31997L0012[1]
A Tanács 97/12/EK irányelve (1997. március 17.) a szarvasmarhafélék és sertések Közösségen belüli kereskedelmét érintő állat-egészségügyi problémákról szóló 64/432/EGK irányelv módosításáról és naprakésszé tételéről
A TANÁCS 97/12/EK IRÁNYELVE
(1997. március 17.)
a szarvasmarhafélék és sertések Közösségen belüli kereskedelmét érintő állat-egészségügyi problémákról szóló 64/432/EGK irányelv módosításáról és naprakésszé tételéről
AZ EURÓPAI KÖZÖSSÉGEK TANÁCSA,
tekintettel az Európai Gazdasági Közösséget létrehozó szerződésre és különösen annak 43. cikkére,
tekintettel a Bizottság javaslatára ( 1 ),
tekintettel az Európai Parlament véleményére ( 2 ),
tekintettel a Gazdasági és Szociális Bizottság véleményére ( 3 ),
mivel az állat-egészségügyi terület harmonizációja terén jelentős előrelépés történt, különösen a belső piac megvalósításának céljával meghatározott élőállatok és állati termékek Közösségen belüli kereskedelmében alkalmazható állat-egészségügyi és tenyésztéstechnikai ellenőrzésekről szóló, 1990. június 26-i 90/425/EGK tanácsi irányelv ( 4 ), valamint a harmadik országokból a Közösségbe behozott állatok állat-egészségügyi ellenőrzésére irányadó elvek megállapításáról, valamint a 89/662/EGK, 90/425/EGK és 90/675/EGK irányelvek ( 5 ) módosításáról szóló, 1991. július 15-i 91/496/EGK tanácsi irányelvek, valamint a száj- és körömfájás elleni védekezésre irányuló közösségi intézkedések bevezetéséről szóló, 1985. november 18-i 85/511/EGK tanácsi irányelv ( 6 ) és az egyes állatbetegségek elleni védekezésre irányuló általános közösségi intézkedések, valamint a sertések hólyagos betegségére vonatkozó külön intézkedések bevezetéséről szóló, 1992. december 17-i 92/119/EGK tanácsi irányelv ( 7 ) elfogadása folytán;
mivel a Tanács az állat-egészségügyi járvány-felügyeleti intézkedések megerősítéséről szóló, 1993. december 22-i 94/C 16/01 számú állásfoglalásában ( 8 ) vállalta, hogy saját hatáskörén belül mindent megtesz az állásfoglalás elveinek gyors bevezetésének érdekében a szarvasmarhafélék és a sertések Közösségen belüli kereskedelmét érintő állat-egészségügyi problémákról szóló, 1964. június 26-i 64/432/EGK tanácsi irányelv ( 9 ) módosításának keretein belül;
mivel a jelen helyzet ismeretében szükséges a 64/432/EGK irányelv módosítása, különös tekintettel a szállítást megelőzően valamely tagállamban való tartózkodás időtartamára, a 15 naposnál fiatalabb állatok kereskedelmének szabályaira, a bizonyos betegségek elleni védekezés szabályaira, valamint a gyűjtőállomásokra, a szállítókra és a kereskedőkre vonatkozó szabályokra;
mivel az állatok állategészségügyi okok miatti gyors és pontos nyomon követése céljából minden tagállam köteles számítógépes adatbázisokat létrehozni, amelyben szerepel az állatok azonosítása, a területükön található összes állattartó gazdaság adatai és az állatok mozgása;
mivel a 64/432/EGK irányelvet számos alkalommal lényeges mértékben módosították; mivel az egyértelműség miatt az irányelvet naprakésszé kell tenni,
ELFOGADTA EZT AZ IRÁNYELVET:
1. cikk
A 64/432/EGK irányelv cikkei, valamint B., C., D. (II. fejezet) és E. melléklete helyébe az ezen irányelvhez csatolt szöveg lép, az A., a D. (I. fejezet) és az F. melléklet helyébe a 98/46/EK irányelvhez csatolt szöveg lép.
2. cikk
(1) A tagállamok hatályba léptetik azon törvényi, rendeleti és közigazgatási rendelkezéseket, amelyek szükségesek ahhoz, hogy ezen irányelvnek legkésőbb 1999. július 1-jéig megfeleljenek. Erről haladéktalanul tájékoztatják a Bizottságot.
Amikor a tagállamok elfogadják ezen intézkedéseket, azokban hivatkozni kell ezen irányelvre vagy azokhoz hivatalos kihirdetésük alkalmával ilyen hivatkozást kell csatolni. A hivatkozás módját a tagállamok határozzák meg.
(2) A tagállamok közlik a Bizottsággal a nemzeti joguknak azokat a főbb rendelkezéseit, amelyeket az ezen irányelv által szabályozott területen fogadnak el.
3. cikk
Ez az irányelv az Európai Közösségek Hivatalos Lapjában való kihirdetésének napján lép hatályba.
4. cikk
Ennek az irányelvnek a tagállamok a címzettjei.
MELLÉKLET
A 64/432/EGK IRÁNYELV
(cikkeinek és mellékleteinek módosítása és naprakésszé tétele)
Ezen irányelvet a szarvasmarhafélék és sertések - a vaddisznó kivételével - Közösségen belüli kereskedelme esetén kell alkalmazni, ahogyan a 80/217/EGK irányelv ( 10 ) e) cikke meghatározta, a 80/215/EGK ( 11 ), 85/511/EGK, 88/407/EGK ( 12 ), 89/608/EGK ( 13 ), 90/425/EGK, 90/429/EGK ( 14 ), 90/667/EGK ( 15 ), 91/496/EGK, 91/628/EGK ( 16 ), 92/102/EGK ( 17 ), 92/119/EGK irányelvekben, valamint a 90/424/EGK ( 18 ) határozatban felsorolt intézkedések sérelme nélkül.
(1) A 90/425/EGK irányelv 2. cikkében, valamint a 91/628/EGK irányelv 2. cikkében megadott definíciókat kell alkalmazni.
(2) A fentieken kívül ezen irányelvben a következő fogalommeghatározásokat kell alkalmazni:
a) "állomány": olyan állat vagy állatcsoport, amelyet (a 92/102/EGK irányelv 2.b) cikkének értelmében) egy járványtani egységnek minősülő gazdaság területén tartanak; amennyiben a gazdaság területén egynél több állomány található, úgy azok mindegyikét külön egységnek kell tekinteni, és egészségi állapotuk azonos kell, hogy legyen;
b) "vágásra szánt állat": olyan szarvasmarhaféle (beleértve a Bison bison és a Bubalus bubalus fajokat is) illetve sertés, amelyet vágóhídra illetve gyűjtőállomásra, valamint onnan kizárólag a vágóhídra történő szállításra szántak;
c) "tenyésztésre vagy termelésre szánt állatok": a b) pontban említettektől eltérő olyan szarvasmarhaféle (beleértve a Bison bison és a Bubalus bubalus fajokat is) illetve sertés, amelyet tenyésztés, tej- vagy hústermelés céljából, igavonás, illetve bemutatókon vagy kiállításokon történő részvétel céljából tartanak, kivéve a kulturális és sporteseményeket;
d) "hivatalosan gümőkórmentes szarvasmarha-állomány": olyan szarvasmarha-állomány, amely megfelel az A. I. melléklet 1. és 2. pontjában meghatározott feltételeknek;
e) "hivatalosan gümőkórmentes tagállam vagy tagállam területi egysége": olyan tagállam vagy tagállamhoz tartozó területi egység, amely megfelel az A. I. melléklet. 4. és 5. pontjában meghatározott feltételeknek;
f) "hivatalosan brucellózismentes szarvasmarha-állomány": olyan szarvasmarha-állomány, amely megfelel az A. II. melléklet. 1. és 2. pontjában meghatározott feltételeknek;
g) "hivatalosan brucellózismentes területi egység": olyan tagállamhoz tartozó területi egység, amely megfelel az A. II. melléklet 7., 8. és 9. pontjában meghatározott feltételeknek;
h) "hivatalosan brucellózismentes tagállam": olyan tagállam, amely megfelel az A. II. melléklet 7., 8. és 9. pontjában meghatározott feltételeknek;
i) "brucellózismentes szarvasmarha-állomány": olyan szarvasmarha-állomány, amely megfelel az A. II. melléklet 4. és 5. pontjában meghatározott feltételeknek;
j) "hivatalosan enzootiás szarvasmarha-leukózistól mentes állomány": olyan szarvasmarha-állomány, amely megfelel az D. melléklet I. fejezetének A. és B. részében meghatározott feltételeknek;
k) "hivatalosan enzootiás szarvasmarha-leukózistól mentes tagállam vagy területi egység": olyan tagállam vagy területi egység, amely megfelel a D. melléklet I. fejezetének E. és F. részében meghatározott követelményeknek;
l) "hatósági állatorvos": a tagállam illetékes hatósága által kijelölt állatorvos;
m) "hatósági állatorvos": az illetékes hatóság által a 14. cikk (3) bekezdésének B. pontja rendelkezéseinek megfelelően jóváhagyott bármely állatorvos;
n) "bejelentési kötelezettség alá tartozó betegségek": az E. melléklet (I) részében szereplő betegségek;
o) "gyűjtőállomás": olyan gazdaságok, begyűjtő központok és piacok, ahol különböző gazdaságokból származó szarvasmarhaféléket és sertéseket kereskedelmi szállítmányokat képező csoportokba gyűjtenek. Az említett gyűjtőállomásoknak kereskedelmi célokra megfelelőnek minősítettnek kell lenniük, valamint meg kell felelniük a 11. cikkben meghatározott követelményeknek;
p) "területi egység": a tagállamnak legalább 2 000 km2 területű, az illetékes hatóság felügyelete alá tartozó része, amely a következő közigazgatási egységek közül legalább egyet tartalmaz:
| – Belgium: | province/provincie |
| – Németország: | Regierungsbezirk |
| – Dánia: | amt vagy island |
| – Franciaország: | département |
| – Olaszország: | provincia |
| – Luxemburg: | – |
| – Hollandia: | rrv-kring |
| – Egyesült Királyság: | Anglia, Wales és Észak-Írország: county Skócia: district vagy island area |
| – Írország: | county |
| – Görögország: | voμός |
| – Spanyolország: | provincia |
| – Portugália: | continente: distrito, és Portugália más területei: região autónoma |
| – Ausztria: | Bezirk |
| – Svédország: | län |
| – Finnország: | lääni/län; |
q) "kereskedő": bármely természetes vagy jogi személy, aki állatokat kereskedelmi célból - akár közvetlenül, akár közvetett módon - vásárol vagy elad, aki az említett állatokkal kapcsolatosan rendszeres forgalommal rendelkezik, és aki az állatokat vásárlásuktól számított 30 napon belül eladja, vagy áthelyezi az egyik létesítményből a nem saját tulajdonát képező más létesítményekbe, valamint megfelel a 13. cikkben meghatározott követelményeknek.
(1) Minden tagállam köteles biztosítani, hogy csak az ezen irányelvben meghatározott feltételeknek megfelelő állatokat küld területéről egy másik tagállam területére.
(2) Ezen irányelv által meghatározott szarvasmarhafélék és sertések:
a) alávetendők a következő vizsgálatoknak:
- származásellenőrzés,
- a hatósági állatorvos által, az indulás előtti 24 órán belül elvégzett klinikai vizsgálat, mely során az állat nem mutatja betegségek klinikai tüneteit;
b) nem származhatnak olyan gazdaságból vagy területről, ahol a közösségi és/vagy nemzeti jogszabályokkal összhangban állat-egészségügyi okok miatt elrendelt tiltó vagy korlátozó intézkedések vannak érvényben az érintett állatfajok vonatkozásában;
c) a 92/102/EGK irányelvben meghatározott módon megjelöltek;
d) nem a tagállam vagy a területi egység ragályos vagy fertőző betegségektől való mentesítési programja keretén belül levágandó állatok;
e) megfelelnek a 4. és 5. cikkben meghatározott feltételeknek.
(1) Ezen irányelv által meghatározott szarvasmarhafélék és sertések a származási helyük elhagyása és a rendeltetési helyükre való megérkezés közötti időtartam alatt semmilyen körülmények között sem kerülhetnek kapcsolatba olyan hasított körmű állatokkal, amelyek nem azonos egészségi állapottal rendelkeznek.
(2) Ezen irányelv által meghatározott szarvasmarhafélék és sertések kizárólag olyan szállítóeszközzel szállíthatóak, amelyek megfelelnek a 91/628/EGK irányelvben, valamint a 12. cikkben meghatározott követelményeknek.
(3) Az olyan helyek engedélyezésének szabályait, ahol a takarítás és fertőtlenítés elvégezhető, a 17. cikkben megállapított megfelelően kell meghatározni.
5. cikk
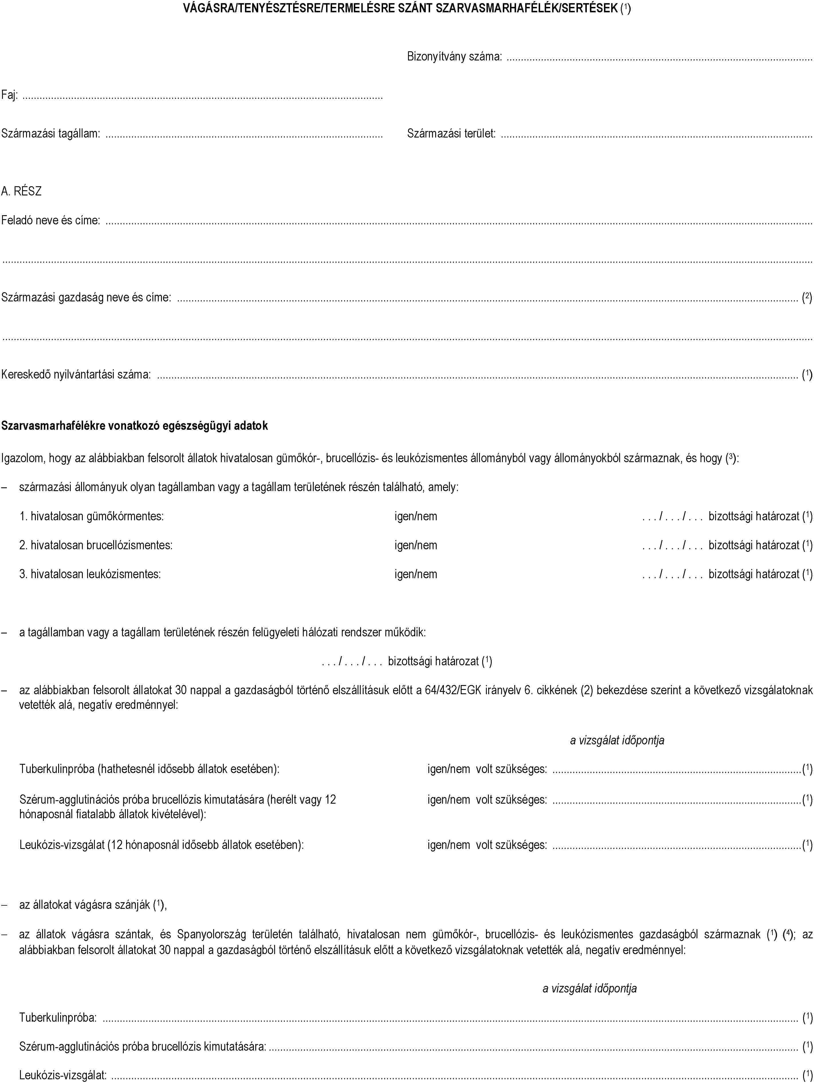
(1) Az ezen irányelv tárgykörébe tartozó szarvasmarhaféléket és sertéseket a rendeltetési helyre történő szállításuk idején el kell látni egy, az F. mellékletben bemutatott 1. vagy 2. mintának bizonyítvánnyal, az adott esetnek megfelelően. A bizonyítvány egyoldalas okmány, illetve amennyiben kiállításához két vagy több oldal szükséges, úgy az teljes egészet alkotó, részekre nem osztható, minden oldalon sorszámozott formátumú. Az egészségügyi vizsgálat napján kell kiállítani, a rendeltetési helyként megjelölt ország legalább egy hivatalos nyelvén. A bizonyítvány az egészségügyi vizsgálat napjától számított 10 napig érvényes.
(2) Az állatok szállításához szükséges, (további garanciákat is tartalmazó) egészségügyi bizonyítványok kiállítására vonatkozó egészségügyi vizsgálatot az állatok származási helyeként megjelölt gazdaságban vagy gyűjtőállomáson kell elvégezni. Az illetékes hatóságnak garantálnia kell, hogy az egészségügyi bizonyítványokat minden esetben a hatósági állatorvos állítja ki az ezen irányelv által meghatározott vizsgálatok, látogatások és ellenőrzések után.
Mindazonáltal figyelembe kell venni a következőket:
a) engedélyezett gyűjtőállomásokról érkező állatok esetében az egészségügyi bizonyítványt a következők szerint kell kiállítani:
- a származási gazdaság hatósági állatorvosa által kiadott szükséges adatokat tartalmazó hivatalos dokumentum alapján, vagy
- az F. mellékletben meghatározott 1. vagy 2. mintával megegyező bizonyítvány, az adott esetnek megfelelően megfelelő formában, az A. és B. részeknek a származási gazdaság hatósági állatorvosa által megfelelően kitöltve és igazolva;
b) a 14. cikkben meghatározott felügyeleti hálózati rendszerben résztvevő, engedélyezett gazdaságokból érkező állatok esetében az egészségügyi bizonyítványt a következők szerint kell kiállítani:
- a származási gazdaság hatósági állatorvosa által kiadott szükséges adatokat tartalmazó hivatalos dokumentum alapján, vagy
- az F. mellékletben meghatározott 1. vagy 2. mintával megegyező bizonyítvány, az adott esetnek megfelelően megfelelő formában, az A. és B. részeknek a származási gazdaság hatósági állatorvosa által megfelelően kitöltve és igazolva;
E célból a hatósági állatorvosnak garantálnia kell, hogy a megfelelő esetekben a közösségi jogszabályok által meghatározott további garanciák is teljesülnek.
(3) A gyűjtőállomásra érkező állatok érkezéskor szükséges vizsgálatokat a központ hatósági állatorvosának kell elvégeznie.
(4) Az F. mellékletben meghatározott 1. vagy 2. mintával megegyező bizonyítvány - az adott esetnek megfelelő - C. szakaszát kitöltő hatósági állatorvosnak biztosítania kell, hogy az állat mozgását a bizonyítvány kiadásának napján rögzítették az Animo rendszerben.
(5) Az ezen irányelv tárgykörébe tartozó állatok a rendeltetési tagállamba történő elszállításuk előtt áthaladhatnak egy más tagállam területén található gyűjtőállomáson. Ebben az esetben az F. mellékletben meghatározott 1. vagy 2. mintával megegyező bizonyítvány, az adott esetnek megfelelően (beleértve a C. részt) a származási tagállam felelős hatósági állatorvosának kell kitöltenie. A tranzitállomásként feltüntetett gyűjtőállomás felelős hatósági állatorvosának a rendeltetési tagállam számára kiállított bizonyítvány mellé egy második bizonyítványt is ki kell töltenie az F. melléklet szerint, az eredeti sorszámával hitelesítve, és azt az eredeti bizonyítványhoz, vagy az arról készített hitelesített másolathoz kell csatolnia. Ebben az esetben a bizonyítványok együttes érvényessége nem haladhatja meg az (1) bekezdésben meghatározott időtartamot.
6. cikk
(1) A tenyésztés és termelés céljából tartott állatokra vonatkozóan a 3., 4. és 5. cikkben meghatározott követelményeken túl figyelmet kell fordítani az alábbiakra:
- az állatoknak a szállításra történő berakodásukat megelőző 30 napos időtartam alatt, vagy 30 naposnál fiatalabb állatok esetében születésük óta a származási gazdaságban kell tartózkodniuk. A hatósági állatorvos a 3. cikk (2) bekezdésének c) pontjában meghatározott hivatalos azonosító adatok és hivatalos feljegyzések alapján köteles igazolni, hogy az állatok megfelelnek ezeknek a feltételeknek, továbbá, hogy az állatok a Közösségből származnak, vagy azokat a Közösség állategészségügyi jogszabályainak megfelelő módon egy harmadik országból importálták.
- Mindazonáltal a származási tagállam területén található engedélyezett gyűjtőállomáson átmenetileg elhelyezett állatok esetében a származási gazdaságon kívüli összegyűjtés időtartama nem haladhatja meg a hat napot;
- a harmadik országból egy, nem a végső rendeltetési tagállamba importált állatok esetében azokat a lehető leggyorsabban a végső rendeltetési tagállamba kell szállítani, a 91/496/EGK irányelv 7. cikkének megfelelően kiállított bizonyítvány kíséretében,
- a harmadik országból importált állatok esetében azok rendeltetési helyre történő megérkezése után, valamint minden további mozgásuk előtt az ezen irányelvben meghatározott összes követelménynek meg kell felelniük, különös tekintettel a tartózkodási idővel kapcsolatos, az első francia bekezdésben foglalt követelményre, és azokat addig nem lehet az állományba bevinni, amíg a gazdaság állatorvosa meg nem állapította, hogy a szóban forgó állatok nem veszélyeztetik a gazdaság állategészségügyi helyzetét.
- Amennyiben egy harmadik országból származó állatot hoznak be a gazdaságba, úgy abból a gazdaságból nem lehet állatokat értékesíteni az új állat behozatalát követő 30 napon belül, kivéve, ha a behozott állatot a gazdaságban található összes többi állattól elkülönítve tartják.
(2) A tenyésztésre és termelésre szánt szarvasmarhaféléknek a 3., 4. és 5. cikkben meghatározott követelményeken túl:
a) hivatalosan gümőkórmentesnek minősített állományból kell származniuk, a hathetesnél idősebb állatoknak pedig negatív eredményt kellett adniuk egy intradermális tuberkulinpróbában, melyet a származási állomány elhagyása előtt 30 nappal végeztek el a B. melléklet 32. pont d) alpontjának megfelelő módon.
Az intradermális tuberkulinpróba elvégzése nem szükséges, ha az állat származási helye egy hivatalosan gümőkórmentesnek minősített tagállam vagy tagállam területi egysége, vagy pedig olyan tagállam vagy tagállam területi egysége, ahol hivatalosan engedélyezett felügyeleti rendszer működik;
b) hivatalosan brucellózismentesnek minősített szarvasmarha-állományból származó, 12 hónaposnál idősebb heréletlen állatoknak 30 NE/ml-nél alacsonyabb agglutinációs értéket kellett adniuk a szérummal végzett szérum-agglutinációs próbán (vagy más, a vonatkozó szabványoknak megfelelő, az Állat-egészségügyi Állandó Bizottság által engedélyezett módszerrel), amelyet a származási állományuk elhagyása előtti 30 nap során végeztek el a C. melléklet A. részében foglaltaknak megfelelő módon.
Az említett, szérummal végzett szérum-agglutinációs próba (vagy más, a vonatkozó szabványoknak megfelelő, az Állat-egészségügyi Állandó Bizottság által engedélyezett módszer) elvégzése nem szükséges, ha az állat származási helye egy hivatalosan brucellózismentesnek minősített tagállam vagy annak területi egysége, vagy pedig olyan tagállam vagy annak területi egysége, ahol hivatalosan engedélyezett felügyeleti rendszer működik;
c) enzootiás szarvasmarha-leukózistól hivatalosan mentesnek minősített állományból kell származniuk, a 12 hónaposnál idősebb állatoknak pedig negatív eredményt kellett adniuk egy egyedi próbában, melyet a származási állományuk elhagyása előtt 30 nappal végeztek el a D. mellékletnek megfelelően.
A teszt elvégzése nem szükséges, ha az állat származási helye egy enzootiás szarvasmarha-leukózistól hivatalosan mentesnek minősített tagállam vagy annak területi egysége, vagy pedig olyan tagállam vagy annak területi egysége, ahol hivatalosan engedélyezett felügyeleti rendszer működik;
d) a származási állományuk elhagyása és a rendeltetési helyre történő megérkezésük közötti időtartam alatt semmikor sem kerülnek kapcsolatba olyan szarvasmarhafélékkel, amelyek csak a (3) bekezdés követelményeinek felelnek meg.
(3) Vágóhídra szánt szarvasmarhaféléknek a 3., 4. és 5. cikkben meghatározott követelményeken túl hivatalosan gümőkórmentesnek és hivatalosan enzootiás szarvasmarha-leukózistól mentesnek, heréletlen szarvasmarhafélék esetében pedig hivatalosan brucellózismentesnek minősített szarvasmarha-állományból kell származniuk.
Mindazonáltal 1999. december 31-ig a rendeltetési országoknak Spanyolország számára bizonyos általános vagy korlátozott engedélyeket kell biztosítaniuk a területükre beérkező olyan, Spanyolországból importált vágásra szánt állatok esetében, amelyek nem hivatalosan gümőkórmentes, enzootiás szarvasmarha-leukózistól mentes és brucellózismentes állományokból származnak, feltéve, hogy ezeket az állatokat:
- 30 nappal berakodásuk előtt alávetették a B., C. és D. mellékletben meghatározott megfelelő vizsgálatoknak, melyek eredménye negatív lett,
- a rendeltetési országba történő megérkezésükkor közvetlenül egy vágóhídra szállítják és minél előbb, de legalább 72 órán belül levágják őket, az érvényben lévő állat-egészségügyi követelményeknek megfelelően.
7. cikk
Azokat a vágóhídra szánt állatokat, amelyeket a rendeltetési országba történő megérkezésükkor
- vágóhídra szállítottak, minél előbb, de legalább 72 órán belül le kell vágni, az érvényben lévő állat-egészségügyi követelményeknek megfelelően, vagy amelyeket
- engedélyezett gyűjtőállomásra szállítottak, a vásár után közvetlenül a vágóhídra kell szállítani és minél előbb, de legalább a gyűjtőközpontba történő megérkezésüket követő három munkanapon belül le kell vágni az érvényben lévő állategészségügyi követelményeknek megfelelően. A gyűjtőállomásra történő megérkezésük és a vágóhídra történő megérkezésük közötti időtartam alatt semmilyen körülmények között nem kerülhetnek kapcsolatba olyan hasított körmű állatokkal, amelyek nem felelnek meg ezen irányelv rendelkezéseinek.
8. cikk
A tagállamoknak biztosítaniuk kell, hogy az E. melléklet (I) részében szereplő bármely betegség feltételezett jelenlétét kötelezően és haladéktalanul jelentik az illetékes hatóság felé.
Minden tagállam köteles minden év május 31-ig - első alkalommal 1999-ben - a Bizottság részére elküldeni az E. melléklet (I) részében szereplő bármely betegségnek, valamint a közösségi jogszabályok által meghatározott további garanciák tárgykörébe tartozó bármely egyéb betegségnek az ország területén az előző naptári évben történő megjelenésének részleteit, valamint a működő megfigyelő- és mentesítési programok leírását. Az említett információknak egységes kritériumokon kell alapulniuk, amelyeket a 17. cikkben meghatározott eljárásnak megfelelően kell meghatározni. A Bizottságnak az Állat-egészségügyi Állandó Bizottságon keresztül kell ezeket az információkat a tagállamok részére eljuttatnia, és különösen az A. és D. mellékletekben foglalt döntésekkel kapcsolatban használhatja fel azokat.
9. cikk
(1) Az a tagállam, amelyben kötelező országos ellenőrző vizsgálat működik az E. melléklet (II) részében felsorolt ragályos betegségek egyikének ellenőrzésére, akár egész területén, akár annak egy részén, úgy azt a Bizottság elé terjesztheti, különös tekintettel a következők részletezésére:
- a betegség elterjedése a tagállam területén,
- a program okai, tekintetbe véve a betegség fontosságát és a költségekhez mért várható hasznot,
- a földrajzi terület bemutatása, ahol a program bevezetésre kerül,
- az állattartó létesítményekkel kapcsolatban alkalmazott státusz-kategóriák, az egyes kategóriák által elérendő szabványok, valamint az alkalmazandó vizsgálati módszerek,
- a programot ellenőrző eljárások, amelyek eredményeit legalább évenként el kell juttatni a Bizottság részére,
- a szükséges lépések abban az esetben, ha egy létesítmény elveszti a minősítését,
- az intézkedések, melyeket a program előírásaival összhangban végrehajtott vizsgálatok pozitív eredménye esetén tesznek.
(2) A Bizottság megvizsgálja a tagállamok által benyújtott programokat. Az (1) bekezdésben említett programokat az (1) bekezdésben megfogalmazott kritériumoknak megfelelően a 17. cikkben meghatározott eljárásnak megfelelően lehet jóváhagyni. Ugyanezen eljárás szerint ugyanabban az időpontban, vagy a programok jóváhagyását követően legkésőbb három hónappal kell meghatározni a Közösségen belül történő kereskedelemhez szükséges további - általános vagy korlátozott - garanciákat is. Ezek a biztosítékok nem lehetnek magasabb szintűek, mint amelyeket a tagállam országos szinten alkalmaz.
(3) A tagállamok által előterjesztett programokat a 17. megállapított eljárásnak megfelelően lehet módosítani vagy kiegészíteni. A már engedélyezett programok vagy a (2) bekezdésben meghatározott garanciák módosítását és kiegészítését ugyancsak a fent említett módon lehet végrehajtani.
10. cikk
(1) Amennyiben egy tagállam úgy véli, hogy területe vagy területének egy része mentes az E. melléklet (II) részében felsorolt betegségek valamelyikétől, úgy azt jelentenie kell a Bizottságnak, a megfelelő dokumentációs anyagokat mellékelve, különös tekintettel a következőkre:
- a betegség természete és jelenlétének története az illető országban,
- a szerológiai, mikrobiológiai, kórbonctani vagy járványügyi vizsgálatokon, valamint a betegség jogszabály általi, az illetékes hatósághoz történő kötelező bejelentésén alapuló felmérő vizsgálatok eredményei,
- a megfigyelés időtartamát,
- amennyiben meghatározható, az időszak, amely alatt a betegség elleni vakcinázás tilos volt, és a tilalom alá eső földrajzi terület megnevezése,
- a betegség hiányának igazolására vonatkozó intézkedések.
(2) A Bizottság megvizsgálja a tagállamok által benyújtott dokumentációt. A Közösségen belül történő kereskedelemhez szükséges további - általános vagy különleges - garanciákat a 17. cikkben megállapított eljárásnak megfelelően lehet meghatározni. Az ilyen jellegű garanciák nem léphetik túl a tagállamok által nemzeti szinten megállapítottakat.
(3) Az érintett tagállam köteles jelenteni a betegségre vonatkozó, az (1) bekezdésben meghatározott adatokban beállt mindennemű változást, különös tekintettel a betegség esetlegesen előforduló új eseteire. A (2) bekezdésben meghatározott garanciákat - az ilyen jellegű bejelentések következményeképpen - a 17. cikkben megállapított eljárásnak megfelelően lehet módosítani vagy visszavonni.
11. cikk
(1) A tagállamoknak biztosítaniuk kell, hogy az illetékes hatóság általi engedélyezés érdekében a gyűjtőállomások megfeleljenek legalább az alább felsorolt feltételeknek:
a) hatósági állatorvos felügyelete alatt kell állniuk, aki biztosítja különösen a 4. cikk (1) és (2) pontjában meghatározott rendelkezések pontos betartását;
b) olyan területen kell elhelyezkedniük, amelyre nem vonatkoznak a közösségi és/vagy a nemzeti jogszabályok által hozott tiltó vagy korlátozó rendelkezések;
c) használatuk előtt kitakarították és fertőtlenítették azokat a hatósági állatorvos által előírt követelmények szerint;
d) állat-befogadóképességétől függően rendelkeznie kell:
- olyan létesítménnyel, amely gyűjtőállomásként való működését lehetővé teszi,
- az állatok ki- és berakodásához, megfelelő színvonalú elszállásolásához, itatásához és etetéséhez, valamint a szükséges kezelések elvégzéséhez megfelelő berendezésekkel; ezek a berendezések könnyen tisztíthatóak és fertőtleníthetőek legyenek,
- megfelelő vizsgálati létesítményekkel,
- megfelelő elkülönítő létesítményekkel,
- a helyiségek és a szállítójárművek takarítására, tisztítására és fertőtlenítésére alkalmas felszereléssel,
- a takarmány, hulladék és trágya tárolására alkalmas területtel,
- a szennyvízgyűjtésre alkalmas berendezéssel,
- a hatósági állatorvos számára biztosított irodahelyiséggel;
e) csak azonosítható és hivatalosan gümőkór-, brucellózis- és leukózismentesnek minősített állományból származó állatokat, vagy az ezen irányelv, különösen a 6. cikk (3) bekezdése által meghatározott feltételeknek megfelelő vágásra szánt állatokat engedhetnek be területükre. Ezért az állatok beengedését követően a gyűjtőközpont tulajdonosának, vagy az azt felügyelő személynek kell megbizonyosodnia arról, hogy az állatokat megfelelő azonosító jellel látták el, és hogy azokat az érintett állatfajra és kategóriára előírt egészségügyi okmányok vagy megfelelő bizonyítványok kísérik;
f) rendszeres ellenőrzés alatt állnak annak megállapításásra, hogy az engedélyezés feltételeinek folyamatosan megfelelnek.
(2) A gyűjtőállomás tulajdonosának vagy az azt felügyelő személynek nyilvántartást vagy adatbázist kell vezetnie az állatok kísérődokumentumai, illetve azonosító számaik vagy jeleik alapján a következő adatokról, és ezeket az adatokat minimum három évig tárolnia kell:
- a központba érkező szarvasmarhafélék esetében tulajdonosuk neve, az állat származási helye, érkezésének és elszállításának időpontja, száma és azonosító adatai, illetve a központba érkező sertések származási gazdaságának vagy származási állományának nyilvántartási száma és az állatok tervezett rendeltetési helye,
- az állatokat a központból ki- és a központba beszállító szállítmányozó engedélyének száma, valamint a szállítójármű rendszáma.
(3) Az illetékes hatóság minden engedélyezett státuszú gyűjtőállomás részére jóváhagyási számot ad ki. Ez az engedélyezés korlátozódhat bizonyos fajokra, tenyésztésre és termelésre szánt állatokra, valamint vágásra szánt állatokra. Az illetékes hatóság a Bizottság tudomására hozza az engedélyezett gyűjtőállomások listáját és minden ezzel kapcsolatos változást. A Bizottság az erről szóló információkat az Állat-egészségügyi Állandó Bizottságon keresztül tudatja a tagállamokkal.
(4) Az illetékes hatóság felfüggesztheti vagy visszavonhatja a jóváhagyást, amennyiben hiányosságok merülnek fel az ezen cikkben foglalt, vagy az ezen irányelv illetve más állategészségügyi feltételekkel kapcsolatos irányelvek egyéb idevonatkozó követelményeinek megvalósulásában. Az engedély visszaadható, ha az illetékes hatóság meggyőződött arról, hogy az adott gyűjtőállomás teljes egészében megfelel ezen irányelv összes idevonatkozó követelményének.
(5) Az illetékes hatóságnak biztosítania kell, hogy a gyűjtőállomások működésekor elegendő hatósági állatorvos álljon rendelkezésre az összes feladat elvégzéséhez.
(6) Az ezen cikkben foglaltak egységes alkalmazásához szükséges részletes szabályokat a 17. cikkben meghatározott eljárásnak megfelelően fogadják el.
12. cikk
(1) A tagállamoknak biztosítaniuk kell, hogy a 91/628/EGK irányelv 5. cikkében szereplő szállítmányozók megfeleljenek a következő kiegészítő követelményeknek:
a) az állatok szállítására olyan szállítóeszközöket kell használniuk,
- amelyek úgy vannak kialakítva, hogy az állati ürülék, alomanyag vagy takarmány nem tud kiszóródni a járműből,
- amelyeket az állatok, vagy az állatok egészségét esetleg veszélyeztető minden más termék szállítását követően minden alkalommal azonnal, és - amennyiben szükséges - új állatok berakodása előtt is kitakarítanak és fertőtlenítenek, az illetékes hatóság által hivatalosan engedélyezett fertőtlenítőszerekkel;
b) amelyek vagy rendelkeznek megfelelő tisztításra és fertőtlenítésre alkalmas, az illetékes hatóság által jóváhagyott felszereléssel, beleértve az alom és a trágya tárolására alkalmas lehetőségeket is, vagy dokumentumokkal tudják bizonyítani, hogy ezeket a műveleteket egy, az illetékes hatóság által engedélyezett harmadik személy végzi.
(2) A szállítmányozó köteles biztosítani, hogy minden egyes állatok szállítására használt járművön nyilvántartást vezetnek a következő adatokról, és ezeket az adatokat minimum három évig megőrzik:
i. az állatok felvételének helye és időpontja, az állatok felvételi helyeként szolgáló gazdaság vagy gyűjtőállomás elnevezése vagy cégneve és címe;
ii. az állatok szállítási helye és időpontja, valamint a címzett(ek) neve vagy cégneve és címe;
iii. a szállított állatok faja és egyedszáma;
iv. a fertőtlenítés helye és időpontja;
v. a kísérő okmányok adatai (sorszám, stb.).
(3) A szállítmányozóknak biztosítaniuk kell, hogy az állatok szállításuk során, a származási gazdaságok vagy gyűjtőállomás elhagyása és a rendeltetési helyükre történő megérkezés közötti idő alatt semmikor sem kerülnek kapcsolatba rosszabb állategészségügyi státuszú állatokkal.
(4) A tagállamoknak biztosítaniuk kell, hogy a szállítmányozó írásban kötelezettséget vállaljon, különös tekintettel a következőkre:
- az ezen irányelv által meghatározott összes szükséges intézkedést végrehajtotta, különös tekintettel az ezen cikkben szereplő és az állatokat kötelezően kísérő okmányokra vonatkozó rendelkezések betartására,
- az állatok szállítását olyan alkalmazottakra bízta, akik rendelkeznek az ahhoz szükséges képességekkel, szakképzettséggel és tapasztalattal.
(5) Amennyiben az e cikkben foglalt rendelkezések végrehajtása nehézségekbe ütközik, úgy a 91/628/EGK irányelv 18. cikkének állategészségügyi vonatkozású követelményeit megfelelően kell alkalmazni.
13. cikk
(1) A tagállamoknak biztosítaniuk kell, hogy minden kereskedő az illetékes hatóság által bejegyzett, engedéllyel és engedélyezési számmal rendelkezik, valamint legalább az alábbiakban felsorolt feltételeknek megfelel:
a) kizárólag megfelelően azonosított és hivatalosan gümőkór-, brucellózis- és leukózismentesnek minősített állományokból származó állatokkal, vagy az ezen irányelv, különösen a 6. cikk (3) bekezdése által meghatározott feltételeknek megfelelő vágásra szánt állatokkal kereskedhetnek. Ezért meg kell bizonyosodnia arról, hogy az állatokat megfelelően azonosították, és hogy azokat az adott faj esetében előírt egészségügyi bizonyítványok kísérik.
Mindazonáltal az illetékes hatóság engedélyezheti az olyan azonosított állatokkal történő kereskedelmet, amelyek nem felelnek meg az első bekezdésben foglalt feltételeknek, amennyiben szállításuk közvetlenül a származási tagállamban található vágóhídra történik, a létesítményeiken való áthaladás nélkül, mielőbbi, valamely betegség elterjedésének megelőzését szolgáló levágás céljából. Minden olyan szükséges intézkedést meg kell hozni, amely biztosítja, hogy az ilyen állatok a vágóhídra érkezésük után ne kerülhessenek kapcsolatba más állatokkal, valamint levágásuk más állatoktól elkülönítetten történjen;
b) a kereskedőnek nyilvántartást vagy adatbázist kell vezetnie, akár az állatok kísérő okmányai, akár azonosító számaik vagy jeleik alapján a következő adatokról, és ezeket az adatokat minimum három évig meg kell őriznie:
- szarvasmarhafélék esetében tulajdonosuk neve, az állat származási helye, megvásárlásának időpontja, kategóriája és azonosító száma, sertések esetében származási gazdaságuk vagy származási állományuk nyilvántartási száma,
- az állatokat oda- vagy visszaszállító szállítmányozó engedélyének száma és/vagy a szállítójármű rendszáma,
- a vevő neve és címe, valamint az állatok rendeltetési helye,
- az útitervek másolatai és/vagy az egészségügyi bizonyítványok sorszáma, ahogyan az helyénvaló;
c) abban az esetben, ha a kereskedő saját létesítményeiben tartja az állatokat, biztosítania kell a következőket:
- az állatok mellett szolgálatot teljesítő személyzet az ezen irányelvben meghatározott követelményekről, valamint az állatok védelméről és a róluk való gondoskodással kapcsolatos feladatokról speciális képzésben részesült,
- a hatósági állatorvos rendszeres ellenőrzéseket és vizsgálatokat végez az állatokon, valamint minden szükséges lépést megtesznek a betegség elterjedésének megakadályozása érdekében.
(2) A tagállamnak biztosítania kell, hogy a kereskedő által, üzleti tevékenységével kapcsolatban használt minden létesítményt az illetékes hatóság bejegyezzen és engedélyezési számmal lásson el, valamint azok legalább az alább felsorolt feltételeknek megfeleljenek:
a) hatósági állatorvos felügyelete alatt kell állniuk;
b) olyan területen kell elhelyezkedniük, amelyre nem vonatkoznak a közösségi és/vagy a nemzeti jogszabályok által hozott tiltó vagy korlátozó rendelkezések;
c) rendelkezniük kell:
- megfelelő kapacitású, különösen az állatok megfigyelésére és elkülönítésére alkalmas létesítményekkel, annak érdekében, hogy valamely ragályos betegség kitörése esetén az állatokat el lehessen különíteni,
- az állatok kirakodásához és - amennyiben szükséges - megfelelő színvonalú elszállásolásához, itatásához és etetéséhez, valamint a szükséges kezelések elvégzéséhez megfelelő berendezésekkel; ezek a berendezések könnyen tisztíthatóak és fertőtleníthetőek legyenek,
- az alom és a trágya elhelyezésére szolgáló megfelelő méretű területtel,
- a szennyvízgyűjtésre alkalmas berendezéssel;
d) használatuk előtt kitakarították és fertőtlenítették azokat a hatósági állatorvos által előírt követelmények szerint.
(3) Az illetékes hatóság felfüggesztheti vagy visszavonhatja az engedélyt, amennyiben hiányosságok merülnek fel az e cikkben foglalt, vagy az ezen irányelv illetve más állat-egészségügyi feltételekkel kapcsolatos irányelvek egyéb idevonatkozó követelményeinek megvalósulásában. Az engedély visszaadható, ha az illetékes hatóság meggyőződött arról, hogy az adott kereskedő teljes egészében megfelel ezen irányelv összes vonatkozó követelményének.
(4) Az illetékes hatóságnak rendszeres ellenőrzéseket kell végeznie annak érdekében, hogy megbizonyosodjon arról, hogy az ezen cikkben meghatározott követelmények teljesülnek-e.
14. cikk
(1) Bármely tagállam illetékes hatósága bevezetheti a felügyeleti hálózati rendszer működését.
A felügyeleti rendszernek legalább az alábbiakban felsorolt elemeket kell tartalmaznia:
- az állományok,
- a gazdaság tulajdonosa vagy a gazdaságért felelős bármely természetes vagy jogi személy,
- a gazdaságért felelős állatorvos vagy a hatósági állatorvos,
- a tagállam hatósági állatorvosi szolgálata,
- a hivatalos állatorvosi diagnosztikai laboratóriumok vagy bármely más, az illetékes hatóság által engedélyezett laboratórium,
- számítógépes adatbázis.
A tevékenységüket vágóhidakon és az engedélyezett gyűjtőállomáson folytató hatósági állatorvosok is csatlakoznak a hálózati rendszerhez.
(2) A felügyeleti hálózati rendszer fő célja a gazdaságok hivatalos osztályozása, az osztályok rendszeres ellenőrzéssel biztosított fenntartása, a járványügyi adatok összegyűjtése és a betegségek megfigyelő rendszerének felállítása az ezen irányelv és más irányelvek egészségügyi korlátozásokkal kapcsolatos összes rendelkezésének betartása érdekében.
A felügyeleti hálózati rendszer minden gazdaságra nézve kötelező érvényű az olyan tagállam területén, ahol ilyen rendszer működik. Mindazonáltal az illetékes hatóság engedélyezheti ilyen rendszer létrehozását területének a 2. cikk (2) bekezdésének p) pontjában meghatározott két vagy több egymás mellett fekvő területi egységből álló részén is. Ahol ezt az eltérést engedélyezik, ott az állatok egyéb, a hálózati rendszerbe nem tartozó egyéb területekről a kérdéses területre való behozatalára ezen irányelv rendelkezései érvényesek.
Az illetékes hatóság meghatározza a hatósági állatorvosokra, a gazdaságért felelős személyekre vagy a tulajdonosokra, illetve a rendszer bármely más résztvevőjére háruló kötelezettségeket és jogokat, beleértve azokat a személyeket is, akik az egészségügyi bizonyítványok kiadásáért felelősek.
(3) Az illetékes hatóságnak biztosítania kell, hogy a (2) bekezdésben meghatározott kötelezettségek legalább a következőket tartalmazzák:
A. Minden tulajdonos vagy a gazdaságért felelős személy köteles:
i. szerződéssel vagy egyéb hivatalos jogi eszközzel biztosítani az illetékes hatóság által jóváhagyott állatorvos szolgálatait;
ii. azonnal értesíteni a gazdaságért felelős hatósági állatorvost, amennyiben valamely fertőző betegség, vagy bármely bejelentési kötelezettség alá vont betegség megjelenésének gyanúja felmerül;
iii. értesíteni a hatósági állatorvost a gazdaságba történő minden állatszállításról;
iv. a gazdaságba történő beérkezésük előtt elkülöníteni az állatokat annak érdekében, hogy a hatósági állatorvos ellenőrizni tudja - amennyiben szükséges, a megfelelő tesztek alapján -, hogy a gazdaság státusza fenntart- ható-e.
B. A 2. cikk (2) bekezdésének m) pontjában meghatározott hatósági állatorvosok az illetékes hatóság ellenőrzése alá tartoznak, és meg kell felelniük a következő követelményeknek:
i. meg kell felelniük az állatorvosi hivatás gyakorlásához szükséges feltételeknek;
ii. nem lehetnek pénzügyi érdekeltségeik az illető gazdaságban, valamint nem állhatnak családi kapcsolatban annak tulajdonosával, vagy az azért felelős személyekkel;
iii. speciális tudással kell rendelkezniük az adott állatfajokra vonatkozó állat-egészségügyi területen. Ennek érdekében:
- rendszeresen fejleszteniük kell tudásukat, elsősorban a vonatkozó állat-egészségügyi szabályok tekintetében,
- meg kell felelniük az illetékes hatóság által a hálózat megfelelő működésének biztosítása érdekében meghatározott követelményeknek,
- kötelesek az illető gazdaság tulajdonosát, vagy az azért felelős személyeket a gazdaság státuszának fenntartásához szükséges minden segítséggel és információval ellátni, különös tekintettel az illetékes hatósággal egyeztetett programokra,
- biztosítaniuk kell az alább felsorolt követelmények betartását:
-
i. az állományba tartozó, az állományba bekerülő, valamint az eladott állatok azonosítását és állat-egészségügyi bizonylatolását;
ii. a fertőző betegségek, valamint bármely egyéb, az állatok egészségét vagy jólétét, továbbá az emberek egészségét veszélyeztető kockázati tényező kötelező bejelentését;
iii. amennyire csak lehetséges, az állatelhullások okainak tisztázását, valamint a tetemek elszállítási helyének meghatározását;
iv. az állomány és a termelési egységek megfelelő higiéniai feltételeit.
- Amennyiben a rendszer megfelelő működése érdekében ez szükséges, a tagállamok az állatorvosok felelősségét akár egy meghatározott számú gazdaságra, akár meghatározott földrajzi területre korlátozhatják.
- Az illetékes hatóság köteles összeállítani a rendszerben működő hatósági állatorvosok és engedélyezett gazdaságok listáját. Amennyiben az illetékes hatóság úgy ítéli meg, hogy a rendszer valamely résztvevője már nem felel meg a fenti követelményeknek, úgy felfüggesztheti vagy visszavonhatja az engedélyt, az alkalmazható szankciók sérelme nélkül.
C. A számítógépes adatbázisnak legalább az alábbiakban felsorolt információkat kell tartalmaznia:
1. Minden egyes állat esetében:
- azonosítási kódja,
- születési ideje,
- neme,
- fajtája, vagy szőrzetének színe,
- anyja azonosítási kódja vagy, harmadik országból behozott állat esetében, a 92/102/EGK irányelv alapján elvégzett vizsgálatot követően kiadott, a származási helyen kiadott azonosítási számmal megegyező azonosítási szám,
- a születési helyeként szereplő gazdaság azonosítási száma,
- minden olyan gazdaság azonosítási száma, ahol az állatot tartották, valamint a más gazdaságokba való átkerülésének időpontjai,
- elhullásának vagy levágásának időpontja.
2. Minden gazdaság esetében:
- egy maximum 12 számból álló azonosító szám (az ország kódján kívül),
- a fenntartó neve és címe.
3. Az adatbázisból a következő adatoknak bármikor rendelkezésre kell állniuk:
- a gazdaság területén jelenleg található összes szarvasmarhaféle azonosítási száma, sertések esetében származási gazdaságuk vagy származási állományuk nyilvántartási száma, valamint, adott esetben, az egészségügyi bizonyítványok száma,
- a szarvasmarhafélék minden egyede esetében az eddigi gazdaságok listája, a születési helyüktől, a harmadik országból behozott állatok esetében pedig az importáló gazdaságtól kezdődően; sertések esetében az utolsó gazdaság vagy utolsó állomány, harmadik országból behozott állatok esetében az importáló gazdaság nyilvántartási száma.
Ezeket az adatokat addig kell megőrizni az adatbázisban, amíg három egymást követő év el nem telt a szarvasmarhafélék adott egyedének elhullása óta, vagy amíg három egymást követő év el nem telt a sertésekre vonatkozó feljegyzés idejétől számítva.
Mindazonáltal a sertések esetében csak a (2) és (3) bekezdést kell alkalmazni.
(4) A felügyeleti hálózat összes résztvevői, a 3.A. és B. részekben felsoroltak kivételével, az illetékes hatóságnak tartoznak beszámolási kötelezettséggel. Minden tagállamban az illetékes hatóság felelős a rendszer létrehozásáért, és elvégzi azokat a rendszeres ellenőrzéseket, amelyek biztosítják, hogy a rendszer megfelelően működik.
(5) Azok a tagállamok, amelyek az (1)-(4) bekezdésben meghatározottak alapján legalább 12 hónapos időtartamra bevezetik a felügyeleti hálózati rendszer működését, a Bizottsághoz nyújtják be kérvényüket, hogy azt a 17. cikkben meghatározott eljárásnak megfelelően engedélyezzék.
E célból a Bizottság megvizsgálja a tagállamok által benyújtott dokumentációt.
A rendszereket a Bizottság szakértői vizsgálják felül ellenőrzési rendszerek segítségével. Amennyiben a felülvizsgálat eredménye kedvező, úgy a Bizottság az engedélyezési kérvény beérkezését követő 90 napon belül jelentést küld az Állat-egészségügyi Állandó Bizottsághoz, mellékelve a megfelelő javaslatokat.
Amennyiben a szabályok ismételt megsértését jelzik, a felügyeleti hálózati rendszer engedélyezése felfüggeszthető a 17. cikkben meghatározott eljárásnak megfelelően, a Bizottság vagy egy vagy több tagállam kérésére.
(6) Azok a tagállamok, amelyek az ezen cikkben meghatározottaknak megfelelően egész területükön bevezettek egy engedélyezett felügyeleti hálózati rendszert, jogosultak arra, hogy ne alkalmazzák a 3. cikk (2) bekezdés a) pontjának második francia bekezdésében említett rendelkezést az ezen irányelv által említett állatok forgalmára saját területükön.
(7) December 31-e előtt, a Bizottság jelentése, valamint az ahhoz mellékelt olyan indítványok alapján, amelyekről minősített többséggel hoz döntést, a Tanács felülvizsgálja az ezen cikkben meghatározott követelményeket a tapasztalatok tükrében, annak módosítása és naprakésszé tétele, valamint, adott esetben, az összes tagállamra történő kiterjesztése céljából.
(8) A felügyeleti hálózati rendszer finanszírozását a 85/73/EGK irányelv ( 19 ) B. melléklete felülvizsgálatának kereteiből kell fedezni, a 96/43/EK irányelv 8. cikkében előírt rendelkezéseknek megfelelően.
15. cikk
(1) A tagállamok meghozzák a megfelelő intézkedéseket, hogy az ezen irányelvnek akár természetes, akár jogi személy által történő megszegését megbüntessék.
(2) Amennyiben bebizonyosodik, hogy ezen irányelv rendelkezéseit nem tartják vagy nem tartották be, úgy a helyi illetékes hatóság köteles elrendelni a megfelelő intézkedéseket az állatok egészségének védelme és a betegség terjedésének megakadályozása érdekében.
Ilyen esetekben, a körülményektől függően, az illetékes hatóság által elrendelt intézkedések a következők lehetnek:
a) intézkednie kell a szállítás befejezéséről, vagy az állatok visszaküldéséről azok indulási helyére a lehető legrövidebb úton, feltéve, hogy ez az intézkedés nem veszélyezteti tovább az állatok egészségi állapotát vagy jólétét;
b) intézkednie kell az állatok megfelelő elszállásolásáról és ellátásáról a szállítás esetleges megszakítása esetén;
c) intézkednie kell az állatok levágásáról. Az ilyen állatok levágás utáni elhelyezéséről és felhasználásáról a következők szerint kell dönteni:
- a 64/433/EGK irányelv ( 20 ) rendelkezéseinek megfelelően, vagy
- a 90/667/EGK irányelv rendelkezéseinek megfelelően, abban az esetben, ha az állatok egészségügyi státusza nem elfogadható, vagy az említett állatok veszélyt jelentenek az egyéb állatok egészségére vagy a közegészségre. Mindazonáltal, ha a 90/667/EGK irányelv rendelkezéseit kell alkalmazni, a végső lehetőség elrendelése előtt az állatok tulajdonosa vagy annak képviselője számára a helyzet rendezéséhez szükséges határidőt lehet megadni. Ilyen esetekben az e cikk 3. pontjában meghatározott rendelkezéseket kell alkalmazni.
(3) A rendeltetési tagállam illetékes hatósága azonnal jelenti a származási tagállam illetékes hatóságának az ezen irányelv által meghatározott rendelkezések bárminemű megszegését.
A 89/608/EGK irányelv által meghatározott rendelkezéseknek megfelelően a tagállamok kölcsönösen segítséget nyújtanak egymásnak ezen irányelv alkalmazásának terén, különös tekintettel annak biztosítására, hogy az ezen cikkben előírt rendelkezéseknek megfeleljenek.
(4) E cikk nem módosítja az érvényben lévő, büntető szankciókra vonatkozó nemzeti jogszabályokat.
16. cikk
(1) Az A., D. (I. fejezet), E. és F. mellékleteket a Tanács a Bizottság javaslatára, minősített többséggel módosítja, különös tekintettel azoknak a technikai és tudományos eredményekhez történő hozzáigazítására.
A B., C. és D. (II. fejezet) mellékleteket a Bizottság módosítja a 17. cikkben meghatározott eljárásnak megfelelően.
Mindazonáltal,
a) 1997. július 1-je előtt a Bizottság a Tanács elé terjeszti az A. és D. (I. fejezet) mellékletek módosítását azok naprakésszé tétele céljából, és, ha szükséges, az F. melléklet esetében is ugyanezt az eljárást alkalmazza. A Tanács minősített többséggel dönt a javaslatokról 1998. január 1-je előtt;
b) június 30-a előtt a Bizottság a 17. cikkben meghatározott eljárásnak megfelelően, az Állat-egészségügyi Tudományos Bizottság véleménye alapján naprakésszé teszi és, ha szükséges, módosítja a B., C. és D. (II. fejezet) mellékletet a tudományos fejlődésnek megfelelően.
(2) December 31-e előtt, alapul véve a Bizottság jelentését és az ahhoz kapcsolt olyan megfelelő javaslatokat, amelyekről minősített többséggel határoznak, a Tanács felülvizsgálja ezen irányelv rendelkezéseit a tapasztalatok tükrében, tekintettel azok módosítására és naprakésszé tételére, azért, hogy azok megfeleljenek a belső piac megvalósítására megállapított szabályoknak.
17. cikk
Amennyiben az e cikkben előírt eljárásra hivatkoznak, úgy a 68/361/EGK irányelv ( 21 ) alapján létrehozott Állat-egészségügyi Állandó Bizottság a 89/662/EGK irányelv ( 22 ) 18. cikkében meghatározott szabályoknak megfelelően jár el.
18. cikk
Azok a tagállamok, amelyek nem vezettek be egy engedélyezett felügyeleti hálózati rendszert, biztosítják, hogy 1999. december 31-től kezdődően a 14. cikkben előírt rendelkezéseknek megfelelő számítógépes adatbázis teljes mértékben működésre képes lesz.
19. cikk
A 90/425/EGK irányelvben meghatározott szabályok különösen vonatkoznak a származási helyen történő vizsgálatokra, a rendeltetési ország által elvégzendő vizsgálatok megszervezésére és ellenőrzésére, valamint az alkalmazandó védelmi intézkedésekre.
20. cikk
Ennek az irányelvnek a tagállamok a címzettjei.
A. MELLÉKLET
I. Hivatalosan gümőkórmentesnek nyilvánított szarvasmarha-állomány
1. Egy szarvasmarha-állomány abban az esetben minősül hivatalosan gümőkórmentesnek, amennyiben:
a) egy állat sem mutatja a tuberkulózis klinikai tüneteit;
b) az összes hathetesnél idősebb állatnak legalább két negatív, a B. melléklettel összhangban elvégzett intradermális tuberkulin-vizsgálat eredménnyel kell rendelkeznie, amelyek közül az elsőt hat hónappal a fertőzésnek az állatállományból való eltávolítását követően, a másodikat hat hónappal ezután végezték el, illetve, ha az állományt kizárólag hivatalosan gümőkórmentesnek nyilvánított állományból származó egyedekből állították össze, abban az esetben az első vizsgálatot az összeállítást követően legalább 60 nappal kell elvégezni, a második vizsgálat elvégzésére pedig nincs szükség;
c) a b) pontban említett első vizsgálat elvégzését követően hathetesnél idősebb szarvasmarhafélét nem hoztak be az állományba, hacsak nem vetették alá azokat a B. melléklettel összhangban elvégzett és elbírált, negatív eredményű intradermális tuberkulin-vizsgálatnak az állományba történő érkezésük előtt vagy után 30 nappal.
Ezt a vizsgálatot nem szükséges elvégezni olyan tagállamokban vagy valamely tagállam olyan területi egységében, ahol a gümőkórral fertőzött szarvasmarha-állományok százalékos aránya 0,2 %-nál kisebb, vagy ha az állat hivatalosan gümőkórmentesnek nyilvánított állományból származik.
2. A szarvasmarha-állomány akkor tarthatja meg hivatalosan gümőkórmentes státuszát, amennyiben:
a) az 1. a) és c) pontokban részletezett feltételeknek továbbra is megfelel;
b) a gazdaság területére érkező összes állat hivatalosan gümőkórmentes státuszú állományból származik;
c) a gazdaság területén található összes egyedet, a gazdaságban született hathetesnél fiatalabb borjak kivételével, évenként esedékes rutin tuberkulin-vizsgálatnak vetik alá a B. mellékletnek megfelelően.
Mindazonáltal a Bizottság az olyan tagállam vagy tagállam területi egysége esetében, ahol az összes szarvasmarha-állományra vonatkozó, a gümőkór leküzdését célzó hivatalos intézkedések vannak érvényben, a 17. cikkben előírt eljárásnak megfelelően megváltoztathatja a rutinszerűen végzendő próbák elvégzésének gyakoriságát, az alábbiak szerint:
- ha a gümőkórral fertőzött szarvasmarha-állományok százalékos aránya a két legutolsó éves felülvizsgálati időszak átlagában nem haladta meg az 1 %-ot, úgy az állományszintű rutinvizsgálatok közötti időtartam két évre növelhető,
- ha a gümőkórral fertőzött szarvasmarha-állományok százalékos aránya a két legutolsó kétéves felülvizsgálati időszakban nem haladta meg a 0,2 %-ot, úgy az állományszintű rutinvizsgálatok közötti időtartam három évre növelhető,
- ha a gümőkórral fertőzött szarvasmarha-állományok százalékos aránya a két legutolsó hároméves felülvizsgálati időszakban nem haladta meg a 0,1 %-ot, úgy az állományszintű rutinvizsgálatok közötti időtartam négy évre növelhető, és/vagy azt az életkort, amelyet meghaladva az állatokat az ilyen jellegű vizsgálatoknak alá kell vetni, 24 hónapra lehet emelni.
A Bizottság továbbá a 17. cikknek megfelelően döntést hozhat a rutinszerű tuberkulinvizsgálatok gyakoriságának növeléséről is, ha a betegség előfordulásának százalékos aránya növekedő tendenciát mutat.
Amennyiben a tagállam olyan, a szarvasmarhafélék azonosítására és nyilvántartására alkalmas rendszert működtet, amely alkalmas a származási és tranzit-állományok azonosítására, és ha a fertőzött állományok százalékos aránya a két legutolsó felülvizsgálati időszakban nem haladta meg a 0,1 %-ot, a tagállam az alábbi feltételekkel elhagyhatja az érintett állományok évenként esedékes tuberkulin-vizsgálatát:
1. az állományba történő bevitele előtt az összes szarvasmarha-egyedet intradermális tuberkulin-vizsgálatnak vetik alá, amelynek negatív eredményt kell hoznia;
2. az összes levágott szarvasmarhát gümőkóros elváltozás-vizsgálatnak vetik alá, és valamennyi ilyen jellegű elváltozást bakteriológiai vizsgálatnak vetnek alá a gümőkór-baktériumok kimutatása céljából.
3. A szarvasmarha-állomány hivatalosan gümőkórmentes státuszát fel kell függeszteni, ha:
a) az a 2. pontban részletezett feltételeknek nem felel meg;
b) valamely egyed egy rutinszerűen végzett tuberkulin-vizsgálata pozitív eredményt hozott, vagy ha rutin levágást követő húsvizsgálat során gümőkórt diagnosztizáltak.
Ezekben az esetekben a státusz addig az időpontig marad felfüggesztve, amíg az összes többi, hathetesnél idősebb állat legalább két negatív, a B. mellékletnek megfelelően elvégzett intradermális tuberkulin-vizsgálat eredménnyel nem rendelkezik, amelyek közül az elsőt legalább két hónappal az állat gazdaságból történő eltávolítását követően, a másodikat 42 nappal az első után végezték el.
Mindazonáltal - a fentiekhez képest engedményképpen - ha a rutinszerű állományvizsgálat alkalmával egy vagy több állat tuberkulinpróbájának eredménye pozitív, és e reakció okozójának nem a szarvasmarha-gümőkór tekinthető, úgy a tuberkulózis-gyanús esete(ke)t az illetékes hatóság által szükségesnek ítélt módon és mértékben ki kell vizsgálni, különös tekintettel a gazdaságban a vizsgálat idején található állomány és bármely korábbi állomány felkutatására és leellenőrzésére, valamint az összes vizsgálat - beleértve a megfelelő levágást követő húsvizsgálat és laboratóriumi vizsgálatokat - elvégzésére.
Az említett vizsgálatok elvégzéséig az említett szarvasmarha-állomány hivatalosan tuberkulózis-mentes státuszát fel kell függeszteni addig, amíg a kivizsgálások és laboratóriumi vizsgálatok vagy a tuberkulin-vizsgálatok eredményei ki nem zárták a szarvasmarha-gümőkór jelenlétét. Amennyiben a gümőkór jelenléte nem nyer megerősítést, úgy az állomány státusza visszaállítható.
Mindazonáltal ha a 2. c) pontban részletezett állományszintű rutintvizsgálatot nem végzik el időben, úgy az állomány státuszát nem kell visszavonni, feltéve, hogy a vizsgálatot az eredeti esedékességét követő 60 napon belül pótolják, és feltéve, hogy a további vizsgálatokat az eredetileg előírt menetrend szerint folytatják le;
c) az állományban a B. melléklet 32. pontja alapján meghatározatlan státuszú egyedek találhatók. Ebben az esetben az állomány státuszának felfüggesztését az állatok státuszának tisztázásáig fenn kell tartani.
4. Valamely tagállam vagy a tagállam területének része a 17. cikkben előírt eljárásnak megfelelően hivatalosan gümőkórmentesnek nyilvánítható, ha megfelel a következőkben felsorolt feltételeknek:
a) a gümőkórral fertőzött szarvasmarha-állományok százalékos aránya hat egymást követő évben 0,01 %-nál kisebb volt, valamint az állományok legalább 99,9 %-a 10 éve hivatalosan gümőkórmentesnek van nyilvánítva;
b) az összes szarvasmarha-egyed származási és tranzit-állományainak azonosítását lehetővé tevő azonosítási rendszer működik;
c) az összes levágott szarvasmarhát hatósági állatorvos által elvégzett levágást követő húsvizsgálatnak vetik alá;
d) az összes gümőkórra gyanús esetet teljes alapossággal kivizsgálják, beleértve a származási és tranzitállományok felkutatását és ellenőrzését, valamint az összes szükséges laboratóriumi vizsgálat elvégzését. Az ilyen jellegű vizsgálatok befejezéséig a származási és tranzitállományok hivatalosan gümőkórmentes státuszát fel kell függeszteni, amíg a klinikai vagy laboratóriumi vizsgálatok vagy a tuberkulin-vizsgálatok ki nem zárják a szarvasmarha-gümőkór jelenlétét.
5. Valamely tagállam vagy a tagállam területének része megtarthatja hivatalosan gümőkórmentes státuszát, amennyiben:
a) a 4. a) és d) pontokban részletezett feltételeknek továbbra is megfelel;
b) amennyiben egy gümőkóros eset megállapításra kerül, a származási és tranzitállományok hivatalosan gümőkórmentes státuszát vissza kell vonni;
c) az olyan állományok hivatalosan gümőkórmentes státuszát, amelyekben a gümőkór jelenléte megállapításra kerül vissza kell vonni addig, amíg:
- az összes fertőzöttnek vélt állatot le nem vágták,
- az épületek és felszerelések fertőtlenítése be nem fejeződött,
- az összes megmaradó hathetesnél idősebb állatnak legalább két negatív, a B. mellékletnek megfelelően elvégzett intradermális tuberkulin-vizsgálat eredménnyel kell rendelkeznie, amelyek közül az elsőt hat hónappal a fertőzött egyedek eltávolítását követően, a másodikat hat hónappal az első után végezték el.
6. Amennyiben valamely hivatalosan gümőkórmentesnek elismert tagállam vagy tagállam területének része helyzetében a gümőkór vonatkozásában jelentős változás következik be, a Bizottság a 17. cikkben előírt eljárás szerint döntést hozhat a státusz felfüggesztéséről vagy visszavonásáról, és előírhatja a 2. c) pontban ismertetett menetrendek valamelyike szerint elvégzendő rutin tuberkulin-vizsgálatok elvégzését.
II. Hivatalosan brucellózismentes és brucellózismentes szarvasmarha-állományok
E rész alkalmazásában "szarvasmarhafélék": a négy hónapos koruk előtt kiherélt állatok kivételével minden szarvasmarha-egyed.
1. Egy szarvasmarha-állomány abban az esetben minősül hivatalosan brucellózismentesnek, amennyiben:
a) nincs benne olyan szarvasmarhaféle, amelyet brucellózis ellen vakcináztak, kivéve az olyan nőivarú egyedeket, amelyeket legalább három évvel korábban vakcináztak;
b) legalább hat hónapon át egy szarvasmarhaféle sem mutatja a brucellózis klinikai tüneteit;
c) az összes 12 hónaposnál idősebb szarvasmarha-egyedet alávetették a következőkben felsorolt, a C. mellékletnek megfelelően elvégzett vizsgálati módszerek valamelyikének, melynek eredménye negatív volt:
i. két szérum-agglutinációs vizsgálat, három és 12 hónap közötti időközzel elvégezve;
ii. háromgyűrű-vizsgálat, legalább három hónapos időközökkel elvégezve, amelyeket legalább hat hét eltelte után egy szérum-agglutinációs vizsgálat követ;
iii. két bivalybrucella antigénpróba, három és 12 hónap közötti időközzel elvégezve;
iv. két mikroagglutinációs vizsgálat, három és 12 hónap közötti időközzel elvégezve;
2. A szarvasmarha-állomány akkor tarthatja meg hivatalosan gümőkórmentes státuszát, amennyiben:
a) a következőkben felsorolt, a C. mellékletnek megfelelően elvégzett vizsgálati módszerek egyikét évente elvégzik negatív eredménnyel:
i. háromgyűrű-próba, legalább három hónapos időközökkel elvégezve;
ii. három tej-ELISA vizsgálat, legalább három hónapos időközökkel elvégezve;
iii. két gyűrű-próba, legalább három hónapos időközökkel elvégezve, amelyeket legalább hat hét eltelte után egy szerológiai próba követ;
iv. két tej-ELISA vizsgálat, legalább három hónapos időközökkel elvégezve, amelyeket legalább hat hét eltelte után egy szerológiai próba követ;
v. két szerológiai próba, három és hat hónap közötti időközökkel elvégezve.
Mindazonáltal a Bizottság az olyan tagállam vagy tagállam területi egysége esetében, amely nem rendelkezik hivatalosan brucellózismentes minősítéssel, de ahol az összes szarvasmarha-állományra vonatkozó, a brucellózis leküzdését célzó hivatalos intézkedések vannak érvényben, a 17. cikkben előírt eljárásnak megfelelően megváltoztathatja a rutinszerűen végzendő vizsgálatok elvégzésének gyakoriságát, az alábbiak szerint:
- ahol a szarvasmarha-állományok kevesebb mint 1 %-a fertőzött, elegendő lehet évente két gyűrű-próba vagy két tej-ELISA elvégzése, legalább három hónapos időközökkel elvégezve, vagy egy szerológiai próba,
- ahol a szarvasmarha-állományok legalább 99,8 %-át legalább négy éve hivatalosan brucellózismentesnek nyilvánították, az ellenőrző vizsgálatok elvégzésének időközét két évre lehet növelni, és az ellenőrzések elvégzésére a 7. pont a) alpontjában ismertetett szerológiai tesztek egyikét lehet alkalmazni;
b) a gazdaságba bekerülő minden szarvasmarha-egyed hivatalosan brucellózismentesnek nyilvánított állományból érkezik, és a 12 hónaposnál idősebb szarvasmarhák 30 NE/ml-nél alacsonyabb agglutinációs értéket mutattak a szérum-agglutinációs próba alapján, amelyet az állományba történő bekerülésük előtt 30 nappal végeztek el a C. mellékletnek megfelelően.
Mindazonáltal a b) pontban említett szérum-agglutinációs próba elvégzése nem kötelező olyan tagállamokban, vagy a tagállamok területi egységében, ahol a brucellózissal fertőzött szarvasmarha-állományok százalékos aránya legalább két év óta nem haladja meg a 0,2 %-ot, és ahol az állat ugyanazon tagállamban vagy tagállamhoz tartozó területen található hivatalosan brucellózismentes szarvasmarha-állományból érkezik, és a szállítása során nem került kapcsolatba rosszabb egészségügyi státuszú állatokkal;
c) b) pont rendelkezéseinek sérelme nélkül, egy brucellózismentes szarvasmarha-állományból érkező szarvasmarha-egyedeket csak abban az esetben lehet egy hivatalosan brucellózismentes szarvasmarha-állományba bevinni, ha azok legalább 18 hónaposak, és, amennyiben brucellózis elleni vakcinázásban részesültek, azt több mint egy évvel korábban végezték.
Az ilyen állatok az állományba történő bevitelük előtt 30 nappal a szérum-agglutinációs próbán 30 NE/ml alatti agglutinációs értéket, a komplementkötési próbában pedig negatív eredményt kellett mutatniuk, mely próbákat a C. mellékletnek megfelelően végeztek el.
Amennyiben azonban egy brucellózismentes állományból érkező szarvasmarha-egyedet hivatalosan brucellózismentesnek minősített szarvasmarha-állományba visznek be, e rendelkezések alapján az utóbbi állományt az állat bekerülésének időpontjától számított két évig brucellózismentesnek kell tekinteni.
3. A szarvasmarha-állomány hivatalosan brucellózismentesnek minősített státusza felfüggeszthető vagy visszavonható, amennyiben:
a) az (1) és (2) bekezdésben részletezett feltételek nem teljesülnek; vagy
b) laboratóriumi vagy klinikai vizsgálatok alapján egy vagy több szarvasmarha-egyed brucellózisgyanús.
Ha egy hivatalosan brucellózismentesnek minősített szarvasmarha-állomány egy vagy több egyede brucellózisgyanús, az állomány státuszát abban az esetben lehet csak felfüggeszteni és nem kell azt visszavonni, ha az érintett állatot vagy állatokat azonnal megsemmisítették vagy elkülönítették.
Amennyiben az állatot megsemmisítették, a felfüggesztés abban az esetben szüntethető meg, ha az állományban található összes 12 hónaposnál idősebb egyedet két, a C. mellékletnek megfelelően elvégzett szérum-agglutinációs próbának vetették alá, és az eredmény 30 NE/ml-nél alacsonyabb agglutinációs érték volt. Az első próbát az állat eltávolítása után legalább 30 nappal kell elvégezni, a másodikat 60 nappal később.
Amennyiben az állatot elkülönítették, abban az esetben kerülhet vissza az állományba, és az állomány státuszának visszaállítása akkor következhet be, ha az a későbbiekben 30 NE/ml alatti szérum-agglutinációs eredményt mutat, és a komplementkötési próba eredménye negatív; mindkét tesztet a C. mellékletnek megfelelően kell elvégezni.
Amennyiben a laboratóriumi próbák és a járványtani vizsgálatok eredményeképpen az állományban a brucellafertőzés megállapításra került, úgy az állomány státuszát addig nem lehet visszaállítani, amíg az összes, a fertőzés kitörése idején vemhes szarvasmarha-egyed negatív eredményt nem mutat a fenti próbákban, melyek közül az utolsó vizsgálat legalább 21 nappal az ellés után történt.
4. Egy szarvasmarha-állomány abban az esetben minősül brucellózismentesnek, amennyiben megfelel az 1. pont a), b) és c) alpontjaiban felsorolt feltételeknek, kivéve a következőket:
i. a nőnemű szarvasmarha egyedek vakcinázhatók:
- hathónapos koruk előtt a 19-es törzset tartalmazó élő vakcinával, vagy egyéb, a 17. cikkben előírt eljárásnak megfelelően engedélyezett vakcinával, vagy
- 15 hónapos koruk előtt elölt 45/20 adjuváns vakcinával, amelyet hivatalosan megvizsgáltak és engedélyeztek;
ii. 30 hónaposnál fiatalabb szarvasmarha-egyedek, amelyeket a 19-es törzset tartalmazó élő vakcinával oltottak be, és a szérum-agglutinációs teszt eredményeképpen ml-enként 30 NE-nél magasabb, de 80 NE-nél alacsonyabb agglutinációs értéket mutattak, feltéve, hogy a komplementkötési próba eredménye a 12 hónappal korábban vakcinázott nőnemű egyedek esetében 30 EGK egységnél alacsonyabb, minden más esetben pedig 20 EGK egységnél alacsonyabb;
iii. az 1. pont c) alpontjában felsorolt teszteken kívül a következő vizsgálati módszerek is engedélyezettek a brucellózismentes státusz eléréséhez:
a) két bivalybrucella antigénteszt, három és 12 hónap közötti időközzel elvégezve;
b) két mikroagglutinációs próba, három és 12 hónap közötti időközzel elvégezve, a C. melléklet előírásainak megfelelően.
5. A szarvasmarha-állomány megtarthatja a hivatalosan gümőkórmentes státuszát, amennyiben:
i. azt alávetik a 2. pont a) alpontjában felsorolt vizsgálati módszerek valamelyikének;
ii. az állományba bekerülő szarvasmarha-egyedek megfelelnek a 2. pont b) alpontjának követelményeinek; vagy
- brucellózismentes státusszal rendelkező szarvasmarha-állományból érkeznek, valamint a 12 hónaposnál idősebb szarvasmarhák esetében az állományba történő bekerülésük előtt 30 nappal ml-ként 30 NE-nél alacsonyabb agglutinációs értéket mutattak a szérum-agglutinációs próbán, és negatív eredményt mutattak a komplementkötési próbában, amely teszteket a C. mellékletnek megfelelően folytattak le, vagy
- brucellózismentes státusszal rendelkező szarvasmarha-állományból érkező, 30 hónaposnál fiatalabb szarvasmarha-egyedek, amelyeket a 19-es törzset tartalmazó élő vakcinával oltottak be, és a szérum-agglutinációs próbában ml-ként 30 NE-nél magasabb, de 80 NE-nél alacsonyabb agglutinációs értéket mutattak, feltéve, hogy a komplementkötési próba eredménye a 12 hónappal korábban vakcinázott nőnemű egyedek esetében 30 EGK egységnél alacsonyabb, minden más esetben pedig 20 EGK egységnél alacsonyabb.
6. A szarvasmarha-állomány hivatalosan brucellózismentesnek minősített státuszát felfüggesztik vagy visszavonják, amennyiben:
a) az (4) és (5) bekezdésben részletezett feltételek nem teljesülnek; vagy
b) laboratóriumi vagy klinikai vizsgálatok alapján egy vagy több szarvasmarha-egyed brucellózisgyanús.
Ha egy hivatalosan brucellózismentesnek minősített szarvasmarha-állomány egy vagy több, 30 hónaposnál idősebb egyede brucellózisgyanús, az állomány státuszát abban az esetben lehet csak felfüggeszteni és nem kell azt visszavonni, ha az érintett állatot vagy állatokat azonnal megsemmisítették vagy elkülönítették.
Amennyiben az állatot megsemmisítették, a felfüggesztés abban az esetben szüntethető meg, ha az állományban található összes 12 hónaposnál idősebb egyedet két, a C. mellékletnek megfelelően elvégzett szérum-agglutinációs próbának vetették alá, és az eredmény 30 NE/ml-nél alacsonyabb agglutinációs érték volt. Az első próbát az állat eltávolítása után legalább 30 nappal kell elvégezni, a másodikat 60 nappal később.
Amennyiben az állatot elkülönítették, abban az esetben kerülhet vissza az állományba, és az állomány státuszának visszaállítása akkor következhet be, ha az a későbbiekben 30 NE/ml alatti szérum-agglutinációs eredményt mutat, és a komplementkötési próba eredménye negatív; mindkét próbát a C. mellékletnek megfelelően folytatják le.
Amennyiben a laboratóriumi próbák és a járványtani vizsgálatok eredményeképpen az állományban a brucellafertőzés megállapításra került, úgy az állomány státuszát addig nem lehet visszaállítani, amíg az összes, a fertőzés kitörése idején vemhes szarvasmarha-egyed negatív eredményt nem mutat a fenti próbákban, melyek közül az utolsó vizsgálat legalább 21 nappal az ellés után történt.
7. Valamely tagállam területi egysége a 17. cikkben előírt eljárásnak megfelelően hivatalosan brucellózismentesnek nyilvánítható, ha megfelel a következőkben felsorolt feltételeknek:
a) legalább három éve nem jegyeztek fel brucellafertőzés miatt bekövetkezett vetélést, és az állományok legalább 99,8 %-a 10 éve hivatalosan brucellózismentesnek van nyilvánítva;
b) az összes szarvasmarha származási állományainak és tranzitállományainak azonosítását lehetővé tevő azonosítási rendszer működik.
8. A 9. pont rendelkezéseit fenntartva, egy hivatalosan brucellózismentesnek nyilvánított területi egység akkor tarthatja meg ezt a státuszát, ha az összes 24 hónaposnál idősebb szarvasmarha-egyedet háromévenként alávetik két gyűrű-próbának vagy egy szerológiai vizsgálatnak. Pozitív eredmény esetén a 6. pont rendelkezéseit kell alkalmazni.
9. A hivatalosan brucellózismentesnek nyilvánított területi egységek kötelesek jelenteni a Bizottságnak a brucellózisos esetek esetleges megjelenését. A Bizottság a 17. cikkben előírt eljárásnak megfelelően javasolhatja a státusz felfüggesztését vagy visszavonását, és elrendelheti a brucellózis-vizsgálatok rutinszerű elvégzését a (2) bekezdésben felsorolt vizsgálati menetrendek valamelyikével összhangban.
10. Valamely tagállam területi egysége a 17. cikkben előírt eljárásnak megfelelően hivatalosan brucellózismentesnek nyilvánítható, ha megfelel a következőkben felsorolt feltételeknek:
a) legalább három éve nem jegyeztek fel brucellafertőzés miatt bekövetkezett vetélést, és a gazdaságok legalább 99,8 %-a 10 éve hivatalosan brucellózismentesnek van nyilvánítva;
b) az összes szarvasmarha származási állományainak és tranzitállományainak azonosítását lehetővé tevő azonosítási rendszer működik.
11. Valamely hivatalosan brucellózismentesnek nyilvánított tagállam megtartja ezt a státuszát, amennyiben:
- az összes brucellózisra gyanús szarvasmarha-egyedet bejelentik az illetékes hatóságnak, és brucellózisra irányuló hivatalos vizsgálatnak vetik alá, amely magában foglal legalább két szerológiai vérvizsgálatot, beleértve a komplementkötési próbát, valamint vetélés esetén a megfelelő minták mikrobiológiai vizsgálatát,
- betegség gyanújának fennállása alatt, amely addig tart, amíg az első bekezdésben meghatározott vizsgálatok negatív eredményt nem hoznak, a betegségre gyanús szarvasmarha-egyedek származási vagy tranzitgazdaságainak hivatalosan brucellózismentes státuszát fel kell függeszteni,
- pozitív eredmény esetén a 6. pont rendelkezéseit kell alkalmazni.
12. A hivatalosan brucellózismentesnek nyilvánított tagállam minden egyes brucellózisesetet jelent a Bizottságnak. A Bizottság a 17. cikkben előírt eljárásnak megfelelően javasolhatja a státusz felfüggesztését vagy visszavonását, és elrendelheti a brucellózis-vizsgálatok rutinszerű elvégzését a (2) bekezdésben felsorolt vizsgálati menetrendek valamelyikével összhangban.
13. a) A II. rész alkalmazásában:
"szerológiai teszt": szérum-agglutinációs próba, a bivalybrucella antigénpróba, a komplementkötési próba, a plazma-agglutinációs próba, a plazmával végzett gyűrű-próba, a mikroagglutinációs tesztet vagy az egyedi vér ELISA próba, ha a C. melléklet rendelkezéseinek megfelelően folytatják le.
b) Abban az esetben, ha a gyűrű-próbákat tartályban tárolt elegytejből végzik el, úgy az e melléklet által meghatározott ilyen vizsgálatok számát meg kell kétszerezni, elvégzésük időközeit pedig meg kell felezni.
B. MELLÉKLET - (SZARVASMARHA- ÉS MADÁRTUBERKULINOK GYÁRTÁSI ÉS ALKALMAZÁSI SZABVÁNYAI)
1. A hivatalosan ellenőrzött tuberkulinpróbákat PPD vagy HCSM tuberkulinnal kell elvégezni.
2. A gyártók gyártási szabványait, amellyel a szarvasmarha PPD és HCSM tuberkulint ellenőrzik Közösség Tuberkulin Egységekben (CTU) kell beállítani a megfelelő EGK szabványhoz viszonyítva biológiai próbán.
3. A gyártók madártuberkulinok ellenőrzésére szolgáló gyártási szabványait nemzetközi egységekben kell beállítani a biológiai vizsgálat során az EGK szabványú PPD madártuberkulinhoz viszonyítva.
4. A PPD szarvasmarha-tuberkulin EGK szabványát az Instituut voor Dierhouderij en Diergezondheid (ID-DLO), Lelystad, Hollandia biztosítja.
5. A HCSM szarvasmarha-tuberkulin EGK szabványát az Institut Pasteur, Párizs, Franciaország biztosítja.
6. A madártuberkulin EGK szabványát a Veterinary Laboratory Agency, Addlestone, Weybridge, Anglia biztosítja.
7. A szarvasmarha-tuberkulinokat az alább felsorolt Mycobacterium bovis törzsek egyikével kell előállítani:
a) AN5;
b) Vallee.
8. A madár-tuberkulinokat az alább felsorolt Mycobacterium bovis törzsek egyikével kell előállítani:
a) D4ER;
b) TB56.
9. A tuberkulin pH értékének 6,5 és 7,5 között kell lennie.
10. A tuberkulinhoz hozzáadható antimikrobiális tartósítószerek vagy egyéb anyagok esetében a tuberkulin hivatalos ellenőrzését végző állami intézet számára kielégítő módon ki kell mutatni, hogy azok nem csökkentik a termék biztonságát és hatékonyságát.
A fenol és a glicerin megengedett legmagasabb koncentrációi a következők:
a) fenol: 0,5 % m/v;
b) glicerin: 10 % v/v.
11. Feltételezve, hogy a tuberkulinokat 2 °C és 8 °C közötti hőmérsékleten, fénytől védve tárolják, azok a következőkben felsorolt időszakok végéig használhatók fel, az utolsó kielégítő eredményű hatékonysági vizsgálat elvégzésétől számítva:
a) folyékony PPD tuberkulinok: két év,
liofilizált PPD tuberkulinok: nyolc év;
b) hígított HCSM tuberkulinok: két év,
12. Az alábbiakban felsorolt állami intézetek felelősek a tuberkulinok hivatalos teszteléséért a vonatkozó országokban:
a) Németország: Paul-Ehrlich Institut, Frankfurt am Main;
b) Belgium: Instituut Voor Hygiene en Epidemiologie, J. Wytsmanstraat 14, B-1050 Brüsszel;
c) Franciaország: Laboratoire national des médicaments vétérinaires, Fougères;
d) Luxemburgi Nagyhercegség: az ellátó ország intézete;
e) Olaszország: Istituto superiore di sanità, Róma;
f) Hollandia: Instituut voor Dierhouderij en Diergezondheid (ID-DLO), Lelystad;
g) Dánia: Statens Veterinaere Serumlaboratorium, Koppenhága V;
h) Írország: az ellátó ország intézete;
i) Egyesült Királyság: Veterinary Laboratory Agency, Addlestone, Weybridge;
j) Görögország: Κέντρο Κτηνιατρικών Ιδρυμάτων Νεαπόλεως 25, 153 10 Αθήνα;
k) Spanyolország: Laboratorio de Sanidad y producción animal de Granada;
l) Portugália: Laboratorio Nacional de Investigaçăo Veterinária, Lisszabon;
m) Ausztria: Bundesanstalt für Tierseuchenbekämpfung, Mödling;
n) Finnország: Eläinlääkintä - ja elintarvikelaitos, Helsinki-anstalten för veterinärmedicin och livsmedel, Helsingfors;
o) Svédország: Statens veterinärmedicinska anstalt, Uppsala.
13. A hivatalos vizsgálatot minden tétel azonnali felhasználásra alkalmas, palackozott kiszerelésű tuberkulinkészítmény esetében el kell végezni.
14. A tuberkulinokat biológiai és kémiai módszerekkel kell vizsgálni.
15. A tuberkulinoknak sterilnek kell lenniük. A sterilitási vizsgálatokat az Európai gyógyszerkönyv részletes leírásai alapján kell elvégezni.
16. A mérgező vagy irritáló tulajdonságokra vonatkozó vizsgálatokat az Európai gyógyszerkönyv részletes leírásai alapján kell elvégezni.
17. A tuberkulinokat vegyi úton elemezni kell a glicerin és/vagy a fenol, valamint egyéb hozzáadott tartósítószerek koncentrációjának meghatározása céljából.
18. A tuberkulin iránti érzékenység hiányára irányuló vizsgálatot az Európai gyógyszerkönyv részletes leírásai alapján kell elvégezni.
19. A tuberkulinok hatását biológiai módszerekkel kell meghatározni. Ezeket a módszereket a HCSM és PPD tuberkulinok esetében kell alkalmazni; ezek a szabvány tuberkulinok és a vizsgálandó tuberkulinok összehasonlításán alapulnak.
20. A PPD tuberkulin fehérjetartalmát a Kjeldahl-módszerrel kell megállapítani. A nitrogént tuberkuloprotein-tartalommá kell átszámítani, 6,25-dal történő szorzás útján.
21. A szarvasmarha-HCSM EGK szabvány szerinti hatékonysága 65 000 Közösségi tuberkulin egység (CTU) per ml, és az 5 ml tuberkulint tartalmazó ampullákban kerül forgalomba.
22. A szarvasmarha-PPD EGK szabvány szerinti hatékonysága 50 000 Közösségi tuberkulin egység (CTU) per mg PPD, és az 1,8 mg PPD-t liofilizált formában tartalmazó ampullákban kerül forgalomba, azaz 0,00002 mg PPD hatékonysága egy CTU-val egyenértékű.
23. A madár PPD EGK szabvány szerinti hatékonysága 50 000 nemzetközi egység (NE) per mg tisztított fehérjeszármazék-szárazanyag, és az 10 mg PPD-t és 26,3 mg sót liofilizált formában tartalmazó ampullákban kerül forgalomba, azaz a szabvány 0,0000726 mg-jának hatékonysága egyenértékű egy nemzetközi egységgel.
24. A gyártók által a (12) bekezdésben felsorolt állami intézetekbe vizsgálat céljából elküldött tuberkulinokat hatékonyságuk tekintetében biológiai módszerekkel kell tesztelni, a (2) és (3) bekezdésekben meghatározott megfelelő szabványokhoz viszonyítva.
25. a) Hatékonysági vizsgálat tengerimalacokon
400 és 600 g közötti testtömegű albínó tengerimalacokat kell használni. A tengerimalacoknak jó egészségi állapotban kell lenniük a tuberkulin-injekció beadásakor. Minden vizsgálathoz legalább nyolc tengerimalacot kell felhasználni. A vizsgálatot legalább egy hónappal a szenzibilizáció után kell elvégezni.
aa) A szarvasmarha-tuberkulinok vizsgálatához a tengerimalacokat a következőkben felsorolt módszerek egyikével kell szenzibilizálni:
1. hővel elölt, olajjal adjuvált Mycobacterium bovis AN5 törzs befecskendezése;
2. élő, fiziológiás sóoldatban felvett Mycobacterium bovis AN5 törzs befecskendezése;
3. BCG vakcina befecskendezése.
bb) A madártuberkulinok vizsgálatához a tengerimalacokat 2 mg hővel elölt, 0,5 ml steril folyékony paraffinban szuszpendált madár típusú tuberkulózis-bacillus befecskendezésével vagy élő, fiziológiás sóoldatba felvett madár típusú tuberkulózis-bacillus befecskendezésével kell szenzibilizálni. E célra a D4-es madár-típusú törzset kell felhasználni.
cc) Minden vizsgálandó tuberkulint be kell állítani a megfelelő szabvány tuberkulinnal szemben megfelelően szenzibilizált tengerimalacok csoportjain végrehajtott intradermális próba segítségével.
Minden tengerimalac mindkét oldalát szőrteleníteni kell. A próbát legfeljebb 0,2 ml, 0,0005 % Tween 80 tartalmú izotóniás pufferolt sóoldatban oldott szabvány tuberkulin bőrbe juttatott oltássorozatára és a vizsgálandó tuberkulin megegyező oltássorozatára adott reakciók összevetésével kell elvégezni. A hígításokat geometriai sorba kell rendezni, és azokat randomizált latin négyzet eloszlás szerint kell a tengerimalacok bőrébe fecskendezni (nyolcpontos próba esetében mindkét oldalon négy-négy helyen). A kapott reakciók átmérőjét 24-28 óra elteltével minden oltási helyen meg kell mérni, és fel kell jegyezni.
A vizsgálandó tuberkulin minden mintája esetében a szabvány tuberkulinnal szemben mutatott relatív hatékonyságának és az utóbbi fiduciális határértékeinek becslését statisztikai módszerekkel kell végezni, a reakciók átmérőjét és a dózisok logaritmusát használva metaméterként. A vizsgálandó szarvasmarha-tuberkulin akkor elfogadható hatékonyságú, ha az egy szarvasmarha-adagra becsült garantált hatékonysága 2 000 közösségi tuberkulin egység (CTU) (plusz-mínusz 25 %) állatonként. Minden vizsgált tuberkulin hatékonyságát értelemszerűen egy ml-re vonatkoztatott CTU-ban vagy NE-ben kifejezve adják meg.
b) Hatékonysági vizsgálat szarvasmarhákon
A szarvasmarha-tuberkulinok időszakonkénti hatékonysági vizsgálatát természetesen vagy mesterségesen fertőzött gümőkóros szarvasmarhákon lehet elvégezni. Ezeket a gümőkóros szarvasmarha-csoportokon végzett hatékonysági vizsgálatokat a vizsgálandó tuberkulin négy- vagy hatpontos intradermális vizsgálatával, a megfelelő szabvány ellenében kell elvégezni, a tuberkulin hatékonyságát pedig a tengerimalacok esetében is alkalmazott statisztikai módszerekkel kell megbecsülni.
26. A tuberkulint tartalmazó tartályok és csomagok megjelölésekor a következő követelményeket kell betartani.
A tartályra és a csomagra erősített címkén meg kell jelölni:
- a készítmény nevét,
- folyékony készítmény esetében a tartályban található teljes mennyiséget,
- a közösségi (CTU) vagy nemzetközi (NE) egységek számát ml-re vagy mg-ra vetítve,
- a gyártó nevét,
- a tétel számát,
- fagyasztva szárított készítmény esetében az újbóli oldatba vitelre használatos folyadék jellegét és mennyiségét.
A tartályra és a csomagra erősített címkén meg kell jelölni:
- a lejárat időpontját,
- a tárolás körülményeit,
- bármely hozzáadott anyag nevét és, lehetőség szerint, arányát,
- a tuberkulin elkészítéséhez használt bacillustörzset.
27. A 17. cikknek megfelelően kijelölt közösségi laboratóriumok lesznek felelősek a tagállamokban alkalmazott rutinszerűen kibocsátott tuberkulinok további vizsgálatainak elvégzéséért, amelyek annak megállapításához szükségesek, hogy az említett tuberkulinok hatékonysága megfelel-e a Közösség szabvány tuberkulinjához viszonyítva. Ezeket a vizsgálatokat gümőkóros szarvasmarhaféléken és megfelelő módon szenzibilizált tengerimalacokon, valamint megfelelő kémiai módszerekkel kell elvégezni.
28. Hivatalos intradermális tuberkulinpróbaként a következőket ismerik el:
a) egyszeri intradermális próba - elvégzéséhez a szarvasmarha-tuberkulin egyszeri befecskendezése szükséges;
b) összehasonlító intradermális próba - elvégzéséhez egy szarvasmarha-tuberkulin és egy madártuberkulin egyidejű befecskendezése szükséges.
29. A befecskendezendő tuberkulin dózisa:
1. szarvasmarha-tuberkulin esetében 2 000 CTU-nál nem lehet kevesebb;
2. W15 madártuberkulin esetében 2 000 NE-nél nem lehet kevesebb;
Az egyes injekciók mennyisége nem haladhatja meg a 0,2 ml-t.
30. A tuberkulinpróbák elvégzése során a tuberkulin(oka)t a nyak bőrébe kell befecskendezni. Az injekció helye a nyak elülső és középső harmadának határán legyen. Amennyiben madár- és szarvasmarha-tuberkulinnal egyidejűleg oltják be ugyanazt az állatot, a madártuberkulin-injekció helye a nyakéltől kb. 10 cm-re legyen, a szarvasmarha-tuberkulin injekció helye pedig kb. 12,5 cm-rel lejjebb, nagyjából a váll vonalával párhuzamosan, vagy a nyak különböző oldalain; fiatal állatok esetében, amikor nincs elegendő hely a nyak egyik oldalán megfelelően elkülöníteni az injekciók helyeit, egy-egy injekciót kell beadni a nyak középső harmadának közepén, ugyanazon helyre a nyak mindkét oldalán.
31. A tuberkulinpróbák elvégzésének módszere és a reakciók kiértékelése a következő:
a) Eljárás
Az injekció beadásának helyéről a szőrt lenyírják és a beadás helyét megtisztítják. Minden szőrtelenített terület esetében hüvelyk- és mutatóujj közé fognak egy bőrredőt, és annak vastagságát tolómérővel megmérik és feljegyzik. Egy tuberkulinnal töltött, beosztással ellátott fecskendőhöz csatlakoztatott, rövid steril tűt annak levágott végével kifelé ferdén beszúrnak a bőr mélyebb rétegeibe. Ezt követően befecskendezik a tuberkulint. A befecskendezés akkor történt helyesen, ha minden befecskendezési helyen egy kis borsószerű duzzanat tapintható. A befecskendezés után 72 órával ismét megmérik és feljegyezik a bőrredő vastagságát minden befecskendezési helyen.
b) A reakciók értékelése
A reakciókat klinikai megfigyelések és a tuberkulin(ok) befecskendezése után 72 órával az injekciók helyein a bőrredő vastagságában észlelt növekedés alapján lehet megállapítani.
ba) Negatív reakció: ha csak kisebb mértékű duzzanat észlelhető, a bőrredő megvastagodása 2 mm-nél kisebb mértékű, klinikai tünetek, mint pl. diffúz vagy kiterjedt ödéma, izzadmányképződés, elhalás, fájdalom, az adott testtájék nyirokereinek vagy a nyirokcsomóknak a gyulladása, nem figyelhetők meg.
bb) Kétes reakció: ha a fenti ba) alpontban felsorolt klinikai tünetek nem figyelhetők meg és a bőrredő megvastagodása 2 mm és 4 mm közötti.
bc) Pozitív reakció: ha a fenti ba) alpontban felsorolt klinikai tünetek megfigyelhetők, és az injekció helyén észlelhető bőrredő-megvastagodás eléri vagy meghaladja a 4 mm-t.
32. A hivatalos intradermális tuberkulinpróbák értékelése a következő:
a) Egyszeri intradermális próba:
| pozitív: | a 31. pont bc) alpontjában meghatározott pozitív szarvasmarha-tuberkulin reakció; |
| kétes: | a 31. pont bb) alpontjában meghatározott kétes reakció; |
| negatív: | a 31. pont ba) alpontjában meghatározott negatív szarvasmarha-tuberkulin reakció. |
Az egyszeri intradermális teszt alapján kétes eredményt mutató állatokat még egy próbának alávetik legalább 42 nap elteltével.
A második próba során nem negatív eredményt mutató állatok vizsgálati eredménye pozitívnak tekintendő.
Az egyszeri intradermális próba során pozitív eredményt mutató állatokat alá lehet vetni egy összehasonlító intradermális próbának is.
b) A hivatalosan gümőkórmentes állomány-státusz megadása és fenntartása érdekében végzett összehasonlító intradermális teszt:
| pozitív: | pozitív szarvasmarha-tuberkulin reakció, amely több mint 4 mm-rel vastagabb, mint a madártuberkulin reakció, vagy a klinikai tünetek jelenléte; |
| kétes: | pozitív vagy kétes szarvasmarha- tuberkulin reakció, amely 1-4 mm-rel vastagabb, mint a madártuberkulin reakció, és a klinikai tünetek hiánya; |
| negatív: | negatív szarvasmarha-tuberkulin reakció, vagy a pozitív vagy kétes madártuberkulin reakcióval megegyező, vagy annál alacsonyabb értéket adó pozitív vagy kétes szarvasmarha-tuberkulin reakció, valamint mindkét esetben a klinikai tünetek hiánya. |
Az egyszeri intradermális teszt alapján kétes eredményt mutató állatokat még egy próbának alávetik legalább 42 nap elteltével. A második próba során nem negatív eredményt mutató állatok vizsgálati eredményét pozitívnak kell tekinteni.
c) A hivatalosan gümőkórmentes státusz felfüggeszthető, és az állományba tartozó állatok nem kerülhetnek a Közösségen belüli kereskedelmi forgalomba addig, amíg a következőkben felsorolt állatok státusza nem tisztázódik:
1. az egyszeri intradermális tuberkulinpróbában kétesnek minősített állatok;
2. az egyszeri intradermális tuberkulinpróba során pozitívnak minősített, és egy összehasonlító intradermális próbával történő vizsgálatra váró állatok;
3. az összehasonlító intradermális tuberkulinpróbában kétesnek minősített állatok.
d) Amennyiben a közösségi jogszabályok követelményei alapján az állatokon szállításukat megelőzően intradermális próbát kell végezni, a próbát úgy kell elbírálni, hogy a 2 mm-nél nagyobb bőrredő-vastagodást vagy klinikai tüneteket mutató állatok nem kerülhetnek a Közösségen belüli kereskedelmi forgalomba.
C. MELLÉKLET
BRUCELLÓZIS
A. Szérum-agglutinációs próbák
1. A szabvány agglutináló szérumnak meg kell felelnie a Veterinary Laboratory Agency, Addlestone, Weybridge, Anglia által elkészített szabványszérumnak.
Az ampullának 1 ml szarvasmarhaszérum liofilizálásával nyert 1 000 NE agglutinációs egységet kell tartalmaznia.
2. A szabvány vérsavót a Bundesgesundheitsamt, Berlin biztosítja.
3. A vérsavó brucella-agglutinációjának mértékét NE/ml-ben kell kifejezni (azaz X vérsavó = 80 NE/ml).
4. A kémcsőben végzett lassú szérum-agglutinációt 50 vagy 75 %-os agglutinációnál kell leolvasni, a felhasznált antigént előzőleg azonos körülmények között kellett titrálni a szabvány szérummal szemben.
5. A különféle antigének szabvány szérumra vonatkozó agglutinációs értékei a következő határokon belül változhatnak:
- 50 %-nál történő leolvasás esetén: 1/600 és 1/1 000 között,
- 75 %-nál történő leolvasás esetén: 1/500 és 1/750 között.
6. A kémcsőben történő agglutinációhoz (lassú módszer) szükséges antigén elkészítéséhez a 99. sz. Weybridge törzs és a USDA 1119 vagy egyéb, azzal azonos érzékenységű törzset kell alkalmazni.
7. A törzs laboratóriumi tárolására és az antigén termelésére alkalmazott táptalajok olyanok legyenek, amelyek nem teszik lehetővé a baktériumok disszociációját (S-R); burgonya-agar alkalmazása ajánlott.
8. A baktérium-emulziót fiziológiás sóoldatból (NaCl 0,85 ‰ 0,5 % fenollal kiegészítve) kell elkészíteni. Formalin alkalmazása tilos.
9. Az alábbiakban felsorolt hivatalos intézetek felelősek az antigének hivatalos vizsgálatáért:
a) Németország: Bundesgesundheitsamt, Berlin;
b) Belgium: Institut national de recherches vétérinaires, Brüsszel;
c) Franciaország: Laboratoire central de recherches vétérinaires, Alfort;
d) Luxemburgi Nagyhercegség: az ellátó ország intézete;
e) Olaszország: Istituto superiore di sanità, Róma;
f) Hollandia: Instituut voor Dierhonderij en Diergezondheid (ID-DLO), Lelystad;
g) Dánia: Statens Veterinaere Serumlaboratorium, Koppenhága V;
h) Írország: Veterinary Research Laboratory, Department of Agriculture and Food, Dublin;
i) Egyesült Királyság:
- Nagy-Britannia: Veterinary Laboratory Agency, Addlestone, Weybridge;
- Észak-Írország: Veterinary Research Laboratory, Stormont, Belfast;
j) Görögország: Κέντρο Κτηνιατρικών Ιδρυμάτων Νεαπόλεως 25, 153 10 Αθήνα;
k) Spanyolország: Laboratorio de Sanidad y Produccíon Animal de Granada;
l) Portugália: Laboratoria Nacional de Investigação Veterinária, Lisszabon;
m) Ausztria: Bundesanstalt für Tierseuchenbekämpfung, Mödling;
n) Finnország: Eläinlääkintä - ja elintarvikelaitos, Helsinki-anstalten för veterinärmedicin och livsmedel, Helsingfors;
o) Svédország: Statens veterinärmedicinska anstalt, Uppsala.
10. Az antigéneket koncentrált állapotban is ki lehet adni, amennyiben az alkalmazandó hígítás mértéke az üveg címkéjén fel van tüntetve.
11. A szérum-agglutinációs próba elvégzéséhez minden szérumból legalább három hígítást kell készíteni. A gyanúsnak vélt szérum hígításait oly módon kell elkészíteni, hogy a reakció fertőzési határértéken történő leolvasása a középen lévő kémcsőben történjen. Amennyiben pozitív reakció játszódik le a kémcsőben, a gyanús szérum legalább 30 NE/ml agglutinációs értékű.
B. Komplementkötési próba
1. Az alkalmazandó szabvány szérum megegyezik az e melléklet A. 1. pontjában meghatározottal. A nemzetközi agglutinációs egységekben megadott összetételén túl, az említett liofilizált szarvasmarha-szérum 1 ml-ének komplementkötő, 1 000 szenzibilizáló egységet kell tartalmaznia. Ezeket a szenzibilizáló egységeket EGK szenzibilizáló egységnek nevezik.
2. A szabványszérumot a Bundesgesundheitsamt, Berlin biztosítja.
3. Valamely szérum komplementkötő ellenanyag szintjét EGK szenzibilizáló egységekben kell kifejezni (pl. X szérum = 60 EGK szenzibilizáló egység/ml).
4. Azt a szérumot, amely 20 vagy több EGK szenzibilizáló egységet tartalmaz (azaz aktivitása a szabvány szérum aktivitásának 20 %-ával egyenértékű), pozitívnak kell tekinteni.
5. A szérumokat a következők szerint kell inaktiválni:
a) szarvasmarha-szérum: 56 °C és 60 °C között 30-50 percen keresztül;
b) sertés-szérum: 60 °C hőmérsékleten 30-50 percen keresztül.
6. Az antigén elkészítésére a 99. sz. Weybridge vagy a USDA 1119 törzset kell alkalmazni. Az antigén 0,85 %-os fiziológiás szérummal vagy veronal oldattal készült baktérium-szuszpenzió.
7. A próba elvégzéséhez a teljes hemolízishez minimálisan szükségesnél magasabb kiegészítő dózis szükséges.
8. A komplementkötési próba elvégzéséhez a következő ellenőrzéseket kell elvégezni minden esetben:
a) a szérum anti-komplementer hatásának ellenőrzését;
b) az antigén ellenőrzését;
c) a szenzibilizált vörösvértestek ellenőrzését;
d) a komplement ellenőrzését;
e) az érzékenység ellenőrzését pozitív szérumnak a reakció kezdetén történő alkalmazásával;
f) a reakció specificitásának ellenőrzését negatív szérum alkalmazásával.
9. A szabvány szérumok és antigének felülvizsgálatát és hivatalos ellenőrzését az e melléklet A. 9. pontban felsorolt hivatalos szervek végzik.
10. Az antigéneket koncentrált állapotban is ki lehet adni, amennyiben az alkalmazandó hígítás mértéke az üveg címkéjén fel van tüntetve.
C. Gyűrű-próba
1. A gyűrű-próbát a gazdaságból származó minden tejeskanna vagy elegytejet tartalmazó tartály tartalmán el kell végezni.
2. Az alkalmazott szabványos antigénnek az A. 9. pont a)-j) alpontjaiban felsorolt intézményekből kell származnia. Ajánlatos az antigéneket a WHO/FAO ajánlásai szerint szabványosítani.
3. Az antigént kizárólag hematoxilinnel vagy tetrazoliummal szabad megfesteni; inkább a hematoxilin használata javasolt.
4. Amennyiben tartósítás nem történt, úgy a próbát a mintavételt követő 18-24 órán belül el kell végezni. Amennyiben a tejet a mintavételt követően több mint 24 óra elteltével vizsgálják meg, úgy azt tartósítani kell; tartósítószerként formalin vagy higany-klorid használható, bármelyik anyag alkalmazása esetén a próbát a mintavételt követő 14 napon belül el kell végezni. A formalin végső koncentrációja a tejmintában 0,2 % lehet, és ebben az esetben a tej mennyiségének és a formalinoldat mennyiségének aránya legalább 10:1 legyen. Formalin helyett higany-klorid oldat is alkalmazható, és ebben az esetben a higany-klorid végső koncentrációja a tejmintában 0,2 % lehet, és a tej mennyiségének és a higany-klorid oldat mennyiségének aránya legalább 10:1 legyen.
5. A reakciót a következő módszerek valamelyikének alkalmazásával kell elvégezni:
- egy legalább 25 mm magas tejoszlopon és 1 ml-es tejmennyiségen, amelyhez a megfestett szabványosított antigének valamelyikéből 0,03 ml-t adtak hozzá,
- egy legalább 25 mm magas tejoszlopon és 1 ml-es tejmennyiségen, amelyhez a megfestett szabványosított antigének valamelyikéből 0,05 ml-t adtak hozzá,
- 8 ml-es tejmennyiségen, amelyhez a megfestett szabványosított antigének valamelyikéből 0,08 ml-t adtak hozzá,
- egy legalább 25 mm magas tejoszlopon és 2 ml-es tejmennyiségen, amelyhez a megfestett szabványosított antigének valamelyikéből 0,05 ml-t adtak hozzá.
6. A tej és az antigének elegyét 37 °C-on legalább 45, de maximum 60 percig kell inkubálni. A próbát a termosztátból való kivételt követően 15 percen belül értékelni kell.
7. A reakció értékeléséhez a következő kritériumokat kell figyelembe venni:
a) negatív reakció: elszíneződött tej, színtelen tejszín;
b) pozitív reakció: egyformán elszíneződött tej és tejszín, vagy színtelen tej és elszíneződött tejszín.
D. Bivalybrucella antigénteszt
A bivalybrucella antigénpróbát a következő módszerek valamelyikének alkalmazásával lehet elvégezni:
a) Manuális módszer
1. Szabvány szérumként a második nemzetközi szabvány szerinti anti-brucella abortus szérumot kell alkalmazni, amelyet a Veterinary Laboratory Agency, Addlestone, Weybridge, Anglia biztosít.
2. Az antigént a sejtkoncentrációra való tekintet nélkül kell elkészíteni, de érzékenységét a második nemzetközi szabvány szerinti anti-brucella abortus szérumnak megfelelően kell szabványosítani, oly módon, hogy az antigén pozitív reakciót mutasson az 1:47,5 arányú szérumhígítással és negatív reakciót mutasson az 1:55 arányú hígítással.
3. Az antigént pufferolt brucella antigén oldatban kell feloldani pH 3,65 ± 0,5 mellett, esetleg bengálvörös festékkel történő előzetes megfestést követően.
4. Az antigén elkészítésére a 99. sz. Weybridge vagy a USDA 1119 törzset vagy bármely más, az előbbiekkel azonos érzékenységű törzset kell alkalmazni.
5. A törzs laboratóriumi tárolására és az antigén termelésére alkalmazott táptalajok olyanok legyenek, amelyek nem teszik lehetővé a baktériumok disszociációját (S mínusz R); burgonya-agar alkalmazása ajánlott.
6. Az antigént nyolc fagyasztva szárított, ismerten pozitív és negatív szérumhoz viszonyítva kell megvizsgálni.
7. A szabvány szérumok és antigének felülvizsgálatát és hivatalos ellenőrzését az e melléklet A. 9. pontjában felsorolt hivatalos szervek végzik.
8. Az antigént azonnali felhasználásra alkalmas formában kell kiadni.
9. A bivalybrucella antigénpróbát a következő módon kell elvégezni:
a) egy csepp (0,03 ml) antigént egy csepp (0,03 ml) szérum mellé kell elhelyezni egy fehér lemezre;
b) össze kell keverni egy keverőpálca segítségével, először egyenes vonalban, majd egy körülbelül 10-12 mm átmérőjű körben;
c) ezután a lemezt előre-hátra kell mozgatni négy percen keresztül (percenként körülbelül 30-szor);
d) a leolvasást megfelelő fényben kell elvégezni; ha nem látható az agglutináció, úgy a tesztet negatív eredményűnek kell tekinteni; bármilyen mértékű agglutináció esetén pedig pozitívnak, hacsak az anyag nagy mértékben ki nem száradt a szélek körül.
b) Automatizált módszer
Az automatizált módszernek is legalább olyan érzékenységűnek és pontosságúnak kell lennie, mint a manuális módszernek.
E. Plazmával végzett gyűrű-próba
a) A plazma előállítása
A kémcsövet, amely olyan vért tartalmaz, amelynek alvadását EDTA hozzáadásával gátolták meg, 3 percen keresztül, percenként 3 000-es fordulatszámmal kell centrifugálni, majd ezt követően 12-24 órán keresztül 37 °C hőmérsékleten kell tartani.
b) Értékelés
0,2 ml stabilizált plazmát 1 ml kezeletlen tejjel együtt kémcsőbe kell helyezni. Összekeverés után egy csepp (0,05 ml) ABR antigént kell hozzáadni, majd újból összekeverni. Az antigént az A. 9. pont a) alpontjában említett intézmény által biztosított szabvány antigénhez viszonyítva kell szabványosítani.
A 37 °C hőmérsékleten történő 45 perces inkubációs időtartamot követően 15 percen belül kell a leolvasást elvégezni. Az eredményt akkor kell pozitívnak tekinteni, ha a gyűrű színe azonos vagy sötétebb a tejoszlop színénél.
F. Plazmával végzett agglutináció
Az E. a) pontnak megfelelő módon előállított plazmát a centrifugálást követően azonnal fel lehet használni, nem szükséges a meleg hőmérsékleten történő stabilizálása. 0,05 ml plazmát 1 ml, 50 %-os szérum-agglutinációhoz szükséges antigénnel kell összekeverni, ami 1:20-as szérum-agglutinációs hígításnak felel meg. A leolvasást a 37 °C-on, 18-24 órán keresztül történő inkubálás után kell elvégezni. 50 %-os vagy annál nagyobb mértékű agglutinációt kell pozitív eredménynek tekinteni.
G. Mikroagglutinációs próba
1. Hígítóként 0,5 % fenollal kiegészített 0,85 %-os fiziológiás sóoldatot kell alkalmazni.
2. Az antigént az A. 6., 7. és 8. pontban ismertetett módon kell elkészíteni, majd az A. 5. pontnak megfelelően titrálni. Az antigén felhasználásakor 0,02 %-os mennyiségben szafranin O-t kell hozzáadni (végső hígítás).
3. A szabványos szérum azonos az A. 1. pontban alkalmazottal.
4. A szabvány szérumot a Bundesgesundheitsamt, Berlin biztosítja.
5. A mikroagglutinációs próbát 0,250 ml űrtartalmú, kúpos fenekű vájatokkal ellátott lemezeken kell elvégezni. A próbát a következőképpen kell elvégezni:
a) a szérum előhígítása: minden egyes vizsgálandó savóból 0,050 ml-nyit a 0,075 ml oldószert tartalmazó vájatokba kell helyezni. A keveréket 30 másodpercen át rázogatni kell;
b) a szérum fokozatos hígítása: minden szérumból legalább három hígítást kell készíteni. Ezért az előhígítás során nyert hígításból (1:2,5) 0,025 ml-nyit a 0,025 ml oldószert tartalmazó vájatba kell helyezni. Így az első hígítás mértéke eléri az 1:5-ös arányt, és a következő hígításokat megkétszerezéssel lehet elvégezni;
c) az antigén hozzáadása: 0,025 ml antigént kell hozzáadni minden, különböző hígítású szérumot tartalmazó vájatba. 30 másodpercen keresztül történő rázás után a megfelelő fedél ráhelyezésével le kell zárni a lemezeket, és 20-24 órán keresztül, 37 °C hőmérsékleten, magas páratartalom mellett kell tárolni őket;
d) az eredmények leolvasása: az antigén leülepedésének kiértékeléséhez a vájat alját kell egy fölé helyezett homorú tükör segítségével megvizsgálni. Negatív reakció esetén az antigén jól elkülöníthető, tömör, gombszerű, élénkvörös színű üledéket képez. Pozitív reakció esetén egyenletes eloszlású, diffúz, rózsaszín fátyolszerű bevonat keletkezik. Az agglutináció különböző százalékarányait 0, 25, 50, 75 és 100 %-os agglutinációt eredményező antigénekkel történő összevetéssel kell megállapítani. Minden szérum titerét nemzetközi agglutinációs egység/ml formában kell kifejezni. A vizsgálatnak 30 agglutinációs NE/ml tartalomra hígított negatív és pozitív szérumkontrollt is tartalmaznia kell.
H. Enzim-kötött immunoszorbens próba (ELISA) szarvasmarha-brucellózis kimutatására
1. Az alkalmazandó anyagok és reagensek következők:
a) szilárd fázisú mikrolemezek, küvetták vagy más szilárd fázis;
b) poliklonális vagy monoklonális elfogó ellenanyagok segítségével vagy anélkül a szilárd fázishoz rögzített antigén;
c) a vizsgálandó biológiai folyadék;
d) megfelelő pozitív és negatív kontroll;
e) konjugátum;
f) a használt enzimhez adaptált szubsztrát;
g) szükség esetén leállító oldat;
h) a reagensek előkészítésére, a vizsgálandó minták hígítására és lemosásra szolgáló oldatok;
i) a használt szubsztrátnak megfelelő leolvasási rendszer.
2. A teszt szabványosítása és érzékenysége
1. az elegytej-minták akkor minősítendők negatívnak, ha a második nemzetközi brucellózis szabvány szerinti szérum negatív tejjel készült 1:10 000 arányú hígításával végzett reakció eredményének 50 %-ánál kisebb reakciót mutatnak.
2. az egyedi szérumminták akkor minősítendők negatívnak, ha a második nemzetközi brucellózis szabvány szerinti savó fiziológiás sóoldattal vagy egyéb, az Állat-egészségügyi Állandó Bizottság véleményét követően a 17. cikkben előírt eljárásnak megfelelő módon elfogadott szerrel készített 1:200-as hígításával végzett reakció eredményének 10 %-ánál kisebb reakciót mutatnak.
A brucellózis ELISA-szabványok megegyeznek az A. 1. és 2. pontban megadottakkal (a címkén megjelölt hígításban kelll használni őket).
3. Az ELISA-próba szarvasmarha-brucellózis kimutatására való alkalmazásának feltételei
Az ELISA-módszert tej- vagy tejsavóminták esetében akkor lehet használni, ha a minták olyan gazdaságból származnak, amelyben a tejelő tehénállomány legalább 30 %-a termel.
E módszer alkalmazása esetén intézkedéseket kell hozni annak biztosítására, hogy a vételezett mintákat azonosítani lehessen azokkal az állatokkal, amelyektől a vizsgált tej- és szérumminták származnak.
D. MELLÉKLET
I. FEJEZET
HIVATALOSAN ENZOOTIÁS SZARVASMARHA-LEUKÓZISTÓL MENTESNEK MINŐSÍTETT ÁLLOMÁNYOK, TAGÁLLAMOK ÉS TERÜLETI EGYSÉGEK
A. Hivatalosan enzootiás szarvasmarha-leukózistól mentes állománynak minősül az az állomány, amelyben:
i. sem klinikai tünetek alapján, sem laboratóriumi vizsgálatok eredményeképpen nem mutatható ki az enzootiás szarvasmarha-leukózis egy esetének előfordulása sem, és a megelőző két évben sem fordult elő ilyen megbetegedés; és
ii. az összes 24 hónaposnál idősebb állaton a megelőző 12 hónap során az e mellékletnek megfelelően két alkalommal, legalább négy hónapos időközzel elvégzett próbák eredménye negatív volt; vagy
iii. megfelel a fenti i. pontban meghatározott követelményeknek és hivatalosan enzootiás szarvasmarha-leukózistól mentes tagállamban vagy területi egységen belül található.
B. Egy adott állomány abban az esetben tartja meg hivatalosan enzootiás szarvasmarha-leukózistól mentes státuszát, amennyiben:
i. az A. i. alpontban meghatározott feltétel továbbra is fennáll;
ii. bármely, az állományba behozott állat enzootiás szarvasmarha-leukózistól mentes állományból származik;
iii. az összes 24 hónaposnál idősebb állaton a II. fejezetnek megfelelően, hároméves időközönként elvégzett próbák eredménye továbbra is negatív marad.
C. Az állomány hivatalosan enzootiás szarvasmarha-leukózistól mentes státuszát abban az esetben kell felfüggeszteni, ha a B. szakaszban részletezett feltételek nem teljesülnek.
D. A státusz felfüggesztése addig marad érvényben, amíg a következő követelmények nem teljesülnek:
1. Abban az esetben, ha a hivatalosan enzootiás szarvasmarha-leukózistól mentes állomány egyetlen egyede pozitív reakciót mutat a II. fejezetben említett elvégzett próbák egyikében:
i. a pozitív eredményt mutató állatot, tehén esetében annak borjait is, az állat-egészségügyi hatóságok felügyelete alatt levágás céljából eltávolították az állományból;
ii. a megmaradt állatok negatívan reagáltak egy, a II. fejezetnek megfelelően elvégzett szerológiai tesztre, amelyet legalább három hónappal a pozitív állat és annak esetleges szaporulatának eltávolítása után végeztek el;
iii. járványtani vizsgálatot kell lefolytatni, és a fertőzött állománnyal járványtani szempontból összekapcsolható állományokat is alá kell vetni az ii. pontban előírt intézkedéseknek.
Mindazonáltal az illetékes hatóság eltekinthet valamely fertőzött tehén borjára vonatkozó levágási kötelezettségtől abban az esetben, ha azt az ellést követően elválasztották anyjától. Ebben az esetben a borjúnak meg kell felelnie a 2. pont iii. alpontjában előírt követelményeknek.
2. Amennyiben a hivatalosan enzootiás szarvasmarha-leukózistól mentes állomány több egyede reagált pozitívan, vagy ha egy állományban bebizonyosodott a fertőzés jelenléte:
i. a pozitív eredményt mutató állatot, tehenek esetében azok borjait is, az állat-egészségügyi hatóságok felügyelete alatt levágás céljából el kell távolítani az állományból;
ii. az összes 24 hónaposnál idősebb állaton a II. fejezetnek megfelelően, négy és 12 hónap közötti időközzel elvégzett két próbának negatív eredményt kell adnia;
iii. az összes többi egyednek, azonosításukat követően, mindaddig a gazdaság területén kell maradnia, amíg 24 hónapos korukat el nem érik és meg nem feleltek a ii. pontban meghatározott vizsgálatokra vonatkozó követelménynek;
iv. járványtani vizsgálatot kell lefolytatni, és a fertőzött állománnyal járványtani szempontból összekapcsolható állományokat is alá kell vetni az ii. pontban előírt intézkedéseknek.
Mindazonáltal az illetékes hatóság eltekinthet valamely fertőzött tehén borjára vonatkozó levágási kötelezettségtől abban az esetben, ha azt az ellést követően elválasztották anyjától. Ebben az esetben a borjúnak meg kell felelnie a 2. pont iii. alpontjában előírt követelményeknek.
3. Amennyiben egy állomány hivatalosan enzootiás szarvasmarha-leukózistól mentes státuszát bármely más okból függesztették fel, az állomány összes 24 hónaposnál idősebb egyedének negatívan kell reagálnia a II. fejezetnek megfelelően elvégzett szerológiai próbán.
E. A 17. cikkben előírt eljárásnak megfelelően, a Bizottság javasolhatja valamely tagállam vagy annak területi egységének hivatalosan enzootiás szarvasmarha-leukózistól mentessé nyilvánítását, amennyiben:
a) a területén található szarvasmarha-állományok legalább 99,8 %-a az A. szakasz értelmében hivatalosan enzootiás szarvasmarha-leukózistól mentes;
vagy
b) a tagállam vagy annak területi egységének területén az elmúlt három évben nem állapítottak meg enzootiás szarvasmarha-leukózis megbetegedést, és
tagállam esetében az állományok véletlenszerűen kiválasztott legalább 10 %-ában található összes 24 hónaposnál idősebb állat negatív eredményt mutatott az előző 24 hónap során a II. fejezetnek megfelelően elvégzett próbákban, vagy
tagállam területi egysége esetében az összes 24 hónaposnál idősebb állatot alávetették a II. fejezetben előírt próbáknak negatív eredménnyel.
F. Valamely tagállam vagy annak területi egysége akkor tarthatja meg hivatalosan enzootiás szarvasmarha-leukózistól mentes státuszát, amennyiben:
i. minden évben vagy egy véletlenszerű mintavétel 99 %-os konfidenciaszintű eredménye alapján állapították meg, hogy az állományoknak kevesebb mint 0,2 %-a fertőzött, vagy a 2 évesnél idősebb szarvasmarha-egyedek legalább 20 %-át vetették alá a II. fejezetnek megfelelően elvégzett teszteknek, negatív eredménnyel;
vagy
ii. ha a tagállam vagy annak területi egysége területén már legalább három éve nem jegyeztek fel 10 000 állományból egy állománynak megfelelő arányban sem enzootiás szarvasmarha-leukózis megbetegedést, a 17. cikknek megfelelően határozatot lehet hozni a rutinszerű szerológiai vizsgálatok beszüntetésére, feltéve, hogy:
- az érintett tagállam vagy annak területi egysége területén levágott összes állatot egy hatósági állatorvos által végzett levágást követő húsvizsgálatnak vetették alá, aki minden daganat esetében laboratóriumi vizsgálatot rendel el, továbbá
- a tagállam jelenti a határozat hatálya által érintett területen előforduló összes enzootiás szarvasmarha-leukózis megbetegedést a Bizottságnak. A Bizottság a 17. cikkben előírt eljárásnak megfelelően javasolhatja a rutinszerű szerológiai tesztek beszüntetéséről szóló határozat felfüggesztését vagy visszavonását, továbbá
- bármely szarvasmarha-egyed, amely az immundiffúziós próbában pozitív eredményt mutat, azonnal levágandó, és állománya korlátozó intézkedések hatálya alatt marad mindaddig, amíg az I. fejezet D. szakaszának megfelelően státuszát vissza nem szerzi.
G. i. Valamely tagállam vagy annak területi egysége hivatalosan enzootiás szarvasmarha-leukózistól mentes státuszát a 17. cikkben előírt eljárásnak megfelelően fel kell függeszteni, amennyiben enzootiás szarvasmarha-leukózis megbetegedést észleltek, és az megerősítést is nyert a területi egység vagy tagállam gazdaságainak több mint 0,2 %-ában;
ii. A hivatalosan enzootiás szarvasmarha-leukózistól mentes státusz a 17. cikkben előírt eljárásnak megfelelően visszaállítható, amennyiben:
a) a D. szakasz 1. és 2. pontjában előírt intézkedéseken kívül a tagállamban vagy annak területi egységében található többi állomány közül véletlenszerűen kiválasztott állományok legalább 20 %-át 12 hónapon belül alávetették a II. fejezetben említett próbák egyikének;
b) a fent említett próbák eredményei 99 %-os biztonsággal bizonyítják, hogy az állományoknak kevesebb mint 0,2 %-a fertőzött.
II. FEJEZET
AZ ENZOOTIÁS SZARVASMARHA-LEUKÓZIS KIMUTATÁSÁRA ALKALMAZHATÓ VIZSGÁLATOK
A enzootiás szarvasmarha-leukózis kimutatására szolgáló vizsgálatokat az A. és B. szakaszban leírt feltételek szerinti immundiffúziós próbával, vagy a C. szakaszban leírt feltételek szerinti enzim-kötött immunoszorbens próbával (ELISA) végzik. Az immundiffúziós módszert kizárólag egyedi esetekben lehet alkalmazni. Amennyiben a vizsgálat eredményei megalapozottan kétségbe vonhatók, úgy egy további vizsgálatra van szükség az immundiffúziós próba alkalmazásával.
A. Agargél-immundiffúziós próba az enzootiás szarvasmarha-leukózis kimutatására
1. A próbához használandó antigénnek a szarvasmarha-leukózis vírus glikoproteinjeit kell tartalmaznia. Az antigént a State Veterinary Serum Laboratory, Koppenhága által biztosított szabványszérummal (El szérum) szemben kell szabványosítani.
2. Az alább felsorolt hivatalos intézetek felelősek a laboratóriumi munka során felhasznált standard munkaantigénnek a State Veterinary Serum Laboratory, Koppenhága által biztosított hivatalos EGK szabvány szérummal (E1 szérum) szemben történő hitelesítéséért.
a) Németország: Bundesforschungsanstalt für Viruskrankheiten der Tiere, Tübingen;
b) Belgium: Institut national de recherches vétérinaires, Brüsszel;
c) Franciaország: Laboratoire national de pathologie bovine, Lyon;
d) Luxemburgi Nagyhercegség:
e) Olaszország: Istituto zooprofilattico spenmentale, Perugia;
f) Hollandia: Instituut voor Dierhouderij en Diergezondheid (ID-DLO), Lelystad;
g) Dánia: Statens Veterinaere Serum Laboratorium, Koppenhága;
h) Írország: Veterinary Research Laboratory, Abbotstown, Dublin;
i) Egyesült Királyság:
1) Nagy-Britannia: Veterinary Laboratory Agency, Addlestone, Weybridge, Anglia;
2) Észak-Írország: Veterinary Research Laboratory, Stormont, Belfast;
j) Spanyolország: Subdirreccion general de sanidad animal. Laboratorio de sanidad y produccion animal Algete, Madrid;
k) Portugália: Laboratorio Nacional de Investigaçáo Veterinária, Lisszabon;
l) Görögország: Κέντρο Κτηνιατρικών Ιδρυμάτων Νεαπόλεως 25, 153 10 Αθήνα;
m) Ausztria: Bundesanstalt für Tierseuchenbekämpfung, Mödling;
n) Finnország: Eläinlääkintä-ja elintarvikelaitos, Helsinki/Anstalten för veterinärmedicin och livsmedel, Helsingfors;
o) Svédország: Statens veterinärmedicinska anstalt, Uppsala.
3. A laboratóriumokban használt standard antigéneket évenként legalább egy alkalommal el kell küldeni az EGK 2. pontban felsorolt referencia-laboratóriumaiba, a hivatalos EGK standard szérummal szemben történő tesztelésük céljából. E szabványosítástól függetlenül az alkalmazott antigént a B. szakasznak megfelelően hitelesíteni lehet.
4. A próbához szükséges reagensek a következők:
a) antigén: az antigénnek tartalmaznia kell a hivatalos EGK szérummal szemben szabványosított enzootiás szarvasmarha-leukózis vírusspecifikus glikoproteinjeit;
b) a vizsgálandó szérum;
c) ismerten pozitív kontroll szérum;
d) agar-gél:
0,8 % agar,
8,5 % NaCl,
0,05 M Tris-puffer pH 7,2;
15 ml agar 85 mm átmérőjű Petri-csészébe kiöntve 2,6 mm vastagságú agart eredményez.
5. Hét nedvességmentes vájatot kell az edény alján levő agar-gélbe vágni a következő minta szerint: egy központi vájat és körülötte kör alakban további hat vájat.
A központi vájat átmérője: 4 mm
A külső vájatok átmérője: 6 mm
A központi és a külső vájatok közötti távolság: 3 mm.
6. A középső vájatot meg kell tölteni a szabvány antigénnel. Az 1-es és a 4-es perifériás vájatot (lásd az alábbi ábrát) az ismerten pozitív szérummal, a 2-es, 3-as, 5-ös és 6-os vájatot pedig a vizsgálandó szérummal kell megtölteni. A vájatokat addig kell feltölteni, amíg az edény alja el nem tűnik.
7. Ez a következő mennyiségeket eredményezi:
antigén: 32 μl
kontrollszérum: 73 μl
vizsgálandó szérum: 73 μl.
8. Az inkubáció 72 órán keresztül, szobahőmérsékleten (20 °C és 27 °C között), zárt nedves kamrában történik.
9. A próbát 24 és 48 óra elteltével is lehet értékelni, de végleges eredményt csak 72 óra elteltével lehet kapni:
a) a vizsgálandó szérum pozitív, ha specifikus precipitációs vonalat alkot a BLV antigénnel és teljes identitási vonalat ad a kontrollszérummal;
b) a vizsgálandó szérum negatív, ha nem alkot specifikus precipitációs vonalat a BLV antigénnel, valamint nem hajlítja el a kontrollszérum által adott vonalat;
c) a reakció nem tekinthető egyértelműnek, amennyiben az:
i. a kontroll szérum vonalát a BLV antigént tartalmazó vájat felé hajlítja anélkül, hogy látható precipitációs vonalat mutatna az antigénnel;
vagy
ii. ha sem pozitívnak, sem negatívnak nem minősíthető.
Kétes reakciók esetében a próbát meg lehet ismételni koncentrált szérum felhasználásával.
10. Bármely más vájat-konfiguráció vagy mintázat alkalmazható, feltéve hogy a negatív szérummal 1:10 arányban hígított E4 szérum esetében pozitív eredmény mutatható ki.
B. Az antigén-szabványosítás módszere - Szükséges oldatok és anyagok
1. 40 ml 1,6 %-os agaróz 0,05 M Tris/HCl pufferben, 7,2 pH, 8,5 % NaCl-dal;
2. 15 ml szarvasmarha-leukózis szérum, amely kizárólag a szarvasmarha-leukózis vírus glikoproteinjei ellen tartalmaz ellenanyagokat, 7,2-es pH-jú 0,05 M Tris/HCl pufferben 1:10 arányban hígítva, 8,5 % NaCl-dal;
3. 15 ml szarvasmarha-leukózis szérum, amely kizárólag a szarvasmarha-leukózis vírus glikoproteinjei ellen tartalmaz ellenanyagokat, 7,2-es pH-jú 0,05 M Tris/HCl pufferben 1:5 arányban hígítva, 8,5 % NaCl-dal;
4. négy darab 85 mm átmérőjű műanyag Petri-csésze;
5. 4-6 mm átmérőjű lyukasztó;
6. referencia-antigén;
7. szabványosítandó antigén;
8. vízfürdő (56 °C).
Eljárás
Az agarózt (1,6 %) 100 °C-ra történő óvatos melegítéssel oldjuk fel a Tris/HCl pufferban. Körülbelül egy órára helyezzük 56 °C-os vízfürdőbe. A szarvasmarha-leukózis szérumhígításokat szintén helyezzük 56 °C-os vízfürdőbe.
Ezután az 56 °C-os agarózból 15 ml-nyi mennyiséget összekevernek a 15 ml szarvasmarha szérumhígítással (1:10), gyorsan összerázzák, és 15-15 ml-t öntenek a két Petri-csésze mindegyikébe. Megismétlik az eljárást az 1:5-ös hígítású szarvasmarha-leukózis szérummal.
Amikor az agaróz megszilárdult, a lyukakat a következők szerint kell elkészíteni:
Az antigén hozzáadása
i. 1. és 3. Petri-csésze:
A vájat - hígítatlan referencia-antigén,
B vájat - 1:2 hígítású referencia-antigén,
C és E vájat - referencia-antigén,
D vájat - hígítatlan vizsgálandó antigén.
ii. 2. és 4. Petri-csésze:
A vájat - hígítatlan referencia-antigén,
B vájat - 1:2 hígítású referencia-antigén,
C vájat - 1:4 hígítású referencia-antigén,
D vájat - 1:8 hígítású vizsgálandó antigén.
További utasítások
1. A próbákat két szérumhígítással (1:5 és 1:10) kell elvégezni az optimális precipitáció elérése érdekében.
2. Amennyiben a precipitációs gyűrű átmérője mindkét hígítás esetén túl kicsi, úgy a szérumot tovább kell hígítani.
3. Amennyiben a precipitációs gyűrű átmérője mindkét hígítás esetén túl nagy és elmosódott, úgy alacsonyabb hígítási léptékű szérumot kell választani.
4. Az agaróz végső koncentrációja 0,8 % legyen, a szérumoké pedig 5 illetve 10 %.
5. A mért átmérőket a következő koordináta-rendszerben kell ábrázolják. A referencia-antigénnel azonos átmérőjű precipitációt mutató antigénhígítás a munkahígítás.
C. Enzim-kötött immunoszorbens próba (ELISA) alkalmazása enzootiás szarvasmarha-leukózis kimutatására
1. Az alkalmazandó anyagok és reagensek következők:
a) szilárd fázisú mikrolemezek, küvetták vagy más szilárd fázis;
b) poliklonális vagy monoklonális elfogó ellenanyagok segítségével vagy anélkül a szilárd fázishoz rögzített antigén. Amennyiben az antigént közvetlenül a szilárd fázishoz kötik, minden pozitív reakciót mutató mintát az EBL esetében a kontroll antigénnel szemben újra meg kell vizsgálni. A kontroll antigénnek a BLV antigének kivételével meg kell egyeznie az antigénnel. Amennyiben elfogó ellenanyagokkal vonják be a szilárd fázist, az ellenanyagok kizárólag a BLV antigénekre reagálhatnak;
c) a vizsgálandó biológiai folyadék;
d) megfelelő pozitív és negatív kontroll;
e) konjugátum;
f) a használt enzimhez adaptált szubsztrát;
g) szükség esetén leállító oldat;
h) a reagensek előkészítésére, a vizsgálandó minták hígítására és lemosásra szolgáló oldatok;
i) a használt szubsztrátnak megfelelő leolvasási rendszer.
2. A teszt szabványosítása és érzékenysége
Az ELISA próba érzékenységének olyan fokúnak kell lennie, hogy az egyesített egyedi minták esetében kapott hígítás 10-szeresére (szérumminták esetében) vagy 250-szeresére (tejminták esetében) hígított E4 szérum pozitív eredményt adjon. A minták (szérum- és tejminták) egyedi vizsgálata esetén a (negatív szérumban) 1:10 arányban vagy (negatív tejben) 1:250 arányban hígított E4 szérumnak pozitív eredményt kell hoznia, ha az egyedi minták vizsgálatára alkalmazott hígítási fokkal megegyező hígításban vizsgálják. Az ELISA módszer minőségének ellenőrzése és különösen az E4 szérummal kapott szám alapján az egyesítendő minták számának minden egyes termelési tétel esetében történő meghatározása az A. szakasz 2. pontjában felsorolt hivatalos intézetek feladata lesz.
Az E4 szérumot a National Veterinary Laboratory, Koppenhága biztosítja.
3. Az ELISA próba EBL kimutatására való alkalmazásának feltételei
Az ELISA módszert tej- vagy tejsavóminták esetében akkor lehet használni, ha a minták olyan gazdaságból származnak, amelyben a tejelő tehénállomány legalább 30 %-a termel.
E módszer alkalmazása esetén intézkedéseket kell hozni annak biztosítására, hogy a vételezett mintákat azonosítani lehessen azokkal az állatokkal, amelyektől a vizsgált tej- és szérumminták származnak.
E. MELLÉKLET (I)
a) Szarvasmarha-betegségek
- ragadós száj- és körömfájás
- veszettség
- gümőkór
- brucellózis
- a szarvasmarha ragadós tüdőlobja
- enzootiás szarvasmarha-leukózis
- lépfene
b) Sertésbetegségek
- veszettség
- brucellózis
- klasszikus sertéspestis
- afrikai sertéspestis
- ragadós száj- és körömfájás
- sertések hólyagos betegsége
- lépfene
E. MELLÉKLET (II)
- Aujeszky-féle betegség
- szarvasmarha fertőző rhinotracheitise
- brucella suis fertőzés
- fertőző gyomor-bélgyulladás
F. MELLÉKLET



( 1 ) HL C 33., 1994.2.2., 1. o.
( 2 ) HL C 128., 1994.5.9., 105. o.
( 3 ) HL C 133., 1994.5.16., 31. o.
( 4 ) HL L 224., 1990.8.18., 29. o. A legutóbb a 92/118/EGK irányelvvel (HL L 62., 1993.3.15., 49. o.) módosított irányelv.
( 5 ) HL L 268., 1991.9.24., 56. o. A legutóbb a 96/43/EK irányelvvel (HL L 162., 1996.7.1., 1. o.) módosított irányelv.
( 6 ) HL L 315., 1995.11.26., 11. o. A legutóbb az 1994. évi csatlakozási okmánnyal módosított irányelv.
( 7 ) HL L 62., 1993.3.15., 69. o. A legutóbb az 1994. évi csatlakozási okmánnyal módosított irányelv.
( 8 ) HL C 16., 1994.1.19., 1. o.
( 9 ) HL 121., 1964.7.29., 1977/64. o. A legutóbb a 95/25/EK irányelvvel (HL L 243., 1995.10.11, 16. o.) módosított irányelv.
( 10 ) HL L 47., 1980.2.21., 11. o. A legutóbb a 93/384/EGK irányelvvel (HL L 166., 1993.7.8., 34. o.) módosított irányelv.
( 11 ) HL L 47., 1980.2.21., 4. o. A legutóbb a 91/687/EGK irányelvvel (HL L 377., 1991.12.31., 16. o.) módosított irányelv.
( 12 ) HL L 194., 1988.7.22., 10. o. A legutóbb a 93/60/EGK irányelvvel (HL L 186., 1993.7.28., 28. o.) módosított irányelv.
( 13 ) HL L 351., 1989.12.2., 34. o.
( 14 ) HL L 224., 1990.8.18., 62. o. A legutóbb az 1994. évi csatlakozási okmánnyal módosított irányelv.
( 15 ) HL L 363., 1990.12.27., 51. o. A legutóbb a 92/118/EGK irányelvvel módosított irányelv.
( 16 ) HL L 340., 1991.12.11., 17. o. A legutóbb a 95/29/EK irányelvvel (HL L 148., 1995.6.30., 52. o.) módosított irányelv.
( 17 ) HL L 355., 1992.12.5., 32. o. A legutóbb az 1994. évi csatlakozási okmánnyal módosított irányelv.
( 18 ) HL L 224., 1990.8.18., 19. o. A legutóbb a 94/370/EK határozattal (HL L 168., 1994.7.2., 31. o.) módosított határozat.
( 19 ) HL L 32., 1985.2.5., 14. o. A legutóbb a 96/43/EK irányelvvel (HL L 162., 1996.7.1., 1. o.) módosított irányelv.
( 20 ) HL 121., 1964.7.29., 2010/64. o. A legutóbb a 95/23/EK irányelvvel (HL L 243., 1995.10.11., 7. o.) módosított irányelv.
( 21 ) HL L 255., 1968.10.18., 23. o.
( 22 ) HL 395., 1989.12.30., 13. o. A legutóbb a 92/118/EGK irányelvvel (HL L 62., 1993.3.15., 49. o.) módosított irányelv.
Lábjegyzetek:
[1] A dokumentum eredetije megtekinthető CELEX: 31997L0012 - https://eur-lex.europa.eu/legal-content/HU/ALL/?uri=CELEX:31997L0012&locale=hu Utolsó elérhető, magyar nyelvű konszolidált változat CELEX: 01997L0012-19981231 - https://eur-lex.europa.eu/legal-content/HU/ALL/?uri=CELEX:01997L0012-19981231&locale=hu