32011R0142[1]
A Bizottság 142/2011/EU rendelete ( 2011. február 25. ) a nem emberi fogyasztásra szánt állati melléktermékekre és a belőlük származó termékekre vonatkozó egészségügyi szabályok megállapításáról szóló 1069/2009/EK európai parlamenti és tanácsi rendelet végrehajtásáról, valamint a 97/78/EK tanácsi irányelvnek az egyes minták és tételek határon történő állat-egészségügyi ellenőrzése alóli, az irányelv szerinti mentesítése tekintetében történő végrehajtásáról
A BIZOTTSÁG 142/2011/EU RENDELETE
(2011. február 25.)
a nem emberi fogyasztásra szánt állati melléktermékekre és a belőlük származó termékekre vonatkozó egészségügyi szabályok megállapításáról szóló 1069/2009/EK európai parlamenti és tanácsi rendelet végrehajtásáról, valamint a 97/78/EK tanácsi irányelvnek az egyes minták és tételek határon történő állat-egészségügyi ellenőrzése alóli, az irányelv szerinti mentesítése tekintetében történő végrehajtásáról
(EGT-vonatkozású szöveg)
I. FEJEZET
ÁLTALÁNOS RENDELKEZÉSEK
1. cikk
Tárgy és hatály
Ez a rendelet végrehajtó intézkedéseket állapít meg a következőkre vonatkozóan:
a) az 1069/2009/EK rendeletben az állati melléktermékekre és az azokból származó termékekre vonatkozóan megállapított köz- és állat-egészségügyi szabályok;
b) a 97/78/EK irányelv 16. cikke (1) bekezdésének e) és f) pontjának megfelelően a határállomásokon végzett állat-egészségügyi ellenőrzések alól mentesített egyes minták és tételek.
2. cikk
Fogalommeghatározások
E rendelet alkalmazásában az I. mellékletben meghatározott fogalommeghatározásokat kell alkalmazni.
3. cikk
Egyes származtatott termékek előállítási láncának végpontja
Az 1069/2009/EK rendelet 5. cikke (2) bekezdésének megfelelően a következő származtatott termékek korlátozás nélkül forgalomba hozhatók, kivéve a behozatalt:
a) biodízel, amely teljesíti a IV. melléklet IV. fejezete 3. szakaszának 2. pontja b) alpontjában a származtatott termékek ártalmatlanítására és felhasználására vonatkozóan meghatározott követelményeket;
b) kedvtelésből tartott állatok feldolgozott eledele, amely teljesíti a XIII. melléklet II. fejezete 7. szakaszának a) pontjában a kedvtelésből tartott állatok feldolgozott eledelére vonatkozóan meghatározott különleges követelményeket;
c) műcsont, amely teljesíti a XIII. melléklet II. fejezete 7. szakaszának b) pontjában a műcsontra vonatkozóan meghatározott különleges követelményeket;
d) patás állatok nyersbőre és irhája, amely teljesíti a XIII. melléklet V. fejezetének C. pontjában az adott termékek végpontjára vonatkozóan meghatározott különleges követelményeket;
e) gyapjú és szőr, amely teljesíti a XIII. melléklet VII. fejezetének B. pontjában az adott termékek végpontjára vonatkozóan meghatározott különleges követelményeket;
f) toll és pihe, amely teljesíti a XIII. melléklet VII. fejezetének C. pontjában az adott termékek végpontjára vonatkozóan meghatározott különleges követelményeket;
g) prém, mely teljesíti az adott termékre vonatkozó végpontra a XIII. melléklet VIII. fejezetében meghatározott egyedi feltételeket;
h) gyógyszergyártásra használt halolaj, mely teljesíti az adott termékre vonatkozó végpontra a XIII. melléklet XIII. fejezetében meghatározott egyedi feltételeket;
i) benzin és üzemanyagok, melyek megfelelnek a megújuló üzemanyagok előállításához használt, többlépcsős katalitikus eljárásra a IV. melléklet IV. fejezete 3. szakasza 2. pontjának c) alpontjában meghatározott egyedi feltételeknek;
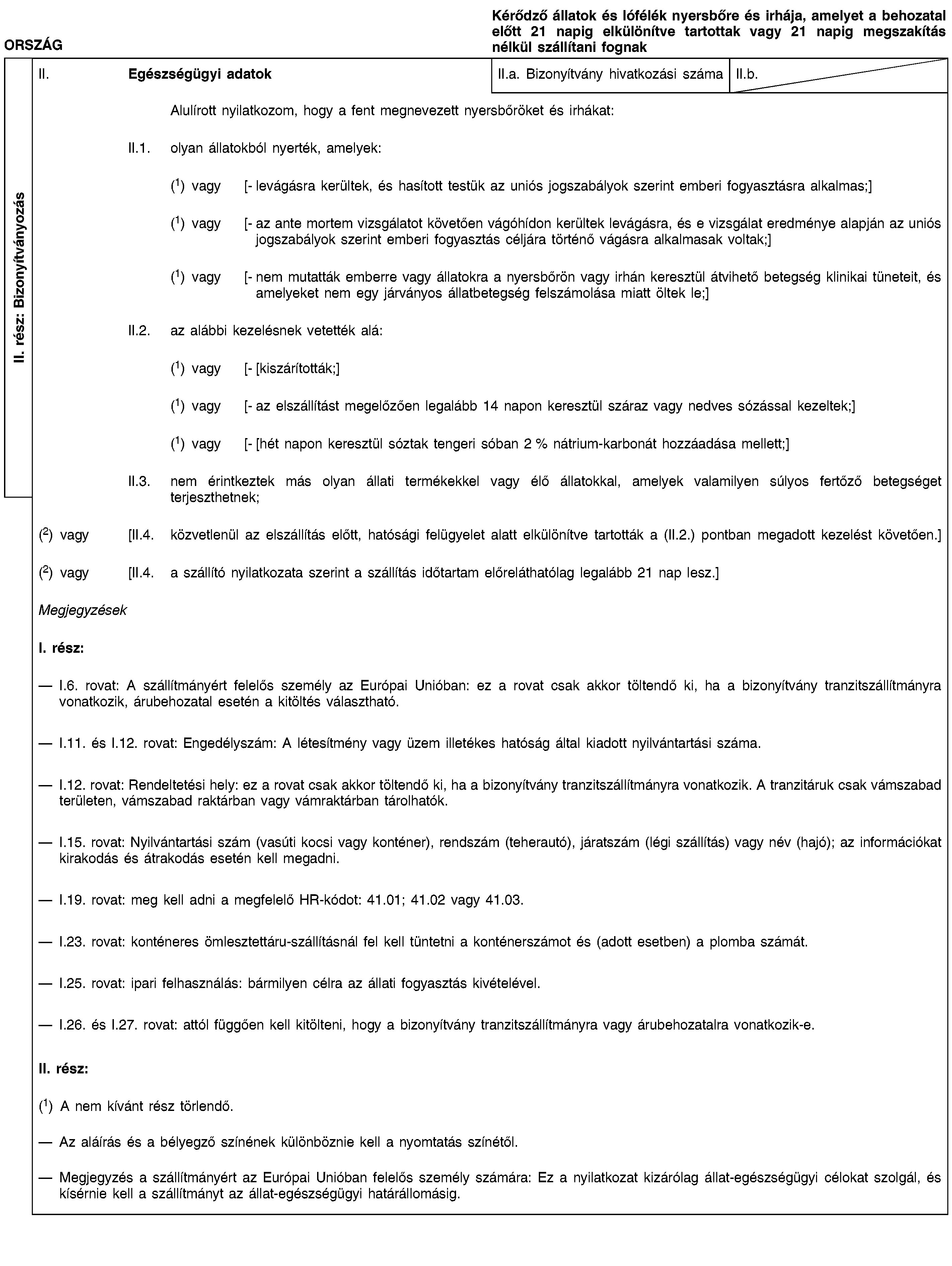
j) kiolvasztott zsírokból származó olajkémiai termékek, amelyek megfelelnek a XIII. melléklet XI. fejezetében meghatározott követelményeknek;
k) megújuló dízelolaj, megújuló sugárhajtómű-üzemanyag, megújuló propán és megújuló benzin, melyek teljesítik a megújuló üzemanyagok előállításához használt többlépcsős katalitikus eljárás termékei tekintetében a IV. melléklet IV. fejezetének 3. szakasza 2. f) pontjában meghatározott egyedi feltételeket.
4. cikk
Súlyos fertőző betegségek
A Szárazföldi Állatok Egészségügyi Kódexe 2010. évi kiadásának 1.2.3. cikkében, valamint a Víziállatok Egészségügyi Kódexe 2010. évi kiadásának 1.3. fejezetében az OIE által felsorolt betegségek súlyos fertőző betegségnek tekintendők az általános állat-egészségügyi korlátozások szempontjából, összhangban az 1069/2009/EK rendelet 6. cikke (1) bekezdése b) pontjának ii. alpontjában foglaltakkal.
II. FEJEZET
AZ ÁLLATI MELLÉKTERMÉKEK ÉS AZ AZOKBÓL SZÁRMAZÓ TERMÉKEK ÁRTALMATLANÍTÁSA ÉS FELHASZNÁLÁSA
5. cikk
Az állati melléktermékek és az azokból származó termékek felhasználásának korlátozásai
1. A II. melléklet I. fejezetében említett tagállamokban az üzemeltetőknek meg kell felelniük az ugyanabban a fejezetben meghatározott, a prémes állatok ugyanazon fajhoz tartozó állatok testéből vagy testrészeiből származó egyes anyagokkal történő takarmányozása feltételeinek.
2. Az üzemeltetőknek be kell tartaniuk a II. melléklet II. fejezetében meghatározott, a haszonállatok olyan legelőkön történő takarmányozására vonatkozó korlátozásoknak, amelyeken bizonyos szerves műtrágyát és talajjavító szereket alkalmaztak.
6. cikk
Ártalmatlanítás égetéssel, ártalmatlanítás vagy hasznosítás együttégetéssel és éghető tüzelőanyagként való felhasználás
1. Az illetékes hatóság biztosítja, hogy az állati melléktermékek és az azokból származó termékek égetésére és együttégetésére kizárólag az alábbi létesítményekben kerülhet sor:
a) olyan égető művekben és együttégető művekben, amelyek erre engedélyt kaptak a 2000/76/EK irányelvnek megfelelően; vagy
b) a 2000/76/EK irányelv szerint nem engedélyköteles üzemek esetében olyan hulladékégető és hulladék-együttégető művekben, amelyeket az illetékes hatóság jóváhagyott állati melléktermékek és az azokból származó termékek égetéssel történő ártalmatlanítására, illetve - hulladék esetében - együttégetéssel történő ártalmatlanítására vagy hasznosítására, az 1069/2009/EK rendelet 24. cikke (1) bekezdésének b) vagy c) pontjában foglaltaknak megfelelően.
2. Az illetékes hatóság - az 1069/2009/EK rendelet 24. cikke (1) bekezdésének b) vagy c) pontjával összhangban - kizárólag abban az esetben engedélyezheti az 1b) pontban említett hulladékégető műveket és hulladék-együttégető műveket, ha azok megfelelnek az e rendelet III. mellékletében meghatározott követelményeknek.
3. A hulladékégető művek és hulladék-együttégető művek üzemeltetőinek meg kell felelniük a III. melléklet I. fejezetében az égetésre és együttégetésre vonatkozóan meghatározott általános követelményeknek.
4. A nagyteljesítményű hulladékégető művek és hulladék-együttégető művek üzemeltetőinek meg kell felelniük a III. melléklet II. fejezetében meghatározott követelményeknek.
5. A kisteljesítményű hulladékégető művek és hulladék-együttégető művek üzemeltetőinek meg kell felelniük a III. melléklet III. fejezetében meghatározott követelményeknek.
6. Az üzemeltetőknek biztosítaniuk kell, hogy az irányításuk alatt lévő olyan, a IV. melléklet IV. fejezetének 2. szakaszában említettől eltérő tüzelőberendezések, amelyekben tüzelőanyagként állati melléktermékeket vagy azokból származó termékeket használnak fel, megfelelnek a III. melléklet IV. és V. fejezetében előírt általános feltételeknek és egyedi követelményeknek, valamint azokat az illetékes hatóság az 1069/2009/EK rendelet 24. cikke (1) bekezdésének d) pontjának megfelelően engedélyezte.
7. Az illetékes hatóság kizárólag az alábbi feltételekkel engedélyezi az állati melléktermékek és az azokból származó termékek éghető tüzelőanyagként történő felhasználását a (6) bekezdésben említett tüzelőberendezésekben:
a) a tüzelőberendezések a III. melléklet V. fejezetének hatálya alá tartoznak;
b) a tüzelőberendezések megfelelnek a III. melléklet IV. és V. fejezetében előírt általános feltételeknek és egyedi követelményeknek;
c) igazgatási eljárások vannak folyamatban annak biztosítására, hogy a tüzelőberendezés engedélyezésére vonatkozó követelményeket évente ellenőrzik.
8. A haszonállatoktól származó trágya vagy hús- és csontliszt tüzelőanyagként történő, a III. melléklet V. fejezetében meghatározottak szerinti felhasználására az e cikk 7. pontjában említetteken felül az alábbi szabályok alkalmazandók:
a) az üzemeltető által az illetékes hatósághoz az 1069/2009/EK rendelet 24. cikke (1) bekezdése d) pontjának megfelelően benyújtott, engedélyezés iránti kérelemnek tartalmaznia kell a tagállamok illetékes hatóságai által vagy a tagállamok illetékes hatóságai által jóváhagyott szakmai szervezet által igazolt bizonyítékot arra vonatkozóan, hogy a tüzelőberendezés, amelyben tüzelőanyagként haszonállatoktól származó trágyát vagy hús- és csontlisztet használnak fel, megfelel az e rendelet III. melléklete V. fejezete B. szakaszának 3. pontjában a trágyára vonatkozóan és D. szakaszának a hús- és csontlisztre vonatkozóan, valamint B. szakaszának 4. és 5. pontjában mindkét tüzelőanyagra vonatkozóan meghatározott követelményeknek, a tagállamok illetékes hatóságainak a III. melléklet V. fejezete C. szakaszának 4. pontjában foglalt bizonyos rendelkezéseknek való megfeleléstől való eltérés engedélyezése lehetőségének sérelme nélkül;
b) az 1069/2009/EK rendelet 44. cikkében előírt engedélyezési eljárás nem zárható le mindaddig, amíg a tagállamok illetékes hatóságai vagy a tagállamok illetékes hatóságai által jóváhagyott szakmai szervezetek el nem végeztek legalább két egymást követő ellenőrzést - beleértve a szükséges hőmérséklet- és kibocsátásméréseket - a tüzelőberendezés működésének első hat hónapja során, amely ellenőrzések közül az egyiknek előre nem bejelentettnek kell lennie. Amennyiben ezen ellenőrzések eredményei azt mutatják, hogy teljesülnek az e rendelet III. melléklete V. fejezete B. szakaszának 3., 4. és 5. pontjában a trágyára vonatkozóan, az adott fejezet D. szakaszában a hús- és csontlisztre vonatkozóan, valamint adott esetben az adott fejezet C. szakaszának 4. pontjában vagy D. szakaszának 5. pontjában meghatározott követelmények, teljes körű jóváhagyás adható;
c) a hús- és csontlisztnek az e rendelet III. melléklete V. fejezetének A., B. és C. szakaszában említett tüzelőberendezésekben történő égetése nem engedélyezett.
7. cikk
Az 1. és a 3. kategóriába tartozó egyes anyagok hulladéklerakóban történő ártalmatlanítása
Az 1069/2009/EK rendelet 12. cikkétől és 14. cikke c) pontjától eltérően az illetékes hatóság engedélyezheti az alábbi, az 1. és a 3. kategóriába tartozó anyagok engedélyezett hulladéklerakóban történő ártalmatlanítását:
a) a kedvtelésből tartott állatoknak szánt importált eledel vagy a kedvtelésből tartott állatoknak szánt, importált anyagokból gyártott eledel esetében az 1. kategóriába tartozó, az 1069/2009/EK rendelet 8. cikke c) pontjában említett anyag;
b) az 1069/2009/EK rendelet 10. cikke f) és g) pontjában említett, 3. kategóriába tartozó anyag, feltéve hogy:
i. ezek az anyagok nem kerültek érintkezésbe a fenti rendelet 8. és 9. cikkében, valamint a 10. cikke a)-e) és h)-p) pontjaiban említett állati melléktermékek bármelyikével;
ii. az ártalmatlanításukról szóló döntés időpontjában:
- a fenti rendelet 10. cikke f) pontjában említett anyagok már átestek a 852/2004/EK rendelet 2. cikke (1) bekezdésének m) pontjában meghatározott feldolgozási eljáráson; és
- a fenti rendelet 10. cikke g) pontjában említett anyagokat feldolgozták az e rendelet X. melléklete II. fejezetének, vagy az e rendelet XIII. melléklete II. fejezetében a kedvtelésből tartott állatok eledelére vonatkozóan meghatározott különleges követelményeknek megfelelően; és
iii. ezeknek az anyagoknak az ártalmatlanítása nem jelent köz- vagy állat-egészségügyi kockázatot.
8. cikk
A feldolgozóüzemekre és egyéb létesítményekre vonatkozó követelmények
1. Az üzemeltetőknek biztosítaniuk kell, hogy az irányításuk alatt álló feldolgozó üzemek és egyéb létesítmények megfelelnek a IV. melléklet I. fejezetében meghatározott alábbi követelményeknek:
a) az 1. szakaszban meghatározott, a feldolgozásra vonatkozó általános feltételek;
b) a 2. szakaszban a szennyvízkezelésre vonatkozóan meghatározott követelmények;
c) a 3. szakaszban az 1. és 2. kategóriába tartozó anyagok feldolgozására vonatkozóan meghatározott egyedi követelmények;
d) a 4. szakaszban a 3. kategóriába tartozó anyagok feldolgozására vonatkozóan meghatározott egyedi követelmények.
2. Az illetékes hatóság kizárólag abban az esetben engedélyezhet feldolgozóüzemeket és egyéb létesítményeket, ha azok megfelelnek a IV. melléklet I. fejezetében megállapított feltételeknek.
9. cikk
A feldolgozóüzemekre és egyéb létesítményekre vonatkozó higiéniai és feldolgozási követelmények
Az üzemeltetőknek biztosítaniuk kell, hogy az irányításuk alatt álló létesítmények és üzemek megfelelnek a IV. mellékletben meghatározott alábbi követelményeknek:
a) a II. fejezetben meghatározott higiéniai és feldolgozási követelmények;
b) a III. fejezetben meghatározott szabvány feldolgozási módszerek, feltéve hogy a létesítményben vagy üzemben ilyen módszereket használnak;
c) a IV fejezetben meghatározott alternatív feldolgozási módszerek, feltéve hogy a létesítményben vagy üzemben ilyen módszereket használnak.
10. cikk
Az állati melléktermékek és az azokból származó termékek biogázzá történő átalakítására és komposztálására vonatkozó követelmények
1. Az üzemeltetőknek biztosítaniuk kell, hogy az irányításuk alatt álló létesítmények és üzemek megfelelnek az V. mellékletben az állati melléktermékek és a származtatott temékek bizogázzá történő átalakítására vagy komposztálására vonatkozó alábbi követelményeknek:
a) az I. fejezetben a biogáz- és komposztálóüzemekre vonatkozóan meghatározott követelmények;
b) a II. fejezetben a biogáz- és komposztálóüzemekre vonatkozóan meghatározott higiéniai követelmények;
c) a III. fejezet 1. szakaszában meghatározott szabvány átalakítási paraméterek;
d) a III. fejezet 3. szakaszában az emésztési maradványokra és komposztra vonatkozóan meghatározott előírások.
2. Az illetékes hatóság kizárólag abban az esetben engedélyezheti a biogáz- illetve komposztálóüzemeket, ha azok megfelelnek az V. mellékletben megállapított követelményeknek.
3. Az illetékes hatóság engedélyezheti alternatív átalakítási paraméterek alkalmazását azon biogáz- és komposztálóüzemekben, amelyek megfelelnek az V. melléklet III. fejezetének 2. szakaszában meghatározott követelményeknek.
III. FEJEZET
ELTÉRÉSEK AZ 1069/2009/EK RENDELET EGYES RENDELKEZÉSEITŐL
11. cikk
A kutatási és diagnosztikai mintákra vonatkozó különleges szabályok
1. Az illetékes hatóság engedélyezheti kutatási és diagnosztikai minták szállítását, felhasználását és ártalmatlanítását olyan feltételek mellett, amelyek biztosítják a köz- és állat-egészségügyi kockázatok ellenőrzését.
Az illetékes hatóságnak különösen azt kell biztosítania, hogy az üzemeltetők megfelelnek a VI. melléklet I. fejezetében meghatározott követelményeknek.
2. Az üzemeltetőknek meg kell felelniük a VI. melléklet I. fejezetében a kutatási és diagnosztikai mintákra vonatkozóan meghatározott különleges szabályoknak.
3. Az üzemeltetők elszállíthatnak egy másik tagállamba az alábbi állati melléktermékekből és azokból származó termékekből álló kutatási és diagnosztikai mintákat anélkül, hogy tájékoztatnák - az 1069/2009/EK rendelet 48. cikkének (1) bekezdésével összhangban - az adott tagállam illetékes hatóságát, illetve anélkül, hogy a rendeltetés helye szerinti tagállam illetékes hatósága tájékoztatást kapna a TRACES rendszeren keresztül, és vállalná - az említett rendelet 48. cikkének (1) és (3) bekezdésével összhangban - a szállítmány átvételét:
a) az 1. és a 2. kategóriába tartozó anyagok, valamint az 1. és a 2. kategóriába tartozó anyagokból nyert hús- és csontliszt vagy állati zsír;
b) feldolgozott állati fehérje.
12. cikk
A kereskedelmi mintákra és kiállítási tárgyakra vonatkozó különleges szabályok
1. Az illetékes hatóság engedélyezheti a kereskedelmi minták és kiállítási tárgyak szállítását, felhasználását és ártalmatlanítását olyan feltételek mellett, amelyek biztosítják a köz- és állat-egészségügyi kockázatok ellenőrzését.
Az illetékes hatóságnak különösen azt kell biztosítania, hogy az üzemeltetők megfelelnek a VI. melléklet I. fejezete 1. szakaszának 2., 3. és 4. pontjában meghatározott követelményeknek.
2. Az üzemeltetőknek meg kell felelniük a VI. melléklet I. fejezetének 2. szakaszában a kereskedelmi mintákra és kiállítási tárgyakra vonatkozóan meghatározott különleges szabályoknak.
3. Az üzemeltetők elszállíthatnak egy másik tagállamba az alábbi állati melléktermékekből és azokból származó termékekből álló kereskedelmi mintákat anélkül, hogy tájékoztatnák - az 1069/2009/EK rendelet 48. cikkének (1) bekezdésével összhangban - az adott tagállam illetékes hatóságát, illetve anélkül, hogy a rendeltetés helye szerinti tagállam illetékes hatósága tájékoztatást kapna a TRACES rendszeren keresztül, és vállalná - az említett rendelet 48. cikkének (1) és (3) bekezdésével összhangban - a szállítmány átvételét:
a) az 1. és a 2. kategóriába tartozó anyagok, valamint az 1. és a 2. kategóriába tartozó anyagokból nyert hús- és csontliszt vagy állati zsír;
b) feldolgozott állati fehérje.
13. cikk
A takarmányozásra vonatkozó különleges szabályok
1. Az üzemeltetők a következő állatok takarmányozására felhasználhatnak a 2. kategóriába tartozó anyagot - feltéve, hogy az adott anyag nem az emberre vagy az állatokra átvihető betegség jelenléte vagy feltételezett jelenléte miatt leölt vagy elhullott állatokból származik -, azzal a feltétellel, hogy az teljesíti a VI. melléklet II. fejezetének 1. szakaszában meghatározott általános követelményeket, valamint az illetékes hatóság által meghatározott esetleges egyéb feltételeket:
a) állatkerti állatok;
b) prémes állatok;
c) elismert kennelekből származó kutyák vagy vadászkutyafalkák;
d) állatmenhelyeken tartott kutyák és macskák;
e) horgászcsalinak használt légylárvák és férgek;
f) cirkuszi állatok.
2. Az üzemeltetők a következő állatok takarmányozására felhasználhatnak a 3. kategóriába tartozó anyagot azzal a feltétellel, hogy az teljesíti a VI. melléklet II. fejezetének 1. szakaszában meghatározott általános követelményeket, valamint az illetékes hatóság által meghatározott esetleges egyéb feltételeket:
a) állatkerti állatok;
b) prémes állatok;
c) elismert kennelekből származó kutyák vagy vadászkutyafalkák;
d) állatmenhelyeken tartott kutyák és macskák;
e) horgászcsalinak használt légylárvák és férgek;
f) cirkuszi állatok.
14. cikk
Egyes állatfajok etetése etetőkben és etetőkön kívül, valamint állatkertekben
1. Az illetékes hatóság engedélyezheti az 1. kategóriába tartozó, elhullott állatok teljes testéből vagy testrészeiből álló, meghatározott kockázatú anyagot tartalmazó anyag etetés céljára történő felhasználását:
a) a természetes élőhelyükön élő, veszélyeztetett vagy védett dögevő madárfajok és más fajok etetőhelyeken történő etetésére a biodiverzitás előmozdítása érdekében, a VI. melléklet II. fejezetének 2. szakaszában meghatározott feltételek teljesítése esetén;
b) a VI. melléklet II. fejezete 2. szakasza 1a) pontjában említett vadon élő állatok etetőhelyeken kívül történő etetésére, adott esetben az elhullott állatok előzetes összegyűjtése nélkül, az említett fejezet 3. szakaszában meghatározott feltételek teljesítése esetén.
2. Az illetékes hatóság engedélyezheti az 1. kategóriába tartozó, elhullott állatok teljes testéből vagy testrészeiből álló, meghatározott kockázatú anyagot tartalmazó anyagok és állatkerti állatokból származó anyagok felhasználását állatkerti állatok takarmányozására, a VI. melléklet II. fejezetének 4. szakaszában meghatározott feltételek teljesítése esetén.
15. cikk
Az összegyűjtésre és ártalmatlanításra vonatkozó különleges szabályok
Ha az illetékes hatóság az 1069/2009/EK rendelet 19. cikke (1) bekezdésének a), b), c), e) és f) pontjában meghatározott eltéréssel engedélyezi az állati melléktermékek ártalmatlanítását, az ártalmatlanításnak meg kell felelnie a VI. melléklet III. fejezetében meghatározott következő különleges szabályoknak:
a) az 1. szakaszban az állati melléktermékekre vonatkozóan meghatározott különleges ártalmatlanítási szabályok;
b) a 2. szakaszban az állati melléktermékek távoli területeken történő elégetésére és elföldelésére vonatkozóan meghatározott szabályok;
c) a 3. szakaszban a méhek és méhészeti melléktermékek elégetésére és elföldelésére vonatkozóan meghatározott szabályok.
Az 1069/2009/EK rendelet 14. cikkétől eltérve a tagállamok engedélyezhetik az ugyanazon rendelet 10. cikkének f) pontjában említett, 3. kategóriába tartozó anyagok kis mennyiségben, a szóban forgó rendelet 19. cikke (1) bekezdésének d) pontjában említett módszerrel történő összegyűjtését, szállítását és ártalmatlanítását, amennyiben az e rendelet VI. mellékletének IV. fejezete szerinti egyéb ártalmatlanítási módszerekre vonatkozó követelmények teljesülnek.
IV. FEJEZET
ALTERNATÍV MÓDSZEREK ENGEDÉLYEZÉSE
16. cikk
Az alternatív módszerek engedélyezése iránti kérelemre vonatkozó formai követelmények
1. Az állati melléktermékek és az azokból származó termékek felhasználására vagy ártalmatlanítására alkalmazott, az 1069/2009/EK rendelet 20. cikkének (1) bekezdésében említett alternatív módszerek engedélyezése iránti kérelmeket a tagállamoknak vagy az érdekelt feleknek a VII. mellékletben meghatározott, az alternatív módszerek iránti kérelmekre vonatkozó formai követelményeknek megfelelően kell benyújtania.
2. A tagállamok nemzeti kapcsolattartó pontokat jelölnek ki, amelyek tájékoztatást adnak az állati melléktermékek felhasználása vagy ártalmatlanítása alternatív módszereinek engedélyezése iránti kérelmek elbírálásáért felelős illetékes hatóságról.
3. A Bizottság közzéteszi a honlapján a nemzeti kapcsolattartó pontok listáját.
V. FEJEZET
ÖSSZEGYŰJTÉS, SZÁLLÍTÁS, AZONOSÍTÁS ÉS NYOMON KÖVETHETŐSÉG
17. cikk
A kereskedelmi okmányokra és egészségügyi bizonyítványokra, az azonosításra, az állati melléktermékek összegyűjtésére és szállítására, valamint a nyomon követhetőségre vonatkozó követelmények
1. Az üzemeltetőknek gondoskodniuk kell arról, hogy az állati melléktermékek és az azokból származó termékek:
a) megfelelnek a VIII. melléklet I. és II. fejezetében az összegyűjtésre, szállításra és azonosításra vonatkozóan meghatározott követelményeknek;
b) szállítása kereskedelmi okmányok vagy egészségügyi bizonyítványok kíséretében történik a VIII. melléklet III. fejezetében meghatározott követelményeknek megfelelően.
2. Az állati melléktermékeket vagy az azokból származó termékeket feladó, szállító vagy fogadó üzemeltetők nyilvántartást vezetnek a szállítmányokról és az azokhoz kapcsolódó kereskedelmi okmányokról vagy egészségügyi bizonyítványokról, a VIII. melléklet IV. fejezetében meghatározott követelményeknek megfelelően.
3. Az üzemeltetőknek meg kell felelniük a VIII. melléklet V. fejezetében az egyes származtatott termékek jelölésére vonatkozóan meghatározott követelményeknek.
VI. FEJEZET
LÉTESÍTMÉNYEK ÉS ÜZEMEK NYILVÁNTARTÁSBA VÉTELE ÉS ENGEDÉLYEZÉSE
18. cikk
Az állati melléktermékeket ugyanazon a telephelyen kezelő egy vagy több létesítmény vagy üzem engedélyezésére vonatkozó követelmények
Az illetékes hatóság engedélyt adhat az ugyanazon a telephelyen állati melléktermékeket kezelő egynél több létesítménynek vagy üzemnek, feltéve hogy ezek elhelyezkedése, valamint a létesítményekben vagy üzemekben az állati melléktermékek és az azokból származó termékek kezelése kizárja a köz- és állat-egészségügyi kockázatok terjedését a létesítmények vagy üzemek között.
19. cikk
Állati melléktermékeket és azokból származó termékeket kezelő egyes engedélyezett létesítményekre és üzemekre vonatkozó követelmények
Az üzemeltetőknek biztosítaniuk kell, hogy az irányításuk alatt álló, az illetékes hatóság által engedélyezett létesítmények és üzemek megfelelnek e rendelet IX. mellékletének alábbi fejezeteiben meghatározott követelményeknek, amennyiben az 1069/2009/EK rendelet 24. cikke (1) bekezdésében említett alábbi tevékenységek közül egyet vagy többet végeznek:
a) I. fejezet, amennyiben kedvtelésből tartott állatoknak szánt eledelt állítanak elő az említett rendelet 24. cikke (1) bekezdése e) pontjában említetteknek megfelelően;
b) II. fejezet, amennyiben állati melléktermékeket tárolnak az említett rendelet 24. cikke cikk (1) bekezdése i) pontjában említetteknek megfelelően, vagy amennyiben az összegyűjtés után állati melléktermékeket kezelnek az említett rendelet 24. cikke (1) bekezdése h) pontjában említett alábbi műveletekkel:
i. válogatás;
ii. darabolás;
iii. hűtés;
iv. fagyasztás;
v. sózás;
vi. egyéb eljárásokkal történő tartósítás;
vii. nyersbőr és irha eltávolítása vagy különleges fertőzési veszélyt jelentő anyagok eltávolítása;
viii. állati melléktermékek kezelésével járó műveletek, amelyeket az uniós állat-egészségügyi szabályokban meghatározott kötelezettségek betartásával végeznek;
ix. biogázzá/komposzttá történő átalakításra szánt állati melléktermékek higienizálása/pasztőrözése egy másik létesítményben vagy üzemben e rendelet V. mellékletével összhangban végzett ilyen átalakítás vagy komposztálás előtt;
x. szitálás;
c) III. fejezet, amennyiben az említett rendelet 24. cikke (1) bekezdésének j) pontja szerinti bizonyos célokra szánt, származtatott termékeket tárolnak;
d) V. fejezet, amennyiben a gazdaságban ártalmatlanításra szánt állati melléktermékeket tárolnak az említett rendelet 4. cikkének megfelelően.
20. cikk
Egyes, állati melléktermékeket és azokból származó termékeket kezelő, nyilvántartásba vett létesítményekre és üzemekre vonatkozó követelmények
1. A nyilvántartásba vett üzemek vagy létesítmények üzemeltetői és a nyilvántartásba vett más üzemeltetők az állati melléktermékeket és az azokból származó termékeket a IX. melléklet IV. fejezetében meghatározott feltételek mellett kell kezelniük.
2. Az állati melléktermékeket és az azokból származó termékeket szállító, nyilvántartásba vett üzemeltetőknek - kivéve azokat az üzemeltetőket, akik saját telephelyeik között szállítanak -, különösen a IX. melléklet IV. fejezete 2. pontjában meghatározott feltételeknek kell megfelelniük.
3. Az 1. és a 2. bekezdés nem vonatkozik:
a) azokra az engedéllyel rendelkező üzemeltetőkre, akik az állati melléktermékek és az azokból származó termékek szállítását kiegészítő tevékenységként végzik;
b) azokra az üzemeltetőkre, akiket a 183/2005/EK rendeletnek megfelelően szállítási tevékenységet végzőként nyilvántartásba vettek.
4. Az illetékes hatóság mentesítheti az alábbi üzemeltetőket az 1069/2009/EK rendelet 23. cikke (1) bekezdésének a) pontjában említett értesítési kötelezettség alól:
a) az e rendelet XIII. mellékletének VI. fejezetében említett vadásztrófeákat és egyéb preparátumokat saját, illetve nem kereskedelmi célokra kezelő vagy előállító üzemeltetők;
b) kutatási és diagnosztikai mintákat oktatási célból kezelő vagy ártalmatlanító üzemeltetők;
c) száraz, kezeletlen gyapjút és szőrt szállító üzemeltetők, amennyiben az áruk biztonságos, zárt csomagolásban vannak és a kórokozók terjedését megakadályozó körülmények között közvetlenül egy, a takarmányláncon kívüli célokra szánt származtatott termékeket előállító üzembe, vagy köztes műveleteket végző üzembe szállítják őket;
d) azok az üzemeltetők, amelyek csak kis mennyiségben használnak az 1069/2009/EK rendelet 9. és 10. cikkében említett, 2. és a 3. kategóriába tartozó anyagokat vagy azokból származó termékeket, és a termékeket a régión belül a helyi piacon közvetlenül értékesítik a végfelhasználóknak vagy a helyi kiskereskedelmi egységeknek, továbbá tevékenységükről az illetékes hatóság megállapította, hogy az nem hordozza súlyos, emberre vagy állatra nézve fertőző betegség terjedésének kockázatát; ez a pont abban az esetben nem alkalmazandó, ha ezen anyagokat prémes állatoktól különböző haszonállatok takarmányozására használják;
e) a szerves trágyák vagy talajjavítók azon felhasználói, amelyek ezeket az anyagokat haszonállatokat nem tartó létesítményekben használják;
f) a legfeljebb 50 kg-os, eladásra kész kiskereskedelmi csomagolásban kizárólag a takarmány- és élelmiszerláncon kívüli felhasználások céljára szerves trágyákat vagy talajjavítókat kezelő és forgalmazó üzemeltetők.
20a. cikk
A tagállami létesítmények, üzemek és üzemeltetők jegyzékei
Az adott tagállam illetékes hatósága biztosítja, hogy az 1069/2009/EK rendelet 47. cikke (1) bekezdésének első albekezdésében említett létesítmények, üzemek és üzemeltetők naprakész jegyzékei:
a) a Bizottság honlapján ( 1 ) közzétett részletes technikai leírásnak megfelelően készüljenek;
b) legkésőbb 2021. október 31-ig bevitelre kerüljenek a TRACES rendszerbe, vagy legkésőbb ettől az időponttól kezdődően hozzáférhetők legyenek a TRACES rendszeren keresztül.
VII. FEJEZET
FORGALOMBA HOZATAL
21. cikk
Haszonállatok (a prémes állatok kivételével) takarmányozására szánt állati melléktermékek és azokból származó termékek feldolgozása és forgalomba hozatala
1. Az üzemeltetőknek meg kell felelniük a prémes állatoktól eltérő haszonállatok takarmányozására szánt állati melléktermékek és az azokból származó termékek forgalomba hozatalára (a behozatal kivételével) vonatkozóan az 1069/2009/EK rendelet 31. cikkének (2) bekezdésében foglaltaknak megfelelően e rendelet X. mellékletében meghatározott alábbi követelményeknek:
a) az I. fejezetben a feldolgozásra és forgalomba hozatalra vonatkozóan meghatározott általános követelmények;
b) a II. fejezetben a feldolgozott állati fehérjékre és egyéb származtatott termékekre vonatkozóan meghatározott egyedi követelményeknek;
c) a III. fejezetben az egyes haleledelekre és horgászcsalikra vonatkozóan meghatározott követelményeknek.
2. Az illetékes hatóság engedélyezheti az 1069/2009/EK rendelet 10. cikkének e), f) és h) pontjával összhangban a 3. kategóriába tartozó anyagként besorolt, nem az e rendelet X. melléklete II. fejezetének 4. szakasza I. részében meghatározott általános követelményeknek megfelelően feldolgozott tej, tejalapú termékek és tejből származó termékek forgalomba hozatalát (a behozatal kivételével), feltéve hogy ezek az anyagok megfelelnek a feldolgozott tejnek az említett szakasz II. részében a nemzeti szabványokkal összhangban történő forgalomba hozatalára vonatkozóan meghatározott eltérési követelményeknek.
22. cikk
Szerves trágyák és talajjavító szerek forgalomba hozatala és felhasználása
1. Az üzemeltetőknek meg kell felelniük a szerves trágyák és talajjavító szerek forgalomba hozatalára (a behozatal kivételével) és az ilyen termékek felhasználására - különösen a talajban való alkalmazásukra - vonatkozóan az 1069/2009/EK rendelet 15. cikke (1) bekezdésének i) pontjában és 32. cikke (1) bekezdésében foglalt rendelkezéseknek megfelelően az e rendelet XI. mellékletében meghatározott követelményeknek.
2. A következők forgalomba hozatalára nem vonatkoznak állat-egészségügyi feltételek:
a) vadon élő tengeri madarak ürüléke, amelyet az Unióban gyűjtöttek be, vagy harmadik országokból importáltak;
b) eladásra kész termesztőközeg - az importált termesztőközegek kivételével - a következő anyagtartalommal:
i. a 3. kategóriába tartozó anyagból, illetve a 2. kategóriába tartozó anyagból (a feldolgozott trágya kivételével) származtatott termékek esetében kevesebb mint 5 térfogatszázalék;
ii. kevesebb mint 50 térfogatszázalék feldolgozott trágya.
3. Abban a tagállamban, ahol a 2. kategóriába tartozó anyagból nyert hús- és csontlisztből, vagy feldolgozott állati fehérjéből előállított szerves trágyát vagy talajjavító szert alkalmaznak a talajban, az illetékes hatóságnak engedélyeznie kell egy vagy több összetevőt, amelyet össze kell keverni ezekkel az anyagokkal az 1069/2009/EK rendelet 32. cikke (1) bekezdése d) pontjával összhangban, az e rendelet XI. melléklete II. fejezetének 1. szakasza 3. pontjában meghatározott szempontok szerint.
4. Az 1069/2009/EK rendelet 48. cikkének (1) bekezdésétől eltérve, a közös határral rendelkező származási tagállam és rendeltetési tagállam illetékes hatóságai engedélyezhetik a trágya elszállítását a két érintett tagállam határ menti területein található gazdaságok között a lehetséges köz- vagy állat-egészségügyi kockázatok ellenőrzésére vonatkozó - kétoldalú megállapodásban rögzített - feltételek, így például az érintett üzemeltetőknek a megfelelő nyilvántartások vezetésére vonatkozó kötelezettsége teljesülése esetén.
5. Az 1069/2009/EK rendelet 30. cikkének (1) bekezdésében foglaltak szerint a tagállamok illetékes hatóságainak szükség esetén ösztönözniük kell a helyes mezőgazdasági gyakorlatra vonatkozó nemzeti útmutatók kidolgozását, terjesztését és használatát a szerves trágyák és talajjavító szerek talajban való alkalmazásának tekintetében.
23. cikk
Köztes termékek
1. Az Unióba behozott vagy az Unió területén átszállított köztes termékeknek meg kell felelniük az e rendelet XII. mellékletében említett potenciális köz- és állat-egészségügyi kockázatok ellenőrzésére vonatkozó feltételeknek.
2. Az e rendelet XII. mellékletének 3. pontjában említett létesítménybe vagy üzembe szállított köztes termékek az 1069/2009/EK rendelet XII. mellékletének 3. pontja és e rendelet szerint további korlátozások nélkül kezelhetők, feltéve hogy:
a) a létesítmény vagy üzem megfelelő, az emberre vagy állatokra átvihető betegségek terjedését megakadályozó lehetőségekkel rendelkezik a köztes termékek fogadására.
b) a köztes termékek nem hordozzák az emberre vagy állatokra átvihető betegségek terjedésének kockázatát a köztes termékekben lévő állati mellékterméken végzett tisztítási eljárás vagy egyéb kezelések miatt, a köztes termékekben az állati melléktermékek koncentrációja miatt, illetve a köztes termékek kezelésére irányuló megfelelő biológiai biztonsági intézkedések miatt;
c) a létesítményben vagy üzemben nyilvántartást vezetnek az átvett anyagok mennyiségéről és - adott esetben - ezek kategóriájáról, valamint arról a létesítményről, üzemről vagy üzemeltetőről, amelynek a termékeket leszállították, és
d) a fel nem használt köztes termékeket és a létesítményből vagy üzemből származó egyéb felesleges termékeket - például a lejárt termékeket - az 1069/2009/EK rendeletnek megfelelően ártalmatlanítják.
3. A köztes termékek rendeltetési helyeként szereplő létesítmény vagy üzem üzemeltetője, tulajdonosa vagy annak képviselője a köztes termékeket kizárólag a köztes termékeknek az I. melléklet 35. pontjában megadott meghatározásának megfelelő gyártás céljára használhatja fel és/vagy szállíthatja el.
24. cikk
Kedvtelésből tartott állatok eledele és egyéb származtatott termékek
1. Az 1069/2009/EK rendelet 8. cikke a), b), d) és e) pontjában meghatározott, 1. kategóriába tartozó anyagok felhasználását meg kell tiltani az emberek vagy állatok által lenyelt, illetve embereken vagy állatokon való alkalmazásra szánt származtatott termékek előállítására, kivéve az említett rendelet 33. és 36. cikkében meghatározott származtatott termékeket.
2. Amennyiben egy állati melléktermék vagy abból származó termék felhasználható haszonállatok takarmányozására vagy az 1069/2009/EK rendelet 36. cikkének a) pontjában említett egyéb célokra, akkor azokat az e rendelet X. mellékletének II. fejezetében a feldolgozott állati fehérjére és egyéb származtatott termékekre vonatkozóan meghatározott egyedi követelményekkel összhangban kell forgalomba hozni (a behozatal kivételével), feltéve hogy az e rendelet XIII. melléklete nem határoz meg egyedi követelményeket ezekre a termékekre vonatkozóan.
3. Az üzemeltetőknek meg kell felelniük a kedvtelésből tartott állatoknak szánt eledelek forgalomba hozatalára (a behozatal kivételével) vonatkozóan, az 1069/2009/EK rendelet 40. cikkének megfelelően az e rendelet XIII. mellékletének I. és II. fejezetében meghatározott követelményeknek.
4. Az üzemeltetőknek meg kell felelniük a származtatott termékek forgalomba hozatalára (a behozatal kivételével) vonatkozóan, az 1069/2009/EK rendelet 40. cikkének megfelelően az e rendelet XIII. mellékletének I. és III-XII. fejezetében meghatározott követelményeknek.
VIII. FEJEZET
BEHOZATAL, TRANZITFORGALOM ÉS KIVITEL
25. cikk
Az állati melléktermékek és az azokból származó termékek behozatala, tranzitforgalma és kivitele
1. Az alábbi állati melléktermékek Unióba történő behozatalát és az Unión átmenő tranzitszállítását meg kell tiltani:
a) feldolgozatlan trágya;
b) kezeletlen toll, tollrészek és pihe;
c) lép formában lévő méhviasz.
2. Az alábbiak Unióba történő behozatalára és Unión átmenő tranzitszállítására vonatkozóan nem kell semmilyen állat-egészségügyi feltételt alkalmazni:
a) ipari mosásnak alávetett, vagy elfogadhatatlan kockázatokat kizáró más módszerrel kezelt gyapjú és szőr;
b) 18 °C-os környezeti hőmérsékleten, 55 %-os páratartalom mellett legalább két napig szárított prémek;
c) sertésféléktől különböző állatoktól származó gyapjú és szőr, amelyet a gyapjú és a szőr többszöri, vizes, szappanos és nátrium- vagy kálium-hidroxidos medencébe történő merítésével végzett ipari mosással kezeltek;
d) sertésféléktől különböző állatok gyapja és szőre, amelyet közvetlenül olyan üzembe szállítanak, ahol gyapjú- és szőralapú származtatott termékeket készítenek a textilipar számára, és amelyet a következő módszerek legalább egyikével kezeltek:
- vegyi depiláció oltott mésszel vagy nátrium-szulfiddal,
- hermetikusan zárt kamrában, legalább 24 órán keresztül végzett formaldehides fertőtlenítés,
- ipari mosás a gyapjú és a szőr vízben oldható, 60-70 °C-on tartott tisztítószerbe történő merítésével,
- 8 napon át 37 °C-on, 28 napon át 18 °C-on vagy 120 napon át 4 °C-on történő tárolás, amely a szállítási időszakot is magában foglalhatja,
e) száraz, és biztonságosan lezárt csomagolásba zárt, sertésféléktől különböző állatoktól származó gyapjú és szőr, amelyet olyan üzembe való szállításra szánnak, ahol gyapjú- és szőralapú származtatott termékeket készítenek a textilipar számára, és amely megfelel valamennyi alábbi követelménynek:
i. legalább 21 nappal az Unióba történő behozatal előtt állították elő, és az állatokat olyan harmadik országban vagy harmadik országbeli régióban tartották, amely(et)
- szerepel a 206/2010/EU rendelet II. mellékletének 1. részében található listán, és melyből engedélyezett az abban meghatározott "A" és "F" kiegészítő garanciák hatálya alá nem tartozó kérődzők friss húsának Unióba történő behozatala,
- mentes a ragadós száj- és körömfájástól, továbbá kecskétől vagy juhtól származó gyapjú vagy szőr esetén a juh-, illetve kecskehimlőtől is, a 2004/68/EK irányelv II. mellékletében felsorolt általános alapszempontoknak megfelelően;
ii. a XV. melléklet 21. fejezetében megadott minta szerinti importőri nyilatkozata kísér;
iii. az üzemeltető bemutatta a 2009/821/EK bizottsági határozat I. mellékletében felsorolt egyik engedélyezett uniós állat-egészségügyi határállomáson, ahol a 97/78/EK irányelv 4. cikkének (3) bekezdése szerinti okmányellenőrzésen kielégítő eredményt adott.
3. Az üzemeltetőknek meg kell felelniük az egyes állati melléktermékek és azokból származó termékek Unióba történő behozatalára és az Unión átmenő tranzitszállítására vonatkozóan, az 1069/2009/EK rendelet 41. cikkének (3) bekezdésének és 42. cikkének megfelelően az e rendelet XIV. mellékletében meghatározott alábbi egyedi követelményeknek:
a) az említett melléklet I. fejezetében a 3. kategóriába tartozó anyagoknak és származtatott termékeknek a takarmányláncban történő felhasználás - kivéve a kedvtelésből tartott állatok eledele előállítását - céljából történő behozatalára és tranzitszállítására vonatkozóan meghatározott egyedi követelmények;
b) az említett melléklet II. fejezetében az állati melléktermékeknek és az azokból származó termékeknek a haszonállatok takarmányláncán kívüli felhasználás céljából történő behozatalára és tranzitszállítására vonatkozóan meghatározott egyedi követelmények.
4. A XIV. melléklet V. fejezetében meghatározott szabályokat az ott említett származtatott termékeknek az Unióból történő kivitelére kell alkalmazni.
26. cikk
Egyes 1. kategóriába tartozó anyagok forgalomba hozatala, beleértve a behozatalt és a kivitelt
Az illetékes hatóság engedélyezheti a 96/22/EK irányelv 1. cikke (2) bekezdésének d) pontjában vagy a 96/23/EK irányelv 2. cikkének b) pontjában meghatározott illegális kezelésnek alávetett állatokból származó nyersbőrnek és irhának, kérődző állatok zsigereinek - béltartalommal együtt vagy anélkül -, valamint gerincoszlopot és koponyát tartalmazó csontok és csonttermékek forgalomba hozatalát, beleértve a behozatalt és a kivitelt, feltéve hogy azok megfelelnek az alábbi követelményeknek:
a) az említett anyagok nem lehetnek az alábbi állatokból származó, az 1. kategóriába tartozó anyagok:
i. a 999/2001/EK rendelettel összhangban TSE-fertőzöttségre gyanús állatok;
ii. olyan állatok, amelyek esetében a TSE jelenléte hivatalos megerősítést nyert;
iii. TSE felszámolására irányuló intézkedések keretében leölt állatok;
b) az említett anyagokat nem szánhatják az alábbi célok egyikére sem:
i. takarmányozás;
ii. olyan talajban történő alkalmazás, amelyből haszonállatokat takarmányoznak;
iii. az alábbiak előállítása:
- a 76/768/EGK irányelv 1. cikkének (1) bekezdésében meghatározott kozmetikai termékek;
- a 90/385/EGK irányelv 1. cikke (2) bekezdésének c) pontjában meghatározott aktív beültethető orvostechnikai eszközök;
- a 93/42/EGK irányelv 1. cikke (2) bekezdésének a) pontjában meghatározott orvostechnikai eszközök;
- a 98/79/EK irányelv 1. cikke (2) bekezdésének b) pontjában meghatározott in vitro diagnosztikai orvostechnikai eszközök;
- a 2001/82/EK irányelv 1. cikkének (2) bekezdésében meghatározott állatgyógyászati készítmények;
- a 2001/83/EK irányelv 1. cikkének (2) bekezdésében meghatározott gyógyszerek;
c) a behozott anyagokat címkével kell ellátni, és az anyagoknak meg kell felelniük az e rendelet XIV. melléklete IV. fejezetének 1. szakaszában az állati melléktermékek bizonyos szállítására vonatkozóan meghatározott egyedi követelményeknek;
d) az anyagokat a nemzeti jogszabályokban az állat-egészségügyi bizonyítványra vonatkozóan meghatározott követelményeknek megfelelően kell behozni.
27. cikk
Kutatási és diagnosztikai minták behozatala és tranzitforgalma
1. Az illetékes hatóság engedélyezheti az állati melléktermékeket vagy azokból származó termékeket - beleértve a 25. cikk (1) bekezdésében említett állati melléktermékeket - tartalmazó kutatási és diagnosztikai mintáknak a köz- és állat-egészségügyi kockázatok ellenőrzését biztosító feltételeknek megfelelően történő behozatalát és tranzitszállítását.
E feltételeknek tartalmaznia kell legalább a következőket:
a) a szállítmány beléptetését előzetesen engedélyeznie kell a rendeltetés helye szerinti tagállam illetékes hatóságának; és
b) a szállítmányt az Unióba történő belépés helyétől közvetlenül az engedéllyel rendelkező felhasználóhoz kell küldeni.
3. A kutatási vagy diagnosztikai mintákat kezelő üzemeltetőknek meg kell felelniük az e rendelet XIV. melléklete III. fejezetének 1. szakaszában a kutatási és diagnosztikai minták ártalmatlanításra vonatkozóan meghatározott egyedik követelményeknek.
28. cikk
Kereskedelmi minták és kiállítási tárgyak behozatala és tranzitforgalma
1. Az illetékes hatóság engedélyezheti a kereskedelmi mintáknak az e rendelet XIV. melléklete III. fejezete 2. szakaszának 1. pontjában meghatározott különleges szabályoknak megfelelő behozatalát és tranzitszállítását.
2. A kereskedelmi mintákat kezelő üzemeltetőknek meg kell felelniük az e rendelet XIV. melléklete III. fejezetének 2. szakasza 2. és 3. pontjában a kereskedelmi minták kezelésére és ártalmatlanításra vonatkozóan meghatározott különleges szabályoknak.
3. Az illetékes hatóság engedélyezheti a kiállítási tárgyaknak az e rendelet XIV. melléklete III. fejezetének 3. szakaszában a kiállítási tárgyakra vonatkozóan meghatározott különleges szabályoknak megfelelő behozatalát és tranzitszállítását.
4. A kiállítási tárgyakat kezelő üzemeltetőknek meg kell felelniük az e rendelet XIV. melléklete III. fejezetének 3. szakaszában a kiállítási tárgyak csomagolására, kezelésére és ártalmatlanítására vonatkozóan meghatározott feltételeknek.
29. cikk
Az állati melléktermékeknek az Orosz Föderáció területei között történő szállítására vonatkozó egyedi követelmények
1. Az illetékes hatóságnak engedélyeznie kell a közvetlenül vagy egy másik harmadik országon keresztül az Orosz Föderációból érkező, illetve oda tartó, állati melléktermékeket tartalmazó szállítmányok Unión keresztül történő közúti vagy vasúti szállítását a 2009/821/EK határozat I. mellékletében felsorolt, engedélyezett uniós állat-egészségügyi határállomások között, feltéve hogy az alábbi feltételek teljesülnek:
a) a szállítmány az Unióba történő belépés helye szerinti állat-egészségügyi határállomáson az illetékes hatóság állatorvosi szolgálata által, sorozatszámmal ellátott plombával van lezárva.
29a. cikk
A Bosznia-Hercegovinából érkező, harmadik országokba szállítandó állati melléktermékek Horvátországon áthaladó tranzitforgalmára vonatkozó egyedi követelmények
1. Az alábbi feltételek teljesülése esetén engedélyezni kell a Bosznia-Hercegovinából érkező, állati melléktermékeket és azokból származó termékeket tartalmazó szállítmányoknak az Unión keresztül harmadik országokba történő közúti szállítását közvetlenül Nova Sela és Ploče állat-egészségügyi határállomások között:
a) a hatósági állatorvos a szállítmányt a belépés szerinti állat-egészségügyi határállomáson sorozatszámmal ellátott vámzárral látta el.
30. cikk
Harmadik országokban lévő létesítmények és üzemek jegyzékei
A harmadik országokban lévő létesítmények és üzemek jegyzékeit be kell vinni a TRACES rendszerbe a Bizottság honlapján közzétett technikai feltételeknek megfelelően.
A jegyzékeket rendszeresen frissíteni kell.
Ez a cikk nem alkalmazandó az Orosz Föderáció területéről érkező és területére szánt állati melléktermékek szállítmányainak a 29. cikkben említett egyedi szállításaira, valamint a Bosznia-Hercegovinából érkező és harmadik országokba szánt állati melléktermékek és az azokból származó termékek szállítmányainak a 29a. cikkben említett szállításaira.
31. cikk
A behozatalhoz és tranzitforgalomhoz szükséges egészségügyi bizonyítványok és nyilatkozatok mintái
Az Unióba történő behozatalra vagy az Unión átmenő tranzitszállításra szánt állati melléktermékek és azokból származó termékek szállítmányait az e rendelet XV. mellékletében meghatározott mintáknak megfelelő egészségügyi bizonyítványoknak és nyilatkozatoknak kell kísérniük az Unióba történő belépés helyén, ahol a 97/78/EK irányelvben meghatározott állat-egészségügyi ellenőrzéseket elvégzik.
IX FEJEZET
HATÓSÁGI ELLENŐRZÉSEK
32. cikk
Hatósági ellenőrzések
1. Az illetékes hatóságnak - az 1069/2009/EK rendelet 4. cikke (2) bekezdésének megfelelően - meg kell tennie a szükséges intézkedéseket az állati melléktermékek és az azokból származó termékek összegyűjtése, szállítása, felhasználása és ártalmatlanítása teljes láncának ellenőrzése érdekében.
Ezeket az intézkedéseket a 882/2004/EK rendelet 3. cikkében megállapított hatósági ellenőrzési elvekkel összhangban kell megtenni.
2. Az 1. bekezdésben említett hatósági ellenőrzésnek ki kell terjednie az e rendeletben megállapított szabályokban előírt nyilvántartások és egyéb okmányok ellenőrzésére is.
3. Az illetékes hatóságnak az 1069/2009/EK rendelet 45. cikkének (1) bekezdésében említett alábbi hatósági ellenőrzéseket kell elvégeznie, az e rendelet XVI. Mellékletében meghatározott követelményeknek megfelelően.
a) a feldolgozóüzemek hatósági ellenőrzése az I. fejezetben foglaltaknak megfelelően;
b) állati melléktermékek és az azokból származó termékek kezelésével járó egyéb tevékenységek hatósági ellenőrzése a III. fejezet 1-9. szakaszaiban foglaltaknak megfelelően.
4. Az illetékes hatóságnak ellenőriznie kell az állati melléktermékek vagy azokból származó melléktermékek szállítmányaira helyezett plombákat.
Amennyiben az illetékes hatóság plombát helyez a rendeltetési helyre szállítandó szállítmányra, tájékoztatnia kell erről a rendeltetés helye szerinti illetékes hatóságot.
5. Az illetékes hatóságnak az e rendelet XVI. mellékletének II. fejezetében meghatározott formai követelményeknek megfelelő jegyzékeket kell összeállítania az 1069/2009/EK rendelet 47. cikkének (1) bekezdésében említett létesítményekről, üzemekről és üzemeltetőkről.
6. A rendeltetés helye szerinti tagállam illetékes hatóságának döntést kell hoznia az üzemeltetők által az egyes 1. kategóriába vagy 2. kategóriába tartozó anyag, vagy az 1. kategóriába és a 2. kategóriába tartozó anyagokból származó hús- és csontliszt vagy állati zsír befogadására vagy befogadásának elutasítására vonatkozó kérelemről a kérelem átvételének napjától számított 20 naptári napon belül, feltéve hogy azt az adott tagállam hivatalos nyelveinek egyikén nyújtották be.
7. Az üzemeltető által a TRACES-en keresztül benyújtott, a 6. bekezdésben említett, engedély iránti kérelemnek meg kell felelnie az e rendelet XVI. melléklete III. fejezetének 10. szakaszában meghatározott standard formátumnak.
33. cikk
Üzemek és létesítmények újraengedélyezése az ideiglenes engedély megadása után
1. Amennyiben a 3. kategóriába tartozó anyagok feldolgozására engedélyezett üzem vagy létesítmény később - az 1069/2009/EK rendelet 24. cikke (2) bekezdésének b) pontja ii. alpontjával összhangban - ideiglenes engedélyt kap az 1. vagy a 2. kategóriába tartozó anyagok feldolgozására, meg kell tiltani, hogy újrakezdje a 3. kategóriába tartozó anyagok feldolgozását anélkül, hogy előtte megszerezné - az említett rendelet 44. cikkének megfelelően - az illetékes hatóság engedélyét a 3. kategóriába tartozó anyagok feldolgozásának újrakezdésére.
2. Amennyiben a 2. kategóriába tartozó anyagok feldolgozására engedélyezett üzem vagy létesítmény később - az 1069/2009/EK rendelet 24. cikke (2) bekezdésének b) pontja ii. alpontjával összhangban - ideiglenes engedélyt kap az 1. kategóriába tartozó anyagok feldolgozására, meg kell tiltani, hogy újrakezdje a 2. kategóriába tartozó anyagok feldolgozását anélkül, hogy előtte megszerezné - az említett rendelet 44. cikkének megfelelően - az illetékes hatóság engedélyét a 2. kategóriába tartozó anyagok feldolgozásának újrakezdésére.
X. FEJEZET
ZÁRÓ RENDELKEZÉSEK
34. cikk
Egyes állati melléktermékek és azokból származó termékek forgalomba hozatalának köz- és állat-egészségügyi okokból történő korlátozása
Az illetékes hatóság nem tilthatja meg és nem korlátozhatja az alábbi állati melléktermékek és azokból származó termékek forgalomba hozatalát köz- vagy állat-egészségügyi okokból, kivéve az uniós jogszabályokban, és különösen az 1069/2009/EK rendeletben és az e rendeletben megállapított szabályokat:
a) az e rendelet X. mellékletének II. fejezetében említett feldolgozott állati fehérje és egyéb származtatott termékek;
b) az e rendelet XIII. mellékletében említett, kedvtelésből tartott állatok eledele és egyéb származtatott termékek;
c) az e rendeletben említetteknek megfelelően az Unióba behozott vagy az Unión átszállított állati melléktermékek és azokból származó termékek.
35. cikk
Hatályon kívül helyezés
1. A következő jogi aktusok hatályukat vesztik:
a) 811/2003/EK rendelet;
b) 2003/322/EK határozat;
c) 2003/324/EK határozat;
2. A hatályon kívül helyezett jogi aktusokra történő hivatkozásokat erre a rendeletre történő hivatkozásként kell értelmezni.
36. cikk
Átmeneti intézkedések
1. Egy 2011. december 31-ig tartó átmeneti időszak alatt az üzemeltetők forgalomba hozhatják a 2011. március 4. előtt az 1774/2002/EK és a 181/2006/EK rendeletnek megfelelően előállított szerves trágyákat és talajjavító szereket:
a) feltéve, hogy ezeket a következő anyagok valamelyikéből állították elő:
i. a 2. kategóriába tartozó anyagból származó hús- és csontliszt;
ii. feldolgozott állati fehérje;
b) jóllehet azokat nem keverték össze olyan összetevővel, amely kizárja a keverék takarmányozásra történő későbbi felhasználását.
2. Egy 2012. január 31-ig tartó átmeneti időszak alatt az állati melléktermékek és azokból származó termékek szállítmányai, amelyeket az 1774/2002/EK rendelet X. mellékletében megadott megfelelő minta szerint kitöltött és aláírt egészségügyi bizonyítvány, nyilatkozat vagy kereskedelmi okmány kísér, továbbra is behozhatók az Unióba, feltéve hogy az adott bizonyítványokat, nyilatkozatokat vagy okmányokat 2011. november 30. előtt kitöltötték és aláírták.
37. cikk
Ez a rendelet az Európai Unió Hivatalos Lapjában történő kihirdetését követő huszadik napon lép hatályba.
Ezt a rendeletet 2011. március 4-től kell alkalmazni.
Ez a rendelet teljes egészében kötelező és közvetlenül alkalmazandó valamennyi tagállamban.
I. MELLÉKLET
A 2. CIKKBEN HIVATKOZOTT FOGALOMMEGHATÁROZÁSOK
E rendelet alkalmazásában:
1. "prémes állatok" : a prémjükért tartott vagy tenyésztett, nem emberi fogyasztásra szánt állatok;
2. "vér" : friss teljes vér;
3. "takarmányanyag" : a 767/2009/EK rendelet 3. cikke (2) bekezdésének g) pontjában meghatározott, állati eredetű takarmányanyagok, beleértve a feldolgozott állati fehérjéket, vértermékeket, kiolvasztott zsírokat, tojástermékeket, halolajat, zsírszármazékokat, kollagént, zselatint és hidrolizált fehérjéket, dikalcium-foszfátot, trikalcium-foszfátot, tejet, tejalapú termékeket, tejből származó termékeket, kolosztrumot, kolosztrumtartalmú termékeket, valamint centrifuga- vagy szeparátoriszapot;
4. "vértermékek" : vérből vagy vérfrakciókból nyert termékek - a vérliszt kivételével -; idetartozik a szárított/fagyasztott/folyékony plazma, a szárított teljes vér, a szárított/fagyasztott/folyékony vörösvérsejtek vagy ezek frakciói és keverékei;
5. "feldolgozott állati fehérje" : a teljes egészében a 3. kategóriába tartozó anyagból nyert állati fehérje (beleértve a vérlisztet és a hallisztet), amelyet a X. melléklet II. fejezetének 1. szakaszának megfelelően kezeltek annak érdekében, hogy takarmányanyagként vagy egyéb, takarmányokban - beleértve a kedvtelésből tartott állatok eledelét - vagy szerves trágyákban, valamint talajjavító szerekben történő közvetlen felhasználásra alkalmassá váljanak; azonban nem tartoznak ide a vértermékek, a tej, a tejalapú termékek, a tejből származó termékek, a kolosztrum, a kolosztrumtartalmú termékek, a centrifuga- vagy szeparátoriszap, a zselatin, a hidrolizált fehérjék és a dikalcium-foszfát, a tojás és a tojástermékek - beleértve a tojáshéjat -, a trikalcium-foszfát és a kollagén;
6. "vérliszt" : vér vagy vérfrakciók hőkezeléséből a X. melléklet II. fejezetének 1. szakaszával összhangban nyert, feldolgozott állati fehérje;
7. "halliszt" : víziállatokból - a tengeri emlősöket kivéve - származó feldolgozott állati fehérje, ideértve tenyésztett vízi gerincteleneket, köztük a 2006/88/EK tanácsi irányelv ( 2 ) 3. cikke (1) bekezdésének e) pontjában említetteket, valamint az Asterias rubens fajhoz tartozó, puhatestű-tenyésztési területen gyűjtött tengeri csillagokat;
8. "
kiolvasztott zsírok
" :
olyan zsírok, amelyek vagy:
a) állati melléktermékek feldolgozásából, vagy
b) emberi fogyasztásra szánt olyan termékekből származnak, amelyeket az üzemeltető emberi fogyasztástól eltérő célokra szánt;
9. "halolaj" : víziállatok - a tengeri emlősöket kivéve - feldolgozásából származó olaj, ideértve tenyésztett vízi gerincteleneket, köztük a 2006/88/EK irányelv 3. cikke (1) bekezdésének e) pontjában említetteket, valamint az Asterias rubens fajhoz tartozó, puhatestű-tenyésztési területen gyűjtött tengeri csillagokat, vagy olyan, emberi fogyasztás céljából feldolgozott halakból nyert olaj, amelyet az üzemeltető az emberi fogyasztástól eltérő célokra szánt;
10. "méhészeti melléktermék" : nem emberi fogyasztásra szánt méz, méhviasz, méhpempő, méhszurok vagy virágpor;
11. "kollagén" : állatok irhájából, nyersbőréből, csontjaiból és inaiból nyert fehérjealapú termékek;
12. "zselatin" : természetes és oldható - zselésítő vagy nem zselésítő - fehérje, amelyet az állatok csontjaiból, nyersbőréből és irhájából, inaiból és ínhüvelyeiből származó kollagén részleges hidrolízisével nyernek;
13. "töpörtyű" : fehérjetartalmú nyerszsír-olvasztási maradvány, a zsír és a víz részleges szétválasztását követően;
14. "hidrolizált fehérjék" : az állati melléktermékek hidrolízise útján nyert polipeptidek, peptidek és aminosavak, valamint ezek keverékei;
15. "fehér víz" : tej, tejalapú termékek vagy azokból származó termékek és víz keveréke, amelyet a tejfeldolgozó berendezések és eszközök - beleértve a tejtermékek tárolására használt edényeket - átöblítése során gyűjtenek össze azok tisztítása és fertőtlenítése előtt;
16. "kedvtelésből tartott állatok konzervált eledele" : kedvtelésből tartott állatok légmentesen zárt tárolóedényben lévő hőkezelt eledele;
17. "műcsont" : a kedvtelésből tartott állatok számára patás állatok cserzetlen nyersbőréből és irhájából vagy más állati eredetű anyagból - rágcsálás céljára - készített termékek;
18. "ízesítő belsőségek" : állati eredetű folyékony vagy dehidratált származtatott termékek, amelyeket a kedvtelésből tartott állatok eledele ízletességének növelésére használnak;
19. "
kedvtelésből tartott állatok eledele
" :
a 24. cikk (2) bekezdésében meghatározott anyagoktól eltérő olyan eledel, amelyet kedvtelésből tartott állatok etetésére használnak, valamint állati melléktermékekből vagy azokból származó termékekből álló műcsont, amely
a) a 3. kategóriába tartozó, az 1069/2009/EK rendelet 10. cikkének n), o) és p) pontjában meghatározott anyagoktól eltérő anyagokat tartalmaz, valamint
b) a 96/22/EK irányelv 1. cikke (2) bekezdésének d) pontjában vagy a 96/23/EK irányelv 2. cikkének b) pontjában meghatározott törvénytelen kezelésnek alávetett állatokból származó állati melléktermékekből álló, az 1. kategóriába tartozó importált anyagot tartalmazhat;
20. "kedvtelésből tartott állatok feldolgozott eledele" : a kedvtelésből tartott állatok nyers eledelének kivételével olyan kedvtelésből tartott állatok eledele, amelyet a XIII. melléklet II. fejezetének 3. pontjával összhangban dolgoztak fel;
21. "kedvtelésből tartott állatok nyers eledele" : kedvtelésből tartott állatok olyan eledele, amely bizonyos, a 3. kategóriába tartozó anyagokat tartalmaz, és amely hűtésen vagy fagyasztáson kívül semmilyen egyéb tartósítási eljáráson nem ment keresztül;
22. "étkezési hulladék" : az éttermekben, vendéglátó-ipari egységekben és konyhákon - a központi konyhákat és a háztartások konyháit is beleértve - keletkező valamennyi étkezési hulladék, beleértve a használt sütőolajat;
23. "emésztési maradványok" : állati melléktermékek biogázzá alakításából származó maradványok, ideértve a folyékony frakciókat is;
24. "emésztőtraktus-tartalom" : az emlősök és a laposmellű futómadarak emésztőtraktusának tartalma;
25. "zsírszármazékok" : olyan kiolvasztott zsírokból nyert termékek, amelyek feldolgozása - az 1. vagy 2. kategóriába tartozó anyagból származó kiolvasztott zsírok esetében - a XIII. melléklet XI. fejezetének megfelelően történt;
26. "guanó" : denevérek és vadon élő tengeri madarak ürülékéből összegyűjtött, nem mineralizált természetes termék;
27. "hús- és csontliszt" : 1. vagy 2. kategóriába tartozó anyagok a IV. melléklet III. fejezetében meghatározott feldolgozási módszerek valamelyikének megfelelő feldolgozásából nyert állati fehérje;
28. "
kezelt nyersbőr és irha
" :
kezeletlen nyersbőrből és irhából származó termékek - kivéve a műcsontot -, amelyeket:
a) kiszárítottak;
b) az elszállítást megelőzően legalább 14 napon keresztül száraz vagy nedves sózással kezeltek;
c) legalább hét napon keresztül sóztak tengeri sóban 2 % nátrium-karbonát hozzáadása mellett;
d) legalább 42 napig legalább 20 °C hőmérsékleten szárítottak; vagy
e) a cserzéstől eltérő eljárással tartósítottak;
29. "kezeletlen nyersbőr és irha" : az összes bőr- és bőr alatti szövet, amelyet a daraboláson, hűtésen vagy fagyasztáson kívül nem vetettek alá semmilyen kezelésnek;
30. "
kezeletlen tollak és tollrészek
" :
tollak és tollrészek, kivéve azokat a tollakat és tollrészeket, amelyeket:
a) gőzsugárral kezeltek, vagy
b) az elfogadhatatlan kockázatok fennmaradását megakadályozó egyéb módszerrel kezeltek;
31. "
kezeletlen gyapjú
" :
gyapjú, kivéve az olyan gyapjút, amely(et):
a) ipari mosásnak vetettek alá;
b) cserzésből nyertek;
c) az elfogadhatatlan kockázatok fennmaradását megakadályozó egyéb módszerrel kezeltek;
d) sertésféléktől különböző állatokból származik és a gyapjú többszöri, vizes, szappanos és nátrium- vagy kálium-hidroxidos medencébe történő merítésével végzett ipari mosásnak vetettek alá; vagy
e) sertésféléktől különböző állatokból származik, és közvetlenül olyan üzembe történő szállításra szánnak, ahol gyapjúalapú származtatott termékeket állítanak elő a textilipar számára, és amelyet a következő módszerek legalább egyikével kezeltek:
i. vegyi depiláció oltott mésszel vagy nátrium-szulfiddal;
ii. hermetikusan zárt kamrában, legalább 24 órán keresztül végzett formaldehides fertőtlenítés;
iii. ipari mosás a gyapjú vízben oldható, 60-70 °C-on tartott tisztítószerbe történő merítésével;
iv. 8 napon át 37 °C-on, 28 napon át 18 °C-on vagy 120 napon át 4 °C-on történő tárolás, amely a szállítási időszakot is magában foglalhatja;
32. "
kezeletlen szőr
" :
szőr, kivéve az olyan szőrt, amely(et):
a) ipari mosásnak vetettek alá;
b) cserzésből nyertek;
c) az elfogadhatatlan kockázatok fennmaradását megakadályozó egyéb módszerrel kezeltek;
d) sertésféléktől különböző állatokból származnak, és a szőr többszöri, vizes, szappanos és nátrium- vagy kálium-hidroxidos medencébe történő merítésével végzett ipari mosásnak vetettek alá; vagy
e) sertésféléktől különböző állatokból származik, és közvetlenül olyan üzembe történő szállításra szánnak, ahol szőralapú származtatott termékeket állítanak elő a textilipar számára, és amelyet a következő módszerek legalább egyikével kezeltek:
i. vegyi depiláció oltott mésszel vagy nátrium-szulfiddal;
ii. hermetikusan zárt kamrában, legalább 24 órán keresztül végzett formaldehides fertőtlenítés;
iii. ipari tisztítás a szőr vízben oldható, 60-70 °C-on tartott tisztítószerbe történő merítésével;
iv. 8 napon át 37 °C-on, 28 napon át 18 °C-on vagy 120 napon át 4 °C-on történő tárolás, amely a szállítási időszakot is magában foglalhatja;
33. "
kezeletlen sertéssörte
" :
olyan sertéssörte, kivéve azt a sertésszőrt, amelyet:
a) gyári mosásnak vetettek alá;
b) cserzésből nyertek; vagy
c) az elfogadhatatlan kockázatok fennmaradását megakadályozó egyéb módszerrel kezeltek;
34. "kiállítási tárgy" : kiállításokra vagy egyéb művészeti tevékenységekre szánt állati melléktermékek vagy az azokból származó termékek;
35. "
köztes termék
" :
származtatott termék:
a) amelyet gyógyszerek, állatgyógyászati készítmények, emberi vagy állatgyógyászati felhasználású orvostechnikai eszközök, aktív beültethető orvostechnikai eszközök, emberi vagy állatgyógyászati felhasználású in vitro diagnosztikai orvostechnikai eszközök, laboratóriumi reagensek vagy kozmetikai termékek előállításához szükséges felhasználásokra szántak, a következő módon:
i. a gyártási folyamatban vagy a késztermék előállításának utolsó szakaszában használt anyagként;
ii. a gyártási folyamat során végzett validáláshoz vagy ellenőrzéshez; vagy
iii. a késztermék minőségének ellenőrzése során;
b) amelynek tervezési, átalakítási és gyártási szakasza kellő mértékben előrehaladott ahhoz, hogy a termék származtatott terméknek minősüljön, és az anyag közvetlenül vagy egy termék összetevőjeként alkalmas legyen az a) pontban említett célokra;
c) amely azonban még további gyártási vagy átalakítási lépéseket - mint például összekeverés, bevonás, összeállítás vagy csomagolás - igényel ahhoz, hogy alkalmassá váljon a gyógyszerként, állatgyógyászati készítményként, emberi vagy állatgyógyászati felhasználású orvostechnikai eszközként, aktív beültethető orvostechnikai eszközként, emberi vagy állatgyógyászati felhasználású in vitro diagnosztikai orvostechnikai eszközként, laboratóriumi reagensként vagy kozmetikai termékként történő forgalomba hozatalra, illetve használatbavételre;
36. "laboratóriumi reagens" : állati melléktermékeket vagy azokból származó termékeket tartalmazó csomagolt, használatra kész termék, amelyet - akár önmagában, akár nem állati eredetű anyagokkal kombinálva - reagensként vagy reagenstermékként, kalibrálószerként vagy kontrollanyagként történő konkrét laboratóriumi felhasználásra szánnak egyéb anyagok kimutatásához, méréséhez, vizsgálatához vagy előállításához;
37. "in vitro diagnózishoz használt termék" : vérterméket vagy egyéb állati mellékterméket tartalmazó csomagolt, használatra kész termék, amelyet - akár önmagában, akár kombinálva - reagensként, reagenstermékként, kalibrálószerként, készletként vagy bármilyen más rendszerként emberi vagy állati eredetű minták in vitro vizsgálatához használnak, kizárólagosan vagy lényegét tekintve az élettani állapot, egészségi állapot, betegség vagy genetikai rendellenesség diagnosztizálására, illetve a biztonságosság és a reagensekkel való összeférhetőség meghatározására; nem tartoznak ide a donortól származó szervek vagy vér;
38. "kutatási és diagnosztikai minták" : a következő célokra szánt állati melléktermékek és azokból származó termékek: a tudományos és technológiai fejlődés érdekében történő diagnosztikai tevékenységek vagy elemzés, illetve oktatási és kutatási tevékenységek keretében történő vizsgálat;
39. "kereskedelmi minták" : állati melléktermékek vagy származtatott termékek, amelyeket az illetékes hatóság által az 1069/2009/EK rendelet 17. cikkének (1) bekezdése értelmében engedélyezett konkrét vizsgálatokhoz vagy elemzésekhez használnak egy-egy gyártási folyamat végrehajtása - ideértve az állati melléktermékek vagy származtatott termékek feldolgozását is -, valamint takarmányanyagok, kedvtelésből tartott állatok eledele vagy egyéb származtatott termékek kifejlesztése, továbbá gépek és berendezések tesztelése céljára;
40. "együttégetés" : az állati melléktermékek vagy az azokból származó termékek - amennyiben ez hulladék - együttégető műben történő hasznosítása vagy ártalmatlanítása;
41. "eltüzelés" : az állati melléktermékek vagy az azokból származó termékek - amennyiben ezek nem hulladékok - energiaértékének felhasználása érdekében tüzelőanyag oxidálásával járó folyamat;
42. "hulladékégetés" : állati melléktermékek vagy az azokból származó termékek hulladékként, a 2000/76/EK irányelv 3. cikkének 4. pontjában meghatározott hulladékégető műben történő ártalmatlanítása;
43. "égetési és együttégetési maradékanyagok" : a 2000/76/EK irányelv 3. cikkének 13. pontjában meghatározott bármely maradékanyag, amely állati melléktermékeket és azokból származó termékeket kezelő égető- vagy együttégető művekben keletkezik;
44. "színkódolás" : egyes színeknek a VIII. melléklet II. fejezetének 1c) pontja szerinti módszeres használata információszolgáltatás céljából az e rendeletben meghatározottak szerint, a csomagolás, a tároló- vagy szállítóeszköz felületén, vagy felületének egy részén, illetve a rajta található címkén vagy jelölésen;
45. "köztes műveletek" : a 19. cikk b) pontjában meghatározott, a tárolástól eltérő műveletek;
46. "cserzés" : bőrök keményítése növényi cserzőanyagokkal, krómsókkal vagy egyéb olyan anyagokkal, mint az alumíniumsók, vassók, szilíciumsók, aldehidek és kinonok, illetve más szintetikus keményítőanyagok;
47. "taxidermia" : állatbőrök élethű hatást biztosító kikészítésének, kitömésének és montírozásának művészete, amelynek eredményeként a montírozott bőr nem terjeszt elfogadhatatlan köz- és állat-egészségügyi kockázatokat;
48. "kereskedelem" : az Európai Unió működéséről szóló szerződésben meghatározott, tagállamok közötti árukereskedelem;
49. "feldolgozási módszerek" : a IV. melléklet III. és IV. fejezetében felsorolt módszerek;
50. "gyártási tétel" : egyetlen üzemben egységes előállítási paraméterek - például az anyagok eredete - felhasználásával előállított termelési egység vagy - amennyiben azokat egymás után folyamatosan állítják elő és szállítási egységként együtt tárolják - több ilyen egység;
51. "légmentesen zárt tárolóedény" : a mikroorganizmusok bejutásának megakadályozására szánt tárolóedény;
52. "biogázüzem" : olyan üzem, amelyben az állati melléktermékek vagy az azokból származó termékek legalább egy részét képezik annak az anyagnak, amelynek biológiai lebontása anaerob körülmények között történik;
53. "gyűjtőközpontok" : az 1069/2009/EK rendelet 18. cikkének (1) bekezdésében említett állati takarmányozására szánt, az ugyanazon cikkben említett állati melléktermékeket gyűjtő létesítmények, kivéve a feldolgozóüzemeket;
54. "komposztálóüzem" : olyan üzem, amelyben az állati melléktermékek vagy az azokból származó termékek legalább egy részét képezik annak az anyagnak, amelynek biológiai lebontása aerob körülmények között történik;
55. "együttégető mű" : a 2000/76/EK irányelv 3. cikke 5. pontjában meghatározott, bármely helyhez kötött vagy mobil berendezés, amelynek elsődleges célja az energiatermelés vagy anyagi termékek előállítása;
56. "hulladékégető mű" : a 2000/76/EK irányelv 3. cikkének 4. pontjában meghatározott bármely helyhez kötött vagy mobil műszaki egység és berendezés, amely a hulladék hőkezelésére szolgál;
57. "kedvtelésből tartott állatok eledelét előállító üzem" : olyan telephely vagy létesítmény, ahol az 1069/2009/EK rendelet 24. cikke (1) bekezdésének e) pontjában említett, kedvtelésből tartott állatoknak szánt eledelt vagy ízesítő belsőségeket állítanak elő;
58. "feldolgozóüzem" : az 1069/2009/EK rendelet 24. cikke (1) bekezdésének a) pontjában említett, állati melléktermékeket feldolgozó telephely vagy létesítmény, amelyben a IV. melléklettel és/vagy a X. melléklettel összhangban állati melléktermékeket dolgoznak fel;
59. "termesztőközeg" : a helyi talajtól eltérő olyan anyagok, például virágföld, amelyekben növényeket termesztenek, és amelyet a helyi talajtól függetlenül használnak.
II. MELLÉKLET
AZ ÁLLATI MELLÉKTERMÉKEK FELHASZNÁLÁSÁNAK KORLÁTOZÁSA
I. FEJEZET
Prémes állatok fajon belüli újrahasznosítása
1. Észtországban, Lettországban és Finnországban a következő prémes állatok takarmányozhatók a IV. melléklet III. fejezetével összhangban feldolgozott hús- és csontliszttel és egyéb termékekkel, amelyek ugyanazon fajhoz tartozó egyedek testéből vagy testrészeiből származnak:
a) róka (Vulpes vulpes és Alopex lagopus);
b) nyestkutya (Nyctereutes procyonides).
2. Észtországban és Lettországban az amerikai nyérc (Mustela vison) fajhoz tartozó prémes állatok takarmányozhatók a IV. melléklet III. fejezetében meghatározott feldolgozási módszerekkel feldolgozott hús- és csontliszttel és egyéb termékekkel, amelyek ugyanazon fajhoz tartozó egyedek testéből vagy testrészeiből származnak.
3. Az 1. és 2. pontban említett takarmányozás a következő feltételek mellett történik:
a) A takarmányozás kizárólag olyan gazdaságokban történhet, amelyek(et):
i. az illetékes hatóság nyilvántartásba vett olyan dokumentumokkal alátámasztott kérelem alapján, amelyek igazolják azt, hogy nincs ok feltételezni TSE-ágens jelenlétét a kérelemben meghatározott fajok populációjában;
ii. megfelelő, a prémes állatokban a fertőző szivacsos agyvelőbántalmak (TSE) jelenlétét figyelő helyszíni rendszert működtetnek, amely magába foglalja a TSE kiszűrését célzó rendszeres laboratóriumi mintavizsgálatokat;
iii. megfelelő biztosítékokat nyújtanak arra vonatkozóan, hogy ezekből az állatokból vagy utódaikból származó, a IV. melléklet III. fejezetével összhangban feldolgozott állati melléktermékek, hús- és csontliszt, vagy egyéb termékek nem kerülhetnek be a prémes állatoktól eltérő állatok táplálék- vagy takarmányláncába;
iv. az ismeretek szerint nem kerültek kapcsolatba olyan gazdasággal, ahol feltételezték vagy megerősítették a TSE előfordulását;
v. nyilvántartásba vett üzemeltetője biztosítja, hogy:
- az ugyanazon fajhoz tartozó állatok takarmányozására szánt prémes állatok tetemeit az e célra nem engedélyezett tetemektől különválasztva kezelik és dolgozzák fel;
- azokat a prémes állatokat, amelyeket ugyanazon fajhoz tartozó állatokból származó hús- és csontlisztből vagy a IV. melléklet III. fejezetével összhangban feldolgozott egyéb termékekkel takarmányoznak, külön tartják azoktól az állatoktól, amelyeket nem az ugyanazon fajhoz tartozó állatokból származó termékekkel takarmányoznak;
- a gazdaság megfelel a VI. melléklet II. fejezete 1. szakaszának 2. pontjában és a VIII. melléklet II. fejezetének (2) bekezdése b) pontjának ii. alpontjában meghatározott követelményeknek.
b) A gazdaság üzemeltetője biztosítja, hogy az egy állatfajból származó és ugyanazon faj takarmányozására szánt hús- és csontliszt vagy egyéb termékeket kötelezően:
i. az 1069/2009/EK rendelet 24. cikke (1) bekezdésének a) pontja szerint engedélyezett feldolgozóüzemben, kizárólag az e rendelet IV. mellékletének III. fejezetében meghatározott 1-5. feldolgozási módszerekkel vagy a 7. feldolgozási módszerrel dolgozták fel;
ii. prém előállítása céljából leölt egészséges állatokból állították elő.
c) Amennyiben a gazdaság az ismeretek szerint vagy feltételezhetően érintkezésbe került olyan gazdasággal, ahol feltételezték vagy megerősítették a TSE előfordulását, a gazdaság üzemeltetője köteles haladéktalanul:
i. értesíteni az illetékes hatóságot arról, hogy ilyen érintkezés történt;
ii. leállítani a prémes állatok elszállítását bármely rendeltetési helyre, kivéve ha azt az illetékes hatóság írásban engedélyezi.
II. FEJEZET
Haszonállatok zöld takarmánnyal való ellátása
Az alábbi feltételek vonatkoznak a haszonállatok zöld takarmánnyal való ellátására - ami történhet legeltetéssel vagy vágott takarmány felhasználásával -, feltéve hogy az adott legelőn szerves trágyát vagy talajjavító szereket alkalmaztak:
a) Az 1069/2009/EK rendelet 11. cikke (1) bekezdésének c) pontjában meghatározott legalább 21 napos várakozási időt kötelezően betartották;
b) Kizárólag olyan szerves trágyákat és talajjavító szereket alkalmaztak, amelyek megfelelnek az 1069/2009/EK rendelet 32. cikkének (1) és (2) bekezdésében, valamint az e rendelet XI. melléklete II. fejezetének.
A fenti feltételeket azonban nem kell alkalmazni, ha kizárólag az alábbi szerves trágyákat vagy talajjavító szereket alkalmazták az adott területen:
a) trágya és guanó;
b) emésztőtraktus-tartalom, tej, tejalapú termékek, tejből származó termékek, kolosztrum és kolosztrum tartalmú termékek, amelyek az illetékes hatóság véleménye szerint nem hordozzák valamely súlyos állatbetegség terjedésének kockázatát.
III. MELLÉKLET
ÁRTALMATLANÍTÁS, HASZNOSÍTÁS ÉS TÜZELŐANYAGKÉNT VALÓ FELHASZNÁLÁS
I. FEJEZET
AZ ÉGETÉSRE ÉS EGYÜTTÉGETÉSRE VONATKOZÓ ÁLTALÁNOS KÖVETELMÉNYEK
1. szakasz
Általános feltételek
1. Az e rendelet 6. cikke (1) bekezdésének b) pontjában említett hulladékégető művek és hulladék-együttégető művek üzemeltetőinek biztosítaniuk kell, hogy az ellenőrzésük alatt álló létesítményekben teljesülnek az alábbi higiéniai feltételek:
a) Az állati melléktermékeket és az azokból származó termékeket megérkezésük után, az illetékes hatóság által meghatározott feltételeknek megfelelően, a lehető leghamarabb ártalmatlanítani kell. Az ártalmatlanításig ezeket a termékeket az illetékes hatóság által meghatározott feltételeknek megfelelően kell tárolni.
b) A hulladékégető és a hulladék-együttégető művekben megfelelő intézkedéseket kell hozni a tároló-és szállítóeszközök tisztítására és fertőtlenítésére, így különösen azon a kijelölt területen, ahol a szennyvizet az uniós jogszabályokkal összhangban, a szennyeződés kockázatának megelőzése érdekében ártalmatlanítják.
c) A hulladékégető és a hulladék-együttégető műveknek jó vízelvezetésű, szilárd alapon kell elhelyezkedniük.
d) A hulladékégető- és a hulladék-együttégető művekben megfelelő intézkedéseket kell tenni a kártevők, például rovarok, rágcsálók és madarak elleni védekezés érdekében. E célra kártevők elleni dokumentált védekezési tervet kell alkalmazni.
e) A személyzet számára biztosítani kell a személyes higiéniát szolgáló megfelelő létesítményeket, így például a mellékhelyiségeket, öltözőket és mosdókagylókat, ha a fertőződés kockázatának megelőzése miatt van ezekre szükség.
f) A létesítmény minden részére vonatkozóan tisztítási eljárásokat kell kidolgozni és dokumentálni. A tisztításhoz megfelelő felszerelést és tisztítószereket kell biztosítani.
g) A higiéniai ellenőrzésnek ki kell terjednie a környezet és a berendezések rendszeres ellenőrzésére. Az ellenőrzések ütemtervét és eredményeit dokumentálni kell és legalább 2 évig meg kell őrizni.
2. A hulladékégető vagy hulladék-együttégető mű üzemeltetőjének minden szükséges, az állati melléktermékek vagy az azokból származó termékek fogadásával kapcsolatos óvintézkedést meg kell tennie a közvetlen egészségügyi és állat-egészségügyi kockázatok megelőzése vagy lehető legnagyobb mértékű csökkentése érdekében.
3. Az állatok nem kerülhetnek kapcsolatba a hulladékégető vagy a hulladék-együttégető művel, az égetésre vagy együttégetésre szánt állati melléktermékekkel és az azokból származó termékekkel, illetve az állati melléktermékek égetése vagy együttégetése során keletkező hamuval.
4. Ha a hulladékégető vagy hulladék-együttégető mű állattartó gazdaság területén helyezkedik el:
a) a hulladékégető vagy hulladék-együttégető berendezést és az állatokat, valamint takarmányukat és almukat fizikailag teljesen el kell különíteni, szükség esetén kerítéssel;
b) a felszerelést teljes mértékben az égetőmű üzemeltetésének kell szentelni, és a gazdaságban máshol nem szabad használni, vagy adott esetben, az ilyen használat előtt meg kell tisztítani és fertőtleníteni kell;
c) az égetőműben dolgozó személyzet tagjainak felsőruházatot és lábbelit kell váltaniuk, mielőtt az állatállományt vagy az állatállomány takarmányát kezelik.
5. Az égetésre vagy együttégetésre szánt állati melléktermékeket és az azokból származó termékeket, valamint a hamut fedett, megfelelő azonosítóval ellátott és - adott esetben - szivárgásmentes tárolóedényekben kell tárolni.
6. A nem teljesen elégett állati melléktermékeket újra kell égetni vagy - az engedélyezett hulladéklerakóban történő elhelyezés kivételével - egyéb módon kell ártalmatlanítani az 1069/2009/EK rendelet 12. 13. és 14. cikkei közül a vonatkozó cikknek megfelelően.
2. szakasz
Üzemeltetési feltételek
A hulladékégető vagy hulladék-együttégető műveket úgy kell kialakítani, felszerelni, megépíteni és üzemeltetni, hogy a folyamatból származó gáz hőmérséklete ellenőrzött és egyenletes módon, még a legkedvezőtlenebb körülmények között is legalább 2 másodpercig 850 °C-ra vagy 0,2 másodpercig 1 100 °C-ra hevüljön; a mérést - az illetékes hatóság engedélye szerint - az égető- vagy együttégető kamra belső fala közelében vagy annak más reprezentatív pontján kell végezni.
3. szakasz
Égetési és együttégetési maradékanyagok
1. Az égetési és együttégetési maradékanyagok mennyiségét és ártalmasságát a lehető legkisebbre kell csökkenteni. A maradékanyagokat - adott esetben - a vonatkozó uniós jogszabályoknak megfelelően közvetlenül a hulladékégető vagy hulladék-együttégető műben vagy azon kívül kell hasznosítani vagy egy engedélyezett hulladéklerakóban kell ártalmatlanítani.
2. A száraz maradékanyagok - beleértve a port - szállítását és közbenső tárolását úgy kell végezni, hogy meg lehessen akadályozni a szétszóródásukat a környezetben, pl. zárt tárolóeszközökben.
4. szakasz
A hőmérséklet és egyéb paraméterek mérése
1. A hulladékégetési és hulladék-együttégetési folyamathoz tartozó paraméterek és körülmények figyelemmel kíséréséhez különböző technikákat kell alkalmazni.
2. Az illetékes hatóság által kiadott engedélyben vagy az ahhoz csatolt feltételekben meg kell állapítani a hőmérséklet mérésére vonatkozó követelményeket.
3. Az automata megfigyelőberendezések működését ellenőrzésnek és évenkénti felügyeleti vizsgálatnak kell alávetni.
4. A hőmérséklet-mérési eredményeket úgy kell nyilvántartani és bemutatni, hogy az illetékes hatóság - az általa meghatározott eljárásokkal összhangban - ellenőrizhesse az e rendelet szerint engedélyezett működési feltételek betartását.
5. szakasz
Rendellenes üzemelés
A hulladékégető vagy hulladék-együttégető művek üzemzavar vagy rendellenes üzemelése esetén az üzemeltetőnek a lehető leghamarabb csökkentenie kell vagy le kell állítania az üzemelést mindaddig, amíg a rendes üzemelés újra nem indítható.
II. FEJEZET
NAGYTELJESÍTMÉNYŰ HULLADÉKÉGETŐ ÉS HULLADÉK-EGYÜTTÉGETŐ MŰVEK
1. szakasz
Különleges üzemelési feltételek
A kizárólag állati melléktermékeket és az azokból származó termékeket kezelő, óránként több mint 50 kg teljesítménnyel rendelkező hulladékégető vagy hulladék-együttégető művek (nagyteljesítményű üzemek), amelyeknek a 2000/76/EK irányelv szerint nem kell működési engedéllyel rendelkeznie, a következő feltételeknek kell megfelelnie:
a) Az üzemek valamennyi sorát legalább egy segédégetővel kell felszerelni. Ezen égetőnek automatikusan be kell kapcsolnia akkor, ha az égési levegő utolsó befújását követően az égési gázok hőmérséklete 850 °C, illetve 1 100 °C alá esik (az adott üzemnek megfelelően). Használni kell továbbá az üzem tevékenységének megkezdése és leállítása során is annak biztosítása érdekében, hogy a 850 °C-os, illetve 1 100 °C hőmérséklet állandó legyen e műveletek teljes időtartama alatt és mindaddig, amíg elégetetlen anyag található az égető- vagy együttégető kamrában.
b) Amennyiben állati melléktermékeket vagy azokból származó termékeket juttatnak a folyamatos üzemeléssel működtetett égető- vagy együttégető kamrába, akkor az üzemnek olyan automata rendszerrel kell rendelkeznie, amely megakadályozza az állati melléktermékek és az azokból származó termékek bejutását a tevékenység megkezdésekor és utána a 850 °C-os, illetve 1 100 °C hőmérséklet eléréséig; továbbá minden esetben, amikor a hőmérséklet lecsökken.
c) Az üzemeltetőnek úgy kell üzemeltetnie a hulladékégető művet, hogy az égési folyamat végén a salak és a tűztéri hamu összes szerves széntartalma kisebb legyen, mint 3 %, vagy az izzítási veszteség kevesebb legyen, mint az anyag szárazanyag-tartalmának 5 %-a. Szükség esetén megfelelő előkezelési eljárásokat kell alkalmazni.
2. szakasz
Vízelvezetés
1. A nagyteljesítményű üzemek területeit - az állati melléktermékek tárolására szolgáló területeket is beleértve - úgy kell kialakítani, hogy meg lehessen akadályozni a szennyezőanyagok engedély nélküli vagy véletlenszerű kijutását a talajba, a felszíni vizekbe és a talajvízbe.
2. Tárolókapacitásról kell gondoskodni az üzem területéről elfolyó szennyezett esővíz, illetve a túlfolyásból vagy a tűzoltási műveletekből származó szennyezett víz számára.
Az üzemeltetőnek szükség esetén biztosítania kell, hogy az ilyen esővizet és vizet meg lehet vizsgálni és az elvezetés előtt kezelni lehet, ha szükséges.
III. FEJEZET
KISTELJESÍTMÉNYŰ HULLADÉKÉGETŐ ÉS HULLADÉK-EGYÜTTÉGETŐ MŰVEK
A kizárólag állati melléktermékeket és az azokból származó termékeket kezelő, óránként vagy gyártási tételenként kevesebb mint 50 kg maximális teljesítménnyel rendelkező hulladékégető és hulladék-együttégető műveket (kisteljesítményű üzemek), amelyeknek a 2000/76/EK irányelv szerint nem kell működési engedéllyel rendelkeznie:
a) kizárólag a következő anyagok ártalmatlanítására lehet használni:
i. az 1069/2009/EK rendelet 8. cikke a) pontjának iii. alpontjában említett, elhullott, kedvtelésből tartott állatok;
ii. az említett rendelet 8. cikkének b), e) és f) pontjában említett, 1. kategóriába tartozó anyagok, a 9. cikkben említett, 2. kategóriába tartozó anyagok, valamint a 10. cikkben említett, 3. kategóriába tartozó anyagok; valamint
iii. amennyiben az adott tagállam engedélyezi, egyedileg azonosított, elhullott lófélék, amelyek olyan gazdaságokból származnak, amelyek sem a 2009/156/EK irányelv 4. cikkének (5) bekezdése szerinti, sem 5. cikke szerinti korlátozások tárgyát nem képezik;
b) amennyiben a kisteljesítményű hulladékégető vagy hulladék-együttégető műben az 1069/2009/EK rendelet 8. cikkének b) pontjában meghatározott, 1. kategóriába tartozó anyagokat égetnek, segédégetővel kell felszerelni;
c) úgy kell üzemeltetni, hogy az állati melléktermékek teljes mértékben hamuvá alakuljanak.
IV. FEJEZET
ÁLLATI MELLÉKTERMÉKEK ÉS AZOKBÓL SZÁRMAZÓ TERMÉKEK TÜZELŐANYAGKÉNT VALÓ FELHASZNÁLÁSÁRA VONATKOZÓ ÁLTALÁNOS KÖVETELMÉNYEK
1. szakasz
Állati melléktermékek és azokból származó termékek éghető tüzelőanyagként való felhasználására vonatkozó általános követelmények
1. A 6. cikk (6) bekezdésében említett tüzelőberendezések üzemeltetőinek biztosítaniuk kell, hogy az irányításuk alatt lévő tüzelőberendezések teljesítsék az alábbi feltételeket:
a) A tüzelőanyagként való felhasználásra szánt állati melléktermékeket és azokból származó termékeket a lehető legrövidebb időn belül fel kell használni erre a célra vagy felhasználásukig biztonságosan kell tárolni őket.
b) A tüzelőberendezések esetében megfelelő intézkedéseknek kell érvényben kell lenniük, amelyek biztosítják, hogy a tároló-és szállítóeszközök tisztítását és fertőtlenítését a telephely olyan kijelölt területén végzik, ahonnan a szennyvizet az uniós jogszabályoknak megfelelően összegyűjteni és ártalmatlanítani lehet a környezetszennyezés kockázatának elkerülése érdekében.
Az első albekezdésben meghatározott követelményektől eltérve a kiolvasztott zsírok szállítására használt tároló- és szállítóeszközök tisztítását és fertőtlenítését el lehet végezni a berakodás helyén vagy pedig az 1069/2009/EK rendelet értelmében engedélyezett vagy nyilvántartásba vett bármely más telephelyen.
c) A tüzelőberendezéseknek jó vízelvezetésű, szilárd alapon kell elhelyezkedniük.
d) A tüzelőberendezések esetében megfelelő intézkedéseknek kell érvényben lenniük a kártevők elleni védekezés érdekében. E célra kártevők elleni dokumentált védekezési tervet kell alkalmazni.
e) A személyzet számára biztosítani kell a személyes higiéniát szolgáló megfelelő létesítményeket, így például a mellékhelyiségeket, öltözőket és mosdókagylókat, hogy megelőzzék a gazdaságban tartott állatok, vagy ezen állatoknak szánt takarmány kezelésére szolgáló berendezések újrafertőződésének kockázatát.
f) A tüzelőberendezés minden részére vonatkozóan tisztítási és fertőtlenítési eljárásokat kell kidolgozni és dokumentálni. A tisztításhoz megfelelő felszerelést és tisztítószereket kell biztosítani.
g) A higiéniai ellenőrzésnek ki kell terjednie a környezet és a berendezések rendszeres ellenőrzésére. Az ellenőrzések ütemtervét és eredményeit dokumentálni kell és legalább 2 évig meg kell őrizni.
h) Amennyiben engedélyezett vagy nyilvántartásba vett élelmiszer- vagy takarmányfeldolgozó üzemben helyhez kötött belső égésű motorokban tüzelőanyagként kiolvasztott zsírt használnak, az élelmiszer vagy a takarmány ugyanezen a helyen történő feldolgozásának szigorúan elkülönített módon kell történnie.
2. A tüzelőberendezések üzemeltetőinek minden szükséges, az állati melléktermékek vagy az azokból származó termékek fogadásával kapcsolatos óvintézkedést meg kell tenniük az egészségügyi és állat-egészségügyi, valamint környezeti kockázatok megelőzése vagy lehető legnagyobb mértékű csökkentése érdekében.
3. Az állatok nem kerülhetnek kapcsolatba a tüzelőberendezéssel, az eltüzelésre szánt állati melléktermékekkel és az azokból származó termékekkel, illetve az eltüzelés során keletkező hamuval.
4. Amennyiben a tüzelőberendezés élelmiszertermelő fajhoz tartozó állatokat tartó üzem területén található:
a) gondoskodni kell a tüzelőberendezés, illetve az állatok, valamint takarmányuk és almuk teljes mértékű fizikai elkülönítéséről;
b) a felszereléseket teljes mértékben a tüzelőberendezés üzemeltetésének kell szentelni, és az üzemben máshol nem szabad használni, kivéve, ha azt az ilyen használat előtt hatékonyan megtisztították és fertőtlenítették;
c) a tüzelőberendezés személyzetének felsőruházatot és lábbelit kell váltaniuk és biztosítaniuk kell a személyes higiéniát mielőtt az ezen üzemben, vagy bármely más üzemben lévő állatokat, takarmányukat vagy almukat kezelik.
5. A tüzelőanyagként való eltüzelésre váró állati melléktermékeket és a tüzelés maradékanyagait zárt és fedett kijelölt helyen vagy fedett szivárgásmentes tartályokban kell tárolni.
6. Az állati melléktermék vagy a belőlük származó termékek eltüzelését olyan feltételek mellett kell végezni, amelyek megakadályozzák az állati takarmányok keresztszennyeződését.
2. szakasz
A tüzelőberendezések üzemeltetési feltételei
1. A tüzelőberendezéseket úgy kell tervezni, megépíteni, felszerelni és üzemeltetni, hogy még a legkedvezőtlenebb körülmények között is az állati melléktermékek és a belőlük származó termékek legalább 2 másodpercen keresztül 850 °C-on, vagy legalább 0,2 másodpercig 1 100 °C-on legyenek kezelve.
2. Az eljárásból származó gáz hőmérsékletét ellenőrzött és egyenletes módon 2 másodpercig 850 °C-os, vagy 0,2 másodpercig 1 100 °C-os hőmérsékletre kell emelni.
A hőmérsékletet - az illetékes hatóság engedélye alapján - a belső fal közelében vagy az égéstér valamely más reprezentatív pontján kell mérni.
3. Automata technikákat kell alkalmazni a tüzelési folyamattal kapcsolatos paraméterek és feltételek nyomon követésére.
4. A hőmérséklet-mérési eredményeket úgy kell automatikusan nyilvántartani és bemutatni, hogy az illetékes hatóság - az általa meghatározott eljárásokkal összhangban - ellenőrizhesse az 1. és a 2. pontban említett engedélyezett működési feltételek betartását.
5. A tüzelőberendezés üzemeltetőjének biztosítania kell azt, hogy a tüzelőanyag olyan módon égjen el, hogy a salak és a tűztéri hamu teljes szervesszén-tartalma kisebb legyen mint 3 %, vagy az izzítási veszteség kevesebb legyen, mint az említett anyag szárazanyag tartalmának 5 %-a.
3. szakasz
Az égéstermékek
1. Az égéstermékek mennyiségét és káros hatását a lehető legkisebbre kell csökkenteni. Az ilyen égéstermékeket újra kell hasznosítani, vagy amennyiben ez nem lehetséges, a megfelelő uniós jogszabályok szerint kell ártalmatlanítani vagy felhasználni.
2. A szárazmaradékok - beleértve a port is - szállítását és közbenső tárolását zárt tartályokban kell végezni, vagy olyan más módon, amely megakadályozza a környezetben való szétszóródásukat.
4. szakasz
Üzemzavar vagy a normálistól eltérő üzemeltetési feltételek
1. A tüzelőberendezést el kell látni olyan berendezéssel, amely biztosítja az üzemelés leállását üzemzavar vagy a normálistól eltérő üzemelés esetén mindaddig, amíg a normális üzemelés helyre nem áll.
2. A nem megfelelő mértékben eltüzelt állati melléktermékeket és belőlük származó termékeket újra el kell tüzelni vagy az 1069/2009/EK rendelet 12., 13. és 14. cikkében említett, az engedélyezett hulladéklerakókban való ártalmatlanítási módszertől eltérő módon, ártalmatlanítani kell.
V. FEJEZET
A TÜZELŐBERENDEZÉSKÉNT HASZNÁLHATÓ ÜZEMEK ÉS AZ OTT HASZNÁLHATÓ TÜZELŐANYAGOK, VALAMINT AZ ÜZEMEK MEGHATÁROZOTT TÍPUSÁRA VONATKOZÓ KÜLÖNLEGES KÖVETELMÉNYEK
A. Helyhez kötött belső égésű motorok
1. Kiindulási anyag
Ehhez a folyamathoz az összes kategóriájú állati melléktermékből származó zsírfrakció használható, ha teljesíti az alábbi feltételeket:
a) ha nem a 853/2004/EK rendelet III. melléklete VIII. vagy XII. szakaszának megfelelően előállított halolajat, illetve kiolvasztott zsiradékot használnak fel, az állati melléktermékekből származó zsírfrakciót először fel kell dolgozni az alábbiak felhasználásával:
i. az 1. vagy a 2. zsírfrakció-kategóriába tartozó anyagok esetében az 1-5. feldolgozási módszerek valamelyikével, a IV. melléklet III. fejezetében foglaltaknak megfelelően.
Amennyiben ezt a zsírt az illetékes hatóság által engedélyezett nem mellőzhető, zárt szállítórendszerben távolították el a feldolgozó üzemből azonnali közvetlen égetésre, nincs szükség a VIII. melléklet V. fejezetének 1. pontjában említett, glicerin-triheptanoáttal (GTH) való tartós megjelölésre;
ii. a 3. kategória anyagaihoz tartozó zsírfrakció esetében az 1-5. feldolgozási módszerek valamelyikével vagy a 7. feldolgozási módszerrel, a IV. melléklet III. fejezetében foglaltaknak megfelelően;
iii. halból származó anyag esetében az 1-7. módszerekkel a IV. melléklet III. fejezetében foglaltaknak megfelelően;
b) a zsírfrakciót külön kell választani a fehérjétől, és a másik üzemben történő eltüzelésre szánt, kérődző állatokból származó zsír esetében el kell távolítani a 0,15 tömegszázalékot meghaladó oldhatatlan szennyeződéseket.
2. Módszerek:
Az állati zsírnak helyhez kötött belső égésű motorokban tüzelőanyagként való elégetését az alábbi módon kell végezni:
a) az 1.a) és b) pontokban említett zsírfrakciókat az alábbi módon kell elégetni:
i. a IV. fejezet 2. szakaszának 1. pontjában meghatározott feltételek alapján; vagy
ii. olyan, az illetékes hatóság által engedélyezett folyamatparaméterek alkalmazásával, amelyekkel az i. alpontban meghatározottal megegyező eredmény érhető el;
b) az állati zsíron kívül más állati eredetű anyag elégetését nem szabad engedélyezni;
c) az 1. kategóriából vagy a 2. kategóriából nyert kiolvasztott zsírokat, amelyeket a 852/2004/EK, a 853/2004/EK és a 183/2005/EK rendeletnek megfelelően nyilvántartásba vett vagy engedélyezett telephelyeken vagy nyilvános helyeken tüzelnek el, az 1. feldolgozási módszerrel kell feldolgozni, a IV. melléklet III. fejezetében foglaltaknak megfelelően;
d) az állati zsír égetését a környezetvédelemre vonatkozó uniós jogszabályokkal összhangban kell végezni, különös figyelemmel az e jogszabályokban meghatározott szabványokra és követelményekre, valamint a károsanyag-kibocsátások szabályozásának és ellenőrzésének elérhető legjobb technikáira vonatkozó követelményekre.
3. Üzemelési feltételek:
A IV. fejezet 2. szakaszának 2. pontjában meghatározott követelményektől eltérve, a környezetvédelmi ügyekért felelős illetékes hatóság engedélyezheti az olyan egyéb folyamatparamétereken alapuló követelményeket, amelyek azonos környezeti eredményt biztosítanak.
B. Olyan, mezőgazdasági üzemben lévő tüzelőberendezések, amelyekben baromfitrágyát használnak tüzelőanyagként
1. Az üzem típusa:
Olyan, mezőgazdasági üzemben lévő tüzelőberendezések, amelyeknek a névleges bemenő hőteljesítménye nem haladja meg az 5 MW-t.
2. Kiindulási anyag és cél
Kizárólag az 1069/2009/EK rendelet 9. cikkének a) pontjában említett nem feldolgozott baromfitrágya, amelyet éghető tüzelőanyagként használnak fel az 3-5. pontban meghatározott követelményeknek megfelelően.
Az 1. pontban említett mezőgazdasági üzemben lévő tüzelőberendezésben nem használhatók tüzelőanyagként az egyéb állati melléktermékek vagy a belőlük származó termékek és más fajok trágyája, vagy amelyek az üzemen kívül keletkeztek.
3. A baromfitrágyára vonatkozó különleges követelmények annak éghető tüzelőanyagként való felhasználása esetén:
a) A trágyát élelmiszer-termelő állatokat tartó üzemben biztonságosan, zárt tárolóhelyen kell tárolni, a további kezelések szükségességének csökkentése és a más területekkel való keresztszennyeződés elkerülése érdekében.
b) A mezőgazdasági üzemben lévő tüzelőberendezésnek az alábbi felszereltséggel kell rendelkeznie:
i. automata tüzelőanyag-kezelő rendszer, amely a tüzelőanyagot további kezelés nélkül közvetlenül az égéstérbe helyezi;
ii. egy támasztóégő, amelyet indításkor és leállításkor használnak a IV. fejezet 2. szakaszának 2. pontjában meghatározott hőmérsékleti követelmények betartásának biztosítására e működések során minden esetben és mindaddig, amíg elégetetlen anyag található az égéstérben.
4. Kibocsátási határértékek és nyomonkövetési követelmények:
a) A kén-dioxid, a nitrogén-oxidok kibocsátása (vagyis a nitrogén-monoxid és a nitrogén-dioxid együttes mennyiségének nitrogén-dioxidban kifejezett összege) és a por kibocsátása nem haladhatja meg az alábbi kibocsátási határértékeket, amelyeket mg/Nm3-ben 273,15 K hőmérsékleten, 101,3 kPa nyomáson 11 százalékos oxigéntartalom mellett határoztak meg, a hulladékgázok vízpára-tartalommal történt korrekcióját követően:
Káros anyag | Kibocsátási határérték (mg/Nm3) |
Kén-dioxid | 50 |
Nitrogén-oxidok (NO2) | 200 |
Por | 10 |
b) A mezőgazdasági üzemben lévő tüzelőberendezés üzemeltetője legalább évente méréseket végez a kén-dioxid, a nitrogén-oxidok és a por kimutatására.
Az első albekezdésben említett mérések alternatívájaként egyéb, az illetékes hatóság által ellenőrzött és jóváhagyott eljárások is alkalmazhatók a kén-dioxid-kibocsátás meghatározására.
A nyomon követést az üzemeltető által vagy nevében a CEN-szabványoknak megfelelően kell elvégezni. Amennyiben nem áll rendelkezésre megfelelő CEN-szabvány, olyan ISO-szabványokat, országos vagy egyéb nemzetközi szabványokat kell figyelembe venni, amelyek az adatszolgáltatást ezzel tudományos szempontból egyenértékű minőségben tudják biztosítani.
c) Valamennyi eredményt megfelelő módon kell rögzíteni, feldolgozni és bemutatni, hogy az illetékes hatóság ellenőrizhesse a kibocsátási határértékek betartását.
d) Azon tüzelőberendezések esetében, amelyek mezőgazdasági üzemben találhatók, és amelyekben a kibocsátási határértékek betartása céljából másodlagos kibocsátáscsökkentő berendezést alkalmaznak, az említett kibocsátáscsökkentő berendezés hatékony működését folyamatosan nyomon kell követni, és az így kapott adatokat rögzíteni kell.
e) Az a) pontban említett kibocsátási határértékek be nem tartása esetén, vagy amennyiben egy mezőgazdasági üzemben lévő tüzelőberendezés nem teljesíti a IV. fejezet 2. szakasza 1. pontjában meghatározott követelményeket, az üzemeltetőknek haladéktalanul tájékoztatniuk kell az illetékes hatóságot, és intézkedéseket kell tenniük annak érdekében, hogy a tüzelőberendezés a követelményeket a lehető legrövidebb időn belül újból teljesítse. Amennyiben a követelmények újbóli teljesítése nem lehetséges, az illetékes hatóság felfüggeszti a tüzelőberendezés üzemeltetését, és visszavonja engedélyét.
5. Módosítások az üzemeltetésben és leállások:
a) Az üzemeltető a módosítás elvégzését megelőzően legalább egy hónappal értesíti az illetékes hatóságot a mezőgazdasági üzemben lévő tüzelőberendezés minden olyan tervezett módosításáról, amely hatással lehet annak kibocsátására.
b) Az üzemeltető meghozza a szükséges intézkedéseket annak biztosítására, hogy a mezőgazdasági üzemben lévő tüzelőberendezés esetében az üzemzavarok fennállásának időtartama, valamint az indítási és leállítási időszakok a lehető legrövidebbek legyenek. A másodlagos kibocsátáscsökkentő berendezések üzemzavara vagy üzemképtelensége esetén az üzemeltető azonnal értesíti az illetékes hatóságot.
C. Olyan tüzelőberendezések, amelyekben a B. szakaszban meghatározott baromfitrágyától eltérő, haszonállatoktól származó trágyát használnak tüzelőanyagként
1. Az üzem típusa:
Olyan tüzelőberendezések, amelyeknek a névleges bemenő hőteljesítménye nem haladja meg az 50 MW-ot.
2. Kiindulási anyag
Kizárólag a B. szakaszban meghatározott baromfitrágyától eltérő, haszonállatoktól származó trágya, amelyet tüzelőanyagként használnak fel a 3. pontban meghatározott követelményeknek megfelelően.
Az 1. pontban említett tüzelőberendezésben nem használhatók tüzelőanyagként egyéb állati melléktermékek vagy azokból származó termékek. A B. szakaszban meghatározott baromfitrágyától eltekintve az üzemen kívül keletkezett, haszonállatoktól származó trágya nem kerülhet érintkezésbe haszonállatokkal.
3. Módszerek:
Azon tüzelőberendezéseknek, amelyekben a B. szakaszban meghatározott baromfitrágyától eltérő, haszonállatoktól származó trágyát használnak éghető tüzelőanyagként, meg kell felelniük a B. szakasz 3., 4. és 5. pontjában meghatározott követelményeknek.
4. Eltérés és átmeneti időszak:
A tagállam környezetvédelmi ügyekért felelős illetékes hatósága:
a) a B. szakasz 3. pontjának b) ii. alpontjától eltérve a 2017. augusztus 2-án üzemben lévő tüzelőberendezések számára további maximum 6 éves időszakot engedélyezhet arra, hogy e rendelet III. melléklete IV. fejezete 2. szakaszának 2. pontjában foglalt követelményeknek megfeleljenek.
b) a B. szakasz 4. pontjától eltérve engedélyezheti a légszennyező részecskék 50 mg/m3-t meg nem haladó kibocsátását olyan tüzelőberendezések esetében, amelyek névleges bemenő hőteljesítménye nem haladja meg az 5 MW-ot.
c) a B. szakasz 3. pontjának b) i. alpontjától eltérve engedélyezheti a lótrágya kézi elhelyezését tüzelőanyagként az égéstérben olyan tüzelőberendezések esetében, amelyek névleges bemenő hőteljesítménye nem haladja meg a 0,5 MW-ot.
D. Olyan tüzelőberendezések, amelyekben hús- és csontlisztet használnak tüzelőanyagként
1. Az üzem típusa:
Olyan tüzelőberendezések, amelyeknek a névleges bemenő hőteljesítménye nem haladja meg az 50 MW-ot.
2. Kiindulási anyag:
1. és 2. kategóriába tartozó anyagokból származó hús- és csontliszt, amelyet tüzelőanyagként használnak a 3. pontban meghatározott követelményeknek megfelelően önmagában, vagy hús- és csontliszt, kiolvasztott zsír és trágya keverékeként.
3. A tüzelőanyagként használt hús- és csontlisztre vonatkozó egyedi követelmények:
a) a hús- és csontlisztet a tüzelőberendezésben biztonságosan, állatok által nem hozzáférhető, zárt tárolóban kell tárolni, és az nem szállítható el egy másik rendeltetési helyre, hacsak az illetékes hatóság azt nem engedélyezi üzemzavar vagy rendellenes üzemelés esetén;
b) a tüzelőberendezésnek az alábbi felszereltséggel kell rendelkeznie:
i. automata vagy folyamatos tüzelőanyag-kezelő rendszer, amely a tüzelőanyagot további kezelés nélkül közvetlenül az égetőkamrába helyezi;
ii. egy támasztóégő, amelyet indításkor és leállításkor használnak a IV. fejezet 2. szakaszának 2. pontjában meghatározott hőmérsékleti követelmények betartásának biztosítására e működések során minden esetben és mindaddig, amíg elégetetlen anyag található az égéstérben.
4. Módszerek:
Azon tüzelőberendezéseknek, amelyekben 1. vagy 2. kategóriába tartozó anyagokból származó hús- és csontlisztet használnak tüzelőanyagként, meg kell felelniük a IV. fejezetben megállapított általános követelményeknek és az e fejezet B. szakaszának 4. és 5. pontjában meghatározott egyedi követelményeknek.
5. Eltérés és átmeneti időszak:
A 3b. pont ii. alpontjától eltérve a környezetvédelemért felelős illetékes tagállami hatóság a 2020. június 3-án üzemelő tüzelőberendezések esetében egy további, legfeljebb 4 éves időszakot engedélyezhet a IV. fejezet 2. szakasza 2. pontjának második bekezdésében foglaltaknak való megfelelés teljesítésére.
IV. MELLÉKLET
FELDOLGOZÁS
I. FEJEZET
A FELDOLGOZÓÜZEMEKRE, VALAMINT BIZONYOS EGYÉB ÜZEMEKRE ÉS LÉTESÍTMÉNYEKRE VONATKOZÓ KÖVETELMÉNYEK
1. szakasz
Általános feltételek
1. A feldolgozóüzemeknek meg kell felelniük az alábbiakban meghatározott, nyomással történő sterilizálással, illetve az 1069/2009/EK rendelet 15. cikke (1) bekezdésének b) pontjában említett feldolgozási módszerekkel történő feldolgozás követelményeinek:
a) A feldolgozóüzemek nem lehetnek a vágóhidakkal vagy a 852/2004/EK rendeletnek vagy a 853/2004/EK rendeletnek megfelelően engedélyezett vagy nyilvántartásba vett egyéb létesítményekkel azonos területen, kivéve ha az állat- és közegészségügyi kockázatok, amelyek az ilyen vágóhidakról vagy egyéb létesítményekből származó állati melléktermékek feldolgozásából erednek, legalább az alábbi feltételek teljesítése révén mérsékelhetők:
i. a feldolgozóüzemnek a vágóhídtól vagy egyéb létesítménytől fizikailag elkülönített helyen kell lennie; amenynyiben szükséges, a feldolgozó üzemnek a vágóhídtól vagy egyéb létesítménytől teljes mértékben elkülönített épületben kell lennie;
ii. a feldolgozóüzemben a következőket kell telepíteni és működtetni:
- egy a feldolgozóüzemet a vágóhíddal vagy egyéb létesítménnyel összekötő szállítórendszer, amely nem kerülhető ki;
- a feldolgozóüzem és a vágóhíd vagy létesítmény számára elkülönített bejáratok, fogadó területek, felszerelések és kijáratok;
iii. megfelelő megelőző intézkedéseket kell hozni annak érdekében, hogy a feldolgozóüzemben és a vágóhídon vagy egyéb létesítményben foglalkoztatott személyzet tevékenysége ne növelje a kockázatot;
iv. jogosulatlan személyek vagy állatok nem juthatnak be a feldolgozóüzembe.
A 3. kategóriába tartozó anyagokat feldolgozó üzemek esetében az i-iv. pontoktól eltérően, az illetékes hatóság az e pontokban előírtak helyett egyéb olyan feltételeket is engedélyezhet, amelyek a köz- és állategészségügyi kockázatok mérséklését szolgálják, beleértve a 852/2004/EK rendeletnek vagy a 853/2004/EK rendeletnek megfelelően engedélyezett vagy nyilvántartásba vett, nem a kérdéses területen található létesítményekből származó, a 3. kategóriába tartozó anyagok feldolgozásából eredő kockázatokat is.
Az 1069/2009/EK rendelet 52. cikkének (1) bekezdésében említett Élelmiszerlánc- és Állat-egészségügyi Állandó Bizottság munkájának keretében a tagállamok tájékoztatják a Bizottságot és a többi tagállamot, amennyiben az illetékes hatóságuk ezt az eltérést alkalmazza.
b) A feldolgozóüzemben megfelelően elkülönített tiszta és szennyezett övezetnek kell lennie. A szennyezett övezetnek körzetnek fedett térrel kell rendelkeznie az állati melléktermékek átvételéhez, és olyan kialakításúnak kell lennie, hogy az könnyen tisztítható és fertőtleníthető legyen. A padlót úgy kell kialakítani, hogy megkönnyítse a folyadékok elvezetését.
c) A feldolgozóüzemben megfelelő lehetőségeket, így mellékhelyiségeket, öltözőket és mosdókagylókat kell biztosítani a személyzet számára;
d) A feldolgozóüzemnek elegendő forróvíz- és gőztermelő kapacitással kell rendelkeznie az állati melléktermékek feldolgozásához;
e) A szennyezett övezetet - amennyiben szükséges - az állati melléktermékek méretének csökkentésére szolgáló berendezéssel és a felaprított állati melléktermékeknek a feldolgozóegységbe történő betöltését végző berendezéssel kell felszerelni;
f) Amennyiben hőkezelésre van szükség, ott valamennyi berendezést fel kell szerelni:
i. a hőmérsékletet az idő és - amennyiben az alkalmazott feldolgozási eljáráshoz szükséges - a kritikus pontokon a nyomás függvényében ellenőrző mérőberendezéssel;
ii. adatrögzítő készülékekkel, amelyek a fenti mérések eredményeit folyamatosan rögzítik úgy, hogy azok elérhetőek maradnak az ellenőrzések és a hatósági ellenőrzések céljára;
iii. megfelelő biztonsági rendszerrel az elégtelen hevítés megakadályozására;
g) Annak elkerülése érdekében, hogy a beérkező állati melléktermékek újrafertőzzék az azokból származó terméket, egyértelműen el kell különíteni a feldolgozásra beszállított anyag kirakodási területét és az adott termék feldolgozására, valamint a származtatott termék tárolására szolgáló területeket.
2. A feldolgozóüzemnek megfelelő létesítményekkel kell rendelkeznie az állati melléktermékek átvételére szolgáló tárolóeszközök vagy konténerek és - a hajók kivételével - a szállítóeszközök tisztításához és fertőtlenítéséhez.
3. Megfelelő lehetőségnek kell rendelkezésre állnia a feldolgozóüzem szennyezett övezetének elhagyásakor a járművek kerekeinek és adott esetben egyéb alkatrészeinek fertőtlenítéséhez.
4. Valamennyi feldolgozóüzemnek szennyvízelvezető rendszerrel kell rendelkeznie, amely megfelel az illetékes hatóság által az uniós jogszabályok szerint meghatározott követelményeknek.
5. A feldolgozóüzemnek saját laboratóriummal kell rendelkeznie, vagy egy külső laboratórium szolgáltatásait kell igénybe vennie. A laboratórium felszereltségének elegendőnek kell lennie a szükséges elemzések elvégzéséhez, és az illetékes hatóság engedélyével kell rendelkeznie, amely engedélyt a laboratóriumnak ezen elemzések elvégzéséhez szükséges képességének értékelése alapján adják ki. A laboratóriumot továbbá nemzetközileg elismert szabványok szerint kell akkreditáltatni, vagy azt az illetékes hatóságnak rendszeresen ellenőriznie kell annak értékelése céljából, hogy képes-e a fent említett elemzések elvégzésére.
6. Ha egy kockázatértékelés szerint a kezelt termékek mennyisége alapján az illetékes hatóság rendszeres vagy állandó jelenlétére van szükség, akkor a feldolgozóüzemeknek az ellenőrzést végző szerv kizárólagos használatára szánt, megfelelően felszerelt, zárható helyiséggel kell rendelkezniük.
2. szakasz
Szennyvízkezelés
1. Az 1. kategóriába tartozó anyagokat feldolgozó üzemeknek és egyéb létesítményeknek, amelyekben különleges fertőzési veszélyt jelentő anyagot távolítanak el, a vágóhidaknak és a 2. kategóriába tartozó anyagokat feldolgozó üzemeknek a szennyvízkezelés első lépéseként működtetniük kell egy előkezelési eljárást az állati anyagok visszatartására és összegyűjtésére.
Az előkezelési eljárás során használt berendezésnek a folyamat alvízoldali végén szagelzáró szifonokat vagy egy legfeljebb 6 mm-es pórusméretű szűrővel vagy hálóval ellátott rácsot vagy hasonló rendszereket kell tartalmaznia, amely biztosítja, hogy a rajta áthaladó szennyvízben lévő szilárd részecskék mérete nem haladja meg a 6 mm-t.
2. Az 1. pontban említett létesítményekből származó szennyvíznek be kell lépnie az előkezelési eljárásba, amely biztosítja, hogy az eljárás során az összes szennyvizet átszűrik, mielőtt elvezetik a létesítményből. Nem kerülhet sor darálásra, aprításra, vagy bármely egyéb feldolgozásra vagy nyomáshasználatra, amely elősegíthetné a szilárd állati anyag előkezelési eljáráson való átjutását.
3. Az 1. pontban említett létesítményekben az előkezelési eljárásban visszatartott minden állati anyagot az 1. kategóriába vagy - adott esetben - a 2. kategóriába tartozó anyagként kell összegyűjteni és szállítani, és az 1069/2009/EK rendeletnek megfelelően kell ártalmatlanítani.
4. Az 1. pontban említett létesítményekben az előkezelési eljáráson áthaladt szennyvizet, valamint az állati melléktermékeket kezelő vagy feldolgozó egyéb létesítményekből származó szennyvizet az e rendelet szerinti korlátozások nélkül, az uniós jogszabályoknak megfelelően kell kezelni.
5. A 4. pontban megállapított követelményeken túlmenően, az illetékes hatóság kötelezheti az üzemeltetőket arra, hogy a feldolgozóüzemek szennyezett övezetében, valamint az 1. vagy a 2. kategóriába tartozó anyagokon köztes műveleteket végző, illetve az 1. vagy a 2. kategóriába tartozó anyagokat tároló üzemekben vagy létesítményekben keletkező szennyvizet olyan feltételek mellett kezeljék, amelyek biztosítják a kórokozók jelenlétéből származó kockázatokat.
6. Az 1-5. pontok sérelme nélkül, az állati melléktermékeket - beleértve a vért és a tejet-, illetve az ezekből származó termékeket - tilos a szennyvíz áramában ártalmatlanítani.
Ugyanakkor a centrifuga- vagy szeparátoriszapból álló, 3. kategóriába tartozó anyag a szennyvíz áramában ártalmatlanítható, feltéve hogy alávetették az e rendelet X. melléklete II. fejezetének 4. szakasza III. részében a centrifuga- vagy szeparátoriszapra vonatkozóan meghatározott kezelések egyikének.
3. szakasz
Az 1. és a 2. kategóriába tartozó anyagok feldolgozására vonatkozó egyedi követelmények
Az 1. kategóriába és a 2. kategóriába tartozó anyagokat feldolgozó üzemeket úgy kell kialakítani, hogy az 1. kategóriába tartozó anyagokat teljesen el lehessen különíteni a 2. kategóriába tartozó anyagoktól, a nyersanyagok átvételétől kezdve a keletkező származtatott termék elszállításáig, kivéve ha 1. kategóriába tartozó anyag és 2. kategóriába tartozó anyag keverékét az 1. kategóriába tartozó anyagként dolgoznak fel.
4. szakasz
A 3. kategóriába tartozó anyagok feldolgozására vonatkozó egyedi követelmények
Az 1. szakaszban meghatározott általános feltételek mellett az alábbi követelményeket kell alkalmazni:
1. A 3. kategóriába tartozó anyagokat feldolgozó üzemek nem lehetnek az 1. kategóriába vagy a 2. kategóriába tartozó anyagokat feldolgozó üzemekkel azonos telephelyen, kivéve ha teljesen elkülönített épületben vannak.
2. Az illetékes hatóság azonban engedélyezheti a 3. kategóriába tartozó anyagok feldolgozását az 1. kategóriába vagy a 2. kategóriába tartozó anyagok kezelésének vagy feldolgozásának helyéül szolgáló telephelyen, feltéve hogy megakadályozzák a keresztszennyeződést:
a) a létesítmény, különösen az átvétel helyének kialakításával, és a nyersanyagok további kezelésével;
b) a feldolgozáshoz használt berendezések kialakításával és működtetésével, ideértve a külön feldolgozósorok vagy tisztítási eljárások kialakítását és működtetését, amelyek kizárják az esetleges köz- és állat-egészségügyi kockázatok terjedését.
c) a végtermékek ideiglenes tárolására szolgáló területek kialakításával és működtetésével.
3. A 3. kategóriába tartozó anyagot kezelő feldolgozóüzemekben olyan berendezést kell működtetni - feltéve, hogy azokban takarmányozásra szánt anyagokat dolgoznak fel -, amely ellenőrzi az idegen testek, így például csomagolóanyagok vagy fémdarabok jelenlétét az állati melléktermékekben vagy az abból származó termékekben. Ezeket az idegen testeket a feldolgozás előtt vagy közben el kell távolítani.
II. FEJEZET
HIGIÉNIAI ÉS FELDOLGOZÁSI KÖVETELMÉNYEK
1. szakasz
Általános higiéniai követelmények
Az 1069/2009/EK rendelet 25. cikkében meghatározott általános higiéniai követelmények mellett a feldolgozóüzemekben kártevők elleni dokumentált védekezési tervet kell alkalmazni az említett rendelet 25. cikke (1) bekezdésének c) pontjában említett, a kártevők - például rovarok, rágcsálók és madarak - elleni védekezést szolgáló intézkedések végrehajtása céljából.
2. szakasz
Általános feldolgozási követelmények
1. Pontosan kalibrált mérő-/adatrögzítő eszközöket kell használni a feldolgozási körülmények folyamatos figyelemmel kíséréséhez. A mérő-/adatrögzítő eszközök kalibrálásának dátumát fel kell jegyezni
2. Azon anyagokat, amelyek a meghatározott hőkezelésen esetleg nem estek át - például a tevékenység kezdetekor bekövetkezett elfolyás vagy a kazánok szivárgása miatt -, újra hőkezelés alá kell vetni, vagy össze kell gyűjteni és újra fel kell dolgozni vagy ártalmatlanítani kell az 1069/2009/EK rendeletnek megfelelően.
3. szakasz
Feldolgozási módszerek az 1. és a 2. kategóriába tartozó anyagokhoz
Ha az illetékes hatóság nem írja elő nyomáson történő sterilizálás alkalmazását (1. módszer), az 1. és a 2. kategóriába tartozó anyagokat a III. fejezetben említett 2., 3., 4. vagy 5. feldolgozási módszerekkel összhangban kell feldolgozni.
4. szakasz
A 3. kategóriába tartozó anyagok feldolgozása
1. A III. fejezetben megadott valamennyi feldolgozási módszer vonatkozásában ki kell jelölni azokat a kritikus ellenőrzési pontokat, amelyek meghatározzák a feldolgozás során alkalmazott hőkezelések mértékét:
a) a nyersanyag részecskenagysága;
b) a hőkezelési folyamat során elért hőmérséklet;
c) adott esetben a nyersanyagon alkalmazott nyomás;
d) a hőkezelési folyamat időtartama vagy - folyamatos rendszer esetében - az adagolás üteme. Valamennyi érvényes kritikus ellenőrzési ponttal kapcsolatban meg kell határozni a feldolgozásra vonatkozó minimális előírásokat.
2. Olyan kémiai kezelések esetén, amelyeket az illetékes hatóság a III. fejezet G. pontjának megfelelően a 7. feldolgozási módszerként engedélyezett, az alkalmazott kémiai kezelések mértékét meghatározó kritikus ellenőrzési pontok tartalmazzák az elért pH-kiigazítást.
3. Legalább két éven át nyilvántartást kell vezetni annak bemutatására, hogy minden egyes kritikus ellenőrzési pont esetében alkalmazzák a folyamatra vonatkozó minimális értékeket.
4. A 3. kategóriába tartozó anyagokat az 1-5. vagy a 7. feldolgozási módszer valamelyikével, illetve - víziállatokból származó anyagok esetében - az 1-7. feldolgozási módszer valamelyikével dolgozzák fel az e melléklet III. fejezetében foglaltaknak megfelelően.
III. FEJEZET
SZABVÁNY FELDOLGOZÁSI MÓDSZEREK
A. 1. feldolgozási módszer (nyomással történő sterilizálás) - Aprítás
1. Ha a feldolgozandó állati melléktermékek részecskenagysága meghaladja az 50 millimétert, az állati melléktermékek méretét megfelelő berendezés segítségével úgy kell csökkenteni, hogy az aprítást követően a részecskenagyság ne haladja meg az 50 millimétert. A berendezés hatékonyságát naponta kell ellenőrizni, és állapotát fel kell jegyezni. Ha az ellenőrzések 50 milliméternél nagyobb részecskék jelenlétét mutatják, a folyamatot le kell állítani, és a berendezést a folyamat újrakezdése előtt meg kell javítani.
Időtartam, hőmérséklet és nyomás
2. Azokat az állati melléktermékeket, amelyek részecskenagysága nem haladja meg az 50 millimétert, legalább 20 percen keresztül folyamatosan 133 °C-ot meghaladó belső hőmérsékletre kell hevíteni legalább 3 bar értékű (abszolút) nyomáson. A nyomást a sterilizálókamrában lévő összes levegő kiszívásával és gőzzel való helyettesítésével kell előidézni ("telített gőz"); a hőkezelés egyedüli folyamatként vagy folyamat előtti vagy utáni sterilizációs fázisként alkalmazható.
3. A feldolgozás történhet gyártási tételenként vagy folyamatos rendszerben.
B. 2. feldolgozási módszer - Aprítás
1. Ha a feldolgozandó állati melléktermékek részecskenagysága meghaladja a 150 millimétert, az állati melléktermékek méretét megfelelő berendezés segítségével úgy kell csökkenteni, hogy az aprítást követően a részecskenagyság ne haladja meg az 150 millimétert. A berendezés hatékonyságát naponta kell ellenőrizni, és állapotát fel kell jegyezni. Ha az ellenőrzések 150 milliméternél nagyobb részecskék jelenlétét mutatják, a folyamatot le kell állítani, és a berendezést a folyamat újrakezdése előtt meg kell javítani.
Időtartam, hőmérséklet és nyomás
2. Az aprítást követően az állati melléktermékeket legalább 125 percen keresztül 100 °C-ot meghaladó belső hőmérsékletre, legalább 120 percen keresztül 110 °C-ot meghaladó belső hőmérsékletre és legalább 50 percen keresztül 120 °C-ot meghaladó belső hőmérsékletre kell hevíteni.
A belső hőmérsékleteket folyamatosan vagy a megadott időtartamok egyidejű kombinációja révén lehet elérni.
3. A feldolgozást gyártási tételenként kell végezni.
C. 3. feldolgozási módszer - Aprítás
1. Ha a feldolgozandó állati melléktermékek részecskenagysága meghaladja az 30 millimétert, az állati melléktermékek méretét megfelelő berendezés segítségével úgy kell csökkenteni, hogy az aprítást követően a részecskenagyság ne haladja meg az 30 millimétert. A berendezés hatékonyságát naponta kell ellenőrizni, és állapotát fel kell jegyezni. Ha az ellenőrzések 30 milliméternél nagyobb részecskék jelenlétét mutatják, a folyamatot le kell állítani, és a berendezést a folyamat újrakezdése előtt meg kell javítani.
Időtartam, hőmérséklet és nyomás
2. Az aprítást követően az állati melléktermékeket legalább 95 percen keresztül 100 °C-ot meghaladó belső hőmérsékletre, legalább 55 percen keresztül 110 °C-ot meghaladó belső hőmérsékletre és legalább 13 percen keresztül 120 °C-ot meghaladó belső hőmérsékletre kell hevíteni.
A belső hőmérsékleteket folyamatosan vagy a megadott időtartamok egyidejű kombinációja révén lehet elérni.
3. A feldolgozás történhet gyártási tételenként vagy folyamatos rendszerben.
D. 4. feldolgozási módszer - Aprítás
1. Ha a feldolgozandó állati melléktermékek részecskenagysága meghaladja az 30 millimétert, az állati melléktermékek méretét megfelelő berendezés segítségével úgy kell csökkenteni, hogy az aprítást követően a részecskenagyság ne haladja meg az 30 millimétert. A berendezés hatékonyságát naponta kell ellenőrizni, és állapotát fel kell jegyezni. Ha az ellenőrzések 30 milliméternél nagyobb részecskék jelenlétét mutatják, a folyamatot le kell állítani, és a berendezést a folyamat újrakezdése előtt meg kell javítani.
Időtartam, hőmérséklet és nyomás
2. Az aprítást követően az állati melléktermékeket zsír hozzáadása mellett egy edénybe kell helyezni és legalább 16 percen keresztül 100 °C-ot meghaladó belső hőmérsékletre, legalább 13 percen keresztül 110 °C-ot meghaladó belső hőmérsékletre, legalább 8 percen keresztül 120 °C-ot meghaladó belső hőmérsékletre és legalább 3 percen keresztül 130 °C-ot meghaladó belső hőmérsékletre kell hevíteni.
A belső hőmérsékleteket folyamatosan vagy a megadott időtartamok egyidejű kombinációja révén lehet elérni.
3. A feldolgozás történhet gyártási tételenként vagy folyamatos rendszerben.
E. 5. feldolgozási módszer - Aprítás
1. Ha a feldolgozandó állati melléktermékek részecskenagysága meghaladja az 20 millimétert, az állati melléktermékek méretét megfelelő berendezés segítségével úgy kell csökkenteni, hogy az aprítást követően a részecskenagyság ne haladja meg az 20 millimétert. A berendezés hatékonyságát naponta kell ellenőrizni, és állapotát fel kell jegyezni. Ha az ellenőrzések 20 milliméternél nagyobb részecskék jelenlétét mutatják, a folyamatot le kell állítani, és a berendezést a folyamat újrakezdése előtt meg kell javítani.
Időtartam, hőmérséklet és nyomás
2. Az aprítást követően az állati melléktermékeket a koaguláció megtörténtéig kell hevíteni, majd össze kell préselni, hogy a fehérjeszerű anyagból a zsír és a víz távozni tudjon. Ezután a fehérjeszerű anyagot legalább 120 percen keresztül 80 °C-ot meghaladó belső hőmérsékletre és legalább 60 percen keresztül 100 °C-ot meghaladó belső hőmérsékletre kell hevíteni.
A belső hőmérsékleteket folyamatosan vagy a megadott időtartamok egyidejű kombinációja révén lehet elérni.
3. A feldolgozás történhet gyártási tételenként vagy folyamatos rendszerben.
F. 6. feldolgozási módszer (kizárólag a 3. kategóriába tartozó, víziállatokból vagy vízi gerinctelenekből származó állati melléktermékekhez) - Aprítás
1. Az állati melléktermékeket a következőknél nem nagyobb részecskenagyságra kell csökkenteni:
a) 50 mm-re a 2. pont a) alpontjának megfelelő hőkezelés esetén; vagy
b) 30 mm-re a 2. pont b) alpontjának megfelelő hőkezelés esetén.
Ezután hangyasavval kell azokat összekeverni, hogy a pH-érték 4,0 vagy ennél alacsonyabb értékre csökkenjen. A további kezeléstől függően a keveréket 24 órán át kell tárolni.
Időtartam, hőmérséklet és nyomás
2. Az aprítás után a keveréket hevíteni kell:
a) legalább 60 percen keresztül legalább 90 °C-os belső hőmérsékletre; vagy
b) legalább 60 percen keresztül legalább 70 °C-os belső hőmérsékletre.
Folyamatos áramlást biztosító rendszer használata esetén a termék alakulását a hőmérséklet-átalakítóban az elmozdulást korlátozó gépi utasításokkal kell szabályozni úgy, hogy a hőkezelési művelet végére a termék egy olyan cikluson menjen keresztül, amely mind az időre, mind a hőmérsékletre vonatkozó követelményeknek megfelel.
3. A feldolgozás történhet gyártási tételenként vagy folyamatos rendszerben.
G. 7. feldolgozási módszer
1. Az illetékes hatóság által engedélyezett bármely olyan feldolgozási módszer, amely esetében az üzemeltető igazolta az említett hatóság előtt, hogy:
a) a kiinduláshoz használt anyagban azonosították a lényeges veszélyeket az anyag eredete szempontjából, valamint a lehetséges kockázatokat azon tagállam, terület vagy övezet állat-egészségügyi helyzete szempontjából, ahol a módszert alkalmazzák;
b) a feldolgozási módszerrel a fent említett veszélyek olyan mértékűre csökkenthetők, hogy már nem hordoznak jelentős köz- és állat-egészségügyi kockázatot;
c) a késztermékből 30 gyártási napon keresztül naponta mintát vettek, és azok megfeleltek az alábbi mikrobiológiai szabványoknak:
i. Az anyagból közvetlenül a hőkezelést követően vett minták:
Clostridium perfringens 1 g termékben nem mutatható ki
ii. Az anyagból tárolás közben vagy annak végén vett minták:
Salmonella: 25 g-ban nem mutatható ki: n = 5, c = 0, m = 0, M = 0
Enterobacteriaceae: 1 g-ban n = 5, c = 2; m = 10; M = 300
ahol:
n = a vizsgálandó minták száma;
m = a baktériumok számának küszöbértéke; az eredmény akkor tekinthető kielégítőnek, ha a baktériumok száma az összes mintában nem több, mint m;
M = a baktériumok számának maximális értéke; az eredmény akkor tekinthető nem kielégítőnek, ha a baktériumok száma egy vagy több mintában M vagy ennél nagyobb; és
c = azon minták száma, amelyeknél a baktériumok száma m és M között lehet; a minta még akkor is elfogadhatónak tekinthető, ha a baktériumok száma a többi mintában m vagy ennél kisebb.
2. A kritikus ellenőrzési pontokra vonatkozó azon részleteket, amelyek esetében az egyes feldolgozóüzemek kielégítő módon teljesítik a mikrobiológiai szabványokat, fel kell jegyezni és meg kell őrizni, hogy az üzemeltető és az illetékes hatóság figyelemmel kísérhesse a feldolgozóüzem működését. Különösen a részecskenagyságra és - adott esetben- a kritikus hőmérsékletre, az abszolút időre, a nyomás alakulására, a nyersanyag adagolásának és a zsír újrafelhasználásának ütemére vonatkozó adatokat kell feljegyezni és figyelemmel kísérni.
3. Az 1. ponttól eltérve, az illetékes hatóság engedélyezheti azon feldolgozási módszerek alkalmazását, amelyeket e rendelet alkalmazásának bevezetése előtt, az 1774/2002/EK rendelet V. mellékletének III. fejezetével összhangban engedélyeztek.
4. Az illetékes hatóságnak véglegesen vagy átmenetileg fel kell függesztenie az 1. és a 3. pontban említett feldolgozási módszereket, ha bizonyítékot szerez arra, hogy az 1. pont a) vagy b) alpontjában említett körülmények bármelyike lényegesen megváltozott.
5. Az illetékes hatóságnak kérésre tájékoztatnia kell egy másik tagállam illetékes hatóságát egy engedélyezett feldolgozási módszerrel kapcsolatos, az 1. és 2. pont szerint rendelkezésére álló információról.
IV. FEJEZET
ALTERNATÍV FELDOLGOZÁSI MÓDSZEREK
1. szakasz
Általános rendelkezések
1. Az 1. és a 2. kategóriába tartozó anyagok feldolgozásából származó anyagokat tartós módon meg kell jelölni a VIII. melléklet V. fejezetében az egyes származó termékek megjelölésére vonatkozóan meghatározott követelményekkel összhangban.
Nincs szükség ilyen megjelölésre a 2. szakaszban említett alábbi anyagok esetében:
a) a D. ponttal összhangban előállított biodízel;
b) a H. pontban említett hidrolizált anyagok;
c) az I. pontnak megfelelően előállított égetett mész felhasználásával készült sertés- és baromfitrágya-keverékek;
d) az 1. és a 2. kategóriába tartozó anyagokból a J. és az L. pontnak megfelelően kiolvasztott zsírokból előállított megújuló üzemanyagok.
2. Egy adott tagállam illetékes hatósága a hatósági ellenőrzések eredményeit kérésre egy másik tagállam illetékes hatóságának rendelkezésére bocsátja, amennyiben egy alternatív módszert először alkalmaznak az adott tagállamban, az új alternatív módszer bevezetésének megkönnyítése érdekében.
2. szakasz
Feldolgozási szabályok
A. Az alkalikus hidrolízis folyamata
1. A kiinduláshoz használt anyag
Ehhez a folyamathoz bármely kategóriájú állati melléktermék felhasználható.
2. Feldolgozási módszer
Az alkalikus hidrolízist az alábbi feldolgozási szabályok szerint végzik:
a) Nátrium-hidroxid- (NaOH) vagy kálium-hidroxid- (KOH) oldatot (vagy annak kombinációját) kell használni olyan mennyiségben, amely biztosítja a lebontásra váró állati melléktermékek tömegével, típusával és összetételével megközelítőleg azonos moláris mennyiséget.
Az állati melléktermékeknek a bázist semlegesítő magas zsírtartalma esetén a hozzáadott bázist ki kell igazítani az említett moláris egyenértékűség elérése érdekében.
b) Az állati melléktermékeket ötvözött acél tárolóedénybe kell helyezni. A lúg kimért mennyiségét szilárd formában vagy az a) pontban említett oldatként kell hozzáadni.
c) Az edényt le kell zárni, és az állati melléktermékek és a lúg elegyét legalább 150 °C-os belső hőmérsékletre kell hevíteni legalább 4 bar (abszolút) nyomáson, legalább:
i. megszakítás nélkül három órán keresztül;
ii. Az 1069/2009/EK rendelet 8. cikke a) pontjának i. és ii. alpontjában említett állati melléktermékek kezelése esetében megszakítás nélkül hat órán keresztül.
Az 1. kategóriába tartozó, TSE felszámolására irányuló intézkedések keretében leölt állatokból - amelyek vagy TSE-vizsgálatot nem igénylő kérődző állatok, vagy a 999/2001/EK rendelet 6. cikke (1) bekezdésének megfelelően negatív vizsgálati eredményt mutató kérődző állatok - származó anyagok azonban az e szakasz 2. pontjának c) alpontja ii. alpontjának megfelelően feldolgozhatók; vagy
iii. a hal vagy baromfi eredetű anyagokból álló állati melléktermékek esetében megszakítás nélkül egy órán keresztül.
d) A folyamatot szakaszos rendszerben kell végezni, és az edényben található anyagot folyamatosan keverni kell a lebontási folyamat elősegítése érdekében addig, amíg a szövetek feloszlanak, a csontok és fogak pedig meglágyulnak; és
e) Az állati melléktermékeket úgy kell kezelni, hogy az időtartamra, a hőmérsékletre és a nyomásra vonatkozó követelmények egyszerre teljesüljenek.
B. A magas nyomású, magas hőmérsékletű hidrolízis folyamata
1. A kiinduláshoz használt anyag
Ehhez a folyamathoz a 2. és a 3. kategóriába tartozó anyagok használhatók.
2. Feldolgozási módszer
A magas nyomású, magas hőmérsékletű hidrolízist az alábbi feldolgozási szabályok szerint végzik:
a) Az állati melléktermékeket legalább 180 °C-os belső hőmérsékletre kell hevíteni megszakítás nélkül legalább 40 percen keresztül, legalább 12 bar (abszolút) nyomáson úgy, hogy közvetett módon gőzt alkalmaznak a biolitikus reaktorban;
b) A folyamatot szakaszos rendszerben kell végezni, és az edényben lévő anyagot folyamatosan keverni kell; és
c) Az állati melléktermékeket úgy kell kezelni, hogy az időtartamra, a hőmérsékletre és a nyomásra vonatkozó követelmények egyszerre teljesüljenek.
C. Magas nyomású hidrolízis biogáz eljárás
1. A kiinduláshoz használt anyag
Ehhez a folyamathoz bármely kategóriájú állati melléktermék felhasználható.
2. Feldolgozási módszer
A magas nyomású hidrolízis biogáz eljárást az alábbi feldolgozási szabályok szerint végzik:
a) Az állati melléktermékeket először egy engedélyezett feldolgozóüzemben, a III. fejezetben meghatározott 1. feldolgozási módszerrel (nyomáson történő sterilizálás) fel kell dolgozni;
b) Az a) pontban említett folyamatot követően a zsírtalanított anyagokat legalább 20 percen keresztül legalább 220 °C-on, legalább 25 bar (abszolút) nyomáson kell kezelni, majd egy kétlépcsős eljárásban hevíteni, először közvetlen gőzbefecskendezéssel, majd közvetett módon egy koaxiális hőcserélőben;
c) A folyamatot szakaszos vagy folyamatos rendszerben kell végezni, és az anyagot folyamatosan keverni kell;
d) Az állati melléktermékeket úgy kell kezelni, hogy az időtartamra, a hőmérsékletre és a nyomásra vonatkozó követelmények egyszerre teljesüljenek; és
e) Az így kapott anyagot ezután vízzel össze kell keverni és egy biogázreaktorban légmentesen erjeszteni (biogázzá történő átalakítás);
f) A kiinduláshoz használt, 1. kategóriába tartozó anyag esetében a teljes folyamatnak ugyanazon a helyszínen és zárt rendszerben kell végbemennie, és a folyamat során előállított biogázt ugyanabban az üzemben legalább 900 °C-on gyorsan el kell tüzelni, majd gyorsan le kell hűteni ("kioltás").
D. Biodízel-előállítási eljárás
1. A kiinduláshoz használt anyag
Ehhez az eljáráshoz bármely kategóriájú állati melléktermékből nyert zsírfrakció felhasználható.
2. Feldolgozási módszer
A biodízel-előállítást az alábbi feldolgozási szabályok szerint végzik:
a) Ha nem a 853/2004/EK rendelet III. melléklete VIII. vagy XII. szakaszának megfelelően előállított halolajat vagy kiolvasztott zsírt használnak, az állati melléktermékekből nyert zsírfrakciót először fel kell dolgozni:
i. az 1. vagy a 2. kategóriába tartozó anyagok esetében az 1. feldolgozási módszerrel (nyomáson történő sterilizálás), a III. fejezetben foglaltaknak megfelelően; és
ii. a 3. kategóriába tartozó anyagok esetében az 1-5. feldolgozási módszerek valamelyikével vagy a 7. feldolgozási módszerrel, illetve halból származó anyag esetében az 1-7. módszerekkel a III. fejezetben foglaltaknak megfelelően;
b) A feldolgozott zsírt ezután tovább kell kezelni az alábbi módszerek egyikével:
i. egy eljárással, melynek során a feldolgozott zsírt külön kell választani a fehérjétől, és kérődző állatokból származó zsír esetében a 0,15 % tömegszázalékot meghaladó oldhatatlan szennyeződéseket el kell távolítani, majd a feldolgozott zsírt észterifikálásnak és transz-észterifikálásnak kell alávetni.
A 3. kategóriájú anyagokból származó feldolgozott zsír esetében azonban nincs szükség észterifikálásra. Az észterifikáláshoz a pH értéket kénsav (H2SO4) vagy azzal egyenértékű sav hozzáadásával 1-nél alacsonyabbra kell csökkenteni, és az elegyet legalább két órán keresztül 72 °C-ra kell hevíteni intenzív keverés mellett.
A transz-észterifikálást a pH érték körülbelül 14-re történő emelésével kell végrehajtani kálium-hidroxiddal vagy azzal egyenértékű bázissal, 35 °C és 50 °C közötti hőmérsékleten, legalább 15 percen keresztül. A transzészterifikálást a fenti körülmények között új alapoldat felhasználásával kétszer kell elvégezni. Ezt a folyamatot a termékek finomításának kell követnie, melynek során 150 °C-on történő vákuumdesztillációt is kell alkalmazni; a folyamat végén biodízel keletkezik.
ii. egyenértékű folyamatparamétereket alkalmazó, az illetékes hatóság által engedélyezett eljárással.
E. Brookes gázosítási eljárás
1. A kiinduláshoz használt anyag
Ehhez a folyamathoz a 2. és a 3. kategóriába tartozó anyagok használhatók.
2. Feldolgozási módszer
A Brookes gázosítási eljárást az alábbi feldolgozási szabályok szerint végzik:
a) Az utánégető kamrát természetes gázzal kell felhevíteni;
b) Az állati melléktermékeket a gázosító elsődleges kamrájába kell betölteni, és az ajtót be kell zárni. Az elsődleges kamrában nem lehetnek égetők, ehelyett a kamrát az alatta elhelyezkedő utánégető kamrájából átvezetett hővel kell fűteni. Az elsődleges kamrába csupán a főajtóra szerelt három szívószelepen át lehet levegőt beengedni a folyamat hatékonyságának fokozása céljából.
c) Az állati melléktermékeket komplex szénhidrogénné kell párologtatni, és a keletkező gázoknak az elsődleges kamrából egy a hátsó fal tetején található szűk nyíláson keresztül az elegyítő és hőbontó zónába kell átjutnia, ahol azoknak alkotóelemeikre kell bomlaniuk. Végül a gázoknak az utánégető kamrába kell kerülniük, ahol azokat többletlevegő jelenlétében természetes gázzal fűtött égető lángjában kell elégetni.
d) Valamennyi feldolgozási egységnek két égetőből és két másodlagos ventilátorból kell állnia arra az esetre, ha az egyik égető vagy ventilátor meghibásodna. A másodlagos kamrát úgy kell kialakítani, hogy minden eltüzelési körülmény között legalább 950 °C-on legalább két másodpercnyi tartózkodási időt biztosítson.
e) A másodlagos kamrát elhagyva a kiáramló gázoknak egy a kürtő alapzatán elhelyezkedő barometrikus áramlásszabályzón kell áthaladniuk, amely - az elsődleges és másodlagos kamrákban állandó nyomást fenntartva - lehűti és a környezeti levegővel hígítja azokat.
f) A folyamatot 24 órás ciklusban kell végezni, amely magában foglalja a betöltést, a feldolgozást, a lehűtést és a hamu eltávolítását. A ciklus végén az elsődleges kamrából a visszamaradt hamut vákuumextrahálással zárt tasakokba kell összegyűjteni, amelyeket ezután biztonsági zárral kell ellátni az elszállítás előtt;
g) Az állati melléktermékektől eltérő termékek gázosítását nem szabad engedélyezni.
F.
1. A kiinduláshoz használt anyag
Ehhez a folyamathoz a bármely kategóriába tartozó állati melléktermékekből nyert zsírfrakció felhasználható.
2. Feldolgozási módszer
Az állati zsír hőtermelő kazánban történő eltüzelését az alábbi feldolgozási szabályok szerint kell végezni:
a) Ha nem a 853/2004/EK rendelet III. melléklete VIII. vagy XII. szakaszának megfelelően előállított halolajat vagy kiolvasztott zsírt használnak, az állati melléktermékekből származó zsírfrakciót először fel kell dolgozni:
i. más üzemben történő eltüzelésre szánt, 1. és 2. kategóriába tartozó anyagok zsírfrakciója esetén,
- a 999/2001/EK rendelet 6. cikke (1) bekezdésének megfelelően negatív vizsgálati eredményt mutató kérődző állatok feldolgozásából nyert zsírfrakció, valamint a TSE-vizsgálatot igénylő kérődző állatoktól eltérő állatok feldolgozásából nyert zsírfrakció esetén az e melléklet III. fejezetében meghatározott 1-5. feldolgozási módszerek valamelyikével,
- egyéb kérődző állatok feldolgozásából nyert zsírfrakció esetén a III. fejezetben említett 1. feldolgozási módszerrel; és
ii. ugyanazon üzemben történő eltüzelésre szánt, az 1. és 2. kategóriába tartozó anyagok, valamint a 3. kategóriába tartozó anyagok esetében, az 1-5. vagy a 7. feldolgozási módszerek valamelyikével; halból származó anyagok esetében a III. fejezetben meghatározott 1-7. feldolgozási módszerekkel;
b) A zsírfrakciót külön kell választani a fehérjétől, és a másik üzemben történő eltüzelésre szánt, kérődző állatokból származó zsír esetében el kell távolítani a 0,15 % tömegszázalékot meghaladó oldhatatlan szennyeződéseket;
c) Az a) és b) pontban említett eljárást követően a zsírt:
i. gőzkazánban el kell párologtatni, majd legalább 0,2 másodpercen keresztül, legalább 1 100 °C hőmérsékleten el kell tüzelni; vagy
ii. az illetékes hatóság által engedélyezett, egyenértékű folyamatparaméterekkel meghatározott eljárással fel kell dolgozni;
d) Az állati zsíron kívül más állati eredetű anyag eltüzelését nem szabad engedélyezni;
e) Annak érdekében, hogy a folyamat során nyert energia felhasználható legyen az állati hulladékok kiolvasztására szolgáló eljárásokban, az 1. és 2. kategóriába tartozó anyagokból nyert zsír eltüzelését ugyanabban az üzemben kell végezni, amelyben a zsírt nyerték. Az illetékes hatóság engedélyezheti azonban, hogy a kérdéses zsírt eltüzelés céljából más üzemekbe szállítsák, feltéve hogy:
i. a célüzem rendelkezik eltüzelési engedéllyel;
ii. az ugyanazon telephelyen lévő, engedélyezett üzemben végzett élelmiszer- és takarmányfeldolgozás szigorúan elkülönített módon történik;
f) Az eltüzelést a környezetvédelemre vonatkozó uniós jogszabályokkal összhangban kell végezni, különös figyelemmel az e jogszabályokban a károsanyag-kibocsátások szabályozásának és ellenőrzésének elérhető legjobb technikáira vonatkozó szabályokra.
G. Bioüzemanyagok termo-mechanikai előállítási folyamata
1. A kiinduláshoz használt anyag
Ehhez a folyamathoz trágya és emésztőtraktus-tartalom, valamint a 3. kategóriába tartozó anyagok használhatók fel.
2. Feldolgozási módszer
A bioüzemanyagok termo-mechanikai előállítását az alábbi feldolgozási szabályok szerint végzik:
a) Az állati melléktermékeket konverterbe kell betölteni, majd 80 °C hőmérsékleten nyolc órán át kell kezelni. Ezalatt az anyagot megfelelő mechanikai koptatógéppel folyamatosan zsugorítani kell.
b) Ezt követően az anyagot 100 °C hőmérsékleten legalább két órán át kell kezelni.
c) A kapott anyag részecskenagysága nem haladhatja meg a 20 millimétert.
d) Az állati melléktermékeket oly módon kell kezelni, hogy az a) és b) pontban az időtartamra, a hőmérsékletre és a nyomásra vonatkozóan meghatározott követelmények egyidejűleg teljesüljenek;
e) Az anyag hőkezelése során a bioüzemanyag feletti légtérből az elpárolgott vizet folyamatosan ki kell vonni és rozsdamentes acélból készült kondenzátoron keresztül el kell vezetni. A kondenzátumot 70 °C hőmérsékleten, legalább egy órán át kell tárolni a szennyvízként történő elvezetés előtt;
f) Az anyag hőkezelését követően a konverterből kapott bioüzemanyagot ki kell vezetni, majd teljesen fedett és reteszelt szállítószalagon automatikusan az azonos telephelyen lévő hulladékégetőbe vagy hulladék-együttégetőbe kell továbbítani.
g) A feldolgozást szakaszos rendszerben kell végezni.
I. Sertés- és baromfitrágya mésszel történő kezelése
1. Kiindulási anyagok:
Ehhez az eljáráshoz az 1069/2009/EK rendelet 9. cikkének a) pontja szerint sertés- és baromfitrágya használható.
2. Feldolgozási módszer
a) A trágya szárazanyag-tartalmát az "Iszapjellemzők. A szárazmaradék és a víztartalom meghatározása" CEN EN 12880:2000 szabvány ( 3 ) szerinti módszerrel kell meghatározni.
Ezen eljárás során a szárazanyag-tartalomnak 15 % és 70 % között kell lennie.
b) A hozzáadandó mész mennyiségét úgy kell meghatározni, hogy az f) pontban megadott idő-hőmérséklet kombinációk egyike megvalósuljon.
c) A feldolgozandó állati melléktermékek részecskenagysága nem haladhatja meg a 12 mm-t.
Szükség esetén a maximális részecskenagyságra kell csökkenteni a trágyarészecskék méretét.
d) A trágyát kevesebb mint 6 perc reakcióidejű, közepestől nagy reakcióképességű dolomitikus mésszel (CaOMgO) kell összekeverni a 40 °C hőmérséklet-emelkedés eléréséhez a CEN EN 459-2:2002 szabvány ( 4 ) szerinti módszernek megfelelő, 5.10 reakcióképességi vizsgálat kritériumaként.
A keverést két összehangolt, egyenként két csavarral rendelkező keverővel kell végezni.
Mindkét keverő a következő feltételeknek kell, hogy eleget tegyen:
i. a csavar átmérője 0,55 m, a csavar hossza pedig 3,5 m.
ii. 30 kW teljesítményű, a csavar forgási sebessége pedig 156 rpm;
iii. kezelési kapacitása 10 tonna/óra.
Az átlagos keverési időnek körülbelül két percnek kell lennie.
e) A keveréket legalább hat óra hosszáig kell keverni és legalább két tonnának kell képződnie.
f) A keverékbe bevezetendő ellenőrzési pontokon folyamatos méréseket kell végezni annak bizonyításához, hogy a keverék a következő időtartamok és vonatkozó hőmérsékletek esetén eléri a legalább 12 pH értéket:
i. 60 °C 60 percig; vagy
ii. 70 °C 30 percig.
g) A feldolgozást kötegelt módban kell végezni.
h) Egy HACCP-elveken alapuló, állandó írásbeli eljárást kell bevezetni.
i) Az üzemeltetők az alábbi követelményeknek megfelelő validáláson keresztül bebizonyíthatják az illetékes hatóságnak, hogy a d) pontban leírttól eltérő keverőkészüléket vagy az égetett mész helyett dolomitikus mészt (CaOMgO) használó eljárás legalább olyan hatékony mint az a)-h) pontokban meghatározott eljárás.
A validálásnak eleget kell tennie a következőknek:
- bizonyítja, hogy a d) pontban leírttól eltérő keverőkészülék vagy adott esetben dolomitikus mész használatával olyan trágyakeverék állítható elő, mely megfelel az f) pontban jelzett pH-, idő- és hőmérsékleti paramétereknek;
- az idő, valamint a keveréktartály alsó, középső és felső részén mért hőmérséklet ellenőrzésén alapul, reprezentatív számú ellenőrzési ponttal (legalább négy ellenőrzési pont az alsó zónában, mely a tartály aljától illetve tetejétől maximum 10 cm-re található feljebb, illetve lejjebb; egy ellenőrzési pont a középső részen, a keveréktartály alja és a teteje között félúton; valamint négy ellenőrzési pont a keverék felső zónájában, a felszíntől maximum 10-rel és a keverék tetejétől maximum 10 cm-rel lejjebb );
- két, legalább 30 napos időszakban kell elvégezni, melyek közül az egyik a hideg évszak azon a földrajzi helyen, ahol a keverőkészüléket használni szándékoznak.
J. A megújuló üzemanyagok előállításához használt, többlépcsős katalitikus eljárás
1. Kiindulási anyagok:
a) Ezen eljáráshoz a következő anyagok használhatók:
i. a 2. kategóriába tartozó anyagokból származó kiolvasztott zsírok, melyeket az 1. feldolgozási módszer (nyomással történő sterilizálás) alkalmazásával dolgoztak fel;
ii. halolaj vagy a 3. kategóriába tartozó anyagokból származó kiolvasztott zsírok, melyeket a következők alkalmazásával dolgoztak fel:
- az 1-5. vagy a 7. feldolgozási módszerek egyike, vagy
- halolajból származó anyag esetében az 1-7. feldolgozási módszerek egyike;
iii. halolaj vagy a 853/2004/EK rendelet III. melléklete VIII. vagy XII. szakaszának megfelelően előállított kiolvasztott zsírok.
b) Az 1. kategóriába tartozó anyagokból származó kiolvasztott zsírok felhasználása tilos ebben az eljárásban.
2. Feldolgozási módszer
a) A kiolvasztott zsírt az alábbiakból álló előkezelésnek kell alávetni:
i. a centrifugált anyagok agyagszűrőn keresztül történő átvezetéssel való fehérítése;
ii. a visszamaradó oldhatatlan szennyőzésedek eltávolítása szűréssel.
b) Az előkezelt anyagokat egy hidro-deoxigénezési, majd izomerizációs lépésből álló, többlépcsős katalitikus eljárásnak kell alávetni.
Az anyagokat legalább 20 bar nyomásnak kell kitenni legalább 250 °C-on, legalább 20 percig.
K. A halakból származó anyagok silózása
1. Kiindulási anyagok
Ezen eljáráshoz kizárólag a víziállatokból nyert következő melléktermékek használhatók:
a) az 1069/2009/EK rendelet 9. cikke f) pontjának i. és iii. alpontjában említett, 2. kategóriába tartozó anyagok;
b)
3. kategóriába tartozó anyagok.
2. Feldolgozási módszer
2.1. A kezelendő anyagokat akvakultúra-gazdaságokban és élelmiszer-feldolgozó létesítményekben naponta és indokolatlan késedelem nélkül be kell gyűjteni, le kell őrölni vagy fel kell aprítani, majd legfeljebb 4-es pH-értéken hangyasavval vagy a takarmányokra vonatkozó jogszabályok által engedélyezett más szerves savval silózni kell. Az eredményül kapott halszilázs egy olyan szuszpenzió, amely az endogén enzimek által a hozzáadott sav jelenlétében cseppfolyósított víziállatrészekből áll. A víziállatok fehérjéit az enzimeknek és a savnak kisebb, oldható egységekre kell lebontaniuk a mikrobiális romlás megelőzése érdekében. A silózott anyagot a feldolgozóüzembe szállítják.
2.2. A feldolgozóüzemben a víziállatokból nyert silózott anyagot csöveken keresztül zárt tárolótartályokba kell vezetni. A hőkezelés elvégzése előtt az inkubációs időnek legalább 24 órának kell lennie, a pH-érték pedig legfeljebb 4 lehet. A hőkezelést csak akkor lehet elkezdeni, ha a víziállatokból álló szilázs pH-értéke legfeljebb 4, szemcsenagysága pedig legfeljebb 10 mm lehet, mely utóbbit az üzemben végzett szűréssel vagy mállasztással kell elérni. Feldolgozás során a szilázst először 85 °C fölé kell hevíteni, majd egy hőszigetelt tartályban 25 percig inkubálni kell, hogy a halakból származó anyag hőmérséklete egyenletesen 85 °C legyen. A folyamatnak tartályokkal és vezetékekkel rendelkező, zárt gyártósoron kell zajlania.
2.3. Az engedély megadása előtt az illetékes hatóságnak értékelni kell az üzemeltető 1069/2009/EK rendelet 29. cikkének (1)-(3) bekezdésében említett, állandó írásos eljárását.
L. A megújuló üzemanyagok előállításához használt, többlépcsős katalitikus hidrogénezés
1. A kiinduláshoz használt anyag
Ezen eljáráshoz a következő anyagok használhatók:
a) az 1. kategóriába tartozó anyagokból származó kiolvasztott zsírok, melyeket az 1. feldolgozási módszer (nyomással történő sterilizálás) alkalmazásával dolgoztak fel;
b) az e szakasz J. 1. a) pontjának megfelelő kiolvasztott zsírok és halolaj.
2. Feldolgozási módszer
a) A kiolvasztott zsírt előkezelésnek kell alávetni, amely legalább a kiindulási anyag (kiolvasztott zsír is) derítőszer jelenlétében savval végzett derítéséből áll, majd filtrálással el kell távolítani a használt derítőszert és a nem oldható szennyeződéseket.
Ez előtt el lehet végezni a kiolvasztott zsír gyantamentesítését savas és/vagy lúgos oldattal, hogy a kiolvasztott zsírból gyantaképzéssel és centrifugálással eltávolítsák a szennyeződéseket;
b) Az előkezelt anyagokat hidrogénezési eljárásnak kell alávetni, amelynek lépései a következő sorrendben a katalitikus hidrogénezés, a kilevegőztetés és az izomerizáció.
Az anyagokat legalább 30 bar nyomásnak kell kitenni legalább 265 °C-on, legalább 20 percen keresztül.
3. szakasz
Állati melléktermékekből származó termékek ártalmatlanítása és felhasználása
1. Az alábbi anyagokból nyert termékeket:
a) az 1. kategóriába tartozó anyagok esetében:
i. az 1069/2009/EK rendelet 12. cikkének a) és b) pontjának megfelelően ártalmatlanítják;
ii. engedélyezett hulladéklerakóban történő elföldeléssel ártalmatlanítják;
iii. biogázzá alakítják. Ebben az esetben az emésztési maradványokat az i. és ii. alpontok szerint kell ártalmatlanítani, kivéve, ha az anyag a 2. pont a) vagy b) pontjában meghatározott feldolgozásból származik, ahol a maradványokat a 2.a) vagy a 2.b) pontok iii. alpontjában foglalt feltételek szerint fel lehet használni; vagy
iv. tovább kezelik és takarmányozástól eltérő felhasználásra szánt zsírszármazékokat állítanak elő.
b) a 2. és 3. kategóriába tartozó anyagok esetében:
i. az 1. a) pont i. vagy ii. alpontjának megfelelően ártalmatlanították, előzetes feldolgozással vagy anélkül, az 1069/2009/EK rendelet 13. cikkének a) és b) pontjában és 14. cikkének a) és b) pontjában foglaltak szerint;
ii. tovább kezelik és takarmányozástól eltérő felhasználásra szánt zsírszármazékokat állítanak elő;
iii. szerves trágyaként vagy talajjavító szerként alkalmazzák; vagy
iv. komposztálják vagy biogázzá alakítják.
2. Ha az anyagokat:
a) a 2. szakasz A. pontjában meghatározott alkalikus hidrolízisből nyerték, azokat biogázüzemben át lehet alakítani, ezután legalább 900 °C hőmérsékleten gyorsan eltüzelni, majd gyorsan lehűteni ("kioltás"); amennyiben kiinduláskor az 1069/2009/EK rendelet 8. cikkének a) és b) pontjában említett anyagot használtak, a biogázzá való átalakítás ugyanazon a telephelyen történik, mint a feldolgozás, zárt rendszerben;
b) a biodízel-előállítási eljárás során nyerték:
i. biodízel és a biodízel desztillációjából származó maradékanyagok esetében tüzelőanyagként felhasználhatók e rendelet szerinti korlátozások nélkül (végpont);
ii. kálium-szulfát esetében, talajban való közvetlen alkalmazásra, vagy a talajban alkalmazott származtatott termékek előállítására;
iii. az 1. vagy a 2. kategóriába tartozó anyagból származó glicerin esetében, amelyet a III. fejezetben meghatározott 1. feldolgozási módszer szerint dolgoztak fel, az:
- felhasználható technikai célra,
- biogázzá alakítható, amely esetben az emésztési maradványok az előállító tagállam területén belül az illetékes hatóság ezirányú döntését követően alkalmazhatók talajban, vagy
- felhasználhatók szennyvízkezelő üzemben történő denitrifikációhoz, amely esetben a denitrifikációt követő maradványok alkalmazhatók talajban, a 91/271/EGK tanácsi irányelvnek ( 5 ) megfelelően;
iv. a 3. kategóriába tartozó anyagokból származó glicerin esetében:
- felhasználható technikai célra,
- biogázzá alakítható, amely esetben az emésztési maradványok alkalmazhatók talajban, vagy
- felhasználhatók takarmányozásra, amennyiben a glicerin nem az 1069/2009/EK rendelet 10. cikkének n), o) és p) pontjában meghatározott, a 3. kategóriába tartozó anyagból származik;
c) a megújuló üzemanyagok előállításához használt, többlépcsős katalitikus eljárás:
i. benzin és az eljárásból származó más üzemanyagok esetében üzemanyagként felhasználhatók az e rendelet szerinti korlátozások nélkül (végpont);
ii. a fehérítésből származó, használt agyag és a 2. szakasz J(2) a) pontjában említett előkezelési eljárásból származó iszap esetében:
- égetéssel vagy együttégetéssel ártalmatlanítható,
- biogázzá alakítható,
- komposztálható vagy az 1069/2009/EK rendelet 36. cikke a) pontjának i. alpontjában említett származó termékek előállításához használható fel;
d) a sertés- és baromfitrágya mésszel kezelt keverékét feldolgozott trágyaként lehet használni a földeken;
e) A halakból származó anyagok silózásával nyert készterméket fel lehet használni:
i. a 2. kategóriába tartozó anyagok esetében az 1069/2009/EK rendelet 13. cikkének a)-d) pontjaiban, valamint g)-i) pontjaiban említett célokra további feldolgozás nélkül vagy az említett rendelet 18. cikkében, illetve 36. cikke a) pontjának ii. alpontjában említett állatoknak szánt takarmányként; vagy
ii. a 3. kategóriába tartozó anyagok esetében az 1069/2009/EK rendelet 14. cikkében említett célokra;
f) a megújuló üzemanyagok előállításához használt többlépcsős katalitikus hidrogénezéssel nyerték:
i. az eljárásból származó megújuló dízelolaj, megújuló sugárhajtómű-üzemanyag, megújuló propán és megújuló benzin üzemanyagként felhasználható az e rendelet szerinti korlátozások nélkül (végpont);
ii. a 2. szakasz L. 2. a) pontjában említett előkezelési eljárásból származó gyantamaradék és használt derítőszer esetén:
- az 1069/2009/EK rendelet 12. cikke a) vagy b) pontjának megfelelően kell ártalmatlanítani,
- engedélyezett hulladéklerakóban történő elföldeléssel kell ártalmatlanítani,
- biogázzá lehet alakítani, ha a biogázzá történő átalakításból származó emésztési maradványokat égetéssel vagy együttégetéssel, illetve engedélyezett hulladéklerakóban történő elföldeléssel ártalmatlanítják,
- az 1069/2009/EK rendelet 36. cikke a) pontjának i. alpontjában említett célokra használják fel.
3. A 2. pontban szereplő állati melléktermékektől és azokból származó termékektől eltérő olyan hulladékot, amelyek állati melléktermékek e szakasz szerinti feldolgozása során keletkeznek, - mint például iszap, szűrőkben fennmaradt anyagok, hamu és emésztési maradványok - az 1069/2009/EK rendeletnek és e rendeletnek megfelelően kell ártalmatlanítani.
V. MELLÉKLET
ÁLLATI MELLÉKTERMÉKEK ÉS AZ AZOKBÓL SZÁRMAZÓ TERMÉKEK BIOGÁZZÁ TÖRTÉNŐ ÁTALAKÍTÁSA ÉS KOMPOSZTÁLÁSA
I. FEJEZET
AZ ÜZEMEKRE VONATKOZÓ KÖVETELMÉNYEK
1. szakasz
Biogázüzemek
1. A biogázüzemeket az alábbiakkal rendelkező, nem mellőzhető pasztőröző/higienizáló egységgel kell felszerelni az állati melléktermékekhez vagy azokból származó termékekhez, melyek részecskenagysága legfeljebb 12 mm lehet az egységbe történő bekerülés előtt:
a) berendezések annak figyelemmel kíséréséhez, hogy az egységben lévő hőmérséklet egy óra alatt eléri a 70 °C-ot;
b) adatrögzítő készülékek az a) pontban említett ellenőrző mérések eredményeinek folyamatos nyilvántartásához; és
c) megfelelő rendszer az elégtelen hevítés megelőzéséhez.
2. Az 1. ponttól eltérve, a pasztőröző/higienizáló egység nem kötelező az olyan biogázüzemekben, amelyek csak a következő anyagok átalakítását végzik:
a) A 2. kategóriába tartozó, a IV. melléklet III. fejezetében meghatározott 1. feldolgozási módszerrel feldolgozott anyagok;
b) A 3. kategóriába tartozó, a IV. melléklet III. fejezetében meghatározott 1-5. vagy 7. feldolgozási módszer valamelyikével, illetve - víziállatokból származó anyagok esetében - az 1-7. feldolgozási módszerek valamelyikével feldolgozott anyagok;
c) A 3. kategóriába tartozó, egy másik engedélyezett üzemben pasztőrözött/higienizált anyagok;
d) állati melléktermékek, amelyek az 1069/2009/EK rendelet 13. cikke f) pontjának és e rendeletnek megfelelően feldolgozás nélkül alkalmazhatók talajban, amennyiben az illetékes hatóság úgy ítéli meg, hogy azok nem hordozzák valamely, emberre vagy állatra nézve fertőző súlyos betegség terjedésének kockázatát;
e) a IV. melléklet IV. fejezete 2. szakaszának A. pontjában meghatározott alkalikus hidrolízisnek alávetett állati melléktermékek;
f) a következő állati melléktermékek, ha az illetékes hatóság engedélyezi:
i. az 1069/2009/EK rendelet 10. cikke f) pontjában említett állati melléktermékek, amelyeket alávetettek a 852/2004/EK rendelet 2. cikke (1) bekezdésének m) pontjában meghatározott feldolgozási eljárásnak, amikor azokat az emberi fogyasztástól eltérő célokra szánják.
ii. az 1069/2009/EK rendelet 10. cikkének g) pontjában említett állati melléktermékek; vagy
iii. biogázzá alakított állati melléktermékek, amennyiben az emésztési maradványokat e rendeletnek megfelelően később komposztálják, feldolgozzák vagy ártalmatlanítják.
3. Amennyiben a biogázüzem haszonállatok tartására szolgáló létesítményben vagy annak közelében helyezkedik el, és nem csak az ott tartott állatokból származó trágyát, tejet vagy kolosztrumot használ fel, akkor a biogázüzemnek az ilyen állatok tartására szolgáló területtől távol kell elhelyezkednie.
Ezt a távolságot úgy kell meghatározni, hogy meg lehessen előzni az emberre és állatokra átvihető betegség biogázüzemből történő terjedésének elfogadhatatlan kockázatát.
Minden esetben fizikailag teljesen el kell különíteni a biogázüzemet és az állatokat, valamint takarmányukat és almukat, szükség esetén kerítéssel.
4. Valamennyi biogázüzemnek saját laboratóriummal kell rendelkeznie, vagy egy külső laboratóriumot kell igénybe vennie. A laboratóriumnak a szükséges elemzések elvégzéséhez kellő felszereltséggel és az illetékes hatóság engedélyével, továbbá nemzetközileg elismert szabványok szerinti akkreditációval kell rendelkeznie, vagy azt az illetékes hatóságnak rendszeresen ellenőriznie kell.
2. szakasz
Komposztálóüzemek
1. A komposztálóüzemeket az alábbiakkal rendelkező, nem mellőzhető zárt komposztálóreaktorral vagy komposztálóterülettel kell ellátni az üzembe bekerülő állati melléktermékekhez vagy azokból származó termékekhez, továbbá a következőkel kell felszerelni:
a) berendezések a hőmérsékletnek az idő függvényében történő figyelemmel kíséréséhez;
b) adatrögzítő készülékek az a) pontban említett ellenőrző mérések eredményeinek - szükség esetén - folyamatos nyilvántartásához;
c) megfelelő biztonsági rendszerrel az elégtelen hevítés megakadályozására.
2. Az 1. ponttól eltérve, más típusú komposztálórendszerek is engedélyezhetők, feltéve hogy:
a) azokat úgy működtetik, hogy a rendszerben lévő összes anyag esetében teljesülnek az előírt idő- és hőmérsékleti paraméterek, és adott esetben a paraméterek folyamatos figyelemmel kísérése is; vagy
b) kizárólag az 1. szakasz 2. pontjában említett anyagok átalakítását végzik; és
c) megfelelnek e rendelet összes többi vonatkozó követelményének.
3. Amennyiben a komposztálóüzem haszonállatok tartására szolgáló létesítményben vagy annak közelében helyezkedik el, és nem csak az ott tartott állatokból származó trágyát, tejet vagy kolosztrumot használ fel, akkor a komposztálóüzemnek az ilyen állatok tartására szolgáló területtől távol kell elhelyezkednie.
Ezt a távolságot úgy kell meghatározni, hogy meg lehessen előzni az emberre és állatokra átvihető betegségek komposztálóüzemből történő terjedésének elfogadhatatlan kockázatát.
Minden esetben fizikailag teljesen el kell különíteni a komposztálóüzemet és az állatokat, valamint takarmányukat és almukat, szükség esetén kerítéssel.
4. Valamennyi komposztálóüzemnek saját laboratóriummal kell rendelkeznie, vagy egy külső laboratóriumot kell igénybe vennie. A laboratóriumnak a szükséges elemzések elvégzéséhez kellő felszereltséggel és az illetékes hatóság engedélyével, továbbá nemzetközileg elismert szabványok szerinti akkreditációval kell rendelkeznie, vagy azt az illetékes hatóságnak rendszeresen ellenőriznie kell.
II. FEJEZET
A BIOGÁZ- ÉS KOMPOSZTÁLÓÜZEMEKRE VONATKOZÓ HIGIÉNIAI KÖVETELMÉNYEK
1. Az állati melléktermékeket a lehető leghamarabb át kell alakítani, miután megérkeznek a biogáz- vagy komposztálóüzembe. Kezelésükig azokat megfelelően kell tárolni.
2. A kezeletlen anyag szállításához használt tároló-, gyűjtő- és szállítóeszközök tisztítását és fertőtlenítését egy erre kijelölt területen kell végezni.
A terület elhelyezkedésének, illetve kialakításának olyannak kell lennie, hogy meg lehessen előzni a kezelt termékek fertőződésének kockázatát.
3. Rendszeres védőintézkedéseket kell tenni a madarak, rágcsálók, rovarok vagy egyéb kártevők ellen.
E célra kártevők elleni dokumentált védekezési tervet kell alkalmazni.
4. A létesítmény minden részére vonatkozóan tisztítási eljárásokat kell kidolgozni és dokumentálni. A tisztításhoz megfelelő felszerelést és tisztítószereket kell biztosítani.
5. A higiéniai ellenőrzésnek ki kell terjednie a környezet és a berendezések rendszeres ellenőrzésére. Az ellenőrzések ütemtervét és eredményeit dokumentálni kell.
6. A berendezéseket és felszereléseket jó állapotban kell tartani, a mérőberendezéseket rendszeres időközönként kalibrálni kell.
7. Az emésztési maradványokat a biogáz- vagy komposztálóüzemben úgy kell kezelni és tárolni, hogy meg lehessen előzni az újrafertőződést.
III. FEJEZET
AZ ÁTALAKÍTÁSRA VONATKOZÓ PARAMÉTEREK
1. szakasz
Szabvány átalakítási paraméterek
1. A pasztőröző/higienizáló egységgel felszerelt biogázüzemben nyersanyagként felhasznált, 3. kategóriába tartozó anyagra az alábbi minimumkövetelményeket kell alkalmazni:
a) a részecskék maximális mérete az egységbe történő bekerülés előtt: 12 mm;
b) valamennyi, az egységben található anyag minimális hőmérséklete: 70 °C; és
c) az egységben megszakítás nélkül eltöltött minimális idő: 60 perc.
A 3. kategóriába tartozó tej, tejalapú termékek, tejből származó termékek, kolosztrum és kolosztrumtartalmú termékek azonban pasztőrözés/higienizálás nélkül felhasználhatók nyersanyagként a biogázüzemekben, ha az illetékes hatóság nem véli úgy, hogy azok valamely, emberre vagy állatra fertőző súlyos betegség terjedésének kockázatát hordozzák.
Az e pont b) és c) alpontjában meghatározott minimumkövetelményeket alkalmazni kell azokra a 2. kategóriába tartozó anyagra is, amely az 1069/2009/EK rendelet 13. cikke e) pontjának ii. alpontjában meghatározott előzetes feldolgozás nélkül kerülnek be a biogázüzembe.
2. A komposztálóüzemekben nyersanyagként felhasznált, 3. kategóriába tartozó anyagra az alábbi minimumkövetelményeket kell alkalmazni:
a) a részecskék maximális mérete a komposztálóreaktorba történő bekerülés előtt: 12 mm;
b) valamennyi, a reaktorban található anyag minimális hőmérséklete: 70 °C; és
c) a reaktorban megszakítás nélkül eltöltött minimális idő: 60 perc.
Az e pont b) és c) alpontjában meghatározott minimumkövetelményeket alkalmazni kell azokra a 2. kategóriába tartozó anyagra is, amelyet az 1069/2009/EK rendelet 13. cikke e) pontjának ii. alpontjában meghatározott előzetes feldolgozás nélkül komposztálnak.
2. szakasz
A biogáz- és komposztálóüzemekre vonatkozó alternatív átalakítási paraméterek
1. Az illetékes hatóság engedélyezheti az I. fejezet 1. szakaszának 1. pontjában meghatározott paraméterektől, valamint a szabvány átalakítási paraméterektől eltérő paraméterek alkalmazását, feltéve hogy az ilyen alkalmazás engedélyezését kérelmező üzemeltető igazolja, hogy az adott paraméterekkel megfelelően csökkenthetők a biológiai kockázatok. Ennek az igazolásnak magában kell foglalnia egy validálási eljárást is, amelyet az alábbi követelményeknek megfelelően kell lefolytatni:
a) A lehetséges veszélyek - beleértve a kiindulási anyagok hatását - azonosítása és elemzése az átalakítás feltételeinek és paramétereinek teljes körű leírása alapján;
b) Kockázatértékelés, amely felméri, hogyan teljesülnek az a) pontban említett specifikus átalakítási feltételek a gyakorlatban rendes, illetve rendkívüli körülmények között;
c) A tervezett folyamat validálása az életképesség/fertőzőképesség csökkenésének az alábbi tényezők tekintetében történő mérése révén:
i. endogén indikátorszervezetek tekintetében az olyan folyamat során, ahol az indikátor:
- folyamatosan nagy számban jelen van a nyersanyagban,
- az átalakítási folyamat letális tényezőit illetően nem kevésbé, de nem is jelentősen nagyobb mértékben képes ellenállni a hőnek, mint azok a kórokozók, amelyek figyelemmel kísérésére alkalmazzák,
- viszonylag könnyen számszerűsíthető, azonosítható és megerősíthető; vagy
ii. az alapanyagba egy megfelelő vizsgálati testben bejuttatott, jól meghatározott tesztorganizmus vagy -vírus tekintetében az expozíciós időtartam alatt.
d) A tervezett folyamatra vonatkozóan a c) pontban említett validálásnak be kell bizonyítania, hogy a folyamat eredményeként megvalósulnak az általános kockázatcsökkentéssel kapcsolatos következő célok:
i. termikus és kémiai folyamatok esetében:
- az Enterococcus faecalis vagy Salmonella Senftenberg (775W, H2S negatív) 5 nagyságrenddel (5 log10) történő csökkentése,
- a hőrezisztens vírusok (mint például a parvovirus) fertőzőképességének legalább 3 nagyságrenddel (3 log10) történő csökkentése, amennyiben e vírusok releváns kockázati tényezőnek minősülnek; továbbá
ii. a kémiai folyamatoknál a fentieken kívül még:
- az ellenálló élősködőknek (mint például az Ascaris sp. petéinek) azok életképes stádiumaiban legalább 99,9 %-kal (3 log10) történő csökkentése;
e) Teljes körű ellenőrzési program kidolgozása, beleértve a c) pontban említett folyamat működésének felügyeletére irányuló eljárásokat is.
f) Az ellenőrzési programban rögzített releváns folyamatparamétereknek az üzem működtetése során történő folyamatos nyomon követését és felügyeletét biztosító intézkedések.
A biogáz- és komposztálóüzemekben alkalmazott releváns folyamatparaméterekre, illetve egyéb kritikus ellenőrzési pontokra vonatkozó adatokat rögzíteni és kezelni kell annak érdekében, hogy a tulajdonos, az üzemeltető - vagy ezek valamelyikének képviselője -, valamint az illetékes hatóság nyomon tudja követni az üzem működését.
A nyilvántartásokat az üzemeltetőnek kérésre az illetékes hatóság rendelkezésére kell bocsátania. Az e pont értelmében engedélyezett folyamatokra vonatkozó információkat kérésre a Bizottság rendelkezésére kell bocsátani.
2. Az 1. ponttól eltérve, az 1069/2009/EK rendelet 15. cikke (2) bekezdésének a) pontja ii. alpontjában említett szabályok elfogadásáig az illetékes hatóság engedélyezheti az e fejezetben meghatározottaktól eltérő egyedi követelmények használatát, feltéve hogy azok azonos hatást biztosítanak a kórokozók visszaszorításának tekintetében, az alábbi anyagok esetében:
a) a biogáz- vagy komposztálóüzemben egyedüli állati melléktermékként használt étkezési hulladék; és
b) étkezési hulladék és az alábbi anyagok keverékei:
i. trágya;
ii. az emésztőtraktustól elválasztott emésztőtraktus-tartalom;
iii. tej;
iv. tejalapú termékek;
v. tejből származó termékek;
vi. kolosztrum;
vii. kolosztrumtartalmú termékek;
viii. tojás;
ix. tojástermékek;
x. az 1069/2009/EK rendelet 10. cikkének f) pontjában említett állati melléktermékek, amelyek átestek a 852/2004/EK rendelet 2. cikke (1) bekezdésének m) pontjában meghatározott feldolgozási eljáráson;
xi. a 2. b) pontban említett állati melléktermékek és a nem állati eredetű melléktermékekből nyert anyagok keveréke.
3. Amennyiben a biogáz- vagy komposztálóüzemben csak a 2. pont b) alpontjában említett anyagokat vagy az 1069/2009/EK rendelet 10. cikkének g) pontjában említett származtatott termékeket kezelik kiindulási anyagként, akkor az illetékes hatóság engedélyezheti az e fejezetben megadottaktól eltérő egyedi követelmények alkalmazását, feltéve hogy:
a) az illetékes hatóság úgy véli, hogy az említett anyagok nem hordozzák emberre vagy állatra fertőző súlyos betegség terjedésének kockázatát;
b) az illetékes hatóság úgy véli, hogy az emésztési maradványok vagy a komposzt feldolgozatlan anyagok, és arra kötelezi az üzemeltetőket, hogy az 1069/2009/EK rendeletnek és e rendeletnek megfelelően kezeljék azokat, illetve az élelmiszer-hulladékokból nyert komposztot vagy emésztési maradványokat a környezetvédelmi jogszabályoknak megfelelően hasznosítsák vagy ártalmatlanítsák.
4. Az üzemeltetők forgalomba hozhatnak olyan emésztési maradványokat, amelyeket az illetékes hatóság által engedélyezett paraméterek szerint állítottak elő:
a) az 1. pontnak megfelelően;
b) a 2. és 3. pontnak megfelelően, kizárólag azokban a tagállamokban, ahol az adott paramétereket engedélyezték.
3. szakasz
Az emésztési maradványokra és komposztra vonatkozó szabályok
1. a) Az emésztési maradványokból vagy a komposztból a biogázüzemben történő átalakítás vagy a komposztálóüzemben történő komposztálás során vagy közvetlenül azt követően, a folyamat figyelemmel kísérése céljából vett reprezentatív mintáknak az alábbi szabványoknak kell megfelelniük:
Escherichia coli: n = 5, c = 1, m = 1 000 , M = 5 000 1 g-ban;
vagy
Enterococcaceae: n = 5, c = 1, m = 1 000 , M = 5 000 1 g-ban;
valamint
b) Az emésztési maradványokból vagy komposztból a tárolás során vagy az onnan történő kiszállításkor vett reprezentatív mintáknak az alábbi szabványoknak kell megfelelniük:
Salmonella: 25 g-ban nem mutatható ki: n = 5; c = 0; m = 0; M = 0
Ahol az a) vagy b) pont esetében:
n = a vizsgálandó minták száma;
m = a baktériumok számának küszöbértéke; az eredmény akkor tekinthető kielégítőnek, ha a baktériumok száma az összes mintában nem több, mint m;
M = a baktériumok számának maximális értéke; az eredmény akkor tekinthető nem kielégítőnek, ha a baktériumok száma egy vagy több mintában M vagy ennél nagyobb; és
c = azon minták száma, amelyeknél a baktériumok száma m és M között lehet; a minta még akkor is elfogadhatónak tekinthető, ha a baktériumok száma a többi mintában m vagy ennél kisebb.
2. A 2. szakasz 3. pontjának b) alpontjában említettek kivételével az olyan emésztési maradványokat és komposztot, amelyek nem felelnek meg az e szakaszban meghatározott követelményeknek, újra átalakításnak vagy komposztálásnak kell alávetni, illetve a Salmonella esetében azokat az illetékes hatóság utasításainak megfelelően kell kezelni vagy ártalmatlanítani.
3. Ha állati melléktermékeket biogázzá alakítanak át, vagy nem állati eredetű anyagokkal együtt komposztálnak, az illetékes hatóság engedélyezheti az üzemeltetők számára, hogy adott esetben az I. fejezet 1. szakasza 1. pontjának a) alpontjában említett pasztőrözést vagy a 2. szakasz 1. pontjában említett komposztálást követően és a nem állati eredetű anyagokkal való keverést megelőzően reprezentatív mintákat vegyenek szükség szerint az állati melléktermékek átalakítása vagy komposztálása hatékonyságának ellenőrzése céljából.
VI. MELLÉKLET
A KUTATÁSRA, TAKARMÁNYOZÁSRA, ÖSSZEGYŰJTÉSRE ÉS ÁRTALMATLANÍTÁSRA VONATKOZÓ KÜLÖNLEGES SZABÁLYOK
I. FEJEZET
A KUTATÁSI ÉS EGYÉB CÉLOKRA SZÁNT MINTÁKRA VONATKOZÓ KÜLÖNLEGES SZABÁLYOK
1. szakasz
Kutatási és diagnosztikai minták
1. Az üzemeltetőknek biztosítaniuk kell, hogy a kutatási és diagnosztikai minták szállítmányait kereskedelmi okmány kíséri, amelyben meg kell adni a következő adatokat:
a) az anyag és az anyagot adó állatfaj megnevezése;
b) az anyag kategóriája;
c) az anyag mennyisége;
d) az anyag származási helye és küldési helye;
e) a feladó neve és címe;
f) a címzett és/vagy felhasználó neve és címe.
2. A kutatási és diagnosztikai mintákat kezelő felhasználóknak minden szükséges intézkedést meg kell tenniük az emberre vagy állatokra átvihető betegségek terjedésének megelőzése érdekében az idő alatt, amíg az ellenőrzésük alatt álló anyagokat kezelik, különösképpen a helyes laboratóriumi gyakorlat alkalmazásával.
3. Meg kell tiltani a kutatási és diagnosztikai minták későbbi felhasználását az I. melléklet 38. pontjában említett céloktól eltérő célokra.
4. A kutatási mintákat és az azok felhasználásából származó minden terméket - kivéve, ha azokat hivatkozás céljából őrzik meg - ártalmatlanítani kell:
a) hulladékként égetéssel vagy együttégetéssel;
b) az 1069/2009/EK rendelet 8. cikke a) pontjának iv. alpontjában, c) és d) pontjában, 9. cikkében és 10 cikkében említett azon állati melléktermékek vagy azokból származó termékek esetében, amelyek sejttenyészetek, laboratóriumi készletek vagy laboratóriumi minták részét képezik, legalább a gőzös autoklávok validált módszerével egyenértékű körülmények között végzett kezeléssel ( 6 ) és ezt követően hulladékként vagy szennyvízként történő ártalmatlanítással, a vonatkozó uniós jogszabályokkal összhangban.
c) nyomáson történő sterilizálással, majd ezt követően az 1069/2009/EK rendelet 12., 13. és 14. cikkének megfelelő ártalmatlanítással vagy felhasználással.
5. A kutatási és diagnosztikai mintákat kezelő felhasználóknak nyilvántartást kell vezetniük az ilyen minták szállítmányairól.
A nyilvántartásnak tartalmaznia kell az 1. pontban említett információkat, valamint a minták és az esetleges származtatott termékek ártalmatlanításának dátumát és módszerét.
6. Az 1., 4. és 5 ponttól eltérve, az illetékes hatóság elfogadhatja az oktatási célokra szánt kutatási és diagnosztikai minták kezelését és ártalmatlanítását olyan egyéb feltételek mellett, amelyek megakadályozzák az elfogadhatatlan köz- és állat-egészségügyi kockázatok keletkezését.
2. szakasz
Kereskedelmi minták és kiállítási tárgyak
1. A kereskedelmi minták és kiállítási tárgyak szállítása, felhasználása és ártalmatlanítása kizárólag az 1. szakasz 1-4. és 6. pontjával összhangban történhet.
2. A kereskedelmi mintákat - kivéve, ha azokat hivatkozás céljából őrzik meg - a konkrét vizsgálatok vagy elemzések befejezése után:
a) vissza kell küldeni a származási hely szerinti tagállamba;
b) egy másik tagállamba vagy harmadik országba kell küldeni, ha azt a rendeltetési hely szerinti tagállam vagy harmadik ország illetékes hatósága előzetesen engedélyezte; vagy
c) az 1069/2009/EK rendelet 12-14. cikkeinek megfelelően ártalmatlanítani kell vagy fel kell használni.
3. A kiállítás vagy a művészeti tevékenység befejezése után a kiállítási tárgyakat vissza kell küldeni a származási hely szerinti tagállamba, vagy a 2. pontnak megfelelően el kell szállítani vagy ártalmatlanítani kell.
II. FEJEZET
KÜLÖNLEGES TAKARMÁNYOZÁSI SZABÁLYOK
1. szakasz
Általános követelmények
Az 1069/2009/EK rendelet 18. cikkének (1) bekezdésében említett, a 2. és a 3. kategóriába tartozó anyagok felhasználhatók az említett cikk (1) bekezdésének a), b), d), f), g) és h) pontjában említett állatok takarmányozására, feltéve, hogy azok - az említett rendelet 18. cikkének (1) bekezdésével összhangban az illetékes hatóság által esetleg megállapított feltételeken túl - legalább a következő feltételeknek megfelelnek:
1. Az állati melléktermékeket a VIII. melléklet I. fejezetének 1. és 3. szakaszával összhangban a felhasználókhoz vagy gyűjtőközpontokba szállítják.
2. A gyűjtőközpontokat az illetékes hatóságnak nyilvántartásba kell vennie, feltéve hogy:
a) azok megfelelnek a IX. melléklet II. fejezetében a köztes műveleteket végző üzemekre vonatkozóan meghatározott követelményeknek; és
b) megfelelő lehetőségekkel rendelkeznek a fel nem használt anyag megsemmisítéséhez, illetve engedélyezett feldolgozóüzembe vagy engedélyezett hulladékégető vagy hulladék-együttégető műbe - e rendelettel összhangban - történő elküldéséhez.
3. A tagállamok engedélyezhetik a 2. kategóriába tartozó anyagokat feldolgozó üzemek gyűjtőközpontként történő használatát.
4. Az anyag - a víziállatokból és vízi gerinctelenekből származó állati melléktermékek kivételével - végfelhasználók részére történő szállítását végző gyűjtőközpontok üzemeltetőinek biztosítaniuk kell, hogy az anyag az alábbi kezelések valamelyikén esik át:
a) denaturálás színezőanyagot tartalmazó oldattal; az oldatnak olyan koncentráltságúnak kell lennie, hogy a kezelt anyag elszíneződése jól látható legyen és ne tűnjön el a színezett anyag fagyasztása vagy hűtése során, továbbá az említett oldatnak az anyag valamennyi darabjának teljes felületét érnie kell, vagy az anyag oldatba történő belemerítése vagy annak az oldatra történő rápermetezése vagy arra más módon történő felvitele útján;
b) sterilizálás nyomás alatti főzéssel vagy gőzöléssel mindaddig, amíg az anyag valamennyi darabja át nem fő; vagy
c) az adott üzemeltetőért felelős illetékes hatóság által engedélyezett bármely egyéb kezelés.
2. szakasz
Egyes fajok takarmányozása etetőhelyeken
1. Az illetékes hatóság engedélyezheti az 1069/2009/EK rendelet 18. cikke (2) bekezdésének b) pontjában említett, 1. kategóriába tartozó anyag felhasználását az alábbi veszélyeztetett vagy védett állatfajok etetőkben történő takarmányozására az alábbi feltételekkel:
a) Az anyagot a következő állatfajok takarmányozására kell használni:
i. az alábbi dögevő madárfajok valamelyike a megadott tagállamokban:
Országkód | Tagállam | Állatfaj | |
Hétköznapi elnevezés | Latin név | ||
BG | Bulgária | saskeselyű barátkeselyű dögkeselyű fakókeselyű szirti sas parlagi sas réti sas barna kánya vörös kánya | Gypaetus barbatus Aegypius monachus Neophron percnopterus Gyps fulvus Aquila chrysaetos Aquila helíaca Haliaeetus albicilla Milvus migrans Milvus milvus |
EL | Görögország | saskeselyű barátkeselyű dögkeselyű fakókeselyű szirti sas parlagi sas réti sas barna kánya | Gypaetus barbatus Aegypius monachus Neophron percnopterus Gyps fulvus Aquila chrysaetos Aquila heliaca Haliaeetus albicilla Milvus migrans |
ES | Spanyolország | saskeselyű barátkeselyű dögkeselyű fakókeselyű szirti sas ibériai sas barna kánya vörös kánya | Gypaetus barbatus Aegypius monachus Neophron percnopterus Gyps fulvus Aquila chrysaetos Aquila adalberti Milvus migrans Milvus milvus |
FR | Franciaország | saskeselyű barátkeselyű dögkeselyű fakókeselyű szirti sas réti sas barna kánya vörös kánya | Gypaetus barbatus Aegypius monachus Neophron percnopterus Gyps fulvus Aquila chrysaetos Haliaeetus albicilla Milvus migrans Milvus milvus |
HR | Horvátország | saskeselyű barátkeselyű dögkeselyű fakókeselyű | Gypaetus barbatus Aegypius monachus Neophron percnopterus Gyps fulvus |
IT | Olaszország | saskeselyű barátkeselyű dögkeselyű fakókeselyű szirti sas barna kánya vörös kánya | Gypaetus barbatus Aegypius monachus Neophron percnopterus Gyps fulvus Aquila chrysaetos Milvus migrans Milvus milvus |
CY | Ciprus | barátkeselyű fakókeselyű | Aegypius monachus Gyps fulvus |
PT | Portugália | barátkeselyű dögkeselyű fakókeselyű szirti sas | Aegypius monachus Neophron percnopterus Gyps fulvus Aquila chrysaetos |
SK | Szlovákia | szirti sas parlagi sas réti sas barna kánya vörös kánya | Aquila chrysaetos Aquila heliaca Haliaeetus albicilla Milvus migrans Milvus milvus |
ii. a 92/43/EGK irányelv II. mellékletében felsorolt, a ragadozók rendjébe tartozó állatfajok egyike az ugyanazon irányelv értelmében kijelölt különleges természetmegőrzési területen; vagy
iii. a 2009/147/EK irányelv I. mellékletében felsorolt, a sólyomalakúak vagy a bagolyalakúak rendjébe tartozó állatfajok egyike az ugyanazon irányelv értelmében kijelölt különleges természetvédelmi területeken;
b) Az illetékes hatóság engedélyt adott ki az etetőért felelős üzemeltető részére.
Az illetékes hatóság ezt az engedélyt akkor adja ki, ha:
i. a takarmányozást nem meghatározott kockázatot jelentő anyagok ártalmatlanításának vagy ilyen anyagokat tartalmazó elhullott, TSE kockázatát jelentő kérődző állatok ártalmatlanításának alternatívájaként alkalmazzák;
ii. a 999/2001/EK rendeletben meghatározott megfelelő, a TSE jelenlétét figyelő rendszert működtetnek, amely magában foglalja a TSE kiszűrését célzó rendszeres laboratóriumi vizsgálatokat;
c) Az illetékes hatóságnak biztosítania kell a koordinációt az engedélyben meghatározott követelmények betartásának felügyeletéért felelős más illetékes hatóságokkal;
d) Az illetékes hatóságnak az érintett állatfajok és élőhelyük konkrét helyzetének értékelése alapján kielégítőnek kell találnia az adott állatfajok megőrzési állapotának javulását;
e) Az illetékes hatóság által kiadott engedélynek:
i. meg kell neveznie a ténylegesen érintett állatfajokat és hivatkoznia kell azokra;
ii. részletesen le kell írnia az etető elhelyezkedését azon a földrajzi területen, ahol a takarmányozás történik; és
iii. azt azonnal fel kell függeszteni abban az esetben, ha:
- a TSE terjedésével való összefüggést feltételeznek vagy megerősítenek, a kockázat kizárásáig; vagy
- az e rendeletben meghatározott szabályok valamelyikét nem tartják be.
f) A takarmányozásért felelős üzemeltetőnek:
i. ki kell jelölnie egy zárt területet, amelyre csak a megőrzendő fajhoz tartozó állatok juthatnak be, szükség esetén kerítéssel vagy más olyan eszközökkel, amelyek megfelelnek az adott állatfaj természetes táplálkozási szokásainak;
ii. biztosítania kell, hogy a takarmányozásra szánt szarvasmarhafélék alkalmas tetemei, valamint juhfélék és kecskefélék alkalmas tetemeinek legalább 4 %-át az említett célra történő felhasználás előtt negatív eredménnyel tesztelték a 999/2001/EK rendelet III. mellékletének és - adott esetben - az ugyanannak a rendeletnek a 6. cikke 1b) pontjának második albekezdése szerint elfogadott döntésnek megfelelően végrehajtott TSE-ellenőrzési programban; és
iii. nyilvántartást kell vezetnie, amely tartalmazza legalább a takarmányozásra szánt állattetemek számát, jellegét, becsült súlyát és eredetét, a takarmányozás dátumát, a takarmányozás helyszínét, valamint - adott esetben - a TSE-vizsgálatok eredményeit.
2. Amennyiben egy tagállam kérelmezi a Bizottságtól az 1. pont a) alpontja szerinti jegyzékbe történő felvételét, akkor be kell nyújtania:
a) a jegyzék egyes, az adott tagállamban élő dögevő madárfajokkal történő kibővítésére vonatkozó részletes indoklást, beleértve annak indoklását, hogy miért kell az adott madarakat a 2. vagy a 3. kategóriába tartozó anyag helyett az 1. kategóriába tartozó anyaggal takarmányozni;
b) azoknak az intézkedéseknek a magyarázatát, amelyeket tenni fognak az 1. pontban foglaltak teljesítése érdekében.
3. szakasz
Vadon élő állatok takarmányozása etetőkön kívül
Az illetékes hatóság engedélyezheti az 1. kategóriába tartozó, elhullott állatok teljes testéből vagy testrészeiből álló, meghatározott kockázatú anyagot tartalmazó anyag etetőkön kívüli felhasználását - adott esetben az elhullott állatok előzetes összegyűjtése nélkül - a 2. szakasz 1. pontjának a) alpontjában említett vadon élő állatok takarmányozása céljából, az alábbi feltétekkel:
1. Az illetékes hatóságnak az érintett állatfajok és élőhelyük konkrét helyzetének értékelése alapján kielégítőnek kell találnia az adott állatfajok megőrzési állapotának javulását;
2. Az illetékes hatóságnak az engedélyben azonosítania kell az állatállományokat egy földrajzilag meghatározott takarmányozási övezeten belül, az alábbi feltételeknek megfelelően:
a) A takarmányozási övezet nem terjedhet ki olyan területekre, ahol intenzív állattenyésztés folyik;
b) A takarmányozási övezetben a haszonállat-állományokat a hatósági állatorvosnak rendszeresen ellenőriznie kell a TSE és az emberre és állatra fertőző betegségek előfordulásának kiszűrése érdekében;
c) A takarmányozást azonnal fel kell függeszteni abban az esetben, ha:
i. a TSE állatállományon belüli terjedésével való összefüggést feltételeznek vagy megerősítenek, a kockázat kizárásáig;
ii. egy emberre vagy állatra fertőző súlyos betegség állatállományon belüli kitörését feltételezik vagy megerősítik, a kockázat kizárásáig; vagy
iii. az e rendeletben meghatározott szabályok valamelyikét nem tartják be;
d) Az engedélyben az illetékes hatóságnak meg kell határoznia:
i. a TSE és a fertőző betegségek állattetemekről az emberre vagy állatokra történő átvitelét megelőző megfelelő intézkedéseket, így például a megőrzendő állatfaj táplálkozási körülményeire vonatkozó intézkedéseket, a szezonális takarmányozási korlátozásokat, a haszonállatok mozgását korlátozó intézkedéseket, valamint egyéb olyan intézkedéseket, amelyek célja ellenőrizni az emberre vagy állatokra átvihető betegségek terjedésének lehetséges kockázatait, így például a takarmányozási övezetben azon állatfajokra vonatkozó intézkedéseket, amelyek takarmányozására állati melléktermékeket használnak;
ii. a takarmányozási övezetben a haszonállatok takarmányozásában segédkező vagy a haszonállatokért felelős személyek vagy társaságok az i. pontban említett intézkedésekkel összefüggő felelősségi köreit;
iii. az 1069/2009/EK rendelet 53. cikkében meghatározott szankciók kiszabásának feltételeit, amely szankciókat az i. alpontban említett intézkedéseket megszegő, a d) pont ii. alpontjában említett személyek vagy szervezetek ellen kell alkalmazni;
e) Amennyiben a takarmányozás az elhullott állatok előzetes összegyűjtése nélkül történik, becslést kell végezni a takarmányozási övezetben élő haszonállatok valószínűsíthető állománypusztulási arányára, valamint a vadon élő állatok valószínűsíthető takarmányigényére vonatkozóan, amely becslések alapján felmérik a betegségek terjedésének lehetséges kockázatait.
4. szakasz
Állatkerti állatok takarmányozása az 1. kategóriába tartozó anyaggal
Az illetékes hatóság engedélyezheti az 1. kategóriába tartozó, elhullott állatok teljes testéből vagy testrészeiből álló, meghatározott kockázatú anyagot tartalmazó anyagok és állatkerti állatokból származó anyagok felhasználását állatkerti állatok takarmányozására, az alábbi feltétekkel:
a) Az illetékes hatóság engedélyt adott ki a takarmányozásért felelős üzemeltető részére. Az illetékes hatóság ezt az engedélyt akkor adja ki, ha:
i. a takarmányozást nem meghatározott kockázatot jelentő anyagok ártalmatlanításának vagy ilyen anyagokat tartalmazó elhullott, TSE kockázatát jelentő kérődző állatok ártalmatlanításának alternatívájaként alkalmazzák;
ii. amennyiben az 1. kategóriába tartozó, elhullott állatok teljes testéből vagy testrészeiből álló, meghatározott kockázatú anyagot tartalmazó szarvasmarha eredetű anyagot használnak, akkor a 999/2001/EK rendeletben meghatározott megfelelő, a TSE jelenlétét figyelő rendszert működtetnek, amely magában foglalja a TSE-esetek kiszűrését célzó rendszeres laboratóriumi mintavizsgálatokat;
b) Az illetékes hatóság által kiadott engedélyt azonnal fel kell függeszteni, ha:
i. a TSE terjedésével való összefüggést feltételeznek vagy megerősítenek, a kockázat kizárásáig; vagy
ii. az e rendeletben meghatározott szabályok valamelyikét nem tartják be;
c) A takarmányozásért felelős üzemeltetőnek:
i. a takarmányozásra szánt anyag tárolását és a takarmányozást zárt, kerítéssel körülvett területen kell végeznie annak biztosítása érdekében, hogy azokon az állatkerti állatokon kívül, amelyekre az engedélyt kiadták, más ragadozó állatok nem férnek hozzá a takarmányozásra szánt anyaghoz;
ii. biztosítania kell, hogy a takarmányozásra szánt kérődző állatokra kiterjed a 999/2001/EK rendelet III. mellékletének és - adott esetben - az ugyanannak a rendeletnek a 6. cikke 1. pontjának b) alpontja második albekezdése szerint elfogadott döntésnek megfelelően végrehajtott TSE-ellenőrzési program;
iii. nyilvántartást kell vezetnie, amely tartalmazza legalább a takarmányozásra szánt állattetemek számát, jellegét, becsült súlyát és eredetét, a TSE-vizsgálatok eredményeit és a takarmányozás dátumát.
III. FEJEZET
AZ ÖSSZEGYŰJTÉSRE ÉS ÁRTALMATLANÍTÁSRA VONATKOZÓ KÜLÖNLEGES SZABÁLYOK
1. szakasz
Az állati melléktermékekre vonatkozó különleges ártalmatlanítási szabályok
1. Ha az illetékes hatóság engedélyezi az állati melléktermékek helyszíni ártalmatlanítását az 1069/2009/EK rendelet 19. cikke (1) bekezdése a), b), c) és e) pontjainak megfelelően, az ártalmatlanítás az alábbi módokon történhet:
a) elégetéssel vagy elföldeléssel azon a telephelyen, amelyről az állati melléktermékek származnak;
b) engedélyezett hulladéklerakóban; vagy
c) elégetéssel vagy elföldeléssel olyan helyen, amelyen ez az állat-egészségügyre, a közegészségügyre és a környezetre nézve a lehető legkisebb kockázattal jár, feltéve hogy az adott hely megfelelő távolságon belül van ahhoz, hogy az illetékes hatóság számára lehetővé tegye az állat-egészségügyi, közegészségügyi és környezetvédelmi kockázat megelőzésének biztosítását;
2. Az 1069/2009/EK rendelet 19. cikke (1) bekezdésének b), c) és e) pontjaiban említett telephelyeken történő égetés során biztosítani kell, hogy az állati melléktermékeket a következők szerint égetik el:
a) egy megfelelően kialakított máglyán és az állati melléktermékek teljes elhamvasztásával;
b) az emberi egészség veszélyeztetése nélkül;
c) a környezetet esetlegesen veszélyeztető eljárások vagy módszerek alkalmazása nélkül, különösen ha azok víz-, levegő- és talajszennyezést, a növényzet és az állatok veszélyeztetését, illetve zajt vagy szagokat eredményezhetnek;
d) olyan körülmények között, amelyek biztosítják, hogy az esetlegesen keletkező hamut engedélyezett hulladéklerakóban történő elföldeléssel ártalmatlanítani lehet.
3. Az 1069/2009/EK rendelet 19. cikke (1) bekezdésének a), b), c) és e) pontjaiban említett telephelyeken történő elföldelés során biztosítani kell, hogy az állati melléktermékeket a következők szerint földelik el:
a) megakadályozva húsevő vagy mindenevő állatok hozzáférését az állati melléktermékekhez;
b) engedélyezett hulladéklerakóban vagy más telephelyen az emberi egészség veszélyeztetése nélkül, a környezetet nem veszélyeztető eljárások vagy módszerek alkalmazásával, különösen ha azok víz-, levegő- és talajszennyezést, a növényzet és az állatok veszélyeztetését, illetve zajt vagy szagokat eredményezhetnek.
4. Az 1069/2009/EK rendelet 19. cikke (1) bekezdésének a), b), c) és e) pontja szerinti ártalmatlanítás esetén az állati melléktermékeket a származási helyükről a következő feltételek szerint kell elszállítani az ártalmatlanítás helyszínére:
a) az állati melléktermékek szállítása biztonságos, szivárgásmentes tartályokban vagy járműveken történik;
b) az állati melléktermékek be- és kirakodását szükség esetén az illetékes hatóság felügyeli;
c) a származási hely elhagyásakor a járművek kerekeit fertőtlenítik;
d) az állati melléktermékek kirakodása után alaposan megtisztítják és fertőtlenítik az állati melléktermékek szállításához használt tartályokat és járműveket; valamint
e) megfelelő kíséretet biztosítanak a járművek mellé, továbbá gondoskodnak a szivárgásvizsgálatról és a kettős borításról.
2. szakasz
Az állati melléktermékek elégetése és elföldelése távoli területeken
Az 1069/2009/EK rendelet 19. cikkének (2) bekezdésében említett legmagasabb százalékos arány nem haladhatja meg:
a) a szarvasmarhafélék populációjának 10 %-át az érintett tagállamokban;
b) a juh- és kecskefélék populációjának 25 %-át az érintett tagállamokban;
c) a sertésfélék populációjának 10 %-át az érintett tagállamokban; és
d) egyéb állatfajok populációjának az illetékes hatóság által meghatározott százalékos aránya, az adott állatfajokhoz tartozó állatok elégetéssel vagy elföldeléssel történő ártalmatlanítása során keletkező lehetséges köz- és állat-egészségügyi kockázatok értékelése alapján.
3. szakasz
Méhek és méhészeti melléktermékek elégetése és elföldelése
A méhek és méhészeti melléktermékek esetében az illetékes hatóság engedélyezheti - az 1069/2009/EK rendelet 19. cikke (1) bekezdésének f) pontjával összhangban végzett - helyszíni elégetéssel vagy elföldeléssel történő ártalmatlanítást, feltéve hogy minden szükséges intézkedést megtesznek annak biztosítása érdekében, hogy az elégetés vagy elföldelés nem veszélyezteti az állatok vagy az emberek egészségét, illetve a környezetet.
IV. FEJEZET
ÁRTALMATLANÍTÁS EGYÉB MÓDSZEREKKEL
Az 1069/2009/EK rendelet 14. cikkétől eltérve, a tagállamok engedélyezhetik az ugyanazon rendelet 10. cikkének f) pontjában meghatározott, 3. kategóriába tartozó anyagok gyűjtését, szállítását és ártalmatlanítását a helyszíni elégetéstől és elföldeléstől eltérő módszerekkel, feltéve hogy:
a) az anyagok nem haladják meg a heti 20 kg mennyiséget abból a létesítményből vagy üzemből, ahol az anyagokat összegyűjtik, függetlenül azoktól az állatfajoktól, amelyekből az anyagok származnak;
b) az anyagokat olyan módszerekkel gyűjtik, szállítják és ártalmatlanítják, amelyek megakadályozzák az elfogadhatatlan köz- és állat-egészségügyi kockázatok terjedését;
c) az e szakasz rendelkezéseinek betartatása érdekében az illetékes hatóságok rendszeres ellenőrzéseket végeznek - beleértve az üzemeltetők által vezetett nyilvántartások ellenőrzését - azokban a létesítményekben vagy üzemekben, ahol az anyagokat összegyűjtik.
VII. MELLÉKLET
AZ ALTERNATÍV MÓDSZEREK ENGEDÉLYEZÉSE IRÁNTI KÉRELEM FORMAI KÖVETELMÉNYEI
I. FEJEZET
Nyelvhasználat
1. Az 1069/2009/EK rendelet 20. cikkében említett, az állati melléktermékek és az azokból származó termékek alternatív felhasználási vagy ártalmatlanítási módszereinek engedélyezésére irányuló kérelmeket (kérelmek) az Európai Unió hivatalos nyelveinek egyikén kell benyújtani az 1958. évi 1. rendeletben foglaltaknak megfelelően.
2. A kérelmüket az angoltól eltérő nyelven benyújtó érdekelt feleknek hitelesíttetnie kell kérelmük hivatalos fordítását, amit az elbírálás előtt az EFSA biztosít.
Az 1069/2009/EK rendelet 20. cikkének (5) bekezdésében meghatározott időszak csak azt követően kezdődik, hogy az érdekelt fél hitelesíttette a kérelem hivatalos fordítását.
II. FEJEZET
A kérelmek tartalma
1. A kérelmeknek tartalmazniuk kell minden szükséges információt ahhoz, hogy az EFSA felmérhesse a javasolt alternatív módszer biztonságosságát, különös tekintettel a következők leírására:
- olyan állati melléktermékek kategóriái, melyekre a módszer kiterjesztését tervezik,
- a teljes eljárás,
- az emberi és állati egészséget fenyegető biológiai veszélyek, valamint
- az eljárásal elérendő kockázatcsökkentés mértéke.
2. Az (1) bekezdésben említett kérelem ezenkívül:
a) feltünteti az 1069/2009/EK rendelet 8., 9. és 10. cikkéből alkalmazandó pontokatt, beleértve az anyagok fizikai állapotát és adott esetben minden olyan előkezelést, melynek az anyagokat alávetették, továbbá megnevezi az eljárásban felhasználandó, az állati melléktermékeken kívüli anyagokat.
b) tartalmaz egy HACCP-protokollt és egy folyamatábrát, mely egyértelműen jelzi az eljárás egyes lépéseit, beazonosítja az adott kórokozók inaktiválásához lényeges paramétereket - pl. hőmérséklet, nyomás, expozíció időtartama, a pH-érték kiigazítása és a részecskenagyság - és kiegészül az eljárás során használt berendezés műszaki adatlapjaival;
c) beazonosítja és jellemzi az olyan állati melléktermék-kategóriákból kiinduló, az emberi és állati egészséget fenyegető biológiai veszélyeket, melyekre tervezik a módszer kiterjesztését;
d) bemutatja, hogy a feldolgozandó anyagok kategóriájához kapcsolódó legellenállóbb biológiai veszélyek az eljárás során előállított termékekben - beleértve a szennyvizet - csökkennek, mégpedig legalább az e rendeletben az állati melléktermékek azonos kategóriájára meghatározott feldolgozási szabályoknak megfelelő szintre. A kockázatcsökkentés mértékét validált, közvetlen mérésekkel kell meghatározni, hacsak nem elfogadott a modellezés vagy más eljárásokkal való összehasonlítás is.
3. A fenti (2) bekezdés d) pontjában említett validált, közvetlen mérések alatt a következők értendők:
a) az alábbiak életképessége/fertőzőképessége csökkentésének mérése: endogén indikátorszervezetek az eljárás folyamán, ahol az indikátor:
- folyamatosan nagy számban van jelen a nyersanyagban;
- a kezelési folyamat letális tényezőivel szemben nem kevésbé, de nem is lényegesen nagyobb mértékben ellenálló, mint azok a kórokozók, melyek figyelemmel kísérésére alkalmazzák;
- viszonylag könnyen számszerűsíthető, azonosítható és megerősíthető, vagy
b) a kiindulási anyagba egy megfelelő vizsgálati testben bejuttatott, jól meghatározott tesztorganizmus vagy -vírus használata.
Ha több lépésből áll a kezelés, akkor azt kell megvizsgálni, hogy milyen mértékben additívak az egyes titercsökkentési lépések, illetve hogy a folyamat első lépései befolyásolhatják-e a következő lépések hatékonyságát;
c) teljeskörű jelentéstétel, beleértve a következőket:
i. az alkalmazott módszer részletes leírása;
ii. az elemzett minták jellegének leírása;
iii. a megvizsgált minták száma reprezentativitásának bemutatása;
iv. az elvégzett vizsgálatok számának és a mérési pontok kiválasztásának megindoklása;
v. az alkalmazott kimutatási módszerek érzékenységének és specifikus jellegének feltüntetése;
vi. adatszolgáltatás a kísérletek során a mérések megismételhetőségéről és statisztikai változékonyságáról;
vii. a prion-szurrogátumok - amennyiben felhasználásra kerültek - jelentőségének megindoklása;
viii. annak bizonyítása, hogy ha közvetlen mérések hiányában modellezést vagy más eljárásokkal való összehasonlítást alkalmaznak, a kockázacsökkentést eredményező tényezők jól ismertek és a kockázatcsökkentési modell megbízható;
ix. a teljes folyamatot illetően a kockázatcsökkentést eredményező összes tényező közvetlen mérésére vonatkozó adatszolgáltatás, kimutatva, hogy e tényezőket homogén módon alkalmazták az egész kezelt kötegben.
4. A (2) bekezdés b) pontjában említett HACCP-tervnek a kockázatcsökkentés céljából használt kritikus paramétereken kell alapulniuk, különös tekintettel a következőkre:
- hőmérséklet,
- nyomás,
- idő, valamint
- mikrobiológiai kritériumok.
A HACCP-tervben szereplő kritikus határértékeket a kísérleti validálás és/vagy a a modell eredményei alapján kell meghatározni.
Ha a folyamat eredményes működése csak a folyamatban használt berendezéshez specifikusan kapcsolódó műszaki paraméterek vonatkozásában mutatható ki, a HACCP-tervnek a teljesítendő műszaki határértékeket is magában kell foglalnia, különös tekintettel az energia-felhasználásra, a szivattyúlöketek számára vagy a vegyszerek adagolására.
Adatokat kell szolgáltatni egyrészt azokról a kritikus és műszaki paraméterekről, melyeket felügyelni kell és folyamatosan vagy meghatározott időközönként nyilván kell tartani, másrészt a méréshez és felügyelethez alkalmazott módszerekről.
Figyelembe kell venni a paraméterek szokásos gyártási feltételek melletti változékonyságát.
A HACCP-tervnek tükröznie kell a rendes és rendellenes/vészhelyzeti üzemelési feltételeket, beleértve a folyamat leállását, és meg kell határoznia a rendellenes/vészhelyzeti üzemelési feltételek esetén alkalmazandó lehetséges korrekciós intézkedéseket.
5. A kérelmeknek ezenkívül elegendő információt kell tartalmazniuk a következőkre vonatkozóan:
a) az egymással összefüggő folyamatokhoz kapcsolódó kockázatok, és különösen a lehetséges közvetett hatások értékelésének eredményei, melyek:
i. befolyásolhatják egy adott folyamat kockázatcsökkentő képességét;
ii. a folyamatból származó termékek szállítása vagy tárolása, valamint az ilyen termékek - beleértve a szennyvizet - biztonságos ártalmatlanítása során felléphetnek.
b) a termékek tervezett végső felhasználásához kapcsolódó kockázatok, különösen:
i. meg kell határozni a folyamattal létrehozott termékek tervezett végfelhasználását.
ii. meg kell vizsgálni az esetlegesen felmerülő köz- és állat-egészségügyi kockázatok valószínűségét, valamint a környezetre gyakorolt esetleges hatásokat a (2) bekezdés d) pontja szerinti, becsült kockázatcsökkentés alapján.
6. A kérelmeket igazoló dokumentumokkal, különösen pedig a következőkkel együtt kell benyújtani:
a) a folyamat működését bemutató folyamatábra;
b) a 2. pont d) alpontjában megadott bizonyítékok, valamint egyéb olyan bizonyítékok, melyek alátámasztják a 2. pont szerinti, a kérelemben szereplő információkat.
7. A kérelmekben fel kell tüntetni az érdekelt fél kapcsolattartási címét, beleértve az érdekelt félként felelős vagy az érdekelt fél nevében eljáró konkrét kapcsolattartó személy nevét és teljes címét, telefon- és/vagy faxszámát és/vagy e-mail címét.
VIII. MELLÉKLET
ÖSSZEGYŰJTÉS, SZÁLLÍTÁS ÉS NYOMON KÖVETÉS
I. FEJEZET
ÖSSZEGYŰJTÉS ÉS SZÁLLÍTÁS
1. szakasz
Járművek és tárolóedények
1. Az előállítási láncnak az 1069/2009/EK rendelet 4. cikkének (1) bekezdésében említett kiindulási pontjától kezdve az állati melléktermékek és az azokból származó termékek összegyűjtéséhez és szállításához légmentesen zárt, új csomagolóanyagot vagy szivárgásmentesen fedett tárolóedényeket vagy járműveket kell használni.
2. A járműveket és az újrahasználható tárolóeszközöket, valamint az állati melléktermékekkel vagy feldolgozott termékekkel - kivéve a 767/2009/EK rendelet szerint forgalomba hozott származtatott termékeket, amelyeket a 183/2005/EK rendelet II. mellékletével összhangban kell tárolni és szállítani - érintkező berendezések vagy készülékek valamennyi újrahasználható elemét tiszta állapotban kell tartani.
Azokat az eseteket kivéve, amikor nem csak bizonyos állati melléktermékek vagy azokból származó melléktermékek szállítására vannak kijelölve, az ilyen járműveket és tárolóedényeket:
a) használat előtt meg kell tisztítani és meg kell szárítani; és
b) minden használat előtt meg kell tisztítani, le kell mosni és/vagy fertőtleníteni kell, amennyiben az a keresztszennyeződés elkerülése érdekében szükséges.
3. Amennyiben az a keresztszennyeződés elkerülése érdekében szükséges, az újrahasználható tárolóedényeket csak egy bizonyos állati melléktermék vagy abból származó termék szállítására kell kijelölni.
Ugyanakkor újrahasználható tárolóedényeket is lehet használni, feltéve hogy az illetékes hatóság engedélyezte azok használatát:
a) különböző állati melléktermékek vagy azokból származó termékek szállítására, feltéve, hogy azokat megtisztítják és fertőtlenítik az egyes használatok között oly módon, hogy a keresztszennyeződést megelőzzék;
b) az 1069/2009/EK rendelet 10. cikkének f) pontjában említett állati melléktermékek vagy azokból származó termékek szállítására az emberi fogyasztásra szánt termékek szállítására történő használatuk után, a keresztszennyeződés megelőzését biztosító feltételek mellett.
4. A csomagolóanyagokat el kell égetni vagy - az uniós jogszabályokkal összhangban - egyéb módon kell ártalmatlanítani.
2. szakasz
Hőmérsékleti feltételek
1. A takarmányanyag vagy a kedvtelésből tartott állatok nyers eledele előállítására szánt állati melléktermékeket megfelelő hőmérsékleten kell szállítani: a húsból származó állati melléktermékek és az emberi fogyasztástól eltérő célokra szánt hústermékek esetében legfeljebb 7 °C hőmérsékleten - kivéve ha azokat a II. melléklet I. fejezetének megfelelően takarmányozási célokra használják -, az állat-egészségügyi vagy közegészségügyi kockázatok elkerülése érdekében.
2. A takarmányanyag vagy a kedvtelésből tartott állatok eledele előállítására szánt, 3. kategóriába tartozó, feldolgozatlan anyagot hűtve, fagyasztva vagy silózva kell tárolni és szállítani, kivéve ha:
a) azt az összegyűjtéstől vagy a hűtött, illetve fagyasztott tárolás befejezésétől számított 24 órán belül feldolgozzák, ha az ezt követő szállítás a tárolási hőmérséklet fenntartását biztosító szállítóeszközben történik;
b) a X. melléklet II. fejezete 4. szakaszának I. részében említett kezeléseknek nem alávetett tej, tejalapú termékek vagy tejből származó termékek esetében, azt hűtött és szigetelt tárolóedényekben szállítják - kivéve, ha a kockázatok egyéb intézkedésekkel csökkenthetők - az anyag tulajdonságai miatt.
3. A hűtve szállításhoz használt járműveket úgy kell kialakítani, hogy azok a szállítás teljes időtartama alatt biztosítsák a megfelelő hőmérséklet fenntartását, és lehetővé tegyék ennek a hőmérsékletnek a folyamatos ellenőrzését.
3. szakasz
A tejből, tejalapú termékekből és tejből származó termékekből álló, 3. kategóriába tartozó anyagok összegyűjtésére és szállítására vonatkozó eltérések
Az 1. szakaszt nem kell alkalmazni abban az esetben, ha a tejből, tejalapú termékekből és tejből származó termékekből álló, 3. kategóriába tartozó anyagot a 853/2004/EK rendelet 4. cikkével összhangban engedélyezett tejfeldolgozó létesítmények üzemeltetői gyűjtik össze és szállítják, amennyiben - főként a vevőiktől - olyan termékeket vesznek át, amelyeket korábban ők szállítottak, és amelyeket nekik visszaszállítanak.
4. szakasz
A trágya összegyűjtésére és szállítására vonatkozó eltérések
Az 1. szakasztól eltérve az illetékes hatóság elfogadhatja trágya összegyűjtését és szállítását az ugyanazon gazdaság két pontja között, vagy ugyanazon tagállam mezőgazdasági termelői és felhasználói között olyan feltételek mellett, amelyek biztosítják az elfogadhatatlan köz- és állat-egészségügyi kockázatok megelőzését.
II. FEJEZET
AZONOSÍTÁS
1. Minden szükséges intézkedést meg kell tenni annak érdekében, hogy:
a) az állati melléktermékek és az azokból származó termékek szállítmányai azonosíthatók legyenek, valamint a származási helyükön történő összegyűjtés és a szállítás során végig el legyenek különítve és azonosíthatók maradjanak;
b) az egy bizonyos kategóriába tartozó állati melléktermékek vagy azokból származó termékek azonosítására használt jelölőanyagot csak arra a kategóriára használják, amelyre használatát e rendelet előírja, vagy a 4. pont megállapítja;
c) állati melléktermékek és azokból származó termékek szállítmányainak egyik tagállamból a másikba történő szállítása esetén a csomagoláson, a tárolóeszközön, vagy a szállítóeszközön jól látható és legalább a szállítás ideje alatt eltávolíthatatlan színkód szerepeljen az e rendeletben meghatározott információszolgáltatás céljából a csomagolás, a tárolóeszköz vagy a szállítóeszköz felületén, vagy felületének egy részén, illetve a rajta található címkén vagy jelölésen, az alábbiak szerint:
i. az 1. kategóriába tartozó anyagok esetén: fekete szín;
ii. a 2. kategóriába tartozó anyagok esetén - a trágya és az emésztőtraktus-tartalom kivételével - sárga szín;
iii. a 3. kategóriába tartozó anyagok esetén: zöld szín nagy mennyiségű kék összetevővel keverve annak biztosításához, hogy világosan elkülöníthető legyen a többi színtől;
iv. importált szállítmányok esetén: az i., ii. és iii. pont szerint az adott anyag esetében említett szín, attól az időponttól kezdve, amikor a szállítmány áthaladt az Unióba történő első belépés helye szerinti állat-egészségügyi határállomáson.
2. A szállítás és tárolás ideje alatt a csomagolásra, a tárolóeszközre vagy a szállítóeszközre erősített címkének:
a) egyértelműen jelölnie kell az állati melléktermékek vagy az állati melléktermékekből származó termékek kategóriáját; és
b) a következő feliratot kell láthatóan és olvashatóan tartalmaznia a csomagoláson, a tárolóedényen vagy a járműn:
i. a 3. kategóriába tartozó anyag esetében a "nem emberi fogyasztásra" felirat;
ii. a 2. kategóriába tartozó anyag - a trágya és az emésztőtraktus-tartalom kivételével - és a 2. kategóriába tartozó anyagból származó termékek esetében a "nem állati takarmányozásra" felirat; amennyiben azonban a 2. kategóriába tartozó anyagot az 1069/2009/EK rendelet 18. cikke (1) bekezdésében említett állatok takarmányozására szánják az említett cikkben meghatározott vagy megállapított feltételek mellett, a címkén ehelyett a következő felirat szerepel: "... takarmányozására", amelyet azon állatfaj nevével egészítenek ki, amelynek takarmányozására az anyagot szánják;
iii. az 1. kategóriába tartozó anyag és az abból származó termékek esetében, amennyiben azokat
- ártalmatlanításra szánják: "kizárólag ártalmatlanításra";
- kedvtelésből tartott állatok eledelének előállítására szánják: "kizárólag kedvtelésből tartott állatok eledelének előállítására";
- az 1069/2009/EK rendelet 36. cikkében említett származtatott termék előállítására szánják: "kizárólag származtatott termékek előállítására. Nem emberi vagy állati fogyasztásra, illetve talajban történő alkalmazásra" felirat;
iv. tej, tejalapú termékek, tejből származó termékek, kolosztrum és kolosztrumtartalmú termékek esetében a "nem emberi fogyasztásra" felirat;
v. a 3. kategóriába tartozó anyagból előállított zselatin esetében az "állati fogyasztásra alkalmas zselatin" felirat;
vi. a 3. kategóriába tartozó anyagból előállított kollagén esetében az "állati fogyasztásra alkalmas kollagén" felirat;
vii. a kedvtelésből tartott állatok eledele esetében a "kizárólag kedvtelésből tartott állatok eledeleként használható fel" felirat;
viii. halak takarmányozására szánt hal és halból származó, forgalmazás előtt kezelt és csomagolt termékek esetében a származás helye szerinti takarmánygyártó létesítmény neve és címe egyértelműen és olvashatóan megjelölve, valamint
- vadon élő halakból származó halliszt esetében a "kizárólag vadon élő halból származó hallisztet tartalmaz - valamennyi fajból származó tenyésztett hal takarmányozására felhasználható" felirat;
- tenyésztett halakból származó halliszt esetében a "kizárólag [...] fajhoz tartozó tenyésztett halból származó hallisztet tartalmaz - kizárólag egyéb fajokhoz tartozó tenyésztett halak takarmányozására használható fel" felirat;
- vadon élő halakból és tenyésztett halakból származó halliszt esetében a "[...] fajhoz tartozó, vadon élő halból és tenyésztett halból származó hallisztet tartalmaz - valamennyi fajból származó tenyésztett hal takarmányozására felhasználható" felirat;
ix. lófélékből származó, takarmányozástól eltérő célokra szánt vértermékek esetében a "lófélékből származó vér és vértermékek. Nem emberi vagy állati fogyasztásra" felirat;
x. szarvak, paták és a XIV. melléklet II. fejezetének 12. szakaszában említett szerves trágyák és talajjavító szerek előállítására szánt egyéb termékek esetében a "nem emberi vagy állati fogyasztásra" felirat;
xi. szerves trágyák és talajjavító szerek esetében a "szerves trágyák vagy talajjavító szerek/ az alkalmazástól számított legalább 21 napig a haszonállatok legeltetése és a termés takarmányként történő felhasználása tilos" felirat;
xii. a VI. melléklet II. fejezetének 1. szakaszával összhangban takarmányozásra szánt anyag esetében a gyűjtőközpont neve és címe, valamint a "nem emberi fogyasztásra" felirat;
xiii. trágya és emésztőtraktus-tartalom esetében a "trágya" felirat;
xiv. köztes termékek esetében a külső csomagoláson a "kizárólag gyógyszerkészítményekhez/állatgyógyászati készítményekhez/ orvostechnikai eszközökhöz/ aktív beültethető orvostechnikai eszközökhöz/ in vitro diagnosztikai orvostechnikai eszközökhöz/ laboratóriumi reagensekhez" felirat;
xv. kutatási és diagnosztikai minták esetében a "kutatási és diagnosztikai célokra" felirat az a) pontban meghatározott címkeszöveg helyett;
xvi. kereskedelmi minták esetében a "nem emberi fogyasztásra szánt kereskedelmi minta" felirat az a) pontban meghatározott címkeszöveg helyett;
xvii. kiállítási tárgyak esetében a "nem emberi fogyasztásra szánt kiállítási tárgy" felirat az a) pontban meghatározott címkeszöveg helyett;
xviii. a XIII. melléklet XIII. fejezetében említett, a gyógyszergyártásra használt halolaj esetében a "gyógyszergyártásra használt halolaj" kifejezés az a) pontban meghatározott címkeszöveg helyett;
xix. a IV. melléklet IV. fejezete 2. szakaszának 1. pontjában említett, mészkezelésnek alávetett trágya esetében a "trágya és mész keveréke" felirat;
xx. a XI. melléklet I. fejezete 2. szakaszának b) és c) pontjában említett kezelésnek alávetett feldolgozott trágya esetében a "feldolgozott trágya" kifejezés.
c) Ugyanakkor a b) pont xi. alpontjában említett címke használatát nem kell előírni a következő szerves trágyák és talajjavító szerek esetében:
i. 50 kg-t nem meghaladó súlyú, a végfelhasználónak szánt, eladásra kész csomagolásban lévő szerves trágyák és talajjavító szerek; vagy
ii. 1 000 kg-t nem meghaladó súlyú, nagyméretű zsákokban ("big bag") lévő szerves trágya vagy talajjavító szerek, feltéve hogy:
- azokat annak a tagállamnak az illetékes hatósága engedélyezte, amelyben a szerves trágyát vagy talajjavító szert a talajban alkalmazni fogják;
- az említett zsákokon fel van tüntetve, hogy az adott termék nem alkalmazható olyan területen, ahová haszonállatok bejuthatnak.
3. A tagállamoknak lehetőségük van arra, hogy a területükről származó és onnan ki nem lépő állati melléktermékek és azokból származó termékek szállítása tekintetében külön rendszerek és egyedi szabályozás útján határozzák meg a csomagoláson, a tárolóeszközökön és a szállító járműveken használt színkódokat, feltéve hogy ezen rendszerek és szabályok nem téveszthetők össze az 1.c) pontban meghatározott színkódrendszerrel.
4. A tagállamok meghatározhatnak rendszereket vagy megállapíthatnak szabályokat a területükről származó és ott maradó állati melléktermékek jelölésére vonatkozóan, feltéve hogy ezek a rendszerek vagy szabályok nem ütköznek az e melléklet V. fejezetében a származtatott termékekre vonatkozóan meghatározott jelölési követelményekkel.
5. A 3. és 4. pontoktól eltérve, az azokban meghatározott rendszert vagy szabályokat a tagállamok abban az esetben is használhatják a területükről származó, de onnan kilépő állati melléktermékekre, ha ehhez a rendeltetési hely szerinti tagállam vagy harmadik állam hozzájárul.
6. Azonban:
a) e fejezet 1. és 2. pontját nem kell alkalmazni abban az esetben, ha a tejből, tejalapú termékekből és tejből származó termékekből álló, 3. kategóriába tartozó anyagot a 853/2004/EK rendelet 4. cikkével összhangban engedélyezett tejfeldolgozó létesítmények üzemeltetői azonosítják, amennyiben - főként a vevőiktől - olyan termékeket vesznek át, amelyeket korábban ők szállítottak, és amelyeket nekik visszaszállítanak.
b) az illetékes hatóság - az 1. és 2. ponttól eltérve - elfogadhatja az ugyanazon gazdaság két pontja között, vagy ugyanazon tagállam gazdaságai és felhasználói között szállított trágya más módszerrel történő azonosítását;
c) a 767/2009/EK rendelet 3. cikke (2) bekezdésének h) pontjában meghatározott összetett takarmányokat, amelyeket állati melléktermékekből vagy azokból származó termékekből állítanak elő és a 767/2009/EK rendelet 4. cikkével összhangban csomagolnak és hoznak forgalomba takarmányként, nem kell az 1. pont szerint azonosítani és nem kell a 2. pont szerint címkével ellátni.
III. FEJEZET
KERESKEDELMI OKMÁNYOK ÉS EGÉSZSÉGÜGYI BIZONYÍTVÁNYOK
1. A szállítás során az állati melléktermékeket és az abból származó termékeket az e fejezetben meghatározott mintának megfelelő kereskedelmi okmánynak vagy - amennyiben azt e rendelet előírja - egészségügyi bizonyítványnak kell kísérnie.
Ilyen dokumentumra vagy bizonyítványra azonban nincs szükség, ha:
a) ugyanazon tagállamon belül kiskereskedők látják el a végső felhasználókat - kivéve az ipari vállalkozókat - a 3. kategóriába tartozó anyagból származó termékekkel, valamint szerves trágyákkal és talajjavító szerekkel;
b) tejet, tejalapú termékeket és a 3. kategóriába tartozó anyagnak minősülő, tejből származó termékeket összegyűjtenek és visszaszállítanak tejfeldolgozó létesítmények a 853/2004/EK rendelet 4. cikke szerint engedélyezett üzemeltetőinek, ha ezek az üzemeltetők - főként a vevőiktől - általuk korábban szállított termékeket vesznek át;
c) a 767/2009/EK rendelet 3. cikke (2) bekezdésének h) pontjában meghatározott, állati melléktermékekből vagy azokból származó termékekből előállított összetett takarmányokat a 767/2009/EK rendelet 4. cikkének megfelelően csomagolva és címkézve hoznak forgalomba.
2. A kereskedelmi okmányt legalább három (egy eredeti és két másolati) példányban kell kiállítani. Az eredetinek a végső rendeltetési helyig kell kísérnie a szállítmányt. A címzettnek azt meg kell őriznie. A termelőnek az egyik, a szállítónak a másik másolati példányt kell megőriznie.
A tagállamok előírhatják, hogy a szállítmányok megérkezését a TRACES rendszerben kell igazolni, vagy a kereskedelmi okmány egy negyedik példányával, amelyet a szállítmány átvevője visszaküld a termelőnek.
3. Az egészségügyi bizonyítványokat az illetékes hatóságnak kell kiállítania és aláírnia.
4. Az Európai Unión belüli szállítás során az állati melléktermékeket és az azokból származó termékeket az előállítási láncnak az 1069/2009/EK rendelet 4. cikkének (1) bekezdésében meghatározott kiindulási pontjától kezdve a 6. pontban meghatározott mintának megfelelő kereskedelmi okmánynak kell kísérnie.
Ugyanakkor - az 1069/2009/EK rendelet 21. cikke (3) bekezdésének második albekezdésében említett alternatív rendszerrel történő információtovábbítás engedélyezése mellett - az illetékes hatóság engedélyezheti, hogy az illetékességi területén szállított állati melléktermékeket és azokból származó termékeket az alábbi dokumentumok kísérjék:
a) egyéb, papír vagy elektronikus formátumú kereskedelmi okmány, feltéve hogy az tartalmazza az e fejezet 6. pontjához tartozó "Megjegyzések" rovat f) pontjában meghatározott információkat;
b) olyan kereskedelmi okmány, amelyben az anyag mennyisége az anyag súlyában vagy térfogatában, vagy a csomagok számában van kifejezve.
5. A nyilvántartásokat és az azokhoz tartozó kereskedelmi okmányokat vagy egészségügyi bizonyítványokat legalább 2 éven keresztül meg kell őrizni az illetékes hatóságnak történő bemutatás céljából.
6. Kereskedelmi okmány mintája
Megjegyzések
a) Kereskedelmi okmányokat kell kiállítani az e fejezetben megadott minta szerint.
Az okmánynak a mintában szereplő számsorrendben tartalmaznia kell az állati melléktermékek és az azokból származó termékek szállításához szükséges igazolásokat.
b) Az okmányt - esettől függően - a származási tagállam és a rendeltetési tagállam egyik hivatalos nyelvén kell kiállítani.
Az okmány azonban kiállítható az Unió más hivatalos nyelvein is, ha azt hivatalos fordítás kíséri, vagy ha azt a rendeltetéshelye szerinti tagállam illetékes hatósága előzőleg jóváhagyta.
c) A kereskedelmi okmány eredeti példányának egyetlen kétoldalas papírlapból kell állnia, vagy - amennyiben további szövegre van szükség - olyan formátumúnak kell lennie, hogy minden szükséges papírlap egyértelműen összetartozó és szétválaszthatatlan egészet alkosson.
d) Ha a szállítmány tételeinek azonosítása miatt a kereskedelmi okmányhoz további papírlapokat csatolnak, ezeket a lapokat is az eredeti okmány részének kell tekinteni, és azok mindegyikét a szállítmányért felelős személynek alá kell írnia.
e) Ha a kereskedelmi okmány - beleértve a d) pontban említett kiegészítő lapokat is - több oldalból áll, akkor az oldalakat a lap alján be kell számozni - (összes oldal)/(oldalszám) -, és minden oldal tetején fel kell tüntetni a felelős személy által az okmánynak adott kódszámot.
f) A kereskedelmi okmány eredeti példányát a felelős személynek kell kitöltenie és aláírnia.
A kereskedelmi okmányon szerepelnie kell az alábbiaknak:
i. az anyag létesítményből történő kiszállításának dátuma;
ii. az anyag leírása, beleértve
- az anyagnak az 1069/2009/EK rendelet 8., 9. és 10. cikkében említett kategóriák egyike szerinti azonosítását,
- a takarmányozásra szánt, 3. kategóriába tartozó anyagok és az azokból származó termékek esetében az állatfajt és az 1069/2009/EK rendelet 10. cikke vonatkozó pontjára történő konkrét hivatkozást, valamint
- adott esetben az állat füljelző számát;
iii. az anyag mennyisége térfogatban, súlyban vagy a csomagok számában kifejezve;
iv. az anyag származási létesítményének vagy üzemének a neve és címe, valamint az 1069/2009/EK rendelet vagy - adott esetben - a 852/2004/EK ( 7 ), a 853/2004/EK ( 8 ) vagy a 183/2005/EK európai parlamenti és tanácsi rendelet ( 9 ) alapján kiadott engedély- vagy nyilvántartási száma, valamint adott esetben a kezelés jellege és módszere;
v. az anyag szállítójának a neve, címe és nyilvántartási száma;
vi. a rendeltetési létesítmény vagy üzem neve és címe, valamint az 1069/2009/EK rendelet vagy - adott esetben - a 852/2004/EK vagy a 183/2005/EK rendelet alapján kiadott engedély- vagy nyilvántartási száma;
vii. konténerben történő szállítás esetén a konténernek a Bureau International des Containers et du Transport Intermodal követelményeinek megfelelően kiállított teljes azonosító száma (BIC-kód) ( 10 );
viii. feldolgozott állati fehérje és a feldolgozott állati fehérjét tartalmazó termékek 999/2001/EK rendelet IV. melléklete szerinti kivitele esetében a 2009/821/EK bizottsági határozatban ( 11 ) említett, a kilépés helye szerinti tagállam és állategészségügyi határállomás.
g) A felelős személy aláírása színének különböznie kell a nyomtatás színétől.
h) Ugyanahhoz a szállítmányhoz a dokumentum hivatkozási számát és a helyi hivatkozási számot csak egyszer kell meghatározni.
i) Az 1069/2009/EK rendelet 48. cikke (3) bekezdésének második albekezdésében említett, a rendeltetési helyért felelős illetékes hatóság az említett rendelet 48. cikke (3) bekezdésének első albekezdésében említett információk kézhezvételétől számított 15 munkanapon belül tájékoztatja a TRACES rendszeren keresztül a származási hely szerinti tagállam illetékes hatóságát a szállítmány megérkezéséről.
Kereskedelmi okmány
Nem emberi fogyasztásra szánt állati melléktermékek és az azokból származó termékek Európai Unión belüli, az 1069/2009/EK rendelettel összhangban történő szállításához




IV. FEJEZET
NYILVÁNTARTÁSOK
1. szakasz
Általános rendelkezések
1. Az 1069/2009/EK rendelet 22. cikkének (1) bekezdésében az állati melléktermékekre és az azokból származó termékekre vonatkozóan - kivéve a 767/2009/EK rendelet 3. cikke (2) bekezdésének h) pontjában meghatározott, állati melléktermékekből vagy azokból származó termékekből előállított és a 767/2009/EK rendelet 4. cikkével összhangban forgalomba hozott összetett takarmányokat - említett nyilvántartásoknak tartalmaznia kell:
a) a következők leírását:
i. az állatfaj megnevezése a takarmányanyagnak szánt, 3. kategóriába tartozó anyag és az abból származó termékek esetében és - adott esetben - teljes tetemek és fejek esetén a füljelző száma;
ii. az anyag mennyisége;
b) az állati melléktermékek vagy azokból származó termékek feladója által vezetett nyilvántartások esetében a következő információkat:
i. az anyag létesítményből történő kiszállításának dátuma;
ii. a szállító és a címzett neve és címe, valamint adott esetben engedély- vagy nyilvántartási száma;
c) az állati melléktermékek vagy azokból származó termékek szállítója által vezetett nyilvántartások esetében a következő információkat:
i. az anyag létesítményből történő kiszállításának dátuma;
ii. az anyag származási helye, ahonnan az anyagot szállítják;
iii. a címzett neve és címe, valamint adott esetben engedély- vagy nyilvántartási száma;
d) az állati melléktermékek vagy azokból származó termékek átvevője által vezetett nyilvántartások esetében a következő információkat:
i. az anyag átvételének dátuma;
ii. az anyag származási helye, ahonnan az anyagot szállítják;
iii. a szállító neve és címe.
2. E szakasz 1. pontjától eltérve, az üzemeltetők nem kötelesek külön megőrizni az 1. pont a) alpontjában, b) pontja i. alpontjában, c) pontja i. és iii. alpontjában, valamint d) pontja ii. és iii. alpontjában meghatározott információkat, ha minden egyes szállítmány esetében megőrzik a III. fejezetben meghatározott kereskedelmi okmány egy másolatát, és ezeket az információkat az e szakasz 1. pontjában előírt egyéb információkkal együtt elérhetővé teszik.
3. A hulladékégető és hulladék-együttégető művek üzemeltetői nyilvántartást vezetnek - esettől függően - az égetéssel vagy együttégetéssel ártalmatlanított állati melléktermékek és azokból származó termékek mennyiségéről és kategóriájáról, valamint ezen műveletek végrehajtásának dátumáról.
2. szakasz
Kiegészítő előírások különleges takarmányozási célokra történő felhasználás esetén
Az 1. szakaszban előírt nyilvántartások mellett az üzemeltetők az alábbi nyilvántartásokat vezetik a vonatkozó anyagokról abban az esetben, ha állati melléktermékeket a VI. melléklet II. fejezetének megfelelően különleges takarmányozási célokra használnak fel:
1. végső felhasználók esetében a felhasznált mennyiség, a takarmányozni kívánt állatok, valamint a felhasználás dátuma;
2. gyűjtőközpontok esetében:
i. a VI. melléklet II. fejezete 1. szakaszának 4. pontja szerint kezelt mennyiség;
ii. az anyag minden egyes végső felhasználójának neve és címe;
iii. a létesítmény, ahová az anyagot szállítják felhasználás céljából;
iv. az elszállított mennyiség; és
v. az anyag elszállításának dátuma.
3. szakasz
Egyes prémes állatokra vonatkozó követelmények
A II. melléklet I. fejezetében említett gazdaság üzemeltetője nyilvántartás vezet legalább:
a) a prémek és állattetemek számáról olyan állatok esetében, amelyeket azonos állatfajból származó anyagokkal takarmányoztak; és
b) valamennyi szállítmányról az anyag nyomon követhetőségének biztosítása érdekében.
4. szakasz
Egyes szerves trágyák és talajjavító szerek talajban történő alkalmazására vonatkozó követelmények
Annak, aki olyan földterületért felelős, amelyen a II. melléklet II. fejezetének második bekezdésében említett anyagoktól eltérő szerves trágyát és talajjavító szereket alkalmaznak, és amelyre haszonállatok bejuthatnak, vagy amelyről haszonállatok takarmányozására szánt vágott takarmány származik, legalább két évig nyilvántartást kell vezetnie a következőkről:
1. az alkalmazott szerves trágyák és talajjavító szerek mennyisége;
2. a szerves trágyák és talajjavító szerek talajban való alkalmazásának dátuma és az alkalmazás helye;
3. a dátumok, amikor a szerves trágya vagy talajjavító szer alkalmazását követően az állatállományt beengedték az adott földterületre legeltetés céljából, vagy amikor a földterületen zöldtakarmányt vágtak takarmányozás céljából.
5. szakasz
Víziállatokból és halak etetéséből származó állati melléktermékekre vonatkozó követelmények
A hallisztet vagy egyéb, víziállatokból származó takarmányokat előállító feldolgozóüzemekben nyilvántartást kell vezetni az alábbiakról:
a) a naponta előállított mennyiségek;
b) a származás szerinti faj, beleértve annak megjelölését, hogy az adott víziállatokat vadvízből fogták ki vagy akvakultúra-gazdaságban tenyésztették;
c) tenyésztett halból származó, másik fajhoz tartozó tenyésztett halak etetésére szánt halliszt esetében a származás szerinti faj tudományos neve.
6. szakasz
Az állati melléktermékek elégetésére és elföldelésére vonatkozó követelmények
Állati melléktermékeknek az 1069/2009/EK rendelet 19. cikkének (1) bekezdése szerinti elégetése vagy elföldelése esetén az elégetésért vagy elföldelésért felelős személynek nyilvántartást kell vezetnie a következőkről:
a) az elégetett vagy elföldelt állati melléktermékek mennyisége, kategóriája és a faj;
b) az elégetés és elföldelés dátuma és helye.
7. szakasz
A fotózselatinra vonatkozó követelmények
A XIV. melléklet II. fejezetének 11. szakaszában említett engedélyezett fényképészeti gyárak üzemeltetőinek nyilvántartást kell vezetniük a fotózselatin beszerzéséről és felhasználásáról, valamint a maradékanyagok és felesleges anyagok ártalmatlanításáról.
V. FEJEZET
EGYES SZÁRMAZTATOTT TERMÉKEK JELÖLÉSE
1. Az 1. vagy 2. kategóriába tartozó anyagokat feldolgozó üzemekben az állati melléktermékekből származó termékeket tartós módon meg kell jelölni glicerin-triheptanoáttal (GTH) oly módon, hogy:
a) a GTH-t az előzetesen legalább 80 °C belső hőmérsékletű fertőtlenítő hőkezelésben részesült és a továbbiakban az újraszennyeződéstől védett származtatott termékekhez adják;
b) valamennyi származtatott termék anyaga homogén eloszlásban 1 kg zsírra számítva legalább 250 mg GTH-t tartalmaz.
2. Az 1. pontban említett feldolgozóüzemek üzemeltetői olyan rendszert működtetnek, amely lehetővé teszi azon paraméterek folyamatos ellenőrzését és rögzítését, amelyek az illetékes hatóság számára igazolják az előírt minimális homogén GTH-koncentráció meglétét.
Ennek az ellenőrző és adatrögzítő rendszernek képesnek kell lennie arra, hogy a rendszeres időközönként vett mintákból tisztított petróleum-éterrel (40-70) extrahált GTH-kivonatból trigliceridként meghatározza az anyagban még meglévő GTH koncentrációt.
3. A GTH-val történő jelölési követelmény nem vonatkozik a következő anyagokra:
a) biogáz- vagy komposztálóüzemekbe szánt folyékony származtatott termékek;
b) a II. melléklet I. fejezetének megfelelően prémes állatok takarmányozására használt származtatott termékek;
c) a IV. melléklet IV. fejezete 2. szakaszának D. pontja szerint előállított biodízel;
d) az 1069/2009/EK rendelet 12. cikke a) pontjának ii. alpontjával és b) pontjának ii. alpontjával, 13. cikke a) pontjának ii. alpontjával és b) pontja ii. alpontjával, valamint 16. cikke e) pontjával összhangban nyert származtatott termékek, amennyiben ezeket a termékeket:
i. az illetékes hatóság által engedélyezett nem mellőzhető, zárt szállítórendszerben távolították el a feldolgozó üzemből:
- azonnali közvetlen égetésre vagy együttégetésre,
- azonnali felhasználásra az 1. és 2. kategóriába tartozó állati melléktermékekre vonatkozóan a IV. melléklet IV. fejezetével összhangban engedélyezett módszerrel; vagy
ii. az 1069/2009/EK rendelet 17. cikkében említett kutatási és más specifikus célokra szánják, amelyeket az illetékes hatóság engedélyezett;
e) az 1. és a 2. kategóriába tartozó anyagokból a IV. melléklet IV. fejezete 2. szakasza J. és L. pontjának megfelelően kiolvasztott zsírokból előállított megújuló üzemanyagok.
VI. FEJEZET
KEDVTELÉSBŐL TARTOTT ELHULLOTT ÁLLATOK SZÁLLÍTÁSA
Az 1069/2009/EK rendelet 48. cikkének 1-3. pontjában a rendeltetési hely szerinti tagállam illetékes hatósága általi előzetes engedélyezésre és a TRACES-rendszer használatára vonatkozóan meghatározott feltételek teljesítése nem kötelező az elhullott, kedvtelésből tartott állatoknak az adott tagállammal határos másik tagállam határ menti területén található létesítménybe vagy üzembe elégetés céljából történő szállítására, amennyiben a tagállamok között a szállítási feltételek vonatkozásában kétoldalú megállapodás jött létre.
IX. MELLÉKLET
EGYES ENGEDÉLYEZETT ÉS NYILVÁNTARTÁSBA VETT LÉTESÍTMÉNYEKRE ÉS ÜZEMEKRE VONATKOZÓ KÖVETELMÉNYEK
I. FEJEZET
KEDVETELÉSBŐL TARTOTT ÁLLATOK ELEDELÉNEK GYÁRTÁSA
Az 1069/2009/EK rendelet 24. cikke (1) bekezdésének e) pontjának megfelelően a kedvtelésből tartott állatoknak szánt eledelt előállító létesítményeknek és üzemeknek megfelelő lehetőségekkel kell rendelkezniük:
a) a beérkező anyag teljes biztonságban történő tárolásához és kezeléséhez; valamint
b) a termékek előállítását követően megmaradó, fel nem használt állati melléktermékek e rendelettel összhangban történő ártalmatlanításához, vagy az ilyen anyagot - az 1069/2009/EK rendelet 12., 13. és 14. cikkének megfelelően - hulladékégető műbe, hulladék-együttégető műbe, feldolgozóüzembe, vagy - a 3. kategóriába tartozó anyagok esetében - biogáz- vagy komposztálóüzembe kell küldeni.
II. FEJEZET
AZ ÁLLATI MELLÉKTERMÉKEK KEZELÉSE AZ ÖSSZEGYŰJTÉSÜK UTÁN
E fejezet előírásait kell alkalmazni az állati melléktermékek az 1069/2009/EK rendelet 24. cikke (1) bekezdésének i) pontjával összhangban történő tárolására, valamint az állati melléktermékek összegyűjtés utáni kezelésével járó, az említett rendelet 24. cikke (1) bekezdésének h) pontjában meghatározott műveletekre vonatkozóan:
a) válogatás;
b) darabolás;
c) hűtés;
d) fagyasztás;
e) sózás vagy egyéb tartósítási eljárások;
f) nyersbőr és irha eltávolítása;
g) különleges fertőzési veszélyt jelentő anyagok eltávolítása;
h) állati melléktermékek kezelésével járó műveletek, amelyeket az uniós állat-egészségügyi szabályokban meghatározott kötelezettségek betartásával végeznek, így például post mortem vizsgálat vagy mintavétel;
i) biogázzá/komposzttá történő átalakításra szánt állati melléktermékek higienizálása/pasztőrözése egy másik létesítményben vagy üzemben e rendelet V. mellékletével összhangban végzett ilyen átalakítás vagy komposztálás előtt;
j) szitálás.
1. szakasz
Általános követelmények
1. A köztes műveleteket végző létesítményeknek és berendezéseknek legalább az alábbi követelményeket kell teljesíteniük:
a) A létesítményeket és berendezéseket megfelelően el kell különíteni az átjáróktól, amelyeken keresztül fertőzés terjedhet, valamint az egyéb létesítményektől, például vágóhidaktól. Az üzemek elrendezésének biztosítania kell, hogy az 1. és 2. kategóriába tartozó anyag - a beérkezéstől kezdve egészen a feladásig - teljesen mértékben elkülöníthető legyen a 3. kategóriába tartozó anyagtól, kivéve ha ezek az anyagok teljesen elkülönített épületekben vannak.
b) Az üzemnek fedett térrel kell rendelkeznie az állati melléktermékek átvételéhez és feladásához, kivéve ha az állati melléktermékeket olyan berendezéseken keresztül vezetik el - például a folyékony állati melléktermékek esetében zárt csövekben - amelyek megakadályozzák a köz- és állat-egészségügyi kockázatok terjedését.
c) Az üzemet úgy kell kialakítani, hogy az könnyen tisztítható és fertőtleníthető legyen. A padlót úgy kell kialakítani, hogy megkönnyítse a folyadékok elvezetését.
d) Az üzemnek a személyzet számára megfelelő mellékhelyiségekkel, öltözőkkel és mosdókagylókkal, továbbá - adott esetben - a hatósági ellenőrök rendelkezésére bocsátható irodahelyiséggel kell rendelkeznie.
e) Az üzemben megfelelő intézkedéseket kell tenni a kártevők, például rovarok, rágcsálók és madarak elleni védekezés érdekében.
f) Ha arra e rendelet célkitűzéseinek elérése érdekében szükség van, az üzemeknek olyan elegendő kapacitású, szabályozható hőmérsékletű tárolóval kell rendelkezniük az állati melléktermékek megfelelő hőmérsékleten tartásához, amely biztosítja az adott hőmérsékleti értékek figyelemmel kísérését és rögzítését.
2. Az üzemnek megfelelő lehetőségekkel kell ellátni az állati melléktermékek átvételére szolgáló tárolóedények vagy konténerek és - a hajók kivételével - a szállítást végző járművek tisztításához és fertőtlenítéséhez. Megfelelő lehetőségeket kell biztosítani a járművek kerekeinek fertőtlenítéséhez.
2. szakasz
Higiéniai követelmények
1. Az állati melléktermékek válogatását úgy kell végezni, hogy az állatbetegségek terjedésének valamennyi veszélye elkerülhető legyen.
2. A tárolás teljes időtartama alatt az állati melléktermékeket az egyéb termékektől elkülönítetten kell kezelni és tárolni úgy, hogy elkerülhető legyen a kórokozók terjedése.
3. Az állati melléktermékeket a továbbszállítás időpontjáig rendeltetésszerűen, megfelelő hőmérsékleti körülmények között kell tárolni.
3. szakasz
A higienizálásra/pasztőrözésre vonatkozó feldolgozási szabályok
Az e fejezet bevezető bekezdésének i. pontjában említett higienizálást/pasztőrözést az V. melléklet I. fejezete 1. szakaszának 1. pontjában említett feldolgozási szabályoknak vagy az ugyanazon melléklet III. fejezete 2. szakaszának 1. pontjával összhangban engedélyezett alternatív átalakítási paramétereknek megfelelően kell végezni.
III. FEJEZET
A SZÁRMAZTATOTT TERMÉKEK TÁROLÁSÁRA VONATKOZÓ KÖVETELMÉNYEK
1. szakasz
Általános követelmények
A származtatott termékeket tároló létesítményeknek és helyiségeknek legalább az alábbi követelményeket kell teljesíteniük:
1. A 3. kategóriába tartozó anyagból származó termékeket tároló létesítmények és helyiségek nem lehetnek ugyanazon telephelyen, mint az 1. vagy 2. kategóriába tartozó anyagból származó termékeket tároló létesítmények, kivéve ha a keresztszennyeződést a létesítmény kialakításával és működtetésével, például teljesen elkülönített épületekben történő tárolással előzik meg.
2. Az üzemnek:
a) fedett térrel kell rendelkeznie a származtatott termékek átvételéhez és feladásához, kivéve ha ezeket a termékeket:
i. a köz- és állat-egészségügyi kockázatok terjedését megakadályozó berendezéseken, például folyékony termékek esetében zárt csöveken keresztül vezetik el; vagy
ii. csomagolásban - például nagyméretű zsákokban -, vagy fedett, szivárgásmentes tároló- vagy szállítóeszközökben érkeznek;
b) olyan kialakításúnak kell lennie, hogy könnyen tisztítható és fertőtleníthető legyen. A padlót úgy kell lefektetni, hogy könnyű legyen a folyadékok elvezetése;
c) elegendő mellékhelyiséggel, öltözővel és mosdókagylóval kell rendelkeznie a személyzet számára;
d) megfelelő intézkedéseket kell tennie a kártevők, például rovarok, rágcsálók és madarak elleni védekezés érdekében.
3. Az üzemnek megfelelő lehetőségekkel kell rendelkeznie a származtatott termékek átvételére szolgáló tárolóedények vagy konténerek és - a hajók kivételével - a szállítást végző járművek tisztításához és fertőtlenítéséhez.
4. A származtatott termékeket a továbbszállítás időpontjáig megfelelően kell tárolni.
2. szakasz
Egyes tej, tejalapú és tejből származó termékek tárolására vonatkozó egyedi követelmények
1. A X. melléklet II. fejezete 4. szakaszának II. részében említett termékeket a köz- és állat-egészségügyi kockázatok megelőzése érdekében megfelelő hőmérsékleten, erre a célra szánt, engedélyezett vagy nyilvántartásba vett tárolólétesítményben vagy üzemben, vagy az engedélyezett vagy nyilvántartásba vett tárolólétesítményen vagy üzemen belül erre a célra szánt, különálló tárolóhelyiségben kell tárolni.
2. A végtermékekből a tárolás során vagy az onnan történő kiszállításkor vett mintáknak meg kell felelniük legalább a X. melléklet I. fejezetében meghatározott mikrobiológiai szabványoknak.
IV. FEJEZET
NYILVÁNTARTÁSBA VETT ÜZEMELTETŐK
1. A nyilvántartásba vett üzemek vagy létesítmények üzemeltetőinek és más nyilvántartásba vett üzemeltetőknek az alábbi feltételek szerint kell kezelniük az állati melléktermékeket és az azokból származó termékeket:
a) a telephelyeket úgy kell kialakítani, hogy a tisztítást és fertőtlenítést adott esetben hatékonyan el lehessen végezni;
b) a telephelyen megfelelő intézkedéseket kell tenni a kártevők, például rovarok, rágcsálók és madarak elleni védekezés érdekében;
c) a berendezéseket és felszereléseket szükség esetén higiénikus körülmények között kell tartani;
d) az állati melléktermékeket és az azokból származó termékeket a fertőződést megakadályozó körülmények között kell tárolni.
2. Az üzemeltetőknek olyan nyilvántartásokat kell vezetniük, amelyek elérhetők az illetékes hatóság számára.
3. Az állati melléktermékeket vagy azokból származó termékek szállítását végző nyilvántartásba vett üzemeltetőknek - az ugyanazon üzemeltető telephelyei közötti szállítást kivéve - egyebek között:
a) információkkal kell rendelkezniük a járműveik azonosítására vonatkozóan, amelyek lehetővé teszik az állati melléktermékek vagy azokból származó termékek szállítására használt járművek ellenőrzését;
b) szükség szerint meg kell tisztítaniuk és fertőtleníteniük kell a járműveiket;
c) minden szükséges intézkedést meg kell tenniük a fertőződés, valamint az emberre vagy állatra átvihető betegségek terjedésének megelőzése érdekében.
V. FEJEZET
ELKÜLÖNÍTÉSI MÓDSZEREK
1. szakasz
Általános rendelkezések
1. Az elkülönítési módszer során keletkező anyagokat csak abban a tagállamban lehet használni vagy ártalmatlanítani, melynek illetékes hatósága engedélyezte az alkalmazott elkülönítési módszert.
2. Egy adott tagállam illetékes hatósága a hatósági ellenőrzések eredményeit az új elkülönítési módszer bevezetésének megkönnyítése érdekében kérésre egy másik tagállam illetékes hatóságának rendelkezésére bocsátja, amennyiben az adott tagállamban először alkalmaznak elkülönítési módszert.
2. szakasz
Módszer
A. A gazdaságban elhullott sertések és a sertésfélékből származó bizonyos egyéb anyagok aerob körülmények között történő érlelése és tárolása, majd elégetése vagy együttégetése.
1. Érintett tagállamok
A gazdaságban elhullott sertések és a sertésfélékből származó bizonyos egyéb anyagok aerob körülmények között történő érlelése és tárolása, majd elégetése vagy együttégetése Franciaországban, Írországban, Lettországban, Portugáliában és az Egyesült Királyságban alkalmazható.
Az érintett tagállam illetékes hatóságának gondoskodnia kell arról, hogy az aerob körülmények között történő érlelést és tárolást követően az anyagokat begyűjtsék és az adott tagállam területén ártalmatlanítsák.
2. Kiindulási anyagok
Ehhez az eljáráshoz kizárólag a sertésfélékből származó következő anyagok használhatók:
a) az 1069/2009/EK rendelet 9. cikke f) pontjának i-iii. alpontjában említett, 2. kategóriába tartozó anyagok;
b) az 1069/2009/EK rendelet 10. cikkének h) pontjában említett, 3. kategóriába tartozó anyagok.
Ez a módszer kizárólag az ugyanabból a gazdaságból származó sertésfélék ártalmatlanítására szolgál, feltéve, hogy az adott gazdaságban nem vezettek be korlátozásokat a sertésféléket érintő valamely súlyos és fertőző betegség feltételezett vagy megerősített kitörése kapcsán. E módszer nem alkalmazható sem az említett betegségekben elhullott, sem a járványvédelmi okokból leölt állatok, sem az ilyen állatok részeinek esetében.
3. Módszer
3.1. Általános elvek
A módszer egy, az illetékes hatóság által engedélyezett folyamatban áll.
A telephelyet az Unió környezetvédelmi jogszabályainak megfelelően kell kialakítani a szagkibocsátás, valamint a talaj-, illetve a felszín alatti vizek szennyezésének megelőzése érdekében.
Az üzemeltető köteles:
a) megelőző intézkedésekkel megakadályozni az állatok bejutását, és a kártevők elleni dokumentált védekezési tervet kidolgozni;
b) a betegségek elterjedését megelőző eljárásokat kidolgozni;
c) a használt fűrészpor zárt rendszerből való kijutását megelőző eljárásokat kidolgozni.
A folyamatot olyan zárt rendszerben kell elvégezni, amely vízálló padlóval és szilárd falakkal határolt cellákból áll. A keletkező szennyvizet össze kell gyűjteni; a cellákhoz folyadékelvezetőt kell kötni, amelyhez 6 mm-es lyukméretű rács is tartozik, a szilárd részek visszatartására.
A cellák méretét és számát az 1069/2009/EK rendelet 29. cikkének (1)-(3) bekezdésében említett, állandó írásos eljárásban meghatározott állománypusztulási ráta szerint kell kialakítani, úgy, hogy a létesítmény a gazdaságban legalább egy nyolchónapos időszak alatt elhullott haszonállatokat be tudja fogadni.
3.2. Fázisok
3.2.1. Töltési és tárolási fázis
Az elhullott sertéseket és a sertésfélékből származó egyéb anyagokat egyenként fűrészporral kell borítani, és rétegekben egymásra helyezni, míg a cella meg nem telik. Először a padlót legalább 30 cm vastagon fűrészporral kell borítani. Erre kell elhelyezni a tetemeket és a sertésfélékből származó egyéb anyagokat, és a tetemekből és egyéb anyagokból álló minden egyes réteget legalább 30 cm vastagon fűrészporral kell borítani.
A személyzet nem léphet rá a tárolt anyagra.
3.2.2. Érlelési fázis
Amint a cella megtelt, és a hőmérséklet emelkedése lehetővé teszi a lágyszövetek bomlását, kezdetét veszi az érlelési fázis, amelynek legalább 3 hónapig kell tartania.
Az üzemeltetőnek a töltési és tárolási fázis végén, valamint a teljes érlelési fázisban folyamatosan figyelemmel kell kísérnie az egyes cellák hőmérsékletét, minden cellában a legfelső réteg felszíne alatt 40-60 cm-rel elhelyezett hőmérséklet-érzékelők segítségével.
Az elektronikus műszerekkel mért és leolvasott hőmérsékletértékeket az üzemeltetőnek fel kell jegyeznie.
A töltési és tárolási fázis végén a hőmérsékletértékek jelzik, hogy a rétegek elrendezése megfelelő módon történt-e. A hőmérsékletet automatikus adatrögzítő berendezéssel kell mérni. A cél három egymást követő napon az 55 °C elérése - ha ez sikerült, az annak a jele, hogy elindult az érlelési folyamat, hatékony a rétegek elrendezése, és kezdetét vette az érlelési fázis.
Az üzemeltetőnek naponta egyszer ellenőriznie kell a hőmérsékletet, és a leolvasott értékektől függően a következő intézkedéseket kell tennie:
a) amennyiben a hőmérséklet három egymást követő napon legalább 55 °C, a három egymást követő hónapig tartó érlelési fázis után le lehet bontani a rétegeket, illetve későbbi eltávolításukig tovább is lehet tárolni azokat a helyszínen;
b) amennyiben az 55 °C-os hőmérsékletet nem sikerült három egymást követő napon elérni, az üzemeltetőnek az 1069/2009/EK rendelet 29. cikkének (1)-(3) bekezdésében említett, állandó írásos eljárásban meghatározott intézkedéseket kell meghoznia; szükség esetén az illetékes hatóság leállíthatja a feldolgozási folyamatot, és az anyagot a fent említett rendelet 13. cikkének megfelelően ártalmatlanítani kell.
Az illetékes hatóság a tárolási fázis időtartamát korlátozhatja.
3.2.3. Szállítás és égetés vagy együttégetés
Az érlelési fázis során keletkező anyagoknak az engedélyezett hulladékégető vagy hulladék-együttégető műbe történő szállítására az 1069/2009/EK rendelet vagy a 2008/98/EK irányelvben említett ellenőrzések vonatkoznak.
B. Ártalmatlanítást megelőző hidrolízis
1. Érintett tagállamok
Az ártalmatlanítást megelőző hidrolízises eljárás Írországban, Spanyolországban, Lettországban, Portugáliában és az Egyesült Királyságban alkalmazható.
A hidrolízist követően az engedélyező illetékes hatóságnak biztosítania kell, hogy ugyanaz a fent említett tagállam végezze az anyagok összegyűjtését és ártalmatlanítását.
2. Kiindulási anyagok
Ehhez az eljáráshoz kizárólag a sertésfélékből származó következő anyagok használhatók:
a) az 1069/2009/EK rendelet 9. cikke f) pontjának i-iii. alpontjában említett, 2. kategóriába tartozó anyagok;
b) az említett rendelet 10. cikkének h) pontjában említett, 3. kategóriába tartozó anyagok.
Ez a módszer kizárólag az ugyanabból a gazdaságból származó sertésfélék ártalmatlanítására szolgál, feltéve, hogy az adott gazdaságban nem vezettek be tilalmat a sertésféléket érintő valamely súlyos és fertőző betegség feltételezett vagy megerősített kitörése kapcsán, valamint a járványvédelmi okokból leölt állatok ártalmatlanítására.
3. Módszer
Az ártalmatlanítást megelőző hidrolízis ideiglenes helyszíni tárolásnak tekinthető. A következő előírásoknak megfelelően kell végezni:
a) Az abban a gazdaságban való összegyűjtést követően, amely számára az illetékes hatóság engedélyezte a feldolgozási módszer alkalmazását a gazdaság állatállomány-sűrűségének, a valószínűsíthető állománypusztulási rátájának és a potenciális köz- és állat-egészségügyi kockázatoknak a vizsgálata alapján, az állati melléktermékeket a b) pontnak megfelelően kialakított tárolóba ("tároló") kell tenni, amelyet a c), illetve d) pont szerinti, erre kijelölt helyen kell elhelyezni ("kijelölt hely").
b) A tárolónak az alábbi tulajdonságokkal kell rendelkeznie:
i. lezárható;
ii. vízálló, szivárgásmentes és légmentesen zárt;
iii. korróziógátló bevonattal rendelkezik;
iv. olyan berendezéssel van ellátva, amellyel a kibocsátásokat az e) pontnak megfelelően ellenőrizni lehet.
c) A tárolót egy, a gazdaságtól fizikailag elkülönített, külön erre a célra kijelölt helyen kell elhelyezni.
Ehhez a helyhez az anyagok szállítása céljából és a gyűjtőjárművek számára külön utaknak kell vezetniük.
d) A tárolót és a kijelölt helyet az Unió környezetvédelmi jogszabályainak megfelelően kell megépíteni, illetve kialakítani a szagkibocsátás, valamint a talaj-, illetve a felszín alatti vizek szennyezésének megelőzése érdekében.
e) A tárolóhoz egy, a gáznemű kibocsátásokat elvezető csövet kell kapcsolni, melyet megfelelő szűrőkkel kell ellátni az emberre és állatokra átvihető betegségek terjedésének megakadályozása érdekében.
f) A tárolót a hidrolízis-eljárás idejére legalább három hónapig le kell zárni oly módon, hogy engedély nélkül ne lehessen felnyitni.
g) Az üzemeltetőnek eljárásokat kell kidolgoznia annak megelőzésére, hogy az emberre vagy állatokra átvihető betegségek a személyzet mozgásával elterjedjenek.
h) Az üzemeltető köteles:
i. madarak, rágcsálók, rovarok és egyéb élősködők elleni megelőző intézkedéseket hozni;
ii. kártevők elleni dokumentált védekezési programot bevezetni.
i) Az üzemeltetőnek a következőkről kell nyilvántartást vezetnie:
i. minden olyan alkalom, amikor az anyagokat a tárolóba helyezik;
ii. minden olyan alkalom, amikor a hidrolizált anyagot kiveszik a tárolóból.
j) Az üzemeltetőnek rendszeresen ki kell ürítenie a tárolót a következők ellenőrzése céljából:
i. korróziómentesség;
ii. folyékony anyagok esetleges talajba szivárgásának ellenőrzése és megelőzése.
k) A hidrolízist követően az anyagokat az 1069/2009/EK rendelet 13. cikke a), b), c) pontjának vagy e) pontja i. alpontjának megfelelően, illetve 3. kategóriába tartozó anyagok esetében az 1069/2009/EK rendelet 14. cikkének megfelelően kell összegyűjteni, felhasználni és ártalmatlanítani.
l) A feldolgozást szakaszos rendszerben kell végezni.
m) A hidrolizált anyagok minden egyéb kezelése vagy felhasználása - beleértve a földeken történő felhasználást is - tilos.
X. MELLÉKLET
TAKARMÁNYANYAGOK
I. FEJEZET
A FELDOLGOZÁSRA ÉS FORGALOMBA HOZATALRA VONATKOZÓ ÁLTALÁNOS KÖVETELMÉNYEK
Az állati melléktermékekből származó termékekre vonatkozó mikrobiológiai szabványok
A származtatott termékekre a következő mikrobiológiai szabványokat kell alkalmazni:
A feldolgozóüzemben a tárolás során vagy az onnan történő kiszállításkor a végtermékekből vett mintáknak meg kell felelniük az alábbi szabványoknak:
Salmonella: 25 g-ban nem mutatható ki: n = 5, c = 0, m = 0, M = 0
Enterobacteriaceae: n = 5, c = 2, m = 10, M = 3001 g-ban
ahol:
n = a vizsgálandó minták száma;
m = a baktériumok számának küszöbértéke; az eredmény akkor tekinthető kielégítőnek, ha a baktériumok száma az összes mintában nem több, mint m;
M = a baktériumok számának maximális értéke; az eredmény akkor tekinthető nem kielégítőnek, ha a baktériumok száma egy vagy több mintában M vagy ennél nagyobb; és
c = azon minták száma, amelyeknél a baktériumok száma m és M között lehet; a minta még akkor is elfogadhatónak tekinthető, ha a baktériumok száma a többi mintában m vagy ennél kisebb.
Ugyanakkor az e fejezetben meghatározott mikrobiológiai szabványokat nem kell alkalmazni az állati melléktermékek feldolgozásából származó kiolvasztott zsírokra és halolajra, amennyiben az ugyanazon feldolgozás során nyert feldolgozott állati fehérjéből mintát vesznek ezen szabványok teljesítésének ellenőrzése céljából.
II. FEJEZET
A FELDOLGOZOTT ÁLLATI FEHÉRJÉRE ÉS EGYÉB SZÁRMAZTATOTT TERMÉKEKRE VONATKOZÓ EGYEDI KÖVETELMÉNYEK
1. szakasz
A feldolgozott állati fehérjére vonatkozó egyedi követelmények
A. Nyersanyagok
1. Feldolgozott állati fehérje előállításához kizárólag a 3. kategóriába tartozó anyagnak minősülő állati melléktermékek vagy az ilyen állati melléktermékből származó termékek - az 1069/2009/EK rendelet 10. cikkének n), o) és p) pontjában említett, a 3. kategóriába tartozó anyagok kivételével - használhatók fel.
2. A prémes állatok kivételével haszonállatok takarmányának előállítására szánt, tenyésztett rovarokból nyert, feldolgozott állati fehérje csak a következő rovarfajokból nyerhető:
i. fekete katonalégy (Hermetia illucens) és közönséges házilégy (Musca domestica);
ii. közönséges lisztbogár (Tenebrio molitor) és penészevő gabonabogár (Alphitobius diaperinus);
iii. házi tücsök (Acheta domesticus), sávos tücsök (Gryllodes sigillatus) és banántücsök (Gryllus assimilis).
B. Feldolgozási szabályok
1. Az emlősökből származó feldolgozott állati fehérjéket előzetesen alá kell vetni a IV. melléklet III. fejezetében meghatározott 1. feldolgozási módszernek (nyomással történő sterilizálás).
Ugyanakkor,
a) a vérliszt előállítására szánt sertésvért vagy sertésvérfrakciókat ehelyett a IV. melléklet III. fejezetében meghatározott 1-5. vagy 7. feldolgozási módszer bármelyikének alávethették előzetesen, feltéve hogy a 7. feldolgozási módszer esetében 80 °C-os belső hőmérséklettel járó hőkezelést alkalmaznak;
b) az emlősökből származó feldolgozott állati fehérjét
i. a IV. melléklet III. fejezetében meghatározott 1-5. vagy 7. feldolgozási módszer bármelyikének alávethették előzetesen, feltéve hogy utána ártalmatlanítják vagy eltüzelésre szánt tüzelőanyagként használják fel;
ii. alávethetik - amennyiben azt kizárólag kedvtelésből tartott állatok eledeleként történő felhasználásra szánják - a IV. melléklet III. fejezetében meghatározott 1-5. vagy 7. feldolgozási módszer bármelyikének, feltéve hogy:
- erre a célra szolgáló olyan tárolóeszközökben szállítják, amelyeket haszonállatoknak szánt állati melléktermékek vagy takarmányanyagok szállítására nem használnak, és
- a 3. kategóriába tartozó anyagot feldolgozó üzemből közvetlenül a kedvtelésből tartott állatok eledelét előállító üzembe vagy egy engedélyezett tárolóüzembe, és onnan közvetlenül egy kedvtelésből tartott állatok eledelét előállító üzembe szállítják.
2. A nem emlősökből származó feldolgozott állati fehérjét - a halliszt kivételével - előzetesen alávetették a IV. melléklet III. fejezetében meghatározott 1-5. vagy 7. feldolgozási módszer valamelyikének.
3. A hallisztet előzetesen alávetették:
a) a IV. melléklet III. fejezetében meghatározott feldolgozási módszerek valamelyikének; vagy
b) egy másik módszert alkalmazó eljárásnak, amely biztosítja, hogy a termék megfelel az e melléklet I. fejezetében a származtatott termékekre vonatkozóan meghatározott mikrobiológiai szabványoknak.
C. Tárolás
1. A feldolgozott állati fehérje csomagolásához és tárolásához új vagy sterilizált zsákokat kell használni, vagy megfelelően kialakított ömlesztettáru-tartályokban, illetve tárolókamrákban kell tárolni.
Kielégítő intézkedéseket kell hozni a tartályokon, szállítóberendezésekben vagy felvonókon belüli páralecsapódás minimálisra csökkentése érdekében.
2. A szállítóberendezéseken, felvonókon és tartályokban lévő termékeket védeni kell az esetleges szennyeződéstől.
3. A feldolgozott állati fehérje kezelésére szolgáló berendezéseket tisztán és szárazon kell tartani, valamint megfelelő vizsgálati pontokkal kell ellátni, hogy ellenőrizhető legyen a berendezések tisztasága.
A szennyeződés megelőzése érdekében valamennyi tárolólétesítményt rendszeresen ki kell üríteni és tisztítani kell.
4. A feldolgozott állati fehérjét szárazon kell tartani.
A tárolási területen meg kell akadályozni a szivárgást és a páralecsapódást.
2. szakasz
A vértermékekre vonatkozó egyedi követelmények
A. Nyersanyag
Vértermékek előállításához kizárólag az 1069/2009/EK rendelet 10. cikkének a) pontjában és b) pontjának i. alpontjában meghatározott vér használható fel.
B. Feldolgozási szabályok
A vértermékeket előzetesen alávetették:
a) a IV. melléklet III. fejezetében meghatározott 1-5. vagy 7. feldolgozási módszerek valamelyikének; vagy
b) egy másik módszert alkalmazó eljárásnak, amely biztosítja, hogy a vértermék megfelel az e melléklet I. fejezetében a származtatott termékekre vonatkozóan meghatározott mikrobiológiai szabványoknak.
3. szakasz
A kiolvasztott zsírokra, halolajra és a 3. kategóriába tartozó zsírszármazékokra vonatkozó egyedi követelmények
A. Nyersanyagok
1. Kiolvasztott zsírok
Kiolvasztott zsír előállításához kizárólag a 3. kategóriába tartozó, az 1069/2009/EK rendelet 10. cikkének n), o) és p) pontjában említett 3. kategóriába tartozó anyagoktól eltérő anyag használható fel.
2. Halolaj
Halolaj előállításához kizárólag a 3. kategóriába tartozó, az 1069/2009/EK rendelet 10. cikkének i), j) és l) pontjában meghatározott, valamint a 3. kategóriába tartozó, ugyanazon rendelet 10. cikkének e) és f) pontjában meghatározott, víziállatokból származó anyag használható fel.
B. Feldolgozási szabályok
Amennyiben a halolajat vagy kiolvasztott zsírokat nem a 853/2004/EK rendelet III. mellékletének VIII., illetve XII. szakaszával összhangban állították elő, akkor a kiolvasztott zsírokat az 1-5. vagy 7. feldolgozási módszer egyikével kell előállítani, a halolajakat pedig:
a) a IV. melléklet III. fejezetében meghatározott 1-7. feldolgozási módszerekkel lehet előállítani, vagy
b) olyan más módszerrel, amely biztosítja, hogy a termék megfelel az e melléklet I. fejezetében a származtatott termékekre vonatkozóan meghatározott mikrobiológiai szabványoknak.
A kérődzőkből nyert kiolvasztott zsírokat olyan módon kell megtisztítani, hogy az összes visszamaradó oldhatatlan szennyeződés legmagasabb szintje ne haladja meg a 0,15 % tömegszázalékot.
A 3. kategóriába tartozó kiolvasztott zsírokból vagy halolajból származó zsírszármazékokat a IV. melléklet III. fejezetében említett feldolgozási módszerek egyikével kell előállítani.
C. Higiéniai követelmények
Ha a kiolvasztott zsír vagy a halolaj csomagolásra kerül, a csomagoláshoz új vagy kitisztított és - ha a szennyeződés megelőzéséhez szükséges - fertőtlenített tárolóedényt kell használni, és minden óvintézkedést meg kell tenni az újrafertőződés megakadályozása érdekében.
Amennyiben ezen termékek szállítása ömlesztve történik, a csöveknek, szivattyúknak és tartályoknak, továbbá az egyéb ömlesztettáru-konténereknek vagy közúti tartálykocsiknak, amelyeket a termékeket előállító üzemből akár közvetlenül a hajóra vagy part menti tartályokba, akár közvetlenül az üzemekbe történő szállításához alkalmaznak, a használat előtt tisztának kell lenniük.
4. szakasz
A tejre, kolosztrumra és egyes, tejből vagy kolosztrumból származó egyéb termékekre vonatkozó egyedi követelmények
I. rész
Általános követelmények
A. Nyersanyag
Tej, tejalapú és tejből származó termékek előállításához kizárólag az 1069/2009/EK rendelet 10. cikkének e) pontjában meghatározott tejet lehet felhasználni, kivéve a centrifuga- vagy szeparátoriszapot, valamint az 1069/2009/EK rendelet 10. cikkének f) és h) pontjában említett tejet.
A kolosztrum csak abban az esetben használható fel, ha olyan élő állatokból származik, amelyek nem mutatták az emberre vagy állatra a kolosztrummal átvihető betegség semmilyen jelét.
B. Feldolgozási szabályok
1. A tejet a következő eljárások egyikének kell alávetni:
1.1. sterilizálás legalább F0 ( *1 ) = 3 értékkel;
1.2. UHT ( *2 ) kezelés az alábbiak egyikével kombinálva:
a) utólagos fizikális kezelés:
i. szárítási folyamattal, amelyet a takarmányozásra szánt tej esetében további, legalább 72 °C-ra történő felmelegítéssel kombinálnak; vagy
ii. a pH érték 6 alá történő csökkentésével legalább egy órán keresztül;
b) az a feltétel, hogy a tejet, tejalapú terméket vagy tejből származó terméket legalább 21 nappal a feladása előtt állították elő, valamint hogy ez idő alatt a származási tagállamban nem észleltek ragadós száj- és körömfájás betegséget;
1.3. HTST ( *3 ) kétszer alkalmazva;
1.4. HTST az alábbiak egyikével kombinálva:
a) utólagos fizikális kezelés:
i. szárítási folyamattal, amelyet a takarmányozásra szánt tej esetében további, legalább 72 °C-ra történő felmelegítéssel kombinálnak; vagy
ii. a pH érték 6,0 alá történő csökkentésével legalább egy órán keresztül;
b) az a feltétel, hogy a tejet, tejalapú terméket vagy tejből származó terméket legalább 21 nappal a feladása előtt állították elő, valamint hogy ez idő alatt a származási tagállamban nem észleltek ragadós száj- és körömfájás betegséget.
2. A tejalapú és a tejből származó termékeket vagy alá kell vetni az 1. pontban említett kezelések legalább egyikének, vagy pedig az 1. pontnak megfelelően kezelt tejből kell előállítani.
3. A ragadós száj- és körömfájásra fogékony fajba tartozó állat takarmányozására szánt és az 1. pontban leírtak szerint kezelt tejből előállított savót:
a) vagy legalább 16 órával a tejalvadást követően kell begyűjteni, és 6,0 alatti pH értékűnek kell lennie, mielőtt kiszállítják az állattartó gazdaságokba; vagy
b) legalább 21 nappal a feladás előtt kell előállítani, és ez idő alatt a származási tagállamban nem észleltek ragadós száj- és körömfájás betegséget.
4. Az 1., 2. és 3. pontban meghatározott követelményeken kívül a tejnek, tejalapú termékeknek és tejből származó termékeknek az alábbi követelményeknek kell megfelelniük:
4.1. a feldolgozást követően minden óvintézkedést meg kell tenni a termékek fertőződésének elkerülése érdekében;
4.2. a végterméket el kell látni egy címkével, amelyen szerepel, hogy a termék a 3. kategóriába tartozó anyagot tartalmaz, és nem emberi fogyasztásra szánták, és
a) új tárolóedényekbe kell csomagolni; vagy
b) ömlesztett áruként olyan tárolóedényekben vagy egyéb szállítóeszközben kell szállítani, amelyeket használat előtt alaposan megtisztítottak és fertőtlenítettek.
5. A nyerstej előállítását megfelelő állat-egészségügyi biztosítékokat nyújtó feltételek mellett kell végezni.
6. A kolosztrum(ot) és kolosztrumtartalmú termékek(et):
6.1. olyan szarvasmarhafélékből nyerték ki, amelyeket olyan gazdaságban tartanak, ahol minden szarvasmarha-állomány a 64/432/EGK irányelv 2. cikke (2) bekezdésének d), f) és j) pontjában szereplő fogalommeghatározások szerint hivatalosan tuberkulózistól mentesként, hivatalosan brucellózistól mentesként és hivatalosan enzootikus szarvasmarha-leukózistól mentesként ismertek el;
6.2. legalább 21 nappal a feladásuk előtt kell állították elő, és ez idő alatt a származási tagállamban nem észleltek ragadós száj- és körömfájás betegséget.
6.3. egyszeri HTST-kezelésnek vetették alá (*3) ;
6.4. teljesítik az e rész 4. pontjában meghatározott követelményeket.
II. rész
A nemzeti szabványoknak megfelelően feldolgozott tej forgalomba hozatalára vonatkozó eltérések
1. Az e rész 2. és 3. pontjában megállapított követelményeket kell alkalmazni az 1069/2009/EK rendelet 10. cikkének e) pontjában említett, a 3. kategóriába tartozó anyagokból származó tej, tejalapú termékek és tejből származó termékek feldolgozására, felhasználására és tárolására, kivéve a centrifuga- vagy szeparátoriszapot, valamint az említett rendelet 10. cikkének f) és h) pontjában említett olyan tejet, tejalapú termékeket és tejből származó terméket, amelyeket nem e szakasz I. részének megfelelően dolgoztak fel.
2. Az illetékes hatóságnak engedélyeznie kell a 853/2004/EK rendelet 4. cikkével összhangban engedélyezett vagy nyilvántartásba vett tejfeldolgozó létesítmények számára, hogy tejet, tejalapú termékeket és tejből származó termékeket szállítsanak az e rész 3. pontjában meghatározott célokra, feltéve hogy az érintett létesítmény biztosítja a termékek nyomon követhetőségét.
3. Tej, tejalapú termékek és tejből származó termékek beszállíthatók és takarmányanyagként felhasználhatók:
a) az érintett tagállamban és a határokon átnyúló területeken, ahol az érintett tagállamok erre vonatkozó megállapodást kötöttek, olyan származtatott termékek esetében - ideértve a fehér vizet is-, amelyek kapcsolatba kerültek nyers tejjel és/vagy a 853/2004/EK rendelet III. melléklete IX. szakaszának II. fejezete II.1 pontjának a) vagy b) alpontjában a hőkezelésre vonatkozóan meghatározott követelményeknek megfelelően pasztőrözött tejjel, ha ezeket a származtatott termékeket alávetették a következő kezelési eljárások egyikének:
i. UHT;
ii. sterilizálás, ahol az Fc érték legalább 3, vagy amelyet legalább 115 °C hőmérsékleten 15 percen keresztül, vagy a hőmérséklet és az időtartam egy egyenértékű kombinációjával végeztek;
iii. pasztőrözés vagy a ii. pontban említettől eltérő sterilizálás, amelyet az alábbiak követnek:
- tejpor vagy tejporból készült termékek, illetve tejből származó termékek esetében szárítási eljárás;
- savanyú tejkészítmény esetén olyan eljárás, amely során a pH-értéket lecsökkentik, és legalább egy órán át a 6-os érték alatt tartják;
b) az érintett tagállamban,
i. olyan származtatott termékek esetében- ideértve a fehér vizet -, amelyek kapcsolatba kerültek a kizárólag a 853/2004/EK rendelet III. melléklete IX. szakaszának II. fejezete II.1. pontjának a) alpontjában a hőkezelésre vonatkozóan meghatározott követelményeknek megfelelően pasztőrözött tejjel, valamint nem hőkezelt tejalapú termékekből előállított tejsavó esetében, amelyet legalább 16 órával a tejalvadást követően gyűjtöttek össze, és amelynél a pH-érték nem érheti el a 6,0 értéket, mielőtt beszállítják takarmányozásra, feltéve hogy ezeket egy korlátozott számú engedélyezett állattartó gazdaságba küldik, amelyeket a járványos állatbetegségekre, különösen a ragadós száj- és körömfájásra vonatkozó készenléti terv kidolgozásában érintett államok által elkészített legjobb és legrosszabb esettanulmányok kockázatértékelésének alapján állapítottak meg.
ii. olyan nyers termékek esetében, ideértve a fehér vizet is, amely kapcsolatba került nyers tejjel és egyéb termékekkel, amelyeknél az a) pontban és a b) pont i. alpontjában említett kezelések nem biztosíthatók, feltéve hogy ezeket egy korlátozott számú engedélyezett állattartó gazdaságba küldik, amelyeket a járványos állatbetegségekre, különösen a ragadós száj- és körömfájásra vonatkozó készenléti terv kidolgozásában érintett államok által elkészített legjobb és legrosszabb esettanulmányok kockázatértékelésének alapján állapítottak meg, valamint feltéve, hogy az engedélyezett állattartó gazdaságokban lévő állatokat csak az alábbiak szerint lehet elszállítani:
- vagy közvetlenül egy ugyanabban a tagállamban lévő vágóhídra, vagy
- egy ugyanabban a tagállamban található másik gazdaságba, amelyre vonatkozóan az illetékes hatóság garantálja, hogy a ragadós száj- és körömfájásra fogékony állatokat vagy közvetlenül egy ugyanabban a tagállamban található vágóhídra, vagy - ha az állatokat egy olyan gazdaságba szállították, amely nem takarmányozza az állatokat az ebben a ii. pontban említett termékekkel - a megérkezésük után egy 21 napos várakozási időszakot követően.
4. Az illetékes hatóság engedélyezheti az I. rész B.6. pontjában megállapított feltételeket nem teljesítő kolosztrum takarmányozási célból történő szállítását az ugyanabban a tagállamban lévő két mezőgazdasági termelő között, az egészségügyi kockázatok terjedését megakadályozó körülmények biztosítása esetén.
III. rész
A centrifuga- vagy szeparátoriszapra vonatkozó egyedi követelmények
A centrifuga- vagy szeparátoriszapot tartalmazó, 3. kategóriába tartozó anyagot előzetesen alá kell vetni legalább 70 °C-os hőkezelésnek 60 percen keresztül vagy legalább 80 °C-os hőkezelésnek 30 percen keresztül ahhoz, hogy azt forgalomba lehessen hozni haszonállatok takarmányozása céljából.
Az első bekezdéstől eltérve az illetékes hatóság alternatív paramétereket is engedélyezhet a centrifuga- vagy szeparátoriszap hőkezelésére az azon tagállamokon belüli felhasználások céljából, amelyek engedélyezték ezen alternatív paramétereket, feltéve, hogy az üzemeltetők igazolni tudják, hogy az alternatív paraméterek szerint végzett hőkezelés a kockázatokat legalább olyan mértékben csökkenti, mint az első bekezdésben meghatározott paraméterek szerinti kezelés.
5. szakasz
A zselatinra és a hidrolizált fehérjére vonatkozó egyedi követelmények
A. Nyersanyagok
Zselatin és hidrolizált fehérje előállításához kizárólag a 3. kategóriába tartozó anyagnak minősülő állati melléktermékek vagy az ilyen állati melléktermékekből származó termékek - az 1069/2009/EK rendelet 10. cikkének m), n), o) és p) pontjában említett anyagok kivételével - használhatók fel.
B. A zselatinra vonatkozó feldolgozási szabályok
1. Amennyiben nem a 853/2004/EK rendelet III. melléklete XIV. szakaszával összhangban állították elő, a zselatint olyan folyamattal kell előállítani, amely biztosítja, hogy a 3. kategóriába tartozó anyag savas vagy lúgos kezelést kapjon, amit egy vagy két öblítés követ.
A pH-értéket ezt követően kell beállítani. A zselatint egyszeri vagy egymást követő, többszöri melegítéssel kell kivonni, amit szűréses és sterilizálásos tisztítás követ.
2. Az 1. pontban említett folyamat elvégzése után a zselatin szárítási folyamatnak és adott esetben porítási vagy laminálási folyamatnak vethető alá.
3. Tartósítószerek használata - a kén-dioxid és a hidrogén-peroxid kivételével - tilos.
C. A zselatinra vonatkozó egyéb követelmények
A zselatin védőcsomagolását, csomagolását, tárolását és szállítását kielégítő higiéniai feltételek mellett kell végezni.
Különösen:
a) helyiséget vagy erre a célra szánt helyet kell biztosítani a védőcsomagoló- és csomagolóanyagok tárolásához;
b) a védőcsomagolást és csomagolást egy e célra kijelölt helyiségben vagy helyen kell végezni.
D. A hidrolizált fehérjére vonatkozó feldolgozási szabályok
A hidrolizált fehérjét olyan feldolgozási eljárással kell előállítani, amely megfelelő intézkedések útján minimálisra csökkenti a szennyeződést. A kérődző állatokból származó hidrolizált fehérje molekulasúlya nem haladhatja meg a 10 000 daltont.
Az első bekezdésben meghatározott követelmények mellett, a teljesen vagy részben kérődző állatok nyersbőréből és irhájából származó hidrolizált fehérjéket kizárólag hidrolizált fehérje előállítására szánt feldolgozóüzemben szabad előállítani olyan eljárással, amely magában foglalja a nyers, 3. kategóriába tartozó anyag pácolással, meszezéssel és intenzív mosással történő előkészítését; ezt követően:
a) az anyagot 11-nél magasabb pH-értéknek, 80 °C-nál magasabb hőmérsékletnek kell kitenni három óránál hosszabb időn keresztül, majd ezt követően 30 percen keresztül hőkezelésnek kell alávetni 140 °C-nál magasabb hőmérsékleten és 3,6 barnál nagyobb nyomáson; vagy
b) az anyagot 1 és 2 közötti pH-értéknek, majd 11-nél magasabb pH-értéknek, majd ezt követően 30 percen keresztül hőkezelésnek kell alávetni 140 °C-on és 3 bar nyomáson.
6. szakasz
A dikalcium-foszfátra vonatkozó egyedi követelmények
A. Nyersanyagok
Dikalcium-foszfát előállításához kizárólag a 3. kategóriába tartozó anyagnak minősülő állati melléktermékek vagy az azokból származó termékek - az 1069/2009/EK rendelet 10. cikkének m), n), o) és p) pontjában említett anyagok kivételével - használhatók fel.
B. Feldolgozási szabályok
1. A dikalcium-foszfátot olyan eljárással kell előállítani, amely az alábbi három szakaszból áll:
a) először, biztosítja a 3. kategóriába tartozó valamennyi csontanyag finomra törését és forró vizes zsírtalanítását, valamint hígított sósavval történő kezelését (legalább 4 %-os koncentráció és legfeljebb 1,5 pH) legalább két napon keresztül;
b) másodszor, a folyamat a) pontban említett részét követően, az így nyert foszfortartalmú levet mésszel történő kezelés követi, amely egy 4 és 7 közötti pH-értékű dikalcium-foszfát csapadékot eredményez;
c) végül biztosítja e csapadék levegőn, 15 percen keresztül történő szárítását 65 °C és 325 °C közötti bemenő hőmérséklet, valamint 30 °C és 65 °C közötti véghőmérséklet mellett.
2. A zsírtalanított csontokból származó dikalcium-foszfátot az 1069/2009/EK rendelet 10. cikkének a) pontjában említett csontokból kell előállítani.
7. szakasz
A trikalcium-foszfátra vonatkozó egyedi követelmények
A. Nyersanyagok
Trikalcium-foszfát előállításához kizárólag a 3. kategóriába tartozó anyagnak minősülő állati melléktermékek vagy az azokból származó termékek - az 1069/2009/EK rendelet 10. cikkének m), n), o) és p) pontjában említett anyagok kivételével - használhatók fel.
B. Feldolgozási szabályok
A trikalcium-foszfátot olyan eljárással kell előállítani, amely biztosítja:
a) a 3. kategóriába tartozó valamennyi csontanyag finomra törését és forró vizes ellenáramban történő zsírtalanítását (14 mm-nél kisebb csontdarabok);
b) 145 °C-os gőzzel és 4 bar nyomáson történő folyamatos főzést 30 percen keresztül;
c) a fehérjelé elválasztását a hidroxiapatittól (trikalcium-foszfát) centrifugálással;
d) 200 °C-os levegőn történő fluidágyas szárítás után a trikalcium-foszfát granulálását.
8. szakasz
A kollagénre vonatkozó egyedi követelmények
A. Nyersanyagok
Kollagén előállításához kizárólag a 3. kategóriába tartozó anyagnak minősülő állati melléktermékek vagy az azokból származó termékek - az 1069/2009/EK rendelet 10. cikkének m), n), o) és p) pontjában említett anyagok kivételével - használhatók fel.
B. Feldolgozási szabályok
1. Amennyiben nem a 853/2004/EK rendelet III. mellékletének XV. szakaszában a kollagénre vonatkozóan meghatározott követelményeknek megfelelően állították elő, a kollagént olyan eljárással kell előállítani, amely biztosítja, hogy a 3. kategóriába tartozó feldolgozatlan anyag savas vagy lúgos kezelést kapjon, amit egy vagy két öblítés, szűrés és extrudálás követ.
E kezelés után a kollagén szárítási eljárásnak vethető alá.
2. Az uniós jogszabályok által engedélyezettől eltérő tartósítószerek használatát meg kell tiltani.
C. Egyéb követelmények
A kollagén védőcsomagolását, csomagolását, tárolását és szállítását kielégítő higiéniai feltételek mellett kell végezni. Különösen:
a) helyiséget vagy erre a célra szánt helyet kell biztosítani a védőcsomagoló- és csomagolóanyagok tárolásához;
b) a védőcsomagolást és csomagolást egy e célra kijelölt helyiségben vagy helyen kell végezni.
9. szakasz
A tojástermékekre vonatkozó egyedi követelmények
A. Nyersanyagok
Tojástermékek előállításához kizárólag az 1069/2009/EK rendelet 10. cikkének e) és f) pontjában, valamint k) pontjának ii. alpontjában meghatározott állati melléktermékek használhatók fel.
B. Feldolgozási szabályok
A tojástermékeket előzetesen alá kell vetni:
a) a IV. melléklet III. fejezetében meghatározott 1-5. vagy 7. feldolgozási módszerek valamelyikének;
b) olyan más módszernek és paramétereknek, amelyek biztosítják, hogy a termékek megfelelnek az I. fejezetben a származtatott termékekre vonatkozóan meghatározott mikrobiológiai szabványoknak; vagy
c) a 853/2004/EK rendelet III. melléklete X. szakaszának I., II. és III. fejezetében a tojásra és tojástermékekre vonatkozóan meghatározott követelményeknek megfelelő kezelésnek.
10. Szakasz
A nem prémes haszonállatoknak az 1069/2009/EK rendelet 10. cikkének f) pontjában meghatározott, a 3. kategóriába tartozó anyagokkal történő takarmányozására vonatkozó egyedi követelmények
Azokat a 3. kategóriába tartozó anyagokat, amelyek a tagállamokból származó, állati eredetű termékeket tartalmazó olyan élelmiszerekből állnak, amelyeket az 1069/2009/EK rendelet 10. cikkének f) pontjának megfelelően kereskedelmi okok, előállítási vagy csomagolási hibák, vagy egyéb, köz- és állat-egészségügyi kockázatot nem jelentő problémák következtében már nem szánnak emberi fogyasztásra, további feldolgozás nélkül forgalomba lehet hozni nem prémes haszonállatok takarmányozása céljából, feltéve hogy az adott anyag/ot:
i. a 852/2004/EK rendelet 2. cikke (1) bekezdésének m) pontjában vagy az e rendeletben meghatározott feldolgozás szerint dolgozták fel;
ii. az 1069/2009/EK rendelet 10. cikkének f) pontjában meghatározott következő, a 3. kategóriába tartozó anyagok legalább egyikéből áll, vagy tartalmazza ezek legalább egyikét:
- tej,
- tejalapú termékek,
- tejből származó termékek,
- tojás,
- tojástermékek,
- méz,
- kiolvasztott zsírok,
- kollagén,
- zselatin;
iii. nem került kapcsolatba egyéb, 3. kategóriába tartozó anyaggal; valamint
iv. minden szükséges óvintézkedést megtettek az anyag fertőződésének megelőzése érdekében.
III. FEJEZET
EGYES HALEDELEKRE ÉS HORGÁSZCSALIKRA VONATKOZÓ KÖVETELMÉNYEK
1. A tenyésztett halak vagy egyéb, akvakultúrában tenyésztett állatfajok takarmányozására szánt, halból vagy vízi gerinctelenekből származó állati melléktermékek:
a) kezelését és feldolgozását az e célra nem engedélyezett anyagoktól elkülönítve kell végezni;
b) származásuk szerint
i. kereskedelmi célra kifogott, vadon élő halból vagy egyéb, emlős tengeri állatoktól eltérő víziállatokból, illetve emberi fogyasztásra szánt haltermékeket gyártó üzemekben feldolgozott, vadon élő hal állati melléktermékeiből származó állati melléktermékek;
ii. tenyésztett halak melléktermékei, feltéve hogy azokat egy másik fajhoz tartozó tenyésztett halak takarmányozására használják;
c) feldolgozását feldolgozóüzemben, mikrobiológiailag - a halkórokozók szempontjából is - biztonságos terméket biztosító módszernek megfelelően végezték.
2. Az illetékes hatóság megállapíthat az emberre és állatra átvihető betegségek terjedésének elfogadhatatlan kockázatát megelőző feltételeket a víziállatok, valamint vízi- és szárazföldi gerinctelen állatok alábbi felhasználására vonatkozóan:
a) tenyésztett halak vagy vízi gerinctelenek takarmányaként, amennyiben az állati melléktermékeket nem dolgozták fel az 1. pont c) alpontjának megfelelően;
b) horgászcsaliként, beleértve a vízi gerinctelenek kifogásához használt horgászcsalit.
XI. MELLÉKLET
SZERVES TRÁGYÁK ÉS TALAJJAVÍTÓ SZEREK
I. FEJEZET
A FELDOLGOZATLAN TRÁGYÁRA, FELDOLGOZOTT TRÁGYÁRA ÉS FELDOLGOZOTT TRÁGYÁBÓL SZÁRMAZÓ TERMÉKEKRE VONATKOZÓ KÖVETELMÉNYEK
1. szakasz
Feldolgozatlan trágya
1. A feldolgozatlan trágya tagállamok közötti kereskedelmére - a baromfifélékhez vagy lófélékhez tartozó fajok feldolgozatlan trágyájának kivételével - az alábbi feltételeket kell alkalmazni, a rendeltetési hely szerinti tagállam az 1069/2009/EK rendelet 48. cikkének (1) bekezdése szerinti hozzájárulása mellett:
a) A feldolgozatlan trágya kereskedelme - a baromfifélékhez vagy lófélékhez tartozó fajok feldolgozatlan trágyájának kivételével - tilos, kivéve azon trágyát:
i. amely olyan területről származik, amely semmilyen súlyos fertőző betegség kitörése miatt nem áll korlátozások alatt, és
ii. amelyet - az illetékes hatóságok felügyelete mellett - olyan területre akarnak juttatni, amely valamely két tagállam közötti határ mindkét oldalán elhelyezkedő, egyetlen gazdaság részét képezi.
b) Ugyanakkor, a rendeltetési hely szerinti tagállam szerinti illetékes hatósága - a trágya származását, rendeltetését és az egészségügyi szempontokat figyelembe véve - külön engedélyt adhat arra, hogy a területére bevigyenek:
i. olyan trágyát, amelyet a következő célok valamelyikére szánnak:
- olyan üzemben történő feldolgozás, amelyben a takarmányláncon kívüli célokra szánt származtatott termékeket gyártanak, vagy
- az e fejezet 2. szakaszában említett termékek gyártása céljából, az 1069/2009/EK rendelettel összhangban történő biogázzá alakítás vagy komposztálás.
Ezekben az esetekben az illetékes hatóságnak figyelembe kell venni a trágya eredetét, amikor engedélyezi annak bevitelét a fent említett üzemekbe; vagy
ii. olyan trágyát, amelyet egy gazdasághoz tartozó földterületen kívánnak alkalmazni, feltéve hogy a származási hely szerinti tagállam hozzájárul az ilyen kereskedelemhez.
c) a b) pontban említett esetekben a trágyaszállítmányt kísérő kereskedelmi okmányhoz csatolni kell a 3. pontban meghatározott mintának megfelelő állat-egészségügyi bizonyítványt.
2. A baromfifélék feldolgozatlan trágyájának tagállamok közötti kereskedelmére az alábbi feltételeket kell alkalmazni, a rendeltetési hely szerinti tagállam az 1069/2009/EK rendelet 48. cikkének (1) bekezdése szerinti hozzájárulásán kívül:
a) a trágyának olyan területről kell származnia, amely Newcastle-betegség vagy madárinfluenza miatt nem áll korlátozások alatt;
b) ezenkívül, a Newcastle-betegség ellen vakcinázott baromfiállományok feldolgozatlan trágyáját tilos olyan régióba küldeni, amely a 2009/158/EK irányelv 15. cikkének (2) bekezdése szerint megszerezte a Newcastle-betegség elleni vakcinázásra nem kötelezett minősítést; és
c) a trágyaszállítmányt kísérő kereskedelmi okmányhoz csatolni kell a 3. pontban meghatározott mintának megfelelő állat-egészségügyi bizonyítványt.
3. A kereskedelmi okmányhoz csatolandó állat-egészségügyi bizonyítványminta:


4. Lóféléktől származó feldolgozatlan trágya kereskedelme engedélyezett a tagállamok között, feltéve hogy a rendeltetés helye szerinti tagállam hozzájárult ahhoz az 1069/2009/EK rendelet 48. cikke (1) bekezdésében foglaltaknak megfelelően, és azzal a feltétellel, hogy az ilyen trágya nem származhat a 2009/156/EK irányelv 4. cikke (5) bekezdése szerint takonykór, hólyagos szájgyulladás, lépfene vagy veszettség miatt állat-egészségügyi zárlat alá vont gazdaságból.
5. Az 1069/2009/EK rendelet 48. cikke (1) bekezdése c) pontjának ii. alpontjával összhangban a rendeltetési hely szerinti tagállam illetékes hatósága előírhatja az egy másik tagállamból feldolgozatlan trágyát szállító üzemeltetők számára, hogy:
a) további információkat nyújtsanak a tervezett szállításról, így például annak a helynek a pontos földrajzi megjelölését, ahol a tervek szerint a trágyát kirakodják; és
b) a trágyát a talajban való alkalmazás előtt tárolják.
6. Az illetékes hatóság engedélyezheti az ugyanazon gazdaság két pontja között szállított trágya szállítását a lehetséges egészségügyi kockázatok ellenőrzésére vonatkozó feltételek, így például az érintett üzemeltetőknek a megfelelő nyilvántartások vezetésére vonatkozó kötelezettsége teljesülése esetén.
2. szakasz
A feldolgozott trágya, az abból származó termékek és a denevérguanó forgalomba hozatalára az alábbi feltételeket kell alkalmazni. Ezenkívül a denevérguanó esetében a rendeltetési hely szerinti tagállam hozzájárulása szükséges az 1069/2009/EK rendelet 48. cikke (1) bekezdésének megfelelően:
a) A takarmányláncon kívüli célokra szánt származtatott termékeket előállító üzemekből, biogáz- vagy komposztálóüzemből, vagy szerves trágyákat és talajjavító szereket előállító üzemből érkeznek.
b) A termékeket legalább 60 percen keresztül legalább 70 °C-os hőkezelési eljárásnak, valamint a spóraképző baktériumok számát és a toxinképződést csökkentő kezelésnek vetették alá, amennyiben ezek releváns kockázati tényezőnek minősülnek.
c) Az illetékes hatóság azonban engedélyezheti a b) pontban említettektől eltérő szabványosított folyamatparaméterek alkalmazását, feltéve hogy a kérelmező igazolja, hogy az adott paraméterekkel a biológiai kockázatok minimálisra csökkenthetők.
Az említett igazolásnak magában kell foglalnia egy validálást, amelyet az alábbiak szerint kell lefolytatni:
i. A lehetséges veszélyek - beleértve a kiindulási anyagok hatását - azonosítása és elemzése a feldolgozási feltételek teljes körű meghatározása alapján, továbbá kockázatértékelés annak felmérésére, hogy a specifikus feldolgozási feltételek a gyakorlatban hogyan teljesülnek rendes, illetve rendkívüli körülmények között.
ii. A tervezett folyamat validálása
ii-1. az endogén indikátorszervezetek életképessége/fertőzőképessége csökkenésének mérésével, ahol az indikátor:
- folyamatosan nagy számban jelen van a nyersanyagban,
- a kezelési átalakítási folyamat letális tényezőit illetően nem kevésbé, de nem is jelentősen nagyobb mértékben képes ellenállni a hőnek, mint azok a kórokozók, amelyek figyelemmel kísérésére alkalmazzák,
- viszonylag könnyen számszerűsíthető, valamint viszonylag könnyen azonosítható és megerősíthető; vagy
ii-2. az alapanyagba egy megfelelő vizsgálati testben bejuttatott, jól meghatározott tesztorganizmus vagy -vírus életképessége/fertőzőképessége mérésével.
iii. A ii. alpontban említett validálásnak be kell bizonyítania, hogy a folyamat eredményeként megvalósulnak az általános kockázatcsökkentéssel kapcsolatos következő célok:
- termikus és kémiai folyamatok esetében az Enterococcus faecalis 5 nagyságrenddel (5 log10) történő csökkentése, valamint a hőrezisztens vírusok (mint például a parvovirus) fertőzőképességének legalább 3 nagyságrenddel (3 log10) történő csökkentése, amennyiben e vírusok releváns kockázati tényezőnek minősülnek;
- a kémiai folyamatoknál a fentieken kívül még az ellenálló élősködőknek (mint például az Ascaris sp. petéinek) azok életképes stádiumaiban legalább 99,9 %-kal (3 log10) történő csökkentése.
iv. Teljes körű ellenőrzési program kidolgozása, beleértve a folyamat figyelemmel kísérésére irányuló eljárásokat is.
v. Az ellenőrzési programban rögzített releváns folyamatparamétereknek az üzem működtetése során történő folyamatos nyomon követését és felügyeletét biztosító intézkedések.
Az üzemekben alkalmazott releváns folyamatparaméterekre, illetve egyéb kritikus ellenőrzési pontokra vonatkozó adatokat rögzíteni és kezelni kell annak érdekében, hogy a tulajdonos, az üzemeltető - vagy ezek valamelyikének képviselője -, valamint az illetékes hatóság nyomon tudja követni az üzem működését. Az e pont értelmében engedélyezett folyamatokra vonatkozó információkat kérésre a Bizottság rendelkezésére kell bocsátani.
d) A trágyából az üzemben történő feldolgozás során vagy közvetlenül azt követően, a folyamat nyomon követése céljából vett reprezentatív mintáknak az alábbi szabványoknak kell megfelelniük:
Escherichia coli: n = 5, c = 5, m = 0, M = 1 000 1 g-ban;
vagy
Enterococcaceae: n = 5, c = 5, m = 0, M = 1 000 1 g-ban;
valamint
A trágyából a gyártóüzemben, illetve biogáz- vagy komposztálóüzemben történő tárolás során vagy az onnan történő kiszállításkor vett reprezentatív mintáknak az alábbi szabványoknak kell megfelelniük:
Salmonella: 25 g-ban nem mutatható ki: n = 5; c = 0; m = 0; M = 0
ahol:
n = a vizsgálandó minták száma;
m = a baktériumok számának küszöbértéke; az eredmény akkor tekinthető kielégítőnek, ha a baktériumok száma az összes mintában nem több, mint m;
M = a baktériumok számának maximális értéke; az eredmény akkor tekinthető nem kielégítőnek, ha a baktériumok száma egy vagy több mintában M vagy ennél nagyobb; valamint
c = azon minták száma, amelyeknél a baktériumok száma m és M között lehet; a minta még akkor is elfogadhatónak tekinthető, ha a baktériumok száma a többi mintában m vagy ennél kisebb.
Az e pontban meghatározott szabványoknak nem megfelelő feldolgozott trágyát vagy feldolgozott trágyatermékeket feldolgozatlannak kell tekinteni;
e) Tárolásukat úgy kell megoldani, hogy a feldolgozást követően minimálisra csökkenjen a fertőződés vagy másodlagos fertőzés és a nedvesedés lehetősége. Ennek megfelelően tárolásukra az alábbi megoldások valamelyikét kell alkalmazni:
i. jól légmentesített és szigetelt silók vagy megfelelően kialakított tárolókamrák; vagy
ii. megfelelően lezárt csomagok, például műanyag zsákok vagy nagyméretű zsákok ("big bag").
II. FEJEZET
EGYES SZERVES TRÁGYÁKRA ÉS TALAJJAVÍTÓ SZEREKRE VONATKOZÓ KÖVETELMÉNYEK
1. szakasz
Előállítási feltételek
1. A szerves trágyákat és talajjavító szereket - a trágya, az emésztőtraktus-tartalom, a komposzt, a tej, a tejalapú termékek, a tejből származó termékek, a kolosztrum, a kolosztrumtartalmú termékek és az állati melléktermékek vagy az azokból származó termékek biogázzá alakításából származó emésztési maradványok kivételével - az alábbiak szerint kell előállítani:
a) az 1. feldolgozási módszerrel (nyomáson történő sterilizálás), kiindulási anyagként 2. kategóriába tartozó anyag használata esetén;
b) a X. melléklet II. fejezetének 1. szakasza szerint egy 3. kategóriába tartozó anyagból előállított, feldolgozott állati fehérje - beleértve a a X. melléklet II. fejezetének 1. szakasza B.1. b) pontjának ii. alpontja szerint feldolgozott állati fehérjéket is -, vagy más kezelésnek alávetett anyagok felhasználásával, amennyiben az ilyen anyagok e rendeletnek megfelelően felhasználhatók szerves trágyák és talajjavító szerek előállításához; vagy
c) a IV. melléklet III. fejezetében meghatározott 1-7. feldolgozási módszerek valamelyikének alkalmazásával, amenynyiben kiindulási anyagként a 3. kategóriába tartozó, feldolgozott állati fehérje előállítására nem használt anyagot használnak.
2. A 2. kategóriába tartozó anyagból származó hús- és csontlisztből vagy feldolgozott állati fehérjéből álló, illetve abból előállított szerves trágyákat és talajjavító szereket egy nyilvántartásba vett létesítményben vagy üzemben összekeverik - a szükséges minimális arányban - a termék talajon való alkalmazásának helye szerinti tagállamban az illetékes hatóság által engedélyezett összetevővel, aminek célja a keverék takarmányozásra történő későbbi felhasználásának kizárása.
3. Az illetékes hatóság a 2. pontban említett összetevőt az alábbiak szerint engedélyezi:
a) az összetevőnek mészből, trágyából, vizeletből, komposztból vagy állati melléktermékek biogázzá történő alakításából származó emésztési maradványokból, vagy egyéb olyan anyagokból - például ásványi műtrágyából - kell állnia, amelyet állatoknak szánt takarmányokban nem használnak, és amelyek kizárják a keverék takarmányozásra történő későbbi felhasználását a helyes mezőgazdasági gyakorlatnak megfelelően;
b) az összetevőt az éghajlati és talajviszonyoknak a keverék trágyaként való felhasználása szempontjából történő felmérés alapján határozzák meg, továbbá annak kimutatása alapján, hogy az összetevő a keveréket az állatok számára élvezhetetlen ízűvé teszi vagy egyéb módon segíti a keverék takarmányozásra történő felhasználásának megelőzését, valamint az uniós jogszabályokban meghatározott követelményeknek megfelelően, illetve - adott esetben - a nemzeti jogszabályok alapján, a környezetvédelem, ezen belül a talaj és a talajvíz védelmének biztosítása érdekében.
Az illetékes hatóság az engedélyezett összetevőket tartalmazó jegyzéket a Bizottság, valamint - kérésre - a többi tagállam rendelkezésére bocsátja.
4. Ugyanakkor a 2. pontban meghatározott követelményeket nem kell alkalmazni:
a) az 50 kg-t nem meghaladó súlyú, a végfelhasználónak szánt, eladásra kész csomagokban lévő szerves trágyák és talajjavító szerek esetében, illetve
b) az 1 000 kg-ot nem meghaladó súlyú, nagyméretű zsákokban lévő szerves trágyák és talajjavító szerek esetében, amelyek csomagolásán feltüntetik, hogy a szerves trágya nem alkalmazható haszonállatok számára hozzáférhető földterületen, feltéve hogy annak a tagállamnak az illetékes hatósága, amelyben a szerves trágyát vagy talajjavító szert a talajban alkalmazni kívánják, engedélyezte az ilyen nagyméretű zsákok használatát annak felmérése alapján, hogy mennyire valószínű az anyagok esetleges átjutása az állattartó gazdaságokba vagy a haszonállatok számára hozzáférhető földterületekre.
5. A szerves trágyák és talajjavító szerek gyártóinak biztosítaniuk kell, hogy a kórokozók semlegesítése a termékek forgalomba hozatala előtt megtörténik, az alábbiakkal összhangban:
- a X. melléklet I. fejezete feldolgozott állati fehérje, illetve a 2. vagy 3. kategóriába tartozó anyagból származó termékek esetében,
- az V. melléklet III. fejezetének 3. szakasza komposzt és az állati melléktermékek vagy azokból származó termékek biogázzá történő átalakításából származó emésztési maradványok esetében.
2. szakasz
Tárolás és szállítás
A feldolgozás vagy átalakítás után a szerves trágyákat és talajjavító szereket megfelelő módon kell tárolni és szállítani:
a) ömlesztve, a megfelelő, szennyeződést megelőző körülmények között;
b) nagyméretű zsákokba csomagolva a végfelhasználóknak történő értékesítésre szánt szerves trágyák vagy talajjavító szerek esetében; vagy
c) gazdaságok területén történő tárolás esetén megfelelő tárolóhelyiségben, amelyhez haszonállatok nem férhetnek hozzá.
3. szakasz
A létesítmények vagy üzemek engedélyezésére vonatkozó követelmények
Annak érdekében, hogy az 1. szakasz 1. pontjában említett tevékenységeket ellátó létesítmények vagy üzemek az 1069/2009/EK rendelet 24. cikke (1) bekezdésének f) pontja szerinti engedélyt kapjanak, meg kell felelniük az e rendelet 8. cikkében meghatározott követelményeknek, valamint:
a) a beérkező állati melléktermékek számára megfelelő tárolási lehetőségekkel kell rendelkezniük a keresztszennyeződés és a tárolás alatti szennyeződés megelőzése érdekében;
b) a fel nem használt állati melléktermékeket vagy származtatott termékeket az 1069/2009/EK rendelet 13. és 14. cikkének megfelelően ártalmatlanítaniuk kell.
XII. MELLÉKLET
KÖZTES TERMÉKEK
Az 1069/2009/EK rendelet 34. cikkének (2) bekezdésével összhangban, az alábbi feltételeket kell alkalmazni a köztes termékek Unióba történő behozatalára és az Unión átmenő tranzitszállítására:
1. A köztes termékek behozatalát és tranzitszállítását abban az esetben lehet engedélyezni, ha:
a) azok a következő anyagokból származnak:
i.
3. kategóriába tartozó, az 1069/2009/EK rendelet 10. cikkének c), n), o) és p) pontjában meghatározott anyagoktól eltérő anyagok;
ii. az 1069/2009/EK rendelet 10. cikkének i), l) és m) pontjában említett állatokból származó termékek; vagy
iii. az i. és ii. pontban említett anyagok keverékei;
b) orvostechnikai eszközök, in vitro diagnosztikai orvostechnikai eszközök és laboratóriumi reagensek előállítására szánt köztes termékek esetében a következő anyagokból származnak:
i. az a) pontban megadott kritériumokat teljesítő anyagok, kivéve ha valószínűsíthető, hogy a 96/22/EK irányelv 1. cikke (2) bekezdésének d) pontjában vagy a 96/23/EK irányelv 2. cikkének b) pontjában meghatározott illegális kezelésnek alávetett állatokból származnak;
ii. az 1069/2009/EK rendelet 9. cikke f) és h) pontjában említett, 2. kategóriába tartozó anyag; vagy
iii. az i. és ii. pontban említett anyagok keverékei;
c) aktív beültethető orvostechnikai eszközök, gyógyszerkészítmények és állatgyógyászati készítmények előállítására szánt köztes termékek esetében a b) pontban említett anyagokból származnak, amennyiben az illetékes hatóság úgy látja, hogy ezeknek az anyagoknak az alkalmazása indokolt a köz- vagy állategészség védelme érdekében;
d) az OIE értesítőjében az Állat-egészségügyi Világszervezet (OIE) tagjaként szereplő harmadik országból származnak;
e) a d) pontban említett harmadik ország illetékes hatósága által nyilvántartásba vett vagy engedélyezett létesítményből vagy üzemből származnak, a 2. pontban meghatározott feltételeknek megfelelően;
f) minden egyes szállítmányt az importőrnek a XV. melléklet 20. fejezetében megadott minta szerinti nyilatkozatának kell kísérnie, amelyet azon tagállam hivatalos nyelveinek legalább egyikén, amelynek állat-egészségügyi határállomásán az ellenőrzést végzik, valamint a rendeltetési hely szerinti tagállam hivatalos nyelveinek legalább egyikén kell kiállítani; e tagállamok engedélyezhetik más nyelvek használatát és kérhetik az adott nyelven kiállított nyilatkozatok hivatalos fordítását.
g) a b) pontban említett anyagok esetében az importőr igazolja az illetékes hatóság felé, hogy az anyagok:
i. nem hordozzák az emberre vagy állatra átvihető betegségek terjedésének kockázatát; vagy
ii. szállítása olyan körülmények között történik, amelyek megakadályozzák az emberre vagy állatra átvihető betegségek terjedését.
2. Az 1. pont e) alpontjának megfelelően egy harmadik ország illetékes hatósága nyilvántartásba vehet vagy engedélyezhet egy létesítményt vagy üzemet, feltéve hogy:
a) az üzem üzemeltetője, tulajdonosa vagy annak képviselője:
i. igazolja, hogy az üzem megfelelő lehetőségekkel rendelkezik - esettől függően - az 1. pont a), b) vagy c) alpontjában említett anyagok átalakításához, a szükséges tervezési, átalakítási és gyártási fázisok végrehajtásának biztosításához;
ii. módszereket határoz meg és vezet be a kritikus ellenőrzési pontok figyelemmel kísérése és ellenőrzése érdekében az alkalmazott eljárás alapján;
iii. legalább két éven át nyilvántartást vezet a ii. alpont szerint kapott információkról, az illetékes hatóságnak történő benyújtás céljából;
iv. értesíti az illetékes hatóságot, ha bármely rendelkezésre álló információ alapján súlyos állat- vagy közegészségügyi kockázat áll fenn;
b) az adott harmadik ország illetékes hatósága rendszeres időközönként vizsgálatot végez a létesítményben vagy üzemben, és felügyeli az üzemet az alábbi feltételek szerint:
i. a vizsgálatok és a felügyelet gyakorisága az üzem méretétől, a gyártott termékek típusától, a kockázatértékeléstől és a nyújtott biztosítékoktól függ, a veszélyelemzésre és a kritikus ellenőrzési pontokra (HACCP) vonatkozó elvekkel összhangban meghatározott ellenőrzési rendszer alapján;
ii. amennyiben az illetékes hatóság által végzett vizsgálat megállapítja, hogy nem tartják be e rendelet előírásait, az illetékes hatóság megfelelő lépéseket foganatosít;
iii. az illetékes hatóság jegyzéket készít az e mellékletnek megfelelően engedélyezett vagy nyilvántartott létesítményekről és üzemekről, továbbá minden egyes üzem esetében kijelöl egy hivatalos személyt, aki az ott végzett tevékenységek jellege alapján azonosítja a létesítményt vagy üzemet; ezt a jegyzéket és annak későbbi módosításait be kell nyújtani azon tagállamnak, amelynek állat-egészségügyi határállomásán az ellenőrzést kell végezni, továbbá a rendeltetési hely szerinti tagállam részére is.
3. Az Unióba behozott köztes termékeket az állat-egészségügyi határállomáson a 97/78/EK irányelv 4. cikkének megfelelően ellenőrizni kell, és onnan közvetlenül az alábbi helyek valamelyikére kell szállítani:
a) egy laboratóriumi reagenseket, orvostechnikai eszközöket és állatgyógyászati felhasználású in vitro diagnosztikai orvostechnikai eszközöket vagy az 1069/2009/EK rendelet 33. cikkében említett származtatott termékeket előállító, nyilvántartásba vett létesítménybe vagy üzembe, ahol a köztes termékek további elegyítését, bevonásra történő használatát, összeállítását vagy csomagolását el kell végezni, mielőtt azokat a származtatott termékre vonatkozó uniós jogszabályoknak megfelelően forgalomba hozzák vagy használatba veszik;
b) egy, az 1069/2009/EK rendelet 24. cikke (1) bekezdésének (i) pontjával összhangban az állati melléktermékek tárolására engedélyezett létesítménybe vagy üzembe, ahonnan kizárólag az e pont a) alpontjában említett létesítménybe vagy üzembe kell elszállítani az a) alpontban említett felhasználás céljából.
4. Az Unió területén átszállított köztes termékek szállítását a 97/78/EK irányelv 11. cikkének megfelelően kell végezni.
5. Az érintett állat-egészségügyi határállomás hatósági állatorvosa a TRACES-rendszeren keresztül értesíti a szállítmány rendeltetési helyeként szereplő létesítményért vagy üzemért felelős hatóságot.
6. A rendeltetési helyként szereplő létesítmény üzem üzemeltetője, tulajdonosa vagy annak képviselője az 1069/2009/EK rendelet 22. cikkével összhangban nyilvántartást vezet, és kérésre az illetékes hatóság rendelkezésére bocsátja a köztes termékek vásárlására, értékesítésére, felhasználására, készleteire, valamint a felesleges termékek ártalmatlanítására vonatkozó szükséges adatokat az e rendeletben foglaltak betartásának ellenőrzése céljából.
7. A 97/78/EK irányelvvel összhangban az illetékes hatóságnak gondoskodnia kell arról, hogy a köztes termékek szállítmányait abból az EU-tagállamból, amelynek állat-egészségügyi határállomásán el kell végezni az ellenőrzést, elküldik a 3. pont a) alpontjában említett, rendeltetési helyként szereplő üzembe, vagy tranzitszállítás esetén a kilépés helye szerinti állat-egészségügyi határállomásra.
8. Az illetékes hatóságnak rendszeres időközönként dokumentum-ellenőrzést kell végeznie abból a célból, hogy összevesse egyfelől a behozott, másfelől a tárolt, felhasznált, továbbküldött vagy ártalmatlanított köztes termékek mennyiségét az e rendeletben foglaltak betartásának ellenőrzése érdekében.
9. A tranzitforgalomban lévő köztes termékek tekintetében a belépés, illetve a kilépés helye szerinti állat-egészségügyi határállomásokért felelős illetékes hatóságoknak szükség szerint együtt kell működniük annak érdekében, hogy biztosíthassák az ellenőrzések hatékony elvégzését és az ilyen szállítmányok nyomon követhetőségét.
XIII. MELLÉKLET
KEDVTELÉSBŐL TARTOTT ÁLLATOK ELEDELE ÉS EGYES EGYÉB SZÁRMAZTATOTT TERMÉKEK
I. FEJEZET
Általános követelmények
A kedvtelésből tartott állatoknak eledelét gyártó üzemeknek és az e mellékletben említett származtatott termékeket gyártó létesítményeknek és üzemeknek megfelelő lehetőségekkel kell rendelkezniük:
a) a beérkező anyag olyan körülmények között történő tárolásához és kezeléséhez, amelyek megakadályozzák a köz- és állategészségügyi kockázatok megjelenését;
b) a termékek előállítását követően megmaradó, fel nem használt állati melléktermékek és azokból származó termékek e rendelettel összhangban történő ártalmatlanításához, kivéve ha a fel nem használt anyagot feldolgozásra vagy ártalmatlanításra egy másik létesítménybe vagy üzembe küldik.
II. FEJEZET
A kedvtelésből tartott állatok eledelére (beleértve a műcsontot) vonatkozó egyedi követelmények
1. Kedvtelésből tartott állatok nyers eledele
Az üzemeltetők kizárólag az 1069/2009/EK rendelet 10. cikkének a) pontjában, valamint b) pontjának i. és ii. alpontjában említett, 3. kategóriába tartozó anyagból állíthatják elő a kedvtelésből tartott állatok nyers eledelét.
A kedvtelésből tartott állatok nyers eledelét a szivárgást megelőzésére alkalmas új csomagolásba kell csomagolni.
Hatékony lépéseket kell tenni annak biztosítása érdekében, hogy a termék az előállítási folyamat során az eladási helyre történő leadásáig semmilyen fertőződésnek ne legyen kitéve.
2. Nyersanyag a kedvtelésből tartott állatok feldolgozott eledeléhez és a műcsonthoz
Az üzemeltetők kizárólag a következő anyagokból állíthatják elő a kedvtelésből tartott állatok feldolgozott eledelét és a műcsontot:
a)
3. kategóriába tartozó, az 1069/2009/EK rendelet 10. cikkének n), o) és p) pontjában meghatározott anyag; valamint
b) az importált vagy importált anyagokból előállított, kedvtelésből tartott állatoknak szánt eledelek esetében a 96/22/EK irányelv 1. cikke (2) bekezdésének d) pontjában vagy a 96/23/EK irányelv 2. cikkének b) pontjában meghatározott illegális kezelésnek alávetett állatokból származó állati melléktermékekből álló, 1. kategóriába tartozó importált anyagok;
3. Kedvtelésből tartott állatok feldolgozott eledele
a) A kedvtelésből tartott állatok konzervált eledelét hőkezelésnek kell alávetni, amely legalább 3-as Fc értéket eredményez.
b) A kedvtelésből tartott állatok feldolgozott eledelét a konzervált eledel kivételével:
i. a végtermék teljes anyagát illetően legalább 90 °C-os belső hőmérséklettel járó hőkezelésnek kell alávetni;
ii. az állati eredetű összetevőket legalább 90 °C-os hőmérsékletre felmelegítő hőkezelésnek kell alávetni; vagy
iii. az állati eredetű takarmányanyagok tekintetében kizárólag az alábbiak felhasználásával szabad előállítani:
- legalább 90 °C-os belső hőmérséklettel járó hőkezelésnek alávetett állati melléktermékek vagy húsból, illetve hústermékekből származó termékek;
- a következő származtatott termékek, amelyeket e rendelet előírásainak megfelelően állítottak elő: tej és tejalapú termékek, zselatin, hidrolizált fehérje, tojástermékek, kollagén, a X. melléklet II. fejezetének 2. szakaszában említett vértermékek, feldolgozott állati fehérje (beleértve a hallisztet), kiolvasztott zsírok, halolajak, dikalcium-foszfát, trikalcium-foszfát, ízesítő belsőségek;
iv. ha az illetékes hatóság engedélyezi, olyan kezelésnek - például szárításnak vagy erjesztésnek - kell alávetni, amely biztosítja, hogy a kedvtelésből tartott állatoknak szánt eledel nem jelent elfogadhatatlan köz- és állat-egészségügyi kockázatokat;
v. az 1069/2009/EK rendelet 10. cikkének l) és m) pontjában említett állati melléktermékek, valamint a víziállatokból és gerinctelen vízi- és szárazföldi állatokból származó állati melléktermékek esetében - és ha azt az illetékes hatóság engedélyezi - olyan kezelésnek kell alávetni, amely biztosítja, hogy a kedvtelésből tartott állatoknak szánt eledel nem jelent elfogadhatatlan köz- és állat-egészségügyi kockázatokat.
Az előállítást követően minden óvintézkedést meg kell tenni a kedvtelésből tartott állatok feldolgozott eledele fertőződésének elkerülése érdekében.
A kedvtelésből tartott állatok feldolgozott eledelét új csomagolóanyagba kell csomagolni.
4. A műcsontokat megfelelő kezelésnek kell alávetni, amely biztosítja a kórokozó szervezetek, köztük a Salmonella hatékony elpusztítását.
A kezelést követően minden óvintézkedést meg kell tenni az ilyen műcsontok szennyeződésének elkerülése érdekében.
A műcsontokat új csomagolóanyagba kell csomagolni.
5. Az alábbi szabványok betartásának ellenőrzése érdekében az előállítás és/vagy tárolás során (az elszállítás előtt) szúrópróbaszerű mintákat kell venni a műcsontokból és a kedvtelésből tartott állatok feldolgozott eledeléből, kivéve a konzervált eledeleket és a 3. pont b) alpontjának v. alpontja szerint kezelt feldolgozott eledeleket:
Salmonella: 25 g-ban nem mutatható ki, n = 5, c = 0, m = 0, M = 0.
Enterobacteriaceae: n = 5, c = 2, m = 10, M = 300 1 g-ban
Ahol:
n = a vizsgálandó minták száma;
m = a baktériumok számának küszöbértéke; az eredmény akkor tekintendő kielégítőnek, ha a baktériumok száma az összes mintában nem több, mint m;
M = a baktériumok számának maximális értéke; az eredmény akkor tekintendő nem kielégítőnek, ha a baktériumok száma egy vagy több mintában M vagy ennél nagyobb; és
c = azon minták száma, amelyeknél a baktériumok száma m és M között lehet; a minta még akkor is elfogadhatónak tekintendő, ha a baktériumok száma a többi mintában m vagy ennél kisebb.
6. Az alábbi szabványok betartásának ellenőrzése érdekében az előállítás és/vagy tárolás során (az elszállítás előtt) szúrópróbaszerű mintákat kell venni a kedvtelésből tartott állatok nyers eledeléből:
Salmonella: 25 g-ban nem mutatható ki, n = 5, c = 0, m = 0, M = 0.
Enterobacteriaceae: n = 5, c = 2, m = 10, M = 5 000 1 g-ban
Ahol:
n = a vizsgálandó minták száma;
m = a baktériumok számának küszöbértéke; az eredmény akkor tekintendő kielégítőnek, ha a baktériumok száma az összes mintában nem több, mint m;
M = a baktériumok számának maximális értéke; az eredmény akkor tekintendő nem kielégítőnek, ha a baktériumok száma egy vagy több mintában M vagy ennél nagyobb; és
c = azon minták száma, amelyeknél a baktériumok száma m és M között lehet; a minta még akkor is elfogadhatónak tekintendő, ha a baktériumok száma a többi mintában m vagy ennél kisebb.
7. A kedvtelésből tartott állatoknak szánt feldolgozott eledel és műcsontok végpontja
A következők korlátozás nélkül forgalomba hozhatók e rendelettel összhangban:
a) kedvtelésből tartott állatok feldolgozott eledele,
i. amelyet a 3. pontnak megfelelően az Unióban állítottak elő és csomagoltak, és az 5. pontnak megfelelően megvizsgáltak; vagy
ii. amelyet a 97/78/EK irányelvvel összhangban állat-egészségügyi ellenőrzésnek vetettek alá egy állat-egészségügyi határállomáson.
b) műcsontok,
i. amelyeket a 4. pontnak megfelelően az Unióban állítottak elő és csomagoltak, és az 5. pont szerint megvizsgáltak; vagy
ii. amelyeket a 97/78/EK irányelvvel összhangban állat-egészségügyi ellenőrzésnek vetettek alá egy állat-egészségügyi határállomáson.
III. FEJEZET
A kedvtelésből tartott állatok eledelének előállításához használt ízesítő belsőségekre vonatkozó egyedi követelmények
1. Az üzemeltetők kizárólag a II. fejezet 2. pontjának megfelelően a kedvtelésből tartott állatok feldolgozott eledeléhez és műcsonthoz nyersanyagként használható állati melléktermékeket használhatják fel a kedvtelésből tartott állatok eledelének ízletességét növelő, folyékony és dehidratált származtatott termékek gyártására.
2. Az ízesítő belsőségeket előzetesen alá kell vetni olyan kezelési eljárásnak és paramétereknek, amelyek biztosítják, hogy a termék megfelel az e melléklet II. fejezetének 5. pontjában meghatározott mikrobiológiai szabványoknak. A kezelést követően minden óvintézkedést meg kell tenni a termék fertőződésének elkerülése érdekében.
3. A végterméket:
a) új vagy sterilizált csomagolóanyagba kell csomagolni; vagy
b) ömlesztett áruként alaposan kitisztított és fertőtlenített tárolóeszközökben vagy egyéb szállítóeszközökben kell szállítani.
IV. FEJEZET
Lófélékből származó vérre és vértermékekre vonatkozó egyedi követelmények
A lófélékből származó vér és vértermékek takarmányozástól eltérő célokra történő forgalomba hozatalára az alábbi feltételeket kell alkalmazni:
1. Ilyen célokra szánt vér forgalomba hozható, feltéve hogy:
a) olyan lófélékből származnak, amelyek(et):
i. a vér begyűjtésének napján végzett ellenőrzés során nem mutatják a 2009/156/EK irányelv I. mellékletében felsorolt, bejelentési kötelezettség alá eső betegségek, valamint az OIE által kiadott Szárazföldi Állatok Egészségügyi Kódexe 2010. évi kiadása 1.2.3. cikkének 4. pontjában felsorolt lóinfluenza, lovak piroplazmózisa, lovak rhinopneumonitise és a lovak vírusos arteritisének klinikai tüneteit;
ii. a vér begyűjtésének napján, valamint azt megelőzően legalább 30 napig olyan, állatorvosi felügyelet alatt álló gazdaságban tartották, amelyre a 2009/156/EK irányelv 4. cikkének (5) bekezdése értelmében tiltó rendelkezés, illetve 5. cikkének értelmében korlátozás nem volt érvényben;
iii. a 2009/156/EK irányelv 4. cikkének (5) bekezdésében megállapított ideig nem érintkeztek olyan gazdaságokból származó lófélékkel, amelyek az említett cikk értelmében állat-egészségügyi okokból tiltó rendelkezés hatálya alatt álltak, továbbá a vér begyűjtésének napján, valamint azt megelőzően legalább 40 napig nem érintkeztek az említett irányelv 5. cikke (2) bekezdése első albekezdésének a) és b) pontja értelmében afrikai lópestistől mentesnek nem tekintett tagállamból vagy harmadik országból származó lófélékkel;
b) a gyűjtésük állatorvosi felügyelet alatt történt vagy:
i. a 853/2004/EK rendeletnek megfelelően nyilvántartásba vett vagy engedélyezett vágóhidakon; vagy
ii. lófélék vérének takarmányozástól eltérő célból történő előállításához való begyűjtése érdekében engedélyezett, állategészségügyi engedélyszámmal ellátott és az illetékes hatóság által felügyelt létesítményekben.
2. Ilyen célokra szánt vértermékek forgalomba hozhatók, feltéve hogy:
a) előállításuk, kezelésük és csomagolásuk során minden óvintézkedést megtettek a vértermékek kórokozókkal történő fertőződésének elkerülése érdekében;
b) a vértermékeket olyan vérből állították elő, amely:
i. vagy megfelel az 1. pont a) alpontjában megállapított feltételeknek; vagy
ii. az afrikai lópestis, a lovak agy- és gerincvelő-gyulladásának valamennyi típusa - a lovak venezuelai járványos agy- és gerincvelő-gyulladását is beleértve -, a lovak fertőző kevésvérűsége, a hólyagos szájgyulladás és a takonykór (Burkholderia mallei) lehetséges kórokozóinak ártalmatlanítása érdekében az alábbi kezelések közül legalább egynek alávetették, amit hatékonyságvizsgálat követett:
- 65 °C-on és legalább három órán keresztül végzett hőkezelés,
- 25 kGy erősségű gammasugaras besugárzás,
- a pH-érték megváltoztatása 5-re, két órán keresztül,
- legalább 80 °C-os belső hőmérsékletet biztosító hőkezelés.
3. A lófélék vérét és vértermékeit olyan légmentesen zárt, vízhatlan tárolóedényekbe kell csomagolni, amelyeken szerepel az 1. pont b) alpontjában említett vágóhíd vagy gyűjtőlétesítmények engedélyszáma.
V. FEJEZET
Patás állatok nyersbőrére és irhájára, és az abból származó termékekre vonatkozó egyedi követelmények
A. Létesítmények és üzemek
Az illetékes hatóság engedélyezheti a nyersbőrt és irhát - a meszezett bőrt is beleértve - kezelő üzemek számára, hogy ilyen nyersbőrből és irhából származó vágási melléktermékeket és hasított bőrt szállítsanak állati fogyasztásra szánt zselatin, szerves trágya és talajjavító szerek előállításához, feltéve hogy:
a) az üzem tárolóhelyiségekkel, könnyen tisztítható és fertőtleníthető kemény padlóval és sima falakkal rendelkezik, valamint - adott esetben - hűtőberendezéssel van ellátva;
b) gondoskodnak a tárolóhelyiségek kellő tisztaságáról és karbantartásáról, hogy azok ne jelentsenek fertőződési forrást a nyersanyagok számára;
c) ha nem az e fejezetben meghatározott követelményeknek megfelelő nyersanyagot tárolnak és/vagy gyártanak ezeken a telephelyeken, el kell különíteni azokat az átvétel, a tárolás, a feldolgozás és a kiszállítás teljes ideje alatt az e fejezetben meghatározott követelményeknek megfelelő alapanyagtól;
d) a meszezett bőrből származó vágott melléktermékeket és hasított bőrt olyan kezelésnek vetik alá, amely biztosítja, hogy az alábbiak előállítására történő felhasználás előtt nem maradnak köz- és állat-egészségügyi kockázatok.
i. állati fogyasztásra szánt zselatin; vagy
ii. szerves trágyák vagy talajjavító szerek.
B. Az állati melléktermékek és az azokból származó termékek forgalomba hozatala
1. A kezeletlen nyersbőr és irha a 2002/99/EK irányelv értelmében a friss húsra vonatkozó egészségügyi feltételek teljesítése esetén hozható forgalomba.
2. Kezelt nyersbőr és irha forgalomba hozható, amennyiben:
a) nem érintkeztek más olyan állati termékekkel vagy élő állatokkal, amelyek valamilyen súlyos fertőző betegséget terjeszthetnek;
b) a VIII. melléklet III. fejezetében meghatározott kereskedelmi okmány tartalmaz egy nyilatkozatot, amely szerint minden óvintézkedést megtettek a kórokozókkal történő fertőződés elkerülése érdekében.
C. A nyersbőr és irha végpontja
1. Patás állatok nyersbőre és irhája, amely az üzemeltető döntése értelmében az emberi fogyasztástól eltérő célra szánnak, és amely megfelel a 853/2004/EK rendeletben az élelmiszerekben történő felhasználásra szánt zselatinhoz és kollagénhez szükséges nyersanyagokra vonatkozóan megállapított követelményeknek, e rendeletnek megfelelően korlátozás nélkül forgalomba hozható.
2. A kezelt nyersbőr és irha alábbi fajtái e rendelettel összhangban korlátozás nélkül forgalomba hozhatók:
a) teljes cserzési eljáráson átesett nyersbőr és irha;
b) "wet blue" állapotú bőrök,
c) "pickled pelts" állapotú bőrök;
d) "meszezett bőr" (mésszel kezelt és 12-13 pH kémhatású sós lében legalább nyolc órán át tartott bőr) állapotú bőrök.
3. A C.2. ponttól eltérve, az illetékes hatóság előírhatja, hogy a 2. pont c) és d) alpontjában említett kezelt nyersbőr- és irhaszállítmányokat a VIII. melléklet III. fejezetének 6. pontjában meghatározott mintának megfelelő kereskedelmi okmány kísérje, amennyiben azokat kedvtelésből tartott állatok eledelét, szerves trágyát vagy talajjavító szereket előállító, vagy ezeket az anyagokat biogázzá alakító létesítményekbe vagy üzemekbe szállítják.
VI. FEJEZET
A vadásztrófeákra és egyéb állati eredetű preparátumokra vonatkozó egyedi követelmények
A. E fejezet rendelkezései nem érintik a 338/97/EK rendelet alapján elfogadott, a vadon élő állatok védelmére vonatkozó intézkedéseket.
B. Biztonságos forrásból való beszerzés
Vadásztrófeák és egyéb állati eredetű preparátumok - feltéve, hogy a preparálás során az állati melléktermékeket kezelésnek vetették alá vagy olyan állapotban mutatják be, amely nem jelent egészségügyi kockázatot - forgalomba hozhatók, amennyiben:
a) patás állatoktól, madaraktól, és a rovarok vagy pókszabásúak biológiai osztályába tartozó állatoktól eltérő fajokból származnak; és
b) olyan területről eredő állatokból származnak, amely nem esik korlátozás alá olyan súlyos fertőző betegségek jelenléte miatt, amelyre az érintett fajhoz tartozó állatok fogékonyak.
C. Biztonságos kezelés
1. Vadásztrófeák vagy egyéb állati eredetű preparátumok - feltéve, hogy a preparálás során az állati melléktermékeket kezelésnek vetették alá vagy olyan állapotban mutatják be, amely nem jelent egészségügyi kockázatot - forgalomba hozhatók, amennyiben:
a) olyan patás állatokból és madarakból származnak, amelyek a szobahőmérsékleten való tartósításukat biztosító, teljes preparálási eljáráson estek át;
b) montírozott patás állatok vagy madarak, vagy ilyen madarak montírozott részei;
c) anatómiai preparálási eljáráson, például plasztináción estek át;
d) a rovarok vagy pókszabásúak biológiai osztályába tartozó állatok, amelyeket valamilyen kezelésnek - például szárításnak - vetettek alá az emberre vagy állatra átvihető betegségek terjedésének megelőzése érdekében; vagy
e) természettudományos gyűjteményekben szereplő tárgyak, vagy tudományos népszerűsítő célra szolgálnak, és:
i. olyan szerekben tartósították őket, mint pl. alkohol vagy formaldehid, amelyek lehetővé teszik, hogy kiállítsák őket, vagy
ii. teljes egészében mikroszkóp-tárgyelmezek közé vannak helyezve;
f) feldolgozott DNS-minták, amelyeket a biodiverzitással kapcsolatos, valamint a környezeti, orvostudományi és állatorvos-tudományi kutatások előmozdítására, adattárakba szánnak.
2. Forgalomba hozhatók a B. pontban és a C. pont 1. alpontjában említettektől eltérő vadásztrófeák és egyéb preparátumok, amelyek olyan állatokból származnak, amelyek olyan súlyos fertőző betegségek miatti korlátozás alatt álló területről erednek, amelyre az érintett fajhoz tartozó állatok fogékonyak, feltéve hogy:
a) csak csontból, szarvból, patából, karomból, agancsból vagy fogból álló vadásztrófeák és egyéb preparátumok esetében,
i. azokat megfelelő ideig forrásban lévő vízbe merítették, hogy a csonton, szarvon, patán, karmon, agancson vagy fogon kívüli többi anyagot eltávolítsák;
ii. az illetékes hatóság által engedélyezett szerrel, elsősorban hidrogén-peroxiddal fertőtlenítették a csontokból álló részek esetén;
iii. közvetlenül a kezelés után becsomagolták - anélkül, hogy azok érintkeznének más állati eredetű, feltételezhetően fertőző termékekkel - olyan egyedi, átlátszó és zárt csomagolóanyagba, amely megakadályozza a későbbi fertőződést; és
iv. azokat az i., ii. és iii. pontban meghatározott feltételek teljesítését tanúsító egészségügyi bizonyítvány kíséri;
b) csak nyersbőrből és irhából álló vadásztrófeák és egyéb preparátumok esetében,
i. azokat:
- kiszárították,
- az elszállítás előtt legalább 14 napig száraz vagy nedves sózással kezelték, vagy
- a cserzéstől eltérő eljárással tartósították;
ii. közvetlenül a kezelés után becsomagolták - anélkül, hogy azok érintkeznének más állati eredetű, feltételezhetően fertőző termékekkel - olyan egyedi, átlátszó és zárt csomagolóanyagba, amely megakadályozza a későbbi fertőződést; és
iii. azokat kereskedelmi okmány vagy az i. és ii. pontban meghatározott feltételek teljesítését tanúsító egészségügyi bizonyítvány kíséri.
VII. FEJEZET
A gyapjúra, szőrre, sertéssörtére, tollakra, tollrészekre és pihére vonatkozó egyedi követelmények
A. Nyersanyag
1. A kezeletlen gyapjúnak, kezeletlen szőrnek, kezeletlen sertéssörtének és kezeletlen tollnak, tollrészeknek és pihének az 1069/2009/EK rendelet 10. cikke b) pontja iii., iv., v. alpontjában, valamint 10. cikke h) és n) pontjában említett, 3. kategóriába tartozó anyagnak kell lennie.
Ezeket biztonságosan és szárazon kell becsomagolni.
A vágóhídról közvetlenül a feldolgozóüzembe küldött kezeletlen toll, tollrészek és pihe esetében azonban az illetékes hatóság eltérést engedélyezhet a száraz anyagoknak az illetékességi területén történő szállítására vonatkozó követelmény alól, feltéve hogy:
a) minden szükséges intézkedést megtettek a betegségek lehetséges terjedésének elkerülése céljából;
b) a szállítás szivárgásmentes szállítótartályban és/vagy járművön történik, amelyet minden egyes szállítás után azonnal tisztítani és fertőtleníteni kell.
2. Tilos az olyan régiókból származó sertéssörte, valamint sertésféléktől származó gyapjú és szőr szállítása, amelyekben az afrikai sertéspestis endémiás, kivéve az olyan sertéssörtét és sertésféléktől származó gyapjút vagy szőrt:
a) amelyet főztek, festettek vagy kifehérítettek; vagy
b) amely egyéb - a kórokozók elpusztítását biztosító - kezelésen ment át, feltéve hogy az erről szóló igazolást a származási hely illetékes állatorvosa - bizonyítvány formájában - benyújtja. E rendelkezés alkalmazásában az ipari mosás nem tekinthető kezelési módszernek.
3. Az 1. pont rendelkezéseit nem kell alkalmazni a dísztollakra vagy az olyan tollakra, amelyeket:
a) utazók magáncélú használatra tartanak maguknál; vagy
b) magánszemélyeknek szóló, nem ipari felhasználásra szánt szállítmányok tartalmaznak.
B. A gyapjú és szőr végpontja
Ipari mosáson átesett gyapjú és szőr, valamint az elfogadhatatlan kockázatok fennmaradását megakadályozó egyéb módszerrel kezelt gyapjú és szőr e rendelettel összhangban korlátozás nélkül forgalomba hozható.
A tagállamok e rendelettel összhangban engedélyezhetik a gazdaságokból vagy az 1069/2009/EK rendelet 23. cikkével összhangban nyilvántartásba vett vagy ugyanazon rendelet 24. cikke (1) bekezdésének i) pontja szerint engedélyezett létesítményekből vagy üzemekből származó gyapjú és szőr korlátozás nélküli forgalomba hozatalát a területükön, amennyiben megbizonyosodnak arról, hogy a gyapjúból és a szőrből elfogadhatatlan köz- és állat-egészségügyi kockázat nem származik.
A sertésféléktől különböző állatok gyapját és szőrét korlátozás nélkül forgalomba lehet hozni e rendelettel összhangban, amennyiben azok(at):
a) többszöri, vizes, szappanos és nátrium- vagy kálium-hidroxidos medencébe történő merítéssel történő ipari mosásnak vetettek alá; vagy
b) közvetlenül olyan üzembe szállítottak, ahol gyapjú- és szőralapú származtatott termékeket állítanak elő a textilipar számára, és az ilyen gyapjút vagy szőrt a következő módszerek legalább egyikével kezelték:
i. vegyi depiláció oltott mésszel vagy nátrium-szulfiddal;
ii. hermetikusan zárt kamrában, legalább 24 órán keresztül végzett formaldehides fertőtlenítés;
iii. ipari tisztítás a gyapjú és a szőr vízben oldható, 60-70 °C-on tartott tisztítószerbe történő merítésével;
iv. 8 napon át 37 °C-on, 28 napon át 18 °C-on vagy 120 napon át 4 °C-on történő tárolás, amely a szállítási időszakot is magában foglalhatja.
C. A toll és pihe végpontja
E rendelettel összhangban az ipari mosásnak és 100 °C-on forró gőzös kezelésnek legalább 30 percen keresztül alávetett toll, tollrészek és pihe korlátozás nélkül forgalomba hozhatók.
VIII. FEJEZET
A prémekre vonatkozó egyedi követelmények
Végpont
18 °C-os környezeti hőmérsékleten, 55 %-os páratartalom mellett két napig szárított prémek e rendelettel összhangban korlátozás nélkül forgalomba hozhatók.
IX. FEJEZET
A méhészeti melléktermékekre vonatkozó egyedi követelmények
A kizárólag méhészeti célú felhasználásra szánt méhészeti melléktermékek(nek):
1. nem származhatnak olyan területről, amely az alábbiak valamelyikének előfordulása miatt zárlat alatt áll:
a) a mézelő méhek nyúlós költésrothadása (Paenbacillus larvae larvae), kivéve ha az illetékes hatóság a kockázatot elhanyagolhatónak értékelte, csak az adott tagállamban használható, külön engedélyt állított ki, és minden más szükséges intézkedést megtett a betegség terjedésének megakadályozása érdekében;
b) enyhébb (európai) költésrothadás (Acarapis woodi (Rennie), kivéve ha a rendeltetési hely szerinti terület tekintetében a 92/65/EGK irányelv 14. cikkének (2) bekezdésével összhangban kiegészítő biztosítékokat határoztak meg;
c) kis kaptárbogár (Aethina tumida); vagy
d) Tropilaelaps atka (Tropilaelaps spp.); és
2. meg kell felelniük a 92/65/EGK irányelv 8. cikkének a) pontjában meghatározott követelményeknek.
X. FEJEZET
Az olajkémiai célokra szánt, 1. és 2. kategóriába tartozó anyagokból kiolvasztott zsírokra vonatkozó egyedi követelmények
1. Az 1. kategóriába tartozó anyagból, vagy az olajkémiai célra szánt, 2. kategóriába tartozó anyagból származó kiolvasztott zsírokat a IV. melléklet III. fejezetében meghatározott 1-5. feldolgozási módszerek valamelyikével kell előállítani.
2. A kérődzőkből nyert kiolvasztott zsírokat olyan módon kell megtisztítani, hogy az összes visszamaradó oldhatatlan szennyeződés legmagasabb szintje ne haladja meg a 0,15 % tömegszázalékot.
XI. FEJEZET
A zsírszármazékokra vonatkozó egyedi követelmények
1. A zsírszármazékok 1. és 2. kategóriába tartozó anyagból származó kiolvasztott zsírokból történő előállításához az alábbi folyamatokat lehet alkalmazni:
a) transzészterifikálás vagy hidrolízis legalább 200 °C-on az ehhez tartozó megfelelő nyomáson 20 percen keresztül (glicerin, zsírsavak és észterek);
b) szappanosítás 12 mólos NaOH-val (glicerin és szappan):
i. szakaszos folyamatnál 95 °C-on három órán keresztül; vagy
ii. folyamatos eljárásnál 140 °C-on 2 bar (2 000 hPa) nyomás mellett nyolc percen keresztül; vagy
c) hidrogénezés 160 °C-on 12 bar (12 000 hPa) nyomás mellett 20 percen keresztül.
2. Az e fejezettel összhangban előállított zsírszármazékok kizárólag az alábbi felhasználás céljából hozhatók forgalomba:
a) takarmányanyagtól, kozmetikumoktól és gyógyszerkészítményektől eltérő felhasználás;
b) továbbá, az 1. kategóriába tartozó anyagból származó zsírszármazékok esetében szerves trágya és talajjavító szerek előállításától eltérő felhasználás.
3. Kiolvasztott zsírokból származó termékek végpontja:
olyan zsírszármazékok, amelyeket az 1. pontban meghatározottak szerint dolgoztak fel, a 2. pontban meghatározott felhasználásokra e rendeletnek megfelelően, korlátozás nélkül forgalomba hozhatók.
XII. FEJEZET
Szerves trágya vagy talajjavító szerek előállítására szánt szarvra és szarvtermékekre (a szaruliszt kivételével), valamint a patára és patatermékekre (a pataliszt kivételével) vonatkozó egyedi követelmények
Szerves trágya vagy talajjavító szerek előállítására szánt szarv és szarvtermékek (kivéve a szarulisztet), valamint pata és patatermékek (kivéve a patalisztet) az alábbi feltételek mellett hozhatók forgalomba:
a) olyan állatokból kell származniuk, amelyek:
i. az ante mortem vizsgálatot követően vágóhídon kerültek levágásra, és e vizsgálat eredménye alapján az uniós jogszabályok szerint emberi fogyasztás céljára történő vágásra alkalmasak voltak; vagy
ii. emberre vagy állatra az adott terméken keresztül átvihető betegség klinikai tüneteit nem mutatták;
b) előzőleg 80 °C-os belső hőmérséklettel járó hőkezelésen estek át egy órán keresztül;
c) a szarvakat a koponyaüreg felnyitása nélkül távolították el;
d) a feldolgozás, tárolás és szállítás valamennyi szakaszában minden óvintézkedést megtettek a keresztszennyeződés elkerülése érdekében;
e) új csomagolásba vagy tárolóedénybe csomagolták, vagy olyan járművekben vagy ömlesztettáru-szállító konténerekben szállították őket, amelyeket a betöltés előtt az illetékes hatóság által engedélyezett termékkel fertőtlenítettek;
f) a csomagoláson vagy tárolóedényeken:
i. fel kell tüntetni a termék típusát (például szarv, szarutermékek, pata vagy patatermékek);
ii. szerepelnie kell a rendeltetési hely szerepét betöltő engedélyezett vagy nyilvántartásba vett létesítmény vagy üzem nevének és címének.
XIII. FEJEZET
A gyógyszergyártásra használt halolajra vonatkozó egyedi követelmények
A gyógyszergyártásra használt halolajra vonatkozó végpont
A X. melléklet II. fejezete 3. szakaszának A.2. pontjában szereplő anyagokból származó halolaj, melyet NaOH-oldattal legalább 80 °C hőmérsékleten savtalanították, majd legalább 200 °C hőmérsékleten desztillálás útján megtisztítottak, gyógyszergyártás céljából korlátozás nélkül forgalomba hozható e rendeletnek megfelelően.
XIV. MELLÉKLET
BEHOZATAL, KIVITEL ÉS TRANZITSZÁLLÍTÁS
I. FEJEZET
A TAKARMÁNYLÁNCBAN A KEDVTELÉSBŐL TARTOTT ÁLLATOK ELEDELÉNEK ELŐÁLLÍTÁSÁTÓL ÉS PRÉMES ÁLLATOK TAKARMÁNYOZÁSÁTÓL ELTÉRŐ CÉLOKRA HASZNÁLT, 3. KATEGÓRIÁBA TARTOZÓ ANYAGOK ÉS AZOKBÓL SZÁRMAZÓ TERMÉKEK BEHOZATALÁRA AZ UNIÓBA ÉS AZ UNIÓN BELÜLI ÁTSZÁLLÍTÁSÁRA VONATKOZÓ EGYEDI KÖVETELMÉNYEK
1. szakasz
Az 1069/2009/EK rendelet 41. cikke (1) bekezdésének a) pontjában és 41. cikkének (3) bekezdésében foglaltaknak megfelelően az alábbi követelményeket kell alkalmazni a takarmányláncban a kedvtelésből tartott állatok eledelének előállításától és prémes állatok takarmányozásától eltérő célokra használt, 3. kategóriába tartozó anyagok és azokból származó termékek importált szállítmányaira, valamint az ilyen anyagok és termékek szállítmányainak tranzitszállítására:
a) azoknak az 1. táblázat "nyersanyagok" oszlopában megadott, 3. kategóriába tartozó anyagból kell állniuk vagy azokból kellett készülniük, esettől függően;
b) meg kell felelniük a 1. táblázat "behozatal és átszállítás feltételei" oszlopában meghatározott behozatali és tranzitszállítási feltételeknek;
c) az 1. táblázat "harmadik országok jegyzékei" oszlopában felsorolt harmadik országból vagy harmadik ország területéről kell érkezniük;
d) a harmadik ország illetékes hatósága által nyilvántartásba vett vagy engedélyezett olyan létesítményből vagy üzemből kell származniuk, mely szerepel az ilyen létesítmények és üzemek 30. cikkben említett jegyzékében, valamint
e) azokat:
i. az Unióba történő belépés helyéhez - ahol az állat-egészségügyi vizsgálatot elvégzik - történő szállításuk során az 1. táblázat "bizonyítványok/okmányminták" oszlopában megadott egészségügyi bizonyítványnak kell kísérnie; vagy
ii. az Unióba történő belépés helyén - ahol az állat-egészségügyi vizsgálatot elvégzik - az 1. táblázat "bizonyítványok/dokumentumminták" oszlopában megadott mintának megfelelő okmány kíséretében kell bemutatni.
1. táblázat
Sorszám | Termék | Nyersanyagok (hivatkozás az 1069/2009/EK rendelet rendelkezéseire) | Behozatali és átszállítási feltételek | Harmadik országok jegyzékei | Bizonyítványok/okmányminták |
1 | Feldolgozott állati fehérje – beleértve a keverékeket és az ilyen fehérjét tartalmazó, kedvtelésből tartott állatok eledelén kívüli termékeket –, valamint a 767/2009/EK rendelet 3. cikke (2) bekezdésének h) pontjában meghatározott, ilyen fehérjéket tartalmazó összetett takarmányok | A 10. cikk a), b), d), e), f), h), i), j), k), l) és m) pontjában említett, 3. kategóriába tartozó anyagok. | a) A feldolgozott állati fehérjét a X. melléklet II. fejezetének 1. szakaszával összhangban kellett előállítani; és b) a feldolgozott állati fehérjének meg kell felelnie az e fejezet 2. szakaszában meghatározott kiegészítő követelményeknek. | a) Feldolgozott állati fehérjék esetében (a halliszt kivételével): A 206/2010/EU bizottsági rendelet II. mellékletének 1. részében felsorolt harmadik országok. b) Halliszt esetében: A 2006/766/EK határozat II. mellékletében felsorolt harmadik országok. | a) A tenyésztett rovarokból nyert feldolgozott állati fehérjéken kívüli feldolgozott állati fehérje esetében: XV. melléklet, 1. fejezet. b) A tenyésztett rovarokból nyert feldolgozott állati fehérje esetében: XV. melléklet, 1(a) fejezet. |
2 | Vértermékek takarmányanyaghoz | A 10. cikk a) pontjában és b) pontjának i. alpontjában említett, 3. kategóriába tartozó anyagok. | A vértermékeket a X. melléklet II. fejezetének 2. szakaszával és a XIV. melléklet I. fejezetének 5. szakaszával összhangban kellett előállítani. | a) Patás állatokból származó vértermékek esetében: A 206/2010/EU rendelet II. mellékletének 1. részében felsorolt harmadik országok vagy harmadik országok területei, amelyekből az adott állatfajból származó, bármely kategóriába tartozó friss hús behozatala engedélyezett. b) Egyéb állatfajokból származó vértermékek esetében: A 206/2010/EU rendelet II. mellékletének 1. részében felsorolt harmadik országok. | XV. melléklet, 4(B) fejezet. |
3 | Kiolvasztott zsírok és halolaj | a) A kiolvasztott zsírok esetében (kivéve a halolajat): A 10. cikk a), b), d), e), f), g), h), i), j), és k) pontjában említett, 3. kategóriába tartozó anyagok. b) Halolaj esetében: A 10. cikk e), f), i) és j) pontjában említett, 3. kategóriába tartozó anyagok. | a) A kiolvasztott zsírt és halolajat a X. melléklet II. fejezetének 3. szakaszával összhangban kellett előállítani; és b) A kiolvasztott zsírnak meg kell felelnie az e fejezet 3. szakaszában meghatározott kiegészítő követelményeknek. | a) A kiolvasztott zsírok esetében (kivéve a halolajat): A 206/2010/EU bizottsági rendelet II. mellékletének 1. részében felsorolt harmadik országok. b) Halolaj esetében: A 2006/766/EK bizottsági határozat II. mellékletében felsorolt harmadik országok. | a) A kiolvasztott zsírok esetében (kivéve a halolajat): XV. melléklet, 10(A) fejezet. b) Halolaj esetében: XV. melléklet, 9. fejezet. |
4 | Tej, tejalapú termékek és tejből származó termékek, kolosztrum, kolosztrumtartalmú termékek | a) Tej, tejalapú termékek: A 10. cikk e), f) és h) pontjában említett, 3. kategóriába tartozó anyagok. b) Kolosztrum, kolosztrumtartalmú termékek Olyan élő állatokból származó, 3. kategóriába tartozó anyagok, amelyek nem mutatták emberre vagy állatra a kolosztrummal átvihető betegség tüneteit. | A tejnek, tejalapú termékeknek, kolosztrumnak és kolosztrumtartalmú termékeknek meg kell felelniük az e fejezet 4. szakaszában meghatározott követelményeknek. | a) Tej és tejalapú termékek esetében: A 605/2010/EU rendelet I. mellékletében felsorolt, jóváhagyott harmadik országok. b) Kolosztrum és kolosztrumtartalmú termékek esetében: A 605/2010/EK rendelet I. mellékletének „A” oszlopában felsorolt, jóváhagyott harmadik országok. | a) Tej, tejalapú és tejből származó termékek esetében: XV. melléklet, 2(A) fejezet. b) Kolosztrum és kolosztrumtartalmú termékek esetében: XV. melléklet, 2(B) fejezet. |
5 | Zselatin és hidrolizált fehérje | A 10. cikk a), b), e), f), g), i) és j) pontjában említett, a 3. kategóriába tartozó anyagok, valamint hidrolizált fehérje esetében: a 10. cikk d), h) és k) pontjában említett, a 3. kategóriába tartozó anyagok. | A zselatint és a hidrolizált fehérjét a X. melléklet II. fejezetének 5. szakaszával összhangban kellett előállítani. | a) A 206/2010/EU rendelet II. mellékletének 1. részében felsorolt harmadik országok, valamint az alábbi országok: (KR) Dél-Korea (MY) Malajzia (PK) Pakisztán (TW) Tajvan (EG) Egyiptom b) Halból származó zselatin és hidrolizált fehérjék esetében: A 2006/766/EK határozat II. mellékletében felsorolt harmadik országok. | a) Zselatin esetében: XV. melléklet, 11. fejezet. b) Hidrolizált fehérje esetében: XV. melléklet, 12. fejezet. |
6 | Dikalcium-foszfát | A 10. cikk a), b), d), e), f), g), h), i), j), és k) pontjában említett, 3. kategóriába tartozó anyagok. | A dikalcium-foszfátot a X. melléklet II. fejezetének 6. szakaszával összhangban kellett előállítani. | A 206/2010/EU rendelet II. mellékletének 1. részében felsorolt harmadik országok, valamint az alábbi országok: (KR) Dél-Korea (MY) Malajzia (PK) Pakisztán (TW) Tajvan. | XV. melléklet, 12. fejezet. |
7 | Trikalcium-foszfát | A 10. cikk a), b), d), e), f), g), h), i), és k) pontjában említett, 3. kategóriába tartozó anyagok. | A trikalcium-foszfátot a X. melléklet II. fejezetének 7. szakaszával összhangban kellett előállítani. | A 206/2010/EU rendelet II. mellékletének 1. részében felsorolt harmadik országok, valamint az alábbi országok: (KR) Dél-Korea (MY) Malajzia (PK) Pakisztán (TW) Tajvan. | XV. melléklet, 12. fejezet. |
8 | Kollagén | A 10. cikk a), b), e), f), g), i) és j) pontjában említett, 3. kategóriába tartozó anyagok. | A kollagént a X. melléklet II. fejezetének 8. szakaszával összhangban kellett előállítani. | A 206/2010/EU rendelet II. mellékletének 1. részében felsorolt harmadik országok, valamint az alábbi országok: (KR) Dél-Korea (MY) Malajzia (PK) Pakisztán (TW) Tajvan. | XV. melléklet, 11. fejezet. |
9 | Tojástermékek | A 10. cikk e) pontjában, f) pontjában és k) pontjának ii. alpontjában említett, 3. kategóriába tartozó anyagok. | A tojástermékeket a X. melléklet II. fejezetének 9. szakaszával összhangban kellett előállítani. | A 206/2010/EU rendelet II. mellékletének 1. részében felsorolt harmadik országok, valamint a 798/2008/EK rendelet I. mellékletének 1. részében felsorolt azon harmadik országok vagy harmadik országok területei, ahonnan a tagállamok engedélyezik a friss baromfihús, tojás és tojástermékek behozatalát. | XV. melléklet, 15. fejezet. |
2. szakasz
A feldolgozott állati fehérje - beleértve a keverékeket és az ilyen fehérjét tartalmazó állateledelen kívüli termékeket is - és az ilyen fehérjét tartalmazó, a 767/2009/EK rendelet 3. cikke (2) bekezdésének h) pontjában meghatározott összetett takarmányok behozatala
A feldolgozott állati fehérjék behozatalára az alábbi követelményeket kell alkalmazni:
1. Mielőtt a szállítmányokat az Unión belül szabad forgalomba bocsátják, az illetékes hatóságnak az állat-egészségügyi határállomáson mintát kell vennie a behozott szállítmányokból a X. fejezet I. fejezetében meghatározott követelmények betartatásának biztosítása érdekében.
Az illetékes hatóságnak:
a) mintát kell vennie valamennyi ömlesztettáru-szállítmányból;
b) szúrópróbaszerűen mintát kell vennie a származási gyártóüzemben csomagolt termékek szállítmányaiból.
2. Az 1. ponttól eltérve, amennyiben egy adott harmadik országból származó ömlesztettáru-szállítmányok esetében végzett, hat egymást követő teszt negatív eredményre vezet, az állat-egészségügyi határállomás illetékes hatósága az adott harmadik országból származó további szállítmányok esetében áttérhet a szúrópróbaszerű mintavételre.
Amennyiben az ilyen szúrópróbaszerű mintavételek egyike pozitív eredményt ad, a mintavételt végző illetékes hatóságnak értesítenie kell a származási harmadik ország illetékes hatóságát, hogy az megtehesse a megfelelő korrekciós intézkedéseket.
A származási harmadik ország illetékes hatóságának tájékoztatnia kell ezen intézkedésekről a mintavételt végző illetékes hatóságot.
Amennyiben ugyanazon származású termékek esetében még egy pozitív eredmény adódik, az állat-egészségügyi határállomás illetékes hatóságának valamennyi, ugyanazon származású szállítmányból mintát kell vennie mindaddig, amíg hat egymást követő teszt ismét negatív eredményre nem vezet.
3. Az illetékes hatóságoknak - legalább három éven át - valamennyi, mintavételnek alávetett szállítmányra vonatkozóan meg kell őrizniük a mintavételi eredmények nyilvántartását.
4. Ha egy az Unióba behozott szállítmány Salmonellára pozitív eredményt ad, vagy ha nem felel meg a X. melléklet I. fejezetében az Enterobacteriaceae baktériumcsaládra vonatkozóan meghatározott mikrobiológiai szabványoknak, akkor azt vagy:
a) a 97/78/EK irányelv 17. cikke (2) bekezdésének a) pontjában meghatározott eljárással összhangban kell kezelni; vagy
b) egy feldolgozóüzemben újra fel kell dolgozni vagy mentesíteni kell a kórokozóktól az illetékes hatóság által engedélyezett kezeléssel. Az érintett szállítmányt nem lehet kibocsátani mindaddig, amíg azt nem kezelték, és az illetékes hatóság a X. melléklet I. fejezetével összhangban elvégzett - szükség szerint - Salmonella- vagy Enterobacteriaceae-tesztre negatív eredményt nem kapott.
5. A tenyésztett rovarokból származó feldolgozott állati fehérje behozható az Unióba, amennyiben előállítása a következő feltételeknek megfelelően történt:
a) a rovarok a következő fajokba tartoznak:
- fekete katonalégy (Hermetia illucens) és közönséges házilégy (Musca domestica),
- közönséges lisztbogár (Tenebrio molitor) és penészevő gabonabogár (Alphitobius diaperinus),
- házi tücsök (Acheta domesticus), sávos tücsök (Gryllodes sigillatus) és banántücsök (Gryllus assimilis).
b) a rovarok takarmányozására szolgáló szubsztrát csak nem állati eredetű termékeket vagy a 3. kategóriába tartozó, következő állati eredetű termékeket tartalmazhatja:
- halliszt;
- nem kérődzőkből származó vérkészítmények;
- állati eredetű di- és trikalcium-foszfát;
- nem kérődzőkből származó hidrolizált fehérjék;
- kérődzők nyersbőréből és irhájából származó hidrolizált fehérjék;
- nem kérődzőkből származó kollagén és zselatin;
- tojás és tojástermékek;
- tej, tejalapú termékek, tejből származó termékek, és kolosztrum;
- méz;
- kiolvasztott zsírok.
c) A rovarok takarmányozására szolgáló szubsztrát, valamint a rovarok vagy a lárváik nem érintkeztek más, a b) pontban felsoroltaktól eltérő állati eredetű anyaggal, és a szubsztrát nem tartalmazott trágyát, étkezési hulladékot vagy más hulladékot.
3. szakasz
Kiolvasztott zsírok behozatala
A kiolvasztott zsírok behozatalára az alábbi követelményeket kell alkalmazni:
A kiolvasztott zsír:
a) részben vagy egészben sertésből nyert nyersanyagból és olyan harmadik országból vagy harmadik ország területének olyan részéről származik, amelyben az utolsó 24 hónapban nem fordult elő ragadós száj- és körömfájás, és amelyben az utolsó 12 hónapban nem fordult elő klasszikus sertéspestis és afrikai sertéspestis;
b) részben vagy egészben baromfiból nyert nyersanyagból és olyan harmadik országból vagy harmadik ország olyan területéről származnak, amelyben az utolsó hat hónapban nem fordult elő Newcastle-betegség és madárinfluenza;
c) részben vagy egészben kérődzőkből nyert nyersanyagból és olyan harmadik országból vagy harmadik ország területének olyan részéről származik, amelyben az utolsó 24 hónapban nem fordult elő ragadós száj- és körömfájás, és amelyben az utolsó 12 hónapban nem fordult elő keleti marhavész;
d) ahol az a), b) és c) pontban említett betegségek valamelyike megjelent az említett pontokban megadott vonatkozó időszakban, átesett az alábbi hőkezelések egyikén:
i. legalább 70 °C-on legalább 30 percen keresztül, vagy
ii. legalább 90 °C-on legalább 15 percen keresztül.
A kritikus ellenőrzési pontokra vonatkozó adatokat az üzemeltetőknek fel kell jegyezniük és meg kell őrizniük, hogy a tulajdonos, az üzemeltető vagy ezek képviselője, illetve - szükség esetén - az illetékes hatóság figyelemmel kísérhesse az üzem működését; különösen a részecskenagyságra, a kritikus hőmérsékletre és - adott esetben - az abszolút időre, a nyomás alakulására, a nyersanyag adagolásának és a zsír újrafelhasználásának ütemére vonatkozó adatokat kell feljegyezni és megőrizni.
4. szakasz
Tej, tejalapú termékek, tejből származó termékek, kolosztrum és kolosztrumtartalmú termékek behozatala
A. A tej, a tejalapú termékek, a tejből származó termékek, a kolosztrum és a kolosztrumtartalmú termékek behozatalára az alábbi követelményeket kell alkalmazni:
1. A tej, a tejalapú termékek és a tejből származó termékek:
a) átestek a X. melléklet II. fejezete 4. szakaszának I. része 1.1., 1.2. és 1.3. pontjában és a B.1.4. pontja a) alpontjában meghatározott kezelések legalább egyikén;
b) megfelelnek a X. melléklet II. fejezete 4. szakaszának I. része B.2. és B.4., valamint - a tejsavó esetében - B.3. pontjának.
2. A X. melléklet II. fejezete 4. szakaszának I. része B.1.4. pontjától eltérve tej, tejalapú termékek és tejből származó termékek behozhatók a 605/2010/EU határozat I. melléklete "A" oszlopában jóváhagyott harmadik országokból, feltéve hogy a tej, a tejalapú termékek, illetve tejből származó termékek egyetlen HTST-kezelésen estek át, és:
a) nem szállították el azokat addig, amíg legalább 21 nap nem telt el az előállítás után, és ez idő alatt az exportáló harmadik országban nem észleltek ragadós száj- és körömfájás betegséget; vagy
b) legalább 21 nappal az előállítást követően bemutatták az Unióba való belépés helye szerinti állat-egészségügyi határállomáson, és ez idő alatt az exportáló országban nem észleltek ragadós száj- és körömfájás betegséget.
B. A kolosztrum és kolosztrumtartalmú termékek behozatalára az alábbi követelményeket kell alkalmazni:
1. Az anyagok átestek egyetlen HTST-kezelésen, és:
a) nem adták fel őket addig, amíg legalább 21 nap el nem telt az előállítás után, és ez idő alatt az exportáló harmadik országban nem észleltek ragadós száj- és körömfájás betegséget; vagy
b) legalább 21 nappal az előállítást követően bemutatták az Unióba való belépés helye szerinti állat-egészségügyi határállomáson, és ez idő alatt az exportáló országban nem észleltek ragadós száj- és körömfájás betegséget.
2. Az anyagokat olyan szarvasmarhafélékből nyerték ki, amelyeken rendszeresen állat-egészségügyi vizsgálatokat végeztek annak biztosítására, hogy az állatok olyan gazdaságokból származzanak, ahol minden szarvasmarha-állományt:
a) a 64/432/EGK irányelv 2. cikke (2) bekezdésének d) és f) pontjában szereplő fogalommeghatározások szerint hivatalosan tuberkulózismentesként vagy hivatalosan brucellózismentesként ismerik el, vagy amely a tuberkulózis és a brucellózis felszámolása tekintetében a kolosztrum származási harmadik országának nemzeti jogszabályai értelmében nem áll korlátozás alatt; valamint
b) vagy a 64/432/EGK irányelv 2. cikke (2) bekezdésének j) pontjában szereplő fogalommeghatározás szerint hivatalosan enzootikus szarvasmarha-leukózistól mentesként van elismerve, vagy felvették a szarvasmarhák enzootikus leukózisa elleni védekezésre vonatkozó hatósági rendszerbe, és az elmúlt két évben az állományban sem klinikai, sem laboratóriumi vizsgálat eredményeként megállapított bizonyíték sincs e betegség előfordulására.
3. A feldolgozást követően minden óvintézkedést meg kell tenni a kolosztrum és a kolosztrumtartalmú termékek fertőződésének elkerülése érdekében.
4. A végterméket címkével kell ellátni, amelyen szerepel, hogy a termék a 3. kategóriába tartozó anyagot tartalmaz, és nem emberi fogyasztásra szánták, valamint:
a) új tárolóedényekbe kell csomagolni; vagy
b) ömlesztett áruként olyan tárolóedényekben vagy egyéb szállítóeszközben szállították, amelyeket használat előtt alaposan kitisztítottak és fertőtlenítettek.
5. szakasz
Haszonállatok takarmányozására szánt vértermékek behozatala
A sertésfélékből nyert és sertésfélék takarmányozására szánt vértermékek, köztük a porlasztva szárított vér és vérplazma behozatalára az alábbi követelmények vonatkoznak:
E származtatott termékeket:
a) hőkezelésnek kell alávetni, amely során az anyag teljes egészében legalább 80 °C-ra hevül fel, és a szárított vér és vérplazma nedvességtartalma legfeljebb 8 %, melynek vízaktivitása (Aw) kevesebb mint 0,60;
b) legalább 6 hétig száraz raktári körülmények között, szobahőmérsékleten kell tárolni.
II. FEJEZET
A HASZONÁLLATOK TÁPLÁLÉKLÁNCÁN KÍVÜLI CÉLOKRA SZÁNT ÁLLATI MELLÉKTERMÉKEK ÉS AZOKBÓL SZÁRMAZÓ TERMÉKEK BEHOZATALÁRA AZ UNIÓBA ÉS ÁTSZÁLLÍTÁSUKRA VONATKOZÓ EGYEDI KÖVETELMÉNYEK
1. szakasz
Egyedi követelmények
Az 1069/2009/EK rendelet 41. cikke (1) bekezdésének a) pontjában, (2) bekezdése c) pontjában és 41. cikkének (3) bekezdésében foglaltaknak megfelelően az alábbi egyedi követelményeket kell alkalmazni a haszonállatok takarmányláncától eltérő célokra szánt állati melléktermékek és azokból származó termékek importált szállítmányaira, valamint az ilyen termékek szállítmányainak tranzitszállítására:
a) a 2. táblázat "nyersanyagok" oszlopában megadott állati melléktermékekből kell állniuk vagy azokból kellett készülniük;
b) meg kell felelniük a 2. táblázat "behozatal és tranzitszállítás feltételei" oszlopában meghatározott behozatali és tranzitszállítási feltételeknek;
c) a 2. táblázat "harmadik országok jegyzékei" oszlopában felsorolt harmadik országból vagy harmadik ország területéről kell érkezniük;
d) a harmadik ország illetékes hatósága által nyilvántartásba vett vagy engedélyezett olyan létesítményből vagy üzemből kell származniuk, amely szerepel az ilyen létesítmények és üzemek 30. cikkben említett jegyzékében; valamint
e) azokat:
i. az Unióba történő belépés helyéhez - ahol az állat-egészségügyi vizsgálatot elvégzik - történő szállításuk során az 2. táblázat "bizonyítványok/okmányminták" oszlopában megadott egészségügyi bizonyítványnak kell kísérnie; vagy
ii. az Unióba történő belépés helyén - ahol az állat-egészségügyi vizsgálatot elvégzik - a 2. táblázat "bizonyítványok/dokumentumminták" oszlopában megadott mintának megfelelő okmány kíséretében kell bemutatni.
2. táblázat
Sorszám | Termék | Nyersanyagok (hivatkozás az 1069/2009/EK rendelet rendelkezéseire) | Behozatali és átszállítási feltételek | Harmadik országok jegyzékei | Bizonyítványok/okmányminták |
1 | Feldolgozott trágya, feldolgozott trágyából származó termékek és denevérek guanója | A 9. cikk a) pontjában említett, 2. kategóriába tartozó anyag | A feldolgozott trágyát, a feldolgozott trágyából származó termékeket és a denevérguanót a XI. melléklet I. fejezetének 2. szakaszával összhangban kellett előállítani. | Az alábbiakban felsorolt harmadik országok: a) A 206/2010/EU rendelet II. mellékletének 1. része; b) A 2004/211/EK határozat I. melléklete; vagy c) A 798/2008/EU rendelet I. mellékletének 1. része. | XV. melléklet, 17. fejezet. |
2 | A haszonállatok táplálékláncán kívüli célokra szánt, állati melléktermékekből származó termékek előállítására szánt vértermékek (kivéve a lófélékből származó vértermékeket) | A 8. cikk c) és d) pontjában említett, 1. kategóriába tartozó anyag, és a 10. cikk a), b), d) és h) pontjában említett, 3. kategóriába tartozó anyag. | A vértermékeket a 2. szakasszal összhangban kellett előállítani. | A következő harmadik országok: a) patás állatokból származó kezeletlen vértermékek esetében: A 206/2010/EU rendelet II: mellékletének 1. részében felsorolt azon harmadik országok vagy harmadik országok azon területei, ahonnan valamennyi háziasított patás állatfaj friss húsának behozatal engedélyezett és kizárólag az említett rész 7. és 8. oszlopában feltüntetett időszakokban. Japán. b) baromfifélékből és más madárfajokból származó kezeletlen vértermékek esetében: A 798/2008/EK határozat I. mellékletének 1. részében felsorolt harmadik országok vagy harmadik országok területei. Japán. c) egyéb állatokból származó kezeletlen vértermékek esetében: A 206/2010/EU rendelet II. mellékletének 1. részében, a 798/2008/EK rendelet I. mellékletének 1. részében, vagy a 119/2009/EK rendelet I. mellékletének 1. részében felsorolt harmadik országok. Japán. d) bármely állatfajból származó kezeletlen vértermékek esetében: A 206/2010/EU rendelet II. mellékletének 1. részében, a 798/2008/EK rendelet I. mellékletének 1. részében, vagy a 119/2009/EK rendelet I. mellékletének 1. részében felsorolt harmadik országok. Japán. | a) Kezeletlen vértermékek esetében: XV. melléklet, 4(C) fejezet. b) Kezelt vértermékek esetében: XV. melléklet, 4(D) fejezet. |
3 | Lófélékből származó vér és vértermékek | A 10. cikk a), b), d) és h) pontjában említett, 3. kategóriába tartozó anyagok. | A vérnek és vértermékeknek meg kell felelnie a 3. szakaszban meghatározott követelményeknek. | A következő harmadik országok: a) A XIII. melléklet IV. fejezetének 1. pontjával összhangban gyűjtött vér vagy az említett fejezet 2. pontja b) alpontja i. alpontjával összhangban előállított vértermékek esetében: A 2004/211/EK határozat I. mellékletében felsorolt harmadik országok vagy harmadik országok területei, ahonnan a tenyésztési és termelési célú lófélék behozatala engedélyezett. b) A XIII. melléklet IV. fejezete 2. pontja b) alpontja ii. alpontjának megfelelően kezelt vértermékek esetében: A 206/2010/EU rendelet II. mellékletének 1. részében felsorolt harmadik országok, ahonnan a tagállamok engedélyezik a háziasított lófélék friss húsának behozatalát. | XV. melléklet, 4(A) fejezet. |
4 | Patás állatok friss vagy hűtött nyersbőre vagy irhája | A 10. cikk a) pontjában és b) pontjának iii. alpontjában említett, 3. kategóriába tartozó anyagok. | A nyersbőrnek és irhának meg kell felelnie a 4. szakasz 1. és 4. pontjában meghatározott követelményeknek. | A nyersbőr és irha harmadik országból származik, vagy – az uniós jogszabályoknak megfelelő regionalizáció esetén – a 206/2010/EU rendelet II. mellékletének 1. részében felsorolt valamely harmadik ország azon területe, ahonnan a tagállamok engedélyezik az ugyanazon fajból származó friss hús behozatalát. | XV. melléklet, 5(A) fejezet. |
5 | Patás állatok kezelt nyersbőre és irhája | A 10. cikk a) pontjában, b) pontjának i. és iii. alpontjában és n) pontjában említett, 3. kategóriába tartozó anyagok. | A nyersbőrnek és irhának meg kell felelnie a 4. szakasz 2., 3. és 4. pontjában meghatározott követelményeknek. | a) Patás állatok kezelt nyersbőre és irhája esetében: A 206/2010/EU rendelet II. mellékletének 1. részében felsorolt harmadik országok vagy harmadik országok területei. b) Kérődző állatokból származó olyan kezelt nyersbőr és irha esetében, amelyet az Európai Unióba történő szállításra szánnak, és amelyet a behozatal előtt 21 napig elkülönítve tartottak vagy 21 napig megszakítás nélkül szállítani fognak: Bármely harmadik ország. | a) Patás állatokból származó olyan kezelt nyersbőr és irha esetében, amely eltér az 4. szakasz 2. pontjában meghatározott követelményeknek megfelelő nyersbőrtől és irhától: XV. melléklet, 5(B) fejezet. b) Kérődző állatokból és lófélékből származó olyan kezelt nyersbőr és irha esetében, amelyet az Európai Unióba történő szállításra szánnak, és amelyet a behozatal előtt 21 napig elkülönítve tartottak vagy 21 napig megszakítás nélkül szállítani fognak: A XV. melléklet 5(C) fejezetében meghatározott hivatalos nyilatkozat. c) Patás állatokból származó olyan kezelt nyersbőr és irha esetében, amely megfelel a 4. szakasz 2. pontjában meghatározott követelményeknek: Bizonyítvány nem szükséges. |
6 | Vadásztrófeák és egyéb, állati eredetű preparátumok | A 9. cikk f) pontjában említett, 2. kategóriába tartozó anyagok, amelyek emberre vagy állatra átvihető betegséggel feltételezhetően nem fertőzött vadon élő állatokból származnak, valamint a 10. cikk a) pontjában, b) pontjának i., iii. és v. alpontjában és n) pontjában említett, 3. kategóriába tartozó anyagok. | A vadásztrófeáknak és egyéb preparátumoknak meg kell felelniük az 5. szakaszban meghatározott követelményeknek. | a) Az 5. szakasz 2. pontjában említett vadásztrófeák és egyéb preparátumok esetében: Bármely harmadik ország. b) Az 5. szakasz 3. pontjában említett vadásztrófeák és egyéb preparátumok esetében: i. Madár eredetű vadásztrófeák: A 798/2008/EK rendelet I. mellékletének 1. részében felsorolt azon harmadik országok, ahonnan a tagállamok engedélyezik friss baromfihús behozatalát, valamint az alábbi országok: (GL) Grönland (TN) Tunézia. ii. Patás állatokból származó vadásztrófeák: A 206/2010/EU rendelet II. mellékletének 1. részében a patás állatok friss húsára vonatkozó oszlopokban felsorolt harmadik országok, beleértve a különleges megjegyzéseket tartalmazó oszlopban felsorolt, a friss húsra vonatkozó esetleges korlátozásokat. | a) Az 5. szakasz 2. pontjában említett vadásztrófeák esetében: XV. melléklet, 6(A) fejezet. b) Az 5. szakasz 3. pontjában említett vadásztrófeák esetében: XV. melléklet, 6(B) fejezet. c) Az 5. szakasz 1. pontjában említett vadásztrófeák esetében: Bizonyítvány nem szükséges. |
7 | Sertéssörte | A 10. cikk b) pontjának iv. alpontjában említett, 3. kategóriába tartozó anyagok. | A sertéssörtének a származási harmadik országból származó és ott vágóhídon levágott állatokból kell származnia. | a) Kezeletlen sertéssörte esetében: A 206/2010/EU rendelet II. mellékletének 1. részében felsorolt harmadik országok vagy – regionalizáció esetén – azok régiói, ahol a behozatalt megelőző 12 hónapban nem fordult elő afrikai sertéspestis. b) Kezelt sertéssörte esetében: A 206/2010/EU rendelet II. mellékletének 1. részében felsorolt harmadik országok, ahol a behozatal időpontját megelőző 12 hónapban előfordulhatott afrikai sertéspestis. | a) Ha az előző 12 hónapban nem fordult elő afrikai sertéspestis: XV. melléklet, 7(A) fejezet. b) Ha az előző 12 hónapban egy vagy két esetben előfordult afrikai sertéspestis: XV. melléklet, 7(B) fejezet. |
8 | Sertésféléktől különböző állatokból származó kezeletlen gyapjú és szőr | A 10. cikk h) és n) pontjában említett, 3. kategóriába tartozó anyagok. | (1) A száraz, kezeletlen gyapjút és szőrt a) biztonságos, zárt csomagolással kell ellátni; valamint b) közvetlenül egy, a takarmányláncon kívüli célokra szánt származtatott termékeket előállító üzembe, vagy köztes műveleteket végző üzembe kell küldeni, a kórokozók terjedését megakadályozó körülmények között. | (1) Bármely harmadik ország. | (1) Kezeletlen gyapjú és szőr behozatala esetén nincs szükség egészségügyi bizonyítványra. |
(2) Gyapjú és szőr: a 25. cikk (2) bekezdésének e) pontjában meghatározott gyapjú és szőr. | (2) Harmadik ország vagy harmadik országbeli régió: a) szerepel a 206/2010/EU rendelet II. mellékletének 1. részében található listán, és melyből engedélyezett az abban meghatározott „A” és „F” kiegészítő garanciák hatálya alá nem tartozó kérődzők friss húsának Unióba történő behozatala; valamint b) mentes a ragadós száj- és körömfájástól, továbbá kecskétől vagy juhtól származó gyapjú vagy szőr esetén a juh-, illetve kecskehimlőtől is, a 2004/68/EK tanácsi irányelv II. mellékletének megfelelően. | (2) Be kell nyújtani a XV. melléklet 21. fejezetében megadottat szerinti importőri nyilatkozatot. | |||
9 | Kezelt toll, tollrészek és pihe | A 10. cikk b) pontjának v. alpontjában, valamint h) és n) pontjában említett, 3. kategóriába tartozó anyagok. | A kezelt tollnak és tollrészeknek meg kell felelnie a 6. szakaszban meghatározott követelményeknek. | Bármely harmadik ország. | Kezelt toll, tollrészek és pihe behozatala esetén nincs szükség egészségügyi bizonyítványra. |
10 | Méhészeti melléktermékek | A 10. cikk e) pontjában említett, 3. kategóriába tartozó anyagok. | a) A lép formában lévő méhviasztól eltérő, méhészeti célokra szánt méhészeti melléktermékek esetében: i. A méhészeti melléktermékeket legfeljebb –12 °C hőmérsékleten tárolták legalább 24 órán keresztül; vagy ii. Méhviasz esetében az anyagot a IV. melléklet III. fejezetében meghatározott 1–5. vagy 7. feldolgozási módszer valamelyikével feldolgozták és a behozatal előtt finomították. b) A haszonállatok takarmányozásától eltérő célra szánt, lép formájában lévő méhviasztól eltérő méhviasz esetében azt a behozatal előtt finomították, vagy a IV. melléklet III. fejezetében meghatározott 1–5. vagy 7. feldolgozási módszer valamelyikével feldolgozták. | a) Méhészeti célra szánt méhészeti melléktermékek esetében: A 206/2010/EU rendelet II. mellékletének 1. részében felsorolt harmadik országok, valamint a következő ország: (CM) Kamerun. b) Haszonállatok takarmányozásától eltérő célra szánt méhviasz esetében: Bármely harmadik ország. | a) Méhészeti célra szánt méhészeti melléktermékek esetében: XV. melléklet, 13. fejezet. b) Haszonállatok takarmányozásától eltérő célra szánt méhviasz esetében: A finomítást vagy feldolgozást igazoló kereskedelmi okmány. |
11 | Takarmányként, szerves trágyaként és talajjavító szerként történő felhasználástól eltérő célra szánt csont és csonttermékek (kivéve a csontlisztet), szarv és szarvtermékek (kivéve a szarulisztet), valamint pata és patatermékek | A 10. cikk a) pontjában, b) pontjának i. és iii. alpontjában, valamint e) és n) pontjában említett, 3. kategóriába tartozó anyagok. | A termékeknek meg kell felelniük a 7. szakaszban meghatározott követelményeknek. | Bármely harmadik ország. | A termékeket az alábbi dokumentumoknak kell kísérnie: a) a 7. szakasz 2. pontjában meghatározott kereskedelmi okmány; és b) az importőr által a XV. melléklet 16. fejezetének megfelelően tett nyilatkozata annak a tagállamnak legalább egy hivatalos nyelvén, amelyen keresztül a szállítmány először belép az Unióba, valamint a rendeltetési tagállam legalább egy hivatalos nyelvén. |
12 | Kedvtelésből tartott állatok eledele, beleértve a műcsontot | a) Kedvtelésből tartott állatok feldolgozott eledele és műcsontok esetében: a 35. cikk a) pontjának i. és ii. alpontjában említett anyagok. b) Kedvtelésből tartott állatok nyers eledele esetében: a 35. cikk a) pontjának iii. alpontjában említett anyagok. | A kedvtelésből tartott állatok eledelét és a műcsontot a XIII. melléklet II. fejezetével összhangban kellett előállítani. | a) Kedvtelésből tartott állatok nyers eledele esetében: A 206/2010/EU rendelet II. mellékletének 1. részében vagy a 798/2008/EK rendelet I. mellékletében felsorolt azon harmadik országok, amelyekből a tagállamok engedélyezik az ugyanazon állatfajból származó friss hús behozatalát, feltéve, hogy csak a csontos hús behozatala engedélyezett. Halból származó anyagok esetében a 2006/766/EK határozat II. mellékletében felsorolt harmadik országok. b) Műcsont és kedvtelésből tartott állatok eledele a nyers eledel kivételével: A 206/2010/EU rendelet II. mellékletének 1. részében felsorolt harmadik országok, valamint az alábbi országok: (JP) Japán (EC) Ecuador (LK) Sri Lanka (TW) Tajvan (SA) Szaúd-Arábia (kizárólag kedvtelésből tartott állatok baromfiból származó feldolgozott eledele) Halból származó anyagokból előállított, kedvtelésből tartott állatoknak szánt feldolgozott eledel esetében a 2006/766/EK határozat II. mellékletében felsorolt harmadik országok. | a) Kedvtelésből tartott állatok konzervált eledele esetében: a XV. melléklet 3(A) fejezete. b) Kedvtelésből tartott állatok feldolgozott eledele esetében, kivéve a konzervált eledelt: a XV. melléklet 3(B) fejezete. c) Műcsont esetében: a XV. melléklet 3(C) fejezete. d) Kedvtelésből tartott állatok nyers eledele esetében: a XV. melléklet 3(D) fejezete. |
13 | Kedvtelésből tartott állatok eledelének előállítására szánt ízesítő belsőségek | A 35. cikk a) pontjában említett anyagok. | Az ízesítő belsőségeket a XIII. melléklet III. fejezetével összhangban kellett előállítani. | A 206/2010/EU rendelet II. mellékletének 1. részében felsorolt azon harmadik országok, ahonnan a tagállamok engedélyezik az ugyanazon állatfajból származó friss hús behozatalát, amennyiben kizárólag a csontos hús engedélyezett. Halból származó anyagokból előállított ízesítő belsőségek esetében a 2006/766/EK határozat II. mellékletében felsorolt harmadik országok. Baromfiból származó ízesítő belsőségek esetében a 798/2008/EK rendelet I. mellékletének 1. részében felsorolt azon harmadik országok, ahonnan a tagállamok engedélyezik friss baromfihús behozatalát. Bizonyos vadon élő szárazföldi emlősökből és nyúlfélékből származó ízesítő belsőségek esetében a 119/2009/EK rendelet I. mellékletének 1. részében felsorolt azon harmadik országok, amelyekből a tagállamok engedélyezik az ugyanazon állatfajból származó friss hús behozatalát. | XV. melléklet, 3(E) fejezet. |
14 | Kedvtelésből tartott állatok eledelének (kivéve a kedvtelésből tartott állatok nyers eledelét), valamint a takarmányláncon kívüli célra szánt, állati melléktermékekből származó termékek előállítására szánt állati melléktermékek | a) A 10. cikk a)–m) pontjában említett, a 3. kategóriába tartozó anyagok. b) Kedvtelésből tartott állatok eledelének előállítására szánt anyagok esetében a 8. cikk c) pontjában említett, 1. kategóriába tartozó anyagok. c) Származtatott termékek előállítására szánt prém esetében a 10. cikk n) pontjában említett, 3. kategóriába tartozó anyagok. | A termékeknek meg kell felelniük a 8. szakaszban meghatározott követelményeknek. | a) Kedvtelésből tartott állatok eledelének előállítására szánt állati melléktermékek esetében: i. Szarvasmarhafélékből, juhfélékből, kecskefélékből, sertésfélékből és lófélékből – beleértve a haszonállatokat és a vadon élő állatokat is – származó állati melléktermékek esetében: A 206/2010/EU rendelet II. mellékletének 1. részében felsorolt harmadik országok vagy harmadik országok területei, amelyekből az emberi fogyasztásra szánt friss hús behozatala engedélyezett. ii. Baromfifélékből – beleértve a laposmellű futómadarakat is – származó nyersanyag: A 798/2008/EK határozat I. mellékletének 1. részében felsorolt azon harmadik országok vagy harmadik országok területei, ahonnan a tagállamok engedélyezik a friss baromfihús behozatalát. iii. Halból származó nyersanyag: A 2006/766/EK határozat II. mellékletében felsorolt harmadik országok. iv. Más szárazföldi vadakból és nyúlfélékből származó nyersanyag: A 206/2010/EU rendelet II. mellékletének 1. részében vagy a 798/2008/EK rendelet I. mellékletének 1. részében felsorolt harmadik országok. b) Gyógyszerek előállítására szánt állati melléktermékek esetében: A 206/2010/EU rendelet II. mellékletének 1. részében, a 798/2008/EK rendelet I. mellékletének 1. részében, vagy a 119/2009/EK rendelet I. mellékletének 1. részében felsorolt harmadik országok, valamint a következő harmadik országok: (JP) Japán (PH) Fülöp-szigetek (TW) Tajvan. c) A haszonállatok takarmányláncán kívüli felhasználásra szánt termékek – a gyógyszerek kivételével – előállítására szánt állati melléktermékek esetében: A 206/2010/EU rendelet II. mellékletének 1. részében felsorolt azon harmadik országok, amelyekből az érintett állatfajból származó friss hús behozatala engedélyezett, a 798/2008/EK rendelet I. mellékletének 1. részében és a 119/2009/EK rendelet I. mellékletének 1. részében felsorolt harmadik országok, vagy – halból származó anyagok esetében – a 2006/766/EK határozat II. mellékletében felsorolt harmadik országok. | a) Kedvtelésből tartott állatok feldolgozott eledelének előállítására szánt állati melléktermékek esetében: XV. melléklet, 3(F) fejezet. b) A haszonállatok takarmányláncán kívüli felhasználásra szánt termékek előállítására szánt állati melléktermékek esetében: XV. melléklet, 8. fejezet. |
15 | Kedvtelésből tartott állatok nyers eledeleként történő felhasználásra szánt állati melléktermékek | A 10. cikk a) pontjában és b) pontjának i. és ii. alpontjában említett, a 3. kategóriába tartozó anyagok. | A termékeknek meg kell felelniük a 8. szakaszban meghatározott követelményeknek. | A 206/2010/EU rendelet II. mellékletének 1. részében, vagy a 798/2008/EK rendelet I. mellékletében felsorolt azon harmadik országok, ahonnan a tagállamok engedélyezik az ugyanazon állatfajból származó friss hús behozatalát, amennyiben kizárólag a csontos hús engedélyezett. Halból származó anyagok esetében a 2006/766/EK határozat II. mellékletében felsorolt harmadik országok. | XV. melléklet, 3(D) fejezet. |
16 | Prémes állatok takarmányában történő felhasználásra szánt állati melléktermékek | A 10. cikk a)–m) pontjában említett, 3. kategóriába tartozó anyagok | A termékeknek meg kell felelniük a 8. szakaszban meghatározott követelményeknek. | A 206/2010/EU bizottsági rendelet II. mellékletének 1. részében vagy a 798/2008/EK rendelet I. mellékletében felsorolt azon harmadik országok, ahonnan a tagállamok engedélyezik az ugyanazon állatfajból származó friss hús behozatalát, amennyiben kizárólag a csontos hús engedélyezett. Halból származó anyagok esetében a 2006/766/EK határozat II. mellékletében felsorolt harmadik országok. | XV. melléklet, 3(D) fejezet. |
17 | Haszonállatok takarmányláncán kívüli bizonyos célokra szánt kiolvasztott zsírok | a) Biodízel, olajkémiai termékek és a IV. melléklet IV. fejezete 2. szakaszának L. pontja szerinti megújuló üzemanyagok előállítására szánt anyagok esetében: A 8., a 9. és a 10. cikkben említett, az 1., a 2., illetve a 3. kategóriába tartozó anyagok. b) A IV. melléklet IV. fejezete 2. szakaszának J. pontjában említett megújuló üzemanyagok előállítására szánt anyagok esetében: A 9. és a 10. cikkben említett, a 2., illetve a 3. kategóriába tartozó anyagok. c) Szerves trágyák és talajjavító szerek előállítására szánt anyagok esetében: A 9. cikk c) és d) pontjában, valamint f) pontjának i. alpontjában említett, a 2. kategóriába tartozó anyagok, valamint a 10. cikknek a c) és a p) ponton kívüli pontjaiban említett, a 3. kategóriába tartozó anyagok. d) Egyéb célokra szánt anyagok esetében: A 8. cikk b), c) és d) pontjában említett, az 1. kategóriába tartozó anyagok, a 9. cikk c) és d) pontjában, valamint f) pontjának i. alpontjában említett, a 2. kategóriába tartozó anyagok, valamint a 10. cikknek a c) és a p) ponton kívüli pontjaiban említett, a 3. kategóriába tartozó anyagok. | A kiolvasztott zsíroknak meg kell felelniük a 9. szakaszban meghatározott követelményeknek. | A 206/2010/EU rendelet II. mellékletének 1. részében, valamint – halból származó anyagok esetében – a 2006/766/EK határozat II. mellékletében felsorolt harmadik országok. | XV. melléklet, 10(B) fejezet. |
18 | Zsírszármazékok | a) A haszonállatok takarmányláncán kívüli felhasználásra szánt zsírszármazékok esetében: A 8. cikk b), c) és d) pontjában említett, az 1. kategóriába tartozó anyagok, a 9. cikk c) és d) pontjában, valamint f) pontjának i. alpontjában említett, a 2. kategóriába tartozó anyagok, valamint a 10. cikkben említett, a 3. kategóriába tartozó anyagok. b) Takarmányként való felhasználásra szánt zsírszármazékok esetében: a 10. cikk n), o) és p) pontjában említett anyagoktól eltérő, a 3. kategóriába tartozó anyagok; | A zsírszármazékoknak meg kell felelniük a 10. szakaszban meghatározott követelményeknek. | Bármely harmadik ország. | a) A haszonállatok takarmányláncán kívüli felhasználásra szánt zsírszármazékok esetében: XV. melléklet, 14(A) fejezet. b) Takarmányként való felhasználásra szánt zsírszármazékok esetében: XV. melléklet, 14(B) fejezet. |
19 | Fotózselatin | A 8. cikk b) pontjában említett, 1. kategóriába tartozó anyagok és a 10. cikkben említett, 3. kategóriába tartozó anyagok. | Az importált fotózselatinnak meg kell felelnie a 11. szakaszban meghatározott követelményeknek. | Fotózselatin kizárólag az Egyesült Államokban vagy Japánban működő, a 11. szakaszban foglaltakkal összhangban engedélyezett létesítményekből importálható. | XV. melléklet, 19. fejezet. |
20 | Szerves trágya vagy talajjavító szerek előállítására szánt szarv és szarvtermékek (kivéve a szarulisztet), valamint pata és patatermékek (kivéve a patalisztet) | A 10. cikk a), b), h) és n) pontjában említett, 3. kategóriába tartozó anyagok. | A termékeknek meg kell felelniük a 12. szakaszban meghatározott követelményeknek. | Bármely harmadik ország. | XV. melléklet, 18. fejezet. |
2. szakasz
A haszonállatok takarmányláncán kívüli célokra szánt származtatott termékek előállításához szükséges vér és vértermékek (a lófélékből származó vér és vértermékek kivételével) behozatala
Az alábbi követelményeket kell alkalmazni a haszonállatok takarmányláncán kívüli célokra szánt, állati melléktermékekből származó termékek előállítására használatos vér és vértermékek (a lófélékből származó vér és vértermékek kivételével) behozatalára:
1. A vértermékeknek a haszonállatok takarmányláncán kívüli felhasználásra szánt, állati melléktermékekből származó termékeket előállító, az e rendeletben megállapított különleges feltételeknek megfelelő üzemből, vagy a gyűjtő létesítményből kell származniuk.
2. A vért, amelyből haszonállatok takarmányláncán kívüli felhasználásra szánt, állati melléktermékekből származó termékek előállításához szükséges vértermékeket állítanak elő, állatorvosi felügyelet alatt kell begyűjteni:
a) olyan vágóhidakon,
i. amelyeket a 853/2004/EK rendeletnek megfelelően engedélyeztek; vagy
ii. amelyeket a begyűjtés helye szerinti ország illetékes hatósága engedélyezett és felügyelt; vagy
b) élő állatoktól, a begyűjtés helye szerinti ország illetékes hatósága által engedélyezett és felügyelt létesítményekben.
3.1. A haszonállatok takarmányláncán kívüli felhasználásra szánt származtatott termékek előállításához szükséges azon vértermékeknek, amelyeket a taxa Artiodactyla, Perissodactyla és Proboscidea fajhoz tartozó állatokból és azok keresztezésből származó állatokból nyertek, meg kell felelniük az a) vagy a b) pontban szereplő feltételeknek:
a) a termékeket az alábbi kezelések egyikének vetették alá, amelyek biztosítják, hogy a termék a b) pontban említett betegségek kórokozóitól mentes:
i. 65 °C-on és legalább három órán keresztül végzett hőkezelés, amelyet hatékonyságvizsgálat követ;
ii. 25 kGy erősségű gamma-sugaras besugárzás, amelyet hatékonyságvizsgálat követ;
iii. legalább 80 °C-os belső hőmérsékletet biztosító hőkezelés, amelyet hatékonyságvizsgálat követ;
iv. csak a Suidae és a Tayassuidae fajoktól eltérő állatok esetében: a pH-érték megváltoztatása 5-re, két órán keresztül, amelyet hatékonyságvizsgálat követ;
b) a nem az a) ponttal összhangban kezelt vértermékek esetében a termékeknek olyan harmadik országból vagy régióból kell származnia:
i. amelyben legalább 12 hónapja nem jegyeztek fel keleti marhavészt, kiskérődzők pestisét és Rift-völgyi lázat, és amelyben e betegségek ellen legalább 12 hónapja nem vakcináztak.
ii. amelyben legalább 12 hónapja nem jegyeztek fel ragadós száj- és körömfájás betegséget, és
- amelyben e betegség ellen legalább 12 hónapja nem vakcináztak; vagy
- amelyben a háziasított kérődzők körében legalább 12 hónapja a ragadós száj- és körömfájás ellen hatóságilag rendszeresen vakcinázási programokat hajtanak végre, és azokat ellenőrzik; ez esetben a 97/78/EK irányelvben előírt állat-egészségügyi ellenőrzéseket követően és az ugyanezen irányelv 8. cikkének (4) bekezdésében megállapított feltételekkel összhangban a termékeket közvetlenül a rendeltetési helyként szereplő létesítménybe vagy üzembe kell szállítani, és minden óvintézkedést - beleértve a hulladékok, fel nem használt vagy megmaradt anyagok biztonságos ártalmatlanítását - meg kell tenni a betegségek állatra vagy emberre történő átterjedésének megelőzése érdekében.
3.2. A Suidae és a Tayassuidae fajoktól eltérő állatok esetében a 3.1. pont b) alpontjának i. és ii. alpontján túlmenően az alábbi feltételek egyikét is teljesíteni kell:
a) a származási harmadik országban vagy régióban legalább 12 hónapja nem jegyeztek fel hólyagos szájgyulladást és kéknyelvbetegséget (beleértve szeropozitív állatok jelenlétét), és a fogékony fajok körében e betegségek ellen legalább 12 hónapig nem vakcináztak;
b) a 97/78/EK irányelvben előírt állat-egészségügyi ellenőrzéseket követően és az ugyanezen irányelv 8. cikkének (4) bekezdésében megállapított feltételekkel összhangban a termékeket közvetlenül a rendeltetési helyként szereplő üzembe kell szállítani, és minden óvintézkedést - beleértve a hulladékok, fel nem használt vagy megmaradt anyagok biztonságos ártalmatlanítását - meg kell tenni a betegségek állatokra vagy emberekre történő átterjedésének megelőzése érdekében.
3.3. A Suidae és a Tayassuidae fajok esetében a 3.1. pont b) alpontjának i. és ii. alpontján túlmenően, a származási harmadik országban vagy régióban legalább 12 hónapja nem jegyezték fel a sertések hólyagos betegségét, a klaszszikus sertéspestist vagy az afrikai sertéspestist, és a fogékony fajok körében e betegségek ellen legalább 12 hónapja nem vakcináztak, továbbá az alábbi feltételek egyike is teljesül:
a) a származási országban vagy régióban 12 hónapja nem jegyeztek fel hólyagos szájgyulladást (beleértve szeropozitív állatok jelenlétét), és a fogékony fajok körében e betegség ellen legalább 12 hónapja nem vakcináztak;
b) a 97/78/EK irányelvben előírt állat-egészségügyi ellenőrzéseket követően és az ugyanezen irányelv 8. cikkének (4) bekezdésében megállapított feltételekkel összhangban a termékeket közvetlenül a rendeltetési helyként szereplő üzembe kell szállítani, és minden óvintézkedést - beleértve a hulladékok, fel nem használt vagy megmaradt anyagok biztonságos ártalmatlanítását - meg kell tenni a betegségek állatokra vagy emberekre történő átterjedésének megelőzése érdekében.
4. A haszonállatok takarmányláncán kívüli felhasználásra szánt származtatott termékek előállításához szükséges azon vértermékeknek, amelyeket baromfikból és más madárfajokból nyertek, meg kell felelniük az a) vagy a b) pontban szereplő alábbi feltételeknek:
a) a termékeket az alábbi kezelések egyikének vetették alá, amelyek biztosítják, hogy a termék a b) pontban említett betegségek kórokozóitól mentes:
i. 65 °C-on és legalább három órán keresztül végzett hőkezelés, amelyet hatékonyságvizsgálat követ;
ii. 25 kGy erősségű gamma-sugaras besugárzás, amelyet hatékonyságvizsgálat követ;
iii. legalább 70 °C-os belső hőmérsékletet biztosító hőkezelés, amelyet hatékonyságvizsgálat követ;
b) a nem az a) ponttal összhangban kezelt vértermékek esetében a termékeknek olyan harmadik országból vagy régióból kell származnia:
i. amelyek mentesek az OIE által kiadott Szárazföldi Állatok Egészségügyi Kódexe 2010. évi kiadásában felsorolt Newcastle-betegségtől vagy nagy patogenitású madárinfluenzától;
ii. amelyben az utóbbi 12 hónapban nem vakcináztak madárinfluenza ellen;
iii. amelyben azokat a baromfikat vagy más madárfajokat, amelyekből a termékek származnak, nem oltották be a Newcastle-betegség ellen a betegség vírusának olyan törzstenyészetéből készített vakcinával, amely a vírus lentogén törzseinél nagyobb patogenitású.
3. szakasz
Lófélékből származó vér és vértermékek behozatala
A lófélékből származó vér és vértermékek behozatalára az alábbi követelményeket kell alkalmazni:
1. A vérnek meg kell felelnie az XIII. melléklet IV. fejezete 1.a) pontjában meghatározott feltételeknek, és gyűjtésüket állatorvosi felügyelet mellett kell végezni:
a) olyan vágóhidakon:
i. amelyeket a 853/2004/EK rendeletnek megfelelően engedélyeztek; vagy
ii. amelyeket az összegyűjtés helye szerinti ország illetékes hatósága engedélyezett és felügyelt; vagy
b) élő lóféléktől, lófélék vérének takarmányozástól eltérő célra történő vértermékek előállítása céljából történő begyűjtésére engedélyezett és állatorvosi engedélyszámmal ellátott, valamint a begyűjtés helye szerinti ország illetékes hatósága által felügyelt létesítményekben.
2. A vértermékeknek meg kell felelniük a XIII. melléklet IV. fejezetének 2. pontjában meghatározott feltételeknek.
Emellett a XIII. melléklet IV. fejezete 2. pontja b) alpontjának i. alpontjában említett vértermékeket olyan lóféléktől gyűjtött vérből kell előállítani, amelyeket a gyűjtést megelőzően legalább három hónapig vagy - amennyiben három hónapnál fiatalabbak - születésüktől fogva a vér gyűjtésének helye szerinti harmadik országban állatorvosi felügyelet alatt álló gazdaságban tartottak, amely az említett időszakban és a vér gyűjtésének ideje alatt mentes volt:
a) a 2009/156/EK irányelv 5. cikke (2) bekezdése első albekezdésének a) és b) pontja szerinti afrikai lópestistől;
b) a lovak venezuelai járványos agy- és gerincvelő-gyulladásától már legalább két éve;
c) a takonykórtól:
i. három éve; vagy
ii. hat hónapja, amennyiben az állatok nem mutatták a takonykór (Burkholderia mallei) klinikai tüneteit az (1) bekezdés a) pontjában említett vágóhídon végzett post mortem vizsgálat során, amely magában foglalta a légcső, a gégefő, az orrüregek, a homlok- és orrmelléküregek és azok leágazásai nyálkahártyáinak gondos vizsgálatát, a fejnek középsíkban való kettéhasítása és az orrsövény kimetszése után;
d) vérsavótól és -plazmától eltérő vértermékek esetében a hólyagos szájgyulladástól, legalább hat hónapja.
3. A vértermékeknek a harmadik ország illetékes hatósága által engedélyezett vagy nyilvántartásba vett létesítményből vagy üzemből kell származniuk.
4. A vért és vértermékeket a XIII. melléklet IV. fejezete 3. pontjának megfelelően kell csomagolni és felcímkézni.
4. szakasz
Patás állatok nyersbőrének és irhájának behozatala
A patás állatok nyersbőrének és irhájának behozatalára az alábbi követelményeket kell alkalmazni:
1. Friss vagy hűtött nyersbőr és irha importálható, amennyiben:
a) azok az 1. szakaszban megadott 2. táblázat 4. sora vonatkozó oszlopában említett olyan harmadik országból származnak, amelyben az érintett fajoktól függően értelemszerűen:
i. az elszállítást megelőző legalább 12 hónapban nem fordult elő az alábbi betegségek egyike sem:
- klasszikus sertéspestis,
- afrikai sertéspestis, és
- keleti marhavész, és
ii. az elszállítás időpontját megelőző legalább 12 hónapban nem fordult elő ragadós száj- és körömfájás betegség, és az elszállítás időpontját megelőző legalább 12 hónapban nem vakcináztak e betegség ellen;
b) azok olyan állatokból származnak:
i. amelyek a vágás előtt legalább három hónapon keresztül, vagy három hónaposnál fiatalabb állatok esetében születésük óta a származási harmadik ország területén tartózkodtak;
ii. párosujjú patás állatok nyersbőre és irhája esetében: amelyek olyan gazdaságból származnak, amelyben az utolsó 30 napban, illetve amelynek 10 km-es sugarú körzetén belül az utolsó 30 napban nem fordult elő ragadós száj- és körömfájás;
iii. sertések nyersbőre és irhája esetében: amelyek olyan gazdaságból származnak, amelyben az utolsó 30 napban nem fordult elő a sertések hólyagos betegsége, illetve az utolsó 40 napban nem fordult elő klasszikus vagy afrikai sertéspestis, és amelynek 10 km-es sugarú körzetén belül az utolsó 30 napban nem fordult elő az említett betegségek egyike sem; vagy
iv. amelyeket a vágást megelőző 24 órán belül a vágóhídon a levágást megelőző vizsgálatnak vetettek alá, és azok a ragadós száj- és körömfájás, a keleti marhavész, a klasszikus sertéspestis, az afrikai sertéspestis vagy a sertések hólyagos betegsége tüneteit nem mutatták; valamint
c) amelyek esetében valamennyi óvintézkedést megtették a kórokozókkal történő újrafertőződés elkerülése érdekében;
2. A XIII. melléklet V. fejezetének C.2. pontjában említett kezelt nyersbőr és irha korlátozás nélkül behozható.
3. Egyéb nyersbőr és irha importálható, amennyiben:
a) azok:
i. olyan harmadik országból vagy - az uniós jogszabályoknak megfelelő regionalizáció esetén - egy harmadik ország olyan területéről származnak, amely az 1. szakaszban megadott 2. táblázat 5. sorának "harmadik országok jegyzékei" oszlopa a) pontjában található jegyzékben szerepel, és amelyből az érintett állatfajokból származó friss hús behozatala engedélyezett, továbbá kezelésük az I. melléklet 28. pontjának a), b) és c) alpontjával összhangban történt;
ii. olyan harmadik országból származnak, amely az 1. szakaszban megadott 2. táblázat 5. sorának vonatkozó oszlopa a) pontjában található jegyzékben szerepel, és kezelésük az I. melléklet 28. pontjának c) vagy d) alpontjával összhangban történt; vagy
iii. olyan harmadik országból származó lófélékből vagy kérődző állatokból származnak, amely az 1. szakaszban megadott 2. táblázat 5. sorának "harmadik országok jegyzékei" oszlopa b) pontjában található jegyzékben szerepel, és amelyek kezelése az I. melléklet 28. pontja a), b) és c) pontjával összhangban történt, továbbá amelyeket a kezelés után legalább 21 napig elkülönítetten tartottak; valamint
b) hajóval szállított sózott nyersbőr és irha esetében ezek kezelése az I. melléklet 28. pontjának b) vagy c) alpontja szerint megtörtént, és ezeket a kezelés után, a behozatal előtt szállítás közben az 28. pont b) alpontjában említett kezelés esetében legalább 14 napig, az 28. pont c) alpontjában említett kezelés esetében pedig legalább 7 napig elkülönítve tartották, és a szállítmányt kísérő egészségügyi bizonyítvány igazolja ezt a kezelést, valamint a szállítás időtartamát.
4. A patás állatok friss, hűtött vagy kezelt nyersbőreit és irháit a küldő harmadik ország illetékes hatósága által lezárt konténerekben, közúti járművekben, vasúti vagonokban vagy bálákban kell behozni.
5. szakasz
Vadásztrófeák és egyéb állati eredetű preparátumok behozatala
A vadásztrófeák és egyéb állati eredetű preparátumok behozatalára az alábbi követelményeket kell alkalmazni:
1. A XIII. melléklet VI. fejezete B és C.1. pontjában említett feltételeket teljesítő vadásztrófeák és egyéb állati eredetű preparátumok korlátozás nélkül importálhatók.
2. Madarakból és patás állatokból származó, kizárólag csontból, szarvból, patából, karomból, agancsból, nyersbőrből vagy irhából álló vadásztrófeák és egyéb preparátumok harmadik országból importálhatók, feltéve hogy teljesítik a XIII. melléklet VI. fejezete C.1. pontjának a) pontjában, C.2. pontja a) alpontjának i-iii. alpontjaiban és b) alpontjának i. és ii. alpontjában meghatározott követelményeket.
A hajóval szállított, szárazon vagy nedvesen sózott bőrök esetében azonban a bőröket nem kell sózni a feladást megelőző 14 napon keresztül, amennyiben azokat a behozatal előtt 14 napon keresztül sózták.
3. A madarakból és patás állatokból származó, teljes anatómiai egységekből álló, kezeletlen vadásztrófeák és egyéb preparátumok importálhatók, ha:
a) olyan területről eredő állatokból származnak, amely nem esik korlátozás alá olyan súlyos fertőző betegségek jelenléte miatt, amelyre az érintett fajhoz tartozó állatok fogékonyak;
b) azokat becsomagolták - anélkül, hogy azok érintkeznének más állati eredetű, feltételezhetően fertőző termékekkel - olyan egyedi, átlátszó és zárt csomagolóanyagba, amely megakadályozza a későbbi fertőződést.
6. szakasz
Kezelt toll, tollrészek és pihe behozatala
Kezelt toll, tollrészek és pihe importálható, ha:
a) azok kezelt dísztollak vagy olyan tollak, amelyeket utazók magáncélú használatra tartanak maguknál, vagy azokat magánszemélyeknek szóló, nem ipari felhasználásra szánt szállítmányok tartalmazzák; vagy
b) azokat olyan kereskedelmi okmány kíséri, amely igazolja, hogy a tollat, és a tollrészeket vagy pihét gőzsugárral vagy az elfogadhatatlan kockázatok fennmaradását megakadályozó más módszerrel kezelték, és azok biztonságosan le van zárva a csomagolásban, és szárazak; valamint
c) azokat - amennyiben a kereskedelmi okmány szerint nem vetették alá ipari mosásnak és 100 °C-on forró gőzös kezelésnek legalább 30 percen keresztül - ilyen kezelésre nyilvántartásba vett létesítménybe vagy üzembe küldik.
7. szakasz
A nem takarmányként, szerves trágyaként vagy talajjavító szerként történő felhasználásra szánt csont és csonttermékek (a csontliszt kivételével), szarv és szarvtermékek (a szaruliszt kivételével), valamint pata és patatermékek (a pataliszt kivételével) behozatala
1. Csont és csonttermékek (a csontliszt kivételével), szarv és szarvtermékek (a szaruliszt kivételével), valamint pata és patatermékek (a pataliszt kivételével), amelyeket a takarmányláncon kívüli felhasználásra szánt származtatott termékek előállítására szánnak importálhatók, amennyiben:
a) a termékeket az Unióba történő kivitel előtt kiszárítják, de nem hűtik vagy fagyasztják;
b) a termékeket a származási harmadik országból közvetlenül az Unióba történő beléptetés helye szerinti állat-egészségügyi határállomásra szállítják, és semmilyen Unión kívüli kikötőben vagy más helyen nem rakodják át;
c) a termékeket - a 97/78/EK irányelvben előírt okmányellenőrzéseket követően - közvetlenül a rendeltetési helyként szereplő, nyilvántartott létesítménybe vagy üzembe szállítják.
2. Valamennyi szállítmányt a rendeltetési létesítményt felügyelő illetékes hatóság által lepecsételt kereskedelmi okmánynak kell kísérnie, amely tartalmazza a következő információkat:
a) a származási harmadik ország;
b) a termelő létesítmény vagy üzem neve;
c) a termék típusa (szárított csont/szárított csonttermék/szárított szarv/szárított szarvtermék/szárított pata/szárított patatermék), és
d) annak a ténynek a megerősítése, hogy a terméket:
i. egészséges, vágóhídon vágott állatokból nyerték;
ii. legalább 20 °C-os átlaghőmérsékleten szárították 42 napon keresztül;
iii. szárítás előtt legalább 80 °C-os belső hőmérsékletre melegítették egy órán keresztül;
iv. szárítás előtt legalább 800 C-os belső hőmérsékleten hamvasztották egy órán keresztül;
v. szárítás előtt olyan savanyítási folyamatnak vetették alá, amelynek eredményeként a pH-értéket legalább egy órán keresztül 6 alatt tartották, és
nem lehet élelmiszerben, takarmányanyagban, szerves trágyákban vagy talajjavító szerekben felhasználni.
3. Az Unióba történő elszállításkor az anyagot légmentesen zárt konténerekben vagy járművekben vagy - ömlesztett áruként - hajón kell szállítani.
Konténerekben történő szállítás esetén a konténereken - és valamennyi kísérő okmányon - fel kell tüntetni a rendeltetési helyként szereplő, nyilvántartásba vett létesítmény vagy üzem nevét és címét.
4. A 97/78/EK irányelvben előírt állat-egészségügyi ellenőrzéseket követően az anyagot - az ugyanezen irányelv 8. cikkének (4) bekezdésében megállapított feltételeknek megfelelően - közvetlenül a rendeltetési helyként szereplő, nyilvántartásba vett létesítménybe vagy üzembe kell szállítani.
8. szakasz
Prémes állatok takarmánya, kedvtelésből tartott állatok eledele (a kedvtelésből tartott állatok nyers eledelének kivételével), valamint a haszonállatok takarmányláncán kívüli felhasználásra szánt származtatott termékek előállításához használatos állati melléktermékek behozatala
Prémes állatok takarmánya, kedvtelésből tartott állatok eledele (a kedvtelésből tartott állatok nyers eledelének kivételével), valamint a haszonállatok takarmányláncán kívüli felhasználásra szánt származtatott termékek előállításához használatos állati melléktermékek importálhatók, feltéve hogy:
1. az állati melléktermékeket a származási üzemben mélyfagyasztották, vagy az uniós jogszabályokkal összhangban tartósították oly módon, amely megakadályozza a feladás és a rendeltetés helyeként szereplő létesítménybe vagy üzembe történő megérkezés közötti megromlásukat;
2. az állati melléktermékek esetében valamennyi óvintézkedést megtették a kórokozókkal történő újrafertőződés elkerülése érdekében;
3. az állati melléktermékeket a szivárgást megakadályozó új csomagolóanyagba vagy a használat előtt megtisztított és fertőtlenített csomagolóanyagba csomagolták;
4. A 97/78/EK irányelvben előírt állat-egészségügyi ellenőrzéseket követően az állati melléktermékeket - az ugyanezen irányelv 9. cikkének (4) bekezdésében megállapított feltételeknek megfelelően - közvetlenül elszállítják az alábbi helyek valamelyikére:
a) olyan kedvtelésből tartott állatok eledelét előállító üzembe vagy nyilvántartásba vett létesítménybe vagy üzembe, amely biztosítékot szolgáltatott arra vonatkozóan, hogy az állati melléktermékeket csak a nyilvántartás vagy engedély szerinti - esettől függően - termékek előállítására használják fel az illetékes hatóság által szükség szerint előírtak szerint, és azok a létesítményt vagy üzemet - a közvetlen ártalmatlanítás kivételével - kezeletlenül nem hagyják el;
b) az 1069/2009/EK rendelet 24. cikke (1) bekezdésének h) pontjával összhangban engedélyezett létesítménybe vagy üzembe;
c) egy nyilvántartásba vett felhasználóhoz vagy gyűjtőközpontba, aki, illetve amely biztosítékot szolgáltatott arra vonatkozóan, hogy az állati melléktermékeket csak az illetékes hatóság által szükség szerint meghatározott, engedélyezett célra használják fel; vagy
d) az 1069/2009/EK rendelet 24. cikke (1) bekezdésének a) pontjával összhangban engedélyezett létesítménybe vagy üzembe; és
5.1. az 1069/2009/EK rendelet 35. cikke a) pontjának ii. alpontjában említett, kedvtelésből tartott állatok eledelének előállításához használt nyersanyag esetében azt:
a) az Unióba történő belépést megelőzően a harmadik országban meg kell jelölni folyékony faszénnel vagy aktív szénnel írt kereszttel, minden egyes fagyasztott tömb, illetve - amennyiben a nyersanyagot olyan raklapokon szállítják, amelyeket a rendeltetési üzembe történő szállítás során nem választanak szét külön szállítmányokra - minden egyes raklap minden külső oldalán, oly módon, hogy a jelölés a fagyasztott tömb oldala átmérőjének legalább 70 %-át fedje és legalább 10 cm széles legyen;
b) nem fagyasztott anyagok esetében azokat az Unióba történő belépést megelőzően a harmadik országban meg kell jelölni folyékony faszénnel történő bepermetezéssel vagy faszénpor alkalmazásával oly módon, hogy a faszén egyértelműen látható legyen az anyagon;
c) közvetlenül a következő helyek valamelyikére kell szállítani:
i. a 4. pont a) alpontja szerinti rendeltetési állateledel-üzembe; vagy
ii. az 1069/2009/EK rendelet 24. cikke (1) bekezdésének h) pontjával, e szakasz 4. pontjának b) alpontjával összhangban engedélyezett rendeltetési létesítménybe vagy üzembe, és onnan közvetlenül az i. alpontban említett állateledel-üzembe, feltéve hogy a rendeltetési üzem:
- csak az 5.1. pont szerinti anyagokat kezel, vagy
- csak az i. alpontban említett állateledel-üzembe szánt anyagokat kezel; és
d) úgy kell kezelni, hogy az a) és b) pontban említett jelölést csak a rendeltetési állateledel-üzemben, közvetlenül az anyagnak a kedvtelésből tartott állatok eledelének előállítására történő felhasználása előtt távolítsák el, összhangban a XIII. melléklet II. fejezetében a 3. kategóriába tartozó anyagokból előállított állateledelre vonatkozóan meghatározott feltételekkel.
5.2. amennyiben egy szállítmány a fenti 5.1. ponttal összhangban kezelt nyersanyagból, és más nem kezelt nyersanyagból áll, a szállítmányban található összes nyersanyagot meg kell jelölni a fenti 5.1. pont a) és b) pontjában foglaltak szerint;
5.3. az 5.1. pont a) és b) pontjában, valamint az 5.2. pontban említett jelölésnek a feladástól a rendeltetési állateledel-üzembe történő megérkezésig láthatónak kell maradnia;
6. A rendeltetési állateledel-üzemben a kedvtelésből tartott állatok eledelének előállítására szánt, az 1069/2009/EK rendelet 35. cikke a) pontjának ii. alpontjában említett nyersanyagot az illetékes hatóság által jóváhagyott feltételek szerint kell a gyártás előtt tárolni, felhasználni és ártalmatlanítani, amelyek lehetővé teszik az átvett, a gyártásra felhasznált, valamint - adott esetben - az ártalmatlanított anyag mennyiségének hatósági ellenőrzését.
Az illetékes hatóság engedélyezheti az állateledel-üzem üzemeltetőjét, hogy a fent említett anyagokat a 3. kategóriába tartozó anyaggal együtt tárolja.
9. szakasz
A haszonállatok takarmányláncán kívüli egyes célokra szánt kiolvasztott zsírok behozatala
Importálhatók a nem a haszonállatok takarmányának előállítására, kozmetikumok, gyógyszerkészítmények vagy orvostechnikai eszközök gyártására szánt kiolvasztott zsírok, feltéve hogy:
a) a következő anyagokból származnak:
i. biodízel vagy olajkémiai termékek előállítására szánt anyagok esetében az 1069/2009/EK rendelet 8., 9. és 10. cikkében említett állati melléktermékek;
ii. szerves trágya és talajjavító szerek előállítására szánt anyagok esetében az 1069/2009/EK rendelet 9. cikke c) pontjában, d) pontjában és f) pontjának i. alpontjában említett, 2. kategóriába tartozó anyagok, vagy a 3. kategóriába tartozó anyagok, kivéve az 1069/2009/EK rendelet 10. cikkének c) és p) pontjában említett anyagokat;
iii. e rendelet IV. melléklete IV. fejezete 2. szakaszának J. pontjában említett megújuló üzemanyagok előállítására szánt anyagok; az 1069/2009/EK rendelet 9. cikkében említett, 2. kategóriába tartozó anyagok, és az említett rendelet 10. cikkében említett, 3. kategóriába tartozó anyagok esetében;
iv. egyéb anyagok esetében az 1069/2009/EK rendelet 8. cikkének b), c) és d) pontjában említett, 1. kategóriába tartozó anyagok; az 1069/2009/EK rendelet 9. cikkének c) és d) pontjában, valamint f) pontjának i. alpontjában említett, 2. kategóriába tartozó anyagok, vagy a 3. kategóriába tartozó anyagok, kivéve az említett rendelet 10. cikkének c) és p) pontjában említett anyagokat;
b) azokat az 1. feldolgozási módszerrel (nyomáson történő sterilizálás) vagy a IV. melléklet III. fejezetében említett más feldolgozási módszerek egyikének megfelelően dolgozták fel;
c) kérődző állatokból származó zsír esetében eltávolították a 0,15 % tömegszázalékot meghaladó oldhatatlan szenynyeződéseket;
d) az Unióba történő elszállítás előtt megjelölték rajtuk, hogy a VIII. melléklet V. fejezete 1. pontjának b) alpontjában említett minimális GTH-koncentráció meglétét;
e) A 97/78/EK irányelvben előírt állat-egészségügyi ellenőrzéseket követően a kiolvasztott zsírokat - az ugyanezen irányelv 8. cikkének (4) bekezdésében megállapított feltételeknek megfelelően, a fertőződést megakadályozó körülmények között - közvetlenül a rendeltetési helyként szereplő, nyilvántartásba vett létesítménybe vagy üzembe szállítják; és
f) a csomagolásra vagy a konténerre címkét helyeztek a következő felirattal: "NEM EMBERI VAGY ÁLLATI FOGYASZTÁSRA".
10. szakasz
Zsírszármazékok behozatala
1. Zsírszármazékok abban az esetben importálhatók, ha a szállítmányt kísérő egészségügyi bizonyítvány igazolja, hogy:
a) a zsírszármazékok az 1., 2. vagy 3. kategóriába tartozó anyagokból származnak-e;
b) a 2. kategóriába tartozó anyagból előállított zsírszármazékok esetében az, hogy a termékeket:
i. olyan módszerrel állították elő, amely legalább megfelel a XIII. melléklet XI. fejezetének 1. pontjában említett valamely módszer szabványainak; és
ii. kizárólag szerves trágyákban, talajjavító szerekben, vagy a haszonállatok takarmányláncán kívüli célra lehet felhasználni, kivéve a kozmetikumokat, gyógyszereket és orvostechnikai eszközöket;
c) az 1. kategóriába tartozó anyagból előállított zsírszármazékok esetében a termékeket nem szabad felhasználni szerves trágyák és talajjavító szerek, kozmetikumok, gyógyszerek és orvostechnikai eszközök előállítására; ugyanakkor felhasználhatók a haszonállatok takarmányláncán kívüli más célokra.
2. Az 1. pontban említett egészségügyi bizonyítványt az áruknak az Unióba történő első belépési helye szerinti állat-egészségügyi határállomáson be kell mutatni az illetékes hatóságnak, és ezt követően egy másolatnak kell kísérnie a szállítmányt a rendeltetési üzembe történő megérkezésig.
3. A 97/78/EK irányelvben előírt állat-egészségügyi ellenőrzéseket követően a zsírszármazékokat - az ugyanezen irányelv 8. cikkének (4) bekezdésében megállapított feltételeknek megfelelően - közvetlenül a rendeltetési helyként szereplő, nyilvántartásba vett létesítménybe vagy üzembe kell szállítani.
11. szakasz
Fotózselatin behozatala
1. Az 1069/2009/EK rendelet 8. cikkének b) pontjának megfelelően az 1. kategóriába tartozó, szarvasmarhafélék gerincoszlopát tartalmazó anyagokból előállított, a fényképészeti iparban történő felhasználásra szánt zselatin (fotózselatin) importálható, feltéve hogy a fotózselatin:
a) a 3. táblázatban megadott származási üzemek egyikéből származik;
b) előállítása a 6. ponttal összhangban történt;
c) behozatala a 3. táblázatban megadott, az Unióba történő első belépés helye szerinti állat-egészségügyi határállomások egyikén keresztül történt; és
d) felhasználásának célja a 3. táblázatban megadott, engedélyezett fényképészeti gyárak egyikében történő termelés.
3. táblázat
Fotózselatin behozatala
Származási harmadik ország | Származási üzemek | Rendeltetési tagállam | Az Unióba történő első belépése helye szerinti állat-egészségügyi határállomás | Engedélyezett fényképészeti gyárak |
Japán | Nitta Gelatin Inc., 2-22 Futamata Yao-City, Osaka 581-0024 Japan Jellie Co. Ltd- 7-1, Wakabayashi 2-Chome, Wakabayashi-ku, Sendai-City; Miyagi, 982 Japan NIPPI Inc. Gelatine Division 1 Yumizawa-Cho Fujinomiya City Shizuoka 418-0073 Japan | Hollandia | Rotterdam | Fujifilm Europe B.V., Oudenstaart 1, 5047 TK Tilburg, The Netherlands |
Nitta Gelatin Inc., 2-22 Futamata Yao-City, Osaka 581-0024 Japan | Egyesült Királyság | Liverpool Felixstowe Heathrow | Kodak Ltd. Headstone Drive, Harrow, Middlesex, HA4 4TY, United Kingdom | |
Cseh Köztársaság | Hamburg | FOMA Bohemia spol. SRO.r.o. Jana Krušinky 1604 501 04 Hradec Králove, Czech Republic | ||
Egyesült Államok | Eastman Gelatine Corporation, 227 Washington Street, Peabody, MA, 01960 USA Gelita North America, 2445 Port Neal Industrial Road Sergeant Bluff, Iowa, 51054 USA | Egyesült Királyság | Liverpool Felixstowe Heathrow | Kodak Ltd. Headstone Drive, Harrow, Middlesex, HA4 4TY, United Kingdom |
Cseh Köztársaság | Hamburg | FOMA Bohemia spol. SRO.r.o. Jana Krušinky 1604 501 04 Hradec Králove, Czech Republic |
2. A rendeltetési tagállamba történő belépés után a fotózselatin nem képezheti a tagállamok közötti kereskedelem tárgyát, hanem kizárólag ugyanabban a rendeltetési tagállamban engedélyezett fényképészeti gyárban, kizárólag fényképészeti ipari célokra használható fel.
3. A 97/78/EK irányelvben előírt állat-egészségügyi ellenőrzéseket követően a fotózselatint - az ugyanezen irányelv 8. cikkének (4) bekezdésében megállapított feltételeknek megfelelően - közvetlenül a rendeltetési helyként szereplő, engedélyezett fényképészeti gyárba kell szállítani.
4. A 3. pontban említett szállításnak olyan szállítóeszközökben vagy tárolóeszközökben kell történnie, amelyben a fotózselatin fizikailag elkülöníthető az élelmiszer- vagy takarmányipari felhasználásra szánt egyéb termékektől.
5. A rendeltetési helyként szereplő, engedélyezett fényképészeti gyárban az üzemeltetőnek biztosítania kell, hogy a fotózselatinból származó felesleges anyagokat, maradványokat és egyéb hulladékanyagokat:
a) lezárt, szivárgásmentes, "kizárólag ártalmatlanításra" felirattal ellátott konténerekben, megfelelő higiéniai körülmények között szállítóeszközökben elszállítják;
b) az 1069/2009/EK rendelet 12. cikke a) pontjának i. alpontjával összhangban ártalmatlanítják, vagy az 1013/2006/EK rendelettel összhangban a származási harmadik országba exportálják.
6. A fotózselatint az alábbi követelményeknek megfelelően kell előállítani:
a) Fotózselatin kizárólag olyan üzemekben állítható elő, amelyekben nem gyártanak az Európai Unióba szállítandó, étkezési vagy takarmányozási célra szánt zselatint, és amelyeket az érintett harmadik ország illetékes hatósága engedélyezett.
b) A fotózselatint olyan eljárással kell előállítani, amely biztosítja, hogy a nyersanyag átesik a IV. melléklet III. fejezetében említett 1. feldolgozási módszerrel (nyomáson történő sterilizálás) történő kezelésen, legalább két napon keresztül savas vagy lúgos kezelésen, vizes mosáson, valamint
i. a savas kezelés után legalább 20 napig tartó, lúgos oldatos kezelésen; vagy
ii. a savas kezelés után 10-12 órán át tartó, savas oldatos kezelésen.
Ezt követően be kell állítani a pH-értéket, és az anyagot szűréssel és 138 °C és 140 °C közötti hőmérsékleten történő, 4 másodpercig tartó sterilizálással meg kell tisztítani.
c) A b. pontban említett folyamat elvégzése után a fotózselatin szárítási folyamatnak és adott esetben porítási vagy laminálási folyamatnak vethető alá.
d) A fotózselatint gyűjtő- és új védőcsomagolásba kell csomagolni, szivárgásmentes, címkével ellátott tárolóedényekben kell tárolni, és megfelelő higiéniai körülmények között, szállítóeszközben kell szállítani.
Szivárgás észlelése esetén a szállítóeszközt és a tárolóedényeket alaposan meg kell tisztítani, és a következő használat előtt át kell vizsgálni.
e) A fotózselatint tartalmazó gyűjtő- és védőcsomagolást a következő felirattal kell ellátni: "kizárólag fényképészeti ipari célokra szánt fotózselatin".
12. szakasz
Szerves trágya vagy talajjavító szerek előállítására szánt szarv és szarvtermékek (a szaruliszt kivételével), valamint pata és patatermékek (a pataliszt kivételével) behozatala
Szerves trágya vagy talajjavító szerek előállítására szánt szarv és szarvtermékek (a szaruliszt kivételével), valamint pata és patatermékek (a pataliszt kivételével) importálhatók, feltéve hogy:
1. előállításuk a XIII. melléklet XII. fejezetével összhangban történt; és
2. A 97/78/EK irányelvben előírt állat-egészségügyi ellenőrzéseket követően és az ugyanezen irányelv 8. cikkének (4) bekezdésében megállapított feltételeknek megfelelően azokat közvetlenül egy engedélyezett vagy nyilvántartásba vett létesítménybe vagy üzembe szállítják.
III. FEJEZET
EGYES MINTÁKRA VONATKOZÓ KÜLÖNLEGES SZABÁLYOK
1. szakasz
Kutatási és diagnosztikai minták
A kutatási és diagnosztikai mintákat, valamint a felhasználásukból származó minden terméket ártalmatlanítani kell, kivéve, ha azokat hivatkozás céljából megőrzik vagy a származási harmadik országba visszaszállítják:
a) hulladékként elégetéssel;
b) nyomáson történő sterilizálással, majd ezt követően az 1069/2009/EK rendelet 12-14. cikkeinek megfelelő ártalmatlanítással vagy felhasználással; vagy
c) a VI. melléklet I. fejezete 1. szakaszának 4. pontja b) alpontjának megfelelően, ha:
i. a mennyisége nem haladja meg a 2 000 ml-t; és
ii. a mintákat vagy származtatott mintákat a 206/2010/EU rendelet II. mellékletének 1. részében felsorolt olyan tagállamokban vagy tagállamok területein állították elő és adták fel, amelyekből a tagállamok engedélyezik a szarvasmarhafélékből származó friss hús behozatalát.
2. szakasz
Kereskedelmi minták
1. Az illetékes hatóság engedélyezheti a kereskedelmi minták behozatalát és tranzitszállítását, amennyiben:
a) a kereskedelmi minták:
i. az e melléklet II. fejezetének 1. szakaszában megadott 2. táblázat 14. sorának "harmadik országok jegyzékei" oszlopában említett harmadik országokból származnak;
ii. a tejből, tejalapú termékekből vagy tejből származó termékekből álló kereskedelmi minták esetében a 605/2010/EU rendelet I. mellékletében felsorolt, jóváhagyott harmadik országból származnak;
b) azokat a XV. melléklet 8. fejezetében említett egészségügyi bizonyítvány kíséri; és
c) A 97/78/EK irányelvben előírt állat-egészségügyi ellenőrzéseket követően a kereskedelmi mintákat - az ugyanezen irányelv 8. cikkének (4) bekezdésében megállapított feltételeknek megfelelően - közvetlenül az illetékes hatóság engedélyében rendeltetési helyként szereplő, engedélyezett vagy nyilvántartásba vett létesítménybe vagy üzembe szállítják.
2. Amennyiben a kereskedelmi mintákat hivatkozási célokra nem őrzik meg, azokat:
a) az 1069/2009/EK rendelet 12., 13. és 14. cikkének megfelelően ártalmatlanítani kell vagy fel kell használni; vagy
b) vissza kell szállítani a származási harmadik országba.
3. Ha a kereskedelmi mintákat gépek tesztelésére használják, a tesztelést az alábbiak használatával kell végezni:
a) erre a célra szánt berendezéssel; vagy
b) olyan berendezéssel, amelyet megtisztítanak és fertőtlenítenek, mielőtt a teszteléstől eltérő célra használják.
Az engedélyezett és nyilvántartásba vett létesítménybe vagy üzembe történő szállítás előtt a kereskedelmi mintákat szivárgásmentes szállítóedényekbe kell csomagolni.
3. szakasz
Kiállítási tárgyak
1. A kiállítási tárgyak behozatalára és tranzitszállítására az alábbi feltételekkel kell alkalmazni:
a) azok a II. fejezet 1. szakaszában megadott 2. táblázat 14. sorának "harmadik országok jegyzékei" oszlopában említett harmadik országokból származnak;
b) a kiállítási tárgyak bevitelét előzetesen engedélyezte annak a tagállamnak az illetékes hatósága, amelyben az adott kiállítási tárgyat használni kívánják;
c) a 97/78/EK irányelvben előírt állat-egészségügyi ellenőrzéseket követően a kiállítási tárgyakat közvetlenül az engedéllyel felhasználóhoz kell küldeni.
2. Minden egyes szállítmányt a szivárgást megakadályozó csomagolóanyagba kell csomagolni és kereskedelmi okmánnyal kell kísérni, amelyben meg kell adni a következőket:
a) az anyag és az anyagot adó állatfaj megnevezése;
b) az anyag kategóriája;
c) az anyag mennyisége;
d) az anyag feladásának helye;
e) a feladó neve és címe;
f) a címzett neve és címe; és
g) olyan adatok, amelyek lehetővé teszik a rendeltetés helye szerinti illetékes hatóság engedélyének azonosítását.
3. A kiállítás vagy művészeti tevékenység befejezése után a kiállítási tárgyakat:
a) vissza kell szállítani a származási harmadik országba;
b) egy másik tagállamba vagy harmadik országba kell szállítani, ha azt a rendeltetési hely szerinti tagállam vagy harmadik ország illetékes hatósága előzetesen engedélyezte; vagy
c) az 1069/2009/EK rendelet 12., 13. és 14. cikkének megfelelően ártalmatlanítani kell.
IV. FEJEZET
AZ ÁLLATI MELLÉKTERMÉKEK EGYES SZÁLLÍTÁSAIRA VONATKOZÓ EGYEDI KÖVETELMÉNYEK
1. szakasz
Az 1. kategóriába tartozó egyes anyagok behozatala
A 26. cikkben említett anyagok behozatalára az alábbi feltételeket kell alkalmazni:
1. Az importált anyagok csomagolásán, tárolóedényén vagy szállítóeszközén címkét kell elhelyezni a következő felirattal: "Tilos élelmiszerekben, takarmányanyagokban, műtrágyákban, kozmetikumokban, gyógyszerekben és orvostechnikai eszközökben felhasználni".
2. Az anyagokat közvetlenül egy származtatott termékeket - kivéve az 1. pontban említett termékeket - előállító, engedélyezett vagy nyilvántartásba vett létesítménybe vagy üzembe kell szállítani.
3. A fel nem használt vagy felesleges anyagokat az 1069/2009/EK rendelet 12. cikkével összhangban fel kell használni vagy ártalmatlanítani kell.
2. szakasz
Nem szárazföldi haszonállatok takarmányozására szánt egyes anyagok behozatala
1. Az illetékes hatóság engedélyezheti a szárazföldi haszonállatok takarmányozásától - kivéve a prémes állatok takarmányozását - eltérő célra szánt alábbi anyagok behozatalát, feltéve hogy nem áll fenn az emberre vagy állatokra átvihető betegségek terjedésének elfogadhatatlan kockázata:
a) víziállatokból származó állati melléktermékek és víziállatokból származó termékek;
b) vízi gerinctelenek és a vízi gerinctelenekből származó termékek;
c) szárazföldi gerinctelenek, ideértve valamennyi átalakult formájukat is - mint például lárvák - és azokból származó termékek;
d) az a), b) és c) pontokban említett állatok által termelt termékek, mint például halikra;
e) a rágcsálók és a nyúlalakúak állattani rendhez tartozó állatokból és azok részeiből származó, 3. kategóriába tartozó anyagok.
2. Az 1. pontban említett anyagok szállítmányait a nemzeti jogszabályokban az állat-egészségügyi bizonyítványra vonatkozóan meghatározott követelményekkel összhangban kell importálni.
V. FEJEZET
EGYES SZÁRMAZTATOTT TERMÉKEK KIVITELÉRE VONATKOZÓ SZABÁLYOK
A lent felsorolt származtatott termékek kivitelére vonatkozó szabályok a 25. cikk (4) bekezdésében foglaltak szerint:
Származtatott termékek | A kivitelre vonatkozó szabályok | |
1 | Feldolgozott trágya és szerves talajjavító szerek, komposzt és biogázzá történő átalakításból származó emésztési maradványok, melyek a feldolgozott trágyán kívül nem tartalmaznak más állati mellékterméket vagy származtatott terméket | A feldolgozott trágyának és azoknak a szerves talajjavító szereknek, komposztnak és biogázzá történő átalakításból származó emésztési maradványoknak, melyek a feldolgozott trágyán kívül nem tartalmaznak más állati mellékterméket vagy származtatott terméket, meg kell felelniük legalább a XI. melléklet I. fejezete 2. szakaszának a), b), d) és e) pontjában meghatározott feltételeknek. |
XV. MELLÉKLET
EGÉSZSÉGÜGYI BIZONYÍTVÁNYMINTÁK
Az e mellékletben szereplő egészségügyi bizonyítványmintákat kell alkalmazni a vonatkozó egészségügyi bizonyítványmintákban említett állati melléktermékek és az azokból származó termékek harmadik országból történő behozatalára és az Európai Unión keresztül történő tranzitszállítására.
Megjegyzések
a) Az egészségügyi bizonyítványt az exportáló harmadik ország állítja ki az e mellékletben megadott, az érintett állati melléktermékre vagy származtatott termékekre vonatkozó minták alapján. A bizonyítványoknak tartalmazniuk kell a mintában szereplő számsorrendben a harmadik ország esetében megkövetelt igazolásokat és az exportáló harmadik ország vagy annak egy része tekintetében adott esetben megkövetelt kiegészítő biztosítékokat.
b) Ahol a bizonyítványminta azt tünteti fel, hogy bizonyos állításokat csak adott esetben kell jelölni, az irreleváns állítások kihúzhatók, és a bizonyítványt kiállító tisztviselő névjegyével elláthatja és lepecsételheti azokat, vagy teljes egészében törölhetők a bizonyítványról.
c) Valamennyi bizonyítvány eredeti példánya egyetlen lapból áll, vagy - amennyiben hosszabb szöveg szükséges - olyan formában állítják ki azt, hogy valamennyi előírt lap egy integrált és oszthatatlan egész részét képezze.
d) A bizonyítványt az állat-egészségügyi határállomáson végzett ellenőrzés helye szerinti tagállam és a rendeltetési tagállam legalább egy hivatalos nyelvén kell kiállítani. Ezek a tagállamok azonban saját nyelvük helyett más közösségi nyelvet is engedélyezhetnek, szükség esetén hivatalos fordítással kísérve.
e) Ha a szállítmány tételeinek azonosítása érdekében a bizonyítványhoz további oldalakat csatolnak, ezeket az oldalakat is az eredeti bizonyítvány részének kell tekinteni, és azok mindegyikét el kell látni az igazoló hatósági állatorvos aláírásával és pecsétjével.
f) Amennyiben a bizonyítvány több oldalból áll, ideértve az e) pontban említett kiegészítő oldalakat is, akkor az oldalakat a lap alján be kell számozni - (összes oldal)/(oldalszám) -, és minden oldal tetején fel kell tüntetni a bizonyítványnak az illetékes hatóság által adott kódszámát.
g) A bizonyítvány eredeti példányát a hatósági állatorvos tölti ki vagy írja alá. Ennek során az exportáló ország illetékes hatóságai biztosítják a 96/93/EK irányelvben megállapítottakkal egyenértékű tanúsítási elvek betartását.
h) Az aláírás színének különböznie kell a nyomtatás színétől. Ugyanez vonatkozik a pecsétekre, a dombornyomású pecsétek és a vízjel kivételével.
i) A bizonyítvány eredeti példányának kísérnie kell a szállítmányt az EU állat-egészségügyi határállomásáig.
j) Ha az egészségügyi bizonyítvány tranzitszállítmányt kísér, akkor a bizonyítvány I.5. rovatában ("Címzett") annak az állat-egészségügyi határállomásnak a nevét és címét kell beírni, amelyen keresztül a szállítmány terv szerint kilép az Európai Unióból.
1. FEJEZET
Egészségügyi bizonyítvány
A tenyésztett rovarokból származóktól eltérő, nem emberi fogyasztásra szánt, feldolgozott állati fehérjének az Európai Unióba történő feladásához vagy az Unión keresztül történő tranzitszállításához (2), beleértve az ilyen fehérjét tartalmazó keverékeket és termékeket, a kedvtelésből tartott állatok eledele kivételével







1(a) FEJEZET
Egészségügyi bizonyítvány
A tenyésztett rovarokból származó, nem emberi fogyasztásra szánt, feldolgozott állati fehérjének az Európai Unióba történő feladásához vagy az Unión keresztül történő tranzitszállításához (2), beleértve az ilyen fehérjét tartalmazó keverékeket és termékeket, a kedvtelésből tartott állatok eledele kivételével







2(A) FEJEZET
Egészségügyi bizonyítvány
Nem emberi fogyasztásra szánt tejnek, tejalapú termékeknek és tejből származó termékeknek az Európai Unióba történő feladásához vagy az Unión keresztül történő tranzitszállításához (2)






2(B) FEJEZET
Egészségügyi bizonyítvány
Nem emberi fogyasztásra szánt szarvasmarhából származó kolosztrumnak és kolosztrumtartalmú termékeknek az Európai Unióba történő feladásához vagy az Unión keresztül történő tranzitszállításához (2)




3(A) FEJEZET
Egészségügyi bizonyítvány
Kedvtelésből tartott állatoknak szánt konzerv állateledelnek az Európai Unióba történő feladásához vagy az Unión keresztül történő tranzitszállításához (2)





3(B) FEJEZET
Egészségügyi bizonyítvány
Kedvtelésből tartott állatok feldolgozott eledelének az Európai Unióba történő feladásához vagy az Unión keresztül történő tranzitszállításához (2), a kedvtelésből tartott állatok konzerv eledelét kivéve








3(C) FEJEZET
Egészségügyi bizonyítvány
Műcsontnak az Európai Unióba történő feladásához vagy az Unión keresztül történő tranzitszállításához (2)





3(D) FEJEZET
Egészségügyi bizonyítvány
Kedvtelésből tartott állatok közvetlen értékesítésre szánt, nyers eledelének vagy prémes állatok takarmányozására szánt állati melléktermékeknek az Európai Unióba történő feladásához vagy az Unión keresztül történő tranzitszállításához (2)






3(E) FEJEZET
Egészségügyi bizonyítvány
Kedvtelésből tartott állatok eledelének előállításához használt ízesítő belsőségnek az Európai Unióba történő feladásához vagy az Unión keresztül történő tranzitszállításához (2)





3(F) FEJEZET
Egészségügyi bizonyítvány
Kedvtelésből tartott állatok eledelének előállítására szánt állati melléktermékeknek (3) az Európai Unióba történő feladásához vagy az Unión keresztül történő tranzitszállításához (2)







4(A) FEJEZET
Egészségügyi bizonyítvány
Lófélék takarmányláncon kívüli felhasználásra szánt vérének és vértermékeinek az Európai Unióba történő szállításához vagy az Európai Unión átmenő tranzitszállításához (2)




4(B) FEJEZET
Egészségügyi bizonyítvány
Nem emberi fogyasztásra szánt, takarmányanyagként felhasználható vértermékeknek az Európai Unióba történő feladásához vagy az Európai Unión keresztül történő tranzitszállításához (2)






4(C) FEJEZET
Egészségügyi bizonyítvány
A lófélékből származó vérkészítmények kivételével olyan kezeletlen vértermékeknek az Európai Unióba történő feladásához vagy az Európai Unión keresztül történő (2) tranzitszállításához, amelyeket haszonállatok takarmányláncán kívüli célra, állati melléktermékből származó termékek előállítására szánnak






4(D) FEJEZET
Egészségügyi bizonyítvány
A lófélékből származó vérkészítmények kivételével olyan kezelt vértermékeknek az Európai Unióba történő feladásához vagy az Európai Unión keresztül történő (2) tranzitszállításához, amelyeket haszonállatok takarmányláncán kívüli célra szánt állati melléktermékekből származó termékek előállítására szánnak





5(A) FEJEZET
Egészségügyi bizonyítvány
Patás állatok friss vagy hűtött nyersbőrének és irhájának az Európai Unióba történő szállításához vagy az Európai Unión átmenő tranzitszállításához (2)



5(B) FEJEZET
Egészségügyi bizonyítvány
Patás állatok kezelt nyersbőrének és irhájának az Európai Unióba történő szállításához vagy az Európai Unión átmenő tranzitszállításához (2)



5(C) FEJEZET
Hivatalos nyilatkozat
Kérődző állatokból és lófélékből származó olyan kezelt nyersbőr és irha az Európai Unióba történő szállításához vagy az Európai Unión átmenő tranzitszállításához (1), amelyet a behozatal előtt 21 napig elkülönítve tartottak vagy 21 napig megszakítás nélkül szállítani fognak



6(A) FEJEZET
Egészségügyi bizonyítvány
Kezelt vadásztrófeáknak és egyéb, madarakból és patás állatokból származó, kizárólag csontból, szarvból, patából, karomból, agancsból, nyersbőrből vagy irhából álló preparátumoknak az Európai Unióba történő szállításához vagy az Európai Unión átmenő tranzitszállításához (2)



6(B) FEJEZET
Egészségügyi bizonyítvány
Madarak és patás állatok teljes testrészekből álló, kezeletlen vadásztrófeájának vagy egyéb készítményeinek az Európai Unióba történő szállításához vagy az Unión keresztül történő tranzitszállításához (2)





7(A) FEJEZET
Egészségügyi bizonyítvány
Afrikai sertéspestistől mentes harmadik országból vagy harmadik ország régiójából származó sertéssörtének az Európai Unióba történő szállításához vagy az Unión átmenő tranzitszállításához (2)


7(B) FEJEZET
Egészségügyi bizonyítvány
Afrikai sertéspestistől nem mentes harmadik országból vagy harmadik ország régiójából származó sertéssörtének az Európai Unióba történő szállításához vagy az Unión átmenő tranzitszállításához (2)



8. FEJEZET
Egészségügyi bizonyítvány
A takarmányláncon kívüli célokra vagy kereskedelmi mintákhoz használandó állati melléktermékeknek (2) az Európai Unióba történő feladásához vagy az Unión keresztül történő (2) tranzitszállításához








9. FEJEZET
Egészségügyi bizonyítvány
Takarmány-alapanyagként vagy a takarmányláncon kívüli célokra használandó, nem emberi fogyasztásra szánt halolajnak az Európai Unióba történő szállításához vagy az Unión átmenő (2) tranzitszállításához



10(A) FEJEZET
Egészségügyi bizonyítvány
Takarmány-alapanyagként használandó, nem emberi fogyasztásra szánt kiolvasztott zsírnak az Európai Unióba történő feladásához vagy az Európai Unión keresztül történő tranzitszállításához (2)







10(B) FEJEZET
Egészségügyi bizonyítvány
Bizonyos, takarmányláncon kívüli célokra használandó, nem emberi fogyasztásra szánt kiolvasztott zsírnak az Európai Unióba történő feladásához vagy az Európai Unión keresztül történő tranzitszállításához (2)






11. FEJEZET
Egészségügyi bizonyítvány
Nem emberi fogyasztásra szánt, takarmányanyagként való felhasználásra vagy takarmányláncon kívüli célokra szánt zselatinnak és kollagénnek az Európai Unióba történő feladásához vagy az Európai Unión keresztül történő tranzitszállításához (2)






12. FEJEZET
Egészségügyi bizonyítvány
Nem emberi fogyasztásra szánt, takarmányanyagként vagy a takarmányláncon kívüli célokra szánt hidrolizált fehérje, dikalcium-foszfát és trikalcium-foszfát az Európai Unióba történő feladásához vagy az Európai Unión keresztül történő tranzitszállításához (2)







13. FEJEZET
Egészségügyi bizonyítvány
Kizárólag méhészeti felhasználásra szánt méhészeti melléktermékek az Európai Unióba történő szállításához vagy az Európai Unión átmenő (2) tranzitszállításához


14(A) FEJEZET
Egészségügyi bizonyítvány
Nem emberi fogyasztásra szánt, takarmányláncon kívül felhasználandó zsírszármazékoknak az Európai Unióba történő szállításához vagy az Európai Unión átmenő (2) tranzitszállításához




14(B) FEJEZET
Egészségügyi bizonyítvány
Nem emberi fogyasztásra szánt, takarmányként vagy a takarmányláncon kívül felhasználandó zsírszármazékok az Európai Unióba történő szállításához vagy az Európai Unión átmenő (2) tranzitszállításához



15. FEJEZET
Egészségügyi bizonyítvány
Nem emberi fogyasztásra szánt, takarmányanyagként felhasználható tojástermékeknek az Európai Unióba történő szállításához vagy az Európai Unión átmenő (2) tranzitszállításához



16. FEJEZET
Nyilatkozatminta

17. FEJEZET
Egészségügyi bizonyítvány
Feldolgozott trágyának, feldolgozott trágyából származó termékeknek és denevérguanónak az Európai Unióba történő szállításához vagy az Unión (2) átmenő tranzitszállításához



18. FEJEZET
Egészségügyi bizonyítvány
Szerves trágya és talajjavító szerek előállítására szánt szarvnak és szarvtermékeknek (a szaruliszt kivételével), valamint patának és patatermékeknek (a pataliszt kivételével) az Európai Unióba történő feladásához és az Unión keresztül történő tranzitszállításához (2)




19. FEJEZET
Egészségügyi bizonyítvány
Nem emberi fogyasztásra szánt, a fényképészeti iparban felhasználható zselatinnak az Európai Unióba történő szállításáról



20. FEJEZET
Nyilatkozatminta
Nyilatkozat a gyógyszerek, állatgyógyászati készítmények, emberi vagy állatgyógyászati felhasználású orvostechnikai eszközök, aktív beültethető orvostechnikai eszközök, emberi vagy állatgyógyászati felhasználású in vitro diagnosztikai orvostechnikai eszközök, laboratóriumi reagensek vagy kozmetikai termékek előállítása során történő felhasználásra szánt köztes termékek harmadik országból történő behozatalához és az Európai Unión keresztül történő tranzitszállításához (2)





21. FEJEZET
Nyilatkozatminta
Importőri nyilatkozat a 25. cikk (2) bekezdésének e) pontjában meghatározott kezeletlen gyapjú és szőr Európai Unióba történő behozataláról


XVI. MELLÉKLET
HATÓSÁGI ELLENŐRZÉSEK
I. FEJEZET
A FELDOLGOZÓÜZEMEK HATÓSÁGI ELLENŐRZÉSE
1. szakasz
A termelés felügyelete
1. Az 1069/2009/EK rendeletben és az e rendeletben szereplő követelmények betartásának biztosítása érdekében az illetékes hatóság felügyeli a feldolgozóüzemeket.
Így különösen:
a) ellenőrzi:
i. a helyiségek, berendezések és a személyzet általános higiéniai állapotát;
ii. a feldolgozóüzem üzemeltetője által az 1069/2009/EK rendelet 28. cikkével összhangban elvégzett önellenőrzések hatékonyságát; az ellenőrzésnek magában kell foglalnia az említett ellenőrzések eredményeinek vizsgálatát és - szükség esetén - a mintavételt;
iii. a HACCP alapelveire épülő állandó írásos eljárásnak az 1069/2009/EK rendelet 29. cikkének (1) bekezdésével összhangban történő hatékony megvalósítását; az ellenőrzésnek magában kell foglalnia az említett végrehajtás eredményeinek vizsgálatát és - szükség esetén - a mintavételt;
iv. a feldolgozás után a termékekre vonatkozó szabványokat; az elemzéseket és vizsgálatokat tudományosan elismert módszerekkel összhangban kell lefolytatni - különös tekintettel az uniós jogszabályokban megállapítottak módszerekre -, vagy amennyiben az Unió jogszabályai nem írnak elő ilyen módszereket, az elismert nemzetközi szabványokra, vagy ezek hiányában a nemzeti szabványokra; és
v. a tárolási feltételeket;
b) a laboratóriumi vizsgálatokhoz szükséges bármilyen mintát vesz; és
c) az 1069/2009/EK rendelet és az e rendelet betartatásához általa szükségesnek tartott minden egyéb ellenőrzést lefolytat.
2. Az 1. pont szerinti feladatok elvégzéséhez az illetékes hatóságnak mindenkor szabad hozzáférést kell biztosítani a feldolgozóüzem valamennyi területéhez, valamint a nyilvántartásokhoz, kereskedelmi okmányokhoz és egészségügyi bizonyítványokhoz.
2. szakasz
Validálási eljárások
1. Egy adott feldolgozóüzem engedélyének az 1069/2009/EK rendelet 44. cikkének (1) bekezdésével történő kibocsátása előtt az illetékes hatóságnak ellenőriznie kell, hogy az üzemeltető a feldolgozóüzem validálását a következő eljárásoknak és indikátoroknak megfelelően végezte-e:
a) a folyamat leírása folyamatábrával;
b) a kritikus ellenőrzési pontok azonosítása, beleértve a folyamatos rendszerek anyagfeldolgozási sebességét;
c) a folyamatra vonatkozóan az e rendeletben megállapított különös követelmények betartása; és
d) az alábbi követelmények teljesítése:
i. a részecskenagyság a gyártási tételenként alkalmazott nyomás és a folyamatos eljárások esetén, amit a daraboló lyukmérete vagy az adagolónyílás mérete határoz meg;
ii. a hőmérséklet, nyomás, feldolgozási idő és - a folyamatos rendszereknél - az anyagfeldolgozás üteme a 2. és 3. pontban meghatározott módon.
2. A gyártási tételenként alkalmazott nyomás szerinti rendszer esetében:
a) a hőmérsékletet állandó hőelem segítségével kell figyelni, és a valós idő függvényében kell ábrázolni;
b) a nyomási műveletet állandó nyomásmérő segítségével kell figyelni; a nyomást a valós idő függvényében kell ábrázolni;
c) a feldolgozási időt idő/hőmérséklet és idő/nyomás diagramokon kell bemutatni.
A hőelemet és a nyomásmérőt legalább évente egyszer kalibrálni kell.
3. A folyamatos rendszer esetében:
a) a hőmérséklet és a nyomás figyelemmel kísérését hőelemekkel vagy infravörös hőmérsékletmérő pisztollyal és - a rendszer meghatározott pontjain elhelyezett - nyomásmérőkkel kell végezni úgy, hogy a hőmérséklet és a nyomás megfeleljen a teljes folyamatos rendszerben vagy annak bármely szakaszában előírt feltételeknek; a hőmérsékletet és a nyomást a valós idő függvényében kell ábrázolni;
b) a minimális áthaladási idő mért értékét - a folyamatos rendszer azon részére vonatkozóan, amelyben a hőmérséklet és a nyomás megfelel az előírt feltételeknek - oldhatatlan jelölőanyagok (például mangán-dioxid) vagy egy ezzel egyenértékű biztosítékokat nyújtó módszer alkalmazásával meg kell adni az illetékes hatóságnak.
A feldolgozási ütem pontos mérése és ellenőrzése létfontosságú, és azokat a validálási teszt során olyan folyamatosan figyelemmel kísérhető kritikus ellenőrző pont függvényében kell végrehajtani, mint:
i. az adagolócsavar percenkénti fordulatszáma (ford./perc);
ii. áramerősség (amper adott feszültség mellett);
iii. a párolgás/kondenzáció arány; vagy
iv. a szivattyúlöketek száma egységnyi idő alatt.
Az összes mérő- és figyelőberendezést legalább évente egyszer kalibrálni kell.
4. Az illetékes hatóság rendszeresen és - amennyiben szükségesnek ítéli - mindig megismétli a validálási eljárásokat, és mindenképpen valamennyi olyan alkalommal, amikor a folyamat jelentős változtatásokon megy keresztül, például amikor módosul a berendezés vagy változnak a nyersanyagok.
II. FEJEZET
A NYILVÁNTARTÁSBA VETT ÉS ENGEDÉLYEZETT LÉTESÍTMÉNYEK, ÜZEMEK ÉS ÜZEMELTETŐK JEGYZÉKEI
1. A nyilvántartásba vett és engedélyezett létesítmények, üzemek és üzemeltetők jegyzékeihez való hozzáférés
A Bizottság - annak érdekében, hogy támogassa a tagállamokat a nyilvántartásba vett és engedélyezett létesítményeket, üzemeket és üzemeltetőket tartalmazó naprakész jegyzékek létrehozásában, amely más tagállamok és a nyilvánosság számára is hozzáférhető - honlapot biztosít, amely hivatkozásokat tartalmaz a 2. pont a) alpontjában említett, tagállamok által létrehozott nemzeti honlapokhoz.
2. A nemzeti honlapok formátuma
a) Minden tagállam átadja a Bizottságnak azt az internetes címet, amely a területén engedélyezett összes, nyilvántartásba vett és engedélyezett létesítmény, üzem és üzemeltető jegyzékeinek összesített jegyzékét ("összesített jegyzék") tartalmazó egyetlen nemzeti honlapra mutat.
b) Minden összesített jegyzék egyetlen lapból áll, és azt a Közösség egy vagy több hivatalos nyelvén töltik ki.
3. Az összesített jegyzékek külalakjának - beleértve a vonatkozó információkat és kódokat - meg kell felelnie a Bizottság honlapján közzétett részletes technikai leírásnak.
III. FEJEZET
A HATÓSÁGI ELLENŐRZÉSEKRE VONATKOZÓ EGYEDI KÖVETELMÉNYEK
1. szakasz
A származtatott termékek jelölésének hatósági ellenőrzése
Az illetékes hatóság az e rendelet VIII. melléklete V. fejezetének 2. pontjában meghatározott ellenőrző és adatrögzítő rendszer esetében ellenőrzi, hogy az megfelel-e az e rendeletben előírt követelményeknek, és amennyiben szükséges, további minták vizsgálatát kérheti ugyanannak a pontnak a második bekezdésében meghatározott módszerrel összhangban.
2. szakasz
A kisteljesítményű hulladékégető művek hatósági ellenőrzése
Az engedélyezés előtt az illetékes hatóságnak meg kell vizsgálnia a meghatározott kockázatú anyagokat égető kisteljesítményű hulladékégető műveket, továbbá legalább évente ellenőriznie kell, hogy az megfelel-e az 1069/2009/EK rendeletben és az e rendeletben meghatározott követelményeknek.
3. szakasz
Távoli területeken végzett hatósági ellenőrzések
Állati melléktermékek távoli területeken -az 1069/2009/EK rendelet 19. cikke (1) bekezdése b) pontjának megfelelően - történő ártalmatlanítása esetén az illetékes hatóság rendszeresen ellenőrzi a távoli területnek minősített területek és az ártalmatlanítási tevékenység megfelelő irányítását.
4. szakasz
A prémes állatok takarmányozását végző nyilvántartott gazdaságok hatósági ellenőrzése
1. Az illetékes hatóság a szükséges intézkedések alkalmazásával ellenőrzi:
a) a hús- és csontlisztet és egyéb, a IV. melléklet III. fejezetében meghatározott feldolgozási módszerekkel összhangban feldolgozott - és azonos fajhoz tartozó állatok testéből vagy testrészeiből származó - egyéb termékeket tartalmazó takarmányok megfelelő összetételét, feldolgozását és felhasználását;
b) az a) pontban említett takarmányokkal etetett állatokat, beleértve:
i. az érintett állatok egészségi állapotának szigorú felügyeletét; és
ii. a TSE megfelelő figyelését rendszeres mintavétel és laboratóriumi TSE-vizsgálatok útján.
2. Az 1. pont b) alpontjának ii. alpontjában említett minták közé tartoznak az idegrendszeri tüneteket mutató állatokból és az idősebb tenyészállatokból vett minták.
5. szakasz
A gyűjtőközpontok hatósági ellenőrzése
1. Az illetékes hatóság:
a) felveszi a gyűjtőközpontokat az 1069/2009/EK rendelet 47. cikkének (1) bekezdésével összhangban készített jegyzékbe;
b) hivatalos számmal látja el valamennyi gyűjtőközpontot; és
c) naprakészen tartja a gyűjtőközpontok jegyzékét és elérhetővé teszi az 1069/2009/EK rendelet 47. cikkének (1) bekezdésével összhangban készített jegyzékkel együtt.
2. Az illetékes hatóság hivatalos ellenőrzéseket végez a gyűjtőközpontokban, hogy ellenőrizze e rendelet előírásainak betartását.
6. szakasz
Bizonyos cirkuszi állatoknak az 1. kategóriába tartozó anyagokkal történő etetésére vonatkozó hatósági ellenőrzések
Az illetékes hatóság ellenőrzi a haszonállatok egészségügyi státuszát azon régióban, ahol a takarmányozást a VI. melléklet II. fejezetének 2., 3. és 4. szakaszában előírtak szerint végzik, valamint megfelelő TSE-felügyeletet végez, ami TSE kimutatására szolgáló rendszeres mintavételt és laboratóriumi vizsgálatot is magában foglal.
Az említett minták között szerepelniük kell fertőzésgyanús és idősebb tenyészállatokból vett mintáknak is.
7. szakasz
Egyes szerves trágyák és talajjavító szerek alkalmazásának hatósági ellenőrzése
Az illetékes hatóság ellenőrzi a II. melléklet II. fejezetében említett korlátozások alá eső szerves trágyák és talajjavító szerek előállításának és felhasználásának teljes folyamatát.
Az ellenőrzés kiterjed a XI. melléklet II. fejezete 1. szakaszának 2. pontjában említett komponenssel történő keverésre, az e termékekből a gazdaságokban tartott készletekre, valamint az 1069/2009/EK rendelettel és e rendelettel összhangban vezetett nyilvántartásokra.
8. szakasz
Az engedélyezett fényképészeti gyárak hatósági ellenőrzése
Az importált, felhasznált és ártalmatlanított termékmennyiségek egyeztetése céljából az illetékes hatóság dokumentum-ellenőrzést végez - a szállítási lánc teljes hosszában az első belépés helye szerinti állat-egészségügyi határállomástól az engedélyezett fényképészeti gyárig - azokban az engedélyezett fényképészeti gyárakban, amelyek a XIV. melléklet II. fejezete 11. szakaszának 1. pontjában megadott 3. táblázatban szerepelnek.
9. szakasz
Egyes importált kiolvasztott zsírok hatósági ellenőrzése
Az importált, felhasznált és ártalmatlanított termékmennyiségek egyeztetése céljából az illetékes hatóság dokumentum-ellenőrzést végez - a szállítási lánc teljes hosszában az első belépés helye szerinti állat-egészségügyi határállomástól a nyilvántartásba vett létesítményig vagy üzemig - azokban a nyilvántartásba vett létesítményekben és üzemekben, amelyek a XIV. melléklet II. fejezetének 9. szakaszával összhangban importált kiolvasztott zsírokat vesznek át.
10. szakasz
Unión belüli kereskedelemre vonatkozó egyes engedélyek iránti kérelmek szabvány formátuma
Az üzemeltetőknek tájékoztatniuk kell a származási hely szerinti tagállam illetékes hatóságát és a rendeltetési hely szerinti tagállam illetékes hatóságánál kérelmezniük kell az 1069/2009/EK rendelet 48. cikkének (1) bekezdésében említett állati melléktermékek és az azokból származó termékek, valamint a 3. kategóriába tartozó, méregtelenítésre szánt halolaj vagy halliszt elszállításának engedélyezését a TRACES rendszerben a következő formában:


11. szakasz
Az ártalmatlanítást megelőző hidrolízisre vonatkozó hatósági ellenőrzések
Az illetékes hatóság a IX. melléklet V. fejezete 2. szakasza B. pontjának megfelelően ártalmatlanítást megelőző hidrolízist végző telephelyeken ellenőrzéseket folytat.
Az ilyen ellenőrzéseknek a kiszállított és ártalmatlanított hidrolizált anyagok mennyiségeinek egyeztetése céljából a dokumentumok ellenőrzését is magukban kell foglalniuk:
a) a helyszínen hidrolizált anyagok mennyiségére vonatkozóan;
b) azokban a létesítményekben és üzemekben, amelyekben a hidrolizált anyagokat ártalmatlanítják.
Az ellenőrzéseket rendszeresen, kockázatértékelés alapján kell végezni.
A működés első 12 hónapjában minden olyan alkalommal ellenőrző látogatást kell tenni a hidrolízis céljaira szolgáló tároló telephelyén, amikor a hidrolizált anyagot összegyűjtik a tárolóból.
A működés első 12 hónapját követően minden olyan alkalommal ellenőrző látogatást kell tenni ezeken a telephelyeken, amikor a tárolót kiürítik, és ellenőrzik korrózió- és szivárgásmentességét a IX. melléklet V. fejezete 2. szakasza B(3). pontja j) alpontjának megfelelően.
12. szakasz
Az állati melléktermékek tüzelőanyagként való felhasználása céljából engedélyezett berendezések hatósági ellenőrzése
A III. melléklet V. fejezetében említett engedélyezett berendezésekben az illetékes hatóság dokumentum-ellenőrzést végez a 6. cikk (7) és (8) bekezdésében említett eljárásoknak megfelelően.
( 2 ) A Tanács 2006/88/EK irányelve (2006. október 24.) a tenyésztett víziállatokra és az azokból származó termékekre vonatkozó állat-egészségügyi követelményekről és a víziállatokban előforduló egyes betegségek megelőzéséről és az azok elleni védekezésről (HL L 328., 2006.11.24., 14. o.).
( 3 ) BS EN 12880:2000, Characterization of sludges. Determination of dry residue and water content. European Committee for Standardisation (Iszapjellemzők. A szárazmaradék és a víztartalom meghatározása. Európai Szabványügyi Bizottság).
( 4 ) CEN EN 459-2:2002 method CEN/TC 51 - Cement and building limes. European Committee for Standardisation. (CEN EN 459-2:2002 módszer CEN/TC 51 - Cement és építési mész. Európai Szabványügyi Bizottság.)
( 5 ) HL L 135., 1991.5.30., 40. o
( 6 ) CEN TC/102 - Egészségügyi célú sterilizátorok - EN 285:2006 + A2:2009 - Sterilizálás - Gőzsterilizátorok - Nagyméretű sterilizátorok, hivatkozás közzétételének helye HL C 293., 2009.12.2., 39. o.
( 7 ) Az Európai Parlament és a Tanács 852/2004/EK rendelete (2004. április 29.) az élelmiszer-higiéniáról (HL L 139., 2004.4.30., 1. o.).
( 8 ) Az Európai Parlament és a Tanács 853/2004/EK rendelete (2004. április 29.) az állati eredetű élelmiszerek különleges higiéniai szabályainak megállapításáról (HL L 139., 2004.4.30., 55. o.).
( 9 ) Az Európai Parlament és a Tanács 183/2005/EK rendelete (2005. január 12.) a takarmányhigiénia követelményeinek meghatározásáról (HL L 35., 2005.2.8., 1. o.).
( 10 ) https://www.bic-code.org/identification-number/
( 11 ) A Bizottság 2009/821/EK határozata (2009. szeptember 28.) a jóváhagyott állategészségügyi határállomások listájának összeállításáról, a Bizottság állategészségügyi szakértői által végzett ellenőrzésekre vonatkozó egyes szabályok megállapításáról és a TRACES állategészségügyi egységeinek meghatározásáról (HL L 296., 2009.11.12., 1. o.).
( *1 ) F0: a baktériumspórákra gyakorolt pusztító hatás. A 3,00-ás F0 érték azt jelenti, hogy a termék leghidegebb pontját kellő mértékben felmelegítették ahhoz, hogy ugyanolyan pusztító hatást érjenek el, mint 121 °C-on (250 °F), három percig végzett pillanatnyi hevítéssel és hűtéssel.
( *2 ) UHT = ultramagas hőmérsékleten végzett hőkezelés 132 °C-on, legalább egy másodpercig.
( *3 ) HTST = ultramagas hőmérsékleten végzett, gyors pasztőrözés 72 °C-on, legalább 15 másodpercen át, illetve ezzel azonos hatásfokú pasztőrözési eljárás, amely negatív foszfatáz-próbát eredményez.
Lábjegyzetek:
[1] A dokumentum eredetije megtekinthető CELEX: 32011R0142 - https://eur-lex.europa.eu/legal-content/HU/ALL/?uri=CELEX:32011R0142&locale=hu Utolsó elérhető, magyar nyelvű konszolidált változat CELEX: 02011R0142-20200623 - https://eur-lex.europa.eu/legal-content/HU/ALL/?uri=CELEX:02011R0142-20200623&locale=hu A dokumentum későbbi módosításának konszolidált változatai magyar nyelven nem elérhetőek.