerint megkapjuk a terhelési pontok összegét (PE):

Mivel integrált papírgyárak esetében nehéz elkülöníteni a cellulózra és a papírra vonatkozó villamosenergia-értékeket, ha csak egy összesített érték áll rendelkezésre a cellulóz- és papírgyártással kapcsolatban, a cellulózhoz kapcsolódó villamosenergia-fogyasztás értékét nullának kell venni, a papírgyárra vonatkozó érték pedig tartalmazza a cellulózgyártásra és a papírgyártásra vonatkozó értéket is.
2b. kritérium: A hőtermelés tüzelőanyag-fogyasztása
A cellulóz- és papírgyártással kapcsolatos tüzelőanyag-fogyasztást terhelési pontokban (PF) kell kifejezni, az alábbiak szerint:
Cellulózgyártásra vonatkozó számítás: minden felhasznált "i" cellulózfajtára a vonatkozó tüzelőanyag-fogyasztást (Fcellulóz,i, kWh/légszáraz tonnában (ADT) kifejezve) az alábbiak szerint kell kiszámítani:
Fcellulóz,i = belső előállítású tüzelőanyag + vásárolt tüzelőanyag - eladott tüzelőanyag - 1,25 × belső előállítású villamos energia
Megjegyzés:
1. Az Fcellulóz,i értéket (és a cellulóz PF értékéhez való hozzájárulását) nem kell kiszámítani a mechanikai úton előállított cellulózra, kivéve, ha légszáraz, mechanikai eljárással előállított, kereskedelmi cellulózról van szó, amely legalább 90 % szárazanyagot tartalmaz.
2. A fenti egyenletben az "eladott tüzelőanyagok" értékébe be kell számítani az eladott hő termeléséhez felhasznált tüzelőanyag mennyiségét.
Papírgyártásra vonatkozó számítás: a papírgyártáshoz kapcsolódó tüzelőanyag-fogyasztást (Fpapír, kWh/ADt-ban kifejezve) hasonlóképpen kell kiszámítani:
Fpapír = belső előállítású tüzelőanyag + vásárolt tüzelőanyag - eladott tüzelőanyag - 1,25 × belső előállítású villamos energia
Végül a cellulóz- és a papírgyártás terhelési pontjait összegezve az alábbiak szerint megkapjuk a terhelési pontok összegét (PF):

2. táblázat
A villamos energia és a tüzelőanyag referenciaértékei
| Cellulózfajta | Tüzelőanyag kWh/ADt Freferencia | Villamos energia kWh/ADt Ereferencia | ||
| Nem admp | Admp | Nem admp | Admp | |
| Vegyi úton előállított cellulóz | 3 650 | 4 650 | 750 | 750 |
| Termomechanikai úton előállított cellulóz (TMP) | 0 | 900 | 2 200 | 2 200 |
| Facsiszolat (beleértve a préselt facsiszolatot) | 0 | 900 | 2 000 | 2 000 |
| Vegyi-termomechanikai úton előállított cellulóz (CTMP) | 0 | 800 | 1 800 | 1 800 |
| Újrahasznosított cellulóz | 350 | 1 350 | 700 | 700 |
| Papírfajta | kWh/tonna | |||
| Egészségügyi és háztartási papírtermékek előállítására használt papír alapanyag | 1 950 | 950 | ||
| Egészségügyi és háztartási papírtermékek előállítására használt strukturált papír alapanyag | 3 000 | 1 500 | ||
| Admp = légszáraz eljárással előállított kereskedelmi cellulóz. | ||||
Értékelés és ellenőrzés a)-ra és b)-re): a kérelmezőnek be kell nyújtania az e kritérium teljesülését igazoló részletes számításokat a kapcsolódó összes igazoló dokumentummal együtt. A szolgáltatott információknak tehát tartalmazniuk kell a teljes villamosenergia- és tüzelőanyag-fogyasztást is.
A kérelmezőnek ki kell számítania a teljes energiafogyasztást, külön-külön meghatározva a cellulóz- és papírgyártás során felhasznált hőenergia/tüzelőanyag és villamos energia mennyiségét, beleértve az újrahasznosított papír gyártásakor a hulladékpapír festékmentesítéséhez használt energiát is. A nyersanyagok szállítása és a csomagolás során felhasznált energia nem szerepelhet az energiafogyasztási számításokban.
A teljes hőenergia tartalmazza az összes vásárolt tüzelőanyagot. Tartalmazza továbbá a gyártóüzemi folyamatokból származó folyadékok és hulladékok (pl. fahulladék, fűrészpor, folyadékok, hulladékpapír és gyártási selejt) elégetésével visszanyert hőenergiát, valamint a villamos energiának a gyártóüzem telephelyén történő termeléséből visszanyert hőenergiát. A kérelmezőnek azonban az ilyen forrásokból származó hőenergiának csak a 80 %-át kell figyelembe vennie a teljes hőenergia kiszámításánál.
A villamos energia az elektromos hálózatból származó nettó villamos energiát és a gyártóüzem által előállított villamos energiát jelenti, elektromos teljesítményként mérve. A szennyvíz tisztításához használt villamos energiát nem kell számításba venni.
Ha villamos energiával mint hőforrással gőzt fejlesztenek, akkor a gőz hőértékét ki kell számítani, majd el kell osztani 0,8-del, és hozzá kell adni a teljes tüzelőanyag-fogyasztáshoz.
Mivel integrált papírgyárak esetében nehéz elkülöníteni a cellulózra és a papírra vonatkozó tüzelőanyag-értékeket (hőértékeket), ha csak egy összesített érték áll rendelkezésre a cellulóz- és papírgyártással kapcsolatban, a cellulózhoz kapcsolódó tüzelőanyag-fogyasztás (hőfogyasztás) értékét nullának kell venni, a papírgyárra vonatkozó érték pedig tartalmazza a cellulózgyártásra és a papírgyártásra vonatkozó értéket is.
3. kritérium: Rostanyagok - erőforrások megőrzése, fenntartható erdőgazdálkodás
A nyersanyagként felhasznált rostanyag lehet újrahasznosított vagy primer rostanyag.
A primer rostanyag nem származhat géntechnológiával módosított fajtákból.
A felügyeleti láncnak való megfelelést az összes rostanyag esetében független harmadik fél, például az Erdőgondnoksági Tanács (Forest Stewardship Council, FSC) vagy az erdészeti tanúsítási rendszerek elfogadását célzó program (Programme for the Endorsement of Forest Certification (PEFC), illetve ezekkel egyenértékű tanúsítási rendszerek által kiállított érvényes igazolásokkal vagy az EN 643 szabványnak megfelelő, újrafeldolgozásra szánt papírra kiállított szállítólevéllel kell igazolni.
A termékhez vagy a gyártósorhoz rendelt rostanyag legalább 70 %-ának olyan, a fenntartható erdőgazdálkodás elveinek megfelelő gazdálkodást folytató erdőből vagy területről kell származnia, amely megfelel az érintett független felügyeletilánc-rendszer által támasztott követelményeknek, és/vagy újrahasznosított anyagokból kell származnia.
Az újrahasznosított rostanyagtartalom számításakor nem vehető figyelembe az olyan hulladékanyagok újrahasznosítása, amelyeket ugyanazon folyamaton belül fel lehet használni, mint amelynek során keletkeztek (például az ugyanazon létesítmény által termelt vagy megvásárolt papírgyártási selejt). A feldolgozási műveletekből származó (saját vagy vásárolt) selejtanyagok bevitele azonban - amennyiben azok az EN 643 szabványnak megfelelő szállítólevéllel rendelkeznek - úgy tekinthető, mint amely hozzájárul az újrafeldolgozott rosttartalomhoz.
A nem tanúsított primer anyagokat olyan rendszerrel kell ellenőrizni, amely garanciát biztosít arra, hogy az anyagok jogszerű forrásból származnak, és megfelelnek a tanúsító rendszer nem tanúsított anyagokkal szemben támasztott minden egyéb követelményének.Az erdőgazdálkodási tanúsítványokat és/vagy a felügyeleti láncnak való megfelelést igazoló tanúsítványokat kiállító tanúsító szerveknek rendelkezniük kell a szóban forgó tanúsítási rendszer akkreditációjával vagy elismerésével.
Értékelés és ellenőrzés: A kérelmezőnek megfelelőségi nyilatkozatot kell benyújtania az illetékes testülethez, amelyet az ökocímke-pályázatban szereplő egészségügyi és háztartási papírtermékek előállítására használt papír alapanyag gyártójától származó és a termékben vagy a termelési folyamatban felhasznált valamennyi primér rostra vonatkozó, független tanúsító által tanúsított, felügyeleti láncnak való megfelelést igazoló érvényes tanúsítvánnyal kell alátámasztani. Az FSC-, a PEFC- vagy ezekkel egyenértékű rendszereket el kell fogadni független harmadik fél általi tanúsításként. Újrahasznosított rostanyag felhasználása esetén, amennyiben az FSC, a PEFC vagy ezekkel egyenértékű újrahasznosítási állításokkal nem élnek, a bizonyítékok valódiságát az EN 643 szabványnak megfelelő szállítólevéllel kell igazolni.
A kérelmezőnek ellenőrzött számviteli dokumentumokat kell bemutatnia, amelyek igazolják, hogy a termékhez vagy a gyártósorhoz rendelt anyagok legalább 70 %-a olyan, a fenntartható erdőgazdálkodás elveinek megfelelő gazdálkodást folytató erdőből vagy területről származik, amely megfelel az érintett független felügyeletilánc-rendszer által támasztott követelményeknek, és/vagy újrahasznosított anyagokból származik.
Amennyiben a termékben vagy a gyártási folyamatban nem tanúsított primer anyag is felhasználásra kerül, igazolni kell, hogy a nem tanúsított primer anyagok aránya a termékben nem haladja meg a 30 %-ot, és azokat olyan rendszerrel ellenőrzik, amely garanciát biztosít arra, hogy a szóban forgó anyagok jogszerű forrásból származnak, és megfelelnek a tanúsító rendszer nem tanúsított anyagokkal szemben támasztott minden egyéb követelményének.
Amennyiben a tanúsítási rendszer nem írja kifejezetten elő, hogy minden frissen kitermelt anyagot géntechnológiával nem módosított szervezetekből kell kinyerni, ennek igazolására további bizonyítékot kell benyújtani.
4. kritérium: Korlátozott veszélyes anyagok és keverékek
A 4. kritérium egyes alkritériumainak való megfelelés igazolásának alapja az, hogy a kérelmező benyújtja az összes felhasznált releváns vegyi anyag jegyzékét a megfelelő dokumentációval együtt (biztonsági adatlap vagy a vegyi anyag beszállítójának nyilatkozata).
4a. kritérium: A különös aggodalomra okot adó anyagokra (SVHC) vonatkozó korlátozások
Megjegyzés: A papírgyárban, illetve ha releváns, a egészségügyi és háztartási papírtermékek előállítására használt papír alapanyag feldolgozásának folyamata során használt valamennyi technológiai és funkcionális vegyi anyagot meg kell vizsgálni. Ez a kritérium nem vonatkozik a szennyvíz tisztítására használt vegyi anyagokra, kivéve, ha a megtisztított szennyvíz visszakerül a papírgyártási folyamatba.
A papírtermék nem tartalmazhat 0,10 tömegszázaléknál nagyobb koncentrációban az 1907/2006/EK rendelet 59. cikke (1) bekezdésében leírt eljárásnak megfelelően azonosított anyagokat, illetve a különös aggodalomra okot adó anyagok jelöltlistáján szereplő anyagokat. E követelménytől nem lehet eltérni.
Értékelés és ellenőrzés: A kérelmezőnek nyilatkozatot kell benyújtania arról, hogy a papírtermék nem tartalmaz 0,10 tömegszázaléknál nagyobb koncentrációban különös aggodalomra okot adó anyagot. A nyilatkozatot biztonsági adatlapokkal vagy a papírgyárban használt egyes technológiai és funkcionális vegyi anyagok beszállítói által tett megfelelő nyilatkozatokkal kell alátámasztani, amelyek igazolják, hogy a vegyi anyagok egyike sem tartalmaz 0,10 tömegszázaléknál nagyobb koncentrációban különös aggodalomra okot adó anyagokat.
A különös aggodalomra okot adó anyagnak (SVHC) minősülő és az 1907/2006/EK rendelet 59. cikkének (1) bekezdése szerinti jelöltlistán szereplő vegyi anyagok jegyzéke itt olvasható:
https://echa.europa.eu/hu/candidate-list-table.
A jegyzékre a kérelmezés napján érvényes állapota szerint kell hivatkozni.
4b. kritérium: Osztályozási, címkézési és csomagolási (CLP) korlátozások
Megjegyzés: A papírgyárban, illetve ha releváns, a egészségügyi és háztartási papírtermékek előállítására használt papír alapanyag feldolgozásának folyamata során használt valamennyi technológiai és funkcionális vegyi anyagot meg kell vizsgálni. Ez a kritérium nem vonatkozik a szennyvíz tisztítására használt vegyi anyagokra, kivéve, ha a megtisztított szennyvíz visszakerül a papírgyártási folyamatba.
Amennyiben a 3. táblázatban nem szerepel erre vonatkozó eltérés, a papírtermék nem tartalmazhat 0,10 tömegszázaléknál nagyobb koncentrációban olyan anyagokat vagy keverékeket, amelyeket az 1272/2008/EK rendelet szerint a következő figyelmeztető mondatok valamelyike alapján soroltak be:
- Az 1. csoportba sorolt veszélyek: 1A. vagy 1B. kategóriájú rákkeltő, mutagén vagy reprodukciót károsító (CMR) hatás: H340, H350, H350i, H360, H360F, H360D, H360FD, H360Fd, H360Df.
- A 2. csoportba sorolt veszélyek: 2. kategóriájú rákkeltő, mutagén vagy reprodukciót károsító (CMR) hatás: H341, H351, H361, H361f, H361d, H361fd, H362; 1. kategóriájú vízi toxicitás: H400, H410; 1. és 2. kategóriájú akut toxicitás: H300, H310, H330; 1. kategóriájú aspirációs toxicitás: H304; 1. kategóriájú célszervi toxicitás (STOT): H370, H372, 1. kategóriájú bőrszenzibilizáló ( *3 ): H317.
- A 3. csoportba sorolt veszélyek: 2., 3. és 4. kategóriájú vízi toxicitás: H411, H412, H413; 3. kategóriájú akut toxicitás: H301, H311, H331; 2. kategóriájú célszervi toxicitás (STOT): H371, H373.
A fenti követelmény nem vonatkozik a papírgyártási folyamat során kémiailag úgy módosuló anyagok és keverékek (pl. szervetlen pelyhesítő szerek, keresztkötő ágensek, szervetlen oxidáló- és redukálószerek) használatára, hogy a korlátozás alá eső CLP-veszély fennállása megszűnik.
3. táblázat
A CLP veszélyességi korlátozásokat és az alkalmazandó feltételeket érintő eltérések
| Anyag/keverék típusa | Alkalmazási kör | Az eltérés tárgyát képező osztály(ok) | Az eltérés feltételei |
| Színezőanyagok és pigmentek | Nedves végső vagy felületi alkalmazásra használják színes papír előállítása során. | H411, H412, H413 | A vegyi anyag szállítójának nyilatkoznia kell arról, hogy a papírra 98 %-os fixálási arány érhető el, és útmutatást kell adnia arra vonatkozóan, hogy ez hogyan biztosítható. A papír gyártójának nyilatkozatot kell tennie a vonatkozó útmutatás(ok)nak való megfelelésről. |
| Poliamido-amin-epiklórhidrin (PAE) alapú, a nedvesszilárdság javítására szolgáló szerek | Rostkötőszerként használják a papírpép továbbíhatóságának és a termék nedvesszilárdságának a javítására. | H411, H412, H413 | Az epiklórhidrin (ECH, CAS-szám: 106-89-8) és bomlástermékei: az 1,3-diklór-2-propanol (DCP, CAS-szám: 96-23-1) és a 3-monoklór-1,2-propándiol (MCPD, CAS-szám: 96-24-2) együttes maradékmonomer-tartalma nem haladhatja meg a készítmény szilárdhatóanyag-tartalmának 0,35 tömegszázalékát. |
| Glioxál (újrahasznosított rostanyag) | Szennyeződés az újrahasznosított rostanyagban. | H341, H317 | Csak 0,10 tömegszázalékot meghaladó koncentrációban engedélyezett, ha a papírgyártás során felhasznált újrahasznosított anyagokban lévő szennyező anyagok révén van jelen. Ilyen esetekben igazolni kell a 6c. kritériumban meghatározott határértéknek való megfelelést. |
| Poliamido-amin-epiklórhidrin (PAE) alapú, a Yankee-hengerhez kapcsolódó vegyi segédanyagok | Kreppelésre használják. | H411, H412, H413 | Az epiklórhidrin (ECH, CAS-szám: 106-89-8) és bomlástermékei: az 1,3-diklór-2-propanol (DCP, CAS-szám: 96-23-1) és a 3-monoklór-1,2-propándiol (MCPD, CAS-szám: 96-24-2) együttes maradékmonomer-tartalma nem haladhatja meg a készítmény szilárdhatóanyag-tartalmának 0,05 tömegszázalékát. |
| Kationos polimerek (beleértve a polietilén-imineket, a poliamidokat és a poliaminokat) | Különböző felhasználási módok lehetségesek, egyebek mellett rostkötő anyagként, valamint a nedves szakítószilárdság, a szárazszilárdság és a nedvesszilárdság javítását szolgáló anyagként. | H411, H412, H413 | A papírgyártó nyilatkozatot nyújt be a biztonságos kezelésre és adagolásra vonatkozó, a biztonsági adatlapon meghatározott vonatkozó utasításoknak való megfelelésről. |
Értékelés és ellenőrzés: A kérelmezőnek be kell nyújtania az érintett felhasznált vegyi anyagok jegyzékét, mellékelve a vonatkozó biztonsági adatlapokat vagy beszállítói nyilatkozatokat.
Ki kell emelni minden olyan vegyi anyagot, amely korlátozás tárgyát képező CLP-besorolású anyagot vagy keveréket tartalmaz. A vegyi anyag hozzávetőleges adagolási arányát, valamint a korlátozás tárgyát képező anyag vagy keverék szóban forgó vegyi anyagban jelen lévő (a biztonsági adatlapon vagy a beszállítói nyilatkozatban megadottak szerinti) koncentrációját és 100 %-os feltételezett retenciós faktort kell alkalmazni a korlátozás tárgyát képező anyag vagy keverék késztermékben maradó mennyiségének becslésére.
A 100 %-os retenciós faktortól való eltérést és a korlátozott veszélyes anyag vagy keverék kémiai módosítását írásban kell indokolni, és az indokolást be kell nyújtani az illetékes testületnek.
Minden olyan korlátozott anyag vagy keverék esetében, amely kész papírtermékben 0,10-nál nagyobb tömegszázalékban van jelen, de eltérés tárgyát képezi, igazolni kell a vonatkozó eltérési feltételeknek való megfelelést.
4c. kritérium: Klór
Megjegyzés: Ezt a követelményt a cellulóz- és papírgyártók esetében kell alkalmazni. A követelmény az újrahasznosított rostanyagok fehérítésére is vonatkozik, és nem zárható ki, hogy a rostanyagokat életciklusuk korábbi szakaszában esetleg klórgázzal fehérítették.
Fehérítőszerként klórgáz nem használható. Ez a követelmény nem vonatkozik a klór-dioxid előállításához és alkalmazásához használt klórgázra.
Értékelés és ellenőrzés: A kérelmezőnek nyilatkozatot kell benyújtania arra vonatkozóan, hogy a papírgyártási folyamat során nem alkalmaztak fehérítőszerként klórgázt, mellékelve az esetlegesen érintett cellulózbeszállítók nyilatkozatait.
4d. kritérium: Alkil-fenol-etoxilátok (APEO-k)
Megjegyzés: Ezt a követelményt a cellulóz- és papírgyártók esetében kell alkalmazni.
APEO-k és más alkil-fenol-származékok nem adagolhatók a tisztító vegyi anyagokhoz, a festékmentesítő vegyi anyagokhoz, a habzásgátló anyagokhoz és a diszpergálószerekhez. Az alkil-fenol-származékok olyan anyagok, amelyek lebomlásakor alkil-fenolok keletkeznek.
Értékelés és ellenőrzés: A kérelmezőnek be kell nyújtania a vegyi anyag szállítójának (szállítóinak) nyilatkozatát arra vonatkozóan, hogy APEO-kat vagy más alkil-fenol-származékokat nem adagoltak ezekhez a termékekhez.
4e. kritérium: Festékmentesítéshez használt felületaktív anyagok
Megjegyzés: Ezt a követelményt a festékmentesített cellulóz gyártóira kell alkalmazni.
A festékmentesítési eljárásokban használt valamennyi felületaktív anyagnak biológiailag könnyen lebonthatónak vagy potenciálisan teljesen lebonthatónak kell lennie (a vizsgálati módszereket és küszöbértékeket lásd az alábbiakban). E követelmény alól az egyetlen kivétel a szilikonszármazékokon alapuló felületaktív anyagok felhasználása, feltéve, hogy a festékmentesítésből hátramaradó papíriszapot elégetik.
Értékelés és ellenőrzés: A kérelmezőnek nyilatkozatot kell benyújtania arra vonatkozóan, hogy teljesül ez a kritérium, mellékelve az egyes felületaktív anyagokra vonatkozó biztonsági adatlapot vagy vizsgálati jegyzőkönyvet. A szóban forgó dokumentumokban szerepelnie kell a vizsgálati módszernek, a küszöbértéknek, valamint a következő vizsgálati módszerek és küszöbértékek egyikének alkalmazásával nyert következtetéseknek:
- a könnyű biológiai lebonthatóság tekintetében: OECD 301 A-F (vagy azzal egyenértékű ISO-szabványok), a 301 A és E esetében legalább 70 %-os, a 301 B, C, D és F esetében legalább 60 %-os 28 napos lebontási százalékaránnyal (beleértve az abszorpciót is).
- a potenciális teljes biológiai lebonthatóság tekintetében: OECD 302 A-C (vagy azzal egyenértékű ISO-szabványok), a 302 A és B esetében legalább 70 %-os, a 302 C esetében legalább 60 %-os 28 napos lebontási százalékaránnyal (beleértve az adszorpciót is).
Szilikonalapú felületaktív anyagok használata esetén a kérelmezőnek biztonsági adatlapot kell benyújtania a felhasznált vegyi anyagokról, és nyilatkoznia kell arról, hogy a festékmentesítésből hátramaradó papíriszapot elégetik, megjelölve a rendeltetési hulladékégető mű(vek) adatait.
4f. kritérium: A nyálkaképződés szabályozására használt biocidokra vonatkozó korlátozások
Megjegyzés: Ezt a követelményt a papírgyártók esetében kell alkalmazni.
A rostokat tartalmazó keringető vízrendszerben levő nyálkaképző szervezetek ellen használt biocid termékek hatóanyagainak a szóban forgó célra vonatkozó engedéllyel kell rendelkezniük, vagy az 528/2012/EU rendelet alapján az engedélyezésre vonatkozó határozat meghozataláig vizsgálat alatt kell állniuk, és nem lehetnek potenciálisan bioakkumulatívak.
E kritérium alkalmazásában a szóban forgó anyagok bioakkumulációs potenciálja tekintetében a következőknek kell teljesülniük: log Kow (az oktanol/víz megoszlási együttható logaritmusa) ≤ 3,0 vagy a kísérleti úton meghatározott biokoncentrációs tényező ≤ 100.
Értékelés és ellenőrzés: A kérelmezőnek nyilatkozatot kell benyújtania arra vonatkozóan, hogy teljesül ez a kritérium, mellékelve a vonatkozó anyagbiztonsági adatlapot vagy vizsgálati jegyzőkönyvet. A vizsgálati jegyzőkönyvben szerepelnie kell a vizsgálati módszernek, a küszöbértéknek, valamint a következő vizsgálati módszerek egyikének alkalmazásával nyert következtetéseknek: OECD 107, 117 vagy 305 A-E.
4 g. kritérium: Az azoszínezékekre vonatkozó korlátozások
Megjegyzés: Ezt a követelményt a papírgyártók esetében kell alkalmazni.
Olyan azoszínezékek, amelyek esetében egy vagy több azocsoport reduktív lehasadása által egy vagy több, a 2002/61/EK irányelvben vagy az 1907/2006/EK rendelet XVII. mellékletének 8. függelékében felsorolt aromás amin szabadulhat fel, nem használhatók fel az uniós ökocímkével rendelkező egészségügyi és háztartási papírtermékek előállítására használt papír alapanyag előállításához.
Értékelés és ellenőrzés: A kérelmezőnek az uniós ökocímkére pályázó egészségügyi és háztartási papírtermékek előállítására használt papír alapanyag, és egészségügy és háztartási papírtermékek előállítási folyamata során felhasznált valamennyi színezék tekintetében be kell nyújtania a beszállító(k) nyilatkozatát e kritérium teljesüléséről. A színezékre vonatkozó beszállítói nyilatkozatot az 1907/2006/EK rendelet XVII. mellékletének 10. függelékében leírt megfelelő módszerek vagy azokkal egyenértékű módszerek szerint készített vizsgálati jegyzőkönyvekkel kell alátámasztani.
4h. kritérium: Fémalapú pigmentek és színezőanyagok
Megjegyzés: Ezt a követelményt a papírgyártók esetében, illetve ha releváns, a egészségügyi és háztartási papírtermékek előállítására használt papír alapanyag feldolgozását végző gyártókra kell alkalmazni. A fémalapú pigmentek és színezőanyagok fogalommeghatározását lásd e melléklet bevezetésében.
Alumínium- ( *4 ), ezüst-, arzén-, bárium-, kadmium-, kobalt-, króm-, higany-, mangán-, nikkel-, ólom-, szelén-, antimon-, ón- és cinkalapú színezőanyagok és pigmentek nem használhatók.
Értékelés és ellenőrzés: A kérelmezőnek az uniós ökocímkére pályázó egészségügyi és háztartási papírtermékek előállítási folyamata során felhasznált valamennyi színezék tekintetében be kell nyújtania a beszállító(k) nyilatkozatát e kritérium követelményeinek teljesüléséről. A beszállítói nyilatkozat(oka)t biztonsági adatlapokkal vagy más releváns dokumentumokkal kell alátámasztani.
4i. kritérium: Színezőanyagok ionos szennyeződései
Megjegyzés: Ezt a követelményt a papírgyártók esetében, illetve ha releváns, a egészségügyi és háztartási papírtermékek előállítására használt papír alapanyag feldolgozását végző gyártókra kell alkalmazni.
A felhasznált színezőanyagokban jelen lévő ionos szennyeződések szintje nem haladhatja meg a következő értékeket: ezüst 100 ppm; arzén 50 ppm bárium 100 ppm; kadmium 20 ppm; kobalt 500 ppm; króm 100 ppm; higany 4 ppm; nikkel 200 ppm; ólom 100 ppm; szelén 20 ppm; antimon 50 ppm; ón 250 ppm; cink 1 500 ppm.
Értékelés és ellenőrzés: A kérelmezőnek az uniós ökocímkére pályázó egészségügyi és háztartási papírtermékek előállítására használt papír alapanyag előállítási folyamata során felhasznált valamennyi színezék tekintetében be kell nyújtania a beszállító(k) nyilatkozatát e kritérium követelményeinek teljesüléséről. A beszállítói nyilatkozat(oka)t biztonsági adatlapokkal vagy más releváns dokumentumokkal kell alátámasztani.
4j. kritérium: Oldatok
Az uniós ökocímkére pályázó egészségügyi és háztartási papírtermékek feldolgozása során felhasznált oldatkészítményekhez tilos H317, H334 és CMR besorolású, valamint a különös aggodalomra okot adó anyagok jelöltlistáján szereplő anyagokat hozzáadni. Az oldatkészítményekhez továbbá tilos parabéneket, triklozánt, formaldehidet, formaldehidet kibocsátó anyagokat és metil-izotiazolinont hozzáadni.
Ezenkívül az oldatkészítményeket tilos olyan mennyiségekben felhasználni, amelynek eredményeképpen bármely, a 4b. kritériumnál felsorolt, korlátozás tárgyát képező CLP-besorolású egyes anyag az egészségügyi és háztartási papír végtermékben 0,010 tömegszázalékot meghaladó arányban lesz jelen. A bármilyen korlátozás tárgyát képező CLP-besorolásokkal érintett anyagok együttes aránya nem haladhatja meg az egészségügyi és háztartási papírtermék 0,070 tömegszázalékát.
Értékelés és ellenőrzés: A kérelmezőnek be kell nyújtania az uniós ökocímkére pályázó egészségügyi és háztartási papírtermékek előállítása során használt valamennyi releváns oldatkészítményt tartalmazó jegyzéket, mellékelve a szóban forgó oldatkészítmények beszállítóinak megfelelőségi nyilatkozatát, a vonatkozó biztonsági adatlapokat, valamint - a végtermékre vonatkozó határértékeknek való megfelelés igazolása céljából - az uniós ökocimkére pályázó egészségügyi és háztartási papír végtermékben megmaradó, korlátozás tárgyát képező CLP-besorolású anyagok koncentrációjának becslése céljából végzett, kérelmező által alkalmazott adagoláson alapuló számításokat.
5. kritérium: Hulladékgazdálkodás
Valamennyi cellulóz- és papírgyártó üzemnek - beleértve a feldolgozott tissue-termékeket gyártó üzemeket is - rendelkeznie kell a gyártási folyamatból származó hulladék kezelésére szolgáló rendszerrel, valamint egy hulladékminimalizálási és -gazdálkodási tervvel, amely leírja a gyártási folyamatot, és tartalmazza a következő szempontokra vonatkozó információkat:
1. a hulladékképződés megelőzésére alkalmazott eljárások;
2. a hulladék szétválasztására, újrafelhasználására és újrafeldolgozására alkalmazott eljárások;
3. a veszélyes hulladék biztonságos kezelésére alkalmazott eljárások;
4. a hulladékképződés mérséklésére, valamint az újrafelhasználás és az újrafeldolgozás arányának növelésére vonatkozó folyamatos fejlesztési célkitűzések és célok.
Értékelés és ellenőrzés: A kérelmező ismerteti az érintett gyártóüzemek hulladékminimalizálási és -gazdálkodási tervét, és nyilatkozatot nyújt be arra vonatkozóan, hogy teljesül ez a kritérium.
Az uniós környezetvédelmi vezetési és hitelesítési rendszerben (EMAS) nyilvántartásba vett és/vagy az ISO 14001 szabvány szerint tanúsított kérelmezők esetében a kritérium teljesítettnek tekinthető, ha:
1. a hulladékgazdálkodás beépítését a gyártóüzem(ek)re vonatkozó EMAS környezetvédelmi nyilatkozatban dokumentálják, vagy
2. a gyártóüzem(ek) ISO 14001 szerinti tanúsítása megfelelően foglalkozik a hulladékgazdálkodás beépítésének kérdésével.
6. kritérium: A végtermékre vonatkozó követelmények
6a. kritérium: Színezőanyagok és optikai fehérítők
Színezett egészségügyi és háztartási papírtermékek előállítására használt papír alapanyag esetében a jó (4. szintű vagy annál magasabb szintű) színtartóságot az EN 646 szabványban meghatározott rövid eljárás szerint kell igazolni.
Optikai fehérítőszerekkel kezelt egészségügyi és háztartási papírtermékek előállítására használt papír alapanyag esetében a jó (4. szintű vagy annál magasabb szintű) színtartóságot az EN 648 szabványban meghatározott rövid eljárás szerint kell igazolni.
Értékelés és ellenőrzés: A kérelmezőnek vagy a vegyianyag-beszállító(k)nak nyilatkozatot kell benyújtania e kritérium teljesüléséről, mellékelve - az adott esetnek megfelelően - az EN 646 és/vagy az EN 648 szabvány szerinti megfelelő vizsgálati jegyzőkönyveket.
Ellenkező esetben a kérelmezőnek nyilatkozatot kell benyújtania arról, hogy nem használtak színezékeket vagy fehérítőszereket.
6b. kritérium: Nyálkaképződést gátló szerek és antimikrobás szerek
A egészségügyi és háztartási papír végtermék mintái nem tartalmazhatnak az EN 1104 szabvány szerinti, a mikroorganizmusok szaporodását gátló szereket.
Értékelés és ellenőrzés: A kérelmezőnek nyilatkozatot kell benyújtania e kritérium teljesüléséről, mellékelve az EN 1104 szabvány szerinti megfelelő vizsgálati jegyzőkönyveket.
6c. kritérium: Termékbiztonság
Az újrahasznosított rostanyagot tartalmazó egészségügyi és háztartási papír végtermék az alábbi veszélyes anyagok közül egyiket sem tartalmazhatják a meghatározott határértékek feletti mennyiségben, amit a meghatározott vizsgálati szabványok alapján kell kimutatni:
- formaldehid: 1 mg/dm2 az EN 1541 szabvány szerint (hidegvizes extrakció);
- glioxál: 1,5 mg/dm2 a DIN 54603 szabvány szerint;
- pentaklór-fenol (PCP): 2 mg/kg az EN ISO 15320 szabvány szerint (hidegvizes extrakció).
Értékelés és ellenőrzés: A kérelmezőnek nyilatkozatot kell benyújtania e kritérium teljesüléséről, mellékelve a vonatkozó szabványok szerinti megfelelő vizsgálati jegyzőkönyveket.
6d. kritérium: Használatra való alkalmasság
Az uniós ökocímkére pályázó egészségügyi és háztartási papírtermékeknek meg kell felelniük a forgalomba hozataluk szerinti országban előírt valamennyi vonatkozó követelménynek.
Strukturált egészségügyi és háztartási papírtermékek előállítására használt papír alapanyag esetében az egyes nyerspapírívek nedvszívóképessége feldolgozás előtt legalább 10,0 g víz/g egészségügyi és háztartási papírtermékek előállítására használt papír alapanyag.
Értékelés és ellenőrzés: A kérelmezőnek nyilatkozatot kell benyújtania e kritérium teljesüléséről, mellékelve a vonatkozó dokumentumokat.
A gyártóknak garantálniuk kell a termékeik használatra való alkalmasságát, és be kell nyújtaniuk azokat a dokumentumokat, amelyek az EN ISO/IEC 17050 szabványnak megfelelően igazolják a termékek minőségét. A szóban forgó szabvány meghatározza a beszállítóknak a normatív dokumentumoknak való megfelelőségüket igazoló nyilatkozataira vonatkozó általános kritériumokat.
Strukturált egészségügyi és háztartási papírtermékek előállítására használt papír alapanyag esetében a kérelmezőnek nyilatkozatot kell benyújtania e követelmény teljesüléséről, mellékelve egy, az EN ISO 12625-8:2010 szabvány szerinti megfelelő vizsgálati jegyzőkönyvet.
7. kritérium: Az uniós ökocímkén feltüntetett információk
A kérelmezőnek követnie kell az uniós ökocímke logójának használatáról szóló iránymutatásban szereplő, a logó helyes használatára vonatkozó utasításokat:
http://ec.europa.eu/environment/ecolabel/documents/logo_guidelines.pdf
Választható szövegmezős címke esetében a címkének a következő három állítást kell tartalmaznia:
- A termék előállítása mérsékelt levegő- és vízszennyezéssel jár;
- A gyártás energiaigénye alacsony;
- A rostanyag xx %-a fenntartható forrásból származik/a rostanyag xx %-a újrahasznosított (az esetnek megfelelően).
Értékelés és ellenőrzés: A kérelmezőnek nyilatkozatot kell benyújtania e kritérium teljesüléséről, mellékelve a termék csomagolásáról készült képet, amelyen világosan látszik a címke, a nyilvántartási szám/az engedély száma, valamint adott esetben a címkével együtt megjeleníthető állítások.
( 1 ) A Bizottság 2014/763/EU határozata (2014. október 24.) a nedvszívó higiéniai termékek uniós ökocímkéjének odaítélésére vonatkozó ökológiai kritériumok megállapításáról (HL L 320., 2014.11.6., 46. o.).
( 2 ) Az Európai Parlament és a Tanács 1223/2009/EK rendelete (2009. november 30.) a kozmetikai termékekről (HL L 342., 2009.12.22., 59. o.).
( 3 ) A Bizottság 2012/481/EU határozata (2012. augusztus 16.) a nyomtatott papír uniós ökocímkéjének odaítélésére vonatkozó ökológiai kritériumok megállapításáról (HL L 223., 2012.8.21., 55. o.).
( 4 ) A Bizottság 601/2012/EU rendelete (2012. június 21.) az üvegházhatást okozó gázok kibocsátásának a 2003/87/EK európai parlamenti és tanácsi irányelvnek megfelelő nyomon követéséről és jelentéséről EGT-vonatkozású szöveg (HL L 181., 2012.7.12., 30. o.).
( 5 ) Methodology for the Ecodesign of Energy-related Products (Módszertan az energiával kapcsolatos termékek környezettudatos tervezéséhez).
( 6 ) Az Európai Parlament és a Tanács 1907/2006/EK rendelete (2006. december 18.) a vegyi anyagok regisztrálásáról, értékeléséről, engedélyezéséről és korlátozásáról (REACH), az Európai Vegyianyag-ügynökség létrehozásáról, az 1999/45/EK irányelv módosításáról, valamint a 793/93/EGK tanácsi rendelet, az 1488/94/EK bizottsági rendelet, a 76/769/EGK tanácsi irányelv, a 91/155/EGK, a 93/67/EGK, a 93/105/EK és a 2000/21/EK bizottsági irányelv hatályon kívül helyezéséről (HL L 396., 2006.12.30., 1. o.).
( 7 ) Az Európai Parlament és a Tanács 1272/2008/EK rendelete (2008. december 16.) az anyagok és keverékek osztályozásáról, címkézéséről és csomagolásáról, a 67/548/EGK és az 1999/45/EK irányelv módosításáról és hatályon kívül helyezéséről, valamint az 1907/2006/EK rendelet (HL L 353., 2008.12.31., 1. o.).
( *1 ) A H317-korlátozások csak a papír kezelésére használt, kereskedelmi forgalomban lévő színezőanyag-készítményekre, felületkezelő szerekre és bevonóanyagokra vonatkoznak.
( 8 ) Az Európai Parlament és a Tanács 528/2012/EU rendelete (2012. május 22.) a biocid termékek forgalmazásáról és felhasználásáról (HL L 167., 2012.6.27., 1. o.).
( 9 ) Az Európai Parlament és a Tanács 2002/61/EK irányelve (2002. július 19.) az egyes veszélyes anyagok és készítmények forgalomba hozatalának és felhasználásának korlátozásairól szóló 76/769/EGK tanácsi irányelv tizenkilencedik módosításáról (azoszínezékek) (HL L 243., 2002.9.11., 15. o.).
( *2 ) A vörösrézre vonatkozó korlátozás nem vonatkozik a réz-ftalocianinra, az alumíniumra vonatkozó korlátozás pedig nem vonatkozik az alumínium-szilikátokra.
( 10 ) Methodology for the Ecodesign of Energy-related Products (Módszertan az energiával kapcsolatos termékek környezettudatos tervezéséhez).
( *3 ) A H317-korlátozások csak a papír kezelésére használt, kereskedelmi forgalomban lévő színezőanyag-készítményekre, felületkezelő szerekre és bevonóanyagokra vonatkoznak.
( *4 ) Az alumíniumra vonatkozó korlátozás nem vonatkozik az alumínium-szilikátokra.
Lábjegyzetek:
[1] A dokumentum eredetije megtekinthető CELEX: 32019D0070 - https://eur-lex.europa.eu/legal-content/HU/ALL/?uri=CELEX:32019D0070&locale=hu Utolsó elérhető, magyar nyelvű konszolidált változat CELEX: 02019D0070-20190117 - https://eur-lex.europa.eu/legal-content/HU/ALL/?uri=CELEX:02019D0070-20190117&locale=hu