32017R2400[1]
A Bizottság (EU) 2017/2400 rendelete (2017. december 12.) az 595/2009/EK európai parlamenti és tanácsi rendeletnek a nehézgépjárművek CO2-kibocsátásának és tüzelőanyag-fogyasztásának meghatározása tekintetében történő végrehajtásáról, valamint a 2007/46/EK európai parlamenti és tanácsi irányelv és az 582/2011/EU bizottsági rendelet módosításáról
A BIZOTTSÁG (EU) 2017/2400 RENDELETE
(2017. december 12.)
az 595/2009/EK európai parlamenti és tanácsi rendeletnek a nehézgépjárművek CO2-kibocsátásának és tüzelőanyag-fogyasztásának meghatározása tekintetében történő végrehajtásáról, valamint a 2007/46/EK európai parlamenti és tanácsi irányelv és az 582/2011/EU bizottsági rendelet módosításáról
(EGT-vonatkozású szöveg)
1. FEJEZET
ÁLTALÁNOS RENDELKEZÉSEK
1. cikk
Tárgy
Ez a rendelet kiegészíti azt a jogi keretrendszert, amelyet az 582/2011/EU rendelet hozott létre a gépjárművek és motorok típusjóváhagyásával kapcsolatban a kibocsátás tekintetében, azáltal, hogy szabályokat állapít meg az EU-ban értékesítésre, nyilvántartásba vételre vagy forgalomba helyezésre kerülő új járművek CO2-kibocsátásának és tüzelőanyag-fogyasztásának meghatározására szolgáló szimulációs eszközök működtetésével kapcsolatos engedélyek kiadására, e szimulációs eszközök működtetésére, valamint az így megállapított CO2-kibocsátási és tüzelőanyag-fogyasztási értékek bejelentésére vonatkozóan.
2. cikk
Alkalmazási kör
(1) A 4. cikk második bekezdése értelmében e rendelet a közepes tehergépjárművekre, a nehéz tehergépjárművekre és a nehéz autóbuszokra vonatkozik.
(2) Közepes és nehéz tehergépjárművek többlépcsős típusjóváhagyása vagy egyedi jóváhagyása esetén ez a rendelet az alap tehergépjárműre vonatkozik.
A nehéz autóbuszok esetében ez a rendelet az elsődleges járművekre, a közbenső járművekre és a teljes vagy befejezett járművekre vonatkozik.
(3) E rendelet nem vonatkozik a terepjáró járművekre, a különleges rendeltetésű járművekre és a különleges rendeltetésű terepjáró járművekre (meghatározásukat lásd az (EU) 2018/858 rendelet ( 1 ) I. melléklete A. részének 2.1., 2.2. és 2.3. pontjaiban).
3. cikk
Fogalommeghatározások
E rendelet alkalmazásában:
1. "CO2-kibocsátással és tüzelőanyag-fogyasztással kapcsolatos tulajdonságok" : az egyes alkatrészek, önálló műszaki egységek és rendszerek azon specifikus tulajdonságai, amelyek meghatározzák az adott résznek a jármű CO2-kibocsátására és tüzelőanyag-fogyasztására gyakorolt hatását;
2. "bemeneti adat" : az alkatrészek, önálló műszaki egységek vagy rendszerek CO2-kibocsátással és tüzelőanyag-fogyasztással kapcsolatos tulajdonságaira vonatkozó információ, amelyet a szimulációs eszköz a jármű CO2-kibocsátásának és tüzelőanyag-fogyasztásának meghatározásához felhasznál;
3. "bemeneti információ" : a jármű jellemzőivel kapcsolatos információ, amelyet a szimulációs eszköz a jármű CO2-kibocsátásának és tüzelőanyag-fogyasztásának meghatározásához felhasznál, és amely nem része a bemeneti adatoknak;
4. "gyártó" : az a személy vagy szervezet, aki, illetve amely a jóváhagyó hatósággal szemben a tanúsítási eljárás valamennyi szempontjának teljesüléséért és az alkatrészek, önálló műszaki egységek és rendszerek CO2-kibocsátással és tüzelőanyag-fogyasztással kapcsolatos tulajdonságai megfelelőségének biztosításáért felel. Nem szükségszerű, hogy az érintett személy vagy szervezet közvetlenül részt vegyen a tanúsítási eljárás tárgyát képező alkatrész, önálló műszaki egység vagy rendszer gyártásának valamennyi szakaszában;
4a. "járműgyártó" : a gyártói nyilvántartási dokumentum és az ügyfél-információs dokumentum 9. cikk szerinti kiadásáért felelős szervezet vagy személy;
5. "felhatalmazott szerv" : olyan nemzeti hatóság, amelyet a tagállam felhatalmaz arra, hogy idevágó információkat kérjen a gyártóktól egy adott alkatrész, önálló műszaki egység vagy rendszer CO2-kibocsátással és tüzelőanyag-fogyasztással kapcsolatos tulajdonságairól, illetve új járművek CO2-kibocsátására és tüzelőanyag-fogyasztásáról;
6. "sebességváltó" : legalább két váltható sebességfokozattal, változó nyomatékkal és sebességgel rendelkező eszköz, meghatározott áttételekkel;
7. "nyomatékátalakító" : olyan hidrodinamikai indítási alkatrész, amely a hajtáslánc vagy a sebességváltó külön eleme, soros vagy párhuzamos erőáramlással rendelkezik, és amely a motor és a kerekek fordulatszámának viszonyát szabályozza, és nyomatéktöbbszörözést biztosít;
8. "egyéb nyomatékátviteli alkatrész" ("OTTC") : olyan, a hajtáslánchoz csatlakoztatott forgó alkatrész, amely saját fordulatszámától függően nyomatékcsökkenést idéz elő;
9. "kiegészítő hajtásláncalkatrész" ("ADC") : a hajtáslánc olyan forgó alkatrésze, amely erőt visz át vagy közvetít a hajtáslánc más alkatrészeinek, és amely saját fordulatszámától függően a nyomaték csökkenését idézi elő;
10. "tengely" : a hajtáslánc minden olyan forgó része, amely a sebességváltó-tengelyről a kerékre továbbítja a hajtónyomatékot, és rögzített arány mellett megváltoztatja a forgatónyomatékot és a fordulatszámot, beleértve a differenciálmű funkcióit is
11. "légellenállás" : egy járműelrendezésre jellemző, a levegőáramlás irányával a járműre megegyező irányban ható aerodinamikai erő, amely a légellenállási tényező és a homlokfelület szorzata, oldalszéltől mentes körülmények esetén;
12. "segédberendezések" : a jármű azon alkatrészei (például motorhűtő ventilátor, kormányrendszer, elektromos rendszer, pneumatikus rendszer és hűtési, szellőztető és légkondicionáló rendszer), amelyek CO2-kibocsátással és tüzelőanyag-fogyasztással kapcsolatos tulajdonságai a IX. mellékletben vannak meghatározva;
13. "alkatrészek családja", "önálló műszaki egységek családja" vagy "rendszerek családja" : olyan alkatrészek, önálló műszaki egységek, illetve rendszerek gyártó által összeállított csoportja, amelyeknek CO2-kibocsátással és tüzelőanyag-fogyasztással kapcsolatos tulajdonságai kialakításuknál fogva hasonlóak;
14. "alapalkatrész", "önálló műszaki alapegység" vagy "alaprendszer" : olyan alkatrész, önálló műszaki egység vagy rendszer, amely alkatrészek, önálló műszaki egységek, illetve rendszerek valamely családján belül a CO2-kibocsátással és tüzelőanyag-fogyasztással kapcsolatos tulajdonságok tekintetében a legrosszabb esetet jelenti;
15. "kibocsátásmentes nehézgépjármű" ("ZE-HDV") : az (EU) 2019/1242 európai parlamenti és tanácsi rendelet 3. cikkének 11. pontjában meghatározott kibocsátásmentes nehézgépjármű;
16. "különleges felépítményű gépjármű" : olyan nehézgépjármű, amelyet nem áruszállításra terveztek, és amelynek esetében a felépítményfajtának az (EU) 2018/858 rendelet I. mellékletének 2. függelékében felsorolt kódját a 09, 10, 15, 16, 18, 19, 20, 23, 24, 25, 26, 27, 28 és 31 kódok egyike egészíti ki; vagy olyan nyerges vontató, amelynek legnagyobb sebessége nem haladja meg a 79 km/h-t;
17. "merev tehergépjármű" : az (EU) 2018/858 rendelet I. melléklete C. részének 4.1. pontjában meghatározott "tehergépjármű", kivéve a félpótkocsi vontatására tervezett vagy épített tehergépjárműveket;
18. "nyerges vontató" : az (EU) 2018/858 rendelet I. melléklete C. részének 4.3. pontjában meghatározott "nyerges vontató"
19. "hálóhelyes vezetőfülke" : olyan vezetőfülke-típus, amelyben a vezetőülés mögött alvásra szánt hely található;
20. "hibrid elektromos nehézgépjármű" : ("He-HDV"): olyan hibrid nehézgépjármű, amely a mechanikus meghajtás céljára a járműben található alábbi két tároltenergia- vagy tároltáramforrásból egyaránt nyer energiát: i. éghető üzemanyag, és ii. elektromosenergia-/elektromosáram-tároló berendezés;
21. "vegyes üzemű jármű" : az 582/2011/EU rendelet 2. cikkének 48. pontjában megadott fogalommeghatározás szerint;
22. "elsődleges jármű" : szimulációs célokra használt, virtuális összeszerelési állapotban lévő nehézbusz, amelyhez a III. mellékletben meghatározott bemeneti adatokat és bemeneti információkat használják;
23. "gyártói nyilvántartási dokumentum" : a szimulációs eszköz által létrehozott fájl, amely tartalmazza a gyártóra vonatkozó információkat, a szimulációs eszköz bemeneti adatainak és bemeneti információinak dokumentációját, valamint a CO2-kibocsátásra és a tüzelőanyag-fogyasztásra vonatkozó eredményeket;
24. "ügyfél-információs dokumentum" : a szimulációs eszköz által létrehozott dokumentum, amely a járművel kapcsolatos információk meghatározott csoportját, valamint a IV. melléklet II. részében meghatározott CO2-kibocsátásra és tüzelőanyag-fogyasztásra vonatkozó eredményeket tartalmazza;
25. "járműinformációs dokumentum" : a nehéz autóbuszokhoz kifejlesztett szimulációs eszköz által előállított dokumentum, amely a releváns bemeneti adatokat, bemeneti információkat és szimulációs eredményeket az I. melléklet 2. pontjában leírt módszert követő gyártási lépcsőkhöz továbbítja;
26. "közepes tehergépjármű" : az (EU) 2018/858 rendelet 4. cikke (1) bekezdése b) pontjának ii. alpontjában meghatározott N2 kategóriájú jármű, amelynek műszakilag megengedett legnagyobb terhelt tömege meghaladja az 5 000 kg-ot, de nem haladja meg a 7 400 kg-ot;
27. "nehéz tehergépjármű" : az (EU) 2018/858 rendelet 4. cikke (1) bekezdése b) pontjának ii. alpontjában meghatározott N2 kategóriájú jármű, amelynek műszakilag megengedett legnagyobb össztömege meghaladja a 7 400 kg-ot, valamint az említett rendelet 4. cikke (1) bekezdése b) pontjának iii. alpontjában meghatározott N3 kategóriájú jármű;
28. "nehéz autóbusz" : az (EU) 2018/858 rendelet 4. cikke (1) bekezdése a) pontjának iii. alpontjában meghatározott M3 kategóriájú jármű, amelynek műszakilag megengedett legnagyobb össztömege meghaladja a 7 500 kg-ot;
29. "elsődleges járműgyártó" : az elsődleges járműért felelős gyártó;
30. "közbenső jármű" : az elsődleges jármű bármely további kiegészítése, amelynek során a III. melléklet 1. és 3a. táblázata szerint a teljes vagy befejezett járműre vonatkozóan meghatározott bemeneti adatok és bemeneti információk részhalmaza kerül hozzáadásra és/vagy módosításra;
31. "közbenső gyártó" : a közbenső járműért felelős gyártó;
32. "nem teljes jármű" : az (EU) 2018/858 rendelet 3. cikkének 25. pontjában meghatározott "nem teljes jármű";
33. "befejezett jármű" : az (EU) 2018/858 rendelet 3. cikkének 26. pontjában meghatározott "befejezett jármű";
34. "teljes jármű" : az (EU) 2018/858 rendelet 3. cikkének 27. pontjában meghatározott "teljes jármű";
35. "standard érték" : olyan alkatrész szimulációs eszközéhez tartozó bemeneti adat, amelynél a bemeneti adatok tanúsítása alkalmazandó, de az alkatrészt nem vizsgálták egy adott érték meghatározása céljából, és amely az alkatrész legkedvezőtlenebb teljesítményét tükrözi;
36. "általános érték" : a szimulációs eszközben olyan alkatrészekre vagy járműparaméterekre használt adatok, amelyek esetében nem tervezett alkatrészvizsgálat vagy konkrét értékek bejelentése, és amelyek az átlagos alkatrész-technológia vagy a tipikus járműspecifikációk teljesítményét tükrözik;
37. "furgon" : az (EU) 2018/858 rendelet I. melléklete C. részének 4.2. pontjában meghatározott "furgon";
38. "alkalmazási eset" : a közepes tehergépjármű, nehéz tehergépjármű, elsődleges járműnek minősülő nehéz autóbusz, közbenső járműnek minősülő nehéz autóbusz, teljes járműnek vagy befejezett járműnek minősülő nehéz autóbusz, amelyre a szimulációs eszközben különböző gyártói rendelkezések és funkciók vonatkoznak;
39. "alap-tehergépjármű" : olyan közepes tehergépjármű vagy nehéz tehergépjármű, amely legalább a következőkkel van felszerelve:
- tisztán belső égésű motorral felszerelt járművek esetében alváz, motor, erőátviteli rendszer, tengelyek és gumiabroncsok,
- tisztán elektromos járművek esetében alváz, elektromos géprendszer és/vagy integrált elektromos erőátviteli alkatrész, akkumulátorrendszer(ek) és/vagy kondenzátorrendszer(ek) és gumiabroncsok,
- hibrid elektromos nehézgépjárművek esetében alváz, motor, elektromos géprendszer és/vagy elektromos erőátviteli rendszer integrált alkatrésze és/vagy 1. típusú integrált hibrid elektromosjármű-erőátviteli alkatrész, akkumulátorrendszer(ek) és/vagy kondenzátorrendszer(ek) és gumiabroncsok.
4. cikk
Járműcsoportok
E rendelet alkalmazásában a gépjárműveket az I. melléklet 1-6. táblázatával összhangban kell járműcsoportokba sorolni.
Az 5-23. cikk nem alkalmazandó az I. melléklet 1. táblázatában meghatározott 6., 7., 8., 13., 14., 15., 17., 18. és 19. járműcsoportba tartozó nehéz tehergépjárművekre, az I. melléklet 2. táblázatában meghatározott 51., 52., 55. és 56. járműcsoportba tartozó közepes tehergépkocsikra, valamint az I. melléklet 1. táblázatában meghatározott 11., 12. és 16. járműcsoportba tartozó, hajtott első tengellyel rendelkező járművekre.
5. cikk
Elektronikus eszközök
(1) A Bizottság ingyenes, letölthető és futtatható szoftver formájában rendelkezésre bocsátja a következő eszközöket:
a) szimulációs eszköz;
b) előfeldolgozási eszközök;
c) hasheszköz.
A Bizottság karbantartja az elektronikus eszközöket, és biztosítja azok módosítását és frissítését.
(2) A Bizottság az (1) bekezdésben említett elektronikus eszközöket nyilvánosan hozzáférhető elektronikus terjesztési platformon teszi hozzáférhetővé.
(3) A szimulációs eszközt az új járművek CO2-kibocsátásának és tüzelőanyag-fogyasztásának meghatározására használják. hogy a szóban forgó jármű kibocsátásmentes nehézgépjármű, hibrid elektromos nehézgépjármű vagy vegyes üzemű jármű. A szimulációs eszközt úgy kell megtervezni, hogy a III. mellékletben meghatározott bemeneti információk, valamint a 12. cikk (1) bekezdésében említett bemeneti adatok alapján működjön.
(4) Az előfeldolgozási eszközök a vizsgálati eredmények ellenőrzésére és összeállítására, az alkatrészek, önálló műszaki egységek vagy rendszerek CO2-kibocsátással és tüzelőanyag-fogyasztással kapcsolatos tulajdonságaival összefüggő további számítások elvégzésére, valamint ezeknek a szimulációs eszköz által felhasználható formátumúvá történő konvertálására szolgálnak. Az előfeldolgozási eszközöket a gyártók az V. melléklet 4. pontjában (Motorok) és a VIII. melléklet 3. pontjában (Légellenállás) említett pontokban szereplő vizsgálatok elvégzése után használhatják.
(5) A hasheszközök rendeltetése, hogy egyértelmű összeköttetést hozzanak létre az alkatrészek, önálló műszaki egységek vagy rendszerek CO2-kibocsátással és tüzelőanyag-fogyasztással kapcsolatos tanúsított tulajdonságai és a tanúsító dokumentum, valamint a jármű és a IV. mellékletben említett gyártói nyilvántartási, jármű-információs és ügyfél-információs dokumentumok között.
2. FEJEZET
ENGEDÉLY A SZIMULÁCIÓS ESZKÖZ MŰKÖDTETÉSÉRE A KIBOCSÁTÁS TEKINTETÉBEN TÖRTÉNŐ TÍPUSJÓVÁHAGYÁS CÉLJÁBÓL
6. cikk
Engedély kérelmezése a szimulációs eszköz működtetésére új járművek CO2-kibocsátásának és tüzelőanyag-fogyasztásának meghatározása céljából
(1) A járműgyártónak kérelmet kell benyújtania a jóváhagyó hatósághoz, hogy az engedélyezze számára a szimulációs eszköznek egy alkalmazási esetre történő működtetését egy vagy több járműcsoportba tartozó új járművek CO2 -kibocsátásának és tüzelőanyag-fogyasztásának meghatározása céljából ("engedély"). Az egyedi engedély csak egyetlen ilyen alkalmazási esetre vonatkozik.
Az engedélyre irányuló kérelem mellett be kell nyújtani egy megfelelő leírást a járműgyártó által a szimulációs eszköznek az összes érintett alkalmazási esetre történő működtetése céljából kialakítandó eljárásokról, a II. melléklet 1. pontjának megfelelően.
(2) Az engedélyre irányuló kérelmet a II. melléklet 1. függelékében mintaként szereplő adatközlő lapnak megfelelően kell összeállítani.
(3) Az engedélyre irányuló kérelem mellett be kell nyújtani egy megfelelő leírást a gyártó által az összes érintett járműcsoport CO2-kibocsátásának és tüzelőanyag-fogyasztásának meghatározása érdekében bevezetett eljárásokról, a II. melléklet 1. pontjának megfelelően.
Emellett a II. melléklet 2. pontjával összhangban elvégzett értékelést követően be kell nyújtani a jóváhagyó hatóság által összeállított értékelő jelentést is.
(4) A járműgyártónak az engedély iránti kérelmet legkésőbb a kibocsátások tekintetében jóváhagyott motorrendszerrel felszerelt jármű EK-típusjóváhagyása iránti, az 582/2011/EU rendelet 7. cikke szerinti kérelemmel, a járműnek a kibocsátások tekintetében történő EK-típusjóváhagyása iránti, a fenti rendelet 9. cikke szerinti kérelemmel, az egészjármű-típusjóváhagyás iránti, az (EU) 2018/858 rendelet szerinti kérelemmel vagy a nemzeti egyedijármű-jóváhagyás iránti kérelemmel együtt kell benyújtania a jóváhagyó hatósághoz. A tisztán elektromos motorrendszer jóváhagyása és a tisztán elektromos járműnek az előző mondatban említett kibocsátások tekintetében történő EK-típusjóváhagyása a motor hasznos teljesítményének az 582/2011/EU rendelet XIV. melléklete szerinti mérésére korlátozódik.
Az engedélyre irányuló kérelemnek arra az alkalmazási esetre kell vonatkoznia, amely magában foglalja azt a járműtípust, amelyre az EU-típusjóváhagyás iránti kérelem vonatkozik.
7. cikk
Az engedély megadásával kapcsolatos közigazgatási rendelkezések
(1) A jóváhagyó hatóság megadja az engedélyt, ha a járműgyártó a 6. cikkel összhangban kérelmet nyújt be, és bizonyítja, hogy a II. mellékletben meghatározott követelmények az érintett alkalmazási esetet illetően teljesülnek.
(2) Az engedélyt a II. melléklet 2. függelékében szereplő mintának megfelelően kell kiadni.
8. cikk
Utólagos változtatások a járművek CO2-kibocsátásának és tüzelőanyag-fogyasztásának meghatározása érdekében kialakított eljárásokban
(2) A járműgyártónak az engedély kiterjesztését a 6. cikk (1), (2) és (3) bekezdésével összhangban kell kérelmeznie.
(3) Az engedély megszerzése után a járműgyártó haladéktalanul értesíti a jóváhagyó hatóságot minden olyan, az általa az engedélyben szereplő alkalmazási esetre és az engedély céljaira kialakított eljárásokat érintő változásról, amely hatással lehet az eljárások pontosságára, megbízhatóságára és stabilitására.
(4) A (3) bekezdésben említett értesítés kézhezvételét követően a jóváhagyó hatóság tájékoztatja a járműgyártót, hogy a változás által érintett eljárásokra továbbra is kiterjed-e a megadott engedély, ki kell-e terjeszteni az engedélyt az (1) és a (2) bekezdéssel összhangban, vagy hogy új engedélyt kell-e kérelmezni a 6. cikkel összhangban.
(5) Amennyiben az engedély nem terjed ki a változásokra, a gyártónak a (4) bekezdésben említett információról való értesüléstől számított egy hónapon belül kérelmeznie kell az engedély kiterjesztését vagy az új engedély megadását. Ha a gyártó a fenti határidőn belül nem kérelmezi az engedély kiterjesztését vagy az új engedély megadását, vagy ha a kérelmét elutasítják, akkor az engedély visszavonásra kerül.
3. FEJEZET
AZ ÚJ JÁRMŰVEK CO2-KIBOCSÁTÁSÁNAK ÉS TÜZELŐANYAG-FOGYASZTÁSÁNAK MEGHATÁROZÁSÁRA SZOLGÁLÓ SZIMULÁCIÓS ESZKÖZ MŰKÖDTETÉSE A JÁRMŰVEK NYILVÁNTARTÁSBA VÉTELE, ÉRTÉKESÍTÉSE ÉS FORGALOMBA HELYEZÉSE CÉLJÁBÓL
9. cikk
Az új járművek CO2-kibocsátásának és tüzelőanyag-fogyasztásának meghatározására és bejelentésére vonatkozó kötelezettség
(1) A járműgyártóknak a III. melléklet 1. függelékében felsorolt járműtechnológiákat használó új járművek kivételével minden új, az EU-ban történő értékesítés, nyilvántartásba vétel vagy forgalomba helyezés előtt álló jármű CO2-kibocsátását és tüzelőanyag-fogyasztását meg kell határozniuk, az 5. cikk (3) bekezdésében említett szimulációs eszköz legfrissebb rendelkezésre álló verziójának használatával. A nehéz autóbuszok tekintetében a járműgyártó vagy a közbenső gyártó az I. melléklet 2. pontjában meghatározott módszert alkalmazza.
Az EU-ban történő értékesítés, nyilvántartásba vétel vagy forgalomba helyezés előtt álló, a III. melléklet 1. függelékében felsorolt járműtechnológiák tekintetében a járműgyártó vagy a közbenső gyártó csak az e járművekre vonatkozóan a III. melléklet 5. táblázatában megadott mintákban előírt bemeneti paramétereket határozza meg, az 5. cikk (3) bekezdésében említett szimulációs eszköz legfrissebb rendelkezésre álló verziójának használatával.
A járműgyártó csak abban az esetben működtetheti a szimulációs eszközt az e cikkben említett célokra, ha rendelkezik az érintett alkalmazási esetre vonatkozóan megadott engedéllyel a 7. cikkel összhangban. A közbenső gyártó a szimulációs eszközt a járműgyártó engedélye alapján működteti.
(2) A járműgyártónak nyilvántartást kell vezetnie az (1) bekezdés első albekezdésével összhangban végzett szimuláció eredményeiről egy, a IV. melléklet I. részében meghatározott mintának megfelelően összeállított gyártói nyilvántartási dokumentumban.
A 21. cikk (3) bekezdésében és a 23. cikk (6) bekezdésében említett esetek kivételével tilos utólagos módosításokat végezni a gyártói nyilvántartási dokumentumon.
A nehéz autóbuszok járműgyártóinak emellett rögzíteniük kell a szimuláció eredményeit a járműinformációs dokumentumban. A nehéz autóbuszok közbenső gyártói rögzítik a járműinformációs dokumentumot.
(3) A közepes tehergépjárművek és nehéz tehergépjárművek járműgyártójának kriptográfiai hashfüggvényt kell készítenie a gyártói nyilvántartási dokumentumról és az ügyfél-információs dokumentumról.
Az elsődleges járműgyártónak kriptográfiai hashfüggvényt kell készítenie a gyártói nyilvántartási dokumentumról és a járműinformációs dokumentumról.
A közbenső gyártónak kriptográfiai hashfüggvényt kell készítenie a járműinformációs dokumentumról.
A nehéz autóbusznak minősülő teljes járművek vagy befejezett járművek járműgyártójának kriptográfiai hashfüggvényt kell készítenie a gyártói nyilvántartási dokumentumról, az ügyfél-információs dokumentumról és a járműinformációs dokumentumról.
(4) A nyilvántartásba vétel, értékesítés vagy forgalomba helyezés előtt álló tehergépjárműveknek és a nehéz autóbusznak minősülő teljes vagy befejezett járműveknek rendelkezniük kell egy, a gyártó által a IV. melléklet II. részében szereplő minta alapján összeállított ügyfél-információs dokumentummal.
Minden ügyfél-információs dokumentumnak tartalmaznia kell egy lenyomatot a (3) bekezdésben említett gyártói nyilvántartási dokumentumról készített kriptográfiai hashfüggvényről.
A nehéz autóbuszok járműgyártóinak a lánc következő lépcsője gyártójának rendelkezésére kell bocsátaniuk a járműinformációs dokumentumot.
(5) Minden egyes, megfelelőségi tanúsítvánnyal rendelkező vagy - az (EU) 2018/858 rendelet 45. cikkével összhangban jóváhagyott járművek esetében - egyedi jármű-jóváhagyási tanúsítvánnyal rendelkező jármű esetében a tanúsítványnak tartalmaznia kell egy lenyomatot az e cikk (3) bekezdésében említett kriptográfiai hashfüggvényekről.
(6) A III. melléklet 11. pontjának megfelelően a gyártó átviheti a szimulációs eszköz eredményeit más járművekre.
10. cikk
Az elektronikus eszközök módosításai, frissítései és meghibásodásai
(1) A szimulációs eszköz módosítása vagy frissítése esetén a járműgyártónak legkésőbb 3 hónappal a módosításoknak és a frissítéseknek az erre szolgáló elektronikus terjesztési platformon való elérhetővé tételét követően el kell kezdenie használni a módosított vagy frissített szimulációs eszközt.
(2) Ha a szimulációs eszköz meghibásodása miatt nem lehet a 9. cikk (1) bekezdésével összhangban meghatározni az új járművek CO2-kibocsátását és tüzelőanyag-fogyasztását, akkor a járműgyártónak haladéktalanul értesítenie kell erről a Bizottságot az erre szolgáló elektronikus terjesztési platformon.
(3) Ha a szimulációs eszköz meghibásodása miatt nem lehet a 9. cikk (1) bekezdésével összhangban meghatározni az új járművek CO2-kibocsátását és tüzelőanyag-fogyasztását, akkor a járműgyártónak az érintett járművekre vonatkozóan a szimulációt legkésőbb az (1) bekezdésben említett dátum után 7 naptári nappal el kell végeznie. Addig a 9. cikk alapján érvényes kötelezettségek felfüggesztésre kerülnek azokra a járművekre vonatkozóan, amelyek esetében a tüzelőanyag-fogyasztás és CO2-kibocsátás meghatározása nem lehetséges.
Amennyiben a szimulációs eszköz meghibásodása a nehéz autóbuszok gyártási láncának a teljes vagy befejezett gyártási lépcsői előtti lépcső során következik be, a szimulációs eszköz következő gyártási lépcsőkben való működtetésének a 9. cikk (1) bekezdésben meghatározott kötelezettsége elhalasztásra kerül legfeljebb 14 naptári nappal attól az időponttól számítva, amikor az előző lépcső gyártója a járműinformációs dokumentumot a teljes vagy befejezett lépcső gyártójának rendelkezésére bocsátotta.
11. cikk
A szimulációs eszköz bemeneti és kimeneti információinak hozzáférhetősége
(1) A gyártói nyilvántartási dokumentumot, a járműinformációs dokumentumot, valamint az alkatrészek, rendszerek és önálló műszaki egységek CO2-kibocsátással és tüzelőanyag-fogyasztással kapcsolatos tulajdonságaira vonatkozó tanúsítványokat a járműgyártónak a jármű gyártását követően legalább 20 évig meg kell őriznie, és kérés esetén a jóváhagyó hatóság és a Bizottság rendelkezésére kell bocsátania.
(2) Egy tagállam felhatalmazott szerve vagy a Bizottság kérésére a járműgyártónak 15 munkanapon belül rendelkezésre kell bocsátania a gyártói nyilvántartási dokumentumot vagy a járműinformációs dokumentumot.
(3) A tagállami felhatalmazott szerv vagy a Bizottság kérésére annak a jóváhagyó hatóságnak, amely az engedélyt a 7. cikkel összhangban kiadta, vagy amely az alkatrész, önálló műszaki egység vagy rendszer CO2-kibocsátással és tüzelőanyag-fogyasztással kapcsolatos tulajdonságait a 17. cikkel összhangban tanúsította, 15 munkanapon belül rendelkezésre kell bocsátania a 6. cikk (2) bekezdésében, illetve a 16. cikk (2) bekezdésében említett adatközlő lapot.
4. FEJEZET
AZ ALKATRÉSZEK, ÖNÁLLÓ MŰSZAKI EGYSÉGEK ÉS RENDSZEREK CO2-KIBOCSÁTÁSSAL ÉS TÜZELŐANYAG-FOGYASZTÁSSAL KAPCSOLATOS TULAJDONSÁGAI
12. cikk
A CO2-kibocsátás és a tüzelőanyag-fogyasztás meghatározása szempontjából releváns alkatrészek, önálló műszaki egységek és rendszerek
(1) A szimulációs eszköznek az 5. cikk (3) bekezdésében említett bemeneti adatai a következő alkatrészek, önálló műszaki egységek és rendszerek CO2-kibocsátással és tüzelőanyag-fogyasztással kapcsolatos tulajdonságaira vonatkozó információkat foglalják magukban:
a) motorok;
b) sebességváltók;
c) nyomatékátalakítók;
d) egyéb nyomatékátviteli alkatrészek;
e) kiegészítő hajtásláncalkatrészek;
f) tengelyek;
g) légellenállás;
h) segédberendezések;
i) gumiabroncsok;
j) az elektromos erőátviteli rendszer alkatrészei.
(2) Az e cikk (1) bekezdésének b)-g), valamint i) és j) pontjában említett alkatrészek, önálló műszaki egységek és rendszerek CO2-kibocsátással és tüzelőanyag-fogyasztással kapcsolatos tulajdonságainak a 14. cikkel összhangban az egyes alkatrészekre, önálló műszaki egységekre, rendszerekre, vagy adott esetben ezek termékcsaládjaira vonatkozóan meghatározott és a 17. cikkel összhangban tanúsított értékeken (a továbbiakban: tanúsított értékek) vagy tanúsított értékek hiányában a 13. cikkel összhangban meghatározott standard értékeken kell alapulniuk.
(3) A motorok CO2-kibocsátással és tüzelőanyag-fogyasztással kapcsolatos tulajdonságainak az egyes motorcsaládokra vonatkozóan a 14. cikkel összhangban meghatározott és a 17. cikkel összhangban tanúsított értékeken kell alapulniuk.
(4) A segédberendezések CO2-kibocsátással és tüzelőanyag-fogyasztással kapcsolatos tulajdonságainak a szimulációs eszközben alkalmazott és a IX. melléklet szerint meghatározandó bemeneti információk alapján a járműhöz rendelt általános értékeken kell alapulniuk.
(5) Az alap-nehézgépjárműveknél a jelen cikk (1) bekezdésének g) pontjában említett alkatrészek, önálló műszaki egységek és rendszerek CO2-kibocsátással és tüzelőanyag-fogyasztással kapcsolatos, az alap-nehézgépjárműre vonatkozóan nem meghatározható tulajdonságainak a standard értékeken kell alapulniuk. Az (1) bekezdés h) pontjában említett alkatrészek, önálló műszaki egységek és rendszerek esetében a járműgyártónak a legnagyobb teljesítményveszteséggel járó technológiát kell kiválasztania.
(6) A 9. cikk (1) bekezdése szerinti, a CO2-kibocsátás és tüzelőanyag-fogyasztás meghatározására vonatkozó kötelezettség alól mentesített járművek esetében a szimulációs eszköz bemeneti adatainak tartalmazniuk kell a III. melléklet 5. táblázatában meghatározott információkat.
(7) Ha a járművet teljes téli gumiabroncskészlettel és alapkivitelű gumiabroncsok teljes készletével fogják nyilvántartásba venni, értékesíteni vagy forgalomba helyezni, a járműgyártó megválaszthatja, hogy a gumiabroncsok közül melyiket használja a CO2-kibocsátás meghatározásához. Nehéz autóbuszok esetében mindaddig, amíg az elsődleges jármű szimulációjához használt gumiabroncsok vannak a járművön a jármű nyilvántartásba vételekor, eladásakor vagy üzembe helyezésekor, gumiabroncs-készletek hozzáadása a járműhöz nem vonja maga után azt a kötelezettséget, hogy az I. melléklet 2. pontjával összhangban új elsődlegesjármű-szimulációt végezzenek.
13. cikk
Standard értékek és általános értékek
(1) A sebességváltókra vonatkozó standard értékeket a VI. melléklet 8. függelékével összhangban kell meghatározni.
(2) A nyomatékátalakítókra vonatkozó standard értékeket a VI. melléklet 9. függelékével összhangban kell meghatározni.
(3) Az egyéb nyomatékátviteli alkatrészekre vonatkozó standard értékeket a VI. melléklet 10. függelékével összhangban kell meghatározni.
(4) A kiegészítő hajtásláncalkatrészekre vonatkozó standard értékeket a VI. melléklet 11. függelékével összhangban kell meghatározni.
(5) A tengelyekre vonatkozó standard értékeket a VII. melléklet 3. függelékével összhangban kell meghatározni.
(6) A felépítmény vagy a pótkocsi légellenállására vonatkozó standard értékeket a VIII. melléklet 7. függelékével összhangban kell meghatározni.
(7) A segédberendezésekre vonatkozó általános értékeket a szimulációs eszköz a IX. melléklet szerint kiválasztott technológiáknak megfelelően osztja ki.
(8) A gumiabroncsokra vonatkozó standard értékeket a X. melléklet 3.2. pontjával összhangban kell meghatározni.
(9) Az elektromos erőátviteli rendszer alkatrészeire vonatkozó standard értékeket a Xb. melléklet 8., 9. és 10. függelékével összhangban kell meghatározni.
14. cikk
Tanúsított értékek
(1) A járműgyártó a szimulációs eszköz bemeneti adataiként használhatja az e cikk (2)-(10) bekezdésével összhangban meghatározott értékeket, ha azokat a 17. cikknek megfelelően tanúsították.
(2) A motorokra vonatkozó tanúsított értékeket az V. melléklet 4., 5. és 6. pontjával összhangban kell meghatározni.
(3) A sebességváltókra vonatkozó tanúsított értékeket a VI. melléklet 3. pontjával összhangban kell meghatározni.
(4) A nyomatékátalakítókra vonatkozó tanúsított értékeket a VI. melléklet 4. pontjával összhangban kell meghatározni.
(5) Az egyéb nyomatékátviteli alkatrészekre vonatkozó tanúsított értékeket a VI. melléklet 5. pontjával összhangban kell meghatározni.
(6) A kiegészítő hajtásláncalkatrészekre vonatkozó tanúsított értékeket a VI. melléklet 6. pontjával összhangban kell meghatározni.
(7) A tengelyekre vonatkozó tanúsított értékeket a VII. melléklet 4. pontjával összhangban kell meghatározni.
(8) A felépítmény vagy pótkocsi légellenállására vonatkozó tanúsított értékeket a VIII. melléklet 3. pontjával összhangban kell meghatározni.
(9) A gumiabroncsokra vonatkozó tanúsított értékeket a X. melléklettel összhangban kell meghatározni.
(10) Az elektromos erőátviteli rendszer alkatrészeire vonatkozó tanúsított értékeket a Xb. melléklet 4., 5. és 6. pontjával összhangban kell meghatározni.
15. cikk
A család fogalma a tanúsított értékeket használó alkatrészeket, önálló műszaki egységeket és rendszereket illetően
(1) A (3)-(6) bekezdések alapján az egy alapalkatrészre, önálló műszaki alapegységre vagy alaprendszerre vonatkozóan meghatározott tanúsított értékek további vizsgálatok nélkül érvényesek a család összes tagjára, a család alábbi helyeken szereplő definíciójával összhangban:
- a VI. melléklet 6. függeléke a sebességváltók, a nyomatékátalakítók, egyéb nyomatékátviteli alkatrészek és kiegészítő hajtásláncalkatrészek családfogalmát illetően;
- a VII. melléklet 4. függeléke a tengelyek családfogalmát illetően;
- a VIII. melléklet 5. függeléke a légellenállás meghatározását szolgáló családfogalmat illetően;
- az V. melléklet 3. függeléke a motorokat illetően, a családfogalommal összhangban létrehozott valamely motorcsalád valamennyi tagjára vonatkozó tanúsított értékeket az V. melléklet 4., 5. és 6. pontjával összhangban kell kiszámítani,
- a Xb. melléklet 13. függeléke az elektromos géprendszerek vagy az integrált elektromos erőátviteli rendszerek alkatrészeinek családfogalmát illetően, az elektromos géprendszerek családfogalmával összhangban létrehozott családtagokra vonatkozó tanúsított értékeket a Xb. melléklet 4. pontjával összhangban kell meghatározni.
(2) Motorok esetében a motorcsalád valamennyi tagjára vonatkozó tanúsított értékeket az V. melléklet 4., 5. és 6. pontjával összhangban kell kiszámítani.
A gumiabroncsok esetében a család csak egyfajta abroncstípusból állhat.
Elektromos géprendszerek vagy integrált elektromos erőátviteli rendszerek alkatrészei esetében az elektromos géprendszerek családja tagjainak tanúsított értékeit a Xb. melléklet 4. pontjával összhangban kell meghatározni.
(3) Az alapalkatrész, önálló műszaki alapegység vagy alaprendszer CO2-kibocsátással és tüzelőanyag-fogyasztással kapcsolatos tulajdonságai nem lehetnek jobbak, mint ugyanazon család bármely másik tagjának tulajdonságai.
(4) A gyártónak bizonyítékot kell szolgáltatnia a jóváhagyó hatóság számára arról, hogy az alapalkatrész, önálló műszaki alapegység vagy alaprendszer teljes mértékben reprezentálja az alkatrészek, önálló műszaki egységek vagy rendszerek családját.
Ha a 16. cikk (3) bekezdése második albekezdésének céljai érdekében végzett vizsgálatok keretében a jóváhagyó hatóság azt állapítja meg, hogy a kiválasztott alapalkatrész, önálló műszaki alapegység vagy alaprendszer nem reprezentálja teljes mértékben az alkatrészek, önálló műszaki egységek vagy rendszerek családját, akkor referenciaként más alkatrészt, önálló műszaki egységet vagy rendszert választhat ki és vizsgálhat, és az fog alapalkatrésznek, önálló műszaki alapegységnek vagy alaprendszernek minősülni.
(5) A gyártó kérése alapján és a jóváhagyó hatóság hozzájárulása esetén egy, az alapalkatrésztől, önálló műszaki alapegységtől vagy alaprendszertől eltérő alkatrész, önálló műszaki egység vagy rendszer CO2-kibocsátással és tüzelőanyag-fogyasztással kapcsolatos tulajdonságai is feltüntethetők az alkatrészek, önálló műszaki egységek vagy rendszerek családjának CO2-kibocsátással és tüzelőanyag-fogyasztással kapcsolatos tulajdonságaira vonatkozó tanúsítványon.
Az adott alkatrész, önálló műszaki egység vagy rendszer CO2-kibocsátással és tüzelőanyag-fogyasztással kapcsolatos tulajdonságait a 14. cikkel összhangban kell meghatározni.
(6) Amennyiben az adott alkatrész, önálló műszaki egység vagy rendszer CO2-kibocsátással és tüzelőanyag-fogyasztással kapcsolatos, (5) bekezdéssel összhangban meghatározott tulajdonságai magasabb CO2-kibocsátási és tüzelőanyag-fogyasztási értékeket eredményeznek, mint az alapalkatrész, önálló műszaki alapegység vagy alaprendszer értékei, a gyártónak ki kell azt zárnia a meglévő családból, és új családhoz kell hozzárendelnie, és az új család új alapalkatrészeként, önálló műszaki alapegységeként vagy alaprendszereként kell meghatároznia, vagy a 18. cikk értelmében kérelmeznie kell a tanúsítvány kiterjesztését.
16. cikk
Az alkatrészek, önálló műszaki egységek és rendszerek CO2-kibocsátással és tüzelőanyag-fogyasztással kapcsolatos tulajdonságainak tanúsítása iránti kérelem
(1) Az alkatrészek, önálló műszaki egységek és rendszerek, vagy adott esetben ezek termékcsaládjainak CO2-kibocsátással és tüzelőanyag-fogyasztással kapcsolatos tulajdonságaira vonatkozó tanúsítás iránti kérelmet a jóváhagyó hatósághoz kell benyújtani.
(2) A tanúsítás iránti kérelmet az alábbi helyeken mintaként szereplő adatközlő lapnak megfelelően kell összeállítani:
- motorok esetében az V. melléklet 2. függeléke,
- sebességváltók esetében a VI. melléklet 2. függeléke,
- nyomatékátalakítók esetében a VI. melléklet 3. függeléke,
- egyéb nyomatékátviteli alkatrészek esetében a VI. melléklet 4. függeléke,
- kiegészítő hajtásláncalkatrészek esetében a VI. melléklet 5. függeléke,
- tengelyek esetében a VII. melléklet 2. függeléke,
- légellenállás esetében a VIII. melléklet 2. függeléke,
- gumiabroncsok esetében a X. melléklet 2. függeléke,
- az elektromos erőátviteli rendszer alkatrészei esetében a Xb. melléklet 2-6. függeléke.
(3) A tanúsítás iránti kérelemhez csatolni kell az érintett alkatrészek, önálló műszaki egységek és rendszerek, vagy adott esetben ezek termékcsaládjainak azon tervezési elemeire vonatkozó magyarázatot is, amelyeknek nem elhanyagolható hatásuk van az érintett alkatrészek, önálló műszaki egységek vagy rendszerek CO2-kibocsátással és tüzelőanyag-fogyasztással kapcsolatos tulajdonságaira.
A kérelemhez csatolni kell a jóváhagyó hatóság által kibocsátott vonatkozó vizsgálati jegyzőkönyveket, a vizsgálati eredményeket, valamint a jóváhagyó hatóság által az (EU) 2018/858 rendelet IV. mellékletének 2. pontja alapján kiállított megfelelőségi nyilatkozatot is.
17. cikk
Az alkatrészek, önálló műszaki egységek és rendszerek CO2-kibocsátással és tüzelőanyag-fogyasztással kapcsolatos tulajdonságainak tanúsításával kapcsolatos közigazgatási rendelkezések
(1) Ha az alkalmazandó követelmények teljesülnek, a jóváhagyó hatóság tanúsítja az érintett alkatrészek, önálló műszaki egységek és rendszerek, vagy adott esetben ezek termékcsaládjainak CO2-kibocsátással és tüzelőanyag-fogyasztással kapcsolatos tulajdonságaira vonatkozó értékeket.
(2) Az (1) bekezdésben említett esetben a jóváhagyó hatóságnak az alábbi helyeken szereplő minta alapján tanúsítványt kell kibocsátania a CO2-kibocsátással és tüzelőanyag-fogyasztással kapcsolatos tulajdonságokról:
- motorok esetében az V. melléklet 1. függeléke,
- a sebességváltók, a nyomatékátalakítók, egyéb nyomatékátviteli alkatrészek és kiegészítő hajtásláncalkatrészek esetében a VI. melléklet 1. függeléke,
- tengelyek esetében a VII. melléklet 1. függeléke,
- légellenállás esetében a VIII. melléklet 1. függeléke,
- gumiabroncsok esetében a X. melléklet 1. függeléke,
- az elektromos erőátviteli rendszer alkatrészei esetében a Xb. melléklet 1. függeléke.
(3) A jóváhagyó hatóságnak tanúsítási számot kell kiadnia az alábbi helyeken megadott számozási rendszernek megfelelően:
- motorok esetében az V. melléklet 6. függeléke,
- a sebességváltók, a nyomatékátalakítók, egyéb nyomatékátviteli alkatrészek és kiegészítő hajtásláncalkatrészek esetében a VI. melléklet 7. függeléke,
- tengelyek esetében a VII. melléklet 5. függeléke,
- légellenállás esetében a VIII. melléklet 8. függeléke,
- gumiabroncsok esetében a X. melléklet 1. függeléke,
- az elektromos erőátviteli rendszer alkatrészei esetében a Xb. melléklet 14. függeléke.
A jóváhagyó hatóság nem rendelheti hozzá ugyanazt a számot egy másik alkatrészhez, önálló műszaki egységhez és rendszerhez, vagy adott esetben ezek termékcsaládjaihoz. A tanúsítási számot a vizsgálati jelentés azonosítójaként kell használni.
(4) A jóváhagyó hatóságnak az 5. cikk (5) bekezdésében szereplő hasheszköz segítségével kriptográfiai hashfüggvényt kell készítenie a vizsgálati eredményeket tartalmazó fájlról, beleértve a tanúsítási számot. A hashelést a vizsgálati eredmények megszületését követően azonnal el kell végezni. A jóváhagyó hatóságnak a hashfüggvényről és a tanúsítási számról lenyomatot kell készítenie a CO2-kibocsátással és a tüzelőanyag-fogyasztással kapcsolatos tulajdonságokra vonatkozó tanúsítványra.
18. cikk
Az alkatrészek, önálló műszaki egységek vagy rendszerek családjának kibővítése új alkatrésszel, önálló műszaki egységgel vagy rendszerrel
(1) A gyártó kérése és a jóváhagyó hatóság engedélye alapján az alkatrészek, önálló műszaki egységek vagy rendszerek tanúsított családja új alkatrésszel, önálló műszaki egységgel vagy rendszerrel bővíthető, ha az megfelel a családfogalom alábbi helyeken meghatározott követelményeinek:
- az V. melléklet 3. függeléke a motorok családfogalmát illetően, figyelembe véve a 15. cikk (2) bekezdésében foglalt követelményeket,
- a VI. melléklet 6. függeléke a sebességváltók, a nyomatékátalakítók, egyéb nyomatékátviteli alkatrészek és kiegészítő hajtásláncalkatrészek családfogalmát illetően,
- a VII. melléklet 4. függeléke a tengelyek családfogalmát illetően,
- a VIII. melléklet 5. függeléke a légellenállás meghatározását szolgáló családfogalmat illetően;
- a Xb. melléklet 13. függeléke az elektromos géprendszerek vagy az integrált elektromos erőátviteli rendszer alkatrészeinek családfogalmát illetően, figyelembe véve a 15. cikk (2) bekezdésében foglalt követelményeket.
Ilyen esetben a jóváhagyó hatóságnak egy felülvizsgált, bővítési számmal ellátott tanúsítványt kell kibocsátania.
A gyártónak módosítania kell a 16. cikk (2) bekezdésében említett adatközlő lapot, és a jóváhagyó hatóság rendelkezésére kell bocsátania azt.
(2) Amennyiben az adott alkatrész, önálló műszaki egység vagy rendszer CO2-kibocsátással és tüzelőanyag-fogyasztással kapcsolatos, (1) bekezdéssel összhangban meghatározott tulajdonságai magasabb CO2-kibocsátási és tüzelőanyag-fogyasztási értékeket eredményeznek, mint az alapalkatrész, önálló műszaki alapegység vagy alaprendszer értékei, az új alkatrészt, önálló műszaki egységet vagy rendszert kell új alapalkatrésznek, önálló műszaki alapegységnek vagy alaprendszernek tekinteni.
19. cikk
Az alkatrészek, önálló műszaki egységek és rendszerek CO2-kibocsátással és tüzelőanyag-fogyasztással kapcsolatos tulajdonságainak tanúsítását követő változások
(1) A gyártónak értesítenie kell a jóváhagyó hatóságot minden olyan, a szóban forgó alkatrészek, önálló műszaki egységek vagy rendszerek kialakításában vagy gyártási eljárásában az alkatrészek, önálló műszaki egységek vagy rendszerek vonatkozó családjának CO2-kibocsátással és tüzelőanyag-fogyasztással kapcsolatos tulajdonságaira vonatkozó értékeknek a 17. cikk szerinti tanúsítása után bekövetkezett változásról, amelynek nem elhanyagolható hatása lehet az adott alkatrészek, önálló műszaki egységek vagy rendszerek CO2-kibocsátással és tüzelőanyag-fogyasztással kapcsolatos tulajdonságaira.
(2) Amint megkapja az (1) bekezdésben említett értesítést, a jóváhagyó hatóságnak tájékoztatnia kell a gyártót, hogy a változás által érintett alkatrészekre, önálló műszaki egységekre vagy rendszerekre továbbra is kiterjed-e a kibocsátott tanúsítvány, vagy szükség van-e a 14. cikkel összhangban kiegészítő vizsgálatra annak ellenőrzéséhez, hogy milyen hatást gyakorolnak a változások az érintett alkatrészek, önálló műszaki egységek vagy rendszerek CO2-kibocsátással és tüzelőanyag-fogyasztással kapcsolatos tulajdonságaira.
(3) Ha a tanúsítvány nem terjed ki a változások által érintett alkatrészekre, önálló műszaki egységekre vagy rendszerekre, a gyártónak a jóváhagyó hatóság részéről történő tájékoztatástól számított egy hónapon belül a 18. cikk értelmében új tanúsítást vagy kiterjesztést kell kérelmeznie. Ha a gyártó a fenti határidőn belül nem kérelmez új tanúsítást vagy kiterjesztést, vagy ha a kérelmét elutasítják, akkor a tanúsítvány visszavonásra kerül.
5. FEJEZET
A SZIMULÁCIÓS ESZKÖZ, A BEMENETI INFORMÁCIÓK ÉS A BEMENETI ADATOK MEGFELELŐSÉGE
20. cikk
A járműgyártó, a jóváhagyó hatóság és a Bizottság feladatai a szimulációs eszköz működésének megfelelőségét illetően
(1) A járműgyártónak meg kell tennie a szükséges intézkedéseket annak biztosítása érdekében, hogy a szimulációs eszköznek a 7. cikk alapján megadott engedélyben szereplő alkalmazási esethez történő engedélyének beszerzésére kialakított eljárások továbbra is megfeleljenek ennek a célnak.
A járműgyártó a hibrid elektromos nehézgépjárművek és a tisztán elektromos járművek kivételével a közepes tehergépjárművek és nehéz tehergépjárművek esetében a Xa. melléklet 3. pontjának megfelelően meghatározott minimális számú járművön évente elvégzi a szóban forgó mellékletben meghatározott ellenőrzési vizsgálati eljárást. A járműgyártó a Xa. melléklet 8. pontjának megfelelően minden év december 31-ig minden vizsgált járműről vizsgálati jegyzőkönyvet nyújt be a jóváhagyó hatósághoz; a vizsgálati jegyzőkönyveket legalább 10 évig meg kell őriznie, és kérésre a Bizottság, valamint a többi tagállam jóváhagyó hatósága rendelkezésére kell bocsátania.
(2) A jóváhagyó hatóság a II. melléklet 2. pontjának megfelelően évente négy alkalommal értékelést végez annak ellenőrzése érdekében, hogy a gyártó által a CO2-kibocsátás és tüzelőanyag-fogyasztás meghatározására bevezetett eljárások az engedély szerinti valamennyi alkalmazási eset és járműcsoport esetében továbbra is megfelelőek-e. Az értékelés során ellenőrizni kell a bemeneti információk és bemeneti adatok kiválasztását, valamint azt, hogy a gyártó hány alkalommal ismétli meg a szimulációt.
Amennyiben valamely jármű nem felel meg a Xa. mellékletben meghatározott ellenőrzési vizsgálati eljárásban, a jóváhagyó hatóság a Xa. mellékletnek megfelelően vizsgálatot indít a meg nem felelés okának meghatározására. Amint a jóváhagyó hatóság meghatározta a meg nem felelés okát, tájékoztatja róla a többi tagállam jóváhagyó hatóságát.
Ha a meg nem felelés oka a szimulációs eszköz működéséhez kapcsolódik, a 21. cikket kell alkalmazni. Ha a meg nem felelés oka az alkatrészek, önálló műszaki egységek és rendszerek CO2-kibocsátással és tüzelőanyag-fogyasztással összefüggő tanúsított tulajdonságaihoz kapcsolódik, a 23. cikket kell alkalmazni.
Ha az alkatrészek, önálló műszaki egységek és rendszerek tanúsításával, valamint a szimulációs eszköz működésével kapcsolatban nem tártak fel szabálytalanságokat, a jóváhagyó hatóság jelenti a jármű meg nem felelését a Bizottságnak. A Bizottság megvizsgálja, hogy a szimulációs eszköz vagy a Xa. mellékletben meghatározott ellenőrzési vizsgálati eljárás okozta a jármű meg nem felelését, és hogy szükséges-e a szimulációs eszköz vagy az ellenőrzési vizsgálati eljárás javítása.
21. cikk
A szimulációs eszköz működtetésének megfelelőségével kapcsolatos javító intézkedések
(1) Amennyiben a jóváhagyó hatóság a 20. cikk (2) bekezdése alapján úgy találja, hogy a járműgyártó által az érintett járműcsoportok CO2-kibocsátásának és tüzelőanyag-fogyasztásának meghatározására bevezetett eljárások nincsenek összhangban az engedéllyel vagy e rendelettel vagy az érintett járművek CO2-kibocsátásának és tüzelőanyag-fogyasztásának helytelen meghatározásához vezethetnek, a jóváhagyó hatóságnak fel kell kérnie a gyártót, hogy az a jóváhagyó hatóság részéről történő kérés kézhezvételétől számított legkésőbb 30 naptári nap elteltével nyújtson be egy javítási intézkedési tervet.
Amennyiben a járműgyártó igazolja, hogy a javítási intézkedési terv benyújtásához több idő szükséges, a jóváhagyó hatóság további maximum 30 naptári nap határidő-hosszabbítást engedélyezhet.
(2) A javító intézkedési terv a jóváhagyó hatóság kérésében meghatározott valamennyi alkalmazási esetre és járműcsoportra alkalmazandó.
(3) A jóváhagyó hatóságnak a javítási intézkedési tervet annak kézhezvételétől számított 30 naptári napon belül jóvá kell hagynia vagy el kell utasítania. A jóváhagyó hatóság értesíti a gyártót és az összes tagállamot a javítási intézkedési terv jóváhagyására vagy elutasítására vonatkozó határozatáról.
A jóváhagyó hatóság kérheti a járműgyártót, hogy állítson ki új gyártói nyilvántartási dokumentumot, járműinformációs dokumentumot, ügyfél-információs dokumentumot és megfelelőségi tanúsítványt a jóváhagyott javító intézkedési tervnek megfelelően alkalmazott változtatásokat tükröző, újonnan meghatározott CO2-kibocsátási és tüzelőanyag-fogyasztási értékek alapján.
A járműgyártó megteszi a szükséges intézkedéseket annak biztosítására, hogy a szimulációs eszköz működtetésére vonatkozó engedély megszerzése céljából kialakított eljárások a 7. cikk alapján megadott engedélyben szereplő valamennyi alkalmazási eset és járműcsoport tekintetében továbbra is megfeleljenek ennek a célnak.
Közepes és nehéz tehergépjárművek esetében a járműgyártó a Xa. melléklet 3. pontjának megfelelően meghatározott minimális számú járművön elvégzi a szóban forgó mellékletben meghatározott ellenőrzési vizsgálati eljárást.
(4) A jóváhagyott javítási intézkedési terv végrehajtásáért a gyártó felelős.
(5) Amennyiben a jóváhagyó hatóság elutasítja a javítási intézkedési tervet, vagy megállapítja, hogy a javítási intézkedési tervet nem alkalmazták megfelelően, megteszi a szükséges intézkedéseket, hogy biztosítsa a szimulációs eszköz működtetésének megfelelőségét, vagy visszavonja az engedélyt.
22. cikk
A gyártó és a jóváhagyó hatóság feladatai az alkatrészek, önálló műszaki egységek és rendszerek CO2-kibocsátással és tüzelőanyag-fogyasztással kapcsolatos tulajdonságainak megfelelőségét illetően
(1) A gyártó az (EU) 2018/858 rendelet IV. mellékletével összhangban megteszi a szükséges intézkedéseket annak biztosítására, hogy a 17. cikk szerinti tanúsítás tárgyát képező, a 12. cikk (1) bekezdésében felsorolt alkatrészek, önálló műszaki egységek és rendszerek CO2-kibocsátással és tüzelőanyag-fogyasztással kapcsolatos tulajdonságai ne térjenek el a tanúsított értékektől.
Ezen intézkedéseknek az alábbiakat is magukban kell foglalniuk:
- a motorok vonatkozásában az V. melléklet 4. függelékében lefektetett eljárások,
- a sebességváltók vonatkozásában a VI. melléklet 7. pontjában lefektetett eljárások,
- a tengelyek vonatkozásában a VII. melléklet 5. és 6. pontjában lefektetett eljárások,
- a felépítmény vagy a pótkocsi légellenállása vonatkozásában a VIII. melléklet 6. függelékében lefektetett eljárások,
- a gumiabroncsok vonatkozásában a X. melléklet 4. pontjában lefektetett eljárások,
- az elektromos erőátviteli rendszer alkatrészei vonatkozásában a Xb. melléklet 12. függelékének 1-4. pontjában meghatározott eljárások.
Ha az alkatrészek, önálló műszaki egységek vagy rendszerek valamely családjába tartozó egyik tag CO2-kibocsátással és tüzelőanyag-fogyasztással kapcsolatos tulajdonságait a 15. cikk (5) bekezdésével összhangban tanúsították, akkor a CO2-kibocsátással és tüzelőanyag-fogyasztással kapcsolatos tulajdonságok ellenőrzésére szolgáló referenciaértékként a család e tagjának tanúsított értéke használandó.
Amennyiben az első és második albekezdésben említett intézkedések eredményeként a tanúsított értékektől való eltérést tapasztal, a gyártó azonnal tájékoztatja a jóváhagyó hatóságot.
(2) A gyártó éves rendszerességgel az (1) bekezdés második albekezdésében említett eljárások eredményeit tartalmazó vizsgálati jegyzőkönyveket nyújt be annak a jóváhagyó hatóságnak, amely tanúsította az alkatrészek, önálló műszaki egységek vagy rendszerek érintett családjának CO2-kibocsátással és tüzelőanyag-fogyasztással kapcsolatos tulajdonságait. A gyártó kérés esetén a Bizottság rendelkezésére bocsátja a vizsgálati jegyzőkönyveket.
(3) A gyártó gondoskodik arról, hogy az (1) bekezdés második albekezdésében említett, az alkatrészekkel, önálló műszaki egységekkel és rendszerekkel, vagy adott esetben ezek termékcsaládjaival kapcsolatos eljárások esetében legalább minden huszonötödik eljárást vagy - a gumiabroncsok kivételével - évente legalább egy eljárást ne ugyanaz a jóváhagyó hatóság felügyelje, amelyik részt vett az érintett alkatrészek, önálló műszaki egységek és rendszerek, vagy adott esetben ezek termékcsaládjai CO2-kibocsátással és tüzelőanyag-fogyasztással kapcsolatos tulajdonságainak a 16. cikk szerinti tanúsításában.
(4) Bármely jóváhagyó hatóság bármikor végezhet ellenőrzést az alkatrészekkel, önálló műszaki egységekkel és rendszerekkel kapcsolatban a gyártó és a járműgyártó bármely létesítményében, hogy meggyőződjön arról, hogy az illető alkatrészek, önálló műszaki egységek és rendszerek CO2-kibocsátással és tüzelőanyag-fogyasztással kapcsolatos tulajdonságai nem térnek-e el a tanúsított értékektől.
A gyártónak és a járműgyártónak a jóváhagyó hatóság kérésétől számított 15 munkanapon belül a jóváhagyó hatóság rendelkezésére kell bocsátania a birtokában lévő összes olyan releváns dokumentumot, mintát és egyéb anyagot, amelyekre az alkatrésszel, önálló műszaki egységgel vagy rendszerrel kapcsolatos ellenőrzés elvégzéséhez szükség van.
23. cikk
Az alkatrészek, önálló műszaki egységek és rendszerek CO2-kibocsátással és tüzelőanyag-fogyasztással kapcsolatos tulajdonságainak megfelelőségével kapcsolatos javítási intézkedések
(1) Amennyiben a jóváhagyó hatóság a 20. és a 22. cikk értelmében úgy találja, hogy nem megfelelőek a gyártó által annak biztosítása érdekében tett intézkedések, hogy a 12. cikk (1) bekezdésében felsorolt alkatrészeknek, önálló műszaki egységeknek és rendszereknek a 17. cikkel összhangban tanúsításnak alávetett, CO2-kibocsátással és tüzelőanyag-fogyasztással kapcsolatos tulajdonságai ne térjenek el a tanúsított értékektől, a jóváhagyó hatóságnak fel kell kérnie a gyártót, hogy a jóváhagyó hatóság felkérésének kézhezvételétől számított legkésőbb 30 naptári napon belül nyújtson be egy javítási intézkedési tervet.
Amennyiben a gyártó igazolja, hogy a javítási intézkedési terv benyújtásához több idő szükséges, a jóváhagyó hatóság további maximum 30 naptári nap határidő-hosszabbítást engedélyezhet.
(2) A javító intézkedési tervnek vonatkoznia kell az összes olyan alkatrészre, önálló műszaki egységre és rendszerre, vagy adott esetben ezek termékcsaládjaira, amelyet a jóváhagyó hatóság a kérésében megjelölt.
(3) A jóváhagyó hatóságnak a javítási intézkedési tervet annak kézhezvételétől számított 30 naptári napon belül jóvá kell hagynia vagy el kell utasítania. A jóváhagyó hatóság értesíti a gyártót és az összes tagállamot a javítási intézkedési terv jóváhagyására vagy elutasítására vonatkozó határozatáról.
A jóváhagyó hatóság kérheti a járműgyártót, hogy állítson ki új gyártói nyilvántartási dokumentumot, ügyfél-információs dokumentumot, járműinformációs dokumentumot és megfelelőségi tanúsítványt a jóváhagyott javító intézkedési tervnek megfelelően alkalmazott változtatásokat tükröző, újonnan meghatározott CO2-kibocsátási és tüzelőanyag-fogyasztási értékek alapján.
(4) A jóváhagyott javítási intézkedési terv végrehajtásáért a gyártó felelős.
(5) A gyártó nyilvántartást vezet minden visszahívott és javított, vagy módosított alkatrészről, önálló műszaki egységről vagy rendszerről, valamint a javítást vagy a módosítást végző műhelyről. A javító intézkedési terv végrehajtása alatt és a végrehajtás befejezését követő 5 évig kérésre betekintést kell biztosítani a jóváhagyó hatóság számára a nyilvántartásba.
A gyártó ezeket a nyilvántartásokat 10 évig tárolja.
(6) Amennyiben a jóváhagyó hatóság elutasította a javító intézkedési tervet, vagy megállapítja, hogy a javító intézkedéseket nem hajtják végre megfelelően, megteszi a szükséges intézkedéseket az érintett alkatrészek, önálló műszaki egységek és rendszerek, illetve adott esetben ezek termékcsaládjai CO2-kibocsátással és tüzelőanyag-fogyasztással kapcsolatos tulajdonságai megfelelőségének biztosítása érdekében, vagy visszavonja a CO2-kibocsátással és tüzelőanyag-fogyasztással kapcsolatos tulajdonságokra vonatkozóan kiadott tanúsítványt.
6. FEJEZET
ZÁRÓ RENDELKEZÉSEK
24. cikk
Átmeneti rendelkezések
(1) E rendelet 10. cikke (3) bekezdésének sérelme nélkül, amennyiben az e rendelet 9. cikkében említett kötelezettségek nem teljesülnek, a tagállamok a típusjóváhagyással rendelkező járművekre vonatkozó megfelelőségi tanúsítványokat nem tekintik érvényesnek az (EU) 2018/858 rendelet 48. cikkének alkalmazásában, és a típusjóváhagyással rendelkező és egyedileg jóváhagyott járművek esetében megtiltják a következők nyilvántartásba vételét, értékesítését vagy forgalomba helyezését:
a) 2019. július 1-jétől a 4., 5., 9. és 10. csoportba tartozó járművek, beleértve az egyes járműcsoportok "v" alcsoportjába tartozó járműveket, az I. melléklet 1. táblázata alapján;
b) 2020. január 1-jétől az 1., 2. és 3. csoportba tartozó járművek, az I. melléklet 1. táblázata alapján;
c) 2020. július 1-jétől a 11., 12. és 16. csoportba tartozó járművek, az I. melléklet 1. táblázata alapján;
d) 2024. július 1-jétől az 53. és 54. csoportba tartozó járművek az I. melléklet 2. táblázata alapján;
e) 2025. január 1-jétől a 31. és 40. csoportba tartozó járművek az I. melléklet 4-6. táblázata alapján;
f) 2024. július 1-jétől az 1s. csoportba tartozó járművek az I. melléklet 1. táblázata alapján.
(2) A 9. cikkben említett kötelezettségeket a következők szerint kell alkalmazni:
a) az I. melléklet 2. táblázata alapján az 53. és 54. csoportba tartozó azon járművekre, amelyek gyártási dátuma 2024. január 1. vagy későbbi;
b) az I. melléklet 3. táblázata alapján a P31/32, P33/34, P35/36, P37/38 és P39/40 csoportokba tartozó azon járművekre, amelyek gyártási dátuma 2024. január 1. vagy későbbi;
c) nehéz autóbuszok esetében a teljes járműnek vagy befejezett járműnek az I. melléklet 2.1. b) pontjában említett szimulációját csak akkor kell elvégezni, ha az I. melléklet 2.1. a) pontjában említett elsődleges jármű szimulációja rendelkezésre áll;
d) az I. melléklet 1. táblázata alapján az 1s. csoportba tartozó azon járművekre, amelyek gyártási dátuma 2024. január 1. vagy későbbi;
e) az I. melléklet 1. táblázata alapján az 1., 2., 3., 4., 5., 9., 10., 4v., 5v., 9v., 10v., 11., 12. és 16. csoportba tartozó, az e bekezdés f) és g) pontjában meghatározottaktól eltérő azon járművekre, amelyek gyártási dátuma 2024. január 1. vagy későbbi;
f) az I. melléklet 1. táblázata alapján az 1., 2., 3., 4., 5., 9., 10., 4v., 5v., 9v., 10v., 11., 12. és 16. csoportba tartozó azon járművekre, amelyek az V. melléklet 2. pontjának 8. alpontjában meghatározott hulladékhő-visszanyerő rendszerrel vannak felszerelve, feltéve, hogy nem kibocsátásmentes nehézgépjárművek, hibrid elektromos nehézgépjárművek vagy vegyes üzemű járművek;
g) az I. melléklet 1. táblázata alapján az 1., 2., 3., 4., 5., 9., 10., 4v., 5v., 9v., 10v., 11., 12. és 16. csoportokba tartozó azon vegyes üzemű járművekre, amelyek gyártási dátuma 2024. január 1. vagy későbbi; ha a gyártás dátuma 2024. január 1. előtti, a gyártó eldöntheti, hogy alkalmazza-e a 9. cikket.
Az I. melléklet 1. táblázata alapján az 1., 2., 3., 4., 5., 9., 10., 4v., 5v., 9v., 10v., 11., 12. és 16. csoportba tartozó azon kibocsátásmentes nehézgépjárművek, hibrid elektromos nehézgépjárművek és vegyes üzemű járművek esetében, amelyekre a 9. cikket az e bekezdés első albekezdésének a)-g) pontjával összhangban nem alkalmazták, a járműgyártó meghatározza az e járművekre a III. melléklet 5. táblázatában megadott mintákban előírt bemeneti paramétereket az 5. cikk (3) bekezdésében említett szimulációs eszköz legfrissebb rendelkezésre álló verziójának felhasználásával. Ebben az esetben a 9. cikkben említett kötelezettségeket e cikk (1) bekezdésének alkalmazásában teljesítettnek kell tekinteni.
E bekezdés alkalmazásában a gyártás dátuma a megfelelőségi nyilatkozat aláírásának időpontja, ha pedig nem került kiállításra megfelelőségi nyilatkozat, akkor az a dátum, amikor a jármű-azonosító számot először rögzítették a jármű megfelelő részein.
(3) A 21. cikk (5) bekezdése és a 23. cikk (6) bekezdése szerinti javító intézkedéseket 2023. július 1-jétől kell alkalmazni az e cikk (1) bekezdésének a), b) és c) pontjában említett járművekre a Xa. mellékletben meghatározott ellenőrzési vizsgálati eljárás során feltárt megfelelési hiba megszüntetésére, illetve 2024. július 1-jétől az e cikk (2) bekezdésének d) és g) pontjában említett járművekre.
25. cikk
A 2007/46/EK irányelv módosítása
A 2007/46/EK irányelv I., III., IV., IX. és XV. melléklete e rendelet XI. mellékletének megfelelően módosul.
26. cikk
Az 582/2011/EU rendelet módosítása
Az 582/2011/EU rendelet a következőképpen módosul:
1. A 3. cikk (1) bekezdése a következő albekezdéssel egészül ki:
"A kibocsátások és a járműjavítási és -karbantartási információk tekintetében jóváhagyott motorrendszerrel felszerelt jármű EK-típusjóváhagyásának megszerzéséhez, vagy valamely jármű kibocsátások és a járműjavítási és -karbantartási információk tekintetében történő EK-típusjóváhagyásához a gyártónak igazolnia kell, hogy az érintett járműcsoportra vonatkozóan teljesülnek az (EU) 2017/2400 ( 2 ) bizottsági rendelet 6. cikkében és II. mellékletében meghatározott követelmények. Az említett követelmények azonban nem alkalmazandók, ha a gyártó jelzi, hogy a típusjóváhagyás megszerzése előtt álló új járműveknek az Unióban való nyilvántartásba vételére, értékesítésére vagy forgalomba helyezésére az (EU) 2017/2400 rendelet 24. cikke (1) bekezdésének a), b) és c) pontjában az egyes járműcsoportokra vonatkozóan meghatározott időpontokban vagy azokat követően már nem kerül sor.
2. A 8. cikk a következőképpen módosul:
a) az (1a) bekezdés d) pontjának helyébe az alábbi szöveg lép:
"d) Az e rendelet VII. mellékletének 3.1. pontjában, az e rendelet X. mellékletének 2.1. és 6.1. pontjában, az e rendelet XIII. mellékletének 2.1., 4.1., 5.1., 7.1., 8.1. és 10.1. pontjában, valamint az e rendelet XIII. melléklete 6. függelékének 1.1. pontjában meghatározott minden egyéb kivétel alkalmazandó;";
b) az (1a) bekezdés a következő ponttal egészül ki:
"e) az (EU) 2017/2400 rendelet 6. cikkében és II. mellékletében említett követelmények teljesülnek az érintett járműcsoportra nézve, kivéve, ha a gyártó jelzi, hogy a típusjóváhagyás megszerzése előtt álló új járműveknek az Unióban való nyilvántartásba vételére, értékesítésére vagy forgalomba helyezésére a fenti rendelet 24. cikke (1) bekezdésének a), b) és c) pontjában az egyes járműcsoportokra vonatkozóan meghatározott időpontokban vagy azokat követően már nem kerül sor.".
3. A 10. cikk a következőképpen módosul:
a) az (1a) bekezdés d) pontjának helyébe az alábbi szöveg lép:
"d) Az e rendelet VII. mellékletének 3.1. pontjában, az e rendelet X. mellékletének 2.1. és 6.1. pontjában, az e rendelet XIII. mellékletének 2.1., 4.1., 5.1., 7.1., 8.1. és 10.1.1. pontjában, valamint az e rendelet XIII. melléklete 6. függelékének 1.1. pontjában meghatározott minden egyéb kivétel alkalmazandó;";
b) az (1a) bekezdés a következő ponttal egészül ki:
"e) az (EU) 2017/2400 rendelet 6. cikkében és II. mellékletében említett követelmények teljesülnek az érintett járműcsoportra nézve, kivéve, ha a gyártó jelzi, hogy a típusjóváhagyás megszerzése előtt álló új járműveknek az Unióban való nyilvántartásba vételére, értékesítésére vagy forgalomba helyezésére a fenti rendelet 24. cikke (1) bekezdésének a), b) és c) pontjában az egyes járműcsoportokra vonatkozóan meghatározott időpontokban vagy azokat követően már nem kerül sor.".
27. cikk
Hatálybalépés
Ez a rendelet az Európai Unió Hivatalos Lapjában való kihirdetését követő huszadik napon lép hatályba.
Ez a rendelet teljes egészében kötelező és közvetlenül alkalmazandó valamennyi tagállamban.
I. MELLÉKLET
A JÁRMŰVEK JÁRMŰCSOPORTOKBA TÖRTÉNŐ BESOROLÁSA ÉS A NEHÉZ AUTÓBUSZOK CO2-KIBOCSÁTÁSÁNAK ÉS TÜZELŐANYAG-FOGYASZTÁSÁNAK MEGHATÁROZÁSÁRA SZOLGÁLÓ MÓDSZER
1. A járművek e rendelet alkalmazásában történő besorolása
1.1. Az N kategóriájú járművek besorolása
1. táblázat
Járműcsoportok nehéz tehergépjárművek esetében
A járműcsoportokba történő besorolás szempontjából jelentős elemek leírása | Járműcsoport | A jármű célprofilja és a jármű konfigurációja szerinti besorolás | ||||||||
Tengelykonfiguráció | Alváz-konfiguráció | Műszakilag megengedett legnagyobb terhelt tömeg (tonna) | Nagy távolságra | Nagy távolságra (EMS) | Regionális szállítás | Regionális szállítás (EMS) | Városi szállítás | Települési közműüzemi | Építőipari | |
4 × 2 | Merev tehergépjármű (vagy vontató) (*1) | > 7,4 – 7,5 | 1s | R | R | |||||
Merev tehergépjármű (vagy vontató) (*1) | > 7,5 – 10 | 1 | R | R | ||||||
Merev tehergépjármű (vagy vontató) (*1) | > 10 – 12 | 2 | R + T1 | R | R | |||||
Merev tehergépjármű (vagy vontató) (*1) | > 12 – 16 | 3 | R | R | ||||||
Merev tehergépjármű | > 16 | 4 | R + T2 | R | R | R | ||||
Vontató | > 16 | 5 | T + ST | T + ST + T2 | T + ST | T + ST + T2 | T + ST | |||
Merev tehergépjármű | > 16 | 4v (*2) | R | R | ||||||
Vontató | > 16 | 5v (*2) | T + ST | |||||||
4 × 4 | Merev tehergépjármű | > 7,5 – 16 | (6) | |||||||
Merev tehergépjármű | > 16 | (7) | ||||||||
Vontató | > 16 | (8) | ||||||||
6 × 2 | Merev tehergépjármű | minden tömeg | 9 | R + T2 | R + D + ST | R | R + D + ST | R | ||
Vontató | minden tömeg | 10 | T + ST | T + ST + T2 | T + ST | T + ST + T2 | ||||
Merev tehergépjármű | minden tömeg | 9v (*2) | R | R | ||||||
Vontató | minden tömeg | 10v (*2) | T + ST | |||||||
6 × 4 | Merev tehergépjármű | minden tömeg | 11 | R + T2 | R + D + ST | R | R + D + ST | R | R | |
Vontató | minden tömeg | 12 | T + ST | T + ST + T2 | T + ST | T + ST + T2 | T + ST | |||
6 × 6 | Merev tehergépjármű | minden tömeg | (13) | |||||||
Vontató | minden tömeg | (14) | ||||||||
8 × 2 | Merev tehergépjármű | minden tömeg | (15) | |||||||
8 × 4 | Merev tehergépjármű | minden tömeg | 16 | R | ||||||
8 × 6 8 × 8 | Merev tehergépjármű | minden tömeg | (17) | |||||||
8 × 2 8 × 4 8 × 6 8 × 8 | Vontató | minden tömeg | (18) | |||||||
5 tengely, minden konfiguráció | Merev tehergépjármű vagy vontató | minden tömeg | (19) | |||||||
(*1) Ezekben a járműosztályokban a vontatókat merev tehergépjárműként kezelik, a vontató fajlagos menetkész tömegét figyelembe véve. (*2) A 4., az 5., a 9. és a 10. járműcsoport „v” alcsoportja: ezek a célprofilok kizárólag a különleges felépítményű járművekre vonatkoznak. (*) EMS – európai moduláris rendszer. T = Vontató R = Merev tehergépjármű és szabványos felépítmény T1, T2 = Szabványos pótkocsi ST = Szabványos félpótkocsi D = Szabványos utánfutó |
2. táblázat
Járműcsoportok közepes tehergépjárművek esetében
A járműcsoportokba történő besorolás szempontjából jelentős elemek leírása | A jármű célprofilja és a jármű konfigurációja szerinti besorolás | ||||||||
Tengelykonfiguráció | Alváz-konfiguráció | Járműcsoport | Nagy távolságra | Nagy távolságra (EMS) (*1) | Regionális szállítás | Regionális szállítás (EMS) (*1) | Városi szállítás | Települési közműüzemi | Építőipari |
FWD / 4 × 2F | Merev tehergépjármű (vagy vontató) | (51) | |||||||
Furgon | (52) | ||||||||
RWD / 4 × 2 | Merev tehergépjármű (vagy vontató) | 53 | R | R | |||||
Furgon | 54 | I | I | ||||||
AWD / 4 × 4 | Merev tehergépjármű (vagy vontató) | (55) | |||||||
Furgon | (56) | ||||||||
(*1) EMS – európai moduláris rendszer R = Szabványos felépítmény I = Furgon és az integrált felépítménye FWD = Elsőkerék-meghajtású RWD = Egyetlen hajtott tengely, amely nem az első tengely AWD = Egynél több hajtott tengely |
1.2. Az M kategóriájú járművek besorolása
1.2.1. Nehéz autóbuszok
1.2.2. Az elsődleges járművek besorolása
3. táblázat
Járműcsoportok elsődleges járművek esetében
A járműcsoportokba történő besorolás szempontjából jelentős elemek leírása | Járműcsoport (1) | Általános felépítmény szerinti besorolás | Járműalcsoport | Célprofil szerinti besorolás | ||||||
Tengelyek száma | Csuklós | Alacsony padló (LF) / magas padló (HF) (2) | Szintek száma (3) | Nehéz városi | Városi | Elővárosi | Helyközi | Autóbusz | ||
2 | nem | P31/32. sz. ügy | LF | SD | P31. SD | x | x | x | x | |
DD | P31. DD | x | x | x | ||||||
HF | SD | P32. SD | x | x | ||||||
DD | P32. DD | x | x | |||||||
3 | nem | P33/34. sz. ügy | LF | SD | P33. SD | x | x | x | x | |
DD | P33. DD | x | x | x | ||||||
HF | SD | P34. SD | x | x | ||||||
DD | P34. DD | x | x | |||||||
igen | P35/36. sz. ügy | LF | SD | P35. SD | x | x | x | x | ||
DD | P35. DD | x | x | x | ||||||
HF | SD | P36. SD | x | x | ||||||
DD | P36. DD | x | x | |||||||
4 | nem | P37/38. sz. ügy | LF | SD | P37. SD | x | x | x | x | |
DD | P37. DD | x | x | x | ||||||
HF | SD | P38. SD | x | x | ||||||
DD | P38. DD | x | x | |||||||
igen | P39/40. sz. ügy | LF | SD | P39. SD | x | x | x | x | ||
DD | P39. DD | x | x | x | ||||||
HF | SD | P40. SD | x | x | ||||||
DD | P40. DD | x | x | |||||||
(1) A „P” a besorolás elsődleges szakaszát jelöli; a perjellel elválasztott két szám jelzi azoknak a járműcsoportoknak a számát, amelyekhez a jármű a teljes vagy befejezett szakaszban hozzárendelhető. (2) „Alacsony padló”: az (EU) 2018/858 rendelet I. melléklete C. részének 3. pontjában meghatározott „CE”, „CF”, „CG”, „CH” járműkódok. „Magas padló”: az (EU) 2018/858 rendelet I. melléklete C. részének 3. pontjában meghatározott „CA”, „CB”, „CC”, „CD” járműkódok. (3) „SD”: egyszintes jármű, „DD”: kétszintes. |
1.2.3. A teljes vagy befejezett járművek besorolása
A nehéz autóbusznak minősülő teljes vagy befejezett járművek besorolása a következő hat kritériumon alapul:
a) tengelyek száma;
b) az (EU) 2018/858 rendelet I. melléklete C. részének 3. pontjában meghatározott járműkód;
c) a 107. számú ENSZ-előírás ( 3 ) 2. szakasza szerinti járműosztály;
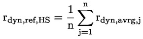
d) alacsony bejárati padlós jármű ("igen/nem" a járműkódból és a tengelytípusból származó információk) az 1. ábrán látható döntési folyamat szerint meghatározva;
e) az alsó szinten tartózkodó utasok száma az (EU) 2020/683 bizottsági végrehajtási rendelet ( 4 ) VIII. mellékletében meghatározott megfelelőségi nyilatkozaton vagy egyedi járműjóváhagyás esetén azzal egyenértékű dokumentumokon;
f) az integrált felépítmény a VIII. mellékletnek megfelelően meghatározott magassága.
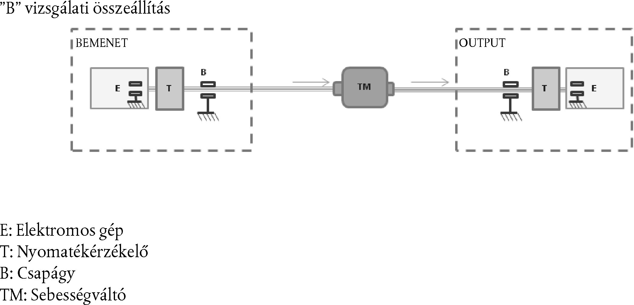
1. ábra Döntési folyamat annak meghatározására, hogy a jármű "alacsony bejárati padlós"-nak minősül-e vagy sem: [Kép #1]

Kép #1
Az alkalmazandó megfelelő besorolást a 4., 5. és 6. táblázat tartalmazza.
4. táblázat
Járműcsoportok nem nehéz autóbusznak minősülő teljes járművek és befejezett járművek esetében 2 tengelyes
A járműcsoportokba történő besorolás szempontjából jelentős elemek leírása | Járműcsoport | Célprofil szerinti besorolás | ||||||||||||||||
A tengelyek száma | Alváz-konfiguráció (csak magyarázat) | Járműkód (*1) | Járműosztály (*2) | Alacsony bejárati padlós (Csak CE vagy CG járműkódnál) | Utasülések az alsó szinten (Csak CB vagy CD járműkódnál) | Az integrált felépítmény magassága [mm]-ben (Csak „II+III” járműosztálynál) | ||||||||||||
I | I +II vagy A | II | II +III | III vagy B | Nehéz városi | Városi | Elővárosi | Helyközi | Autóbusz | |||||||||
2 | merev | LF | SD | CE | x | x | x | nem | — | — | 31a | x | x | x | ||||
x | x | igen | — | — | 31b1 | x | x | x | ||||||||||
x | igen | — | — | 31b2 | x | x | x | x | ||||||||||
DD | CF | x | x | x | — | — | — | 31c | x | x | x | |||||||
nyitott tetejű | SD | CI | x | x | x | x | x | — | — | — | 31d | x | x | x | ||||
DD | CJ | x | x | x | x | x | — | — | — | 31e | x | x | x | |||||
HF | SD | CA | x | — | — | — | 32a | x | x | |||||||||
x | — | — | ≤ 3 100 | 32b | x | x | ||||||||||||
x | — | — | > 3 100 | 32c | x | x | ||||||||||||
x | — | — | — | 32d | x | x | ||||||||||||
DD | CB | x | x | x | — | ≤ 6 | — | 32e | x | x | ||||||||
x | x | x | — | > 6 | — | 32f | x | x | ||||||||||
(*1) Az (EU) 2018/858 rendelettel összhangban. (*2) A 107. számú ENSZ-előírás 2. szakaszával összhangban. |
5. táblázat
Járműcsoportok nem nehéz autóbusznak minősülő teljes járművek és befejezett járművek esetében 3 tengelyes
A járműcsoportokba történő besorolás szempontjából jelentős elemek leírása | Járműcsoport | Célprofil szerinti besorolás | ||||||||||||||||
A tengelyek száma | Alváz-konfiguráció (csak magyarázat) | Járműkód (*1) | Járműosztály (*2) | Alacsony bejárati padlós (Csak CE vagy CG járműkódnál) | Utasülések az alsó szinten (Csak CB vagy CD járműkódnál) | Az integrált felépítmény magassága [mm]-ben (Csak „II+III” járműosztálynál) | ||||||||||||
I | I +II vagy A | II | II +III | III vagy B | Nehéz városi | Városi | Elővárosi | Helyközi | Autóbusz | |||||||||
3 | merev | LF | SD | CE | x | x | x | nem | — | — | 33a | x | x | x | ||||
x | x | igen | — | — | 33b1 | x | x | x | ||||||||||
x | igen | — | — | 33b2 | x | x | x | x | ||||||||||
DD | CF | x | x | x | — | — | — | 33c | x | x | x | |||||||
nyitott tetejű | SD | CI | x | x | x | x | x | — | — | — | 33d | x | x | x | ||||
DD | CJ | x | x | x | x | x | — | — | — | 33e | x | x | x | |||||
HF | SD | CA | x | — | — | — | 34a | x | x | |||||||||
x | — | — | ≤ 3 100 | 34b | x | x | ||||||||||||
x | — | — | > 3 100 | 34c | x | x | ||||||||||||
x | — | — | — | 34d | x | x | ||||||||||||
DD | CB | x | x | x | — | ≤ 6 | — | 34e | x | x | ||||||||
x | x | x | — | > 6 | — | 34f | x | x | ||||||||||
csuklós | LF | SD | CG | x | x | x | nem | — | — | 35a | x | x | x | |||||
x | x | igen | — | — | 35b1 | x | x | x | ||||||||||
x | igen | — | — | 35b2 | x | x | x | x | ||||||||||
DD | CH | x | x | x | — | — | — | 35c | x | x | x | |||||||
HF | SD | CC | x | — | — | — | 36a | x | x | |||||||||
x | — | — | ≤ 3 100 | 36b | x | x | ||||||||||||
SD | x | — | — | > 3 100 | 36c | x | x | |||||||||||
x | — | — | — | 36d | x | x | ||||||||||||
DD | CD | x | x | x | — | ≤ 6 | — | 36e | x | x | ||||||||
x | x | x | — | > 6 | — | 36f | x | x | ||||||||||
(*1) Az (EU) 2018/858 rendelettel összhangban. (*2) A 107. számú ENSZ-előírás 2. szakaszával összhangban. |
6. táblázat
Járműcsoportok nem nehéz autóbusznak minősülő teljes járművek és befejezett járművek esetében 4 tengelyes
A járműcsoportokba történő besorolás szempontjából jelentős elemek leírása | Járműcsoport | Célprofil szerinti besorolás | ||||||||||||||||
A tengelyek száma | Alváz-konfiguráció (csak magyarázat) | Járműkód (*1) | Járműosztály (*2) | Alacsony bejárati padlós (Csak CE vagy CG járműkódnál) | Utasülések az alsó szinten (Csak CB vagy CD járműkódnál) | Az integrált felépítmény magassága [mm]-ben (Csak „II+III” járműosztálynál) | ||||||||||||
I | I +II vagy A | II | II +III | III vagy B | Nehéz városi | Városi | Elővárosi | Helyközi | Autóbusz | |||||||||
4 | merev | LF | SD | CE | x | x | x | nem | — | — | 37a | x | x | x | ||||
x | x | igen | — | — | 37b1 | x | x | x | ||||||||||
x | igen | — | — | 37b2 | x | x | x | x | ||||||||||
DD | CF | x | x | x | — | — | — | 37c | x | x | x | |||||||
nyitott tetejű | SD | CI | x | x | x | x | x | — | — | — | 37d | x | x | x | ||||
DD | CJ | x | x | x | x | x | — | — | — | 37e | x | x | x | |||||
HF | SD | CA | x | — | — | — | 38a | x | x | |||||||||
x | — | — | ≤ 3 100 | 38b | x | x | ||||||||||||
x | — | — | > 3 100 | 38c | x | x | ||||||||||||
x | — | — | — | 38d | x | x | ||||||||||||
DD | CB | x | x | x | — | ≤ 6 | — | 38e | x | x | ||||||||
x | x | x | — | > 6 | — | 38f | x | x | ||||||||||
csuklós | LF | SD | CG | x | x | x | nem | — | — | 39a | x | x | x | |||||
x | x | igen | — | — | 39b1 | x | x | x | ||||||||||
x | igen | — | — | 39b2 | x | x | x | x | ||||||||||
DD | CH | x | x | x | — | — | — | 39c | x | x | x | |||||||
HF | SD | CC | x | — | — | — | 40a | x | x | |||||||||
x | — | — | ≤ 3 100 | 40b | x | x | ||||||||||||
SD | x | — | — | > 3 100 | 40c | x | x | |||||||||||
x | — | — | — | 40d | x | x | ||||||||||||
DD | CD | x | x | x | — | ≤ 6 | — | 40e | x | x | ||||||||
x | x | x | — | > 6 | — | 40f | x | x | ||||||||||
(*1) Az (EU) 2018/858 rendelettel összhangban. (*2) A 107. számú ENSZ-előírás 2. szakaszával összhangban. |
2. A nehéz autóbuszok CO2-kibocsátásának és tüzelőanyag-fogyasztásának meghatározására szolgáló módszer
2.1. Nehéz autóbuszok esetében a CO2-kibocsátásra és a tüzelőanyag-fogyasztásra vonatkozó eredményeknek tükrözniük kell a teljes jármű vagy a befejezett jármű járműspecifikációit, beleértve a végleges felépítmény és a segédegységek jellemzőit is. A lépcsőkben épített nehéz autóbuszok esetében előfordulhat, hogy egynél több gyártó érintett a bemeneti adatok és bemeneti információk előállításának folyamatában és a szimulációs eszköz működtetésében. Nehéz autóbuszok esetében a CO2-kibocsátásnak és a tüzelőanyag-fogyasztásnak a következő két különböző szimuláción kell alapulnia:
a) az elsődleges jármű szimulációján;
b) a teljes vagy befejezett jármű szimulációján.
2.2. Ha egy nehéz autóbuszt a gyártó teljes járműként hagy jóvá, a szimulációt mind az elsődleges járműre, mind a teljes járműre el kell végezni.
2.3. Az elsődleges jármű esetében a szimulációs eszköz bemeneti adatai a motorra, a sebességváltóra, a gumiabroncsokra és a segédegységek egy részhalmazának bemeneti adataira vonatkoznak ( 5 ). A járműcsoportokba történő besorolást a 3. táblázatnak megfelelően kell elvégezni a tengelyek száma és az arra vonatkozó információk alapján, hogy a jármű csuklós autóbusz-e. Az elsődleges járműre vonatkozó szimulációkban a szimulációs eszköz négy különböző általános felépítményt oszt ki (magas és alacsony padlós, egyszintes és kétszintes felépítmény), és a 3. táblázatban az egyes járműcsoportokra vonatkozóan felsorolt 11 célprofilt szimulálja két különböző terhelési körülmény esetében. Ez 22 eredményt ad ki az elsődleges nehéz autóbuszok CO2-kibocsátása és tüzelőanyag-fogyasztása tekintetében. A szimulációs eszköz létrehozza a kezdeti lépcsőre vonatkozó járműinformációs dokumentumot (VIF1), amely tartalmazza az összes szükséges adatot, amelyet át kell adni a következő gyártási lépcsőnek. A VIF1 tartalmazza az összes nem bizalmas bemeneti adatot, az energiafogyasztásra vonatkozó eredményeket ( 6 ) [MJ/km-ben], az elsődleges gyártóra vonatkozó információkat és a vonatkozó hashfüggvényeket ( 7 ).
2.4. Az elsődleges jármű gyártója a VIF1-et a következő gyártási lépcsőért felelős gyártó rendelkezésére bocsátja. Amennyiben az elsődleges jármű gyártója olyan adatokat szolgáltat, amelyek túlmutatnak az elsődleges járműre vonatkozó, a III. mellékletben meghatározott előírásokon, ezek az adatok nem befolyásolják az elsődleges járműre vonatkozó szimulációs eredményeket, hanem a későbbi lépcsőkben figyelembe veendő VIF1-be kerülnek. Elsődleges jármű esetében a szimulációs eszköz továbbá létrehozza a gyártói nyilvántartási dokumentumot is.
2.5. Közbenső jármű esetében a közbenső gyártó felelős a végleges felépítményre vonatkozó releváns bemeneti adatok és bemeneti információk részhalmazáért ( 8 ). A közbenső gyártó nem kérelmezi a befejezett jármű tanúsítását. A közbenső gyártónak hozzá kell adnia a befejezett járműre vonatkozó információkat, vagy frissítenie kell azokat, és működtetnie kell a szimulációs eszközt annak érdekében, hogy létrehozza a járműinformációs dokumentum frissített és hashfüggvénnyel ellátott változatát (VIFi) ( 9 ). A VIFi-t a következő gyártási lépcsőért felelős gyártó rendelkezésére kell bocsátani. A közbenső járművek esetében a VIFi a jóváhagyó hatóságok felé teljesítendő dokumentációs feladatot is lefedi. Közbenső járműveken nem végeznek CO2-kibocsátásra és/vagy tüzelőanyag-fogyasztásra vonatkozó szimulációt.
2.6. Ha a gyártó a közbenső, teljes vagy befejezett járművön olyan módosításokat hajt végre, amelyek az elsődleges járműhöz rendelt bemeneti adatok vagy bemeneti információk frissítését teszik szükségessé (pl. egy tengely vagy a gumiabroncsok kicserélése), a módosítást végző gyártó elsődleges járműgyártóként jár el, a megfelelő felelősségi körökkel.
2.7. Teljes vagy befejezett jármű esetében a gyártónak ki kell egészítenie és szükség esetén frissítenie kell a végleges felépítményre vonatkozó bemeneti adatokat és bemeneti információkat a VIFi-ben az előző gyártási lépcsőben megadottaknak megfelelően, és működtetnie kell a szimulációs eszközt a CO2-kibocsátás és a tüzelőanyag-fogyasztás kiszámításához. A szimulációhoz ebben a szakaszban a nehéz autóbuszokat az 1.2.3. pontban meghatározott hat kritérium alapján a 4., 5. és 6. táblázatban felsorolt járműcsoportokba sorolják be. A nehéz autóbusznak minősülő teljes járművek vagy befejezett járművek CO2-kibocsátásának és tüzelőanyag-fogyasztásának meghatározásához a szimulációs eszköz a következő számítási lépéseket hajtja végre:
2.7.1.
1. lépés - Az elsődleges járműalcsoport kiválasztása, amely megfelel a teljes vagy befejezett jármű felépítményének (pl. "P34 DD" a "34f" esetében), és az elsődleges jármű szimulációjából származó megfelelő energiafogyasztási eredmények rendelkezésre bocsátása.
2.7.2.
2. lépés - Szimulációk végzése a teljes jármű vagy befejezett jármű felépítményének és segédberendezéseinek az általános felépítményhez és segédberendezésekhez viszonyított hatásának számszerűsítésére, amint azt az elsődleges járműre vonatkozó szimulációk az energiafogyasztás tekintetében figyelembe veszik. Ezekben a szimulációkban generikus adatokat használnak az elsődleges járműadat-halmazhoz, amelyek nem képezik részét a VIF ( 10 ) különböző gyártási lépcsők közötti információátadásnak.
2.7.3.
3. lépés - Az elsődleges jármű szimulációjából származó, az 1. lépésben rendelkezésre bocsátott energiafogyasztási eredmények és a 2. lépés eredményei együttesen adják meg a teljes vagy befejezett jármű energiafogyasztási eredményeit. E számítási lépés részleteit a szimulációs eszköz felhasználói kézikönyve dokumentálja.
2.7.4.
4. lépés - A jármű CO2-kibocsátására és tüzelőanyag-fogyasztására vonatkozó eredményeket a 3. lépés eredményei és a szimulációs eszközben tárolt általános tüzelőanyag-előírások alapján számítják ki. A 2., 3. és 4. lépést külön-külön el kell végezni a 4., 5. és 6. táblázatban felsorolt minden egyes célprofil-kombinációra a járműcsoportok alacsony és reprezentatív terhelési körülményére egyaránt.
2.7.5. Teljes jármű vagy befejezett jármű esetében a szimulációs eszköz létrehozza a gyártói nyilvántartási dokumentumot, az ügyfél-információs dokumentumot és a VIFi-t. A VIFi-t a következő gyártó rendelkezésére kell bocsátani, amennyiben a jármű egy további gyártási lépcsőn megy keresztül.
A 2. ábra egy a CO2-vel kapcsolatos öt gyártási lépcsőben gyártott jármű példáján alapuló adatáramlást mutatja.
2. ábra Példa az adatáramlásra az öt lépésben gyártott nehéz autóbuszok esetében [Kép #2]

Kép #2
II. MELLÉKLET
A SZIMULÁCIÓS ESZKÖZ MŰKÖDÉSÉHEZ KAPCSOLÓDÓ KÖVETELMÉNYEK ÉS ELJÁRÁSOK
1. A jármű gyártója által a szimulációs eszköz működtetése céljából kialakítandó folyamatok
1.1. A gyártónak legalább a következő folyamatokat kell kialakítania:
1.1.1. Egy adatkezelő rendszer, amely lefedi a szimulációs eszköz bemeneti információinak és bemeneti adatainak beszerzését, tárolását, kezelését és visszakeresését, valamint az alkatrészek, önálló műszaki egységek és rendszerek családjainak a CO2-kibocsátással és a tüzelőanyag-fogyasztással kapcsolatos tulajdonságaira vonatkozó tanúsítványok kezelését. Az adatkezelő rendszernek legalább:
a) biztosítania kell a helyes bemeneti információk és bemeneti adatok alkalmazását a konkrét járműkonfigurációk esetében;
b) biztosítania kell a helyes számításokat és a standard értékek alkalmazását;
c) a kriptográfiai hashfüggvények összehasonlításával ellenőriznie kell, hogy az alkatrészek, önálló műszaki egységek, rendszerek, illetve adott esetben ezek családjai szimulációhoz használt bemeneti adatállományai megegyeznek-e azon alkatrészek, önálló műszaki egységek, rendszerek, illetve adott esetben ezek családjai bemeneti adataival, amelyekre a tanúsítványt kiadták;
d) tartalmaznia kell egy védett adatbázist az alkatrészek, önálló műszaki egységek vagy rendszerek családjaira vonatkozó bemeneti adatok, valamint a CO2-kibocsátással és a tüzelőanyag-fogyasztással kapcsolatos tulajdonságokra vonatkozó megfelelő tanúsítványok tárolására;
e) biztosítania kell az alkatrészekre, önálló műszaki egységekre és rendszerekre vonatkozó előírások és frissítések változásának helyes kezelését;
f) lehetővé kell tennie az alkatrészek, önálló műszaki egységek és rendszerek nyomon követését a jármű gyártása után.
1.1.2. Egy adatkezelő rendszer, amely kiterjed a bemeneti információknak, a bemeneti adatoknak és a számításoknak a szimulációs eszköz segítségével történő lekérdezésére és a kimeneti adatok tárolására. Az adatkezelő rendszernek legalább:
a) biztosítania kell a kriptográfiai hashfüggvények helyes alkalmazását;
b) tartalmaznia kell egy védett adatbázist a kimeneti adatok tárolására.
1.1.3. Az 5. cikk (2) bekezdésében és a 10. cikk (1) és (2) bekezdésében említett, külön erre a célra létrehozott elektronikus terjesztési platform lekérdezésére, valamint a szimulációs eszköz legújabb verzióinak letöltésére és telepítésére szolgáló folyamat.
1.1.4. A szimulációs eszközzel dolgozó személyzet megfelelő képzése.
2. A jóváhagyó hatóság általi értékelés
2.1. A jóváhagyó hatóságnak ellenőriznie kell, hogy az 1. pontban meghatározott, a szimulációs eszköz működéséhez kapcsolódó folyamatok kialakításra kerültek-e.
A jóváhagyó hatóság továbbá a következőket ellenőrzi:
a) az 1.1.1., 1.1.2. és 1.1.3. pontban meghatározott folyamatok működése és az 1.1.4. pontban meghatározott követelmény alkalmazása;
b) a tanúsítási eljárás során alkalmazott folyamatokat ugyanolyan módon alkalmazzák-e az érintett alkalmazási esetbe tartozó járműveket gyártó összes gyártólétesítményben;
c) a járművek CO2-kibocsátásának és tüzelőanyag-fogyasztásának meghatározásához kapcsolódó műveletek adataira és folyamataira vonatkozó leírás teljessége.
A második pont a) pontjának alkalmazásában az ellenőrzésnek magában kell foglalnia minden egyes olyan gyártólétesítményből legalább egy jármű CO2-kibocsátásának és tüzelőanyag-fogyasztásának meghatározását, amelyre az engedélyt kérvényezték.
1. függelék
A SZIMULÁCIÓS ESZKÖZNEK AZ ÚJ JÁRMŰVEK CO2-KIBOCSÁTÁSÁNAK ÉS TÜZELŐANYAG-FOGYASZTÁSÁNAK MEGHATÁROZÁSA CÉLJÁBÓL VALÓ MŰKÖDTETÉSÉRE VONATKOZÓ ADATKÖZLŐ LAP MINTÁJA
I. SZAKASZ
1. A jármű gyártójának neve és címe:
2. Azok az összeszerelő üzemek, amelyek esetében az (EU) 2017/2400 bizottsági rendelet II. mellékletének 1. pontjában említett folyamatok kialakításra kerültek a szimulációs eszköz működtetése céljából:
3. Lefedett alkalmazási eset:
4. A gyártó képviselőjének (ha van) neve és címe
II. SZAKASZ
1. Kiegészítő információk
1.1. Az adatok és a folyamatok kezelésének leírása (például folyamatábra)
1.2. A minőségirányítási folyamat leírása
1.3. További minőségirányítási tanúsítványok (ha vannak)
1.4. A szimulációs eszköz adatai beszerzésének, kezelésének és tárolásának leírása
1.5. További dokumentumok (ha vannak)
2. Dátum: ...
3. Aláírás: ...
2. függelék
A SZIMULÁCIÓS ESZKÖZNEK AZ ÚJ JÁRMŰVEK CO2-KIBOCSÁTÁSÁNAK ÉS TÜZELŐANYAG-FOGYASZTÁSÁNAK MEGHATÁROZÁSA CÉLJÁBÓL VALÓ MŰKÖDTETÉSÉRE VONATKOZÓ ENGEDÉLY MINTÁJA
Legnagyobb megengedett formátum: A4 (210 x 297 mm)
ENGEDÉLY A SZIMULÁCIÓS ESZKÖZ MŰKÖDTETÉSÉRE AZ ÚJ JÁRMŰVEK CO2-KIBOCSÁTÁSÁNAK ÉS TÜZELŐANYAG-FOGYASZTÁSÁNAK MEGHATÁROZÁSA CÉLJÁBÓL
Az értesítés tárgya: — a szimulációs eszköz működtetésére vonatkozó engedély megadása (1) — kiterjesztése (1) — elutasítása (1) — visszavonása (1) | A hatóság pecsétjének helye |
(1) A nem kívánt rész törlendő (bizonyos esetekben semmit nem kell törölni, ha egynél több lehetőség is alkalmazható). |
tekintettel az (EU) 2017/2400 rendelettel végrehajtott 595/2009/EK rendeletre.
Engedély száma:
A kiterjesztés oka: ...
I. SZAKASZ
0.1. A jármű gyártójának neve és címe:
0.2. Azok a gyártólétesítmények és/vagy összeszerelő üzemek, amelyek esetében az (EU) 2017/2400 bizottsági rendelet ( 11 ) II. mellékletének 1. pontjában említett folyamatok kialakításra kerültek a szimulációs eszköz működtetése céljából
0.3. Lefedett alkalmazási eset:
II. SZAKASZ
1. Kiegészítő információk
1.1. A jóváhagyó hatóság által készített értékelő jelentés
1.2. Az adatok és a folyamatok kezelésének leírása (például folyamatábra)
1.3. A minőségirányítási folyamat leírása
1.4. További minőségirányítási tanúsítványok (ha vannak)
1.5. A szimulációs eszköz adatai beszerzésének, kezelésének és tárolásának leírása
1.6. További dokumentumok (ha vannak)
2. Az értékelés elvégzéséért felelős jóváhagyó hatóság
3. Az értékelő jelentés kelte
4. Az értékelő jelentés száma
5. Megjegyzések (adott esetben): lásd a Kiegészítést
6. Hely
7. Dátum
8. Aláírás
III. MELLÉKLET
A JÁRMŰ JELLEMZŐIHEZ KAPCSOLÓDÓ BEMENETI INFORMÁCIÓK
1. Bevezetés
E melléklet leírja azoknak a paramétereknek a listáját, amelyeket a jármű gyártójának a szimulációs eszköz bemeneti információjaként meg kell adnia. Az alkalmazandó XML-séma, valamint a példaadatok az erre a célra létrehozott elektronikus terjesztési platformon érhetők el.
2. Fogalommeghatározások
1. "paraméterazonosító": A szimulációs eszközben használt egyedi azonosító egy adott bemeneti paraméter vagy bemeneti adathalmaz számára.
2. "típus": A paraméter adattípusa
karakterlánc ... karaktersor ISO8859-1 kódolásban
token ... karaktersor ISO8859-1 kódolásban, sor eleji/végi whitespace karakter nélkül
dátum ... dátum és idő UTC időben és a következő formátumban: YYYY-MM-HH:MM:SS, ahol a dőlt betűk a rögzített karaktereket jelzik, pl. "2002-05-30-T09:30:10Z"
egész szám ... egész számban kifejezett érték, sor eleji nulla nélkül, pl. "1 800 "
kettős, X ... tizedes tört, pontosan X számjeggyel a tizedesjel (".") után, és nincsen sor eleji nulla, pl. "kettős, 2": "2 345,67 "; vagy "kettős, 4": "45,6780".
3. "egység" ... a paraméter fizikai mértékegysége.
4. "a jármű korrigált tényleges tömege": az 1230/2012/EU bizottsági rendelettel (*) összhangban a "jármű tényleges tömegeként" meghatározott tömeget jelenti - a tartály(ok) kivételével, amely(ek)et a kapacitásuk legalább 50 %-áig fel kell tölteni. A folyadékot tartalmazó rendszereket a gyártó által meghatározott űrtartalom 100 %-áig kell feltölteni, kivéve a folyadékot tartalmazó szennyvízrendszereket, amelyeknek üresnek kell maradniuk.
Közepes merev tehergépjárművek, nehéz merev tehergépjárművek és a vontatók esetében a tömeget felépítmény nélkül kell meghatározni, és korrigálni kell a 4.3. pontban meghatározott, nem beszerelt szabványos berendezések többlettömegével. A teljes jármű, illetve a járműből és (fél)pótkocsiból álló teljes járműszerelvény szimulációja céljából a szimulációs eszköz automatikusan hozzáadja a szabványos felépítmény, a szabványos félpótkocsi vagy a szabványos pótkocsi tömegét. Minden olyan alkatrész, amely az alvázkeretre és a fölé van felszerelve, a felépítmény részének tekintendő, ha azokat kizárólag a felépítmény használatának megkönnyítése céljából, a menetkész állapothoz szükséges alkatrészektől függetlenül szerelik fel.
Az elsődleges járműveknek minősülő nehéz autóbuszok esetében a "jármű korrigált tényleges tömege" nem alkalmazandó, mivel az általános tömegértéket a szimulációs eszköz osztja ki.
5. "Az integrált felépítmény magassága": a "Z" irány eltérése az integrált felépítmény legmagasabb pontjához tartozó "A" referenciapont és a legalacsonyabb "B" pont között (lásd: 1. ábra). A standard esettől eltérő járművek esetében a következő esetek alkalmazandók (lásd a 2. ábrát):
1. sz. különleges eset, két szint: Az integrált felépítmény magassága a h1 és h2 átlaga, ahol:
- h1 a járműnek az első utasajtó hátsó végén mért keresztmetszetében meghatározott A pont és a B pont közötti különbség
- h2 az A és B pont különbsége
2. sz. különleges eset, ferde: Az integrált felépítmény magassága a h1 és h2 átlaga, ahol:
- h1 a járműnek az első utasajtó hátsó végén mért keresztmetszetében meghatározott A pont és a B pont közötti különbség
- h2 az A és B pont különbsége
3. sz. különleges eset, nyitott tetejű, tetőrésszel:
- az integrált felépítménynek a fennmaradt tetőrészben meghatározott magassága
4. sz. különleges eset, nyitott tetejű, tetőszakasz nélkül:
- az integrált felépítmény magassága a jármű szélvédőjétől vagy kétszintes autóbusz esetén a felső szélvédőjétől egy méter távolságra, hosszanti irányában mért legmagasabb pontja és a B pont közötti különbség
A standard, illetve az 1-4. sz. különleges esetek hatálya alá nem tartozó minden egyéb esetben az integrált felépítmény magassága a jármű legmagasabb pontja és a B. pont közötti különbség. Ez a paraméter csak a nehéz autóbuszokra vonatkozik.
1. ábra Az integrált felépítmény magassága - standard eset [Kép #3] 2. ábra Az integrált felépítmény magassága - különleges esetek [Kép #4]

Kép #3

Kép #4
6. Az "A" referenciapont a felépítmény legmagasabb pontja (1. ábra). Nem kell figyelembe venni a felépítményt és/vagy a tervezési paneleket, a szerelvénytartókat, pl. a HVAC-rendszerek rögzítésére szolgáló gyámokat, a nyílásfedeleket és hasonló tárgyakat.
7. a "B" referenciapont a felépítmény alsó külső szélének legalacsonyabb pontja (1. ábra). A pl. a tengelyrögzítésre szolgáló gyámokat nem kell figyelembe venni.
8. "járműhossz": az 1230/2012/EU rendelet I. melléklete 1. függelékének I. táblázata szerinti járműméret. Ezenkívül nem kell figyelembe venni az eltávolítható teherhordozó eszközöket, a nem eltávolítható csatlakozóberendezéseket és minden olyan nem eltávolítható külső részt, amelyek nem befolyásolják az utasok számára rendelkezésre álló hasznos teret. Ez a paraméter csak a nehéz autóbuszokra vonatkozik.
9. "járműszélesség": az 1230/2012/EU rendelet I. melléklete 1. függelékének II. táblázata szerinti járműméret. Ezektől a rendelkezésektől eltérően nem kell figyelembe venni az eltávolítható teherhordozó eszközöket, a nem eltávolítható csatlakozóberendezéseket és minden olyan nem eltávolítható külső részt, amelyek nem befolyásolják az utasok számára rendelkezésre álló hasznos teret.
10. "bejárat magassága nem süllyesztett helyzetben": az első ajtónyíláson belül, a jármű legelső ajtajánál a talajtól mért padlószint, amikor a jármű nem süllyesztett helyzetben van.
11. "tüzelőanyag-cella": olyan energiaátalakító, amely a (bemeneti) kémiai energiát (kimeneti) elektromos energiává alakítja át, vagy fordítva.
12. "tüzelőanyag-cellás jármű" vagy "FCV": olyan jármű, amelynek erőátviteli rendszere hajtóenergia-átalakítóként kizárólag tüzelőanyag-cellá(ka)t és elektromos gép(ek)et alkalmaz.
13. »tüzelőanyag-cellás hibrid jármű vagy "FCHV": olyan tüzelőanyag-cellás jármű, amelynek erőátviteli rendszerében legalább egy tüzelőanyag-tároló rendszer és legalább egy újratölthető elektromosenergia-tároló rendszer üzemel hajtóenergia-tároló rendszerként.
14. "tisztán belső égésű motorral felszerelt jármű": olyan jármű, melynek valamennyi hajtóenergia-átalakítója belső égésű motor.
15. "elektromos gép" vagy "EM": olyan energiaátalakító, amely elektromos energiát mechanikus energiává alakítja át.
16. "energiatároló rendszer": olyan rendszer, amely energiát tárol és azt a bemenővel megegyező energiaformában adja le.
17. "hajtóenergia-tároló rendszer": az erőátviteli rendszer olyan energiatároló rendszere, amely nem periférikus berendezés, és amelynek kimeneti energiája közvetlenül vagy közvetve a jármű meghajtására szolgál.
18. "a hajtóenergia-tároló rendszer kategóriái": tüzelőanyag-tároló rendszer, újratölthető, elektromos energiát tároló rendszer vagy újratölthető, mechanikai energiát tároló rendszer.
19. "utána helyzet": a jármű erőátviteli rendszerében lévő olyan helyzet, amely közelebb van a kerekekhez, mint a tényleges referenciahelyzet.
20. "hajtáslánc": az erőátviteli rendszer azon összekapcsolt elemeiből áll, amelyek a mechanikai energiának a hajtóenergia-átalakító(k) és a kerekek közötti átvitelére szolgálnak.
21. "energiaátalakító": olyan rendszer, ahol a kimeneti energiaforma eltér a bemeneti energiaformától.
22. "hajtóenergia-átalakító": az erőátviteli rendszer olyan energiaátalakítója, amely nem periférikus berendezés, és amelynek kimeneti energiája közvetlenül vagy közvetve a jármű meghajtására szolgál.
23. "a hajtóenergia-átalakító kategóriái": belső égésű motor, elektromos gép vagy tüzelőanyag-cella.
24. "energiaforma": elektromos energia, mechanikai energia vagy kémiai energia (a tüzelőanyagokat is ideértve).
25. "tüzelőanyag-tároló rendszer": olyan hajtóenergia-tároló rendszer, amely a kémiai energiát folyékony vagy gáz-halmazállapotú tüzelőanyag formájában tárolja.
26. "hibrid jármű" vagy "HV": olyan jármű, amelynek erőátviteli rendszere legalább két különböző kategóriájú hajtóenergia-átalakítót és legalább két különböző kategóriájú hajtóenergia-tároló rendszert tartalmaz.
27. "hibrid elektromos jármű" vagy "HEV": olyan hibrid jármű, amelynek az egyik hajtóenergia-átalakítója egy elektromos gép, a másik pedig belső égésű motor.
28. "soros hibrid elektromos jármű": olyan erőátvitelirendszer-architektúrával rendelkező hibrid hajtású elektromos jármű, amelyben a tisztán belső égésű motor egy vagy több elektromosenergia-átalakítási útvonalat hajt meg anélkül, hogy mechanikus összekapcsolás állna fenn a belső égésű motor és a jármű kerekei között.
29. "belső égésű motor" vagy "ICE": olyan energiaátalakító, amelynek az éghető tüzelőanyag szakaszos vagy folyamatos oxidációja révén a kémiai energiát mechanikai energiává alakítja át.
30. "külső feltöltésű hibrid elektromos jármű" vagy "OVC-HEV": olyan hibrid elektromos jármű, amely külső forrásról feltölthető.
31. "párhuzamos hibrid elektromos jármű": olyan erőátvitelirendszer-architektúrával rendelkező hibrid hajtású elektromos jármű, amelyben a tisztán belső égésű motor csak egyetlen, a motor és a jármű kereke közti, mechanikusan összekapcsolt útvonalat hajt meg.
32. "periférikus berendezések": minden olyan energiafogyasztó, -átalakító, -tároló vagy -ellátó berendezés, amelynél az energia sem közvetlenül, sem közvetve nem a jármű meghajtására szolgál, de amely lényeges az erőátviteli rendszer üzemeltetéséhez.
33. "erőátviteli rendszer": a jármű hajtóenergia-tároló rendszerének (rendszereinek), hajtóenergia-átalakítójának (átalakítóinak) és hajtásláncának (láncainak) összessége, amelyek mechanikai energiát juttatnak a kerekekhez a jármű meghajtása céljából, továbbá a periférikus berendezések.
34. "tisztán elektromos jármű" vagy "PEV": az (EU) 2018/858 rendelet 3. cikkének 16. pontja szerinti olyan gépjármű, amely hajtóenergia-átalakítóként kizárólag elektromos gépekkel, hajtóenergia-tároló rendszerként pedig kizárólag újratölthető, elektromos energiát tároló rendszerekkel van felszerelve, és/vagy bármely más olyan eszközzel, amely közvetlenül konduktív vagy induktív módon biztosítja az elektromos energiát a gépjármű hajtási energiáját biztosító villamosenergia-hálózatból.
35. "előtte helyzet": a jármű erőátviteli rendszerében lévő olyan helyzet, amely távolabb van a kerekektől, mint a tényleges referenciahelyzet.
36. "IEPC": a Xb. melléklet 2. pontjának 36. alpontja szerinti integrált elektromos erőátviteli rendszer alkatrésze.
37. "1. típusú IHPC": az integrált hibridhajtású elektromos járműveknek a Xb. melléklet 2. pontjának 38. alpontja szerinti, 1. típusú alkatrésze.
3. Bemeneti paraméterek halmaza
Az 1-11. táblázatok meghatározzák a jármű jellemzőire vonatkozóan megadandó bemeneti paramétereket. Az alkalmazási esettől függően különböző halmazok kerülnek meghatározásra (közepes tehergépjárművek, nehéz tehergépjárművek és nehéz autóbuszok).
Nehéz autóbuszok esetében különbséget kell tenni az elsődleges jármű szimulációjához és a teljes jármű vagy befejezett jármű szimulációjához szükséges bemeneti paraméterek között. A következő rendelkezéseket kell alkalmazni:
- Az elsődleges járműgyártóknak meg kell adniuk az elsődleges jármű oszlopában felsorolt valamennyi paramétert.
- Az elsődleges járműgyártók emellett olyan további bemeneti paramétereket is megadhatnak a teljes vagy befejezett járműre vonatkozóan, amelyek már ebben a kezdeti szakaszban is meghatározhatók. Ebben az esetben a Manufacturer (P235), a Manufacturer Address (P252), a VIN (P238) és a Date (P239) paraméterre vonatkozó információkat mind az elsődleges bemeneti paraméterekre, mind a további bemeneti paraméterekre vonatkozóan meg kell adni.
- A közbenső gyártóknak meg kell adniuk a teljes vagy befejezett járműre vonatkozó azon bemeneti paramétereket, amelyek ebben a szakaszban meghatározhatók, és amelyek a felelősségi körükbe tartoznak. Ha egy korábbi gyártási szakaszban már megadott paramétert frissítenek, meg kell adni a paraméter teljes státuszát (példa: ha egy második hőszivattyút is hozzáadnak a járműhöz, mindkét rendszer technológiáját meg kell adni). A Manufacturer (P235), a Manufacturer Address (P252), a VIN (P238) és a Date (P239) paraméterre vonatkozó információkat a közbenső gyártóknak minden esetben meg kell adniuk.
- A befejezett jármű gyártóinak meg kell adniuk azon bemeneti paramétereket, amelyek ebben a szakaszban meghatározhatók, és amelyek felelősségi körükbe tartoznak. A korábbi gyártási szakaszokban már megadott paraméterek szükséges frissítésére ugyanazok a rendelkezések vonatkoznak, mint a közbenső gyártók esetén. A Manufacturer (P235), a Manufacturer Address (P252), a VIN (P238), a Date (P239) és a Corrected Actual Mass (P038) paraméterre vonatkozó információkat minden esetben meg kell adni. Ahhoz, hogy el lehessen végezni a szükséges szimulációkat, az összes gyártási szakaszból származó konszolidált adatkészletnek tartalmaznia kell a teljes járműre vagy befejezett járműre vonatkozó oszlopban felsorolt összes információt.
- A teljes szakaszhoz kapcsolódó gyártóknak minden bemeneti paramétert meg kell adniuk. A Manufacturer (P235), a Manufacturer Address (P252), a VIN (P238) és a Date (P239) paraméterekre vonatkozó információkat mind az elsődleges bemeneti paraméterekre, mind a teljes jármű bemeneti paramétereire vonatkozóan meg kell adni.
- A "VehicleDeclarationclarationType" (P293) paramétert minden olyan gyártási szakaszban meg kell adni, amely megadja a teljes vagy befejezett járműre vonatkozóan felsorolt paraméterek bármelyikét.
1. táblázat
"Vehicle/General" bemeneti paraméterek
A paraméter neve | Paraméterazonosító | Típus | Egység | Leírás/referencia | Nehéz-tehergépjárművek | Közepes méretű tehergépjárművek | Nehéz autóbuszok (elsődleges jármű) | Nehéz autóbuszok (teljes és befejezett jármű) |
Manufacturer | P235 | Token | [-] | X | X | X | X | |
Manufacturer Address | P252 | Token | [-] | X | X | X | X | |
Model_CommercialName | P236 | Token | [-] | X | X | X | X | |
VIN | P238 | Token | [-] | X | X | X | X | |
Date | P239 | Date Time | [-] | A bemeneti információk és bemeneti adatok létrehozásának dátuma és időpontja | X | X | X | X |
Legislative Category | P251 | Karakterlánc | [-] | Megengedett értékek: „N2”, „N3”, „M3” | X | X | X | X |
ChassisConfiguration | P036 | Karakterlánc | [-] | Megengedett értékek: „Rigid Lorry”, „Tractor”, „Van”, „Bus” | X | X | X | |
AxleConfiguration | P037 | Karakterlánc | [-] | Megengedett értékek: „4 × 2”, „4 × 2F”, „6 × 2”, „6 × 4”, „8 × 2”, „8 × 4” ahol a „4 × 2F” a hajtott első tengellyel rendelkező 4 × 2 járműre vonatkozik | X | X | X | |
Articulated | P281 | Boole-féle | a 3. cikk 37. pontjával összhangban | X | ||||
CorrectedActualMass | P038 | egész szám | [kg] | A 2. pont 4. alpontjában meghatározott „A jármű korrigált tényleges tömege” szerint. | X | X | X | |
TechnicalPermissibleMaximum LadenMass | P041 | egész szám | [kg] | Az 1230/2012/EU rendelet 2. cikkének 7. pontja alapján | X | X | X | X |
IdlingSpeed | P198 | egész szám | [1/perc] | a 7.1. pontnak megfelelően Tisztán elektromos járművek esetében nincs szükség adatbevitelre. | X | X | X | |
RetarderType | P052 | karakterlánc | [-] | Megengedett értékek: „None”, „Losses included in Gearbox”, „Engine Retarder”, „Transmission Input Retarder”, „Transmission Output Retarder”, „Axlegear Input Retarder” Az „Axlegear Input Rechder” csak az „E3”, „S3”, „S-IEPC” és „E-IEPC” erőátvitelirendszer-architektúrák esetében alkalmazható | X | X | X | |
RetarderRatio | P053 | kettős, 3 | [-] | A VI. melléklet 2. táblázata szerinti áttételi tényező | X | X | X | |
AngledriveType | P180 | karakterlánc | [-] | Megengedett értékek: „None”, „Losses included in Gearbox”, „Separate Angledrive” | X | X | X | |
PTOShafts GearWheels (1) | P247 | karakterlánc | [-] | Megengedett értékek: „none”, „only the drive shaft of the PTO”, „drive shaft and/or up to 2 gear wheels”, „drive shaft and/or more than 2 gear wheels”, „only one engaged gearwheel above oil level”, „PTO which includes 1 or more additional gearmesh(es), without disconnect clutch” | X | |||
PTOOther Elements (1) | P248 | karakterlánc | [-] | Megengedett értékek: „none”, „shift claw, synchroniser, sliding gearwheel”, „multi-disc clutch”, „multi-disc clutch, oil pump” | X | |||
CertificationNumberEngine | P261 | token | [-] | Kizárólag akkor alkalmazandó, ha az alkatrész megtalálható a járműben | X | X | X | |
CertificationNumberGearbox | P262 | token | [-] | Kizárólag akkor alkalmazandó, ha az alkatrész megtalálható a járműben és tanúsított bemeneti adatok állnak rendelkezésre | X | X | X | |
CertificationNumberTorqueconverter | P263 | token | [-] | Kizárólag akkor alkalmazandó, ha az alkatrész megtalálható a járműben és tanúsított bemeneti adatok állnak rendelkezésre | X | X | X | |
CertificationNumberAxlegear | P264 | token | [-] | Kizárólag akkor alkalmazandó, ha az alkatrész megtalálható a járműben és tanúsított bemeneti adatok állnak rendelkezésre | X | X | X | |
CertificationNumberAngledrive | P265 | token | [-] | A szöghajtómű-helyzetbe beépített hitelesített ADC-alkatrészre vonatkozik. Kizárólag akkor alkalmazandó, ha az alkatrész megtalálható a járműben és tanúsított bemeneti adatok állnak rendelkezésre | X | X | X | |
CertificationNumberRetarder | P266 | token | [-] | Kizárólag akkor alkalmazandó, ha az alkatrész megtalálható a járműben és tanúsított bemeneti adatok állnak rendelkezésre | X | X | X | |
Certification NumberAirdrag | P268 | token | [-] | Csak akkor alkalmazandó, ha tanúsított bemeneti adatok állnak rendelkezésre | X | X | X | |
AirdragModifiedMultistage | P334 | Boole-féle | [-] | A légellenállási összetevő első bejegyzését követő valamennyi gyártási szakaszhoz szükséges bemeneti információ. Ha a paraméter tanúsított légellenállási összetevőt biztosító „true” w/o értékre van beállítva, a szimulációs eszköz a VIII. melléklet szerinti standard értékeket alkalmazza. | X | |||
Certification NumberIEPC | P351 | token | [-] | Kizárólag akkor alkalmazandó, ha az alkatrész megtalálható a járműben és tanúsított bemeneti adatok állnak rendelkezésre | X | X | X | |
ZeroEmissionVehicle | P269 | Boole-féle | [-] | A 3. cikk 15. pontja alapján | X | X | X | |
VocationalVehicle | P270 | Boole-féle | [-] | Az (EU) 2019/1242 rendelet 3. cikkének 9. pontja alapján | X | |||
NgTankSystem | P275 | karakterlánc | [-] | Megengedett értékek: „Compressed”, „Liquefied” Csak az „NG PI” és az „NG CI” típusú tüzelőanyaggal (P193) üzemelő motorral felszerelt járművek esetében releváns. Amennyiben mindkét tartályrendszer fel van szerelve a járműre, azt a rendszert kell a szimulációs eszköz bemeneti információjaként bejelenteni, amely a nagyobb mennyiségű tüzelőanyag-energiát képes tárolni. | X | X | X | |
Sleepercab | P276 | Boole-féle | [-] | X | ||||
ClassBus | P282 | karakterlánc | [-] | Megengedett értékek: „I”, „I+II”, „A”, „II”, „II+III”, „III”, „B” az ENSZ 107. számú előírásának 2. pontja szerint | X | |||
NumberPassengersSeatsLowerDeck | P283 | egész szám | [-] | Utasülések száma – a vezetőülések és a személyzet ülései nélkül. Kétszintes jármű esetében ezt a paramétert kell használni az alsó szint utasüléseinek feltüntetésére. Egyszintes jármű esetében ezt a paramétert kell használni az utasülések teljes számának feltüntetésére. | X | |||
NumberPassengersStandingLowerDeck | P354 | egész szám | [-] | A bejegyzett állóutasok száma Kétszintes jármű esetében ezt a paramétert kell használni az alsó szint bejegyzett állóutasainak feltüntetésére. Egyszintes jármű esetében ezt a paramétert kell használni a teljes bejegyzett állóutas-szám feltüntetésére. | X | |||
NumberPassengersSeatsUpperDeck | P284 | egész szám | [-] | Az utasülések száma – a kétszintes jármű felső szintjén lévő vezető- és személyzeti ülések kivételével. Egyszintes járművek esetében bemeneti adatként „0”-t kell megadni. | X | |||
NumberPassengersStandingUpperDeck | P355 | egész szám | [-] | Kétszintes jármű felső szintjének bejegyzett állóutasszáma. Egyszintes járművek esetében bemeneti adatként „0”-t kell megadni. | X | |||
BodyworkCode | P285 | egész szám | [-] | Megengedett értékek: „CA”, „CB”, „CC”, „CD”, „CE”, „CF”, „CG”, „CH”, „CI”, „CJ”, az (EU) 2018/585 rendelet I. melléklete C. részének 3. pontja szerint. A CX járműkóddal rendelkező autóbuszalváz esetében nem kell bemeneti adatot megadni. | X | |||
LowEntry | P286 | Boole-féle | [-] | „alacsony bejárati padlós” az I. melléklet 1.2.2.3. pontja szerint | X | |||
HeightIntegratedBody | P287 | egész szám | [mm] | a 2. pont 5. alpontjával összhangban | X | |||
VehicleLength | P288 | egész szám | [mm] | a 2. pont 8. alpontjával összhangban | X | |||
VehicleWidth | P289 | egész szám | [mm] | a 2. pont 9. alpontjával összhangban | X | |||
EntranceHeight | P290 | egész szám | [mm] | a 2. pont 10. alpontjával összhangban | X | |||
DoorDriveTechnology | P291 | karakterlánc | [-] | Megengedett értékek: „pneumatic”, „electric”, „mixed” | X | |||
Raktérfogat | P292 | kettős, 3 | [m3] | Csak a „furgon” alváz-konfigurációjú járművekre vonatkozik. | X | |||
VehicleDeclarationType | P293 | karakterlánc | [-] | Megengedett értékek: „interim”, „final” | X | |||
VehicleTypeApprovalNumber | P352 | token | [-] | A teljes jármű típusjóváhagyási száma Egyedi járműjóváhagyás esetén az egyedi jármű-jóváhagyási szám | X | X | X | |
(1) Amennyiben több teljesítményleadó tengely van az erőátviteli rendszerhez csatlakoztatva, csak azt az alkatrészt kell feltüntetni, amelynek esetében a IX. melléklet 3.6. pontja szerint legnagyobb a veszteség a „PTOShaftsGearWheels” és a „PTOShaftsOtherElements” kritériumok kombinációjára. |
2. táblázat
"Vehicle/AxleConfiguration" bemeneti paraméterek keréktengelyenként
A paraméter neve | Paraméterazonosító | Típus | Egység | Leírás/referencia | Nehéz-tehergépjárművek | Közepes méretű tehergépjárművek | Nehéz autóbuszok (elsődleges jármű) | Nehéz autóbuszok (teljes vagy befejezett jármű) |
Ikerabroncsok | P045 | Boole-féle | [-] | X | X | X | ||
Tengelytípus | P154 | karakterlánc | [-] | Megengedett értékek: „VehicleNonDriven”, „VehicleDriven” | X | X | X | |
Steered | P195 | Boole-féle | Csak az aktív kormányzott tengelyeket lehet „kormányzottnak” nyilvánítani. | X | X | X | ||
Certification NumberTyre | P267 | token | [-] | X | X | X |
A 3. és a 3a. táblázat tartalmazza a segédegységek bemeneti paramétereinek jegyzékét. Az e paraméterek meghatározására szolgáló technikai fogalommeghatározásokat a IX. melléklet tartalmazza. A paraméterazonosítót a III. és IX. melléklet paraméterei közötti egyértelmű hivatkozás biztosítására használják.
3. táblázat
"Vehicle/Auxiliaries" bemeneti paraméterek közepes tehergépjárművek és nehéz tehergépjárművek esetében
A paraméter neve | Paraméterazonosító | Típus | Egység | Leírás/referencia |
EngineCoolingFan/Technology | P181 | karakterlánc | [-] | Megengedett értékek: „Crankshaft mounted - Electronically controlled visco clutch”, „Crankshaft mounted - Bimetallic controlled visco clutch”, „Crankshaft mounted - Discrete step clutch”, „Crankshaft mounted - On/off clutch”, „Belt driven or driven via transmission - Electronically controlled visco clutch”, „Belt driven or driven via transmission - Bimetallic controlled visco clutch”, „Belt driven or driven via transmission - Discrete step clutch”, „Belt driven or driven via transmission - On/off clutch”, „Hydraulic driven - Variable displacement pump”, „Hydraulic driven - Constant displacement pump”, „Electrically driven - Electronically controlled” |
SteeringPump/Technology | P182 | karakterlánc | [-] | Megengedett értékek: „Fixed displacement”, „Fixed displacement with elec. control”, „Dual displacement”, „Dual displacement with elec. control”, „Variable displacement mech. controlled”, „Variable displacement elec. controlled”, „Electric driven pump”, „Full electric steering gear” A 10.1.1. pont szerinti „S” vagy „S-IEPC” erőátviteli rendszerrel rendelkező tisztán elektromos járművek vagy hibrid elektromos járművek esetében kizárólag az „Electric driven pump” vagy a „Full electric steering gear” értékek a megengedettek. Külön bejegyzés szükséges minden egyes kormányzott keréktengelyre vonatkozóan. |
ElectricSystem/Technology | P183 | karakterlánc | [-] | Megengedett értékek: „Standard technology”, „Standard technology - LED headlights, all”; |
PneumaticSystem/Technology | P184 | karakterlánc | [-] | Megengedett értékek: „Small”", „Small + ESS”", „Small + visco clutch”, „Small + mech. clutch”, „Small + ESS + AMS”, „Small + visco clutch + AMS”, „Small + mech. clutch + AMS”, „Medium Supply 1-stage”, „Medium Supply 1-stage + ESS”, „Medium Supply 1-stage + visco clutch”, „Medium Supply 1-stage + mech. clutch”, „Medium Supply 1-stage + ESS + AMS”, „Medium Supply 1-stage + visco clutch + AMS”, „Medium Supply 1-stage + mech. clutch + AMS”, „Medium Supply 2-stage”, „Medium Supply 2-stage + ESS”, „Medium Supply 2-stage + visco clutch”, „Medium Supply 2-stage + mech. clutch”, „Medium Supply 2-stage + ESS + AMS”, „Medium Supply 2-stage + visco clutch + AMS”, „Medium Supply 2-stage + mech. clutch + AMS”, „Large Supply”, „Large Supply + ESS”, „Large Supply + visco clutch”, „Large Supply + mech. clutch”, „Large Supply + ESS + AMS”, „Large Supply + visco clutch + AMS”, „Large Supply + mech. clutch + AMS”, „Vacuum pump”, „Small + elec. driven”, „Small + ESS + elec. driven”, „Medium Supply 1-stage + elec. driven”, „Medium Supply 1-stage + AMS + elec. driven”, „Medium Supply 2-stage + elec. driven”, „Medium Supply 2-stage + AMS + elec. driven”, „Large Supply + elec. driven”, „Large Supply + AMS + elec. driven”, „Vacuum pump + elec. driven”; A tisztán elektromos járművek esetében csak az „elec. driven” technológiák érték a megengedett. |
HVAC/Technology | P185 | karakterlánc | [-] | Megengedett értékek: „None”, „Default” |
3a. táblázat
"Vehicle/Auxiliaries" bemeneti paraméterek nehéz autóbuszok esetében
A paraméter neve | Paraméterazonosító | Típus | Egység | Leírás/referencia | Nehéz autóbuszok (elsődleges jármű) | Nehéz autóbuszok (teljes vagy befejezett jármű) |
EngineCoolingFan/Technology | P181 | karakterlánc | [-] | Megengedett értékek: „Crankshaft mounted - Electronically controlled visco clutch”, „Crankshaft mounted - Bimetallic controlled visco clutch”, „Crankshaft mounted - Discrete step clutch 2 stages”, „Crankshaft mounted - Discrete step clutch 3 stages”, „Crankshaft mounted - On/off clutch”, „Belt driven or driven via transmission - Electronically controlled visco clutch”, „Belt driven or driven via transmission - Bimetallic controlled visco clutch”, „Belt driven or driven via transmission - Discrete step clutch 2 stages”, „Belt driven or driven via transmission - Discrete step clutch 3 stages”, „Belt driven or driven via transmission - On/off clutch”, „Hydraulic driven - Variable displacement pump”, „Hydraulic driven - Constant displacement pump”, „Electrically driven - Electronically controlled” | X | |
SteeringPump/Technology | P182 | karakterlánc | [-] | Megengedett értékek: „Fixed displacement”, „Fixed displacement with elec. control”, „Dual displacement”, „Dual displacement with elec. control”, „Variable displacement mech. controlled”, „Variable displacement elec. controlled”, „Electric driven pump”, „Full electric steering gear” A 10.1.1. pont szerinti „S” vagy „S-IEPC” erőátviteli rendszerrel rendelkező tisztán elektromos járművek vagy hibrid elektromos járművek esetében csak az „Electric driven pump” vagy a „Full electric steering gear” értékek a megengedettek. Külön bejegyzés szükséges minden egyes kormányzott keréktengelyre vonatkozóan. | X | |
ElectricSystem/AlternatorTechnology | P294 | karakterlánc | [-] | Megengedett értékek: „conventional”, „smart”, „no alternator” Egy bejegyzés járművenként Tisztán belső égésű motorral felszerelt járművek esetében csak a „conventional” és a „smart” értékek megengedettek A 10.1.1. pont szerinti „S” vagy „S-IEPC” erőátviteli rendszerrel rendelkező hibrid elektromos járművek esetében csak a „ no alternator” vagy a „ conventional” értékek a megengedettek | X | |
ElectricSystem/SmartAlternatorRatedCurrent | P295 | egész szám | [A] | Külön bejegyzés intelligens generátoronként | X | |
ElectricSystem/SmartAlternatorRatedVoltage | P296 | Egész szám | [V] | Megengedett értékek: „12”, „24”, „48” Külön bejegyzés intelligens generátoronként | X | |
ElectricSystem/SmartAlternatorBatteryTechnology | P297 | karakterlánc | [-] | Megengedett értékek: „lead-acid battery – conventional”, „lead-acid battery –AGM”, „lead-acid battery – gel”, „li-ion battery - high power”, „li-ion battery - high energy” Külön bejegyzés intelligens generátorral töltött akkumulátoronként | X | |
ElectricSystem/SmartAlternatorBatteryNominalVoltage | P298 | Egész szám | [V] | Megengedett értékek: „12”, „24”, „48” Ha az akkumulátorokat sorosan konfigurálják (pl. két 12 V-os egység egy 24 V-os rendszerhez), az egyakkumulátoros egységek tényleges névleges feszültségét (12 V ebben a példában) kell megadni. Külön bejegyzés intelligens generátorral töltött akkumulátoronként | X | |
ElectricSystem/SmartAlternatorBatteryRatedCapacity | P299 | Egész szám | [Ah] | Külön bejegyzés intelligens generátorral töltött akkumulátoronként | X | |
ElectricSystem/SmartAlternatorCapacitorTechnology | P300 | karakterlánc | [-] | Megengedett értékek: „with DCDC converter” Külön bejegyzés intelligens generátorrendszerrel töltött kondenzátoronként | X | |
ElectricSystem/SmartAlternatorCapacitorRatedCapacitance | P301 | egész szám | [F] | Külön bejegyzés intelligens generátorrendszerrel töltött kondenzátoronként | X | |
ElectricSystem/SmartAlternatorCapacitorRatedVoltage | P302 | Egész szám | [V] | Külön bejegyzés intelligens generátorrendszerrel töltött kondenzátoronként | X | |
ElectricSystem/SupplyFromHEVPossible | P303 | Boole-féle | [-] | X | ||
ElectricSystem/InteriorlightsLED | P304 | Boole-féle | [-] | X | ||
ElectricSystem/DayrunninglightsLED | P305 | Boole-féle | [-] | X | ||
ElectricSystem/PositionlightsLED | P306 | Boole-féle | [-] | X | ||
ElectricSystem/BrakelightsLED | P307 | Boole-féle | [-] | X | ||
ElectricSystem/HeadlightsLED | P308 | Boole-féle | [-] | X | ||
PneumaticSystem/SizeOfAirSupply | P309 | karakterlánc | [-] | Megengedett értékek: „Small”, „Medium Supply 1-stage”, „Medium Supply 2-stage”, „Large Supply 1-stage”, „Large Supply 2-stage”, „not applicable” Elektromos kompresszormeghajtás esetében a „not applicable” értéket kell megadni. Tisztán elektromos járművek esetében nincs szükség adatbevitelre. | X | |
PneumaticSystem/CompressorDrive | P310 | karakterlánc | [-] | Megengedett értékek: „mechanically”, „electrically” Tiszta elektromos járművek esetében csak az „electrically” érték a megengedett. | X | |
PneumaticSystem/Clutch | P311 | karakterlánc | [-] | Megengedett értékek: „none”, „visco”, „mechanically” Tisztán elektromos járművek esetében nincs szükség adatbevitelre. | X | |
PneumaticSystem/SmartRegenerationSystem | P312 | Boole-féle | [-] | X | ||
PneumaticSystem/SmartCompressionSystem | P313 | Boole-féle | [-] | A 10.1.1. pont szerinti „S” vagy „S-IEPC” erőátviteli rendszerrel rendelkező tisztán elektromos vagy hibrid elektromos járművek esetében nincs szükség adatbevitelre. | X | |
PneumaticSystem/Ratio Compressor ToEngine | P314 | kettős, 3 | [-] | Elektromos kompresszormeghajtás esetében a „0,000” értéket kell megadni. Tisztán elektromos járművek esetében nincs szükség adatbevitelre. | X | |
PneumaticSystem/Air suspension control | P315 | karakterlánc | [-] | Megengedett értékek: „mechanically”, „electronically” | X | |
PneumaticSystem/SCRReagentDosing | P316 | Boole-féle | [-] | X | ||
HVAC/SystemConfiguration | P317 | egész szám | [-] | Megengedett értékek: „0”-tól „10”-ig Nem teljes HVAC-rendszer esetén „0”-t kell megadni. A „0” nem vonatkozik a teljes vagy befejezett járművekre. | X | |
HVAC/ HeatPumpTypeDriverCompartmentCooling | P318 | karakterlánc | [-] | Megengedett értékek: „none”, „not applicable”, „R-744”, „non R-744 2-stage”, „non R-744 3-stage”, „non R-744 4-stage”, „non R-744 continuous” A „not applicable” értéket a HVAC-rendszerek 6. és 10. konfigurációjára kell megadni az utastér-hőszivattyúból történő ellátás miatt. | X | |
HVAC/ HeatPumpTypeDriverCompartmentHeating | P319 | karakterlánc | [-] | Megengedett értékek: „none”, „not applicable”, „R-744”, „non R-744 2-stage”, „non R-744 3-stage”, „non R-744 4-stage”, „non R-744 continuous” A „not applicable” értéket a HVAC-rendszerek 6. és 10. konfigurációjára kell megadni az utastér-hőszivattyúból történő ellátás miatt. | X | |
HVAC/ HeatPumpTypePassengerCompartmentCooling | P320 | karakterlánc | [-] | Megengedett értékek: „none”, „R-744”, „non R-744 2-stage”, „non R-744 3-stage”, „non R-744 4-stage”, „non R-744 continuous” Az utastér hűtésére szolgáló, különböző technológiákkal rendelkező hőszivattyúk esetében meg kell adni a domináns technológiát (pl. a rendelkezésre álló teljesítmény vagy a működés közben előnyben részesített használat szerint). | X | |
HVAC/ HeatPumpTypePassengerCompartmentHeating | P321 | karakterlánc | [-] | Megengedett értékek: „none”, „R-744”, „non R-744 2-stage”, „non R-744 3-stage”, „non R-744 4-stage”, „non R-744 continuous” Az utastér fűtésére szolgáló, különböző technológiákkal rendelkező hőszivattyúk esetében meg kell adni a domináns technológiát (pl. a rendelkezésre álló teljesítmény vagy a működés közben előnyben részesített használat szerint). | X | |
HVAC/AuxiliaryHeaterPower | P322 | egész szám | [W] | „0”-t kell beírni, ha nincs kiegészítő fűtőberendezés. | X | |
HVAC/Double glazing | P323 | Boole-féle | [-] | X | ||
HVAC/AdjustableCoolantThermostat | P324 | Boole-féle | [-] | X | ||
HVAC/AdjustableAuxiliaryHeater | P325 | Boole-féle | [-] | X | ||
HVAC/EngineWasteGasHeatExchanger | P326 | Boole-féle | [-] | Tisztán elektromos járművek esetében nincs szükség adatbevitelre. | X | |
HVAC/SeparateAirDistributionDucts | P327 | Boole-féle | [-] | X | ||
HVAC/WaterElectricHeater | P328 | Boole-féle | [-] | Csak hibrid elektromos járművekhez és tisztán elektromos járművekhez kell bemeneti adatot megadni | X | |
HVAC/AirElectricHeater | P329 | Boole-féle | [-] | Csak hibrid elektromos járművekhez és tisztán elektromos járművekhez kell bemeneti adatot megadni | X | |
HVAC/OtherHeating Technology | P330 | Boole-féle | [-] | Csak hibrid elektromos járművekhez és tisztán elektromos járművekhez kell bemeneti adatot megadni | X |
4. táblázat
"Vehicle/EngineTorqueLimits" bemeneti paraméterek sebességfokozatonként (opcionális)
A paraméter neve | Paraméterazonosító | Típus | Egység | Leírás/referencia | Nehéz-tehergépjárművek | Közepes méretű tehergépjárművek | Nehéz autóbuszok (elsődleges jármű) | Nehéz autóbuszok (teljes vagy befejezett jármű) |
Sebességfokozat | P196 | egész szám | [-] | csak azokat a sebességfokozatokat kell megadni, amelyek esetében a járműhöz kapcsolódó, 6. pont szerinti nyomaték-határértékeket alkalmazni kell | X | X | X | |
MaxTorque | P197 | egész szám | [Nm] | X | X | X |
5. táblázat
A 9. cikk értelmében mentesített járművek bemeneti paraméterei
A paraméter neve | Paraméterazonosító | Típus | Egység | Leírás/referencia | Nehéz-tehergépjárművek | Közepes méretű tehergépjárművek | Nehéz autóbuszok (elsődleges jármű) | Nehéz autóbuszok (teljes és befejezett jármű) |
Manufacturer | P235 | token | [-] | X | X | X | X | |
ManufacturerAddress | P252 | token | [-] | X | X | X | X | |
Model_CommercialName | P236 | token | [-] | X | X | X | X | |
VIN | P238 | token | [-] | X | X | X | X | |
Date | P239 | dateTime | [-] | A bemeneti információk és bemeneti adatok létrehozásának dátuma és időpontja | X | X | X | X |
LegislativeCategory | P251 | karakterlánc | [-] | Megengedett értékek: „N2”, „N3”, „M3” | X | X | X | X |
ChassisConfiguration | P036 | karakterlánc | [-] | Megengedett értékek: „Rigid Lorry”, „Tractor”, „Van”, „Bus” | X | X | X | |
AxleConfiguration | P037 | karakterlánc | [-] | Megengedett értékek: „4 × 2”, „4 × 2F”, „6 × 2”, „6 × 4”, „8 × 2”, „8 × 4” ahol a „4 × 2F” a hajtott első tengellyel rendelkező 4 × 2 járműre vonatkozik. | X | X | X | |
Articulated | P281 | Boole-féle | az e rendelet I. mellékletében szereplő fogalommeghatározásnak megfelelően. | X | ||||
CorrectedActualMass | P038 | egész szám | [kg] | A 2. szakasz 4. alpontjában meghatározott „A jármű korrigált tényleges tömege” szerint. | X | X | X | |
TechnicalPermissibleMaximumLadenMass | P041 | egész szám | [kg] | Az 1230/2012/EU rendelet 2. cikkének 7. pontja alapján. | X | X | X | X |
ZeroEmissionVehicle | P269 | Boole-féle | [-] | A 3. cikk 15. pontja alapján. | X | X | X | |
Sleepercab | P276 | Boole-féle | [-] | X | ||||
ClassBus | P282 | karakterlánc | [-] | Megengedett értékek: „I”, „I+II”, „A”, „II”, „II+III”, „III”, „B” az ENSZ 107. számú előírásának 2. pontja szerint | X | |||
NumberPassengersSeatsLowerDeck | P283 | egész szám | [-] | Utasülések száma – a vezetőülések és a személyzet ülései nélkül. Kétszintes jármű esetében ezt a paramétert kell használni az alsó szint utasüléseinek feltüntetésére. Egyszintes jármű esetében ezt a paramétert kell használni az utasülések teljes számának feltüntetésére. | X | |||
NumberPassengersStandingLowerDeck | P354 | egész szám | [-] | A bejegyzett állóutasok száma Kétszintes jármű esetében ezt a paramétert kell használni az alsó szint bejegyzett állóutasainak feltüntetésére. Egyszintes jármű esetében ezt a paramétert kell használni a teljes bejegyzett állóutas-szám feltüntetésére. | X | |||
NumberPassengersSeatsUpperDeck | P284 | egész szám | [-] | Az utasülések száma – a kétszintes jármű felső szintjén lévő vezető- és személyzeti ülések kivételével. Egyszintes járművek esetében bemeneti adatként „0”-t kell megadni. | X | |||
NumberPassengersStandingUpperDeck | P355 | egész szám | [-] | Kétszintes jármű felső szintjének bejegyzett állóutasszáma. Egyszintes járművek esetében bemeneti adatként „0”-t kell megadni. | X | |||
BodyworkCode | P285 | egész szám | [-] | Megengedett értékek: „CA”, „CB”, „CC”, „CD”, „CE”, „CF”, „CG”, „CH”, „CI”, „CJ”, az (EU) 2018/585 rendelet I. melléklete C. részének 3. pontja szerint | X | |||
LowEntry | P286 | Boole-féle | [-] | „alacsony bejárati padlós” az I. melléklet 1.2.2.3. pontja szerint | X | |||
HeightIntegratedBody | P287 | egész szám | [mm] | a 2. pont 5. alpontjával összhangban | X | |||
SumNetPower | P331 | egész szám | [W] | A jármű hajtásláncához vagy kerekeihez kapcsolódó összes energiaátalakító pozitív főgépteljesítményének legnagyobb lehetséges összege | X | X | X | |
Technology | P332 | karakterlánc | [-] | Az 1. függelék 1. táblázata alapján. Megengedett értékek: „Dual-fuel vehicle Article 9 exempted”, „In-motion charging Article 9 exempted”, „Multiple powertrains Article 9 exempted”, „FCV Article 9 exempted”, „H2 ICE Article 9 exempted”, „HEV Article 9 exempted”, „PEV Article 9 exempted”, „HV Article 9 exempted” | X | X | X |
6. táblázat
"Fejlett gépjárművezetés-támogató rendszerek" bemeneti paraméterek
A paraméter neve | Paraméterazonosító | Típus | Egység | Leírás/referencia | Nehéz-tehergépjárművek | Közepes méretű tehergépjárművek | Nehéz autóbuszok (elsődleges jármű) | Nehéz autóbuszok (teljes és befejezett jármű) |
EngineStopStart | P271 | Boole-féle | [-] | A 8.1.1. ponttal összhangban A bemeneti adatokat csak a tisztán belső égésű motorral felszerelt járművek és a hibrid elektromos járművek esetében kell megadni. | X | X | X | X |
EcoRollWithoutEngineStop | P272 | Boole-féle | [-] | A 8.1.2. ponttal összhangban A bemeneti adatokat csak a tisztán belső égésű motorral felszerelt járművek esetében kell megadni. | X | X | X | X |
EcoRollWithEngineStop | P273 | Boole-féle | [-] | A 8.1.3. ponttal összhangban A bemeneti adatokat csak a tisztán belső égésű motorral felszerelt járművek esetében kell megadni. | X | X | X | X |
PredictiveCruiseControl | P274 | karakterlánc | [-] | A 8.1.4. ponttal összhangban, megengedett értékek: „1,2”, „1,2,3” | X | X | X | X |
APTEcoRollReleaseLockupClutch | P333 | Boole-féle | [-] | Csak a bármely Eco-roll funkcióval kombinált APT-S és APT-P sebességváltók esetében releváns. „True” értékre van beállítva, ha a 8.1.2. pontban meghatározott 2. funkció az elsődleges Eco-roll üzemmód. A bemeneti adatokat csak a tisztán belső égésű motorral felszerelt járművek esetében kell megadni. | X | X | X | X |
7. táblázat
A hibrid elektromos járművek és a tisztán elektromos járművek általános bemeneti paraméterei
A paraméter neve | Paraméterazonosító | Típus | Egység | Leírás/referencia | Nehéz-tehergépjárművek | Közepes méretű tehergépjárművek | Nehéz autóbuszok (elsődleges jármű) | Nehéz autóbuszok (teljes vagy befejezett jármű) |
ArchitectureID | P400 | karakterlánc | [-] | A 10.1.3. pontnak megfelelően a következő bemeneti értékek megengedettek: „E2”, „E3”, „E4”, „E-IEPC”, „P1”, „P2”, „P2.5”, „P3”, „P4”, „S2”, „S3”, „S4”, „S-IEPC” | X | X | X | |
OvcHev | P401 | Boole-féle | [-] | A 2. pont 31. alpontjával összhangban | X | X | X | |
MaxChargingPower | P402 | Egész szám | [W] | A jármű által a külső feltöltéshez megengedett legnagyobb töltési teljesítményt kell a szimulációs eszköz bemeneti információjaként megadni. Csak abban az esetben releváns, ha az „OvcHev” paraméter „true” értékre van beállítva. | X | X | X |
8. táblázat
Bemeneti paraméterek elektromos gépállásonként
(Kizárólag akkor alkalmazandó, ha az alkatrész megtalálható a járműben)
A paraméter neve | Paraméterazonosító | Típus | Egység | Leírás/referencia |
PowertrainPosition | P403 | karakterlánc | [-] | Az EM helyzete a jármű erőátviteli rendszerében a 10.1.2. és 10.1.3. pont szerint. Megengedett értékek: „1”, „2”, „2.5”, „3”, „4”, „GEN”. Erőátviteli rendszerenként csak egy EM-pozíció engedélyezett, kivéve az „S” architektúra esetében. Az „S” architektúrához az EM „GEN” pozíciója és egy másik „2”, „3” vagy „4” értékű pozíció szükséges. Az „1” pozíció nem megengedett az „S” és az „E” architektúrák esetében. A „GEN” pozíció csak az „S” architektúra esetében megengedett. |
Count | P404 | egész szám | [-] | Azonos elektromos gépek száma a megadott EM-helyzetben. Abban az esetben, ha a „PowertrainPosition” paraméter „4”-nek felel meg, a számlálónak a 2 többszörösnek kell lennie (pl. 2, 4, 6). |
CertificationNumberEM | P405 | token | [-] | |
CertificationNumberADC | P406 | token | [-] | Opcionális bemeneti adat az EM tengely és a jármű erőátviteli rendszeréhez való csatlakozási pont közötti kiegészítő egylépéses áttételi tényező (ADC) esetén az 10.1.2. pont szerint Nem megengedett, ha az „IHPCType” paraméter „IHPC Type 1” értékre van beállítva. |
P2.5GearRatios | P407 | kettős, 3 | [-] | Csak abban az esetben alkalmazandó, ha a „PowertrainPosition” paraméter „P2.5” értékre van beállítva A sebességváltó minden egyes előremeneti sebességfokozatára bejelentve. A sebességfokozatnak a kiegészítő ADC nélküli EM esetében az „nGBX_in/nEM” vagy a kiegészítő ADC-vel rendelkező EM esetében az „nGBX_in/nADC” által meghatározott bejelentett értéke. nGBX_in = a sebességváltó bemenő tengelyének fordulatszáma nEM = az EM kimenőtengelyének fordulatszáma nADC = az ADC kimenőtengelyének fordulatszáma |
9. táblázat
Nyomaték-határértékek elektromos gépállásonként (opcionális)
Különálló adatkészlet bejelentése minden egyes "CertificationNumberEM" alatt mért feszültségszintre vonatkozóan. Bejelentés nem megengedett, ha az "IHPCType" paraméter "IHPC Type 1" értékre van beállítva.
A paraméter neve | Paraméterazonosító | Típus | Egység | Leírás/referencia |
OutputShaftSpeed | P408 | kettős, 2 | [1/perc] | A fordulatszámra vonatkozóan a Xb. melléklet 15. függelékének „P468” paraméterszámánál pontosan ugyanazokat a bejegyzéseket kell jelenteni, mint a „CertificationNumberEM” alatt. |
MaxTorque | P409 | kettős, 2 | [Nm] | Az EM legnagyobb nyomatéka (a kimenőtengelyre vonatkoztatva) a Xb. melléklet 15. függelékének „P469” paraméterszáma alatt jelentett fordulatszámbeli pontok függvényében. A jelentett legnagyobb nyomaték minden értékének kisebbnek kell lennie az eredeti érték 0,9-szeresénél az adott fordulatszámon, vagy pontosan meg kell egyeznie az eredeti értékkel az adott fordulatszámon. A jelentett legnagyobb nyomaték értékei nem lehetnek nullánál kisebbek. Ha a „Count” (P404) paraméter nagyobb, mint egy, a legnagyobb nyomatékot egyetlen EM-re kell bejelenteni (mint a „CertificationNumberEM” alatt végzett EM alkatrészvizsgálatban). |
MinTorque | P410 | kettős, 2 | [Nm] | Az EM legkisebb nyomatéka (a kimenőtengelyre vonatkoztatva) a Xb. melléklet 15. függelékének „P470” paraméterszáma alatt jelentett fordulatszámbeli pontok függvényében. A jelentett legkisebb nyomaték minden értékének nagyobbnak kell lennie az eredeti érték 0,9-szeresénél az adott fordulatszámon, vagy pontosan meg kell egyeznie az eredeti értékkel az adott fordulatszámon. A jelentett legkisebb nyomaték értékei nem lehetnek nullánál nagyobbak. Ha a „Count” (P404) paraméter nagyobb, mint egy, a legkisebb nyomatékot egyetlen EM-re kell bejelenteni (mint a „CertificationNumberEM” alatt végzett EM alkatrészvizsgálatban). |
10. táblázat
Bemeneti paraméterek újratölthető energiatároló rendszerekként
(Kizárólag akkor alkalmazandó, ha az alkatrész megtalálható a járműben)
A paraméter neve | Paraméterazonosító | Típus | Egység | Leírás/referencia |
StringID | P411 | egész szám | [-] | A reprezentatív akkumulátoralrendszerek Xb. melléklet szerinti elrendezését járműszinten az egyes akkumulátoralrendszereknek az e paraméter által meghatározott konkrét karakterláncokhoz való hozzárendelésével kell bejelenteni. Minden konkrét karakterláncot párhuzamosan csatlakoztatnak, az egy adott párhuzamos karakterláncban elhelyezkedő valamennyi akkumulátoralrendszer sorosan van kapcsolva. Megengedett értékek: „1”, „2”, „3”, … |
CertificationNumberREESS | P412 | token | [-] | |
SOCmin | P413 | egész szám | [%] | Opcionális bejegyzés. Csak a REESS típusú „akkumulátor” esetében releváns. A paraméter csak akkor érvényes a szimulációs eszközben, ha a bemeneti érték magasabb, mint a felhasználói kézikönyvben dokumentált általános érték. |
SOCmax | P414 | egész szám | [%] | Opcionális bejegyzés Csak a REESS típusú „akkumulátor” esetében releváns. A paraméter csak akkor érvényes a szimulációs eszközben, ha a bemeneti érték alacsonyabb, mint a felhasználói kézikönyvben dokumentált általános érték. |
11. táblázat
A párhuzamos hibrid elektromos járművekre vonatkozó korlátozások szigorítása (opcionális)
Csak abban az esetben megengedett, ha az erőátviteli rendszer 10.1.1. pont szerinti konfigurációja "P" vagy "IHPC Type 1".
A paraméter neve | Paraméterazonosító | Típus | Egység | Leírás/referencia |
RotationalSpeed | P415 | kettős, 2 | [1/perc] | A sebességváltó bemenő tengelyének fordulatszámára utal |
BoostingTorque | P416 | kettős, 2 | [Nm] | A 10.2. pontnak megfelelően |
4. A jármű tömege közepes merev tehergépjárművek és vontatók, nehéz merev tehergépjárművek és vontatók esetében
4.1. A jármű szimulációs eszközben bemenetként használt tömege a jármű korrigált tényleges tömege kell, hogy legyen.
4.2. Ha nem minden szabványos berendezést szereltek be, a gyártónak hozzá kell adnia a következő szerkezeti elemek tömegét a jármű korrigált tényleges tömegéhez:
a) elülső aláfutásgátló az (EU) 2019/ 2144 európai parlamenti és tanácsi rendeletnek (**) megfelelően;
b) hátsó aláfutásgátló az (EU) 2019/2144 rendeletnek megfelelően;
c) oldalsó aláfutásgátló az (EU) 2019/2144 rendeletnek megfelelően;
d) nyeregszerkezet az (EU) 2019/2144 rendeletnek megfelelően.
4.3. A 4.2. pontban említett szerkezeti elemek tömege a következő:
Az 1s., 1., 2. és 3. csoportba tartozó járművek esetében az I. melléklet 1. táblázatában meghatározottak szerint, valamint az 51. és 53. járműcsoportok esetében az I. melléklet 2. táblázatában meghatározottak szerint.
Elülső aláfutásgátló 45 kg
Hátsó aláfutásgátló 40 kg
Oldalsó aláfutásgátló 8,5 kg/m × tengelytáv [m] - 2,5 kg
A 4., 5., 9., 12. és 16. csoportba tartozó járművek esetében, az I. melléklet 1. táblázatában meghatározottak szerint.
Elülső aláfutásgátló 50 kg
Hátsó aláfutásgátló 45 kg
Oldalsó aláfutásgátló 14 kg/m × tengelytáv [m] - 17 kg
Nyeregszerkezet 210 kg
5. Hidraulikusan és mechanikusan hajtott tengelyek
Amennyiben:
a) a jármű hidraulikusan hajtott tengellyel van felszerelve, a tengelyt nem hajtottnak kell tekinteni, és a gyártó nem veheti azt figyelembe a jármű tengelykonfigurációjának megállapításához;
b) a jármű mechanikusan hajtott tengellyel van felszerelve, a tengelyt hajtottnak kell tekinteni, és a gyártónak figyelembe kell vennie azt a jármű tengelykonfigurációjának megállapításához.
6. Sebességfokozattól függő motornyomaték-határértékek és a sebességfokozat letiltása
6.1. Sebességfokozattól függő motornyomaték-határértékek
A sebességfokozatok legmagasabb 50 %-ánál (például 12 sebességfokozatú váltó esetében a 7-12. fokozatoknál) a jármű gyártója bejelenthet egy sebességfokozattól függő legnagyobb motornyomaték-határértéket, amely nem haladhatja meg a motor legnagyobb nyomatékának 95 %-át.
6.2. Sebességfokozat letiltása
A két legnagyobb sebességfokozatnál (pl. 6 sebességfokozatú sebességváltó esetében az 5. és 6. fokozatoknál) a jármű gyártója a sebességfokozatok teljes letiltását jelentheti be úgy, hogy a szimulációs eszköz bemeneti információjában a sebességfokozat-specifikus nyomaték határértékeként 0 Nm-t ad meg.
6.3. Ellenőrzési követelmények
A 6.1. pont szerinti, sebességfokozattól függő motornyomaték-határértékeket és a 6.2. pont szerinti sebességfokozat-letiltást az ellenőrzési vizsgálati eljárás (VTP) során ellenőrizni kell a Xa. melléklet 6.1.1.1. pontjának c) alpontja szerint.
7. Járműspecifikus alapjárati motorfordulatszám
7.1. Az alapjárati motorfordulatszámot minden egyes, belső égésű motorral felszerelt járműre meg kell adni. A bejelentett alapjárati motorfordulatszámnak el kell érnie vagy meg kell haladnia a motor jóváhagyott bemeneti adataiban szereplő értéket.
8. Fejlett gépjárművezetés-támogató rendszerek
8.1. A szimulációs eszköz bemenetében a fejlett gépjárművezetés-támogató rendszerek következő, elsősorban a tüzelőanyag-fogyasztás és a CO2-kibocsátás csökkentésére irányuló típusait kell feltüntetni:
8.1.1. A motor leállítása-újraindítása (stop-start) a jármű megállása alatt: olyan rendszer, amely a motor alapjárati idejének csökkentése érdekében a jármű megállásai alatt automatikusan leállítja, majd újraindítja a belső égésű motort. Automatikus motorleállítás esetén a jármű megállását követő maximális késleltetési idő legfeljebb 3 másodperc lehet.
8.1.2. Eco-roll stop-start rendszer nélkül: olyan rendszer, amely meghatározott, alacsony negatív gradiensű lejtmenetes vezetési körülmények között automatikusan szétkapcsolja a belső égésű motort és a hajtásláncot. A rendszernek legalább az automatikus sebességtartó rendszer összes 60 km/h feletti beállított sebességén működésbe kell lépnie. A szimulációs eszköz bemeneti információiban bejelentett bármely rendszernek ki kell terjednie az alábbi funkciók egyikére vagy mindkettőre:
1. funkció:
szétkapcsolja a belső égésű motort és a hajtásláncot, és a motor alapjárati fordulatszámon működik. APT-sebességváltó esetén a nyomatékátalakító áthidaló tengelykapcsolója zárva van.
2. funkció: A nyomatékátalakító áthidaló tengelykapcsolója nyitva van
A nyomatékátalakító áthidaló tengelykapcsolója Eco-roll üzemmódban nyitva van. Ez lehetővé teszi, hogy a motor kigurulási üzemmódban alacsonyabb fordulatszámon működjön, és csökkenti vagy akár meg is szünteti a tüzelőanyag-befecskendezést. A 2. funkció csak az APT-sebességváltóra vonatkozik.
8.1.3. Eco-roll stop-start rendszerrel: olyan rendszer, amely meghatározott, alacsony negatív meredekségű lejtmenetes vezetési körülmények között automatikusan szétkapcsolja a belső égésű motort és a hajtásláncot. E szakaszok alatt a belső égésű motor rövid késleltetési idő után leáll, és az eco-roll szakasz nagy része alatt leállítva marad. A rendszernek legalább az automatikus sebességtartó rendszer összes 60 km/h feletti beállított sebességén működésbe kell lépnie.
8.1.4. Prediktív sebességtartó (PCC): olyan rendszerek, amelyek a menetciklus során az út lejtési adatainak rendelkezésre álló előnézete alapján, GPS-rendszer segítségével optimalizálják a helyzeti energia felhasználását. A szimulációs eszköz bemenetében feltüntetett PCC-rendszernek 1 000 méternél nagyobb távolságra előre kell mutatnia az út lejtését, és valamennyi alábbi funkciót ki kell elégítenie:
(1) Dombtetőn való szabadonfutás
Dombtető felé közeledve még azon pont előtt csökkentik a jármű sebességét, amelynél a jármű csak a gravitáció hatására gyorsulni kezd az automatikus sebességtartó beállított sebességéhez képest, hogy a következő lejtési szakaszban kevesebbet kelljen fékezni.
(2) Gyorsítás motorteljesítmény igénybevétele nélkül
Meredek lejtőn lefelé alacsony járműsebességgel haladva a járművet a motor teljesítményének igénybevétele nélkül hagyják gyorsulni, hogy a lejtőn kevesebbet kelljen fékezni.
(3) Lejtőn lefelé való szabadonfutás
Amikor a jármű lejtőn lefelé haladva sebességtúllépéskor fékez, a PCC rövid ideig megnöveli a sebességtúllépést annak érdekében, hogy a jármű nagyobb sebességgel hagyja el a lejtőt. Sebességtúllépés az automatikus sebességtartó rendszer beállított sebességét meghaladó járműsebesség.
Egy PCC-rendszert akkor lehet a szimulációs eszköz bemenetében feltüntetni, ha vagy az 1. és a 2. pontban, vagy az 1., a 2. és a 3. pontban meghatározott funkciókat teljesíti.
8.2. A fejlett gépjárművezetés-támogató rendszereknek a 12. táblázat szerinti tizenegy kombinációja a szimulációs eszköz bemeneti paraméterét képezheti. Az SMT-sebességváltók esetében a 2-11. kombinációkat nem kell feltüntetni. APT-sebességváltók esetén a 3., 6., 9. és 11. kombinációkat nem kell feltüntetni.
12. táblázat
A fejlett gépjárművezetés-támogató rendszerek kombinációi mint a szimulációs eszköz bemeneti paraméterei
Kombináció száma | A motor leállítása-újraindítása (stop-start) a jármű megállása alatt | Eco-roll stop-start rendszer nélkül | Eco-roll stop-start rendszerrel | Prediktív sebességtartó |
1 | igen | nem | nem | nem |
2 | nem | igen | nem | nem |
3 | nem | nem | igen | nem |
4 | nem | nem | nem | igen |
5 | igen | igen | nem | nem |
6 | igen | nem | igen | nem |
7 | igen | nem | nem | igen |
8 | nem | igen | nem | igen |
9 | nem | nem | igen | igen |
10 | igen | igen | nem | igen |
11 | igen | nem | igen | igen |
8.3. A szimulációs eszköz bemenetében feltüntetett minden fejlett gépjárművezetés-támogató rendszernek alapértelmezés szerint minden egyes gyújtáskikapcsolási/-bekapcsolási ciklust követően gazdaságos tüzelőanyag-felhasználású üzemmódban kell lennie.
8.4. Ha valamely fejlett gépjárművezetés-támogató rendszer fel van tüntetve a szimulációs eszköz bemenetében, akkor a szóban forgó rendszer meglétének ellenőrizhetőnek kell lennie a valós körülmények közötti vezetés és a 8.1. pontban meghatározott rendszermeghatározások alapján. Ha rendszerek bizonyos kombinációja van feltüntetve, akkor a funkciók (pl. prediktív sebességtartó és eco-roll stop-start rendszerrel) kölcsönhatását is ismertetni kell. Az ellenőrzési eljárás során figyelembe kell venni, hogy a rendszerek "aktív" állapotához bizonyos peremfeltételek megléte szükséges (pl. a stop-start rendszer működéséhez a motornak üzemi hőmérsékleten kell lennie, a PCC működéséhez a járműnek bizonyos sebességtartományokban kell lennie, az eco-roll működéséhez az út lejtésének és a jármű tömegének bizonyos arányban kell lennie). A járműgyártónak funkcionális leírást kell benyújtania arról, hogy a rendszerek milyen peremfeltételek mellett "inaktívak" vagy csökkent hatékonyságúak. A jóváhagyó hatóság kérheti e peremfeltételek műszaki indokolását a jóváhagyás kérelmezőjétől, és értékelheti azok megfelelőségét.
9. Raktérfogat
9.1. A "furgon" konfigurációjú járművek esetében a raktérfogatot a következő egyenlettel kell kiszámítani:

ahol a méreteket a 13. táblázat és a 3. ábra szerint kell meghatározni.
13. táblázat
Furgon típusú közepes tehergépjárművek raktérfogatával kapcsolatos meghatározásai
A képletben szereplő jelölés | Méret | Meghatározás |
LC,floor | A rakomány hossza padlószinten | — hosszirányú távolság az utolsó üléssor vagy válaszfal leghátsó pontja és a zárt hátsó tér legelső, a nulla Y síkra vetített pontja között — a raktér padlószintjének magasságában mérve |
LC | Rakomány hossza | — hosszanti távolság az ülés háttámlájának leghátsó pontját, beleértve az utolsó üléssor fejtámláit vagy az elválasztó falat érintő X sík és a zárt hátsó teret érintő legelső X sík, azaz a csomagtérajtó vagy a hátsó ajtók vagy bármely más korlátozó felület között — az utolsó üléssor vagy a válaszfal leghátsó pontjának magasságában mérve |
WC,max | Rakomány legnagyobb szélessége | — a raktér legnagyobb oldaltávolsága — a raktér padlója és a padló felett 70 mm magasság között mérve — a mérés nem tartalmazza az átmeneti ívet, a helyi kinyúlásokat, a bemélyedéseket vagy a zsebeket, ha vannak ilyenek |
WC,wheelhouse | Rakomány szélessége a kormányállásnál | — legkisebb oldalirányú távolság a kormányállások korlátozó interferenciái között (átjáró) — a raktér padlója és a padló felett 70 mm magasság között mérve — a mérés nem tartalmazza az átmeneti ívet, a helyi kinyúlásokat, a bemélyedéseket vagy a zsebeket, ha vannak ilyenek |
HC,max | Rakomány legnagyobb magassága | — Legnagyobb függőleges távolság a raktér padlójától a raktérmennyezetig vagy más korlátozó felületig — Az utolsó üléssor vagy a válaszfal mögött, a jármű középvonalánál mérve |
HC,rearwheel | Rakomány magassága a hátsó keréknél | — függőleges távolság a raktér padlójának tetejétől a raktérmennyezetig vagy a korlátozó felületig — a hátsó kerék X koordinátájánál, a jármű középvonalánál mérve |
3. ábra
Közepes tehergépjárművek raktérfogatának meghatározása

10 HEV és PEV
A következő rendelkezések csak hibrid elektromos járművek és tisztán elektromos járművek esetében alkalmazandók.
10.1. A jármű erőátviteli rendszere architektúrájának meghatározása
10.1.1. Az erőátviteli rendszer konfigurációjának meghatározása
A jármű erőátviteli rendszerének konfigurációját a következő fogalommeghatározásokkal összhangban kell meghatározni:
HEV esetében:
a) "P" párhuzamos hibrid elektromos járművek esetében
b) "S" soros hibrid elektromos járművek esetében
c) "S-IEPC" abban az esetben, ha a járműben van IEPC-alkatrész
d) "IHPC Type 1", ha az elektromos gépalkatrész "IHPCType" paramétere "IHPC Type 1" értékre van beállítva
PEV esetében:
a) "E" abban az esetben, ha a járműben van EM-alkatrész
b) "E IEPC" abban az esetben, ha a járműben van IEPC-alkatrész
10.1.2. Az EM-ek a jármű erőátviteli rendszerében elfoglalt helyzetének meghatározása
Amennyiben a jármű erőátviteli rendszerének 10.1.1. pont szerinti konfigurációja "P", "S" vagy "E", a jármű erőátviteli rendszerébe szerelt EM helyzetét az 14. táblázatban szereplő meghatározásoknak megfelelően kell meghatározni.
14. táblázat
Az EM-ek a jármű erőátviteli rendszerében elfoglalt lehetséges helyzetek
Az EM pozícióindexe | Az erőátviteli rendszer konfigurációja a 10.1.1. pont szerint | A sebességváltó típusa a VI. melléklet 12. függelékének 1. táblázata szerint | Fogalommeghatározás/ követelmények (1) | További magyarázatok |
1 | P | AMT, APT-S, APT-P | Az erőátviteli rendszerhez a tengelykapcsoló előtt (AMT esetében) vagy a nyomatékátalakító bemenő tengelye előtt (APT-S vagy APT-P esetében) van csatlakoztatva. Az EM közvetlenül vagy mechanikus csatlakozástípus (pl. szíj) révén csatlakozik a belső égésű motor forgattyús tengelyéhez. | A P0 megkülönböztetése: azokat az EM-eket, amelyek elvben nem járulnak hozzá a jármű meghajtásához (azaz a generátorok) a segédrendszerek bemeneteiben kezelik (a tehergépjárművek esetében lásd e melléklet 3. táblázatát, az autóbuszok esetében e melléklet 3a. táblázatát és a IX. mellékletet). Azonban az ebben a helyzetben lévő azon EM-eket, amelyek elvben hozzájárulhatnak a jármű meghajtásához, de amelyeknél a 9. táblázat szerint megadott legnagyobb nyomaték nullára van beállítva, „P1”-ként kell feltüntetni. |
2 | P | AMT | Az elektromos gép a tengelykapcsoló után és a sebességváltó bemenő tengelye előtt csatlakozik az erőátviteli rendszerhez. | |
2 | E, S | AMT, APT-N, APT-S, APT-P | Az elektromos gép az erőátviteli rendszerhez a sebességváltó bemenő tengelye előtt (AMT vagy APT-N esetében) vagy a nyomatékátalakító bemenő tengelye előtt (APT-S vagy APT-P esetében) van csatlakoztatva. | |
2.5. | P | AMT, APT-S, APT-P | Az elektromos gép az erőátviteli rendszerhez a tengelykapcsoló után (AMT esetében) vagy a nyomatékátalakító bemenő tengelye után (APT-S vagy APT-P esetében) és a sebességváltó-kimenőtengely előtt van csatlakoztatva. | Az EM a sebességváltón belül egy meghatározott tengelyhez van csatlakoztatva (pl. előtéttengely). Meg kell adni a sebességváltó minden mechanikus sebességfokozatához a 8. táblázat szerinti egyedi sebességáttételt. |
3 | P | AMT, APT-S, APT-P | Az elektromos gép a sebességváltó-kimenőtengely után és a tengely előtt csatlakozik az erőátviteli rendszerhez. | |
3 | E, S | nincs adat | Az elektromos gép a tengely előtt csatlakozik az erőátviteli rendszerhez. | |
4 | P | AMT, APT-S, APT-P | Az elektromos gép a tengely után csatlakozik az erőátviteli rendszerhez. | |
4 | E, S | nincs adat | Az elektromos gép csatlakoztatva van a kerékagyhoz, és ugyanazt az elrendezést kétszer szerelik be szimmetrikusan (azaz egy a jármű bal és egy a jobb oldalán, azonos kerékhelyzetben, hosszirányban). | |
GEN | S | nincs adat | Az elektromos gép mechanikusan kapcsolódik egy belső égésű motorhoz, de üzemeltetési körülmények között nem kapcsolódik mechanikusan a jármű kerekeihez. | |
(1) Az itt használt EM kifejezés magában foglal egy kiegészítő ADC-alkatrészt is, ha van. |
10.1.3. Az erőátvitelirendszer-architektúra azonosítójának meghatározása
Az erőátvitelirendszer-architektúra 7. táblázat szerint előírt azonosítójának bemeneti értékét az erőátviteli rendszer 10.1.1. pont szerinti konfigurációja és az EM-nek a jármű erőátviteli rendszerében a 10.1.2. pont szerint elfoglalt helye alapján kell meghatározni (adott esetben) a szimulációs eszköz 15. táblázatban felsorolt bemeneteinek érvényes kombinációi alapján.
Amennyiben az erőátviteli rendszer 10.1.1. pont szerinti konfigurációja "IHPC Type 1", az alábbi rendelkezések alkalmazandók:
a) Az erőátvitelirendszer-architektúra "P2" azonosítóját a 7. táblázatnak megfelelően kell megadni, és az erőátviteli rendszer alkatrészeinek a 15. táblázatban megadott, "P2" értékre vonatkozó adatai lesznek a szimulációs eszköz bemeneti adatai a Xb. melléklet 4.4.3. pontjával összhangban meghatározott, az EM-re és a sebességváltóra vonatkozó külön alkatrészadatokkal.
b) Az EM-alkatrészek a) alpont szerinti alkatrészadatait a "PowertrainPosition" paraméter értékét a 8. táblázat alapján "2"-re beállítva kell megadni a szimulációs eszköz számára.
15. táblázat
Az erőátvitelirendszer-architektúrának érvényes bemenetei a szimulációs eszközbe
Az erőátviteli rendszer típusa | Az erőátviteli rendszer konfigurációja | A VECTO bemenet architektúrájának azonosítója | A járműben lévő erőátviteli rendszer alkatrésze | Megjegyzések | |||||||
Belső égésű motor | EM GEN pozíció | EM 1. pozíció | EM 2. pozíció | sebességváltó | EM 3. pozíció | tengely | EM 4. pozíció | ||||
PEV | E | E2 | nem | nem | nem | igen | igen | nem | igen | nem | |
E3 | nem | nem | nem | nem | nem | igen | igen | nem | |||
E4 | nem | nem | nem | nem | nem | nem | nem | igen | |||
IEPC | E-IEPC | nem | nem | nem | nem | nem | nem | (1) | nem | ||
HEV | P | P1 | igen | nem | igen | nem | igen | nem | igen | nem | |
P2 | igen | nem | nem | igen | igen | nem | igen | nem | (2) | ||
P2.5 | igen | nem | nem | igen | igen | nem | igen | nem | (3) | ||
P3 | igen | nem | nem | nem | igen | igen | igen | nem | (4) | ||
P4 | igen | nem | nem | nem | igen | nem | igen | igen | |||
S | S2 | igen | igen | nem | igen | igen | nem | igen | nem | ||
S3 | igen | igen | nem | nem | nem | igen | igen | nem | |||
S4 | igen | igen | nem | nem | nem | nem | nem | igen | |||
S-IEPC | igen | igen | nem | nem | nem | nem | (1) | nem | |||
(1) „Igen” (azaz van tengelyalkatrész), csak akkor, ha a „DifferentialIncluded” és a „DesignTypeWheelMotor” paraméterek értéke egyaránt „hamis” (2) Nem alkalmazható az APT-S és APT-P típusú sebességváltókra (3) Amennyiben az EM a sebességváltón belül egy meghatározott tengelyhez van csatlakoztatva (pl. előtéttengely), a 8. táblázatban szereplő meghatározásnak megfelelően (4) Nem alkalmazható az elsőkerék-meghajtású járművekre |
10.2. A párhuzamos hibrid elektromos járművek nyomáskorlátozásának meghatározása
A jármű gyártója a jármű nyomásfokozó képességének korlátozása érdekében feltüntethet korlátozásokat a teljes erőátviteli rendszer teljes hajtónyomatékára a párhuzamos hibrid elektromos járművek sebességváltó bemenő tengelyére vonatkozóan.
Ilyen korlátozások feltüntetése csak abban az esetben megengedett, ha az erőátviteli rendszer 10.1.1. pont szerinti konfigurációja "P" vagy "IHPC Type 1".
A korlátozásokat a belső égésű motornak a sebességváltó bemenő tengelyének fordulatszámától függő teljes terhelési jelleggörbéjén felül megengedett kiegészítő nyomatékként kell megadni. A szimulációs eszközben lineáris interpolációt végeznek a feltüntetett értékek között két meghatározott fordulatszámon alkalmazandó kiegészítő nyomaték meghatározására. A 0 és az alapjárati motorfordulatszám közötti fordulatszám-tartományban (a 7.1. pont szerint) a csak a belső égésű motor által rendelkezésre bocsátott teljes terheléshez tartozó nyomaték a tengelykapcsoló viselkedésének a jármű indítása közbeni modellezése miatt megegyezik az alapjárati motorfordulatszámon a belső égésű motor teljes terheléshez tartozó nyomatékával.
Ilyen korlátozás feltüntetése esetén a kiegészítő nyomaték értékeit legalább 0 fordulatszámon és a belső égésű motor teljes terhelési görbéjének legnagyobb fordulatszámán kell megadni. Bármely tetszőleges számú érték megadható a nulla és a belső égésű motor teljes terhelési görbéjének legnagyobb fordulatszáma közötti tartományban. Nullánál kisebb bejelentett értékek nem megengedettek a kiegészítő nyomatékhoz.
A jármű gyártója ezeket a korlátozásokat - amelyek pontosan megfelelnek a belső égésű motor teljes terhelési görbéjének - úgy jelentheti be, hogy a kiegészítő nyomatékot 0 Nm értékkel jelenti be.
10.3. Motor leállítása-újraindítási funkció hibrid hajtású elektromos járművekhez
Amennyiben a jármű fel van szerelve a 8.1.1. pont szerinti stop-start funkcióval, figyelembe véve a 8.4. pont szerinti peremfeltételeket, a 6. táblázat szerinti P271 bemeneti paraméter értékét igazra kell állítani.
11. A szimulációs eszköz eredményeinek átvitele más járművekhez
11.1. A szimulációs eszköz eredményei átvihetők más járművekhez a 9. cikk (6) bekezdésében előírtak szerint, feltéve, hogy az alábbi feltételek mindegyike teljesül:
a) a bemeneti adatok és a bemeneti információk a jármű-azonosító szám (P238) és a dátumelem (P239) kivételével teljesen azonosak. Az elsődleges nehéz autóbuszokra vonatkozó szimulációk esetében a közbenső járműre vonatkozó és már a kezdeti szakaszban rendelkezésre álló további bemeneti adatok és bemeneti információk eltérhetnek, de ebben az esetben különleges intézkedéseket kell hozni;
b) a szimulációs eszköz verziója megegyezik.
11.2. Az eredmények átviteléhez a következő eredményfájlokat kell figyelembe venni:
a) közepes és nehéz tehergépjárművek: gyártói nyilvántartási dokumentum és ügyfél-információs dokumentum
b) elsődleges nehéz autóbuszok: gyártói nyilvántartási dokumentum és jármű-információs dokumentum
c) teljes vagy befejezett nehéz autóbuszok: gyártói nyilvántartási dokumentum, ügyfél-információs dokumentum és járműinformációs dokumentum
11.3. Az eredmények átvitele érdekében a 10.2. pontban említett dokumentumokat úgy kell módosítani, hogy az alpontokban meghatározott adatelemeket aktualizált információkkal váltják fel. Módosítás csak a gyártás aktuális szakaszához kapcsolódó adatelemek esetében megengedett.
11.3.1. Gyártói nyilvántartási dokumentum
a) Jármű-azonosító szám (IV. melléklet, I. rész, 1.1.3. pont)
b) A kimeneti dokumentum létrehozásának időpontja (IV. melléklet, I. rész, 3.2. pont)
11.3.2. Ügyfél-információs dokumentum
a) Jármű-azonosító szám (IV. melléklet, II. rész, 1.1.1. pont)
b) A kimeneti dokumentum létrehozásának időpontja (IV. melléklet, II. rész, 3.2. pont)
11.3.3. Járműinformációs dokumentum
11.3.3.1. Elsődleges nehéz autóbusz esetében:
a) Jármű-azonosító szám (IV. melléklet, III. rész, 1.1. pont)
b) A kimeneti dokumentum létrehozásának időpontja (IV. melléklet, III. rész, 1.3.2. pont)
11.3.3.2. Amennyiben az elsődleges nehézbusz gyártója olyan adatokat szolgáltat, amelyek túlmutatnak az elsődleges járműre vonatkozó előírásokon, és amelyek az eredeti és az átvitt jármű esetében eltérnek, a járműinformációs dokumentum vonatkozó adatelemeit ennek megfelelően frissíteni kell.
11.3.3.3. Teljes vagy befejezett nehéz autóbusz esetében:
a) Jármű-azonosító szám (IV. melléklet, III. rész, 2.1. pont)
b) A kimeneti dokumentum létrehozásának időpontja (IV. melléklet, III. rész, 2.2.2. pont)
11.3.4. A fent leírt módosításokat követően az alábbi aláírási elemeket frissíteni kell.
11.3.4.1. Tehergépjárművek:
a) Gyártói nyilvántartási dokumentum: IV. melléklet, I. rész, 3.6. és 3.7. pont
b) Ügyfél-információs dokumentum: IV. melléklet, II. rész, 3.3. és 3.4. pont
11.3.4.2. Elsődleges nehéz autóbuszok:
a) Gyártói nyilvántartási dokumentum: IV. melléklet, I. rész, 3.3. és 3.4. pont
b) Járműinformációs dokumentum: IV. melléklet, III. rész, 1.4.1. és 1.4.2. pont
11.3.4.3. Elsődleges nehéz autóbuszok, amelyeknél a közbenső járműre vonatkozóan további bemeneti adatokat szolgáltattak:
a) Gyártói nyilvántartási dokumentum: IV. melléklet, I. rész, 3.3. és 3.4. pont
b) Járműinformációs dokumentum: IV. melléklet, III. rész, 1.4.1., 1.4.2. és 2.3.1. pont
11.3.4.4. Teljes vagy befejezett nehéz autóbuszok
a) Gyártói nyilvántartási dokumentum: IV. melléklet, I. rész, 3.6. és 3.7. pont
b) Járműinformációs dokumentum: IV. melléklet, III. rész, 2.3.1. pont
11.4. Amennyiben az eredeti jármű CO2-kibocsátása és tüzelőanyag-fogyasztása a szimulációs eszköz meghibásodása miatt nem határozható meg, ugyanezeket az intézkedéseket kell alkalmazni az átvitt eredményeket használó járművekre is.
11.5. Ha a gyártó az eredmények más járművekre való átvitelére vonatkozó, ebben a bekezdésben meghatározott megközelítést alkalmazza, a kapcsolódó eljárást a folyamatengedély megadásának részeként be kell mutatni a jóváhagyó hatóságnak.
1. függelék
Olyan járműtechnológiák, amelyekre a 9. cikk (1) bekezdésének első albekezdésében meghatározott kötelezettségek az említett albekezdésben foglaltak értelmében nem vonatkoznak
1. táblázat
A járműtechnológia kategóriája | A mentesség kritériumai | Az e melléklet 5. táblázata szerinti bemenetiparaméter-érték |
Tüzelőanyag-cellával üzemelő jármű | A jármű vagy az e melléklet 2. pontjának 12. vagy 13. alpontja szerinti tüzelőanyag-cellás jármű vagy tüzelőanyag-cellás hibrid jármű. | „FCV Article 9 exempted” |
Hidrogénnel működő belső égésű motor | A jármű olyan belső égésű motorral van felszerelve, amely képes hidrogén tüzelőanyaggal működni. | „H2 ICE Article 9 exempted” |
Vegyes üzem | Az 582/2011/EU rendelet 2. cikkének 53., 55. és 56. pontjában meghatározott 1B, 2B és 3B típusú vegyes üzemű járművek | „Dual-fuel vehicle Article 9 exempted” |
Hibrid elektromos jármű | A járművek mentességet élveznek, ha az alábbi kritériumok közül legalább egy teljesül: — A jármű több elektromos géppel van felszerelve, amelyeket e melléklet 10.1.2. pontjával összhangban nem ugyanazon a csatlakozási ponton helyeznek el a hajtásláncban. — A jármű több elektromos géppel van felszerelve, amelyeket e melléklet 10.1.2. pontjával összhangban ugyanazon csatlakozási ponton helyeznek el a hajtásláncban, de nem pontosan azonos jellemzőkkel rendelkeznek (azaz ugyanazzal az alkatrész-tanúsítvánnyal). Ez a kritérium nem alkalmazandó, ha a jármű 1. típusú IHPC-vel van felszerelve. — A jármű e melléklet 10.1.3. pontjával összhangban a P1–P4, S2–S4, S-IEPC vagy az IHPC 1. típustól eltérő erőátvitelirendszer-architektúrával rendelkezik. | „HEV Article 9 exempted” |
Tisztán elektromos jármű | A járművek mentességet élveznek, ha az alábbi kritériumok közül legalább egy teljesül: — A jármű több elektromos géppel van felszerelve, amelyeket e melléklet 10.1.2. pontjával összhangban nem ugyanazon a csatlakozási ponton helyeznek el a hajtásláncban. — A jármű több elektromos géppel van felszerelve, amelyeket e melléklet 10.1.2. pontjával összhangban ugyanazon csatlakozási ponton helyeznek el a hajtásláncban, de nem pontosan azonos jellemzőkkel rendelkeznek (azaz ugyanazzal az alkatrész-tanúsítvánnyal). Ez a kritérium nem alkalmazandó, ha a jármű IEPC-vel van felszerelve. — A jármű e melléklet 10.1.3. pontjával összhangban az E2–E4 vagy az E-IEPC típustól eltérő erőátvitelirendszer-architektúrával rendelkezik. | „PEV Article 9 exempted” |
Több, állandó mechanikusan független erőátviteli rendszer | A jármű egynél több erőátviteli rendszerrel van felszerelve, ahol minden erőátviteli rendszer a jármű különböző keréktengelyét vagy -tengelyeit hajtja meg, és ahol a különböző erőátviteli rendszerek semmilyen körülmények között sem kapcsolódhatnak mechanikusan. E tekintetben a hidraulikusan hajtott tengelyeket e melléklet 5. pontjának a) alpontjával összhangban nem hajtott tengelyként kell kezelni, és így nem tekinthetők független erőátviteli rendszernek. | „Multiple powertrains Article 9 exempted” |
Mozgás közbeni töltés | A jármű fel van szerelve a mozgásban lévő jármű konduktív vagy induktív áramellátására szolgáló eszközökkel, amelyeket legalább részben közvetlenül a jármű meghajtására és opcionálisan egy újratölthető energiatároló rendszer töltésére használnak. | „In-motion charging Article 9 exempted” |
Nem elektromos hibrid járművek | A jármű hibrid jármű, de nem az e melléklet 2. pontjának 26. vagy 27. alpontja szerinti hibrid elektromos jármű. | „HV Article 9 exempted” |
(*) A Bizottság 1230/2012/EU rendelete (2012. december 12.) a 661/2009/EK európai parlamenti és tanácsi rendeletnek a gépjárművek és azok pótkocsijainak tömegével és méreteivel kapcsolatos típus-jóváhagyási előírások tekintetében történő végrehajtásáról és a 2007/46/EK európai parlamenti és tanácsi irányelv módosításáról (HL L 353., 2012.12.21., 31. o.).
(**) Az Európai Parlament és a Tanács (EU) 2019/2144 rendelete (2019. november 27.) a gépjárműveknek és pótkocsijaiknak, valamint az ilyen járművek rendszereinek, alkotóelemeinek és önálló műszaki egységeinek az általános biztonság, továbbá az utasok és a veszélyeztetett úthasználók védelme tekintetében történő típusjóváhagyásáról, az (EU) 2018/858 európai parlamenti és tanácsi rendelet módosításáról, valamint a 78/2009/EK, a 79/2009/EK és a 661/2009/EK európai parlamenti és tanácsi rendelet és a 631/2009/EK, a 406/2010/EU, a 672/2010/EU, az 1003/2010/EU, az 1005/2010/EU, az 1008/2010/EU, az 1009/2010/EU, a 19/2011/EU, a 109/2011/EU, a 458/2011/EU, a 65/2012/EU, a 130/2012/EU, a 347/2012/EU, a 351/2012/EU, az 1230/2012/EU és az (EU) 2015/166 bizottsági rendelet hatályon kívül helyezéséről (HL L 325., 2019.12.16., 1. o.).
IV. MELLÉKLET
A SZIMULÁCIÓS ESZKÖZ KIMENETI DOKUMENTUMAINAK MINTÁJA
1. Bevezetés
Ez a melléklet a gyártói nyilvántartási dokumentum (MRF), az ügyfél-információs dokumentum (CIF) és a járműinformációs dokumentum (VIF) mintáit mutatja be.
2. Fogalommeghatározások
1. "tényleges töltést fogyasztó üzemmódhoz tartozó hatósugár": Az a hatósugár, amely az újratölthető energiatároló rendszer hasznosítható energiamennyisége alapján töltést fogyasztó üzemmódban működtethető, közbenső töltés nélkül.
2. "egyenértékű teljes elektromos hatósugár": A tényleges töltést fogyasztó üzemmódhoz tartozó hatósugár azon része, amely az újratölthető energiatároló rendszerből származó, azaz a nem elektromos hajtóenergia-tároló rendszer által biztosított energia nélküli elektromos energia felhasználásának tulajdonítható.
3. "nulla szén-dioxid-kibocsátású hatósugár": A hajtóenergia-tároló rendszerek által szolgáltatott energiának tulajdonítható hatósugár, amely nulla szén-dioxid-kibocsátással jár.
3. A kimeneti dokumentumok mintája
I. RÉSZ
A jármű CO2-kibocsátása és tüzelőanyag-fogyasztása - Gyártói nyilvántartási dokumentum
A gyártói nyilvántartási dokumentumot a szimulációs eszköz állítja össze, és legalább a következő információkat kell tartalmaznia, amennyiben azok az adott járműre vagy gyártási lépcsőre vonatkoznak:
1. A járműre, az alkatrészekre, az önálló műszaki egységekre és a rendszerekre vonatkozó adatok
1.1. Járműadatok
1.1.1. A gyártó(k) neve és címe...
1.1.2. Járműmodell / kereskedelmi megnevezés:...
1.1.3. Járműazonosító szám (VIN)...
1.1.4. Járműkategória (N2, N3, M3)...
1.1.5. Tengelykonfiguráció...
1.1.6. A műszakilag megengedhető legnagyobb terhelés (t)...
1.1.7. Járműcsoport az I. melléklet szerint...
1.1.7a. Jármű (al)csoport szén-dioxid-kibocsátási normái...
1.1.8. Korrigált tényleges tömeg (kg)...
1.1.9. Különleges felépítményű gépjármű (igen/nem)...
1.1.10. Kibocsátásmentes nehézgépjármű (igen/nem)...
1.1.11. Hibrid elektromos nehézgépjármű (igen/nem)...
1.1.12. Vegyes üzemű jármű (igen/nem)...
1.1.13. Hálóhelyes vezetőfülke (igen/nem)...
1.1.14. HEV architektúra (pl. P1, P2)...
1.1.15. PEV architektúra (pl. E2, E3)...
1.1.16. Külső feltöltési képesség (igen/nem)...
1.1.17. -
1.1.18. A külső feltöltés legnagyobb teljesítménye (kW)...
1.1.19. A 9. cikk alapján mentesített járműtechnológia...
1.1.20. Buszosztály (pl. I., I+II. stb.)...
1.1.21. Az utasok száma a felső szinten...
1.1.22. Az utasok száma az alsó szinten...
1.1.23. Felépítménykód (pl. CA, CB)...
1.1.24. Alacsony bejárati padlós (igen/nem)...
1.1.25. Integrált felépítmény magassága (mm)...
1.1.26. Járműhossz (mm)...
1.1.27. Jármű szélessége (mm)...
1.1.28. Ajtóhajtás technológiája (pneumatikus, elektromos, vegyes)...
1.1.29. Tartályrendszer földgáz esetében (sűrített, cseppfolyósított)...
1.1.30. Nettó összteljesítmény (csak a 9. cikk szerinti mentesség esetén) (kW)...
1.2. A motor fő adatai
1.2.1. Motormodell...
1.2.2. A motor tanúsítványának száma...
1.2.3. A motor névleges teljesítménye (kW)...
1.2.4. Üresjárati fordulatszám (1/min)...
1.2.5. Motor névleges fordulatszáma (1/min)...
1.2.6. Motortérfogat (l)...
1.2.7. Tüzelőanyag-típus (dízel CI/CNG PI/LNG PI)...
1.2.8. A motorra vonatkozó bemeneti adatokhoz és bemeneti információkhoz tartozó hashfüggvény...
1.2.9. Hulladékhő-visszanyerő rendszer (van/nincs)...
1.2.10. Hulladékhő-visszanyerés típusa(i) (mechanikus/elektromos)...
1.3. A sebességváltó fő adatai
1.3.1. A sebességváltó modellje...
1.3.2. A sebességváltó tanúsítványának száma...
1.3.3. A veszteségi jelleggörbék előállításához használt fő opció (1. opció/2. opció/3. opció/Standard értékek)...
1.3.4. A sebességváltó típusa (SMT, AMT, APT-S, APT-P, APT-N)...
1.3.5. Sebességfokozatok száma...
1.3.6. Áttétel a legmagasabb sebességfokozaton...
1.3.7. Lassítófék típusa...
1.3.8. Teljesítményleadó (van/nincs)...
1.3.9. A sebességváltóra vonatkozó bemeneti adatokhoz és bemeneti információkhoz tartozó hashfüggvény...
1.4. A lassítófék adatai
1.4.1. A lassítófék modellje...
1.4.2. A lassítófék tanúsítványának száma...
1.4.3. A veszteségi jelleggörbe létrehozásához használt tanúsítási opció (standard értékek/mérés)...
1.4.4. Az egyéb nyomatékátviteli alkatrészekre vonatkozó bemeneti adatokhoz és bemeneti információkhoz tartozó hashfüggvény...
1.5. A nyomatékátalakító adatai
1.5.1. A nyomatékátalakító modellje...
1.5.2. A nyomatékátalakító tanúsítványának száma...
1.5.3. A veszteségi jelleggörbe létrehozásához használt tanúsítási opció (standard értékek/mérés)...
1.5.4. A nyomatékátalakítóra vonatkozó bemeneti adatokhoz és bemeneti információkhoz tartozó hashfüggvény...
1.6. A szöghajtás adatai
1.6.1. Szöghajtási modell...
1.6.2. A szöghajtás tanúsítványszáma...
1.6.3. A veszteségi jelleggörbe létrehozásához használt tanúsítási opció (standard értékek/mérés)...
1.6.4. Szöghajtási arány...
1.6.5. A kiegészítő hajtásláncalkatrészekre vonatkozó bemeneti adatokhoz és bemeneti információkhoz tartozó hashfüggvény...
1.7. A tengely adatai
1.7.1. A tengely modellje...
1.7.2. A tengely tanúsítványának száma...
1.7.3. A veszteségi jelleggörbe létrehozásához használt tanúsítási opció (standard értékek/mérés)...
1.7.4. A tengely típusa (pl. szabványos, egyetlen hajtott tengely)...
1.7.5. Hátsóhídáttétel...
1.7.6. A tengelyre vonatkozó bemeneti adatokhoz és bemeneti információkhoz tartozó hashfüggvény...
1.8. Aerodinamika
1.8.1. Modell...
1.8.2. A CdxA létrehozásához használt tanúsítási opció (standard értékek/mérés)...
1.8.3. A CdxA tanúsítványának száma (adott esetben)...
1.8.4. CdxA érték...
1.8.5. A légellenállásra vonatkozó bemeneti adatokhoz és bemeneti információkhoz tartozó hashfüggvény...
1.9. A gumiabroncsok fő adatai
1.9.1. Abroncsméret az 1. tengelyen...
1.9.2. Gumiabroncs tanúsítványszáma 1. tengely...
1.9.3. Az összes abroncs gördülési ellenállási együtthatója (RRC) az 1. tengelyen...
1.9.3a. Az 1. tengelyen lévő abroncsokra vonatkozó bemeneti adatokhoz és bemeneti információkhoz tartozó hashfüggvény...
1.9.4. Abroncsméret a 2. tengelyen...
1.9.5. Ikertengely (van/nincs) a 2. tengelyen...
1.9.6. Gumiabroncs tanúsítványszáma 2. tengely...
1.9.7. Az összes abroncs gördülési ellenállási együtthatója (RRC) a 2. tengelyen...
1.9.7a. A 2. tengelyen lévő abroncsokra vonatkozó bemeneti adatokhoz és bemeneti információkhoz tartozó hashfüggvény...
1.9.8. Abroncsméret a 3. tengelyen...
1.9.9. Ikertengely (van/nincs) a 3. tengelyen...
1.9.10. Gumiabroncs tanúsítványszáma 3. tengely...
1.9.11. Az összes abroncs gördülési ellenállási együtthatója (RRC) a 3. tengelyen...
1.9.11a. A 3. tengelyen lévő abroncsokra vonatkozó bemeneti adatokhoz és bemeneti információkhoz tartozó hashfüggvény...
1.9.12. Abroncsméret a 4. tengelyen...
1.9.13. Ikertengely (van/nincs) a 4. tengelyen...
1.9.14. Gumiabroncs tanúsítványszáma 4. tengely...
1.9.15. Az összes abroncs gördülési ellenállási együtthatója (RRC) a 4. tengelyen...
1.9.16. A 4. tengelyen lévő abroncsokra vonatkozó bemeneti adatokhoz és bemeneti információkhoz tartozó hashfüggvény...
1.10. A segédberendezések adatai
1.10.1. A motor hűtőventilátorának technológiája...
1.10.2. A kormányszervo-szivattyú technológiája...
1.10.3. Elektromos rendszer
1.10.3.1. Generátor technológiája (hagyományos, intelligens, nincs generátor)...
1.10.3.2. Generátor legnagyobb teljesítménye (intelligens generátor) (kW)...
1.10.3.3. Elektromos tárolókapacitás (intelligens generátor) (kWh)...
1.10.3.4. LED-es nappali menetjelző lámpák (vannak/nincsenek)...
1.10.3.5. LED-es fényszórók (vannak/nincsenek)...
1.10.3.6. LED-es helyzetjelző lámpák (vannak/nincsenek)...
1.10.3.7. LED-es féklámpák (vannak/nincsenek)...
1.10.3.8. LED-es belső lámpák (vannak/nincsenek)...
1.10.4. Pneumatikus rendszer
1.10.4.1. Technológia...
1.10.4.2. Sűrítési arány...
1.10.4.3. Intelligens sűrítési rendszer...
1.10.4.4. Intelligens regeneráló rendszer...
1.10.4.5. Pneumatikusfelfüggesztés-vezérlés...
1.10.4.6. Reagens adagolás (kipufogógáz-utókezelés)...
1.10.5. HVAC rendszer
1.10.5.1. A rendszer konfigurációjának száma...
1.10.5.2. A vezetőtér hűtésére szolgáló hőszivattyú típusa...
1.10.5.3. A vezetőtér fűtésére szolgáló hőszivattyú-mód...
1.10.5.4. Az utastér hűtésére szolgáló hőszivattyú típusa...
1.10.5.5. Az utastér fűtésére szolgáló hőszivattyú-mód...
1.10.5.6. Kiegészítő fűtőberendezés teljesítménye (kW)...
1.10.5.7. Kettős üvegezés (igen/nem)...
1.10.5.8. Állítható hűtőközeg-termosztát (igen/nem)...
1.10.5.9. Állítható kiegészítő fűtőberendezés...
1.10.5.10. Motorvéggáz hőcserélője (igen/nem)...
1.10.5.11. Különálló levegőelosztó csatornák (igen/nem)...
1.10.5.12. Elektromos vízmelegítő
1.10.5.13. Elektromos légfűtő berendezés
1.10.5.14. Egyéb fűtési technológia
1.11. A motornyomaték határértékei
1.11.1. A motornyomaték határértéke 1. sebességfokozaton (a legnagyobb motornyomaték %-ában)...
1.11.2. A motornyomaték határértéke 2. sebességfokozaton (a legnagyobb motornyomaték %-ában)...
1.11.3. A motornyomaték határértéke 3. sebességfokozaton (a legnagyobb motornyomaték %-ában)...
1.11.4. A motornyomaték határértéke ... sebességfokozaton (a legnagyobb motornyomaték %-ában)
1.12. Fejlett gépjárművezetés-támogató rendszerek (ADAS)
1.12.1. A motor leállítása-újraindítása (stop-start) a jármű megállása alatt (igen/nem)...
1.12.2. Eco-roll stop-start rendszer nélkül (igen/nem)...
1.12.3. Eco-roll stop-start rendszerrel (igen/nem)...
1.12.4. Prediktív sebességtartó (igen/nem)...
1.13. Az elektromos géprendszer(ek) adatai
1.13.1. Modell...
1.13.2. Tanúsítvány száma
1.13.3. Típus (PSM, ESM, IM, SRM)...
1.13.4. Pozíció (GEN 1, 2, 3, 4)...
1.13.5. -
1.13.6. Számlálás a következő állásban...
1.13.7. Névleges teljesítmény (kW)...
1.13.8. Legnagyobb állandó teljesítmény (kW)...
1.13.9. Tanúsítási opció villamosenergia-fogyasztási jelleggörbe előállításához...
1.13.10. A bemeneti adatokhoz és bemeneti információkhoz tartozó hashfüggvény...
1.13.11. ADC-modell...
1.13.12. ADC tanúsítványának száma...
1.13.13. ADC veszteségi jelleggörbe létrehozásához használt tanúsítási opció (standard értékek/mérés)...
1.13.14. ADC-áttétel...
1.13.15. A kiegészítő hajtásláncalkatrészekre vonatkozó bemeneti adatokhoz és bemeneti információkhoz tartozó hashfüggvény...
1.14. Az integrált elektromos erőátviteli rendszer (IEPC) adatai
1.14. 1 Modell...
1.14.2. Tanúsítvány száma...
1.14.3. Névleges teljesítmény (kW)...
1.14.4. Legnagyobb állandó teljesítmény (kW)...
1.14.5. Sebességfokozatok száma...
1.14.6. A legkisebb teljes sebességáttétel (legnagyobb sebességfokozat szorozva a hátsóhídáttétellel, ha van):...
1.14.7. Differenciálművel felszerelve (igen/nem)...
1.14.8. Tanúsítási opció villamosenergia-fogyasztási jelleggörbe előállításához...
1.14.9. A bemeneti adatokhoz és bemeneti információkhoz tartozó hashfüggvény...
1.15. Az újratölthető elektromosenergia-tároló rendszer adatai
1.15. 1 Modell...
1.15.2. Tanúsítvány száma...
1.15.3. Névleges feszültség (V)...
1.15.4. Teljes tárolókapacitás (kWh):...
1.15.5. Teljes felhasználható kapacitás a szimulációban (kWh)...
1.15.6. Tanúsítási opció az elektromos rendszer veszteségeihez...
1.15.7. A bemeneti adatokhoz és bemeneti információkhoz tartozó hashfüggvény...
1.15.8. StringID (-)...
2. A jármű által ellátott feladat profiljától és a terheléstől függő értékek
2.1. Szimulációs paraméterek (minden egyes célprofil és terhelési kombináció esetében, külső feltöltésű hibrid elektromos járművek esetében a töltést fogyasztó üzemmódhoz, a töltésfenntartó üzemmódhoz és súlyozott)
2.1.1. Célprofil...
2.1.2. Terhelés (a szimulációs eszközben meghatározottak szerint) (kg)...
2.1.2a. Az utasok száma...
2.1.3. A jármű össztömege a szimulációban (kg)...
2.1.4. Külső feltöltésű üzemmód (töltést fogyasztó üzemmód, töltésfenntartó üzemmód, súlyozott)...
2.2. A jármű vezetési teljesítménye és a szimuláció minőségi ellenőrzését segítő információk
2.2.1. Átlagsebesség (km/h)...
2.2.2. Legkisebb pillanatnyi sebesség (km/h)...
2.2.3. Legnagyobb pillanatnyi sebesség (km/h)...
2.2.4. Legnagyobb lassulás (m/s2)...
2.2.5. Legnagyobb gyorsulás (m/s2)...
2.2.6. Teljes terhelés a járművezetési idő arányában...
2.2.7. Sebességfokozatok száma összesen...
2.2.8. Teljes megtett távolság (km)...
2.3. Tüzelőanyag- és energiafogyasztás (tüzelőanyag-típusonként és elektromos energia szerint) és CO2-kibocsátással kapcsolatos eredmények (összesen)
2.3.1. Tüzelőanyag-fogyasztás (g/km)...
2.3.2. Tüzelőanyag-fogyasztás (g/t-km)...
2.3.3. Tüzelőanyag-fogyasztás (g/p-km)...
2.3.4. Tüzelőanyag-fogyasztás (g/m3-km)...
2.3.5. Tüzelőanyag-fogyasztás (l/100km)...
2.3.6. Tüzelőanyag-fogyasztás (l/t-km)...
2.3.7. Tüzelőanyag-fogyasztás (l/p-km)...
2.3.8. Tüzelőanyag-fogyasztás (l/m3-km)...
2.3.9. Energiafogyasztás (MJ/km, kWh/km)...
2.3.10. Energiafogyasztás (MJ/t-km, kWh/t-km)...
2.3.11. Energiafogyasztás (MJ/p-km, kWh/p-km)...
2.3.12. Energiafogyasztás (MJ/m3-km, kWh/m3-km)...
2.3.13. CO2-kibocsátás (g/km)...
2.3.14. CO2-kibocsátás (g/t-km)...
2.3.15. CO2-kibocsátás (g/ p- km)...
2.3.16. CO2-kibocsátás (g/m3-km)...
2.4. Elektromos és nulla kibocsátási hatósugarak
2.4.1. Tényleges töltést fogyasztó üzemmódhoz tartozó hatósugár (km)...
2.4.2. Egyenértékű teljes elektromos hatósugár (km)...
2.4.3. Nulla szén-dioxid-kibocsátású hatósugár (km)...
3. Szoftverinformációk
3.1. A szimulációs eszköz verziószáma (X.X.X)...
3.2. A szimuláció dátuma és ideje...
3.3. A szimulációs eszköznek az elsődleges járműről származó bemeneti információihoz és bemeneti adataihoz tartozó kriptográfiai hashfüggvény (adott esetben)...
3.4. Az elsődleges járműre vonatkozó gyártói nyilvántartási dokumentumhoz tartozó kriptográfiai hashfüggvény (adott esetben)...
3.5. A szimulációs eszköz által előállított járműinformációs dokumentumhoz tartozó kriptográfiai hashfüggvény (adott esetben)...
3.6. A szimulációs eszköz bemeneti információihoz és bemeneti adataihoz tartozó hashfüggvény...
3.7. A gyártói nyilvántartási dokumentumhoz tartozó kriptográfiai hashfüggvény...
II. RÉSZ
A jármű CO2-kibocsátása és tüzelőanyag-fogyasztása - Ügyfél-információs dokumentum
Az ügyfél-információs dokumentumot a szimulációs eszköz állítja össze, és legalább a következő információkat kell tartalmaznia, amennyiben azok az adott járműre vagy tanúsítási lépésre vonatkoznak:
1. A járműre, az alkatrészekre, az önálló műszaki egységekre és a rendszerekre vonatkozó adatok
1.1. Járműadatok
1.1.1. Járműazonosító szám (VIN)...
1.1.2. Járműkategória (N2, N3, M3)...
1.1.3. Tengelykonfiguráció...
1.1.4. A műszakilag megengedhető legnagyobb terhelés (t)...
1.1.5. Járműcsoport az I. melléklet szerint...
1.1.5a. Jármű (al)csoport szén-dioxid-kibocsátási normái...
1.1.6. A gyártó(k) neve és címe...
1.1.7. Modell...
1.1.8. Korrigált tényleges tömeg (kg)...
1.1.9. Különleges felépítményű gépjármű (igen/nem)...
1.1.10. Kibocsátásmentes nehézgépjármű (igen/nem)...
1.1.11. Hibrid elektromos nehézgépjármű (igen/nem)...
1.1.12. Vegyes üzemű jármű (igen/nem)...
1.1.12a. Hulladékhő-visszanyerés (van/nincs)...
1.1.13. Hálóhelyes vezetőfülke (igen/nem)...
1.1.14. HEV architektúra (pl. P1, P2)...
1.1.15. PEV architektúra (pl. E2, E3)...
1.1.16. Külső feltöltési képesség (igen/nem)...
1.1.17. -
1.1.18. A külső feltöltés legnagyobb teljesítménye (kW)...
1.1.19. A 9. cikk alól mentesített járműtechnológia...
1.1.20. Buszosztály (pl. I., I+II. stb.)...
1.1.21. Teljes bejegyzett utasszám...
1.2. Az alkatrészekre, önálló műszaki egységekre és rendszerekre vonatkozó adatok
1.2.1. A motor névleges teljesítménye (kW)...
1.2.2. Motortérfogat (l)...
1.2.3. Tüzelőanyag-típus (dízel CI/CNG PI/LNG PI)...
1.2.4. Sebességváltási értékek (mért/szabványos)...
1.2.5. A sebességváltó típusa (SMT, AMT, APT, semmilyen)...
1.2.6. Sebességfokozatok száma...
1.2.7. Lassítófék (van/nincs)...
1.2.8. Hátsóhídáttétel...
1.2.9. A gépjármű összes gumiabroncsának átlagos gördülési ellenállási együtthatója (RRC):...
1.2.10a. A gépjármű minden egyes tengelyének gumiabroncsmérete...
1.2.10b. A gumiabroncsok üzemanyag-hatékonysági osztálya(i) az (EU) 2020/740 rendeletnek megfelelően a gépjármű minden egyes tengelyére vonatkozóan...
1.2.10c. A gépjármű minden egyes tengelyének gumiabroncs-tanúsítványszáma...
1.2.11. A motor leállítása-újraindítása (stop-start) a jármű megállása alatt (igen/nem)...
1.2.12. Eco-roll stop-start rendszer nélkül (igen/nem)...
1.2.13. Eco-roll stop-start rendszerrel (igen/nem)...
1.2.14. Prediktív sebességtartó (igen/nem)...
1.2.15. Az elektromos géprendszer(ek) teljes névleges főgépteljesítménye (kW)...
1.2.16. Elektromos géprendszer legnagyobb állandó főgépteljesítménye (kW)...
1.2.17. REESS tárolókapacitása (kWh)...
1.2.18. REESS felhasználható tárolókapacitása szimulációban (kWh)...
1.3. Segédberendezések konfigurációja
1.3.1. A kormányszervo-szivattyú technológiája...
1.3.2. Elektromos rendszer
1.3.2.1. Generátor technológiája (hagyományos, intelligens, nincs generátor)...
1.3.2.2. Generátor legnagyobb teljesítménye (intelligens generátor) (kW)...
1.3.2.3. Elektromos tárolókapacitás (intelligens generátor) (kWh)...
1.3.3. Pneumatikus rendszer
1.3.3.1. Intelligens sűrítési rendszer...
1.3.3.2. Intelligens regeneráló rendszer...
1.3.4. HVAC rendszer
1.3.4.1. Rendszer-konfiguráció...
1.3.4.2. Kiegészítő fűtőberendezés teljesítménye (kW)...
1.3.4.3. Kettős üvegezés (igen/nem)...
2. A jármű CO2-kibocsátása és tüzelőanyag-fogyasztása (minden egyes célprofil és terhelési kombináció esetében, külső feltöltésű hibrid elektromos járművek esetében a töltést fogyasztó üzemmódhoz, a töltésfenntartó üzemmódhoz és súlyozott)
2.1. Szimulációs paraméterek
2.1. 1 Célprofil...
2.1. 2 Hasznos teher (kg)...
2.1.3. Utasokra vonatkozó információk
2.1.3.1. Az utasok száma a szimulációban ...(-)
2.1.3.2. Az utasok tömege a szimulációban ...(kg)
2.1.4. A jármű össztömege a szimulációban (kg)...
2.1.5. Külső feltöltésű üzemmód (töltést fogyasztó üzemmód, töltésfenntartó üzemmód, súlyozott)...
2.2. Átlagsebesség (km/h)...
2.3. Tüzelőanyag- és elektromosenergia-fogyasztással kapcsolatos eredmények (tüzelőanyag-típusonként és elektromos energia szerint)
2.3.1. Tüzelőanyag-fogyasztás (g/km)...
2.3.2. Tüzelőanyag-fogyasztás (g/t-km)...
2.3.3. Tüzelőanyag-fogyasztás (g/p-km)...
2.3.4. Tüzelőanyag-fogyasztás (g/m3-km)...
2.3.5. Tüzelőanyag-fogyasztás (l/100km)...
2.3.6. Tüzelőanyag-fogyasztás (l/t-km)...
2.3.7. Tüzelőanyag-fogyasztás (l/p-km)...
2.3.8. Tüzelőanyag-fogyasztás (l/m3-km)...
2.3.9. Energiafogyasztás (MJ/km, kWh/km)...
2.3.10. Energiafogyasztás (MJ/t-km, kWh/t-km)...
2.3.11. Energiafogyasztás (MJ/p-km, kWh/p-km)...
2.3.12. Energiafogyasztás (MJ/m3-km, kWh/m3-km)...
2.4. CO2-kibocsátással kapcsolatos eredmények (minden egyes célprofil és terhelési kombináció esetében)
2.4.1. CO2-kibocsátás (g/km)...
2.4.2. CO2-kibocsátás (g/t-km)...
2.4.3. CO2-kibocsátás (g/p-km)...
2.4.5. CO2-kibocsátás (g/m3-km)...
2.5. Elektromos hatósugár
2.5.1. Tényleges töltést fogyasztó üzemmódhoz tartozó hatósugár (km)...
2.5.2. Egyenértékű teljes elektromos hatósugár (km)...
2.5.3. Nulla szén-dioxid-kibocsátású hatósugár (km)...
2.6. Súlyozott eredmények
2.6.1. Fajlagos CO2-kibocsátás (gCO2/t-km)...
2.6.2. Fajlagos elektromosenergia-fogyasztás (kWh/t-km)...
2.6.3. Átlagos hasznos terhelés (t)...
2.6.4. Fajlagos CO2-kibocsátás (gCO2/p-km)...
2.6.5. Fajlagos elektromosenergia-fogyasztás (kWh/p km)...
2.6.6. Átlagos utasszám (p)...
2.6.7. Tényleges töltést fogyasztó üzemmódhoz tartozó hatósugár (km)...
2.6.8. Egyenértékű teljes elektromos hatósugár (km)...
2.6.9. Nulla szén-dioxid-kibocsátású hatósugár (km)...
3. Szoftverinformációk
3.1. A szimulációs eszköz verziószáma...
3.2. A szimuláció dátuma és ideje...
3.3. A szimulációs eszköznek az elsődleges járműről származó bemeneti információihoz és bemeneti adataihoz tartozó kriptográfiai hashfüggvény (adott esetben)...
3.4. Az elsődleges járműre vonatkozó gyártói nyilvántartási dokumentumhoz tartozó kriptográfiai hashfüggvény (adott esetben)...
3.5. A járműszimulációs eszköz bemeneti információihoz és bemeneti adataihoz tartozó hashfüggvény...
3.6. A gyártói nyilvántartási dokumentumhoz tartozó kriptográfiai hashfüggvény...
3.7. Az ügyfél-információs dokumentumhoz tartozó kriptográfiai hashfüggvény...
III. RÉSZ
A jármű CO2-kibocsátása és tüzelőanyag-fogyasztása - Járműinformációs dokumentum nehéz autóbuszokhoz
Nehéz autóbuszok esetében a járműinformációs dokumentum ahhoz szükséges, hogy a releváns bemeneti adatokat, bemeneti információkat és szimulációs eredményeket az I. melléklet 2. pontjában leírt módszert szerint továbbítsa a későbbi tanúsítási lépésekhez.
A járműinformációs dokumentumnak legalább a következőket kell tartalmaznia:
1. Elsődleges jármű esetében:
1.1. Az elsődleges járműre vonatkozó, a III. mellékletben meghatározott bemeneti adatok és bemeneti információk, kivéve: a motor tüzelőanyag-fogyasztási jelleggörbéje; WHTC_Urban, WHTC_Rural, WHTC_Motorway, BFColdHot, CFRegPer motorkorrekciós tényezők; a nyomatékátalakító jellemzői; sebességváltóval, lassítófékkel, szöghajtással és tengellyel kapcsolatos veszteségek mért értékei; elektromos motorrendszerek és IEPC villamosenergia-fogyasztási jelleggörbéi; az újratölthető energiatároló rendszer elektromos veszteségének paraméterei
1.2. Minden egyes célprofilra és terhelési kombinációra:
1.2.1. A jármű össztömege a szimulációban (kg)...
1.2.2. Az utasok száma a szimulációban (-)...
1.2.3. Energia-fogyasztás (MJ/km)...
1.3. Szoftverinformációk
1.3.1. A szimulációs eszköz verziószáma...
1.3.2. A szimuláció dátuma és ideje...
1.4. Kriptográfiai hashfüggvények
1.4.1. Az elsődleges járműre vonatkozó gyártói nyilvántartási dokumentumhoz tartozó kriptográfiai hashfüggvény...
1.4.2. A járműinformációs dokumentumhoz tartozó kriptográfiai hashfüggvény...
2. Minden egyes közbenső, teljes vagy befejezett járműre
2.1. A teljes vagy befejezett járműre vonatkozóan a III. mellékletben meghatározott és az adott gyártó által szolgáltatott bemeneti adatok és bemeneti információk
2.2. Szoftverinformációk
2.2.1. A szimulációs eszköz verziószáma...
2.2.2. A szimuláció dátuma és ideje...
2.3. Kriptográfiai hashfüggvények
2.3.1. A járműinformációs dokumentumhoz tartozó kriptográfiai hashfüggvény...
V. MELLÉKLET
A MOTOR ADATAINAK ELLENŐRZÉSE
1. Bevezetés
Az ebben a mellékletben leírt motorvizsgálati eljárásnak kell szolgáltatnia a szimulációs eszközhöz a motorokra vonatkozóan a szimulációs eszköz bemeneti adatait.
2. Fogalommeghatározások
E melléklet alkalmazásában az ENSZ 49. sz. előírása ( 12 ) szerinti fogalommeghatározások, valamint ezeken túlmenően az alábbi fogalommeghatározások alkalmazandók:
1. "CO2-motorcsalád" : a motoroknak a gyártó által a 3. függelék 1. pontja szerint kialakított csoportja;
2. "CO2-alapmotor" : a 3. függeléknek megfelelően meghatározott CO2-motorcsaládból kiválasztott motor;
3. "NCV" : egy tüzelőanyagnak a 3.2. pont meghatározása szerinti nettó fűtőértéke;
4. "fajlagos tömegkibocsátás" : a teljes tömegkibocsátás és a motor teljes munkájának hányadosa egy meghatározott időszak alatt, g/kWh-ban kifejezve;
5. "fajlagos tüzelőanyag-fogyasztás" : a teljes tüzelőanyag-fogyasztás és a motor teljes munkájának hányadosa egy meghatározott időszak alatt, g/kWh-ban kifejezve;
6. "FCMC" : a tüzelőanyag-fogyasztás jelleggörbe-felvételi ciklusa;
7. "teljes terhelés" : a továbbított motornyomaték/-teljesítmény egy meghatározott fordulatszámnál, amikor a motor maximális kezelői parancs mellett működik;
8. "Hulladékhő-visszanyerő rendszer" vagy "WHR-rendszer" : minden olyan berendezés, amely a kipufogógázból vagy a motorhűtő rendszerek munkafolyadékaiból származó energiát elektromos vagy mechanikai energiává alakítja át;
9. "Külső kimenet nélküli WHR-rendszer" vagy "WHR_no_ext" : olyan WHR-rendszer, amely mechanikai energiát termel, és mechanikusan kapcsolódik a motor forgattyús tengelyéhez annak érdekében, hogy az általa generált energiát közvetlenül a motor forgattyús tengelyébe táplálja vissza;
10. "Külső mechanikai kimenettel rendelkező WHR-rendszer" vagy "WHR_mech" : olyan WHR-rendszer, amely mechanikai energiát termel, és azt a jármű hajtásláncának a motortól eltérő más elemeibe vagy újratölthető tárolóba táplálja;
11. "Külső elektromos kimenő teljesítményű WHR-rendszer" vagy "WHR_elec" : olyan WHR-rendszer, amely elektromos energiát termel, és azt a jármű elektromos áramkörébe vagy újratölthető tárolójába táplálja;
12. "P_WHR_net" : a 3.1.6. pontnak megfelelően a WHR-rendszer által előállított hasznos teljesítmény;
13. "E_WHR_net" : a WHR-rendszer által egy bizonyos időtartam alatt a P_WHR_net integrálásával előállított nettó energia.
Az ENSZ 49. sz. előírása 4. mellékletének 3.1.5. és 3.1.6. szakaszában szereplő fogalommeghatározások nem alkalmazandók.
3. Általános követelmények
A kalibrálásra szolgáló laboratóriumi létesítményeknek meg kell felelniük az IATF 16949 szabvány, az ISO 9000 szabványsorozat vagy az ISO/IEC 17025 szabvány követelményeinek. Valamennyi laboratóriumi referenciamérésre szolgáló berendezésnek, amelyet kalibrálásra és/vagy ellenőrzésre használnak, a nemzeti vagy a nemzetközi szabványokra visszavezethetőnek kell lennie.
A motorokat a 3. függelék szerint meghatározott CO2-motorcsaládokba kell csoportosítani. A 4.1. pont ismerteti, hogy mely vizsgálati meneteket kell végrehajtani egy adott CO2-motorcsalád tanúsítása céljából.
3.1. Vizsgálati feltételek
Egy adott, az e melléklet 3. függelékével összhangban meghatározott CO2-motorcsalád tanúsításának céljából végzett minden vizsgálati menetet ugyanazon a fizikai motoron kell végrehajtani, a motor teljesítménymérő fékpadjának és a motorrendszer beállításának bármely módosítása nélkül, a 4.2. pontban és a 3. függelékben meghatározott kivételektől eltekintve.
3.1.1. Laboratóriumi vizsgálati feltételek
A vizsgálatokat a következő feltételeknek megfelelő környezeti viszonyok mellett kell végrehajtani a teljes vizsgálati menet folyamán:
(1) A laboratóriumi vizsgálati feltételeket leíró, az ENSZ 49. sz. előírása 4. mellékletének 6.1. szakaszával összhangban meghatározott "fa" paraméternek az alábbi határértékeken belül kell maradnia: 0,96 ≤ fa ≤ 1,04.
(2) A motor által beszívott levegő Kelvinben kifejezett, az ENSZ 49. sz. előírása 4. mellékletének 6.1. szakaszával összhangban meghatározott abszolút hőmérsékletének (Ta) az alábbi határértékeken belül kell maradnia: 283 K ≤ Ta ≤ 303 K.
(3) A légköri nyomás kPa-ban kifejezett, az ENSZ 49. sz. előírása 4. mellékletének 6.1. szakaszával összhangban meghatározott értékének az alábbi határértékeken belül kell maradnia: 90 kPa ≤ ps ≤ 102 kPa.
Ha a vizsgálatokat olyan vizsgálókamrákban végzik, amelyek képesek az adott vizsgálati helyszínen uralkodó légkörtől eltérő légnyomási feltételek szimulálására, az alkalmazandó fa értéket a kondicionáló rendszernek a légköri nyomás szimulált értékeinek segítségével kell meghatároznia. A szimulált légköri nyomás ugyanezen referenciaértékét kell használni a beszívott levegő és a kipufogógáz elvezetésére szolgáló útvonal, valamint minden más releváns motorrendszer esetében. A beszívott levegő és a kipufogógáz elvezetésére szolgáló útvonal, valamint minden más releváns motorrendszer esetében a szimulált légköri nyomás tényleges értékének a (3) alpontban meghatározott határértékeken belül kell maradnia.
Abban az esetben, ha az adott vizsgálati helyszínen a légkör környezeti nyomása meghaladja a 102 kPa felső határértéket, az e melléklet szerinti vizsgálatok továbbra is elvégezhetők. Ebben az esetben a vizsgálatokat a légkör fajlagos környezeti légnyomásával kell végrehajtani.
Abban az esetben, ha a vizsgálókamra képes arra, hogy a légköri viszonyoktól függetlenül szabályozza a motor által beszívott levegő hőmérsékletét, nyomását és/vagy páratartalmát, akkor ugyanazokat a paramétereket kell használni az összes olyan vizsgálati menet esetében, amelynek a célja egy adott, e melléklet 3. függeléke szerint meghatározott CO2-motorcsalád tanúsítása.
3.1.2. A motor beépítése
A vizsgált motort a 49. sz. ENSZ-előírás 4. mellékletének 6.3-6.6. szakaszával összhangban kell beépíteni.
Ha a motorrendszer üzemeltetéséhez szükséges (segéd)berendezéseket nem a 49. sz. ENSZ-előírás 4. mellékletének 6.3. szakaszával összhangban építik be, akkor e melléklet alkalmazásában az összes mért motornyomaték-értéket korrigálni kell az ezen alkatrészek hajtásához szükséges teljesítménnyel, összhangban az ENSZ 49 sz. előírásának 4. mellékletének 6.3. szakaszával.
A motornyomaték- és teljesítményértékek ilyen korrekcióját akkor kell elvégezni, ha az ezen alkatrészeknek az adott motorműködési adatponton történő meghajtásához szükséges kiegészítő vagy hiányzó motornyomaték abszolút értékeinek összege meghaladja a 4.3.5.5. szakasz 1. bekezdésének b) pontja szerint meghatározott nyomatékbeli tűréshatárokat. Ha az ilyen motoralkatrészt szakaszosan működtetik, az adott alkatrész meghajtásához szükséges nyomatékértékeket egy megfelelő időtartamra vonatkozó átlagértékként kell meghatározni, amely a helyes műszaki megítélés alapján és a jóváhagyó hatósággal egyetértésben tükrözi a tényleges üzemmódot.
Annak meghatározása céljából, hogy szükség van-e ilyen korrekcióra vagy sem, valamint a korrekció elvégzéséhez szükséges tényleges értékek megállapításához a következő motoralkatrészek azon energiafogyasztását, amely az ezen alkatrészek meghajtásához szükséges motornyomatékot eredményezi, e melléklet 5. függelékével összhangban kell meghatározni:
1. ventilátor;
2. a motorrendszer működtetéséhez szükséges elektromos hajtású (segéd)berendezések.
3.1.3. A forgattyúsházból származó kibocsátások
Zárt forgattyúsház esetében a gyártó biztosítja, hogy a motor forgattyúsházának szellőztető rendszere ne engedjen kartergázt a levegőbe. Ha a forgattyúsház nyitott, a kibocsátásokat meg kell mérni és a 49. sz. ENSZ-előírás 4. mellékletének 6.10. szakaszában meghatározott rendelkezéseket követve hozzá kell adni a kipufogócsőből származó kibocsátásokhoz.
3.1.4. Feltöltőlevegő-hűtővel felszerelt motorok
A vizsgálati menetek alatt a próbapadon használt feltöltőlevegő-hűtő rendszert olyan körülmények között kell működtetni, amelyek jellemzőek a járműveken belüli, környezeti referenciafeltételek mellett történő alkalmazásra nézve. A környezeti referenciafeltételeket a levegő hőmérséklete esetében 293 K, míg a nyomás esetében 101,3 kP értékben határozták meg.
A laboratóriumi feltöltőlevegő-hűtésnek az e rendelet szerinti vizsgálatok esetében meg kell felelnie a 49. sz. ENSZ-előírás 4. mellékletének 6.2. szakaszában meghatározott rendelkezéseknek.
3.1.5. A motor hűtőrendszere
1. A vizsgálati menetek alatt a próbapadon használt motorhűtő rendszert olyan körülmények között kell működtetni, amelyek jellemzőek a járműveken belüli, környezeti referenciafeltételek mellett történő alkalmazásra nézve. A környezeti referenciafeltételeket a levegő hőmérséklete esetében 293 K, míg a nyomás esetében 101,3 kP értékben határozták meg.
2. A motorhűtő rendszert a járműbe való beépítésre vonatkozó gyártói előírásoknak megfelelően termosztáttal kell felszerelni. Ha nem működő termosztát kerül beépítésre, vagy nincs termosztát, akkor a (3) alpontot kell alkalmazni. A hűtőrendszer beállítását a (4) alponttal összhangban kell elvégezni.
3. Ha nem használnak termosztátot, vagy nem működő termosztátot építettek be, a próbapadrendszernek tükröznie kell a termosztát viselkedését minden vizsgálati feltétel mellett. A hűtőrendszer beállítását a (4) alponttal összhangban kell elvégezni.
4. A motor hűtőközegének áramlási sebességét (vagy alternatív módon a hőcserélő motoroldalán a nyomáskülönbséget) és a motor hűtőközegének hőmérsékletét olyan értékre kell beállítani, amely jellemző a járműveken belüli, környezeti referenciafeltételek mellett történő alkalmazásra, amikor a motort a névleges fordulatszámon, teljes terhelés mellett, teljesen nyitott helyzetben lévő motortermosztáttal járatják. Ez a beállítás határozza meg a hűtőközeg referencia-hőmérsékletét. Egy CO2-motorcsaládon belül egy adott motor tanúsítása céljából elvégzett összes vizsgálati menet esetében a hűtőrendszer beállítása nem módosítható sem a motoroldalon, sem a hűtőrendszer próbapadjának oldalán. A próbapad oldali hűtőközeg hőmérsékletét a helyes műszaki megítélés alapján észszerű mértékben állandó értéken kell tartani. A hőcserélő próbapad felőli oldalán a hűtőközeg nem haladhatja meg a névleges termosztátnyitási hőmérsékletet a hőcserélőt követő fázisban.
5. Egy CO2-motorcsaládon belül egy adott motor tanúsításának céljából végzett összes vizsgálati menet esetében a motor hűtőközegének hőmérsékletét a gyártó által megadott termosztátnyitási hőmérséklet névleges értéke és a hűtőközeg (4) alpont szerinti referencia-hőmérséklete között kell tartani, amint a motor hűtőközege a motor hidegindítását követően elérte a bejelentett termosztátnyitási hőmérsékletet.
6. A 4.3.3. pont szerint elvégzett hidegindításos WHTC-vizsgálat esetében az egyedi kezdeti feltételeket a 49. sz. ENSZ-előírás 4. mellékletének 7.6.1. és 7.6.2. szakasza határozza meg. Ha a termosztát viselkedésének (3) alpont szerinti szimulációját alkalmazzák, nem lehet hűtőközeg-áramlás a hőcserélőben mindaddig, amíg a motor hűtőközege a hidegindítást követően nem érte el a bejelentett névleges termosztátnyitási hőmérsékletet.
3.1.6. A WHR-rendszerek létrehozása
Ha a motor WHR-rendszerrel rendelkezik, a következő követelmények alkalmazandók.
3.1.6.1. A 3.1.6.2. pontban felsorolt paraméterek esetében a próbapadra történő felszerelés nem eredményezheti a WHR-rendszer jobb teljesítményét a rendszer által generált teljesítménnyel összefüggésben, mint a járműbe történő használat közbeni beszerelésre vonatkozó előírások. A próbapadon használt minden egyéb WHR-rendszert olyan körülmények között kell működtetni, amelyek jellemzőek a járműveken belüli, környezeti referenciafeltételek mellett történő alkalmazásra nézve. A WHR-rel összefüggő környezeti referenciafeltételeket a levegő hőmérséklete esetében 293 K, míg a nyomás esetében 101,3 kPa értékben határozták meg.
3.1.6.2. A motor vizsgálati összeállításának a többletenergiából a WHR-rendszerbe átvitt hőmérsékletet és energiatartalmat illetően a legrosszabb esetet kell tükröznie. A következő paramétereket úgy kell beállítani, hogy a legrosszabb esetet tükrözzék, és azokat az 1a. ábra szerint kell rögzíteni, és jelenteni kell az e melléklet 2. függelékében mintaként szereplő adatközlő lapnak megfelelően:
a) Az utolsó utókezelő rendszer és a WHR-rendszerek (kazánok) munkafolyadékainak párologtatására szolgáló hőcserélők közötti, a motor után mért távolságnak (LEW) meg kell egyeznie legalább a WHR-rendszer gyártója által a járművekbe történő használat közbeni beszerelésre meghatározott legnagyobb távolsággal (LmaxEW).
b) A kipufogógáz-áramban turbinával (turbinákkal) rendelkező WHR-rendszerek esetében a motor kimenete és a turbinába való belépés közötti távolságnak (LET) meg kell egyeznie legalább a WHR-rendszer gyártója által a járművekbe történő használat közbeni beszerelésre meghatározott legnagyobb távolsággal (LmaxET).
c) A ciklikus folyamatban, munkafolyadék használatával működő WHR-rendszerek esetében:
i. a bepárló és az expanziós egység közötti teljes csőhossznak (LHE) meg kell egyeznie legalább a gyártó által a járművekbe történő használat közbeni beszerelésre meghatározott legnagyobb távolsággal (LmaxHE);
ii. az expanziós egység és a hűtő közötti teljes csőhossznak (LEC) meg kell egyeznie legalább a gyártó által a járművekbe történő használat közbeni beszerelésre meghatározott legnagyobb távolsággal (LmaxEC);
iii. a kondenzátor és a bepárló közötti teljes csőhossznak (LCE) meg kell egyeznie legalább a gyártó által a járművekbe történő használat közbeni beszerelésre meghatározott legnagyobb távolsággal (LmaxCE);
iv. a munkafolyadék pcond nyomásának a kondenzátorba való belépés előtt meg kell felelnie a járművekben a környezeti referenciafeltételek mellett történő használat közbeni alkalmazásnak, de semmi esetre sem lehet alacsonyabb, mint a vizsgálókamrában lévő környezeti nyomás mínusz 5 kPa, kivéve, ha a gyártó bizonyítja, hogy alacsonyabb nyomás tartható fenn a jármű teljes élettartama alatt a használat közben;
v. a WHR kondenzátor hűtésére szolgáló próbapadon a hűtési teljesítményt a Pcool = k × (tcond - 20 °C) maximális értékre kell korlátozni.
A Pcool értéket vagy a munkafolyadék oldalán, vagy a próbapad hűtőközeg felőli oldalán kell mérni. Ahol a tcond a folyadék kondenzációs hőmérséklete (°C-ban) pcond teljesítmény mellett
k = f0 + f1 × Vc.
ahol: Vc a motor lökettérfogata literben (két tizedesjegyre kerekítve)
f0 = 0,6 kW/K
f1 = 0,05 kW/(K*l);
vi. A próbapadon lévő WHR-kondenzátor hűtéséhez folyadékhűtés, illetve léghűtés egyaránt megengedett. Léghűtéses kondenzátor esetében a rendszert a fenti 3.1.6.1. alpontban meghatározott környezeti referenciafeltételek biztosítása mellett (adott esetben) ugyanazzal a ventilátorral kell hűteni, mint amelyet a járműbe szereltek, továbbá. Léghűtéses kondenzátor esetében a fenti v. alpontban meghatározott hűtésiteljesítmény-korlátozást kell alkalmazni, ahol a tényleges hűtési teljesítményt a fűtőkondenzátor munkafolyadék oldalán kell mérni. Ha ezen ventilátor meghajtásához szükséges áramot külső áramforrás biztosítja, akkor a hasznos teljesítménynek az alábbi f) alpont szerinti meghatározásakor a ventilátor által ténylegesen felvett teljesítményt kell a WHR-rendszerhez leadott teljesítménynek tekinteni.
1a. ábra
A motorvizsgálatokhoz használt WHR-alkatrészek legkisebb és legnagyobb távolságának meghatározása

d) A kipufogó- vagy hűtőrendszerből hőenergiát gyűjtő egyéb WHR-rendszereket a c) alpont rendelkezéseivel összhangban kell kialakítani. A c) pontban említett "bepárló" arra a hőcserélőre vonatkozik, amely a többlethőt a WHR-készülékbe adja át. A c) alpontban szereplő "expanziós egység" az energiát átalakító berendezésre vonatkozik.
e) A WHR-rendszerek valamennyi csőátmérőjének meg kell egyeznie vagy kisebbnek kell lennie a használatra meghatározott átmérőnél.
f) WHR_mech rendszerek esetében a nettó mechanikai teljesítményt a 60 km/h sebességre várható motorfordulatszámon kell mérni. Ha várhatóan különböző sebességáttételeket alkalmaznak, a fordulatszámot ezen sebességáttételek átlagával kell kiszámítani. A WHR-rendszer által előállított mechanikai vagy villamos energiát a 2. táblázatban meghatározott követelményeknek megfelelő mérőberendezéssel kell mérni.
i. A nettó elektromos teljesítmény a WHR-rendszer által a külső energianyelőnek vagy újratölthető tárolónak szolgáltatott elektromos teljesítmény összege, mínusz a külső áramforrásból vagy újratölthető tárolóból a WHR-rendszerbe szolgáltatott elektromos teljesítmény. A nettó elektromos teljesítményt egyenáramú teljesítményként kell mérni, azaz a váltakozó áramúról egyenáramra történő átváltás után.
ii. A nettó mechanikai teljesítmény a WHR-rendszer által a külső áramnyelőnek vagy (adott esetben) újratölthető tárolónak szolgáltatott mechanikai teljesítmény összege, mínusz a WHR-rendszerbe külső áramforrásból vagy újratölthető tárolóból szolgáltatott mechanikai teljesítmény.
iii. A használatban lévő jármű működéséhez szükséges valamennyi elektromos és mechanikai átviteli rendszert fel kell szerelni a motorvizsgálat alatti méréshez (pl. kardántengelyek vagy szíjhajtások a mechanikus csatlakozáshoz, AC/DC átalakítók és DC/DC feszültségtranszformátorok). Ha a járműben alkalmazott átviteli rendszer nem része a vizsgálati összeállításnak, a mért nettó elektromos vagy mechanikai teljesítményt ennek megfelelően csökkenteni kell az egyes különálló átviteli rendszerekre vonatkozó általános hatékonysági tényezővel való szorzással. Az összeállításban nem szereplő átviteli rendszerekre a következő általános hatékonysági értékeket kell alkalmazni:
1. táblázat
A WHR-teljesítmény átviteli rendszereinek általános hatékonysági értékei
Sebességváltó típusa | A WHR-teljesítmény hatékonysági tényezője |
Hajtómű fokozat | 0,96 |
Szíjhajtás | 0,92 |
Lánchajtás | 0,94 |
DC/DC átalakító | 0,95 |
3.2. Tüzelőanyagok
A vizsgált motorrendszerekhez a megfelelő referencia-tüzelőanyagot az 1. táblázatban felsorolt tüzelőanyag-típusok közül kell kiválasztani. Az 1. táblázatban felsorolt referencia-tüzelőanyagok tulajdonságai azonosak az 582/2011/EU bizottsági rendelet IX. mellékletében meghatározottakkal.
Annak biztosítására, hogy ugyanazt a tüzelőanyagot használják minden egyes olyan vizsgálati menet során, amelyet egy adott CO2-motorcsalád tanúsítása céljából végeznek, nem kerülhet sor a tartály újratöltésére, illetve a motorrendszert ellátó másik tartályra történő átkapcsolásra. Kivételes esetben az ilyen újratöltés vagy átkapcsolás engedélyezhető, amennyiben biztosítható, hogy a pótlólagos tüzelőanyag pontosan ugyanolyan tulajdonságokkal rendelkezik, mint az előzőleg használt tüzelőanyag (azonos gyártási tétel).
A felhasznált tüzelőanyag NCV-jét két különálló, az 1. táblázatban az egyes tüzelőanyag-típusok tekintetében meghatározott szabványok szerint elvégzett méréssel kell meghatározni. A két különálló mérést két eltérő, a tanúsítványt kérelmező gyártótól független laboratóriumnak kell elvégeznie. A mérést végző laboratóriumnak meg kell felelnie az ISO/IEC 17025 szabvány követelményeinek. A jóváhagyó hatóság gondoskodik arról, hogy az NCV meghatározásához használt tüzelőanyag-mintát az összes vizsgálati menethez használt tüzelőanyag-tételből vegyék.
Ha a külön mért két NCV-érték grammonként több mint 440 Joule-lal eltér, akkor a meghatározott értékek érvénytelenek, és a mérési intézkedéseket meg kell ismételni.
A tüzelőanyaggrammonként legfeljebb 440 Joule-lal eltérő, két külön mért NCV-érték átlagát MJ/kg-ban kifejezve kell dokumentálni, az ASTM E 29-06 szabvány szerint két tizedesjegyig kerekítve.
Gáznemű tüzelőanyagok esetében az NCV 1. táblázat szerinti meghatározására vonatkozó szabványok tartalmazzák a fűtőértéknek a tüzelőanyag összetétele alapján történő kiszámítását. A gáznemű tüzelőanyagnak az NCV meghatározásához használt összetételét a gáznemű referencia-tüzelőanyagnak a tanúsítási vizsgálatok során használt tétele elemzéséből kell venni. A gáznemű tüzelőanyag NCV-meghatározáshoz használt összetételének meghatározását a tanúsítványt kérelmező gyártótól független laboratóriumnak kell elvégeznie egyetlen elemzéssel. Gáznemű tüzelőanyagok esetében az NCV-t ennek az egyetlen elemzésnek az alapján kell meghatározni, nem pedig két különálló mérés átlagaként.
A tüzelőanyaggrammonként legfeljebb 440 Joule-lal eltérő, két külön mért NCV-érték átlagát MJ/kg-ban kifejezve kell dokumentálni, az ASTM E 29-06 szabvány szerint két tizedesjegyig kerekítve.
1. táblázat
Vizsgálati referencia-tüzelőanyag
Tüzelőanyag típusa/motor típusa | Referencia-tüzelőanyag típusa | Az NCV (nettó fűtőérték) meghatározásához használt szabvány |
Dízel / kompressziós gyújtás | B7 | legalább ASTM D240 vagy DIN 59100-1 (ASTM D4809 az ajánlott) |
Etanol / kompressziós gyújtás | ED95 | legalább ASTM D240 vagy DIN 59100-1 (ASTM D4809 az ajánlott) |
Benzin / szikragyújtás | E10 | legalább ASTM D240 vagy DIN 59100-1 (ASTM D4809 az ajánlott) |
Etanol / szikragyújtás | E85 | legalább ASTM D240 vagy DIN 59100-1 (ASTM D4809 az ajánlott) |
LPG / szikragyújtás | LPG, „B” tüzelőanyag | ASTM 3588 vagy DIN 51612 |
Földgáz / szikragyújtás vagy földgáz/ kompressziós gyújtás | G25 vagy GR | ISO 6976 vagy ASTM 3588 |
3.2.1. Vegyes üzemű motor esetében a vizsgált motorrendszerekhez a megfelelő referencia-tüzelőanyagot az 1. táblázatban felsorolt tüzelőanyag-típusok közül kell kiválasztani. A két referencia-tüzelőanyag egyikének mindig B7-nek, a másik referencia-tüzelőanyagnak pedig a G25, GR vagy LPG, "B" tüzelőanyagnak kell lennie.
A 3.2. pontban megállapított alapvető rendelkezéseket a két kiválasztott tüzelőanyag mindegyikére külön-külön kell alkalmazni.
3.3. Kenőanyagok
Az e melléklet szerint végrehajtott összes vizsgálati menet esetében kenőolajként olyan, kereskedelmi forgalomban kapható olajat kell használni, amely korlátlan gyártói jóváhagyással rendelkezik az ENSZ 49 sz. előírása 8. mellékletének 4.2. szakaszában meghatározott rendes üzemi feltételek mellett. Olyan kenőanyagok, amelyek használata a motorrendszer bizonyos különleges működési feltételeire korlátozódik, vagy amelyek szokatlanul rövid olajcsere-intervallummal rendelkeznek, nem használhatók az e melléklet szerinti vizsgálati menetek céljából. A kereskedelmi forgalomban kapható olaj semmilyen módon nem módosítható, és nem adhatók hozzá adalékanyagok.
Egy adott CO2-motorcsalád CO2-kibocsátással és tüzelőanyag-fogyasztással kapcsolatos tulajdonságainak tanúsítása céljából végzett valamennyi vizsgálati menetet ugyanolyan típusú kenőolajjal kell elvégezni.
3.4. Tüzelőanyagáram-mérő rendszer
A tüzelőanyagáram-mérő rendszernek rögzítenie kell a teljes motorrendszer által fogyasztott valamennyi tüzelőanyag-áramot. A motorhengerekben nem közvetlenül az égési folyamathoz szállított további tüzelőanyag-áramokat minden végrehajtott vizsgálati menet esetében a tüzelőanyag-áram jelében kell feltüntetni. A motorrendszer működéséhez nem szükséges további tüzelőanyag-befecskendezőket (például hidegindító berendezéseket) az összes végrehajtott vizsgálati menet során le kell csatlakoztatni a tüzelőanyag-ellátó vezetékről.
3.4.1. A vegyes üzemű motorokra vonatkozó különleges követelmények
Vegyes üzemű motorok esetében a tüzelőanyag-áramot a 3.4. pont szerint mindkét kiválasztott tüzelőanyag esetében külön-külön kell mérni.
3.5. A mérőberendezésekre vonatkozó előírások
A mérőberendezéseknek meg kell felelniük az ENSZ 49 sz. előírása 4. mellékletének 9. szakaszában meghatározott követelményeknek.
Az ENSZ 49 sz. előírása 4. mellékletének 9. szakaszában meghatározott követelmények ellenére a 2. táblázatban felsorolt mérőrendszereknek meg kell felelniük a 2. táblázatban meghatározott határértékeknek.
2. táblázat
A mérőrendszerekre vonatkozó követelmények
Linearitás | ||||||
Mérőrendszer | Állandó | xmin × (a1 – 1) + a0 | | a1 meredekség | Becslés standard hibája (SEE) | Determinációs együttható r2 | Pontosság (1) | Felfutási idő (2) |
Motorfordulatszám | ≤ 0,2 % max. kalibrálás (3) | 0,999 – 1,001 | ≤ 0,1 % max. kalibrálás (3) | ≥ 0,9985 | a fordulatszám mért értékének 0,2 %-a vagy max. kalibrálásának 0,1 %-a (3), amelyik nagyobb | ≤ 1 s |
Motornyomaték | ≤ 0,5 % max. kalibrálás (3) | 0,995 – 1,005 | ≤ 0,5 % max. kalibrálás (3) | ≥ 0,995 | a nyomaték mért értékének 0,6 %-a vagy max. kalibrálásának 0,3 %-a (3), amelyik nagyobb | ≤ 1 s |
A tüzelőanyag-tömegáram folyékony tüzelőanyagok esetében | ≤ 0,5 % max. kalibrálás (3) | 0,995 – 1,005 | ≤ 0,5 % max. kalibrálás (3) | ≥ 0,995 | a tömegáram mért értékének 0,6 %-a vagy max. kalibrálásának 0,3 %-a (3), amelyik nagyobb | ≤ 2 s |
A tüzelőanyag-tömegáram gáznemű tüzelőanyagok esetében | ≤ 1 % max. kalibrálás (3) | 0,99 – 1,01 | ≤ 1 % max. kalibrálás (3) | ≥ 0,995 | a tömegáram mért értékének 1 %-a vagy max. kalibrálásának 0,5 %-a (3), amelyik nagyobb | ≤ 2 s |
Villamosenergia-ellátás | ≤ 1 % max. kalibrálás (3) | 0,98 – 1,02 | ≤ 2 % max. kalibrálás (3) | ≥ 0,990 | nincs adat | ≤ 1 s |
Elektromos áram | ≤ 1 % max. kalibrálás (3) | 0,98 – 1,02 | ≤ 2 % max. kalibrálás (3) | ≥ 0,990 | nincs adat | ≤ 1 s |
Feszültség | ≤ 1 % max. kalibrálás (3) | 0,98 – 1,02 | ≤ 2 % max. kalibrálás (3) | ≥ 0,990 | nincs adat | ≤ 1 s |
A WHR-rendszer szempontjából releváns hőmérséklet | ≤ 1,5 % max. kalibrálás(3) | 0,98–1,02 | ≤ 2 % max. kalibrálás (3) | ≥ 0,980 | nincs adat | ≤ 10 s |
A WHR-rendszer szempontjából releváns nyomás | ≤ 1,5 % max. kalibrálás(3) | 0,98–1,02 | ≤ 2 % max. kalibrálás (3) | ≥ 0,980 | nincs adat | ≤ 3 s |
A WHR-rendszer szempontjából releváns elektromos teljesítmény | ≤ 2 % max. kalibrálás(3) | 0,97–1,03 | ≤ 4 % max kalibrálás (3) | ≥ 0,980 | nincs adat | ≤ 1 s |
A WHR-rendszer szempontjából releváns mechanikai teljesítmény | ≤ 1 % max. kalibrálás(3) | 0,995–1,005 | ≤ 1,0 % max. kalibrálás (3) | ≥ 0,99 | a teljesítmény mért értékének 1,0 %-a vagy max. kalibrálásának 0,5 %-a(3), amelyik nagyobb | ≤ 1 s |
(1) „Pontosság”: a gázelemző berendezés által mért érték eltérése egy olyan referenciaértéktől, amely visszavezethető valamely nemzeti vagy nemzetközi szabványra. (2) „Felfutási idő”: a gázelemző berendezés által mért végérték 10 %-ának és 90 %-ának megfelelő válaszjel megjelenése között eltelő idő (t90 – t10). (3) A „max. kalibrálás” értékeknek az adott mérőrendszer esetében minden vizsgálati menet során a várható legnagyobb előrejelzett érték 1,1-szeresének kell lenniük. |
Vegyes üzemű motorok esetében a folyékony és gáz-halmazállapotú tüzelőanyagok tüzelőanyag-tömegáramát mérő rendszerre alkalmazandó "maximális kalibrációs" értéket a következő rendelkezéseknek megfelelően kell meghatározni:
1. A tüzelőanyag-típusnak, amelyre vonatkozóan a tüzelőanyag-tömegáramot a 2. táblázatban meghatározott követelmények ellenőrzése alá tartozó mérőrendszerrel kell meghatározni, az elsődleges tüzelőanyagnak kell lennie. A másik tüzelőanyag-típus a másodlagos tüzelőanyag.
2. A másodlagos tüzelőanyag valamennyi vizsgálati menet során várható legnagyobb előrejelzett értékét át kell számítani az elsődleges tüzelőanyag valamennyi vizsgálati menete alatt várható legnagyobb értékre az alábbi egyenlet alkalmazásával:
mf* mp,seco = mfmp,seco × NCVseco / NCVprim
ahol:
mf* mp,seco = a másodlagos tüzelőanyag legnagyobb előrejelzett tömegáramának értéke átszámítva az elsődleges tüzelőanyagra
mfmp,seco = az alternatív tüzelőanyag legnagyobb előrejelzett tömegáramának másodlagos tüzelőanyag
NCVprim = Az elsődleges tüzelőanyag NCV-je a 3.2. pont szerint meghatározva [MJ/kg]
NCVseco = A másodlagos tüzelőanyag NCV-je a 3.2. pont szerint meghatározva [MJ/kg]
3. Az összes vizsgálati menet során várható legnagyobb előrejelzett mfmp,overall összértéket a következő egyenlettel kell meghatározni:
mfmp,overall = mfmp,prim + mf* mp,seco
ahol:
mfmp,prim = a másodlagos tüzelőanyag legnagyobb előrejelzett tömegáramának elsődleges tüzelőanyagok
mf* mp,seco = a másodlagos tüzelőanyag legnagyobb előrejelzett tömegáramának
4. A "max. calibration" értékek a fenti 3. alponttal összhangban meghatározott várható legnagyobb előrejelzett mfmp,overall összérték 1,1-szerese.
Az "xmin ", amelyet a 2. táblázatban szereplő állandó érték kiszámításához használnak, az adott mérőrendszer esetében minden vizsgálati menet során a várható legkisebb előrejelzett érték 0,9-szerese kell, hogy legyen.
A 2. táblázatban felsorolt mérőrendszerek jelátviteli frekvenciája - a tüzelőanyag tömegáramának mérésére szolgáló rendszer kivételével - legalább 5 Hz kell, hogy legyen (≥ 10 Hz ajánlott). A tüzelőanyag tömegáramának mérésére szolgáló rendszer jelátviteli frekvenciája legalább 2 Hz kell, hogy legyen.
Minden mérési adatot legalább 5 Hz-es mintafrekvenciával (≥ 10 Hz ajánlott) kell rögzíteni.
3.5.1. A mérőberendezések ellenőrzése
Minden egyes mérőrendszer esetében el kell végezni a 2. táblázatban meghatározott elvárt követelmények ellenőrzését. A mérőrendszerbe legalább 10, a 3.5. pont szerint meghatározott xmin és "max. kalibrálás" érték közé eső referenciaértéket kell betáplálni, és a mérőrendszer válaszát kell mért értékként rögzíteni.
A linearitás ellenőrzéséhez a mért értékeket a 49. számú ENSZ-előírás 4. melléklete 3. függelékének A.3.2. szakasza szerinti legkisebb négyzetek módszere segítségével végrehajtott lineáris regresszióval kell összehasonlítani a referenciaértékekkel.
4. A vizsgálati eljárás
Minden mérési adatot a 49. számú ENSZ-előírás 4. mellékletének megfelelően kell meghatározni, kivéve, ha e melléklet másként rendelkezik.
4.1. A végrehajtandó vizsgálati menetek áttekintése
A 3. táblázat áttekintést nyújt az összes olyan elvégzendő vizsgálati menetről, amely egy adott, a 3. függelékkel összhangban meghatározott CO2-motorcsalád tanúsításához szükséges.
A 4.3.5. pont szerinti tüzelőanyag-fogyasztási jelleggörbe-felvételi ciklust és a motor visszahajtási jelleggörbéjének 4.3.2. pont szerinti rögzítését el kell hagyni minden olyan motor esetében, amely nem a CO2-motorcsalád CO2-alapmotorja.
Abban az esetben, ha a gyártó kérésére az e rendelet 15. cikkének (5) bekezdésében meghatározott rendelkezéseket alkalmazzák, a 4.3.5. pont szerinti tüzelőanyag-fogyasztási jelleggörbe-felvételi ciklust és a motor visszahajtási jelleggörbéjének a 4.3.2. pont szerinti rögzítését kiegészítő jelleggel kell elvégezni az adott motor esetében.
3. táblázat
A végrehajtandó vizsgálati menetek áttekintése
Vizsgálati menet | Hivatkozott pont | A CO2-alapmotor esetében végrehajtandó | A CO2-motorcsalád egyéb motorjai esetében végrehajtandó |
A motor teljes terhelésének jelleggörbéje | 4.3.1. | igen | igen |
A motor visszahajtási jelleggörbéje | 4.3.2 | igen | nem |
WHTC-vizsgálat | 4.3.3. | igen | igen |
WHSC-vizsgálat | 4.3.4. | igen | igen |
A tüzelőanyag-fogyasztás jelleggörbe-felvételi ciklusa | 4.3.5 | igen | nem |
4.2. A motorrendszer megengedett módosításai
A motor alapjáratifordulatszám-szabályozója célértékének a motor elektronikus vezérlőegységében alacsonyabb értékre történő módosítását lehetővé kell tenni minden olyan vizsgálati menethez, amely során előfordul alapjárati működés, annak érdekében, hogy megakadályozzák a motor alapjáratifordulatszám-szabályozója és a próbapad sebességszabályozója közötti interferenciát.
4.2.1. A vegyes üzemű motorokra vonatkozó különleges követelmények
A vegyes üzemű motorokat a 4.3. pont szerint végzett valamennyi vizsgálati menet során vegyes üzemmódban kell üzemeltetni. Ha a vizsgálati menet közben karbantartási üzemmódra váltanak, az adott vizsgálati menet során rögzített összes adat érvénytelen.
4.3. Vizsgálati menetek
4.3.1. A motor teljes terhelésének jelleggörbéje
A motor teljes terhelésének jelleggörbéjét a 49. számú ENSZ-előírás 4. mellékletének 7.4.1-7.4.5. szakaszával összhangban kell rögzíteni.
4.3.2. A motor visszahajtási jelleggörbéje
A motor visszahajtási jelleggörbéjének e pont szerinti rögzítését a 3. függelék szerint meghatározott CO2-motorcsalád CO2-alapmotorját kivéve minden más motornál ki kell hagyni. A 6.1.3. pontnak megfelelően a CO2-motorcsalád CO2-alapmotorjára vonatkozóan rögzített visszahajtási jelleggörbe az ugyanazon CO2-motorcsaládon belüli összes motor esetében alkalmazandó.
Abban az esetben, ha a gyártó kérésére az e rendelet 15. cikkének (5) bekezdésében meghatározott rendelkezéseket alkalmazzák, a motor visszahajtási jelleggörbéjének rögzítését kiegészítő jelleggel el kell végezni az adott motor esetében.
A motor visszahajtási jelleggörbéjét 49. számú ENSZ-előírás 4. mellékletének 7.4.7. szakaszában szereplő b) opcióval összhangban kell rögzíteni. E vizsgálatnak kell meghatároznia a motornak a maximális és minimális jelleggörbe-felvételi fordulatszám között, minimális kezelői parancs mellett történő visszahajtásához szükséges negatív nyomatékot.
A vizsgálatot közvetlenül a teljes terhelés jelleggörbéjének 4.3.1. pont szerinti felvétele után kell lefolytatni. A gyártó kérésére a visszahajtási jelleggörbe külön is rögzíthető. Ebben az esetben a teljes terhelés jelleggörbéjének a 4.3.1. pont szerint végrehajtott vizsgálati menete végén rögzíteni kell a motorolaj hőmérsékletét, és a gyártónak a jóváhagyó hatóság számára kielégítően bizonyítania kell, hogy a motorolaj hőmérséklete a visszahajtási jelleggörbe kiindulási pontján megfelel a fent említett hőmérsékletnek (± 2K).
A motor visszahajtási jelleggörbéjére vonatkozó vizsgálati menet kezdetén a motort minimális kezelői parancs mellett, 49. számú ENSZ-előírás 4. mellékletének 7.4.3. szakaszában meghatározott maximális jelleggörbe-felvételi fordulatszámnál kell üzemeltetni. Mihelyt a visszahajtási nyomatékérték legalább 10 másodpercig az átlagértékének ±5 %-os tartományán belül stabilizálódott, meg kell kezdeni az adatrögzítést, és a motor fordulatszámát 8 ± 1 ford./perc/s átlagos sebességgel kell csökkenteni a legnagyobb jelleggörbe-felvételi sebességtől a legkisebb felé haladva, amelyek 49. számú ENSZ-előírás 4. mellékletének 7.4.3. szakaszában vannak meghatározva.
4.3.2.1. A WHR-rendszerekre vonatkozó különleges követelmények
A WHR_mech és a WHR_elec rendszerek esetében a motor visszahajtási jelleggörbére vonatkozó adatrögzítés nem kezdődhet meg addig, amíg a WHR-rendszer által generált mechanikai vagy elektromos teljesítmény leolvasott értéke legalább 10 másodpercig az átlagérték ± 10 %-os tartományán belül stabilizálódott.
4.3.3. WHTC-vizsgálat
A WHTC-vizsgálatot a 49. sz. ENSZ-előírás 4. mellékletének megfelelően kell elvégezni. A súlyozott kibocsátási vizsgálati eredményeknek meg kell felelniük az 595/2009/EK rendeletben meghatározott határértékeknek.
A vegyes üzemű motoroknak meg kell felelniük az 582/2011/EU rendelet XVIII. mellékletének 5. pontja szerinti vonatkozó határértékeknek.
A motor teljes terhelésének 4.3.1. pont szerint rögzített jelleggörbéjét kell használni a referenciaciklus visszaszámításához és a 49 sz. ENSZ-előírás 4. mellékletének 7.4.6., 7.4.7. és 7.4.8. szakasza szerint elvégzett összes referenciaérték-számításhoz.
4.3.3.1. Mérési jelek és adatrögzítés
A 49. számú ENSZ-előírás 4. mellékletében meghatározott rendelkezéseken túlmenően a motor által a 3.4. pont szerint felhasznált tényleges tüzelőanyag-tömegáramot is rögzíteni kell.
4.3.3.2. A WHR-rendszerekre vonatkozó különleges követelmények
A WHR_mech rendszerek esetében a mechanikus P_WHR_net értéket, a WHR_elec rendszerek esetében pedig a 3.1.6. pont szerinti elektromos P_WHR_net értéket kell rögzíteni.
4.3.4. WHSC-vizsgálat
A WHSC-vizsgálatot a 49. sz. ENSZ-előírás 4. mellékletének megfelelően kell elvégezni. A kibocsátási vizsgálati eredményeknek meg kell felelniük az 595/2009/EK rendeletben meghatározott határértékeknek.
A vegyes üzemű motoroknak meg kell felelniük az 582/2011/EU rendelet XVIII. mellékletének 5. pontja szerinti vonatkozó határértékeknek.
A motor teljes terhelésének 4.3.1. pont szerint rögzített jelleggörbéjét kell használni a referenciaciklus visszaszámításához és a 49 sz. ENSZ-előírás 4. mellékletének 7.4.6., 7.4.7. és 7.4.8. szakasza szerint elvégzett összes referenciaérték-számításhoz.
4.3.4.1. Mérési jelek és adatrögzítés
A 49. számú ENSZ-előírás 4. mellékletében meghatározott rendelkezéseken túlmenően a motor által a 3.4. pont szerint felhasznált tényleges tüzelőanyag-tömegáramot is rögzíteni kell.
4.3.4.2. A WHR-rendszerekre vonatkozó különleges követelmények
A WHR_mech rendszerek esetében a mechanikus P_WHR_net értéket, a WHR_elec rendszerek esetében pedig a 3.1.6. pont szerinti elektromos P_WHR_net értéket kell rögzíteni.
4.3.5. A tüzelőanyag-fogyasztás jelleggörbe-felvételi ciklusa (FCMC)
A tüzelőanyag-fogyasztás e pont szerinti jelleggörbe-felvételi ciklusát (FCMC) ki kell hagyni minden olyan motor esetében, amely nem a CO2-motorcsalád CO2-alapmotorja. A CO2-motorcsalád CO2-alapmotorjára vonatkozóan rögzített tüzelőanyag-fogyasztási jelleggörbe adatai az ugyanazon CO2-motorcsaládon belüli összes motor esetében alkalmazandók.
Abban az esetben, ha a gyártó kérésére az e rendelet 15. cikkének (5) bekezdésében meghatározott rendelkezéseket alkalmazzák, a tüzelőanyag-fogyasztási jelleggörbe rögzítését kiegészítő jelleggel el kell végezni az adott motor esetében.
A motor tüzelőanyag-fogyasztási jelleggörbéjét egy sor, a 4.3.5.2. pont szerint meghatározott állandósult üzemállapotú adatpontban kell mérni. E jelleggörbe mérőszámai a g/h-ban kifejezett tüzelőanyag-fogyasztás, a ford./percben kifejezett motorfordulatszám és az Nm-ben kifejezett motornyomaték.
4.3.5.1. A megszakítások kezelése az FCMC alatt
Ha az utókezelő rendszerben regenerációs esemény következik be az FCMC során azoknál a motoroknál, amelyek olyan kipufogógáz-utókezelő rendszerrel vannak ellátva, amelyeket a 49. számú ENSZ-előírás 4. mellékletének 6.6. szakasza szerint meghatározott rendszeres időközönként regenerálnak, az adott motorfordulatszám-üzemmódban végzett minden mérés érvénytelen. A regenerációs eseményt el kell végezni, majd az eljárást a 4.3.5.1.1. pontban leírtak szerint folytatni kell.
Ha váratlan megszakítás, üzemzavar vagy hiba következik be az FCMC során, akkor az adott motorfordulatszám-üzemmódban végzett minden mérés érvénytelen, és a gyártónak a folytatáshoz az alábbi lehetőségek egyikét kell választania:
1. az eljárást a 4.3.5.1.1. pontban leírtak szerint kell folytatni;
2. az egész FCMC-t meg kell ismételni a 4.3.5.4. és a 4.3.5.5. ponttal összhangban.
4.3.5.1.1. Az FCMC folytatására vonatkozó rendelkezések
A motort a 49. számú ENSZ-előírás 4. mellékletének 7.4.1. szakaszában leírtak szerint kell elindítani és bemelegíteni. A bemelegedés után a motort 20 percen keresztül, a 9. üzemmódban történő üzemeltetéssel kell előkondicionálni, a 49. számú ENSZ-előírás 4. melléklete 7.2.2. szakaszának 1. táblázatában meghatározottak szerint.
A motor teljes terhelésének 4.3.1. pont szerint rögzített jelleggörbéjét kell használni a 9. üzemmód referenciaértékeinek a 49. számú ENSZ-előírás 4. mellékletének 7.4.6., 7.4.7. és 7.4.8. szakasza szerinti visszaszámításához.
Közvetlenül az előkondicionálás befejezése után a motor fordulatszámának és nyomatékának célértékeit 20-46 másodpercen belül lineárisan kell módosítani a legmagasabb nyomatékbeállítási célértékre azon motorfordulatszám-beállítási célérték mellett, amely eggyel magasabb annál a motorfordulatszám-beállítási célértéknél, ahol az FCMC megszakadása történt. Ha a beállítási célértéket kevesebb mint 46 másodperc alatt éri el, a 46 másodpercig fennmaradó időtartamot a stabilizációra kell használni.
A stabilizációhoz a motor működését e ponttól, a 4.3.5.5. pontban meghatározott vizsgálati program szerint kell folytatni a mérési értékek rögzítése nélkül.
Amikor eléri a legnagyobb nyomatékbeállítási célértéket annál az adott motorfordulatszám-beállítási célértéknél, ahol a megszakadás bekövetkezett, a mérési értékek rögzítését e ponttól, a 4.3.5.5. pontban meghatározott vizsgálati program szerint kell folytatni.
4.3.5.2. A beállítási célértékek rácsa
A beállítási célértékek rácsát normált módon rögzítik, és 10 motorfordulatszám-beállítási célértékből, valamint 11 nyomatékbeállítási célértékből áll. A normált beállítási értékeknek a vizsgált egyedi motorra vonatkozó motorfordulatszám- és nyomatékbeállítási értékek tényleges célértékére történő átszámítását az e melléklet 3. függeléke szerint meghatározott CO2-motorcsalád CO2-alapmotorjának a 4.3.1. ponttal összhangban rögzített teljes terhelési jelleggörbéje alapján kell elvégezni.
4.3.5.2.1. A motorfordulatszám-beállítási célértékek meghatározása
A 10 motorfordulatszám-beállítási célértéket 4 alapszintű motorfordulatszám-beállítási célérték és 6 kiegészítő motorfordulatszám-beállítási célérték adja.
Az nidle, nlo, npref, n95h és nhi motorfordulatszámokat az e melléklet 3. függeléke szerint meghatározott CO2-motorcsalád CO2-alapmotorjának a 4.3.1. ponttal összhangban rögzített teljes terhelési jelleggörbéjéből kell meghatározni, a jellemző motorfordulatszámok fogalommeghatározásainak 49. számú ENSZ-előírás 4. melléklete 7.4.6. szakaszával összhangban történő alkalmazásával.
Az n57 motorfordulatszámot a következő egyenlettel kell meghatározni:
n57 = 0,565 × (0,45 × nlo + 0,45 × npref + 0,1 × nhi - nidle) × 2,0327 + nidle
A 4 alapszintű motorfordulatszám-beállítási célértéket a következőképpen kell meghatározni:
1. alapszintű motorfordulatszám: nidle
2. alapszintű motorfordulatszám: nA = n57 - 0,05 × (n95h - nidle)
3. alapszintű motorfordulatszám: nB = n57 + 0,08 × (n95h - nidle)
4. alapszintű motorfordulatszám: n95h
A motorfordulatszám-beállítási értékek közötti lehetséges távolságokat a következő egyenletekkel kell meghatározni:
1. dnidleA_44 = (nA - nidle) / 4
2. dnB95h_44 = (n95h - nB) / 4
3. dnidleA_35 = (nA - nidle) / 3
4. dnB95h_35 = (n95h - nB) / 5
5. dnidleA_53 = (nA - nidle) / 5
6. dnB95h_53 = (n95h - nB) / 3
A két szakasz közötti lehetséges eltérések abszolút értékeit a következő egyenletekkel kell meghatározni:
1. dn44 = ABS(dnidleA_44 - dnB95h_44)
2. dn35 = ABS(dnidleA_35 - dnB95h_35)
3. dn53 = ABS(dnidleA_53 - dnB95h_53)
A 6 kiegészítő motorfordulatszám-beállítási célértéket a következő rendelkezéseknek megfelelően kell meghatározni:
1. Ha a dn44 kisebb vagy egyenlő (dn35 + 5), és kisebb vagy egyenlő (dn53 + 5), akkor a 6 kiegészítő cél-motorfordulatszámot úgy kell meghatározni, hogy mindkét tartományt - amelyek egyike az nidle-től az nA-ig, a másik pedig az nB-től az n95h-ig tart - 4 egyenlő távolságra lévő szakaszra osztják fel.
2. Ha (dn35 + 5) kisebb, mint dn44, és dn35 kisebb, mint dn53, akkor a 6 kiegészítő cél-motorfordulatszámot úgy kell meghatározni, hogy az nidle-től az nA-ig tartó tartományt 3 egyenlő távolságra lévő szakaszra, míg az nB-től n95h-ig tartó tartományt 5 egyenlő távolságra lévő szakaszra osztják fel.
3. Ha (dn53 + 5) kisebb, mint dn44, és dn53 kisebb, mint dn35, akkor a 6 kiegészítő cél-motorfordulatszámot úgy kell meghatározni, hogy az nidle-től az nA-ig tartó tartományt 5 egyenlő távolságra lévő szakaszra, míg az nB-től n95h-ig tartó tartományt 3 egyenlő távolságra lévő szakaszra osztják fel.
Az 1. ábra példaként szemlélteti a motorfordulatszám-beállítási célértékek fenti (1) alpont szerinti meghatározását.
1. ábra
A fordulatszám-beállítási értékek meghatározása

4.3.5.2.2. A nyomatékbeállítási célértékek meghatározása
A 11 nyomatékbeállítási célértéket 2 alapszintű nyomatékbeállítási célérték és 9 kiegészítő nyomatékbeállítási célérték adja. A 2 alapszintű nyomatékbeállítási célértéket a nulla motornyomaték és a 4.3.1. ponttal összhangban meghatározott CO2-alapmotor legnagyobb teljes terhelése határozza meg (legnagyobb össznyomaték: Tmax_overall). A 9 kiegészítő nyomatékbeállítási célértéket úgy határozzák meg, hogy a nulla nyomatéktól a legnagyobb össznyomatékig (Tmax_overall) tartó tartományt 10 egyenlő távolságra lévő szakaszra osztják fel.
Egy adott motorfordulatszám-beállítási célérték mellett minden olyan nyomatékbeállítási célértéket, amely meghaladja az adott motorfordulatszám-beállítási célérték mellett a (4.3.1. pont szerint rögzített teljes terhelési jelleggörbe alapján meghatározott) teljes terheléshez tartozó nyomatékérték mínusz a Tmax_overall 5 %-a által meghatározott határértéket, az adott motorfordulatszám-beállítási célérték melletti egyetlen teljes terheléshez tartozó nyomatékbeállítási célértékkel kell helyettesíteni. E helyettesítő beállítási értékeket csak egyszer kell megmérni a 4.3.5.5. pont szerint meghatározott FCMC vizsgálati program során. A 2. ábra példaként szemlélteti a nyomatékbeállítási célértékek meghatározását.
2. ábra
A nyomatékbeállítási értékek meghatározása

4.3.5.3. Mérési jelek és adatrögzítés
Az alábbi mérési adatokat kell rögzíteni:
1. motorfordulatszám;
2. a 3.1.2. pont szerint korrigált motornyomaték;
3. az egész motorrendszer által a 3.4. ponttal összhangban fogyasztott tüzelőanyag-tömegáram;
4. gáz-halmazállapotú szennyező anyagok 49. számú ENSZ-előírás fogalommeghatározásai szerint. A szilárd szennyezőanyagokat és ammóniakibocsátásokat nem szükséges az FCMC vizsgálati menet során ellenőrizni.
A gáz-halmazállapotú szennyező anyagok mérését 49. számú ENSZ-előírás 4. mellékletének 7.5.1., 7.5.2., 7.5.3., 7.5.5., 7.7.4., 7.8.1., 7.8.2., 7.8.4. és 7.8.5. szakaszával összhangban kell végrehajtani.
49. számú ENSZ-előírás 4. mellékletének 7.8.4. szakasza alkalmazásában a hivatkozott pontban szereplő "vizsgálati ciklus" kifejezés a 4.3.5.4. pont szerinti előkondicionálástól a vizsgálat 4.3.5.5. ponttal összhangban történő befejezéséig tartó teljes programot jelenti.
4.3.5.3.1. A WHR-rendszerekre vonatkozó különleges követelmények
For WHR_mech systems the mechanical P_WHR_net and for WHR_elec systems the electrical P_WHR_net in accordance with point 3.1.6 shall be recorded.
4.3.5.4. A motorrendszer előkondicionálása
A hígítórendszert (amennyiben van ilyen) és a motort a 49. számú ENSZ-előírás 4. mellékletének 7.4.1. szakaszában leírtak szerint kell elindítani és bemelegíteni.
A bemelegítés befejezése után a motort és a mintavevő rendszert elő kell kondicionálni a motor 20 percen keresztül, 9. üzemmódban történő üzemeltetése révén, a 49. számú ENSZ-előírás 4. melléklete 7.2.2. szakaszának 1. táblázatában meghatározottak szerint, a hígítórendszer egyidejű működtetésével.
A CO2-motorcsalád CO2-alapmotorjának a 4.3.1. pont szerint rögzített teljes terhelési jelleggörbéjét kell a 9. üzemmód referenciaértékeinek visszaszámításához használni, a 49 sz. ENSZ-előírás 4. mellékletének 7.4.6., 7.4.7. és 7.4.8. szakasza szerint.
Közvetlenül az előkondicionálás befejezése után a motor fordulatszámának és nyomatékának célértékét lineárisan kell változtatni 20 és 46 másodperc között, hogy megfeleljenek a vizsgálati program 4.3.5.5. pont szerinti első beállítási célértékének. Ha az első beállítási célértéket kevesebb mint 46 másodperc alatt éri el, a 46 másodpercig fennmaradó időtartamot a stabilizációra kell használni.
4.3.5.5. A vizsgálati program
A vizsgálati program állandósult beállítási célértékekből áll, minden egyes beállítási célértéknél meghatározott motorfordulatszámmal és -nyomatékkal a 4.3.5.2. pontnak megfelelően, és meghatározott üzemmódok közötti átmenetekkel az egyik beállítási célértékről a másikra történő elmozduláshoz.
A legmagasabb nyomatékbeállítási célértéket minden egyes cél-motorfordulatszám esetében maximális kezelői paranccsal kell elérni.
Az első beállítási célérték a legmagasabb motorfordulatszám-beállítási célértéknél és a legmagasabb nyomatékbeállítási célértéknél van meghatározva.
A következő lépéseket kell elvégezni az összes beállítási célérték lefedése érdekében:
1. A motort 95 ± 3 másodpercig kell működtetni minden egyes beállítási célértéknél. Minden egyes beállítási célértéknél az első 55 ± 1 másodperces időszak stabilizációs időszaknak tekintendő. A következő 30 ± 1 másodperces időtartam alatt a motort az alábbiak szerint kell szabályozni:
a) A motor fordulatszámának átlagát a motorfordulatszám-beállítási célértéken, a legmagasabb cél-motorfordulatszám ±1 %-os tartományon belül kell tartani.
b) A teljes terhelésű pontok kivételével a motornyomaték átlagértékét a nyomatékbeállítási célértéken kell tartani, egy legnagyobb össznyomaték (Tmax_overall) ±20 Nm vagy ±2 % tűréshatáron belül, attól függően, hogy melyik a nagyobb.
A 4.3.5.3. pont szerinti rögzített értékeket átlagértékként kell tárolni a 30 ± 1 másodperces időtartam alatt. A fennmaradó 10 ± 1 másodperces időtartamot szükség esetén az adatok utófeldolgozására és eltárolására lehet felhasználni. Ezen időtartam alatt meg kell őrizni a motor beállítási célértékét.
2. Miután valamelyik beállítási célértéknél a mérés befejeződött, a motor fordulatszámának célértékét a motorfordulatszám-beállítási célérték ±20 ford./percen belüli állandó értéken kell tartani, és a nyomaték célértékét lineárisan kell csökkenteni 20±1 másodpercen belül, hogy megfeleljen a következő alacsonyabb nyomatékbeállítási célértéknek. Ezután a mérést az (1) alpont szerint kell elvégezni.
3. Miután nulla nyomatékbeállítási értéket mértünk az 1. alpontban, a motorfordulatszám-célt lineárisan le kell csökkenteni az eggyel alacsonyabb motorfordulatszám-beállítási célértékre, ugyanakkor 20-46 másodpercen belül a kezelői parancsot lineárisan növelni kell a legmagasabb célértékre. Ha a következő beállítási célértéket kevesebb mint 46 másodperc alatt éri el, a 46 másodpercig fennmaradó időtartamot a stabilizációra kell használni. Ezután a mérést az 1. alpont szerinti stabilizációs eljárás elindításával kell elvégezni, majd ezt követően a nyomatékbeállítási célértékeket állandó cél-motorfordulatszámon a 2. alpont szerint kell kiigazítani.
A 3. ábra bemutatja a fenti (1) alpont szerinti vizsgálat minden egyes mérési beállítási értékénél végrehajtandó három különböző lépést.
3. ábra
Az egyes mérési beállítási értékeknél végrehajtandó lépések

A 4. ábra példaként szemlélteti a vizsgálat során követendő állandósult mérési beállítási értékek sorrendjét.
4. ábra
Állandósult mérési beállítási értékek sorrendje

4.3.5.6. Az adatok értékelése a kibocsátás ellenőrzéséhez
A 4.3.5.3. pont szerinti gáz-halmazállapotú szennyező anyagokat az FCMC során ellenőrizni kell. A 49. számú ENSZ-előírás 4. mellékletének 7.4.6. szakasza szerinti jellemző motorfordulatszámok fogalommeghatározásait kell alkalmazni.
4.3.5.6.1. Az ellenőrzési tartomány meghatározása
Az FCMC során a kibocsátások ellenőrzésének ellenőrzési tartományát a 4.3.5.6.1.1. és a 4.3.5.6.1.2. ponttal összhangban kell meghatározni.
4.3.5.6.1.1. Az ellenőrzési tartomány motorfordulatszám-tartománya
1. Az ellenőrzési tartományhoz a motorfordulatszám-tartományt az e melléklet 3. függelékével összhangban meghatározott CO2-motorcsalád CO2-alapmotorjának a 4.3.1. pont szerint rögzített teljes terhelési jelleggörbéje alapján kell meghatározni.
2. Az ellenőrzési tartománynak tartalmaznia kell minden olyan motorfordulatszámot, amely nagyobb, mint az összesített sebességeloszlás 30. percentilise, vagy egyenlő azzal, amelyet a növekvő sorrendbe állított összes motorfordulatszámból - beleértve az alapjárati fordulatszámot is - kell meghatározni, a 4.3.3. pont (n30) szerint, a motor (1) alpontban hivatkozott teljes terhelési jelleggörbéje tekintetében elvégzett melegindításos WHTC-vizsgálati ciklus során.
3. Az ellenőrzési tartománynak tartalmaznia kell minden olyan motorfordulatszámot, amely kisebb a motor (1) alpontban hivatkozott teljes terhelési jelleggörbéje alapján meghatározott nhi értéknél, vagy egyenlő azzal.
4.3.5.6.1.2. Motornyomaték- és motorteljesítmény-tartomány az ellenőrzési tartomány esetében
1. Az ellenőrzési tartományhoz a motornyomaték-tartomány alsó határát a CO2-motorcsalád összes motorja közül a legalacsonyabb minősítésű motornak a 4.3.1. pont szerint rögzített teljes terhelési jelleggörbéje alapján kell meghatározni.
2. Az ellenőrzési tartományba beletartozik minden olyan motorterhelési pont, amelynél a nyomaték értéke nagyobb mint - a motor (1) alpontban hivatkozott teljes terhelési jelleggörbéje alapján meghatározott - legnagyobb nyomatékérték 30 százaléka, vagy egyenlő azzal.
3. A (2) alpont rendelkezései ellenére azokat a fordulatszám- és nyomatékadatpontokat, amelyek a motor (1) alpontban hivatkozott teljes terhelési jelleggörbéje alapján meghatározott legnagyobb nyomatékérték 30 százalékánál kisebbek, ki kell zárni az ellenőrzési tartományból.
4. A (2) és (3) alpont rendelkezései ellenére az ellenőrzési tartomány felső határa az e melléklet 3. függelékével összhangban meghatározott CO2-motorcsalád CO2-alapmotorjának a 4.3.1. pont szerint rögzített teljes terhelési jelleggörbéjén kell, hogy alapuljon. A CO2 alapmotor teljes terhelési jelleggörbéből az egyes motorfordulatszámokhoz meghatározott nyomatékértéket a 4.3.5.2.2. pont szerint meghatározott legnagyobb össznyomaték (Tmax_overall) 5 %-ával meg kell növelni. A CO2-alapmotor módosított, megnövelt teljes terhelési jelleggörbéjét kell használni az ellenőrzési tartomány felső határaként.
Az 5. ábra példaként szemlélteti a motorfordulatszám, a nyomaték és a teljesítmény tartományának meghatározását az ellenőrzési tartományhoz.
5. ábra
Példa a motorfordulatszám, a nyomaték és a teljesítmény tartományának meghatározására az ellenőrzési tartományhoz

4.3.5.6.2. A rácscellák meghatározása
A 4.3.5.6.1. ponttal összhangban meghatározott ellenőrzési tartományt több rácscellára kell felosztani, amelyek az FCMC során kibocsátás-ellenőrzésre szolgálnak.
A rácsnak 3 000 -1 névleges fordulatszám alatti motorok esetében 9, a legalább 3 000 -1 fordulatszámú motorok esetében pedig 12 cellából kell állnia. A rácsokat a következő rendelkezéseknek megfelelően kell meghatározni:
1. A rácsok külső határait a 4.3.5.6.1. pont szerint meghatározott ellenőrzési tartományhoz kell igazítani.
2. az n30 és az nhi fordulatszám között egyenlő távolságokban elhelyezett 2 függőleges vonal a 9 cellás rácsok esetében vagy az n30 és az nhi fordulatszám között egyenlő távolságokban elhelyezett 3 függőleges vonal a 12 cellás rácsok esetében.
3. a fordulatszámok között egyenlő távolságokban elhelyezett 2 függőleges vonal (azaz 1/3) a 4.3.5.6.1. pont által meghatározott ellenőrzési tartományon belüli valamennyi függőleges vonalnál.
Minden min-1-ben kifejezett fordulatszámértéket, valamint minden Newtonméterben kifejezett nyomatékértékét, amelyek a rácscellák határait határozzák meg, az ASTM E 29-06 szabvány szerint 2 tizedesjegyre kell kerekíteni.
A 6. ábra példaként szemlélteti a rács celláinak meghatározását az ellenőrzési tartományhoz, egy 9 cellás rács esetében.
6. ábra
Példa a rács celláinak meghatározására az ellenőrzési tartományhoz, egy 9 cellás rács esetében

4.3.5.6.3. A fajlagos tömegkibocsátás kiszámítása
A gáz-halmazállapotú szennyező anyagok fajlagos tömegkibocsátását a 4.3.5.6.2. pont szerint meghatározott minden egyes rácscella esetében átlagértékként kell meghatározni. Az egyes rácscellák esetében az átlagértéket az ugyanazon rácscellában elhelyezkedő összes fordulatszám- és nyomatékadatpont esetében az FCMC során mért fajlagos tömegkibocsátások számtani átlagaként kell meghatározni.
Az FCMC során mért egyes motorfordulatszámok és nyomatékpontok fajlagos tömegkibocsátását átlagértékként kell meghatározni a 4.3.5.5. pont 1. alpontjának megfelelően meghatározott 30 ± 1 másodperces mérési időtartam alatt.
Ha egy fordulatszám- és nyomatékadatpont közvetlenül egy olyan vonalon helyezkedik el, amely a különböző rácscellákat választja el egymástól, akkor ezt a fordulatszám- és terhelési adatpontot figyelembe kell venni minden szomszédos rácscella átlagértékében.
Az egyes fordulatszám- és nyomatékadatpontok esetében az egyes gáz-halmazállapotú szennyezők FCMC során mért teljes tömegkibocsátását (mFCMC,i, grammban kifejezve) a 30±1 másodperces mérési időszak alatt, a 4.3.5.5. pont (1) alpontjának megfelelően, 49. számú ENSZ-előírás 4. mellékletének 8. szakasza szerint kell kiszámítani.
Az egyes fordulatszám- és nyomatékadatpontok esetében a motor FCMC során mért tényleges munkáját (WFCMC,i, kWh-ban kifejezve) a 30 ± 1 másodperces mérési időszak alatt, a 4.3.5.5. pont (1) alpontjának megfelelően, a 4.3.5.3. pont szerint rögzített fordulatszám- és nyomatékértékek alapján kell meghatározni.
Az egyes fordulatszám- és nyomatékadatpontok esetében a gáz-halmazállapotú szennyező anyagok FCMC során mért fajlagos tömegkibocsátását (eFCMC,i, g/kWh-ban kifejezve) a következő egyenlettel kell meghatározni:
eFCMC,i = mFCMC,i / WFCMC,i
4.3.5.7. Az adatok érvényessége
4.3.5.7.1. Az FCMC validációs statisztikáira vonatkozó követelmények
El kell végezni a motorfordulatszám (nact), motornyomaték (Mact) és motorteljesítmény (Pact) tényleges értékeinek lineáris regressziós analízisét az adott referenciaértékek (nref, Mref, Pref) vonatkozásában az FCMC esetében. Az nact, az Mact és a Pact tényleges értékeit a 4.3.5.3. pont szerint rögzített értékek alapján kell meghatározni.
A regressziós analízisből ki kell zárni azokat az üzemmódok közötti átmeneteket, amelyek az egyik beállítási célértékről a következőre történő elmozduláshoz szükségesek.
A tényleges értékek és a vonatkoztatási ciklus értékei közötti időeltolódás torzító hatásának csökkentése érdekében a tényleges fordulatszám és nyomaték teljes jelsorozatát el lehet tolni előre vagy hátra a vonatkoztatási fordulatszám és a nyomaték sorozatához képest. A tényleges értékek jeleinek eltolása esetén mind a fordulatszámot, mind a nyomatékot azonos mértékben és irányban kell eltolni.
A legkisebb négyzetek módszerét kell használni a regressziós analízishez 49. számú ENSZ-előírás 4. melléklete 3. függelékének A.3.1. és A.3.2. szakasza szerint, a regressziós egyenletnek pedig 49. számú ENSZ-előírás 4. melléklete 7.8.7. szakaszában meghatározott formátumban kell lennie. Ajánlatos ezt az analízist 1 Hz-en elvégezni.
E regressziós analízis alkalmazásában a regressziós számítás elvégzése előtt megengedett egyes adatpontok kihagyása 49. számú ENSZ-előírás 4. mellékletének 4. táblázatában (A regressziós analízisből kihagyható adatpontok) feltüntetett esetekben. Ezenkívül minden olyan adatpontban mért nyomaték- és teljesítményértéket, ahol a motor maximális kezelői paranccsal működött, e regressziós analízis alkalmazásában ki kell hagyni. A regressziós analízis alkalmazásában kihagyott adatpontokat azonban nem szabad kihagyni az e melléklet szerinti bármely egyéb számítás során. Az adatpontok elhagyhatók a ciklus egészében vagy csak egy részében.
Ahhoz, hogy az adatokat érvényesnek lehessen tekinteni, 49. számú ENSZ-előírás 4. mellékletének 3. táblázatában (A regressziós egyenes tűrése WHSC-vizsgálat esetén) foglalt kritériumoknak teljesülniük kell.
4.3.5.7.2. A kibocsátások ellenőrzésére vonatkozó követelmények
Az FCMC-vizsgálatokból kapott adatok akkor érvényesek, ha a 4.3.5.6.3. pontnak megfelelően az egyes rácscellákra meghatározott, szabályozott gáz-halmazállapotú szennyező anyagok fajlagos tömegkibocsátása megfelel a gáz-halmazállapotú szennyező anyagok következő határértékeinek:
a) A vegyes üzemű motoroktól eltérő motoroknak meg kell felelniük a 49. sz. ENSZ-előírás 10. mellékletének 5.2.2. szakasza szerinti vonatkozó határértékeknek.
b) A vegyes üzemű motoroknak meg kell felelniük az 582/2011/EU rendelet XVIII. mellékletében meghatározott vonatkozó határértékeknek, ahol az 595/2009/EU rendelet I. mellékletében meghatározott szennyezőanyag-kibocsátási határértékre való hivatkozás helyébe az ugyanazon szennyező anyagnak az ENSZ-EGB 49. sz. előírása 10. mellékletének 5.2.2. szakasza szerinti határértékére való hivatkozás lép.
Ha a fordulatszám- és a nyomatékadatpontok száma ugyanabban a rácscellában kevesebb mint 3, akkor e pont nem alkalmazandó az adott rácscellára.
5. A mérési adatok utófeldolgozása
Az ebben a pontban meghatározott valamennyi számítást egy CO2-motorcsaládon belüli minden egyes motorra kifejezetten el kell végezni.
5.1. A motor munkájának kiszámítása
Egy cikluson vagy meghatározott időtartamon belül a motor által kifejtett teljes munkát a motorteljesítménynek az e melléklet 3.1.2. pontja, valamint a 49. számú ENSZ-előírás 4. mellékletének 6.3.5. és 7.4.8. szakasza szerint meghatározott és rögzített értékei alapján kell meghatározni.
A motor által egy teljes vizsgálati ciklus vagy az egyes WHTC-alciklusok során kifejtett munkát a motorteljesítmény rögzített értékeinek integrálásával kell meghatározni a következő képlet szerint:

ahol:
Wact, i = a motor teljes munkája a t0 és a t1 közötti időtartam során
t0 = idő az időtartam kezdetén
t1 = idő az időtartam végén
n = a t0 és a t1 közötti időtartam során rögzített értékek száma
Pk [0 ... n] = a t0 és a t1 közötti időtartam során rögzített motorteljesítmény-értékek időrendi sorrendben, ahol a k 0-tól indul a t0-nál, és n-ig tart a t1-nél
h = a által meghatározott, két szomszédos rögzített érték közötti intervallumszélesség [Kép #5]

Kép #5
5.2. Az integrált tüzelőanyag-fogyasztás kiszámítása
A tüzelőanyag-fogyasztásra rögzített negatív értékeket közvetlenül kell felhasználni, és az integrált érték kiszámításához nem lehet őket nullával egyenlővé tenni.
A motor által egy teljes vizsgálati ciklus vagy az egyes WHTC-alciklusok során elfogyasztott teljes tüzelőanyag-tömegáramot a tüzelőanyag-tömegáram rögzített értékeinek integrálásával kell meghatározni a következő képlet szerint:

ahol:
Σ FCmeas, i = a motor által a t0 és a t1 közötti időtartam során elfogyasztott teljes tüzelőanyag tömege
t0 = idő az időtartam kezdetén
t1 = idő az időtartam végén
n = a t0 és a t1 közötti időtartam során rögzített értékek száma
mffuel,k [0 ... n] = a t0 és a t1 közötti időtartam során rögzített tüzelőanyag-tömegáram értékek időrendi sorrendben, ahol a k 0-tól indul a t0-nál, és n-ig tart a t1-nél
h = a által meghatározott, két szomszédos rögzített érték közötti intervallumszélesség [Kép #6]

Kép #6
5.3. A fajlagos tüzelőanyag-fogyasztási adatok kiszámítása
A szimulációs eszközben bemenetként megadandó korrekciós és kiegyensúlyozó tényezőket a motor-előfeldolgozási eszköz segítségével kell kiszámítani, a motor mért fajlagos tüzelőanyag-fogyasztási adatai alapján, amelyek meghatározására az 5.3.1. és 5.3.2. ponttal összhangban kerül sor.
5.3.1. A WHTC-korrekciós tényezőhöz szükséges fajlagos tüzelőanyag-fogyasztási adatok
A WHTC-korrekciós tényezőhöz szükséges fajlagos tüzelőanyag-fogyasztási adatokat a melegindításos WHTC-vizsgálat során mért és a 4.3.3. pont szerint rögzített tényleges értékekből kell kiszámítani az alábbiak szerint:
SFCmeas, Urban = Σ FCmeas, WHTC-Urban / Wact, WHTC-Urban
SFCmeas, Rural = Σ FCmeas, WHTC- Rural / Wact, WHTC- Rural
SFCmeas, MW = Σ FCmeas, WHTC-MW / Wact, WHTC-M)
ahol:
SFCmeas, i = Fajlagos tüzelőanyag-fogyasztás az "i" WHTC-alciklus során [g/kWh]
Σ FCmeas, i = A motor által elfogyasztott teljes tüzelőanyag tömege az "i" WHTC-alciklus [g] során az 5.2. ponttal összhangban meghatározva
Wact, i = A motor teljes munkája az "i" WHTC-alciklus során [kWh] az 5.1. ponttal összhangban meghatározva
A WHTC-vizsgálat 3 különböző - városi, országúti és autópályán megtett - alciklusát az alábbiak szerint kell meghatározni:
1. városi: a ciklus kezdetétől a ciklus kezdetétől számított ≤ 900 másodpercig
2. országúti: a ciklus kezdetétől számított > 900 másodperctől ≤ 1 380 másodpercig
3. autópályán megtett (MW): > 1 380 másodperccel a ciklus kezdetétől a ciklus végéig
5.3.1.1. A vegyes üzemű motorokra vonatkozó különleges követelmények
Vegyes üzemű motorok esetében a WHTC-korrekciós tényezőhöz szükséges fajlagos tüzelőanyag-fogyasztási adatokat az 5.3.1. pont szerint mindkét kiválasztott tüzelőanyag esetében külön-külön kell kiszámítani.
5.3.2. A hideg és meleg üzemállapoti kibocsátást kiegyenlítő tényezőhöz szükséges fajlagos tüzelőanyag-fogyasztási adatok
A hideg és meleg üzemállapoti kibocsátást kiegyenlítő tényezőhöz szükséges fajlagos tüzelőanyag-fogyasztási adatokat mind a hidegindításos, mind a melegindításos WHTC-vizsgálat során mért és a 4.3.3. pont szerint rögzített tényleges értékekből kell kiszámítani. A számításokat a hidegindításos és a melegindításos WHTC-vizsgálat esetében külön-külön kell elvégezni az alábbiak szerint:
SFCmeas, hot = Σ FCmeas, hot/Wact, hot
SFCmeas, cold = Σ FCmeas, hot/Wact, cold
ahol:
SFCmeas, j = Fajlagos tüzelőanyag-fogyasztás [g/kWh]
Σ FCmeas, j = Teljes tüzelőanyag-fogyasztás a WHTC-vizsgálat során [g] e melléklet 5.2. pontjával összhangban meghatározva
Wact, j = A motor teljes munkája a WHTC-vizsgálat során [kWh] e melléklet 5.1. pontjával összhangban meghatározva
5.3.2.1. A vegyes üzemű motorokra vonatkozó különleges követelmények
Vegyes üzemű motorok esetében a hideg és meleg üzemállapoti kibocsátást kiegyenlítő tényezőhöz szükséges fajlagos tüzelőanyag-fogyasztási adatokat az 5.3.2. pont szerint mindkét kiválasztott tüzelőanyag esetében külön-külön kell kiszámítani.
5.3.3. Fajlagos tüzelőanyag-fogyasztási adatok a WHSC-vizsgálat során
A WHSC-vizsgálatra vonatkozó fajlagos tüzelőanyag-fogyasztást a WHSC-vizsgálat során mért és a 4.3.4. pont szerint rögzített tényleges értékekből kell kiszámítani az alábbiak szerint:
SFCWHSC = (Σ FCWHSC) / (WWHSC + Σ E_WHRWHSC)
ahol::
SFCWHSC = Fajlagos tüzelőanyag-fogyasztás a WHSC-vizsgálat során [g/kWh]
Σ FCWHSC
=
Teljes tüzelőanyag-fogyasztás a WHSC-vizsgálat során [g]
e melléklet 5.2. pontjával összhangban meghatározva
WWHSC
=
A motor teljes munkája a WHSC-vizsgálat során [kWh]
e melléklet 5.1. pontjával összhangban meghatározva
Az egynél több beépített WHR-rendszerrel rendelkező motorok esetében az E_WHRWHSC értéket minden egyes különböző WHR-rendszerre külön-külön kell kiszámítani. A beépített WHR-rendszerrel nem rendelkező motorok esetében az E_WHRWHSC értéket nullára kell állítani.
E_WHRWHSC = A teljes integrált E_WHR_net érték a WHSC-vizsgálat során [kWh]
az 5.3. ponttal összhangban meghatározva
Σ E_WHRWHSC = A különböző telepített WHR-rendszerek egyedi E_WHRWHSC értékeinek összege [kWh].
5.3.3.1. Korrigált fajlagos tüzelőanyag-fogyasztási adatok a WHSC-vizsgálat során
Az 5.3.3. ponttal összhangban meghatározott WHSC-vizsgálat során felmerülő fajlagos tüzelőanyag-fogyasztást (SFCWHSC) egy korrigált értékre kell helyesbíteni (SFCWHSC, corr), annak érdekében, hogy figyelembe vegyük a vizsgálat során felhasznált tüzelőanyag NCV-je és a megfelelő tüzelőanyag-technológia esetében használt szabványos tüzelőanyag NCV-je közötti különbséget, a következő egyenlet szerint:

ahol:
SFCWHSC,corr = Korrigált fajlagos tüzelőanyag-fogyasztás a WHSC-vizsgálat során [g/kWh]
SFCWHSC = Fajlagos tüzelőanyag-fogyasztás a WHSC-vizsgálat során [g/kWh]
NCVmeas = A vizsgálat során használt tüzelőanyag 3.2. pont szerint meghatározott NCV értéke, [MJ/kg]
NCVstd = Szabványos NCV a 4. táblázattal összhangban [MJ/kg]
4. táblázat
A tüzelőanyag-típusok szabványos nettó fűtőértéke (NCV)
Tüzelőanyag típusa/motor típusa | Referencia-tüzelőanyag típusa | Szabványos NCV [MJ/kg] |
Dízel / kompressziós gyújtás | B7 | 42,7 |
Etanol / kompressziós gyújtás | ED95 | 25,7 |
Benzin / szikragyújtás | E10 | 41,5 |
Etanol / szikragyújtás | E85 | 29,1 |
LPG / szikragyújtás | LPG, „B” tüzelőanyag | 46,0 |
Földgáz / szikragyújtás vagy földgáz/ kompressziós gyújtás | G25 vagy GR | 45,1 |
5.3.3.2. A B7 referencia-tüzelőanyagra vonatkozó különleges rendelkezések
Abban az esetben, ha a vizsgálat során a 3.2. pont szerinti B7 típusú (dízel/kompressziós gyújtás) referencia-tüzelőanyagot használnak, az 5.3.3.1. pont szerinti szabványosítási korrekciót nem kell elvégezni, és a korrigált értéket (SFCWHSC,corr) a korrigálatlan értékre (SFCWHSC) kell beállítani.
5.3.3.3. A vegyes üzemű motorokra vonatkozó különleges követelmények
Vegyes üzemű motorok esetében az 5.3.3.1. pont szerinti korrigált fajlagos tüzelőanyag-fogyasztási adatokat a WHSC-vizsgálat során mindkét tüzelőanyagra külön kell kiszámítani a WHSC-vizsgálat során az 5.3.3. pont szerint külön-külön meghatározott fajlagos tüzelőanyag-fogyasztási értékekből.
A B7 dízel tüzelőanyagra az 5.3.3.2. pont vonatkozik.
5.4. Korrekciós tényező olyan kipufogógáz-utókezelő rendszerrel ellátott motorokhoz, amelyeket rendszeresen regenerálnak
Azoknál a motoroknál, amelyek olyan kipufogógáz-utókezelő rendszerrel vannak ellátva, amelyeket 49. számú ENSZ-előírás 4. mellékletének 6.6.1. szakasza szerint meghatározott rendszeres időközönként regenerálnak, a tüzelőanyag-fogyasztást egy korrekciós tényező segítségével úgy kell helyesbíteni, hogy a regenerációs eseményeket figyelembe vegye.
E korrekciós tényezőt (CFRegPer) 49. számú ENSZ-előírás 4. mellékletének 6.6.2. szakasza szerint kell meghatározni.
Azoknál a motoroknál, amelyek 49. számú ENSZ-előírás 4. mellékletének 6.6. szakasza szerint meghatározott, folyamatos regenerációjú kipufogógáz-utókezelő rendszerrel vannak ellátva, nem kerül megállapításra korrekciós tényező, és a tényező (CFRegPer) értékét 1-re kell beállítani.
A motor teljes terhelésének 4.3.1. pont szerint rögzített jelleggörbéjét kell használni a WHTC-referenciaciklus visszaszámításához és 49. számú ENSZ-előírás 4. mellékletének 7.4.6., 7.4.7. és 7.4.8. szakasza szerint elvégzett összes referenciaérték-számításhoz.
49. számú ENSZ-előírás 4. mellékletében meghatározott rendelkezéseken túlmenően a motor által a 3.4. pontnak megfelelően felhasznált tényleges tüzelőanyag-tömegáramot 49. számú ENSZ-előírás 4. mellékletének 6.6.2. szakasza szerint végrehajtott minden egyes melegindításos WHTC-vizsgálat esetében rögzíteni kell.
Minden egyes végrehajtott melegindításos WHTC-vizsgálat esetében a fajlagos tüzelőanyag-fogyasztást a következő egyenlettel kell kiszámítani:
SFCmeas, m = (Σ FCmeas, m) / (Wact, m)
ahol:
SFCmeas, m = Fajlagos tüzelőanyag-fogyasztás [g/kWh]
Σ FCmeas,m = Teljes tüzelőanyag-fogyasztás a WHTC-vizsgálat során [g] e melléklet 5.2. pontjával összhangban meghatározva
Wact, m = A motor teljes munkája a WHTC-vizsgálat során [kWh] e melléklet 5.1. pontjával összhangban meghatározva
m = Az összes egyedi melegindítással végzett WHTC-vizsgálatot meghatározó index
Az egyedi WHTC-vizsgálatok fajlagos tüzelőanyag-fogyasztási értékeit a következő egyenlettel kell súlyozni:

ahol:
n = a melegindítással történő WHTC-vizsgálatok száma regeneráció nélkül
nr = a melegindítással történő WHTC-vizsgálatok száma regenerációval (a legkisebb szám: egy vizsgálat)
SFCavg = az összes melegindítással, regeneráció nélkül történő WHTC-vizsgálat fajlagos tüzelőanyag-fogyasztásának átlaga [g/kWh]
SFCavg,r = az összes melegindítással, regenerációval történő WHTC-vizsgálat fajlagos tüzelőanyag-fogyasztásának átlaga [g/kWh]
A korrekciós tényezőt (CFRegPer) a következő egyenlettel kell kiszámítani:

5.4.1. A vegyes üzemű motorokra vonatkozó különleges követelmények
Vegyes üzemű motorok esetében az 5.4. pont szerint rendszeres időközönként regenerált kipufogógáz-utókezelő rendszerrel felszerelt motorokra vonatkozó korrekciós tényezőt mindkét tüzelőanyagra külön kell kiszámítani.
5.5. A WHR-rendszerekre vonatkozó különleges rendelkezések
Az 5.5.1., az 5.5.2. és az 5.5.3. alpontban szereplő értékeket csak akkor kell kiszámítani, ha a vizsgálati összeállításban WHR_mech vagy WHR_elec rendszer szerepel. A megfelelő értékeket külön kell kiszámítani a mechanikai és az elektromos nettó teljesítményre.
5.5.1. Az integrált E_WHR_net kiszámítása
Ez a bekezdés csak a WHR-rendszerrel felszerelt motorokra vonatkozik.
A mechanikai vagy elektromos P_WHR_net-re rögzített negatív értékeket közvetlenül kell felhasználni, és az integrált érték kiszámításához nem lehet őket nullával egyenlővé tenni.
A teljes integrált E_WHR_net-et a teljes vizsgálati ciklus vagy az egyes WHTC-alciklusok során a mechanikai vagy elektromos P_WHR_net rögzített értékeinek integrálásával kell meghatározni a következő képlet szerint:

ahol:
E_WHRmeas, i = teljes integrált E_WHR_net a t0 és t1 közötti időtartam alatt
t0 = idő az időtartam kezdetén
t1 = idő az időtartam végén
n = a t0 és a t1 közötti időtartam során rögzített értékek száma
P_WHRmeas,k [0 ... n] = rögzített mechanikai vagy elektromos P_WHR_net érték a t0 + k×h időpontban, a t0 és a t1 közötti időtartam során időrendi sorrendben, ahol a k 0-tól indul a t0-nál, és n-ig tart a t1-nél
[Kép #7] = két szomszédos rögzített érték közötti intervallumszélesség

Kép #7
5.5.2. A fajlagos E_WHR_net adatok kiszámítása
A szimulációs eszközben bemenetként megadandó korrekciós és kiegyensúlyozó tényezőket a motor-előfeldolgozási eszköz segítségével kell kiszámítani, a mért fajlagos E_WHR_net adatok alapján, amelyek meghatározására az 5.5.2.1. és 5.5.2.2. ponttal összhangban kerül sor.
5.5.2.1. A WHTC-korrekciós tényezőhöz szükséges fajlagos E_WHR_net adatok
A WHTC-korrekciós tényezőhöz szükséges fajlagos E_WHR_net adatokat a melegindításos WHTC-vizsgálat során mért és a 4.3.3. pont szerint rögzített tényleges értékekből kell kiszámítani az alábbiak szerint:
S_E_WHRmeas, Urban = E_WHRmeas, WHTC-Urban / Wact, WHTC-Urban
S_E_WHRmeas, Rural = E_WHRmeas, WHTC- Rural / Wact, WHTC- Rural
S_E_WHRmeas, MW = E_WHRmeas, WHTC-MW / Wact, WHTC-MW
ahol:
S_E_WHR meas, i
=
Fajlagos E_WHR_net
az "i" WHTC-alciklus során [kJ/kWh]
E_WHR meas, i
=
A teljes integrált E_WHR_net érték az
"i" WHTC-alciklus során [kJ] az
5.5.1. pont szerint meghatározva
Wact, i
=
A motor teljes munkája az "i" WHTC-alciklus során [kWh]
az 5.1. ponttal összhangban meghatározva
A WHTC-vizsgálat 3 különböző alciklusa (városi, országúti és autópályán megtett) az 5.3.1. pont szerint meghatározva
5.5.2.2. A hideg és meleg üzemállapoti kibocsátást kiegyenlítő tényezőhöz szükséges fajlagos E_WHR_net adatok
A hideg és meleg üzemállapoti kibocsátást kiegyenlítő tényezőhöz szükséges fajlagos E_WHR_net adatokat mind a hidegindításos mind a melegindításos WHTC-vizsgálat során mért és a 4.3.3. pont szerint rögzített tényleges értékekből kell kiszámítani. A számításokat a hidegindításos és a melegindításos WHTC-vizsgálat esetében külön-külön kell elvégezni az alábbiak szerint:
S_E_WHRmeas, hot = E_WHRmeas, hot / Wact, hot
S_E_WHRmeas, cold = E_WHRmeas, cold / Wact, cold
ahol:
S_E_WHR meas, j = Fajlagos E_WHR_net érték a WHTC-vizsgálat során [kJ/kWh]
E_WHR meas, j
=
A teljes integrált E_WHR_net érték a WHTC-vizsgálat során [kJ]
az 5.5.1. ponttal összhangban meghatározva
Wact, j
=
A motor teljes munkája a WHTC-vizsgálat során [kWh]
az 5.1. ponttal összhangban meghatározva
5.5.3. WHR-korrekciós tényező olyan kipufogógáz-utókezelő rendszerrel ellátott motorokhoz, amelyeket rendszeresen regenerálnak
Ezt a korrekciós tényezőt 1-re kell beállítani.
6. A motor-előfeldolgozási eszköz
A motor-előfeldolgozási eszközt az egyazon CO2-motorcsaládba tartozó összes motoron le kell futtatni a 6.1. pontban meghatározott bemeneti adatok használatával.
A motor-előfeldolgozási eszköz kimeneti adatai szolgáltatják a motor vizsgálati eljárásának végeredményét, és ezeket dokumentálni kell.
6.1. A motor-előfeldolgozási eszköz bemeneti adatai
Az alábbi bemeneti adatokat kell az e mellékletben meghatározott vizsgálati eljárások során előállítani, és azok lesznek a motor-előfeldolgozási eszköz bemenete.
6.1.1. A CO2-alapmotor teljes terhelési jelleggörbéje
A bemeneti adatokat az e melléklet 3. függelékével összhangban meghatározott CO2-motorcsalád CO2-alapmotorjának a 4.3.1. pont szerint rögzített teljes terhelési jelleggörbéje szolgáltatja.
Abban az esetben, ha a gyártó kérésére az e rendelet 15. cikkének (5) bekezdésében meghatározott rendelkezéseket alkalmazzák, az adott motor 4.3.1. pont szerint rögzített teljes terhelési jelleggörbéjét kell bemeneti adatként használni.
A bemeneti adatokat "Comma Separated Values" (vesszővel tagolt értékek) formátumban kell megadni az adatállományban, az elválasztó karakter pedig az Unicode szerinti "VESSZŐ" (U+002C) (",") kell, hogy legyen. Az adatállomány első sorát fejlécként kell használni, és nem tartalmazhat semmilyen rögzített adatot. A rögzített adatoknak az adatállomány második sorától kell kezdődniük.
Az adatállomány első oszlopa az ASTM E 29-06 szabvány szerint 2 tizedesjegyre kerekített motorfordulatszám kell, hogy legyen, ford./percben kifejezve. A második oszlopban az ASTM E 29-06 szabvány szerint 2 tizedesjegyre kerekített nyomaték kell, hogy legyen, Nm-ben kifejezve.
6.1.2. A teljes terhelés jelleggörbéje
A bemeneti adatokat a motor 4.3.1. ponttal összhangban rögzített teljes terhelési jelleggörbéje szolgáltatja.
A bemeneti adatokat "Comma Separated Values" (vesszővel tagolt értékek) formátumban kell megadni az adatállományban, az elválasztó karakter pedig az Unicode szerinti "VESSZŐ" (U+002C) (",") kell, hogy legyen. Az adatállomány első sorát fejlécként kell használni, és nem tartalmazhat semmilyen rögzített adatot. A rögzített adatoknak az adatállomány második sorától kell kezdődniük.
Az adatállomány első oszlopa az ASTM E 29-06 szabvány szerint 2 tizedesjegyre kerekített motorfordulatszám kell, hogy legyen, ford./percben kifejezve. A második oszlopban az ASTM E 29-06 szabvány szerint 2 tizedesjegyre kerekített nyomaték kell, hogy legyen, Nm-ben kifejezve.
6.1.3. A CO2-alapmotor visszahajtási jelleggörbéje
A bemeneti adatokat e melléklet 3. függelékével összhangban meghatározott CO2-motorcsalád CO2-alapmotorjának visszahajtási jelleggörbéje szolgáltatja, amelyet a 4.3.2. pont szerint kell rögzíteni.
Abban az esetben, ha a gyártó kérésére az e rendelet 15. cikkének (5) bekezdésében meghatározott rendelkezéseket alkalmazzák, az adott motor 4.3.2. pont szerint rögzített visszahajtási jelleggörbéjét kell bemeneti adatként használni.
A bemeneti adatokat "Comma Separated Values" (vesszővel tagolt értékek) formátumban kell megadni az adatállományban, az elválasztó karakter pedig az Unicode szerinti "VESSZŐ" (U+002C) (",") kell, hogy legyen. Az adatállomány első sorát fejlécként kell használni, és nem tartalmazhat semmilyen rögzített adatot. A rögzített adatoknak az adatállomány második sorától kell kezdődniük.
Az adatállomány első oszlopa az ASTM E 29-06 szabvány szerint 2 tizedesjegyre kerekített motorfordulatszám kell, hogy legyen, ford./percben kifejezve. A második oszlopban az ASTM E 29-06 szabvány szerint 2 tizedesjegyre kerekített nyomaték kell, hogy legyen, Nm-ben kifejezve.
6.1.4. A CO2-alapmotor tüzelőanyag-fogyasztási jelleggörbéje
A bemeneti adatokat e melléklet 3. függelékével összhangban meghatározott CO2-motorcsalád CO2-alapmotorjára vonatkozóan meghatározott értékek szolgáltatják, amelyet a 4.3.5. pont szerint kell rögzíteni.
Abban az esetben, ha a gyártó kérésére az e rendelet 15. cikkének (5) bekezdésében meghatározott rendelkezéseket alkalmazzák, az adott motor esetében a 4.3.5. pont szerint rögzített értékeket kell bemeneti adatként használni.
A bemeneti adatok csak a 4.3.5.5. pont 1. alpontjának megfelelően meghatározott 30±1 másodperces mérési időtartam alatti átlagos mérési értékeit tartalmazhatják.
A bemeneti adatokat "Comma Separated Values" (vesszővel tagolt értékek) formátumban kell megadni az adatállományban, az elválasztó karakter pedig az Unicode szerinti "VESSZŐ" (U+002C) (",") kell, hogy legyen. Az adatállomány első sorát fejlécként kell használni, és nem tartalmazhat semmilyen rögzített adatot. A rögzített adatoknak az adatállomány második sorától kell kezdődniük.
Az adatállomány első sorában az egyes oszlopok címe határozza meg az adott oszlop várható tartalmát.
A motorfordulatszámra vonatkozó oszlopnak a "motorfordulatszám" karakterláncot kell az adatállomány első sorában fejlécként tartalmaznia. Az adatértékek az adatállomány második sorától indulnak perc-1-ben kifejezve, az ASTM E 29-06 szabvány szerint 2 tizedesjegyre kerekítve.
A nyomatékra vonatkozó oszlopnak a "nyomaték" karakterláncot kell az adatállomány első sorában fejlécként tartalmaznia. Az adatértékek az adatállomány második sorától indulnak Nm-ben kifejezve, az ASTM E 29-06 szabvány szerint 2 tizedesjegyre kerekítve.
A tüzelőanyag-tömegáramra vonatkozó oszlopnak az "1. tüzelőanyag-tömegáram" karakterláncot kell fejlécként tartalmaznia az adatállomány első sorában. Az adatértékek az adatállomány második sorától indulnak g/h-ban kifejezve, az ASTM E 29-06 szabvány szerint 2 tizedesjegyre kerekítve.
6.1.4.1. A vegyes üzemű motorokra vonatkozó különleges követelmények
A tüzelőanyag-tömegáramra vonatkozó oszlopnak a "2. tüzelőanyag-tömegáram" karakterláncot kell fejlécként tartalmaznia az adatállomány első sorában. Az adatértékek az adatállomány második sorától indulnak g/h-ban kifejezve, az ASTM E 29-06 szabvány szerint 2 tizedesjegyre kerekítve.
6.1.4.2. A WHR-rendszerrel felszerelt motorokra vonatkozó különleges követelmények
Amennyiben a WHR-rendszer "WHR_mech" vagy "WHR_elec" típusú, a bemeneti adatokat ki kell bővíteni a WHR_mech rendszerek esetében a 4.3.5.3.1. pont szerint rögzített mechanikus P_WHR_net értékekkel, illetve WHR_elec rendszerek esetében az elektromos P_WHR_net értékekkel.
A mechanikus P_WHR_net oszlopának a "WHR mechanikai teljesítmény" karakterláncot, az elektromos P_WHR_net oszlopának pedig a "WHR elektromos teljesítmény" karakterláncot kell az adatállomány első sorában fejlécként tartalmaznia. Az adatértékek az adatállomány második sorától indulnak W-ban kifejezve, az ASTM E 29-06 szabvány szerint a legközelebb eső egész számra kerekítve.
6.1.5. A WHTC-korrekciós tényezőhöz szükséges fajlagos tüzelőanyag-fogyasztási adatok
A bemeneti adatok a WHTC-vizsgálat három különböző - városi, országúti és autópályán megtett - alciklusa során a fajlagos tüzelőanyag-fogyasztás 5.3.1. pont szerint meghatározott három értéke (g/kWh-ban kifejezve).
Az értékeket az ASTM E 29-06 szabvány szerint 2 tizedesjegyre kell kerekíteni.
6.1.5.1. A vegyes üzemű motorokra vonatkozó különleges követelmények
A 6.1.4. pont értelmében az "1. tüzelőanyag-tömegáram" oszlopban bemenetként használt tüzelőanyag-típusra vonatkozó, a 6.1.5. pont szerint meghatározott három érték a GUI "1. tüzelőanyag" fülének bemeneti adata.
A 6.1.4.1. pont értelmében a "2. tüzelőanyag-tömegáram" oszlopban bemenetként használt tüzelőanyag-típusra vonatkozó, a 6.1.5. pont szerint meghatározott három érték a GUI "2. tüzelőanyag" fülének bemeneti adata.
6.1.6. A hideg és meleg üzemállapoti kibocsátást kiegyenlítő tényezőhöz szükséges fajlagos tüzelőanyag-fogyasztási adatok
A melegindításos és hidegindításos WHTC-vizsgálat g/kWh-ban kifejezett, az 5.3.2. ponttal összhangban meghatározott tüzelőanyag-fogyasztásának két értékét kell megadni bemeneti adatként.
Az értékeket az ASTM E 29-06 szabvány szerint 2 tizedesjegyre kell kerekíteni.
6.1.6.1. A vegyes üzemű motorokra vonatkozó különleges követelmények
A 6.1.4. pont értelmében az "1. tüzelőanyag-tömegáram" oszlopban bemenetként használt tüzelőanyag-típusra vonatkozó, a 6.1.6. pont szerint meghatározott értékek a GUI "1. tüzelőanyag" fülének bemeneti adatai.
A 6.1.4.1. pont értelmében a "2. tüzelőanyag-tömegáram" oszlopban bemenetként használt tüzelőanyag-típusra vonatkozó, a 6.1.6. pont szerint meghatározott értékek a GUI "2. tüzelőanyag" fülének bemeneti adatai.
6.1.7. Korrekciós tényező olyan kipufogógáz-utókezelő rendszerrel ellátott motorokhoz, amelyeket rendszeresen regenerálnak
A bemeneti adatot az 5.4. pont szerint meghatározott CFRegPer korrekciós tényező szolgáltatja.
Azoknál a motoroknál, amelyek az ENSZ EGB 49. sz. előírása (Rev. 06) 4. mellékletének 6.6.1. szakasza szerint meghatározott, folyamatos regenerációjú kipufogógáz-utókezelő rendszerrel vannak ellátva, e tényező értékét 1-re kell beállítani az 5.4. pontnak megfelelően.
Az értéket az ASTM E 29-06 szabvány szerint 2 tizedesjegyre kell kerekíteni.
6.1.7.1. A vegyes üzemű motorokra vonatkozó különleges követelmények
A 6.1.4. pont értelmében az "1. tüzelőanyag-tömegáram" oszlopban bemenetként használt tüzelőanyag-típusra vonatkozó, a 6.1.7. pont szerint meghatározott értékek a grafikus felhasználói felület "1. tüzelőanyag" fülének bemeneti adatai.
A 6.1.4.1. pont értelmében a "2. tüzelőanyag-tömegáram" oszlopban bemenetként használt tüzelőanyag-típusra vonatkozó, a 6.1.7. pont szerint meghatározott értékek a GUI "2. tüzelőanyag" fülének bemeneti adatai.
6.1.8. A vizsgálati tüzelőanyag NCV értéke
A bemeneti adat a vizsgálati tüzelőanyagnak a 3.2. pont szerint meghatározott, MJ/kg-ban kifejezett NCV-je
Az értéket az ASTM E 29-06 szabvány szerint 2 tizedesjegyre kell kerekíteni.
6.1.8.1. A vegyes üzemű motorokra vonatkozó különleges követelmények
A 6.1.4. pont értelmében az "1. tüzelőanyag-tömegáram" oszlopban bemenetként használt tüzelőanyag-típusra vonatkozó, a 6.1.8. pont szerint meghatározott érték a GUI "1. tüzelőanyag" fülének bemeneti adata.
A 6.1.4.1. pont értelmében a "2. tüzelőanyag-tömegáram" oszlopban bemenetként használt tüzelőanyag-típusra vonatkozó, a 6.1.8. pont szerint meghatározott érték a GUI "2. tüzelőanyag" fülének bemeneti adata.
6.1.9. A vizsgálati tüzelőanyag típusa
A bemeneti adatot a vizsgálati tüzelőanyagnak a 3.2. pont szerint kiválasztott típusa szolgáltatja
6.1.9.1. A vegyes üzemű motorokra vonatkozó különleges követelmények
A 6.1.4. pont értelmében az "1. tüzelőanyag-tömegáram" oszlopban bemenetként használt tüzelőanyag-típusnak megfelelő vizsgálati tüzelőanyag-típus a GUI "1. tüzelőanyag" fülének bemeneti adata.
A 6.1.4.1. pont értelmében a "2. tüzelőanyag-tömegáram" oszlopban bemenetként használt tüzelőanyag-típusnak megfelelő vizsgálati tüzelőanyag-típus a GUI "2. tüzelőanyag" fülének bemeneti adata.
6.1.10. A CO2-alapmotor alapjárati fordulatszáma
A bemeneti adat az e melléklet 3. függelékével összhangban meghatározott CO2-motorcsalád CO2-alapmotorjának az alapjárati fordulatszáma (nidle, ford./percben kifejezve), amelyet a gyártó a tanúsítvány iránti kérelemben, a 2. függelékben meghatározott mintával összhangban összeállított adatközlő lapon jelent be.
Abban az esetben, ha a gyártó kérésére az e rendelet 15. cikkének (5) bekezdésében meghatározott rendelkezéseket alkalmazzák, az adott motor alapjárati fordulatszámát kell bemeneti adatként használni.
Az értéket az ASTM E 29-06 szabvány szerint a legközelebb eső egész számra kell kerekíteni.
6.1.11. A motor alapjárati fordulatszáma
A bemeneti adat a motor alapjárati fordulatszáma (nidle, ford./percben kifejezve), amelyet a gyártó a tanúsítvány iránti kérelemben, az e melléklet 2. függelékében meghatározott mintával összhangban összeállított adatközlő lapon jelent be.
Az értéket az ASTM E 29-06 szabvány szerint a legközelebb eső egész számra kell kerekíteni.
6.1.12. A motor lökettérfogata
A bemeneti adat a ccm-ben kifejezett lökettérfogat, amelyet a gyártó a tanúsítvány iránti kérelemben, az e melléklet 2. függelékében meghatározott mintával összhangban összeállított adatközlő lapon jelent be.
Az értéket az ASTM E 29-06 szabvány szerint a legközelebb eső egész számra kell kerekíteni.
6.1.13. A motor névleges fordulatszáma
A bemeneti adat a ford./percben kifejezett névleges fordulatszám, amelyet a gyártó a tanúsítvány iránti kérelemben, az e melléklet 2. függeléke szerinti adatközlő lap 3.2.1.8. pontjában jelent be.
Az értéket az ASTM E 29-06 szabvány szerint a legközelebb eső egész számra kell kerekíteni.
6.1.14. A motor névleges teljesítménye
A bemeneti adat a kW-ban kifejezett névleges teljesítmény, amelyet a gyártó a tanúsítvány iránti kérelemben, az e melléklet 2. függeléke szerinti adatközlő lap 3.2.1.8. pontjában jelent be.
Az értéket az ASTM E 29-06 szabvány szerint a legközelebb eső egész számra kell kerekíteni.
6.1.15. Gyártó
A bemeneti adat a motor gyártójának ISO8859-1 kódolású karakterek sorozataként megadott neve.
6.1.16. Modell
A bemeneti adat a motor modelljének ISO8859-1 kódolású karakterek sorozataként megadott neve.
6.1.17. Tanúsítvány száma
A bemeneti adat a motornak az ISO8859-1 kódolású karakterek sorozataként megadott tanúsítványszáma.
6.1.18. Vegyes üzem
Vegyes üzemű motorok esetében a GUI-ban a "vegyes üzemű" jelölőnégyzetet be kell jelölni.
6.1.19. WHR_no_ext
WHR_no_ext rendszerrel felszerelt motorok esetében a GUI-ban a "MechanicalOutputICE" jelölőnégyzetet be kell jelölni.
6.1.20. WHR_mech
WHR_mech rendszerrel felszerelt motorok esetében a GUI-ban a "MechanicalOutputDrivetrain" jelölőnégyzetet be kell jelölni.
6.1.21. WHR_elec
WHR_elec rendszerrel felszerelt motorok esetében a GUI-ban az "ElectricalOutput" jelölőnégyzetet be kell jelölni.
6.1.22. WHTC-korrekciós tényezőhöz szükséges fajlagos E_WHR_net adatok WHR_mech rendszerek esetében
WHR_mech rendszerrel felszerelt motor esetében a bemeneti adat a fajlagos E_WHR_net-nek a WHTC-vizsgálat három különböző - városi, országúti és autópályán megtett - alciklusa során az 5.5.2.1. pont szerint meghatározott három értéke (kJ/kWh-ban kifejezve).
Az értékeket az ASTM E 29-06 szabványnak megfelelően 2 tizedesjegyre kell kerekíteni, és a GUI "WHR Mechanical" fülének megfelelő mezőibe kell bevinni.
6.1.23. A hideg és meleg üzemállapoti kibocsátást kiegyenlítő tényezőhöz szükséges fajlagos E_WHR_net adatok WHR_mech rendszerek esetében
WHR_mech rendszerrel felszerelt motor esetében a bemeneti adat a fajlagos E_WHR_net-nek a melegindításos és hidegindításos WHTC-vizsgálat során az 5.5.2.2. pont szerint meghatározott két értéke (kJ/kWh-ban kifejezve).
Az értékeket az ASTM E 29-06 szabványnak megfelelően 2 tizedesjegyre kell kerekíteni, és a GUI "WHR Mechanical" fülének megfelelő mezőibe kell bevinni.
6.1.24. WHTC-korrekciós tényezőhöz szükséges fajlagos E_WHR_net adatok WHR_elec rendszerek esetében
WHR_elec rendszerrel felszerelt motor esetében a bemeneti adat a fajlagos E_WHR_net-nek a WHTC-vizsgálat három különböző - városi, országúti és autópályán megtett - alciklusa során az 5.5.2.1. pont szerint meghatározott három értéke (kJ/kWh-ban kifejezve).
Az értékeket az ASTM E 29-06 szabványnak megfelelően 2 tizedesjegyre kell kerekíteni, és a GUI "WHR Electrical" fülének megfelelő mezőibe kell bevinni.
6.1.25. A hideg és meleg üzemállapoti kibocsátást kiegyenlítő tényezőhöz szükséges fajlagos E_WHR_net adatok WHR_elec rendszerek esetében
WHR_elec rendszerrel felszerelt motor esetében a bemeneti adat a fajlagos E_WHR_net-nek a melegindításos és hidegindításos WHTC-vizsgálat során az 5.5.2.2. pont szerint meghatározott két értéke (kJ/kWh-ban kifejezve).
Az értékeket az ASTM E 29-06 szabványnak megfelelően 2 tizedesjegyre kell kerekíteni, és a GUI "WHR Electrical" fülének megfelelő mezőibe kell bevinni.
6.1.26. WHR-korrekciós tényező olyan kipufogógáz-utókezelő rendszerrel ellátott motorokhoz, amelyeket rendszeresen regenerálnak
A bemeneti adatot az 5.5.3. pont szerint meghatározott korrekciós tényező szolgáltatja.
Az értéket az ASTM E 29-06 szabványnak megfelelően 2 tizedesjegyre kell kerekíteni, és WHR_ elec rendszerrel felszerelt motor esetében a GUI "WHR Electrical" fülének, WHR_mech rendszerrel felszerelt motor esetében pedig a "WHR Mechanical" fülének megfelelő mezőjébe kell bevinni.
1. függelék
ALKATRÉSZ, ÖNÁLLÓ MŰSZAKI EGYSÉG VAGY RENDSZER TANÚSÍTVÁNYÁNAK MINTÁJA
Legnagyobb megengedett formátum: A4 (210 × 297 mm)
TANÚSÍTVÁNY EGY MOTORCSALÁD CO2-KIBOCSÁTÁSSAL ÉS TÜZELŐANYAG-FOGYASZTÁSSAL KAPCSOLATOS TULAJDONSÁGAIRÓL
Az értesítés tárgya: — egy motorcsalád CO2-kibocsátással és tüzelőanyag-fogyasztással kapcsolatos tulajdonságaira vonatkozó tanúsítvány (1) — kiterjesztése (1) — elutasítása (1) — visszavonása (1) | A hatóság pecsétjének helye |
az (EU) 2017/2400 bizottsági rendelet alapján.
A legutóbb a(z) ... által módosított (EU) 2017/2400 bizottsági rendelet
Tanúsítvány száma:
Hashfüggvény:
A kiterjesztés indoka:
I. SZAKASZ
0.1. Gyártmány (a gyártó márkaneve):
0.2. Típus:
0.3. Típusazonosító jelölések
0.3.1. A tanúsító jelölés helye:
0.3.2. A tanúsító jelölés feltüntetésének módja:
0.5. A gyártó neve és címe:
0.6. Az összeszerelő üzem(ek) neve és címe:
0.7. A gyártó képviselőjének (ha van) neve és címe
II. SZAKASZ
1. Kiegészítő adatok (adott esetben): lásd a Kiegészítést
2. A vizsgálatok elvégzéséért felelős jóváhagyó hatóság:
3. A vizsgálati jegyzőkönyv kelte:
4. A vizsgálati jegyzőkönyv száma:
5. Megjegyzések (adott esetben): lásd a Kiegészítést
6. Hely:
7. Dátum:
8. Aláírás:
Csatolmányok:
Információs csomag. Vizsgálati jegyzőkönyv.
2. függelék
A motorra vonatkozó adatközlő lap
Megjegyzések a táblázat kitöltéséhez
A CO2-motorcsalád tagjainak megfelelő A, B, C, D, E betűk helyére a CO2-motorcsalád tagjainak tényleges elnevezését kell beírni.
Amennyiben valamely motorjellemző tekintetében ugyanazon érték/leírás a CO2-motorcsalád minden tagjára érvényes, egyesíteni kell az A-E rovatokat.
Ötnél több tagú CO2-motorcsalád esetében a táblázat további oszlopokkal egészíthető ki.
A "Függelék az adatközlő laphoz" című dokumentumról másolatokat kell készíteni, és a CO2-motorcsalád minden egyes motorja esetében külön ki kell tölteni.
E függelék legvégén találhatók a magyarázó lábjegyzetek.
CO2-alapmotor | A CO2-motorcsalád tagjai | ||||||
A | B | C | D | E | |||
0. | Általános adatok | ||||||
0.l. | Gyártmány (a gyártó márkaneve) | ||||||
0.2. | Típus | ||||||
0.2.1. | Kereskedelmi név (nevek) (amennyiben van) | ||||||
0.5. | A gyártó neve és címe | ||||||
0.8. | Az összeszerelő üzem(ek) neve és címe | ||||||
0.9. | A gyártó képviselőjének (ha van) neve és címe |
1. RÉSZ
A motorcsaládhoz tartozó (alap)motor és motortípusok alapvető jellemzői
Alapmotor vagy motortípus | A CO2-motorcsalád tagjai | |||||||||
A | B | C | D | E | ||||||
3.2. | Belső égésű motor | |||||||||
3.2.1. | Egyedi motoradatok | |||||||||
3.2.1.1. | Működési elv: szikragyújtású motor/kompressziós gyújtású motor (1) Ciklus: négyütemű/kétütemű/forgódugattyús (1) | |||||||||
3.2.1.1.1. | A vegyes üzemű motor típusa: 1A. típus/1B. típus/2A. típus/2B. típus/3B. típus1 | |||||||||
3.2.1.1.2. | A gáz energiahányadosa a melegindítással végzett WHTC-vizsgálat során: % | |||||||||
3.2.1.2. | A hengerek száma és elrendezése | |||||||||
3.2.1.2.1. | Hengerfurat (3) mm | |||||||||
3.2.1.2.2. | Löket (3) mm | |||||||||
3.2.1.2.3. | Gyújtási sorrend | |||||||||
3.2.1.3. | Motortérfogat (4) cm3 | |||||||||
3.2.1.4. | Sűrítési arány (5) | |||||||||
3.2.1.5. | Az égéstér, a dugattyútető és szikragyújtású motor esetében a dugattyúgyűrűk rajzai | |||||||||
3.2.1.6. | Normál alapjárati fordulatszám (5) (ford./perc) | |||||||||
3.2.1.6.1. | Magas alapjárati fordulatszám (5) (ford./perc) | |||||||||
3.2.1.6.2. | Üresjárat dízellel: igen/nem11 | |||||||||
3.2.1.7. | Térfogatra vonatkoztatott szén-monoxid-tartalom a kipufogógázban alapjáratban (5): %, a gyártó adatai szerint (csak külső gyújtású motoroknál) | |||||||||
3.2.1.8. | Legnagyobb hasznos teljesítmény (6) … kW … ford./perc fordulatszámon (a gyártó által megadott érték) | |||||||||
3.2.1.9. | A motor megengedett legnagyobb fordulatszámának a gyártó által megadott értéke (ford./perc): | |||||||||
3.2.1.10. | Legnagyobb hasznos nyomaték (6)… (Nm) ford./perc fordulatszámon (gyártó által megadott érték) | |||||||||
3.2.1.11. | A gyártó hivatkozásai a 49. sz. ENSZ-előírás 3.1., 3.2. és 3.3. szakaszában előírt dokumentációcsomagra, mely lehetővé teszi a típusjóváhagyó hatóság számára a kibocsátás-ellenőrzési stratégiák és a jármű NOx-csökkentő megoldásai helyes működését biztosító fedélzeti rendszereinek az értékelését | |||||||||
3.2.2. | Tüzelőanyag | |||||||||
3.2.2.2. | Dízel/benzin/LPG/földgáz/dízel-etanol (ED95)/etanol (E85) nehézgépjárművekhez (1) | |||||||||
3.2.2.2.1. | A gyártó által a 49. sz. ENSZ-előírás 4.6.2. szakasza szerint megadott, a motorral kompatibilis tüzelőanyagok (szükség szerint) | |||||||||
3.2.4. | Tüzelőanyag-ellátás | |||||||||
3.2.4.2. | Tüzelőanyag-befecskendezéssel (csak kompressziós gyújtású vagy vegyes üzemű motorok esetében): Igen/Nem (1) | |||||||||
3.2.4.2.1. | A rendszer leírása | |||||||||
3.2.4.2.2. | Működési elv: közvetlen befecskendezés/előkamrás/örvénykamrás (1) | |||||||||
3.2.4.2.3. | Befecskendező szivattyú | |||||||||
3.2.4.2.3.1. | Gyártmány(ok) | |||||||||
3.2.4.2.3.2. | Típus(ok) | |||||||||
3.2.4.2.3.3. | Legnagyobb tüzelőanyag-szállítás (1) (5) … mm3/löket vagy ciklus …ford./perc fordulatszámon vagy ehelyett jelleggörbe (Nyomásfokozó alkalmazása esetén adja meg a jellemző tüzelőanyag-ellátási teljesítményt és az egyes fordulatszámokhoz tartozó töltőnyomást) | |||||||||
3.2.4.2.3.4. | Statikus befecskendezésidőzítés (5) | |||||||||
3.2.4.2.3.5. | Az előbefecskendezés görbéje (5) | |||||||||
3.2.4.2.3.6. | Kalibrálási eljárás: próbapad/hajtómotor (1) | |||||||||
3.2.4.2.4. | Fordulatszám-szabályozó | |||||||||
3.2.4.2.4.1. | Típus | |||||||||
3.2.4.2.4.2. | Leszabályozási pont | |||||||||
3.2.4.2.4.2.1. | Az a fordulatszám, amelynél terhelés mellett a leszabályozás megkezdődik (ford./perc) | |||||||||
3.2.4.2.4.2.2. | Legnagyobb fordulatszám terhelés nélkül (ford./perc) | |||||||||
3.2.4.2.4.2.3. | Alapjárati fordulatszám (ford./perc) | |||||||||
3.2.4.2.5. | Befecskendező csővezeték | |||||||||
3.2.4.2.5.1. | Hosszúság (mm) | |||||||||
3.2.4.2.5.2. | Belső átmérő (mm) | |||||||||
3.2.4.2.5.3. | Közös vezeték, gyártmány és típus | |||||||||
3.2.4.2.6. | Befecskendező(k) | |||||||||
3.2.4.2.6.1. | Gyártmány(ok) | |||||||||
3.2.4.2.6.2. | Típus(ok) | |||||||||
3.2.4.2.6.3. | Nyitási nyomás (5): | (kPa) vagy jelleggörbe (5) | ||||||||
3.2.4.2.7. | Hidegindító rendszer | |||||||||
3.2.4.2.7.1. | Gyártmány(ok) | |||||||||
3.2.4.2.7.2. | Típus(ok) | |||||||||
3.2.4.2.7.3. | Leírás | |||||||||
3.2.4.2.8. | Kiegészítő indító segédberendezés | |||||||||
3.2.4.2.8.1. | Gyártmány(ok) | |||||||||
3.2.4.2.8.2. | Típus(ok) | |||||||||
3.2.4.2.8.3. | A rendszer leírása | |||||||||
3.2.4.2.9. | Elektronikusan vezérelt befecskendezés: Van/Nincs (1) | |||||||||
3.2.4.2.9.1. | Gyártmány(ok) | |||||||||
3.2.4.2.9.2. | Típus(ok) | |||||||||
3.2.4.2.9.3. | A rendszer leírása (a nem folyamatos befecskendezésű rendszerek esetében is hasonló adatokat kell megadni) | |||||||||
3.2.4.2.9.3.1. | A motorvezérlő egység (ECU) gyártmánya és típusa | |||||||||
3.2.4.2.9.3.2. | A tüzelőanyag-szabályozó gyártmánya és típusa | |||||||||
3.2.4.2.9.3.3. | A levegőáram-érzékelő gyártmánya és típusa | |||||||||
3.2.4.2.9.3.4. | A tüzelőanyag-elosztó gyártmánya és típusa | |||||||||
3.2.4.2.9.3.5. | A fojtószelepház gyártmánya és típusa | |||||||||
3.2.4.2.9.3.6. | A vízhőmérséklet-érzékelő gyártmánya és típusa | |||||||||
3.2.4.2.9.3.7. | A levegőhőmérséklet-érzékelő gyártmánya és típusa | |||||||||
3.2.4.2.9.3.8. | A levegőnyomás-érzékelő gyártmánya és típusa | |||||||||
3.2.4.2.9.3.9. | Szoftverkalibrálási szám(ok) | |||||||||
3.2.4.3. | Tüzelőanyag-befecskendezésen keresztül (csak külső gyújtású motornál): Igen/Nem (5) | |||||||||
3.2.4.3.1. | Működési elv: szívócső (egy ponton/több ponton/közvetlen befecskendezés (5)/egyéb, kérjük, határozza meg) | |||||||||
3.2.4.3.2. | Gyártmány(ok) | |||||||||
3.2.4.3.3. | Típus(ok) | |||||||||
3.2.4.3.4. | A rendszer leírása (nem folyamatos befecskendezésű rendszerek esetében is hasonló adatokat kell megadni) | |||||||||
3.2.4.3.4.1. | A motorvezérlő egység (ECU) gyártmánya és típusa | |||||||||
3.2.4.3.4.2. | A tüzelőanyag-szabályozó gyártmánya és típusa | |||||||||
3.2.4.3.4.3. | A levegőáram-érzékelő gyártmánya és típusa | |||||||||
3.2.4.3.4.4. | A tüzelőanyag-elosztó gyártmánya és típusa | |||||||||
3.2.4.3.4.5. | A nyomásszabályozó gyártmánya és típusa | |||||||||
3.2.4.3.4.6. | A mikrokapcsoló gyártmánya és típusa | |||||||||
3.2.4.3.4.7. | Az alapjárati beállítócsavar gyártmánya és típusa | |||||||||
3.2.4.3.4.8. | A fojtószelepház gyártmánya és típusa | |||||||||
3.2.4.3.4.9. | A vízhőmérséklet-érzékelő gyártmánya és típusa | |||||||||
3.2.4.3.4.10. | A levegőhőmérséklet-érzékelő gyártmánya és típusa | |||||||||
3.2.4.3.4.11. | A levegőnyomás-érzékelő gyártmánya és típusa | |||||||||
3.2.4.3.4.12. | Szoftverkalibrálási szám(ok) | |||||||||
3.2.4.3.5. | Befecskendező: nyitási nyomás (5) (kPa) vagy jelleggörbe (5) | |||||||||
3.2.4.3.5.1. | Gyártmány | |||||||||
3.2.4.3.5.2. | Típus | |||||||||
3.2.4.3.6. | Befecskendezési idő | |||||||||
3.2.4.3.7. | Hidegindító rendszer | |||||||||
3.2.4.3.7.1. | Működési elv(ek) | |||||||||
3.2.4.3.7.2. | Működési határértékek/beállítások (1) (5) | |||||||||
3.2.4.4. | Tápszivattyú | |||||||||
3.2.4.4.1. | Nyomás (5) (kPa) vagy jelleggörbe (5) | |||||||||
3.2.5. | Elektromos rendszer | |||||||||
3.2.5.1. | Névleges feszültség (V), pozitív/negatív földelés (1) | |||||||||
3.2.5.2. | Generátor | |||||||||
3.2.5.2.1. | Típus | |||||||||
3.2.5.2.2. | Névleges teljesítmény (VA) | |||||||||
3.2.6. | Gyújtásrendszer (csak szikragyújtású motorok esetében) | |||||||||
3.2.6.1. | Gyártmány(ok) | |||||||||
3.2.6.2. | Típus(ok) | |||||||||
3.2.6.3. | Működési elv | |||||||||
3.2.6.4. | Előgyújtási görbe vagy terv (5) | |||||||||
3.2.6.5. | Statikus gyújtásidőzítés (5) (fok a felső holtpont előtt) | |||||||||
3.2.6.6. | Gyújtógyertyák | |||||||||
3.2.6.6.1. | Gyártmány | |||||||||
3.2.6.6.2. | Típus | |||||||||
3.2.6.6.3. | A gyújtógyertya hézaga (mm) | |||||||||
3.2.6.7. | Gyújtótekercs(ek) | |||||||||
3.2.6.7.1. | Gyártmány | |||||||||
3.2.6.7.2. | Típus | |||||||||
3.2.7. | Hűtőrendszer: folyadék/levegő (1) | |||||||||
3.2.7.2. | Folyadék | |||||||||
3.2.7.2.1. | A folyadék jellege | |||||||||
3.2.7.2.2. | Keringető szivattyú(k): Van/Nincs (1) | |||||||||
3.2.7.2.3. | Jellemzők | |||||||||
3.2.7.2.3.1. | Gyártmány(ok) | |||||||||
3.2.7.2.3.2. | Típus(ok) | |||||||||
3.2.7.2.4. | Áttételi arány(ok) | |||||||||
3.2.7.3. | Levegő | |||||||||
3.2.7.3.1. | Ventilátor: Van/Nincs (1) | |||||||||
3.2.7.3.2. | Jellemzők | |||||||||
3.2.7.3.2.1. | Gyártmány(ok) | |||||||||
3.2.7.3.2.2. | Típus(ok) | |||||||||
3.2.7.3.3. | Áttételi arány(ok) | |||||||||
3.2.8. | Szívórendszer | |||||||||
3.2.8.1. | Feltöltő: Van/Nincs (1) | |||||||||
3.2.8.1.1. | Gyártmány(ok) | |||||||||
3.2.8.1.2. | Típus(ok) | |||||||||
3.2.8.1.3. | A rendszer leírása (pl. a legnagyobb feltöltőnyomás: … kPa, lefúvatószelep, ha van) | |||||||||
3.2.8.2. | Töltőlevegő-hűtő: Van/Nincs (1) | |||||||||
3.2.8.2.1. | Típus: levegő-levegő/levegő-víz (1) | |||||||||
3.2.8.3. | Szívási depresszió névleges fordulatszámnál, 100 %-os terhelés mellett (csak kompressziós gyújtású motoroknál) | |||||||||
3.2.8.3.1. | Megengedett legkisebb (kPa) | |||||||||
3.2.8.3.2. | Megengedett legnagyobb (kPa) | |||||||||
3.2.8.4. | A szívóvezetékek és tartozékaik leírása és rajza (csillapító kamra, fűtőberendezés, kiegészítő levegő-beömlőnyílások stb.) | |||||||||
3.2.8.4.1. | A szívócső leírása (rajzokkal és/vagy fényképekkel együtt) | |||||||||
3.2.9. | Kipufogórendszer | |||||||||
3.2.9.1. | A kipufogó-gyűjtőcső leírása és/vagy rajza | |||||||||
3.2.9.2. | A kipufogórendszer leírása és/vagy rajza | |||||||||
3.2.9.2.1. | A kipufogórendszer azon alkatrészeinek leírása és/vagy rajza, melyek a motorrendszer részét alkotják | |||||||||
3.2.9.3. | Legnagyobb megengedett kipufogási ellennyomás névleges fordulatszámon és 100 %-os terhelésnél (csak kompressziós gyújtású motorok esetében) (kPa) (7) | |||||||||
3.2.9.7. | A kipufogórendszer térfogata (dm3) | |||||||||
3.2.9.7.1. | A kipufogórendszer elfogadható térfogata: (dm3) | |||||||||
3.2.10. | A beömlőnyílás és a kipufogónyílás legkisebb keresztmetszete és nyílásgeometria | |||||||||
3.2.11. | Szelepvezérlés vagy ezzel egyenértékű adatok | |||||||||
3.2.11.1. | Legnagyobb szelepemelés, nyitási és zárási szög, illetve az alternatív elosztórendszerek vezérlési adatai a holtpontokhoz képest. Állítható vezérlőrendszer esetében a vezérlés legnagyobb és legkisebb értékei | |||||||||
3.2.11.2. | Vonatkoztatási és/vagy beállítási tartományok (7) | |||||||||
3.2.12. | Légszennyezés elleni megoldások | |||||||||
3.2.12.1.1. | Kartergázok visszavezetésére szolgáló berendezés: Van/Nincs 1 Ha van, annak leírása és rajza Ha nincs, meg kell felelni a 49. sz. ENSZ-előírás 4. melléklete 6.10. szakaszának | |||||||||
3.2.12.2. | További, légszennyezés-csökkentő berendezések (amennyiben vannak, és más pontban nem szerepelnek) | |||||||||
3.2.12.2.1. | Katalizátor: Van/Nincs (1) | |||||||||
3.2.12.2.1.1. | Katalizátorok és elemek száma (az alábbi adatokat, kérjük, adja meg minden önálló egységre) | |||||||||
3.2.12.2.1.2. | A katalizátor(ok) mérete, alakja és térfogata | |||||||||
3.2.12.2.1.3. | A katalitikus folyamat típusa | |||||||||
3.2.12.2.1.4. | Teljes nemesfémtöltet | |||||||||
3.2.12.2.1.5. | Relatív koncentráció | |||||||||
3.2.12.2.1.6. | Hordozó (szerkezete és anyaga) | |||||||||
3.2.12.2.1.7. | Cellasűrűség | |||||||||
3.2.12.2.1.8. | A katalizátor(ok) házának típusa | |||||||||
3.2.12.2.1.9. | A katalizátor(ok) elhelyezése (helye és vonatkoztatási távolsága a kipufogócsőben) | |||||||||
3.2.12.2.1.10. | Hővédő pajzs: Van/Nincs (1) | |||||||||
3.2.12.2.1.11. | Regeneráló rendszerek/kipufogógáz-utókezelő rendszerek működési módja, leírás | |||||||||
3.2.12.2.1.11.5. | Szokásos üzemi hőmérséklet-tartomány (K) | |||||||||
3.2.12.2.1.11.6. | Elhasználható reagensek: Van/Nincs (1) | |||||||||
3.2.12.2.1.11.7. | A katalitikus folyamathoz szükséges reagens típusa és koncentrációja | |||||||||
3.2.12.2.1.11.8. | A K reagens szokásos üzemihőmérséklet-tartománya | |||||||||
3.2.12.2.1.11.9. | Nemzetközi szabvány | |||||||||
3.2.12.2.1.11.10. | A reagens feltöltés gyakorisága: folyamatos/karbantartáskor (1) | |||||||||
3.2.12.2.1.12. | A katalizátor gyártmánya | |||||||||
3.2.12.2.1.13. | Termékazonosító szám | |||||||||
3.2.12.2.2. | Oxigénérzékelő: Van/Nincs (1) | |||||||||
3.2.12.2.2.1. | Gyártmány | |||||||||
3.2.12.2.2.2. | Elhelyezkedés | |||||||||
3.2.12.2.2.3. | Szabályozási tartomány | |||||||||
3.2.12.2.2.4. | Típus | |||||||||
3.2.12.2.2.5. | Termékazonosító szám | |||||||||
3.2.12.2.3. | Légbefúvás: Van/Nincs (1) | |||||||||
3.2.12.2.3.1. | Típus (szakaszos levegőadagoló, légszivattyú stb.) | |||||||||
3.2.12.2.4. | Kipufogógáz-visszavezetés (EGR): Van/Nincs (1) | |||||||||
3.2.12.2.4.1. | Jellemzők (gyártmány, típus, áramlás stb.) | |||||||||
3.2.12.2.6. | Részecskeszűrő (PT): Van/Nincs (1) | |||||||||
3.2.12.2.6.1. | A részecskecsapda mérete, alakja és térfogata | |||||||||
3.2.12.2.6.2. | A részecskecsapda kialakítása | |||||||||
3.2.12.2.6.3. | Elhelyezkedés (referenciatávolság a kipufogócsőben) | |||||||||
3.2.12.2.6.4. | A regenerálás módja vagy rendszere, leírás és/vagy rajz | |||||||||
3.2.12.2.6.5. | A részecskecsapda gyártmánya | |||||||||
3.2.12.2.6.6. | Termékazonosító szám | |||||||||
3.2.12.2.6.7. | Szokásos üzemi hőmérséklet- (K) és nyomás- (kPa) tartomány | |||||||||
3.2.12.2.6.8. | Időszakos regenerálás esetén | |||||||||
3.2.12.2.6.8.1.1. | Regenerálás nélküli WHTC-vizsgálati ciklusok száma (n) | |||||||||
3.2.12.2.6.8.2.1. | Regenerálással zajló WHTC-vizsgálati ciklusok száma (nR) | |||||||||
3.2.12.2.6.9. | Más rendszerek: Van/Nincs (1) | |||||||||
3.2.12.2.6.9.1. | Leírás és működés | |||||||||
3.2.12.2.7. | Adott esetben a gyártó hivatkozása a vegyes üzemű motor járműbe történő beépítésével kapcsolatos dokumentációra | |||||||||
3.2.17. | Nehéz gépjárművek gázmotorjaival és vegyes üzemű motorjaival kapcsolatos külön információk (más kialakítású rendszerek esetén meg kell adni az ezzel egyenértékű adatokat) | |||||||||
3.2.17.1. | Tüzelőanyag: LPG/földgáz-H/földgáz-L/földgáz-HL (1) | |||||||||
3.2.17.2. | Nyomásszabályzó(k) vagy elpárologtató/nyomásszabályzó(k) (1) | |||||||||
3.2.17.2.1. | Gyártmány(ok) | |||||||||
3.2.17.2.2. | Típus(ok) | |||||||||
3.2.17.2.3. | A nyomáscsökkentő fokozatok száma | |||||||||
3.2.17.2.4. | Nyomás az utolsó fokozatban: minimum (kPa) – maximum (kPa) | |||||||||
3.2.17.2.5. | A fő szabályozási pontok száma | |||||||||
3.2.17.2.6. | Az alapjárati beállítási pontok száma | |||||||||
3.2.17.2.7. | Típusjóváhagyási szám | |||||||||
3.2.17.3. | Tüzelőanyag-rendszer: keverőegység/gázbefúvás/folyadékbefecskendezés/közvetlen befecskendezés (1) | |||||||||
3.2.17.3.1. | A keverék összetételének szabályozása | |||||||||
3.2.17.3.2. | A rendszer leírása és/vagy görbe és rajzok | |||||||||
3.2.17.3.3. | Típusjóváhagyási szám | |||||||||
3.2.17.4. | Keverőegység | |||||||||
3.2.17.4.1. | Szám | |||||||||
3.2.17.4.2. | Gyártmány(ok) | |||||||||
3.2.17.4.3. | Típus(ok) | |||||||||
3.2.17.4.4. | Elhelyezkedés | |||||||||
3.2.17.4.5. | Beállítási lehetőségek | |||||||||
3.2.17.4.6. | Típusjóváhagyási szám | |||||||||
3.2.17.5. | Befecskendezés a szívócsőbe | |||||||||
3.2.17.5.1. | Befecskendezés: egypontos/többpontos (1) | |||||||||
3.2.17.5.2. | Befecskendezés: folyamatos/szimultán időzített/szekvenciálisan időzített (1) | |||||||||
3.2.17.5.3. | Befecskendező berendezés | |||||||||
3.2.17.5.3.1. | Gyártmány(ok) | |||||||||
3.2.17.5.3.2. | Típus(ok) | |||||||||
3.2.17.5.3.3. | Beállítási lehetőségek | |||||||||
3.2.17.5.3.4. | Típusjóváhagyási szám | |||||||||
3.2.17.5.4. | Tüzelőanyag-tápszivattyú (amennyiben van) | |||||||||
3.2.17.5.4.1. | Gyártmány(ok) | |||||||||
3.2.17.5.4.2. | Típus(ok) | |||||||||
3.2.17.5.4.3. | Típusjóváhagyási szám | |||||||||
3.2.17.5.5. | Befecskendező(k) | |||||||||
3.2.17.5.5.1. | Gyártmány(ok) | |||||||||
3.2.17.5.5.2. | Típus(ok) | |||||||||
3.2.17.5.5.3. | Típusjóváhagyási szám | |||||||||
3.2.17.6. | Közvetlen befecskendezés | |||||||||
3.2.17.6.1. | Befecskendező szivattyú/nyomásszabályzó (1) | |||||||||
3.2.17.6.1.1. | Gyártmány(ok) | |||||||||
3.2.17.6.1.2. | Típus(ok) | |||||||||
3.2.17.6.1.3. | Befecskendezési idő | |||||||||
3.2.17.6.1.4. | Típusjóváhagyási szám | |||||||||
3.2.17.6.2. | Befecskendező(k) | |||||||||
3.2.17.6.2.1. | Gyártmány(ok) | |||||||||
3.2.17.6.2.2. | Típus(ok) | |||||||||
3.2.17.6.2.3. | Nyitási nyomás vagy jelleggörbe (1) | |||||||||
3.2.17.6.2.4. | Típusjóváhagyási szám | |||||||||
3.2.17.7. | Motorvezérlő egység (ECU) | |||||||||
3.2.17.7.1. | Gyártmány(ok) | |||||||||
3.2.17.7.2. | Típus(ok) | |||||||||
3.2.17.7.3. | Beállítási lehetőségek | |||||||||
3.2.17.7.4. | Szoftverkalibrálási szám(ok) | |||||||||
3.2.17.8. | Tüzelőanyag-specifikus alkatrészek (földgáz) | |||||||||
3.2.17.8.1. | 1. változat (kizárólag többféle, meghatározott összetételű tüzelőanyaggal üzemelő motorok jóváhagyása esetén) | |||||||||
3.2.17.8.1.0.1. | Önműködően alkalmazkodó? Igen/Nem (1) | |||||||||
3.2.17.8.1.1. | metán (CH4) … alap (mól%) etán (C2H6) … alap (mól%) propán (C3H8) … alap (mól%) bután (C4H10) … alap (mól%) C5/C5+: … alap (mól%) oxigén (O2)… alap (mól%) semleges (N2, He stb.) … alap (mól%) | min. (mól%) min. (mól%) min. (mól%) min. (mól%) min. (mól%) min. (mól%) min. (mól%) | max. (mól%) max. (mól%) max. (mól%) max. (mól%) max. (mól%) max. (mól%) max. (mól%) | |||||||
3.5.5. | Fajlagos tüzelőanyag-fogyasztás, fajlagos CO2-kibocsátások és korrekciós tényezők | |||||||||
3.5.5.1. | Fajlagos tüzelőanyag-fogyasztás a WHSC-vizsgálat során („SFCWHSC”), az 5.3.3. pont szerint (g/kWh-ban kifejezve) (9) | |||||||||
3.5.5.2. | Korrigált tüzelőanyag-fogyasztás a WHSC-vizsgálat során („SFCWHSC, corr”), az 5.3.3.1. pont szerint: … g/kWh (9) | |||||||||
3.5.5.2.1. | Vegyes üzemű motorok esetében: Fajlagos CO2-kibocsátások a WHSC-vizsgálat során a 4. függelék 6.1. pontja szerint g/kWh (9) | |||||||||
3.5.5.3. | A WHTC-vizsgálat városi részének korrekciós tényezője (a motor-előfeldolgozási eszköz eredménye alapján) (9) | |||||||||
3.5.5.4. | A WHTC-vizsgálat országúti részének korrekciós tényezője (a motor-előfeldolgozási eszköz eredménye alapján) (9) | |||||||||
3.5.5.5. | A WHTC-vizsgálat autópályán megtett részének korrekciós tényezője (a motor-előfeldolgozási eszköz eredménye alapján) (9) | |||||||||
3.5.5.6. | A hideg és meleg üzemállapoti kibocsátást kiegyenlítő tényező (a motor-előfeldolgozási eszköz eredménye alapján) (9) | |||||||||
3.5.5.7. | Korrekciós tényező olyan kipufogógáz-utókezelő rendszerrel ellátott motorokhoz, amelyeket rendszeresen regenerálnak (CFRegPer) (a motor-előfeldolgozási eszköz eredménye alapján) (9) | |||||||||
3.5.5.8. | A szabványos NVC korrekciós tényezője (a motor-előfeldolgozási eszköz eredménye alapján) (9) | |||||||||
3.6 | A gyártó által megengedett hőmérséklet | |||||||||
3.6.1. | Hűtőrendszer | |||||||||
3.6.1.1. | Folyadékhűtés: legmagasabb kilépő hőmérséklet (K) | |||||||||
3.6.1.2. | Léghűtés | |||||||||
3.6.1.2.1. | Vonatkoztatási pont | |||||||||
3.6.1.2.2. | Legmagasabb hőmérséklet a vonatkoztatási pontnál (K) | |||||||||
3.6.2. | A közbenső hűtő legnagyobb kilépő hőmérséklete (K) | |||||||||
3.6.3. | A kipufogógáz legmagasabb hőmérséklete a kipufogócsőnek (-csöveknek) a kipufogó-szívócső (-csövek) vagy a turbófeltöltő külső peremével (peremeivel) szomszédos pontján (K) | |||||||||
3.6.4. | A tüzelőanyag hőmérséklete: legalacsonyabb (K) – legmagasabb (K) Dízelmotorok esetében a befecskendezőszivattyú bemeneténél, gázüzemű motorok esetében a nyomásszabályzó végfokozatánál | |||||||||
3.6.5. | A kenőanyag hőmérséklete Legalacsonyabb (K) – legmagasabb (K) | |||||||||
3.8. | Kenési rendszer | |||||||||
3.8.1. | A rendszer leírása | |||||||||
3.8.1.1. | A kenőanyagtartály helye | |||||||||
3.8.1.2. | Adagolórendszer (szivattyúval/a szívócsőbe való befecskendezéssel/ tüzelőanyaggal összekeverve stb.) (1) | |||||||||
3.8.2. | Kenőanyag-szivattyú | |||||||||
3.8.2.1. | Gyártmány(ok) | |||||||||
3.8.2.2. | Típus(ok) | |||||||||
3.8.3. | Tüzelőanyagba keverve | |||||||||
3.8.3.1. | Százalék | |||||||||
3.8.4. | Olajhűtő: Van/Nincs (1) | |||||||||
3.8.4.1. | Rajz(ok) | |||||||||
3.8.4.1.1. | Gyártmány(ok) | |||||||||
3.8.4.1.2. | Típus(ok) | |||||||||
3.9. | WHR rendszer | |||||||||
3.9.1. | A WHR rendszer típusa: WHR_no_ext, WHR_mech, WHR_elec | |||||||||
3.9.2. | Működési elv | |||||||||
3.9.3. | A rendszer leírása | |||||||||
3.9.4. | Bepárló típus (10) | |||||||||
3.9.5. | LEW a 3.1.6.2. a) pont szerint | |||||||||
3.9.6. | LmaxEW a 3.1.6.2. a) pont szerint | |||||||||
3.9.7. | Turbina típusa | |||||||||
3.9.8. | LET a 3.1.6.2. b) pont szerint | |||||||||
3.9.9. | LmaxET a 3.1.6.2. b) pont szerint | |||||||||
3.9.10. | Expanziós egység típusa | |||||||||
3.9.11. | LHE a 3.1.6.2. c) pont i. alpontja szerint | |||||||||
3.9.12. | LmaxHE a 3.1.6.2. c) pont i. alpontja szerint | |||||||||
3.9.13. | Kondenzátor típusa | |||||||||
3.9.14. | LEC a 3.1.6.2. c) pont ii. alpontja szerint | |||||||||
3.9.15. | LmaxEC a 3.1.6.2. c) pont ii. alpontja szerint | |||||||||
3.9.16. | LCE a 3.1.6.2. c) pont iii. alpontja szerint | |||||||||
3.9.17. | LmaxCE a 3.1.6.2. c) pont ii. alpontja szerint | |||||||||
3.9.18. | A WHR_mech rendszerek esetében a nettó mechanikai teljesítmény méréséhez használt fordulatszám a 3.1.6.2. f) pont szerint | |||||||||
Megjegyzések:
(1) A nem kívánt rész törlendő (bizonyos esetekben semmit nem kell törölni, ha egynél több lehetőség is alkalmazható).
(3) Ezt az adatot a legközelebbi tizedmilliméterre kell kerekíteni.
(4) Ezt az értéket ki kell számolni és a legközelebbi cm3-re kell kerekíteni.
(5) Adja meg a tűrést.
(6) A 85. számú előírás követelményeknek megfelelően meghatározva.
(7) Kérjük, adja meg az egyes változatok felső és alsó értékeit.
(8) Dokumentálni kell, ha a fedélzeti diagnosztikai rendszer szerint csak egy motorcsalád létezik, és amennyiben még nincs dokumentálva a függelék 1. részének 3.2.12.2.7.0.4. sorában említett dokumentációcsomag(ok)ban.
(9) Vegyes üzemű motorok esetében külön-külön kell megadni az egyes tüzelőanyag-típusokra és üzemmódokra vonatkozó értékeket.
(10) Más WHR-rendszerek esetében ennek tükröznie kell a hőcserélő típusát a 3.1.6.2. d) pont szerint.
Függelék az adatközlő laphoz
Információk a vizsgálati feltételekről
1. Gyújtógyertyák
1.1. Gyártmány
1.2. Típus
1.3. A gyújtógyertya hézaga
2. Gyújtótekercs
2.1. Gyártmány
2.2. Típus
3. A használt kenőanyag
3.1. Gyártmány
3.2. Típus (az olaj százalékos aránya a keverékben, ha a kenőanyag a tüzelőanyaghoz van keverve)
3.3. A kenőanyagra vonatkozó előírások
4. A használt vizsgálati tüzelőanyag ( 13 )
4.1. Tüzelőanyag típusa (az (EU) 2017/2400 bizottsági rendelet V. mellékletének 6.1.9. pontjával összhangban)
4.2. A használt tüzelőanyag egyedi azonosító száma (gyártási tétel száma)
4.3. Nettó fűtőérték (NCV) (az (EU) 2017/2400 bizottsági rendelet V. mellékletének 6.1.8. pontjával összhangban)
4.4. Referencia-tüzelőanyag típusa (az (EU) 2017/2400 bizottsági rendelet V. mellékletének 3.2. pontjával összhangban a vizsgálathoz használt referencia-tüzelőanyag típusa)
5. A motor által hajtott berendezések
5.1. A segédberendezések/berendezések által felvett teljesítményt csak akkor kell meghatározni,
a) ha a motor működéséhez szükséges segédberendezések/berendezések nincsenek a motorra szerelve, és/vagy
b) ha a motor működéséhez nem szükséges segédberendezések/berendezések vannak a motorra szerelve.
Megjegyzés: a kibocsátásvizsgálatok és a teljesítményvizsgálatok esetében eltérő előírások vonatkoznak a motor által hajtott segédberendezésekre.
5.2. Felsorolás és azonosító adatok
5.3. A kibocsátásméréshez tartozó fordulatszámon felvett teljesítmény
1. táblázat
A kibocsátásméréshez tartozó fordulatszámon felvett teljesítmény
Berendezés | |||||
Alapjárat | Alacsony fordulatszám | Magas fordulatszám | Preferált fordulatszám (2) | n95h | |
Pa a 49. számú ENSZ-előírás 4. mellékletének 6. függeléke szerint szükséges (segéd)berendezések | |||||
Pb a 49. számú ENSZ-előírás 4. mellékletének 6. függeléke szerint nem szükséges (segéd)berendezések |
5.4. Az e melléklet 5. függeléke szerint meghatározott ventilátorállandó (adott esetben)
5.4.1. Cavg-fan (adott esetben)
5.4.2. Cind-fan (adott esetben)
2. táblázat
A ventilátorállandó (Cind-fan) értéke különböző fordulatszámok esetében
Érték | 1. | 2. | 3. | 4. | 5. | 6. | 7. | 8. | 9. | 10. |
fordulatszám | fordulatszám | fordulatszám | fordulatszám | fordulatszám | fordulatszám | fordulatszám | fordulatszám | fordulatszám | fordulatszám | |
fordulatszám [ford./perc] | ||||||||||
ventilátorállandó (Cind-fan,i) |
6. A motor teljesítménye (a gyártó közlése alapján)
6.1. Alacsony fordulatszám (nlo) ... ford./perc
Magas fordulatszám (nhi) ... ford./perc
Alapjárati fordulatszám ... ford./perc
Preferált fordulatszám ... ford./perc
n95h ... ford./perc
6.2. A 85. számú ENSZ-előírás ( *1 ) szerinti teljesítményvizsgálathoz megadott értékek (vegyes üzemű motorokkal vegyes üzemmódban végzett vizsgálat esetében)
Alapjárati fordulatszám ... ford./perc
A teljes terheléshez tartozó legnagyobb fordulatszám ... ford./perc
Legnagyobb teljesítmény ... kW
A legnagyobb nyomatékhoz tartozó fordulatszám ... ford./perc
A legnagyobb nyomaték ... Nm
3. függelék
A CO2-motorcsalád
1. A CO2-motorcsaládot meghatározó paraméterek
A gyártó által meghatározott CO2-motorcsaládnak meg kell felelnie a 49 sz. ENSZ-előírás 4. mellékletének 5.2.3. szakaszával összhangban megállapított tagsági kritériumoknak. Egy CO2-motorcsalád állhat egyetlen motorból.
Vegyes üzemű motor esetében a CO2-motorcsaládnak meg kell felelnie a 49. sz. ENSZ-előírás 15. mellékletének 3.1.1. szakaszában foglalt kiegészítő követelményeknek is.
E tagsági kritériumokon túlmenően a gyártó által meghatározott CO2-motorcsalád meg kell, hogy feleljen az 1.1-1.10. pontban felsorolt tagsági kritériumoknak is.
Az 1.1-1.10. pontban szereplő paraméterek mellett a gyártó további kritériumokat is bevezethet korlátozottabb méretű családok meghatározása céljából. Ezek a paraméterek nem feltétlenül befolyásolják a tüzelőanyag-fogyasztási szinteket.
1.1. Égés szempontjából releváns geometriai adatok
1.1.1. Hengerenkénti lökettérfogat
1.1.2. A hengerek száma
1.1.3. Furatra és löketre vonatkozó adatok
1.1.4. Az égéskamra geometriája és a sűrítési arány
1.1.5. Szelepátmérő és a nyílás geometriája
1.1.6. Tüzelőanyag-befecskendezők (kialakítás és elhelyezkedés)
1.1.7. A hengerfej kialakítása
1.1.8. A dugattyú és a dugattyúgyűrűk kialakítása
1.2. A légkezelés szempontjából releváns alkatrészek
1.2.1. A levegőfeltöltő berendezések típusa (feltöltéshatároló szelep, változó geometriájú turbófeltöltő, kétlépcsős, egyéb) és termodinamikai jellemzői
1.2.2. Feltöltőlevegő-hűtési koncepció
1.2.3. Szelepvezérlési koncepció (fix, részben rugalmas, rugalmas)
1.2.4. Kipufogógáz-visszavezetési koncepció (hűtetlen/hűtött, magas/alacsony nyomás, EGR-szabályozás)
1.3. Befecskendező rendszer
1.4. A (segéd)berendezések meghajtásának koncepciója (mechanikusan, elektromosan, egyéb)
1.5. Hulladékhő-visszanyerő rendszer(ek)
1.5.1. A WHR-rendszer(ek) típusa (e melléklet 2. pontja szerint meghatározva)
1.5.2. A WHR-rendszer kialakítása az e melléklet 3.1.6. pontja szerinti vizsgálathoz
1.5.3. A WHR rendszer turbinájának típusa(i)
1.5.4. A WHR rendszer bepárlójának típusa(s)
1.5.5. A WHR rendszer expanziós egységének típusa(i)
1.5.6. A WHR rendszer kondenzátorának típusa(s)
1.5.7. A WHR rendszer szivattyújának típusa(i)
1.5.8. az egyazon CO2-motorcsaládon belüli összes többi motor esetében az e melléklet 3.1.6.2. a) pontja szerinti LEW értéknek el kell érnie vagy meg kell haladnia a CO2-alapmotor értékét
1.5.9. az egyazon CO2-motorcsaládon belüli összes többi motor esetében az e melléklet 3.1.6.2. b) pontja szerinti LET értéknek el kell érnie vagy meg kell haladnia a CO2-alapmotor értékét
1.5.10. az egyazon CO2-motorcsaládon belüli összes többi motor esetében az e melléklet 3.1.6.2. c) pontjának i. alpontja szerinti LHE értéknek el kell érnie vagy meg kell haladnia a CO2-alapmotor értékét
1.5.11. az egyazon CO2-motorcsaládon belüli összes többi motor esetében az e melléklet 3.1.6.2. c) pontjának ii. alpontja szerinti LEC érték nem haladhatja meg a CO2-alapmotor értékét
1.5.12. az egyazon CO2-motorcsaládon belüli összes többi motor esetében az e melléklet 3.1.6.2. c) pontjának iii. alpontja szerinti LCE érték nem haladhatja meg a CO2-alapmotor értékét
1.5.13. az egyazon CO2-motorcsaládon belüli összes többi motor esetében az e melléklet 3.1.6.2. c) pontjának iv. alpontja szerinti pcond értéknek el kell érnie vagy meg kell haladnia a CO2-alapmotor értékét
1.5.14. az egyazon CO2-motorcsaládon belüli összes többi motor esetében az e melléklet 3.1.6.2. c) pontjának v. alpontja szerinti Pcond értéknek el kell érnie vagy meg kell haladnia a CO2-alapmotor értékét
1.6. Utókezelő berendezés
1.6.1. A reagensadagoló rendszer jellemzői (reagens és adagolási koncepció)
1.6.2. Katalizátor és dízel részecskeszűrő (elrendezés, anyag és bevonat)
1.6.3. Szénhidrogén-adagoló rendszer jellemzői (kialakítása és adagolási koncepció)
1.7. A teljes terhelés jelleggörbéje
1.7.1. A CO2-alapmotor 4.3.1. ponttal összhangban meghatározott teljes terhelési jelleggörbéjének egyes fordulatszámaira vonatkozó nyomatékértékeknek el kell érniük vagy meg kell haladniuk az ugyanazon CO2-motorcsaládon belüli összes többi motor ugyanazon fordulatszámon mért nyomatékértékét a teljes rögzített fordulatszám-tartományban.
1.7.2. A CO2-motorcsaládon belül a legkisebb névleges teljesítménnyel rendelkező motor 4.3.1. ponttal összhangban meghatározott teljes terhelési jelleggörbéjének egyes fordulatszámaira vonatkozó nyomatékértékek nem haladhatják meg az ugyanazon CO2-motorcsaládon belüli egyetlen más motor ugyanazon fordulatszámon mért nyomatékértékét sem a teljes rögzített fordulatszám-tartományban.
1.7.3. Az 1.7.1. és 1.7.2. pontban leírt referenciához kapcsolódó tűréshatár-tartományon belüli nyomatékértékek azonosnak tekintendők. A tűréshatár-tartomány a CO2-alapmotor adott motorfordulatszámon mért nyomatéka + 20 Nm vagy + 2 %, attól függően, hogy melyik a nagyobb.
1.8. Jellegzetes vizsgálati fordulatszámok
1.8.1. A CO2-alapmotornak a gyártó által az e melléklet 2. függelékének 3.2.1.6. pontjában szereplő adatközlő lapon a tanúsítás iránti kérelemkor bejelentett alapjárati fordulatszáma (nidle) nem haladhatja meg az ugyanazon CO2-motorcsaládon belüli egyetlen más motor alapjárati fordulatszámát sem.
1.8.2. A CO2-motorcsaládon belül a CO2-alapmotoron kívüli egyetlen motornak a 4.3.1. pont szerint rögzített teljes terhelési jelleggörbe alapján, a jellegzetes fordulatszámoknak a 49. számú ENSZ-előírás 4. mellékletének 7.4.6. szakasza szerinti fogalommeghatározásai alkalmazásával meghatározott fordulatszáma (n95h) sem térhet el a CO2-alapmotor fordulatszámától (n95h) több mint ±3 %-kal.
1.8.3. A CO2-motorcsaládon belül a CO2-alapmotoron kívüli egyetlen motornak a 4.3.1. pont szerint rögzített teljes terhelési jelleggörbe alapján, a 4.3.5.2.1. pont szerinti fogalommeghatározások alkalmazásával meghatározott fordulatszáma (n57) sem térhet el a CO2-alapmotor fordulatszámától (n57) több mint ±3 %-kal.
1.9. A tüzelőanyag-fogyasztási jelleggörbén lévő adatpontok minimális száma
1.9.1. Az ugyanazon CO2-motorcsaládon belüli valamennyi motor esetében a tüzelőanyag-fogyasztási jelleggörbén legalább 54 jelleggörbe felvételére szolgáló adatpontnak kell szerepelnie, amelyek a motor 4.3.1. pont szerint meghatározott teljes terhelési jelleggörbéje alatt helyezkednek el.
1.10. Különbségek a GER
WHTC
értékben
1.10.1. Vegyes üzemű motorok esetében ugyanazon CO2-motorcsaládon belül a legnagyobb és a legkisebb GERWHTC érték
(azaz a legnagyobb GERWHTC mínusz legkisebb GERWHTC) legfeljebb 10 %-ban térhet el.
2. A CO2-alapmotor kiválasztása
A CO2-motorcsalád CO2-alapmotorját a következő kritériumok szerint kell kiválasztani:
2.1. A CO2-motorcsaládon belüli összes motor közül a legnagyobb a névleges teljesítménye.
4. függelék
A CO2-kibocsátással és a tüzelőanyag-fogyasztással kapcsolatos tulajdonságok megfelelősége
1. Általános rendelkezések
1.1. A CO2-kibocsátással és a tüzelőanyag-fogyasztással kapcsolatos tulajdonságok megfelelőségét az e melléklet 1. függelékében szereplő tanúsítványokban foglalt leírás, illetve az e melléklet 2. függelékében meghatározott adatközlő lapban szereplő leírás alapján kell ellenőrizni.
1.2. Amennyiben egy motor tanúsítványának egy vagy több kiterjesztése van, a vizsgálatokat a szóban forgó kiterjesztésre vonatkozó információs csomagban leírt motorokon kell elvégezni.
1.3. Valamennyi vizsgált motornak az e függelék 3. pontja szerinti kiválasztási kritériumoknak megfelelő gyártási sorozatból kell származnia.
1.4. A vizsgálatokat a megfelelő, kereskedelmi forgalomban lévő tüzelőanyagokkal lehet elvégezni. A gyártó kérésére azonban a 3.2. pontban előírt referencia-tüzelőanyagok is használhatók.
1.5. Ha a gázmotorok (földgáz, LPG) CO2-kibocsátással és tüzelőanyag-fogyasztással kapcsolatos tulajdonságai megfelelőségének vizsgálatát kereskedelmi forgalomban lévő tüzelőanyagokkal végzik, a motor gyártójának igazolnia kell a jóváhagyó hatóság felé a gáznemű tüzelőanyag összetételének megfelelő meghatározását az NCV e függelék 4. pontja szerinti, a helyes műszaki megítélésen alapuló meghatározásához.
2. A vizsgálandó motorok és a CO2-motorcsaládok száma
2.1. Az elmúlt termelési évben, e rendelet hatálya alatt gyártott összes motor 0,05 százaléka jelenti azt az alapot, amelyből le kell vezetni azoknak a CO2-motorcsaládoknak, és ezeken a CO2-motorcsaládokon belül azoknak a motoroknak a számát, amelyeket évente vizsgálni kell a CO2-kibocsátással és a tüzelőanyag-fogyasztással kapcsolatos tulajdonságok megfelelőségének ellenőrzése érdekében. Az érintett motorok 0,05 százalékára kapott adatot a legközelebbi egész számra kell kerekíteni. Ezt az eredményt nCOP,base-nek kell nevezni.
2.2. A 2.1. pont rendelkezései ellenére az nCOP,base minimális száma 30 kell, hogy legyen.
2.3. Az e függelék 2.1. és 2.2. pontjával összhangban az nCOP,base-re meghatározott eredményt 10-zel el kell osztani, majd az eredményt a legközelebbi egész számra kerekíteni annak érdekében, hogy meghatározzuk az évente vizsgálandó CO2-motorcsaládok számát (nCOP,fam), a CO2-kibocsátással és a tüzelőanyag-fogyasztással kapcsolatos tulajdonságok megfelelőségének ellenőrzése érdekében.
2.4. Abban az esetben, ha a gyártó kevesebb CO2-motorcsaláddal rendelkezik, mint a 2.3. pont szerint meghatározott nCOP,fam, a vizsgálandó CO2-motorcsaládok számát (nCOP,fam) a gyártó összes CO2-motorcsaládjának számában kell megállapítani.
3. A vizsgálandó CO2-motorcsaládok kiválasztása
A vizsgálandó CO2-motorcsaládok e függelék 2. pontjának megfelelően meghatározott számától függően az első két CO2-motorcsalád az kell, hogy legyen, amelynek a legmagasabb a termelési volumene.
A vizsgálandó CO2-motorcsaládok fennmaradó számát véletlenszerűen kell kiválasztani az összes meglévő CO2-motorcsaládból. Ezt a gyártó és a jóváhagyó hatóság közös megállapodással határozzák meg.
4. Végrehajtandó vizsgálati menet
Az egyes CO2-motorcsaládokon belül vizsgálandó motorok minimális számát (nCOP,min) úgy kell meghatározni, hogy az nCOP,base 2. pont szerint meghatározott értékét elosztják az nCOP,fam 2. pont szerint meghatározott értékével. Az nCOP,min-re kapott eredményt a legközelebbi egész számra kell kerekíteni. Ha az nCOP,min-re így kapott érték kisebb, mint 4, akkor 4-re kell állítani, ha nagyobb, mint 19, akkor 19-re.
Az e függelék 3. pontjának megfelelően meghatározott CO2-motorcsaládok mindegyikénél e családokon belül minimálisan nCOP,min számú motort kell vizsgálni ahhoz, hogy az e függelék 9. pontjának megfelelően elfogadó döntés születhessen.
Az egy CO2-motorcsaládon belül végrehajtandó vizsgálati menetek számát véletlenszerűen kell hozzárendelni az adott CO2-család különböző motorjaihoz. Ezt a hozzárendelést a gyártó és a jóváhagyó hatóság közös megállapodással határozzák meg.
A CO2-kibocsátással és a tüzelőanyag-fogyasztással kapcsolatos tulajdonságok megfelelőségét a motoroknak a 4.3.4. pont szerinti WHSC-vizsgálat során történő vizsgálatával kell ellenőrizni.
Az e mellékletben a tanúsítási vizsgálatra meghatározott valamennyi peremfeltételt alkalmazni kell, kivéve a következőket:
1. Az e melléklet 3.1.1. pontja szerinti laboratóriumi vizsgálati feltételek. A 3.1.1. pont szerinti feltételek ajánlottak, de nem kötelezőek. Bizonyos környezeti körülmények között eltérések fordulhatnak elő a vizsgálati helyszínen, amelyeket a helyes műszaki megítélés segítségével kell minimalizálni.
2. Abban az esetben, ha az e melléklet 3.2. pontja szerinti B7 típusú (dízel/kompressziós gyújtás) referencia-tüzelőanyagot használnak, az NCV e melléklet 3.2. pontja szerinti meghatározása nem szükséges.
3. Abban az esetben, ha kereskedelmi forgalomban kapható, illetve a B7-től (dízel/kompressziós gyújtás) eltérő típusú referencia-tüzelőanyagot használnak, a tüzelőanyag NCV-értékét az e melléklet 1. táblázatában meghatározott alkalmazandó szabványoknak megfelelően kell meghatározni. A gázüzemű motorok kivételével az NCV-mérést csak egyetlen, a motor gyártójától független laboratóriumban kell elvégezni, az e melléklet 3.2. pontjában előírt két laboratórium helyett. A gáznemű referencia-A gáznemű referencia-tüzelőanyagokra (G25/GR, LPG, "B" tüzelőanyag) vonatkozó NCV értéket az e melléklet 1. táblázatában szereplő alkalmazandó szabványok szerint kell kiszámítani a gáznemű referencia-tüzelőanyag szállítója által benyújtott tüzelőanyag-elemzés alapján.
4. A kenőolajnak a motor gyártása során betöltöttnek kell lennie, és ez nem módosítható a CO2-kibocsátással és a tüzelőanyag-fogyasztással kapcsolatos tulajdonságok megfelelőségének vizsgálata során.
5. Újonnan gyártott motorok bejáratása
5.1. A vizsgálatokat újonnan gyártott motorokon kell elvégezni, amelyek olyan gyártási sorozatból származnak, amelyek bejáratási ideje legfeljebb 15 óra azt megelőzően, hogy a CO2-kibocsátással és a tüzelőanyag-fogyasztással kapcsolatos tanúsított tulajdonságok megfelelőségének ellenőrzését célzó vizsgálati menet e függelék 4. pontja szerinti megkezdődik.
5.2. A gyártó kérésére a vizsgálatokat olyan motorokon is el lehet végezni, amelyeket legfeljebb 125 órán keresztül járattak be. Ebben az esetben a bejáratást a gyártó végzi el, aki semmilyen beállítást nem változtat meg ezeken a motorokon.
5.3. Ha a gyártó kéri, hogy e függelék 5.2. pontja szerint történjen a bejáratás, akkor az a következőkön végezhető el:
a. minden vizsgálandó motoron;
b) újonnan gyártott motoron úgy, hogy egy változási együtthatót is meghatároz az alábbiak szerint:
A. A tüzelőanyag-fogyasztást a WHSC-vizsgálat során e függelék 4. pontjával összhangban egyszer kell mérni az újonnan gyártott, legfeljebb 15 órás bejáratási idejű motoron e függelék 5.1. pontjával összhangban, a második vizsgálatban pedig az e függelék 5.2. pontjában meghatározott maximális 125 óra letelte előtt, az első vizsgált motoron.
B. A WHSC-vizsgálat alatti fajlagos tüzelőanyag-fogyasztást (SFCWHSC) e melléklet 5.3.3. pontjával összhangban kell meghatározni az e pont A. pontjában mért értékekből.
C. Mindkét vizsgálat esetében a fajlagos tüzelőanyag-fogyasztás értékét az e függelék 7.2., 7.3. és 7.4. pontja szerinti korrigált értékre kell kiigazítani, a két vizsgálat során használt megfelelő tüzelőanyag tekintetében.
D. A változási együtthatót úgy kell kiszámítani, hogy a második vizsgálat korrigált fajlagos tüzelőanyag-fogyasztását elosztják az első vizsgálat korrigált fajlagos tüzelőanyag-fogyasztásával. A változási együttható értéke lehet egynél kisebb.
E. Vegyes üzemű motorokra a fenti D. pont nem alkalmazandó. Helyette a változási együtthatót úgy kell kiszámítani, hogy a második vizsgálat fajlagos CO2-kibocsátásait elosztják az első vizsgálat fajlagos CO2-kibocsátásaival. A fajlagos CO2-kibocsátásra vonatkozó két értéket az e függelék 6.1. pontjában megállapított rendelkezéseknek megfelelően, a fenti C. alponttal összhangban meghatározott SFCWHSC,corr két értéke alapján kell meghatározni. A változási együttható értéke lehet egynél kisebb.
5.4. Ha az e függelék 5.3. b. pontjában meghatározott rendelkezések alkalmazandók, a CO2-kibocsátással és a tüzelőanyag-fogyasztással kapcsolatos tulajdonságok megfelelősége vizsgálatának céljából a későbbiekben kiválasztott motorokat nem lehet bejáratásnak alávetni, hanem azoknak a WHSC-vizsgálat során, az e függelék 5.1. pontja szerinti, újonnan gyártott, legfeljebb 15 órás bejárási idejű motorokon meghatározott fajlagos tüzelőanyag-fogyasztását, illetve vegyes üzemű motorok esetében azok fajlagos CO2-kibocsátását meg kell szorozni a változási együtthatóval.
5.5. Az e függelék 5.4. pontjában leírt esetben a WHSC-vizsgálat alatt a fajlagos tüzelőanyag-fogyasztásra, illetve vegyes üzemű motorok esetében a fajlagos CO2-kibocsátásokra a következő értékeket kell figyelembe venni:
a) a változási együttható meghatározásához használt, az e függelék 5.3. b. pontja szerinti motor esetében a második vizsgálat értéke;
b) a többi motor esetében az e függelék 5.1. pontja szerinti, újonnan gyártott, legfeljebb 15 órás bejárási idejű motoroknál meghatározott értékek, szorozva az e függelék 5.3. b. pontjának D. alpontja, illetve vegyes üzemű motorok esetében az e függelék 5.3. b. pontjának E. alpontja szerint meghatározott változási együtthatóval.
5.6. Az e függelék 5.2-5.5. pontja szerinti bejáratási eljárás helyett a gyártó kérésére egy 0,99-es általános változási együttható használható. Ebben az esetben az e függelék 5.1. pontjával összhangban, az újonnan gyártott, legfeljebb 15 órás bejáratási idejű motorra meghatározott WHSC-vizsgálat alatti fajlagos tüzelőanyag-fogyasztást, illetve a WHSC-vizsgálat alatti fajlagos CO2-kibocsátásokat meg kell szorozni a 0,99-es általános változási együtthatóval.
5.7. Ha az e függelék 5.3. b) pontja szerinti változási együtthatót 49. számú ENSZ-előírás 4. mellékletének 5.2.3. és 5.2.4. szakasza szerinti motorcsalád alapmotorja segítségével határozták meg, ez az ugyanazon motorcsaládba tartozó bármely CO2-motorcsalád valamennyi tagjára átvihető 49. számú ENSZ-előírás 4. mellékletének 5.2.3. szakaszával összhangban.
6. A CO2-kibocsátással és a tüzelőanyag-fogyasztással kapcsolatos tanúsított tulajdonságok megfelelőségének vizsgálatára szolgáló célérték
A CO2-kibocsátással és a tüzelőanyag-fogyasztással kapcsolatos tanúsított tulajdonságok megfelelőségének vizsgálatára szolgáló célérték a WHSC-vizsgálat alatti korrigált fajlagos tüzelőanyag-fogyasztás (SFCWHSC,corr, g/kWh-ban kifejezve), amelyet az 5.3.3. ponttal összhangban határoztak meg, és az adatközlő lapon az e melléklet 2. függelékében az adott vizsgált motor tekintetében meghatározott tanúsítványok részeként dokumentáltak.
6.1. A vegyes üzemű motorokra vonatkozó különleges követelmények
Vegyes üzemű motorok esetében a CO2-kibocsátással és a tüzelőanyag-fogyasztással kapcsolatos tanúsított tulajdonságok megfelelőségének vizsgálatára szolgáló célértéket az 5.3.3. ponttal összhangban meghatározott, a WHSC-vizsgálat alatti korrigált fajlagos tüzelőanyag-fogyasztás két külön értékéből (SFCWHSC,corr, g/kWh-ban kifejezve) kell kiszámítani. Az egyes tüzelőanyagokra vonatkozó két külön érték mindegyikét meg kell szorozni az egyes tüzelőanyagokra vonatkozó, az e függelék 1. táblázata szerinti CO2-kibocsátási tényezővel. A WHSC-vizsgálat során kapott két fajlagos CO2-kibocsátás összege határozza meg a vegyes üzemű motorok CO2-kibocsátással és tüzelőanyag-fogyasztással kapcsolatos tanúsított tulajdonságai megfelelőségének vizsgálatára szolgáló célértéket.
1. táblázat
Tüzelőanyag-típusok CO2-kibocsátási tényezői
Tüzelőanyag típusa/motor típusa | Referencia-tüzelőanyag típusa | CO2-kibocsátási tényező [g CO2/g tüzelőanyag] |
Dízel / kompressziós gyújtás | B7 | 3,13 |
LPG / szikragyújtás | LPG, „B” tüzelőanyag | 3,02 |
Földgáz / szikragyújtás vagy Földgáz / kompressziós gyújtás | G25 vagy GR | 2,73 |
7. A CO2-kibocsátással és a tüzelőanyag-fogyasztással kapcsolatos tanúsított tulajdonságok megfelelőségének vizsgálatára szolgáló tényleges érték
7.1. A WHSC-vizsgálat alatti fajlagos tüzelőanyag-fogyasztást (SFCWHSC) e melléklet 5.3.3. pontjával összhangban kell meghatározni, az e függelék 4. pontjának megfelelően végrehajtott vizsgálati menetek alapján. A gyártó kérésére a meghatározott fajlagos tüzelőanyag-fogyasztási értéket az e függelék 5.3-5.6. pontjában meghatározott rendelkezések alkalmazásával módosítani kell.
7.2. Ha a vizsgálathoz az e függelék 1.4. pontjának megfelelően kereskedelmi forgalomban kapható tüzelőanyagot használtak, az e függelék 7.1. pontjában meghatározott, WHSC-vizsgálat alatti fajlagos tüzelőanyag-fogyasztást (SFCWHSC) e melléklet 5.3.3.1. pontjának megfelelően egy korrigált értékre (SFCWHSC,corr) kell helyesbíteni.
7.3. Ha a vizsgálathoz e függelék 1.4. pontjával összhangban referencia-tüzelőanyagot használtak, az SFCWHSC,corr korrigált érték kiszámításához az e melléklet 5.3.3.2. pontjában meghatározott különleges rendelkezéseket kell alkalmazni az e függelék 7.1. pontjában meghatározott értékre.
7.3. a Vegyes üzemű motorok esetében az SFCWHSC,corr korrigált érték kiszámításához az e melléklet 5.3.3.3. pontjában meghatározott különleges rendelkezéseket is alkalmazni kell a 7.2. és 7.3. pont mellett az e függelék 7.1. pontjában meghatározott értékre is.
7.4. A 4. ponttal összhangban a WHSC-vizsgálat során mért gáz-halmazállapotú és szilárd szennyezőanyag-kibocsátást ki kell igazítani az adott motorra az 582/2011/EU bizottsági rendelet szerint megadott EK-típusbizonyítvány kiegészítésében rögzített megfelelő romlási tényezők alkalmazásával.
7.5. A CO2-kibocsátással és tüzelőanyag-fogyasztással kapcsolatos tanúsított tulajdonságok megfelelőségének vizsgálatára szolgáló tényleges érték a WHSC-vizsgálat során a 7.2. és 7.3. pont szerint meghatározott SFCWHSC,corr korrigált fajlagos tüzelőanyag-fogyasztás.
7.6. Vegyes üzemű motorokra a 7.5. pont nem alkalmazandó. Ehelyett a CO2-kibocsátással és a tüzelőanyag-fogyasztással kapcsolatos tanúsított tulajdonságok megfelelőségének vizsgálatára szolgáló tényleges érték az e függelék 6.1. pontjában foglalt rendelkezésekkel összhangban, az e függelék 7.4. pontja szerint meghatározott két SFCWHSC,corr érték felhasználásával meghatározott, a WHSC-vizsgálat során kapott két fajlagos CO2-kibocsátási érték összege.
8. Az egyetlen vizsgálat megfelelőségére vonatkozó határérték
Dízelmotorok esetében az egyetlen vizsgált motor megfelelőségének értékelésére szolgáló határértékek a 6. pontnak megfelelően meghatározott célérték +4 százalékpontnak felelnek meg.
A gázmotorok és a vegyes üzemű motorok esetében az egyetlen vizsgált motor megfelelőségének értékelésére szolgáló határértékek a 6. pontnak megfelelően meghatározott célérték + 5 %-ának felelnek meg.
9. A CO2-kibocsátással és a tüzelőanyag-fogyasztással kapcsolatos tanúsított tulajdonságok megfelelőségének vizsgálata
9.1. A WHSC-vizsgálat alatt az e függelék 7.4. pontja szerint meghatározott kibocsátási vizsgálati eredményeknek meg kell felelniük a következő határértékeknek valamennyi gáz-halmazállapotú szennyezőanyag esetében - az ammóniát kivéve -, ellenkező esetben a vizsgálatot érvénytelennek kell tekinteni a CO2-kibocsátással és a tüzelőanyag-fogyasztással kapcsolatos tanúsított tulajdonságok megfelelőségének vizsgálata tekintetében:
a) az 595/2009/EK rendelet I. melléklete szerinti vonatkozó határértékek;
b) a vegyes üzemű motoroknak meg kell felelniük az 582/2011/EU rendelet XVIII. mellékletének 5. pontja szerinti vonatkozó határértékeknek.
9.2. Az e függelék 4. pontjával összhangban vizsgált egyetlen motor egyetlen vizsgálatát nem megfelelőnek kell tekinteni, ha az e függelék 7. pontja szerinti tényleges érték magasabb, mint az e függelék 8. pontjával összhangban meghatározott határértékek.
9.3. Az e függelék 4. pontjának megfelelően egy CO2-családon belül vizsgált motorok aktuális mintaméretének nagyságához meg kell határozni az n-edik vizsgálatnál az e függelék 9.2. pontja szerint nem megfelelő vizsgálatok kumulált számának számszerűsítésére szolgáló vizsgálati statisztikát.
a. Ha az n-edik vizsgálatnál a nem megfelelő vizsgálati eredmények e függelék 9.3. pontjával összhangban meghatározott kumulatív száma kisebb, mint a 49. számú ENSZ-előírás 3. függelékének 4. táblázatában a mintanagyságra vonatkozóan szereplő elfogadási küszöbérték, vagy egyenlő azzal, akkor elfogadó döntés születik.
b. Ha az n-edik vizsgálatnál a nem megfelelő vizsgálati eredmények e függelék 9.3. pontjával összhangban meghatározott kumulatív száma nagyobb, mint a 49. számú ENSZ-előírás 3. függelékének 4. táblázatában a mintanagyságra vonatkozóan szereplő elutasítási küszöbérték, vagy egyenlő azzal, akkor elutasító döntés születik.
c. Ellenkező esetben e függelék 4. pontjának megfelelően egy további motor vizsgálatára kerül sor, és az e függelék 9.3. pontja szerinti számítási eljárást alkalmazzák a mintára, amelyet még egy egységgel megnövelnek.
9.4. Ha nem született sem elutasító, sem elfogadó döntés, a gyártó bármikor leállíthatja a vizsgálatot. Ebben az esetben elutasító döntést kell rögzíteni.
5. függelék
A motoralkatrészek energiafogyasztásának meghatározása
1. Ventilátor
A motor nyomatékát a visszahajtáskor az alábbi eljárással kell mérni, bekapcsolt, illetve kikapcsolt ventilátorral:
i. A vizsgálat megkezdése előtt a termék használati útmutatója szerint be kell szerelni a ventilátort.
ii. Bemelegítési fázis: A motort a gyártó ajánlása szerint, a helyes műszaki megítélés gyakorlásával kell bemelegíteni (pl. a motor 9. üzemmódban, 20 percen keresztül történő üzemeltetése révén, a 49. számú ENSZ-előírás 4. mellékletének 7.2.2. szakaszában meghatározott 1. táblázat szerint).
iii. Stabilizációs fázis: A bemelegedési vagy az opcionális bemelegedési fázis (v.) lezárulta után a motort minimális kezelői paranccsal kell működtetni (visszahajtás), npref fordulatszámon, 130 ± 2 másodpercig, kikapcsolt ventilátorral (nfan_disengage < 0,75 * nengine * rfan). Ezen időszak első 60 ± 1 másodpercét tekintjük stabilizációs időszaknak, amely alatt a tényleges motorfordulatszámot npref ± 5 ford./perc értéken belül kell tartani.
iv. Mérési fázis: A következő 60 ± 1 másodperces időszak alatt a tényleges motorfordulatszámot az npref ± 2 ford./perc értéken belül, a hűtőközeg hőmérsékletét pedig ±5 °C alatt kell tartani, miközben a motor kikapcsolt ventilátorral történő visszahajtásának nyomatékát, a ventilátor fordulatszámát, és a motor fordulatszámát e 60 ± 1 másodperces időszak alatt átlagértékként kell rögzíteni. A fennmaradó 10 ± 1 másodperces időtartamot szükség esetén az adatok utófeldolgozására és eltárolására lehet felhasználni.
v. Opcionális bemelegítési fázis: A gyártó kérésére és a helyes műszaki megítélés alapján a ii. lépés megismételhető (például ha a hőmérséklet több mint 5 °C-t esett)
vi. Stabilizációs fázis: Az opcionális bemelegedési fázis lezárulta után a motort minimális kezelői paranccsal kell működtetni (visszahajtás), npref fordulatszámon, 130 ± 2 másodpercig, bekapcsolt ventilátorral (nfan_engage > 0,9 * nengine * rfan). Ezen időszak első 60 ± 1 másodpercét tekintjük stabilizációs időszaknak, amely alatt a tényleges motorfordulatszámot npref ± 5 ford./perc értéken belül kell tartani.
vii. Mérési fázis: A következő 60 ± 1 másodperces időszak alatt a tényleges motorfordulatszámot az npref ± 2 ford./perc értéken belül, a hűtőközeg hőmérsékletét pedig ±5 °C alatt kell tartani, miközben a motor bekapcsolt ventilátorral történő visszahajtásának nyomatékát, a ventilátor fordulatszámát, és a motor fordulatszámát e 60 ± 1 másodperces időszak alatt átlagértékként kell rögzíteni. A fennmaradó 10 ± 1 másodperces időtartamot szükség esetén az adatok utófeldolgozására és eltárolására lehet felhasználni.
viii. A iii-vii. lépéseket npref fordulatszám helyett n95h és nhi fordulatszámnál meg kell ismételni minden egyes stabilizációs lépést megelőzően, egy opcionális bemelegedési lépéssel (v.), ha ez szükséges a hűtőközeg stabil hőmérsékletének (±5 °C) fenntartásához.
ix. Ha az alábbi egyenlet szerint számított összes Ci szórása a három (npref, n95h és nhi) fordulatszámnál nagyobb vagy egyenlő 3 százalékkal, akkor a mérést minden olyan motorfordulatszámnál el kell végezni, amely a 4.3.5.2.1. pont szerint meghatározza a rácsot a tüzelőanyag jelleggörbéjének felvételi eljárásakor (FCMC).
A tényleges ventilátorállandó értékét a mérési adatokból kell kiszámítani a következő egyenlet szerint:

ahol:
Ci a ventilátorállandó egy bizonyos fordulatszámon
MDfan_disengage a mért motornyomaték visszahajtáskor, a ventilátor kikapcsolt állapotában (Nm)
MDfan_engage a mért motornyomaték visszahajtáskor, a ventilátor bekapcsolt állapotában (Nm)
nfan_engage ventilátorsebesség a ventilátor bekapcsolt állapotában (ford./perc)
nfan_disengage ventilátorsebesség a ventilátor kikapcsolt állapotában (ford./perc)
rfan a ventilátor tengelykapcsolójának motoroldali fordulatszáma a forgattyús tengely fordulatszámához viszonyítva
Ha az összes számított Ci szórása a három fordulatszámnál (npref, n95h és nhi) 3 százaléknál kevesebb, akkor a három fordulatszámnál (npref, n95h és nhi) meghatározott értékek átlagát (Cavg-fan) kell ventilátorállandóként alkalmazni.
Ha az összes számított Ci szórása a három fordulatszámnál (npref, n95h és nhi) legalább 3 százalék, a ix. pont szerinti az összes motorfordulatszámra meghatározott egyedi értékeket kell alkalmazni a ventilátorállandóhoz (Cind-fan,i). A tényleges motorfordulatszámhoz tartozó ventilátorállandó (Cfan) értékét lineáris interpolációval kell meghatározni a ventilátorállandó egyedi értékei (Cind-fan,i) között.
A ventilátor hajtásához szükséges motornyomatékot a következő egyenlet szerint kell kiszámítani:
Mfan = Cfan · nfan 2 · 10- 6
ahol:
Mfan a ventilátor meghajtásához szükséges motornyomaték (Nm)
Cfan az nengine értéknek megfelelő ventilátorállandó (Cavg-fan vagy Cind-fan,i)
A ventilátor által felhasznált mechanikai teljesítményt a ventilátor hajtásához szükséges motornyomatékból és a tényleges motorfordulatszámból kell kiszámítani. A mechanikai teljesítményt és a motornyomatékot a 3.1.2. ponttal összhangban kell figyelembe venni.
2. Elektromos alkatrészek/berendezések
Az elektromos motoralkatrészekhez külsőleg szállított villamos energiát mérni kell. Ezt a mért értéket mechanikai teljesítményre kell korrigálni úgy, hogy elosztják azt egy 0,65-os általános hatékonysági értékkel. E mechanikai teljesítményt és a megfelelő motornyomatékot a 3.1.2. ponttal összhangban kell figyelembe venni.
6. függelék
1. Jelölések
Egy, az e melléklet szerint tanúsított motor esetében a motoron fel kell tüntetni az alábbiakat:
1.1. A gyártó neve vagy védjegye
1.2. Az e melléklet 2. függeléke 0.1. és 0.2. pontjának megfelelően a gyártmány és a típus azonosítására szolgáló információ
1.3. Tanúsítási jelölés: egy négyszög és benne egy kis "e" betű, amelyet a tanúsítványt kiadó tagállam megkülönböztető száma követ:
1 Németország esetében;
2 Franciaország esetében;
3 Olaszország esetében;
4 Hollandia esetében;
5 Svédország esetében;
6 Belgium esetében;
7 Magyarország esetében;
8 a Cseh Köztársaság esetében;
9 Spanyolország esetében;
11 az Egyesült Királyság esetében;
12 Ausztria esetében;
13 Luxemburg esetében;
17 Finnország esetében;
18 Dánia esetében;
19 Románia esetében;
20 Lengyelország esetében;
21 Portugália esetében;
23 Görögország esetében;
24 Írország esetében;
25 Horvátország esetében;
26 Szlovénia esetében;
27 Szlovákia esetében;
29 Észtország esetében;
32 Lettország esetében;
34 Bulgária esetében;
36 Litvánia esetében;
49 Ciprus esetében;
50 Málta esetében
1.4. A tanúsítási jelölésnek a négyszög közelében tartalmaznia kell egy "alap-jóváhagyási számot" az (EU) 2020/683 végrehajtási rendelet I. melléklete 4. szakaszában írtaknak megfelelően, amelyet az e rendelet legutóbbi technikai módosításához rendelt sorozatszámot jelölő két számjegy, valamint egy "E" betű előz meg, amely arra utal, hogy a jóváhagyást egy motorra ("engine") vonatkozóan adták meg.
E rendelet esetében ez a szám a 02.
1.4.1. Példa a tanúsítási jelölésre (különálló jelölés) és a tanúsítási jelölés méretei

A fenti, motoron feltüntetett tanúsítási jelölés azt mutatja, hogy az érintett típust Lengyelországban tanúsították (e20) e rendelet értelmében. Az első két számjegy (02) az e rendelet legutóbbi technikai módosításához rendelt sorszámot jelöli. A következő betű (E) azt jelzi, hogy a tanúsítványt egy motorra adták ki. Az utolsó öt számjegy (00005) az az alap-jóváhagyási szám, amelyet a jóváhagyó hatóság hozzárendelt a motorhoz.
1.5. Abban az esetben, ha az e rendelettel összhangban történő tanúsítást a motornak mint önálló műszaki egységnek az 582/2011/EU rendelet szerinti típusjóváhagyásával egyidejűleg adják meg, az 1.4. pontban meghatározott jelölési követelmények - egy "/" karakterrel elválasztva - követhetik az 582/2011/EU rendelet I. mellékletének 8. függelékében meghatározott jelölési követelményeket.
1.5.1. Példa a tanúsítási jelölés (egyesített jelölés)

A fenti, motoron feltüntetett tanúsítási jelölés azt mutatja, hogy az érintett típust Lengyelországban (e20) tanúsították az 582/2011/EU rendelet értelmében. A "D" a dízelt jelöli, amelyet a kibocsátáskorlátozási fázist jelentő "E" jelölés követ, majd öt számjegy (00005) következik, amelyeket a jóváhagyó hatóság rendelt hozzá a motorhoz az 582/2011/EU rendelet szerinti alap-jóváhagyási számként. A perjel utáni első két szám az e rendelet legutóbbi technikai módosításához rendelt sorozatszámot jelöli, ezt követi a motorra utaló "E" betű, amelyet a jóváhagyó hatóság által ez e rendelet szerinti tanúsítás céljából (e rendelet szerinti "alap-jóváhagyási szám") hozzárendelt öt számjegy követ.
1.6. A tanúsítás kérelmezőjének kérésére és a jóváhagyó hatóság előzetes beleegyezésével az 1.4.1. és 1.5.1. pontban jelzettől eltérő méretű jelölés is használható. Az egyéb méretű jelöléseknek is jól olvashatónak kell lenniük.
1.7. A jelöléseknek, címkéknek, adattábláknak vagy matricáknak a motor hasznos élettartama végéig tartósnak, jól olvashatónak és kitörölhetetlennek kell maradniuk. A gyártónak gondoskodnia kell arról, hogy a jelöléseket, címkéket, adattáblákat vagy matricákat ne lehessen anélkül eltávolítani, hogy meg ne rongálódjanak, illetve olvashatatlanná ne váljanak.
2. Számozás
2.1. A motorok tanúsítási száma a következőket tartalmazza:
eX*YYYY/YYYY*ZZZZ/ZZZZ*E*00000*00
1. szakasz | 2. szakasz | 3. szakasz | Kiegészítő betű a 3. szakaszhoz | 4. szakasz | 5. szakasz |
A tanúsítványt kibocsátó ország megjelölése | A nehézgépjárművek CO2-kibocsátásának meghatározásáról szóló rendelet ((EU) 2017/2400) | A legutóbbi módosító rendelet (ZZZZ/ZZZZ) | E – motor („engine”) | Alaptanúsítási szám 00000 | Kiterjesztés 00 |
7. függelék
A szimulációs eszköz bemeneti paraméterei
Bevezetés
Ez a függelék leírja azon paraméterek listáját, amelyeket az alkatrészgyártónak a szimulációs eszközhöz bemeneti adatként meg kell adnia. Az alkalmazandó XML-séma, valamint a példaadatok az erre a célra létrehozott elektronikus terjesztési platformon érhetők el.
Az XML-t a motor-előfeldolgozási eszköz automatikusan állítja elő.
Fogalommeghatározások
(1) "paraméterazonosító":a szimulációs eszközben használt egyedi azonosító egy adott bemeneti paraméter vagy bemeneti adathalmaz számára
(2) "típus":
a paraméter adattípusa
karakterlánc ... karaktersor ISO8859-1 kódolásban
token ... karaktersor ISO8859-1 kódolásban, sor eleji/végi whitespace karakter nélkül
dátum ... dátum és idő UTC időben és a következő formátumban: YYYY-MM-DDTHH:MM:SSZ, ahol a dőlt betűk a rögzített karaktereket jelzik, pl. "2002-05-30T09:30:10Z"
egész szám ... egész adattípusú érték, sor eleji nulla nélkül, pl. "1800"
kettős, X ... tört szám, pontosan X számjeggyel a tizedesjel (".") után és sor eleji nulla nélkül, pl. "kettős, 2": "2345.67"; vagy "kettős, 4": "45.6780"
(3) "egység" ...a paraméter fizikai mértékegysége
Bemeneti paraméterek halmaza
1. táblázat
"Engine/General" bemeneti paraméterek
A paraméter neve | Paraméterazonosító | Típus | Egység | Leírás/referencia |
Manufacturer | P200 | token | [-] | |
Model | P201 | token | [-] | |
CertificationNumber | P202 | token | [-] | |
Date | P203 | dateTime | [-] | Az alkatrészre vonatkozó hashfüggvény létrehozásának dátuma és időpontja |
AppVersion | P204 | token | [-] | A motor-előfeldolgozási eszköz verziószáma |
Displacement | P061 | egész szám | [cm3] | |
IdlingSpeed | P063 | egész szám | [1/perc] | |
RatedSpeed | P249 | egész szám | [1/perc] | |
RatedPower | P250 | egész szám | [W] | |
MaxEngineTorque | P259 | egész szám | [Nm] | |
WHRTypeMechanicalOutputICE | P335 | Boole-féle | [-] | |
WHRTypeMechanicalOutputDrivetrain | P336 | Boole-féle | [-] | |
WHRTypeElectricalOutput | P337 | Boole-féle | [-] | |
WHRElectricalCFUrban | P338 | kettős, 4 | [-] | Kötelező, ha a „WHRTypeElectricalOutput” = igaz |
WHRElectricalCFRural | P339 | kettős, 4 | [-] | Kötelező, ha a „WHRTypeElectricalOutput” = igaz |
WHRElectricalCFMotorway | P340 | kettős, 4 | [-] | Kötelező, ha a „WHRTypeElectricalOutput” = igaz |
WHRElectricalBFColdHot | P341 | kettős, 4 | [-] | Kötelező, ha a „WHRTypeElectricalOutput” = igaz |
WHRElectricalCFRegPer | P342 | kettős, 4 | [-] | Kötelező, ha a „WHRTypeElectricalOutput” = igaz |
WHRMechanicalCFUrban | P343 | kettős, 4 | [-] | Kötelező, ha a „WHRTypeMechanicalOutputDrivetrain” = igaz |
WHRMechanicalCFRural | P344 | kettős, 4 | [-] | Kötelező, ha a „WHRTypeMechanicalOutputDrivetrain” = igaz |
WHRMechanicalCFMotorway | P345 | kettős, 4 | [-] | Kötelező, ha a „WHRTypeMechanicalOutputDrivetrain” = igaz |
WHRMechanicalBFColdHot | P346 | kettős, 4 | [-] | Kötelező, ha a „WHRTypeMechanicalOutputDrivetrain” = igaz |
WHRMechanicalCFRegPer | P347 | kettős, 4 | [-] | Kötelező, ha a „WHRTypeMechanicalOutputDrivetrain” = igaz |
1a. táblázat
"Engine" bemeneti paraméterek tüzelőanyag-típusonként
A paraméter neve | Paraméterazonosító | Típus | Egység | Leírás/referencia |
WHTCUrban | P109 | kettős, 4 | [-] | |
WHTCRural | P110 | kettős, 4 | [-] | |
WHTCMotorway | P111 | kettős, 4 | [-] | |
BFColdHot | P159 | kettős, 4 | [-] | |
CFRegPer | P192 | kettős, 4 | [-] | |
CFNCV | P260 | kettős, 4 | [-] | |
FuelType | P193 | karakterlánc | [-] | Megengedett értékek: „Diesel CI”, „Ethanol CI”, „Petrol PI”, „Ethanol PI”, „LPG PI”, „NG PI”, „NG CI” |
2. táblázat
"Engine/FullloadCurve" bemeneti paraméterek a teljes terhelés jelleggörbéjének minden rácspontjához
A paraméter neve | Paraméterazonosító | Típus | Egység | Leírás/referencia |
EngineSpeed | P068 | kettős, 2 | [ford./perc] | |
MaxTorque | P069 | kettős, 2 | [Nm] | |
DragTorque | P070 | kettős, 2 | [Nm] |
3. táblázat
"Engine/FuelMap" bemeneti paraméterek a tüzelőanyag-fogyasztási jelleggörbe minden rácspontjához
(Tüzelőanyag-típusonként egy jelleggörbe szükséges)
A paraméter neve | Paraméterazonosító | Típus | Egység | Leírás/referencia |
EngineSpeed | P072 | kettős, 2 | [1/perc] | |
Nyomaték | P073 | kettős, 2 | [Nm] | |
FuelConsumption | P074 | kettős, 2 | [g/h] | |
WHRElectricPower | P348 | egész szám | [W] | Kötelező, ha a „WHRTypeElectricalOutput” = igaz |
WHRMechanicalPower | P349 | egész szám | [W] | Kötelező, ha a „ WHRTypeMechanicalOutputDrivetrain” = igaz |
8. függelék
A motor-előfeldolgozási eszköz főbb értékelési lépései és egyenletei
E függelék leírja a motor-előfeldolgozási eszköz által végrehajtott legfontosabb értékelési lépéseket és a mögöttes alapegyenleteket. A következő lépések végrehajtására kerül sor a bemeneti adatok értékelésénél a felsorolás sorrendjében:
1. A bemeneti adatállományok olvasása és a bemeneti adatok automatikus ellenőrzése.
1.1. A bemeneti adatokra vonatkozó követelmények ellenőrzése az e melléklet 6.1. pontjában szereplő fogalommeghatározások szerint.
1.2. A rögzített FCMC-adatokra vonatkozó követelmények ellenőrzése az e melléklet 4.3.5.2. pontjában és 4.3.5.5. pontjának (1) alpontjában szereplő fogalommeghatározások szerint.
2. A tanúsításhoz a jellemző motorfordulatszámok kiszámítása az alapmotor és a tényleges motor teljes terhelési jelleggörbéiből az e melléklet 4.3.5.2.1. pontjában szereplő fogalommeghatározások szerint.
3. A tüzelőanyag-fogyasztási (FC) jelleggörbe feldolgozása
3.1. Az nidle fordulatszámnál mért tüzelőanyag-fogyasztási értékeket a motorfordulatszámhoz (nidle - 100 ford./perc) kell másolni a jelleggörbében.
3.2. Az n95h fordulatszámnál mért tüzelőanyag-fogyasztási értékeket a motorfordulatszámhoz (n95h + 500 ford./perc) kell másolni a jelleggörbében.
3.3. A tüzelőanyag-fogyasztási értékek extrapolálása minden fordulatszám-beállítási értéknél egy nyomatékértékre (a Tmax_overall 1,1-szerese), a jelleggörbén minden egyes fordulatszám-beállítási pontnál a legnagyobb nyomatékértékű három mért tüzelőanyag-fogyasztási adatpont alapján, a legkisebb négyzetek módszerével végzett lineáris regresszió segítségével. Az adott motorfordulatszámon teljes terhelés mellett mért értéknél alacsonyabb extrapolált FC értékeket a teljes terhelés mellett mért értékre kell beállítani.
3.4. Az FC=0 hozzáadása az interpolált visszahajtási nyomatékértékek esetében minden fordulatszám-beállítási értéknél a jelleggörbén.
3.5. Az FC=0 hozzáadása legalább a 3.4. alpont szerinti interpolált nyomatékértékek mínusz 100 Nm esetén minden fordulatszám-beállítási értéknél a jelleggörbén.
3.6. A 3.4. és a 3.5. pontban említett valamennyi ponton a WHR-teljesítmény = 0 hozzáadása.
4. A tüzelőanyag-fogyasztás és a ciklusmunka szimulálása a WHTC-vizsgálat és annak megfelelő alciklusai során a tényleges motor esetében a tanúsításhoz.
4.1. A WHTC vonatkoztatási pontokat az eredetileg rögzített felbontásban a teljes terhelés jelleggörbéjének bemeneti adatai segítségével visszaszámítják.
4.2. A tüzelőanyag-fogyasztást a WHTC visszaszámított vonatkoztatási értékekeire kiszámítják a 4.1. pont szerinti fordulatszámra és nyomatékra vonatkozóan.
4.3. A tüzelőanyag-fogyasztás számításához a motor tehetetlenségét 0-ra állítják be.
4.4. A tüzelőanyag-fogyasztást a szabványos PT1-függvény (mint a fő jármű-szimuláció során) segítségével számítják ki aktív motor-nyomatékválasz mellett.
4.5. A tüzelőanyag-fogyasztást minden visszahajtási adatpont esetében 0-ra állítják be.
4.6. A tüzelőanyag-fogyasztás minden nem visszahajtási motorműködési adatpontra az FC-jelleggörbéből kerül kiszámításra a Delaunay-interpolációs módszerrel (mint a fő jármű-szimuláció során).
4.7. A ciklusmunkát és a tüzelőanyag-fogyasztást az e melléklet 5.1. és 5.2. pontjában meghatározott egyenletek szerint kiszámítják.
4.8. A szimulált fajlagos tüzelőanyag-fogyasztási értékeket az e melléklet 5.3.1. és 5.3.2. pontjában meghatározott egyenletek szerint kiszámítják a mért értékekre.
5. A WHTC-vizsgálat korrekciós tényezőinek kiszámítása.
5.1. Az előfeldolgozási eszközbe betáplált bemeneti adatokból származó mért értékeket és a 4. pontból származó szimulált értékeket az 5.2-5.4. pontok egyenleteivel összhangban kell felhasználni.
5.2. CFUrban = SFCmeas,Urban / SFCsimu,Urban
5.3. CFRural = SFCmeas,Rural / SFCsimu,Rural
5.4. CFMW = SFCmeas,MW / SFCsimu,MW
5.5. Abban az esetben, ha a korrekciós tényező számított értéke kisebb mint 1, az adott korrekciós tényező értékét 1-re kell beállítani.
5.6. Vegyes üzemű motorok esetében egy adott tüzelőanyag-típusra vonatkozó korrekciós tényező számított értéke 1-nél kisebb is lehet.
5.7. Az 5.6. pont ellenére, ha vegyes üzemű motorok esetében a mért teljes fajlagos tüzelőanyag-energiaértékeknek a két tüzelőanyag szimulált teljes fajlagos tüzelőanyag-energiaértékéhez viszonyított aránya 1-nél kisebb, a fajlagos tüzelőanyag-fogyasztási értékeket a motor előfeldolgozási eszközével ennek megfelelően kiigazítják úgy, hogy a fent említett arány értéke 1 legyen.
6. A hideg és meleg üzemállapoti kibocsátást kiegyenlítő tényező kiszámítása.
6.1. Ezt a tényezőt a 6.2. pontban szereplő egyenlet alapján kell kiszámítani.
6.2. BFcold-hot = 1 + 0,1 x (SFCmeas,cold - SFCmeas,hot) / SFCmeas,hot
6.3. Abban az esetben, ha e tényező számított értéke kisebb mint 1, a tényező értékét 1-re kell beállítani.
7. A tüzelőanyag-fogyasztási értékek korrekciója a tüzelőanyag-fogyasztási jelleggörbén a szabványos NCV-re.
7.1. Ezt a korrekciót a 7.2. pontban szereplő egyenlet alapján kell elvégezni.
7.2. FCcorrected = FCmeasured,map × NCVmeas/NVCstd
7.3. Az FCmeasured,map értéke a 3. pont szerint feldolgozott bemeneti adatokból származó tüzelőanyag-fogyasztási jelleggörbén a tüzelőanyag-fogyasztás értéke.
7.4. Az NCVmeas és az NVCstd értékét e melléklet 5.3.3.1. pontjának megfelelően kell meghatározni.
7.5. Abban az esetben, ha a vizsgálat során az e melléklet 3.2. pontja szerinti B7 típusú (dízel/kompressziós gyújtás) referencia-tüzelőanyagot használták, a 7.1-7.4. pont szerinti korrekciót nem hajtják végre.
8. A tényleges motor teljes terhelési és visszahajtási nyomatékértékeinek átszámítása a tanúsításhoz a motorfordulatszám 8 ford./perces naplózási frekvenciájára.
8.1. Ha az eredetileg rögzített teljes terhelési jelleggörbe motorfordulatszámának átlagos adatnaplózási gyakorisága kisebb, mint 6, az átszámítást az adott beállítási érték ± 4 ford./perces intervalluma során aritmetikai átlagolással végzik el a kimeneti adatokra, az eredetileg rögzített felbontásban a teljes terhelési jelleggörbe bemeneti adatai alapján. Ha az eredetileg rögzített teljes terhelési jelleggörbe motorfordulatszámának átlagos adatnaplózási gyakorisága nagyobb, mint 6, az átszámítást lineáris interpolációval végzik el, az eredetileg rögzített felbontásban a teljes terhelési jelleggörbe bemeneti adatai alapján.
VI. MELLÉKLET
SEBESSÉGVÁLTÓ, NYOMATÉKÁTALAKÍTÓ, EGYÉB NYOMATÉKÁTVITELI ALKATRÉSZ ÉS KIEGÉSZÍTŐ HAJTÁSLÁNCALKATRÉSZ ADATAINAK ELLENŐRZÉSE
1. Bevezetés
Ez a melléklet ismerteti nehézgépjárművek esetében a sebességváltók, nyomatékátalakító (TC), egyéb nyomatékátviteli alkatrészek (OTTC) és kiegészítő hajtásláncalkatrészek (ADC) nyomatékveszteségére vonatkozó tanúsítási előírásokat. Emellett meghatározza a szabványos nyomatékveszteség esetén alkalmazott számítási eljárásokat.
A nyomatékátalakítók (TC), az egyéb nyomatékátviteli alkatrészek (OTTC) és a kiegészítő hajtásláncalkatrészek (ADC) vagy a sebességváltóval együtt, vagy önálló egységként vizsgálhatók. Ezen alkatrészek önálló egységként történő vizsgálata esetén a 4, 5. és 6. pont rendelkezései alkalmazandók. A sebességváltó és az ezen alkatrészek közötti erőátvitel nyomatékveszteségei elhanyagolhatók.
2. Fogalommeghatározások
E melléklet alkalmazásában a következő fogalommeghatározások érvényesek:
1. "osztómű" : olyan berendezés, amely elosztja a jármű motorteljesítményét, és az első és hátsó hajtott tengelyek felé irányítja. A sebességváltó után van beépítve, és az első és hátsó meghajtótengelyek egyaránt csatlakoznak hozzá. Fogaskerék- vagy lánchajtóművet tartalmaz, amely a motor teljesítményét a sebességváltótól a tengelyek felé továbbítja. Az osztómű jellemzően normál vezetési módba (első vagy hátsó kerékmeghajtás), magas vonóerő módba (első és hátsó kerékmeghajtás), alacsony vonóerő módba és üresjárat állásokba kapcsolható;
2. "áttételi arány" : a bemenő tengely fordulatszámának (az elsődleges hajtás felé) a kimenőtengely fordulatszámához (a hajtott kerék felé) viszonyított aránya előremenetben csúszás nélkül (i = nin/nout );
3. "áttétel-lefedettség" : a legnagyobb és a legkisebb áttételi arányú előremeneti sebességfokozatok aránya a sebességváltóban: φtot = imax/imin ;
4. "összetett sebességváltó" : nagyszámú előremeneti sebességfokozattal és/vagy magas áttétel-lefedettséggel rendelkező sebességváltó, amely alsebességváltókból tevődik össze, amelyek kombinálása lehetővé teszi a legtöbb erőátviteli alkatrész használatát számos előremeneti sebességfokozatban;
5. "fő csoport" : a legtöbb előremeneti sebességfokozattal rendelkező alsebességváltó egy összetett sebességváltón belül;
6. "tartománycsoport" : a fő csoporthoz általában sorba kapcsolással csatlakoztatott alsebességváltó egy összetett sebességváltón belül. A tartománycsoport általában két kapcsolható előremeneti sebességfokozattal rendelkezik. A teljes sebességváltó alacsony előremeneti sebességfokozatai az alacsony tartományú fokozattal érhetők el. A magas sebességfokozatok a magas tartományú fokozattal érhetők el;
7. "felező" : olyan kialakítás, amely a fő csoport sebességfokozatait (általában) két változatra osztja fel, alacsony és magas sebességfokozati félre, melynek áttételi arányai közel egyenértékűek a sebességváltó áttétel-lefedettségével. A felező lehet egy különálló alsebességváltó, egy kiegészítő eszköz, a fő csoporttal integrálva, vagy ezek kombinációja;
8. "fogazott tengelykapcsoló" : olyan tengelykapcsoló, ahol a nyomatékot az összekapcsolódó fogak közötti normál erők továbbítják. A fogazott tengelykapcsoló lehet mind összekapcsolt, mind szétkapcsolt. Ez csak terhelésmentes körülmények között működik (pl. sebességváltáskor kézi sebességváltóban);
9. "szöghajtómű" : olyan berendezés, amely forgási energiát továbbít nem párhuzamos tengelyek között, gyakran keresztirányú tájolású motorral és a meghajtott tengelyhez való hosszirányú bemenet mellett használják;
10. "súrlódó tengelykapcsoló" : hajtási nyomaték átvitelére szolgáló tengelykapcsoló, ahol a nyomaték súrlódási erők révén fenntartható módon kerül átvitelre. A súrlódó tengelykapcsoló csúszás közben tudja átvinni a nyomatékot, ezért indításkor és terhelés alatt állás során működtethető (visszatartott erőátvitel a sebességváltás során);
11. "szinkronizátor" : egyfajta fogazott tengelykapcsoló, amelynél a súrlódó eszköz az összekapcsolandó forgó részek fordulatszámának kiegyenlítésére szolgál;
12. "fogaskerék-kapcsolódás hatásfoka" : a kimeneti teljesítménynek a bemeneti teljesítményhez viszonyított aránya, amikor a teljesítmény előremenetben fogkapcsolódással kerül továbbításra relatív mozgással;
13. "kúszó fokozat" : alacsony előremeneti sebességfokozat (fordulatszám-csökkentő áttétellel, amely nagyobb, mint a nem kúszó fokozatok esetén), melyet nem gyakori használatra terveztek, pl. alacsony sebességű manőverekhez vagy esetenkénti emelkedőn történő elinduláshoz;
14. "teljesítményleadó (PTO)" : sebességváltón vagy motoron elhelyezkedő eszköz, amelyhez egy kiegészítő meghajtott egység, pl. hidraulikus szivattyú csatlakoztatható;
15. "teljesítményleadó meghajtó mechanizmus" : olyan eszköz, amely lehetővé teszi egy teljesítményleadó (PTO) felszerelését egy sebességváltóra;
16. "áthidaló tengelykapcsoló" : hidrodinamikus nyomatékátalakítóban lévő súrlódó tengelykapcsoló. Egyes esetekben a rögzített sebességfokozatban az állandó csúszás szándékos, pl. a rezgés megelőzése céljából;
17. "indulási tengelykapcsoló" : olyan tengelykapcsoló, amely a jármű elindulásakor a motor és a kerekek fordulatszámát egymáshoz igazítja. Az indulási tengelykapcsoló rendszerint a motor és a sebességváltó között helyezkedik el.
18. "szinkronizált kézi sebességváltó (SMT)" : egy manuálisan működtetett sebességváltó két vagy több választható áttételi aránnyal, amelyek szinkronizátor alkalmazásával érhetők el. Az áttételi arány változása rendszerint a sebességváltónak a motorról való időleges leválasztása során érhető el egy tengelykapcsoló (rendszerint a gépjármű indulási áttételi tengelykapcsolója) használatával;
19. "automatizált kézi sebességváltó vagy mechanikus kapcsolású automata sebességváltó (AMT)" : automatikusan váltó sebességváltó két vagy több választható áttételi aránnyal, amelyek (nem szinkronizált/szinkronizált) fogazott tengelykapcsolók alkalmazásával érhetők el. Az áttételi arány megváltoztatása a sebességváltónak a motorról való időleges leválasztása során érhető el. Az áttételi arány váltásait egy elektromosan vezérelt rendszer hajtja végre, amely vezérli a váltás időzítését, a motor és a sebességváltó közötti tengelykapcsoló működését, valamint a motor fordulatszámát és nyomatékát. A rendszer automatikusan a legmegfelelőbb előremeneti sebességfokozatot választja ki és kapcsolja, de ezt a járművezető a kézi üzemmód alkalmazásával felülbírálhatja;
20. "kettős tengelykapcsolós sebességváltó (DCT)" : automatikusan váltó sebességváltó, mely két súrlódó tengelykapcsolóval és számos választható áttételi aránnyal rendelkezik, amelyek fogazott tengelykapcsolók használata révén érhetők el. Az áttételi arány váltásait egy elektronikusan vezérelt rendszer végzi, amely vezérli a váltás időzítését, a motor és a sebességváltó közötti tengelykapcsoló működését, valamint a motor fordulatszámát és nyomatékát. A rendszer automatikusan a legmegfelelőbb sebességfokozatot választja, de ezt a járművezető felülbírálhatja a kézi üzemmód használatával. Egyes esetekben a rögzített sebességfokozatban az állandó csúszás szándékos, pl. a rezgés megelőzése céljából;
21. "lassítófék" : járulékos fékező berendezés a jármű hajtásláncában; célja a folyamatos fékezés;
22. "S elrendezés" : terhelés alatt kapcsolható automata sebességváltó (APT) a nyomatékátalakító és a sebességváltó csatlakozó mechanikus elemeinek soros elrendezésével;
23. "P elrendezés" : APT a nyomatékátalakító és a sebességváltó csatlakozó mechanikus elemeinek párhuzamos elrendezésével (pl. teljesítményfelező berendezésekben);
24. "terhelés alatt kapcsolható automata sebességváltó (APT)" : automatikusan váltó sebességváltó kettőnél több súrlódó tengelykapcsolóval és számos választható áttételi aránnyal, amelyek főként súrlódó tengelykapcsolók alkalmazásával érhetők el. Az áttételiarány-váltásokat egy elektronikusan vezérelt rendszer végzi, mely vezérli a váltás időzítését, a motor és a sebességváltó közötti tengelykapcsoló működését, valamint a motor fordulatszámát és nyomatékát. A rendszer automatikusan a legmegfelelőbb sebességfokozatot választja, de ezt a járművezető felülbírálhatja a kézi üzemmód használatával. A váltások rendszerint a vonóerő megszakítása nélkül végezhetőek el (súrlódó tengelykapcsoló a súrlódó tengelykapcsolóhoz);
25. "olajkondicionáló rendszer" : olyan külső rendszer, amely a sebességváltó olaját kondicionálja a vizsgálat során. A rendszer keringeti az olajat a sebességváltóhoz és attól el. Az olaj ezáltal megszűrt és/vagy a hőmérséklete kondicionált lesz;
26. "intelligens kenőrendszer" : olyan rendszer, amely befolyásolja a sebességváltó terheléstől független veszteségeit (melyeket forgási vagy motorfékezési veszteségnek is hívnak), melyek a bemeneti nyomatéktól és/vagy a sebességváltón keresztüli teljesítményáramlástól függenek. Példák erre az APT-ben lévő fékekhez és a tengelykapcsolókhoz használt ellenőrzött hidraulikus nyomószivattyúk, a sebességváltóben lévő ellenőrzött változó olajszint, a sebességváltóben lévő ellenőrzött változó olajáramlás/nyomás. Az intelligens kenés magába foglalhatja a sebességváltó olajhőmérsékletének ellenőrzését is, de itt nincsenek figyelembe véve a kizárólag hőmérséklet-ellenőrzésre tervezett intelligens kenőrendszerek, mivel a sebességváltó vizsgálati eljárásának fix vizsgálati hőmérsékletei vannak;
27. "sebességváltó elektromos segédberendezés" : olyan elektromos segédberendezés, amely a sebességváltó működéséhez szükséges állandósult motorműködés során. Egy tipikus példa az elektromos hűtő/kenő szivattyú (nem ilyenek azonban az elektromos sebességváltó működtető és elektromos vezérlő rendszerek, beleértve az elektromos mágnesszelepeket, mivel azok alacsony energiafogyasztók, különösen állandósult üzemállapotú működéskor);
28. "olajtípus-viszkozitási fok" : az SAE J306 meghatározása szerinti viszkozitási fokozat;
29. "gyári töltőolaj" : annak a viszkozitási foknak megfelelő olajtípus, amellyel a gyárban töltik fel a sebességváltót, nyomatékátalakítót, egyéb nyomatékátviteli alkatrészt vagy kiegészítő hajtásláncalkatrészt, és az első szervizintervallum során abban benne marad;
30. "áttételrendszer" : a tengelyek, fogaskerekek és tengelykapcsolók elrendezése egy sebességváltóban;
31. "teljesítményáramlás" : az energiatranszfer útja a bemenettől a kimenetig tengelyeken, fogaskerekeken és tengelykapcsolókon keresztül egy sebességváltóban;
32. "differenciálmű" : olyan készülék, amely a nyomatékot két ágra osztja, pl. a bal és jobb oldali kerekekhez, fordulatszám-különbség lehetővé tétele mellett. A nyomatékfelező funkciót differenciálfék- vagy differenciálzár torzíthatja vagy kikapcsolhatja (adott esetben);
33. "N elrendezés" : APT nyomatékátalakító nélkül.
3. A sebességváltókre vonatkozó vizsgálati eljárás
A sebességváltó veszteségeinek vizsgálatához minden egyedi sebességváltótípus nyomatékveszteség-jellegmezőjét meg kell mérni. A sebességváltók hasonló vagy megegyező CO2-releváns adatokkal rendelkező családokba csoportosíthatók e melléklet 6. függelékének előírásait követve.
A sebességváltó nyomatékveszteségének meghatározásához a tanúsítvány kérelmezőjének a következő módszerek egyikét kell alkalmaznia minden egyes előremeneti sebességfokozat (a kúszó fokozatok kivételével) esetén.
1. opció: Nyomatékfüggetlen veszteségek mérése, nyomatékfüggő veszteségek kiszámítása.
2. opció: Nyomatékfüggetlen veszteségek mérése, a nyomatékveszteség mérése maximális nyomatéknál, és a nyomatékfüggő veszteségek interpolálása egy lineáris modell alapján.
3. opció: A teljes nyomatékveszteség mérése.
3.1.
1. opció: Nyomatékfüggetlen veszteségek mérése, nyomatékfüggő veszteségek kiszámítása.
A sebességváltó bemenő tengelyén a Tl ,in nyomatékveszteség a következőképpen kerül kiszámításra:
T l,in (n in ,T in ,gear) = T l,in,min_loss + f T × T in + f loss_corr × T in + T l,in,min_el + f el_corr × T in + f loss tcc × T in
A nyomatékfüggő hidraulikus nyomatékveszteségek tekintetében a korrekciós tényező a következőképpen kerül kiszámításra:

A nyomatékfüggő elektromos nyomatékveszteségek tekintetében a korrekciós tényező a következőképpen kerül kiszámításra:

A sebességváltó bemenő tengelyénél a sebességváltó elektromos segédberendezésének energiafelvétele által okozott nyomatékveszteség a következőképpen kerül kiszámításra:

A 2. pont 16. alpontjában meghatározott csúszó nyomatékátalakító áthidaló tengelykapcsoló vagy a 2. pont 20. alpontjában meghatározott csúszó bemeneti oldali tengelykapcsoló veszteségeinek korrekciós tényezőjét a következőképpen kell kiszámítani:

ahol:
Tl,in = bemenő tengellyel összefüggő nyomatékveszteség [Nm]
Tl,in,min_loss = nyomatékfüggetlen veszteség minimális hidraulikai veszteség mellett (minimális fő nyomás, hűtő-/kenőanyagáramok stb.), szabadon forgó kimenőtengelyen terhelésmentes vizsgálattal mérve [Nm]
Tl,in,max_loss = nyomatékfüggetlen veszteség maximális hidraulikai veszteség mellett (maximális fő nyomás, hűtő-/kenőanyagáramok stb.), szabadon forgó kimenőtengelyen terhelésmentes vizsgálattal mérve [Nm]
floss_corr = veszteség korrekciója a bemeneti nyomatéktól függő hidraulikai veszteségszint tekintetében [-]
nin = fordulatszám a sebességváltó bemenő tengelyénél (lehetőség szerint a nyomatékátalakító után) [ford./perc]
fT = nyomatékveszteségi együttható = 1 - ηT
Tin = nyomaték a bemenő tengelynél [Nm]
ηT = nyomatékfüggő hatásfok (kiszámítandó); direkt sebességfokozat esetében fT = 0,007 (ηT=0,993) [-]
fel_corr = veszteség korrekciója a bemeneti nyomatéktól függő elektromos teljesítményveszteség-szint tekintetében [-]
Tl,in, el = további, az elektromos fogyasztóknak tulajdonítható nyomatékveszteség a bemenő tengelyen [Nm]
Tl,in,min_el = további, az elektromos fogyasztóknak tulajdonítható nyomatékveszteség a bemenő tengelyen, a minimális teljesítményfelvételnek megfelelően [Nm]
Tl,in,max_el = további, az elektromos fogyasztóknak tulajdonítható nyomatékveszteség a bemenő tengelyen, a maximális teljesítményfelvételnek megfelelően [Nm]
Pel = a sebességváltó elektromos fogyasztóinak az elektromosenergia-fogyasztása, a sebességváltó-veszteség vizsgálata során mérve [W]
Tmax,in = maximálisan megengedett bemeneti nyomaték a sebességváltó bármely előremeneti sebességfokozatában [Nm]
floss_tcc = Veszteségkorrekciós tényező csúszó nyomatékátalakítóhoz (vagy bemeneti oldali) tengelykapcsolóhoz
ntcc = A 2. pont 16. alpontjában meghatározott csúszó nyomatékátalakító áthidaló tengelykapcsoló vagy a 2. pont 20. alpontjában meghatározott csúszó bemeneti oldali tengelykapcsoló tengely előtti és tengely utáni oldala közötti sebességkülönbség [rpm] (a csúszó tengelykapcsoló után a fordulatszáma az nin fordulatszám a sebességváltó bemenő tengelyénél)
3.1.1. A sebességváltó-rendszerek nyomatékfüggő veszteségeit az alábbiak szerint kell meghatározni:
Többszörösen párhuzamos és névlegesen egyenlő erőáramlások esetén, pl. bolygóműves fogaskerékcsoportban lévő iker előtéttengelyeknél vagy több bolygóműves fogaskeréknél, melyek e pontban egyetlen erőáramlásként kezelhetők.
3.1.1.1. Az általános sebességváltók olyan g közvetett sebességfokozatai esetében, amelyek nem osztott erőáramlással, valamint szokványos, nem bolygóműves fogaskerékcsoportokkal rendelkeznek, a következő lépések végzendők el:
3.1.1.2. Minden egyes fogaskerék-kapcsolódás esetében a nyomatékfüggő hatásfokot ηm-ben kifejezett állandó értékre kell beállítani:
külső - külső fogaskerék-kapcsolódás : ηm = 0,986
külső - belső fogaskerék-kapcsolódás : ηm = 0,993
szöghajtómű fogaskerék-kapcsolódás : ηm = 0,97
(A szöghajtómű-veszteségeket másik megoldásként az e melléklet 6. pontjában leírtak szerint külön lehet vizsgálni)
3.1.1.3. Az aktív fogaskerék-kapcsolódásokban ezeknek a nyomatékfüggő hatásfokoknak a szorzatát meg kell szorozni a csapágy nyomatékfüggő hatásfokával: ηb = 99,5 %.
3.1.1.4. A g sebességfokozat esetében a ηTg teljes nyomatékfüggő hatásfok a következőképpen számítandó ki:
η Tg = η b * η m,1 * η m,2 * [...] * η m,n
3.1.1.5. A g sebességfokozat esetében az fTg nyomatékfüggő veszteségi együttható a következőképpen számítandó ki:
fTg = 1 - η Tg
3.1.1.6. A g sebességfokozat esetében a Tl,inTg nyomatékfüggő veszteség a bemenő tengelyen a következőképpen számítandó ki:
Tl,inTg = fTg * Tin
3.1.1.7. Alacsony fordulatszám-tartomány mellett az olyan speciális sebességváltó-rendszerek esetében, amelyek egy bolygóműves tartománycsoporttal sorbakapcsolt, előtéttengely típusú fő csoportból állnak (és a nem forgó gyűrűkerék és a bolygóműves közvetítőelem a kimenőtengelyhez kapcsolódik), a bolygóműves tartománycsoport nyomatékfüggő hatásfoka a 3.1.1.8. pontban leírt eljáráson kívül az alábbiak szerint is kiszámítható:

ahol:
ηm,ring = a gyűrűkerék és a bolygókerék közötti áttétel nyomatékfüggő hatásfoka = 99,3 % [-]
ηm,sun = a bolygókerék és a napkerék közötti áttétel nyomatékfüggő hatásfoka = 98,6 % [-]
zsun = a tartománycsoporthoz tartozó napkerék fogainak a száma [-]
zring = a tartománycsoporthoz tartozó gyűrűkerék fogainak a száma [-]
A bolygóműves tartománycsoport az előtéttengely fő csoportján belüli, további fogaskerék-kapcsolódásnak tekintendő, és az ηalacsony fordulatszám melletti nyomatékfüggő hatásfokot figyelembe kell venni a ηTg teljes nyomatékfüggő hatásfok meghatározásakor alacsony fordulatszámú sebességfokozatok esetén, a 3.1.1.4. pont szerinti számításban.
3.1.1.8. Minden más, összetettebb osztott erőáramlásokkal és/vagy bolygóműves fogaskerékcsoportokkal (pl. hagyományos automatikus bolygóműves sebességváltóval) rendelkező sebességváltó-típus esetében az alábbi egyszerűsített módszer alkalmazható a nyomatékfüggő hatásfok meghatározására. A módszer kiterjed a szokványos, nem bolygóműves fogaskerékcsoportokra és/vagy gyűrűkerék-bolygókerék-napkerék típusú bolygóműves fogaskerékcsoportokra. Esetleg a nyomatékfüggő hatásfok kiszámítható a Német Mérnöki Egyesület (VDI) 2157. sz. szabályzata alapján. Mindkét számítás a 3.1.1.2. pontban meghatározott, ugyanazon állandó fogaskerék-kapcsolódási hatásfokértékeket használja.
Ez esetben minden egyes g indirekt sebességfokozat tekintetében az alábbi lépéseket kell elvégezni:
3.1.1.9. 1 rad/mp bemeneti fordulatszámot és 1 Nm bemenőnyomatékot feltételezve fordulatszámokat (Ni ) és nyomatékértékeket (Ti ) tartalmazó táblázatot kell összeállítani minden olyan fogaskerék esetében, amely fix forgástengellyel (napkerekekkel, gyűrűkerekekkel és hagyományos fogaskerekekkel), valamint bolygóműves közvetítőelemmel rendelkezik. A fordulatszám- és nyomatékértékek a jobbkéz-szabályt követik a motor pozitív irányú forgása mellett.
3.1.1.10. Minden egyes bolygóműves fogaskerékcsoportnál ki kell számítani a napkerék és a közvetítőelem, valamint a gyűrűkerék és a közvetítőelem közötti viszonylagos fordulatszámokat, az alábbiak szerint:
Nsun-carrie r = Nsun - Ncarrier
Nring-carrier = Nring - Ncarrier
ahol:
Nsun = a napkerék fordulatszáma [rad/mp]
Nring = a gyűrűkerék fordulatszáma [rad/mp]
Ncarrier = a közvetítőelem fordulatszáma [rad/mp]
3.1.1.11. A fogaskerék-kapcsolódásokban a veszteséget okozó erőket a következőképpen kell kiszámítani:
Minden egyes, szokványos nem bolygóműves fogaskerékcsoport esetében a P teljesítmény az alábbiak szerint számítható ki:
P 1 = N 1 · T 1
P 2 = N 2 · T 2
ahol:
P = a fogaskerék-kapcsolódás teljesítménye [W]
N = a fogaskerék fordulatszáma [rad/mp]
T = a fogaskerék nyomatéka [Nm]
Minden egyes bolygóműves fogaskerékcsoport esetében a napkerék Pv,sun virtuális teljesítménye és a gyűrűkerék Pv,ring virtuális teljesítménye az alábbiak szerint számítható ki:
Pv,sun = Tsun · (Nsun - Ncarrier ) = Tsun · Nsun/carrier
Pv,ring = Tring · (Nring - Ncarrier ) = Tring · Nring/carrier
ahol:
Pv,sun = a napkerék virtuális teljesítménye [W]
Pv,ring = a gyűrűkerék virtuális teljesítménye [W]
Tsun = a napkerék nyomatéka [Nm]
Tcarrier = a közvetítőelem nyomatéka [Nm]
Tring = a gyűrűkerék nyomatéka [Nm]
A negatív virtuális teljesítményt mutató eredmények azt jelzik, hogy teljesítmény távozik a fogaskerékcsoportból, míg a pozitív virtuális teljesítményt mutató eredmények azt jelzi, hogy teljesítmény érkezik a fogaskerékcsoportba.
A fogaskerék-kapcsolódások Padj veszteséggel korrigált teljesítményértékeit a következőképpen kell kiszámítani:
Minden egyes, szokványos nem bolygóműves fogaskerékcsoport esetében a negatív teljesítményt meg kell szorozni a megfelelő ηm nyomatékfüggő hatásfokkal:
Pi > 0 ⇒Pi,adj = Pi
Pi < 0 ⇒Pi,adj = Pi · η mi
ahol:
Padj = A fogaskerék-kapcsolódás veszteséggel korrigált teljesítményértékei [W]
ηm = Nyomatékfüggő hatásfok (az adott fogaskerék-kapcsolódásnak megfelelően; lásd: 3.1.1.2.) [-]
Minden egyes bolygóműves fogaskerékcsoport esetében a negatív virtuális teljesítményt meg kell szorozni a napkerék és a bolygókerék ηmsun , valamint a gyűrűkerék és a bolygókerékηmring közötti nyomatékfüggő hatásfokokkal:
Pv,i ≥ 0 ⇒Pi,adj = Pv,i
Pv,i < 0 ⇒Pi,adj = Pi · ηmsun · ηmring
ahol:
ηmsun = a napkerék és a bolygókerék közötti nyomatékfüggő hatásfok [-]
ηmring = a gyűrűkerék és a bolygókerék közötti nyomatékfüggő hatásfok [-]
3.1.1.12. Az összes veszteséggel korrigált teljesítményértéket hozzá kell adni a sebességváltó-rendszer Pm,loss nyomatékfüggő fogaskerék-kapcsolódási teljesítményveszteségéhez, amely a bemenőteljesítményre utal:
Pm,loss = ΣPi,adj
ahol:
i = az összes, fix forgástengellyel rendelkező fogaskerék [-]
Pm,loss = a sebességváltó-rendszer nyomatékfüggő fogaskerék-kapcsolódási teljesítményvesztesége [W]
3.1.1.13. A csapágyak nyomatékfüggő veszteségi együtthatóját,
fT,bear = 1 - ηbear = 1 - 0,995 = 0,005
és a fogaskerék-kapcsolódás nyomatékfüggő veszteségi együtthatóját

össze kell adni, aminek az eredménye a sebességváltó-rendszerre vonatkozó fT teljes nyomatékfüggő veszteségi együttható:
fT = fT,gearmesh + fT,bear
ahol:
fT = teljes nyomatékfüggő veszteségi együttható a sebességváltó-rendszerre [-]
fT,bear = teljes nyomatékfüggő veszteségi együttható a csapágyakra [-]
fT,gearmesh = teljes nyomatékfüggő veszteségi együttható a fogaskerék-kapcsolódásokra [-]
Pin = a sebességváltó fix bemenőteljesítménye; Pin = (1 Nm * 1 rad/s) [W]
3.1.1.14. A konkrét sebességfokozat esetében a nyomatékfüggő veszteségek a bemenő tengelyen a következőképpen számítandók ki:
Tl,inT = fT * Tin
ahol:
Tl,inT = a bemenő tengellyel kapcsolatos nyomatékfüggő veszteségi együttható [Nm]
Tin = nyomaték a bemenő tengelynél [Nm]
3.1.2. A nyomatéktól független veszteségek mérését az alábbiakban ismertetett eljárással összhangban kell elvégezni.
3.1.2.1. Általános követelmények
A mérésekhez alkalmazott sebességváltó álljon összhangban a sorozatgyártású sebességváltók tervrajzi előírásaival, illetve legyen új.
Az e melléklet vizsgálati követelményeinek való megfelelés érdekében a sebességváltót érintő módosítások - pl. a mérőérzékelők beépítése vagy külső olajkondicionáló rendszer átvétele - megengedettek.
Az e pont szerinti tűréshatárok az érzékelővel kapcsolatos bizonytalanság nélküli mérési értékek.
Az egyedi sebességváltónkénti és sebességfokozatonkénti teljes vizsgálati idő nem haladhatja meg a sebességfokozatonkénti tényleges vizsgálati idő 5-szörösét (szükség szerint lehetővé téve a sebességváltó újratesztelését mérési vagy próbapadi hiba esetén).
Ugyanazt az egyedi sebességváltót legfeljebb 10 különböző vizsgálathoz lehet használni, ami pl. lehet a sebességváltó nyomatékveszteségének a tesztelése lassítófékes és lassítófék nélküli változatokra (eltérő hőmérsékleti követelmények mellett) vagy eltérő olajokkal. Ha ugyanazt az egyedi sebességváltót használják eltérő olajokra vonatkozó vizsgálatokra, először a javasolt, gyári betöltésű olajat kell vizsgálni.
Nem megengedett valamely konkrét vizsgálat többszöri lefuttatása annak érdekében, hogy a legalacsonyabb eredményeket hozó tesztsorozatot válasszák ki.
A jóváhagyó hatóság kérésére a tanúsítványt kérelmező határozza meg és bizonyítja az e mellékletben rögzített követelményeknek való megfelelést.
3.1.2.2. Differenciálmérések
A próbapad beállításai (pl. csapágyak, tengelykapcsolók) által a mért nyomatékveszteségekre gyakorolt hatások kiküszöbölése érdekében a zavarónyomatékok meghatározását differenciálmérések teszik lehetővé. A méréseket ugyanazokban a fordulatszámbeli pontokon, valamint a próbapadon lévő csapágy azonos ±3 K hőmérséklete(i) mellett kell elvégezni, mint amelyeket a vizsgálathoz használtak. A nyomatékérzékelő mérési bizonytalansága ne érje el a 0,3 Nm mértéket.
3.1.2.3. Bejáratás
A kérelmező kérésére bejáratási eljárást lehet alkalmazni a sebességváltó tekintetében. A bejáratási eljárásra a következő előírások vonatkoznak.
3.1.2.3.1. Az eljárás sebességfokozatonként nem haladhatja meg a 30 órát, és összességében a 100 órát.
3.1.2.3.2. A bemeneti nyomaték alkalmazása a maximális bemeneti nyomaték 100 %-ában korlátozódik.
3.1.2.3.3. A maximális bemeneti fordulatszámot a sebességváltó meghatározott maximális fordulatszáma korlátozza.
3.1.2.3.4. A gyártónak meg kell határoznia a bejáratási eljáráshoz használandó fordulatszám- és nyomatékprofilt.
3.1.2.3.5. A bejáratási eljárást a gyártónak kell dokumentálnia és jelentenie a jóváhagyó hatóságnak a bejáratási időt, a fordulatszámot, a nyomatékot és az olajhőmérsékletet illetően.
3.1.2.3.6. A környezeti hőmérsékletre (3.1.2.5.1.), a mérési pontosságra (3.1.4.), a vizsgálati összeállításra (3.1.8.) és a beépítési szögre (3.1.3.2) vonatkozó követelmények a bejáratási eljárásra nem vonatkoznak.
3.1.2.4. Előkondicionálás
3.1.2.4.1. A megfelelő és stabil hőmérséklet elérése érdekében a bejáratási és vizsgálati eljárás előtt engedélyezett a sebességváltó és a próbapadi berendezések előkondicionálása.
3.1.2.4.2. Az előkondicionálást a meg nem hajtott tengelyre gyakorolt nyomaték nélkül kell elvégezni.
3.1.2.4.3. A maximális bemeneti fordulatszámot a sebességváltó meghatározott maximális fordulatszáma korlátozza.
3.1.2.4.4. Az előkondicionáláshoz a maximális összesített idő nem haladhatja meg az 50 órát az egyes sebességváltók esetében. Mivel a sebességváltó teljes vizsgálata több vizsgálati programra osztható (pl. az eltérő sorozattal vizsgálat egyes sebességfokozatok), az előkondicionálás is több sorozatra osztható. Az egyes előkondicionálási sorozatok nem haladhatják meg a 100 percet.
3.1.2.4.5. Az előkondicionálási idő nem számít bele a bejáratási vagy vizsgálati eljárások időtartamába.
3.1.2.5. Vizsgálati körülmények
3.1.2.5.1. Környezeti hőmérséklet
A vizsgálat során a környezeti hőmérsékletnek a 25 °C ± 10 K tartományban kell maradnia.
A környezeti hőmérséklet mérését a sebességváltótól oldalirányban 1 m-re kell elvégezni.
A környezeti hőmérsékletre vonatkozó határérték nem érvényes a bejáratási eljárás esetében.
3.1.2.5.2. Olajhőmérséklet
Az olajat kivéve külső melegítés nem megengedett.
A mérésre (a stabilizálástól eltekintve) a következő hőmérsékleti határértékek alkalmazandók:
Az SMT/AMT/DCT sebességváltók esetében a leeresztőcsavarnál az olajhőmérséklet nem haladhatja meg a 83 °C-t lassítófék nélküli mérés esetén, illetve a 87 °C-t akkor, amikor lassítófék van a sebességváltóra szerelve. Amikor a lassítófék nélküli sebességváltókon a méréseket a lassítófék ettől független méréséivel együtt végzik el, az alacsonyabb hőmérsékleti határérték alkalmazandó a lassítófék hatásmechanizmusa, a gyorsító fogaskerék-kapcsolódás és a tengelykapcsoló kompenzálása érdekében kiereszthető lassítófék mellett.
A nyomatékátalakító bolygóműves sebességváltói és a kettőnél több súrlódó tengelykapcsolóval rendelkező sebességváltók esetében a leeresztőcsavarnál az olajhőmérséklet nem haladhatja meg a 93 °C-ot lassítófék nélkül, illetve a 97 °C-ot lassítófékkel.
Ha a lassítófék vizsgálatához a fentiekben meghatározott, magasabb hőmérsékleti határértékeket kívánják alkalmazni, a lassítóféket be kell építeni a sebességváltóba, vagy a sebességváltóval együtt beépített hűtő- vagy olajrendszernek kell rendelkezésre állnia.
A bejáratás során a szokványos vizsgálatra vonatkozó olajhőmérsékleti előírásokat kell alkalmazni.
A 110h csúcsértékeket kivételesen elérő olajhőmérséklet a következő feltételek mellett megengedett:
1. a bejáratási eljárás során, az alkalmazott bejáratási idő legfeljebb 10 %-a mértékéig,
2. a stabilizációs idő alatt.
Az olajhőmérsékletet a leeresztőcsavarnál, illetve az olajteknőnél kell mérni.
3.1.2.5.3. Olajminőség
A vizsgálathoz az európai piacra ajánlott új, első betöltésű olajat kell használni. Ugyanezzel az olajtöltéssel a bejáratás és a nyomatékmérés is elvégezhető.
3.1.2.5.4. Olajviszkozitás
Amennyiben az első betöltésre többféle olaj javasolt, azok akkor tekinthetők egymásnak megfelelőnek, ha az olajok kinematikus viszkozitása egymástól legfeljebb 10 %-kal tér el azonos hőmérséklet mellett (a KV100 értékre meghatározott tűréshatár-tartományon belül). A vizsgálatban használt olajénál alacsonyabb viszkozitású olajak úgy tekintendők, mint amelyek az ezen opción belül elvégzett vizsgálatok esetében kisebb veszteségeket eredményeznek. Bármely további, első betöltésű olajnak vagy a 10 %-os tűréshatár-tartományon belül kell esnie, vagy alacsonyabb viszkozitással kell rendelkeznie, mint az azonos tanúsítvánnyal rendelkező, vizsgálatba bevont olajnak.
3.1.2.5.5. Olajszint és kondicionálás
Az olajszintnek teljesítenie kell a sebességváltóra meghatározott, névleges előírásokat.
Ha külső olajkondicionáló rendszert használnak, a sebességváltón belüli olajat tartsák a meghatározott, az előírt olajszintnek megfelelő térfogaton.
Annak biztosítása érdekében, hogy a külső olajkondicionáló rendszer ne befolyásolja a vizsgálatot, be- és kimenetkor egyetlen vizsgálati pontot mérjenek a felkészítő rendszerrel. A nyomatékveszteség két mérése közötti eltérés (= bemeneti nyomaték) nem érheti el az 5 %-ot. A vizsgálati pont meghatározása a következőképpen történik:
1. sebességfokozat = legmagasabb indirekt sebességfokozat,
2. bemeneti fordulatszám = 1 600 fordulat/perc,
3. hőmérsékleti értékek a 3.1.2.5. pontban meghatározottak szerint.
A hidraulikus nyomásszabályozással vagy intelligens kenőrendszerrel rendelkező sebességváltók esetében a nyomatékfüggetlen veszteségek mérését két eltérő beállítás mellett kell elvégezni: először a sebességváltó-rendszer nyomását állítsák legalább a bekapcsolt sebességfokozatra jellemző feltételek minimumértékére, majd másodszor a maximálisan lehetséges folyadéknyomásra (lásd: 3.1.6.3.1).
3.1.3. Felszerelés
3.1.3.1. Az elektromos berendezést és a nyomatékérzékelőt a sebességváltó bemeneti oldalára kell felszerelni. A kimenőtengely(ek)nek szabadon kell forognia/forogniuk. Pl. az elsőkerék-meghajtáshoz szolgáló integrált differenciálművel rendelkező erőátviteli rendszer esetében a kimeneti végeknek elforgathatóan kell egymáshoz kapcsolódniuk (pl. egy aktivált differenciálzár vagy bármilyen más mechanikus differenciálzár révén, amelyet csak a méréshez alkalmaznak).
3.1.3.2. A sebességváltó felszerelését azzal a dőlésszöggel kell elvégezni, amely a járműbe való beszerelés tekintetében is érvényes a típusjóváhagyási ábra ± 1° vagy 0° ± 1° szerint.
3.1.3.3. A belső olajszivattyúnak a sebességváltó részét kell képeznie.
3.1.3.4. Ha valamely olajhűtő opcionális vagy a sebességváltóhoz előírás, az olajhűtő kizárható a vizsgálatból, illetve bármely olajhűtő használható a vizsgálatban.
3.1.3.5. A sebességváltó vizsgálata teljesítményleadó meghajtó mechanizmussal és/vagy teljesítményleadóval vagy anélkül is elvégezhető. A teljesítményleadók és/vagy a teljesítményleadó meghajtó mechanizmus teljesítményveszteségének a megállapításához az e IX. melléklet. függeléke szerinti értékek alkalmazandók. Ezek az értékek azt feltételezik, hogy a sebességváltó vizsgálata teljesítményleadó meghajtó mechanizmus és/vagy teljesítményleadó nélkül történik.
3.1.3.6. A sebességváltó mérése történhet egyetlen beszerelt (egy- vagy kéttárcsás) száraz tengelykapcsolóval vagy anélkül. A vizsgálat során bármilyen más típusú tengelykapcsoló beszerelhető.
3.1.3.7. A zavaróterhelések egyedi hatását minden egyes konkrét próbapadi összeállításra és nyomatékérzékelőre ki kell számítani a 3.1.8. pontnak megfelelően.
3.1.4. Mérőeszközök
A kalibrálásra szolgáló laboratóriumi létesítményeknek meg kell felelniük az IATF 16949 szabvány, az ISO 9000 szabványsorozat vagy az ISO/IEC 17025 szabvány követelményeinek. Valamennyi referenciamérésre szolgáló berendezésnek, amelyet a kalibráláshoz és/vagy hitelesítéshez használnak, a nemzeti (nemzetközi) szabványok szerint ellenőrizhetőnek kell lenniük.
3.1.4.1. Nyomaték
A nyomatékérzékelő mérési bizonytalansága ne érje el a 0,3 Nm mértéket.
A nagyobb mérési bizonytalansággal jellemezhető nyomatékérzékelők használata akkor megengedett, ha a bizonytalanság 0,3 Nm értéket meghaladó része kiszámítható, és hozzáadható a 3.1.8. pontban leírt, mért nyomatékveszteséghez. Mérési bizonytalanság.
3.1.4.2. Fordulatszám
A fordulatszám-érzékelők bizonytalansága nem haladhatja meg a ± 1 ford./perc értéket.
3.1.4.3. Hőmérséklet
A környezeti hőmérséklet mérésére használt hőérzékelők bizonytalansága nem haladhatja meg a ± 1,5 K-t.
Az olaj hőmérsékletének mérésére használt hőérzékelők bizonytalansága nem haladhatja meg a ± 1,5 K-t.
3.1.4.4. Nyomás
A nyomásérzékelő bizonytalansága nem haladhatja meg a maximális mért nyomás 1 %-át.
3.1.4.5. Feszültség
A voltmérő bizonytalansága nem haladhatja meg a maximális mért feszültség 1 %-át.
3.1.4.6. Áramerősség
Az ampermérő bizonytalansága nem haladhatja meg a maximális mért áramerősség 1 %-át.
3.1.5. Mérési jelölések és adatrögzítés
Legalább a következő jeleket kell rögzíteni a mérés során:
1. Bemeneti nyomaték [Nm]
2. Bemeneti fordulatszám [ford./perc]
3. Környezeti hőmérséklet [°C]
4. Olajhőmérséklet [°C]
Amennyiben a sebességváltó olyan sebességváltó- és/vagy tengelykapcsoló rendszerrel van felszerelve, amelyet hidraulikus nyomás vagy mechanikus meghajtású, intelligens kenőrendszer szabályoz, az alábbiakat szükséges még rögzíteni:
1. Olajnyomás [kPa]
Ha a sebességváltó elektromos segédberendezéssel van felszerelve, az alábbiakat szükséges még rögzíteni:
2. A sebességváltó elektromos segédberendezésének feszültsége [V]
3. A sebességváltó elektromos segédberendezésének áramerőssége [A]
A próbapad összeállítása által okozott hatások kompenzálására differenciálmérések esetén az alábbiakat szükséges még rögzíteni:
4. Próbapadi csapágy hőmérséklete [°C]
A mintavételi és adatrögzítése gyakoriság legyen legalább 100 Hz.
A mérési hibák mérséklése érdekében aluláteresztő szűrőt kell alkalmazni.
3.1.6. Vizsgálati eljárás
3.1.6.1. Zéró nyomatékjel kompenzációja:
A nyomatékérzékelő(k) zéró nyomatékjelét ki kell mérni. A méréshez az érzékelő(k)et a próbapadra kell szerelni. A próbapad (bemeneti és kimeneti) hajtáslánca legyen terheletlen. A kimért, zérótól való jeltérést kompenzálni szükséges.
3.1.6.2. Fordulatszám-tartomány:
A nyomatékveszteség mérése az alábbi fordulatszámbeli pontokon (a bemenő tengely fordulatszáma) történik: 600, 900, 1 200 , 1 600 , 2 000 , 2 500 , 3 000 , 4 000 ford./perc, valamint ezen értékek tízszereseit kitevő sebességfokozatonként a maximális fordulatszámig a sebességváltó előírásainak megfelelően, illetve a maximális fordulatszám előtti utolsó fordulatszámbeli pontig. További közbenső fordulatszámbeli pontok mérése megengedett.
A fordulatszám felfuttatása (két fordulatszámbeli pont között a váltással eltelt idő) nem haladhatja meg a 20 másodpercet.
3.1.6.3. Méréssorozat:
3.1.6.3.1. Ha a sebességváltó intelligens kenőrendszerrel és/vagy sebességváltó elektromos segédberendezéssel van felszerelve, a mérést ezeknek a rendszereknek két mérési beállításánál kell elvégezni:
Az első méréssorozatot (3.1.6.3.2-3.1.6.3.4.) a hidraulika- és elektromos rendszerek legalacsonyabb teljesítményfelvétele mellett kell végrehajtani, amikor ilyenek működnek a járműben (alacsony veszteségszint).
A második méréssorozatot úgy kell elvégezni, hogy a rendszereket a legnagyobb teljesítményfelvételre kell állítani, amikor ilyenek működnek a járműben (magas veszteségszint).
3.1.6.3.2. A méréseket a legalacsonyabbtól kezdve a legmagasabb fordulatszámig kell elvégezni.
3.1.6.3.3. Minden egyes fordulatszámbeli pontnál, a 3.1.2.5. pont szerinti hőmérsékleti határértékeken belül legalább 5 másodperc stabilizációs idő szükséges. A stabilizációs időt a gyártó legfeljebb 60 másodpercig szükség szerint meghosszabbíthatja. A stabilizáció során rögzíteni kell az olaj és a környezet hőmérsékletét.
3.1.6.3.4. A stabilizációs idő után a nyomatékveszteségnek állandónak kell lennie a tényleges mért fordulatszámbeli pontnál. Ha állandó, a 3.1.5. pontban felsorolt mérési jeleket legalább 5 másodpercen, de legfeljebb 15 másodpercen keresztül kell rögzíteni. Ha a nyomatékveszteség nem állandó a tényleges mért fordulatszámbeli pontnál, például az aktív vagy passzív vezérlőeszközök által okozott nyomatékveszteségek tervezett időszakos különbsége miatt, a gyártónak a megismételhető és reprezentatív eredmény eléréséhez szükséges vizsgálati időt kell használnia.
3.1.6.3.5. Minden egyes mérést mérési beállításonként kétszer kell elvégezni.
3.1.7. A mérés hitelesítése
3.1.7.1. A számtani középértékeket a nyomaték, a fordulatszám, (adott esetben) a feszültség és az áramerősség minden méréséhez ki kell számítani. A méréseket legalább 5 másodpercig, de legfeljebb 15 másodpercig kell végezni. Ha a nyomatékveszteség nem állandó a tényleges mért fordulatszámbeli pontnál, például az aktív vagy passzív vezérlőeszközök által okozott nyomatékveszteségek tervezett időszakos különbsége miatt, a gyártónak a megismételhető és reprezentatív eredmény eléréséhez szükséges vizsgálati időt kell használnia.
3.1.7.2. A teljes nyomatékveszteség-sorozatra, minden egyes mért pont esetében az átlagolt fordulatszámbeli eltérés nem érheti el a fordulatszám beállítási értéke szerinti ±5 ford./perc mértéket.
3.1.7.3. A mechanikus nyomatékveszteségeket és (ha releváns) az elektromos áramfelvételt az alábbiak szerint kell minden egyes mérésre kiszámítani:
Tloss = T1,in(nin, Tin,gear)
Pel = I * U
A nyomatékveszteség értékeiből megengedett kivonni a próbapad összeállítása által okozott hatásokat (3.1.2.2.).
3.1.7.4. Átlagolni kell a két összeállításból a mechanikus nyomatékveszteségeket és (ha releváns) az elektromos áramfelvételt (számtani középértékek).
3.1.7.5. Az egyes beállítások esetében a két mérési pont átlagolt nyomatékvesztesége közötti eltérés nem érheti el az átlaghoz képest ± 5 % vagy - ha annak értéke magasabb - ±1 Nm értéket. Ezt követően a két átlagolt teljesítményérték számtani átlagát kell venni.
3.1.7.6. Amennyiben az eltérés nagyobb, a legmagasabb átlagolt nyomatékveszteségi értéket kell venni, vagy a sebességfokozat esetében meg kell ismételni a vizsgálatot.
3.1.7.7. Az egyes beállítások esetében a két mérési pont átlagolt elektromos teljesítményfelvételi (feszültség*áramerősség) értéke közötti eltérés nem érheti el az átlaghoz képest ± 10 %, vagy - ha annak értéke magasabb - ± 5 W értéket. Ezt követően a két átlagolt teljesítményérték számtani átlagát kell venni.
3.1.7.8. Amennyiben az eltérés nagyobb, a legmagasabb átlagolt teljesítményfelvételt adó, átlagolt feszültség- és áramerősség-értékeket kell venni, vagy a sebességfokozat esetében meg kell ismételni a vizsgálatot.
3.1.8. Mérési bizonytalanság
A számított teljes bizonytalanságnak UT,loss a 0,3 Nm értéket meghaladó részét hozzá kell adni a Tloss értékhez a jelentett nyomatékveszteség Tloss,rep megállapítása érdekében. Ha UT,loss kisebb, mint 0,3 Nm, akkor Tloss,rep = Tloss .
Tloss,rep = Tloss + MAX (0, (UT,loss - 0,3 Nm))
A nyomatékveszteség teljes bizonytalansága (UT,loss ) az alábbi paraméterek alapján számítható ki:
1. hőmérsékleti hatás
2. készenléti terhelések
3. kalibrálási hiba (beleértve az érzékenységi tűrést, a linearitást, a hiszterézist és a megismételhetőséget)
A nyomatékveszteség teljes bizonytalansága (UT,loss ) az érzékelők bizonytalanságán alapul, 95 %-os konfidenciaszint mellett. A számítás a négyzetek összegének négyzetgyökeként ("Gauss-féle hibaterjedési törvény") végezhető el.





wpara = senspara * ipara
ahol:
Tloss = mért nyomatékveszteség (korrekció nélkül) [Nm]
Tloss,rep = jelentett nyomatékveszteség (bizonytalansági korrekciót követően) [Nm]
UT,loss = a nyomatékveszteség mérésének teljes kiterjesztett bizonytalansága 95 %-os konfidenciaszinten [Nm]
UT,in = a bemeneti nyomatékveszteség-mérés bizonytalansága [Nm]
uTKC = az aktuális nyomatékjelnek a hőmérséklet hatása miatt jelentkező bizonytalansága [Nm]
wtkc = a hőmérséklet hatása az aktuális nyomatékjelre Kref értékenként, az érzékelő gyártója által meghatározva [%]
uTK0 = a zéró nyomatékjelnek a hőmérséklet hatása miatt jelentkező bizonytalansága (a névleges nyomatékhoz képest) [Nm]
wtk0 = a hőmérséklet hatása a zéró nyomatékjelre (a névleges nyomatékhoz képest) Kref értékenként, az érzékelő gyártója által meghatározva [%]
Kref = referenciaként szolgáló hőmérséklet-tartomány az uTKC és uTK0, wtk0, valamint wtkc értékekre, az érzékelő gyártója által meghatározva [K]
ΔK = az érzékelő hőmérsékletének az eltérése a kalibrálás és a mérés között [K]. Ha az érzékelő hőmérséklete nem mérhető, a ΔK = 15 K alapértelmezett értéket kell használni.
Tc = aktuális / mért nyomatékérték a nyomatékérzékelőnél [Nm]
Tn = a nyomatékérzékelő névleges nyomatékértéke [Nm]
ucal = a nyomatékérzékelő kalibrálásából származó bizonytalanság [Nm]
Wcal = relatív kalibrálási bizonytalanság (a névleges nyomatékhoz képest) [%]
kcal = kalibrálás-előrehaladási tényező (ha az érzékelő gyártója megadta, ellenkező esetben = 1)
upara = a készenléti terhelésekből származó bizonytalanság [Nm]
wpara
=
senspara * ipara
A helytelen beállítás miatt fellépő erők és hajlítónyomatékok relatív hatása
senspara = a készenléti terheléseknek az adott nyomatékérzékelőre gyakorolt maximális hatása, az érzékelő gyártója által megadva [%]; ha az érzékelő gyártója nem határozott meg konkrét értéket a készenléti terhelésekre vonatkozóan, az értéket 1,0 %-nak kell tekinteni
ipara = a készenléti terheléseknek az adott nyomatékérzékelőre gyakorolt maximális hatása a vizsgálati összeállítástól függően (A/B/C a lentebb meghatározottak szerint).
= A) 10 % az érzékelő előtt és után a zavaró erőhatásokat elszigetelő csapágyak és funkcionálisan az érzékelő mellett (előtte vagy utána) felszerelt rugalmas tengelykapcsoló (vagy kardántengely) esetén; továbbá ezek a csapágyak beépíthetők a meghajtó/fékező berendezésbe (pl. elektromos berendezésbe) és/vagy a sebességváltóba mindaddig, amíg az erők a berendezésben és/vagy sebességváltóban el vannak szigetelve az érzékelőtől. Lásd 1. ábra. 1. ábra: Példa vizsgálati összeállításra az 1. opcióhoz [Kép #8]

Kép #8
= B) 50 % az érzékelő előtt és után a zavaró erőhatásokat elszigetelő csapágyak esetén, és funkcionálisan az érzékelő mellett felszerelt rugalmas tengelykapcsoló nélkül; továbbá ezek a csapágyak beépíthetők a meghajtó/fékező berendezésbe (pl. elektromos berendezésbe) és/vagy a sebességváltóba mindaddig, amíg az erők a berendezésben és/vagy sebességváltóban el vannak szigetelve az érzékelőtől. Lásd a 2. ábrát. 2. ábra Példa B. vizsgálati összeállításra az 1. opcióhoz [Kép #9]

Kép #9
= C) 100 % a többi összeállításra
Az elsőkerék-meghajtásra szolgáló integrált differenciálművel rendelkező sebességváltó vizsgálati összeállítása a sebességváltó bemeneti oldalán lévő fékpadból és a sebességváltó kimeneti oldalán (oldalain) lévő, legalább egy fékpadból áll. A nyomatékmérő eszközöket a sebességváltó bemeneti és kimeneti oldalán/oldalain kell elhelyezni. Olyan vizsgálati összeállítások esetében, amelyeknél a kimeneti oldalon csak egy fékpad van, az integrált differenciálművel rendelkező sebességváltó szabadon forgó végének elforgathatóan kell a kimeneti oldalon a másik véghez kapcsolódnia (pl. aktivált differenciálzár vagy bármilyen más mechanikus differenciálzár révén, amelyet csak a méréshez alkalmaznak).
A készenléti terheléseknek az adott nyomatékérzékelőre gyakorolt maximális befolyását mutató ipara tényező fokbeosztása megegyezik a fent leírt összeállításokkal (A/B/C).
2A. ábra Példa "A" vizsgálati összeállításra az 1. opcióhoz integrált differenciálművel rendelkező sebességváltó esetében (pl. elsőkerék-meghajtás működtetéséhez) [Kép #10] 2B. ábra Példa a "B" vizsgálati összeállításra az 1. opcióhoz integrált differenciálművel rendelkező sebességváltó esetében (pl. elsőkerék-meghajtás működtetéséhez) [Kép #11] A gyártó a helyes műszaki megítélés alapján és a jóváhagyó hatósággal egyetértésben módosíthatja az "A" és "B" vizsgálati összeállítást, például gyakorlati vizsgálati összeállítási okokból. Ilyen esetben a vizsgálati jegyzőkönyvben egyértelműen meg kell határozni az eltérés okát és az alternatív összeállítást. A vizsgálat külön csapágyegység nélkül is elvégezhető a próbapadon a sebességváltó bemeneti/kimeneti oldalán, ha a sebességváltó azon tengelyét, amelyen a nyomatékot mérik, a sebességváltóházban két csapágy támasztja alá, amelyek képesek elnyelni a sebességváltó-készletek által okozott radiális és axiális erőket. 2C. ábra Példa, amikor a sebességváltóban lévő erőket elszigetelik, illetve nem szigetelik el a bemenettől: [Kép #12]

Kép #10

Kép #11

Kép #12
3.2.
2. opció: Nyomatékfüggetlen veszteségek mérése, a nyomatékveszteség mérése maximális nyomatéknál, és a nyomatékfüggő veszteségek interpolálása egy lineáris modell alapján.
A 2. opció a nyomatékveszteség meghatározását mérések és lineáris interpoláció együttes alkalmazásával írja le. A méréseket a sebességváltó nyomatékfüggetlen veszteségei és a nyomatékfüggetlen veszteségek egy terhelési pontja tekintetében kell elvégezni (maximális bemeneti nyomaték). A terhelésmentes és maximális bemeneti nyomatékon mért nyomatékveszteségek alapján a kettő közötti, bemeneti nyomatékra vonatkozó nyomatékveszteségeket a nyomatékveszteségi együtthatóval fTlimo kell kiszámítani.
A sebességváltó bemenő tengelyén a Tl,in nyomatékveszteség a következőképpen kerül kiszámításra:
T l,in (n in ,T in ,gear) = T l,in,min_loss + f Tlino × T in + T l,in,min_el + f el_corr × T in + f loss tcc × T in
A lineáris modellen alapuló nyomatékveszteségi együttható fTlimo az alábbiak szerint számítandó ki:

ahol:
Tl,in = bemenő tengellyel összefüggő nyomatékveszteség [Nm]
Tl,in,min_loss = vonónyomaték vesztesége a sebességváltó bemeneténél, szabadon forgó kimenőtengellyel, terhelés nélkül mérve [Nm]
nin = fordulatszám a bemenő tengelynél [ford./perc]
fTlimo = nyomatékveszteségi együttható a lineáris modell alapján [-]
Tin = nyomaték a bemenő tengelynél [Nm]
Tin,maxT = maximális vizsgált nyomaték a bemenő tengelynél (rendes esetben a bemeneti nyomaték 100 %-a; lásd a 3.2.5.2. és a 3.4.4. pontot) [Nm]
Tl,maxT = bemenő tengellyel összefüggő nyomatékveszteség Tin = Tin,maxT mellett
fel_corr = veszteség korrekciója a bemeneti nyomatéktól függő elektromos teljesítményveszteség-szint tekintetében [-]
Tl,in,el = további, az elektromos fogyasztóknak tulajdonítható nyomatékveszteség a bemenő tengelyen [Nm]
Tl,in,min_el = további, az elektromos fogyasztóknak tulajdonítható nyomatékveszteség a bemenő tengelyen, a minimális teljesítményfelvételnek megfelelően [Nm]
A nyomatékfüggő elektromos nyomatékveszteségekre vonatkozó fel_corr korrekciós tényező, a sebességváltó bemenő tengelyénél a sebességváltó elektromos segédberendezésének teljesítményfelvétele által okozott Tl,in,el nyomatékveszteség, valamint a 2. pont 16. alpontjában meghatározott csúszó nyomatékátalakító áthidaló tengelykapcsoló vagy a 2. pont 20. alpontjában meghatározott csúszó bemeneti oldali tengelykapcsoló veszteségre vonatkozó floss_tcc korrekciós tényezője a 3.1. pontban leírtak szerint számítandó ki.
3.2.1. A nyomatékveszteségek mérését az alábbiakban ismertetett eljárással összhangban kell elvégezni.
3.2.1.1. Általános követelmények:
Az 1. opció tekintetében a 3.1.2.1. pontban leírtak szerint.
3.2.1.2. Differenciálmérések:
Az 1. opció tekintetében a 3.1.2.2. pontban leírtak szerint.
3.2.1.3. Bejáratás
Az 1. opció tekintetében a 3.1.2.3. pontban leírtak szerint.
3.2.1.4. Előkondicionálás
A 3. opció tekintetében a 3.3.2.1. pontban leírtak szerint.
3.2.1.5. Vizsgálati körülmények
3.2.1.5.1. Környezeti hőmérséklet
Az 1. opció tekintetében a 3.1.2.5.1. pontban leírtak szerint.
3.2.1.5.2. Olajhőmérséklet
Az 1. opció tekintetében a 3.1.2.5.2. pontban leírtak szerint.
3.2.1.5.3. Olajminőség / olajviszkozitás
Az 1. opció tekintetében a 3.1.2.5.3. és a 3.1.2.5.4. pontban leírtak szerint.
3.2.1.5.4. Olajszint és kondicionálás
A 3. opció tekintetében a 3.3.3.4. pontban leírtak szerint.
3.2.2. Felszerelés
Az 1. opció tekintetében a 3.1.3. pontban a nyomatékfüggetlen veszteségek mérésére vonatkozóan leírtak szerint.
A 3. opció tekintetében a 3.3.4. pontban a nyomatékfüggő veszteségek mérésére vonatkozóan leírtak szerint.
3.2.3. Mérőeszközök
Az 1. opció tekintetében a 3.1.4. pontban a nyomatékfüggetlen veszteségek mérésére vonatkozóan leírtak szerint.
A 3. opció tekintetében a 3.3.5. pontban a nyomatékfüggő veszteségek mérésére vonatkozóan leírtak szerint.
3.2.4. Mérési jelölések és adatrögzítés
Az 1. opció tekintetében a 3.1.5. pontban a nyomatékfüggetlen veszteségek mérésére vonatkozóan leírtak szerint.
A 3. opció tekintetében a 3.3.7. pontban a nyomatékfüggő veszteségek mérésére vonatkozóan leírtak szerint.
3.2.5. Vizsgálati eljárás
A szimulációs eszközre alkalmazandó nyomatékveszteségi jellegmező valamely sebességváltó bemeneti fordulatszámától és bemeneti nyomatékától függő nyomatékveszteségi értékeit foglalja magában.
Egy sebességváltó esetében a nyomatékveszteségi jellegmezőjének megállapításához a nyomatékveszteség-jellegmező alapvető adatait az e pontban meghatározott módon kell megmérni és kiszámítani. A nyomatékveszteséggel kapcsolatos eredményeket a 3.4. ponttal összhangban ki kell egészíteni, valamint a 12. függeléknek megfelelően formázni kell, hogy a szimulációs eszköz fel tudja dolgozni azokat.
3.2.5.1. A nyomatékfüggetlen veszteségeket - kizárólag az elektromos és hidraulikus fogyasztók alacsony veszteségszintje mellett - a 3.1.1. pontban meghatározott eljárással kell meghatározni az 1. opció szerinti nyomatékfüggetlen veszteségek esetén.
3.2.5.2. Határozza meg a nyomatékfüggő veszteségeket minden egyes sebességfokozatra a 3. opció tekintetében a 3.3.6. pontban leírt eljárás segítségével, eltéréssel a vonatkozó nyomatéktartományban:
Nyomatéktartomány:
Az egyes sebességfokozatokra a nyomatékveszteségeket sebességfokozatonként a sebességváltó maximális bemeneti nyomatékának 100 %-a mellett kell mérni.
Ha a kimeneti nyomaték meghaladja a 10 kNm értéket (elméleti veszteségmentes sebességváltó mellett) vagy a bemenőteljesítmény meghaladja a meghatározott maximális bemenőteljesítményt, a 3.4.4. pont alkalmazandó.
3.2.6. A mérés hitelesítése A 3. opció tekintetében a 3.3.8. pontban leírtak szerint.
3.2.7. Mérési bizonytalanság
Az 1. opció tekintetében a 3.1.8. pontban a nyomatékfüggetlen veszteségek mérésére vonatkozóan leírtak szerint.
A 3. opció tekintetében a 3.3.9. pontban a nyomatékfüggő veszteségek mérésére vonatkozóan leírtak szerint.
3.3.
3. opció: A teljes nyomatékveszteség mérése.
A 3. opció a nyomatékveszteség meghatározását a nyomatékfüggő veszteségek teljes körű mérésével határozza meg, ideértve a sebességváltó nyomatékfüggetlen veszteségeit is.
3.3.1. Általános követelmények
Az 1. opció tekintetében a 3.1.2.1. pontban leírtak szerint.
3.3.1.1. Differenciálmérések:
Az 1. opció tekintetében a 3.1.2.2. pontban leírtak szerint.
3.3.2. Bejáratás
Az 1. opció tekintetében a 3.1.2.3. pontban leírtak szerint.
3.3.2.1. Előkondicionálás
A 3.1.2.4. pontban az 1. opcióra meghatározottak szerint, a következő kivétellel:
Az előkondicionálást a direkt sebességfokozaton kell elvégezni a kimenőtengelyre gyakorolt nyomaték nélkül vagy úgy, hogy a célnyomaték a kimenőtengelyen nullára van állítva. Amennyiben a sebességváltó nincs direkt sebességfokozattal felszerelve, az 1:1 áttételhez legközelebb álló sebességfokozatot kell használni.
vagy
A 3.1.2.4. pont szerinti előírások alkalmazandók, a következő kivétellel:
Az előkondicionálást a direkt sebességfokozaton kell elvégezni a kimenőtengelyre gyakorolt nyomaték nélkül, vagy úgy, hogy a nyomaték a kimenőtengelyen +/-50 Nm belülre van állítva. Amennyiben a sebességváltó nincs direkt sebességfokozattal felszerelve, az 1:1 áttételhez legközelebb álló sebességfokozatot kell használni.
vagy ha a próbapadon, a bemenő tengelynél egy (fő súrlódó) tengelykapcsoló:
A 3.1.2.4. pont szerinti előírások alkalmazandók, a következő kivétellel:
Az előkondicionálást a direkt sebességfokozaton kell elvégezni a kimenő tengelyre gyakorolt nyomaték nélkül, esetleg a bemenő tengelyre gyakorolt nyomaték nélkül. Amennyiben a sebességváltó nincs direkt sebességfokozattal felszerelve, az 1:1 áttételhez legközelebb álló sebességfokozatot kell használni.
Ekkor a sebességváltó hajtása a kimeneti oldalról érkezne. Ezek a javaslatok egymással kombinálhatók.
3.3.3. Vizsgálati körülmények
3.3.3.1. Környezeti hőmérséklet
Az 1. opció tekintetében a 3.1.2.5.1. pontban leírtak szerint.
3.3.3.2. Olajhőmérséklet
Az 1. opció tekintetében a 3.1.2.5.2. pontban leírtak szerint.
3.3.3.3. Olajminőség / olajviszkozitás
Az 1. opció tekintetében a 3.1.2.5.3. és a 3.1.2.5.4. pontban leírtak szerint.
3.3.3.4. Olajszint és kondicionálás
A 3.1.2.5.5. pont szerinti előírások alkalmazandók, az alábbi eltéréssel:
A külső olajkondicionáló rendszerhez a vizsgálati pont a következők szerint határozható meg:
1. legmagasabb indirekt sebességfokozat,
2. bemeneti fordulatszám = a legnagyobb bemeneti fordulatszám legalább 60 %-a, de legfeljebb 80 %-a,
3. bemeneti nyomaték = maximális bemeneti nyomaték a legmagasabb indirekt sebességfokozat esetében
3.3.4. Felszerelés
A próbapadot elektromos berendezések (bemenet és kimenet) hajtják.
A nyomatékérzékelőket a sebességváltó bemeneti és kimeneti oldalán kell felszerelni.
Az egyéb követelményeket a 3.1.3. pont határozza meg.
3.3.5. Mérőeszközök
A nyomatékfüggetlen veszteségek méréséhez az 1. opció esetében a mérőberendezésekre vonatkozó követelményeket a 3.1.4. pont határozza meg.
A nyomatékfüggő veszteségek mérésére a következő előírások vonatkoznak:
A nyomatékérzékelő mérési bizonytalansága nem érheti el a mért nyomatékveszteség 5 %-át vagy az 1 Nm-t (illetve e kettő közül a nagyobb érték).
A nagyobb mérési bizonytalansággal jellemezhető nyomatékérzékelők használata akkor megengedett, ha a bizonytalanságnak az 5 %-os értéket vagy az 1 Nm-t meghaladó részei kiszámíthatók, és e részek közül a kisebb érték hozzáadható a mért nyomatékveszteséghez.
A nyomatékmérési bizonytalanságot a 3.3.9. pontban leírt módon kell kiszámítani és figyelembe venni.
Az 1. opció esetében az egyéb mérőberendezésekre vonatkozó követelményekre a 3.1.4. pont az irányadó.
3.3.6. Vizsgálati eljárás
3.3.6.1. Zéró nyomatékjel kompenzációja:
A 3.1.6.1. pontban leírtak szerint.
3.3.6.2. Fordulatszám-tartomány
A nyomatékveszteség mérése az alábbi fordulatszámbeli pontokon (a bemenő tengely fordulatszáma) történik: 600, 900, 1 200 , 1 600 , 2 000 , 2 500 , 3 000 , 4 000 ford./perc, valamint ezen értékek tízszereseit kitevő sebességfokozatonként a maximális fordulatszámig a sebességváltó előírásainak megfelelően, illetve a maximális fordulatszám előtti utolsó fordulatszámbeli pontig. További közbenső fordulatszámbeli pontok mérése megengedett.
A fordulatszám felfuttatása (két fordulatszámbeli pont között a váltással eltelt idő) nem haladhatja meg a 20 másodpercet.
3.3.6.3. Nyomatéktartomány
A nyomatékveszteség mérése minden egyes fordulatszámbeli pontra a következő bemeneti nyomatékokon történik: 0 (szabadon forgó kimenőtengely), 200, 400, 600, 900, 1 200 , 1 600 , 2 000 , 2 500 , 3 000 , 3 500 , 4 000 , [...] Nm a maximális bemeneti nyomatékig sebességfokozatonként a sebességváltó előírásainak megfelelően, illetve a meghatározott maximális nyomaték előtti utolsó nyomatékbeli pontig és/vagy a 10 kNm kimeneti nyomaték előtti utolsó nyomatékbeli pontig. További közbenső nyomatékbeli pontok mérése megengedett. Ha a nyomatéktartomány túl kicsi, további nyomatékpontokra van szükség, hogy legalább 5, egymástól egyenlő távolságra lévő nyomatékbeli pontot mérjenek. A közbenső nyomatékbeli pontok 50 Nm legközelebbi többszörösére állíthatók be.
Ha a kimeneti nyomaték meghaladja a 10 kNm értéket (elméleti veszteségmentes sebességváltó mellett) vagy a bemenőteljesítmény meghaladja a meghatározott maximális bemenőteljesítményt, a 3.4.4. pont alkalmazandó.
A nyomaték felfuttatása (két nyomatékbeli pont között a váltással eltelt idő) nem haladhatja meg a 15 másodpercet (180 másodperc a 2. opció esetében).
A fentiekben meghatározott jellegmezőben a sebességváltó teljes nyomatéktartományának lefedéséhez a bemeneti/kimeneti oldalon különböző, korlátozott méréstartománnyal rendelkező nyomatékérzékelőket lehet használni. Ezért a mérést szakaszokra lehet osztani a nyomatékérzékelők ugyanazon csoportjának felhasználásával. A nyomatékveszteség összesített jellegmezőjének ezekből a mérési szakaszokból kell állnia.
3.3.6.4. Méréssorozat
3.3.6.4.1. A méréseket a legalacsonyabbtól kezdve a legmagasabb fordulatszámig kell elvégezni.
3.3.6.4.2. A bemeneti nyomatékot a fentiekben meghatározott nyomatékbeli pontoknak megfelelően kell változtatni a legalacsonyabbtól a legnagyobb nyomatékig, amit minden egyes fordulatszámbeli pont tekintetében az aktuális nyomatékérzékelők fednek le.
3.3.6.4.3. Minden egyes fordulatszám- és nyomatékbeli pontnál, a 3.3.3. pont szerinti hőmérsékleti határértékeken belül legalább 5 másodperc stabilizációs idő szükséges. A stabilizációs időt a gyártó legfeljebb 60 másodpercig (a 2. opció esetében legfeljebb 180 másodperc) szükség szerint meghosszabbíthatja. A stabilizáció során rögzíteni kell az olaj és a környezet hőmérsékletét.
3.3.6.4.3.1. A stabilizációs idő után a nyomatékveszteségnek állandónak kell lennie a tényleges mért fordulatszámbeli pontnál. Ha állandó, a 3.3.7. pontban felsorolt mérési jeleket legalább 5 másodpercen, de legfeljebb 15 másodpercen keresztül kell rögzíteni. Ha a nyomatékveszteség nem állandó a tényleges mért fordulatszámbeli pontnál, például az aktív vagy passzív vezérlőeszközök által okozott nyomatékveszteségek tervezett időszakos különbsége miatt, a gyártónak a megismételhető és reprezentatív eredmény eléréséhez szükséges vizsgálati időt kell használnia.
3.3.6.4.4. A méréssorozatot összesen kétszer kell elvégezni. E célból megengedett a szakaszok szekvenált ismétlése a nyomatékérzékelők azonos csoportjának használata mellett.
3.3.7. Mérési jelölések és adatrögzítés
Legalább a következő jeleket kell rögzíteni a mérés során:
1. Bemeneti és kimeneti nyomaték [Nm]
2. Bemeneti és kimeneti fordulatszám [ford./perc]
3. Környezeti hőmérséklet [°C]
4. Olajhőmérséklet [°C]
Amennyiben a sebességváltó olyan sebességváltó- és/vagy tengelykapcsoló rendszerrel van felszerelve, amelyet hidraulikus nyomás vagy mechanikus meghajtású, intelligens kenőrendszer szabályoz, az alábbiakat szükséges még rögzíteni:
1. Olajnyomás [kPa]
Ha a sebességváltó elektromos segédberendezéssel van felszerelve, az alábbiakat szükséges még rögzíteni:
2. A sebességváltó elektromos segédberendezésének feszültsége [V]
3. A sebességváltó elektromos segédberendezésének áramerőssége [A]
A próbapad összeállítása által okozott hatások kompenzálására differenciálmérések esetén az alábbiakat szükséges még rögzíteni:
4. Próbapadi csapágy hőmérséklete [°C]
A mintavételi és adatrögzítése gyakoriság legyen legalább 100 Hz.
A mérési hibák elkerülése érdekében alkalmazzanak aluláteresztő szűrőt.
3.3.8. A mérés hitelesítése
3.3.8.1. A minimum 5, de legfeljebb 15 másodperces mérések esetében mindkét mérésre külön-külön ki kell számolni a nyomaték, fordulatszám, (ha releváns) feszültség és áramerősség számtani középértékeit. Ha a nyomatékveszteség nem állandó a tényleges mért fordulatszámbeli pontnál, például az aktív vagy passzív vezérlőeszközök által okozott nyomatékveszteségek tervezett időszakos különbsége miatt, a gyártónak a megismételhető és reprezentatív eredmény eléréséhez szükséges vizsgálati időt kell használnia.
3.3.8.2. A bemenő tengelynél mért és átlagolt fordulatszám a teljes nyomatékveszteség-sorozat tekintetében, egyik mért működési pont esetében sem érheti el a fordulatszám beállítási értéke ± 5 ford./perc értéket. A bemenő tengelynél mért és átlagolt nyomaték a teljes nyomatékveszteség-sorozat tekintetében, egyik mért működési pont esetében sem érheti el a nyomaték beállítási értéke ± 5 Nm vagy ± 1,0 % közül a nagyobb értéket.
3.3.8.3. A mechanikus nyomatékveszteségeket és (ha releváns) az elektromos áramfelvételt az alábbiak szerint kell minden egyes mérésre kiszámítani:

Integrált differenciálművel rendelkező sebességváltó esetében és fékpaddal minden kimenőtengelyen a teljes mechanikus nyomatékveszteséget (Tloss) az alábbiak szerint számítható ki:

A 16. és a 20. alpont fogalommeghatározásai szerinti csúszó nyomatékátalakító áthidaló tengelykapcsoló és csúszó bemeneti oldali tengelykapcsoló veszteségre vonatkozó floss_tcc korrekciós tényezőt a 3.1. pontban leírtak szerint kell kiszámítani.
A nyomatékveszteség értékeiből megengedett kivonni a próbapad összeállítása által okozott hatásokat (a 3.1.2.2. ponttal összhangban).
3.3.8.4. Átlagolni kell a két összeállításból a mechanikus nyomatékveszteségeket és (ha releváns) az elektromos áramfelvételt (számtani középértékek).
3.3.8.5. A két mérési sorozatban az átlagolt nyomatékveszteségek közötti eltérés nem érheti el az átlaghoz képest ± 5 %, vagy ± 1 Nm értéket (amelyik a két érték közül a nagyobb). A két átlagolt nyomatékveszteség-érték számtani átlagát kell venni. Amennyiben az eltérés nagyobb, a legmagasabb átlagolt nyomatékveszteségi értéket kell venni, vagy a sebességfokozat esetében meg kell ismételni a vizsgálatot.
3.3.8.6. A két mérési sorozat átlagolt elektromos teljesítményfelvételi (feszültség*áramerősség) értéke közötti eltérés nem érheti el az átlaghoz képest ± 10 % vagy ± 5 W értéket (amelyik a két érték közül a nagyobb). Ezt követően a két átlagolt teljesítményérték számtani átlagát kell venni.
3.3.8.7. Amennyiben az eltérés nagyobb, a legmagasabb átlagolt teljesítményfelvételt adó, átlagolt feszültség- és áramerősség-értékeket kell venni, vagy a sebességfokozat esetében meg kell ismételni a vizsgálatot.
3.3.9. Mérési bizonytalanság
A számított teljes bizonytalanság UT,loss azon részét, amely meghaladja a Tloss 5 %-át vagy az 1 Nm (ΔUT,loss ) értéket - illetve e kettő közül a kisebb ΔUT,loss értéket - hozzá kell adni a Tloss értékhez a jelentett nyomatékveszteség Tloss,rep esetében. Ha a UT,loss kisebb, mint a Tloss 5 %-a vagy 1 Nm, akkor Tloss,rep = Tloss .
Tloss,rep = Tloss + MAX (0, ΔUT,loss )
ΔUT,loss = MIN ((UT,loss - 5 % * Tloss ), (UT,loss - 1 Nm))
Minden egyes mérési sorozat esetében a nyomatékveszteség teljes bizonytalansága (UT,loss ) az alábbi paraméterek alapján számítható ki:
1. hőmérsékleti hatás
2. készenléti terhelések
3. kalibrálási hiba (beleértve az érzékenységi tűrést, a linearitást, a hiszterézist és a megismételhetőséget)
A nyomatékveszteség teljes bizonytalansága (UT,loss) az érzékelők bizonytalanságán alapul, 95 %-os konfidenciaszint mellett. A számítás a négyzetek összegének négyzetgyökeként ("Gauss-féle hibaterjedési törvény") végezhető el.






wpara = senspara * ipara
ahol:
Tloss = mért nyomatékveszteség (korrekció nélkül) [Nm]
Tloss,rep = jelentett nyomatékveszteség (bizonytalansági korrekciót követően) [Nm]
UT,loss = a nyomatékveszteség mérésének teljes kiterjesztett bizonytalansága 95 %-os konfidenciaszinten [Nm]
uT,in/out = a bemeneti / kimeneti nyomatékveszteség-mérés bizonytalansága, külön a bemeneti és a kimeneti nyomatékérzékelőre [Nm]
igear = áttételi arány [-]
uTKC = az aktuális nyomatékjelnek a hőmérséklet hatása miatt jelentkező bizonytalansága [Nm]
wtkc = a hőmérséklet hatása az aktuális nyomatékjelre Kref értékenként, az érzékelő gyártója által meghatározva [%]
uTK0 = a zéró nyomatékjelnek a hőmérséklet hatása miatt jelentkező bizonytalansága (a névleges nyomatékhoz képest) [Nm]
wtk0 = a hőmérséklet hatása a zéró nyomatékjelre (a névleges nyomatékhoz képest) Kref értékenként, az érzékelő gyártója által meghatározva [%]
Kref = referenciaként szolgáló hőmérséklet-tartomány az uTKC és uTK0, wtk0, valamint wtkc értékekre, az érzékelő gyártója által meghatározva [K]
ΔK = az érzékelő hőmérsékletének az eltérése a kalibrálás és a mérés között [K]. Ha az érzékelő hőmérséklete nem mérhető, a ΔK = 15 K alapértelmezett értéket kell használni.
Tc = aktuális / mért nyomatékérték a nyomatékérzékelőnél [Nm]
Tn = a nyomatékérzékelő névleges nyomatékértéke [Nm]
ucal = a nyomatékérzékelő kalibrálásából származó bizonytalanság [Nm]
Wcal = relatív kalibrálási bizonytalanság (a névleges nyomatékhoz képest) [%]
kcal = kalibrálás-előrehaladási tényező (ha az érzékelő gyártója megadta, ellenkező esetben = 1)
upara = a készenléti terhelésekből származó bizonytalanság [Nm]
wpara
=
senspara * ipara
A helytelen beállítás miatt fellépő erők és hajlítónyomatékok relatív hatása [%]
senspara = a készenléti terheléseknek az adott nyomatékérzékelőre gyakorolt maximális hatása, az érzékelő gyártója által megadva [%]; ha az érzékelő gyártója nem határozott meg konkrét értéket a készenléti terhelésekre vonatkozóan, az értéket 1,0 %-nak kell tekinteni
ipara = a készenléti terheléseknek az adott nyomatékérzékelőre gyakorolt maximális hatása a vizsgálati összeállítástól függően (A/B/C a lentebb meghatározottak szerint).
= A) 10 % az érzékelő előtt és után a zavaró erőhatásokat elszigetelő csapágyak és funkcionálisan az érzékelő mellett (előtte vagy utána) felszerelt rugalmas tengelykapcsoló (vagy kardántengely) esetén; továbbá ezek a csapágyak beépíthetők a meghajtó/fékező berendezésbe (pl. elektromos berendezésbe) és/vagy a sebességváltóba mindaddig, amíg az erők a berendezésben és/vagy sebességváltóban el vannak szigetelve az érzékelőtől. Lásd a 3. ábrát. 3. ábra Példa vizsgálati összeállításra a 3. opcióhoz [Kép #13]

Kép #13
= B) 50 % az érzékelő előtt és után a zavaró erőhatásokat elszigetelő csapágyak esetén, és funkcionálisan az érzékelő mellett felszerelt rugalmas tengelykapcsoló nélkül; továbbá ezek a csapágyak beépíthetők a meghajtó/fékező berendezésbe (pl. elektromos berendezésbe) és/vagy a sebességváltóba mindaddig, amíg az erők a berendezésben és/vagy sebességváltóban el vannak szigetelve az érzékelőtől. Lásd a 4. ábrát. 4. ábra Példa B. vizsgálati összeállításra a 3. opcióhoz [Kép #14]

Kép #14
= C) 100 % a többi összeállításra
Az elsőkerék-meghajtásra szolgáló integrált differenciálművel rendelkező sebességváltó vizsgálati összeállítása a sebességváltó bemeneti oldalán lévő fékpadból és a sebességváltó kimeneti oldalán (oldalain) lévő, legalább egy fékpadból áll. A nyomatékmérő eszközöket a sebességváltó bemeneti és kimeneti oldalán/oldalain kell elhelyezni. Olyan vizsgálati összeállítások esetében, amelyeknél a kimeneti oldalon csak egy fékpad van, az integrált differenciálművel rendelkező sebességváltó szabadon forgó végének elforgathatóan kell a kimeneti oldalon a másik véghez kapcsolódnia (pl. aktivált differenciálzár vagy bármilyen más mechanikus differenciálzár révén, amelyet csak a méréshez alkalmaznak).
A készenléti terheléseknek az adott nyomatékérzékelőre gyakorolt maximális befolyását mutató ipara tényező fokbeosztása megegyezik a fent leírt összeállításokkal (A/B/C).
5. ábra
Példa "A" vizsgálati összeállításra integrált differenciálművel rendelkező sebességváltó esetében (pl. elsőkerék-meghajtás működtetéséhez)

6. ábra
Példa "B" vizsgálati összeállításra integrált differenciálművel rendelkező sebességváltó esetében (pl. elsőkerék-meghajtás működtetéséhez)

Amennyiben minden kimenőtengelyen van fékpad, a nyomatékveszteség teljes bizonytalansága (UT,loss ) a következőképpen számítandó ki:

A gyártó a helyes műszaki megítélés alapján és a jóváhagyó hatósággal egyetértésben módosíthatja az "A" és "B" vizsgálati összeállítást, például gyakorlati vizsgálati összeállítási okokból. Ilyen esetben a vizsgálati jegyzőkönyvben egyértelműen meg kell határozni az eltérés okát és az alternatív összeállítást.
A vizsgálat külön csapágyegység nélkül is elvégezhető a próbapadon a sebességváltó bemeneti/kimeneti oldalán, ha a sebességváltó azon tengelyét, amelyen a nyomatékot mérik, a sebességváltóházban két csapágy támasztja alá, amelyek képesek elnyelni a sebességváltó-készletek által okozott radiális és axiális erőket (lásd a 2C. ábrát a 3.1.8. pontban).
3.4. A szimulációs eszközhöz a bemeneti állományok kiegészítése
Minden egyes sebességfokozathoz meg kell határozni a meghatározott bemeneti fordulatszámra és a bemeneti nyomatékbeli pontokra kiterjedő nyomatveszteségi jellegmezőt az egyik meghatározott vizsgálati opcióval vagy a szokványos nyomatékveszteségi értékekkel. A szimulációs eszközhöz tartozó bemeneti állomány esetében az alapvető nyomatékveszteség jellegmezőt az alábbiak szerint kell kiegészíteni:
3.4.1. Azokban az esetekben, amikor a legmagasabb vizsgált bemeneti fordulatszám volt a legutolsó fordulatszámbeli pont a sebességváltóra meghatározott maximálisan megengedhető fordulatszám alatt, a nyomatékveszteség extrapolációját kell alkalmazni a maximális fordulatszámig a két legutóbb mért fordulatszámbeli ponton alapuló lineáris regresszióval.
3.4.2. Azokban az esetekben, amikor a legmagasabb vizsgált bemeneti nyomaték volt a legutolsó nyomatékbeli pont a sebességváltóra meghatározott maximálisan megengedhető nyomaték alatt, a nyomatékveszteség extrapolációját kell alkalmazni a maximális nyomatékig a megfelelő fordulatszámbeli pontnak a két legutóbb mért nyomatékértékén alapuló lineáris regressziójával. A motor nyomatékbeli tűréshatárainak stb. a kezelése érdekében a szimulációs eszköz szükség szerint elvégzi a nyomatékvesztés extrapolációját a bemeneti nyomatékokra a sebességváltónak a fentiekben említett, maximálisan megengedett nyomatéka felett 10 %-ig.
3.4.3. A maximális bemeneti fordulatszám és maximális bemeneti nyomaték tekintetében a nyomatékveszteségi értékek egyidejű extrapolációja esetén a legmagasabb fordulatszám és legmagasabb nyomaték együttes pontjára vonatkozó nyomatékveszteséget kétdimenziós lineáris extrapolációval kell kiszámítani.
3.4.4. Ha a maximális kimeneti nyomaték meghaladja a 10 kNm értéket (elméleti veszteségmentes sebességváltó esetén), és/vagy minden olyan fordulatszám- és nyomatékbeli pontra, ahol a bemenőteljesítmény magasabb, mint a meghatározott maximális bemenőteljesítmény, a gyártó dönthet úgy, hogy az összes 10 kNm-nél magasabb nyomaték, és/vagy az összes olyan fordulatszám- és nyomatékbeli pont esetében, ahol a bemenőteljesítmény magasabb, mint a meghatározott maximális bemenőteljesítmény, egy nyomatékveszteségi értéket vesz figyelembe az alábbiak közül:
1. Számított visszaesési értékek (8. függelék)
2.
1. opció
3.
2. vagy 3. opció a magasabb kimeneti értékek esetében nyomatékérzékelővel együtt (ha szükséges)
A 2. opció szerinti i. és ii. esetben a terhelés melletti nyomatékveszteségeket azon a bemeneti nyomatékon kell mérni, amely megfelel a 10 kNm kimeneti nyomaténak és/vagy a meghatározott maximális bemenőteljesítménynek.
3.4.5. A meghatározott minimális fordulatszám alatti és 0 ford./perc mértékű további bemeneti fordulatszámlépéssel rendelkező fordulatszámok esetében a minimális fordulatszámbeli pontra meghatározott, rögzített nyomatékveszteséget kell reprodukálni.
3.4.6. A jármű szabadon futása során a negatív bemeneti nyomatéktartomány lefedése érdekében a pozitív bemeneti nyomatékokra vonatkozó nyomatékveszteségi értékeket kell másolni a kapcsolódó negatív bemeneti nyomatékokra.
3.4.7. A jóváhagyó hatóság beleegyezése mellett az 1 000 ford./perc alatti bemeneti fordulatszámok melletti nyomatékveszteségeket 1 000 ford./percnek megfelelő nyomatékveszteségekre lehet cserélni, amikor a mérés technikailag nem lehetséges.
3.4.8. Ha a fordulatszámbeli pontok mérése technikailag nem lehetséges (pl. a sajátfrekvencia miatt), a gyártó a jóváhagyó hatóság beleegyezése mellett interpolációval vagy extrapolációval kiszámíthatja a nyomatékveszteséget (sebességfokozatonként max. 1 fordulatszámbeli pontra való korlátozással).
3.4.9. A nyomatékveszteség jellegmezőjének adatait az e melléklet 12. függelékében meghatározottak szerint kell formázni és menteni
4. A nyomatékátalakítóra (TC) vonatkozó vizsgálati eljárás
A nyomatékátalakítónak a szimulációs eszköz bemeneti adatához meghatározandó jellemzői közé tartozik a Tpum1000 (referencianyomaték 1 000 ford./perc bemeneti fordulatszám mellett) és a μ (a nyomatékátalakító nyomatékmódosítási tényezője). Mindkettő a nyomatékátalakító v (= a nyomatékátalakító kimeneti (turbina) fordulatszáma / bemeneti (szivattyú) fordulatszáma) áttételi arányától függ.
A nyomatékátalakító jellemzőinek a meghatározásához a tanúsítvány kérelmezője az alábbi módszert alkalmazza tekintet nélkül arra, hogy milyen opciót választott a sebességváltó nyomatékveszteségének az értékeléséhez.
A nyomatékátalakító két lehetséges elrendezésének és a sebességváltó mechanikus részeinek a figyelembevételéhez az alábbiak szerint kell megkülönböztetni az "S" elrendezést és a "P" elrendezést:
"S" elrendezés : A nyomatékátalakító és a sebességváltó mechanikus részei soros elrendezésben
"P" elrendezés : A nyomatékátalakító és a sebességváltó mechanikus részei párhuzamos elrendezésben (teljesítménymegosztásos elrendezés)
Az "S" elrendezések esetében a nyomatékátalakító jellemzőinek értékelése történhet a mechanikus sebességváltótól külön, vagy a mechanikus sebességváltóval együtt. A "P" elrendezések esetében a nyomatékátalakító jellemzőinek értékelése kizárólag a mechanikus sebességváltóval együtt történhet. Mindazonáltal ebben az esetben, valamint a mérésre szánt hidromechanikus sebességfokozatok tekintetében a teljes elrendezés - a nyomatékátalakító és a mechanikus áttétel - olyan nyomatékátalakítónak minősül, amely egyetlen nyomatékátalakítóként hasonló jellemző görbékkel rendelkezik. Mechanikus sebességváltóval végzett mérések esetén a v áttételi arányt és a lépésközre vonatkozó megfelelő értékeket, valamint a határértékeket a mechanikus sebességáttétel figyelembevételével kell kiigazítani.
A nyomatékátalakító jellemzőinek a meghatározásához két mérési opciót lehet alkalmazni:
i. "A" opció: mérés állandó bemeneti fordulatszámon;
ii. "B" opció: mérés állandó bemeneti nyomatékon az SAE J643 alapján.
A gyártó az "A" és "B" opciók közül választhat az "S" és "P" eset szerinti elrendezésekhez.
A szimulációs eszköz bemeneti adataihoz a μ nyomatékmódosítási tényező és a nyomatékátalakító Tpum referencianyomatéka mérendő a v ≤ 0,95 (= jármű hajtott mód) tartományhoz.
Standard értékek használata esetén a nyomatékátalakító jellemzőit érintő, a szimulációs eszközbe bevitt adatok kizárólag a v ≤ 0,95 (vagy a beállított áttételi arány) tartományra terjedjenek ki. A szimulációs eszköz automatikusan hozzáadja az általános értékeket a ráfutási viszonyok esetében. táblázat.
1. táblázat
Alapértékek a v ≥ 1,00 esetében
v | μ | Tpum 1000 |
1,000 | 1,0000 | 0,00 |
1,100 | 0,9999 | – 40,34 |
1,222 | 0,9998 | – 80,34 |
1,375 | 0,9997 | – 136,11 |
1,571 | 0,9996 | – 216,52 |
1,833 | 0,9995 | – 335,19 |
2,200 | 0,9994 | – 528,77 |
2,500 | 0,9993 | – 721,00 |
3,000 | 0,9992 | – 1 122,00 |
3,500 | 0,9991 | – 1 648,00 |
4,000 | 0,9990 | – 2 326,00 |
4,500 | 0,9989 | – 3 182,00 |
5,000 | 0,9988 | – 4 242,00 |
4.1. "A" opció: A nyomatékátalakítónak az állandó fordulatszámon mért jellemzői
4.1.1. Általános követelmények
A mérésekhez alkalmazott nyomatékátalakító álljon összhangban a sorozatgyártású nyomatékátalakítók tervrajzi előírásaival.
Az e mellékletben meghatározott vizsgálati követelményeknek való megfelelés érdekében megengedett a nyomatékátalakító módosítása, pl. mérőérzékelők beépítése.
A jóváhagyó hatóság kérésére a tanúsítványt kérelmező határozza meg és bizonyítja az e mellékletben rögzített követelményeknek való megfelelést.
4.1.2. Olajhőmérséklet
A nyomatékátalakítóhoz a bemeneti olajhőmérséklet feleljen meg az alábbi követelményeknek:
A sebességváltótól különálló nyomatékátalakítók méréseihez az olajhőmérséklet legyen 90 °C + 7/- 3 K.
A sebességváltóval egybeépített nyomatékátalakítók méréseihez ("S" és "P" elrendezés) az olajhőmérséklet legyen 90 °C + 20/- 3 K.
Az olajhőmérsékletet a leeresztőcsavarnál, illetve az olajteknőnél kell mérni.
Amennyiben a nyomatékátalakítók jellemzőit a sebességváltótól külön mérik, az olajhőmérsékletet még a nyomatékátalakító dobjára/próbapadjára való behelyezés előtt meg kell mérni.
4.1.3. Az olaj áramlási sebessége és nyomása
A nyomatékátalakítónál a bemeneti olaj áramlási sebessége és a nyomatékátalakító kimeneti olajnyomása maradjon a nyomatékátalakítóra meghatározott üzemi határértékek között, a kapcsolódó sebességváltó-típustól és a vizsgált maximális bemeneti fordulatszámtól függően.
4.1.4. Olajminőség / olajviszkozitás
A sebességváltó vizsgálatához a 3.1.2.5.3. és a 3.1.2.5.4. pontban meghatározottak szerint
4.1.5. Felszerelés
A nyomatékátalakítót a próbapadra nyomatékérzékelővel, fordulatszám-érzékelővel, valamint a nyomatékátalakító bemenő tengelyénél és kimenő tengelyénél elektromos berendezéssel felszerelve kell a próbapadra helyezni.
4.1.6. Mérőeszközök
A kalibrálásra szolgáló laboratóriumi létesítményeknek meg kell felelniük az IATF 16949 szabvány, az ISO 9000 szabványsorozat vagy az ISO/IEC 17025 szabvány követelményeinek. Valamennyi referenciamérésre szolgáló berendezésnek, amelyet a kalibráláshoz és/vagy hitelesítéshez használnak, a nemzeti (nemzetközi) szabványok szerint ellenőrizhetőnek kell lenniük.
4.1.6.1. Nyomaték
A nyomatékérzékelő mérési bizonytalansága legyen a mért nyomatékveszteség 1 %-a alatt.
A nagyobb mérési bizonytalansággal jellemezhető nyomatékérzékelők használata akkor megengedett, ha a bizonytalanságnak a mért nyomaték 1 %-át meghaladó része kiszámítható, és hozzáadható a 4.1.7. pontban leírt, mért nyomatékveszteséghez.
4.1.6.2. Fordulatszám
A fordulatszám-érzékelők bizonytalansága nem haladhatja meg a ±1 ford./perc értéket.
4.1.6.3. Hőmérséklet
A környezeti hőmérséklet mérésére használt hőérzékelők bizonytalansága nem haladhatja meg a ±1,5 K-t.
Az olaj hőmérsékletének mérésére használt hőérzékelők bizonytalansága nem haladhatja meg a ±1,5 K-t.
4.1.7. Vizsgálati eljárás
4.1.7.1. Zéró nyomatékjel kompenzációja
A 3.1.6.1. pontban leírtak szerint.
4.1.7.2. Méréssorozat
4.1.7.2.1. A nyomatékátalakító npum bemeneti fordulatszámát az alábbi tartományon belül állandó fordulatszámhoz kell rögzíteni:
1 000 ford./perc ≤ npum ≤ 2 000 ford./perc
4.1.7.2.2. A v áttételi arányt az ntur kimeneti fordulatszám 0 ford./perc értékről az npum beállított értékre történő emelésével kell beállítani.
4.1.7.2.3. A 0 és 0,6, valamint a 0,6 és 0,95 közötti áttételiarány-tartományban a lépésköz értéke 0,1, illetve 0,05.
4.1.7.2.4. Az áttételi arány felső határértékét a gyártó 0,95 alatti értékben korlátozhatja. Ez esetben v = 0 és v < 0,95 érték között a mérésnek legalább hét, egyenletesen elosztott pontra kell kiterjednie.
4.1.7.2.5. Minden egyes pontnál, a 4.1.2. pont szerinti hőmérsékleti határértékeken belül legalább 3 másodperc stabilizációs idő szükséges. A stabilizációs időt a gyártó legfeljebb 60 másodpercig szükség szerint meghosszabbíthatja. A stabilizáció során rögzíteni kell az olaj hőmérsékletét.
4.1.7.2.6. Minden egyes pont tekintetében a 4.1.8. pontban meghatározott jeleket legalább 3 másodpercen, de legfeljebb 15 másodpercen keresztül kell rögzíteni a vizsgálati pontra.
4.1.7.2.7. A méréssorozatot (4.1.7.2.1-4.1.7.2.6.) összesen kétszer kell elvégezni.
4.1.8. Mérési jelölések és adatrögzítés
Legalább a következő jeleket kell rögzíteni a mérés során:
1. Bemeneti (szivattyú) nyomaték Tc,pum [Nm]
2. Kimeneti (turbina) nyomaték Tc,tur [Nm]
3. Bemeneti (szivattyú) fordulatszám npum [ford./perc]
4. Kimeneti (szivattyú) fordulatszám ntur [ford./perc]
5. nyomatékátalakító bemeneti olajhőmérséklete KTCin [°C]
A mintavételi és adatrögzítése gyakoriság legyen legalább 100 Hz.
A mérési hibák elkerülése érdekében alkalmazzanak aluláteresztő szűrőt.
4.1.9. A mérés hitelesítése
4.1.9.1. A 3-15 másodperces mérések esetében mindkét mérésre külön-külön ki kell számolni a nyomaték és fordulatszám számtani középértékeit.
4.1.9.2. A két sorozatból mért nyomatékokat és fordulatszámokat átlagolni szükséges (számtani középértékek).
4.1.9.3. A két mérési sorozat esetében az átlagolt nyomatékok közötti eltérés nem érheti el az átlaghoz képest ± 5 % vagy ± 1 Nm értéket (amelyik a két érték közül a nagyobb). A két átlagolt nyomatékérték számtani átlagát kell venni. Amennyiben az eltérés nagyobb, a 4.1.10. és a 4.1.11. ponthoz a következő értéket kell figyelembe venni, vagy a vizsgálatot meg kell ismételni a nyomatékátalakítóra.
- a ΔUT,pum/tur kiszámításához: a legkisebb átlagolt nyomatékérték a Tc,pum/tur esetében
- a μ nyomatékmódosítási tényező: kiszámításához: a legnagyobb átlagolt nyomatékérték a Tc,pum esetében
- a μ nyomatékmódosítási tényező: kiszámításához: a legkisebb átlagolt nyomatékérték a Tc,tur esetében
- a Tpum1000 referencianyomaték kiszámításához: a legkisebb átlagolt nyomatékérték a Tc,pum esetében
4.1.9.4. A bemenő tengelynél mért és átlagolt fordulatszám és nyomaték a teljes áttételiarány-sorozat tekintetében, egyik mért működési pont esetében sem érheti el a fordulatszám és a nyomaték beállítási értéke ± 5 ford./perc, illetve ± 5 Nm értéket.
4.1.10. Mérési bizonytalanság
A számított mérési bizonytalanságnak UT,pum/tur a mért nyomaték Tc,pum/tur 1 %- feletti részét kell alkalmazni a nyomatékátalakító jellemző értékére a lentiekben meghatározottak szerint.
ΔUT,pum/tur = MAX ( 0, (UT,pum/tur - 0,01 * Tc,pum/tur))
A nyomatékmérés bizonytalansága UT,pum/tur az alábbi paraméterek alapján számítható ki:
i. Kalibrálási hiba (beleértve az érzékenységi tűrést, a linearitást, a hiszterézist és a megismételhetőséget)
A nyomatékmérés bizonytalansága UT,pum/tur az érzékelők bizonytalanságán alapul, 95 %-os konfidenciaszint mellett.
UT,pum/tur = 2 * ucal

ahol:
Tc,pum/tur = aktuális / mért nyomatékérték a bemeneti/kimeneti nyomatékérzékelőnél (nem korrigált) [Nm]
Tpum = bemeneti (szivattyú) nyomaték (a bizonytalanság korrigálását követően) [Nm]
UT,pum/tur = a bemeneti / kimeneti nyomatékmérés bizonytalansága 95 %-os konfidenciaszinten, külön a bemeneti és a kimeneti nyomatékérzékelőre [Nm]
Tn = a nyomatékérzékelő névleges nyomatékértéke [Nm]
ucal = a nyomatékérzékelő kalibrálásából származó bizonytalanság [Nm]
Wcal = relatív kalibrálási bizonytalanság (a névleges nyomatékhoz képest) [%]
kcal = kalibrálás-előrehaladási tényező (ha az érzékelő gyártója megadta, ellenkező esetben = 1)
4.1.11. A nyomatékátalakító jellemzőinek a számítása
Minden egyes mérési ponton a mérési adatokra az alábbi adatokat kell alkalmazni:
A nyomatékátalakító nyomatékmódosítási tényezője az alábbiak szerint számítandó ki:

A nyomatékátalakító áttételi aránya az alábbiak szerint számítandó ki:

1 000 ford./perc mellett a referencianyomaték az alábbiak szerint számítandó ki:

ahol:
μ = a nyomatékátalakító nyomatékmódosítási tényezője [-]
v = a nyomatékátalakító áttételi aránya [-]
Tc,pum = bemeneti (szivattyú) nyomaték (korrigált) [Nm]
npum = bemeneti (szivattyú) fordulatszám [ford./perc]
ntur = kimeneti (turbina) fordulatszám [ford./perc]
Tpum1000 = referencianyomaték 1 000 ford./perc mellett [Nm]
4.2. "B" opció: Mérés állandó bemeneti nyomatékon (az SAE J643 szerint)
4.2.1. Általános követelmények
A 4.1.1. pontban leírtak szerint.
4.2.2. Olajhőmérséklet
A 4.1.2. pontban leírtak szerint.
4.2.3. Az olaj áramlási sebessége és nyomása
A 4.1.3. pontban leírtak szerint.
4.2.4. Olajminőség
A 4.1.4. pontban leírtak szerint.
4.2.5. Felszerelés
A 4.1.5. pontban leírtak szerint.
4.2.6. Mérőeszközök
A 4.1.6. pontban leírtak szerint.
4.2.7. Vizsgálati eljárás
4.2.7.1. Zéró nyomatékjel kompenzációja
A 3.1.6.1. pontban leírtak szerint.
4.1.7.2. Méréssorozat
4.2.7.2.1. A bemeneti nyomatékot Tpum pozitív értékre kell állítani npum = 1 000 ford./perc mellett úgy, hogy a nyomatékátalakító kimenőtengelye nem forog (kimeneti fordulatszám ntur = 0 ford./perc).
4.2.7.2.2. Az áttételi arányt v úgy kell beállítani, hogy a kimeneti fordulatszámot ntur 0 ford./percről ntur értékre emelik a hasznos v tartomány lefedésére, legalább hét, egyenletesen elosztott fordulatszámbeli ponttal.
4.2.7.2.3. A 0 és 0,6, valamint a 0,6 és 0,95 közötti áttételiarány-tartományban a lépésköz értéke 0,1, illetve 0,05.
4.2.7.2.4. Az áttételi arány felső határértékét a gyártó 0,95 alatti értékben korlátozhatja.
4.2.7.2.5. Minden egyes pontnál, a 4.2.2. pont szerinti hőmérsékleti határértékeken belül legalább 5 másodperc stabilizációs idő szükséges. A stabilizációs időt a gyártó legfeljebb 60 másodpercig szükség szerint meghosszabbíthatja. A stabilizáció során rögzíteni kell az olaj hőmérsékletét.
4.2.7.2.6. Minden egyes pont tekintetében a 4.2.8. pontban meghatározott értékeket legalább 5 másodpercen, de legfeljebb 15 másodpercen keresztül kell rögzíteni a vizsgálati pontra.
4.2.7.2.7. A méréssorozatot (4.2.7.2.1-4.2.7.2.6.) összesen kétszer kell elvégezni.
4.2.8. Mérési jelölések és adatrögzítés
A 4.1.8. pontban leírtak szerint.
4.2.9. A mérés hitelesítése
A 4.1.9. pontban leírtak szerint.
4.2.10. Mérési bizonytalanság
A 4.1.9. pontban leírtak szerint.
4.2.11. A nyomatékátalakító jellemzőinek a számítása
A 4.1.11. pontban leírtak szerint.
5. E rész hatóköre kiterjed a motor-lassítófékekre, az áttételi lassítófékekre, az erőáttételi lassítófékekre, valamint azon alkatrészekre, melyeket a szimulációs eszköz lassítófékként kezel. Ezek az alkatrészek magukban foglalják az olyan járműindító eszközöket, mint az egytárcsás nedves sebességváltó bemeneti tengelykapcsoló vagy a hidrodinamikus tengelykapcsoló.
5.1. A lassítófék vonónyomaték-veszteségének megállapítására szolgáló módszerek
A lassítófék vonónyomaték-vesztesége a lassítófék forgórészének a fordulatszámától függ. Mivel a lassítófék a jármű sebességváltó-rendszerének különböző részeibe építhető be, a lassítófék forgórészének a fordulatszáma a hajtórésztől (= referenciasebesség), valamint a hajtórész és a lassítófék forgórésze közötti áttételi tényezőtől függ, mint azt a 2. táblázat is mutatja.
2. táblázat
Lassítófék forgórészének fordulatszámai
Konfiguráció | Referencia-fordulatszám | nretarder = nengine * istep-up |
A. Motor lassítófék | Motorfordulatszám | nretarder = nengine * istep-up |
B. Sebességváltó bemeneti lassítófék | Sebességváltó bemenő tengelyének fordulatszáma | nretarder = ntransm.input * istep-up = ntransm.output * itransm * istep-up |
C. Sebességváltó kimeneti lassítófék vagy a tányérkerék-kúpkerék készlet bemeneti lassítófék | Sebességváltó Kimenőtengely fordulatszáma vagy a tányérkerék-kúpkerék készlet bemenő tengelyének fordulatszáma | nretarder = ntransm.output × istep-up |
ahol:
istep-up = áttételi tényező = lassítófék forgórészének fordulatszáma / hajtórész fordulatszáma
itransm = sebességváltó-viszony = sebességváltói bemeneti fordulatszám / sebességváltói kimeneti fordulatszám
A motorba beépített és a motortól nem elválasztható lassítófék-konfigurációkat a motorral együtt kell vizsgálni. E rész nem tárgyalja ezeket a nem elválasztható, motorba épített lassítófékeket.
Azok a lassítófékek, melyek bármilyen tengelykapcsolóval leválaszthatók a sebességváltóról vagy a motorról, úgy tekintendők, mint amelyeknek leválasztott állapotában a forgórész fordulatszáma nulla, és ezért nem merül fel teljesítményveszteség.
A lassítófék motorfékezési veszteségeit a következő két módszer egyikével kell mérni:
1. A lassítófék mérése önálló egységként
2. Mérés a sebességváltóval együtt
5.1.1. Általános követelmények
Amennyiben a veszteségeket a lassítóféken, mint önálló egységen mérik, az eredményeket a nyomatékveszteségek befolyásolják a vizsgálati összeállítás csapágyaiban. Megengedett ezeknek a csapágyakkal összefüggő veszteségeknek a mérése, majd levonása a lassítófék motorfékezési veszteségére vonatkozó mérésekből.
A gyártónak kell garantálnia, hogy a mérésekhez alkalmazott lassítófék a sorozatgyártású lassítófékek rajzai szerinti előírásaival összhangban legyen.
Az e melléklet vizsgálati követelményeinek való megfelelés érdekében a lassítóféket érintő módosítások - pl. a mérőérzékelők beépítése vagy külső olajkondicionáló rendszerek átvétele - megengedettek.
Az e melléklet 6. függelékében leírt család alapján a lassítófékkel rendelkező sebességváltók tekintetében mért motorfékezési veszteségek felhasználhatók ugyanazon (egyenértékű), de lassítófékkel nem rendelkező sebességváltóra.
A nyomatékveszteségek eltéréseinek a mérésére ugyanazon sebességváltó egység használata lassítófékkel és anélkül is megengedett.
A jóváhagyó hatóság kérésére a tanúsítványt kérelmező határozza meg és bizonyítja az e mellékletben rögzített követelményeknek való megfelelést.
5.1.2. Bejáratás
A kérelmező kérésére bejáratási eljárást lehet alkalmazni a lassítófék tekintetében. A bejáratási eljárásra a következő előírások vonatkoznak.
5.1.2.1. Ha a gyártó a lassítófékre bejáratási eljárást alkalmaz, a lassítófék esetében a bejáratási idő nem haladhatja meg az 100 órát, ha a lassítófék által gyakorolt nyomaték mértéke nulla. Opcionálisan ez kiterjedhet a lassítófék által gyakorolt nyomaték legfeljebb 6 órás időtartamának valamely részére.
5.1.3. Vizsgálati körülmények
5.1.3.1. Környezeti hőmérséklet
A vizsgálat során a környezeti hőmérsékletnek a 25 °C ± 10 K tartományban kell maradnia.
A környezeti hőmérséklet mérését a lassítóféktől oldalirányban 1 m-re kell elvégezni.
5.1.3.2. Környezeti nyomás
Mágneses lassítófékek esetében a minimális környezeti nyomásnak 899 hPa-nak kell lennie az ISO 2533 szerinti nemzetközi egyezményes légkör (ISA) alapján.
5.1.3.3. Olaj- vagy vízhőmérséklet
Hidrodinamikus lassítófékek esetében:
A folyadékot kivéve külső melegítés nem megengedett.
Önálló egység vizsgálatakor a lassítófék folyadékának hőmérséklete (olaj vagy víz) nem haladhatja meg a 87 °C-ot.
A sebességváltóval való együttes vizsgálat esetén a sebességváltó vizsgálatára vonatkozó olajhőmérsékleti határértékek alkalmazandók.
5.1.3.4. Az olaj vagy víz minősége
A vizsgálathoz az európai piacra ajánlott új, első betöltésű olajat kell használni.
A vízüzemű lassítófékek esetében a víz minőségének meg kell felelnie a lassítófékre a gyártó által meghatározott előírásoknak. A víznyomást a jármű állapotához közeli, fix értékekre kell beállítani (1 ± 0,2 bar relatív nyomás a lassítófék bemeneti tömlőjénél).
5.1.3.5. Olajviszkozitás
Amennyiben az első betöltésre több olaj javasolt, azok akkor tekinthetők egymással egyenértékűnek, ha az olajok kinematikus viszkozitása egymástól legfeljebb 50 %-kal tér el azonos hőmérséklet mellett (a KV100 értékre meghatározott tűréshatár-tartományon belül).
5.1.3.6. Olaj- vagy vízszint
Az olaj-/vízszintnek teljesítenie kell a lassítófékre meghatározott, névleges előírásokat.
5.1.4. Felszerelés
Az elektromos gépet, a nyomatékérzékelőt és a fordulatszám-érzékelőt a lassítófék vagy sebességváltó bemeneti oldalára kell felszerelni.
A lassítófék (és a sebességváltó) felszerelését azzal a dőlésszöggel kell elvégezni, ami a járműbe való beszerelés tekintetében is érvényes a típus-jóváhagyás ± 1° vagy 0° ± 1° szerint.
5.1.5. Mérőeszközök
A sebességváltó vizsgálatához a 3.1.4. pontban meghatározottak szerint.
5.1.6. Vizsgálati eljárás
5.1.6.1. Zéró nyomatékjel kompenzációja:
A sebességváltó vizsgálatához a 3.1.6.1. pontban meghatározottak szerint.
5.1.6.2. Méréssorozat
A lassítófék vizsgálatához a nyomatékveszteségre vonatkozó méréssorozat a 3.1.6.3.2-3.1.6.3.5. pontban a sebességváltó vizsgálatát érintő rendelkezéseket követi.
5.1.6.2.1. A lassítófék mérése önálló egységként
Amikor a lassítófék önálló egységként kerül vizsgálatra, a nyomatékveszteségi méréseket a következő fordulatszámbeli pontok alkalmazásával kell elvégezni:
200, 400, 600, 900, 1 200 , 1 600 , 2 000 , 2 500 , 3 000 , 3 500 , 4 000 , 4 500 , 5 000 , folytatva a lassítófék forgórészének a maximális fordulatszámáig.
5.1.6.2.2. Mérés a sebességváltóval együtt
5.1.6.2.2.1. A lassítóféknek a sebességváltóval együtt történő vizsgálata esetén a sebességváltó kiválasztott sebességfokozatának lehetővé kell tennie a lassítófék számára a forgórész maximális fordulatszáma melletti működést.
5.1.6.2.2. A nyomatékveszteséget a kapcsolódó sebességváltó vizsgálatra jelzett üzemi fordulatszámokon kell mérni.
5.1.6.2.2.3. A sebességváltó 600 ford./perc alatti bemeneti fordulatszámait a gyártó kérésére hozzá lehet adni a mérési pontokhoz.
5.1.6.2.2.4. A gyártó a vizsgálatot az alábbiakban leírt sorrendben elvégezve elkülönítheti a lassítófék veszteségeit a teljes sebességváltó-veszteségtől:
1. A lassítófékkel együtt vizsgált teljes sebességváltó terheléstől független nyomatékveszteségének mérését a sebességváltó mérésével kapcsolatban a 3.1. pontban meghatározottak szerint, a sebességváltó egyik magasabb sebességfokozatában kell elvégezni
= Tl,in,withret
2. A lassítóféket és a kapcsolódó részeket olyan alkatrészekkel kell helyettesíteni, amelyek az egyenértékű sebességváltó lassítófék nélküli változatához szükségesek. Az (1) pont mérését meg kell ismételni.
= Tl,in,withret
3. A lassítófékre vonatkozóan a terheléstől független nyomatékveszteséget a két vizsgálati adatsor közötti különbségek kiszámításával kell meghatározni
= Tl,in,retsys = Tl,in,withret - Tl,in,withoutret
5.1.7. Mérési jelölések és adatrögzítés
A sebességváltó vizsgálatához a 3.1.5. pontban meghatározottak szerint.
5.1.8. A mérés hitelesítése
Az összes rögzített adatot a 3.1.7. pontban a sebességváltó vizsgálatára meghatározottak szerint kell ellenőrizni és feldolgozni.
5.2. A szimulációs eszközhöz a bemeneti állományok kiegészítése
5.2.1. A lassítóféknek a legalacsonyabb mérési fordulatszám alatti fordulatszámokra vonatkozó nyomatékveszteségeit az ezen a legalacsonyabb mérési fordulatszámon mért nyomatékveszteséggel azonosan kell beállítani.
5.2.2. Ha a lassítófékkel és anélkül végzett vizsgálati adatsorozatok különbségeinek a kiszámítása alapján a lassítófék veszteségeit elkülönítik a teljes veszteségtől (lásd az 5.1.6.2.2.4. pontot), a lassítófék forgórészének a tényleges fordulatszámai a lassítófék helyétől és/vagy a kiválasztott áttételi tényezőtől és a lassítófék áttételi tényezőtől függnek, és ezért eltérhetnek a sebességváltó bemenő tengelyen mért fordulatszámaitól. A lassítófék forgórészének a mért motorfékezési veszteségadatokhoz viszonyított tényleges fordulatszámát az 5.1. pont 2. táblázatában leírtak szerint kell kiszámítani.
5.2.3. A nyomatékveszteség jellegmezőjének adatait az e melléklet 12. függelékében meghatározottak szerint kell formázni és menteni
6. A kiegészítő hajtásláncalkatrészre (ADC) / egyfordulatszámú hajtásláncalkatrészre (pl. szöghajtómű) vonatkozó vizsgálati eljárás
6.1. Módszerek az egyfordulatszámú hajtásláncalkatrész veszteségeinek megállapítására
Az egyfordulatszámú hajtásláncalkatrész veszteségei a következő elrendezésekkel állapítható meg:
6.1.1. A. eset: Egyfordulatszámú, külön hajtásláncalkatrészen végzett mérés
Egyfordulatszámú hajtásláncalkatrész nyomatékveszteség-méréséhez a sebességváltó-veszteségek meghatározása tekintetében leírt három opció alkalmazandó:
1. opció : Mért nyomatékfüggetlen veszteségek és számított nyomatékfüggő veszteségek (1. sebességváltó-vizsgálati opció)
2. opció : Mért nyomatékfüggetlen veszteségek és számított nyomatékfüggő veszteségek teljes terhelésen (2. sebességváltó-vizsgálati opció)
3. opció : Mérés teljes terhelésű pontokon (3. sebességváltó-vizsgálati opció)
Az egyfordulatszámú hajtásláncalkatrész veszteségeinek méréséhez, hitelesítéséhez és bizonytalansági számítása a 3. pontban a sebességváltó vizsgálatára leírt, kapcsolódó vizsgálati opció szerinti eljárást követi, követelményeiben az alábbi eltérésekkel:
A méréseket 200 ford./perc és 400 ford./perc fordulatszámon (az egyfordulatszámú hajtásláncalkatrész bemenő tengelyén) és a következő fordulatszámbeli pontokon kell elvégezni: 600, 900, 1 200 , 1 600 , 2 000 , 2 500 , 3 000 , 4 000 ford./perc, valamint ezen értékek tízszereseinél a maximális fordulatszámig az egyfordulatszámú hajtásláncalkatrész előírásainak megfelelően, illetve a maximális fordulatszám előtti utolsó fordulatszámbeli pontig. További közbenső fordulatszámbeli pontok mérése megengedett.
6.1.1. 1 Vonatkozó fordulatszám-tartomány:
6.1.2. B. eset: Sebességváltóhoz kapcsolódó egyfordulatszámú hajtásláncalkatrész egyedi mérése
Ha az egyfordulatszámú hajtásláncalkatrészt sebességváltóval együtt vizsgálják, a vizsgálatnak a sebességváltóre meghatározott opciók valamelyikét kell követnie:
1. opció : Mért nyomatékfüggetlen veszteségek és számított nyomatékfüggő veszteségek (1. sebességváltó-vizsgálati opció)
2. opció : Mért nyomatékfüggetlen veszteségek és számított nyomatékfüggő veszteségek teljes terhelésen (2. sebességváltó-vizsgálati opció)
3. opció : Mérés teljes terhelésű pontokon (3. sebességváltó-vizsgálati opció)
6.1.2. 1 A gyártó a vizsgálatot az alábbiakban leírt sorrendben elvégezve elkülönítheti az egyfordulatszámú hajtásláncalkatrész veszteségeit a teljes sebességváltó veszteségeitől:
1. Az egyfordulatszámú hajtásláncalkatrésszel együtt vizsgált teljes sebességváltó nyomatékveszteségét a vonatkozó sebességváltó-vizsgálati opció tekintetében leírtak szerint kell mérni.
= Tl,in,withad
2. Az egyfordulatszámú hajtásláncalkatrészt és a kapcsolódó részeket olyan alkatrészekkel kell helyettesíteni, amelyek az egyenértékű sebességváltó egyfordulatszámú hajtásláncalkatrész nélküli változatához szükségesek. Az 1. pont mérését meg kell ismételni.
= Tl,in,withoutad
3. Az egyfordulatszámú hajtásláncalkatrészre vonatkozó nyomatékveszteséget a két vizsgálati adatsor közötti különbségek kiszámításával kell meghatározni
= Tl,in,adsys = max(0, Tl,in,withad - Tl,in,withoutad)
6.2. A szimulációs eszközhöz a bemeneti állományok kiegészítése
6.2.1. A fentiekben meghatározott minimális fordulatszám alatti és 0 ford./perc mértékű további bemeneti fordulatszámbeli ponttal rendelkező fordulatszámoknál a nyomatékveszteségeket a minimális fordulatszám melletti nyomatékkal azonosan kell beállítani.
6.2.2. Azokban az esetekben, amikor az egyfordulatszámú hajtásláncalkatrész legmagasabb vizsgált bemeneti fordulatszáma volt a legutolsó fordulatszámbeli pont az egyfordulatszámú hajtásláncalkatrészre meghatározott maximálisan megengedhető fordulatszám alatt, a nyomatékveszteség extrapolációját kell alkalmazni a maximális fordulatszámig a két legutóbb mért fordulatszámbeli ponton alapuló lineáris regresszióval.
6.2.3. A nyomatékveszteségi adatok kiszámításához azon sebességváltó bemenő tengelyére, amellyel az egyfordulatszámú hajtásláncalkatrészt kombinálják, lineáris interpolációt és extrapolációt kell használni.
7. A CO2-kibocsátással és tüzelőanyag-fogyasztással kapcsolatos tanúsított tulajdonságok megfelelősége
7.1. Minden sebességváltót, nyomatékátalakítót (TC), egyéb nyomatékátviteli alkatrészt (OTTC) és kiegészítő hajtásláncalkatrészt (ADC) úgy kell előállítani, hogy az megfeleljen a jóváhagyott típusnak, tekintettel a tanúsítványban és annak mellékleteiben leírtakra. A CO2-kibocsátással és a tüzelőanyag-fogyasztással kapcsolatos tanúsított tulajdonságok megfelelőségével összefüggő eljárásoknak eleget kell tenniük az (EU) 2018/858 rendelet 31. cikkében meghatározott gyártásmegfelelőséggel kapcsolatos intézkedéseknek.
7.2. A nyomatékátalakítókat (TC), egyéb nyomatékátviteli alkatrészeket (OTTC) és kiegészítő hajtásláncalkatrészeket (ADC) ki kell zárni az e melléklet 8. pontja szerinti gyártásmegfelelőségi vizsgálatok köréből.
7.3. A CO2-kibocsátással és tüzelőanyag-fogyasztással kapcsolatos tanúsított tulajdonságok megfelelőségét az e melléklet 1. függelékében szereplő tanúsítványban foglalt leírás alapján kell ellenőrizni.
7.4. A CO2-kibocsátással és tüzelőanyag-fogyasztással kapcsolatos tanúsított tulajdonságok megfelelőségét az e pontban rögzített speciális feltételeknek megfelelően kell értékelni.
7.5. A gyártó évente legalább a 3. táblázatban jelzett számú sebességváltót köteles vizsgálni az adott gyártó éves összes termelési mennyisége alapján. A termelési mennyiség megállapításakor csak az e rendelet követelményeinek megfelelő sebességváltókat kell figyelembe venni.
7.6. Minden egyes, a gyártó által vizsgált sebességváltónak egy konkrét családot kell reprezentálnia. A 7.10. pont rendelkezései ellenére családonként mindössze egy sebességváltót kell vizsgálni.
7.7. Ha az éves összes termelési mennyiség 1 001 és 10 000 sebességváltó közötti, az elvégzendő vizsgálatokkal érintett család kiválasztásában a gyártó és a jóváhagyó hatóság megállapodik.
7.8. Ha az éves összes termelési mennyiség 10 000 sebességváltó feletti, minden esetben a legnagyobb termelési mennyiséggel érintett sebességváltó-családot kell vizsgálni. A gyártónak meg kell indokolnia a jóváhagyó hatóság számára (pl. értékesítési adatok benyújtásával) a vizsgálatok számát és azt, hogy miért az adott családokat választotta. A gyártó és a jóváhagyó hatóság megállapodnak arról, hogy melyek legyenek azok a fennmaradó családok, amelyekre vonatkozóan a vizsgálatokat el kell végezni.
3. táblázat
A megfelelőségi vizsgálathoz szükséges mintaméret
Sebességváltók éves összes termelési mennyisége | A vizsgálatok száma |
0–1 000 | 0 |
> 1 000 –10 000 | 1 |
> 10 000 –30 000 | 2 |
> 30 000 | 3 |
> 100 000 | 4 |
7.9. A CO2-kibocsátással és tüzelőanyag-fogyasztással kapcsolatos tanúsított tulajdonságok megfelelőségének vizsgálata érdekében a jóváhagyó hatóságnak és a gyártónak közösen meg kell határoznia a vizsgálandó sebességváltó-típus(oka)t. A jóváhagyó hatóságnak meg kell győződnie arról, hogy a kiválasztott sebességváltó-típus(oka)t a sorozatgyártásban használtakkal azonos szabványok szerint gyártották.
7.10. Ha a 8. ponttal összhangban végzett vizsgálat eredménye magasabb, mint a 8.1.3. pontban meghatározott érték, akkor ugyanabból a családból további 3 sebességváltót kell megvizsgálni. Ha ezek közül legalább az egyik nem felel meg a vizsgálaton, a 23. cikk rendelkezéseit kell alkalmazni.
8. A gyártás megfelelőségének vizsgálata
A CO2-kibocsátással és tüzelőanyag-fogyasztással kapcsolatos tanúsított tulajdonságok megfelelőségi vizsgálata érdekében valamely jóváhagyó hatóságnak és a tanúsítvány kérelmezőjének előzetes megállapodása alapján az alábbi módszer alkalmazandó:
8.1. Sebességváltók megfelelőségi vizsgálata
8.1.1. A sebességváltó hatásfokát az e pontban leírt, egyszerűsített eljárással kell meghatározni.
8.1.2.1. Az e mellékletben a tanúsítási vizsgálatra meghatározott valamennyi peremfeltételt alkalmazni kell.
Ha az olajtípusra, olajhőmérsékletre és dőlésszögre más peremfeltételt alkalmaznak, a gyártó köteles világosan bemutatni az ilyen feltételek és a hatásfok tanúsítására használt feltételek közötti hatást.
8.1.2.2. A méréshez a tanúsító vizsgálattal azonos vizsgálati opciót kell alkalmazni, illetve azt az e pontban meghatározott működési pontokra kell korlátozni.
8.1.2.2.1. Amennyiben az 1. opciót alkalmazták a tanúsító vizsgálathoz, a 8.1.2.2.2. (3) pontban meghatározott két fordulatszámra a nyomatékfüggetlen veszteségeket kell mérni, illetve kell felhasználni a nyomatékveszteségek kiszámításához a 8.1.2.2.2. (2) pontban meghatározott három nyomatékbeli ponton.
Amennyiben a 2. opciót alkalmazták a tanúsító vizsgálathoz, a 8.1.2.2.2. (3) pontban meghatározott két fordulatszámra a nyomatékfüggetlen veszteségeket kell mérni. Maximális nyomaték mellett a nyomatékfüggő veszteségeket ugyanazon a két fordulatszámon kell mérni. A 8.1.2.2.2. (2) pontban meghatározott három nyomatékbeli ponton a nyomatékveszteségeket a tanúsító eljárásban leírtak szerint kell interpolálni.
Amennyiben a 3. opciót alkalmazták a tanúsító vizsgálathoz, a 8.1.2.2.2. pontban meghatározott 18 működési pontra kell a nyomatékveszteségeket mérni.
8.1.2.2.2. A sebességváltó hatásfokát az alábbi követelmények által rögzített 18 működési pontra kell meghatározni:
1. Használandó sebességfokozatok:
A vizsgálathoz a sebességváltó 3 legmagasabb sebességfokozatát kell vizsgálni.
2. Nyomatéktartomány:
Amennyiben az 1. vagy a 2. opciót alkalmazták a tanúsító vizsgálathoz, a következő 3 nyomatékbeli pontot kell használni: 0,6 × max(Tin,rep(inputspeed, gear)), 0,8 × max(Tin,rep(inputspeed, gear)) és max(Tin,rep(inputspeed, gear)), ahol a max(Tin,rep(inputspeed, gear)) a bemeneti fordulatszám és a sebességfokozat adott kombinációjára vonatkozóan a tanúsításban rögzített legnagyobb bemeneti nyomatékérték.
Amennyiben a 3. opciót alkalmazták a tanúsító vizsgálathoz, a bemeneti fordulatszám és sebességfokozat adott kombinációjára vonatkozó tanúsítási vizsgálat során mért 3 legnagyobb nyomatékbeli pontot kell használni.
3. Fordulatszám-tartomány:
A sebességváltó két, 1 200 ford./perc és 1 600 ford./perc bemeneti fordulatszámát kell vizsgálni.
8.1.2.3. A 18 működési pont mindegyikére a sebességváltó hatásfokát az alábbiak szerint kell kiszámítani:

ahol:
ηi = Minden egyes működési pont hatásfoka 1 és 18 között
T in,set = A bemeneti nyomaték beállítási pontjának értéke [Nm]
T loss,rep = Jelentett nyomatékveszteség (bizonytalansági korrekciót követően) [Nm]
8.1.2.4. A CO2-kibocsátással és tüzelőanyag-fogyasztással kapcsolatos tanúsított tulajdonságok megfelelőségének vizsgálata során a teljes hatásfokot ηA,CoP a mind a 18 működési pontra vonatkozó hatásfok számtani középértékeként kell kiszámítani.

8.1.3. A CO2-kibocsátással és tüzelőanyag-fogyasztással kapcsolatos tanúsított tulajdonságok megfelelőségének vizsgálata akkor minősül sikeresnek, ha teljesül az alábbi feltétel:
A CO2-kibocsátással és tüzelőanyag-fogyasztással kapcsolatos tanúsított tulajdonságok megfelelőségének vizsgálata során a vizsgált sebességváltó η A,CoP hatásfoka nem lehet kisebb, mint a típusjóváhagyással rendelkező sebességváltó ηA,TA hatásfokának X %-a.
ηA,TA - ηA,CoP ≤ X
Az X érték 1,5 %-kal helyettesíthető be az SMT/AMT/DCT sebességváltók esetében, illetve 3 %-kal az APT sebességváltók vagy a 2-nél több súrlódó tengelykapcsolóval ellátott sebességváltók esetében.
A jóváhagyással rendelkező sebességváltó ηA,TA hatásfokát a tanúsítás alatt 18 munkapont hatásfokának számtani középértékével kell kiszámítani a 8.1.2.3. és 8.1.2.4. pontban megadott képletek alapján, amelyeket a 8.1.2.2.2. pont követelményei határoznak meg.
1. függelék
ALKATRÉSZ, ÖNÁLLÓ MŰSZAKI EGYSÉG VAGY RENDSZER TANÚSÍTVÁNYÁNAK MINTÁJA
Legnagyobb megengedett formátum: A4 (210 × 297 mm)
TANÚSÍTVÁNY SEBESSÉGVÁLTÓ- / NYOMATÉKÁTALAKÍTÓ- / EGYÉB NYOMATÉKÁTVITELI ALKATRÉSZ- / KIEGÉSZÍTŐ HAJTÁSLÁNCALKATRÉSZ-CSALÁD ( 15 ) CO2 -KIBOCSÁTÁSSAL ÉS TÜZELŐANYAG-FOGYASZTÁSSAL KAPCSOLATOS JELLEMZŐIRŐL
Az értesítés tárgya: a tanúsítvány — megadása (1) — meghosszabbítása (1) — elutasítása (1) — visszavonása (1) | A hatóság pecsétjének helye |
tekintettel az (EU) 2017/2400 rendelettel végrehajtott 595/2009/EK rendeletre.
A legutóbb a ...-val módosított XXXXX/EK rendelet és (EU) 2017/2400 rendelet
Tanúsítvány száma:
Hashfüggvény:
A kiterjesztés indoka:
I. SZAKASZ
0.1. Gyártmány (a gyártó kereskedelmi neve):
0.2. Típus:
0.3. Típusazonosító jelölések, amennyiben azok fel vannak tüntetve az alkatrészen
0.3.1. A jelölés helye:
0.4. A gyártó neve és címe:
0.5. Alkatrészek és önálló műszaki egységek esetében az EK-típusjóváhagyási jel helye és rögzítésének módja:
0.6. Az összeszerelő üzem(ek) neve és címe:
0.7. A gyártó képviselőjének (ha van) neve és címe
II. SZAKASZ
1. Kiegészítő adatok (adott esetben): lásd a Kiegészítést
1.1. A nyomatékveszteségek meghatározásához alkalmazott opció
1.1.1. Sebességváltó esetében: a sebességváltó minden egyes sebességfokozata esetében mindkét, a 0-10 kNm és a >10 kNm kimeneti nyomatéktartományra vonatkozóan külön meg kell határozni
2. A vizsgálatok elvégzéséért felelős jóváhagyó hatóság:
3. A vizsgálati jegyzőkönyv kelte
4. A vizsgálati jegyzőkönyv száma
5. Megjegyzések (adott esetben): lásd a Kiegészítést
6. Hely
7. Dátum
8. Aláírás
Mellékletek:
1. Adatközlő lap
2. Vizsgálati jegyzőkönyv
2. függelék
A sebességváltóra vonatkozó adatközlő lap
Adatközlő lap száma: | Kiadás: Kiadás dátuma: A módosítás időpontja: |
a következőnek megfelelően:
Sebességváltó-típus/-család (ha alkalmazható)
...
0. ÁLTALÁNOS
0.1. A gyártó neve és címe
0.2. Gyártmány (a gyártó kereskedelmi neve):
0.3. Sebességváltó-típus:
0.4. Sebességváltó-család:
0.5. Sebességváltó típusa önálló műszaki egységként / Sebességváltó-család önálló műszaki egységként
0.6. Kereskedelmi név (nevek) (ha van/vannak)
0.7. Modellazonosító jelölések, amennyiben azok fel vannak tüntetve a sebességváltón:
0.8. Alkatrészek és önálló műszaki egységek esetében az EK-típusjóváhagyási jel helye és rögzítésének módja:
0.9. Az összeszerelő üzem(ek) neve és címe:
0.10. A gyártó képviselőjének neve és címe:
1. RÉSZ
AZ (ALAP)SEBESSÉGVÁLTÓ ÉS A SEBESSÉGVÁLTÓ-TÍPUSOK ALAPVETŐ JELLEMZŐI A SEBESSÉGVÁLTÓ-CSALÁDON BELÜL
Alap-sebességváltó | Családtagok | ||||
vagy sebességváltó típusa | |||||
1. sz. | 2. sz. | 3. sz. | |||
1.0. A KONKRÉT SEBESSÉGVÁLTÓVAL / SEBESSÉGVÁLTÓ-CSALÁDDAL KAPCSOLATOS INFORMÁCIÓK
1.1. Áttételi arány. Áttételrendszer és teljesítményáramlás
1.2. Középponti távolság az előtéttengelyi közlőművekhez
1.3. Csapágyak típusa a megfelelő pozíciókban (ha be vannak építve)
1.4. Váltóelemek típusa (fogazott tengelykapcsolók, ideértve a szinkronizátorokat vagy súrlódó tengelykapcsolókat is) a megfelelő pozíciókban (ahol be vannak építve)
1.5. Egy fogaskerék szélessége az 1. opcióhoz, vagy egy fogaskerék szélessége ± 1 mm a 2. opcióhoz vagy 3. opcióhoz
1.6. Előremeneti sebességfokozatok száma
1.7. A fogazott tengelykapcsolók száma
1.8. Szinkronizátorok száma
1.9. Súrlódó tengelykapcsoló lemezek száma (kivéve az egyszeres száraz tengelykapcsolót 1 vagy 2 lemezzel)
1.10. Súrlódó tengelykapcsoló lemezek külső átmérője (kivéve az egyszeres száraz tengelykapcsolót 1 vagy 2 lemezzel)
1.11. A fogak legnagyobb felületi érdessége (ideértve a rajzokat)
1.12. Dinamikus tengelytömítések száma
1.13. Olajáramlás a kenéshez és hűtéshez a sebességváltó bemenő tengelyének egy fordulataként
1.14. Olajviszkozitás 100 °C-on (± 10 %)
1.15. Rendszernyomás a hidraulikus szabályozású sebességváltók esetében
1.16. Olajszint a központi tengely viszonylatában és a rajz előírásai szerint (az alsó és a felső tűréshatár közötti átlagérték alapján) álló helyzetben és járás közben. Az olajszint egyenlőnek minősül, amennyiben a sebességváltó minden forgó alkatrésze (az olajszivattyútól és annak meghajtásától eltekintve) a meghatározott olajszint felett van;
1.17. Meghatározott olajszint (± 1 mm)
1.18. A családtagonkénti legmagasabb besorolású verzió (ha ugyanazt a családtagot különböző kereskedelmi nevek alatt értékesítik) áttételi arányai [-] és maximális bemeneti nyomatéka [Nm], maximális bemenőteljesítménye (kW) és maximális bemeneti fordulatszáma [ford./perc]
1. sebességfokozat
2. sebességfokozat
3. sebességfokozat
4. sebességfokozat
5. sebességfokozat
6. sebességfokozat
7. sebességfokozat
8. sebességfokozat
9. sebességfokozat
10. sebességfokozat
11. sebességfokozat
12. sebességfokozat
n. sebességfokozat
1.19. Nyomatékátalakító áthidaló tengelykapcsoló csúszik rögzített sebességfokozatban (igen/nem)
Ha igen, a nyomatékátalakító áthidaló tengelykapcsoló vagy a bemeneti oldali tengelykapcsoló tartós csúszásának bejelentése, minden sebességfokozat esetében külön jellegmezőben, a mért bemeneti fordulatszámbeli/nyomatékbeli ponttól függően, lásd az 1. sebességfokozatra vonatkozó alábbi példát:
Nyomatékátalakító csúszása [ford./perc] 1. sebességfokozat
Bemeneti nyomaték referencia (Nm) | Bemeneti fordulatszám referencia (ford./perc) | |||||
600 | 900 | 1 200 | 1 600 | 2 000 | 2 500 | |
0 | 20 | 50 | 60 | 60 | 60 | 60 |
200 | 30 | 40 | 10 | 10 | 10 | 10 |
400 | 30 | 40 | 20 | 20 | 20 | 20 |
600 | 30 | 40 | 20 | 20 | 20 | 20 |
900 | 30 | 40 | 20 | 20 | 20 | 20 |
1 200 | 30 | 40 | 20 | 20 | 20 | 20 |
MELLÉKLETEK JEGYZÉKE
Szám: | Leírás: | Kiadás dátuma: |
1. | Információk a sebességváltó vizsgálati körülményeiről | … |
2. | … |
1. melléklet a sebességváltóra vonatkozó adatközlő laphoz
Információk a vizsgálati körülményekről (adott esetben)
1.1. Mérés lassítófékkel | igen/nem |
1.2. Mérés szöghajtóművel | igen/nem |
1.3. Maximális vizsgált bemeneti fordulatszám [ford./perc] | |
1.4. Maximális vizsgált bemeneti nyomaték [Nm] |
3. függelék
A hidrodinamikus nyomatékátalakítóra (TC) vonatkozó adatközlő lap
Adatközlő lap száma: | Kiadás: Kiadás dátuma: A módosítás időpontja: |
a következőnek megfelelően:
TC típusa:TC-típus/-család (ha alkalmazható)
...
0. ÁLTALÁNOS
0.1. A gyártó neve és címe
0.2. Gyártmány (a gyártó kereskedelmi neve)
0.3. TC típus:
0.4. TC család:
0.5. TC típus önálló műszaki egységként / TC család önálló műszaki egységként
0.6. Kereskedelmi név (nevek) (ha van/vannak)
0.7. Modellazonosító jelölések, amennyiben azok fel vannak tüntetve a TC-n:
0.8. Alkatrészek és önálló műszaki egységek esetében az EK-típusjóváhagyási jel helye és rögzítésének módja:
0.9. Az összeszerelő üzem(ek) neve és címe:
0.10. A gyártó képviselőjének neve és címe:
1. RÉSZ
AZ ALAP TC ALAPVETŐ JELLEMZŐI ÉS A TC TÍPUSAI A TC CSALÁDON BELÜL
Alap TC vagy | Családtag| | ||||
TC típus | 1. sz. | 2. sz. | 3. sz. | ||
1.0. A KONKRÉT NYOMATÉKÁTALAKÍTÓVAL / NYOMATÉKÁTALAKÍTÓ CSALÁDDAL KAPCSOLATOS INFORMÁCIÓK
1.1. A mechanikus fokozattal nem rendelkező hidrodinamikus nyomatékátalakítók esetében (soros elrendezés).
1.1.1. Külső tóruszátmérő
1.1.2. Belső tóruszátmérő
1.1.3. A szivattyú (P), turbina (T) és állórész (S) elrendezése az áramlás irányában
1.1.4. Tóruszszélesség
1.1.5. Olaj típusa a vizsgálati előírásoknak megfelelően
1.1.6. Lapát konstrukciója
1.2. A mechanikus fokozattal rendelkező hidrodinamikus nyomatékátalakítók esetében (párhuzamos elrendezés).
1.2.1. Külső tóruszátmérő
1.2.2. Belső tóruszátmérő
1.2.3. A szivattyú (P), turbina (T) és állórész (S) elrendezése az áramlás irányában
1.2.4. Tóruszszélesség
1.2.5. Olaj típusa a vizsgálati előírásoknak megfelelően
1.2.6. Lapát konstrukciója
1.2.7. Áttételrendszer és teljesítményáramlás nyomatékátalakító módban
1.2.8. Csapágyak típusa a megfelelő pozíciókban (ha be vannak építve)
1.2.9. Hűtő-/kenőszivattyú típusa (az alkatrészlistára való hivatkozással)
1.2.10. Váltóelemek típusa (fogazott tengelykapcsolók, ideértve a szinkronizátorokat VAGY súrlódó tengelykapcsolókat is) a megfelelő pozíciókban (ahol be vannak építve)
1.2.11. Olajszint a rajznak megfelelően, a központi tengely viszonylatában
MELLÉKLETEK JEGYZÉKE
Szám: | Leírás: | Kiadás dátuma: |
1. | Információk a nyomatékátalakítókra vonatkozó vizsgálati feltételekről | … |
2. | … |
1. melléklet a nyomatékátalakítóra vonatkozó adatközlő laphoz
Információk a vizsgálati körülményekről (adott esetben)
1. Mérési módszer
1.1. Mechanikus fokozattal ellátott nyomatékátalakítók
igen/nem
1.2. Nyomatékátalakító önálló egységként
igen/nem
4. függelék
Egyéb nyomatékátviteli alkatrészekre (OTTC) vonatkozó adatközlő lap
Kiadás dátuma: | Adatközlő lap száma: Kiadás: A módosítás időpontja: |
a következőnek megfelelően:
OTTC típus:OTTC-típus/-család (ha alkalmazható)
...
0. ÁLTALÁNOS
0.1. A gyártó neve és címe
0.2. Gyártmány (a gyártó kereskedelmi neve):
0.3. OTTC típus:
0.4. OTTC család:
0.5. OTTC típus önálló műszaki egységként / OTTC család önálló műszaki egységként
0.6. Kereskedelmi név (nevek) (ha van/vannak)
0.7. Modellazonosító jelölések, amennyiben azok fel vannak tüntetve az OTTC-n:
0.8. Alkatrészek és önálló műszaki egységek esetében az EK-típusjóváhagyási jel helye és rögzítésének módja:
0.9. Az összeszerelő üzem(ek) neve és címe:
0.10. A gyártó képviselőjének neve és címe:
1. RÉSZ
AZ ALAP OTTC ALAPVETŐ JELLEMZŐI ÉS AZ OTTC TÍPUSAI AZ OTTC CSALÁDON BELÜL
Alap OTTC | Családtag | ||||
1. sz. | 2. sz. | 3. sz. | |||
1.0. KONKRÉT OTTC-RE VONATKOZÓ INFORMÁCIÓK
1.1. Hidrodinamikus nyomatékátviteli alkatrészek (OTTC) / lassítófék esetében
1.1.1. Külső tóruszátmérő
1.1.2. Tóruszszélesség
1.1.3. Lapát konstrukciója
1.1.4. Munkafolyadék
1.1.5. Külső tóruszátmérő - belső tóruszátmérő (OD-ID)
1.1.6. Lapátok száma
1.1.7. A munkafolyadék viszkozitása
1.2. Mágneses nyomatékátviteli alkatrészek (OTTC) / lassítófék esetében
1.2.1. Dobkonstrukció (elektromágneses lassítófék vagy állandó működésű mágneses lassítófék)
1.2.2. Forgórész külső átmérője
1.2.3. Hűtőlapát konstrukciója
1.2.4. Lapát konstrukciója
1.2.5. Munkafolyadék
1.2.6. Forgórész külső átmérője - Forgórész belső átmérője (OD-ID)
1.2.7. Forgórészek száma
1.2.8. Hűtőlapátok / lapátok száma
1.2.9. A munkafolyadék viszkozitása
1.2.10. Karok száma
1.3. Nyomatékátviteli alkatrészek (OTTC) / hidrodinamikus tengelykapcsoló esetében
1.3.1. Külső tóruszátmérő
1.3.2. Tóruszszélesség
1.3.3. Lapát konstrukciója
1.3.4. A munkafolyadék viszkozitása
1.3.5. Külső tóruszátmérő - belső tóruszátmérő (OD-ID)
1.3.6. Lapátok száma
MELLÉKLETEK JEGYZÉKE
Szám: | Leírás: | Kiadás dátuma: |
1. | Információk az OTTC vizsgálati körülményekről | … |
2. | … |
1. melléklet az OTTC-re vonatkozó adatközlő laphoz
Információk a vizsgálati körülményekről (adott esetben)
1. Mérési módszer
sebességváltóval
igen/nem
motorral
igen/nem
meghajtószerkezet
igen/nem
direkt
igen/nem
2. OTTC fő nyomatékelnyelőjének, például a lassítófék forgórészének a maximális vizsgálati fordulatszáma [ford./perc]
5. függelék
Kiegészítő hajtásláncalkatrészekre (ADC) vonatkozó adatközlő lap
Kiadás dátuma: | Adatközlő lap száma: Kiadás: A módosítás időpontja: |
a következőnek megfelelően:
ADC-típus/-család (ha alkalmazható)
...
0. ÁLTALÁNOS
0.1. A gyártó neve és címe
0.2. Gyártmány (a gyártó kereskedelmi neve):
0.3. ADC típus:
0.4. ADC család:
0.5. ADC típus önálló műszaki egységként / ADC család önálló műszaki egységként
0.6. Kereskedelmi név (nevek) (ha van/vannak)
0.7. Modellazonosító ismertetőjelek, amennyiben azok fel vannak tüntetve az ADC-n:
0.8. Alkatrészek és önálló műszaki egységek esetében az EK-típusjóváhagyási jel helye és rögzítésének módja:
0.9. Az összeszerelő üzem(ek) neve és címe:
0.10. A gyártó képviselőjének neve és címe:
1. RÉSZ
AZ ALAP ADC ALAPVETŐ JELLEMZŐI ÉS AZ ADC TÍPUSOK AZ ADC CSALÁDON BELÜL
Alap ADC | Családtag | ||||
1. sz. | 2. sz. | 3. sz. | |||
1.0. KONKRÉT ADC-RE / SZÖGHAJTÓMŰRE VONATKOZÓ INFORMÁCIÓK
1.1. Áttételi arány és áttételrendszer
1.2. A bemenő/kimenő tengely közötti szög
1.3. Csapágyak típusa a megfelelő pozíciókban
1.4. A fogak száma fogaskerekenként
1.5. Egytárcsás fogaskerék szélessége
1.6. Dinamikus tengelytömítések száma
1.7. Olaj viszkozitás (± 10 %)
1.8. A fogak felületi érdessége
1.9. Olajszint a központi tengely viszonylatában és a rajz előírásai szerint (az alsó és a felső tűréshatár közötti átlagérték alapján) álló helyzetben és járás közben. Az olajszint egyenlőnek minősül, amennyiben a sebességváltó minden forgó alkatrésze (az olajszivattyútól és annak meghajtásától eltekintve) a meghatározott olajszint felett van
1.10. Olajszint (± 1 mm)-en belül.
MELLÉKLETEK JEGYZÉKE
Szám: | Leírás: | Kiadás dátuma: |
1. | Információk az ADC vizsgálati körülményekről | … |
2. | … |
1. melléklet az ADC-re vonatkozó adatközlő laphoz
Információk a vizsgálati körülményekről (adott esetben)
1. Mérési módszer
sebességváltóval | igen/nem |
meghajtószerkezet | igen/nem |
direkt | igen/nem |
2. Maximális vizsgálati fordulatszám az ADC bemenetnél [ford./perc]
6. függelék
A család fogalma
1. Általános adatok
A sebességváltók, nyomatékátalakítók, egyéb nyomatékátviteli alkatrészek vagy kiegészítő hajtásláncalkatrészek valamely családját a konstrukció és a teljesítménybeli paraméterek jellemzik. Ezeknek közöseknek kell lenniük a család minden tagjára. Mindaddig, amíg a családhoz való tartozás e függelékben felsorolt szempontjai teljesülnek, a gyártó eldöntheti mely sebességváltók, nyomatékátalakítók, egyéb nyomatékátviteli alkatrészek vagy kiegészítő hajtásláncalkatrészek tartoznak az adott családhoz. A kapcsolódó családot a jóváhagyó hatóságnak kell jóváhagynia. A gyártónak a jóváhagyó hatóság rendelkezésére kell bocsátania a család tagjainak teljesítményére vonatkozó információkat.
1.1. Különleges esetek
Néhány esetben kölcsönhatás lehet a paraméterek között. Ezt figyelembe kell venni annak biztosítása érdekében, hogy kizárólag a hasonló jellemzőkkel bíró sebességváltók, nyomatékátalakítók, egyéb nyomatékátviteli alkatrészek vagy kiegészítő hajtásláncalkatrészek kerüljenek ugyanabba a családba. Az ilyen eseteket a gyártónak meg kell határoznia, és tájékoztatnia kell róluk a jóváhagyó hatóságot. Ezt úgy kell figyelembe venni, mint a sebességváltók, nyomatékátalakítók, egyéb nyomatékátviteli alkatrészek vagy kiegészítő hajtásláncalkatrészek új családjának a kritériumát.
Az olyan eszközök vagy tulajdonságok esetében, melyeket a 9. pont nem sorol fel, illetve amelyek nagyban befolyásolják a teljesítménybeli szintet, az adott berendezést a gyártónak a helyes műszaki gyakorlatok alapján azonosítani kell, illetve jóváhagyó hatóság felé be kell jelenteni. Ezt úgy kell figyelembe venni, mint a sebességváltók, nyomatékátalakítók, egyéb nyomatékátviteli alkatrészek vagy kiegészítő hajtásláncalkatrészek új családjának a kritériumát.
1.2. A család fogalma meghatározza azokat a szempontokat és paramétereket, amelyek lehetővé teszik a gyártó számára a hasonló vagy megegyező CO2-re vonatkozó adatokkal bíró sebességváltók, nyomatékátalakítók, egyéb nyomatékátviteli alkatrészek vagy kiegészítő hajtásláncalkatrészek családokba és típusokba való csoportosítását.
2. A jóváhagyó hatóság arra a következtetésre is juthat, hogy a sebességváltó, nyomatékátalakító, egyéb nyomatékátviteli alkatrész vagy kiegészítő hajtásláncalkatrész legmagasabb nyomatékveszteségét kiegészítő vizsgálattal lehet a legjobban jellemezni. Ez esetben a gyártó köteles megfelelő információkat benyújtani azon a családon belül a sebességváltó, nyomatékátalakító, egyéb nyomatékátviteli alkatrész vagy kiegészítő hajtásláncalkatrész meghatározásához, mely feltehetőleg a legnagyobb nyomatékveszteségi szinttel bír.
Ha a családba tartozó tagok olyan más tulajdonságokkal is rendelkeznek, amelyekről feltételezhető, hogy hatással vannak a nyomatékveszteségre, ezeket a tulajdonságokat is meg kell határozni és figyelembe kell venni az alapegység kiválasztásánál.
3. A sebességváltó-családot meghatározó paraméterek
3.1. A következő szempontok adott sebességváltó-családon belül minden tagra azonosak:
a) áttételi aránya, áttételrendszer és teljesítményáramlás (csak előremeneti sebességfokozatok, a kúszófokozatok kizárása mellett);
b) középponti távolság az előtéttengelyi közlőművekhez;
c) csapágyak típusa a megfelelő pozíciókban (ha be vannak építve);
d) váltóelemek típusa (fogazott tengelykapcsolók, ideértve a szinkronizátorokat vagy súrlódó tengelykapcsolókat is) a megfelelő pozíciókban (ahol be vannak építve).
3.2. A következő szempontok minden tagra azonosak az adott sebességváltó-családon belül. Az alább felsorolt paraméterekre speciális tartomány alkalmazása a jóváhagyó hatóság jóváhagyását követően megengedett:
a) egytárcsás fogaskerék szélessége ± 1 mm;
b) előremeneti sebességfokozatok száma;
c) a fogazott tengelykapcsolók száma;
d) a szinkronizátorok száma;
e) súrlódó tengelykapcsoló lemezek száma (kivéve az egyszeres száraz tengelykapcsolót 1 vagy 2 lemezzel);
f) súrlódó tengelykapcsoló lemezek külső átmérője (kivéve az egyszeres száraz tengelykapcsolót 1 vagy 2 lemezzel);
g) a fogak felületi érdessége;
h) dinamikus tengelytömítések száma;
i) olajáramlás a kenéshez és hűtéshez a bemenő tengely fordulataiként;
j) olaj viszkozitás (± 10 %);
k) rendszernyomás a hidraulikus szabályozású sebességváltók esetében;
l) olajszint a központi tengely viszonylatában és a rajz előírásai szerint (az alsó és a felső tűréshatár közötti átlagérték alapján) álló helyzetben és járás közben. az olajszint egyenlőnek minősül, amennyiben a sebességváltó minden forgó alkatrésze (az olajszivattyútól és annak meghajtásától eltekintve) a meghatározott olajszint felett van;
m) meghatározott olajszint (± 1 mm).
4. Az alap-sebességváltó kiválasztása
Az alap-sebességváltó kiválasztása a lentiekben felsorolt szempontok szerint történik:
a) legnagyobb egytárcsás fogaskerék szélesség az 1. opció esetében vagy a legnagyobb egytárcsás fogaskerék szélesség ± 1 mm a 2. opció és a 3. opció esetében;
b) fogaskerekek legnagyobb száma összesen;
c) a fogazott tengelykapcsolók legnagyobb száma;
d) a szinkronizátorok legnagyobb száma;
e) súrlódó tengelykapcsoló lemezek legnagyobb száma (kivéve az egyszeres száraz tengelykapcsolót 1 vagy 2 lemezzel);
f) súrlódó tengelykapcsoló lemezek külső átmérőjének legmagasabb értéke (kivéve az egyszeres száraz tengelykapcsolót 1 vagy 2 lemezzel);
g) a fogak felületi érdességének a legmagasabb értéke;
h) dinamikus tengelytömítések legnagyobb száma;
i) legnagyobb olajáramlás a kenéshez és hűtéshez a bemenő tengely fordulataiként;
j) legnagyobb olajviszkozitás;
k) legmagasabb rendszernyomás a hidraulikus szabályozású sebességváltók esetében;
l) legmagasabb meghatározott olajszint a központi tengely viszonylatában és a rajz előírásai szerint (az alsó és a felső tűréshatár közötti átlagérték alapján) álló helyzetben és járás közben. Az olajszint egyenlőnek minősül, amennyiben a sebességváltó minden forgó alkatrésze (az olajszivattyútól és annak meghajtásától eltekintve) a meghatározott olajszint felett van;
m) legmagasabb meghatározott olajszint (± 1 mm).
5. A nyomatékátalakító-családot meghatározó paraméterek
5.1. A következő szempontok adott nyomatékátalakító- (TC) családon belül minden tagra azonosak:
5.1.1. A mechanikus fokozattal nem rendelkező hidrodinamikus nyomatékátalakítók esetében (soros elrendezés).
a) külső tóruszátmérő;
b) belső tóruszátmérő;
c) a szivattyú (P), turbina (T) és állórész (S) az áramlás irányában;
d) tóruszszélesség;
e) olaj típusa a vizsgálati előírásoknak megfelelően;
f) lapát konstrukciója;
5.1.2. A mechanikus fokozattal rendelkező hidrodinamikus nyomatékátalakítók esetében (párhuzamos elrendezés).
a) külső tóruszátmérő;
b) belső tóruszátmérő;
c) a szivattyú (P), turbina (T) és állórész (S) az áramlás irányában;
d) tóruszszélesség;
e) olaj típusa a vizsgálati előírásoknak megfelelően;
f) lapát konstrukciója;
g) Áttételrendszer és teljesítményáramlás nyomatékátalakító módban
h) csapágyak típusa a megfelelő pozíciókban (ha be vannak építve);
i) hűtő-/kenőszivattyú típusa (az alkatrészlistára való hivatkozással);
j) a váltóelemek típusa (fogazott tengelykapcsolók (ideértve a szinkronizátorokat) vagy súrlódó tengelykapcsolókat is a megfelelő pozíciókban), ahol ilyenek vannak;
5.1.3. Az alábbi szempontok közösek a mechanikus fokozattal rendelkező hidrodinamikus nyomatékátalakító-családon (párhuzamos elrendezés) belül minden tagra. Az alább felsorolt paraméterekre speciális tartomány alkalmazása a jóváhagyó hatóság jóváhagyását követően megengedett:
a) olajszint a rajznak megfelelően, a központi tengely viszonylatában.
6. Az alap-nyomatékátalakító kiválasztása
6.1. A mechanikus fokozattal nem rendelkező (soros elrendezés) hidrodinamikus nyomatékátalakítók esetében
Mindaddig, amíg az 5.1.1. pontban felsorolt összes szempont azonos, a mechanikus fokozattal nem rendelkező nyomatékátalakító-család minden tagja kiválasztható alap-nyomatékátalakítóként.
6.2. A mechanikus fokozattal rendelkező hidrodinamikus nyomatékátalakítók esetében
A mechanikus fokozattal rendelkező (párhuzamos elrendezés) alap hidrodinamikus nyomatékátalakító kiválasztása az alábbiakban felsorolt szempontok alkalmazásával történik.
a) a legmagasabb olajszint a rajznak megfelelően, a központi tengely viszonylatában.
7. Az (egyéb) nyomatékátviteli alkatrész- (OTTC) családot meghatározó paraméterek
7.1. A következő szempontok azonosak a hidrodinamikus nyomatékátviteli alkatrészeken / lassítófékcsaládon belül minden tagra:
a) külső tóruszátmérő;
b) tóruszszélesség;
c) lapát konstrukciója;
d) munkafolyadék.
7.2. A következő szempontok azonosak a mágneses nyomatékátviteli alkatrészeken / lassítófékcsaládon belül minden tagra:
a) dobkonstrukció (elektromágneses lassítófék vagy állandó működésű mágneses lassítófék);
b) forgórész külső átmérője;
c) hűtőlapát konstrukciója;
d) lapát konstrukciója.
7.3. A következő szempontok azonosak a nyomatékátviteli alkatrészeken / hidrodinamikus tengelykapcsoló-családon belül minden tagra:
a) külső tóruszátmérő;
b) tóruszszélesség;
c) lapát konstrukciója.
7.4. A következő szempontok közösek a hidrodinamikus nyomatékátviteli alkatrészeken / lassítófékcsaládon belül minden tagra. A lentiekben felsorolt paraméterekre speciális tartomány alkalmazása a jóváhagyó hatóság jóváhagyását követően megengedett:
a) külső tóruszátmérő - belső tóruszátmérő (OD-ID);
b) lapátok száma;
c) a munkafolyadék viszkozitása (± 50 %).
7.5. A következő szempontok közösek a mágneses nyomatékátviteli alkatrészeken / lassítófékcsaládon belül minden tagra. A lentiekben felsorolt paraméterekre speciális tartomány alkalmazása a jóváhagyó hatóság jóváhagyását követően megengedett:
a) forgórész külső átmérője - forgórész belső átmérője (OD-ID);
b) forgórészek száma;
c) hűtőlapátok / lapátok száma;
d) karok száma.
7.6. A következő szempontok közösek a nyomatékátviteli alkatrészeken / hidrodinamikus tengelykapcsoló-családon belül minden tagra. A lentiekben felsorolt paraméterekre speciális tartomány alkalmazása a jóváhagyó hatóság jóváhagyását követően megengedett:
a) a munkafolyadék viszkozitása (± 10 %);
b) külső tóruszátmérő - belső tóruszátmérő (OD-ID);
c) lapátok száma.
8. Az alap nyomatékátviteli alkatrész kiválasztása
8.1. Az alap hidrodinamikus nyomatékátviteli alkatrész / lassítófék kiválasztása a lentebb felsorolt szempontok alkalmazásával történik:
a) legmagasabb érték: külső tóruszátmérő - belső tóruszátmérő (OD-ID);
b) lapátok legnagyobb száma;
c) a munkafolyadék legnagyobb viszkozitása.
8.2. Az alap mágneses nyomatékátviteli alkatrész / lassítófék kiválasztása a lentebb felsorolt szempontok alkalmazásával történik:
a) forgórész legnagyobb külső átmérője - forgórész legnagyobb belső átmérője (OD-ID);
b) forgórészek legnagyobb száma;
c) hűtőlapátok / lapátok legnagyobb száma;
d) karok legnagyobb száma.
8.3. Az alap nyomatékátviteli alkatrész / hidrodinamikus tengelykapcsoló kiválasztása a lentebb felsorolt szempontok alkalmazásával történik:
a) a munkafolyadék legnagyobb viszkozitása (± 10 %);
b) legnagyobb külső tóruszátmérő - legnagyobb belső tóruszátmérő (OD-ID);
c) lapátok legnagyobb száma.
9. Paraméterek a kiegészítő hajtásláncalkatrészek családjának meghatározásához
9.1. Az alábbi szempontok azonosak a kiegészítő hajtásláncalkatrészek / szöghajtóműcsalád minden tagja esetében:
a) áttételi arány és áttételrendszer;
b) a bemenő/kimenő tengely közötti szög;
c) csapágyak típusa a megfelelő pozíciókban.
9.2. Az alábbi szempontok közösek a kiegészítő hajtásláncalkatrészek / szöghajtóműcsalád minden tagja esetében. A lentiekben felsorolt paraméterekre speciális tartomány alkalmazása a jóváhagyó hatóság jóváhagyását követően megengedett:
a) egytárcsás fogaskerék szélessége;
b) dinamikus tengelytömítések száma;
c) olaj viszkozitás (± 10 %);
d) a fogak felületi érdessége;
e) Olajszint a központi tengely viszonylatában és a rajz előírásai szerint (az alsó és a felső tűréshatár közötti átlagérték alapján) álló helyzetben és járás közben. Az olajszint egyenlőnek minősül, amennyiben a sebességváltó minden forgó alkatrésze (az olajszivattyútól és annak meghajtásától eltekintve) a meghatározott olajszint felett van.
10. Az alap kiegészítő hajtásláncalkatrész kiválasztása
10.1. Az alap kiegészítő hajtásláncalkatrész / szöghajtómű kiválasztása a következő, lentebb felsorolt szempontok alkalmazásával történik:
a) egytárcsás fogaskerék legnagyobb szélessége;
a) dinamikus tengelytömítések legnagyobb száma;
c) legnagyobb olajviszkozitás (± 10 %);
d) a fogak legnagyobb felületi érdessége;
e) Legmagasabb meghatározott olajszint a központi tengely viszonylatában és a rajz előírásai szerint (az alsó és a felső tűréshatár közötti átlagérték alapján) álló helyzetben és járás közben. Az olajszint egyenlőnek minősül, amennyiben a sebességváltó minden forgó alkatrésze (az olajszivattyútól és annak meghajtásától eltekintve) a meghatározott olajszint felett van.
7. függelék
Jelölések és számozás
1. Jelölések
Egy, az e melléklet szerint tanúsított alkatrész esetében az alkatrészen fel kell tüntetni az alábbiakat:
1.1. A gyártó neve vagy védjegye
1.2. Az e melléklet 2-5. függeléke 0.2. és 0.3. pontjának megfelelően a gyártmány és a típus azonosítására szolgáló információ
1.3. Tanúsítási jelölés (amennyiben releváns): egy négyszög és benne egy kis "e" betű, amelyet a tanúsítványt kiadó tagállam megkülönböztető száma követ:
1 Németország esetében;
2 Franciaország esetében;
3 Olaszország esetében;
4 Hollandia esetében;
5 Svédország esetében;
6 Belgium esetében;
7 Magyarország esetében;
8 a Cseh Köztársaság esetében;
9 Spanyolország esetében;
11 az Egyesült Királyság esetében;
12 Ausztria esetében;
13 Luxemburg esetében;
17 Finnország esetében;
18 Dánia esetében;
19 Románia esetében;
20 Lengyelország esetében;
21 Portugália esetében;
23 Görögország esetében;
24 Írország esetében;
25 Horvátország esetében;
26 Szlovénia esetében;
27 Szlovákia esetében;
29 Észtország esetében;
32 Lettország esetében;
34 Bulgária esetében;
36 Litvánia esetében;
49 Ciprus esetében;
50 Málta esetében;
1.4. A tanúsítási jelölésnek a négyszög közelében tartalmaznia kell egy "alap jóváhagyási számot" az (EU) 2020/683 rendelet IV. mellékletének 4. szakaszában írtaknak megfelelően, amelyet az e rendelet legutóbbi technikai módosításához rendelt sorozatszámot jelölő két számjegy, valamint az ábécé valamely betűje előz meg, amely arra az alkatrészre utal, amire a tanúsítványt megadták.
E rendelet esetében ez a szám a 02.
E rendelet tekintetében a betűkarakterét az 1. táblázat rögzíti
1. táblázat
G | Sebességváltó |
C | Nyomatékátalakító (TC) |
O | Egyéb nyomatékátviteli alkatrész (OTTC) |
D | Kiegészítő hajtásláncalkatrész (ADC) |
1.5. Példa a tanúsítási jelölésre

A sebességváltón, nyomatékátalakítón (TC), egyéb nyomatékátviteli alkatrészen (OTTC) vagy kiegészítő hajtásláncalkatrészen (ADC) elhelyezett fenti tanúsítási jelölés mutatja, hogy az érintett típust Lengyelországban (e20) e rendeletnek megfelelően tanúsították. Az első két számjegy (02) az e rendelet legutóbbi technikai módosításához rendelt sorszámot jelöli. A következő karakter (G) azt jelzi, hogy a tanúsítványt egy sebességváltóra adták ki. Az utolsó öt számjegy (00005) az az alap-jóváhagyási szám, amelyet a jóváhagyó hatóság hozzárendelt a sebességváltóhoz.
1.6. A tanúsítvány kérelmezőjének kérésére és a jóváhagyó hatóság előzetes beleegyezésével az 1.5. pontban jelzettől eltérő méretű jelölés is használható. Az egyéb méretű jelöléseknek is jól olvashatónak kell lenniük.
1.7. A jelöléseknek, címkéknek, tábláknak vagy matricáknak a sebességváltó, nyomatékátalakító (TC), egyéb nyomatékátviteli alkatrész (OTTC) vagy kiegészítő hajtásláncalkatrész (ADC) hasznos élettartama végéig tartósnak kell maradniuk, illetve világosan olvashatónak és kitörölhetetlennek kell lenniük. A gyártónak gondoskodnia kell arról, hogy a jelöléseket, címkéket, adattáblákat vagy matricákat ne lehessen anélkül eltávolítani, hogy meg ne rongálódjanak, illetve olvashatatlanná ne váljanak.
1.8. Amennyiben a sebességváltó, nyomatékátalakító, egyéb nyomatékátviteli alkatrész vagy kiegészítő hajtásláncalkatrész tekintetében ugyanaz a jóváhagyó hatóság külön tanúsítványokat ad, és az említett alkatrészek együttesen kerülnek beszerelésre, elegendő az 1.3. pont szerinti egyik tanúsító jelölést feltüntetni. E tanúsító jelölést kell követniük az 1.4. pontban meghatározott, vonatkozó jelöléseknek az érintett sebességváltóra, nyomatékátalakítóra, egyéb nyomatékátviteli alkatrészre vagy kiegészítő hajtásláncalkatrészre vonatkozóan, amiket egymástól "/" jel választ el.
1.9. A tanúsítási jelölésnek a sebességváltó, nyomatékátalakító, egyéb nyomatékátviteli alkatrész vagy kiegészítő hajtásláncalkatrész járműbe történő beépítése után is láthatónak kell lennie, és azt egy olyan részhez kell rögzíteni, amely a rendes működéshez szükséges, és amelyet szokásos esetben az alkatrész élettartama során nem kell kicserélni.
1.10. Ha a nyomatékátalakító vagy egyéb nyomatékátviteli alkatrész kialakítása olyan, hogy az nem hozzáférhető és/vagy nem látható a sebességváltóval való összeszerelést követően a nyomatékátalakító vagy egyéb nyomatékátviteli alkatrész tanúsító jelölését a sebességváltón kell elhelyezni.
Az első bekezdésben leírt esetben, amennyiben a nyomatékátalakító vagy egyéb nyomatékátviteli alkatrész nincs tanúsítva a tanúsítási szám helyett a "-" jelzést kell feltüntetni a sebességváltón az 1.4. pontban meghatározott betűkarakter mellett.
2. Számozás
2.1. A sebességváltó, nyomatékátalakító, egyéb nyomatékátviteli alkatrész vagy kiegészítő hajtásláncalkatrész tanúsítási száma az alábbiakból áll:
eX*YYYY/YYYY*ZZZZ/ZZZZ*X*00000*00
1. szakasz | 2. szakasz | 3. szakasz | Kiegészítő betű a 3. szakaszhoz | 4. szakasz | 5. szakasz |
A tanúsítványt kibocsátó ország megjelölése | A nehézgépjárművek CO2-kibocsátásának meghatározásáról szóló rendelet ((EU) 2017/2400) | A legutóbbi módosító rendelet (ZZZZ/ZZZZ) | Lásd e függelék 1. táblázatát | Alaptanúsítási szám 00000 | Kiterjesztés 00 |
8. függelék
Standard nyomatékveszteségi értékek - sebességváltó
A sebességváltó névleges maximális nyomatéka alapján kiszámított háttérértékek:
A sebességváltó bemenő tengelyével összefüggő Tl,in nyomatékveszteséget a következőképpen kell kiszámítani:

ahol:
Tl,in = a bemenő tengellyel összefüggő nyomatékveszteség [Nm]
Tdx = vonónyomaték x ford./perc mellett [Nm]
Taddx
=
kiegészítő szöghajtómű-sebességfokozat vonónyomatéka x ford./perc mellett [Nm]
(ha releváns)
nin = fordulatszám a bemenő tengelynél [ford./perc]
fT = 1-η
η = hatásfok
fT = 0,01 direkt sebességfokozat esetében, 0,04 indirekt sebességfokozat esetében
fT_add = 0,04 a szöghajtóműves sebességváltó esetében (ha releváns)
Tin = nyomaték a bemenő tengelynél [Nm]
A fogazott tengelykapcsolóval rendelkező sebességváltók (szinkronizált kézi sebességváltók [SMT], automatizált kézi sebességváltók vagy mechanikus kapcsolású automata sebességváltók [AMT] és kettős tengelykapcsolós sebességváltók [DCT]) esetében a Tdx vonónyomaték a következőképpen számítható ki:

ahol:
Tmax,in = maximálisan megengedett bemeneti nyomaték a sebességváltó bármely előremeneti sebességfokozatában [Nm]
= max(Tmax,in,gear)
Tmax,in,gear = maximálisan megengedett bemeneti nyomaték a sebességfokozatban, ahol a sebességfokozat = 1, 2, 3,... legmagasabb sebességfokozat). A hidrodinamikus nyomatékátalakítóval rendelkező sebességváltókban ez a bemeneti nyomaték a nyomatékátalakító előtti bemenő nyomaték.
A súrlódó tengelykapcsolóval rendelkező sebességváltók (> 2 súrlódó tengelykapcsoló) esetében a Tdx vonónyomaték a következőképpen számítható ki:

Itt a "súrlódó tengelykapcsolódó" kifejezés olyan tengelykapcsolóra vagy fékre utal, amely súrlódással működik, és amely legalább egy sebességfokozatban szükséges a tartós nyomatékátvitelhez.
A szöghajtóművet magában foglaló (pl. kúpkerekes) sebességváltók esetében a kiegészítő szöghajtómű Taddx vonónyomatéka a Tdx kiszámításának a részét képezi:

(csak ha releváns)
Az integrált differenciálművel rendelkező sebességváltók esetében az integrált differenciálművet szögmeghajtóként kell kezelni. Ezáltal a fenti Tadd0 , Tadd1000 és fTadd kifejezéseket kell használni a T l,in .kiszámításához.
9. függelék
Általános modell - nyomatékátalakító
A nyomatékátalakító általános modellje a standard technológia alapján:
A nyomatékátalakító jellemzőinek a meghatározásához a nyomatékátalakítónak a konkrét motorjellemzőktől függő általános modellje alkalmazható.
A nyomatékátalakító általános modellje az alábbi jellemző motoradatokon alapul:
nrated = maximális motorfordulatszám maximális teljesítmény mellett (a motor teljes terhelés melletti görbéjéből meghatározva, a motor előfeldolgozási eszközével számolva) [ford./perc]
Tmax = maximális motornyomaték maximális teljesítmény mellett (a motor teljes terhelés melletti görbéjéből meghatározva, a motor előfeldolgozási eszközével számolva) [Nm]
Ezért a nyomatékátalakító általános jellemzői kizárólag az olyan motorral egybeépített nyomatékátalakítóra érvényesek, amely ugyanazon konkrét, jellemző motoradatokkal rendelkezik.
A nyomatékátalakító nyomatékteljesítményére vonatkozó négypontos modell:
Az általános nyomatékteljesítmény és az általános nyomatékmódosítási tényező:
1. ábra
Általános nyomatékteljesítmény

2. ábra
Általános nyomatékmódosítási tényező

ahol:
TP1000 = szivattyú referencianyomatéka; [Kép #15] [Nm]

Kép #15
v = áttételi arány; [Kép #16] [-]

Kép #16
μ = nyomatékmódosítási tényező; [Kép #17] [-]

Kép #17
vs
=
áttételi arány a ráfutási ponton;

[-]
Forgó házzal rendelkező (Trilock típusú) nyomatékátalakító esetében a vs jellemzően 1. Az egyéb - különösen a teljesítményosztásos - koncepciójú nyomatékátalakítók esetében a vs az 1-től eltérő értéket is felvehet.
vc = Áttételi arány a kapcsolási ponton; [Kép #18] [-]

Kép #18
v0 = Átesési pont; v 0 = 0 [ford./perc]
vm = Közbenső áttételi arány; [Kép #19] [-]

Kép #19
A modell a következő fogalommeghatározásokat teszi szükségessé az általános nyomatékteljesítmény kiszámításához:
Átesési pont:
- Átesési pont a névleges motorfordulatszám 70 %-ánál.
- Motor nyomatéka az átesési pontban, a maximális motornyomaték 80 %-ánál.
- Motor/szivattyú referencianyomatéka az átesési pontban:

Közbenső pont:
- Közbenső áttételi arány vm = 0,6 * vs
- Motor/szivattyú referencianyomatéka a közbenső pontban, az átesési pont szerinti referencianyomaték 80 %-ánál:

Kapcsolási pont:
- Kapcsolási pont 90 %-os ráfutási feltételek mellett: vc = 0,90 * vs
- Motor/szivattyú referencianyomatéka a tengelykapcsolási pontban, az átesési pont szerinti referencianyomaték 50 %-ánál:

Ráfutási pont:
- Referencianyomaték ráfutási feltételek mellett = vs :

A modell a következő fogalommeghatározásokat teszi szükségessé az általános nyomatékmódosítási tényező kiszámításához:
Átesési pont:
- Nyomatékmódosítási tényező az átesési pontnál v0 = vs = 0:

Közbenső pont:
- Lineáris interpoláció az átesési pont és a kapcsolási pont között
Kapcsolási pont:
- Nyomatékmódosítási tényező a kapcsolási pontnál vc = 0,9 * vs :

Ráfutási pont:
- Nyomatékmódosítási tényező ráfutási feltételek mellett = vs :

Hatásfok:
n = μ * v
A számított konkrét pontok között lineáris interpolációt kell alkalmazni.
10. függelék
Standard nyomatékveszteségi értékek - egyéb nyomatékátviteli alkatrészek
Számított standard nyomatékveszteségi értékek az egyéb nyomatékátviteli alkatrészek esetében
A járműindítás funkcióval ellátott elsődleges hidrodinamikus (olajos vagy vizes üzemű) lassítófékek esetében a lassítófék vonónyomatéka az alábbiak szerint számítható ki:

Egyéb hidrodinamikus (olajos vagy vizes üzemű) lassítófékek esetében a lassítófék vonónyomatéka az alábbiak szerint számítható ki:

Mágneses (állandó üzemű vagy elektromágneses) lassítófékek esetében a lassítófék vonónyomatéka az alábbiak szerint számítható ki:

ahol:
Tretarder = a lassítófék motorfékezési vesztesége [Nm]
nretarder = a lassítófék forgórészének fordulatszáma [ford./perc] (lásd e melléklet 5.1. pontját)
istep-up = áttételi tényező = lassítófék forgórészének fordulatszáma / hajtórész fordulatszáma (lásd e melléklet 5.1. pontját)
11. függelék
Standard nyomatékveszteségi értékek - fogaskerekes szöghajtómű vagy egyfordulatszámú hajtásláncalkatrész
A 8. függelék szerinti sebességváltó és fogaskerekes szöghajtómű együttese tekintetében érvényes standard nyomatékveszteségi értékekkel összhangban, a fogaskerekes szöghajtómű, illetve az egyfordulatszámú hajtásláncalkat standard nyomatékvesztesége sebességváltó nélkül az alábbiak szerint számítható ki:

ahol:
Tl,in = a sebességváltó bemenő tengelyével összefüggő nyomatékveszteség [Nm]
Taddx
=
a kiegészítő szöghajtómű-sebességfokozat vonónyomatéka x ford./perc mellett [Nm]
(ha releváns)
nin = fordulatszám a sebességváltó bemenő tengelyénél [ford./perc]
fT
=
1-η;
Η = hatásfok
fT_add = 0,04 a szöghajtóműves sebességváltó esetében
Tin = nyomaték a sebességváltó bemenő tengelyénél [Nm]
Tmax,in = maximálisan megengedett bemeneti nyomaték a sebességváltó bármely előremeneti sebességfokozatában [Nm]
= max(Tmax,in,gear)
Tmax,in,gear = maximálisan megengedett bemeneti nyomaték a sebességfokozatban, ahol a sebességfokozat = 1, 2, 3,... legmagasabb sebességfokozat)

A fenti számításokkal kapott standard nyomatékveszteségek hozzáadhatók a sebességváltó 1-3. opcióval kapott nyomatékveszteségeihez annak érdekében, hogy megállapíthatók legyenek a konkrét sebességváltó és szöghajtómű együttesének nyomatékveszteségei.
12. függelék
A szimulációs eszköz bemeneti paraméterei
Bevezetés
E függelék azoknak a paramétereknek a listáját adja meg, amelyeket a szimulációs eszköz bemeneti információjaként a sebességváltó, nyomatékátalakító (TC), egyéb nyomatékátviteli alkatrész (OTTC) és kiegészítő hajtásláncalkatrészek (ADC) gyártójának kell megadnia. Az alkalmazandó XML-séma, valamint a példaadatok az erre a célra létrehozott elektronikus elosztó platformon érhetők el.
Fogalommeghatározások
1. "Parameter ID":A "Szimulációs eszközben" használt egyedi azonosító egy adott bemeneti paraméter vagy bemeneti adathalmaz számára
2. "Type":
A paraméter adattípusa
string ... karaktersor ISO8859-1 kódolásban
token ... karaktersor ISO8859-1 kódolásban, sor eleji/végi whitespace karakter nélkül
date ... dátum és idő UTC időben és a következő formátumban: YYYY-MM-DDTHH:MM:SSZ, ahol a dőlt betűk a rögzített karaktereket jelzik, pl. "2002-05-30T09:30:10Z"
integer ... egész adattípusú érték, sor eleji nulla nélkül, pl. "1800"
double, X ... tört szám, pontosan X számjeggyel a tizedesjel (".") után és sor eleji nulla nélkül, pl. "double, 2": "2345.67"; vagy "double, 4": "45.6780"
3. "Unit" ...a paraméter fizikai mértékegysége
Bemeneti paraméterek halmaza
1. táblázat
"Transmission/General" bemeneti paraméterek
A paraméter neve | Paraméterazonosító | Típus | Egység | Leírás/referencia |
Manufacturer | P205 | token | [-] | |
Model | P206 | token | [-] | |
CertificationNumber | P207 | token | [-] | |
Date | P208 | dateTime | [-] | Az alkatrészre vonatkozó hashfüggvény létrehozásának dátuma és időpontja |
AppVersion | P209 | token | [-] | |
TransmissionType | P076 | karakterlánc | [-] | Megengedett értékek (1): „SMT”, „AMT”, „APT-S”, „APT-P”, „APT-N”, „IHPC Type 1” |
MainCertificationMethod | P254 | karakterlánc | [-] | Megengedett értékek: „Option 1”, „Option 2”, „Option 3”, „Standard values” |
DifferentialIncluded | P353 | Boole-féle | [-] | |
AxlegearRatio | P150 | kettős, 3 | [-] | Opcionális, csak akkor szükséges, ha a „DifferentialIncluded” értéke igaz. |
(1) A DCT-t AMT típusú sebességváltóként kell feltüntetni. |
2. táblázat
"Transmission/Gears" bemeneti paraméterek sebességfokozatonként
Parameter name | Parameter ID | Type | Unit | Leírás/referencia |
GearNumber | P199 | integer | [-] | |
Ratio | P078 | double, 3 | [-] | A differenciálművel felszerelt sebességváltó esetében a sebességfokozat-áttételi arányt csak a tengely áttételi arányának figyelembevétele nélkül kell feltüntetni |
MaxTorque | P157 | integer | [Nm] | opcionális |
MaxSpeed | P194 | integer | [1/perc] | opcionális |
3. táblázat
"Transmission/LossMap" bemeneti paraméterek sebességfokozatonként, valamint a veszteségi jellegmező minden egyes hálózati pontjára
Parameter name | Parameter ID | Type | Unit | Leírás/referencia |
InputSpeed | P096 | double, 2 | [1/perc] | |
InputTorque | P097 | double, 2 | [Nm] | |
TorqueLoss | P098 | double, 2 | [Nm] |
4. táblázat
"TorqueConverter/General" bemeneti paraméterek
Parameter name | Parameter ID | Type | Unit | Leírás/referencia |
Manufacturer | P210 | token | [-] | |
Model | P211 | token | [-] | |
CertificationNumber | P212 | token | [-] | |
Date | P213 | dateTime | [-] | Az alkatrészre vonatkozó hashfüggvény létrehozásának dátuma és időpontja |
AppVersion | P214 | string | [-] | |
CertificationMethod | P257 | string | [-] | Megengedett értékek: „Measured”, „Standard values” |
5. táblázat
"TorqueConverter/Characteristics" bemeneti paraméterek minden egyes hálózati pontra a jelleggörbén
Parameter name | Parameter ID | Type | Unit | Leírás/referencia |
SpeedRatio | P099 | kettős, 4 | [-] | |
TorqueRatio | P100 | double, 4 | [-] | |
InputTorqueRef | P101 | double, 2 | [Nm] |
6. táblázat
"ADC/General" bemeneti paraméterek (csak akkor szükséges, ha az alkatrész releváns)
Parameter name | Parameter ID | Type | Unit | Leírás/referencia |
Manufacturer | P220 | token | [-] | |
Model | P221 | token | [-] | |
CertificationNumber | P222 | token | [-] | |
Date | P223 | dateTime | [-] | Az alkatrészre vonatkozó hashfüggvény létrehozásának dátuma és időpontja |
AppVersion | P224 | string | [-] | |
Ratio | P176 | double, 3 | [-] | |
CertificationMethod | P258 | string | [-] | Megengedett értékek: „Option 1”, „Option 2”, „Option 3”, „Standard values” |
7. táblázat
"ADC/LossMap" bemeneti paraméterek minden egyes hálózati pontra a veszteségi jellegmezőben (csak akkor szükséges, ha az alkatrész releváns)
Parameter name | Parameter ID | Type | Unit | Leírás/referencia |
InputSpeed | P173 | double, 2 | [1/perc] | |
InputTorque | P174 | double, 2 | [Nm] | |
TorqueLoss | P175 | double, 2 | [Nm] |
8. táblázat
"Retarder/General" bemeneti paraméterek (csak akkor szükséges, ha az alkatrész releváns)
Parameter name | Parameter ID | Type | Unit | Leírás/referencia |
Manufacturer | P225 | token | [-] | |
Model | P226 | token | [-] | |
CertificationNumber | P227 | token | [-] | |
Date | P228 | dateTime | [-] | Az alkatrészre vonatkozó hashfüggvény létrehozásának dátuma és időpontja |
AppVersion | P229 | string | [-] | |
CertificationMethod | P255 | string | [-] | Megengedett értékek: „Measured”, „Standard values” |
9. táblázat
"Retarder/LossMap" bemeneti paraméterek minden egyes hálózati pontra a jelleggörbén (csak akkor szükséges, ha az alkatrész releváns)
Parameter name | Parameter ID | Type | Unit | Leírás/referencia |
RetarderSpeed | P057 | double, 2 | [1/perc] | |
TorqueLoss | P058 | double, 2 | [Nm] |
VII. MELLÉKLET
A TENGELYEKKEL KAPCSOLATOS ADATOK ELLENŐRZÉSE
1. Bevezetés
Ez a melléklet a meghajtó tengelyek nyomatékveszteségével kapcsolatos tanúsítási előírásokat írja le, a nehézgépjárművek vonatkozásában. A járműspecifikus CO2-kibocsátás megállapítására a tengelyek tanúsítása mellett a standard nyomatékveszteség jelen melléklet 3. függelékében leírt számítási eljárása is használható.
2. Fogalommeghatározások
E melléklet alkalmazásában:
1. "egyáttételes hajtott tengely (SR)" : olyan hajtott tengely, amely csak egy fordulatszám-csökkentő áttétellel rendelkezik, jellemzően kúpkerékpárral, hipoid fogazással vagy anélkül.
2. "egyszeres portáltengely (SP)" : olyan tengely, amelynél a tányérkerék forgási tengelye és a kerék forgási tengelye függőlegesen el van tolva, így nagyobb hasmagasságot, illetve a belvárosi buszoknál alacsony padlószint kialakítását teszi lehetővé. Jellemzően az első áttétel egy kúpkerékpár, míg a második egy függőlegesen eltolt, a kerekekhez közel található homlokfogaskerék-pár (vagy ferde fogazású fogaskerékpár).
3. "bolygóműves tengely (HR)" : két áttétellel rendelkező hajtott tengely. Az első jellemzően egy kúpkerékpár, hipoid fogazással vagy anélkül, a második egy bolygóműves hajtómű, amely jellemzően a kerekek közelében található.
4. "egyszeres fordulatszám-csökkentésű tandemtengely (SRT)" : olyan hajtott tengely, amely alapvetően hasonlít az egyáttételes hajtott tengelyre, de a hajtónyomatékot a behajtó kardánperemtől egy kimenő kardánperemen át egy további tengelyre is továbbítja. A nyomaték közvetíthető egy, a behajtó kardánperem közelében elhelyezett homlokfogaskerék-pár által, amely függőleges eltolást biztosít a kimenő kardánperemhez. További lehetőség egy második hajtó fogaskerék a kúpkerékpárnál, amely átveszi a nyomatékot a tányérkeréknél.
5. "bolygóműves tandemtengely (HRT)" : olyan bolygóműves tengely, amely az egyszeres fordulatszám-csökkentésű tandemtengelynél (SRT) leírt módon képes a nyomaték hátrafelé történő átadására.
6. "hídtest" : azok a részek, amelyek szükségesek a szerkezeti épséghez, valamint a hajtáslánc részeinek, a tengely csapágyainak és tömítéseinek megtartásához.
7. "hajtó fogaskerék" : egy általában két fogaskerékből álló kúpkerékhajtás része. A hajtó fogaskerék kapcsolódik a behajtó kardánperemhez. SRT/HRT típusú tengelyek esetében beépíthető egy második hajtó fogaskerék is, amely a tányérkerékről veszi le a nyomatékot.
8. "tányérkerék" : az általában két fogaskerékből álló kúpkerékpár része. A tányérkerék a meghajtott kerék, amely a differenciálművel kapcsolódik.
9. "bolygómű" : az a bolygóműves hajtómű, amely általában a bolygóműcsapágy külső oldalára van szerelve a bolygóműves tengelyeken. A fogaskerékkészlet három különböző fogaskerékből áll: a napkerékből, a bolygókerekekből és a gyűrűből. A napkerék van középen, a bolygókerekek a napkerék körül forognak, és a hídba vannak szerelve, amely a kerékagyhoz van rögzítve. A bolygókerekek száma jellemzően három és öt között van. A gyűrű nem forog, és a merev tengelyhez van rögzítve.
10. "bolygókerekek" : azok a fogaskerekek, amelyek a napkerék körül forognak a bolygókerékkészlet gyűrűjén belül. Csapágyakkal vannak rögzítve a hídhoz, amely a kerékagyhoz csatlakozik.
11. "olajtípus-viszkozitási fokozat" : az SAE J306 meghatározása szerinti viszkozitási fokozat;
12. "gyárilag betöltött olaj" : az az olajtípus-viszkozitási fokozat, amelyet a gyárban használtak az olajbetöltéshez, és amelynek a tengelyben kell maradnia az első szervizidőtartam alatt.
13. "tengelysor" : tengelyek egy csoportja, amelyek ugyanazt az alapvető tengelyfunkciót töltik be, a családfogalomban meghatározottaknak megfelelően.
14. "tengelycsalád" : egy, a gyártó által összeállított tengelycsoport, amelynek tengelyei kialakításuknál fogva, e melléklet 4. függeléke alapján hasonló tervezési jellemzőkkel, CO2-kibocsátási és tüzelőanyag-fogyasztási értékekkel jellemezhetők.
15. "vonónyomaték" : az a nyomaték, amely egy tengely belső súrlódásának leküzdéséhez szükséges, amely akkor lép fel, amikor a tengelycsonkok szabadon, 0 Nm kimeneti nyomatékkal forognak.
16. "tükörképszerűen megfordított tengelyház" : a függőleges síkhoz képest tükrözött tengelyház.
17. "tengelybemenet" : a tengelynek az a vége, amelyen a nyomaték továbbítódik a tengelyre.
18. "tengelykimenet" : a tengelynek az(ok) a vége(i), amelye(ke)n a nyomaték továbbítódik a kerekekhez.
3. Általános követelmények
A tányérkerék-kúpkerék készletnek és valamennyi csapágynak újnak kell lennie a tengellyel kapcsolatos veszteségek hitelesítéséhez, míg a tengelycsonkcsapágyak lehetnek már bejáratottak, és több méréshez is használhatók.
A kérelmező kérésére a különböző áttételi arányok vizsgálhatók ugyanabban a hídtestben, azonos tengelycsonkok használatával.
A bolygóműves tengelyek és egyszeres portáltengelyek (HR, HRT, SP) esetében a különböző hátsóhídáttételek mérése csak a bolygómű kicserélésével végezhető el. Az e melléklet 4. függelékében meghatározott előírások alkalmazandók.
Az egyes tengelyek (a hídtestet és a tengelycsonkokat kivéve) opcionális bejáratásának és mérésének teljes futási ideje nem haladhatja meg a 120 órát.
A tengelyek veszteségeinek vizsgálatához meg kell mérni a nyomatékveszteség jellegmezőjét az egyes tengelyek minden egyes áttételi aránya esetében, a tengelyeket azonban e melléklet 4. függelékében szereplő előírások alapján tengelycsaládokba lehet csoportosítani.
3.1. Bejáratás
A kérelmező kérésére bejáratási eljárást lehet alkalmazni a tengelyen. A bejáratási eljárásra a következő előírások vonatkoznak.
3.1.1. A bejáratási eljáráshoz csak gyárilag betöltött olaj használható. A bejáratáshoz használt olaj nem használható a 4. pontban ismertetett vizsgálatokhoz.
3.1.2. A gyártónak meg kell határoznia a bejáratási eljáráshoz használandó fordulatszám- és nyomatékprofilt.
3.1.3. A bejáratási eljárást a gyártó dokumentálni és jelenteni köteles a jóváhagyó hatóságnak a bejáratási idő, a fordulatszám, a nyomaték és az olajhőmérséklet tekintetében.
3.1.4. Az olajhőmérséklettel (4.3.1.), a mérési pontossággal (4.4.7.) és a vizsgálati összeállítással (4.2.) kapcsolatos követelmények a bejáratási eljárásra nem vonatkoznak.
4. A vizsgálati eljárás tengelyek esetében
4.1. Vizsgálati körülmények
4.1.1. Környezeti hőmérséklet
A vizsgálókamrát 25oC±10oC hőmérsékleten kell tartani. A környezeti hőmérsékletet a hídtesttől számított 1 méteres távolságon belül kell mérni. A tengely kényszerfűtése csak egy, a 4.1.5. pontban leírt külső olajkondicionáló rendszer használatával lehetséges.
4.1.2. Olajhőmérséklet
Az olajhőmérsékletet az olajteknő közepén vagy a helyes mérnöki gyakorlatnak megfelelő bármely más alkalmas ponton kell mérni. Külső olajkondicionálás esetén az olajhőmérséklet mérhető a hídtestből a kondicionáló rendszerbe tartó kimenő vezetéken, a kimenet után 5 cm-en belül. Az olajhőmérséklet egyik esetben sem haladhatja meg a 70oC-ot.
4.1.3. Olajminőség
A méréshez csak a tengely gyártója által ajánlott, gyárilag betöltött olajok használhatók. Amennyiben különböző áttételi arányokat vizsgálnak ugyanannál a hídtestnél, a teljes hídrendszer minden egyes mérésénél új olajat kell betölteni.
4.1.4. Olajviszkozitás
Ha a gyárilag betöltött olajhoz különböző, eltérő viszkozitási fokú olajok vannak megadva, a gyártónak az anyatengelyen való mérések elvégzéséhez a legnagyobb viszkozitási fokot kell választania.
Ha egy tengelycsaládon belül több azonos viszkozitású fokú olaj van megadva gyárilag betöltött olajként, akkor a kérelmező választhat ezek közül egyet a tanúsítással kapcsolatos mérés elvégzéséhez.
4.1.5. Olajszint és kondicionálás
Az olajszintnek vagy töltőtérfogatnak a gyártói karbantartási előírásokban meghatározott maximális szinten kell lennie.
Külső olajkondicionáló és olajszűrőrendszer használata megengedett. A hídtest módosítható az olajkondicionáló rendszer beépítése érdekében.
A helyes mérnöki gyakorlatnak megfelelően nem megengedett az olajkondicionáló rendszer oly módon történő beépítése, hogy módosítani lehessen az olajszintet a tengelyben a hatásfok javítása vagy hajtónyomatékok generálása érdekében.
4.2. Vizsgálati összeállítás
A nyomatékveszteség mérése céljából különböző vizsgálati összeállítások engedélyezettek, a 4.2.3. és a 4.2.4. pontban leírtak alapján.
4.2.1. A tengely beépítése
Tandemtengely esetében a mérést minden egyes tengelynél külön el kell végezni. Az első, hosszirányú differenciálműves tengelyt reteszelni kell. Az áthajtómű tengelyeinek kimenőtengelyét úgy kell beépíteni, hogy szabadon foroghasson.
4.2.2. A nyomatékmérők felszerelése
4.2.2.1. Két elektromos gépből álló vizsgálati összeállítás esetén a nyomatékmérőket a behajtó kardánperemre, illetve az egyik tengelycsonkra kell szerelni, a másik tengelycsonk reteszelése mellett.
4.2.2.2. Három elektromos gépből álló vizsgálati összeállítás esetén a nyomatékmérőket a behajtó kardánperemre, illetve az egyes tengelycsonkokra kell szerelni.
4.2.2.3. Két gépből álló vizsgálati összeállítás esetén megengedett különböző hosszúságú féltengelyek használata a differenciálmű reteszelése, illetve annak biztosítása érdekében, hogy mindkét tengelycsonk elforduljon.
4.2.3. "A típusú" vizsgálati összeállítás
Az "A típusúnak" tekintett vizsgálati összeállítás egy, a tengely bemeneti oldalán elhelyezett, és legalább egy, a tengely kimeneti oldalán/oldalain elhelyezett dinamométerből áll. A nyomatékmérő eszközöket a tengely bemeneti és kimeneti oldalán/oldalain kell elhelyezni. Az "A típusú" vizsgálati összeállítások esetében, amelyeknél a kimeneti oldalon csak egy fékpad van, a tengely szabadon forgó végének elforgathatóan kell a kimeneti oldalon a másik véghez kapcsolódnia (pl. aktivált differenciálzár vagy bármilyen más mechanikus differenciálzár révén, amelyet csak a méréshez alkalmaznak).
A mellékveszteségek elkerülése érdekében a nyomatékmérő eszközöket megfelelő csapágyakkal rögzítve a lehető legközelebb kell elhelyezni a tengely bemeneti és kimeneti oldalához/oldalaihoz.
Továbbá a nyomatékérzékelőknek a tengelyek készenléti terhelésétől való mechanikai elszigetelése érdekében további csapágyak építhetők be, amelyeket az érzékelőktől rugalmas csatlakozó vagy könnyű kardántengely választ el. Az 1. ábra a két dinamométeres, "A típusú" vizsgálati összeállításra mutat egy példát.
Az "A típusú" vizsgálati összeállítások esetében a gyártónak elemzést kell biztosítania a készenléti terhelésről. Az elemzés alapján a jóváhagyó hatóság eldönti, hogy mekkora a készenléti terhelések maximális befolyása. Az ipara érték azonban nem lehet kisebb, mint 10 %.
1. ábra
Példa az "A típusú" vizsgálati összeállításra

4.2.4. "B típusú" vizsgálati összeállítás
Egy másik vizsgálati összeállítás a "B típusú" vizsgálati összeállítás. A készenléti terhelések maximális befolyása (ipara) ezen összeállítások esetében 100 %-nak tekintendő.
A jóváhagyó hatósággal való megállapodás alapján kisebb ipara értékek is használhatók.
4.3. Vizsgálati eljárás
Egy tengely esetében a nyomatékveszteség jellegmezőjének megállapításához a nyomatékveszteség-jellegmező alapvető adatait a 4.4. pontban meghatározott módon kell megmérni és kiszámítani. A nyomatékveszteséggel kapcsolatos eredményeket a 4.4.8. ponttal összhangban ki kell egészíteni, valamint a 6. függeléknek megfelelően formázni kell, hogy a szimulációs eszköz fel tudja dolgozni azokat.
4.3.1. Mérőeszközök
A kalibrálásra szolgáló laboratóriumi létesítményeknek meg kell felelniük az IATF 16949 szabvány, az ISO 9000 szabványsorozat vagy az ISO/IEC 17025 szabvány követelményeinek. Valamennyi referenciamérésre szolgáló berendezésnek, amelyet a kalibráláshoz és/vagy hitelesítéshez használnak, a nemzeti (nemzetközi) szabványok szerint ellenőrizhetőnek kell lenniük.
4.3.1.1. A nyomaték mérése
A nyomatékmérési bizonytalanságot a 4.4.7. pontban leírt módon kell kiszámítani és figyelembe venni.
A nyomatékérzékelők mintavételi gyakoriságának összhangban kell lennie a 4.3.2.1. pontban előírtakkal.
4.3.1.2. Fordulatszám
A bemeneti és kimeneti fordulatszám mérésére szolgáló fordulatszám-érzékelők bizonytalansága nem haladhatja meg a ±2 ford./perc értéket.
4.3.1.3. Hőmérsékletek
A környezeti hőmérséklet mérésére használt hőérzékelők bizonytalansága nem haladhatja meg a ± 1 °C-t.
Az olaj hőmérsékletének mérésére használt hőérzékelők bizonytalansága nem haladhatja meg a ± 0,5 °C-t.
4.3.2. Mérési jelek és adatrögzítés
A következő jeleket kell rögzíteni a nyomatékveszteségek kiszámítása érdekében:
i. Bemeneti és kimeneti nyomaték [Nm]
ii. Bemeneti és/vagy kimeneti fordulatszám [ford./perc]
iii. Környezeti hőmérséklet [°C]
iv. Olajhőmérséklet (°C)
v. Hőmérséklet a nyomatékérzékelőnél [°C] (opcionális)
4.3.2.1. Az érzékelők esetében a mintavételi gyakoriság minimális értékei a következők:
Nyomaték: 1 kHz
Fordulatszám: 200 Hz
Hőmérsékletek: 10 Hz
4.3.2.2. Az egyes rácspontok számtani középértékének meghatározására szolgáló adatok rögzítési gyakorisága legalább 10 Hz kell, hogy legyen. A nyers adatokat nem kell jelenteni.
Jelszűrést a jóváhagyó hatósággal való megállapodás alapján lehet alkalmazni. Bármilyen alul-mintavételezési hatás kerülendő.
4.3.3. Nyomatéktartomány:
A nyomatékveszteség jellegmezőjének kiterjedése a következőkre korlátozódik:
- vagy egy 10 kNm nagyságú kimeneti nyomatékra nehéz tehergépjárművek és nehéz autóbuszok esetében, illetve egy 2 kNm nagyságú kimeneti nyomatékra közepes tehergépjárművek esetében;
- vagy egy 5 kNm nagyságú bemeneti nyomatékra nehéz tehergépjárművek és nehéz autóbuszok esetében, illetve egy 1 kNm nagyságú bemeneti nyomatékra közepes tehergépjárművek esetében;
- vagy pedig a gyártó által megengedett maximális motorteljesítményre egy adott tengelyre vonatkozóan vagy több hajtott tengely esetében a névleges teljesítményeloszlás szerint.
4.3.3.1. A gyártó a mérést legfeljebb 20 kNm kimeneti nyomatékig kiterjesztheti a nyomatékveszteségek lineáris extrapolációjával, vagy legfeljebb 20 kNm kimeneti nyomatékig méréseket is végezhet, 2 000 Nm-es lépésekben. Ehhez a kibővített nyomatéktartományhoz a kimeneti oldalon két gépből álló összeállítás esetében egy további nyomatékérzékelőt (maximális nyomaték: 20 kNm), három gépből álló összeállítás esetében két nyomatékérzékelőt (maximális nyomaték: 10-10 kNm) kell használni.
Ha a tengelyen való mérés elvégzését követően a legkisebb abroncs sugara csökkent (pl. termékfejlesztés), vagy ha elérték a próbapad fizikai korlátait (pl. termékfejlesztési módosítások által), a hiányzó pontokat a gyártó a meglévő jellegmező alapján extrapolálhatja. Az extrapolált pontok aránya a jellegmező összes pontját tekintve nem haladhatja meg a 10 %-ot, az extrapolált pontok értékét pedig 5 % nyomatékveszteséggel kell korrigálni.
4.3.3.2. 250 Nm < Tout < 1 000 Nm : 250 Nm-es lépésközök
1 000 Nm ≤ Tout ≤ 2 000 Nm : 500 Nm-es lépésközök
2 000 Nm ≤ Tout ≤ 10 000 Nm : 1 000 Nm-es lépésközök
Tout > 10 000 Nm : 2 000 Nm-es lépésközök
A kimeneti nyomaték mérendő lépésközei közepes tehergépjárművek esetében:
50 Nm < Tout < 200 Nm : 50 Nm-es lépésközök
200 Nm ≤ Tout ≤ 400 Nm : 100 Nm-es lépésközök
400 Nm ≤ Tout ≤ 2 000 Nm : 200 Nm-es lépésközök
Tout > 2 000 Nm : 400 Nm-es lépésközök
4.3.4. Fordulatszám-tartomány
A vizsgálathoz használt fordulatszám-tartomány 50 ford./perc kerék-fordulatszámtól a maximális fordulatszámig terjed. A mérendő maximális vizsgálati fordulatszámot a tengely maximális bemeneti fordulatszáma vagy a kerék maximális fordulatszáma határozza meg, amelyiket az alábbi feltételek közül hamarabb elérik:
4.3.4.1. Lehetséges, hogy a maximális alkalmazható bemeneti tengelyfordulatszámot a tengely tervezési specifikációja korlátozza.
4.3.4.2. A maximális kerékfordulatszámot a legkisebb alkalmazható kerékátmérő mellett 90 km/h (közepes és nehéz tehergépjárművek), illetve 110 km/h (nehéz autóbuszok) sebesség mellett kell mérni. Ha nincs meghatározva a legkisebb alkalmazható kerékátmérő, akkor a 4.3.4.1. pont alkalmazandó.
4.3.5. A mérendő kerékfordulatszám-lépésközök
A vizsgálathoz nehéz tehergépjárművek és nehéz autóbuszok esetében 50 ford./perc kerékfordulatszám-lépésközt, a közepes tehergépjárművek esetében pedig 100 ford./perc kerékfordulatszám-lépésközt kell használni. Közbenső kerékfordulatszám-lépésközök mérése megengedett.
4.4. A nyomatékveszteség-jellegmező mérése tengelyeknél
4.4.1. A nyomatékveszteség-jellegmező vizsgálati programja
Minden egyes fordulatszám-lépésköz esetében a nyomatékveszteséget minden egyes kimeneti nyomatéklépésközre ki kell számolni, a legalacsonyabb nyomatékértéktől indulva felfelé a maximumig és lefelé a minimumig. A fordulatszám-lépésközök bármilyen sorrendben futtathatók. A nyomatékmérési sorozatot kétszer kell elvégezni és rögzíteni.
A program hűtési vagy fűtési célokat szolgáló megszakításai megengedettek.
4.4.2. A mérés időtartama
A mérésnek minden egyes rácspont esetében minimum 5 és legfeljebb 20 másodpercig kell tartania.
4.4.3. A rácspontok átlagolása
Az egyes rácspontokhoz a 4.4.2. pontnak megfelelően az 5-20 másodperces időtartam alatt rögzített értékeket átlagolni kell a számtani középértékre.
A két-két, felfelé és lefelé mért programokból származó, megfelelő fordulatszám- és nyomatékrácspontok mind a négy átlagolt intervallumát átlagolni kell a számtani középértékre, és az alapján egyetlen nyomatékveszteség-értéket kell kiszámítani.
4.4.4. A tengely nyomatékvesztesége (a bemeneti oldalon) az alábbi képlet segítségével számítható ki:

ahol:
Tloss = a tengely nyomatékvesztesége a bemeneti oldalon [Nm]
Tin = bemeneti nyomaték [Nm]
igear = a tengely áttételi aránya [-]
Tout = kimeneti nyomaték [Nm]
4.4.5. A mérés hitelesítése
4.4.5.1. A rácspontonként (5-20 másodperces időtartam alatt) átlagolt fordulatszám-értékek legfeljebb ± 5 ford./perc értékkel térhetnek el a kimeneti fordulatszámra vonatkozó beállítási értékektől.
4.4.5.2. A 4.4.3. pontban leírt módon, rácspontonként átlagolt kimenetinyomaték-értékek legfeljebb ±20 Nm-rel vagy ±1 %-kal térhetnek el az adott rácspontra vonatkozó nyomaték beállítási értékétől (amelyik nagyobb a két érték közül).
4.4.5.3. Ha a fenti kritériumok nem teljesülnek, a mérés nem érvényes. Ebben az esetben meg kell ismételni a teljes érintett fordulatszám-lépésközre vonatkozó mérést. Ha a megismételt mérés megfelel a kritériumoknak, egyesíteni kell az adatokat.
4.4.6. A bizonytalanság kiszámítása
A nyomatékveszteség teljes bizonytalansága (UT,loss ) az alábbi paraméterek alapján számítható ki:
i. Hőmérsékleti hatás
ii. Készenléti terhelések
iii. Bizonytalanság (beleértve az érzékenységi tűrést, a linearitást, a hiszterézist és a megismételhetőséget)
A nyomatékveszteség teljes bizonytalansága (UT,loss) az érzékelők bizonytalanságán alapul, 95 %-os konfidenciaszint mellett. A számítást minden egyes alkalmazott érzékelőre el kell végezni (pl. három gépből álló összeállítás esetén: UT,in, UT,out,1, UTout,2) mint a négyzetek összegének négyzetgyöke ("Gauss-féle hibaterjedési törvény").





wpara = senspara * ipara
ahol:
UT,in/out = a bemeneti/kimeneti nyomatékveszteség-mérés bizonytalansága, külön a bemeneti és a kimeneti nyomatékra; [Nm]
igear = a tengely áttételi aránya [-]
UTKC = az aktuális nyomatékjelnek a hőmérséklet befolyása miatt jelentkező bizonytalansága; [Nm]
wtkc = a hőmérséklet befolyása az aktuális nyomatékjelre Kref értékenként, az érzékelő gyártója által meghatározva; [%]
UTK0 = a zéró nyomatékjelnek a hőmérséklet befolyása miatt jelentkező bizonytalansága (a névleges nyomatékhoz képest); [Nm]
wtk0 = a hőmérséklet befolyása a zéró nyomatékjelre (a névleges nyomatékhoz képest) Kref értékenként, az érzékelő gyártója által meghatározva; [%]
Kref = referenciaként szolgáló hőmérséklet-tartomány a tkc és a tk0 értékekre, az érzékelő gyártója által meghatározva; [°C]
ΔK = a nyomatékérzékelőnél mért hőmérséklet abszolút különbsége kalibrálás és a mérés között; ha az érzékelő hőmérséklete nem mérhető, akkor a ΔK = 15 értéket kell használni [°C]
Tc = aktuális/mért nyomatékérték a nyomatékérzékelőnél; [Nm]
Tn = a nyomatékérzékelő névleges nyomatékértéke; [Nm]
Ucal = a nyomatékérzékelő kalibrálásából származó bizonytalanság; [Nm]
wcal = relatív kalibrálási bizonytalanság (a névleges nyomatékhoz képest); [%]
kcal = kalibrálás-előrehaladási tényező (ha az érzékelő gyártója megadta, ellenkező esetben = 1)
Upara = a készenléti terhelésekből származó bizonytalanság; [Nm]
wpara
=
senspara * ipara
a helytelen beállítás miatt fellépő erők és hajlítónyomatékok relatív befolyása
senspara = a készenléti terheléseknek az adott nyomatékérzékelőre gyakorolt maximális befolyása, az érzékelő gyártója által megadva [%]; ha az érzékelő gyártója nem adott meg konkrét értéket a készenléti terhelésekre vonatkozóan, az értéket 1,0 %-nak kell tekinteni
ipara = a készenléti terheléseknek az adott nyomatékérzékelőre gyakorolt maximális befolyása, a vizsgálati összeállítástól függően, e melléklet 4.2.3. és 4.2.4. pontjában tárgyaltak szerint.
4.4.7. A nyomatékveszteség teljes bizonytalanságának értékelése
Amennyiben az UT,in/out számított bizonytalanságok nem érik el az alábbi határértékeket, a Tloss,rep jelentett nyomatékveszteséget egyenlőnek kell tekinteni a Tloss mért nyomatékveszteséggel.
UT,in : 7,5 Nm vagy a mért nyomaték 0,25 %-a, amelyik megengedett bizonytalansági érték magasabb
Olyan vizsgálati összeállítások esetében, amelyeknél a kimeneti oldalon csak egy fékpad van:
UT,out : 15 Nm vagy a mért nyomaték 0,25 %-a, amelyik megengedett bizonytalansági érték magasabb
Olyan vizsgálati összeállítások esetében, amelyeknél a mindkét kimeneti oldalon két fékpad van:
UT,out : 7,5 Nm vagy a mért nyomaték 0,25 %-a, amelyik megengedett bizonytalansági érték magasabb
Nagyobb számított bizonytalanságok esetében a számított bizonytalanságnak a fent meghatározott határértékeket meghaladó részét kell beilleszteni a Tloss értékhez, hogy megkapjuk a Tloss,rep jelentett nyomatékveszteség értékét, az alábbiak szerint:
Ha az UT,in határértékei kerülnek túllépésre:
Tloss,rep = Tloss + ΔUTin
ΔUT,in = MIN((UT,in - 0,25 % × Tc) vagy (UT,in - 7,5 Nm))
Ha az UT,out határértékei kerülnek túllépésre:
Tloss,rep = Tloss + ΔUT,out / igear
Olyan vizsgálati összeállítások esetében, amelyeknél a kimeneti oldalon csak egy fékpad van:
ΔUT,out = MIN((UT,out - 0,25 % × Tc) vagy (UT,out - 15Nm))
Olyan vizsgálati összeállítások esetében, amelyeknél a mindkét kimeneti oldalon két fékpad van:

ΔUT,out_1 = MIN((UT,out_1 - 0,25 % × Tc) vagy (UT,out_1 - 7,5Nm))
ΔUT,out_2 = MIN((UT,out_1 - 0,25 % × Tc) vagy (UT,out_1 - 7,5Nm))
ahol:
UT,in/out = a bemeneti/kimeneti nyomatékveszteség-mérés bizonytalansága, külön a bemeneti és a kimeneti nyomatékra; [Nm]
igear = a tengely áttételi aránya [-]
ΔUT = a számított bizonytalanságnak a meghatározott határértékeket meghaladó része
4.4.8. A nyomatékveszteség-jellegmező kiegészítése
4.4.8.1. Ha a nyomatékértékek meghaladják a tartomány felső határértékét, lineáris extrapolációt kell alkalmazni. Az extrapolációhoz a megfelelő fordulatszám-lépésköznek az összes mért nyomatékértéken alapuló lineáris regressziója meredekségét kell alkalmazni.
4.4.8.2. A 4.3.3.2. pontban meghatározott legalacsonyabb mért rácspont alatti kimenetinyomaték-tartományokhoz a legalacsonyabb mért rácsponthoz tartozó nyomatékveszteség-értékeket kell alkalmazni.
4.4.8.3. 0 ford./perc kerékfordulatszám esetében az 50 ford./perc fordulatszám-lépésközhöz tartozó nyomatékveszteség-értékeket kell alkalmazni.
4.4.8.4. Negatív bemeneti nyomaték esetében (pl. ráfutás, szabad gördülés) a megfelelő pozitív bemeneti nyomatékra vonatkozóan mért nyomatékveszteség-értéket kell alkalmazni.
4.4.8.5. Tandemtengely esetében a két tengely kombinált nyomatékveszteség-jellegmezőjét az egyes tengelyek bemeneti oldali vizsgálati eredményei alapján kell kiszámítani. A bemeneti nyomatékokat szintén hozzá kell adni.
Tloss,rep,tdm = Tloss,rep, 1 + Tloss,rep, 2
Tin,tdm = Tin, 1 + Tin, 2
5. A CO2-kibocsátással és a tüzelőanyag-fogyasztással kapcsolatos tanúsított tulajdonságok megfelelősége
5.1. Minden olyan tengelyt, amely e melléklettel összhangban megkapta a típusjóváhagyást, úgy kell legyártani, hogy a tanúsítási űrlapon és annak mellékleteiben szereplő leírás tekintetében megfeleljen a jóváhagyott típusnak. A CO2-kibocsátással és a tüzelőanyag-fogyasztással kapcsolatos tanúsított tulajdonságok megfelelőségével összefüggő eljárásoknak eleget kell tenniük az (EU) 2018/858 rendelet 31. cikkében foglaltaknak.
5.2. A CO2-kibocsátással és a tüzelőanyag-fogyasztással kapcsolatos tanúsított tulajdonságok megfelelőségét e melléklet 1. függelékében szereplő tanúsítványban foglalt leírás, illetve az ebben a pontban lefektetett specifikus feltételek alapján kell ellenőrizni.
5.3. A gyártónak évente legalább az 1. táblázatban feltüntetett, az éves termelési mennyiség alapján megállapított számú tengelyt kell vizsgálatnak alávetnie. A termelési mennyiség megállapításakor csak e rendelet követelményeinek megfelelő tengelyeket kell figyelembe venni.
5.4. Minden egyes, a gyártó által vizsgált tengelynek egy konkrét családot kell reprezentálnia.
5.5. Az 1. táblázat azt mutatja, hogy hány vizsgálatot kell elvégezni az egyáttételes hajtott (SR) tengelyek és az egyéb tengelyek családjai esetében.
1. táblázat
A megfelelőségi vizsgálathoz szükséges mintaméret
Termelési darabszám | Vizsgálatok száma az SR tengelyek esetében | Vizsgálatok száma minden egyéb (nem SR) tengely esetében |
0 – 40 000 | 2 | 1 |
40 001 –50 000 | 2 | 2 |
50 001 –60 000 | 3 | 2 |
60 001 –70 000 | 4 | 2 |
70 001 –80 000 | 5 | 2 |
80 001 vagy több | 5 | 3 |
5.6. A két legnagyobb mennyiségben gyártott tengelycsaládot mindig vizsgálatnak kell alávetni. A gyártónak indokolnia kell a jóváhagyó hatóság számára (pl. értékesítési adatok benyújtásával) az elvégzett vizsgálatok számát és azt, hogy miért az adott családokat választotta. A gyártó és a jóváhagyó hatóság megállapodnak arról, hogy mely további családok vonatkozásában kell a vizsgálatokat elvégezni.
5.7. A CO2-kibocsátással és a tüzelőanyag-fogyasztással kapcsolatos tanúsított tulajdonságok megfelelőségének vizsgálata érdekében a jóváhagyó hatóságnak és a gyártónak közösen meg kell határoznia a vizsgálandó tengelytípus(oka)t. A jóváhagyó hatóságnak meg kell győződnie arról, hogy a kiválasztott tengelytípus(oka)t a sorozatgyártásban használtakkal azonos standardok szerint gyártották.
5.8. Ha a 6. ponttal összhangban végzett vizsgálat eredménye nagyobb, mint a 6.4. pontban meghatározott érték, akkor ugyanabból a családból további három tengelyt kell megvizsgálni. Ha ezek közül legalább az egyik nem felel meg a vizsgálaton, a 23. cikk rendelkezéseit kell alkalmazni.
6. A gyártás megfelelőségének vizsgálata
6.1. A CO2-kibocsátással és a tüzelőanyag-fogyasztással kapcsolatos tanúsított tulajdonságok megfelelőségi vizsgálata érdekében a jóváhagyó hatóságnak és a tanúsítvány kérelmezőjének előzetes megállapodása alapján az alábbi módszerek egyike alkalmazandó:
a) Nyomatékveszteség mérése e mellékletnek megfelelően, a 6.2. pontban leírt, a rácspontokra korlátozott teljes eljárást követve.
b) Nyomatékveszteség mérése e mellékletnek megfelelően, a 6.2. pontban leírt, a rácspontokra korlátozott teljes eljárást követve, a bejáratási eljárás kivételével. A tengely bejáratási jellemzőjének figyelembevétele érdekében korrigáló tényező alkalmazható. Ezt a tényezőt a megfelelő mérnöki körültekintéssel kell meghatározni, a jóváhagyó hatósággal egyetértésben.
c) A vonónyomaték mérése a 6.3. pont alapján. A gyártó a megfelelő mérnöki körültekintéssel egy legfeljebb 100 órás bejáratási eljárás mellett is dönthet.
6.2. Ha a CO2-kibocsátással és tüzelőanyag-fogyasztással kapcsolatos tulajdonságok megfelelőségének értékelését a 6.1. a) vagy b) pont szerint végzik, a méréshez szükséges rácspontok a jóváhagyott nyomatékveszteség-jellegmező 4 rácspontjára korlátozódnak.
6.2.1. Ennek érdekében annak a tengelynek a nyomatékveszteség-jellegmezőjét, amelynek a CO2-kibocsátással és tüzelőanyag-fogyasztással kapcsolatos tulajdonságai megfelelőségét vizsgálják, három, egyenlő távolságra lévő fordulatszám-tartományra és három nyomatéktartományra kell felosztani, hogy kilenc ellenőrzési tartomány jöjjön létre, a 2. ábrának megfelelően.
2. ábra
Fordulatszám- és nyomatéktartomány a CO2-kibocsátással és a tüzelőanyag-fogyasztással kapcsolatos tanúsított tulajdonságok megfelelőségének vizsgálatához

6.2.2. Négy ellenőrzési tartományhoz egy-egy pontot ki kell választani, mérni és értékelni a 4.4. pontban ismertetett teljes eljárásnak megfelelően. Az ellenőrzési pontok kiválasztása a következő módon történik:
i. Az ellenőrzési tartományokat a tengelysor alapján kell kiválasztani:
- SR tengelyek, beleértve a tandemkombinációkat: 5-ös, 6-os, 8-as és 9-es ellenőrzési tartomány
- HR tengelyek, beleértve a tandemkombinációkat: 2-es, 3-as, 4-es és 5-ös ellenőrzési tartomány
ii. A kiválasztott pontnak a fordulatszám-tartomány és a megfelelő fordulatszámhoz tartozó nyomatéktartomány által meghatározott terület közepén kell lennie.
iii. A tanúsításra szolgáló nyomatékveszteség-jellegmezővel való összehasonlíthatóság érdekében a kiválasztott pontot a jóváhagyott térképen szereplő legközelebbi mért pontra kell mozgatni. Ha a kiválasztott pont két jóváhagyott pont között középén helyezkedik el, a magasabb pontot kell használni.
6.2.3. A CO2-kibocsátással és a tüzelőanyag-fogyasztással kapcsolatos tanúsított tulajdonságok megfelelőségének vizsgálata kapcsán mért minden egyes pontra, valamint a típusjóváhagyási jellegmezőn megfeleltethető pontra vonatkozóan a hatásfok a következő módon számítható ki:

ahol:
ηi = a rácspont hatásfoka minden egyes ellenőrzési tartományból (1-től 9-ig)
Tout = kimeneti nyomaték [Nm]
Tin = bemeneti nyomaték [Nm]
iaxle = hátsóhídáttétel [-]
6.2.4. Az ellenőrzési tartomány átlagos hatásfokát az alábbiak szerint kell kiszámítani:
SR tengelyek esetében:



HR tengelyek esetében:



ahol:
ηavr,low speed = átlagos hatásfok kis fordulatszám mellett
ηavr,mid speed = átlagos hatásfok közepes fordulatszám mellett
ηavr,high speed = átlagos hatásfok nagy fordulatszám mellett
ηavr,total = a tengely egyszerűsített átlagos hatásfoka
6.2.5. Ha a CO2-kibocsátással és a tüzelőanyag-fogyasztással kapcsolatos tanúsított tulajdonságok megfelelőségének vizsgálatát a 6.1. pont c) alpontjának megfelelően végzik, akkor a tanúsítás során meg kell állapítani annak az alaptengely vonónyomatékát arra a családra vonatkozóan, amelyhez a vizsgált tengely tartozik. Ez elvégezhető a bejáratási eljárás előtt, vagy a bejáratási eljárás után a 3.1. pontnak megfelelően, vagy a nyomaték-jellegmezőnek az egyes fordulatszám-lépésközökhöz tartozó értékeinek (egészen 0 Nm-ig) extrapolációjával. Az extrapolációnak lineárisnak vagy másodrendű polinomnak kell lennie, attól függően, hogy melyik szórás alacsonyabb.
6.3. A vonónyomaték megállapítása
6.3.1. Egy tengely vonónyomatékának megállapításához egy egyszerűsített vizsgálati összeállításra van szükség, amelyhez egy elektromos gépet és egy nyomatékérzékelőt kell elhelyezni a bemeneti oldalon. Az eltérő hosszúságú egyszeres portáltengellyel rendelkező két kimenőtengely esetében a mindkét kimeneten két elektromos gépből és két nyomatékérzékelőből álló vizsgálati összeállítás is megengedett. E tekintetben mindkét kimenőtengelyt egyidejűleg hajtják haladási irányban. A végső vonónyomatékot a két kimeneti nyomaték összege adja.
6.3.2. A 4.1. pontnak megfelelő vizsgálati feltételeket kell alkalmazni. A nyomatékkal kapcsolatos bizonytalansági számítás elhagyható.
6.3.3. A vonónyomatékot a jóváhagyott típus fordulatszám-tartományában kell mérni, a 4.3.4. ponttal összhangban, a 4.3.5. pont szerinti fordulatszám-lépésközök figyelembevételével.
6.4. A CO - 2
-kibocsátással és a tüzelőanyag-fogyasztással kapcsolatos tanúsított tulajdonságok megfelelőségének vizsgálata
6.4.1. A CO2-kibocsátással és a tüzelőanyag-fogyasztással kapcsolatos tanúsított tulajdonságok megfelelőségének vizsgálata akkor minősül sikeresnek, ha teljesül az alábbi feltételek egyike:
a) Ha nyomatékveszteség-mérésre kerül sor a 6.1. a) vagy b) pont szerint, a vizsgált tengely átlagos hatásfoka a CO2-kibocsátással és a tüzelőanyag-fogyasztással kapcsolatos tanúsított tulajdonságok megfelelőségének vizsgálata során SR tengelyek esetében legfeljebb 1,5 %-kal, minden egyéb tengelysor esetében legfeljebb 2,0 %-kal lehet alacsonyabb a típusjóváhagyással rendelkező tengely megfelelő átlagos hatásfokánál.
b) Ha vonónyomaték mérésére kerül sor a 6.1. c) pont szerint, a vizsgált tengely vonónyomatékának a CO2-kibocsátással és a tüzelőanyag-fogyasztással kapcsolatos tanúsított tulajdonságok megfelelőségének vizsgálata során kisebbnek kell lennie a típusjóváhagyással rendelkező tengely megfelelő vonónyomatékánál, vagy a 2. táblázatban megadott tűréshatárokon belül kell lennie.
2. táblázat
Tengelysor | A tengelyek tűrése a gyártásmegfelelőség keretében, bejáratás után mérve Összevetés a Td0 értékkel | A tengelyek tűrése a gyártásmegfelelőség keretében, bejáratás nélkül mérve Összevetés a Td0 értékkel | ||||||
a következő i esetében | Td0_input [Nm] tűrés | a következő i esetében | Td0_input [Nm] tűrés | a következő i esetében | Td0_input [Nm] tűrés | a következő i esetében | Td0_input [Nm] tűrés | |
SR | ≤ 3 | 10 | > 3 | 9 | > 3 | 16 | > 3 | 15 |
SRT | ≤ 3 | 11 | > 3 | 10 | > 3 | 18 | > 3 | 16 |
SP | ≤ 6 | 11 | > 6 | 10 | > 6 | 18 | > 6 | 16 |
HR | ≤ 7 | 15 | > 7 | 12 | > 7 | 25 | > 7 | 20 |
HRT | ≤ 7 | 16 | > 7 | 13 | > 7 | 27 | > 7 | 21 |
i = áttételi arány |
1. függelék
ALKATRÉSZ, ÖNÁLLÓ MŰSZAKI EGYSÉG VAGY RENDSZER TANÚSÍTVÁNYMINTÁJA
Megengedett legnagyobb méret: A4 (210 x 297 mm)
TANÚSÍTVÁNY EGY TENGELYCSALÁD CO2-KIBOCSÁTÁSSAL ÉS A TÜZELŐANYAG-FOGYASZTÁSSAL KAPCSOLATOS TANÚSÍTOTT TULAJDONSÁGAIRÓL
Az értesítés tárgya: — tanúsítvány megadása (1) — tanúsítvány kiterjesztése (1) — tanúsítvány elutasítása (1) — tanúsítvány visszavonása (1) | A hatóság pecsétjének helye |
(1) A nem kívánt rész törlendő (bizonyos esetekben semmit nem kell törölni, ha egynél több lehetőség is alkalmazható) |
tengelycsalád CO2-kibocsátással és tüzelőanyag-fogyasztással kapcsolatos tulajdonságaira vonatkozóan, az (EU) 2017/2400 bizottsági rendelet alapján.
A legutóbb a ... által módosított (EU) 2017/2400 bizottsági rendelet
Tanúsítvány száma:
Hashfüggvény:
A kiterjesztés indoklása:
I. SZAKASZ
0.1. Gyártmány (a gyártó által bejegyzett védjegy):
0.2. Típus:
0.3. Típusazonosító ismertetőjelek, amennyiben azok fel vannak tüntetve a tengelyen:
0.3.1. A jelölés helye:
0.4. A gyártó neve és címe:
0.5. Alkatrészek és önálló műszaki egységek esetében az EK-típusjóváhagyási jel helye és felerősítésének módja:
0.6. Az összeszerelő üzem(ek) neve és címe:
0.7. A gyártó képviselőjének (ha van) neve és címe
II. SZAKASZ
1. Kiegészítő adatok (adott esetben): lásd a Kiegészítést
2. A vizsgálatok elvégzéséért felelős jóváhagyó hatóság:
3. A vizsgálati jegyzőkönyv kelte
4. A vizsgálati jegyzőkönyv száma
5. Megjegyzések (adott esetben): lásd a Kiegészítést.
6. Hely
7. Dátum
8. Aláírás
Mellékletek:
1. Adatközlő lap
2. Vizsgálati jegyzőkönyv
2. függelék
Tengellyel kapcsolatos adatközlő lap
Adatközlő lap száma: | Kiadás: Kiadás dátuma: A módosítás időpontja: |
a következőnek megfelelően:
Tengelytípus/-család (ha alkalmazható)
...
0. ÁLTALÁNOS
0.1. A gyártó neve és címe
0.2. Gyártmány (a gyártó kereskedelmi neve):
0.3. Tengelytípus:
0.4. Tengelycsalád (adott esetben):
0.5. Tengelytípus önálló műszaki egységként/Tengelycsalád önálló műszaki egységként
0.6. Kereskedelmi név (nevek) (ha van/vannak):
0.7. Típusazonosító ismertetőjelek, amennyiben azok fel vannak tüntetve a tengelyen:
0.8. Alkatrészek és önálló műszaki egységek esetében a tanúsítási jel helye és felerősítésének módja:
0.9. Az összeszerelő üzem(ek) neve és címe:
0.10. A gyártó képviselőjének neve és címe:
1. RÉSZ
AZ (ALAP)TENGELY ÉS A TENGELY ALAPVETŐ JELLEMZŐI TÍPUSOK A TENGELYCSALÁDON BELÜL
Alaptengely | Családtag | ||||
vagy tengelytípus | #1 | #2 | #3 | ||
1.0. A TENGELYRE VONATKOZÓ SPECIFIKUS INFORMÁCIÓ
1.1 | Tengelykivitel (SR, HR, SP, SRT, HRT) | … | … | … | … | ||
1.2 | A tengely áttételi aránya | … | … | … | … | ||
1.3 | Hídtest (ábra) | ||||||
1.4 | Hajtómű-specifikáció | … | … | … | |||
1.4.1 | Tányérkerék-átmérő; [mm] | … | … | ||||
1.4.2 | A behajtó fogaskerék/tányérkerék függőleges eltolása; [mm] | … |
1.4.3. A behajtó fogaskerék vízszintes síkkal bezárt szöge; [o]
1.4.4. Csak portáltengelyek esetében:
A behajtó fogaskerék tengelye és a tányérkerék tengelye által bezárt szög; [o]
1.4.5. A behajtó fogaskerék fogainak száma
1.4.6. A tányérkerék fogainak száma
1.4.7. A behajtó fogaskerék vízszintes eltolása; [mm]
1.4.8. A tányérkerék vízszintes eltolása; [mm]
1.5. Olajtérfogat(ok); [cm3]
1.6. Olajszint(ek); [mm]
1.7. Az olajra vonatkozó előírások
1.8. Csapágytípus (típus, mennyiség, belső átmérő, külső átmérő, szélesség és ábra)
1.9. Tömítéstípus (fő átmérő, öntőnyílás mennyisége); [mm]
1.10. Tengelycsonkok (ábra)
1.10.1. Csapágytípus (típus, mennyiség, belső átmérő, külső átmérő, szélesség és ábra)
1.10.2. Tömítéstípus (fő átmérő, öntőnyílás mennyisége); [mm]
1.10.3. A zsír típusa
1.11. A hajtómű bolygófogaskerekeinek/homlokfogaskerekeinek száma
1.12. A hajtómű bolygófogaskerekeinek/homlokfogaskerekeinek legkisebb szélessége; [mm]
1.13. A bolygómű áttételi aránya
A MELLÉKLETEK JEGYZÉKE
Szám: | Leírás: | Kiadás dátuma: |
1. | … | … |
2. | … |
3. függelék
A standard nyomatékveszteség kiszámítása
A tengelyek standard nyomatékveszteségeit az 1. táblázat mutatja. A táblázatban szereplő standard értékeket egy általános állandó, a terhelésfüggő veszteségeket fedező hatásfokérték és egy általános, a kis terheléseknél jelentkező légellenállás-veszteségeket fedező vonónyomaték-veszteség összege adja ki.
A tandemtengelyek esetében a számításhoz egy áthajtóműves tengely (SRT, HRT), valamint egy megfelelő egyszeres tengely (SR, HR) kombinált hatásfokát kell használni.
1. táblázat
Általános hatásfok és légellenállási veszteség
Alapvető funkció | Általános hatásfok η | Vonónyomaték (kerékoldal) Td0 = T0 + T1 × igear |
Egyáttételes hajtott tengely (SR) | 0,98 | T0 = 70 Nm T1 = 20 Nm |
Egyszeres fordulatszám-csökkentésű tandemtengely (SRT) / egyszeres portáltengely (SP) | 0,96 | T0 = 80 Nm T1 = 20 Nm |
Bolygóműves tengely (HR) | 0,97 | T0 = 70 Nm T1 = 20 Nm |
Bolygóműves tandemtengely (HRT) | 0,95 | T0 = 90 Nm T1 = 20 Nm |
Minden egyéb tengelytechnológia | 0,90 | T0 = 150 Nm T1 = 50 Nm |
A Td0 alapvető vonónyomaték (kerékoldal) az alábbi módon számítható ki:
Td0 = T0 + T1 × igear
az 1. táblázatban szereplő értékek használatával.
A tengely bemeneti oldalán jelentkező Tloss,std standard nyomatékveszteség az alábbi módon számítható ki:

ahol:
Tloss,std = standard nyomatékveszteség a kerékoldalon [Nm]
Td0 = alap vonónyomaték a teljes fordulatszám-tartományban [Nm]
igear = a tengely áttételi aránya [-]
η = általános hatásfok a terhelésfüggő veszteségeket figyelembe véve [-]
Tout = kimeneti nyomaték [Nm]
A tengely megfelelő nyomatéka (a bemeneti oldalon) az alábbi képlet segítségével számítható ki:

ahol:
Tin = bemeneti nyomaték [Nm]
4. függelék
A család fogalma
1. A tanúsítvány kérelmezőjének egy, a 3. pontban szereplő kritériumoknak megfelelő tengelycsaládra vonatkozó tanúsítvány iránti kérelmet kell benyújtania a jóváhagyó hatósághoz.
Egy tengelycsaládra bizonyos tervezési paraméterek és teljesítménymutatók jellemzők. Ezeknek közöseknek kell lenniük a tengelycsaládot alkotó minden tengelyre. A tengely gyártója döntheti el, hogy mely tengely tartozik egy tengelycsaládhoz, a 4. pontban szereplő, a családra vonatkozó kritériumok tiszteletben tartása mellett. A 4. pontban szereplő paraméterek mellett a tengely gyártója további kritériumokat is bevezethet, ami lehetővé teszi kisebb méretű családok meghatározását. Ezek a paraméterek nem feltétlenül befolyásolják a teljesítmény szintjét. A tengelycsaládot a jóváhagyó hatóságnak kell jóváhagynia. A gyártónak a jóváhagyó hatóság rendelkezésére kell bocsátania a tengelycsaládba tartozó tengelyek teljesítményére vonatkozó információkat.
2. Különleges esetek
Néhány esetben kölcsönhatás lehet a paraméterek között. Ezt figyelembe kell venni annak biztosítása érdekében, hogy csak hasonló jellemzőkkel rendelkező tengelyek kerüljenek ugyanabba a tengelycsaládba. Az ilyen eseteket a gyártónak meg kell határoznia, és tájékoztatnia kell róluk a jóváhagyó hatóságot. Ezeket azután figyelembe kell venni egy új tengelycsalád kialakítási kritériumaként.
A 3. pontban nem szereplő, és a teljesítményt erősen befolyásoló paramétereket a gyártónak kell azonosítania a helyes mérnöki gyakorlat alapján, és tájékoztatnia kell erről a jóváhagyó hatóságot.
3. A tengelycsaládokat meghatározó paraméterek:
3.1. Tengelykivitel
a) egyáttételes hajtott tengely (SR);
b) bolygóműves tengely (HR);
c) egyszeres portáltengely (SP);
d) egyszeres fordulatszám-csökkentésű tandemtengely (SRT);
e) bolygóműves tandemtengely (HRT);
f) a hídtest belsejének azonos geometriája a differenciálmű-csapágyak és a fogaskerekes tengely középpontjának vízszintes síkja között az ábrázolt specifikációnak megfelelően (az egyszeres portáltengelyek (SP) kivételével). Ugyanazon a tengelycsaládon belül megengedettek a differenciálmű-zár opcionális beépítése miatti geometriai módosítások. A tükörképszerűen megfordított tengelyházak esetében a tükörképszerűen megfordított tengelyek kombinálhatók az azonos tengelycsaládban eredeti tengelyekként, azzal a feltétellel, hogy a kúpkerékpárokat az eltérő futási irányhoz igazítják (spirálirány megváltozása);
g) a tányérkerék átmérője (+ 1,5/- 8 % a legnagyobb ábrázolt átmérőhöz képest);
h) a behajtó fogaskerék/tányérkerék függőleges eltolási távolsága ± 2 mm-en belül;
i) egyszeres portáltengelyek (SP) esetében: a behajtó fogaskeréknek a vízszintes síkkal bezárt szöge ± 5°-on belül;
j) egyszeres portáltengelyek (SP) esetében: a behajtó fogaskerék tengelye és a tányérkerék tengelye által bezárt szög ± 3,5°-on belül;
k) bolygóműves tengelyek és egyszeres portáltengelyek esetében (HR, HRT, FHR, SP): azonos számú bolygófogaskerék és homlokfogaskerék;
l) minden fordulatszám-lépésköz áttételi arányának változása a 2-es tartományban marad, amennyiben csak egy fogaskerékpár módosul;
m) olajszint legfeljebb ±10 mm vagy olajtérfogat ±0,5 liter eltéréssel, a rajzdokumentáción szereplő adat szerint és a járműbe való beépítési pozíció figyelembevételével;
n) azonos olajtípus-viszkozitási fok (ajánlott gyári feltöltés);
o) A csapágyak típusa (belső átmérő, külső átmérő és szélesség) a referenciaábrától számított ± 1 mm-en belül a megfelelő pozíciókban (ha fel vannak szerelve);
p) A tömítés típusa
4. Az alaptengely kiválasztása:
4.1. Egy tengelycsaládon belül a legnagyobb hátsóhídáttétellel rendelkező tengely az alaptengely. Amennyiben kettőnél több tengely hátsóhídáttétele azonos, a gyártónak elemezéssel kell megállapítania, hogy melyik a legkedvezőtlenebb esetet jelentő, alaptengelynek tekintendő tengely.
4.2. A jóváhagyó hatóság dönthet úgy, hogy a család legkedvezőtlenebb nyomatékveszteségét további tengelyek vizsgálata jellemezheti a legjobban. Ilyen esetben a tengely gyártójának megfelelő információkat kell szolgáltatnia annak meghatározásához, hogy a családon belül várhatóan melyik tengelynek a legnagyobb a nyomatékveszteségi szintje.
4.3. Ha a családba tartozó tengelyek olyan más tulajdonságokkal is rendelkeznek, amelyekről feltételezhető, hogy hatással vannak a nyomatékveszteségre, ezeket a tulajdonságokat is meg kell határozni és figyelembe kell venni az alaptengely kiválasztásánál.
5. függelék
Jelölések és számozás
1. Jelölések
Amennyiben egy tengelyre e melléklettel összhangban megadják a típusjóváhagyást, akkor a tengelyen a következőket kell feltüntetni:
1.1. a gyártó neve vagy védjegye
1.2. az e melléklet 2. függeléke 0.2. és 0.3. pontjának megfelelően a gyártmány és a típus azonosítására szolgáló információ
1.3. tanúsítási jelölés: egy négyszög és benne egy kis "e" betű, amelyet a tanúsítványt kiadó tagállam megkülönböztető száma követ:
1 Németország esetében;
2 Franciaország esetében;
3 Olaszország esetében;
4 Hollandia esetében;
5 Svédország esetében;
6 Belgium esetében;
7 Magyarország esetében;
8 a Cseh Köztársaság esetében;
9 Spanyolország esetében;
11 az Egyesült Királyság esetében;
12 Ausztria esetében;
13 Luxemburg esetében;
17 Finnország esetében;
18 Dánia esetében;
19 Románia esetében;
20 Lengyelország esetében;
21 Portugália esetében;
23 Görögország esetében;
24 Írország esetében;
25 Horvátország esetében;
26 Szlovénia esetében;
27 Szlovákia esetében;
29 Észtország esetében;
32 Lettország esetében;
34 Bulgária esetében;
36 Litvánia esetében;
49 Ciprus esetében;
50 Málta esetében.
1.4. A tanúsítási jelölésnek a négyszög közelében tartalmaznia kell egy "alap tanúsítási számot" az (EU) 2020/683 rendelet IV. melléklete 4. pontjában előírtaknak megfelelően, amelyet megelőz e rendelet legutóbbi technikai módosításához rendelt sorozatszámot jelölő két számjegy, valamint egy "L" betű, amely arra utal, hogy a tanúsítványt egy tengelyre ("axle") vonatkozóan adták meg.
E rendelet esetében ez a szám a 02.
1.4.1. Példa a tanúsítási jelölésre és a tanúsítási jelölés méretei

A fenti, tengelyen feltüntetett tanúsítási jelölés azt mutatja, hogy az érintett típust Lengyelországban hagyták jóvá (e20) e rendelet alapján. Az első két számjegy (02) az e rendelet legutóbbi technikai módosításához rendelt sorszámot jelöli. A következő betű (L) azt jelzi, hogy a tanúsítványt egy tengelyre adták ki. Az utolsó öt számjegy (00005) az az alap tanúsítási szám, amelyet a típusjóváhagyó hatóság hozzárendelt a tengelyhez.
1.5. A tanúsítvány kérelmezőjének kérésére és a típusjóváhagyó hatóság előzetes beleegyezésével az 1.4.1. pontban jelzettől eltérő méretű jelölés is használható. Az egyéb méretű jelöléseknek is jól olvashatónak kell lenniük.
1.6. A jelöléseknek, címkéknek, adattábláknak vagy matricáknak a tengely hasznos élettartama végéig tartósnak, jól olvashatónak és kitörölhetetlennek kell maradniuk. A gyártónak gondoskodnia kell arról, hogy a jelöléseket, címkéket, adattáblákat vagy matricákat ne lehessen azok megrongálása, vagy olvashatatlanná tétele nélkül eltávolítani.
1.7. A tanúsítási jelölésnek a tengely járműbe történő beépítése után is láthatónak kell lennie, és azt egy olyan részhez kell rögzíteni, amely a rendes működéshez szükséges, és amelyet szokásos esetben az alkatrész élettartama során nem kell kicserélni.
2. Számozás:
2.1. A tengelyek tanúsítási száma a következőket tartalmazza:
eX*YYYY/YYYY*ZZZZ/ZZZZ*X*00000*00
1. szakasz | 2. szakasz | 3. szakasz | Kiegészítő betű a 3. szakaszhoz | 4. szakasz | 5. szakasz |
A tanúsítványt kibocsátó ország megjelölése | A nehézgépjárművek CO2-kibocsátásának meghatározásáról szóló rendelet ((EU) 2017/2400) | A legutóbbi módosító rendelet (ZZZZ/ZZZZ) | L = tengely | Alaptanúsítási szám 00000 | Kiterjesztés 00 |
6. függelék
A szimulációs eszköz bemeneti paraméterei
Bevezetés
Ez a függelék leírja azon paraméterek listáját, amelyeket az alkatrészgyártónak a szimulációs eszközhöz bemeneti adatként meg kell adniuk. Az alkalmazandó XML-séma, valamint a példaadatok az erre a célra létrehozott elektronikus terjesztési platformon érhetők el.
Fogalommeghatározások
(1) "Paraméterazonosító":A szimulációs eszközben használt egyedi azonosító egy adott bemeneti paraméter vagy bemeneti adathalmaz számára.
(2) "Type":
A paraméter adattípusa
string ... karaktersor, ISO8859-1 kódolásban
token ... karaktersor, ISO8859-1 kódolásban, nincs sor eleji/sorvégi szóköz
date ... dátum és idő UTC időben, a következő formátumban: YYYY-MM-DD T HH:MM:SS Z , ahol a dőlt betűk a rögzített karaktereket jelzik, pl. "2002-05-30T09:30:10Z"
integer ... egész számban kifejezett érték, sor eleji nulla nélkül, pl. "1800"
double, X ... tizedes tört, pontosan X számjeggyel a tizedesjel (".") után, és nincsen sor eleji nulla, pl. "double, 2": "2345,67"; vagy "double, 4": "45,6780".
(3) "Unit" ...a paraméter fizikai mértékegysége.
Bemeneti paraméterek
1. táblázat
"Axlegear/General" bemeneti paraméterek
Parameter name | Param ID | Type | Unit | Description/Reference |
Manufacturer | P215 | token | [-] | |
Model | P216 | token | [-] | |
CertificationNumber | P217 | token | [-] | |
Date | P218 | dateTime | [-] | Az alkatrészre vonatkozó hashfüggvény létrehozásának dátuma és időpontja |
AppVersion | P219 | token | [-] | |
LineType | P253 | string | [-] | Megengedett értékek: „egyáttételes hajtott tengely”, „egyszeres portáltengely”, „bolygóműves tengely”, „egyszeres fordulatszám-csökkentésű tandemtengely”, „bolygóműves tandemtengely” |
Ratio | P150 | double, 3 | [-] | |
CertificationMethod | P256 | string | [-] | Megengedett értékek: „Mért”, „Standard értékek” |
2. táblázat
"Axlegear/LossMap" bemeneti paraméterek a veszteség-jellegmező minden egyes rácspontjára vonatkozóan
Parameter name | Param ID | Type | Unit | Description/Reference |
InputSpeed | P151 | double, 2 | [1/min] | |
InputTorque | P152 | double, 2 | [Nm] | |
TorqueLoss | P153 | double, 2 | [Nm] |
VIII. MELLÉKLET
A LÉGELLENÁLLÁSI ADATOK ELLENŐRZÉSE
1. Bevezetés
Ez a melléklet a légellenállási adatok ellenőrzésére szolgáló vizsgálati eljárásokat határozza meg.
2. Fogalommeghatározások
E melléklet alkalmazásában:
1. "Aktív aerodinamikai eszköz" : olyan megoldások, amelyeket a vezérlőegység aktivál az egész jármű légellenállásának csökkentése érdekében.
2. "Aerodinamikai segédberendezések" : olyan opcionális eszközök, amelyek arra szolgálnak, hogy befolyásolják a légáramlást az egész jármű körül.
3. "A oszlop" : egy tartószerkezettel való összeköttetés a vezetőfülke teteje és az elülső választófal között.
4. "Karosszériageometria" : a tartószerkezet, beleértve a vezetőfülke szélvédőjét.
5. "B oszlop" : egy tartószerkezettel való összeköttetés a vezetőfülke padlója és a vezetőfülke tetejének középső része között.
6. "Vezetőfülke-padló" : a vezetőfülke padlójának tartószerkezete.
7. "Fülke-alvázkeret magasság" : az alváz és a fülke referenciapontja közötti távolság, a függőleges Z tengelyen. Ehhez a vízszintes alvázkeret tetejétől a fülke referenciapontja közötti távolságot kell mérni, a függőleges Z tengelyen.
8. "Fülke referenciapontja" : a fülkének a CAD koordináta-rendszerben meghatározott referenciapontja (X/Y/Z = 0/0/0), vagy egy fülkecsomag egyértelműen meghatározott pontja (pl. sarokpont).
9. "Fülkeszélesség" : a fülke bal és jobb oldali B oszlopa közötti vízszintes távolság.
10. "Állandó sebesség mellett végzett vizsgálat" : a légellenállás megállapítására szolgáló, vizsgálópályán végzendő mérési eljárás.
11. "Adatkészlet" : az egy mérési szakaszon való áthaladás során rögzített adatok összessége.
12. "EMS" : európai moduláris rendszer (European Modular System, EMS) a 96/53/EK tanácsi irányelvvel összhangban.
13. "Alvázkeret-magasság" : a kerék középpontja és a vízszintes alvázkeret teteje közötti távolság a Z tengelyen.
14. "Sarokpont" : az a pont, ahol a cipő sarka hozzányomódik a padlóhoz, miközben a cipő talpa érintkezik a felengedett gyorsító pedállal, és a boka 87°-os szöget zár be. (ISO 20176:2011)
15. "Mérési terület(ek)" : a vizsgálópálya azon kijelölt része(i), amely legalább egy mérési szakaszból és az azt megelőző stabilizációs szakaszból áll.
16. "Mérési szakasz" : a vizsgálópálya kijelölt része, amely releváns az adatrögzítés és az adatok kiértékelése szempontjából.
17. "Tetőmagasság" : a fülke referenciapontja és a tető (napfénytetővel vagy anélkül) legmagasabb pontja közötti távolság a függőleges Z tengelyen
3. A légellenállás meghatározása
A légellenállási jellemzők megállapításához állandó sebesség mellett végzett vizsgálat szükséges. Az állandó sebesség mellett végzett vizsgálat során két különböző, állandó járműsebesség (kis és nagy sebesség) mellett kell mérni a fő mérési jeleket (hajtónyomaték, járműsebesség, légáramlás sebessége és irányeltérési szög), a vizsgálópálya meghatározott körülményei között. Az állandó sebesség mellett végzett vizsgálat során rögzített mérési adatokat be kell vinni a légellenállás-előfeldolgozási eszközbe, amely kiszámítja a légellenállási együttható és a homlokfelület szorzatát, oldalszéltől mentes körülmények esetén Cd · Acr (0), ez pedig a szimulációs eszköz bemeneti adatként használja fel. A tanúsítvány kérelmezőjének olyan Cd · Adeclared értéket kell bejelentenie, amely egyenlő a Cd · Acr (0) értékkel, vagy legfeljebb + 0,2 m2-rel haladja meg azt. A Cd·Adeclared érték bemeneti adatként szolgál a szimulációs eszköz számára, és referenciaérték a CO2-kibocsátással és tüzelőanyag-fogyasztással kapcsolatos tanúsított tulajdonságok megfelelőségének vizsgálata szempontjából.
Azon járművek esetében, amelyek nem valamely család tagjai, az e melléklet 7. függelékében szereplő Cd · Adeclared standard értékeket kell használni. Ebben az esetben nem kell bemeneti légellenállás-adatokat megadni. A standard értékek kiosztását a szimulációs eszköz automatikusan elvégzi.
3.1. A vizsgálópályára vonatkozó előírások
3.1.1. Geometriáját tekintve a vizsgálópálya vagy:
i. Körpálya (egyirányú haladásra kialakítva (*):
két mérési területtel (mindegyik egyenes szakaszon egy-egy), kevesebb mint 20 fok maximális eltéréssel;
(*) legalább a mobil anemométer (lásd a 3.6. pontot) helytelen beállításának korrigálása érdekében a vizsgálópályán a kétirányú haladást is lehetővé kell tenni
vagy
ii. Körpálya vagy egyenes pálya (kétirányú haladásra kialakítva):
egy mérési területtel (vagy kettővel, a fent említett maximális eltéréssel); két lehetőség: váltakozó haladási irány minden egyes vizsgálati szakasz után; vagy szabadon választható vizsgálatiszakasz-sorozat után, pl. tíz vizsgálati szakasz az 1. haladási irányban, majd tíz vizsgálati szakasz a 2. haladási irányban
3.1.2. Mérési szakaszok A vizsgálati pályán 250 m (±3 m tűrés) hosszúságú mérési szakasz(oka)t kell kijelölni.
3.1.3. Mérési területek
Egy mérési terület legalább egy mérési szakaszból és egy stabilizációs szakaszból áll. A mérési terület első mérési szakasza előtt lennie kell egy stabilizációs szakasznak, a sebesség és a nyomaték stabilizálása érdekében. A stabilizációs szakasznak legalább 25 m hosszúnak kell lennie. A vizsgálópályát úgy kell kialakítani, hogy a jármű a vizsgálat során már a tervezett maximális sebességgel érkezzen a stabilizációs szakaszba.
Az egyes mérési szakaszok kezdő- és végpontjának földrajzi szélességét és hosszúságát 0,15 méteres vagy jobb pontossággal, 95 %-os körkörös szórás mellett kell megállapítani (DGPS pontosság).
3.1.4. A mérési szakaszok alakja A mérési szakasznak és a stabilizációs szakasznak egyenes vonalnak kell lennie.
3.1.5. A mérési szakaszok hosszirányú meredeksége Az egyes mérési és stabilizációs szakaszok átlagos hosszirányú meredeksége nem haladhatja meg a ±1 százalékot. A mérési szakaszon belüli meredekségek különbségei nem vezethetnek e melléklet 3.10.1.1. pontjának vii. és viii. alpontjában megadott határértékeket meghaladó sebesség- és nyomatékkülönbségekhez.
3.1.6. A pálya felülete A vizsgálópályának aszfaltból vagy betonból kell lennie. A mérési szakaszoknak egyféle felülettel kell rendelkezniük. A különböző mérési szakaszok esetében megengedettek a különböző felületek.
3.1.7. Kiállási terület A vizsgálópályán lennie kell egy kiállási területnek, ahol a jármű megállhat, hogy el lehessen végezni a nyomatékmérő rendszer nullázását és a nullponteltolódás ellenőrzését.
3.1.8. Távolság az út szélén lévő akadályoktól és függőleges szabad magasság A jármű két oldalától számított 5 méteres távolságon belül nem lehet semmilyen akadály. A járműtől több mint 2,5 méter távolságra lévő, legfeljebb 1 méter magas biztonsági védőfalak jelenléte megengedett. A mérési szakaszok fölött nem lehet semmilyen híd vagy hasonló építmény. A vizsgálópályának elegendő függőleges szabad magassággal kell rendelkeznie ahhoz, hogy az anemométert a melléklet 3.4.7. pontjának megfelelően fel lehessen szerelni a járműre.
3.1.9. Tengerszint feletti magasság profil
A gyártónak meg kell határoznia, hogy kell-e a tengerszint feletti magassággal összefüggésben korrekciót alkalmazni a vizsgálat értékelése során. Amennyiben alkalmaznak a tengerszint feletti magassággal összefüggő korrekciót, rendelkezésre kell bocsátani egy tengerszint feletti magasság profilt minden egyes mérési szakaszra vonatkozóan. Az adatoknak az alábbi követelményeknek kell megfelelniük:
i. A tengerszint feletti magasság profilt legfeljebb 50 méteres rácstávolságban kell mérni, a haladási irányban.
ii. Minden egyes rácspont esetében a sáv középvonalának mindkét oldalán legalább egy pontban meg kell mérni a földrajzi hosszúságot, a földrajzi szélességet és a tengerszint feletti magasságot ("tengerszint feletti magasság mérési pontja"), majd ki kell számítani a rácspontra vonatkozó átlagos értéket.
iii. A légellenállás-előfeldolgozási eszköz számára megadott rácspontoknak a mérési szakasz középvonalától kevesebb mint 1 méterre kell lenniük.
iv. A tengerszint feletti magasság mérési pontjainak a sáv középvonalához viszonyított helyzetét (merőleges távolság, pontok száma) úgy kell megválasztani, hogy az ennek eredményeként létrejövő tengerszint feletti magasság profil reprezentatív legyen a vizsgálati jármű által bejárt szakasz meredekségére vagy lejtősségére.
v. A tengerszint feletti magasság profilt legalább ±1 cm pontossággal kell meghatározni.
vi. A mérési adatok nem lehetnek 10 évnél régebbiek. A mérési terület felületének felújítása esetén új mérést kell végezni a tengerszint feletti magasság profil megállapításához.
3.2. A környezeti viszonyokra vonatkozó követelmények
3.2.1. A környezeti viszonyokat a 3.4. pontban meghatározott berendezésekkel kell mérni.
3.2.2. A környezeti hőmérsékletnek a 0 °C és 25 °C közötti tartományban kell lennie. Ezt a kritériumot a légellenállás-előfeldolgozási eszköz ellenőrzi, a járműn mért környezeti hőmérséklettel kapcsolatos jel alapján. Ez a kritérium csak a kis sebesség - nagy sebesség - kis sebesség vizsgálatsorozat során rögzített adatkészletekre vonatkozik, a helytelen beállítások vizsgálatára és a bemelegítési fázisokra nem.
3.2.3. A talaj hőmérséklete nem haladhatja meg a 40 °C-ot. Ezt a kritériumot a légellenállás-előfeldolgozási eszköz ellenőrzi, a járműn egy infravörös érzékelő által mért, a talaj hőmérsékletével kapcsolatos jel alapján. Ez a kritérium csak a kis sebesség - nagy sebesség - kis sebesség vizsgálatsorozat során rögzített adatkészletekre vonatkozik, a helytelen beállítások vizsgálatára és a bemelegítési fázisokra nem.
3.2.4. Az út felületének száraznak kell lennie a kis sebesség - nagy sebesség - kis sebesség vizsgálatsorozat során, hogy a gördülési ellenállási tényezők összehasonlíthatóak legyenek.
3.2.5. A szélviszonyoknak az alábbi tartományon belül kell lenniük:
i. Átlagos szélsebesség: ≤ 5 m/s
ii. Széllökések sebessége (1 másodperces központi mozgóátlag): ≤ 8 m/s
Az i. és a ii. alpontok a nagy sebesség mellett végzett és a helytelen beállítás kalibrálására szolgáló vizsgálatok során rögzített adatkészletekre vonatkoznak, a kis sebesség mellett végzett vizsgálatokra nem.
iii. Átlagos irányeltérési szög (β):
≤ 3 fok a nagy sebesség mellett végzett vizsgálat során rögzített adatkészletek esetében
≤ 5 fok a helytelen beállítás kalibrálására szolgáló vizsgálat során rögzített adatkészletek esetében
A szélviszonyok érvényességét a légellenállás-előfeldolgozási eszköz ellenőrzi a járművön rögzített jelek alapján, a határréteg-korrekció alkalmazását követően. A fenti határértékeket meghaladó viszonyok között gyűjtött mérési adatok automatikusan kizárásra kerülnek a számításból.
3.3. A jármű előkészítése
3.3.1. Általános felépítési követelmények
3.3.1.1. A vizsgált járműnek a forgalomba hozandó járművet kell reprezentálnia az (EU) 2018/858 rendelet szerinti járműtípus-jóváhagyási követelményeknek megfelelően. Az állandó sebességen végzett vizsgálat elvégzéséhez szükséges berendezésre (pl. a jármű teljes magassága, beleértve az anemométert) ez a rendelkezés nem vonatkozik.
3.3.1.2. A járművet az alábbi kritériumnak megfelelő gumiabroncsokkal kell felszerelni:
- a vizsgálat elvégzésének pillanatában elérhető, a gördülési ellenállás szempontjából legjobb vagy második legjobb márka,
- 10 mm-, es maximális profilmélység a teljes jármű összes gumiabroncsán, a pótkocsit is beleértve (ha releváns),
- az 54. számú ENSZ-előírás ( 16 ) 3. cikke szerint a gumiabroncs oldalfalán feltüntetett nyomáshoz képest ± 20 kPa tűréssel felfújt gumiabroncsok.
3.3.1.3. A tengelybeállításnál be kell tartani a gyártói követelményeket.
3.3.1.4. A kis sebesség - nagy sebesség - kis sebesség mérések során nem használhatóak aktív abroncsnyomás-szabályozórendszerek.
3.3.1.5. Ha a jármű aktív aerodinamikai eszközzel van felszerelve, a berendezés az állandó sebességen végzett vizsgálat során a következő feltételek mellett lehet aktív:
- a jóváhagyó hatóság számára igazolták, hogy a berendezés mindig aktiválódik, hogy csökkentse a légellenállást, ha a jármű sebesség meghaladja a 60 km/h értéket közepes és nehéz tehergépjárművek esetében, illetve a 80 km/h értéket nehéz autóbuszok esetében,
- az eszköz a családba tartozó összes járművön hasonló módon van felszerelve és hasonló módon működik.
Minden egyéb esetben az aktív aerodinamikai eszközt az állandó sebességen végzett vizsgálat során teljesen deaktiválni kell.
3.3.1.6. A járművet nem lehet olyan ideiglenes funkciókkal, módosításokkal vagy eszközökkel felszerelni, amelyek nem reprezentatívak a használatban lévő járműre nézve, és amelyek célja a légellenállási érték csökkentése a vizsgálat során (pl. a felépítmény tömített nyílásai). Megengedettek azok a módosítások, amelyek célja, hogy a vizsgált jármű aerodinamikai jellemzőit összhangba hozzák az alapjárműre vonatkozó előírásokkal.
3.3.1.7. Az utópiacra szánt alkatrészeket, azaz azokat a részeket, amelyek nem tartoznak az (EU) 2018/858 előírás szerinti járműtípus-jóváhagyás hatálya alá (pl. napellenzők, kürtök, további fényszórók, jelzőfények, gallytörőrácsok vagy sílécszállító dobozok) e melléklettel összhangban nem kell figyelembe venni a légellenállás szempontjából.
3.3.1.8. A járművet hasznos terhelés nélkül kell mérni.
3.3.2. Közepes és nehéz merev tehergépjárművek vonatkozó felépítési követelmények
3.3.2.1. A jármű alvázméreteinek meg kell felelniük az e melléklet 4. függelékében a standard karosszériára vagy a félpótkocsira vonatkozóan megadott méreteknek.
3.3.2.2. A járműnek a 3.5.3.1. pont vii. alpontja szerint meghatározott magassága nem haladhatja meg az e melléklet 3. függelékében meghatározott határértékeket.
3.3.2.3. A fülke és a kocsiszekrény-felépítmény vagy félpótkocsi közötti legkisebb távolságnak meg kell felelnie a gyártó által meghatározott követelményeknek és a felépítmény építésére vonatkozóan adott instrukcióknak.
3.3.2.4. A fülkét és az aerodinamikai segédberendezéseket úgy kell átalakítani, hogy a lehető legjobban megfeleljenek a standard felépítményre vagy félpótkocsira vonatkozó meghatározásoknak. Az aerodinamikai segédberendezések (pl. spoiler) felépítésének meg kell felelnie a gyártó instrukcióinak.
3.3.2.5. A félpótkocsi beállításánál e melléklet 4. függelékének kell megfelelni.
3.4. Mérőeszközök
A kalibrálásra szolgáló laboratóriumnak meg kell felelnie az IATF 16949 szabvány, az ISO 9000 szabványsorozat vagy az ISO/IEC 17025 szabvány követelményeinek. Valamennyi referenciamérésre szolgáló berendezésnek, amelyet a kalibráláshoz és/vagy hitelesítéshez használnak, a nemzeti (nemzetközi) szabványok szerint ellenőrizhetőnek kell lenniük.
3.4.1. Nyomaték
3.4.1.1. Az összes hajtott tengelyen fellépő közvetlen nyomatékot az alábbi mérési rendszerek egyikével kell mérni:
a) kerékagynyomaték-mérő;
b) kerékpántnyomaték-mérő;
c) féltengelynyomaték-mérő.
3.4.1.2. Az egyes nyomatékmérőknek kalibrációnként az alábbi rendszerkövetelményeket kell teljesíteniük:
i. Nemlinearitás:
< ± 6 Nm nehéz tehergépjárművek és nehéz autóbuszok esetében
< ± 5 Nm közepes tehergépjárművek esetében;
ii. Megismételhetőség:
< ± 6 Nm nehéz tehergépjárművek és nehéz autóbuszok esetében
< ± 5 Nm közepes tehergépjárművek esetében;
iii. Áthallás:
< ± 10 Nm nehéz tehergépjárművek és nehéz autóbuszok esetében
< ± 8 Nm közepes tehergépjárművek esetében
(csak a kerékpántnyomaték-mérőkre vonatkozik);
iv. Mérési gyakoriság: ≥ 20 Hz
ahol:
"Nemlinearitás": a kimeneti jel ideális és tényleges jellemzője közötti maximális eltérés, a mérendő tulajdonság vonatkozásában, egy adott mérési tartományban.
"Megismételhetőség": az ugyanarra a tulajdonságra vonatkozó, azonos mérési körülmények között végzett, egymást követő mérések eredményei közötti egyezés közelsége.
"Áthallás": az a jelenség, amikor egy érzékelő fő kimeneténél (My) egy olyan mérendő tulajdonság (Fz) jele hat az érzékelőre, amely eltér az ehhez a kimenethez hozzárendelt mérendő tulajdonságtól. A koordinátarendszer-hozzárendelés az ISO 4130 szabvány szerint van meghatározva.
A nyomatékra vonatkozóan rögzített adatokat korrigálni kell a műszernek a beszállító által megadott mérési hibájával.
3.4.2. A jármű sebessége
A jármű sebességét a légellenállás-előfeldolgozási eszköz határozza meg az elülső tengelyen lévő CAN-busz jele alapján, amely az alábbiak egyike szerint van kalibrálva:
a) lehetőség : a két rögzített optoelektronikai relé (lásd e melléklet 3.4.4. pontját) között eltelt idő és a mérési szakasz(ok) ismert hossza alapján kiszámított referenciasebesség, vagy
b) lehetőség : a DGPS-pozíciójel és a mérési szakasz(ok) ismert hossza alapján kiszámított, az időkülönbség által meghatározott sebességjel, amely DGPS-koordinátákon alapul
A jármű sebességének kalibrálásához a nagy sebességen végzett vizsgálat során rögzített adatokat kell használni.
3.4.3. Referenciajel a hajtott tengely kerekei fordulatszámának kiszámításához
Az alábbi három opció közül kell választani egyet:
1. opció: Motorfordulatszám alapján
Hozzáférhetővé kell tenni a CAN motorfordulatszám-jelet, valamint az áttételeket (áttételek kis, illetve nagy sebességen végzett vizsgálat esetében, hátsóhídáttétel). A CAN motorfordulatszám-jelet illetően igazolni kell, hogy a légellenállás-előfeldolgozási eszköz számára biztosított jel azonos legyen a használatban lévő járművekre vonatkozó vizsgálathoz az 582/2011/EU rendelet I. mellékletének előírása alapján használt jellel.
Az olyan nyomatékátalakítóval rendelkező járművek esetében, amelyeknél a kis sebességen végzett vizsgálat nem kivitelezhető zárt áthidaló tengelykapcsolóval az 1. opció keretében, a légellenállás-előfeldolgozási eszköz számára meg kell adni a kardántengelyfordulatszám-jelet és a hátsóhídáttételt vagy a hajtott tengelyre vonatkozó átlagos kerékfordulatszám-jelet. Igazolni kell, hogy az ebből a kiegészítő jelből kiszámított motorsebesség legfeljebb 1 %-kal tér el a CAN motorfordulat-számtól. Ezt egy adott mérési szakasznak a lehető legkisebb sebesség és a nyomatékátalakító zárolt állapota mellett, illetve a nagy sebességen végzett vizsgálatra vonatkozó járműsebesség mellett történő megtétele alapján kapott átlagos értékre kell igazolni.
2. opció: Kerékfordulatszám alapján
Hozzáférhetővé kell tenni a hajtott tengelynél a bal és jobb oldali CAN-kerékfordulatszám-jelek átlagát. Alternatív megoldásként külső érzékelők is használhatók. Minden módszernek meg kell felelnie a Xa. melléklet 2. táblázatában meghatározott követelményeknek.
A 2. opció szerint az áttételi arányok és a hátsóhídáttételek bemeneti paramétereit 1-re kell beállítani, függetlenül az erőátviteli rendszer konfigurációjától.
3. opció: Az elektromos motor fordulatszáma alapján
A hibrid és a teljesen elektromotoros járművek esetében hozzáférhetővé kell tenni a CAN elektromosmotor-fordulatszám jelét, valamint az áttételeket (áttételek kis, illetve nagy sebességen végzett vizsgálat esetében, és adott esetben hátsóhídáttétel). Igazolni kell, hogy az alacsony és nagy sebességen végzett vizsgálat során a hajtott tengely keréksebességét kizárólag az erőátviteli rendszer konfigurációjára vonatkozó előírások határozzák meg.
3.4.4. Optoelektronikai relék
A relék jelét, amelyek a mérési szakasz kezdetén és végén aktiválódnak és hozzájárulnak a járműsebesség jelének kalibrálásához, hozzáférhetővé kell tenni a légellenállás-feldolgozási eszköz számára. Az aktiváló jel mérési gyakoriságának legalább 100 Hz-nek kell lennie. Alternatív megoldásként DGPS-rendszer is használható.
3.4.5. (D)GPS-rendszer
a) lehetőség kizárólag a pozícióméréshez: GPS (műholdas helyzetmeghatározó rendszer)
Megkívánt pontosság:
i. Pozíció: < 3 m, 95 %-os körkörös szórás
ii. Frissítési gyakoriság: ≥ 4 Hz
b) lehetőség a járműsebesség kalibrációjához és a pozícióméréshez: Differenciális GPS-rendszer (DGPS)
Megkívánt pontosság:
i. Pozíció: < 0,15 m, 95 %-os körkörös szórás
ii. Frissítési gyakoriság: ≥ 100 Hz
3.4.6. Állandó meteorológiai állomás
A környezeti nyomás és a környezeti levegő páratartalmának értékét állandó meteorológiai állomás állapítja meg. Ennek a meteorológiai állomásnak 2 000 méteres távolságnál közelebb kell lennie a mérési területek egyikéhez, és a mérési területekkel megegyező vagy azt meghaladó tengerszint feletti magasságon kell elhelyezkednie.
Megkívánt pontosság:
i. Hőmérséklet: ± 1 °C
ii. Páratartalom: ± 5 % relatív páratartalom
iii. Nyomás: ± 1 mbar
iv. Frissítési gyakoriság: ≤ 6 perc
3.4.7. Mobil anemométer
Mobil anemométert kell használni a légáramlási körülmények méréséhez, mint amilyen a légáramlás sebessége és az irányeltérési szög (β) a teljes légáram és a jármű hosszanti tengelye között.
3.4.7.1. Pontossági követelmények
Az anemométert az ISO 16622-nek megfelelő létesítményben kell kalibrálni. Az 1. táblázatban foglalt pontossági követelményeket be kell tartani:
1. táblázat
Az anemométerre vonatkozó pontossági követelmények
Levegősebesség-tartomány [m/s] | Levegősebesség-pontosság [m/s] | Irányeltérítési szög pontossága 180 ±7 fokos irányeltérítési szögtartományban [fok] |
20 ± 1 | ± 0,7 | ± 1,0 |
27 ± 1 | ± 0,9 | ± 1,0 |
35 ± 1 | ± 1,2 | ± 1,0 |
3.4.7.2. Beépítési pozíció
A mobil anemométert az alább előírt pozícióban kell felszerelni a járműre:
i. X helyzet:
Közepes és nehéz merev tehergépjárművek és vontatók: a félpótkocsi vagy a kocsiszekrény-felépítmény homlokfelülete ± 0,3 méter;
Nehéz autóbuszok: A jármű első negyedének vége és a jármű hátsó vége között.
Közepes kisteherautók: a B oszlop és a jármű hátulja között.
ii. Y helyzet: szimmetriasík ± 0,1 méter tűréssel;
iii. Z helyzet:
A jármű feletti beépítési magasságnak a teljes járműmagasság egyharmadának kell lennie, 0,0 méter és + 0,2 méter közötti tűréssel. A 4 m feletti teljes járműmagasságú járművek esetében a gyártó kérésére a jármű feletti beépítési magasság 1,3 m-re korlátozható, 0,0 méter és + 0,2 méter közötti tűréssel.
A műszerezést a lehető legpontosabban, geometriai/optikai segédeszközök használatával kell elvégezni. Bármilyen fennmaradó helytelen beállítást az e melléklet 3.6. pontjának megfelelően kalibrációnak kell alávetni.
3.4.7.3. Az anemométer frissítési gyakoriságának legalább 4 Hz-nek kell lennie.
3.4.8. Járművön elhelyezett hőmérséklet-jelátalakító környezeti hőmérséklethez
A környezeti levegő hőmérsékletét a mobil anemométer rúdján kell mérni. A beépítési magasságnak legfeljebb 600 mm-rel a mobil anemométer alatt kell lennie. Az érzékelőt árnyékolni kell a napsütéstől.
Megkívánt pontosság: ± 1 °C
Frissítési gyakoriság: ≥ 1 Hz
3.4.9. A vizsgálópálya hőmérséklete
A vizsgálópálya hőmérsékletét a járművön elhelyezett, vezeték nélküli, széles sávú (8-14 μm) infravörös érzékelő rögzíti. Makadám- és betonfelület esetében egy 0,90-es feketeségi fokot kell használni. Az infravörös érzékelőt az ASTM E2847 vagy a VDI/VDE 3511 szabványnak megfelelően kell kalibrálni.
A kalibráláshoz megkívánt pontosság: Hőmérséklet: ± 2,5 °C
Frissítési gyakoriság: ≥ 1 Hz
3.5. Állandó sebességen végzett vizsgálati eljárás
A mérési szakasz és a haladási irány minden egyes alkalmazható kombinációjára el kell végezni az állandó sebességen végzett, egy kis sebességen, egy nagy sebességen és egy kis sebességen végzett vizsgálati programból álló vizsgálati eljárást, azonos irányban, az alább részletezettek szerint.
3.5.1. Az egy mérési szakaszon belüli átlagos sebességnek a kis sebességen végzett vizsgálat során a 10-15 km/h tartományban kell lennie.
3.5.2. Az egy mérési szakaszon belüli átlagos sebességnek a nagy sebességen végzett vizsgálat során az alábbi tartományban kell lennie:
legnagyobb fordulatszám: 95 km/h a közepes és nehéz tehergépjárművek és 103 km/h a nehéz autóbuszok esetében;
legkisebb sebesség: 85 km/h vagy 3 km/h-val kisebb érték annál a maximális sebességnél, amellyel a jármű a vizsgálópályán működtethető (a két érték közül a kisebb).
3.5.3. A vizsgálatot szigorúan e melléklet 3.5.3.1-3.5.3.9. pontjában részletezett sorrendben kell elvégezni.
3.5.3.1. A jármű és a mérési rendszerek előkészítése
i. A nyomatékmérők felszerelése a vizsgálati jármű hajtott tengelyeire, továbbá a felszerelés és a jeladatok ellenőrzése a gyártói előírások szerint.
ii. A releváns általános járműadatok dokumentálása a hivatalos vizsgálati sablonban, e melléklet 3.7. pontjával összhangban.
iii. Ahhoz, hogy a légellenállás-előfeldolgozási eszköz kiszámíthassa a gyorsulási korrekciót, a vizsgálat előtt meg kell állapítani a jármű tényleges súlyát, egy ±500 kg-os tartományban.
iv. Az abroncsok maximális felfújási nyomásának ellenőrzése és a gumiabroncsok nyomásértékének dokumentálása.
v. Az optoelektronikai relék előkészítése a mérési szakasz(ok)on vagy a DGPS-rendszer megfelelő működésének ellenőrzése.
vi. A mobil anemométer felszerelése a járműre és/vagy a felszerelés, a pozíció és az irány ellenőrzése. Minden alkalommal, amikor az anemométert újonnan szerelik fel a járműre, illetve állítanak rajta, kalibrációs vizsgálatot kell végezni a helytelen beállítások korrigálása érdekében.
vii. A jármű beállításának ellenőrzése a magasságot és a geometriát illetően, standard menetmagasság-pozícióban:
- Közepes és nehéz merev tehergépjárművek és vontatók: A jármű maximális magasságának megállapításához a kocsiszekrény-felépítmény/félpótkocsi négy sarkánál kell mérést végezni.
- Nehéz autóbuszok és közepes kisteherautók: A jármű maximális magasságát az 1230/2012/EU rendelet I. mellékletében foglalt műszaki követelményeknek megfelelően kell mérni, figyelmen kívül hagyva az említett melléklet 1. függelékében említett berendezéseket és felszereléseket.
viii. A félpótkocsi magasságának beállítása a célértékhez, és szükség esetén a jármű maximális magasságának ismételt megállapítása.
ix. A tükröknek vagy optikai rendszereknek, a tetőspoilereknek vagy más aerodinamikai eszközöknek a szokásos menetállapotban kell lenniük.
3.5.3.2. Bemelegítési fázis
A rendszer bemelegítése érdekében vezesse a járművet legalább 90 percig a nagy sebességen végzett vizsgálat esetében érvényes célsebességen. A megismételt bemelegítésnek (pl. egy konfigurációs módosítás vagy egy érvénytelen vizsgálat stb. után) legalább addig kell tartania, ameddig a kiállás tartott. A bemelegítési fázis használható a helytelen beállítások korrigálására szolgáló kalibrációs vizsgálat elvégzésére, e melléklet 3.6. pontjában írtak szerint.
Abban az esetben, ha a nagy sebesség nem tartható fenn egy teljes körön át, például amiatt, hogy a kanyarok túl szűkek, a kanyarokban - beleértve az azokhoz kapcsolódó egyenes szakaszokat, amelyek a jármű lelassításához vagy felgyorsításához szükségesek - el lehet térni az előírt célsebességtől.
Az eltéréseket azonban a lehető legkisebbre kell csökkenteni.
Alternatív megoldásként a bemelegítési fázist egy közeli közúton is teljesíteni lehet, ha a célsebességet ± 10 km/h tűréssel fenntartják a bemelegedési idő 90 %-ában. A bemelegítési fázis azon részét, amelyben a járművet a nyomatékmérők nullázása céljából a közútról a vizsgálópálya kiállási területére vezetik, a 3.5.3.4. pontban meghatározott másik bemelegítési fázisba kell beleszámítani. Ez a rész nem tarthat 20 percnél tovább. A bemelegítési fázisban a mérőberendezéssel rögzíteni kell a sebességet és az időt.
3.5.3.3. A nyomatékmérők nullázása
A nyomatékmérők nullázását a következő módon kell elvégezni:
i. Állítsa le teljesen a járművet.
ii. Emelje el a talajtól a műszerezett kerekeket.
iii. Végezze el a nyomatékmérő értékkijelzőinek nullázását.
A leállási fázis nem tarthat 15 percnél tovább.
3.5.3.4. Vezesse a járművet egy további bemelegítési fázisban legalább 10 percig - plusz adott esetben a közútról a nyomatékmérők nullázása céljából a vizsgálópálya kiállási területére - a nagy sebességen végzett vizsgálat esetében érvényes célsebességen. Az e pont szerinti bemelegítési szakasz nem lehet rövidebb a leállási fázisnál, és nem haladhatja meg a 30 percet.
3.5.3.5. Első kis sebességen végzett vizsgálat
Végezze el az első mérést kis sebesség mellet. Biztosítani kell a következőket:
i. a jármű a mérési szakaszon a lehető legegyenesebb vonal mentén halad át;
ii. az átlagos haladási sebesség a mérési szakaszra és az azt megelőző stabilizációs szakaszra vonatkozóan megfelel az e melléklet 3.5.1. pontjában előírtaknak;
iii. a haladási sebesség stabilitása a mérési szakaszon és az azt megelőző stabilizációs szakaszon belül megfelel az e melléklet 3.10.1.1. pontjának vii. alpontjában előírtaknak;
iv. a mért nyomaték stabilitása a mérési szakaszon és az azt megelőző stabilizációs szakaszon belül megfelel az e melléklet 3.10.1.1. pontjának viii. alpontjában előírtaknak;
v. a mérési szakasz kezdete és vége egyértelműen azonosítható a rögzített aktiválási jel alapján (optoelektronikai relék plusz rögzített GPS-adatok) vagy egy DGPS-rendszer használata révén;
vi. a vizsgálópályának a mérési szakaszokon és az azokat megelőző stabilizációs szakaszokon kívüli részein való haladásnak késlekedés nélkül kell végbemennie. E fázisokban kerülni kell a szükségtelen manővereket (pl. kanyarogva haladás);
vii. a gumiabroncsok lehűlésének megakadályozása érdekében a kis sebességen végzett vizsgálat maximális időtartama nem haladhatja meg a 20 percet.
viii. A kis sebességen végzett vizsgálat megkezdése előtti lassulást úgy kell végrehajtani, hogy a lehető legkisebb legyen a mechanikus üzemi fék használata, azaz szabadonfutással vagy lassítófék használatával.
3.5.3.6. Az ismételt bemelegítés érdekében vezesse a járművet legalább 5 percig a nagy sebességen végzett vizsgálat esetében érvényes célsebességen.
3.5.3.7. Nagy sebességen végzett vizsgálat
Végezze el a mérést nagy sebesség mellett. Biztosítani kell a következőket:
i. a jármű a mérési szakaszon a lehető legegyenesebb vonal mentén halad át;
ii. az átlagos haladási sebesség a mérési szakaszra és az azt megelőző stabilizációs szakaszra vonatkozóan megfelel az e melléklet 3.5.2. pontjában előírtaknak;
iii. a haladási sebesség stabilitása a mérési szakaszon és az azt megelőző stabilizációs szakaszon belül megfelel az e melléklet 3.10.1.1. pontjának vii. alpontjában előírtaknak;
iv. a mért nyomaték stabilitása a mérési szakaszon és az azt megelőző stabilizációs szakaszon belül megfelel az e melléklet 3.10.1.1. pontjának viii. alpontjában előírtaknak;
v. a mérési szakasz kezdete és vége egyértelműen azonosítható a rögzített aktiválási jel alapján (optoelektronikai relék plusz rögzített GPS-adatok) vagy egy DGPS-rendszer használata révén;
vi. a mérési szakaszokon és az azokat megelőző stabilizációs szakaszokon kívüli haladás során kerülni kell a szükségtelen manővereket (pl. kanyarogva haladás, szükségtelen gyorsítás vagy lassítás);
vii. a mérésben érintett jármű és a vizsgálópályán haladó bármely másik jármű között legalább 500 méter távolságnak kell lennie;
viii. géptengely-irányszögenként legalább 10 áthaladás kerül rögzítésre.
Ha a 3.6. pont előírásai teljesülnek, a nagy sebességen végzett vizsgálat használható annak megállapítására, hogy az anemométer beállításai helyesek-e.
3.5.3.8. Második kis sebességen végzett vizsgálat a kis sebességen végzett második mérést közvetlenül a nagy sebességen végzett vizsgálat után végezze el. Az első kis sebességen végzett vizsgálatra vonatkozókhoz hasonló előírásokat kell teljesíteni.
3.5.3.9. A nyomatékmérők nullponteltolódásának ellenőrzése
Közvetlenül a második kis sebességen végzett vizsgálat befejezése után el kell végezni a nyomatékmérők nullponteltolódásának ellenőrzését az alábbi eljárás szerint:
1. Állítsa le teljesen a járművet.
2. Emelje el a talajtól a műszerezett kerekeket.
3. Az egyes nyomatékmérőknek egy minimum 10 másodperces sorozat átlaga alapján számított nullponteltolódása nem érheti el a 25 Nm-t.
A fenti határérték túllépése esetén a vizsgálat érvénytelen.
3.6. A helytelen beállítások korrigálására szolgáló kalibrációs vizsgálat
Az anemométer esetleges helytelen beállítását egy, a vizsgálópályán a helytelen beállítások korrigálására szolgáló kalibrációs vizsgálattal lehet megállapítani.
3.6.1. Legalább 5 érvényes áthaladásra van szükség minden irányban egy 250 ±3 méter hosszú egyenes szakaszon, nagy sebesség mellett.
3.6.2. A szélviszonyokra vonatkozóan az e melléklet 3.2.5. pontjában meghatározott érvényességi kritériumok, a vizsgálópályára vonatkozóan pedig az e melléklet 3.1. pontjában meghatározott kritériumok alkalmazandók.
3.6.3. A helytelen beállítások korrigálására szolgáló kalibrációs vizsgálat során rögzített adatok felhasználásával a légellenállás-előfeldolgozási eszköz kiszámítja a helytelen beállításokból eredő hibát és elvégzi a megfelelő korrekciót. E kiértékeléshez a keréknyomatékok és a motor-, kardán- vagy átlagos kerékfordulatszám-jeleit nem használják fel.
3.6.4. A helytelen beállítások korrigálására szolgáló kalibrációs vizsgálatot az állandó sebességen végzett vizsgálati eljárástól függetlenül is el lehet végezni. Ha a helytelen beállítások korrigálására szolgáló kalibrációs vizsgálatra külön kerül sor, akkor azt az alábbi módon kell elvégezni:
i. Készítse elő az optoelektronikai reléket a 250 m ±3 m hosszú szakaszon, vagy ellenőrizze, hogy a DGPS-rendszer megfelelően működik-e.
ii. Ellenőrizze a jármű összeállítását a magasság és a geometria tekintetében e melléklet 3.5.3.1. pontjának megfelelően. Szükség esetén állítsa be a félpótkocsi magasságát e melléklet 4. függelékében szereplő követelményeknek megfelelően.
iii. Nincsenek előírások a bemelegítésre vonatkozóan.
iv. Végezze el a helytelen beállítások korrigálására szolgáló kalibrációs vizsgálatot legalább 5 érvényes áthaladással, a fent leírtak szerint.
3.6.5. Újra el kell végezni a helytelen beállítások korrigálására szolgáló vizsgálatot az alábbi esetekben:
a) az anemométert leszerelték a járműről;
b) az anemométert elmozdították;
c) más vontatót vagy merev tehergépjárművet használtak;
d) módosult a légellenállási család.
3.7. Vizsgálati sablon
A modális mérési adatok rögzítésén kívül a vizsgálatot egy sablonban kell dokumentálni, amelynek legalább a következő adatokat kell tartalmaznia:
i. A jármű általános leírása (az előírásokat lásd: 2. függelék - Adatközlő lap)
ii. A jármű tényleges maximális magassága a 3.5.3.1. pontja vii. alpontja szerint megállapítva
iii. A vizsgálat kezdetének és befejezésének időpontja
iv. A jármű súlya ±500 kg-os tartományon belül
v. Gumiabroncsnyomás-értékek
vi. A mérési adatok fájlnevei
vii. Rendkívüli események dokumentálása (az idő és a mérési szakaszok számának megadásával), pl.
- egy másik jármű közeli elhaladása,
- baleset elkerülése érdekében tett manőverek, vezetési hibák,
- műszaki hibák,
- mérési hibák.
3.8. Adatfeldolgozás
3.8.1. A rögzített adatokat 100 Hz-es időbeli felbontásra kell szinkronizálni és illeszteni, matematikai átlagolás, legközelebbi-szomszéd algoritmus vagy lineáris interpoláció révén.
3.8.2. Az összes rögzített adatot ellenőrizni kell, hogy nem hibásak-e. A mérési adatokat az alábbi esetekben nem kell a továbbiakban figyelembe venni:
- Az adatkészletek a mérés során fellépő események miatt érvénytelenné váltak (lásd 3.7. pont vii. alpont).
- A műszer telítődése a mérési szakaszok során (pl. nagy széllökések az anemométer jeltelítettségéhez vezethetnek).
- Olyan mérések, amelyek során a nyomatékmérőre vonatkozó megengedett határértékek átlépésre kerültek.
3.8.3. Az állandó sebesség mellett végzett vizsgálatok kiértékeléséhez kötelező a légellenállás-előfeldolgozási eszköz rendelkezésre álló legújabb verzióját használni. A fent említett adatfeldolgozás mellett az összes kiértékelési lépést, beleértve az érvényességre vonatkozó vizsgálatokat (a fent említett lista kivételével) a légellenállás-előfeldolgozási eszköz végzi el.
3.9. Bemeneti adatok a légellenállás-előfeldolgozási eszköz számára
A következő táblázatok a légellenállás-előfeldolgozási eszköz számára bemeneti adatokat biztosító mérési adatok rögzítésére és az előkészítő adatfeldolgozásra vonatkozó követelményeket tartalmazzák:
a 2. táblázat a járműadatokat tartalmazó fájlra vonatkozóan,
a 3. táblázat a környezeti viszonyokkal kapcsolatos fájlra vonatkozóan,
a 4. táblázat a mérési szakaszok konfigurációjával kapcsolatos fájlra vonatkozóan,
az 5. táblázat a mérési adatokat tartalmazó fájlra vonatkozóan,
a 6. táblázat a tengerszint feletti magasság profillal kapcsolatos fájlra vonatkozóan (opcionális bemeneti adat).
A kért adatformátumok, a bemeneti fájlok, valamint a kiértékelési elvek részletes leírása a légellenállás-előfeldolgozási eszköz műszaki dokumentációjában található. Az adatfeldolgozást e melléklet 3.8. pontjában leírtak szerint kell elvégezni.
1. táblázat
Bemeneti adatok a légellenállás-előfeldolgozási eszköz számára - járműadatokat tartalmazó fájl
Bemeneti adatok | Egység | Megjegyzések |
Járműcsoport kódja | [-] | 1–19 a nehéz tehergépjárművek esetében az I. melléklet 1. táblázatával összhangban 31a–40f a nehéz autóbuszok esetében az I. melléklet 4–6. táblázatával összhangban 51–56 a közepes tehergépjárművek esetében az I. melléklet 2. táblázatával összhangban |
Jármű-konfiguráció pótkocsival | [-] | a jármű pótkocsi nélkül volt-e mérve (bemenet: „Nem”), vagy pótkocsival, azaz egy vontató + félpótkocsi kombinációról van-e szó (bemenet: „Igen”) |
Jármű vizsgálati tömege | [kg] | Tényleges tömeg a mérések idején |
Műszakilag megengedett legnagyobb össztömeg | [kg] | nehéz tehergépjárművek: a merev tehergépjármű vagy a vontató jármű műszakilag megengedett legnagyobb össztömege (pótkocsi vagy félpótkocsi nélkül) minden egyéb járműosztály: nincs bejegyzés |
Hátsóhídáttétel | [-] | tengelyáttétel (1) (2) |
Áttételi arány nagy sebesség mellett | [-] | a nagy sebességen végzett vizsgálat soron bekapcsolt sebességfokozat áttételi aránya (1) (4) |
Áttételi arány kis sebesség mellett | [-] | a kis sebességen végzett vizsgálat soron bekapcsolt sebességfokozat áttételi aránya (2) (4) |
Anemométer elhelyezésének magassága | [m] | a beszerelt anemométer mérési pontjának magassága a talaj felett |
Jármű magassága | [m] | Közepes és nehéz merev tehergépjárművek és vontatók: a jármű maximális magassága a 3.5.3.1. pont vii. alpontja szerint minden egyéb járműosztály: nincs bejegyzés |
Fix áttételi arány kis sebességen végzett vizsgálatnál | [-] | „igen” / „nem” (olyan járművek esetében, amelyeknél a kis sebességen végzett vizsgálat nem kivitelezhető zárt nyomatékátalakítóval) |
Jármű legnagyobb sebessége | [km/h] | az a legnagyobb sebesség, amellyel a jármű a vizsgálópályán működtethető (1) |
Nyomatékmérő eltolódás bal kerék | [Nm] | A nyomatékmérő átlagos leolvasott értékei a 3.5.3.9. pont szerint |
Nyomatékmérő eltolódás jobb kerék | [Nm] | |
A nyomatékmérők időbélyegzőjének nullázása | [s] a kezdés napja (első nap) óta | |
Időbélyegző nyomatékmérők nullponteltolódásának ellenőrzése | ||
(1) Az áttételi arányt a tizedes-választójel után legalább 3 számjeggyel meg kell adni (2) Ha a légellenállás-előfeldolgozási eszköz számára a kardántengelyfordulatszám-jelet vagy az átlagos kerékfordulatszám-jelet adták meg (lásd a 3.4.3. pontot); 1. opció nyomatékátalakítóval rendelkező járművek esetében vagy 2. opció: a hátsóhídáttételek bemeneti paraméterét „1 000 ”-re kell beállítani (3) Bemenet megadása csak akkor szükséges, ha az érték kisebb, mint 88 km/h (4) Ha az átlagos kerékfordulatszámot megadták a légellenállás-előfeldolgozási eszköz számára (lásd a 3.4.3. pont 2. opcióját), az áttételi arányok bemeneti paramétereit „1 000 ”-re kell beállítani |
3. táblázat
Bemeneti adatok a légellenállás-előfeldolgozási eszköz számára - környezeti viszonyokkal kapcsolatos fájl
Jel | Oszlopazonosító a bemeneti fájlban | Mértékegység | Mérési gyakoriság | Megjegyzések |
Idő | <t> | [s] a kezdés napja (első nap) óta | — | — |
Környezeti hőmérséklet | <t_amb_stat> | [°C] | Legalább 1 átlagolt érték 6 percenként | Állandó meteorológiai állomás |
Környezeti nyomás | <p_amb_stat> | [mbar] | Állandó meteorológiai állomás | |
Relatív páratartalom | <rh_stat> | [%] | Állandó meteorológiai állomás |
4. táblázat
Bemeneti adatok a légellenállás-előfeldolgozási eszköz számára - a mérési szakasz konfigurációjával kapcsolatos fájl
Bemeneti adatok | Mértékegység | Megjegyzések |
Aktiválási jel használata | [-] | 1 = aktiválási jel használata 0 = nem használtak aktiválási jelet |
Mérési szakasz azonosítója | [-] | a felhasználó által megadott azonosítószám |
Haladási irány azonosítója | [-] | a felhasználó által megadott azonosítószám |
Irányszög | [°] | a mérési szakasz irányszöge |
A mérési szakasz hossza | [m] | — |
A szakasz kezdő pontjának földrajzi szélessége | tizedes fok vagy tizedes perc | standard GPS, mértékegység: tizedes fok: legalább 5 számjegy a tizedes elválasztójel után |
A szakasz kezdő pontjának földrajzi hosszúsága | standard GPS, mértékegység: tizedes perc: legalább 3 számjegy a tizedes elválasztójel után | |
A szakasz végpontjának földrajzi szélessége | DGPS, mértékegység: tizedes fok: legalább 7 számjegy a tizedes elválasztójel után | |
A szakasz végpontjának földrajzi hosszúsága | DGPS, mértékegység: tizedes perc: legalább 5 számjegy a tizedes elválasztójel után | |
a tengerszint feletti magassággal kapcsolatos fájl elérési útvonala és/vagy fájlneve | [-] | csak az állandó sebesség mellett végzett vizsgálatok esetében szükséges (a helytelen beállítások korrekciójára szolgáló vizsgálat esetében nem), és ha a tengerszint feletti magasság korrekciója lehetséges. |
5. táblázat
Bemeneti adatok a légellenállás-előfeldolgozási eszköz számára - mérési adatokat tartalmazó fájl
Jel | Oszlopazonosító a bemeneti fájlban | Mértékegység | Mérési gyakoriság | Megjegyzések |
Idő | <t> | [s] a kezdés napja (első nap) óta | 100 Hz | rögzített, 100 Hz-es gyakoriság; az időjel használata az időjárási adatokkal való korreláció és a gyakoriság ellenőrzése érdekében |
(D)GPS földrajzi szélesség | <lat> | tizedes fok vagy tizedes perc | GPS: ≥ 4 Hz DGPS: ≥ 100 Hz | standard GPS, mértékegység: tizedes fok: legalább 5 számjegy a tizedes elválasztójel után |
(D)GPS földrajzi hosszúság | <long> | standard GPS, mértékegység: tizedes perc: legalább 3 számjegy a tizedes elválasztójel után DGPS, mértékegység: tizedes fok: legalább 7 számjegy a tizedes elválasztójel után DGPS, mértékegység: tizedes perc: legalább 5 számjegy a tizedes elválasztójel után | ||
(D)GPS géptengely-irányszög | <hdg> | [°] | ≥ 4Hz | |
DGPS sebesség | <v_veh_GPS> | [km/h] | ≥ 20 Hz | |
Jármű sebessége | <v_veh_CAN> | [km/h] | ≥ 20 Hz | az elülső tengelyen lévő CAN-busz nyers jele |
Levegő sebessége | <v_air> | [m/s] | ≥ 4 Hz | nyers adat (műszer által mért érték) |
Beáramlási szög (béta) | <beta> | [°] | ≥ 4 Hz | nyers adat (műszer által mért érték); a „180°” a szemből érkező légáramlást jelenti |
Motor fordulatszáma, kardántengely fordulatszáma, átlagos kerékfordulatszám vagy elektromosmotor-fordulatszám | <n_eng>,<n_card>, <n_wheel_ave> vagy <n_EM> | [ford./perc] | ≥ 20 Hz | Lásd a 3.4.3. pont rendelkezéseit |
Nyomatékmérő (bal kerék) | <tq_l> | [Nm] | ≥ 20 Hz | — |
Nyomatékmérő (jobb kerék) | <tq_r> | [Nm] | ≥ 20 Hz | |
Környezeti hőmérséklet a járművön | <t_amb_veh> | [°C] | ≥ 1 Hz | |
Aktiválási jel | <trigger> | [-] | 100 Hz | opcionális jel; akkor szükséges, ha a mérési szakaszokat optoelektronikai relék azonosítják („trigger_used=1” lehetőség) |
A vizsgálópálya hőmérséklete | <t_ground> | [°C] | ≥ 1 Hz | |
Érvényesség | <valid> | [-] | — | opcionális jel (1=érvényes; 0=nem érvényes); |
6. táblázat
Bemeneti adatok a légellenállás-előfeldolgozási eszköz számára - tengerszint feletti magasság profillal kapcsolatos fájl
Bemeneti adatok | Mértékegység | Megjegyzések |
Földrajzi szélesség | tizedes fok vagy tizedes perc | mértékegység: tizedes fok: legalább 7 számjegy a tizedes elválasztójel után |
Földrajzi hosszúság | mértékegység: tizedes perc: legalább 5 számjegy a tizedes elválasztójel után | |
Tengerszint feletti magasság | [m] | legalább 2 számjegy a tizedes elválasztójel után |
3.10. Érvényességi feltételek
Az alábbi szakasz azokat a feltételeket részletezi, amelyek ahhoz szükségesek, hogy a légellenállás-előfeldolgozási eszközben érvényes eredményeket kapjunk.
3.10.1. Érvényességi feltételek az állandó sebességen végzett vizsgálatot illetően
3.10.1.1. A légellenállás-előfeldolgozási eszköz abban az esetben fogadja el az állandó sebességen végzett vizsgálat során rögzített adatkészleteket, ha teljesülnek az alábbi érvényességi feltételek:
i. A jármű átlagos sebessége megfelel a 3.5.2. pontban meghatározott feltételeknek.
ii. A környezeti hőmérséklet a 3.2.2. pontban jelzett tartományon belül van. Ezt a kritériumot a légellenállás-előfeldolgozási eszköz ellenőrzi a járművön mért környezeti hőmérséklet alapján.
iii. A vizsgálópálya hőmérséklete a 3.2.3. pontban jelzett tartományon belül van.
iv. Az érvényes átlagos szélsebességviszonyok a 3.2.5. pont i. alpontjának megfelelőek.
v. Az érvényes széllökésviszonyok a 3.2.5. pont ii. alpontjának megfelelőek.
vi. Az érvényes átlagos irányeltérési szögek a 3.2.5. pont iii. alpontjának megfelelőek.
vii. A jármű sebességére vonatkozó stabilitási feltételek teljesülnek.
Kis sebességen végzett vizsgálat:

ahol:
vlms,avrg = átlagos járműsebesség a mérési szakaszon [km/h]
vlm,avrg = a járműsebesség központi mozgóátlaga Xms másodperc időalappal [km/h]
Xms = az aktuális járműsebesség mellett a 25 méteres távolság megtételéhez szükséges idő [s]
Nagy sebességen végzett vizsgálat:

ahol:
vhms,avrg = átlagos járműsebesség a mérési szakaszon [km/h]
vhm,avrg = a járműsebesség 1 másodpercre vetített központi mozgóátlaga [km/h]
viii. A jármű nyomatékára vonatkozó stabilitási feltételek teljesülnek:
Kis sebességen végzett vizsgálat:
(T lms,avrg - T grd ) × (1 - tol) ≤ (T lms,avrg - T grd ) ≤ (T lms,avrg - T grd ) × (1 + tol)
T grd = F grd,avrg × r dyn,avrg
ahol:
Tlms,avrg = a Tsum átlaga mérési szakaszonként
Tgrd = a gradiens erőből származó átlagos nyomaték
Fgrd,avrg = átlagos gradiens erő mérési szakaszonként
rdyn,avrg = átlagos effektív gördülési sugár mérési szakaszonként (képlet: lásd ix. alpont) [m]
Tsum = TL + TR ; a bal és a jobb kerék korrigált nyomatékértékeinek összege [Nm]
T lm,avrg = a Tsum központi mozgóátlaga Xms másodperc időalappal
Xms = az aktuális járműsebesség mellett a 25 méteres távolság megtételéhez szükséges idő [s]
tol = relatív nyomatéktűrés: 0,5 közepes és nehéz tehergépjárművek esetében az 1s., 1. és 2. csoportban; 0,3 a más csoportokba tartozó nehéz tehergépjárművek esetében, és nehéz autóbuszok
Nagy sebességen végzett vizsgálat

ahol:
Thms,avrg = a Tsum átlaga mérési szakaszonként [Nm]
Tgrd = a gradiens erőből származó átlagos nyomaték (lásd a kis sebesség mellett végzett vizsgálatot) [Nm]
Tsum = TL+ TR ; a bal és a jobb kerék korrigált nyomatékértékeinek összege [Nm]
Thm,avrg = a Tsum 1 másodpercre vetített központi mozgóátlaga [Nm]
ix. Érvényes géptengely-irányszög a mérési szakaszon áthaladó jármű esetében (< 10° eltérés a géptengely-irányszög célértékétől a kis sebesség mellett végzett vizsgálat, a nagy sebesség mellett végzett vizsgálat és a helytelen beállítások korrigálására szolgáló vizsgálat esetében).
x. A kalibrált járműsebesség alapján számított, a mérési szakaszon belül megtett távolság legfeljebb 3 méterrel tér el a távolság célértékétől (a kis sebesség mellett végzett vizsgálat és a nagy sebesség mellett végzett vizsgálat esetében)
xi. megfelelő eredmény a motorfordulatszám, a kardántengely-fordulatszám vagy az átlagos kerékfordulatszám (amelyik alkalmazható) elfogadhatósági ellenőrzésén:
motorfordulatszám vagy átlagos kerékfordulatszám-ellenőrzés nagy sebességen végzett vizsgálat esetében:



ahol:
igear = a kiválasztott sebességfokozat áttétele a nagy sebességen végzett vizsgálat során [-]
iaxle = tengelyáttétel [-]
vhms,avrg = átlagos járműsebesség a mérési szakaszon, nagy sebességen végzett vizsgálat során [km/h]
neng,1s = a motorfordulatszám vagy átlagos kerékfordulatszám 1 másodpercre vetített központi mozgóátlaga (a mérési szakaszon, nagy sebességen végzett vizsgálat során) [ford./perc]
neng,avrg = átlagos motorfordulatszám vagy átlagos kerékfordulatszám a mérési szakaszon, nagy sebességen végzett vizsgálat során [ford./perc]
rdyn,avrg = átlagos effektív gördülési sugár egyetlen mérési szakaszon, nagy sebességen végzett vizsgálat során [m]
rdyn,ref,HS = az effektív gördülési sugár összes érvényes nagy sebességen végzett vizsgálat során megtett mérési szakasz alapján számított referenciaértéke (szám = n) [m]
motorfordulatszám vagy átlagos kerékfordulatszám-ellenőrzés kis sebességen végzett vizsgálat esetében:



ahol:
igear = a kiválasztott sebességfokozat áttétele a kis sebességen végzett vizsgálat során [-]
iaxle = tengelyáttétel [-]
vlms,avrg = átlagos járműsebesség a mérési szakaszon, kis sebességen végzett vizsgálat során [km/h]
neng,float = a motorfordulatszám vagy átlagos kerékfordulatszám központi mozgóátlaga Xms másodperc időalappal (a mérési szakaszon, kis sebességen végzett vizsgálat során) [ford./perc]
neng,avrg = átlagos motorfordulatszám vagy átlagos kerékfordulatszám a mérési szakaszon, kis sebességen végzett vizsgálat során [ford./perc]
Xms = kis sebesség mellett 25 méteres távolság megtételéhez szükséges idő [s]
rdyn,avrg = átlagos effektív gördülési sugár egyetlen mérési szakaszon, kis sebességen végzett vizsgálat során [m]
rdyn,ref,LS1/LS2 = az effektív gördülési sugár összes érvényes, az 1. vagy a 2. kis sebességen végzett vizsgálat során megtett mérési szakasz alapján számított referenciaértéke (szám = n) [m]
A kardántengely-fordulatszám elfogadhatósági ellenőrzéséhez az neng,1s érték helyett az ncard,1s értéket (a kardántengely-fordulatszám 1 másodpercre vetített központi mozgóátlaga a mérési szakaszon, nagy sebességen végzett vizsgálat során), az neng,float érték helyett az ncard,float értéket (a kardántengely-fordulatszám mozgóátlaga Xms másodperc időalappal a kis sebességen végzett vizsgálat során megtett mérési szakaszon) kell figyelembe venni, az igear értékét pedig 1-nek kell tekinteni.
xii. A mérési adatok szóban forgó része nem kapott "invalid" (érvénytelen) jelölést a légellenállás-előfeldolgozási eszköz bemeneti fájljában.
3.10.1.2. A légellenállás-előfeldolgozási eszköz kizár egyes adatkészleteket az értékelésből, amennyiben az első és a második kis sebességen végzett vizsgálatban az adott mérési szakasz és haladási irány kombinációjára vonatkozó adatkészletek száma nem egyenlő. Ebben az esetben a nagyobb számú adatkészlettel rendelkező kis sebességen végzett vizsgálat első adatkészletei kizárásra kerülnek.
3.10.1.3. A légellenállás-előfeldolgozási eszköz kizárja az értékelésből a mérési szakaszok és a haladási irányok bizonyos kombinációját, ha:
i. nem áll rendelkezésre érvényes adatkészlet az 1. és/vagy a 2. kis sebességen végzett vizsgálatból;
ii. a nagy sebességen végzett vizsgálatból kevesebb mint két érvényes adatkészlet áll rendelkezésre.
3.10.1.4. A légellenállás-előfeldolgozási eszköz a teljes állandó sebességen végzett vizsgálatot érvénytelennek minősíti az alábbi esetekben:
i. a 3.1.1. pontban leírt, a vizsgálópályára vonatkozó követelmények nem teljesülnek;
ii. géptengely-irányszögenként 10-nél kevesebb adatkészlet áll rendelkezésre (nagy sebességen végzett vizsgálat);
iii. géptengely-irányszögenként 5-nél kevesebb adatkészlet áll rendelkezésre (a helytelen beállítások korrekciójára szolgáló kalibrációs vizsgálat);
iv. a gördülési ellenállási tényezők (RRC) közötti különbség az első és a második kis sebességen végzett vizsgálat esetében több, mint 0,40 kg/t. Ezt a kritériumot a mérési szakaszok és a haladási irány minden egyes kombinációjára nézve külön kell ellenőrizni.
3.10.2. A helytelen beállítások korrekciójára szolgáló vizsgálat érvényességi feltételei
3.10.2.1. A légellenállás-előfeldolgozási eszköz abban az esetben fogadja el a helytelen beállítások korrekciójára szolgáló vizsgálat során rögzített adatkészleteket, ha teljesülnek az alábbi érvényességi feltételek:
i. a jármű átlagos sebessége megfelel a 3.5.2. pontban a nagy sebességen végzett vizsgálatra vonatkozóan meghatározott feltételeknek;
ii. az érvényes átlagos szélsebességviszonyok a 3.2.5. pont i. alpontjának megfelelőek;
iii. az érvényes széllökésviszonyok a 3.2.5. pont ii. alpontjának megfelelőek;
iv. az érvényes átlagos irányeltérési szögek a 3.2.5. pont iii. alpontjának megfelelőek;
v. a jármű sebességére vonatkozó stabilitási feltételek teljesülnek:

ahol:
vhms,avrg = átlagos járműsebesség a mérési szakaszon [km/h]
vhm,avrg = a járműsebesség 1 másodpercre vetített központi mozgóátlaga [km/h]
3.10.2.2. A légellenállás-előfeldolgozási eszköz érvénytelennek minősíti az egyetlen mérési szakaszból származó adatokat az alábbi esetekben:
i. az egyes haladási irányokból származó összes érvényes adatkészletből az átlagos járműsebességek közötti különbség több, mint 2 km/h;
ii. géptengely-irányszögenként 5-nél kevesebb adatkészlet áll rendelkezésre.
3.10.2.3. A légellenállás-előfeldolgozási eszköz érvénytelennek minősíti a teljes, a helytelen beállítások korrekciójára szolgáló vizsgálatot, amennyiben nem áll rendelkezésre érvényes eredmény egy adott mérési szakaszra.
3.11. A légellenállás értékének bejelentése
A légellenállás értékének bejelentéséhez az alapértéket a légellenállás-előfeldolgozási eszköz által kiszámított Cd · Acr (0) végső eredménye jelenti. A tanúsítvány kérelmezőjének olyan Cd · Adeclared értéket kell bejelentenie, amely egyenlő a Cd · Acr (0) értékkel, vagy legfeljebb + 0,2 m2-rel haladja meg azt. Ennek a tűrésnek figyelembe kell vennie azt a bizonytalanságot, amely a család vizsgálható tagjai közül a legkedvezőtlenebb esetnek minősülő alapjárművek kiválasztásánál jelentkezik. Cd · Acr (0) bemeneti adatként szolgál a szimulációs eszköz számára, és referenciaérték a CO2-kibocsátással és tüzelőanyag-fogyasztással kapcsolatos tanúsított tulajdonságok megfelelőségének vizsgálata szempontjából.
Egyetlen mért Cd Acr (0) alapján több bejelentett Cd·Adeclared érték is létrehozható, amennyiben teljesülnek közepes és nehéz tehergépjárművek esetében a családra vonatkozó, az 5. függelék 3.1. pontja, nehéz autóbuszok esetében pedig az 5. függelék 4.1. pontja szerinti rendelkezések.
1. függelék
ALKATRÉSZ, ÖNÁLLÓ MŰSZAKI EGYSÉG VAGY RENDSZER TANÚSÍTVÁNYMINTÁJA
Megengedett legnagyobb méret: A4 (210 × 297 mm)
TANÚSÍTVÁNY EGY LÉGELLENÁLLÁSI CSALÁD CO2-KIBOCSÁTÁSSAL ÉS A TÜZELŐANYAG-FOGYASZTÁSSAL KAPCSOLATOS TULAJDONSÁGAIRÓL
Az értesítés tárgya: — tanúsítvány megadása (1) — tanúsítvány kiterjesztése (1) — tanúsítvány elutasítása (1) — tanúsítvány visszavonása (1) | A hatóság pecsétjének helye |
légellenállási család CO2-kibocsátással és tüzelőanyag-fogyasztással kapcsolatos tulajdonságaira vonatkozóan, az (EU) 2017/2400 bizottsági rendelet alapján.
A legutóbb a ... által módosított (EU) 2017/2400 bizottsági rendelet
Tanúsítvány száma:
Hashfüggvény:
A kiterjesztés indoklása:
I. SZAKASZ
0.1. Gyártmány (a gyártó által bejegyzett védjegy):
0.2. Jármű-karosszéria és légellenállási típus/család (ha alkalmazható):
0.3. Jármű-karosszéria és légellenállási család tagja (család esetében)
0.3.1. Jármű-karosszéria és légellenállási alapjármű
0.3.2. Jármű-karosszéria és légellenállási típusok a családon belül
0.4. A típusazonosítás módja, ha jelölve van
0.4.1. A jelölés helye:
0.5. A gyártó neve és címe:
0.6. Alkatrészek és önálló műszaki egységek esetében az EK-típusjóváhagyási jel helye és felerősítésének módja:
0.7. Az összeszerelő üzem(ek) neve és címe:
0.9. A gyártó képviselőjének neve és címe (ha van ilyen)
II. SZAKASZ
1. Kiegészítő adatok (adott esetben): lásd a Kiegészítést
2. A vizsgálatok elvégzéséért felelős jóváhagyó hatóság:
3. A vizsgálati jegyzőkönyv kelte:
4. A vizsgálati jegyzőkönyv száma:
5. Megjegyzések (adott esetben): lásd a Kiegészítést.
6. Hely:
7. Dátum:
8. Aláírás:
Mellékletek:
Információs csomag. Vizsgálati jegyzőkönyv
2. függelék
Légellenállási adatközlő lap
Leíró lap száma: | Kiadás: A következőtől: Módosítás: |
a következőnek megfelelően:
Légellenállási típus/család (ha alkalmazható):
Általános megjegyzés: A szimulációs eszköz bemeneti adatai számára meg kell határozni egy elektronikus fájlformátumot, amely alkalmas az adatoknak a szimulációs eszközbe való importálására. A szimulációs eszköz bemeneti adatai eltérhetnek az adatközlő lapon kért adatoktól és fordítva (további pontosításra szorul). Különösen abban az esetben van szükség adatfájlra, amikor nagy mennyiségű adatot (pl. hatásfok-jellegmező) kell kezelni (nem szükséges manuális átvitel/bemenet).
...
0.0. ÁLTALÁNOS
0.1. A gyártó neve és címe
0.2. Gyártmány (a gyártó kereskedelmi neve)
0.3. Légellenállási típus (család, ha alkalmazható)
0.4. Kereskedelmi név (nevek) (ha van/vannak)
0.5. Típusazonosító ismertetőjelek, amennyiben azok fel vannak tüntetve a járművön:
0.6. Alkatrészek és önálló műszaki egységek esetében a tanúsítási jelölés helye és felerősítésének módja
0.7. Az összeszerelő üzem(ek) neve és címe
0.8. A gyártó képviselőjének neve és címe
1. RÉSZ
A LÉGELLENÁLLÁS SZERINTI ALAPJÁRMŰ ALAPVETŐ JELLEMZŐI ÉS LÉGELLENÁLLÁS SZERINTI TÍPUSOK A LÉGELLENÁLLÁS SZERINTI CSALÁDON BELÜL
Légellenállás szerinti alapjármű | Családtag | ||||
vagy légellenállás szerinti típus | #1 | #2 | #3 | ||
1.0. SPECIFIKUS LÉGELLENÁLLÁSI INFORMÁCIÓ
1.1.0. JÁRMŰ
1.1.1. Nehézgépjármű (HDV)-csoport a HDV CO2-rendszer alapján
1.2.0. Járműmodell / kereskedelmi megnevezés
1.2.1. Tengelykonfiguráció
1.2.2. Műszakilag megengedett legnagyobb össztömeg
1.2.3. Fülke vagy modellsorozat
1.2.4. Fülke szélessége (maximális érték Y irányban, fülkével rendelkező járművek esetében)
1.2.5. Fülke hossza (maximális érték X irányban, fülkével rendelkező járművek esetében)
1.2.6. Tetőmagasság (fülkével rendelkező járművek esetében)
1.2.7. Tengelytáv
1.2.8. Fülke alvázkeret feletti magassága (alvázkerettel rendelkező járművek esetében)
1.2.9. Alvázkeret magassága (alvázkerettel rendelkező járművek esetében)
1.2.10. Aerodinamikai segédberendezések vagy kiegészítők (pl. tetőspoiler, oldalsó kibővítők, küszöbspoilerek, saroklégterelők)
1.2.11. Abroncsméretek - az első tengelyen
1.2.12. Abroncsméretek - a hajtott tengely(ek)en
1.2.13. A jármű szélessége a III. melléklet 2. pontjának 8. alpontja szerint (fülkével nem rendelkező járművek esetében)
1.2.14. A jármű hossza a III. melléklet 2. pontjának 7. alpontja szerint (fülkével nem rendelkező járművek esetében)
1.2.15. Az integrált felépítmény magassága a III. melléklet 2. pontjának 5. alpontja szerint (fülkével nem rendelkező járművek esetében)
1.3. Felépítményre vonatkozó előírások (a standard felépítmény meghatározása alapján)
1.4. (Fél)pótkocsira vonatkozó előírások (a standard [fél]pótkocsi meghatározása alapján)
1.5. A családot meghatározó paraméter a kérelmező által biztosított leírással összhangban (az alapjárműre vonatkozó feltételek és a családra vonatkozó feltételektől való eltérés)
A MELLÉKLETEK JEGYZÉKE
Szám: | Leírás: | Kiadás dátuma: |
1. | Információk a vizsgálati körülményekről | … |
2. | … |
1. melléklet az adatközlő laphoz
Információk a vizsgálati körülményekről (adott esetben)
1.1. A vizsgálópálya, amelyen a vizsgálatokat elvégezték
1.2. A jármű teljes tömege a mérés során [kg]
1.3. A jármű legnagyobb magassága a mérés során [m]
1.4. Átlagos környezeti viszonyok az első kis sebességen végzett vizsgálat során [°C]
1.5. A jármű átlagos sebessége a nagy sebességen végzett vizsgálatok során [km/h]
1.6. A légellenállási együttható (Cd ) és a homlokfelület (Acr ) szorzata oldalszéltől mentes körülmények mellett C d Acr(0) [m2]
1.7. A légellenállási együttható (Cd ) és a homlokfelület (Acr ) szorzata átlagos oldalszélviszonyok esetén, állandó sebességen végzett vizsgálat során CdAcr(β) [m2]
1.8. Átlagos irányeltérési szög állandó sebességen végzett vizsgálat során β [°]
1.9. Lejelentett légellenállási érték Cd · Adeclared [m2]
1.10. A légellenállás-előfeldolgozási eszköz verziószáma
3. függelék
A jármű magasságára vonatkozó előírások merev tehergépjárművekhez és vontatókhoz
1. Az e melléklet 3. pontja alapján állandó sebességű eljárással vizsgált közepes merev tehergépjárműveknek, nehéz merev tehergépjárműveknek és vontatóknak eleget kell tenniük a 2. táblázatban szereplő járműmagassági előírásoknak.
2. A jármű magasságát a 3.5.3.1. pont vii. alpontjában leírtak alapján kell megállapítani.
3. A 2. táblázatban nem szereplő járműcsoportokba tartozó bármely fajta merev tehergépjárművet és vontatót nem kell állandó sebességen végzett vizsgálatnak alávetni.
2. táblázat
A jármű magasságára vonatkozó előírások közepes merev tehergépjárművek, nehéz merev tehergépjárművek és vontatók esetében
Járműcsoport | Jármű legkisebb magassága [m] | Jármű legnagyobb magassága [m] |
51, 53, 55 | 3,20 | 3,50 |
1s., 1 | 3,40 | 3,60 |
2 | 3,50 | 3,75 |
3 | 3,70 | 3,90 |
4 | 3,85 | 4,00 |
5 | 3,90 | 4,00 |
9 | az azonos műszakilag megengedett legnagyobb járműössztömeggel (1., 2., 3. vagy 4. csoport) rendelkező merev tehergépjárművekéhez hasonló értékek | |
10 | 3,90 | 4,00 |
4. függelék
Standard felépítmény- és félpótkocsi-konfigurációk merev tehergépjárművekhez és vontatókhoz
1. Azon közepes merev tehergépjárműveknek és nehéz merev tehergépjárműveknek, amelyek légellenállását ellenőrzik, meg kell felelniük a standard felépítményekre vonatkozó, az e függelékben leírt követelményeknek. A vontatóknak meg kell felelniük a standard félpótkocsikra vonatkozó, az e függelékben leírt követelményeknek.
2. Az alkalmazandó standard felépítmény vagy félpótkocsi a 8. táblázat alapján határozható meg.
3. táblázat
Standard felépítmények és félpótkocsik megállapítása állandó sebességen végzett vizsgálathoz
Járműcsoportok | Standard felépítmény vagy pótkocsi |
51, 53, 55 | B-II |
1s., 1 | B1 |
2 | B2 |
3 | B3 |
4 | B4 |
5 | ST1 |
9 | a műszakilag megengedett legnagyobb terhelt tömeg függvényében: 7,5–10 t: B1 > 10–12 t: B2 > 12–16 t: B3 > 16 t: B5 |
10 | ST1 |
3. A B-II, B1, B2, B3, B4 és B5 standard felépítményeket szárazáru szállítására szolgáló kemény héjazatú (dobozos) kialakítással kell ellátni. Kétszárnyú hátsó ajtóval kell felszerelni őket, oldalsó ajtók nélkül. A standard felépítményeket nem lehet emelő hátfallal, sem az aerodinamikai ellenállást csökkentő elülső vagy oldalsó spoilerekkel ellátni. A standard felépítményekre vonatkozó előírások helye:
a 9a. táblázat a "B-II" standard felépítmény esetében,
a 9. táblázat a "B1" standard felépítmény esetében,
a 10. táblázat a "B2" standard felépítmény esetében,
a 11. táblázat a "B3" standard felépítmény esetében,
a 12. táblázat a "B4" standard felépítmény esetében,
a 13. táblázat a "B5" standard felépítmény esetében,
A 9a-15. táblázatban megadott, a tömegre vonatkozó előírásokat a légellenállás vizsgálata során nem kell ellenőrizni.
4. Az ST1 standard félpótkocsi típusára és alvázára vonatkozó előírások a 14. táblázatban vannak felsorolva. A specifikációk a 15. táblázatban szerepelnek.
5. Az összes olyan méretnek és tömegnek, amelyre vonatkozóan nincs kifejezett tűrés megadva, összhangban kell lennie az 1230/2012/EK rendelet 1. melléklete 2. függelékével (azaz a tényleges értékek a célértékektől legfeljebb ±3 %-kal térhetnek el).
9. táblázat
A "B1" standard felépítményre vonatkozó előírások
Előírás | Mértékegység | Külső méret (tűrés) | Megjegyzések |
Hossz | [mm] | 6 200 | |
Szélesség | [mm] | 2 550 (– 10) | |
Magasság | [mm] | 2 680 (± 10) | kocsiszekrény: külső magasság: 2 560 hossztartó: 120 |
A homlokfal és a tető találkozása lekerekítésének sugara | [mm] | 50 – 80 | |
Az oldalfal és a tető találkozása lekerekítésének sugara | [mm] | 50 – 80 | |
További sarkok lekerekítése | [mm] | lekerekítési sugár ≤ 10 | |
Tömeg | [kg] | 1 600 | A tömeget általános értékként használják a szimulációs eszközben, és azt légellenállási vizsgálat céljából nem kell ellenőrizni |
9a. táblázat
A "B-II" standard felépítményre vonatkozó előírások
Előírás | Egység | Külső méret (tűrés) | Megjegyzések |
Hossz | [mm] | 4 500 (± 10) | |
Szélesség | [mm] | 2 300 (± 10) | |
Magasság | [mm] | 2 500 (± 10) | kocsiszekrény: külső magasság: 2 380 hossztartó: 120 |
A homlokfal és a tető találkozása lekerekítésének sugara | [mm] | 30 – 80 | |
Az oldalfal és a tető találkozása lekerekítésének sugara | [mm] | 30 – 80 | |
További sarkok lekerekítése | [mm] | lekerekítési sugár ≤ 10 | |
Tömeg | [kg] | 800 | A tömeget általános értékként használják a szimulációs eszközben, és azt légellenállási vizsgálat céljából nem kell ellenőrizni |
10. táblázat
A "B2" standard felépítményre vonatkozó előírások
Előírás | Mértékegység | Külső méret (tűrés) | Megjegyzések |
Hossz | [mm] | 7 400 | |
Szélesség | [mm] | 2 550 (– 10) | |
Magasság | [mm] | 2 760 (± 10) | kocsiszekrény: külső magasság: 2 640 hossztartó: 120 |
A homlokfal és a tető találkozása lekerekítésének sugara | [mm] | 50 – 80 | |
Az oldalfal és a tető találkozása lekerekítésének sugara | [mm] | 50 – 80 | |
További sarkok lekerekítése | [mm] | lekerekítési sugár ≤ 10 | |
Tömeg | [kg] | 1 900 | A tömeget általános értékként használják a szimulációs eszközben, és azt légellenállási vizsgálat céljából nem kell ellenőrizni |
11. táblázat
A "B3" standard felépítményre vonatkozó előírások
Előírás | Mértékegység | Külső méret (tűrés) | Megjegyzések |
Hossz | [mm] | 7 450 | |
Szélesség | [mm] | 2 550 (– 10) | jogszabályban engedélyezett határérték (96/53/EK), belső ≥ 2 480 |
Magasság | [mm] | 2 880 (± 10) | kocsiszekrény: külső magasság: 2 760 hossztartó: 120 |
A homlokfal és a tető találkozása lekerekítésének sugara | [mm] | 50 – 80 | |
Az oldalfal és a tető találkozása lekerekítésének sugara | [mm] | 50 – 80 | |
További sarkok lekerekítése | [mm] | lekerekítési sugár ≤ 10 | |
Tömeg | [kg] | 2 000 | A tömeget általános értékként használják a szimulációs eszközben, és azt légellenállási vizsgálat céljából nem kell ellenőrizni |
12. táblázat
A "B4" standard felépítményre vonatkozó előírások
Előírás | Mértékegység | Külső méret (tűrés) | Megjegyzések |
Hossz | [mm] | 7 450 | |
Szélesség | [mm] | 2 550 (– 10) | |
Magasság | [mm] | 2 980 (± 10) | kocsiszekrény: külső magasság: 2 860 hossztartó: 120 |
A homlokfal és a tető találkozása lekerekítésének sugara | [mm] | 50 – 80 | |
Az oldalfal és a tető találkozása lekerekítésének sugara | [mm] | 50 – 80 | |
További sarkok lekerekítése | [mm] | lekerekítési sugár ≤ 10 | |
Tömeg | [kg] | 2 100 | A tömeget általános értékként használják a szimulációs eszközben, és azt légellenállási vizsgálat céljából nem kell ellenőrizni |
13. táblázat
A "B5" standard felépítményre vonatkozó előírások
Előírás | Mértékegység | Külső méret (tűrés) | Megjegyzések |
Hossz | [mm] | 7 820 | belső ≥ 7 650 |
Szélesség | [mm] | 2 550 (– 10) | jogszabályban engedélyezett határérték (96/53/EK), belső ≥ 2 460 |
Magasság | [mm] | 2 980 (± 10) | kocsiszekrény: külső magasság: 2 860 hossztartó: 120 |
A homlokfal és a tető találkozása lekerekítésének sugara | [mm] | 50 – 80 | |
Az oldalfal és a tető találkozása lekerekítésének sugara | [mm] | 50 – 80 | |
További sarkok lekerekítése | [mm] | lekerekítési sugár ≤ 10 | |
Tömeg | [kg] | 2 200 | A tömeget általános értékként használják a szimulációs eszközben, és azt légellenállási vizsgálat céljából nem kell ellenőrizni |
14. táblázat
A standard "ST1" félpótkocsi típusa és alváz-konfigurációja
A pótkocsi típusa | 3 tengelyes félpótkocsi kormányzott tengely(ek) nélkül |
Alváz-konfiguráció | — teljes hosszon végig érő létraalvázkeret — alvázkeret padló alatti borítás nélkül — mindkét oldalon oldalsó aláfutásgátló — hátsó aláfutásgátló (UPS) — hátsó lámpatartó lemez — raklaptartó nélkül — két tartalék kerék a 3. tengely után — szerszámosláda a felépítmény végén, a hátsó aláfutásgátló előtt (bal vagy jobb oldalon) — sárvédő gumik a tengelycsoport előtt és után — légrugózás — tárcsafékek — gumiabroncsméret: 385/65 R 22.5 — 2 hátsó ajtó — oldalsó ajtó(k) nélkül — emelőhátfal nélkül — első spoiler nélkül — légellenállást csökkentő oldalsó spoilerek nélkül |
15. táblázat
Az "ST1" standard félpótkocsira vonatkozó előírások
Előírás | Mértékegység | Külső méret (tűrés) | Megjegyzések |
Teljes hossz | [mm] | 13 685 | |
Teljes szélesség (felépítmény szélessége) | [mm] | 2 550 (– 10) | |
Felépítmény magassága | [mm] | 2 850 (± 10) | max. teljes magasság: 4 000 (96/53/EK) |
Teljes magasság, terheletlen állapotban | [mm] | 4 000 (– 10) | magasság a teljes hosszon, lásd a félpótkocsira vonatkozó előírást – a jármű magasságának az állandó sebességen végzett vizsgálat során történő ellenőrzése szempontjából nem releváns |
A pótkocsi kapcsolószerkezetének magassága, terheletlen állapotban | [mm] | 1 150 | a félpótkocsira vonatkozó előírás, az állandó sebességen végzett vizsgálat során nem kell ellenőrizni |
Tengelytáv | [mm] | 7 700 | |
Tengelytávolság | [mm] | 1 310 | 3 tengelyes összeállítás, 24 t (96/53/EK) |
Mellső kinyúlás | [mm] | 1 685 | sugár: 2 040 (jogszabályban engedélyezett határérték, 96/53/EK) |
Elülső fal | sima fal csatlakozásokkal a sűrített levegő és az elektromosság számára | ||
Homlokfal/oldalfal lekerekítése | [mm] | lekerekítési sugár ≤ 5 | a királycsap mint középpont köré 2 040 mm sugárral rajzolt képzeletbeli kör húrja (jogszabályban engedélyezett határérték, 96/53/EK) |
További sarkok lekerekítése | [mm] | lekerekítési sugár ≤ 10 | |
Szerszámosláda mérete, X tengely | [mm] | 655 | Tűrés: célérték ± 10 % |
Szerszámosláda mérete, Y tengely | [mm] | 445 | Tűrés: célérték ± 5 % |
Szerszámosláda mérete, Z tengely | [mm] | 495 | Tűrés: célérték ± 5 % |
Oldalsó aláfutásgátló hossza | [mm] | 3 045 | két oldalsó aláfutásgátló, a két oldalon az 73. ENSZ EGB-előírás 01. módosítása (2010) alapján +/– 100 a tengelytávtól függően |
Szalagprofil | [mm2] | 100 × 30 | 73. ENSZ EGB-előírás, 01. módosítás (2010) |
Műszakilag megengedett bruttó járműtömeg | [kg] | 39 000 | a jogszabályban megengedett bruttó össztömeg (GVWR): 24 000 (96/53/EK) |
Jármű menetkész tömege | [kg] | 7 500 | a légellenállási vizsgálat során nem ellenőrzik |
Megengedett tengelyterhelés | [kg] | 24 000 | jogszabályban engedélyezett határérték (96/53/EK) |
Technikai tengelyterhelés | [kg] | 27 000 | 3 × 9 000 |
5. függelék
Légellenállási család
1. Általános adatok
Egy légellenállási családot a tervezési paraméterek és a teljesítménymutatók határoznak meg. Ezeknek közöseknek kell lenniük a családon belül minden járműre. A gyártó határozhatja meg, hogy melyik járművek tartoznak egy légellenállási családba, mindaddig, amíg a családba tartozásnak a közepes tehergépjárművek, nehéz tehergépjárművek esetében a 3. pontban, nehéz autóbuszok esetében pedig a 6. pontban felsorolt kritériumai teljesülnek. A légellenállási családot a jóváhagyó hatóságnak kell jóváhagynia. A gyártónak a jóváhagyó hatóság rendelkezésére kell bocsátania a légellenállási családba tartozó tagok légellenállására vonatkozó információkat.
2. Különleges esetek
Néhány esetben kölcsönhatás lehet a paraméterek között. Ezt figyelembe kell venni annak biztosítása érdekében, hogy csak hasonló jellemzőkkel rendelkező járművek kerüljenek ugyanabba a légellenállási családba. Az ilyen eseteket a gyártónak meg kell határoznia, és tájékoztatnia kell róluk a jóváhagyó hatóságot. Ezeket azután figyelembe kell venni az új légellenállási családok kialakítási kritériumaként.
A közepes és nehéz tehergépjárművek esetében az e függelék 4. pontjában, a nehéz autóbuszok esetében pedig az e függelék 6.1. pontjában felsorolt paraméterek mellett a gyártó további kritériumokat is bevezethet korlátozottabb méretű családok meghatározása céljából.
4. Közepes és nehéz tehergépjárművek légellenállási családját meghatározó paraméter
4.1. A közepes és nehéz tehergépjárműveket abban az esetben lehet egy családba csoportosítani, ha az I. melléklet 1. vagy 2. táblázata szerint ugyanahhoz a járműcsoporthoz tartoznak, és az alábbi feltételek teljesülnek:
a) Azonos fülkeszélesség és karosszériageometria a B oszlopig és a sarokpont fölött, a vezetőfülke-padló kivételével (pl. motoralagút). A család összes tagja legfeljebb ±10 mm-rel térhet el az alapjárműtől.
b) Azonos tetőmagasság a függőleges Z tengelyen. A család összes tagja legfeljebb ±10 mm-rel térhet el az alapjárműtől.
c) Alvázkerettel rendelkező járművek esetében: Azonos fülke-alvázkeret magasság. Ez a feltétel akkor teljesül, ha az egyes fülkék alvázkeret feletti magasságainak különbsége a Z tengely irányában mérve 175 mm-nél kisebb.
A családfogalom követelményeinek teljesülését CAD (számítógéppel támogatott tervezés) adatokkal kell bemutatni.
1. ábra
A család meghatározása

4.2. Egy légellenállási család vizsgálható tagokból, valamint az e rendelet alapján nem vizsgálható jármű-konfigurációkból áll.
4.3. A család vizsgálható tagjai olyan jármű-konfigurációk, amelyek eleget tesznek az e melléklet fő része 3.3. pontjában meghatározott felépítési követelményeknek.
5. A légellenállási alapjármű kiválasztása közepes és nehéz tehergépjárművek esetében
5.1. Az alapjárművet minden egyes családban az alábbi kritériumok alapján kell kiválasztani:
5.2. A közepes merev tehergépjárműveknek, nehéz merev tehergépjárműveknek és vontatóknak meg kell felelniük az e melléklet 4. függelékében a standard karosszériára vagy a félpótkocsira vonatkozóan megadott méreteknek.
5.3. A család összes vizsgálható tagja légellenállási értékének az alapjármű bejelentett Cd · Adeclared értékével megegyezőnek vagy annál kisebbnek kell lennie.
5.4. A tanúsítvány kérelmezőjének igazolnia kell, hogy az alapjármű kiválasztása az 5.3. pontban olvasható előírásoknak megfelelően, tudományos módszerek alapján (pl. kalkulációs folyadékdinamika [CFD], szélcsatorna-eredmények, helyes mérnöki gyakorlat) történt. Ez a rendelkezés vonatkozik az összes olyan járműváltozatra, amelyet az e melléklet 3. pontjában ismertetett, állandó sebességen végzett eljárással vizsgálni lehet. Az egyéb jármű-konfigurációk (pl. ha a járműmagasság nem felel meg a 4. függelék előírásainak, a tengelytáv nem kompatibilis a standard felépítménynek az 5. függelékben előírt méreteivel) légellenállási értéke további bizonyítás nélkül azonosnak tekintendő a családon belüli vizsgálható jármű légellenállási értékével. Mivel az abroncsok a mérőberendezés részének tekintendők, a befolyásukat ki kell zárni a legkedvezőtlenebb eset bizonyítása során.
5.5. Nehéz tehergépjárművek esetében a bejelentett Cd·Adeclared érték alapján más járműcsoportokban is létrehozhatók családok, ha teljesülnek a családra vonatkozó kritériumok az e függelék 5. pontjával összhangban, a 16. táblázatban megadott előírások alapján.
16. táblázat
Rendelkezések a nehéz tehergépjárművek légellenállási értékeinek más járműcsoportokra való átvitelével kapcsolatban
Járműcsoport | Átviteli formula | Megjegyzések |
1, 1s | 2. járműcsoport – 0,2 m2 | Csak akkor engedélyezett, ha a 2. csoportban a vonatkozó családdal kapcsolatos értéket megmérték |
2 | 3. járműcsoport – 0,2 m2 | Csak akkor engedélyezett, ha a 3. csoportban a vonatkozó családdal kapcsolatos értéket megmérték |
3 | 4. járműcsoport – 0,2 m2 | |
4 | Az átvitel nem engedélyezett | |
5 | Az átvitel nem engedélyezett | |
9 | 1., 2., 3., 4. járműcsoport + 0,1 m2 | Az átvitelre alkalmas csoportban a jármű műszakilag megengedett legnagyobb terhelt tömegének egyezőnek kell lennie. > 16 tonna műszakilag megengedett legnagyobb terhelt tömeg esetében: — a 9. csoportra történő átvitel alapja a 4. csoport — a 10. csoportra történő átvitel alapja az 5. csoport A már átvitt értékek átvitele megengedett. |
10 | 1., 2., 3., 5. járműcsoport + 0,1 m2 | |
11 | 9. járműcsoport | A már átvitt értékek átvitele megengedett |
12 | 10. járműcsoport | A már átvitt értékek átvitele megengedett |
16 | 9. járműcsoport + 0,3 m2 | A már átvitt értékekre való átvitel megengedett |
5.6. Közepes tehergépjárművek esetében a bejelentett Cd·Adeclared érték alapján más járműcsoportokra is átvihető családok létrehozása céljából, ha teljesülnek az e függelék 5. pont szerinti, a családra vonatkozó kritériumok, valamint a 16a. táblázatban megadott előírások. Az átvitel úgy történik, hogy a származási csoporttól változatlan formában át kell venni a Cd·Adeclared értéket.
16a. táblázat
Rendelkezések a közepes tehergépjárművek légellenállási értékeinek más járműcsoportokra való átvitelével kapcsolatban
Járműcsoport | Az átvitel az alábbi járműcsoport(ok)ról megengedett |
51 | 53 |
52 | 54 |
53 | 51 |
54 | 52 |
6. Nehéz autóbuszok légellenállási családját meghatározó paraméter:
6.1. A nehéz autóbuszok abban az esetben lehet egy családba csoportosítani, ha az I. melléklet 4., 5. vagy 6. táblázata szerint ugyanahhoz a járműcsoporthoz tartoznak, és az alábbi feltételek teljesülnek:
a) A jármű szélessége: A család összes tagja legfeljebb ± 50 mm-rel térhet el az alapjárműtől. A felépítmény szélességét a III. mellékletben szereplő fogalommeghatározásoknak megfelelően kell meghatározni.
b) Az integrált felépítmény magassága: A család valamennyi tagjának a 250 mm-es teljes tartományon belül kell maradnia. Az integrált test magasságát a III. mellékletben szereplő fogalommeghatározásoknak megfelelően kell meghatározni.
c) A jármű hossza: A család valamennyi tagjának az 5 m-es teljes tartományon belül kell maradnia. A hosszt a III. mellékletben szereplő fogalommeghatározásoknak megfelelően kell meghatározni.
A családfogalom követelményeinek teljesülését számítógéppel támogatott tervezés adatokkal vagy ábrákkal kell bemutatni. A bemutatás módját a gyártónak kell kiválasztania.
7. A légellenállási alapjármű kiválasztása nehéz autóbuszok esetében
Az alapjárművet minden egyes családban az alábbi kritériumok alapján kell kiválasztani:
7.1. A család összes tagja légellenállási értékének az alapjármű bejelentett Cd·Adeclared értékével megegyezőnek vagy annál kisebbnek kell lennie.
7. 2 A tanúsítvány kérelmezőjének igazolnia kell, hogy az alapjármű kiválasztása a 7.1. pontban olvasható előírásoknak megfelelően, tudományos módszerek alapján (pl. kalkulációs folyadékdinamika [CFD], szélcsatorna-eredmények, helyes mérnöki gyakorlat) történt. Ennek az igazolásnak ki kell terjednie a tetőre szerelt rendszerek hatására. Mivel az abroncsok a mérőberendezés részének tekintendők, a befolyásukat ki kell zárni a legkedvezőtlenebb eset bizonyítása során.
7.3. A bejelentett Cd·Adeclared érték alapján más járműcsoportokban is létrehozhatók családok, ha teljesülnek a családra vonatkozó kritériumok az e függelék 1. pontjával összhangban, a 16b. táblázatban megadott átviteli függvények vagy előírások alapján. A másolási és átviteli funkciók többféle kombinációja megengedett.
A 16b. táblázat második oszlopában "nemmel" megjelölt alcsoportok esetében a légellenállásra vonatkozó általános értékeket a szimulációs eszköz automatikusan hozzárendeli.
16b. táblázat
Rendelkezések a légellenállási értékek járműcsoportok közötti átvitelével kapcsolatban
Járműparaméter-alcsoport | A légellenállás mérése megengedett | Az átvitel az alábbi járműcsoport(ok)ról megengedett a Cd·Adeclared értékre vonatkozó alábbi átviteli képlettel | Az átvitel az alábbi járműcsoport(ok)ról a Cd·Adeclared értéknek a származási csoportból történő változatlan átvételével megengedett |
31a | nem | nem alkalmazandó | nem alkalmazandó |
31b1 | nem | nem alkalmazandó | nem alkalmazandó |
31b2 | csak a városok közötti ciklusra | nem alkalmazandó | 32a, 32b, 32c, 32d, 33b2, 34a, 34b, 34c, 34d |
31c | nem | nem alkalmazandó | nem alkalmazandó |
31d | nem | nem alkalmazandó | nem alkalmazandó |
31e | nem | nem alkalmazandó | nem alkalmazandó |
32a | igen | nem alkalmazandó | 31b2, 32b, 32c, 32d, 34a, 34b, 34c, 34d |
32b | igen | nem alkalmazandó | 31b2, 32a, 32c, 32d, 34a, 34b, 34c, 34d |
32c | igen | nem alkalmazandó | 31b2, 32a, 32b, 32d, 34a, 34b, 34c, 34d |
32d | igen | nem alkalmazandó | 31b2, 32a, 32b, 32c, 34a, 34b, 34c, 34d |
32e | igen | nem alkalmazandó | 32f, 34e, 34f |
32f | igen | nem alkalmazandó | 32e, 34e, 34f |
33a | nem | nem alkalmazandó | nem alkalmazandó |
33b1 | nem | nem alkalmazandó | nem alkalmazandó |
33b2 | csak a városok közötti ciklusra | 31b2 járműcsoport + 0,1 m2 | 34a, 34b, 34c, 34d, 35b2, 36a, 36b, 36c, 36d |
33c | nem | nem alkalmazandó | nem alkalmazandó |
33d | nem | nem alkalmazandó | nem alkalmazandó |
33e | nem | nem alkalmazandó | nem alkalmazandó |
34a | igen | 32a járműcsoport + 0,1 m2 | 33b2, 34b, 34c, 34d, 35b2, 36a, 36b, 36c, 36d |
34b | igen | 32b járműcsoport + 0,1 m2 | 33b2, 34a, 34c, 34d, 35b2, 36a, 36b, 36c, 36d |
34c | igen | 32c járműcsoport + 0,1 m2 | 33b2, 34a, 34b, 34d, 35b2, 36a, 36b, 36c, 36d |
34d | igen | 32d járműcsoport + 0,1 m2 | 33b2, 34a, 34b, 34c, 35b2, 36a, 36b, 36c, 36d |
34e | igen | 32e járműcsoport + 0,1 m2 | 34f, 36e, 36f |
34f | igen | 32f járműcsoport + 0,1 m2 | 34e, 36e, 36f |
35a | nem | nem alkalmazandó | nem alkalmazandó |
35b1 | nem | nem alkalmazandó | nem alkalmazandó |
35b2 | csak a városok közötti ciklusra | 33b2 járműcsoport + 0,1 m2 | 36a, 36b, 36c, 36d, 37b2, 38a, 38b, 38c, 38d |
35c | nem | nem alkalmazandó | nem alkalmazandó |
36a | igen | 34a járműcsoport + 0,1 m2 | 35b2, 36b, 36c, 36d, 37b2, 38a, 38b, 38c, 38d |
36b | igen | 34b járműcsoport + 0,1 m2 | 35b2, 36a, 36c, 36d, 37b2, 38a, 38b, 38c, 38d |
36c | igen | 34c járműcsoport + 0,1 m2 | 35b2, 36a, 36b, 36d, 37b2, 38a, 38b, 38c, 38d |
36d | igen | 34d járműcsoport + 0,1 m2 | 35b2, 36a, 36b, 36c, 37b2, 38a, 38b, 38c, 38d |
36e | igen | 34e járműcsoport + 0,1 m2 | 36f, 38e, 38f |
36f | igen | 34f járműcsoport + 0,1 m2 | 36e, 38e, 38f |
37a | nem | nem alkalmazandó | nem alkalmazandó |
37b1 | nem | nem alkalmazandó | nem alkalmazandó - |
37b2 | csak a városok közötti ciklusra | 33b2 járműcsoport + 0,1 m2 | 38a, 38b, 38c, 38d, 39b2, 40a, 40b, 40c, 40d |
37c | nem | nem alkalmazandó | nem alkalmazandó |
37d | nem | nem alkalmazandó | nem alkalmazandó |
37e | nem | nem alkalmazandó | nem alkalmazandó |
38a | igen | 34a járműcsoport + 0,1 m2 | 37b2, 38b, 38c, 38d, 39b2, 40a, 40b, 40c, 40d |
38b | igen | 34b járműcsoport + 0,1 m2 | 37b2, 38a, 38c, 38d, 39b2, 40a, 40b, 40c, 40d |
38c | igen | 34c járműcsoport + 0,1 m2 | 37b2, 38a, 38b, 38d, 39b2, 40a, 40b, 40c, 40d |
38d | igen | 34d járműcsoport + 0,1 m2 | 37b2, 38a, 38b, 38c, 39b2, 40a, 40b, 40c, 40d |
38e | igen | 34e járműcsoport + 0,1 m2 | 38f, 40e, 40f |
38f | igen | 34f járműcsoport + 0,1 m2 | 38e, 40e, 40f |
39a | nem | nem alkalmazandó | nem alkalmazandó |
39b1 | nem | nem alkalmazandó | nem alkalmazandó |
39b2 | csak a városok közötti ciklusra | 35b2 járműcsoport + 0,1 m2 | 40a, 40b, 40c, 40d |
39c | nem | nem alkalmazandó | nem alkalmazandó |
40a | igen | 36a járműcsoport + 0,1 m2 | 39b2, 40b, 40c, 40d |
40b | igen | 36b járműcsoport + 0,1 m2 | 39b2, 40a, 40c, 40d |
40c | igen | 36c járműcsoport + 0,1 m2 | 39b2, 40a, 40b, 40d |
40d | igen | 36d járműcsoport + 0,1 m2 | 39b2, 40a, 40b, 40c |
40e | igen | 36e járműcsoport + 0,1 m2 | 40f |
40f | igen | 36f járműcsoport + 0,1 m2 | 40e |
6. függelék
A CO2-kibocsátással és a tüzelőanyag-fogyasztással kapcsolatos tanúsított tulajdonságok megfelelősége
1. A CO2-kibocsátással és a tüzelőanyag-fogyasztással kapcsolatos tanúsított tulajdonságok megfelelőségét állandó sebességen végzett vizsgálatokkal kell igazolni, az e melléklet fő részének 3. pontjában írtak szerint. A CO2-kibocsátással és a tüzelőanyag-fogyasztással kapcsolatos tanúsított tulajdonságok megfelelőségével kapcsolatban a következő kiegészítő előírások érvényesek:
i. Az állandó sebességen végzett vizsgálat során a környezeti hőmérséklet legfeljebb ± 5 °C-kal tér el a tanúsítási eljárás során mért értéktől. E feltétel teljesülésének ellenőrzése az első kis sebességen végzett vizsgálatokból a légellenállás-előfeldolgozási eszköz által kiszámított átlagos hőmérséklet alapján történik.
ii. A nagy sebességen végzett vizsgálat során a jármű sebességtartománya legfeljebb ± 2 km/h-val térhet el a tanúsítási eljárás során mért értéktől.
Az összes, a CO2-kibocsátással és a tüzelőanyag-fogyasztással kapcsolatos tanúsított tulajdonságok megfelelőségét ellenőrző vizsgálatot a jóváhagyó hatóságnak kell felügyelnie.
2. Egy jármű akkor nem felel meg a CO2-kibocsátással és a tüzelőanyag-fogyasztással kapcsolatos tanúsított tulajdonságok megfelelőségét ellenőrző vizsgálaton, ha a mért Cd Acr (0) érték nagyobb, mint az alapjármű jelentett Cd · Adeclared értéke plusz a 7,5 % -os tűréshatár. Ha az első vizsgálat sikertelen, további két vizsgálat végezhető különböző napokon, ugyanazzal a járművel. Ha az összes elvégzett vizsgálat során a Cd Acr (0) mért értéke nagyobb, mint az alapjármű jelentett Cd · Adeclared értéke plusz a 7,5 %-os tűréshatár, akkor e rendelet 23. cikke alkalmazandó.
A Cd Acr (0) értékének kiszámításához a légellenállás szerinti alapjármű légellenállás-előfeldolgozási eszközének verzióját kell használni e melléklet 2. függelékének 1. melléklete szerint.
3. Azt, hogy gyártási évenként hány járművet kell a CO2-kibocsátással és a tüzelőanyag-fogyasztással kapcsolatos tanúsított tulajdonságok megfelelőségére nézve megvizsgálni, a 17. táblázat alapján kell eldönteni. A táblázatot külön kell alkalmazni a közepes tehergépjárművekre, a nehéz tehergépjárművekre és a nehéz autóbuszokra.
17. táblázat
A CO2-kibocsátással és a tüzelőanyag-fogyasztással kapcsolatos tanúsított tulajdonságok megfelelőségére nézve gyártási évenként megvizsgálandó járművek száma
(külön alkalmazva a közepes tehergépjárművekre, a nehéz tehergépjárművekre és a nehéz autóbuszokra)
A gyártásmegfelelőségi vizsgálatnak (CoP) alávetett járművek száma | Ütemezés | Az előző évben gyártott, a gyártásmegfelelőség (CoP) szempontjából releváns járművek száma |
0 | — | ≤ 25 |
1 | háromévente (*1) | 25 < X ≤ 500 |
1 | kétévente | 500 < X ≤ 5 000 |
1 | évente | 5 000 < X ≤ 15 000 |
2 | évente | ≤ 25 000 |
3 | évente | ≤ 50 000 |
4 | évente | ≤ 75 000 |
5 | évente | ≤ 100 000 |
6 | évente | 100 001 and more |
(*1) A gyártásmegfelelőségi vizsgálatot az első két éven belül el kell végezni |
A gyártási darabszámok megállapítása céljából csak azokat a légellenállási adatokat kell figyelembe venni, amelyekre e rendelet előírásai vonatkoznak, és amelyek nem kaptak standard légellenállási értékeket az e melléklet 7. függeléke szerint.
4. A járművek kiválasztása a CO2-kibocsátással és a tüzelőanyag-fogyasztással kapcsolatos tanúsított tulajdonságok megfelelőségével kapcsolatban végzendő vizsgálathoz a következő előírások alapján történik:
4.1. Csak a gyártósorról származó járművek vethetők alá vizsgálatnak.
4.2. Csak olyan járműveket szabad kiválasztani, amelyek eleget tesznek az e melléklet fő része 3.3. pontjában az állandó sebességen végzett vizsgálattal kapcsolatban meghatározott előírásoknak.
4.3. Az abroncsok a mérési berendezés részének minősülnek, és a gyártó választhatja ki azokat.
4.4. Azon járművek esetében, amelyek olyan családba tartoznak, amelyekben a légellenállási értéket az 5. függelék 5. pontja alapján más járművekről való átvitellel állapították meg, nem kell elvégezni a CO2-kibocsátással és a tüzelőanyag-fogyasztással kapcsolatos tanúsított tulajdonságok megfelelőségére vonatkozó vizsgálatot.
4.5. Azon járművek esetében, amelyek a 8. függelék alapján standard légellenállási értékeket alkalmaznak, nem kell elvégezni a CO2-kibocsátással és a tüzelőanyag-fogyasztással kapcsolatos tanúsított tulajdonságok megfelelőségére vonatkozó vizsgálatot.
4.6. Az első járművet, amelyen elvégzik a CO2-kibocsátással és a tüzelőanyag-fogyasztással kapcsolatos tanúsított tulajdonságok megfelelőségére vonatkozó vizsgálatot, a járműgyártás szempontjából az adott évben legnagyobb légellenállás szerinti típusból vagy légellenállási családból kell kiválasztani. A további járműveket az összes légellenállási járműcsaládból kell kiválasztani, és azokról a gyártó és a jóváhagyó hatóság a már vizsgált légellenállási járműcsaládok és járműcsoportok alapján állapodik meg. Ha évente csak egy vagy kevesebb vizsgálatot kell elvégezni, a járművet mindig az összes légellenállási járműcsaládból kell kiválasztani, és azt a gyártó és a jóváhagyó hatóság közös megállapodással határozzák meg.
5. Azt követően, hogy egy járművet kiválasztottak a CO2-kibocsátással és a tüzelőanyag-fogyasztással kapcsolatos tanúsított tulajdonságok megfelelőségére vonatkozó vizsgálathoz, a gyártónak 12 hónapon belül ellenőriznie kell a CO2-kibocsátással és a tüzelőanyag-fogyasztással kapcsolatos tanúsított tulajdonságok megfelelőségét. Ha a gyártó igazolni tudja, hogy az időjárási viszonyok miatt nem lehetett elvégezni az ellenőrzést az előírt időn belül, kérheti a jóváhagyó hatóságot, hogy legfeljebb 6 hónappal hosszabbítsa meg ezt az időszakot.
7. függelék
Standard értékek
Ez a függelék a bejelentett Cd·Adeclared légellenállási értékre vonatkozó standard értékeket írja le. Abban az esetben, ha standard értékek alkalmazására kerül sor, nem kell a bemeneti légellenállás-adatokat biztosítani a szimulációs eszköz számára. Ebben az esetben a szimulációs eszköz automatikusan kiosztja a standard értékeket.
1. A nehéz tehergépjárművek esetében a standard értékek meghatározása a 18. táblázat alapján történik.
18. táblázat
A Cd·Adeclared standard értékei nehéz tehergépjárművek esetében
Járműcsoport | A Cd·Adeclared [m2] standard értéke |
1, 1s | 7,1 |
2 | 7,2 |
3 | 7,4 |
4 | 8,4 |
5 | 8,7 |
9 | 8,5 |
10 | 8,8 |
11 | 8,5 |
12 | 8,8 |
16 | 9,0 |
2. -
3. -
4. A nehéz autóbuszok esetében a standard értékek meghatározása a 21. táblázat alapján történik. Azon járműcsoportok esetében, amelyeknél az aerodinamikai légellenállás mérése nem megengedett (e melléklet 5. függelékének 7.3. pontja értelmében), a standard értékek nem relevánsak.
21. táblázat
A Cd·Adeclared standard értékei nehéz autóbuszok esetében
Járműparaméter- alcsoport | A Cd·Adeclared [m2] standard értéke |
31a | nem releváns |
31b1 | nem releváns |
31b2 | 4,9 |
31c | nem releváns |
31d | nem releváns |
31e | nem releváns |
32a | 4,6 |
32b | 4,6 |
32c | 4,6 |
32d | 4,6 |
32e | 5,2 |
32f | 5,2 |
33a | nem releváns |
33b1 | nem releváns |
33b2 | 5,0 |
33c | nem releváns |
33d | nem releváns |
33e | nem releváns |
34a | 4,7 |
34b | 4,7 |
34c | 4,7 |
34d | 4,7 |
34e | 5,3 |
34f | 5,3 |
35a | nem releváns |
35b1 | nem releváns |
35b2 | 5,1 |
35c | nem releváns |
36a | 4,8 |
36b | 4,8 |
36c | 4,8 |
36d | 4,8 |
36e | 5,4 |
36f | 5,4 |
37a | nem releváns |
37b1 | nem releváns |
37b2 | 5,1 |
37c | nem releváns |
37d | nem releváns |
37e | nem releváns |
38a | 4,8 |
38b | 4,8 |
38c | 4,8 |
38d | 4,8 |
38e | 5,4 |
38f | 5,4 |
39a | nem releváns |
39b1 | nem releváns |
39b2 | 5,2 |
39c | nem releváns |
40a | 4,9 |
40b | 4,9 |
40c | 4,9 |
40d | 4,9 |
40e | 5,5 |
40f | 5,5 |
5. A közepes tehergépjárművek esetében a standard értékek meghatározása a 22. táblázat alapján történik.
22. táblázat
A Cd·Adeclared standard értékei közepes tehergépjárművek esetében
Járműcsoport | A Cd·Adeclared [m2] standard értéke |
53 | 5,8 |
54 | 2,5 |
8. függelék
Jelölések
Amennyiben egy jármű tanúsítása e melléklettel összhangban történt, akkor a fülkén vagy a felépítmények kell tüntetni a következőket:
1.1. a gyártó neve vagy védjegye
1.2. az e melléklet 2. függeléke 0.2. és 0.3. pontjának megfelelően a gyártmány és a típus azonosítására szolgáló információ
1.3. tanúsítási jelölés: egy négyszög és benne egy kis "e" betű, amelyet a tanúsítványt kiadó tagállam megkülönböztető száma követ:
1 Németország esetében;
2 Franciaország esetében;
3 Olaszország esetében;
4 Hollandia esetében;
5 Svédország esetében;
6 Belgium esetében;
7 Magyarország esetében;
8 a Cseh Köztársaság esetében;
9 Spanyolország esetében;
11 az Egyesült Királyság esetében;
12 Ausztria esetében;
13 Luxemburg esetében;
17 Finnország esetében;
18 Dánia esetében;
19 Románia esetében;
20 Lengyelország esetében;
21 Portugália esetében;
23 Görögország esetében;
24 Írország esetében;
25 Horvátország esetében;
26 Szlovénia esetében;
27 Szlovákia esetében;
29 Észtország esetében;
32 Lettország esetében;
34 Bulgária esetében;
36 Litvánia esetében;
49 Ciprus esetében;
50 Málta esetében.
1.4. A tanúsítási jelölésnek a négyszög közelében tartalmaznia kell egy "alap tanúsítási számot" az (EU) 2020/683 rendelet I. melléklete 4. pontjában előírtaknak megfelelően, amelyet megelőz e rendelet legutóbbi technikai módosításához rendelt sorozatszámot jelölő két számjegy, valamint egy "P" betű, amely arra utal, hogy a jóváhagyást a légellenállásra vonatkozóan adták meg.
E rendelet esetében ez a sorozatszám a 02.
1.4.1. Példa a tanúsítási jelölésre és a tanúsítási jelölés méretei

A fenti, fülkén feltüntetett tanúsítási jelölés azt mutatja, hogy az érintett típust Lengyelországban tanúsították (e20) e rendelet alapján. Az első két számjegy (02) az e rendelet legutóbbi technikai módosításához rendelt sorszámot jelöli. A következő betű (P) azt jelzi, hogy a tanúsítványt légellenállásra adták ki. Az utolsó öt számjegy (00005) az az alap tanúsítási szám, amelyet a jóváhagyó hatóság hozzárendelt a légellenálláshoz.
1.5. A tanúsítási jelet jól olvashatóan és eltávolíthatatlanul kell a fülkére felerősíteni. A jelnek a fülke járműre történő ráépítése után is láthatónak kell lennie, és azt a fülke olyan részéhez kell rögzíteni, amely a fülke rendes működéséhez szükséges, és amelyet szokásos esetben a fülke élettartama során nem kell kicserélni. A jelöléseknek, címkéknek, adattábláknak vagy matricáknak a vezetőfülke hasznos élettartama végéig tartósnak, jól olvashatónak és kitörölhetetlennek kell maradniuk. A gyártónak gondoskodnia kell arról, hogy a jelöléseket, címkéket, adattáblákat vagy matricákat ne lehessen azok megrongálása, vagy olvashatatlanná tétele nélkül eltávolítani.
2. Számozás
2.1. A légellenállás tanúsítási száma a következőket tartalmazza:
eX*YYYY/YYYY*ZZZZ/ZZZZ*P*00000*00
1. szakasz | 2. szakasz | 3. szakasz | Kiegészítő betű a 3. szakaszhoz | 4. szakasz | 5. szakasz |
A tanúsítványt kibocsátó ország megjelölése | A nehézgépjárművek CO2-kibocsátásának meghatározásáról szóló rendelet ((EU) 2017/2400) | A legutóbbi módosító rendelet (ZZZZ/ZZZZ) | P = Légellenállás | Alaptanúsítási szám 00000 | Kiterjesztés 00 |
9. függelék
A szimulációs eszköz bemeneti paraméterei
Bevezetés
Ez a függelék leírja azoknak a paramétereknek a listáját, amelyeket a jármű gyártójának a szimulációs eszközhöz bemenetként meg kell adnia. Az alkalmazandó XML-séma, valamint a példaadatok az erre a célra létrehozott elektronikus terjesztési platformon érhetők el.
Az XML-t a légellenállás-előfeldolgozási eszköz automatikusan állítja elő.
Fogalommeghatározások
1. "paraméterazonosító":a szimulációs eszközben használt egyedi azonosító egy adott bemeneti paraméter vagy bemeneti adathalmaz számára
2. "típus":
a paraméter adattípusa
karakterlánc ... karaktersor ISO8859-1 kódolásban
token ... karaktersor ISO8859-1 kódolásban, sor eleji/végi whitespace karakter nélkül
dátum ... dátum és idő UTC időben és a következő formátumban: YYYY-MM-DD T HH:MM:SS Z , ahol a dőlt betűk a rögzített karaktereket jelzik, pl. "2002-05-30T09:30:10Z"
egész szám ... egész számban kifejezett érték, sor eleji nulla nélkül, pl. "1800"
kettős, X ... tizedes tört, pontosan X számjeggyel a tizedesjel (".") után, és nincsen sor eleji nulla, pl. "kettős, 2": "2345.67"; vagy "kettős, 4": "45.6780"
3. "egység" ...a paraméter fizikai mértékegysége
Bemeneti paraméterek halmaza
1. táblázat
"AirDrag" bemeneti paraméterek
A paraméter neve | Paraméterazonosító | Típus | Egység | Leírás/referencia |
Manufacturer | P240 | token | ||
Model | P241 | token | ||
CertificationNumber | P242 | token | Az alkatrésznek a tanúsítási eljárásban használt azonosítója | |
Date | P243 | dátum | Az alkatrészre vonatkozó hashfüggvény létrehozásának dátuma és időpontja | |
AppVersion | P244 | token | A légellenállás-előfeldolgozási eszköz verziójának azonosító száma | |
CdxA_0 | P245 | kettős, 2 | [m2] | A légellenállás-előfeldolgozási eszköz végső eredménye. |
TransferredCdxA | P246 | kettős, 2 | [m2] | Az egyéb járműcsoportokba tartozó, kapcsolódó családokra nehéz tehergépjárművek esetében az 5. függelék 16. táblázata, közepes tehergépjárművek esetében az 5. függelék 16a. táblázata, nehéz autóbuszok esetében pedig az 5. függelék 16b. táblázata szerint átvitt CdxA_0 érték. Amennyiben nem alkalmaztak átviteli szabályt, meg kell adni a CdxA_0 értékét. |
DeclaredCdxA | P146 | kettős, 2 | [m2] | A légellenállási család jelentett értéke |
Ha a szimulációs eszköz a 7. függelék szerinti standard értékeket használja, a légellenállási összetevőre vonatkozóan nem kell bemeneti adatokat megadni. A standard értékek a járműcsoportrendszer szerint automatikusan hozzárendelésre kerülnek.
IX. MELLÉKLET
A TEHERGÉPJÁRMŰ ÉS AZ AUTÓBUSZ SEGÉDBERENDEZÉSEIRE VONATKOZÓ ADATOK ELLENŐRZÉSE
1. Bevezetés
Ez a melléklet a nehézgépjárművek segédrendszereivel kapcsolatos technológiák és az egyéb vonatkozó bemeneti információik bejelentésére vonatkozó előírásokat ismerteti, a járműspecifikus CO2-kibocsátások megállapítása céljából.
A szimulációs eszközben az alábbi segédberendezés-típusok energiafogyasztását kell figyelembe venni, a technológiaspecifikus átlagos általános energiafogyasztási modellt használva:
a) Motorhűtő ventilátor
b) Kormányrendszer
c) Elektromos rendszer
d) Pneumatikus rendszer
e) Fűtő-, szellőztető- és légkondicionáló (HVAC) rendszer
f) Teljesítményleadó (PTO)
A szimulációs eszköz az általános értékeket tartalmazza, és e melléklet rendelkezéseivel összhangban a vonatkozó bemeneti információk alapján automatikusan alkalmazza azokat. A szimulációs eszközhöz kapcsolódó bemenetiadat-formátumokat a III. melléklet ismerteti. Az egyértelmű hivatkozás érdekében ez a melléklet tartalmazza a III. mellékletben használt három számjegyű paraméterazonosítókat is.
2. Fogalommeghatározások
E melléklet alkalmazásában: A kapcsolódó segédberendezés-típus zárójelben szerepel.
1. "Forgattyús tengelyre szerelt ventilátor": olyan ventilátor, amely a forgattyús tengely meghosszabbításához csatlakozik, gyakran karima segítségével (motorhűtő ventilátor).
2. "Szíj- vagy erőátvitel-hajtású ventilátor": olyan ventilátor, amely olyan pozícióban van felszerelve, ahol további szíjra, feszítőrendszerre vagy erőátvitelre van szükség (motorhűtő ventilátor).
3. "Hidraulikus hajtású ventilátor": hidraulikaolaj hajtotta ventilátor, amely gyakran a motorról leválasztva, távolabb van beépítve. A hidraulikarendszerben alkalmazott szivattyú és szelepek hatással vannak a rendszer veszteségeire és hatásfokára (motorhűtő ventilátor).
4. "Elektromos hajtású ventilátor": villanymotor hajtotta ventilátor. A teljes energiaátalakítás hatékonysága figyelembe van véve, az akkumulátor lemerülését/töltését is beleértve (motorhűtő ventilátor).
5. "Elektronikusan vezérelt viszkokuplung": olyan tengelykapcsoló, amelyben a folyadékáramlás elektronikus irányítása egy sor érzékelőbemenet és szoftverlogika alapján történik (motorhűtő ventilátor).
6. "Bimetál vezérlésű viszkokuplung": olyan tengelykapcsoló, amelyben egy bimetál kapcsoló szolgál a hőmérséklet-változás mechanikai elmozdulássá történő átalakítására. A viszkokuplungot a létrejött mechanikai elmozdulás működteti (motorhűtő ventilátor).
7. "Léptetéses rendszerű tengelykapcsoló": olyan mechanikai eszköz, amelynek működtetése csak egymástól elkülönülő lépésekben lehetséges (nem változtatható fokozatmentesen) (motorhűtő ventilátor).
8. "Be/ki tengelykapcsoló": olyan mechanikai eszköz, amely vagy teljes mértékben kapcsolt, vagy teljes mértékben oldott állapotban van (motorhűtő ventilátor).
9. "Változtatható lökettérfogatú szivattyú": olyan eszköz, amely a mechanikai energiát hidraulikafolyadék-energiává alakítja át. A szivattyú egy fordulata alatt átpumpált folyadék mennyisége a szivattyú működése során változtatható (motorhűtő ventilátor).
10. "Állandó lökettérfogatú szivattyú": olyan eszköz, amely a mechanikai energiát hidraulikafolyadék-energiává alakítja át. A szivattyú egy fordulata alatt átpumpált folyadék mennyisége a szivattyú működése során nem változtatható (motorhűtő ventilátor).
11. "Villanymotor-vezérlés": a ventilátor meghajtására használt villanymotor. Az elektromos gép az elektromos energiát mechanikai energiává alakítja át. A motorteljesítményt és a fordulatszámot a villanymotoroknál szokásos technológia szabályozza (motorhűtő ventilátor).
12. "Rögzített lökettérfogatú szivattyú (alapértelmezett technológia)": olyan szivattyú, amely belső korlátozás szabályozza az áramlási sebességet (kormányrendszer).
13. "Elektromos vezérlésű, rögzített lökettérfogatú szivattyú": olyan szivattyú, amelynél az áramlási sebességet elektromos vezérlés szabályozza (kormányrendszer).
14. "Kettős működésű dugattyús szivattyú": olyan, két (azonos vagy eltérő lökettérfogatú) kamrával rendelkező szivattyú, amely mechanikus belső korlátozással rendelkezik az áramlási sebességet illetően (kormányrendszer).
14a. "Elektromos vezérlésű, kettős működésű dugattyús szivattyú": olyan, két (azonos vagy eltérő lökettérfogatú) kamrával rendelkező szivattyú, amely vagy mindkét kamrát, vagy meghatározott feltételek mellett csak az egyiket használja. Az áramlási sebesség szabályozását egy szelep végzi elektromos úton (kormányrendszer).
15. "Mechanikai vezérlésű, változtatható lökettérfogatú szivattyú": olyan szivattyú, amelynél a lökettérfogat belső szabályozása mechanikai úton történik (belső nyomásmérő eszköz) (kormányrendszer).
16. "Elektromos vezérlésű, változtatható lökettérfogatú szivattyú": olyan szivattyú, amelynél a lökettérfogat szabályozása elektromos úton történik (kormányrendszer).
17. "Elektromos meghajtású szivattyú": folyamatos visszakeringetésű hidraulikai folyadékkal ellátott elektromos motor által meghajtott kormányrendszer (kormányrendszer).
17a. "Teljesen elektromos kormányberendezés": folyamatos visszakeringetésű hidraulikai folyadék nélküli elektromos motorral hajtott kormányrendszer (kormányrendszer).
18. -
19. "Kompresszor energiamegtakarítási rendszerrel" vagy "ESS": olyan kompresszor, amely a lefúvatás során (pl. a szívóoldal lezárásával) csökkenti az energiafogyasztást; az ESS-t a rendszer légnyomása szabályozza (pneumatikus rendszer).
20. "Kompresszor-(viszko)kuplung": olyan kikapcsolható kompresszor, amelynél a tengelykapcsolót a rendszer légnyomása szabályozza (nincs intelligens stratégia), kisebb veszteségek lépnek fel kikapcsolt állapotban a viszkokuplung miatt (pneumatikus rendszer).
21. "Mechanikai vezérlésű kompresszorkuplung": olyan kikapcsolható kompresszor, amelynél a tengelykapcsolót a rendszer légnyomása szabályozza (nincs intelligens stratégia) (pneumatikus rendszer).
22. "Levegőkezelő rendszer optimalizált regenerációval" vagy "AMS": olyan elektromos levegőfeldolgozó egység, amely kombinálja az optimalizált levegőregenerációt nyújtó, elektronikus vezérlésű szárítót és a ráfutási körülmények között preferált levegőszállítást (tengelykapcsolót vagy ESS-t igényel) (pneumatikus rendszer).
23. "Fénykibocsátó dióda" vagy "LED": félvezető eszközök, amelyek látható fényt bocsátanak ki, ha elektromos áram halad át rajtuk (elektromos rendszer).
24. -
25. "Teljesítményleadó" vagy "PTO": sebességváltón vagy motoron elhelyezkedő eszköz, amelyhez egy opcionális energiafogyasztó eszköz ("fogyasztó"), pl. hidraulikus szivattyú csatlakoztatható; a teljesítményleadó általában nem kötelező (PTO).
26. "Teljesítményleadó meghajtó mechanizmus": olyan erőátviteli eszköz, amely lehetővé teszi teljesítményleadó (PTO) felszerelését.
26a. "Bekapcsolt fogaskerék": olyan fogaskerék, amely a motor vagy a sebességváltó futótengelyeivel van összekapcsolva, miközben a PTO tengelykapcsoló (adott esetben) nyitott (PTO).
27. "Fogazott tengelykapcsoló": olyan (irányítható) tengelykapcsoló, amelyben a nyomatékot az összekapcsolódó fogak közötti normál erők továbbítják. A fogazott tengelykapcsoló lehet mind összekapcsolt, mind szétkapcsolt. Ez csak terhelésmentes körülmények között működik (pl. sebességváltáskor kézi sebességváltóban) (PTO).
28. "Szinkronizátor": egyfajta fogazott tengelykapcsoló, amelyben az összekapcsolandó forgó részek fordulatszámát súrlódó eszköz egyenlíti ki (PTO).
29. "Többtárcsás tengelykapcsoló": olyan tengelykapcsoló, amelynél több fékbetét helyezkedik el párhuzamosan, és mindegyik súrlódó párra azonos nyomási erő hat. A többtárcsás tengelykapcsolók kis méretűek, és terhelés alatt is bekapcsolhatók és kikapcsolhatók. Készülhetnek száraz vagy nedves kivitelben (PTO).
30. "Csúszógyűrű": sebességváltási elemként használatos fogaskerék, amely a sebességváltást úgy valósítja meg, hogy a tengelyen összekapcsolódik vagy szétválik a kapcsolódó fogaskerékkel (PTO).
31. "Léptetéses rendszerű tengelykapcsoló (ki + 2 lépés)": olyan mechanikai eszköz, amelynek működtetése csak két egymástól elkülönülő lépésben lehetséges, valamint kikapcsolt állapotban lehet (nem változtatható fokozatmentesen) (motorhűtő ventilátor).
32. "Léptetéses rendszerű tengelykapcsoló (ki + 3 lépés)": olyan mechanikai eszköz, amelynek működtetése csak három egymástól elkülönülő lépésben lehetséges, valamint kikapcsolt állapotban lehet (nem változtatható fokozatmentesen) (motorhűtő ventilátor).
33. "A kompresszor motorhoz viszonyított aránya": a motor fordulatszámának a légkompresszor fordulatszámához viszonyított aránya előremenetben csúszás nélkül (i = nin/nou) (pneumatikus rendszer).
34. "Mechanikus pneumatikusfelfüggesztés-vezérlés": olyan pneumatikus felfüggesztés-rendszer, amelyben a pneumatikus felfüggesztés vezérlőszelepeit elektronika és szoftver nélkül, mechanikusan működtetik (pneumatikus rendszer).
35. "Elektronikus pneumatikusfelfüggesztés-vezérlés": olyan pneumatikus felfüggesztés-rendszer, amelyben a pneumatikus felfüggesztés vezérlőszelepeinek elektronikus irányítása egy sor érzékelőbemenet és szoftverlogika alapján történik (pneumatikus rendszer).
36. "Pneumatikus SCR reagens adagolása": a reagensnek a kipufogórendszerbe való adagolására sűrített levegőt használnak (pneumatikus rendszer).
37. "Pneumatikus ajtóhajtás technológia": a jármű utasajtóit sűrített levegővel működtetik (pneumatikus rendszer).
38. "Elektromos ajtóhajtás technológia": a jármű utasajtóit elektromos motorral vagy elektrohidraulikus rendszerrel működtetik (pneumatikus rendszer).
39. "Vegyes ajtóhajtás technológia": a járműbe beépített "pneumatikus ajtóhajtás technológiát" és "elektromos ajtóhajtás technológiát" egyaránt jelenti (pneumatikus rendszer).
40. "Intelligens regeneráló rendszer": olyan pneumatikus rendszer, amelyben a regenerálólevegő-szükségletet a keletkezett szárított levegő mennyisége alapján optimalizálják (pneumatikus rendszer).
41. "Intelligens kompressziós rendszer": olyan pneumatikus rendszer, amelyben a levegőszállítást ráfutási körülmények között preferált levegőszállítással elektronikusan irányítják (pneumatikus rendszer).
42. "Belső lámpák": az utastérben található azon lámpák, amelyeket a 107. számú ENSZ-előírás ( *2 ) 3. melléklete 7.8. szakasza (mesterséges belső világítás) követelményeinek teljesítése érdekében szerelnek fel (elektromos rendszer).
43. "Nappali menetjelző lámpák": a 48. számú ENSZ-előírás ( *3 ) 2.7.25. szakasza szerinti "nappali menetjelző lámpa" (elektromos rendszer).
44. "Helyzetjelző lámpák": a 48. számú ENSZ-előírás 2.7.24. szakasza szerinti "oldalsó helyzetjelző lámpa" (elektromos rendszer).
45. "Féklámpa": a 48. számú ENSZ-előírás 2.7.12. szakasza szerinti "féklámpa" (elektromos rendszer).
46. "Fényszóró": a 48. számú ENSZ-előírás 2.7.10. szakasza szerinti "tompított fényszóró" és a 48. számú ENSZ-előírás 2.7.9. szakasza szerinti "távolsági (országúti) fényszóró" (elektromos rendszer).
47. "Generátor": olyan elektromos gép, amely a jármű belső égésű motorjának működése során az akkumulátor feltöltésére és az elektromos segédberendezés-rendszer villamosenergia-ellátására szolgál. A generátor nem járulhat hozzá a jármű meghajtásához (elektromos rendszer).
48. "Intelligens generátorrendszer": egy vagy több generátorból és egy vagy több dedikált újratölthető energiatároló rendszerből álló rendszer, amelyet ráfutási körülmények között preferált levegőszállítással elektronikusan irányítanak (elektromos rendszer).
49. "Fűtő-, szellőző- és légkondicionáló rendszer" vagy HVAC-rendszer: olyan rendszer, amely képes aktívan fűteni és/vagy aktívan hűteni a levegőt, illetve kicserélni azt annak érdekében, hogy jobb levegőminőséget biztosítson az utastér és/vagy a vezetőtér számára (HVAC-rendszer).
50. "HVAC rendszerkonfiguráció": a HVAC-rendszer összetevőinek e melléklet 13. táblázata szerinti kombinációja (HVAC-rendszer).
51. "Az utastér hőkomfortrendszere": olyan rendszer, amely ventilátorokat használ a levegő járművön belüli keringtetésére, vagy friss levegőt fúj be a járműbe, és a légtömegáram legalább aktívan hűthető vagy fűthető. A levegőt a jármű tetejéről kell elosztani, kétszintes járművek esetében mindkét szinten. Nyitott tetejű kétszintes járművek esetében az alsó szinten (HVAC-rendszer).
52. "Az utastérhez tartozó hőszivattyúk száma": a járműbe beépített, az utastérbe táplált fülkei levegő vagy friss levegő felmelegítésére és/vagy lehűtésére szolgáló hőszivattyúk száma. Ha egy hőszivattyút az utastérhez és a vezetőtérhez is használnak, azt csak az utastérhez kell számítani (HVAC-rendszer). Ha különböző, fűtésre és hűtésre szolgáló hőszivattyúk vannak beépítve, a hőszivattyúk számát a két külön eset közül az alacsonyabb szám alapján kell meghatározni - azaz a hűtésre szolgáló hőszivattyúk számát és a fűtésre szolgáló hőszivattyúk számát külön kell figyelembe venni (pl. 2 hűtésre szolgáló hűtőszivattyú és 1 fűtésre szolgáló hőszivattyú esetében csak egy hőszivattyút kell figyelembe venni).
53. "A vezetőtér légkondicionáló rendszere": olyan, a járműbe beépített rendszer, amely le tudja hűteni a sofőrhöz vagy a vezetőtérbe táplált fülkei levegőt vagy friss levegőt (HVAC-rendszer).
54. "Az utastér légkondicionáló rendszere": olyan, a járműbe beépített rendszer, amely le tudja hűteni az utastérbe táplált fülkei levegőt vagy friss levegőt (HVAC-rendszer).
55. "Független hőszivattyú a vezetőtérhez": olyan, a járműbe beépített hőszivattyú, amelyet csak a vezetőtérhez használnak (HVAC-rendszer).
56. "2 fokozatú hőszivattyú": olyan hőszivattyú, amelynek működtetése csak két lépésben lehetséges, nem változtatható fokozatmentesen (HVAC-rendszer).
57. "3 fokozatú hőszivattyú": olyan hőszivattyú, amelynek működtetése csak három lépésben lehetséges, nem változtatható fokozatmentesen (HVAC-rendszer).
58. "4 fokozatú hőszivattyú": olyan hőszivattyú, amelynek működtetése csak négy lépésben lehetséges, nem változtatható fokozatmentesen (HVAC-rendszer).
59. "Fokozatmentes hőszivattyú": olyan hőszivattyú, amelynek működtetése fokozatmentesen változtatható, vagy amely esetében a légkondicionáló kompresszort fokozatmentesen változtatható fordulatszámú elektromotor hajtja (HVAC-rendszer).
60. "Kiegészítő fűtőberendezés teljesítménye": a 122. sz. ENSZ-előírás ( *4 ) 7. mellékletének 4. szakaszában meghatározott címkén feltüntetett teljesítmény (HVAC-rendszer).
61. "Kettős üvegezés": az utastér kettő, egymástól gázzal töltött tér vagy vákuum által elválasztott üveg ablaktáblából álló ablakai. Ha az utastéren belüli több ablaktípus található, a felület tekintetében meghatározó ablaktípust kell kiválasztani. A meghatározó ablaktípus értékelésekor a szélvédőt, a hátsó ablakot, a vezető oldali ablako(ka)t, az ajtókon belüli ablakokat, az első tengely feletti és előtti ablakokat (a példákat lásd az 1. ábrán), valamint a billenthető ablakokat nem kell figyelembe venni (HVAC-rendszer).
1. ábra
A meghatározó ablaktípus megállapításakor figyelembe nem veendő ablakok

62. "Hőszivattyú": olyan 1-nél nagyobb teljesítménytényezőjű rendszer, amely egy körforgásos folyamatban hűtőközeget használ a hőenergiának a környezetből az utastérbe és/vagy a vezetőtérbe történő átadására, és/vagy hőenergiát ad át az ellenkező irányban (hűtési és/vagy fűtési funkció) (HVAC-rendszer).
63. "R744 hőszivattyú": olyan hőszivattyú, amely R744 hűtőközeget használ munkaközegként (HVAC-rendszer).
64. "Nem R744 hőszivattyú": olyan hőszivattyú, amely az R744-től eltérő hűtőközeget használ. A működtetés lehetséges fokozatára (2 fokozatú, 3 fokozatú, 4 fokozatú, fokozatmentes) az 56-59. pont fogalommeghatározásait kell alkalmazni (HVAC-rendszer).
65. "Állítható hűtőközeg-termosztát": olyan hűtőközeg-termosztát, amelynek jellemzőit a hűtőközeg hőmérsékletén kívül legalább egy további bemenet befolyásolja, pl. a termosztát aktív elektromos fűtése (HVAC-rendszer).
66. "Állítható kiegészítő fűtőberendezés": tüzelőanyaggal működő fűtőberendezés, amely kikapcsolt állapot mellett legalább 2 fűtőteljesítmény-szinttel rendelkezik, amely az autóbusz előírt fűtőrendszer-kapacitásától függően szabályozható (HVAC-rendszer).
67. "Motorvéggáz hőcserélője": olyan hőcserélő, amely a hűtőkör fűtésére a motor véggázának hőenergiáját használja fel (HVAC-rendszer).
68. "Különálló levegőelosztó csatornák": egy vagy több, hőkomfortrendszerhez csatlakoztatott levegőcsatorna, amelyek célja a kondicionált levegő egyenletes elosztása az utastérben. A levegőcsatornák tartalmazhatnak hangszórókat vagy a fűtő-, szellőző- és légkondicionáló rendszer vízellátását és elektromos kábelkötegeit. Ebben/ezekben a csatornában/csatornákban nem szabad sűrítettlevegő-tartályokat beszerelni. E modellparaméterrel a szimulációs eszköz figyelembe veszi a környezet vagy a csatornán belüli összetevők számára történő hőátadásból származó csökkentett veszteségeket. A 31., 33., 35., 37. és 39. járműcsoport 8., 9. és 10. konfigurációja esetében ezt a bemenetet "igaz" értékre kell beállítani, mivel ezek a konfigurációk csökkentett veszteségeket szenvednek el, tekintettel arra, hogy a hűtött levegőt közvetlenül a jármű belsejébe fújják, még levegőcsatorna nélkül is. A 32., 34., 36., 38. és 40. járműcsoport valamennyi HVAC-konfigurációja esetében ezt a paramétert "igaz" értékre kell állítani, mivel az a legkorszerűbb (HVAC-rendszer).
69. "Elektromos hajtású kompresszor": elektromos motorral hajtott kompresszor (pneumatikus rendszer).
70. "Elektromos vízmelegítő": olyan 1-nél kisebb teljesítménytényezőjű készülék, amely a jármű hűtőközegének fűtésére villamos energiát használ, és amelyet a jármű közúti üzemeltetése során aktívan használnak fűtési funkcióra (HVAC-rendszer).
71. "Elektromos légfűtő berendezés": az utastér és/vagy a vezetőtér levegőjének felmelegítésére villamos energiát használó, 1-nél kisebb teljesítménytényezőjű készülék (HVAC-rendszer).
72. "Egyéb fűtési technológia": minden olyan teljesen elektromos technológia, amelyet az utastér és/vagy a vezetőtér fűtésére használnak, és amelyek nem tartoznak a technológiák 62., 70. vagy 71. pont szerinti meghatározásai alá (HVAC-rendszer).
73. "Savas ólomakkumulátor - hagyományos": olyan savas ólomakkumulátor, amelyre a 74. vagy 75. pont fogalommeghatározásainak egyike sem vonatkozik (elektromos rendszer).
74. "Savas ólomakkumulátor - AGM" (felitatott üvegszálas): olyan savas ólomakkumulátor, amelyben elektrolitba áztatott üvegszálat használnak a negatív és a pozitív lemezek közötti szeparátorként (elektromos rendszer).
75. "Savas ólomakkumulátor - gél": olyan savas ólomakkumulátor, amelyben szilícium-dioxid zselésítőszert kevernek az elektrolitba (elektromos rendszer).
76. "Li-ion akkumulátor - nagyteljesítményű": olyan Li-ion akkumulátor, amelynél az [A] legnagyobb névleges áramerősség és az [Ah] névleges teljesítmény közötti számarány legalább 10 (elektromos rendszer).
77. "Li-ion akkumulátor - nagy energiájú": olyan Li-ion akkumulátor, ahol az [A] legnagyobb névleges áramerősség és az [Ah] névleges teljesítmény közötti számarány kisebb, mint 10 (elektromos rendszer).
78. "DC/DC-átalakítóval rendelkező kondenzátor": olyan (ultra) kondenzátoros villamosenergia-tároló egység, amely egy DC/DC egységgel kombinálva szabályozza a feszültségszintet, valamint a villamos fogyasztói panel hálózatához tartó és onnan jövő áramot (elektromos rendszer).
79. "Csuklós autóbusz": olyan nehéz autóbusz, amely nem teljes jármű, teljes jármű vagy befejezett jármű, és amely legalább két merev járműtestből áll, amelyeket egy csuklós rész kapcsol össze egymással. A járműtestek összekapcsolása és szétválasztása egymástól csak műhelyben lehetséges. Az ilyen típusú teljes vagy befejezett nehéz autóbuszok esetében a csuklós szakasznak lehetővé kell tennie az utasok szabad mozgását a merev szakaszok között.
3. A szimulációs eszközbe bevitt, a segédberendezésekkel kapcsolatos releváns információk leírása
3.1. Motorhűtő ventilátor
A motorhűtő ventilátor technológiájára vonatkozó információkat a ventilátormeghajtó és a ventilátorvezérlési technológia alkalmazható kombinációi alapján kell megadni, az alábbi 4. táblázatban leírtak szerint.
Ha egy (pl. forgattyústengelyre szerelt) ventilátormeghajtó csoporton belüli új technológia nem található meg a listában, akkor az "alapértelmezett ventilátormeghajtó csoport"-hoz rendelt technológiát kell megadni.
Ha egyetlen ventilátormeghajtó csoportban sem találnak új technológiát, az "általános alapértelmezett"-hez rendelt technológiát kell megadni.
4. táblázat
A motor hűtőventilátorának technológiái (P181)
Ventilátormeghajtási csoport | Ventilátorvezérlés | Közepes és nehéz tehergépjárművek | Nehéz autóbuszok |
Forgattyústengelyre szerelt | Elektronikusan vezérelt viszkokuplung | X | X |
Bimetál vezérlésű viszkokuplung | X (DC) | X | |
Léptetéses rendszerű tengelykapcsoló | X | ||
Léptetéses rendszerű tengelykapcsoló (ki + 2 lépés) | X | ||
Léptetéses rendszerű tengelykapcsoló (ki + 3 lépés) | X | ||
Be/ki tengelykapcsoló | X | X (DC, DO) | |
Szíj- vagy erőátvitel-hajtású | Elektronikusan vezérelt viszkokuplung | X | X |
Bimetál vezérlésű viszkokuplung | X (DC) | X | |
Léptetéses rendszerű tengelykapcsoló | X | ||
Léptetéses rendszerű tengelykapcsoló (ki + 2 lépés) | X | ||
Léptetéses rendszerű tengelykapcsoló (ki + 3 lépés) | X | ||
Be/ki tengelykapcsoló | X | X (DC) | |
Hidraulikus hajtású | Változtatható lökettérfogatú szivattyú | X | X |
Állandó lökettérfogatú szivattyú | X (DC, DO) | X (DC) | |
Elektromos hajtású | Elektromotor vezérlése | X (DC) | X (DC) |
X: alkalmazandó, DC: alapértelmezett ventilátormeghajtó csoport, DO: általános alapértelmezett |
3.2. Kormányrendszer
A kormányrendszer technológiáját a jármű minden egyes aktív kormányzott tengelyére vonatkozóan az 5. táblázat szerint kell biztosítani.
Ha egy (pl. forgattyústengelyre szerelt) kormányzástechnológiai csoporton belüli új technológia nem található meg a listában, akkor az "alapértelmezett kormányzástechnológiai csoport"-hoz rendelt technológiát kell megadni. Ha egyetlen kormányzástechnológiai csoportban sem találnak új technológiát, az "általános alapértelmezett"-hez rendelt technológiát kell megadni.
5. táblázat
Kormányrendszer-technológiák (P182)
kormányzástechnológiai csoport | Technológia | Közepes és nehéz tehergépjárművek | Nehéz autóbuszok |
Mechanikusan hajtott | Rögzített lökettérfogatú | X (DC, DO) | X (DC, DO) |
Elektromos vezérlésű, rögzített lökettérfogatú szivattyú | X | X | |
Kettős működésű dugattyús szivattyú | X | X | |
Elektronikus vezérlésű, kettős működésű dugattyús szivattyú | X | X | |
Mechanikai vezérlésű, változtatható lökettérfogatú szivattyú | X | X | |
Elektronikus vezérlésű, változtatható lökettérfogatú szivattyú | X | X | |
Elektromos | Elektromos meghajtású szivattyú | X (DC) | X (DC) |
Teljesen elektromos kormányberendezés | X | X | |
X: alkalmazandó, DC: alapértelmezett kormányzástechnológiai csoport, DO: általános alapértelmezett |
3.3. Elektromos rendszer
3.3.1. Közepes és nehéz tehergépjárművek
Az elektromos rendszer technológiáját a
6. táblázat szerint kell biztosítani.
Ha a járműben használt technológia nem szerepel a felsorolásban, akkor a "standard technológia" szerinti technológiát kell megadni a szimulációs eszközben.
6. táblázat
Közepes és nehéz tehergépjárművek elektromos rendszerének technológiái (P183)
Technológia |
Standard technológia |
Standard technológia – LED-es fényszórók |
3.3.2. Nehéz autóbuszok
Az elektromos rendszer technológiáját a 7. táblázatnak megfelelően kell megadni.
7. táblázat
Nehéz autóbuszok elektromos rendszerének technológiái
Elektromosrendszer-csoport | Paraméter | Paraméterazonosító | A szimulációs eszköz bemenete | Magyarázatok |
Generátor | Generátor technológiája | P294 | hagyományos / intelligens / nincs generátor | a 2. pont 48. alpontja szerinti fogalommeghatározásoknak megfelelő rendszerek tüntethetők fel „intelligens”-ként; a „nincs generátor” olyan hibrid elektromos járművek esetében alkalmazandó, amelyek elektromos segédberendezés-rendszere nem rendelkezik generátorral. Tisztán elektromos járművek esetében nincs szükség adatbevitelre. |
Intelligens generátor – legnagyobb névleges áramerősség | P295 | érték [A]-ban | Legnagyobb névleges áramerősség névleges fordulatszámon a gyártó címkézése vagy adatlapja szerint, vagy az ISO 8854:2012 szabvány szerint mérve Bemeneti adatok intelligens generátoronként | |
Intelligens generátor – névleges feszültség | P296 | érték [V]-ban | Megengedett értékek: „12”, „24”, „48” Bemeneti adatok intelligens generátoronként | |
Akkumulátorok intelligens generátorrendszerekhez | Technológia | P297 | savas ólomakkumulátor – hagyományos / savas ólomakkumulátor – AGM / savas ólomakkumulátor – zselés / li-ion akkumulátor – nagyteljesítményű / li-ion akkumulátor – nagy energiájú | Bemeneti adatok intelligens generátorral töltött akkumulátoronként Ha egy akkumulátortechnológia nem található a listában, az „savas ólomakkumulátor – hagyományos” technológiát kell megadni bemenetként. |
Névleges feszültség | P298 | érték [V]-ban | Megengedett értékek: „12”, „24”, „48” Bemeneti adatok intelligens generátorral töltött akkumulátoronként Ha az akkumulátorokat sorosan konfigurálják (pl. két 12 V-os egység egy 24V-os rendszerhez), az egyakkumulátoros egységek tényleges névleges feszültségét (12V ebben a példában) kell megadni. | |
Névleges teljesítmény | P299 | érték [Ah]-ban | teljesítmény Ah-ban, a gyártó címkézése vagy adatlapja szerint Bemeneti adatok intelligens generátorral töltött akkumulátoronként | |
Kondenzátorok intelligens generátorrendszerekhez | Technológia | P300 | DC/DC átalakítóval | Bemeneti adatok intelligens generátorral töltött akkumulátoronként |
Névleges kapacitás | P301 | érték [F]-ben | Kapacitás faradban (F), a gyártó címkézése vagy adatlapja szerint Bemeneti adatok intelligens generátorral töltött kondenzátoronként | |
Névleges feszültség | P302 | érték [V]-ban | Névleges üzemi feszültség, a gyártó címkézése vagy adatlapja szerint Bemeneti adatok intelligens generátorral töltött kondenzátoronként | |
Kiegészítő villamosenergia-ellátás | Az elektromos segédberendezések energiaellátása lehetséges a hibrid elektromos jármű újratölthető energiatároló rendszeréből | P303 | igaz / hamis | „Igaz” értékre kell állítani, ha a jármű olyan szabályozott energiaátviteli rendszerrel van felszerelve, amely lehetővé teszi a villamos energia átvitelét a hibrid elektromos járművek hajtóenergia-tároló rendszeréből a villamos fogyasztói panel hálózatába. Bemenet csak hibrid elektromos járművek esetében szükséges. |
Belső lámpák | LED-es belső lámpák | P304 | igaz / hamis | A paramétereket csak akkor lehet igazra állítani, ha a kategória valamennyi lámpája megfelel a 2. pont 42–46. alpontjában szereplő fogalommeghatározásoknak. |
Külső lámpák | LED-es nappali menetjelző lámpák | P305 | igaz / hamis | |
LED-es helyzetjelző lámpák | P306 | igaz / hamis | ||
LED-es féklámpák | P307 | igaz / hamis | ||
LED-es fényszórók | P308 | igaz / hamis |
3.4. Pneumatikus rendszer
3.4.1. Túlnyomással működő pneumatikus rendszerek
3.4.1.1. Levegőellátás mérete
Túlnyomással működő pneumatikus rendszerek esetében a levegőellátás méretét a 8. táblázat szerint kell megadni.
8. táblázat
Túlnyomással működő pneumatikus rendszerek - a levegőellátás mérete
Levegőellátás mérete | Közepes és nehéz tehergépjárművek (a P184 része) | Nehéz autóbuszok (P309) |
Kis lökettérforgat ≤ 250 cm3; 1 henger/2 henger | X | X |
Közepes 250 cm3 < lökettérfogat ≤ 500 cm3; 1 henger/2 henger egyfokozatú | X | X |
Közepes 250cm3 < lökettérfogat ≤ 500 cm3; 1 henger/2 henger kétfokozatú | X | X |
Nagy lökettérforgat > 500 cm3; 1 henger/2 henger egyfokozatú/kétfokozatú | X, DO | |
Nagy lökettérforgat > 500 cm3; egyfokozatú | X, DO | |
Nagy lökettérforgat > 500 cm3; kétfokozatú | X |
A kétfokozatú kompresszorok esetében az első fokozat lökettérfogatát kell a kompresszorrendszer méretének leírásánál használni. Nem dugattyús kompresszorok esetében az "általános alapértelmezett" (DO) technológiát kell feltüntetni.
Elektromos kompresszorral ellátott nehéz autóbuszok esetében a levegőellátás méretének bemeneti adataként a "nem alkalmazható" értéket kell megadni, mivel ezt a paramétert a szimulációs eszköz nem veszi figyelembe.
3.4.1.2. Tüzelőanyag-megtakarító technológiák
A tüzelőanyag-megtakarító technológiákat a közepes és nehéz tehergépjárművek esetében a 9. táblázatban, a nehéz autóbuszok esetében a 10. táblázatban felsorolt kombinációknak megfelelően kell megadni.
9. táblázat
Túlnyomásos pneumatikus rendszerek - üzemanyag-megtakarító technológiák nehéz tehergépjárművekhez, közepes tehergépjárművekhez (a P184 része)
Kombináció száma | Kompresszormeghajtás | Kompresszorkuplung | Kompresszor energiamegtakarítási rendszerrel (ESS) | Levegőkezelő rendszer optimalizált regenerációval (AMS) |
1 | mechanikus | nem | nem | nem |
2 | mechanikus | nem | igen | nem |
3 | mechanikus | viszko | nem | nem |
4 | mechanikus | mechanikus | nem | nem |
5 | mechanikus | nem | igen | igen |
6 | mechanikus | viszko | nem | igen |
7 | mechanikus | mechanikus | nem | igen |
8 | elektromos | nem | nem | nem |
9 | elektromos | nem | nem | igen |
10. táblázat
Túlnyomásos pneumatikus rendszerek - üzemanyag-megtakarító technológiák nehéz autóbuszokhoz
Kombináció száma | Kompresszormeghajtás (P310) | Kompresszorkuplung (P311) | Intelligens regeneráló rendszer (P312) | Intelligens sűrítési rendszer (P313) |
1 | mechanikus | nem | nem | nem |
2 | mechanikus | nem | igen | nem |
3 | mechanikus | nem | nem | igen |
4 | mechanikus | nem | igen | igen |
5 | mechanikus | viszko | nem | nem |
6 | mechanikus | viszko | igen | nem |
7 | mechanikus | viszko | nem | igen |
8 | mechanikus | viszko | igen | igen |
9 | mechanikus | mechanikus | nem | nem |
10 | mechanikus | mechanikus | igen | nem |
11 | mechanikus | mechanikus | nem | igen |
12 | mechanikus | mechanikus | igen | igen |
13 | elektromos | nem | nem | nem |
14 | elektromos | nem | igen | nem |
3.4.1.3. A nehéz autóbuszok pneumatikus rendszerének további jellemzői
Nehéz autóbuszok esetében a pneumatikus rendszer további jellemzőire vonatkozó információkat a 11. táblázatnak megfelelően kell megadni.
11. táblázat
A nehéz autóbuszok pneumatikus rendszerének további jellemzői
Paraméter | Paraméterazonosító | A szimulációs eszköz bemenete | Magyarázatok |
A kompresszor motorhoz viszonyított aránya | P314 | érték [-]-ben | Arány = kompresszor fordulatszáma / motorfordulatszám. Csak mechanikusan hajtott kompresszor esetében alkalmazható |
A bejárat magassága nem süllyesztett helyzetben | P290 | érték [mm]-ben | A III. melléklet 2. pontjának 10. alpontjában szereplő fogalommeghatározásokkal összhangban. Ezt az értéket a jármű pneumatikusfelfüggesztés-vezérlése paramétereinek megadásához használt járműbeállítási ábrákkal kell dokumentálni. Az értéknek azt az állapotot kell feltüntetnie, amelyet az ügyfélnek normál menetmagasságként szállítottak. Ez a paraméter csak a nehéz autóbuszokra vonatkozik. |
Pneumatikusfelfüggesztés-vezérlés | P315 | mechanikus/elektronikus | |
Pneumatikus SCR reagens adagolása | P316 | igaz / hamis | Lásd a 2. pont 36. alpontját |
Ajtóhajtás technológia | P291 | pneumatikus/vegyes/elektromos |
3.4.2. Vákuummal működő pneumatikus rendszerek
A vákuummal (relatív negatív nyomással) működő pneumatikus rendszerrel rendelkező járművek esetében a szimulációs eszköz bemeneti adataként vagy a "Vacuum pump" vagy a "Vacuum pump + elec. driven" értéket kell megadni (P184). Ez a paraméter nem vonatkozik a nehéz autóbuszokra.
3.5. HVAC rendszer
3.5.1. HVAC rendszer közepes és nehéz tehergépjárművek esetében
A HVAC rendszer technológiáját a 12. táblázatnak megfelelően kell megadni.
12. táblázat
Közepes és nehéz tehergépjárművek HVAC rendszerének technológiái (P185)
Technológia |
Nincs (a vezetőtér nem rendelkezik légkondicionáló rendszerrel) |
Alapértelmezett |
3.5.2. Nehéz autóbuszok HVAC rendszere
A HVAC rendszer konfigurációját a 13. táblázatban szereplő fogalommeghatározásoknak megfelelően kell megadni. A különböző konfigurációkat a 2. ábra ábrázolja.
13. táblázat
Nehéz autóbuszok HVAC rendszerének konfigurációja (P317)
HVAC rendszer konfigurációja | Az utastér hőkomfortrendszere | Az utastér hőszivattyúinak száma a 2. pont 52. alpontjának megfelelően | Az utastér hőszivattyúja/hőszivattyúi által ellátott vezetőtér | Független hőszivattyú(k) a vezetőtérhez | |
Merev | Csuklós | ||||
1 | Nem | 0 | 0 | Nem | Nem |
2 | Nem | 0 | 0 | Nem | Igen |
3 | Igen | 0 | 0 | Nem | Nem |
4 | Igen | 0 | 0 | Nem | Igen |
5 | Igen | 1 | 1 vagy 2 | Nem | Nem |
6 | Igen | 1 | 1 vagy 2 | Igen | Nem |
7 | Igen | 1 | 1 vagy 2 | Nem | Igen |
8 | Igen | > 1 | > 2 | Nem | Nem |
9 | Igen | > 1 | > 2 | Nem | Igen |
10 | Igen | > 1 | > 2 | Igen | Nem |
2. ábra
Nehéz autóbuszok (merev és csuklós) HVAC rendszerének konfigurációja

A HVAC rendszer paramétereit a 14. táblázatnak megfelelően kell megadni.
14. táblázat
A HVAC rendszer paraméterei (nehéz autóbuszok)
Paraméter | Paraméterazonosító | A szimulációs eszköz bemenete | Magyarázatok |
A vezetőtér hűtésére szolgáló hőszivattyú típusa | P318 | nincs / nem alkalmazandó / R-744 / nem R-744 2 fokozatú / nem R-744 3 fokozatú / nem R-744 4 fokozatú / nem R-744 fokozatmentes | A „not applicable” értéket a HVAC-rendszerek 6. és 10. konfigurációjára kell megadni az utastér-hőszivattyúból történő ellátás miatt. |
A vezetőtér fűtésére szolgáló hőszivattyú típusa | P319 | nincs / nem alkalmazandó / R-744 / nem R-744 2 fokozatú / nem R-744 3 fokozatú / nem R-744 4 fokozatú / nem R-744 fokozatmentes | A „not applicable” értéket a HVAC-rendszerek 6. és 10. konfigurációjára kell megadni az utastér-hőszivattyúból történő ellátás miatt. |
Az utastér hűtésére szolgáló hőszivattyú típusa | P320 | nincs / R-744 / nem R-744 2 fokozatú / nem R-744 3 fokozatú / nem R-744 4 fokozatú / nem R-744 fokozatmentes | Az utastér hűtésére szolgáló, különböző technológiákkal rendelkező hőszivattyúk esetében meg kell adni a domináns technológiát (pl. a rendelkezésre álló teljesítmény vagy a működés közben előnyben részesített használat szerint). |
Az utastér fűtésére szolgáló hőszivattyú típusa | P321 | nincs / R-744 / nem R-744 2 fokozatú / nem R-744 3 fokozatú / nem R-744 4 fokozatú / nem R-744 fokozatmentes | Az utastér fűtésére szolgáló, különböző technológiákkal rendelkező hőszivattyúk esetében meg kell adni a domináns technológiát (pl. a rendelkezésre álló teljesítmény vagy a működés közben előnyben részesített használat szerint). |
Kiegészítő fűtőberendezés teljesítménye | P322 | érték [W]-ban | A készülékre meghatározott névleges teljesítmény; „0”-t kell beírni, ha nincs kiegészítő fűtőberendezés. |
Kettős üvegezésű egységek | P323 | igaz / hamis | |
Állítható hűtőközeg-termosztát | P324 | igaz / hamis | |
Állítható kiegészítő fűtőberendezés | P325 | igaz / hamis | |
Motorvéggáz hőcserélője | P326 | igaz / hamis | |
Különálló levegőelosztó csatornák | P327 | igaz / hamis | |
Elektromos vízmelegítő | P328 | igaz / hamis | Csak hibrid elektromos járművekhez és tisztán elektromos járművekhez kell bemeneti adatot megadni |
Elektromos légfűtő berendezés | P329 | igaz / hamis | Csak hibrid elektromos járművekhez és tisztán elektromos járművekhez kell bemeneti adatot megadni |
Egyéb fűtési technológia | P330 | igaz / hamis | Csak hibrid elektromos járművekhez és tisztán elektromos járművekhez kell bemeneti adatot megadni |
3.6. Teljesítményleadó (PTO)
A teljesítményleadóval (PTO) és/vagy az erőátvitelbe épített teljesítményleadó mechanizmussal felszerelt nehéz tehergépjárműveknél az energiafogyasztást a megállapított általános értékek alapján kell figyelembe venni. Ezek a szokásos vezetési módra jellemző teljesítményveszteségeket képviselik, amikor a PTO-hoz csatlakoztatott fogyasztó (pl. hidraulikus szivattyú) ki van kapcsolva. A bekapcsolt fogyasztó melletti, az alkalmazással összefüggő energiafogyasztásokat a szimulációs eszköz figyelembe veszi, tehát ezek nem szerepelnek az alábbiakban.
12. táblázat
A kikapcsolt teljesítményleadó tengely mechanikai teljesítményigénye nehéz tehergépjárművek esetében
Kialakítási változatok a teljesítményveszteség tekintetében (egy PTO nélküli és/vagy teljesítményleadó mechanizmus nélküli erőátvitellel összevetve) | Teljesítmény veszteség | |
Járulékos légellenállás-veszteség szempontjából releváns alkatrészek | ||
Tengelyek/fogaskerekek (P247) | Egyéb elemek (P248) | [W] |
Csak egy bekapcsolt fogaskerék a meghatározott olajszint fölött pozícionálva (nincs további fogaskerék-áttétel) | — | 0 |
Csak a PTO meghajtótengelye | fogazott tengelykapcsoló (szinkronizátorral) vagy csúszógyűrű | 50 |
Csak a PTO meghajtótengelye | többtárcsás tengelykapcsoló | 350 |
Csak a PTO meghajtótengelye | többtárcsás tengelykapcsoló külön szivattyúval a PTO tengelykapcsolóhoz | 3 000 |
Meghajtótengely és/vagy legfeljebb 2 bekapcsolt fogaskerék | fogazott tengelykapcsoló (szinkronizátorral) vagy csúszógyűrű | 150 |
Meghajtótengely és/vagy legfeljebb 2 bekapcsolt fogaskerék | többtárcsás tengelykapcsoló | 400 |
Meghajtótengely és/vagy legfeljebb 2 bekapcsolt fogaskerék | többtárcsás tengelykapcsoló külön szivattyúval a PTO tengelykapcsolóhoz | 3 050 |
Meghajtótengely és/vagy 2-nél több bekapcsolt fogaskerék | fogazott tengelykapcsoló (szinkronizátorral) vagy csúszógyűrű | 200 |
Meghajtótengely és/vagy 2-nél több bekapcsolt fogaskerék | többtárcsás tengelykapcsoló | 450 |
Meghajtótengely és/vagy 2-nél több bekapcsolt fogaskerék | többtárcsás tengelykapcsoló külön szivattyúval a PTO tengelykapcsolóhoz | 3 100 |
PTO, amely 1 vagy több további fogaskerék-áttételt tartalmaz, leválasztó tengelykapcsoló nélkül | — | 1 500 |
Amennyiben több teljesítményleadó tengely van az erőátviteli rendszerhez csatlakoztatva, csak azt az alkatrészt kell feltüntetni, amelynek esetében a 12. táblázat szerint legnagyobb a veszteség a »PTOShaftsGearWheels és a "PTOShaftsOtherElements" kritériumok kombinációjára. A közepes tehergépjárművek és a nehéz autóbuszok esetében nem irányoztak elő teljesítményleadóra vonatkozó nyilatkozatot.
X. MELLÉKLET
A GUMIABRONCSOK TANÚSÍTÁSI ELJÁRÁSA
1. Bevezetés
Ez a melléklet a gumiabroncs tanúsítási előírásait ismerteti, a gördülési ellenállási együtthatóra vonatkozóan. A járműnek a szimulációs eszközben bemenetként használható gördülési ellenállásának kiszámításához a gumiabroncs-típusjóváhagyás kérelmezőjének meg kell adnia az alkalmazandó Cr gördülési ellenállási együtthatót minden egyes abroncsra vonatkozóan, az eredeti berendezésgyártó adatai alapján, valamint a kapcsolódó vizsgálat során kapott, az abroncsra nehezedő terhelést kifejező F ZTYRE értéket.
2. Fogalommeghatározások
E melléklet alkalmazásában az 54. sz. ENSZ-előírás ( 17 ) és a 117. sz. ENSZ-előírás ( 18 ) szerinti fogalommeghatározások mellett az alábbi fogalommeghatározások alkalmazandók:
1. "Gördülési ellenállási együttható, Cr" : a gördülési ellenállásnak és az abroncsra nehezedő terhelőerőnek az aránya.
2. "Az abroncsra nehezedő terhelőerő" (FZTYRE ) : az a terhelőerő, amely a gördülési ellenállási vizsgálat során nehezedik az abroncsra.
3. "Gumiabroncstípus" :
olyan gumiabroncsok csoportja, amelyek nem térnek el az alábbi jellemzőket illetően:
a) a gyártó neve,
b) márkanév vagy védjegy ,
c) abroncsosztály (a 117. számú ENSZ-előírás alapján),
d) a gumiabroncs méretjelölése,
e) abroncsszerkezet (diagonál, radiál),
f) használati kategória (normál, téli és speciális használatú gumiabroncs), a 117. ENSZ-előírás alapján,
g) sebességkategória (kategóriák),
h) terhelhetőségi jelzőszám (jelzőszámok),
i) kereskedelmi jelzet/kereskedelmi név,
j) a gyártó által megadott gördülési ellenállási együttható.
4. "FuelEfficiencyClass" : a gumiabroncs az (EU) 2020/740 rendelet ( 19 ) I. mellékletének A. részében meghatározottak szerinti üzemanyag-hatékonysági osztályának megfelelő paraméter. Az (EU) 2020/740 rendelet hatálya alá nem tartozó gumiabroncsok esetében a gumiabroncs üzemanyag-hatékonysági osztálya nem alkalmazható, és a 3. függelékben a FuelEfficiencyClass paramétert "nincs adat" értékkel kell rögzíteni.
3. Általános követelmények
3.1. A gumiabroncsgyártónak az IATF 16949 szerinti tanúsítvánnyal kell rendelkeznie.
3.2. A gumiabroncs gördülési ellenállási együtthatójának mérése
A gumiabroncs gördülési ellenállási együtthatóját az (EU) 2020/740 rendelet I. melléklete A. részével összhangban kell mérni és kiigazítani, N/kN-ban kell kifejezni, és az első tizedesjegyre kell kerekíteni az ISO 80000-1 B függeléke B.3 szakaszának B szabálya szerint (1. példa).
A C2 és C3 osztályú gumiabroncsokra vonatkozó standard gördülési ellenállási együttható értéke megegyezik a 117. sz. ENSZ-előírás 6.3.2. szakaszában meghatározott, rendkívül havas útviszonyok közötti használatra szánt téli gumiabroncsokéval. A nem a 661/2009/EK rendelet ( 20 ) vagy az (EU) 2019/2144 rendelet ( 21 ) hatálya alá tartozó gumiabroncsok esetében a szabványérték 13,0 N/kN, a FuelEfficiencyClass értéket pedig "nincs adat" értékkel kell jelölni.
A szabványos FzISO-érték az az érték, amelyet az abroncsterhelési indexhez tartozó függőleges erő százalékában kapunk névleges gumiabroncsnyomáson (és egy gumiabroncs alkalmazása mellett). A C2 és C3 osztályú gumiabroncsok esetében ez az arány 85 %, más gumiabroncsok esetében pedig 80 %.
3.3. Mérési előírások
A gumiabroncsgyártónak vagy az (EU) 2018/858 rendelet 68. cikkében előírtak szerint a műszaki szolgálatok egyik laboratóriumában kell elvégeztetnie a 3.2. pontban említett vizsgálatot, vagy a saját létesítményében, akkor, ha a következő feltételek teljesülnek:
i. a vizsgálatot a műszaki szolgálatnak a felelős jóváhagyó hatóság által kijelölt képviselője felügyeli; vagy
ii. a gumiabroncsgyártó az (EU) 2018/858 rendelet 68. cikke alapján "A" kategóriájú műszaki szolgálatnak minősül.
3.4. Jelölés és nyomonkövethetőség
3.4.1. A gumiabroncsnak egyértelműen azonosíthatónak kell lennie a vonatkozó tanúsítvány és a megfelelő gördülési ellenállási együttható tekintetében.
3.4.2. A gumiabroncsgyártónak a gumiabroncs oldalfalán elhelyezett jelöléseket kell használnia, vagy további azonosítóval kell ellátnia a gumiabroncsot. A következő formában valósítható meg:
- QR-kód,
- vonalkód,
- rádiófrekvenciás azonosító (RFID),
- kiegészítő jelölés, vagy
- egyéb, a 3.4.1. pont követelményeit teljesítő eszköz.
3.4.3. Kiegészítő azonosító használata esetén annak a jármű értékesítéséig olvashatónak kell maradnia.
3.4.4. Az (EU) 2018/858 rendelet 38. cikke (2) pontjával összhangban ahhoz, hogy a gumiabroncs az e rendelet alapján tanúsítva legyen, nincs szükség típusjóváhagyási jelre.
4. A CO2-kibocsátással és a tüzelőanyag-fogyasztással kapcsolatos tanúsított tulajdonságok megfelelősége
4.1. Az e rendelet alapján tanúsított minden gumiabroncsnak meg kell felelnie az e melléklet 3.2. pontja alapján megadott gördülési ellenállási értéknek.
4.2. A CO2-kibocsátással és a tüzelőanyag-fogyasztással kapcsolatos tanúsított tulajdonságok megfelelőségének ellenőrzése érdekében szúrópróbaszerűen mintákat kell venni a sorozatgyártásból, és a 3.2. pontban szereplő előírásoknak megfelelően vizsgálni kell azokat. A vizsgálatokat az 117. sz. ENSZ-előírás 2. szakaszában szereplő fogalommeghatározás értelmében vett új vizsgálati gumiabroncsokon kell elvégezni.
4.3. A vizsgálatok gyakorisága
4.3.1. Minden 20 000 adott típusú, az eredetiberendezés-gyártók számára való értékesítésre szánt és az eredetiberendezés-gyártóknak leszállított gumiabroncs után meg kell vizsgálni legalább egy gumiabroncs gördülési ellenállását (pl. azon típus esetében, amelyből évente 20 001 és 40 000 egység közötti egységet értékesítenek az eredetiberendezés-gyártóknak, évente 2 megfelelőségi ellenőrzést kell végezni).
4.3.2. Abban az esetben, ha egy, az eredetiberendezés-gyártók számára való értékesítésre szánt abroncstípust évente 500 és 20 000 egység közötti mennyiségben szállítanak le, évente legalább egy megfelelőségi ellenőrzést kell végezni.
4.3.3. Abban az esetben, ha egy, az eredetiberendezés-gyártók számára való értékesítésre szánt abroncstípust 500 egység alatti mennyiségben szállítanak le, kétévente legalább egy megfelelőségi ellenőrzést kell végezni a 4.4. pontnak megfelelően.
4.3.4. Amennyiben az eredetiberendezés-gyártóknak leszállított gumiabroncsok mennyisége 31 naptári napon belül eléri a 4.3.1. pontban jelzett értéket, akkor a 4.3. pontban említett megfelelőségi ellenőrzések száma 31 naptári naponként maximum egy ellenőrzésre korlátozódik.
4.3.5. A gyártónak indokolnia kell a jóváhagyó hatóság számára (pl. értékesítési adatok benyújtásával) az elvégzett vizsgálatok számát.
4.4. Ellenőrzési eljárás
4.4.1. A 3.2. pontnak megfelelően egy gumiabroncsot kell vizsgálni. Alapértelmezés szerint a gép-beállítási egyenlet az ellenőrző vizsgálat időpontjában érvényes kell, hogy legyen. -----
4.4.2. Abban az esetben, ha a mért és kiigazított érték kisebb vagy egyenlő, mint a jelentett érték plusz 0,3 N/kN, a gumiabroncs gördülési ellenállási értékét megfelelőnek kell tekinteni.
4.4.3. Amennyiben a mért és a kiigazított érték több mint 0,3 N/kN-val meghaladja a jelentett értéket, a gumiabroncsgyártó kérésére és az ellenőrzést felügyelő hatósággal egyetértésben alkalmazható a tanúsítási vizsgálat időpontjában érvényes beállítási egyenlet.
4.4.3.1. Ha a mért és újrakiigazított érték kisebb vagy egyenlő, mint a jelentett érték plusz 0,3 N/kN, a gumiabroncs gördülési ellenállási értékét megfelelőnek kell tekinteni.
4.4.3.2. Ha a 4.4.3. és a 4.4.3.1. pont szerint kiigazított mért érték több mint 0,3 N/kN-nal meghaladja a jelentett értéket, a vizsgálatot további három gumiabroncson is el kell végezni. Ha a három gumiabroncs közül legalább az egyik esetében a 4.4.3. és a 4.4.3.1. pont szerint kiigazított mért érték több mint 0,4 N/kN-nal meghaladja a jelentett értéket, akkor a 23. cikk alkalmazandó.
1. függelék
ALKATRÉSZ, ÖNÁLLÓ MŰSZAKI EGYSÉG VAGY RENDSZER TANÚSÍTVÁNYMINTÁJA
Megengedett legnagyobb méret: A4 (210 × 297 mm)
TANÚSÍTVÁNY EGY ABRONCSCSALÁD CO2-KIBOCSÁTÁSSAL ÉS A TÜZELŐANYAG-FOGYASZTÁSSAL KAPCSOLATOS TANÚSÍTOTT TULAJDONSÁGAIRÓL
Az értesítés tárgya: — tanúsítvány megadása (1) — tanúsítvány kiterjesztése (1) — tanúsítvány elutasítása (1) — tanúsítvány visszavonása (1) | A hatóság pecsétjének helye |
(1) A nem kívánt rész törlendő. |
abroncscsalád CO2-kibocsátással és tüzelőanyag-fogyasztással kapcsolatos tulajdonságaira vonatkozóan, az (EU) 2019/318 bizottsági rendelettel módosított (EU) 2017/2400 bizottsági rendelet alapján.
Tanúsítvány száma: ...
Hashfüggvény: ...
A kiterjesztés indoklása: ...
1. A gyártó neve és címe: ...
2. A gyártó képviselőjének (ha van) neve és címe: ...
3. Márkanév/védjegy: ...
4. Abroncstípus leírása: ...
a) A gyártó neve: ...
b) Márkanév vagy védjegy:
c) Abroncsosztály (a 661/2009/EK rendelet vagy az (EU) 2019/2144 rendelet alapján)
d) A gumiabroncs méretjelölése: ...
e) Abroncsszerkezet (diagonál, radiál): ...
f) Használati kategória (normál, téli és speciális használatú gumiabroncs): ...
g) Sebességkategória (kategóriák): ...
h) Terhelhetőségi jelzőszám (jelzőszámok): ...
i) Kereskedelmi jelzet/kereskedelmi név: ...
j) A gyártó által megadott gördülési ellenállási együttható: ...
5. Abroncsazonosító kód(ok) és az azonosító kódok biztosítására használt technológia/technológiák, ha alkalmazható:
Technológia: | Kód: |
… | … |
6. Műszaki szolgálat és adott esetben a jóváhagyásra vagy a megfelelőségi vizsgálat ellenőrzésére jóváhagyott mérőlaboratórium: ...
7. Gyártó által megadott értékek:
7.1. a gumiabroncs jelentett gördülési ellenállási szintje (N/kN-ban, egy tizedesjegyre kerekítve az ISO 80000-1 szabvány B. függeléke B.3. szakaszának B. szabálya szerint [1. példa])
Cr, ... [N/kN]
7.2. a gumiabroncs vizsgálati terhelés az (EU) 2020/740 rendelet I. mellékletének A. részének megfelelően
FZTYRE... [N]
7.3. Beállítási egyenlet: ...
8. Megjegyzések: ...
9. Hely: ...
10. Dátum: ...
11. Aláírás: ...
12. Mellékletek: ...
2. függelék
A gumiabroncs gördülési ellenállási együtthatójával kapcsolatos adatközlő lap
I. SZAKASZ
0.1. A gyártó neve és címe:
0.2. Márkanév(márkanevek)/védjegy(ek);
0.3. A kérelmező neve és címe:
0.4. Kereskedelmi jelzet(ek)/kereskedelmi név (nevek)
0.5. Abroncsosztály (a 117. számú ENSZ-előírás alapján)
0.6. Gumiabroncs méretjelölése:
0.7. Abroncsszerkezet (diagonál, radiál):
0.8. Használati kategória (normál, téli és speciális használatú gumiabroncs):
0.9. Sebességkategória (kategóriák):
0.10. Terhelhetőségi jelzőszám (jelzőszámok):
0.11. -
0.12. Gyártó által megadott gördülési ellenállási együttható:
0.13. A gördülési ellenállási együtthatóra vonatkozó további azonosító kód megadására szolgáló eszköz(ök) (ha van(nak)):
0.15. F ZTYRE terhelés: ... [N]
0.16. Abroncs típusjóváhagyási jele (a 117. számú ENSZ-előírás alapján), adott esetében
0.17. Abroncs típusjóváhagyási jele (az 54. vagy a 30. ( 22 ) számú ENSZ-előírás alapján)
II. SZAKASZ
1. Jóváhagyó hatóság vagy műszaki szolgálat [vagy akkreditált laboratórium]
2. A vizsgálati jegyzőkönyv száma:
3. Megjegyzés (ha van):
4. A vizsgálati jegyzőkönyv kelte:
5. A mérőberendezés azonosítása és a dob átmérője/felülete:
6. A vizsgált gumiabroncs részletes ismertetése:
6.1. Gumiabroncs méretjelölés és használati jelzet:
6.2. Márkanév/kereskedelmi jelzet:
6.3. Referencia vizsgálati-gumiabroncsnyomás: kPa
7. Mérési adatok:
7.1. Mérési módszer:
7.2. Vizsgálati sebesség: km/h
7.3. F ZTYRE terhelés: N
7.4. Kezdeti vizsgálati gumiabroncsnyomás: kPa
7.5. A gumiabroncs tengelye és a dob külső felülete között állandósult állapotban mért rL távolság: m
7.6. A vizsgálati kerékpánt szélessége és anyaga:
7.7. Környezeti hőmérséklet: °C
7.8. A terheléscsökkentéses mérésnél alkalmazott terhelés (a lassulás mérésén alapuló módszer kivételével): N
8. Gördülési ellenállási együttható:
8.1. Kezdeti érték (vagy ha egynél több, akkor átlagos érték): N/kN
8.2. Hőmérséklettel korrigált érték: ... N/kN
8.3. Hőmérséklettel és dobátmérővel korrigált érték: N/kN
8.4. Beállítási egyenlet:
8.5. A gumiabroncs gördülési ellenállási szintje (N/kN-ban, egy tizedesjegyre kerekítve az ISO 80000-1 szabvány B. függeléke B.3. szakaszának B. szabálya szerint [1. példa]) Cr,aligned:... [N/kN]
9. A vizsgálat időpontja:
3. függelék
A szimulációs eszköz bemeneti paraméterei
Bevezetés
Ez a függelék leírja azon paraméterek listáját, amelyeket az alkatrészgyártónak a szimulációs eszközhöz bemeneti adatként meg kell adniuk. Az alkalmazandó XML-séma, valamint a példaadatok az erre a célra létrehozott elektronikus terjesztési platformon érhetők el.
Fogalommeghatározások
(1) "Paraméterazonosító":A szimulációs eszközben használt egyedi azonosító egy adott bemeneti paraméter vagy bemeneti adathalmaz számára.
(2) "Type":
A paraméter adattípusa
string ... karaktersor, ISO8859-1 kódolásban
token ... karaktersor, ISO8859-1 kódolásban, nincs sor eleji/sorvégi szóköz
date ... dátum és idő UTC időben, a következő formátumban: YYYY-MM-DD T HH:MM:SS Z , ahol a dőlt betűk a rögzített karaktereket jelzik, pl. "2002-05-30T09:30:10Z"
integer ... egész számban kifejezett érték, sor eleji nulla nélkül, pl. "1800"
double, X ... tizedes tört, pontosan X számjeggyel a tizedesjel (".") után, és nincsen sor eleji nulla, pl. "double, 2": "2345,67"; vagy "double, 4": "45,6780".
(3) "Unit" ...a paraméter fizikai mértékegysége.
Bemeneti paraméterek
1. táblázat
"Tyre" bemeneti paraméterek
Parameter name | Param ID | Type | Unit | Description/Reference |
Manufacturer | P230 | token | ||
Model | P231 | token | A gyártó által bejegyzett védjegy | |
CertificationNumber | P232 | token | ||
Date | P233 | date | Az alkatrészre vonatkozó hashfüggvény létrehozásának dátuma és időpontja. | |
AppVersion | P234 | token | Az értékelési eszközt azonosító verziószám | |
RRCDeclared | P046 | double, 4 | [N/N] | |
FzISO | P047 | integer | [N] | |
Gumiabroncs-méretjelölés | P108 | karakterlánc | [-] | Megengedett értékek (nem teljes lista):„9.00 R20”, „9 R22.5”, „9.5 R17.5”,„10 R17.5”,„10 R22.5”,„10.00 R20”,„11 R22.5”, „11.00 R20”,„11.00 R22.5”,„12 R22.5”,„12.00 R20”,„12.00 R24”,„12.5 R20”,„13 R22.5”, „14.00 R20”,„14.5 R20”,„16.00 R20”,„205/75 R17.5”,„215/75 R17.5”,„225/70 R17.5”,„225/75 R17.5”,„235/75 R17.5”,„245/70 R17.5”,„245/70 R19.5”,„255/70 R22.5”,„265/70 R17.5”,„265/70 R19.5”,„275/70 R22.5”,„275/80 R22.5”,„285/60 R22.5”,„285/70 R19.5”,„295/55 R22.5”,„295/60 R22.5”,„295/80 R22.5”,„305/60 R22.5”,„305/70 R19.5”,„305/70 R22.5”,„305/75 R24.5”,„315/45 R22.5”,„315/60 R22.5”,„315/70 R22.5”,„315/80 R22.5”,„325/95 R24”,„335/80 R20”,„355/50 R22.5”,„365/70 R22.5”,„365/80 R20”,„365/85 R20”,„375/45 R22.5”,„375/50 R22.5”,„375/90 R22.5”,„385/55 R22.5”,„385/65 R22.5”,„395/85 R20”,„425/65 R22.5”,„495/45 R22.5”,„525/65 R20.5” |
TyreClass | P370 | karakterlánc | [-] | „C2”, „C3” vagy „nincs adat” |
FuelEfficiencyClass | P371 | karakterlánc | „A”, „B”, „C”, „D”, „E” vagy „nincs adat” | |
4. függelék
Számozás
1. Számozás:
1.1. A gumiabroncsok tanúsítási száma a következőket tartalmazza:
eX*YYYY/YYYY*ZZZZ/ZZZZ*T*00000*00
1. szakasz | 2. szakasz | 3. szakasz | Kiegészítő betű a 3. szakaszhoz | 4. szakasz | 5. szakasz |
A tanúsítványt kibocsátó ország megjelölése | A nehézgépjárművek CO2-kibocsátásának meghatározásáról szóló rendelet ((EU) 2017/2400) | A legutóbbi módosító rendelet (ZZZZ/ZZZZ) | T = gumiabroncs | Alaptanúsítási szám 00000 | Kiterjesztés 00 |
Xa. MELLÉKLET
A SZIMULÁCIÓS ESZKÖZ MŰKÖDTETÉSÉNEK, VALAMINT AZ ALKATRÉSZEK, ÖNÁLLÓ MŰSZAKI EGYSÉGEK ÉS RENDSZEREK CO2-KIBOCSÁTÁSSAL ÉS TÜZELŐANYAG-FOGYASZTÁSSAL KAPCSOLATOS TULAJDONSÁGAINAK MEGFELELŐSÉGE: ELLENŐRZÉSI VIZSGÁLATI ELJÁRÁS
1. Bevezetés
Ez a melléklet az új közepes és nehéz tehergépjárművek CO2-kibocsátásának ellenőrzésére szolgáló vizsgálati eljárásként alkalmazandó ellenőrzési vizsgálati eljárás követelményeit határozza meg.
Az ellenőrzési vizsgálati eljárás közúti vizsgálatból áll, amely az új járművek CO2-kibocsátásának ellenőrzésére szolgál a gyártást követően. Az eljárást a járműgyártó hajtja végre, és az a jóváhagyó hatóság felügyeli, amely a szimulációs eszköz működtetésére megadta az engedélyt.
Az ellenőrzési vizsgálati eljárás során meg kell mérni a meghajtott kerekeknél jelentkező nyomatékot és fordulatszámot, a motor fordulatszámát, a tüzelőanyag-fogyasztást, a jármű kapcsolt sebességfokozatát és a 6.1.6. pontban felsorolt egyéb vonatkozó paramétereket. A mért adatokat a szimulációs eszköz bemeneteként kell felhasználni, amely a jármű CO2-kibocsátásának és tüzelőanyag-fogyasztásának meghatározásából származó, a járművel kapcsolatos bemeneti adatokat és bemeneti információkat használja. Az ellenőrzési vizsgálati eljárás keretében végzett szimulációhoz bemenetként a kerekek pillanatnyi mért keréknyomatékát és fordulatszámát, valamint a motor fordulatszámát kell használni. Az ellenőrzési vizsgálati eljárásnak való megfelelés érdekében a mért tüzelőanyag-fogyasztás alapján számított CO2-kibocsátásnak az ellenőrzési vizsgálati eljárás szimulációjából származó CO2-kibocsátással összehasonlítva a 7. pontban meghatározott tűréshatárokon belül kell lennie. Az 1. ábrán látható az ellenőrzési vizsgálati eljárás módszerének sematikus ábrája. A szimulációs eszköz által az ellenőrzési vizsgálati eljárás szimulációja során végzett értékelési lépések leírását e melléklet 1. függeléke tartalmazza.
Az ellenőrzési vizsgálati eljárás részeként az adatok és az adatkezelési folyamat ellenőrzése érdekében az alkatrészek, önálló műszaki egységek és rendszerek CO2-kibocsátással és tüzelőanyag-fogyasztással kapcsolatos tulajdonságai tanúsításából eredő, a járműre vonatkozó bemeneti adatkészlet helyességét is meg kell vizsgálni. A jármű légellenállása és gördülési ellenállása szempontjából releváns alkatrészekre, önálló műszaki egységekre és rendszerekre vonatkozó bemeneti adatok helyességét a 6.1.1. pont szerint kell ellenőrizni.
1. ábra
Az ellenőrzési vizsgálati eljárás módszerének sematikus ábrája

2. Fogalommeghatározások
E melléklet alkalmazásában:
1. "ellenőrző vizsgálat szempontjából releváns adatkészlet": az ellenőrzési vizsgálati eljárás szempontjából releváns jármű CO2-kibocsátásának meghatározásához használt, az alkatrészekre, az önálló műszaki egységekre és a rendszerekre vonatkozó bemeneti adatkészlet, valamint bemeneti információk;
2. "ellenőrzési vizsgálati eljárás szempontjából releváns jármű": olyan új jármű, amelyre vonatkozóan a 9. cikknek megfelelően meghatározták és bejelentették a CO2-kibocsátás és tüzelőanyag-fogyasztás értékét;
3. "a jármű korrigált tényleges tömege": a jármű korrigált tényleges tömege a III. melléklet 2. pontjának 4. alpontja szerint;
4. "a jármű tényleges tömege az ellenőrzési vizsgálati eljárás során": a járműnek az 1230/2012/EU rendelet 2. cikkének 6. pontjában meghatározott tényleges tömege, de teli tankkal és az 5. pontban meghatározott kiegészítő mérőberendezéssel (mérőberendezés) együtt, hozzáadva a pótkocsi vagy félpótkocsi tényleges tömegét, ha azt a 6.1.4.1. pont előírja;
5. "a jármű tényleges tömege hasznos teherrel az ellenőrzési vizsgálati eljárás során": a jármű tényleges tömege az ellenőrzési vizsgálati eljárás során a 6.1.4.2. pont szerinti ellenőrzési vizsgálati eljárás során alkalmazott hasznos teherrel;
6. "kerékteljesítmény": a jármű hajtott kerekeinek a kerekeknél fellépő összes menetellenállás legyőzésére szolgáló összteljesítménye, amelyet a szimulációs eszköz a hajtott kerekek mért nyomatékából és fordulatszámából számít ki;
7. "controller area network jele" vagy "CAN-jel": az 582/2011/EU rendelet II. melléklete 1. függelékének 2.1.5. pontjában említett, a jármű elektronikus vezérlőegységével való összeköttetésből származó jel;
8. "városi vezetés": a tüzelőanyag-fogyasztás mérése során 50 km/h-t nem meghaladó sebességgel megtett teljes távolság;
9. "országúti vezetés": a tüzelőanyag-fogyasztás mérése során 50 km/h feletti, de 70 km/h-t nem meghaladó sebességgel megtett teljes távolság;
10. "autópályán történő vezetés": a tüzelőanyag-fogyasztás mérése során 70 km/h feletti sebességgel megtett teljes távolság;
11. "áthallás": az a jelenség, amikor egy érzékelő fő kimeneténél (My) egy olyan mérendő tulajdonság (Fz) jele hat az érzékelőre, amely eltér az ehhez a kimenethez hozzárendelt mérendő tulajdonságtól; a koordinátarendszer-hozzárendelés az ISO 4130 szabvány szerint van meghatározva.
3. Jármű kiválasztása
A gyártási évenként vizsgálandó új járművek száma biztosítja, hogy az ellenőrzési vizsgálati eljárás kiterjedjen a felhasznált alkatrészek, önálló műszaki egységek vagy rendszerek megfelelő módosításaira. Az ellenőrző vizsgálathoz a járműveket a következő követelmények alapján kell kiválasztani:
a) Az ellenőrző vizsgálat céljára a járműveket a gyártósorról származó azon járművek közül kell kiválasztani, amelyekre vonatkozóan a CO2-kibocsátást és a tüzelőanyag-fogyasztást a 9. cikknek megfelelően meghatározták és bejelentették. A járműbe vagy a járműre szerelt alkatrészeknek, önálló műszaki egységeknek és rendszereknek sorozatgyártásból kell származniuk, és meg kell felelniük a jármű gyártási napján felszerelt alkatrészeknek, önálló műszaki egységeknek, illetve rendszereknek.
b) A járműkiválasztást annak a jóváhagyó hatóságnak kell végrehajtania a járműgyártó javaslatai alapján, amelyik megadta az engedélyt a szimulációs eszköz működtetésére.
c) Ellenőrző vizsgálatra csak egy hajtott tengellyel rendelkező járműveket lehet kiválasztani.
d) Ajánlott, hogy minden egyes, ellenőrző vizsgálat szempontjából releváns adatkészletbe az érdeklődésre számot tartó alkatrészeket és azokat az alkatrészeket vegyék fel, amelyekből a gyártók a legtöbbet értékesítik. Az alkatrészek, önálló műszaki egységek vagy rendszerek ellenőrizhetők egy járműben vagy különböző járművekben is. A legnagyobb értékesítési mennyiségre vonatkozó kritériumon kívül a b) pontban említett jóváhagyó hatóság dönt arról, hogy a vonatkozó adatkészletek alá eső motorral, tengellyel és sebességváltóval rendelkező egyéb járműveket is bevon-e az ellenőrző vizsgálatba.
e) Olyan járműveket, amelyek esetében az alkatrészek, önálló műszaki egységek vagy rendszerek CO2-kibocsátásának tanúsítására standard értékeket használnak a sebességváltóval és a tengellyel kapcsolatos veszteségek mért értékei helyett, nem lehet kiválasztani az ellenőrző vizsgálat céljára, amennyiben gyártanak olyan járműveket, amelyek megfelelnek az a)-c) pontban foglalt követelményeknek, és amelyek esetében a szóban forgó alkatrészek, önálló műszaki egységek vagy rendszerek CO2-kibocsátására vonatkozó tanúsítványokban mértveszteséggörbéket alkalmaznak.
f) Az ellenőrző vizsgálat szempontjából releváns adatkészletek különböző kombinációival rendelkező különböző járművek évente ellenőrző vizsgálattal vizsgálandó minimális számát a járműgyártó értékesítési adatai alapján kell meghatározni az 1. táblázat.
1. táblázat
A járműgyártó által vizsgálandó járművek minimális számának meghatározása
A vizsgálandó járművek száma | Ütemezés | Az ellenőrzési vizsgálati eljárás szempontjából releváns gyártott járművek száma/év (*2) |
0 | — | ≤ 25 |
1 | háromévente (*1) | 26–250 |
1 | kétévente | 251 – 5 000 |
1 | évente | 5 001 – 25 000 |
2 | évente | 25 001 – 50 000 |
3 | évente | 50 001 – 75 000 |
4 | évente | 75 001 – 100 000 |
5 | évente | több mint 100 000 |
(*1) A gyártó e rendelet hatálya alá tartozó összes járművét figyelembe kell venni, és az ellenőrzési vizsgálati eljárásnak mind a közepes, mind a nehéz tehergépjárműveket le kell fednie egy hatéves időtartamon át. (*2) Az ellenőrzési vizsgálati eljárást az első két éven belül el kell végezni. |
g) A járműgyártónak a jármű ellenőrző vizsgálatra való kiválasztásának napjától számítva 10 hónapon belül kell befejeznie az ellenőrző vizsgálatot.
4. A jármű állapota
Az ellenőrző vizsgálat során minden egyes járműnek a tervezett forgalomba hozatalhoz hasonló állapotban kell lennie. A hardvert - például a kenőanyagot - és a szoftvert - például a kiegészítő vezérlőket - nem lehet módosítani. A gumiabroncsok hasonló méretű (± 10 %) mérési gumiabroncsokkal helyettesíthetők.
Az 582/2011/EU rendelet II. mellékletének 3.3-3.6. pontjában foglalt rendelkezéseket kell alkalmazni.
4.1. A jármű bejáratása
A jármű bejáratása nem kötelező. Ha a vizsgálati jármű teljes futásteljesítménye kevesebb, mint 15 000 km, a szimulációs eszköz a vizsgálati eredményre változási együtthatót alkalmaz az 1. függelékben meghatározottak szerint. A vizsgálati jármű teljes futásteljesítménye a kilométer-számlálónak a tüzelőanyag-fogyasztás mérésének kezdetén leolvasott állása. A bemelegítés kezdetén a futásteljesítmény legfeljebb 20 000 km lehet.
4.2. Tüzelőanyag és kenőanyagok
Valamennyi kenőanyagnak meg kell egyeznie a jármű forgalomba hozatalakor használt kenőanyagokkal.
A 6.1.5. pontban leírt tüzelőanyag-fogyasztási méréshez kereskedelmi forgalomban beszerezhető tüzelőanyagot kell használni. Vitás esetben a tüzelőanyagnak az 582/2011/EU rendelet IX. mellékletében meghatározott, megfelelő referencia-tüzelőanyagnak kell lennie.
A jármű bemelegítésének kezdetén a tüzelőanyag-tartálynak tele kell lennie. A jármű újratöltése a bemelegítés megkezdése és a tüzelőanyag-fogyasztás mérésének vége között nem megengedett.
Az ellenőrző vizsgálat során használt tüzelőanyag nettó fűtőértékét az V. melléklet 3.2. pontja szerint kell meghatározni. A tüzelőanyag-tételt a jármű bemelegítése után a tartályból kell venni. Vegyes üzemű motorok esetében ezt az eljárást mindkét tüzelőanyagra alkalmazni kell.
5. Mérőeszközök
A kalibrálásra szolgáló laboratóriumi létesítményeknek meg kell felelniük az IATF 16949 szabvány, az ISO 9000 szabványsorozat vagy az ISO/IEC 17025 szabvány követelményeinek. Valamennyi laboratóriumi referenciamérésre szolgáló berendezésnek, amelyet kalibrálásra és/vagy ellenőrzésre használnak, a nemzeti vagy a nemzetközi szabványokra visszavezethetőnek kell lennie.
5.1. Keréknyomaték
Az összes hajtott tengelyen fellépő közvetlen nyomatékot a 2. táblázatban felsorolt követelményeknek megfelelő alábbi mérőrendszerek egyikével kell mérni:
a) kerékagynyomaték-mérő;
b) kerékpántnyomaték-mérő;
c) féltengelynyomaték-mérő.
Az eltolódást az ellenőrző vizsgálat során úgy kell megmérni, hogy a 6.1.5.4. pontnak megfelelően, a jármű 6.1.5.3. pont szerinti bemelegítését követően a tengelyt felemelve le kell nullázni a nyomatékmérő rendszert, majd a nyomatékot közvetlenül az ellenőrző vizsgálat után felemelt tengellyel újra meg kell mérni a 6.1.5.6. pontnak megfelelően.
Ahhoz, hogy a vizsgálati eredmény érvényes legyen, igazolni kell, hogy a nyomatékmérő rendszer eltolódása az ellenőrzési vizsgálati eljárás során legfeljebb az egyes nyomatékmérő kalibrált tartományának 1,5 %-a (a két kerék értékének összege).
5.2. A jármű sebessége
A jármű rögzített sebességét a CAN jel alapján kell meghatározni.
5.3. Az alkalmazott sebességfokozat
Az SMT és AMT sebességváltóval rendelkező járművek esetében az alkalmazott sebességfokozatot a szimulációs eszköz számítja ki a mért motorfordulatszám, a jármű sebessége, valamint a gumiabroncs mérete és a jármű áttételi arányai alapján, az 1. függelék szerint. A motor fordulatszámát a szimulációs eszköz az 5.4. pontban meghatározott bemeneti adatokból veszi.
APT sebességváltóval rendelkező járművek esetében az alkalmazott sebességfokozatot, valamint a nyomatékátalakító (aktív vagy nem aktív) állapotát CAN-jelek alapján kell megadni.
5.4. A motor fordulatszáma
A motor fordulatszámát a CAN-ból, a fedélzeti diagnosztikai rendszerből vagy a 2. táblázatban meghatározott követelményeket teljesítő alternatív mérőrendszerekből kell rögzíteni.
5.5. A hajtott tengelyen lévő kerekek fordulatszáma
A hajtott tengely bal- és jobboldali kerekének fordulatszámát a CAN-ból vagy a 2. táblázatban meghatározott követelményeket teljesítő alternatív mérőrendszerekből kell rögzíteni.
5.6. A ventilátor fordulatszáma
Nem elektromos meghajtású motorhűtő ventilátorok esetében rögzíteni kell a ventilátor fordulatszámát. Erre a célra vagy a CAN-jelet, vagy a 2. táblázatban meghatározott követelményeknek megfelelő külső érzékelőt kell használni.
Elektromos motorhűtő ventilátorok esetében az elektromos motor vagy az inverter csatlakozójánál kell rögzíteni az áramot és a feszültséget. Ebből a két jelből a csatlakozó elektromos teljesítményét szorzással kell kiszámítani, és annak időfelbontásos jelként kell rendelkezésre állnia a szimulációs eszköz bemeneteként. Több elektromos motorhűtő ventilátor esetében meg kell adni a csatlakozók elektromos teljesítményének összegét.
5.7. Tüzelőanyag-mérő rendszer
A felhasznált tüzelőanyagot fedélzeti mérőberendezéssel kell mérni, a következő mérési módszerek egyike alapján:
- A tüzelőanyag tömegének mérése. A tüzelőanyag-mérő berendezésnek meg kell felelnie a 2. táblázatban a tüzelőanyag-tömeg mérésére szolgáló rendszerre vonatkozóan meghatározott pontossági követelményeknek.
- A tüzelőanyag térfogatának mérése a tüzelőanyag hőtágulására vonatkozó korrekcióval. A tüzelőanyagtérfogat-mérő berendezésnek és a tüzelőanyaghőmérséklet-mérő berendezésnek meg kell felelnie a 2. táblázatban a tüzelőanyag-térfogat mérésére szolgáló rendszerre vonatkozóan meghatározott pontossági követelményeknek. A tüzelőanyag-térfogatáram mért értékeit a következő egyenletek szerint kell átszámítani a tüzelőanyag-tömegáramra:
m fuel,i = V fuel,i ·ρi

ahol:
mfuel, i = tüzelőanyag-tömegáram az i minta esetében [g/h]
ρ0 = az ellenőrző vizsgálathoz használt tüzelőanyag sűrűsége (g/dm3). A sűrűséget az 582/2011/EU rendelet IX. melléklete szerint kell meghatározni. Ha az ellenőrző vizsgálat során dízelüzemanyagot használnak, akkor az 582/2011/EU rendelet IX. melléklete szerinti B7 referencia-tüzelőanyagok sűrűségtartományának átlagértéke is használható.
t0 = a referencia-tüzelőanyag ρ0 sűrűségének megfelelő tüzelőanyag-hőmérséklet [°C]
ρi = a vizsgálati tüzelőanyag sűrűsége az i minta esetében [g/dm3]
Vfuel, i = tüzelőanyag-térfogatáram az i minta esetében [dm3/h]
ti = mért tüzelőanyag-hőmérséklet az i minta esetében [°C]
β = hőmérséklet-korrekciós tényező (0,001 K-1).
Vegyes üzemű járművek esetében a tüzelőanyag-áramot mindkét tüzelőanyag esetében külön-külön kell mérni.
5.8. A jármű tömege
A jármű következő tömegértékeit a 2. táblázatban meghatározott követelményeknek megfelelő berendezéssel kell mérni:
a) a jármű tényleges tömege az ellenőrzési vizsgálati eljáráskor;
b) a jármű tényleges tömege hasznos teherrel az ellenőrzési vizsgálati eljáráskor.
5.9. A fedélzeti mérésekre vonatkozó általános követelmények az 5.1-5.8. pontban leírtak szerint
A 6.1.6. pontban található 4. táblázatban szereplő bemeneti adatokat kell feltüntetni a mérésekből. Minden adatot legalább 2 Hz vagy a berendezés gyártója által ajánlott gyakoriság közül a nagyobb gyakorisággal kell rögzíteni.
A szimulációs eszköz bemeneti adatai származhatnak különböző adatrögzítőkből. A kerekek nyomatékát és fordulatszámát egy adatnaplózási rendszerben kell rögzíteni. Ha a többi jel esetében különböző adatnaplózási rendszereket használnak, akkor egy közös jelet - például a jármű sebességét - mindegyikben rögzíteni kell a jelek pontos szinkronizálása érdekében. A jelek szinkronizálásának a különböző adatgyűjtő egységekkel rögzített közös jel legmagasabb korrelációs együtthatóját kell eredményeznie.
A 2. táblázatban meghatározott pontossági követelményeket valamennyi használt mérőberendezésnek teljesítenie kell. A 2. táblázatban fel nem sorolt berendezéseknek meg kell felelniük az V. melléklet 2. táblázatában meghatározott pontossági követelményeknek.
2. táblázat
A mérőrendszerekre vonatkozó követelmények
Mérőrendszer | Pontosság | Felfutási idő (1) |
A jármű tömegének mérése | 50 kg vagy a maximális kalibráció kevesebb mint 0,5 %-a amelyik kisebb | — |
A kerekek fordulatszáma | a 80 km/h-nál mért érték kevesebb mint 0,5 %-a | ≤ 1 s |
A tüzelőanyag-tömegáram folyékony tüzelőanyagok esetében (2) | a mért érték kevesebb mint 1,0 %-a vagy a maximális kalibráció kevesebb mint 0,2 %-a amelyik nagyobb | — |
A tüzelőanyag-tömegáram gáznemű tüzelőanyagok esetében (2) | a mért érték kevesebb mint 1,0 %-a vagy a maximális kalibráció kevesebb mint 0,5 %-a amelyik nagyobb | — |
Tüzelőanyagtérfogat-mérő rendszer (2) | a mért érték kevesebb mint 1,0 %-a vagy a maximális kalibráció kevesebb mint 0,5 %-a amelyik nagyobb | — |
A tüzelőanyag hőmérséklete | ± 1 °C | ≤ 2 s |
A hűtőventilátor fordulatszámának mérésére szolgáló érzékelő | a mért értéknek kevesebb mint 0,4 %-a vagy kevesebb mint a maximális kalibráció 0,2 %-a, amelyik nagyobb | ≤ 1 s |
Feszültség | a mért értéknek kevesebb mint 2 %-a vagy kevesebb mint a maximális kalibráció 1 %-a, amelyik nagyobb | ≤ 1 s |
Áramerősség | a mért értéknek kevesebb mint 2 %-a vagy kevesebb mint a maximális kalibráció 1 %-a, amelyik nagyobb | ≤ 1 s |
Motorfordulatszám | Az V. mellékletben meghatározottak szerint. Stop-start rendszerrel felszerelt járművek esetében ellenőrizni kell, hogy a motorfordulatszámot az alapjárati fordulatszám alatti fordulatszámok esetében is megfelelően rögzítették-e. | |
Keréknyomaték | 10 kNm-es kalibráció esetén (a teljes kalibrálási tartományban): i. Nemlinearitás (3): < ± 40 Nm nehéz tehergépjárművek esetében < ± 30 Nm közepes tehergépjárművek esetében ii. Megismételhetőség (4): < ± 20 Nm nehéz tehergépjárművek esetében < ± 15 Nm közepes tehergépjárművek esetében iii. Áthallás: < ± 20 Nm nehéz tehergépjárművek esetében < ± 15 Nm közepes tehergépjárművek esetében (csak a kerékpántnyomaték-mérőkre vonatkozik) iv. Mérési gyakoriság: ≥ 20 Hz | < 0,1 s |
(1) A felfutási idő a gázelemző berendezés által mért végérték 10 %-ának és 90 %-ának megfelelő válaszjel megjelenése között eltelő idő (t90 – t10). (2) A pontosságra vonatkozó előírásnak 100 percen át, a teljes tüzelőanyag-áramra vonatkozóan meg kell felelni. (3) A nemlinearitás a kimeneti jel ideális és tényleges jellemzője közötti maximális eltérés, a mért érték vonatkozásában, egy adott mérési tartományban. (4) A megismételhetőség az ugyanarra a mért értékre vonatkozó, azonos mérési körülmények között végzett, egymást követő mérések eredményei közötti egyezés közelsége. |
A maximális kalibráció értékeinek az adott mérőrendszer esetében az összes vizsgálati menet során várható legnagyobb előrejelzett érték és egy 1-nél nagyobb és 2-nél kisebb vagy azzal egyenlő, tetszőleges tényezővel való szorzatának kell lenniük. A nyomatékmérő rendszer esetében a maximális kalibráció 10 kNm-re korlátozható.
Vegyes üzemű motorok esetében a tüzelőanyag tömegáramát vagy térfogatát mérő rendszer legnagyobb kalibrációs értékét az V. melléklet 3.5. pontjában meghatározott követelményeknek megfelelően kell meghatározni. A tüzelőanyag-térfogat esetében a legnagyobb kalibrációs értéket úgy kell meghatározni, hogy a tüzelőanyag-tömegáramra vonatkozó legnagyobb kalibrációs értékeket elosztjuk a sűrűség 5.7. pont szerint meghatározott ρ0 értékével.
Az összes egyedi pontosság összegének - amennyiben egynél több léptéket alkalmaznak - meg kell felelnie az itt megadott pontosságnak.
5.10. Motornyomaték
A szennyezőanyag-kibocsátás értékelése céljából az ellenőrzési vizsgálati eljárás során rögzíteni kell a motor nyomatékát. A jelzésnek meg kell felelnie az 582/2011/EU rendelet II. melléklete 1. függeléke 2.2. pontjának 1. táblázatában a motor nyomatékjelére vonatkozóan meghatározott követelményeknek.
5.11. Szennyezőanyag-kibocsátások
A szennyezőanyag-kibocsátások mérésére az 582/2011/EU rendelet II. mellékletének 1-4. függelékében meghatározott műszereket és eljárásokat kell alkalmazni. Az adatértékelésnek a 6.1.6. pont 4. táblázatában meghatározott pillanatnyi kibocsátási tömegáramokat kell biztosítania a szimulációs eszköz bemeneti adataként.
E bemeneti jelek alapján a szimulációs eszköz automatikusan kiszámítja az e melléklet 1. függelékének B. részében meghatározott ellenőrző vizsgálat (BSEM) során a fékmunkára vonatkoztatott fajlagos mért szennyezőanyag-kibocsátást. Ezeket az eredményeket ezután a 8.13.14. pontnak megfelelően automatikusan beírják a szimulációs eszköz kimenetébe. Az 582/2011/EU rendelet szerinti, az adatok értékelésére (pl. munkaablakok, mozgó átlagolási ablakok), a vizsgálat kezdetére és a lefutásra vonatkozó további követelmények nem alkalmazandók.
Az ellenőrzési vizsgálati eljárás során a szennyezőanyag-kibocsátásra vonatkozó teljesítési/nemteljesítési kritériumokat nem kell alkalmazni.
6. Vizsgálati eljárás
6.1. A jármű előkészítése
A járművet a sorozatgyártásból kell venni, és a 3. pont szerint kell kiválasztani.
6.1.1. A bemeneti információk, a bemeneti adatok és az adatkezelés ellenőrzése
A bemeneti adatok validálásához a kiválasztott járműre vonatkozó gyártói nyilvántartási dokumentum és ügyfél-információs dokumentum adatait kell alapul venni. A kiválasztott jármű jármű-azonosító számának meg kell egyeznie a gyártói nyilvántartási dokumentumban és az ügyfél-információs dokumentumban szereplő jármű-azonosító számmal.
A szimulációs eszköz működtetésére az engedélyt megadó jóváhagyó hatóság kérésére a járműgyártónak 15 munkanapon belül rendelkezésre kell bocsátania a gyártói nyilvántartási dokumentumot, a szimulációs eszköz működtetéséhez szükséges bemeneti információkat és bemeneti adatokat, valamint az összes releváns alkatrész, önálló műszaki egység és rendszer CO2-kibocsátással és tüzelőanyag-fogyasztással kapcsolatos tulajdonságaira vonatkozó tanúsítványt.
6.1.1.1. Az alkatrészek, önálló műszaki egységek és rendszerek, valamint a bemeneti adatok és információk ellenőrzése
A járműre szerelt alkatrészek, önálló műszaki egységek és rendszerek tekintetében a következő ellenőrzéseket kell elvégezni:
a) A szimulációs eszköz adatainak sértetlensége: a gyártói nyilvántartási dokumentum 9. cikk (3) bekezdése szerinti, az ellenőrzési vizsgálati eljárás során a hasheszközzel újraszámított kriptográfiai hashfüggvényének sértetlenségét a megfelelőségi tanúsítványban szereplő kriptográfiai hashfüggvénnyel összehasonlítva kell ellenőrizni;
b) Járműadatok: a jármű-azonosító számnak, a tengelykonfigurációnak, a kiválasztott segédberendezéseknek és teljesítményleadó technológiának, a III. melléklet 6.2. pontja szerinti letiltott sebességfokozatoknak, valamint a VIII. melléklet 3.3.1.5. pontjában meghatározott, aktív aerodinamikai eszközökre vonatkozó követelményeknek meg kell felelniük a kiválasztott járműnek;
c) A szimulációs eszköz bemenetében feltüntetett motornyomaték-határértékeket akkor kell ellenőrizni az ellenőrzési vizsgálati eljárás során, ha azokat a sebességfokozatok legmagasabb 50 %-ára (például 12 sebességfokozatú váltó esetében a 7-12. fokozatokra) vonatkozóan tüntetik fel, és ha az alábbi esetek valamelyike fennáll:
i. járműszinten feltüntetett nyomaték-határérték a III. melléklet 6.1. pontjának megfelelően;
ii. a sebességváltó-alkatrész bemenetében feltüntetett nyomaték-határérték a VI. melléklet 12. függelékének 2. táblázatában szereplő P157 paraméternek megfelelően, továbbá ha a megadott érték nem haladja meg a motor legnagyobb nyomatékának 90 %-át.
A vizsgálat tárgyát képező bármely nyomaték-határérték esetében igazolni kell, hogy a tüzelőanyag-fogyasztás mérése során az adott sebességfokozatban rögzített motornyomaték 99 %-a nem haladja meg 5 %-nál nagyobb mértékben a feltüntetett nyomaték-határértéket. E célból az ellenőrző vizsgálatnak ki kell terjednie a teljesen nyitott fojtószelep szakaszaira az adott sebességfokozatokban. A vizsgálatot az 5.10. pont szerint rögzített motornyomaték alapján kell elvégezni.
A motornyomaték-határérték ellenőrzése elvégezhető olyan külön vizsgálatként is, amely teljes terhelés mellett végzett gyorsulásokat foglal magában, és a vizsgálat értékelésére vonatkozó egyéb kötelezettségeket nem tartalmaz.
d) Az alkatrészekre, önálló műszaki egységekre és rendszerekre vonatkozó adatok: a CO2-kibocsátással és tüzelőanyag-fogyasztással kapcsolatos tulajdonságokra vonatkozó tanúsítványra nyomtatott tanúsítási számnak és modelltípusnak meg kell felelniük a kiválasztott járműbe beépített alkatrésznek, önálló műszaki egységnek vagy rendszernek;
e) A szimulációs eszköz bemeneti adatai és bemeneti információi hashfüggvényének meg kell egyeznie a következő alkatrészek, önálló műszaki egységek vagy rendszerek CO2-kibocsátással és tüzelőanyag-fogyasztással kapcsolatos tulajdonságaira vonatkozó tanúsítványra nyomtatott hashfügvénnyel:
i. motorok;
ii. sebességváltók;
iii. nyomatékátalakítók;
iv egyéb nyomatékátviteli alkatrészek;
v. kiegészítő hajtásláncalkatrészek;
vi. tengelyek;
vii. felépítmény vagy pótkocsi légellenállása;
viii. gumiabroncsok.
6.1.1.2. A jármű tömegének ellenőrzése
A szimulációs eszköz működtetésére engedélyt megadó jóváhagyó hatóság kérésére a tömegek gyártó általi meghatározását az 1230/2012/EU rendelet I. melléklete 2. függelékének 2. pontja szerint kell ellenőrizni. Amennyiben az ellenőrzés hiányzik, meg kell határozni az e rendelet III. melléklete 2. pontjának 4. alpontjában meghatározott korrigált tényleges tömeget.
6.1.1.3. Meghozandó intézkedések
A 6.1.1.1. pont 1-8. alpontjában felsorolt alkatrészek, önálló műszaki egységek vagy rendszerek tanúsítványszámának vagy a rájuk vonatkozó egy vagy több fájl kriptográfiai hashfüggvényének eltérése esetén minden további intézkedés tekintetében a 6.1.1.1. és 6.1.1.2. pont szerinti ellenőrzéseknek megfelelő helyes bemeneti adatfájlok lépnek a helytelen adatok helyébe. Ugyanez vonatkozik a 6.1.1.1. pont b) és c) alpontjában meghatározott bármely más helytelen információra is.
Ha a gyártói nyilvántartási dokumentum és az ügyfél-információs dokumentum eredményeinek ellenőrzése hiányzik, vagy ha nem áll rendelkezésre a 6.1.1.1. pont 1-8. alpontjában felsorolt alkatrészek, önálló műszaki egységek vagy rendszerek CO2-kibocsátással és tüzelőanyag-fogyasztással kapcsolatos tulajdonságaira vonatkozó teljes bemeneti adatkészlet helyes tanúsítvánnyal, akkor az ellenőrző vizsgálatot be kell fejezni, és a jármű nem felel meg az ellenőrzési vizsgálati eljárásban.
6.1.2. Bejáratási szakasz
Sor kerülhet egy, a kilométer-számláló legfeljebb 15 000 km-es állásáig tartó bejáratási szakaszra. A 6.1.1.1. pontban felsorolt bármelyik alkatrész, önálló műszaki egység vagy rendszer sérülése esetén az alkatrészt, önálló műszaki egységet vagy rendszert ki lehet cserélni ugyanolyan tanúsítási számú, egyenértékű alkatrészre, önálló műszaki egységre vagy rendszerre. A cserét a vizsgálati jegyzőkönyvben dokumentálni kell.
A mérések előtt minden érintett lényeges alkatrészt, önálló műszaki egységet vagy rendszert ellenőrizni kell a szokatlan körülmények - például helytelen olajszint, eldugult légszűrő vagy fedélzeti diagnosztikai figyelmeztetések - kizárása érdekében.
6.1.3. A mérőberendezés beállítása
Minden mérőrendszert a berendezés gyártójának előírásai szerint kell kalibrálni. Ha nincsenek ilyen előírások, a berendezésgyártó ajánlásait kell követni a kalibrálás során.
A bejáratási szakaszt követően a járművet fel kell szerelni az 5. pontban meghatározott mérőrendszerekkel.
6.1.4. A vizsgálati jármű összeállítása a tüzelőanyag-fogyasztás méréséhez
6.1.4.1. Járműkonfiguráció
Az I. melléklet 1. és 2. táblázatában meghatározott járműcsoportokba tartozó vontatókat bármilyen típusú félpótkocsival lehet vizsgálni, amennyiben az alábbiakban meghatározott hasznos terhelést alkalmazzák.
Az I. melléklet 1. és 2. táblázatában meghatározott járműcsoportok merev tehergépjárműveit pótkocsival kell vizsgálni, ha fel van szerelve pótkocsi-kapcsolószerkezet. A 6.1.4.2. pontban meghatározott hasznos terhelés szállítására bármilyen felépítmény vagy más eszköz alkalmazható. A merev tehergépjárművek felépítményei eltérhetnek a VIII. melléklet 4. függelékének 2. pontjában meghatározott szabványos felépítményektől.
Az I. melléklet 2. táblázatában meghatározott járműcsoportok furgonjait a teljes vagy befejezett jármű végső felépítményeivel kell vizsgálni.
6.1.4.2. A jármű hasznos terhelése
A 4. és magasabb számú csoportok nehéz tehergépjárművei esetében a jármű hasznos terhelését legalább egy olyan tömegre kell beállítani, amely a 96/53/EK (*) irányelvvel összhangban az adott járműre vagy jármű-kombinációra vonatkozó megengedett legnagyobb össztömeg 90 %-át eredményezi.
Az 1s, 1., 2. és 3. csoportba tartozó nehéz tehergépjárművek, valamint a közepes tehergépjárművek esetében a hasznos terhelésnek a 96/53/EK irányelvvel összhangban az adott járműre vagy jármű-kombinációra vonatkozó megengedett legnagyobb össztömeg 55-75 %-a között kell lennie.
6.1.4.3. A felfújt gumiabroncs nyomása
A gumiabroncsnyomást a gyártó által ajánlott értékre kell beállítani, legfeljebb 10 %-os eltéréssel. A félpótkocsi gumiabroncsai eltérhetnek a 661/2009/EK rendelet II. melléklete B. részének 2. táblázatában a gumiabroncsok CO2-tanúsításához meghatározott standard gumiabroncsoktól.
6.1.4.4. A segédberendezések beállításai
A kiegészítő energiaigényt befolyásoló valamennyi beállítást lehetőség szerint a legkisebb észszerű energiafogyasztásra kell beállítani. A légkondicionálást ki kell kapcsolni, és az utastér szellőzését a közepesnél alacsonyabb tömegáramra kell beállítani. A jármű működtetéséhez nem szükséges további energiafogyasztókat ki kell kapcsolni. Az olyan külső berendezések, amelyek fedélzeti felhasználáshoz biztosítanak energiát, például külső akkumulátorok, csak a 2. táblázatban felsorolt, az ellenőrzési vizsgálati eljáráshoz szükséges kiegészítő mérőberendezések működtetéséhez megengedettek, de nem biztosíthatnak energiát a jármű azon felszereléseinek, amelyek a jármű forgalomba hozatalakor jelen lesznek.
6.1.4.5. Részecskeszűrő regenerációja
A részecskeszűrő regenerációját adott esetben az ellenőrző vizsgálat előtt kell kezdeményezni. Az 582/2011/EU rendelet II. mellékletének 4.6.10. pontja alkalmazandó.
6.1.5. Ellenőrző vizsgálat
6.1.5.1. Az útvonal kiválasztása
Az ellenőrző vizsgálathoz kiválasztott útvonalnak meg kell felelnie a 3. táblázatban meghatározott követelményeknek. Az útvonalak egyaránt tartalmazhatnak közutakat és magánutakat.
6.1.5.2. A jármű előkondicionálása
A 6.1.5.3. pont szerinti előkondicionáláson kívül más előkondicionálás nem megengedett.
6.1.5.3. A jármű bemelegítése
Mielőtt a tüzelőanyag-fogyasztás mérése megkezdődik, a járművet a 3. táblázat szerint bemelegítés céljából vezetni kell. A bemelegedési szakaszt az ellenőrző vizsgálat értékelésekor nem lehet figyelembe venni.
A bemelegítés megkezdése előtt a PEMS (hordozható kibocsátásmérő rendszer) elemzőkészülékeket az 582/2011/EU rendelet II. mellékletének 1. függelékében meghatározott eljárásoknak megfelelően ellenőrizni és kalibrálni kell.
6.1.5.4. A nyomatékmérő berendezés nullázása
A nyomatékmérők nullázását a következő módon kell elvégezni:
- Állítsa le teljesen a járművet.
- Emelje el a talajtól a műszerezett kerekeket oly módon, hogy a kerekek szabadon tudjanak forogni, és a nyomatékérzékelőre ne fejtsenek ki külső nyomatékot.
- Végezze el a nyomatékmérő értékkijelzőinek nullázását. A nullázást kevesebb mint 20 percen belül be kell fejezni.
6.1.5.5. A tüzelőanyag-fogyasztás mérése és a szennyezőanyag-kibocsátási jelek rögzítése
A tüzelőanyag-fogyasztás mérését közvetlenül a keréknyomaték-mérő berendezés nullázása után meg kell kezdeni, miközben a jármű áll. A járművet a mérés alatt olyan vezetési stílusban kell vezetni, amely kerüli a jármű szükségtelen fékezését, a gázpedál pumpálását és az agresszív kanyarodást. A fejlett gépjárművezetés-támogató rendszerek azon beállítását kell alkalmazni, amely a gyújtás ráadásakor automatikusan működésbe lép, a sebességváltásokat pedig az automata rendszernek kell végrehajtania (AMT vagy APT sebességváltók esetében), valamint használni kell az automatikus sebességtartót (adott esetben). A tüzelőanyagfogyasztás-mérés időtartamának a 3. táblázatban megadott tűréseken belül kell lennie. A tüzelőanyag-fogyasztás mérését is a jármű álló helyzetében kell befejezni, közvetlenül a nyomatékmérő berendezés eltolódásának mérése előtt.
A szennyezőanyag-kibocsátás értékelése szempontjából releváns jelek rögzítését legkésőbb a tüzelőanyag-fogyasztás mérésének megkezdésekor meg kell kezdeni és a tüzelőanyag-fogyasztás mérésével együtt kell befejezni.
A szimulációs eszköz bemeneteként meg kell adni a teljes vizsgálati programot, amely a nyomatékmérők nullázását követő leállási fázis utolsó 0,5 másodperces időközével kezdődik és az utolsó leállási fázis első 0,5 másodperces időközével végződik.
6.1.5.6. A nyomatékmérő berendezés eltolódásának mérése
Közvetlenül a tüzelőanyag-fogyasztás mérése után fel kell jegyezni a nyomatékmérő berendezés eltolódását úgy, hogy a nyomatékot ugyanolyan feltételek mellett kell megmérni, mint a nullázási eljárás során. Ha a tüzelőanyag-fogyasztás mérése az eltolódás mérése érdekében történő megállás előtt ér véget, a járművet az eltolódás méréséhez 5 percen belül meg kell állítani. Az egyes nyomatékmérők eltolódását egy minimum 10 másodperces sorozat átlaga alapján kell kiszámítani.
Közvetlenül ezt követően el kell végezni a kibocsátásmérések ellenőrzését az 582/2011/EU rendelet II. melléklete 1. függelékének 2.7. pontjában meghatározott eljárásoknak megfelelően.
6.1.5.7. Az ellenőrző vizsgálat peremfeltételei
A 3-3b. táblázatok tartalmazzák azokat a peremfeltételeket, amelyeket teljesíteni kell ahhoz, hogy az ellenőrző vizsgálat érvényes legyen.
Ha a jármű a 7.3. pont szerint megfelel a hitelesítési vizsgálaton, a vizsgálatot akkor is érvényesnek kell tekinteni, ha a következő feltételek nem teljesülnek:
- az 1., 2., 6. és 9. paraméterre vonatkozó minimális érték alatti érték elérése,
- a 3., 4., 5., 7., 8., 10. és 12. paraméterre vonatkozó maximális érték túllépése,
- a 7. paraméterre vonatkozó maximális értékek túllépése, ha a leálláson kívüli teljes vizsgálati idő meghaladja a 80 percet.
3. táblázat
Az összes járműcsoportra vonatkozó érvényes ellenőrző vizsgálat paraméterei
Sz. | Paraméter | Min. | Max. |
1 | Bemelegítés [perc] | 60 | |
2 | Átlagsebesség a bemelegítés alatt [km/h] | 70 (1) | 100 |
3 | A tüzelőanyag-fogyasztás mérésének időtartama [perc] | 80 | 120 |
8 | Átlagos környezeti hőmérséklet | 5 °C | 30 °C |
9 | Az út száraz | 100 % | |
10 | Az út havas vagy jeges | 0 % | |
11 | Az útvonal tengerszint feletti magassága [m] | 800 | |
12 | Az álló helyzetben való folyamatos üresjárati működés időtartama [perc] | 3 | |
(1) Ha a jármű legnagyobb sebessége kisebb, mint 80 km/h, a bemelegítés alatti átlagsebességnek meg kell haladnia a jármű 10 km/h-val csökkentett végsebességét. |
3a. táblázat
A 4., 5., 9. és 10. járműcsoportra vonatkozó érvényes ellenőrző vizsgálat paraméterei
Sz. | Paraméter | Min. | Max. |
4 | A városi vezetés távolságalapú részaránya | 2 % | 8 % |
5 | Az országúti vezetés távolságalapú részaránya | 7 % | 13 % |
6 | Az autópályán történő vezetés távolságalapú részaránya | 79 % | — |
7 | Az álló helyzetben való üresjárati működés időbeli részaránya | 5 % |
3b. táblázat
Egyéb nehéz és közepes tehergépjárművekre vonatkozó érvényes ellenőrző vizsgálat paraméterei
Sz. | Paraméter | Min. | Max. |
4 | A városi vezetés távolságalapú részaránya | 10 % | 50 % |
5 | Az országúti vezetés távolságalapú részaránya | 15 % | 25 % |
6 | Az autópályán történő vezetés távolságalapú részaránya | 25 % | — |
7 | Az álló helyzetben való üresjárati működés időbeli részaránya | 10 % |
Rendkívüli forgalmi körülmények esetén az ellenőrző vizsgálatot meg kell ismételni.
6.1.6. Adatszolgáltatás
Az ellenőrzési vizsgálati eljárás során rögzített adatokat jelenteni kell a szimulációs eszköz működtetésére engedélyt megadó jóváhagyó hatóságnak a következők szerint:
A rögzített adatokat a 4. táblázatban meghatározott állandó 2 Hz-es gyakoriságú jeltovábbítással kell jelenteni. A 2 Hz-nél nagyobb gyakorisággal rögzített adatokat át kell számítani 2 Hz-re a 2 Hz-es csomópontok körüli időintervallumok átlagolásával. Például 10 Hz-es mintavétel esetén az első 2 Hz-es csomópontot a 0,1-0,5 másodperc átlaga, a második csomópontot pedig a 0,6-1,0 másodperc átlaga határozza meg. Az egyes csomópontok időbélyegzője mindig a csomópont utolsó időbélyegzője, azaz 0,5, 1,0, 1,5 stb. lesz.
4. táblázat
Az ellenőrző vizsgálat során használt szimulációs eszközhöz szükséges mért adatok adatjelentési formátuma
Mennyiség | Egység | Bemeneti adat fejléce | Megjegyzés |
időcsomópont | [s] | <t> | |
járműsebesség | [km/h] | <v> | |
motorfordulatszám | [ford./perc] | <n_eng> | |
motor-hűtőventilátor fordulatszáma | [ford./perc] | <n_fan> | Nem elektromos meghajtású motorhűtő ventilátorok esetében |
motor-hűtőventilátor elektromos teljesítménye | [W] | <Pel_fan> | Elektromos meghajtású motorhűtő ventilátorok esetében |
bal oldali kerék nyomatéka | [Nm] | <tq_wh_left> | |
jobb oldali kerék nyomatéka | [Nm] | <tq_wh_right> | |
bal oldali kerék fordulatszáma | [ford./perc] | <n_wh_left> | |
jobb oldali kerék fordulatszáma | [ford./perc] | <n_wh_right> | |
sebességfokozat | [-] | <gear> | APT sebességváltók esetén kötelező |
Aktív nyomatékátalakító | [-] | <TC_active> | 0 = nem aktív (zárolt); 1 = aktív (nyitott); AT sebességváltók esetében kötelező, más típusú sebességváltók esetében nem releváns |
tüzelőanyag-áram | [g/h] | <fc_X> | az 5.7. ponttal összhangban meghatározott érték (1) A fejlécben az „X” az e rendelet V. melléklete 7. függelékének 2. táblázata szerinti tüzelőanyag-típust jelöli, pl. „<fc_Diesel CI>”. Vegyes üzemű motorok esetében minden egyes tüzelőanyagot külön oszlopban kell feltüntetni. |
Motornyomaték | [Nm] | <tq_eng> | Motornyomaték az 5.10. pont szerint |
CH4 tömegáram | [g/s] | <CH4> | Csak akkor, ha ezt az összetevőt az 582/2011/EU rendelet II. melléklete 1. függelékének 1. pontja értelmében mérni kell |
CO tömegáram | [g/s] | <CO> | |
NMHC tömegáram | [g/s] | <NMHC> | Csak akkor, ha ezt az összetevőt az 582/2011/EU rendelet II. melléklete 1. függelékének 1. pontja értelmében mérni kell |
NOx tömegáram | [g/s] | <NOx> | |
összes szénhidrogén (THC) tömegáram | [g/s] | <THC> | Csak akkor, ha ezt az összetevőt az 582/2011/EU rendelet II. melléklete 1. függelékének 1. pontja értelmében mérni kell |
PM tömegáram | [#/s] | <PN> | |
CO2 tömegáram | [g/s] | ||
(1) A szimulációs eszköz automatikusan a tüzelőanyag-áramot a szabványos NCV-re korrigálja az ellenőrző vizsgálat során használt tüzelőanyag nettó fűtőértékének (NCV) a 4a. táblázat szerinti bemeneti adata alapján. |
Ezenkívül a 4a. táblázatban meghatározott adatokat is jelenteni kell. Ezeket az adatokat az ellenőrzési vizsgálati eljárás értékelésekor közvetlenül a szimulációs eszköz grafikus felhasználói felületébe kell bevinni.
4a. táblázat
Az ellenőrző vizsgálat során használt szimulációs eszközhöz szükséges további információk adatjelentési formátuma
Mennyiség | Egység | Megjegyzés |
Mért NCV | [MJ/kg] | Az ellenőrző vizsgálat során használt tüzelőanyagnak az V. melléklet 3.2. pontja szerint meghatározott nettó fűtőértéke (NCV). Ezt a bemenetet minden tüzelőanyag-típusra, azaz a kompressziós gyújtású dízelmotorokra is meg kell adni (1). Vegyes üzemű motorok esetében mindkét tüzelőanyag értékét meg kell adni. |
Bejáratási távolság | [km] | A 6.1.2. ponttal összhangban Ezen adatok alapján a szimulációs eszköz az 1. függeléknek megfelelően korrigálja a mért tüzelőanyag-fogyasztást. |
Ventilátorátmérő | [mm] | A motorhűtő ventilátor átmérője. Ez a bemenet nem releváns az elektromos motorhűtő ventilátorok esetében. |
Nyomatékmérő eltolódás bal kerék | [Nm] | A nyomatékmérő átlagos leolvasott értékei a 6.1.5.6. pont szerint |
Nyomatékmérő eltolódás jobb kerék | [Nm] | |
(1) Az ellenőrzési vizsgálati eljárás során a járművet kereskedelmi forgalomban beszerezhető dízel tüzelőanyaggal is lehet üzemeltetni. A referencia dízel tüzelőanyag (B7) helyzetével ellentétben a kereskedelmi forgalomban beszerezhető tüzelőanyag NCV-jének változása nagyobb, mint az NCV meghatározása során mért mérési pontosság. |
7. A vizsgálat értékelése
7.1. A szimulációs eszköz bemenete
1. A szimulációs eszközhöz a következő bemeneti adatokat kell rendelkezésre bocsátani: Bemeneti adatok és bemeneti információk;
2. Gyártói nyilvántartási dokumentum;
3. Ügyfél-információs dokumentum;
4. Feldolgozott mérési adatok a 4. táblázat szerint;
5. A 4a. táblázat szerinti további információk.
7.2. A szimulációs eszköz által végzett értékelési lépések
7.2.1. Az adatkezelési folyamat ellenőrzése
A szimulációs eszköznek a 7.1. pontban meghatározott bemeneti információk és bemeneti adatok alapján újra kell szimulálnia a CO2-kibocsátást és a tüzelőanyag-fogyasztást, és ellenőriznie kell a megfelelő eredményeket a gyártói nyilvántartási dokumentumban és a gyártó által biztosított ügyfél-információs dokumentumban.
Eltérés esetén a 23. cikkben említett javító intézkedéseket kell alkalmazni.
7.2.2. A CVTP arány meghatározása
A vizsgálat értékelése során össze kell hasonlítania mérés alatti CO2-kibocsátást a szimulált CO2-kibocsátással. Ehhez az összehasonlításhoz az ellenőrző vizsgálat szempontjából releváns teljes úthoz tartozó, a fékmunkára vonatkoztatott fajlagos mért, illetve szimulált CO2-kibocsátás arányát (CVTP) a szimulációs eszköz a következő egyenlettel számítja ki:

Ahol:
CVTP = Az ellenőrzési vizsgálati eljárás során mért, illetve szimulált CO2-kibocsátás aránya ("CVTP arány")
n = tüzelőanyagok száma (2 vegyes üzemű motorok esetében, egyéb esetben 1)
CO2i = az adott tüzelőanyag-típusra vonatkozó, a szimulációs eszközben alkalmazott általános CO2-kibocsátási tényező (CO2 grammja / tüzelőanyag grammja).
BSFCm-c = az 1. függelék A. részének 2. pontja szerint kiszámított, a bejáratási szakasz során a fékmunkára vonatkoztatott fajlagos mért és korrigált tüzelőanyag-fogyasztás [g/kWh]
BSFCsim = a szimulációs eszköz által az 1. függelék A. részének 3. pontja szerint megállapított, a fékmunkára vonatkoztatott fajlagos tüzelőanyag-fogyasztás [g/kWh]
7.3. A megfelelés/meg nem felelés ellenőrzése
A jármű akkor felel meg az ellenőrző vizsgálaton, ha a 7.2.2. pont szerint meghatározott CVTP-arány nem haladja meg az 5. táblázatban meghatározott tűrést.
A jármű 9. cikk szerinti bejelentett CO2-kibocsátásával való összehasonlítás céljából a jármű ellenőrzött CO2-kibocsátását a következőképpen kell meghatározni:
CO2verified = CVTP × CO2declared
ahol:
CO2verified = a jármű ellenőrzött CO2-kibocsátása [g/t-km]
CO2declared = a jármű bejelentett CO2-kibocsátása [g/t-km]
Ha az első jármű nem felel meg a CVTP tűréseinek, a járműgyártó kérésére két további vizsgálatot lehet végezni ugyanazon a járművön, vagy két hasonló járművön is el lehet végezni a vizsgálatokat. Az 5. táblázatban meghatározott megfelelési kritérium értékeléséhez legfeljebb három vizsgálat során nyert CVTP arányának átlagát kell használni. Ha a megfelelési kritérium nem teljesül, a jármű nem felel meg az ellenőrzési vizsgálati eljárásban.
5. táblázat
Az ellenőrző vizsgálaton való megfelelést/meg nem felelést eldöntő kritérium
Az ellenőrzési vizsgálati eljárásban való megfelelést eldöntő kritérium | CVTP arány ≤ 1,075 |
Amennyiben a CVTP kisebb, mint 0,925, az eredményeket jelenteni kell a Bizottságnak az ok meghatározására irányuló további elemzés céljából.
8. Jelentéstételi eljárások
A járműgyártónak minden vizsgált járműre vonatkozóan vizsgálati jegyzőkönyvet kell kiállítania, amelynek legalább az ellenőrző vizsgálat következő eredményeit tartalmaznia kell:
8.1. Általános adatok
8.1.1. A járműgyártó neve és címe
8.1.2. Az összeszerelő üzem(ek) címe(i)
8.1.3. A járműgyártó által meghatalmazott képviselő neve, címe, telefon- és telefaxszáma és e-mail-címe
8.1.4. Típus és kereskedelmi megnevezés
8.1.5. A jármű és a CO2-kibocsátás szempontjából releváns alkatrészek kiválasztási kritériumai (szöveg)
8.1.6. A jármű tulajdonosa
8.1.7. A kilométer-számláló állása a tüzelőanyag-fogyasztás mérésének kezdetén (km)
8.2. A járműre vonatkozó információk
8.2.1. Járműmodell / kereskedelmi megnevezés
8.2.2. Jármű-azonosító szám (VIN)
8.2.2.1. Ha a vizsgálatot azt követően végezték el, hogy az első járművizsgálat a 7.3. pontban említett tűréseknek való meg nem feleléssel fejeződik be, az elsőként vizsgált jármű jármű-azonosító száma (VIN)
8.2.3. Járműkategória (N2, N3)
8.2.4. Tengelykonfiguráció
8.2.5. A műszakilag megengedhető legnagyobb terhelés (t)
8.2.6. Járműcsoport
8.2.7. A jármű korrigált tényleges tömege (kg)
8.2.8. A gyártói nyilvántartási dokumentumhoz tartozó kriptográfiai hashfüggvény
8.2.9. A járműszerelvény bruttó össztömege az ellenőrző vizsgálat során (kg)
8.2.10. Menetkész tömeg
8.3. A motor fő adatai
8.3.1. Motormodell
8.3.2. A motor tanúsítványszáma
8.3.3. Névleges motorteljesítmény (kW)
8.3.4. Motortérfogat (l)
8.3.5. A motor referencia-tüzelőanyagának típusa (dízel/LPG/CNG...)
8.3.6. A tüzelőanyag-jelleggörbe adatállományához/dokumentumához tartozó hashfüggvény
8.4. A sebességváltó fő adatai
8.4.1. A sebességváltó modellje
8.4.2. A sebességváltó tanúsítványszáma
8.4.3. A veszteségi jelleggörbék előállításához használt fő opció (1. opció/2. opció/3. opció/Standard értékek)
8.4.4. Sebességváltó-típus
8.4.5. A sebességfokozatok száma
8.4.6. Áttétel a legmagasabb sebességfokozatban
8.4.7. Lassítófék típusa
8.4.8. Teljesítményleadó (van/nincs)
8.4.9. A hatékonysági jelleggörbe adatállományához/dokumentumához tartozó hashfüggvény
8.5. A lassítófék fő adatai
8.5.1. A lassítófék modellje
8.5.2. A lassítófék tanúsítványszáma
8.5.3. A veszteségi jelleggörbe előállításához használt tanúsítási opció (standard értékek/mérés)
8.5.4. A lassítófék jelleggörbéjének adatállományához/dokumentumához tartozó hashfüggvény
8.6. A nyomatékátalakító adatai
8.6.1. A nyomatékátalakító modellje
8.6.2. A nyomatékátalakító tanúsítványszáma
8.6.3. A veszteségi jelleggörbe előállításához használt tanúsítási opció (standard értékek/mérés)
8.6.4. A hatékonysági jelleggörbe adatállományához/dokumentumához tartozó hashfüggvény
8.7. A szöghajtás adatai
8.7.1. Szöghajtási modell
8.7.2. A tengely tanúsítványszáma
8.7.3. A veszteségi jelleggörbe előállításához használt tanúsítási opció (standard értékek/mérés)
8.7.4. Szöghajtási arány
8.7.5. A hatékonysági jelleggörbe adatállományához/dokumentumához tartozó hashfüggvény
8.8. A tengely adatai
8.8.1. A tengely modellje
8.8.2. A tengely tanúsítványszáma
8.8.3. A veszteségi jelleggörbe előállításához használt tanúsítási opció (standard értékek/mérés)
8.8.4. Tengelytípus (pl. standard, egyetlen hajtott tengely)
8.8.5. Hátsóhídáttétel
8.8.6. A hatékonysági jelleggörbe adatállományához/dokumentumához tartozó hashfüggvény
8.9. Aerodinamika
8.9.1. Modell
8.9.2. A CdxA érték előállításához használt tanúsítási opció (standard értékek/mérés)
8.9.3. A CdxA tanúsítványszáma (adott esetben)
8.9.4. CdxA érték
8.9.5. A hatékonysági jelleggörbe adatállományához/dokumentumához tartozó hashfüggvény
8.10. A gumiabroncsok fő adatai
8.10.1. Az abroncs tanúsítványszáma valamennyi tengelyen
8.10.2. Az összes abroncs fajlagos gördülési ellenállási együtthatója valamennyi tengelyen
8.11. A segédberendezések fő adatai
8.11.1. A motorhűtő ventilátor technológiája
8.11.1.1. A motorhűtő ventilátor átmérője
8.11.2. A kormányrendszer-szivattyú technológiája
8.11.3. Az elektromos rendszer technológiája
8.11.4. A pneumatikus rendszer technológiája
8.12. Vizsgálati körülmények
8.12.1. A jármű tényleges tömege az ellenőrzési vizsgálati eljárás során (kg)
8.12.2. A jármű tényleges tömege hasznos teherrel az ellenőrzési vizsgálati eljárás során (kg)
8.12.3. Bemelegítési idő (perc)
8.12.4. Átlagsebesség a bemelegítés alatt (km/h)
8.12.5. A tüzelőanyag-fogyasztás mérésének időtartama (perc)
8.12.6. A városi vezetés távolságalapú részaránya (%)
8.12.7. Az országúti vezetés távolságalapú részaránya (%)
8.12.8. Az autópályán történő vezetés távolságalapú részaránya (%)
8.12.9. Az álló helyzetben való üresjárati működés időbeli részaránya (%)
8.12.10. Átlagos környezeti hőmérséklet (°C)
8.12.11. Az út állapota (száraz, nedves, havas, jeges, egyéb: kérjük, adja meg)
8.12.12. Az útvonal legnagyobb tengerszint feletti magassága (m)
8.12.13. Az álló helyzetben való folyamatos üresjárati működés időtartama (perc)
8.13. Az ellenőrző vizsgálat eredményei
8.13.1. Az ellenőrző vizsgálathoz a szimulációs eszköz által számított átlagos ventilátorteljesítmény (kW)
8.13.2. Az ellenőrző vizsgálat alatt a kerék által végzett, a szimulációs eszköz által kiszámított pozitív munka (kWh)
8.13.3. Az ellenőrző vizsgálat alatt a kerék által végzett, mért pozitív munka (kWh)
8.13.4. Az ellenőrző vizsgálat során használt tüzelőanyag NCV-értéke (MJ/kg)
8.13.5. Az ellenőrző vizsgálat alatt mért tüzelőanyag-fogyasztási érték(ek) (g/kWh)
8.13.5.1. Az ellenőrző vizsgálat alatt mért CO2-kibocsátási érték(ek) (g/kWh)
8.13.6. Az ellenőrző vizsgálat alatt mért és korrigált tüzelőanyag-fogyasztási érték(ek) (g/kWh)
8.13.6.1. Az ellenőrző vizsgálat alatt mért és korrigált CO2-kibocsátási érték(ek) (g/kWh)
8.13.7. Az ellenőrző vizsgálat során szimulált tüzelőanyag-fogyasztási érték(ek) (g/kWh)
8.13.7.1. Az ellenőrző vizsgálat során szimulált CO2-kibocsátási érték(ek) (g/kWh)
8.13.8. Az ellenőrző vizsgálat során szimulált tüzelőanyag-fogyasztás (g/kWh)
8.13.8.1. Az ellenőrző vizsgálat során szimulált CO2-kibocsátás (g/kWh)
8.13.9. Felhasználási cél (távolsági / távolsági (EMS) / regionális / regionális (EMS) / városi / helyközi / építőipari)
8.13.10. A jármű ellenőrzött CO2-kibocsátása (g/tkm)
8.13.11. A jármű bejelentett CO2-kibocsátása (g/tkm)
8.13.12. Az ellenőrzési vizsgálati eljárás során mért és szimulált tüzelőanyag-fogyasztás aránya (CVPT) (-)
8.13.13. Megfelelt-e az ellenőrző vizsgálaton (igen/nem)
8.13.14. Szennyezőanyag-kibocsátás az ellenőrző vizsgálat során
8.13.14.1. CO (mg/kWh)
8.13.14.2. Összes szénhidrogén (THC) (**) (mg/kWh)
8.13.14.3. NMHC (***) (mg/kWh)
8.13.14.4. CH4 (***) (mg/kWh)
8.13.14.5. NOx (mg/kWh)
8.13.14.6. A részecskék (PM) száma (#/kWh)
8.13.14.7. Pozitív motormunka (kWh)
8.14. A szoftverrel kapcsolatos és felhasználói információk
8.14.1. A szimulációs eszköz verziója (X.X.X)
8.14.2. A szimuláció dátuma és ideje
8.15. A szimulációs eszköz bemenete a 7.1. pontban meghatározottak szerint
8.16. A szimuláció kimeneti adatai
8.16.1. Az összesített szimulációs eredmények
A szimulációs eszköz által a grafikus felhasználói felület (GUI) verziójában generált szimulált ellenőrző vizsgálat összesített eredményeit tartalmazó, vesszővel elválasztott értékfájl, amelynek neve megegyezik a munkaköri dossziéval, kiterjesztése pedig ".vsum" ("sum exec adatfájl").
8.16.2. Az időfelbontásos szimulációs eredmények
A szimulációs eszköz által a grafikus felhasználói felület (GUI) verziójában generált szimulált ellenőrző vizsgálat időfelbontásos szimulációs eredményeit tartalmazó, vesszővel elválasztott értékfájl, amelynek neve a jármű-azonosító számból és a mérési adatokat tartalmazó fájl nevéből tevődik össze, kiterjesztése pedig ".vsum" ("mod adatfájl").
1. függelék
A szimulációs eszköz által az ellenőrzési vizsgálati eljárás szimulációja során végzett főbb értékelési lépések és egyenletek
Ez a függelék az ellenőrzési vizsgálati eljárás szimulációja során a szimulációs eszköz által alkalmazott főbb értékelési lépéseket és a mögöttes alapegyenleteket írja le.
A. RÉSZ: A CVTP tényező meghatározása
A CVTP tényező 7.2.2. pont szerinti meghatározásához az alábbi számítási eljárásokat kell alkalmazni:
1. A kerékteljesítmény kiszámítása
A 4. táblázat szerinti feldolgozott mérési adatokból leolvasott, a nyomatékra vonatkozó adatokat a nyomatékmérő eltolódásával a következőképpen kell helyesbíteni:

ahol:
i = a hajtott tengely bal és jobb oldali kerekét jelölő index
Tcorr = az eltolódással helyesbített nyomatékjel [Nm]
T = nyomatékjel az eltolódással történő helyesbítés előtt [Nm]
Tdrift = nyomatékmérő eltolódása az ellenőrzési vizsgálat végén az eltolódás ellenőrzése során rögzítettek szerint [Nm]
t = időcsomópont [s]
tstart = az első időbélyegző a feldolgozott mérési adatokban a 4. táblázat szerint [s]
tend = az utolsó időbélyegző a feldolgozott mérési adatokban a 4. táblázat szerint [s]
A kerékteljesítményt a helyesbített keréknyomatékból és kerékfordulatszámból kell kiszámítani a következők szerint:

ahol:
i = a hajtott tengely bal és jobb oldali kerekét jelölő index
t = időcsomópont [s]
Pwheel = kerékteljesítmény [kW]
nwheel = kerékfordulatszám [ford./perc]
Tcorr = az eltolódással helyesbített nyomatékjel [Nm]
A teljes kerékteljesítményt ezután a bal és jobb oldali kerék teljesítményének összegeként kell kiszámítani:

2. A fékmunkára vonatkoztatott fajlagos mért tüzelőanyag-fogyasztás meghatározása (FCm-c)
A "bejáratási szakasz során a fékmunkára vonatkoztatott fajlagos mért és korrigált tüzelőanyag-fogyasztás" (BSFCm-c) 7.2.2. pont szerinti eredményét a szimulációs eszköz számítja ki az alábbiakban leírtak szerint.
Első lépésben az ellenőrzési vizsgálat során a fékmunkára vonatkoztatott fajlagos mért BSFCm tüzelőanyag-fogyasztás nyers értékét a következőképpen kell kiszámítani:

ahol:
BSFCm = az ellenőrzési vizsgálat során a fékmunkára vonatkoztatott fajlagos mért tüzelőanyag-fogyasztás nyers értéke [g/kWh]
FCm (t) = az ellenőrzési vizsgálat során mért pillanatnyi tüzelőanyag-tömegáram [g/s]
Δt = időosztás időtartama = 0,5 [s]
Wwheel,pos,m = az ellenőrzési vizsgálat során mért pozitív kerékmunka [kWh]

A második lépésben a BSFCm értékét helyesbíteni kell az ellenőrzési vizsgálathoz használt tüzelőanyag nettó fűtőértékével, miáltal megkapjuk a BSFCm,corr értéket:

ahol:
BSFCm,corr = az ellenőrzési vizsgálat során a fékmunkára vonatkoztatott fajlagos mért tüzelőanyag-fogyasztásnak az NCV hatásával helyesbített értéke [g/kWh]
NCVmeas = az ellenőrző vizsgálat során használt tüzelőanyagnak az V. melléklet 3.2. pontja szerint meghatározott NCV-értéke [MJ/kg]
NCVstd = szabványos NCV az V. melléklet 5.4.3.1. pontjában található 5. táblázat szerint [MJ/kg]
Ez a helyesbítés minden tüzelőanyag-típusra vonatkozik, azaz a kompressziós gyújtású dízelmotorokra is (lásd a 4a. táblázat 2. lábjegyzetét).
A harmadik lépésben a bejáratási szakaszra vonatkozó helyesbítést kell alkalmazni:

ahol:
BSFCm-c = a bejáratási szakasz során a fékmunkára vonatkoztatott fajlagos mért és korrigált tüzelőanyag-fogyasztás
ef = 0,98-os változási együttható
futásteljesítmény = bejáratási távolság [km]
Vegyes üzemű járművek esetében mindhárom értékelési lépésre külön-külön kerül sor mindkét tüzelőanyag esetében.
3. A szimulációs eszköz által szimulált, a fékmunkára vonatkoztatott fajlagos tüzelőanyag-fogyasztás (BSFCsim) meghatározása
A szimulációs eszköz ellenőrző vizsgálati üzemmódjában a mért kerékteljesítményt alkalmazza a fordított szimulációs algoritmus bemeneti adataként. Az ellenőrzési vizsgálat során alkalmazott sebességfokozatok meghatározásához kiszámítja a jármű mért sebessége mellett a sebességfokozatokhoz tartozó motorfordulatszámokat, és kiválasztja azt a sebességfokozatot, amely a mért motorfordulatszámhoz legközelebb eső motorfordulatszámot biztosítja. Az APT sebességváltók esetében az aktív nyomatékátalakítót alkalmazó szakaszok alatt a mérésből származó tényleges sebességfokozat-jelet kell használni.
A tengelyáttételre, a szögmeghajtásra, a lassítófékekre, a sebességváltókra és a teljesítményleadókra vonatkozó veszteségmodelleket a szimulációs eszköz bejelentési módjához hasonló módon kell alkalmazni.
A kormányrendszer-szivattyú, a pneumatikus rendszer, az elektromos rendszer és a HVAC rendszer teljesítményigényéhez a szimulációs eszközben alkalmazott általános értékeket kell alkalmazni. A motorhűtő ventilátor teljesítményigényének kiszámításához a következő képleteket kell alkalmazni:
a) eset: Nem elektromos meghajtású motorhűtő ventilátorok:

ahol:
Pfan = a motorhűtő ventilátor teljesítményigénye [kW]
t = időcsomópont [s]
nfan = a ventilátor mért fordulatszáma [ford./perc]
Dfan = a ventilátor átmérője [mm]
C1 = 7,32 kW
C2 = 1 200 ford./perc
C3 = 810 mm
b) eset: Elektromos meghajtású motorhűtő ventilátorok:
Pfan(t) = P el(t) . 1,05
Pfan = a motorhűtő ventilátor teljesítményigénye [kW]
t = időcsomópont [s]
Pel = a motorhűtő ventilátorának (ventilátorainak) csatlakozóin az 5.6.1. pont szerint mért elektromos teljesítmény.
Azon járművek esetében, amelyeknél az ellenőrzési vizsgálat során a motor leállásával-újraindításával járó események következtek be, a kiegészítő energiaigény és a motor újraindításához szükséges energia tekintetében a szimulációs eszköz bejelentési üzemmódjában alkalmazotthoz hasonló korrekciókat kell alkalmazni.
A motorok pillanatnyi tüzelőanyag-fogyasztásának szimulációját FCsim(t) minden 0,5 másodperces időtartamra el kell végezni az alábbiak szerint:
- Interpoláció a motor tüzelőanyag-fogyasztási jelleggörbéjéből a mért motorfordulatszám és a visszafelé számítás alapján kapott motornyomaték felhasználásával, beleértve a mért motorfordulatszám alapján kiszámított motortehetetlenségi nyomatékot is
- A fent meghatározott motornyomaték-igény a motor tanúsított teljes terhelés melletti teljesítményére korlátozódik. Ezekre az időintervallumokra a fordított szimulációban a kerékteljesítmény ennek megfelelően csökken. A BSFCsim alább meghatározott kiszámítása során ezt a szimulált kerékteljesítmény-pályát (Pwheel,sim(t)) kell figyelembe venni.
- Olyan WHTC-korrekciós tényezőt alkalmaznak, amely megfelel a városi, országúti és autópályán megtett szakasznak a 2. pont 8-10. alpontja szerinti fogalommeghatározások és a mért járműsebesség alapján történő kiosztásának.
A szimulációs eszköz által a 7.2.2. pontban a CVTP-tényező kiszámításához alkalmazott, a fékmunkára vonatkoztatott fajlagos tüzelőanyag-fogyasztást (BSFCm-c) a következőképpen kell kiszámítani:

ahol:
BSFCsim = a szimulációs eszköz által az ellenőrzési vizsgálathoz meghatározott, a fékmunkára vonatkoztatott fajlagos tüzelőanyag-fogyasztás [g/kWh]
t = időcsomópont [s]
FCsim = motorok pillanatnyi tüzelőanyag-fogyasztása [g/s]
Δt = időosztás időtartama = 0,5 [s]
FCESS,corr = a tüzelőanyag-fogyasztásnak a szimulációs eszköz bejelentési üzemmódjában alkalmazott korrekciója a motor leállításából-újraindításából eredő kiegészítő energiaigény (ESS) tekintetében [g]
Wwheel,pos,sim = a szimulációs eszköz által az ellenőrzési vizsgálathoz meghatározott pozitív kerékmunka [kWh]

fs = szimulációs gyakoriság = 2 [Hz]
Pwheel,sim = az ellenőrző vizsgálathoz szimulált kerékteljesítmény [kW]
Vegyes üzemű motorok esetében a BSFCsim értékét mindkét tüzelőanyagra külön-külön kell meghatározni.
B. RÉSZ: A fékmunkára vonatkoztatott fajlagos szennyezőanyag-kibocsátás meghatározása
A motorteljesítményt a motor fordulatszámának és nyomatékának mért jeleiből kell kiszámítani az alábbiak szerint:

ahol:
Peng,m = az ellenőrző vizsgálathoz szimulált motorteljesítmény [kW]
t = időcsomópont [s]
neng = mért motorfordulatszám [ford./perc]
Teng = mért motornyomaték [Nm]
Az ellenőrzési vizsgálat során mért pozitív motormunkát a következőképpen kell kiszámítani:

Weng,pos,m = a motornak az ellenőrzési vizsgálat során mért pozitív munkája [kWh]
fs = mintavételi gyakoriság = 2 [Hz]
tstart = az első időbélyegző a feldolgozott mérési adatokban a 4. táblázat szerint [s]
tend = az utolsó időbélyegző a feldolgozott mérési adatokban a 4. táblázat szerint [s]
A BSEM ellenőrzési vizsgálat során a fékmunkára vonatkoztatott fajlagos mért szennyezőanyag-kibocsátást a következőképpen kell kiszámítani:

ahol:
BSEM = az ellenőrzési vizsgálat során a fékmunkára vonatkoztatott fajlagos mért szennyezőanyag-kibocsátás [g/kWh]
EM = az ellenőrzési vizsgálat során mért pillanatnyi szennyezőanyag-kibocsátási tömegáram [g/s]
(*) A Tanács 96/53/EK irányelve (1996. július 25.) a Közösségen belül közlekedő egyes közúti járművek nemzeti és a nemzetközi forgalomban megengedett legnagyobb méreteinek, valamint a nemzetközi forgalomban megengedett legnagyobb össztömegének megállapításáról (HL L 235., 1996.9.17., 59. o.).
(**) Csak akkor, ha ezt az összetevőt az 582/2011/EU rendelet II. melléklete 1. függelékének 1. pontja értelmében mérni kell.
(***) Szikragyújtású motorok esetében.
Xb. MELLÉKLET
AZ ELEKTROMOS ERŐÁTVITELI RENDSZER ALKATRÉSZEINEK TANÚSÍTÁSA
1. Bevezetés
Az e mellékletben leírt alkatrészvizsgálati eljárásoknak az elektromos géprendszerekre, az IEPC-re, az 1. típusú IHPC-re, az akkumulátorrendszerekre és a kondenzátorrendszerekre vonatkozó bemeneti adatokat kell szolgáltatniuk a szimulációs eszköz számára.
2. Fogalommeghatározások és rövidítések
E melléklet alkalmazásában:
1. "akkumulátorvezérlő egység" vagy "BCU": az akkumulátorrendszer elektromos és termikus funkcióit ellenőrző, kezelő, érzékelő vagy kiszámító elektronikus eszköz, és amely kommunikációt biztosít az akkumulátorrendszer, az akkumulátorcsomag vagy az akkumulátorcsomag egy része és más járművezérlők között;
2. "akkumulátorcsomag": olyan REESS (újratölthető elektromosenergia-tároló rendszer), amely rendes körülmények között cellaelektronikával, tápáramkörrel és túláramvédelmi kikapcsolóeszközzel összekapcsolt másodlagos cellákat vagy másodlagos cellaegységeket, valamint villamosenergia-összeköttetéseket és a külső rendszerek interfészeit (a külső rendszerek közé tartoznak például a hőmérsékleti kondicionálásra szolgáló rendszerek, a nagyfeszültségű és kisfeszültségű segédberendezések és a kommunikációs rendszerek) foglalja magában;
3. "akkumulátorrendszer": olyan REESS, amely másodlagos cellaegységekből vagy akkumulátorcsomag(ok)ból, valamint elektromos áramkörökből, elektronikából, külső rendszerek interfészeiből (pl. hőmérsékleti kondicionálásra szolgáló rendszer), BCU-kból és kontaktorokból áll;
4. "reprezentatív akkumulátor-alrendszer": az akkumulátorrendszer olyan alrendszere, amely vagy másodlagos cellaegységekből, vagy soros és/vagy párhuzamos konfigurációjú akkumulátorcsomag(ok)ból, valamint elektromos áramkörökből, a hőmérsékleti kondicionálásra szolgáló rendszer interfészeiből, vezérlőegységekből és cellaelektronikából áll;
5. "cella": az akkumulátor alapvető funkcionális egysége, amely elektródákból, elektrolitokból, tartályból, érintkezőkből és - általában - elválasztókból áll, amely olyan elektromos energiaforrás, amely kémiai energia közvetlen átalakulása útján keletkezik;
6. "cellaelektronika": olyan elektronikus eszköz, amely összegyűjti és lehetőség szerint nyomon követi a cellák vagy cellaegységek, illetve kondenzátorok vagy kondenzátoregységek termikus vagy elektromos adatait, és amely szükség esetén a cellák vagy kondenzátorok kiegyensúlyozására szolgáló elektronikát foglal magában;
7. "másodlagos cella": reverzibilis kémiai reakció útján elektromosan újratölthető cella;
8. "kondenzátor": elektrokémiai cellában az elektrosztatikus kettős réteg kapacitás és az elektrokémiai pszeudokapacitás hatására nyert villamos energia tárolására szolgáló eszköz;
9. "kondenzátorcella": a kondenzátor alapvető funkcionális egysége, amely elektródákból, elektrolitokból, tartályokból, érintkezőkből és általában elválasztókból áll;
10. "kondenzátorvezérlő egység" vagy "CCU": a kondenzátorrendszer elektromos és termikus funkcióit ellenőrző, kezelő, érzékelő vagy kiszámító elektronikus eszköz, és amely kommunikációt biztosít a kondenzátorrendszer, a kondenzátorcsomag vagy a kondenzátorcsomag egy része és más járművezérlők között;
11. "kondenzátorcsomag": olyan REESS, amely rendes körülmények között kondenzátorcella-elektronikával, tápáramkörökkel és túláramvédelmi kikapcsolóeszközzel összekapcsolt kondenzátorcellákat vagy kondenzátoregységeket, valamint villamosenergia-összeköttetéseket, a külső rendszerek interfészeit és CCU-t foglalja magában. A külső rendszerek közé tartoznak például a hőmérsékleti kondicionálásra szolgáló rendszerek, a nagyfeszültségű és kisfeszültségű segédberendezések és a kommunikációs rendszerek;
12. "kondenzátorrendszer": olyan REESS, amely kondenzátorcellákból vagy kondenzátoregységekből vagy kondenzátorcsomag(ok)ból, valamint elektromos áramkörökből, elektronikából, külső rendszerek interfészeiből (pl. hőmérsékleti kondicionálásra szolgáló rendszer), CCU-kból és kontaktorokból áll;
13. "reprezentatív kondenzátor-alrendszer": a kondenzátorrendszer olyan alrendszere, amely vagy kondenzátoregységekből, vagy soros és/vagy párhuzamos konfigurációjú kondenzátorcsomag(ok)ból, valamint elektromos áramkörökből, a hőmérsékleti kondicionálásra szolgáló rendszer interfészeiből, vezérlőegységekből és kondenzátorcella-elektronikából áll;
14. "nC": az egyórás kisütési kapacitás n-szeresével egyenlő áramráta amperben kifejezve (azaz az az áram, amelyen a névleges teljesítmény alapján a vizsgált eszköz teljes feltöltése vagy lemerítése 1/n órát vesz igénybe);
15. "fokozatmentes sebességváltó" vagy "CVT": olyan automata sebességváltó, amely folyamatos sebességfokozat-tartományban zökkenőmentesen tud váltani;
16. "differenciálmű": olyan készülék, amely a nyomatékot két ágra osztja, pl. a bal és jobb oldali kerekekhez, fordulatszám-különbség lehetővé tétele mellett. A nyomatékfelező funkciót differenciálfék- vagy differenciálzár torzíthatja vagy kikapcsolhatja (adott esetben);
17. "differenciálmű áttételi aránya": a differenciálmű bemeneti fordulatszámának (az elsődleges hajtási energiaátalakító felé) a differenciálmű kimeneti fordulatszámához (a hajtott kerekek felé) viszonyított aránya, miközben a differenciálmű két kimenőtengelyének fordulatszáma azonos;
18. "hajtáslánc": az erőátviteli rendszer azon összekapcsolt elemeiből áll, amelyek a mechanikai energiának a hajtóenergia-átalakító(k) és a kerekek közötti átvitelére szolgálnak;
19. "elektromos gép" (EM): olyan energiaátalakító, amely az elektromos energiát mechanikai energiává alakítja át;
20. "elektromos géprendszer": az elektromos erőátviteli rendszer járműbe beépített alkatrészeinek kombinációja, amely elektromos gépből, inverterből és elektronikus vezérlőegység(ek)ből, valamint a külső rendszerek csatlakozásaiból és interfészeiből áll;
21. "az elektromos gép típusa": lehet a) aszinkron gép (ASM), b) gerjesztett szinkrongép (ESM), c) állandó mágneses szinkrongép (PSM) vagy d) reluktanciamotor (RM);
22. "ASM": aszinkron elektromos géptípus, amelyben a forgatónyomaték előállításához szükséges forgórész elektromos áramát az állórész tekercselésének elektromágneses indukciójával nyerik;
23. "ESM": gerjesztett elektromos szinkrongép-típus, amely az állórészen többfázisú váltakozó áramú elektromágneseket tartalmaz, amelyek olyan mágneses teret hoznak létre, amely a vonaláram ingadozásaival együtt forog. A forgórészhez gerjesztés céljából egyenáramot kell biztosítani;
24. "PSM": állandó mágneses elektromos szinkrongép-típus, amely az állórészen többfázisú váltakozó áramú elektromágneseket tartalmaz, amelyek olyan mágneses teret hoznak létre, amely a vonaláram ingadozásaival együtt forog. Az acél forgórészbe ágyazott állandó mágnesek állandó mágneses teret hoznak létre;
25. "RM": elektromos reluktanciamotor-típus, amely az állórészen többfázisú váltakozó áramú elektromágneseket tartalmaz, amelyek olyan mágneses teret hoznak létre, amely a vonaláram ingadozásaival együtt forog. Nem állandó mágneses pólusokat hoz létre a ferromágneses forgórészen, amely nem rendelkezik tekercseléssel. Forgatónyomatékot mágneses reluktancia révén generál;
26. "burkolat": az alkatrész integrált és szerkezeti része, amely a belső egységeket burkolja be, és véd a bármely irányú közvetlen érintéstől;
27. "energiaátalakító": olyan rendszer, ahol a kimeneti energiaforma eltér a bemeneti energiaformától,
28. "hajtóenergia-átalakító": az erőátviteli rendszer olyan energiaátalakítója, amely nem periférikus berendezés, és amelynek kimeneti energiája közvetlenül vagy közvetve a jármű meghajtására szolgál;
29. "a hajtóenergia-átalakító kategóriái": i. belső égésű motor vagy ii. elektromos gép vagy iii. üzemanyagcella;
30. "energiatároló rendszer": olyan rendszer, amely energiát tárol és azt a bemenő energiával megegyező energiaformában adja le;
31. "hajtóenergia-tároló rendszer": az erőátviteli rendszer olyan energiatároló rendszere, amely nem periférikus berendezés, és amelynek kimeneti energiája közvetlenül vagy közvetve a jármű meghajtására szolgál;
32. "a hajtóenergia-tároló rendszer kategóriái": i. üzemanyag-tároló rendszer vagy ii. újratölthető, elektromos energiát tároló rendszer vagy iii. újratölthető, mechanikai energiát tároló rendszer;
33. "energiaforma": i. elektromos energia vagy ii. mechanikai energia vagy iii. kémiai energia (a tüzelőanyagokat is ideértve);
34. "tüzelőanyag-tároló rendszer": olyan hajtóenergia-tároló rendszer, amely a kémiai energiát folyékony vagy gáz-halmazállapotú tüzelőanyag formájában tárolja;
35. "sebességváltó": nyomatékot és fordulatszámot változtató eszköz minden sebességfokozathoz meghatározott áttételekkel, amely magában foglalhatja a kapcsolható sebességfokozatok működését is;
36. "sebességfokozatok száma": meghatározott áttételi arányokkal rendelkező sebességváltóban a különböző kapcsolható előremeneti sebességfokozatok azonosítója; a legmagasabb áttételi aránnyal rendelkező kapcsolható sebességfokozat az 1-es számot kapja; az azonosítószám minden egyes sebességfokozat esetében az áttételi arányok csökkenő sorrendjében 1-gyel növekszik;
37. "áttételi arány": a bemenő tengely fordulatszámának (az elsődleges hajtási energiaátalakító felé) a kimenőtengely fordulatszámához (a hajtott kerék felé) viszonyított aránya előremenetben csúszás nélkül;
38. "nagy energiájú akkumulátorrendszer" vagy "HEBS": olyan akkumulátorrendszer vagy reprezentatív akkumulátor-alrendszer, amelynél az alkatrész gyártója által az 5.4.2.3.2. pont alapján 50 %-os töltöttségi szintre A-ban megadott legnagyobb kisütési áram és a szobahőmérsékleten 1C kisülési ráta mellett Ah-ban kifejezett névleges elektromos töltésteljesítmény közötti számarány kisebb, mint 10;
39. "nagy teljesítményű akkumulátorrendszer" vagy "HPBS": olyan akkumulátorrendszer vagy reprezentatív akkumulátor-alrendszer, amelynél az alkatrész gyártója által az 5.4.2.3.2. pont alapján 50 %-os töltöttségi szintre A-ban megadott legnagyobb kisütési áram és a szobahőmérsékleten 1C kisülési ráta mellett Ah-ban kifejezett névleges elektromos töltésteljesítmény közötti számarány legalább 10;
40. "az integrált elektromos erőátviteli rendszer alkatrésze" vagy "IEPC": egy- vagy többsebességes sebességváltó, differenciálmű vagy mindkettő funkciójával rendelkező, elektromos géprendszerből álló kombinált rendszer, amelyet az alábbi jellemzők közül legalább egy jellemez:
- legalább két alkatrészt tartalmazó közös burkolat,
- közös kenőkör legalább két alkatrészhez,
- közös hűtőkör legalább két alkatrészhez,
- közös elektromos csatlakozás legalább két alkatrészhez.
Ezenkívül az IEPC-nek meg kell felelnie a következő kritériumoknak:
- Csak a jármű hajtott kerekei felé irányuló kimenőtengellyel (tengelyekkel) rendelkezhet, és nem rendelkezhet a hajtónyomatéknak a rendszerbe történő továbbítására szolgáló bemenő tengellyel (tengelyekkel).
- Abban az esetben, ha az IEPC több elektromos géprendszer részét képezi, minden elektromos gépet egyetlen egyenáramú áramforráshoz kell csatlakoztatni az e melléklettel összhangban végzett valamennyi vizsgálati menet során.
- Amennyiben a többsebességes sebességváltó funkcióit is magában foglalja, csak elkülönülő fordulatszám-lépésközök alkalmazhatók;
41. "IEPC kialakítású kerékmotor": olyan IEPC, amelynek egy kimenőtengelye vagy két kimenőtengelye közvetlenül kapcsolódik a kerékagy(ak)hoz, és ahol e melléklet alkalmazásában két konfigurációt kell megkülönböztetni:
- "L" konfiguráció: Egy kimenőtengely esetében ugyanazt az alkatrészt kétszer szerelik be szimmetrikusan (azaz egy a jármű bal és egy a jobb oldalán, azonos kerékhelyzetben, hosszirányban),
- "T" konfiguráció: Két kimenőtengely esetében csak egyetlen alkatrészt szerelnek fel úgy, hogy az egyik kimenőtengely a jármű bal oldalához, a másik pedig a jobb oldalához van csatlakoztatva, azonos kerékhelyzetben, hosszanti irányban;
42. "az 1. típusú integrált hibrid elektromos jármű erőátviteli rendszerének alkatrésze" vagy "1. típusú IHPC": a többsebességes sebességváltó funkciójával rendelkező, több elektromos géprendszerből álló kombinált rendszer, amelyet az összes alkatrészt tartalmazó közös burkolat és az alábbi jellemzők közül legalább egy jellemez:
- közös kenőkör legalább két alkatrészhez,
- közös hűtőkör legalább két alkatrészhez,
- közös elektromos csatlakozás legalább két alkatrészhez.
Ezenkívül az 1. típusú IHPC-nek meg kell felelnie a következő kritériumoknak:
- Csak egy bemenő tengellyel rendelkezhet a hajtónyomatéknak a rendszerbe történő továbbítására, és csak egy, a jármű hajtott kerekei felé irányuló kimenőtengellyel.
- Az e mellékletnek megfelelően végrehajtott valamennyi vizsgálati menethez csak elkülönülő fordulatszám-lépésközöket szabad használni.
- Az 1. típusú IHPC-nek lehetővé kell tennie az erőátviteli rendszer párhuzamos hibridként történő működését (legalább egy meghatározott üzemmódban, az e mellékletnek megfelelően végrehajtott valamennyi vizsgálati menet során).
- Az 1. típusú IHPC-nek a VI. melléklet szerinti sebességváltó-vizsgálat során a 4.4.1.2. pont b) alpontjának megfelelően kikapcsolt áramellátás mellett is vizsgálhatónak kell lennie.
- Valamennyi elektromos gépet egyetlen egyenáramú áramforráshoz kell csatlakoztatni az e melléklet szerint végrehajtott valamennyi vizsgálati menet során.
- Az IHPC 1. típuson belüli sebességváltórész nem üzemeltethető fokozatmentes sebességváltóként az e mellékletnek megfelelően végrehajtott egyik vizsgálati menet során sem.
- A hidrodinamikus nyomatékátalakító nem lehet része az 1. típus IHPC-nek;
43. "belső égésű motor" vagy "ICE": olyan energiaátalakító, amelynek az éghető tüzelőanyag szakaszos vagy folyamatos oxidációja révén a kémiai energiát mechanikai energiává alakítja át;
44. "inverter": olyan elektromos energiaátalakító, amely egyfázisú vagy többfázisú váltakozó árammá alakítja az elektromos áramot;
45. "periférikus berendezés": minden olyan energiafogyasztó, -átalakító, -tároló vagy -ellátó berendezés, amelynél az energia sem közvetlenül, sem közvetve nem a jármű meghajtására szolgál, de amely lényeges az erőátviteli rendszer üzemeltetéséhez, és emiatt az erőátviteli rendszer részének számít;
46. "erőátviteli rendszer": a jármű hajtóenergia-tároló rendszerének (rendszereinek), hajtóenergia-átalakítójának (átalakítóinak) és hajtásláncának (láncainak) összessége, amelyek mechanikai energiát juttatnak a kerekekhez a jármű meghajtása céljából, továbbá a periférikus berendezések;
47. "névleges teljesítmény": a teljesen feltöltött akkumulátorból kihozható amperórák száma az 5.4.1.3. ponttal összhangban;
48. "névleges fordulatszám": az elektromos géprendszer azon legnagyobb fordulatszáma, amelynél a legnagyobb össznyomaték előfordul;
49. "szobahőmérséklet" vagy "RT": a vizsgálókamrán belüli környezeti levegő hőmérsékletének (25 ± 10) °C-nak kell lennie;
50. "töltöttségi szint" vagy "SOC": az akkumulátorrendszerben tárolt rendelkezésre álló elektromos töltés az 5.4.1.3. pont szerinti névleges teljesítmény százalékában kifejezve (ahol 0 % üres, 100 % pedig teli);
51. "vizsgált egység" vagy "UUT": a ténylegesen vizsgálandó IEPC vagy 1. típusú IHPC elektromos géprendszer;
52. "vizsgált akkumulátoregység": a ténylegesen vizsgálandó akkumulátorrendszer vagy reprezentatív akkumulátor-alrendszer;
53. "vizsgált kondenzátoregység": a ténylegesen vizsgálandó kondenzátorrendszer vagy a reprezentatív kondenzátor-alrendszer.
E melléklet alkalmazásában:
AC Váltakozó áram
DC Egyenáram
DCIR Egyenáram belső ellenállása
EMS Elektromos géprendszer
OCV Nyitott áramköri feszültség
SC Szabványos ciklus
3. Általános követelmények
A kalibrálásra szolgáló laboratóriumi létesítményeknek meg kell felelniük az IATF 16949 szabvány, az ISO 9000 szabványsorozat vagy az ISO/IEC 17025 szabvány követelményeinek. Valamennyi laboratóriumi referenciamérésre szolgáló berendezésnek, amelyet kalibrálásra és/vagy ellenőrzésre használnak, a nemzeti vagy a nemzetközi szabványokra visszavezethetőnek kell lennie.
3.1. A mérőberendezésekre vonatkozó előírások
A mérőberendezéseknek az alábbi követelményeknek kell megfelelniük:
1. táblázat
A mérőrendszerekre vonatkozó követelmények
Mérőrendszer | Pontosság (1) |
Fordulatszám | az elemző mért értékének 0,5 %-a vagy a fordulatszám max. kalibrálásának 0,1 %-a (2), amelyik nagyobb |
Nyomaték | az elemző mért értékének 0,6 %-a vagy a nyomaték max. kalibrálásának 0,3 %-a (2) vagy 0,5 Nm, amelyik nagyobb |
Áramerősség | az elemző mért értékének 0,5 %-a vagy az áramerősség max. kalibrálásának 0,25 %-a (2) vagy 0,5 A, amelyik nagyobb |
Feszültség | az elemző mért értékének 0,5 %-a vagy a feszültség max. kalibrálásának 0,25 %-a (2), amelyik nagyobb |
Hőmérséklet | 1,5 K |
(1) „Pontosság”: az elemzőberendezés által mért érték egy olyan referenciaértéktől való eltérésének abszolút értéke, amely visszavezethető valamely nemzeti vagy nemzetközi szabványra. (2) A „legnagyobb kalibrációs” érték az adott mérőrendszerre vonatkozóan az e melléklet szerint elvégzett adott vizsgálat során várható legnagyobb előrejelzett érték 1,1-eszerese. |
Többpontos kalibrálás megengedett, ami azt jelenti, hogy a mérőrendszert a mérőrendszer kapacitásánál kisebb névleges értékig lehet kalibrálni.
3.2. Adatrögzítés
A hőmérséklet kivételével minden mérési adatot legalább 100 Hz gyakorisággal kell mérni és rögzíteni. A hőmérséklet esetén elegendő a legalább 10 Hz mérési gyakoriság.
Jelszűrést a jóváhagyó hatósággal való megállapodás alapján lehet alkalmazni. Bármilyen alul-mintavételezési hatás kerülendő.
4. Elektromos géprendszerek, IEPC-k és 1. típusú IHPC-k vizsgálata
4.1. Vizsgálati körülmények
A vizsgált egységet be kell szerelni, és a mérendő áramot, feszültséget, az elektromosinverter-teljesítményt, a fordulatszámot és a nyomatékot az 1. ábra és a 4.1.1. pont szerint kell meghatározni.
1. ábra
Az elektromos géprendszer vagy az IEPC mérésére vonatkozó rendelkezések

4.1.1. A teljesítményadatok egyenletei
A teljesítményadatokat a következő képlet szerint kell kiszámítani:
4.1.1.1. Inverter teljesítménye
Az inverterbe, illetve az inverterből (vagy adott esetben a DC/DC-átalakítóba/-ból) érkező villamos energiát a következő egyenlettel kell kiszámítani:
PINV_in = VINV_in × IINV_in
ahol:
PINV_in az inverterbe, illetve az inverterből (vagy adott esetben a DC/DC-átalakítóba/-ból) érkező elektromosinverter-teljesítmény az inverter egyenáramú oldalán (vagy a DC/DC-átalakító egyenáramú áramforrásának oldalán) [W]
VINV_in feszültség az inverter (vagy adott esetben DC/DC-átalakító) bemeneténél az inverter egyenáramú oldalán (vagy a DC/DC-átalakító egyenáramú áramforrásának oldalán) [V]
IINV_in áramerősség az inverter (vagy adott esetben DC/DC-átalakító) bemeneténél az inverter egyenáramú oldalán (vagy a DC/DC-átalakító egyenáramú áramforrásának oldalán) [A]
Az inverter(ek)nek (vagy adott esetben DC/DC-átalakító(k)nak) a 4.1.3. pont szerint meghatározott elektromos egyenáramú tápforráshoz való többszöri csatlakozása esetén az összes különböző elektromosinverter-teljesítmény teljes összegét meg kell mérni.
4.1.1.2. Mechanikai kimenő teljesítmény
A vizsgált egység mechanikai kimenő teljesítményét a következő egyenlettel kell kiszámítani:

ahol:
PUUT_out a vizsgált egység mechanikai kimenő teljesítménye [W]
TUUT a vizsgált egység nyomatéka [Nm]
n a vizsgált egység fordulatszáma [perc-1]
Elektromos géprendszer esetében a nyomatékot és a fordulatszámot a forgótengelynél kell mérni. IEPC esetében a nyomatékot és a fordulatszámot a sebességváltó kimeneti oldalán, vagy ha differenciálművet is tartalmaz, a differenciálmű kimeneti oldalán (oldalain) kell mérni.
Integrált differenciálművel rendelkező IEPC esetében a kimeneti nyomatékmérő készülék(ek) felszerelhetők mindkét kimeneti oldalra, vagy csak az egyik kimeneti oldalra. Olyan vizsgálati összeállítások esetében, amelyeknél a kimeneti oldalon csak egy fékpad van, az integrált differenciálművel rendelkező IEPC szabadon forgó végének elforgathatóan kell a kimeneti oldalon a másik véghez kapcsolódnia (pl. aktivált differenciálzár vagy bármilyen más mechanikus differenciálzár révén, amelyet csak a méréshez alkalmaznak).
IEPC kialakítású kerékmotor esetében vagy egyetlen alkatrészt, vagy két ilyen alkatrészt lehet mérni. Amennyiben két ilyen alkatrészt mérnek, a konfigurációtól függően a következő rendelkezéseket kell alkalmazni:
- Az "L" konfiguráció esetében a nyomatékot és a fordulatszámot a sebességváltó kimeneti oldalán kell mérni. Ebben az esetben az "NrOfDesignTypeWheelMotorMeasured" bemeneti paramétert 1-re kell beállítani.
- A "T" konfiguráció esetében a kimeneti nyomatékmérő készülék(ek) felszerelhetők mindkét kimeneti tengelyre, vagy csak az egyik kimeneti tengelyre.
a) Amennyiben a kimeneti nyomatékmérő készülékek mindkét kimenőtengelyre fel vannak szerelve, a következő rendelkezéseket kell alkalmazni:
- Mindkét kimeneti tengely nyomatékértékeit gyakorlatilag össze kell adni a próbapad adatainak feldolgozása vagy az adatok utófeldolgozása során.
- Mindkét kimeneti tengely fordulatszám-értékeit gyakorlatilag átlagolni kell a próbapad adatainak feldolgozása vagy utófeldolgozása során.
- Ebben az esetben az "NrOfDesignTypeWheelMotorMeasured" bemeneti paramétert 2-re kell beállítani.
b) Amennyiben kimeneti nyomatékmérő készülék csak az egyik kimenőtengelyre van felszerelve, a következő rendelkezéseket kell alkalmazni:
- A nyomatékot és a fordulatszámot a sebességváltó kimeneti oldalán kell mérni.
- Ebben az esetben az "NrOfDesignTypeWheelMotorMeasured" bemeneti paramétert 1-re kell beállítani.
4.1.2. Bejáratás
A kérelmező kérésére bejáratási eljárást lehet alkalmazni a vizsgált elem tekintetében. A bejáratási eljárásra a következő előírások vonatkoznak:
- A vizsgált egység (a tengelycsonkokat kivéve) opcionális bejáratásának és mérésének teljes futási ideje nem haladhatja meg a 120 órát.
- A bejáratási eljáráshoz csak gyárilag betöltött olaj használható. A bejáratáshoz használt olaj felhasználható a 4.2. pontban ismertetett vizsgálatokhoz is.
- Az alkatrészgyártónak meg kell határoznia a bejáratási eljáráshoz használandó fordulatszám- és nyomatékprofilt.
- A bejáratási eljárást az alkatrészgyártó dokumentálni és jelenteni köteles a jóváhagyó hatóságnak a bejáratási idő, a fordulatszám, a nyomaték és az olajhőmérséklet tekintetében.
- Az olajhőmérséklettel (4.1.8.1.), a mérési pontossággal (3.1.) és a vizsgálati összeállítással (4.1.3-4.1.7.) kapcsolatos követelmények a bejáratási eljárásra nem vonatkoznak.
4.1.3. Az inverter áramellátása
Az inverter (vagy adott esetben egyenáram/egyenárama DC/DC-átalakító) áramellátásának olyan állandó feszültségű egyenáramú tápegységnek kell lennie, amely e mellékletben meghatározott vizsgálati menetek időtartama alatt képes a vizsgált egység legnagyobb (mechanikus vagy elektromos) teljesítményéhez megfelelő villamos áramot biztosítani/felvenni az inverterbe/invertertől (vagy adott esetben a DC/DC-átalakítóhoz/-tól).
Az inverter (vagy adott esetben a DC/DC-átalakító) bemeneti egyenfeszültségének a vizsgált egység bemeneti egyenfeszültségére vonatkozóan kért célérték ± 2 %-ának megfelelő tartományba kell esnie minden olyan időtartam során, amikor a szimulációs eszköz bemeneti adatainak meghatározásához alapul szolgáló tényleges mérési adatokat rögzítenek.
A 4.2. bekezdés 2. táblázata meghatározza, hogy mely vizsgálati meneteket kell elvégezni, mely feszültségszint(ek) mellett. Az elvégzendő mérésekhez két különböző feszültségszintet határoztak meg:
- A Vmin,Test a vizsgált egység bemeneti egyenfeszültségének célértéke, amely a korlátlan műveleti képességhez szükséges minimális feszültségnek felel meg.
- A Vmax,Test a vizsgált egység bemeneti egyenfeszültségének célértéke, amely a korlátlan műveleti képességhez szükséges maximális feszültségnek felel meg.
4.1.4. Beállítás és vezetékezés
Minden villanyvezetéknek, árnyékolásnak, gyámnak stb. meg kell felelnie a vizsgált egység különböző alkatrészeinek gyártója/gyártói által meghatározott feltételeknek.
4.1.5. Hűtőrendszer
Az elektromos géprendszer valamennyi része hőmérsékletének az alkatrész gyártója által megengedett tartományon belül kell lennie az e melléklet szerint elvégzett összes vizsgálati menet teljes üzemideje alatt. Az IEPC és az 1. típusú IHPC esetében ez magában foglal minden egyéb alkatrészt, például sebességváltót és tengelyt is, amelyek az IEPC vagy 1. típusú IHPC részét képezik.
4.1.5.1. Hűtési teljesítmény a vizsgálati menetek alatt
4.1.5.1.1. Hűtési teljesítmény a nyomaték-határértékek mérése során
A 4.2. pont szerint elvégzett valamennyi vizsgálati menet esetében - kivéve a 4.2.6. bekezdés szerinti EPMC-t - az alkatrészgyártónak nyilatkoznia kell a külső hőcserélőhöz csatlakoztatott hűtőkörök számáról. Minden olyan hűtőkör esetében, amely külső hőcserélőhöz csatlakozik, meg kell adni a következő paramétereket a vizsgált egység megfelelő hűtőkörének bemeneti nyílásánál:
- a hűtőközegnek az alkatrész gyártója által megadott legnagyobb tömegárama vagy legnagyobb bemeneti nyomása,
- a hűtőközegnek az alkatrész gyártója által megadott megengedett legnagyobb hőmérséklete,
- a próbapadon rendelkezésre álló legnagyobb hűtési teljesítmény.
Ezeket a megadott értékeket dokumentálni kell az adott alkatrészre vonatkozó adatközlő lapon.
A következő tényleges értékeknek a megadott legnagyobb értékek alatt kell maradniuk, és azokat rögzíteni kell minden, külső hőcserélőhöz csatlakoztatott hűtőkörre vonatkozóan, a 4.2. pontnak megfelelően elvégzett valamennyi különböző vizsgálati menet vizsgálati adataival együtt, a 4.2.6. pont szerinti EPMC-t kivéve:
- hűtőközeg térfogatárama vagy tömegárama,
- a hűtőközeg hőmérséklete a vizsgált egység hűtőkörének bemeneti nyílásánál,
- a hűtőközeg hőmérséklete a vizsgált egység oldalán a próbapad hőcserélőjének bemeneti és kimeneti nyílásánál.
A 4.2. pont szerint elvégzett valamennyi vizsgálati menet esetében folyadékhűtés esetén a hűtőközeg minimális hőmérséklete a vizsgált egység hűtőkörének bemeneti nyílásánál 25 °C.
Amennyiben az e melléklet szerinti vizsgálathoz a szokásos hűtőfolyadékoktól eltérő folyadékokat használnak, azok nem léphetik túl az alkatrész gyártója által meghatározott hőmérsékleti határértékeket.
Folyadékhűtés esetén a próbapadon rendelkezésre álló legnagyobb hűtési teljesítményt a hűtőközeg tömegárama, a vizsgált egység oldalán a próbapad hőcserélőjének két oldala közötti hőmérséklet-különbség és a hűtőközeg fajlagos hőteljesítménye alapján kell meghatározni.
A vizsgálati összeállításban nem megengedett a vizsgált egység alkatrészeinek aktív hűtésére szolgáló további ventilátor.
4.1.6. Inverter
Az invertert ugyanabban az üzemmódban és beállításokkal kell működtetni, mint amelyeket az alkatrész gyártója a járműben fennálló tényleges állapotokra megadott.
4.1.7. Környezeti feltételek a vizsgálókamrában
A vizsgálókamrában minden vizsgálatot 25 ± 10 °C környezeti hőmérsékleten kell elvégezni. A környezeti hőmérsékletet a vizsgált egységtől számított 1 m távolságban kell mérni.
4.1.8. IEPC-k vagy 1. típusú IHPC-k kenőolajai
A kenőolajnak meg kell felelnie a 4.1.8.1-4.1.8.4. pontban alább meghatározott követelményeknek. Ezek a rendelkezések nem vonatkoznak az EM-rendszerekre.
4.1.8.1. Olajhőmérséklet
Az olajhőmérsékletet az olajteknő közepén vagy a helyes mérnöki gyakorlatnak megfelelő bármely más alkalmas ponton kell mérni.
Szükség esetén a 4.1.8.4. bekezdés szerinti kiegészítő szabályozó rendszer használható a hőmérsékletnek az alkatrész gyártója által meghatározott határértékeken belül tartására.
A kizárólag vizsgálati célból hozzáadott külső olajkondicionálás esetén az olajhőmérséklet mérhető a vizsgálati egység burkolatából a kondicionáló rendszerbe tartó kimenő vezetéken, a kimenet után 5 cm-en belül. Az olaj hőmérséklete egyik esetben sem haladhatja meg az alkatrész gyártója által meghatározott hőmérsékleti határértéket. Alapos műszaki indoklást kell benyújtani a típusjóváhagyó hatóságnak annak magyarázatára, hogy a külső olajkondicionáló rendszert nem használják a vizsgált egység hatékonyságának javítására. Az olyan olajkörök esetében, amelyek nem részei az elektromos géprendszer hűtőkörének, és nem is kapcsolódnak ahhoz, a hőmérséklet nem haladhatja meg a 70 °C-ot.
4.1.8.2. Olajminőség
A méréshez csak a vizsgálati egység alkatrészének gyártója által ajánlott, gyárilag betöltött olajok használhatók.
4.1.8.3. Olajviszkozitás
Ha a gyári betöltéshez különböző olajokat határoztak meg, az alkatrészgyártónak a vizsgált egység tanúsítással kapcsolatos méréseinek elvégzéséhez olyan olajat kell választania, amelynek azonos hőmérséklet mellett mért kinematikus viszkozitása (KV) a legnagyobb viszkozitású olaj kinematikus viszkozitásától legfeljebb 10 %-kal tér el (a KV100 értékre meghatározott tűréshatár-tartományon belül).
4.1.8.4. Olajszint és kondicionálás
Az olajszintnek vagy töltőtérfogatnak azalkatrészgyártói karbantartási előírásokban meghatározott maximális és minimális szintek között kell lennie.
Külső olajkondicionáló és olajszűrőrendszer használata megengedett. A vizsgálati egység burkolata módosítható az olajkondicionáló rendszer beépítése érdekében.
A helyes mérnöki gyakorlatnak megfelelően nem megengedett az olajkondicionáló rendszer oly módon történő beépítése, hogy módosítani lehessen az olajszintet a vizsgálati egységben a hatásfok javítása vagy hajtónyomatékok generálása érdekében.
4.1.9. Előjelre vonatkozó szabályok
4.1.9.1. Nyomaték és teljesítmény
A mért nyomaték- és teljesítményértékeknek pozitív előjellel kell rendelkezniük a fékpadot meghajtó vizsgált egység esetében, és negatív előjellel kell rendelkezniük a fékpadot fékező vizsgált egység (azaz a vizsgált egységet hajtó fékpad) esetében.
4.1.9.2. Áramerősség
Az áramerősség mért értékeinek pozitív előjellel kell rendelkezniük az inverter (vagy adott esetben a DC/DC-átalakító) tápegységéből villamos energiát felvevő vizsgált egység esetében, és negatív előjellel kell rendelkezniük az inverterbe (vagy adott esetben a DC/DC-átalakítóba) és a tápegységébe villamos energiát szállító vizsgált egység esetében.
4.2. Elvégzendő vizsgálati menetek
A 2. táblázat meghatározza az összes olyan vizsgálati menetet, amelyet az 13. függelékkel összhangban meghatározott elektromos géprendszer-család vagy IEPC-család tanúsítása céljából kell elvégezni.
A 4.2.6. pont szerinti elektromos energia jelleggörbe-felvételi ciklust (EPMC) és a 4.2.3. pont szerinti légellenállási görbét ki kell hagyni a családba tartozó összes többi tag esetében, kivéve a család alapmotorját.
Amennyiben az alkatrész gyártójának kérésére e rendelet 15. cikkének (5) bekezdését alkalmazzák, az adott elektromos gép vagy IEPC tekintetében a 4.2.6. pont szerinti EPMC-t és a 4.2.3. pont szerinti légellenállási görbét is el kell végezni.
2. táblázat
Az elektromos géprendszerek vagy az IEPC-k esetében elvégzendő vizsgálati menetek áttekintése
Vizsgálati menet | Vonatkoztatási pont | Az elvégzendő mérésekhez előírt feszültségszint(ek) (a 4.1.3. ponttal összhangban) | Az alapmotor esetében végrehajtandó | A család egyéb tagjai esetében végrehajtandó |
A nyomaték legnagyobb és legkisebb határértékei | 4.2.2. | Vmin,Test és Vmax,Test | igen | igen |
Légellenállási görbe | 4.2.3. | Vmin,Test vagy Vmax,Test | igen | nem |
Legnagyobb 30 perces folyamatos nyomaték | 4.2.4. | Vmin,Test és Vmax,Test | igen | igen |
Túlterhelési jellemzők | 4.2.5. | Vmin,Test és Vmax,Test | igen | igen |
EPMC | 4.2.6. | Vmin,Test és Vmax,Test | igen | nem |
4.2.1. Általános rendelkezések
A mérést úgy kell elvégezni, hogy a vizsgálat alatt a vizsgált egység valamennyi hőmérséklete a gyártó által meghatározott határértékeken belül maradjon.
Minden vizsgálatot névleges teljesítménycsökkenési funkcióval kell elvégezni a teljes mértékben működő elektromos géprendszer hőmérsékleti határértékeitől függően. Amennyiben az elektromos géprendszer határain kívül elhelyezkedő más rendszerek további paraméterei befolyásolják a járműfedélzeti alkalmazásokban a névleges teljesítménycsökkenési viselkedést, ezeket a további paramétereket nem kell figyelembe venni az e melléklet szerint elvégzett összes vizsgálati menet esetében.
Elektromos géprendszer esetében eltérő rendelkezés hiányában az összes megadott nyomaték- és fordulatszámértéknek az elektromos gép forgótengelyére kell vonatkoznia.
IEPC esetében eltérő rendelkezés hiányában az összes megadott nyomaték- és fordulatszámértéknek a sebességváltó kimeneti oldalára, vagy ha differenciálművet is tartalmaz, a differenciálmű kimeneti oldalára kell vonatkoznia.
4.2.2. A nyomaték legnagyobb és legkisebb határértékeinek vizsgálata
A vizsgálat a vizsgált egység legnagyobb és legkisebb nyomatékjellemzőit méri a rendszer megadott határértékeinek ellenőrzése érdekében.
Többsebességes sebességváltóval felszerelt IEPC esetében a vizsgálatot csak az 1-hez legközelebb eső áttételi aránnyal kell elvégezni. Ha két sebességfokozat áttételi aránya megegyezik az 1-es áttételi arányhoz viszonyított távolsággal, a vizsgálatot a kettő közül csak a magasabb áttételi aránnyal rendelkező sebességfokozaton kell elvégezni.
4.2.2.1. Az értékeknek az alkatrész gyártója általi bejelentése
Az alkatrész gyártójának a vizsgált egység legnagyobb és legkisebb nyomatékára vonatkozó értékeket a vizsgált egység 0 ford./perc és a vizsgált egység vizsgálat előtti legnagyobb üzemi fordulatszáma közötti fordulatszámának függvényében kell megadnia. Ezt a bejelentést a két Vmin,Test és Vmax,Test feszültségszintre külön-külön kell megadni.
4.2.2.2. A legnagyobb nyomaték-határértékek ellenőrzése
A vizsgált egységet a vizsgálati menet kezdetéig legalább két órán keresztül 25 ± 10 °C környezeti hőmérsékleten kell kondicionálni (azaz a rendszer működtetése nélkül). Ha ezt a vizsgálatot közvetlenül az e melléklet szerint elvégzett bármely más vizsgálati menet után végzik, akkor a legalább két órán át tartó kondicionálás elhagyható vagy lerövidíthető, feltéve, hogy a vizsgált egység a vizsgálókamrában marad, és a vizsgálókamrában a környezeti hőmérséklet 25 ± 10 °C-on belül marad.
Közvetlenül a mérés megkezdése előtt a vizsgált egységet a próbapadon három percig az alkotóelem gyártója által ajánlott fordulatszámon, a legnagyobb teljesítmény 80 százalékának megfelelő teljesítmény leadásával üzemeltetni kell.
A vizsgált egység kimeneti nyomatékát és fordulatszámát legalább 10 különböző fordulatszámon kell mérni a legkisebb és a legnagyobb fordulatszám közötti legnagyobb nyomatékgörbe pontos meghatározása érdekében.
A legkisebb fordulatszám beállítási célértékét az alkatrész gyártójának a vizsgált egységnek az alkatrész gyártója által a 4.2.2.1. pont szerint megadott legnagyobb üzemi fordulatszámának 2 %-ával egyenlő vagy annál kisebb fordulatszámként kell meghatároznia. Ha a vizsgálati összeállítás nem teszi lehetővé a rendszer ilyen alacsony fordulatszámú beállítási célértéken történő üzemeltetését, a legkisebb fordulatszám beállítási célértékét az alkatrész gyártójának az adott vizsgálati összeállítással elérhető legalacsonyabb fordulatszámként kell meghatároznia.
A legnagyobb fordulatszám beállítási célértékét a vizsgált egységnek az alkatrész gyártója által a 4.2.2.1. pont szerint megadott legnagyobb üzemi fordulatszáma alapján kell meghatározni.
A fennmaradó 8 vagy több különböző fordulatszám-beállítási célértéket a legalacsonyabb és a legnagyobb fordulatszám beállítási célértéke között kell elhelyezni, és azokat az alkatrész gyártójának kell meghatároznia. Két szomszédos fordulatszám-beállítási célérték közötti intervallum nem haladhatja meg a vizsgált egységnek az alkatrész gyártója által megadott legnagyobb üzemi fordulatszámának 15 %-át.
Minden működési pontot legalább 3 másodperc üzemidőig kell tartani. A vizsgált egység kimeneti nyomatékát és fordulatszámát a mérés utolsó másodpercének átlagértékeként kell rögzíteni. A teljes mérést 5 perc alatt végre kell hajtani.
4.2.2.3. A legkisebb nyomaték-határértékek ellenőrzése
A vizsgált egységet a vizsgálati menet kezdetéig legalább két órán keresztül 25 ± 10 °C környezeti hőmérsékleten kell kondicionálni (azaz a rendszer működtetése nélkül). Ha ezt a vizsgálatot közvetlenül az e melléklet szerint elvégzett bármely más vizsgálati menet után végzik, akkor a legalább két órán át tartó kondicionálás elhagyható vagy lerövidíthető, feltéve, hogy a vizsgált egység a vizsgálókamrában marad, és a vizsgálókamrában a környezeti hőmérséklet 25 ± 10 °C-on belül marad.
Közvetlenül a mérés megkezdése előtt a vizsgált egységet a próbapadon három percig az alkotóelem gyártója által ajánlott fordulatszámon, a legnagyobb teljesítmény 80 százalékának megfelelő teljesítmény leadásával üzemeltetni kell.
A vizsgált egység kimeneti nyomatékát és fordulatszámát a 4.2.2.2. pontban kiválasztott fordulatszámokon kell mérni.
Minden működési pontot legalább 3 másodperc üzemidőig kell tartani. A vizsgált egység kimeneti nyomatékát és fordulatszámát a mérés utolsó másodpercének átlagértékeként kell rögzíteni. A teljes mérést 5 perc alatt végre kell hajtani.
4.2.2.4. Az eredmények értelmezése
A vizsgált egységnek az alkatrész gyártója által a 4.2.2.1. pont szerint megadott legnagyobb nyomatéka akkor fogadható el végső értékként, ha az a legnagyobb össznyomaték esetében nem haladja meg a + 2 %-ot, a többi mérési ponton pedig + 4 %-ot, a 4.2.2.2. pont szerint mért értékekhez képest ± 2 %-os tűréssel.
Amennyiben az alkatrész gyártója által megadott legnagyobb nyomaték meghaladja a fent meghatározott határértékeket, végső értékként a ténylegesen mért értékeket kell használni.
Amennyiben a vizsgált egységnek az alkatrész gyártója által a 4.2.2.1. pont szerint megadott legnagyobb nyomatékértékei alacsonyabbak, mint a 4.2.2.2. pont szerint mért értékek, végső értékként a gyártó által megadott értékeket kell használni.
A vizsgált egységnek az alkatrész gyártója által a 4.2.2.1. pont szerint megadott legkisebb nyomatéka akkor fogadható el végső értékként, ha az a legkisebb össznyomaték esetében nem kisebb, mint -2 %, a többi mérési ponton pedig mint -4 %, a 4.2.2.3. pont szerint mért értékekhez képest ± 2 %-os tűréssel.
Amennyiben az alkatrész gyártója által megadott legkisebb nyomaték meghaladja a fent meghatározott határértékeket, végső értékként a ténylegesen mért értékeket kell használni.
Amennyiben a vizsgált egységnek az alkatrész gyártója által a 4.2.2.1. pont szerint megadott legkisebb nyomatékértékei magasabbak, mint a 4.2.2.3. pont szerint mért értékek, végső értékként a gyártó által megadott értékeket kell használni.
4.2.3. A légellenállási görbe vizsgálata
A vizsgálat a vizsgált egység légellenállási veszteségeit méri, azaz azt a mechanikai és/vagy elektromos teljesítményt, amely ahhoz szükséges, hogy a rendszert egy bizonyos fordulatszámon megforgassák külső áramforrásokkal.
A vizsgált egységet legalább két órán keresztül 25 ± 10 °C környezeti hőmérsékleten kell kondicionálni (azaz a rendszer működtetése nélkül). Ha ezt a vizsgálatot közvetlenül az e melléklet szerint elvégzett bármely más vizsgálati menet után végzik, akkor a legalább két órán át tartó kondicionálás elhagyható vagy lerövidíthető, feltéve, hogy a vizsgált egység a vizsgálókamrában marad, és a vizsgálókamrában a környezeti hőmérséklet 25 ± 10 °C-on belül marad.
Közvetlenül a tényleges vizsgálat megkezdése előtt a vizsgált egység a próbapadon három percig az alkotóelem gyártója által ajánlott fordulatszámon, a legnagyobb teljesítmény 80 százalékának megfelelő teljesítmény leadásával üzemeltethető.
A tényleges vizsgálatot a következő opciók egyikével összhangban kell elvégezni:
- "A" opció: A vizsgált egység kimenőtengelyét egy terhelőgéphez (azaz fékpadhoz) kell csatlakoztatni, és a terhelőgépnek (azaz a fékpadnak) a célfordulatszámon kell meghajtania a vizsgált egységet. Az inverter (vagy adott esetben a DC/DC-átalakító) tápegysége vagy az elektromos gép és az inverter közötti váltakozó áramú fázisvezetékek inaktívra állíthatók vagy leválaszthatók.
- "B" opció: A vizsgált egység kimenőtengelye nem csatlakoztatható terhelőgéphez (azaz fékpadhoz), és a vizsgált egységet a célfordulatszámon kell működtetni az inverterbe (vagy adott esetben a DC/DC-átalakítóba) érkező villamos energiával.
- "C" lehetőség: A vizsgált egység kimenőtengelyét egy terhelőgéphez (azaz fékpadhoz) kell csatlakoztatni, és a vizsgált egységet a célfordulatszámon kell működtetni vagy a terhelőgéppel (azaz a fékpaddal) vagy az inverterbe (vagy adott esetben a DC/DC-átalakítóba) érkező villamos energiával, vagy a kettő kombinációjával.
A vizsgálatot legalább a 4.2.2.2. pontban kiválasztott fordulatszámokon kell elvégezni, további működési pontok is hozzáadhatók más fordulatszámokon. Valamennyi működési pontot legalább 10 másodperces üzemidőig kell tartani, amely alatt a vizsgált egység tényleges fordulatszámának a fordulatszám beállítási célérték ± 2 %-on belül kell lennie.
A következő értékeket a mérés utolsó 5 másodperce alatt átlagértékként kell rögzíteni, a választott vizsgálati opciótól függően:
- A fenti "B" és "C" opció esetében: az inverter (vagy adott esetben a DC/DC-átalakító) elektromos teljesítménye
- A fenti "A" és "C" opció esetében: a terhelőgép (azaz a fékpad) által a vizsgált egység kimenőtengelyére (tengelyeire) kifejtett nyomaték
- Valamennyi opció esetében: a vizsgált egység fordulatszáma
Ha a vizsgált egység egy többsebességes sebességváltóval felszerelt IEPC, a vizsgálatot az 1-hez legközelebb eső áttételi aránnyal kell elvégezni. Ha két sebességfokozat áttételi aránya megegyezik az 1-es áttételi arányhoz viszonyított távolsággal, a vizsgálatot a kettő közül csak a magasabb áttételi aránnyal rendelkező sebességfokozaton kell elvégezni.
Ezenkívül a vizsgálatot az IEPC minden más előremeneti sebességfokozatán is el lehet végezni, hogy az IEPC minden egyes előremeneti sebességfokozatához külön adatkészletet határozzanak meg.
4.2.4. A legnagyobb 30 perces folyamatos nyomaték vizsgálata
A vizsgálat azt a legnagyobb 30 perces folyamatos nyomatékot méri, amelyet a vizsgált egység 1 800 másodperces időtartam alatt átlagosan elérhez.
Többsebességes sebességváltóval felszerelt IEPC esetében a vizsgálatot csak az 1-hez legközelebb eső áttételi aránnyal kell elvégezni. Ha két sebességfokozat áttételi aránya megegyezik az 1-es áttételi arányhoz viszonyított távolsággal, a vizsgálatot a kettő közül csak a magasabb áttételi aránnyal rendelkező sebességfokozaton kell elvégezni.
4.2.4.1. Az értékeknek az alkatrész gyártója általi bejelentése
Az alkatrész gyártójának meg kell adnia a vizsgált egység legnagyobb 30 perces folyamatos nyomatékának értékeit, valamint a vizsgálat előtti megfelelő fordulatszámot. A fordulatszámnak olyan tartományban kell lennie, amelyben a mechanikai teljesítmény nagyobb, mint a 4.2.2. pont szerint a vonatkozó feszültségszintre rögzített legnagyobb nyomatékhatárérték-adatok alapján meghatározott legnagyobb összteljesítmény 90 %-a. Ezt a bejelentést a két Vmin,Test és Vmax,Test feszültségszintre külön-külön kell megadni.
4.2.4.2. A legnagyobb 30 perces folyamatos nyomaték ellenőrzése
A vizsgált egységet legalább négy órán keresztül 25 ± 10 °C környezeti hőmérsékleten kell kondicionálni (azaz a rendszer működtetése nélkül). Ha ezt a vizsgálatot közvetlenül az e melléklet szerint elvégzett bármely más vizsgálati menet után végzik, akkor a legalább négy órán át tartó kondicionálás elhagyható vagy lerövidíthető, feltéve, hogy a vizsgált egység a vizsgálókamrában marad, és a vizsgálókamrában a környezeti hőmérséklet 25 ± 10 °C-on belül marad.
A vizsgált egységet az alkatrész gyártója által a 4.2.4.1. ponttal összhangban megadott legnagyobb 30 perces folyamatos nyomatéknak megfelelő nyomaték- és fordulatszám-beállítási célértéken, összesen 1 800 másodpercen át kell üzemeltetni.
Ez alatt az 1 800 másodperces időtartam alatt meg kell mérni a vizsgált egység kimeneti nyomatékát és fordulatszámát, valamint az inverterbe, illetve az inverterből (vagy adott esetben a DC/DC-átalakítóba/-ból) érkező villamos energiát. Az idő múlásával mért mechanikai teljesítményértéknek az alkatrész gyártója által a 4.2.4.1. szakasz szerint megadott mechanikai teljesítményérték ± 5 %-ának megfelelő tartományban kell lennie, a fordulatszámnak pedig az alkatrész gyártója által a 4.2.4.1. pont szerint megadott érték ± 2 %-án belül kell lennie. A legnagyobb 30 perces folyamatos nyomaték az 1 800 másodperces mérési időtartamon belüli kimeneti nyomaték átlaga. A vonatkozó fordulatszám az 1 800 másodperces mérési időtartamon belüli fordulatszámok átlaga.
4.2.4.3. Az eredmények értelmezése
Az alkatrész gyártója által a 4.2.4.1. pont szerint megadott értékek akkor fogadhatóak el végső értékként, ha a nyomaték esetében nem térnek el + 4 %-nál nagyobb mértékben, a fordulatszámra vonatkozó ± 2 %-os tűréssel a 4.2.4.2. pont szerint meghatározott átlagértékektől.
Amennyiben az alkatrész gyártója által megadott értékek meghaladják a fent meghatározott határértékeket, a 4.2.4.1-4.2.4.3. pontban említett követelményeket meg kell ismételni a legnagyobb 30 perces folyamatos nyomaték és/vagy a megfelelő fordulatszám eltérő értékeivel.
Amennyiben az alkatrész gyártója által a 4.2.4.1. pont szerint megadott nyomatékérték alacsonyabb, mint a 4.2.4.2. pont szerint meghatározott átlagos nyomatékérték, a fordulatszámra vonatkozó ± 2 %-os tűréssel, végső értékként a gyártó által megadott értékeket kell használni.
Ezenkívül ki kell számítani az inverterbe, illetve az inverterből (vagy adott esetben a DC/DC-átalakítóba/-ból) érkező, az 1 800 másodperces mérési időtartam alatt ténylegesen mért villamos energia átlagát. Az átlagos 30 perces folyamatos teljesítményt is ki kell számítani a legnagyobb 30 perces folyamatos nyomaték végső értékeiből és a vonatkozó átlagos fordulatszámból.
4.2.5. A túlterhelési jellemzők vizsgálata
A vizsgálat azt az időtartamot méri, ameddig a vizsgált egység képes biztosítani a legnagyobb kimenő nyomatékot a rendszer túlterhelési jellemzőinek meghatározása érdekében.
Többsebességes sebességváltóval felszerelt IEPC esetében a vizsgálatot csak az 1-hez legközelebb eső áttételi aránnyal kell elvégezni. Ha két sebességfokozat áttételi aránya megegyezik az 1-es áttételi arányhoz viszonyított távolsággal, a vizsgálatot a kettő közül csak a magasabb áttételi aránnyal rendelkező sebességfokozaton kell elvégezni.
4.2.5.1. Az értékeknek az alkatrész gyártója általi bejelentése
Az alkatrész gyártójának meg kell adnia a vizsgált egység legnagyobb kimeneti nyomatékának a vizsgálathoz kiválasztott meghatározott fordulatszám szerinti értékét, valamint a vizsgálat előtti megfelelő fordulatszámot. A megfelelő fordulatszámnak meg kell egyeznie a 4.2.4.2. pont szerint az adott feszültségszinten végzett méréshez használt fordulatszám-beállítási célértékkel. A vizsgált termék legnagyobb kimeneti nyomatékának megadott értéke nem haladhatja meg a vonatkozó feszültségszintre vonatkozóan a 4.2.4.3. pont szerint meghatározott legnagyobb 30 perces folyamatos nyomaték értékét.
Ezenkívül az alkatrész gyártójának meg kell adnia azt a t0_maxP időtartamot, amely alatt a vizsgált egység legnagyobb kimeneti nyomatéka folyamatosan elérhető a 4.2.5.2. pontban meghatározott feltételektől kezdve. Ezt a bejelentést a két Vmin,Test és Vmax,Test feszültségszintre külön-külön kell megadni.
4.2.5.2. A legnagyobb kimenő nyomaték ellenőrzése
A vizsgált egységet legalább két órán keresztül 25 °C ± 10 °C környezeti hőmérsékleten kell kondicionálni (azaz a rendszer működtetése nélkül). Ha ezt a vizsgálatot közvetlenül az e melléklet szerint elvégzett bármely más vizsgálati menet után végzik, akkor a legalább két órán át tartó kondicionálás elhagyható vagy lerövidíthető, feltéve, hogy a vizsgált egység a vizsgálókamrában marad, és a vizsgálókamrában a környezeti hőmérséklet 25 ± 10 °C-on belül marad.
Közvetlenül a vizsgálat megkezdése előtt a vizsgált egységet 30 percig, a vonatkozó fordulatszám-beállítási célértékre vonatkozóan a 4.2.4.3. pont szerint meghatározott legnagyobb 30 perces folyamatos nyomaték 50 %-ának leadásával kell üzemeltetni a próbapadon.
A vizsgált egységet az alkatrész gyártója által a 4.2.5.1. ponttal összhangban megadott legnagyobb kimeneti nyomatéknak megfelelő nyomaték- és fordulatszám-beállítási célértéken kell üzemeltetni.
A vizsgált egység kimeneti nyomatékát és fordulatszámát, valamint az inverter (vagy adott esetben a DC/DC-átalakító) bemeneti egyenfeszültségét és az inverterbe, illetve az inverterből (vagy adott esetben a DC/DC-átalakítóba/-ból) érkező villamos energiát az alkatrész gyártója által a 4.2.5.1. pont szerint megadott t0_maxP időtartam alatt kell mérni.
4.2.5.3. Az eredmények értelmezése
A 4.2.5.2. pont szerint mért nyomatékbeli és fordulatszámbeli rögzített értékek akkor fogadhatók el, ha a teljes t0_maxP időtartam alatt nem térnek el ± 2 %-nál nagyobb mértékben az alkatrész gyártója által a 4.2.5.1. pont szerint megadott értékektől a nyomaték esetében és ± 2 %-nál nagyobb mértékben a fordulatszám tekintetében.
Amennyiben az alkatrész gyártója által megadott értékek kívül esnek az e pont első bekezdésében meghatározott tűréseken, a 4.2.5.1. és 4.2.5.2. pontban és az ebben a pontban meghatározott eljárásokat meg kell ismételni a vizsgált egység legnagyobb kimeneti nyomatékának és/vagy a t0_maxP időtartam eltérő értékeivel.
A túlterhelési pont jellemzéséhez végső értékként a t0_maxP időtartam alatt az inverter (vagy adott esetben a DC/DC-átalakító) fordulatszámának, nyomatékának és bemeneti egyenfeszültségének különböző jeleire kiszámított tényleges mért értékek átlagát kell használni. Ezenkívül ki kell számítani az inverterbe, illetve az inverterből (vagy adott esetben a DC/DC-átalakítóba/-ból) a t0_maxP időtartam alatt érkező, ténylegesen mért villamos energia átlagát.
4.2.6. EPMC-vizsgálat
Az EPMC-vizsgálat a vizsgált egység különböző működési pontjai esetében az inverterbe, illetve az inverterből (vagy adott esetben a DC/DC-átalakítóba/-ból) érkező villamos energiát méri.
4.2.6.1. Előkondicionálás
A vizsgált egységet legalább két órán keresztül 25 ± 10 °C környezeti hőmérsékleten kell kondicionálni (azaz a rendszer működtetése nélkül). Ha ezt a vizsgálatot közvetlenül az e melléklet szerint elvégzett bármely más vizsgálati menet után végzik, akkor a legalább két órán át tartó kondicionálás elhagyható vagy lerövidíthető, feltéve, hogy a vizsgált egység a vizsgálókamrában marad, és a vizsgálókamrában a környezeti hőmérséklet 25 ± 10 °C-on belül marad.
4.2.6.2. A mérendő működési pontok
A többsebességes sebességváltóval felszerelt IEPC esetében minden egyes előremeneti sebességfokozatra meg kell határozni a fordulatszám 4.2.6.2.1. pont szerinti beállítási célértékeit és a nyomaték 4.2.6.2.2. pont szerinti beállítási célértékeit.
4.2.6.2.1. Fordulatszám-beállítási célértékek
Az önálló elektromos géprendszer vagy a kapcsolható sebességfokozattal nem rendelkező IEPC beállítási célértékeit a következő rendelkezéseknek megfelelően kell meghatározni:
a) A vizsgált egység fordulatszám-beállítási célértékeként ugyanazokat a beállítási célértékeket kell használni, mint amelyeket a 4.2.2.2. pont szerint a vonatkozó feszültségszinten végzett méréshez használtak.
b) A fenti a) alpontban meghatározott beállítási értékek mellett a 4.2.4.2. pontnak megfelelően az adott feszültségszintre vonatkozóan a legnagyobb 30 perces folyamatos nyomatékellenőrzéshez használt fordulatszám-beállítási célértékeket is használni kell.
c) A fenti a) és b) alpontban meghatározott beállítási célértékeken kívül további fordulatszám-beállítási célértékeket is meg lehet határozni.
Többsebességes sebességváltóval rendelkező IEPC esetében a vizsgált egység fordulatszám-beállítási célértékeire vonatkozó külön adatkészletet kell meghatározni minden egyes előremeneti sebességfokozatra a következő rendelkezések alapján:
d) Az e) alpont következő lépésének alapjaként az 1-hez legközelebb eső áttételi aránnyal rendelkező sebességfokozatnak az a)-c) alpontoknak megfelelően meghatározott nk,gear_iCT1 fordulatszám-beállítási célértékeit kell használni (amennyiben két sebességfokozat áttételi aránya azonos távolságra van az 1-es áttételi aránytól, a vizsgálatot csak a kettő közül csak a magasabb áttételi aránnyal rendelkező sebességfokozaton kell elvégezni).
e) Ezeket a fordulatszám-beállítási célértékeket a következő egyenlettel kell átszámítani az összes többi sebességfokozat megfelelő beállítási célértékeire:
nk,gear = nk,gear_iCT1 × igear_iCT1 / igear
ahol:
nk,gear
=
egy adott sebességfokozathoz tartozó k fordulatszám-beállítási célérték
(ahol k = 1, 2, 3, ..., a fordulatszám-beállítási célértékek maximális száma)
(ahol a sebességfokozat = 1, ..., a legmagasabb sebességfokozat-szám)
nk,gear_iCT1
=
k fordulatszám beállítási értéke a sebességváltóval az 1-hez legközelebb eső áttételi arány a d) alponttal összhangban
(ahol k = 1, 2, 3, ..., a fordulatszám-beállítási célértékek maximális száma)
igear
=
egy adott sebességfokozat áttételi aránya [-]
(ahol a sebességfokozat = 1, ..., a legmagasabb sebességfokozat-szám)
igear_iCT1
=
az 1-hez legközelebb eső áttételi aránnyal rendelkező sebességfokozat áttételi aránya
a d) alponttal összhangban [-]
4.2.6.2.2. Nyomatékbeállítási célértékek
Az önálló elektromos géprendszer vagy a kapcsolható sebességfokozattal nem rendelkező IEPC beállítási célértékeit a következő rendelkezéseknek megfelelően kell meghatározni:
a) A méréshez a vizsgált egység nyomatékának legalább 10 beállítási célértékét kell meghatározni, amelyek pozitív (azaz hajtási) és negatív (azaz fékezési) nyomatékoldalon helyezkednek el. A legalacsonyabb és a legnagyobb nyomatékbeállítási célértéket a 4.2.2.4. ponttal összhangban az adott feszültségszintre meghatározott legkisebb és legnagyobb nyomaték-határértékek alapján kell meghatározni, ahol a legalacsonyabb nyomatékbeállítási érték a legkisebb össznyomaték (Tmin_overall), a legnagyobb nyomatékbeállítási érték pedig a legnagyobb össznyomaték (Tmax_overall), amelyet ezekből az értékekből kell meghatározni.
b) A fennmaradó 8 vagy több különböző nyomatékbeállítási célértéket a legalacsonyabb és a legnagyobb nyomatékbeállítási érték között kell elhelyezni. Két szomszédos nyomatékbeállítási célérték közötti intervallum nem haladhatja meg a vizsgált egység a 4.2.2.4. pont szerint az adott feszültségszintre meghatározott legnagyobb össznyomatékának 22,5 %-át.
c) Egy adott fordulatszámon a pozitív nyomaték határértéke az adott fordulatszám-beállítási célértékhez tartozó, a 4.2.2.4. pont szerint az adott feszültségszintre meghatározott legnagyobb nyomaték-határérték, mínusz a Tmax_overall 5 %-a. Egy adott fordulatszám-beállítási célértéken minden olyan nyomatékbeállítási célértéket, amely az adott fordulatszámon a pozitív nyomaték határértékénél magasabban helyezkedik el, egyetlen nyomatékbeállítási célértékkel kell helyettesíteni, amely az adott fordulatszám-beállítási célértéknél a nyomaték legnagyobb határértékén helyezkedik el.
d) Egy adott fordulatszámon a negatív nyomaték határértéke az adott fordulatszám-beállítási célértékhez tartozó, a 4.2.2.4. pont szerint az adott feszültségszintre meghatározott legkisebb nyomaték-határérték, mínusz a Tmin_overall 5 %-a. Az adott fordulatszám-beállítási célértéken a negatív nyomaték határértékénél alacsonyabban elhelyezkedő összes nyomatékbeállítási célértéket egyetlen nyomatékbeállítási célértékkel kell helyettesíteni, amely az adott fordulatszám-beállítási célértéknél a legkisebb nyomaték-határértéken helyezkedik el.
e) Egy adott fordulatszám-beállítási célértékre vonatkozó legkisebb és legnagyobb nyomaték-határétékeket a 4.2.2.4. pont szerint az adott feszültségszintre kapott adatok alapján, lineáris interpoláció alkalmazásával kell meghatározni.
Többsebességes sebességváltóval rendelkező IEPC esetében a vizsgált egység nyomatékbeállítási célértékeire vonatkozó külön adatkészletet kell meghatározni minden egyes sebességfokozatra a következő rendelkezések alapján:
f) A g) és h) alpont következő lépésének alapjaként az 1-hez legközelebb eső áttételi aránnyal rendelkező sebességfokozatnak az a)-e) alpontoknak megfelelően meghatározott Tj,gear_iCT1 nyomatékbeállítási célértékeit kell használni (amennyiben két sebességfokozat áttételi aránya azonos távolságra van az 1-es áttételi aránytól, a vizsgálatot csak a kettő közül csak a magasabb áttételi aránnyal rendelkező sebességfokozaton kell elvégezni).
g) Ezeket a nyomatékbeállítási célértékeket a következő egyenlettel kell átszámítani az összes többi sebességfokozat megfelelő beállítási célértékeire:
Tj,gear = Tj,gear_iCT1 / igear_iCT1 × igear
ahol:
Tj,gear
=
egy adott sebességfokozathoz tartozó j nyomatékbeállítási célérték
(ahol j = 1, 2, 3, ..., a nyomatékbeállítási célértékek maximális száma)
(ahol a sebességfokozat = 1, ..., a legmagasabb sebességfokozat-szám)
Tj,gear_iCT1
=
az 1-hez legközelebb eső áttételi aránnyal rendelkező sebességfokozat j nyomatékbeállítási célértéke
az f) alponttal összhangban
(ahol j = 1, 2, 3, ..., a nyomatékbeállítási célértékek maximális száma)
igear
=
egy adott sebességfokozat áttételi aránya [-]
(ahol a sebességfokozat = 1, ..., a legmagasabb sebességfokozat-szám)
igear_iCT1
=
az 1-hez legközelebb eső áttételi aránnyal rendelkező sebességfokozat áttételi aránya
az f) alponttal összhangban [-]
h) A 10 kNm-nél nagyobb abszolút értékű Tj,gear nyomatékbeállítási célértékeket nem kell mérni a 4.2.6.4. pont szerint elvégzett tényleges vizsgálati menet során.
4.2.6.3. A mérendő jelek
A 4.2.6.2. pontnak megfelelően meghatározott működési pontok alatt meg kell mérni az inverterbe, illetve az inverterből (vagy adott esetben a DC/DC-átalakítóba/-ból) érkező villamos energiát, valamint a vizsgált egység kimeneti nyomatékát és fordulatszámát.
4.2.6.4. A vizsgálati program
A vizsgálati program állandósult beállítási célértékekből áll, minden egyes beállítási célértéknél meghatározott fordulatszámmal és nyomatékkal a 4.2.6.2. pontnak megfelelően.
Előre nem látható megszakítás esetén a vizsgálati program a következő rendelkezések szerint folytatható:
- A vizsgált egység a vizsgálókamrában marad, és a vizsgálókamrában a környezeti hőmérséklet 25 ± 10 °C-on belül marad;
- A vizsgálat folytatása előtt a vizsgált egységet bemelegítésre szolgáló próbapadon kell üzemeltetni az alkatrész gyártójának ajánlásai szerint.
- A bemelegítés után a vizsgálati programot a következő legalacsonyabb fordulatszám-beállítási célértéken kell folytatni ahhoz a fordulatszám-beállítási célértékhez képest, ahol a megszakítás történt.
- A következő legalacsonyabb fordulatszám-beállítási célértéken az alábbi a)-m) alpontban leírt vizsgálati programot kell követni, de csak előkondicionálás céljából, mérési adatok rögzítése nélkül.
- A mérési adatokat attól a fordulatszám-beállítási célértékhez tartozó működési ponttól kezdve kell rögzíteni, ahol a megszakítás bekövetkezett.
IEPC esetében az alábbi rendelkezések alkalmazandók:
- A vizsgálati programot minden egyes sebességfokozatban el kell végezni, a legmagasabb áttételi aránnyal rendelkező sebességfokozattal kezdve, és a sebességfokozatok áttételi arányát tekintve csökkenő sorrendben kell folytatni.
- Egy adott sebességfokozatra vonatkozó, a 4.2.6.2. pont szerint meghatározott adatkészleten belüli összes beállítási célértéket be kell fejezni, mielőtt a mérést egy másik sebességfokozatban folytatnák.
- Az összes sebességfokozat mérésének befejezése után a vizsgálat megszakítható.
- Különböző nyomatékmérők használata megengedett.
A vizsgálatnak az első beállítási célértéknél történő megkezdése előtt a vizsgált egységet bemelegítésre szolgáló próbapadon kell üzemeltetni az alkatrész gyártójának ajánlásai szerint. Az EPMC-vizsgálat megkezdésekor ténylegesen mért sebességfokozat első fordulatszám-beállítási célértéke a legalacsonyabb fordulatszám-beállítási célértéknek felel meg.
A ténylegesen mért sebességfokozat fennmaradó beállítási célértékeit a következő sorrendben kell alkalmazni:
a) Egy adott fordulatszám-beállítási célérték első működési pontját az adott fordulatszámon leadott legnagyobb nyomatéknál kell meghatározni.
b) A következő működési pontot ugyanarra a fordulatszámra és a legalacsonyabb pozitív (azaz hajtási) nyomatékbeállítási célértékre kell beállítani.
c) A következő működési pontot ugyanarra a fordulatszámra és a második legnagyobb pozitív (azaz hajtási) nyomatékbeállítási célértékre kell beállítani.
d) A következő működési pontot ugyanarra a fordulatszámra és a második legalacsonyabb pozitív (azaz hajtási) nyomatékbeállítási célértékre kell beállítani.
e) A fennmaradó legnagyobb nyomatékbeállítási célértékről a fennmaradó legalacsonyabb nyomatékbeállítási célértékre történő átváltás sorrendjét addig kell folytatni, amíg egy adott fordulatszám-beállítási célértéken meg nem mérik az összes pozitív (azaz hajtási) nyomatékbeállítási célértéket.
f) A g) lépéssel történő folytatás előtt a vizsgált egység lehűthető az alkatrész gyártójának ajánlásaival összhangban úgy, hogy a gyártó által meghatározott beállítási célértéken üzemeltetik.
g) Ezután meg kell mérni ugyanazon fordulatszám-beállítási célértéken a negatív (azaz fékezési) nyomatékbeállítási célértékeket, az adott fordulatszámhoz tartozó legalacsonyabb nyomatékkal kezdve.
h) A következő működési pontot ugyanarra a fordulatszámra és a legnagyobb negatív (azaz fékezési) nyomatékbeállítási célértékre kell beállítani.
i) A következő működési pontot ugyanarra a fordulatszámra és a második legalacsonyabb negatív (azaz fékezési) nyomatékbeállítási célértékre kell beállítani.
j) A következő működési pontot ugyanarra a fordulatszámra és a második legnagyobb negatív (azaz fékezési) nyomatékbeállítási célértékre kell beállítani.
k) A fennmaradó legkisebb nyomatékbeállítási célértékről a fennmaradó legmagasabb nyomatékbeállítási célértékre történő átváltás sorrendjét addig kell folytatni, amíg egy adott fordulatszám-beállítási célértéken meg nem mérik az összes negatív (azaz fékezési) nyomatékbeállítási célértéket.
l) Az m) lépéssel történő folytatás előtt a vizsgált egység lehűthető az alkatrész gyártójának ajánlásaival összhangban úgy, hogy a gyártó által meghatározott beállítási célértéken üzemeltetik.
m) A vizsgálatot a következő legmagasabb fordulatszám-beállítási célértéken kell folytatni a fent meghatározott vizsgálati program a)-m) lépéseinek megismétlésével, amíg a ténylegesen mért sebességfokozatra vonatkozó fordulatszám-beállítási célértékek vizsgálatra nem kerültek.
Minden működési pontot legalább 5 másodperc üzemidőig kell tartani. Ezen üzemidő alatt a vizsgált egység fordulatszámát a fordulatszám-beállítási célérték ± 1 %-án vagy 20 ford./perc értékén kell tartani, attól függően, hogy melyik a nagyobb. Ezenkívül ezen üzemidő alatt - az egyes fordulatszám-beállítási célértékeken a legnagyobb és a legalacsonyabb nyomatékbeállítási célérték kivételével - a nyomatékot a nyomatékbeállítási célértéken a nyomatékbeállítási célérték ± 1 % vagy ± 5 Nm értéken kell tartani, attól függően, hogy melyik a nagyobb.
Az inverterbe, illetve az inverterből (vagy adott esetben a DC/DC-átalakítóba/-ból) érkező villamos energiát, valamint a vizsgált egység kimeneti nyomatékát és fordulatszámát az üzemidő utolsó két másodpercében mért értékek átlagaként kell rögzíteni.
4.3. A vizsgált egység mérési adatainak utófeldolgozása
4.3.1. Az utófeldolgozásra vonatkozó általános rendelkezések
A 4.3.2-4.3.6. pontban meghatározott valamennyi utófeldolgozási lépést el kell végezni a 4.1.3. pont szerinti két különböző feszültségszinten mért adatkészletekre vonatkozóan.
4.3.2. A nyomaték legnagyobb és legkisebb határértékei
A 4.2.2.4. pont szerint meghatározott legnagyobb és legkisebb nyomaték-határértékekre vonatkozó adatokat lineáris extrapolációval (a két legközelebbi pont alkalmazásával) ki kell terjeszteni a nulla fordulatszámra és a vizsgált egységnek az alkatrész gyártója által megadott legnagyobb üzemi fordulatszámára, amennyiben a rögzített mérési adatok nem fedik le ezeket a tartományokat.
4.3.3. Légellenállási görbe
A légellenállási görbére vonatkozó, a 4.2.3. pont szerint meghatározott adatokat a következő rendelkezéseknek megfelelően kell módosítani:
1. Ha az inverter (vagy adott esetben a DC/DC-átalakító) áramellátása inaktívra van állítva vagy leválasztották, az inverter (vagy adott esetben a DC/DC-átalakító) elektromos teljesítményére vonatkozó értékeket 0-ra kell beállítani.
2. Ha a vizsgált termék kimenőtengelye nem kapcsolódott a terhelőgéphez (azaz a fékpadhoz), a vonatkozó nyomatékértékeket 0-ra kell beállítani.
3. A fenti 1. és 2. pont szerint módosított adatokat lineáris extrapolációval ki kell terjeszteni a vizsgált egységnek az alkatrész gyártója által megadott legnagyobb üzemi fordulatszámára, amennyiben a rögzített mérési adatok nem fedik le ezeket a tartományokat.
4. A fenti 1-3. pont szerint módosított inverter (vagy adott esetben egyenáramú/egyenáram-átalakító) elektromos teljesítményének értékei virtuális mechanikai teljesítményveszteségnek tekintendők. A virtuális mechanikai teljesítményveszteség ezen értékeit a vizsgált egység kimenőtengelyének megfelelő fordulatszámával át kell számítani virtuális vonónyomatékra.
5. A vizsgált egység kimenőtengelyének a fenti 1-3. pont szerint módosított adatok szerinti minden egyes fordulatszám-beállítási célértékén a fenti 4. pont szerint meghatározott virtuális vonónyomatékot hozzá kell adni a terhelőgép (azaz a fékpad) tényleges nyomatékához a vizsgált egység teljes vonónyomatékának a fordulatszám függvényében történő meghatározása érdekében.
6. A vizsgált egység teljes vonónyomatékának a fenti 5. pont szerint módosított adatokból meghatározott legalacsonyabb fordulatszám-beállítási célértékeit át kell másolni egy 0 ford./perc fordulatszámú új bejegyzésbe, és hozzá kell adni a fenti 5. pont szerint módosított adatokhoz.
4.3.4. EPMC
Az EPMC 4.2.6.4. pont szerint meghatározott adatait a következő rendelkezéseknek megfelelően kell kiterjeszteni minden egyes előremeneti sebességfokozatra, külön-külön mérve:
1. A kimeneti nyomatékra és az inverter elektromos teljesítményére vonatkozó, a legalacsonyabb fordulatszám-beállítási célértéken meghatározott adatpárok értékeit át kell másolni egy új, nulla fordulatszámú bejegyzésbe.
2. A kimeneti nyomatékra és az inverter elektromos teljesítményre vonatkozó összes adatpárnak a legnagyobb fordulatszám-beállítási célértéken meghatározott értékeit át kell másolni egy új bejegyzésbe a legnagyobb fordulatszám-beállítási célérték 1,05-szoros értékén.
3. Ha egy meghatározott fordulatszám-beállítási célértéken (beleértve a fenti 1. és 2. pontban újonnan bevitt adatokat is) a 4.2.6.2.2. pont a)-g) alpontjaiban foglalt rendelkezésekkel összhangban meghatározott nyomatékbeállítási célértéket a 4.2.6.2.2. pont h) alpontja szerinti tényleges mérés során kihagyták, új adatpontot kell kiszámítani a következő rendelkezések alapján:
a) Fordulatszám: a kihagyott beállítási célérték használata a fordulatszámhoz
b) Nyomaték: a kihagyott nyomatékbeállítási célérték használata
c) Inverter teljesítménye: új érték kiszámítása lineáris extrapolációval, ahol a legkisebb négyzetek módszere segítségével végrehajtott lineáris regressziós egyenesnek a fenti b) alpont szerinti nyomatékértékhez legközelebb eső három ténylegesen mért nyomatékpont alapján a vonatkozó fordulatszám-beállítási célértékre vonatkozóan meghatározott meredekségét kell alkalmazni.
d) Pozitív nyomatékértékek esetében az inverterteljesítmény azon extrapolált értékeit, amelyek a fenti b) alpont szerinti nyomatékértékhez legközelebb eső, ténylegesen mért nyomatékpontnál mért értéknél alacsonyabbak, a fenti b) alpont szerinti nyomatékértékhez legközelebb eső nyomatékpontnál ténylegesen mért inverterteljesítményre kell beállítani.
e) Negatív nyomatékértékek esetében az inverterteljesítmény azon extrapolált értékeit, amelyek a fenti b) alpont szerinti nyomatékértékhez legközelebb eső, ténylegesen mért nyomatékpontnál mért értéknél magasabbak, a fenti b) alpont szerinti nyomatékértékhez legközelebb eső nyomatékpontnál ténylegesen mért inverterteljesítményre kell beállítani.
4. Minden fordulatszám-beállítási célértéknél (beleértve a fenti 1-3. pontban újonnan bevitt adatokat is) ki kell számítani egy új adatpontot a legnagyobb nyomatékbeállítási célértékre vonatkozó adatok alapján, a következő szabályok szerint:
a) Fordulatszám: ugyanazt az értéket használva a fordulatszámhoz
b) Nyomaték: a nyomaték értékének 1,05-szoros értékét használva
c) Inverter teljesítménye: új érték kiszámítása oly módon, hogy a mechanikai teljesítmény és az inverter teljesítménye arányaként meghatározott hatékonyság állandó maradjon
5. Minden fordulatszám-beállítási célértéknél (beleértve a fenti 1-3. pontban újonnan bevitt adatokat is) ki kell számítani egy új adatpontot a legalacsonyabb nyomatékbeállítási célértékre vonatkozó adatok alapján, a következő szabályok szerint:
a) Fordulatszám: ugyanazt az értéket használva a fordulatszámhoz
b) Nyomaték: a nyomaték értékének 1,05-szoros értékét használva
c) Inverter teljesítménye: új érték kiszámítása oly módon, hogy az inverter teljesítménye és a mechanikai teljesítmény arányaként meghatározott hatékonyság állandó maradjon
4.3.5. Túlterhelési jellemzők
A túlterhelési jellemzőknek a 4.2.5.3. pont szerint meghatározott adataiból hatásfokértéket kell meghatározni a t0_maxP időtartam alatti átlagos mechanikai kimenő teljesítményt elosztva az inverterbe, illetve az inverterből (vagy adott esetben a DC/DC-átalakítóba/-ból) a t0_maxP időtartam alatt érkező átlagos villamos energiával.
4.3.6. Legnagyobb 30 perces folyamatos nyomaték
A 4.2.4.3. pont szerint meghatározott adatokból hatásfokértéket kell meghatározni a legnagyobb 30 perces folyamatos nyomatékot elosztva az inverterbe, illetve az inverterből (vagy adott esetben a DC/DC-átalakítóba/-ból) érkező átlagos villamos energiával.
A 4.2.4.2. pont szerint meghatározott legnagyobb 30 perces folyamatos nyomatékra vonatkozó mérési adatokból minden egyes, külső hőcserélőhöz csatlakoztatott hűtőkörre vonatkozóan külön-külön meg kell határozni a következő átlagértékeket az 1 800 másodperces mérési időtartam időfelbontásos értékeiből:
- hűtési teljesítmény
- a hűtőközeg hőmérséklete a vizsgált egység hűtőkörének bemeneti nyílásánál
A hűtési teljesítményt a hűtőközeg fajlagos hőteljesítménye, a hűtőközeg tömegárama és a vizsgált egység oldalán a próbapad hőcserélőjének két oldala közötti hőmérséklet-különbség alapján kell meghatározni.
4.4. Az 1. típusú IHPC-k vizsgálatára vonatkozó különös rendelkezések
Az 1. típusú IHPC-ket gyakorlatilag két különálló alkatrészre bontják a szimulációs eszközben való kezelés céljából, azaz egy elektromos géprendszerre és egy sebességváltóra. Ezért az e pontban leírt rendelkezések szerint két különálló alkatrész-adatkészletet kell meghatározni.
Az 1. típusú IHPC-k alkatrészvizsgálatára e melléklet 4.1-4.2. pontja alkalmazandó.
Az 1. típusú IHPC esetében a nyomatékot és a fordulatszámot a rendszer kimenőtengelyénél (azaz a sebességváltó kimeneti oldalán a jármű kerekei felé) kell mérni.
A családok 13. függelék szerinti meghatározása nem megengedett az 1. típusú IHPC-k esetében. Ezért a vizsgálati menetek elhagyása nem megengedett, és a 4.2. pontban leírt összes vizsgálati menetet el kell végezni egy adott 1. típusú IHPC-re. E rendelkezések ellenére az 1. típusú IHPC légellenállási görbéjének a 4.2.3. pont szerinti vizsgálatát el kell hagyni.
Az 1. típusú IHPC-k bemeneti adatainak standard értékeken alapuló generálása nem megengedett.
4.4.1. Az 1. típusú IHPC-kre vonatkozóan elvégzendő vizsgálati menetek
4.4.1.1. A teljes rendszer jellemzőinek meghatározására szolgáló vizsgálati menetek
Ez az alpont a teljes 1. típusú IHPC jellemzőinek meghatározásához szükséges részleteket írja le, beleértve a sebességváltó-rész rendszeren belüli veszteségeit is.
A következő vizsgálati meneteket a többsebességes sebességváltóval rendelkező IEPC-re az adott pontokban meghatározott rendelkezéseknek megfelelően kell elvégezni. E vizsgálati menetek mindegyikénél a hajtónyomatéknak a rendszerbe történő továbbítására szolgáló bemenő tengelynek vagy lekapcsoltnak és szabadon forgónak kell lennie, vagy elforgatás nélkül kell rögzíteni.
2a. táblázat
Az 1. típusú IHPC-re vonatkozóan elvégzendő vizsgálati menetek áttekintése
Vizsgálati menet | Vonatkoztatási pont |
A nyomaték legnagyobb és legkisebb határértékei | 4.2.2. |
Legnagyobb 30 perces folyamatos nyomaték | 4.2.4. |
Túlterhelési jellemzők | 4.2.5. |
EPMC | 4.2.6. |
Mivel a többsebességes sebességváltóval rendelkező IEPC-re vonatkozóan meghatározott rendelkezések az 1. típusú IHPC-re alkalmazandók, az EPMC-t minden egyes előremeneti sebességfokozat esetében mérni kell a 4.2.6.2. pont szerint.
4.4.1.2. Vizsgálati menetek a sebességváltó-rész rendszeren belüli veszteségeinek meghatározására
Ez az alpont a sebességváltó-rész rendszeren belüli veszteségeinek meghatározásához szükséges részleteket írja le.
Ezért a rendszert a VI. melléklet 3.3. pontjának rendelkezései szerint kell vizsgálni. E rendelkezések ellenére a következő rendelkezéseket kell alkalmazni:
- A hajtónyomatéknak a rendszerbe történő továbbítására szolgáló bemenő tengelyt a VI. melléklet 3.3. pontjának rendelkezéseivel összhangban egy fékpadhoz kell csatlakoztatni és azzal kell meghajtani.
- Az elektromos egyenáramú tápforrásból az inverter(ek)hez (vagy adott esetben a DC/DC-átalakító(k)hoz) érkező áramellátását le kell kapcsolni. Annak érdekében, hogy a lekapcsolás a rendszer bármely alkatrészének sérülése nélkül lehetővé váljon, a rendszert úgy lehet módosítani, hogy a méréshez próbamágneseket vagy próba forgórészeket használnak az elektromos gép(ek) alkatrészében.
- A VI. melléklet 3.3.6.3. pontjában meghatározott nyomatéktartományt ki kell terjeszteni a negatív nyomatékértékekre is oly módon, hogy a pozitív oldal ugyanazon nyomatékbeállítási célértékeit negatív előjellel is megmérjék.
4.4.2. Az 1. típusú IHPC mérési adatainak utófeldolgozása
Eltérő rendelkezés hiányában az 1. típusú IHPC-k mérési adatainak utófeldolgozására a 4.3. pont valamennyi rendelkezését alkalmazni kell.
4.4.2.1. A teljes rendszer jellemzőire vonatkozó adatok utófeldolgozása
A 4.4.1.1. pont szerint meghatározott valamennyi mérési adatot a 4.3.1-4.3.6. pontban meghatározott rendelkezéseknek megfelelően kell kezelni. A 4.3.3. pont rendelkezéseit el kell hagyni, mivel a légellenállási görbe 4.2.3. pont szerinti mérését nem végzik el az 1. típusú IHPC esetében. Amennyiben az adott pontokban a többsebességű sebességváltóval rendelkező IEPC-re vonatkozóan külön rendelkezések vannak meghatározva, ezeket a különös rendelkezéseket alkalmazni kell.
4.4.2.2. A sebességváltó-rész rendszeren belüli veszteségeire vonatkozó adatok utófeldolgozása
A 4.4.1.2. pont szerint meghatározott valamennyi mérési adatot a VI. melléklet 3.4. pontjában meghatározott rendelkezéseknek megfelelően kell kezelni. E rendelkezések ellenére a következő rendelkezéseket kell alkalmazni:
- A VI. melléklet 3.4.2-3.4.5. pontjában megállapított rendelkezéseket hasonlóan kell alkalmazni a negatív nyomatékértékekre is.
- A VI. melléklet 3.4.6. pontjában megállapított rendelkezéseket nem kell alkalmazni.
4.4.2.3. Az adatok utófeldolgozása a virtuális elektromos géprendszer konkrét adatainak meghatározása céljából
A virtuális elektromos géprendszer alkatrészadatainak meghatározásához a következő lépéseket kell végrehajtani. A 4.3.5. és 4.3.6. pont szerint meghatározott két hatásfokérték esetében a következő utófeldolgozási lépéseket el kell hagyni, mivel ezek a hatásfokértékek csak a CO2-kibocsátással és a tüzelőanyag-fogyasztással kapcsolatos tanúsított tulajdonságok megfelelőségének értékelésére szolgálnak.
a) A 4.4.2.1. pont szerint kezelt mérési adatok valamennyi fordulatszám- és nyomatékértékét át kell váltani az alábbi egyenletekkel az 1. típusú IHPC kimenőtengelyéről a bemenő tengelyére. Ha ugyanazt a vizsgálati menetet több sebességfokozatban végezték el, az átváltást minden egyes sebességfokozatra külön kell elvégezni.


ahol:
nEM,virt = a virtuális elektromos géprendszer fordulatszáma az 1. típusú IHPC bemenő tengelyére vonatkoztatva [1/perc]
noutput = mért fordulatszám az 1. típusú IHPC kimenőtengelyénél [1/perc]
igbx = az 1. típusú IHPC bemenő tengelye fordulatszámának a kimenőtengelyének fordulatszámához viszonyított aránya a mérés alatt alkalmazott konkrét sebességfokozatban [-]
TEM,virt = a virtuális elektromos géprendszer nyomatéka az 1. típusú IHPC bemenő tengelyére vonatkoztatva [Nm]
Toutput = mért nyomaték az 1. típusú IHPC kimenőtengelyénél [Nm]
Tloss,gbx = a fordulatszámtól és a nyomatéktól függő nyomatékveszteség az 1. típusú IHPC bemenő tengelyénél [Nm]. Ezt kétdimenziós lineáris interpolációval kell kiszámítani a sebességváltónak a 4.4.2.2. pont szerint az adott sebességfokozatra meghatározott veszteségi jelleggörbéiből.
sebességfokozat = a mérés alatt alkalmazott konkrét sebességfokozat [-]
b) Az alábbi számítások alapjául az egyes előremeneti sebességfokozatokra vonatkozóan a 4.4.2.1. pont szerint meghatározott és a 4.4.2.3. pont a) alpontja szerint a bemenő tengelyre átváltott elektromosteljesítmény-jelleggörbék szolgálnak. Az elektromosteljesítmény-jelleggörbék elektromos inverter teljesítményének valamennyi értékét át kell számítani a virtuális elektromos géprendszer megfelelő jelleggörbéire a sebességváltó-rész veszteségeinek levonásával, az alábbi egyenlettel összhangban:

ahol:
Pel,virt = a virtuális elektromos géprendszer inverterének elektromos teljesítménye [W]
nEM,virt = a virtuális elektromos géprendszernek a 4.4.2.3. pont a) alpontja alapján meghatározott fordulatszáma az 1. típusú IHPC bemenő tengelyére vonatkoztatva [1/perc]
TEM,virt = a virtuális elektromos géprendszernek a 4.4.2.3. pont a) alpontja alapján meghatározott nyomatéka az 1. típusú IHPC bemenő tengelyére vonatkoztatva [Nm]
Pel,meas = az elektromos inverter mért teljesítménye [W]
Tloss,gbx = a fordulatszámtól és a nyomatéktól függő nyomatékveszteség az 1. típusú IHPC bemenő tengelyénél [Nm]. Ezt kétdimenziós lineáris interpolációval kell kiszámítani a sebességváltónak a 4.4.2.2. pont szerint az adott sebességfokozatra meghatározott veszteségi jelleggörbéiből.
sebességfokozat = a mérés alatt alkalmazott konkrét sebességfokozat [-]
c) A virtuális elektromos géprendszer vonónyomaték-értékeit ugyanazoknál az nEM,virt fordulatszám-beállítási célértékeknél kell meghatározni az 1. típusú IHPC bemenő tengelyére vonatkoztatva, mint amelyet a virtuális elektromos géprendszer legnagyobb és legkisebb nyomatékgörbéjének meghatározására használnak. A különböző fordulatszám-beállítási célértékeknél megadott minden egyes vonónyomaték Nm-ben kifejezett értékét nullára kell állítani.
d) A virtuális elektromos géprendszer tehetetlenségi nyomatékát úgy kell kiszámítani, hogy a tényleges elektromos gép(ek) e melléklet 8. függelékének 8. pontja szerint meghatározott tehetetlenségi értékeit átszámítjuk az 1. típusú IHPC bemenő tengelyére vonatkoztatott megfelelő tehetetlenséginyomaték-értékre.
4.4.3. A szimulációs eszköz bemeneti adatainak létrehozása
Mivel az 1. típusú IHPC-ket gyakorlatilag két különálló alkatrészre bontják a szimulációs eszközben való kezelés céljából, az alkatrészekre vonatkozó külön bemeneti adatokat kell meghatározni az elektromos géprendszerre és a sebességváltóra. A bemeneti adatokban feltüntetett tanúsítványszámnak azonosnak kell lennie mind az elektromos géprendszer, mind az erőátvitel tekintetében.
4.4.3.1. A virtuális elektromos géprendszer bemeneti adatai
A virtuális elektromos géprendszer bemeneti adatait az elektromos géprendszer 15. függelékben szereplő fogalommeghatározásainak megfelelően kell generálni a 4.4.2.3. pont rendelkezéseinek megfelelően kapott végső adatok alapján.
4.4.3.2. A virtuális sebességváltó bemeneti adatai
A virtuális sebességváltó bemeneti adatait a sebességváltó a VI. melléklet 12. függeléke 1-3. táblázatában szereplő fogalommeghatározásainak megfelelően kell generálni a 4.4.2.2. pont rendelkezéseinek megfelelően kapott végső adatok alapján. Az 1. táblázatban a "TransmissionType" paraméter értékét az "IHPC Type 1" értékre kell beállítani.
5. Akkumulátorrendszerek vagy reprezentatív akkumulátor-alrendszerek vizsgálata
A vizsgált akkumulátoregység hőmérsékleti kondicionáló berendezésének és a próbapad berendezésén lévő megfelelő hőmérsékleti kondicionálóhuroknak működőképesnek kell lennie a vizsgált akkumulátoregység járműalkalmazás szerinti hőmérsékleti kondicionálási teljesítményének kielégítéséhez, és lehetővé kell tennie, hogy a próbapad berendezése a vizsgált akkumulátoregység működési határértékein belül elvégezze a kért vizsgálati eljárást.
5.1. Általános rendelkezések
A vizsgált akkumulátoregység alkotóelemei a járművön belül különböző eszközökben is eloszthatók.
A vizsgált akkumulátoregységet a BCU vezérli, a próbapad-berendezésnek meg kell felelnie a BCU által a busz-kommunikáción keresztül megadott működési határértékeknek. Ha az adott vizsgálati eljárás másként nem rendelkezik, a vizsgált akkumulátoregység hőkondicionáló berendezésének és a megfelelő hőkondicionáló huroknak a próbapad-berendezésen a BCU kezelőszerveinek megfelelően kell működnie. A BCU-nak lehetővé kell tennie, hogy a próbapad-berendezés a vizsgált akkumulátoregység működési határértékein belül elvégezze a kért vizsgálati eljárást. Szükség esetén az alkatrész gyártójának a BCU programját a kért vizsgálati eljáráshoz kell igazítania a vizsgált akkumulátoregységre vonatkozó működési és biztonsági határértékeken belül.
5.1.1. A hőkiegyenlítődés feltételei
Hőkiegyenlítődés akkor érhető el, ha egy 1 órás időtartam alatt az alkatrész gyártója által meghatározott cellahőmérséklet és az összes cellahőmérséklet-mérési pont hőmérséklete közötti eltérés ± 7 K-nél kisebb.
5.1.2. Előjelre vonatkozó szabályok
5.1.2.1. Áramerősség
Az áramerősség mért értékeinek pozitív előjellel kell rendelkezniük a kisütéshez és negatív előjellel kell rendelkezniük a töltéshez.
5.1.3. A környezeti hőmérséklet referenciahelye
A környezeti hőmérsékletet a vizsgált akkumulátoregységtől számított 1 m távolságban, az alkatrész gyártója által megadott ponton kell mérni.
5.1.4. Hőmérsékleti viszonyok
Az akkumulátor vizsgálati hőmérsékletét, azaz a vizsgált akkumulátoregység üzemi célhőmérsékletét az alkatrész gyártójának kell meghatároznia. A cellahőmérséklet-mérési pontok hőmérsékletének minden elvégzett vizsgálati menet során az alkatrész gyártója által megadott határértékeken belül kell lennie.
A folyadékkondicionálással (azaz fűtéssel vagy hűtéssel) rendelkező vizsgált akkumulátoregység esetében rögzíteni kell a kondicionáló folyadéknak a vizsgált akkumulátoregység bemeneténél mért hőmérsékletét, és azt az alkatrész gyártója által megadott érték ± 2 K értéken belül kell tartani.
Léghűtéses vizsgált akkumulátoregység esetében a vizsgált akkumulátoregység hőmérsékletét az alkatrész gyártója által ponton az alkatrész gyártója által megadott maximális érték + 0/-20 K értéken belül kell tartani.
A próbapadon rendelkezésre álló hűtési és/vagy fűtési teljesítményt minden elvégzett vizsgálati menet esetében az alkatrész gyártója által megadott értékre kell korlátozni. Ezt az értéket a vizsgálati adatokkal együtt rögzíteni kell.
A próbapadon rendelkezésre álló hűtő- és/vagy fűtőteljesítményt a következő eljárások alapján kell meghatározni, és a tényleges alkatrészek vizsgálati adataival együtt rögzíteni kell:
1. Folyadékkondicionálás esetén a kondicionáló folyadék tömegáramából és a vizsgált akkumulátoregység oldalán lévő hőcserélőjének két oldala közötti hőmérséklet-különbségből.
2. Elektromos kondicionálás esetén a feszültségből és az áramból. Az alkatrész gyártója módosíthatja e kondicionáló egység elektromos csatlakoztatását a vizsgált akkumulátoregység tanúsításához annak érdekében, hogy lehetővé tegye a vizsgált akkumulátoregység jellemzőinek mérését a kondicionáláshoz szükséges elektromos teljesítmény figyelembevétele nélkül (pl. ha a kondicionálást közvetlenül a vizsgált akkumulátoregységen belül hajtják végre és csatlakoztatják). E rendelkezések ellenére rögzíteni kell a kondicionáló egység által a vizsgált akkumulátoregységhez külsőleg biztosított elektromos hűtési és/vagy fűtési teljesítményt.
3. Más típusú kondicionálás esetében a helyes műszaki megítélés és a típusjóváhagyó hatósággal folytatott megbeszélés alapján.
5.2. Előkészítési ciklusok
Az akkumulátorban vizsgált terméket legfeljebb öt teljes kisütési ciklus elvégzésével kell kondicionálni, amit teljes töltés követ annak érdekében, hogy a rendszer teljesítménye a tényleges vizsgálat megkezdése előtt stabilizálódjon.
Az egymást követő teljes kisütési ciklusokat, majd a teljes töltést az alkatrész gyártója által meghatározott beállított üzemi hőmérsékleten kell elvégezni az "előkondicionált" állapot eléréséig. Az "előkondicionált" vizsgált akkumulátoregység kritériuma az, hogy a kisütési kapacitás két egymást követő kisütés során nem változik meg a névleges teljesítmény 3 %-ánál nagyobb mértékben, vagy hogy öt ismétlést végeztek.
A vizsgált akkumulátoregység feszültsége nem csökkenhet az alkatrész gyártója által a kisütés végére ajánlott legkisebb feszültség alá (a legkisebb feszültség a kisütés alatti legkisebb feszültség, a vizsgált akkumulátoregység visszafordíthatatlan károsodása nélkül). A teljes kisütésre és a teljes töltési ciklusra vonatkozó befejezésének feltételeit az alkatrész gyártójának kell meghatároznia.
5.2.1. Áramerősségi szintek a HPBS előkészítési ciklusaiban
A kisütést 2C áramerősség mellett kell végrehajtani a minimális töltöttségi szintig, az alkatrész gyártójának előírásaival összhangban.
5.2.2. Áramerősségi szintek az előkészítési ciklusokban A HEBS előkészítése
A kisütést 1/3C áramerősség mellett kell végrehajtani, a töltést pedig az alkatrész gyártójának előírásaival összhangban kell elvégezni.
5.3. Szabványos ciklus
A szabványos ciklus (SC) célja, hogy a 12. függelékkel összhangban biztosítsa a vizsgált akkumulátoregységen végzett minden egyes célzott vizsgálat, valamint a gyártásmegfelelőség céljaira feltöltött energia azonos kezdeti állapotát. A vizsgálatot az alkatrészgyártó által meghatározott beállított üzemi hőmérsékleten kell elvégezni.
5.3.1. Szabványos ciklus a HPBS-hez
A HPBS-re vonatkozó szabványos ciklus sorban a következő eseményekből áll: standard kisütés, pihentetési idő, standard töltés és második pihentetési idő.
A normál kisütési eljárást 1C áramerősség mellett kell végrehajtani a minimális töltöttségi szintig, az alkatrész gyártójának előírásaival összhangban.
A pihentetési időnek közvetlenül a kisütés vége után kell kezdődnie, és 30 percig kell tartania.
A standard töltési eljárást az alkatrész gyártójának a töltés befejezésére vonatkozó kritériumokra, valamint a teljes töltési eljárásra alkalmazandó határidőkre vonatkozó előírásaival összhangban kell elvégezni.
A második pihentetési időnek közvetlenül a töltés vége után kell kezdődnie, és 30 percig kell tartania.
5.3.2. Szabványos ciklus a HEBS-hez
A HEBS-re vonatkozó szabványos ciklus sorban a következő eseményekből áll: standard kisütés, pihentetési idő, standard töltés és második pihentetési idő.
A normál kisütési eljárást 1/3C áramerősség mellett kell végrehajtani a minimális töltöttségi szintig, az alkatrész gyártójának előírásaival összhangban.
A pihentetési időnek közvetlenül a kisütés vége után kell kezdődnie, és 30 percig kell tartania.
A standard töltési eljárást az alkatrész gyártójának a töltés befejezésére vonatkozó kritériumokra, valamint a teljes töltési eljárásra alkalmazandó határidőkre vonatkozó előírásaival összhangban kell elvégezni.
A második pihentetési időnek közvetlenül a töltés vége után kell kezdődnie, és 30 percig kell tartania.
5.4. Elvégzendő vizsgálati menetek
Mielőtt az e pont szerinti vizsgálati meneteket elvégeznék, a vizsgált akkumulátoregységre az 5.2. pont szerinti rendelkezéseket kell alkalmazni.
5.4.1. A névleges teljesítményre vonatkozó vizsgálati eljárás
Ez a vizsgálat a vizsgált akkumulátoregység Ah-ban kifejezett névleges teljesítményét méri állandó kisütési áram mellett.
5.4.1.1. A mérendő jelek
Az előkondicionálás, az elvégzett szabványos ciklusok és a tényleges vizsgálati menet során a következő jeleket kell rögzíteni:
- Töltési/kisütési áram a vizsgált akkumulátoregység kapcsainál
- A vizsgált akkumulátoregység kapcsainak feszültsége
- A vizsgált akkumulátoregység valamennyi mérési pontjának hőmérséklete
- Környezeti hőmérséklet a próbapadban
- Fűtési vagy hűtési teljesítmény a vizsgált akkumulátoregységnél
5.4.1.2. Vizsgálati menet
A vizsgált akkumulátoregységnek az alkatrész gyártójának előírásai szerinti teljes feltöltése és az 5.1.1. pont szerinti hőkiegyenlítődés elérése után el kell végezni az 5.3. pont szerinti szabványos ciklust.
A tényleges vizsgálati menetet a szabványos ciklus végét követő 3 órán belül meg kell kezdeni, ellenkező esetben a szabványos ciklust meg kell ismételni.
A tényleges vizsgálati menetet szobahőmérsékleten kell elvégezni, és állandó kisütési áramot kell magában foglalnia a következő kisütési ráta mellett:
- HPBS esetében az alkatrészgyártó névleges 1 C teljesítménye Ah-ban kifejezve
- HEBS esetében az alkatrészgyártó 1/3C névleges teljesítménye Ah-ban kifejezve
Valamennyi kisütési vizsgálatot a minimumfeltételek mellett kell megszakítani az alkatrész gyártójának előírásaival összhangban.
5.4.1.3. Az eredmények értelmezése
A névleges teljesítményre a tényleges vizsgálati menet közben az integrált akkumulátor áramerősségéből az 5.4.1.2. pont szerint kapott, Ah-ban kifejezett teljesítményt kell használni.
5.4.1.4. A bejelentendő adatok
A következő adatokat kell bejelenteni:
- Az 5.4.1.3. pont szerint meghatározott névleges teljesítmény
- A tényleges vizsgálati menet során az 5.4.1.1. pont szerint rögzített összes jel átlagos értéke
A gyártásmegfelelőség vizsgálata céljából a következő értékeket is ki kell számítani:
- Teljes feltöltött energia (Echa), a tényleges vizsgálati menet előtt elvégzett szabványos ciklus alatt 20 %-ról 80 %-os töltöttségi szintre történő feltöltéskor.
- Teljes kisütött energia (E dis), a tényleges vizsgálati menet alatt 80 %-ról 20 %-os töltöttségi szintre történő kisütéskor.
Az összes használt töltöttségiszint-értéket az 5.4.1.3. pont szerint meghatározott tényleges mért névleges teljesítmény alapján kell kiszámítani.
Az energiaátalakítás hatásfokát (ηBAT) úgy kell kiszámítani, hogy az összes kisütött energiát (Edis) el kell osztani az 5. függelék szerinti adatközlő lapon jelentett összes feltöltött energiával (Echa).
5.4.2. A nyitott áramkör feszültségének, belső ellenállásának és áramerősségének vizsgálati eljárása
Ez a vizsgálat meghatározza a kisütési és töltési körülmények közötti ohmikus ellenállást, valamint a vizsgált akkumulátoregység nyitott áramköri feszültségét a töltöttségi szint függvényében. Ezenkívül ellenőrizni kell az alkatrész gyártója által a kisütésre és töltésre megadott legnagyobb áramerősséget.
5.4.2.1. A vizsgálatra vonatkozó általános rendelkezések
Az összes használt töltöttségiszint-értéket az 5.4.1.3. pont szerint meghatározott tényleges mért névleges teljesítmény alapján kell kiszámítani.
Az áramerősséget csak akkor kell csökkenteni, ha a vizsgált akkumulátoregység a kisütés során eléri a kisütési feszültséghatárt, hogy a vizsgált akkumulátoregység kapocsfeszültsége a kisütési impulzus teljes egészében a kisütési feszültséghatáron maradjon.
Az áramerősséget csak akkor kell csökkenteni, ha a vizsgált akkumulátoregység töltés közben eléri a töltési feszültséghatárt, hogy a vizsgált akkumulátor kapocsfeszültsége a teljes regeneratív töltési impulzus alatt a töltési feszültséghatáron maradjon.
Ha a vizsgálóberendezés az aktuális profil változását követő 100 ms-on belül nem tudja biztosítani a célértékhez képest ± 1 %-os pontossággal az áramerősség-értéket, a vonatkozó rögzített adatokat figyelmen kívül kell hagyni, és ezekből az adatokból nem kell kiszámítani a nyitott áramköri feszültségre és a belső ellenállásra vonatkozó kapcsolódó értékeket.
Ha a BCU által a busz-kommunikáción keresztül biztosított működési határértékek az áramerősség csökkentését teszik szükségessé annak érdekében, hogy az a vizsgált akkumulátoregység üzemi határértékein belül maradjon, a próbapad-berendezésnek a BCU szükségleteivel összhangban csökkentenie kell a vonatkozó céláramot.
5.4.2.2. A mérendő jelek
Az előkondicionálás és a tényleges vizsgálati menet során a következő jeleket kell rögzíteni:
- Kisütési áram a vizsgált akkumulátoregység kapcsainál
- A vizsgált akkumulátoregység kapcsainak feszültsége
- A vizsgált akkumulátoregység valamennyi mérési pontjának hőmérséklete
- Környezeti hőmérséklet a próbapadban
- Fűtési vagy hűtési teljesítmény a vizsgált akkumulátoregységnél
5.4.2.3. Vizsgálati menet
5.4.2.3.1. Előkondicionálás
A vizsgált akkumulátoregységnek az alkatrész gyártójának előírásai szerinti teljes feltöltése és az 5.1.1. pont szerinti hőkiegyenlítődés elérése után el kell végezni az 5.3. pont szerinti szabványos ciklust.
A szabványos ciklus végét követően 1-3 órán belül el kell kezdeni a tényleges vizsgálati menetet. Ellenkező esetben meg kell ismételni az előző bekezdésben leírt eljárást.
5.4.2.3.2. Vizsgálati eljárás
HPBS esetében a vizsgálatot öt különböző töltöttségi szinten kell elvégezni: 80, 65, 50, 35 és 20 %.
HEBS esetében a vizsgálatot öt különböző töltöttségi szinten kell elvégezni: 90, 70, 50, 35 és 20 %.
Az utolsó lépésben a 20 %-os töltöttségiszint-értéknél az alkatrész gyártója csökkentheti a vizsgált akkumulátoregység maximális kisütési áramát annak érdekében, hogy a töltöttségi szint az alkatrész gyártójának előírásaival összhangban a minimális töltöttségi szint felett maradjon, és elkerülje a mélykisütést.
Az egyes töltöttségi szinten végzett tényleges vizsgálati menetek kezdete előtt a vizsgált akkumulátoregységet az 5.4.2.3.1. pontnak megfelelően előkondicionálni kell.
Annak érdekében, hogy a vizsgált akkumulátor egység kezdeti állapotától kiindulva elérjék a vizsgálathoz előírt töltöttségi szinteket, a HPBS esetében 1C, a HEBS esetében pedig 1/3C állandó áramerősséggel kisütést kell végezni, amelyet a következő mérés megkezdése előtt 30 perces pihentetési idő követ.
Az alkatrész gyártójának a vizsgálat előtt meg kell adnia a töltési és kisütési áramerősséget, amely a HPBS esetében a 3. táblázat, a HEBS esetében pedig a 4. táblázat szerinti áramimpulzus vonatkozó időosztásának teljes időtartama alatt alkalmazható.
A tényleges vizsgálati menetet szobahőmérsékleten kell elvégezni, és annak a HPBS esetében a 3. táblázat, a HEBS esetében pedig a 4. táblázat szerinti áramprofilt kell használnia.
3. táblázat
A HPBS áramprofilja
Időosztás [s] | Összesített idő [s] | Céláram |
0 | 0 | 0 |
20 | 20 | Idischg_max/33 |
40 | 60 | 0 |
20 | 80 | Ichg_max/33 |
40 | 120 | 0 |
20 | 140 | Idischg_max/32 |
40 | 180 | 0 |
20 | 200 | Ichg_max/32 |
40 | 240 | 0 |
20 | 260 | Idischg_max/3 |
40 | 300 | 0 |
20 | 320 | Ichg_max/3 |
40 | 360 | 0 |
20 | 380 | Idischg_max |
40 | 420 | 0 |
20 | 440 | Ichg_max |
40 | 480 | 0 |
4. táblázat
A HEBS áramprofilja
Időosztás [s] | Összesített idő [s] | Céláram |
0 | 0 | 0 |
120 | 120 | Idischg_max/33 |
40 | 160 | 0 |
120 | 280 | Ichg_max/33 |
40 | 320 | 0 |
120 | 440 | Idischg_max/32 |
40 | 480 | 0 |
120 | 600 | Ichg_max/32 |
40 | 640 | 0 |
120 | 760 | Idischg_max/3 |
40 | 800 | 0 |
120 | 920 | Ichg_max/3 |
40 | 960 | 0 |
120 | 1080 | Idischg_max |
40 | 1120 | 0 |
120 | 1240 | Ichg_max |
40 | 1280 | 0 |
Ahol:
Idischg_max az alkatrészgyártó által meghatározott legnagyobb kisütési áram abszolút értéke a megadott töltöttségi szinten, amely az áramimpulzus vonatkozó időosztásának teljes időtartama alatt alkalmazható
Ichg_max az alkatrészgyártó által meghatározott legnagyobb töltési áram abszolút értéke a megadott töltöttségi szinten, amely az áramimpulzus vonatkozó időosztásának teljes időtartama alatt alkalmazható
A vizsgálati menet közben a céláram első változása előtti feszültséget (V0) 100 ms alatti átlagértékként kell mérni.
A HPBS esetében a következő feszültségeket és áramerősségeket kell mérni:
1. A 3. táblázatban meghatározott kisütési és töltési áram minden egyes különböző impulzusszintje esetében a nulla áramerősség alatti feszültséget a céláram változásának bekövetkezése előtti utolsó másodperc átlagértékeként kell megmérni, azaz a Vdstart értéket kisütés, illetve a Vcstart értékét töltés esetén.
2. A 3. táblázatban meghatározott kisütési áram minden egyes különböző impulzusszintje esetében a céláram változásának bekövetkezését 2, 10 és 20 mp-cel követő feszültséget (Vd2, Vd10, Vd20), valamint a kapcsolódó áramerősséget (Id2, Id10 és Id20) 100 ms alatti átlagértékként kell mérni.
3. A 3. táblázatban meghatározott töltési áram minden egyes különböző impulzusszintje esetében a céláram változásának bekövetkezését 2, 10 és 20 mp-cel követő feszültséget (Vd2, Vd10, Vd20), valamint a kapcsolódó áramerősséget (Ic2, Ic10 és Ic20) 100 ms alatti átlagértékként kell mérni.
Az 5. táblázat áttekintést nyújt azokról a feszültség- és áramértékekről, amelyeket a HPBS esetében a céláram változása után az idő előrehaladtával mérni kell.
5. táblázat
(kisütés és töltés) HPBS esetében Feszültségmérési pontok az áramimpulzus minden egyes különböző szintjén
A céláram változásának bekövetkezése után eltelt idő [s] | Kisütés (D) vagy töltés (C) | Feszültség | Áramerősség |
2 | D | Vd2 | Id2 |
10 | D | Vd10 | Id10 |
20 | D | Vd20 | Id20 |
2 | C | Vc2 | Ic2 |
10 | C | Vc10 | Ic10 |
20 | C | Vc20 | Ic20 |
A HEBS esetében a következő feszültségeket és áramerősségeket kell mérni:
1. A 4. táblázatban meghatározott kisütési és töltési áram minden egyes különböző impulzusszintje esetében a nulla áramerősség alatti feszültséget a céláram változásának bekövetkezése előtti utolsó másodperc átlagértékeként kell megmérni, azaz a Vdstart értéket kisütés, illetve a Vcstart értékét töltés esetén.
2. A 4. táblázatban meghatározott kisütési áram minden egyes különböző impulzusszintje esetében a céláram változásának bekövetkezését 2, 10, 20 és 120 mp-cel követő feszültséget (Vd2, Vd10, Vd20, és Vd120), valamint a kapcsolódó áramerősséget (Id2, Id10, Id20 és Id120) 100 ms alatti átlagértékként kell mérni.
3. A 4. táblázatban meghatározott töltési áram minden egyes különböző impulzusszintje esetében a céláram változásának bekövetkezését 2, 10, 20 és 120 mp-cel követő feszültséget (Vc2, Vc10, Vc20 és Vc120), valamint a kapcsolódó áramerősséget (Ic2, Ic10, Ic20 és Ic120) 100 ms alatti átlagértékként kell mérni.
A 6. táblázat áttekintést nyújt azokról a feszültség- és áramértékekről, amelyeket a HEBS esetében a céláram változása után az idő előrehaladtával mérni kell.
6. táblázat
Feszültségmérési pontok az áramimpulzus minden egyes különböző szintjén (kisütés és töltés) HEBS esetében
A céláram változásának bekövetkezése után eltelt idő [s] | Kisütés (D) vagy töltés (C) | Feszültség | Áramerősség |
2 | D | Vd2 | Id2 |
10 | D | Vd10 | Id10 |
20 | D | Vd20 | Id20 |
120 | D | Vd120 | Id120 |
2 | C | Vc2 | Ic2 |
10 | C | Vc10 | Ic10 |
20 | C | Vc20 | Ic20 |
120 | C | Vc120 | Ic120 |
5.4.2.4. Az eredmények értelmezése
A következő számításokat külön-külön kell elvégezni az 5.4.2.3. pont szerint mért egyes töltöttségi szintekre.
5.4.2.4.1. A HPBS-re vonatkozó számítások
(1) A 3. táblázatban meghatározott kisütési áram minden egyes különböző impulzusszintje esetében a belső ellenállás értékeit az 5.4.2.3. pont szerint mért feszültség- és áramerősség-értékekből kell kiszámítani az alábbi egyenletek szerint:
- RId2 = (Vdstart - Vd2) / Id2
- RId10 = (Vdstart - Vd10) / Id10
- RId20 = (Vdstart - Vd20) / Id20
(2) A kisütéshez tartozó belső ellenállásokat (RId2_avg, RId10_avg, RId20_avg) a 3. táblázatban meghatározott összes különböző áramimpulzusszint átlagaként kell kiszámítani az 1. pont szerint kiszámított egyedi értékekből.
(3) A 3. táblázatban meghatározott töltési áram minden egyes különböző impulzusszintje esetében a belső ellenállás értékeit az 5.4.2.3. pont szerint mért feszültség- és áramerősség-értékekből kell kiszámítani az alábbi egyenletek szerint:
- RIc2 = (Vcstart - Vc2) / Ic2
- RIc10 = (Vcstart - Vc10) / Ic10
- RIc20 = (Vcstart - Vc20) / Ic20
(4) A töltéshez tartozó belső ellenállásokat (RIc2_avg, RIc10_avg, RIc20_avg) a 3. táblázatban meghatározott összes különböző áramimpulzusszint átlagaként kell kiszámítani a 3. pont szerint kiszámított egyedi értékekből.
(5) A teljes belső ellenállást (RI2, RI10 és RI20) a 2. és 4. pont szerint kiszámított megfelelő kisütési és töltési értékek átlagaként kell kiszámítani.
(6) A nyitott áramköri feszültség az 5.4.2.3. ponttal összhangban az adott töltöttségi szintre mért V0 érték.
(7) A legnagyobb kisütési áramra vonatkozó határértékeket az 5.4.2.3. pont szerint 20 másodperc alatt Idischg_max céláram mellett az egyes töltöttségi szinteken mért átlagértékként kell kiszámítani.
(8) A legnagyobb töltési áramra vonatkozó határértékeket az 5.4.2.3. pont szerint 20 másodperc alatt Ichg_max céláram mellett az egyes töltöttségi szinteken mért átlagértékként kell kiszámítani. Az eredmények abszolút értékeit végső értékként kell megadni.
5.4.2.4.2. A HEBS-re vonatkozó számítások
(1) A 4. táblázatban meghatározott kisütési áram minden egyes különböző impulzusszintje esetében a belső ellenállás értékeit az 5.4.2.3. pont szerint mért feszültség- és áramerősség-értékekből kell kiszámítani az alábbi egyenletek szerint:
- RId2 = (Vdstart - Vd2) / Id2
- RId10 = (Vdstart - Vd10) / Id10
- RId20 = (Vdstart - Vd20) / Id20
- RId120 = (Vdstart - Vd120) / Id120
(2) A kisütéshez tartozó belső ellenállásokat (RId2_avg, RId10_avg, RId20_avg és RId120_avg) a 4. táblázatban meghatározott összes különböző áramimpulzusszint átlagaként kell kiszámítani az 1. pont szerint kiszámított egyedi értékekből.
(3) A 4. táblázatban meghatározott töltési áram minden egyes különböző impulzusszintje esetében a belső ellenállás értékeit az 5.4.2.3. pont szerint mért feszültség- és áramerősség-értékekből kell kiszámítani az alábbi egyenletek szerint:
- RIc2 = (Vcstart - Vc2) / Ic2
- RIc10 = (Vcstart - Vc10) / Ic10
- RIc20 = (Vcstart - Vc20) / Ic20
- RIc120 = (Vcstart - Vc120) / Ic120
(4) A töltéshez tartozó belső ellenállásokat (RIc2_avg, RIc10_avg, RIc20_avg és RIc120_avg) a 4. táblázatban meghatározott összes különböző áramimpulzusszint átlagaként kell kiszámítani a 3. pont szerint kiszámított egyedi értékekből.
(5) A teljes belső ellenállást (RI2, RI10, RI20 és RI120) a 2. és 4. pont szerint kiszámított megfelelő kisütési és töltési értékek átlagaként kell kiszámítani.
(6) A nyitott áramköri feszültség az 5.4.2.3. ponttal összhangban az adott töltöttségi szintre mért V0 érték.
(7) A legnagyobb kisütési áramra vonatkozó határértékeket az 5.4.2.3. pont szerint 120 másodperc alatt Idischg_max céláram mellett az egyes töltöttségi szinteken mért átlagértékként kell kiszámítani.
(8) A legnagyobb töltési áramra vonatkozó határértékeket az 5.4.2.3. pont szerint 120 másodperc alatt Ichg_max céláram mellett az egyes töltöttségi szinteken mért átlagértékként kell kiszámítani. Az eredmények abszolút értékeit végső értékként kell megadni.
5.5. A vizsgált akkumulátoregység mérési adatainak utófeldolgozása
A töltöttségi szinttől függő nyitott áramköri feszültségértékeket a különböző töltöttségi szintekre a HPBS esetében az 5.4.2.4.1. pont 6. pontja, a HEBS esetében pedig az 5.4.2.4.2. pont szerint meghatározott értékek alapján kell meghatározni.
A töltöttségi szinttől függő belső ellenállás különböző értékeit a különböző töltöttségi szintekre a HPBS esetében az 5.4.2.4.1. pont 5. pontja, a HEBS esetében pedig az 5.4.2.4.2. pont szerint meghatározott értékek alapján kell meghatározni.
A legnagyobb kisütési áram és a legnagyobb töltési áram határértékeit az alkatrész gyártója által a vizsgálat előtt megadott értékek alapján kell meghatározni. Ha a HPBS esetében az 5.4.2.4.1. pont 7. és 8. pontja, a HEBS esetében pedig az 5.4.2.4.2. pont szerint meghatározott maximális kisütési áramra vagy maximális töltési áramra vonatkozó egyedi érték ± 2 %-nál nagyobb mértékben eltér az alkatrész gyártója által a vizsgálat előtt megadott értéktől, akkor a HPBS esetében az 5.4.2.4.1. pont 7. és 8. pontja, a HEBS esetében pedig az 5.4.2.4.2. pont szerint meghatározott vonatkozó értéket kell megadni.
6. Kondenzátorrendszerek vagy reprezentatív kondenzátor-alrendszerek vizsgálata
6.1. Általános rendelkezések
A vizsgált kondenzátoregység kondenzátorrendszerének alkatrészei a járművön belül különböző eszközökben is eloszthatók.
A kondenzátor jellemzői alig függenek annak töltöttségi szintjétől, illetve áramerősségétől. Ezért a modell bemeneti paramétereinek kiszámításához csak egyetlen vizsgálati menet van előírva.
6.1.1. Az áramerősség előjelére vonatkozó szabályok
Az áramerősség mért értékeinek pozitív előjellel kell rendelkezniük a kisütéshez és negatív előjellel kell rendelkezniük a töltéshez.
6.1.2. A környezeti hőmérséklet referenciahelye
A környezeti hőmérsékletet a vizsgált kondenzátoregységtől számított 1 m távolságban, a vizsgált kondenzátoregység gyártója által megadott ponton kell mérni.
6.1.3. Hőmérsékleti viszonyok
A kondenzátor vizsgálati hőmérsékletét, azaz a vizsgált kondenzátoregység üzemi célhőmérsékletét az alkatrész gyártójának kell meghatároznia. A kondenzátorcella hőmérséklet-mérési pontjai hőmérsékletének minden elvégzett vizsgálati menet során az alkatrész gyártója által megadott határértékeken belül kell lennie.
A folyadékkondicionálással (azaz fűtéssel vagy hűtéssel) rendelkező vizsgált kondenzátoregység esetében rögzíteni kell a kondicionáló folyadéknak a vizsgált kondenzátoregység bemeneténél mért hőmérsékletét, és azt az alkatrész gyártója által megadott érték ± 2 K értéken belül kell tartani.
Léghűtéses vizsgált kondenzátoregység esetében a hőmérsékletet az alkatrész gyártója által megadott ponton az alkatrész gyártója által megadott maximális érték + 0/-20 K értéken belül kell tartani.
A próbapadon rendelkezésre álló hűtési és/vagy fűtési teljesítményt minden elvégzett vizsgálati menet esetében az alkatrész gyártója által megadott értékre kell korlátozni. Ezt az értéket a vizsgálati adatokkal együtt rögzíteni kell.
A próbapadon rendelkezésre álló hűtő- és/vagy fűtőteljesítményt a következő eljárások alapján kell meghatározni, és a tényleges alkatrészek vizsgálati adataival együtt rögzíteni kell:
(1) Folyadékkondicionálás esetén a kondicionáló folyadék tömegáramából és a vizsgált kondenzátoregység oldalán lévő hőcserélőjének két oldala közötti hőmérséklet-különbségből.
(2) Elektromos kondicionálás esetén a feszültségből és az áramból. Az alkatrész gyártója módosíthatja e kondicionáló egység elektromos csatlakoztatását a vizsgált kondenzátoregység tanúsításához annak érdekében, hogy lehetővé tegye a vizsgált kondenzátoregység jellemzőinek mérését a kondicionáláshoz szükséges elektromos teljesítmény figyelembevétele nélkül (pl. ha a kondicionálást közvetlenül a vizsgált kondenzátoregységen belül hajtják végre és csatlakoztatják). E rendelkezések ellenére rögzíteni kell a kondicionáló egység által a vizsgált kondenzátoregységhez külsőleg biztosított elektromos hűtési és/vagy fűtési teljesítményt.
(3) Más típusú kondicionálás esetében a helyes műszaki megítélés és a típusjóváhagyó hatósággal folytatott megbeszélés alapján.
6.2. Vizsgálati körülmények
a) A vizsgált kondenzátort egy szabályozott hőmérsékletű vizsgálókamrába kell helyezni. A környezeti hőmérsékletet 25 ± 10 °C-on kell kondicionálni.
b) A feszültséget a vizsgált kondenzátoregység kapcsain kell mérni.
c) A vizsgált kondenzátoregység hőmérsékleti kondicionáló rendszerének és a próbapad megfelelő hőmérsékleti kondicionáló hurkának a megfelelő kezelőszervek szerint teljes mértékben működőképesnek kell lennie.
d) A vezérlőegységnek lehetővé kell tennie, hogy a próbapad-berendezés a vizsgált kondenzátoregység működési határértékein belül elvégezze a kért vizsgálati eljárást. Szükség esetén a vizsgált kondenzátoregység-alkatrész gyártójának a vezérlőegység-programot a kért vizsgálati eljáráshoz hozzá kell igazítania.
6.3. A vizsgált kondenzátoregység jellemzőinek vizsgálata
a) A vizsgált kondenzátoregység teljes feltöltése, majd a gyártó által meghatározott töltési módszer szerinti legalacsonyabb üzemi feszültségre történő teljes kisütése után a kondenzátort legalább 2 órán keresztül, de legfeljebb 6 órán át kondicionálni kell.
b) A vizsgálat kondenzátoregység hőmérséklete a vizsgálat kezdetén 25 ± 2 °C kell, hogy legyen. Azonban választható 45 ± 2 °C úgy, hogy a típusjóváhagyó vagy tanúsító hatóságnak bejelentik, hogy ez a hőmérsékleti szint reprezentatívabb a jellemző alkalmazási feltételek szempontjából.
c) A kondicionálás után a 2. ábra szerinti teljes töltési és kisütési ciklust kell végrehajtani Itest állandó áramerősséggel. Az Itest a vizsgált kondenzátoregységnek a gyártója által meghatározott legnagyobb megengedett folyamatos áramerőssége.
d) Legalább 30 másodperces várakozási idő (t0 - t1) után a vizsgált kondenzátoregységet Itest állandó áramerősséggel kell feltölteni, amíg el nem éri a V max legnagyobb üzemi feszültséget. Ezután le kell állítani a töltést, és a vizsgált kondenzátoregységet 30 másodpercig (t2 - t3) kondicionálni kell annak érdekében, hogy a feszültség a kisütés megkezdése előtt a Vb végleges értéken állandósuljon. Ezt követően a vizsgált kondenzátoregységet Itest állandó áramerősséggel kell kisütni a Vmin legkisebb üzemi feszültség eléréséig. Ezt követően (t4-től kezdődően) egy másik, legalább 30 másodperces várakozási időt kell biztosítani ahhoz, hogy a feszültség a Vc végleges értéken állandósuljon.
e) Az áramerősség és a feszültség időbeli változást (Imeas, illetve Vmeas) legalább 10 Hz mintavételi gyakorisággal kell rögzíteni.
f) A mérésből a következő jellemző értékeket kell meghatározni (a 2. ábrán szemléltetve):
V a az üresjárati feszültség a töltési impulzus kezdete előtt
V b az üresjárati feszültség a kisütési impulzus kezdete előtt
V c az üresjárati feszültség a töltési impulzus vége után
ΔV(t 1), ΔV(t 3): feszültségváltozások közvetlenül az I test állandó töltési vagy kisütési áramnak a t1 és t3 időpontban történő alkalmazása után. Ezeket a feszültségváltozásokat a 2. ábra A. részletében meghatározott feszültségjellemzők lineáris közelítésével, a legkisebb négyzetek módszerével kell meghatározni. Az egyenes lineáris közelítésére vonatkozó adatmintavételt akkor kell megkezdeni, amikor a gradiens két szomszédos adatpontból számított változása kisebb, mint 0,5 %, miközben a növekvő időjel irányába halad.
2. ábra
Példa a vizsgált kondenzátoregység feszültséggörbéjére

ΔV(t 1) a V a feszültség és az egyenes lineáris közelítés állandó értéke feszültségének abszolút különbsége t 1 időpontban.
ΔV(t 3) a V b feszültség és az egyenes lineáris közelítés állandó értéke feszültségének abszolút különbsége t 3 időpontban.
ΔV(t 2) a V max és a V b feszültség abszolút különbsége.
ΔV(t 4) a V min és a V c feszültség abszolút különbsége.
6.4. A vizsgált kondenzátoregység mérési adatainak utófeldolgozása
6.4.1. A belső ellenállás és kapacitás kiszámítása
A 6.3. pont szerint kapott mérési adatokat kell használni a belső ellenállási (R) és kapacitási (C) értékek kiszámításához a következő egyenletek szerint:
a) A töltési és kisülési kapacitást a következőképpen kell kiszámítani:
Töltés esetén:

Kisütés esetén:

b) A legnagyobb töltési és kisülési áramot a következőképpen kell kiszámítani:
Töltés esetén:

Kisütés esetén:

c) A töltés és kisülés belső ellenállását a következőképpen kell kiszámítani:
Töltés esetén:

Kisütés esetén:

d) A minta esetében csak egyetlen kapacitásra és ellenállásra van szükség, és ezeket az alábbiak szerint kell kiszámítani:
Kapacitás (C):

Ellenállás (R):

e) A legnagyobb feszültséget a Vb rögzített értékeként, a legkisebb feszültséget pedig a 6.3. pont f) alpontja szerint meghatározott Vc rögzített értékként kell meghatározni.
1. függelék
ALKATRÉSZ, ÖNÁLLÓ MŰSZAKI EGYSÉG VAGY RENDSZER TANÚSÍTVÁNYMINTÁJA
Legnagyobb méret: A4 [210 × 297 mm])
TANÚSÍTVÁNY ELEKTROMOS GÉPRENDSZER / IEPC / 1. TÍPUSÚ IHPC / AKKUMULÁTORRENDSZER / KONDENZÁTORRENDSZER CO2-KIBOCSÁTÁSSAL ÉS TÜZELŐANYAG-FOGYASZTÁSSAL KAPCSOLATOS JELLEMZŐIRŐL
A hatóság pecsétjének helye
Az értesítés tárgya:
- tanúsítvány megadása (1)
- tanúsítvány kiterjesztése(1)
- tanúsítvány elutasítása(1)
- tanúsítvány visszavonása (1)
az (EU) 2017/2400 bizottsági rendelet szerinti, elektromos géprendszer / IEPC / 1. típusú IEPC / akkumulátorrendszer / kondenzátorrendszer CO2-kibocsátással és tüzelőanyag-fogyasztással kapcsolatos jellemzőiről szóló tanúsítvánnyal összefüggésben
A legutóbb a(z) ... által módosított (EU) 2017/2400 bizottsági rendelet
Tanúsítvány száma:
Hashfüggvény:
A kiterjesztés indoklása:
I. SZAKASZ
0.1. Gyártmány (a gyártó által bejegyzett védjegy):
0.2. Típus:
0.3. Típusazonosító jelölések
0.3.1. A tanúsító jelölés helye:
0.3.2. A tanúsító jelölés feltüntetésének módja:
0.5. A gyártó neve és címe:
0.6. Az összeszerelő üzem(ek) neve és címe:
0.7. A gyártó képviselőjének neve és címe (ha van ilyen)
II. SZAKASZ
1. Kiegészítő információk (adott esetben): lásd a Kiegészítést
2. A vizsgálatok elvégzéséért felelős jóváhagyó hatóság:
3. A vizsgálati jegyzőkönyv kelte:
4. A vizsgálati jegyzőkönyv száma:
5. Megjegyzések (ha vannak): lásd a Kiegészítést
6. Hely:
7. Dátum:
8. Aláírás:
Mellékletek:
Információs csomag. Vizsgálati jegyzőkönyv.
2. függelék
Elektromos géprendszerre vonatkozó adatközlő lap
Adatközlő lap száma: Kiadás:
Kiadás dátuma:
A módosítás időpontja:
a következőnek megfelelően:
Elektromos géprendszer típusa/családja (adott esetben):
...
0. ÁLTALÁNOS
0.1. A gyártó neve és címe
0.2. Gyártmány (a gyártó által bejegyzett védjegy):
0.3. Elektromosgéprendszer-típus:
0.4. Elektromosgéprendszer-család:
0.5. Elektromosgéprendszer-típus önálló műszaki egységként/ Elektromosgéprendszer-család önálló műszaki egységként
0.6. Kereskedelmi név (nevek) (ha van/vannak):
0.7. Modellazonosító jelölések, amennyiben azok fel vannak tüntetve az elektromos géprendszeren:
0.8. Alkatrészek és önálló műszaki egységek esetében az EK-típusjóváhagyási jel helye és rögzítésének módja:
0.9. Az összeszerelő üzem(ek) neve és címe:
0.10. A gyártó képviselőjének neve és címe:
1. RÉSZ
AZ (ALAP) ELEKTROMOS GÉPRENDSZER ÉS ELEKTROMOS GÉPRENDSZER-TÍPUSOK ALAPVETŐ JELLEMZŐI AZ ELEKTROMOS GÉPRENDSZER-CSALÁDON BELÜL
|Alap EMS | |Családtagok | |||||
|vagy EMS-típus | | | | |||||
| | | #1 | | #2 | | #3 | | |
1. Általános
1.1. Vizsgálati feszültség(ek): V
1.2. Alap motorfordulatszám: 1/perc
1.3. A motor kimenő tengelyének legnagyobb fordulatszáma: 1/perc
1.4. (vagy alapértelmezés szerint) fordulatszámcsökkentő fogaskerék-áttétel/sebességváltó kimeneti tengely sebessége: 1/perc
1.5. Legnagyobb teljesítményhez tartozó fordulatszám: 1/perc
1.6. Legnagyobb teljesítmény: kW
1.7. A legnagyobb nyomatékhoz tartozó fordulatszám: 1/perc
1.8. A legnagyobb nyomaték: Nm
1.9. Legnagyobb 30 perces teljesítmény: kW
2. Elektromos gép
2.1. Működési elv
2.1.1. Egyenáram (DC) / váltakozó áram (AC):
2.1.2. Fázisok száma:
2.1.3. Gerjesztés/független/soros/vegyes:
2.1.4. Szinkron/aszinkron:
2.1.5. Tekercselt forgórész/állandó mágnesekkel/foglalattal:
2.1.6. A motor pólusainak száma:
2.2. Forgási tehetetlenség: kgm2
3. Teljesítményszabályozó
3.1. Gyártmány:
3.2. Típus:
3.3. Működés elve:
3.4. Szabályozás elve: vektoros/nyitott hurkos/zárt hurkos/egyéb, éspedig:
3.5. A motort tápláló legnagyobb hatásos áramerősség: A
3.6. A következő maximális időtartamra: s
3.7. Az alkalmazott egyenáramú feszültségtartomány (-tól/-től): V
3.8. A DC/DC-átalakító az elektromos géprendszer részét képezi e melléklet 4.1. bekezdése szerint (igen/nem):
4. Hűtőrendszer
4.1. Motor (folyékony/levegő/egyéb, éspedig):
4.2. Vezérlő (folyékony/levegő/egyéb, éspedig):
4.3. A rendszer leírása:
4.4. Alapvető rajz(ok):
4.5. Hőmérsékleti határértékek (min/max): K
4.6. A következő referenciahelyzetben:
4.7. Áramlási sebesség (min/max): l/perc
5. Az alkatrészek vizsgálatából származó dokumentált értékek
5.1. Hatásfokértékek gyártásmegfelelőséghez ( 23 ):
5.2. Hűtőrendszer (az egyes hűtőkörökre vonatkozó adatok):
5.2.1. a hűtőközeg legnagyobb tömegárama vagy térfogatárama vagy legnagyobb bemeneti nyomása:
5.2.2. a hűtőközeg maximális hőmérséklete:
5.2.3. a rendelkezésre álló legnagyobb hűtőteljesítmény:
5.2.4. Az egyes vizsgálati menetek rögzített átlagértékei
5.2.4.1. hűtőközeg térfogatárama vagy tömegárama:
5.2.4.2. a hűtőközeg hőmérséklete a hűtőkör bemeneti nyílásánál:
5.2.4.3. a hűtőközeg hőmérséklete az EMS oldalán a próbapad hőcserélőjének bemeneti és kimeneti nyílásánál:
A MELLÉKLETEK JEGYZÉKE
Sz.: | Leírás: | Kiadás dátuma: |
1 | Információk az EMS vizsgálati körülményekről … | |
2 | … |
1. melléklet az elektromos géprendszerekre vonatkozó adatközlő laphoz
Információk a vizsgálati körülményekről (adott esetben) | |
1.1. | … |
3. függelék
IEPC-re vonatkozó adatközlő lap
Adatközlő lap száma: Kiadás:
Kiadás dátuma:
A módosítás időpontja:
a következőnek megfelelően:
IEPC-típus/-család (ha alkalmazható):
...
0. ÁLTALÁNOS
0.1. A gyártó neve és címe
0.2. Gyártmány (a gyártó által bejegyzett védjegy):
0.3. IEPC-típus:
0.4. IEPC-család:
0.5. IEPC-típus önálló műszaki egységként / IEPC-család önálló műszaki egységként
0.6. Kereskedelmi név (nevek) (ha van/vannak):
0.7. Modellazonosító ismertetőjelek, amennyiben azok fel vannak tüntetve az IEPC-n:
0.8. Alkatrészek és önálló műszaki egységek esetében az EK-típusjóváhagyási jel helye és rögzítésének módja:
0.9. Az összeszerelő üzem(ek) neve és címe:
0.10. A gyártó képviselőjének neve és címe:
1. RÉSZ
AZ (ALAP) IEPC ÉS AZ IEPC-TÍPUSOK ALAPVETŐ JELLEMZŐI AZ IEPC-CSALÁDON BELÜL
|Alap IEPC | |Családtagok | |||||
|vagy IEPC-típus | | | | |||||
| | | #1 | | #2 | | #3 | | |
1. Általános
1.1. Vizsgálati feszültség(ek): V
1.2. Alap motorfordulatszám: 1/perc
1.3. A motor kimenő tengelyének legnagyobb fordulatszáma: 1/perc
1.4. (vagy alapértelmezés szerint) fordulatszámcsökkentő fogaskerék-áttétel/sebességváltó kimeneti tengely sebessége: 1/perc
1.5. Legnagyobb teljesítményhez tartozó fordulatszám: 1/perc
1.6. Legnagyobb teljesítmény: kW
1.7. A legnagyobb nyomatékhoz tartozó fordulatszám: 1/perc
1.8. A legnagyobb nyomaték: Nm
1.9. Legnagyobb 30 perces teljesítmény: kW
1.10. Az elektromos gépek száma:
2. Elektromos gép (minden egyes elektromos gépre vonatkozóan):
2.1. Elektromos gép azonosítója:
2.2. Működési elv
2.2.1. Egyenáram (DC) / váltakozó áram (AC):
2.2.2. Fázisok száma:
2.2.3. Gerjesztés/független/soros/vegyes:
2.2.4. Szinkron/aszinkron:
2.2.5. Tekercselt forgórész/állandó mágnesekkel/foglalattal:
2.2.6. A motor pólusainak száma:
2.3. Forgási tehetetlenség: kgm2
3. Teljesítményszabályozó (minden egyes teljesítményszabályozóra vonatkozóan):
3.1. Kapcsolódó elektromos gép azonosítója:
3.2. Gyártmány:
3.3. Típus:
3.4. Működés elve:
3.5. Szabályozás elve: vektoros/nyitott hurkos/zárt hurkos/egyéb, éspedig:
3.6. A motort tápláló legnagyobb hatásos áramerősség: A
3.7. A következő maximális időtartamra: s
3.8. Az alkalmazott egyenáramú feszültségtartomány (-tól/-től): V
3.9. A DC/DC-átalakító az elektromos géprendszer részét képezi e melléklet 4.1. bekezdése szerint (igen/nem):
4. Hűtőrendszer
4.1. Motor (folyékony/levegő/egyéb, éspedig):
4.2. Vezérlő (folyékony/levegő/egyéb, éspedig):
4.3. A rendszer leírása:
4.4. Alapvető rajz(ok):
4.5. Hőmérsékleti határértékek (min/max): K
4.6. A következő referenciahelyzetben:
4.7. Áramlási sebesség (min/max): g/perc vagy l/perc
5. Sebességváltó
5.1. Áttételi arány, áttételrendszer és teljesítményáramlás
5.2. Középponti távolság az előtéttengelyi közlőművekhez:
5.3. Csapágyak típusa a megfelelő pozíciókban (ha be vannak építve):
5.4. Váltóelemek típusa (fogazott tengelykapcsolók, ideértve a szinkronizátorokat vagy súrlódó tengelykapcsolókat is) a megfelelő pozíciókban (ahol be vannak építve):
5.5. Előremeneti sebességfokozatok száma:
5.6. A fogazott tengelykapcsolók száma:
5.7. Szinkronizátorok száma:
5.8. Súrlódó tengelykapcsoló lemezek száma (kivéve az egyszeres száraz tengelykapcsolót 1 vagy 2 lemezzel):
5.9. Súrlódó tengelykapcsoló lemezek külső átmérője (kivéve az egyszeres száraz tengelykapcsolót 1 vagy 2 lemezzel):
5.10. A fogak legnagyobb felületi érdessége (ideértve a rajzokat):
5.11. Dinamikus tengelytömítések száma:
5.12. Olajáramlás a kenéshez és hűtéshez a sebességváltó bemenő tengelyének egy fordulataként
5.13. Olajviszkozitás 100 °C-on (± 10 %):
5.14. Rendszernyomás a hidraulikus szabályozású sebességváltók esetében:
5.15. Olajszint a központi tengely viszonylatában és a rajz előírásai szerint (az alsó és a felső tűréshatár közötti átlagérték alapján) álló helyzetben és járás közben. Az olajszint egyenlőnek minősül, amennyiben a sebességváltó minden forgó alkatrésze (az olajszivattyútól és annak meghajtásától eltekintve) a meghatározott olajszint felett van:
5.16. Meghatározott olajszint (± 1 mm):
5.17. Áttételi arányok [-] és maximális bemeneti nyomaték [Nm], maximális bemenőteljesítmény (kW) és maximális bemeneti fordulatszám [ford./perc] (minden egyes előremeneti sebességfokozatokra vonatkozóan):
6. Differenciálmű
6.1. Áttételi arány:
6.2. Alapvető műszaki előírások:
6.3. Alapvető rajzok:
6.4. Olajtérfogat:
6.5. Olajszint:
6.6. Az olajra vonatkozó előírások:
6.7. Csapágytípus (típus, mennyiség, belső átmérő, külső átmérő, szélesség és ábra):
6.8. Tömítéstípus (fő átmérő, öntőnyílás mennyisége):
6.9. Tengelycsonkok (ábra):
6.9.1. Csapágytípus (típus, mennyiség, belső átmérő, külső átmérő, szélesség és ábra):
6.9.2. Tömítéstípus (fő átmérő, öntőnyílás mennyisége):
6.9.3. A zsír típusa:
6.10. A differenciálmű bolygófogaskerekeinek/homlokfogaskerekeinek száma:
6.11. A differenciálmű bolygófogaskerekeinek/homlokfogaskerekeinek legkisebb szélessége:
7. Az alkatrészek vizsgálatából származó dokumentált értékek
7.1. Hatásfokértékek gyártásmegfelelőséghez (*):
7.2. Hűtőrendszer (az egyes hűtőkörökre vonatkozó adatok):
7.2.1. a hűtőközeg legnagyobb tömegárama vagy térfogatárama vagy legnagyobb bemeneti nyomása:
7.2.2. a hűtőközeg maximális hőmérséklete:
7.2.3. a rendelkezésre álló legnagyobb hűtőteljesítmény:
7.2.4. Az egyes vizsgálati menetek rögzített átlagértékei
7.2.4.1. hűtőközeg térfogatárama vagy tömegárama:
7.2.4.2. a hűtőközeg hőmérséklete a hűtőkör bemeneti nyílásánál:
7.2.4.3. a hűtőközeg hőmérséklete az IEPC oldalán a próbapad hőcserélőjének bemeneti és kimeneti nyílásánál:
A MELLÉKLETEK JEGYZÉKE
Sz.: | Leírás: | Kiadás dátuma: |
1 | Információk az IEPC vizsgálati körülményekről … | |
2 | … |
1. melléklet az IEPC-re vonatkozó adatközlő laphoz
8. Információk a vizsgálati körülményekről (adott esetben)
8.1. Maximális vizsgált bemeneti fordulatszám [ford./perc]
8.2. Maximális vizsgált bemeneti nyomaték [Nm]
4. függelék
1. típusú IHPC-re vonatkozó adatközlő lap
Az 1. típusú IHPC-k esetében az adatközlő lapnak az e melléklet 2. függeléke szerinti, az elektromos géprendszerekre vonatkozó adatközlő lapból, valamint a VI. melléklet 2. függeléke szerinti, a sebességváltókra vonatkozó adatközlő lapból kell állnia.
5. függelék
Az akkumulátorrendszer vagy a reprezentatív akkumulátor-alrendszer típusára vonatkozó adatközlő lap
Adatközlő lap száma: Kiadás:
Kiadás dátuma:
A módosítás időpontja:
a következőnek megfelelően:
Az akkumulátorrendszer vagy a reprezentatív akkumulátor-alrendszer típusa:
...
0. ÁLTALÁNOS
0.1. A gyártó neve és címe
0.2. Gyártmány (a gyártó által bejegyzett védjegy):
0.3. Akkumulátorrendszer-típus:
0.4. -
0.5. Akkumulátorrendszer-típus mint önálló műszaki egység
0.6. Kereskedelmi név (nevek) (ha van/vannak):
0.7. Modellazonosító jelölések, amennyiben azok fel vannak tüntetve az akkumulátorrendszeren:
0.8. Alkatrészek és önálló műszaki egységek esetében az EK-típusjóváhagyási jel helye és rögzítésének módja:
0.9. Az összeszerelő üzem(ek) neve és címe:
0.10. A gyártó képviselőjének neve és címe:
1. RÉSZ
AZ AKKUMULÁTORRENDSZER VAGY A REPREZENTATÍV AKKUMULÁTOR-ALRENDSZER ALAPVETŐ JELLEMZŐI
Akkumulátor(al)rendszer-típus
1. Általános
1.1. Teljes rendszer vagy reprezentatív alrendszer:
1.2. HPBS / HEBS:
1.3. Alapvető műszaki előírások:
1.4. Cellakémia:
1.5. Sorba kötött cellák száma:
1.6. Párhuzamosan bekötött cellák száma:
1.7. Reprezentatív csatlakozódoboz olvadóbiztosítékokkal és megszakítókkal a vizsgált rendszerben (igen/nem):
1.8. Reprezentatív soros csatlakozók a vizsgált rendszerben (igen/nem):
2. Kondicionáló rendszer
2.1. Folyékony/levegő/egyéb, éspedig:
2.2. A rendszer leírása:
2.3. Alapvető rajz(ok):
2.4. Hőmérsékleti határértékek (min/max): K
2.5. A következő referenciahelyzetben:
2.6. Áramlási sebesség (min/max): l/perc
3. Az alkatrészek vizsgálatából származó dokumentált értékek
3.1. Az energiaátalakítás hatásfoka a CoP esetében (**):
3.2. A CoP legnagyobb kisütési áramerőssége:
3.3. A CoP legnagyobb töltési áramerőssége:
3.4. Vizsgálati hőmérséklet (a feltüntetett üzemi célhőmérséklet):
3.5. Kondicionáló rendszer (tüntesse fel minden egyes elvégzett vizsgálati menetre vonatkozóan)
3.5.1. Hűtésre vagy fűtésre van szükség:
3.5.2. A rendelkezésre álló legnagyobb hűtési vagy fűtési teljesítmény:
A MELLÉKLETEK JEGYZÉKE
Sz.: | Leírás: | Kiadás dátuma: |
1 | Információk az akkumulátorrendszerekre vonatkozó vizsgálati feltételekről … | |
2 | … |
1. melléklet az akkumulátorrendszerekre vonatkozó adatközlő laphoz
Információk a vizsgálati körülményekről (adott esetben) | |
1.1. | … |
6. függelék
A kondenzátorrendszer vagy a reprezentatív kondenzátor-alrendszer típusára vonatkozó adatközlő lap
Adatközlő lap száma: Kiadás:
Kiadás dátuma:
A módosítás időpontja:
a következőnek megfelelően:
A kondenzátorrendszer vagy a reprezentatív kondenzátor-alrendszer típusa:
...
0. ÁLTALÁNOS
0.1. A gyártó neve és címe
0.2. Gyártmány (a gyártó által bejegyzett védjegy):
0.3. Kondenzátorrendszer-típus:
0.4. Kondenzátorrendszer-család:
0.5. Kondenzátorrendszer-típus önálló műszaki egységként/ Kondenzátorrendszer-család önálló műszaki egységként
0.6. Kereskedelmi név (nevek) (ha van/vannak):
0.7. Modellazonosító jelölések, amennyiben azok fel vannak tüntetve a kondenzátorrendszeren:
0.8. Alkatrészek és önálló műszaki egységek esetében az EK-típusjóváhagyási jel helye és rögzítésének módja:
0.9. Az összeszerelő üzem(ek) neve és címe:
0.10. A gyártó képviselőjének neve és címe:
1. RÉSZ
A KONDENZÁTORRENDSZER VAGY A REPREZENTATÍV KONDENZÁTOR-ALRENDSZER ALAPVETŐ JELLEMZŐI
Kondenzátor(al)rendszer-típus
1. Általános
1.1. Teljes rendszer vagy reprezentatív alrendszer:
1.2. Alapvető műszaki előírások:
1.3. Cellatechnológia és -specifikáció:
1.4. Sorba kötött cellák száma:
1.5. Párhuzamosan bekötött cellák száma:
1.6. Reprezentatív csatlakozódoboz olvadóbiztosítékokkal és megszakítókkal a vizsgált rendszerben (igen/nem):
1.7. Reprezentatív soros csatlakozók a vizsgált rendszerben (igen/nem):
2. Kondicionáló rendszer
2.1. Folyékony/levegő/egyéb, éspedig:
2.2. A rendszer leírása:
2.3. Alapvető rajz(ok):
2.4. Hőmérsékleti határértékek (min/max): K
2.5. A következő referenciahelyzetben:
2.6. Áramlási sebesség (min/max): l/perc
3. Az alkatrészek vizsgálatából származó dokumentált értékek
3.1. Vizsgálati hőmérséklet (a feltüntetett üzemi célhőmérséklet):
3.2. Kondicionáló rendszer (tüntesse fel minden egyes elvégzett vizsgálati menetre vonatkozóan)
3.2.1. Hűtésre vagy fűtésre van szükség:
3.2.2. A rendelkezésre álló legnagyobb hűtési vagy fűtési teljesítmény:
A MELLÉKLETEK JEGYZÉKE
Sz.: | Leírás: | Kiadás dátuma: |
1 | Információk a kondenzátorrendszerekre vonatkozó vizsgálati feltételekről … | |
2 | … |
1. melléklet a kondenzátorrendszerekre vonatkozó adatközlő laphoz
Információk a vizsgálati körülményekről (adott esetben) | |
1.1. | … |
7. függelék
(fenntartva)
8. függelék
Elektromos géprendszerre vonatkozó standard értékek
Az elektromos géprendszer bemeneti adatainak standard értékek alapján történő előállításához a következő lépéseket kell elvégezni:
- 1. lépés: Eltérő rendelkezés hiányában a 85. számú ENSZ-előírást kell alkalmazni erre a függelékre.
- 2. lépés: A fordulatszám függvényében megadott legnagyobb nyomatékértékeket a 85. sz. ENSZ-előírás 5.3.1.4. szakasza szerint kapott adatokból kell meghatározni. Az adatokat e melléklet 4.3.2. pontjával összhangban kell kiterjeszteni.
- 3. lépés: A fordulatszám függvényében megadott legkisebb nyomatékértékeket úgy kell meghatározni, hogy a fenti 2. lépésben megadott nyomatékértékeket meg kell szorozni mínusz eggyel.
- 4. lépés: A legnagyobb 30 perces folyamatos nyomatékot és a hozzá tartozó fordulatszámot a 85. sz. ENSZ-előírás 5.3.2.3. szakasza szerint generált adatok alapján, 30 perces időszak átlagértékeiként kell meghatározni. Amennyiben nem határozható meg a 85. sz. előírás szerinti legnagyobb 30 perces folyamatos nyomatékra vonatkozó érték, vagy a meghatározott érték 0 Nm, a vonatkozó bemeneti adatokat 0 Nm-re kell beállítani, a megfelelő fordulatszámot pedig a fenti 2. lépés szerint kapott adatok alapján meghatározott névleges fordulatszámra kell beállítani.
- 5. lépés: A túlterhelési jellemzőket a fenti 2. lépésnek megfelelően generált adatok alapján kell meghatározni. A túlterhelési nyomatékot és a hozzá tartozó fordulatszámot azon fordulatszám-tartomány átlagértékeként kell kiszámítani, ahol a teljesítmény eléri vagy meghaladja a legnagyobb teljesítmény 90 %-át. A t0_maxP túlterhelési időtartamot a fenti 2. lépés szerint elvégzett vizsgálat teljes időtartamát 0,25-dal szorozva kell meghatározni.
- 6. lépés: A villamosenergia-fogyasztási jelleggörbét a következő rendelkezéseknek megfelelően kell meghatározni:
a) A normalizált teljesítményveszteség-jelleggörbét a normalizált fordulatszám- és nyomatékértékek függvényében kell kiszámítani az alábbi egyenlettel:

ahol:
Ploss,norm = normalizált teljesítményveszteség [-]
Tnorm,i = normalizált nyomaték a lenti b) pont ii. alpontja szerint meghatározott összes rácspont esetében [-]
ωnorm,j = normalizált fordulatszám a lenti b) pont i. alpontja szerint meghatározott összes rácspont esetében [-]
k = veszteségi együttható [-]
m = a 0-tól 3-ig tartó nyomatékfüggő veszteségek indexe [-]
n = a 0-tól 3-ig tartó fordulatszámfüggő veszteségek indexe [-]
b) A normalizált veszteség jelleggörbéjének rácspontjait meghatározó, a fenti a) alpontban szereplő egyenlethez használandó normalizált fordulatszám- és nyomatékértékek a következők:
(i) normalizált fordulatszám: 0,02, 0,20, 0,40, 0,60, 0,80, 1,00, 1,20, 1,40, 1,60, 1,80, 2,00, 2,20, 2,40, 2,60, 2,80, 3,00, 3,20, 3,40, 3,60, 3,80, 4,00. Amennyiben a fenti 2. lépéssel összhangban generált adatok alapján meghatározott legnagyobb fordulatszám a 4,00 normalizált fordulatszámértéknél magasabb, a meglévő listát a normalizált fordulatszám 0,2-es lépésközű további értékeivel kell kiegészíteni az előírt fordulatszám-tartomány lefedése érdekében.
(ii) normalizált nyomaték: - 1,00, - 0,95, - 0,90, - 0,85, - 0,80, - 0,75, - 0,70, - 0,65, - 0,60, - 0,55, - 0,50, - 0,45, - 0,40, - 0,35, - 0,30, - 0,25, - 0,20, - 0,15, - 0,10, - 0,05, - 0,01, 0,01, 0,05, 0,10, 0,15, 0,20, 0,25, 0,30, 0,35, 0,40, 0,45, 0,50, 0,55, 0,60, 0,65, 0,70, 0,75, 0,80, 0,85, 0,90, 0,95, 1,00
c) A fenti a) alpontban szereplő egyenlethez használandó k veszteségi együtthatót az m és n indextől függően kell meghatározni a következő táblázatokkal összhangban:
(i) PSM típusú elektromos gép esetében:
n | |||||
0 | 1 | 2 | 3 | ||
m | 3 | 0 | 0 | 0 | 0 |
2 | 0,018 | 0,001 | 0,03 | 0 | |
1 | 0,0067 | 0 | 0 | 0 | |
0 | 0 | 0,005 | 0,0025 | 0,003 |
(ii) A PSM-en kívül minden egyéb típusú elektromos gép esetében:
n | |||||
0 | 1 | 2 | 3 | ||
m | 3 | 0 | 0 | 0 | 0 |
2 | 0,1 | 0,03 | 0,03 | 0 | |
1 | 0,01 | 0 | 0,001 | 0 | |
0 | 0,003 | 0 | 0,001 | 0,001 |
d) A fenti a)-c) alpontokkal összhangban meghatározott normalizált teljesítményveszteség-jelleggörbéből a hatásfokot a következő rendelkezések szerint kell kiszámítani:
(i) A normalizált fordulatszám esetében a rácspontok a következők: 0,02, 0,20, 0,40, 0,60, 0,80, 1,00, 1,20, 1,40, 1,60, 1,80, 2,00, 2,20, 2,40, 2,60, 2,80, 3,00, 3,20, 3,40, 3,60, 3,80, 4,00
Amennyiben a fenti 2. lépéssel összhangban generált adatok alapján meghatározott legnagyobb fordulatszám a 4,00 normalizált fordulatszámértéknél magasabb, a meglévő listát a normalizált fordulatszám 0,2-es lépésközű további értékeivel kell kiegészíteni az előírt fordulatszám-tartomány lefedése érdekében.
(ii) A normalizált nyomaték esetében a rácspontok a következők: - 1,00, - 0,95, - 0,90, - 0,85, - 0,80, - 0,75, - 0,70, - 0,65, - 0,60, - 0,55, - 0,50, - 0,45, - 0,40, - 0,35, - 0,30, - 0,25, - 0,20, - 0,15, - 0,10, - 0,05, - 0,01, 0,01, 0,05, 0,10, 0,15, 0,20, 0,25, 0,30, 0,35, 0,40, 0,45, 0,50, 0,55, 0,60, 0,65, 0,70, 0,75, 0,80, 0,85, 0,90, 0,95, 1,00
(iii) A fenti d) pont i. és ii. alpontjával összhangban meghatározott minden egyes rácspontra vonatkozóan az η hatásfokot a következő egyenletek szerint kell kiszámítani:
- Ha a normalizált nyomaték rácspontjának tényleges értéke nullánál kisebb:

Ha az η-re így kapott érték kisebb mint nulla, akkor ezt nullára kell állítani.
- Ha a normalizált nyomaték rácspontjának tényleges értéke nagyobb, mint nulla:

ahol:
η = hatásfok [-]
Tnorm,i = normalizált nyomaték a fenti d) pont ii. alpontja szerint meghatározott összes rácspont esetében [-]
ωnorm,j = normalizált fordulatszám a fenti d) pont i. alpontja szerint meghatározott összes rácspont esetében [-]
Ploss,norm = normalizált veszteségteljesítmény a fenti a)-c) pont szerint meghatározva [-]
e) A fenti d) alpontnak megfelelően meghatározott hatékonysági jelleggörbéből az elektromos géprendszer tényleges teljesítményveszteség-jelleggörbéjét a következő rendelkezéseknek megfelelően kell kiszámítani:
(i) A normált fordulatszámnak a d) pont i. alpontjával összhangban meghatározott minden egyes rácspontjára vonatkozóan az nj tényleges fordulatszámértékeket a következő egyenleteknek megfelelően kell kiszámítani:
nj = ωnorm,j × nrated
ahol:
nj = tényleges fordulatszám [1/perc]
ωnorm,j = normalizált fordulatszám a fenti d) pont i. alpontja szerint meghatározott összes rácspont esetében [-]
nrated = az elektromos géprendszernek a fenti 2. lépés szerint generált adatok alapján meghatározott névleges fordulatszáma [1/perc]
(ii) A normált nyomatéknak a d) pont ii. alpontjával összhangban meghatározott minden egyes rácspontjára vonatkozóan a Ti tényleges nyomatékértékeket a következő egyenleteknek megfelelően kell kiszámítani:
Ti = Tnorm,i × Tmax
ahol:
Ti = tényleges nyomaték [Nm]
Tnorm,i = normalizált nyomaték a fenti d) pont ii. alpontja szerint meghatározott összes rácspont esetében [-]
Tmax = az elektromos géprendszernek a fenti 2. lépés szerint generált adatok alapján meghatározott legnagyobb össznyomatéka [Nm]
(iii) A fenti e) pont i. és ii. alpontjával összhangban meghatározott minden egyes rácspontra vonatkozóan a tényleges teljesítményveszteséget a következő egyenlet szerint kell kiszámítani:

ahol:
Ploss = tényleges teljesítményveszteség [W]
Ti = tényleges nyomaték [Nm]
nj = tényleges fordulatszám [1/perc]
η = a normalizált fordulatszámtól és nyomatéktól függő, a fenti d) alponttal összhangban meghatározott hatásfok [-]
Tmax = az elektromos géprendszernek a fenti 2. lépés szerint generált adatok alapján meghatározott legnagyobb össznyomatéka [Nm]
nrated = az elektromos géprendszernek a fenti 2. lépés szerint generált adatok alapján meghatározott névleges fordulatszáma [1/perc]
(iv) A fenti e) pont i. és ii. alpontjával összhangban meghatározott minden egyes rácspontra vonatkozóan a tényleges elektromosinverter-teljesítményt a következő egyenlet szerint kell kiszámítani:

ahol:
Pel = a tényleges elektromosinverter-teljesítmény [W]
Ploss = tényleges teljesítményveszteség [W]
Ti = tényleges nyomaték [Nm]
nj = tényleges fordulatszám [1/perc]
(f) A tényleges elektromos teljesítménygörbének a fenti e) alpont szerint meghatározott adatait az e melléklet 4.3.4. pontjának 1., 2., 4. és 5. alpontjával összhangban ki kell bővíteni.
- 7. lépés: A légellenállási görbét a fenti e) alpontnak megfelelően meghatározott tényleges teljesítményveszteség-jelleggörbe alapján kell kiszámítani a következő rendelkezések szerint:
KÉP HIÁNYZIK


ahol:
Tdrag = tényleges vonónyomaték [Nm]
Ti = tényleges nyomaték [Nm]
Tmax = az elektromos géprendszernek a fenti 2. lépés szerint generált adatok alapján meghatározott legnagyobb össznyomatéka [Nm]
nj = tényleges fordulatszám [1/perc]
nrated = az elektromos géprendszernek a fenti 2. lépés szerint generált adatok alapján meghatározott névleges fordulatszáma [1/perc]
Ploss = tényleges teljesítményveszteség [W]
(b) A vonónyomatéknak a fenti a) alponttal összhangban meghatározott két értékéből lineáris extrapolációval kell kiszámítani a vonónyomatéknak a nulla fordulatszámhoz tartozó harmadik értékét.
(c) A vonónyomatéknak a fenti a) alponttal összhangban meghatározott két értékéből lineáris extrapolációval kell kiszámítani a vonónyomatéknak a fenti 6. lépés b) pontjának i. alpontja szerint meghatározott legnagyobb normalizált fordulatszámhoz tartozó negyedik értékét.
- 8. lépés: A tehetetlenségi nyomatékot az alábbi opciók egyikének az alkalmazásával kell meghatározni:
a)
1. opció: A geometriai forma által meghatározott tényleges tehetetlenségi nyomaték és az elektromos gép forgórésze adott anyagainak sűrűsége alapján. A CAD szoftverből származó adatok és módszerek felhasználhatók az elektromos gép forgórésze tényleges tehetetlenségi nyomatékának megállapítására. A típusjóváhagyó hatósággal meg kell állapodni a tehetetlenségi nyomaték meghatározásának részletes módszeréről.
b)
2. opció: Az elektromos gép forgórészének külső méretei alapján. Meg kell határozni egy üreges hengert úgy, hogy illeszkedjen az elektromos gép forgórészének méreteihez oly módon, hogy:
(i) A henger külső átmérője a forgórész azon pontjának felel meg, amely a forgórész forgási tengelyétől a legnagyobb távolságra van, a forgórész forgási tengelyére merőleges egyenes vonal mentén mérve.
(ii) A henger belső átmérője a forgórész azon pontjának felel meg, amely a forgórész forgási tengelyétől a legkisebb távolságra van, a forgórész forgási tengelyére merőleges egyenes vonal mentén mérve.
(iii) A henger hossza az egymástól legtávolabb elhelyezkedő két pont közötti távolságnak felel meg, a forgórész forgási tengelyével párhuzamos egyenes vonal mentén mérve.
A fenti i-iii. alpontokkal összhangban meghatározott üreges henger esetében a forgási tehetetlenséget 7 850 kg/m3 anyagsűrűséggel kell kiszámítani.
9. függelék
Az IEPC-re vonatkozó standard értékek
Ahhoz, hogy az IEPC-re vonatkozó bemeneti adatok részben vagy egészben standard értékeken alapuló előállításához az e függelékben meghatározott rendelkezéseket lehessen használni, a következő feltételeknek kell teljesülniük.
Amennyiben az IEPC egynél több elektromos géprendszerből áll, minden elektromos gépnek pontosan ugyanazokkal az előírásokkal kell rendelkeznie. Amennyiben az IEPC egynél több elektromos géprendszerből áll, minden elektromos gépet ugyanabban a referenciahelyzetben (azaz a sebességváltó előtt vagy a sebességváltó után) kell csatlakoztatni az IEPC nyomatékútjához, ahol minden elektromos gépet ugyanazon a fordulatszámon kell működtetni ebben a referenciahelyzetben, és egyéni nyomatékukat (teljesítményüket) bármilyen összegző sebességváltóval kell összeadni.
(1) Az IEPC bemeneti adatainak részben vagy egészen standard értékek alapján történő előállításához a következő opciók egyikét kell alkalmazni:
- 1. opció: csak az IEPC valamennyi alkatrészére vonatkozó standard értékek
(a) Az IEPC részét képező elektromos géprendszer standard értékeit a 8. függeléknek megfelelően kell meghatározni. Amennyiben több elektromos gép is része az IEPC-nek, a 8. függelék szerinti standard értékeket egyetlen elektromos gépre kell meghatározni, és minden (mechanikus és elektromos) nyomaték- és teljesítményértéket meg kell szorozni az IEPC részét képező elektromos gépek számával. E függelék minden további lépésénél az e szorzásból származó értékeket kell használni.
Az e melléklet 8. függelékének 8. lépése szerint meghatározott tehetetlenségi nyomaték értékét meg kell szorozni az IEPC részét képező elektromos gépek számával.
(b) Amennyiben az IEPC tartalmaz sebességváltót, a villamosenergia-fogyasztási jelleggörbe esetében minden egyes előremeneti sebességfokozatra külön kell meghatározni, minden egyéb bemeneti adat esetében pedig csak az 1-hez legközelebb eső áttételi aránnyal rendelkező sebességfokozatra vonatkozóan kell meghatározni az IEPC standard értékeit, a következő eljárással összhangban:
(i) A sebességváltó veszteségeire vonatkozó standard értékeket e függelék 2. pontjával összhangban kell meghatározni.
(ii) A fenti i. lépés esetében az elektromos géprendszer tengelyénél a fenti a) alpontnak megfelelően meghatározott fordulatszám- és nyomatékpontokat a sebességváltó bemeneti tengelyénél kell fordulatszám- és nyomatékértékként használni.
(iii) A sebességváltó kimenőtengelyére vonatkozó, az 15. függelék szerinti IEPC bemeneti adatok előállítása érdekében az elektromos gép kimenőtengelyére vonatkozó, a fenti a) alpontnak megfelelően meghatározott valamennyi nyomatékértéket át kell számítani a sebességváltó kimenőtengelyére a következő egyenlettel:
Ti,GBX = (Ti,EM - Ti,l,in (nj,EM, Ti,EM, sebességfokozat)) × igear
ahol:
Ti,GBX = nyomaték a sebességváltó kimenőtengelyénél
Ti,EM = nyomaték az elektromos géprendszer kimenőtengelyénél
Ti,l,in = az IEPC sebességváltó alkatrészeinek bemenő tengelyéhez kapcsolódó kapcsolható előremeneti sebességfokozatok nyomatékvesztesége a fenti b) pont i. alpontja szerint meghatározva
nj,EM = Az elektromos géprendszer azon kimenőtengelyének fordulatszáma, amelynél a Ti,EM értéket mérték [ford./perc]
igear = egy adott sebességfokozat áttételi aránya [-]
(ahol a sebességfokozat = 1, ..., a legmagasabb sebességfokozat-szám)
(iv) A sebességváltó kimenőtengelyére vonatkozó, az 15. függelék szerinti IEPC bemeneti adatok előállítása érdekében az elektromos gép kimenőtengelyére vonatkozó, a fenti a) alpontnak megfelelően meghatározott valamennyi fordulatszám-értéket át kell számítani a sebességváltó kimenőtengelyére a következő egyenlettel:
nj,GBX = nj,EM / igear
ahol:
nj,EM = fordulatszám az elektromos géprendszer kimenőtengelyénél [ford./perc]
igear = egy adott sebességfokozat áttételi aránya [-]
(ahol a sebességfokozat = 1, ..., a legmagasabb sebességfokozat-szám)
(c) Amennyiben az IEPC tartalmaz differenciálművet, a villamosenergia-fogyasztási jelleggörbe esetében minden egyes előremeneti sebességfokozatra külön kell meghatározni, minden egyéb bemeneti adat esetében pedig csak az 1-hez legközelebb eső áttételi aránnyal rendelkező sebességfokozatra vonatkozóan kell meghatározni a differenciálmű standard értékeit, a következő lépések szerint:
(i) A differenciálmű veszteségeire vonatkozó standard értékeket e függelék 3. pontjával összhangban kell meghatározni.
(ii) Az IEPC részét képező sebességváltó kimenőtengelyénél meghatározott, a fenti b) alpontnak megfelelően meghatározott nyomatékpontokat a differenciálmű bemeneténél kell nyomatékértékként használni. Amennyiben az IEPC nem tartalmaz sebességváltót, az elektromos géprendszer kimenőtengelyén a fenti a) alpontnak megfelelően meghatározott nyomatékpontokat kell a differenciálmű bemeneténél nyomatékértékként használni a fenti i. lépés során.
(iii) Annak érdekében, hogy az IEPC szükséges bemeneti adatait az 15. függeléknek megfelelően a differenciálmű kimenetére vonatkoztatva elő lehessen állítani, a sebességváltó kimenőtengelyére (amennyiben a sebességváltó az IEPC részét képezi) a fenti b) alpont iii. lépése szerint vagy az elektromos géprendszerre (amennyiben az IEPC nem tartalmaz sebességváltót) a fenti a) alpont szerint meghatározott valamennyi nyomatékértéket át kell számítani a differenciálmű kimenetére a következő egyenlettel:
Ti,diff,out = (Ti,diff,in - Ti,diff,l,in (Ti,diff,in)) × idiff
ahol:
Ti,diff,out = nyomaték a differenciálmű kimeneténél
Ti,diff,in = nyomaték a differenciálmű bemeneténél
Ti,diff,l,in = a differenciálműnek a fenti c) pont i. alpontja szerint meghatározott bemeneti nyomatéktól függő bemeneti értékéhez kapcsolódó nyomatékveszteség
idiff = a differenciálmű áttételi aránya [-]
(iv) Annak érdekében, hogy az IEPC szükséges bemeneti adatait az 15. függeléknek megfelelően a differenciálmű kimenetére vonatkoztatva elő lehessen állítani, a sebességváltó kimenőtengelyére (amennyiben a sebességváltó az IEPC részét képezi) a fenti b) alpont iv. lépése szerint vagy az elektromos géprendszerre (amennyiben az IEPC nem tartalmaz sebességváltót) a fenti a) alpont szerint meghatározott valamennyi fordulatszám-értéket át kell számítani a differenciálmű kimenetére a következő egyenlettel:
nj,diff,out = nj,diff,in / idiff
ahol:
nj,diff,in = fordulatszám a differenciálmű bemeneténél [ford./perc]
idiff = a differenciálmű áttételi aránya [-]
- 2. opció: az IEPC részét képező elektromos géprendszer mérése és standard értékek az IEPC egyéb alkatrészeire vonatkozóan
(a) Az IEPC részét képező elektromos géprendszer mért alkatrészadatait e függelék 4. pontjának megfelelően kell meghatározni. Amennyiben több elektromos gép is része az IEPC-nek, az alkatrészadatokat egyetlen elektromos gépre kell meghatározni, és minden (mechanikus és elektromos) nyomaték- és teljesítményértéket meg kell szorozni az IEPC részét képező elektromos gépek számával. E függelék minden további lépésénél az e szorzásból származó értékeket kell használni.
Az e melléklet 8. függelékének 8. lépése szerint meghatározott tehetetlenségi nyomaték értékét meg kell szorozni az IEPC részét képező elektromos gépek számával.
(b) Amennyiben az IEPC tartalmaz sebességváltót, a villamosenergia-fogyasztási jelleggörbe esetében minden egyes előremeneti sebességfokozatra külön kell meghatározni, minden egyéb bemeneti adat esetében pedig csak az 1-hez legközelebb eső áttételi aránnyal rendelkező sebességfokozatra vonatkozóan kell meghatározni az IEPC standard értékeit a fenti 1. opció b) pontja szerinti rendelkezésekkel összhangban. Ebben az összefüggésben az 1. opció b) alpontjában szereplő, az a) alpontra való valamennyi hivatkozást a 2. opció a) alpontjára való hivatkozásként kell értelmezni.
(c) Amennyiben az IEPC tartalmaz differenciálművet, a villamosenergia-fogyasztási jelleggörbe esetében minden egyes előremeneti sebességfokozatra külön kell meghatározni, minden egyéb bemeneti adat esetében pedig csak az 1-hez legközelebb eső áttételi aránnyal rendelkező sebességfokozatra vonatkozóan kell meghatározni a differenciálmű standard értékeit, a fenti 1. opció c) alpontjával összhangban. Ebben az összefüggésben az 1. opció c) alpontjában szereplő, a b) alpontra való valamennyi hivatkozást a 2. opció b) alpontjára való hivatkozásként kell értelmezni.
(2) IEPC belső sebességváltó-alkatrész
az IEPC sebességváltó alkatrészeinek bemenő tengelyéhez kapcsolódó kapcsolható előremeneti sebességfokozatok Tgbx,l ,in nyomatékveszteségét a következő rendelkezéseknek megfelelően kell kiszámítani:
a) Tgbx,l,in (nin, Tin, sebességfokozat) = Td0 + Td1000 × nin / 1000 rpm + fT,gear × Tin
ahol:
Tgbx,l,in = a bemenő tengellyel összefüggő nyomatékveszteség [Nm]
Tdx = vonónyomaték x ford./perc mellett [Nm]
nin = fordulatszám a bemenő tengelynél [ford./perc]
fT,gear
=
fordulatszámtól függő nyomatékveszteségi együttható [-];
az alábbi b)-f) alponttal összhangban meghatározva
Tin = nyomaték a bemenő tengelynél [Nm]
sebességfokozat = 1, ..., legmagasabb sebességfokozat száma [-]
b) Az egyenlet értékeit minden, az elektromos gép kimenőtengelye után elhelyezkedő sebességfokozatra meg kell határozni.
c) Amennyiben az IEPC differenciálművet foglal magában, meg kell határozni az egyenlet értékeit az elektromos gép kimenőtengelye után elhelyezkedő összes sebességfokozatra, a differenciálmű bemeneti fogaskerekével való fogaskerék-kapcsolódást kivéve. A differenciálmű bemeneti fogaskerekével való fogaskerék-kapcsolódás lehet külső-külső fogaskerék-kapcsolódás (homlok vagy kúp) vagy egyetlen bolygófogaskerék-készlet.
d) Kerékagymotorok esetében az egyenlet értékeit minden, az elektromos gép kimenőtengelye utáni és a kerékagy előtti sebességfokozatra meg kell határozni.
e) Az fT értéket a VI. melléklet 3.1.1. pontjával összhangban kell meghatározni.
f) Az fT értéke 0,007 direkt sebességfokozat esetében.
g) A Td0 és Td1000 értéke 0,0075 × Tmax,in a 2-nél több súrlódó tengelykapcsolóval ellátott sebességváltók esetében.
h) A Td0 és Td1000 értéke 0,0025 × Tmax,in minden más sebességváltó esetében.
(i) Tmax,in a sebességváltó egyes előremeneti sebességfokozatainak valamennyi egyedi maximálisan megengedett bemeneti nyomatékának legnagyobb összértéke [Nm]-ban/-ben.
(3) IEPC belső differenciálmű-alkatrész
Az IEPC differenciálmű-alkatrészeinek bemenetéhez kapcsolódó Tdiff,l ,in nyomatékveszteségét a következő rendelkezéseknek megfelelően kell kiszámítani:
a) Tdiff,l,in (Tin) = ηdiff × Tdiff,d0 / idiff + (1- ηdiff) × Tin
ahol:
Tdiff,l,in = a differenciálmű bemenetével összefüggő nyomatékveszteség [Nm]
Tdiff,d0
=
vonónyomaték [Nm]
az alábbi e)-f) alponttal összhangban meghatározva
ηdiff
=
nyomatékfüggő hatásfok [-];
az alábbi b)-d) alponttal összhangban meghatározva
Tin = nyomaték a differenciálmű bemeneténél [Nm]
idiff = a differenciálmű áttételi aránya [-]
b) Az egyenlet értékeit a differenciálmű valamennyi fogaskerék-kapcsolódására meg kell határozni, beleértve a differenciálmű bemeneti fogaskerekével való fogaskerék-kapcsolódást is.
c) Az ηdiff értékét a VI. melléklet 3.1.1. pontja szerint kell meghatározni, ahol a vonatkozó egyenletekben az ηm értékét kúposfogaskerék-kapcsolódás esetében 0,98-re kell beállítani.
d) A differenciálmű belső fogaskerekeiben bekövetkező veszteségeket figyelmen kívül kell hagyni a fenti b)-c) alpontok szerint elvégzett számításoknál.
e) Abban az esetben, ha a differenciálmű a tányérkerekénél kúpfogaskerék-kapcsolódást is magában foglal, a Tdiff,d0 értékét a következő egyenlet alapján kell meghatározni: Tdiff,d0 = 25 Nm + 15 Nm × idiff
f) Abban az esetben, ha a differenciálmű a bemeneti fogaskerekénél homlok fogaskerék-kapcsolódást vagy egyetlen bolygófogaskerék-készletet is magában foglal, a Tdiff,d0 értékét a következő egyenlet alapján kell meghatározni:Tdiff,d0 = 25 Nm + 5 Nm × idiff
10. függelék
Az újratölthető energiatároló rendszerekre vonatkozó standard értékek
(1) Akkumulátorrendszer vagy a reprezentatív akkumulátor-alrendszer
Az akkumulátorrendszer vagy a reprezentatív akkumulátor-alrendszer bemeneti adatainak standard értékek alapján történő előállításához a következő lépéseket kell elvégezni:
(a) Az akkumulátor típusát az A-ban kifejezett legnagyobb áramerősség (a 100. számú ENSZ-előírás (***) 6. melléklete 2. függelékének 1.4.4. szakasza szerint) és az Ah-ban kifejezett kapacitás (a 100. számú ENSZ-előírás 6. melléklete 2. függelékének 1.4.3. szakasza szerint) közötti számarány alapján kell meghatározni. Az elemtípus "nagy energiájú akkumulátorrendszer (HEBS)", ha ez az arány 10-nél kisebb, és "nagy teljesítményű akkumulátorrendszer (HPBS)", ha ez az arány legalább 10.
(b) A névleges teljesítmény a cella gyártójának adatlapján feltüntetett egyes cellák teljesítményén alapuló Ah-ban megadott érték, figyelembe véve az egyes cellák párhuzamos és soros elrendezését. A teljes teljesítményre kapott értéket 0,9-es szorzóval kell megszorozni.
(c) A nyitott áramköri feszültséget a töltöttségi szint függvényében a V-ban kifejezett Vnom névleges feszültség alapján kell meghatározni, a 100. sz. ENSZ-előírás (***) 6. melléklete 2. függelékének 1.4.1. szakasza szerint. A nyitott áramköri feszültség különböző töltöttségi szintekre vonatkozó értékeit a következő táblázat szerint kell kiszámítani:
SOC [%] | OCV [V] |
0 | 0,88 × Vnom |
10 | 0,94 × Vnom |
50 | 1,00 × Vnom |
90 | 1,06 × Vnom |
100 | 1,12 × Vnom |
(d) A DCIR-t a következő rendelkezéseknek megfelelően kell meghatározni:
i. Az a) alponttal összhangban a HPBS esetében a DCIR különböző értékeit úgy kell kiszámítani, hogy az alábbi táblázatban meghatározott [mOhm × Ah] fajlagos ellenállást el kell osztani a b) alpontnak megfelelően meghatározott, Ah-ban kifejezett névleges teljesítménnyel, és az így kapott értéket meg kell szorozni a sorosan kapcsolt cellák számával, a 100. számú ENSZ-előírás 6. melléklete 2. függelékének 1.3.2. szakasza szerint:
DCIR | [mOhm × Ah] fajlagos ellenállás |
DCIR RI2 | 40 |
DCIR RI10 | 45 |
DCIR RI20 | 50 |
ii. Az a) alponttal összhangban a HEBS esetében a DCIR különböző értékeit úgy kell kiszámítani, hogy az alábbi táblázatban meghatározott [mOhm × Ah] fajlagos ellenállást el kell osztani a b) alpontnak megfelelően meghatározott, Ah-ban kifejezett névleges teljesítménnyel, és az így kapott értéket meg kell szorozni a sorosan kapcsolt cellák számával, a 100. számú ENSZ-előírás 6. melléklete 2. függelékének 1.3.2. szakasza szerint:
DCIR | [mOhm × Ah] fajlagos ellenállás |
DCIR RI2 | 210 |
DCIR RI10 | 240 |
DCIR RI20 | 270 |
DCIR RI120 | 390 |
(e) A legnagyobb töltési és a legnagyobb kisütési áramra vonatkozó értékeket a következő rendelkezéseknek megfelelően kell meghatározni:
i. Az a) alpont szerinti HPBS esetében a töltöttségi szinttől (SOC) függő legnagyobb töltési, illetve legnagyobb kisütési áramértéket a következő táblázatban meghatározott C-értékeknek (nC) megfelelő, A-ban kifejezett áramerősségre kell beállítani:
SOC [%] | C-érték (nC) legnagyobb töltési áramérték | C-érték (nC) legnagyobb kisütési áramérték |
0 | 9,0 | 0,0 |
30 | 9,0 | 50,0 |
80 | 9,0 | 50,0 |
100 | 0,0 | 50,0 |
ii. Az a) alpont szerinti HEBS esetében a töltöttségi szinttől (SOC) függő legnagyobb töltési, illetve legnagyobb kisütési áramértéket a következő táblázatban meghatározott C-értékeknek (nC) megfelelő, A-ban kifejezett áramerősségre kell beállítani:
SOC [%] | C-érték (nC) legnagyobb töltési áramérték | C-érték (nC) legnagyobb kisütési áramérték |
0 | 0,9 | 0,0 |
30 | 0,9 | 5,0 |
80 | 0,9 | 5,0 |
100 | 0,0 | 5,0 |
Végső értékként mind a legnagyobb töltési, mind a legnagyobb kisütési áramra vonatkozó abszolút értékeket kell használni.
(2) Kondenzátorrendszer vagy a reprezentatív kondenzátor-alrendszer
A kondenzátorrendszer vagy a reprezentatív kondenzátor-alrendszer bemeneti adatainak standard értékek alapján történő előállításához a következő lépéseket kell elvégezni:
a) A kapacitás a kondenzátorrendszer vagy a reprezentatív kondenzátor-alrendszer adatlapján feltüntetett névleges kapacitás. A kondenzátorrendszer vagy a reprezentatív kondenzátor-alrendszer tényleges kapacitása meghatározható egy kondenzátorcella névleges kapacitásának a kondenzátorrendszerben vagy a reprezentatív kondenzátor-alrendszerben lévő egyes cellák elrendezésének (azaz soros és/vagy párhuzamos) megfelelő megnövelésével.
b) A Vmax,Cap legnagyobb feszültség a kondenzátorrendszer vagy a reprezentatív kondenzátor-alrendszer adatlapján feltüntetett névleges feszültség. A kondenzátorrendszer vagy a reprezentatív kondenzátor-alrendszer tényleges legnagyobb feszültsége meghatározható az egyetlen kondenzátorcella névleges feszültségének a kondenzátorrendszerben vagy a reprezentatív kondenzátor-alrendszerben lévő egyes cellák elrendezésének (azaz soros és/vagy párhuzamos) megfelelő megnövelésével.
c) A Vmin,Cap legkisebb feszültség a fenti b) alpont szerint meghatározott Vmax,Cap érték 0,45-szorosa.
d) A belső ellenállást a következő rendelkezéseknek megfelelően kell meghatározni:

ahol:
RI,Cap = belső ellenállás [ohm]
RI,ref = a belső ellenállás referenciaértéke: 0,00375-es számérték [ohm]
Vmax,Cap = a fenti b) alponttal összhangban meghatározott legnagyobb feszültség [V]
Vmin,Cap = a fenti c) alponttal összhangban meghatározott legkisebb feszültség [V]
Vref = a maximális feszültség referenciaértéke: 2,7-es számérték [V]
Cref = a kapacitás referenciaértéke: 3 000 -es számérték [F]
CCap = a fenti a) alponttal összhangban meghatározott kapacitás [F]
nser = a sorosan kapcsolat cellák száma a fenti a) alpont szerint [-]
e) Mind a legnagyobb töltési, mind a legnagyobb kisütési áram értékét úgy kell kiszámítani, hogy a fenti a) alponttal összhangban meghatározott, F-ben kifejezett kapacitásértéket meg kell szorozni 5,0-tel [A/F]. Végső értékként mind a legnagyobb töltési, mind a legnagyobb kisütési áramra vonatkozó abszolút értékeket kell használni.
11. függelék
(fenntartva)
12. függelék
A CO2-kibocsátással és a tüzelőanyag-fogyasztással kapcsolatos tanúsított tulajdonságok megfelelősége
1. Elektromos géprendszerek vagy IEPC-k
1.1. Minden elektromos géprendszert és IEPC-t úgy kell előállítani, hogy az megfeleljen a jóváhagyott típusnak, tekintettel a tanúsítványban és annak mellékleteiben leírtakra. A CO2-kibocsátással és a tüzelőanyag-fogyasztással kapcsolatos tanúsított tulajdonságok megfelelőségével összefüggő eljárásoknak eleget kell tenniük az (EU) 2018/858 rendelet 31. cikkében foglaltaknak.
1.2. A CO2-kibocsátással és tüzelőanyag-fogyasztással kapcsolatos tanúsított tulajdonságok megfelelőségét az e melléklet 2. és 3. függelékében szereplő tanúsítványokban és információs csomagokban foglalt leírás alapján kell ellenőrizni.
1.3. A CO2-kibocsátással és tüzelőanyag-fogyasztással kapcsolatos tanúsított tulajdonságok megfelelőségét az e pontban rögzített speciális feltételeknek megfelelően kell értékelni.
1.4. Az alkatrészgyártó évente legalább az 1. táblázatban jelzett számú egységet köteles vizsgálni az adott gyártó éves elektromosgéprendszer- vagy IEPC-termelési összmennyisége alapján. Az éves termelési mennyiség megállapításakor csak azokat az elektromos géprendszereket vagy az IEPC-ket kell figyelembe venni, amelyek megfelelnek e rendelet követelményeinek, és amelyekre nem standard értékeket alkalmaztak.
1.5. Ha az éves összes termelési mennyiség legfeljebb 4,000, az elvégzendő vizsgálatokkal érintett család kiválasztásában az alkatrészgyártó és a jóváhagyó hatóság megállapodik.
1.6. Ha az éves összes termelési mennyiség 4,000 feletti, minden esetben a legnagyobb termelési mennyiséggel érintett családot kell vizsgálni. Az alkatrészgyártónak meg kell indokolnia a jóváhagyó hatóság számára az elvégzett vizsgálatok számát és azt, hogy miért az adott családokat választotta. A gyártó és a jóváhagyó hatóság megállapodnak arról, hogy mely további családok vonatkozásában kell a vizsgálatokat elvégezni.
1. táblázat
A megfelelőségi vizsgálathoz szükséges mintaméret
Elektromos géprendszerek vagy IEPC-k éves összes termelési mennyisége | Vizsgálatok éves száma | Alternatív megoldásként |
0–1 000 | nincs adat | háromévente 1 vizsgálat (*1) |
1 001 – 2 000 | nincs adat | kétévente 1 vizsgálat (*1) |
2 001 – 4 000 | 1 | nincs adat |
4 001 – 10 000 | 2 | nincs adat |
10 001 – 20 000 | 3 | nincs adat |
20 001 – 30 000 | 4 | nincs adat |
30 001 – 40 000 | 5 | nincs adat |
40 001 – 50 000 | 6 | nincs adat |
> 50 000 | 7 | nincs adat |
(*1) A gyártásmegfelelőségi vizsgálatot az első évben el kell végezni |
1.7. A CO2-kibocsátással és tüzelőanyag-fogyasztással kapcsolatos tanúsított tulajdonságok megfelelőségének vizsgálata érdekében a jóváhagyó hatóságnak és az alkatrészgyártónak közösen meg kell határoznia a vizsgálandó elektromosgéprendszer- vagy IEPC-típus(oka)t. A jóváhagyó hatóságnak meg kell győződnie arról, hogy a kiválasztott elektromosgéprendszer- vagy IEPC-típus(oka)t a sorozatgyártásban használtakkal azonos szabványok szerint gyártották.
1.8. Ha az 1.9. ponttal összhangban végzett vizsgálat eredménye magasabb, mint az 1.9.4, 3. pontban meghatározott érték, akkor ugyanabból a családból további egységeket kell megvizsgálni. Ha ezek közül bármelyik nem felel meg a vizsgálaton, a 23. cikk rendelkezéseit kell alkalmazni.
1.9. Az elektromos géprendszer vagy az IEPC gyártásmegfelelőségi vizsgálata
1.9.1. Peremfeltételek
Az e mellékletben a tanúsítási vizsgálatra meghatározott valamennyi peremfeltételt alkalmazni kell, kivéve, ha e pont másként rendelkezik.
A hűtési teljesítménynek az e mellékletben a tanúsítási vizsgálathoz előírt határértékeken belül kell lennie.
A mérést csak az e melléklet 4.1.3. pontjában megadott feszültségszintek egyikén kell elvégezni. A vizsgálathoz a feszültségszintet az alkatrész gyártójának kell kiválasztania.
A gyártásmegfelelőségi vizsgálathoz az e melléklet 3.1. pontja szerint meghatározott, a mérőberendezésekre vonatkozó előírásokat nem kell teljesíteni.
1.9.2. Vizsgálati menet
Két különböző beállítási célértéket kell mérni. Az első beállítási célértéknél történő mérést követően a rendszer lehűthető az alkatrész gyártójának ajánlásaival összhangban úgy, hogy a gyártó által meghatározott beállítási célértéken üzemeltetik.
Az 1. beállítási célérték esetében a túlterhelési jellemzők vizsgálatát e melléklet 4.2.5. pontja szerint kell elvégezni.
A 2. beállítási célérték esetében a vizsgálatot a legnagyobb 30 percnyi folyamatos nyomatékkal kell elvégezni e melléklet 4.2.4. pontja szerint.
1.9.3. Az eredmények utófeldolgozása
A 4.2.5.3. és 4.2.4.3. pont szerint meghatározott valamennyi mechanikai és elektromos teljesítmény értékét korrigálni kell a gyártásmegfelelőségi mérőberendezés bizonytalansági eltérésével a következő rendelkezéseknek megfelelően:
(a) Ki kell számítani a mérőberendezés bizonytalanságának e függelék szerinti alkatrész-típusjóváhagyási és gyártásmegfelelőségi vizsgálata közötti, %-ban kifejezett eltérést a fordulatszámhoz, a nyomatékhoz, az áramerősséghez és a feszültséghez használt mérőrendszerek esetében.
(b) A fenti a) alpontban említett, %-ban kifejezett bizonytalansági eltérést mind az elemzőberendezés által mért értékre, mind az e melléklet 3.1. szakasza szerint meghatározott legnagyobb kalibrálási értékre ki kell számítani.
(c) A villamos energia bizonytalanságának teljes eltérését a következő egyenlet alapján kell kiszámítani:

ahol:
ΔuU,max calib a feszültségmérés maximális kalibrálási értékének bizonytalansági eltérése [%]
ΔuU,value a feszültségmérés elemzőberendezés által mért értékének bizonytalansági eltérése [%]
ΔuI,max calib az áramerősség-mérés maximális kalibrálási értékének bizonytalansági eltérése [%]
ΔuI,value az áramerősség-mérés elemzőberendezés által mért értékének bizonytalansági eltérése [%]
(d) A mechanikai energia bizonytalanságának teljes eltérését a következő egyenlet alapján kell kiszámítani:

ahol:
ΔuT,max calib a nyomatékmérés maximális kalibrálási értékének bizonytalansági eltérése [%]
ΔuT,value a nyomatékmérés elemzőberendezés által mért értékének bizonytalansági eltérése [%]
Δun,max calib a forgatónyomaték-mérés maximális kalibrálási értékének bizonytalansági eltérése [%]
Δun,value a forgatónyomaték-mérés elemzőberendezés által mért értékének bizonytalansági eltérése [%]
(e) A mechanikai teljesítmény valamennyi mért értékét korrigálni kell a következő egyenlet alapján:
P* mech = Pmech,meas (1 - ΔuP,mech,CoP)
ahol:
Pmech,meas a mechanikai teljesítmény mért értéke
ΔuP,mech,CoP a mechanikai teljesítmény bizonytalanságának teljes eltérése a fenti d) alpontnak megfelelően
(f) Az elektromos teljesítmény valamennyi mért értékét korrigálni kell a következő egyenlet alapján:
P* el = Pel,meas (1 + ΔuP,el,CoP)
ahol:
Pel,meas az elektromos teljesítmény mért értéke
ΔuP,el,CoP az elektromos teljesítmény bizonytalanságának teljes eltérése a fenti c) alpontnak megfelelően
1.9.4. Az eredmények értékelése
Az 1.9.2. és 1.9.3. pont szerint meghatározott két különböző beállítási célértékből a korrigált P* mechmechanikai teljesítménynek a korrigált P* el elektromos teljesítménnyel történő elosztása révén meg kell határozni a hatásfokértékeket.
A CO2-kibocsátással és tüzelőanyag-fogyasztással kapcsolatos tanúsított tulajdonságok megfelelőségének vizsgálata során a teljes hatásfokot (ηA,CoP) a két hatásfok számtani középértékeként kell kiszámítani.
A CO2-kibocsátással és a tüzelőanyag-fogyasztással kapcsolatos tanúsított tulajdonságok megfelelőségének vizsgálata akkor minősül sikeresnek, ha az ηA,CoP és az ηA,TA közötti különbség kisebb, mint a típusjóváhagyással rendelkező ηA,TA hatásfok 3 %-a. Sebességváltóval vagy differenciálművel rendelkező IEPC esetében a gyártásmegfelelőségi vizsgálaton való megfelelés határértéke 3 %-ról helyett 4 %-ra emelkedik. Olyan IEPC esetében, amely sebességváltóval és differenciálművel egyaránt rendelkezik, a gyártásmegfelelőségi vizsgálaton való megfelelés határértéke 3 % helyett 5 %-ra emelkedik.
A típusjóváhagyással rendelkező ηA,TA hatásfokot a 4.3.5. és 4.3.6. pont szerint meghatározott és az adatközlő lapon az alkatrész-tanúsítás során dokumentált két hatásfokérték számtani középértékeként kell kiszámítani.
2.
1. típusú IHPC-k
2.1. Minden IHPC-t úgy kell előállítani, hogy az megfeleljen a jóváhagyott típusnak, tekintettel a tanúsítványban és annak mellékleteiben leírtakra. A CO2-kibocsátással és a tüzelőanyag-fogyasztással kapcsolatos tanúsított tulajdonságok megfelelőségével összefüggő eljárásoknak eleget kell tenniük az (EU) 2018/858 rendelet 31. cikkében foglaltaknak.
2.2. A CO2-kibocsátással és tüzelőanyag-fogyasztással kapcsolatos tanúsított tulajdonságok megfelelőségét az e melléklet 4. függelékében szereplő tanúsítványokban és információs csomagokban foglalt leírás alapján kell ellenőrizni.
2.3. A CO2-kibocsátással és tüzelőanyag-fogyasztással kapcsolatos tanúsított tulajdonságok megfelelőségét az e függelék 1. pontjában meghatározott egyedi feltételekkel összhangban kell értékelni, ahol eltérő rendelkezés hiányában az IEPC-re vonatkozóan az adott pontban meghatározott rendelkezéseket kell alkalmazni.
2.4. Az e függelék 2.3. pontjában foglalt rendelkezések ellenére a következő rendelkezéseket kell alkalmazni:
a) A CO2-kibocsátással és a tüzelőanyag-fogyasztással kapcsolatos tanúsított tulajdonságok megfelelőségét a családok helyett csak az 1. típusú IHPC egyes típusai esetében kell ellenőrizni, mivel az e melléklet 4.4. pontja szerinti 1. típusú IHPC-k esetében a családok meghatározása nem megengedett.
b) A gyártó és a jóváhagyó hatóság megállapodnak az elvégzendő vizsgálatok számának az egyes típusokhoz való hozzárendeléséről.
c) Az egyes pontokban a családokra történő valamennyi hivatkozást egyedi típusokra való hivatkozásként kell értelmezni.
d) A típusjóváhagyással rendelkező ηA,TA hatásfokot a 4.3.5. és 4.3.6. pont szerint meghatározott és az adatközlő lapon az alkatrész-tanúsítás során rögzített két hatásfokérték számtani középértékeként kell kiszámítani. E két hatásfokérték esetében az e melléklet 4.4.2.3. szakaszában leírt utófeldolgozási lépéseket nem kell elvégezni.
3. Akkumulátorrendszerek vagy a reprezentatív akkumulátor-alrendszerek
3.1. Minden akkumulátorrendszer vagy reprezentatív akkumulátor-alrendszert úgy kell legyártani, hogy az megfeleljen a jóváhagyott típusnak, tekintettel a tanúsítványban és annak mellékleteiben leírtakra. A CO2-kibocsátással és a tüzelőanyag-fogyasztással kapcsolatos tanúsított tulajdonságok megfelelőségével összefüggő eljárásoknak eleget kell tenniük az (EU) 2018/858 rendelet 31. cikkében foglaltaknak.
3.2. A CO2-kibocsátással és tüzelőanyag-fogyasztással kapcsolatos tanúsított tulajdonságok megfelelőségét az e melléklet 5. függelékében szereplő tanúsítványokban és információs csomagokban foglalt leírás alapján kell ellenőrizni.
3.3. A CO2-kibocsátással és tüzelőanyag-fogyasztással kapcsolatos tanúsított tulajdonságok megfelelőségét az e pontban rögzített speciális feltételeknek megfelelően kell értékelni.
3.4. Az alkatrészgyártó évente legalább a 2. táblázatban jelzett számú egységet köteles vizsgálni az adott gyártó éves akkumulátorrendszer vagy reprezentatív akkumulátor-alrendszer termelési összmennyisége alapján. Az éves termelési mennyiség megállapításakor csak azokat az akkumulátorrendszereket vagy reprezentatív akkumulátor-alrendszereket kell figyelembe venni, amelyek megfelelnek e rendelet követelményeinek, és amelyekre nem standard értékeket alkalmaztak.
2. táblázat
A megfelelőségi vizsgálathoz szükséges mintaméret
Akkumulátorrendszerek vagy reprezentatív akkumulátor-alrendszerek éves összes termelési mennyisége | Vizsgálatok éves száma | Alternatív megoldásként |
0 – 3 000 | nincs adat | háromévente 1 vizsgálat (*1) |
3 001 – 6 000 | nincs adat | kétévente 1 vizsgálat (*1) |
6 001 – 12 000 | 1 | nincs adat |
12 001 – 30 000 | 2 | nincs adat |
30 001 – 60 000 | 3 | nincs adat |
60 001 – 90 000 | 4 | nincs adat |
90 001 – 120 000 | 5 | nincs adat |
120 001 – 150 000 | 6 | nincs adat |
> 150 000 | 7 | nincs adat |
(*1) A gyártásmegfelelőségi vizsgálatot az első évben el kell végezni |
3.5. A CO2-kibocsátással és tüzelőanyag-fogyasztással kapcsolatos tanúsított tulajdonságok megfelelőségének vizsgálata érdekében a jóváhagyó hatóságnak és az alkatrészgyártónak közösen meg kell határoznia a vizsgálandó akkumulátorrendszer vagy reprezentatív akkumulátor-alrendszer típusát/típusait. A jóváhagyó hatóságnak meg kell győződnie arról, hogy az akkumulátorrendszer vagy reprezentatív akkumulátor-alrendszer kiválasztott típusát/típusait a sorozatgyártásban használtakkal azonos szabványok szerint gyártották.
3.6. Ha a 3.7. ponttal összhangban végzett vizsgálat eredménye magasabb, mint a 3.7.4. pontban meghatározott érték, akkor ugyanabból a családból további 3 egységet kell megvizsgálni. Ha ezek közül bármelyik nem felel meg a vizsgálaton, a 23. cikk rendelkezéseit kell alkalmazni.
3.7. Akkumulátorrendszerek vagy reprezentatív akkumulátor-alrendszerek gyártásmegfelelőségi vizsgálata
3.7.1. Peremfeltételek
Az e mellékletben a tanúsítási vizsgálatra meghatározott valamennyi peremfeltételt alkalmazni kell.
3.7.2. Vizsgálati menet
Két különböző vizsgálatot kell elvégezni.
Az 1. vizsgálat esetében a végleges teljesítményre vonatkozó vizsgálati eljárást e melléklet 5.4.1. pontja szerint kell elvégezni.
A 2. vizsgálat esetében az alábbi eljárást kell alkalmazni:
a) A 2. vizsgálatot az 1. vizsgálat után kell elvégezni.
b) A vizsgált akkumulátoregységnek az alkatrész gyártójának előírásai szerinti teljes feltöltése és az 5.1.1. pont szerinti hőkiegyenlítődés elérése után el kell végezni egy az 5.3. pont szerinti szabványos ciklust.
c) A szabványos ciklus végét követően 1-3 órán belül el kell kezdeni a tényleges vizsgálati menetet. Ellenkező esetben meg kell ismételni az előző b) alpontban leírt eljárást.
d) Annak érdekében, hogy a vizsgált akkumulátoregység kezdeti állapotától kiindulva elérjék a vizsgálathoz az e) és f) alpontban előírt töltöttségi szinteket, a HPBS esetében 3C, a HEBS esetében pedig 1C állandó áramerősséggel kisütést kell végezni.
e) HPBS esetében a tényleges vizsgálati menetnek az alkatrész-típusjóváhagyás során dokumentált Idischg_max legnagyobb kisütési áram mellett 80 %-os töltöttségi szinten végzett 20 másodperces kisütésből, valamint az alkatrész-típusjóváhagyás során dokumentált Ichg_max legnagyobb töltési áramerősség mellett 20 %-os töltöttségi szinten végzett 20 másodperces töltésből kell állnia.
f) HEBS esetében a tényleges vizsgálati menetnek az alkatrész-típusjóváhagyás során dokumentált Idischg_max legnagyobb kisütési áram mellett 90 %-os töltöttségi szinten végzett 120 másodperces kisütésből, valamint az alkatrész-típusjóváhagyás során dokumentált Ichg_max legnagyobb töltési áramerősség mellett 20 %-os töltöttségi szinten végzett 120 másodperces töltésből kell állnia.
g) A fenti e) és f) alpontban leírt tényleges vizsgálati menet során a kisütési és töltési áramokat a meghatározott időtartamok alatt fel kell jegyezni.
3.7.3. Az eredmények utófeldolgozása
HPBS esetében a 80 % töltöttségi szint melletti kisütési áramerősséget és a 20 %-os töltöttségi szint melletti töltési áramerősséget a 20 másodperces mérési időszakra átlagolni kell.
HEBS esetében a 90 % töltöttségi szint melletti kisütési áramerősséget és a 20 %-os töltöttségi szint melletti töltési áramerősséget a 120 másodperces mérési időszakra átlagolni kell.
Abszolút számokat kell használni mind az átlagértékeknél, mind a kisütési és a töltési áramnál.
3.7. 4 Az eredmények értékelése
A CO2-kibocsátással és tüzelőanyag-fogyasztással kapcsolatos tanúsított tulajdonságok megfelelőségének vizsgálata akkor minősül sikeresnek, ha az alábbi kritériumok mindegyike teljesül:
(a) CCoP ≥ 0,95 CTA
ahol:
CCoP a 3.7.2. ponttal összhangban meghatározott névleges teljesítmény[Ah]
CTA az alkatrész-típusjóváhagyás során meghatározott névleges teljesítmény [Ah]
(b) (ηBAT,CoP - ηBAT,TA) ≤ 3 %
ahol:
ηBAT,CoP az energiaellátásnak 3.7.2. ponttal összhangban meghatározott hatásfoka [-]
ηBAT,TA az energiaellátásnak az alkatrész-típusjóváhagyás során meghatározott hatásfoka [-]
(c) Idischg_max,CoP ≥ Idischg_max,TA
ahol:
Idischg_max,CoP a 3.7.2. pont szerint meghatározott legnagyobb kisütési áramerősség (HPBS esetében 80 %-os, HEBS esetében pedig 90 %-os töltöttségi szinten) [A]
Idischg_max,TA az alkatrész-típusjóváhagyás során meghatározott legnagyobb kisütési áramerősség (HPBS esetében 80 %-os, HEBS esetében pedig 90 %-os töltöttségi szinten) [A]
(d) Ichg_max,CoP ≥ Ichg_max,TA
ahol:
Ichg_max,CoP a 3.7.2. pont szerint meghatározott legnagyobb töltési áram (20 % töltöttségi szinten) [A]
Ichg_max,TA az alkatrész-típusjóváhagyás során meghatározott legnagyobb töltési áram (20 % töltöttségi szinten) [A]
4. Kondenzátorrendszerek
4.1. Minden kondenzátorrendszert úgy kell előállítani, hogy az megfeleljen a jóváhagyott típusnak, tekintettel a tanúsítványban és annak mellékleteiben leírtakra. A CO2-kibocsátással és a tüzelőanyag-fogyasztással kapcsolatos tanúsított tulajdonságok megfelelőségével összefüggő eljárásoknak eleget kell tenniük az (EU) 2018/858 rendelet 31. cikkében foglaltaknak.
4.2. A CO2-kibocsátással és tüzelőanyag-fogyasztással kapcsolatos tanúsított tulajdonságok megfelelőségét az e melléklet 6. függelékében szereplő tanúsítványokban és információs csomagokban foglalt leírás alapján kell ellenőrizni.
4.3. A CO2-kibocsátással és tüzelőanyag-fogyasztással kapcsolatos tanúsított tulajdonságok megfelelőségét az e pontban rögzített speciális feltételeknek megfelelően kell értékelni.
4.4. Az alkatrészgyártó évente legalább a 3. táblázatban jelzett számú egységet köteles vizsgálni az adott gyártó éves kondenzátorrendszerek termelési összmennyisége alapján. Az éves termelési mennyiség megállapításakor csak azokat a kondenzátorrendszereket kell figyelembe venni, amelyek megfelelnek e rendelet követelményeinek, és amelyekre nem standard értékeket alkalmaztak.
3. táblázat
A megfelelőségi vizsgálathoz szükséges mintaméret
Kondenzátorrendszerek éves összes termelési mennyisége | Vizsgálatok éves száma | Alternatív megoldásként |
0 – 3 000 | nincs adat | háromévente 1 vizsgálat (*1) |
3 001 – 6 000 | nincs adat | kétévente 1 vizsgálat (*1) |
6 001 – 12 000 | 1 | nincs adat |
12 001 – 30 000 | 2 | nincs adat |
30 001 – 60 000 | 3 | nincs adat |
60 001 – 90 000 | 4 | nincs adat |
90 001 – 120 000 | 5 | nincs adat |
120 001 – 150 000 | 6 | nincs adat |
> 150 000 | 7 | nincs adat |
(*1) A gyártásmegfelelőségi vizsgálatot az első évben el kell végezni |
4.5. A CO2-kibocsátással és tüzelőanyag-fogyasztással kapcsolatos tanúsított tulajdonságok megfelelőségének vizsgálata érdekében a jóváhagyó hatóságnak és az alkatrészgyártónak közösen meg kell határoznia a vizsgálandó kondenzátorrendszerek típusát/típusait. A jóváhagyó hatóságnak meg kell győződnie arról, hogy a kiválasztott kondenzátorrendszer-típus(oka)t a sorozatgyártásban használtakkal azonos szabványok szerint gyártották.
4.6. Ha a 4.7. ponttal összhangban végzett vizsgálat eredménye magasabb, mint a 4.7.4. pontban meghatározott érték, akkor ugyanabból a családból további 3 egységet kell megvizsgálni. Ha ezek közül bármelyik nem felel meg a vizsgálaton, a 23. cikk rendelkezéseit kell alkalmazni.
4.7. Kondenzátorrendszerek gyártásmegfelelőségi vizsgálata
4.7.1. Peremfeltételek
Az e mellékletben a tanúsítási vizsgálatra meghatározott valamennyi peremfeltételt alkalmazni kell.
4.7.2. Vizsgálati menet
A vizsgálati eljárást e melléklet 6.3. pontja szerint kell elvégezni.
4.7.3. Az eredmények utófeldolgozása
Az eredmények utófeldolgozását e melléklet 6.4. pontja szerint kell elvégezni.
4.7.4. Az eredmények értékelése
A CO2-kibocsátással és tüzelőanyag-fogyasztással kapcsolatos tanúsított tulajdonságok megfelelőségének vizsgálata akkor minősül sikeresnek, ha az alábbi kritériumok mindegyike teljesül:
(a) (CCoP / CTA) - 1 < ±3 %
ahol:
CCoP a 4.7.2. ponttal összhangban meghatározott kapacitás [Ah]
CTA az alkatrész-típusjóváhagyás során meghatározott kapacitás [Ah]
(b) (RCoP / RTA) - 1 < ±3 %
ahol:
RCoP a 4.7.2. ponttal összhangban meghatározott belső ellenállás [Ah]
RTA az alkatrész-típusjóváhagyás során meghatározott belső ellenállás [Ah]
13. függelék
A család fogalma
1. Elektromos géprendszerek és IEPC-k
1.1. Általános
Az elektromos géprendszerek vagy az IEPC-k valamely családját tervezési paraméterek és a teljesítménymutatók jellemzik. Ezeknek közöseknek kell lenniük a család minden tagjára. Mindaddig, amíg a családhoz való tartozás e függelékben felsorolt szempontjai teljesülnek, az alkatrészgyártó eldöntheti mely elektromos géprendszerek vagy IEPC-k tartoznak az adott családhoz. A kapcsolódó családot a jóváhagyó hatóságnak kell jóváhagynia. Az alkatrészgyártónak a jóváhagyó hatóság rendelkezésére kell bocsátania a család tagjainak teljesítményére vonatkozó információkat.
1.2. Különleges esetek
Néhány esetben kölcsönhatás lehet a paraméterek között. Ezt figyelembe kell venni annak biztosítása érdekében, hogy csak hasonló jellemzőkkel rendelkező elektromos géprendszerek vagy IEPC-k kerüljenek ugyanabba a családba. Az ilyen eseteket az alkatrészgyártónak meg kell határoznia, és tájékoztatnia kell róluk a jóváhagyó hatóságot. Ezeket azután figyelembe kell venni az elektromos géprendszerek vagy IEPC-k új családjának kialakítási kritériumaként.
Az olyan eszközök vagy tulajdonságok esetében, melyeket az 1.4. pont nem sorol fel, illetve amelyek nagyban befolyásolják a teljesítménybeli szintet és/vagy a villamosenergia-fogyasztást, az adott eszközt vagy tulajdonságot az alkatrészgyártónak a helyes műszaki gyakorlatok alapján azonosítani kell, illetve jóváhagyó hatóság felé be kell jelenteni. Ezeket azután figyelembe kell venni az elektromos géprendszerek vagy IEPC-k új családjának kialakítási kritériumaként.
1.3. A család fogalma
A család fogalma meghatározza azokat a szempontokat és paramétereket, amelyek lehetővé teszik a gyártó számára a hasonló vagy megegyező CO2-kibocsátásra vonatkozó adatokkal bíró elektromos géprendszerek vagy IEPC-k családokba való csoportosítását.
1.4. A reprezentativitásra vonatkozó különös rendelkezések
A jóváhagyó hatóság megállapíthatja, hogy az elektromos géprendszerek vagy az IEPC-k családjának teljesítménymutatóit és villamosenergia-fogyasztását kiegészítő vizsgálattal lehet a legjobban jellemezni. Ebben az esetben az alkatrész gyártójának be kell nyújtania az annak megállapításához szükséges információkat, hogy a családon belül melyik elektromos géprendszer vagy IEPC reprezentálja a legjobban a családot. A jóváhagyó hatóság ezen információk alapján azt is megállapíthatja, hogy ahhoz, hogy reprezentatívabb legyen, az alkatrészgyártónak új, kevesebb tagból álló elektromosgéprendszer-családot vagy IEPC-családot kell létrehoznia.
Ha a családba tartozó tagok olyan más tulajdonságokkal is rendelkeznek, amelyekről feltételezhető, hogy hatással vannak a teljesítménymutatókra és/vagy a villamosenergia-fogyasztásra, ezeket a tulajdonságokat is meg kell határozni és figyelembe kell venni az alapegység kiválasztásánál.
1.5. Az elektromos géprendszerek vagy IEPC-k valamely családját meghatározó paraméterek
A lent felsorolt paraméterek mellett az alkatrészgyártó további kritériumokat is bevezethet korlátozottabb méretű motorcsaládok meghatározása céljából. Ezek a paraméterek nem feltétlenül befolyásolják a teljesítménymutatókat és/vagy a villamosenergia-fogyasztási szinteket.
1.5.1. A következő kritériumok alapvetően azonosak az elektromos géprendszerek vagy az IEPC-k egy adott családjába tartozó valamennyi tag esetében:
a) Elektromos gép: forgórész, tekercsek mérete, kialakítása, anyaga stb.
b) Inverter: teljesítménymodulok, vezető rudak mérete, kialakítása, anyaga stb.
c) Belső hűtőrendszer: hűtőbordák, bordázat és tűk elrendezése, méretei és anyaga
d) Belső ventilátorok: elrendezés és méret
e) Inverter szoftver: Alapvető kalibrálás, amely hőmérsékleti modellekből (elektromos gép és inverter), teljesítménycsökkenési határértékekből, nyomatékútból (a nyomaték átvitele a fázisáramba), fluxuskalibrálásból, áramszabályozásból, feszültségmodulációból, érzékelőspecifikus kalibrálásból áll (csak akkor megengedett, ha az érzékelőt megváltoztatták)
f) Fogaskerékhez kapcsolódó paraméterek (csak IEPC-k esetében): a VI. mellékletben szereplő fogalommeghatározásokkal összhangban.
Az alkatrészek a)-f) pontokban említett változtatásai csak akkor fogadhatók el, ha megalapozott műszaki indoklással bizonyítható, hogy az adott változás nem befolyásolja hátrányosan a teljesítménymutatókat és/vagy a villamosenergia-fogyasztást.
1.5.2. A következő kritériumok azonosak az elektromos géprendszerek vagy az IEPC-k egy adott családjába tartozó valamennyi tag esetében. Az alább felsorolt paraméterekre speciális tartomány alkalmazása a jóváhagyó hatóság jóváhagyását követően megengedett:
a) Kimenőtengely-interfész: bármilyen megengedett változtatás;
b) Csapágypajzsok:
a belső kialakításhoz ellenőrizni kell, hogy a változások befolyásolják-e a passzív hűtőelemeket vagy a csapágypajzsok belső oldalán lévő légáramot.
A külső kialakítás esetében a csavarok, felfüggesztési pontok, karima kialakítása nem befolyásolja a teljesítményt, ha passzív hűtőelemeket nem távolítanak el vagy változtatnak meg;
c) Csapágyak: változtatások megengedettek, amennyiben a csapágyak száma és típusa változatlan marad;
d) Tengely: változtatások megengedettek mindaddig, amíg az aktív vagy passzív hűtést nem érintik;
e) Nagyfeszültségű csatlakozás: a nagyfeszültségű csatlakozás helyét vagy típusát érintő változtatások megengedettek;
f) Burkolat a burkolat vagy a csavarok vagy szerelési pontok számának, típusának és helyének változtatása megengedett mindaddig, amíg a passzív hűtőelemeket nem távolítják el vagy nem változtatják meg;
g) Érzékelő: változtatások megengedettek, ha a tanúsított teljesítmény nem változik;
h) Inverterház: a burkolat vagy a csavarok vagy szerelési pontok számának, típusának és helyének változtatása megengedett mindaddig, amíg a passzív hűtőelemeket nem távolítják el vagy nem változtatják meg, vagy az elektromos üzemű alkatrészek belső elrendezését nem változtatják meg;
i) Inverter nagyfeszültségű csatlakozása: a nagyfeszültségű csatlakozás helyében vagy típusában bekövetkező változások mindaddig megengedettek, amíg az aktív alkatrészek vagy (aktív/passzív) hűtőelemek elrendezése vagy helye nem változik;
j) Inverter szoftver: minden olyan szoftvermódosítás megengedett, amely nem változtatja meg az elektromos gép alapvető kalibrálását (lásd a fenti meghatározást). Az előző rendelkezések ellenére megengedett a kimeneti teljesítmény korlátozása az elektromos géprendszerek vagy az IEPC-k családjába tartozó tagok esetében;
k) Inverter érzékelő: változtatások megengedettek, ha a tanúsított teljesítmény nem változik;
l) Olajviszkozitás: a gyári betöltéshez meghatározott valamennyi olaj esetében az azonos hőmérséklet mellett mért kinematikus viszkozitás legfeljebb 110 %-a lehet az alkatrész-tanúsításhoz használt olaj vonatkozó adatközlő lapon dokumentáltak szerinti kinematikus viszkozitásának (a KV100 értékre meghatározott tűréshatár-tartományon belül);
m) A legnagyobb nyomatékgörbe
Az alapegység e melléklet 4.2.2.4. pontjával összhangban meghatározott legnagyobb nyomatékgörbéjének egyes fordulatszámaira vonatkozó nyomatékértékeknek el kell érniük vagy meg kell haladniuk az ugyanazon családon belüli összes többi tag ugyanazon fordulatszámon mért nyomatékértékét a teljes fordulatszám-tartományban. Az ugyanazon családba tartozó más tagok egy adott fordulatszámnál az alapegység legnagyobb nyomatéka felett + 40 Nm vagy + 4 % - attól függően, hogy melyik a nagyobb - tűréshatáron belül lévő nyomatékértékei egyenlőnek tekintendők;
n) A legkisebb nyomatékgörbe
Az alapegység e melléklet 4.2.2.4. pontjával összhangban meghatározott legkisebb nyomatékgörbéjének egyes fordulatszámaira vonatkozó nyomatékértékek nem haladhatják az ugyanazon családon belüli összes többi tag ugyanazon fordulatszámon mért nyomatékértékét a teljes fordulatszám-tartományban. Az ugyanazon családba tartozó más tagok egy adott fordulatszámnál az alapegység legkisebb nyomatéka alatt -40 Nm vagy -4 % - attól függően, hogy melyik a kisebb - tűréshatáron belül lévő nyomatékértékei egyenlőnek tekintendők;
o) Az EPMC jelleggörbén lévő adatpontok minimális száma:
Az ugyanahhoz a családhoz tartozó valamennyi tagnak legalább 60 %-ban (a legközelebbi egész számra kerekítve) le kell fednie az e melléklet 4.2.2.4. pontja szerint meghatározott legnagyobb és legkisebb nyomatékgörbéjük határain belül elhelyezkedő EPMC-jelleggörbe adatpontjait (azaz ahol az alapegység EPMC-jelleggörbéjét más tagokra alkalmazzák).
1.6. Az alapegység kiválasztása
Az elektromos géprendszerek vagy az IEPC-k egy adott családja alapegységének az e melléklet 4.2.2. pontja szerint meghatározott legnagyobb össznyomatékkal rendelkező tagnak kell lennie.
14. függelék
Jelölések és számozás
1. Jelölések
Egy, az e melléklet szerint típusjóváhagyott erőátvitelirendszer-alkatrész esetében az alkatrészen fel kell tüntetni az alábbiakat:
1.1. A gyártó neve vagy védjegye
1.2. Az e melléklet 2-6. függelékei 0.2. és 0.3. pontjának megfelelően a gyártmány és a típus azonosítására szolgáló információ
1.3. Tanúsítási jelölés (amennyiben releváns): egy négyszög és benne egy kis "e" betű, amelyet a tanúsítványt kiadó tagállam megkülönböztető száma követ:
1 Németország esetében; | 19 Románia esetében; |
2 Franciaország esetében; | 20 Lengyelország esetében; |
3 Olaszország esetében; | 21 Portugália esetében; |
4 Hollandia esetében; | 23 Görögország esetében; |
5 Svédország esetében; | 24 Írország esetében; |
6 Belgium esetében; | 25 Horvátország esetében; |
7 Magyarország esetében; | 26 Szlovénia esetében; |
8 Csehország esetében; | 27 Szlovákia esetében; |
9 Spanyolország esetében; | 29 Észtország esetében; |
12 Ausztria esetében; | 32 Lettország esetében; |
13 Luxemburg esetében; | 34 Bulgária esetében; |
17 Finnország esetében; | 36 Litvánia esetében; |
18 Dánia esetében; | 49 Ciprus esetében; |
50 Málta esetében. |
1.4. A tanúsítási jelölésnek a négyszög közelében tartalmaznia kell egy "alap tanúsítási számot" az (EU) 2020/683 rendelet IV. mellékletének 4. szakaszában írtaknak megfelelően, amelyet az e rendelet legutóbbi technikai módosításához rendelt sorozatszámot jelölő két számjegy, valamint az ábécé valamely betűje előz meg, amely arra az alkatrészre utal, amire a tanúsítványt megadták:
E rendelet esetében ez a szám a 02.
E rendelet tekintetében a betűkarakterét az 1. táblázat rögzíti
1. táblázat
M | elektromos géprendszer (EMS) |
I | integrált elektromos erőátviteli alkatrész (IEPC) |
H | 1. típusú integrált hibrid elektromosjármű-erőátviteli alkatrész (IHPC) |
B | akkumulátorrendszer |
A | kondenzátorrendszer |
1.4.1. Példa a tanúsítási jelölésre és a tanúsítási jelölés méretei

A fenti, elektromos erőátviteli alkatrészen feltüntetett tanúsítási jelölés azt mutatja, hogy az érintett típust Ausztriában hagyták jóvá (e12) e rendelet alapján. Az első két számjegy (02) az e rendelet legutóbbi technikai módosításához rendelt sorszámot jelöli. A következő betű azt jelzi, hogy a tanúsítványt elektromos géprendszerre (M) adták ki. Az utolsó öt számjegy (00005) az az alap tanúsítási szám, amelyet a típusjóváhagyó hatóság hozzárendelt az elektromos géprendszerhez.
1.5. A tanúsítvány kérelmezőjének kérésére és a típusjóváhagyó hatóság előzetes beleegyezésével az 1.4.1. pontban jelzettől eltérő méretű jelölés is használható. Az egyéb méretű jelöléseknek is jól olvashatónak kell lenniük.
1.6. A jelöléseknek, címkéknek, adattábláknak vagy matricáknak az elektromos erőátviteli alkatrész hasznos élettartama végéig tartósnak, jól olvashatónak és kitörölhetetlennek kell maradniuk. A gyártónak gondoskodnia kell arról, hogy a jelöléseket, címkéket, adattáblákat vagy matricákat ne lehessen azok megrongálása, vagy olvashatatlanná tétele nélkül eltávolítani.
1.7. A tanúsítási jelölésnek az elektromos erőátviteli alkatrész járműbe történő beépítése után is láthatónak kell lennie, és azt egy olyan részhez kell rögzíteni, amely a rendes működéshez szükséges, és amelyet szokásos esetben az alkatrész élettartama során nem kell kicserélni.
2. Számozás:
2.1. Az elektromos erőátviteli alkatrész tanúsítási száma a következőket tartalmazza:
eX*YYYY/YYYY*ZZZZ/ZZZZ*X*00000*00
1. szakasz | 2. szakasz | 3. szakasz | Kiegészítő betű a 3. szakaszhoz | 4. szakasz | 5. szakasz |
A tanúsítványt kibocsátó ország megjelölése | A nehézgépjárművek CO2-kibocsátásának meghatározásáról szóló rendelet ((EU) 2017/2400) | A legutóbbi módosító rendelet (ZZZZ/ZZZZ) | Lásd e függelék 1. táblázatát | Alaptanúsítási szám 00000 | Kiterjesztés 00 |
15. függelék
A szimulációs eszköz bemeneti paraméterei
Bevezetés
Ez a függelék leírja azon paraméterek listáját, amelyeket az alkatrészgyártónak a szimulációs eszközhöz bemeneti adatként meg kell adnia. Az alkalmazandó XML-séma, valamint a példaadatok az erre a célra létrehozott elektronikus terjesztési platformon érhetők el.
Fogalommeghatározások
1. "paraméterazonosító": A szimulációs eszközben használt egyedi azonosító egy adott bemeneti paraméter vagy bemeneti adathalmaz számára
2. "típus": A paraméter adattípusa
karakterlánc… | karaktersor ISO8859-1 kódolásban |
token… | karaktersor ISO8859-1 kódolásban, sor eleji/végi whitespace karakter nélkül |
dátum… | dátum és idő UTC időben és a következő formátumban: YYYY-MM-HH:MM:SS, ahol a dőlt betűk a rögzített karaktereket jelzik, pl. „2002-05-30-T09:30:10Z” |
egész szám… | egész számban kifejezett érték, sor eleji nulla nélkül, pl. „1800” |
kettős, X… | tizedes tört, pontosan X számjeggyel a tizedesjel („.”) után, és nincsen sor eleji nulla, pl. „kettős, 2”: „2345,67”; vagy „kettős, 4”: „45,6780” |
3. "egység" ... a paraméter fizikai mértékegysége
Az elektromos géprendszer bemeneti paramétereinek készlete
1. táblázat
"Electric machine system/General" bemeneti paraméterek
A paraméter neve | Paraméterazonosító | Típus | Egység | Leírás/referencia |
Manufacturer | P450 | token | [-] | |
Model | P451 | token | [-] | |
CertificationNumber | P452 | token | [-] | |
Date | P453 | dateTime | [-] | Az alkatrészre vonatkozó hashfüggvény létrehozásának dátuma és időpontja |
AppVersion | P454 | token | [-] | Gyártóspecifikus bemeneti adatok az alkatrészek mért adatainak értékelésére és kezelésére használt eszközökre vonatkozóan |
ElectricMachineType | P455 | karakterlánc | [-] | E melléklet 2. bekezdésének 21. pontjával összhangban meghatározva. Megengedett értékek: „ASM”, „ESM”, „PSM”, „RM” |
CertificationMethod | P456 | karakterlánc | [-] | Megengedett értékek: „Measurement”, „Standard values” |
R85RatedPower | P457 | egész szám | [W] | A 85. sz. ENSZ-előírás (Rev. 1) 2. melléklete 1.9. szakaszával összhangban meghatározva |
RotationalInertia | P458 | kettős, 2 | [kgm2] | E melléklet 8. függelékének 8. pontjával összhangban meghatározva. |
DcDcConverterIncluded | P465 | Boole-féle | [-] | „True” értékre állítva, ha a DC/DC-átalakító az elektromos géprendszer részét képezi e melléklet 4.1. bekezdése szerint |
IHPCType | P466 | karakterlánc | [-] | Megengedett értékek: „None”, „IHPC Type 1” |
2. táblázat
"Electric machine system/VoltageLevels" bemeneti paraméterek az egyes mért feszültségszintekre vonatkozóan
A paraméter neve | Paraméterazonosító | Típus | Egység | Leírás/referencia |
VoltageLevel | P467 | egész szám | [V] | Ha a „CertificationMethod” paraméter értéke „Standard values”, nem kell bemenő adatokat megadni. |
ContinuousTorque | P459 | kettős, 2 | [Nm] | |
TestSpeedContinuousTorque | P460 | kettős, 2 | [1/perc] | |
OverloadTorque | P461 | kettős, 2 | [Nm] | |
TestSpeedOverloadTorque | P462 | kettős, 2 | [1/perc] | |
OverloadDuration | P463 | kettős, 2 | [s] |
3. táblázat
"Electric machine system/MaxMinTorque" bemeneti paraméterek az egyes működési pontokra és az egyes mért feszültségszintekre vonatkozóan
A paraméter neve | Paraméterazonosító | Típus | Egység | Leírás/referencia |
OutputShaftSpeed | P468 | kettős, 2 | [1/perc] | |
MaxTorque | P469 | kettős, 2 | [Nm] | |
MinTorque | P470 | kettős, 2 | [Nm] |
4. táblázat
"Electric machine system/DragTorque" bemeneti paraméterek az egyes működési pontokra vonatkozóan
A paraméter neve | Paraméterazonosító | Típus | Egység | Leírás/referencia |
OutputShaftSpeed | P471 | kettős, 2 | [1/perc] | |
DragTorque | P472 | kettős, 2 | [Nm] |
5. táblázat
"Electric machine system/ElectricPowerMap" bemeneti paraméterek az egyes működési pontokra és az egyes mért feszültségszintekre vonatkozóan.
1. típusú IHPC esetében (az e melléklet 2. pontjának 42. alpontjában szereplő fogalommeghatározás szerint) minden működési pontra, minden mért feszültségszintre és minden előremeneti sebességfokozatra.
A paraméter neve | Paraméterazonosító | Típus | Egység | Leírás/referencia |
OutputShaftSpeed | P473 | kettős, 2 | [1/perc] | |
Nyomaték | P474 | kettős, 2 | [Nm] | |
ElectricPower | P475 | kettős, 2 | [W] |
6. táblázat
"Electric machine system/Conditioning" bemeneti paraméterei minden egyes külső hőcserélőhöz csatlakoztatott hűtőkörre vonatkozóan
Ha a "CertificationMethod" paraméter értéke "Standard values", nem kell bemenő adatokat megadni.
A paraméter neve | Paraméterazonosító | Típus | Egység | Leírás/referencia |
CoolantTempInlet | P476 | egész szám | [°C] | E melléklet 4.1.5.1. és 4.3.6. pontjával összhangban meghatározva. |
CoolingPower | P477 | egész szám | [W] | E melléklet 4.1.5.1. és 4.3.6. pontjával összhangban meghatározva. |
Az IEPC bemeneti paraméterkészlete
1. táblázat
"IEPC/General" bemeneti paraméterek
A paraméter neve | Paraméterazonosító | Típus | Egység | Leírás/referencia |
Manufacturer | P478 | token | [-] | |
Model | P479 | token | [-] | |
CertificationNumber | P480 | token | [-] | |
Date | P481 | dateTime | [-] | Az alkatrészre vonatkozó hashfüggvény létrehozásának dátuma és időpontja |
AppVersion | P482 | token | [-] | Gyártóspecifikus bemeneti adatok az alkatrészek mért adatainak értékelésére és kezelésére használt eszközökre vonatkozóan |
ElectricMachineType | P483 | karakterlánc | [-] | E melléklet 2. bekezdésének 21. pontjával összhangban meghatározva. Megengedett értékek: „ASM”, „ESM”, „PSM”, „RM” |
CertificationMethod | P484 | karakterlánc | [-] | Megengedett értékek: „Measured for complete component”, „Measured for EM and standard values for other components”, „Standard values for all components” |
R85RatedPower | P485 | egész szám | [W] | A 85. sz. ENSZ-előírás 2. melléklete 1.9. szakaszával összhangban meghatározva |
RotationalInertia | P486 | kettős, 2 | [kgm2] | E melléklet 8. függelékének 8. pontjával összhangban meghatározva. |
DifferentialIncluded | P493 | Boole-féle | [-] | „Igaz” értékre állítva abban az esetben, ha a differenciálmű az IEPC része |
DesignTypeWheelMotor | P494 | Boole-féle | [-] | IEPC kialakítású kerékmotor esetében „igaz” értékre beállítva |
NrOf DesignTypeWheelMotorMeasured | P495 | egész szám | [-] | A bemeneti adat csak IEPC kialakítású kerékmotor esetében releváns, e melléklet 4.1.1.2. pontjának megfelelően. Megengedett értékek: „1”, „2” |
2. táblázat
"IEPC/Gears" bemeneti paraméterek valamennyi előremeneti sebességfokozatra vonatkozóan
A paraméter neve | Paraméterazonosító | Típus | Egység | Leírás/referencia |
GearNumber | P496 | egész szám | [-] | |
Ráta | P497 | kettős, 3 | [-] | Az elektromos gép forgórészének fordulatszáma az IEPC kimenőtengelyének fordulatszámához viszonyítva |
MaxOutputShaftTorque | P498 | egész szám | [Nm] | opcionális |
MaxOutputShaftSpeed | P499 | egész szám | [1/perc] | opcionális |
3. táblázat
"IEPC/VoltageLevels" bemeneti paraméterek az egyes mért feszültségszintekre vonatkozóan
A paraméter neve | Paraméterazonosító | Típus | Egység | Leírás/referencia |
VoltageLevel | P500 | egész szám | [V] | Ha a „CertificationMethod” paraméter értéke „Standard values for all components”, nem kell bemenő adatokat megadni. |
ContinuousTorque | P487 | kettős, 2 | [Nm] | |
TestSpeedContinuousTorque | P488 | kettős, 2 | [1/perc] | |
OverloadTorque | P489 | kettős, 2 | [Nm] | |
TestSpeedOverloadTorque | P490 | kettős, 2 | [1/perc] | |
OverloadDuration | P491 | kettős, 2 | [s] |
4. táblázat
"IEPC/MaxMinTorque" bemeneti paraméterek az egyes működési pontokra és az egyes mért feszültségszintekre vonatkozóan
A paraméter neve | Paraméterazonosító | Típus | Egység | Leírás/referencia |
OutputShaftSpeed | P501 | kettős, 2 | [1/perc] | |
MaxTorque | P502 | kettős, 2 | [Nm] | |
MinTorque | P503 | kettős, 2 | [Nm] |
5. táblázat
Az "IEPC/DragTorque" bemeneti paraméterek az egyes működési pontokra és minden egyes mért előremeneti sebességfokozatra vonatkozóan (a 4.2.3. szakasz szerinti, sebességfokozat-függő opcionális mérés)
A paraméter neve | Paraméterazonosító | Típus | Egység | Leírás/referencia |
OutputShaftSpeed | P504 | kettős, 2 | [1/perc] | |
DragTorque | P505 | kettős, 2 | [Nm] |
6. táblázat
"IEPC/ElectricPowerMap" bemeneti paraméterek az egyes működési pontokra, az egyes mért feszültségszintekre és az egyes előremeneti sebességfokozatokra vonatkozóan
A paraméter neve | Paraméterazonosító | Típus | Egység | Leírás/referencia |
OutputShaftSpeed | P506 | kettős, 2 | [1/perc] | |
Nyomaték | P507 | kettős, 2 | [Nm] | |
ElectricPower | P508 | kettős, 2 | [W] |
7. táblázat
Az "IEPC/Conditioning" bemeneti paraméterei minden egyes külső hőcserélőhöz csatlakoztatott hűtőkörre vonatkozóan
Ha a "CertificationMethod" paraméter értéke "Standard values for all components", nem kell bemenő adatokat megadni.
A paraméter neve | Paraméterazonosító | Típus | Egység | Leírás/referencia |
CoolantTempInlet | P509 | egész szám | [°C] | E melléklet 4.1.5.1. és 4.3.6. pontjával összhangban meghatározva. |
CoolingPower | P510 | egész szám | [W] | E melléklet 4.1.5.1. és 4.3.6. pontjával összhangban meghatározva. |
Az akkumulátorrendszer bemeneti paramétereinek készlete
1. táblázat
"Battery system/General" bemeneti paraméterek
A paraméter neve | Paraméterazonosító | Típus | Egység | Leírás/referencia |
Manufacturer | P511 | token | [-] | |
Model | P512 | token | [-] | |
CertificationNumber | P513 | token | [-] | |
Date | P514 | dateTime | [-] | Az alkatrészre vonatkozó hashfüggvény létrehozásának dátuma és időpontja |
AppVersion | P515 | token | [-] | Gyártóspecifikus bemeneti adatok az alkatrészek mért adatainak értékelésére és kezelésére használt eszközökre vonatkozóan |
CertificationMethod | P517 | karakterlánc | [-] | Megengedett értékek: „Measured”, „Standard values” |
BatteryType | P518 | karakterlánc | [-] | Megengedett értékek: „HPBS”, „HEBS” |
RatedCapacity | P519 | kettős, 2 | [Ah] | |
ConnectorsSubsystemsIncluded | P520 | Boole-féle | [-] | Csak akkor releváns, ha reprezentatív akkumulátor-alrendszer vizsgálatára kerül sor: „Igaz” értékre állítva, ha a vizsgálat során reprezentatív kábelköteget használtak az akkumulátor-alrendszerek összekapcsolására. A teljes akkumulátorrendszer vizsgálata esetén mindig „igaz” értékre van beállítva. |
JunctionboxIncluded | P511 | Boole-féle | [-] | Csak akkor releváns, ha reprezentatív akkumulátor-alrendszer vizsgálatára kerül sor: „Igaz” értékre állítva, ha a vizsgálat során reprezentatív csatlakozódobozt, kikapcsolóeszközt és olvadóbiztosítékokat használtak. A teljes akkumulátorrendszer vizsgálata esetén mindig „igaz” értékre van beállítva. |
TestingTemperature | P521 | egész szám | [°C] | E melléklet 5.1.4. pontjával összhangban meghatározva. Ha a „CertificationMethod” paraméter értéke „Standard values”, nem kell bemenő adatokat megadni. |
2. táblázat
"Battery system/OCV" bemeneti paraméterek az egyes mért töltöttségi szintekre vonatkozóan
A paraméter neve | Paraméterazonosító | Típus | Egység | Leírás/referencia |
SOC | P522 | egész szám | [%] | |
OCV | P523 | kettős, 2 | [V] |
3. táblázat
"Battery system/DCIR" bemeneti paraméterek az egyes mért töltöttségi szintekre vonatkozóan
A paraméter neve | Paraméterazonosító | Típus | Egység | Leírás/referencia |
SOC | P524 | egész szám | [%] | Ha a „CertificationMethod” paraméter értéke „Standard values”, ugyanazokat a DCIR-értékeket kell megadni a két különböző, 0 %-os és 100 %-os töltöttségi szinthez. |
DCIR RI2 | P525 | kettős, 2 | [mOhm] | Ha a „CertificationMethod” paraméter értéke „Standard values”, akkor a 10. függelék 1. d) alpontja szerint meghatározott DCIR-értéket kell megadni. |
DCIR RI10 | P526 | kettős, 2 | [mOhm] | Ha a „CertificationMethod” paraméter értéke „Standard values”, akkor a 10. függelék 1. d) alpontja szerint meghatározott DCIR-értéket kell megadni. |
DCIR RI20 | P527 | kettős, 2 | [mOhm] | Ha a „CertificationMethod” paraméter értéke „Standard values”, akkor a 10. függelék 1. d) alpontja szerint meghatározott DCIR-értéket kell megadni. |
DCIR RI120 | P528 | kettős, 2 | [mOhm] | Opcionális, csak a HEBS típusú akkumulátorok esetében kötelező. Ha a „CertificationMethod” paraméter értéke „Standard values”, akkor a 10. függelék 1. d) alpontja szerint meghatározott DCIR-értéket kell megadni. |
4. táblázat
"Battery system/Current limits" bemeneti paraméterek az egyes mért töltöttségi szintekre vonatkozóan
A paraméter neve | Paraméterazonosító | Típus | Egység | Leírás/referencia |
SOC | P529 | egész szám | [%] | Ha a „CertificationMethod” paraméter értéke „Standard values”, ugyanazokat a MaxChargingCurrent, valamint MaxDischargingCurrent értékeket kell megadni a két különböző, 0 %-os és 100 %-os töltöttségi szinthez. |
MaxChargingCurrent | P530 | kettős, 2 | [A] | |
MaxDischargingCurrent | P531 | kettős, 2 | [A] |
A katalizátorrendszer bemeneti paramétereinek készlete
1. táblázat
"Capacitor system/General" bemeneti paraméterek
A paraméter neve | Paraméterazonosító | Típus | Egység | Leírás/referencia |
Manufacturer | P532 | token | [-] | |
Model | P533 | token | [-] | |
CertificationNumber | P534 | token | [-] | |
Date | P535 | dateTime | [-] | Az alkatrészre vonatkozó hashfüggvény létrehozásának dátuma és időpontja |
AppVersion | P536 | token | [-] | Gyártóspecifikus bemeneti adatok az alkatrészek mért adatainak értékelésére és kezelésére használt eszközökre vonatkozóan |
CertificationMethod | P538 | karakterlánc | [-] | Megengedett értékek: „Measurement”, „Standard values” |
Capacitance | P539 | kettős, 2 | [F] | |
InternalResistance | P540 | kettős, 2 | [ohm] | |
MinVoltage | P541 | kettős, 2 | [V] | |
MaxVoltage | P542 | kettős, 2 | [V] | |
MaxChargingCurrent | P543 | kettős, 2 | [A] | |
MaxDischargingCurrent | P544 | kettős, 2 | [A] | |
TestingTemperature | P532 | egész szám | [°C] | E melléklet 6.1.3. pontjával összhangban meghatározva. Ha a „CertificationMethod” paraméter értéke „Standard values”, nem kell bemenő adatokat megadni. |
(*) e melléklet 4.3.5. és 4.3.6. pontjával összhangban meghatározva
(**) e melléklet 5.4.1.4. pontjával összhangban meghatározva
(***) az Egyesült Nemzetek Európai Gazdasági Bizottságának (ENSZ-EGB) 100. számú előírása - Egységes rendelkezések járművek elektromos hajtórendszerük tekintetében történő jóváhagyásáról (HL L 449., 2021.12.15., 1. o.).
XI. MELLÉKLET
A 2007/46/EK IRÁNYELV MÓDOSÍTÁSA
1. Az I. melléklet a következő, 3.5.7. ponttal egészül ki:
"3.5.7. A CO2-kibocsátással és tüzelőanyag-fogyasztással kapcsolatos tanúsítás (nehézgépjárművek esetében, az (EU) 2017/2400 bizottsági rendelet 6. cikke alapján)
3.5.7.1. A szimulációs eszközre vonatkozó engedély száma:"
2. A III. melléklet I. részének A. pontja (M és N kategóriájú járművek) a következő 3.5.7. és 3.5.7.1. ponttal egészül ki:
"3.5.7. A CO2-kibocsátással és tüzelőanyag-fogyasztással kapcsolatos tanúsítás (nehézgépjárművek esetében, az (EU) 2017/2400 bizottsági rendelet 6. cikke alapján)
3.5.7.1. A szimulációs eszközre vonatkozó engedély száma:".
3. A IV. melléklet I. része a következőképpen módosul:
a) a 41A sor helyébe a következő szöveg lép:
„41A | Kibocsátások (Euro VI) nehézgépjárművek/információhoz való hozzáférés | 595/2009/EK rendelet 582/2011/EU rendelet | X (9) | X (9) | X | X (9) | X (9) | X” |
b) A táblázat az alábbi 41B sorral egészül ki:
„41B | CO2-kibocsátási szimulációs eszköz engedélye (nehézgépjárművek) | 595/2009/EK rendelet (EU) 2017/2400 rendelet | X (16) | X” |
c) a szöveg a következő 16. magyarázó megjegyzéssel egészül ki:
"(16) A több mint 7 500 kg műszakilag megengedett legnagyobb össztömegű járművekre vonatkozik."
4. A IX. melléklet a következőképpen módosul:
a) az 1. rész, B. minta, 2. OLDAL, N2 JÁRMŰ-KATEGÓRIA szakasz a következő 49. ponttal egészül ki:
"49. A gyártói dokumentációs fájlhoz tartozó kriptográfiai hashfüggvény ..."
b) az 1. rész, B minta, 2. OLDAL, N3 JÁRMŰ-KATEGÓRIA szakasz a következő 49. ponttal egészül ki:
"49. A gyártói dokumentációs fájlhoz tartozó kriptográfiai hashfüggvény ..."
(5) a XV. melléklet 2. pontja a következő sorral egészül ki:
„46B | A gördülési ellenállás megállapítása | (EU) 2017/2400 rendelet, X. Melléklet” |
( 1 ) Az Európai Parlament és a Tanács (EU) 2018/858 rendelete (2018. május 30.) a gépjárművek és pótkocsijaik, valamint az ilyen járművek rendszereinek, alkotóelemeinek és önálló műszaki egységeinek jóváhagyásáról és piacfelügyeletéről, a 715/2007/EK és az 595/2009/EK rendelet módosításáról, valamint a 2007/46/EK irányelv hatályon kívül helyezéséről (HL L 151., 2018.6.14., 1. o.).
( 2 ) A Bizottság (EU) 2017/2400 rendelete (2017. december 12.) az 595/2009/EK európai parlamenti és tanácsi rendeletnek a nehézgépjárművek CO2-kibocsátásának és tüzelőanyag-fogyasztásának meghatározása tekintetében történő végrehajtásáról, valamint a 2007/46/EK európai parlamenti és tanácsi irányelv és az 582/2011/EU bizottsági rendelet módosításáról (HL L 349, 2017.12.29., 1. o.).".
( 3 ) Egyesült Nemzetek Európai Gazdasági Bizottságának (ENSZ-EGB) 107. előírása - Egységes rendelkezések az M2 és az M3 kategóriájú járművek általános felépítésük tekintetében történő jóváhagyásáról (HL L 52., 2018.2.23., 1. o.).
( 4 ) Bizottság (EU) 2020/683 végrehajtási rendelete (2020. április 15.) az (EU) 2018/858 európai parlamenti és tanácsi rendeletnek a gépjárművek és pótkocsijaik, valamint az ilyen járművek rendszerei, alkotóelemei és önálló műszaki egységei jóváhagyására és piacfelügyeletére vonatkozó közigazgatási követelmények tekintetében történő végrehajtásáról (HL L 163., 2020.5.26., 1. o.).
( 5 ) Az elsődleges járművekre vonatkozóan a III. mellékletben meghatározott bemeneti információk és bemeneti adatok.
( 6 ) A CO2-kibocsátásra és a tüzelőanyag-fogyasztásra vonatkozó eredményeket nem kell a VIF-en keresztül benyújtani, mivel ezek az információk az energiafogyasztásra és az ismert tüzelőanyag-típusra vonatkozó eredményekből kiszámíthatók.
( 7 ) VIF tartalmát részletesen a IV. melléklet III. része határozza meg.
( 8 ) A teljes és befejezett járművekre vonatkozóan a III. mellékletben meghatározott bemeneti információk és bemeneti adatok részhalmaza.
( 9 ) "i" a folyamatban addig elvégzett gyártási lépcsők száma.
( 10 ) Lásd: IV. melléklet, III. rész, 1.1. pont
( 11 ) HL L 349., 2017.12.29., 1. o.
( 12 ) Az Egyesült Nemzetek Európai Gazdasági Bizottságának (ENSZ EGB) 49. előírása - Járművekben használt kompressziós gyújtású motorok és szikragyújtású motorok gáznemű és szilárd károsanyag-kibocsátása elleni intézkedésekre vonatkozó egységes rendelkezések (HL L 171., 2013.6.24., 1. o.).
( 13 ) Vegyes üzemű motorok esetében külön-külön kell megadni az egyes tüzelőanyag-típusokra és üzemmódokra vonatkozó értékeket
( 14 ) Meg kell adni a tűrést; a gyártó által megadott érték ± 3 %-os tartományában kell maradnia.
( *1 ) Az Egyesült Nemzetek Európai Gazdasági Bizottságának (ENSZ-EGB) 85. számú előírása - Egységes rendelkezések az M és N kategóriájú gépjárművek meghajtására szánt belső égésű motoroknak és elektromos hajtásláncoknak a hasznos teljesítmény és az elektromos hajtásláncok 30 perces legnagyobb teljesítménye tekintetében történő jóváhagyására vonatkozóan (HL L 323., 2014.11.7., 52. o.);
( 15 ) A nem kívánt rész törlendő (bizonyos esetekben semmit nem kell törölni, ha egynél több lehetőség is alkalmazható)
( 16 ) Az Egyesült Nemzetek Európai Gazdasági Bizottságának (ENSZ-EGB) 54. számú előírása - Egységes rendelkezések haszongépjárművek és pótkocsijuk gumiabroncsainak jóváhagyásáról (HL L 183., 2008.7.11., 41. o.).
( *2 ) Az Egyesült Nemzetek Európai Gazdasági Bizottságának (ENSZ-EGB) 107. számú előírása - Egységes rendelkezések az M2 és az M3 kategóriájú járművek általános felépítésük tekintetében történő jóváhagyásáról (HL L 52., 2018.2.23., 1. o.).
( *3 ) Az Egyesült Nemzetek Európai Gazdasági Bizottságának (ENSZ EGB) 48. számú előírása - Egységes rendelkezések a járműveknek a világító- és fényjelző berendezések beépítése tekintetében történő jóváhagyásáról (HL L 14., 2019.1.16., 42. o.).
( *4 ) Az Egyesült Nemzetek Európai Gazdasági Bizottságának (ENSZ EGB) 122. számú előírása - Egységes műszaki rendelkezések az M, N és O kategóriás járműveknek a fűtési rendszerük tekintetében történő jóváhagyásáról (HL L 19., 2020.1.24., 42. o.).
( 17 ) Az Egyesült Nemzetek Európai Gazdasági Bizottságának (ENSZ-EGB) 54. számú előírása - Egységes rendelkezések haszongépjárművek és pótkocsijuk gumiabroncsainak jóváhagyásáról (HL L 183., 2008.7.11., 41. o.).
( 18 ) Az Egyesült Nemzetek Európai Gazdasági Bizottságának (ENSZ-EGB) 117. számú előírása - Egységes rendelkezések a gumiabroncsok gördülésizaj-kibocsátás és/vagy nedves tapadás és/vagy gördülési ellenállás tekintetében történő jóváhagyásáról [2016/1350] (HL L 218., 2016.8.12., 1. o.).
( 19 ) Az Európai Parlament és a Tanács (EU) 2020/740 rendelete (2020. május 25.) a gumiabroncsok üzemanyag-hatékonyság és más paraméterek tekintetében történő címkézéséről, az (EU) 2017/1369 rendelet módosításáról és az 1222/2009/EK rendelet hatályon kívül helyezéséről (HL L 177., 2020.6.5., 1. o.).
( 20 ) Az Európai Parlament és a Tanács 661/2009/EK rendelete (2009. július 13.) a gépjárművek, az ezekhez tervezett pótkocsik és rendszerek, alkatrészek, valamint önálló műszaki egységek általános biztonságára vonatkozó típusjóváhagyási előírásokról (HL L 200., 2009.7.31., 1. o.).
( 21 ) Az Európai Parlament és a Tanács (EU) 2019/2144 rendelete (2019. november 27.) a gépjárműveknek és pótkocsijaiknak, valamint az ilyen járművek rendszereinek, alkotóelemeinek és önálló műszaki egységeinek az általános biztonság, továbbá az utasok és a veszélyeztetett úthasználók védelme tekintetében történő típusjóváhagyásáról, az (EU) 2018/858 rendelet módosításáról (HL L 325., 2019.12.16., 1. o.).
( 22 ) Az Egyesült Nemzetek Európai Gazdasági Bizottságának (ENSZ-EGB) 30. számú előírása - Egységes rendelkezések gépjárművek és pótkocsijuk gumiabroncsainak jóváhagyásáról (HL L 201., 2008.7.30., 70. o.).
( 23 ) e melléklet 4.3.5. és 4.3.6. pontja szerint meghatározva
Lábjegyzetek:
[1] A dokumentum eredetije megtekinthető CELEX: 32017R2400 - https://eur-lex.europa.eu/legal-content/HU/ALL/?uri=CELEX:32017R2400&locale=hu Utolsó elérhető, magyar nyelvű konszolidált változat CELEX: 02017R2400-20250301 - https://eur-lex.europa.eu/legal-content/HU/ALL/?uri=CELEX:02017R2400-20250301&locale=hu