32019R1242[1]
Az Európai Parlament és a Tanács(EU) 2019/1242 rendelete (2019. június 20.) az új nehézgépjárművek szén-dioxid-kibocsátási előírásainak meghatározásáról, valamint az 595/2009/EK és az (EU) 2018/956 európai parlamenti és tanácsi rendelet és a 96/53/EK tanácsi irányelv módosításáról
AZ EURÓPAI PARLAMENT ÉS A TANÁCS (EU) 2019/1242 RENDELETE
(2019. június 20.)
az új nehézgépjárművek szén-dioxid-kibocsátási előírásainak meghatározásáról, valamint az 595/2009/EK és az (EU) 2018/956 európai parlamenti és tanácsi rendelet és a 96/53/EK tanácsi irányelv módosításáról
(EGT-vonatkozású szöveg)
1. cikk
Tárgy és cél
(1) Ez a rendelet az új nehézgépjárművekre vonatkozó szén-dioxid-kibocsátási előírásokat határoz meg. Ezek az előírások hozzájárulnak az (EU) 2021/1119 európai parlamenti és tanácsi rendeletben ( 1 ) meghatározott uniós klímasemlegességi célkitűzéseknek és köztes uniós éghajlat-politikai céloknak, az (EU) 2023/857 európai parlamenti és tanácsi rendeletben ( 2 ) meghatározott, az üvegházhatásúgáz-kibocsátás csökkentésére vonatkozó tagállami céloknak és a Párizsi Megállapodás célkitűzéseinek az eléréséhez, valamint a belső piac megfelelő működésének biztosításához.
(2) Ez a rendelet az Unióban nyilvántartásba vett új nehézgépjárművek szén-dioxid-kibocsátásának és tüzelőanyag-fogyasztásának bejelentésére vonatkozó rendelkezéseket is meghatároz.
2. cikk
Hatály
(1) Ez a rendelet azon új járművekre alkalmazandó, amelyek az (EU) 2018/858 rendelet szerinti típusjóváhagyással vagy egyedi jóváhagyással rendelkeznek, vagy amelyek az említett rendelet 2. cikkének (3) bekezdésében említésre kerülnek, és amelyek az alábbi járműkategóriák egyikébe tartoznak:
a) M2 és M3;
b) N1, N2 és N3, feltéve, hogy a járművek nem tartoznak az (EU) 2019/631 rendelet hatálya alá;
c) O2 és O3.
E rendelet alkalmazásában az első albekezdés a), b) és c) pontjában említett járművekre nehézgépjárművekként kell hivatkozni. Az első albekezdés a) vagy b) pontjának hatálya alá tartozó járművekre motoros nehézgépjárművekként kell hivatkozni.
Az e rendeletben említett jármű-kategóriák az (EU) 2018/858 rendelet 4. cikkében és I. mellékletében meghatározott jármű-kategóriáknak felelnek meg.
(2) E rendelet alkalmazásában a nehézgépjárművek akkor tekintendők egy adott beszámolási időszakban új nehézgépjárműveknek, ha az Unióban az adott beszámolási időszakban vették először nyilvántartásba őket, és előzőleg nem vették nyilvántartásba őket az Unión kívül.
Az Unióban történő nyilvántartásba vétel előtt kevesebb mint három hónappal korábban történt, az Unión kívüli nyilvántartásba vétel nem vehető figyelembe.
"Ezen rendelet nem alkalmazandó azokra a nehézgépjárművekre, amelyeket első alkalommal legfeljebb egy hónapra vettek nyilvántartásba, és a nyilvántartásba vétel kizárólag egy az Unión kívüli országba való tranzit céljából történt."
(3) A Bizottság végrehajtási jogi aktusok révén külön eljárást fogad el az 595/2009/EK rendelet és az ahhoz kapcsolódó végrehajtási intézkedések szerint különleges felépítményű nehézgépgépjárműként jóváhagyott, ám nem ekként nyilvántartásba vett járművek azonosítására, és e járművek figyelembevétele érdekében a 2021. év beszámolási időszakától kezdve, majd minden ezt követő beszámolási időszakra helyesbítéseket alkalmaz a gyártók éves átlagos fajlagos szén-dioxid-kibocsátására vonatkozóan. Ezeket a végrehajtási jogi aktusokat az e rendelet 16. cikkének (2) bekezdésében említett vizsgálóbizottsági eljárás keretében kell elfogadni.
3. cikk
Fogalommeghatározások
E rendelet alkalmazásában:
1. "szén-dioxid-referenciakibocsátás": az egyes járműalcsoportokba tartozó valamennyi új nehézgépjármű referencia-időszakra megállapított fajlagos szén-dioxid-kibocsátásának átlaga, amelynek meghatározása az I. melléklet 3. pontjának megfelelően történik;
2. "fajlagos szén-dioxid-kibocsátás": az egyes nehézgépjárművek szén-dioxid-kibocsátása, amelynek meghatározása az I. melléklet 2.1. pontjának megfelelően történik;
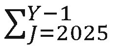
3. "Y év beszámolási időszaka": az Y év július 1. és az Y+1 év június 30. közötti időszak;
3a. "beszámolási időszak" egy adott év július 1-jétől a következő év június 30-ig tartó időszak;
3b. "referencia-időszak": egy adott év beszámolási időszaka, amely tekintetében e rendelet meghatározza az egy adott járműalcsoportra vonatkozó szabályozási szén-dioxid-kibocsátáscsökkentési kötelezettségeket;
4. "átlagos fajlagos szén-dioxid-kibocsátás": a gyártó új nehézgépjárművei fajlagos szén-dioxid-kibocsátásának átlaga egy adott beszámolási időszakban, amelynek meghatározása az I. melléklet 2.7. pontjának megfelelően történik;
5. "fajlagos szén-dioxid-kibocsátási célérték": az egyes gyártók számára meghatározott szén-dioxid-kibocsátási célérték, amelyet évente állapítanak meg az előző beszámolási időszakra vonatkozóan, az I. melléklet 4. pontjának megfelelően;
6. "merev tehergépkocsi": olyan tehergépkocsi, amelyet nem félpótkocsi vontatására terveztek vagy építettek;
7. "nyerges vontató": olyan vontató, amelyet kizárólag vagy elsősorban félpótkocsik vontatására terveztek és építettek;
8. "járműalcsoport": az I. melléklet 1. pontjában meghatározott olyan járművek csoportja, amelyek jellemzője, hogy megfelelnek az adott járművek szén-dioxid-kibocsátásának és tüzelőanyag-fogyasztásának meghatározására alkalmas közös és megkülönböztető műszaki kritériumoknak;
9. "különleges felépítményű gépjármű": meghatározott feladatok ellátására szánt nehézgépjármű, amely a megfelelőségi nyilatkozatában szereplő, a tagállamok által bejelentett információk szerint megfelel az I. melléklet 1.2. pontjában meghatározott kritériumoknak;
10. "gyártó": az a személy vagy szerv, akihez vagy amelyhez az adott időszakban nyilvántartásba vett járműveket a 7a. cikkel összhangban hozzárendelték;
10a. "adatbejelentő": a Bizottságnak történő adatbejelentésért felelős szervezet;
11) "kibocsátásmentes nehézgépjármű": a következő járművek bármelyike:
a) olyan motoros nehézgépjárművek, amelyek nem rendelkeznek belső égésű motorral, vagy olyan belső égésű motorral rendelkeznek, amelynek kibocsátása legfeljebb 3 gCO2/(t km) vagy 1 gCO2/(p km), az (EU) 2017/2400 rendelet 9. cikkével összhangban meghatározva;
b) olyan motoros nehézgépjárművek, amelyek nem rendelkeznek belső égésű motorral, vagy olyan belső égésű motorral rendelkeznek, amelynek szén-dioxid-kibocsátása legfeljebb 1 g/kWh az 595/2009/EK rendelettel és annak végrehajtási intézkedéseivel összhangban meghatározva, vagy legfeljebb 1 g/km a 715/2007/EK rendelettel ( 3 ) és annak végrehajtási intézkedéseivel összhangban meghatározva, feltéve, hogy az (EU) 2017/2400 rendelet szerint nem határoztak meg szén-dioxid-kibocsátást;
c) olyan pótkocsik, amelyek meghajtásukat aktívan támogató berendezéssel vannak felszerelve, és nem rendelkeznek belső égésű motorral, vagy olyan belső égésű motorral rendelkeznek, amelynek kibocsátása kevesebb mint 1 g CO2/kWh az 595/2009/EK rendelettel és annak végrehajtási intézkedéseivel vagy a 49. számú ENSZ EGB-előírással összhangban meghatározva;
(12) "alacsony kibocsátású nehézgépjármű": a kibocsátásmentes nehézgépjárműtől eltérő olyan nehézgépjármű, amelynek az I. melléklet 2.3.4. pontja szerint meghatározott fajlagos szén-dioxid-kibocsátása kevesebb, mint az azon járműalcsoportba tartozó valamennyi jármű szén-dioxid-referenciakibocsátásának fele, amelybe a nehézgépjármű tartozik;
13. "célprofil": egy célsebességciklusnak, egy hasznos terhelés értékének, egy felépítmény- vagy pótkocsi-konfigurációnak és adott esetben egyéb paramétereknek kombinációja, amely tükrözi egy jármű sajátos használatát, amely alapján meghatározzák egy nehézgépjármű hivatalos szén-dioxid-kibocsátását és tüzelőanyag-fogyasztását;
14. "célsebességciklus": a jármű azon sebességének leírása, amelyet a járművezető el kíván érni vagy amelyre a forgalmi körülmények korlátozzák, az adott út során megtett távolság függvényében;
15. "hasznos terhelés": egy jármű által különböző körülmények között szállított áruk tömeg;
16. "elsődleges jármű": az (EU) 2017/2400 rendelet 3. cikkének 22. pontjában meghatározott elsődleges jármű;
17. "nehézgépjármű elsődleges járműve": olyan elsődleges jármű, amelynek szimulációjához olyan általános felépítményt használnak, amely megfelel a nehézgépjármű tényleges felépítményének a padló (alacsony/magas) és a szintek (egyszintes/kétszintes) konfigurációi és adott esetben bármely más paraméter tekintetében;
18. "befejezett jármű": az (EU) 2018/858 rendelet 3. cikkének 26. pontjában meghatározott befejezett jármű;
19. "teljes jármű": az (EU) 2018/858 rendelet 3. cikkének 27. pontjában meghatározott teljes jármű;
20. "terepjáró": az (EU) 2018/858 rendelet I. melléklete A. részének 2.1. pontjában meghatározott terepjáró;
21. "különleges rendeltetésű jármű": az (EU) 2018/858 rendelet 3. cikkének 31. pontjában meghatározott különleges rendeltetésű jármű;
22. "különleges rendeltetésű terepjáró": az (EU) 2018/858 rendelet I. melléklete A. részének 2.3.1. pontjában meghatározott különleges rendeltetésű terepjáró;
23. "megfelelőségi nyilatkozat": az (EU) 2018/858 rendelet 3. cikkének 5. pontjában meghatározott megfelelőségi nyilatkozat;
24. "közbeszerzési szerződés": a közbeszerzési eljárások összefüggésében és eltérő rendelkezés hiányában a 2014/24/EU európai parlamenti és tanácsi irányelv ( 4 ) 2. cikke (1) bekezdésének 5. pontjában meghatározott közbeszerzési szerződés, a 2014/25/EU európai parlamenti és tanácsi irányelv ( 5 ) 2. cikkének 1. pontjában meghatározott "árubeszerzésre, építési beruházásra és szolgáltatásnyújtásra irányuló szerződés", valamint a 2014/23/EU európai parlamenti és tanácsi irányelv ( 6 ) 5. cikkének 1. pontjában meghatározott "koncesszió";
25. "extra nehéz járműszerelvényben használható tehergépkocsi" vagy "EHC-tehergépkocsi": olyan, járműszerelvény részeként használható N3 kategóriájú nehézgépjármű, amely megfelel az alábbi tervezési és gyártási kritériumoknak:
a) legalább három tengellyel rendelkezik;
b) névleges motorteljesítménye legalább 400 kW;
c) a járműszerelvény műszakilag megengedett legnagyobb terhelt tömege meghaladja a 60 tonnát.
E rendelet alkalmazásában a »kapcsolt gyártók csoportja« a gyártót és kapcsolt vállalkozásait jelenti.
A gyártók tekintetében »Kapcsolt vállalkozások«:
a) az olyan vállalkozások, amelyekben a gyártó közvetlenül vagy közvetve:
i. jogosult a szavazati jogok több mint felének gyakorlására;
ii. jogosult a felügyelőbizottság, az igazgatótanács vagy a vállalkozást jogi értelemben képviselő testületek tagjai több mint felének kinevezésére; vagy
iii. jogosult a vállalkozás ügyeinek irányítására;
b) az olyan vállalkozások, amelyek a gyártó tekintetében közvetlenül vagy közvetve rendelkeznek az a) pontban említett joggal vagy hatáskörökkel;
c) az olyan vállalkozások, amelyekben a b) pontban említett vállalkozás közvetlenül vagy közvetve rendelkezik az a) pontban említett joggal vagy hatáskörökkel;
d) az olyan vállalkozások, amelyekben a gyártó az a), a b) vagy a c) pontban említett vállalkozások egyikével vagy közülük többel közösen rendelkezik az a) pontban említett joggal vagy hatáskörökkel, vagy az olyan vállalkozások, amelyekben az utóbbi vállalkozások közül kettő vagy több együttesen rendelkezik az a) pontban említett joggal vagy hatáskörökkel;
e) az olyan vállalkozások, amelyekben az a) pontban említett joggal vagy hatáskörökkel együttesen rendelkezik a gyártó vagy az a)-d) pontban említett egy vagy több kapcsolt vállalkozása, és egy vagy több harmadik fél.
3a. cikk
Szén-dioxid-kibocsátáscsökkentési célértékek
(1) A különleges rendeltetésű járművektől, a terepjáróktól és a különleges rendeltetésű terepjáróktól eltérő új, motoros nehézgépjárművek uniós állományának átlagos szén-dioxid-kibocsátását a 2019. évi beszámolási időszak átlagos szén-dioxid-kibocsátásához képest a következő százalékos arányok szerint kell csökkenteni:
a) 15 %-kal a 4-UD, 4-RD, 4-LH, 5-RD, 5-LH, 9-RD, 9-LH, 10-RD és 10-LH járműalcsoport esetében a 2025 és 2029 közötti évek beszámolási időszakai tekintetében;
b) 45 %-kal a különleges felépítményű gépjárművek kivételével valamennyi járműalcsoport esetében, a 2030 és 2034 közötti évek beszámolási időszakai tekintetében;
c) 65 %-kal valamennyi járműalcsoport esetében a 2035 és 2039 közötti évek beszámolási időszakai tekintetében;
d) 90 %-kal valamennyi járműalcsoport esetében a 2040-től kezdődő évek beszámolási időszakai tekintetében.
(2) Az (1) bekezdésben említett szén-dioxid-kibocsátáscsökkentési célértékekhez az egyes járműalcsoportoknak az I. melléklet 4.3. pontjában meghatározottak szerint kell hozzájárulniuk.
(3) Az új pótkocsik uniós állományával kapcsolatos szén-dioxid-kibocsátást az I. melléklet 4.3. pontjának megfelelően kell csökkenteni.
(4) Az (EU) 2017/2400 rendelet 2. cikkének (3) bekezdésétől eltérve, az e cikk (1)-(3) bekezdésében meghatározott szén-dioxid-kibocsátáscsökkentési célértékek nem vonatkoznak az (EU) 2018/858 rendelet 2. cikke (3) bekezdése első albekezdése b) pontjának hatálya alá tartozó, jóváhagyással rendelkező nehézgépjárművekre, kivéve, ha a gyártó úgy dönt, hogy ezeket a nehézgépjárműveket figyelembe veszi a fajlagos szén-dioxid-kibocsátásának és célértékeinek kiszámításakor az említett nehézgépjárművekkel kapcsolatos, az e rendelet IV. mellékletének B. része szerinti jelentéstétel során.
(5) A polgári védelmi szolgálatok, a tűzoltóság, a közrend fenntartásáért felelős erők vagy a sürgős orvosi ellátást biztosító szolgálatok általi használat céljából nyilvántartásba vett, a (4) bekezdésben említettektől eltérő nehézgépjárművekre nem vonatkoznak az (1)-(3) bekezdésben meghatározott szén-dioxid-kibocsátáscsökkentési célértékek, feltéve, hogy egy tagállam a nyilvántartásba vételi és jelentéstételi eljárás során ezt jelzi, és ezáltal a IV. melléklet A. részének megfelelően bejelentett adatokban megerősíti, hogy a nehézgépjármű feladatát egy kibocsátásmentes nehézgépjármű nem képes egyenértékűen ellátni, ezért a belső égésű motorral felszerelt nehézgépjármű nyilvántartásba vétele e cél érdekében közérdeknek minősül.
A fegyveres szolgálatok általi használatra nyilvántartásba vett nehézgépjárművekre nem vonatkoznak e rendelet előírásai, amennyiben egy tagállam úgy dönt, hogy a IV. melléklet A. részének megfelelően nem jelent be adatokat.
3b. cikk
További intézkedések az uniós piacon a kibocsátásmentes nehézgépjárművekre való átállás támogatására
A Bizottság 2025. június 30-ig jelentést nyújt be az Európai Parlamentnek és a Tanácsnak, amelyben mérlegeli az utólagosan kibocsátásmentes járművekké átalakított nehézgépjárművek uniós piacon történő elterjedése - többek között harmonizált szabályok révén történő - elősegítésének szükségességét. A jelentésnek tartalmaznia kell a választási lehetőségek és azok hatásai elemzését. Az elemzéshez adott esetben jogalkotási kezdeményezést vagy egyéb intézkedést kell csatolni.
3c. cikk
További intézkedések az uniós piacon a kibocsátásmentes nehézgépjárművek iránti kereslet támogatására
A Bizottság 2027. június 30-ig jelentést nyújt be az Európai Parlamentnek és a Tanácsnak, amely elemzést tartalmaz a nagy flottaüzemeltetők tulajdonában lévő vagy általuk lízingelt kibocsátásmentes nehézgépjárművek részarányának növelésére irányuló kezdeményezések potenciális szükségességéről és hatásáról. Az említett jelentésben a Bizottság mérlegeli a nagy flottaüzemeltetők tulajdonában lévő vagy általuk lízingelt kibocsátásmentes nehézgépjárművek bevezetésének fokozására rendelkezésre álló potenciális lehetőségeket.
3d. cikk
A kibocsátásmentes nehézgépjárművekkel kapcsolatos célérték a városi autóbuszok esetében
(1) Az I. melléklet 4.2. pontjában szereplő táblázat negyedik oszlopában említett nehézgépjárművek (városi autóbuszok) esetében a gyártóknak az új nehézgépjármű-állományukat illetően teljesíteniük kell az I. melléklet 4.3.2. pontjával összhangban a kibocsátásmentes nehézgépjárművekre vonatkozóan meghatározott 90 és 100 %-os minimális részarányokat.
(2) A Bizottság végrehajtási jogi aktusok útján meghatározza a fizikai összeköttetések és a kommunikáció tekintetében az elektromos és egyéb töltőinfrastruktúra, valamint az autóbuszok közötti műszaki és nyílt interoperabilitásra vonatkozó közös műszaki előírásokat, köztük szabványokat.
Ezeket a végrehajtási jogi aktusokat a 16. cikk (2) bekezdésében említett vizsgálóbizottsági eljárás keretében kell elfogadni.
(3) A Bizottság felhatalmazást kap arra, hogy a 17. cikknek megfelelően felhatalmazáson alapuló jogi aktusokat fogadjon el e rendeletnek az autóbuszok használatával összefüggésben előállított adatok biztonságos és védett megosztására és felhasználására vonatkozó közös műszaki előírások, köztük szabványok meghatározásával történő kiegészítése céljából.
3e. cikk
A városi autóbuszok fenntartható és reziliens ellátási láncainak biztosítása közbeszerzési eljárások révén
(1) Az ajánlatkérő szerveknek és a közszolgáltató ajánlatkérőknek az új kibocsátásmentes városi autóbuszok beszerzését, lízingelését, bérlését vagy részletfizetéssel történő megvásárlását célzó, árubeszerzésre irányuló közbeszerzési szerződések, valamint fő tárgyukként az ilyen autóbuszok használatát célzó, szolgáltatásnyújtásra irányuló közbeszerzési szerződések odaítélését a gazdaságilag legelőnyösebb ajánlatra kell alapozniuk, amelynek a legjobb ár-minőség arányt kell tartalmaznia.
(2) Az ajánlatkérő szerveknek és a közszolgáltató ajánlatkérőknek az alábbi szempontok közül legalább kettőt - amelyek közül legalább egy az ajánlatnak az ellátásbiztonsághoz való hozzájárulásával összefüggő, az a)-d) pontban meghatározott szempont - műszaki leírásként vagy odaítélési szempontként figyelembe kell venniük a piaci helyzettől függően és a 2014/23/EU, a 2014/24/EU vagy a 2014/25/EU irányelvvel, és az alkalmazandó ágazati jogszabályokkal, valamint az Unió nemzetközi kötelezettségvállalásaival - többek között a Kereskedelmi Világszervezet közbeszerzésről szóló megállapodásával (a továbbiakban: GPA) - továbbá az Unióra nézve kötelező egyéb nemzetközi megállapodásokkal összhangban:
a) az ajánlatokban szereplő, harmadik országokból származó termékeknek a 952/2013/EU európai parlamenti és tanácsi rendelettel ( 7 ) összhangban meghatározott aránya; az említett szempont csak az ajánlatokban szereplő olyan, GPA-ban nem részes országokból származó termékekre alkalmazandó, amelyek nem kötöttek közbeszerzésre vonatkozó szabályokat is tartalmazó szabadkereskedelmi megállapodást az Unióval;
b) az ajánlat tárgyát képező berendezés működéséhez szükséges alapvető tartalék alkatrészek jelenlegi és becsült rendelkezésre állása;
c) az ajánlattevő kötelezettségvállalása arra, hogy a szerződés teljesítése során az ellátási láncában esetlegesen bekövetkező változások nem fogják hátrányosan érinteni a szerződés teljesítését;
d) igazolás vagy dokumentáció arról, hogy az ajánlattevő ellátási lánca úgy van megszervezve, hogy az ajánlattevő meg tud felelni az ellátás biztonságára vonatkozó követelménynek;
e) az alkalmazandó uniós jogi aktusokban előírt minimumkövetelményeken túlmutató környezeti fenntarthatóság.
Az első albekezdés nem zárja ki azt, hogy az ajánlatkérő szervek és a közszolgáltató ajánlatkérők további szempontokat alkalmazzanak.
(3) Ha az ajánlatnak az ellátásbiztonsághoz való hozzájárulása odaítélési szempontnak minősül, azt 15-40 %-os súlyozással kell figyelembe venni.
4. cikk
A gyártók átlagos fajlagos szén-dioxid-kibocsátása
2020. július 1-jétől kezdve, majd ezt követően minden beszámolási időszakban a Bizottság minden gyártó esetében meghatározza a g/tkm-ben kifejezett átlagos fajlagos szén-dioxid-kibocsátást az előző beszámolási időszakra vonatkozóan, az alábbiak figyelembevételével:
a) a gyártónak az előző beszámolási időszakban nyilvántartásba vett új nehézgépjárműveire vonatkozóan bejelentett adatok;
b) az 5. cikknek megfelelően meghatározott kibocsátásmentességi és alacsony kibocsátási tényező; és
c) a 2030 és 2034 közötti évek beszámolási időszakaiban az I. melléklet 1.1.1. pontjának hatálya alá tartozó új, kibocsátásmentes, különleges felépítményű gépjárművek.
Az átlagos fajlagos szén-dioxid-kibocsátást az I. melléklet 2.7. pontjával összhangban kell meghatározni.
5. cikk
Kibocsátásmentes és alacsony kibocsátású nehézgépjárművek
(1) 2020. július 1-jétől kezdve, majd ezt követően a 2029. évi beszámolási időszakig a Bizottság minden beszámolási időszakban mindegyik gyártó esetében meghatározza a kibocsátásmentességi és alacsony kibocsátási tényezőt az előző beszámolási időszakra vonatkozóan.
A kibocsátásmentességi és alacsony kibocsátású tényező a gyártó modellpalettájában lévő valamennyi N kategóriájú kibocsátásmentes és alacsony kibocsátású nehézgépjármű számát és szén-dioxid-kibocsátását magában foglalja.
(2) A 2019 és 2024 közötti beszámolási időszakra az (1) bekezdés alkalmazásában a kibocsátásmentes és az alacsony kibocsátású nehézgépjárművek beszámítása az alábbiak szerint történik:
a) egy kibocsátásmentes nehézgépjármű két járműnek számít; valamint
b) egy alacsony kibocsátású nehézgépjármű legfeljebb két járműnek számít, a fajlagos szén-dioxid-kibocsátásától, valamint azon járműalcsoport alacsony kibocsátásra vonatkozó küszöbértékétől függően, amelybe a jármű az I. melléklet 2.3.3. pontjában meghatározottak szerint tartozik.
A kibocsátásmentességi és alacsony kibocsátási tényezőt az I. melléklet 2.3.1. pontjával összhangban kell meghatározni.
(3) A 2025 és 2029 közötti beszámolási időszakok esetében a kibocsátásmentességi és alacsony kibocsátási tényezőt az I. melléklet 2.3.2. pontjával összhangban 2 %-os referenciaérték alapján kell meghatározni.
(4) A kibocsátásmentességi és alacsony kibocsátási tényező legfeljebb 3 %-kal csökkentheti a gyártó átlagos fajlagos szén-dioxid-kibocsátását. Az N kategóriájú kibocsátásmentes nehézgépjárművek - a 4-UD, 4-RD, 4-LH, 5-RD, 5-LH, 9-RD, 9-LH, 10-RD és 10-LH járműalcsoportba tartozó járművek kivételével - e tényezőhöz való hozzájárulása legfeljebb 1,5 %-kal csökkentheti a gyártó átlagos fajlagos szén-dioxid-kibocsátását.
6. cikk
A gyártók fajlagos szén-dioxid-kibocsátási célértékei
A Bizottság a 2025. évi és minden utána következő beszámolási időszakban minden gyártó esetében fajlagos szén-dioxid-kibocsátási célértéket határoz meg az előző beszámolási időszakra vonatkozóan. E célértéket az I. melléklet 4.1. pontjával összhangban kell meghatározni.
6a. cikk
A nehézgépjárművek gyártók közötti átcsoportosítása
(1) A gyártók átlagos fajlagos szén-dioxid-kibocsátásának a 4. cikkel és az I. melléklet 2.2. pontjával összhangban történő kiszámítása céljából a gyártók között egyes nehézgépjárművek átcsoportosíthatók, ha a következő feltételek teljesülnek:
a) minden átcsoportosítás esetében: a kérelmet az átadó és az átvevő gyártó közösen nyújtja be;
b) a kibocsátásmentes nehézgépjárművektől eltérő nehézgépjárművek átcsoportosítása esetén: az átadó és az átvevő gyártó a kapcsolt gyártók egy csoportjához tartozik;
c) a kibocsátásmentes nehézgépjárművek olyan gyártók közötti átcsoportosítása esetén, amelyek nem tartoznak a kapcsolt gyártók valamely csoportjához: a gyártó részére átcsoportosított kibocsátásmentes nehézgépjárművek száma nem haladja meg az adott beszámolási időszakban nyilvántartásba vett összes új nehézgépjárművének az 5 %-át.
A gyártók az átcsoportosítási kérelmeket a Bizottság által biztosított elektronikus eszközökön keresztül nyújtják be a Bizottságnak.
(2) Amennyiben a Bizottság úgy ítéli meg, hogy az átcsoportosítás feltételei teljesülnek, az átadott nehézgépjárművet nem az átadó gyártó, hanem az átvevő gyártó vonatkozó értékeinek kiszámítása során veszi figyelembe.
6b. cikk
Mentesség a kevés nehézgépjárművet előállító gyártók számára
(1) Ha egy gyártó egy adott beszámolási időszakban 100-nál kevesebb új nehézgépjárművet vett nyilvántartásba, a 4. cikkben és az I. melléklet 2.7. pontjában meghatározott átlagos fajlagos szén-dioxid-kibocsátást, valamint a 6. cikkben és az I. melléklet 4.1. pontjában előírt fajlagos szén-dioxid-kibocsátási célértékeket az adott beszámolási időszakban nullának kell tekinteni.
(2) Ha e cikk (1) bekezdése alkalmazandó, az átlagos fajlagos szén-dioxid-kibocsátás értékeit és a fajlagos széndioxid-kibocsátási célértékek értékeit az érintett gyártókra és beszámolási időszakokra vonatkozóan nem kell feltüntetni a 11. cikk szerinti adatközzététel során.
(3) Az (1) bekezdésben meghatározott mentesség nem alkalmazandó egy adott beszámolási időszakban az alábbi esetek egyikében sem:
a) a gyártó kérésére;
b) ha a gyártó nehézgépjárművek 6a. cikk szerinti átcsoportosítását kéri;
c) ha a gyártó olyan kapcsolt gyártók csoportjának a tagja, amelyek az adott beszámolási időszakban együttesen több mint 100 nehézgépjárművet vettek nyilvántartásba, vagy ha kapcsolt gyártók olyan csoportjának a tagja, amelybe egy, az a) vagy a b) pont hatálya alá eső másik gyártó tartozik.
(4) Azon gyártóknak, amelyek nem tagjai egy, a (3) bekezdés c) pontja szerinti csoportnak, tájékoztatniuk kell a Bizottságot, ha egy adott beszámolási időszakban 100-nál kevesebb nehézgépjárművet vettek nyilvántartásba.
(5) Azoknak a gyártóknak, amelyekre az (1) bekezdésben meghatározott mentesség nem vonatkozik, minden beszámolási időszakban tájékoztatniuk kell a Bizottságot minden olyan kapcsolt vállalkozásukról, amelyekre alkalmazandó a mentesség.
(6) A gyártóknak a (4) és (5) bekezdés alkalmazásában a a Bizottság által biztosított elektronikus eszközök használatával kell tájékoztatniuk a Bizottságot.
7. cikk
Kibocsátási jóváírások és kibocsátási tartozások
(1) Annak meghatározása, hogy a 2025 és 2039 közötti évek beszámolási időszakaiban a gyártó megfelel-e a rá érvényes fajlagos szén-dioxid-kibocsátási célértékeknek, az I. melléklet 5. pontjának megfelelően meghatározott kibocsátási jóváírásainak és kibocsátási tartozásainak figyelembevételével történik, amelyek kiszámításához a gyártó adott beszámolási időszakon belüli új nehézgépjárműveinek számát megszorozzák:
a) a (2) bekezdésben említett szén-dioxid-csökkentési pályagörbének és a gyártó átlagos fajlagos szén-dioxid-kibocsátásának különbségével, ha a különbség pozitív szám (a továbbiakban: kibocsátási jóváírások); vagy
b) a gyártó átlagos fajlagos szén-dioxid-kibocsátásának és fajlagos szén-dioxid-kibocsátási célértékének különbségével, ha a különbség pozitív szám (a továbbiakban: kibocsátási tartozások).
Kibocsátási jóváírások a 2019- 2039-es évek beszámolási időszakaiban szerezhetők. A 2019-2024-es évek beszámolási időszakaiban szerzett kibocsátási jóváírások azonban csak annak megállapítása érdekében vehetők figyelembe, hogy a gyártó teljesítette-e a 2025-ös év beszámolási időszakának fajlagos szén-dioxid-kibocsátási értékeit.
Kibocsátási tartozások a 2025 és 2039 közötti évek beszámolási időszakaiban halmozhatók fel. A gyártó teljes kibocsátási tartozása azonban nem haladhatja meg a gyártó fajlagos szén-dioxid-kibocsátási célértékének és a gyártó ugyanazon időszakon belüli nehézgépjárművei számának megszorzásával kapott érték 5 %-át (»kibocsátási tartozásküszöb«).
A 2025 és 2039 közötti évek beszámolási időszakaiban szerzett, illetve felhalmozott kibocsátási jóváírások és kibocsátási tartozások adott esetben átvihetők egyik beszámolási időszakról a következőre. Azonban minden fennmaradó kibocsátási tartozást rendezni kell a 2029., a 2034. és a 2039. évi beszámolási időszakokban. A kibocsátási jóváírások csak a megszerzésük időpontja szerinti beszámolási időszakot követő 7 év valamelyikében vehetők figyelembe annak megállapítása érdekében, hogy a gyártó megfelel-e fajlagos szén-dioxid-kibocsátási célértékeinek.
(2) A szén-dioxid-kibocsátáscsökkentési pályagörbéket minden gyártó esetében az I. melléklet 5.1.2. pontjával összhangban kell meghatározni a következő lineáris pályagörbék alapján:
a) a szén-dioxid-referenciakibocsátás és a 3a. cikk (1) bekezdésének a) és b) pontjában meghatározott, a 2025. vagy 2030. évi beszámolási időszakra vonatkozó szén-dioxid-kibocsátási célérték között;
b) a 2025. évi beszámolási időszakra vonatkozó szén-dioxid-kibocsátási célérték és a 3a. cikk (1) bekezdésének b) pontjában meghatározott, a 2030. évi beszámolási időszakra vonatkozó szén-dioxid-kibocsátási célérték között;
c) a 2030. évi beszámolási időszakra vonatkozó szén-dioxid-kibocsátási célérték és a 3a. cikk (1) bekezdésének c) pontjában meghatározott, a 2035. évi beszámolási időszakra vonatkozó szén-dioxid-kibocsátási célérték között;
d) a 2035. évi beszámolási időszakra vonatkozó szén-dioxid-kibocsátási célérték és a 3a. cikk (1) bekezdésének d) pontjában meghatározott, a 2040. évi beszámolási időszakra vonatkozó szén-dioxid-kibocsátási célérték között.
7a. cikk
A nehézgépjárművek gyártóhoz való hozzárendelése
A 4. cikkben említett átlagos fajlagos szén-dioxid-kibocsátás és a 6. cikkben említett fajlagos szén-dioxid-kibocsátási célértékek kiszámításakor az adott beszámolási időszakban nyilvántartásba vett nehézgépjárműveket a következő gyártókhoz kell hozzárendelni:
a) az N kategóriájú nehézgépjárművek esetében az (EU) 2017/2400 rendelet 3. cikkének 4a. pontjában meghatározott járműgyártó;
b) az M kategóriájú nehézgépjárművek esetében az (EU) 2017/2400 rendelet 3. cikkének 29. pontjában meghatározott elsődleges járműgyártó;
c) az O kategóriájú nehézgépjárművek esetében az (EU) 2022/1362 ( 8 ) bizottsági végrehajtási rendelet 2. cikkének 5. pontjában meghatározott járműgyártó.
7b. cikk
Az M kategóriájú nehézgépjárművek átlagos fajlagos szén-dioxid-kibocsátásának kiszámítása
Az M kategóriájú a következők vonatkoznak:
a) a gyártó valamely járműalcsoportjában az átlagos fajlagos szén-dioxid-kibocsátás kiszámításához egy M kategóriájú új nehézgépjárművet a fajlagos szén-dioxid-kibocsátásával az I. melléklet 2.2.2. pontja szerinti teljes vagy befejezett járműnek kell tekinteni, és nem kell figyelembe venni az említett melléklet 2.2.3. pontjában;
b) e cikk a) pontjától eltérve, ha a 7a. cikk b) pontjában említett elsődleges járműgyártó ezt kéri a Bizottságtól, és teljesül az e cikk c) pontjában meghatározott feltétel, egy M kategóriájú új nehézgépjárművet elsődleges járművének fajlagos szén-dioxid-kibocsátásával az I. melléklet 2.2.3. pontjában, nem pedig az említett melléklet 2.2.2. pontjában kell figyelembe venni;
c) az e cikk b) pontja szerinti, M kategóriájú új nehézgépjárműre vonatkozó kérelem nem fogadható el, ha az elsődleges járműgyártó, valamint a teljes vagy befejezett járműnek az (EU) 2017/2400 rendelet 3. cikkének 4a. pontjában meghatározott járműgyártója kapcsolt vállalkozások vagy ugyanazon jogi személy részei; amikor az elsődleges járműgyártó ilyen kérelmet nyújt be kijelenti, hogy nem kapcsolt vállalkozások vagy ugyanazon jogi személy részei; az elsődleges járműgyártónak kérésre a Bizottság rendelkezésére kell bocsátania az alátámasztó információkat;
d) a Bizottság az Európai Környezetvédelmi Ügynökség támogatásával elektronikus formában késedelem nélkül elérhetővé teszi a gyártók számára az ahhoz szükséges eszközöket és eljárási útmutatót, hogy a b) pontban említett kérelmeket benyújtsák a Bizottságnak.
8. cikk
A fajlagos szén-dioxid-kibocsátási célértékek teljesítése
(1) Ha a (2) bekezdés alapján megállapítást nyer, hogy egy gyártónak 2025-től kezdődően egy adott beszámolási időszakban szén-dioxid-többletkibocsátás tulajdonítható, akkor a Bizottság szén-dioxid-többletkibocsátási díjat szab ki, amelynek kiszámítása az alábbi képlet szerint történik: (CO2-többletkibocsátási díj) = (CO2-többletkibocsátás × 4 250 EUR/gCO2/tkm).
(2) Egy gyártónak az alábbi esetekben kell szén-dioxid-többletkibocsátást tulajdonítani:
a) ha a kibocsátási tartozások összegének a kibocsátási jóváírások összegével csökkentett értéke a 2025 és 2028, a 2030 és 2033, valamint a 2035 és 2038 közötti évek bármely beszámolási időszakában meghaladja a 7. cikk (1) bekezdésének harmadik albekezdésében említett kibocsátási tartozásküszöböt;
b) ha a 2029., a 2034., a 2039. és a 2040. évi beszámolási időszakban a kibocsátási tartozások összegének a kibocsátási jóváírások összegével csökkentett értéke pozitív;
c) ha a 2041. évi beszámolási időszakától kezdve a gyártó átlagos fajlagos szén-dioxid-kibocsátása meghaladja a rá vonatkozó fajlagos szén-dioxid-kibocsátási célértéket.
Az adott beszámolási időszakban jelentkező szén-dioxid-többletkibocsátás kiszámítása az I. melléklet 6. pontjának megfelelően történik.
(3) A Bizottság végrehajtási jogi aktusok révén meghatározza az e cikk (1) bekezdése szerinti szén-dioxid-többletkibocsátási díj beszedésének módját. Ezeket a végrehajtási jogi aktusokat a 16. cikk (2) bekezdésében említett vizsgálóbizottsági eljárás keretében kell elfogadni.
(4) A szén-dioxid-többletkibocsátási díjakat az Európai Unió általános költségvetése bevételének kell tekinteni.
9. cikk
A nyomonkövetési adatok ellenőrzése
(1) A típusjóváhagyó hatóságok késedelem nélküli jelentik a Bizottságnak a bejelentett adatoktól való alábbi eltéréseket:
a) ha az üzemelő nehézgépjárművek szén-dioxid-kibocsátását illetően az e rendelet 13. cikkében említett eljárásnak megfelelően végzett ellenőrzések eredményeként kapott értékek eltérnek a megfelelőségi nyilatkozatokban vagy az (EU) 2017/2400 rendelet 9. cikkének (4) bekezdésében említett ügyfél-információs dokumentumban szereplő értékekhez képest;
b) ha helytelen bemeneti adatokból vagy a szén-dioxid-kibocsátás meghatározásának végrehajtása során jelentkező egyéb okokból eredő hibákat tártak fel;
c) ha a szén-dioxid-kibocsátások nyomon követésének és jelentésének végrehajtása során hibákat tártak fel;
d) az a), b) és c) pontban említetteken kívüli bármely egyéb eltérés esetén.
(2) A Bizottság az (1) bekezdésben említett eltéréseket figyelembe veszi az adott gyártó átlagos fajlagos szén-dioxid-kibocsátásának és a szén-dioxid-referenciakibocsátásnak a kiszámítása céljából. A Bizottság adott esetben módosítja a 11. cikk (1) bekezdésében említett listát. A Bizottság nem köteles figyelembe venni az eltéréseket, ha egy gyártó átlagos fajlagos szén-dioxid-kibocsátásának vagy a szén-dioxid-referenciakibocsátásnak az újraszámítása 0,1 %-nál kisebb eltérést eredményez.
(3) A Bizottság végrehajtási jogi aktusok révén részletes szabályokat fogad el az ilyen eltérések jelentésére szolgáló eljárásokra és az eltéréseknek az átlagos fajlagos szén-dioxid-kibocsátás kiszámítási eljárásában való figyelembevételére vonatkozóan. Ezeket a végrehajtási jogi aktusokat a 16. cikk (2) bekezdésében említett vizsgálóbizottsági eljárás keretében kell elfogadni.
10. cikk
A szén-dioxid-referenciakibocsátás értékelése
(1) Azon járműalcsoportok szén-dioxid-referenciakibocsátásai megalapozottságának és reprezentativitásának biztosítása érdekében, amelyekre az I. melléklet 3.2. pontja szerinti referencia-időszakként a 2024. évi vagy egy későbbi évi beszámolási időszak vonatkozik, a Bizottság értékeli azon feltételek alkalmazását, amelyek mellett a szén-dioxid-referenciakibocsátást meghatározták, valamint megállapítja, hogy ezeket a kibocsátásokat indokolatlanul növelték-e, és ha igen, hogyan kell azokat kijavítani.
(2) Ha a Bizottság arra a következtetésre jut, hogy a szén-dioxid-referenciakibocsátás egészét vagy egy részét ki kell javítani, a 16. cikk (2) bekezdésében említett vizsgálóbizottsági eljárásnak megfelelően végrehajtási jogi aktust fogad el e korrekciók elvégzése céljából.
11. cikk
Az adatok és a gyártók eredményeinek közzététele
(1) A Bizottság minden év április 30-ig végrehajtási jogi aktusok révén listát tesz közzé az alábbi adatokkal:
a) 2020. július 1-jétől az egyes gyártók 4. cikkben említett átlagos fajlagos szén-dioxid-kibocsátása az előző beszámolási időszakban;
b) 2020. július 1-jétől az egyes gyártóknak az 5. cikk (1) bekezdésében említett kibocsátásmentességi és alacsony kibocsátási tényezője az előző beszámolási időszakban;
c) 2026. július 1-jétől az egyes gyártók 6. cikkben említett fajlagos szén-dioxid-kibocsátási célértéke az előző beszámolási időszakra;
d) 2020. július 1-jétől2041. június 30-ig az egyes gyártók 7. cikkben említett szén-dioxid-kibocsátáscsökkentési pályagörbéje, kibocsátási jóváírásai és 2026. július 1-jétől2041. június 30-ig kibocsátási tartozásai az előző beszámolási időszakban;
e) 2026. július 1-jétől az egyes gyártók 8. cikkben említett szén-dioxid-többletkibocsátása az előző beszámolási időszakban;
f) 2020. július 1-jétől az Unióban az előző beszámolási időszakban nyilvántartásba vett összes új nehézgépjármű átlagos fajlagos szén-dioxid-kibocsátása.
A referencia-időszak végét követő év április 30-án közzéteendő listának tartalmaznia kell az említett referencia-időszak tekintetében meghatározott szén-dioxid-referenciakibocsátást.
(2) A Bizottság végrehajtási jogi aktusokat fogad el az (1) bekezdésben említett listamódosítása érdekében, amennyiben:
a) az 595/2009/EK rendeletben említett típusjóváhagyási eljárásokat - a szén-dioxid-kibocsátás meghatározásához használt hasznos terhelés és utasszám értékeire vonatkozó módosítások kivételével - úgy módosították, hogy a reprezentatív nehézgépjárművek (3) bekezdés szerint meghatározott szén-dioxid-kibocsátásának szintje 5 g CO2/km-nél nagyobb mértékben növekedjen vagy csökkenjen; ilyen esetekben a kiigazított referenciakibocsátási értékeket a II. melléklet 1. pontjával összhangban kell meghatározni; és az új értékeket a korábbi értékek kiegészítéseként kell közzétenni, feltüntetve azt a beszámolási időszakot, amikor először kerülnek alkalmazásra;
b) a mellékleteket a 14. cikk (1) bekezdésének a)-f) pontjával összhangban módosították, ilyen esetekben a korábban közzétett szén-dioxid-referenciakibocsátásokat az I. melléklettel összhangban újra kell számítani, figyelembe véve a 14. cikk (1) bekezdésének a)-f) pontjával összhangban módosított paramétereket, és az újraszámított szén-dioxid-kibocsátásokat közzé kell tenni, és azok felváltják az előző referencia-kibocsátásokat attól a beszámolási időszaktól kezdődően, amelyben a 14. cikk (1) bekezdésének a)-f) pontjával összhangban módosított paraméterek első alkalommal alkalmazandók.
(3) Az 595/2009/EK rendeletben említett típusjóváhagyási eljárások e cikk (2) bekezdésének a) pontjában említett módosítása esetén az e cikk (2) bekezdésében említett végrehajtási jogi aktusokban meg kell adni vagy meg kell állapítani egy módszertant egy járműalcsoport egy vagy több reprezentatív járművének meghatározására, beleértve a szén-dioxid-kibocsátások meghatározásához használt statisztikai súlyozásukat, hasznos terhelésüket és utasszámukat. Az említett módszertan az alapja az e cikk (2) bekezdése első albekezdése a) pontjának i. alpontjában említett kiigazítás kiszámításának, figyelembe véve az e rendelet szerint jelentett nyomonkövetési adatokat és az (EU) 2017/2400 rendelet 12. cikkének (1) bekezdésében említett műszaki jellemzőket. Ezeket a végrehajtási jogi aktusokat az e rendelet 16. cikkének (2) bekezdésében említett vizsgálóbizottsági eljárás keretében kell elfogadni.
12. cikk
Valós vezetési feltételek mellett mért szén-dioxid-kibocsátások és energiafogyasztás
(1) A Bizottság nyomon követi és értékeli az 595/2009/EK rendelet keretében meghatározott szén-dioxid-kibocsátási és energiafogyasztási értékek valós vezetési feltételek melletti reprezentatív jellegét.
A Bizottság továbbá rendszeresen adatokat gyűjt a nehézgépjárművek valós vezetési feltételek melletti szén-dioxid-kibocsátásáról és energiafogyasztásáról a tüzelőanyag- és/vagy energiafogyasztás-figyelő fedélzeti eszközök használata révén, kezdve az 595/2009/EK rendelet 5c. cikkének b) pontjában említett intézkedések alkalmazásának kezdőnapjától nyilvántartásba vett új nehézgépjárművekkel.
A Bizottság biztosítja a közvélemény tájékoztatását a reprezentatív jelleg időbeli alakulásáról.
(2) E cikk (1) bekezdésének alkalmazásában a Bizottság biztosítja, hogy az 595/2009/EK rendelet 5c. cikkének b) pontjában említett intézkedések alkalmazásának időpontjától kezdve - az esettől függően - a gyártók, a nemzeti hatóságok vagy a járművekből való közvetlen adatátvitel útján rendszeres időközönként rendelkezésére bocsássák a nehézgépjárművek valós vezetési feltételek mellett mért szén-dioxid-kibocsátására és energiafogyasztására vonatkozó következő paramétereket:
a) a jármű-azonosító szám;
b) a fogyasztott tüzelőanyag és villamos energia;
c) a teljes megtett távolság;
d) a hasznos terhelés;
e) a külső töltésű, elektromos hibrid hajtású nehézgépjárművek esetében a fogyasztott tüzelőanyag és villamos energia, valamint a megtett távolság a különböző menetüzemmódok szerinti felosztásban;
f) az e cikk (1) bekezdésében meghatározott kötelezettségek teljesítéséhez szükséges egyéb paraméterek.
A Bizottság az e bekezdés első albekezdése alapján beérkezett adatokat kezeli, hogy az (1) bekezdés céljára anonimizált és összesített - többek között gyártónkénti - adatkészletet hozzon létre. A jármű-azonosító számok csak az említett adatkezelés céljából használhatók fel, és legfeljebb az ahhoz szükséges ideig őrizhetők meg.
(3) A tesztelés során mért és a valós vezetési feltételek mellett mért kibocsátási értékek közötti különbség növekedésének megakadályozása céljából a Bizottság legkésőbb az 595/2009/EK rendelet 5c. cikkének b) pontjában említett intézkedések alkalmazásának kezdőnapját követő két éven és öt hónapon belül felméri, hogy a tüzelőanyag- és energiafogyasztásra vonatkozó adatokat hogyan lehet annak biztosítására felhasználni, hogy a járműveknek az említett rendelet szerint meghatározott szén-dioxid-kibocsátási és energiafogyasztási értékei az egyes gyártók esetében továbbra is reprezentatívak maradjanak a valós vezetési feltételek melletti kibocsátás tekintetében.
A Bizottság nyomon követi és évente beszámol az első albekezdésben említett különbség alakulásáról, és a különbség növekedésének megelőzése érdekében 2027-ben értékeli egy olyan mechanizmus megvalósíthatóságát, amely 2030-tól kiigazítja gyártó átlagos fajlagos szén-dioxid-kibocsátását, továbbá adott esetben jogalkotási javaslatot nyújt be egy ilyen mechanizmus bevezetésére.
(4) A Bizottság végrehajtási jogi aktusok révén elfogadja az e cikk (2) bekezdésében említett adatok gyűjtésére és kezelésére vonatkozó részletes eljárást. Ezeket a végrehajtási jogi aktusokat a 16. cikk (2) bekezdésében említett vizsgálóbizottsági eljárás keretében kell elfogadni.
13. cikk
Az üzemelő nehézgépjárművek szén-dioxid-kibocsátásának ellenőrzése
(1) A gyártók biztosítják, hogy az (EU) 2017/2400 rendelet 9. cikkének (4) bekezdésében említett ügyfél-információs dokumentumban rögzített szén-dioxid-kibocsátási és tüzelőanyag-fogyasztási értékek megfeleljenek az üzemelő nehézgépjárművek említett rendelettel összhangban meghatározott szén-dioxid-kibocsátásának és tüzelőanyag-fogyasztásának.
(2) A (4) bekezdésben említett eljárások hatálybalépését követően a típusjóváhagyó hatóságok a megfelelő és reprezentatív járműminták alapján ellenőrzik, hogy azon gyártók tekintetében, amelyek számára engedélyt adtak a számításos szimulációs rendszer 595/2009/EK rendelettel és annak végrehajtási intézkedéseivel összhangban való működtetésére, az ügyfél-információs dokumentumokban rögzített szén-dioxid-kibocsátási és tüzelőanyag-fogyasztási értékek megfelelnek-e az üzemelő nehézgépjárművek említett rendelettel és annak végrehajtási intézkedéseivel összhangban meghatározott szén-dioxid-kibocsátásainak és tüzelőanyag-fogyasztásának, megfontolva többek között a tüzelőanyag- és/vagy energiafogyasztás-figyelő fedélzeti eszközökből származó, rendelkezésre álló adatok felhasználását.
A típusjóváhagyó hatóságok többek között a tüzelőanyag- és/vagy energiafogyasztás-figyelő fedélzeti eszközökből származó adatok felhasználásával ellenőrzik továbbá a fedélzeten található, vagy a mintában szereplő járművekhez kapcsolódó bármely olyan stratégia jelenlétét, amely a szén-dioxid-kibocsátás és tüzelőanyag-fogyasztás igazolása céljából elvégzett vizsgálatok vagy számítások során mesterségesen javítja a jármű teljesítményét.
(3) Amennyiben a (2) bekezdés szerint elvégzett ellenőrzések eredményeként fény derül a szén-dioxid-kibocsátási és tüzelőanyag-fogyasztási értékek megfelelőségének olyan hiányára, amely nem tudható be a számításos szimulációs rendszer hibás működésének, vagy bármely olyan stratégiára, amely mesterségesen javítja a jármű teljesítményét, a felelős típusjóváhagyó hatóság - az (EU) 2018/858 rendelet XI. fejezetében előírt szükséges intézkedések megtételén felül - biztosítja - az adott esettől függően - az ügyfél-információs dokumentumok, a megfelelőségi nyilatkozatok és az egyedi jóváhagyási bizonyítványok helyesbítését. Amennyiben az ügyfél-információs dokumentumokban, a megfelelőségi nyilatkozatokban és az egyedi jóváhagyási bizonyítványokban szereplő adatok az (EU) 2018/858 rendelet alapján nem javíthatók, a felelős típusjóváhagyó hatóság a javított adatokat tartalmazó helyesbítő nyilatkozatot ad ki. E nyilatkozatot továbbítja a Bizottságnak és az érintett feleknek.
(4) A Bizottság végrehajtási jogi aktusok révén meghatározza az e cikk (2) bekezdésében említett ellenőrzések végrehajtására vonatkozó eljárásokat. E végrehajtási jogi aktusokat a 16. cikk (2) bekezdésében említett vizsgálóbizottsági eljárás keretében kell elfogadni.
A Bizottság felhatalmazást kap arra, hogy az első albekezdésben említett végrehajtási jogi aktusok elfogadása előtt a 17. cikkel összhangban felhatalmazáson alapuló jogi aktust fogadjon el, amelyben megállapítja az első albekezdésben említett eljárások meghatározására vonatkozó irányadó elveket és kritériumokat.
13a. cikk
A tagállamok általi nyomon követés és jelentéstétel
(1) Az Unióban első alkalommal nyilvántartásba vett új nehézgépjárművek vonatkozásában a tagállamok a 2023. évi beszámolási időszaktól kezdve nyomon követik a IV. melléklet A. részében meghatározott adatokat.
Az V. mellékletben foglalt adatbejelentési eljárással összhangban a tagállami illetékes hatóságok 2020-tól kezdve minden év szeptember 30-ig megküldik az előző beszámolási időszak során (július 1. és június 30. között) gyűjtött adatokat a Bizottságnak.
(2) Az adatok e rendelettel összhangban történő nyomon követéséért és bejelentéséért felelős illetékes hatóságok a tagállamok által az (EU) 2019/631 rendelet 7. cikkének (6) bekezdésével összhangban kijelölt illetékes hatóságok.
(3) E cikk hatálya alá tartoznak a polgári védelmi szolgálatok, a tűzoltóság vagy a közrend fenntartásáért felelős erők általi használatra tervezett, gyártott vagy ahhoz igazított nehézgépjárművek is.
(4) E cikk hatálya alá tartoznak a polgári védelmi szolgálatok, a tűzoltóság, a sürgős orvosi ellátást biztosító szolgálatok és a közrend fenntartásáért felelős erők általi használatra nyilvántartásba vett nehézgépjárművek, valamint a fegyveres szolgálatok általi használatra nyilvántartásba vett nehézgépjárművek is, függetlenül attól, hogy mentesülnek-e a 3a. cikk alól.
13b. cikk
A gyártók vagy egyéb, a nehézgépjárművek szén-dioxid-kibocsátásának meghatározásáért felelős szervezetek általi jelentéstétel
(1) Az (EU) 2017/2400 rendelet 9. cikkének vagy az (EU) 2022/1362 végrehajtási rendelet 8. cikkének hatálya alá tartozó gyártók vagy egyéb szervezetek, amelyek valamely nehézgépjármű szén-dioxid-kibocsátásának meghatározásáért felelősek, az új nehézgépjárművek adatait az e rendelet IV. mellékletének B. részében foglaltaknak megfelelően jelentik be.
Az V. mellékletben meghatározott jelentéstételi eljárásnak megfelelően minden év szeptember 30-ig jelentik a Bizottságnak ezeket az adatokat minden olyan új nehézgépjárműre vonatkozóan, amely meghatározásának vagy értékelésének dátuma a június 30-ig tartó beszámolási időszakba esik.
Ez a bekezdés a 6b. cikk szerint mentességet élvező nehézgépjárművekre nem alkalmazandó.
(2) Minden gyártó vagy az (1) bekezdés értelmében vett szervezet kijelöl egy kapcsolattartó pontot az adatok e rendelettel összhangban történő bejelentése céljából.
(3) A 13a. cikk (3) és (4) bekezdése szerinti jelentéstételi kötelezettségek a gyártókra és az e cikk (1) bekezdésének értelmében vett egyéb szervezetekre egyaránt érvényesek.
13c. cikk
A nehézgépjárművek adatainak központi nyilvántartása
(1) A Bizottság a nehézgépjárművek 13a. és 13b. cikk szerint bejelentett adatairól központi nyilvántartást (a továbbiakban: a központi nyilvántartás) vezet.
A központi nyilvántartásnak az V. melléklet 3.2. pontjában felsorolt adatok kivételével nyilvánosan hozzáférhetőnek kell lennie.
A légellenállási értéket a IV. melléklet C. részében meghatározott tartományok formájában nyilvánosan hozzáférhetővé kell tenni.
(2) A központi nyilvántartást a Bizottság nevében az Európai Környezetvédelmi Ügynökség kezeli.
13d. cikk
A közúti ellenőrzési vizsgálatok eredményeinek nyomon követése
(1) A Bizottság, amennyiben ezek az adatok elérhetők, nyomon követi azoknak a közúti vizsgálatoknak az eredményét, amelyeket az 595/2009/EK rendelet keretében végeztek az új nehézgépjárművek szén-dioxid-kibocsátásának és tüzelőanyag-fogyasztásának ellenőrzése céljából.
(2) A Bizottság felhatalmazást kap arra, hogy a 17. cikknek megfelelően e rendelet kiegészítése céljából felhatalmazáson alapuló jogi aktusok útján meghatározza azokat az adatokat, amelyeket a tagállamok illetékes hatóságainak az e cikk (1) bekezdésének céljára be kell jelenteniük.
13e. cikk
Adatminőség
(1) A 13a. és a 13b. cikk alapján bejelentett adatok helytállóságáért és minőségéért az illetékes hatóságok és a gyártók felelnek. A bejelentett adatokkal kapcsolatban észlelt bármilyen hibáról haladéktalanul tájékoztatniuk kell a Bizottságot.
(2) A Bizottság ellenőrzi a 13a. és a 13b. cikk alapján bejelentett adatok minőségét.
(3) Amennyiben a Bizottság arról értesül, hogy az (1) bekezdés alapján bejelentett adatok hibásak, vagy a (2) bekezdés szerinti saját ellenőrzése nyomán eltéréseket állapít meg az adatkészletben, adott esetben megteszi a szükséges intézkedéseket a központi nyilvántartásban közzétett adatok kijavítására.
(4) A Bizottság végrehajtási jogi aktusok útján meghatározhatja az e cikk (2) és (3) bekezdésében említett ellenőrzési és helyesbítési intézkedéseket. Ezeket a végrehajtási jogi aktusokat a 16. cikkben említett vizsgálóbizottsági eljárás keretében kell elfogadni.
13f. cikk
Közigazgatási bírságok
(1) A Bizottság az alábbi esetek bármelyikében közigazgatási bírságot szabhat ki:
a) ha megállapítja, hogy a gyártó által az e rendelet 13b. cikke alapján bejelentett adatok eltérnek a gyártó saját dokumentációjában, illetve az 595/2009/EK rendelet keretében kiállított motor-típusjóváhagyási bizonyítványban foglalt adatoktól, és az eltérés szándékos beavatkozás, illetve súlyos hanyagság eredménye;
b) ha az adatok nem kerülnek benyújtásra a 13b. cikk (1) bekezdésének második albekezdésében említett határidőn belül, és a késedelem nem támasztható alá megfelelő indokokkal.
Az a) pontban említett adatok ellenőrzése céljából a Bizottság konzultál az érintett típusjóváhagyó hatóságokkal.
A közigazgatási bírságoknak hatékonynak, arányosnak és visszatartó erejűnek kell lenniük, és az a) és b) pontban említett eltérő vagy késedelmesen benyújtott adatok által érintett nehézgépjárművenként nem haladhatják meg a 30 000 EUR-t.
(2) A Bizottság a 17. cikknek megfelelően felhatalmazáson alapuló jogi aktusokat fogad el az e rendeletnek az e cikk (1) bekezdésében említett közigazgatási bírságok kiszámítására és beszedésére vonatkozó eljárás és módszerek meghatározása révén történő kiegészítése céljából.
Az említett, felhatalmazáson alapuló jogi aktusok vonatkozásában be kell tartani a következő alapelveket:
a) az eljárás során tiszteletben kell tartani a megfelelő ügyintézéshez való jogot, különösen a meghallgatáshoz és az iratbetekintéshez való jogot, a bizalmas adatkezeléshez, valamint a kereskedelmi titokhoz fűződő jogos érdekek sérelme nélkül;
b) a közigazgatási bírságok megfelelő összegének kiszámításakor a Bizottság a hatékonyság, az arányosság és a visszatartó erő elvét alkalmazza, és figyelembe veszi adott esetben az eltérés vagy a késedelem súlyosságát és hatásait, az eltérő vagy késedelmesen benyújtott adatok által érintett nehézgépjárművek számát, a gyártó jóhiszeműségét, a gyártó gondosságának és az általa tanúsított együttműködésnek a mértékét, az eltérés vagy késedelem ismétlődését, gyakoriságát és időtartamát, valamint az adott gyártóval szemben korábban alkalmazott esetleges szankciókat;
c) a közigazgatási bírságokat indokolatlan késedelem nélkül kell beszedni fizetési határidők megszabásával, valamint többek között - adott esetben - biztosítva a bírság több részletben és szakaszban való befizetésének lehetőségét.
(3) A közigazgatási bírságok összegét az Európai Unió általános költségvetésének bevételeiként kell elszámolni.
14. cikk
Az I., a IV., és az V. melléklet módosításai
(1) A Bizottság felhatalmazást kap arra, hogy e rendelet 17. cikkének megfelelően felhatalmazáson alapuló jogi aktusokat fogadjon el e rendelet I. melléklete következő elemeinek módosítása céljából a műszaki fejlődés, a teherszállítási logisztika fejlődése, az e rendelet alkalmazásából és az azt megalapozó típusjóváhagyási jogi aktusok - különösen az (EU) 2018/858 és az 595/2009/EK rendelet - módosításából eredő szükséges kiigazítások figyelembevétele érdekében:
a) az 1.1. pont szerinti járműalcsoportok meghatározására szolgáló kritériumok, így többek között az EHC-tehergépkocsikra vonatkozó külön járműalcsoportok felvétele;
b) az 1.2. pont szerinti különleges felépítményű gépjárművek meghatározására szolgáló kritériumok;
c) az 1.3. pont szerinti különböző erőátviteli technológiák hatótávolságaira vonatkozó kritériumok;
d) az 1.4. pont szerinti célprofilok listája;
e) a célprofilok 2.1.1, 2.1.2 és 2.1.3. pont szerinti súlya;
f) a járműalcsoportok 2.5. pont szerinti hasznos terhelése, utasszáma, utastömege, műszakilag megengedett legnagyobb hasznos terhelése, műszakilag megengedett legnagyobb utasszáma és rakománymennyisége;
g) a 2.6.1, 2.6.2. és 2.6.3. pont szerinti éves futásteljesítmény-értékek.
(2) A Bizottság felhatalmazást kap arra, hogy a 17. cikknek megfelelően felhatalmazáson alapuló jogi aktusokat fogadjon el a IV. melléklet alábbi elemeinek módosítása céljából:
a) az A. és B. részben megadott adatszolgáltatási követelmények, a műszaki fejlődés, az e rendelet alkalmazásából és az azt megalapozó típusjóváhagyási jogi aktusok - különösen az (EU) 2018/858 és az 595/2009/EK rendelet - módosításából eredő szükséges kiigazítások figyelembevétele érdekében;
b) a C. részben meghatározott légellenállási értékek tartományainak naprakésszé tétele vagy kiigazítása a nehézgépjárművek kialakításában bekövetkezett változások figyelembevétele és annak biztosítása érdekében, hogy e tartományok a tájékoztatás és az összehasonlíthatóság szempontjából relevánsak maradjanak.
(3) A Bizottság felhatalmazást kap arra, hogy a 17. cikknek megfelelően felhatalmazáson alapuló jogi aktusokat fogadjon el az V. melléklet alábbi elemeinek módosítása céljából:
a) az V. mellékletben meghatározott bejelentési eljárás, az e rendelet alkalmazása során szerzett tapasztalatok figyelembevétele és a bejelentési eljárás műszaki fejlődéshez való hozzáigazítása érdekében;
b) a 3.2. pont, a központi nyilvántartásba felvett adatok hozzáadásával.
15. cikk
Felülvizsgálat
(1) A Bizottság 2027. december 31-ig felülvizsgálja e rendelet eredményességét és hatását, különösen a klímasemlegesség legkésőbb 2050-ig történő elérésére irányuló célkitűzés tekintetében, és e felülvizsgálat eredményeiről jelentést nyújt be az Európai Parlamentnek és a Tanácsnak.
Jelentésében a Bizottság különösen a következőket értékeli:
a) a kibocsátásmentes nehézgépjárművek tagállami nyilvántartásba vételeinek száma;
b) az e rendelet hatálya alá tartozó nehézgépjárművek vonatkozásában az alternatív üzemanyagok elektromos és egyéb, köz- illetve magántulajdonban lévő töltőinfrastruktúrájának kiépítése terén elért eredmények, valamint infrastrukturális korlátok megléte harmadik országokban az Unióban újonnan nyilvántartásba vett, Unión kívül üzemeltetett nehézgépjárművek esetében;
c) a foglalkoztatásra, különösen a mikro-, kis- és középvállalkozásokra (kkv-k) gyakorolt hatások, a munkaerő átképzését és továbbképzését támogató intézkedések eredményessége, valamint a kibocsátásmentes közúti mobilitásra való gazdaságilag életképes és társadalmilag igazságos átállás fontossága, különös hangsúlyt kell fektetni a peremterületeken elhelyezkedő tagállamokra és a romlandó áruk szállítására gyakorolt hatásra;
d) továbbra is indokolt-e a 6b. cikkben meghatározott, kevés járművet előállító gyártókra vonatkozó mentesség fenntartása;
e) az uniós piacon forgalomba hozott új kibocsátásmentes nehézgépjárművekre vonatkozó minimális energiahatékonysági küszöbérték megállapításának hatásai;
f) a szén-dioxid-többletkibocsátási díj szintje, annak biztosítása érdekében, hogy az meghaladja a szén-dioxid-kibocsátáscsökkentési célértékek eléréséhez szükséges technológiák átlagos határköltségeit;
g) a szén-dioxid-kibocsátáscsökkentési célértékek kiterjesztése a jelenleg az (EU) 2017/2400 rendelet hatálya alá nem tartozó alábbi nehézgépjárművekre:
i. legfeljebb 5 tonna műszakilag megengedett legnagyobb terhelt tömegű kis tehergépkocsik, az ilyen nehézgépjárművek szén-dioxid-kibocsátásának a 2 (EU) 2017/2400 rendelettel összhangban történő (VECTO-szimulációk) meghatározása helyénvaló voltának vizsgálatát követően, figyelembe véve az (EU) 2017/1151 rendeletet, valamint
ii. különleges rendeltetésű járművek, terepjárók és különleges rendeltetésű terepjárók;
h) a 3d. cikkben foglaltaknak való megfelelés bármely sajátos korlátja, amely a sajátos terep- vagy időjárási viszonyokra, valamint a hatóságok által a közelmúltban már végrehajtott biometán-beruházásokra tekintettel jelentkező társadalmi-gazdasági költség-haszonból fakad;
i) a szén-dioxid-korrekciós tényező szerepe a nehézgépjármű-ágazatban a kibocsátásmentes mobilitásra történő átállásban;
j) a kizárólag szén-dioxid-semleges üzemanyagokkal működő nehézgépjárművek nyilvántartásba vételére szolgáló módszertan szerepe, összhangban az uniós joggal és az Unió klímasemlegességi célkitűzésével;
k) az EHC-tehergépkocsikra vonatkozó új járműalcsoportok létrehozása a névleges motorteljesítmény indokolatlan növekedéséhez vezetett-e;
l) az uniós piacon forgalomba hozott új nehézgépjárművek teljes életciklusra számított szén-dioxid-kibocsátásának felmérésére és az azzal kapcsolatos következetes adatszolgáltatásra vonatkozó közös uniós módszertan kidolgozásának lehetősége;
m) a korábban már nyilvántartásba vett hagyományos nehézgépjárművekből utólag átalakított kibocsátásmentes nehézgépjárművek figyelembevételére vonatkozó lehetőségek az e rendelet szerinti megfelelőségértékelés céljából.
E jelentést adott esetben az e rendelet módosítására irányuló jogalkotási javaslat kíséri.
(2) A Bizottság értékeli a fenntartható megújuló üzemanyagok szerepét a klímasemlegességre való átállásban, többek között a nehézgépjárművek ágazatában. Az (1) bekezdésben említett felülvizsgálattól függetlenül és az ilyen üzemanyagok bevezetésére vonatkozó szélesebb körű stratégia részeként a Bizottság 2025. december 31-ig jelentést nyújt be az Európai Parlamentnek és a Tanácsnak, amely átfogó elemzést tartalmaz a fejlett bioüzemanyagok, biogázok és nem biológiai eredetű megújuló üzemanyagok nehézgépjármű-ágazatban való elterjedését előmozdító ösztönzők szükségességéről, valamint az ennek eléréséhez szükséges megfelelő intézkedési keretről, többek a között pénzügyi ösztönzőkről. A Bizottság ezen elemzés alapján adott esetben további jogalkotási javaslatokat tesz, vagy ajánlásokat fogalmaz meg a tagállamok számára.
16. cikk
A bizottsági eljárás
(1) A Bizottságot az (EU) 2018/1999 európai parlamenti és tanácsi rendelet ( 9 ) 44. cikke (1) bekezdésének a) pontjában említett Éghajlatváltozási Bizottság segíti. Ez a bizottság a 182/2011/EU rendelet értelmében vett bizottságnak minősül.
(2) Az e bekezdésre történő hivatkozáskor a 182/2011/EU rendelet 5. cikkét kell alkalmazni.
(3) Ha a bizottság nem nyilvánít véleményt, a Bizottság nem fogadhatja el a végrehajtási jogi aktus tervezetét, és a 182/2011/EU rendelet 5. cikke (4) bekezdésének harmadik albekezdése alkalmazandó.
17. cikk
A felhatalmazás gyakorlása
(1) A felhatalmazáson alapuló jogi aktusok elfogadására vonatkozóan a Bizottság részére adott felhatalmazás feltételeit ez a cikk határozza meg.
(2) A Bizottságnak a 3d. cikk (3) bekezdésében, a 13. cikk (4) bekezdésének második albekezdésében, a 13d. cikk (2) bekezdésében, a 13f. cikk (2) bekezdésében, a 14. cikk (1) bekezdésében, a 14. cikk (2) bekezdésében és a 14. cikk (3) bekezdésében említett, felhatalmazáson alapuló jogi aktusok elfogadására vonatkozó felhatalmazása ötéves időtartamra szól 2024. június 26-tól kezdődő hatállyal. A Bizottság legkésőbb kilenc hónappal az ötéves időtartam letelte előtt jelentést készít a felhatalmazásról. A felhatalmazás hallgatólagosan meghosszabbodik a korábbival megegyező időtartamra, amennyiben az Európai Parlament vagy a Tanács nem ellenzi a meghosszabbítást legkésőbb három hónappal minden egyes időtartam letelte előtt.
(3) Az Európai Parlament vagy a Tanács bármikor visszavonhatja a 3d. cikk (3) bekezdésében, a 13. cikk (4) bekezdésének második albekezdésében, a 13d. cikk (2) bekezdésében, a 13f. cikk (2) bekezdésében, a 14. cikk (1) bekezdésében, a 14. cikk (2) bekezdésében és a 14. cikk (3) bekezdésében említett felhatalmazást. A visszavonásról szóló határozat megszünteti az abban meghatározott felhatalmazást. A határozat az Európai Unió Hivatalos Lapjában való kihirdetését követő napon, vagy a benne megjelölt későbbi időpontban lép hatályba. A határozat nem érinti a már hatályban lévő, felhatalmazáson alapuló jogi aktusok érvényességét.
(4) A felhatalmazáson alapuló jogi aktus elfogadása előtt a Bizottság a jogalkotás minőségének javításáról szóló, 2016. április 13-i intézményközi megállapodásban foglalt elveknek megfelelően konzultál az egyes tagállamok által kijelölt szakértőkkel.
(5) A Bizottság a felhatalmazáson alapuló jogi aktus elfogadását követően haladéktalanul és egyidejűleg értesíti arról az Európai Parlamentet és a Tanácsot.
(6) A 3d. cikk (3) bekezdése, a 13. cikk (4) bekezdésének második albekezdése, a 13d. cikk (2) bekezdése, a 13.f. cikk (2) bekezdése, a 14. cikk (1), (2) és (3) bekezdése értelmében elfogadott, felhatalmazáson alapuló jogi aktus csak akkor lép hatályba, ha az Európai Parlamentnek és a Tanácsnak a jogi aktusról való értesítését követő két hónapon belül sem az Európai Parlament, sem a Tanács nem emelt ellene kifogást, illetve ha az említett időtartam lejártát megelőzően mind az Európai Parlament, mind a Tanács arról tájékoztatta a Bizottságot, hogy nem fog kifogást emelni. Az Európai Parlament vagy a Tanács kezdeményezésére ez az időtartam két hónappal meghosszabbodik.
18. cikk
Az 595/2009/EK rendelet módosítása
A 595/2009/EK rendelet a következőképpen módosul:
1. A 2. cikk első bekezdése a következő mondattal egészül ki:
"Az 5a., az 5b. és az 5c. cikk alkalmazásában az O3 és O4 kategóriájú járművekre is alkalmazni kell."
2. A szöveg a következő cikkekkel egészül ki:
"5a. cikk
A gyártókkal szembeni különös követelmények az M2, M3, N2, N3, O3 és O4 kategóriájú járművek környezeti teljesítménye tekintetében
(1) A gyártóknak gondoskodniuk kell arról, hogy az értékesített, nyilvántartásba vett vagy forgalomba helyezett O3 és O4 kategóriájú új járművek megfeleljenek az alábbi követelményeknek:
a) az említett járművek szén-dioxid-kibocsátásra, tüzelőanyag-fogyasztásra, villamosenergia-fogyasztásra és gépjárművek kibocsátásmentes hatósugarára gyakorolt hatása az 5c. cikk a) pontjában említett módszertan szerint kerül meghatározásra;
b) a járművek a hasznos terhelés figyelemmel kísérésére és rögzítésére szolgáló fedélzeti berendezéssekkel vannak ellátva, összhangban az 5c. cikk b) pontjában említett követelményekkel.
(2) A gyártók biztosítják, hogy az értékesített, nyilvántartásba vett vagy forgalomba helyezett M2, M3, N2 és N3 kategóriájú új járműveket fedélzeti készülékkel szereljék fel a tüzelőanyag- és/vagy az energiafogyasztás, a hasznos terhelés és a futásteljesítmény figyelemmel kísérésére és rögzítésére, összhangban az 5c. cikk b) pontjában említett követelményekkel.
A gyártóknak biztosítaniuk kell továbbá, hogy e járművek kibocsátásmentes hatósugarát és villamosenergia-fogyasztását az 5c. cikk c) pontjában említett módszertannal összhangban határozzák meg.
5b. cikk
A tagállamokkal szembeni különös követelmények az M2, M3, N2, N3, O3 és O4 kategóriájú járművek környezeti teljesítménye tekintetében
(1) A nemzeti hatóságok az 5c. cikkben említett végrehajtási intézkedésekkel összhangban megtagadják az EK-típusjóváhagyás vagy a nemzeti típusjóváhagyás megadását azon M2, M3, N2, N3, O3 és O4 kategóriájú új járműtípusok esetében, amelyek nem felelnek meg az említett végrehajtási intézkedésekben megállapított követelményeknek.
(2) A nemzeti hatóságok az 5c. cikkben említett végrehajtási intézkedésekkel összhangban megtiltják azon M2, M3, N2, N3, O3 és O4 kategóriájú új járművek értékesítését, nyilvántartásba vételét vagy forgalomba helyezését, amelyek nem felelnek meg az említett végrehajtási intézkedésekben megállapított követelményeknek.
5c. cikk
Intézkedések az M2, M3, N2, N3, O3 és O4 kategóriájú járművek környezeti teljesítménye bizonyos szempontjainak meghatározására
A Bizottság 2021. december 31-ig végrehajtási jogi aktusok révén elfogadja a következő intézkedéseket:
a) az O3 és O4 kategóriájú járművek teljesítményének a szén-dioxid-kibocsátásra, a tüzelőanyag-fogyasztásra, a villamosenergia-fogyasztásra és a gépjárművek kibocsátásmentes hatósugarára gyakorolt hatása tekintetében való értékelésére szolgáló módszertan;
b) az M2, M3, N2 és N3 kategóriájú gépjárművek tüzelőanyag- és/vagy energiafogyasztásának és futásteljesítményének figyelemmel kísérésére és rögzítésére szolgáló fedélzeti eszközök felszerelésére, valamint az (EU) 2019/1242 európai parlamenti és tanácsi rendelet ( *1 ) 2. cikke (1) bekezdése első albekezdésének a), b), c) vagy d) pontjában felsorolt jellemzőknek megfelelő járművek és azoknak az O3 és O4 kategóriájú járművekkel való kombinációi hasznos terhelésének, illetve össztömegének meghatározására és rögzítésére - beleértve szükség szerint a kombináción belüli járművek közötti adatátvitelt is - vonatkozó műszaki követelmények;
c) az M2, M3, N2 és N3 kategóriájú új járművek kibocsátásmentes hatósugarának és villamosenergia-fogyasztásának meghatározására szolgáló módszertan.
E végrehajtási jogi aktusokat a 13a. cikkben említett vizsgálóbizottsági eljárás keretében kell elfogadni.
3. A szöveg a következő cikkel egészül ki:
"13a. cikk
A bizottsági eljárás
(1) A Bizottságot az (EU) 2018/858 európai parlamenti és tanácsi rendelettel ( *2 ) létrehozott "Műszaki Bizottság - Gépjárművek" elnevezésű bizottság segíti. Ez a bizottság a 182/2011/EU rendelet értelmében vett bizottságnak minősül.
(2) Az e bekezdésre történő hivatkozáskor a 182/2011/EU rendelet 5. cikkét kell alkalmazni.
(3) Ha a bizottság nem nyilvánít véleményt, a Bizottság nem fogadja el a végrehajtási jogi aktus tervezetét, és a 182/2011/EU rendelet 5. cikke (4) bekezdésének harmadik albekezdése alkalmazandó.
19. cikk
Az (EU) 2018/956 rendelet módosítása
Az (EU) 2018/956 rendelet a következőképpen módosul:
1. A 3. cikk helyébe a következő szöveg lép:
"3. cikk
Fogalommeghatározások
E rendelet alkalmazásában a 2007/46/EK európai parlamenti és tanácsi irányelvben ( *3 ) és az 595/2009/EK és az (EU) 2019/1242 európai parlamenti és tanácsi rendeletben ( *4 )szereplő fogalommeghatározások alkalmazandók.
2. A 4. cikk (1) bekezdése helyébe a következő szöveg lép:
"(1) Az Unióban első alkalommal nyilvántartásba vett új nehézgépjárművek tekintetében a tagállamok 2019. január 1-jétől kezdve nyomon követik az I. melléklet A. pontjában meghatározott adatokat.
A II. mellékletben foglalt adatbejelentési eljárással összhangban a tagállami illetékes hatóságok 2020-tól kezdve minden év szeptember 30-ig megküldik az előző beszámolási időszak során (július 1. és június 30. között) gyűjtött adatokat a Bizottságnak.
A 2019-es évet illetően a 2020. szeptember 30-ig bejelentett adatoknak a 2019. január 1. és2020. június 30. között gyűjtött adatokat kell tartalmaznia.
A korábban az Unión kívül nyilvántartásba vett új nehézgépjárművekre vonatkozó adatokat nem kell nyomon követni és bejelenteni, kivéve, ha a nyilvántartásba vételük az Unióban történő nyilvántartásba vétel előtt kevesebb mint három hónappal történt meg."
3. Az 5. cikk (1) bekezdésének helyébe a következő szöveg lép:
"(1) A nehézgépjárműgyártók az I. melléklet B. részének 1. pontjában meghatározott kezdőévektől kezdődően minden egyes új nehézgépjármű esetében nyomon követik az I. melléklet B. részének 2. pontjában meghatározott adatokat.
Az I. melléklet B. részének 1. pontjában meghatározott kezdőévektől kezdődően a nehézgépjárműgyártóknak a II. mellékletben meghatározott jelentéstételi eljárással összhangban minden év szeptember 30-ig be kell jelenteniük a Bizottságnak az összes új nehézgépjárműre vonatkozó említett adatokat, az előző, július 1. és június 30. közötti beszámolási időszakra eső szimulációs időpontot megadva.
A 2019-es évet illetően a gyártóknak azon új nehézgépjárművek esetében kell adatot szolgáltatnia, amelyek szimulációja a 2019. január 1. és2020. június 30. közötti időszakra esik.
A szimuláció időpontja az I. melléklet B. része 2. pontjának 71. adatával összhangban bejelentett időpont."
4. A 10. cikk (1) bekezdésének helyébe a következő szöveg lép:
"(1) A Bizottság minden év április 30-ig éves jelentést tesz közzé, amelyben elemzi a tagállamok és a gyártók által az előző beszámolási időszakra vonatkozóan benyújtott adatokat."
5. A II. melléklet 3.2. pontja helyébe a következő szöveg lép:
"3.2. Az előző beszámolási időszaban nyilvántartásba vett nehézgépjárműveknek a nyilvántartásban rögzített adatait 2021-től kezdődően minden évben április 30-ig közzé kell tenni, kivéve a 6. cikk (1) bekezdésében meghatározott adatokat."
20. cikk
A 96/53/EK irányelv módosításai
A 96/53/EK irányelv a következőképpen módosul:
1. A 2. cikk az "alternatív üzemanyaggal hajtott jármű" meghatározása után a következő fogalommeghatározással egészül ki:
- "- "kibocsátásmentes jármű": az (EU) 2019/1242 európai parlamenti és tanácsi rendelet ( *5 )3. cikkének 11. pontjában meghatározott kibocsátásmentes nehézgépjármű.
2. A 10b. cikk helyébe a következő szöveg lép:
"10b. cikk
Az alternatív üzemanyaggal hajtott vagy kibocsátásmentes járművek megengedett legnagyobb össztömege az I. melléklet 2.2.1., 2.2.2., 2.2.3., 2.2.4., 2.3.1., 2.3.2. és 2.4. pontjában meghatározottak szerint engedélyezett.
Az alternatív üzemanyaggal hajtott vagy kibocsátásmentes járművek emellett meg kell, hogy feleljenek az I. melléklet 3. pontjában a legnagyobb megengedett tengelyterhelés vonatkozásában meghatározott tömeghatár-értékeknek.
Az alternatív üzemanyaggal hajtott vagy kibocsátásmentes járművek esetében szükséges többlettömeget a kérdéses jármű jóváhagyási eljárása során a gyártó által benyújtott dokumentáció alapján kell meghatározni. A többlettömeget fel kell tüntetni a 6. cikkel összhangban előírt hivatalos igazolásokon.
A Bizottság felhatalmazást kap arra, hogy a 10h. cikknek megfelelően felhatalmazáson alapuló jogi aktusokat fogadjon el annak érdekében, hogy ezen irányelv alkalmazása céljából naprakésszé tegye a 2. cikkben említett, olyan alternatív üzemanyagokat tartalmazó listát, amelyek esetében többlettömeget kell biztosítani. Különösen fontos, hogy a Bizottság a szokásos gyakorlatát követve e felhatalmazáson alapuló jogi aktusok elfogadása előtt szakértői konzultációkat folytasson, többek között a tagállamok szakértőivel is."
3. Az I. melléklet a következőképpen módosul:
a) a 2.2.1., a 2.2.2., a 2.2.3. és a 2.2.4. pont második oszlopa a következő albekezdéssel egészül ki:
"Jármű-kombinációk esetében, beleértve az alternatív üzemanyaggal hajtott vagy kibocsátásmentes járműveket is, az e szakaszra vonatkozóan előírt megengedett legnagyobb össztömeg az alternatív tüzelőanyag- vagy kibocsátásmentes technológia többlettömegével, legfeljebb 1 tonnával, illetve 2 tonnával megnövelésre kerül.";
b) a 2.3.1. pont második oszlopa a következő albekezdéssel egészül ki:
"Kibocsátásmentes járművek: a 18 tonna megengedett legnagyobb össztömeg a kibocsátásmentes technológia többlettömegével, legfeljebb 2 tonnával megnövelésre kerül.";
c) a 2.3.2. pont harmadik oszlopa a következő albekezdéssel egészül ki:
"Háromtengelyes kibocsátásmentes járművek: a 25 tonna vagy - amennyiben a hajtott tengelyt ikerabroncsozással és légrugós felfüggesztéssel vagy az Unióban ezzel egyenértékűként elismert, a II. mellékletben meghatározott felfüggesztéssel szerelték, vagy ha a hajtott tengelyek mindegyikét ikerabroncsozással szerelték és a legnagyobb tengelyterhelés tengelyenként nem haladja meg a 9,5 tonnát - 26 tonna megengedett legnagyobb össztömeg, a kibocsátásmentes technológia többlettömegével, de legfeljebb 2 tonnával megnövelésre kerül.";
d) a 2.4. pont harmadik oszlopa a következő albekezdéssel egészül ki:
"Háromtengelyes csuklós autóbuszok, amelyek kibocsátásmentes járművek: a 28 tonna megengedett legnagyobb össztömeg a kibocsátásmentes technológia többlettömegével, legfeljebb 2 tonnával megnövelésre kerül."
21. cikk
Hatálybalépés
Ez a rendelet az Európai Unió Hivatalos Lapjában való kihirdetését követő huszadik napon lép hatályba.
Ez a rendelet teljes egészében kötelező és közvetlenül alkalmazandó valamennyi tagállamban.
I. MELLÉKLET
Átlagos fajlagos széndioxid-kibocsátások, átlagos fajlagos széndioxid-kibocsátási célértékek és széndioxid-többletkibocsátások
1. Járműalcsoportok
1.1. E rendelet alkalmazásában minden új nehézgépjármű esetében meg kell határozni egy sg járműalcsoportot (sg mint "subgroup").
1.1.1. Az N kategóriájú nehézgépjárművek esetében az sg járműalcsoport meghatározása a következő:
| Járműcsoport az (EU) 2017/2400 rendelet I. melléklete szerint | Vezetőfülke-típus | Motorteljesítmény | Hatótávolság (OR mint „operational range”) | Az e rendelet céljára kijelölt járműalcsoport (sg) (*1) | |
| Különleges felépítményű gépjárműtől eltérő járművek | Különleges felépítményű gépjárművek | ||||
| az 53 és az 51 alcsoportba tartozó kibocsátásmentes nehézgépjárművek | mindegyik | 53 | 53v | ||
| az 54 és az 52 alcsoportba tartozó kibocsátásmentes nehézgépjárművek | mindegyik | 54 | — | ||
| 1s | mindegyik | 1s | 1sv | ||
| 1 | mindegyik | 1 | 1v | ||
| 2 | mindegyik | 2 | 2v | ||
| 3 | mindegyik | 3 | 3v | ||
| 4 | mindegyik | < 170 kW | mindegyik | 4-UD | 4v |
| nappali vezetőfülke | ≥ 170 kW | mindegyik | 4-RD | ||
| hálóhelyes vezetőfülke | ≥ 170 kW és < 265 kW | ||||
| hálóhelyes vezetőfülke | ≥ 265 kW | < 350 km | |||
| hálóhelyes vezetőfülke | ≥ 265 kW | ≥ 350 km | 4-LH | ||
| 9 | nappali vezetőfülke | mindegyik | mindegyik | 9-RD | 9v |
| hálóhelyes vezetőfülke | mindegyik | < 350 km | |||
| hálóhelyes vezetőfülke | mindegyik | ≥ 350 km | 9-LH | ||
| 5 | nappali vezetőfülke | mindegyik | mindegyik | 5-RD | 5v |
| hálóhelyes vezetőfülke | < 265 kW | ||||
| hálóhelyes vezetőfülke | ≥ 265 kW | < 350 km | |||
| hálóhelyes vezetőfülke | ≥ 265 kW | ≥ 350 km | 5-LH | ||
| 10 | nappali vezetőfülke | mindegyik | mindegyik | 10-RD | 10v |
| hálóhelyes vezetőfülke | mindegyik | < 350 km | |||
| hálóhelyes vezetőfülke | mindegyik | ≥ 350 km | 10-LH | ||
| 11 | mindegyik | 11 | 11v | ||
| 12 | mindegyik | 12 | 12v | ||
| 16 | mindegyik | 16 | 16v | ||
| (*1) A 2030 és 2034 közötti évek beszámolási időszakaiban a járművek részarányainak és a gyártók átlagos fajlagos szén-dioxid-kibocsátásának a 2.4. és 2.7. pont szerinti kiszámításához az N kategóriájú, kibocsátásmentes, különleges felépítményű járműveket a következőképpen kell besorolni: | |||||
| Kibocsátásmentes, különleges felépítményű jármű járműalcsoportja | Kijelölt jármű alcsoport |
| 53v | 53 |
| 1sv | 1s |
| 1v | 1 |
| 2v | 2 |
| 3v | 3 |
| 4v | 4-UD |
| 5v | 5-RD |
| 9v | 9-RD |
| 10v | 10-RD |
| 11v | 11 |
| 12v | 12 |
| 16v | 16 |
"Hálóhelyes vezetőfülke": olyan vezetőfülke-típus, amely a vezetőülés mögött alvásra szánt hellyel rendelkezik a 13a. és a 13b. cikk értelmében végzett bejelentés alapján.
"Nappali vezetőfülke": olyan típusú vezetőfülke, amely nem hálóhelyes vezetőfülke.
Amennyiben egy új nehézgépjárművet a 4-UD járműalcsoportba sorolnak, de az 1.4. pontban meghatározott UDL vagy UDR célprofilok esetében nem állnak rendelkezésre adatok a g/km-ben kifejezett szén-dioxid-kibocsátásról, az új nehézgépjárművet a 4-RD járműalcsoportba kell sorolni.
"Hatótávolság": az a távolság, amelyet a nehézgépjármű távolsági szállítási feltételek mellett anélkül képes megtenni, hogy az 1.3. pontban előírtak szerint elektromos árammal vagy tüzelőanyaggal újratöltenék.
1.1.2. Az M kategóriájú nehézgépjárművek esetében az sg járműalcsoport meghatározása a következő:
| Járműcsoport az (EU) 2017/2400 rendelet I. melléklete szerint | Az e rendelet céljára kijelölt járműalcsoport (sg) |
| 31a, 31d | 31-LF |
| 31b1 | 31-L1 |
| 31b2 | 31-L2 |
| 31c, 31e | 31-DD |
| 32a, 32b | 32-C2 |
| 32c, 32d | 32-C3 |
| 32e, 32f | 32-DD |
| 33a, 33d, 37a, 37d | 33-LF |
| 33b1, 37b1 | 33-L1 |
| 33b2, 37b2 | 33-L2 |
| 33c, 33e, 37c, 37e | 33-DD |
| 34a, 34b, 36a, 36b, 38a, 38b, 40a, 40b | 34-C2 |
| 34c, 34d, 36c, 36d, 38c, 38d, 40c, 40d | 34-C3 |
| 34e, 34f, 36e, 36f, 38e, 38f, 40e, 40f | 34-DD |
| 35a, 35b1, 35b2, 35c | 35-FE |
| 39a, 39b1, 39b2, 39c | 39-FE |
1.1.3. Az O kategóriájú nehézgépjárművek esetében az sg járműalcsoport meghatározása a következő:
| Az (EU) 2022/1362 végrehajtási rendelet I. melléklete szerint meghatározott járműcsoportok | Az e rendelet céljára kijelölt járműalcsoport (sg) |
| Az 1. táblázatban megadott összes csoport, egy, két vagy három tengelyes járművekkel | Ugyanaz, mint ami az (EU) 2022/1362 végrehajtási rendelet I. mellékletében szereplő táblázatok „Járműcsoport” oszlopában szerepel |
| A 4. táblázatban megadott összes csoport, két vagy három tengelyes járművekkel | |
| A 6. táblázatban megadott összes csoport |
1.2. A különleges felépítményű gépjárművek a következő kritériumokkal határozhatók meg:
| Jármű-kategória | Alváz-konfiguráció | A különleges felépítményű gépjárművekre vonatkozó kritériumok |
| N | Merev felépítés | A megfelelőségi nyilatkozat 38. pontjában megadott felépítménykódot ki kell egészíteni az (EU) 2018/858 rendelet I. mellékletének 2. függelékében felsorolt következő számjegyek valamelyikével: 09, 10, 15, 16, 18, 19, 20, 23, 24, 25, 26, 27, 28, vagy 31; |
| Vontató | Legfeljebb 79 km/h legnagyobb sebesség |
1.3. E rendelet alkalmazásában a hatótávolságok a következők:
| Az erőátviteli rendszerben alkalmazott technológia | Hatótávolság (OR mint „operational range”) |
| Olyan nehézgépjárművek, amelyek a mechanikus meghajtás céljára csak elektromos energiatároló berendezésből nyernek energiát | Hatótávolság (OR) = az LHR célprofilra vonatkozóan az (EU) 2017/2400 rendelet IV. melléklete I. részének 2.4.1. pontjában meghatározott, tényleges töltést fogyasztó üzemmódhoz tartozó hatósugár |
| Egyéb technológiák | Hatótávolság (OR) > 350 km |
1.4. A célprofilok meghatározása
| RDL | regionális szállítás, alacsony hasznos terhelés |
| RDR | regionális szállítás, reprezentatív hasznos terhelés |
| LHL | távolsági szállítás, alacsony hasznos terhelés |
| LHR | távolsági szállítás, reprezentatív hasznos terhelés |
| UDL | városi szállítás, alacsony hasznos terhelés |
| UDR | városi szállítás, reprezentatív hasznos terhelés |
| REL | regionális szállítás (EMS), alacsony hasznos terhelés |
| RER | regionális szállítás (EMS), reprezentatív hasznos terhelés |
| LEL | távolsági szállítás (EMS), alacsony hasznos terhelés |
| LER | távolsági szállítás (EMS), reprezentatív hasznos terhelés |
| MUL | kommunális szolgáltatások, alacsony hasznos terhelés |
| MUR | kommunális szolgáltatások, reprezentatív hasznos terhelés |
| COL | építési munkálatok, alacsony hasznos terhelés |
| COR | építési munkálatok, reprezentatív hasznos terhelés |
| HPL | nehéz haszongépjárművek városi személyszállításra, alacsony terhelés |
| HPR | nehéz haszongépjárművek városi személyszállításra, reprezentatív terhelés |
| UPL | városi személyszállítás, alacsony terhelés |
| UPR | városi személyszállítás, reprezentatív terhelés |
| SPL | elővárosi személyszállítás, alacsony terhelés |
| SPR | elővárosi személyszállítás, reprezentatív terhelés |
| IPL | helyközi személyszállítás, alacsony terhelés |
| IPR | helyközi személyszállítás, reprezentatív terhelés |
| CPL | távolsági busz személyszállításra, alacsony terhelés |
| CPR | távolsági busz személyszállításra, reprezentatív terhelés |
2. Az egyes gyártók átlagos fajlagos szén-dioxid-kibocsátásának kiszámítása
2.1. Egy új nehézgépjármű fajlagos szén-dioxid-kibocsátásának kiszámítása
Az sg járműalcsoportba sorolt v új nehézgépjármű vagy annak elsődleges járművének g/km-ben kifejezett fajlagos szén-dioxid-kibocsátását a következőképpen kell kiszámítani:


Ahol:
Σmp az 1.4. pontban felsorolt minden mp célprofilba tartozó járművek összege;
sg az az alcsoport, amelybe az új v nehézgépjárművet e melléklet 1. pontja alapján sorolták;
Wsg,mp, a 2.1.1-2.1.3. pontban meghatározott célprofil-súlyozás;
CO2v,mp az új v nehézgépjármű mp célprofilhoz meghatározott, g/km-ben kifejezett, a 13a. és 13b. cikk szerint jelentett és a III. melléklet szerint normalizált szén-dioxid-kibocsátása;
CO2pv,mp az új v nehézgépjármű mp célprofilhoz, valamint az sg alcsoportjára alkalmazandó alváz-konfigurációhoz (alacsony/magas padlószint, szintek száma) meghatározott, g/km-ben kifejezett, a 13a. és 13b. cikk szerint jelentett és a III. melléklet szerint normalizált szén-dioxid-kibocsátása;
Kibocsátásmentes nehézgépjárművek esetében a CO2v,mp és a CO2pv,mp értékét nullában kell megállapítani.
2.1.1. Az N kategóriájú nehézgépjárművek célprofiljainak súlyozása (Wsg,mp)
| Járműalcsoport (sg) (*1) | Célprofil (mp) (*2) | ||||||||||
| RDL | RDR | LHL | LHR | UDL | UDR | REL, RER, LEL, LER | MUL | MUR | COL | COR | |
| 53, 53v | 0,25 | 0,25 | 0 | 0 | 0,25 | 0,25 | 0 | 0 | 0 | 0 | 0 |
| 54 | 0,25 | 0,25 | 0 | 0 | 0,25 | 0,25 | 0 | 0 | 0 | 0 | 0 |
| 1s, 1sv | 0,1 | 0,3 | 0 | 0 | 0,18 | 0,42 | 0 | 0 | 0 | 0 | 0 |
| 1, 1v | 0,1 | 0,3 | 0 | 0 | 0,18 | 0,42 | 0 | 0 | 0 | 0 | 0 |
| 2, 2v | 0,125 | 0,375 | 0 | 0 | 0,15 | 0,35 | 0 | 0 | 0 | 0 | 0 |
| 3, 3v | 0,125 | 0,375 | 0 | 0 | 0,15 | 0,35 | 0 | 0 | 0 | 0 | 0 |
| 4-UD | 0 | 0 | 0 | 0 | 0,5 | 0,5 | 0 | 0 | 0 | 0 | 0 |
| 4-RD | 0,45 | 0,45 | 0,05 | 0,05 | 0 | 0 | 0 | 0 | 0 | 0 | 0 |
| 4-LH | 0,05 | 0,05 | 0,45 | 0,45 | 0 | 0 | 0 | 0 | 0 | 0 | 0 |
| 4v | 0 | 0 | 0 | 0 | 0 | 0 | 0 | 0,25 | 0,25 | 0,25 | 0,25 |
| 5-RD | 0,27 | 0,63 | 0,03 | 0,07 | 0 | 0 | 0 | 0 | 0 | 0 | 0 |
| 5-LH | 0,03 | 0,07 | 0,27 | 0,63 | 0 | 0 | 0 | 0 | 0 | 0 | 0 |
| 5v | 0 | 0 | 0 | 0 | 0 | 0 | 0 | 0 | 0 | 0,5 | 0,5 |
| 9-RD | 0,27 | 0,63 | 0,03 | 0,07 | 0 | 0 | 0 | 0 | 0 | 0 | 0 |
| 9-LH | 0,03 | 0,07 | 0,27 | 0,63 | 0 | 0 | 0 | 0 | 0 | 0 | 0 |
| 9v | 0 | 0 | 0 | 0 | 0 | 0 | 0 | 0,25 | 0,25 | 0,25 | 0,25 |
| 10-RD | 0,27 | 0,63 | 0,03 | 0,07 | 0 | 0 | 0 | 0 | 0 | 0 | 0 |
| 10-LH | 0,03 | 0,07 | 0,27 | 0,63 | 0 | 0 | 0 | 0 | 0 | 0 | 0 |
| 10v | 0 | 0 | 0 | 0 | 0 | 0 | 0 | 0 | 0 | 0,5 | 0,5 |
| 11 | 0,3 | 0,7 | 0 | 0 | 0 | 0 | 0 | 0 | 0 | 0 | 0 |
| 11v | 0 | 0 | 0 | 0 | 0 | 0 | 0 | 0,1 | 0,23 | 0,3 | 0,37 |
| 12 | 0,3 | 0,7 | 0 | 0 | 0 | 0 | 0 | 0 | 0 | 0 | 0 |
| 12v | 0 | 0 | 0 | 0 | 0 | 0 | 0 | 0 | 0 | 0,3 | 0,7 |
| 16, 16v | 0 | 0 | 0 | 0 | 0 | 0 | 0 | 0 | 0 | 0,3 | 0,7 |
| (*1) Lásd az 1.1. pontban szereplő fogalommeghatározásokat. (*2) Lásd az 1.4. pontban szereplő fogalommeghatározásokat. | |||||||||||
2.1.2. Az M kategóriájú nehézgépjárművek célprofiljainak súlyozása (Wsg,mp)
| Járműalcsoport (sg) (*1) | Célprofil (mp) (*2) | |||||||||
| HPL | HPR | UPL | UPR | SPL | SPR | IPL | IPR | CPL | CPR | |
| 31-LF | 0,27 | 0,23 | 0,15 | 0,13 | 0,11 | 0,11 | 0 | 0 | 0 | 0 |
| 31-L1 | 0,05 | 0,05 | 0,16 | 0,14 | 0,32 | 0,28 | 0 | 0 | 0 | 0 |
| 31-L2 | 0,05 | 0,05 | 0,09 | 0,08 | 0,15 | 0,13 | 0,24 | 0,21 | 0 | 0 |
| 31-DD | 0,20 | 0,31 | 0,12 | 0,18 | 0,07 | 0,12 | 0 | 0 | 0 | 0 |
| 32-C2 | 0 | 0 | 0 | 0 | 0 | 0 | 0,47 | 0,43 | 0,04 | 0,06 |
| 32-C3 | 0 | 0 | 0 | 0 | 0 | 0 | 0,05 | 0,05 | 0,30 | 0,60 |
| 32-DD | 0 | 0 | 0 | 0 | 0 | 0 | 0,05 | 0,05 | 0,35 | 0,55 |
| 33-LF | 0,27 | 0,23 | 0,15 | 0,13 | 0,11 | 0,11 | 0 | 0 | 0 | 0 |
| 33-L1 | 0,05 | 0,05 | 0,16 | 0,14 | 0,32 | 0,28 | 0 | 0 | 0 | 0 |
| 33-L2 | 0,05 | 0,05 | 0,09 | 0,08 | 0,15 | 0,13 | 0,24 | 0,21 | 0 | 0 |
| 33-DD | 0,20 | 0,31 | 0,12 | 0,18 | 0,07 | 0,12 | 0 | 0 | 0 | 0 |
| 34-C2 | 0 | 0 | 0 | 0 | 0 | 0 | 0,47 | 0,43 | 0,04 | 0,06 |
| 34-C3 | 0 | 0 | 0 | 0 | 0 | 0 | 0,05 | 0,05 | 0,30 | 0,60 |
| 34-DD | 0 | 0 | 0 | 0 | 0 | 0 | 0,05 | 0,05 | 0,35 | 0,55 |
| 35-FE | 0,27 | 0,23 | 0,15 | 0,13 | 0,11 | 0,11 | 0 | 0 | 0 | 0 |
| 39-FE | 0,27 | 0,23 | 0,15 | 0,13 | 0,11 | 0,11 | 0 | 0 | 0 | 0 |
| (*1) Lásd az 1.1. pontban szereplő fogalommeghatározásokat. (*2) Lásd az 1.4. pontban szereplő fogalommeghatározásokat. | ||||||||||
2.1.3. Az O kategóriájú nehézgépjárművek célprofiljainak súlyozása (Wsg,mp)
| Járműalcsoport (sg) (*1) | Célprofil (mp) (*2) | ||||||
| RDL | RDR | LHL | LHR | UDL | UDR | REL, RER, LEL, LER | |
| 111, 111V,112, 112V, 113 | 0,27 | 0,63 | 0,03 | 0,07 | 0 | 0 | 0 |
| 121, 121V, 122, 122V, 123, 123V, 124, 124V, 125, 126 | 0,03 | 0,07 | 0,27 | 0,63 | 0 | 0 | 0 |
| 131, 131v, 132, 132v, 133 | 0,03 | 0,07 | 0,27 | 0,63 | 0 | 0 | 0 |
| 421, 421v, 422, 422v, 423 | 0,03 | 0,07 | 0,27 | 0,63 | 0 | 0 | 0 |
| 431, 431v, 432, 432v, 433 | 0,03 | 0,07 | 0,27 | 0,63 | 0 | 0 | 0 |
| 611, 612 | 0,27 | 0,63 | 0,03 | 0,07 | 0 | 0 | 0 |
| 611v, 612v | 0,03 | 0,07 | 0,27 | 0,63 | 0 | 0 | 0 |
| 621, 623 | 0,27 | 0,63 | 0,03 | 0,07 | 0 | 0 | 0 |
| 621V, 622, 622V, 623V, 624, 624V, 625 | 0,03 | 0,07 | 0,27 | 0,63 | 0 | 0 | 0 |
| 631, 631v, 632, 632v, 633 | 0,03 | 0,07 | 0,27 | 0,63 | 0 | 0 | 0 |
| (*1) Lásd az 1.1. pontban szereplő fogalommeghatározásokat. (*2) Lásd az 1.4. pontban szereplő fogalommeghatározásokat. | |||||||
2.2. Egy gyártó adott járműalcsoportba tartozó összes új nehézgépjárművének átlagos fajlagos szén-dioxid-kibocsátása
Az adott sg járműalcsoportba tartozó összes új nehézgépjármű vagy adott esetben elsődleges járműveik átlagos fajlagos szén-dioxid-kibocsátását avgCO2sg gyártónként és beszámolási időszakonként a következőképpen kell kiszámítani:
2.2.1. Az N és az O kategóriájú nehézgépjárművek esetében:
[Kép #1] (g/tkm-ben)

Kép #1
2.2.2. Az M kategóriájú teljes vagy befejezett járművek esetében:
[Kép #2] (g/pkm-ben)

Kép #2
2.2.3. Az M kategóriájú nehézgépjárművek elsődleges járművei esetében:
[Kép #3] (g/pkm-ben)

Kép #3
Ahol:
Σv a gyártó sg járműalcsoportba tartozó összes új nehézgépjárművének összege, a 7b. cikkre figyelemmel;
CO2v egy új v nehézgépjármű 2.1. pont szerint meghatározott fajlagos szén-dioxid-kibocsátása;
CO2pv egy új v nehézgépjármű elsődleges járművének 2.1. pont szerint meghatározott fajlagos szén-dioxid-kibocsátása;
Vsg a gyártó sg járműalcsoportba tartozó új nehézgépjárműveinek száma;
Vpvsg Az sg járműalcsoportba tartozó azon új nehézgépjárművek száma, amelyeket elsődleges járműveik szén-dioxid-kibocsátásával együtt a 7b. cikk értelmében figyelembe kell venni a 2.2.3. pont szerinti átlagos fajlagos szén-dioxid-kibocsátás kiszámításakor;
PLsg az sg járműalcsoportba tartozó nehézgépjárművek 2.5. pont szerint meghatározott átlagos hasznos terhelése;
PNsg az sg járműalcsoportba tartozó járművek 2.5. pont szerint meghatározott átlagos utasszáma.
2.3. Az 5. cikkben említett kibocsátásmentességi és alacsony kibocsátási tényező kiszámítása
2.3. 1 A 2019 és 2024 közötti évek beszámolási időszakai
Minden gyártó esetében és a 2019 és 2024 közé eső minden beszámolási időszakra az 5. cikkben említett kibocsátásmentességi és alacsony kibocsátási tényező (ZLEV) értékét a következőképpen kell kiszámítani:
ZLEV = Vall / (Vconv + Vzlev) minimum 0,97 értékkel
Ahol:
Vall a gyártó új nehézgépjárműveinek száma az sg = 4-UD, 4-RD, 4-LH, 5-RD, 5-LH, 9-RD, 9-LH, 10-RD, 10-LH járműalcsoportokban;
Vconv a gyártó új nehézgépjárműveinek száma az sg = 4-UD, 4-RD, 4-LH, 5-RD, 5-LH, 9-RD, 9-LH, 10-RD, 10-LH járműalcsoportokban, a kibocsátásmentes és alacsony kibocsátású nehézgépjárművek kivételével;
Vzlev a Vin és a Vout összege,
ahol:
Vin = Σ v (1+ (1 - CO2v/LETsg))
ahol Σ v az sg = 4-UD, 4-RD, 4-LH, 5-RD, 5-LH, 9-RD, 9-LH, 10-RD, 10-LH járműalcsoportokba tartozó összes új kibocsátásmentes és alacsony kibocsátású nehézgépjármű összege;
CO2v egy kibocsátásmentes vagy alacsony kibocsátású v nehézgépjármű 2.1. pont szerint meghatározott, g/km-ben kifejezett fajlagos szén-dioxid-kibocsátása;
LETsg azon sg járműalcsoport alacsony kibocsátásra vonatkozó küszöbértéke, amelyhez a v nehézgépjármű a 2.3.4. pontban meghatározottak szerint tartozik;
Vout azon N kategóriájú, kibocsátásmentes nehézgépjárművek teljes száma, amelyek nem tartoznak a Vin fogalommeghatározásban említett járműalcsoportokba, és amelyek legfeljebb a Vconv 1,5 %-át teszik ki.
2.3. 2 A 2025 és 2029 közötti évek beszámolási időszakai
Minden gyártó esetében és minden beszámolási időszakra az 5. cikkben említett, a kibocsátásmentes és alacsony kibocsátású járművekre vonatkozó tényező (ZLEV) értékét a következőképpen kell kiszámítani:
ZLEV = 1 - (y - x) kivéve, ha ez az összeg meghaladja az 1-et, vagy 0,97 -nél kisebb, amely esetben a ZLEV-tényezőt 1-ben, illetve 0,97 -ben kell megállapítani.
Ahol:
x 0,02
y a Vin és a Vout összege osztva a Vtotal-lal, ahol:
Vin az újonnan nyilvántartásba vett alacsony kibocsátású és kibocsátásmentes nehézgépjárművek teljes száma az sg = 4-UD, 4-RD, 4-LH, 5-RD, 5-LH, 9-RD, 9-LH, 10-RD, 10-LH járműalcsoportokban, amelyek mindegyikét ZLEVspecific-ként ki kell számítani az alábbi képlet szerint:
ZLEVspecific = 1 - (CO2v / LETsg)
Ahol:
CO2v egy kibocsátásmentes vagy alacsony kibocsátású v nehézgépjármű 2.1. pont szerint meghatározott, g/km-ben kifejezett fajlagos szén-dioxid-kibocsátása;
LETsg azon sg járműalcsoport alacsony kibocsátásra vonatkozó küszöbértéke, amelyhez a v nehézgépjármű a 2.3.4. pontban meghatározottak szerint tartozik;
Vout azon újonnan nyilvántartásba vett, N kategóriába tartozó kibocsátásmentes nehézgépjárművek teljes száma, amelyek nem tartoznak a Vin fogalommeghatározásban említett járműalcsoportokba, és amelyek legfeljebb 0,035 Vtotal-t tesznek ki;
Vtotal a gyártó újonnan nyilvántartásba vett, N kategóriába tartozó nehézgépjárműveinek teljes száma az adott beszámolási időszakban.
Amennyiben a Vin/Vtotal alacsonyabb, mint 0,0075 , a ZLEV-tényezőt 1-ben kell megállapítani.
2.3. 3 A 2030-tól kezdődő beszámolási időszakok
ZLEV = 1
2.3. 4 Az alacsony kibocsátásra vonatkozó küszöbérték kiszámítása
Az sg járműalcsoport LETsg alacsony kibocsátásra vonatkozó küszöbértékének meghatározása a következőképpen történik:
LETsg = (rCO2sg x PLsg) / 2
Ahol:
rCO2sg az sg járműalcsoport 3. pontban meghatározott szén-dioxid-referenciakibocsátása;
PLsg az sg járműalcsoportba tartozó nehézgépjárművek 2.5. pont szerint meghatározott átlagos hasznos terhelése.
2.4. A nehézgépjárművek részarányainak kiszámítása
Minden gyártó esetében és minden beszámolási időszakra a következőképpen kell kiszámítani, hogy az új nehézgépjárművek mekkora részaránya tartozik az sg járműalcsoportba (sharesg):

Minden gyártó esetében és minden beszámolási időszakra a következőképpen kell kiszámítani, hogy az új kibocsátásmentes nehézgépjárművek mekkora részaránya tartozik az sg járműalcsoportba (zevsg):

Minden gyártó esetében és minden beszámolási időszakra a következőképpen kell kiszámítani az sg járműalcsoportba tartozó azon új nehézgépjárművek részarányát, amelyeket elsődleges járműveik szén-dioxid-kibocsátásával együtt a 7b. cikk értelmében figyelembe kell venni a 2.2. pont szerinti átlagos fajlagos szén-dioxid-kibocsátás kiszámításakor:

Ahol:
Vzevsg a gyártó sg járműalcsoportba tartozó új kibocsátásmentes nehézgépjárműveinek száma;
Vpvsg Az sg járműalcsoportba tartozó azon új nehézgépjárművek száma, amelyeket elsődleges járműveik szén-dioxid-kibocsátásával együtt a 7b. cikk értelmében figyelembe kell venni a 2.2. pont szerinti átlagos fajlagos szén-dioxid-kibocsátás kiszámításakor;
Vsg a gyártó sg járműalcsoportba tartozó új nehézgépjárműveinek száma;
V a gyártó új nehézgépjárműveinek száma.
2.5. A hasznos terhelés értékei, az utasok száma és a rakomány mennyisége
Egy sg járműalcsoportba tartozó N vagy O kategóriájú nehézgépjármű PLsg átlagos hasznos terhelését az alábbiak szerint kell kiszámítani:

Az sg járműalcsoportba tartozó M kategóriájú nehézgépjármű PNsg átlagos utasszámát a következőképpen kell kiszámítani:

Ahol:
Σmp az összes mp célprofilba tartozó járművek összege;
Wsg,mp, a 2.1.1-2.1.3. pontban meghatározott célprofil-súlyozás;
PLsg,mp az sg alcsoportba tartozó N és O kategóriájú nehézgépjárműveknél a 2.5.1. és 2.5.3. pontban meghatározottak szerint az mp célprofilhoz hozzárendelt hasznos terhelés;
PNsg,mp az sg járműalcsoportba tartozó M kategóriájú nehézgépjárműveknél a 2.5.2. pontban meghatározottak szerint az mp célprofilhoz hozzárendelt utasszám.
2.5.1. N kategóriájú nehézgépjárművek.
A PL sg, mp hasznos terhelés értékét (tonnában) a következőképpen kell meghatározni:
| Járműalcsoport sg (*1) | Célprofil mp (*2) | |||||||||||||
| RDL | RDR | LHL | LHR | UDL | UDR | REL | RER | LEL | LER | MUL | MUR | COL | COR | |
| 53 | a 3.1.1. pont szerint | nem alkalmazandó | a 3.1.1. pont szerint | nem alkalmazandó | ||||||||||
| 53v | ||||||||||||||
| 54 | ||||||||||||||
| 1s | ||||||||||||||
| 1sv | ||||||||||||||
| 1 | ||||||||||||||
| 1v | ||||||||||||||
| 2 | a 3.1.1. pont szerint | |||||||||||||
| 2v | ||||||||||||||
| 3 | nem alkalmazandó | |||||||||||||
| 3v | ||||||||||||||
| 4-UD | 0,9 | 4,4 | 1,9 | 14 | 0,9 | 4,4 | 3,5 | 17,5 | 3,5 | 26,5 | 0,6 | 3,0 | 0,9 | 4,4 |
| 4-RD | ||||||||||||||
| 4-LH | ||||||||||||||
| 4v | ||||||||||||||
| 5-RD | 2,6 | 12,9 | 2,6 | 19,3 | 2,6 | 12,9 | 3,5 | 17,5 | 3,5 | 26,5 | n.a. | n.a. | 2,6 | 12,9 |
| 5-LH | ||||||||||||||
| 5v | ||||||||||||||
| 9-RD | 1,4 | 7,1 | 2,6 | 19,3 | 1,4 | 7,1 | 3,5 | 17,5 | 3,5 | 26,5 | 1,2 | 6,0 | 1,4 | 7,1 |
| 9-LH | ||||||||||||||
| 9v | ||||||||||||||
| 10-RD | 2,6 | 12,9 | 2,6 | 19,3 | 2,6 | 12,9 | 3,5 | 17,5 | 3,5 | 26,5 | n.a. | n.a. | 2,6 | 12,9 |
| 10-LH | ||||||||||||||
| 10v | ||||||||||||||
| 11 | 1,4 | 7,1 | 2,6 | 19,3 | 1,4 | 7,1 | 3,5 | 17,5 | 3,5 | 26,5 | 1,2 | 6,0 | 1,4 | 7,1 |
| 11v | ||||||||||||||
| 12 | 2,6 | 12,9 | 2,6 | 19,3 | 2,6 | 12,9 | 3,5 | 17,5 | 3,5 | 26,5 | n.a. | n.a. | 2,6 | 12,9 |
| 12v | ||||||||||||||
| 16 | nem alkalmazandó | 2,6 | 12,9 | |||||||||||
| 16v | ||||||||||||||
| (*1) Lásd az 1.1. pontban szereplő meghatározásokat. (*2) Lásd az 1.4. pontban szereplő meghatározásokat. | ||||||||||||||
A műszakilag megengedett legnagyobb hasznos terhelés értékeit maxPLsg és a CVsg rakománymennyiségeket a 3.1.1. pont szerint kell meghatározni.
2.5.2. M kategóriájú nehézgépjárművek.
Az sg járműalcsoportra és az mp célprofilra vonatkozó PNsg, mp utasszámokat, PMsg,m p utastömegeket és a műszakilag megengedett maximális utasszámokat maxPNsg a 3.1.1. pont szerint kell meghatározni.
2.5.3. O kategóriájú nehézgépjárművek.
A PL sg, mp hasznos terhelés értékét (tonnában) a következőképpen kell meghatározni:
| Járműalcsoport (sg) (*1) | Célprofil (mp) (*2) | ||||||
| RDL | RDR | LHL | LHR | UDL | UDR | REL, RER, LEL, LER | |
| 111, 111V,112, 112V, 113 | 1,5 | 7,5 | 1,5 | 11,2 | nem alkalmazandó | nem alkalmazandó | nem alkalmazandó |
| 121, 121V, 123, 123V, 125 | 2,2 | 11,2 | 2,2 | 16,8 | nem alkalmazandó | nem alkalmazandó | nem alkalmazandó |
| 122, 122V, 124, 124V, 126 | 2,4 | 12,2 | 2,4 | 18,3 | nem alkalmazandó | nem alkalmazandó | nem alkalmazandó |
| 131, 131v, 132, 132v, 133 | 2,6 | 12,9 | 2,6 | 19,3 | nem alkalmazandó | nem alkalmazandó | nem alkalmazandó |
| 421, 421v, 422, 422v, 423 | 2,6 | 12,9 | 2,6 | 19,3 | nem alkalmazandó | nem alkalmazandó | nem alkalmazandó |
| 431, 431v, 432, 432v, 433 | 2,6 | 12,9 | 2,6 | 19,3 | nem alkalmazandó | nem alkalmazandó | nem alkalmazandó |
| 611, 612 | 1,2 | 6,1 | 1,2 | 9,2 | nem alkalmazandó | nem alkalmazandó | nem alkalmazandó |
| 611v, 612v | 1,2 | 6,1 | 1,2 | 9,2 | nem alkalmazandó | nem alkalmazandó | nem alkalmazandó |
| 621, 621v, 623, 623v | 1,3 | 6,3 | 1,3 | 9,5 | nem alkalmazandó | nem alkalmazandó | nem alkalmazandó |
| 622, 622V, 624, 624V, 625 | 2,6 | 12,9 | 2,6 | 19,3 | nem alkalmazandó | nem alkalmazandó | nem alkalmazandó |
| 631, 631v, 632, 632v, 633 | 2,6 | 12,9 | 2,6 | 19,3 | nem alkalmazandó | nem alkalmazandó | nem alkalmazandó |
| (*1) Lásd az 1.1. pontban szereplő meghatározásokat. (*2) Lásd az 1.4. pontban szereplő meghatározásokat. | |||||||
A műszakilag megengedett legnagyobb hasznos terhelés értékeit maxPLsg és a CVsg rakománymennyiségeket a 3.1.1. pont szerint kell meghatározni.
2.6. A futásteljesítmény és hasznos terhelés vagy az utasszám szerinti súlyozó tényező kiszámítása
Egy sg alcsoport futásteljesítmény és hasznos terhelés (utasszám) szerinti súlyozó tényezője (MPWsg) a 2.6.1. pontban szereplő éves futásteljesítmény és a 2.5.1., 2.5.2. és 2.5.3. pontban szereplő járműalcsoportonkénti hasznos terhelés és utasszám szorzataként határozható meg az N, az M, illetve az O jármű-kategória esetében, az 5-LH járműalcsoport vonatkozó értékéhez normalizálva, és kiszámítása az alábbiak szerint történik:
[Kép #4] (az N és az O kategóriájú nehézgépjárművek esetében)

Kép #4
[Kép #5] (az M kategóriájú nehézgépjárművek esetében)

Kép #5
Ahol:
AMsg az adott járműalcsoportba tartozó nehézgépjárművek2.6.1., 2.6.2. és 2.6.3. pontban meghatározott éves futásteljesítménye;
AM5-LH az 5-LH járműalcsoport 2.6.1. pontban meghatározott éves futásteljesítménye;
PLsg a 2.5.1. és 2.5.3. pontban meghatározott érték;
PNsg a 2.5.2. pontban meghatározott érték;
PL5-LH az 5-LH járműalcsoportra a 2.5.1. pont szerint meghatározott átlagos hasznos terhelés értéke.
2.6.1. Éves futásteljesítmény az N kategóriájú nehézgépjárművek esetében
| Járműalcsoport (sg) (*1) | Éves futásteljesítmény (AMsg) (km-ben) |
| 53, 53v | 58 000 |
| 54 | 58 000 |
| 1s, 1sv | 58 000 |
| 1, 1v | 58 000 |
| 2, 2v | 60 000 |
| 3, 3v | 60 000 |
| 4-UD | 60 000 |
| 4-RD | 78 000 |
| 4-LH | 98 000 |
| 4v | 60 000 |
| 5-RD | 78 000 |
| 5-LH | 116 000 |
| 5v | 60 000 |
| 9-RD | 73 000 |
| 9-LH | 108 000 |
| 9v | 60 000 |
| 10-RD | 68 000 |
| 10-LH | 107 000 |
| 10v | 60 000 |
| 11 | 65 000 |
| 11v | 60 000 |
| 12 | 67 000 |
| 12v | 60 000 |
| 16, 16v | 60 000 |
| (*1) Lásd az 1.1. pontban szereplő meghatározásokat. | |
2.6.2. Éves futásteljesítmény az M kategóriájú nehézgépjárművek esetében
| Járműalcsoport (sg) (*1) | Éves futásteljesítmény (AMsg) (km-ben) |
| 31-LF | 60 000 |
| 31-L1 | 60 000 |
| 31-L2 | 60 000 |
| 31-DD | 60 000 |
| 32-C2 | 96 000 |
| 32-C3 | 96 000 |
| 32-DD | 96 000 |
| 33-LF | 60 000 |
| 33-L1 | 60 000 |
| 33-L2 | 60 000 |
| 33-DD | 60 000 |
| 34-C2 | 96 000 |
| 34-C3 | 96 000 |
| 34-DD | 96 000 |
| 35-FE | 60 000 |
| 39-FE | 60 000 |
| (*1) Lásd az 1.1. pontban szereplő meghatározásokat. | |
2.6.3. Éves futásteljesítmény az O kategóriájú nehézgépjárművek esetében
| Járműalcsoport (sg) (*1) | Éves futásteljesítmény (AMsg) (km-ben) |
| 111, 111V,112, 112V, 113 | 52 000 |
| 121, 121V, 122, 122V, 123, 123V, 124, 124V, 125, 126, 131, 131v, 132, 132v, 133 | 77 000 |
| 421, 421v, 422, 422v, 423, 431, 431v, 432, 432v, 433 | 68 000 |
| 611, 612, 611v, 612v, 621, 623, 621v, 623v | 40 000 |
| 622, 622V, 624, 624V, 625, 631, 631v, 632, 632v, 633 | 68 000 |
| (*1) Lásd az 1.1. pontban szereplő meghatározásokat. | |
2.7. A gyártók 4. cikkben említett átlagos fajlagos szén-dioxid-kibocsátása
Minden gyártó esetében ki kell számítani a következő átlagos fajlagos szén-dioxid-kibocsátásokat:
2.7.1. A 2019-2029 közötti időszakra eső beszámolási időszakok esetében:
CO2(2025) = ZLEV × Σ sg sharesg × MPWsg × avgCO2sg
2.7.2. A 2025-től kezdődő beszámolási időszakok esetében:
CO2(NO) = Σsg sharesg × MPWsg × avgCO2sg
CO2(MCO2) = Σsg sharesg × MPWsg × [avgCO2sg × (1 - pvsg) + avgCO2psg × pvsg]
CO2(MZE) = Σsg sharesg × MPWsg × (1 - zevsg) × rCO2sg
CO2(M) = CO2(MCO2) + CO2(MZE)
Ahol:
Σ sg az adott átlagos fajlagos szén-dioxid-kibocsátás 4.2. pont szerinti kiszámításakor figyelembe vett járműalcsoportok összege;
ZLEV a 2.3. pontban meghatározott érték;
sharesg a 2.4. pontban meghatározott érték;
zevsg a 2.4. pontban meghatározott érték;
pvsg a 2.4. pontban meghatározott érték;
MPWsg a 2.6. pontban meghatározott érték;
avgCO2sg a 2.2. pontban meghatározott érték;
avgCO2psg a 2.2. pontban meghatározott érték;
rCO2sg a 3.1.2. pontban meghatározott érték.
3. A referenciaértékek kiszámítása
3.1. Referenciaértékek
A következő referenciaértékeket az összes gyártó összes új nehézgépjárműve alapján kell kiszámítani az sg járműalcsoport 3.2. pont szerinti referencia-időszakára vonatkozóan.
3.1.1. Minden sg járműalcsoport esetében a PLsg, mp hasznos teher, a PNsg, mp utasszám, a PMsg,mp utastömeg, a maxPLsg műszakilag megengedett legnagyobb hasznos terhelés, a maxPNsg műszakilag megengedett legnagyobb utasszám és a CVsg rakománymennyiség értékeit az alábbiak szerint kell kiszámolni:
[Kép #6] (az N kategóriájú nehézgépjárművek esetében) *

Kép #6
[Kép #7] (az M kategóriájú nehézgépjárművek esetében) *

Kép #7
[Kép #8] (az M kategóriájú nehézgépjárművek esetében) *

Kép #8
[Kép #9] (az N kategóriájú nehézgépjárművek esetében)

Kép #9
[Kép #10] (az M kategóriájú nehézgépjárművek esetében)

Kép #10
[Kép #11] (az O kategóriájú nehézgépjárművek esetében)

Kép #11
(*csak azon járműalcsoportok esetében, amelyekre vonatkozóan a 2.5. pont nem tartalmaz kifejezett PLsg,mp vagy PNsg,mp értékeket)
3.1.2. A 3. cikkben említett szén-dioxid-referenciakibocsátásokat rCO2sg a következőképpen kell kiszámítani:
[Kép #12] (az N és az O kategóriájú nehézgépjárművek esetében)

Kép #12
[Kép #13] (az M kategóriájú nehézgépjárművek esetében)

Kép #13
[Kép #14] (az M kategóriájú nehézgépjárművek esetében)

Kép #14
Ahol:
Σv az sg alcsoport 3.2. pont szerinti referencia-időszakában nyilvántartásba vett, az sg járműalcsoportba tartozó összes új nehézgépjármű összege;
CO2v a v új nehézgépjármű 2.1. pont szerint meghatározott, adott esetben a II. melléklet szerint kiigazított fajlagos szén-dioxid-kibocsátása;
CO2pv a v új nehézgépjármű elsődleges járművének 2.1. pont szerint meghatározott, adott esetben a II. melléklet szerint kiigazított fajlagos szén-dioxid-kibocsátása;
rVsg az sg járműalcsoport 3.2. pont szerinti referencia-időszakában nyilvántartásba vett, az sg alcsoportba tartozó összes új nehézgépjármű száma;
PLsg az sg járműalcsoportba tartozó nehézgépjárművek2.5. pont szerint meghatározott átlagos hasznos terhelése;
PNsg az sg járműalcsoportba tartozó nehézgépjárművek2.5. pont szerint meghatározott átlagos utasszáma;
PLv,mp az mp célprofilba tartozó v nehézgépjárművek hasznos terhelése, a 13a. és 13b. cikk szerint jelentett adatok alapján meghatározva;
PNv,mp az mp célprofilba tartozó v nehézgépjárművek utasszáma, a 13a. és 13b. cikk szerint jelentett adatok alapján meghatározva;
PMv,mp az mp célprofilba tartozó v nehézgépjárművek utastömege, a 13a. és 13b. cikk szerint jelentett adatok alapján meghatározva;
maxPLv a v nehézgépjárművek műszakilag megengedett legnagyobb hasznos terhelése a 13a. és 13b. cikk szerint jelentett adatok alapján meghatározva;
maxPNv a v nehézgépjárművek műszakilag megengedett legnagyobb utasszáma a 13a. és 13b. cikk szerint jelentett adatok alapján meghatározva.
CVv a v nehézgépjárművek rakománymennyisége a 13a. és 13b. cikk szerint jelentett adatok alapján meghatározva.
3. 2 A járműalcsoportokra vonatkozó referencia-időszakok
A járműalcsoportokra a következő beszámolási időszakokat kell referencia-időszakként alkalmazni:
| Jármű-alcsoport (sg) | Az év referencia-időszakként alkalmazandó beszámolási időszaka |
| 4-UD, 4-RD, 4-LH, 5-RD, 5-LH, 9-RD, 9-LH, 10-RD, 10-LH | 2019 |
| 1, 2, 3, 11, 12, 16 | 2021 |
| Minden egyéb alcsoport | 2025 |
3.2.1. Ha a 3.2. pontban meghatározott referencia-időszakban egy sg járműalcsoportban az összes gyártó új nehézgépjárműveinek száma nem éri el az ötvenet, a következő szabályok alkalmazandók:
A 2.2. pontban meghatározott avgCO2sg és avgCO2psg átlagos fajlagos szén-dioxid-kibocsátást, valamint a 3.1.2. pontban meghatározott rCO2sg és rCO2psg szén-dioxid-referenciakibocsátást az sg járműalcsoportban az összes gyártó esetében nullában kell megállapítani az átlagos fajlagos szén-dioxid-kibocsátás 2.7. pont szerinti és a fajlagos szén-dioxid-kibocsátási célértékek 4.1. pont szerinti kiszámítása céljából, az < Y + 5 év beszámolási időszakaira vonatkozóan. Itt Y az első olyan beszámolási időszak éve, amelyben az sg alcsoportban az összes gyártó új nehézgépjárműveinek száma eléri az 50-et.
Az rCO2sg és rCO2psg szén-dioxid-referenciakibocsátás kiszámításához és a fajlagos kibocsátási célérték 4. pont szerinti kiszámításához a 3.2. pont szerint az sg járműalcsoportra alkalmazandó referencia-időszak helyett először az Y év beszámolási időszakára kell kiszámítani a 3.1.2. pontban meghatározott megfelelő értékeket.
Az így kapott értékeket ezután el kell osztani a következővel:
- az 5.1.1. pontban meghatározott RETsg,Y céltényező, az rCO2sg szén-dioxid-referenciakibocsátás kiszámításához,
- az 5.1.1. pontban meghatározott RETpsg,Ycéltényező, az rCO2psg szén-dioxid-referenciakibocsátás kiszámításához.
4. A gyártó 6. cikkben említett fajlagos szén-dioxid-kibocsátási célértékének kiszámítása
4.1. Fajlagos szén-dioxid-kibocsátási célértékek
Minden gyártó esetében ki kell számolni a következő T fajlagos szén-dioxid-kibocsátási célértékeket, az alábbi módon:
4.1.1. A 2025 és 2029 közötti évek beszámolási időszakai esetében:
T(2025) = Σ sg sharesg × MPWsg × (1 - rfsg) × rCO2sg
4.1.2. A 2030-tól kezdődő évek beszámolási időszakai esetében:
T(NO)= Σ sg sharesg × MPWsg × (1 - rfsg) × rCO2sg
T(MCO2) = Σ sg sharesg × MPWsg × [(1- pvsg) × (1 - rfsg) × rCO2sg + pvsg × (1 - rfpsg) × rCO2psg]
T(MZE) = Σsg sharesg × MPWsg × (1 - zevMsg) x rCO2sg
T(M) = T(MCO2) + T(MZE)
Ahol:
Σ sg az adott fajlagos szén-dioxid-kibocsátási célérték 4.2. pont szerinti kiszámításakor figyelembe vett járműalcsoportok összege;
sharesg a 2.4. pontban meghatározott érték;
MPWsg a 2.6. pontban meghatározott érték;
rfsg az a szén-dioxid-kibocsátáscsökkentési célérték, amely a 4.3. pont szerint az sg járműalcsoportba tartozó új nehézgépjárművekre az adott beszámolási időszakban alkalmazandó;
rfpsg az a szén-dioxid-kibocsátáscsökkentési célérték, amely a 4.3. pont szerint az sg járműalcsoportba tartozó új nehézgépjárművek elsődleges járműveire az adott beszámolási időszakban alkalmazandó;
zevMsg a kibocsátásmentes nehézgépjárművekkel kapcsolatos előirányzat, amely a 4.3. pont szerint az sg járműalcsoportba tartozó új nehézgépjárművekre az adott beszámolási időszakban alkalmazandó;
rCO2sg a 3.1.2. pontban meghatározott érték;
rCO2psg a 3.1.2. pontban meghatározott érték;
pvsg a 2.4. pontban meghatározott érték.
4.2. A gyártók átlagos fajlagos szén-dioxid-kibocsátásának és fajlagos kibocsátási célértékeinek kiszámítása során figyelembe vett járműalcsoportok
ACO2(X),, fajlagos szén-dioxid-kibocsátások, a T(X) fajlagos kibocsátási célértékek és az ET(X)Y kibocsátáscsökkentési pályagörbe kiszámítása során a következő sg járműalcsoportokat kell figyelembe venni:
| X = 2025 | X= NO | X = MCO2 | X= MZE |
| azon járműalcsoportok, amelyekre a 3a. cikk (1) bekezdésének a) pontja szerinti szén-dioxid-kibocsátáscsökkentési célértékek vonatkoznak | az árufuvarozó járművek azon járműalcsoportjai, amelyekre a 3a. cikk (1) bekezdésének b), c) és d) pontja, valamint (3) bekezdése szerinti szén-dioxid-kibocsátáscsökkentési célértékek vonatkoznak | Az utasszállító járművek azon járműalcsoportjai, amelyekre a 3a. cikk (1) bekezdésének b), c) és d) pontja szerinti szén-dioxid-kibocsátáscsökkentési célértékek vonatkoznak (távolsági buszok és a II. osztályba tartozó, alacsony belépésű autóbuszok) | A utasszállító járművek azon járműalcsoportjai, amelyekre a kibocsátásmentes nehézgépjárművekkel kapcsolatos, 3d. cikk szerinti célértékek vonatkoznak (városi autóbuszok) |
| 4-UD, 4-RD, 4-LH, 5-RD, 5-LH, 9-RD, 9-LH, 10-RD, 10-LH | az 1.1.1. és 1.1.3. pontban említett valamennyi járműalcsoport A 2035 előtti évek beszámolási időszakaiban azonban a különleges felépítményű járművek alcsoportjai nem vehetők figyelembe. | 32-C2, 32-C3, 32-DD, 34-C2, 34-C3, 34-DD, 31-L2, 33-L2 | 31-LF, 31-L1, 31-DD, 33-LF, 33-L1, 33-DD, 35-FE, 39-FE |
4. 3 Szén-dioxid-kibocsátáscsökkentési célértékek és a kibocsátásmentes nehézgépjárművekre vonatkozó előirányzatok
4.3.1. A 3a. cikk szerint a következő rfsg és rfpsg szén-dioxid-kibocsátáscsökkentési célértékek az sg járműalcsoportba tartozó nehézgépjárművekre különböző beszámolási időszakokban is alkalmazandók:
| rfsg és rfpsg szén-dioxid-kibocsátáscsökkentési célértékek | |||||
| sg járműalcsoportok | a következő évek beszámolási időszakai | ||||
| 2025 – 2029 | 2030 – 2034 | 2035 – 2039 | 2040-től | ||
| Közepes méretű tehergépkocsik | 53, 54 | 0 | 43 % | 64 % | 90 % |
| Nehéz (> 7,4 t) tehergépkocsik | 1s, 1, 2, 3 | 0 | 43 % | 64 % | 90 % |
| Nehéz (> 16 t) tehergépkocsik, 4x2-es és 6x4-es tengelykonfigurációval | 4-UD, 4-RD, 4-LH, 5-RD, 5-LH, 9-RD, 9-LH, 10-RD, 10-LH | 15 % | 43 % | 64 % | 90 % |
| Nehéz (> 16 t) tehergépkocsik, különleges tengelykonfigurációval | 11, 12, 16 | 0 | 43 % | 64 % | 90 % |
| Különleges felépítményű gépjárművek | 53v, 1sv, 1v, 2v, 3v, 4v, 5v, 9v, 10v, 11v, 12v, 16v | 0 | 0 | 64 % | 90 % |
| Távolsági buszok és helyközi autóbuszok (rfsg) | 32-C2, 32-C3, 32-DD, 34-C2, 34-C3, 34-DD, 31-L2, 33-L2 | 0 | 43 % | 64 % | 90 % |
| Távolsági buszok és helyközi autóbuszok elsődleges járművei (rfpsg) | 32-C2, 32-C3, 32-DD, 34-C2, 34-C3, 34-DD, 31-L2, 33-L2 | 0 | 43 % | 64 % | 90 % |
| Pótkocsik | 111, 111V, 112, 112V, 113, 121, 121V, 122, 122V, 123, 123V, 124, 124V, 125, 126, 131, 131V, 132, 132V, 133 | 0 | 7,5 % | 7,5 % | 7,5 % |
| Félpótkocsik 421, 421v, 422, 422v, 423, 431, 431v, 432, 432v, 433, 611, 612, 611V, 612V, 621, 623, 621V, 622, 622V, 623V, 624, 624V, 625, 631, 631v, 632, 632v, 633 | 0 | 10 % | 10 % | 10 % | A 2025 előtti évek beszámolási időszakai esetében minden rfsg and rfpsgszén-dioxid-kibocsátáscsökkentési célértéket nullának kell tekinteni. |
4.3.2. A 3b. cikk szerint a kibocsátásmentes nehézgépjárművekkel kapcsolatos következő zevMsg célérték az sg járműalcsoportba tartozó nehézgépjárművekre különböző beszámolási időszakokban is alkalmazandó:
| A kibocsátásmentes nehézgépjárművekre vonatkozó zevMsg előirányzat | |||||
| sg járműalcsoportok | a következő évek beszámolási időszakai | ||||
| 2030 előtt | 2030–2034 | 2035–2039 | 2040-től | ||
| Városi autóbuszok | 31-LF, 31-L1, 31-DD, 33-LF, 33-L1, 33-DD, 35-FE, 39-FE, | 0 | 90 % | 100 % | 100 % |
5. A 7. cikkben említett kibocsátási jóváírások és tartozások
5.1. Szén-dioxid-kibocsátáscsökkentési pályagörbék
5.1.1. Céltényezők
Minden sg járműalcsoportra és az Y év minden beszámolási időszakára vonatkozóan meg kell határozni a céltényezőket a következő módon:
RETsg,Y = (1-rfsg,uY)+(rfsg,uY - rfsg,lY)× (uY - Y)/(uY - lY)
RETpsg,Y = (1-rfpsg,uY)+(rfpsg,uY - rfpsg,lY)× (uY - Y)/(uY - lY)
ZETsg,Y = (1-zevMsg,uY)+(zevMsg,uY - zevMsg,lY)× (uY - Y)/(uY - lY)
Ahol:
lY, uY a 4.2. pontban szereplő táblázat X = 2025 oszlopában feltüntetett járműalcsoportra vonatkozóan az {rY, 2025, 2030, 2035, 2040} sorozatban az alsó és a felső évre vonatkozó értékek,
az {rY, 2030, 2035, 2040} sorozatban az összes többi sg járműalcsoportra vonatkozóan, meghatározva azt a legkisebb intervallumot, amelyre vonatkozóan az lY ≤ Y < uY feltétel fennáll;
rY Az sg járműalcsoport 3.2. pont szerinti referencia-időszakának éve;
rfsg,lY, rfsg,uY az lY és uY év sg járműalcsoportba tartozó új nehézgépjárműveire vonatkozó szén-dioxid-kibocsátáscsökkentési célértékek a 4.3. pont szerint;
rfpsg,lY, rfpsg,uY az lY és uY év sg járműalcsoportba tartozó új nehézgépjárműveinek elsődleges járműveire vonatkozó szén-dioxid-kibocsátáscsökkentési célértékek a 4.3. pont szerint;
zevMsg,lY, zevMsg,uY az lY és uY év új nehézgépjárműveire vonatkozó kibocsátásmentességi nehézgépjármű-előirányzatok a 4.3. pont szerint;
az Y < rY beszámolási évekre vonatkozóan a RETsg,Y, RETpsg,Y és ZETsg,Y értékeket 1-ben kell megállapítani annak érdekében, hogy az sg járműalcsoport ne járuljon hozzá a szén-dioxid-kibocsátáscsökkentési pályagörbéhez.
5.1.2. Szén-dioxid-kibocsátáscsökkentési pályagörbék
5.1.2.1. Ezután minden sg járműalcsoportra és az Y év minden beszámolási időszakára vonatkozóan meg kell határozni a következő szén-dioxid-kibocsátáscsökkentési pályagörbéket:
ETsg,Y = RETsg,Y × rCO2sg
ETpsg,Y = RETpsg,Y × rCO2psg
ETzsg,Y = ZETsg,Y × rCO2sg
5.1.2.2. Minden gyártóra és 2019 és 2024 között az Y év minden beszámolási időszakára vonatkozóan meg kell határozni a következő szén-dioxid-kibocsátáscsökkentési pályagörbéket:
ET(2025)Y = Σ sg sharesg × MPWsg × ETsg,Y
5.1.2.3. Minden gyártóra és 2025 és 2040 között az Y év minden beszámolási időszakára vonatkozóan meg kell határozni a következő szén-dioxid-kibocsátáscsökkentési pályagörbéket:
ET(NO)Y = Σ sg sharesg × MPWsg × ETsg,Y
ET(MCO2)Y = Σ sg sharesg × MPWsg × [(1- pvsg) × ETsg,Y + pvsg × ETpsg,Y]
ET(MZE)Y = Σsg sharesg × MPWsg × ETzsg,Y
ET(M)Y = ET(MCO2)Y + ET(MZE)Y
Ahol:
Σ sg az adott szén-dioxid-kibocsátáscsökkentési pályagörbe 4.2. pont szerinti kiszámításakor figyelembe vett járműalcsoportok összege;
sharesg a gyártó új nehézgépjárműveinek az sg járműalcsoporton belüli részaránya, a 2.4. pontban meghatározottak szerint;
MPWsg a 2.6. pontban meghatározott érték;
rCO2sg a 3.1.2. pontban meghatározott érték;
rCO2psg a 3.1.2. pontban meghatározott érték;
pvsg a gyártó azon új nehézgépjárműveinek az sg alcsoporton belüli részaránya, amelyeket elsődleges járműveik szén-dioxid-kibocsátásával együtt a 7b. cikk értelmében figyelembe kell venni a 2.2. pont szerinti átlagos fajlagos szén-dioxid-kibocsátás kiszámításakor.
5.2. A kibocsátási jóváírások és tartozások kiszámítása az egyes beszámolási időszakokban
Minden gyártó esetében, valamint a 2019-től 2040-ig tartó időszak Y éveinek minden egyes beszámolási időszaka esetében a cCO2(X)Y kibocsátási jóváírások és a dCO2(X)Y, (X = NO, M), kibocsátási tartozások a következő értékek, vagy értékük nulla lehet (azaz a kibocsátási jóváírások és kibocsátási tartozások nem lehetnek negatívak), attól függően, hogy melyik a nagyobb:
| 2019 ≤ Y< 2025 | 2025 ≤ Y< 2030 | 2030 ≤ Y< 2040 | |
| cCO2(NO)Y | [ET(2025)Y – CO2(2025)Y]× Vy | [ET(NO)Y – CO2(NO)Y]× Vy | [ET(NO)Y – CO2(NO)Y]× Vy |
| dCO2(NO)Y | 0 | [CO2(2025)Y – T(2025)Y]× Vy | [CO2(NO)Y – T(NO)Y]× Vy |
| cCO2(M)Y | 0 | [ET(M)Y – CO2(M)Y]× Vy | [ET(M)Y – CO2(M)Y]× Vy |
| dCO2(M)Y | 0 | 0 | [CO2(M)Y – T(M)Y]× Vy |
Ahol:
ET(X)Y a gyártó 5.1. pont szerint meghatározott szén-dioxid-kibocsátáscsökkentési pályagörbéje az Y év beszámolási időszakában (X = 2025, NO, M);
CO2(X)Y a gyártó 2.7. pont szerint meghatározott átlagos fajlagos szén-dioxid-kibocsátása az Y év beszámolási időszakában (X = 2025, NO, M);
T(X)Y a gyártó 4. pont szerint meghatározott fajlagos szén-dioxid-kibocsátási célértéke az Y év beszámolási időszakában (X = 2025, NO, M);
VY a gyártó új nehézgépjárműveinek száma az Y év beszámolási időszakában.
5.3. Kibocsátási tartozásküszöb
Minden gyártó esetében az Y év valamely beszámolási időszakára vonatkozó limCO2(X)Y kibocsátási tartozásküszöbök meghatározása a következő:
limCO2(NO)Y = T(2025)Y × 0,05 × V(2025)Y az Y < 2030 év beszámolási időszakai esetében;
limCO2(NO)Y = T(NO)Y × 0,05 × V(NO)Y az Y ≥ 2030 év beszámolási időszakai esetében;
limCO2(M)Y = T(M)Y × 0,05 × V(M)Y az Y ≥ 2030 év beszámolási időszakai esetében.
Ahol:
T(X)Y a gyártó 4. pont szerint meghatározott fajlagos kibocsátási célértéke az Y év beszámolási időszakában (X = 2025, NO, M);
V(X)Y a gyártó azon új nehézgépjárműveinek járműalcsoportokon belüli száma az Y év beszámolási időszakában, amelyeket figyelembe vesznek a CO2(X) fajlagos szén-dioxid-kibocsátás 4.2. pont szerinti kiszámításakor (X = 2025, NO, M).
5.4. Korai kibocsátási jóváírások
A 2025. év beszámolási időszakában felhalmozott kibocsátási tartozásokból ki kell vonni egy, az e beszámolási időszak előtt szerzett kibocsátási jóváírásoknak megfelelő összeget, amelyet minden gyártó esetében az alábbiak szerint kell meghatározni:

Ahol:
min a zárójelben található két érték közül a kisebb;
[Kép #15] a 2019 és 2024 közötti Y évek beszámolási időszakai során felhalmozott összeg;

Kép #15
dCO2(NO)Y az 5.2. pont szerint meghatározott kibocsátási tartozások az Y év beszámolási időszakára;
cCO2(NO)Y az 5.2. pont szerint meghatározott kibocsátási jóváírások az Y év beszámolási időszakára.
6. A gyártó 8. cikk (2) bekezdésében említett többletkibocsátásának meghatározása
A 2025. évtől kezdődően minden gyártóra és az Y év minden egyes beszámolási időszakára vonatkozóan ki kell számolni a jármű-kategória exeCO2(X)Y fajlagos szén-dioxid-többletkibocsátásának értékét az alábbiak szerint, ha az érték pozitív (X = NO, M).
A 2025. évi beszámolási időszak esetében:

A 2026 és 2028, a 2030 és 2033, valamint a 2035 és 2038 közötti Y évek beszámolási időszakai esetében:

A 2030 és 2033, valamint a 2035 és 2038 közötti Y évek beszámolási időszakai esetében:

Az Y = 2029, 2034 és 2039 évek beszámolási időszakai esetében:

Az Y = 2034 és 2039 évek beszámolási időszakai esetében:

A 2040. év beszámolási időszakai esetében:

Az Y > 2040 évek beszámolási időszakai esetében:
exeCO2(NO)Y = (CO2(NO)Y - T(NO)Y) × VY
exeCO2(M)Y = (CO2(M)Y - T(M)Y) × VY
Ha az előző számítások negatív értéket eredményeznek az exeCO2(X)Y esetében, akkor azt nullában kell megállapítani.
Ahol:
[Kép #16] a 2019 és 2024 közötti Y évek beszámolási időszakai során felhalmozott összeg;

Kép #16
[Kép #17] a 2025 és az Y év közötti I évek beszámolási időszakai során felhalmozott összeg;

Kép #17
[Kép #18] a 2025 és az (Y-1) év közötti J évek beszámolási időszakai során felhalmozott összeg;

Kép #18
[Kép #19] a 2025 és 2039 közötti I évek beszámolási időszakai során felhalmozott összeg;

Kép #19
[Kép #20] a 2030 és az (Y-1) év közötti J évek beszámolási időszakai során felhalmozott összeg;

Kép #20
dCO2(X)Y az 5.2. pont szerint meghatározott kibocsátási tartozások az Y év beszámolási időszakára (X = NO, M);
cCO2(X)Y az 5.2. pont szerint meghatározott kibocsátási jóváírások az Y év beszámolási időszakára (X = NO, M);
ccCO2(X)I,Y a 6.1. pont szerint meghatározott kibocsátási jóváírások az I év beszámolási időszakára, a 7 év után lejárt rész tekintetében korrigálva (X = NO, M);
limCO2(X)Y az 5.3. pont szerint meghatározott kibocsátási tartozásküszöb (X = NO, M);
redCO2(X) a kibocsátási tartozások 5.4. pont szerint meghatározott csökkentése a 2025. év beszámolási időszakára (X = NO, M).
Minden egyéb esetben az exeCO2(X)Y többletkibocsátás értékét nullában kell megállapítani (X = NO, M).
A 8. cikk (2) bekezdésében említett Y év beszámolási időszakára vonatkozó szén-dioxid-többletkibocsátás a következő:
exeCO2Y = exeCO2(NO)Y + exeCO2(M)Y
6.1. A ccCO2(X)Y,I meghatározása
ccCO2(X)I,Y = cCO2(X)I ha Y ≤ I + 7;
ccCO2(X)I,Y = min(cCO2(X)I;
[Kép #21] ha Y > I + 7.

Kép #21
II. MELLÉKLET
A 11. cikkben említett kiigazítási eljárások
1. A szén-dioxid-referenciakibocsátás kiigazítása a típusjóváhagyási eljárásoknak a 11. cikk (2) bekezdésében említett módosítását követően
A típusjóváhagyási eljárásoknak a 11. cikk (2) bekezdésében említett módosítását követően az I. melléklet 3.1.2. pontjában említett szén-dioxid-referenciakibocsátást újra kell számítani.
E célból a v új nehézgépjárműveknek és elsődleges járműveiknek az mp célprofilhoz az I. melléklet 2.1. pontja szerint meghatározott, g/km-ben kifejezett szén-dioxid-kibocsátását a következőképpen kell kiigazítani:
CO2v,mp = CO2(RP)v,mp · (Σ r sr,sg · CO2r,mp)/ (Σ r sr,sg · CO2(RP)r,mp)
CO2pv,mp = CO2p(RP)v,mp · (Σ r sr,sg · CO2pr,mp)/ (Σ r sr,sg · CO2p(RP)r,mp)
Ahol:
Σ r az sg járműalcsoport összes r reprezentatív nehézgépjárművének összege;
sg az a járműalcsoport, amelybe a v nehézgépjármű tartozik;
sr,sg az r reprezentatív nehézgépjárműnek az sg járműalcsoporton belüli statisztikai súlya;
CO2(RP)v,mp a v nehézgépjármű g/km-ben kifejezett, mp célprofilra meghatározott és a referencia-időszakra bejelentett nyomonkövetési adatokon alapuló fajlagos szén-dioxid-kibocsátása;
CO2(RP)r,mp az r reprezentatív nehézgépjármű g/km-ben kifejezett, mp célprofilra meghatározott fajlagos szén-dioxid-kibocsátása, amelyet az 595/2009/EK rendelettel és annak a referencia-időszakban alkalmazott végrehajtási intézkedéseivel összhangban állapítottak meg;
CO2r,mp az r reprezentatív nehézgépjármű mp célprofilra meghatározott fajlagos szén-dioxid-kibocsátása, amelyet az 595/2009/EK rendelettel és annak végrehajtási intézkedéseivel összhangban határoztak meg, az e rendelet 11. cikke (2) bekezdésének a) pontjában említett módosítások szerint;
CO2p(RP)v,mp a v nehézgépjármű elsődleges járművének g/km-ben kifejezett, mp célprofilra meghatározott és a referencia-időszakra bejelentett nyomonkövetési adatokon alapuló fajlagos szén-dioxid-kibocsátása;
CO2p(RP)r,mp az r reprezentatív nehézgépjármű elsődleges járművének g/km-ben kifejezett fajlagos szén-dioxid-kibocsátása, amelyet az 595/2009/EK rendelettel és annak a referencia-időszakban alkalmazott végrehajtási intézkedéseivel összhangban állapítottak meg;
CO2pr,mp az r reprezentatív jármű elsődleges járművének mp célprofilra meghatározott fajlagos szén-dioxid-kibocsátása, amelyet az 595/2009/EK rendelettel és annak végrehajtási intézkedéseivel összhangban határoztak meg, az e rendelet 11. cikke (2) bekezdésének a) pontjában említett módosítások szerint.
A fajlagos szén-dioxid-kibocsátást a III. mellékletnek megfelelően normalizálni kell, a 14. cikk (1) bekezdésének f) pontjában említett paraméterekre vonatkozó azon értékek felhasználásával, amelyek a 11. cikk (2) bekezdésének a) pontjában említett beszámolási időszakban alkalmazandók.
A reprezentatív nehézgépjárművek meghatározása a 11. cikk (3) bekezdésében említett módszerrel történik.
2. A 11. cikk (2) bekezdése szerint kiigazított szén-dioxid-referenciakibocsátás alkalmazása
Ha az Y év beszámolási időszakában egy gyártó egyes új nehézgépjárműveinek fajlagos szén-dioxid-kibocsátását a 11. cikk (2) bekezdésében említett módosításokkal határozták meg, az sg járműalcsoportnak az I. melléklet 4. és 5.1. pontjában használt rCOsg szén-dioxid-referenciakibocsátását a következőképpen kell kiszámítani:
rCO2sg = Σ,i Vsg,i/Vsg x rCO2sg,,i
Ahol:
Σ,i a következő összeg:
- ha i = 0: a szén-dioxid-kibocsátás meghatározására szolgáló, nem módosított eljárás során keletkező összeg, amelyre a kiigazítások nélküli kezdeti szén-dioxid-referenciakibocsátás érvényes, és
- ha i ≥ 1: a 11. cikk (2) bekezdésében említett valamennyi későbbi módosítás során keletkező összeg.
Vsg a gyártó új nehézgépjárműveinek száma az Y év beszámolási időszakában és az sg járműalcsoportban;
Vsg,i a gyártó új nehézgépjárműveinek száma az Y év beszámolási időszakában és az sg alcsoportban, amelynek fajlagos szén-dioxid-kibocsátását az i módosítás figyelembevételével határozták meg;
rCO2sg,i megfelel a következőknek:
- ha i = 0: a nem kiigazított szén-dioxid-referenciakibocsátás,
- ha i ≥ 1: az sg járműalcsoportra az i módosítás figyelembevételével meghatározott szén-dioxid-referenciakibocsátás.
III. MELLÉKLET
Az új nehézgépjárművek 4. cikkben említett fajlagos szén-dioxid-kibocsátásának normalizálása
1. A fajlagos szén-dioxid-kibocsátás normalizálása
Az I. melléklet 2.1. pontja szerinti számítás céljából a nehézgépjárművek szén-dioxid-kibocsátásának CO2v,mp értékeit a következőképpen kell normalizálni:
CO2v,mp = reportCO2v,mp + ΔCO2v,mp(m) + ΔCO2cvv,mp
m = PLsg,mp - PLv,mp + cCWv (az N és az O kategóriájú nehézgépjárművek esetében)
m = PMsg,mp - PMv,mp + cCWv (az M kategóriájú nehézgépjárművek esetében)
Az elsődleges járművek Co2pv,mp szén-dioxid-kibocsátásának értékeit ugyanazon módszertan alapján kell normalizálni, az elsődleges járművek paramétereinek felhasználásával.
Ahol:
CO2v,mp a v nehézgépjármű mp célprofilhoz meghatározott normalizált szén-dioxid-kibocsátása, amelyet figyelembe kell venni az I. melléklet 2.1. pontja szerinti számítás során;
reportCO2v,mp egy új v nehézgépjármű mp célprofilhoz meghatározott, g/km-ben kifejezett, a 13a. és 13b. cikk szerint jelentett szén-dioxid-kibocsátása;
ΔCO2v,mp(m) a 3. pont szerint kell meghatározni;
ΔCO2cvv,mp a 4. pont szerint kell meghatározni;
PLv,mp az mp célprofilba tartozó v nehézgépjármű hasznos terhelése, a 13a. és 13b. cikk szerint jelentett adatok alapján meghatározva;
PLsg,mp az sg alcsoport és az mp célprofil hasznos terhelése az I. melléklet 2.5. pontjában előírtak szerint;
PMv,mp az mp célprofilba tartozó v nehézgépjármű utastömege, a 13a. és 13b. cikk szerint jelentett adatok alapján meghatározva;
PMsg,mp az sg járműalcsoport és az mp célprofil utastömege az I. melléklet 2.5. pontjában előírtak szerint;
cCWv a v nehézgépjármű saját tömegének 2. ponttal összhangban alkalmazott korrekciója.
2. A jármű saját tömegének normalizálása
Mivel a nehézgépjármű kihasználhatósága javul a műszakilag megengedett legnagyobb hasznos terhelés vagy az utasszám emelkedésével, de műszaki okokból e paraméterek magasabb értékei a nehézgépjármű saját tömegének megnövekedésével és ezáltal nagyobb szén-dioxid-kibocsátással korrelálnak, az sg járműalcsoportba tartozó v jármű saját tömegének alábbi korrekcióját kell alkalmazni fajlagos szén-dioxid-kibocsátásának 1. pont szerinti normalizálása céljából:
cCWv = asg · (maxPLsg - maxPLv) az N kategóriájú nehézgépjárművek esetében;
cCWv = 0 az O kategóriájú nehézgépjárművek esetében;
cCWv = asg · (maxPNsg - maxPNv) az M kategóriájú nehézgépjárművek esetében;
Ahol:
asg a 2.1. pont szerint a v azon beszámolási időszakra meghatározott lineáris együttható, amelyben a nehézgépjárművet nyilvántartásba vették;
maxPLv a v nehézgépjármű műszakilag megengedett legnagyobb hasznos terhelése a 13a. és 13b. cikk szerint jelentett adatok alapján meghatározva;
maxPNv a v jármű műszakilag megengedett legnagyobb utasszáma a 13a. és 13b. cikk szerint jelentett adatok alapján meghatározva;
maxPLsg az sg járműalcsoportnak az I. melléklet 2.5. pontja szerint meghatározott, műszakilag megengedett legnagyobb hasznos terhelése;
maxPNsg az sg járműalcsoportnak az I. melléklet 2.5. pontja szerint meghatározott, műszakilag megengedett legnagyobb utasszáma.
2.1. A normalizálási paraméterek meghatározása
Minden beszámolási időszakra vonatkozóan meg kell határozni az asg és bsg paramétert a CWv értékeinek a maxPLv (N kategóriájú nehézgépjárművek) és a maxPNv (M kategóriájú nehézgépjárművek) értékekkel való korrelációjának lineáris regresszióanalízisével, az sg járműalcsoportba tartozó összes újonnan nyilvántartásba vett v nehézgépjárművet figyelembe véve:
CWv ≈ asg maxPLv + bsg az N kategóriájú nehézgépjárművek esetében;
CWv ≈ asg maxPNv + bsg az M kategóriájú nehézgépjárművek esetében.
Ahol:
CWv a v nehézgépjármű saját tömege a 13a. és 13b. cikk szerint jelentett adatok alapján meghatározva; ha nem áll rendelkezésre pontos érték, akkor a v nehézgépjármű korrigált tényleges tömege alapján megközelítő értéket is meg lehet állapítani;
maxPLv a v nehézgépjármű műszakilag megengedett legnagyobb hasznos terhelése a 13a. és 13b. cikk szerint jelentett adatok alapján meghatározva;
maxPNv a v nehézgépjármű műszakilag megengedett legnagyobb utasszáma a 13a. és 13b. cikk szerint jelentett adatok alapján meghatározva.
3. A szén-dioxid-kibocsátás változása a jármű terhelt tömegének változása miatt
A v nehézgépjármű mp célprofilra meghatározandó szén-dioxid-kibocsátásának utólagos módosítását, amelyre a nehézgépjárműhöz annak szén-dioxid-kibocsátása megállapítása érdekében hozzárendelendő teljes tömeg utólagos módosítása miatt kerül sor, a következő lineáris közelítéssel kell meghatározni:
ΔCO2v,mp(m) = m (CO2v,r - CO2v,l) / (Mr - Ml)
Ahol:
m a v nehézgépjárműhöz annak szén-dioxid-kibocsátása meghatározása érdekében hozzárendelt teljes tömeg módosítása;
CO2v,r a v nehézgépjármű g/km-ben kifejezett szén-dioxid-kibocsátása, a tömeg módosítása nélkül, ugyanarra az mp célprofilra meghatározva, reprezentatív terhelési körülmények mellett;
CO2v,l a v nehézgépjármű g/km-ben kifejezett szén-dioxid-kibocsátása, a tömeg módosítása nélkül, ugyanarra az mp célprofilra meghatározva, alacsony terhelési körülmények mellett;
Mr a jármű teljes tömege szimulációban, a tömeg módosítása nélkül, ugyanarra az mp célprofilra meghatározva, reprezentatív terhelési körülmények mellett;
Ml a jármű teljes tömege szimulációban, a tömeg módosítása nélkül, ugyanarra az mp célprofilra meghatározva, alacsony terhelési körülmények mellett.
4. A különböző rakománymennyiségek normalizálása
Az ugyanazon járműalcsoportba tartozó O kategóriájú nehézgépjárművek rakománymennyisége eltérő lehet. Mivel a nehézgépjármű kihasználhatósága javul a rakománymennyiség függvényében, de műszaki okokból ez a növekedés nagyobb szén-dioxid-kibocsátással korrelál, az sg járműalcsoportba tartozó v nehézgépjármű szén-dioxid-kibocsátásának alábbi korrekcióját kell alkalmazni:
ΔCO2cvv,mp = asg,mp (CVsg - CVv)
Ahol:
asg,mp a 4.1. pont szerint a v azon beszámolási időszakra meghatározott lineáris együttható, amelyben a nehézgépjárművet nyilvántartásba vették;
CVv a v nehézgépjármű rakománymennyisége a 13a. és 13b. cikk szerint jelentett adatok alapján meghatározva;
CVsg az sg járműalcsoportnak az I. melléklet 2.5. pontja szerint meghatározott rakománymennyisége.
Az N és M kategóriájú nehézgépjárművek esetében az ΔCO2cvv,mp szén-dioxid-kibocsátás korrekciója nulla.
4.1. A normalizálási paraméterek meghatározása
Minden beszámolási időszakra és minden célprofilra vonatkozóan meg kell határozni az asg,mp and bsg,mp paramétert a CVv értékeinek az [reportCO2v,mp + ΔCO2v,mp(m)] értékekkel való korrelációjának lineáris regresszióanalízisével, az sg alcsoportba tartozó összes újonnan nyilvántartásba vett v nehézgépjárművet figyelembe véve:
reportCO2v,mp + ΔCO2v,mp(m) ≈ asg,mp · CVv + bsg,mp
Ahol:
CVv a v nehézgépjármű rakománymennyisége a 13a. és 13b. cikk szerint jelentett adatok alapján meghatározva;
reportCO2v,mp, ΔCO2v,mp(m) megfelelnek az 1. pontban meghatározottaknak.
IV. MELLÉKLET
A 13a. és 13b. cikkben említett nyomon követendő és bejelentendő adatokkal kapcsolatos szabályok
A. RÉSZ: A TAGÁLLAMOK ÁLTAL NYOMON KÖVETENDŐ ÉS BEJELENTENDŐ ADATOK
a) a tagállam területén nyilvántartásba vett, a 2. cikkben említett összes új nehézgépjármű jármű-azonosító száma;
b) a gyártó neve;
c) gyártmány (a gyártó kereskedelmi neve);
d) a megfelelőségi nyilatkozat 38. pontjában megadott felépítménykód, beleértve adott esetben az (EU) 2018/858 rendelet I. mellékletének 2. függelékében említett kiegészítő számokat is;
e) a 2. cikk első bekezdésének a) vagy b) pontjában említett nehézgépjárművek esetében az erőátviteli rendszerre vonatkozó, a megfelelőségi nyilatkozat 23., 23.1. és 26. pontjában meghatározott információk;
f) a nehézgépjárműnek a megfelelőségi nyilatkozat 29. pontjában megadott legnagyobb sebessége;
g) a készültségi fok, amelyet a megfelelőségi nyilatkozatnak az (EU) 2020/683 bizottsági végrehajtási rendelet VIII. mellékletének 2. pontja szerint választott mintája feltüntet ( 10 );
h) a megfelelőségi nyilatkozat 0.4. pontjában feltüntetett jármű-kategória;
i) a tengelyek száma, a megfelelőségi nyilatkozat 1. pontjában meghatározottak szerint;
j) a műszakilag megengedett legnagyobb terhelt tömeg, a megfelelőségi nyilatkozat 16.1. pontjában meghatározottak szerint;
k) a gyártói nyilvántartási dokumentumhoz tartozó kriptográfiai hashfüggvény lenyomata, a megfelelőségi nyilatkozat 49.1. pontjában meghatározottak szerint; a 2025. június 30-ig nyilvántartásba vett nehézgépjárművek esetében elég, ha a tagállamok csak a kriptográfiai hashfüggvény első 8 karakterét jelentik be;
l) a fajlagos szén-dioxid-kibocsátás, a megfelelőségi nyilatkozat 49.5. pontjában meghatározottak szerint;
m) az átlagos hasznos terhelés, a megfelelőségi nyilatkozat 49.6. pontjában meghatározottak szerint;
n) a nyilvántartásba vétel időpontja;
o) a 3. cikk 25. pontjában említett, extra nehéz járműszerelvényben használható N3 kategóriájú tehergépkocsi esetén a járműszerelvény műszakilag megengedett legnagyobb terhelt tömege a megfelelőségi nyilatkozat vagy az egyedijármű-bizonyítvány 16.4. pontjában meghatározottak szerint;
p) a különleges rendeltetésű járművek kijelölése a megfelelőségi nyilatkozat 51. pontjában meghatározottak szerint;
q) a hajtott tengelyek száma, a megfelelőségi nyilatkozat 3. pontjában meghatározottak szerint;
r) az (EU) 2018/858 rendelet 2. cikke (3) bekezdésének b) pontja alapján jóváhagyott nehézgépjárművek esetében az arra vonatkozó információ, hogy a nehézgépjárművet a polgári védelem, a tűzoltóság vagy a közrend fenntartásáért felelős erők általi használatra tervezték, gyártották vagy ahhoz igazították;
s) a polgári védelem, a tűzoltóság vagy a közrend fenntartásáért felelős erők általi használatra nyilvántartásba vett nehézgépjárművek esetében annak megerősítése, hogy a járművet a polgári védelem, a tűzoltóság vagy a közrend fenntartásáért felelős erők általi használat céljából vették nyilvántartásba, és hogy a jármű megfelel az e rendelet 3a. cikkének (5) bekezdésében meghatározott feltételeknek. Az (EU) 2018/858 rendelet 45. cikkének (1) bekezdése alapján alkalmazandó nemzeti mentességektől függetlenül valamennyi nehézgépjármű esetében - az egyedileg jóváhagyott járműveket is beleértve - a megfelelő információk azok, amelyeket az (EU) 2020/683 végrehajtási rendeletben meghatározott mintáknak megfelelően az uniós megfelelőségi nyilatkozatban, az EU-egyedijármű-bizonyítványban vagy a nemzeti egyedijármű-bizonyítványban fel kell tüntetni.
B. RÉSZ: A GYÁRTÓK ÉS EGYÉB SZERVEZETEK ÁLTAL BEJELENTENDŐ ADATOK
E rendelet 13b. cikkének megfelelően minden adatbejelentőnek be kell jelentenie a következő adatokat azon nehézgépjárművek tekintetében, amelyekről az (EU) 2017/2400 rendeletnek és az (EU) 2022/1362 végrehajtási rendeletnek megfelelően gyártói nyilvántartási dokumentumot (MRF) vagy járműinformációs dokumentumot (VIF) kell kiállítania.
A IV. melléklet A. részének p) és q) pontjában említett nehézgépjárművek esetében a 7a. cikkben említett gyártó a 2. cikk (4) és (5) bekezdésének megfelelően arról is tájékoztatja a Bizottságot, ha egy olyan nehézgépjárművet, amely egyébként mentesülne a 3a. cikkben meghatározott kötelezettségek alól, nem kell e követelmények alól mentesíteni.
| Jármű-kategóriák/-járműalcsoportok | Adatbejelentők | |||
| Elsődleges járműgyártó () | Közbenső járműgyártó () | Járműgyártó () () | Kijelölt műszaki szolgálat () | |
| N kategória/összes járműalcsoport | nem alkalmazandó | nem alkalmazandó | — MRF () — További információk (*1) | nem alkalmazandó |
| M kategória/összes járműalcsoport | — VIF () — MRF () — További információk (*1) az elsődleges járművel kapcsolatban. | nem alkalmazandó | — VIF () — MRF () — További információk (*1) a teljes vagy befejezett járművel kapcsolatban. | nem alkalmazandó |
| O kategória/összes alcsoport | nem alkalmazandó | nem alkalmazandó | — MRF () — További információk (*1) | — MRF () — További információk (*1) |
| (1) Az (EU) 2017/2400 rendelet 3. cikkének 29. pontja. (2) Az (EU) 2017/2400 rendelet 3. cikkének 31. pontja. (3) Az (EU) 2017/2400 rendelet 3. cikkének 4a. pontja. (4) Gyártói nyilvántartási fájl (MRF), az (EU) 2017/2400 rendelet 3. cikkének 23. pontja (5) Járműinformációs fájl (VIF), az (EU) 2017/2400 rendelet 3. cikkének 25. pontja (6) Az (EU) 2022/1362 végrehajtási rendelet 2. cikkének 5. pontja (7) Gyártói nyilvántartási fájl (MRF), az (EU) 2022/1362 végrehajtási rendelet 2. cikkének 9. pontja (8) Az (EU) 2022/1362 végrehajtási rendelet 8. cikkének (6) és (7) bekezdése. (*1) További információk: | ||||
| Szám | Nyomonkövetési paraméter | Forrás | Azok a járműkategóriák, amelyekre a nyomonkövetési paraméter alkalmazandó |
| 15 | gyártmány (a gyártó kereskedelmi neve) | minden jármű | |
| 24 | a sebességváltó gyártójának neve és címe | az (EU) 2017/2400 rendelet VI. mellékletének 1. függelékében szereplő, alkatrészre, önálló műszaki egységre vagy rendszerre vonatkozó tanúsítványminta 0.4. pontja | N kategória; M kategória: csak az elsődleges járművek; |
| 25 | gyártmány (a sebességváltó gyártójának kereskedelmi neve) | az (EU) 2017/2400 rendelet VI. mellékletének 1. függelékében szereplő, alkatrészre, önálló műszaki egységre vagy rendszerre vonatkozó tanúsítványminta 0.1. pontja | N kategória; M kategória: csak az elsődleges járművek; |
| 32 | a tengelyek gyártójának neve és címe | az (EU) 2017/2400 rendelet VII. mellékletének 1. függelékében szereplő, alkatrészre, önálló műszaki egységre vagy rendszerre vonatkozó tanúsítványminta 0.4. pontja | N kategória; M kategória: csak az elsődleges járművek; O kategória; |
| 33 | gyártmány (a tengelyek gyártójának kereskedelmi neve) | az (EU) 2017/2400 rendelet VII. mellékletének 1. függelékében szereplő, alkatrészre, önálló műszaki egységre vagy rendszerre vonatkozó tanúsítványminta 0.1. pontja | N kategória; M kategória: csak az elsődleges járművek; O kategória; |
| 39 | a gumiabroncsok gyártójának neve és címe | az (EU) 2017/2400 rendelet X. mellékletének 1. függelékében szereplő, alkatrészre, önálló műszaki egységre vagy rendszerre vonatkozó tanúsítványminta 1. pontja | N kategória; M kategória: csak az elsődleges járművek; O kategória; |
| 40 | gyártmány (a gumiabroncsok gyártójának kereskedelmi neve) | az (EU) 2017/2400 rendelet X. mellékletének 1. függelékében szereplő, alkatrészre, önálló műszaki egységre vagy rendszerre vonatkozó tanúsítványminta 3. pontja | N kategória; M kategória: csak az elsődleges járművek; O kategória; |
| 72 | a szimulációs eszköz működtetésére vonatkozó engedély száma | minden jármű | |
| 75 | a motor által a WHTC-ciklusban (8) kibocsátott CO2 tömege (g/kWh) | az 582/2011/EU bizottsági rendelet () I. melléklete 5. függeléke kiegészítésének 1.4.2. pontja, illetve 7. függeléke kiegészítésének 1.4.2. pontja (amelyik alkalmazandó) | N kategória; M kategória: csak az elsődleges járművek; |
| 76 | a motor tüzelőanyag-fogyasztása a WHTC-ciklusban (g/kWh) | az 582/2011/EU rendelet I. melléklete 5. függeléke kiegészítésének 1.4.2. pontja, illetve 7. függeléke kiegészítésének 1.4.2. pontja (amelyik alkalmazandó) | N kategória; M kategória: csak az elsődleges járművek; |
| 77 | a motor által a WHSC-ciklusban (9) kibocsátott CO2 tömege (g/kWh) | az 582/2011/EU rendelet I. melléklete 5. függeléke kiegészítésének 1.4.1. pontja, illetve 7. függeléke kiegészítésének 1.4.1. pontja (amelyik alkalmazandó) | N kategória; M kategória: csak az elsődleges járművek; |
| 78 | a motor tüzelőanyag-fogyasztása a WHSC-ciklusban (g/kWh) | az 582/2011/EU rendelet I. melléklete 5. függeléke kiegészítésének 1.4.1. pontja, illetve 7. függeléke kiegészítésének 1.4.1. pontja (amelyik alkalmazandó) | N kategória; M kategória: csak az elsődleges járművek; |
| 101 | a motor típusjóváhagyási száma a 2020. július 1-jei vagy azt követő szimulációs időponttal rendelkező nehézgépjárművek esetében | az 582/2011/EU rendelet I. melléklete 5., 6. vagy 7. függeléke kiegészítésének 1.2.1. pontja (amelyik alkalmazandó) | N kategória; M kategória: csak az elsődleges járművek; |
| 102 | a munkafájllal megegyező nevű, vesszővel tagolt értékeket tartalmazó, mindegyik szimulációs célprofil és hasznos terhelési körülmény összesített eredményeit tartalmazó,.vsum kiterjesztésű fájl a 2021. július 1-jei vagy azt követő szimulációs időponttal rendelkező nehézgépjárművek esetében | az (EU) 2017/2400 rendelet 5. cikke (1) bekezdésének a) pontjában említett szimulációs eszköz által annak grafikus felhasználói felületén (GUI) generált fájl | minden jármű |
| (1) A Bizottság 582/2011/EU rendelete (2011. május 25.) az 595/2009/EK európai parlamenti és tanácsi rendeletnek a nehéz tehergépjárművek kibocsátásai (Euro VI) tekintetében történő végrehajtásáról és módosításáról, valamint a 2007/46/EK európai parlamenti és tanácsi irányelv I–III. mellékletének módosításáról (HL L 167., 2011.6.25., 1. o.). | |||
C. RÉSZ: A 13c. CIKKEL ÖSSZHANGBAN TÖRTÉNŐ NYILVÁNOSSÁGRA HOZATAL CÉLJÁBÓL HASZNÁLANDÓ LÉGELLENÁLLÁSI TÉNYEZŐ (CDXA) TARTOMÁNYOK
A 23. pontban említett CdxA értékeknek a 13c. cikkel összhangban történő nyilvánosságra hozatala céljából a Bizottság az alábbi táblázatban szereplő tartományokat használja - a táblázat az egyes CdxA értékeknek megfelelő tartományokat tartalmazza:
| Tartomány | CdxA érték [m2] | |
| Min CdxA (CdxA ≥ min CdxA) | Max CdxA (CdxA < MaxCdxA) | |
| A1 | 0,00 | 3,00 |
| A2 | 3,00 | 3,15 |
| A3 | 3,15 | 3,31 |
| A4 | 3,31 | 3,48 |
| A5 | 3,48 | 3,65 |
| A6 | 3,65 | 3,83 |
| A7 | 3,83 | 4,02 |
| A8 | 4,02 | 4,22 |
| A9 | 4,22 | 4,43 |
| A10 | 4,43 | 4,65 |
| A11 | 4,65 | 4,88 |
| A12 | 4,88 | 5,12 |
| A13 | 5,12 | 5,38 |
| A14 | 5,38 | 5,65 |
| A15 | 5,65 | 5,93 |
| A16 | 5,93 | 6,23 |
| A17 | 6,23 | 6,54 |
| A18 | 6,54 | 6,87 |
| A19 | 6,87 | 7,21 |
| A20 | 7,21 | 7,57 |
| A21 | 7,57 | 7,95 |
| A22 | 7,95 | 8,35 |
| A23 | 8,35 | 8,77 |
| A24 | 8,77 | 9,21 |
V. MELLÉKLET
A 13a-13c. cikkben említett adatbejelentés és -kezelés
1. TAGÁLLAMOK ÁLTALI BEJELENTÉS
1.1. A IV. melléklet A. részében meghatározott adatokat a 13a. cikkel összhangban az illetékes hatóság kapcsolattartó pontja elektronikus adatátvitel útján továbbítja az Európai Környezetvédelmi Ügynökségnek.
A kapcsolattartó pont egyúttal értesíti a Bizottságot és az Európai Környezetvédelmi Ügynökséget is, amikor az adatokat e-mailben benyújtja az alábbi címekre:
EC-CO2-HDV-IMPLEMENTATION@ec.europa.eu
és
HDV-monitoring@eea.europa.eu
2. GYÁRTÓK ÁLTALI BEJELENTÉS
2.1. A gyártók haladéktalanul bejelentik a Bizottságnak a következő információkat:
a) a gyártó neve, amely a megfelelőségi nyilatkozatban vagy az egyedi jóváhagyási bizonyítványban szerepel;
b) a gyártónak a 19/2011/EU bizottsági rendeletben ( 11 ) meghatározott világazonosítója (WMI-kód), amelyet a forgalomba hozandó új nehézgépjárművek járműazonosító számaiban kell használni;
c) az adatoknak az Európai Környezetvédelmi Ügynökség számára történő feltöltéséért felelős kapcsolattartó pont.
A gyártók továbbá az ezen információkban bekövetkezett változásokról is tájékoztatják a Bizottságot.
Az ilyen bejelentéseket az 1.1. pontban megadott címekre kell elküldeni.
2.2. Az I. melléklet B. részének 2. pontjában meghatározott adatokat a 13b. cikkel összhangban a gyártó kapcsolattartó pontja elektronikus adatátvitel útján továbbítja az Európai Környezetvédelmi Ügynökségnek.
A kapcsolattartó pont egyúttal értesíti a Bizottságot és az Európai Környezetvédelmi Ügynökséget is, amikor az adatokat e-mailben benyújtja az 1.1. pontban említett címekre.
3. ADATKEZELÉS
3.1. Az Európai Környezetvédelmi Ügynökség kezeli az 1.1. és 2.2. pontnak megfelelően továbbított adatokat, és a feldolgozott adatokat rögzíti a nyilvántartásban.
3.2. Az előző beszámolási időszaban nyilvántartásba vett nehézgépjárművek nyilvántartásban rögzített adatait minden év április 30-ig közzé kell tenni, a következő adatok kivételével:
3.2.1. jármű-azonosító szám;
3.2.2. a sebességváltó gyártójának neve és címe;
3.2.3. gyártmány (a sebességváltó gyártójának kereskedelmi neve);
3.2. 4 a tengelyek gyártójának neve és címe;
3.2.5. gyártmány (a tengelyek gyártójának kereskedelmi neve);
3.2.6. a gumiabroncsok gyártójának neve és címe;
3.2.7. gyártmány (a gumiabroncsok gyártójának kereskedelmi neve);
3.2.8. a motor modellje;
3.2.9. a sebességváltó modellje;
3.2.10. a lassítófék modellje;
3.2.11. a nyomatékátalakító modellje;
3.2.12. a szöghajtás modellje;
3.2.13. a tengely modellje;
3.2.14. a légellenállás modellje;
3.2.15. a munkafájllal megegyező nevű, vesszővel tagolt értékeket tartalmazó, mindegyik szimulációs célprofil és hasznos terhelési körülmény összesített eredményeit tartalmazó, vsum kiterjesztésű fájl.
3.3. Amennyiben valamely illetékes hatóság vagy a gyártók hibát találnak a benyújtott adatokban, erről az Ügynökségnek küldött hibaértesítési jelentés és az 1.1. pontban említett címekre küldött e-mail útján haladéktalanul értesítik a Bizottságot és az Európai Környezetvédelmi Ügynökséget.
3.4. A Bizottság az Európai Környezetvédelmi Ügynökség támogatásával ellenőrzi a bejelentett hibákat, és adott esetben kijavítja a nyilvántartásban szereplő adatokat.
3.5. A Bizottság az Európai Környezetvédelmi Ügynökség támogatásával az adatok továbbítására vonatkozó határidő előtt kellő időben rendelkezésre bocsátja az 1.1. és 2.2. pontban említett adatátvitelhez szükséges elektronikus formátumokat.
VI. MELLÉKLET
Megfelelési táblázat
| Az (EU) 2018/956 rendelet | Ez a rendelet |
| 1. cikk | 1. cikk (2) bekezdés |
| 2. cikk | 2. cikk |
| 3. cikk | 3. cikk |
| 4. cikk | 13a. cikk |
| 5. cikk | 13b. cikk |
| 6. cikk | 13c. cikk |
| 7. cikk | 13d. cikk |
| 8. cikk | 13e. cikk |
| 9. cikk | 13f. cikk |
| 10. cikk | — |
| 11. cikk | 14. cikk |
| 12. cikk | 16. cikk |
| 13. cikk | 17. cikk |
| 14. cikk | — |
| I. melléklet | IV. melléklet |
| II. melléklet | V. melléklet |
( 1 ) Az Európai Parlament és a Tanács (EU) 2021/1119 rendelete (2021. június 30.) a klímasemlegesség elérését célzó keret létrehozásáról és a 401/2009/EK rendelet, valamint az (EU) 2018/1999 rendelet módosításáról (európai klímarendelet) (HL L 243., 2021.7.9., 1. o.).
( 2 ) Az Európai Parlament és a Tanács (EU) 2023/857 rendelete (2023. április 19.) a Párizsi Megállapodásban vállalt kötelezettségek teljesítése érdekében a tagállamok által 2021-től 2030-ig kötelezően teljesítendő, az éghajlatpolitikai fellépéshez hozzájáruló éves üvegházhatásúgázkibocsátás-csökkentések meghatározásáról szóló (EU) 2018/842 rendelet, valamint az (EU) 2018/1999 rendelet módosításáról (HL L 111., 2023.4.26., 1. o.).
( 3 ) Az Európai Parlament és a Tanács 715/2007/EK rendelete (2007. június 20.) a könnyű személygépjárművek és haszongépjárművek (Euro 5 és Euro 6) kibocsátás tekintetében történő típusjóváhagyásáról és a járműjavítási és -karbantartási információk elérhetőségéről (HL L 171., 2007.6.29., 1. o.)
( 4 ) Az Európai Parlament és a Tanács 2014/24/EU irányelve (2014. február 26.) a közbeszerzésről és a 2004/18/EK irányelv hatályon kívül helyezéséről (HL L 94., 2014.3.28., 65. o.).
( 5 ) Az Európai Parlament és a Tanács 2014/25/EU irányelve (2014. február 26.) a vízügyi, energiaipari, közlekedési és postai szolgáltatási ágazatban működő ajánlatkérők beszerzéseiről és a 2004/17/EK irányelv hatályon kívül helyezéséről (HL L 94., 2014.3.28., 243. o.).
( 6 ) Az Európai Parlament és a Tanács 2014/23/EU irányelve (2014. február 26.) a koncessziós szerződésekről (HL L 94., 2014.3.28., 1. o.).
( 7 ) Az Európai Parlament és a Tanács 952/2013/EU rendelete (2013. október 9.) az Uniós Vámkódex létrehozásáról (HL L 269., 2013.10.10., 1. o.).
( 8 ) A Bizottság (EU) 2022/1362 végrehajtási rendelete (2022. augusztus 1.) az 595/2009/EK európai parlamenti és tanácsi rendeletnek a nagy teherbírású pótkocsik teljesítményének a gépjárművek szén-dioxid-kibocsátására, üzemanyag- és energiafogyasztására, valamint kibocsátásmentes hatótávolságára gyakorolt hatás tekintetében történő végrehajtásáról és az (EU) 2020/683 bizottsági végrehajtási rendelet módosításáról (HL L 205., 2022.8.5., 145. o.).
( 9 ) Az Európai Parlament és a Tanács (EU) 2018/1999 rendelete (2018. december 11.) az energiaunió és az éghajlat-politika irányításáról, valamint a 663/2009/EK és a 715/2009/EK európai parlamenti és tanácsi rendelet, a 94/22/EK, a 98/70/EK, a 2009/31/EK a 2009/73/EK, a 2010/31/EU, a 2012/27/EU és a 2013/30/EU európai parlamenti és tanácsi irányelv, a 2009/119/EK és az (EU) 2015/652 tanácsi irányelv módosításáról, továbbá az 525/2013/EU európai parlamenti és tanácsi rendelet hatályon kívül helyezéséről (HL L 328., 2018.12.21., 1. o.).
( *1 ) Az Európai Parlament és a Tanács (EU) 2019/1242 rendelete (2019. június 20.) az új nehézgépjárművek szén-dioxid-kibocsátási előírásainak meghatározásáról, valamint az 595/2009/EK és az (EU) 2018/956 európai parlamenti és tanácsi rendelet és a 96/53/EK irányelv módosításáról (HL L 198, 2019.7.25., 202 o.)."
( *2 ) Az Európai Parlament és a Tanács (EU) 2018/858 rendelete (2018. május 30.) a gépjárművek és pótkocsijaik, valamint az ilyen járművek rendszereinek, alkotóelemeinek és önálló műszaki egységeinek jóváhagyásáról és piacfelügyeletéről, a 715/2007/EK és az 595/2009/EK rendelet módosításáról és a 2007/46/EK irányelv hatályon kívül helyezéséről (HL L 151., 2018.6.14., 1. o.)."
( *3 ) Az Európai Parlament és a Tanács 2007/46/EK irányelve (2007. szeptember 5.) a gépjárművek és pótkocsijaik, valamint az ilyen járművek rendszereinek, alkatrészeinek és önálló műszaki egységeinek jóváhagyásáról ("keretirányelv") (HL L 263., 2007.10.9., 1. o.).
( *4 ) Az Európai Parlament és a Tanács (EU) 2019/1242 rendelete (2019. június 20.) az új nehézgépjárművek szén-dioxid-kibocsátási előírásainak meghatározásáról, valamint az 595/2009/EK és az (EU) 2018/956 európai parlamenti és tanácsi rendelet és a 96/53/EK irányelv módosításáról (HL L 198, 2019.7.25., 202 o.)."
( *5 ) Az Európai Parlament és a Tanács (EU) 2019/1242 rendelete (2019. június 20.) az új nehézgépjárművek szén-dioxid-kibocsátási előírásainak meghatározásáról, valamint az 595/2009/EK és az (EU) 2018/956 európai parlamenti rendelet és a 96/53/EK irányelv módosításáról (HL L 198, 2019.7.25., 202 o.)."
( 9 ) A Bizottság (EU) 2020/683 végrehajtási rendelete (2020. április 15.) az (EU) 2018/858 európai parlamenti és tanácsi rendeletnek a gépjárművek és pótkocsijaik, valamint az ilyen járművek rendszerei, alkotóelemei és önálló műszaki egységei jóváhagyására és piacfelügyeletére vonatkozó közigazgatási követelmények tekintetében történő végrehajtásáról (HL L 163., 2020.5.26., 1. o.).
( 9 ) A Bizottság 19/2011/EU rendelete (2011. január 11.) a gépjárművek és pótkocsijaik hatóságilag előírt gyári adattáblájára és járműazonosító számára vonatkozó típus-jóváhagyási előírásokról, továbbá a gépjárművek, az ezekhez tervezett pótkocsik és rendszerek, alkatrészek, valamint önálló műszaki egységek általános biztonságára vonatkozó típus-jóváhagyási előírásokról szóló 661/2009/EK európai parlamenti és tanácsi rendelet végrehajtásáról (HL L 8., 2011.1.12., 1. o.).
Lábjegyzetek:
[1] A dokumentum eredetije megtekinthető CELEX: 32019R1242 - https://eur-lex.europa.eu/legal-content/HU/ALL/?uri=CELEX:32019R1242&locale=hu Utolsó elérhető, magyar nyelvű konszolidált változat CELEX: 02019R1242-20240701 - https://eur-lex.europa.eu/legal-content/HU/ALL/?uri=CELEX:02019R1242-20240701&locale=hu